TW202005654A - 2,2,─環二核苷酸 - Google Patents
2,2,─環二核苷酸 Download PDFInfo
- Publication number
- TW202005654A TW202005654A TW108111938A TW108111938A TW202005654A TW 202005654 A TW202005654 A TW 202005654A TW 108111938 A TW108111938 A TW 108111938A TW 108111938 A TW108111938 A TW 108111938A TW 202005654 A TW202005654 A TW 202005654A
- Authority
- TW
- Taiwan
- Prior art keywords
- compound
- inhibitors
- pharmaceutically acceptable
- substituted
- acceptable salt
- Prior art date
Links
- 0 C*[C@](C1OCP(O)(OC[C@](C2O)O[C@]([*-])C2OCP(O)(OC2)=O)=O)O[C@]2C1O Chemical compound C*[C@](C1OCP(O)(OC[C@](C2O)O[C@]([*-])C2OCP(O)(OC2)=O)=O)O[C@]2C1O 0.000 description 1
Classifications
-
- C—CHEMISTRY; METALLURGY
- C07—ORGANIC CHEMISTRY
- C07H—SUGARS; DERIVATIVES THEREOF; NUCLEOSIDES; NUCLEOTIDES; NUCLEIC ACIDS
- C07H19/00—Compounds containing a hetero ring sharing one ring hetero atom with a saccharide radical; Nucleosides; Mononucleotides; Anhydro-derivatives thereof
- C07H19/02—Compounds containing a hetero ring sharing one ring hetero atom with a saccharide radical; Nucleosides; Mononucleotides; Anhydro-derivatives thereof sharing nitrogen
- C07H19/04—Heterocyclic radicals containing only nitrogen atoms as ring hetero atom
- C07H19/16—Purine radicals
- C07H19/20—Purine radicals with the saccharide radical esterified by phosphoric or polyphosphoric acids
- C07H19/213—Purine radicals with the saccharide radical esterified by phosphoric or polyphosphoric acids containing cyclic phosphate
-
- C—CHEMISTRY; METALLURGY
- C07—ORGANIC CHEMISTRY
- C07H—SUGARS; DERIVATIVES THEREOF; NUCLEOSIDES; NUCLEOTIDES; NUCLEIC ACIDS
- C07H21/00—Compounds containing two or more mononucleotide units having separate phosphate or polyphosphate groups linked by saccharide radicals of nucleoside groups, e.g. nucleic acids
- C07H21/04—Compounds containing two or more mononucleotide units having separate phosphate or polyphosphate groups linked by saccharide radicals of nucleoside groups, e.g. nucleic acids with deoxyribosyl as saccharide radical
-
- C—CHEMISTRY; METALLURGY
- C07—ORGANIC CHEMISTRY
- C07H—SUGARS; DERIVATIVES THEREOF; NUCLEOSIDES; NUCLEOTIDES; NUCLEIC ACIDS
- C07H21/00—Compounds containing two or more mononucleotide units having separate phosphate or polyphosphate groups linked by saccharide radicals of nucleoside groups, e.g. nucleic acids
- C07H21/02—Compounds containing two or more mononucleotide units having separate phosphate or polyphosphate groups linked by saccharide radicals of nucleoside groups, e.g. nucleic acids with ribosyl as saccharide radical
