US20090023722A1 - Amide substituted imidazoquinolines - Google Patents
Amide substituted imidazoquinolines Download PDFInfo
- Publication number
- US20090023722A1 US20090023722A1 US12/165,014 US16501408A US2009023722A1 US 20090023722 A1 US20090023722 A1 US 20090023722A1 US 16501408 A US16501408 A US 16501408A US 2009023722 A1 US2009023722 A1 US 2009023722A1
- Authority
- US
- United States
- Prior art keywords
- imidazo
- alkyl
- quinolin
- amino
- mmol
- Prior art date
- Legal status (The legal status is an assumption and is not a legal conclusion. Google has not performed a legal analysis and makes no representation as to the accuracy of the status listed.)
- Abandoned
Links
- 0 C[Rn].[1*]N1C([2*])=NC2=C1C1=C(cc-cc1)N=C2N Chemical compound C[Rn].[1*]N1C([2*])=NC2=C1C1=C(cc-cc1)N=C2N 0.000 description 21
- WNPIJOYLQHDTOB-UHFFFAOYSA-N CC(=O)N(CCCCN1C=NC2=C(N)N=C3C=CC=CC3=C21)CC1=CC=C(C)C=C1C Chemical compound CC(=O)N(CCCCN1C=NC2=C(N)N=C3C=CC=CC3=C21)CC1=CC=C(C)C=C1C WNPIJOYLQHDTOB-UHFFFAOYSA-N 0.000 description 2
- KXCIAFBBDRSVED-UHFFFAOYSA-N CC1=NC2=C(N)N=C3C=CC=CC3=C2N1CCCCNC(=O)C1CCCCC1 Chemical compound CC1=NC2=C(N)N=C3C=CC=CC3=C2N1CCCCNC(=O)C1CCCCC1 KXCIAFBBDRSVED-UHFFFAOYSA-N 0.000 description 2
- FBAKWJPWQFMKNZ-UHFFFAOYSA-N CCC1=NC2=C(N)N=C3C=CC=CC3=C2N1CCCCNC(=O)C(C)C Chemical compound CCC1=NC2=C(N)N=C3C=CC=CC3=C2N1CCCCNC(=O)C(C)C FBAKWJPWQFMKNZ-UHFFFAOYSA-N 0.000 description 2
- WXDLXCAIBCJVCJ-UHFFFAOYSA-N CCCCCCCCN(CCCCN1C=NC2=C(N)N=C3C=CC=CC3=C21)C(C)=O Chemical compound CCCCCCCCN(CCCCN1C=NC2=C(N)N=C3C=CC=CC3=C21)C(C)=O WXDLXCAIBCJVCJ-UHFFFAOYSA-N 0.000 description 2
- FTDRRKIWBHVNJD-UHFFFAOYSA-N CCOCC1=NC2=C(N)N=C3C=CC=CC3=C2N1CCNC(=O)CCCCC1SCC2NC(=O)NC21 Chemical compound CCOCC1=NC2=C(N)N=C3C=CC=CC3=C2N1CCNC(=O)CCCCC1SCC2NC(=O)NC21 FTDRRKIWBHVNJD-UHFFFAOYSA-N 0.000 description 2
- BQTVOIXTFDZUJV-UHFFFAOYSA-N COCCC1=NC2=C(N)N=C3C=CC=CC3=C2N1CCCCNC(=O)C(C)C Chemical compound COCCC1=NC2=C(N)N=C3C=CC=CC3=C2N1CCCCNC(=O)C(C)C BQTVOIXTFDZUJV-UHFFFAOYSA-N 0.000 description 2
- REIQQQHSEAYETN-UHFFFAOYSA-N COCCC1=NC2=C(N)N=C3C=CC=CC3=C2N1CCCCNC(=O)C1=CNC2=C1C=CC=C2 Chemical compound COCCC1=NC2=C(N)N=C3C=CC=CC3=C2N1CCCCNC(=O)C1=CNC2=C1C=CC=C2 REIQQQHSEAYETN-UHFFFAOYSA-N 0.000 description 2
- FWYHJSKJOZCZTI-UHFFFAOYSA-N COCCC1=NC2=C(N)N=C3C=CC=CC3=C2N1CCCCNC(=O)CC1=CC=C(SC)C=C1 Chemical compound COCCC1=NC2=C(N)N=C3C=CC=CC3=C2N1CCCCNC(=O)CC1=CC=C(SC)C=C1 FWYHJSKJOZCZTI-UHFFFAOYSA-N 0.000 description 2
- FYECPPDAMDROCD-UHFFFAOYSA-N COCCC1=NC2=C(N)N=C3CCCCC3=C2N1CCCCNC(=O)C1=CC=NC=C1 Chemical compound COCCC1=NC2=C(N)N=C3CCCCC3=C2N1CCCCNC(=O)C1=CC=NC=C1 FYECPPDAMDROCD-UHFFFAOYSA-N 0.000 description 2
- DGWOWMCZRHCITB-UHFFFAOYSA-N NC1=C2N=C(C3=CC=CC=C3)N(CCCCNC(=O)C3=CC=C4C=CC=CC4=N3)C2=C2C=CC=CC2=N1 Chemical compound NC1=C2N=C(C3=CC=CC=C3)N(CCCCNC(=O)C3=CC=C4C=CC=CC4=N3)C2=C2C=CC=CC2=N1 DGWOWMCZRHCITB-UHFFFAOYSA-N 0.000 description 2
- TYHPNYNPFIHIBB-UHFFFAOYSA-N NC1=C2N=CN(CCCCCCCCNC(=O)C3=CC=CC=C3)C2=C2C=CC=CC2=N1 Chemical compound NC1=C2N=CN(CCCCCCCCNC(=O)C3=CC=CC=C3)C2=C2C=CC=CC2=N1 TYHPNYNPFIHIBB-UHFFFAOYSA-N 0.000 description 2
- NMGCEHVNZHKVGH-UHFFFAOYSA-N NC1=C2N=CN(CCCCCCNC(=O)C3=CC=CC=C3)C2=C2C=CC=CC2=N1 Chemical compound NC1=C2N=CN(CCCCCCNC(=O)C3=CC=CC=C3)C2=C2C=CC=CC2=N1 NMGCEHVNZHKVGH-UHFFFAOYSA-N 0.000 description 2
- VSXXRNBALUXKQQ-UHFFFAOYSA-N NC1=C2N=CN(CCCCNC(=O)C3=CC=C(OC4=CC=CC=C4)C=C3)C2=C2C=CC=CC2=N1 Chemical compound NC1=C2N=CN(CCCCNC(=O)C3=CC=C(OC4=CC=CC=C4)C=C3)C2=C2C=CC=CC2=N1 VSXXRNBALUXKQQ-UHFFFAOYSA-N 0.000 description 2
- DOAIRQUQEYYMIV-UHFFFAOYSA-N NC1=C2N=CN(CCCCNC(=O)CC(C3=CC=CC=C3)C3=CC=CC=C3)C2=C2C=CC=CC2=N1 Chemical compound NC1=C2N=CN(CCCCNC(=O)CC(C3=CC=CC=C3)C3=CC=CC=C3)C2=C2C=CC=CC2=N1 DOAIRQUQEYYMIV-UHFFFAOYSA-N 0.000 description 2
- XLOPOHHDSMZUDU-UHFFFAOYSA-N NC1=C2N=CN(CCCCNC(=O)CCC3=CC=CC=C3)C2=C2C=CC=CC2=N1 Chemical compound NC1=C2N=CN(CCCCNC(=O)CCC3=CC=CC=C3)C2=C2C=CC=CC2=N1 XLOPOHHDSMZUDU-UHFFFAOYSA-N 0.000 description 2
- LZJDMIFRDFXZLQ-UHFFFAOYSA-N NC1=C2N=CN(CCNC(=O)CCC3=CC=CC=C3)C2=C2C=CC=CC2=N1 Chemical compound NC1=C2N=CN(CCNC(=O)CCC3=CC=CC=C3)C2=C2C=CC=CC2=N1 LZJDMIFRDFXZLQ-UHFFFAOYSA-N 0.000 description 2
- GZIFPJUJXDLTJX-UHFFFAOYSA-N C#CCCC(=O)NCCCCN1C=NC2=C(N)N=C3C=CC=CC3=C21 Chemical compound C#CCCC(=O)NCCCCN1C=NC2=C(N)N=C3C=CC=CC3=C21 GZIFPJUJXDLTJX-UHFFFAOYSA-N 0.000 description 1
- OARBJLCVANFEPS-UHFFFAOYSA-N C#CCCCCCCCCC(=O)NCCCCN1C=NC2=C(N)N=C3C=CC=CC3=C21 Chemical compound C#CCCCCCCCCC(=O)NCCCCN1C=NC2=C(N)N=C3C=CC=CC3=C21 OARBJLCVANFEPS-UHFFFAOYSA-N 0.000 description 1
- MFTIEDBWFUWXHZ-ZDHPXMGNSA-N C/C=C/C=C/C(=O)NCCCCN1C(CCOC)=NC2=C(N)N=C3C=CC=CC3=C21 Chemical compound C/C=C/C=C/C(=O)NCCCCN1C(CCOC)=NC2=C(N)N=C3C=CC=CC3=C21 MFTIEDBWFUWXHZ-ZDHPXMGNSA-N 0.000 description 1
- OWMXRYONWVDBDW-UHFFFAOYSA-N C=CCC(=O)NCCCCN1C(CCOC)=NC2=C(N)N=C3C=CC=CC3=C21 Chemical compound C=CCC(=O)NCCCCN1C(CCOC)=NC2=C(N)N=C3C=CC=CC3=C21 OWMXRYONWVDBDW-UHFFFAOYSA-N 0.000 description 1
- KONFUPUUDDMKAA-UHFFFAOYSA-N C=CCCC(=O)NCCCCN1C=NC2=C(N)N=C3C=CC=CC3=C21 Chemical compound C=CCCC(=O)NCCCCN1C=NC2=C(N)N=C3C=CC=CC3=C21 KONFUPUUDDMKAA-UHFFFAOYSA-N 0.000 description 1
- IFYLCIBIJHFNKE-UHFFFAOYSA-N C=CCCCCCCCCC(=O)NCCCCN1C=NC2=C1C1=C(C=CC=C1)N=C2N Chemical compound C=CCCCCCCCCC(=O)NCCCCN1C=NC2=C1C1=C(C=CC=C1)N=C2N IFYLCIBIJHFNKE-UHFFFAOYSA-N 0.000 description 1
- VVMLDLLCOBHMTJ-UHFFFAOYSA-N CC(=O)CCCC(=O)NCCCCN1C=NC2=C(N)N=C3C=CC=CC3=C21 Chemical compound CC(=O)CCCC(=O)NCCCCN1C=NC2=C(N)N=C3C=CC=CC3=C21 VVMLDLLCOBHMTJ-UHFFFAOYSA-N 0.000 description 1
- GCKZLAQXULLCDY-UHFFFAOYSA-N CC(=O)N(CCCCN1C=NC2=C(N)N=C3C=CC=CC3=C21)CC1=C(SC2=CC=C(Cl)C=C2)C=CC=C1 Chemical compound CC(=O)N(CCCCN1C=NC2=C(N)N=C3C=CC=CC3=C21)CC1=C(SC2=CC=C(Cl)C=C2)C=CC=C1 GCKZLAQXULLCDY-UHFFFAOYSA-N 0.000 description 1
- GHIIIWJKTCDGJM-UHFFFAOYSA-N CC(=O)N(CCCCN1C=NC2=C(N)N=C3C=CC=CC3=C21)CC1=CC(Br)=CC=C1O Chemical compound CC(=O)N(CCCCN1C=NC2=C(N)N=C3C=CC=CC3=C21)CC1=CC(Br)=CC=C1O GHIIIWJKTCDGJM-UHFFFAOYSA-N 0.000 description 1
- YLVFAFYZVJNHEP-UHFFFAOYSA-N CC(=O)N(CCCCN1C=NC2=C(N)N=C3C=CC=CC3=C21)CC1=CC(Cl)=CC(Cl)=C1 Chemical compound CC(=O)N(CCCCN1C=NC2=C(N)N=C3C=CC=CC3=C21)CC1=CC(Cl)=CC(Cl)=C1 YLVFAFYZVJNHEP-UHFFFAOYSA-N 0.000 description 1
- OZIZSBFWXVNQGN-UHFFFAOYSA-N CC(=O)N(CCCCN1C=NC2=C(N)N=C3C=CC=CC3=C21)CC1=CC(Cl)=CC=C1[N+](=O)[O-] Chemical compound CC(=O)N(CCCCN1C=NC2=C(N)N=C3C=CC=CC3=C21)CC1=CC(Cl)=CC=C1[N+](=O)[O-] OZIZSBFWXVNQGN-UHFFFAOYSA-N 0.000 description 1
- GBZFNTQTMLONGP-UHFFFAOYSA-N CC(=O)N(CCCCN1C=NC2=C(N)N=C3C=CC=CC3=C21)CC1=CC(F)=C(F)C=C1 Chemical compound CC(=O)N(CCCCN1C=NC2=C(N)N=C3C=CC=CC3=C21)CC1=CC(F)=C(F)C=C1 GBZFNTQTMLONGP-UHFFFAOYSA-N 0.000 description 1
- ZCWUAYDANTVIJP-UHFFFAOYSA-N CC(=O)N(CCCCN1C=NC2=C(N)N=C3C=CC=CC3=C21)CC1=CC([N+](=O)[O-])=CC=C1Cl Chemical compound CC(=O)N(CCCCN1C=NC2=C(N)N=C3C=CC=CC3=C21)CC1=CC([N+](=O)[O-])=CC=C1Cl ZCWUAYDANTVIJP-UHFFFAOYSA-N 0.000 description 1
- OUSXKPGUUDOCPX-UHFFFAOYSA-N CC(=O)N(CCCCN1C=NC2=C(N)N=C3C=CC=CC3=C21)CC1=CC=C(Br)C=C1 Chemical compound CC(=O)N(CCCCN1C=NC2=C(N)N=C3C=CC=CC3=C21)CC1=CC=C(Br)C=C1 OUSXKPGUUDOCPX-UHFFFAOYSA-N 0.000 description 1
- PSDQPURMAAYDGH-UHFFFAOYSA-N CC(=O)N(CCCCN1C=NC2=C(N)N=C3C=CC=CC3=C21)CC1=CC=C([N+](=O)[O-])C=C1 Chemical compound CC(=O)N(CCCCN1C=NC2=C(N)N=C3C=CC=CC3=C21)CC1=CC=C([N+](=O)[O-])C=C1 PSDQPURMAAYDGH-UHFFFAOYSA-N 0.000 description 1
- KZGWMLRZHZDHCA-UHFFFAOYSA-N CC(=O)N(CCCCN1C=NC2=C(N)N=C3C=CC=CC3=C21)CC1=CC=C2/C=C\C3=CC=CC4=CC=C1C2=C43 Chemical compound CC(=O)N(CCCCN1C=NC2=C(N)N=C3C=CC=CC3=C21)CC1=CC=C2/C=C\C3=CC=CC4=CC=C1C2=C43 KZGWMLRZHZDHCA-UHFFFAOYSA-N 0.000 description 1
- QABCELNXTFMRSL-UHFFFAOYSA-N CC(=O)N(CCCCN1C=NC2=C(N)N=C3C=CC=CC3=C21)CC1=CC=CC2=CC=CC=C21 Chemical compound CC(=O)N(CCCCN1C=NC2=C(N)N=C3C=CC=CC3=C21)CC1=CC=CC2=CC=CC=C21 QABCELNXTFMRSL-UHFFFAOYSA-N 0.000 description 1
- CLQFPABIYSWUDH-UHFFFAOYSA-N CC(=O)N(CCCCN1C=NC2=C(N)N=C3C=CC=CC3=C21)CC1=CC=CC=C1C Chemical compound CC(=O)N(CCCCN1C=NC2=C(N)N=C3C=CC=CC3=C21)CC1=CC=CC=C1C CLQFPABIYSWUDH-UHFFFAOYSA-N 0.000 description 1
- WCHPSIPARKMUED-UHFFFAOYSA-N CC(=O)N(CCCCN1C=NC2=C(N)N=C3C=CC=CC3=C21)CC1=CC=CC=C1Cl Chemical compound CC(=O)N(CCCCN1C=NC2=C(N)N=C3C=CC=CC3=C21)CC1=CC=CC=C1Cl WCHPSIPARKMUED-UHFFFAOYSA-N 0.000 description 1
- KMCWQCXOYKCDTE-UHFFFAOYSA-N CC(=O)N(CCCCN1C=NC2=C(N)N=C3C=CC=CC3=C21)CC1=CC=CC=C1[N+](=O)[O-] Chemical compound CC(=O)N(CCCCN1C=NC2=C(N)N=C3C=CC=CC3=C21)CC1=CC=CC=C1[N+](=O)[O-] KMCWQCXOYKCDTE-UHFFFAOYSA-N 0.000 description 1
- WZSKIISMAIZUAH-UHFFFAOYSA-N CC(=O)N(CCCCN1C=NC2=C(N)N=C3C=CC=CC3=C21)CC1=CC=CO1 Chemical compound CC(=O)N(CCCCN1C=NC2=C(N)N=C3C=CC=CC3=C21)CC1=CC=CO1 WZSKIISMAIZUAH-UHFFFAOYSA-N 0.000 description 1
- SDTZBFGTEAXRCL-UHFFFAOYSA-N CC(=O)N(CCCCN1C=NC2=C(N)N=C3C=CC=CC3=C21)CC1=CC=NC=C1 Chemical compound CC(=O)N(CCCCN1C=NC2=C(N)N=C3C=CC=CC3=C21)CC1=CC=NC=C1 SDTZBFGTEAXRCL-UHFFFAOYSA-N 0.000 description 1
- RNSGXVAWSZWCLF-UHFFFAOYSA-N CC(=O)N(CCCCN1C=NC2=C(N)N=C3C=CC=CC3=C21)CC1=COC=C1 Chemical compound CC(=O)N(CCCCN1C=NC2=C(N)N=C3C=CC=CC3=C21)CC1=COC=C1 RNSGXVAWSZWCLF-UHFFFAOYSA-N 0.000 description 1
- LLDDBDUFAXKASF-UHFFFAOYSA-N CC(=O)N(CCCCN1C=NC2=C(N)N=C3C=CC=CC3=C21)CCCC1=CC=CC=C1 Chemical compound CC(=O)N(CCCCN1C=NC2=C(N)N=C3C=CC=CC3=C21)CCCC1=CC=CC=C1 LLDDBDUFAXKASF-UHFFFAOYSA-N 0.000 description 1
- XFOUVVFSOFGGFN-UHFFFAOYSA-N CC(=O)NCCCCN1C=NC2=C1C1=C(C=CC=C1)N=C2N Chemical compound CC(=O)NCCCCN1C=NC2=C1C1=C(C=CC=C1)N=C2N XFOUVVFSOFGGFN-UHFFFAOYSA-N 0.000 description 1
- OVRPBHHOFSMMPM-UHFFFAOYSA-N CC(C(=O)NCCCCN1C=NC2=C(N)N=C3C=CC=CC3=C21)C1=CC=C(C2=CC=CC=C2)C(F)=C1 Chemical compound CC(C(=O)NCCCCN1C=NC2=C(N)N=C3C=CC=CC3=C21)C1=CC=C(C2=CC=CC=C2)C(F)=C1 OVRPBHHOFSMMPM-UHFFFAOYSA-N 0.000 description 1
- USYKQUWPOQFQBW-UHFFFAOYSA-N CC(C)(C)C1=CC=C(C(=O)NCCCCN2C=NC3=C2C2=C(C=CC=C2)N=C3N)C=C1 Chemical compound CC(C)(C)C1=CC=C(C(=O)NCCCCN2C=NC3=C2C2=C(C=CC=C2)N=C3N)C=C1 USYKQUWPOQFQBW-UHFFFAOYSA-N 0.000 description 1
- OFBKNRFUHSCGIW-UHFFFAOYSA-N CC(C)(C)CC(=O)NCCCCN1C=NC2=C1C1=C(C=CC=C1)N=C2N Chemical compound CC(C)(C)CC(=O)NCCCCN1C=NC2=C1C1=C(C=CC=C1)N=C2N OFBKNRFUHSCGIW-UHFFFAOYSA-N 0.000 description 1
- MFRKAQGZLJMBEM-UHFFFAOYSA-N CC(C)CC1=CC=C(C(C)C(=O)NCCCCN2C=NC3=C(N)N=C4C=CC=CC4=C32)C=C1 Chemical compound CC(C)CC1=CC=C(C(C)C(=O)NCCCCN2C=NC3=C(N)N=C4C=CC=CC4=C32)C=C1 MFRKAQGZLJMBEM-UHFFFAOYSA-N 0.000 description 1
- BLLDZTQSNMHSCB-UHFFFAOYSA-N CC(OC1=CC=CC=C1)C(=O)NCCCCN1C=NC2=C(N)N=C3C=CC=CC3=C21 Chemical compound CC(OC1=CC=CC=C1)C(=O)NCCCCN1C=NC2=C(N)N=C3C=CC=CC3=C21 BLLDZTQSNMHSCB-UHFFFAOYSA-N 0.000 description 1
- COVMDOVDWWXNGR-UHFFFAOYSA-N CC1=CC(C)=C(C(=O)NCCCCN2C=NC3=C2C2=C(C=CC=C2)N=C3N)C=C1C Chemical compound CC1=CC(C)=C(C(=O)NCCCCN2C=NC3=C2C2=C(C=CC=C2)N=C3N)C=C1C COVMDOVDWWXNGR-UHFFFAOYSA-N 0.000 description 1
- VXTWJUOYANIDHJ-UHFFFAOYSA-N CC1=CC=C(C(=O)NCCCCN2C=NC3=C2C2=C(C=CC=C2)N=C3N)C=C1 Chemical compound CC1=CC=C(C(=O)NCCCCN2C=NC3=C2C2=C(C=CC=C2)N=C3N)C=C1 VXTWJUOYANIDHJ-UHFFFAOYSA-N 0.000 description 1
- WPKMNZSKGOHTEB-UHFFFAOYSA-N CC1=NC2=C(N)N=C3C=CC=CC3=C2N1CCCCCNC(=O)C1=CC=CC=C1 Chemical compound CC1=NC2=C(N)N=C3C=CC=CC3=C2N1CCCCCNC(=O)C1=CC=CC=C1 WPKMNZSKGOHTEB-UHFFFAOYSA-N 0.000 description 1
- YYWDGTFNDCEKAS-UHFFFAOYSA-N CC1=NC2=C(N)N=C3C=CC=CC3=C2N1CCCCNC(=O)C(C)C Chemical compound CC1=NC2=C(N)N=C3C=CC=CC3=C2N1CCCCNC(=O)C(C)C YYWDGTFNDCEKAS-UHFFFAOYSA-N 0.000 description 1
- WCAXKLCQFDLSOP-UHFFFAOYSA-N CC1=NC2=C(N)N=C3C=CC=CC3=C2N1CCCCNC(=O)C1=CC=CC=C1 Chemical compound CC1=NC2=C(N)N=C3C=CC=CC3=C2N1CCCCNC(=O)C1=CC=CC=C1 WCAXKLCQFDLSOP-UHFFFAOYSA-N 0.000 description 1
- JLZQIEUPKDSVBC-UHFFFAOYSA-N CC1=NC2=C(N)N=C3C=CC=CC3=C2N1CCCCNC(=O)C1CCCC1 Chemical compound CC1=NC2=C(N)N=C3C=CC=CC3=C2N1CCCCNC(=O)C1CCCC1 JLZQIEUPKDSVBC-UHFFFAOYSA-N 0.000 description 1
- YJLGZQURLTUPBK-UHFFFAOYSA-N CC1=NC2=C(N)N=C3C=CC=CC3=C2N1CCCNC(=O)C(C)C Chemical compound CC1=NC2=C(N)N=C3C=CC=CC3=C2N1CCCNC(=O)C(C)C YJLGZQURLTUPBK-UHFFFAOYSA-N 0.000 description 1
- NNGMKZIBRUSPTP-UHFFFAOYSA-N CC1=NC2=C(N)N=C3C=CC=CC3=C2N1CCCNC(=O)C1=CC=CC=C1 Chemical compound CC1=NC2=C(N)N=C3C=CC=CC3=C2N1CCCNC(=O)C1=CC=CC=C1 NNGMKZIBRUSPTP-UHFFFAOYSA-N 0.000 description 1
- CJJBRZFPHAMHKU-UHFFFAOYSA-N CC1=NC2=C(N)N=C3C=CC=CC3=C2N1CCCNC(=O)C1CCCC1 Chemical compound CC1=NC2=C(N)N=C3C=CC=CC3=C2N1CCCNC(=O)C1CCCC1 CJJBRZFPHAMHKU-UHFFFAOYSA-N 0.000 description 1
- OABOYSITBOLTJD-UHFFFAOYSA-N CC1=NC2=C(N)N=C3C=CC=CC3=C2N1CCCNC(=O)C1CCCCC1 Chemical compound CC1=NC2=C(N)N=C3C=CC=CC3=C2N1CCCNC(=O)C1CCCCC1 OABOYSITBOLTJD-UHFFFAOYSA-N 0.000 description 1
- YIGHQWVARWCRBP-UHFFFAOYSA-N CCC1=CC=C(CN(CCCCN2C=NC3=C(N)N=C4C=CC=CC4=C32)C(C)=O)O1 Chemical compound CCC1=CC=C(CN(CCCCN2C=NC3=C(N)N=C4C=CC=CC4=C32)C(C)=O)O1 YIGHQWVARWCRBP-UHFFFAOYSA-N 0.000 description 1
- CNVYJIWTDBBERT-UHFFFAOYSA-N CCC1=NC2=C(N)N=C3C=CC=CC3=C2N1CCCCNC(=O)C1=CC=CC=C1 Chemical compound CCC1=NC2=C(N)N=C3C=CC=CC3=C2N1CCCCNC(=O)C1=CC=CC=C1 CNVYJIWTDBBERT-UHFFFAOYSA-N 0.000 description 1
- MPIRQJWYQBAUAD-UHFFFAOYSA-N CCC1=NC2=C(N)N=C3C=CC=CC3=C2N1CCCCNC(=O)C1CCCC1 Chemical compound CCC1=NC2=C(N)N=C3C=CC=CC3=C2N1CCCCNC(=O)C1CCCC1 MPIRQJWYQBAUAD-UHFFFAOYSA-N 0.000 description 1
- CBAAMEAMYDYAQJ-UHFFFAOYSA-N CCC1=NC2=C(N)N=C3C=CC=CC3=C2N1CCCCNC(=O)C1CCCCC1 Chemical compound CCC1=NC2=C(N)N=C3C=CC=CC3=C2N1CCCCNC(=O)C1CCCCC1 CBAAMEAMYDYAQJ-UHFFFAOYSA-N 0.000 description 1
- KYIRBRCBQGJZCR-UHFFFAOYSA-N CCCC(=O)NCCCCN1C(C)=NC2=C(N)N=C3C=CC=CC3=C21 Chemical compound CCCC(=O)NCCCCN1C(C)=NC2=C(N)N=C3C=CC=CC3=C21 KYIRBRCBQGJZCR-UHFFFAOYSA-N 0.000 description 1
- WKXHFFHUJTTWML-UHFFFAOYSA-N CCCC(=O)NCCCCN1C(CC)=NC2=C(N)N=C3C=CC=CC3=C21 Chemical compound CCCC(=O)NCCCCN1C(CC)=NC2=C(N)N=C3C=CC=CC3=C21 WKXHFFHUJTTWML-UHFFFAOYSA-N 0.000 description 1
- GBNHLYAFWGOPDS-UHFFFAOYSA-N CCCC(=O)NCCCN1C(C)=NC2=C(N)N=C3C=CC=CC3=C21 Chemical compound CCCC(=O)NCCCN1C(C)=NC2=C(N)N=C3C=CC=CC3=C21 GBNHLYAFWGOPDS-UHFFFAOYSA-N 0.000 description 1
- LWBHFQCLTWBQEX-UHFFFAOYSA-N CCCC1=NC2=C(N)N=C3C=CC=CC3=C2N1CCCCNC(=O)C1=CC=CC=C1 Chemical compound CCCC1=NC2=C(N)N=C3C=CC=CC3=C2N1CCCCNC(=O)C1=CC=CC=C1 LWBHFQCLTWBQEX-UHFFFAOYSA-N 0.000 description 1
- HKTOFBCFLMRBOS-UHFFFAOYSA-N CCCCC(CC)C(=O)NCCCCN1C=NC2=C(N)N=C3C=CC=CC3=C21 Chemical compound CCCCC(CC)C(=O)NCCCCN1C=NC2=C(N)N=C3C=CC=CC3=C21 HKTOFBCFLMRBOS-UHFFFAOYSA-N 0.000 description 1
- FHWSPPSZMXEJQM-UHFFFAOYSA-N CCCCC1=CC=C(C(=O)NCCCCN2C(CCOC)=NC3=C(N)N=C4C=CC=CC4=C32)N=C1 Chemical compound CCCCC1=CC=C(C(=O)NCCCCN2C(CCOC)=NC3=C(N)N=C4C=CC=CC4=C32)N=C1 FHWSPPSZMXEJQM-UHFFFAOYSA-N 0.000 description 1
- JNMAPLSXZPSBSD-UHFFFAOYSA-N CCCCC1=NC2=C(N)N=C3C=CC=CC3=C2N1CCCCCCCCNC(=O)C1=CC=CC=C1 Chemical compound CCCCC1=NC2=C(N)N=C3C=CC=CC3=C2N1CCCCCCCCNC(=O)C1=CC=CC=C1 JNMAPLSXZPSBSD-UHFFFAOYSA-N 0.000 description 1
- IBLUWGLRANFKBP-UHFFFAOYSA-N CCCCC1=NC2=C(N)N=C3C=CC=CC3=C2N1CCCCNC(=O)C1=CC=CC=C1 Chemical compound CCCCC1=NC2=C(N)N=C3C=CC=CC3=C2N1CCCCNC(=O)C1=CC=CC=C1 IBLUWGLRANFKBP-UHFFFAOYSA-N 0.000 description 1
- XLCSDONHGXOEPA-UHFFFAOYSA-N CCCCC1=NC2=C(N)N=C3C=CC=CC3=C2N1CCCCNC(=O)CCCCC1SCC2NC(=O)NC21 Chemical compound CCCCC1=NC2=C(N)N=C3C=CC=CC3=C2N1CCCCNC(=O)CCCCC1SCC2NC(=O)NC21 XLCSDONHGXOEPA-UHFFFAOYSA-N 0.000 description 1
- ZHMMIPXRXJBOHB-UHFFFAOYSA-N CCCCC1=NC2=C(N)N=C3C=CC=CC3=C2N1CCCCNC(=O)CCCCCC1NC(=O)NC1C Chemical compound CCCCC1=NC2=C(N)N=C3C=CC=CC3=C2N1CCCCNC(=O)CCCCCC1NC(=O)NC1C ZHMMIPXRXJBOHB-UHFFFAOYSA-N 0.000 description 1
- GIOOSGDCSIHIDM-UHFFFAOYSA-N CCCCC1=NC2=C(N)N=C3C=CC=CC3=C2N1CCCNC(=O)C1=CC2=CC=CC=C2C=N1 Chemical compound CCCCC1=NC2=C(N)N=C3C=CC=CC3=C2N1CCCNC(=O)C1=CC2=CC=CC=C2C=N1 GIOOSGDCSIHIDM-UHFFFAOYSA-N 0.000 description 1
- YTWBMRXEDRJFTK-UHFFFAOYSA-N CCCCC1=NC2=C(N)N=C3C=CC=CC3=C2N1CCCNC(=O)C1=CC=CC=C1 Chemical compound CCCCC1=NC2=C(N)N=C3C=CC=CC3=C2N1CCCNC(=O)C1=CC=CC=C1 YTWBMRXEDRJFTK-UHFFFAOYSA-N 0.000 description 1
- IAGPWXWXDSLCIB-UHFFFAOYSA-N CCCCC1=NC2=C(N)N=C3C=CC=CC3=C2N1CCNC(=O)CCCCC1SCC2NC(=N)NC21 Chemical compound CCCCC1=NC2=C(N)N=C3C=CC=CC3=C2N1CCNC(=O)CCCCC1SCC2NC(=N)NC21 IAGPWXWXDSLCIB-UHFFFAOYSA-N 0.000 description 1
- UZEZPLAGECMFQH-UHFFFAOYSA-N CCCCC1=NC2=C(N)N=C3C=CC=CC3=C2N1CCNC(=O)CCCCC1SCC2NC(=O)NC21 Chemical compound CCCCC1=NC2=C(N)N=C3C=CC=CC3=C2N1CCNC(=O)CCCCC1SCC2NC(=O)NC21 UZEZPLAGECMFQH-UHFFFAOYSA-N 0.000 description 1
- IHGLRABUYOXXNR-UHFFFAOYSA-N CCCCCSC1=NC=CC=C1C(=O)NCCCCN1C=NC2=C(N)N=C3C=CC=CC3=C21 Chemical compound CCCCCSC1=NC=CC=C1C(=O)NCCCCN1C=NC2=C(N)N=C3C=CC=CC3=C21 IHGLRABUYOXXNR-UHFFFAOYSA-N 0.000 description 1
- JFWALMBCKZCPIU-UHFFFAOYSA-N CCCCOC1=CC=C(CN(CCCCN2C=NC3=C(N)N=C4C=CC=CC4=C32)C(C)=O)C=C1 Chemical compound CCCCOC1=CC=C(CN(CCCCN2C=NC3=C(N)N=C4C=CC=CC4=C32)C(C)=O)C=C1 JFWALMBCKZCPIU-UHFFFAOYSA-N 0.000 description 1
- RLOAMZXGNHJNCR-ZHACJKMWSA-N CCOC(=O)/C=C/C(=O)NCCCCN1C(CCOC)=NC2=C(N)N=C3C=CC=CC3=C21 Chemical compound CCOC(=O)/C=C/C(=O)NCCCCN1C(CCOC)=NC2=C(N)N=C3C=CC=CC3=C21 RLOAMZXGNHJNCR-ZHACJKMWSA-N 0.000 description 1
- MEFMALAIVCINAW-UHFFFAOYSA-N CCOC1=C(C(=O)NCCCCN2C=NC3=C(N)N=C4C=CC=CC4=C32)C2=CC=CC=C2C=C1 Chemical compound CCOC1=C(C(=O)NCCCCN2C=NC3=C(N)N=C4C=CC=CC4=C32)C2=CC=CC=C2C=C1 MEFMALAIVCINAW-UHFFFAOYSA-N 0.000 description 1
- OOHUVTQQUWSOPZ-UHFFFAOYSA-N CCOCC(=O)NC(C)(C)CN1C(COCC)=NC2=C(N)N=C3C=CC=CC3=C21 Chemical compound CCOCC(=O)NC(C)(C)CN1C(COCC)=NC2=C(N)N=C3C=CC=CC3=C21 OOHUVTQQUWSOPZ-UHFFFAOYSA-N 0.000 description 1
- DWVKXWKJXJBGBV-UHFFFAOYSA-N CCOP(=O)(CC(=O)NCCCCN1C(CCOC)=NC2=C(N)N=C3C=CC=CC3=C21)OCC Chemical compound CCOP(=O)(CC(=O)NCCCCN1C(CCOC)=NC2=C(N)N=C3C=CC=CC3=C21)OCC DWVKXWKJXJBGBV-UHFFFAOYSA-N 0.000 description 1
- QZZPDDFMSMGWNC-UHFFFAOYSA-N CN(CCC1=NC=CC=C1)CC1=CC=C(C(=O)NCCCCN2C=NC3=C2C2=C(C=CC=C2)N=C3N)C=C1 Chemical compound CN(CCC1=NC=CC=C1)CC1=CC=C(C(=O)NCCCCN2C=NC3=C2C2=C(C=CC=C2)N=C3N)C=C1 QZZPDDFMSMGWNC-UHFFFAOYSA-N 0.000 description 1
- LSAOFSVDOZXHSI-UHFFFAOYSA-N COC(=O)C1=CC=C(C(=O)NCCCCN2C=NC3=C2C2=C(C=CC=C2)N=C3N)C=C1 Chemical compound COC(=O)C1=CC=C(C(=O)NCCCCN2C=NC3=C2C2=C(C=CC=C2)N=C3N)C=C1 LSAOFSVDOZXHSI-UHFFFAOYSA-N 0.000 description 1
- TZRPZCRZPUPRGE-UHFFFAOYSA-N COC(=O)CCC(=O)NCCCCN1C=NC2=C(N)N=C3C=CC=CC3=C21 Chemical compound COC(=O)CCC(=O)NCCCCN1C=NC2=C(N)N=C3C=CC=CC3=C21 TZRPZCRZPUPRGE-UHFFFAOYSA-N 0.000 description 1
- DUZBOCTUVKZMMS-UHFFFAOYSA-N COC(=O)CCCC(=O)NCCCCN1C=NC2=C(N)N=C3C=CC=CC3=C21 Chemical compound COC(=O)CCCC(=O)NCCCCN1C=NC2=C(N)N=C3C=CC=CC3=C21 DUZBOCTUVKZMMS-UHFFFAOYSA-N 0.000 description 1
- YORLXEBYTWXTBX-UHFFFAOYSA-N COC(=O)CCCCC(=O)NCCCCN1C=NC2=C1C1=C(C=CC=C1)N=C2N Chemical compound COC(=O)CCCCC(=O)NCCCCN1C=NC2=C1C1=C(C=CC=C1)N=C2N YORLXEBYTWXTBX-UHFFFAOYSA-N 0.000 description 1
- GDENZDBPZIHSEH-UHFFFAOYSA-N COC(=O)CCCCCCCCC(=O)NCCCCN1C=NC2=C1C1=C(C=CC=C1)N=C2N Chemical compound COC(=O)CCCCCCCCC(=O)NCCCCN1C=NC2=C1C1=C(C=CC=C1)N=C2N GDENZDBPZIHSEH-UHFFFAOYSA-N 0.000 description 1
- CTPOGTIGVDCDJX-UHFFFAOYSA-N COC1=C(CCNCC2=CC=C(C(=O)NCCCCN3C=NC4=C3C3=C(C=CC=C3)N=C4N)C=C2)C=CC=C1 Chemical compound COC1=C(CCNCC2=CC=C(C(=O)NCCCCN3C=NC4=C3C3=C(C=CC=C3)N=C4N)C=C2)C=CC=C1 CTPOGTIGVDCDJX-UHFFFAOYSA-N 0.000 description 1
- XBHWKMUTQGMGAT-UHFFFAOYSA-N COC1=C(CN(CCCCN2C=NC3=C(N)N=C4C=CC=CC4=C32)C(C)=O)C2=CC=CC=C2C=C1 Chemical compound COC1=C(CN(CCCCN2C=NC3=C(N)N=C4C=CC=CC4=C32)C(C)=O)C2=CC=CC=C2C=C1 XBHWKMUTQGMGAT-UHFFFAOYSA-N 0.000 description 1
- IOFGCEIEBRMRET-UHFFFAOYSA-N COC1=C(OC)C(CN(CCCCN2C=NC3=C(N)N=C4C=CC=CC4=C32)C(C)=O)=CC=C1 Chemical compound COC1=C(OC)C(CN(CCCCN2C=NC3=C(N)N=C4C=CC=CC4=C32)C(C)=O)=CC=C1 IOFGCEIEBRMRET-UHFFFAOYSA-N 0.000 description 1
- NEIRJMDAFLWEBQ-UHFFFAOYSA-N COC1=CC(C(=O)NCCCCN2C=NC3=C2C2=C(C=CC=C2)N=C3N)=CC(OC)=C1OC Chemical compound COC1=CC(C(=O)NCCCCN2C=NC3=C2C2=C(C=CC=C2)N=C3N)=CC(OC)=C1OC NEIRJMDAFLWEBQ-UHFFFAOYSA-N 0.000 description 1
- ISDRLRCKCPHJDU-UHFFFAOYSA-N COC1=CC(CN(CCCCN2C=NC3=C(N)N=C4C=CC=CC4=C32)C(C)=O)=CC(OC)=C1OC Chemical compound COC1=CC(CN(CCCCN2C=NC3=C(N)N=C4C=CC=CC4=C32)C(C)=O)=CC(OC)=C1OC ISDRLRCKCPHJDU-UHFFFAOYSA-N 0.000 description 1
- LVSZMMFGZNGVMR-UHFFFAOYSA-N COC1=CC=C(C(=O)NCCCCN2C=NC3=C2C2=C(C=CC=C2)N=C3N)C=C1 Chemical compound COC1=CC=C(C(=O)NCCCCN2C=NC3=C2C2=C(C=CC=C2)N=C3N)C=C1 LVSZMMFGZNGVMR-UHFFFAOYSA-N 0.000 description 1
- JVULRQLXILWEOD-UHFFFAOYSA-N COC1=CC=C(CC(=O)NCCCCN2C=NC3=C2C2=C(C=CC=C2)N=C3N)C=C1 Chemical compound COC1=CC=C(CC(=O)NCCCCN2C=NC3=C2C2=C(C=CC=C2)N=C3N)C=C1 JVULRQLXILWEOD-UHFFFAOYSA-N 0.000 description 1
- RORPEWLHZVPJEP-UHFFFAOYSA-N COC1=CC=C(CC2=NC3=C(N)N=C4C=CC=CC4=C3N2CCCCNC(=O)C2=CC=C3C=CC=CC3=N2)C=C1 Chemical compound COC1=CC=C(CC2=NC3=C(N)N=C4C=CC=CC4=C3N2CCCCNC(=O)C2=CC=C3C=CC=CC3=N2)C=C1 RORPEWLHZVPJEP-UHFFFAOYSA-N 0.000 description 1
- UFWPDWHFBZURKW-UHFFFAOYSA-N COC1=CC=C(CC2=NC3=C(N)N=C4C=CC=CC4=C3N2CCCCNC(=O)C2=CC=CN=C2)C=C1 Chemical compound COC1=CC=C(CC2=NC3=C(N)N=C4C=CC=CC4=C3N2CCCCNC(=O)C2=CC=CN=C2)C=C1 UFWPDWHFBZURKW-UHFFFAOYSA-N 0.000 description 1
- JYXQYBFBBANTTN-UHFFFAOYSA-N COC1=CC=C(CC2=NC3=C(N)N=C4C=CC=CC4=C3N2CCCCNC(=O)C2=NC=CC=C2)C=C1 Chemical compound COC1=CC=C(CC2=NC3=C(N)N=C4C=CC=CC4=C3N2CCCCNC(=O)C2=NC=CC=C2)C=C1 JYXQYBFBBANTTN-UHFFFAOYSA-N 0.000 description 1
- QMEPYJKACOKGJW-UHFFFAOYSA-N COC1=CC=C(CC2=NC3=C(N)N=C4C=CC=CC4=C3N2CCCCNC(C)=O)C=C1 Chemical compound COC1=CC=C(CC2=NC3=C(N)N=C4C=CC=CC4=C3N2CCCCNC(C)=O)C=C1 QMEPYJKACOKGJW-UHFFFAOYSA-N 0.000 description 1
- NSJGHRIBYGROLR-UHFFFAOYSA-N COC1=CC=C(CN(CCCCN2C=NC3=C(N)N=C4C=CC=CC4=C32)C(C)=O)C(OC)=C1OC Chemical compound COC1=CC=C(CN(CCCCN2C=NC3=C(N)N=C4C=CC=CC4=C32)C(C)=O)C(OC)=C1OC NSJGHRIBYGROLR-UHFFFAOYSA-N 0.000 description 1
- BVUBVUNTZMXEEW-UHFFFAOYSA-N COC1=CC=C(CN(CCCCN2C=NC3=C(N)N=C4C=CC=CC4=C32)C(C)=O)C=C1 Chemical compound COC1=CC=C(CN(CCCCN2C=NC3=C(N)N=C4C=CC=CC4=C32)C(C)=O)C=C1 BVUBVUNTZMXEEW-UHFFFAOYSA-N 0.000 description 1
- FCZAEDNPCBHOLQ-UHFFFAOYSA-N COC1=CC=C(OC)C(CN(CCCCN2C=NC3=C(N)N=C4C=CC=CC4=C32)C(C)=O)=C1 Chemical compound COC1=CC=C(OC)C(CN(CCCCN2C=NC3=C(N)N=C4C=CC=CC4=C32)C(C)=O)=C1 FCZAEDNPCBHOLQ-UHFFFAOYSA-N 0.000 description 1
- XBJWMIIHOKRPKU-UHFFFAOYSA-N COC1=NC(OC)=C(C(=O)NCCCCN2C=NC3=C(N)N=C4C=CC=CC4=C32)C=C1 Chemical compound COC1=NC(OC)=C(C(=O)NCCCCN2C=NC3=C(N)N=C4C=CC=CC4=C32)C=C1 XBJWMIIHOKRPKU-UHFFFAOYSA-N 0.000 description 1
- URPPPXYGBMRVST-UHFFFAOYSA-N COCCC1=NC2=C(N)N=C3C=CC=CC3=C2N1CC(C)(C)CNC(=O)C1=CC=CC=C1 Chemical compound COCCC1=NC2=C(N)N=C3C=CC=CC3=C2N1CC(C)(C)CNC(=O)C1=CC=CC=C1 URPPPXYGBMRVST-UHFFFAOYSA-N 0.000 description 1
- NUECKCRKNOMMDO-UHFFFAOYSA-N COCCC1=NC2=C(N)N=C3C=CC=CC3=C2N1CCCCCCCCNC(=O)C1=CC=CC=C1 Chemical compound COCCC1=NC2=C(N)N=C3C=CC=CC3=C2N1CCCCCCCCNC(=O)C1=CC=CC=C1 NUECKCRKNOMMDO-UHFFFAOYSA-N 0.000 description 1
- IFIBRUDRXIGLEO-CMDGGOBGSA-N COCCC1=NC2=C(N)N=C3C=CC=CC3=C2N1CCCCNC(=O)/C=C/C1=COC=C1 Chemical compound COCCC1=NC2=C(N)N=C3C=CC=CC3=C2N1CCCCNC(=O)/C=C/C1=COC=C1 IFIBRUDRXIGLEO-CMDGGOBGSA-N 0.000 description 1
- DNHXDMCSSKIWRB-UHFFFAOYSA-N COCCC1=NC2=C(N)N=C3C=CC=CC3=C2N1CCCCNC(=O)C(=O)C1=CC=CC=C1 Chemical compound COCCC1=NC2=C(N)N=C3C=CC=CC3=C2N1CCCCNC(=O)C(=O)C1=CC=CC=C1 DNHXDMCSSKIWRB-UHFFFAOYSA-N 0.000 description 1
- ZGEXAAPJQHKZPL-UHFFFAOYSA-N COCCC1=NC2=C(N)N=C3C=CC=CC3=C2N1CCCCNC(=O)C12CC3CC(CC(C3)C1)C2 Chemical compound COCCC1=NC2=C(N)N=C3C=CC=CC3=C2N1CCCCNC(=O)C12CC3CC(CC(C3)C1)C2 ZGEXAAPJQHKZPL-UHFFFAOYSA-N 0.000 description 1
- NFKRZHWPKIEQSX-UHFFFAOYSA-N COCCC1=NC2=C(N)N=C3C=CC=CC3=C2N1CCCCNC(=O)C1=C(C)C=CC=C1 Chemical compound COCCC1=NC2=C(N)N=C3C=CC=CC3=C2N1CCCCNC(=O)C1=C(C)C=CC=C1 NFKRZHWPKIEQSX-UHFFFAOYSA-N 0.000 description 1
- MKOGIGOIKZPJID-UHFFFAOYSA-N COCCC1=NC2=C(N)N=C3C=CC=CC3=C2N1CCCCNC(=O)C1=C(C)N=C(C)S1 Chemical compound COCCC1=NC2=C(N)N=C3C=CC=CC3=C2N1CCCCNC(=O)C1=C(C)N=C(C)S1 MKOGIGOIKZPJID-UHFFFAOYSA-N 0.000 description 1
- PQJFMOJJIIBTIT-UHFFFAOYSA-N COCCC1=NC2=C(N)N=C3C=CC=CC3=C2N1CCCCNC(=O)C1=C2C=CC=CC2=CC=C1 Chemical compound COCCC1=NC2=C(N)N=C3C=CC=CC3=C2N1CCCCNC(=O)C1=C2C=CC=CC2=CC=C1 PQJFMOJJIIBTIT-UHFFFAOYSA-N 0.000 description 1
- DWPZVYJPMBYYLN-UHFFFAOYSA-N COCCC1=NC2=C(N)N=C3C=CC=CC3=C2N1CCCCNC(=O)C1=C2C=CC=CC2=CC=N1 Chemical compound COCCC1=NC2=C(N)N=C3C=CC=CC3=C2N1CCCCNC(=O)C1=C2C=CC=CC2=CC=N1 DWPZVYJPMBYYLN-UHFFFAOYSA-N 0.000 description 1
- GBFGRNKNPWHGIY-UHFFFAOYSA-N COCCC1=NC2=C(N)N=C3C=CC=CC3=C2N1CCCCNC(=O)C1=CC(C2=CC=CC=C2)=NC2=CC=CC=C21 Chemical compound COCCC1=NC2=C(N)N=C3C=CC=CC3=C2N1CCCCNC(=O)C1=CC(C2=CC=CC=C2)=NC2=CC=CC=C21 GBFGRNKNPWHGIY-UHFFFAOYSA-N 0.000 description 1
- VWRWKQUVLQVUJA-UHFFFAOYSA-N COCCC1=NC2=C(N)N=C3C=CC=CC3=C2N1CCCCNC(=O)C1=CC(OC)=C(OC)C=C1 Chemical compound COCCC1=NC2=C(N)N=C3C=CC=CC3=C2N1CCCCNC(=O)C1=CC(OC)=C(OC)C=C1 VWRWKQUVLQVUJA-UHFFFAOYSA-N 0.000 description 1
- RLHXDLCPDBJQJA-UHFFFAOYSA-N COCCC1=NC2=C(N)N=C3C=CC=CC3=C2N1CCCCNC(=O)C1=CC2=CC=CC=C2C=N1 Chemical compound COCCC1=NC2=C(N)N=C3C=CC=CC3=C2N1CCCCNC(=O)C1=CC2=CC=CC=C2C=N1 RLHXDLCPDBJQJA-UHFFFAOYSA-N 0.000 description 1
- HQTUGHRWSMDAMZ-UHFFFAOYSA-N COCCC1=NC2=C(N)N=C3C=CC=CC3=C2N1CCCCNC(=O)C1=CC2=CC=CC=C2N=C1 Chemical compound COCCC1=NC2=C(N)N=C3C=CC=CC3=C2N1CCCCNC(=O)C1=CC2=CC=CC=C2N=C1 HQTUGHRWSMDAMZ-UHFFFAOYSA-N 0.000 description 1
- JUZKPQJCOOITOW-UHFFFAOYSA-N COCCC1=NC2=C(N)N=C3C=CC=CC3=C2N1CCCCNC(=O)C1=CC=C(C(C)(C)C)C=C1 Chemical compound COCCC1=NC2=C(N)N=C3C=CC=CC3=C2N1CCCCNC(=O)C1=CC=C(C(C)(C)C)C=C1 JUZKPQJCOOITOW-UHFFFAOYSA-N 0.000 description 1
- LUKIENAQCNQPND-UHFFFAOYSA-N COCCC1=NC2=C(N)N=C3C=CC=CC3=C2N1CCCCNC(=O)C1=CC=C(C)C=C1 Chemical compound COCCC1=NC2=C(N)N=C3C=CC=CC3=C2N1CCCCNC(=O)C1=CC=C(C)C=C1 LUKIENAQCNQPND-UHFFFAOYSA-N 0.000 description 1
- NSLCQSQQVHFHJR-UHFFFAOYSA-N COCCC1=NC2=C(N)N=C3C=CC=CC3=C2N1CCCCNC(=O)C1=CC=C(N2C=CC=C2)C=C1 Chemical compound COCCC1=NC2=C(N)N=C3C=CC=CC3=C2N1CCCCNC(=O)C1=CC=C(N2C=CC=C2)C=C1 NSLCQSQQVHFHJR-UHFFFAOYSA-N 0.000 description 1
- BHYXSCSFHMCKLU-UHFFFAOYSA-N COCCC1=NC2=C(N)N=C3C=CC=CC3=C2N1CCCCNC(=O)C1=CC=C(N2C=CC=C2)N=C1 Chemical compound COCCC1=NC2=C(N)N=C3C=CC=CC3=C2N1CCCCNC(=O)C1=CC=C(N2C=CC=C2)N=C1 BHYXSCSFHMCKLU-UHFFFAOYSA-N 0.000 description 1
- PTOGBYCOOSGDMP-UHFFFAOYSA-N COCCC1=NC2=C(N)N=C3C=CC=CC3=C2N1CCCCNC(=O)C1=CC=C2C=CC=CC2=C1 Chemical compound COCCC1=NC2=C(N)N=C3C=CC=CC3=C2N1CCCCNC(=O)C1=CC=C2C=CC=CC2=C1 PTOGBYCOOSGDMP-UHFFFAOYSA-N 0.000 description 1
- AGBGOXPGDOSWSH-UHFFFAOYSA-N COCCC1=NC2=C(N)N=C3C=CC=CC3=C2N1CCCCNC(=O)C1=CC=C2C=CC=CC2=N1 Chemical compound COCCC1=NC2=C(N)N=C3C=CC=CC3=C2N1CCCCNC(=O)C1=CC=C2C=CC=CC2=N1 AGBGOXPGDOSWSH-UHFFFAOYSA-N 0.000 description 1
- RUZRICFIITVINW-UHFFFAOYSA-N COCCC1=NC2=C(N)N=C3C=CC=CC3=C2N1CCCCNC(=O)C1=CC=C2NC=CC2=C1 Chemical compound COCCC1=NC2=C(N)N=C3C=CC=CC3=C2N1CCCCNC(=O)C1=CC=C2NC=CC2=C1 RUZRICFIITVINW-UHFFFAOYSA-N 0.000 description 1
- OHBWMVVETMQKGW-UHFFFAOYSA-N COCCC1=NC2=C(N)N=C3C=CC=CC3=C2N1CCCCNC(=O)C1=CN=CC(C#CC2=CC=CC=C2)=C1 Chemical compound COCCC1=NC2=C(N)N=C3C=CC=CC3=C2N1CCCCNC(=O)C1=CN=CC(C#CC2=CC=CC=C2)=C1 OHBWMVVETMQKGW-UHFFFAOYSA-N 0.000 description 1
- OUGJAJWUHJMMPG-UHFFFAOYSA-N COCCC1=NC2=C(N)N=C3C=CC=CC3=C2N1CCCCNC(=O)C1=CN=CC=C1 Chemical compound COCCC1=NC2=C(N)N=C3C=CC=CC3=C2N1CCCCNC(=O)C1=CN=CC=C1 OUGJAJWUHJMMPG-UHFFFAOYSA-N 0.000 description 1
- NIXWQPXENUHCIF-UHFFFAOYSA-N COCCC1=NC2=C(N)N=C3C=CC=CC3=C2N1CCCCNC(=O)C1=COC=C1 Chemical compound COCCC1=NC2=C(N)N=C3C=CC=CC3=C2N1CCCCNC(=O)C1=COC=C1 NIXWQPXENUHCIF-UHFFFAOYSA-N 0.000 description 1
- QULPNWVRKDTPRY-UHFFFAOYSA-N COCCC1=NC2=C(N)N=C3C=CC=CC3=C2N1CCCCNC(=O)C1=NC2=CC=CC=C2N=C1 Chemical compound COCCC1=NC2=C(N)N=C3C=CC=CC3=C2N1CCCCNC(=O)C1=NC2=CC=CC=C2N=C1 QULPNWVRKDTPRY-UHFFFAOYSA-N 0.000 description 1
- LOIKRIDRLNSDNW-UHFFFAOYSA-N COCCC1=NC2=C(N)N=C3C=CC=CC3=C2N1CCCCNC(=O)C1CCCC1 Chemical compound COCCC1=NC2=C(N)N=C3C=CC=CC3=C2N1CCCCNC(=O)C1CCCC1 LOIKRIDRLNSDNW-UHFFFAOYSA-N 0.000 description 1
- KSXGDYAMPQWMJT-UHFFFAOYSA-N COCCC1=NC2=C(N)N=C3C=CC=CC3=C2N1CCCCNC(=O)C1CCCCC1 Chemical compound COCCC1=NC2=C(N)N=C3C=CC=CC3=C2N1CCCCNC(=O)C1CCCCC1 KSXGDYAMPQWMJT-UHFFFAOYSA-N 0.000 description 1
- ZPIPXJZDYPBKAS-UHFFFAOYSA-N COCCC1=NC2=C(N)N=C3C=CC=CC3=C2N1CCCCNC(=O)C=C(C)C Chemical compound COCCC1=NC2=C(N)N=C3C=CC=CC3=C2N1CCCCNC(=O)C=C(C)C ZPIPXJZDYPBKAS-UHFFFAOYSA-N 0.000 description 1
- NJYXWMMHCWVXGG-UHFFFAOYSA-N COCCC1=NC2=C(N)N=C3C=CC=CC3=C2N1CCCCNC(=O)CC#N Chemical compound COCCC1=NC2=C(N)N=C3C=CC=CC3=C2N1CCCCNC(=O)CC#N NJYXWMMHCWVXGG-UHFFFAOYSA-N 0.000 description 1
- PVILCSXMCOKAHT-UHFFFAOYSA-N COCCC1=NC2=C(N)N=C3C=CC=CC3=C2N1CCCCNC(=O)CC1=C(Cl)C=C(Cl)C=C1 Chemical compound COCCC1=NC2=C(N)N=C3C=CC=CC3=C2N1CCCCNC(=O)CC1=C(Cl)C=C(Cl)C=C1 PVILCSXMCOKAHT-UHFFFAOYSA-N 0.000 description 1
- XNWZIGGWERRORB-UHFFFAOYSA-N COCCC1=NC2=C(N)N=C3C=CC=CC3=C2N1CCCCNC(=O)CC1=CSC=C1 Chemical compound COCCC1=NC2=C(N)N=C3C=CC=CC3=C2N1CCCCNC(=O)CC1=CSC=C1 XNWZIGGWERRORB-UHFFFAOYSA-N 0.000 description 1
- XSWAQTKCUHEDQG-UHFFFAOYSA-N COCCC1=NC2=C(N)N=C3C=CC=CC3=C2N1CCCCNC(=O)CCCC(=O)C1=CC=CS1 Chemical compound COCCC1=NC2=C(N)N=C3C=CC=CC3=C2N1CCCCNC(=O)CCCC(=O)C1=CC=CS1 XSWAQTKCUHEDQG-UHFFFAOYSA-N 0.000 description 1
- FFFVXPBPNPWEGH-UHFFFAOYSA-N COCCC1=NC2=C(N)N=C3C=CC=CC3=C2N1CCCCNC(=O)CCCC(C)=O Chemical compound COCCC1=NC2=C(N)N=C3C=CC=CC3=C2N1CCCCNC(=O)CCCC(C)=O FFFVXPBPNPWEGH-UHFFFAOYSA-N 0.000 description 1
- LLNHEZQRLIVZCC-UHFFFAOYSA-N COCCC1=NC2=C(N)N=C3C=CC=CC3=C2N1CCCCNC(=O)CCCCCCC(=O)OC Chemical compound COCCC1=NC2=C(N)N=C3C=CC=CC3=C2N1CCCCNC(=O)CCCCCCC(=O)OC LLNHEZQRLIVZCC-UHFFFAOYSA-N 0.000 description 1
- PHVARGLBDAEVSQ-AREMUKBSSA-N COCCC1=NC2=C(N)N=C3C=CC=CC3=C2N1CCCCNC(=O)[C@H]1CCCN1S(=O)(=O)C1=CC=C(C(C)(C)C)C=C1 Chemical compound COCCC1=NC2=C(N)N=C3C=CC=CC3=C2N1CCCCNC(=O)[C@H]1CCCN1S(=O)(=O)C1=CC=C(C(C)(C)C)C=C1 PHVARGLBDAEVSQ-AREMUKBSSA-N 0.000 description 1
- AYIJWYQSZASHHL-UHFFFAOYSA-N COCCC1=NC2=C(N)N=C3C=CC=CC3=C2N1CCCNC(=O)C1=CC2=CC=CC=C2C=N1 Chemical compound COCCC1=NC2=C(N)N=C3C=CC=CC3=C2N1CCCNC(=O)C1=CC2=CC=CC=C2C=N1 AYIJWYQSZASHHL-UHFFFAOYSA-N 0.000 description 1
- CCZJBOOZQXHPIM-UHFFFAOYSA-N COCCC1=NC2=C(N)N=C3C=CC=CC3=C2N1CCCNC(=O)C1=CC=CC=C1 Chemical compound COCCC1=NC2=C(N)N=C3C=CC=CC3=C2N1CCCNC(=O)C1=CC=CC=C1 CCZJBOOZQXHPIM-UHFFFAOYSA-N 0.000 description 1
- JEFBGQWIJMWILJ-UHFFFAOYSA-N COCCC1=NC2=C(N)N=C3CCCCC3=C2N1CCCCNC(=O)C1=CC=CC=C1 Chemical compound COCCC1=NC2=C(N)N=C3CCCCC3=C2N1CCCCNC(=O)C1=CC=CC=C1 JEFBGQWIJMWILJ-UHFFFAOYSA-N 0.000 description 1
- BSLWGJIGNDNGIS-UHFFFAOYSA-N COCCC1=NC2=C(N)N=C3CCCCC3=C2N1CCCCNC(=O)CC1=CC=CC=C1 Chemical compound COCCC1=NC2=C(N)N=C3CCCCC3=C2N1CCCCNC(=O)CC1=CC=CC=C1 BSLWGJIGNDNGIS-UHFFFAOYSA-N 0.000 description 1
- GEADIGPQWMRBJZ-UHFFFAOYSA-N COCCC1=NC2=C(N)N=C3CCCCC3=C2N1CCCNC(=O)C1=CC=CC=C1 Chemical compound COCCC1=NC2=C(N)N=C3CCCCC3=C2N1CCCNC(=O)C1=CC=CC=C1 GEADIGPQWMRBJZ-UHFFFAOYSA-N 0.000 description 1
- PXWXBSDVFHRJJL-JSGCOSHPSA-N C[C@@H](C1)[C@H]1C(NCCCC[n]1c2c(cccc3)c3nc(N)c2nc1)=O Chemical compound C[C@@H](C1)[C@H]1C(NCCCC[n]1c2c(cccc3)c3nc(N)c2nc1)=O PXWXBSDVFHRJJL-JSGCOSHPSA-N 0.000 description 1
- QHVAVOCEIMSOND-UHFFFAOYSA-N N#CC1=CC(C(=O)NCCCCN2C=NC3=C(N)N=C4C=CC=CC4=C32)=CC=C1 Chemical compound N#CC1=CC(C(=O)NCCCCN2C=NC3=C(N)N=C4C=CC=CC4=C32)=CC=C1 QHVAVOCEIMSOND-UHFFFAOYSA-N 0.000 description 1
- YQFOKWGAPUXSBD-UHFFFAOYSA-N N#CC1=CC=C(C(=O)NCCCCN2C=NC3=C(N)N=C4C=CC=CC4=C32)C=C1 Chemical compound N#CC1=CC=C(C(=O)NCCCCN2C=NC3=C(N)N=C4C=CC=CC4=C32)C=C1 YQFOKWGAPUXSBD-UHFFFAOYSA-N 0.000 description 1
- WPYNHVGHFLQECU-UHFFFAOYSA-N N#CC1=NC=C(C(=O)NCCCCN2C=NC3=C(N)N=C4C=CC=CC4=C32)C=C1 Chemical compound N#CC1=NC=C(C(=O)NCCCCN2C=NC3=C(N)N=C4C=CC=CC4=C32)C=C1 WPYNHVGHFLQECU-UHFFFAOYSA-N 0.000 description 1
- YHIUFNJCBAAGSG-UHFFFAOYSA-N N#CCC(=O)NCCCCN1C=NC2=C(N)N=C3C=CC=CC3=C21 Chemical compound N#CCC(=O)NCCCCN1C=NC2=C(N)N=C3C=CC=CC3=C21 YHIUFNJCBAAGSG-UHFFFAOYSA-N 0.000 description 1
- LQEDXHRFSHTKPB-UHFFFAOYSA-N NC1=C2N=C(C3=CC=CC=C3)N(CCCCNC(=O)C3=CN=CC=C3)C2=C2C=CC=CC2=N1 Chemical compound NC1=C2N=C(C3=CC=CC=C3)N(CCCCNC(=O)C3=CN=CC=C3)C2=C2C=CC=CC2=N1 LQEDXHRFSHTKPB-UHFFFAOYSA-N 0.000 description 1
- IHZTWOQHKGUNPL-UHFFFAOYSA-N NC1=C2N=C(CCCOC3=CC=CC=C3)N(CCCNC(=O)C3=CC=C(Br)C=C3)C2=C2C=CC=CC2=N1 Chemical compound NC1=C2N=C(CCCOC3=CC=CC=C3)N(CCCNC(=O)C3=CC=C(Br)C=C3)C2=C2C=CC=CC2=N1 IHZTWOQHKGUNPL-UHFFFAOYSA-N 0.000 description 1
- WHLUIWBCKFDZNX-UHFFFAOYSA-N NC1=C2N=C(CCCOC3=CC=CC=C3)N(CCCNC(=O)C3=CC=CC=C3)C2=C2C=CC=CC2=N1 Chemical compound NC1=C2N=C(CCCOC3=CC=CC=C3)N(CCCNC(=O)C3=CC=CC=C3)C2=C2C=CC=CC2=N1 WHLUIWBCKFDZNX-UHFFFAOYSA-N 0.000 description 1
- YMZFLESLEJTZJL-UHFFFAOYSA-N NC1=C2N=CN(CCCCCNC(=O)C3=CC=CC=C3)C2=C2C=CC=CC2=N1 Chemical compound NC1=C2N=CN(CCCCCNC(=O)C3=CC=CC=C3)C2=C2C=CC=CC2=N1 YMZFLESLEJTZJL-UHFFFAOYSA-N 0.000 description 1
- BKSHUSKJDJNPJV-UHFFFAOYSA-N NC1=C2N=CN(CCCCNC(=O)C(F)(F)C(F)(F)C(F)(F)F)C2=C2C=CC=CC2=N1 Chemical compound NC1=C2N=CN(CCCCNC(=O)C(F)(F)C(F)(F)C(F)(F)F)C2=C2C=CC=CC2=N1 BKSHUSKJDJNPJV-UHFFFAOYSA-N 0.000 description 1
- XZQGDKKWAMVVCG-UHFFFAOYSA-N NC1=C2N=CN(CCCCNC(=O)C3=C(OC4=CC=CC=C4)C=CC=C3)C2=C2C=CC=CC2=N1 Chemical compound NC1=C2N=CN(CCCCNC(=O)C3=C(OC4=CC=CC=C4)C=CC=C3)C2=C2C=CC=CC2=N1 XZQGDKKWAMVVCG-UHFFFAOYSA-N 0.000 description 1
- QZCBXKHXDXXAAD-UHFFFAOYSA-N NC1=C2N=CN(CCCCNC(=O)C3=C/C4=CC=CN=C4/C=C\3)C2=C2C=CC=CC2=N1 Chemical compound NC1=C2N=CN(CCCCNC(=O)C3=C/C4=CC=CN=C4/C=C\3)C2=C2C=CC=CC2=N1 QZCBXKHXDXXAAD-UHFFFAOYSA-N 0.000 description 1
- IKGXRWLSUUMUIC-UHFFFAOYSA-N NC1=C2N=CN(CCCCNC(=O)C3=CC(Cl)=CC(Cl)=C3)C2=C2C=CC=CC2=N1 Chemical compound NC1=C2N=CN(CCCCNC(=O)C3=CC(Cl)=CC(Cl)=C3)C2=C2C=CC=CC2=N1 IKGXRWLSUUMUIC-UHFFFAOYSA-N 0.000 description 1
- GLJACPJQEGDSNJ-UHFFFAOYSA-N NC1=C2N=CN(CCCCNC(=O)C3=CC=C(C(=O)C4=CC=CC=C4)C=C3)C2=C2C=CC=CC2=N1 Chemical compound NC1=C2N=CN(CCCCNC(=O)C3=CC=C(C(=O)C4=CC=CC=C4)C=C3)C2=C2C=CC=CC2=N1 GLJACPJQEGDSNJ-UHFFFAOYSA-N 0.000 description 1
