[go: up one dir, main page]

US6451810B1 - Amide substituted imidazoquinolines - Google Patents

Amide substituted imidazoquinolines Download PDF

Info

Publication number
US6451810B1
US6451810B1 US09/589,580 US58958000A US6451810B1 US 6451810 B1 US6451810 B1 US 6451810B1 US 58958000 A US58958000 A US 58958000A US 6451810 B1 US6451810 B1 US 6451810B1
Authority
US
United States
Prior art keywords
alkyl
imidazo
quinolin
amino
butyl
Prior art date
Legal status (The legal status is an assumption and is not a legal conclusion. Google has not performed a legal analysis and makes no representation as to the accuracy of the status listed.)
Expired - Fee Related
Application number
US09/589,580
Inventor
Patrick L. Coleman
Stephen L. Crooks
Kyle J. Lindstrom
Bryon A. Merrill
Michael J. Rice
Current Assignee (The listed assignees may be inaccurate. Google has not performed a legal analysis and makes no representation or warranty as to the accuracy of the list.)
3M Innovative Properties Co
Original Assignee
3M Innovative Properties Co
Priority date (The priority date is an assumption and is not a legal conclusion. Google has not performed a legal analysis and makes no representation as to the accuracy of the date listed.)
Filing date
Publication date
Priority to US09/589,580 priority Critical patent/US6451810B1/en
Application filed by 3M Innovative Properties Co filed Critical 3M Innovative Properties Co
Priority to RU2001132577/15A priority patent/RU2295343C2/en
Priority to PCT/US2000/015702 priority patent/WO2000076505A1/en
Priority to EP00950215A priority patent/EP1187613B9/en
Priority to PL00364249A priority patent/PL364249A1/en
Priority to SK1793-2001A priority patent/SK17932001A3/en
Priority to CN008084378A priority patent/CN1353609B/en
Priority to EEP200100670A priority patent/EE05089B1/en
Priority to DK00950215T priority patent/DK1187613T3/en
Priority to HK02106256.4A priority patent/HK1044488B/en
Priority to HU0202254A priority patent/HUP0202254A3/en
Priority to CA2376304A priority patent/CA2376304C/en
Priority to BR0011448-0A priority patent/BR0011448A/en
Priority to DE60029956T priority patent/DE60029956T2/en
Priority to TR2001/03574T priority patent/TR200103574T2/en
Priority to HR20010888A priority patent/HRP20010888A2/en
Priority to IL14646800A priority patent/IL146468A0/en
Priority to KR1020017015843A priority patent/KR20020008222A/en
Priority to PT00950215T priority patent/PT1187613E/en
Priority to CZ20014364A priority patent/CZ20014364A3/en
Priority to SI200030903T priority patent/SI1187613T1/en
Priority to MXPA01012508A priority patent/MXPA01012508A/en
Priority to JP2001502838A priority patent/JP2003501466A/en
Priority to ES00950215T priority patent/ES2269164T3/en
Priority to NZ515639A priority patent/NZ515639A/en
Priority to AT00950215T priority patent/ATE335479T1/en
Priority to AU63349/00A priority patent/AU773113B2/en
Priority to UA2001128447A priority patent/UA71967C2/en
Assigned to 3M INNIVATIVE PROPERTIES COMPANY reassignment 3M INNIVATIVE PROPERTIES COMPANY ASSIGNMENT OF ASSIGNORS INTEREST (SEE DOCUMENT FOR DETAILS). Assignors: COLEMAN, PATRICK L., MERRILL, BRYON A., CROOKS, STEPHEN L., LINDSTROM, KYLE J., RICE, MICHAEL J.
Priority to NO20015503A priority patent/NO322223B1/en
Priority to US10/027,218 priority patent/US6756382B2/en
Publication of US6451810B1 publication Critical patent/US6451810B1/en
Application granted granted Critical
Priority to US10/848,893 priority patent/US7393859B2/en
Priority to CY20061101620T priority patent/CY1108537T1/en
Assigned to COLEY PHARMACEUTICAL GROUP, INC. reassignment COLEY PHARMACEUTICAL GROUP, INC. ASSIGNMENT OF ASSIGNORS INTEREST (SEE DOCUMENT FOR DETAILS). Assignors: 3M COMPANY, 3M INNOVATIVE PROPERTIES COMPANY
Priority to US12/165,014 priority patent/US20090023722A1/en
Assigned to 3M INNOVATIVE PROPERTIES COMPANY reassignment 3M INNOVATIVE PROPERTIES COMPANY ASSIGNMENT OF ASSIGNORS INTEREST (SEE DOCUMENT FOR DETAILS). Assignors: COLEY PHARMACEUTICAL GROUP, INC.
Anticipated expiration legal-status Critical
Expired - Fee Related legal-status Critical Current

Links

Classifications

    • CCHEMISTRY; METALLURGY
    • C07ORGANIC CHEMISTRY
    • C07DHETEROCYCLIC COMPOUNDS
    • C07D471/00Heterocyclic compounds containing nitrogen atoms as the only ring hetero atoms in the condensed system, at least one ring being a six-membered ring with one nitrogen atom, not provided for by groups C07D451/00 - C07D463/00
    • C07D471/02Heterocyclic compounds containing nitrogen atoms as the only ring hetero atoms in the condensed system, at least one ring being a six-membered ring with one nitrogen atom, not provided for by groups C07D451/00 - C07D463/00 in which the condensed system contains two hetero rings
    • C07D471/04Ortho-condensed systems
    • AHUMAN NECESSITIES
    • A61MEDICAL OR VETERINARY SCIENCE; HYGIENE
    • A61KPREPARATIONS FOR MEDICAL, DENTAL OR TOILETRY PURPOSES
    • A61K31/00Medicinal preparations containing organic active ingredients
    • A61K31/33Heterocyclic compounds
    • A61K31/395Heterocyclic compounds having nitrogen as a ring hetero atom, e.g. guanethidine or rifamycins
    • A61K31/435Heterocyclic compounds having nitrogen as a ring hetero atom, e.g. guanethidine or rifamycins having six-membered rings with one nitrogen as the only ring hetero atom
    • A61K31/47Quinolines; Isoquinolines
    • A61K31/4738Quinolines; Isoquinolines ortho- or peri-condensed with heterocyclic ring systems
    • A61K31/4745Quinolines; Isoquinolines ortho- or peri-condensed with heterocyclic ring systems condensed with ring systems having nitrogen as a ring hetero atom, e.g. phenantrolines
    • AHUMAN NECESSITIES
    • A61MEDICAL OR VETERINARY SCIENCE; HYGIENE
    • A61PSPECIFIC THERAPEUTIC ACTIVITY OF CHEMICAL COMPOUNDS OR MEDICINAL PREPARATIONS
    • A61P1/00Drugs for disorders of the alimentary tract or the digestive system
    • A61P1/16Drugs for disorders of the alimentary tract or the digestive system for liver or gallbladder disorders, e.g. hepatoprotective agents, cholagogues, litholytics
    • AHUMAN NECESSITIES
    • A61MEDICAL OR VETERINARY SCIENCE; HYGIENE
    • A61PSPECIFIC THERAPEUTIC ACTIVITY OF CHEMICAL COMPOUNDS OR MEDICINAL PREPARATIONS
    • A61P11/00Drugs for disorders of the respiratory system
    • A61P11/02Nasal agents, e.g. decongestants
    • AHUMAN NECESSITIES
    • A61MEDICAL OR VETERINARY SCIENCE; HYGIENE
    • A61PSPECIFIC THERAPEUTIC ACTIVITY OF CHEMICAL COMPOUNDS OR MEDICINAL PREPARATIONS
    • A61P11/00Drugs for disorders of the respiratory system
    • A61P11/06Antiasthmatics
    • AHUMAN NECESSITIES
    • A61MEDICAL OR VETERINARY SCIENCE; HYGIENE
    • A61PSPECIFIC THERAPEUTIC ACTIVITY OF CHEMICAL COMPOUNDS OR MEDICINAL PREPARATIONS
    • A61P17/00Drugs for dermatological disorders
    • A61P17/02Drugs for dermatological disorders for treating wounds, ulcers, burns, scars, keloids, or the like
    • AHUMAN NECESSITIES
    • A61MEDICAL OR VETERINARY SCIENCE; HYGIENE
    • A61PSPECIFIC THERAPEUTIC ACTIVITY OF CHEMICAL COMPOUNDS OR MEDICINAL PREPARATIONS
    • A61P17/00Drugs for dermatological disorders
    • A61P17/04Antipruritics
    • AHUMAN NECESSITIES
    • A61MEDICAL OR VETERINARY SCIENCE; HYGIENE
    • A61PSPECIFIC THERAPEUTIC ACTIVITY OF CHEMICAL COMPOUNDS OR MEDICINAL PREPARATIONS
    • A61P25/00Drugs for disorders of the nervous system
    • AHUMAN NECESSITIES
    • A61MEDICAL OR VETERINARY SCIENCE; HYGIENE
    • A61PSPECIFIC THERAPEUTIC ACTIVITY OF CHEMICAL COMPOUNDS OR MEDICINAL PREPARATIONS
    • A61P31/00Antiinfectives, i.e. antibiotics, antiseptics, chemotherapeutics
    • A61P31/04Antibacterial agents
    • A61P31/08Antibacterial agents for leprosy
    • AHUMAN NECESSITIES
    • A61MEDICAL OR VETERINARY SCIENCE; HYGIENE
    • A61PSPECIFIC THERAPEUTIC ACTIVITY OF CHEMICAL COMPOUNDS OR MEDICINAL PREPARATIONS
    • A61P31/00Antiinfectives, i.e. antibiotics, antiseptics, chemotherapeutics
    • A61P31/10Antimycotics
    • AHUMAN NECESSITIES
    • A61MEDICAL OR VETERINARY SCIENCE; HYGIENE
    • A61PSPECIFIC THERAPEUTIC ACTIVITY OF CHEMICAL COMPOUNDS OR MEDICINAL PREPARATIONS
    • A61P31/00Antiinfectives, i.e. antibiotics, antiseptics, chemotherapeutics
    • A61P31/12Antivirals
    • AHUMAN NECESSITIES
    • A61MEDICAL OR VETERINARY SCIENCE; HYGIENE
    • A61PSPECIFIC THERAPEUTIC ACTIVITY OF CHEMICAL COMPOUNDS OR MEDICINAL PREPARATIONS
    • A61P33/00Antiparasitic agents
    • A61P33/02Antiprotozoals, e.g. for leishmaniasis, trichomoniasis, toxoplasmosis
    • AHUMAN NECESSITIES
    • A61MEDICAL OR VETERINARY SCIENCE; HYGIENE
    • A61PSPECIFIC THERAPEUTIC ACTIVITY OF CHEMICAL COMPOUNDS OR MEDICINAL PREPARATIONS
    • A61P33/00Antiparasitic agents
    • A61P33/02Antiprotozoals, e.g. for leishmaniasis, trichomoniasis, toxoplasmosis
    • A61P33/06Antimalarials
    • AHUMAN NECESSITIES
    • A61MEDICAL OR VETERINARY SCIENCE; HYGIENE
    • A61PSPECIFIC THERAPEUTIC ACTIVITY OF CHEMICAL COMPOUNDS OR MEDICINAL PREPARATIONS
    • A61P33/00Antiparasitic agents
    • A61P33/02Antiprotozoals, e.g. for leishmaniasis, trichomoniasis, toxoplasmosis
    • A61P33/08Antiprotozoals, e.g. for leishmaniasis, trichomoniasis, toxoplasmosis for Pneumocystis carinii
    • AHUMAN NECESSITIES
    • A61MEDICAL OR VETERINARY SCIENCE; HYGIENE
    • A61PSPECIFIC THERAPEUTIC ACTIVITY OF CHEMICAL COMPOUNDS OR MEDICINAL PREPARATIONS
    • A61P35/00Antineoplastic agents
    • AHUMAN NECESSITIES
    • A61MEDICAL OR VETERINARY SCIENCE; HYGIENE
    • A61PSPECIFIC THERAPEUTIC ACTIVITY OF CHEMICAL COMPOUNDS OR MEDICINAL PREPARATIONS
    • A61P35/00Antineoplastic agents
    • A61P35/02Antineoplastic agents specific for leukemia
    • AHUMAN NECESSITIES
    • A61MEDICAL OR VETERINARY SCIENCE; HYGIENE
    • A61PSPECIFIC THERAPEUTIC ACTIVITY OF CHEMICAL COMPOUNDS OR MEDICINAL PREPARATIONS
    • A61P37/00Drugs for immunological or allergic disorders
    • A61P37/02Immunomodulators
    • AHUMAN NECESSITIES
    • A61MEDICAL OR VETERINARY SCIENCE; HYGIENE
    • A61PSPECIFIC THERAPEUTIC ACTIVITY OF CHEMICAL COMPOUNDS OR MEDICINAL PREPARATIONS
    • A61P43/00Drugs for specific purposes, not provided for in groups A61P1/00-A61P41/00
    • AHUMAN NECESSITIES
    • A61MEDICAL OR VETERINARY SCIENCE; HYGIENE
    • A61PSPECIFIC THERAPEUTIC ACTIVITY OF CHEMICAL COMPOUNDS OR MEDICINAL PREPARATIONS
    • A61P7/00Drugs for disorders of the blood or the extracellular fluid
    • A61P7/04Antihaemorrhagics; Procoagulants; Haemostatic agents; Antifibrinolytic agents
    • YGENERAL TAGGING OF NEW TECHNOLOGICAL DEVELOPMENTS; GENERAL TAGGING OF CROSS-SECTIONAL TECHNOLOGIES SPANNING OVER SEVERAL SECTIONS OF THE IPC; TECHNICAL SUBJECTS COVERED BY FORMER USPC CROSS-REFERENCE ART COLLECTIONS [XRACs] AND DIGESTS
    • Y02TECHNOLOGIES OR APPLICATIONS FOR MITIGATION OR ADAPTATION AGAINST CLIMATE CHANGE
    • Y02ATECHNOLOGIES FOR ADAPTATION TO CLIMATE CHANGE
    • Y02A50/00TECHNOLOGIES FOR ADAPTATION TO CLIMATE CHANGE in human health protection, e.g. against extreme weather
    • Y02A50/30Against vector-borne diseases, e.g. mosquito-borne, fly-borne, tick-borne or waterborne diseases whose impact is exacerbated by climate change

Definitions

  • This invention relates to imidazoquinoline compounds that have an amide containing substituent at the 1-position, and to pharmaceutical compositions containing such compounds.
  • a further aspect of this invention relates to the use of these compounds as immunomodulators, for inducing cytokine biosynthesis in animals, and in the treatment of diseases, including viral and neoplastic diseases.
  • this invention provides imidazoquinoline-4-amine and tetrahydroimidazoquinoline-4-amine compounds that have an amide containing substituent at the 1-position.
  • the compounds which have been found to be useful inducers of cytokine biosynthesis are defined by Formulae (I), (Ia), and (Ib), which are defined in more detail infra. These compounds share the general structural formula (I):
  • R 1 , R 2 , and R are as defined herein for each class of compounds having formulas (I), (Ia), and (Ib).
  • the invention also provides novel compounds of formulas (Ic), (Id), and (Ie) as defined herein, which compounds are also useful as immune response modifiers and which also have the same general structural formula (I) above.
  • the compounds of Formulae (I), (Ia), (lb), (Ic), (Id), and (Ie) are useful as immune response modifiers due to their ability to induce cytokine biosynthesis and otherwise modulate the immune response when administered to animals. This makes the compounds useful in the treatment of a variety of conditionssuch as viral diseases and tumors that are responsive to such changes in the immune response.
  • the invention further provides pharmaceutical compositions containing the immune response modifying compounds, and methods of inducing cytokine biosynthesis in an animal, treating a viral infection in an animal, and/or treating a neoplastic disease in an animal by administering a compound of Formula (I), (la), (lb), (Ic), (Id), or (Ie) to the animal.
  • R 1 is -alkyl-NR 3 —CO—R 4 or -alkenyl-NR 3 —CO—R 4 wherein R 4 is aryl, heteroaryl, alkyl or alkenyl, each of which may be unsubstituted or substituted by one or more substituents selected from the group consisting of:
  • R 5 is an aryl, (substituted aryl), heteroaryl, (substituted heteroaryl), heterocyclyl or (substituted heterocyclyl) group;
  • R 2 is selected from the group consisting of:
  • each R 3 is independently selected from the group consisting of hydrogen; C 1-10 alkyl-heteroaryl; C 1-10 alkyl-(substituted heteroaryl); C 1-10 alkyl-aryl; C 1-10 alkyl-(substituted aryl) and C 1-10 alkyl;
  • n 0 to 4.
  • each R present is independently selected from the group consisting of C 1-10 alkyl C 1-10 alkoxy, halogen and trifluoromethyl, or a pharmaceutically acceptable salt thereof, in combination with a therapeutically effective carrier.
  • compositions comprising a therapeutically effective amount of a compound of Formula (Ia):
  • R 1 is -alkyl-NR 3 —CO—R 4 or -alkenyl-NR 3 —CO—R 4 wherein R 4 is aryl, heteroaryl, alkyl or alkenyl, each of which may be unsubstituted or substituted by one or more substituents selected from the group consisting of:
  • R 2 is selected from the group consisting of:
  • each R 3 is independently selected from the group consisting of hydrogen; C 1-10 alkyl-heteroaryl; C 1-10 alkyl-(substituted heteroaryl); C 1-10 alkyl-aryl; C 1-10 alkyl-(substituted aryl) and C 1-10 alkyl;
  • n 0to 4;
  • each R present is independently selected from the group consisting of C 1-10 alkyl, C 1-10 alkoxy, halogen and trifluoromethyl, or a pharmaceutically acceptable salt thereof, in combination with a pharmaceutically acceptable carrier.
  • compositions comprising a therapeutically effective amount of a compound of Formula (Ib):
  • R 1 is -alkyl-NR 3 —CO—R 4 or -alkenyl-NR 3 —CO—R 4 wherein R 4 is heterocyclyl which may be unsubstituted or substituted by one or more substituents selected from the group consisting of:
  • R 5 is an aryl, (substituted aryl), heteroaryl, (substituted heteroaryl), heterocyclyl or (substituted heterocyclyl) group;
  • R 2 is selected from the group consisting of:
  • each R 3 is independently selected from the group consisting of hydrogen; C 1-10 alkyl-heteroaryl; C 1-10 alkyl-(substituted heteroaryl); C 1-10 alkyl-aryl; C 1-10 alkyl-(substituted aryl) and C 1-10 alkyl;
  • n 0 to 4.
  • each R present is independently selected from the group consisting of C 1-10 alkyl, C 1-10 alkoxy, halogen and trifluoromethyl, or a pharmaceutically acceptable salt thereof, in combination with a pharmaceutically acceptable carrier.
  • the invention also provides compounds that are useful as immune response modifiers.
  • One such class of compounds has structural Formula (Ic):
  • R 1 is -alkyl-NR 3 —CO—R 4 or -alkenyl-NR 3 —CO—R 4 wherein R 4 is aryl, heteroaryl, heterocyclyl, alkyl or alkenyl, each of which may be unsubstituted or substituted by one or more substituents selected from the group consisting of:
  • R 5 is an aryl, (substituted aryl), heteroaryl, (substituted heteroaryl), heterocyclyl or (substituted heterocyclyl) group;
  • R 2 is selected from the group consisting of:
  • R 3 is selected from the group consisting of C 1-10 alkyl-heteroaryl; C 1-10 alkyl-(substituted heteroaryl); C 1-10 alkyl-aryl; C 1-10 alkyl-(substituted aryl) and C 1-10 alkyl;
  • each R 6 is independently selected from the group consisting of hydrogen; C 1-10 alkyl-heteroaryl; C 1-10 alkyl-(substituted heteroaryl); C 1-10 alkyl-aryl; C 1-10 alkyl-(substituted aryl) and C 1-10 alkyl;
  • n 0 to 4.
  • each R present is independently selected from the group consisting of C 1-10 alkyl, C 1-10 alkoxy, halogen and trifluoromethyl, or a pharmaceutically acceptable salt thereof.
  • R 1 is -alkyl-NR 3 —CO—R 4 or -alkenyl-NR 3 —CO—R 4 wherein R 4 is aryl or heteroaryl which may be unsubstituted or substituted by one or more substituents selected from the group consisting of:
  • R 2 is selected from the group consisting of:
  • each R 3 is independently selected from the group consisting of hydrogen; C 1-10 alkyl-heteroaryl; C 1-10 alkyl-(substituted heteroaryl); C 1-10 alkyl-aryl; C 1-10 alkyl-(substituted aryl) and C 1-10 alkyl;
  • n 0to 4;
  • each R present is independently selected from the group consisting of C 1-10 alkyl, C 1-10 alkoxy, halogen and trifluoromethyl, or a pharmaceutically acceptable salt thereof,
  • R 4 is not an unsubstituted benzene ring, and that when R 4 is a substituted benzene ring the substituents are selected from the group consisting of C 1-20 alkyl, C 2-20 alkoxy, C 1-20 alkylthio, hydroxy, haloalkyl, haloalkylcarbonyl, haloalkoxy, C 1-20 alkylcarbonyl, C 1-20 alkenylcarbonyl, arylcarbonyl, heteroarylcarbonyl, aryl, arylalkyl, heteroaryl, heteroarylalkyl, heterocyclyl, heterocycloalkyl, nitrile, C 1-20 alkoxycarbonyl, C 1-20 alkanoyloxy, C 1-20 alkanoylthio, oxo and —(C 1-10 alkyl)-NR 3 —(C 1-10 alkyl)-R 5 ,
  • R 5 is an aryl, (substituted aryl), heteroaryl, (substituted heteroaryl), heterocyclyl or (substituted heterocyclyl) group.
  • R 1 is -alkyl-NR 3 —CO—R 4 or -alkenyl-NR 3 —CO—R 4 wherein R 4 is an alkyl or alkenyl group that is substituted by one or more substituents selected from the group consisting of:
  • substituent(s) are independently selected from the group consisting of alkyl, alkoxy, alkylthio, hydroxy, haloalkyl, haloalkylcarbonyl, haloalkoxy, alkylcarbonyl, alkenylcarbonyl, arylcarbonyl, heteroarylcarbonyl, aryl, arylalkyl, heteroaryl, heteroarylalkyl, heterocyclyl, heterocycloalkyl, nitrile, alkoxycarbonyl, alkanoyloxy, and alkanoylthio;
  • substituent(s) are independently selected from the group consisting of alkyl, alkoxy, alkylthio, hydroxy, haloalkyl, haloalkylcarbonyl, haloalkoxy, alkylcarbonyl, alkenylcarbonyl, arylcarbonyl, heteroarylcarbonyl, aryl, arylalkyl, heteroaryl, heteroarylalkyl, heterocyclyl, heterocycloalkyl, nitrile, alkoxycarbonyl, alkanoyloxy, and alkanoylthio;
  • R 2 is selected from the group consisting of:
  • each R 3 is independently selected from the group consisting of hydrogen; C 1-10 alkyl-heteroaryl; C 1-10 alkyl-(substituted heteroaryl); C 1-10 alkyl-aryl; C 1-10 alkyl-(substituted aryl) and C 1-10 alkyl;
  • n 0 to 4.
  • R present is independently selected from the group consisting of C 1-10 alkyl, C 1-10 alkoxy, halogen and trifluoromethyl, or a pharmaceutically acceptable salt thereof.
  • Imidazoquinolines of the invention can be prepared according to Reaction Scheme I where R, R 1 , R 2 and n are as defined above.
  • step (1) of Reaction Scheme I a 4-chloro-3-nitroquinoline of Formula II is reacted with an amine of Formula R 1 NH 2 to provide a 3-nitroquinolin-4-amine of Formula III.
  • the reaction can be carried out by adding amine to a solution of a compound of Formula II in a suitable solvent such as chloroform or dichloromethane and optionally heating.
  • a suitable solvent such as chloroform or dichloromethane
  • step (2) of Reaction Scheme I a 3-nitroquinolin-4-amine of Formula III is reduced to provide a quinoline-3,4-diamine of Formula IV.
  • the reduction is carried out using a conventional heterogeneous hydrogenation catalyst such as platinum on carbon or palladium on carbon.
  • the reaction can conveniently be carried out on a Parr apparatus in a suitable solvent such as isopropyl alcohol or toluene.
  • a quinoline-3,4-diamine of Formula IV is reacted with a carboxylic acid or an equivalent thereof to provide a 1H-imidazo[4,5-c]quinoline of Formula V.
  • Suitable equivalents to carboxylic acid include acid halides, orthoesters, and 1,1-dialkoxyalkyl alkanoates.
  • the carboxylic acid or equivalent is selected such that it will provide the desired R 2 substituent in a compound of Formula V.
  • triethyl orthoformate will provide a compound where R 2 is hydrogen and triethyl orthoacetate will provide a compound where R 2 is methyl.
  • the reaction can be run in the absence of solvent or in an inert solvent such as toluene.
  • the reaction is run with sufficient heating to drive off any alcohol or water formed as a byproduct of the reaction.
  • step (4) of Reaction Scheme I a 1H-imidazo[4,5-c]quinoline of Formula V is oxidized to provide a 1H-imidazo[4,5-c]quinoline-5N-oxide of Formula VI using a conventional oxidizing agent that is capable of forming N-oxides.
  • Preferred reaction conditions involve reacting a solution of a compound of Formula V in chloroform with 3-chloroperoxybenzoic acid at ambient conditions.
  • step (5) of Reaction Scheme I a 1H-imidazo[4,5-c]quinoline-5N-oxide of Formula VI is aminated to provide a 1H-imidazo[4,5-c]quinolin-4-amine of Formula VII which is a subgenus of Formula I.
  • Step (5) involves (i) reacting a compound of Formula VI with an acylating agent and then (ii) reacting the product with an aminating agent.
  • Part (i) of step (5) involves reacting an N-oxide of Formula VI with an acylating agent.
  • Suitable acylating agents include alkyl- or arylsulfonyl chlorides (e.g., benezenesulfonyl chloride, methanesulfonyl chloride, p-toluenesulfonyl chloride). Arylsulfonyl chlorides are preferred. Para-toluenesulfonyl chloride is most preferred.
  • Part (ii) of step (5) involves reacting the product of part (i) with an excess of an aminating agent.
  • Suitable aminating agents include ammonia (e.g., in the form of ammonium hydroxide) and ammonium salts (e.g., ammonium carbonate, ammonium bicarbonate, ammonium phosphate).
  • Ammonium hydroxide is preferred.
  • the reaction is preferably carried out by dissolving the N-oxide of Formula VI in an inert solvent such as dichloromethane, adding the aminating agent to the solution, and then slowly adding the acylating agent.
  • the product or a pharmaceutically acceptable salt thereof can be isolated using conventional methods.
  • step (5) may be carried out by (i) reacting an N-oxide of Formula VI with an isocyanate and then (ii) hydrolyzing the resulting product.
  • Part (i) involves reacting the N-oxide with an isocyanate wherein the isocyanato group is bonded to a carbonyl group.
  • Preferred isocyanates include trichloroacetyl isocyanante and aroyl isocyanates such as benzoyl isocyanate.
  • the reaction of the isocyanate with the N-oxide is carried out under substantially anhydrous conditions by adding the isocyanate to a solution of the N-oxide in an inert solvent such as chloroform or dichloromethane.
  • Part (ii) involves hydrolysis of the product from part (i).
  • the hydrolysis can be carried out by conventional methods such as heating in the presence of water or a lower alkanol optionally in the presence of a catalyst such as an alkali metal hydroxide or lower alkoxide.
  • an aminoalkyl substituted 1H-imidazo[4,5-c]quinolin-4-amine of Formula VIII is reacted with an acid chloride of Formula IX to provide a compound of Formula X which is a subgenus of Formula I.
  • the reaction can be carried out by adding a solution of the acid chloride in a suitable solvent such as pyridine or dichloromethane to a solution of a compound of Formula VIII either at ambient temperature or at a reduced temperature.
  • a suitable solvent such as pyridine or dichloromethane
  • Many 1H-imidazo[4,5-c]quinolin-4-amines of Formula VIII are known compounds, see for example U.S. Pat. No. 6,069,149 (Nanba), the disclosure of which is incorporated by reference herein; others can be readily prepared using known synthetic methods.
  • Many acid chlorides of Formula IX are commercially available; others can be readily prepared using known synthetic methods.
  • the product or a pharmaceutically acceptable salt thereof can be isolated using conventional methods.
  • Reaction Scheme III an aminoalkyl substituted 1H-imidazo[4,5-c]quinolin-4-amine of Formula VIII is reacted with an acid of Formula XI to provide a compound of Formula X which is a subgenus of Formula I.
  • the reaction can be run at ambient temperature in a solvent such as dichloromethane or pyridine using a standard coupling reagent such as 1,3-dicyclohexylcarbodiimide or 1-[3-(dimethylamino)propyl]-3-ethylcarbodiimide.
  • the product or a pharmaceutically acceptable salt thereof can be isolated using conventional methods.
  • an aminoalkyl substituted 1H-imidazo[4,5-c]quinolin-4-amine of Formula VIII is reacted with an acid anhydride of Formula XII provide a compound of Formula X which is a subgenus of Formula I.
  • the reaction can be run at ambient temperature in an inert solvent such as dichloromethane in the presence of a base such as N,N-diisopropylethylamine or pyridine.
  • Many acid anhydrides of Formula XII are commercially available; others may be readily prepared using known synthetic methods.
  • the product or a pharmaceutically acceptable salt thereof can be isolated using conventional methods.
  • Tertiary amides of the invention can be prepared according to Reaction Scheme V where R, R 2 , R 3 , R 4 and n are as defined above except that R 3 is other than hydrogen and m is 1-20.
  • step (1) of Reaction Scheme V an aminoalkyl substituted 1H-imidazo[4,5-c]quinolin-4-amine of Formula VIII is reacted with an aldehyde of Formula XIII to provide a secondary amine of Formula XIV.
  • the reductive amination is carried out using sodium triacetoxyborohydride.
  • the reaction can be carried out by adding the sodium triacetoxyborohydride to a solution of the amine and the aldehyde in an inert solvent such as dichloromethane.
  • the secondary amine or a salt thereof can be isolated using conventional methods.
  • step (2) of Reaction Scheme V the secondary amine of Formula XIV is acylated to provide a compound of Formula XV which is a subgenus of Formula I.
  • the reaction can be carried out by reacting the secondary amine of Formula XIV with an acid, acid chloride or an acid anhydride according to the methods of Reaction Schemes III, II and IV above.
  • the product or a pharmaceutically acceptable salt thereof can be isolated using conventional methods.
  • Tetrahydroimidazoquinolines of the invention can be prepared according to Reaction Scheme VI where R 2 , R 3 and R 4 are as defined above and m is 1-20.
  • step (1) of Reaction Scheme VI an aminoalkyl substituted 1H-imidazo[4,5-c]quinolin-4-amine of Formula XVI is reduced to provide an aminoalkyl substituted 6,7,8,9-tetrahydro-1H-imidazo[4,5-c]quinolin-4-amine of Formula XVII.
  • the reduction is carried out by suspending or dissolving the compound of Formula XVI in trifluoroacetic acid, adding a catalytic amount of platinum (IV) oxide, and then subjecting the mixture to hydrogen pressure.
  • the reaction can conveniently be carried out on a Parr apparatus.
  • the product or a salt thereof can be isolated using conventional methods.
  • step (2) of Reaction Scheme VI an aminoalkyl substituted 6,7,8,9-tetrahydro-1H-imidazo[4,5-c]quinolin-4-amine of Formula XVII is reacted to provide a compound of Formula XVIII which is a subgenus of Formula I.
  • R 3 is hydrogen
  • the reaction can be carried out according to the methods described in Reaction Schemes II, III and IV above using a tetrahydroimidazoquinoline of Formula XVII in place of the imidazoquinoline of Formula VIII.
  • R 3 is other than hydrogen, then the reaction can be carried out using the method described in Reaction Scheme V.
  • the product or a pharmaceutically acceptable salt thereof can be isolated using conventional methods.
  • Tetrahydroimidazoquinolines of the invention can also be prepared according to Reaction Scheme VII where R, R 2 , R 3 , R 4 and n are as defined above and m is 1-20.
  • step (1) of Reaction Scheme VII a 6,7,8,9-tetrahydro-1H-imidazo[4,5-c]quinolinyl tert-butylcarbamate of Formula XIX is hydrolyzed to provide an aminoalkyl substituted 6,7,8,9-tetrahydro-1H-imidazo[4,5-c]quinolin-4-amine of Formula XX.
  • the reaction can be carried out dissolving the compound of Formula XIX in a mixture of trifluoroacetic acid and acetonitrile and stirring at ambient temperature.
  • the compound of Formula XIX can be combined with dilute hydrochloric acid and heated on a steam bath.
  • Tetrahydro-1H-imidazo[4,5-c]quinolinyl tert-butylcarbamates of Formula XIX can be prepared using the synthetic route disclosed in U.S. Pat. No. 5,352,784 (Nikolaides). The product or a salt thereof can be isolated using conventional methods.
  • step (2) of Reaction Scheme VII an aminoalkyl substituted 6,7,8,9-tetrahydro-1H-imidazo[4,5-c]quinolin-4-amine of Formula XX is reacted to provide a compound of Formula XXI which is a subgenus of Formula I.
  • R 3 is hydrogen
  • the reaction can be carried out according to the methods described in Reaction Schemes II, III and IV above using a tetrahydroimidazoquinoline of Formula XX in place of the imidazoquinoline of Formula VIII.
  • R 3 is other than hydrogen, then the reaction can be carried out using the method described in Reaction Scheme V.
  • the product or a pharmaceutically acceptable salt thereof can be isolated using conventional methods.
  • Some compounds of Formula I can be readily prepared from other compounds of Formula I.
  • compounds wherein the R 4 substituent contains a chloroalkyl group can be reacted with an amine to provide an R 4 substituent substituted by a secondary or teriary amino group; compounds wherein the R 4 substituent contains a nitro group can be reduced to provide a compound wherein the R 4 substituent contains a primary amine.
  • alkyl As used herein, the terms “alkyl”, “alkenyl”, “alkynyl” and the prefix “-alk” are inclusive of both straight chain and branched chain groups and of cyclic groups, i.e. cycloalkyl and cycloalkenyl. Unless otherwise specified, these groups contain from 1 to 20 carbon atoms, with alkenyl and alkynyl groups containing from 2 to 20 carbon atoms. Preferred groups have a total of up to 10 carbon atoms. Cyclic groups can be monocyclic or polycyclic and preferably have from 3 to 10 ring carbon atoms. Exemplary cyclic groups include cyclopropyl, cyclopentyl, cyclohexyl and adamantyl.
  • haloalkyl is inclusive of groups that are substituted by one or more halogen atoms, including groups wherein all of the available hydrogen atoms are replaced by halogen atoms. This is also true of groups that include the prefix “haloalk-”. Examples of suitable haloalkyl groups are chloromethyl, trifluoromethyl, and the like.
  • aryl as used herein includes carbocyclic aromatic rings or ring systems. Examples of aryl groups include phenyl, naphthyl, biphenyl, fluorenyl and indenyl.
  • heteroaryl includes aromatic rings or ring systems that contain at least one ring hetero atom (e.g., O, S, N). Suitable heteroaryl groups include furyl, thienyl, pyridyl, quinolinyl, isoquinolinyl, indolyl, isoindolyl, pyrrolyl, tetrazolyl, imidazo, pyrazolo, oxazolo, thiazolo and so on.
  • Heterocyclyl includes non-aromatic rings or ring systems that contain at least one ring hetero atom (e.g., O, S, N).
  • exemplary heterocyclic groups include pyrrolidinyl, tetrahydrofuranyl, morpholinyl, thiomorpholinyl, piperidinyl, piperazinyl, thiazolidinyl, and imidazolidinyl.
  • substituted aryl substituted heteroaryl
  • substituted heterocyclyl indicate that the rings or ring systems in question are further substituted by one or more substituents independently selected from the group consisting of alkyl, alkoxy, alkylthio, hydroxy, halogen, haloalkyl, haloalkylcarbonyl, haloalkoxy (e.g., trifluoromethoxy), nitro, alkylcarbonyl, alkenylcarbonyl, arylcarbonyl, heteroarylcarbonyl, aryl, arylalkyl, heteroaryl, heteroarylalkyl, heterocyclyl, heterocycloalkyl, nitrile, alkoxycarbonyl, alkanoyloxy, alkanoylthio, and, in the case of heterocyclyl, oxo.
  • the invention is inclusive of the compounds described herein in any of their pharmaceutically acceptable forms, including isomers such as diastereomers and enantiomers, salts, solvates, polymorphs, and the like.
  • compositions of the invention contain a therapeutically effective amount of a compound of the invention as described supra in combination with a pharmaceutically acceptable carrier.
  • a therapeutically effective amount means an amount of the compound sufficient to induce a therapeutic effect, such as cytokine induction, antitumor activity and/or antiviral activity.
  • a therapeutically effective amount means an amount of the compound sufficient to induce a therapeutic effect, such as cytokine induction, antitumor activity and/or antiviral activity.
  • the exact amount of active compound used in a pharmaceutical composition of the invention will vary according to factors known to those of skill in the art, such as the physical and chemical nature of the compound as well as the nature of the carrier and the intended dosing regimen, it is anticipated that the compositions of the invention will contain sufficient active ingredient to provide a dose of about 100 ng/kg to about 50 mg/kg, preferably about 10 ⁇ g/kg to about 5 mg/kg, of the compound to the subject.
  • Any of the conventional dosage forms may be used, such as tablets, lozenges, parenteral formulations, syrups, creams, ointments, aerosol formulations, transdermal patches, transmucosal
  • the compounds of the invention can be administered as the single therapeutic agent in the treatment regimen, or the compounds of the invention may be administered in combination with one another or with other active agents, including additional immune response modifiers, antivirals, antibiotics, etc.
  • the compounds of the invention have been shown to induce the production of certain cytokines in experiments performed according to the tests set forth below. These results indicate that the compounds are useful as immune response modifiers that can modulate the immune response in a number of different ways, rendering them useful in the treatment of a variety of disorders.
  • Cytokines whose production may be induced by the administration of compounds according to the invention generally include interferon- ⁇ (IFN- ⁇ ) and/or tumor necrosis factor- ⁇ (TNF- ⁇ ) as well as certain interleukins (IL). Cytokines whose biosynthesis may be induced by compounds of the invention include IFN- ⁇ , TNF- ⁇ , IL-1, 6, 10 and 12, and a variety of other cytokines. Among other effects, cytokines inhibit virus production and tumor cell growth, making the compounds useful in the treatment of viral diseases and tumors.
  • IFN- ⁇ interferon- ⁇
  • TNF- ⁇ tumor necrosis factor- ⁇
  • IL-1 interleukins
  • the compounds of the invention affect other aspects of the innate immune response. For example, natural killer cell activity may be stimulated, an effect that may be due to cytokine induction.
  • the compounds may also activate macrophages, which in turn stimulates secretion of nitric oxide and the production of additional cytokines. Further, the compounds may cause proliferation and differentiation of B-lymphocytes.
  • Compounds of the invention also have an effect on the acquired immune response.
  • the production of the T helper type 1 (Th1) cytokine IFN- ⁇ is induced indirectly and the production of the T helper type 2 cytokines IL-4, IL-5 and IL-13 are inhibited upon administration of the compounds.
  • This activity means that the compounds are useful in the treatment of diseases where upregulation of the Th1 response and/or downregulation of the Th2 response is desired.
  • the compounds are expected to be useful in the treatment of atopic diseases, e.g., atopic dermatitis, asthma, allergy, allergic rhinitis; systemic lupus erythematosis; as a vaccine adjuvant for cell mediated immunity; and possibly as a treatment for recurrent fungal diseases and chlamydia.
  • atopic diseases e.g., atopic dermatitis, asthma, allergy, allergic rhinitis; systemic lupus erythematosis; as a vaccine adjuvant for cell mediated immunity; and possibly as a treatment for recurrent fungal diseases and chlamydia.
  • the immune response modifying effects of the compounds make them useful in the treatment of a wide variety of conditions. Because of their ability to induce the production of cytokines such as IFN- ⁇ and/or TNF- ⁇ , the compounds are particularly useful in the treatment of viral diseases and tumors.
  • This immunomodulating activity suggests that compounds of the invention are useful in treating diseases such as, but not limited to, viral diseases including genital warts; common warts; plantar warts; Hepatitis B; Hepatitis C; Herpes Simplex Virus Type I and Type II; molluscum contagiosum; HIV; CMV; VZV; intraepithelial neoplasias such as cervical intraepithelial neoplasia; human papillomavirus (HPV) and associated neoplasias; fungal diseases, e.g.
  • viral diseases including genital warts; common warts; plantar warts; Hepatitis B; Hepatitis C; Herpes Simplex Virus Type I and Type II; molluscum contagiosum; HIV; CMV; VZV; intraepithelial neoplasias such as cervical intraepithelial neoplasia; human papillomavirus (HP
  • neoplastic diseases e.g., basal cell carcinoma, hairy cell leukemia, Kaposi's sarcoma, renal cell carcinoma, squamous cell carcinoma, myelogenous leukemia, multiple myeloma, melanoma, non-Hodgkin's lymphoma, cutaneous T-cell lymphoma, and other cancers
  • parasitic diseases e.g., basal cell carcinoma, hairy cell leukemia, Kaposi's sarcoma, renal cell carcinoma, squamous cell carcinoma, myelogenous leukemia, multiple myeloma, melanoma, non-Hodgkin's lymphoma, cutaneous T-cell lymphoma, and other cancers
  • parasitic diseases e.g.
  • Additional diseases or conditions that can be treated using the compounds of the invention include eczema; eosinophilia; essential thrombocythaemia; leprosy; multiple sclerosis; Ommen's syndrome; discoid lupus; Bowen's disease; Bowenoid papulosis; and to enhance or stimulate the healing of wounds, including chronic wounds.
  • the invention provides a method of inducing cytokine biosynthesis in an animal comprising administering an effective amount of a compound or composition of the invention to the animal.
  • An amount of a compound effective to induce cytokine biosynthesis is an amount sufficient to cause one or more cell types, such as monocytes, macrophages, dendritic cells and B-cells to produce an amount of one or more cytokines such as, for example, IFN- ⁇ , TNF- ⁇ , IL-1,6,10 and 12 that is increased over the background level of such cytokines.
  • the precise amount will vary according to factors known in the art but is expected to be a dose of about 100 ng/kg to about 50 mg/kg, preferably about 10 ⁇ g/kg to about 5 mg/kg.
  • the invention also provides a method of treating a viral infection in an animal and a method of treating a neoplastic disease in an animal comprising administering an effective amount of a compound or composition of the invention to the animal.
  • An amount effective to treat or inhibit a viral infection is an amount that will cause a reduction in one or more of the manifestations of viral infection, such as viral lesions, viral load, rate of virus production, and mortality as compared to untreated control animals.
  • the precise amount will vary according to factors known in the art but is expected to be a dose of about 100 ng/kg to about 50 mg/kg, preferably about 10 ⁇ g/kg to about 5 mg/kg.
  • An amount of a compound effective to treat a neoplastic condition is an amount that will cause a reduction in tumor size or in the number of tumor foci. Again, the precise amount will vary according to factors known in the art but is expected to be a dose of about 100 ng/kg to about 50 mg/kg, preferably about 10 ⁇ g/kg to about 5 mg/kg.
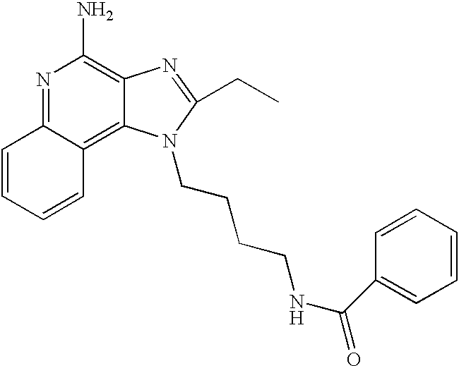
  • N 1 -[4-(4-Amino-1H-imidazo[4,5-c]quinolin-1-yl)butyl]benzamide (1 g) was dissolved in isopropanol. Hydrochloric acid (1 eq of 12N) was added. The resulting precipitate was isolated by filtration to provide 1 g of N 1 -[4-(4-amino-1H-imidazo[4,5-c]quinolin-1-yl)butyl]benzamide hydrochloride hydrate as a solid, m.p. 254-256° C.
  • Oxalyl chloride (4.4 mL of 2M in chloroform, 8.8 mmol) was added to a suspension of 4-(chloromethyl)benzoic acid (1 g, 5.7 mmol) in dichloromethane. N,N-dimethylformamide (4 drops) was added to catalyze the reaction. After 1 hour analysis by HPLC indicated 100% clean conversion. The reaction mixture was concentrated under vacuum to provide 4-(chloromethyl)benzoyl chloride.
  • 2-Hydroxy-1H-benzimidazole (62 g, 0.46 mole) was added to phosphorous oxychloride (200 mL) and the mixture was refluxed for 4.5 hours. The resulting solution was poured over 4 L of ice and the mixture was made strongly basic with ammonium hydroxide. The resulting solid was isolated by filtration, washed with water and dried to provide crude 2-chloro-1H-benzimidazole.
  • Methyl 4-[(2-pyrrolidinyl-1H-benzimidazol-1yl)methyl]benzoate (2.5 g, 7.5 mmol) was added to a solution of sodium hydroxide (1.8 g, 45 mmol) in water (30 mL) and methanol (10 mL). The mixture was heated on a steam bath until all of the ester dissolved. Heating was continued for an additional 15 minutes and then the solution was diluted with an equal volume of water and neutralized with hydrochloric acid. The resulting precipitate was isolated by filtration, washed with water and dried to provide 1.9 g of crude product.
  • Oxalyl chloride (4 mL) was added to a suspension of 4-[(2-pyrrolidinyl-1H-benzimidazol-1yl)methyl]benzoic acid (0.28 g, 0.872 mmol) in chloroform (50 mL). The mixture was heated at reflux for 1 hour and then concentrated under vacuum. The residue was diluted with toluene, concentrated under vacuum and then dried under vacuum at ambient temperature over the weekend to provide crude 4-[(2-pyrrolidinyl-1H-benzimidazol-1yl)methyl]benzoyl chloride.
  • the dichloromethane extract was purified by column chromatography (silica gel eluting with 5-10% methanol in dichloromethane) to provide N 1 -[4-(4-amino-1H-imidazo[4,5-c]quinolin-1-yl)butyl]-4-[(2-tetrahydro-1H-1-pyrrolyl-1H-benzo[d]imidazol-1-yl)methyl]benzamide as a solid, m.p. 150-153° C. MS (EI) m/e 558.2865 (558.2855 calcd for C 33 H 34 N 8 O).
  • Triethylamine (1 eq.) was added to a suspension of 4-chloro-3-nitroquinoline hydrochloride (13 g, 53 mmol) in chloroform.
  • a suspension of N-(5-aminopentyl)benzamide (11 g, 53 mmol) in chloroform was added and the reaction mixture was heated to reflux. Progress of the reaction was monitored by HPLC. The reaction mixture was concentrated under vacuum. The residue was diluted with toluene, heated to reflux and then filtered while still hot. The filtrate was allowed to cool.
  • Benzamide (25 g, 0.20 mol) and 1,3-diaminopropane (45.9 g, 0.60 mol) were combined in a Parr vessel and heated to 150° C. for 15 hours. The vessel was cooled and the reaction mixture was concentrated under vacuum to remove excess diamine. The residue was dissolved in water (500 mL) and concentrated hydrochloric acid was added to adjust the pH to ⁇ 1. The resulting precipitate (starting benzamide and diacylated product) was removed by filtration. The filtrate was washed with dichloromethane. The aqueous layer was made strongly basic by the addition of 50% sodium hydroxide and then it was extracted with dichloromethane (4 ⁇ 300 mL). The extracts were combined, washed with brine (300 mL), dried over sodium sulfate and then concentrated under vacuum to provide 11.9 g of N-(3-aminopropyl)benzamide as an oil.
  • Triethylamine (9.3 mL, 67 mmol) was added to a mixture of 4-chloro-3-nitroquinoline hydrochloride (16.4 g, 67 mmol) and dichloromethane (400 mL).
  • a solution of N-(3-aminopropyl)benzamide (11.9 g, 67 mmol) in dichloromethane (100 mL) was added all a once.
  • the reaction mixture was stirred at ambient temperature for 1 hour and then heated on a steam bath for 1 hour.
  • the resulting precipitate was isolated by filtration to provide 6 g of N 1 - ⁇ 3-[(3-nitroquinolin-4-yl)amino]propyl ⁇ benzamide as a yellow solid, m.p.
  • Carbonyl diimidazole (18.6 g, 0.115 mol) was added to a suspension of 6-chloronicotinic acid (16.6 g, 0.105 mol) in dichloromethane (250 mL). After all of the solid had dissolved the reaction solution was stirred at ambient temperature for 1 hour and then isopropyl alcohol (100 mL) was added. The dichloromethane was removed under vacuum. A catalytic amount of sodium isopropoxide was added to the solution and the solution was heated at reflux for 1 hour. The solution was then concentrated under vacuum. The resulting residue was slurried with water and then extracted with diethyl ether. The extract was dried over magnesium sulfate and then concentrated under vacuum to provide 23.9 g of isopropyl 6-chloronicotinate.
  • the isopropyl 6-morpholinonicotinate was combined with 1 N sodium hydroxide (40 mL) and the resulting suspension was stirred at 50-60° C. until all of the solid had dissolved. The solution was stirred at ambient temperature overnight during which time a precipitate formed. This material was isolated by filtration and identified as starting material. The filtrate was neutralized with concentrated hydrochloric acid. The resulting precipitate was isolated by filtration, washed with water and dried to provide 3.3 g of crude product. This material was recrystallized from methanol/dichloromethane to provide 6-morpholinonicotinic acid as a solid, m.p. 259-261° C. Analysis: Calculated for C 10 H 12 N 2 O 3 : %C, 57.19; %H, 5.81; %N, 13.48; Found: %C, 57.50; %H, 5.71; %N, 13.53.
  • N,N-Dimethylformamide (1 mL) was slowly added to a solution of oxalyl chloride (0.13 g, 1 mmol) in chloroform (5 mL). 6-Morpholinonicotinic acid (0.21 g, 1 mmol) was added and the reaction mixture was stirred for 15 minutes. The reaction mixture was concentrated under vacuum, diluted with toluene and then concentrated under vacuum to provide 6-morpholinonicotinoyl chloride. This material was kept under vacuum at ambient temperature overnight and then used in the next step.
  • the acid chloride from Part C was dissolved in pyridine (20 mL) and then added all at once to a warm solution of 1-(4-aminobutyl)-1H-imidazo[4,5-c]quinolin-4-amine (0.25 g, 1 mmol) in pyridine (25 mL).
  • the reaction mixture was concentrated under vacuum at 40° C. to remove the pyridine.
  • the resulting residue was combined with water and 1N sodium hydroxide (25 mL).
  • the mixture was extracted with dichloromethane. The extract was concentrated under vacuum.
  • Triethylamine (66.8 g, 0.33 mol) was added to a solution of tert-butyl N-(2-aminoethyl)carbamate (55.0 g, 0.34 mol) in anhydrous dichloromethane (500 mL). 4-Chloro-3-nitroquinoline was slowly added and the reaction exothermed. The reaction mixture was allowed to stir at ambient temperature overnight. The resulting precipitate was isolated by filtration to provide product as a yellow solid. The filtrate was washed with water, dried over magnesium sulfate and then concentrated under vacuum. The resulting residue was slurried with hexane and filtered to provide additional product as a yellow solid. The two crops were combined to provide 101 g of tert-butyl N-[2-(3-nitroquinolin-4-yl)aminoethyl]carbamate as a yellow solid, m.p. 157-158.
  • Triethyl orthoformate (11.3 g, 73.4 mmol) was added to a solution of tert-butyl N-[2-(3-aminoquinolin-4-yl)aminoethyl]carbamate (21 g, 69.4 mmol) in anhydrous toluene (250 mL). The reaction mixture was heated at reflux for 5 hours and then allowed to slowly cool to ambient temperature. The resulting precipitate was isolated by filtration and dried to provide 17.6 g of tert-butyl N-[2-(1H-imidazo[4,5-c]quinolin-1-yl)ethyl]carbamate as a light tan solid, m.p. 154-155° C.
  • N 1 - ⁇ 3-[(3-nitroquinolin-4-yl)amino]propyl ⁇ benzamide (2.0 g, 5.7 mmol) was reduced to the diamine and then reacted with triethylorthoacetate to provide 0.74 g of N 1 -[3-(2-methyl-1H-imidazo[4,5-c]quinolin-1-yl)propyl]benzamide as a sticky dark yellow solid.
  • Example 11 Part D Using the general method of Example 11 Part D, the material from Part A was oxidized to provide 0.35 g of 1-(3-benzamidopropyl)-2-methyl-1H-imidazo[4,5-c]quinoline-5N-oxide as a solid.
  • D-biotinyl N-hydroxysuccinimide (0.57 g, 1.67 mmol) was added to a solution of 1-(4-aminobutyl)-2-butyl-1H-imidazo[4,5-c]quinolin-4-amine (0.52 g, 1.67 mmol) in pyridine (25 mL). The reaction was maintained at ambient temperature overnight and then concentrated to dryness. The residue was partitioned between dichioromethane and aqueous saturated potassium carbonate.
  • N-hydroxysuccinimidobiotin (0.6 g, 1.76 mmol) was reacted with 1-(2-aminoethyl)-1H-imidazo[4,5-c]quinolin-4-amine (0.4 g, 1.76 mmol) to provide 0.6 g of N 1 -[2-(4-amino-1H-imidazo[4,5-c]quinolin-1-yl)ethyl]-5-(2-oxoperhydrothieno[3,4-d]imidazol-4-yl)pentanamide as a solid, m.p. 169° C.
  • Triethylamine (1.2 g, 11.4 mmol) was added in a single portion to a slurry of 1-(2-aminoethyl)-2-(ethoxymethyl)-1H-imidazo[4,5-c]quinolin-4-amine hydrochloride (3.39 g, 10.53 mmol) in chloroform (150 mL). The reaction mixture became clear. N-hydroxysuccinimidobiotin (3.0 g, 8.79 mmol) was then slowly added. After 2 hours the turbid reaction mixture was heated to reflux. The reaction mixture was maintained at reflux overnight and became clear. The reaction mixture was allowed to cool to ambient temperature and then it was quenched with water. The layers were separated.
  • Example 14 1-(4-aminobutyl)-1H-imidazo[4,5-c]quinolin-4-amine and 2-ethoxy-1-naphthoyl chloride were combined to provide N 1 -[4-(4-amino-1H-imidazo[4,5-c]quinolin-1-yl)butyl]-2-ethoxy-1-naphthamide as a white powder, m.p. 219° C. (decomposition).
  • Example 14 According to the general method of Example 14, 1-(4-aminobutyl)-1H-imidazo[4,5-c]quinolin-4-amine and 1-naphthoyl chloride were combined to provide N 1 -[4-(4-amino-1H-imidazo[4,5-c]quinolin-1-yl)butyl]-1-naphthamide as an off white powder, m.p. 174.5° C. (decomposition).
  • Example 14 1-(4-arninobutyl)-1H-imidazo[4,5-c]quinolin-4-amine and quinoline-3-carbonyl chloride were combined to provide N 3 -[4-(4-amino-1H-imidazo[4,5-c]quinolin-1-yl)butyl]-3-quinolinecarboxamide as a white crystalline solid, m.p. 116.0-118.0° C. (decomposition).
  • Example 14 1-(4-aminobutyl)-1H-imidazo[4,5-c]quinolin-4-amine and 1-benzylindole-3-carbonyl chloride were combined to provide N 3 -[4-(4-amino-1H-imidazo[4,5-c]quinolin-1-yl)butyl]-1-benzyl-1H-3-indolecarboxamide as a white powder, m.p. 139.0° C. (decomposition).
  • Example 14 According to the general method of Example 14, 1-(4-aminobutyl)-1H-imidazo[4,5-c]quinolin-4-amine and quinoline-8-carbonyl chloride were combined to provide N 8 -[4-(4-amino-1H-imidazo[4,5-c]quinolin-1-yl)butyl]-8-quinolinecarboxamide as a tan powder, m.p. 91.0-93.0° C.
  • Example 14 According to the general method of Example 14, 1-(4-aminobutyl)-1H-imidazo[4,5-c]quinolin-4-amine and nicotinoyl chloride hydrochloride were combined to provide N 3 -[4-(4-amino-1H-imidazo[4,5-c]quinolin-1-yl)butyl]nicotinamide as a white powder, m.p. 188.6-189.5° C.
  • Example 14 According to the general method of Example 14, 1-(4-aminobutyl)-1H-imidazo[4,5-c]quinolin-4-amine and quinoline-4-carbonyl chloride were combined to provide N 4 -[4-(4-amino-1H-imidazo[4,5-c]quinolin-1-yl)butyl]-4-quinolinecarboxamide as a white crystalline solid, m.p. 214.5-215.2° C.
  • Example 14 According to the general method of Example 14, 1-(4-aminobutyl)-1H-imidazo[4,5-c]quinolin-4-amine and 6-cyanopyridine-3-carbonyl chloride were combined to provide N 3 -[4-(4-amino-1H-imidazo[4,5-c]quinolin-1-yl)butyl]-6-cyanonicotinamide as an off white powder, m.p. 125.0-129.0° C.
  • Example 14 1-(4-aminobutyl)-1H-imidazo[4,5-c]quinolin-4-amine and 6-chloropyridine-3-carbonyl chloride were combined to provide N 3 -[4-(4-amino-1H-imidazo[4,5-c]quinolin-1-yl)butyl]-6-chloronicotinamide as an off white crystalline solid, m.p. 144.0-148.0° C. (decomposition).
  • Example 14 1-(4-aminobutyl)-1H-imidazo[4,5-c]quinolin-4-amine and 6-(2,2,2-trifluoroethoxy)pyridine-3-carbonyl chloride were combined to provide N 3 -[4-(4-amino-1H-imidazo[4,5-c]quinolin-1-yl)butyl]-6-(2,2,2-trifluoroethoxy)nicotinamide as a white crystalline solid, m.p. 192.0-194.0° C. (decomposition).
  • Example 50 According to the general method of Example 50, 1-(4-aminobutyl)-2-(2-methoxyethyl)-1H-imidazo[4,5-c]quinolin-4-amine and isoquinoline-1-carboxylic acid were combined to provide N 1 - ⁇ 4-[4-amino-2-(2-methoxyethyl)-1H-imidazo[4,5-c]quinolin-1-yl]butyl ⁇ -1-isoquinolinecarboxamide as a yellow crystalline solid, m.p. 61.0-63.0° C.
  • Example 50 According to the general method of Example 50, 1-(4-aminobutyl)-2-(2-methoxyethyl)-1H-imidazo[4,5-c]quinolin-4-amine and fusaric acid were combined to provide N 2 - ⁇ 4-[4-amino-2-(2-methoxyethyl)-1H-imidazo[4,5-c]quinolin-1-yl]butyl ⁇ -5-butyl-2-pyridinecarboxamide as a tan solid, m.p. 54.9-55.2° C.
  • Example 50 According to the general method of Example 50, 1-(4-aminobutyl)-2-(2-methoxyethyl)-1H-imidazo[4,5-c]quinolin-4-amine and indole-3-carboxylic acid were combined to provide N 3 - ⁇ 4-[4-amino-2-(2-methoxyethyl)-1H-imidazo[4,5-c]quinolin-1-yl]butyl ⁇ -3-indolecarboxamide as a white powder, m.p. 225.5-227.4° C.
  • Example 50 According to the general method of Example 50, 1-(4-aminobutyl)-2-(2-methoxyethyl)-1H-imidazo[4,5-c]quinolin-4-amine and 4-(1-pyrrolyl)benzoic acid were combined to provide N 1 - ⁇ 4-[4-amino-2-(2-methoxyethyl)-1H-imidazo[4,5-c]quinolin-1-yl]butyl ⁇ -4-(1-pyrrolyl)benzamide as an off white powder, m.p. 173.0-174.9° C.
  • Example 50 According to the general method of Example 50, 1-(4-aminobutyl)-2-(2-methoxyethyl)-1H-imidazo[4,5-c]quinolin-4-amine and 2-pyrrolopyridine-5-carboxylic acid were combined to provide N 3 ⁇ 4-[4-amino-2-(2-methoxyethyl)-1H-imidazo[4,5-c]quinolin-1-yl]butyl ⁇ -6-(1-pyrcolyl)nicotinamide as a yellow crystalline solid, m.p. 77.0-80.0° C.
  • Example 50 According to the general method of Example 50, 1-(4-aminobutyl)-2-(2-methoxyethyl)-1H-imidazo[4,5-c]quinolin-4-amine and indole-5-carboxylic acid were combined to provide N 5 - ⁇ 4-[4-amino-2-(2-methoxyethyl)-1H-imidazo[4,5-c]quinolin-1-yl]butyl ⁇ -5-indolecarboxamide as an off white solid.
  • Example 50 According to the general method of Example 50, 1-(4-aminobutyl)-2-(2-methoxyethyl)-1H-imidazo[4,5-c]quinolin-4-amine and 5-(phenylethynyl)pyridine-3-carboxylic acid were combined to provide N 5 - ⁇ 4-[4-amino-2-(2-methoxyethyl)-1H-imidazo[4,5-c]quinolin-1-yl]butyl ⁇ -5-(2-phenyl-1-ethynyl)nicotinamide as a yellow solid, m.p. 76.0-78.0° C.
  • Triethylamine (7.26 g, 71.7 mmol) was added to a solution of the material from Part A in ethanol (200 mL) and heated at reflux for 2 days. The reaction mixture was concentrated to provide an orange syrup. HPLC mass spec analysis showed that the syrup contained the desired product and starting material. The syrup was taken up in dichloromethane (100 mL) and then cooled in an ice bath. Triethylamine (5 mL) and benzoyl chloride (1.9 mL) were added. The reaction mixture was maintained at ambient temperature for 2 days at which time analysis by HPLC indicated that the reaction was not complete. The reaction mixture was concentrated under vacuum. The residue was taken up in isopropyl alcohol (150 mL).
  • Triethylamine (5 mL) was added and the reaction mixture was heated at reflux overnight. The reaction mixture was concentrated under vacuum. The residue was purified by flash chromatography (silica gel; eluting with 10% methanol in dichloromethane). The fractions containing product were combined and concentrated under vacuum. The residue was recrystallized from acetonitrile to provide 6.7 g of tert-butyl N-[4-(2-phenyl-1H-imidazo[4,5-c]quinolin-1-yl)butyl]carbamate as a solid, m.p. 158-159° C.
  • the material from Part D was dissolved in methanol (15 mL) and 1 N hydrochloric acid (100 mL) and then heated at reflux for 2 hours.
  • the reaction mixture was concentrated under vacuum to a volume of about 50 mL. Addition of concentrated ammonium hydroxide to pH 12 did not produce a precipitate.
  • the pH was adjusted to 7 with 1 N hydrochloric acid.
  • the mixture was extracted with dichloromethane and then with ethyl acetate.
  • the aqueous layer was concentrated to dryness.
  • the residue was dissolved in water (50 mL) and then extracted continuously with refluxing chloroform for 36 hours.
  • the chloroform extract was concentrated under vacuum to provide a light tan solid.
  • Example 61 According to the general method of Example 61, 1-(4-aminobutyl)-2-phenyl-1H-imidazo[4,5-c]quinolin-4-amine and nicotinoyl chloride hydrochloride were combined to provide N 3 -[4-(4-amino-2-phenyl-1H-imidazo[4,5-c]quinolin-1-yl)butyl]nicotinamide as a white crystalline solid, m.p. 84.5-86.1° C.
  • Example 61 According to the general method of Example 61, 1-(4-aminobutyl)-2-phenyl-1H-imidazo[4,5-c]quinolin-4-amine and quinoline-2-carbonyl chloride were combined to provide N-[4-(4-amino-2-phenyl-1H-imidazo[4,5-c]quinolin-1-yl)butyl]-2-quinolinecarboxamide as an off white crystalline solid, m.p. 81.1-83.9° C.
  • the compounds were purified by eluting through a short plug of silica gel with 10:1 dichloromethane-methanol, collecting ca. 1 mL fractions and pooling the product fractions (fractions analyzed by tic in 9:1 dichloromethane-methanol to identify product).
  • Compounds were analyzed by 500 MHz 1 H nmr and APCI-MS (plug injection or an LC/MS protocol).
  • the semi-prep hplc fractions were analyzed by reversed-phase hplc and the appropriate fractions were dried in vacuo to provide the compound as a trifluoroacetate salt.
  • the compound was dissolved in ca. 3-5 mL of 2:1 dichloromethane-methanol and shaken with ca. 80 mg (300 ⁇ mol) of diisopropylaminomethyl-polystyrene resin (Argonaut PS-DIEA, 3.86 mmol/g) for 1-2 h to liberate the free amine, and then filtered and dried in vacuo to give the compound as an amorphous solid.
  • Each amine product was analyzed by LC/APCI-MS.
  • the semi-prep HPLC fractions were analyzed by LC-APCI/MS and the appropriate fractions were combined and lyophilized to provide the trifluoroacetate salt of the desired amide.
  • the compounds were analyzed by LC-MS (APCI).
  • the semi-prep HPLC fractions were analyzed by LC-APCI/MS and the appropriate fractions were combined and lyophilized to provide the trifluoroacetate salt of the desired secondary amine.
  • the compounds were analyzed by LC-MS (APCI).
  • the secondary amines from Part A (about 3-30 ⁇ mol as the di-trifluoroacetate salt) were each dissolved in 1 mL of pyridine, and about 10 equivalents of a 0.1 M solution of acetic anhydride in dichloromethane was added. The mixtures were allowed to stand for 1 hour and then 200 ⁇ L of methanol was added. The mixtures were evaporated to dryness in a vacuum centrifuge. The mixtures were purified by semi-preparative reversed-phase HPLC as in Part A. The compounds were analyzed by LC-MS (APCI).
  • the semi-prep HPLC fractions were analyzed by LC-APCI/MS and the appropriate fractions were combined and lyophilized to provide the trifluoroacetate salt of the desired amide.
  • the semi-prep HPLC fractions were analyzed by LC-APCI/MS and the appropriate fractions were combined and lyophilized to provide the trifluoroacetate salt of the desired amide.
  • a catalytic amount of platinum (IV) oxide was added to a solution of 1-(4-aminobutyl)-2-methoxyethyl-1H-imidazo[4,5-c]quinolin-4-amine (7.7 g, 24.5 mmol) in trifluoroacetic acid (250 mL).
  • the reaction mixture was hydrogenated at 50 psi (3.44 ⁇ 10 5 Pa) on a Parr apparatus. The progress of the reaction was monitored by LC/MS. Additional catalyst was added 7, 11, and 17 days after the start of the reaction. After 25 days the reaction was complete.
  • the reaction mixture was filtered through a layer of Celite® filter aid to remove the catalyst and the filtrate was concentrated under vacuum.
  • PBMCs Peripheral blood mononuclear cells
  • Histopaque®-1077 Sigma Chemicals, St. Louis, Mo.
  • the PBMCs are suspended at 3-4 ⁇ 10 6 cells/mL in RPMI 1640 medium containing 10% fetal bovine serum, 2 mM L-glutamine and 1% penicillin/streptomycin solution (RPMI complete).
  • RPMI complete penicillin/streptomycin solution
  • the compounds are solubilized in dimethyl sulfoxide (DMSO).
  • DMSO dimethyl sulfoxide
  • the DMSO concentration should not exceed a final concentration of 1% for addition to the culture wells.
  • test compound is added at 60 ⁇ M to the first well containing RPMI complete and serial (three fold or ten fold) dilutions are made.
  • the PBMC suspension is then added to the wells in an equal volume, bringing the test compound concentrations to the desired range.
  • the final concentration of PBMC suspension is 1.5-2 ⁇ 10 6 cells/mL.
  • the plates are covered with sterile plastic lids, mixed gently and then incubated for 18 to 24 hours at 37° C. in a 5% carbon dioxide atmosphere.
  • the plates are centrifuged for 5-10 minutes at 1000 rpm ( ⁇ 200 ⁇ g) at 4° C.
  • the cell culture supernatant is removed with a sterile polypropylene pipet and transferred to sterile polypropylene tubes. Samples are maintained at ⁇ 30 to ⁇ 70° C. until analysis.
  • the samples are analyzed for interferon ( ⁇ ) by either ELISA or bioassay and for tumor necrosis factor ( ⁇ ) by ELISA.
  • Interferon is determined by bioassay using A549 human lung carcinoma cells challenged with encephalomyocarditis.
  • the details of the bioassay method have been described by G. L. Brennan and L. H. Kronenberg in “Automated Bioassay of Interferons in Micro-test Plates”, Biotechniques, June/July, 78, 1983, incorporated herein by reference. Briefly stated the method is as follows: A549 cells are incubated with dilutions of samples or a standard interferon at 37° C. for 24 hours. The incubated cells are then infected with an inoculum of encephalomyocarditis virus. The infected cells are incubated for an additional 24 hours at 37° C.
  • the viral cytopathic effect is quantified by staining with crystal violet followed by visual scoring of the plates. Results are expressed as alpha reference units/mL based on the value obtained for NIH Human Leukocyte IFN standard.
  • Interferon ( ⁇ ) concentration is determined by ELISA using a Human Multi-Species kit from PBL Biomedical Laboratories, New Brunswick, N.J.
  • Tumor necrosis factor ( ⁇ ) (TNF)concentration is determined using ELISA kits available from Genzyme, Cambridge, Mass.; R&D Systems, Minneapolis, Minn.; or Pharmingen, San Diego, Calif.
  • the table below lists the lowest concentration found to induce interferon and the lowest concentration found to induce tumor necrosis factor for each compound.
  • a “**” indicates that no induction was seen at any of the tested concentrations (0.12, 0.37, 1.11, 3.33, 10 and 30 ⁇ M).
  • a “***” indicates that no induction was seen at any of the tested concentrations (0.0001, 0.001, 0.01, 0.1, 1 and 10 ⁇ M).
  • the interferon biosynthesis was determined by ELISA.