Landscapes
- Chemical & Material Sciences (AREA)
- Organic Chemistry (AREA)
- Health & Medical Sciences (AREA)
- Life Sciences & Earth Sciences (AREA)
- Biochemistry (AREA)
- Molecular Biology (AREA)
- Engineering & Computer Science (AREA)
- Biotechnology (AREA)
- General Health & Medical Sciences (AREA)
- Genetics & Genomics (AREA)
- Pharmaceuticals Containing Other Organic And Inorganic Compounds (AREA)
Abstract
本發明係關於經2'-膦醯烷基鍵修飾之2'2'-環二核苷酸及其衍生物,其可調節STING接附蛋白之活性。
Description
本發明係關於新穎的2'2'-環二核苷酸,例如經2´-膦醯烷基取代基修飾之彼等者及其衍生物。此類2'2'-環二核苷酸調節STING接附蛋白(干擾素基因刺激劑)之活性。因此,據信本發明之2'2'-環二核苷酸適用於治療其中對STING接附蛋白進行調節係有益的疾病,例如炎症、過敏性及自身免疫疾病、癌症、由病毒(諸如B型肝炎及人類免疫缺乏病毒)引起之病毒感染,且適用於免疫原性組合物或疫苗佐劑。
先天性免疫系統藉由一連串模式識別受體(PRR)識別病原體之存在或宿主之內穩定之破壞,該等受體偵測與病原體或損壞相關聯之小型配體集合。此等配體一般被稱作病原體相關分子模式(PAMP)或損害相關分子模式(DAMP) (Takeuchi O等人,Cell, 2010:140, 805-820)。在過去的二十年,已鑑別多種PRR,包括鐸樣受體、視黃酸誘導性基因(RIG-I)樣受體、核苷酸結合寡聚結構域樣(NOD)受體、C型凝集素受體及胞漿DNA感測器(Brubaker SW等人,Annu Rev Immunol, 2015:33,257-290)。藉由PRR識別PAMP及DAMP最終引起細胞介素及趨化介素(包括干擾素)之上調,及免疫細胞募集至感染位點。所有此等過程減緩病原體複製且促進適應性免疫性之產生。
細胞DNA通常限於健康細胞之細胞核及粒線體。因此,存在於細胞溶質中之DNA代表指示存在病原體或宿主內穩定破壞之信號。外源性DNA之感測由若干DNA感測器起始,諸如IRF之DNA依賴性活化因子(DAI)或DEAD匣多肽41 (DDX41)。此等DNA感測器藉由募集觸發轉錄因子NF-κB (核因子κ B)及IRF-3 (干擾素調節引子3)之活化的蛋白激酶TBK1,經由STING接附蛋白(干擾素基因刺激劑,亦被稱作STING、STING蛋白、TMEM173、MITA或ERIS) (Unterholzner L, Immunology, 2013:218, 1312-1321)進行信號傳導。據信,STING接附蛋白之活化最終導致I型及III型干擾素以及多種細胞介素及趨化介素(諸如,介白素-6 (IL-6)、腫瘤壞死因子-α (TNF-α)及干擾素-γ (INF-γ))的釋放。
可替代地,STING接附蛋白可藉由第二信使環二核苷酸(CDN)活化(Burdette等人,Nature 2011:478,515-518)。具有針對STING之親和力之CDN含有與兩個3'-5'(3'3'-CDN)、兩個2'-5'(2'2'-CDN)或2'-5'及3'-5'磷酸二酯鍵(2'3'-CDN)連接之兩個嘌呤核苷酸單磷酸。原型2'3'-cGAMP (c[G(2',5')pA(3',5')p])為在病原體或自身dsDNA之存在下活化宿主cGAS蛋白的產物(Zhang等人,Molecular Cell 2013:51,226-235)。
I型干擾素(IFN)為免疫調節細胞介素,其在病毒免疫性中起關鍵作用。其可誘導樹突狀細胞(DC)及巨噬細胞成熟及活化(Galluci等人, Nat Med, 1999:5, 1249-1255)且促進T細胞及B細胞存活、活化及分化。此外,干擾素能夠激活抑制病毒複製之大量胞內路徑。I型干擾素之臨床效用已由其在治療慢性B型及C型肝炎中之有效性證明(Lin及Young, Cytokine Growth Factor Rev, 2014:25,369-376)。
此外,干擾素在治療人類癌症中展示效用(Cohen等人, N Engl J Med, 2005:353,2477-2490,Tsao等人, N Engl J Med, 2004:351,998-1012)。其可抑制腫瘤細胞增殖且可與許多經批准之抗癌劑發揮協同作用。此外,I型IFN可對免疫細胞起作用以誘導抗腫瘤反應(Musella等人, Oncoimmunology 2017:6:e1314424)。I型IFN信號傳導經展示為在小鼠中之腫瘤起始T細胞激活中至關重要。缺乏樹突狀細胞中之IFN-α/β受體之動物無法抑制免疫原性腫瘤且在交叉呈現至CD8+ T細胞之抗原中有缺陷(Fuertes等人,J Exp Med, 2011:208, 2005-2016, Diamond等人,J Exp Med, 2011:208:1989-2003)。與此等觀測結果一致,已示出STING蛋白促效劑之瘤內注射會誘導小鼠中之已形成腫瘤之消退,且產生能夠抑制遠端癌轉移及提供長期存活之免疫記憶體之實質性全身免疫反應(Corrales等人, Cell Rep, 2015:11,1018-1030)。