- JLRPQSJKXUHWSJ-UHFFFAOYSA-N NC1=C2N=CN(CCCCNC(=O)C3=CC=C(C4=CC=CC=C4)C=C3)C2=C2C=CC=CC2=N1 Chemical compound NC1=C2N=CN(CCCCNC(=O)C3=CC=C(C4=CC=CC=C4)C=C3)C2=C2C=CC=CC2=N1 JLRPQSJKXUHWSJ-UHFFFAOYSA-N 0.000 description 1
- WKOAXTOMBWZXQZ-UHFFFAOYSA-N NC1=C2N=CN(CCCCNC(=O)C3=CC=C(CCl)C=C3)C2=C2C=CC=CC2=N1 Chemical compound NC1=C2N=CN(CCCCNC(=O)C3=CC=C(CCl)C=C3)C2=C2C=CC=CC2=N1 WKOAXTOMBWZXQZ-UHFFFAOYSA-N 0.000 description 1
- QBEUXEPBUPZDDF-UHFFFAOYSA-N NC1=C2N=CN(CCCCNC(=O)C3=CC=C(CN4C(N5CCCC5)=NC5=C4C=CC=C5)C=C3)C2=C2C=CC=CC2=N1 Chemical compound NC1=C2N=CN(CCCCNC(=O)C3=CC=C(CN4C(N5CCCC5)=NC5=C4C=CC=C5)C=C3)C2=C2C=CC=CC2=N1 QBEUXEPBUPZDDF-UHFFFAOYSA-N 0.000 description 1
- FQSFNOPGXJRBOS-UHFFFAOYSA-N NC1=C2N=CN(CCCCNC(=O)C3=CC=C4C=CC=CC4=C3)C2=C2C=CC=CC2=N1 Chemical compound NC1=C2N=CN(CCCCNC(=O)C3=CC=C4C=CC=CC4=C3)C2=C2C=CC=CC2=N1 FQSFNOPGXJRBOS-UHFFFAOYSA-N 0.000 description 1
- WGQNJRWBWUIUAD-UHFFFAOYSA-N NC1=C2N=CN(CCCCNC(=O)C3=CC=CC(C(=O)C4=CC=CC=C4)=C3)C2=C2C=CC=CC2=N1 Chemical compound NC1=C2N=CN(CCCCNC(=O)C3=CC=CC(C(=O)C4=CC=CC=C4)=C3)C2=C2C=CC=CC2=N1 WGQNJRWBWUIUAD-UHFFFAOYSA-N 0.000 description 1
- XZIJDRHBJRHZKJ-UHFFFAOYSA-N NC1=C2N=CN(CCCCNC(=O)C3=CC=CC(OC4=CC=CC=C4)=C3)C2=C2C=CC=CC2=N1 Chemical compound NC1=C2N=CN(CCCCNC(=O)C3=CC=CC(OC4=CC=CC=C4)=C3)C2=C2C=CC=CC2=N1 XZIJDRHBJRHZKJ-UHFFFAOYSA-N 0.000 description 1
- JJMMCSNNUAJTBG-UHFFFAOYSA-N NC1=C2N=CN(CCCCNC(=O)C3=CC=CC4=CC=CC=C43)C2=C2C=CC=CC2=N1 Chemical compound NC1=C2N=CN(CCCCNC(=O)C3=CC=CC4=CC=CC=C43)C2=C2C=CC=CC2=N1 JJMMCSNNUAJTBG-UHFFFAOYSA-N 0.000 description 1
- JEPXKJICGZJZMX-UHFFFAOYSA-N NC1=C2N=CN(CCCCNC(=O)C3=CC=CC4=CC=CN=C43)C2=C2C=CC=CC2=N1 Chemical compound NC1=C2N=CN(CCCCNC(=O)C3=CC=CC4=CC=CN=C43)C2=C2C=CC=CC2=N1 JEPXKJICGZJZMX-UHFFFAOYSA-N 0.000 description 1
- XGCNNDVXGLRKLC-UHFFFAOYSA-N NC1=C2N=CN(CCCCNC(=O)C3=CC=CC=C3)C2=C2C=CC=CC2=N1 Chemical compound NC1=C2N=CN(CCCCNC(=O)C3=CC=CC=C3)C2=C2C=CC=CC2=N1 XGCNNDVXGLRKLC-UHFFFAOYSA-N 0.000 description 1
- OYTZVBXQXVXLSW-UHFFFAOYSA-N NC1=C2N=CN(CCCCNC(=O)C3=CC=CN=C3)C2=C2C=CC=CC2=N1 Chemical compound NC1=C2N=CN(CCCCNC(=O)C3=CC=CN=C3)C2=C2C=CC=CC2=N1 OYTZVBXQXVXLSW-UHFFFAOYSA-N 0.000 description 1
- ACPZAMGHDPRSCD-UHFFFAOYSA-N NC1=C2N=CN(CCCCNC(=O)C3=CC=NC4=CC=CC=C43)C2=C2C=CC=CC2=N1 Chemical compound NC1=C2N=CN(CCCCNC(=O)C3=CC=NC4=CC=CC=C43)C2=C2C=CC=CC2=N1 ACPZAMGHDPRSCD-UHFFFAOYSA-N 0.000 description 1
- YDAATFDQPQMWLD-UHFFFAOYSA-N NC1=C2N=CN(CCCCNC(=O)C3=CC=NC=C3)C2=C2C=CC=CC2=N1 Chemical compound NC1=C2N=CN(CCCCNC(=O)C3=CC=NC=C3)C2=C2C=CC=CC2=N1 YDAATFDQPQMWLD-UHFFFAOYSA-N 0.000 description 1
- MGQIWTXXGVRLBV-UHFFFAOYSA-N NC1=C2N=CN(CCCCNC(=O)C3=CN(CC4=CC=CC=C4)C4=C3C=CC=C4)C2=C2C=CC=CC2=N1 Chemical compound NC1=C2N=CN(CCCCNC(=O)C3=CN(CC4=CC=CC=C4)C4=C3C=CC=C4)C2=C2C=CC=CC2=N1 MGQIWTXXGVRLBV-UHFFFAOYSA-N 0.000 description 1
- BJZIOAYOIIJXPJ-UHFFFAOYSA-N NC1=C2N=CN(CCCCNC(=O)C3=CN=C(Cl)C=C3)C2=C2C=CC=CC2=N1 Chemical compound NC1=C2N=CN(CCCCNC(=O)C3=CN=C(Cl)C=C3)C2=C2C=CC=CC2=N1 BJZIOAYOIIJXPJ-UHFFFAOYSA-N 0.000 description 1
- WZJLUGLWNPSTTD-UHFFFAOYSA-N NC1=C2N=CN(CCCCNC(=O)C3=CN=C(N4CCOCC4)C=C3)C2=C2C=CC=CC2=N1 Chemical compound NC1=C2N=CN(CCCCNC(=O)C3=CN=C(N4CCOCC4)C=C3)C2=C2C=CC=CC2=N1 WZJLUGLWNPSTTD-UHFFFAOYSA-N 0.000 description 1
- INKBMAFTIQZMHQ-UHFFFAOYSA-N NC1=C2N=CN(CCCCNC(=O)C3=CN=C(OCC(F)(F)F)C=C3)C2=C2C=CC=CC2=N1 Chemical compound NC1=C2N=CN(CCCCNC(=O)C3=CN=C(OCC(F)(F)F)C=C3)C2=C2C=CC=CC2=N1 INKBMAFTIQZMHQ-UHFFFAOYSA-N 0.000 description 1
- IDABVZUGHKNDLT-UHFFFAOYSA-N NC1=C2N=CN(CCCCNC(=O)C3=CN=C4C=CC=CC4=C3)C2=C2C=CC=CC2=N1 Chemical compound NC1=C2N=CN(CCCCNC(=O)C3=CN=C4C=CC=CC4=C3)C2=C2C=CC=CC2=N1 IDABVZUGHKNDLT-UHFFFAOYSA-N 0.000 description 1
- LUZCNDSZLQGIJX-UHFFFAOYSA-N NC1=C2N=CN(CCCCNC(=O)CC3=CC=CS3)C2=C2C=CC=CC2=N1 Chemical compound NC1=C2N=CN(CCCCNC(=O)CC3=CC=CS3)C2=C2C=CC=CC2=N1 LUZCNDSZLQGIJX-UHFFFAOYSA-N 0.000 description 1
- OLIDKAXLTSWHTO-UHFFFAOYSA-N NC1=C2N=CN(CCCCNC(=O)CC3C=CCC3)C2=C2C=CC=CC2=N1 Chemical compound NC1=C2N=CN(CCCCNC(=O)CC3C=CCC3)C2=C2C=CC=CC2=N1 OLIDKAXLTSWHTO-UHFFFAOYSA-N 0.000 description 1
- YYSWOCFKTGAJAC-UHFFFAOYSA-N NC1=C2N=CN(CCCCNC(=O)CCCCC3SCC4NC(=O)NC43)C2=C2C=CC=CC2=N1 Chemical compound NC1=C2N=CN(CCCCNC(=O)CCCCC3SCC4NC(=O)NC43)C2=C2C=CC=CC2=N1 YYSWOCFKTGAJAC-UHFFFAOYSA-N 0.000 description 1
- RWOITDVKBXGAQH-UHFFFAOYSA-N NC1=C2N=CN(CCCCNC(=O)CCCCOC3=CC=C4NC(=O)NC4=C3)C2=C2C=CC=CC2=N1 Chemical compound NC1=C2N=CN(CCCCNC(=O)CCCCOC3=CC=C4NC(=O)NC4=C3)C2=C2C=CC=CC2=N1 RWOITDVKBXGAQH-UHFFFAOYSA-N 0.000 description 1
- SEKJPKRVKMHISN-UHFFFAOYSA-N NC1=C2N=CN(CCCCNC(=O)COC3=CC=C(C(=O)C4=CC=CC=C4)C=C3)C2=C2C=CC=CC2=N1 Chemical compound NC1=C2N=CN(CCCCNC(=O)COC3=CC=C(C(=O)C4=CC=CC=C4)C=C3)C2=C2C=CC=CC2=N1 SEKJPKRVKMHISN-UHFFFAOYSA-N 0.000 description 1
- DBSNDZKKJLNLJC-UHFFFAOYSA-N NC1=C2N=CN(CCCCNC(=O)COC3=CC=CC=C3)C2=C2C=CC=CC2=N1 Chemical compound NC1=C2N=CN(CCCCNC(=O)COC3=CC=CC=C3)C2=C2C=CC=CC2=N1 DBSNDZKKJLNLJC-UHFFFAOYSA-N 0.000 description 1
- UDEXPLGHWYPMSQ-MOPGFXCFSA-N NC1=C2N=CN(CCCCNC(=O)[C@H]3C[C@@H]3C3=CC=CC=C3)C2=C2C=CC=CC2=N1 Chemical compound NC1=C2N=CN(CCCCNC(=O)[C@H]3C[C@@H]3C3=CC=CC=C3)C2=C2C=CC=CC2=N1 UDEXPLGHWYPMSQ-MOPGFXCFSA-N 0.000 description 1
- LDGTZVURMITQKX-UHFFFAOYSA-N NC1=C2N=CN(CCCNC(=O)C3=CC=CC=C3)C2=C2C=CC=CC2=N1 Chemical compound NC1=C2N=CN(CCCNC(=O)C3=CC=CC=C3)C2=C2C=CC=CC2=N1 LDGTZVURMITQKX-UHFFFAOYSA-N 0.000 description 1
- ZXDGZMAMZZAFHD-UHFFFAOYSA-N NC1=C2N=CN(CCNC(=O)C3=CC=CC=C3)C2=C2C=CC=CC2=N1 Chemical compound NC1=C2N=CN(CCNC(=O)C3=CC=CC=C3)C2=C2C=CC=CC2=N1 ZXDGZMAMZZAFHD-UHFFFAOYSA-N 0.000 description 1
- GXMPCHVUPLJDQE-UHFFFAOYSA-N NC1=C2N=CN(CCNC(=O)CCCCC3SCC4NC(=O)NC43)C2=C2C=CC=CC2=N1 Chemical compound NC1=C2N=CN(CCNC(=O)CCCCC3SCC4NC(=O)NC43)C2=C2C=CC=CC2=N1 GXMPCHVUPLJDQE-UHFFFAOYSA-N 0.000 description 1
- RJNJXGXHGZJACB-OUKQBFOZSA-N NC1=NC2=C(C=CC=C2)C2=C1N=CN2CCCCNC(=O)/C=C/C1=CC=CC=C1 Chemical compound NC1=NC2=C(C=CC=C2)C2=C1N=CN2CCCCNC(=O)/C=C/C1=CC=CC=C1 RJNJXGXHGZJACB-OUKQBFOZSA-N 0.000 description 1
- YXWPDSFWGDOSEF-UHFFFAOYSA-N NC1=NC2=C(C=CC=C2)C2=C1N=CN2CCCCNC(=O)C1(C2=CC=C(Cl)C=C2)CCCC1 Chemical compound NC1=NC2=C(C=CC=C2)C2=C1N=CN2CCCCNC(=O)C1(C2=CC=C(Cl)C=C2)CCCC1 YXWPDSFWGDOSEF-UHFFFAOYSA-N 0.000 description 1
- VJUBUTWXIMEHGE-UHFFFAOYSA-N NC1=NC2=C(C=CC=C2)C2=C1N=CN2CCCCNC(=O)C12CC3CC(CC(C3)C1)C2 Chemical compound NC1=NC2=C(C=CC=C2)C2=C1N=CN2CCCCNC(=O)C12CC3CC(CC(C3)C1)C2 VJUBUTWXIMEHGE-UHFFFAOYSA-N 0.000 description 1
- YBRIVBFLBSOQRA-UHFFFAOYSA-N NC1=NC2=C(C=CC=C2)C2=C1N=CN2CCCCNC(=O)C1=C(Cl)C=CC=C1Cl Chemical compound NC1=NC2=C(C=CC=C2)C2=C1N=CN2CCCCNC(=O)C1=C(Cl)C=CC=C1Cl YBRIVBFLBSOQRA-UHFFFAOYSA-N 0.000 description 1
- FXQHEFHMAFHCEX-UHFFFAOYSA-N NC1=NC2=C(C=CC=C2)C2=C1N=CN2CCCCNC(=O)C1=C(F)C(F)=C(F)C(F)=C1F Chemical compound NC1=NC2=C(C=CC=C2)C2=C1N=CN2CCCCNC(=O)C1=C(F)C(F)=C(F)C(F)=C1F FXQHEFHMAFHCEX-UHFFFAOYSA-N 0.000 description 1
- MVAXLAULCZBXML-UHFFFAOYSA-N NC1=NC2=C(C=CC=C2)C2=C1N=CN2CCCCNC(=O)C1=CC(Br)=CC=C1 Chemical compound NC1=NC2=C(C=CC=C2)C2=C1N=CN2CCCCNC(=O)C1=CC(Br)=CC=C1 MVAXLAULCZBXML-UHFFFAOYSA-N 0.000 description 1
- LZFBIQUFNGHARE-UHFFFAOYSA-N NC1=NC2=C(C=CC=C2)C2=C1N=CN2CCCCNC(=O)C1=CC=C(C(F)(F)F)C=C1 Chemical compound NC1=NC2=C(C=CC=C2)C2=C1N=CN2CCCCNC(=O)C1=CC=C(C(F)(F)F)C=C1 LZFBIQUFNGHARE-UHFFFAOYSA-N 0.000 description 1
- IGUAKCNTYNZWLM-UHFFFAOYSA-N NC1=NC2=C(C=CC=C2)C2=C1N=CN2CCCCNC(=O)C1=CC=C(CN2CCN(C(C3=CC=CC=C3)C3=CC=CC=C3)CC2)C=C1 Chemical compound NC1=NC2=C(C=CC=C2)C2=C1N=CN2CCCCNC(=O)C1=CC=C(CN2CCN(C(C3=CC=CC=C3)C3=CC=CC=C3)CC2)C=C1 IGUAKCNTYNZWLM-UHFFFAOYSA-N 0.000 description 1
- YMPAHNUADICOHE-UHFFFAOYSA-N NC1=NC2=C(C=CC=C2)C2=C1N=CN2CCCCNC(=O)C1=CC=C(CN2CCOCC2)C=C1 Chemical compound NC1=NC2=C(C=CC=C2)C2=C1N=CN2CCCCNC(=O)C1=CC=C(CN2CCOCC2)C=C1 YMPAHNUADICOHE-UHFFFAOYSA-N 0.000 description 1
- MFMHEXFNIIPNJO-UHFFFAOYSA-N NC1=NC2=C(C=CC=C2)C2=C1N=CN2CCCCNC(=O)C1=CC=C(CNCC2=CC=NC=C2)C=C1 Chemical compound NC1=NC2=C(C=CC=C2)C2=C1N=CN2CCCCNC(=O)C1=CC=C(CNCC2=CC=NC=C2)C=C1 MFMHEXFNIIPNJO-UHFFFAOYSA-N 0.000 description 1
- MQFFVFDVTWPSDH-UHFFFAOYSA-N NC1=NC2=C(C=CC=C2)C2=C1N=CN2CCCCNC(=O)C1=CC=C(Cl)C(Cl)=C1 Chemical compound NC1=NC2=C(C=CC=C2)C2=C1N=CN2CCCCNC(=O)C1=CC=C(Cl)C(Cl)=C1 MQFFVFDVTWPSDH-UHFFFAOYSA-N 0.000 description 1
- MRYDMOUTCFOAFP-UHFFFAOYSA-N NC1=NC2=C(C=CC=C2)C2=C1N=CN2CCCCNC(=O)C1=CC=C(Cl)C=C1 Chemical compound NC1=NC2=C(C=CC=C2)C2=C1N=CN2CCCCNC(=O)C1=CC=C(Cl)C=C1 MRYDMOUTCFOAFP-UHFFFAOYSA-N 0.000 description 1
- NNJRJSQBBFWAMP-UHFFFAOYSA-N NC1=NC2=C(C=CC=C2)C2=C1N=CN2CCCCNC(=O)C1=CC=C(F)C=C1 Chemical compound NC1=NC2=C(C=CC=C2)C2=C1N=CN2CCCCNC(=O)C1=CC=C(F)C=C1 NNJRJSQBBFWAMP-UHFFFAOYSA-N 0.000 description 1
- OXJMIPHCUZEZRP-UHFFFAOYSA-N NC1=NC2=C(C=CC=C2)C2=C1N=CN2CCCCNC(=O)C1=CC=C(OC(F)(F)F)C=C1 Chemical compound NC1=NC2=C(C=CC=C2)C2=C1N=CN2CCCCNC(=O)C1=CC=C(OC(F)(F)F)C=C1 OXJMIPHCUZEZRP-UHFFFAOYSA-N 0.000 description 1
- PTDCUGSAGYGKAZ-UHFFFAOYSA-N NC1=NC2=C(C=CC=C2)C2=C1N=CN2CCCCNC(=O)C1=CC=C([N+](=O)[O-])C=C1 Chemical compound NC1=NC2=C(C=CC=C2)C2=C1N=CN2CCCCNC(=O)C1=CC=C([N+](=O)[O-])C=C1 PTDCUGSAGYGKAZ-UHFFFAOYSA-N 0.000 description 1
- CKGIXSMWSJNGQU-UHFFFAOYSA-N NC1=NC2=C(C=CC=C2)C2=C1N=CN2CCCCNC(=O)C1=CC=C([N+](=O)[O-])O1 Chemical compound NC1=NC2=C(C=CC=C2)C2=C1N=CN2CCCCNC(=O)C1=CC=C([N+](=O)[O-])O1 CKGIXSMWSJNGQU-UHFFFAOYSA-N 0.000 description 1
- WSNPPWYRTVKEDO-UHFFFAOYSA-N NC1=NC2=C(C=CC=C2)C2=C1N=CN2CCCCNC(=O)C1=CC=CC=C1Cl Chemical compound NC1=NC2=C(C=CC=C2)C2=C1N=CN2CCCCNC(=O)C1=CC=CC=C1Cl WSNPPWYRTVKEDO-UHFFFAOYSA-N 0.000 description 1
- JXUYXFFPUCFRSC-UHFFFAOYSA-N NC1=NC2=C(C=CC=C2)C2=C1N=CN2CCCCNC(=O)C1=CC=CN=C1Cl Chemical compound NC1=NC2=C(C=CC=C2)C2=C1N=CN2CCCCNC(=O)C1=CC=CN=C1Cl JXUYXFFPUCFRSC-UHFFFAOYSA-N 0.000 description 1
- KTEKNBTXLMTZSE-UHFFFAOYSA-N NC1=NC2=C(C=CC=C2)C2=C1N=CN2CCCCNC(=O)C1=CC=CO1 Chemical compound NC1=NC2=C(C=CC=C2)C2=C1N=CN2CCCCNC(=O)C1=CC=CO1 KTEKNBTXLMTZSE-UHFFFAOYSA-N 0.000 description 1
- XBCYPTBGSJMIIP-UHFFFAOYSA-N NC1=NC2=C(C=CC=C2)C2=C1N=CN2CCCCNC(=O)C1=CC=CS1 Chemical compound NC1=NC2=C(C=CC=C2)C2=C1N=CN2CCCCNC(=O)C1=CC=CS1 XBCYPTBGSJMIIP-UHFFFAOYSA-N 0.000 description 1
- SHGUMVWOFGTCHH-UHFFFAOYSA-N NC1=NC2=C(C=CC=C2)C2=C1N=CN2CCCCNC(=O)C1CC1 Chemical compound NC1=NC2=C(C=CC=C2)C2=C1N=CN2CCCCNC(=O)C1CC1 SHGUMVWOFGTCHH-UHFFFAOYSA-N 0.000 description 1
- XJNMYXMJBZHCNO-UHFFFAOYSA-N NC1=NC2=C(C=CC=C2)C2=C1N=CN2CCCCNC(=O)C1CCCC1 Chemical compound NC1=NC2=C(C=CC=C2)C2=C1N=CN2CCCCNC(=O)C1CCCC1 XJNMYXMJBZHCNO-UHFFFAOYSA-N 0.000 description 1
- PKLXZCOFVQFFKA-UHFFFAOYSA-N NC1=NC2=C(C=CC=C2)C2=C1N=CN2CCCCNC(=O)C1CCCCC1 Chemical compound NC1=NC2=C(C=CC=C2)C2=C1N=CN2CCCCNC(=O)C1CCCCC1 PKLXZCOFVQFFKA-UHFFFAOYSA-N 0.000 description 1
- KKFQMSFWNIFODM-UHFFFAOYSA-N NC1=NC2=C(C=CC=C2)C2=C1N=CN2CCCCNC(=O)CC1=CC=CC=C1 Chemical compound NC1=NC2=C(C=CC=C2)C2=C1N=CN2CCCCNC(=O)CC1=CC=CC=C1 KKFQMSFWNIFODM-UHFFFAOYSA-N 0.000 description 1
- OWAINYPRXGEARF-UHFFFAOYSA-N NC1=NC2=C(C=CC=C2)C2=C1N=CN2CCCCNC(=O)CC1CCCC1 Chemical compound NC1=NC2=C(C=CC=C2)C2=C1N=CN2CCCCNC(=O)CC1CCCC1 OWAINYPRXGEARF-UHFFFAOYSA-N 0.000 description 1
- FDIWZEJZDHDLDR-UHFFFAOYSA-N NC1=NC2=C(C=CC=C2)C2=C1N=CN2CCCCNC(=O)CCC1CCCC1 Chemical compound NC1=NC2=C(C=CC=C2)C2=C1N=CN2CCCCNC(=O)CCC1CCCC1 FDIWZEJZDHDLDR-UHFFFAOYSA-N 0.000 description 1
- UZMRWUPMBURWEZ-LEWJYISDSA-N [H][C@@]1(C(=O)NCCCCN2C(CCOC)=NC3=C(N)N=C4C=CC=CC4=C32)C[C@@]1([H])C1=CC=CC=C1 Chemical compound [H][C@@]1(C(=O)NCCCCN2C(CCOC)=NC3=C(N)N=C4C=CC=CC4=C32)C[C@@]1([H])C1=CC=CC=C1 UZMRWUPMBURWEZ-LEWJYISDSA-N 0.000 description 1
- JTVPTJLWJOLSBM-NBGIEHNGSA-N [H][C@]1(C(=O)NCCCCN2C(CCOC)=NC3=C(N)N=C4C=CC=CC4=C32)CC(=O)N(C)[C@]1([H])C1=CC=CN=C1 Chemical compound [H][C@]1(C(=O)NCCCCN2C(CCOC)=NC3=C(N)N=C4C=CC=CC4=C32)CC(=O)N(C)[C@]1([H])C1=CC=CN=C1 JTVPTJLWJOLSBM-NBGIEHNGSA-N 0.000 description 1
Classifications
-
- C—CHEMISTRY; METALLURGY
- C07—ORGANIC CHEMISTRY
- C07D—HETEROCYCLIC COMPOUNDS
- C07D471/00—Heterocyclic compounds containing nitrogen atoms as the only ring hetero atoms in the condensed system, at least one ring being a six-membered ring with one nitrogen atom, not provided for by groups C07D451/00 - C07D463/00
- C07D471/02—Heterocyclic compounds containing nitrogen atoms as the only ring hetero atoms in the condensed system, at least one ring being a six-membered ring with one nitrogen atom, not provided for by groups C07D451/00 - C07D463/00 in which the condensed system contains two hetero rings
- C07D471/04—Ortho-condensed systems
-
- A—HUMAN NECESSITIES
- A61—MEDICAL OR VETERINARY SCIENCE; HYGIENE
- A61K—PREPARATIONS FOR MEDICAL, DENTAL OR TOILETRY PURPOSES
- A61K31/00—Medicinal preparations containing organic active ingredients
- A61K31/33—Heterocyclic compounds
- A61K31/395—Heterocyclic compounds having nitrogen as a ring hetero atom, e.g. guanethidine or rifamycins
- A61K31/435—Heterocyclic compounds having nitrogen as a ring hetero atom, e.g. guanethidine or rifamycins having six-membered rings with one nitrogen as the only ring hetero atom
- A61K31/47—Quinolines; Isoquinolines
- A61K31/4738—Quinolines; Isoquinolines ortho- or peri-condensed with heterocyclic ring systems
- A61K31/4745—Quinolines; Isoquinolines ortho- or peri-condensed with heterocyclic ring systems condensed with ring systems having nitrogen as a ring hetero atom, e.g. phenantrolines
-
- A—HUMAN NECESSITIES
- A61—MEDICAL OR VETERINARY SCIENCE; HYGIENE
- A61P—SPECIFIC THERAPEUTIC ACTIVITY OF CHEMICAL COMPOUNDS OR MEDICINAL PREPARATIONS
- A61P1/00—Drugs for disorders of the alimentary tract or the digestive system
- A61P1/16—Drugs for disorders of the alimentary tract or the digestive system for liver or gallbladder disorders, e.g. hepatoprotective agents, cholagogues, litholytics
-
- A—HUMAN NECESSITIES
- A61—MEDICAL OR VETERINARY SCIENCE; HYGIENE
- A61P—SPECIFIC THERAPEUTIC ACTIVITY OF CHEMICAL COMPOUNDS OR MEDICINAL PREPARATIONS
- A61P11/00—Drugs for disorders of the respiratory system
- A61P11/02—Nasal agents, e.g. decongestants
-
- A—HUMAN NECESSITIES
- A61—MEDICAL OR VETERINARY SCIENCE; HYGIENE
- A61P—SPECIFIC THERAPEUTIC ACTIVITY OF CHEMICAL COMPOUNDS OR MEDICINAL PREPARATIONS
- A61P11/00—Drugs for disorders of the respiratory system
- A61P11/06—Antiasthmatics
-
- A—HUMAN NECESSITIES
- A61—MEDICAL OR VETERINARY SCIENCE; HYGIENE
- A61P—SPECIFIC THERAPEUTIC ACTIVITY OF CHEMICAL COMPOUNDS OR MEDICINAL PREPARATIONS
- A61P17/00—Drugs for dermatological disorders
- A61P17/02—Drugs for dermatological disorders for treating wounds, ulcers, burns, scars, keloids, or the like
-
- A—HUMAN NECESSITIES
- A61—MEDICAL OR VETERINARY SCIENCE; HYGIENE
- A61P—SPECIFIC THERAPEUTIC ACTIVITY OF CHEMICAL COMPOUNDS OR MEDICINAL PREPARATIONS
- A61P17/00—Drugs for dermatological disorders
- A61P17/04—Antipruritics
-
- A—HUMAN NECESSITIES
- A61—MEDICAL OR VETERINARY SCIENCE; HYGIENE
- A61P—SPECIFIC THERAPEUTIC ACTIVITY OF CHEMICAL COMPOUNDS OR MEDICINAL PREPARATIONS
- A61P25/00—Drugs for disorders of the nervous system
-
- A—HUMAN NECESSITIES
- A61—MEDICAL OR VETERINARY SCIENCE; HYGIENE
- A61P—SPECIFIC THERAPEUTIC ACTIVITY OF CHEMICAL COMPOUNDS OR MEDICINAL PREPARATIONS
- A61P31/00—Antiinfectives, i.e. antibiotics, antiseptics, chemotherapeutics
- A61P31/04—Antibacterial agents
- A61P31/08—Antibacterial agents for leprosy
-
- A—HUMAN NECESSITIES
- A61—MEDICAL OR VETERINARY SCIENCE; HYGIENE
- A61P—SPECIFIC THERAPEUTIC ACTIVITY OF CHEMICAL COMPOUNDS OR MEDICINAL PREPARATIONS
- A61P31/00—Antiinfectives, i.e. antibiotics, antiseptics, chemotherapeutics
- A61P31/10—Antimycotics
-
- A—HUMAN NECESSITIES
- A61—MEDICAL OR VETERINARY SCIENCE; HYGIENE
- A61P—SPECIFIC THERAPEUTIC ACTIVITY OF CHEMICAL COMPOUNDS OR MEDICINAL PREPARATIONS
- A61P31/00—Antiinfectives, i.e. antibiotics, antiseptics, chemotherapeutics
- A61P31/12—Antivirals
-
- A—HUMAN NECESSITIES
- A61—MEDICAL OR VETERINARY SCIENCE; HYGIENE
- A61P—SPECIFIC THERAPEUTIC ACTIVITY OF CHEMICAL COMPOUNDS OR MEDICINAL PREPARATIONS
- A61P33/00—Antiparasitic agents
- A61P33/02—Antiprotozoals, e.g. for leishmaniasis, trichomoniasis, toxoplasmosis
-
- A—HUMAN NECESSITIES
- A61—MEDICAL OR VETERINARY SCIENCE; HYGIENE
- A61P—SPECIFIC THERAPEUTIC ACTIVITY OF CHEMICAL COMPOUNDS OR MEDICINAL PREPARATIONS
- A61P33/00—Antiparasitic agents
- A61P33/02—Antiprotozoals, e.g. for leishmaniasis, trichomoniasis, toxoplasmosis
- A61P33/06—Antimalarials
-
- A—HUMAN NECESSITIES
- A61—MEDICAL OR VETERINARY SCIENCE; HYGIENE
- A61P—SPECIFIC THERAPEUTIC ACTIVITY OF CHEMICAL COMPOUNDS OR MEDICINAL PREPARATIONS
- A61P33/00—Antiparasitic agents
- A61P33/02—Antiprotozoals, e.g. for leishmaniasis, trichomoniasis, toxoplasmosis
- A61P33/08—Antiprotozoals, e.g. for leishmaniasis, trichomoniasis, toxoplasmosis for Pneumocystis carinii
-
- A—HUMAN NECESSITIES
- A61—MEDICAL OR VETERINARY SCIENCE; HYGIENE
- A61P—SPECIFIC THERAPEUTIC ACTIVITY OF CHEMICAL COMPOUNDS OR MEDICINAL PREPARATIONS
- A61P35/00—Antineoplastic agents
-
- A—HUMAN NECESSITIES
- A61—MEDICAL OR VETERINARY SCIENCE; HYGIENE
- A61P—SPECIFIC THERAPEUTIC ACTIVITY OF CHEMICAL COMPOUNDS OR MEDICINAL PREPARATIONS
- A61P35/00—Antineoplastic agents
- A61P35/02—Antineoplastic agents specific for leukemia
-
- A—HUMAN NECESSITIES
- A61—MEDICAL OR VETERINARY SCIENCE; HYGIENE
- A61P—SPECIFIC THERAPEUTIC ACTIVITY OF CHEMICAL COMPOUNDS OR MEDICINAL PREPARATIONS
- A61P37/00—Drugs for immunological or allergic disorders
- A61P37/02—Immunomodulators
-
- A—HUMAN NECESSITIES
- A61—MEDICAL OR VETERINARY SCIENCE; HYGIENE
- A61P—SPECIFIC THERAPEUTIC ACTIVITY OF CHEMICAL COMPOUNDS OR MEDICINAL PREPARATIONS
- A61P43/00—Drugs for specific purposes, not provided for in groups A61P1/00-A61P41/00
-
- A—HUMAN NECESSITIES
- A61—MEDICAL OR VETERINARY SCIENCE; HYGIENE
- A61P—SPECIFIC THERAPEUTIC ACTIVITY OF CHEMICAL COMPOUNDS OR MEDICINAL PREPARATIONS
- A61P7/00—Drugs for disorders of the blood or the extracellular fluid
- A61P7/04—Antihaemorrhagics; Procoagulants; Haemostatic agents; Antifibrinolytic agents
Definitions
- This invention relates to imidazoquinoline compounds that have an amide containing substituent at the 1-position, and to pharmaceutical compositions containing such compounds.
- a further aspect of this invention relates to the use of these compounds as immunomodulators, for inducing cytokine biosynthesis in animals, and in the treatment of diseases, including viral and neoplastic diseases.
- EP 894 797 describes imidazoquinoline compounds that bear an amide containing substituent at the 1-position.
- the active compounds of this series require a terminal amine substituent that may be incorporated into a heterocyclic ring.
- WO 00/09506 describes imidazopyridine and imidazoquinoline compounds that may have an amide or urea containing substituent at the 1-position.
- the compounds described in this publication as having utility contain a 1-substituent wherein the amide or urea nitrogen is part of a heterocyclic ring.
- this invention provides imidazoquinoline-4-amine and tetrahydroimidazoquinoline-4-amine compounds that have an amide containing substituent at the 1-position.
- the compounds which have been found to be useful inducers of cytokine biosynthesis are defined by Formulae (I), (Ia), and (Ib), which are defined in more detail infra. These compounds share the general structural formula (I):
- R 1 , R 2 , and R are as defined herein for each class of compounds having formulas (I), (Ia), and (Ib).
- the invention also provides novel compounds of formulas (Ic), (Id), and (Ie) as defined herein, which compounds are also useful as immune response modifiers and which also have the same general structural formula (I) above.
- the compounds of Formulae (I), (Ia), (Ib), (Ic), (Id), and (Ie) are useful as immune response modifiers due to their ability to induce cytokine biosynthesis and otherwise modulate the immune response when administered to animals. This makes the compounds useful in the treatment of a variety of conditions such as viral diseases and tumors that are responsive to such changes in the immune response.
- the invention further provides pharmaceutical compositions containing the immune response modifying compounds, and methods of inducing cytokine biosynthesis in an animal, treating a viral infection in an animal, and/or treating a neoplastic disease in an animal by administering a compound of Formula (I), (Ia), (Ib), (Ic), (Id), or (Ie) to the animal.
- R 1 is -alkyl-NR 3 —CO—R 4 or -alkenyl-NR 3 —CO—R 4 wherein R 4 is aryl, heteroaryl, alkyl or alkenyl, each of which may be unsubstituted or substituted by one or more substituents selected from the group consisting of:
- R 5 is an aryl, (substituted aryl), heteroaryl, (substituted heteroaryl), heterocyclyl or (substituted heterocyclyl) group;
- R 2 is selected from the group consisting of:
- each R 3 is independently selected from the group consisting of hydrogen; C 1-10 alkyl-heteroaryl; C 1-10 alkyl-(substituted heteroaryl); C 1-10 alkyl-aryl; C 1-10 alkyl-(substituted aryl) and C 1-10 alkyl;
- n 0 to 4.
- each R present is independently selected from the group consisting of C 1-10 alkyl, C 1-10 alkoxy, halogen and trifluoromethyl, or a pharmaceutically acceptable salt thereof, in combination with a therapeutically effective carrier.
- compositions comprising a therapeutically effective amount of a compound of Formula (Ia):
- R 1 is -alkyl-NR 3 —CO—R 4 or -alkenyl-NR 3 —CO—R 4 wherein R 4 is aryl, heteroaryl, alkyl or alkenyl, each of which may be unsubstituted or substituted by one or more substituents selected from the group consisting of:
- R 2 is selected from the group consisting of:
- each R 3 is independently selected from the group consisting of hydrogen; C 1-10 alkyl-heteroaryl; C 1-10 alkyl-(substituted heteroaryl); C 1-10 alkyl-aryl; C 1-10 alkyl-(substituted aryl) and C 1-10 alkyl;
- n 0 to 4.
- each R present is independently selected from the group consisting of C 1-10 alkyl, C 1-10 alkoxy, halogen and trifluoromethyl, or a pharmaceutically acceptable salt thereof, in combination with a pharmaceutically acceptable carrier.
- compositions comprising a therapeutically effective amount of a compound of Formula (Ib):
- R 1 is -alkyl-NR 3 —CO—R 4 or -alkenyl-NR 3 —CO—R 4 wherein R 4 is heterocyclyl which may be unsubstituted or substituted by one or more substituents selected from the group consisting of:
- R 5 is an aryl, (substituted aryl), heteroaryl, (substituted heteroaryl), heterocyclyl or (substituted heterocyclyl) group;
- R 2 is selected from the group consisting of:
- each R 3 is independently selected from the group consisting of hydrogen; C 1-10 alkyl-heteroaryl; C 1-10 alkyl-(substituted heteroaryl); C 1-10 alkyl-aryl; C 1-10 alkyl-(substituted aryl) and C 1-10 alkyl;
- n 0 to 4.
- each R present is independently selected from the group consisting of C 1-10 alkyl, C 1-10 alkoxy, halogen and trifluoromethyl, or a pharmaceutically acceptable salt thereof, in combination with a pharmaceutically acceptable carrier.
- the invention also provides compounds that are useful as immune response modifiers.
- One such class of compounds has structural Formula (Ic):
- R 1 is -alkyl-NR 3 —CO—R 4 or -alkenyl-NR 3 —CO—R 4 wherein R 4 is aryl, heteroaryl, heterocyclyl, alkyl or alkenyl, each of which may be unsubstituted or substituted by one or more substituents selected from the group consisting of:
- R 5 is an aryl, (substituted aryl), heteroaryl, (substituted heteroaryl), heterocyclyl or (substituted heterocyclyl) group;
- R 2 is selected from the group consisting of:
- R 3 is selected from the group consisting of C 1-10 alkyl-heteroaryl; C 1-10 alkyl-(substituted heteroaryl); C 1-10 alkyl-aryl; C 1-10 alkyl-(substituted aryl) and C 1-10 alkyl;
- each R 6 is independently selected from the group consisting of hydrogen; C 1-10 alkyl-heteroaryl; C 1-10 alkyl-(substituted heteroaryl); C 1-10 alkyl-aryl; C 1-10 alkyl-(substituted aryl) and C 1-10 alkyl;
- n 0 to 4.
- each R present is independently selected from the group consisting of C 1-10 alkyl, C 1-10 alkoxy, halogen and trifluoromethyl, or a pharmaceutically acceptable salt thereof.
- R 1 is -alkyl-NR 3 —CO—R 4 or -alkenyl-NR 3 —CO—R 4 wherein R 4 is aryl or heteroaryl which may be unsubstituted or substituted by one or more substituents selected from the group consisting of:
- R 2 is selected from the group consisting of:
- each R 3 is independently selected from the group consisting of hydrogen; C 1-10 alkyl-heteroaryl; C 1-10 alkyl-(substituted heteroaryl); C 1-10 alkyl-aryl; C 1-10 alkyl-(substituted aryl) and C 1-10 alkyl;
- n 0 to 4.
- each R present is independently selected from the group consisting of C 1-10 alkyl, C 1-10 alkoxy, halogen and trifluoromethyl, or a pharmaceutically acceptable salt thereof,
- R 4 is not an unsubstituted benzene ring, and that when R 4 is a substituted benzene ring the substituents are selected from the group consisting of C 1-20 alkyl, C 2-20 alkoxy, C 1-20 alkylthio, hydroxy, haloalkyl, haloalkylcarbonyl, haloalkoxy, C 1-20 alkylcarbonyl, C 1-20 alkenylcarbonyl, arylcarbonyl, heteroarylcarbonyl, aryl, arylalkyl, heteroaryl, heteroarylalkyl, heterocyclyl, heterocycloalkyl, nitrile, C 1-20 alkoxycarbonyl, C 1-20 alkanoyloxy, C 1-20 alkanoylthio, oxo and -(C 1-10 -alkyl)-NR 3 —(C 1-10 -alkyl)-R 5 ,
- R 5 is an aryl, (substituted aryl), heteroaryl, (substituted heteroaryl), heterocyclyl or (substituted heterocyclyl) group.
- R 1 is -alkyl-NR 3 —CO—R 4 or -alkenyl-NR 3 —CO—R 4 wherein R 4 is an alkyl or alkenyl group that is substituted by one or more substituents selected from the group consisting of:
- R 2 is selected from the group consisting of:
- each R 3 is independently selected from the group consisting of hydrogen; C 1-10 alkyl-heteroaryl; C 1-10 alkyl-(substituted heteroaryl); C 1-10 alkyl-aryl; C 1-10 alkyl-(substituted aryl) and C 1-10 alkyl;
- n 0 to 4.
- R present is independently selected from the group consisting of C 1-10 alkyl, C 1-10 alkoxy, halogen and trifluoromethyl, or a pharmaceutically acceptable salt thereof.
- Imidazoquinolines of the invention can be prepared according to Reaction Scheme I where R, R 1 , R 2 and n are as defined above.
- step (1) of Reaction Scheme I a 4-chloro-3-nitroquinoline of Formula II is reacted with an amine of Formula R 1 NH 2 to provide a 3-nitroquinolin-4-amine of Formula III.
- the reaction can be carried out by adding amine to a solution of a compound of Formula II in a suitable solvent such as chloroform or dichloromethane and optionally heating.
- a suitable solvent such as chloroform or dichloromethane
- step (2) of Reaction Scheme I a 3-nitroquinolin-4-amine of Formula III is reduced to provide a quinoline-3,4-diamine of Formula IV.
- the reduction is carried out using a conventional heterogeneous hydrogenation catalyst such as platinum on carbon or palladium on carbon.
- the reaction can conveniently be carried out on a Parr apparatus in a suitable solvent such as isopropyl alcohol or toluene.
- a quinoline-3,4-diamine of Formula IV is reacted with a carboxylic acid or an equivalent thereof to provide a 1H-imidazo[4,5-c]quinoline of Formula V.
- Suitable equivalents to carboxylic acid include acid halides, orthoesters, and 1,1-dialkoxyalkyl alkanoates.
- the carboxylic acid or equivalent is selected such that it will provide the desired R 2 substituent in a compound of Formula V.
- triethyl orthoformate will provide a compound where R 2 is hydrogen and triethyl orthoacetate will provide a compound where R 2 is methyl.
- the reaction can be run in the absence of solvent or in an inert solvent such as toluene.
- the reaction is run with sufficient heating to drive off any alcohol or water formed as a byproduct of the reaction.
- step (4) of Reaction Scheme I a 1H-imidazo[4,5-c]quinoline of Formula V is oxidized to provide a 1H-imidazo[4,5-c]quinoline-5N-oxide of Formula VI using a conventional oxidizing agent that is capable of forming N-oxides.
- Preferred reaction conditions involve reacting a solution of a compound of Formula V in chloroform with 3-chloroperoxybenzoic acid at ambient conditions.
- step (5) of Reaction Scheme I a 1H-imidazo[4,5-c]quinoline-5N-oxide of Formula VI is aminated to provide a 1H-imidazo[4,5-c]quinolin-4-amine of Formula VII which is a subgenus of Formula I.
- Step (5) involves (i) reacting a compound of Formula VI with an acylating agent and then (ii) reacting the product with an aminating agent.
- Part (i) of step (5) involves reacting an N-oxide of Formula VI with an acylating agent.
- Suitable acylating agents include alkyl- or arylsulfonyl chlorides (e.g., benezenesulfonyl chloride, methanesulfonyl chloride, p-toluenesulfonyl chloride). Arylsulfonyl chlorides are preferred. Para-toluenesulfonyl chloride is most preferred.
- Part (ii) of step (5) involves reacting the product of part (i) with an excess of an aminating agent.
- Suitable aminating agents include ammonia (e.g., in the form of ammonium hydroxide) and ammonium salts (e.g., ammonium carbonate, ammonium bicarbonate, ammonium phosphate).
- Ammonium hydroxide is preferred.
- the reaction is preferably carried out by dissolving the N-oxide of Formula VI in an inert solvent such as dichloromethane, adding the aminating agent to the solution, and then slowly adding the acylating agent.
- the product or a pharmaceutically acceptable salt thereof can be isolated using conventional methods.
- step (5) may be carried out by (i) reacting an N-oxide of Formula VI with an isocyanate and then (ii) hydrolyzing the resulting product.
- Part (i) involves reacting the N-oxide with an isocyanate wherein the isocyanato group is bonded to a carbonyl group.
- Preferred isocyanates include trichloroacetyl isocyanante and aroyl isocyanates such as benzoyl isocyanate.
- the reaction of the isocyanate with the N-oxide is carried out under substantially anhydrous conditions by adding the isocyanate to a solution of the N-oxide in an inert solvent such as chloroform or dichloromethane.
- Part (ii) involves hydrolysis of the product from part (i).
- the hydrolysis can be carried out by conventional methods such as heating in the presence of water or a lower alkanol optionally in the presence of a catalyst such as an alkali metal hydroxide or lower alkoxide.
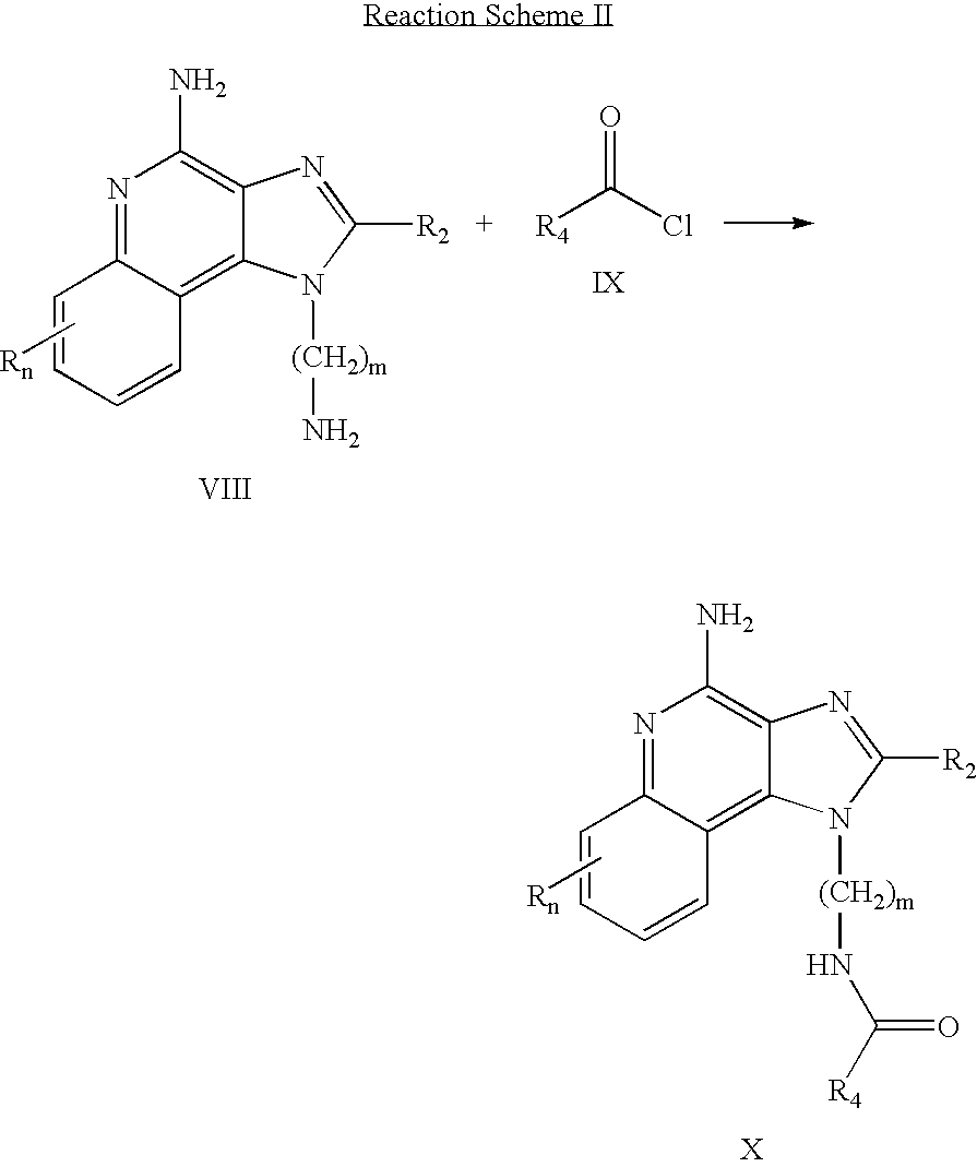
- an aminoalkyl substituted 1H-imidazo[4,5-c]quinolin-4-amine of Formula VIII is reacted with an acid chloride of Formula IX to provide a compound of Formula X which is a subgenus of Formula I.
- the reaction can be carried out by adding a solution of the acid chloride in a suitable solvent such as pyridine or dichloromethane to a solution of a compound of Formula VIII either at ambient temperature or at a reduced temperature.
- a suitable solvent such as pyridine or dichloromethane
- Many 1H-imidazo[4,5-c]quinolin-4-amines of Formula VIII are known compounds, see for example U.S. Pat. No. 6,069,149 (Nanba), the disclosure of which is incorporated by reference herein; others can be readily prepared using known synthetic methods.
- Many acid chlorides of Formula IX are commercially available; others can be readily prepared using known synthetic methods.
- the product or a pharmaceutically acceptable salt thereof can be isolated using conventional methods.
- Reaction Scheme III an aminoalkyl substituted 1H-imidazo[4,5-c]quinolin-4-amine of Formula VIII is reacted with an acid of Formula XI to provide a compound of Formula X which is a subgenus of Formula I.
- the reaction can be run at ambient temperature in a solvent such as dichloromethane or pyridine using a standard coupling reagent such as 1,3-dicyclohexylcarbodiimide or 1-[3-(dimethylamino)propyl]-3-ethylcarbodiimide.
- the product or a pharmaceutically acceptable salt thereof can be isolated using conventional methods.
- an aminoalkyl substituted 1H-imidazo[4,5-c]quinolin-4-amine of Formula VIII is reacted with an acid anhydride of Formula XII provide a compound of Formula X which is a subgenus of Formula I.
- the reaction can be run at ambient temperature in an inert solvent such as dichloromethane in the presence of a base such as N,N-diisopropylethylamine or pyridine.
- Many acid anhydrides of Formula XII are commercially available; others may be readily prepared using known synthetic methods.
- the product or a pharmaceutically acceptable salt thereof can be isolated using conventional methods.
- Tertiary amides of the invention can be prepared according to Reaction Scheme V where R, R 2 , R 3 , R 4 and n are as defined above except that R 3 is other than hydrogen and m is 1-20.
- step (1) of Reaction Scheme V an aminoalkyl substituted 1H-imidazo[4,5-c]quinolin-4-amine of Formula VIII is reacted with an aldehyde of Formula XIII to provide a secondary amine of Formula XIV.
- the reductive amination is carried out using sodium triacetoxyborohydride.
- the reaction can be carried out by adding the sodium triacetoxyborohydride to a solution of the amine and the aldehyde in an inert solvent such as dichloromethane.
- the secondary amine or a salt thereof can be isolated using conventional methods.
- step (2) of Reaction Scheme V the secondary amine of Formula XIV is acylated to provide a compound of Formula XV which is a subgenus of Formula I.
- the reaction can be carried out by reacting the secondary amine of Formula XIV with an acid, acid chloride or an acid anhydride according to the methods of Reaction Schemes III, II and IV above.