Landscapes

  • Health & Medical Sciences (AREA)
  • Chemical & Material Sciences (AREA)
  • Veterinary Medicine (AREA)
  • Organic Chemistry (AREA)
  • Life Sciences & Earth Sciences (AREA)
  • Public Health (AREA)
  • General Health & Medical Sciences (AREA)
  • Medicinal Chemistry (AREA)
  • Animal Behavior & Ethology (AREA)
  • Pharmacology & Pharmacy (AREA)
  • General Chemical & Material Sciences (AREA)
  • Nuclear Medicine, Radiotherapy & Molecular Imaging (AREA)
  • Chemical Kinetics & Catalysis (AREA)
  • Engineering & Computer Science (AREA)
  • Bioinformatics & Cheminformatics (AREA)
  • Oncology (AREA)
  • Tropical Medicine & Parasitology (AREA)
  • Pulmonology (AREA)
  • Epidemiology (AREA)
  • Communicable Diseases (AREA)
  • Immunology (AREA)
  • Dermatology (AREA)
  • Hematology (AREA)
  • Virology (AREA)
  • Neurosurgery (AREA)
  • Neurology (AREA)
  • Otolaryngology (AREA)
  • Diabetes (AREA)
  • Gastroenterology & Hepatology (AREA)
  • Biomedical Technology (AREA)
  • Pharmaceuticals Containing Other Organic And Inorganic Compounds (AREA)
  • Nitrogen Condensed Heterocyclic Rings (AREA)
  • Medicines That Contain Protein Lipid Enzymes And Other Medicines (AREA)
  • Nitrogen And Oxygen Or Sulfur-Condensed Heterocyclic Ring Systems (AREA)

Abstract

Imidazoquinoline and tetrahydroimidazoquinoline compounds that contain amide functionality at the 1-position are useful as immune response modifiers. The compounds and compositions of the invention can induce the biosynthesis of various cytokines and are useful in the treatment of a variety of conditions including viral diseases and neoplastic diseases.