據信CDN可促進細胞及體液免疫性之激活。舉例而言,在動物模型中展示CDN為有效佐劑(Dubensky等人, Ther Adv Vaccines, 2013:1,131-143)。
專利公開案WO 2014/093936、WO 2014/189805、WO 2013/185052、US 2014/03441976、WO 2015/077354、WO 2015/185565、WO 2016/145102、WO 2017/093933、WO 2017/027646、WO 2017/027645、WO 2017/175156、WO 2017/175147、WO 2017/123657、WO 2018/013908、WO 2018/013887、WO2018/009652、WO 2018/009648及WO 2018/009466揭示某些CDN及其在誘導免疫反應中之用途。
本發明之目標為描述新穎的2'2-'環膦酸酯二核苷酸,其結合且活化STING接附蛋白,且由此刺激信號轉導路徑以便誘導干擾素及其他細胞介素/趨化介素。據信由用膦醯烷基鍵置換磷酸酯鍵而產生與先前揭示之CDN相比的一個優點,該膦醯烷基鍵對由組織及體液中存在之磷酸二酯酶引起之水解具有抗性。此類化合物可用作抗病毒劑或抗癌劑、用作疫苗佐劑或用於治療過敏性或其他發炎疾病。
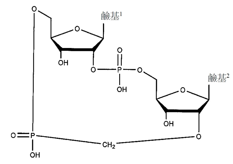
在一個實施例中,本發明提供式(I)之環二核苷酸:(I),
或其對映異構體、水合物、溶劑合物或醫藥學上可接受之鹽,
其中
L1
為-O-或-K-C(R6
R7
)-;
L2
為-K-C(R6
R7
)-;
Y1
及Y2
各自獨立地為-O-、-S-或-CH2
-;
X1
及X3
各自獨立地為OH、SH、OR13
、SR13
或N(R13
)2
;
X2
及X4
各自獨立地為O或S;
R1
、R5
、R8
及R12
各自獨立地為H、CH2
F、CHF2
、CF3
、CN、N3
、F、Cl、Br、I、COOR13
、CON(R13
)2
、CH2
OH、C1
-C6
烷基、C2
-C6
烯基、C2
-C6
炔基、C1
-C6
經取代烷基、C2
-C6
經取代烯基、C2
-C6
經取代炔基、OR13
、SR13
或N(R13
)2
;
R2
、R3
、R4
、R9
、R10
及R11
各自獨立地為H、OH、F、Cl、Br、I、CN、N3
、C1
-C6
烷基、C2
-C6
烯基、C2
-C6
炔基、C1
-C6
經取代烷基、C2
-C6
經取代烯基、C2
-C6
經取代炔基、OR13
、SR13
或N(R13
)2
;
R6
及R7
各自獨立地為H、CH2
F、CHF2
、CF3
、CN、N3
、F、Cl、Br、I、COOR13
、CON(R13
)2
、CH2
OH、CH2
N3
、OR13
、SR13
、N(R13
)2
、C1
-C6
烷基、C2
-C6
烯基、C2
-C6
炔基、C1
-C6
經取代烷基、C2
-C6
經取代烯基、C2
-C6
經取代炔基、C3
-C7
環烷基、C2
-C10
雜環烷基、C2
-C10
經取代雜環烷基、C6
-C10
芳基、C6
-C10
經取代芳基、C2
-C10
雜芳基或C2
-C10
經取代雜芳基;
各R13
獨立地為H、-C(=Z)R14
、-C(=Z)OR14
、-C(=Z)SR14
、-C(=Z)N(R14
)2
、C1
-C6
烷基、C2
-C6
烯基、C2
-C6
炔基、C1
-C6
經取代烷基、C2
-C6
經取代烯基、C2
-C6
經取代炔基、C3
-C7
環烷基、C2
-C10
雜環烷基、C2
-C10
經取代雜環烷基、C6
-C10
芳基、C6
-C10
經取代芳基、C2
-C10
雜芳基或C2
-C10
經取代雜芳基;
各R14
獨立地為H、C1
-C6
烷基、C2
-C6
烯基、C2
-C6
炔基、C1
-C6
經取代烷基、C2
-C6
經取代烯基、C2
-C6
經取代炔基、C3
-C7
環烷基、C2
-C10
雜環烷基、C2
-C10
經取代雜環烷基、C6
-C10
芳基、C6
-C10
經取代芳基、C2
-C10
雜芳基或C2
-C10
經取代雜芳基;
各Z獨立地為O、S或NR13
;
K為表示O、S、S(O)、S(O)2
、NH或NR13
之變數;
鹼基1
及鹼基2
各自獨立地為:
其中
A、A1
、A2
、A3
及A4
各自獨立地為H、OH、SH、F、Cl、Br、I、NH2
、OR13
、SR13
、NHR13
、N(R13
)2
或R14
;及
其中C1
-C6
經取代烷基、C2
-C6
經取代烯基、C2
-C6
經取代炔基、C2
-C10
經取代雜環烷基、C6
-C10
經取代芳基或C2
-C10
經取代雜芳基經1、2、3或4個獨立地選自由以下組成之群之取代基取代:-OH、-SH、-NH2
、=O、=NH、=S、≡N、鹵素、-N3
、 C1
-6
烷基、C1
-6
烷氧基、-CN及-COORp
,其中Rp
為氫或C1
至C6
烷基。
本發明包括一種醫藥組合物,其包含式(I)之環二核苷酸或其對映異構體、水合物、溶劑合物或醫藥學上可接受之鹽,及醫藥學上可接受之載劑、賦形劑及/或稀釋劑。
亦提供一種治療疾病或病症之方法,例如,治療或預防病毒感染、B型肝炎病毒感染、HIV感染、過度增生性疾病或癌症之方法,其包含向有需要之人類或動物投與有效量之式(I)之環二核苷酸或其對映異構體、水合物、溶劑合物或醫藥學上可接受之鹽,或前述任一者之醫藥組合物。
進一步提供一種增強疫苗功效之方法,其包含投與有效量之式(I)之環二核苷酸或其對映異構體、水合物、溶劑合物或醫藥學上可接受之鹽,或前述任一者之醫藥組合物。