- the product or a pharmaceutically acceptable salt thereof can be isolated using conventional methods.
- Tetrahydroimidazoquinolines of the invention can be prepared according to Reaction Scheme VI where R 2 , R 3 and R 4 are as defined above and m is 1-20.
- step (1) of Reaction Scheme VI an aminoalkyl substituted 1H-imidazo[4,5-c]quinolin-4-amine of Formula XVI is reduced to provide an aminoalkyl substituted 6,7,8,9-tetrahydro-1H-imidazo[4,5-c]quinolin-4-amine of Formula XVII.
- the reduction is carried out by suspending or dissolving the compound of Formula XVI in trifluoroacetic acid, adding a catalytic amount of platinum (IV) oxide, and then subjecting the mixture to hydrogen pressure.
- the reaction can conveniently be carried out on a Parr apparatus.
- the product or a salt thereof can be isolated using conventional methods.
- step (2) of Reaction Scheme VI an aminoalkyl substituted 6,7,8,9-tetrahydro-1H-imidazo[4,5-c]quinolin-4-amine of Formula XVII is reacted to provide a compound of Formula XVIII which is a subgenus of Formula I.
- R 3 is hydrogen
- the reaction can be carried out according to the methods described in Reaction Schemes II, III and IV above using a tetrahydroimidazoquinoline of Formula XVII in place of the imidazoquinoline of Formula VIII.
- R 3 is other than hydrogen, then the reaction can be carried out using the method described in Reaction Scheme V.
- the product or a pharmaceutically acceptable salt thereof can be isolated using conventional methods.
- Tetrahydroimidazoquinolines of the invention can also be prepared according to Reaction Scheme VII where R, R 2 , R 3 , R 4 and n are as defined above and m is 1-20.
- step (I) of Reaction Scheme VII a 6,7,8,9-tetrahydro-1H-imidazo[4,5-c]quinolinyl tert-butylcarbamate of Formula XIX is hydrolyzed to provide an aminoalkyl substituted 6,7,8,9-tetrahydro-1H-imidazo[4,5-c]quinolin-4-amine of Formula XX.
- the reaction can be carried out dissolving the compound of Formula XIX in a mixture of trifluoroacetic acid and acetonitrile and stirring at ambient temperature.
- the compound of Formula XIX can be combined with dilute hydrochloric acid and heated on a steam bath.
- Tetrahydro-1H-imidazo[4,5-c]quinolinyl tert-butylcarbamates of Formula XIX can be prepared using the synthetic route disclosed in U.S. Pat. No. 5,352,784 (Nikolaides). The product or a salt thereof can be isolated using conventional methods.
- step (2) of Reaction Scheme VII an aminoalkyl substituted 6,7,8,9-tetrahydro-1H-imidazo[4,5-c]quinolin-4-amine of Formula XX is reacted to provide a compound of Formula XXI which is a subgenus of Formula I.
- R 3 is hydrogen
- the reaction can be carried out according to the methods described in Reaction Schemes II, III and IV above using a tetrahydroimidazoquinoline of Formula XX in place of the imidazoquinoline of Formula VIII.
- R 3 is other than hydrogen, then the reaction can be carried out using the method described in Reaction Scheme V.
- the product or a pharmaceutically acceptable salt thereof can be isolated using conventional methods.
- Some compounds of Formula I can be readily prepared from other compounds of Formula I.
- compounds wherein the R 4 substituent contains a chloroalkyl group can be reacted with an amine to provide an R 4 substituent substituted by a secondary or teriary amino group; compounds wherein the R 4 substituent contains a nitro group can be reduced to provide a compound wherein the R 4 substituent contains a primary amine.
- alkyl As used herein, the terms “alkyl”, “alkenyl”, “alkynyl” and the prefix “-alk” are inclusive of both straight chain and branched chain groups and of cyclic groups, i.e. cycloalkyl and cycloalkenyl. Unless otherwise specified, these groups contain from 1 to 20 carbon atoms, with alkenyl and alkynyl groups containing from 2 to 20 carbon atoms. Preferred groups have a total of up to 10 carbon atoms. Cyclic groups can be monocyclic or polycyclic and preferably have from 3 to 10 ring carbon atoms. Exemplary cyclic groups include cyclopropyl, cyclopentyl, cyclohexyl and adamantyl.
- haloalkyl is inclusive of groups that are substituted by one or more halogen atoms, including groups wherein all of the available hydrogen atoms are replaced by halogen atoms. This is also true of groups that include the prefix “haloalk-”. Examples of suitable haloalkyl groups are chloromethyl, trifluoromethyl, and the like.
- aryl as used herein includes carbocyclic aromatic rings or ring systems. Examples of aryl groups include phenyl, naphthyl, biphenyl, fluorenyl and indenyl.
- heteroaryl includes aromatic rings or ring systems that contain at least one ring hetero atom (e.g., O, S, N). Suitable heteroaryl groups include furyl, thienyl, pyridyl, quinolinyl, isoquinolinyl, indolyl, isoindolyl, pyrrolyl, tetrazolyl, imidazo, pyrazolo, oxazolo, thiazolo and so on.
- Heterocyclyl includes non-aromatic rings or ring systems that contain at least one ring hetero atom (e.g., O, S, N).
- exemplary heterocyclic groups include pyrrolidinyl, tetrahydrofuranyl, morpholinyl, thiomorpholinyl, piperidinyl, piperazinyl, thiazolidinyl, and imidazolidinyl.
- substituted aryl substituted heteroaryl
- substituted heterocyclyl indicate that the rings or ring systems in question are further substituted by one or more substituents independently selected from the group consisting of alkyl, alkoxy, alkylthio, hydroxy, halogen, haloalkyl, haloalkylcarbonyl, haloalkoxy (e.g., trifluoromethoxy), nitro, alkylcarbonyl, alkenylcarbonyl, arylcarbonyl, heteroarylcarbonyl, aryl, arylalkyl, heteroaryl, heteroarylalkyl, heterocyclyl, heterocycloalkyl, nitrile, alkoxycarbonyl, alkanoyloxy, alkanoylthio, and, in the case of heterocyclyl, oxo.
- the invention is inclusive of the compounds described herein in any of their pharmaceutically acceptable forms, including isomers such as diastereomers and enantiomers, salts, solvates, polymorphs, and the like.
- compositions of the invention contain a therapeutically effective amount of a compound of the invention as described supra in combination with a pharmaceutically acceptable carrier.
- a therapeutically effective amount means an amount of the compound sufficient to induce a therapeutic effect, such as cytokine induction, antitumor activity and/or antiviral activity.
- a therapeutically effective amount means an amount of the compound sufficient to induce a therapeutic effect, such as cytokine induction, antitumor activity and/or antiviral activity.
- the exact amount of active compound used in a pharmaceutical composition of the invention will vary according to factors known to those of skill in the art, such as the physical and chemical nature of the compound as well as the nature of the carrier and the intended dosing regimen, it is anticipated that the compositions of the invention will contain sufficient active ingredient to provide a dose of about 100 ng/kg to about 50 mg/kg, preferably about 10 ⁇ g/kg to about 5 mg/kg, of the compound to the subject.
- Any of the conventional dosage forms may be used, such as tablets, lozenges, parenteral formulations, syrups, creams, ointments, aerosol formulations, transdermal patches, transmucosal
- the compounds of the invention can be administered as the single therapeutic agent in the treatment regimen, or the compounds of the invention may be administered in combination with one another or with other active agents, including additional immune response modifiers, antivirals, antibiotics, etc.
- the compounds of the invention have been shown to induce the production of certain cytokines in experiments performed according to the tests set forth below. These results indicate that the compounds are useful as immune response modifiers that can modulate the immune response in a number of different ways, rendering them useful in the treatment of a variety of disorders.
- Cytokines whose production may be induced by the administration of compounds according to the invention generally include interferon- ⁇ (IFN- ⁇ ) and/or tumor necrosis factor- ⁇ (TNF- ⁇ ) as well as certain interleukins (IL). Cytokines whose biosynthesis may be induced by compounds of the invention include IFN- ⁇ , TNF- ⁇ , IL-1, 6, 10 and 12, and a variety of other cytokines. Among other effects, cytokines inhibit virus production and tumor cell growth, making the compounds useful in the treatment of viral diseases and tumors.
- IFN- ⁇ interferon- ⁇
- TNF- ⁇ tumor necrosis factor- ⁇
- IL-1 interleukins
- the compounds of the invention affect other aspects of the innate immune response. For example, natural killer cell activity may be stimulated, an effect that may be due to cytokine induction.
- the compounds may also activate macrophages, which in turn stimulates secretion of nitric oxide and the production of additional cytokines. Further, the compounds may cause proliferation and differentiation of B-lymphocytes.
- Compounds of the invention also have an effect on the acquired immune response.
- the production of the T helper type 1 (Th1) cytokine IFN- ⁇ is induced indirectly and the production of the T helper type 2 cytokines IL-4, IL-5 and IL-13 are inhibited upon administration of the compounds.
- This activity means that the compounds are useful in the treatment of diseases where upregulation of the Th1 response and/or downregulation of the Th2 response is desired.
- the compounds are expected to be useful in the treatment of atopic diseases, e.g., atopic dermatitis, asthma, allergy, allergic rhinitis; systemic lupus erythematosis; as a vaccine adjuvant for cell mediated immunity; and possibly as a treatment for recurrent fungal diseases and chlamydia.
- atopic diseases e.g., atopic dermatitis, asthma, allergy, allergic rhinitis; systemic lupus erythematosis; as a vaccine adjuvant for cell mediated immunity; and possibly as a treatment for recurrent fungal diseases and chlamydia.
- the immune response modifying effects of the compounds make them useful in the treatment of a wide variety of conditions. Because of their ability to induce the production of cytokines such as IFN- ⁇ and/or TNF- ⁇ , the compounds are particularly useful in the treatment of viral diseases and tumors.
- This immunomodulating activity suggests that compounds of the invention are useful in treating diseases such as, but not limited to, viral diseases including genital warts; common warts; plantar warts; Hepatitis B; Hepatitis C; Herpes Simplex Virus Type I and Type II; molluscum contagiosum; HIV; CMV; VZV; intraepithelial neoplasias such as cervical intraepithelial neoplasia; human papillomavirus (HPV) and associated neoplasias; fungal diseases, e.g.
- viral diseases including genital warts; common warts; plantar warts; Hepatitis B; Hepatitis C; Herpes Simplex Virus Type I and Type II; molluscum contagiosum; HIV; CMV; VZV; intraepithelial neoplasias such as cervical intraepithelial neoplasia; human papillomavirus (HP
- neoplastic diseases e.g., basal cell carcinoma, hairy cell leukemia, Kaposi's sarcoma, renal cell carcinoma, squamous cell carcinoma, myelogenous leukemia, multiple myeloma, melanoma, non-Hodgkin's lymphoma, cutaneous T-cell lymphoma, and other cancers
- parasitic diseases e.g., basal cell carcinoma, hairy cell leukemia, Kaposi's sarcoma, renal cell carcinoma, squamous cell carcinoma, myelogenous leukemia, multiple myeloma, melanoma, non-Hodgkin's lymphoma, cutaneous T-cell lymphoma, and other cancers
- parasitic diseases e.g.
- pneumocystis carnii pneumocystis carnii , cryptosporidiosis, histoplasmosis, toxoplasmosis, trypanosome infection, and leishmaniasis; and bacterial infections, e.g., tuberculosis, and mycobacterium avium .
- Additional diseases or conditions that can be treated using the compounds of the invention include eczema; eosinophilia; essential thrombocythaemia; leprosy; multiple sclerosis; Ommen's syndrome; discoid lupus; Bowen's disease; Bowenoid papulosis; and to enhance or stimulate the healing of wounds, including chronic wounds.
- the invention provides a method of inducing cytokine biosynthesis in an animal comprising administering an effective amount of a compound or composition of the invention to the animal.
- An amount of a compound effective to induce cytokine biosynthesis is an amount sufficient to cause one or more cell types, such as monocytes, macrophages, dendritic cells and B-cells to produce an amount of one or more cytokines such as, for example, IFN- ⁇ , TNF- ⁇ , IL-1, 6, 10 and 12 that is increased over the background level of such cytokines.
- the precise amount will vary according to factors known in the art but is expected to be a dose of about 100 ng/kg to about 50 mg/kg, preferably about 10 ⁇ g/kg to about 5 mg/kg.
- the invention also provides a method of treating a viral infection in an animal and a method of treating a neoplastic disease in an animal comprising administering an effective amount of a compound or composition of the invention to the animal.
- An amount effective to treat or inhibit a viral infection is an amount that will cause a reduction in one or more of the manifestations of viral infection, such as viral lesions, viral load, rate of virus production, and mortality as compared to untreated control animals.
- the precise amount will vary according to factors known in the art but is expected to be a dose of about 100 ng/kg to about 50 mg/kg, preferably about 10 ⁇ g/kg to about 5 mg/kg.
- An amount of a compound effective to treat a neoplastic condition is an amount that will cause a reduction in tumor size or in the number of tumor foci. Again, the precise amount will vary according to factors known in the art but is expected to be a dose of about 100 ng/kg to about 50 mg/kg, preferably about 10 ⁇ g/kg to about 5 mg/kg.
- N 1 -[4-(4-Amino-1H-imidazo[4,5-c]quinolin-1-yl)butyl]benzamide (1 g) was dissolved in isopropanol. Hydrochloric acid (1 eq of 12N) was added. The resulting precipitate was isolated by filtration to provide 1 g of N-[4-(4-amino-1H-imidazo[4,5-c]quinolin-1-yl)butyl]benzamide hydrochloride hydrate as a solid, m.p. 254-256° C.
- Oxalyl chloride (4.4 mL of 2M in chloroform, 8.8 mmol) was added to a suspension of 4-(chloromethyl)benzoic acid (1 g, 5.7 mmol) in dichloromethane. N,N-dimethylformamide (4 drops) was added to catalyze the reaction. After 1 hour analysis by HPLC indicated 100% clean conversion. The reaction mixture was concentrated under vacuum to provide 4-(chloromethyl)benzoyl chloride.
- 2-Hydroxy-1H-benzimidazole (62 g, 0.46 mole) was added to phosphorous oxychloride (200 mL) and the mixture was refluxed for 4.5 hours. The resulting solution was poured over 4 L of ice and the mixture was made strongly basic with ammonium hydroxide. The resulting solid was isolated by filtration, washed with water and dried to provide crude 2-chloro-1H-benzimidazole.
- Methyl 4-[(2-pyrrolidinyl-1H-benzimidazol-1yl)methyl]benzoate (2.5 g, 7.5 mmol) was added to a solution of sodium hydroxide (1.8 g, 45 mmol) in water (30 mL) and methanol (10 mL). The mixture was heated on a steam bath until all of the ester dissolved. Heating was continued for an additional 15 minutes and then the solution was diluted with an equal volume of water and neutralized with hydrochloric acid. The resulting precipitate was isolated by filtration, washed with water and dried to provide 1.9 g of crude product.
- Oxalyl chloride (4 mL) was added to a suspension of 4-[(2-pyrrolidinyl-1H-benzimidazol-1yl)methyl]benzoic acid (0.28 g, 0.872 mmol) in chloroform (50 mL). The mixture was heated at reflux for 1 hour and then concentrated under vacuum. The residue was diluted with toluene, concentrated under vacuum and then dried under vacuum at ambient temperature over the weekend to provide crude 4-[(2-pyrrolidinyl-1H-benzimidazol-1yl)methyl]benzoyl chloride.
- the dichloromethane extract was purified by column chromatography (silica gel eluting with 5-10% methanol in dichloromethane) to provide N 1 -[4-(4-amino-1H-imidazo[4,5-c]quinolin-1-yl)butyl]-4-[(2-tetrahydro-1H -1-pyrrolyl-1H-benzo[d]imidazol-1-yl)methyl]benzamide as a solid, m.p. 150-153° C. MS (EI) m/e 558.2865 (558.2855 calcd for C 33 H 34 N 8 O).
- Triethylamine (1 eq.) was added to a suspension of 4-chloro-3-nitroquinoline hydrochloride (13 g, 53 mmol) in chloroform.
- a suspension of N-(5-aminopentyl)benzamide (11 g, 53 mmol) in chloroform was added and the reaction mixture was heated to reflux. Progress of the reaction was monitored by HPLC. The reaction mixture was concentrated under vacuum. The residue was diluted with toluene, heated to reflux and then filtered while still hot. The filtrate was allowed to cool.
- Benzamide (25 g, 0.20 mol) and 1,3-diaminopropane (45.9 g, 0.60 mol) were combined in a Parr vessel and heated to 150° C. for 15 hours. The vessel was cooled and the reaction mixture was concentrated under vacuum to remove excess diamine. The residue was dissolved in water (500 mL) and concentrated hydrochloric acid was added to adjust the pH to ⁇ 1. The resulting precipitate (starting benzamide and diacylated product) was removed by filtration. The filtrate was washed with dichloromethane. The aqueous layer was made strongly basic by the addition of 50% sodium hydroxide and then it was extracted with dichloromethane (4 ⁇ 300 mL). The extracts were combined, washed with brine (300 mL), dried over sodium sulfate and then concentrated under vacuum to provide 11.9 g of N-(3-aminopropyl)benzamide as an oil.
- Triethylamine (9.3 mL, 67 mmol) was added to a mixture of 4-chloro-3-nitroquinoline hydrochloride (16.4 g, 67 mmol) and dichloromethane (400 mL).
- a solution of N-(3-aminopropyl)benzamide (11.9 g, 67 mmol) in dichloromethane (100 mL) was added all a once.
- the reaction mixture was stirred at ambient temperature for 1 hour and then heated on a steam bath for 1 hour.
- the resulting precipitate was isolated by filtration to provide 6 g of N 1 - ⁇ 3-[(3-nitroquinolin-4-yl)amino]propyl ⁇ benzamide as a yellow solid, m.p.
- Carbonyl diimidazole (18.6 g, 0.115 mol) was added to a suspension of 6-chloronicotinic acid (16.6 g, 0.105 mol) in dichloromethane (250 mL). After all of the solid had dissolved the reaction solution was stirred at ambient temperature for 1 hour and then isopropyl alcohol (100 mL) was added. The dichloromethane was removed under vacuum. A catalytic amount of sodium isopropoxide was added to the solution and the solution was heated at reflux for 1 hour. The solution was then concentrated under vacuum. The resulting residue was slurried with water and then extracted with diethyl ether. The extract was dried over magnesium sulfate and then concentrated under vacuum to provide 23.9 g of isopropyl 6-chloronicotinate.
- the isopropyl 6-morpholinonicotinate was combined with 1 N sodium hydroxide (40 mL) and the resulting suspension was stirred at 50-60° C. until all of the solid had dissolved. The solution was stirred at ambient temperature overnight during which time a precipitate formed. This material was isolated by filtration and identified as starting material. The filtrate was neutralized with concentrated hydrochloric acid. The resulting precipitate was isolated by filtration, washed with water and dried to provide 3.3 g of crude product. This material was recrystallized from methanol/dichloromethane to provide 6-morpholinonicotinic acid as a solid, m.p. 259-261° C. Analysis: Calculated for C 10 H 12 N 2 O 3 : % C, 57.19; % H, 5.81; % N, 13.48; Found: % C, 57.50; % H, 5.71; % N, 13.53.
- N,N-Dimethylformamide (1 mL) was slowly added to a solution of oxalyl chloride (0.13 g, 1 mmol) in chloroform (5 mL). 6-Morpholinonicotinic acid (0.21 g, 1 mmol) was added and the reaction mixture was stirred for 15 minutes. The reaction mixture was concentrated under vacuum, diluted with toluene and then concentrated under vacuum to provide 6-morpholinonicotinoyl chloride. This material was kept under vacuum at ambient temperature overnight and then used in the next step.
- the acid chloride from Part C was dissolved in pyridine (20 mL) and then added all at once to a warm solution of 1-(4-aminobutyl)-1H-imidazo[4,5-c]quinolin-4-amine (0.25 g, 1 mmol) in pyridine (25 mL).
- the reaction mixture was concentrated under vacuum at 40° C. to remove the pyridine.
- the resulting residue was combined with water and 1N sodium hydroxide (25 mL).
- the mixture was extracted with dichloromethane. The extract was concentrated under vacuum.
- Triethylamine (66.8 g, 0.33 mol) was added to a solution of tert-butyl N-(2-aminoethyl)carbamate (55.0 g, 0.34 mol) in anhydrous dichloromethane (500 mL). 4-Chloro-3-nitroquinoline was slowly added and the reaction exothermed. The reaction mixture was allowed to stir at ambient temperature overnight. The resulting precipitate was isolated by filtration to provide product as a yellow solid. The filtrate was washed with water, dried over magnesium sulfate and then concentrated under vacuum. The resulting residue was slurried with hexane and filtered to provide additional product as a yellow solid. The two crops were combined to provide 10 g of tert-butyl N-[2-(3-nitroquinolin-4-yl)aminoethyl]carbamate as a yellow solid, m.p. 157-158.
- Triethyl orthoformate (11.3 g, 73.4 mmol) was added to a solution of tert-butyl N-[2-(3-aminoquinolin-4-yl)aminoethyl]carbamate (21 g, 69.4 mmol) in anhydrous toluene (250 mL). The reaction mixture was heated at reflux for 5 hours and then allowed to slowly cool to ambient temperature. The resulting precipitate was isolated by filtration and dried to provide 17.6 g of tert-butyl N-[2-(1H-imidazo[4,5-c]quinolin-1-yl)ethyl]carbamate as a light tan solid, m.p. 154-155° C.
- N 1 - ⁇ 3-[(3-nitroquinolin-4-yl)amino]propyl ⁇ benzamide (2.0 g, 5.7 mmol) was reduced to the diamine and then reacted with triethylorthoacetate to provide 0.74 g of N 1 -[3-(2-methyl-1H-imidazo[4,5-c]quinolin-1-yl)propyl]benzamide as a sticky dark yellow solid.
- Example 11 Part D Using the general method of Example 11 Part D, the material from Part A was oxidized to provide 0.35 g of 1-(3-benzamidopropyl)-2-methyl-1H-imidazo[4,5-c]quinoline-5N-oxide as a solid.
- D-biotinyl N-hydroxysuccinimide (0.57 g, 1.67 mmol) was added to a solution of 1-(4-aminobutyl)-2-butyl-1H-imidazo[4,5-c]quinolin-4-amine (0.52 g, 1.67 mmol) in pyridine (25 mL). The reaction was maintained at ambient temperature overnight and then concentrated to dryness. The residue was partitioned between dichloromethane and aqueous saturated potassium carbonate.
- N-hydroxysuccinimidobiotin (0.6 g, 1.76 mmol) was reacted with 1-(2-aminoethyl)-1H-imidazo[4,5-c]quinolin-4-amine (0.4 g, 1.76 mmol) to provide 0.6 g of N 1 -[2-(4-amino-1H-imidazo[4,5-c]quinolin-1-yl)ethyl]-5-(2-oxoperhydrothieno[3,4-d]imidazol-4-yl)pentanamide as a solid, m.p. 169° C.
- Triethylamine (1.2 g, 11.4 mmol) was added in a single portion to a slurry of 1-(2-aminoethyl)-2-(ethoxymethyl)-1H-imidazo[4,5-c]quinolin-4-amine hydrochloride (3.39 g, 10.53 mmol) in chloroform (150 mL). The reaction mixture became clear. N-hydroxysuccinimidobiotin (3.0 g, 8.79 mmol) was then slowly added. After 2 hours the turbid reaction mixture was heated to reflux. The reaction mixture was maintained at reflux overnight and became clear. The reaction mixture was allowed to cool to ambient temperature and then it was quenched with water. The layers were separated.
- Example 14 1-(4-aminobutyl)-1H-imidazo[4,5-c]quinolin-4-amine and 2-ethoxy-1-naphthoyl chloride were combined to provide N 1 -[4-(4-amino-1H-imidazo[4,5-c]quinolin-1-yl)butyl]-2-ethoxy-1-naphthamide as a white powder, m.p. 219° C. (decomposition).
- Example 14 According to the general method of Example 14, 1-(4-aminobutyl)-1H-imidazo[4,5-c]quinolin-4-amine and 1-naphthoyl chloride were combined to provide N 1 -[4-(4-amino-1H-imidazo[4,5-c]quinolin-1-yl)butyl]-1-naphthamide as an off white powder, m.p. 174.5° C. (decomposition).
- Example 14 According to the general method of Example 14, 1-(4-aminobutyl)-1H-imidazo[4,5-c]quinolin-4-amine and quinoline-3-carbonyl chloride were combined to provide N 3 -[4-(4-amino-1H-imidazo[4,5-c]quinolin-1-yl)butyl]-3-quinolinecarboxamide as a white crystalline solid, m.p. 116.0-118.0° C. (decomposition).
- Example 14 1-(4-aminobutyl)-1H-imidazo[4,5-c]quinolin-4-amine and 1-benzylindole-3-carbonyl chloride were combined to provide N 3 -[4-(4-amino-1H-imidazo[4,5-c]quinolin-1-yl)butyl]-1-benzyl-1H-3-indolecarboxamide as a white powder, m.p. 139.0° C. (decomposition).
- Example 14 According to the general method of Example 14, 1-(4-aminobutyl)-1H-imidazo[4,5-c]quinolin-4-amine and quinoline-8-carbonyl chloride were combined to provide N 8 -[4-(4-amino-1H-imidazo[4,5-c]quinolin-1-yl)butyl]-8-quinolinecarboxamide as a tan powder, m.p. 91.0-93.0° C.
- Example 14 According to the general method of Example 14, 1-(4-aminobutyl)-1H-imidazo[4,5-c]quinolin-4-amine and nicotinoyl chloride hydrochloride were combined to provide N 3 -[4-(4-amino-1H-imidazo[4,5-c]quinolin-1-yl)butyl]nicotinamide as a white powder, m.p. 188.6-189.5° C.
- Example 14 According to the general method of Example 14, 1-(4-aminobutyl)-1H-imidazo[4,5-c]quinolin-4-amine and quinoline-4-carbonyl chloride were combined to provide N 4 -[4-(4-amino-1H-imidazo[4,5-c]quinolin-1-yl)butyl]-4-quinolinecarboxamide as a white crystalline solid, m.p. 214.5-215.2° C.
- Example 14 According to the general method of Example 14, 1-(4-aminobutyl)-1H-imidazo[4,5-c]quinolin-4-amine and 6-cyanopyridine-3-carbonyl chloride were combined to provide N 3 -[4-(4-amino-1H-imidazo[4,5-c]quinolin-1-yl)butyl]-6-cyanonicotinamide as an off white powder, m.p. 125.0-129.0° C.
- Example 14 1-(4-aminobutyl)-1H-imidazo[4,5-c]quinolin-4-amine and 6-chloropyridine-3-carbonyl chloride were combined to provide N 3 -[4-(4-amino-1H-imidazo[4,5-c]quinolin-1-yl)butyl]-6-chloronicotinamide as an off white crystalline solid, m.p. 144.0-148.0° C. (decomposition).
- Example 14 1-(4-aminobutyl)-1H-imidazo[4,5-c]quinolin-4-amine and 6-(2,2,2-trifluoroethoxy)pyridine-3-carbonyl chloride were combined to provide N 3 -[4-(4-amino-1H-imidazo[4,5-c]quinolin-1-yl)butyl]-6-(2,2,2-trifluoroethoxy)nicotinamide as a white crystalline solid, m.p. 192.0-194.0° C. (decomposition).
- Example 50 According to the general method of Example 50, 1-(4-aminobutyl)-2-(2-methoxyethyl)-1H-imidazo[4,5-c]quinolin-4-amine and isoquinoline-1-carboxylic acid were combined to provide N 1 - ⁇ 4-[4-amino-2-(2-methoxyethyl)-1H-imidazo[4,5-c]quinolin-1-yl]butyl ⁇ -1-isoquinolinecarboxamide as a yellow crystalline solid, m.p. 61.0-63.0° C.
- Example 50 According to the general method of Example 50, 1-(4-aminobutyl)-2-(2-methoxyethyl)-1H-imidazo[4,5-c]quinolin-4-amine and fusaric acid were combined to provide N 2 - ⁇ 4-[4-amino-2-(2-methoxyethyl)-1H-imidazo[4,5-c]quinolin-1-yl]butyl ⁇ -5-butyl-2-pyridinecarboxamide as a tan solid, m.p. 54.9-55.2° C.
- Example 50 According to the general method of Example 50, 1-(4-aminobutyl)-2-(2-methoxyethyl)-1H-imidazo[4,5-c]quinolin-4-amine and indole-3-carboxylic acid were combined to provide N 3 - ⁇ 4-[4-amino-2-(2-methoxyethyl)-1H-imidazo[4,5-c]quinolin-1-yl]butyl ⁇ -3-indolecarboxamide as a white powder, m.p. 225.5-227.4° C.
- Example 50 According to the general method of Example 50, 1-(4-aminobutyl)-2-(2-methoxyethyl)-1H-imidazo[4,5-c]quinolin-4-amine and 4-(1-pyrrolyl)benzoic acid were combined to provide N 1 - ⁇ 4-[4-amino-2-(2-methoxyethyl)-1H-imidazo[4,5-c]quinolin-1-yl]butyl ⁇ -4-(1-pyrrolyl)benzamide as an off white powder, m.p. 173.0-174.9° C.
- Example 50 According to the general method of Example 50, 1-(4-aminobutyl)-2-(2-methoxyethyl)-1H-imidazo[4,5-c]quinolin-4-amine and 2-pyrrolopyridine-5-carboxylic acid were combined to provide N 3 - ⁇ 4-[4-amino-2-(2-methoxyethyl)-1H-imidazo[4,5-c]quinolin-1-yl]butyl ⁇ -6-(1-pyrrolyl)nicotinamide as a yellow crystalline solid, m.p. 77.0-80.0° C.
- Example 50 According to the general method of Example 50, 1-(4-aminobutyl)-2-(2-methoxyethyl)-1H-imidazo[4,5-c]quinolin-4-amine and indole-5-carboxylic acid were combined to provide N 5 - ⁇ 4-[4-amino-2-(2-methoxyethyl)-1H-imidazo[4,5-c]quinolin-1-yl]butyl ⁇ -5-indolecarboxamide as an off white solid.
- Example 50 According to the general method of Example 50, 1-(4-aminobutyl)-2-(2-methoxyethyl)-1H-imidazo[4,5-c]quinolin-4-amine and 5-(phenylethynyl)pyridine-3-carboxylic acid were combined to provide N 5 - ⁇ 4-[4-amino-2-(2-methoxyethyl)-1H-imidazo[4,5-c]quinolin-1-yl]butyl ⁇ -5-(2-phenyl-1-ethynyl)nicotinamide as a yellow solid, m.p. 76.0-78.0° C.
- Triethylamine (7.26 g, 71.7 mmol) was added to a solution of the material from Part A in ethanol (200 mL) and heated at reflux for 2 days. The reaction mixture was concentrated to provide an orange syrup. HPLC mass spec analysis showed that the syrup contained the desired product and starting material. The syrup was taken up in dichloromethane (100 mL) and then cooled in an ice bath. Triethylamine (5 mL) and benzoyl chloride (1.9 mL) were added. The reaction mixture was maintained at ambient temperature for 2 days at which time analysis by HPLC indicated that the reaction was not complete. The reaction mixture was concentrated under vacuum. The residue was taken up in isopropyl alcohol (150 mL).
- Triethylamine (5 mL) was added and the reaction mixture was heated at reflux overnight. The reaction mixture was concentrated under vacuum. The residue was purified by flash chromatography (silica gel; eluting with 10% methanol in dichloromethane). The fractions containing product were combined and concentrated under vacuum. The residue was recrystallized from acetonitrile to provide 6.7 g of tert-butyl N-[4-(2-phenyl-1H-imidazo[4,5-c]quinolin-1-yl)butyl]carbamate as a solid, m.p. 158-159° C.
- the material from Part D was dissolved in methanol (15 mL) and 1 N hydrochloric acid (100 mL) and then heated at reflux for 2 hours.
- the reaction mixture was concentrated under vacuum to a volume of about 50 mL. Addition of concentrated ammonium hydroxide to pH 12 did not produce a precipitate.
- the pH was adjusted to 7 with 1 N hydrochloric acid.
- the mixture was extracted with dichloromethane and then with ethyl acetate.
- the aqueous layer was concentrated to dryness.
- the residue was dissolved in water (50 mL) and then extracted continuously with refluxing chloroform for 36 hours.
- the chloroform extract was concentrated under vacuum to provide a light tan solid.
- Example 61 According to the general method of Example 61, 1-(4-aminobutyl)-2-phenyl-1H-imidazo[4,5-c]quinolin-4-amine and nicotinoyl chloride hydrochloride were combined to provide N 3 -[4-(4-amino-2-phenyl-1H-imidazo[4,5-c]quinolin-1-yl)butyl]nicotinamide as a white crystalline solid, m.p. 84.5-86.1° C.
- Example 61 According to the general method of Example 61, 1-(4-aminobutyl)-2-phenyl-1H-imidazo[4,5-c]quinolin-4-amine and quinoline-2-carbonyl chloride were combined to provide N 2 -[4-(4-amino-2-phenyl-1H-imidazo[4,5-c]quinolin-1-yl)butyl]-2-quinolinecarboxamide as an off white crystalline solid, m.p. 81.1-83.9° C.
- the compounds were purified by eluting through a short plug of silica gel with 10:1 dichloromethane-methanol, collecting ca. 1 mL fractions and pooling the product fractions (fractions analyzed by tlc in 9:1 dichloromethane-methanol to identify product).
- Compounds were analyzed by 500 MHz 1 H nmr and APCI-MS (plug injection or an LC/MS protocol).
- the semi-prep hplc fractions were analyzed by reversed-phase hplc and the appropriate fractions were dried in vacuo to provide the compound as a trifluoroacetate salt.
- the compound was dissolved in ca. 3-5 mL of 2:1 dichloromethane-methanol and shaken with ca. 80 mg (300 ⁇ mol) of diisopropylaminomethyl-polystyrene resin (Argonaut PS-DIEA, 3.86 mmol/g) for 1-2 h to liberate the free amine, and then filtered and dried in vacuo to give the compound as an amorphous solid.
- Each amine product was analyzed by LC/APCI-MS.
- the semi-prep HPLC fractions were analyzed by LC-APCI/MS and the appropriate fractions were combined and lyophilized to provide the trifluoroacetate salt of the desired amide.
- the compounds were analyzed by LC-MS (APCI).
- the semi-prep HPLC fractions were analyzed by LC-APCI/MS and the appropriate fractions were combined and lyophilized to provide the trifluoroacetate salt of the desired secondary amine.
- the compounds were analyzed by LC-MS (APCI).
- the secondary amines from Part A (about 3-30 ⁇ mol as the di-trifluoroacetate salt) were each dissolved in 1 mL of pyridine, and about 10 equivalents of a 0.1 M solution of acetic anhydride in dichloromethane was added. The mixtures were allowed to stand for 1 hour and then 200 ⁇ L of methanol was added. The mixtures were evaporated to dryness in a vacuum centrifuge. The mixtures were purified by semi-preparative reversed-phase HPLC as in Part A. The compounds were analyzed by LC-MS (APCI).
- the semi-prep HPLC fractions were analyzed by LC-APCI/MS and the appropriate fractions were combined and lyophilized to provide the trifluoroacetate salt of the desired amide.
- the semi-prep HPLC fractions were analyzed by LC-APCI/MS and the appropriate fractions were combined and lyophilized to provide the trifluoroacetate salt of the desired amide.
- a catalytic amount of platinum (IV) oxide was added toga solution of 1-(4-aminobutyl)-2-methoxyethyl-1H-imidazo[4,5-c]quinolin-4-amine (7.7 g, 24.5 mmol) in trifluoroacetic acid (250 mL).
- the reaction mixture was hydrogenated at 50 psi (3.44 ⁇ 10 5 Pa) on a Parr apparatus. The progress of the reaction was monitored by LC/MS. Additional catalyst was added 7, 11, and 17 days after the start of the reaction. After 25 days the reaction was complete.
- the reaction mixture was filtered through a layer of Celite® filter aid to remove the catalyst and the filtrate was concentrated under vacuum.
- Example 181 1-(4-aminobutyl)-2-(2-methoxyethyl)-1H-imidazo[4,5-c]quinolin-4-amine (2.0 g, 6.37 mmol) was reacted with quinoline-3-carboxylic acid (1.33 g, 7.66 mmol) to provide 850 mg of N- ⁇ 4-[4-amino-2-(2-methoxyethyl)-1H-imidazo[4,5-c]quinolin-1-yl]butyl ⁇ quinoline-3-carboxamide as a yellow solid, m.p. 114-116° C.
- Example 181 1-(4-aminobutyl)-2-(2-methoxyethyl)-1H-imidazo[4,5-c]quinolin-4-amine (400 mg, 1.28 mmol) was reacted with trans-4-cotinecarboxylic acid (338 mg, 1.54 mmol) to provide 25 mg of (2S,3S)—N- ⁇ 4-[4-amino-2-(2-methoxyethyl)-1H-imidazo[4,5-c]quinolin-1-yl]butyl) ⁇ -1-methyl-5-oxo-2-pyridin-3-ylpyrrolidine-3-carboxamide as a light gray powder.
- Example 181 1-(4-aminobutyl)-2-(2-methoxyethyl)-1H-imidazo[4,5-c]quinolin-4-amine (400 mg, 1.28 mmol) was reacted with N-(4-tert-butylphenylsulfonyl)-L-proline (477 mg, 1.53 mmol) to provide 123 mg of N- ⁇ 4-[4-amino-2-(2-methoxyethyl)-1H-imidazo[4,5-c]quinolin-1-yl]butyl ⁇ -1-[(4-tert-butylphenyl)sulfonyl]-L-prolinamide as a brown oil.
- the material was dissolved in dichloromethane, methanol and toluene. The solution was concentrated under vacuum. The material was purified by column chromatography (60 g silica gel eluting with 7.5% methanol in dichloromethane) and then dried in a vacuum oven at 50° C. for 2 days to provide 0.82 g of N- ⁇ 3-[4-amino-2-(2-methoxyethyl)-1H-imidazo[4,5-c]quinolin-1-yl]-2,2-dimethylpropyl ⁇ benzamide as an off white powder, m.p. 103-125° C.
- Benzoyl chloride (1.03 g, 5.86 mmol) was added to a refluxing solution of 1-(3-aminopropyl)-2-(3-phenoxypropyl)-1H-imidazo[4,5-c]quinolin-4-amine (2.0 g, 5.32 mmol) and triethylamine (1.11 mL, 7.98 mmol) in chloroform (150 mL).
- aqueous 1% sodium carbonate solution The layers were separated. The organic layer was washed with aqueous 1% sodium carbonate solution (2 ⁇ 100 mL). The aqueous layers were combined and then extracted with chloroform (2 ⁇ 30 mL).
- Benzoyl chloride (900 mg, 6.40 mmol) was added in a single portion to a cooled (0° C.) solution of 1-(3-aminopropyl)-2-(2-methoxyethyl)-6,7,8,9-tetrahydro-1H-imidazo[4,5-c]quinolin-4-amine (1.9 g, 6.26 mmol) and triethylamine (2 mL) in 1-methyl-2-pyrrolidinone (100 mL). When analysis by HPLC indicated that the reaction was complete, it was diluted with diethyl ether (1 L). The product was salted out by adding 3.3 eq. of a 1.0 M solution of hydrochloric acid in diethyl ether.
- Example 186 Using the general method of Example 186 except that chloroform was used as the solvent, 1-(3-aminopropyl)-2-(2-methoxyethyl)-1H-imidazo[4,5-c]quinolin-4-amine (1.50 g, 5.01 mmol) was reacted with benzoyl chloride (972 mg, 5.55 mmol) to provide 700 mg of N- ⁇ 3-[4-amino-2-(2-methoxyethyl)-1H-imidazo[4,5-c]quinolin-1-yl]propyl ⁇ benzamide as a white solid, m.p. 183.0-186.0° C.
- Example 195 Using the general method of Example 195 except that the acid chloride was added in a dropwise fashion, 1-(3-aminopropyl)-2-methyl-1H-imidazo[4,5-c]quinolin-4-amine (2.00 g, 7.83 mmol) was reacted with cyclohexanecarbonyl chloride (1.14 g, 7.83 mmol) to provide 1.34 g of N-[3-(4-amino-2-methyl-1H-imidazo[4,5-c]quinolin-1-yl)propyl]cyclohexanecarboxamide as a white powder, m.p. 234.4-235.4° C. Analysis: Calculated for C 21 H 27 N 5 O: % C, 69.01; % H, 7.45; % N, 19.16; Found: % C, 68.70; % H, 7.39; % N, 19.24.
- PBMCs Peripheral blood mononuclear cells
- Histopaque®—1077 Sigma Chemicals, St. Louis, Mo.
- the PBMCs are suspended at 3-4 ⁇ 10 6 cells/mL in RPMI 1640 medium containing 10% fetal bovine serum, 2 mM L-glutamine and 1% penicillin/streptomycin solution (RPMI complete).
- RPMI complete penicillin/streptomycin solution
- the PBMC suspension is added to 48 well flat bottom sterile tissue culture plates (Costar, Cambridge, Mass. or Becton Dickinson Labware, Lincoln Park, N.J.) containing an equal volume of RPMI complete media containing test compound.
- the compounds are solubilized in dimethyl sulfoxide (DMSO).
- DMSO dimethyl sulfoxide
- the DMSO concentration should not exceed a final concentration of 1% for addition to the culture wells.
- test compound is added at 60 ⁇ M to the first well containing RPMI complete and serial (three fold or ten fold) dilutions are made.
- the PBMC suspension is then added to the wells in an equal volume, bringing the test compound concentrations to the desired range.
- the final concentration of PBMC suspension is 1.5 ⁇ 2 ⁇ 10 6 cells/mL.
- the plates are covered with sterile plastic lids, mixed gently and then incubated for 18 to 24 hours at 37° C. in a 5% carbon dioxide atmosphere.
- Interferon is determined by bioassay using A549 human lung carcinoma cells challenged with encephalomyocarditis.
- the details of the bioassay method have been described by G. L. Brennan and L. H. Kronenberg in “Automated Bioassay of Interferons in Micro-test Plates”, Biotechniques, June/July, 78, 1983, incorporated herein by reference. Briefly stated the method is as follows: A549 cells are incubated with dilutions of samples or a standard interferon at 37° C. for 24 hours. The incubated cells are then infected with an inoculum of encephalomyocarditis virus. The infected cells are incubated for an additional 24 hours at 37° C.
- the viral cytopathic effect is quantified by staining with crystal violet followed by visual scoring of the plates. Results are expressed as alpha reference units/mL based on the value obtained for NIH Human Leukocyte IFN standard.
- Interferon ( ⁇ ) concentration is determined by ELISA using a Human Multi-Species kit from PBL Biomedical Laboratories, New Brunswick, N.J.
- Tumor necrosis factor ( ⁇ ) (TNF) concentration is determined using ELISA kits available from Genzyme, Cambridge, Mass.; R&D Systems, Minneapolis, Minn.; or Pharmingen, San Diego, Calif.
- the table below lists the lowest concentration found to induce interferon and the lowest concentration found to induce tumor necrosis factor for each compound.
- a “**” indicates that no induction was seen at any of the tested concentrations (0.12, 0.37, 1.11, 3.33, 10 and 30 ⁇ M).
- a “***” indicates that no induction was seen at any of the tested concentrations (0.0001, 0.001, 0.01, 0.1, 1 and 10 ⁇ M).
- the interferon biosynthesis was determined by ELISA.
Landscapes
- Health & Medical Sciences (AREA)
- Chemical & Material Sciences (AREA)
- Organic Chemistry (AREA)
- Veterinary Medicine (AREA)
- Life Sciences & Earth Sciences (AREA)
- General Health & Medical Sciences (AREA)
- Public Health (AREA)
- Pharmacology & Pharmacy (AREA)
- Animal Behavior & Ethology (AREA)
- Medicinal Chemistry (AREA)
- Nuclear Medicine, Radiotherapy & Molecular Imaging (AREA)
- General Chemical & Material Sciences (AREA)
- Chemical Kinetics & Catalysis (AREA)
- Engineering & Computer Science (AREA)
- Bioinformatics & Cheminformatics (AREA)
- Tropical Medicine & Parasitology (AREA)
- Oncology (AREA)
- Pulmonology (AREA)
- Communicable Diseases (AREA)
- Hematology (AREA)
- Immunology (AREA)
- Dermatology (AREA)
- Epidemiology (AREA)
- Diabetes (AREA)
- Biomedical Technology (AREA)
- Neurology (AREA)
- Neurosurgery (AREA)
- Otolaryngology (AREA)
- Virology (AREA)
- Gastroenterology & Hepatology (AREA)
- Pharmaceuticals Containing Other Organic And Inorganic Compounds (AREA)
Abstract
Imidazoquinoline and tetrahydroimidazoquinoline compounds that contain amide functionality at the 1-position are useful as immune response modifiers. The compounds and compositions of the invention can induce the biosynthesis of various cytokines and are useful in the treatment of a variety of conditions including viral diseases and neoplastic diseases.
Description
- This invention relates to imidazoquinoline compounds that have an amide containing substituent at the 1-position, and to pharmaceutical compositions containing such compounds. A further aspect of this invention relates to the use of these compounds as immunomodulators, for inducing cytokine biosynthesis in animals, and in the treatment of diseases, including viral and neoplastic diseases.
- The first reliable report on the 1H-imidazo[4,5-c]quinoline ring system, Backman et al., J. Org. Chem. 15, 1278-1284 (1950) describes the synthesis of 1-(6-methoxy-8-quinolinyl)-2-methyl-1H-imidazo[4,5-c]quinoline for possible use as an antimalarial agent. Subsequently, syntheses of various substituted 1H-imidazo[4,5-c]quinolines were reported. For example, Jain et al., J. Med. Chem. 11, pp. 87-92 (1968), synthesized the compound 1-[2-(4-piperidyl)ethyl]-1H-imidazo[4,5-c]quinoline as a possible anticonvulsant and cardiovascular agent. Also, Baranov et al., Chem. Abs. 85, 94362 (1976), have reported several 2-oxoimidazo[4,5-c]quinolines, and Berenyi et al., J. Heterocyclic Chem. 18, 1537-1540 (1981), have reported certain 2-oxoimidazo[4,5-c]quinolines.
- Certain 1H-imidazo[4,5-c]quinolin-4-amines and 1- and 2-substituted derivatives thereof were later found to be useful as antiviral agents, bronchodilators and immunomodulators. These are described in, inter alia, U.S. Pat. Nos. 4,689,338; 4,698,348; 4,929,624; 5,037,986; 5,268,376; 5,346,905; and 5,389,640, all of which are incorporated herein by reference.
- There continues to be interest in the imidazoquinoline ring system. For example, EP 894 797 describes imidazoquinoline compounds that bear an amide containing substituent at the 1-position. The active compounds of this series require a terminal amine substituent that may be incorporated into a heterocyclic ring. As another example, WO 00/09506 describes imidazopyridine and imidazoquinoline compounds that may have an amide or urea containing substituent at the 1-position. The compounds described in this publication as having utility contain a 1-substituent wherein the amide or urea nitrogen is part of a heterocyclic ring. Despite these attempts to identify compounds that are useful as immune response modifiers, there is a continuing need for compounds that have the ability to modulate the immune response, by induction of cytokine biosynthesis or other mechanisms.
- We have found a new class of compounds that are useful in inducing cytokine biosynthesis in animals. Accordingly, this invention provides imidazoquinoline-4-amine and tetrahydroimidazoquinoline-4-amine compounds that have an amide containing substituent at the 1-position. The compounds which have been found to be useful inducers of cytokine biosynthesis are defined by Formulae (I), (Ia), and (Ib), which are defined in more detail infra. These compounds share the general structural formula (I):
- wherein R1, R2, and R are as defined herein for each class of compounds having formulas (I), (Ia), and (Ib). The invention also provides novel compounds of formulas (Ic), (Id), and (Ie) as defined herein, which compounds are also useful as immune response modifiers and which also have the same general structural formula (I) above.
- The compounds of Formulae (I), (Ia), (Ib), (Ic), (Id), and (Ie) are useful as immune response modifiers due to their ability to induce cytokine biosynthesis and otherwise modulate the immune response when administered to animals. This makes the compounds useful in the treatment of a variety of conditions such as viral diseases and tumors that are responsive to such changes in the immune response.
- The invention further provides pharmaceutical compositions containing the immune response modifying compounds, and methods of inducing cytokine biosynthesis in an animal, treating a viral infection in an animal, and/or treating a neoplastic disease in an animal by administering a compound of Formula (I), (Ia), (Ib), (Ic), (Id), or (Ie) to the animal.
- In addition, methods of synthesizing the compounds of the invention and intermediates useful in the synthesis of these compounds are provided.
- As mentioned earlier, we have found that certain compounds induce cytokine biosynthesis and modify the immune response in animals. Such compounds are represented by Formulae (I), (Ia), (Ib), (Ic), (Id), and (Ie), as shown below.
- The invention provides pharmaceutical compositions containing a therapeutically effective amount of a compound of Formula (I):
- wherein
- R1 is -alkyl-NR3—CO—R4 or -alkenyl-NR3—CO—R4 wherein R4 is aryl, heteroaryl, alkyl or alkenyl, each of which may be unsubstituted or substituted by one or more substituents selected from the group consisting of:
-
- -alkyl;
- -alkenyl;
- -alkynyl;
- -(alkyl)0-1-aryl;
- -(alkyl)0-1-(substituted aryl);
- -(alkyl)0-1-heteroaryl;
- -(alkyl)0-1-(substituted heteroaryl);
- —O-alkyl;
- —O-(alkyl)0-1-aryl;
- —O-(alkyl)0-1-substituted aryl);
- —O-(alkyl)0-1-heteroaryl;
- —O-(alkyl)0-1-(substituted heteroaryl);
- —CO-aryl;
- —CO-(substituted aryl);
- —CO-heteroaryl;
- —CO-(substituted heteroaryl);
- —COOH;
- —CO—O-alkyl;
- —CO-alkyl;
- —S(O)0-2-alkyl;
- —S(O)0-2-(alkyl)0-1-aryl;
- —S(O)0-2-(alkyl)0-1-substituted aryl);
- —S(O)0-2-(alkyl)0-1-heteroaryl;
- —S(O)0-2-(alkyl)0-1-(substituted heteroaryl);
- —P(O)(OR3)2;
- —NR3—CO—O-alkyl;
- —N3;
- -halogen;
- —NO2;
- —CN;
- -haloalkyl; —O-haloalkyl; —CO-haloalkyl;
- —OH;
- —SH; and in the case of alkyl, alkenyl, or heterocyclyl, oxo;
- or R4 is
- wherein R5 is an aryl, (substituted aryl), heteroaryl, (substituted heteroaryl), heterocyclyl or (substituted heterocyclyl) group;
- R2 is selected from the group consisting of:
-
- -hydrogen;
- -alkyl;
- -alkenyl;
- -aryl;
- -(substituted aryl);
- -heteroaryl;
- -(substituted heteroaryl);
- -heterocyclyl;
- -(substituted heterocyclyl);
- -alkyl-O-alkyl;
- -alkyl-O-alkenyl; and
- -alkyl or alkenyl substituted by one or more substituents selected from the group consisting of:
- —OH;
- -halogen;
- —N(R3)2;
- —CO—N(R3)2;
- —CO—C1-10 alkyl;
- —CO—O—C1-10 alkyl;
- —N3;
- -aryl;
- -(substituted aryl);
- -heteroaryl;
- -(substituted heteroaryl);
- -heterocyclyl;
- -(substituted heterocyclyl);
- —CO-aryl; and
- —CO-heteroaryl;
- each R3 is independently selected from the group consisting of hydrogen; C1-10 alkyl-heteroaryl; C1-10 alkyl-(substituted heteroaryl); C1-10 alkyl-aryl; C1-10 alkyl-(substituted aryl) and C1-10 alkyl;
- n is 0 to 4;
- and each R present is independently selected from the group consisting of C1-10 alkyl, C1-10 alkoxy, halogen and trifluoromethyl, or a pharmaceutically acceptable salt thereof, in combination with a therapeutically effective carrier.
- The invention also provides pharmaceutical compositions comprising a therapeutically effective amount of a compound of Formula (Ia):
- wherein
- R1 is -alkyl-NR3—CO—R4 or -alkenyl-NR3—CO—R4 wherein R4 is aryl, heteroaryl, alkyl or alkenyl, each of which may be unsubstituted or substituted by one or more substituents selected from the group consisting of:
-
- -heterocyclyl;
- -(substituted heterocyclyl);
- -(alkyl)0-1-heterocyclyl;
- -(alkyl)0-1-(substituted heterocyclyl);
- —O-(alkyl)0-1-heterocyclyl;
- —O-(alkyl)0-1(substituted heterocyclyl);
- —S(O)0-2-(alkyl)0-1-heterocyclyl; and
- —S(O)0-2-(alkyl)0-1(substituted heterocyclyl);
- R2 is selected from the group consisting of:
-
- -hydrogen;
- -alkyl;
- -alkenyl;
- -aryl;
- -(substituted aryl);
- -heteroaryl;
- -(substituted heteroaryl);
- -heterocyclyl;
- -(substituted heterocyclyl);
- -alkyl-O-alkyl;
- -alkyl-O-alkenyl; and
- -alkyl or alkenyl substituted by one or more substituents selected from the group consisting of:
- —OH;
- -halogen;
- —N(R3)2;
- —CO—N(R3)2;
- —CO—C1-10 alkyl;
- —CO—O—C1-10 alkyl;
- —N3;
- -aryl;
- -(substituted aryl);
- -heteroaryl;
- -(substituted heteroaryl);
- -heterocyclyl;
- -(substituted heterocyclyl);
- —CO-aryl; and
- —CO-heteroaryl;
- each R3 is independently selected from the group consisting of hydrogen; C1-10 alkyl-heteroaryl; C1-10 alkyl-(substituted heteroaryl); C1-10 alkyl-aryl; C1-10 alkyl-(substituted aryl) and C1-10 alkyl;
- n is 0 to 4;
- and each R present is independently selected from the group consisting of C1-10 alkyl, C1-10 alkoxy, halogen and trifluoromethyl, or a pharmaceutically acceptable salt thereof, in combination with a pharmaceutically acceptable carrier.
- The invention further provides pharmaceutical compositions comprising a therapeutically effective amount of a compound of Formula (Ib):
- wherein
- R1 is -alkyl-NR3—CO—R4 or -alkenyl-NR3—CO—R4 wherein R4 is heterocyclyl which may be unsubstituted or substituted by one or more substituents selected from the group consisting of:
-
- -alkyl;
- -alkenyl;
- -alkynyl;
- -(alkyl)0-1-aryl;
- -(alkyl)0-1-(substituted aryl);
- -(alkyl)0-1-heterocyclyl;
- -(alkyl)0-1-(substituted heterocyclyl);
- -(alkyl)0-1-heteroaryl;
- -(alkyl)0-1-(substituted heteroaryl);
- —O-alkyl;
- —O-(alkyl)0-1-aryl;
- —O-(alkyl)0-1-(substituted aryl);
- —O-(alkyl)0-1-heterocyclyl;
- —O-(alkyl)0-1-(substituted heterocyclyl);
- —O-(alkyl)0-1-heteroaryl;
- —O-(alkyl)0-1-(substituted heteroaryl);
- —CO-aryl;
- —CO-(substituted aryl);
- —CO-heteroaryl;
- —CO-(substituted heteroaryl);
- —COOH;
- —CO—O-alkyl;
- —CO-alkyl;
- —S(O)0-2-alkyl;
- —S(O)0-2-(alkyl)0-1-aryl;
- —S(O)0-2-(alkyl)0-1-(substituted aryl);
- —S(O)0-2-(alkyl)0-1-heterocyclyl;
- —S(O)0-2-(alkyl)0-1-(substituted heterocyclyl);
- —S(O)0-2-(alkyl)0-1-heteroaryl;
- —S(O)0-2-(alkyl)0-1-(substituted heteroaryl);
- —P(O)(OR3)2;
- —NR3—CO—O-alkyl;
- —N3;
- -halogen;
- —NO2;
- —CN;
- -haloalkyl;
- —O-haloalkyl;
- —CO-haloalkyl;
- —OH;
- —SH;
- or R4 is
- wherein R5 is an aryl, (substituted aryl), heteroaryl, (substituted heteroaryl), heterocyclyl or (substituted heterocyclyl) group;
- R2 is selected from the group consisting of:
-
- -hydrogen;
- -alkyl;
- -alkenyl;
- -aryl;
- -(substituted aryl);
- -heteroaryl;
- -(substituted heteroaryl);
- -heterocyclyl;
- -(substituted heterocyclyl);
- -alkyl-O-alkyl;
- -alkyl-O-alkenyl; and
- -alkyl or alkenyl substituted by one or more substituents selected from the group consisting of:
- —OH;
- -halogen;
- —N(R3)2;
- —CO—N(R3)2;
- —CO—C1-10 alkyl;
- —CO—O—C1-10 alkyl;
- —N3;
- -aryl;
- -(substituted aryl);
- -heteroaryl;
- -(substituted heteroaryl);
- -heterocyclyl;
- -(substituted heterocyclyl);
- —CO-aryl; and
- —CO-heteroaryl;
- each R3 is independently selected from the group consisting of hydrogen; C1-10 alkyl-heteroaryl; C1-10 alkyl-(substituted heteroaryl); C1-10 alkyl-aryl; C1-10 alkyl-(substituted aryl) and C1-10 alkyl;
- n is 0 to 4;
- and each R present is independently selected from the group consisting of C1-10 alkyl, C1-10 alkoxy, halogen and trifluoromethyl, or a pharmaceutically acceptable salt thereof, in combination with a pharmaceutically acceptable carrier.
- The invention also provides compounds that are useful as immune response modifiers. One such class of compounds has structural Formula (Ic):
- wherein
- R1 is -alkyl-NR3—CO—R4 or -alkenyl-NR3—CO—R4 wherein R4 is aryl, heteroaryl, heterocyclyl, alkyl or alkenyl, each of which may be unsubstituted or substituted by one or more substituents selected from the group consisting of:
-
- -alkyl;
- -alkenyl;
- -alkynyl;
- -(alkyl)0-1-aryl;
- -(alkyl)0-1-(substituted aryl);
- -(alkyl)0-1-heteroaryl;
- -(alkyl)0-1-(substituted heteroaryl);
- -(alkyl)0-1-heterocyclyl;
- -(alkyl)0-1-(substituted heterocyclyl);
- —O-alkyl;
- —O-(alkyl)0-1-aryl;
- —O-(alkyl)0-1-(substituted aryl);
- —O-(alkyl)0-1-heteroaryl;
- —O-(alkyl)0-1-(substituted heteroaryl);
- —O-(alkyl)0-1-heterocyclyl;
- —O-(alkyl)0-1-(substituted heterocyclyl);
- —CO-aryl;
- —CO-(substituted aryl);
- —CO-heteroaryl;
- —CO-(substituted heteroaryl);
- —COOH;
- —CO—O-alkyl;
- —CO-alkyl;
- —S(O)0-2-alkyl;
- —S(O)0-2-(alkyl)0-1-aryl;
- —S(O)0-2-(alkyl)0-1-(substituted aryl);
- —S(O)0-2-(alkyl)0-1-heteroaryl;
- —S(O)0-2-(alkyl)0-1-(substituted heteroaryl);
- —S(O)0-2-(alkyl)0-1-heterocyclyl;
- —S(O)0-2-(alkyl)0-1-(substituted heterocyclyl);
- —P(O)(OR3)2;
- —NR6—CO—O-alkyl;
- —N3;
- -halogen;
- —NO2;
- —CN;
- -haloalkyl;
- —O-haloalkyl;
- —CO-haloalkyl;
- —OH;
- —SH; and in the case of alkyl, alkenyl, or heterocyclyl, oxo;
- or R4 is
- wherein R5 is an aryl, (substituted aryl), heteroaryl, (substituted heteroaryl), heterocyclyl or (substituted heterocyclyl) group;
- R2 is selected from the group consisting of:
-
- -hydrogen;
- -alkyl;
- -alkenyl;
- -aryl;
- -(substituted aryl);
- -heteroaryl;
- -(substituted heteroaryl);
- -heterocyclyl;
- -(substituted heterocyclyl);
- -alkyl-O-alkyl;
- -alkyl-O-alkenyl; and
- -alkyl or alkenyl substituted by one or more substituents selected from the group consisting of:
- —OH;
- -halogen;
- —N(R6)2;
- —CO—N(R6)2;
- —CO—C1-10 alkyl;
- —CO—O—C1-10 alkyl;
- —N3;
- -aryl;
- -(substituted aryl);
- -heteroaryl;
- -(substituted heteroaryl);
- -heterocyclyl;
- -(substituted heterocyclyl);
- —CO-aryl; and
- —CO-heteroaryl;
- R3 is selected from the group consisting of C1-10 alkyl-heteroaryl; C1-10 alkyl-(substituted heteroaryl); C1-10 alkyl-aryl; C1-10 alkyl-(substituted aryl) and C1-10 alkyl;
- each R6 is independently selected from the group consisting of hydrogen; C1-10 alkyl-heteroaryl; C1-10 alkyl-(substituted heteroaryl); C1-10 alkyl-aryl; C1-10 alkyl-(substituted aryl) and C1-10 alkyl;
- n is 0 to 4;
- and each R present is independently selected from the group consisting of C1-10 alkyl, C1-10 alkoxy, halogen and trifluoromethyl, or a pharmaceutically acceptable salt thereof.