Description

This is a continuation of Application No. 60/138,365 filed Jun. 10, 1999.
FIELD OF THE INVENTION
This invention relates to imidazoquinoline compounds that have an amide containing substituent at the 1-position, and to pharmaceutical compositions containing such compounds. A further aspect of this invention relates to the use of these compounds as immunomodulators, for inducing cytokine biosynthesis in animals, and in the treatment of diseases, including viral and neoplastic diseases.
BACKGROUND OF THE INVENTION
The first reliable report on the 1H-imidazo[4,5-c]quinoline ring system, Backman et al., J. Org. Chem. 15, 1278-1284 (1950) describes the synthesis of 1-(6-methoxy-8-quinolinyl)-2-methyl-1H-imidazo[4,5-c]quinoline for possible use as an antimalarial agent. Subsequently, syntheses of various substituted 1H-imidazo[4,5-c]quinolines were reported. For example, Jain et al., J. Med. Chem. 11, pp. 87-92 (1968), synthesized the compound 1-[2-(4-piperidyl)ethyl]-1H-imidazo[4,5-c]quinoline as a possible anticonvulsant and cardiovascular agent. Also, Baranov et al., Chem. Abs. 85, 94362 (1976), have reported several 2-oxoimidazo[4,5-c]quinolines, and Berenyi et al., J. Heterocyclic Chem. 18, 1537-1540 (1981), have reported certain 2-oxoimidazo[4,5-c]quinolines.
Certain 1H-imidazo[4,5-c]quinolin-4-amines and 1- and 2-substituted derivatives thereof were later found to be useful as antiviral agents, bronchodilators and immunomodulators. These are described in, inter alia, U.S. Pat. Nos. 4,689,338; 4,698,348; 4,929,624; 5,037,986; 5,268,376; 5,346,905; and 5,389,640, all of which are incorporated herein by reference.
There continues to be interest in the imidazoquinoline ring system. For example, EP 894 797 describes imidazoquinoline compounds that bear an amide containing substituent at the 1-position. The active compounds of this series require a terminal amine substituent that may be incorporated into a heterocyclic ring. As another example, WO 00/09506 describes imidazopyridine and imidazoquinoline compounds that may have an amide or urea containing substituent at the 1-position. The compounds described in this publication as having utility contain a 1-substituent wherein the amide or urea nitrogen is part of a heterocyclic ring. Despite these attempts to identify compounds that are useful as immune response modifiers, there is a continuing need for compounds that have the ability to modulate the immune response, by induction of cytokine biosynthesis or other mechanisms.
SUMMARY OF THE INVENTION
We have found a new class of compounds that are useful in inducing cytokine biosynthesis in animals. Accordingly, this invention provides imidazoquinoline-4-amine and tetrahydroimidazoquinoline-4-amine compounds that have an amide containing substituent at the 1-position. The compounds which have been found to be useful inducers of cytokine biosynthesis are defined by Formulae (I), (Ia), and (Ib), which are defined in more detail infra. These compounds share the general structural formula (I):
Figure US06451810-20020917-C00001
wherein R1, R2, and R are as defined herein for each class of compounds having formulas (I), (Ia), and (Ib). The invention also provides novel compounds of formulas (Ic), (Id), and (Ie) as defined herein, which compounds are also useful as immune response modifiers and which also have the same general structural formula (I) above.
The compounds of Formulae (I), (Ia), (lb), (Ic), (Id), and (Ie) are useful as immune response modifiers due to their ability to induce cytokine biosynthesis and otherwise modulate the immune response when administered to animals. This makes the compounds useful in the treatment of a variety of conditionssuch as viral diseases and tumors that are responsive to such changes in the immune response.
The invention further provides pharmaceutical compositions containing the immune response modifying compounds, and methods of inducing cytokine biosynthesis in an animal, treating a viral infection in an animal, and/or treating a neoplastic disease in an animal by administering a compound of Formula (I), (la), (lb), (Ic), (Id), or (Ie) to the animal.
In addition, methods of synthesizing the compounds of the invention and intermediates useful in the synthesis of these compounds are provided.
DETAILED DESCRIPTION OF THE INVENTION
As mentioned earlier, we have found that certain compounds induce cytokine biosynthesis and modify the immune response in animals. Such compounds are represented by Formulae (I), (Ia), (Ib), (Ic), (Id), and (Ie), as shown below.
The invention provides pharmaceutical compositions containing a therapeutically effective amount of a compound of Formula (I):
Figure US06451810-20020917-C00002
wherein
R1 is -alkyl-NR3—CO—R4 or -alkenyl-NR3—CO—R4 wherein R4 is aryl, heteroaryl, alkyl or alkenyl, each of which may be unsubstituted or substituted by one or more substituents selected from the group consisting of:
-alkyl;
-alkenyl;
-alkynyl;
-(alkyl)0-1-aryl;
-(alkyl)0-1-(substituted aryl);
-(alkyl)0-1-heteroaryl;
-(alkyl)0-1-(substituted heteroaryl);
—O-alkyl;
—O-(alkyl)0-1-aryl;
—O-(alkyl)0-1-(substituted aryl);
—O-(alkyl)0-1-heteroaryl;
—O-(alkyl)0-1-(substituted heteroaryl);
—CO-aryl;
—CO-(substituted aryl);
—CO-heteroaryl;
—CO-(substituted heteroaryl);
—COOH;
—CO—O-alkyl;
—CO-alkyl;
—S(O)0-2-alkyl;
—S(O)0-2-(alkyl)0-1-aryl;
—S(O)0-2-(alkyl)0-1-(substituted aryl);
—S(O)0-2-(alkyl)0-1-heteroaryl;
—S(O)0-2-(alkyl)0-1-(substituted heteroaryl);
—P(O)(OR3)2;
—NR3—CO—O-alkyl;
—N3;
-halogen;
—NO2;
—CN;
-haloalkyl;
—O-haloalkyl;
—CO-haloalkyl;
—OH;
—SH; and in the case of alkyl, alkenyl, or heterocyclyl, oxo;
or R4 is
Figure US06451810-20020917-C00003
wherein R5 is an aryl, (substituted aryl), heteroaryl, (substituted heteroaryl), heterocyclyl or (substituted heterocyclyl) group;
R2 is selected from the group consisting of:
-hydrogen;
-alkyl;
-alkenyl;
-aryl;
-(substituted aryl);
-heteroaryl;
-(substituted heteroaryl);
-heterocyclyl;
-(substituted heterocyclyl);
-alkyl-O-alkyl;
-alkyl-O-alkenyl; and
-alkyl or alkenyl substituted by one or more substituents selected from the group consisting of:
—OH;
-halogen;
—N(R3)2;
—CO—N(R3)2;
—CO—C1-10 alkyl;
—CO—O—C1-10 alkyl;
—N3;
-aryl;
-(substituted aryl);
-heteroaryl;
-(substituted heteroaryl);
-heterocyclyl;
-(substituted heterocyclyl);
—CO-aryl; and
—CO-heteroaryl;
each R3 is independently selected from the group consisting of hydrogen; C1-10 alkyl-heteroaryl; C1-10 alkyl-(substituted heteroaryl); C1-10 alkyl-aryl; C1-10 alkyl-(substituted aryl) and C1-10 alkyl;
n is 0 to 4;
and each R present is independently selected from the group consisting of C1-10 alkyl C1-10 alkoxy, halogen and trifluoromethyl, or a pharmaceutically acceptable salt thereof, in combination with a therapeutically effective carrier.
The invention also provides pharmaceutical compositions comprising a therapeutically effective amount of a compound of Formula (Ia):
Figure US06451810-20020917-C00004
wherein
R1 is -alkyl-NR3—CO—R4 or -alkenyl-NR3—CO—R4 wherein R4 is aryl, heteroaryl, alkyl or alkenyl, each of which may be unsubstituted or substituted by one or more substituents selected from the group consisting of:
-heterocyclyl;
-(substituted heterocyclyl);
-(alkyl)0-1heterocyclyl;
-(alkyl)0-1(substituted heterocyclyl);
—O-(alkyl)0-1heterocyclyl;
—O-(alkyl)0-1(substituted heterocyclyl);
—S(O)0-2-(alkyl)0-1heterocyclyl; and
—S(O)0-2-(alkyl)0-1(substituted heterocyclyl);
R2 is selected from the group consisting of:
-hydrogen;
-alkyl;
-alkenyl;
-aryl;
-(substituted aryl);
-heteroaryl;
-(substituted heteroaryl);
-heterocyclyl;
-(substituted heterocyclyl);
-alkyl-O-alkyl;
-alkyl-O-alkenyl; and
-alkyl or alkenyl substituted by one or more substituents selected from the group consisting of:
—OH;
-halogen;
—N(R3)2;
—CO—N(R3)2;
—CO—C1-10 alkyl;
—CO—O—C1-10 alkyl;
—N3;
-aryl;
-(substituted aryl);
-heteroaryl;
-(substituted heteroaryl);
-heterocyclyl;
-(substituted heterocyclyl);
—CO-aryl; and
—CO-heteroaryl;
each R3 is independently selected from the group consisting of hydrogen; C1-10 alkyl-heteroaryl; C1-10 alkyl-(substituted heteroaryl); C1-10 alkyl-aryl; C1-10 alkyl-(substituted aryl) and C1-10 alkyl;
n is 0to 4;
and each R present is independently selected from the group consisting of C1-10 alkyl, C1-10 alkoxy, halogen and trifluoromethyl, or a pharmaceutically acceptable salt thereof, in combination with a pharmaceutically acceptable carrier.
The invention further provides pharmaceutical compositions comprising a therapeutically effective amount of a compound of Formula (Ib):
Figure US06451810-20020917-C00005
wherein
R1 is -alkyl-NR3—CO—R4 or -alkenyl-NR3—CO—R4 wherein R4 is heterocyclyl which may be unsubstituted or substituted by one or more substituents selected from the group consisting of:
-alkyl;
-alkenyl;
-alkynyl;
-(alkyl)0-1-aryl;
-(alkyl)0-1-(substituted aryl);
-(alkyl)0-1-heterocyclyl;
-(alkyl)0-1-(substituted heterocyclyl);
-(alkyl)0-1-heteroaryl;
-(alkyl)0-1-(substituted heteroaryl);
—O-alkyl;
—O-(alkyl)0-1-aryl;
—O-(alkyl)0-1-(substituted aryl);
—O-(alkyl)0-1-heterocyclyl;
—O-(alkyl)0-1-(substituted heterocyclyl);
—O-(alkyl)0-1-heteroaryl;
—O-(alkyl)0-1-(substituted heteroaryl);
—CO-aryl;
—CO-(substituted aryl);
—CO-heteroaryl;
—CO-(substituted heteroaryl);
—COOH;
—CO—O-alkyl;
—CO-alkyl;
—S(O)0-2-alkyl;
—S(O)0-2-(alkyl)0-1-aryl;
—S(O)0-2-(alkyl)0-1-(substituted aryl);
—S(O)0-2-(alkyl)0-1-heterocyclyl;
—S(O)0-2-(alkyl)0-1-(substituted heterocyclyl);
—S(O)0-2-(alkyl)0-1-heteroaryl;
—S(O)0-2-(alkyl)0-1-(substituted heteroaryl);
—P(O)(OR3)2;
—NR3—CO—O-alkyl;
—N3;
-halogen;
—NO2;
—CN;
-haloalkyl;
—O-haloalkyl;
—CO-haloalkyl;
—OH;
—SH;
or R4 is
Figure US06451810-20020917-C00006
wherein R5 is an aryl, (substituted aryl), heteroaryl, (substituted heteroaryl), heterocyclyl or (substituted heterocyclyl) group;
R2 is selected from the group consisting of:
-hydrogen;
-alkyl;
-alkenyl;
-aryl;
-(substituted aryl);
-heteroaryl;
-(substituted heteroaryl);
-heterocyclyl;
-(substituted heterocyclyl);
-alkyl-O-alkyl;
-alkyl-O-alkenyl; and
-alkyl or alkenyl substituted by one or more substituents selected from the group consisting of:
—OH;
-halogen;
—N(R3)2;
—CO—N(R3)2;
—CO—C1-10 alkyl;
—CO—O—C1-10 alkyl;
—N3;
-aryl;
-(substituted aryl);
-heteroaryl;
-(substituted heteroaryl);
-heterocyclyl;
-(substituted heterocyclyl);
—CO-aryl; and
—CO-heteroaryl;
each R3 is independently selected from the group consisting of hydrogen; C1-10 alkyl-heteroaryl; C1-10 alkyl-(substituted heteroaryl); C1-10 alkyl-aryl; C1-10 alkyl-(substituted aryl) and C1-10 alkyl;
n is 0 to 4;
and each R present is independently selected from the group consisting of C1-10 alkyl, C1-10 alkoxy, halogen and trifluoromethyl, or a pharmaceutically acceptable salt thereof, in combination with a pharmaceutically acceptable carrier.
The invention also provides compounds that are useful as immune response modifiers. One such class of compounds has structural Formula (Ic):
Figure US06451810-20020917-C00007
wherein
R1 is -alkyl-NR3—CO—R4 or -alkenyl-NR3—CO—R4 wherein R4 is aryl, heteroaryl, heterocyclyl, alkyl or alkenyl, each of which may be unsubstituted or substituted by one or more substituents selected from the group consisting of:
-alkyl;
-alkenyl;
-alkynyl;
-(alkyl)0-1-aryl;
-(alkyl)0-1-(substituted aryl);
-(alkyl)0-1-heteroaryl;
-(alkyl)0-1-(substituted heteroaryl);
-(alkyl)0-1-heterocyclyl;
-(alkyl)0-1-(substituted heterocyclyl);
—O-alkyl;
—O-(alkyl)0-1-aryl;
—O-(alkyl)0-1-(substituted aryl);
—O-(alkyl)0-1-heteroaryl;
—O-(alkyl)0-1-(substituted heteroaryl);
—O-(alkyl)0-1-heterocyclyl;
—O-(alkyl)0-1-(substituted heterocyclyl);
—CO-aryl;
—CO-(substituted aryl);
—CO-heteroaryl;
—CO-(substituted heteroaryl);
—COOH;
—CO—O-alkyl;
—CO-alkyl;
—S(O)0-2-alkyl;
—S(O)0-2-(alkyl)0-1-aryl;
—S(O)0-2-(alkyl)0-1-(substituted aryl);
—S(O)0-2-(alkyl)0-1-heteroaryl;
—S(O)0-2-(alkyl)0-1-(substituted heteroaryl);
—S(O)0-2-(alkyl)0-1-heterocyclyl;
—S(O)0-2-(alkyl)0-1-(substituted heterocyclyl);
—P(O)(OR3)2;
—NR6—CO—O-alkyl;
—N3;
-halogen;
—NO2;
—CN;
-haloalkyl;
—O-haloalkyl;
—CO-haloalkyl;
—OH;
—SH; and in the case of alkyl, alkenyl, or heterocyclyl, oxo;
or R4 is
Figure US06451810-20020917-C00008
wherein R5 is an aryl, (substituted aryl), heteroaryl, (substituted heteroaryl), heterocyclyl or (substituted heterocyclyl) group;
R2 is selected from the group consisting of:
-hydrogen;
-alkyl;
-alkenyl;
-aryl;
-(substituted aryl);
-heteroaryl;
-(substituted heteroaryl);
-heterocyclyl;
-(substituted heterocyclyl);
-alkyl-O-alkyl;
-alkyl-O-alkenyl; and
-alkyl or alkenyl substituted by one or more substituents selected from the group consisting of:
—OH;
-halogen;
—N(R6)2;
—CO—N(R6)2;
—CO—C1-10 alkyl;
—CO—O—C1-10 alkyl;
—N3;
-aryl;
-(substituted aryl);
-heteroaryl;
-(substituted heteroaryl);
-heterocyclyl;
-(substituted heterocyclyl);
—CO-aryl; and
—CO-heteroaryl;
R3 is selected from the group consisting of C1-10 alkyl-heteroaryl; C1-10 alkyl-(substituted heteroaryl); C1-10 alkyl-aryl; C1-10 alkyl-(substituted aryl) and C1-10 alkyl;
each R6 is independently selected from the group consisting of hydrogen; C1-10 alkyl-heteroaryl; C1-10 alkyl-(substituted heteroaryl); C1-10 alkyl-aryl; C1-10 alkyl-(substituted aryl) and C1-10 alkyl;
n is 0 to 4;
and each R present is independently selected from the group consisting of C1-10 alkyl, C1-10 alkoxy, halogen and trifluoromethyl, or a pharmaceutically acceptable salt thereof.
Another class of compounds provided by the invention is described by Formula (Id):
Figure US06451810-20020917-C00009
wherein
R1 is -alkyl-NR3—CO—R4 or -alkenyl-NR3—CO—R4 wherein R4 is aryl or heteroaryl which may be unsubstituted or substituted by one or more substituents selected from the group consisting of:
-alkyl;
-alkenyl;
-alkynyl;
-(alkyl)0-1-aryl;
-(alkyl)0-1-(substituted aryl);
-(alkyl)0-1-heteroaryl;
-(alkyl)0-1-(substituted heteroaryl);
-(alkyl)0-1-heterocyclyl;
-(alkyl)0-1-(substituted heterocyclyl);
—O-alkyl;
—O-(alkyl)0-1-aryl;
—O-(alkyl)0-1-(substituted aryl);
—O-(alkyl)0-1-heteroaryl;
—O-(alkyl)0-1-(substituted heteroaryl);
—O-(alkyl)0-1-heterocyclyl;
—O-(alkyl)0-1-(substituted heterocyclyl);
—CO-aryl;
—CO-(substituted aryl);
—CO-heteroaryl;
—CO-(substituted heteroaryl);
—COOH;
—CO—O-alkyl;
—CO-alkyl;
—S(O)0-2-alkyl;
—S(O)0-2-(alkyl)0-1-aryl;
—S(O)0-2-(alkyl)0-1-(substituted aryl);
—S(O)0-2-(alkyl)0-1-heteroaryl;
—S(O)0-2-(alkyl)0-1-(substituted heteroaryl);
—S(O)0-2-(alkyl)0-1-heterocyclyl;
—S(O)0-2-(alkyl)0-1-(substituted heterocyclyl);
—P(O)(OR3)2;
—NR3—CO—O-alkyl;
—N3;
-halogen;
—NO2;
—CN;
-haloalkyl;
—O-haloalkyl;
—CO-haloalkyl;
—OH; and
—SH;
R2 is selected from the group consisting of:
-hydrogen;
-alkyl;
-alkenyl;
-aryl;
-(substituted aryl);
-heteroaryl;
-(substituted heteroaryl);
-heterocyclyl;
-(substituted heterocyclyl);
-alkyl-O-alkyl;
-alkyl-O-alkenyl; and
-alkyl or alkenyl substituted by one or more substituents selected from the group consisting of:
—OH;
-halogen;
—N(R3)2;
—CO—N(R3)2;
—CO—C1-10 alkyl;
—CO—C1-10 alkyl;
—N3;
-aryl;
-(substituted aryl);
-heteroaryl;
-(substituted heteroaryl);
-heterocyclyl;
-(substituted heterocyclyl);
—CO-aryl; and
—CO-heteroaryl;
each R3 is independently selected from the group consisting of hydrogen; C1-10 alkyl-heteroaryl; C1-10 alkyl-(substituted heteroaryl); C1-10 alkyl-aryl; C1-10 alkyl-(substituted aryl) and C1-10 alkyl;
n is 0to 4;
and each R present is independently selected from the group consisting of C1-10 alkyl, C1-10 alkoxy, halogen and trifluoromethyl, or a pharmaceutically acceptable salt thereof,
with the proviso that R4 is not an unsubstituted benzene ring, and that when R4 is a substituted benzene ring the substituents are selected from the group consisting of C1-20 alkyl, C2-20 alkoxy, C1-20 alkylthio, hydroxy, haloalkyl, haloalkylcarbonyl, haloalkoxy, C1-20alkylcarbonyl, C1-20alkenylcarbonyl, arylcarbonyl, heteroarylcarbonyl, aryl, arylalkyl, heteroaryl, heteroarylalkyl, heterocyclyl, heterocycloalkyl, nitrile, C1-20 alkoxycarbonyl, C1-20alkanoyloxy, C1-20alkanoylthio, oxo and —(C1-10alkyl)-NR3—(C1-10alkyl)-R5,
wherein R5 is an aryl, (substituted aryl), heteroaryl, (substituted heteroaryl), heterocyclyl or (substituted heterocyclyl) group.
A further class of compounds provided by the invention is described by Formula (Ie):
Figure US06451810-20020917-C00010
wherein
R1 is -alkyl-NR3—CO—R4 or -alkenyl-NR3—CO—R4 wherein R4 is an alkyl or alkenyl group that is substituted by one or more substituents selected from the group consisting of:
-alkynyl;
-(substituted aryl) wherein the substituent(s) are independently selected from the group consisting of alkyl, alkoxy, alkylthio, hydroxy, haloalkyl, haloalkylcarbonyl, haloalkoxy, alkylcarbonyl, alkenylcarbonyl, arylcarbonyl, heteroarylcarbonyl, aryl, arylalkyl, heteroaryl, heteroarylalkyl, heterocyclyl, heterocycloalkyl, nitrile, alkoxycarbonyl, alkanoyloxy, and alkanoylthio;
-(substituted aryl);
-heteroaryl;
-(substituted heteroaryl);
—O-alkyl;
—O-(alkyl)0-1-(substituted aryl) wherein the substituent(s) are independently selected from the group consisting of alkyl, alkoxy, alkylthio, hydroxy, haloalkyl, haloalkylcarbonyl, haloalkoxy, alkylcarbonyl, alkenylcarbonyl, arylcarbonyl, heteroarylcarbonyl, aryl, arylalkyl, heteroaryl, heteroarylalkyl, heterocyclyl, heterocycloalkyl, nitrile, alkoxycarbonyl, alkanoyloxy, and alkanoylthio;
—O-(alkyl)0-1-heteroaryl;
—O-(alkyl)0-1-(substituted heteroaryl);
—CO-aryl;
—CO-(substituted aryl);
—CO-heteroaryl;
—CO-(substituted heteroaryl);
—COOH;
—CO—O-alkyl;
—CO-alkyl;
—S(O)0-2-alkyl;
—S(O)0-2-(alkyl)0-1-aryl;
—S(O)0-2-(alkyl)0-1-(substituted aryl);
—S(O)0-2-(alkyl)0-1-heteroaryl;
—S(O)0-2-(alkyl)0-1-(substituted heteroaryl);
—P(O)(OR3)2;
—NR3—CO—O-alkyl;
—N3;
—NO2;
—CN;
—O-haloalkyl;
—CO-haloalkyl;
—OH;
—SH; and oxo;
R2 is selected from the group consisting of:
-hydrogen;
-alkyl;
-alkenyl;
-aryl;
-(substituted aryl);
-heteroaryl;
-(substituted heteroaryl);
-heterocyclyl;
-(substituted heterocyclyl);
-alkyl-O-alkyl;
-alkyl-O-alkenyl; and
-alkyl or alkenyl substituted by one or more substituents selected from the group consisting of:
—OH;
-halogen;
—N(R3)2;
—CO—N(R3)2;
—CO—C1-10 alkyl;
—CO—O—C1-10 alkyl;
—N3;
-aryl;
-(substituted aryl);
-heteroaryl;
-(substituted heteroaryl);
-heterocyclyl;
-(substituted heterocyclyl);
—CO-aryl; and
—CO-heteroaryl;
each R3 is independently selected from the group consisting of hydrogen; C1-10 alkyl-heteroaryl; C1-10 alkyl-(substituted heteroaryl); C1-10 alkyl-aryl; C1-10 alkyl-(substituted aryl) and C1-10 alkyl;
n is 0 to 4;
and each
R present is independently selected from the group consisting of C1-10 alkyl, C1-10 alkoxy, halogen and trifluoromethyl, or a pharmaceutically acceptable salt thereof.
Preparation of the Compounds
Imidazoquinolines of the invention can be prepared according to Reaction Scheme I where R, R1, R2 and n are as defined above.
In step (1) of Reaction Scheme I a 4-chloro-3-nitroquinoline of Formula II is reacted with an amine of Formula R1NH2 to provide a 3-nitroquinolin-4-amine of Formula III. The reaction can be carried out by adding amine to a solution of a compound of Formula II in a suitable solvent such as chloroform or dichloromethane and optionally heating. Many quinolines of Formula II are known compounds (see for example, U.S. Pat. No. 4,689,338 and references cited therein).
In step (2) of Reaction Scheme I a 3-nitroquinolin-4-amine of Formula III is reduced to provide a quinoline-3,4-diamine of Formula IV. Preferably, the reduction is carried out using a conventional heterogeneous hydrogenation catalyst such as platinum on carbon or palladium on carbon. The reaction can conveniently be carried out on a Parr apparatus in a suitable solvent such as isopropyl alcohol or toluene.
In step (3) of Reaction Scheme I a quinoline-3,4-diamine of Formula IV is reacted with a carboxylic acid or an equivalent thereof to provide a 1H-imidazo[4,5-c]quinoline of Formula V. Suitable equivalents to carboxylic acid include acid halides, orthoesters, and 1,1-dialkoxyalkyl alkanoates. The carboxylic acid or equivalent is selected such that it will provide the desired R2 substituent in a compound of Formula V. For example, triethyl orthoformate will provide a compound where R2 is hydrogen and triethyl orthoacetate will provide a compound where R2 is methyl. The reaction can be run in the absence of solvent or in an inert solvent such as toluene. The reaction is run with sufficient heating to drive off any alcohol or water formed as a byproduct of the reaction.
In step (4) of Reaction Scheme I a 1H-imidazo[4,5-c]quinoline of Formula V is oxidized to provide a 1H-imidazo[4,5-c]quinoline-5N-oxide of Formula VI using a conventional oxidizing agent that is capable of forming N-oxides. Preferred reaction conditions involve reacting a solution of a compound of Formula V in chloroform with 3-chloroperoxybenzoic acid at ambient conditions.
In step (5) of Reaction Scheme I a 1H-imidazo[4,5-c]quinoline-5N-oxide of Formula VI is aminated to provide a 1H-imidazo[4,5-c]quinolin-4-amine of Formula VII which is a subgenus of Formula I. Step (5) involves (i) reacting a compound of Formula VI with an acylating agent and then (ii) reacting the product with an aminating agent. Part (i) of step (5) involves reacting an N-oxide of Formula VI with an acylating agent. Suitable acylating agents include alkyl- or arylsulfonyl chlorides (e.g., benezenesulfonyl chloride, methanesulfonyl chloride, p-toluenesulfonyl chloride). Arylsulfonyl chlorides are preferred. Para-toluenesulfonyl chloride is most preferred. Part (ii) of step (5) involves reacting the product of part (i) with an excess of an aminating agent. Suitable aminating agents include ammonia (e.g., in the form of ammonium hydroxide) and ammonium salts (e.g., ammonium carbonate, ammonium bicarbonate, ammonium phosphate). Ammonium hydroxide is preferred. The reaction is preferably carried out by dissolving the N-oxide of Formula VI in an inert solvent such as dichloromethane, adding the aminating agent to the solution, and then slowly adding the acylating agent. The product or a pharmaceutically acceptable salt thereof can be isolated using conventional methods.
Alternatively, step (5) may be carried out by (i) reacting an N-oxide of Formula VI with an isocyanate and then (ii) hydrolyzing the resulting product. Part (i) involves reacting the N-oxide with an isocyanate wherein the isocyanato group is bonded to a carbonyl group. Preferred isocyanates include trichloroacetyl isocyanante and aroyl isocyanates such as benzoyl isocyanate. The reaction of the isocyanate with the N-oxide is carried out under substantially anhydrous conditions by adding the isocyanate to a solution of the N-oxide in an inert solvent such as chloroform or dichloromethane. Part (ii) involves hydrolysis of the product from part (i). The hydrolysis can be carried out by conventional methods such as heating in the presence of water or a lower alkanol optionally in the presence of a catalyst such as an alkali metal hydroxide or lower alkoxide.
Figure US06451810-20020917-C00011
Compounds of the invention can also be prepared according to Reaction Scheme II where R, R2, R4 and n are as defined above and m is 1-20.
In Reaction Scheme II an aminoalkyl substituted 1H-imidazo[4,5-c]quinolin-4-amine of Formula VIII is reacted with an acid chloride of Formula IX to provide a compound of Formula X which is a subgenus of Formula I. The reaction can be carried out by adding a solution of the acid chloride in a suitable solvent such as pyridine or dichloromethane to a solution of a compound of Formula VIII either at ambient temperature or at a reduced temperature. Many 1H-imidazo[4,5-c]quinolin-4-amines of Formula VIII are known compounds, see for example U.S. Pat. No. 6,069,149 (Nanba), the disclosure of which is incorporated by reference herein; others can be readily prepared using known synthetic methods. Many acid chlorides of Formula IX are commercially available; others can be readily prepared using known synthetic methods. The product or a pharmaceutically acceptable salt thereof can be isolated using conventional methods.
Figure US06451810-20020917-C00012
Compounds of the invention can also be prepared according to Reaction Scheme III where R, R2, R4 and n are as defined above and m is 1-20.
In Reaction Scheme III an aminoalkyl substituted 1H-imidazo[4,5-c]quinolin-4-amine of Formula VIII is reacted with an acid of Formula XI to provide a compound of Formula X which is a subgenus of Formula I. The reaction can be run at ambient temperature in a solvent such as dichloromethane or pyridine using a standard coupling reagent such as 1,3-dicyclohexylcarbodiimide or 1-[3-(dimethylamino)propyl]-3-ethylcarbodiimide. The product or a pharmaceutically acceptable salt thereof can be isolated using conventional methods.
Figure US06451810-20020917-C00013
Compounds of the invention can also be prepared according to Reaction Scheme IV where R, R2, R4 and n are as defined above and m is 1-20.
In Reaction Scheme IV an aminoalkyl substituted 1H-imidazo[4,5-c]quinolin-4-amine of Formula VIII is reacted with an acid anhydride of Formula XII provide a compound of Formula X which is a subgenus of Formula I. The reaction can be run at ambient temperature in an inert solvent such as dichloromethane in the presence of a base such as N,N-diisopropylethylamine or pyridine. Many acid anhydrides of Formula XII are commercially available; others may be readily prepared using known synthetic methods. The product or a pharmaceutically acceptable salt thereof can be isolated using conventional methods.
Figure US06451810-20020917-C00014
Tertiary amides of the invention can be prepared according to Reaction Scheme V where R, R2, R3, R4 and n are as defined above except that R3 is other than hydrogen and m is 1-20.
In step (1) of Reaction Scheme V an aminoalkyl substituted 1H-imidazo[4,5-c]quinolin-4-amine of Formula VIII is reacted with an aldehyde of Formula XIII to provide a secondary amine of Formula XIV. Preferably, the reductive amination is carried out using sodium triacetoxyborohydride. The reaction can be carried out by adding the sodium triacetoxyborohydride to a solution of the amine and the aldehyde in an inert solvent such as dichloromethane. The secondary amine or a salt thereof can be isolated using conventional methods.
In step (2) of Reaction Scheme V the secondary amine of Formula XIV is acylated to provide a compound of Formula XV which is a subgenus of Formula I. The reaction can be carried out by reacting the secondary amine of Formula XIV with an acid, acid chloride or an acid anhydride according to the methods of Reaction Schemes III, II and IV above. The product or a pharmaceutically acceptable salt thereof can be isolated using conventional methods.
Figure US06451810-20020917-C00015
Tetrahydroimidazoquinolines of the invention can be prepared according to Reaction Scheme VI where R2, R3 and R4 are as defined above and m is 1-20.
In step (1) of Reaction Scheme VI an aminoalkyl substituted 1H-imidazo[4,5-c]quinolin-4-amine of Formula XVI is reduced to provide an aminoalkyl substituted 6,7,8,9-tetrahydro-1H-imidazo[4,5-c]quinolin-4-amine of Formula XVII. Preferably the reduction is carried out by suspending or dissolving the compound of Formula XVI in trifluoroacetic acid, adding a catalytic amount of platinum (IV) oxide, and then subjecting the mixture to hydrogen pressure. The reaction can conveniently be carried out on a Parr apparatus. The product or a salt thereof can be isolated using conventional methods.
In step (2) of Reaction Scheme VI an aminoalkyl substituted 6,7,8,9-tetrahydro-1H-imidazo[4,5-c]quinolin-4-amine of Formula XVII is reacted to provide a compound of Formula XVIII which is a subgenus of Formula I. When R3 is hydrogen, the reaction can be carried out according to the methods described in Reaction Schemes II, III and IV above using a tetrahydroimidazoquinoline of Formula XVII in place of the imidazoquinoline of Formula VIII. When R3 is other than hydrogen, then the reaction can be carried out using the method described in Reaction Scheme V. The product or a pharmaceutically acceptable salt thereof can be isolated using conventional methods.
Figure US06451810-20020917-C00016
Tetrahydroimidazoquinolines of the invention can also be prepared according to Reaction Scheme VII where R, R2, R3, R4 and n are as defined above and m is 1-20.
In step (1) of Reaction Scheme VII a 6,7,8,9-tetrahydro-1H-imidazo[4,5-c]quinolinyl tert-butylcarbamate of Formula XIX is hydrolyzed to provide an aminoalkyl substituted 6,7,8,9-tetrahydro-1H-imidazo[4,5-c]quinolin-4-amine of Formula XX. The reaction can be carried out dissolving the compound of Formula XIX in a mixture of trifluoroacetic acid and acetonitrile and stirring at ambient temperature. Alternatively, the compound of Formula XIX can be combined with dilute hydrochloric acid and heated on a steam bath. Tetrahydro-1H-imidazo[4,5-c]quinolinyl tert-butylcarbamates of Formula XIX can be prepared using the synthetic route disclosed in U.S. Pat. No. 5,352,784 (Nikolaides). The product or a salt thereof can be isolated using conventional methods.
In step (2) of Reaction Scheme VII an aminoalkyl substituted 6,7,8,9-tetrahydro-1H-imidazo[4,5-c]quinolin-4-amine of Formula XX is reacted to provide a compound of Formula XXI which is a subgenus of Formula I. When R3 is hydrogen, the reaction can be carried out according to the methods described in Reaction Schemes II, III and IV above using a tetrahydroimidazoquinoline of Formula XX in place of the imidazoquinoline of Formula VIII. When R3 is other than hydrogen, then the reaction can be carried out using the method described in Reaction Scheme V. The product or a pharmaceutically acceptable salt thereof can be isolated using conventional methods.
Figure US06451810-20020917-C00017
Some compounds of Formula I can be readily prepared from other compounds of Formula I. For example, compounds wherein the R4 substituent contains a chloroalkyl group can be reacted with an amine to provide an R4 substituent substituted by a secondary or teriary amino group; compounds wherein the R4 substituent contains a nitro group can be reduced to provide a compound wherein the R4 substituent contains a primary amine.
As used herein, the terms “alkyl”, “alkenyl”, “alkynyl” and the prefix “-alk” are inclusive of both straight chain and branched chain groups and of cyclic groups, i.e. cycloalkyl and cycloalkenyl. Unless otherwise specified, these groups contain from 1 to 20 carbon atoms, with alkenyl and alkynyl groups containing from 2 to 20 carbon atoms. Preferred groups have a total of up to 10 carbon atoms. Cyclic groups can be monocyclic or polycyclic and preferably have from 3 to 10 ring carbon atoms. Exemplary cyclic groups include cyclopropyl, cyclopentyl, cyclohexyl and adamantyl.
The term “haloalkyl” is inclusive of groups that are substituted by one or more halogen atoms, including groups wherein all of the available hydrogen atoms are replaced by halogen atoms. This is also true of groups that include the prefix “haloalk-”. Examples of suitable haloalkyl groups are chloromethyl, trifluoromethyl, and the like.
The term “aryl” as used herein includes carbocyclic aromatic rings or ring systems. Examples of aryl groups include phenyl, naphthyl, biphenyl, fluorenyl and indenyl. The term “heteroaryl” includes aromatic rings or ring systems that contain at least one ring hetero atom (e.g., O, S, N). Suitable heteroaryl groups include furyl, thienyl, pyridyl, quinolinyl, isoquinolinyl, indolyl, isoindolyl, pyrrolyl, tetrazolyl, imidazo, pyrazolo, oxazolo, thiazolo and so on.
“Heterocyclyl” includes non-aromatic rings or ring systems that contain at least one ring hetero atom (e.g., O, S, N). Exemplary heterocyclic groups include pyrrolidinyl, tetrahydrofuranyl, morpholinyl, thiomorpholinyl, piperidinyl, piperazinyl, thiazolidinyl, and imidazolidinyl.
Unless otherwise specified, the terms “substituted aryl”, “substituted heteroaryl” and “substituted heterocyclyl” indicate that the rings or ring systems in question are further substituted by one or more substituents independently selected from the group consisting of alkyl, alkoxy, alkylthio, hydroxy, halogen, haloalkyl, haloalkylcarbonyl, haloalkoxy (e.g., trifluoromethoxy), nitro, alkylcarbonyl, alkenylcarbonyl, arylcarbonyl, heteroarylcarbonyl, aryl, arylalkyl, heteroaryl, heteroarylalkyl, heterocyclyl, heterocycloalkyl, nitrile, alkoxycarbonyl, alkanoyloxy, alkanoylthio, and, in the case of heterocyclyl, oxo.
In structural formulas representing compounds of the invention certain bonds are represented by dashed lines. These lines mean that the bonds represented by the dashed line can be present or absent. Accordingly, the compounds of the invention can be either imidazoquinoline compounds or tetrahydroimidazoquinoline compounds.
The invention is inclusive of the compounds described herein in any of their pharmaceutically acceptable forms, including isomers such as diastereomers and enantiomers, salts, solvates, polymorphs, and the like.
Pharmaceutical Compositions and Biological Activity
Pharmaceutical compositions of the invention contain a therapeutically effective amount of a compound of the invention as described supra in combination with a pharmaceutically acceptable carrier.
The term “a therapeutically effective amount” means an amount of the compound sufficient to induce a therapeutic effect, such as cytokine induction, antitumor activity and/or antiviral activity. Although the exact amount of active compound used in a pharmaceutical composition of the invention will vary according to factors known to those of skill in the art, such as the physical and chemical nature of the compound as well as the nature of the carrier and the intended dosing regimen, it is anticipated that the compositions of the invention will contain sufficient active ingredient to provide a dose of about 100 ng/kg to about 50 mg/kg, preferably about 10 μg/kg to about 5 mg/kg, of the compound to the subject. Any of the conventional dosage forms may be used, such as tablets, lozenges, parenteral formulations, syrups, creams, ointments, aerosol formulations, transdermal patches, transmucosal patches and the like.
The compounds of the invention can be administered as the single therapeutic agent in the treatment regimen, or the compounds of the invention may be administered in combination with one another or with other active agents, including additional immune response modifiers, antivirals, antibiotics, etc.
The compounds of the invention have been shown to induce the production of certain cytokines in experiments performed according to the tests set forth below. These results indicate that the compounds are useful as immune response modifiers that can modulate the immune response in a number of different ways, rendering them useful in the treatment of a variety of disorders.
Cytokines whose production may be induced by the administration of compounds according to the invention generally include interferon-α (IFN-α) and/or tumor necrosis factor-α (TNF-α) as well as certain interleukins (IL). Cytokines whose biosynthesis may be induced by compounds of the invention include IFN-α, TNF-α, IL-1, 6, 10 and 12, and a variety of other cytokines. Among other effects, cytokines inhibit virus production and tumor cell growth, making the compounds useful in the treatment of viral diseases and tumors.
In addition to the ability to induce the production of cytokines, the compounds of the invention affect other aspects of the innate immune response. For example, natural killer cell activity may be stimulated, an effect that may be due to cytokine induction. The compounds may also activate macrophages, which in turn stimulates secretion of nitric oxide and the production of additional cytokines. Further, the compounds may cause proliferation and differentiation of B-lymphocytes.
Compounds of the invention also have an effect on the acquired immune response. For example, although there is not believed to be any direct effect on T cells or direct induction of T cell cytokines, the production of the T helper type 1 (Th1) cytokine IFN-γ is induced indirectly and the production of the T helper type 2 cytokines IL-4, IL-5 and IL-13 are inhibited upon administration of the compounds. This activity means that the compounds are useful in the treatment of diseases where upregulation of the Th1 response and/or downregulation of the Th2 response is desired. In view of the ability of compounds of the invention to inhibit the Th2 immune response, the compounds are expected to be useful in the treatment of atopic diseases, e.g., atopic dermatitis, asthma, allergy, allergic rhinitis; systemic lupus erythematosis; as a vaccine adjuvant for cell mediated immunity; and possibly as a treatment for recurrent fungal diseases and chlamydia.
The immune response modifying effects of the compounds make them useful in the treatment of a wide variety of conditions. Because of their ability to induce the production of cytokines such as IFN-α and/or TNF-α, the compounds are particularly useful in the treatment of viral diseases and tumors. This immunomodulating activity suggests that compounds of the invention are useful in treating diseases such as, but not limited to, viral diseases including genital warts; common warts; plantar warts; Hepatitis B; Hepatitis C; Herpes Simplex Virus Type I and Type II; molluscum contagiosum; HIV; CMV; VZV; intraepithelial neoplasias such as cervical intraepithelial neoplasia; human papillomavirus (HPV) and associated neoplasias; fungal diseases, e.g. candida, aspergillus, and cryptococcal meningitis; neoplastic diseases, e.g., basal cell carcinoma, hairy cell leukemia, Kaposi's sarcoma, renal cell carcinoma, squamous cell carcinoma, myelogenous leukemia, multiple myeloma, melanoma, non-Hodgkin's lymphoma, cutaneous T-cell lymphoma, and other cancers; parasitic diseases, e.g. pneumocystis carnii, cryptosporidiosis, histoplasmosis, toxoplasmosis, trypanosome infection, and leishmaniasis; and bacterial infections, e.g., tuberculosis, and mycobacterium avium. Additional diseases or conditions that can be treated using the compounds of the invention include eczema; eosinophilia; essential thrombocythaemia; leprosy; multiple sclerosis; Ommen's syndrome; discoid lupus; Bowen's disease; Bowenoid papulosis; and to enhance or stimulate the healing of wounds, including chronic wounds. Accordingly, the invention provides a method of inducing cytokine biosynthesis in an animal comprising administering an effective amount of a compound or composition of the invention to the animal.
An amount of a compound effective to induce cytokine biosynthesis is an amount sufficient to cause one or more cell types, such as monocytes, macrophages, dendritic cells and B-cells to produce an amount of one or more cytokines such as, for example, IFN-α, TNF-α, IL-1,6,10 and 12 that is increased over the background level of such cytokines. The precise amount will vary according to factors known in the art but is expected to be a dose of about 100 ng/kg to about 50 mg/kg, preferably about 10 μg/kg to about 5 mg/kg. The invention also provides a method of treating a viral infection in an animal and a method of treating a neoplastic disease in an animal comprising administering an effective amount of a compound or composition of the invention to the animal. An amount effective to treat or inhibit a viral infection is an amount that will cause a reduction in one or more of the manifestations of viral infection, such as viral lesions, viral load, rate of virus production, and mortality as compared to untreated control animals. The precise amount will vary according to factors known in the art but is expected to be a dose of about 100 ng/kg to about 50 mg/kg, preferably about 10 μg/kg to about 5 mg/kg. An amount of a compound effective to treat a neoplastic condition is an amount that will cause a reduction in tumor size or in the number of tumor foci. Again, the precise amount will vary according to factors known in the art but is expected to be a dose of about 100 ng/kg to about 50 mg/kg, preferably about 10 μg/kg to about 5 mg/kg.
The invention is further described by the following examples, which are provided for illustration only and are not intended to be limiting in any way.
EXAMPLE 1 N1-[4-(4-Amino-1H-imidazo[4,5-c]quinolin-1-yl)butyl]benzamide
Figure US06451810-20020917-C00018
A suspension of 1-(4-aminobutyl)-1H-imidazo[4,5-c]quinolin-4-amine (2.0 g, 7.8 mmol) in pyridine (1 L) was warmed to 60° C. to dissolve the starting material. The solution was cooled to about 30° C. and then benzoyl chloride (1.1 g, 7.8 mmol) diluted with pyridine (100 mL) was slowly added. After 1 hour analysis by high performance liquid chromatography (HPLC) indicated that some starting material remained. Additional benzoyl chloride (0.3 g) was added and the reaction was warmed to 50° C. overnight. The reaction mixture was concentrated under vacuum. The resulting residue was combined with chloroform (200 mL) and 1% sodium carbonate (200 mL). The organic layer was separated and then concentrated under vacuum. The resulting residue was combined with propyl acetate (30 mL) and heated on a steam bath to dissolve the residue. The solution was allowed to cool. The resulting precipitate was isolated by filtration to provide N1-[4-(4-amino-1H-imidazo[4,5-c]quinolin-1-yl)butyl]benzamide as a solid, m.p. 210-212° C. Analysis: Calculated for C21H21N5O: %C, 70.18; %H, 5.89: %N, 19.48; Found: %C, 69.49; %H, 5.97; %N, 19.64. 1H NMR (500 MHz, DMSO-d6) δ8.48 (t, J=6.0 Hz, 1H), 8.22 (s, 1H), 8.04 (d, J=8.0 Hz, 1H), 7.78 (d, J=8.0 Hz, 2H), 7.61 (d, J=8.0 Hz, 1H), 7.50 (t, J=8.0 Hz, 1H), 7.43 (m, 3H), 7.21 (t, J=8.0 Hz, 1H), 6.62 (broad s, 2H), 4.64 (t, J=7.0 Hz, 2H), 3.30 (q, J=6.0 Hz, 2H), 1.92 (quintet, J=7.0 Hz, 2H), 1.58 (quintet, J=7.0 Hz, 2H); MS (EI) m/e 359.1746 (359.1746 calcd for C21H21N5O).
EXAMPLE 2 N1-[4-(4-Amino-1H-imidazo[4,5-c]quinolin-1-yl)butyl]benzamide Hydrochloride Hydrate
N1-[4-(4-Amino-1H-imidazo[4,5-c]quinolin-1-yl)butyl]benzamide (1 g) was dissolved in isopropanol. Hydrochloric acid (1 eq of 12N) was added. The resulting precipitate was isolated by filtration to provide 1 g of N1-[4-(4-amino-1H-imidazo[4,5-c]quinolin-1-yl)butyl]benzamide hydrochloride hydrate as a solid, m.p. 254-256° C. Analysis: Calculated for C21H21N5O.HCl.1.5 H2O: %C, 59.63; %H, 5.96; %N, 16.56; Found: %C 59.61; %H, 6.04; %N, 16.64. 1H NMR (500 MHz, DMSO-d6) δ13.80 (broad s, 1H), 9.15 (broad s, 2H), 8.56 (s, 1H), 8.50 (t, J=6.0 Hz, 1H), 8.23 (d, J=8.0 Hz, 1H), 7.83 (d, J=8.0 Hz, 1H), 7.76 (d, J=8.0 Hz, 2H), 7.71 (t, J=8.0 Hz, 1H), 7.53 (t, J=8.0 Hz, 1H), 7.50 (t, J=8.0 Hz, 1H), 7.42 (t, J=8.0 Hz, 2H), 4.72 (t, J=7.0 Hz, 2H), 3.30 (q, J=7.0 Hz, 2H), 1.93 (quintet, J=7.0 Hz, 2H), 1.61 (quintet, J=7.0 Hz, 2H).
EXAMPLE 3 N1-[4-(4-Amino-2-propyl-1H-imidazo[4,5-c]quinolin-1-yl)butyl]benzamide
Figure US06451810-20020917-C00019
Using the general method of Example 1, 1-(4-aminobutyl)-2-propyl-1H-imidazo[4,5-c]quinolin-4-amine (0.55 g, 1.8 mmol) was reacted with benzoyl chloride (0.26 g, 1.8 mmol) to provide N1-[4-(4-amino-2-propyl-1H-imidazo[4,5-c]quinolin-1-yl)butyl]benzamide as a solid, m.p. 173-174° C. 1H NMR (500 MHz, DMSO-d6) δ8.80 (broad s, 2H), 8.46 (t, J=6.0 Hz, 1H), 8.20 (d, J=8.0 Hz, 1H), 7.81 (d, J=8.4 Hz, 1H), 7.76 (d, J=7.4 Hz, 2H), 7.67 (t, J=7.4 Hz, 1H), 7.49 (m, 2H), 7.43 (t, J=7.5 Hz, 2H), 4.63 (t, J=7.0 Hz, 2H), 3.34 (m, 2H), 2.97 (t, J=7.0 Hz, 2H), 1.85 (m, 4H), 1.72 (quintet, J=7.0 Hz, 2H), 1.01 (t, J=7.0 Hz, 3H); MS (EI) m/e 401.2210 (401.2216 calcd for C24H27N5O)
EXAMPLE 4 N1-[4-(4-Amino-2-methyl-1H-imidazo[4,5-c]quinolin-1-yl)butyl]benzamide
Figure US06451810-20020917-C00020
Using the general method of Example 1, 1-(4-aminobutyl)-2-methyl-1H-imidazo[4,5-c]quinolin-4-amine (0.5 g, 1.8 mmol) was reacted with benzoyl chloride (0.26 g, 1.8mmol) to provide N1-[4-(4-amino-2-methyl-1H-imidazo[4,5-c]quinolin-1-yl)butyl]benzamide as a solid, m.p. 164-170° C. 1H NMR (500 MHz, DMSO-d6) δ8.47 (t, J=6.0 Hz, 1H), 8.01 (d, J=8.0 Hz, 1H), 7.78 (d, J=8.0 Hz, 2H), 7.59 (dd, J=8.0, 1.2 Hz, 1H), 7.50 (t, J=8.0 Hz, 1H), 7.43 (t, J=8.0 Hz, 2H), 7.38 (dt, J=8.0, 1.2 Hz, 1H), 7.17 (dt, J=8.0, 1.2 Hz, 1H), 6.48 (broad s, 2H), 4.53 (t, J=7.0 Hz, 2H), 3.31 (q, J=6.0 Hz, 2H), 2.60 (s, 3H), 1.88 (quintet, J=7.0 Hz, 2H), 1.68 (quintet, J=7.0 Hz, 2H); MS (EI) m/e 373.1903 (373.1903 calcd for C22H23N5O)
EXAMPLE 5 N1-[4-(4-Amino-2-ethyl-1H-imidazo[4,5-c]quinolin-1-yl)butyl]benzamide
Figure US06451810-20020917-C00021
Using the general method of Example 1, 1-(4-aminobutyl)-2-ethyl-1H-imidazo[4,5-c]quinolin-4-amine (0.5 g, 1.76 mmol) was reacted with benzoyl chloride (0.25 g, 1.76 mmol) to provide N1-[4-(4-amino-2-ethyl-1H-imidazo[4,5-c]quinolin-1-yl)butyl]benzamide as a solid, m.p. 203-206° C. 1H NMR (500 MHz, DMSO-d6) δ8.48 (t, J=6.0 Hz, 1H), 8.00 (d, J=8.0 Hz, 1H), 7.79 (d, J=8.0 Hz, 2H), 7.60 (dd, J=8.0, 1.0 Hz, 1H), 7.50 (t, J=8.0 Hz, 1H), 7.43 (t, J=8.0 Hz, 2H), 7.38 (t, J=8.0 Hz, 1H), 7.17 (t, J=8.0 Hz, 1H), 6.47 (broad s, 2H), 4.53 (t, J=7.0 Hz, 2H), 3.32 (q, J=6.0 Hz, 2H), 2.95 (q, J=7.0 Hz, 2H), 1.87 (quintet, J=7.0 Hz, 2H), 1.70 (quintet, J=7.0 Hz, 2H), 1.35 (t, J=7.0 Hz, 3H); MS (EI) m/e 387.2058 (387.2059 calcd for C23H25N5O).
EXAMPLE 6 N1-[4-(4-Amino-2-butyl-1H-imidazo[4,5-c]quinolin-1-yl)butyl]benzamide
Figure US06451810-20020917-C00022
1-(4-Aminobutyl)-2-butyl-1H-imidazo[4,5-c]quinolin-4-amine (0.5 g, 1.6 mmol) was combined with pyridine (50 mL) and heated to 50° C. Benzoyl chloride (0.22 g, 1.6 mmol) was added via a pipette. After 1 hour analysis by HPLC indicated that all of the starting material was gone and that several products had formed. The reaction mixture was concentrated under vacuum. The residue was combined with dichloromethane and aqueous sodium bicarbonate. The organic layer was separated and then concentrated under vacuum. The residue was dissolved in dichloromethane and placed on a silica gel column. The column was eluted with 5% methanol in dichloromethane and then with 10% methanol in dichloromethane. The 10% methanol in dichloromethane fractions were combined and concentrated under vacuum to provide N1-[4-(4-amino-2-butyl-1H-imidazo[4,5-c]quinolin-1-yl)butyl]benzamide as a solid, m.p. 174-175° C. 1H NMR (500 MHz, DMSO-d6) δ8.48 (t, J=6.0 Hz, 1H), 8.00 (d, J=8.0 Hz, 1H), 7.78 (d, J=8.0 Hz, 2H), 7.60 (d, J=8.0 Hz, 1H), 7.50 (t, J=8.0 Hz, 1H), 7.43 (t, J=8.0 Hz, 2H), 7.39 (t, J=8.0 Hz, 1H), 7.18 (t, J=8.0 Hz, 1H), 6.50 (broad s, 2H), 4.54 (t, J=7.0 Hz, 2H), 3.32 (m, 2H), 2.91 (t, J=7.0 Hz, 2H), 1.86 (quintet, J=7.0 Hz, 2H), 1.77 (quintet, J=7.0 Hz, 2H), 1.70 (quintet, J=7.0 Hz, 2H), 1.41 (sextet, J=7.0 Hz, 2H), 0.91 (t, J=7.0 Hz, 3H); MS (CI) m/e 416 (M+H).
EXAMPLE 7 N1-[4-(4-Amino-1H-imidazo[4,5-c]quinolin-1-yl)butyl]-4-(chloromethyl)benzamide
Figure US06451810-20020917-C00023
Part A
Oxalyl chloride (4.4 mL of 2M in chloroform, 8.8 mmol) was added to a suspension of 4-(chloromethyl)benzoic acid (1 g, 5.7 mmol) in dichloromethane. N,N-dimethylformamide (4 drops) was added to catalyze the reaction. After 1 hour analysis by HPLC indicated 100% clean conversion. The reaction mixture was concentrated under vacuum to provide 4-(chloromethyl)benzoyl chloride.
Part B
A solution of 4-(chloromethyl)benzoyl chloride (1.06 g, 5.6 mmol) in dichloromethane was added to a suspension of 1-(4-aminobutyl)-1H-imidazo[4,5-c]quinolin-4-amine (1.0 g, 3.9 mmol) in pyridine (250 mL). After 1 hour HPLC analysis indicated that the reaction was complete. The reaction mixture was concentrated under vacuum. The residue was combined with saturated aqueous sodium bicarbonate. A solid was isolated by filtration then dissolved in chloroform containing a small amount of methanol. The solution was washed with saturated aqueous sodium bicarbonate. The organic layer was concentrated under vacuum. The resulting residue was purified by column chromatography (silica gel eluting with 10% methanol in dichloromethane) to provide N1-[4-(4-amino-1H-imidazo[4,5-c]quinolin-1-yl)butyl]-4-(chloromethyl)benzamide as a solid, m.p. 240-300 (dec.). 1H NMR (500 MHz, DMSO-d6) δ8.49 (t, J=6.0 Hz, 1H), 8.21 (s, 1H), 8.03 (d, J=8.0 Hz, 1H), 7.76 (d, J=8.0 Hz, 2H), 7.61 (d, J=8.0 Hz, 1H), 7.46 (d, J=8.0 Hz, 2H), 7.42 (t, J=8.0 Hz, 1H), 7.20 (t, J=8.0 Hz, 1H), 6.80 (broad s, 2H), 4.78 (s, 2H), 4.62 (t, J=7.0 Hz, 2H), 3.28 (q, J=6.0 Hz, 2H), 1.89 (quintet, J=7.0 Hz, 2H), 1.56 (quintet, J=7.0 Hz, 2H); MS (CI) m/e 408 (M+H).
EXAMPLE 8 N1-[4-(4-Amino-1H-imidazo[4,5-c]quinolin-1-yl)butyl]-4-[(2-tetrahydro-1H-1-pyrrolyl-1H-benzo[d]imidazol-1-yl)methyl]benzamide
Figure US06451810-20020917-C00024
Part A
2-Hydroxy-1H-benzimidazole (62 g, 0.46 mole) was added to phosphorous oxychloride (200 mL) and the mixture was refluxed for 4.5 hours. The resulting solution was poured over 4 L of ice and the mixture was made strongly basic with ammonium hydroxide. The resulting solid was isolated by filtration, washed with water and dried to provide crude 2-chloro-1H-benzimidazole.
Part B
2-Chloro-1H-benzimidazole (10.0 g, 0.066 mol), pyrrolidine (18.5 g, 0.26 mol), and ethanol (100 mL) were combined. The resulting solution was heated at 160-170° C. for 6 hours and then the solvent was evaporated. The resulting residue was mixed with water. The mixture was made strongly acidic with hydrochloric acid and then made basic with ammonium hydroxide. The resulting solid was isolated by filtration, washed with water and then air dried to provide 11.8 g of crude product as a tan powder. This material was recrystallized from ethyl acetate/methanol to provide 4.9 g of 2-pyrrolidino-1H-benzimidazole. Analysis: Calculated for C11H13N3: %C, 70.56; %H, 7.00; %N, 22.44; Found: %C, 70.13; %H, 7.05; %N, 22.70.
Part C
Sodium hydride (402 mg, 11 mmol) was added to a suspension of 2-pyrrolidino-1H-benzimidazole (1.9 g, 10.1 mmol) in dry N,N-dimethylformamide (30 mL). All solids dissolved. The solution was allowed to stir at ambient temperature for 15 minutes following the cessation of foaming. The solution was cooled to 5° C. and a solid formed. Methyl 4-(bromomethyl)benzoate (2.1 g, 01 mol) was added to the suspension and all the solids dissolved. The solution was allowed to stir at ambient temperature and a solid formed. The mixture was stirred at ambient temperature overnight and then it was poured into cold water. A solid was isolated by filtration, washed with water and dried to provide 3.0 g of crude product as an off-white solid. This material was recrystallized from methanol to provide methyl 4-[(2-pyrrolidinyl-1H-benzimidazol-1yl)methyl]benzoate. Analysis: Calculated for C20H21N3O2: %C, 71.62; %H, 6.31; %N, 12.53; Found: %C, 71.44; %H, 6.41; %N, 12.50.
Part D
Methyl 4-[(2-pyrrolidinyl-1H-benzimidazol-1yl)methyl]benzoate (2.5 g, 7.5 mmol) was added to a solution of sodium hydroxide (1.8 g, 45 mmol) in water (30 mL) and methanol (10 mL). The mixture was heated on a steam bath until all of the ester dissolved. Heating was continued for an additional 15 minutes and then the solution was diluted with an equal volume of water and neutralized with hydrochloric acid. The resulting precipitate was isolated by filtration, washed with water and dried to provide 1.9 g of crude product. This material was recrystallized from N,N-dimethylformamide to provide 4-[(2-pyrrolidinyl-1H-benzimidazol-1yl)methyl]benzoic acid. Analysis: Calculated for C19H19N3O2: %C, 71.01; %H, 5.96; %N, 13.07; Found: %C, 70.01; %H, 6.14; %N, 13.32.
Part E
Oxalyl chloride (4 mL) was added to a suspension of 4-[(2-pyrrolidinyl-1H-benzimidazol-1yl)methyl]benzoic acid (0.28 g, 0.872 mmol) in chloroform (50 mL). The mixture was heated at reflux for 1 hour and then concentrated under vacuum. The residue was diluted with toluene, concentrated under vacuum and then dried under vacuum at ambient temperature over the weekend to provide crude 4-[(2-pyrrolidinyl-1H-benzimidazol-1yl)methyl]benzoyl chloride.
Part F
1-(4-Aminobutyl)-1H-imidazo[4,5-c]quinolin-4-amine (0.20 g, 0.783 mmol) was added to a mixture of the acid chloride from Part E and pyridine (20 mL). After 10 minutes analysis by HPLC indicated that the reaction mixture contained product plus about 10% each of the acid chloride and the amine. The reaction mixture was concentrated under vacuum. The residue was combined with water, treated with 0.1 N sodium hydroxide and then extracted with dichloromethane. The dichloromethane extract was purified by column chromatography (silica gel eluting with 5-10% methanol in dichloromethane) to provide N1-[4-(4-amino-1H-imidazo[4,5-c]quinolin-1-yl)butyl]-4-[(2-tetrahydro-1H-1-pyrrolyl-1H-benzo[d]imidazol-1-yl)methyl]benzamide as a solid, m.p. 150-153° C. MS (EI) m/e 558.2865 (558.2855 calcd for C33H34N8O).