進一步提供一種調節人類或動物中之STING接附蛋白誘導I型干擾素、細胞介素及/或趨化介素依賴於STING接附蛋白之產生(例如誘導STING接附蛋白依賴性I型干擾素、細胞介素或趨化介素)之活性之方法,其包含投與有效量之式(I)之環二核苷酸或其對映異構體、水合物、溶劑合物或醫藥學上可接受之鹽,或前述任一者之醫藥組合物。
相關申請之交叉參考
本申請案主張2018年4月6日申請之美國臨時申請案第62/654,054號的優先權,其以全文引用之方式併入本文中。序列表
本申請案含有序列表,該序列表已電子式地以ASCII格式提交且以全文引用之方式併入本文中。該ASCII複本於2019年1月23日創建,名為052838_539001US_ST25.txt且大小為6,914個位元組。I. 綜述
本發明提供例如包含至少一個膦醯烷基之新穎環二核苷酸,其結合於STING接附蛋白且調節其活性,例如活化STING接附蛋白。II. 定義
除非另外定義,否則本文中所用的所有技術及科學術語均具有如一般熟習此項技術者通常所理解的相同含義。在化學基團之前或末端的破折號為方便起見指示與母基團之連接點;化學基團可在具有或不具有一或多個破折號之情況下描繪而不失去其一般含義。字首,諸如「Cu-v
」或「Cu
-Cv
」指示後繼基團具有u至v個碳原子,其中u及v為整數。舉例而言,「C1-6
烷基」「C1
-C6
烷基」指示烷基具有1至6個碳原子。
「烷基」為直鏈或分支鏈飽和單價烴。舉例而言,烷基可具有1至10個碳原子(亦即C1-10
烷基)、或1至8個碳原子(亦即C1-8
烷基)、或1至6個碳原子(亦即C1-6
烷基)、或1至4個碳原子(亦即C1-4
烷基)。烷基之實例包括(但不限於):甲基(Me、-CH3
)、乙基(Et、-CH2
CH3
)、1-丙基(n
-Pr、正丙基、-CH2
CH2
CH3
)、2-丙基(i
-Pr、異丙基、-CH(CH3
)2
)、1-丁基(n
-Bu、正丁基、-CH2
CH2
CH2
CH3
)、2-甲基-1-丙基(i
-Bu、異丁基、-CH2
CH(CH3
)2
)、2-丁基(s
-Bu、第二丁基、-CH(CH3
)CH2
CH3
)、2-甲基-2-丙基(t
-Bu、第三丁基、-C(CH3
)3
)、1-戊基(正戊基、-CH2
CH2
CH2
CH2
CH3
)、2-戊基(-CH(CH3
)CH2
CH2
CH3
)、3-戊基(-CH(CH2
CH3
)2
)、2-甲基-2-丁基(-C(CH3
)2
CH2
CH3
)、3-甲基-2-丁基(-CH(CH3
)CH(CH3
)2
)、3-甲基-1-丁基(-CH2
CH2
CH(CH3
)2
)、2-甲基-1-丁基(-CH2
CH(CH3
)CH2
CH3
)、1-己基(-CH2
CH2
CH2
CH2
CH2
CH3
)、2-己基(-CH(CH3
)CH2
CH2
CH2
CH3
)、3-己基(-CH(CH2
CH3
)(CH2
CH2
CH3
))、2-甲基-2-戊基(-C(CH3
)2
CH2
CH2
CH3
)、3-甲基-2-戊基(-CH(CH3
)CH(CH3
)CH2
CH3
)、4-甲基-2-戊基(-CH(CH3
)CH2
CH(CH3
)2
)、3-甲基-3-戊基(-C(CH3
)(CH2
CH3
)2
)、2-甲基-3-戊基(-CH(CH2
CH3
)CH(CH3
)2
)、2,3-二甲基-2-丁基(-C(CH3
)2
CH(CH3
)2
)、3,3-二甲基-2-丁基(-CH(CH3
)C(CH3
)3
及辛基(-(CH2
)7
CH3
)。
「烷氧基」係指基團-O-烷基,其中烷基係如上文所定義。舉例而言,C1-4
烷氧基係指具有1至4個碳之-O-烷基。
「烯基」為具有至少一個碳-碳雙鍵之直鏈或分支鏈單價烴基。舉例而言,烯基可具有2至8個碳原子(亦即C2-8
烯基)、或2至6個碳原子(亦即C2-6
烯基)、或2至4個碳原子(亦即C2-4
烯基)。烯基之實例包括(但不限於)乙烯基(-CH=CH2
)、烯丙基(-CH2
CH=CH2
)及-CH2
-CH=CH-CH3
。
「炔基」為具有至少一個碳-碳參鍵之直鏈或分支鏈單價烴基。舉例而言,炔基可具有2至8個碳原子(亦即C2-8
炔基)、或2至6個碳原子(亦即C2-6
炔基)、或2至4個碳原子(亦即C2-4
炔基)。炔基之實例包括(但不限於)乙炔基(-C≡CH)、炔丙基(-CH2
C≡CH)及-CH2
-C≡C-CH3
。
如本文所用之「鹵基」或「鹵素」係指氟(-F)、氯(-Cl)、溴(-Br)及碘(-I)。
如本文中所使用,「鹵烷基」係指如本文中所定義之烷基,其中烷基之一或多個氫原子獨立地經鹵基取代基置換,該鹵基取代基可相同或不同。舉例而言,C1-4
鹵烷基係C1-4
烷基之一或多個氫原子已經鹵基取代基置換的C1-4
烷基。鹵烷基之實例包括(但不限於)氟甲基、氟氯甲基、二氟甲基、二氟氯甲基、三氟甲基、1,1,1-三氟乙基及五氟乙基。
如本文所用之「芳基」係指單全碳芳環或多縮合全碳環系統,其中至少一個環為芳族。舉例而言,在某些實施例中,芳基具有6至20個碳原子、6至14個碳原子或6至12個碳原子。芳基包括苯基。芳基亦包括具有約9至20個碳原子之多稠環系統(例如包含2、3或4個環之環系統),其中至少一個環為芳族且其中其他環可為芳族或非芳族(亦即碳環)。此類多稠環系統視情況經多稠環系統之任何碳環部分上之一或多個(例如1、2或3個)側氧基取代。多稠環系統之環在價數要求允許時可經由稠合、螺環及橋聯鍵彼此連接。亦應理解,在參考特定原子範圍成員芳基(例如6員至10員芳基)時,該原子範圍係用於芳基之總環原子。舉例而言,6員芳基將包括苯基且10員芳基將包括萘基及1,2,3,4-四氫萘基。芳基之非限制性實例包括(但不限於)苯基、茚基、萘基、1,2,3,4-四氫萘基、蒽基及其類似基團。