- Another class of compounds provided by the invention is described by Formula (Id):
- wherein
- R1 is -alkyl-NR3—CO—R4 or -alkenyl-NR3—CO—R4 wherein R4 is aryl or heteroaryl which may be unsubstituted or substituted by one or more substituents selected from the group consisting of:
-
- -alkyl;
- -alkenyl;
- -alkynyl;
- -(alkyl)0-1-aryl;
- -(alkyl)0-1-(substituted aryl);
- -(alkyl)0-1-heteroaryl;
- -(alkyl)0-1-(substituted heteroaryl);
- -(alkyl)0-1-heterocyclyl;
- -(alkyl)0-1-(substituted heterocyclyl);
- —O-alkyl;
- —O-(alkyl)0-1-aryl;
- —O-(alkyl)0-1-(substituted aryl);
- —O-(alkyl)0-1-heteroaryl;
- —O-(alkyl)0-1-(substituted heteroaryl);
- —O-(alkyl)0-1-heterocyclyl;
- —O-(alkyl)0-1-(substituted heterocyclyl);
- —CO-aryl;
- —CO-(substituted aryl);
- —CO-heteroaryl;
- —CO-(substituted heteroaryl);
- —COOH;
- —CO—O-alkyl;
- —CO-alkyl;
- —S(O)0-2-alkyl;
- —S(O)0-2-(alkyl)0-1-aryl;
- —S(O)0-2-(alkyl)0-1-(substituted aryl);
- —S(O)0-2-(alkyl)0-1-heteroaryl;
- —S(O)0-2-(alkyl)0-1-(substituted heteroaryl);
- —S(O)0-2-(alkyl)0-1-heterocyclyl;
- —S(O)0-2-(alkyl)0-1-(substituted heterocyclyl);
- —P(O)(OR3)2;
- —NR3—CO—O-alkyl;
- —N3;
- -halogen;
- —NO2;
- —CN;
- -haloalkyl;
- —O-haloalkyl;
- —CO-haloalkyl;
- —OH; and
- —SH;
- R2 is selected from the group consisting of:
-
- -hydrogen;
- -alkyl;
- -alkenyl;
- -aryl;
- -(substituted aryl);
- -heteroaryl;
- -(substituted heteroaryl);
- -heterocyclyl;
- -(substituted heterocyclyl);
- -alkyl-O-alkyl;
- -alkyl-O-alkenyl; and
- -alkyl or alkenyl substituted by one or more substituents selected from the group consisting of:
- —OH;
- -halogen;
- —N(R3)2;
- —CO—N(R3)2;
- —CO—C1-10 alkyl;
- —CO—C1-10 alkyl;
- —N3;
- -aryl;
- -(substituted aryl);
- -heteroaryl;
- -(substituted heteroaryl);
- -heterocyclyl;
- -(substituted heterocyclyl);
- —CO-aryl; and
- —CO-heteroaryl;
- each R3 is independently selected from the group consisting of hydrogen; C1-10 alkyl-heteroaryl; C1-10 alkyl-(substituted heteroaryl); C1-10 alkyl-aryl; C1-10 alkyl-(substituted aryl) and C1-10 alkyl;
- n is 0 to 4;
- and each R present is independently selected from the group consisting of C1-10 alkyl, C1-10 alkoxy, halogen and trifluoromethyl, or a pharmaceutically acceptable salt thereof,
- with the proviso that R4 is not an unsubstituted benzene ring, and that when R4 is a substituted benzene ring the substituents are selected from the group consisting of C1-20 alkyl, C2-20 alkoxy, C1-20 alkylthio, hydroxy, haloalkyl, haloalkylcarbonyl, haloalkoxy, C1-20 alkylcarbonyl, C1-20 alkenylcarbonyl, arylcarbonyl, heteroarylcarbonyl, aryl, arylalkyl, heteroaryl, heteroarylalkyl, heterocyclyl, heterocycloalkyl, nitrile, C1-20 alkoxycarbonyl, C1-20alkanoyloxy, C1-20alkanoylthio, oxo and -(C1-10-alkyl)-NR3—(C1-10-alkyl)-R5,
- wherein R5 is an aryl, (substituted aryl), heteroaryl, (substituted heteroaryl), heterocyclyl or (substituted heterocyclyl) group.
- A further class of compounds provided by the invention is described by Formula (Ie):
- wherein
- R1 is -alkyl-NR3—CO—R4 or -alkenyl-NR3—CO—R4 wherein R4 is an alkyl or alkenyl group that is substituted by one or more substituents selected from the group consisting of:
-
- -alkynyl;
- -(substituted aryl) wherein the substituent(s) are independently selected from the group consisting of alkyl, alkoxy, alkylthio, hydroxy, haloalkyl, haloalkylcarbonyl, haloalkoxy, alkylcarbonyl, alkenylcarbonyl, arylcarbonyl, heteroarylcarbonyl, aryl, arylalkyl, heteroaryl, heteroarylalkyl, heterocyclyl, heterocycloalkyl, nitrile, alkoxycarbonyl, alkanoyloxy, and alkanoylthio;
- -(substituted aryl);
- -heteroaryl;
- -(substituted heteroaryl);
- —O-alkyl;
- —O-(alkyl)0-1-(substituted aryl) wherein the substituent(s) are independently selected from the group consisting of alkyl, alkoxy, alkylthio, hydroxy, haloalkyl, haloalkylcarbonyl, haloalkoxy, alkylcarbonyl, alkenylcarbonyl, arylcarbonyl, heteroarylcarbonyl, aryl, arylalkyl, heteroaryl, heteroarylalkyl, heterocyclyl, heterocycloalkyl, nitrile, alkoxycarbonyl, alkanoyloxy, and alkanoylthio;
- —O-(alkyl)0-1-heteroaryl;
- —O-(alkyl)0-1-(substituted heteroaryl);
- —CO-aryl;
- —CO-(substituted aryl);
- —CO-heteroaryl;
- —CO-(substituted heteroaryl);
- —COOH;
- —CC—O-alkyl;
- —CO-alkyl;
- —S(O)0-2-alkyl;
- —S(O)0-2-(alkyl)0-1-aryl;
- —S(O)0-2-(alkyl)0-1-(substituted aryl);
- —S(O)0-2-(alkyl)0-1-heteroaryl;
- —S(O)0-2-(alkyl)0-1-(substituted heteroaryl);
- —P(O)(OR3)2;
- —NR3—CO—O-alkyl;
- —N3;
- —NO2;
- —CN;
- —O-haloalkyl;
- —CO-haloalkyl;
- —OH;
- —SH; and oxo;
- R2 is selected from the group consisting of:
-
- -hydrogen;
- -alkyl;
- -alkenyl;
- -aryl;
- -(substituted aryl);
- -heteroaryl;
- -(substituted heteroaryl);
- -heterocyclyl;
- -(substituted heterocyclyl);
- -alkyl-O-alkyl;
- -alkyl-O-alkenyl; and
- -alkyl or alkenyl substituted by one or more substituents selected from the group consisting of:
- —OH;
- -halogen;
- —N(R3)2;
- —CO—N(R3)2;
- —CO—C1-10 alkyl;
- —CO—O—C1-10 alkyl;
- —N3;
- -aryl;
- -(substituted aryl);
- -heteroaryl;
- -(substituted heteroaryl);
- -heterocyclyl;
- -(substituted heterocyclyl);
- —CO-aryl; and
- —CO-heteroaryl;
- each R3 is independently selected from the group consisting of hydrogen; C1-10 alkyl-heteroaryl; C1-10 alkyl-(substituted heteroaryl); C1-10 alkyl-aryl; C1-10 alkyl-(substituted aryl) and C1-10 alkyl;
- n is 0 to 4;
- and each
- R present is independently selected from the group consisting of C1-10 alkyl, C1-10 alkoxy, halogen and trifluoromethyl, or a pharmaceutically acceptable salt thereof.
- Imidazoquinolines of the invention can be prepared according to Reaction Scheme I where R, R1, R2 and n are as defined above.
- In step (1) of Reaction Scheme I a 4-chloro-3-nitroquinoline of Formula II is reacted with an amine of Formula R1NH2 to provide a 3-nitroquinolin-4-amine of Formula III. The reaction can be carried out by adding amine to a solution of a compound of Formula II in a suitable solvent such as chloroform or dichloromethane and optionally heating. Many quinolines of Formula II are known compounds (see for example, U.S. Pat. No. 4,689,338 and references cited therein).
- In step (2) of Reaction Scheme I a 3-nitroquinolin-4-amine of Formula III is reduced to provide a quinoline-3,4-diamine of Formula IV. Preferably, the reduction is carried out using a conventional heterogeneous hydrogenation catalyst such as platinum on carbon or palladium on carbon. The reaction can conveniently be carried out on a Parr apparatus in a suitable solvent such as isopropyl alcohol or toluene.
- In step (3) of Reaction Scheme I a quinoline-3,4-diamine of Formula IV is reacted with a carboxylic acid or an equivalent thereof to provide a 1H-imidazo[4,5-c]quinoline of Formula V. Suitable equivalents to carboxylic acid include acid halides, orthoesters, and 1,1-dialkoxyalkyl alkanoates. The carboxylic acid or equivalent is selected such that it will provide the desired R2 substituent in a compound of Formula V. For example, triethyl orthoformate will provide a compound where R2 is hydrogen and triethyl orthoacetate will provide a compound where R2 is methyl. The reaction can be run in the absence of solvent or in an inert solvent such as toluene. The reaction is run with sufficient heating to drive off any alcohol or water formed as a byproduct of the reaction.
- In step (4) of Reaction Scheme I a 1H-imidazo[4,5-c]quinoline of Formula V is oxidized to provide a 1H-imidazo[4,5-c]quinoline-5N-oxide of Formula VI using a conventional oxidizing agent that is capable of forming N-oxides. Preferred reaction conditions involve reacting a solution of a compound of Formula V in chloroform with 3-chloroperoxybenzoic acid at ambient conditions.
- In step (5) of Reaction Scheme I a 1H-imidazo[4,5-c]quinoline-5N-oxide of Formula VI is aminated to provide a 1H-imidazo[4,5-c]quinolin-4-amine of Formula VII which is a subgenus of Formula I. Step (5) involves (i) reacting a compound of Formula VI with an acylating agent and then (ii) reacting the product with an aminating agent. Part (i) of step (5) involves reacting an N-oxide of Formula VI with an acylating agent. Suitable acylating agents include alkyl- or arylsulfonyl chlorides (e.g., benezenesulfonyl chloride, methanesulfonyl chloride, p-toluenesulfonyl chloride). Arylsulfonyl chlorides are preferred. Para-toluenesulfonyl chloride is most preferred. Part (ii) of step (5) involves reacting the product of part (i) with an excess of an aminating agent. Suitable aminating agents include ammonia (e.g., in the form of ammonium hydroxide) and ammonium salts (e.g., ammonium carbonate, ammonium bicarbonate, ammonium phosphate). Ammonium hydroxide is preferred. The reaction is preferably carried out by dissolving the N-oxide of Formula VI in an inert solvent such as dichloromethane, adding the aminating agent to the solution, and then slowly adding the acylating agent. The product or a pharmaceutically acceptable salt thereof can be isolated using conventional methods.
- Alternatively, step (5) may be carried out by (i) reacting an N-oxide of Formula VI with an isocyanate and then (ii) hydrolyzing the resulting product. Part (i) involves reacting the N-oxide with an isocyanate wherein the isocyanato group is bonded to a carbonyl group. Preferred isocyanates include trichloroacetyl isocyanante and aroyl isocyanates such as benzoyl isocyanate. The reaction of the isocyanate with the N-oxide is carried out under substantially anhydrous conditions by adding the isocyanate to a solution of the N-oxide in an inert solvent such as chloroform or dichloromethane. Part (ii) involves hydrolysis of the product from part (i). The hydrolysis can be carried out by conventional methods such as heating in the presence of water or a lower alkanol optionally in the presence of a catalyst such as an alkali metal hydroxide or lower alkoxide.
- Compounds of the invention can also be prepared according to Reaction Scheme II where R, R2, R4 and n are as defined above and m is 1-20.
- In Reaction Scheme II an aminoalkyl substituted 1H-imidazo[4,5-c]quinolin-4-amine of Formula VIII is reacted with an acid chloride of Formula IX to provide a compound of Formula X which is a subgenus of Formula I. The reaction can be carried out by adding a solution of the acid chloride in a suitable solvent such as pyridine or dichloromethane to a solution of a compound of Formula VIII either at ambient temperature or at a reduced temperature. Many 1H-imidazo[4,5-c]quinolin-4-amines of Formula VIII are known compounds, see for example U.S. Pat. No. 6,069,149 (Nanba), the disclosure of which is incorporated by reference herein; others can be readily prepared using known synthetic methods. Many acid chlorides of Formula IX are commercially available; others can be readily prepared using known synthetic methods. The product or a pharmaceutically acceptable salt thereof can be isolated using conventional methods.
- Compounds of the invention can also be prepared according to Reaction Scheme III where R, R2, R4 and n are as defined above and m is 1-20.
- In Reaction Scheme III an aminoalkyl substituted 1H-imidazo[4,5-c]quinolin-4-amine of Formula VIII is reacted with an acid of Formula XI to provide a compound of Formula X which is a subgenus of Formula I. The reaction can be run at ambient temperature in a solvent such as dichloromethane or pyridine using a standard coupling reagent such as 1,3-dicyclohexylcarbodiimide or 1-[3-(dimethylamino)propyl]-3-ethylcarbodiimide. The product or a pharmaceutically acceptable salt thereof can be isolated using conventional methods.
- Compounds of the invention can also be prepared according to Reaction Scheme IV where R, R2, R4 and n are as defined above and m is 1-20.
- In Reaction Scheme IV an aminoalkyl substituted 1H-imidazo[4,5-c]quinolin-4-amine of Formula VIII is reacted with an acid anhydride of Formula XII provide a compound of Formula X which is a subgenus of Formula I. The reaction can be run at ambient temperature in an inert solvent such as dichloromethane in the presence of a base such as N,N-diisopropylethylamine or pyridine. Many acid anhydrides of Formula XII are commercially available; others may be readily prepared using known synthetic methods. The product or a pharmaceutically acceptable salt thereof can be isolated using conventional methods.
- Tertiary amides of the invention can be prepared according to Reaction Scheme V where R, R2, R3, R4 and n are as defined above except that R3 is other than hydrogen and m is 1-20.
- In step (1) of Reaction Scheme V an aminoalkyl substituted 1H-imidazo[4,5-c]quinolin-4-amine of Formula VIII is reacted with an aldehyde of Formula XIII to provide a secondary amine of Formula XIV. Preferably, the reductive amination is carried out using sodium triacetoxyborohydride. The reaction can be carried out by adding the sodium triacetoxyborohydride to a solution of the amine and the aldehyde in an inert solvent such as dichloromethane. The secondary amine or a salt thereof can be isolated using conventional methods.
- In step (2) of Reaction Scheme V the secondary amine of Formula XIV is acylated to provide a compound of Formula XV which is a subgenus of Formula I. The reaction can be carried out by reacting the secondary amine of Formula XIV with an acid, acid chloride or an acid anhydride according to the methods of Reaction Schemes III, II and IV above. The product or a pharmaceutically acceptable salt thereof can be isolated using conventional methods.
- Tetrahydroimidazoquinolines of the invention can be prepared according to Reaction Scheme VI where R2, R3 and R4 are as defined above and m is 1-20.
- In step (1) of Reaction Scheme VI an aminoalkyl substituted 1H-imidazo[4,5-c]quinolin-4-amine of Formula XVI is reduced to provide an aminoalkyl substituted 6,7,8,9-tetrahydro-1H-imidazo[4,5-c]quinolin-4-amine of Formula XVII. Preferably the reduction is carried out by suspending or dissolving the compound of Formula XVI in trifluoroacetic acid, adding a catalytic amount of platinum (IV) oxide, and then subjecting the mixture to hydrogen pressure. The reaction can conveniently be carried out on a Parr apparatus. The product or a salt thereof can be isolated using conventional methods.
- In step (2) of Reaction Scheme VI an aminoalkyl substituted 6,7,8,9-tetrahydro-1H-imidazo[4,5-c]quinolin-4-amine of Formula XVII is reacted to provide a compound of Formula XVIII which is a subgenus of Formula I. When R3 is hydrogen, the reaction can be carried out according to the methods described in Reaction Schemes II, III and IV above using a tetrahydroimidazoquinoline of Formula XVII in place of the imidazoquinoline of Formula VIII. When R3 is other than hydrogen, then the reaction can be carried out using the method described in Reaction Scheme V. The product or a pharmaceutically acceptable salt thereof can be isolated using conventional methods.
- Tetrahydroimidazoquinolines of the invention can also be prepared according to Reaction Scheme VII where R, R2, R3, R4 and n are as defined above and m is 1-20.
- In step (I) of Reaction Scheme VII a 6,7,8,9-tetrahydro-1H-imidazo[4,5-c]quinolinyl tert-butylcarbamate of Formula XIX is hydrolyzed to provide an aminoalkyl substituted 6,7,8,9-tetrahydro-1H-imidazo[4,5-c]quinolin-4-amine of Formula XX. The reaction can be carried out dissolving the compound of Formula XIX in a mixture of trifluoroacetic acid and acetonitrile and stirring at ambient temperature. Alternatively, the compound of Formula XIX can be combined with dilute hydrochloric acid and heated on a steam bath. Tetrahydro-1H-imidazo[4,5-c]quinolinyl tert-butylcarbamates of Formula XIX can be prepared using the synthetic route disclosed in U.S. Pat. No. 5,352,784 (Nikolaides). The product or a salt thereof can be isolated using conventional methods.
- In step (2) of Reaction Scheme VII an aminoalkyl substituted 6,7,8,9-tetrahydro-1H-imidazo[4,5-c]quinolin-4-amine of Formula XX is reacted to provide a compound of Formula XXI which is a subgenus of Formula I. When R3 is hydrogen, the reaction can be carried out according to the methods described in Reaction Schemes II, III and IV above using a tetrahydroimidazoquinoline of Formula XX in place of the imidazoquinoline of Formula VIII. When R3 is other than hydrogen, then the reaction can be carried out using the method described in Reaction Scheme V. The product or a pharmaceutically acceptable salt thereof can be isolated using conventional methods.
- Some compounds of Formula I can be readily prepared from other compounds of Formula I. For example, compounds wherein the R4 substituent contains a chloroalkyl group can be reacted with an amine to provide an R4 substituent substituted by a secondary or teriary amino group; compounds wherein the R4 substituent contains a nitro group can be reduced to provide a compound wherein the R4 substituent contains a primary amine.
- As used herein, the terms “alkyl”, “alkenyl”, “alkynyl” and the prefix “-alk” are inclusive of both straight chain and branched chain groups and of cyclic groups, i.e. cycloalkyl and cycloalkenyl. Unless otherwise specified, these groups contain from 1 to 20 carbon atoms, with alkenyl and alkynyl groups containing from 2 to 20 carbon atoms. Preferred groups have a total of up to 10 carbon atoms. Cyclic groups can be monocyclic or polycyclic and preferably have from 3 to 10 ring carbon atoms. Exemplary cyclic groups include cyclopropyl, cyclopentyl, cyclohexyl and adamantyl.
- The term “haloalkyl” is inclusive of groups that are substituted by one or more halogen atoms, including groups wherein all of the available hydrogen atoms are replaced by halogen atoms. This is also true of groups that include the prefix “haloalk-”. Examples of suitable haloalkyl groups are chloromethyl, trifluoromethyl, and the like.
- The term “aryl” as used herein includes carbocyclic aromatic rings or ring systems. Examples of aryl groups include phenyl, naphthyl, biphenyl, fluorenyl and indenyl. The term “heteroaryl” includes aromatic rings or ring systems that contain at least one ring hetero atom (e.g., O, S, N). Suitable heteroaryl groups include furyl, thienyl, pyridyl, quinolinyl, isoquinolinyl, indolyl, isoindolyl, pyrrolyl, tetrazolyl, imidazo, pyrazolo, oxazolo, thiazolo and so on.
- “Heterocyclyl” includes non-aromatic rings or ring systems that contain at least one ring hetero atom (e.g., O, S, N). Exemplary heterocyclic groups include pyrrolidinyl, tetrahydrofuranyl, morpholinyl, thiomorpholinyl, piperidinyl, piperazinyl, thiazolidinyl, and imidazolidinyl.
- Unless otherwise specified, the terms “substituted aryl”, “substituted heteroaryl” and “substituted heterocyclyl” indicate that the rings or ring systems in question are further substituted by one or more substituents independently selected from the group consisting of alkyl, alkoxy, alkylthio, hydroxy, halogen, haloalkyl, haloalkylcarbonyl, haloalkoxy (e.g., trifluoromethoxy), nitro, alkylcarbonyl, alkenylcarbonyl, arylcarbonyl, heteroarylcarbonyl, aryl, arylalkyl, heteroaryl, heteroarylalkyl, heterocyclyl, heterocycloalkyl, nitrile, alkoxycarbonyl, alkanoyloxy, alkanoylthio, and, in the case of heterocyclyl, oxo.
- In structural formulas representing compounds of the invention certain bonds are represented by dashed lines. These lines mean that the bonds represented by the dashed line can be present or absent. Accordingly, the compounds of the invention can be either imidazoquinoline compounds or tetrahydroimidazoquinoline compounds.
- The invention is inclusive of the compounds described herein in any of their pharmaceutically acceptable forms, including isomers such as diastereomers and enantiomers, salts, solvates, polymorphs, and the like.
- Pharmaceutical compositions of the invention contain a therapeutically effective amount of a compound of the invention as described supra in combination with a pharmaceutically acceptable carrier.
- The term “a therapeutically effective amount” means an amount of the compound sufficient to induce a therapeutic effect, such as cytokine induction, antitumor activity and/or antiviral activity. Although the exact amount of active compound used in a pharmaceutical composition of the invention will vary according to factors known to those of skill in the art, such as the physical and chemical nature of the compound as well as the nature of the carrier and the intended dosing regimen, it is anticipated that the compositions of the invention will contain sufficient active ingredient to provide a dose of about 100 ng/kg to about 50 mg/kg, preferably about 10 μg/kg to about 5 mg/kg, of the compound to the subject. Any of the conventional dosage forms may be used, such as tablets, lozenges, parenteral formulations, syrups, creams, ointments, aerosol formulations, transdermal patches, transmucosal patches and the like.
- The compounds of the invention can be administered as the single therapeutic agent in the treatment regimen, or the compounds of the invention may be administered in combination with one another or with other active agents, including additional immune response modifiers, antivirals, antibiotics, etc.
- The compounds of the invention have been shown to induce the production of certain cytokines in experiments performed according to the tests set forth below. These results indicate that the compounds are useful as immune response modifiers that can modulate the immune response in a number of different ways, rendering them useful in the treatment of a variety of disorders.
- Cytokines whose production may be induced by the administration of compounds according to the invention generally include interferon-α (IFN-α) and/or tumor necrosis factor-α (TNF-α) as well as certain interleukins (IL). Cytokines whose biosynthesis may be induced by compounds of the invention include IFN-α, TNF-α, IL-1, 6, 10 and 12, and a variety of other cytokines. Among other effects, cytokines inhibit virus production and tumor cell growth, making the compounds useful in the treatment of viral diseases and tumors.
- In addition to the ability to induce the production of cytokines, the compounds of the invention affect other aspects of the innate immune response. For example, natural killer cell activity may be stimulated, an effect that may be due to cytokine induction. The compounds may also activate macrophages, which in turn stimulates secretion of nitric oxide and the production of additional cytokines. Further, the compounds may cause proliferation and differentiation of B-lymphocytes.
- Compounds of the invention also have an effect on the acquired immune response. For example, although there is not believed to be any direct effect on T cells or direct induction of T cell cytokines, the production of the T helper type 1 (Th1) cytokine IFN-γ is induced indirectly and the production of the T helper type 2 cytokines IL-4, IL-5 and IL-13 are inhibited upon administration of the compounds. This activity means that the compounds are useful in the treatment of diseases where upregulation of the Th1 response and/or downregulation of the Th2 response is desired. In view of the ability of compounds of the invention to inhibit the Th2 immune response, the compounds are expected to be useful in the treatment of atopic diseases, e.g., atopic dermatitis, asthma, allergy, allergic rhinitis; systemic lupus erythematosis; as a vaccine adjuvant for cell mediated immunity; and possibly as a treatment for recurrent fungal diseases and chlamydia.
- The immune response modifying effects of the compounds make them useful in the treatment of a wide variety of conditions. Because of their ability to induce the production of cytokines such as IFN-α and/or TNF-α, the compounds are particularly useful in the treatment of viral diseases and tumors. This immunomodulating activity suggests that compounds of the invention are useful in treating diseases such as, but not limited to, viral diseases including genital warts; common warts; plantar warts; Hepatitis B; Hepatitis C; Herpes Simplex Virus Type I and Type II; molluscum contagiosum; HIV; CMV; VZV; intraepithelial neoplasias such as cervical intraepithelial neoplasia; human papillomavirus (HPV) and associated neoplasias; fungal diseases, e.g. candida, aspergillus, and cryptococcal meningitis; neoplastic diseases, e.g., basal cell carcinoma, hairy cell leukemia, Kaposi's sarcoma, renal cell carcinoma, squamous cell carcinoma, myelogenous leukemia, multiple myeloma, melanoma, non-Hodgkin's lymphoma, cutaneous T-cell lymphoma, and other cancers; parasitic diseases, e.g. pneumocystis carnii, cryptosporidiosis, histoplasmosis, toxoplasmosis, trypanosome infection, and leishmaniasis; and bacterial infections, e.g., tuberculosis, and mycobacterium avium. Additional diseases or conditions that can be treated using the compounds of the invention include eczema; eosinophilia; essential thrombocythaemia; leprosy; multiple sclerosis; Ommen's syndrome; discoid lupus; Bowen's disease; Bowenoid papulosis; and to enhance or stimulate the healing of wounds, including chronic wounds. Accordingly, the invention provides a method of inducing cytokine biosynthesis in an animal comprising administering an effective amount of a compound or composition of the invention to the animal.
- An amount of a compound effective to induce cytokine biosynthesis is an amount sufficient to cause one or more cell types, such as monocytes, macrophages, dendritic cells and B-cells to produce an amount of one or more cytokines such as, for example, IFN-β, TNF-β, IL-1, 6, 10 and 12 that is increased over the background level of such cytokines. The precise amount will vary according to factors known in the art but is expected to be a dose of about 100 ng/kg to about 50 mg/kg, preferably about 10 μg/kg to about 5 mg/kg. The invention also provides a method of treating a viral infection in an animal and a method of treating a neoplastic disease in an animal comprising administering an effective amount of a compound or composition of the invention to the animal. An amount effective to treat or inhibit a viral infection is an amount that will cause a reduction in one or more of the manifestations of viral infection, such as viral lesions, viral load, rate of virus production, and mortality as compared to untreated control animals. The precise amount will vary according to factors known in the art but is expected to be a dose of about 100 ng/kg to about 50 mg/kg, preferably about 10 μg/kg to about 5 mg/kg. An amount of a compound effective to treat a neoplastic condition is an amount that will cause a reduction in tumor size or in the number of tumor foci. Again, the precise amount will vary according to factors known in the art but is expected to be a dose of about 100 ng/kg to about 50 mg/kg, preferably about 10 μg/kg to about 5 mg/kg.
- The invention is further described by the following examples, which are provided for illustration only and are not intended to be limiting in any way.
-
- A suspension of 1-(4-aminobutyl)-1H-imidazo[4,5-c]quinolin-4-amine (2.0 g, 7.8 mmol) in pyridine (1 L) was warmed to 60° C. to dissolve the starting material. The solution was cooled to about 30° C. and then benzoyl chloride (1.1 g, 7.8 mmol) diluted with pyridine (100 mL) was slowly added. After 1 hour analysis by high performance liquid chromatography (HPLC) indicated that some starting material remained. Additional benzoyl chloride (0.3 g) was added and the reaction was warmed to 50° C. overnight. The reaction mixture was concentrated under vacuum. The resulting residue was combined with chloroform (200 mL) and 1% sodium carbonate (200 mL). The organic layer was separated and then concentrated under vacuum. The resulting residue was combined with propyl acetate (30 mL) and heated on a steam bath to dissolve the residue. The solution was allowed to cool. The resulting precipitate was isolated by filtration to provide N1-[4-(4-amino-1H-imidazo[4,5-c]quinolin-1-yl)butyl]benzamide as a solid, m.p. 210-212° C. Analysis: Calculated for C21H21N5O: % C, 70.18; % H, 5.89: % N, 19.48; Found: % C, 69.49; % H, 5.97; % N, 19.64. 1H NMR (500 MHz, DMSO-d6) δ 8.48 (t, J=6.0 Hz, 1H), 8.22 (s, 1H), 8.04 (d, J=8.0 Hz, 1H), 7.78 (d, J=8.0 Hz, 2H), 7.61 (d, J=8.0 Hz, 1H), 7.50 (t, J=8.0 Hz, 1H), 7.43 (m, 3H), 7.21 (t, J=8.0 Hz, 1H), 6.62 (broad s, 2H), 4.64 (t, J=7.0 Hz, 2H), 3.30 (q, J=6.0 Hz, 2H), 1.92 (quintet, J=7.0 Hz, 2H); 1.58 (quintet, J=7.0 Hz, 2H); MS (EI) m/e 359.1746 (359.1746 calcd for C21H21N5O).
- N1-[4-(4-Amino-1H-imidazo[4,5-c]quinolin-1-yl)butyl]benzamide (1 g) was dissolved in isopropanol. Hydrochloric acid (1 eq of 12N) was added. The resulting precipitate was isolated by filtration to provide 1 g of N-[4-(4-amino-1H-imidazo[4,5-c]quinolin-1-yl)butyl]benzamide hydrochloride hydrate as a solid, m.p. 254-256° C. Analysis: Calculated for C21H21N5O.HCl 1.5H2O: % C, 59.63; % H, 5.96; % N, 16.56; Found: % C 59.61; % H, 6.04; % N, 16.64. 1H NMR (500 MHz, DMSO-d6) δ 13.80 (broad s, 1H), 9.15 (broad s, 2H), 8.56 (s, 1H), 8.50 (t, J=6.0 Hz, 1H), 8.23 (d, J=8.0 Hz, 1H), 7.83 (d, J=8.0 Hz, 1H), 7.76 (d, J=8.0 Hz, 2H), 7.71 (t, J=8.0 Hz, 1H), 7.53 (t, J=8.0 Hz, 1H), 7.50 (t, J=8.0 Hz, 1H), 7.42 (t, J=8.0 Hz, 2H), 4.72 (t, J=7.0 Hz, 2H), 3.30 (q, J=7.0 Hz, 2H), 1.93 (quintet, J=7.0 Hz, 2H), 1.61 (quintet, J=7.0 Hz, 2H).
-
- Using the general method of Example 1, 1-(4-aminobutyl)-2-propyl-1H-imidazo[4,5-c]quinolin-4-amine (0.55 g, 1.8 mmol) was reacted with benzoyl chloride (0.26 g, 1.8 mmol) to provide N1-[4-(4-amino-2-propyl-1H-imidazo[4,5-c]quinolin-1-yl)butyl]benzamide as a solid, m.p. 173-174° C. 1H NMR (500 MHz, DMSO-d6) δ 8.80 (broad s, 2H), 8.46 (t, J=6.0 Hz, 1H), 8.20 (d, J=8.0 Hz, 1H), 7.81 (d, J=8.4 Hz, 1H), 7.76 (d, J=7.4 Hz, 2H), 7.67 (t, J=7.4 Hz, 1H), 7.49 (m, 2H), 7.43 (t, J=7.5 Hz, 2H), 4.63 (t, J=7.0 Hz, 2H), 3.34 (m, 2H), 2.97 (t, J=7.0 Hz, 2H), 1.85 (m, 4H), 1.72 (quintet, J=7.0 Hz, 2H), 1.01 (t, J=7.0 Hz, 3H); MS (EI) m/e 401.2210 (401.2216 calcd for C24H27N5O).
-
- Using the general method of Example 1, 1-(4-aminobutyl)-2-methyl-1H-imidazo[4,5-c]quinolin-4-amine (0.5 g, 1.8 mmol) was reacted with benzoyl chloride (0.26 g, 1.8 mmol) to provide N1-[4-(4-amino-2-methyl-1H-imidazo[4,5-c]quinolin-1-yl)butyl]benzamide as a solid, m.p. 164-170° C. 1H NMR (500 MHz, DMSO-d6) δ 8.47 (t, J=6.0 Hz, 1H), 8.01 (d, J=8.0 Hz, 1H), 7.78 (d, J=8.0 Hz, 2H), 7.59 (dd, J=8.0, 1.2 Hz, 1H), 7.50 (t, J=8.0 Hz, 1H), 7.43 (t, J=8.0 Hz, 2H), 7.38 (dt, J=8.0, 1.2 Hz, 1H), 7.17 (dt, J=8.0, 1.2 Hz, 1H), 6.48 (broad s, 2H), 4.53 (t, J=7.0 Hz, 2H), 3.31 (q, J=6.0 Hz, 2H), 2.60 (s, 3H), 1.88 (quintet, J=7.0 Hz, 2H), 1.68 (quintet, J=7.0 Hz, 2H); MS (EI) m/e 373.1903 (373.1903 calcd for C22H23N5O).
-
- Using the general method of Example 1, 1-(4-aminobutyl)-2-ethyl-1H-imidazo[4,5-c]quinolin-4-amine (0.5 g, 1.76 mmol) was reacted with benzoyl chloride (0.25 g, 1.76 mmol) to provide N1-[4-(4-amino-2-ethyl-1H-imidazo[4,5-c]quinolin-1-yl)butyl]benzamide as a solid, m.p. 203-206° C. 1H NMR (500 MHz, DMSO-d6) δ 8.48 (t, J=6.0 Hz, 1H), 8.00 (d, J=8.0 Hz, 1H), 7.79 (d, J=8.0 Hz, 2H), 7.60 (dd, J=8.0, 1.0 Hz, 1H), 7.50 (t, J=8.0 Hz, 1H), 7.43 (t, J=8.0 Hz, 2H), 7.38 (t, J=8.0 Hz, 1H), 7.17 (t, J=8.0 Hz, 1H), 6.47 (broad s, 2H), 4.53 (t, J=7.0 Hz, 2H), 3.32 (q, J=6.0 Hz, 2H), 2.95 (q, J=7.0 Hz, 2H), 1.87 (quintet, J=7.0 Hz, 2H), 1.70 (quintet, J=7.0 Hz, 2H), 1.35 (t, J=7.0 Hz, 3H); MS (EI) m/e 387.2058 (387.2059 calcd for C23H25N5O).
-
- 1-(4-Aminobutyl)-2-butyl-1H-imidazo[4,5-c]quinolin-4-amine (0.5 g, 1.6 mmol) was combined with pyridine (50 mL) and heated to 50° C. Benzoyl chloride (0.22 g, 1.6 mmol) was added via a pipette. After 1 hour analysis by HPLC indicated that all of the starting material was gone and that several products had formed. The reaction mixture was concentrated under vacuum. The residue was combined with dichloromethane and aqueous sodium bicarbonate. The organic layer was separated and then concentrated under vacuum. The residue was dissolved in dichloromethane and placed on a silica gel column. The column was eluted with 5% methanol in dichloromethane and then with 10% methanol in dichloromethane. The 10% methanol in dichloromethane fractions were combined and concentrated under vacuum to provide N1-[4-(4-amino-2-butyl-1H-imidazo[4,5-c]quinolin-1-yl)butyl]benzamide as a solid, m.p. 174-175° C. 1H NMR (500 MHz, DMSO-d6) δ 8.48 (t, J=6.0 Hz, 1-H), 8.00 (d, J=8.0 Hz, 1H), 7.78 (d, J=8.0 Hz, 2H), 7.60 (d, J=8.0 Hz, 1H), 7.50 (t, J=8.0 Hz, 1H), 7.43 (t, J=8.0 Hz, 2H), 7.39 (t, J=8.0 Hz, 1H), 7.18 (t, J=8.0 Hz, 1H), 6.50 (broad s, 2H), 4.54 (t, J=7.0 Hz, 2H), 3.32 (m, 2H), 2.91 (t, J=7.0 Hz, 2H), 1.86 (quintet, J=7.0 Hz, 2H), 1.77 (quintet, J=7.0 Hz, 2H), 1.70 (quintet, J=7.0 Hz, 2H), 1.41 (sextet, J=7.0 Hz, 2H), 0.91 (t, J=7.0 Hz, 3H); MS (CI) m/e 416 (M+H).
-
- Oxalyl chloride (4.4 mL of 2M in chloroform, 8.8 mmol) was added to a suspension of 4-(chloromethyl)benzoic acid (1 g, 5.7 mmol) in dichloromethane. N,N-dimethylformamide (4 drops) was added to catalyze the reaction. After 1 hour analysis by HPLC indicated 100% clean conversion. The reaction mixture was concentrated under vacuum to provide 4-(chloromethyl)benzoyl chloride.
- A solution of 4-(chloromethyl)benzoyl chloride (1.06 g, 5.6 mmol) in dichloromethane was added to a suspension of 1-(4-aminobutyl)-1H-imidazo[4,5-c]quinolin-4-amine (1.0 g, 3.9 mmol) in pyridine (250 mL). After 1 hour HPLC analysis indicated that the reaction was complete. The reaction mixture was concentrated under vacuum. The residue was combined with saturated aqueous sodium bicarbonate. A solid was isolated by filtration then dissolved in chloroform containing a small amount of methanol. The solution was washed with saturated aqueous sodium bicarbonate. The organic layer was concentrated under vacuum. The resulting residue was purified by column chromatography (silica gel eluting with 10% methanol in dichloromethane) to provide N1-[4-(4-amino -1H-imidazo[4,5-c]quinolin-1-yl)butyl]-4-(chloromethyl)benzamide as a solid, m.p. 240-300 (dec.). 1H NMR (500 MHz, DMSO-d6) δ 8.49 (t, J=6.0 Hz, 1H), 8.21 (s, 1H), 8.03 (d, J=8.0 Hz, 1H); 7.76 (d, J=8.0 Hz, 2H), 7.61 (d, J=8.0 Hz, 1H), 7.46 (d, J=8.0 Hz, 2H), 7.42 (t, J=8.0 Hz, 1H), 7.20 (t, J=8.0 Hz, 1H), 6.80 (broad s, 2H), 4.78 (s, 2H), 4.62 (t, J=7.0 Hz, 2H), 3.28 (q, J=6.0 Hz, 2H), 1.89 (quintet, J=7.0 Hz, 2H), 1.56 (quintet, J=7.0 Hz, 2H); MS (CI) m/e 408 (M+H).
-
- 2-Hydroxy-1H-benzimidazole (62 g, 0.46 mole) was added to phosphorous oxychloride (200 mL) and the mixture was refluxed for 4.5 hours. The resulting solution was poured over 4 L of ice and the mixture was made strongly basic with ammonium hydroxide. The resulting solid was isolated by filtration, washed with water and dried to provide crude 2-chloro-1H-benzimidazole.
- 2-Chloro-1H-benzimidazole (10.0 g, 0.066 mol), pyrrolidine (18.5 g, 0.26 mol), and ethanol (100 mL) were combined. The resulting solution was heated at 160-170° C. for 6 hours and then the solvent was evaporated. The resulting residue was mixed with water. The mixture was made strongly acidic with hydrochloric acid and then made basic with ammonium hydroxide. The resulting solid was isolated by filtration, washed with water and then air dried to provide 11.8 g of crude product as a tan powder. This material was recrystallized from ethyl acetate/methanol to provide 4.9 g of 2-pyrrolidino-1H-benzimidazole. Analysis: Calculated for C11H13N3: % C, 70.56; % H, 7.00; % N, 22.44; Found: % C, 70.13; % H, 7.05; % N, 22.70.
- Sodium hydride (402 mg, 11 mmol) was added to a suspension of 2-pyrrolidino-1H-benzimidazole (1.9 g, 10.1 mmol) in dry N,N-dimethylformamide (30 mL). All solids dissolved. The solution was allowed to stir at ambient temperature for 15 minutes following the cessation of foaming. The solution was cooled to 5° C. and a solid formed. Methyl 4-(bromomethyl)benzoate (2.1 g, 01 mol) was added to the suspension and all the solids dissolved. The solution was allowed to stir at ambient temperature and a solid formed. The mixture was stirred at ambient temperature overnight and then it was poured into cold water. A solid was isolated by filtration, washed with water and dried to provide 3.0 g of crude product as an off-white solid. This material was recrystallized from methanol to provide methyl 4-[(2-pyrrolidinyl-1H-benzimidazol-1yl)methyl]benzoate. Analysis: Calculated for C20H21N3O2: % C, 71.62; % H, 6.31; % N, 12.53; Found: % C, 71.44; % H, 6.41; % N, 12.50.
- Methyl 4-[(2-pyrrolidinyl-1H-benzimidazol-1yl)methyl]benzoate (2.5 g, 7.5 mmol) was added to a solution of sodium hydroxide (1.8 g, 45 mmol) in water (30 mL) and methanol (10 mL). The mixture was heated on a steam bath until all of the ester dissolved. Heating was continued for an additional 15 minutes and then the solution was diluted with an equal volume of water and neutralized with hydrochloric acid. The resulting precipitate was isolated by filtration, washed with water and dried to provide 1.9 g of crude product. This material was recrystallized from N,N-dimethylformamide to provide 4-[(2-pyrrolidinyl-1H-benzimidazol-1yl)methyl]benzoic acid. Analysis: Calculated for C19H19N3O2: % C, 71.01; % H, 5.96; % N, 13.07; Found: % C, 70.01; % H, 6.14; % N, 13.32.
- Oxalyl chloride (4 mL) was added to a suspension of 4-[(2-pyrrolidinyl-1H-benzimidazol-1yl)methyl]benzoic acid (0.28 g, 0.872 mmol) in chloroform (50 mL). The mixture was heated at reflux for 1 hour and then concentrated under vacuum. The residue was diluted with toluene, concentrated under vacuum and then dried under vacuum at ambient temperature over the weekend to provide crude 4-[(2-pyrrolidinyl-1H-benzimidazol-1yl)methyl]benzoyl chloride.
- 1-(4-Aminobutyl)-1H-imidazo[4,5-c]quinolin-4-amine (0.20 g, 0.783 mmol) was added to a mixture of the acid chloride from Part E and pyridine (20 mL). After 10 minutes analysis by HPLC indicated that the reaction mixture contained product plus about 10% each of the acid chloride and the amine. The reaction mixture was concentrated under vacuum. The residue was combined with water, treated with 0.1 N sodium hydroxide and then extracted with dichloromethane. The dichloromethane extract was purified by column chromatography (silica gel eluting with 5-10% methanol in dichloromethane) to provide N1-[4-(4-amino-1H-imidazo[4,5-c]quinolin-1-yl)butyl]-4-[(2-tetrahydro-1H -1-pyrrolyl-1H-benzo[d]imidazol-1-yl)methyl]benzamide as a solid, m.p. 150-153° C. MS (EI) m/e 558.2865 (558.2855 calcd for C33H34N8O).
-
- Under an argon atmosphere, 1,5-diaminopentane (25 g, 0.24 mol) and benzamide (9.9 g, 0.081 mol) were combined and heated at reflux overnight. The reaction mixture was concentrated under vacuum to remove the excess diamine. The residue was distilled at about 210° C. at 12 torr (16×102 pascals) to provide 11.8 g of N-(5-aminopentyl)benzamide as a colorless oil.
- Triethylamine (1 eq.) was added to a suspension of 4-chloro-3-nitroquinoline hydrochloride (13 g, 53 mmol) in chloroform. A suspension of N-(5-aminopentyl)benzamide (11 g, 53 mmol) in chloroform was added and the reaction mixture was heated to reflux. Progress of the reaction was monitored by HPLC. The reaction mixture was concentrated under vacuum. The residue was diluted with toluene, heated to reflux and then filtered while still hot. The filtrate was allowed to cool. The resulting precipitate was isolated by filtration to provide 16.9 g of N-{5-[(3-nitroquinolin-4-yl)amino]pentyl}benzamide as a yellow solid, m.p. 130-132° C. 1H NMR (500 MHz, DMSO-d6) δ 9.07 (s, 1H), 9.02 (broad s, 1H), 8.53 (d, J=8.0 Hz, 1H), 8.43 (t, J=6.0 Hz, 1H), 7.89 (dd, J=8.0, 1.2 Hz, 1H), 7.83 (dt, J=8.0, 1.2 Hz, 1H), 7.80 (d, J=8.0 Hz, 2H), 7.57 (dt, J=8.0, 1.2 Hz, 1H), 7.50 (t, J=8.0 Hz, 1H), 7.43 (t, J=8.0 Hz, 2H), 3.63 (q, J=6.0 Hz, 2H), 3.25 (q, J=6.0 Hz, 2H), 1.77 (quintet, J=7.0 Hz, 2H), 1.55 (quintet, J=7.0 Hz, 2H), 1.39 (quintet, J=7.0 Hz, 2H).
- A catalytic amount of platinum on carbon was added to a suspension of N1-{5-[(3-nitroquinolin-4-yl)amino]pentyl}benzamide (3.4 g, 9 mmol) in isopropyl alcohol (250 mL). The reaction mixture was placed under a hydrogen atmosphere at 50 psi (3.4×104 pascals) on a Parr apparatus. After 2 hours the reaction mixture was filtered to remove the catalyst. The filtrate was concentrated under vacuum to provide crude N′-{5-[(3-aminoquinolin-4-yl)amino]pentyl}benzamide. This material was combined with triethylorthoacetate (1.4 g, 9 mmol) and toluene (200 mL). The reaction mixture was heated overnight on a steam bath with a Vigreux column. The toluene was decanted from the reaction mixture and concentrated under vacuum to provide N1-[5-(2-methyl-1H-imidazo[4,5-c]quinolin-1-yl)pentyl]benzamide as an oil.
- 3-Chloroperoxybenzoic acid (3 g, 9 mmol) was added to a solution of the oil from Part C in methyl acetate (50 mL). The reaction mixture was stirred at ambient temperature overnight and then diluted with diethyl ether (50 mL). The resulting precipitate was isolated by filtration and then washed with diethyl ether to provide 1.6 g of 1-(5-benzamidopentyl)-2-methyl-1H-imidazo[4,5-c]quinoline-5N-oxide.
- Ammonium hydroxide (50 mL) was added to a solution of 1-(5-benzamidopentyl)-2-methyl-1H-imidazo[4,5-c]quinoline-5N-oxide (1.6 g, 4.12 mmol) in dichloromethane (150 mL). Tosyl chloride (0.78 g, 4.12 mmol) was slowly added with rapid stirring of the reaction mixture. After 1 hour the organic layer was separated, washed with 1% sodium carbonate and then concentrated under vacuum. The resulting residue was combined with 1N-hydrochloric acid (30 mL), treated with charcoal and then filtered. The filtrate was neutralized. An oil precipitated out. The oil solidified overnight to provide 0.63 g of N1-[5-(4-amino-2-methyl-1H-imidazo[4,5-c]quinolin-1-yl)pentyl]benzamide as a solid, m.p. 110-120° C. 1H NMR (500 MHz, DMSO-d6) δ 8.50 (t, J=5.5 Hz, 1H), 8.12 (d, J=8.0 Hz, 1H), 7.82 (d, J=8.5 Hz, 2H), 7.71 (d, J=8.5 Hz, 1H), 7.63 (broad s, 2H), 7.55 (t, J=8.5 Hz, 1H), 7.51 (t, J=8.3 Hz, 1H), 7.46 (t, J=8.0 Hz, 2H), 7.40 (t, J=8.0 Hz, 1H), 4.52 (t, J=7.5 Hz, 2H), 3.28 (q, J=6.0 Hz, 2H), 2.64 (s, 3H), 1.87 (quintet, J=7.0 Hz, 2H), 1.79 (quintet, J=7.0 Hz, 2H), 1.48 (quintet, J=7.0 Hz, 2H); MS (CI) m/e 388 (M+H).
-
- A catalytic amount of platinum on carbon was added to a suspension of N′-{5-[(3-nitroquinolin-4-yl)amino]pentyl}benzamide (5 g, 13.2 mmol) in toluene (250 mL). The reaction mixture was placed under a hydrogen atmosphere at 50 psi (3.4×104 pascals) on a Parr apparatus. After about 2 hours an oily ball had formed in the bottom of the Parr bottle. Magnesium sulfate and additional catalyst were added and the hydrogenation was continued overnight. The reaction mixture was filtered to remove the catalyst. The residue in the Parr bottle was combined with isopropyl alcohol (150 mL), heated on a steam bath and then filtered. HPLC analysis indicated that both filtrates contained product so they were combined and concentrated under vacuum to provide crude N′-{5-[(3-aminoquinolin-4-yl)amino]pentyl}benzamide. This material was combined with toluene (250 mL). Triethylorthoformate (4 g, 26.4 mmol) was added and the reaction mixture was heated at reflux with a Vigreux column for 2 hours. The reaction mixture was allowed to cool to ambient temperature. The resulting precipitate was isolated by filtration to provide 3.4 g of N1-[5-(1H.imidazo[4,5-c]quinolin-1-yl)pentyl]benzamide as a solid, m.p. 171.5-172.5° C. 1H NMR (500 MHz, DMSO-d6) δ 9.22 (s, 1H), 8.43 (t, J=6.0 Hz, 2H), 8.38 (m, 1H), 8.18 (m, 1H), 7.80 (d, J=7.0 Hz, 2H), 7.73 (m, 2H), 7.51 (t, J=7.0 Hz, 1H), 7.45 (t, J=7.0 Hz, 2H), 4.72 (t, J=7.5 Hz, 2H), 3.25 (q, J=6.0 Hz, 2H), 1.94 (quintet, J=7.5 Hz, 2H), 1.58 (quintet, J=7.5 Hz, 2H), 1.40 (quintet, J=8.5 Hz, 2H).
- 3-Chloroperoxybenzoic acid (1.9 g, 5.58 mmol) was added to a solution of N1-[5-(1H-imidazo[4,5-c]quinolin-1-yl)pentyl]benzamide (2.0 g, 5.58 mmol) in chloroform. After 4 hours HPLC analysis indicated that the reaction was complete. The reaction was washed twice with 1% sodium carbonate (50 mL) and then concentrated under vacuum to provide 1-(5-benzamidopentyl)-1H-imidazo[4,5-c]quinoline-5N-oxide.
- Ammonium hydroxide was added to a solution of 1-(5-benzamidopentyl)-1H-imidazo[4,5-c]quinoline-5N-oxide (2.1 g, 5.58 mmol) in dichloromethane. Tosyl chloride (1.06 g, 5.58 mmol) was slowly added with rapid stirring of the reaction mixture. After 1 hour the reaction was diluted with dichloromethane. The organic layer was separated, washed with 1% sodium carbonate and then concentrated under vacuum. The resulting residue was dissolved in isopropyl alcohol (100 mL) and then 6N hydrochloric acid (0.93 mL) was added. The resulting precipitate was suspended in water (150 mL), heated to reflux, treated with charcoal and then filtered. The filtrate was allowed to cool. The resulting precipitate was isolated by filtration and dried to provide 0.9 g of N1-[5-(4-amino-1H-imidazo[4,5-c]quinolin-1-yl)pentyl]benzamide hydrochloride as a white crystalline solid, m.p. 217-219° C. Analysis: Calculated for C22H23N5O.HCl.1/2H2O: % C, 52.85; % H, 6.85; % N, 14.01; Found: % C, 52.62; % H, 6.44%; % N, 13.87. 1H NMR (500 MHz, DMSO-d6) δ 13.84 (broad s, 1H), 9.24 (broad s, 2H), 8.51 (s, 1H), 8.43 (t, J=6.0 Hz, 1H), 8.22 (d, J=8.0 Hz, 1H), 7.82 (d, J=8.0 Hz, 1H), 7.76 (d, J=8.0 Hz, 2H), 7.70 (t, J=8.0 Hz, 1H), 7.56 (t, J=8.0 Hz, 1H), 7.49 (t, J=8.0 Hz, 1H), 7.42 (t, J=8.0 Hz, 2H), 4.66 (t, J=7.0 Hz, 2H), 3.23 (q, J=6.0 Hz, 2H), 1.90 (quintet, J=7.0 Hz, 2H), 1.56 (quintet, J=7.0 Hz, 2H), 1.38 (quintet, J=7.0 Hz, 2H); MS (CI) m/e 374 (M+H).
-
- Benzamide (25 g, 0.20 mol) and 1,3-diaminopropane (45.9 g, 0.60 mol) were combined in a Parr vessel and heated to 150° C. for 15 hours. The vessel was cooled and the reaction mixture was concentrated under vacuum to remove excess diamine. The residue was dissolved in water (500 mL) and concentrated hydrochloric acid was added to adjust the pH to <1. The resulting precipitate (starting benzamide and diacylated product) was removed by filtration. The filtrate was washed with dichloromethane. The aqueous layer was made strongly basic by the addition of 50% sodium hydroxide and then it was extracted with dichloromethane (4×300 mL). The extracts were combined, washed with brine (300 mL), dried over sodium sulfate and then concentrated under vacuum to provide 11.9 g of N-(3-aminopropyl)benzamide as an oil.
- Triethylamine (9.3 mL, 67 mmol) was added to a mixture of 4-chloro-3-nitroquinoline hydrochloride (16.4 g, 67 mmol) and dichloromethane (400 mL). A solution of N-(3-aminopropyl)benzamide (11.9 g, 67 mmol) in dichloromethane (100 mL) was added all a once. The reaction mixture was stirred at ambient temperature for 1 hour and then heated on a steam bath for 1 hour. The resulting precipitate was isolated by filtration to provide 6 g of N1-{3-[(3-nitroquinolin-4-yl)amino]propyl}benzamide as a yellow solid, m.p. 209-211° C. 1H NMR (500 MHz, DMSO-d6) δ 9.07 (broad s, 1H), 9.05 (s, 1H), 8.54 (t, J=6.0 Hz, 1H), 8.51 (d, J=8.0 Hz, 1H), 7.89 (d, J=8.0 Hz, 1H), 7.82 (t, J=8.0 Hz, 1H), 7.76 (d, J=8.0 Hz, 2H), 7.55 (t, J=8.0 Hz, 1H), 7.50 (t, J=8.0 Hz, 1H), 7.43 (t, J=8.0 Hz, 2H), 3.69 (q, J=6.0 Hz, 2H), 3.35 (q, J=6.0 Hz, 2H), 2.00 (quintet, J=7.0 Hz, 2H).
- A suspension of N1-{3-[(3-nitroquinolin-4-yl)amino]propyl}benzamide (1.0 g, 2.8 mmol) in isopropyl alcohol (120 mL) was warmed to dissolve some of the material. A catalytic amount of platinum on carbon was added and the reaction mixture was placed under a hydrogen atmosphere at 50 psi (3.4×104 pascals) on a Parr apparatus. After 3 hours the reaction mixture was filtered to remove catalyst. The filtrate was concentrated under vacuum to provide crude N1-[3-[(3-aminoquinolin-4-yl)amino]propyl]benzamide as an oil. Toluene (100 mL) was added to the oil followed by the addition of triethylorthoformate (0.8 g, 5.6 mmol). The reaction mixture was heated on a steam bath overnight. The reaction mixture was allowed to cool to ambient temperature. The resulting precipitate was isolated by filtration to provide 0.53 g of N′-[3-(1H-imidazo[4,5-c]quinolin-1-yl)propyl]benzamide as an off white solid, m.p. 188-190° C. 1H NMR (500 MHz, DMSO-d6) δ 8.67 (t, J=5.5 Hz, 1H), 8.50 (s, 1H), 8.37 (d, J=7.5 Hz, 1H), 8.17 (dd, J=8.0, 1.5 Hz, 1H), 7.87 (d, J=7.0 Hz, 2H), 7.71 (dt, J=7.5, 1.5 Hz, 1H), 7.56 (dt, J=7.5, 1.0 Hz, 1H), 7.54 (d, J=8.0 Hz, 2H), 7.48 (t, J=7.0 Hz, 2H), 4.78 (t, J=7.0 Hz, 2), 3.38 (q, J=6.0 Hz, 2H), 2.18 (quintet, J=7.0 Hz, 2H).
- 3-Chloroperoxybenzoic acid (0.55 g, 1.6 mmol) was slowly added at ambient temperature to a solution of N1-[3-(1H-imidazo[4,5-c]quinolin-1-yl)propyl]benzamide (0.53 g, 1.6 mmol) in chloroform (50 mL). After 3 hours the reaction was washed with 1% sodium carbonate (2×30 mL) and then concentrated under vacuum to provide 0.32 g of 1-(3-benzamidopropyl)-1H-imidazo[4,5-c]quinoline-5N-oxide as a solid.
- Ammonium hydroxide (20 mL) was added to a solution of 1-(3-benzamidopropyl)-1H-imidazo[4,5-c]quinoline-5N-oxide (0.32 g, 0.92 mmol) in dichloromethane (100 mL). Tosyl chloride (0.17 g, 0.92 mmol) was slowly added. The reaction mixture was stirred overnight at ambient temperature and then it was concentrated under vacuum to remove the dichloromethane. The resulting precipitate was isolated by filtration and then washed with water. This material was dissolved in isopropyl alcohol (20 mL/g). Concentrated hydrochloric acid (1 eq.) was added and then the volume of the reaction mixture was reduced by 10-20%. The resulting precipitate was isolated by filtration and washed with isopropyl alcohol to provide 0.25 g of N1-[3-(4-amino-1H-imidazo[4,5-c]quinolin-1-yl)propyl]benzamide hydrochloride as a solid, m.p. 265-270° C. Analysis: Calculated for C20H19N5O.HCl.1/2H2O: % C, 61.46; % H, 5.42; % N, 17.92; Found: % C, 61.79; % H, 5.34; % N, 17.61. 1H NMR (500 MHz, DMSO-d6) δ 13.74 (broad s, 1H), 9.30 (broad s, 2H), 8.73 (t, J=6.0 Hz, 1H), 8.61 (s, 1H), 8.22 (d, J=8.0 Hz, 1H), 7.87 (d, J=8.0 Hz, 2H), 7.84 (d, J=8.0 Hz, 1H), 7.71 (t, J=8.0 Hz, 1H), 7.54 (t, J=8.0 Hz, 1H), 7.48 (t, J=8.0 Hz, 2H), 7.43 (t, J=8.0 Hz, 1H), 4.75 (t, J=7.0 Hz, 2H), 3.39 (q, J=6.0 Hz, 2H), 2.17 (t, J=7.0 Hz, 2H); MS (EI) m/e 345.1593 (345.1590 calcd for C20H19N5O).
-
- Carbonyl diimidazole (18.6 g, 0.115 mol) was added to a suspension of 6-chloronicotinic acid (16.6 g, 0.105 mol) in dichloromethane (250 mL). After all of the solid had dissolved the reaction solution was stirred at ambient temperature for 1 hour and then isopropyl alcohol (100 mL) was added. The dichloromethane was removed under vacuum. A catalytic amount of sodium isopropoxide was added to the solution and the solution was heated at reflux for 1 hour. The solution was then concentrated under vacuum. The resulting residue was slurried with water and then extracted with diethyl ether. The extract was dried over magnesium sulfate and then concentrated under vacuum to provide 23.9 g of isopropyl 6-chloronicotinate.