EXAMPLE 9 N1-[5-(4-Amino-2-methyl-1H-imidazo[4,5-c]quinolin-1-yl)pentyl]benzamide
Figure US06451810-20020917-C00025
Part A
Under an argon atmosphere, 1,5-diaminopentane (25 g, 0.24 mol) and benzamide (9.9 g, 0.081 mol) were combined and heated at reflux overnight. The reaction mixture was concentrated under vacuum to remove the excess diamine. The residue was distilled at about 210° C. at 12 torr (16×102 pascals) to provide 11.8 g of N-(5-aminopentyl)benzamide as a colorless oil.
Part B
Triethylamine (1 eq.) was added to a suspension of 4-chloro-3-nitroquinoline hydrochloride (13 g, 53 mmol) in chloroform. A suspension of N-(5-aminopentyl)benzamide (11 g, 53 mmol) in chloroform was added and the reaction mixture was heated to reflux. Progress of the reaction was monitored by HPLC. The reaction mixture was concentrated under vacuum. The residue was diluted with toluene, heated to reflux and then filtered while still hot. The filtrate was allowed to cool. The resulting precipitate was isolated by filtration to provide 16.9 g of N1-{5-[(3-nitroquinolin-4-yl)amino]pentyl}benzamide as a yellow solid, m.p. 130-132° C. 1H NMR (500 MHz, DMSO-d6) δ9.07 (s, 1H), 9.02 (broad s, 1H), 8.53 (d, J=8.0 Hz, 1H), 8.43 (t, J=6.0 Hz, 1H), 7.89 (dd, J=8.0, 1.2 Hz, 1H), 7.83 (dt, J=8.0, 1.2 Hz, 1H), 7.80 (d, J=8.0 Hz, 2H), 7.57 (dt, J=8.0, 1.2 Hz, 1H), 7.50 (t, J=8.0 Hz, 1H), 7.43 (t, J=8.0 Hz, 2H), 3.63 (q, J=6.0 Hz, 2H), 3.25 (q, J=6.0 Hz, 2H), 1.77 (quintet, J=7.0 Hz, 2H), 1.55 (quintet, J=7.0 Hz, 2H), 1.39 (quintet, J=7.0 Hz, 2H).
Part C
A catalytic amount of platinum on carbon was added to a suspension of N1-{5-[(3-nitroquinolin-4-yl)amino]pentyl}benzamide (3.4 g, 9 mmol) in isopropyl alcohol (250 mL). The reaction mixture was placed under a hydrogen atmosphere at 50 psi (3.4×104 pascals) on a Parr apparatus. After 2 hours the reaction mixture was filtered to remove the catalyst. The filtrate was concentrated under vacuum to provide crude N1-{5-[(3-aminoquinolin-4-yl)amino]pentyl}benzamide. This material was combined with triethylorthoacetate (1.4 g, 9 mmol) and toluene (200 mL). The reaction mixture was heated overnight on a steam bath with a Vigreux column. The toluene was decanted from the reaction mixture and concentrated under vacuum to provide N1-[5-(2-methyl-1H-imidazo[4,5-c]quinolin-1-yl)pentyl]benzamide as an oil.
Part D
3-Chloroperoxybenzoic acid (3 g, 9 mmol) was added to a solution of the oil from Part C in methyl acetate (50 mL). The reaction mixture was stirred at ambient temperature overnight and then diluted with diethyl ether (50 mL). The resulting precipitate was isolated by filtration and then washed with diethyl ether to provide 1.6 g of 1-(5-benzamidopentyl)-2-methyl-1H-imidazo[4,5-c]quinoline-5N-oxide.
Part E
Ammonium hydroxide (50 mL) was added to a solution of 1-(5-benzamidopentyl)-2-methyl-1H-imidazo[4,5-c]quinoline-5N-oxide (1.6 g, 4.12 mmol) in dichloromethane (150 mL). Tosyl chloride (0.78 g, 4.12 mmol) was slowly added with rapid stirring of the reaction mixture. After 1 hour the organic layer was separated, washed with 1% sodium carbonate and then concentrated under vacuum. The resulting residue was combined with 1N hydrochloric acid (30 mL), treated with charcoal and then filtered. The filtrate was neutralized. An oil precipitated out. The oil solidified overnight to provide 0.63 g of N1-[5-(4-amino-2-methyl-1H-imidazo[4,5-c]quinolin-1-yl)pentyl]benzamide as a solid, m.p. 110-120° C. 1H NMR (500 MHz, DMSO-d6) δ8.50 (t, J=5.5 Hz, 1H), 8.12(d, J=8.0 Hz, 1H), 7.82 (d, J=8.5 Hz, 2H), 7.71 (d, J=8.5 Hz, 1H), 7.63 (broad s, 2H), 7.55 (t, J=8.5 Hz, 1H), 7.51 (t, J=8.3 Hz, 1H), 7.46 (t, J=8.0 Hz, 2H), 7.40 (t, J=8.0 Hz, 1H), 4.52 (t, J=7.5 Hz, 2H), 3.28 (q, J=6.0 Hz, 2H), 2.64 (s, 3H), 1.87 (quintet, J=7.0 Hz, 2H), 1.79 (quintet, J=7.0 Hz, 2H), 1.48(quintet, J=7.0 Hz, 2H); MS (CI) m/e 388 (M+H).
EXAMPLE 10 N1-[5-(4-Amino-1H-imidazo[4,5-c]quinolin-1-yl)pentyl]benzamide Hydrochloride
Figure US06451810-20020917-C00026
Part A
A catalytic amount of platinum on carbon was added to a suspension of N1-{5-[(3-nitroquinolin-4-yl)amino]pentyl}benzamide (5 g, 13.2 mmol) in toluene (250 mL). The reaction mixture was placed under a hydrogen atmosphere at 50 psi (3.4×104 pascals) on a Parr apparatus. After about 2 hours an oily ball had formed in the bottom of the Parr bottle. Magnesium sulfate and additional catalyst were added and the hydrogenation was continued overnight. The reaction mixture was filtered to remove the catalyst. The residue in the Parr bottle was combined with isopropyl alcohol (150 mL), heated on a steam bath and then filtered. HPLC analysis indicated that both filtrates contained product so they were combined and concentrated under vacuum to provide crude N1-{5-[(3-aminoquinolin-4-yl)amino]pentyl}benzamide. This material was combined with toluene (250 mL). Triethylorthoformate (4 g, 26.4 mmol) was added and the reaction mixture was heated at reflux with a Vigreux column for 2 hours. The reaction mixture was allowed to cool to ambient temperature. The resulting precipitate was isolated by filtration to provide 3.4 g of N1-[5-(1H-imidazo[4,5-c]quinolin-1-yl)pentyl]benzamide as a solid, m.p. 171.5-172.5° C. 1H NMR (500 MHz, DMSO-d6) δ9.22 (s, 1H), 8.43 (t, J=6.0 Hz, 2H), 8.38 (m, 1H), 8.18 (m, 1H), 7.80 (d, J=7.0 Hz, 2H), 7.73 (m, 2H), 7.51 (t, J=7.0 Hz, 1H), 7.45 (t, J=7.0 Hz, 2H), 4.72 (t, J=7.5 Hz, 2H), 3.25 (q, J=6.0 Hz, 2H), 1.94 (quintet, J=7.5 Hz, 2H), 1.58 (quintet, J=7.5 Hz, 2H), 1.40 (quintet, J=8.5 Hz, 2H).
Part B
3-Chloroperoxybenzoic acid (1.9 g, 5.58 mmol) was added to a solution of N1-[5-(1H-inmidazo[4,5-c]quinolin-1-yl)pentyl]benzamide (2.0 g, 5.58 mmol) in chloroform. After 4 hours HPLC analysis indicated that the reaction was complete. The reaction was washed twice with 1% sodium carbonate (50 mL) and then concentrated under vacuum to provide 1-(5-benzamidopentyl)-1H-imidazo[4,5-c]quinoline-5N-oxide.
Part C
Ammonium hydroxide was added to a solution of 1-(5-benzamidopentyl)-1H-imidazo[4,5-c]quinoline-5N-oxide (2.1 g, 5.58 mmol) in dichloromethane. Tosyl chloride (1.06 g, 5.58 mmol) was slowly added with rapid stirring of the reaction mixture. After 1 hour the reaction was diluted with dichloromethane. The organic layer was separated, washed with 1% sodium carbonate and then concentrated under vacuum. The resulting residue was dissolved in isopropyl alcohol (100 mL) and then 6N hydrochloric acid (0.93 mL) was added. The resulting precipitate was suspended in water (150 mL), heated to reflux, treated with charcoal and then filtered. The filtrate was allowed to cool. The resulting precipitate was isolated by filtration and dried to provide 0.9 g of N1-[5-(4-amino-1H-imidazo[4,5-c]quinolin-1-yl)pentyl]benzamide hydrochloride as a white crystalline solid, m.p. 217-219° C. Analysis: Calculated for C22H23N5O.HCl.1/2H2O: %C, 52.85; %H, 6.85; %N, 14.01; Found: %C, 52.62; %H, 6.44%; %N, 13.87. 1H NMR (500 MHz, DMSO-d6) δ13.84 (broad s, 1H), 9.24 (broad s, 2H), 8.51 (s, 1H), 8.43 (t, J=6.0 Hz, 1H), 8.22 (d, J=8.0 Hz, 1H), 7.82 (d, J=8.0 Hz, 1H), 7.76 (d, J=8.0 Hz, 2H), 7.70 (t, J=8.0 Hz, 1H), 7.56 (t, J=8.0 Hz, 1H), 7.49 (t, J=8.0 Hz, 1H), 7.42 (t, J=8.0 Hz, 2H), 4.66 (t, J=7.0 Hz, 2H), 3.23 (q, J=6.0 Hz, 2H), 1.90 (quintet, J=7.0 Hz, 2H), 1.56 (quintet, J=7.0 Hz, 2H), 1.38 (quintet, J=7.0 Hz, 2H); MS (CI) m/e 374 (M+H).
EXAMPLE 11 N1-[3-(4-Amino-1H-imidazo[4,5-c]quinolin-1-yl)propyl]benzamide Hydrochloride
Figure US06451810-20020917-C00027
Part A
Benzamide (25 g, 0.20 mol) and 1,3-diaminopropane (45.9 g, 0.60 mol) were combined in a Parr vessel and heated to 150° C. for 15 hours. The vessel was cooled and the reaction mixture was concentrated under vacuum to remove excess diamine. The residue was dissolved in water (500 mL) and concentrated hydrochloric acid was added to adjust the pH to <1. The resulting precipitate (starting benzamide and diacylated product) was removed by filtration. The filtrate was washed with dichloromethane. The aqueous layer was made strongly basic by the addition of 50% sodium hydroxide and then it was extracted with dichloromethane (4×300 mL). The extracts were combined, washed with brine (300 mL), dried over sodium sulfate and then concentrated under vacuum to provide 11.9 g of N-(3-aminopropyl)benzamide as an oil.
Part B
Triethylamine (9.3 mL, 67 mmol) was added to a mixture of 4-chloro-3-nitroquinoline hydrochloride (16.4 g, 67 mmol) and dichloromethane (400 mL). A solution of N-(3-aminopropyl)benzamide (11.9 g, 67 mmol) in dichloromethane (100 mL) was added all a once. The reaction mixture was stirred at ambient temperature for 1 hour and then heated on a steam bath for 1 hour. The resulting precipitate was isolated by filtration to provide 6 g of N1-{3-[(3-nitroquinolin-4-yl)amino]propyl}benzamide as a yellow solid, m.p. 209-211° C. 1H NMR (500 MHz, DMSO-d6) δ9.07 (broad s, 1H), 9.05 (s, 1H), 8.54 (t, J=6.0 Hz, 1H), 8.51 (d, J=8.0 Hz, 1H), 7.89 (d, J=8.0 Hz, 1H), 7.82 (t, J=8.0 Hz, 1H), 7.76 (d, J=8.0 Hz, 2H), 7.55 (t, J=8.0 Hz, 1H), 7.50 (t, J=8.0 Hz, 1H), 7.43 (t, J=8.0 Hz, 2H), 3.69 (q, J=6.0 Hz, 2H), 3.35 (q, J=6.0 Hz, 2H), 2.00 (quintet, J=7.0 Hz, 2H).
Part C
A suspension of N1-{3-[(3-nitroquinolin-4-yl)amino]propyl}benzamide (1.0 g, 2.8 mmol) in isopropyl alcohol (120 mL) was warmed to dissolve some of the material. A catalytic amount of platinum on carbon was added and the reaction mixture was placed under a hydrogen atmosphere at 50 psi (3.4×104 pascals) on a Parr apparatus. After 3 hours the reaction mixture was filtered to remove catalyst. The filtrate was concentrated under vacuum to provide crude N1-{3-[(3-aminoquinolin-4-yl)amino]propyl}benzamide as an oil. Toluene (100 mL) was added to the oil followed by the addition of triethylorthoformate (0.8 g, 5.6 mmol). The reaction mixture was heated on a steam bath overnight. The reaction mixture was allowed to cool to ambient temperature. The resulting precipitate was isolated by filtration to provide 0.53 g of N1-[3-(1H-imidazo[4,5-c]quinolin-1-yl)propyl]benzamide as an off white solid, m.p. 188-190° C. 1H NMR (500 MHz, DMSO-d6) δ8.67 (t, J=5.5 Hz, 1H), 8.50 (s, 1H), 8.37 (d, J=7.5 Hz, 1H), 8.17 (dd, J=8.0, 1.5 Hz, 1H), 7.87 (d, J=7.0 Hz, 2H), 7.71 (dt, J=7.5, 1.5 Hz, 1H), 7.56 (dt, J=7.5, 1.0 Hz, 1H), 7.54 (d, J=8.0 Hz, 2H), 7.48 (t, J=7.0 Hz, 2H), 4.78 (t, J=7.0 Hz, 2H), 3.38 (q, J=6.0 Hz, 2H), 2.18 (quintet, J=7.0 Hz, 2H).
Part D
3-Chloroperoxybenzoic acid (0.55 g, 1.6 mmol) was slowly added at ambient temperature to a solution of N1-[3-(1H-imidazo[4,5-c]quinolin-1-yl)propyl]benzamide (0.53 g, 1.6 mmol) in chloroform (50 mL). After 3 hours the reaction was washed with 1% sodium carbonate (2×30 mL) and then concentrated under vacuum to provide 0.32 g of 1-(3-benzamidopropyl)-1H-imidazo[4,5-c]quinoline-5N-oxide as a solid.
Part E
Ammonium hydroxide (20 mL) was added to a solution of 1-(3-benzamidopropyl)-1H-imidazo[4,5-c]quinoline-5N-oxide (0.32 g, 0.92 mmol) in dichloromethane (100 mL). Tosyl chloride (0.17 g, 0.92 mmol) was slowly added. The reaction mixture was stirred overnight at ambient temperature and then it was concentrated under vacuum to remove the dichloromethane. The resulting precipitate was isolated by filtration and then washed with water. This material was dissolved in isopropyl alcohol (20 mL/g). Concentrated hydrochloric acid (1 eq.) was added and then the volume of the reaction mixture was reduced by 10-20%. The resulting precipitate was isolated by filtration and washed with isopropyl alcohol to provide 0.25 g of N1-[3-(4-amino-1H-imidazo[4,5-c]quinolin-1-yl)propyl]benzamide hydrochloride as a solid, m.p. 265-270° C. Analysis: Calculated for C20H19N5O.HCl.1/2H2O: %C, 61.46; %H, 5.42; %N, 17.92; Found: %C, 61.79; %H, 5.34; %N, 17.61. 1H NMR (500 MHz, DMSO-d6) δ13.74 (broad s, 1H), 9.30 (broad s, 2H), 8.73 (t, J=6.0 Hz, 1H), 8.61 (s, 1H), 8.22 (d, J=8.0 Hz, 1H), 7.87 (d, J=8.0 Hz, 2H), 7.84 (d, J=8.0 Hz, 1H), 7.71 (t, J=8.0 Hz, 1H), 7.54 (t, J=8.0 Hz, 1H), 7.48 (t, J=8.0 Hz, 2H), 7.43 (t, J=8.0 Hz, 1H), 4.75 (t, J=7.0 Hz, 2H), 3.39 (q, J=6.0 Hz, 2H), 217 (t, J=7.0 Hz, 2H); MS (EI) m/e 345.1593 (345.1590 calcd for C20H19N5O).
EXAMPLE 12 N3-[4-(4-Amino-1H-imidazo[4,5-c]quinolin-1-yl)butyl]-6-morpholinonicotinamide
Figure US06451810-20020917-C00028
Part A
Carbonyl diimidazole (18.6 g, 0.115 mol) was added to a suspension of 6-chloronicotinic acid (16.6 g, 0.105 mol) in dichloromethane (250 mL). After all of the solid had dissolved the reaction solution was stirred at ambient temperature for 1 hour and then isopropyl alcohol (100 mL) was added. The dichloromethane was removed under vacuum. A catalytic amount of sodium isopropoxide was added to the solution and the solution was heated at reflux for 1 hour. The solution was then concentrated under vacuum. The resulting residue was slurried with water and then extracted with diethyl ether. The extract was dried over magnesium sulfate and then concentrated under vacuum to provide 23.9 g of isopropyl 6-chloronicotinate.
Part B
A solution of isopropyl 6-chloronicotinate (6.0 g, 0.03 mol) and morpholine (13 mL, 0.15 mol) in isopropyl alcohol (60 mL) was heated at reflux for 72 hours. The solution was allowed to cool to ambient temperature overnight. The resulting precipitate was isolated by filtration, washed with isopropyl alcohol and dried to provide isopropyl 6-morpholinonicotinate. The filtrate was diluted with water. The resulting precipitate was isolated by filtration, washed with water and dried to provide isopropyl 6-morpholinonicotinate. The combined yield was 8.3 g. The isopropyl 6-morpholinonicotinate was combined with 1 N sodium hydroxide (40 mL) and the resulting suspension was stirred at 50-60° C. until all of the solid had dissolved. The solution was stirred at ambient temperature overnight during which time a precipitate formed. This material was isolated by filtration and identified as starting material. The filtrate was neutralized with concentrated hydrochloric acid. The resulting precipitate was isolated by filtration, washed with water and dried to provide 3.3 g of crude product. This material was recrystallized from methanol/dichloromethane to provide 6-morpholinonicotinic acid as a solid, m.p. 259-261° C. Analysis: Calculated for C10H12N2O3: %C, 57.19; %H, 5.81; %N, 13.48; Found: %C, 57.50; %H, 5.71; %N, 13.53.
Part C
N,N-Dimethylformamide (1 mL) was slowly added to a solution of oxalyl chloride (0.13 g, 1 mmol) in chloroform (5 mL). 6-Morpholinonicotinic acid (0.21 g, 1 mmol) was added and the reaction mixture was stirred for 15 minutes. The reaction mixture was concentrated under vacuum, diluted with toluene and then concentrated under vacuum to provide 6-morpholinonicotinoyl chloride. This material was kept under vacuum at ambient temperature overnight and then used in the next step.
Part D
The acid chloride from Part C was dissolved in pyridine (20 mL) and then added all at once to a warm solution of 1-(4-aminobutyl)-1H-imidazo[4,5-c]quinolin-4-amine (0.25 g, 1 mmol) in pyridine (25 mL). The reaction mixture was concentrated under vacuum at 40° C. to remove the pyridine. The resulting residue was combined with water and 1N sodium hydroxide (25 mL). The mixture was extracted with dichloromethane. The extract was concentrated under vacuum. The resulting residue was recrystallized from isopropyl alcohol to provide N3-[4-(4-amino-1H-imidazo[4,5-c]quinolin-1-yl)butyl]-6-morpholinonicotinamide as a solid, m.p. 160-170° C. (dec.). 1H NMR (500 MHz, DMSO-d6) δ8.55 (d, J=2.5 Hz, 1H), 8.52 (s, 1H), 8.28 (t, J=6.0 Hz, 1H), 8.22 (d, J=8.0 Hz, 1H), 7.90 (dd, J=8.0, 2.5 Hz, 1H), 7.82 (d, J=8.0 Hz, 1H), 7.69 (t, J=8.0 Hz, 1H), 7.52 (d, J=8.0 Hz, 1H), 6.82 (d, J=8.0 Hz, 1H), 4.70 (t, J=7.0 Hz, 2H), 3.69 (t, J=5.0 Hz, 4H), 3.54 (t, J=5.0 Hz, 4H), 3.27 (q, J=6.0 Hz, 2H), 1.91(quintet, J=7.0 Hz, 2H), 1.58 (t, J=6.0 Hz, 2H); MS (EI) m/e 445.2209 (445.2226 calcd for C24H27N7O2).
EXAMPLE 13 N1-[2-(4-Amino-1H-imidazo[4,5-c]quinolin-1-yl)ethyl]benzamide
Figure US06451810-20020917-C00029
Part A
Triethylamine (66.8 g, 0.33 mol) was added to a solution of tert-butyl N-(2-aminoethyl)carbamate (55.0 g, 0.34 mol) in anhydrous dichloromethane (500 mL). 4-Chloro-3-nitroquinoline was slowly added and the reaction exothermed. The reaction mixture was allowed to stir at ambient temperature overnight. The resulting precipitate was isolated by filtration to provide product as a yellow solid. The filtrate was washed with water, dried over magnesium sulfate and then concentrated under vacuum. The resulting residue was slurried with hexane and filtered to provide additional product as a yellow solid. The two crops were combined to provide 101 g of tert-butyl N-[2-(3-nitroquinolin-4-yl)aminoethyl]carbamate as a yellow solid, m.p. 157-158.
Part B
Platinum on carbon (1 g of 10%) and sodium sulfate (2 g) were added to a slurry of tert-butyl N-[2-(3-nitroquinolin-4-yl)aminoethyl]carbamate (100 g, 0.30 mol) in toluene (500 mL). The mixture was placed under a hydrogen atmosphere at 50 psi (3.4×104 pascals) on a Parr apparatus at ambient temperature overnight. The reaction mixture was filtered. The filtrate was concentrated to provide 73 g of tert-butyl N-[2-(3-aminoquinolin-4-yl)aminoethyl]carbamate as a dark gold oil.
Part C
Triethyl orthoformate (11.3 g, 73.4 mmol) was added to a solution of tert-butyl N-[2-(3-aminoquinolin-4-yl)aminoethyl]carbamate (21 g, 69.4 mmol) in anhydrous toluene (250 mL). The reaction mixture was heated at reflux for 5 hours and then allowed to slowly cool to ambient temperature. The resulting precipitate was isolated by filtration and dried to provide 17.6 g of tert-butyl N-[2-(1H-imidazo[4,5-c]quinolin-1-yl)ethyl]carbamate as a light tan solid, m.p. 154-155° C.
Part D
3-Chloroperoxybenzoic acid (17.4 g, 60.6 mmol) was added in small portions to a solution of tert-butyl N-[2-(1H-imidazo[4,5-c]quinolin-1-yl)ethyl]carbamate (17.2 g, 55.1 mmol) in chloroform (250 mL). The reaction was maintained at ambient temperature overnight and then quenched with 5% sodium carbonate solution. The layers were separated. The organic layer was dried over magnesium sulfate and then concentrated under vacuum to provide 15.0 g of 1-[2-(tert-butylcarbamyl)ethyl]-1H-imidazo[4,5-c]quinoline-5N-oxide as an off white solid, m.p. 213-215° C.
Part E
Trichloroacetyl isocyanate (9.5 g, 50.2 mmol) was slowly added to a stirred solution of 1-[2-(tert-butylcarbamyl)ethyl]-1H-imidazo[4,5-c]quinoline-5N-oxide (15.0 g, 45.7 mmol) in chloroform (200 mL). After 2 hours the reaction was quenched with concentrated ammonium hydroxide (100 mL). Water (100 mL) was added and the layers were separated. The aqueous layer was extracted with chloroform. The organic layers were combined, dried over magnesium sulfate and then concentrated under vacuum to provide a white solid. This material was slurried in warm methyl acetate and then filtered to provide 15 g of tert-butyl N-[2-(4-amino-1H-imidazo[4,5-c]quinolin-1-yl)ethyl]carbamate as a white solid, m.p. 215° C. 1H NMR (500 MHz, DMSO-d6) δ8.13 (t, J=8.0 Hz, 1H), 8.03 (s, 1H), 7.61(d, J=8.0 Hz, 1H), 7.44 (t, J=8.0 Hz, 1H), 7.23 (t, J=8.0 Hz, 1H), 7.06 (t, J=6.0 Hz, 1H), 6.56 (broad s, 2H), 4.63 (t, J=7.0 Hz, 2H), 3.43 (q, J=6.0 Hz, 2H), 1.32 (s, 9H); MS (EI) m/e 327.1696 (327.1695 calcd for C17H21N5O2)
Part F
Tert-butyl N-[2-(4-amino-1H-imidazo[4,5-c]quinolin-1-yl)ethyl]carbamate (14.8 g, 45.2 mmol), trifluoroacetic acid (100 mL) and acetonitrile (100 mL) were combined and maintained at ambient temperature overnight. The acetonitrile was removed and the reaction mixture was heated at reflux for 2 hours. The reaction mixture was concentrated under vacuum to provide a tan solid. This material was dissolved in a minimal amount of hot water. The solution was adjusted to pH 14 and allowed to cool. The solution was concentrated under vacuum. The resulting residue was extracted with refluxing ethanol. The ethanol extract was concentrated under vacuum to provide 3.0 g of 1-(2-aminoethyly-1H-imidazo[4,5-c]quinolin-4-amine as a tan solid, m.p. 265° C. 1H NMR (500 MHz, DMSO-d6) δ8.14 (s, 1H), 8.08 (dd, J=8.0, 1.5 Hz, 1H), 7.62 (dd, J=8.0, 1.5 Hz, 1H), 7.44 (dt, J=8.0, 1.5 Hz, 1H), 7.25 (dt, J=8.0, 1.5 Hz, 1H), 6.58 (broad s, 2H), 4.54 (t, J=7.0 Hz, 2H), 3.01 (t, J=7.0 Hz, 2H), 1.60 (broad s, 2H); MS (EI) m/e 227.1171(227.1171 calcd for C12H13N5).
Part G
A mixture of 1-(2-aminoethyl)-1H-imidazo[4,5-c]quinolin-4-amine (0.40 g, 1.76 mmol) and anhydrous pyridine (60 mL) was heated until a clear solution was obtained. The solution was then cooled with an ice bath. Benzoyl chloride (0.25 g, 1.76 mmol) was added. The reaction mixture was maintained at ambient temperature overnight and then concentrated under vacuum. The residue was slurried with water (200 mL) and a solid was isolated by filtration. This material was recrystallized from isopropyl alcohol to provide 0.15 g of N1-[2-(4-amino-1H-imidazo[4,5-c]quinolin-1-yl)ethyl]benzamide as a white powder, m.p. 295° C. 1H NMR (500 MHz, DMSO-d6) δ8.50 (t, J=6.0 Hz, 1H), 8.23 (d, J=8.0 Hz, 1H), 8.04 (s, 1H), 7.75(d, J=8.0 Hz, 2H), 7.64 (d, J=8.0 Hz, 1H), 7.49 (t, J=8.0 Hz, 1H), 7.43 (t, J=8.0, 1H), 7.41 (t, J=8.0 Hz, 2H), 7.25 (t, J=8.0 Hz, 1H), 6.28 (broad s, 2H), 4.80(t, J=7.0 Hz, 2H), 3.80(q, J=6.0 Hz, 2H); MS (EI) m/e 331.1429 (331.1433 calcd for C19H17N5O).
EXAMPLE 14 N1-[4-(4-Amino-1H-imidazo[4,5-c]quinolin-1-yl)butyl]-2-phenoxybenzamide
Figure US06451810-20020917-C00030
Under a nitrogen atmosphere, a mixture of 1-(4-aminobutyl)-1H-imidazo[4,5-c]quinolin-4-amine (0.125 g, 0.49 mmol) and anhydrous pyridine (40 mL) was warmed with a heat gun to dissolve the solid. The resulting solution was allowed to cool to ambient temperature. A solution of 2-phenoxybenzoyl chloride (0.11 g, 0.47 mmol) in pyridine (5 mL) was added. The reaction mixture was maintained at ambient temperature for 18 hours and then concentrated under vacuum. The resulting solid residue was purified by flash chromatography (silica gel eluting with 9:1 dichloromethane:methanol) to provide 0.12 g of N1-[4-(4-amino-1H-imidazo[4,5-c]quinolin-1-yl)butyl]-2-phenoxybenzamide as a white solid, m.p. 93-94° C. 1H NMR (500 MHz, DMSO-d6) δ8.23 (t, J=6.0 Hz, 1H), 8.14 (s, 1H), 8.00 (d, J=8.0 Hz, 1H), 7.62 (d, J=8.0 Hz, 1H), 7.54 (dd, J=8.0, 1.5 Hz, 1H), 7.43 (dt, J=8.0, 1.5 Hz, 1H), 7.42 (dt, J=8.0, 1.5 Hz, 1H), 7.30 (t, J=8.0 Hz, 2H), 7.22 (t, J=8.0 Hz, 1H), 7.18 (t, J=8.0 Hz, 1H), 7.07 (t, J=8.0 Hz, 1H), 6.89 (m, 3H), 6.59 (broad s, 2H), 4.55 (t, J=7.0 Hz, 2H), 3.23 (q, J=6.0 Hz, 2H), 1.81 (quintet, J=7.0 Hz, 2H), 1.47 (quintet, J=7.0 Hz, 2H); MS (EI) m/e 451.2004 (451.2008 calcd for C27H25N5O2).
EXAMPLE 15 N1-[4-(4-Amino-1H-imidazo[4,5-c]quinolin-1-yl)butyl]-3-benzoylbenzamide
Figure US06451810-20020917-C00031
Using the method of Example 14, 1-(4-aminobutyl)-1H-imidazo[4,5-c]quinolin-4-amine (0.2 g, 0.78 mmol) was reacted with 3-benzoylbenzoyl chloride (0.18 g, 0.73 mmol) to provide 0.19 g of N1-[4-(4-amino-1H-imidazo[4,5-c]quinolin-1-yl)butyl]-3-benzoylbenzamide as a white crystalline solid, m.p. 103-105° C. 1H NMR (500 MHz, DMSO-d6) δ8.70 (t, J=6.0 Hz, 1H), 8.22 (s, 1H), 8.16 (broad s, 1H), 8.08 (d, J=8.0 Hz, 1H), 8.03 (d, J=8.0 Hz, 1H), 7.85 (d, J=8.0 Hz, 1H), 7.73 (d, J=8.0 Hz, 2H), 7.70 (t, J=8.0 Hz, 1H), 7.64 (t, J=8.0 Hz, 1H), 7.61 (d, J=8.0 Hz, 1H), 7.57 (t, J=8.0 Hz, 2H), 7.40 (t, J=8.0 Hz, 1H), 7.19 (t, J=8.0 Hz, 1H), 6.67 (broad s, 2H), 4.63 (t, J=7.0 Hz, 2H), 3.32 (q, J=6.0 Hz, 2H), 1.91 (quintet, J=7.0 Hz, 2H), 1.59 (quintet, J=7.0 Hz, 2H); MS (EI) m/e 463.2022 (463.2008 calcd for C28H25N5O2).
EXAMPLE 16 N1-[4-(4-Amino-1H-imidazo[4,5-c]quinolin-1-yl)butyl]-3-phenylpropanamide
Figure US06451810-20020917-C00032
Using the method of Example 14, 1-(4-aminobutyl)-1H-imidazo[4,5-c]quinolin-4-amine (0.2 g, 0.78 mmol) was reacted with hydrocinnamoyl chloride (0.11 mL, 0.74 mmol) to provide 0.14 g of N1-[4-(4-amino-1H-imidazo[4,5-c]quinolin-1-yl)butyl]-3-phenylpropanamide as a white solid, m.p. 148-150° C. 1H NMR (500 MHz, DMSO-d6) δ8.19 (s, 1H), 8.03 (d, J=8.0 Hz, 1H), 7.82 (t, J=6.0 Hz, 1H), 7.63 (d, J=8.0 Hz, 1H), 7.45 (t, J=8.0 Hz, 1H), 7.27 (t, J=8.0 Hz, 1H), 7.22 (t, J=8.0 Hz, 2H), 7.15 (m, 3H), 6.66 (broad s, 2H), 4.58 (t, J=7.0 Hz, 2H), 3.06 (q, J=6.0 Hz, 2H), 2.75 (t, J=7.0 Hz, 2H), 2.31 (t, J=7.0 Hz, 2H), 1.79 (quintet, J=7.0 Hz, 2H), 1.40 (t, J=7.0 Hz, 2H); MS (EI) m/e 387.2067 (387.2059 calcd for C23H25N5O).
EXAMPLE 17 N1-[2-(4-Amino-1H-imidazo[4,5-c]quinolin-1-yl)ethyl]-3-phenylpropanamide
Figure US06451810-20020917-C00033
Using the method of Example 14, 1-(2-aminoethyl)-1H-imidazo[4,5-c]quinolin-4-amine (100 mg, 0.44 mmol) was reacted with hydrocinnamoyl chloride (0.065 mL, 0.44 mmol) to provide 0.06 g of N1-[2-(4-amino-1H-imidazo[4,5-c]quiolin-1-yl)ethyl]-3-phenylpropanamide as a white solid, m.p. 254-256° C. 1H NMR (500 MHz, DMSO-d6) δ8.16 (d, J=8.0 Hz, 1H), 8.07 (t, J=6.0 Hz, 1H), 7.97 (s, 1H), 7.62 (dd, J=8.0, 1.0 Hz, 1H), 7.45 (dt, J=8.0, 1.0 Hz, 1H), 7.26 (m, 3H), 7.16 (m, 3H), 6.6 (broad s, 2H), 4.61 (t, J=7.0 Hz, 2H), 3.54 (q, J=6.0 Hz, 2H), 2.75 (t, J=7.0 Hz, 2H), 2.31 (t, J=7.0 Hz, 2H), MS (EI) m/e 359.1745 (359.1746 calcd for C21H21N5O).
EXAMPLE 18 N1-[4-(4-Amino-1H-imidazo[4,5-c]quinolin-1-yl)butyl]-2-(4-benzoylphenoxy)acetamide
Figure US06451810-20020917-C00034
1-(4-Aminobutyl)-1H-imidazo[4,5-c]quinolin-4-amine (99.6 mg, 0.39 mmol) and 2-(4-benzoylphenoxy)acetic acid (100 mg, 0.39 mmol) were combined in pyridine (10 mL). The mixture was warmed until homogeneous and then allowed to cool. 1-[3-(dimethylamino)propyl]-3-ethylcarbodiimide hydrochloride (82 mg, 0.43 mole) was added. The reaction mixture was maintained at ambient temperature overnight and then concentrated under vacuum. The residue was partitioned between chloroform and saturated potassium carbonate solution. The layers were separated. The aqueous layer was extracted with chloroform. The organic layers were combined, dried over magnesium sulfate and then concentrated under vacuum to provide a gold oil. The oil was purified by column chromatography (silica gel eluting with 10% methanol in dichloromethane) to provide about 70 mg of N1-[4-(4-amino-1H-imidazo[4,5-c]quinolin-1-yl)butyl]-2-(4-benzoylphenoxy)acetamide as a white solid, m.p. 73-98° C. 1H NMR (500 MHz, DMSO-d6) δ8.22 (t, J=6.0 Hz, 1H), 8.18 (s, 1H), 8.03 (d, J=8.3 Hz, 1H), 7.73 (d, J=8.0 Hz, 2H), 7.68 (d, J=8.0 Hz, 2H), 7.65 (t, J=8.0 Hz, 1H), 7.60 (dd, J=8.0, 1.0 Hz, 1H), 7.55 (t, J=8.0 Hz, 2H), 7.42 (dt, J=8.0, 1.0 Hz, 1H), 7.25 (t, J=8.0, 1.0 Hz, 1H), 7.07 (d, J=8.0 Hz, 2H), 6.58 (broad s, 2H), 4.61 (t, J=7.0 Hz, 2H), 4.56 (s, 2H), 3.18 (q, J=6.0 Hz, 2H), 1.86 (quintet, J=7.0 Hz, 2H), 1.50 (quintet, J=7.0 Hz, 2H); MS (EI) m/e 493.2106 (493.2114 calcd for C29H27N5O3).
EXAMPLE 19 N-[4-Amino-1H-imidazo[4,5-c]quinolin-1-yl]butyl-5-[(2-oxo-2,3-dihydro-1H-benzo[d]imidazol-5-yl)oxy]pentamide
Figure US06451810-20020917-C00035
Using the general method of Example 18, 1-(4-aminobutyl)-1H-imidazo[4,5-c]quinolin-4-amine (100 mg, 0.392 mmol) was coupled with 5-[(2-oxo-2,3-dihydro-1H-benzo[d]imidazol-5-yl)oxy]pentanoic acid (98.1 mg, 0.392 mmol) to provide 20 mg of N-[4-amino-1H-imidazo[4,5-c]quinolin-1-yl]butyl-5-[(2-oxo-2,3-dihydro-1H-benzo[d]imidazol-5-yl)oxy]pentamide as an off-white solid, m.p.150-157° C. 1H NMR (500 MHz, DMSO-d6) δ10.51 (s, 1H), 10.36 (s, 1H), 8.23 (s, 1H), 8.05(d, J=8.0 Hz, 1H), 7.81 (t, J=6.0 Hz, 1H), 7.64 (t, J=6.0 Hz, 1H), 7.47 (t, J=8.0 Hz, 1H), 7.29 (t, J=8.0 Hz, 1H), 6.93 (broad s, 2H), 6.78(d, J=8.0 Hz, 1H), 6.48 (s, 1H), 6.47 (d, J=8.0 Hz, 1H), 4.61 (t, J=7.0 Hz, 2H), 3.82 (broad s, 2H), 3.08 (q, J=6.0 Hz, 2H), 2.05 (t, J=7.0 Hz, 2H), 1.84 (quintet, J=7.0 Hz, 2H), 1.58 (broad s, 4H), 1.44 (quintet, J=7.0 Hz, 2H); MS (EI) m/e 487.2329 (487.2332 calcd for C26H29N7O3).
EXAMPLE 20 N1-[4-(4-Amino-1H-imidazo[4,5-c]quinolinl -yl)butyl]-4-benzoylbenzamide
Figure US06451810-20020917-C00036
Using the general method of Example 14, 1-(4-aminobutyl)-1H-imidazo[4,5-c]quinolin-4-amine (0.51 g, 2.0 mmol) was reacted with 4-benzoylbenzoyl chloride (2.0 mmol) to provide 0.15 g of N1-[4-(4-amino-1H-imidazo[4,5-c]quinolinl-yl)butyl]-4-benzoylbenzamide as a white solid, m.p. 159-161° C. 1H NMR (500 MHz, CDCl3) δ8.06 (s, 1H), 7.96 (d, J=8.0 Hz, 1H), 7.91 (d, J=8.0 Hz, 1H), 7.85 (d, J=8.0 Hz, 2H), 7.81 (d, J=8.0 Hz, 2H), 7.76 (d, J=8.0 Hz, 2H), 7.60 (m, 2H), 7.49 (t, J=8.0 Hz, 2H), 7.48 (t, J=8.0 Hz, 1H), 7.24 (broad s, 1H), 6.86 (broad s, 1H), 6.60 (t, J=6 Hz, 1H), 4.69 (t, J=7.0 Hz, 2H), 3.62 (q, J=6.0 Hz, 2H), 2.14 (quintet, J=7.0 Hz, 2H), 1.82 (quintet, J=7.0 Hz, 2H); MS (EI) m/e 463.2002 (463.2008 calcd for C28H25N5O2).
EXAMPLE 21 N6-[4-(4-Anino-1H-imidazo[4,5-c]quinolin-1-yl)butyl]-6-quinolinecarboxamide
Figure US06451810-20020917-C00037
Using the general method of Example 18, 1-(4-aminobutyl)-1H-imidazo[4,5-c]quinolin-4-amine (0.5 g, 1.96 mmol) was coupled with 6-quinolinecarboxylic acid (0.34 g, 1.96 mmol) to provide 0.08 g of N6-[4-(4-amino-1H-imidazo[4,5-c]quinolin-1-yl)butyl]-6-quinolinecarboxamide as a tan powder, m.p. 122-127° C. (foaming). 1H NMR (300 MHz, DMSO-d6) δ8.98 (m, 1H), 8.73 (t, J=5.4 Hz, 1H), 8.43 (m, 2H), 8.23 (s, 1H), 8.13-8.03 (m, 3H), 7.60 (m, 2H), 7.40 (m, 1H), 7.20 (m, 1H), 6.58 (broad s, 2H), 4.66 (t, J=6.7 Hz, 2H), 3.37 (m, 2H), 1.96 (m, 2H), 1.64 (m, 2H); MS (EI) m/e 410.1847 (410.1855 calcd for C24H22N6O).
EXAMPLE 22 N1-[3-(4-Amino-2-methyl-1H-imidazo[4,5-c]quinolin-1-yl)propyl]benzamide
Figure US06451810-20020917-C00038
Part A
Using the general method of Example 11 Part C, N1-{3-[(3-nitroquinolin-4-yl)amino]propyl}benzamide (2.0 g, 5.7 mmol) was reduced to the diamine and then reacted with triethylorthoacetate to provide 0.74 g of N1-[3-(2-methyl-1H-imidazo[4,5-c]quinolin-1-yl)propyl]benzamide as a sticky dark yellow solid.
Part B
Using the general method of Example 11 Part D, the material from Part A was oxidized to provide 0.35 g of 1-(3-benzamidopropyl)-2-methyl-1H-imidazo[4,5-c]quinoline-5N-oxide as a solid.
Part C
Ammonium hydroxide (20 mL) was added to a solution of 1-(3-benzamidopropyl)-2-methy-1H-imidazo[4,5-c]quinoline-5N-oxide (0.35 g, 0.97 mmol) in dichloromethane (100 mL). Tosyl chloride (0.185 g, 0.97 mmol) was slowly added with vigorous stirring. The reaction mixture was stirred overnight at ambient temperature and then it was concentrated under vacuum to remove the dichloromethane. The resulting solid was recrystallized from dichloromethane to provide 0.1 g of N1-[3-(4-amino-2-methyl-1H-imidazo[4,5-c]quinolin-1-yl)propyl]benzamide as a solid, m.p. 230-231.4° C.
EXAMPLE 23 N1-[6-(4-Amino-1H-imidazo[4,5-c]quinolin-1-yl)hexyl]benzamide
Figure US06451810-20020917-C00039
Part A
Using the general method of Example 9 Part A, hexamethylenediamine (348.63 g, 3 mol) was reacted with benzamide (121.14 g, 1 mole) to provide 136.5 g of N-(6-aminohexyl)benzamide.
Part B
Using the general method of Example 9 Part B, 4-chloro-3-nitroquinoline hydrochloride (10 g, 41 mnmol) was reacted with N-(6-aminohexyl)benzamide to provide 12.85 g of N1-{6-[(3-nitroquinolin-4-yl)amino]hexyl}benzamide as a yellow crystalline solid.
Part C
Using the general method of Example 9 Part C, 12.3 g of the material from part B was reduced and then reacted with triethylorthoformate (8.94 g, 6 mmol) to provide 6.4 g of N1-[6-(1H-imidazo[4,5-c]quinolin-1-yl)hexyl]benzamide as a brown oil.
Part D
3-Chloroperoxybenzoic acid (5.9 g, 17 mmol) was slowly added to a solution of the material from Part C in chloroform. The solution turned orange. After 2 hours the reaction mixture was washed twice with aqueous sodium carbonate and then concentrated under vacuum to provide 6.0 g of 1-(6-benzamidohexyl)-1H-imidazo[4,5-c]quinoline-5N-oxide as an orange oil.
Part E
Ammonium hydroxide was added to a solution of the material from Part D in dichloromethane. Tosyl chloride (2.94 g, 15 mmol) was slowly added with vigorous stirring. The reaction mixture was allowed to stir at ambient temperature overnight and then it was concentrated under vacuum. The resulting crude material was recrystallized from propyl acetate to provide 0.91 g of N1-[6-(4-amino-1H-imidazo[4,5-c]quinolin-1-yl)hexyl]benzamide as a beige crystalline solid, m.p. 146-155° C.
EXAMPLE 24 N1-[4-(4-Amino-2-butyl-1H-imidazo[4,5-c]quinolin-1-yl)butyl]-5-(2-oxoperhydrothieno[3,4-d]imidazol-4-yl)pentanamide
Figure US06451810-20020917-C00040
D-biotinyl N-hydroxysuccinimide (0.57 g, 1.67 mmol) was added to a solution of 1-(4-aminobutyl)-2-butyl-1H-imidazo[4,5-c]quinolin-4-amine (0.52 g, 1.67 mmol) in pyridine (25 mL). The reaction was maintained at ambient temperature overnight and then concentrated to dryness. The residue was partitioned between dichioromethane and aqueous saturated potassium carbonate. The organic layer was dried over magnesium sulfate and then concentrated to provide 0.4 g of N1-[4-(4-amino-2-butyl-1H-imidazo[4,5-c]quinolin-1-yl)-5-(2-oxoperhydrothieno[3,4-d]imidazol-4-yl)pentamide as a solid, m.p. 214-215° C. Analysis: Calculated for C28H39N7O2S: %C, 62.54; %H, 7.31; %N, 18.23; Found: %C, 61.67; %H, 7.37; %N, 17.62.
EXAMPLE 25 N1-[4-(4-Amino-1H-imidazo[4,5-c]quinolin-1-yl)butyl]-5-(2-oxoperhydrothieno[3,4-d]imidazol-4-yl)pentanamide
Figure US06451810-20020917-C00041
A solution of 1-(4-aminobutyl)-1H-imidazo[4,5-c]quinolin-4-amine (0.38 g, 1.49 mmol) in pyridine (20 mL) was added to a solution of N-hydroxysuccinimidobiotin (0.51 g, 1.49 mmol) in pyridine (20 mL). The reaction was maintained at ambient temperature overnight and then concentrated to dryness. The residue was partitioned between dichloromethane and aqueous saturated potassium carbonate. The organic layer was dried over magnesium sulfate and then concentrated to provide 0.58 g of N1-[4-(4-amino-1H-imidazo[4,5-c]quinolin-1-yl)-5-(2-oxoperhydrothieno[3,4-d]imidazol-4-yl)pentamide as a solid, m.p. 104-106° C. High resolution mass spec: Theoretical mass=481.2260, Measured mass=481.2261.
EXAMPLE 26 N1-[2-(4-Amino-2-butyl-1H-imidazo[4,5-c]quinolin-1-yl)ethyl]-5-(2-iminoperhydrothieno[3,4-d]imidazol-4-yl)pentanamide
Figure US06451810-20020917-C00042
A solution of N-hydroxysuccinimidoiminobiotin (0.74 g, 1.76 mmol) in pyridine (10 mL) was slowly added to a solution of 1-(2-aminoethyl)-2-butyl-1H-imidazo[4,5-c]quinolin-4-amine (0.50 g, 1.76 mmol) in pyridine (30 mL). The reaction was maintained at ambient temperature overnight and then concentrated to dryness. The residue was partitioned between dichloromethane and aqueous saturated potassium carbonate. The organic layer was dried over magnesium sulfate and then concentrated to dryness. The residue was recrystallized from ethanol to provide 0.5 g of N1-[2-(4-amino-2-butyl-1H-imidazo[4,5-c]quinolin-1-yl)ethyl]-5-(2-iminoperhydrothieno[3,4-d]imidazol-4-yl)pentanamide as a solid, m.p. 95-96° C. High resolution mass spec: Theoretical mass=508.2733, Measured mass=508.2723.
EXAMPLE 27 N1-[2-(4-Amino-1H-imidazo[4,5-c]quinolin-1-yl)ethyl]-5-(2-oxoperhydrothieno[3,4-d]imidazol-4-yl)pentanamide
Figure US06451810-20020917-C00043
Using the general method of Example 24, N-hydroxysuccinimidobiotin (0.6 g, 1.76 mmol) was reacted with 1-(2-aminoethyl)-1H-imidazo[4,5-c]quinolin-4-amine (0.4 g, 1.76 mmol) to provide 0.6 g of N1-[2-(4-amino-1H-imidazo[4,5-c]quinolin-1-yl)ethyl]-5-(2-oxoperhydrothieno[3,4-d]imidazol-4-yl)pentanamide as a solid, m.p. 169° C.
EXAMPLE 28 N1-[2-(4-Amino-2-butyl-1H-imidazo[4,5-c]quinolin-1-yl)ethyl]-5-(2-oxoperhydrothieno[3,4-d]imidazol-4-yl)pentanamide
Figure US06451810-20020917-C00044
Using the general method of Example 25, 1-(4-aminoethyl)-2-butyl-1H-imidazo[4,5-c]quinolin-4-amine (0.4 g, 1.47 mmol) was reacted with N-hydroxysuccinimidobiotin (0.5 g, 1.47 mmol) to provide 0.44 g of N1-[2-(4-amino-2-butyl-1H-imidazo[4,5-c]quinolin-1-yl)ethyl]-5-(2-oxoperhydrothieno[3,4-d]imidazol-4-yl)pentanamide as a white solid, m.p. 124-126° C. High resolution mass spec: Theoretical mass=509.25, Measured mass=509.2580.
EXAMPLE 29 N1-[2-(4-Amino-2-(ethoxymethyl)-1H-imidazo[4,5-c]quinolin-1-yl)ethyl]-5-(2-oxoperhydrothieno[3,4-d]imidazol-4-yl)pentanamide Ditrifluoroacetate
Figure US06451810-20020917-C00045
Triethylamine (1.2 g, 11.4 mmol) was added in a single portion to a slurry of 1-(2-aminoethyl)-2-(ethoxymethyl)-1H-imidazo[4,5-c]quinolin-4-amine hydrochloride (3.39 g, 10.53 mmol) in chloroform (150 mL). The reaction mixture became clear. N-hydroxysuccinimidobiotin (3.0 g, 8.79 mmol) was then slowly added. After 2 hours the turbid reaction mixture was heated to reflux. The reaction mixture was maintained at reflux overnight and became clear. The reaction mixture was allowed to cool to ambient temperature and then it was quenched with water. The layers were separated. The organic layer was dried over magnesium sulfate and then concentrated to provide an off-white solid. This material was recrystallized from 8:2 ethanol:water to provide a white solid. A portion of this material was purified by prep HPLC eluting with water/acetonitrile/trifluoroacetic acid to provide 0.6 g of N1-[2-(4-amino-2-(ethoxymethyl)-1H-imidazo[4,5-c]quinolin-1-yl)ethyl]-5-(2-oxoperhydrothieno[3,4-d]imidazol-4-yl)pentanamide as the ditrifluoroacetate salt, m.p. 171-175° C. Analysis: Calculated for: C25H33N7O3S.2 C2HF3O2: %C, 47.09; %H, 4.77; %N, 13.26; Found: %C, 47.06; %H, 5.17; %N, 13.31.
EXAMPLE 30 N1-[4-(4-Amino-2-butyl-1H-imidazo[4,5-c]quinolin-1-yl)butyl]-6-(5-methyl-2-oxo-4-imidazolinyl)hexaneamide
Figure US06451810-20020917-C00046
1-(4-Aminobutyl)-2-butyl-1H-imidazo[4,5-c]quinolin-4-amine (0.13 g, 0.47 mmol), D-desthiobiotin (0.10 g, 0.47 mmol) and chloroform (200 mL) were combined and stirred at ambient temperature until a clear solution was obtained. 1-[3-(dimethylamino)propyl-3-ethylcarbodiimide hydrochloride (0.094 g, 0.49 mmol) was added and the reaction mixture was maintained at ambient temperature overnight. The reaction mixture was poured onto a silica gel column. The chloroform was allowed to run off and then the column was eluted with 10% methanol in dichloromethane. The pure fractions were combined and concentrated to provide N1-[4-(4-amino-2-butyl-1H-imidazo[4,5-c]quinolin-1-yl)butyl]-6-(5-methyl-2-oxo-4-imidazolinyl)hexaneamide as a white solid.
EXAMPLE 31 N1-[4-(4-Amino-1H-imidazo[4,5-c]quinolin-1-yl)butyl]-2-ethoxy-1-naphthamide
Figure US06451810-20020917-C00047
According to the general method of Example 14, 1-(4-aminobutyl)-1H-imidazo[4,5-c]quinolin-4-amine and 2-ethoxy-1-naphthoyl chloride were combined to provide N1-[4-(4-amino-1H-imidazo[4,5-c]quinolin-1-yl)butyl]-2-ethoxy-1-naphthamide as a white powder, m.p. 219° C. (decomposition). 1H NMR (300 MHz, DMSO-d6) δ8.33 (t, J=5.8 Hz, 1H), 8.22 (s, 1H), 8.09 (d, J=8.0 Hz, 1H), 7.91 (d, J=8.7 Hz, 1H), 7.87-7.84 (m, 1H), 7.64-7.56 (m, 2H), 7.47-7.22 (m, 5H), 6.60 (s, 2H), 4.69 (t, J=7.2 Hz, 2H), 4.09 (q, J=7.2 Hz, 2H), 3.37 (m, 2H), 2.01 (m, 2H), 1.64 (m, 2H), 1.18 (t, J=7.2 Hz, 3H); MS (EI) m/e 453.2157 (453.2165 calcd for C27H27N5O2).
EXAMPLE 32 N1-[4-(4-Amino-1H-imidazo[4,5-c]quinolin-1-yl)butyl]-4-cyanobenzamide
Figure US06451810-20020917-C00048
According to the general method of Example 14, 1-(4-aminobutyl)-1H-imidazo[4,5-c]quinolin-4-amine and 4-cyanobenzoyl chloride were combined to provide N1-[4-(4-amino-1H-imidazo[4,5-c]quinolin-1-yl)butyl]-4-cyanobenzamide as a white powder, m.p. 222.8-225.3 ° C. 1H NMR (300 MHz, DMSO-d6) δ8.73 (t, J=5.7 Hz, 1H), 8.22 (s, 1H), 8.03 (d, J=8.1 Hz, 1H), 7.93 (s, 4H), 7.61 (dd, J=8.4, 1.2 Hz, 1H), 7.43 (dt, J=7.6, 1.5 Hz, 1H), 7.21 (dt, J=7.6, 1.2 Hz, 1H), 6.61 (s, 2H), 4.64 (t, J=7.2 Hz, 2H), 3.33 (m, 2H), 1.96 (quintet, J=7.2 Hz, 2H), 1.58 (quintet, J=7.2 Hz, 2H); IR (KBr) 3441, 3337, 3136, 2945, 2228, 1641, 1545, 1531, 1481, 1396, 1309, 1257, 857, 755 cm−1; MS (El) m/e 384.1699 (384.1699 calcd for C22H20N6O).
EXAMPLE 33 N1-[4-(4-Amino-1H-imidazo[4,5-c]quinolin-1-yl)butyl]-3-cyanobenzamide
Figure US06451810-20020917-C00049
According to the general method of Example 14, 1-(4-aminobutyl)-1H-imidazo[4,5-c]quinolin-4-amine and 3-cyanobenzoyl chloride were combined to provide N1-[4-(4-amino-1H-imidazo[4,5-c]quinolin-1-yl)butyl]-3-cyanobenzamide as a white crystalline solid, m.p. 200.0-201.0° C. (decomposition). 1H NMR (300 MHz, DMSO-d6) δ8.68 (t, J=5.7 Hz, 1H), 8.22 (s, 1H), 8.17 (t, J=1.8 Hz, 1H), 8.10-7.97 (m, 3H), 7.69-7.60 (m, 2H), 7.42 (dt, J=7.5, 1.2 Hz, 1H), 7.20 (dt, J=7.5, 1.5 Hz, 1H), 6.62 (s, 2H), 4.63 (t, J=6.9 Hz, 2H), 3.32 (m, 2H), 1.91 (quintet, J=7.5 Hz, 2H), 1.59 (quintet, J=7.5 Hz, 2H); IR (KBr) 3455, 3295, 3072, 2941, 2231, 1638, 1581, 1527, 1479, 1396, 1312, 1251, 1205 cm−1; MS (EI) m/e 384.1699 (384.1699 calcd for C22H20N6O).
EXAMPLE 34 N1-[4-(4-Amino-1H-imidazo[4,5-c]quinolin-1-yl)butyl]-4-phenylbenzamide
Figure US06451810-20020917-C00050
According to the general method of Example 14, 1-(4-aminobutyl)-1H-imidazo[4,5-c]quinolin-4-amine and 4-biphenylcarbonyl chloride were combined to provide N1-[4-(4-amino-1H-imidazo[4,5-c]quinolin-1-yl)butyl]-4-phenylbenzamide as a white powder, m.p. 215.4° C. (decomposition). 1H NMR (300 MHz, DMSO-d6) δ8.54 (t, J=5.7 Hz, 1H), 8.22 (s, 1H), 8.05 (d, J=7.2 Hz, 1H), 7.88 (d, J=5.4 Hz, 2H), 7.75-7.70 (m, 4H), 7.62 (dd, J=8.4, 1.5 Hz, 1H), 7.52-7.38 (m, 4H), 7.22 (dt, J=7.5, 1.2 Hz, 1H), 6.61 (s, 2H), 4.65 (t, J=7.2 Hz, 2H), 3.30 (m, 2H), 1.93 (quintet, J=7.5 Hz, 2H), 1.60 (quintet, J=7.5 Hz, 2H); MS (EI) m/e 435.2054 (435.2059 calcd for C27H25N5O).
EXAMPLE 35 N1-[4-(4-Amino-1H-imidazo[4,5-c]quinolin-1-yl)butyl]-2-phenoxyacetamide
Figure US06451810-20020917-C00051
According to the general method of Example 14, 1-(4-aminobutyl)-1H-imidazo[4,5-c]quinolin-4-amine and phenoxyacetyl chloride were combined to provide N1-[4-(4-amino-1H-imidazo[4,5-c]quinolin-1-yl)butyl]-2-phenoxyacetamide as an off white powder, m.p. 61.5° C. (decomposition). 1H NMR (300 MHz, DMSO-d6) δ8.19 (s, 1H), 8.12 (t, J=6.0 Hz, 1H), 8.03 (d, J=8.4 Hz, 1H), 7.62 (dd, J=8.4, 1.2 Hz, 1H), 7.44 (dt, J=7.5, 1.2 Hz, 1H), 7.29-7.21 (m, 3H), 6.96-6.88 (m, 3H), 6.62 (s, 2H), 4.60 (t, J=7.2 Hz, 2H), 4.42 (s, 2H), 3.16 (q, J=6.9 Hz, 2H), 1.83 (quintet, J=7.2 Hz, 2H), 1.47 (quintet, J=7.2 Hz, 2H); IR (KBr) 3311, 3180, 2937, 1664, 1618, 1583, 1527, 1493, 1480, 1396, 1244, 755 cm−1; MS (EI) m/e 389.1844 (389.1852 calcd for C22H23N5O2).
EXAMPLE 36 N1-[4-(4-Amino-1H-imidazo[4,5-c]quinolin-1-yl)butyl]-2-ethylhexanamide
Figure US06451810-20020917-C00052
According to the general method of Example 14, 1-(4-aminobutyl)-1H-imidazo[4,5-c]quinolin-4-amine and 2-ethylhexanoyl chloride were combined to provide N1-[4-(4-amino-1H-imidazo[4,5-c]quinolin-1-yl)butyl]-2-ethylhexanamide as a tan powder, m.p. 163.0-164.0° C. 1H NMR (300 MHz, DMSO-d6) δ8.19 (s, 1H), 8.03 (d, J=8.1 Hz, 1H), 7.79 (m, 1H), 7.61 (dd, J=8.1, 1.2 Hz 1H), 7.44 (dt, J=7.5, 1.2 Hz, 1H), 7.26 (dt, J=7.5, 1.2 Hz, 1H), 6.63 (s, 2H), 4.61 (t, J=6.9 Hz, 2H), 3.12-3.05 (m, 2H), 1.94-1.82 (m, 3H), 1.49-1.03 (m, 10H), 0.76 (t, J=7.2 Hz, 3H), 0.67 (t, J=7.2 Hz, 3H), MS (EI) m/e 381.2533 (381.2529 calcd for C22H31N5O).
EXAMPLE 37 N1-[4-(4-Amino-1H-imidazo[4,5-c]quinolin-1-yl)butyl]-(trans)-2-phenylcyclopropane-1-carboxamide
Figure US06451810-20020917-C00053
According to the general method of Example 14, 1-(4-aminobutyl)-1H-imidazo[4,5-c]quinolin-4-amine and trans-2-phenyl-1-cyclopropanecarbonyl chloride were combined to provide N1-[4-(4-amino-1H-imidazo[4,5-c]quinolin-1-yl)butyl]-(trans)-2-phenylcyclopropane-1-carboxamide as an off white solid, m.p. 77.0° C. 1H NMR (300 MHz, DMSO-d6) δ7.90 (dd, J=8.1, 1.2 Hz, 1H), 7.81 (dd, J=8.1, 1.2 Hz, 1H), 7.78 (s, 1H), 7.50 (dt, J=8.1, 1.5 Hz, 1H), 7.33-7.15 (m, 4H), 7.05-7.02 (m, 2H), 5.84 (broad s, 1H), 5.51 (s, 2H), 4.52 (t, J=7.2 Hz, 2H), 3.32 (q, J=6.6 Hz, 2H), 2.49-2.43 (m, 1H), 2.07-1.95 (m, 3H), 1.64-1.51 (m, 3H), 1.25-1.18 (m, 1H); IR (KBr) 3304, 3179, 2939, 1640, 1582, 1527, 1479, 1396, 1250, 755, 735, 689 cm−1; MS (EI) m/e 399.2059 (399.2059 calcd for C24H25N5O).
EXAMPLE 38 N1-[4-(4-Amino-1H-imidazo[4,5-c]quinolin-1-yl)butyl]-1-naphthamide
Figure US06451810-20020917-C00054
According to the general method of Example 14, 1-(4-aminobutyl)-1H-imidazo[4,5-c]quinolin-4-amine and 1-naphthoyl chloride were combined to provide N1-[4-(4-amino-1H-imidazo[4,5-c]quinolin-1-yl)butyl]-1-naphthamide as an off white powder, m.p. 174.5° C. (decomposition). 1H NMR (300 MHz, DMSO-d6) δ8.52 (t, J=5.6 Hz, 1H), 8.49 (s, 1H), 8.24 (m, 3H), 8.10 (d, J=8.1 Hz, 1H), 7.97 (m, 2H), 7.80 (d, J=8.2 Hz, 1H), 7.65 (t, J=7.3 Hz, 1H), 7.57-7.41 (m, 5H), 4.75 (t, J=6.9 Hz, 2H), 2.03-1.98 (m, 2H), 1.69-1.64 (m, 2H); MS (EI) m/e 409.1903 (409.1903 calcd for C25H23N5O).
EXAMPLE 39 N1-[4-(4-Amino-1H-imidazo[4,5-c]quinolin-1-yl)butyl]-3-phenoxybenzamide
Figure US06451810-20020917-C00055
According to the general method of Example 14, 1-(4-aminobutyl)-1H-imidazo[4,5-c]quinolin-4-amine and 3-phenoxybenzoyl chloride were combined to provide N1-[4-(4-amino-1H-imidazo[4,5-c]quinolin-1-yl)butyl]-3-phenoxybenzamide as a white powder, m.p. 105.0-107.0° C. 1H NMR (300 MHz, DMSO-d6) δ8.54 (t, J=5.4 Hz, 1H), 8.34 (s, 1H), 8.10 (d, J=8.1 Hz, 1H), 7.69 (dd, J=8.1, 1.2 Hz, 1H), 7.58-7.29 (m, 9H), 7.19-7.13 (m, 2H), 7.04-6.99 (m, 2H), 4.65 (t, J=7.2 Hz, 2H), 3.28 (m, 2H), 1.89 (quintet, J=7.2 Hz, 2H), 1.58 (quintet, J=7.2 Hz, 2H); MS (EI) m/e 451.2012 (451.2008 calcd for C27H25N5O2).
EXAMPLE 40 N3-[4-(4-Amino-1H-imidazo[4,5-c]quinolin-1-yl)butyl]-3-quinolinecarboxamide
Figure US06451810-20020917-C00056
According to the general method of Example 14, 1-(4-arninobutyl)-1H-imidazo[4,5-c]quinolin-4-amine and quinoline-3-carbonyl chloride were combined to provide N3-[4-(4-amino-1H-imidazo[4,5-c]quinolin-1-yl)butyl]-3-quinolinecarboxamide as a white crystalline solid, m.p. 116.0-118.0° C. (decomposition). 1H NMR (300 MHz, DMSO-d6) δ9.24 (d, J=2.1 Hz, 1H), 8.86 (t, J=5.1 Hz, 1H), 8.74 (d, J=2.1 Hz, 1H), 8.25 (s, 1H), 8.09-8.05 (m, 3H), 7.86 (dt, J=7.5, 1.0 Hz, 1H), 7.69 (t, J=7.5 Hz, 1H), 7.61 (d, J=7.5 Hz, 1H), 7.40 (t, J=7.5 Hz, 1H), 7.21 (t, J=7.5 Hz, 1H), 6.68 (s, 2H), 4.67 (t, J=6.9 Hz, 2H), 1.97 (quintet, J=7.2 Hz, 2H), 1.65 (quintet, J=7.2 Hz, 2H); MS (EI) m/e 410.1864 (410.1855 calcd for C24H22N6O).
EXAMPLE 41 N1-[4-(4-Amino-1H-imidazo [4,5-c]quinolin-1-yl)butyl]-2-phenoxypropanamide
Figure US06451810-20020917-C00057
According to the general method of Example 14, 1-(4-aminobutyl)-1H-imidazo[4,5-c]quinolin-4-amine and 2-phenoxypropionyl chloride were combined to provide N1-[4-(4-amino-1H-imidazo[4,5-c]quinolin-1-yl)butyl]-2-phenoxypropanamide as a white powder, m.p. 85.0-87.5° C. 1H NMR (300 MHz, DMSO-d6) δ8.15 (s, 1H), 8.07 (t, J=6.0 Hz, 1H), 8.00 (d, J=8.4 Hz, 1H), 7.62 (dd, J=8.4, 1.2 Hz, 1H), 7.43 (dt, J=7.5, 1.2 Hz, 1H), 7.28-7.16 (m, 3H), 6.91-6.81 (m, 3H), 6.57 (s, 2H), 4.62-4.53 (m, 3H), 3.10 (q, J=6.9 Hz, 2H), 1.76 (quintet, J=7.1 Hz, 2H), 1.43 (quintet, J=7.1 Hz, 2H), 1.33 (d, J=6.6 Hz, 3H); MS (EI) m/e 403.2005 (403.2008 calcd for C23H25N5O2).
EXAMPLE 42 N3-[4-(4-Amino-1H-imidazo[4,5-c]quinolin-1-yl)butyl]-1-benzyl-1H-3-indolecarboxamide
Figure US06451810-20020917-C00058
According to the general method of Example 14, 1-(4-aminobutyl)-1H-imidazo[4,5-c]quinolin-4-amine and 1-benzylindole-3-carbonyl chloride were combined to provide N3-[4-(4-amino-1H-imidazo[4,5-c]quinolin-1-yl)butyl]-1-benzyl-1H-3-indolecarboxamide as a white powder, m.p. 139.0° C. (decomposition). 1H NMR (300 MHz, DMSO-d6) δ8.24 (s, 1H), 8.14 (t, J=7.8 Hz, 1H), 8.04 (m, 2H), 7.93 (m, 1H), 7.62 (d, J=8.4 Hz, 1H), 7.51 (d, J=7.8 Hz, 1H), 7.44-7.09 (m, 9H), 6.63 (s, 2H), 5.44 (s, 2H), 4.66 (t, J=6.6 Hz, 2H), 1.97-1.92 (m, 2H), 1.62-1.57 (m, 2H); MS (EI) m/e 488.2326 (488.2325 calcd for C30H28N6O).
EXAMPLE 43 N2-[4-(4-Amino-1H-imidazo[4,5-c]quinolin-1-yl)butyl]-2-naphthamide
Figure US06451810-20020917-C00059
According to the general method of Example 14, 1-(4-aminobutyl)-1H-imidazo[4,5-c]quinolin-4-amine and 2-naphthoyl chloride were combined to provide N2-[4-(4-amino-1H-imidazo[4,5-c]quinolin-1-yl)butyl]-2-naphthamide as a white powder, m.p. 257.0° C. (decomposition). 1H NMR (300 MHz, DMSO-d6) δ8.85 (broad s, 2H), 8.69 (broad s, 1H), 8.57 (s, 1H), 8.38 (s, 1H), 8.25 (d, J=8.4 Hz, 1H), 7.99-7.80 (m, 5H), 7.75-7.50 (m, 4H), 4.75 (t, J=6.9 Hz, 2H), 3.39 (m, 2H), 1.98 (quintet, J=7.2 Hz, 2H), 1.68 (quintet, J=7.2 Hz, 2H); MS (EI) m/e 409.1909 (409.1903 calcd for C25H23N5O).
EXAMPLE 44 N3-[4-(4-Amino-1H-imidazo[4,5-c]quinolin-1-yl)butyl]-2,6-dimethoxynicotinamide
Figure US06451810-20020917-C00060
According to the general method of Example 14, 1-(4-aminobutyl)-1H-imidazo[4,5-c]quinolin-4-amine and 2,6-dimethoxynicotinoyl chloride were combined to provide N3-[4-(4-amino-1H-imidazo[4,5-c]quinolin-1-yl)butyl]-2,6-dimethoxynicotinamide as an off white powder, m.p. 175.0-177.0° C. 1H NMR (300 MHz, DMSO-d6) 8.21 (s, 1H), 8.11-8.02 (m, 3H), 7.62 (d, J=8.2 Hz, 1H), 7.42 (t, J=7.5 Hz, 1H), 7.20 (t, J=7.5 Hz, 1H), 6.58 (broad s, 2H), 6.46 (d, J=8.3 Hz, 1H), 4.63 (t, J=7.0 Hz, 2H), 3.90 (s, 3H), 3.88 (s, 3H), 3.30 (m, 2H), 1.90 (m, 2H), 1.57 (m, 2H); MS (EI) m/e 420.1909 (420.1910 calcd for C22H24N6O3).
EXAMPLE 45 N8-[4-(4-Amino-1H-imidazo[4,5-c]quinolin-1-yl)butyl]-8-quinolinecarboxamide
Figure US06451810-20020917-C00061
According to the general method of Example 14, 1-(4-aminobutyl)-1H-imidazo[4,5-c]quinolin-4-amine and quinoline-8-carbonyl chloride were combined to provide N8-[4-(4-amino-1H-imidazo[4,5-c]quinolin-1-yl)butyl]-8-quinolinecarboxamide as a tan powder, m.p. 91.0-93.0° C. 1H NMR (300 MHz, DMSO-d6) δ10.80 (t, J=5.5 Hz, 1H), 8.79 (dd, J=4.3, 1.8 Hz, 1H), 8.55-8.49 (m, 2H), 8.24 (s, 1H), 8.17 (dd, J=8.1, 1.5 Hz, 1H), 8.06 (d, J=7.2 Hz, 1H), 7.73 (t, J=7.8 Hz, 1H), 7.63-7.59 (m, 2H), 7.40 (dt J=7.1, 1.2 Hz, 1H), 7.14 (dt, J=7.1, 1.2 Hz, 1H), 6.57 (broad s, 2H), 4.68 (t, J=7.0 Hz, 2H), 3.51 (m, 2H), 2.02 (m, 2H), 1.69 (m, 2H); MS (EI) m/e 410.1858 (410.1855 calcd for C24H22N6O).
EXAMPLE 46 N1-[4-(4-Amino-1H-imidazo[4,5-c]quinolin-1-yl)butyl]-2-(4-isobutylphenyl)propanamide
Figure US06451810-20020917-C00062
According to the general method of Example 14, 1-(4-aminobutyl)-1H-imidazo[4,5-c]quinolin-4-amine and 4-isobutyl-α-methylphenylacetyl chloride were combined to provide N1-[4-(4-amino-1H-imidazo[4,5-c]quinolin-1-yl)butyl]-2-(4-isobutylphenyl)propanamide as a white powder, m.p. 172.0-173.0° C. 1H NMR (300 MHz, DMSO-d6) δ8.14 (s, 1H), 8.01 (d, J=7.6 Hz, 1H), 7.90 (t, J=5.6 Hz, 1H), 7.63 (dd, J=8.1, 1.0 Hz, 1H), 7.44 (dt, J=7.0, 1.0 Hz, 1H), 7.25 (dt, J=7.0 Hz, 1H), 7.14 (d, J=8.0 Hz, 2H), 6.97 (d, J=8.0 Hz, 2H), 6.58 (broad s, 2H), 4.55 (t, J=7.0 Hz, 2H), 3.47 (q, J=7.1 Hz, 1H), 3.06 (m, 2H), 2.34 (d, J=7.1 Hz, 2H), 1.80-1.69 (m, 3H), 1.44 (m, 2H), 1.24 (d, J=7.0 Hz, 3H), 0.82 (d, J=6.6 Hz,6H); MS (EI) m/e 443.2687 (443.2685 calcd for C27H33N5O).
EXAMPLE 47 N3-[4-(4-Amino-1H-imidazo[4,5-c]quinolin-1-yl)butyl]nicotinamide
Figure US06451810-20020917-C00063
According to the general method of Example 14, 1-(4-aminobutyl)-1H-imidazo[4,5-c]quinolin-4-amine and nicotinoyl chloride hydrochloride were combined to provide N3-[4-(4-amino-1H-imidazo[4,5-c]quinolin-1-yl)butyl]nicotinamide as a white powder, m.p. 188.6-189.5° C. 1H NMR (300 MHz, DMSO-d6) δ8.95 (dd, J=2.2, 0.7 Hz, 1H), 8.70-8.65 (m, 2H), 8.22 (s, 1H), 8.11 (dt, J=8.3, 2.0 Hz, 1H), 8.04 (dd, J=8.2, 0.9 Hz, 1H), 7.61 (dd, J=8.3, 1.1 Hz, 1H), 7.50-7.39 (m, 2H), 7.23-7.18 (m, 1H), 6.58 (broad s, 2H), 4.64 (t, J=7.0 Hz, 2H), 3.30 (m, 2H), 1.93 (m, 2H), 1.60 (m, 2H); MS (EI) m/e 360.1696 (360.1699 calcd for C20H20N6O).
EXAMPLE 48 N4-[4-(4-Amino-1H-imidazo[4,5-c]quinolin-1-yl)butyl]isonicotinamide
Figure US06451810-20020917-C00064
According to the general method of Example 14, 1-(4-aminobutyl)-1H-imidazo[4,5-c]quinolin-4-amine and isonicotinoyl chloride hydrochloride were combined to provide N4-[4-(4-amino-1H-imidazo[4,5-c]quinolin-1-yl)butyl]isonicotinamide as a white crystalline solid, m.p. 213.0-213.7° C. 1H NMR (300 MHz, DMSO-d6) δ8.76 (m, 1H), 8.69 (d, J=5.6 Hz, 2H), 8.22 (s, 1H), 8.04 (d, J=8.0 Hz, 1H), 7.67 (d, J=5.7 Hz, 2H), 7.62 (d, J=8.2 Hz, 1H), 7.43 (t, J=7.5 Hz, 1H), 7.21 (t, J=7.5 Hz, 1H), 6.62 (broad s, 2H), 4.64 (t, J=6.8 Hz, 2H), 3.30 (m, 2H), 1.92 (m, 2H), 1.58 (m, 2H); MS (EI) m/e 360.1699 (360.1699 calcd for C20H20N6O).
EXAMPLE 49 N4-[4-(4-Amino-1H-imidazo[4,5-c]quinolin-1-yl)butyl]-4-quinolinecarboxamide
Figure US06451810-20020917-C00065
According to the general method of Example 14, 1-(4-aminobutyl)-1H-imidazo[4,5-c]quinolin-4-amine and quinoline-4-carbonyl chloride were combined to provide N4-[4-(4-amino-1H-imidazo[4,5-c]quinolin-1-yl)butyl]-4-quinolinecarboxamide as a white crystalline solid, m.p. 214.5-215.2° C. 1H NMR (300 MHz, DMSO-d6) δ8.89 (d, J=4.3 Hz, 1H), 8.76 (t, J=5.6 Hz, 1H), 8.24 (s, 1H), 8.10-8.01 (m, 3H), 7.78 (ddd, J=8.4, 6.9, 1.5 Hz, 1H), 7.64 (dd, J=8.4, 1.1 Hz, 1H), 7.56 (ddd, J=8.3, 6.9, 1.4 Hz, 1H), 7.44 (ddd, J=8.3, 7.0, 1.3 Hz, 1H), 7.34 (d, J=4.3 Hz, 1H), 7.24 (ddd, J=8.3, 7.0, 1.3 Hz, 1H), 6.60 (broad s, 2H), 4.68 (t, J=6.9 Hz, 2H), 3.38 (q, J=7.0 Hz, 2H), 2.00 (m, 2H), 1.63 (m, 2H); MS (EI) m/e 410.1860 (410.1855 calcd for C24H22N6O).