如本文所用之術語「雜芳基」係指環中具有至少一個除碳以外的原子之單個芳環,其中該原子選自由氧、氮及硫組成之群;「雜芳基」亦包括具有至少一個此類芳環之多個稠環系統,該等多個稠環系統進一步描述於下文中。因此,「雜芳基」包括具有約1至6個碳原子及約1至4個選自由氧、氮及硫組成之群的雜原子之單芳環。硫及氮原子亦可以氧化形式存在,其限制條件為環為芳族。例示性雜芳環系統包括(但不限於)吡啶基、嘧啶基、噁唑基或呋喃基。「雜芳基」亦包括多個稠環系統(例如包含2、3 或4個環之環系統),其中如上文所定義之雜芳基與選自以下中之一或多個環稠合以形成多稠環系統:雜芳基(形成例如1,8-萘啶基)、雜環(形成例如1,2,3,4-四氫-1,8-萘啶基)、碳環(形成例如5,6,7,8-四氫喹啉基)及芳基(形成例如吲唑基)。因此,雜芳基(單芳環或多稠環系統)在雜芳環內具有約1至20個碳原子及約1至6個雜原子。此類多個稠環系統可視情況經稠環之碳環或雜環部分上之一或多個(例如1、2、3或4個)側氧基取代。多稠環系統之環在價數要求允許時可經由稠合、螺環及橋聯鍵彼此連接。應理解,多稠環系統之個別環可相對於彼此以任何順序連接。應理解,雜芳基或雜芳基多稠環系統之連接點可處於雜芳基或雜芳基多稠環系統之任何合適的原子,包括碳原子及雜原子(例如氮)。亦應理解,在參考特定原子範圍成員芳基(例如5至10員雜芳基)時,該原子範圍係用於雜芳基之總環原子且包括碳原子及雜原子。舉例而言,5員雜芳基將包括噻唑基且10員雜芳基將包括喹啉基。例示性雜芳基包括(但不限於)吡啶基、吡咯基、吡嗪基、嘧啶基、噠嗪基、吡唑基、噻吩基、吲哚基、咪唑基、噁唑基、異噁唑基、噻唑基、呋喃基、噁二唑基、噻二唑基、喹啉基、異喹啉基、苯并噻唑基、苯并噁唑基、吲唑基、喹喏啉基、喹唑啉基、5,6,7,8-四氫異喹啉基、苯并呋喃基、苯并咪唑基、苯并噻吩基(thianaphthenyl)、吡咯并[2,3-b]吡啶基、喹唑啉基-4(3H)-酮及三唑基。
「環烷基」係指具有3至20個環碳原子之單一飽和或部分不飽和全碳環(亦即C3-20
環烷基),其具有例如3至12個環原子,例如3至10個環原子、或3至8個環原子、或3至6個環原子、或3至5個環原子、或3至4個環原子。術語「環烷基」亦包括多稠合、飽和及部分不飽和全碳環系統(例如包含2、3或4個碳環之環系統)。因此,環烷基包括多環碳環,諸如雙環碳環(例如,具有約6至12個環碳原子之雙環碳環,諸如雙環[3.1.0]己烷及雙環[2.1.1]己烷),及多環碳環(例如具有高達約20個環碳原子之三環及四環碳環)。多稠環系統之環在價數要求允許時可經由稠合、螺合及橋聯鍵彼此連接。單環環烷基之非限制性實例包括環丙基、環丁基、環戊基、1-環戊-1-烯基、1-環戊-2-烯基、1-環戊-3-烯基、環己基、1-環己-1-烯基、1-環己-2-烯基及1-環己-3-烯基。
如本文所使用之「雜環基」或「雜環」或「雜環烷基」係指在環中具有至少一個雜原子的單一飽和或部分不飽和非芳環或非芳族多環系統(亦即,至少一個選自氧、氮及硫之環雜原子)。除非另外規定,否則雜環基具有3至約20個環原子,例如3至12個環原子,例如3至10個環原子、或3至8個環原子、或3至6個環原子、或3至5個環原子、或4至6個環原子、或4至5個環原子。因此,該術語包括單一飽和或部分不飽和環(例如3員、4員、5員、6員或7員環),其在環中具有約1至6個環碳原子及約1至3個選自由氧、氮及硫組成之群的環雜原子。多稠環(例如雙環雜環基)系統之環在價數要求允許時可經由稠合、螺環及橋聯鍵彼此連接。雜環包括(但不限於)氮雜環丁烷、氮丙啶、咪唑啶、嗎啉、環氧乙烷(環氧化物)、氧雜環丁烷、硫雜環丁烷、哌嗪、哌啶、吡唑啶、吡咯啶、吡咯啶酮、四氫呋喃、四氫噻吩、二氫吡啶、四氫吡啶、啶、2-氧雜-6-氮雜螺[3.3]庚-6-基、6-氧雜-1-氮雜螺[3.3]庚-1-基、2-硫雜-6-氮雜螺[3.3]庚-6-基、2,6-二氮雜螺[3.3]庚-2-基、2-氮雜雙環[3.1.0]己-2-基、3-氮雜雙環[3.1.0]己基、2-氮雜雙環[2.1.1]己基、2-氮雜雙環[2.2.1]庚-2-基、4-氮雜螺[2.4]庚基、5-氮雜螺[2.4]庚基及其類似物。
如本文所使用,「側氧基」係指=O。
如本文所使用,「經取代」係指經選自由以下組成之群的一或多個取代基(例如1、2、3或4個或更多個取代基)取代:-OH、-SH、-NH2
、=O、=NH、=S、≡N、鹵素、-N3
、C1
-6
烷基、C1
-6
烷氧基、-CN及-COORp
,其中Rp
為氫或C1
至C6
烷基。
「本發明化合物」包括本文所揭示之化合物,例如本發明化合物包括式(I)、(Ia-1)、(Ia-2)、(Ib)、(Ic)、(Id-1)、(Id-2)、(Ie)、(If)、(Ig)、(Ih)及/或(Ii)之化合物,包括以下實例之化合物。
如本文所使用之「治療(treatment/treat/treating)」係指用於獲得有益或所要結果之方法。出於本發明之目的,有益或所要結果包括(但不限於)症狀緩解及/或症狀程度減輕及/或預防與疾病或病狀相關之症狀的惡化。在一個實施例中,「治療(treatment/treating)」包括以下中之一或多者:a)抑制疾病或病狀(例如,減少由疾病或病狀引起之一或多種症狀,及/或減輕疾病或病狀之程度);b)減緩或遏制與疾病或病狀相關之一或多種症狀的發展(例如,使疾病或病狀穩定、延緩疾病或病狀之惡化或進展);及c)緩解疾病或病狀,例如使臨床症狀消退、改善疾病病況、延緩疾病進展、提高生活品質及/或延長存活期。
如本文所使用之「延緩」係指推遲、阻礙、減緩、扼止、穩定及/或延遲疾病或病狀之發展。此延遲可具有不同時間長度,視所治療之疾病及/或個體之病史而定。如熟習此項技術者顯而易見,足夠或顯著延緩可實際上涵蓋預防,從而使個體不出現疾病或病狀。