- A solution of isopropyl 6-chloronicotinate (6.0 g, 0.03 mol) and morpholine (13 mL, 0.15 mol) in isopropyl alcohol (60 mL) was heated at reflux for 72 hours. The solution was allowed to cool to ambient temperature overnight. The resulting precipitate was isolated by filtration, washed with isopropyl alcohol and dried to provide isopropyl 6-morpholinonicotinate. The filtrate was diluted with water. The resulting precipitate was isolated by filtration, washed with water and dried to provide isopropyl 6-morpholinonicotinate. The combined yield was 8.3 g. The isopropyl 6-morpholinonicotinate was combined with 1 N sodium hydroxide (40 mL) and the resulting suspension was stirred at 50-60° C. until all of the solid had dissolved. The solution was stirred at ambient temperature overnight during which time a precipitate formed. This material was isolated by filtration and identified as starting material. The filtrate was neutralized with concentrated hydrochloric acid. The resulting precipitate was isolated by filtration, washed with water and dried to provide 3.3 g of crude product. This material was recrystallized from methanol/dichloromethane to provide 6-morpholinonicotinic acid as a solid, m.p. 259-261° C. Analysis: Calculated for C10H12N2O3: % C, 57.19; % H, 5.81; % N, 13.48; Found: % C, 57.50; % H, 5.71; % N, 13.53.
- N,N-Dimethylformamide (1 mL) was slowly added to a solution of oxalyl chloride (0.13 g, 1 mmol) in chloroform (5 mL). 6-Morpholinonicotinic acid (0.21 g, 1 mmol) was added and the reaction mixture was stirred for 15 minutes. The reaction mixture was concentrated under vacuum, diluted with toluene and then concentrated under vacuum to provide 6-morpholinonicotinoyl chloride. This material was kept under vacuum at ambient temperature overnight and then used in the next step.
- The acid chloride from Part C was dissolved in pyridine (20 mL) and then added all at once to a warm solution of 1-(4-aminobutyl)-1H-imidazo[4,5-c]quinolin-4-amine (0.25 g, 1 mmol) in pyridine (25 mL). The reaction mixture was concentrated under vacuum at 40° C. to remove the pyridine. The resulting residue was combined with water and 1N sodium hydroxide (25 mL). The mixture was extracted with dichloromethane. The extract was concentrated under vacuum. The resulting residue was recrystallized from isopropyl alcohol to provide N3-[4-(4-amino-1H-imidazo[4,5-c]quinolin-1-yl)butyl]-6-morpholinonicotinamide as a solid, m.p. 160-170° C. (dec.). 1H NMR (500 MHz, DMSO-d6) δ 8.55 (d, J=2.5 Hz, 1H), 8.52 (s, 1H), 8.28 (t, J=6.0 Hz, 1H), 8.22 (d, J=8.0 Hz, 1H), 7.90 (dd, J=8.0, 2.5 Hz, 1H), 7.82 (d, J=8.0 Hz, 1H), 7.69 (t, J=8.0 Hz, 1H), 7.52 (d, J=8.0 Hz, 1H), 6.82 (d, J=8.0 Hz, 1H), 4.70 (t, J=7.0 Hz, 2H), 3.69 (t, J=5.0 Hz, 4H), 3.54 (t, J=5.0 Hz, 4H), 3.27 (q, J=6.0 Hz, 2H), 1.91 (quintet, J=7.0 Hz, 2H), 1.58 (t, J=6.0 Hz, 2H); MS (EI) m/e 445.2209 (445.2226 calcd for C24H27N7O2).
-
- Triethylamine (66.8 g, 0.33 mol) was added to a solution of tert-butyl N-(2-aminoethyl)carbamate (55.0 g, 0.34 mol) in anhydrous dichloromethane (500 mL). 4-Chloro-3-nitroquinoline was slowly added and the reaction exothermed. The reaction mixture was allowed to stir at ambient temperature overnight. The resulting precipitate was isolated by filtration to provide product as a yellow solid. The filtrate was washed with water, dried over magnesium sulfate and then concentrated under vacuum. The resulting residue was slurried with hexane and filtered to provide additional product as a yellow solid. The two crops were combined to provide 10 g of tert-butyl N-[2-(3-nitroquinolin-4-yl)aminoethyl]carbamate as a yellow solid, m.p. 157-158.
- Platinum on carbon (1 g of 10%) and sodium sulfate (2 g) were added to a slurry of tert-butyl N-[2-(3-nitroquinolin-4-yl)aminoethyl]carbamate (100 g, 0.30 mol) in toluene (500 mL). The mixture was placed under a hydrogen atmosphere at 50 psi (3.4×104 pascals) on a Parr apparatus at ambient temperature overnight. The reaction mixture was filtered. The filtrate was concentrated to provide 73 g of tert-butyl N-[2-(3-aminoquinolin-4-yl)aminoethyl]carbamate as a dark gold oil.
- Triethyl orthoformate (11.3 g, 73.4 mmol) was added to a solution of tert-butyl N-[2-(3-aminoquinolin-4-yl)aminoethyl]carbamate (21 g, 69.4 mmol) in anhydrous toluene (250 mL). The reaction mixture was heated at reflux for 5 hours and then allowed to slowly cool to ambient temperature. The resulting precipitate was isolated by filtration and dried to provide 17.6 g of tert-butyl N-[2-(1H-imidazo[4,5-c]quinolin-1-yl)ethyl]carbamate as a light tan solid, m.p. 154-155° C.
- 3-Chloroperoxybenzoic acid (17.4 g, 60.6 mmol) was added in small portions to a solution of tert-butyl N-[2-(1H-imidazo[4,5-c]quinolin-1-yl)ethyl]carbamate (17.2 g, 55.1 mmol) in chloroform (250 mL). The reaction was maintained at ambient temperature overnight and then quenched with 5% sodium carbonate solution. The layers were separated. The organic layer was dried over magnesium sulfate and then concentrated under vacuum to provide 15.0 g of 1-[2-(tert-butylcarbamyl)ethyl]-1H-imidazo[4,5-c]quinoline-5N-oxide as an off white solid, m.p. 213-215° C.
- Trichloroacetyl isocyanate (9.5 g, 50.2 mmol) was slowly added to a stirred solution of 1-[2-(tert-butylcarbamyl)ethyl]-1H-imidazo[4,5-c]quinoline-5N-oxide (15.0 g, 45.7 mmol) in chloroform (200 mL). After 2 hours the reaction was quenched with concentrated ammonium hydroxide (100 mL). Water (100 mL) was added and the layers were separated. The aqueous layer was extracted with chloroform. The organic layers were combined, dried over magnesium sulfate and then concentrated under vacuum to provide a white solid. This material was slurried in warm methyl acetate and then filtered to provide 15 g of tert-butyl N-[2-(4-amino-1H-imidazo[4,5-c]quinolin-1-yl)ethyl]carbamate as a white solid, m.p. 215° C. 1H NMR (500 MHz, DMSO-d6) δ 8.13 (t, J=8.0 Hz, 1H), 8.03 (s, 1H), 7.61 (d, J=8.0 Hz, 1H), 7.44 (t, J=8.0 Hz, 1H), 7.23 (t, J=8.0 Hz, 1H), 7.06 (t, J=6.0 Hz, 1H), 6.56 (broad s, 2H), 4.63 (t, J=7.0 Hz, 2H), 3.43 (q, J=6.0 Hz, 2H), 1.32 (s, 9H); MS (EI) m/e 327.1696 (327.1695 calcd for C17H21N5O2)
- Tert-butyl N-[2-(4-amino-1H-imidazo[4,5-c]quinolin-1-yl)ethyl]carbamate (14.8 g, 45.2 mmol), trifluoroacetic acid (100 mL) and acetonitrile (100 mL) were combined and maintained at ambient temperature overnight. The acetonitrile was removed and the reaction mixture was heated at reflux for 2 hours. The reaction mixture was concentrated under vacuum to provide a tan solid. This material was dissolved in a minimal amount of hot water. The solution was adjusted to pH 14 and allowed to cool. The solution was concentrated under vacuum. The resulting residue was extracted with refluxing ethanol. The ethanol extract was concentrated under vacuum to provide 3.0 g of 1-(2-aminoethyl)-1H-imidazo[4,5-c]quinolin-4-amine as a tan solid, m.p. 265° C. 1H NMR (500 MHz, DMSO-d6) δ 8.14 (s, 1H), 8.08 (dd, J=8.0, 1.5 Hz, 1H), 7.62 (dd, J=8.0, 1.5 Hz, 1H), 7.44 (dt, J=8.0, 1.5 Hz, 1H), 7.25 (dt, J=8.0, 1.5 Hz, 1H), 6.58 (broad s, 2H), 4.54 (t, J=7.0 Hz, 2H), 3.01 (t, J=7.0 Hz, 2H), 1.60 (broad s, 2H); MS (EI) m/e 227.1171(227.1171 calcd for C12H13N5)—
- A mixture of 1-(2-aminoethyl)-1H-imidazo[4,5-c]quinolin-4-amine (0.40 g, 1.76 mmol) and anhydrous pyridine (60 mL) was heated until a clear solution was obtained. The solution was then cooled with an ice bath. Benzoyl chloride (0.25 g, 1.76 mmol) was added. The reaction mixture was maintained at ambient temperature overnight and then concentrated under vacuum. The residue was slurried with water (200 mL) and a solid was isolated by filtration. This material was recrystallized from isopropyl alcohol to provide 0.15 g of N1-[2-(4-amino-1H-imidazo[4,5-c]quinolin-1-yl)ethyl]benzamide as a white powder, m.p. 295° C. 1H NMR (500 MHz, DMSO-d6) δ 8.50 (t, J=6.0 Hz, 1H), 8.23 (d, J=8.0 Hz, 1H), 8.04 (s, 1H), 7.75 (d, J=8.0 Hz, 2H), 7.64 (d, J=8.0 Hz, 1H), 7.49 (t, J=8.0 Hz, 1H), 7.43 (t, J=8.0, 1H), 7.41 (t, J=8.0 Hz, 2H), 7.25 (t, J=8.0 Hz, 1H), 6.28 (broad s, 2H), 4.80 (t, J=7.0 Hz, 2H), 3.80 (q, J=6.0 Hz, 2H); MS (EI) m/e 331.1429 (331.1433 calcd for C19H17N5O).
-
- Under a nitrogen atmosphere, a mixture of 1-(4-aminobutyl)-1H-imidazo[4,5-c]quinolin-4-amine (0.125 g, 0.49 mmol) and anhydrous pyridine (40 mL) was warmed with a heat gun to dissolve the solid. The resulting solution was allowed to cool to ambient temperature. A solution of 2-phenoxybenzoyl chloride (0.11 g, 0.47 mmol) in pyridine (5 mL) was added. The reaction mixture was maintained at ambient temperature for 18 hours and then concentrated under vacuum. The resulting solid residue was purified by flash chromatography (silica gel eluting with 9:1 dichloromethane:methanol) to provide 0.12 g of N1-[4-(4-amino-1H-imidazo[4,5-c]quinolin-1-yl)butyl]-2-phenoxybenzamide as a white solid, m.p. 93-94° C. 1H NMR (500 MHz, DMSO-d6) δ 8.23 (t, J=6.0 Hz, 1H), 8.14 (s, 1H), 8.00 (d, J=8.0 Hz, 1H), 7.62 (d, J=8.0 Hz, 1H), 7.54 (dd, J=8.0, 1.5 Hz, 1H), 7.43 (dt, J=8.0, 1.5 Hz, 1H), 7.42 (dt, J=8.0, 1.5 Hz, 1H), 7.30 (t, J=8.0 Hz, 2H), 7.22 (t, J=8.0 Hz, 1H), 7.18 (t, J=8.0 Hz, 1H), 7.07 (t, J=8.0 Hz, 1H), 6.89 (m, 3H), 6.59 (broad s, 2H), 4.55 (t, J=7.0 Hz, 2H), 3.23 (q, J=6.0 Hz, 2H), 1.81 (quintet, J=7.0 Hz, 2H), 1.47 (quintet, J=7.0 Hz, 2H); MS (EI) m/e 451.2004 (451.2008 calcd for C27H25N5O2).
-
- Using the method of Example 14, 1-(4-aminobutyl)-1H-imidazo[4,5-c]quinolin-4-amine (0.2 g, 0.78 mmol) was reacted with 3-benzoylbenzoyl chloride (0.18 g, 0.73 mmol) to provide 0.19 g of N1-[4-(4-amino-1H-imidazo[4,5-c]quinolin-1-yl)butyl]-3-benzoylbenzamide as a white crystalline solid, m.p. 103-105° C. 1H NMR (500 MHz, DMSO-d6) δ 8.70 (t, J=6.0 Hz, 1H), 8.22 (s, 1H), 8.16 (broad s, 1H), 8.08 (d, J=8.0 Hz, 1H), 8.03 (d, J=8.0 Hz, 0.1H), 7.85 (d, J=8.0 Hz, 1H), 7.73 (d, J=8.0 Hz, 2H), 7.70 (t, J=8.0 Hz, 1H), 7.64 (t, J=8.0 Hz, 1H), 7.61 (d, J=8.0 Hz, 1H), 7.57 (t, J=8.0 Hz, 2H), 7.40 (t, J=8.0 Hz, 1H), 7.19 (t, J=8.0 Hz, 1H), 6.67 (broad s, 2H), 4.63 (t, J=7.0 Hz, 2H), 3.32 (q, J=6.0 Hz, 2H), 1.91 (quintet, J=7.0 Hz, 2H), 1.59 (quintet, J=7.0 Hz, 2H); MS (EI) m/e 463.2022 (463.2008 calcd for C28H25N5O2).
-
- Using the method of Example 14, 1-(4-aminobutyl)-1H-imidazo[4,5-c]quinolin-4-amine (0.2 g, 0.78 mmol) was reacted with hydrocinnamoyl chloride (0.11 mL, 0.74 mmol) to provide 0.14 g of N1-[4-(4-amino-1H-imidazo[4,5-c]quinolin-1-yl)butyl]-3-phenylpropanamide as a white solid, m.p. 148-150° C.
- 1H NMR (500 MHz, DMSO-d6) δ 8.19 (s, 1H), 8.03 (d, J=8.0 Hz, 1H), 7.82 (t, J=6.0 Hz, 1H), 7.63 (d, J=8.0 Hz, 1H), 7.45 (t, J=8.0 Hz, 1H), 7.27 (t, J=8.0 Hz, 1H), 7.22 (t, J=8.0 Hz, 2H), 7.15 (m, 3H), 6.66 (broad s, 2H), 4.58 (t, J=7.0 Hz, 2H), 3.06 (q, J=6.0 Hz, 2H), 2.75 (t, J=7.0 Hz, 2H), 2.31 (t, J=7.0 Hz, 2H), 1.79 (quintet, J=7.0 Hz, 2H), 1.40 (t, J=7.0 Hz, 2H); MS (EI) m/e 387.2067 (387.2059 calcd for C23H25N5O).
-
- Using the method of Example 14, 1-(2-aminoethyl)-1H-imidazo[4,5-c]quinolin-4-amine (100 mg, 0.44 mmol) was reacted with hydrocinnamoyl chloride (0.065 mL, 0.44 mmol) to provide 0.06 g of N′-[2-(4-amino-1H-imidazo[4,5-c]quinolin-1-yl)ethyl]-3-phenylpropanamide as a white solid, m.p. 254-256° C. 1H NMR (500 MHz, DMSO-d6) δ 8.16 (d, J=8.0 Hz, 1H), 8.07 (t, J=6.0 Hz, 1H), 7.97 (s, 1H), 7.62 (dd, J=8.0, 1.0 Hz, 1H), 7.45 (dt, J=8.0, 1.0 Hz, 1H), 7.26 (m, 3H), 7.16 (m, 3H), 6.6 (broad s, 2H), 4.61 (t, J=7.0 Hz, 2H), 3.54 (q, J=6.0 Hz, 2H), 2.75 (t, J=7.0 Hz, 2H), 2.31 (t, J=7.0 Hz, 2H); MS (EI) m/e 359.1745 (359.1746 calcd for C21H21N5O).
-
- 1-(4-Aminobutyl)-1H-imidazo[4,5-c]quinolin-4-amine (99.6 mg, 0.39 mmol) and 2-(4-benzoylphenoxy)acetic acid (100 mg, 0.39 mmol) were combined in pyridine (10 mL). The mixture was warmed until homogeneous and then allowed to cool. 1-[3-(dimethylamino)propyl]-3-ethylcarbodiimide hydrochloride (82 mg, 0.43 mole) was added. The reaction mixture was maintained at ambient temperature overnight and then concentrated under vacuum. The residue was partitioned between chloroform and saturated potassium carbonate solution. The layers were separated. The aqueous layer was extracted with chloroform. The organic layers were combined, dried over magnesium sulfate and then concentrated under vacuum to provide a gold oil. The oil was purified by column chromatography (silica gel eluting with 10% methanol in dichloromethane) to provide about 70 mg of N′-[4-(4-amino-1H-imidazo[4,5-c]quinolin-1-yl)butyl]-2-(4-benzoylphenoxy)acetamide as a white solid, m.p. 73-98° C. 1H NMR (500 MHz, DMSO-d6) δ 8.22 (t, J=6.0 Hz, 1H), 8.18 (s, 1H), 8.03 (d, J=8.3 Hz, 1H), 7.73 (d, J=8.0 Hz, 2H), 7.68 (d, J=8.0 Hz, 2H), 7.65 (t, J=8.0 Hz, 1H), 7.60 (dd, J=8.0, 1.0 Hz, 1H), 7.55 (t, J=8.0 Hz, 2H), 7.42 (dt, J=8.0, 1.0 Hz, 1H), 7.25 (t, J=8.0, 1.0 Hz, 1H), 7.07 (d, J=8.0 Hz, 2H), 6.58 (broad s, 2H), 4.61 (t, J=7.0 Hz, 2H), 4.56 (s, 2H), 3.18 (q, J=6.0 Hz, 2H), 1.86 (quintet, J=7.0 Hz, 2H), 1.50 (quintet, J=7.0 Hz, 2H); MS (EI) m/e 493.2106 (493.2114 calcd for C29H27N5O3).
-
- Using the general method of Example 18, 1-(4-aminobutyl)-1H-imidazo[4,5-c]quinolin-4-amine (100 mg, 0.392 mmol) was coupled with 5-[(2-oxo-2,3-dihydro-1H-benzo[d]imidazol-5-yl)oxy]pentanoic acid (98.1 mg, 0.392 mmol) to provide 20 mg of N-[4-amino-1H-imidazo[4,5-c]quinolin-1-yl]butyl-5-[(2-oxo-2,3-dihydro-1H-benzo[d]imidazol-5-yl)oxy]pentamide as an off-white solid, m.p. 150-157° C. 1H NMR (500 MHz, DMSO-d6) δ 10.51 (s, 1H), 10.36 (s, 1H), 8.23 (s, 1H), 8.05 (d, J=8.0 Hz, 1H), 7.81 (t, J=6.0 Hz, 1H), 7.64 (t, J=6.0 Hz, 1H), 7.47 (t, J=8.0 Hz, 1H), 7.29 (t, J=8.0 Hz, 1H), 6.93 (broad s, 2H), 6.78 (d, J=8.0 Hz, 1H), 6.48 (s, 1H), 6.47 (d, J=8.0 Hz, 1H), 4.61 (t, J=7.0 Hz, 2H), 3.82 (broad s, 2H), 3.08 (q, J=6.0 Hz, 2H), 2.05 (t, J=7.0 Hz, 2H), 1.84 (quintet, J=7.0 Hz, 2H), 1.58 (broad s, 4H), 1.44 (quintet, J=7.0 Hz, 2H); MS (EI) m/e 487.2329 (487.2332 calcd for C26H29N7O3).
-
- Using the general method of Example 14, 1-(4-aminobutyl)-1H-imidazo[4,5-c]quinolin-4-amine (0.51 g, 2.0 mmol) was reacted with 4-benzoylbenzoyl chloride (2.0 mmol) to provide 0.15 g of N1-[4-(4-amino-1H-imidazo[4,5-c]quinolin1-yl)butyl]-4-benzoylbenzamide as a white solid, m.p. 159-161° C. 1H NMR (500 MHz, CDCl3) δ 8.06 (s, 1H), 7.96 (d, J=8.0 Hz, 1H), 7.91 (d, J=8.0 Hz, 1H), 7.85 (d, J=8.0 Hz, 2H), 7.81 (d, J=8.0 Hz, 2H), 7.76 (d, J=8.0 Hz, 2H), 7.60 (m, 2H), 7.49 (t, J=8.0 Hz, 2H), 7.48 (t, J=8.0 Hz, 1H), 7.24 (broad s, 1H), 6.86 (broad s, 1H), 6.60 (t, J=6 Hz, 1H), 4.69 (t, J=7.0 Hz, 2H), 3.62 (q, J=6.0 Hz, 2H), 2.14 (quintet, J=7.0 Hz, 2H), 1.82 (quintet, J=7.0 Hz, 2H); MS (EI) m/e 463.2002 (463.2008 calcd for C28H25N5O2).
-
- Using the general method of Example 18, 1-(4-aminobutyl)-1H-imidazo[4,5-c]quinolin-4-amine (0.5 g, 1.96 mmol) was coupled with 6-quinolinecarboxylic acid (0.34 g, 1.96 mmol) to provide 0.08 g of N6-[4-(4-amino-1H-imidazo[4,5-c]quinolin-1-yl)butyl]-6-quinolinecarboxamide as a tan powder, m.p. 122-127° C. (foaming). 1H NMR (300 MHz, DMSO-d6) δ 8.98 (m, 1H), 8.73 (t, J=5.4 Hz, 1H), 8.43 (m, 2H), 8.23 (s, 1H), 8.13-8.03 (m, 3H), 7.60 (m, 2H), 7.40 (m, 1H), 7.20 (m, 1H), 6.58 (broad s, 2H), 4.66 (t, J=6.7 Hz, 2H), 3.37 (m, 2H), 1.96 (m, 2H), 1.64 (m, 2H); MS (EI) m/e 410.1847 (410.1855 calcd for C24H22N6O).
-
- Using the general method of Example 11 Part C, N1-{3-[(3-nitroquinolin-4-yl)amino]propyl}benzamide (2.0 g, 5.7 mmol) was reduced to the diamine and then reacted with triethylorthoacetate to provide 0.74 g of N1-[3-(2-methyl-1H-imidazo[4,5-c]quinolin-1-yl)propyl]benzamide as a sticky dark yellow solid.
- Using the general method of Example 11 Part D, the material from Part A was oxidized to provide 0.35 g of 1-(3-benzamidopropyl)-2-methyl-1H-imidazo[4,5-c]quinoline-5N-oxide as a solid.
- Ammonium hydroxide (20 mL) was added to a solution of 1-(3-benzamidopropyl)-2-methyl-1H-imidazo[4,5-c]quinoline-5N-oxide (0.35 g, 0.97 mmol) in dichloromethane (100 mL). Tosyl chloride (0.185 g, 0.97 mmol) was slowly added with vigorous stirring. The reaction mixture was stirred overnight at ambient temperature and then it was concentrated under vacuum to remove the dichloromethane. The resulting solid was recrystallized from dichloromethane to provide 0.1 g of N-[3-(4-amino-2-methyl-1H-imidazo[4,5-c]quinolin-1-yl)propyl]benzamide as a solid, m.p. 230-231.4° C.
-
- Using the general method of Example 9 Part A, hexamethylenediamine (348.63 g, 3 mol) was reacted with benzamide (121.14 g, 1 mole) to provide 136.5 g of N-(6-aminohexyl)benzamide.
- Using the general method of Example 9 Part B, 4-chloro-3-nitroquinoline hydrochloride (10 g, 41 mmol) was reacted with N-(6-aminohexyl)benzamide to provide 12.85 g of N′-{6-[(3-nitroquinolin-4-yl)amino]hexyl}benzamide as a yellow crystalline solid.
- Using the general method of Example 9 Part C, 12.3 g of the material from part B was reduced and then reacted with triethylorthoformate (8.94 g, 6 mmol) to provide 6.4 g of N1-[6-(1H-imidazo[4,5-c]quinolin-1-yl)hexyl]benzamide as a brown oil.
- Ammonium hydroxide was added to a solution of the material from Part D in dichloromethane. Tosyl chloride (2.94 g, 15 mmol) was slowly added with vigorous stirring. The reaction mixture was allowed to stir at ambient temperature overnight and then it was concentrated under vacuum. The resulting crude material was recrystallized from propyl acetate to provide 0.91 g of N1-[6-(4-amino-1H-imidazo[4,5-c]quinolin-1-yl)hexyl]benzamide as a beige crystalline solid, m.p. 146-155° C.
-
- D-biotinyl N-hydroxysuccinimide (0.57 g, 1.67 mmol) was added to a solution of 1-(4-aminobutyl)-2-butyl-1H-imidazo[4,5-c]quinolin-4-amine (0.52 g, 1.67 mmol) in pyridine (25 mL). The reaction was maintained at ambient temperature overnight and then concentrated to dryness. The residue was partitioned between dichloromethane and aqueous saturated potassium carbonate. The organic layer was dried over magnesium sulfate and then concentrated to provide 0.4 g of N1-[4-(4-amino-2-butyl-1H-imidazo[4,5-c]quinolin-1-yl)-5-(2-oxoperhydrothieno[3,4-d]imidazol-4-yl)pentamide as a solid, m.p. 214-215° C. Analysis: Calculated for C28H39N7O2S: % C, 62.54; % H, 7.31; % N, 18.23; Found: % C, 61.67; % H, 7.37; % N, 17.62.
-
- A solution of 1-(4-aminobutyl)-1H-imidazo[4,5-c]quinolin-4-amine (0.38 g, 1.49 mmol) in pyridine-(20 mL) was added to a solution of N-hydroxysuccinimidobiotin (0.51 g, 1.49 mmol) in pyridine (20 mL). The reaction was maintained at ambient temperature overnight and then concentrated to dryness. The residue was partitioned between dichloromethane and aqueous saturated potassium carbonate. The organic layer was dried over magnesium sulfate and then concentrated to provide 0.58 g of N1-[4-(4-amino-1H-imidazo[4,5-c]quinolin-1-yl)-5-(2-oxoperhydrothieno[3,4-d]imidazol-4-yl)pentamide as a solid, m.p. 104-106° C. High resolution mass spec: Theoretical mass=481.2260, Measured mass=481.2261.
-
- A solution of N-hydroxysuccinimidoiminobiotin (0.74 g, 1.76 mmol) in pyridine (10 mL) was slowly added to a solution of 1-(2-aminoethyl)-2-butyl-1H-imidazo[4,5-c]quinolin-4-amine (0.50 g, 1.76 mmol) in pyridine (30 mL). The reaction was maintained at ambient temperature overnight and then concentrated to dryness. The residue was partitioned between dichloromethane and aqueous saturated potassium carbonate. The organic layer was dried over magnesium sulfate and then concentrated to dryness. The residue was recrystallized from ethanol to provide 0.5 g of N′-[2-(4-amino-2-butyl-1H-imidazo[4,5-c]quinolin-1-yl)ethyl]-5-(2-iminoperhydrothieno[3,4-d]imidazol-4-yl)pentanamide as a solid, m.p. 95-96° C. High resolution mass spec: Theoretical mass=508.2733, Measured mass=508.2723.
-
- Using the general method of Example 24, N-hydroxysuccinimidobiotin (0.6 g, 1.76 mmol) was reacted with 1-(2-aminoethyl)-1H-imidazo[4,5-c]quinolin-4-amine (0.4 g, 1.76 mmol) to provide 0.6 g of N1-[2-(4-amino-1H-imidazo[4,5-c]quinolin-1-yl)ethyl]-5-(2-oxoperhydrothieno[3,4-d]imidazol-4-yl)pentanamide as a solid, m.p. 169° C.
-
- Using the general method of Example 25, 1-(4-aminoethyl)-2-butyl-1H-imidazo[4,5-c]quinolin-4-amine (0.4 g, 1.47 mmol) was reacted with N-hydroxysuccinimidobiotin (0.5 g, 1.47 mmol) to provide 0.44 g of N′-[2-(4-amino-2-butyl-1H-imidazo[4,5-c]quinolin-1-yl)ethyl]-5-(2-oxoperhydrothieno[3,4-d]imidazol-4-yl)pentanamide as a white solid, m.p. 124-126° C. High resolution mass spec: Theoretical mass=509.25, Measured mass 509.2580.
-
- Triethylamine (1.2 g, 11.4 mmol) was added in a single portion to a slurry of 1-(2-aminoethyl)-2-(ethoxymethyl)-1H-imidazo[4,5-c]quinolin-4-amine hydrochloride (3.39 g, 10.53 mmol) in chloroform (150 mL). The reaction mixture became clear. N-hydroxysuccinimidobiotin (3.0 g, 8.79 mmol) was then slowly added. After 2 hours the turbid reaction mixture was heated to reflux. The reaction mixture was maintained at reflux overnight and became clear. The reaction mixture was allowed to cool to ambient temperature and then it was quenched with water. The layers were separated. The organic layer was dried over magnesium sulfate and then concentrated to provide an off-white solid. This material was recrystallized from 8:2 ethanol:water to provide a white solid. A portion of this material was purified by prep HPLC eluting with water/acetonitrile/trifluoroacetic acid to provide 0.6 g of N-[2-(4-amino-2-(ethoxymethyl)-1H-imidazo[4,5-c]quinolin-1-yl)ethyl]-5-(2-oxoperhydrothieno[3,4-d]imidazol-4-yl)pentanamide as the ditrifluoroacetate salt, m.p. 171-175° C. Analysis: Calculated for: C25H33N7O3S 2 C2HF3O2: % C, 47.09; % H, 4.77; % N, 13.26; Found: % C, 47.06; % H, 5.17; % N, 13.31.
-
- 1-(4-Aminobutyl)-2-butyl-1H-imidazo[4,5-c]quinolin-4-amine (0.13 g, 0.47 mmol), D-desthiobiotin (0.10 g, 0.47 mmol) and chloroform (200 mL) were combined and stirred at ambient temperature until a clear solution was obtained. 1-[3-(dimethylamino)propyl-3-ethylcarbodiimide hydrochloride (0.094 g, 0.49 mmol) was added and the reaction mixture was maintained at ambient temperature overnight. The reaction mixture was poured onto a silica gel column. The chloroform was allowed to run off and then the column was eluted with 10% methanol in dichloromethane. The pure fractions were combined and concentrated to provide N′-[4-(4-amino-2-butyl-1H-imidazo[4,5-c]quinolin-1-yl)butyl]-6-(5-methyl-2-oxo-4-imidazolinyl)hexaneamide as a white solid.
-
- According to the general method of Example 14, 1-(4-aminobutyl)-1H-imidazo[4,5-c]quinolin-4-amine and 2-ethoxy-1-naphthoyl chloride were combined to provide N1-[4-(4-amino-1H-imidazo[4,5-c]quinolin-1-yl)butyl]-2-ethoxy-1-naphthamide as a white powder, m.p. 219° C. (decomposition). 1H NMR (300 MHz, DMSO-d6) δ 8.33 (t, J=5.8 Hz, 1H), 8.22 (s, 1H), 8.09 (d, J=8.0 Hz, 1H), 7.91 (d, J=8.7 Hz, 1H), 7.87-7.84 (m, 1H), 7.64-7.56 (m, 2H), 7.47-7.22 (m, 5H), 6.60 (s, 2H), 4.69 (t, J=7.2 Hz, 2H), 4.09 (q, J=7.2 Hz, 2H), 3.37 (m, 2H), 2.01 (m, 2H), 1.64 (m, 2H), 1.18 (t, J=7.2 Hz, 3H); MS (EI) m/e 453.2157 (453.2165 calcd for C27H27N5O2).
-
- According to the general method of Example 14, 1-(4-aminobutyl)-1H-imidazo[4,5-c]quinolin-4-amine and 4-cyanobenzoyl chloride were combined to provide N1-[4-(4-amino-1H-imidazo[4,5-c]quinolin-1-yl)butyl]-4-cyanobenzamide as a white powder, m.p. 222.8-225.3° C. 1H NMR (300 MHz, DMSO-d6) δ 8.73 (t, J=5.7 Hz, 1H), 8.22 (s, 1H), 8.03 (d, J=8.1 Hz, 1H), 7.93 (s, 4H), 7.61 (dd, J=8.4, 1.2 Hz, 1H), 7.43 (dt, J=7.6, 1.5 Hz, 1H), 7.21 (dt, J=7.6, 1.2 Hz, 1H), 6.61 (s, 2H), 4.64 (t, J=7.2 Hz, 2H), 3.33 (m, 2H), 1.96 (quintet, J=7.2 Hz, 2H), 1.58 (quintet, J=7.2 Hz, 2H); IR (KBr) 3441, 3337, 3136, 2945, 2228, 1641, 1545, 1531, 1481, 1396, 1309, 1257, 857, 755 cm−1; MS (EI) m/e 384.1699 (384.1699 calcd for C22H20N6O).
-
- According to the general method of Example 14, 1-(4-aminobutyl)-1H-imidazo[4,5-c]quinolin-4-amine and 3-cyanobenzoyl chloride were combined to provide N1-[4-(4-amino-1H-imidazo[4,5-c]quinolin-1-yl)butyl]-3-cyanobenzamide as a white crystalline solid, m.p. 200.0-201.0° C. (decomposition). 1H NMR (300 MHz, DMSO-d6) δ 8.68 (t, J=5.7 Hz, 1H), 8.22 (s, 1H), 8.17 (t, J=1.8 Hz, 1H), 8.10-7.97 (m, 3H), 7.69-7.60 (m, 2H), 7.42 (dt, J=7.5, 1.2 Hz, 1H), 7.20 (dt, J=7.5, 1.5 Hz, 1H), 6.62 (s, 2H), 4.63 (t, J=6.9 Hz, 2H), 3.32 (m, 2H), 1.91 (quintet, J=7.5 Hz, 2H), 1.59 (quintet, J=7.5 Hz, 2H); IR (KBr) 3455, 3295, 3072, 2941, 2231, 1638, 1581, 1527, 1479, 1396, 1312, 1251, 1205 cm−1; MS (EI) m/e 384.1699 (384.1699 calcd for C22H20N6O).
-
- According to the general method of Example 14, 1-(4-aminobutyl)-1H-imidazo[4,5-c]quinolin-4-amine and 4-biphenylcarbonyl chloride were combined to provide N1-[4-(4-amino-1H-imidazo[4,5-c]quinolin-1-yl)butyl]-4-phenylbenzamide as a white powder, m.p. 215.4° C. (decomposition). 1H NMR (300 MHz, DMSO-d6) δ 8.54 (t, J=5.7 Hz, 1H), 8.22 (s, 1H), 8.05 (d, J=7.2 Hz, 1H), 7.88 (d, J=5.4 Hz, 2H), 7.75-7.70 (m, 4H), 7.62 (dd, J=8.4, 1.5 Hz, 1H), 7.52-7.38 (m, 4H), 7.22 (dt, J=7.5, 1.2 Hz, 1H), 6.61 (s, 2H), 4.65 (t, J=7.2 Hz, 2H), 3.30 (m, 2H), 1.93 (quintet, J=7.5 Hz, 2H), 1.60 (quintet, J=7.5 Hz, 2H); MS (EI) m/e 435.2054 (435.2059 calcd for C27H25N5O).
-
- According to the general method of Example 14, 1-(4-aminobutyl)-1H-imidazo[4,5-c]quinolin-4-amine and phenoxyacetyl chloride were combined to provide N1-[4-(4-amino-1H-imidazo[4,5-c]quinolin-1-yl)butyl]-2-phenoxyacetamide as an off white powder, m.p. 61.5° C. (decomposition). 1H NMR (300 MHz, DMSO-d6) δ 8.19 (s, 1H), 8.12 (t, J=6.0 Hz, 1H), 8.03 (d, J=8.4 Hz, 1H), 7.62 (dd, J=8.4, 1.2 Hz, 1H), 7.44 (dt, J=7.5, 1.2 Hz, 1H), 7.29-7.21 (m, 3H), 6.96-6.88 (m, 3H), 6.62 (s, 2H), 4.60 (t, J=7.2 Hz, 2H), 4.42 (s, 2H), 3.16 (q, J=6.9 Hz, 2H), 1.83 (quintet, J=7.2 Hz, 2H), 1.47 (quintet, J=7.2 Hz, 2H); IR (KBr) 3311, 3180, 2937, 1664, 1618, 1583, 1527, 1493, 1480, 1396, 1244, 755 cm−1; MS (EI) m/e 389.1844 (389.1852 calcd for C22H23N5O2).
-
- According to the general method of Example 14, 1-(4-aminobutyl)-1H-imidazo[4,5-c]quinolin-4-amine and 2-ethylhexanoyl chloride were combined to provide N1-[4-(4-amino-1H-imidazo[4,5-c]quinolin-1-yl)butyl]-2-ethylhexanamide as a tan powder, m.p. 163.0-164.0° C. 1H NMR (300 MHz, DMSO-d6) δ 8.19 (s, 1H), 8.03 (d, J=8.1 Hz, 1H), 7.79 (m, 1H), 7.61 (dd, J=8.1, 1.2 Hz 1H), 7.44 (dt, J=7.5, 1.2 Hz, 1H), 7.26 (dt, J=7.5, 1.2 Hz, 1H), 6.63 (s, 2H), 4.61 (t, J=6.9 Hz, 2H), 3.12-3.05 (m, 2H), 1.94-1.82 (m, 3H), 1.49-1.03 (m, 10H), 0.76 (t, J=7.2 Hz, 3H), 0.67 (t, J=7.2 Hz, 3H); MS (EI) m/e 381.2533 (381.2529 calcd for C22H31N5O).
-
- According to the general method of Example 14, 1-(4-aminobutyl)-1H-imidazo[4,5-c]quinolin-4-amine and trans-2-phenyl-1-cyclopropanecarbonyl chloride were combined to provide N1-[4-(4-amino-1H-imidazo[4,5-c]quinolin-1-yl)butyl]-(trans)-2-phenylcyclopropane-1-carboxamide as an off white solid, m.p. 77.0° C. 1H NMR (300 MHz, DMSO-d6) δ 7.90 (dd, J=8.1, 1.2 Hz, 1H), 7.81 (dd, J=8.1, 1.2 Hz, 1H), 7.78 (s, 1H), 7.50 (dt, J=8.1, 1.5 Hz, 1H), 7.33-7.15 (m, 4H), 7.05-7.02 (m, 2H), 5.84 (broad s, 1H), 5.51 (s, 2H), 4.52 (t, J=7.2 Hz, 2H), 3.32 (q, J=6.6 Hz, 2H), 2.49-2.43 (m, 1H), 2.07-1.95 (m, 3H), 1.64-1.51 (m, 3H), 1.25-1.18 (m, 1H); IR (KBr) 3304, 3179, 2939, 1640, 1582, 1527, 1479, 1396, 1250, 755, 735, 689 cm−1; MS (EI) m/e 399.2059 (399.2059 calcd for C24H25N5O).
-
- According to the general method of Example 14, 1-(4-aminobutyl)-1H-imidazo[4,5-c]quinolin-4-amine and 1-naphthoyl chloride were combined to provide N1-[4-(4-amino-1H-imidazo[4,5-c]quinolin-1-yl)butyl]-1-naphthamide as an off white powder, m.p. 174.5° C. (decomposition). 1H NMR (300 MHz, DMSO-d6) δ 8.52 (t, J=5.6 Hz, 1H), 8.49 (s, 1H), 8.24 (m, 3H), 8.10 (d, J=8.1 Hz, 1H), 7.97 (m, 2H), 7.80 (d, J=8.2 Hz, 1H), 7.65 (t, J=7.3 Hz, 1H), 7.57-7.41 (m, 5H), 4.75 (t, J=6.9 Hz, 2H), 2.03-1.98 (m, 2H), 1.69-1.64 (m, 2H); MS (EI) m/e 409.1903 (409.1903 calcd for C25H23N5O).
-
- According to the general method of Example 14, 1-(4-aminobutyl)-1H-imidazo[4,5-c]quinolin-4-amine and 3-phenoxybenzoyl chloride were combined to provide N1-[4-(4-amino-1H-imidazo[4,5-c]quinolin-1-yl)butyl]-3-phenoxybenzamide as a white powder, m.p. 105.0-107.0° C. 1H NMR (300 MHz, DMSO-d6) δ 8.54 (t, J=5.4 Hz, 1H), 8.34 (s, 1H), 8.10 (d, J=8.1 Hz, 1H), 7.69 (dd, J=8.1, 1.2 Hz, 1H), 7.58-7.29 (m, 9H), 7.19-7.13 (m, 2H), 7.04-6.99 (m, 2H), 4.65 (t, J=7.2 Hz, 2H), 3.28 (m, 2H), 1.89 (quintet, J=7.2 Hz, 2H), 1.58 (quintet, J=7.2 Hz, 2H); MS (EI) m/e 451.2012 (451.2008 calcd for C27H25N5O2).
-
- According to the general method of Example 14, 1-(4-aminobutyl)-1H-imidazo[4,5-c]quinolin-4-amine and quinoline-3-carbonyl chloride were combined to provide N3-[4-(4-amino-1H-imidazo[4,5-c]quinolin-1-yl)butyl]-3-quinolinecarboxamide as a white crystalline solid, m.p. 116.0-118.0° C. (decomposition). 1H NMR (300 MHz, DMSO-d6) δ 9.24 (d, J=2.1 Hz, 1H), 8.86 (t, J=5.1 Hz, 1H), 8.74 (d, J=2.1 Hz, 1H), 8.25 (s, 1H), 8.09-8.05 (m, 3H), 7.86 (dt, J=7.5, 1.0 Hz, 1H), 7.69 (t, J=7.5 Hz, 1H), 7.61 (d, J=7.5 Hz, 1H), 7.40 (t, J=7.5 Hz, 1H), 7.21 (t, J=7.5 Hz, 1H), 6.68 (s, 2H), 4.67 (t, J=6.9 Hz, 2H), 1.97 (quintet, J=7.2 Hz, 2H), 1.65 (quintet, J=7.2 Hz, 2H); MS (EI) m/e 410.1864 (410.1855 calcd for C24H22N6O).
-
- According to the general method of Example 14, 1-(4-aminobutyl)-1H-imidazo[4,5-c]quinolin-4-amine and 2-phenoxypropionyl chloride were combined to provide N1-[4-(4-amino-1H-imidazo[4,5-c]quinolin-1-yl)butyl]-2-phenoxypropanamide as a white powder, m.p. 85.0-87.5° C. 1H NMR (300 MHz, DMSO-d6) δ 8.15 (s, 1H), 8.07 (t, J=6.0 Hz, 1H), 8.00 (d, J=8.4 Hz, 1H), 7.62 (dd, J=8.4, 1.2 Hz, 1H), 7.43 (dt, J=7.5, 1.2 Hz, 1H), 7.28-7.16 (m, 3H), 6.91-6.81 (m, 3H), 6.57 (s, 2H), 4.62-4.53 (m, 3H), 3.10 (q, J=6.9 Hz, 2H), 1.76 (quintet, J=7.1 Hz, 2H), 1.43 (quintet, J=7.1 Hz, 2H), 1.33 (d, J=6.6 Hz, 3H); MS (EI) m/e 403.2005 (403.2008 calcd for C23H25N5O2).
-
- According to the general method of Example 14, 1-(4-aminobutyl)-1H-imidazo[4,5-c]quinolin-4-amine and 1-benzylindole-3-carbonyl chloride were combined to provide N3-[4-(4-amino-1H-imidazo[4,5-c]quinolin-1-yl)butyl]-1-benzyl-1H-3-indolecarboxamide as a white powder, m.p. 139.0° C. (decomposition). 1H NMR (300 MHz, DMSO-d6) δ 8.24 (s, 1H), 8.14 (t, J=7.8 Hz, 1H), 8.04 (m, 2H), 7.93 (m, 1H), 7.62 (d, J=8.4 Hz, 1H), 7.51 (d, J=7.8 Hz, 1H), 7.44-7.09 (m, 9H), 6.63 (s, 2H), 5.44 (s, 2H), 4.66 (t, J=6.6 Hz, 2H), 1.97-1.92 (m, 2H), 1.62-1.57 (m, 2H); MS (EI) m/e 488.2326 (488.2325 calcd for C30H28N6O).
-
- According to the general method of Example 14, 1-(4-aminobutyl)-1H-imidazo[4,5-c]quinolin-4-amine and 2-naphthoyl chloride were combined to provide N2-[4-(4-amino-1H-imidazo[4,5-c]quinolin-1-yl)butyl]-2-naphthamide as a white powder, m.p. 257.0° C. (decomposition). 1H NMR (300 MHz, DMSO-d6) δ 8.85 (broad s, 2H), 8.69 (broad s, 1H), 8.57 (s, 1H), 8.38 (s, 1H), 8.25 (d, J=8.4 Hz, 1H), 7.99-7.80 (m, 5H), 7.75-7.50 (m, 4H), 4.75 (t, J=6.9 Hz, 2H), 3.39 (m, 2H), 1.98 (quintet, J=7.2 Hz, 2H), 1.68 (quintet, J=7.2 Hz, 2H); MS (EI) m/e 409.1909 (409.1903 calcd for C25H23N5O).
-
- According to the general method of Example 14, 1-(4-aminobutyl)-1H-imidazo[4,5-c]quinolin-4-amine and 2,6-dimethoxynicotinoyl chloride were combined to provide N3-[4-(4-amino-1H-imidazo[4,5-c]quinolin-1-yl)butyl]-2,6-dimethoxynicotinamide as an off white powder, m.p. 175.0-177.0° C. 1H NMR (300 MHz, DMSO-d6) δ 8.21 (s, 1H), 8.11-8.02 (m, 3H), 7.62 (d, J=8.2 Hz, 1H), 7.42 (t, J=7.5 Hz, 1H), 7.20 (t, J=7.5 Hz, 1H), 6.58 (broad s, 2H), 6.46 (d, J=8.3 Hz, 1H), 4.63 (t, J=7.0 Hz, 2H), 3.90 (s, 3H), 3.88 (s, 3H), 3.30 (m, 2H), 1.90 (m, 2H), 1.57 (m, 2H); MS (EI) m/e 420.1909 (420.1910 calcd for C22H24N6O3).
-
- According to the general method of Example 14, 1-(4-aminobutyl)-1H-imidazo[4,5-c]quinolin-4-amine and quinoline-8-carbonyl chloride were combined to provide N8-[4-(4-amino-1H-imidazo[4,5-c]quinolin-1-yl)butyl]-8-quinolinecarboxamide as a tan powder, m.p. 91.0-93.0° C. 1H NMR (300 MHz, DMSO-d6) δ 10.80 (t, J=5.5 Hz, 1H), 8.79 (dd, J=4.3, 1.8 Hz, 1H), 8.55-8.49 (m, 2H), 8.24 (s, 1H), 8.17 (dd, J=8.1, 1.5 Hz, 1H), 8.06 (d, J=7.2 Hz, 1H), 7.73 (t, J=7.8 Hz, 1H), 7.63-7.59 (m, 2H), 7.40 (dt J=7.1, 1.2 Hz, 1H), 7.14 (dt, J=7.1, 1.2 Hz, 1H), 6.57 (broad s, 2H), 4.68 (t, J=7.0 Hz, 2H), 3.51 (m, 2H), 2.02 (m, 2H), 1.69 (m, 2H); MS (EI) m/e 410.1858 (410.1855 calcd for C24H22N6O).
-
- According to the general method of Example 14, 1-(4-aminobutyl)-1H-imidazo[4,5-c]quinolin-4-amine and 4-isobutyl-α-methylphenylacetyl chloride were combined to provide N1-[4-(4-amino-1H-imidazo[4,5-c]quinolin-1-yl)butyl]-2-(4-isobutylphenyl)propanamide as a white powder, m.p. 172.0-173.0° C. 1H NMR (300 MHz, DMSO-d6) δ 8.14 (s, 1H), 8.01 (d, J=7.6 Hz, 1H), 7.90 (t, J=5.6 Hz, 1H), 7.63 (dd, J=8.1, 1.0 Hz, 1H), 7.44 (dt, J=7.0, 1.0 Hz, 1H), 7.25 (dt, J=7.0 Hz, 1H), 7.14 (d, J=8.0 Hz, 2H), 6.97 (d, J=8.0 Hz, 2H), 6.58 (broad s, 2H), 4.55 (t, J=7.0 Hz, 2H), 3.47 (q, J=7.1 Hz, 1H), 3.06 (m, 2H), 2.34 (d, J=7.1 Hz, 2H), 1.80-1.69 (m, 3H), 1.44 (m, 2H), 1.24 (d, J=7.0 Hz, 3H), 0.82 (d, J=6.6 Hz, 6H); MS (EI) m/e 443.2687 (443.2685 calcd for C27H33N5O).
-
- According to the general method of Example 14, 1-(4-aminobutyl)-1H-imidazo[4,5-c]quinolin-4-amine and nicotinoyl chloride hydrochloride were combined to provide N3-[4-(4-amino-1H-imidazo[4,5-c]quinolin-1-yl)butyl]nicotinamide as a white powder, m.p. 188.6-189.5° C. 1H NMR (300 MHz, DMSO-d6) δ 8.95 (dd, J=2.2, 0.7 Hz, 1H), 8.70-8.65 (m, 2H), 8.22 (s, 1H), 8.11 (dt, J=8.3, 2.0 Hz, 1H), 8.04 (dd, J=8.2, 0.9 Hz, 1H), 7.61 (dd, J=8.3, 1.1 Hz, 1H), 7.50-7.39 (m, 2H), 7.23-7.18 (m, 1H), 6.58 (broad s, 2H), 4.64 (t, J=7.0 Hz, 2H), 3.30 (m, 2H), 1.93 (m, 2H), 1.60 (m, 2H); MS (EI) m/e 360.1696 (360.1699 calcd for C20H20N6O).
-
- According to the general method of Example 14, 1-(4-aminobutyl)-1H-imidazo[4,5-c]quinolin-4-amine and isonicotinoyl chloride hydrochloride were combined to provide N4-[4-(4-amino-1H-imidazo[4,5-c]quinolin-1-yl)butyl]isonicotinamide as a white crystalline solid, m.p. 213.0-213.7° C. 1H NMR (300 MHz, DMSO-d6) δ 8.76 (m, 1H), 8.69 (d, J=5.6 Hz, 2H), 8.22 (s, 1H), 8.04 (d, J=8.0 Hz, 1H), 7.67 (d, J=5.7 Hz, 2H), 7.62 (d, J=8.2 Hz, 1H), 7.43 (t, J=7.5 Hz, 1H), 7.21 (t, J=7.5 Hz, 1H), 6.62 (broad s, 2H), 4.64 (t, J=6.8 Hz, 2H), 3.30 (m, 2H), 1.92 (m, 2H), 1.58 (m, 2H); MS (EI) m/e 360.1699 (360.1699 calcd for C20H20N6O).
-
- According to the general method of Example 14, 1-(4-aminobutyl)-1H-imidazo[4,5-c]quinolin-4-amine and quinoline-4-carbonyl chloride were combined to provide N4-[4-(4-amino-1H-imidazo[4,5-c]quinolin-1-yl)butyl]-4-quinolinecarboxamide as a white crystalline solid, m.p. 214.5-215.2° C. 1H NMR (300 MHz, DMSO-d6) δ 8.89 (d, J=4.3 Hz, 1H), 8.76 (t, J=5.6 Hz, 1H), 8.24 (s, 1H), 8.10-8.01 (m, 3H), 7.78 (ddd, J=8.4, 6.9, 1.5 Hz, 1H), 7.64 (dd, J=8.4, 1.1 Hz, 1H), 7.56 (ddd, J=8.3, 6.9, 1.4 Hz, 1H), 7.44 (ddd, J=8.3, 7.0, 1.3 Hz, 1H), 7.34 (d, J=4.3 Hz, 1H), 7.24 (ddd, J=8.3, 7.0, 1.3 Hz, 1H), 6.60 (broad s, 2H), 4.68 (t, J=6.9 Hz, 2H), 3.38 (q, J=7.0 Hz, 2H), 2.00 (m, 2H), 1.63 (m, 2H); MS (EI) m/e 410.1860 (410.1855 calcd for C24H22N6O).
-
- 1-[3-(Dimethylamino)propyl]-3-ethylcarbodiimide hydrochloride (0.57 g, 3.0 mmol) was added dropwise to a chilled (0° C.) solution of 2-phenyl-4-quinolinecarboxylic acid (0.5 g, 3.7 mmol), 1-hydroxybenzotriazole (0.5 g, 3.7 mmol), pyridine (2.2 ml), and dichloromethane (20 ml). The reaction was maintained for 15 min followed by the dropwise addition of 1-(4-aminobutyl)-2-(2-methoxyethyl)-1H-imidazo[4,5-c]quinolin-4-amine (0.8 g, 2.55 mmol) in dichloromethane (100 ml). The reaction was maintained at room temperature overnight. The solvent was removed in vacuo and the residue was purified by flash column chromatography (silica gel, 9:1 dichloromethane\methanol). The fractions containing product were combined, washed with saturated aqueous sodium bicarbonate, dried (MgSO4), filtered, and concentrated to provide 0.62 g of N4-[4-(4-amino-2-(2-methoxyethyl)-1H-imidazo[4,5-c]quinolin-1-yl)butyl]-2-phenyl-4-quinolinecarboxamide as a yellow crystalline solid, m.p. 118° C. (decomposition). 1H NMR (300 MHz, DMSO-d6) δ 8.88 (t, J=5.7 Hz, 1H), 8.24-8.21 (m, 2H), 8.13-8.01 (m, 4H), 7.83-7.78 (m, 1H), 7.62-7.48 (m, 5H), 7.36 (m, 1H), 7.20 (dt, J=7.6, 1.2 Hz, 1H), 6.54 (broad s, 2H), 4.62 (t, J=7.2 Hz, 2H), 3.83 (t, J=6.7 Hz, 2H), 3.45 (m, 2H), 3.29-3.20 (m, 5H), 1.96 (m, 2H), 1.79 (m, 2H); MS (EI) m/e 544.2589 (544.2587 calcd for C33H32N6O2).
-
- According to the general method of Example 14, 1-(4-aminobutyl)-1H-imidazo[4,5-c]quinolin-4-amine and 2-(n-pentylthio)pyridine-3-carbonyl chloride were combined to provide N3-[4-(4-amino-1H-imidazo[4,5-c]quinolin-1-yl)butyl]-2-(pentylsulfanyl)nicotinamide as a tan powder, m.p. 158.0-161.0° C. 1H NMR (300 MHz, DMSO-d6) δ 8.47-8.41 (m, 2H), 8.21 (s, 1H), 8.06 (d, J=8.2 Hz, 1H), 7.63 (dd, J=8.3, 1.1 Hz, 1H), 7.54 (dd, J=7.6, 1.8 Hz, 1H), 7.47-7.41 (m, 1H), 7.26-7.21 (m, 1H), 7.08 (dd, J=7.5, 4.8 Hz, 1H), 6.57 (broad s, 2H), 4.64 (t, J=6.9 Hz, 2H), 3.27 (m, 2H), 2.98 (t, J=7.3 Hz, 2H), 1.96 (m, 2H), 1.62-1.46 (m, 4H), 1.35-1.20 (m, 4H), 0.83 (t, J=7.1 Hz, 3H); MS (EI) m/e 462.2196 (462.2202 calcd for C25H30N6OS).
-
- According to the general method of Example 14, 1-(4-aminobutyl)-1H-imidazo[4,5-c]quinolin-4-amine and 6-cyanopyridine-3-carbonyl chloride were combined to provide N3-[4-(4-amino-1H-imidazo[4,5-c]quinolin-1-yl)butyl]-6-cyanonicotinamide as an off white powder, m.p. 125.0-129.0° C. 1H NMR (300 MHz, DMSO-d6) δ 9.05 (dd, J=2.1, 0.8 Hz, 1H), 8.88 (t, J=5.6 Hz, 1H), 8.31 (dd, J=8.1, 2.1 Hz, 1H), 8.21 (s, 1H), 8.14 (dd, J=8.1, 0.8 Hz, 1H), 8.03 (m, 1H), 7.62 (dd, J=8.3, 1.1 Hz, 1H), 7.42 (m, 1H), 7.20 (m, 1H), 6.59 (broad s, 2H), 4.64 (t, J=6.9 Hz, 2H), 3.30 (m, 2H), 1.93 (m, 2H), 1.59 (m, 2H); MS (EI) m/e 385.1648 (385.1651 calcd for C21H19N7O).
-
- According to the general method of Example 14, 1-(4-aminobutyl)-1H-imidazo[4,5-c]quinolin-4-amine and 6-chloropyridine-3-carbonyl chloride were combined to provide N3-[4-(4-amino-1H-imidazo[4,5-c]quinolin-1-yl)butyl]-6-chloronicotinamide as an off white crystalline solid, m.p. 144.0-148.0° C. (decomposition). 1H NMR (300 MHz, DMSO-d6) δ 8.77 (dd, J=2.5, 0.6 Hz, 1H), 8.73 (t, J=5.6 Hz, 1H), 8.22 (s, 1H), 8.16 (dd, J=8.3, 2.5 Hz, 1H), 8.03 (m, 1H), 7.63 (d, J=0.5 Hz, 1H), 7.60 (d, J=0.5 Hz, 1H), 7.45-7.40 (m, 1H), 7.23-7.18 (m, 1H), 6.61 (broad s, 2H), 4.63 (t, J=6.9 Hz, 2H), 3.30 (m, 2H), 1.92 (m, 2H), 1.58 (m, 2H). MS (EI) m/e 394.1298 (394.1309 calcd for C20H19N6OCl).
-
- According to the general method of Example 14, 1-(4-aminobutyl)-1H-imidazo[4,5-c]quinolin-4-amine and 6-(2,2,2-trifluoroethoxy)pyridine-3-carbonyl chloride were combined to provide N3-[4-(4-amino-1H-imidazo[4,5-c]quinolin-1-yl)butyl]-6-(2,2,2-trifluoroethoxy)nicotinamide as a white crystalline solid, m.p. 192.0-194.0° C. (decomposition). 1H NMR (300 MHz, DMSO-d6) δ 8.62 (d, J=1.9 Hz, 1H), 8.58 (t, J=5.6 Hz, 1H), 8.25 (s, 1H), 8.15 (dd, J=8.6, 2.4 Hz, 1H), 8.06 (d, J=7.6 Hz, 1H), 7.64 (d, J=7.8 Hz, 1H), 7.45 (t, J=7.1 Hz, 1H), 7.24 (t, J=7.1 Hz, 1H), 7.04 (d, J=8.6 Hz, 1H), 6.82 (broad s, 2H), 5.06 (q, J=9.1 Hz, 2H), 4.64 (t, J=6.9 Hz, 2H), 3.30 (m, 2H), 1.91 (m, 2H), 1.60 (m, 2H); MS (EI) m/e 458.1678 (458.1678 calcd for C22H21N6O2F3).
-
- According to the general method of Example 14, 1-(4-aminobutyl)-2-(2-methoxyethyl)-1H-imidazo[4,5-c]quinolin-4-amine and quinoline-2-carbonyl chloride were combined in dichloromethane and triethylamine (3 equivalents) to provide N2-{4-[4-amino-2-(2-methoxyethyl)-1H-imidazo[4,5-c]quinolin-1-yl]butyl}-2-quinolinecarboxamide as a white solid, m.p. 78.1-79.9° C. 1H NMR (300 MHz, DMSO-d6) δ 9.02 (t, J=6.1 Hz, 1H), 8.55 (d, J=8.5 Hz, 1H), 8.23 (d, J=8.5 Hz, 1H), 8.10 (t, J=7.6 Hz, 1H), 8.02 (d, J=7.6 Hz, 1H), 7.90-7.84 (m, 1H), 7.75-7.70 (m, 1H), 7.58 (dd, J=8.3, 1.0 Hz, 1H), 7.35-7.30 (m, 1H), 7.18-7.13 (m, 2H), 6.48 (broad s, 2H), 4.58 (m, 2H), 3.79 (t, J=6.7 Hz, 2H), 3.44 (m, 2H), 3.22 (m, 5H), 1.91-1.78 (m, 4H); MS (EI) m/e 468.2276 (468.2274 calcd for C27H28N6O2).