EXAMPLE 50 N4-[4-(4-Amino-2-(2-methoxyethyl)-1H-imidazo[4,5-c]quinolin-1-yl)butyl]-2-phenyl-4-quinolinecarboxamide
Figure US06451810-20020917-C00066
1-[3-(Dimethylamino)propyl]-3-ethylcarbodiimide hydrochloride (0.57 g, 3.0 mmol) was added dropwise to a chilled (0° C.) solution of 2-phenyl-4-quinolinecarboxylic acid (0.5 g, 3.7 mmol), 1-hydroxybenzotriazole (0.5 g, 3.7 mmol), pyridine (2.2 ml), and dichloromethane (20 ml). The reaction was maintained for 15 min followed by the dropwise addition of 1-(4-aminobutyl)-2-(2-methoxyethyl)-1H-imidazo[4,5-c]quinolin-4-amine (0.8 g, 2.55 mmol) in dichloromethane (100 ml). The reaction was maintained at room temperature overnight. The solvent was removed in vacuo and the residue was purified by flash column chromatography (silica gel, 9:1 dichloromethanemethanol). The fractions containing product were combined, washed with saturated aqueous sodium bicarbonate, dried (MgSO4), filtered, and concentrated to provide 0.62 g of N4-[4-(4-amino-2-(2-methoxyethyl)-1H-imidazo[4,5-c]quinolin-1-yl)butyl]-2-phenyl-4-quinolinecarboxamide as a yellow crystalline solid, m.p. 118° C. (decomposition). 1H NMR (300 MHz, DMSO-d6) δ8.88 (t, J=5.7 Hz, 1H), 8.24-8.21 (m, 2H), 8.13-8.01(m, 4H), 7.83-7.78 (m, 1H), 7.62-7.48 (m, 5H), 7.36 (m, 1H), 7.20 (dt, J=7.6, 1.2 Hz, 1H), 6.54 (broad s, 2H), 4.62 (t, J=7.2 Hz, 2H), 3.83 (t, J=6.7 Hz, 2H), 3.45 (m, 2H), 3.29-3.20 (m, 5H), 1.96 (m, 2H), 1.79 (m, 2H); MS (EI) m/e 544.2589 (544.2587 calcd for C33H32N6O2)
EXAMPLE 51 N3-[4-(4-Amino-1H-imidazo[4,5-c]quinolin-1-yl)butyl]-2-(pentylsulfanyl)nicotinamide
Figure US06451810-20020917-C00067
According to the general method of Example 14, 1-(4-aminobutyl)-1H-imidazo[4,5-c]quinolin-4-amine and 2-(n-pentylthio)pyridine-3-carbonyl chloride were combined to provide N3-[4-(4-amino-1H-imidazo[4,5-c]quinolin-1-yl)butyl]-2-(pentylsulfanyl)nicotinamide as a tan powder, m.p. 158.0-161.0° C. 1H NMR (300 MHz, DMSO-d6) δ8.47-8.41 (m, 2H), 8.21 (s, 1H), 8.06 (d, J=8.2 Hz, 1H), 7.63 (dd, J=8.3, 1.1 Hz, 1H), 7.54 (dd, J=7.6, 1.8 Hz, 1H), 7.47-7.41 (m, 1H), 7.26-7.21 (m, 1H), 7.08 (dd, J=7.5, 4.8 Hz, 1H), 6.57 (broad s, 2H), 4.64 (t, J=6.9 Hz, 2H), 3.27 (m, 2H), 2.98 (t, J=7.3 Hz, 2H), 1.96 (m, 2H), 1.62-1.46 (m, 4H), 1.35-1.20 (m, 4H), 0.83 (t, J=7.1 Hz, 3H); MS (EI) m/e 462.2196 (462.2202 calcd for C25H3oN6OS).
EXAMPLE 52 N3-[4-(4-Amino-1H-imidazo[4,5-c]quinolin-1-yl)butyl]-6-cyanonicotinamide
Figure US06451810-20020917-C00068
According to the general method of Example 14, 1-(4-aminobutyl)-1H-imidazo[4,5-c]quinolin-4-amine and 6-cyanopyridine-3-carbonyl chloride were combined to provide N3-[4-(4-amino-1H-imidazo[4,5-c]quinolin-1-yl)butyl]-6-cyanonicotinamide as an off white powder, m.p. 125.0-129.0° C. 1H NMR (300 MHz, DMSO-d6) δ9.05 (dd, J=2.1, 0.8 Hz, 1H), 8.88 (t, J=5.6 Hz, 1H), 8.31 (dd, J=8.1, 2.1 Hz, 1H), 8.21 (s, 1H), 8.14 (dd, J=8.1, 0.8 Hz, 1H), 8.03 (m, 1H), 7.62 (dd, J=8.3, 1.1 Hz, 1H), 7.42 (m, 1H), 7.20 (m, 1H), 6.59 (broad s, 2H), 4.64 (t, J=6.9 Hz, 2H), 3.30 (m, 2H), 1.93 (m, 2H), 1.59 (m, 2H); MS (EI) m/e 385.1648 (385.1651 calcd for C21H19N7O).
EXAMPLE 53 N3-[4-(4-Amino-1H-imidazo[4,5-c]quinolin-1-yl)butyl]-6-chloronicotinamide
Figure US06451810-20020917-C00069
According to the general method of Example 14, 1-(4-aminobutyl)-1H-imidazo[4,5-c]quinolin-4-amine and 6-chloropyridine-3-carbonyl chloride were combined to provide N3-[4-(4-amino-1H-imidazo[4,5-c]quinolin-1-yl)butyl]-6-chloronicotinamide as an off white crystalline solid, m.p. 144.0-148.0° C. (decomposition). 1H NMR (300 MHz, DMSO-d6) δ8.77 (dd, J=2.5, 0.6 Hz, 1H), 8.73 (t, J=5.6 Hz, 1H), 8.22 (s, 1H), 8.16 (dd, J=8.3, 2.5 Hz, 1H), 8.03 (m, 1H), 7.63 (d, J=0.5 Hz, 1H), 7.60 (d, J=0.5 Hz, 1H), 7.45-7.40 (m, 1H), 7.23-7.18 (m, 1H), 6.61 (broad s, 2H), 4.63 (t, J=6.9 Hz, 2H), 3.30 (m, 2H), 1.92 (m, 2H), 1.58 (m, 2H). MS (EI) m/e 394.1298 (394.1309 calcd for C20Hl9N6OCl).
EXAMPLE 54 N3-[4-(4-Amino-1H-imidazo[4,5-c]quinolin-1-yl)butyl]-6-(2,2,2-trifluoroethoxy)nicotinamide
Figure US06451810-20020917-C00070
According to the general method of Example 14, 1-(4-aminobutyl)-1H-imidazo[4,5-c]quinolin-4-amine and 6-(2,2,2-trifluoroethoxy)pyridine-3-carbonyl chloride were combined to provide N3-[4-(4-amino-1H-imidazo[4,5-c]quinolin-1-yl)butyl]-6-(2,2,2-trifluoroethoxy)nicotinamide as a white crystalline solid, m.p. 192.0-194.0° C. (decomposition). 1H NMR (300 MHz, DMSO-d6) δ8.62 (d, J=1.9 Hz, 1H), 8.58 (t, J=5.6 Hz, 1H), 8.25 (s, 1H), 8.15 (dd, J=8.6, 2.4 Hz, 1H), 8.06 (d, J=7.6 Hz, 1H), 7.64 (d, J=7.8 Hz, 1H), 7.45 (t, J=7.1 Hz, 1H), 7.24 (t, J=7.1 Hz, 1H), 7.04 (d, J=8.6 Hz, 1H), 6.82 (broad s, 2H), 5.06 (q, J=9.1 Hz, 2H), 4.64 (t, J=6.9 Hz, 2H), 3.30 (m, 2H), 1.91 (m, 2H), 1.60 (m, 2H); MS (EI) m/e 458.1678 (458.1678 calcd for C22H21N6O2F3).
EXAMPLE 55 N2-{4-[4-Amino-2-(2-methoxyethyl)-1H-imidazo[4,5-c]quinolin-1-yl]butyl}-2-quinolinecarboxamide
Figure US06451810-20020917-C00071
According to the general method of Example 14, 1-(4-aminobutyl)-2-(2-methoxyethyl)-1H-imidazo[4,5-c]quinolin-4-amine and quinoline-2-carbonyl chloride were combined in dichloromethane and triethylamine (3 equivalents) to provide N2-{4-[4-amino-2-(2-methoxyethyl)-1H-imidazo[4,5-c]quinolin-1-yl]butyl}-2-quinolinecarboxamide as a white solid, m.p. 78.1-79.9° C. 1H NMR (300 MHz, DMSO-d6) δ9.02 (t, J=6.1 Hz, 1H), 8.55 (d, J=8.5 Hz, 1H), 8.23 (d, J=8.5 Hz, 1H), 8.10 (t, J=7.6 Hz, 1H), 8.02 (d, J=7.6 Hz, 1H), 7.90-7.84 (m, 1H), 7.75-7.70 (m, 1H), 7.58 (dd, J=8.3, 1.0 Hz, 1H), 7.35-7.30 (m, 1H), 7.18-7.13 (m, 2H), 6.48 (broad s, 2H), 4.58 (m, 2H), 3.79 (t, J=6.7 Hz, 2H), 3.44 (m, 2H), 3.22 (m, 5H), 1.91-1.78 (m, 4H); MS (EI) m/e 468.2276 (468.2274 calcd for C27H28N6O2).
EXAMPLE 56 N1-[4-(4-Amino-1H-imidazo[4,5-c]quinolin-1-yl)butyl]-2-(2-fluoro-4-biphenylyl)propanamide
Figure US06451810-20020917-C00072
According to the general method of Example 14, 1-(4-aminobutyl)-2-(2-methoxyethyl)-1H-imidazo[4,5-c]quinolin-4-amine and 2-(2-fluoro-4-biphenylyl)propionyl chloride were combined to provide N1-[4-(4-amino-1H-imidazo[4,5-c]quinolin-1-yl)butyl]-2-(2-fluoro-4-biphenylyl)propanamide as a white powder, m.p. 76.1-79.9° C. 1H NMR (300 MHz, DMSO-d6) δ8.17 (s, 1H), 8.03 (m, 2H), 7.62 (d, J=8.3 Hz, 1H), 7.49-7.14 (m, 10H), 6.59 (broad s, 2H), 4.58 (t, J=6.9 Hz, 2H), 3.59 (q, J=7.0 Hz, 1H), 3.09 (pentet, J=6.7 Hz, 2H), 1.82 (m, 2H), 1.45 (m, 2H), 1.30 (d, J=7.0 Hz, 3H); MS (EI) m/e 481.2268 (481.2278 calcd for C29H28FN5O).
EXAMPLE 57 N1-{4-[4-Amino-2-(2-methoxyethyl)-1H-imidazo[4,5-c]quinolin-1-yl]butyl}-1-isoquinolinecarboxamide
Figure US06451810-20020917-C00073
According to the general method of Example 50, 1-(4-aminobutyl)-2-(2-methoxyethyl)-1H-imidazo[4,5-c]quinolin-4-amine and isoquinoline-1-carboxylic acid were combined to provide N1-{4-[4-amino-2-(2-methoxyethyl)-1H-imidazo[4,5-c]quinolin-1-yl]butyl}-1-isoquinolinecarboxamide as a yellow crystalline solid, m.p. 61.0-63.0° C. 1H NMR (300 MHz, DMSO-d6) δ8.94 (t, J=5.9 Hz, 1H), 8.87 (d, J=8.5 Hz, 1H), 8.51 (d, J=5.6 Hz, 1H), 8.05-7.96 (m, 3H), 7.84-7.96 (m, 1H), 7.70-7.65 (m, 1H), 7.61 (dd, J=8.3, 1.1 Hz, 1H), 7.37 (dt, J=7.7, 1.0 Hz, 1H), 7.19 (dt, J=7.6, 1.2 Hz, 1H), 6.53 (broad s, 2H), 4.60 (t, J=7.2 Hz, 2H), 3.81 (t, J=6.7 Hz, 2H), 3.41 (m, 2H), 3.28-3.12 (m, 5H), 1.92-1.76 (m, 4H); MS (EI) m/e 468.2261 (468.2274 calcd for C27H28N6O2).
EXAMPLE 58 N2-{4-[4-Amino-2-(2-methoxyethyl)-1H-imidazo[4,5-c]quinolin-1-yl]butyl}-5-butyl-2-pyridinecarboxamide
Figure US06451810-20020917-C00074
According to the general method of Example 50, 1-(4-aminobutyl)-2-(2-methoxyethyl)-1H-imidazo[4,5-c]quinolin-4-amine and fusaric acid were combined to provide N2-{4-[4-amino-2-(2-methoxyethyl)-1H-imidazo[4,5-c]quinolin-1-yl]butyl}-5-butyl-2-pyridinecarboxamide as a tan solid, m.p. 54.9-55.2° C. 1H NMR (300 MHz, DMSO-d6) δ8.81 (t, J=6.1 Hz, 1H), 8.44 (m, 1H), 7.98 (d, J=7.3 Hz, 1H), 7.94 (dd, J=8.0, 0.7 Hz, 1H), 7.80 (dd, J=8.0, 2.2 Hz, 1H), 7.60 (dd, J=8.3, 1.2 Hz, 1H), 7.39-7.34 (m, 1H), 7.16-7.10 (m, 1H), 6.52 (broad s, 2H), 4.55 (t, J=6.9 Hz, 2H), 3.79 (t, J=6.7 Hz, 2H), 3.23 (s, 3H), 3.18 (t, J=6.7 Hz, 2H), 2.67 (t, J=7.6 Hz, 2H), 1.83-1.72 (m, 4H), 1.63-1.53 (m, 2H), 1.34-1.24 (m, 2H), 0.90 (t, J=7.3 Hz, 3H); MS (EI) m/e 474.2750 (474.2743 calcd for C27H34N6O2).
EXAMPLE 59 N3-{4-[4-Amino-2-(2-methoxyethyl)-1H-imidazo[4,5-c]quinolin-1-yl]butyl}-3-indolecarboxamide
Figure US06451810-20020917-C00075
According to the general method of Example 50, 1-(4-aminobutyl)-2-(2-methoxyethyl)-1H-imidazo[4,5-c]quinolin-4-amine and indole-3-carboxylic acid were combined to provide N3-{4-[4-amino-2-(2-methoxyethyl)-1H-imidazo[4,5-c]quinolin-1-yl]butyl}-3-indolecarboxamide as a white powder, m.p. 225.5-227.4° C. 1H NMR (300 MHz, DMSO-d6) δ11.50 (broad s, 1H), 8.13 (d, J=7.9 Hz, 1H), 8.06 (d, J=10.2 Hz, 1H), 7.95-7.89 (m, 2H), 7.61 (d, J=8.3 Hz, 1H), 7.43-7.35 (m, 2H), 7.20-7.05 (m, 3H), 6.48 (broad s, 2H), 4.58 (t, J=7.2 Hz, 2H), 3.80 (t, J=6.6 Hz, 2H), 3.33 (m, 2H), 3.24-3.18 (m, 5H), 1.88 (m, 2H), 1.70 (m, 2H); 13C NMR (75 MHz, DMSO-d6) δ165.0, 152.0, 151.0, 145.1, 136.4, 132.6, 127.8, 126.8, 126.6, 126.4, 122.1, 121.5, 121.4, 120.6, 120.3, 115.1, 112.1, 111.0, 70.5, 58.4, 45.1, 38.2, 27.7, 27.5, 27.0; MS (EI) m/e 456.2282 (456.2274 calcd for C26H28N6O2).
EXAMPLE 60 N1-{4-[4-Amino-2-(2-methoxyethyl)-1H-imidazo[4,5-c]quinolin-1-yl]butyl}-4-(1-pyrrolyl)benzamide
Figure US06451810-20020917-C00076
According to the general method of Example 50, 1-(4-aminobutyl)-2-(2-methoxyethyl)-1H-imidazo[4,5-c]quinolin-4-amine and 4-(1-pyrrolyl)benzoic acid were combined to provide N1-{4-[4-amino-2-(2-methoxyethyl)-1H-imidazo[4,5-c]quinolin-1-yl]butyl}-4-(1-pyrrolyl)benzamide as an off white powder, m.p. 173.0-174.9° C. 1H NMR (300 MHz, DMSO-d6) δ8.52 (t, J=5.5 Hz, 1H), 8.02 (d, J=7.9 Hz, 1H), 7.90 (d, J=8.7 Hz, 2H), 7.67 (d, J=8.7 Hz, 2H), 7.61 (dd, J=8.4, 1.1 Hz, 1H), 7.48 (t, J=2.2 Hz, 2H), 7.39 (m, 1H), 7.19 (dt, J=7.6, 1.1 Hz, 1H), 6.53 (broad s, 2H), 6.30 (t, J=2.2 Hz, 2H), 4.57 (t, J=7.0 Hz, 2H), 3.82 (t, J=6.7 Hz, 2H), 3.33 (m, 2H), 3.26 (s, 3H), 3.20 (t, J=6.7 Hz, 2H), 1.87 (m, 2H), 1.71 (m, 2H); MS (EI) m/e 482.2421 (482.2430 calcd for C28H30N6O2).
EXAMPLE 61 N2-{4-[4-Amino-2-(4-methoxybenzyl)-1H-imidazo[4,5-c]quinolin-1-yl]butyl}-2-quinolinecarboxamide
Figure US06451810-20020917-C00077
Quinoline-2-carbonyl chloride (0.28 g in 10 ml dichloromethane, 1.46 nmmol) was added dropwise to a stirring solution of 1-(4-aminobutyl)-2-(4-methoxybenzyl)-1H-imidazo[4,5-c]quinolin-4-amine (0.49 g, 1.3 mmol), dichloromethane (140 ml) and triethylamine (0.5 ml). The reaction was maintained for 17 hours and then concentrated in vacuo. The yellow residue was partitioned between dichloromethane and saturated aqueous sodium bicarbonate. The organic fraction was dried (MgSO4), filtered, and concentrated. The crude residue was purified by flash column chromatography (silica gel, gradient elution using dichloromethane to 95:5 dichloromethanemethanol) to provide 0.19 g of N2-{4-[4-amino-2-(4-methoxybenzyl)-1H-imidazo[4,5-c]quinolin-1-yl]butyl}-2-quinolinecarboxamide as an off white solid, m.p. 95.1-97.4° C. 1H NMR (300 MHz, DMSO-d6) δ8.97 (t, J=6.0 Hz, 1H), 8.56 (d, J=8.4 Hz, 1H), 8.16-8.07 (m, 3H), 7.96 (d, J=7.7 Hz, 1H), 7.87 (m, 1H), 7.72 (m, 1H), 7.58 (dd, J=8.3, 1.1 Hz, 1H), 7.31 (m, 1H), 7.23 (d, J=8.7 Hz, 2H), 7.08 (m, 1H), 6.82 (d, J=8.7 Hz, 2H), 6.58 (broad s, 2H), 4.50 (m, 2H), 4.33 (s, 2H), 3.63 (s, 3H), 3.34 (m, 2H), 1.65 (m, 4H); MS (EI) m/e 530.2431 (530.2430 calcd for C32H30N6O2).
EXAMPLE 62 N3-{4-[4-Amino-2-(2-methoxyethyl)-1H-imidazo[4,5-c]quinolin-1-yl]butyl}-6-(1-pyrrolyl)nicotinamide
Figure US06451810-20020917-C00078
According to the general method of Example 50, 1-(4-aminobutyl)-2-(2-methoxyethyl)-1H-imidazo[4,5-c]quinolin-4-amine and 2-pyrrolopyridine-5-carboxylic acid were combined to provide N3{4-[4-amino-2-(2-methoxyethyl)-1H-imidazo[4,5-c]quinolin-1-yl]butyl}-6-(1-pyrcolyl)nicotinamide as a yellow crystalline solid, m.p. 77.0-80.0° C. 1H NMR (300 MHz, CDCl3) 8.72 (d, J=2.3 Hz, 1H), 8.07 (dd, J=8.4, 2.4 Hz 1H), 7.92 (d, J=7.3 Hz, 1H), 7.82 (d, J=7.4 Hz, 1H), 7.55 (t, J=2.2 Hz, 2H), 7.49 (m, 1H), 7.37 (m, 2H), 6.39 (d, J=2.2 Hz, 2H), 6.20 (m, 1H), 5.42 (broad s, 2H), 4.59 (t, J=7.5 Hz, 2H), 3.90 (t, J=7.4 Hz, 2H), 3.56 (q, J=6.7 Hz, 2H), 3.36 (s, 3H), 3.20 (t, J=6.4 Hz, 2H), 2.05 (m, 2H), 1.82 (m, 2H); MS (EI) m/e 483.2376 (483.2383 calcd for C27H29N7O2).
EXAMPLE 63 N5-{4-[4-Amino-2-(2-methoxyethyl)-1H-imidazo[4,5-c]quinolin-1-yl]butyl}-5-indolecarboxamide
Figure US06451810-20020917-C00079
According to the general method of Example 50, 1-(4-aminobutyl)-2-(2-methoxyethyl)-1H-imidazo[4,5-c]quinolin-4-amine and indole-5-carboxylic acid were combined to provide N5-{4-[4-amino-2-(2-methoxyethyl)-1H-imidazo[4,5-c]quinolin-1-yl]butyl}-5-indolecarboxamide as an off white solid. 1H NMR (300 MHz, DMSO-d6) δ11.31 (s, 1H), 8.34 (t, J=5.5 Hz, 1H), 8.06 (m, 2H), 7.63-7.58 (m, 2H), 7.42-7.38 (m, 3H), 7.22 (t, J=7.1 Hz, 1H), 6.67 (broad s, 2H), 6.50 (s, 1H), 4.58 (m, 2H), 3.81 (t, J=6.6 Hz, 2H), 3.34 (m, 2H), 3.25 (s, 3H), 3.21 (t, J=6.6 Hz, 2H), 1.89 (m, 2H), 1.72 (m,2H); MS (EI) m/e 456.2264 (456.2274 calcd for C26H28N6O2).
EXAMPLE 64 N1-[4-(4-Amino-1H-imidazo[4,5-c]quinolin-1-yl)butyl]-4-phenoxybenzamide
Figure US06451810-20020917-C00080
According to the general method of Example 14, 1-(4-arninobutyl)-1H-imidazo[4,5-c]quinolin-4-amine and 4-phenoxybenzoyl chloride were combined to provide N1-[4-(4-amino-1H-imidazo[4,5-c]quinolin-1-yl)butyl]-4-phenoxybenzamide as a white powder, m.p. 90.5-91.5° C. 1H NMR (500 MHz, DMSO-d6) δ8.42 (t, J=5.7 Hz, 1H), 8.21 (s, 1H), 8.03 (d, J=7.9 Hz, 1H), 7.81 (d, J=8.9 Hz, 2H), 7.62 (d, J=7.9 Hz, 1H), 7.45-7.40 (m, 3H), 7.21 (m, 2H), 7.07 (d, J=7.6 Hz, 2H), 6.99 (d, J=8.9 Hz, 2H), 6.61 (broad s, 2H), 4.63 (t, J=7.0 Hz, 2H), 3.25 (m, 2H), 1.92 (m, 2H), 1.58 (m, 2H); MS (EI) m/e 451.2008 (451.2008 calcd for C27H25N5O2).
EXAMPLE 65 N5-{4-[4-Amino-2-(2-methoxyethyl)-1H-imidazo[4,5-c]quinolin-1-yl]butyl}-5-(2-phenyl-1-ethynyl)nicotinamide
Figure US06451810-20020917-C00081
According to the general method of Example 50, 1-(4-aminobutyl)-2-(2-methoxyethyl)-1H-imidazo[4,5-c]quinolin-4-amine and 5-(phenylethynyl)pyridine-3-carboxylic acid were combined to provide N5-{4-[4-amino-2-(2-methoxyethyl)-1H-imidazo[4,5-c]quinolin-1-yl]butyl}-5-(2-phenyl-1-ethynyl)nicotinamide as a yellow solid, m.p. 76.0-78.0° C. 1H NMR (300 MHz, DMSO-d6) δ8.95 (d, J=2.1 Hz, 1H), 8.87 (d, J=2.0 Hz, 1H), 8.79 (t, J=2.1 Hz, 1H), 8.31 (d, J=2.0 Hz, 1H), 8.02 (d, J=8.1 Hz, 1H), 7.61 (m, 3H), 7.48 (m, 3H), 7.40 (m, 1H), 7.19 (m, 1H), 6.56 (broad s, 2H), 4.57 (t, J=7.4 Hz, 2H), 3.82 (t, J=6.7 Hz, 2H), 3.37 (m, 2H), 3.27 (s, 3H), 3.21 (t, J=6.7 Hz, 2H), 1.89 (m, 2H), 1.72 (m, 2H); MS (CI) m/e 519 (M+H).
EXAMPLE 66 N3-[4-(4-Amino-2-phenyl-1H-imidazo[4,5-c]quinolin-1-yl)butyl]nicotinamide
Figure US06451810-20020917-C00082
Part A
A solution of benzoyl chloride (5.3 g, 37.7 mmol) in dichloromethane (100 mL) was slowly added to a solution of tert-butyl N-{4-[(3-aminoquinolin-4-yl)amino]butyl}carbamate (12.5 g, 37.7 mmol) in dichloromethane (250 mL) at ambient temperature. The reaction mixture was maintained at ambient temperature overnight. The resulting precipitate was isolated by filtration and dried to provide 11.0 g of tert-butyl N-(4-{[3-(benzoylamino)quinolin-4-yl]amino}butyl)carbamate hydrochloride as a white solid.
Part B
Triethylamine (7.26 g, 71.7 mmol) was added to a solution of the material from Part A in ethanol (200 mL) and heated at reflux for 2 days. The reaction mixture was concentrated to provide an orange syrup. HPLC mass spec analysis showed that the syrup contained the desired product and starting material. The syrup was taken up in dichloromethane (100 mL) and then cooled in an ice bath. Triethylamine (5 mL) and benzoyl chloride (1.9 mL) were added. The reaction mixture was maintained at ambient temperature for 2 days at which time analysis by HPLC indicated that the reaction was not complete. The reaction mixture was concentrated under vacuum. The residue was taken up in isopropyl alcohol (150 mL). Triethylamine (5 mL) was added and the reaction mixture was heated at reflux overnight. The reaction mixture was concentrated under vacuum. The residue was purified by flash chromatography (silica gel; eluting with 10% methanol in dichloromethane). The fractions containing product were combined and concentrated under vacuum. The residue was recrystallized from acetonitrile to provide 6.7 g of tert-butyl N-[4-(2-phenyl-1H-imidazo[4,5-c]quinolin-1-yl)butyl]carbamate as a solid, m.p. 158-159° C.
Part C
3-Chloroperoxybenzoic acid (1.05 eq of 65%) was slowly added in small portions to a solution of tert-butyl N-[4-(2-phenyl-1H-imidazo[4,5-c]quinolin-1-yl)butyl]carbamate (6.56 g, 15.75 mmol) in dichloromethane (120 mL). After 3 hours the reaction was quenched with 1% aqueous sodium bicarbonate (200 mL). The layers were separated. The aqueous layer was extracted with dichloromethane (2×50 mL). The organic fractions were combined, dried over magnesium sulfate and then concentrated under vacuum to provide a pale orange syrup. The syrup was triturated with diethyl ether to provide 6.8 g of 1-[4-(tert-butylcarbamyl)butyl]-2-phenyl-1H-imidazo[4,5-c]quinoline-5N-oxide as a pale tan solid, m.p. 178-181° C.
Part D
A solution of 1-[4-(tert-butylcarbamyl)butyl]-2-phenyl-1H-imidazo[4,5-c]quinoline-5N-oxide (6.8 g, 15.75 mmol) in dichloromethane (100 mL) was chilled in an ice bath. Concentrated ammonium hydroxide (30 mL) was added. Tosyl chloride (3.0 g, 15.75 mmol) was added in small portions over a period of 30 minutes. The reaction mixture was allowed to warm to ambient temperature overnight. The reaction was quenched with water (350 mL). The layers were separated. The aqueous layer was extracted with dichloromethane. The organic fractions were combined, dried over magnesium sulfate and then concentrated under vacuum to provide a tan solid. This material was purified by flash chromatography (silica gel eluting with 10% methanol in dichloromethane) to provide 4.8 g of product. The bulk of the material was carried on to the next step. A small portion was recrystallized from toluene to provide tert-butyl N-[4-(4-amino-2-phenyl-1H-imidazo[4,5-c]quinolin-1-yl)butyl]carbamate as a solid, m.p. 182-183° C. Analysis: Calculated for C25H29N5O2: %C, 69.58; %H, 6.77; %N, 16.22; Found: %C, 69.86; %H, 6.95; %N, 15.80.
Part E
The material from Part D was dissolved in methanol (15 mL) and 1 N hydrochloric acid (100 mL) and then heated at reflux for 2 hours. The reaction mixture was concentrated under vacuum to a volume of about 50 mL. Addition of concentrated ammonium hydroxide to pH 12 did not produce a precipitate. The pH was adjusted to 7 with 1 N hydrochloric acid. The mixture was extracted with dichloromethane and then with ethyl acetate. The aqueous layer was concentrated to dryness. The residue was dissolved in water (50 mL) and then extracted continuously with refluxing chloroform for 36 hours. The chloroform extract was concentrated under vacuum to provide a light tan solid. This material was recrystallized from acetonitrile to provide 2.5 g of 1-(4-aminobutyl)-2-phenyl-1H-imidazo[4,5-c]quinolin-4-amine as an off white solid, m.p. 175-177° C. Analysis: Calculated for C20H21N5: %C, 72.48; %H, 6.39; %N, 21.13; Found: %C, 72.72; %H, 6.32; %N, 20.71.
Part F
According to the general method of Example 61, 1-(4-aminobutyl)-2-phenyl-1H-imidazo[4,5-c]quinolin-4-amine and nicotinoyl chloride hydrochloride were combined to provide N3-[4-(4-amino-2-phenyl-1H-imidazo[4,5-c]quinolin-1-yl)butyl]nicotinamide as a white crystalline solid, m.p. 84.5-86.1° C. 1H NMR (300 MHz, DMSO-d6) δ8.91 (s, 1H), 8.69 (m, 1H), 8.56 (m, 1H), 8.07 (m, 2H), 7.75-7.41 (m, 8H), 7.21 (m, 1H), 6.72 (broad s, 2H), 4.60 (m, 2H), 3.15 (t, J=6.0 Hz, 2H), 1.86 (m, 2H), 1.40 (m, 2H); MS (CI) m/e 437 (M+H).
EXAMPLE 67
N -[4-(4-Amino-2-phenyl-1H-imidazo[4,5-c]quinolin-1-yl)butyl]-2-quinolinecarboxamide
Figure US06451810-20020917-C00083
According to the general method of Example 61, 1-(4-aminobutyl)-2-phenyl-1H-imidazo[4,5-c]quinolin-4-amine and quinoline-2-carbonyl chloride were combined to provide N-[4-(4-amino-2-phenyl-1H-imidazo[4,5-c]quinolin-1-yl)butyl]-2-quinolinecarboxamide as an off white crystalline solid, m.p. 81.1-83.9° C. 1H NMR (300 MHz, DMSO-d6) δ8.90 (t, J=6.0 Hz, 1H), 8.55 (d, J=8.5 Hz, 1H), 8.12-8.07 (m, 4H), 7.90-7.84 (m, 1H), 7.75-7.54 (m, 7H), 7.36 (t, J=7.5 Hz, 1H), 7.18 (t, J=7.5 Hz, 1H), 6.70 (broad s, 2H), 4.61 (m, 2H), 3.23 (m, 2H), 1.88 (m, 2H), 1.49 (m, 2H); MS (CI) m/e 487 (M+H).
EXAMPLES 68-102
The compounds shown in the table below were prepared using the synthetic method described in Reaction Scheme II above.
A solution of 1-(4-aminobutyl)-1H-imidazo[4,5-c]quinolin-4-amine (36 μmol) in 10 mL of dichloromethane in a screw-capped test tube was cooled down to −5° C. The acid chloride (45 μmol) was added as a 0.3 M solution in dichloromethane. Argon was bubbled through the mixture during addition and for an additional 15 seconds, and the mixture was allowed to stand at −5° C. overnight. To this mixture was added approximately 90 mg of an aminomethyl polystyrene resin (0.62 meq/g, 100-200 mesh), and the mixture was warmed to reflux and shaken at 600 rpm for 3 hours. The compounds were purified by eluting through a short plug of silica gel with 10:1 dichloromethane-methanol, collecting ca. 1 mL fractions and pooling the product fractions (fractions analyzed by tic in 9:1 dichloromethane-methanol to identify product). Compounds were analyzed by 500 MHz 1H nmr and APCI-MS (plug injection or an LC/MS protocol).
Ex-
am- APCI-
ple MS
No. Structure m/e 500 MHz 1H NMR
68
Figure US06451810-20020917-C00084
450.10 (DMSO-d6)δ8.93(t, J=5.2Hz, 1H), 8.23(s, 1H), 8.06 (d, J=8.2Hz, 1H), 7.63(d, J=8.5Hz, 1H), 7.46(t, J=7.8Hz, 1H), 7.27(t, J=7.6Hz, 1H), 6.75(bs, 2H), 4.65(t, J=7Hz, 2H), 3.31(q, J=6Hz, 2H), 1.92(quintet, J=8Hz, 2H), 1.56 (quintet, J=7Hz, 2H)
69
Figure US06451810-20020917-C00085
394.12 (DMSO-d6)δ8.40(t, J=5.8Hz, 1H), 8.23(s, 1H), 8.08 (d, J=8.2Hz, 1H), 7.64(d, J=8.5Hz, 1H), 7.47(t, J=8.2Hz, 1H), 7.43(d, J=7.9Hz, 1H), 7.39(dt, J=1.5Hz, J=7Hz, 1H), 7.30(t, J=6.4Hz, 1H), 7.28(t, J=10.4Hz, 1H), 7.23(dd, J= 1.5Hz, J=7.3Hz, 1H), 6.75(bs, 2H), 4.65(t, J=7Hz, 2H), 3.26(q, J=6Hz, 2H), 1.95(quintet, J=8Hz,
#2H), 1.56 (quintet, J=7.5Hz, 2H)
70
Figure US06451810-20020917-C00086
428.07 (DMSO-d6)δ8.47(t, J=5.8Hz, 1H), 8.22(s, 1H), 8.07 (d, J=8.2Hz, 1H), 7.64(d, J=8.8Hz, 1H), 7.63 (d, J=2.1Hz, 1H), 7.47(t, J=8.2Hz, 1H), 7.40(dd, J=2.1Hz, J=10.4Hz, 1H), 7.29(t, J=7.0Hz, 1H), 7.26(d, J=8.2Hz, 1H), 6.75(bs, 2H), 4.65(t, J=5.5Hz, 2H), 3.25(q, J=6.5Hz, 2H), 1.94(quintet, J=8Hz, 2H), 1.54(quintet, J=7Hz, 2H),
71
Figure US06451810-20020917-C00087
428.06 (DMSO-d6)δ8.65(t, J=6.1Hz, 1H), 8.23(s, 1H), 8.08 (d, J=7.9Hz, 1H), 7.64(d, J=8.2Hz, 1H), 7.47(t, J=7.9Hz, 1H), 7.43(d, J=9Hz, 1H), 7.44(d, J=7Hz, 1H), 7.38 (dd, J=9.2Hz, J=7Hz, 1H), 7.28(t, J=7.9Hz, 1H), 6.8(bs, 2H), 4.65(t, J=6.5Hz, 2H), 3.28(m, 2H), 1.96 (quintet, J=7.5Hz, 2H), 1.57(quintet, J=8Hz, 2H)
72
Figure US06451810-20020917-C00088
378.11 (DMSO-d6)δ8.50(t, J=5.8Hz, 1H), 8.23(s, 1H), 8.04 (d, J=8.2Hz, 1H), 7.84(dd, J=2.1Hz, J=5.8Hz, 2H), 7.62 (d, J=7.3Hz, 1H), 7.44(t, J=7Hz, 1H), 7.26(t, J=6.7Hz, 2H), 7.22(t, J=8.2Hz, 1H), 6.74(bs, 2H), 4.63(t, J=7Hz, 2H), 3.28(m, 2H), 1.91(quintet, J=7.5Hz, 2H), 1.57 (quintet, J=8Hz, 2H)
73
Figure US06451810-20020917-C00089
394.07 (DMSO-d6)δ8.56(t, J=5.6Hz, 1H), 8.24(s, 1H), 8.05 (d, J=7.9Hz, 1H), 7.79(d, J=8.5Hz, 2H), 7.63 (d, J=8.2Hz, 1H), 7.50(d, J=8.9Hz, 2H), 7.46(t, J=7.6Hz, 1H), 7.23(t, J=7.6Hz, 1H), 6.8(bs, 2H), 4.64(t, J=7Hz, 2H), 3.29(q, J=6.5Hz, 2H), 1.91(quintet, J=7.5Hz, 2H), 1.57 (quintet, J=7.5Hz, 2H)
74
Figure US06451810-20020917-C00090
390.13 (DMSO-d6)δ8.33(t, J=5.6Hz, 1H), 8.24(s, 1H), 8.05 (d, J=8.2Hz, 1H), 7.76(d, J=8.8Hz, 2H), 7.63 (d, J=8.2Hz, 1H), 7.45(t, J=8.2Hz, 1H), 7.24(t, J=7.9Hz, 1H), 6.95(d, J=8.8Hz, 2H), 6.81(bs, 2H), 4.64(t, J=7Hz, 2H), 3.80(s, 3H), 3.28(quintet, J=5.5Hz, 2H), 1.90 (quintet, J=8Hz, 2H), 1.57(quintet, J=8.5Hz, 2H)
75
Figure US06451810-20020917-C00091
428.10 (DMSO-d6)δ8.71(t, J=5.6Hz, 1H), 8.27(s, 1H), 8.06 (d, J=7.9Hz, 1H), 7.96(d, J=8.2Hz, 2H), 7.64 (d, J=7.9Hz, 2H), 7.64(d, J=7.9Hz, 1H), 7.46(t, J=7.3Hz, 1H), 7.25(t, J=7Hz, 1H), 6.9(bs, 2H), 4.65(t, J=7Hz, 2H), 3.31(m, 2H), 1.92(quintet, J=8Hz, 2H), 1.59 (quintet, J=7.5Hz, 2H)
76
Figure US06451810-20020917-C00092
416.22 (DMSO-d6)δ8.54(s, 1H), 8.39(t, J=5.5Hz, 1H), 8.22 (d, J=8.2Hz, 1H), 7.82(d, J=8.2Hz, 1H), 7.70(t, J=4Hz, 1H), 7.68(d, J=4.3Hz, 2H), 7.52(t, J=8Hz, 1H), 7.43 (d, J=7.8Hz, 2H), 4.72(t, J=7Hz, 2H), 3.30(q, J=6.5Hz, 2H), 1.91(quintet, J=7.5Hz, 2H), 1.59(quintet, J=7.5Hz, 2H), 1.29(s, 9H)
77
Figure US06451810-20020917-C00093
374.18 (DMSO-d6)δ8.54(s, 1H), 8.38(t, J=5.8Hz, 1H), 8.23 (d, J=8.2Hz, 1H), 7.82(d, J=8.6Hz, 1H), 7.71(t, J=8.2Hz, 1H), 7.659(d, J=8.2Hz, 2H), 7.54(t, J=8.2Hz, 1H), 7.22 (d, J=7.9Hz, 2H), 4.71(t, J=6.5Hz, 2H), 3.28(q, J=6Hz, 2H), 2.34(s, 3H), 1.92(quintet, J=8Hz, 2H), 1.60 (quintet, J=7.5Hz, 2H)
78
Figure US06451810-20020917-C00094
374.18 (DMSO-d6)δ8.50(s, 1H), 8.22(d, J=8.2Hz, 1H), 8.06 (t, J=5.8Hz, 1H), 7.84(d, J=8.5Hz, 1H), 7.74(t, J=7Hz, 1H), 7.58, (t, J=7.6Hz, 1H), 7.21(m, 2H), 7.18(m, 3H), 4.67 (t, J=7Hz, 2H), 3.33(s, 2H), 3.09(q, J=6Hz, 2H), 1.84 (quintet, J=8Hz, 2H), 1.48(quintet, J=7.5Hz, 2H)
79
Figure US06451810-20020917-C00095
386.15 (DMSO-d6)δ8.55(s, 1H), 8.24(d, J=8.2Hz, 1H), 8.16 (t, J=5.8Hz, 1H), 7.82(d, J=8.6Hz, 1H), 7.72(t, J=7.3Hz, 1H), 7.58(t, J=7.3Hz, 1H), 7.53(d, J=6.7Hz, 2H), 7.40(m, 4H), 6.57(d, J=15.9Hz, 1H), 4.72(t, J=7Hz, 2H), 3.23 (q, J=6Hz, 2H), 1.91(quintet, J=7.5Hz, 2H), 1.55 (quintet, J=7.5Hz, 2H)
80
Figure US06451810-20020917-C00096
354.19 (DMSO-d6)δ8.53(s, 1H), 8.24(d, J=8.2Hz, 1H), 7.83 (d, J=8.2Hz, 1H), 7.74(m, 2H), 7.58(t, J=7.8, 1H), 4.70 (t, J=7Hz, 2H), 3.06(q, J=6Hz, 2H), 1.86(s, 2H), 1.86 (quintet, J=8.5Hz, 2H), 1.44(quintet, J=7.5Hz, 2H), 0.84 (s, 9H)
81
Figure US06451810-20020917-C00097
324.15 (DMSO-d6)δ8.53(s, 1H), 8.23(d, J=8.5Hz, 1H), 8.06 (t, J=5.5Hz, 1H), 7.84(d, J=8.2Hz, 1H), 7.74(t, J=8.2Hz, 1H), 7.59(t, J=8.2Hz, 1H), 4.69(t, J=7Hz, 2H), 3.09 (q, J=6Hz, 2H), 1.86(quintet, J=7Hz, 2H), 1.47(m, 3H), 0.59(m, 4H)
82
Figure US06451810-20020917-C00098
352.16 (DMSO-d6)δ8.52(s, 1H), 8.23(d, J=7.9Hz, 1H), 7.83 (d, J=8.2Hz, 1H), 7.74(m, 2H), 7.60(t, J=7.6Hz, 1H), 4.69 (t, J=7.5Hz, 2H), 3.06(q, J=6Hz, 2H), 2.42 (quintet, J=8Hz, 1H), 1.84(quintet, J=7.5Hz, 2H), 1.59 (m, 2H), 1.55(m, 2H), 1.48(m, 6H)
83
Figure US06451810-20020917-C00099
380.16 (DMSO-d6)δ8.52(s, 1H), 8.22(d, J=8.2Hz, 1H), 7.83 (d, J=8.2Hz, 1H), 7.77(t, J=5.8Hz, 1H), 7.73(t, J=8.2Hz, 1H), 7.58(t, J=8.2Hz, 1H), 4.68(t, J=7Hz, 2H), 3.06 (q, J=6Hz, 2H), 1.98(t, J=8Hz, 2H), 1.84 (quintet, J=7.5Hz, 2H), 1.62(m, 3H), 1.48(m, 8H), 0.97 (m, 2H)
84
Figure US06451810-20020917-C00100
366.15 (DMSO-d6)δ9.2(b, 2H), 8.52(s, 1H), 8.22(d, J=8.2Hz, 1H), 7.83(d, J=8.5Hz, 1H), 7.74(t, J=8.2Hz, 1H), 7.65 (t, J=5.8Hz, 1H), 7.58(t, J=7.9Hz, 1H), 4.68(t, J=7Hz, 2H), 3.04(q, J=6.5Hz, 2H), 1.95(m, 1H), 1.83 (quintet, J=8Hz, 2H), 1.60(m, 3H), 1.50(m, 2H), 1.43 (quintet, J=7.5Hz, 2H), 1.14(m, 5H)
85
Figure US06451810-20020917-C00101
350.18 (DMSO-d6)δ9.0(bs, 2H), 8.54(s, 1H), 8.39(t, J=5Hz, 1H), 8.22(d, J=5Hz, 1H), 7.82(d, J=10Hz, 1H), 7.80(s, 1H, 7.72 (t, J=10Hz, 1H), 7.54(t, J=10Hz, 1H), 7.02(dd, J=1Hz, J=3Hz, 1H), 6.60(dd, J=1.7Hz, J=3.5Hz, 1H), 4.70 (t, J=7.5Hz, 2H), 3.25(q, J=6Hz, 2H), 1.90 (quintet, J=7.5Hz, 2H), 1.58(quintet, J=7Hz, 2H)
86
Figure US06451810-20020917-C00102
366.25 (DMSO-d6)δ8.51(t, J=5.5Hz, 1H), 8.32(s, 1H), 8.10 (d, J=8.6Hz, 1H), 7.72(dd, J=0.9Hz, J=4.9Hz, 1H), 7.68 (m, 2H), 7.52(t, J=7.9Hz, 1H), 7.34(bs, 2H), 7.31 (t, J=7.9Hz, 1H), 7.11(dd, J=4Hz, J=4.9Hz, 1H), 4.66 (t, J=7.5Hz, 2H), 3.27(q, J=6Hz, 2H), 1.91 (quintet, J=7.5Hz, 2H), 1.58(quintet, J=8Hz, 2H)
87
Figure US06451810-20020917-C00103
405.21 (DMSO-d6)δ8.80(t, J=5.8Hz, 1H), 8.28(s, 1H), 8.27 (d, J=8.6Hz, 2H), 8.07(d, J=8Hz, 1H), 7.98(d, J=8.9Hz, 2H), 7.65(d, J=8.6Hz, 1H), 7.47(t, J=7.9Hz, 1H), 7.27 (t, J=7.9Hz, 1H), 7.07(bs, 2H), 4.66(t, J=7Hz, 2H), 1.93 (quintet, J=8Hz, 2H), 1.60(quintet, J=7.5Hz, 2H)
88
Figure US06451810-20020917-C00104
298.16 (DMSO-d6)δ8.33(s, 1H), 8.11(d, J=8.1Hz, 1H), 7.83 (t, J=6Hz, 1H), 7.71(d, J=8.1Hz, 1H), 7.56(t, J=8.1Hz, 1H), 7.39(t, J=7.8Hz, 1H), 4.63(t, J=7Hz, 2H), 3.05 (q, J=6.5Hz, 2H), 1.85(quintet, J=7.5Hz, 2H), 1.74(s, 3H), 1.44(quintet, J=7.5Hz, 2H)
89
Figure US06451810-20020917-C00105
439.30 (DMSO-d6)δ8.59(t, 1H), 8.43(s, 1H), 8.16 (d, J=7.6Hz, 1H), 7.94(d, J=1.7Hz, 1H), 7.75(t, J=6.8Hz, 2H), 7.71(d, J=8.1Hz, 1H), 7.60(m, 1H), 7.40(t, J=7.8Hz, 2H), 4.68(t, J=6.5Hz, 2H), 3.30(q, J=6Hz, 2H), 1.91 (quintet, J=6Hz, 2H), 1.59(quintet, J=6Hz, 2H)
90
Figure US06451810-20020917-C00106
418.28 (DMSO-d6)δ8.29(s, 1H), 8.08(d, J=8.5Hz, 1H), 7.68 (d, J=7.8Hz, 1H), 7.53(t, J=7.6Hz, 1H), 7.36(t, J=7.3Hz, 1H), 7.30(t, J=5.9Hz, 1H), 4.62(t, J=6.5Hz, 2H), 3.05 (q, J=6.5Hz, 2H), 1.86(m, 5H), 1.60(m, 12H), 1.41 (quintet, J=7Hz, 2H)
91
Figure US06451810-20020917-C00107
462.21 (DMSO-d6)δ8.25(s, 1H), 8.06(d, J=8.3Hz, 1H), 7.70 (d, J=8.1Hz, 1H), 7.55(t, J=7.8Hz, 1H), 7.49(t, J=5.6Hz, 1H), 7.37(t, J=7.3Hz, 1H), 7.24(s, 4H), 4.57(t, J=7Hz, 2H), 3.01(q, J=6Hz, 2H), 2.38(m, 2H), 1.68(m, 4H), 1.49(m, 2H), 1.40(m, 4H)
92
Figure US06451810-20020917-C00108
422.28 (DMSO-d6)δ8.36(s, 1H), 8.13(d, J=8.8Hz, 1H), 7.86 (b, 2H), 7.76(t, J=6Hz, 1H), 7.74(d, J=8.5Hz, 1H), 7.59 (t, J=8.1Hz, 1H), 7.43(t, J=7.5Hz, 1H), 5.77(m, 1H), 4.98 (dd, J=2Hz, J=17Hz, 1H), 4.92(dd , J=1.5Hz, J=10Hz, 1H), 4.64(t, J=7Hz, 2H), 3.07(q, J=5.5Hz, 2H),
#1.97 (m, J=7.5Hz, 4H), 1.84(quintet, J=7Hz, 2H), 1.45 (quintet, J=8Hz, 2H), 1.40(quintet, J=6.5Hz, 2H), 1.30 (quintet, J=7Hz, 2H), 1.18(m, 8H)
93
Figure US06451810-20020917-C00109
450.19 (DMSO-d6)δ8.43(t, J=5.6Hz, 1H), 8.31(s, 1H), 8.08 (d, J=7.8Hz, 1H), 7.67(d, J=8.1Hz, 1H), 7.50(t, J=7.3Hz, 1H), 7.29(t, J=7.8Hz, 1H), 7.11(s, 2H), 4.67(t, J=7Hz,2H), 3.78(s, 6H), 3.69(s, 3H), 3.29(q, J=6Hz, 2H), 1.91 (quintet, J=7.5Hz, 2H), 1.58(quintet, J=7.5Hz, 2H)
94
Figure US06451810-20020917-C00110
402.25 (DMSO-d6)δ8.24(s, 1H), 8.19(t, J=5.9Hz, 1H), 8.08 (d, J=8Hz, 1H), 7.65(d, J=8.3Hz, 1H), 7.48(t, J=8.3Hz, 1H), 7.29(t, J=7.8Hz, 1H), 6.87(bs, 2H), 6.77(s, 2H), 4.65 (t, J=6.5Hz, 2H), 3.26(q, J=6.5Hz, 2H), 2.19(s, 3H), 2.02 (s, 6H), 1.92(quintet, J=8Hz, 2H), 1.54(quintet, J=8.5Hz, 2H)
95
Figure US06451810-20020917-C00111
398.21 (DMSO-d6)δ8.28(s, 1H), 8.08(d, J=7.6Hz, 1H), 7.79 (t, J=5.9Hz, 1H), 7.68(d, J=7.8Hz, 1H), 7.52(t, J=7.6Hz, 1H), 7.35(t, J=7.1Hz, 1H), 7.2(bs, 2H), 4.62(t, J=7Hz, 2H), 3.56(s, 3H), 3.06(q, J=5.5Hz, 2H), 2.24(m, 2H), 1.99 (quintet, J=6.5Hz, 2H), 1.84(quintet, J=8Hz, 2H), 1.43 (m, 6H)
96
Figure US06451810-20020917-C00112
395.12 (DMSO-d6)δ8.88(t, J=5.6Hz, 1H), 8.25(s, 1H), 8.05 (d, J=8.3Hz, 1H), 7.72(d, J=3.9Hz, 1H), 7.63 (d, J=8.3Hz, 1H), 7.45(t, J=7.3Hz, 1H), 7.32(d, J=3.9Hz, 1H), 7.26(t, J=7.1Hz, 1H), 6.93(bs, 2H), 4.64(t, J=7Hz, 2H), 3.28(q, J=6Hz, 2H), 1.90(quintet, J=7Hz, 2H), 1.56 (quintet, J=8Hz, 2H)
97
Figure US06451810-20020917-C00113
395.20 (DMSO-d6)δ8.57(t, J=5.6Hz, 1H), 8.42(dd, J=1.9Hz, J=4.6Hz, 1H), 8.25(s, 1H), 8.12(d, J=8.0Hz, 1H), 7.70 (dd, J=2Hz, J=7.6Hz, 1H), 7.65(d, J=8.5Hz, 1H), 7.49 (t, J=7.6Hz, 1H), 7.41(dd, J=4.9Hz, J=7.6Hz, 1H), 7.30 (t, J=7.6Hz, 1H), 6.90(bs, 2H), 4.66(t, J=7Hz, 2H), 3.27 (q, J=6.5Hz, 2H), 1.96(quintet, J=8.5Hz, 2H), 1.56 (quintet, J=7.5Hz, 2H)
98
Figure US06451810-20020917-C00114
404.18 (DMSO-d6)δ8.36(s, 1H), 8.14(d, J=8.3Hz, 1H), 7.97 (t, J=5.6Hz, 1H), 7.76(d, J=8.3Hz, 1H), 7.62(t, J=7.8Hz, 1H), 7.45(t, J=7.5Hz, 1H), 7.08(d, J=8.5Hz, 2H), 6.76 (d, J=8.8Hz, 2H), 4.63(t, J=7Hz, 2H), 3.70(s, 3H), 3.25 (s, 2H), 3.08(q, J=6Hz, 2H), 1.83(quintet, J=7.5Hz, 2H), 1.46(quintet, J=7Hz, 2H)
99
Figure US06451810-20020917-C00115
366.22 (DMSO-d6)δ8.35(s, 1H), 8.2(bs, 1H), 8.13 (d, J=7.8Hz, 1H), 7.75(t, J=5.6Hz, 1H), 7.73(d, J=8.8Hz, 1H), 7.59(t, J=7.6Hz, 1H), 7.42(t, J=7.6Hz, 1H), 4.65 (t, J=7Hz, 2H), 3.06(q, J=6Hz, 2H), 2.02(m, J=7.5Hz, 1H), 1.96(d, J=7.5Hz, 2H), 1.84(quintet, J=8Hz, 2H), 1.55 (quintet, J=5Hz, 2H), 1.46(m, J=7.5Hz, 6H), 1.00 (m, J=12Hz, 2H)
100 
Figure US06451810-20020917-C00116
418.11 (DMSO-d6)δ9.6-8.5(b, 2H), 8.66(t, J=5.5Hz, 1H), 8.54 (s, 1H), 8.23(d, J=8.0Hz, 1H), 8.00(d, J=8.0Hz, 2H), 7.87 (d, J=8.0Hz, 2H), 7.81(d, J=8Hz, 1H), 7.70(t, J=8.0 Hz, 1H), 7.53(t, J=8.0Hz, 1H), 4.72(t, J=7.0Hz, 2H), 3.88(s, 3H), 3.31(q, J=5.5Hz, 2H), 1.93(quintet, J=7.0, 2H), 1.61 (quintet, J=7.0Hz, 2H)
101 
Figure US06451810-20020917-C00117
454.19 (DMSO-d6)δ9.6-8.6(b, 2H), 8.51(s, 1H), 8.22 (d, J=8.5Hz, 1H), 7.84(d, J=8.5Hz, 1H), 7.78(t, J=5.5 Hz, 1H), 7.73(t, J=8.5Hz, 1H), 7.58(t, J=8.5Hz, 1H), 4.68 (t, J=7.0Hz, 2H), 3.57(s, 3H), 3.07(q, J=5.5Hz, 2H), 2.26 (t, J=7.0Hz, 2H), 1.84(quintet, J=7.0Hz, 2H),
#1.48 (sextet, J=7.0Hz, 4H), 1.38(quintet, J=7.0Hz, 2H), 1.71 (m, 8H)
102
Figure US06451810-20020917-C00118
444.11 Compound is trifluoroacetate salt
EXAMPLES 103-107
The compounds shown in the Table below were prepared according to the synthetic method described below.
A 10 mg (25 μmol) portion of N1-[4-(4-amino-1H-imidazo[4,5-c]quinolin-1-yl)butyl]-4-(chloromethyl)benzamide (example 7) was dissolved in 1 mL of N,N-dimethylformamide in a screw-cap tube, and the appropriate amine (2 eq) was added, along with ca. 70 mg (270 μmol) of N,N-(diisopropyl)aminomethylpolystyrene beads (PS-DIEA, 3.86 meq/g, Argonaut). The mixture was heated to 50° C. and was vortexed overnight at 500 rpm. Another 1-2 eq of amine was added and then heating and vortexing was continued for a second night. The product was isolated by injection of the filtered reaction mixture onto a semi-prep HPLC system (Shimadzu LC-6A pumps, Rainin Microsorb C18 column, 21.4×250 mm, 8 micron particle size, 60A pore, 9.9 mL/min., gradient elution from 2-95% B in 25 min., hold at 95% B for 5 min., where A=0. 1% trifluoroacetic acid/water and B=0.1% trifluoroacetic acid/acetonitrile, peak detection at 254 nm, collected 5 mL fractions). The semi-prep hplc fractions were analyzed by reversed-phase hplc and the appropriate fractions were dried in vacuo to provide the compound as a trifluoroacetate salt. The compound was dissolved in ca. 3-5 mL of 2:1 dichloromethane-methanol and shaken with ca. 80 mg (300 μmol) of diisopropylaminomethyl-polystyrene resin (Argonaut PS-DIEA, 3.86 mmol/g) for 1-2 h to liberate the free amine, and then filtered and dried in vacuo to give the compound as an amorphous solid. Each amine product was analyzed by LC/APCI-MS.
Example APCI-MS
No. Structure of the Free Base m/e
103
Figure US06451810-20020917-C00119
459.26
104
Figure US06451810-20020917-C00120
624.51
105
Figure US06451810-20020917-C00121
480.34
106
Figure US06451810-20020917-C00122
523.31
107
Figure US06451810-20020917-C00123
508.32
EXAMPLE 108
N1-(4-(4-Amino-1H-imidazo[4,5-c]quinolin-1-yl)butyl)-2-(2-thienyl)acetamide
Figure US06451810-20020917-C00124
This compound was prepared according to the method of Examples 68-102. (DMSO-d6) δ8.28 (s, 1H), 8.09 (m,2H), 7.70 (d,J=7.9 Hz,1H), 7.54 (t,J=7.9 Hz,1H), 7.36 (t,J=7.3Hz, 1H), 7.28 (dd,J=0.9 Hz, J=5.2 Hz,1H), 6.88 (dd,J=3.4 Hz, J=5.2 Hz,1H), 6.82 (d,J=3.1 Hz, 1H), 4.63 (t,J=7 Hz, 2H), 3.56 (s,2H), 3.10 (q,J=6.5 Hz,2H), 1.85 (quintet,J=7.5 Hz,2H), 1.46 (quintet,J=7.5 Hz,2H) MS (APCI) m/e 380.22 (M+H).
Examples 109-119
The examples in the table below were prepared using the synthetic method described in Reaction Scheme III.
1-(4-Aminobutyl)-1H-imidazo[4,5-c]quinolin-4-amine (10 mg, 0.04 mmol) was suspended in 10 mL of dichloromethane in a threaded test tube. The acid (0.05 mmol) was added and the mixture was briefly vortexed. To the mixture was added 1-[3-(dimethylamino)propyl]-3-ethylcarbodiimide hydrochloride (EDC, 10 mg, 0.05 mmol) and the mixture was shaken overnight at ambient temperature. To the tube was added about 90 mg of aminomethylpolystrene resin (Bachem, ˜1 meq/g, 100-200 mesh) and the mixtures were heated to reflux and shaken overnight. The mixture was then filtered to remove the resin, and was purified by semi-preparative reversed-phase HPLC (Rainin Microsorb C18 column, 21.4×250 mm, 8 micron particle size, 60A pore, 10 mL/min., gradient elution from 2-95% B in 25 min., hold at 95% B for 5 min., where A=0.1% trifluoroacetic acid/water and B=0.1% trifluoroacetic acid/acetonitrile, peak detection at 254 nm for triggering fraction collection). The semi-prep HPLC fractions were analyzed by LC-APCI/MS and the appropriate fractions were combined and lyophilized to provide the trifluoroacetate salt of the desired amide. The compounds were analyzed by LC-MS (APCI).
Example Number Structure of Free Base Observed Mass
109
Figure US06451810-20020917-C00125
464.18
110
Figure US06451810-20020917-C00126
364.15
111
Figure US06451810-20020917-C00127
427.98, 429.97
112
Figure US06451810-20020917-C00128
323.19
113
Figure US06451810-20020917-C00129
370.18
114
Figure US06451810-20020917-C00130
452.10
115
Figure US06451810-20020917-C00131
336.16
116
Figure US06451810-20020917-C00132
338.20
117
Figure US06451810-20020917-C00133
384.20
118
Figure US06451810-20020917-C00134
368.28
119
Figure US06451810-20020917-C00135
420.30
EXAMPLES 120-146
The examples in the table below were prepared using the synthetic method described in Reaction Scheme V above.
Part A
1-(4-Aminobutyl)-1H-imidazo[4,5-c]quinolin-4-amine (25 mg, 0.1 mmol) was suspended in 5 mL of dichloromethane in a threaded test tube and the aldehyde (about 0.1 mmol) was added. The mixture was heated to reflux and was vortexed at 500 rpm for half an hour. The mixture was allowed to cool for a few minutes and then sodium triacetoxyborohydride (38 mg, 0.18 mmol) was added. The mixture was shaken at ambient temperature for 3 days, then was quenched with 0.5 mL of methanol and evaporated to dryness. The mixture was purified by semi-preparative reversed-phase HPLC (Rainin Microsorb C1 8 column, 21.4×250 mm, 8 micron particle size, 60A pore, 10 mL/min., gradient elution from 2-95% B in 25 min., hold at 95% B for 5 min., where A=0. 1% trifluoroacetic acid/water and B=0.1% trifluoroacetic acid/acetonitrile, peak detection at 254 nm for triggering fraction collection). The semi-prep HPLC fractions were analyzed by LC-APCI/MS and the appropriate fractions were combined and lyophilized to provide the trifluoroacetate salt of the desired secondary amine. The compounds were analyzed by LC-MS (APCI).
Part B
The secondary amines from Part A (about 3-30 μmol as the di-trifluoroacetate salt) were each dissolved in 1 mL of pyridine, and about 10 equivalents of a 0.1 M solution of acetic anhydride in dichloromethane was added. The mixtures were allowed to stand for 1 hour and then 200 μL of methanol was added. The mixtures were evaporated to dryness in a vacuum centrifuge. The mixtures were purified by semi-preparative reversed-phase HPLC as in Part A. The compounds were analyzed by LC-MS (APCI).
Example Number Structure of Free Base Observed Mass
120
Figure US06451810-20020917-C00136
418.1
121
Figure US06451810-20020917-C00137
466.0, 468.0
122
Figure US06451810-20020917-C00138
482.0, 484  
123
Figure US06451810-20020917-C00139
460.1
124
Figure US06451810-20020917-C00140
422.0
125
Figure US06451810-20020917-C00141
467.0, 469.0
126
Figure US06451810-20020917-C00142
467.0, 469.0
127
Figure US06451810-20020917-C00143
530.0
128
Figure US06451810-20020917-C00144
456.0, 458.0
129
Figure US06451810-20020917-C00145
424.0
130
Figure US06451810-20020917-C00146
448.1
131
Figure US06451810-20020917-C00147
448.1
132
Figure US06451810-20020917-C00148
416.1
133
Figure US06451810-20020917-C00149
406.1
134
Figure US06451810-20020917-C00150
378.0
135
Figure US06451810-20020917-C00151
378.0
136
Figure US06451810-20020917-C00152
416.1
137
Figure US06451810-20020917-C00153
410.0
138
Figure US06451810-20020917-C00154
438.0
139
Figure US06451810-20020917-C00155
468.1
140
Figure US06451810-20020917-C00156
433.0
141
Figure US06451810-20020917-C00157
433.0
142
Figure US06451810-20020917-C00158
512.0
143
Figure US06451810-20020917-C00159
389.0
144
Figure US06451810-20020917-C00160
402.1
145
Figure US06451810-20020917-C00161
478.1
146
Figure US06451810-20020917-C00162
478.1
EXAMPLES 147-159
The compounds in the table below were prepared using the synthetic method of Reaction Scheme II above.
1-(4-Aminobutyl)-2-methoxyethyl-1H-imidazo[4,5-c]quinolin-4-amine (50 mg) was placed in a 2 dram (7.4 mL) vial. Diisopropylethylamine (1.2 eq)and dichloromethane (1 mL) were added. A solution containing the carboxylic acid chloride (1.1 eq) in dichloromethane (1 mL) was added. The vial was placed on a shaker for about 2 hours at ambient temperature. The reaction mixture was analyzed by LC/MS to confirm the formation of the desired product. The solvent was removed and the residue was purified by semi-preparative HPLC (Capcell PakC 18 column, 35×20 mm, 5 micron particle size, 20 mL/min., gradient elution from 5-95% B in 10 min., hold at 95% B for 2 min., where A=0.1% trifluoroacetic acid/water and B=0.1% trifluoroacetic acid/acetonitrile, peak detection at 254 nm for triggering fraction collection). The semi-prep HPLC fractions were analyzed by LC-APCI/MS and the appropriate fractions were combined and lyophilized to provide the trifluoroacetate salt of the desired amide.
Example # Structure of the Free Base APCI-MS m/e
147
Figure US06451810-20020917-C00163
384.2
148
Figure US06451810-20020917-C00164
396.2
149
Figure US06451810-20020917-C00165
410.2
150
Figure US06451810-20020917-C00166
424.2
151
Figure US06451810-20020917-C00167
432.2
152
Figure US06451810-20020917-C00168
432.3
153
Figure US06451810-20020917-C00169
458.2
154
Figure US06451810-20020917-C00170
468.2
155
Figure US06451810-20020917-C00171
468.2
156
Figure US06451810-20020917-C00172
474.2
157
Figure US06451810-20020917-C00173
476.3
158
Figure US06451810-20020917-C00174
478.3
159
Figure US06451810-20020917-C00175
484.30
EXAMPLES 160-168
The compounds in the table below were prepared using the synthetic method of Reaction Scheme III above.
1-(4-Aminobutyl)-2-methoxyethyl-1H-imidazo[4,5-c]quinolin-4-amine (50 mg), the carboxylic acid (1.0 eq.) and dichloromethane (3 mL) were placed in a 2 dram (7.4 mL) vial. A solution containing 1-[3-(dimethylamino)propyl]-3-ethylcarbodiimide hydrochloride (1.1 eq) in dichloromethane (1 mL) was added. The vial was placed on a shaker for about 2 hours at ambient temperature. The reaction mixture was analyzed by LC/MS to confirm the formation of the desired product. The solvent was removed and the residue was purified by semi-preparative HPLC (Capcell Pak C18 column, 35×20 mm, 5 micron particle size, 20 mL/min., gradient elution from 5-95% B in 10 min., hold at 95% B for 2 min., where A=0.1% trifluoroacetic acid/water and B=0.1% trifluoroacetic acid/acetonitrile, peak detection at 254 nm for triggering fraction collection). The semi-prep HPLC fractions were analyzed by LC-APCI/MS and the appropriate fractions were combined and lyophilized to provide the trifluoroacetate salt of the desired amide.
Example # Structure of Free Base APCI-MS m/e
160
Figure US06451810-20020917-C00176
381.2
161
Figure US06451810-20020917-C00177
382.2
162
Figure US06451810-20020917-C00178
408.3
163
Figure US06451810-20020917-C00179
426.2
164
Figure US06451810-20020917-C00180
434.2
165
Figure US06451810-20020917-C00181
440.2
166
Figure US06451810-20020917-C00182
478.2
167
Figure US06451810-20020917-C00183
492.3
168
Figure US06451810-20020917-C00184
500.2, 502.2
EXAMPLE 169 N1-[4-(4-Amino-2-(4-methoxybenzyl)-1H-imidazo[4,5-c]quinolin-1yl)butyl]acetamide Trifluoroacetate
Figure US06451810-20020917-C00185
Using the method of Examples 147-159 above, 1-(4-aminobutyl)-2-(4-methoxybenzyl)-1H-imidazo[4,5-c]quinolin-4-amine was reacted with acetyl chloride to provide N1-[4-(4-amino-2-(4-methoxybenzyl)-1H-imidazo[4,5-c]quinolin-1-yl)butyl]acetamide Trifluoroacetate. APCI-MS m/e 418.2.
EXAMPLES 170 & 171
The examples in the table below were prepared by reacting 1-(4-aminobutyl)-2-(4-methoxybenzyl)-1H-imidazo[4,5-c]quinolin-4-amine with the appropriate carboxylic acid using the method of Example 160-168.
Ex-
am-
ple APCI-
# Structure of the Free Base MS m/e
170
Figure US06451810-20020917-C00186
481.2
171
Figure US06451810-20020917-C00187
481.2
EXAMPLES 172-174
The examples in the table below were prepared according to the synthetic method described in Reaction Scheme VI above.
Part A
A catalytic amount of platinum (IV) oxide was added to a solution of 1-(4-aminobutyl)-2-methoxyethyl-1H-imidazo[4,5-c]quinolin-4-amine (7.7 g, 24.5 mmol) in trifluoroacetic acid (250 mL). The reaction mixture was hydrogenated at 50 psi (3.44×105 Pa) on a Parr apparatus. The progress of the reaction was monitored by LC/MS. Additional catalyst was added 7, 11, and 17 days after the start of the reaction. After 25 days the reaction was complete. The reaction mixture was filtered through a layer of Celite® filter aid to remove the catalyst and the filtrate was concentrated under vacuum. The residue was combined with 1 N hydrochloric acid (100 mL) and stirred overnight. The mixture was made basic (pH=11) with ammonium hydroxide and then extracted with dichloromethane (3×300 mL). The extracts were combined and concentrated under vacuum to provide 3.5 g of 1-(4-aminobutyl)-6,7,8,9-tetrahydro-2-methoxyethyl-1H-imidazo[4,5-c]quinolin-4-amine as a solid.
Part B
Using the method of Examples DC 147-159 above. The material from Part A was reacted with the appropriate acid chloride to give the desired amide.
Example # Structure of the Free Base APCI-MS m/e
172
Figure US06451810-20020917-C00188
422.2
173
Figure US06451810-20020917-C00189
423.1
174
Figure US06451810-20020917-C00190
436.2
EXAMPLES 175-180
The examples in the table below were prepared according to the synthetic method of Reaction Scheme III above using the general method of Examples 160-168.
Example # Structure of the Free Base mass
175
Figure US06451810-20020917-C00191
408.2
176
Figure US06451810-20020917-C00192
419.1
177
Figure US06451810-20020917-C00193
438.2
178
Figure US06451810-20020917-C00194
446.2
179
Figure US06451810-20020917-C00195
453.2
180
Figure US06451810-20020917-C00196
480.2
CYTOKINE INDUCTION IN HUMAN CELLS
An in vitro human blood cell system was used to assess cytokine induction by compounds of the invention. Activity is based on the measurement of interferon and tumor necrosis factor (α) (IFN and TNF, respectively) secreted into culture media as described by Testerman et. al. In “Cytokine Induction by the Immunomodulators Imiquimod and S-27609”, Journal of Leukocyte Biology, 58, 365-372 (September, 1995).
Blood Cell Preparation for Culture
Whole blood is collected by venipuncture into EDTA vacutainer tubes from healthy human donors. Peripheral blood mononuclear cells (PBMCs) are separated from whole blood by density gradient centrifugation using Histopaque®-1077 (Sigma Chemicals, St. Louis, Mo.). The PBMCs are suspended at 3-4×106 cells/mL in RPMI 1640 medium containing 10% fetal bovine serum, 2 mM L-glutamine and 1% penicillin/streptomycin solution (RPMI complete). The PBMC suspension is added to 48 well flat bottom sterile tissue culture plates (Costar, Cambridge, Mass. or Becton Dickinson Labware, Lincoln Park, N.J.) containing an equal volume of RPMI complete media containing test compound.
Compound Preparation
The compounds are solubilized in dimethyl sulfoxide (DMSO). The DMSO concentration should not exceed a final concentration of 1% for addition to the culture wells.
Incubation
The solution of test compound is added at 60 μM to the first well containing RPMI complete and serial (three fold or ten fold) dilutions are made. The PBMC suspension is then added to the wells in an equal volume, bringing the test compound concentrations to the desired range. The final concentration of PBMC suspension is 1.5-2×106 cells/mL. The plates are covered with sterile plastic lids, mixed gently and then incubated for 18 to 24 hours at 37° C. in a 5% carbon dioxide atmosphere.
Separation
Following incubation the plates are centrifuged for 5-10 minutes at 1000 rpm (˜200×g) at 4° C. The cell culture supernatant is removed with a sterile polypropylene pipet and transferred to sterile polypropylene tubes. Samples are maintained at −30 to −70° C. until analysis. The samples are analyzed for interferon (α) by either ELISA or bioassay and for tumor necrosis factor (α) by ELISA.
Interferon Bioassay Analysis
Interferon is determined by bioassay using A549 human lung carcinoma cells challenged with encephalomyocarditis. The details of the bioassay method have been described by G. L. Brennan and L. H. Kronenberg in “Automated Bioassay of Interferons in Micro-test Plates”, Biotechniques, June/July, 78, 1983, incorporated herein by reference. Briefly stated the method is as follows: A549 cells are incubated with dilutions of samples or a standard interferon at 37° C. for 24 hours. The incubated cells are then infected with an inoculum of encephalomyocarditis virus. The infected cells are incubated for an additional 24 hours at 37° C. before evaluating for viral cytopathic effect. The viral cytopathic effect is quantified by staining with crystal violet followed by visual scoring of the plates. Results are expressed as alpha reference units/mL based on the value obtained for NIH Human Leukocyte IFN standard.
Interferon (α) and Tumor Necrosis Factor (α) Analysis by ELISA
Interferon (α) concentration is determined by ELISA using a Human Multi-Species kit from PBL Biomedical Laboratories, New Brunswick, N.J.
Tumor necrosis factor (α) (TNF)concentration is determined using ELISA kits available from Genzyme, Cambridge, Mass.; R&D Systems, Minneapolis, Minn.; or Pharmingen, San Diego, Calif.
The table below lists the lowest concentration found to induce interferon and the lowest concentration found to induce tumor necrosis factor for each compound. A “**” indicates that no induction was seen at any of the tested concentrations (0.12, 0.37, 1.11, 3.33, 10 and 30 μM). A “***” indicates that no induction was seen at any of the tested concentrations (0.0001, 0.001, 0.01, 0.1, 1 and 10 μM). Unless otherwise indicated, the interferon biosynthesis was determined by ELISA.
Cytokine Induction in Human Cells
Example Lowest Effective Concentration (μM)
Number Interferon Tumor Necrosis Factor
1 0.37 10
3 0.37 1.11
4 0.04 0.37
5 0.04 0.37
6 0.12 1.11
7 1.11 **
8 0.04 **
9 0.37 3.33
10 3.33 **
11 1.11 **
12 3.33 **
13 1.11 3.33
14 3.33 **
15 3.33 **
16 1.11 30
17 3.33 10
18 3.33 **
19 10 **
20 3.33 **
21 0.12 1.11
22 0.37 10
23 1.11 **
24 0.12 3.33
25 3.33 **
26 0.37 10
27 ** **
28 0.12 **
29 0.12 **
31 1.11 **
32 3.33 **
33 0.37 **
34 ** 3.33
35 1.11 **
36 1.11 10
37 0.37 **
38 0.12 3.33
39 3.33 **
40 0.37 30
41 1.11 **
42 30 3.33
43 0.12 **
44 1.11 **
45 3.33 **
46 ** 10
68* 1.11 10
69* 0.12 1.11
70* 0.37 3.33
71* 0.12 3.33
72* 0.37 10
73* 0.37 10
74* 0.37 10
75* 1.11 **
76* 3.33 **
77* 1.11 10
78* 0.12 10
79* 0.37 **
80* 1.11 10
81* 3.33 30
82* 0.12 10
83* 1.11 **
84* 0.12 10
85 1.11 10
86 1.11 10
87 3.33 30
88 10 **
89 1.11 10
90 3.33 10
91 3.33 **
92 3.33 **
93 1.11 30
94 0.04 3.33
95 3.33 30
96 0.37 10
97 0.12 3.33
98 1.11 10
99 0.37 3.33
100 10 3.33
101 3.33 **
102 3.33 **
103 0.37 10
104 ** **
105 0.12 10
106 3.33 **
107 0.12 10
108 0.12 10
109 ** **
110 1.11 3.33
111 1.11 **
112 10 **
113 3.33 **
114 1.11 10
115 1.11 30
116 0.37 10
117 3.33 **
118 1.11 **
119 ** **
120 0.37 **
121 1.11 **
122 3.33 **
123 3.33 **
124 1.11 3.33
125 1.11 **
126 3.33 **
127 ** **
128 3.33 1.11
129 3.33 **
130 1.11 10
131 3.33 **
132 1.11 3.33
133 3.33 **
134 0.37 **
135 0.12 **
136 1.11 **
137 10 **
138 1.11 **
139 ** **
140 1.11 **
141 0.37 **
142 3.33 **
143 0.12 **
144 1.11 **
145 1.11 **
146 3.33 **
148 0.01 1
149 0.001 1
150 0.001 0.1
151 0.0001 ***
153 0.0001 0.1
154 0.0001 ***
155 0.0001 1
155 0.01 0.1
156 0.001 1
158 0.001 1
159 0.01 1
172 0.0001 1
173 0.001 1
174 0.001 1
*Interferon determined using the bioassay method
The present invention has been described with reference to several embodiments thereof. The foregoing detailed description and examples have been provided for clarity of understanding only, and no unnecessary limitations are to be understood therefrom. It will be apparent to those skilled in the art that many changes can be made to the described embodiments without departing from the spirit and scope of the invention. Thus, the scope of the invention should not be limited to the exact details of the compositions and structures described herein, but rather by the language of the claims that follow.