如本文所使用之「預防(prevent/prevention/preventing)」係指防止疾病或病症發作以使得疾病之臨床症狀不發展的療法。因此,「預防」係關於在個體中可偵測到疾病病徵之前向個體投與治療(例如,投與治療物質)(例如,在個體中不存在可偵測感染物(例如,病毒)下向個體投與治療物質)。個體可為處於發展疾病或病症風險下之個體,諸如具有已知與疾病或病症之發展或發作相關的一或多個風險因素的個體。因此,在某些實施例中,術語「預防HBV感染」係指向不具有可偵測之HBV感染的個體投與抗HBV治療物質。應理解,抗HBV預防性治療之個體可為處於感染HBV病毒之風險下的個體。亦應理解,預防不需要100%成功率。在一些情況下,預防可理解為降低感染風險,而非完全消除感染發生。
如本文中所使用,「調節(Modulation/modulating)」蛋白質(例如STING接附蛋白)之活性係指改變活性使得活性增加或降低。在一些實施例中,調節可增加活性。
如本文所使用,術語「病毒感染」描述一種患病狀態,其中病毒侵入健康細胞,使用細胞之生殖機制倍增或複製且最終溶解細胞,從而引起細胞死亡,釋放病毒粒子及藉由新產生之後代病毒感染其他細胞。由某些病毒引起之潛在感染亦為病毒感染之可能結果。
如本文所使用,術語「增強」係指疫苗之有效劑量的免疫原性活性由於向動物或人類投與治療有效劑量之本發明化合物(例如,式(I)、(Ia-1)、(Ia-2)、(Ib)、(Ic)、(Id-1)、(Id-2)、(Ie)、(If)、(Ig)、(Ih)及/或(Ii)之環二核苷酸)而引起之任何形式的增加,其中該化合物係在向同一動物或人類投與有效劑量之疫苗之前的任何時間、同時或剛好在投與之後投與。
如本文所使用之「動物」係指哺乳動物,例如家畜,諸如豬、母牛、馬、狗、貓、大鼠或小鼠,或非人類靈長類動物,諸如獼猴或黑猩猩。
如本文所使用之「處於風險下之個體」係指處於發展待治療病狀之風險下的個體。個體「處於風險下」可或可不患有可偵測之疾病或病狀,且在本文所描述之方法治療之前可或可不顯示可偵測之疾病。「處於風險下」指示個體具有一或多個所謂的風險因素,其為與疾病或病狀之發展相關的可量測參數且為此項技術中已知。具有此等風險因素中之一或多者的個體比不具有此等風險因素的個體具有更高的發展疾病或病狀之機率。
如本文所用之「治療有效量」或「有效量」係指有效地引發所要生物學或醫學反應之量,包括在向個體投與以用於治療疾病時足以實現此類疾病治療之化合物的量。有效量將視化合物、待治療個體之疾病及其嚴重程度及年齡、體重等而變化。有效量可包括一系列量。如此項技術中所理解,有效量可呈一或多次劑量,亦即,單次劑量或多次劑量可為達成所要治療指標所需。在投與一或多種治療劑之情形下可考慮有效量,且若與一或多種其他藥劑結合可達成或已達成理想或有益結果,則單一藥劑可視為以有效量給與。任何共投與化合物之適合劑量可視情況因化合物之組合作用(例如,累加或協同效應)而減少。
「醫藥學上可接受之賦形劑」包括(但不限於)任何佐劑、載劑、賦形劑、滑動劑、甜味劑、稀釋劑、防腐劑、染料/著色劑、風味增強劑、界面活性劑、濕潤劑、分散劑、懸浮劑、穩定劑、等張劑、溶劑或乳化劑,其已經美國食品與藥物管理局(United States Food and Drug Administration)批准為可接受用於人類或家畜。
如本文所使用之「共投與」係指在投與單位劑量之一或多種其他治療劑之前或之後投與單位劑量之本文所揭示之化合物,例如,在投與一或多種其他治療劑之數秒、數分鐘或數小時內投與本文所揭示之化合物。舉例而言,在一些實施例中,首先投與單位劑量之本發明化合物,隨後在數秒或數分鐘內投與單位劑量之一或多種其他治療劑。或者,在其他實施例中,首先投與單位劑量之一或多種其他治療劑,接著在數秒或數分鐘內投與單位劑量之本發明化合物。在一些實施例中,首先投與單位劑量之本發明化合物,接著在一段時間(例如1至12小時)後投與單位劑量之一或多種其他治療劑。在其他實施例中,首先投與單位劑量之一或多種其他治療劑,接著在一段時間(例如1至12小時)後投與單位劑量之本發明化合物。共投與本文所揭示之化合物與一或多種其他治療劑通常係指同時或依序投與本文所揭示之化合物及一或多種其他治療劑,使得治療有效量之各藥劑存在於患者體內。
亦提供本文中所描述之化合物之醫藥學上可接受之鹽、水合物、溶劑合物、互變異構形式、多晶型物及前藥。「醫藥學上可接受」或「生理學上可接受」係指化合物、鹽、組合物、劑型及其他物質適用於製備適合於獸醫學或人類醫藥使用之醫藥組合物。
本文所描述之化合物可製備及/或調配為醫藥學上可接受之鹽或在適當時製備及/或調配為游離鹼。醫藥學上可接受之鹽為擁有所要的游離鹼之藥理學活性的化合物之游離鹼形式之無毒鹽。此等鹽可衍生自無機或有機酸或鹼。舉例而言,含有鹼性氮之化合物可藉由使該化合物與無機或有機酸接觸而製備為醫藥學上可接受之鹽。醫藥學上可接受之鹽之非限制性實例包括硫酸鹽、焦硫酸鹽、硫酸氫鹽、亞硫酸鹽、亞硫酸氫鹽、磷酸鹽、磷酸單氫鹽、磷酸二氫鹽、偏磷酸鹽、焦磷酸鹽、氯化物、溴化物、碘化物、乙酸鹽、丙酸鹽、癸酸鹽、辛酸鹽、丙烯酸鹽、甲酸鹽、異丁酸鹽、己酸鹽、庚酸鹽、丙炔酸鹽、乙二酸鹽、丙二酸鹽、丁二酸鹽、辛二酸鹽、癸二酸鹽、反丁烯二酸鹽、順丁烯二酸鹽、丁炔-1,4-二酸鹽、己炔-1,6-二酸鹽、苯甲酸鹽、氯苯甲酸鹽、甲基苯甲酸鹽、二硝基苯甲酸鹽、羥基苯甲酸鹽、甲氧基苯甲酸鹽、鄰苯二甲酸鹽、磺酸鹽、甲基磺酸鹽、丙基磺酸鹽、苯磺酸鹽、二甲苯磺酸鹽、萘-1-磺酸鹽、萘-2-磺酸鹽、苯乙酸鹽、苯丙酸鹽、苯丁酸鹽、檸檬酸鹽、乳酸鹽、γ-羥丁酸鹽、乙醇酸鹽、酒石酸鹽及扁桃酸鹽。其他適合之醫藥學上可接受之鹽的清單見於Remington:The Science and Practice of Pharmacy, 第21版, Lippincott Wiliams and Wilkins, Philadelphia, Pa., 2006。
本文所揭示之化合物之「醫藥學上可接受之鹽」的實例亦包括衍生自適當鹼之鹽,該鹼諸如鹼金屬(例如,鈉、鉀)、鹼土金屬(例如,鎂)、銨及NX4 +