-
- According to the general method of Example 14, 1-(4-aminobutyl)-2-(2-methoxyethyl)-1H-imidazo[4,5-c]quinolin-4-amine and 2-(2-fluoro-4-biphenylyl)propionyl chloride were combined to provide N1-[4-(4-amino-1H-imidazo[4,5-c]quinolin-1-yl)butyl]-2-(2-fluoro-4-biphenylyl)propanamide as a white powder, m.p. 76.1-79.9° C. 1H NMR (300 MHz, DMSO-d6) δ 8.17 (s, 1H), 8.03 (m, 2H), 7.62 (d, J=8.3 Hz, 1H), 7.49-7.14 (m, 10H), 6.59 (broad s, 2H), 4.58 (t, J=6.9 Hz, 2H), 3.59 (q, J=7.0 Hz, 1H), 3.09 (pentet, J=6.7 Hz, 2H), 1.82 (m, 2H), 1.45 (m, 2H), 1.30 (d, J=7.0 Hz, 3H); MS (EI) m/e 481.2268 (481.2278 calcd for C29H28FN5O).
-
- According to the general method of Example 50, 1-(4-aminobutyl)-2-(2-methoxyethyl)-1H-imidazo[4,5-c]quinolin-4-amine and isoquinoline-1-carboxylic acid were combined to provide N1-{4-[4-amino-2-(2-methoxyethyl)-1H-imidazo[4,5-c]quinolin-1-yl]butyl}-1-isoquinolinecarboxamide as a yellow crystalline solid, m.p. 61.0-63.0° C. 1H NMR (300 MHz, DMSO-d6) δ 8.94 (t, J=5.9 Hz, 1H), 8.87 (d, J=8.5 Hz, 1H), 8.51 (d, J=5.6 Hz, 1H), 8.05-7.96 (m, 3H), 7.84-7.96 (m, 1H), 7.70-7.65 (m, 1H), 7.61 (dd, J=8.3, 1.1 Hz, 1H), 7.37 (dt, J=7.7, 1.0 Hz, 1H), 7.19 (dt, J=7.6, 1.2 Hz, 1H), 6.53 (broad s, 2H), 4.60 (t, J=7.2 Hz, 2H), 3.81 (t, J=6.7 Hz, 2H), 3.41 (m, 2H), 3.28-3.12 (m, 5H), 1.92-1.76 (m, 4H); MS (EI) m/e 468.2261 (468.2274 calcd for C27H28N6O2).
-
- According to the general method of Example 50, 1-(4-aminobutyl)-2-(2-methoxyethyl)-1H-imidazo[4,5-c]quinolin-4-amine and fusaric acid were combined to provide N2-{4-[4-amino-2-(2-methoxyethyl)-1H-imidazo[4,5-c]quinolin-1-yl]butyl}-5-butyl-2-pyridinecarboxamide as a tan solid, m.p. 54.9-55.2° C. 1H NMR (300 MHz, DMSO-d6) δ 8.81 (t, J=6.1 Hz, 1H), 8.44 (m, 1H), 7.98 (d, J=7.3 Hz, 1H), 7.94 (dd, J=8.0, 0.7 Hz, 1H), 7.80 (dd, J=8.0, 2.2 Hz, 1H), 7.60 (dd, J=8.3, 1.2 Hz, 1H), 7.39-7.34 (m, 1H), 7.16-7.10 (m, 1H), 6.52 (broad s, 2H), 4.55 (t, J=6.9 Hz, 2H), 3.79 (t, J=6.7 Hz, 2H), 3.23 (s, 3H), 3.18 (t, J=6.7 Hz, 2H), 2.67 (t, J=7.6 Hz, 2H), 1.83-1.72 (m, 4H), 1.63-1.53 (m, 2H), 1.34-1.24 (m, 2H), 0.90 (t, J=7.3 Hz, 3H); MS (EI) m/e 474.2750 (474.2743 calcd for C27H34N6O2).
-
- According to the general method of Example 50, 1-(4-aminobutyl)-2-(2-methoxyethyl)-1H-imidazo[4,5-c]quinolin-4-amine and indole-3-carboxylic acid were combined to provide N3-{4-[4-amino-2-(2-methoxyethyl)-1H-imidazo[4,5-c]quinolin-1-yl]butyl}-3-indolecarboxamide as a white powder, m.p. 225.5-227.4° C. 1H NMR (300 MHz, DMSO-d6) δ 11.50 (broad s, 1H), 8.13 (d, J=7.9 Hz, 1H), 8.06 (d, J=10.2 Hz, 1H), 7.95-7.89 (m, 2H), 7.61 (d, J=8.3 Hz, 1H), 7.43-7.35 (m, 2H), 7.20-7.05 (m, 3H), 6.48 (broad s, 2H), 4.58 (t, J=7.2 Hz, 2H), 3.80 (t, J=6.6 Hz, 2H), 3.33 (m, 2H), 3.24-3.18 (m, 5H), 1.88 (m, 2H), 1.70 (m, 2H); 13C NMR (75 MHz, DMSO-d6) δ 165.0, 152.0, 151.0, 145.1, 136.4, 132.6, 127.8, 126.8, 126.6, 126.4, 122.1, 121.5, 121.4, 120.6, 120.3, 115.1, 112.1, 111.0, 70.5, 58.4, 45.1, 38.2, 27.7, 27.5, 27.0; MS (EI) m/e 456.2282 (456.2274 calcd for C26H28N6O2).
-
- According to the general method of Example 50, 1-(4-aminobutyl)-2-(2-methoxyethyl)-1H-imidazo[4,5-c]quinolin-4-amine and 4-(1-pyrrolyl)benzoic acid were combined to provide N1-{4-[4-amino-2-(2-methoxyethyl)-1H-imidazo[4,5-c]quinolin-1-yl]butyl}-4-(1-pyrrolyl)benzamide as an off white powder, m.p. 173.0-174.9° C. 1H NMR (300 MHz, DMSO-d6) δ 8.52 (t, J=5.5 Hz, 1H), 8.02 (d, J=7.9 Hz, 1H), 7.90 (d, J=8.7 Hz, 2H), 7.67 (d, J=8.7 Hz, 2H), 7.61 (dd, J=8.4, 1.1 Hz, 1H), 7.48 (t, J=2.2 Hz, 2H), 7.39 (m, 1H), 7.19 (dt, J=7.6, 1.1 Hz, 1H), 6.53 (broad s, 2H), 6.30 (t, J=2.2 Hz, 2H), 4.57 (t, J=7.0 Hz, 2H), 3.82 (t, J=6.7 Hz, 2H), 3.33 (m, 2H), 3.26 (s, 3H), 3.20 (t, J=6.7 Hz, 2H), 1.87 (m, 2H), 1.71 (m, 2H); MS (EI) m/e 482.2421 (482.2430 calcd for C28H30N6O2).
- N2-{4-[4-Amino-2-(4-methoxybenzyl)-1H-imidazo[4,5-c]quinolin-1-yl]butyl}-2-quinolinecarboxamide
- Quinoline-2-carbonyl chloride (0.28 g in 10 ml dichloromethane, 1.46 mmol) was added dropwise to a stirring solution of 1-(4-aminobutyl)-2-(4-methoxybenzyl)-1H-imidazo[4,5-c]quinolin-4-amine (0.49 g, 1.3 mmol), dichloromethane (140 ml) and triethylamine (0.5 ml). The reaction was maintained for 17 hours and then concentrated in vacuo. The yellow residue was partitioned between dichloromethane and saturated aqueous sodium bicarbonate. The organic fraction was dried (MgSO4), filtered, and concentrated. The crude residue was purified by flash column chromatography (silica gel, gradient elution using dichloromethane to 95:5 dichloromethane\methanol) to provide 0.19 g of N2-{4-[4-amino-2-(4-methoxybenzyl)-1H-imidazo[4,5-c]quinolin-1-yl]butyl}-2-quinolinecarboxamide as an off white solid, m.p. 95.1-97.4° C. 1H NMR (360 MHz, DMSO-d6) δ 8.97 (t, J=6.0 Hz, 1H), 8.56 (d, J=8.4 Hz, 1H), 8.16-8.07 (m, 3H), 7.96 (d, J=7.7 Hz, 1H), 7.87 (m, 1H), 7.72 (m, 1H), 7.58 (dd, J=8.3, 1.1 Hz, 1H), 7.31 (m, 1H), 7.23 (d, J=8.7 Hz, 2H), 7.08 (m, 1H), 6.82 (d, J=8.7 Hz, 2H), 6.58 (broad s, 2H), 4.50 (m, 2H), 4.33 (s, 2H), 3.63 (s, 3H), 3.34 (m, 2H), 1.65 (m, 4H); MS (EI) m/e 530.2431 (530.2430 calcd for C32H30N6O2)—
-
- According to the general method of Example 50, 1-(4-aminobutyl)-2-(2-methoxyethyl)-1H-imidazo[4,5-c]quinolin-4-amine and 2-pyrrolopyridine-5-carboxylic acid were combined to provide N3-{4-[4-amino-2-(2-methoxyethyl)-1H-imidazo[4,5-c]quinolin-1-yl]butyl}-6-(1-pyrrolyl)nicotinamide as a yellow crystalline solid, m.p. 77.0-80.0° C. 1H NMR (300 MHz, CDCl3) δ 8.72 (d, J=2.3 Hz, 1H), 8.07 (dd, J=8.4, 2.4 Hz, 1H), 7.92 (d, J=7.3 Hz, 1H), 7.82 (d, J=7.4 Hz, 1H), 7.55 (t, J=2.2 Hz, 2H), 7.49 (m, 1H), 7.37 (m, 2H), 6.39 (d, J=2.2 Hz, 2H), 6.20 (m, 1H), 5.42 (broad s, 2H), 4.59 (t, J=7.5 Hz, 2H), 3.90 (t, J=7.4 Hz, 2H), 3.56 (q, J=6.7 Hz, 2H), 3.36 (s, 3H), 3.20 (t, J=6.4 Hz, 2H), 2.05 (m, 2H), 1.82 (m, 2H); MS (EI) m/e 483.2376 (483.2383 calcd for C27H29N7O2).
-
- According to the general method of Example 50, 1-(4-aminobutyl)-2-(2-methoxyethyl)-1H-imidazo[4,5-c]quinolin-4-amine and indole-5-carboxylic acid were combined to provide N5-{4-[4-amino-2-(2-methoxyethyl)-1H-imidazo[4,5-c]quinolin-1-yl]butyl}-5-indolecarboxamide as an off white solid. 1H NMR (300 MHz, DMSO-d6) δ 11.31 (s, 1H), 8.34 (t, J=5.5 Hz, 1H), 8.06 (m, 2H), 7.63-7.58 (m, 2H), 7.42-7.38 (m, 3H), 7.22 (t, J=7.1 Hz, 1H), 6.67 (broad s, 2H), 6.50 (s, 1H), 4.58 (m, 2H), 3.81 (t, J=6.6 Hz, 2H), 3.34 (m, 2H), 3.25 (s, 3H), 3.21 (t, J=6.6 Hz, 2H), 1.89 (m, 2H), 1.72 (m, 2H); MS (EI) m/e 456.2264 (456.2274 calcd for C26H28N6O2)—
-
- According to the general method of Example 14, 1-(4-aminobutyl)-1H-imidazo[4,5-c]quinolin-4-amine and 4-phenoxybenzoyl chloride were combined to provide N1-[4-(4-amino-1H-imidazo[4,5-c]quinolin-1-yl)butyl]-4-phenoxybenzamide as a white powder, m.p. 90.5-91.5° C. 1H NMR (500 MHz, DMSO-d6) δ 8.42 (t, J=5.7 Hz, 1H), 8.21 (s, 1H), 8.03 (d, J=7.9 Hz, 1H), 7.81 (d, J=8.9 Hz, 2H), 7.62 (d, J=7.9 Hz, 1H), 7.45-7.40 (m, 3H), 7.21 (m, 2H), 7.07 (d, J=7.6 Hz, 2H), 6.99 (d, J=8.9 Hz, 2H), 6.61 (broad s, 2H), 4.63 (t, J=7.0 Hz, 2H), 3.25 (m, 2H), 1.92 (m, 2H), 1.58 (m, 2H); MS (EI) m/e 451.2008 (451.2008 calcd for C27H25N5O2).
-
- According to the general method of Example 50, 1-(4-aminobutyl)-2-(2-methoxyethyl)-1H-imidazo[4,5-c]quinolin-4-amine and 5-(phenylethynyl)pyridine-3-carboxylic acid were combined to provide N5-{4-[4-amino-2-(2-methoxyethyl)-1H-imidazo[4,5-c]quinolin-1-yl]butyl}-5-(2-phenyl-1-ethynyl)nicotinamide as a yellow solid, m.p. 76.0-78.0° C. 1H NMR (300 MHz, DMSO-d6) δ 8.95 (d, J=2.1 Hz, 1H), 8.87 (d, J=2.0 Hz, 1H), 8.79 (t, J=2.1 Hz, 1H), 8.31 (d, J=2.0 Hz, 1H), 8.02 (d, J=8.1 Hz, 1H), 7.61 (m, 3H), 7.48 (m, 3H), 7.40 (m, 1H), 7.19 (m, 1H), 6.56 (broad s, 2H), 4.57 (t, J=7.4 Hz, 2H), 3.82 (t, J=6.7 Hz, 2H), 3.37 (m, 2H), 3.27 (s, 3H), 3.21 (t, J=6.7 Hz, 2H), 1.89 (m, 2H), 1.72 (m, 2H); MS (CI) m/e 519 (M+H).
-
- A solution of benzoyl chloride (5.3 g, 37.7 mmol) in dichloromethane (100 mL) was slowly added to a solution of tert-butyl N-{4-[(3-aminoquinolin-4-yl)amino]butyl}carbamate (12.5 g, 37.7 mmol) in dichloromethane (250 mL) at ambient temperature. The reaction mixture was maintained at ambient temperature overnight. The resulting precipitate was isolated by filtration and dried to provide 11.0 g of tert-butyl N-(4-{[3-(benzoylamino)quinolin-4-yl]amino}butyl)carbamate hydrochloride as a white solid.
- Triethylamine (7.26 g, 71.7 mmol) was added to a solution of the material from Part A in ethanol (200 mL) and heated at reflux for 2 days. The reaction mixture was concentrated to provide an orange syrup. HPLC mass spec analysis showed that the syrup contained the desired product and starting material. The syrup was taken up in dichloromethane (100 mL) and then cooled in an ice bath. Triethylamine (5 mL) and benzoyl chloride (1.9 mL) were added. The reaction mixture was maintained at ambient temperature for 2 days at which time analysis by HPLC indicated that the reaction was not complete. The reaction mixture was concentrated under vacuum. The residue was taken up in isopropyl alcohol (150 mL). Triethylamine (5 mL) was added and the reaction mixture was heated at reflux overnight. The reaction mixture was concentrated under vacuum. The residue was purified by flash chromatography (silica gel; eluting with 10% methanol in dichloromethane). The fractions containing product were combined and concentrated under vacuum. The residue was recrystallized from acetonitrile to provide 6.7 g of tert-butyl N-[4-(2-phenyl-1H-imidazo[4,5-c]quinolin-1-yl)butyl]carbamate as a solid, m.p. 158-159° C.
- 3-Chloroperoxybenzoic acid (1.05 eq of 65%) was slowly added in small portions to a solution of tert-butyl N-[4-(2-phenyl-1H-imidazo[4,5-c]quinolin-1-yl)butyl]carbamate (6.56 g, 15.75 mmol) in dichloromethane (120 mL). After 3 hours the reaction was quenched with 1% aqueous sodium bicarbonate (200 mL). The layers were separated. The aqueous layer was extracted with dichloromethane (2×50 mL). The organic fractions were combined, dried over magnesium sulfate and then concentrated under vacuum to provide a pale orange syrup. The syrup was triturated with diethyl ether to provide 6.8 g of 1-[4-(tert-butylcarbamyl)butyl]-2-phenyl-1H-imidazo[4,5-c]quinoline-5N-oxide as a pale tan solid, m.p. 178-181° C.
- A solution of 1-[4-(tert-butylcarbamyl)butyl]-2-phenyl-1H-imidazo[4,5-c]quinoline-5N-oxide (6.8 g, 15.75 mmol) in dichloromethane (100 mL) was chilled in an ice bath. Concentrated ammonium hydroxide (30 mL) was added. Tosyl chloride (3.0 g, 15.75 mmol) was added in small portions over a period of 30 minutes. The reaction mixture was allowed to warm to ambient temperature overnight. The reaction was quenched with water (350 mL). The layers were separated. The aqueous layer was extracted with dichloromethane. The organic fractions were combined, dried over magnesium sulfate and then concentrated under vacuum to provide a tan solid. This material was purified by flash chromatography (silica gel eluting with 10% methanol in dichloromethane) to provide 4.8 g of product. The bulk of the material was carried on to the next step. A small portion was recrystallized from toluene to provide tert-butyl N-[4-(4-amino-2-phenyl-1H-imidazo[4,5-c]quinolin-1-yl)butyl]carbamate as a solid, m.p. 182-183° C. Analysis: Calculated for C25H29N5O2: % C, 69.58; % H, 6.77; % N, 16.22; Found: % C, 69.86; % H, 6.95; % N, 15.80.
- The material from Part D was dissolved in methanol (15 mL) and 1 N hydrochloric acid (100 mL) and then heated at reflux for 2 hours. The reaction mixture was concentrated under vacuum to a volume of about 50 mL. Addition of concentrated ammonium hydroxide to pH 12 did not produce a precipitate. The pH was adjusted to 7 with 1 N hydrochloric acid. The mixture was extracted with dichloromethane and then with ethyl acetate. The aqueous layer was concentrated to dryness. The residue was dissolved in water (50 mL) and then extracted continuously with refluxing chloroform for 36 hours. The chloroform extract was concentrated under vacuum to provide a light tan solid. This material was recrystallized from acetonitrile to provide 2.5 g of 1-(4-aminobutyl)-2-phenyl-1H-imidazo[4,5-c]quinolin-4-amine as an off white solid, m.p. 175-177° C. Analysis: Calculated for C20H21N5: % C, 72.48; % H, 6.39; % N, 21.13; Found: % C, 72.72; % H, 6.32; % N, 20.71.
- According to the general method of Example 61, 1-(4-aminobutyl)-2-phenyl-1H-imidazo[4,5-c]quinolin-4-amine and nicotinoyl chloride hydrochloride were combined to provide N3-[4-(4-amino-2-phenyl-1H-imidazo[4,5-c]quinolin-1-yl)butyl]nicotinamide as a white crystalline solid, m.p. 84.5-86.1° C. 1H NMR (300 MHz, DMSO-d6) δ 8.91 (s, 1H), 8.69 (m, 1H), 8.56 (m, 1H), 8.07 (m, 2H), 7.75-7.41 (m, 8H), 7.21 (m, 1H), 6.72 (broad s, 2H), 4.60 (m, 2H), 3.15 (t, J=6.0 Hz, 2H), 1.86 (m, 2H), 1.40 (m, 2H); MS (CI) m/e 437 (M+H).
-
- According to the general method of Example 61, 1-(4-aminobutyl)-2-phenyl-1H-imidazo[4,5-c]quinolin-4-amine and quinoline-2-carbonyl chloride were combined to provide N2-[4-(4-amino-2-phenyl-1H-imidazo[4,5-c]quinolin-1-yl)butyl]-2-quinolinecarboxamide as an off white crystalline solid, m.p. 81.1-83.9° C. 1H NMR (300 MHz, DMSO-d6) δ 8.90 (t, J=6.0 Hz, 1H), 8.55 (d, J=8.5 Hz, 1H), 8.12-8.07 (m, 4H), 7.90-7.84 (m, 1H), 7.75-7.54 (m, 7H), 7.36 (t, J=7.5 Hz, 1H), 7.18 (t, J=7.5 Hz, 1H), 6.70 (broad s, 2H), 4.61 (m, 2H), 3.23 (m, 2H), 1.88 (m, 2H), 1.49 (m, 2H); MS (CI) m/e 487 (M+H).
- The compounds shown in the table below were prepared using the synthetic method described in Reaction Scheme II above.
- A solution of 1-(4-aminobutyl)-1H-imidazo[4,5-c]quinolin-4-amine (36 μmol) in 10 mL of dichloromethane in a screw-capped test tube was cooled down to −5° C. The acid chloride (45 μmol) was added as a 0.3 M solution in dichloromethane. Argon was bubbled through the mixture during addition and for an additional 15 seconds, and the mixture was allowed to stand at −5° C. Overnight. To this mixture was added approximately 90 mg of an aminomethyl polystyrene resin (0.62 meq/g, 100-200 mesh), and the mixture was warmed to reflux and shaken at 600 rpm for 3 hours. The compounds were purified by eluting through a short plug of silica gel with 10:1 dichloromethane-methanol, collecting ca. 1 mL fractions and pooling the product fractions (fractions analyzed by tlc in 9:1 dichloromethane-methanol to identify product). Compounds were analyzed by 500 MHz 1H nmr and APCI-MS (plug injection or an LC/MS protocol).
-
Example APCI-MS No. Structure m/e 500 MHz 1H NMR 68 450.10 (DMSO-d6) δ 8.93(t, J = 5.2 Hz, 1H), 8.23 (s, 1H), 8.06(d, J = 8.2 Hz, 1H), 7.63 (d, J = 8.5 Hz, 1H),7.46 (t, J = 7.8 Hz, 1H),7.27 (t, J = 7.6 Hz, 1H), 6.75 (bs, 2H),4.65 (t, J = 7 Hz, 2H), 3.31(q, J = 6 Hz, 2H), 1.92 (quintet, J = 8 Hz, 2H), 1.56(quintet, J = 7 Hz, 2H) 69 394.12 (DMSO-d6) δ 8.40(t, J = 5.8 Hz, 1H), 8.23 (s, 1H), 8.08(d, J = 8.2 Hz, 1H), 7.64 (d, J = 8.5 Hz, 1H),7.47 (t, J = 8.2 Hz, 1H),7.43 (d, J = 7.9 Hz, 1H), 7.39 (dt,J = 1.5 Hz, J = 7 Hz, 1H), 7.30(t, J = 6.4 Hz, 1H), 7.28 (t, J = 10.4 Hz,1H), 7.23 (dd, J = 1.5 Hz,J = 7.3 Hz, 1H), 6.75 (bs, 2H), 4.65 (t,J = 7 Hz, 2H), 3.26(q, J = 6 Hz, 2H), 1.95(quintet, J = 8 Hz, 2H), 1.56(quintet, J = 7.5 Hz, 2H) 70 428.07 (DMSO-d6) δ 8.47 (t, J = 5.8Hz, 1H), 8.22 (s, 1H), 8.07(d, J = 8.2 Hz, 1H), 7.64 (d, J = 8.8 Hz, 1H), 7.63(d, J = 2.1 Hz, 1H), 7.47 (t,J = 8.2 Hz, 1H), 7.40 (dd, J = 2.1 Hz,J = 10.4 Hz, 1H), 7.29 (t, J = 7.0 Hz, 1H), 7.26(d, J = 8.2 Hz, 1H),6.75 (bs, 2H), 4.65 (t, J = 5.5 Hz, 2H), 3.25(q, J = 6.5 Hz, 2H),1.94 (quintet, J = 8 Hz, 2H), 1.54(quintet, J = 7 Hz, 2H), 71 428.06 (DMSO-d6) δ 8.65 (t, J = 6.1 Hz,1H), 8.23 (s, 1H), 8.08(d, J = 7.9 Hz, 1H), 7.64 (d, J = 8.2 Hz, 1H),7.47 (t, J = 7.9 Hz, 1H),7.43 (d, J = 9 Hz, 1H), 7.44 (d, J = 7 Hz, 1H), 7.38(dd, J = 9.2 Hz, J = 7 Hz, 1H), 7.28 (t,J = 7.9 Hz, 1H), 6.8 (bs, 2H),4.65 (t, J = 6.5 Hz, 2H), 3.28 (m, 2H), 1.96(quintet, J = 7.5 Hz, 2H), 1.57 (quintet, J = 8 Hz, 2H) 72 378.11 (DMSO-d6) δ 8.50 (t, J = 5.8 Hz,1H), 8.23 (s, 1H), 8.04(d, J = 8.2 Hz, 1H), 7.84 (dd, J = 2.1 Hz,J = 5.8 Hz, 2H), 7.62(d, J = 7.3 Hz, 1H), 7.44 (t, J = 7 Hz, 1H),7.26 (t, J = 6.7 Hz, 2H),7.22 (t, J = 8.2 Hz, 1H), 6.74 (bs, 2H), 4.63(t, J = 7 Hz, 2H), 3.28(m, 2H), 1.91 (quintet, J = 7.5 Hz, 2H), 1.57(quintet, J = 8 Hz, 2H) 73 394.07 (DMSO-d6) δ 8.56 (t, J = 5.6 Hz,1H), 8.24 (s, 1H), 8.05(d, J = 7.9 Hz, 1H), 7.79 (d, J = 8.5 Hz, 2H), 7.63(d, J = 8.2 Hz, 1H), 7.50 (d, J = 8.9 Hz, 2H), 7.46(t, J = 7.6 Hz, 1H),7.23 (t, J = 7.6 Hz, 1H), 6.8 (bs, 2H), 4.64 (t,J = 7 Hz, 2H), 3.29(q, J = 6.5 Hz, 2H), 1.91 (quintet,J = 7.5 Hz, 2H), 1.57(quintet, J = 7.5 Hz, 2H) 74 390.13 (DMSO-d6) δ 8.33 (t, J = 5.6 Hz,1H), 8.24 (s, 1H), 8.05(d, J = 8.2 Hz, 1H), 7.76 (d, J = 8.8 Hz, 2H), 7.63(d, J = 8.2 Hz, 1H), 7.45 (t, J = 8.2 Hz, 1H), 7.24 (t,J = 7.9 Hz, 1H),6.95 (d, J = 8.8 Hz, 2H), 6.81 (bs,2H), 4.64 (t, J = 7 Hz, 2H),3.80 (s, 3H), 3.28 (quintet, J = 5.5 Hz, 2H), 1.90(quintet, J = 8 Hz, 2H), 1.57 (quintet, J = 8.5 Hz, 2H) 75 428.10 (DMSO-d6) δ 8.71 (t, J = 5.6 Hz,1H), 8.27 (s, 1H), 8.06(d, J = 7.9 Hz, 1H), 7.96 (d, J = 8.2 Hz, 2H), 7.64(d, J = 7.9 Hz, 2H), 7.64 (d, J = 7.9 Hz, 1H), 7.46(t, J = 7.3 Hz, 1H),7.25 (t, J = 7 Hz, 1H), 6.9 (bs, 2H),4.65 (t, J = 7 Hz, 2H), 3.31(m, 2H), 1.92 (quintet, J = 8 Hz, 2H), 1.59(quintet, J = 7.5 Hz, 2H) 76 416.22 (DMSO-d6) δ 8.54 (s, 1H), 8.39 (t,J = 5.5 Hz, 1H), 8.22(d, J = 8.2 Hz, 1H), 7.82 (d, J = 8.2 Hz, 1H),7.70 (t, J = 4 Hz, 1H),7.68 (d, J = 4.3 Hz, 2H), 7.52 (t, J = 8 Hz, 1H), 7.43(d, J = 7.8 Hz, 2H), 4.72 (t, J = 7 Hz, 2H),3.30 (q, J = 6.5 Hz, 2H),1.91 (quintet, J = 7.5 Hz, 2H), 1.59 (quintet,J = 7.5 Hz, 2H), 1.29(s, 9H) 77 374.18 (DMSO-d6) δ 8.54 (s, 1H), 8.38 (t,J = 5.8 Hz, 1H), 8.23(d, J = 8.2 Hz, 1H),7.82 (d, J = 8.6 Hz, 1H), 7.71 (t, J = 8.2 Hz, 1H),7.659 (d, J = 8.2 Hz, 2H), 7.54 (t,J = 8.2 Hz, 1H), 7.22(d, J = 7.9 Hz, 2H), 4.71 (t, J = 6.5 Hz,2H), 3.28 (q, J = 6 Hz, 2H),2.34 (s, 3H), 1.92 (quintet, J = 8 Hz, 2H), 1.60(quintet, J = 7.5 Hz, 2H) 78 374.18 (DMSO-d6) δ 8.50 (s, 1H), 8.22 (d,J = 8.2 Hz, 1H), 8.06(t, J = 5.8 Hz, 1H), 7.84 (d, J = 8.5 Hz, 1H),7.74 (t, J = 7 Hz, 1H),7.58, (t, J = 7.6 Hz, 1H), 7.21(m, 2H), 7.18 (m, 3H), 4.67(t, J = 7 Hz, 2H), 3.33 (s, 2H),3.09 (q, J = 6 Hz, 2H), 1.84(quintet, J = 8 Hz, 2H), 1.48 (quintet, J = 7.5 Hz, 2H) 79 386.15 (DMSO-d6) δ 8.55 (s, 1H), 8.24 (d,J = 8.2 Hz, 1H), 8.16(t, J = 5.8 Hz, 1H), 7.82 (d, J = 8.6 Hz,1H), 7.72 (t, J = 7.3 Hz, 1H),7.58 (t, J = 73 Hz, 1H), 7.53 (d,J = 6.7 Hz, 2H), 7.40 (m, 4H),6.57 (d, J = 15.9 Hz, 1H), 4.72 (t, J = 7 Hz, 2H), 3.23(q, J = 6 Hz, 2H), 1.91 (quintet, J = 7.5 Hz, 2H), 1.55(quintet, J = 7.5 Hz, 2H) 80 354.19 (DMSO-d6) δ 8.53 (s, 1H), 8.24 (d,J = 8.2 Hz, 1H), 7.83(d, J = 8.2 Hz, 1H), 7.74 (m, 2H),7.58 (t, J = 7.8, 1H), 4.70(t, J = 7 Hz, 2H), 3.06 (q, J = 6Hz, 2H), 1.86 (s, 2H), 1.86(quintet, J = 8.5 Hz, 2H), 1.44 (quintet,J = 7.5 Hz, 2H), 0.84(s, 9H) 81 324.15 (DMSO-d6) δ 8.53 (s, 1H), 8.23 (d,J = 8.5 Hz, 1H), 8.06(t, J = 5.5 Hz, 1H), 7.84 (d, J = 8.2 Hz, 1H),7.74 (t, J = 8.2 Hz, 1H),7.59 (t, J = 8.2 Hz, 1H), 4.69 (t, J = 7 Hz, 2H), 3.09(q, J = 6 Hz, 2H), 1.86 (quintet, J = 7Hz, 2H), 1.47 (m, 3H), 0.59(m, 4H) 82 352.16 (DMSO-d6) δ 8.52 (s, 1H), 8.23 (d,J = 7.9 Hz, 1H), 7.83(d, J = 8.2 Hz, 1H), 7.74 (m, 2H),7.60 (t, J = 7.6 Hz, 1H), 4.69(t, J = 7.5 Hz, 2H), 3.06 (q, J = 6 Hz, 2H), 2.42(quintet, J = 8 Hz, 1H), 1.84 (quintet,J = 7.5 Hz, 2H), 1.59(m, 2H), 1.55 (m, 2H), 1.48 (m, 6H) 83 380.16 (DMSO-d6) δ 8.52 (s, 1H), 8.22 (d,J = 8.2 Hz, 1H), 7.83(d, J = 8.2 Hz, 1H), 7.77 (t, J = 5.8 Hz, 1H),7.73 (t, J = 8.2 Hz, 1H),7.58 (t, J = 8.2 Hz, 1H), 4.68 (t, J = 7 Hz, 2H), 3.06(q, J = 6 Hz, 2H), 1.98 (t, J = 8 Hz, 2H), 1.84(quintet, J = 7.5 Hz, 2H), 1.62(m, 3H), 1.48 (m, 8H), 0.97(m, 2H) 84 366.15 (DMSO-d6) δ 9.2 (b, 2H), 8.52 (s, 1H),8.22 (d, J = 8.2 Hz, 1H),7.83 (d, J = 8.5 Hz, 1H), 7.74 (t, J = 8.2 Hz, 1H), 7.65(t, J = 5.8 Hz, 1H), 7.58 (t, J = 7.9 Hz,1H), 4.68 (t, J = 7 Hz, 2H),3.04 (q, J = 6.5 Hz, 2H), 1.95 (m, 1H), 1.83(quintet, J = 8 Hz, 2H), 1.60 (m,3H), 1.50 (m, 2H), 1.43(quintet, J = 7.5 Hz, 2H), 1.14 (m, 5H) 85 350.18 (DMSO-d6) δ 9.0 (bs, 2H), 8.54 (s, 1H), 8.39 (t,J = 5 Hz, 1H),8.22 (d, J = 5 Hz, 1H), 7.82 (d, J = 10Hz, 1H), 7.80. (s, 1H), 7.72(t, J = 10 Hz, 1H), 7.54 (t, J = 10 Hz,1H), 7.02 (dd, J = 1 Hz,J = 3 Hz, 1H), 6.60 (dd, J = 1.7Hz, J = 3.5 Hz, 1H), 4.70(t, J = 7.5 Hz, 2H), 3.25 (q, J = 6 Hz, 2H), 1.90(quintet, J = 7.5 Hz, 2H), 1.58 (quintet, J = 7 Hz, 2H) 86 366.25 (DMSO-d6) δ 8.51 (t, J = 5.5 Hz,1H), 8.32 (s, 1H), 8.10(d, J = 8.6 Hz, 1H), 7.72 (dd, J = 0.9Hz, J = 4.9 Hz, 1H), 7.68(m, 2H), 7.52 (t, J = 7.9 Hz, 1H), 7.34 (bs, 2H), 7.31(t, J = 7.9 Hz, 1H), 7.11 (dd, J = 4Hz, J = 4.9 Hz, 1H), 4.66(t, J = 7.5 Hz, 2H), 3.27 (q, J = 6 Hz, 2H), 1.91(quintet, J = 7.5 Hz, 2H), 1.58 (quintet, J = 8 Hz, 2H) 87 405.21 (DMSO-d6) δ 8.80 (t, J = 5.8 Hz,1H), 8.28 (s, 1H), 8.27(d, J = 8.6 Hz, 2H), 8.07 (d, J = 8 Hz, 1H),7.98 (d, J = 8.9 Hz, 2H),7.65 (d, J = 8.6 Hz, 1H), 7.47 (t, J = 7.9 Hz, 1H), 7.27(t, J = 7.9 Hz, 1H), 7.07 (bs, 2H), 4.66 (t,J = 7 Hz, 2H), 1.93(quintet, J = 8 Hz, 2H), 1.60 (quintet, J = 7.5 Hz, 2H) 88 298.16 (DMSO-d6) δ 8.33 (s, 1H), 8.11 (d, J = 8.1Hz, 1H), 7.83(t, J = 6 Hz, 1H), 7.71 (d, J = 8.1 Hz, 1H),7.56 (t, J = 8.1 Hz, 1H),7.39 (t, J = 7.8 Hz, 1H), 4.63 (t, J = 7 Hz, 2H), 3.05(q, J = 6.5 Hz, 2H), 1.85 (quintet,J = 7.5 Hz, 2H), 1.74 (s, 3H),1.44 (quintet, J = 7.5 Hz, 2H) 89 439.30 (DMSO-d6) δ 8.59 (t, 1H), 8.43 (s, 1H), 8.16(d, J = 7.6 Hz, 1H), 7.94 (d, J = 1.7 Hz, 1H),7.75 (t, J = 6.8 Hz, 2H),7.71 (d, J = 8.1 Hz, 1H), 7.60 (m, 1H),7.40 (t, J = 7.8 Hz, 2H),4.68 (t, J = 6.5 Hz, 2H), 3.30 (q, J = 6 Hz, 2H), 1.91(quintet, J = 6 Hz, 2H), 1.59 (quintet, J = 6 Hz, 2H) 90 418.28 (DMSO-d6) δ 8.29 (s, 1H), 8.08 (d, J = 8.5Hz, 1H), 7.68(d, J = 7.8 Hz, 1H), 7.53 (t, J = 7.6 Hz, 1H),7.36 (t, J = 7.3 Hz, 1H),7.30 (t, J = 5.9 Hz, 1H), 4.62 (t, J = 6.5 Hz, 2H), 3.05(q, J = 6.5 Hz, 2H), 1.86 (m, 5H), 1.60 (m, 12H), 1.41(quintet, J = 7 Hz, 2H) 91 462.21 (DMSO-d6) δ 8.25 (s, 1H), 8.06 (d, J = 8.3Hz, 1H), 7.70(d, J = 8.1 Hz, 1H), 7.55 (t, J = 7.8 Hz, 1H),7.49 (t, J = 5.6 Hz, 1H),7.37 (t, J = 7.3 Hz, 1H), 7.24 (s, 4H), 4.57(t, J = 7 Hz, 2H), 3.01(q, J = 6 Hz, 2H), 2.38 (m, 2H),1.68 (m, 4H), 1.49 (m, 2H), 1.40(m, 4H) 92 422.28 (DMSO-d6) δ 8.36 (s, 1H), 8.13 (d, J = 8.8Hz, 1H), 7.86(b, 2H), 7.76 (t, J = 6 Hz, 1H),7.74 (d, J = 8.5 Hz, 1H), 7.59(t, J = 8.1 Hz, 1H), 7.43 (t,J = 7.5 Hz, 1H), 5.77 (m, 1H), 4.98(dd, J = 2 Hz, J = 17 Hz, 1H), 4.92 (dd , J = 1.5Hz, J = 10 Hz, 1H),4.64 (t, J = 7 Hz, 2H), 3.07 (q, J = 5.5 Hz, 2H), 1.97(m, J = 7.5 Hz, 4H), 1.84 (quintet,J = 7 Hz, 2H), 1.45(quintet, J = 8 Hz, 2H), 1.40 (quintet, J = 6.5 Hz, 2H), 1.30(quintet, J = 7 Hz, 2H), 1.18 (m, 8H) 93 450.19 (DMSO-d6) δ 8.43 (t, J = 5.6 Hz, 1H), 8.31(s, 1H), 8.08(d, J = 7.8 Hz, 1H), 7.67 (d, J = 8.1 Hz, 1H),7.50 (t, J = 7.3 Hz, 1H),7.29 (t, J = 7.8 Hz, 1H), 7.11 (s, 2H), 4.67(t, J = 7 Hz, 2H), 3.78(s, 6H), 3.69 (s, 3H), 3.29 (q, J = 6 Hz, 2H), 1.91(quintet, J = 7.5 Hz, 2H), 1.58(quintet, J = 7.5 Hz, 2H) 94 402.25 (DMSO-d6) δ 8.24 (s, 1H), 8.19 (t, J = 5.9 Hz, 1H), 8.08(d, J = 8 Hz, 1H), 7.65 (d, J = 8.3 Hz,1H), 7.48 (t, J = 8.3 Hz, 1H),7.29 (t, J = 7.8 Hz, 1H),6.87 (bs, 2H), 6.77 (s, 2H), 4.65(t, J = 6.5 Hz, 2H), 3.26 (q, J = 6.5Hz, 2H), 2.19 (s, 3H), 2.02(s, 6H), 1.92 (quintet, J = 8 Hz, 2H),1.54 (quintet, J = 8.5 Hz, 2H) 95 398.21 (DMSO-d6) δ 8.28 (s, 1H),8.08 (d, J = 7.6 Hz, 1H), 7.79(t, J = 5.9 Hz, 1H), 7.68 (d, J = 7.8 Hz, 1H),7.52 (t, J = 7.6 Hz, 1H),7.35 (t, J = 7.1 Hz, 1H), 7.2 (bs, 2H),4.62 (t, J = 7 Hz, 2H), 3.56(s, 3H), 3.06 (q, J = 5.5 Hz, 2H), 2.24 (m, 2H), 1.99(quintet, J = 6.5 Hz, 2H), 1.84(quintet, J = 8 Hz, 2H), 1.43(m, 6H) 96 395.12 (DMSO-d6) δ 8.88 (t, J = 5.6Hz, 1H), 8.25 (s, 1H), 8.05(d, J = 8.3 Hz, 1H), 7.72 (d, J = 3.9 Hz, 1H), 7.63(d, J = 8.3 Hz, 1H), 7.45 (t, J = 7.3 Hz, 1H),7.32 (d, J = 3.9 Hz, 1H),7.26 (t, J = 7.1 Hz, 1H), 6.93 (bs, 2H),4.64 (t, J = 7 Hz, 2H), 3.28(q, J = 6 Hz, 2H), 1.90 (quintet, J = 7 Hz, 2H), 1.56(quintet, J = 8 Hz, 2H) 97 395.20 (DMSO-d6) δ 8.57 (t, J = 5.6 Hz,1H), 8.42 (dd, J = 1.9 Hz,J = 4.6 Hz, 1H), 8.25 (s, 1H), 8.12(d, J = 8.0 Hz, 1H), 7.70(dd, J = 2 Hz, J = 7.6 Hz, 1H),7.65 (d, J = 8.5 Hz, 1H), 7.49(t, J = 7.6 Hz, 1H), 7.41 (dd, J = 4.9Hz, J = 7.6 Hz, 1H), 7.30(t, J = 7.6 Hz, 1H), 6.90 (bs, 2H),4.66 (t, J = 7 Hz, 2H), 3.27(q, J = 6.5 Hz, 2H), 1.96 (quintet,J = 8.5 Hz, 2H), 1.56(quintet, J = 7.5 Hz, 2H) 98 404.18 (DMSO-d6) δ 8.36 (s, 1H), 8.14 (d,J = 8.3 Hz, 1H), 7.97(t, J = 5.6 Hz, 1H), 7.76 (d, J = 8.3 Hz, 1H),7.62 (t, J = 7.8 Hz, 1H),7.45 (t, J = 7.5 Hz, 1H), 7.08 (d, J = 8.5 Hz, 2H), 6.76(d, J = 8.8 Hz, 2H), 4.63 (t, J = 7Hz, 2H), 3.70 (s, 3H), 3.25(s, 2H), 3.08 (q, J = 6 Hz, 2H), 1.83(quintet, J = 7.5 Hz, 2H), 1.46(quintet, J = 7 Hz, 2H) 99 366.22 (DMSO-d6) δ 8.35 (s, 1H), 8.2 (bs, 1H), 8.13(d, J = 7.8 Hz, 1H), 7.75 (t, J = 5.6Hz, 1H), 7.73 (d, J = 8.8 Hz, 1H),7.59 (t, J = 7.6 Hz, 1H), 7.42 (t, J = 7.6 Hz, 1H), 4.65(t, J = 7 Hz, 2H), 3.06 (q, J = 6 Hz,2H), 2.02 (m, J = 7.5 Hz, 1H),1.96 (d, J = 7.5 Hz, 2H), 1.84(quintet, J = 8 Hz, 2H), 1.55(quintet, J = 5 Hz, 2H), 1.46 (m, J = 7.5 Hz, 6H), 1.00(m, J = 12 Hz, 2H) 100 418.11 (DMSO-d6) δ 9.6-8.5 (b, 2H), 8.66 (t,J = 5.5 Hz, 1H), 8.54(s, 1H), 8.23 (d, J = 8.0 Hz, 1H),8.00 (d, J = 8.0 Hz, 2H), 7.87(d, J = 8.0 Hz, 2H), 7.81 (d, J = 8 Hz, 1H),7.70 (t, J = 8.0 Hz, 1H),7.53 (t, J = 8.0 Hz, 1H), 4.72 (t, J = 7.0Hz, 2H), 3.88 (s, 3H), 3.31(q, J = 5.5 Hz, 2H), 1.93 (quintet, J = 7.0, 2H), 1.61(quintet, J = 7.0 Hz, 2H) 101 454.19 (DMSO-d6) δ 9.6-8.6 (b, 2H), 8.51 (s, 1H), 8.22 (d,J = 8.5 Hz, 1H), 7.84 (d, J = 8.5 Hz,1H), 7.78 (t, J = 5.5Hz, 1H), 7.73 (t, J = 8.5 Hz, 1H),7.58 (t, J = 8.5 Hz, 1H), 4.68(t, J = 7.0 Hz, 2H), 3.57 (s, 3H),3.07 (q, J = 5.5 Hz, 2H), 2.26(t, J = 7.0 Hz, 2H), 1.84 (quintet, J = 7.0 Hz, 2H), 1.48(sextet, J = 7.0 Hz, 4H), 1.38 (quintet,J = 7.0 Hz, 2H), 1.71(m,8H) 102 444.11 Compound is trifluoroacetate salt - The compounds shown in the Table below were prepared according to the synthetic method described below.
- A 10 mg (25 μmol) portion of N′-[4-(4-amino-1H-imidazo[4,5-c]quinolin-1-yl)butyl]-4-(chloromethyl)benzamide (example 7) was dissolved in 1 mL of N,N-dimethylformamide in a screw-cap tube, and the appropriate amine (2 eq) was added, along with ca. 70 mg (270 μmol) of N,N-(diisopropyl)aminomethylpolystyrene beads (PS-DIEA, 3.86 meq/g, Argonaut). The mixture was heated to 50° C. and was vortexed overnight at 500 rpm. Another 1-2 eq of amine was added and then heating and vortexing was continued for a second night. The product was isolated by injection of the filtered reaction mixture onto a semi-prep HPLC system (Shimadzu LC-6A pumps, Rainin Microsorb C18 column, 21.4×250 mm, 8 micron particle size, 60 A pore, 9.9 mL/min., gradient elution from 2-95% B in 25 min., hold at 95% B for 5 min., where A=0.1% trifluoroacetic acid/water and B=0.1% trifluoroacetic acid/acetonitrile, peak detection at 254 nm, collected 5 mL fractions). The semi-prep hplc fractions were analyzed by reversed-phase hplc and the appropriate fractions were dried in vacuo to provide the compound as a trifluoroacetate salt. The compound was dissolved in ca. 3-5 mL of 2:1 dichloromethane-methanol and shaken with ca. 80 mg (300 μmol) of diisopropylaminomethyl-polystyrene resin (Argonaut PS-DIEA, 3.86 mmol/g) for 1-2 h to liberate the free amine, and then filtered and dried in vacuo to give the compound as an amorphous solid. Each amine product was analyzed by LC/APCI-MS.
-
- This compound was prepared according to the method of Examples 68-102. (DMSO-d6) δ 8.28 (s, 1H), 8.09 (m, 2H), 7.70 (d, J=7.9 Hz, 1H), 7.54 (t, J=7.9 Hz, 1H), 7.36 (t, J=7.3 Hz, 1H), 7.28 (dd, J=0.9 Hz, J=5.2 Hz, 1H), 6.88 (dd, J=3.4 Hz, J=5.2 Hz, 1H), 6.82 (d, J=3.1 Hz, 1H), 4.63 (t, J=7 Hz, 2H), 3.56 (s, 2H), 3.10 (q, J=6.5 Hz, 2H), 1.85 (quintet, J=7.5 Hz, 2H), 1.46 (quintet, J=7.5 Hz, 2H) MS (APCI) m/e 380.22 (M+H).
- The examples in the table below were prepared using the synthetic method described in Reaction Scheme III.
- 1-(4-Aminobutyl)-1H-imidazo[4,5-c]quinolin-4-amine (10 mg, 0.04 mmol) was suspended in 10 mL of dichloromethane in a threaded test tube. The acid (0.05 mmol) was added and the mixture was briefly vortexed. To the mixture was added 1-[3-(dimethylamino)propyl]-3-ethylcarbodiimide hydrochloride (EDC, 10 mg, 0.05 mmol) and the mixture was shaken overnight at ambient temperature. To the tube was added about 90 mg of aminomethylpolystrene resin (Bachem, ˜1 meq/g, 100-200 mesh) and the mixtures were heated to reflux and shaken overnight. The mixture was then filtered to remove the resin, and was purified by semi-preparative reversed-phase HPLC (Rainin Microsorb C18 column, 21.4×250 mm, 8 micron particle size, 60 A pore, 10 mL/min., gradient elution from 2-95% B in 25 min., hold at 95% B for 5 min., where A=0.1% trifluoroacetic acid/water and B=0.1% trifluoroacetic acid/acetonitrile, peak detection at 254 nm for triggering fraction collection). The semi-prep HPLC fractions were analyzed by LC-APCI/MS and the appropriate fractions were combined and lyophilized to provide the trifluoroacetate salt of the desired amide. The compounds were analyzed by LC-MS (APCI).
- The Examples in the table below were prepared using the synthetic method described in Reaction Scheme V above.
- 1-(4-Aminobutyl)-1H-imidazo[4,5-c]quinolin-4-amine (25 mg, 0.1 mmol) was suspended in 5 mL of dichloromethane in a threaded test tube and the aldehyde (about 0.1 mmol) was added. The mixture was heated to reflux and was vortexed at 500 rpm for half an hour. The mixture was allowed to cool for a few minutes and then sodium triacetoxyborohydride (38 mg, 0.18 mmol) was added. The mixture was shaken at ambient temperature for 3 days, then was quenched with 0.5 mL of methanol and evaporated to dryness. The mixture was purified by semi-preparative reversed-phase HPLC (Rainin Microsorb C18 column, 21.4×250 mm, 8 micron particle size, 60 A pore, 10 mL/min., gradient elution from 2-95% B in 25 min., hold at 95% B for 5 min., where A=0.1% trifluoroacetic acid/water and B=0.1% trifluoroacetic acid/acetonitrile, peak detection at 254 nm for triggering fraction collection). The semi-prep HPLC fractions were analyzed by LC-APCI/MS and the appropriate fractions were combined and lyophilized to provide the trifluoroacetate salt of the desired secondary amine. The compounds were analyzed by LC-MS (APCI).
- The secondary amines from Part A (about 3-30 μmol as the di-trifluoroacetate salt) were each dissolved in 1 mL of pyridine, and about 10 equivalents of a 0.1 M solution of acetic anhydride in dichloromethane was added. The mixtures were allowed to stand for 1 hour and then 200 μL of methanol was added. The mixtures were evaporated to dryness in a vacuum centrifuge. The mixtures were purified by semi-preparative reversed-phase HPLC as in Part A. The compounds were analyzed by LC-MS (APCI).
-
Ex- Ob- ample served Number Structure of Free Base Mass 120 418.1 121 466.0,468.0 122 482.0,484 123 460.1 124 422.0 125 467.0,469.0 126 467.0,469.0 127 530.0 128 456.0,458.0 129 424.0 130 448.1 131 448.1 132 416.1 133 406.1 134 378.0 135 378.0 136 416.1 137 410.0 138 438.0 139 468.1 140 433.0 141 433.0 142 512.0 143 389.0 144 402.1 145 478.1 146 478.1 - The compounds in the table below were prepared using the synthetic method of Reaction Scheme II above.
- 1-(4-Aminobutyl)-2-methoxyethyl-1H-imidazo[4,5-c]quinolin-4-amine (50 mg) was placed in a 2 dram (7.4 mL) vial. Diisopropylethylamine (1.2 eq) and dichloromethane (1 mL) were added. A solution containing the carboxylic acid chloride (1.1 eq) in dichloromethane (1 mL) was added. The vial was placed on a shaker for about 2 hours at ambient temperature. The reaction mixture was analyzed by LC/MS to confirm the formation of the desired product. The solvent was removed and the residue was purified by semi-preparative HPLC (Capcell PakC18 column, 35×20 mm, 5 micron particle size, 20 mL/min., gradient elution from 5-95% B in 10 min., hold at 95% B for 2 min., where A=0.1% trifluoroacetic acid/water and B=0.1% trifluoroacetic acid/acetonitrile, peak detection at 254 nm for triggering fraction collection). The semi-prep HPLC fractions were analyzed by LC-APCI/MS and the appropriate fractions were combined and lyophilized to provide the trifluoroacetate salt of the desired amide.
- The compounds in the table below were prepared using the synthetic method of Reaction Scheme III above.
- 1-(4-Aminobutyl)-2-methoxyethyl-1H-imidazo[4,5-c]quinolin-4-amine (50 mg), the carboxylic acid (1.0 eq.) and dichloromethane (3 mL) were placed in a 2 dram (7.4 mL) vial. A solution containing 1-[3-(dimethylamino)propyl]-3-ethylcarbodiimide hydrochloride (1.1 eq) in dichloromethane (1 mL) was added. The vial was placed on a shaker for about 2 hours at ambient temperature. The reaction mixture was analyzed by LC/MS to confirm the formation of the desired product. The solvent was removed and the residue was purified by semi-preparative HPLC (Capcell Pak C18 column, 35×20 mm, 5 micron particle size, 20 mL/min., gradient elution from 5-95% B in 10 min., hold at 95% B for 2 min., where A=0.1% trifluoroacetic acid/water and B=0.1% trifluoroacetic acid/acetonitrile, peak detection at 254 nm for triggering fraction collection). The semi-prep HPLC fractions were analyzed by LC-APCI/MS and the appropriate fractions were combined and lyophilized to provide the trifluoroacetate salt of the desired amide.
-
- Using the method of Examples 147-159 above, 1-(4-aminobutyl)-2-(4-methoxybenzyl)-1H-imidazo[4,5-c]quinolin-4-amine was reacted with acetyl chloride to provide N1-[4-(4-amino-2-(4-methoxybenzyl)-1H-imidazo[4,5-c]quinolin-1-yl)butyl]acetamide Trifluoroacetate. APCI-MS m/e 418.2.
- The examples in the table below were prepared by reacting 1-(4-aminobutyl)-2-(4-methoxybenzyl)-1H-imidazo[4,5-c]quinolin-4-amine with the appropriate carboxylic acid using the method of Example 160-168.
- The examples in the table below were prepared according to the synthetic method described in Reaction Scheme VI above.
- A catalytic amount of platinum (IV) oxide was added toga solution of 1-(4-aminobutyl)-2-methoxyethyl-1H-imidazo[4,5-c]quinolin-4-amine (7.7 g, 24.5 mmol) in trifluoroacetic acid (250 mL). The reaction mixture was hydrogenated at 50 psi (3.44×105 Pa) on a Parr apparatus. The progress of the reaction was monitored by LC/MS. Additional catalyst was added 7, 11, and 17 days after the start of the reaction. After 25 days the reaction was complete. The reaction mixture was filtered through a layer of Celite® filter aid to remove the catalyst and the filtrate was concentrated under vacuum. The residue was combined with 1 N hydrochloric acid (100 mL) and stirred overnight. The mixture was made basic (pH=11) with ammonium hydroxide and then extracted with dichloromethane (3×300 mL). The extracts were combined and concentrated under vacuum to provide 3.5 g of 1-(4-aminobutyl)-6,7,8,9-tetrahydro-2-methoxyethyl-1H-imidazo[4,5-c]quinolin-4-amine as a solid.
- Using the method of Examples DC 147-159 above. The material from Part A was reacted with the appropriate acid chloride to give the desired amide.
- The Examples in the table below were prepared according to the synthetic method of Reaction Scheme III above using the general method of Examples 160-168.
-
- Under a nitrogen atmosphere isoquinoline-3-carboxylic acid (1.32 g, 7.63 mmol), 1-hydroxybenzotriazole (1.12 g, 8.27 mmol), and dichloromethane (60 mL) were combined, allowed to stir for several minutes and then cooled to 0° C. 1-[3-(Dimethylamino)propyl]-3-ethylcarbodiimide hydrochloride was added. Pyridine (1.8 mL) was added and the resulting mixture was allowed to stir for at least 60 minutes. A solution of 1-(4-aminobutyl)-2-(2-methoxyethyl)-1H-imidazo[4,5-c]quinolin-4-amine (2.0 g, 6.37 mmol) in dichloromethane (250 mL) was added dropwise. The reaction mixture was allowed to stir at ambient temperature overnight. The reaction mixture was washed with sodium bicarbonate, dried over magnesium sulfate, filtered and then concentrated under reduced pressure. The crude material was purified by column chromatography (40 g silica gel eluting with dichloromethane/methanol 9/1) followed by recrystallization from methanol to provide 882 mg of N-{4-[4-amino-2-(2-methoxyethyl)-1H-imidazo[4,5-c]quinolin-1-yl]butyl}isoquinoline-3-carboxamide as a yellow crystalline solid, m.p. 199-200° C. Analysis: Calculated for C27H28N6O2: % C, 69.21; % H, 6.02; % N, 17.94; Found: % C, 69.03; % H, 5.99; % N, 18.11.
-
- Using the general method of Example 181 1-(4-aminobutyl)-2-(2-methoxyethyl)-1H-imidazo[4,5-c]quinolin-4-amine (2.0 g, 6.37 mmol) was reacted with quinoline-3-carboxylic acid (1.33 g, 7.66 mmol) to provide 850 mg of N-{4-[4-amino-2-(2-methoxyethyl)-1H-imidazo[4,5-c]quinolin-1-yl]butyl}quinoline-3-carboxamide as a yellow solid, m.p. 114-116° C. Analysis: Calculated for C27H28N6O2 0.2H2O: % C, 68.68; % H, 6.06; % N, 17.80; Found: % C, 68.68; % H, 5.85; % N, 17.76.
-
- Using the general method of Example 181 1-(4-aminobutyl)-2-(2-methoxyethyl)-1H-imidazo[4,5-c]quinolin-4-amine (1.5 g, 4.78 mmol) was reacted with 2-quinoxalinecarboxylic acid (1.0 g, 5.74 mmol) to provide 270 mg of N-{4-[4-amino-2-(2-methoxyethyl)-1H-imidazo[4,5-c]quinolin-1-yl]butyl}quinoxaline-2-carboxamide as a yellow crystalline solid, m.p. 85-87° C. Analysis: Calculated for C26H27N7O2: % C, 66.51; % H, 5.80; % N, 20.88; Found: % C, 66.12; % H, 5.70; % N, 20.62.
-
- Using the general method of Example 181 1-(4-aminobutyl)-2-(2-methoxyethyl)-1H-imidazo[4,5-c]quinolin-4-amine (400 mg, 1.28 mmol) was reacted with trans-4-cotinecarboxylic acid (338 mg, 1.54 mmol) to provide 25 mg of (2S,3S)—N-{4-[4-amino-2-(2-methoxyethyl)-1H-imidazo[4,5-c]quinolin-1-yl]butyl)}-1-methyl-5-oxo-2-pyridin-3-ylpyrrolidine-3-carboxamide as a light gray powder.
- 1H NMR (300 MHz, CDCl3) δ 8.53 (dd, J=3.2, 1.6 Hz, 1H), 8.43 (d, J=1.9 Hz, 1H), 7.82 (d, J=7.6 Hz, 1H), 7.72 (d, J=7.5 Hz, 1H), 7.48-7.39 (m, 2H), 7.29-7.23 (m, 2H), 6.24 (t, J=5.6 Hz, 1H), 5.68 (s, 2H), 4.71 (d, J=7.9 Hz, 1H), 4.47 (t, J=7.5 Hz, 2H), 3.87 (t, J=6.3 Hz, 2H), 3.35 (s, 3H), 3.27 (m, 2H), 3.13 (t, J=6.3 Hz, 2H), 2.74-2.63 (m, 3H), 2.59 (s, 3H), 1.87 (m, 2H), 1.61 (m, 2H);
- 13CNMR (75 MHz, CDCl3) 173.1, 170.8, 151.3, 150.9, 150.1, 148.6, 143.6, 135.0, 134.3, 133.3, 127.3, 126.7, 126.5, 124.1, 122.6, 119.5, 115.1, 70.7, 64.8, 59.0, 48.3, 45.2, 39.3, 34.6, 28.4, 28.3, 27.5, 26.7;
- MS (EI) m/e 515.2654 (515.2645 calcd for C28H33N7O3).
-
- Using the general method of Example 181 1-(4-aminobutyl)-2-(2-methoxyethyl)-1H-imidazo[4,5-c]quinolin-4-amine (400 mg, 1.28 mmol) was reacted with N-(4-tert-butylphenylsulfonyl)-L-proline (477 mg, 1.53 mmol) to provide 123 mg of N-{4-[4-amino-2-(2-methoxyethyl)-1H-imidazo[4,5-c]quinolin-1-yl]butyl}-1-[(4-tert-butylphenyl)sulfonyl]-L-prolinamide as a brown oil.
- 1HNMR (300 MHz, DMSO-d6) δ 8.01 (d, J=8.2 Hz, 1H), 7.93 (t, J=5.4 Hz, 1H), 7.73 (d, J=8.4 Hz, 2H), 7.62-7.59 (m, 3H), 7.42 (t, J=7.4 Hz, 1H), 7.26 (t, J=7.4 Hz, 1H), 6.49 (s, 2H), 4.54 (t, J=7.2 Hz, 2H), 3.93-3.89 (m, 1H) 3.83 (t, J=6.7, 2H) 3.35 (m, 3H), 3.22-3.06 (m, 5H), 1.82 (m, 2H), 1.61 (m, 5H), 1.38 (m, 2H), 1.30 (s, 9H);
- 13CNMR (75 MHz, DMSO-d6) 171.4, 156.5, 151.9, 151.1, 144.9, 134.3, 132.6, 127.7, 126.9, 126.7, 126.5, 126.4, 121.7, 120.3, 115.1, 70.5, 70.2, 62.0, 58.4, 49.4, 45.1, 38.4, 35.2, 31.1, 27.5, 26.6, 24.4;
- MS (EI) m/e 606.2969 (606.2988 calcd for C32H42N6O4S).