Claims (64)

What is claimed is:
1. A pharmaceutical composition comprising a therapeutically effective amount of a compound of the formula (I):
Figure US06451810-20020917-C00197
wherein
R1 is -alkyl-NR3—CO—R4 or -alkenyl-NR3—CO—R4 wherein R4 is aryl, heteroaryl, alkyl or alkenyl, each of which may be unsubstituted or substituted by one or more substituents selected from the group consisting of:
-alkyl;
-alkenyl;
-alkynyl;
-(alkyl)0-1-aryl;
-(alkyl)0-1-(substituted aryl);
-(alkyl)0-1-heteroaryl;
-(alkyl)0-1-(substituted heteroaryl);
—O-alkyl;
—O-(alkyl)0-1-aryl;
—O-(alkyl)0-1-(substituted aryl);
—O-(alkyl)0-1-heteroaryl;
—O-(alkyl)0-1-(substituted heteroaryl);
—CO-aryl;
—CO-(substituted aryl);
—CO-heteroaryl;
—CO-(substituted heteroaryl);
—COOH;
—CO—O-alkyl;
—CO-alkyl;
—S(O)0-2-alkyl;
—S(O)0-2-(alkyl)0-1-aryl;
—S(O)0-2-(alkyl)0-1-(substituted aryl);
—S(O)0-2-(alkyl)0-1-heteroaryl;
—S(O)0-2-(alkyl)0-1-(substituted heteroaryl);
—P(O)(OR3)2;
—NR3—CO—O-alkyl;
—N3;
-halogen;
—NO2;
—CN;
-haloalkyl;
—O-haloalkyl;
—CO-haloalkyl;
—OH;
—SH; and if R4 is alkyl or alkenyl, then the substituent can also be oxo; or R4 is
Figure US06451810-20020917-C00198
wherein R5 is an aryl, (substituted aryl), heteroaryl, (substituted heteroaryl), heterocyclyl or (substituted heterocyclyl) group;
R2 is selected from the group consisting of:
-hydrogen;
-alkyl;
-alkenyl;
-aryl;
-(substituted aryl);
-heteroaryl;
-(substituted heteroaryl);
-heterocyclyl;
-(substituted heterocyclyl);
-alkyl-O-alkyl;
-alkyl-O-alkenyl; and
-alkyl or alkenyl substituted by one or more substituents selected from the group consisting of
—OH,
-halogen;
—N(R3)2;
—CO—N(R3)2;
—CO—C1-10 alkyl;
—CO—O—C1-10 alkyl;
—N3;
-aryl;
-(substituted aryl);
-heteroaryl;
-(substituted heteroaryl);
-heterocyclyl;
-(substituted heterocyclyl);
—CO-aryl; and
—CO-heteroaryl;
each R3 is independently selected from the group consisting of hydrogen; C1-10alkyl-heteroaryl; C1-10 alkyl-(substituted heteroaryl); C1-10 alkyl-aryl; C1-10 alkyl-(substituted aryl) and C1-10 alkyl;
n is 0 to 4;
and each R present is independently selected from the group consisting of C1-10 alkyl, C1-10 alkoxy, halogen and trifluoromethyl, wherein the substituent(s) of the substituted aryl, heteroaryl, and heterocyclyl groups are independently selected from the group consisting of alkyl, alkoxy, alkylthio, hydroxy, halogen, haloalkyl, haloalkylcarbonyl, haloalkoxy, nitro, alkylcarbonyl, alkenylcarbonyl, arylcarbonyl, heteroarylcarbonyl, aryl, arylalkyl, heteroaryl, heteroarylalkyl, heterocyclyl, heterocycloalkyl, nitrile, alkoxycarbonyl, alkanoyloxy, alkanoylthio, and, in the case of a heterocyclyl group, oxo; or a pharmaceutically acceptable salt thereof, in combination with a pharmaceutically acceptable carrier.
2. The composition of claim 1 wherein R2 is hydrogen.
3. The composition of claim 1 wherein R2 is selected from the group consisting of hydrogen; alkyl; alkyl-O-alkyl; (alkyl)0-1aryl; and (alkyl)0-1-(substituted aryl).
4. The composition of claim 1 wherein R4 is aryl or heteroaryl that may be unsubstituted or substituted by one or more substituents selected from the group consisting of:
-alkyl;
-alkenyl;
-alkynyl;
-(alkyl)0-1-aryl;
-(alkyl)0-1-(substituted aryl);
-(alkyl)0-1-heteroaryl;
-(alkyl)0-1-(substituted heteroaryl);
—O-alkyl;
—O-(alkyl)0-1-aryl;
—O-(alkyl)0-1-(substituted aryl);
—O-(alkyl)0-1-heteroaryl;
—O-(alkyl)0-1-(substituted heteroaryl);
—CO-aryl;
—CO-(substituted aryl);
—CO-heteroaryl;
—CO-(substituted heteroaryl);
—COOH;
—CO—O-alkyl;
—CO-alkyl;
—S(O)0-2-alkyl;
—S(O)0-2-(alkyl)0-1-aryl;
—S(O)0-2-(alkyl)0-1-(substituted aryl);
—S(O)0-2-(alkyl)0-1-heteroaryl;
—S(O)0-2-(alkyl)0-1-(substituted heteroaryl);
—NR3—CO—O-alkyl;
—P(O)(OR3)2;
—N3;
-halogen;
—NO2;
—CN;
-haloalkyl;
—O-haloalkyl;
—CO-haloalkyl;
—OH; and
—SH.
5. The composition of claim 1 wherein R4 is
Figure US06451810-20020917-C00199
6. The composition of claim 5 wherein R5 is 4-pyridyl.
7. A compound selected from the group consisting of:
N1-[4-(4-Amino-1H-imidazo[4,5-c]quinolin-1-yl)butyl]-2-ethoxy-1-naphthamide;
N1-[4-(4-Amino-1H-imidazo[4,5-c]quinolin-1-yl)butyl]-4-cyanobenzamide;
N1-[4-(4-Amino-1H-imidazo[4,5-c]quinolin-1-yl)butyl]-3-cyanobenzamide;
N1-[4-(4-Amino-1H-imidazo[4,5-c]quinolin-1-yl)butyl]-1-naphthamide;
N2-[4-(4-Amino-1H-imidazo[4,5-c]quinolin-1-yl)butyl]-2-naphthamide;
N1-{4-[4-Amino-2-(2-methoxyethyl)-1H-imidazo[4,5-c]quinolin-1-yl]butyl}-4-(1-pyrrolyl)benzamide;
N1-{4-(4-Amino-2-(2-methoxyethyl)-1H-imidazo[4,5-c]quinolin-1-yl)butyl}-1-naphthamide;
N2-{4-(4-Amino-2-(2-methoxyethyl)-1H-imidazo[4,5-c]quinolin-1-yl)butyl}-2-naphthamide;
N1-{4-(4-Amino-2-(4-methoxybenzyl)-1H-imidazo[4,5-c]quinolin-1-yl)butyl}-1-naphthamide;
N2-{4-(4-Amino-2-(4-methoxybenzyl)-1H-imidazo[4,5-c]quinolin-1-yl)butyl}-2-naphthamide;
N1-[4-(4-Amino-2-butyl-1H-imidazo[4,5-c]quinolin-1-yl)butyl]-1-naphthamide;
N2-[4-(4-Amino-2-butyl-1H-imidazo[4,5-c]quinolin-1-yl)butyl]-2-naphthamide;
N1-[4-(4-Amino-6,7,8,9-tetrahydro-1H-imidazo[4,5-c]quinolin-1-yl)butyl]-1-naphthamide; and
N2-[4-(4-Amino-6,7,8,9-tetrahydro-1H-imidazo[4,5-c]quinolin-1-yl)butyl]-2-naphthamide.
8. A pharmaceutical composition comprising a therapeutically effective amount of a compound of the formula (Ib):
Figure US06451810-20020917-C00200
wherein
R1 is -alkyl-NR3—CO—R4 or -alkenyl-NR3—CO—R4 wherein R4 is heterocyclyl which may be unsubstituted or substituted by one or more substituents selected from the group consisting of:
-alkyl;
-alkenyl;
-alkynyl;
-(alkyl)0-1-aryl;
-(alkyl)0-1-(substituted aryl);
-(alkyl)0-1-heterocyclyl;
-(alkyl)0-1-(substituted heterocyclyl);
-(alkyl)0-1-heteroaryl;
-(alkyl)0-1-(substituted heteroaryl);
—O-alkyl;
—O-(alkyl)0-1-aryl;
—O-(alkyl)0-1-(substituted aryl);
—O-(alkyl)0-1-heterocyclyl;
—O-(alkyl)0-1-(substituted heterocyclyl);
—O-(alkyl)0-1-heteroaryl;
—O-(alkyl)0-1-(substituted heteroaryl);
—CO-aryl;
—CO-(substituted aryl);
—CO-heteroaryl;
—CO-(substituted heteroaryl);
—COOH;
—CO—O-alkyl;
—CO-alkyl;
—S(O)0-2-alkyl;
—S(O)0-2-(alkyl)0-1-aryl;
—S(O)0-2-(alkyl)0-1-(substituted aryl);
—S(O)0-2-(alkyl)0-1-heterocyclyl;
—S(O)0-2-(alkyl)0-1-(substituted heterocyclyl);
—S(O)0-2-(alkyl)0-1-heteroaryl;
—S(O)0-2-(alkyl)0-1-(substituted heteroaryl);
—P(O)(OR3)2;
—NR3—CO—O-alkyl;
—N3;
oxo;
-halogen;
—NO2;
—CN;
-haloalkyl;
—O-haloalkyl;
—CO-haloalkyl;
—OH; and
—SH; or R4 is
Figure US06451810-20020917-C00201
wherein R5 is an aryl, (substituted aryl), heteroaryl, (substituted heteroaryl), heterocyclyl or (substituted heterocyclyl) group;
R2 is selected from the group consisting of:
-hydrogen;
-alkyl;
-alkenyl;
-aryl;
-(substituted aryl);
-heteroaryl;
-(substituted heteroaryl);
-heterocyclyl;
-(substituted heterocyclyl);
-alkyl-O-alkyl;
-alkyl-O-alkenyl; and
-alkyl or alkenyl substituted by one or more substituents selected from the group consisting of:
—OH;
-halogen;
—N(R3)2;
—CO—N(R3)2;
—CO—C1-10 alkyl;
—CO—O—C1-10 alkyl;
—N3;
-aryl;
-(substituted aryl);
-heteroaryl;
-(substituted heteroaryl);
-heterocyclyl;
-(substituted heterocyclyl);
—CO-aryl; and
—CO-heteroaryl;
each R3 is independently selected from the group consisting of hydrogen; C1-10 alkyl-heteroaryl; C1-10 alkyl-(substituted heteroaryl); C1-10 alkyl-aryl; C1-10 alkyl-(substituted aryl) and C1-10 alkyl;
n is 0 to 4;
and each R present is independently selected from the group consisting of C1-10 alkyl, C1-10 alkoxy, halogen and trifluoromethyl, or a pharmaceutically acceptable salt thereof, in combination with a pharmaceutically acceptable carrier.
9. A compound of the formula (Ic):
Figure US06451810-20020917-C00202
wherein
R1 is -alkyl-NR3—CO—R4 or -alkenyl-NR3—CO—R4 wherein R4 is aryl, heteroaryl, heterocyclyl, alkyl or alkenyl, each of which may be unsubstituted or substituted by one or more substituents selected from the group consisting of:
-alkyl;
-alkenyl;
-alkynyl;
-(alkyl)0-1-aryl;
-(alkyl)0-1-(substituted aryl);
-(alkyl)0-1-heteroaryl;
-(alkyl)0-1-(substituted heteroaryl);
-(alkyl)0-1-heterocyclyl;
-(alkyl)0-1-(substituted heterocyclyl);
—O-alkyl;
—O-(alkyl)0-1-aryl;
—O-(alkyl)0-1-(substituted aryl);
—O-(alkyl)0-1-heteroaryl;
—O-(alkyl)0-1-(substituted heteroaryl);
—O-(alkyl)0-1-heterocyclyl;
—O-(alkyl)0-1-(substituted heterocyclyl);
—CO-aryl;
—CO-(substituted aryl);
—CO-heteroaryl;
—CO-(substituted heteroaryl);
—COOH;
—CO—O-alkyl;
—CO-alkyl;
—S(O)0-2-alkyl;
—S(O)0-2-(alkyl)0-1-aryl;
—S(O)0-2-(alkyl)0-1-(substituted aryl);
—S(O)0-2-(alkyl)0-1-heteroaryl;
—S(O)0-2-(alkyl)0-1-(substituted heteroaryl);
—S(O)0-2-(alkyl)0-1-heterocyclyl;
—S(O)0-2-(alkyl)0-1-(substituted heterocyclyl);
—NR6—CO—O-alkyl;
—P(O)(OR3)2;
—N3;
-halogen;
—NO2;
—CN;
-haloalkyl;
—O-haloalkyl;
—CO-haloalkyl;
—OH;
—SH; and in the case of alkyl, alkenyl, or heterocyclyl, oxo;
or R4 is
Figure US06451810-20020917-C00203
wherein R5 is an aryl, (substituted aryl), heteroaryl, (substituted heteroaryl), heterocyclyl or (substituted heterocyclyl) group;
R2 is selected from the group consisting of:
-hydrogen;
-alkyl;
-alkenyl;
-aryl;
-(substituted aryl);
-heteroaryl;
-(substituted heteroaryl);
-heterocyclyl;
-(substituted heterocyclyl);
-alkyl-O-alkyl;
-alkyl-O-alkenyl; and
-alkyl or alkenyl substituted by one or more substituents selected from the group consisting of:
—OH;
-halogen;
—N(R6)2;
—CO—N(R6)2; —CO—C1-10 alkyl; —CO—O—C1-10 alkyl;
—N3;
-aryl;
-(substituted aryl);
-heteroaryl;
-(substituted heteroaryl);
-heterocyclyl;
-(substituted heterocyclyl);
—CO-aryl; and
—CO-heteroaryl;
R3 is selected from the group consisting of C1-10 alkyl-heteroaryl; C1-10 alkyl-(substituted heteroaryl); C1-10 alkyl-aryl; C1-10 alkyl-(substituted aryl) and C1-10 alkyl;
each R6 is independently selected from the group consisting of hydrogen; C1-10 alkyl-heteroaryl; C1-10 alkyl-(substituted heteroaryl); C1-10 alkyl-aryl; C1-10 alkyl-(substituted aryl) and C1-10 alkyl;
n is 0 to 4;
and each R present is independently selected from the group consisting of C1-10 alkyl, C1-10 alkoxy, halogen and trifluoromethyl, wherein the substituent(s) of the substituted aryl, heteroaryl, and heterocyclyl groups are independently selected from the group consisting of alkyl, alkoxy, alkylthio, hydroxy, halogen, haloalkyl, haloalkylcarbonyl, haloalkoxy, nitro, alkylcarbonyl, alkenylcarbonyl, arylcarbonyl, heteroarylcarbonyl, aryl, arylalkyl, heteroaryl, heteroarylalkyl, heterocyclyl, heterocycloalkyl, nitrile, alkoxycarbonyl, alkanoyloxy, alkanoylthio, and, in the case of a heterocyclyl group, oxo; or a pharmaceutically acceptable salt thereof.
10. A compound of claim 9 wherein the dashed bonds are absent.
11. A compound of claim 9 wherein R3 is selected from the group consisting of C1-10 alkyl-heteroaryl; C1-10 alkyl-(substituted heteroaryl); C1-10 alkyl-aryl; and C1-10 alkyl-(substituted aryl).
12. A compound of claim 9 wherein R3 is selected from the group consisting of C1-10 alkyl-heteroaryl; C1-10 alkyl-(substituted heteroaryl); C1-10 alkyl-aryl; C1-10 alkyl-(substituted aryl) and C6-10 alkyl.
13. A compound of claim 9 wherein R3 is selected from the group consisting of 2-methoxybenzyl; 2-furylmethyl; 3-furylmethyl; 2-nitrobenzyl; and 4-pyridylmethyl.
14. A compound of claim 13 wherein R2 is hydrogen and R4 is methyl.
15. A compound of claim 9 wherein n is 0.
16. A compound of claim 9 wherein R2 is selected from the group consisting of hydrogen; alkyl; alkyl-O-alkyl; (alkyl)0-1 aryl, (alkyl)0-1-(substituted aryl); (alkyl)0-1-heteroaryl; and (alkyl)0-1-(substituted heteroaryl).
17. A compound of claim 9 wherein R2 is selected from the group consisting of hydrogen; C1-4 alkyl; and C1-4alkyl-O—C1-4alkyl.
18. A compound of claim 9 wherein R1 is —(CH2)1-6—NR3—CO—R4—.
19. A compound of claim 9 wherein R4 is naphthyl that may be unsubstituted or substituted by one or more substituents selected from the group consisting of:
-alkyl;
-alkenyl;
-alkynyl;
-(alkyl)0-1-aryl;
-(alkyl)0-1-(substituted aryl);
-(alkyl)0-1-heteroaryl;
-(alkyl)0-1-(substituted heteroaryl);
—O-alkyl,
—O-(alkyl)0-1-aryl;
—O-(alkyl)0-1-(substituted aryl);
—O-(alkyl)0-1-heteroaryl;
—O-(alkyl)0-1-(substituted heteroaryl);
—CO-aryl;
—CO-(substituted aryl);
—CO-heteroaryl;
—CO-(substituted heteroaryl);
—CO—O-alkyl;
—CO-alkyl;
—COOH;
—S(O)0-2-alkyl;
—S(O)0-2-(alkyl)0-1-aryl;
—S(O)0-2-(alkyl)0-1-(substituted aryl);
—S(O)0-2-(alkyl)0-1-heteroaryl;
—S(O)0-2-(alkyl)0-1-(substituted heteroaryl);
—NR3—CO—O-alkyl;
—P(O)(OR3)2;
—N3;
oxo;
-halogen;
—NO2;
—CN;
-haloalkyl;
—O-haloalkyl;
—CO-haloalkyl;
—OH; and
—SH.
20. A compound of the formula (Id):
Figure US06451810-20020917-C00204
wherein
R1 is -alkyl-NR3—CO—R4 or -alkenyl-NR3—CO—R4 wherein R4 is aryl or heteroaryl which may be unsubstituted or substituted by one or more substituents selected from the group consisting of:
-alkyl;
-alkenyl;
-alkynyl;
-(alkyl)0-1-aryl;
-(alkyl)0-1-(substituted aryl);
-(alkyl)0-1-heteroaryl;
-(alkyl)0-1-(substituted heteroaryl);
-(alkyl)0-1-heterocyclyl;
-(alkyl)0-1-(substituted heterocyclyl);
—O-alkyl;
—O-(alkyl)0-1-aryl;
—O-(alkyl)0-1-(substituted aryl);
—O-(alkyl)0-1-heteroaryl;
—O-(alkyl)0-1-(substituted heteroaryl);
—O-(alkyl)0-1-heterocyclyl;
—O-(alkyl)0-1-(substituted heterocyclyl);
—CO-aryl;
—CO-(substituted aryl);
—CO-heteroaryl;
—CO-(substituted heteroaryl);
—CO—O-alkyl;
—COOH;
—CO-alkyl;
—S(O)0-2-alkyl;
—S(O)0-2-(alkyl)0-1-aryl;
—S(O)0-2-(alkyl)0-1-(substituted aryl);
—S(O)0-2-(alkyl)0-1-heteroaryl;
—S(O)0-2-(alkyl)0-1-(substituted heteroaryl);
—S(O)0-2-(alkyl)0-1-heterocyclyl;
—S(O)0-2-(alkyl)0-1-(substituted heterocyclyl);
—NR3—CO—O-alkyl;
—P(O)(OR3)2;
—N3;
-halogen;
—NO2;
—CN;
-haloalkyl;
—O-haloalkyl;
—CO-haloalkyl;
—OH; and
—SH; or R4 is
Figure US06451810-20020917-C00205
wherein R5 is an aryl, (substituted aryl), heteroaryl, (substituted heteroaryl), heterocyclyl or (substituted heterocyclyl) group;
R2 is selected from the group consisting of:
-hydrogen;
-alkyl;
-alkenyl;
-aryl;
-(substituted aryl);
-heteroaryl;
-(substituted heteroaryl);
-heterocyclyl;
-(substituted heterocyclyl);
-alkyl-O-alkyl;
-alkyl-O-alkenyl; and
-alkyl or alkenyl substituted by one or more substituents selected from the group consisting of:
—OH;
-halogen;
—N(R3)2;
—CO—N(R3)2;
—CO—C1-10 alkyl;
—CO—O—C1-10 alkyl;
—N3;
-aryl;
-(substituted aryl);
-heteroaryl;
-(substituted heteroaryl);
-heterocyclyl;
-(substituted heterocyclyl);
—CO-aryl; and
—CO-heteroaryl;
each R3 is independently selected from the group consisting of hydrogen; C1-10 alkyl-heteroaryl; C1-10 alkyl-(substituted heteroaryl); C1-10 alkyl-aryl; C1-10 alkyl-(substituted aryl) and C1-10 alkyl;
n is 0 to 4;
and each R present is independently selected from the group consisting of C1-10 alkyl, C1-10 alkoxy, halogen and trifluoromethyl, or a pharmaceutically acceptable salt thereof,
with the proviso that R4 is not an unsubstituted benzene ring, and that when R4 is a substituted benzene ring the substituents are selected from the group consisting of alkyl, alkoxy, alkylthio, hydroxy, haloalkyl, haloalkylcarbonyl, haloalkoxy, alkylcarbonyl, alkenylcarbonyl, arylcarbonyl, heteroarylcarbonyl, aryl, arylalkyl, heteroaryl, heteroarylalkyl, heterocyclyl, heterocycloalkyl, nitrile, alkoxycarbonyl, alkanoyloxy, alkanoylthio, and —(C1-10alkyl)—NR3—(C1-10alkyl)—R5, wherein R5 is an aryl, (substituted aryl), heteroaryl, (substituted heteroaryl), heterocyclyl or (substituted heterocyclyl) group.
21. A compound of claim 20 wherein n is 0.
22. A compound of claim 20 wherein R2 is selected from the group consisting of hydrogen; alkyl; alkyl-O-alkyl; (alkyl)0-1aryl; and (alkyl)0-1-(substituted aryl).
23. A compound of claim 20 wherein R2 is selected from the group consisting of hydrogen, C1-4 alkyl, and C1-4alkyl-O—C1-4alkyl.
24. A compound of claim 23 wherein R2 is hydrogen or methoxyethyl.
25. A compound of claim 20 wherein R1 is —(CH2)1-6—NR3—CO—R4—.
26. A compound of claim 20 wherein R3 is hydrogen.
27. A compound of claim 20 wherein R4 is naphthyl, quinolinyl, isoquinolinyl or pyridyl that may be unsubstituted or substituted by one or more substituents selected from the group consisting of:
-alkyl;
-alkenyl;
-alkynyl;
-(alkyl)0-1-aryl;
-(alkyl)0-1-(substituted aryl);
-(alkyl)0-1-heteroaryl;
-(alkyl)0-1-(substituted heteroaryl);
—O-alkyl;
—O-(alkyl)0-1-aryl;
—O-(alkyl)0-1-(substituted aryl);
—O-(alkyl)0-1-heteroaryl;
—O-(alkyl)0-1-(substituted heteroaryl);
—CO-aryl;
—CO-(substituted aryl);
—CO-heteroaryl;
—CO-(substituted heteroaryl);
—COOH;
—CO—O-alkyl;
—CO-alkyl;
—S(O)0-2-alkyl;
—S(O)0-2-(alkyl)0-1-aryl;
—S(O)0-2-(alkyl)0-1-(substituted aryl);
—S(O)0-2-(alkyl)0-1-heteroaryl;
—S(O)0-2-(alkyl)0-1-(substituted heteroaryl);
—NR3—CO—O-alkyl;
—P(O)(OR3)2;
—N3;
-halogen;
—NO2;
—CN;
-haloalkyl;
—O-haloalkyl;
—CO-haloalkyl;
—OH; and
—SH.
28. A compound of claim 27 wherein:
R2 is selected from the group consisting of hydrogen; alkyl; alkyl-O-alkyl; (alkyl)0-1aryl; and (alkyl)0-1-(substituted aryl);
R3 is hydrogen; and
n is 0.
29. A compound of the formula (Ie):
Figure US06451810-20020917-C00206
wherein
R1 is -alkyl-NR3—CO—R4 or -alkenyl-NR3—CO—R4 wherein R4 is an alkyl or alkenyl group that is substituted by one or more substituents selected from the group consisting of:
-alkynyl;
-(substituted aryl) wherein the substituent(s) is selected from the group consisting of alkyl, alkoxy, alkylthio, hydroxy, haloalkyl, haloalkylcarbonyl, haloalkoxy, alkylcarbonyl, alkenylcarbonyl, arylcarbonyl, heteroarylcarbonyl, aryl, arylalkyl, heteroaryl, heteroarylalkyl, heterocyclyl, heterocycloalkyl, nitrile, alkoxycarbonyl, alkanoyloxy, and alkanoylthio;
-heteroaryl;
-(substituted heteroaryl);
—O-alkyl;
—O-(alkyl)0-1-(substituted aryl) wherein the substituent(s) is selected from the group consisting of alkyl, alkoxy, alkylthio, hydroxy, haloalkyl, haloalkylcarbonyl, haloalkoxy, alkylcarbonyl, alkenylcarbonyl, arylcarbonyl, heteroarylcarbonyl, aryl, arylalkyl, heteroaryl, heteroarylalkyl, heterocyclyl, heterocycloalkyl, nitrile, alkoxycarbonyl, alkanoyloxy, and alkanoylthio;
—O-(alkyl)0-1-heteroaryl;
—O-(alkyl)0-1-(substituted heteroaryl);
—CO-aryl;
—CO-(substituted aryl);
—CO-heteroaryl;
—CO-(substituted heteroaryl);
—COOH;
—CO—O-alkyl;
—CO-alkyl;
—S(O)0-2-alkyl;
—S(O)0-2-(alkyl)0-1-aryl;
—S(O)0-2-(alkyl)0-1-(substituted aryl);
—S(O)0-2-(alkyl)0-1-heteroaryl;
—S(O)0-2-(alkyl)0-1-(substituted heteroaryl);
—NR3—CO—O-alkyl;
—P(O)(OR3)2;
—N3;
oxo;
—NO2;
—CN;
—O-haloalkyl;
—CO-haloalkyl;
—OH; and
—SH;
R2 is selected from the group consisting of:
-hydrogen;
-alkyl;
-alkenyl;
-aryl;
-(substituted aryl);
-heteroaryl;
-(substituted heteroaryl);
-heterocyclyl;
-(substituted heterocyclyl);
-alkyl -O-alkyl;
-alkyl-O-alkenyl; and
-alkyl or alkenyl substituted by one or more substituents selected from the group consisting of:
—OH;
-halogen;
—N(R3)2;
—CO—N(R3)2;
—CO—C1-10 alkyl;
—N3;
-aryl;
-(substituted aryl);
-heteroaryl;
-(substituted heteroaryl);
-heterocyclyl;
-(substituted heterocyclyl);
—CO-aryl; and
—CO-heteroaryl;
each R3 is independently selected from the group consisting of hydrogen; C1-10 alkyl-heteroaryl; C1-10 alkyl-(substituted heteroaryl); C1-10 alkyl-aryl; C1-10 alkyl-(substituted aryl) and C1-10 alkyl;
n is 0 to 4;
and each R present is independently selected from the group consisting of C1-10 alkyl, C1-10 alkoxy, halogen and trifluoromethyl, or a pharmaceutically acceptable salt thereof.
30. A compound of claim 29 wherein n is 0.
31. A compound of claim 29 wherein R2 is selected from the group consisting of hydrogen, alkyl, alkyl-O-alkyl, (alkyl)0-1-aryl, and (alkyl)0-1-(substituted aryl).
32. A compound of claim 29 wherein R2 is selected from the group consisting of hydrogen, C1-4 alkyl, and C1-4alkyl-O—C1-4alkyl.
33. A compound of claim 29 wherein R2 is hydrogen or methoxyethyl.
34. A compound of claim 33 wherein n is 0.
35. A compound of claim 33 wherein R3 is hydrogen and n is 0.
36. A compound of claim 29 wherein R3 is hydrogen.
37. A pharmaceutical composition comprising a therapeutically effective amount of a compound selected from the group consisting of:
N1-[4-(4-Amino-1H-imidazo[4,5-c]quinolin-1-yl)butyl]benzamide;
N1-[4-(4-Amino-2-propyl-1H-imidazo[4,5-c]quinolin-1-yl)butyl]benzamide;
N1-[4-(4-Amino-2-methyl-1H-imidazo[4,5-c]quinolin-1-yl)butyl]benzamide;
N1-[4-(4-Amino-2-ethyl-1H-imidazo[4,5-c]quinolin-1-yl)butyl]benzamide;
N1-[4-(4-Amino-2-butyl-1H-imidazo[4,5-c]quinolin-1-yl)butyl]benzamide;
N1-[5-(4-Amino-2-methyl-1H-imidazo[4,5-c]quinolin-1-yl)pentyl]benzamide;
N1-[5-(4-Amino-1H-imidazo[4,5-c]quinolin-1-yl)pentyl]benzamide;
N1-[3-(4-Amino-1H-imidazo[4,5-c]quinolin-1-yl)propyl]benzamide;
N1-[2-(4-Amino-1H-imidazo[4,5-c]quinolin-1-yl)ethyl]benzamide;
N1-[3-(4-Amino-2-methyl-1H-imidazo[4,5-c]quinolin-1-yl)propyl]benzamide;
N1-[6-(4-Amino-1H-imidazo[4,5-c]quinolin-1-yl)hexyl]benzamide;
N1-[4-(4-Amino-1H-imidazo[4,5-c]quinolin-1-yl)butyl]-3-phenylpropanamide;
N1-[2-(4-Amino-1H-imidazo[4,5-c]quinolin-1-yl)ethyl]-3-phenylpropanamide;
N1-[4-(4-Amino-1H-imidazo[4,5-c]quinolin-1-yl)butyl]-2-phenoxyacetamide;
N1-[4-(4-Amino-1H-imidazo[4,5-c]quinolin-1-yl)butyl]-2-ethylhexanamide;
N1-[4-(4-Amino-1H-imidazo[4,5-c]quinolin-1-yl)butyl]-2-phenoxypropanamide;
N1-[4-(4-Amino-1H-imidazo[4,5-c]quinolin-1-yl)butyl]-2-chlorobenzamide;
N1-[4-(4-Amino-1H-imidazo[4,5-c]quinolin-1-yl)butyl]-3,4-dichlorobenzamide;
N1-[4-(4-Amino-1H-imidazo[4,5-c]quinolin-1-yl)butyl]-2,6-dichlorobenzamide;
N1-[4-(4-Amino-1H-imidazo[4,5-c]quinolin-1-yl)butyl]-4-fluorobenzamnide;
N1-[4-(4-Amino-1H-imidazo[4,5-c]quinolin-1-yl)butyl]-4-chlorobenzamide;
N1-[4-(4-Amino-1H-imidazo[4,5-c]quinolin-1-yl)butyl]-4-methoxybenzamide;
N1-[4-(4-Amino-1H-imidazo[4,5-c]quinolin-1-yl)butyl]-4-(trifluoromethyl)benzamide;
N1-[4-(4-Amino-1H-imidazo[4,5-c]quinolin-1-yl)butyl]-2-phenylacetamide;
N1-[4-(4-Amino-1H-imidazo[4,5-c]quinolin-1-yl)butyl]-(E)-3-phenyl-2-propenamide;
N1-[4-(4-Amino-1H-imidazo[4,5-c]quinolin-1-yl)butyl]-3-cyclopentylpropanamide;
N1-[4-(4-Amino-1H-imidazo[4,5-c]quinolin-1-yl)butyl]-1-cyclopentanecarboxamide;
N1-[4-(4-Amino-1H-imidazo[4,5-c]quinolin-1-yl)butyl]-1-cyclohexanecarboxamide;
N1-{4-[4-Amino-2-(2-methoxyethyl)-1H-imidazo[4,5-c]quinolin-1-yl]butyl}-2-methylbenzamide;
N1-{4-[4-Amino-2-(2-methoxyethyl)-1H-imidazo[4,5-c]quinolin-1-yl]butyl}-1-cyclopentanecarboxamide;
N1-{4-[4-Amino-2-(2-methoxyethyl)-1H-imidazo[4,5-c]quinolin-1-yl]butyl}-1-cyclohexanecarboxamide,
N1-{4-[4-Amino-2-(2-methoxyethyl)-6,7,8,9-tetrahydro-1H-imidazo[4,5-c]quinolin-1-yl]butyl}benzamide;
N1-{4-[4-Amino-2-(2-methoxyethyl)-6,7,8,9-tetrahydro-1H-imidazo[4,5-c]quinolin-1-yl]butyl}-2-phenylacetamide;
N1-[4-(4-Amino-2-(4-methoxybenzyl)-1H-imidazo[4,5-c]quinolin-1-yl)butyl]acetamide;
N1-[4-(4-Amino-2-(2-methoxyethyl)-1H-imidazo[4,5-c]quinolin-1-yl)butyl]acetamide;
N1-[4-(4-Amino-2-(2-methoxyethyl)-1H-imidazo[4,5-c]quinolin-1-yl)butyl]-2,2,2trifluoroacetamide;
N1-[4-(4-Amino-1H-imidazo[4,5-c]quinolin-1-yl)butyl]-2,2,2-trifluoroacetamide;
N1-[4-(4-Amino-1H-imidazo[4,5-c]quinolin-1-yl)butyl]-(trans)-2-phenylcyclopropane-1-carboxamide; and
N1-{4-[4-Amino-2-(2-methoxyethyl)-1H-imidazo[4,5-c]quinolin-1-yl]butyl}-(trans)-2-phenylcyclopropane-1-carboxamide
in combination with a pharmaceutically acceptable carrier.
38. A compound selected from the group consisting of:
N6-[4-(4-Amino-1H-imidazo[4,5-c]quinolin-1-yl)butyl]-6-quinolinecarboxamide;
N3-[4-(4-Amino-1H-imidazo[4,5-c]quinolin-1-yl)butyl]-3-quinolinecarboxamide;
N3-[4-(4-Amino-1H-imidazo[4,5-c]quinolin-1-yl)butyl]-2,6-dimethoxynicotinamide;
N8-[4-(4-Amino-1H-imidazo[4,5-c]quinolin-1-yl)butyl]-8-quinolinecarboxamide;
N3-[4-(4-Amino-1H-imidazo[4,5-c]quinolin-1-yl)butyl]nicotinamide;
N4-[4-(4-Amino-1H-imidazo[4,5-c]quinolin-1-yl)butyl]isonicotinamide;
N4-[4-(4-Amino-1H-imidazo[4,5-c]quinolin-1-yl)butyl]-4-quinolinecarboxamide;
N4-[4-(4-Amino-2-(2-methoxyethyl)-1H-imidazo[4,5-c]quinolin-1-yl)butyl]-2-phenyl-4-quinolinecarboxamide;
N3-[4-(4-Amino-1H-imidazo[4,5-c]quinolin-1-yl)butyl]-2-(pentylsulfanyl)nicotinamide;
N3-[4-(4-Amino-1H-imidazo[4,5-c]quinolin-1-yl)butyl]-6-cyanonicotinamide;
N3-[4-(4-Amino-1H-imidazo[4,5-c]quinolin-1-yl)butyl]-6-chloronicotinamide;
N3-[4-(4-Amino-1H-imidazo[4,5-c]quinolin-1-yl)butyl]-6-(2,2,2-trifluoroethoxy)nicotinamide;
N2-{4-[4-Amino-2-(2-methoxyethyl)-1H-imidazo[4,5-c]quinolin-1-yl]butyl}-2-quinolinecarboxamide;
N1-{4-[4-Amino-2-(2-methoxyethyl)-1H-imidazo[4,5-c]quinolin-1-yl]butyl}-1-isoquinolinecarboxamide;
N2-{4-[4-Amino-2-(2-methoxyethyl)-1H-imidazo[4,5-c]quinolin-1-yl]butyl}-5-butyl-2-pyridinecarboxamide;
N3-{4-[4-Amino-2-(2-methoxyethyl)-1H-imidazo[4,5-c]quinolin-1-yl]butyl}-3-indolecarboxamide;
N2-{4-[4-Amino-2-(4-methoxybenzyl)-1H-imidazo[4,5-c]quinolin-1-yl]butyl}-2-quinolinecarboxamide;
N3-{4-[4-Amino-2-(2-methoxyethyl)-1H-imidazo[4,5-c]quinolin-1-yl]butyl}-6-(1-pyrrolyl)nicotinamide;
N5-{4-[4-Amino-2-(2-methoxyethyl)-1H-imidazo[4,5-c]quinolin-1-yl]butyl}-5-indolecarboxamide;
N3-{4-[4-Amino-2-(2-methoxyethyl)-1H-imidazo[4,5-c]quinolin-1-yl]butyl}-5-(2-phenyl-1-ethynyl)nicotinamide;
N3-[4-(4-Amino-2-phenyl-1H-imidazo[4,5-c]quinolin-1-yl)butyl]nicotinamide;
N2-[4-(4-Amino-2-phenyl-1H-imidazo[4,5-c]quinolin-1-yl)butyl]-2-quinolinecarboxamide;
N3-[4-(4-Amino-1H-imidazo[4,5-c]quinolin-1-yl)butyl]-2-chloronicotinamide;
N1-[4-(4-Amino-1H-imidazo[4,5-c]quinolin-1-yl)butyl]-2-(2-thienyl)acetamide;
N1-[4-(4-Amino-2-(2-methoxyethyl)-1H-imidazo[4,5-c]quinolin-1-yl)butyl]-2-(3thienyl)acetamide;
N2-{4-[4-Amino-2-(4-methoxybenzyl)-1H-imidazo[4,5-c]quinolin-1-yl]butyl}-2-pyridinecarboxamide;
N3-{4-[4-Amino-2-(4-methoxybenzyl)-1H-imidazo[4,5-c]quinolin-1-yl]butyl}-nicotinamide;
N4-{4-[4-Amino-2-(2-methoxyethyl)-6,7,8,9-tetrahydro-1H-imidazo[4,5-c]quinolin-1-yl]butyl}isonicotinamide;
N3-{4-[4-Amino-2-(2-methoxyethyl)-1H-imidazo[4,5-c]quinolin-1-yl]butyl}-3-furamide;
N3-{4-[4-Amino-2-(2-methoxyethyl)-1H-imidazo[4,5-c]quinolin-1-yl]butyl}nicotinamide;
N2-[4-(4-Amino-1H-imidazo[4,5-c]quinolin-1-yl)butyl]-2-furamide;
N2-[4-(4-Amino-1H-imidazo[4,5-c]quinolin-1-yl)butyl]-2-thiophenecarboxamide; and
N2-[4-(4-Amino-1H-imidazo[4,5-c]quinolin-1-yl)butyl]-5-nitro-2-furamide.
39. A compound selected from the group consisting of:
N1-[4-(4-Amino-2-butyl-1H-imidazo[4,5-c]quinolin-1-yl)butyl]-5-(2-oxoperhydrothieno[3,4-d]imidazol-4-yl)pentanamide;
N1-[4-(4-Amino-1H-imidazo[4,5-c]quinolin-1-yl)butyl]-5-(2-oxoperhydrothieno[3,4-d]imidazol-4-yl)pentanamide;
N1-[2-(4-Amino-2-butyl-1H-imidazo[4,5-c]quinolin-1-yl)ethyl]-5-(2-iminoperhydrothieno[3,4-d]imidazol-4-yl)pentanamide;
N1-[2-(4-Amino-2-butyl-1H-imidazo[4,5-c]quinolin-1-yl)ethyl]-5-(2-oxoperhydrothieno[3,4-d]imidazol-4-yl)pentanamide; and
N1-[2-(4-Amino-2-(ethoxymethyl)-1H-imidazo[4,5-c]quinolin-1-yl)ethyl]-5-(2-oxoperhydrothieno[3,4-d]imidazol-4-yl)pentanamide.
40. A compounds selected from the group consisting of:
N1-[4-(4-Amino-1H-imidazo[4,5-c]quinolin-1-yl)butyl]-4-(morpholinomethyl)benzamide;
N1-[4-(4-Amino-1H-imidazo[4,5-c]quinolin-1-yl)butyl]-4-{[(4-pyridylmethyl)amino]methyl}benzamide;
N1-[4-(4-Amino-1H-imidazo[4,5-c]quinolin-1-yl)butyl]-4-{[(2-methoxyphenethyl)amino]methyl}benzamide;
N1-[4-(4-Amino-1H-imidazo[4,5-c]quinolin-1-yl)butyl]-4-({methyl[2-(2-pyridyl)ethyl]amino}methyl)benzamide;
N1-{4-[4-Amino-2-(2-methoxyethyl)-1H-imidazo[4,5-c]quinolin-1-yl]butyl}-2-oxo-2-phenylacetamide;
N1-[4-(4-Amino-1H-imidazo[4,5-c]quinolin-1-yl)butyl]-4-[(2-tetrahydro-1H-1-pyrrolyl-1H-benzo[d]imidazol-1-yl)methyl]benzamide; and
N3-[4-(4-Amino-1H-imidazo[4,5-c]quinolin-1-yl)butyl]-6-morpholinonicotinamide.
41. A compound selected from the group consisting of:
N1-[4-(4-amino-1H-imidazo[4,5-c]quinolin-1-yl)butyl]-N1-(4-methoxybenzyl)acetamide;
N1-[4-(4-amino-1H-imidazo[4,5-c]quinolin-1-yl)butyl]-N1-(4-bromobenzyl)acetamide;
N1-[4-(4-amino-1H-imidazo[4,5-c]quinolin-1-yl)butyl]-N1-(5-bromo-2-hydroxybenzyl)-acetamide;
N1-[4-(4-amino-1H-imidazo[4,5-c]quinolin-1-yl)butyl]-N1-(4-butoxybenzyl)acetamide;
N1-[4-(4-amino-1H-imidazo[4,5-c]quinolin-1-yl)butyl]-N1-(2-chlorobenzyl)acetamide;
N1-[4-(4-amino-1H-imidazo[4,5-c]quinolin-1-yl)butyl]-N1-(2-chloro-5-nitrobenzyl)acetamide;
N1-[4-(4-amino-1H-imidazo[4,5-c]quinolin-1-yl)butyl]-N1-(5-chloro-2-nitrobenzyl)acetamide;
N1-[4-(4-amino-1H-imidazo[4,5-c]quinolin-1-yl)butyl]-N1-2-[(4-chlorophenyl)sulfanyl]benzylacetamide;
N1-[4-(4-amino-1H-imidazo[4,5-c]quinolin-1-yl)butyl]-N1-(3,5-dichlorobenzyl)acetamide;
N1-[4-(4-amino-1H-imidazo[4,5-c]quinolin-1-yl)butyl]-N1-(3,4-difluorobenzyl)acetamide;
N1-[4-(4-amino-1H-imidazo[4,5-c]quinolin-1-yl)butyl]-N1-(2,5-dimethoxybenzyl)acetamide;
N1-[4-(4-amino-1H-imidazo[4,5-c]quinolin-1-yl)butyl]-N1-(2,3-dimethoxybenzyl)acetamide;
N1-[4-(4-amino-1H-imidazo[4,5-c]quinolin-1-yl)butyl]-N1-(2,4-dimethylbenzyl)acetamide;
N1-[4-(4-amino-1H-imidazo[4,5-c]quinolin-1-yl)butyl]-N1-[(5-ethyl-2-furyl)methyl]acetamide;
N1-[4-(4-amino-1H-imidazo[4,5-c]quinolin-1-yl)butyl]-N1-(2-furylmethyl)acetamide;
N1-[4-(4-amino-1H-imidazo[4,5-c]quinolin-1-yl)butyl]-N1-(3-furylmethyl)acetamide;
N1-[4-(4-amino-1H-imidazo[4,5-c]quinolin-1-yl)butyl]-N1-(3-phenylpropyl)acetamide;
N1-[4-(4-amino-1H-imidazo[4,5-c]quinolin-1-yl)butyl]-N1-octylacetamide;
N1-[4-(4-amino-1H-imidazo[4,5-c]quinolin-1-yl)butyl]-N1-(1-naphthylmethyl)acetamide;
N1-[4-(4-amino-1H-imidazo[4,5-c]quinolin-1-yl)butyl]-N1-[(2-methoxy-1naphthylmethyl]acetamide;
N1-[4-(4-amino-1H-imidazo[4,5-c]quinolin-1-yl)butyl]-N1-(4-nitrobenzyl)acetamide;
N1-[4-(4-amino-1H-imidazo[4,5-c]quinolin-1-yl)butyl]-N1-(2-nitrobenzyl)acetamide;
N1-[4-(4-amino-1H-imidazo[4,5-c]quinolin-1-yl)butyl]-N1-(4-pyridylmethyl)acetamide;
N1-[4-(4-amino-1H-imidazo[4,5-c]quinolin-1-yl)butyl]-N1-(2-methylbenzyl)acetamide;
N1-[4-(4-amino-1H-imidazo[4,5-c]quinolin-1-yl)butyl]-N1-(2,3,4-trimethoxybenzyl)acetamide;
N1-[4-(4-amino-1H-imidazo[4,5-c]quinolin-1-yl)butyl]-N1-(3,4,5-trimethoxybenzyl)acetamide;
N1-[4-(4-amino-1H-imidazo[4,5-c]quinolin-1-yl)butyl]-N1-cyclopentylacetamide;
N1-[4-(4-amino-1H-imidazo[4,5-c]quinolin-1-yl)butyl]-N1-(4-fluorophenyl)acetamide;
N1-[4-(4-amino-1H-imidazo[4,5-c]quinolin-1-yl)butyl]-N1-isopropylacetamide;
N1-[4-(4-amino-1H-imidazo[4,5-c]quinolin-1-yl)butyl]-N1-[4-(trifluoromethyl)phenyl]acetamide;
N1-[4-(4-amino-1H-imidazo[4,5-c]quinolin-1-yl)butyl]-N1-cyclohexylmethylacetamide;
N1-[4-(4-amino-1H-imidazo[4,5-c]quinolin-1-yl)butyl]-N1-benzylacetamide;
N1-[4-(4-amino-1H-imidazo[4,5-c]quinolin-1-yl)butyl]-N1-methylacetamide;
N1-[4-(4-amino-1H-imidazo[4,5-c]quinolin-1-yl)butyl]-N1-ethylacetamide; and
N1-[4-(4-amino-1H-imidazo[4,5-c]quinolin-1-yl)butyl]-N1-benzyl-2,2,2-trifluoroacetamide.
42. A pharmaceutical composition comprising a therapeutically effective amount of a compound of claim 9 in combination with a pharmaceutically acceptable carrier.
43. A pharmaceutical composition comprising a therapeutically effective amount of a compound of claim 20 in combination with a pharmaceutically acceptable carrier.
44. A pharmaceutical composition comprising a therapeutically effective amount of a compound of claim 29 in combination with a pharmaceutically acceptable carrier.
45. A method of inducing cytokine biosynthesis in an animal comprising administering an effective amount of a composition of claim 1 to the animal.
46. A method of treating a viral disease in an animal comprising administering an effective amount of a composition of claim 1 to the animal.
47. A method of treating a neoplastic disease in an animal comprising administering an effective amount of a composition of claim 1 to the animal.
48. A method of inducing cytokine biosynthesis in an animal comprising administering an effective amount of a composition of claim 8 to the animal.
49. A method of treating a viral disease in an animal comprising administering an effective amount of a composition of claim 8 to the animal.
50. A method of treating a neoplastic disease in an animal comprising administering an effective amount of a composition of claim 8 to the animal.
51. A method of inducing cytokine biosynthesis in an animal comprising administering an effective amount of a compound of claim 9 to the animal.
52. A method of treating a viral disease in an animal comprising administering an effective amount of a compound of claim 9 to the animal.
53. A method of treating a neoplastic disease in an animal comprising administering an effective amount of a compound of claim 9 to the animal.
54. A method of inducing cytokine biosynthesis in an animal comprising administering an effective amount of a compound of claim 20 to the animal.
55. A method of treating a viral disease in an animal comprising administering an effective amount of a compound of claim 20 to the animal.
56. A method of treating a neoplastic disease in an animal comprising administering an effective amount of a compound of claim 20 to the animal.
57. A method of inducing cytokine biosynthesis in an animal comprising administering an effective amount of a compound of claim 29 to the animal.
58. A method of treating a viral disease in an animal comprising administering an effective amount of a compound of claim 29 to the animal.
59. A method of treating a neoplastic disease in an animal comprising administering an effective amount of a compound of claim 29 to the animal.
60. A pharmaceutical composition comprising a therapeutically effective amount of a compound of the formula (Ia):
Figure US06451810-20020917-C00207
wherein
R1 is -alkyl-NR3—CO—R4 or -alkenyl-NR3—CO—R4 wherein R4 is aryl, heteroaryl, alkyl or alkenyl, each of which may be unsubstituted or substituted by one or more substituents selected from the group consisting of:
-heterocyclyl;
-(substituted heterocyclyl);
-(alkyl)0-1heterocyclyl;
-(alkyl)0-1(substituted heterocyclyl);
—O-(alkyl)0-1heterocyclyl;
—O-(alkyl)0-1(substituted heterocyclyl);
—S(O)0-2-(alkyl)0-1heterocyclyl; and
—S(O)0-2-(alkyl)0-1(substituted heterocyclyl);
R2 is selected from the group consisting of:
-hydrogen;
-alkyl;
-alkenyl;
-aryl;
-(substituted aryl);
-heteroaryl;
-(substituted heteroaryl);
-heterocyclyl;
-(substituted heterocyclyl);
-alkyl-O-alkyl;
-alkyl-O-alkenyl; and
-alkyl or alkenyl substituted by one or more substituents selected from the group consisting of:
—OH;
-halogen;
—N(R3)2;
—CO—N(R3)2;
—CO—C1-10 alkyl;
—CO—O—C1-10 alkyl;
—N3;
-aryl;
-(substituted aryl);
-heteroaryl;
-(substituted heteroaryl);
-heterocyclyl;
-(substituted heterocyclyl);
—CO-aryl; and
—CO-heteroaryl;
each R3 is independently selected from the group consisting of hydrogen; C1-10 alkyl-heteroaryl; C1-10 alkyl-(substituted heteroaryl); C1-10 alkyl-aryl; C1-10 alkyl-(substituted aryl) and C1-10 alkyl;
n is 0to 4;
and each R present is independently selected from the group consisting of C1-10 alkyl, C1-10 alkoxy, halogen and trifluoromethyl, or a pharmaceutically acceptable salt thereof, in combination with a pharmaceutically acceptable carrier.
61. A method of inducing cytokine biosynthesis in an animal comprising administering an effective amount of a composition of claim 60 to the animal.
62. A method of treating a viral disease in an animal comprising administering an effective amount of a composition of claim 60 to the animal.
63. A method of treating a neoplastic disease in an animal comprising administering an effective amount of a composition of claim 60 to the animal.
64. The composition of claim 60 wherein R4 is
Figure US06451810-20020917-C00208
and X is O, S, or NH.
US09/589,580 1999-06-10 2000-06-07 Amide substituted imidazoquinolines Expired - Fee Related US6451810B1 (en)

Priority Applications (33)