(其中X係C1
-C4
烷基)。亦包括鹼加成鹽,諸如鈉或鉀鹽。
亦提供本文所描述之化合物或其醫藥學上可接受之鹽、異構體或混合物,其中連接至碳原子之1至n個氫原子可經氘原子或D置換,其中n為分子中之氫原子的數目。如此項技術中已知,氘原子為氫原子之非放射性同位素。該等化合物可增加代謝抗性,且因此當向哺乳動物投與時,可適用於增加本文所描述之化合物或其醫藥學上可接受之鹽、異構體或混合物之半衰期。參見例如Foster, 「Deuterium Isotope Effects in Studies of Drug Metabolism」, Trends Pharmacol. Sci., 5(12):524-527 (1984)。藉由此項技術中熟知之手段,例如藉由採用其中一或多個氫原子已經氘置換之起始物質,合成此等化合物。
可併入所揭示之化合物中的同位素之實例亦包括氫、碳、氮、氧、磷、氟、氯及碘之同位素,諸如分別為2
H、3
H、11
C、13
C、14
C、13
N、15
N、15
O、17
O、18
O、31
P、32
P、35
S、18
F、36
Cl、123
I及125
I。經正電子發射同位素(諸如11
C、18
F、15
O及13
N)取代可適用於正電子發射斷層攝影術(PET)研究,以檢查受質受體佔有率。經同位素標記之式(I)化合物可通常藉由熟習此項技術者已知的習知技術或藉由與如下文闡述之實例中所描述之方法類似之方法,使用合適的經同位素標記之試劑代替先前所用之未經標記之試劑來製備。
本文所揭示之實施例之化合物或其醫藥學上可接受之鹽可含有一或多個不對稱中心,且可因此產生對映異構體、非對映異構體及其他立體異構形式,該等立體異構形式可在絕對立體化學方面針對胺基酸定義為(R
)-或(S
)-或(D)-或(L)-。本發明意謂包括所有該等可能的異構體,以及其外消旋及光學純形式。具光學活性之(+)及(-)、(R
)-及(S
)-或(D)-及(L)-異構體可使用對掌性合成子或對掌性試劑來製備,或使用習知技術(例如層析及分步結晶)來解析。用於製備/分離個別對映異構體之習知技術包括自適合之光學純前驅體進行對掌性合成或使用例如對掌性高壓液相層析(HPLC)對外消旋體(或鹽或衍生物之外消旋體)進行解析。當本文所描述之化合物含有烯系雙鍵或其他幾何不對稱中心時且除非另外規定,否則意欲化合物包括E及Z幾何異構體。同樣,亦意欲包括所有互變異構形式。在化合物以其對掌性形式表示時,應理解,實施例涵蓋(但不限於)特定非對映異構性或對映異構性增濃形式。在未指定但存在對掌性時,應理解,實施例係針對特定非對映異構性或對映異構性增濃形式;或此類化合物之外消旋或非外消旋混合物。如本文所使用,「非外消旋混合物」係比率不為1:1的立體異構體之混合物。
如本文中所使用,「立體異構體」係指由相同鍵所鍵結之相同原子構成但具有不可互換的不同三維結構之化合物。本發明涵蓋各種立體異構體及其混合物且包括「對映異構體」,對映異構體係指分子彼此間為不可重疊之鏡像的兩種立體異構體。
如本文所使用之「互變異構體」係指質子自分子之一個原子轉移至同一分子之另一原子。本發明包括任何該等化合物之互變異構體。
如本文所使用之「溶劑合物」係指溶劑與化合物之相互相用之結果。亦提供本文所描述之化合物之鹽的溶劑合物。亦提供本文中所描述之化合物之水合物。
如本文中所使用,「水合物」係指與一或多個水分子以化學方式締合之本發明化合物。
如本文所使用,「前藥」係指藥物之衍生物,其在投與人體時根據一些化學或酶促路徑轉化成母體藥物。III. 化合物
本發明包括式(I)之環二核苷酸,(I),
或其對映異構體、水合物、溶劑合物或醫藥學上可接受之鹽,
其中
L1
為-O-或-K-C(R6
R7
)-;
L2
為-K-C(R6
R7
)-;
Y1
及Y2
各自獨立地為-O-、-S-或-CH2
-;
X1
及X3
各自獨立地為OH、SH、OR13
、SR13
或N(R13
)2
;
X2
及X4
各自獨立地為O或S;
R1
、R5
、R8
及R12
各自獨立地為H、CH2
F、CHF2
、CF3
、CN、N3
、F、Cl、Br、I、COOR13
、CON(R13
)2
、CH2
OH、C1
-C6
烷基、C2
-C6
烯基、C2
-C6
炔基、C1
-C6
經取代烷基、C2
-C6
經取代烯基、C2
-C6
經取代炔基、OR13
、SR13
或N(R13
)2
;
R2
、R3
、R4
、R9
、R10
及R11
各自獨立地為H、OH、F、Cl、Br、I、CN、N3
、C1
-C6
烷基、C2
-C6
烯基、C2
-C6
炔基、C1
-C6
經取代烷基、C2
-C6
經取代烯基、C2
-C6
經取代炔基、OR13
、SR13
或N(R13
)2
;
R6
及R7
各自獨立地為H、CH2
F、CHF2
、CF3
、CN、N3
、F、Cl、Br、I、COOR13
、CON(R13
)2
、CH2
OH、CH2
N3
、OR13
、SR13
、N(R13
)2
、C1
-C6
烷基、C2
-C6
烯基、C2
-C6
炔基、C1
-C6
經取代烷基、C2
-C6
經取代烯基、C2
-C6
經取代炔基、C3
-C7
環烷基、C2
-C10
雜環烷基、C2
-C10
經取代雜環烷基、C6
-C10
芳基、C6
-C10
經取代芳基、C2
-C10
雜芳基或C2
-C10
經取代雜芳基;
各R13
獨立地為H、-C(=Z)R14
、-C(=Z)OR14
、-C(=Z)SR14
、-C(=Z)N(R14
)2
、C1
-C6
烷基、C2
-C6
烯基、C2
-C6
炔基、C1
-C6
經取代烷基、C2
-C6
經取代烯基、C2
-C6
經取代炔基、C3
-C7
環烷基、C2
-C10
雜環烷基、C2
-C10
經取代雜環烷基、C6
-C10
芳基、C6
-C10