-
- A solution of 1-(8-aminooctyl)-2-butyl-1H-imidazo[4,5-c]quinolin-4-amine (1.2 g, 3.26 mmol) and triethylamine (500 μL, 3.59 mmol) in dichloromethane (30 mL) was cooled to 0° C. Benzoyl chloride (380 μL, 3.26 mmol) was slowly added dropwise. The reaction mixture was allowed to slowly warm to ambient temperature. After several hours the reaction mixture was washed with distilled water (1×50 mL) and brine (2×50 mL), dried over sodium sulfate and then concentrated under reduced pressure to provide 1.5 g of crude orange gooey material. This material was purified by column chromatography (65 g of silica gel, eluting with 7.5% methanol in dichloromethane). The purified material was dissolved in a small amount of dichloromethane and the solution was diluted with hexane to precipitate a white powder. This material was isolated by filtration, washed with hexanes and then dried in a vacuum oven at 60° C. overnight to provide 0.72 g of N-[8-(4-amino-2-butyl-1H-imidazo[4,5-c]quinolin-1-yl)octyl]benzamide as a white powder, m.p. 149.5-151.3° C. Analysis: Calculated for C29H37N5O: % C, 73.85; % H, 7.91; % N, 14.85; Found: % C, 73.46; % H, 7.79; % N, 14.56.
- 1H NMR (300 MHz, DMSO-d6) δ 8.42 (t, J=5.4 Hz, 1H), 8.00 (d, J=8.3 Hz, 1H), 7.82 (m, 2H), 7.61 (dd, J=8.3, 1.5 Hz, 1H), 7.51-7.41 (m, 4H), 7.25 (m, 1H), 6.51 (s, 2H), 4.48 (t, J=7.3 Hz, 2H), 3.23 (m, 2H), 2.91 (m, 2H), 1.79 (m, 4H), 1.43 (m, 6H), 1.30 (m, 6H), 0.95 (t, J=7.3 Hz, 3H);
- 13C NMR (125 MHz, DMSO-d6) 165.9, 152.9, 151.5, 144.4, 134.6, 132.1, 130.8, 128.1, 127.0, 126.3, 126.2, 126.1, 121.1, 119.8, 114.7, 44.7, 39.1, 29.64, 29.60, 29.0, 28.54, 28.49, 26.3, 26.1, 25.7, 21.9, 13.7
- MS m/z 472 (M+1)
-
- Using the general method of Example 186 1-(8-aminooctyl)-2-(2-methoxyethyl)-1H-imidazo[4,5-c]quinolin-4-amine (0.84 g, 2.27 mmol) was reacted with benzoyl chloride (260 μL, 2.27 mmol) to provide 0.48 g of N-{8-[4-amino-2-(2-methoxyethyl)-1H-imidazo[4,5-c]quinolin-1-yl]octyl}benzamide as a tan powder, m.p. 133.4-137.5° C. Analysis: Calculated for C28H35N5O2: % C, 71.01; % H, 7.45; % N, 14.79; Found: % C, 71.41; % H, 7.35; % N, 14.48.
- 1H NMR (300 MHz, DMSO-d6) δ 8.42 (m, 1H), 8.01 (d, J=8.3 Hz, 1H), 7.82 (d, J=6.8 Hz, 2H), 7.61 (d, J=7.8 Hz, 1H), 7.51-7.39 (m, 4H), 7.25 (m, 1H), 6.48 (s, 2H), 4.51 (t, J=7.3 Hz, 2H), 3.82 (t, J=6.4 Hz, 2H), 3.29 (s, 3H), 3.25-3.16 (m, 4H), 1.80 (m, 2H), 1.50-1.30 (m, 10H);
- 13CNMR (125 MHz, DMSO-d6) 166.4, 152.0, 151.0, 145.1, 135.1, 132.5, 131.3, 128.5, 127.4, 126.9, 126.7, 121.5, 120.3, 115.1, 70.5, 58.5, 45.3, 39.5, 30.1, 29.4, 29.0, 27.6, 26.7, 26.2
- MS m/z 474 (M+1)
-
- Isoquinoline-3-carboxylic acid (1.05 g, 6.05 mmol) was stirred in 1-methyl-2-pyrrolidinone (50 mL). 1-Hydroxybenzotriazole (885 mg, 6.55 mmol) was added in a single portion. This solution was stirred for 15-20 minutes and then cooled in an ice bath. 1-[3-(Dimethylamino)propyl]-3-ethylcarbodiimide hydrochloride (1.26 g, 6.55 mmol) was added in small portions over a period of 10 minutes. The solution was stirred for 1 hour and then added dropwise to a solution of 1-(3-aminopropyl)-2-butyl-1H-imidazo[4,5-c]quinolin-4-amine-(1.50 g, 5.04 mmol) in 1-methyl-2-pyrrolidinone (100 mL). After 3 hours the reaction mixture was poured into distilled water (800 mL). A solid precipitated. This material was stirred for 5 hours, isolated by filtration and then air dried over the weekend. The solid was taken up in chloroform (100 mL) and then purified by column chromatography (silica gel eluting sequentially with chloroform (1 L), 1% methanol in chloroform (1 L) and 5% methanol in chloroform (1 L)). The purified material was slurried with hot acetonitrile, cooled, isolated by filtration and then dried in a vacuum oven to provide 1.72 g of N-[3-(4-amino-2-butyl-1H-imidazo[4,5-c]quinolin-1-yl)propyl]isoquinoline-3-carboxamide as a solid, m.p. 203.8-205.3° C. Analysis: Calculated for C27H28N6O: % C, 71.66; % H, 6.24; % N, 18.57; Found: % C, 71.63; % H, 6.17; % N, 18.57.
-
- Under a nitrogen atmosphere triethylamine (765 mg, 7.56 mmol) was added to a solution of 1-(3-aminopropyl)-2-butyl-1H-imidazo[4,5-c]quinolin-4-amine (1.50 g, 5.04 mmol) in 1-methyl-2-pyrrolidinone (50 mL). Benzoyl chloride (972 mg, 5.55 mmol) was added dropwise. When analysis by HPLC indicated that the reaction was complete, the reaction solution was poured into distilled water (500 mL). The pH was adjusted to 10 using solid potassium carbonate. A solid was isolated by filtration, rinsed with water and then dried in a vacuum oven. This material was stirred with chloroform (500 mL) and then filtered. The filtrate was loaded onto a silica gel column. The column was eluted with 1-5% methanol in chloroform. The purified material was dried in a vacuum oven to provide 800 mg of N-[3-(4-amino-2-butyl-1H-imidazo[4,5-c]quinolin-1-yl)propyl]benzamide as a solid, m.p. 189.4-190.0° C. Analysis: Calculated for C24H27N5O.0.82H2O: % C, 69.25; % H, 6.93; % N, 16.82; Found: % C, 69.50; % H, 7.15; % N, 17.02.
-
- A solution containing 1-(3-amino-2,2-dimethylpropyl)-2-(2-methoxyethyl)-1H-imidazo[4,5-c]quinolin-4-amine (1.0 g, 3.05 mmol) and triethylamine (470 μL, 3.36 mmol) in 1-methyl-2-pyrrolidinone (30 mL) was cooled to 0° C. Benzoyl chloride (345 μL, 3.05 mmol) was slowly added dropwise. The reaction mixture was allowed to slowly warm to ambient temperature overnight. The reaction mixture was combined with 1% aqueous sodium bicarbonate solution (150 mL) and then stirred overnight. A fine white precipitate was isolated by filtration and washed with hexanes. The material was dissolved in dichloromethane, methanol and toluene. The solution was concentrated under vacuum. The material was purified by column chromatography (60 g silica gel eluting with 7.5% methanol in dichloromethane) and then dried in a vacuum oven at 50° C. for 2 days to provide 0.82 g of N-{3-[4-amino-2-(2-methoxyethyl)-1H-imidazo[4,5-c]quinolin-1-yl]-2,2-dimethylpropyl}benzamide as an off white powder, m.p. 103-125° C. Analysis: Calculated for C25H29N5O2.0.30H2O: % C, 68.72; % H, 6.83; % N, 16.03; Found: % C, 68.50; % H, 6.55; % N, 16.02.
- 1H NMR (300 MHz, DMSO-d6) δ 8.75 (m, 1H), 8.22 (d, J=8.3 Hz, 1H), 7.97 (m, 2H), 7.59-7.52 (m, 4H), 7.33 (m, 1H), 6.87 (m, 1H), 6.54 (s, 2H), 4.89 (broad s, 1H), 4.45 (broad s, 1H), 3.82 (broad s, 2H), 3.40 (m, 4H), 0.97 (broad s, 3H), 0.77 (broad s, 3H);
- 13C NMR (75 MHz, DMSO-d6) 167.7, 152.8, 152.3, 145.5, 135.1, 134.1, 131.9, 129.0, 128.0, 127.0, 126.8, 121.4, 120.8, 116.0, 71.3, 58.7, 52.3, 48.3, 28.6, 25.7, 23.3
- MS m/z 432 (M+1)
-
- Using the general method of Example 186 1-(8-aminooctyl)-1H-imidazo[4,5-c]quinolin-4-amine (3.85 mmol) was reacted with benzoyl chloride (450 μL, 3.85 mmol) to provide 0.45 g of N-[8-(4-amino-1H-imidazo[4,5-c]quinolin-1-yl)octyl]benzamide as an off white powder, m.p. 133.1-136.7° C. Analysis: Calculated for C25H29N5O.0.25H2O: % C, 71.49; % H, 7.08; % N, 16.67; Found: % C, 71.37; % H, 7.05; % N, 16.62.
- 1H NMR (300 MHz, DMSO-d6) δ 8.42 (m, 1H), 8.20 (s, 1H), 8.03 (d, J=8.3, 1H), 7.83 (m, 2H), 7.62 (d, J=8.3 Hz, 1H), 7.48-7.42 (m, 4H), 7.26 (m, 1H), 6.62 (s, 2H), 4.58 (m, 2H), 3.23 (m, 2H), 1.85 (m, 2H), 1.49 (m, 2H), 1.29 (m, 8H);
- 13CNMR (125 MHz, DMSO-d6) 168.1, 154.2, 146.9, 144.9, 136.9, 133.7, 133.0, 130.3, 130.2, 129.2, 128.8, 128.2, 123.3, 122.6, 116.9, 48.6, 41.2, 31.8, 31.1, 30.7, 30.5, 28.4, 27.8.
- MS m/z 416 (M+1).
-
- Using the general method of Example 188 isoquinoline-3-carboxylic acid (1.05 g, 6.06 mmol) was reacted with 1-(3-aminopropyl)-2-(2-methoxyethyl)-1H-imidazo[4,5-c]quinolin-4-amine (1.50 g, 5.01 mmol) to provide 1.30 g of N-{3-[4-amino-2-(2-methoxyethyl)-1H-imidazo[4,5-c]quinolin-1-yl]propyl}isoquinoline-3-carboxamide as a white foam, m.p. 198.0-198.5° C. Analysis: Calculated for C26H26N6O2: % C, 68.71; % H, 5.77; % N, 18.49; Found: % C, 68.39; % H, 5.83; % N, 18.63.
-
- Using the general method of Example 189, 1-(3-aminopropyl)-2-(3-phenoxypropyl)-1H-imidazo[4,5-c]quinolin-4-amine (2.0 g, 5.32 mmol) was reacted with 4-bromobenzoyl chloride (880 mg, 5.86 mmol) to provide 1.8 g of N-{3-[4-amino-2-(3-phenoxypropyl)-1H-imidazo[4,5-c]quinolin-1-yl]propyl}-4-bromobenzamide as a light yellow solid, m.p. 186.2-186.7° C. Analysis: Calculated for C29H28BrN5O2: % C, 62.37; % H, 5.05; % N, 12.54; Found: % C, 62.18; % H, 5.16; % N, 12.43.
-
- Benzoyl chloride (1.03 g, 5.86 mmol) was added to a refluxing solution of 1-(3-aminopropyl)-2-(3-phenoxypropyl)-1H-imidazo[4,5-c]quinolin-4-amine (2.0 g, 5.32 mmol) and triethylamine (1.11 mL, 7.98 mmol) in chloroform (150 mL). When analysis by HPLC indicated that the reaction was complete, it was quenched with aqueous 1% sodium carbonate solution. The layers were separated. The organic layer was washed with aqueous 1% sodium carbonate solution (2×100 mL). The aqueous layers were combined and then extracted with chloroform (2×30 mL). The organics were combined, dried over sodium sulfate, filtered and then concentrated under reduced pressure to provide 2.63 g of a solid. The solid was dissolved in methanol, solid sodium carbonate was added and the mixture was brought to reflux. After 2 hours analysis indicated that conversion from the bis amide to the desired product was complete. The reaction mixture was cooled and filtered. Distilled water (20 mL) was added to the filtrate and the filtrate was concentrated under reduced pressure to provide a solid. This material was dissolved in dichloromethane and then washed with distilled water (2×100 mL). The aqueous layers were combined and then extracted with dichloromethane (2×100 mL). The organics were combined, dried over sodium sulfate, filtered and then concentrated under reduced pressure to provide a solid. This material was purified by column chromatography (silica gel eluting with a methanol/chloroform gradient) to provide a yellow foam. The foam was triturated with acetonitrile and the resulting solid was isolated by filtration and then dried in a vacuum oven overnight to provide 1.55 g of N-{3-[4-amino-2-(3-phenoxypropyl)-1H-imidazo[4,5-c]quinolin-1-yl]propyl}benzamide as a light yellow crystalline solid, m.p. 192.0-194.0° C. Analysis: Calculated for C29H29N5O2: % C, 72.63; % H, 6.10; % N, 14.60; Found: % C, 72.43; % H, 6.06; % N, 14.82.
-
- Benzoyl chloride (900 mg, 6.40 mmol) was added in a single portion to a cooled (0° C.) solution of 1-(3-aminopropyl)-2-(2-methoxyethyl)-6,7,8,9-tetrahydro-1H-imidazo[4,5-c]quinolin-4-amine (1.9 g, 6.26 mmol) and triethylamine (2 mL) in 1-methyl-2-pyrrolidinone (100 mL). When analysis by HPLC indicated that the reaction was complete, it was diluted with diethyl ether (1 L). The product was salted out by adding 3.3 eq. of a 1.0 M solution of hydrochloric acid in diethyl ether. The solid was isolated by filtration and then dissolved in water. The solution was neutralized using solid potassium carbonate and then extracted with dichloromethane. The extract was concentrated under reduced pressure to provide a solid. This material was recrystallized from 1,2-dichloroethane, slurried with diethyl ether, filtered and then dried in a vacuum oven to provide 1.47 g of N-{3-[4-amino-2-(2-methoxyethyl)-6,7,8,9-tetrahydro-1H-imidazo[4,5-c]quinolin-1-yl]propyl}benzamide as a white solid, m.p. 167.8-169.6° C. Analysis: Calculated for C23H29N5O2: % C, 67.05; % H, 7.22; % N, 17.00; Found: % C, 67.17; % H, 7.24; % N, 16.98.
-
- Using the general method of Example 186 except that chloroform was used as the solvent, 1-(3-aminopropyl)-2-(2-methoxyethyl)-1H-imidazo[4,5-c]quinolin-4-amine (1.50 g, 5.01 mmol) was reacted with benzoyl chloride (972 mg, 5.55 mmol) to provide 700 mg of N-{3-[4-amino-2-(2-methoxyethyl)-1H-imidazo[4,5-c]quinolin-1-yl]propyl}benzamide as a white solid, m.p. 183.0-186.0° C. Analysis: Calculated for C23H25N5O2.0.5H2O: % C, 66.97; % H, 6.35; % N, 16.98; Found: % C, 67.16; % H, 6.18; % N, 17.07.
-
- A solution of 1-(4-aminobutyl)-2-ethyl-1H-imidazo[4,5-c]quinolin-4-amine (1.00 g, 3.5 mmol) and triethylamine (0.64 mL, 4.6 mmol) in chloroform (100 mL) was cooled with an acetone/ice bath. Cyclopentanecarbonyl chloride (0.47 mL, 3.9 mmol) was slowly added. The reaction was complete within 10 minutes. The reaction mixture was washed with water (1×100 mL) and brine (1×100 mL). The organic layer was dried over magnesium sulfate, filtered and then concentrated under reduced pressure. The residue was slurried with acetonitrile. The resulting solid was isolated by filtration and dried in an oven overnight to provide 1.01 g of N-[4-(4-amino-2-ethyl-1H-imidazo[4,5-c]quinolin-1-yl)butyl]cyclopentanecarboxamide as a light brown solid, m.p. 178.6-179.5° C. Analysis: Calculated for C22H29N5O.0.25H2O: % C, 68.81; % H, 7.74; % N, 18.24; Found: % C, 68.77; % H, 7.87; % N, 18.19.
-
- Using the general method of Example 197, 17-(4-aminobutyl)-2-methyl-1H-imidazo[4,5-c]quinolin-4-amine (1.00 g, 3.7 mmol) was reacted with cyclohexanecarbonyl chloride (0.55 mL, 4.1 mmol) to provide 1.07 g of N-[4-(4-amino-2-methyl-1H-imidazo[4,5-c]quinolin-1-yl)butyl]cyclohexanecarboxamide as an off white solid, m.p. 191.6-192.6° C. Analysis: Calculated for C22H29N5O.0.25H2O: % C, 68.81; % H, 7.74; % N, 18.24; Found: % C, 68.85; % H, 7.75; % N, 17.95.
-
- Using the general method of Example 197, 1-(4-aminobutyl)-2-ethyl-1H-imidazo[4,5-c]quinolin-4-amine (1.00 g, 3.5 mmol) was reacted with isobutyl chloride (0.41 mL, 3.9 mmol) to provide 0.34 g of N-[4-(4-amino-2-ethyl-1H-imidazo[4,5-c]quinolin-1-yl)butyl]-2-methylpropanamide as an off white solid, m.p. 155.4-156.3° C.
- Analysis: Calculated for C20H27N5O.0.75H2O: % C, 65.46; % H, 7.83; % N, 19.08; Found: % C, 65.84; % H, 7.87; % N, 18.73.
-
- Using the general method of Example 197, 1-(4-aminobutyl)-2-ethyl-1H-imidazo[4,5-c]quinolin-4-amine (1.00 g, 3.5 mmol) was reacted with butyryl chloride (0.40 mL, 3.9 mmol) to provide 0.77 g of N-[4-(4-amino-2-ethyl-1H-imidazo[4,5-c]quinolin-1-yl)butyl]butanamide as a light brown solid, m.p. 147.7-148.8° C. Analysis: Calculated for C20H27N5O.0.4H2O: % C, 66.60; % H, 7.77; % N, 19.42; Found: % C, 66.84; % H, 7.77; % N, 19.36.
-
- Using the general method of Example 197, 1-(4-aminobutyl)-2-methyl-1H-imidazo[4,5-c]quinolin-4-amine (1.00 g, 3.7 mmol) was reacted with cyclopentanecarbonyl chloride (0.50 mL, 4.1 mmol) to provide 0.71 g of N-[4-(4-amino-2-methyl-1H-imidazo[4,5-c]quinolin-1-yl)butyl]cyclopentanecarboxamide as a white solid, m.p. 168.6-169.8° C.
-
- Using the general method of Example 197, 1-(4-aminobutyl)-2-methyl-1H-imidazo[4,5-c]quinolin-4-amine (1.00 g, 3.7 mmol) was reacted with isobutyryl chloride (0.43 mL, 4.1 mmol) to provide 0.56 g of N-[4-(4-amino-2-methyl-1H-imidazo[4,5-c]quinolin-1-yl)butyl]-2-methylpropanamide as an off white solid, m.p. 159.7-160.7° C.
-
- Using the general method of Example 197, 1-(4-aminobutyl)-2-methyl-1H-imidazo[4,5-c]quinolin-4-amine (1.00 g, 3.7 mmol) was reacted with butyryl chloride (0.43 mL, 4.1 mmol) to provide 0.65 g of N-[4-(4-amino-2-methyl-1H-imidazo[4,5-c]quinolin-1-yl)butyl]butanamide as an off white solid, m.p. 169.4-170.5° C.
-
- Using the general method of Example 197, 1-(4-aminobutyl)-2-ethyl-1H-imidazo[4,5-c]quinolin-4-amine (1.00 g, 3.5 mmol) was reacted with cyclohexanecarbonyl chloride (0.52 mL, 3.9 mmol) to provide 1.16 g of N-[4-(4-amino-2-ethyl-1H-imidazo[4,5-c]quinolin-1-yl)butyl]cyclohexanecarboxamide as a light brown solid, m.p. 201.7-202.5° C.
-
- Using the general method of Example 195 except that the acid chloride was added in a dropwise fashion, 1-(3-aminopropyl)-2-methyl-1H-imidazo[4,5-c]quinolin-4-amine (2.00 g, 7.83 mmol) was reacted with cyclohexanecarbonyl chloride (1.14 g, 7.83 mmol) to provide 1.34 g of N-[3-(4-amino-2-methyl-1H-imidazo[4,5-c]quinolin-1-yl)propyl]cyclohexanecarboxamide as a white powder, m.p. 234.4-235.4° C. Analysis: Calculated for C21H27N5O: % C, 69.01; % H, 7.45; % N, 19.16; Found: % C, 68.70; % H, 7.39; % N, 19.24.
-
- Using the general method of Example 205, 1-(3-aminopropyl)-2-methyl-1H-imidazo[4,5-c]quinolin-4-amine (2.00 g, 7.83 mmol) was reacted with cyclopentanecarbonyl chloride (1.04 g, 7.83 mmol) to provide 1.67 g of N-[3-(4-amino-2-methyl-1H-imidazo[4,5-c]quinolin-1-yl)propyl]cyclopentanecarboxamide as a solid, m.p. 207.8-208.9° C. Analysis: Calculated for C20H25N5O: % C, 68.35; % H, 7.17; % N, 19.93; Found: % C, 68.09; % H, 7.19; % N, 20.09.
-
- Using the general method of Example 205, 1-(3-aminopropyl)-2-methyl-1H-imidazo[4,5-c]quinolin-4-amine (2.00 g, 7.83 mmol) was reacted with isobutyryl chloride (835 mg, 7.83 mmol). The product was recrystallized from methyl acetate to provide 1.11 g of N-[3-(4-amino-2-methyl-1H-imidazo[4,5-c]quinolin-1-yl)propyl]-2-methylpropanamide as an off white powder, m.p. 239.0-240.1° C. Analysis: Calculated for C18H23N5O.0.20 C3H6O2: % C, 65.66; % H, 7.17; % N, 20.58; Found: % C, 65.51; % H, 7.05; % N, 20.71.
-
- Using the general method of Example 205, 1-(3-aminopropyl)-2-methyl-1H-imidazo[4,5-c]quinolin-4-amine (2.00 g, 7.83 mmol) was reacted with butyryl chloride (835 mg, 7.83 mmol). The product was recrystallized from methanol to provide 1.07 g of N-[3-(4-amino-2-methyl-1H-imidazo[4,5-c]quinolin-1-yl)propyl]butanamide as a white powder, m.p. 221.8-223.3° C. Analysis: Calculated for C18H23N5O.0.25 CH4O: % C, 65.74; % H, 7.26; % N, 21.00; Found: % C, 65.79; % H, 7.14; % N, 21.25.
-
- A stirred solution of 4-chloro-3-nitroquinoline (2.08 g, 10.0 mmol) in 20 mL of anhydrous CH2Cl2, under N2, was treated with triethylamine (2.79 mL, 20.0 mol) and 1,2-diamino-2-methylpropane (1.15 mL, 11.0 mmol). After stirring for 2 d, the reaction mixture was diluted with 100 mL of CHCl3 washed with H2O (3×50 mL) and brine (50 mL). The organic portion was dried over Na2SO4 and concentrated to give 2-methyl-N1-(3-nitroquinolin-4-yl)propane-1,2-diamine (2.45 g) as a bright yellow solid.
- A solution of 2-methyl-N′-(3-nitroquinolin-4-yl)propane-1,2-diamine (2.45 g, 9.42 mmol), in 100 mL of toluene and 50 mL of isopropanol was treated with 0.5 g of 5% Pt on carbon and shaken under H2 (3 atm, 3 Kg/cm2) for 3 h. The solution was then filtered through a Celite pad and concentrated to give 2.17 g of crude N4-(2-amino-2-methylpropyl)quinoline-3,4-diamine as a light brown foam.
- A solution of N4-(2-amino-2-methylpropyl)quinoline-3,4-diamine (2.17 g, 9.43 mmol) in 100 mL of CH2Cl2 was cooled to 0° C. and treated with triethylamine (1.31 mL, 9.43 mmol) and ethoxyacetyl chloride (1.00 mL, 9.93 mmol). After 2 h, the reaction mixture was concentrated under reduced pressure. The resulting syrup was taken up in 100 mL of EtOH and treated with 4 mL of triethylamine. The solution was heated to reflux overnight. The reaction mixture was then concentrated and redissolved in 100 mL of toluene and treated with pyridinium hydrochloride (100 mg) and the mixture was heated to reflux overnight. The reaction mixture was concentrated and taken up in 100 mL of CH2Cl2 and washed with H2O (2×) and brine. The organic portion was dried over Na2SO4 and concentrated. The resulting syrup was purified by column chromatography (SiO2, 3% MeOH/CHCl3) to give 2-ethoxy-N-{2-[2-(ethoxymethy)-1H-imidazo[4,5-c]quinolin-1-yl]-1,1-dimethylethyl}acetamide (1.01 g) as a brown syrup.
- A solution of 2-ethoxy-N-{2-[2-(ethoxymethy)-1H-imidazo[4,5-c]quinolin-1-yl]-1,1-dimethylethyl}acetamide (998 mg, 2.60 mmol) in 20 mL of CH2Cl2 was treated with 3-chloroperoxybenzoic acid (77%, 668 mg, 2.99 mmol). After stirring for 3 h, the reaction mixture was treated with 30 mL of additional CH2Cl2 and was washed with 1% Na2CO3 solution (2×50 mL), H2O and brine. The organic portion was then dried over Na2SO4 and concentrated to give 2-ethoxy-N-{2-[2-(ethoxymethy)-5-oxido-1H-imidazo[4,5-c]quinolin-1-yl]-1,1-dimethylethyl}acetamide (910 mg) as a light brown oil.
- A solution of 2-ethoxy-N-{2-[2-(ethoxymethyl)-5-oxido-1H-imidazo[4,5-c]quinolin-1-yl]-1,1-dimethylethyl}acetamide (910 mg, 2.28 mmol) in 10 mL of 1,2-dichloroethane was heated to 60° C. and treated with 1 mL of concentrated NH4OH solution. To the rapidly stirred solution was added solid p-toluenesulfonyl chloride (477 mg, 2.50 mmol). The reaction mixture was then sealed in a pressure vessel and heating was continued for 2 h. The reaction mixture was then cooled and treated with 50 mL of CHCl3. The reaction mixture was then washed with H2O, 1% Na2CO3 solution (3×) and brine. The organic portion was dried over Na2SO4 and concentrated to give the product as a light brown oil. The resulting oil was purified by column chromatography (SiO2, 3% MeOH/CHCl3) to give N-{2-[4-amino-2-(ethoxymethyl)-1H-imidazo[4,5-c]quinolin-1-yl]-1,1-dimethylethyl}-2-ethoxyacetamide (900 mg) as a light brown oil.
- MS m/z 400 (M+H).
- 1H NMR (300 MHz, CDCl3) δ 8.28 (dd, J=0.8, 8.3 Hz, 1H), 7.80 (dd, J=1.0, 8.4 Hz, 1H), 7.50 (ddd, J=1.2, 7.1, 8.3 Hz, 1H), 7.32 (ddd, J=1.2, 7.1, 8.3 Hz, 1H), 6.46 (s, 1H), 5.50 (s, 2H), 5.15 (s, 2H), 4.85 (br s, 2H), 3.80 (s, 2H), 3.60 (q, J=7.0 Hz, 2H), 3.43 (q, J=7.0 Hz, 2H), 1.41 (br s, 6H), 1.24 (t, J=7.0 Hz, 3H), 1.13 (t, J=7.0 Hz, 3H);
- 13C NMR (75 MHz, CDCl3) δ 170.3, 151.8, 150.9, 145.6, 135.4, 127.8, 127.5, 127.3, 122.2, 121.0, 116.2, 70.4, 67.4, 66.8, 65.6, 55.7, 52.1, 26.4, 15.4, 15.3.
- An in vitro human blood cell system was used to assess cytokine induction by compounds of the invention. Activity is based on the measurement of interferon and tumor necrosis factor (α) (IFN and TNF, respectively) secreted into culture media as described by Testerman et. al. In “Cytokine Induction by the Immunomodulators Imiquimod and S-27609”, Journal of Leukocyte Biology, 58, 365-372 (September, 1995).
- Whole blood is collected by venipuncture into EDTA vacutainer tubes from healthy human donors. Peripheral blood mononuclear cells (PBMCs) are separated from whole blood by density gradient centrifugation using Histopaque®—1077 (Sigma Chemicals, St. Louis, Mo.). The PBMCs are suspended at 3-4×106 cells/mL in RPMI 1640 medium containing 10% fetal bovine serum, 2 mM L-glutamine and 1% penicillin/streptomycin solution (RPMI complete). The PBMC suspension is added to 48 well flat bottom sterile tissue culture plates (Costar, Cambridge, Mass. or Becton Dickinson Labware, Lincoln Park, N.J.) containing an equal volume of RPMI complete media containing test compound.
- The compounds are solubilized in dimethyl sulfoxide (DMSO). The DMSO concentration should not exceed a final concentration of 1% for addition to the culture wells.
- The solution of test compound is added at 60 μM to the first well containing RPMI complete and serial (three fold or ten fold) dilutions are made. The PBMC suspension is then added to the wells in an equal volume, bringing the test compound concentrations to the desired range. The final concentration of PBMC suspension is 1.5−2×106 cells/mL. The plates are covered with sterile plastic lids, mixed gently and then incubated for 18 to 24 hours at 37° C. in a 5% carbon dioxide atmosphere.
- Following incubation the plates are centrifuged for 5-10 minutes at 1000 rpm (˜200×g) at 4° C. The cell culture supernatant is removed with a sterile polypropylene pipet and transferred to sterile polypropylene tubes. Samples are maintained at −30 to −70° C. until analysis. The samples are analyzed for interferon (α) by either ELISA or bioassay and for tumor necrosis factor (α) by ELISA
- Interferon is determined by bioassay using A549 human lung carcinoma cells challenged with encephalomyocarditis. The details of the bioassay method have been described by G. L. Brennan and L. H. Kronenberg in “Automated Bioassay of Interferons in Micro-test Plates”, Biotechniques, June/July, 78, 1983, incorporated herein by reference. Briefly stated the method is as follows: A549 cells are incubated with dilutions of samples or a standard interferon at 37° C. for 24 hours. The incubated cells are then infected with an inoculum of encephalomyocarditis virus. The infected cells are incubated for an additional 24 hours at 37° C. before evaluating for viral cytopathic effect. The viral cytopathic effect is quantified by staining with crystal violet followed by visual scoring of the plates. Results are expressed as alpha reference units/mL based on the value obtained for NIH Human Leukocyte IFN standard.
- Interferon (α) concentration is determined by ELISA using a Human Multi-Species kit from PBL Biomedical Laboratories, New Brunswick, N.J.
- Tumor necrosis factor (α) (TNF) concentration is determined using ELISA kits available from Genzyme, Cambridge, Mass.; R&D Systems, Minneapolis, Minn.; or Pharmingen, San Diego, Calif.
- The table below lists the lowest concentration found to induce interferon and the lowest concentration found to induce tumor necrosis factor for each compound. A “**” indicates that no induction was seen at any of the tested concentrations (0.12, 0.37, 1.11, 3.33, 10 and 30 μM). A “***” indicates that no induction was seen at any of the tested concentrations (0.0001, 0.001, 0.01, 0.1, 1 and 10 μM). Unless otherwise indicated, the interferon biosynthesis was determined by ELISA.
-
Cytokine Induction in Human Cells Lowest Effective Concentration (μM) Example Tumor Necrosis Number Interferon Factor 1 0.37 10 3 0.37 1.11 4 0.04 0.37 5 0.04 0.37 6 0.12 1.11 7 1.11 ** 8 0.04 ** 9 0.37 3.33 10 3.33 ** 11 1.11 ** 12 3.33 ** 13 1.11 3.33 14 3.33 ** 15 3.33 ** 16 1.11 30 17 3.33 10 18 3.33 ** 19 10 ** 20 3.33 ** 21 0.12 1.11 22 0.37 10 23 1.11 ** 24 0.12 3.33 25 3.33 ** 26 0.37 10 27 ** ** 28 0.12 ** 29 0.12 ** 31 1.11 ** 32 3.33 ** 33 0.37 ** 34 ** 3.33 35 1.11 ** 36 1.11 10 37 0.37 ** 38 0.12 3.33 39 3.33 ** 40 0.37 30 41 1.11 ** 42 30 3.33 43 0.12 ** 44 1.11 ** 45 3.33 ** 46 ** 10 68* 1.11 10 69* 0.12 1.11 70* 0.37 3.33 71* 0.12 3.33 72* 0.37 10 73* 0.37 10 74* 0.37 10 75* 1.11 ** 76* 3.33 ** 77* 1.11 10 78* 0.12 10 79* 0.37 ** 80* 1.11 10 81* 3.33 30 82* 0.12 10 83* 1.11 ** 84* 0.12 10 85 1.11 10 86 1.11 10 87 3.33 30 88 10 ** 89 1.11 10 90 3.33 10 91 3.33 ** 92 3.33 ** 93 1.11 30 94 0.04 3.33 95 3.33 30 96 0.37 10 97 0.12 3.33 98 1.11 10 99 0.37 3.33 100 10 3.33 101 3.33 ** 102 3.33 ** 103 0.37 10 104 ** ** 105 0.12 10 106 3.33 ** 107 0.12 10 108 0.12 10 109 ** ** 110 1.11 3.33 111 1.11 ** 112 10 ** 113 3.33 ** 114 1.11 10 115 1.11 30 116 0.37 10 117 3.33 ** 118 1.11 ** 119 ** ** 120 0.37 ** 121 1.11 ** 122 3.33 ** 123 3.33 ** 124 1.11 3.33 125 1.11 ** 126 3.33 ** 127 ** ** 128 3.33 1.11 129 3.33 ** 130 1.11 10 131 3.33 ** 132 1.11 3.33 133 3.33 ** 134 0.37 ** 135 0.12 ** 136 1.11 ** 137 10 ** 138 1.11 ** 139 ** ** 140 1.11 ** 141 0.37 ** 142 3.33 ** 143 0.12 ** 144 1.11 ** 145 1.11 ** 146 3.33 ** 148 0.01 1 149 0.001 1 150 0.001 0.1 151 0.0001 *** 153 0.0001 0.1 154 0.0001 *** 155 0.0001 1 155 0.01 0.1 156 0.001 1 158 0.001 1 159 0.01 1 172 0.0001 1 173 0.001 1 174 0.001 1 181 0.01 1.11 182 0.01 0.01 183 0.01 0.04 184 0.12 1.11 185 1.11 3.33 186 0.04 0.12 187 0.01 0.01 188 0.37 1.11 189 0.04 0.12 190 0.01 0.01 191 ** ** 192 0.12 0.37 194 ** 10 196 0.01 0.37 *Interferon determined using the bioassay method - The present invention has been described with reference to several embodiments thereof. The foregoing detailed description and examples have been provided for clarity of understanding only, and no unnecessary limitations are to be understood therefrom. It will be apparent to those skilled in the art that many changes can be made to the described embodiments without departing from the spirit and scope of the invention. Thus, the scope of the invention should not be limited to the exact details of the compositions and structures described herein, but rather by the language of the claims that follow.
Claims (4)
1.-23. (canceled)
24. A pharmaceutical composition comprising a therapeutically effective amount of a compound of the formula (Ib):
wherein
R1 is —C2-4 alkyl-NR3—CO—R4 wherein R4 is heterocyclyl which may be unsubstituted or substituted by one or more substituents selected from the group consisting of:
-alkyl;
-alkenyl;
-alkynyl,
-(alkyl)0-1-aryl;
-(alkyl)0-1-(substituted aryl);
-(alkyl)0-1-heterocyclyl;
-(alkyl)0-1-(substituted heterocycyl);
-(alkyl)0-1-heteroaryl;
-(alkyl)0-1-(substituted heteroaryl);
—O-alkyl;
—O-(alkyl)0-1-aryl;
—O-(alkyl)0-1-(substituted aryl);
—O-(alkyl)0-1-heterocyclyl;
—O-(alkyl)0-1-(substituted heterocyclyl);
—O-(alkyl)0-1-heteroaryl;
—O-(alkyl)0-1-(substituted heteroaryl);
—CO-aryl;
—CO-(substituted aryl);
—CO-heteroaryl;
—CO-(substituted heteroaryl);
—COOH;
—CO—O-alkyl;
—CO-alkyl;
—S(O)0-2-alkyl;
—S(O)0-2-(alkyl)0-1-aryl;
—S(O)0-2-(alkyl)0-1-(substituted aryl);
—S(O)0-2-(alkyl)0-1-heterocyclyl;
—S(O)0-2-(alkyl)0-1-(substituted heterocyclyl);
—S(O)0-2-(alkyl)0-1-heteroaryl;
—S(O)0-2-(alkyl)0-1-(substituted heteroaryl);
—P(O)(OR3)2;
—NR3—CO—O-alkyl;
—N3;
-halogen;
—NO2;
—CN;
-haloalkyl;
—O-haloalkyl;
—CO-haloalkyl;
—OH;
—SH;
or R4 is
wherein R5 is an aryl, (substituted aryl), heteroaryl, (substituted heteroaryl), heterocyclyl or (substituted heterocyclyl) group;
R2 is selected from the group consisting of:
-hydrogen;
-alkyl;
-alkenyl;
-aryl;
-(substituted aryl);
-heteroaryl;
-(substituted heteroaryl);
-heterocyclyl;
-(substituted heterocyclyl);
-alkyl-O-alkyl;
-alkyl-O-alkenyl; and
-alkyl or alkenyl substituted by one or more substituents selected from the group consisting of:
—OH;
-halogen;
—N(R3)2;
—CO—N(R3)2;
—CO—C1-10alkyl;
—CO—O—C1-10alkyl;
—N3;
-aryl;
-(substituted aryl);
-heteroaryl;
-(substituted heteroaryl);
-heterocyclyl;
-(substituted heterocyclyl);
—CO-aryl; and
—CO-heteroaryl;
each R3 is independently selected form the group consisting of hydrogen; C1-10alkyl-heteroaryl; C1-10alkyl-(substituted heteroaryl); C1-10alkyl-aryl; C1-10alkyl-(substituted aryl) and C1-10alkyl;
n is 0 to 4;
and each R present is independently selected from the group consisting of C1-10 alkyl, C1-10alkoxy, halogen and trifluoromethyl, or a pharmaceutically acceptable salt thereof, in combination with a pharmaceutically acceptable carrier.
25. The pharmaceutical compound of claim 1 wherein
R4 is heterocyclyl.
26. The pharmaceutical compound of claim 1 wherein
R4 is substituted heterocyclyl.
Priority Applications (1)
| Application Number | Priority Date | Filing Date | Title |
|---|---|---|---|
| US12/165,014 US20090023722A1 (en) | 1999-06-10 | 2008-06-30 | Amide substituted imidazoquinolines |
Applications Claiming Priority (5)
| Application Number | Priority Date | Filing Date | Title |
|---|---|---|---|
| US13836599P | 1999-06-10 | 1999-06-10 | |
| US09/589,580 US6451810B1 (en) | 1999-06-10 | 2000-06-07 | Amide substituted imidazoquinolines |
| US10/027,218 US6756382B2 (en) | 1999-06-10 | 2001-12-21 | Amide substituted imidazoquinolines |
| US10/848,893 US7393859B2 (en) | 1999-06-10 | 2004-05-19 | Amide substituted imidazoquinolines |
| US12/165,014 US20090023722A1 (en) | 1999-06-10 | 2008-06-30 | Amide substituted imidazoquinolines |
Related Parent Applications (1)
| Application Number | Title | Priority Date | Filing Date |
|---|---|---|---|
| US10/848,893 Continuation US7393859B2 (en) | 1999-06-10 | 2004-05-19 | Amide substituted imidazoquinolines |
Publications (1)
| Publication Number | Publication Date |
|---|---|
| US20090023722A1 true US20090023722A1 (en) | 2009-01-22 |
Family
ID=33424856
Family Applications (3)
| Application Number | Title | Priority Date | Filing Date |
|---|---|---|---|
| US10/027,218 Expired - Fee Related US6756382B2 (en) | 1999-06-10 | 2001-12-21 | Amide substituted imidazoquinolines |
| US10/848,893 Expired - Fee Related US7393859B2 (en) | 1999-06-10 | 2004-05-19 | Amide substituted imidazoquinolines |
| US12/165,014 Abandoned US20090023722A1 (en) | 1999-06-10 | 2008-06-30 | Amide substituted imidazoquinolines |
Family Applications Before (2)
| Application Number | Title | Priority Date | Filing Date |
|---|---|---|---|
| US10/027,218 Expired - Fee Related US6756382B2 (en) | 1999-06-10 | 2001-12-21 | Amide substituted imidazoquinolines |
| US10/848,893 Expired - Fee Related US7393859B2 (en) | 1999-06-10 | 2004-05-19 | Amide substituted imidazoquinolines |
Country Status (1)
| Country | Link |
|---|---|
| US (3) | US6756382B2 (en) |
Cited By (47)
| Publication number | Priority date | Publication date | Assignee | Title |
|---|---|---|---|---|
| US20040214851A1 (en) * | 2003-04-28 | 2004-10-28 | 3M Innovative Properties Company | Compositions and methods for induction of opioid receptors |
| US20070060754A1 (en) * | 2003-10-03 | 2007-03-15 | Lindstrom Kyle J | Alkoxy substituted imidazoquinolines |
| US20070066639A1 (en) * | 2003-08-12 | 2007-03-22 | Kshirsagar Tushar A | Oxime substituted imidazoquinolines |
| US20070072893A1 (en) * | 2003-11-25 | 2007-03-29 | Krepski Larry R | Substituted imidazo ring systems and methods |
| US20070083400A1 (en) * | 2005-09-29 | 2007-04-12 | Katz Jeffrey B | Reservation-based preauthorization payment system |
| US20070208052A1 (en) * | 2004-06-18 | 2007-09-06 | Prince Ryan B | Aryloxy and arylalkyleneoxy substituted thiazoloquinolines and thiazolonaphthyridines |
| US20070213356A1 (en) * | 2004-06-15 | 2007-09-13 | Merrill Bryon A | Nitrogen-Containing Heterocyclyl Substituted Imidazoquinolines and Imidazonaphthyridines |
| US20070219196A1 (en) * | 2004-03-24 | 2007-09-20 | Krepski Larry R | Amide substituted imidazopyridines, imidazoquinolines, and imidazonaphthyridines |
| US20070219228A1 (en) * | 2004-06-18 | 2007-09-20 | Shri Niwas | Aryl substituted imidazonaphthyridines |
| US20070287725A1 (en) * | 2004-06-18 | 2007-12-13 | 3M Innovative Properties Company | Isoxazole, Dihydroisoxazole, And Oxadiazole Substituted Imidazo Ring Compounds And Method |
| US20080070907A1 (en) * | 2006-07-12 | 2008-03-20 | Coley Pharmaceutical Group, Inc. | Substituted chiral fused [1,2] imidazo [4,5-C] ring compounds and methods |
| US20080269192A1 (en) * | 2004-12-30 | 2008-10-30 | Coley Pharmaceutical Group, Inc. | Chiral Fused [1,2]Imidazo[4,5-C] Ring Compounds |
| US20080306252A1 (en) * | 2000-12-08 | 2008-12-11 | Coley Pharmaceutical Group, Inc. | Sulfonamido ether substituted imidazoquinolines |
| US20080318998A1 (en) * | 2005-02-09 | 2008-12-25 | Coley Pharmaceutical Group, Inc. | Alkyloxy Substituted Thiazoloquinolines and Thiazolonaphthyridines |
| US20090017076A1 (en) * | 2003-09-05 | 2009-01-15 | Coley Pharmaceutical Group, Inc. | Treatment for cd5+ b cell lymphoma |
| US20090018122A1 (en) * | 2003-08-27 | 2009-01-15 | Lindstrom Kyle J | Aryloxy and Arylalkyleneoxy Substituted Imidazoquinolines |
| US20090030030A1 (en) * | 2003-12-29 | 2009-01-29 | Bonk Jason D | Arylalkenyl and arylalkynyl substituted imidazoquinolines |
| US20090030031A1 (en) * | 2005-02-23 | 2009-01-29 | Coley Pharmaceutical Group, Inc. | Method of Preferentially Inducing the Biosynthesis of Interferon |
| US20090029988A1 (en) * | 2005-02-23 | 2009-01-29 | Coley Pharmaceutical Grop, Inc. | Hydroxyalkyl Substituted Imidazoquinolines |
| US20090062272A1 (en) * | 2003-12-30 | 2009-03-05 | Bonk Jason D | Imidazoquinolinyl sulfonamides |
| US20090069314A1 (en) * | 2005-02-23 | 2009-03-12 | Coley Pharmaceutical Group, Inc. | Hydroxyalkyl Substituted Imidazoquinoline Compounds and Methods |
| US20090075980A1 (en) * | 2003-10-03 | 2009-03-19 | Coley Pharmaceutical Group, Inc. | Pyrazolopyridines and Analogs Thereof |
| US20090099161A1 (en) * | 2005-02-11 | 2009-04-16 | Coley Pharmaceutial Group, Inc. | Substituted Imidazoquinolines and Imidazonaphthyridines |
| US20090105295A1 (en) * | 2003-11-14 | 2009-04-23 | Coley Pharmaceutical Group, Inc. | Hydroxylamine substituted imidazoquinolines |
| US20090163532A1 (en) * | 2005-02-04 | 2009-06-25 | Coley Pharmaceutical Group, Inc. | Aqueous Gel Formulations Containing Immune Response Modifiers |
| US20090221556A1 (en) * | 2005-11-04 | 2009-09-03 | Pfizer Inc. | Hydroxy and alkoxy substituted 1h-imidazoquinolines and methods |
| US20090270443A1 (en) * | 2004-09-02 | 2009-10-29 | Doris Stoermer | 1-amino imidazo-containing compounds and methods |
| US20090298821A1 (en) * | 2006-03-15 | 2009-12-03 | Pfizer Inc. | Hydroxy and alkoxy substituted ih-imidazonaphthyridines and methods |
| US20090318435A1 (en) * | 2003-10-03 | 2009-12-24 | Hays David S | Pyrazolopyridines and analogs thereof |
| US20100173906A1 (en) * | 2006-09-06 | 2010-07-08 | Griesgraber George W | Substituted 3,4,6,7-Tetrahydro-5H-1,2a,4a,8-Tetraazacyclopenta[cd]Phenalenes and Methods |
| US20100317684A1 (en) * | 2005-09-09 | 2010-12-16 | Coley Pharmaceutical Group, Inc. | Amide and Carbamate Derivatives of N-{2-[4-Amino-2- (Ethoxymethyl)-1H-Imidazo[4,5-c] Quinolin-1-Yl]-1,1-Dimethylethyl} Methanesulfonamide and Methods |
| US7897767B2 (en) | 2003-11-14 | 2011-03-01 | 3M Innovative Properties Company | Oxime substituted imidazoquinolines |
| US20110070575A1 (en) * | 2004-12-08 | 2011-03-24 | Coley Pharmaceutical Group, Inc. | Immunomodulatory Compositions, Combinations and Methods |
| US20110092477A1 (en) * | 2004-06-18 | 2011-04-21 | 3M Innovative Properties Company | Substituted imidazoquinolines, imidazopyridines, and imidazonaphthyridines |
| US7943610B2 (en) | 2005-04-01 | 2011-05-17 | 3M Innovative Properties Company | Pyrazolopyridine-1,4-diamines and analogs thereof |
| US7943636B2 (en) | 2005-04-01 | 2011-05-17 | 3M Innovative Properties Company | 1-substituted pyrazolo (3,4-C) ring compounds as modulators of cytokine biosynthesis for the treatment of viral infections and neoplastic diseases |
| US7968563B2 (en) | 2005-02-11 | 2011-06-28 | 3M Innovative Properties Company | Oxime and hydroxylamine substituted imidazo[4,5-c] ring compounds and methods |
| US8034938B2 (en) | 2004-12-30 | 2011-10-11 | 3M Innovative Properties Company | Substituted chiral fused [1,2]imidazo[4,5-c] ring compounds |
| US8188111B2 (en) | 2005-09-09 | 2012-05-29 | 3M Innovative Properties Company | Amide and carbamate derivatives of alkyl substituted N-[4-(4-amino-1H-imidazo[4,5-c]quinolin-1-yl)butyI]methanesulfonamides and methods |
| US8378102B2 (en) | 2005-02-09 | 2013-02-19 | 3M Innovative Properties Company | Oxime and hydroxylamine substituted thiazolo[4,5-c] ring compounds and methods |
| US9107958B2 (en) | 2011-06-03 | 2015-08-18 | 3M Innovative Properties Company | Hydrazino 1H-imidazoquinolin-4-amines and conjugates made therefrom |
| US9145410B2 (en) | 2003-10-03 | 2015-09-29 | 3M Innovative Properties Company | Pyrazolopyridines and analogs thereof |
| US9242980B2 (en) | 2010-08-17 | 2016-01-26 | 3M Innovative Properties Company | Lipidated immune response modifier compound compositions, formulations, and methods |
| US9475804B2 (en) | 2011-06-03 | 2016-10-25 | 3M Innovative Properties Company | Heterobifunctional linkers with polyethylene glycol segments and immune response modifier conjugates made therefrom |
| US9801947B2 (en) | 2003-04-10 | 2017-10-31 | 3M Innovative Properties Company | Methods and compositions for enhancing immune response |
| US10472420B2 (en) | 2006-02-22 | 2019-11-12 | 3M Innovative Properties Company | Immune response modifier conjugates |
| US11306083B2 (en) | 2017-12-20 | 2022-04-19 | 3M Innovative Properties Company | Amide substituted imidazo[4,5-C]quinoline compounds with a branched chain linking group for use as an immune response modifier |
Families Citing this family (98)
| Publication number | Priority date | Publication date | Assignee | Title |
|---|---|---|---|---|
| UA67760C2 (en) * | 1997-12-11 | 2004-07-15 | Міннесота Майнінг Енд Мануфакчурінг Компані | Imidazonaphthyridines and use thereof to induce the biosynthesis of cytokines |
| US6331539B1 (en) * | 1999-06-10 | 2001-12-18 | 3M Innovative Properties Company | Sulfonamide and sulfamide substituted imidazoquinolines |
| US6756382B2 (en) * | 1999-06-10 | 2004-06-29 | 3M Innovative Properties Company | Amide substituted imidazoquinolines |
| US6667312B2 (en) * | 2000-12-08 | 2003-12-23 | 3M Innovative Properties Company | Thioether substituted imidazoquinolines |
| US6664264B2 (en) * | 2000-12-08 | 2003-12-16 | 3M Innovative Properties Company | Thioether substituted imidazoquinolines |
| US6664265B2 (en) | 2000-12-08 | 2003-12-16 | 3M Innovative Properties Company | Amido ether substituted imidazoquinolines |
| US6660735B2 (en) * | 2000-12-08 | 2003-12-09 | 3M Innovative Properties Company | Urea substituted imidazoquinoline ethers |
| UA74852C2 (en) | 2000-12-08 | 2006-02-15 | 3M Innovative Properties Co | Urea-substituted imidazoquinoline ethers |
| CA2598144A1 (en) * | 2000-12-08 | 2006-08-31 | 3M Innovative Properties Company | Compositions and methods for targeted delivery of immune response modifiers |
| US6545016B1 (en) * | 2000-12-08 | 2003-04-08 | 3M Innovative Properties Company | Amide substituted imidazopyridines |
| US6677349B1 (en) * | 2001-12-21 | 2004-01-13 | 3M Innovative Properties Company | Sulfonamide and sulfamide substituted imidazoquinolines |
| EP1478327B1 (en) * | 2002-02-22 | 2015-04-29 | Meda AB | Method of reducing and treating uvb-induced immunosuppression |
| CA2488801A1 (en) | 2002-06-07 | 2003-12-18 | 3M Innovative Properties Company | Ether substituted imidazopyridines |
| WO2004060319A2 (en) * | 2002-12-30 | 2004-07-22 | 3M Innovative Properties Company | Immunostimulatory combinations |
| EP1592302A4 (en) * | 2003-02-13 | 2007-04-25 | 3M Innovative Properties Co | Methods and compositions related to irm compounds and toll-like receptor 8 |
| US7485432B2 (en) * | 2003-02-27 | 2009-02-03 | 3M Innovative Properties Company | Selective modulation of TLR-mediated biological activity |
| JP2006519866A (en) | 2003-03-04 | 2006-08-31 | スリーエム イノベイティブ プロパティズ カンパニー | Prophylactic treatment of UV-induced epidermal neoplasia |
| ATE556711T1 (en) * | 2003-03-13 | 2012-05-15 | 3M Innovative Properties Co | METHOD FOR IMPROVING SKIN QUALITY |
| CA2518445A1 (en) | 2003-03-13 | 2004-09-23 | 3M Innovative Properties Company | Method of tattoo removal |
| JP2006523452A (en) * | 2003-03-25 | 2006-10-19 | スリーエム イノベイティブ プロパティズ カンパニー | Selective activation of cellular activity mediated through a common Toll-like receptor |
| US20040192585A1 (en) | 2003-03-25 | 2004-09-30 | 3M Innovative Properties Company | Treatment for basal cell carcinoma |
| AU2004244962A1 (en) | 2003-04-10 | 2004-12-16 | 3M Innovative Properties Company | Delivery of immune response modifier compounds using metal-containing particulate support materials |
| US6943255B2 (en) * | 2003-06-06 | 2005-09-13 | 3M Innovative Properties Company | Process for imidazo[4,5-c]pyridin-4-amines |
| WO2004110992A2 (en) * | 2003-06-06 | 2004-12-23 | 3M Innovative Properties Company | Process for imidazo[4,5-c] pyridin-4-amines |
| JP2007501251A (en) * | 2003-08-05 | 2007-01-25 | スリーエム イノベイティブ プロパティズ カンパニー | Infection prevention using immune response modifier compounds |
| US7799800B2 (en) * | 2003-08-14 | 2010-09-21 | 3M Innovative Properties Company | Lipid-modified immune response modifiers |
| CA2551075A1 (en) * | 2003-08-25 | 2005-03-03 | 3M Innovative Properties Company | Immunostimulatory combinations and treatments |
| AU2004268616B2 (en) * | 2003-08-25 | 2010-10-07 | 3M Innovative Properties Company | Delivery of immune response modifier compounds |
| WO2005020995A1 (en) * | 2003-09-02 | 2005-03-10 | 3M Innovative Properties Company | Methods related to the treatment of mucosal associated conditions |
| US20050059072A1 (en) * | 2003-09-17 | 2005-03-17 | 3M Innovative Properties Company | Selective modulation of TLR gene expression |
| WO2005041891A2 (en) * | 2003-10-31 | 2005-05-12 | 3M Innovative Properties Company | Neutrophil activation by immune response modifier compounds |
| CA2547085A1 (en) * | 2003-11-25 | 2005-06-09 | 3M Innovative Properties Company | Hydroxylamine and oxime substituted imidazoquinolines, imidazopyridines, and imidazonaphthyridines |
| US20050226878A1 (en) * | 2003-12-02 | 2005-10-13 | 3M Innovative Properties Company | Therapeutic combinations and methods including IRM compounds |
| WO2005055932A2 (en) * | 2003-12-02 | 2005-06-23 | 3M Innovative Properties Company | Therapeutic combinations and methods including irm compounds |
| AU2004315771A1 (en) * | 2003-12-04 | 2005-08-25 | 3M Innovative Properties Company | Sulfone substituted imidazo ring ethers |
| JP2007530450A (en) * | 2003-12-29 | 2007-11-01 | スリーエム イノベイティブ プロパティズ カンパニー | Piperazine, [1,4] diazepan, [1,4] diazocan, and [1,5] diazocan condensed imidazo ring compounds |
| US20050239735A1 (en) * | 2003-12-30 | 2005-10-27 | 3M Innovative Properties Company | Enhancement of immune responses |
| US20070167479A1 (en) * | 2004-03-15 | 2007-07-19 | Busch Terri F | Immune response modifier formulations and methods |
| CA2559036C (en) * | 2004-03-26 | 2013-08-20 | Dainippon Sumitomo Pharma Co., Ltd. | 9-substituted 8-oxoadenine compound |
| US20070166384A1 (en) * | 2004-04-09 | 2007-07-19 | Zarraga Isidro Angelo E | Methods , composition and preparations for delivery of immune response modifiers |
| BRPI0510430A (en) * | 2004-04-28 | 2007-10-30 | 3M Innovative Properties Co | compositions and methods for mucosal vaccination |
| US20050267145A1 (en) * | 2004-05-28 | 2005-12-01 | Merrill Bryon A | Treatment for lung cancer |
| US20080015184A1 (en) * | 2004-06-14 | 2008-01-17 | 3M Innovative Properties Company | Urea Substituted Imidazopyridines, Imidazoquinolines, and Imidazonaphthyridines |
| AU2005283085B2 (en) * | 2004-06-18 | 2012-06-21 | 3M Innovative Properties Company | Substituted imidazoquinolines, imidazopyridines, and imidazonaphthyridines |
| WO2006009832A1 (en) * | 2004-06-18 | 2006-01-26 | 3M Innovative Properties Company | Substituted imidazo ring systems and methods |
| WO2006026470A2 (en) * | 2004-08-27 | 2006-03-09 | 3M Innovative Properties Company | Hiv immunostimulatory compositions |
| JP2008511683A (en) | 2004-09-02 | 2008-04-17 | スリーエム イノベイティブ プロパティズ カンパニー | 2-Amino 1H-imidazo ring structure and method |
| PL1789042T3 (en) * | 2004-09-02 | 2012-09-28 | 3M Innovative Properties Co | 1-alkoxy 1h-imidazo ring systems and methods |
| JP2008515928A (en) * | 2004-10-08 | 2008-05-15 | スリーエム イノベイティブ プロパティズ カンパニー | Adjuvants for DNA vaccines |
| US8080560B2 (en) * | 2004-12-17 | 2011-12-20 | 3M Innovative Properties Company | Immune response modifier formulations containing oleic acid and methods |
| AU2005323023A1 (en) * | 2004-12-30 | 2006-07-13 | Takeda Pharmaceutical Company Limited | 1-(2-methylpropyl)-1H-imidazo[4,5-c][1,5]naphthyridin-4-amine ethanesulfonate and 1-(2-methylpropyl)-1H-imidazo[4,5-c][1,5]naphthyridin-4-amine methanesulfonate |
| US8436176B2 (en) * | 2004-12-30 | 2013-05-07 | Medicis Pharmaceutical Corporation | Process for preparing 2-methyl-1-(2-methylpropyl)-1H-imidazo[4,5-c][1,5]naphthyridin-4-amine |
| US8461174B2 (en) * | 2004-12-30 | 2013-06-11 | 3M Innovative Properties Company | Treatment for cutaneous metastases |
| AU2006216799A1 (en) | 2005-02-23 | 2006-08-31 | Coley Pharmaceutical Group, Inc. | Hydroxyalkyl substituted imidazonaphthyridines |
| CN101175493A (en) | 2005-03-14 | 2008-05-07 | 3M创新有限公司 | Methods of treating actinic keratoses |
| AU2006241166A1 (en) * | 2005-04-25 | 2006-11-02 | 3M Innovative Properties Company | Immunostimulatory compositions |
| US8889154B2 (en) | 2005-09-15 | 2014-11-18 | Medicis Pharmaceutical Corporation | Packaging for 1-(2-methylpropyl)-1H-imidazo[4,5-c] quinolin-4-amine-containing formulation |
| TW200801003A (en) * | 2005-09-16 | 2008-01-01 | Astrazeneca Ab | Novel compounds |
| US8138172B2 (en) * | 2006-07-05 | 2012-03-20 | Astrazeneca Ab | 8-oxoadenine derivatives acting as modulators of TLR7 |
| TW200831105A (en) * | 2006-12-14 | 2008-08-01 | Astrazeneca Ab | Novel compounds |
| US20080149123A1 (en) | 2006-12-22 | 2008-06-26 | Mckay William D | Particulate material dispensing hairbrush with combination bristles |
| US8063051B2 (en) * | 2007-03-19 | 2011-11-22 | Astrazeneca Ab | 9-substituted-8-oxo-adenine compounds as toll-like receptor (TLR7) modulators |
| JP5480637B2 (en) * | 2007-03-19 | 2014-04-23 | アストラゼネカ・アクチエボラーグ | 9-Substituted-8-oxo-adenine compounds as TOLL-like receptor (TLR7) modulators |
| JPWO2008114819A1 (en) * | 2007-03-20 | 2010-07-08 | 大日本住友製薬株式会社 | New adenine compounds |
| PE20081887A1 (en) * | 2007-03-20 | 2009-01-16 | Dainippon Sumitomo Pharma Co | NEW ADENINE COMPOUND |
| CA2686163A1 (en) * | 2007-05-08 | 2008-11-13 | Astrazenca Ab | Imidazoquinolines with immuno-modulating properties |
| PE20091156A1 (en) | 2007-12-17 | 2009-09-03 | Astrazeneca Ab | SALTS OF (3 - {[[3- (6-AMINO-2-BUTOXY-8-OXO-7,8-DIHIDRO-9H-PURIN-9-IL) PROPYL] (3-MORFOLIN-4-ILPROPIL) AMINO] METHYL} PHENYL) METHYL ACETATE |
| HRP20150892T1 (en) | 2008-03-03 | 2015-09-25 | Novartis Ag | COMPOUNDS AND COMPOSITIONS AS MODULATORS OF TLR ACTIVITY |