Application Number Priority Date Filing Date Title
US09/589,580 US6451810B1 (en) 1999-06-10 2000-06-07 Amide substituted imidazoquinolines
CZ20014364A CZ20014364A3 (en) 1999-06-10 2000-06-08 Imidazoquinolines substituted with amide
EP00950215A EP1187613B9 (en) 1999-06-10 2000-06-08 Amide substituted imidazoquinolines
PL00364249A PL364249A1 (en) 1999-06-10 2000-06-08 Amide substituted imidazoquinolines
SK1793-2001A SK17932001A3 (en) 1999-06-10 2000-06-08 Amide substituted imidazoquinolines
CN008084378A CN1353609B (en) 1999-06-10 2000-06-08 Amide substituted imidazoquinolines
EEP200100670A EE05089B1 (en) 1999-06-10 2000-06-08 Amide-substituted imidazoquinolines and pharmaceutical preparations containing them
DK00950215T DK1187613T3 (en) 1999-06-10 2000-06-08 Amide-substituted imidazoquinolines
HK02106256.4A HK1044488B (en) 1999-06-10 2000-06-08 Amide substituted imidazoquinolines
HU0202254A HUP0202254A3 (en) 1999-06-10 2000-06-08 Amide substituted imidazoquinolines and pharmaceutical compositions containing them
CA2376304A CA2376304C (en) 1999-06-10 2000-06-08 Amide substituted imidazoquinolines
BR0011448-0A BR0011448A (en) 1999-06-10 2000-06-08 Amide Substituted Imidazoquinolines
DE60029956T DE60029956T2 (en) 1999-06-10 2000-06-08 Amide-substituted imidazoquinolines
TR2001/03574T TR200103574T2 (en) 1999-06-10 2000-06-08 Amide substituted / doped imidazoquinolines
HR20010888A HRP20010888A2 (en) 1999-06-10 2000-06-08 Amide substituted imidazoquinolines
IL14646800A IL146468A0 (en) 1999-06-10 2000-06-08 Amide substituted imidazoquinolines
PCT/US2000/015702 WO2000076505A1 (en) 1999-06-10 2000-06-08 Amide substituted imidazoquinolines
PT00950215T PT1187613E (en) 1999-06-10 2000-06-08 Amide substituted imidazoquinolines
RU2001132577/15A RU2295343C2 (en) 1999-06-10 2000-06-08 Amido-substituted imidazoquinolines
KR1020017015843A KR20020008222A (en) 1999-06-10 2000-06-08 Amide Substituted Imidazoquinolines
NZ515639A NZ515639A (en) 1999-06-10 2000-06-08 Amide substituted imidazoquinolines
JP2001502838A JP2003501466A (en) 1999-06-10 2000-06-08 Amide-substituted imidazoquinolines
ES00950215T ES2269164T3 (en) 1999-06-10 2000-06-08 IMIDAZOQUINOLINAS SUBSTITUTED WITH AMIDAS.
MXPA01012508A MXPA01012508A (en) 1999-06-10 2000-06-08 Amide substituted imidazoquinolines.
AT00950215T ATE335479T1 (en) 1999-06-10 2000-06-08 AMIDE-SUBSTITUTED IMIDAZOCINOLINES
AU63349/00A AU773113B2 (en) 1999-06-10 2000-06-08 Amide substituted imidazoquinolines
SI200030903T SI1187613T1 (en) 1999-06-10 2000-06-08 Amide substituted imidazoquinolines
UA2001128447A UA71967C2 (en) 2000-06-07 2000-08-06 Amide substituted imidazoquinolines
NO20015503A NO322223B1 (en) 1999-06-10 2001-11-09 Amide-substituted imidazoquinolines
US10/027,218 US6756382B2 (en) 1999-06-10 2001-12-21 Amide substituted imidazoquinolines
US10/848,893 US7393859B2 (en) 1999-06-10 2004-05-19 Amide substituted imidazoquinolines
CY20061101620T CY1108537T1 (en) 1999-06-10 2006-11-09 IMIDAZOQUEINOLINE SUBSTITUTES WITH AMID
US12/165,014 US20090023722A1 (en) 1999-06-10 2008-06-30 Amide substituted imidazoquinolines

Applications Claiming Priority (2)

Application Number Priority Date Filing Date Title
US13836599P 1999-06-10 1999-06-10
US09/589,580 US6451810B1 (en) 1999-06-10 2000-06-07 Amide substituted imidazoquinolines

Related Child Applications (1)

Application Number Title Priority Date Filing Date
US10/027,218 Continuation-In-Part US6756382B2 (en) 1999-06-10 2001-12-21 Amide substituted imidazoquinolines

Publications (1)

Publication Number Publication Date
US6451810B1 true US6451810B1 (en) 2002-09-17

Family

ID=26836141

Family Applications (1)

Application Number Title Priority Date Filing Date
US09/589,580 Expired - Fee Related US6451810B1 (en) 1999-06-10 2000-06-07 Amide substituted imidazoquinolines

Country Status (28)

Country Link
US (1) US6451810B1 (en)
EP (1) EP1187613B9 (en)
JP (1) JP2003501466A (en)
KR (1) KR20020008222A (en)
CN (1) CN1353609B (en)
AT (1) ATE335479T1 (en)
AU (1) AU773113B2 (en)
BR (1) BR0011448A (en)
CA (1) CA2376304C (en)
CY (1) CY1108537T1 (en)
CZ (1) CZ20014364A3 (en)
DE (1) DE60029956T2 (en)
DK (1) DK1187613T3 (en)
EE (1) EE05089B1 (en)
ES (1) ES2269164T3 (en)
HK (1) HK1044488B (en)
HR (1) HRP20010888A2 (en)
HU (1) HUP0202254A3 (en)
IL (1) IL146468A0 (en)
MX (1) MXPA01012508A (en)
NO (1) NO322223B1 (en)
NZ (1) NZ515639A (en)
PL (1) PL364249A1 (en)
PT (1) PT1187613E (en)
RU (1) RU2295343C2 (en)
SK (1) SK17932001A3 (en)
TR (1) TR200103574T2 (en)
WO (1) WO2000076505A1 (en)

Cited By (170)

* Cited by examiner, † Cited by third party
Publication number Priority date Publication date Assignee Title
US20010004853A1 (en) * 1999-12-28 2001-06-28 Yasunari Kato Accelerator with attachment of pedal arm
US20020110840A1 (en) * 2000-12-08 2002-08-15 3M Innovative Properties Company Screening method for identifying compounds that selectively induce interferon alpha
US20030135843A1 (en) * 2001-12-20 2003-07-17 International Business Machines Corporation Testing measurements
US20030133913A1 (en) * 2001-08-30 2003-07-17 3M Innovative Properties Company Methods of maturing plasmacytoid dendritic cells using immune response modifier molecules
US20030161797A1 (en) * 2002-02-22 2003-08-28 3M Innovative Properties Company Method of reducing and treating UVB-induced immunosuppression
US6613902B2 (en) 1996-06-21 2003-09-02 3M Innovative Properties Company Process for preparing imidazoquinolinamines
US20030186440A1 (en) * 1999-02-11 2003-10-02 3M Innovative Properties Company Maturation of dendritic cells with immune response modifying compounds
US20030199538A1 (en) * 2001-11-29 2003-10-23 3M Innovative Properties Company Pharmaceutical formulation comprising an immune response modifier
US6660747B2 (en) * 2000-12-08 2003-12-09 3M Innovative Properties Company Amido ether substituted imidazoquinolines
US6664265B2 (en) * 2000-12-08 2003-12-16 3M Innovative Properties Company Amido ether substituted imidazoquinolines
US6677349B1 (en) 2001-12-21 2004-01-13 3M Innovative Properties Company Sulfonamide and sulfamide substituted imidazoquinolines
US20040014779A1 (en) * 2001-11-16 2004-01-22 3M Innovative Properties Company Methods and compositions related to IRM compounds and toll-like recptor pathways
US6696465B2 (en) 2000-12-08 2004-02-24 3M Innovative Properties Company Sulfonamido substituted imidazopyridines
US6720422B2 (en) 2000-12-08 2004-04-13 3M Innovative Properties Company Amide substituted imidazopyridines
US6720334B2 (en) 2000-12-08 2004-04-13 3M Innovative Properties Company Urea substituted imidazopyridines
US20040072859A1 (en) * 2000-12-08 2004-04-15 3M Innovative Properties Company Urea substituted imidazoquinoline ethers
US20040077678A1 (en) * 2000-12-08 2004-04-22 3M Innovative Properties Company Urea substituted imidazoquinoline ethers
US20040097542A1 (en) * 2000-12-08 2004-05-20 3M Innovative Properties Company Sulfonamido ether substituted imidazoquinolines
US20040097736A1 (en) * 2000-12-08 2004-05-20 3M Innovative Properties Company Thioether substituted imidazoquinolines
US20040102471A1 (en) * 2000-12-08 2004-05-27 3M Innovative Properties Company Thioether substituted imidazoquinolines
US6747040B2 (en) 1997-12-11 2004-06-08 3M Innovative Properties Company Imidazonaphthyridines
US20040132766A1 (en) * 2002-09-26 2004-07-08 Griesgraber George W. 1H-imidazo dimers
US20040132079A1 (en) * 2002-12-11 2004-07-08 3M Innovative Properties Company Assays relating to Toll-like receptor activity
US20040138248A1 (en) * 2000-12-08 2004-07-15 3M Innovative Properties Company Aryl ether substituted imidazoquinolines
US20040141950A1 (en) * 2002-12-30 2004-07-22 3M Innovative Properties Company Immunostimulatory combinations
US20040162309A1 (en) * 2003-02-13 2004-08-19 3M Innovative Properties Company Methods and compositions related to IRM compounds and toll-like receptor 8
US6780873B2 (en) 1999-06-10 2004-08-24 3M Innovative Properties Company Urea substituted imidazoquinolines
US20040167154A1 (en) * 1999-06-10 2004-08-26 3M Innovative Properties Company Urea substituted imidazoquinolines
US20040171086A1 (en) * 2003-02-27 2004-09-02 3M Innovative Properties Company Selective modulation of TLR-mediated biological activity
US20040176367A1 (en) * 2003-03-07 2004-09-09 3M Innovative Properties Company 1-Amino 1H-imidazoquinolines
US20040181130A1 (en) * 2003-03-13 2004-09-16 3M Innovative Properties Company Methods for diagnosing skin lesions
US20040180919A1 (en) * 2003-03-13 2004-09-16 3M Innovative Properties Company Methods of improving skin quality
US6797718B2 (en) 2002-06-07 2004-09-28 3M Innovative Properties Company Ether substituted imidazopyridines
US20040197865A1 (en) * 2002-12-11 2004-10-07 3M Innovative Properties Company Gene expression systems and recombinant cell lines
US20040204438A1 (en) * 1999-06-10 2004-10-14 3M Innovative Properties Company Sulfonamide substituted imidazoquinolines
US20040202720A1 (en) * 2003-04-10 2004-10-14 3M Innovative Properties Company Delivery of immune response modifier compounds using metal-containing particulate support materials
US20040229897A1 (en) * 1999-06-10 2004-11-18 3M Innovative Properties Company Amide substituted imidazoquinolines
US20040235881A1 (en) * 2001-06-15 2004-11-25 Mitra Sumita B. Immune response modifiers for the treatment of periodontal disease
US20040248929A1 (en) * 2003-06-06 2004-12-09 3M Innovative Properties Company Process for imidazo[4,5-c]pyridin-4-amines
US20040265351A1 (en) * 2003-04-10 2004-12-30 Miller Richard L. Methods and compositions for enhancing immune response
US20050032829A1 (en) * 2003-06-06 2005-02-10 3M Innovative Properties Company Process for imidazo[4,5-c]pyridin-4-amines
US20050048072A1 (en) * 2003-08-25 2005-03-03 3M Innovative Properties Company Immunostimulatory combinations and treatments
US20050054640A1 (en) * 2003-03-07 2005-03-10 Griesgraber George W. 1-Amino 1H-imidazoquinolines
US20050054665A1 (en) * 2003-09-05 2005-03-10 3M Innovative Properties Company Treatment for CD5+ B cell lymphoma
US20050070460A1 (en) * 2003-08-05 2005-03-31 3M Innovative Properties Company Infection prophylaxis using immune response modifier compounds
US20050096259A1 (en) * 2003-10-31 2005-05-05 3M Innovative Properties Company Neutrophil activation by immune response modifier compounds
US6916925B1 (en) 1999-11-05 2005-07-12 3M Innovative Properties Co. Dye labeled imidazoquinoline compounds
US20050171072A1 (en) * 2003-12-02 2005-08-04 Tomai Mark A. Therapeutic combinations and methods including IRM compounds
WO2005089317A2 (en) 2004-03-15 2005-09-29 3M Innovative Properties Company Immune response modifier formulations and methods
US20050226878A1 (en) * 2003-12-02 2005-10-13 3M Innovative Properties Company Therapeutic combinations and methods including IRM compounds
US20050239735A1 (en) * 2003-12-30 2005-10-27 3M Innovative Properties Company Enhancement of immune responses
US20050250855A1 (en) * 2004-04-08 2005-11-10 Androphy Elliot J Compounds for treating human papillomavirus
US20050267145A1 (en) * 2004-05-28 2005-12-01 Merrill Bryon A Treatment for lung cancer
US20060045886A1 (en) * 2004-08-27 2006-03-02 Kedl Ross M HIV immunostimulatory compositions
US20060051374A1 (en) * 2004-04-28 2006-03-09 3M Innovative Properties Company Compositions and methods for mucosal vaccination
US20060100229A1 (en) * 2003-10-03 2006-05-11 Hays David S Pyrazolopyridines and analogs thereof
US20060142202A1 (en) * 2000-12-08 2006-06-29 3M Innovative Properties Company Compositions and methods for targeted delivery of immune response modifiers
US7091214B2 (en) 2002-12-20 2006-08-15 3M Innovative Properties Co. Aryl substituted Imidazoquinolines
US20060189644A1 (en) * 2003-08-14 2006-08-24 Wightman Paul D Lipid-modified immune response modifiers
US20060216333A1 (en) * 2003-09-02 2006-09-28 Miller Richard L Methods related to the treatment of mucosal associated conditions
US7179253B2 (en) 2003-03-13 2007-02-20 3M Innovative Properties Company Method of tattoo removal
US20070099901A1 (en) * 2003-11-25 2007-05-03 3M Innovative Properties Company Hydroxylamine and oxime substituted imidazoquinolines, imidazopyridines, and imidazonaphthyridines
US20070123558A1 (en) * 2004-12-17 2007-05-31 Statham Alexis S Immune response modifier formulations containing oleic acid and methods
US20070155767A1 (en) * 2003-12-04 2007-07-05 Radmer Matthew R Sulfone substituted imidazo ring ethers
US20070166384A1 (en) * 2004-04-09 2007-07-19 Zarraga Isidro Angelo E Methods , composition and preparations for delivery of immune response modifiers
US20070167476A1 (en) * 2003-12-29 2007-07-19 Kshirsagar Tushar A Piperazine, [1,4]Diazepane, [1,4]Diazocane, and [1,5]Diazocane fused imidazo ring compounds
US20070243215A1 (en) * 2004-10-08 2007-10-18 Miller Richard L Adjuvant for Dna Vaccines
US20070287724A1 (en) * 2004-06-18 2007-12-13 3M Innovative Properties Company Substituted Imidazoquinolines, Imidazopyridines, and Imidazonaphthyridines
US20080015184A1 (en) * 2004-06-14 2008-01-17 3M Innovative Properties Company Urea Substituted Imidazopyridines, Imidazoquinolines, and Imidazonaphthyridines
US20080063714A1 (en) * 2003-07-31 2008-03-13 Hassan Sahouani Compositions for Encapsulation and Controlled Release
US20080114019A1 (en) * 2003-08-12 2008-05-15 Coley Pharmaceutical Group, Inc. Hydroxylamine Substituted Imidazoquinolines
US20080119572A1 (en) * 2003-03-25 2008-05-22 Graceway Pharmaceuticals. Llc Treatment for basal cell carcinoma
US20080188513A1 (en) * 2004-12-30 2008-08-07 Taked Pharmaceutical Company Limited 1-(2-Methylpropyl)-1H-Imidazo[4,5-C](1,5]Naphthyridin-4-Amine Ethanesulfonate and 1-(2-Methylpropyl)-1H-Imidazo[4,5-C](1,5]Naphthyridin-4-Amine Methanesulfonate
US20080193474A1 (en) * 2005-04-25 2008-08-14 Griesgraber George W Immunostimulatory Compositions
US20080193468A1 (en) * 2004-09-08 2008-08-14 Children's Medical Center Corporation Method for Stimulating the Immune Response of Newborns
US7427629B2 (en) 2002-08-15 2008-09-23 3M Innovative Properties Company Immunostimulatory compositions and methods of stimulating an immune response
US20080306266A1 (en) * 2004-12-30 2008-12-11 3M Innovative Properties Company Process for Preparing 2-Methyl-1-(2-Methylpropyl)-1H-Imidazo[4,5-C][1,5]Naphthyridin-4-Amine
US20090005376A1 (en) * 2004-09-02 2009-01-01 3M Innovative Properties Company 1-Alkoxy 1H-Imidazo Ring Systems and Methods
US20090035323A1 (en) * 2006-02-22 2009-02-05 Doris Stoermer Immune response modifier conjugates
US20090042925A1 (en) * 2003-11-14 2009-02-12 Coley Pharmaceutical Group, Inc. Oxime substituted imidazoquinolines
US20090099161A1 (en) * 2005-02-11 2009-04-16 Coley Pharmaceutial Group, Inc. Substituted Imidazoquinolines and Imidazonaphthyridines
US20090176821A1 (en) * 2005-09-09 2009-07-09 Coley Pharmaceutical Group, Inc. Amide and Carbamate Derivatives of Alkyl Substituted N-[4-(4-Amino-1H-Imidazo[4,5-C] Quinolin-1-YL)Butyl]Methanesulfonamides and Methods
US20100056557A1 (en) * 2004-12-30 2010-03-04 Bernd Benninghoff Treatment for cutaneous metastases
US20100158928A1 (en) * 2006-12-22 2010-06-24 Doris Stoermer Immune response modifier compositions and methods
WO2010111485A1 (en) 2009-03-25 2010-09-30 The Board Of Regents Of The University Of Texas System Compositions for stimulation of mammalian innate immune resistance to pathogens
US20110033515A1 (en) * 2009-08-04 2011-02-10 Rst Implanted Cell Technology Tissue contacting material
US7897597B2 (en) 2003-08-27 2011-03-01 3M Innovative Properties Company Aryloxy and arylalkyleneoxy substituted imidazoquinolines
US7897609B2 (en) 2004-06-18 2011-03-01 3M Innovative Properties Company Aryl substituted imidazonaphthyridines
US7906506B2 (en) 2006-07-12 2011-03-15 3M Innovative Properties Company Substituted chiral fused [1,2] imidazo [4,5-c] ring compounds and methods
US7915281B2 (en) 2004-06-18 2011-03-29 3M Innovative Properties Company Isoxazole, dihydroisoxazole, and oxadiazole substituted imidazo ring compounds and method
US7943636B2 (en) 2005-04-01 2011-05-17 3M Innovative Properties Company 1-substituted pyrazolo (3,4-C) ring compounds as modulators of cytokine biosynthesis for the treatment of viral infections and neoplastic diseases
US7943609B2 (en) 2004-12-30 2011-05-17 3M Innovative Proprerties Company Chiral fused [1,2]imidazo[4,5-C] ring compounds
US7943610B2 (en) 2005-04-01 2011-05-17 3M Innovative Properties Company Pyrazolopyridine-1,4-diamines and analogs thereof
US7968563B2 (en) 2005-02-11 2011-06-28 3M Innovative Properties Company Oxime and hydroxylamine substituted imidazo[4,5-c] ring compounds and methods
US8017779B2 (en) 2004-06-15 2011-09-13 3M Innovative Properties Company Nitrogen containing heterocyclyl substituted imidazoquinolines and imidazonaphthyridines
US8026366B2 (en) 2004-06-18 2011-09-27 3M Innovative Properties Company Aryloxy and arylalkyleneoxy substituted thiazoloquinolines and thiazolonaphthyridines
US8034938B2 (en) 2004-12-30 2011-10-11 3M Innovative Properties Company Substituted chiral fused [1,2]imidazo[4,5-c] ring compounds
US8088790B2 (en) 2005-11-04 2012-01-03 3M Innovative Properties Company Hydroxy and alkoxy substituted 1H-imidazoquinolines and methods
US8110582B2 (en) 2003-03-04 2012-02-07 3M Innovative Properties Company Prophylactic treatment of UV-induced epidermal neoplasia
US8143270B2 (en) 2004-09-02 2012-03-27 3M Innovative Properties Company 2-amino 1H-in-imidazo ring systems and methods
US8158794B2 (en) 2005-02-23 2012-04-17 3M Innovative Properties Company Hydroxyalkyl substituted imidazoquinoline compounds and methods
US8178539B2 (en) 2006-09-06 2012-05-15 3M Innovative Properties Company Substituted 3,4,6,7-tetrahydro-5H-1,2a,4a,8-tetraazacyclopenta[cd]phenalenes and methods
US8178677B2 (en) 2005-02-23 2012-05-15 3M Innovative Properties Company Hydroxyalkyl substituted imidazoquinolines
US8329721B2 (en) 2006-03-15 2012-12-11 3M Innovative Properties Company Hydroxy and alkoxy substituted 1H-imidazonaphthyridines and methods
US8343993B2 (en) 2005-02-23 2013-01-01 3M Innovative Properties Company Hydroxyalkyl substituted imidazonaphthyridines
US8354424B2 (en) 2005-03-14 2013-01-15 Medicis Pharmaceutical Corporation Method of treating actinic keratosis
WO2013013055A1 (en) 2011-07-21 2013-01-24 Rubigo Therapeutics, Inc. System for drug delivery and monitoring
US8378102B2 (en) 2005-02-09 2013-02-19 3M Innovative Properties Company Oxime and hydroxylamine substituted thiazolo[4,5-c] ring compounds and methods
US8476292B2 (en) 2005-09-09 2013-07-02 3M Innovative Properties Company Amide and carbamate derivatives of N-{2-[4-amino-2-(ethoxymethyl)-1H-imidazo[4,5-c] quinolin-1-Yl]-1,1-dimethylethyl}methanesulfonamide and methods
US8541438B2 (en) 2004-06-18 2013-09-24 3M Innovative Properties Company Substituted imidazoquinolines, imidazopyridines, and imidazonaphthyridines
WO2013164754A2 (en) 2012-05-04 2013-11-07 Pfizer Inc. Prostate-associated antigens and vaccine-based immunotherapy regimens
US8598192B2 (en) 2003-11-14 2013-12-03 3M Innovative Properties Company Hydroxylamine substituted imidazoquinolines
US8691837B2 (en) 2003-11-25 2014-04-08 3M Innovative Properties Company Substituted imidazo ring systems and methods
US8697873B2 (en) 2004-03-24 2014-04-15 3M Innovative Properties Company Amide substituted imidazopyridines, imidazoquinolines, and imidazonaphthyridines
US8735421B2 (en) 2003-12-30 2014-05-27 3M Innovative Properties Company Imidazoquinolinyl sulfonamides
WO2014107663A2 (en) 2013-01-07 2014-07-10 The Trustees Of The University Of Pennsylvania Compositions and methods for treating cutaneous t cell lymphoma
US8802853B2 (en) 2003-12-29 2014-08-12 3M Innovative Properties Company Arylalkenyl and arylalkynyl substituted imidazoquinolines
US8846710B2 (en) 2005-02-23 2014-09-30 3M Innovative Properties Company Method of preferentially inducing the biosynthesis of interferon
US8871782B2 (en) 2003-10-03 2014-10-28 3M Innovative Properties Company Alkoxy substituted imidazoquinolines
US8889154B2 (en) 2005-09-15 2014-11-18 Medicis Pharmaceutical Corporation Packaging for 1-(2-methylpropyl)-1H-imidazo[4,5-c] quinolin-4-amine-containing formulation
US8961477B2 (en) 2003-08-25 2015-02-24 3M Innovative Properties Company Delivery of immune response modifier compounds
WO2015069535A1 (en) 2013-11-05 2015-05-14 3M Innovative Properties Company Sesame oil based injection formulations
US9073913B2 (en) 2008-03-24 2015-07-07 4Sc Ag Substituted imidazoquinolines
WO2015103990A1 (en) 2014-01-10 2015-07-16 Shanghai Birdie Biotech, Inc. Compounds and compositions for treating egfr expressing tumors
US9107958B2 (en) 2011-06-03 2015-08-18 3M Innovative Properties Company Hydrazino 1H-imidazoquinolin-4-amines and conjugates made therefrom
US9145410B2 (en) 2003-10-03 2015-09-29 3M Innovative Properties Company Pyrazolopyridines and analogs thereof
WO2016004876A1 (en) 2014-07-09 2016-01-14 Shanghai Birdie Biotech, Inc. Anti-pd-l1 combinations for treating tumors
WO2016004875A1 (en) 2014-07-09 2016-01-14 Shanghai Birdie Biotech, Inc. Combination therapy compositions and methods for treating cancers
US9242980B2 (en) 2010-08-17 2016-01-26 3M Innovative Properties Company Lipidated immune response modifier compound compositions, formulations, and methods
US9248127B2 (en) 2005-02-04 2016-02-02 3M Innovative Properties Company Aqueous gel formulations containing immune response modifiers
US20160213776A1 (en) * 2010-09-01 2016-07-28 Glaxosmithkline Biologicals Sa Adsorption of immunopotentiators to insoluble metal salts
US9475804B2 (en) 2011-06-03 2016-10-25 3M Innovative Properties Company Heterobifunctional linkers with polyethylene glycol segments and immune response modifier conjugates made therefrom
WO2016180852A1 (en) 2015-05-12 2016-11-17 INSERM (Institut National de la Santé et de la Recherche Médicale) Methods for preparing antigen-specific t cells from an umbilical cord blood sample
WO2016187459A1 (en) 2015-05-20 2016-11-24 The Regents Of The University Of California Method for generating human dendritic cells for immunotherapy
US20160347748A1 (en) * 2013-12-24 2016-12-01 Oncotartis, Inc. Benzamide and nicotinamide compounds and methods of using same
US9546184B2 (en) 2005-02-09 2017-01-17 3M Innovative Properties Company Alkyloxy substituted thiazoloquinolines and thiazolonaphthyridines
WO2017040234A1 (en) 2015-08-31 2017-03-09 3M Innovative Properties Company IMIDAZO[4,5-c] RING COMPOUNDS CONTAINING SUBSTITUTED GUANIDINE GROUPS
WO2017040233A1 (en) 2015-08-31 2017-03-09 3M Innovative Properties Company GUANIDINE SUBSTITUTED IMIDAZO[4,5-c] RING COMPOUNDS
WO2018038877A1 (en) 2016-08-26 2018-03-01 3M Innovative Properties Company FUSED [1,2]IMIDAZO[4,5-c] RING COMPOUNDS SUBSTITUTED WITH GUANIDINO GROUPS
WO2018087699A2 (en) 2016-11-09 2018-05-17 The Board Of Regents Of The University Of Texas System Methods and compositions for adaptive immune modulation
WO2018160552A1 (en) 2017-03-01 2018-09-07 3M Innovative Properties Company IMIDAZO[4,5-c] RING COMPOUNDS CONTAINING GUANIDINE SUBSTITUTED BENZAMIDE GROUPS
US10286065B2 (en) 2014-09-19 2019-05-14 Board Of Regents, The University Of Texas System Compositions and methods for treating viral infections through stimulated innate immunity in combination with antiviral compounds
WO2019123178A1 (en) 2017-12-20 2019-06-27 3M Innovative Properties Company Amide substitued imidazo[4,5-c]quinoline compounds with a branched chain linking group for use as an immune response modifier
WO2019166937A1 (en) 2018-02-28 2019-09-06 3M Innovative Properties Company Substituted imidazo[4,5-c]quinoline compounds with an n-1 branched group
WO2019166946A1 (en) 2018-02-28 2019-09-06 Pfizer Inc. Il-15 variants and uses thereof
WO2019224716A2 (en) 2018-05-23 2019-11-28 Pfizer Inc. Antibodies specific for gucy2c and uses thereof
WO2019224765A1 (en) 2018-05-24 2019-11-28 3M Innovative Properties Company N-1 branched cycloalkyl substituted imidazo[4,5-c]quinoline compounds, compositions, and methods
WO2019224715A1 (en) 2018-05-23 2019-11-28 Pfizer Inc. Antibodies specific for cd3 and uses thereof
US10526309B2 (en) 2015-10-02 2020-01-07 The University Of North Carolina At Chapel Hill Pan-TAM inhibitors and Mer/Axl dual inhibitors
US10548988B2 (en) 2012-07-18 2020-02-04 Birdie Biopharmaceuticals, Inc. Compounds for targeted immunotherapy
EP3632458A1 (en) 2013-07-26 2020-04-08 INSERM (Institut National de la Santé et de la Recherche Médicale) Methods and pharmaceutical compositions for the treatment of bacterial infections
WO2020109898A1 (en) 2018-11-26 2020-06-04 3M Innovative Properties Company N-1 branched alkyl ether substituted imidazo[4,5-c]quinoline compounds, compositions, and methods
US10675358B2 (en) 2016-07-07 2020-06-09 The Board Of Trustees Of The Leland Stanford Junior University Antibody adjuvant conjugates
WO2020128893A1 (en) 2018-12-21 2020-06-25 Pfizer Inc. Combination treatments of cancer comprising a tlr agonist
WO2020168017A1 (en) * 2019-02-12 2020-08-20 Ambrx, Inc. Compositions containing, methods and uses of antibody-tlr agonist conjugates
WO2020245706A1 (en) 2019-06-06 2020-12-10 3M Innovative Properties Company N-1 branched alkyl substituted imidazo[4,5-c]quinoline compounds, compositions, and methods
WO2020250089A1 (en) 2019-06-12 2020-12-17 3M Innovative Properties Company Phenethyl substituted imidazo[4,5-c]quinoline compounds with an n-1 branched group
EP3763742A1 (en) 2014-09-01 2021-01-13 Birdie Biopharmaceuticals Inc. Anti-pd-l1 conjugates for treating tumors
WO2021116420A1 (en) 2019-12-13 2021-06-17 INSERM (Institut National de la Santé et de la Recherche Médicale) Use of tlr7 and/or tlr8 agonists for the treatment of leptospirosis
WO2021124073A1 (en) 2019-12-17 2021-06-24 Pfizer Inc. Antibodies specific for cd47, pd-l1, and uses thereof
US11046781B2 (en) 2016-01-07 2021-06-29 Birdie Biopharmaceuticals, Inc. Anti-HER2 combinations for treating tumors
US11053240B2 (en) 2017-04-27 2021-07-06 Birdie Biopharmaceuticals, Inc. 2-amino-quinoline derivatives
US11136397B2 (en) 2016-01-07 2021-10-05 Birdie Pharmaceuticals, Inc. Anti-EGFR combinations for treating tumors
WO2021202921A1 (en) * 2020-04-01 2021-10-07 Altimmune Uk Limited Imidazoquinoline-type compounds and uses thereof
US11154573B2 (en) 2015-10-30 2021-10-26 The Regents Of The University Of California Methods of generating T-cells from stem cells and immunotherapeutic methods using the T-cells
US11220552B2 (en) 2016-01-07 2022-01-11 Birdie Biopharmaceuticals, Inc. Anti-CD20 combinations for treating tumors
WO2022013775A1 (en) 2020-07-17 2022-01-20 Pfizer Inc. Therapeutic antibodies and their uses
US11400164B2 (en) 2019-03-15 2022-08-02 Bolt Biotherapeutics, Inc. Immunoconjugates targeting HER2
US11517567B2 (en) 2017-06-23 2022-12-06 Birdie Biopharmaceuticals, Inc. Pharmaceutical compositions
WO2025104289A1 (en) 2023-11-17 2025-05-22 Medincell S.A. Antineoplastic combinations

Families Citing this family (27)

* Cited by examiner, † Cited by third party
Publication number Priority date Publication date Assignee Title
US6518280B2 (en) 1998-12-11 2003-02-11 3M Innovative Properties Company Imidazonaphthyridines
US20020058674A1 (en) 1999-01-08 2002-05-16 Hedenstrom John C. Systems and methods for treating a mucosal surface
US6376669B1 (en) 1999-11-05 2002-04-23 3M Innovative Properties Company Dye labeled imidazoquinoline compounds
US6894060B2 (en) 2000-03-30 2005-05-17 3M Innovative Properties Company Method for the treatment of dermal lesions caused by envenomation
UA74593C2 (en) * 2000-12-08 2006-01-16 3M Innovative Properties Co Substituted imidazopyridines
US6664260B2 (en) 2000-12-08 2003-12-16 3M Innovative Properties Company Heterocyclic ether substituted imidazoquinolines
US20020107262A1 (en) * 2000-12-08 2002-08-08 3M Innovative Properties Company Substituted imidazopyridines
KR100766851B1 (en) * 2001-03-02 2007-10-16 씨제이 주식회사 Novel α-ketoamide derivatives and methods for their preparation
AU2003235741B8 (en) * 2002-01-07 2009-01-15 Eisai R&D Management Co., Ltd. Deazapurines and uses thereof
GB0211649D0 (en) * 2002-05-21 2002-07-03 Novartis Ag Organic compounds
EP1608369B1 (en) 2003-03-28 2013-06-26 Novartis Vaccines and Diagnostics, Inc. Use of organic compounds for immunopotentiation
JP4913593B2 (en) * 2003-08-14 2012-04-11 スリーエム イノベイティブ プロパティズ カンパニー Lipid-modified immune response modifier
JP2008528573A (en) 2005-01-27 2008-07-31 アルマ マテル ストゥディオルム−ウニヴェルシタ ディ ボローニャ Organic compounds useful for the treatment of Alzheimer's disease, methods for their use and preparation
CA2686163A1 (en) * 2007-05-08 2008-11-13 Astrazenca Ab Imidazoquinolines with immuno-modulating properties
ES2575688T3 (en) 2010-12-16 2016-06-30 Sumitomo Dainippon Pharma Co., Ltd. Imidazo [4,5-c] quinolin-1-yl derivative useful in therapy
US8728486B2 (en) 2011-05-18 2014-05-20 University Of Kansas Toll-like receptor-7 and -8 modulatory 1H imidazoquinoline derived compounds
CN107312039B (en) 2012-08-30 2019-06-25 江苏豪森药业集团有限公司 A kind of preparation method of tenofovir prodrug
EP3109252B1 (en) 2014-02-18 2020-12-30 Savid Therapeutics Inc. Modified biotin, streptavidin mutant, and usage of them
AR100137A1 (en) * 2014-04-22 2016-09-14 Hoffmann La Roche 4-AMINO-IMIDAZOQUINOLINE COMPOUNDS
KR102161364B1 (en) * 2015-09-14 2020-09-29 화이자 인코포레이티드 Imidazo[4,5-c]quinoline and imidazo[4,5-c][1,5]naphthyridine derivatives as LRRK2 inhibitors
JP2018531318A (en) * 2015-09-29 2018-10-25 ザ・ユニバーシティ・オブ・シカゴThe University Of Chicago Polymer conjugate vaccine
KR101995533B1 (en) * 2017-03-21 2019-07-02 한국화학연구원 Novel [1,2,4]triazolo[4,3-a]quinoxaline amino phenyl derivatives or pharmaceutically acceptable salts thereof, preparation method therof and pharmaceutical composition for use in preventing or treating bromodomain extra-terminal(BET) protein activity related diseases containing the same as an active ingredient
CA3074611A1 (en) 2017-09-06 2019-03-14 BioNTech SE Substituted imidazoquinolines as agonists of tlr7
WO2019048036A1 (en) 2017-09-06 2019-03-14 Biontech Ag Substituted imidazoquinolines
MX2021010669A (en) * 2019-03-07 2021-09-28 BioNTech SE Process for the preparation of a substituted imidazoquinoline.
WO2021168274A1 (en) 2020-02-21 2021-08-26 Silverback Therapeutics, Inc. Nectin-4 antibody conjugates and uses thereof
KR20230047361A (en) 2020-07-01 2023-04-07 아르스 파마슈티컬스 인크. Anti-ASGR1 antibody conjugates and uses thereof

Citations (20)

* Cited by examiner, † Cited by third party
Publication number Priority date Publication date Assignee Title
US3314941A (en) 1964-06-23 1967-04-18 American Cyanamid Co Novel substituted pyridodiazepins
US3917624A (en) 1972-09-27 1975-11-04 Pfizer Process for producing 2-amino-nicotinonitrile intermediates
US4689338A (en) 1983-11-18 1987-08-25 Riker Laboratories, Inc. 1H-Imidazo[4,5-c]quinolin-4-amines and antiviral use
US4698348A (en) 1983-11-18 1987-10-06 Riker Laboratories, Inc. 1H-imidazo[4,5-c]quinolines and their use as bronchodilating agents
US4929624A (en) 1989-03-23 1990-05-29 Minnesota Mining And Manufacturing Company Olefinic 1H-imidazo(4,5-c)quinolin-4-amines
US5037986A (en) 1989-03-23 1991-08-06 Minnesota Mining And Manufacturing Company Olefinic 1H-imidazo[4,5-c]quinolin-4-amines
WO1993009119A1 (en) 1991-11-06 1993-05-13 Minnesota Mining And Manufacturing Company Antiviral 2-ethyl-1h-imidazo(4,5-c)quinolin-4-amines
US5268376A (en) 1991-09-04 1993-12-07 Minnesota Mining And Manufacturing Company 1-substituted 1H-imidazo[4,5-c]quinolin-4-amines
US5352784A (en) 1993-07-15 1994-10-04 Minnesota Mining And Manufacturing Company Fused cycloalkylimidazopyridines
US5389640A (en) 1991-03-01 1995-02-14 Minnesota Mining And Manufacturing Company 1-substituted, 2-substituted 1H-imidazo[4,5-c]quinolin-4-amines
US5446153A (en) 1993-07-15 1995-08-29 Minnesota Mining And Manufacturing Company Intermediates for imidazo[4,5-c]pyridin-4-amines
US5482936A (en) 1995-01-12 1996-01-09 Minnesota Mining And Manufacturing Company Imidazo[4,5-C]quinoline amines
US5585612A (en) 1995-03-20 1996-12-17 Harp Enterprises, Inc. Method and apparatus for voting
US5627281A (en) 1993-07-15 1997-05-06 Minnesota Mining And Manufacturing Company Intermediate compounds of fused cycloalkylimidazopyridines
US5644063A (en) 1994-09-08 1997-07-01 Minnesota Mining And Manufacturing Company Imidazo[4,5-c]pyridin-4-amine intermediates
JPH09208584A (en) 1996-01-29 1997-08-12 Terumo Corp Amide derivative, pharmaceutical preparation containing the same, and intermediate for synthesizing the same
WO1997048704A1 (en) 1996-06-21 1997-12-24 Minnesota Mining And Manufacturing Company Process for preparing imidazoquinolinamines
EP0894797A1 (en) 1997-01-09 1999-02-03 Terumo Kabushiki Kaisha Novel amide derivatives and intermediates for the synthesis thereof
WO2000006577A1 (en) 1998-07-28 2000-02-10 3M Innovative Properties Company OXAZOLO, THIAZOLO AND SELENAZOLO [4,5-c]-QUINOLIN-4-AMINES AND ANALOGS THEREOF
WO2000009506A1 (en) 1998-08-12 2000-02-24 Hokuriku Seiyaku Co., Ltd. 1h-imidazopyridine derivatives

Family Cites Families (3)

* Cited by examiner, † Cited by third party
Publication number Priority date Publication date Assignee Title
JPH10298181A (en) * 1997-04-25 1998-11-10 Sumitomo Pharmaceut Co Ltd Type 2 helper T cell selective immune response inhibitor
JPH1180156A (en) * 1997-09-04 1999-03-26 Hokuriku Seiyaku Co Ltd 1- (substituted aryl) alkyl-1H-imidazopyridin-4-amine derivatives
UA67760C2 (en) * 1997-12-11 2004-07-15 Міннесота Майнінг Енд Мануфакчурінг Компані Imidazonaphthyridines and use thereof to induce the biosynthesis of cytokines

Patent Citations (31)

* Cited by examiner, † Cited by third party
Publication number Priority date Publication date Assignee Title
US3314941A (en) 1964-06-23 1967-04-18 American Cyanamid Co Novel substituted pyridodiazepins
US3917624A (en) 1972-09-27 1975-11-04 Pfizer Process for producing 2-amino-nicotinonitrile intermediates
US4689338A (en) 1983-11-18 1987-08-25 Riker Laboratories, Inc. 1H-Imidazo[4,5-c]quinolin-4-amines and antiviral use
US4698348A (en) 1983-11-18 1987-10-06 Riker Laboratories, Inc. 1H-imidazo[4,5-c]quinolines and their use as bronchodilating agents
US4929624A (en) 1989-03-23 1990-05-29 Minnesota Mining And Manufacturing Company Olefinic 1H-imidazo(4,5-c)quinolin-4-amines
US5037986A (en) 1989-03-23 1991-08-06 Minnesota Mining And Manufacturing Company Olefinic 1H-imidazo[4,5-c]quinolin-4-amines
US5389640A (en) 1991-03-01 1995-02-14 Minnesota Mining And Manufacturing Company 1-substituted, 2-substituted 1H-imidazo[4,5-c]quinolin-4-amines
US5605899A (en) 1991-03-01 1997-02-25 Minnesota Mining And Manufacturing Company 1-substituted, 2-substituted 1H-imidazo[4,5-c]quinolin-4-amines
US5741909A (en) 1991-03-01 1998-04-21 Minnesota Mining And Manufacturing Company 1-substituted, 2-substituted 1H-imidazo 4,5-C!quinolin-4-amines
US5977366A (en) 1991-03-01 1999-11-02 3M Innovative Properties Company 1-substituted, 2-substituted 1H-imidazo[4,5-c] quinolin-4-amines
US5346905A (en) 1991-09-04 1994-09-13 Minnesota Mining And Manufacturing Company 1-substituted 1H-imidazo-[4,5-C]quinolin-4-amines
US5714608A (en) 1991-09-04 1998-02-03 Minnesota Mining And Manufacturing Company 1-substituted 1H-imidazo- 4,5-c!quinolin-4-amines
US5268376A (en) 1991-09-04 1993-12-07 Minnesota Mining And Manufacturing Company 1-substituted 1H-imidazo[4,5-c]quinolin-4-amines
US5266575A (en) 1991-11-06 1993-11-30 Minnesota Mining And Manufacturing Company 2-ethyl 1H-imidazo[4,5-ciquinolin-4-amines
WO1993009119A1 (en) 1991-11-06 1993-05-13 Minnesota Mining And Manufacturing Company Antiviral 2-ethyl-1h-imidazo(4,5-c)quinolin-4-amines
US5352784A (en) 1993-07-15 1994-10-04 Minnesota Mining And Manufacturing Company Fused cycloalkylimidazopyridines
US5494916A (en) 1993-07-15 1996-02-27 Minnesota Mining And Manufacturing Company Imidazo[4,5-C]pyridin-4-amines
US5446153A (en) 1993-07-15 1995-08-29 Minnesota Mining And Manufacturing Company Intermediates for imidazo[4,5-c]pyridin-4-amines
US5627281A (en) 1993-07-15 1997-05-06 Minnesota Mining And Manufacturing Company Intermediate compounds of fused cycloalkylimidazopyridines
US5886006A (en) 1993-07-15 1999-03-23 Minnesota Mining And Manufacturing Company Fused cycloalkylimidazopyridines
US5444065A (en) 1993-07-15 1995-08-22 Minnesota Mining And Manufacturing Company Fused cycloalkylimidazopyridines as inducer of interferon α biosynthesis
US5648516A (en) 1994-07-20 1997-07-15 Minnesota Mining And Manufacturing Company Fused cycloalkylimidazopyridines
US5644063A (en) 1994-09-08 1997-07-01 Minnesota Mining And Manufacturing Company Imidazo[4,5-c]pyridin-4-amine intermediates
US5482936A (en) 1995-01-12 1996-01-09 Minnesota Mining And Manufacturing Company Imidazo[4,5-C]quinoline amines
US5585612A (en) 1995-03-20 1996-12-17 Harp Enterprises, Inc. Method and apparatus for voting
JPH09208584A (en) 1996-01-29 1997-08-12 Terumo Corp Amide derivative, pharmaceutical preparation containing the same, and intermediate for synthesizing the same
WO1997048704A1 (en) 1996-06-21 1997-12-24 Minnesota Mining And Manufacturing Company Process for preparing imidazoquinolinamines
EP0894797A1 (en) 1997-01-09 1999-02-03 Terumo Kabushiki Kaisha Novel amide derivatives and intermediates for the synthesis thereof
US6069149A (en) 1997-01-09 2000-05-30 Terumo Kabushiki Kaisha Amide derivatives and intermediates for the synthesis thereof
WO2000006577A1 (en) 1998-07-28 2000-02-10 3M Innovative Properties Company OXAZOLO, THIAZOLO AND SELENAZOLO [4,5-c]-QUINOLIN-4-AMINES AND ANALOGS THEREOF
WO2000009506A1 (en) 1998-08-12 2000-02-24 Hokuriku Seiyaku Co., Ltd. 1h-imidazopyridine derivatives

Non-Patent Citations (8)

* Cited by examiner, † Cited by third party
Title
Bachman, et al, "Synthesis of Substituted Quinolylamines. Derivatives of 4-Amino-7-Chloroquinoline", J. Org. Chem, 15, pp 1278-1284 (1950).
Baranov, et al., Chem. Abs. 85, 94371, (1976).
Berényi, et al, "Ring Transformation of Condensed Dihydro-as-triazines", J. Heterocyclic Chem., 18, pp 1537-1540 (1981).
Brennan, et al, "Automated Bioassay of Interferons in Micro-test Plates", Biotechniques, Jun./Jul., 78, 1983.
Jain, et al, "Chemical and Pharmacological Investigations of Some omega-Substituted Alkylamino-3-aminopyridines", J. Med. Chem., 11, pp 87-92 (1968).
Jain, et al, "Chemical and Pharmacological Investigations of Some ω-Substituted Alkylamino-3-aminopyridines", J. Med. Chem., 11, pp 87-92 (1968).
Testerman, et al, "Cytokine Induction by the Immunomodulators Imiquimod and S-27609", Journal of Leukocyte Biology, vol. 58, pp. 365-372, Sep. 1995.
Wozniak, et al, "The Amination of 3-nitro-1, 5-naphthyridines by Liquid Ammonia/Potassium Permanganate1,2. A New and Convenient Amination Method.", Journal of the Royal Netherlands Chemical Society, 102, pp 511-513, Dec. 12, 1983.

Cited By (425)

* Cited by examiner, † Cited by third party
Publication number Priority date Publication date Assignee Title
US6613902B2 (en) 1996-06-21 2003-09-02 3M Innovative Properties Company Process for preparing imidazoquinolinamines
US6624305B2 (en) 1996-06-21 2003-09-23 3M Innovative Properties Company Process for preparing imidazoquinolinamines
US6897314B2 (en) 1996-06-21 2005-05-24 3M Innovative Properties Company Process for preparing imidazoquinolinamines
US7026482B2 (en) 1996-06-21 2006-04-11 Gerster John F Process for preparing imidazoquinolinamines
US20080091010A1 (en) * 1997-12-11 2008-04-17 Graceway Pharmaceuticals, Llc Intermediates for imidazonaphthyridines
US20050107421A1 (en) * 1997-12-11 2005-05-19 3M Innovative Properties Company Imidazonaphthyridines
US6747040B2 (en) 1997-12-11 2004-06-08 3M Innovative Properties Company Imidazonaphthyridines
US20060128674A1 (en) * 1997-12-11 2006-06-15 3M Innovative Properties Company Intermediates for imidazonaphthyridines
US7335773B2 (en) 1997-12-11 2008-02-26 Graceway Pharmaceuticals, Llc Intermediates for imidazonaphthyridines
US6894165B2 (en) 1997-12-11 2005-05-17 3M Innovative Properties Company Imidazonaphthyridines
US6949646B2 (en) 1997-12-11 2005-09-27 3M Innovative Properties Co. Imidazonaphthyridines
US7678918B2 (en) 1997-12-11 2010-03-16 3M Innovative Properties Company Intermediates for imidazonaphthyridines
US20050288320A1 (en) * 1997-12-11 2005-12-29 3M Innovative Properties Company Imidazonaphthyridines
US6797716B2 (en) 1997-12-11 2004-09-28 3M Innovative Properties Company Imidazonaphthyridines
US7038051B2 (en) 1997-12-11 2006-05-02 3M Innovative Properties Company Imidazonaphthyridines
US20030186440A1 (en) * 1999-02-11 2003-10-02 3M Innovative Properties Company Maturation of dendritic cells with immune response modifying compounds
US20060106052A1 (en) * 1999-06-10 2006-05-18 3M Innovative Properties Company Method of using sulfonamide substituted imidazoquinolines
US7030131B2 (en) 1999-06-10 2006-04-18 Crooks Stephen L Sulfonamide substituted imidazoquinolines
US20040204438A1 (en) * 1999-06-10 2004-10-14 3M Innovative Properties Company Sulfonamide substituted imidazoquinolines
US7393859B2 (en) * 1999-06-10 2008-07-01 Coley Pharmaceutical Group, Inc. Amide substituted imidazoquinolines
US20090023722A1 (en) * 1999-06-10 2009-01-22 Coleman Patrick L Amide substituted imidazoquinolines
US20040229897A1 (en) * 1999-06-10 2004-11-18 3M Innovative Properties Company Amide substituted imidazoquinolines
US6780873B2 (en) 1999-06-10 2004-08-24 3M Innovative Properties Company Urea substituted imidazoquinolines
US6897221B2 (en) 1999-06-10 2005-05-24 3M Innovative Properties Company Urea substituted imidazoquinolines
US7157453B2 (en) 1999-06-10 2007-01-02 3M Innovation Properties Company Urea substituted imidazoquinolines
US6784188B2 (en) 1999-06-10 2004-08-31 3M Innovative Properties Company Urea substituted imidazoquinolines
US20040167154A1 (en) * 1999-06-10 2004-08-26 3M Innovative Properties Company Urea substituted imidazoquinolines
US6916925B1 (en) 1999-11-05 2005-07-12 3M Innovative Properties Co. Dye labeled imidazoquinoline compounds
US20010004853A1 (en) * 1999-12-28 2001-06-28 Yasunari Kato Accelerator with attachment of pedal arm
US7078523B2 (en) 2000-12-08 2006-07-18 3M Innovative Properties Company Urea substituted imidazoquinoline ethers
US20040067975A1 (en) * 2000-12-08 2004-04-08 3M Innovative Properties Company Amido ether substituted imidazoquinolines
US20040157874A1 (en) * 2000-12-08 2004-08-12 3M Innovative Properties Company Amido ether substituted imidazoquinolines
US7098221B2 (en) 2000-12-08 2006-08-29 3M Innovative Properties Company Amide substituted imidazopyridines
US7115622B2 (en) 2000-12-08 2006-10-03 3M Innovative Properties Company Amido ether substituted imidazoquinolines
US20040138248A1 (en) * 2000-12-08 2004-07-15 3M Innovative Properties Company Aryl ether substituted imidazoquinolines
US7132429B2 (en) 2000-12-08 2006-11-07 3M Innovative Properties Company Sulfonamido ether substituted imidazoquinolines
US20050209267A1 (en) * 2000-12-08 2005-09-22 3M Innovative Properties Company Thioether substituted imidazoquinolines
US20060142202A1 (en) * 2000-12-08 2006-06-29 3M Innovative Properties Company Compositions and methods for targeted delivery of immune response modifiers
US20040102471A1 (en) * 2000-12-08 2004-05-27 3M Innovative Properties Company Thioether substituted imidazoquinolines
US7049439B2 (en) 2000-12-08 2006-05-23 3M Innovative Properties Co. Urea substituted imidazoquinoline ethers
US20040097736A1 (en) * 2000-12-08 2004-05-20 3M Innovative Properties Company Thioether substituted imidazoquinolines
US20040097542A1 (en) * 2000-12-08 2004-05-20 3M Innovative Properties Company Sulfonamido ether substituted imidazoquinolines
US20040092545A1 (en) * 2000-12-08 2004-05-13 3M Innovative Properties Company Sulfonamido ether substituted imidazoquinolines
US20040077678A1 (en) * 2000-12-08 2004-04-22 3M Innovative Properties Company Urea substituted imidazoquinoline ethers
US20040072859A1 (en) * 2000-12-08 2004-04-15 3M Innovative Properties Company Urea substituted imidazoquinoline ethers
US6720333B2 (en) 2000-12-08 2004-04-13 3M Innovative Properties Company Amide substituted imidazopyridines
US6720334B2 (en) 2000-12-08 2004-04-13 3M Innovative Properties Company Urea substituted imidazopyridines
US6720422B2 (en) 2000-12-08 2004-04-13 3M Innovative Properties Company Amide substituted imidazopyridines
US20050209268A1 (en) * 2000-12-08 2005-09-22 3M Innovative Properties Company Thioether substituted imidazoquinolines
US7276515B2 (en) 2000-12-08 2007-10-02 Coley Pharmaceutical Group, Inc. Thioether substituted imidazoquinolines
US20040157879A1 (en) * 2000-12-08 2004-08-12 3M Innovative Properties Company Urea substituted imidazopyridines
US6696465B2 (en) 2000-12-08 2004-02-24 3M Innovative Properties Company Sulfonamido substituted imidazopyridines
US6989389B2 (en) 2000-12-08 2006-01-24 3M Innovative Properties Co. Aryl ether substituted imidazoquinolines
US6949649B2 (en) 2000-12-08 2005-09-27 3M Innovative Properties Co. Thioether substituted imidazoquinolines
US20050282854A1 (en) * 2000-12-08 2005-12-22 3M Innovative Properties Company Amide substituted imidazopyridines
US6969722B2 (en) 2000-12-08 2005-11-29 3M Innovative Properties Company Amide substituted imidazopyridines
US7612083B2 (en) 2000-12-08 2009-11-03 Coley Pharmaceutical Group, Inc. Urea substituted imidazoquinoline ethers
US7214675B2 (en) 2000-12-08 2007-05-08 3M Innovative Properties Company Urea substituted imidazoquinoline ethers
US20050234088A1 (en) * 2000-12-08 2005-10-20 3M Innovative Properties Company Urea substituted imidazoquinoline ethers
US6878719B2 (en) 2000-12-08 2005-04-12 3M Innovative Properties Company Sulfonamido substituted imidazopyridines
US6953804B2 (en) 2000-12-08 2005-10-11 3M Innovative Properties Co. Aryl ether substituted imidazoquinolines
US20050215581A1 (en) * 2000-12-08 2005-09-29 3M Innovative Properties Company Urea substituted imidazoquinoline ethers
US6664265B2 (en) * 2000-12-08 2003-12-16 3M Innovative Properties Company Amido ether substituted imidazoquinolines
US6660747B2 (en) * 2000-12-08 2003-12-09 3M Innovative Properties Company Amido ether substituted imidazoquinolines
US6921826B2 (en) 2000-12-08 2005-07-26 3M Innovative Properties Co. Thioether substituted imidazoquinolines
US20020110840A1 (en) * 2000-12-08 2002-08-15 3M Innovative Properties Company Screening method for identifying compounds that selectively induce interferon alpha
US7288550B2 (en) 2000-12-08 2007-10-30 3M Innovative Properties Company Thioether substituted imidazoquinolines
US6903113B2 (en) 2000-12-08 2005-06-07 3M Innovative Properties Company Urea substituted imidazopyridines
US7226928B2 (en) 2001-06-15 2007-06-05 3M Innovative Properties Company Methods for the treatment of periodontal disease
US20040235881A1 (en) * 2001-06-15 2004-11-25 Mitra Sumita B. Immune response modifiers for the treatment of periodontal disease
US20030133913A1 (en) * 2001-08-30 2003-07-17 3M Innovative Properties Company Methods of maturing plasmacytoid dendritic cells using immune response modifier molecules
US20040014779A1 (en) * 2001-11-16 2004-01-22 3M Innovative Properties Company Methods and compositions related to IRM compounds and toll-like recptor pathways
US20080275077A1 (en) * 2001-11-29 2008-11-06 Skwierczynski Raymond D Pharmaceutical formulations comprising an immune response modifier
US7968562B2 (en) 2001-11-29 2011-06-28 3M Innovative Properties Company Pharmaceutical formulations comprising an immune response modifier
US20030199538A1 (en) * 2001-11-29 2003-10-23 3M Innovative Properties Company Pharmaceutical formulation comprising an immune response modifier
US20030135843A1 (en) * 2001-12-20 2003-07-17 International Business Machines Corporation Testing measurements
US7299453B2 (en) 2001-12-20 2007-11-20 International Business Machines Corporation Testing measurements
US20040106638A1 (en) * 2001-12-21 2004-06-03 3M Innovative Properties Company Sulfonamide and sulfamide substituted imidazoquinolines
US20050197358A1 (en) * 2001-12-21 2005-09-08 3M Innovative Properties Company Sulfonamide and sulfamide substituted imidazoquinolines
US6924293B2 (en) 2001-12-21 2005-08-02 3M Innovative Properties Company Sulfonamide and sulfamide substituted imidazoquinolines
US6888000B2 (en) 2001-12-21 2005-05-03 3M Innovative Properties Company Sulfonamide and sulfamide substituted imidazoquinolines
US7199131B2 (en) 2001-12-21 2007-04-03 3M Innovative Properties Company Sulfonamide and sulfamide substituted imidazoquinolines
US6677349B1 (en) 2001-12-21 2004-01-13 3M Innovative Properties Company Sulfonamide and sulfamide substituted imidazoquinolines
US20060142235A1 (en) * 2002-02-22 2006-06-29 3M Innovative Properties Company Method of reducing and treating UVB-induced immunosuppression
US7030129B2 (en) 2002-02-22 2006-04-18 3M Innovative Properties Company Method of reducing and treating UVB-induced immunosuppression
US20030161797A1 (en) * 2002-02-22 2003-08-28 3M Innovative Properties Company Method of reducing and treating UVB-induced immunosuppression
US6797718B2 (en) 2002-06-07 2004-09-28 3M Innovative Properties Company Ether substituted imidazopyridines
US7125890B2 (en) 2002-06-07 2006-10-24 3M Innovative Properties Company Ether substituted imidazopyridines
US20050032830A1 (en) * 2002-06-07 2005-02-10 3M Innovative Properties Company Ether substituted imidazopyridines
US7220758B2 (en) 2002-06-07 2007-05-22 3M Innovative Properties Company Ether substituted imidazopyridines
EP2269632A2 (en) 2002-08-15 2011-01-05 3M Innovative Properties Co. Immunostimulatory compositions and methods of stimulating an immune response
US7427629B2 (en) 2002-08-15 2008-09-23 3M Innovative Properties Company Immunostimulatory compositions and methods of stimulating an immune response
US20050026947A1 (en) * 2002-09-26 2005-02-03 3M Innovative Properties Company 1H-imidazo dimers
US6818650B2 (en) 2002-09-26 2004-11-16 3M Innovative Properties Company 1H-imidazo dimers
US7112677B2 (en) 2002-09-26 2006-09-26 3M Innovative Properties Company 1H-imidazo dimers
WO2004028539A3 (en) * 2002-09-26 2004-10-28 3M Innovative Properties Co 1h-imidazo dimers
US20040132766A1 (en) * 2002-09-26 2004-07-08 Griesgraber George W. 1H-imidazo dimers
US20040132079A1 (en) * 2002-12-11 2004-07-08 3M Innovative Properties Company Assays relating to Toll-like receptor activity
US20040197865A1 (en) * 2002-12-11 2004-10-07 3M Innovative Properties Company Gene expression systems and recombinant cell lines
US7598382B2 (en) 2002-12-20 2009-10-06 Coley Pharmaceutical Group, Inc. Aryl substituted imidazoquinolines
US7091214B2 (en) 2002-12-20 2006-08-15 3M Innovative Properties Co. Aryl substituted Imidazoquinolines
EP2572715A1 (en) 2002-12-30 2013-03-27 3M Innovative Properties Company Immunostimulatory Combinations
EP2572714A1 (en) 2002-12-30 2013-03-27 3M Innovative Properties Company Immunostimulatory Combinations
US8329197B2 (en) 2002-12-30 2012-12-11 3M Innovative Properties Company Ex vivo uses of immunostimulatory combinations
US20040141950A1 (en) * 2002-12-30 2004-07-22 3M Innovative Properties Company Immunostimulatory combinations
US7387271B2 (en) 2002-12-30 2008-06-17 3M Innovative Properties Company Immunostimulatory combinations
US7375180B2 (en) 2003-02-13 2008-05-20 3M Innovative Properties Company Methods and compositions related to IRM compounds and Toll-like receptor 8
US20040162309A1 (en) * 2003-02-13 2004-08-19 3M Innovative Properties Company Methods and compositions related to IRM compounds and toll-like receptor 8
US20040171086A1 (en) * 2003-02-27 2004-09-02 3M Innovative Properties Company Selective modulation of TLR-mediated biological activity
US7485432B2 (en) 2003-02-27 2009-02-03 3M Innovative Properties Company Selective modulation of TLR-mediated biological activity
US8110582B2 (en) 2003-03-04 2012-02-07 3M Innovative Properties Company Prophylactic treatment of UV-induced epidermal neoplasia
WO2004080398A3 (en) * 2003-03-07 2005-04-21 3M Innovative Properties Co 1-amino 1h-imidazoquinolines
US7163947B2 (en) 2003-03-07 2007-01-16 3M Innovative Properties Company 1-Amino 1H-imidazoquinolines
US20040176367A1 (en) * 2003-03-07 2004-09-09 3M Innovative Properties Company 1-Amino 1H-imidazoquinolines
US20050054640A1 (en) * 2003-03-07 2005-03-10 Griesgraber George W. 1-Amino 1H-imidazoquinolines
US20040181130A1 (en) * 2003-03-13 2004-09-16 3M Innovative Properties Company Methods for diagnosing skin lesions
US7179253B2 (en) 2003-03-13 2007-02-20 3M Innovative Properties Company Method of tattoo removal
US20100180902A1 (en) * 2003-03-13 2010-07-22 3M Innovative Properties Company Methods for diagnosing skin lesions
US20040180919A1 (en) * 2003-03-13 2004-09-16 3M Innovative Properties Company Methods of improving skin quality
US7699057B2 (en) 2003-03-13 2010-04-20 3M Innovative Properties Company Methods for treating skin lesions
US8426457B2 (en) 2003-03-13 2013-04-23 Medicis Pharmaceutical Corporation Methods of improving skin quality
US8835394B2 (en) 2003-03-25 2014-09-16 Medicis Pharmaceutical Corporation Treatment for basal cell carcinoma
US7696159B2 (en) 2003-03-25 2010-04-13 Graceway Pharmaceuticals, Llc Treatment for basal cell carcinoma
US20080119572A1 (en) * 2003-03-25 2008-05-22 Graceway Pharmaceuticals. Llc Treatment for basal cell carcinoma
US20100197722A1 (en) * 2003-03-25 2010-08-05 Graceway Pharmaceuticals, Llc Treatment for basal cell carcinoma
US20040258698A1 (en) * 2003-04-10 2004-12-23 Wightman Paul D. Delivery of immune response modifier compounds
US20040265351A1 (en) * 2003-04-10 2004-12-30 Miller Richard L. Methods and compositions for enhancing immune response
US20040202720A1 (en) * 2003-04-10 2004-10-14 3M Innovative Properties Company Delivery of immune response modifier compounds using metal-containing particulate support materials
US7923560B2 (en) 2003-04-10 2011-04-12 3M Innovative Properties Company Delivery of immune response modifier compounds
US9801947B2 (en) 2003-04-10 2017-10-31 3M Innovative Properties Company Methods and compositions for enhancing immune response
US20080312434A1 (en) * 2003-06-06 2008-12-18 Coley Pharmaceutical Group, Inc. Process for imidazo [4,5-c] pyridin-4-amines
US6943255B2 (en) 2003-06-06 2005-09-13 3M Innovative Properties Company Process for imidazo[4,5-c]pyridin-4-amines
US20040248929A1 (en) * 2003-06-06 2004-12-09 3M Innovative Properties Company Process for imidazo[4,5-c]pyridin-4-amines
US20050245516A1 (en) * 2003-06-06 2005-11-03 3M Innovative Properties Company Process for imidazo[4,5-c]pyridin-4-amines
US7038053B2 (en) 2003-06-06 2006-05-02 3M Innovative Properties Company Process for imidazo[4,5-c]pyridin-4-amines
US20050032829A1 (en) * 2003-06-06 2005-02-10 3M Innovative Properties Company Process for imidazo[4,5-c]pyridin-4-amines
US20080063714A1 (en) * 2003-07-31 2008-03-13 Hassan Sahouani Compositions for Encapsulation and Controlled Release
US20070292456A1 (en) * 2003-08-05 2007-12-20 3M Innovative Properties Company Formulations Containing an Immune Response Modifier
US8221771B2 (en) 2003-08-05 2012-07-17 3M Innovative Properties Company Formulations containing an immune response modifier
US20050070460A1 (en) * 2003-08-05 2005-03-31 3M Innovative Properties Company Infection prophylaxis using immune response modifier compounds
US7648997B2 (en) 2003-08-12 2010-01-19 Coley Pharmaceutical Group, Inc. Hydroxylamine substituted imidazoquinolines
US20080114019A1 (en) * 2003-08-12 2008-05-15 Coley Pharmaceutical Group, Inc. Hydroxylamine Substituted Imidazoquinolines
US8673932B2 (en) 2003-08-12 2014-03-18 3M Innovative Properties Company Oxime substituted imidazo-containing compounds
EP2939693A1 (en) 2003-08-14 2015-11-04 3M Innovative Properties Company Lipid-modified immune response modifiers
US7799800B2 (en) 2003-08-14 2010-09-21 3M Innovative Properties Company Lipid-modified immune response modifiers
US20060189644A1 (en) * 2003-08-14 2006-08-24 Wightman Paul D Lipid-modified immune response modifiers
US8961477B2 (en) 2003-08-25 2015-02-24 3M Innovative Properties Company Delivery of immune response modifier compounds
US20050048072A1 (en) * 2003-08-25 2005-03-03 3M Innovative Properties Company Immunostimulatory combinations and treatments
US7897597B2 (en) 2003-08-27 2011-03-01 3M Innovative Properties Company Aryloxy and arylalkyleneoxy substituted imidazoquinolines
US8263594B2 (en) 2003-08-27 2012-09-11 3M Innovative Properties Company Aryloxy and arylalkyleneoxy substituted imidazoquinolines
US20060216333A1 (en) * 2003-09-02 2006-09-28 Miller Richard L Methods related to the treatment of mucosal associated conditions
US20050054665A1 (en) * 2003-09-05 2005-03-10 3M Innovative Properties Company Treatment for CD5+ B cell lymphoma
US7923429B2 (en) 2003-09-05 2011-04-12 3M Innovative Properties Company Treatment for CD5+ B cell lymphoma
US9365567B2 (en) 2003-10-03 2016-06-14 3M Innovative Properties Company Alkoxy substituted imidazoquinolines
US8871782B2 (en) 2003-10-03 2014-10-28 3M Innovative Properties Company Alkoxy substituted imidazoquinolines
US7879849B2 (en) 2003-10-03 2011-02-01 3M Innovative Properties Company Pyrazolopyridines and analogs thereof
US7544697B2 (en) 2003-10-03 2009-06-09 Coley Pharmaceutical Group, Inc. Pyrazolopyridines and analogs thereof
US9145410B2 (en) 2003-10-03 2015-09-29 3M Innovative Properties Company Pyrazolopyridines and analogs thereof
US9856254B2 (en) 2003-10-03 2018-01-02 3M Innovative Properties Company Alkoxy substituted imidazoquinolines
US20060100229A1 (en) * 2003-10-03 2006-05-11 Hays David S Pyrazolopyridines and analogs thereof
US20050096259A1 (en) * 2003-10-31 2005-05-05 3M Innovative Properties Company Neutrophil activation by immune response modifier compounds
US20090042925A1 (en) * 2003-11-14 2009-02-12 Coley Pharmaceutical Group, Inc. Oxime substituted imidazoquinolines
US7897767B2 (en) 2003-11-14 2011-03-01 3M Innovative Properties Company Oxime substituted imidazoquinolines
US8598192B2 (en) 2003-11-14 2013-12-03 3M Innovative Properties Company Hydroxylamine substituted imidazoquinolines
US20070099901A1 (en) * 2003-11-25 2007-05-03 3M Innovative Properties Company Hydroxylamine and oxime substituted imidazoquinolines, imidazopyridines, and imidazonaphthyridines
US8691837B2 (en) 2003-11-25 2014-04-08 3M Innovative Properties Company Substituted imidazo ring systems and methods
US9328110B2 (en) 2003-11-25 2016-05-03 3M Innovative Properties Company Substituted imidazo ring systems and methods
US8778963B2 (en) 2003-11-25 2014-07-15 3M Innovative Properties Company Hydroxylamine and oxime substituted imidazoquinolines, imidazopyridines, and imidazonaphthyridines
US9765071B2 (en) 2003-11-25 2017-09-19 3M Innovative Properties Company Substituted imidazo ring systems and methods
US20050171072A1 (en) * 2003-12-02 2005-08-04 Tomai Mark A. Therapeutic combinations and methods including IRM compounds
US20050226878A1 (en) * 2003-12-02 2005-10-13 3M Innovative Properties Company Therapeutic combinations and methods including IRM compounds
US8940755B2 (en) 2003-12-02 2015-01-27 3M Innovative Properties Company Therapeutic combinations and methods including IRM compounds
US7939526B2 (en) 2003-12-04 2011-05-10 3M Innovative Properties Company Sulfone substituted imidazo ring ethers
US20070155767A1 (en) * 2003-12-04 2007-07-05 Radmer Matthew R Sulfone substituted imidazo ring ethers
US8802853B2 (en) 2003-12-29 2014-08-12 3M Innovative Properties Company Arylalkenyl and arylalkynyl substituted imidazoquinolines
US20070167476A1 (en) * 2003-12-29 2007-07-19 Kshirsagar Tushar A Piperazine, [1,4]Diazepane, [1,4]Diazocane, and [1,5]Diazocane fused imidazo ring compounds
US7888349B2 (en) 2003-12-29 2011-02-15 3M Innovative Properties Company Piperazine, [1,4]Diazepane, [1,4]Diazocane, and [1,5]Diazocane fused imidazo ring compounds
US20050239735A1 (en) * 2003-12-30 2005-10-27 3M Innovative Properties Company Enhancement of immune responses
US8735421B2 (en) 2003-12-30 2014-05-27 3M Innovative Properties Company Imidazoquinolinyl sulfonamides
WO2005089317A2 (en) 2004-03-15 2005-09-29 3M Innovative Properties Company Immune response modifier formulations and methods
US20070167479A1 (en) * 2004-03-15 2007-07-19 Busch Terri F Immune response modifier formulations and methods
US8697873B2 (en) 2004-03-24 2014-04-15 3M Innovative Properties Company Amide substituted imidazopyridines, imidazoquinolines, and imidazonaphthyridines
US20110172311A1 (en) * 2004-04-08 2011-07-14 Androphy Elliot J Compounds For Treating Human Papillomavirus
US7914769B2 (en) 2004-04-08 2011-03-29 University Of Massachusetts Compounds for treating human papillomavirus
US20050250855A1 (en) * 2004-04-08 2005-11-10 Androphy Elliot J Compounds for treating human papillomavirus
WO2005110391A3 (en) * 2004-04-08 2006-08-31 Univ Massachusetts Compounds for treating human papillomavirus
US20070166384A1 (en) * 2004-04-09 2007-07-19 Zarraga Isidro Angelo E Methods , composition and preparations for delivery of immune response modifiers
US20060051374A1 (en) * 2004-04-28 2006-03-09 3M Innovative Properties Company Compositions and methods for mucosal vaccination
US20050267145A1 (en) * 2004-05-28 2005-12-01 Merrill Bryon A Treatment for lung cancer
US20080015184A1 (en) * 2004-06-14 2008-01-17 3M Innovative Properties Company Urea Substituted Imidazopyridines, Imidazoquinolines, and Imidazonaphthyridines
US8017779B2 (en) 2004-06-15 2011-09-13 3M Innovative Properties Company Nitrogen containing heterocyclyl substituted imidazoquinolines and imidazonaphthyridines
US8541438B2 (en) 2004-06-18 2013-09-24 3M Innovative Properties Company Substituted imidazoquinolines, imidazopyridines, and imidazonaphthyridines
US7897609B2 (en) 2004-06-18 2011-03-01 3M Innovative Properties Company Aryl substituted imidazonaphthyridines
US9550773B2 (en) 2004-06-18 2017-01-24 3M Innovative Properties Company Substituted imidazoquinolines, imidazopyridines, and imidazonaphthyridines
US7915281B2 (en) 2004-06-18 2011-03-29 3M Innovative Properties Company Isoxazole, dihydroisoxazole, and oxadiazole substituted imidazo ring compounds and method
US9938275B2 (en) 2004-06-18 2018-04-10 3M Innovative Properties Company Substituted imidazoquinolines, imidazopyridines, and imidazonaphthyridines
US8026366B2 (en) 2004-06-18 2011-09-27 3M Innovative Properties Company Aryloxy and arylalkyleneoxy substituted thiazoloquinolines and thiazolonaphthyridines
US20070287724A1 (en) * 2004-06-18 2007-12-13 3M Innovative Properties Company Substituted Imidazoquinolines, Imidazopyridines, and Imidazonaphthyridines
US7884207B2 (en) 2004-06-18 2011-02-08 3M Innovative Properties Company Substituted imidazoquinolines, imidazopyridines, and imidazonaphthyridines
US9006264B2 (en) 2004-06-18 2015-04-14 3M Innovative Properties Company Substituted imidazoquinolines, imidazopyridines, and imidazonaphthyridines
US20060045886A1 (en) * 2004-08-27 2006-03-02 Kedl Ross M HIV immunostimulatory compositions
US8143270B2 (en) 2004-09-02 2012-03-27 3M Innovative Properties Company 2-amino 1H-in-imidazo ring systems and methods
US20090005376A1 (en) * 2004-09-02 2009-01-01 3M Innovative Properties Company 1-Alkoxy 1H-Imidazo Ring Systems and Methods
US7579359B2 (en) 2004-09-02 2009-08-25 3M Innovative Properties Company 1-alkoxy 1H-imidazo ring systems and methods
US20080193468A1 (en) * 2004-09-08 2008-08-14 Children's Medical Center Corporation Method for Stimulating the Immune Response of Newborns
US20070243215A1 (en) * 2004-10-08 2007-10-18 Miller Richard L Adjuvant for Dna Vaccines
US7902210B2 (en) 2004-12-17 2011-03-08 3M Innovative Properties Company Reduction of IMIQUIMOD impurities at two months using refined oleic acid
US20100120825A1 (en) * 2004-12-17 2010-05-13 3M Innovative Properties Company Method of treating mollescum contagiosum
US7902243B2 (en) 2004-12-17 2011-03-08 3M Innovative Properties Company Methods for improving imiquimod availability at two months, four months and six months between refined and compendial
US7902213B2 (en) 2004-12-17 2011-03-08 3M Innovative Properties Company Pharmaceutical cream with reduced imiquimod impurities at four months using refined oleic acid
US7902242B2 (en) 2004-12-17 2011-03-08 3M Innovative Properties Company Method of stabilizing imiquimod
US7902244B2 (en) 2004-12-17 2011-03-08 3M Innovative Properties Company Method of preparing a pharmaceutical cream and minimizing imiquimod impurity formation (at least four months storage)
US7902245B2 (en) 2004-12-17 2011-03-08 3M Innovative Properties Company Methods for reducing imiquimod impurities for two months, four months, and six months
US7902215B2 (en) 2004-12-17 2011-03-08 3M Innovative Properties Company Pharmaceutical creams with reduced imiquimod impurities
US7902246B2 (en) 2004-12-17 2011-03-08 3M Innovative Properties Company Methods for controlling formation of imiquimod impurities for two months, four months, and six months
US7902212B2 (en) 2004-12-17 2011-03-08 3M Innovative Properties Company Reduction of imiquimod impurities at six months using refined oleic acid
US7902209B2 (en) 2004-12-17 2011-03-08 3M Innovative Proerties Company Method of preparing a pharmaceutical cream and minimizing imiquimod impurity formation
US7902211B2 (en) 2004-12-17 2011-03-08 3M Innovative Properties Company Method of inducing interferon biosynthesis
US7906543B2 (en) 2004-12-17 2011-03-15 3M Innovative Properties Company Method of reducing imiquimod impurity formation
US7906524B2 (en) 2004-12-17 2011-03-15 3M Innovative Properties Company Pharmaceutical cream having similar or less levels of imiquimod impurity formation as cream with BHA (comparator)
US20070123558A1 (en) * 2004-12-17 2007-05-31 Statham Alexis S Immune response modifier formulations containing oleic acid and methods
US7906527B2 (en) 2004-12-17 2011-03-15 3M Innovative Properties Company Reduction of imiquimod impurities using refined oleic acid
US7906526B2 (en) 2004-12-17 2011-03-15 3M Innovative Properties Company Method of treating a dermal and/or mucosal associated condition
US7906525B2 (en) 2004-12-17 2011-03-15 3M Innovative Properties Company Reduction of imiquimod impurities at four months using refined oleic acid
US7915278B2 (en) 2004-12-17 2011-03-29 3M Innovative Properties Company Method of treating basal cell carcinoma
US7902214B2 (en) 2004-12-17 2011-03-08 3M Innovative Properties Company Method of treating a mucosal and/or dermal associated condition
US7915277B2 (en) 2004-12-17 2011-03-29 3M Innovative Properties Company Method of treating genital or peri-anal warts
US20090093514A1 (en) * 2004-12-17 2009-04-09 3M Innovative Properties Company Immune response modifier formulations containing oleic acid and methods
US7915279B2 (en) 2004-12-17 2011-03-29 3M Innovative Properties Company Method of treating mollescum contagiosum
US7919501B2 (en) 2004-12-17 2011-04-05 3M Innovative Properties Company Method of controlling formation of imiquimod impurities
US7923463B2 (en) 2004-12-17 2011-04-12 3M Innovative Properties Company Methods for stabilizing imiquimod for two months, four months, and six months
US7902216B2 (en) 2004-12-17 2011-03-08 3M Innovative Properties Company Pharmaceutical creams with refined oleic acid
US7655672B2 (en) 2004-12-17 2010-02-02 3M Innovative Properties Company Immune response modifier formulations containing oleic acid and methods
US7928116B2 (en) 2004-12-17 2011-04-19 3M Innovative Properties Company Method of treating actinic keratosis
US7928117B2 (en) 2004-12-17 2011-04-19 3M Innovative Properties Company Method of inducing cytokine biosynthesis
US7928118B2 (en) 2004-12-17 2011-04-19 3M Innovative Properties Company Reduction of imiquimod impurities in pharmaceutical creams
US7939555B2 (en) 2004-12-17 2011-05-10 3M Innovative Properties Company Method of preparing a pharmaceutical cream and minimizing imiquimod impurity formation
US20100130533A1 (en) * 2004-12-17 2010-05-27 3M Innovative Properties Company Pharmaceutical creams with refined oleic acid
US20100120829A1 (en) * 2004-12-17 2010-05-13 3M Innovative Properties Company X-fold less imiquimod impurities at six months between refined and compendial
US20100120827A1 (en) * 2004-12-17 2010-05-13 3M Innovative Properties Company X-fold less imiquimod impurities at two months between refined and compendial
US20100120828A1 (en) * 2004-12-17 2010-05-13 3M Innovative Properties Company Method of inducing interferon biosynthesis
US20100120823A1 (en) * 2004-12-17 2010-05-13 3M Innovative Properties Company Method of treating basal cell carcinoma
US20100130529A1 (en) * 2004-12-17 2010-05-27 3M Innovative Properties Company Method of stabilizing imiquimod
US20100130536A1 (en) * 2004-12-17 2010-05-27 3M Innovative Properties Company Methods for controlling formation of imiquimod impurities for two months, four months, and six months
US20100130534A1 (en) * 2004-12-17 2010-05-27 3M Innovative Properties Company Methods for reducing imiquimod impurities for two months, four months, and six months
US20100130535A1 (en) * 2004-12-17 2010-05-27 3M Innovative Properties Company Methods for stabilizing imiquimod for two months, four months, and six months
US20100120830A1 (en) * 2004-12-17 2010-05-13 3M Innovative Properties Company Pharmaceutical cream having similar or less levels of imiquimod impurity formation as cream with bha (comparator)
US20100120835A1 (en) * 2004-12-17 2010-05-13 3M Innovative Properties Company Pharmaceutical cream with reduced imiquimod impurities at four months using refined oleic acid
US8080560B2 (en) 2004-12-17 2011-12-20 3M Innovative Properties Company Immune response modifier formulations containing oleic acid and methods
US20100120832A1 (en) * 2004-12-17 2010-05-13 3M Innovative Properties Company Method of preparing a pharmaceutical cream and minimizing imiquimod impurity formation (at least four months storage)
US20100130532A1 (en) * 2004-12-17 2010-05-27 3M Innovative Properties Company Reduction of imiquimod impurities in pharmaceutical creams
US20100130530A1 (en) * 2004-12-17 2010-05-27 3M Innovative Properties Company Reduction of imiquimod impurities using refined oleic acid
US20100120834A1 (en) * 2004-12-17 2010-05-13 3M Innovative Properties Company Reduction of imiquimod impurities at four months using refined oleic acid
US20100120821A1 (en) * 2004-12-17 2010-05-13 3M Innovative Properties Company Method of treating genital or peri-anal warts
US20100120836A1 (en) * 2004-12-17 2010-05-13 3M Innovative Properties Company Method of treating a dermal and/or mucosal associated condition
US8557838B2 (en) 2004-12-17 2013-10-15 Medicis Pharmaceutical Corporation Immune response modifier formulations containing oleic acid and methods
US20100120833A1 (en) * 2004-12-17 2010-05-13 3M Innovative Properties Company Method of preparing a pharmaceutical cream and minimizing imiquimod impurity formation (at least six months storage)
US20100120822A1 (en) * 2004-12-17 2010-05-13 3M Innovative Properties Company Method of controlling formation of imiquimod impurities (bha comparator)
US20100120819A1 (en) * 2004-12-17 2010-05-13 3M Innovative Properties Company Method of reducing imiquimod impurity formation
US20100120831A1 (en) * 2004-12-17 2010-05-13 3M Innovative Properties Company Methods for improving imiquimod availability at two months, four months and six months between refined and compendial
US20100120824A1 (en) * 2004-12-17 2010-05-13 3M Innovative Properties Company Method of preparing a pharmaceutical cream and minimizing imiquimod impurity formation
US20100120826A1 (en) * 2004-12-17 2010-05-13 3M Innovative Properties Company Method of inducing cytokine biosynthesis
US20100056557A1 (en) * 2004-12-30 2010-03-04 Bernd Benninghoff Treatment for cutaneous metastases
US8461174B2 (en) 2004-12-30 2013-06-11 3M Innovative Properties Company Treatment for cutaneous metastases
US20080188513A1 (en) * 2004-12-30 2008-08-07 Taked Pharmaceutical Company Limited 1-(2-Methylpropyl)-1H-Imidazo[4,5-C](1,5]Naphthyridin-4-Amine Ethanesulfonate and 1-(2-Methylpropyl)-1H-Imidazo[4,5-C](1,5]Naphthyridin-4-Amine Methanesulfonate
US8034938B2 (en) 2004-12-30 2011-10-11 3M Innovative Properties Company Substituted chiral fused [1,2]imidazo[4,5-c] ring compounds
US7943609B2 (en) 2004-12-30 2011-05-17 3M Innovative Proprerties Company Chiral fused [1,2]imidazo[4,5-C] ring compounds
US8350034B2 (en) 2004-12-30 2013-01-08 3M Innovative Properties Company Substituted chiral fused [1,2]imidazo[4,5-C] ring compounds
US20080306266A1 (en) * 2004-12-30 2008-12-11 3M Innovative Properties Company Process for Preparing 2-Methyl-1-(2-Methylpropyl)-1H-Imidazo[4,5-C][1,5]Naphthyridin-4-Amine
US20090124652A1 (en) * 2004-12-30 2009-05-14 Takeda Pharmaceutical Company Limited Polymorphs of 1-(2-Methylpropyl)-1H-Imidazo[4,5-C][1,5]Naphthyridin-4-Amine Ethane-Sulfonate
US8436176B2 (en) 2004-12-30 2013-05-07 Medicis Pharmaceutical Corporation Process for preparing 2-methyl-1-(2-methylpropyl)-1H-imidazo[4,5-c][1,5]naphthyridin-4-amine
EP2394650A1 (en) 2004-12-30 2011-12-14 3M Innovative Properties Co. Use of resiquimod for the treatment of cutaneous metastases
US8546383B2 (en) 2004-12-30 2013-10-01 3M Innovative Properties Company Chiral fused [1,2]imidazo[4,5-c] ring compounds
US8207162B2 (en) 2004-12-30 2012-06-26 3M Innovative Properties Company Chiral fused [1,2]imidazo[4,5-c] ring compounds
US9248127B2 (en) 2005-02-04 2016-02-02 3M Innovative Properties Company Aqueous gel formulations containing immune response modifiers
US10071156B2 (en) 2005-02-04 2018-09-11 3M Innovative Properties Company Aqueous gel formulations containing immune response modifiers
US8378102B2 (en) 2005-02-09 2013-02-19 3M Innovative Properties Company Oxime and hydroxylamine substituted thiazolo[4,5-c] ring compounds and methods
US9546184B2 (en) 2005-02-09 2017-01-17 3M Innovative Properties Company Alkyloxy substituted thiazoloquinolines and thiazolonaphthyridines
US20090099161A1 (en) * 2005-02-11 2009-04-16 Coley Pharmaceutial Group, Inc. Substituted Imidazoquinolines and Imidazonaphthyridines
US8658666B2 (en) * 2005-02-11 2014-02-25 3M Innovative Properties Company Substituted imidazoquinolines and imidazonaphthyridines
US7968563B2 (en) 2005-02-11 2011-06-28 3M Innovative Properties Company Oxime and hydroxylamine substituted imidazo[4,5-c] ring compounds and methods
US8178677B2 (en) 2005-02-23 2012-05-15 3M Innovative Properties Company Hydroxyalkyl substituted imidazoquinolines
US8158794B2 (en) 2005-02-23 2012-04-17 3M Innovative Properties Company Hydroxyalkyl substituted imidazoquinoline compounds and methods
US8343993B2 (en) 2005-02-23 2013-01-01 3M Innovative Properties Company Hydroxyalkyl substituted imidazonaphthyridines
US8846710B2 (en) 2005-02-23 2014-09-30 3M Innovative Properties Company Method of preferentially inducing the biosynthesis of interferon
US8354424B2 (en) 2005-03-14 2013-01-15 Medicis Pharmaceutical Corporation Method of treating actinic keratosis
US7943636B2 (en) 2005-04-01 2011-05-17 3M Innovative Properties Company 1-substituted pyrazolo (3,4-C) ring compounds as modulators of cytokine biosynthesis for the treatment of viral infections and neoplastic diseases
US7943610B2 (en) 2005-04-01 2011-05-17 3M Innovative Properties Company Pyrazolopyridine-1,4-diamines and analogs thereof
US20080193474A1 (en) * 2005-04-25 2008-08-14 Griesgraber George W Immunostimulatory Compositions
US8188111B2 (en) 2005-09-09 2012-05-29 3M Innovative Properties Company Amide and carbamate derivatives of alkyl substituted N-[4-(4-amino-1H-imidazo[4,5-c]quinolin-1-yl)butyI]methanesulfonamides and methods
US8476292B2 (en) 2005-09-09 2013-07-02 3M Innovative Properties Company Amide and carbamate derivatives of N-{2-[4-amino-2-(ethoxymethyl)-1H-imidazo[4,5-c] quinolin-1-Yl]-1,1-dimethylethyl}methanesulfonamide and methods
US20090176821A1 (en) * 2005-09-09 2009-07-09 Coley Pharmaceutical Group, Inc. Amide and Carbamate Derivatives of Alkyl Substituted N-[4-(4-Amino-1H-Imidazo[4,5-C] Quinolin-1-YL)Butyl]Methanesulfonamides and Methods
US8889154B2 (en) 2005-09-15 2014-11-18 Medicis Pharmaceutical Corporation Packaging for 1-(2-methylpropyl)-1H-imidazo[4,5-c] quinolin-4-amine-containing formulation
US8377957B2 (en) 2005-11-04 2013-02-19 3M Innovative Properties Company Hydroxy and alkoxy substituted 1H-imidazoquinolines and methods
US8088790B2 (en) 2005-11-04 2012-01-03 3M Innovative Properties Company Hydroxy and alkoxy substituted 1H-imidazoquinolines and methods
US10472420B2 (en) 2006-02-22 2019-11-12 3M Innovative Properties Company Immune response modifier conjugates
EP3085373A1 (en) 2006-02-22 2016-10-26 3M Innovative Properties Company Immune response modifier conjugates
US8951528B2 (en) 2006-02-22 2015-02-10 3M Innovative Properties Company Immune response modifier conjugates
US20090035323A1 (en) * 2006-02-22 2009-02-05 Doris Stoermer Immune response modifier conjugates
US8329721B2 (en) 2006-03-15 2012-12-11 3M Innovative Properties Company Hydroxy and alkoxy substituted 1H-imidazonaphthyridines and methods
US7906506B2 (en) 2006-07-12 2011-03-15 3M Innovative Properties Company Substituted chiral fused [1,2] imidazo [4,5-c] ring compounds and methods
US8178539B2 (en) 2006-09-06 2012-05-15 3M Innovative Properties Company Substituted 3,4,6,7-tetrahydro-5H-1,2a,4a,8-tetraazacyclopenta[cd]phenalenes and methods
US10005772B2 (en) 2006-12-22 2018-06-26 3M Innovative Properties Company Immune response modifier compositions and methods
US10144735B2 (en) 2006-12-22 2018-12-04 3M Innovative Properties Company Immune response modifier compositions and methods
US20100158928A1 (en) * 2006-12-22 2010-06-24 Doris Stoermer Immune response modifier compositions and methods
US9073913B2 (en) 2008-03-24 2015-07-07 4Sc Ag Substituted imidazoquinolines
US9446040B2 (en) 2008-03-24 2016-09-20 4Sc Ag Substituted imidazoquinolines
US9908880B2 (en) 2008-03-24 2018-03-06 4Sc Ag Substituted imidazoquinolines
US9186400B2 (en) 2009-03-25 2015-11-17 The Board Of Regents, The University Of Texas System Compositions for stimulation of mammalian innate immune resistance to pathogens
US12201684B2 (en) 2009-03-25 2025-01-21 The Board Of Regents, The University Of Texas System Compositions for stimulation of mammalian innate immune resistance to pathogens
US10722573B2 (en) 2009-03-25 2020-07-28 The Board Of Regents, The University Of Texas System Compositions for stimulation of mammalian innate immune resistance to pathogens
WO2010111485A1 (en) 2009-03-25 2010-09-30 The Board Of Regents Of The University Of Texas System Compositions for stimulation of mammalian innate immune resistance to pathogens
US8883174B2 (en) 2009-03-25 2014-11-11 The Board Of Regents, The University Of Texas System Compositions for stimulation of mammalian innate immune resistance to pathogens
US9504742B2 (en) 2009-03-25 2016-11-29 The Board Of Regents, The University Of Texas System Compositions for stimulation of mammalian innate immune resistance to pathogens
US20110033515A1 (en) * 2009-08-04 2011-02-10 Rst Implanted Cell Technology Tissue contacting material
US9242980B2 (en) 2010-08-17 2016-01-26 3M Innovative Properties Company Lipidated immune response modifier compound compositions, formulations, and methods
US10052380B2 (en) 2010-08-17 2018-08-21 3M Innovative Properties Company Lipidated immune response modifier compound compositions, formulations, and methods
US10383938B2 (en) 2010-08-17 2019-08-20 3M Innovative Properties Company Lipidated immune response modifier compound compositions, formulations, and methods
US10821176B2 (en) 2010-08-17 2020-11-03 3M Innovative Properties Company Lipidated immune response modifier compound compositions, formulations, and methods
US12201688B2 (en) 2010-08-17 2025-01-21 Solventum Intellectual Properties Company Lipidated immune response modifier compound compositions, formulations, and methods
US11524071B2 (en) 2010-08-17 2022-12-13 3M Innovative Properties Company Lipidated immune response modifier compound compositions, formulations, and methods
US9795669B2 (en) 2010-08-17 2017-10-24 3M Innovative Properties Company Lipidated immune response modifier compound compositions, formulations, and methods
US20160213776A1 (en) * 2010-09-01 2016-07-28 Glaxosmithkline Biologicals Sa Adsorption of immunopotentiators to insoluble metal salts
US10098949B2 (en) * 2010-09-01 2018-10-16 Glaxosmithkline Biologicals S.A. Adsorption of immunopotentiators to insoluble metal salts
US10723731B2 (en) 2011-06-03 2020-07-28 3M Innovative Properties Company Heterobifunctional linkers with polyethylene glycol segments and immune response modifier conjugates made therefrom
US9107958B2 (en) 2011-06-03 2015-08-18 3M Innovative Properties Company Hydrazino 1H-imidazoquinolin-4-amines and conjugates made therefrom
EP3153180A1 (en) 2011-06-03 2017-04-12 3M Innovative Properties Company Heterobifunctional linkers with polyethylene glycol segments and immune response modifier conjugates made therefrom
US9902724B2 (en) 2011-06-03 2018-02-27 3M Innovative Properties Company Heterobifunctional linkers with polyethylene glycol segments and immune response modifier conjugates made therefrom
US10406142B2 (en) 2011-06-03 2019-09-10 3M Lnnovative Properties Company Hydrazino 1H-imidazoquinolin-4-amines and conjugates made therefrom
US9585968B2 (en) 2011-06-03 2017-03-07 3M Innovative Properties Company Hydrazino 1H-imidazoquinolin-4-amines and conjugates made therefrom
US9475804B2 (en) 2011-06-03 2016-10-25 3M Innovative Properties Company Heterobifunctional linkers with polyethylene glycol segments and immune response modifier conjugates made therefrom
WO2013013055A1 (en) 2011-07-21 2013-01-24 Rubigo Therapeutics, Inc. System for drug delivery and monitoring
EP3563865A2 (en) 2012-05-04 2019-11-06 Pfizer Inc Prostate-associated antigens and vaccine-based immunotherapy regimens
WO2013164754A2 (en) 2012-05-04 2013-11-07 Pfizer Inc. Prostate-associated antigens and vaccine-based immunotherapy regimens
US10660971B2 (en) 2012-07-18 2020-05-26 Birdie Biopharmaceuticals, Inc. Compounds for targeted immunotherapy
US10548988B2 (en) 2012-07-18 2020-02-04 Birdie Biopharmaceuticals, Inc. Compounds for targeted immunotherapy
EP3756669A1 (en) 2013-01-07 2020-12-30 The Trustees of the University of Pennsylvania Compositions for use for treating cutaneous t cell lymphoma
WO2014107663A2 (en) 2013-01-07 2014-07-10 The Trustees Of The University Of Pennsylvania Compositions and methods for treating cutaneous t cell lymphoma
EP3632458A1 (en) 2013-07-26 2020-04-08 INSERM (Institut National de la Santé et de la Recherche Médicale) Methods and pharmaceutical compositions for the treatment of bacterial infections
WO2015069535A1 (en) 2013-11-05 2015-05-14 3M Innovative Properties Company Sesame oil based injection formulations
US11020486B2 (en) 2013-11-05 2021-06-01 3M Innovative Properties Company Sesame oil based injection formulations
US10538520B2 (en) 2013-12-24 2020-01-21 Oncotartis Inc. Benzamide and nicotinamide compounds and methods of using same
US20160347748A1 (en) * 2013-12-24 2016-12-01 Oncotartis, Inc. Benzamide and nicotinamide compounds and methods of using same
AU2014369926B2 (en) * 2013-12-24 2019-07-18 Oncotartis, Inc. Benzamide and nicotinamide compounds and methods of using same
US10208032B2 (en) * 2013-12-24 2019-02-19 Oncotartis Inc. Benzamide and nicotinamide compounds and methods of using same
US11633494B2 (en) 2014-01-10 2023-04-25 Birdie Biopharmaceuticals, Inc. Compounds and compositions for immunotherapy
US10328158B2 (en) 2014-01-10 2019-06-25 Birdie Biopharmaceuticals, Inc. Compounds and compositions for immunotherapy
US10780180B2 (en) 2014-01-10 2020-09-22 Birdie Biopharmaceuticals, Inc. Compounds and compositions for immunotherapy
EP4056594A1 (en) 2014-01-10 2022-09-14 Birdie Biopharmaceuticals Inc. Compounds and compositions for immunotherapy
US10744206B2 (en) 2014-01-10 2020-08-18 Birdie Biopharmaceuticals, Inc. Compounds and compositions for immunotherapy
WO2015103990A1 (en) 2014-01-10 2015-07-16 Shanghai Birdie Biotech, Inc. Compounds and compositions for treating egfr expressing tumors
WO2015103987A1 (en) 2014-01-10 2015-07-16 Shanghai Birdie Biotech, Inc. Compounds and compositions for treating her2 positive tumors
US11786604B2 (en) 2014-01-10 2023-10-17 Birdie Biopharmaceuticals, Inc. Compounds and compositions for treating HER2 positive tumors
US11633495B2 (en) 2014-01-10 2023-04-25 Birdie Biopharmaceuticals, Inc. Compounds and compositions for immunotherapy
US10548985B2 (en) 2014-01-10 2020-02-04 Birdie Biopharmaceuticals, Inc. Compounds and compositions for treating EGFR expressing tumors
WO2015103989A1 (en) 2014-01-10 2015-07-16 Shanghai Birdie Biotech, Inc. Compounds and compositions for immunotherapy
WO2016004875A1 (en) 2014-07-09 2016-01-14 Shanghai Birdie Biotech, Inc. Combination therapy compositions and methods for treating cancers
EP4001311A1 (en) 2014-07-09 2022-05-25 Birdie Biopharmaceuticals Inc. Anti-pd-l1 combinations for treating tumors
WO2016004876A1 (en) 2014-07-09 2016-01-14 Shanghai Birdie Biotech, Inc. Anti-pd-l1 combinations for treating tumors
US11279761B2 (en) 2014-07-09 2022-03-22 Birdie Biopharmaceuticals, Inc. Anti-PD-L1 combinations for treating tumors
EP4148069A1 (en) 2014-09-01 2023-03-15 Birdie Biopharmaceuticals Inc. Anti-pd-l1 conjugates for treating tumors
US11130812B2 (en) 2014-09-01 2021-09-28 Birdie Biopharmaceuticals, Inc. Anti PD-L1 conjugates for treating tumors
EP3763742A1 (en) 2014-09-01 2021-01-13 Birdie Biopharmaceuticals Inc. Anti-pd-l1 conjugates for treating tumors
US10286065B2 (en) 2014-09-19 2019-05-14 Board Of Regents, The University Of Texas System Compositions and methods for treating viral infections through stimulated innate immunity in combination with antiviral compounds
WO2016180852A1 (en) 2015-05-12 2016-11-17 INSERM (Institut National de la Santé et de la Recherche Médicale) Methods for preparing antigen-specific t cells from an umbilical cord blood sample
US11680244B2 (en) 2015-05-20 2023-06-20 The Regents Of The University Of California Method for generating human dendritic cells for immunotherapy
WO2016187459A1 (en) 2015-05-20 2016-11-24 The Regents Of The University Of California Method for generating human dendritic cells for immunotherapy
WO2017040233A1 (en) 2015-08-31 2017-03-09 3M Innovative Properties Company GUANIDINE SUBSTITUTED IMIDAZO[4,5-c] RING COMPOUNDS
US10118925B2 (en) 2015-08-31 2018-11-06 3M Innovative Properties Company Imidazo[4,5-c] ring compounds containing substituted guanidine groups
CN107922416B (en) * 2015-08-31 2021-07-02 3M创新有限公司 Imidazo[4,5-c]cyclic compounds containing substituted guanidine groups
KR20180041745A (en) * 2015-08-31 2018-04-24 쓰리엠 이노베이티브 프로퍼티즈 컴파니 Guanidine substituted imidazo [4,5-c] cyclic compound
US10150768B2 (en) 2015-08-31 2018-12-11 3M Innovative Properties Company Guanidine substituted imidazo[4,5-c] ring compounds
CN113402518B (en) * 2015-08-31 2023-08-22 3M创新有限公司 Imidazo [4,5-c ] ring compounds containing substituted guanidine groups
CN108026092A (en) * 2015-08-31 2018-05-11 3M创新有限公司 Imidazo [4,5-c] cycle compound of guanidine substitution
CN113402518A (en) * 2015-08-31 2021-09-17 3M创新有限公司 Imidazo [4,5-c ] ring compounds containing substituted guanidine groups
CN107922416A (en) * 2015-08-31 2018-04-17 3M创新有限公司 Imidazo[4,5‑c] ring compounds containing substituted guanidine groups
WO2017040234A1 (en) 2015-08-31 2017-03-09 3M Innovative Properties Company IMIDAZO[4,5-c] RING COMPOUNDS CONTAINING SUBSTITUTED GUANIDINE GROUPS
US10487081B2 (en) 2015-08-31 2019-11-26 3M Innovation Properties Company Guanidine substituted imidazo[4,5-c] ring compounds
CN108026092B (en) * 2015-08-31 2021-01-26 3M创新有限公司 Guanidine-substituted imidazo [4,5-c ] ring compounds
US10526309B2 (en) 2015-10-02 2020-01-07 The University Of North Carolina At Chapel Hill Pan-TAM inhibitors and Mer/Axl dual inhibitors
US11154573B2 (en) 2015-10-30 2021-10-26 The Regents Of The University Of California Methods of generating T-cells from stem cells and immunotherapeutic methods using the T-cells
US12297452B2 (en) 2015-10-30 2025-05-13 The Regents Of The University Of California Methods or generating T-cells from stem cells and immunotherapeutic methods using the T-cells
US11220552B2 (en) 2016-01-07 2022-01-11 Birdie Biopharmaceuticals, Inc. Anti-CD20 combinations for treating tumors
US11136397B2 (en) 2016-01-07 2021-10-05 Birdie Pharmaceuticals, Inc. Anti-EGFR combinations for treating tumors
US11046781B2 (en) 2016-01-07 2021-06-29 Birdie Biopharmaceuticals, Inc. Anti-HER2 combinations for treating tumors
US11702476B2 (en) 2016-01-07 2023-07-18 Birdie Biopharmaceuticals, Inc. Anti-EGFR combinations for treating tumors
US11547761B1 (en) 2016-07-07 2023-01-10 The Board Of Trustees Of The Leland Stanford Junior University Antibody adjuvant conjugates
US11110178B2 (en) 2016-07-07 2021-09-07 The Board Of Trustees Of The Leland Standford Junior University Antibody adjuvant conjugates
US10675358B2 (en) 2016-07-07 2020-06-09 The Board Of Trustees Of The Leland Stanford Junior University Antibody adjuvant conjugates
EP3889158A1 (en) 2016-08-26 2021-10-06 3M Innovative Properties Company Fused [1,2]imidazo[4,5-c] ring compounds substituted with guanidino groups
WO2018038877A1 (en) 2016-08-26 2018-03-01 3M Innovative Properties Company FUSED [1,2]IMIDAZO[4,5-c] RING COMPOUNDS SUBSTITUTED WITH GUANIDINO GROUPS
US10414779B2 (en) 2016-08-26 2019-09-17 3M Innovative Properties Company Fused [1,2]imidazo[4,5-C] ring compounds substituted with guanidino groups
WO2018087699A2 (en) 2016-11-09 2018-05-17 The Board Of Regents Of The University Of Texas System Methods and compositions for adaptive immune modulation
WO2018160552A1 (en) 2017-03-01 2018-09-07 3M Innovative Properties Company IMIDAZO[4,5-c] RING COMPOUNDS CONTAINING GUANIDINE SUBSTITUTED BENZAMIDE GROUPS
US10766896B2 (en) 2017-03-01 2020-09-08 3M Innovative Properties Company Imidazo[4,5-c] ring compounds containing guanidine substituted benzamide groups
US11053240B2 (en) 2017-04-27 2021-07-06 Birdie Biopharmaceuticals, Inc. 2-amino-quinoline derivatives
US11834448B2 (en) 2017-04-27 2023-12-05 Birdie Biopharmaceuticals, Inc. 2-amino-quinoline derivatives
US12295950B2 (en) 2017-06-23 2025-05-13 Birdie Biopharmaceuticals, Inc. Pharmaceutical compositions
US11517567B2 (en) 2017-06-23 2022-12-06 Birdie Biopharmaceuticals, Inc. Pharmaceutical compositions
US11306083B2 (en) 2017-12-20 2022-04-19 3M Innovative Properties Company Amide substituted imidazo[4,5-C]quinoline compounds with a branched chain linking group for use as an immune response modifier
WO2019123178A1 (en) 2017-12-20 2019-06-27 3M Innovative Properties Company Amide substitued imidazo[4,5-c]quinoline compounds with a branched chain linking group for use as an immune response modifier
WO2019166937A1 (en) 2018-02-28 2019-09-06 3M Innovative Properties Company Substituted imidazo[4,5-c]quinoline compounds with an n-1 branched group
US11370788B2 (en) 2018-02-28 2022-06-28 3M Innovative Properties Company Substituted imidazo[4,5-c]quinoline compounds with an N-1 branched group
WO2019166946A1 (en) 2018-02-28 2019-09-06 Pfizer Inc. Il-15 variants and uses thereof
WO2019224715A1 (en) 2018-05-23 2019-11-28 Pfizer Inc. Antibodies specific for cd3 and uses thereof
US11434292B2 (en) 2018-05-23 2022-09-06 Pfizer Inc. Antibodies specific for CD3 and uses thereof
EP4414034A2 (en) 2018-05-23 2024-08-14 Pfizer Inc. Antibodies specific for cd3 and uses thereof
WO2019224716A2 (en) 2018-05-23 2019-11-28 Pfizer Inc. Antibodies specific for gucy2c and uses thereof
WO2019224765A1 (en) 2018-05-24 2019-11-28 3M Innovative Properties Company N-1 branched cycloalkyl substituted imidazo[4,5-c]quinoline compounds, compositions, and methods
US11884662B2 (en) 2018-05-24 2024-01-30 3M Innovative Properties Company N-1 branched cycloalkyl substituted imidazo[4,5-c]quinoline compounds, compositions, and methods
US12398134B2 (en) 2018-05-24 2025-08-26 Solventum Intellectual Properties Company N-1 branched cycloalkyl substituted imidazo[4,5-c]quinoline compounds, compositions, and methods
US12024514B2 (en) 2018-11-26 2024-07-02 Solventum Intellectual Properties Company N-1 branched alkyl ether substituted imidazo[4,5-c]quinoline compounds, compositions, and methods
US12540137B2 (en) 2018-11-26 2026-02-03 Solventum Intellectual Properties Company N-1 branched alkyl ether substituted imidazo[4,5-c]quinoline compounds, compositions, and methods
WO2020109898A1 (en) 2018-11-26 2020-06-04 3M Innovative Properties Company N-1 branched alkyl ether substituted imidazo[4,5-c]quinoline compounds, compositions, and methods
WO2020128893A1 (en) 2018-12-21 2020-06-25 Pfizer Inc. Combination treatments of cancer comprising a tlr agonist
WO2020168017A1 (en) * 2019-02-12 2020-08-20 Ambrx, Inc. Compositions containing, methods and uses of antibody-tlr agonist conjugates
CN113660957A (en) * 2019-02-12 2021-11-16 Ambrx公司 Compositions, methods and uses comprising antibody-TLR agonist conjugates
US11400164B2 (en) 2019-03-15 2022-08-02 Bolt Biotherapeutics, Inc. Immunoconjugates targeting HER2
WO2020245706A1 (en) 2019-06-06 2020-12-10 3M Innovative Properties Company N-1 branched alkyl substituted imidazo[4,5-c]quinoline compounds, compositions, and methods
WO2020250089A1 (en) 2019-06-12 2020-12-17 3M Innovative Properties Company Phenethyl substituted imidazo[4,5-c]quinoline compounds with an n-1 branched group
WO2021116420A1 (en) 2019-12-13 2021-06-17 INSERM (Institut National de la Santé et de la Recherche Médicale) Use of tlr7 and/or tlr8 agonists for the treatment of leptospirosis
WO2021124073A1 (en) 2019-12-17 2021-06-24 Pfizer Inc. Antibodies specific for cd47, pd-l1, and uses thereof
WO2021202921A1 (en) * 2020-04-01 2021-10-07 Altimmune Uk Limited Imidazoquinoline-type compounds and uses thereof
WO2022013775A1 (en) 2020-07-17 2022-01-20 Pfizer Inc. Therapeutic antibodies and their uses
WO2025104289A1 (en) 2023-11-17 2025-05-22 Medincell S.A. Antineoplastic combinations

Also Published As

Publication number Publication date
EP1187613B1 (en) 2006-08-09
ES2269164T3 (en) 2007-04-01
HUP0202254A2 (en) 2002-10-28
AU773113B2 (en) 2004-05-20
RU2295343C2 (en) 2007-03-20
HK1044488A1 (en) 2002-10-25
HK1044488B (en) 2007-05-25
HUP0202254A3 (en) 2003-10-28
NZ515639A (en) 2004-10-29
BR0011448A (en) 2004-12-14
ATE335479T1 (en) 2006-09-15
AU6334900A (en) 2001-01-02
DE60029956T2 (en) 2007-09-13
PL364249A1 (en) 2004-12-13
NO20015503D0 (en) 2001-11-09
MXPA01012508A (en) 2002-07-02
WO2000076505A1 (en) 2000-12-21
NO322223B1 (en) 2006-08-28
HRP20010888A2 (en) 2003-08-31
NO20015503L (en) 2002-02-08
CA2376304C (en) 2010-09-28
CA2376304A1 (en) 2000-12-21
EP1187613A1 (en) 2002-03-20
CN1353609A (en) 2002-06-12
IL146468A0 (en) 2002-07-25
DE60029956D1 (en) 2006-09-21
SK17932001A3 (en) 2002-06-04
TR200103574T2 (en) 2002-08-21
CY1108537T1 (en) 2014-04-09
EE200100670A (en) 2003-02-17
JP2003501466A (en) 2003-01-14
CZ20014364A3 (en) 2002-03-13
EP1187613A4 (en) 2002-07-24
DK1187613T3 (en) 2006-12-11
EP1187613B9 (en) 2006-10-25
KR20020008222A (en) 2002-01-29
EE05089B1 (en) 2008-10-15
PT1187613E (en) 2006-12-29
CN1353609B (en) 2011-07-13

Similar Documents

Publication Publication Date Title
US6451810B1 (en) Amide substituted imidazoquinolines
US6756382B2 (en) Amide substituted imidazoquinolines
US6780873B2 (en) Urea substituted imidazoquinolines
US7038051B2 (en) Imidazonaphthyridines
US6573273B1 (en) Urea substituted imidazoquinolines
US6969722B2 (en) Amide substituted imidazopyridines
US6800624B2 (en) Sulfonamide and sulfamide substituted imidazoquinolines
US6903113B2 (en) Urea substituted imidazopyridines
EP1438958A1 (en) Carbamate substituted imidazoquinolines

Legal Events

Date Code Title Description
AS Assignment

Owner name: 3M INNIVATIVE PROPERTIES COMPANY, MINNESOTA

Free format text: ASSIGNMENT OF ASSIGNORS INTEREST;ASSIGNORS:COLEMAN, PATRICK L.;CROOKS, STEPHEN L.;LINDSTROM, KYLE J.;AND OTHERS;REEL/FRAME:011202/0233;SIGNING DATES FROM 20000919 TO 20001006

CC Certificate of correction
FPAY Fee payment

Year of fee payment: 4

AS Assignment

Owner name: COLEY PHARMACEUTICAL GROUP, INC., MASSACHUSETTS

Free format text: ASSIGNMENT OF ASSIGNORS INTEREST;ASSIGNOR:3M COMPANY, 3M INNOVATIVE PROPERTIES COMPANY;REEL/FRAME:020112/0803

Effective date: 20070723

FPAY Fee payment

Year of fee payment: 8

AS Assignment

Owner name: 3M INNOVATIVE PROPERTIES COMPANY, MINNESOTA

Free format text: ASSIGNMENT OF ASSIGNORS INTEREST;ASSIGNOR:COLEY PHARMACEUTICAL GROUP, INC.;REEL/FRAME:026167/0103

Effective date: 20110131

REMI Maintenance fee reminder mailed
LAPS Lapse for failure to pay maintenance fees
STCH Information on status: patent discontinuation

Free format text: PATENT EXPIRED DUE TO NONPAYMENT OF MAINTENANCE FEES UNDER 37 CFR 1.362

FP Lapsed due to failure to pay maintenance fee

Effective date: 20140917