| CN101980707B (en) * | 2008-03-24 | 2015-05-20 | 4Sc股份有限公司 | New substituted imidazoquinoline compounds |
| CA2756412C (en) | 2009-03-25 | 2019-02-26 | The Board Of Regents Of The University Of Texas System | Compositions for stimulation of mammalian innate immune resistance to pathogens |
| WO2011068233A1 (en) * | 2009-12-03 | 2011-06-09 | Dainippon Sumitomo Pharma Co., Ltd. | Imidazoquinolines which act via toll - like receptors (tlr) |
| CN103313725B (en) * | 2010-09-01 | 2016-06-29 | 诺华有限公司 | Immunopotentiator Adsorbs Insoluble Metal Ions |
| ES2575688T3 (en) | 2010-12-16 | 2016-06-30 | Sumitomo Dainippon Pharma Co., Ltd. | Imidazo [4,5-c] quinolin-1-yl derivative useful in therapy |
| US8895570B2 (en) | 2010-12-17 | 2014-11-25 | Astrazeneca Ab | Purine derivatives |
| CN107312039B (en) | 2012-08-30 | 2019-06-25 | 江苏豪森药业集团有限公司 | A kind of preparation method of tenofovir prodrug |
| WO2014056620A1 (en) * | 2012-10-11 | 2014-04-17 | Grünenthal GmbH | Treatment and/or prophylaxis of tspo mediated diseases and/or disorders |
| SMT202000597T1 (en) | 2013-01-07 | 2021-01-05 | Univ Pennsylvania | Compositions and methods for treating cutaneous t cell lymphoma |
| MX2015012302A (en) | 2013-03-10 | 2016-06-21 | Peritech Pharma Ltd | Topical compositions and methods of treatment of topical disorders. |
| PE20160849A1 (en) | 2013-11-05 | 2016-09-14 | 3M Innovative Properties Co | INJECTION FORMULATIONS BASED ON SESAME OIL |
| US10286065B2 (en) | 2014-09-19 | 2019-05-14 | Board Of Regents, The University Of Texas System | Compositions and methods for treating viral infections through stimulated innate immunity in combination with antiviral compounds |
| CA2996213C (en) | 2015-08-31 | 2023-10-03 | 3M Innovative Properties Company | Guanidine substituted imidazo[4,5-c] ring compounds |
| CN113402518B (en) | 2015-08-31 | 2023-08-22 | 3M创新有限公司 | Imidazo [4,5-c ] ring compounds containing substituted guanidine groups |
| US10526309B2 (en) | 2015-10-02 | 2020-01-07 | The University Of North Carolina At Chapel Hill | Pan-TAM inhibitors and Mer/Axl dual inhibitors |
| AU2017292934B9 (en) | 2016-07-07 | 2024-08-29 | Bolt Biotherapeutics, Inc. | Antibody adjuvant conjugates |
| EP3589631B1 (en) | 2017-03-01 | 2021-07-21 | 3M Innovative Properties Company | Imidazo[4,5-c]ring compounds containing guanidine substituted benzamide groups |
| WO2019048036A1 (en) | 2017-09-06 | 2019-03-14 | Biontech Ag | Substituted imidazoquinolines |
| CA3074611A1 (en) | 2017-09-06 | 2019-03-14 | BioNTech SE | Substituted imidazoquinolines as agonists of tlr7 |
| KR20200128116A (en) | 2018-02-28 | 2020-11-11 | 화이자 인코포레이티드 | IL-15 variants and uses thereof |
| JP7057843B2 (en) | 2018-05-23 | 2022-04-20 | ファイザー・インク | GUCY2c-specific antibodies and their use |
| BR112020022897A2 (en) | 2018-05-23 | 2021-02-23 | Pfizer Inc. | specific antibodies to cd3 and their uses |
| WO2020128893A1 (en) | 2018-12-21 | 2020-06-25 | Pfizer Inc. | Combination treatments of cancer comprising a tlr agonist |
| CN119455004A (en) | 2019-02-12 | 2025-02-18 | Ambrx公司 | Compositions, methods and uses comprising antibody-TLR agonist conjugates |
| MX2021010669A (en) | 2019-03-07 | 2021-09-28 | BioNTech SE | Process for the preparation of a substituted imidazoquinoline. |
| AU2020241686A1 (en) | 2019-03-15 | 2021-11-04 | Bolt Biotherapeutics, Inc. | Immunoconjugates targeting HER2 |
| MX2022006578A (en) | 2019-12-17 | 2022-07-04 | Pfizer | Antibodies specific for cd47, pd-l1, and uses thereof. |
| WO2022013775A1 (en) | 2020-07-17 | 2022-01-20 | Pfizer Inc. | Therapeutic antibodies and their uses |
| WO2022040596A1 (en) | 2020-08-20 | 2022-02-24 | Ambrx, Inc. | Antibody-tlr agonist conjugates, methods and uses thereof |
| WO2025104289A1 (en) | 2023-11-17 | 2025-05-22 | Medincell S.A. | Antineoplastic combinations |
Citations (77)
| Publication number | Priority date | Publication date | Assignee | Title |
|---|---|---|---|---|
| US3314941A (en) * | 1964-06-23 | 1967-04-18 | American Cyanamid Co | Novel substituted pyridodiazepins |
| US3692907A (en) * | 1970-10-27 | 1972-09-19 | Richardson Merrell Inc | Treating viral infections with bis-basic ethers and thioethers of fluorenone and fluorene and pharmaceutical compositons of the same |
| US3917624A (en) * | 1972-09-27 | 1975-11-04 | Pfizer | Process for producing 2-amino-nicotinonitrile intermediates |
| US4689338A (en) * | 1983-11-18 | 1987-08-25 | Riker Laboratories, Inc. | 1H-Imidazo[4,5-c]quinolin-4-amines and antiviral use |
| US4690930A (en) * | 1984-11-05 | 1987-09-01 | Shionogi & Co., Ltd | Pyrazolo[4,3-c]quinoline-3-one and imidazo[4,3-c]cinnolin-3-one derivatives and their use as psychotropic agents |
| US4698348A (en) * | 1983-11-18 | 1987-10-06 | Riker Laboratories, Inc. | 1H-imidazo[4,5-c]quinolines and their use as bronchodilating agents |
| US4753951A (en) * | 1985-10-18 | 1988-06-28 | Shionogi & Co., Ltd. | Condensed imidazopyridine derivatives useful as psychotropic agents |
| US4775674A (en) * | 1986-05-23 | 1988-10-04 | Bristol-Myers Company | Imidazoquinolinylether derivatives useful as phosphodiesterase and blood aggregation inhibitors |
| US4929624A (en) * | 1989-03-23 | 1990-05-29 | Minnesota Mining And Manufacturing Company | Olefinic 1H-imidazo(4,5-c)quinolin-4-amines |
| US4988815A (en) * | 1989-10-26 | 1991-01-29 | Riker Laboratories, Inc. | 3-Amino or 3-nitro quinoline compounds which are intermediates in preparing 1H-imidazo[4,5-c]quinolines |
| US5037986A (en) * | 1989-03-23 | 1991-08-06 | Minnesota Mining And Manufacturing Company | Olefinic 1H-imidazo[4,5-c]quinolin-4-amines |
| US5238944A (en) * | 1988-12-15 | 1993-08-24 | Riker Laboratories, Inc. | Topical formulations and transdermal delivery systems containing 1-isobutyl-1H-imidazo[4,5-c]quinolin-4-amine |
| US5266575A (en) * | 1991-11-06 | 1993-11-30 | Minnesota Mining And Manufacturing Company | 2-ethyl 1H-imidazo[4,5-ciquinolin-4-amines |
| US5346905A (en) * | 1991-09-04 | 1994-09-13 | Minnesota Mining And Manufacturing Company | 1-substituted 1H-imidazo-[4,5-C]quinolin-4-amines |
| US5352784A (en) * | 1993-07-15 | 1994-10-04 | Minnesota Mining And Manufacturing Company | Fused cycloalkylimidazopyridines |
| US5389640A (en) * | 1991-03-01 | 1995-02-14 | Minnesota Mining And Manufacturing Company | 1-substituted, 2-substituted 1H-imidazo[4,5-c]quinolin-4-amines |
| US5395937A (en) * | 1993-01-29 | 1995-03-07 | Minnesota Mining And Manufacturing Company | Process for preparing quinoline amines |
| US5446153A (en) * | 1993-07-15 | 1995-08-29 | Minnesota Mining And Manufacturing Company | Intermediates for imidazo[4,5-c]pyridin-4-amines |
| US5482936A (en) * | 1995-01-12 | 1996-01-09 | Minnesota Mining And Manufacturing Company | Imidazo[4,5-C]quinoline amines |
| US5500228A (en) * | 1987-05-26 | 1996-03-19 | American Cyanamid Company | Phase separation-microencapsulated pharmaceuticals compositions useful for alleviating dental disease |
| US5627281A (en) * | 1993-07-15 | 1997-05-06 | Minnesota Mining And Manufacturing Company | Intermediate compounds of fused cycloalkylimidazopyridines |
| US5644063A (en) * | 1994-09-08 | 1997-07-01 | Minnesota Mining And Manufacturing Company | Imidazo[4,5-c]pyridin-4-amine intermediates |
| US5741908A (en) * | 1996-06-21 | 1998-04-21 | Minnesota Mining And Manufacturing Company | Process for reparing imidazoquinolinamines |
| US5750134A (en) * | 1989-11-03 | 1998-05-12 | Riker Laboratories, Inc. | Bioadhesive composition and patch |
| US5756747A (en) * | 1989-02-27 | 1998-05-26 | Riker Laboratories, Inc. | 1H-imidazo 4,5-c!quinolin-4-amines |
| US5780045A (en) * | 1992-05-18 | 1998-07-14 | Minnesota Mining And Manufacturing Company | Transmucosal drug delivery device |
| US5939090A (en) * | 1996-12-03 | 1999-08-17 | 3M Innovative Properties Company | Gel formulations for topical drug delivery |
| US5939047A (en) * | 1996-04-16 | 1999-08-17 | Jernberg; Gary R. | Local delivery of chemotherapeutic agents for treatment of periodontal disease |
| US6039969A (en) * | 1996-10-25 | 2000-03-21 | 3M Innovative Properties Company | Immune response modifier compounds for treatment of TH2 mediated and related diseases |
| US6069149A (en) * | 1997-01-09 | 2000-05-30 | Terumo Kabushiki Kaisha | Amide derivatives and intermediates for the synthesis thereof |
| US6083505A (en) * | 1992-04-16 | 2000-07-04 | 3M Innovative Properties Company | 1H-imidazo[4,5-C]quinolin-4-amines as vaccine adjuvants |
| US6110929A (en) * | 1998-07-28 | 2000-08-29 | 3M Innovative Properties Company | Oxazolo, thiazolo and selenazolo [4,5-c]-quinolin-4-amines and analogs thereof |
| US6123957A (en) * | 1997-07-16 | 2000-09-26 | Jernberg; Gary R. | Delivery of agents and method for regeneration of periodontal tissues |
| US6194425B1 (en) * | 1997-12-11 | 2001-02-27 | 3M Innovative Properties Company | Imidazonaphthyridines |
| US6245776B1 (en) * | 1999-01-08 | 2001-06-12 | 3M Innovative Properties Company | Formulations and methods for treatment of mucosal associated conditions with an immune response modifier |
| US20020016332A1 (en) * | 2000-03-30 | 2002-02-07 | Slade Herbert B. | Method for the treatment of dermal lesions caused by envenomation |
| US6376669B1 (en) * | 1999-11-05 | 2002-04-23 | 3M Innovative Properties Company | Dye labeled imidazoquinoline compounds |
| US20020055517A1 (en) * | 2000-09-15 | 2002-05-09 | 3M Innovative Properties Company | Methods for delaying recurrence of herpes virus symptoms |
| US20020058674A1 (en) * | 1999-01-08 | 2002-05-16 | Hedenstrom John C. | Systems and methods for treating a mucosal surface |
| US20020100840A1 (en) * | 2001-01-26 | 2002-08-01 | Wolfgang Billinger | Device for connecting movable parts with structural elements of airplanes or the like |
| US6451810B1 (en) * | 1999-06-10 | 2002-09-17 | 3M Innovative Properties Company | Amide substituted imidazoquinolines |
| US6511485B2 (en) * | 2000-06-15 | 2003-01-28 | Ferton Holding S.A. | Device for removal of calculi |
| US6518265B1 (en) * | 1998-08-12 | 2003-02-11 | Hokuriku Seiyaku Co., Ltd. | 1H-imidazopyridine derivatives |
| US6525064B1 (en) * | 2000-12-08 | 2003-02-25 | 3M Innovative Properties Company | Sulfonamido substituted imidazopyridines |
| US6541485B1 (en) * | 1999-06-10 | 2003-04-01 | 3M Innovative Properties Company | Urea substituted imidazoquinolines |
| US6558951B1 (en) * | 1999-02-11 | 2003-05-06 | 3M Innovative Properties Company | Maturation of dendritic cells with immune response modifying compounds |
| US6573273B1 (en) * | 1999-06-10 | 2003-06-03 | 3M Innovative Properties Company | Urea substituted imidazoquinolines |
| US20030130299A1 (en) * | 1999-06-10 | 2003-07-10 | Stephen L. Crooks | Method for the treatment of periodontal disease |
| US20030133913A1 (en) * | 2001-08-30 | 2003-07-17 | 3M Innovative Properties Company | Methods of maturing plasmacytoid dendritic cells using immune response modifier molecules |
| US20030139364A1 (en) * | 2001-10-12 | 2003-07-24 | University Of Iowa Research Foundation | Methods and products for enhancing immune responses using imidazoquinoline compounds |
| US20030161797A1 (en) * | 2002-02-22 | 2003-08-28 | 3M Innovative Properties Company | Method of reducing and treating UVB-induced immunosuppression |
| US20030199538A1 (en) * | 2001-11-29 | 2003-10-23 | 3M Innovative Properties Company | Pharmaceutical formulation comprising an immune response modifier |
| US6677349B1 (en) * | 2001-12-21 | 2004-01-13 | 3M Innovative Properties Company | Sulfonamide and sulfamide substituted imidazoquinolines |
| US20040054590A1 (en) * | 2002-09-13 | 2004-03-18 | Visa U.S.A., Inc. | Method and system for managing limited use coupon and coupon prioritization |
| US20040091491A1 (en) * | 2002-08-15 | 2004-05-13 | 3M Innovative Properties Company | Immunostimulatory compositions and methods of stimulating an immune response |
| US6743920B2 (en) * | 2002-05-29 | 2004-06-01 | 3M Innovative Properties Company | Process for imidazo[4,5-c]pyridin-4-amines |
| US6756382B2 (en) * | 1999-06-10 | 2004-06-29 | 3M Innovative Properties Company | Amide substituted imidazoquinolines |
| US20040132079A1 (en) * | 2002-12-11 | 2004-07-08 | 3M Innovative Properties Company | Assays relating to Toll-like receptor activity |
| US20040141950A1 (en) * | 2002-12-30 | 2004-07-22 | 3M Innovative Properties Company | Immunostimulatory combinations |
| US20040147543A1 (en) * | 2002-12-20 | 2004-07-29 | 3M Innovative Properties Company | Aryl substituted imidazoquinolines |
| US20040162309A1 (en) * | 2003-02-13 | 2004-08-19 | 3M Innovative Properties Company | Methods and compositions related to IRM compounds and toll-like receptor 8 |
| US20040171086A1 (en) * | 2003-02-27 | 2004-09-02 | 3M Innovative Properties Company | Selective modulation of TLR-mediated biological activity |
| US20040175336A1 (en) * | 2003-03-04 | 2004-09-09 | 3M Innovative Properties Company | Prophylactic treatment of UV-induced epidermal neoplasia |
| US20040176367A1 (en) * | 2003-03-07 | 2004-09-09 | 3M Innovative Properties Company | 1-Amino 1H-imidazoquinolines |
| US20040181211A1 (en) * | 2003-03-13 | 2004-09-16 | 3M Innovative Properties Company | Method of tattoo removal |
| US20040180919A1 (en) * | 2003-03-13 | 2004-09-16 | 3M Innovative Properties Company | Methods of improving skin quality |
| US20040181130A1 (en) * | 2003-03-13 | 2004-09-16 | 3M Innovative Properties Company | Methods for diagnosing skin lesions |
| US6797718B2 (en) * | 2002-06-07 | 2004-09-28 | 3M Innovative Properties Company | Ether substituted imidazopyridines |
| US20040192585A1 (en) * | 2003-03-25 | 2004-09-30 | 3M Innovative Properties Company | Treatment for basal cell carcinoma |
| US20040191833A1 (en) * | 2003-03-25 | 2004-09-30 | 3M Innovative Properties Company | Selective activation of cellular activities mediated through a common toll-like receptor |
| US20040197865A1 (en) * | 2002-12-11 | 2004-10-07 | 3M Innovative Properties Company | Gene expression systems and recombinant cell lines |
| US20040202720A1 (en) * | 2003-04-10 | 2004-10-14 | 3M Innovative Properties Company | Delivery of immune response modifier compounds using metal-containing particulate support materials |
| US6855217B2 (en) * | 2000-12-07 | 2005-02-15 | Aoyama Seisakusho Co., Ltd. | Method of baking treatment of steel product parts |
| US6855350B2 (en) * | 2001-03-21 | 2005-02-15 | Microbio Co., Ltd. | Methods for inhibiting cancer growth, reducing infection and promoting general health with a fermented soy extract |
| US20050070460A1 (en) * | 2003-08-05 | 2005-03-31 | 3M Innovative Properties Company | Infection prophylaxis using immune response modifier compounds |
| US20050226878A1 (en) * | 2003-12-02 | 2005-10-13 | 3M Innovative Properties Company | Therapeutic combinations and methods including IRM compounds |
| US20050239735A1 (en) * | 2003-12-30 | 2005-10-27 | 3M Innovative Properties Company | Enhancement of immune responses |
Family Cites Families (19)
| Publication number | Priority date | Publication date | Assignee | Title |
|---|---|---|---|---|
| NZ232740A (en) | 1989-04-20 | 1992-06-25 | Riker Laboratories Inc | Solution for parenteral administration comprising a 1h-imidazo(4,5-c) quinolin-4-amine derivative, an acid and a tonicity adjuster |
| ATE121088T1 (en) | 1990-10-05 | 1995-04-15 | Minnesota Mining & Mfg | METHOD FOR PRODUCING IMIDAZO(4,5- C>QUINOLINE-4-AMINES. |
| US5175296A (en) | 1991-03-01 | 1992-12-29 | Minnesota Mining And Manufacturing Company | Imidazo[4,5-c]quinolin-4-amines and processes for their preparation |
| US5378848A (en) | 1992-02-12 | 1995-01-03 | Shionogi & Co., Ltd. | Condensed imidazopyridine derivatives |
| US5585612A (en) | 1995-03-20 | 1996-12-17 | Harp Enterprises, Inc. | Method and apparatus for voting |
| JPH09208584A (en) | 1996-01-29 | 1997-08-12 | Terumo Corp | Amide derivative, pharmaceutical preparation containing the same, and intermediate for synthesizing the same |
| JPH09255926A (en) | 1996-03-26 | 1997-09-30 | Diatex Co Ltd | Adhesive tape |
| US5693811A (en) | 1996-06-21 | 1997-12-02 | Minnesota Mining And Manufacturing Company | Process for preparing tetrahdroimidazoquinolinamines |
| JPH10298181A (en) | 1997-04-25 | 1998-11-10 | Sumitomo Pharmaceut Co Ltd | Type 2 helper T cell selective immune response inhibitor |
| JP3180720B2 (en) | 1997-06-16 | 2001-06-25 | 松下電器産業株式会社 | Manufacturing method of multilayer ceramic electronic component |
| JPH1180156A (en) | 1997-09-04 | 1999-03-26 | Hokuriku Seiyaku Co Ltd | 1- (substituted aryl) alkyl-1H-imidazopyridin-4-amine derivatives |
| JPH11222432A (en) * | 1998-02-03 | 1999-08-17 | Terumo Corp | Preparation for external use containing amide derivative inducing interferon |
| US6486168B1 (en) * | 1999-01-08 | 2002-11-26 | 3M Innovative Properties Company | Formulations and methods for treatment of mucosal associated conditions with an immune response modifier |
| JP2000247884A (en) | 1999-03-01 | 2000-09-12 | Sumitomo Pharmaceut Co Ltd | Arachidonic acid-induced skin disease treatment |
| JP2002145777A (en) | 2000-11-06 | 2002-05-22 | Sumitomo Pharmaceut Co Ltd | Arachidonic acid-induced skin disease treatment |
| CA2430206A1 (en) | 2000-12-08 | 2002-06-13 | 3M Innovative Properties Company | Screening method for identifying compounds that selectively induce interferon alpha |
| UA74593C2 (en) | 2000-12-08 | 2006-01-16 | 3M Innovative Properties Co | Substituted imidazopyridines |
| UA74852C2 (en) | 2000-12-08 | 2006-02-15 | 3M Innovative Properties Co | Urea-substituted imidazoquinoline ethers |
| JP2005519849A (en) | 2001-06-15 | 2005-07-07 | スリーエム イノベイティブ プロパティズ カンパニー | Immune response modifier for the treatment of periodontal disease |
-
2001
- 2001-12-21 US US10/027,218 patent/US6756382B2/en not_active Expired - Fee Related
-
2004
- 2004-05-19 US US10/848,893 patent/US7393859B2/en not_active Expired - Fee Related
-
2008
- 2008-06-30 US US12/165,014 patent/US20090023722A1/en not_active Abandoned
Patent Citations (99)
| Publication number | Priority date | Publication date | Assignee | Title |
|---|---|---|---|---|
| US3314941A (en) * | 1964-06-23 | 1967-04-18 | American Cyanamid Co | Novel substituted pyridodiazepins |
| US3692907A (en) * | 1970-10-27 | 1972-09-19 | Richardson Merrell Inc | Treating viral infections with bis-basic ethers and thioethers of fluorenone and fluorene and pharmaceutical compositons of the same |
| US3917624A (en) * | 1972-09-27 | 1975-11-04 | Pfizer | Process for producing 2-amino-nicotinonitrile intermediates |
| US4689338A (en) * | 1983-11-18 | 1987-08-25 | Riker Laboratories, Inc. | 1H-Imidazo[4,5-c]quinolin-4-amines and antiviral use |
| US4698348A (en) * | 1983-11-18 | 1987-10-06 | Riker Laboratories, Inc. | 1H-imidazo[4,5-c]quinolines and their use as bronchodilating agents |
| US4690930A (en) * | 1984-11-05 | 1987-09-01 | Shionogi & Co., Ltd | Pyrazolo[4,3-c]quinoline-3-one and imidazo[4,3-c]cinnolin-3-one derivatives and their use as psychotropic agents |
| US4753951A (en) * | 1985-10-18 | 1988-06-28 | Shionogi & Co., Ltd. | Condensed imidazopyridine derivatives useful as psychotropic agents |
| US4775674A (en) * | 1986-05-23 | 1988-10-04 | Bristol-Myers Company | Imidazoquinolinylether derivatives useful as phosphodiesterase and blood aggregation inhibitors |
| US5500228A (en) * | 1987-05-26 | 1996-03-19 | American Cyanamid Company | Phase separation-microencapsulated pharmaceuticals compositions useful for alleviating dental disease |
| US5238944A (en) * | 1988-12-15 | 1993-08-24 | Riker Laboratories, Inc. | Topical formulations and transdermal delivery systems containing 1-isobutyl-1H-imidazo[4,5-c]quinolin-4-amine |
| US5756747A (en) * | 1989-02-27 | 1998-05-26 | Riker Laboratories, Inc. | 1H-imidazo 4,5-c!quinolin-4-amines |
| US5037986A (en) * | 1989-03-23 | 1991-08-06 | Minnesota Mining And Manufacturing Company | Olefinic 1H-imidazo[4,5-c]quinolin-4-amines |
| US4929624A (en) * | 1989-03-23 | 1990-05-29 | Minnesota Mining And Manufacturing Company | Olefinic 1H-imidazo(4,5-c)quinolin-4-amines |
| US5602256A (en) * | 1989-10-26 | 1997-02-11 | Riker Laboratories, Inc. | Process for 1H-imidazo[4,5-C]quinolines |
| US4988815A (en) * | 1989-10-26 | 1991-01-29 | Riker Laboratories, Inc. | 3-Amino or 3-nitro quinoline compounds which are intermediates in preparing 1H-imidazo[4,5-c]quinolines |
| US5750134A (en) * | 1989-11-03 | 1998-05-12 | Riker Laboratories, Inc. | Bioadhesive composition and patch |
| US5389640A (en) * | 1991-03-01 | 1995-02-14 | Minnesota Mining And Manufacturing Company | 1-substituted, 2-substituted 1H-imidazo[4,5-c]quinolin-4-amines |
| US6348462B1 (en) * | 1991-03-01 | 2002-02-19 | 3M Innovative Properties Company | 1-substituted, 2-substituted 1H-imidazo[4,5-c]quinolin-4-amines |
| US5741909A (en) * | 1991-03-01 | 1998-04-21 | Minnesota Mining And Manufacturing Company | 1-substituted, 2-substituted 1H-imidazo 4,5-C!quinolin-4-amines |
| US5605899A (en) * | 1991-03-01 | 1997-02-25 | Minnesota Mining And Manufacturing Company | 1-substituted, 2-substituted 1H-imidazo[4,5-c]quinolin-4-amines |
| US5714608A (en) * | 1991-09-04 | 1998-02-03 | Minnesota Mining And Manufacturing Company | 1-substituted 1H-imidazo- 4,5-c!quinolin-4-amines |
| US5346905A (en) * | 1991-09-04 | 1994-09-13 | Minnesota Mining And Manufacturing Company | 1-substituted 1H-imidazo-[4,5-C]quinolin-4-amines |
| US5525612A (en) * | 1991-09-04 | 1996-06-11 | Minnesota Mining And Manufacturing Company | 1-substituted 1H-imidazo-[4,5-c]quinolin-4-amines |
| US5266575A (en) * | 1991-11-06 | 1993-11-30 | Minnesota Mining And Manufacturing Company | 2-ethyl 1H-imidazo[4,5-ciquinolin-4-amines |
| US6083505A (en) * | 1992-04-16 | 2000-07-04 | 3M Innovative Properties Company | 1H-imidazo[4,5-C]quinolin-4-amines as vaccine adjuvants |
| US5780045A (en) * | 1992-05-18 | 1998-07-14 | Minnesota Mining And Manufacturing Company | Transmucosal drug delivery device |
| US5395937A (en) * | 1993-01-29 | 1995-03-07 | Minnesota Mining And Manufacturing Company | Process for preparing quinoline amines |
| US5444065A (en) * | 1993-07-15 | 1995-08-22 | Minnesota Mining And Manufacturing Company | Fused cycloalkylimidazopyridines as inducer of interferon α biosynthesis |
| US5627281A (en) * | 1993-07-15 | 1997-05-06 | Minnesota Mining And Manufacturing Company | Intermediate compounds of fused cycloalkylimidazopyridines |
| US5494916A (en) * | 1993-07-15 | 1996-02-27 | Minnesota Mining And Manufacturing Company | Imidazo[4,5-C]pyridin-4-amines |
| US5446153A (en) * | 1993-07-15 | 1995-08-29 | Minnesota Mining And Manufacturing Company | Intermediates for imidazo[4,5-c]pyridin-4-amines |
| US5886006A (en) * | 1993-07-15 | 1999-03-23 | Minnesota Mining And Manufacturing Company | Fused cycloalkylimidazopyridines |
| US5352784A (en) * | 1993-07-15 | 1994-10-04 | Minnesota Mining And Manufacturing Company | Fused cycloalkylimidazopyridines |
| US5648516A (en) * | 1994-07-20 | 1997-07-15 | Minnesota Mining And Manufacturing Company | Fused cycloalkylimidazopyridines |
| US5644063A (en) * | 1994-09-08 | 1997-07-01 | Minnesota Mining And Manufacturing Company | Imidazo[4,5-c]pyridin-4-amine intermediates |
| US5482936A (en) * | 1995-01-12 | 1996-01-09 | Minnesota Mining And Manufacturing Company | Imidazo[4,5-C]quinoline amines |
| US5939047A (en) * | 1996-04-16 | 1999-08-17 | Jernberg; Gary R. | Local delivery of chemotherapeutic agents for treatment of periodontal disease |
| US5741908A (en) * | 1996-06-21 | 1998-04-21 | Minnesota Mining And Manufacturing Company | Process for reparing imidazoquinolinamines |
| US6039969A (en) * | 1996-10-25 | 2000-03-21 | 3M Innovative Properties Company | Immune response modifier compounds for treatment of TH2 mediated and related diseases |
| US6365166B2 (en) * | 1996-12-03 | 2002-04-02 | 3M Innovative Properties Company | Gel formulations for topical drug delivery |
| US5939090A (en) * | 1996-12-03 | 1999-08-17 | 3M Innovative Properties Company | Gel formulations for topical drug delivery |
| US6069149A (en) * | 1997-01-09 | 2000-05-30 | Terumo Kabushiki Kaisha | Amide derivatives and intermediates for the synthesis thereof |
| US6123957A (en) * | 1997-07-16 | 2000-09-26 | Jernberg; Gary R. | Delivery of agents and method for regeneration of periodontal tissues |
| US6194425B1 (en) * | 1997-12-11 | 2001-02-27 | 3M Innovative Properties Company | Imidazonaphthyridines |
| US6110929A (en) * | 1998-07-28 | 2000-08-29 | 3M Innovative Properties Company | Oxazolo, thiazolo and selenazolo [4,5-c]-quinolin-4-amines and analogs thereof |
| US6518265B1 (en) * | 1998-08-12 | 2003-02-11 | Hokuriku Seiyaku Co., Ltd. | 1H-imidazopyridine derivatives |
| US6245776B1 (en) * | 1999-01-08 | 2001-06-12 | 3M Innovative Properties Company | Formulations and methods for treatment of mucosal associated conditions with an immune response modifier |
| US6706728B2 (en) * | 1999-01-08 | 2004-03-16 | 3M Innovative Properties Company | Systems and methods for treating a mucosal surface |
| US20020058674A1 (en) * | 1999-01-08 | 2002-05-16 | Hedenstrom John C. | Systems and methods for treating a mucosal surface |
| US6558951B1 (en) * | 1999-02-11 | 2003-05-06 | 3M Innovative Properties Company | Maturation of dendritic cells with immune response modifying compounds |
| US7030131B2 (en) * | 1999-06-10 | 2006-04-18 | Crooks Stephen L | Sulfonamide substituted imidazoquinolines |
| US6451810B1 (en) * | 1999-06-10 | 2002-09-17 | 3M Innovative Properties Company | Amide substituted imidazoquinolines |
| US6897221B2 (en) * | 1999-06-10 | 2005-05-24 | 3M Innovative Properties Company | Urea substituted imidazoquinolines |
| US7393859B2 (en) * | 1999-06-10 | 2008-07-01 | Coley Pharmaceutical Group, Inc. | Amide substituted imidazoquinolines |
| US6800624B2 (en) * | 1999-06-10 | 2004-10-05 | 3M Innovative Properties Company | Sulfonamide and sulfamide substituted imidazoquinolines |
| US6541485B1 (en) * | 1999-06-10 | 2003-04-01 | 3M Innovative Properties Company | Urea substituted imidazoquinolines |
| US20060106052A1 (en) * | 1999-06-10 | 2006-05-18 | 3M Innovative Properties Company | Method of using sulfonamide substituted imidazoquinolines |
| US6573273B1 (en) * | 1999-06-10 | 2003-06-03 | 3M Innovative Properties Company | Urea substituted imidazoquinolines |
| US20030130299A1 (en) * | 1999-06-10 | 2003-07-10 | Stephen L. Crooks | Method for the treatment of periodontal disease |
| US6784188B2 (en) * | 1999-06-10 | 2004-08-31 | 3M Innovative Properties Company | Urea substituted imidazoquinolines |
| US6780873B2 (en) * | 1999-06-10 | 2004-08-24 | 3M Innovative Properties Company | Urea substituted imidazoquinolines |
| US6756382B2 (en) * | 1999-06-10 | 2004-06-29 | 3M Innovative Properties Company | Amide substituted imidazoquinolines |
| US6376669B1 (en) * | 1999-11-05 | 2002-04-23 | 3M Innovative Properties Company | Dye labeled imidazoquinoline compounds |
| US6894060B2 (en) * | 2000-03-30 | 2005-05-17 | 3M Innovative Properties Company | Method for the treatment of dermal lesions caused by envenomation |
| US20020016332A1 (en) * | 2000-03-30 | 2002-02-07 | Slade Herbert B. | Method for the treatment of dermal lesions caused by envenomation |
| US6511485B2 (en) * | 2000-06-15 | 2003-01-28 | Ferton Holding S.A. | Device for removal of calculi |
| US20020055517A1 (en) * | 2000-09-15 | 2002-05-09 | 3M Innovative Properties Company | Methods for delaying recurrence of herpes virus symptoms |
| US6855217B2 (en) * | 2000-12-07 | 2005-02-15 | Aoyama Seisakusho Co., Ltd. | Method of baking treatment of steel product parts |
| US6525064B1 (en) * | 2000-12-08 | 2003-02-25 | 3M Innovative Properties Company | Sulfonamido substituted imidazopyridines |
| US20020100840A1 (en) * | 2001-01-26 | 2002-08-01 | Wolfgang Billinger | Device for connecting movable parts with structural elements of airplanes or the like |
| US6855350B2 (en) * | 2001-03-21 | 2005-02-15 | Microbio Co., Ltd. | Methods for inhibiting cancer growth, reducing infection and promoting general health with a fermented soy extract |
| US20030133913A1 (en) * | 2001-08-30 | 2003-07-17 | 3M Innovative Properties Company | Methods of maturing plasmacytoid dendritic cells using immune response modifier molecules |
| US20030139364A1 (en) * | 2001-10-12 | 2003-07-24 | University Of Iowa Research Foundation | Methods and products for enhancing immune responses using imidazoquinoline compounds |
| US20030199538A1 (en) * | 2001-11-29 | 2003-10-23 | 3M Innovative Properties Company | Pharmaceutical formulation comprising an immune response modifier |
| US6677349B1 (en) * | 2001-12-21 | 2004-01-13 | 3M Innovative Properties Company | Sulfonamide and sulfamide substituted imidazoquinolines |
| US20040106638A1 (en) * | 2001-12-21 | 2004-06-03 | 3M Innovative Properties Company | Sulfonamide and sulfamide substituted imidazoquinolines |
| US6924293B2 (en) * | 2001-12-21 | 2005-08-02 | 3M Innovative Properties Company | Sulfonamide and sulfamide substituted imidazoquinolines |
| US20030161797A1 (en) * | 2002-02-22 | 2003-08-28 | 3M Innovative Properties Company | Method of reducing and treating UVB-induced immunosuppression |
| US6743920B2 (en) * | 2002-05-29 | 2004-06-01 | 3M Innovative Properties Company | Process for imidazo[4,5-c]pyridin-4-amines |
| US6797718B2 (en) * | 2002-06-07 | 2004-09-28 | 3M Innovative Properties Company | Ether substituted imidazopyridines |
| US20040091491A1 (en) * | 2002-08-15 | 2004-05-13 | 3M Innovative Properties Company | Immunostimulatory compositions and methods of stimulating an immune response |
| US20040054590A1 (en) * | 2002-09-13 | 2004-03-18 | Visa U.S.A., Inc. | Method and system for managing limited use coupon and coupon prioritization |
| US20040132079A1 (en) * | 2002-12-11 | 2004-07-08 | 3M Innovative Properties Company | Assays relating to Toll-like receptor activity |
| US20040197865A1 (en) * | 2002-12-11 | 2004-10-07 | 3M Innovative Properties Company | Gene expression systems and recombinant cell lines |
| US20040147543A1 (en) * | 2002-12-20 | 2004-07-29 | 3M Innovative Properties Company | Aryl substituted imidazoquinolines |
| US20040141950A1 (en) * | 2002-12-30 | 2004-07-22 | 3M Innovative Properties Company | Immunostimulatory combinations |
| US20040162309A1 (en) * | 2003-02-13 | 2004-08-19 | 3M Innovative Properties Company | Methods and compositions related to IRM compounds and toll-like receptor 8 |
| US20040171086A1 (en) * | 2003-02-27 | 2004-09-02 | 3M Innovative Properties Company | Selective modulation of TLR-mediated biological activity |
| US20040175336A1 (en) * | 2003-03-04 | 2004-09-09 | 3M Innovative Properties Company | Prophylactic treatment of UV-induced epidermal neoplasia |
| US20040176367A1 (en) * | 2003-03-07 | 2004-09-09 | 3M Innovative Properties Company | 1-Amino 1H-imidazoquinolines |
| US20040181130A1 (en) * | 2003-03-13 | 2004-09-16 | 3M Innovative Properties Company | Methods for diagnosing skin lesions |
| US20040180919A1 (en) * | 2003-03-13 | 2004-09-16 | 3M Innovative Properties Company | Methods of improving skin quality |
| US20040181211A1 (en) * | 2003-03-13 | 2004-09-16 | 3M Innovative Properties Company | Method of tattoo removal |
| US20040191833A1 (en) * | 2003-03-25 | 2004-09-30 | 3M Innovative Properties Company | Selective activation of cellular activities mediated through a common toll-like receptor |
| US20040192585A1 (en) * | 2003-03-25 | 2004-09-30 | 3M Innovative Properties Company | Treatment for basal cell carcinoma |
| US20040202720A1 (en) * | 2003-04-10 | 2004-10-14 | 3M Innovative Properties Company | Delivery of immune response modifier compounds using metal-containing particulate support materials |
| US20050070460A1 (en) * | 2003-08-05 | 2005-03-31 | 3M Innovative Properties Company | Infection prophylaxis using immune response modifier compounds |
| US20050226878A1 (en) * | 2003-12-02 | 2005-10-13 | 3M Innovative Properties Company | Therapeutic combinations and methods including IRM compounds |
| US20050239735A1 (en) * | 2003-12-30 | 2005-10-27 | 3M Innovative Properties Company | Enhancement of immune responses |
Cited By (100)
| Publication number | Priority date | Publication date | Assignee | Title |
|---|---|---|---|---|
| US20080306252A1 (en) * | 2000-12-08 | 2008-12-11 | Coley Pharmaceutical Group, Inc. | Sulfonamido ether substituted imidazoquinolines |
| US9801947B2 (en) | 2003-04-10 | 2017-10-31 | 3M Innovative Properties Company | Methods and compositions for enhancing immune response |
| US20040214851A1 (en) * | 2003-04-28 | 2004-10-28 | 3M Innovative Properties Company | Compositions and methods for induction of opioid receptors |
| US20070066639A1 (en) * | 2003-08-12 | 2007-03-22 | Kshirsagar Tushar A | Oxime substituted imidazoquinolines |
| US8673932B2 (en) | 2003-08-12 | 2014-03-18 | 3M Innovative Properties Company | Oxime substituted imidazo-containing compounds |
| US8263594B2 (en) | 2003-08-27 | 2012-09-11 | 3M Innovative Properties Company | Aryloxy and arylalkyleneoxy substituted imidazoquinolines |
| US20110144099A1 (en) * | 2003-08-27 | 2011-06-16 | 3M Innovative Properties Company | Aryloxy and arylalkyleneoxy substituted imidazoquinolines |
| US7897597B2 (en) | 2003-08-27 | 2011-03-01 | 3M Innovative Properties Company | Aryloxy and arylalkyleneoxy substituted imidazoquinolines |
| US20090018122A1 (en) * | 2003-08-27 | 2009-01-15 | Lindstrom Kyle J | Aryloxy and Arylalkyleneoxy Substituted Imidazoquinolines |
| US20090017076A1 (en) * | 2003-09-05 | 2009-01-15 | Coley Pharmaceutical Group, Inc. | Treatment for cd5+ b cell lymphoma |
| US7923429B2 (en) | 2003-09-05 | 2011-04-12 | 3M Innovative Properties Company | Treatment for CD5+ B cell lymphoma |
| US9145410B2 (en) | 2003-10-03 | 2015-09-29 | 3M Innovative Properties Company | Pyrazolopyridines and analogs thereof |
| US20090075980A1 (en) * | 2003-10-03 | 2009-03-19 | Coley Pharmaceutical Group, Inc. | Pyrazolopyridines and Analogs Thereof |
| US9856254B2 (en) | 2003-10-03 | 2018-01-02 | 3M Innovative Properties Company | Alkoxy substituted imidazoquinolines |
| US20070060754A1 (en) * | 2003-10-03 | 2007-03-15 | Lindstrom Kyle J | Alkoxy substituted imidazoquinolines |
| US9365567B2 (en) | 2003-10-03 | 2016-06-14 | 3M Innovative Properties Company | Alkoxy substituted imidazoquinolines |
| US20090318435A1 (en) * | 2003-10-03 | 2009-12-24 | Hays David S | Pyrazolopyridines and analogs thereof |
| US7879849B2 (en) | 2003-10-03 | 2011-02-01 | 3M Innovative Properties Company | Pyrazolopyridines and analogs thereof |
| US8871782B2 (en) | 2003-10-03 | 2014-10-28 | 3M Innovative Properties Company | Alkoxy substituted imidazoquinolines |
| US7897767B2 (en) | 2003-11-14 | 2011-03-01 | 3M Innovative Properties Company | Oxime substituted imidazoquinolines |
| US20090105295A1 (en) * | 2003-11-14 | 2009-04-23 | Coley Pharmaceutical Group, Inc. | Hydroxylamine substituted imidazoquinolines |
| US8598192B2 (en) | 2003-11-14 | 2013-12-03 | 3M Innovative Properties Company | Hydroxylamine substituted imidazoquinolines |
| US20070072893A1 (en) * | 2003-11-25 | 2007-03-29 | Krepski Larry R | Substituted imidazo ring systems and methods |
| US8691837B2 (en) | 2003-11-25 | 2014-04-08 | 3M Innovative Properties Company | Substituted imidazo ring systems and methods |
| US9765071B2 (en) | 2003-11-25 | 2017-09-19 | 3M Innovative Properties Company | Substituted imidazo ring systems and methods |
| US9328110B2 (en) | 2003-11-25 | 2016-05-03 | 3M Innovative Properties Company | Substituted imidazo ring systems and methods |
| US8802853B2 (en) | 2003-12-29 | 2014-08-12 | 3M Innovative Properties Company | Arylalkenyl and arylalkynyl substituted imidazoquinolines |
| US20090030030A1 (en) * | 2003-12-29 | 2009-01-29 | Bonk Jason D | Arylalkenyl and arylalkynyl substituted imidazoquinolines |
| US20090062272A1 (en) * | 2003-12-30 | 2009-03-05 | Bonk Jason D | Imidazoquinolinyl sulfonamides |
| US8735421B2 (en) | 2003-12-30 | 2014-05-27 | 3M Innovative Properties Company | Imidazoquinolinyl sulfonamides |
| US20070219196A1 (en) * | 2004-03-24 | 2007-09-20 | Krepski Larry R | Amide substituted imidazopyridines, imidazoquinolines, and imidazonaphthyridines |
| US8697873B2 (en) | 2004-03-24 | 2014-04-15 | 3M Innovative Properties Company | Amide substituted imidazopyridines, imidazoquinolines, and imidazonaphthyridines |
| US8017779B2 (en) | 2004-06-15 | 2011-09-13 | 3M Innovative Properties Company | Nitrogen containing heterocyclyl substituted imidazoquinolines and imidazonaphthyridines |
| US20070213356A1 (en) * | 2004-06-15 | 2007-09-13 | Merrill Bryon A | Nitrogen-Containing Heterocyclyl Substituted Imidazoquinolines and Imidazonaphthyridines |
| US20070287725A1 (en) * | 2004-06-18 | 2007-12-13 | 3M Innovative Properties Company | Isoxazole, Dihydroisoxazole, And Oxadiazole Substituted Imidazo Ring Compounds And Method |
| US7897609B2 (en) | 2004-06-18 | 2011-03-01 | 3M Innovative Properties Company | Aryl substituted imidazonaphthyridines |
| US8541438B2 (en) | 2004-06-18 | 2013-09-24 | 3M Innovative Properties Company | Substituted imidazoquinolines, imidazopyridines, and imidazonaphthyridines |
| US7915281B2 (en) | 2004-06-18 | 2011-03-29 | 3M Innovative Properties Company | Isoxazole, dihydroisoxazole, and oxadiazole substituted imidazo ring compounds and method |
| US9550773B2 (en) | 2004-06-18 | 2017-01-24 | 3M Innovative Properties Company | Substituted imidazoquinolines, imidazopyridines, and imidazonaphthyridines |
| US20110092477A1 (en) * | 2004-06-18 | 2011-04-21 | 3M Innovative Properties Company | Substituted imidazoquinolines, imidazopyridines, and imidazonaphthyridines |
| US9006264B2 (en) | 2004-06-18 | 2015-04-14 | 3M Innovative Properties Company | Substituted imidazoquinolines, imidazopyridines, and imidazonaphthyridines |
| US20070208052A1 (en) * | 2004-06-18 | 2007-09-06 | Prince Ryan B | Aryloxy and arylalkyleneoxy substituted thiazoloquinolines and thiazolonaphthyridines |
| US9938275B2 (en) | 2004-06-18 | 2018-04-10 | 3M Innovative Properties Company | Substituted imidazoquinolines, imidazopyridines, and imidazonaphthyridines |
| US8026366B2 (en) | 2004-06-18 | 2011-09-27 | 3M Innovative Properties Company | Aryloxy and arylalkyleneoxy substituted thiazoloquinolines and thiazolonaphthyridines |
| US20070219228A1 (en) * | 2004-06-18 | 2007-09-20 | Shri Niwas | Aryl substituted imidazonaphthyridines |
| US20090270443A1 (en) * | 2004-09-02 | 2009-10-29 | Doris Stoermer | 1-amino imidazo-containing compounds and methods |
| US20110070575A1 (en) * | 2004-12-08 | 2011-03-24 | Coley Pharmaceutical Group, Inc. | Immunomodulatory Compositions, Combinations and Methods |
| US20110207725A1 (en) * | 2004-12-30 | 2011-08-25 | 3M Innovative Properties Company | CHIRAL FUSED [1,2]IMIDAZO[4,5-c] RING COMPOUNDS |
| US8034938B2 (en) | 2004-12-30 | 2011-10-11 | 3M Innovative Properties Company | Substituted chiral fused [1,2]imidazo[4,5-c] ring compounds |
| US7943609B2 (en) | 2004-12-30 | 2011-05-17 | 3M Innovative Proprerties Company | Chiral fused [1,2]imidazo[4,5-C] ring compounds |
| US8546383B2 (en) | 2004-12-30 | 2013-10-01 | 3M Innovative Properties Company | Chiral fused [1,2]imidazo[4,5-c] ring compounds |
| US20080269192A1 (en) * | 2004-12-30 | 2008-10-30 | Coley Pharmaceutical Group, Inc. | Chiral Fused [1,2]Imidazo[4,5-C] Ring Compounds |
| US8207162B2 (en) | 2004-12-30 | 2012-06-26 | 3M Innovative Properties Company | Chiral fused [1,2]imidazo[4,5-c] ring compounds |
| US8350034B2 (en) | 2004-12-30 | 2013-01-08 | 3M Innovative Properties Company | Substituted chiral fused [1,2]imidazo[4,5-C] ring compounds |
| US10071156B2 (en) | 2005-02-04 | 2018-09-11 | 3M Innovative Properties Company | Aqueous gel formulations containing immune response modifiers |
| US20090163532A1 (en) * | 2005-02-04 | 2009-06-25 | Coley Pharmaceutical Group, Inc. | Aqueous Gel Formulations Containing Immune Response Modifiers |
| US9248127B2 (en) | 2005-02-04 | 2016-02-02 | 3M Innovative Properties Company | Aqueous gel formulations containing immune response modifiers |
| US9546184B2 (en) | 2005-02-09 | 2017-01-17 | 3M Innovative Properties Company | Alkyloxy substituted thiazoloquinolines and thiazolonaphthyridines |
| US20080318998A1 (en) * | 2005-02-09 | 2008-12-25 | Coley Pharmaceutical Group, Inc. | Alkyloxy Substituted Thiazoloquinolines and Thiazolonaphthyridines |
| US8378102B2 (en) | 2005-02-09 | 2013-02-19 | 3M Innovative Properties Company | Oxime and hydroxylamine substituted thiazolo[4,5-c] ring compounds and methods |
| US7968563B2 (en) | 2005-02-11 | 2011-06-28 | 3M Innovative Properties Company | Oxime and hydroxylamine substituted imidazo[4,5-c] ring compounds and methods |
| US20090099161A1 (en) * | 2005-02-11 | 2009-04-16 | Coley Pharmaceutial Group, Inc. | Substituted Imidazoquinolines and Imidazonaphthyridines |
| US8658666B2 (en) | 2005-02-11 | 2014-02-25 | 3M Innovative Properties Company | Substituted imidazoquinolines and imidazonaphthyridines |
| US20090069314A1 (en) * | 2005-02-23 | 2009-03-12 | Coley Pharmaceutical Group, Inc. | Hydroxyalkyl Substituted Imidazoquinoline Compounds and Methods |
| US8158794B2 (en) | 2005-02-23 | 2012-04-17 | 3M Innovative Properties Company | Hydroxyalkyl substituted imidazoquinoline compounds and methods |
| US8178677B2 (en) | 2005-02-23 | 2012-05-15 | 3M Innovative Properties Company | Hydroxyalkyl substituted imidazoquinolines |
| US8846710B2 (en) | 2005-02-23 | 2014-09-30 | 3M Innovative Properties Company | Method of preferentially inducing the biosynthesis of interferon |
| US20090029988A1 (en) * | 2005-02-23 | 2009-01-29 | Coley Pharmaceutical Grop, Inc. | Hydroxyalkyl Substituted Imidazoquinolines |
| US20090030031A1 (en) * | 2005-02-23 | 2009-01-29 | Coley Pharmaceutical Group, Inc. | Method of Preferentially Inducing the Biosynthesis of Interferon |
| US7943636B2 (en) | 2005-04-01 | 2011-05-17 | 3M Innovative Properties Company | 1-substituted pyrazolo (3,4-C) ring compounds as modulators of cytokine biosynthesis for the treatment of viral infections and neoplastic diseases |
| US7943610B2 (en) | 2005-04-01 | 2011-05-17 | 3M Innovative Properties Company | Pyrazolopyridine-1,4-diamines and analogs thereof |
| US20100317684A1 (en) * | 2005-09-09 | 2010-12-16 | Coley Pharmaceutical Group, Inc. | Amide and Carbamate Derivatives of N-{2-[4-Amino-2- (Ethoxymethyl)-1H-Imidazo[4,5-c] Quinolin-1-Yl]-1,1-Dimethylethyl} Methanesulfonamide and Methods |
| US8476292B2 (en) | 2005-09-09 | 2013-07-02 | 3M Innovative Properties Company | Amide and carbamate derivatives of N-{2-[4-amino-2-(ethoxymethyl)-1H-imidazo[4,5-c] quinolin-1-Yl]-1,1-dimethylethyl}methanesulfonamide and methods |
| US8188111B2 (en) | 2005-09-09 | 2012-05-29 | 3M Innovative Properties Company | Amide and carbamate derivatives of alkyl substituted N-[4-(4-amino-1H-imidazo[4,5-c]quinolin-1-yl)butyI]methanesulfonamides and methods |
| US8622292B2 (en) | 2005-09-29 | 2014-01-07 | Jeffrey Bart Katz | Reservation-based preauthorization payment system |
| US20070083400A1 (en) * | 2005-09-29 | 2007-04-12 | Katz Jeffrey B | Reservation-based preauthorization payment system |
| US8088790B2 (en) | 2005-11-04 | 2012-01-03 | 3M Innovative Properties Company | Hydroxy and alkoxy substituted 1H-imidazoquinolines and methods |
| US8377957B2 (en) | 2005-11-04 | 2013-02-19 | 3M Innovative Properties Company | Hydroxy and alkoxy substituted 1H-imidazoquinolines and methods |
| US20090221556A1 (en) * | 2005-11-04 | 2009-09-03 | Pfizer Inc. | Hydroxy and alkoxy substituted 1h-imidazoquinolines and methods |
| US10472420B2 (en) | 2006-02-22 | 2019-11-12 | 3M Innovative Properties Company | Immune response modifier conjugates |
| US8329721B2 (en) | 2006-03-15 | 2012-12-11 | 3M Innovative Properties Company | Hydroxy and alkoxy substituted 1H-imidazonaphthyridines and methods |
| US20090298821A1 (en) * | 2006-03-15 | 2009-12-03 | Pfizer Inc. | Hydroxy and alkoxy substituted ih-imidazonaphthyridines and methods |
| US7906506B2 (en) | 2006-07-12 | 2011-03-15 | 3M Innovative Properties Company | Substituted chiral fused [1,2] imidazo [4,5-c] ring compounds and methods |
| US20080070907A1 (en) * | 2006-07-12 | 2008-03-20 | Coley Pharmaceutical Group, Inc. | Substituted chiral fused [1,2] imidazo [4,5-C] ring compounds and methods |
| US8178539B2 (en) | 2006-09-06 | 2012-05-15 | 3M Innovative Properties Company | Substituted 3,4,6,7-tetrahydro-5H-1,2a,4a,8-tetraazacyclopenta[cd]phenalenes and methods |
| US20100173906A1 (en) * | 2006-09-06 | 2010-07-08 | Griesgraber George W | Substituted 3,4,6,7-Tetrahydro-5H-1,2a,4a,8-Tetraazacyclopenta[cd]Phenalenes and Methods |
| US10821176B2 (en) | 2010-08-17 | 2020-11-03 | 3M Innovative Properties Company | Lipidated immune response modifier compound compositions, formulations, and methods |
| US12201688B2 (en) | 2010-08-17 | 2025-01-21 | Solventum Intellectual Properties Company | Lipidated immune response modifier compound compositions, formulations, and methods |
| US11524071B2 (en) | 2010-08-17 | 2022-12-13 | 3M Innovative Properties Company | Lipidated immune response modifier compound compositions, formulations, and methods |
| US9242980B2 (en) | 2010-08-17 | 2016-01-26 | 3M Innovative Properties Company | Lipidated immune response modifier compound compositions, formulations, and methods |
| US10052380B2 (en) | 2010-08-17 | 2018-08-21 | 3M Innovative Properties Company | Lipidated immune response modifier compound compositions, formulations, and methods |
| US9795669B2 (en) | 2010-08-17 | 2017-10-24 | 3M Innovative Properties Company | Lipidated immune response modifier compound compositions, formulations, and methods |
| US10383938B2 (en) | 2010-08-17 | 2019-08-20 | 3M Innovative Properties Company | Lipidated immune response modifier compound compositions, formulations, and methods |
| US9475804B2 (en) | 2011-06-03 | 2016-10-25 | 3M Innovative Properties Company | Heterobifunctional linkers with polyethylene glycol segments and immune response modifier conjugates made therefrom |
| US9107958B2 (en) | 2011-06-03 | 2015-08-18 | 3M Innovative Properties Company | Hydrazino 1H-imidazoquinolin-4-amines and conjugates made therefrom |
| US10723731B2 (en) | 2011-06-03 | 2020-07-28 | 3M Innovative Properties Company | Heterobifunctional linkers with polyethylene glycol segments and immune response modifier conjugates made therefrom |
| US10406142B2 (en) | 2011-06-03 | 2019-09-10 | 3M Lnnovative Properties Company | Hydrazino 1H-imidazoquinolin-4-amines and conjugates made therefrom |
| US9902724B2 (en) | 2011-06-03 | 2018-02-27 | 3M Innovative Properties Company | Heterobifunctional linkers with polyethylene glycol segments and immune response modifier conjugates made therefrom |
| US9585968B2 (en) | 2011-06-03 | 2017-03-07 | 3M Innovative Properties Company | Hydrazino 1H-imidazoquinolin-4-amines and conjugates made therefrom |
| US11306083B2 (en) | 2017-12-20 | 2022-04-19 | 3M Innovative Properties Company | Amide substituted imidazo[4,5-C]quinoline compounds with a branched chain linking group for use as an immune response modifier |
Also Published As
| Publication number | Publication date |
|---|---|
| US6756382B2 (en) | 2004-06-29 |
| US7393859B2 (en) | 2008-07-01 |
| US20030144283A1 (en) | 2003-07-31 |
| US20040229897A1 (en) | 2004-11-18 |
Similar Documents
| Publication | Publication Date | Title |
|---|---|---|
| US7393859B2 (en) | Amide substituted imidazoquinolines | |
| US6451810B1 (en) | Amide substituted imidazoquinolines | |
| US6897221B2 (en) | Urea substituted imidazoquinolines | |
| US7038051B2 (en) | Imidazonaphthyridines | |
| US7030131B2 (en) | Sulfonamide substituted imidazoquinolines | |
| US6888000B2 (en) | Sulfonamide and sulfamide substituted imidazoquinolines | |
| US6780873B2 (en) | Urea substituted imidazoquinolines | |
| US6969722B2 (en) | Amide substituted imidazopyridines | |
| US6903113B2 (en) | Urea substituted imidazopyridines | |
| AU2004253929A1 (en) | Sulfonamide substituted imidazoquinolines |
Legal Events
| Date | Code | Title | Description |
|---|---|---|---|
| AS | Assignment |
Owner name: 3M INNOVATIVE PROPERTIES COMPANY, MINNESOTA Free format text: ASSIGNMENT OF ASSIGNORS INTEREST;ASSIGNOR:COLEY PHARMACEUTICAL GROUP, INC.;REEL/FRAME:025996/0270 Effective date: 20110315 |
|
| STCB | Information on status: application discontinuation |
Free format text: ABANDONED -- FAILURE TO PAY ISSUE FEE |
|
| STCB | Information on status: application discontinuation |
Free format text: ABANDONED -- FAILURE TO PAY ISSUE FEE |






























































































































































































