經取代芳基、C2
-C10
雜芳基或C2
-C10
經取代雜芳基;
各R14
獨立地為H、C1
-C6
烷基、C2
-C6
烯基、C2
-C6
炔基、C1
-C6
經取代烷基、C2
-C6
經取代烯基、C2
-C6
經取代炔基、C3
-C7
環烷基、C2
-C10
雜環烷基、C2
-C10
經取代雜環烷基、C6
-C10
芳基、C6
-C10
經取代芳基、C2
-C10
雜芳基或C2
-C10
經取代雜芳基;
各Z獨立地為O、S或NR13
;
K為表示-O-、-S-、-S(O)-、-S(O)2
-、-NH-或-NR13
-之變數;
鹼基1
及鹼基2
各自獨立地為:
其中
A、A1
、A2
、A3
及A4
各自獨立地為H、OH、SH、F、Cl、Br、I、NH2
、OR13
、SR13
、NHR13
、N(R13
)2
或R14
;及
其中C1
-C6
經取代烷基、C2
-C6
經取代烯基、C2
-C6
經取代炔基、C2
-C10
經取代雜環烷基、C6
-C10
經取代芳基或C2
-C10
經取代雜芳基經1、2、3或4個獨立地選自由以下組成之群之取代基取代:-OH、-SH、-NH2
、=O、=NH、=S、≡N、鹵素、-N3
、C1
-6
烷基、C1
-6
烷氧基、-CN及-COORp
,其中Rp
為氫或C1
至C6
烷基。
在一些實施例中,該化合物為式(I)化合物:(I),
或其對映異構體、水合物、溶劑合物或醫藥學上可接受之鹽,
其中
L1
為-O-或-K-C(R6
R7
)-;
L2
為-K-C(R6
R7
)-;
Y1
及Y2
各自獨立地為-O-、-S-或-CH2
-;
X1
及X3
各自獨立地為OH、SH、OR13
、SR13
或N(R13
)2
;
X2
及X4
各自獨立地為O或S;
R1
、R5
、R8
及R12
各自獨立地為H、CH2
F、CHF2
、CF3
、CN、N3
、F、Cl、Br、I、COOR13
、CON(R13
)2
、CH2
OH、C1
-C6
烷基、C2
-C6
烯基、C2
-C6
炔基、OR13
、SR13
或N(R13
)2
;
R2
、R3
、R4
、R9
、R10
及R11
各自獨立地為H、OH、F、Cl、Br、I、CN、N3
、C1
-C6
烷基、C2
-C6
烯基、C2
-C6
炔基、OR13
、SR13
或N(R13
)2
;
R6
及R7
各自獨立地為H、CH2
F、CHF2
、CF3
、CN、N3
、F、Cl、Br、I、COOR13
、CON(R13
)2
、CH2
OH、CH2
N3
、OR13
、SR13
、N(R13
)2
、C1
-C6
烷基、C2
-C6
烯基、C2
-C6
炔基、C3
-C7
環烷基、C2
-C10
雜環烷基、C6
-C10
芳基或C2
-C10
雜芳基;
各R13
獨立地為H、-C(=Z)R14
、-C(=Z)OR14
、-C(=Z)SR14
、-C(=Z)N(R14
)2
、C1
-C6
烷基、C2
-C6
烯基、C2
-C6
炔基、C3
-C7
環烷基、C2
-C10
雜環烷基、C6
-C10
芳基、或C2
-C10
雜芳基;
各R14
獨立地為H、C1
-C6
烷基、C2
-C6
烯基、C2
-C6
炔基、C3
-C7
環烷基、C2
-C10
雜環烷基、C6
-C10
芳基或C2
-C10
雜芳基;
各Z獨立地為O、S或NR13
;
K為表示-O-、-S-、-S(O) -、-S(O)2
-、-NH-或-NR13
-之變數;
鹼基1
及鹼基2
各自獨立地為:
其中
A、A1
、A2
、A3
及A4
各自獨立地為H、OH、SH、F、Cl、Br、I、NH2
、OR13
、SR13
、NHR13
、N(R13
)2
或R14
。
在一些實施例中,Y1
及Y2
為O。
在一些實施例中,X2
及X4
為O,且X1
及X3
各自獨立地為OH或OR13
。在一些實施例中,X2
及X4
為O,且X1
及X3
為OH。
在一些實施例中,L1
為-O-。在一些實施例中,L1
為-O-C(R6
R7
)-。在一些實施例中,L1
為-O-CH2
-。
在一些實施例中,L2
為-O-C(R6
R7
)-。在一些實施例中,L2
為-O-CH2
-。
在一些實施例中,R1
、R5
、R8
及R12
各自獨立地為H、CH2
F、CHF2
、CF3
、CN、N3
、F、Cl、Br、I、COOR13
、CON(R13
)2
、CH2
OH、C1-6
烷基、C2-6
烯基、C2-6
炔基、OR13
、SR13
或N(R13
)2
。在一些實施例中,R1
、R5
、R8
及R12
各自獨立地為H、CN、N3
、F、Cl、Br、I、COOR13
、CON(R13
)2
、CH2
OH、C1-3
鹵烷基、C1-6
烷基、C2-6
烯基、C2-6
炔基、OR13
、SR13
或N(R13
)2
。在一些實施例中,R1
、R5
、R8
及R12
各自為H。
在一些實施例中,R2
、R3
、R4
、R9
、R10
及R11
各自獨立地為H、OH、F、Cl、Br、I、CN、N3
、C1
-C6
烷基、C2
-C6
烯基、C2
-C6
炔基、OR13
、SR13
或N(R13
)2
。在一些實施例中,R2
、R3
、R4
、R9
、R10
及R11
各自獨立地為H、OH、F、Cl、Br、I、CN、N3
、C1
-C6
烷基、C2
-C6
烯基、C2
-C6
炔基、OR13
、SR13
或N(R13
)2
。
在一些實施例中,R2
、R3
、R9
及R10
各自獨立地為H、OH、F、Cl、Br、I、CN或N3
。在一些實施例中,R2
、R3
、R9
及R10
各自為H。
在一些實施例中,R6
及R7
各自獨立地為H、CH2
F、CHF2
、CF3
、CN、N3
、F、Cl、Br、I、COOR13
、CON(R13
)2
、CH2
OH、CH2
N3
、OR13
、SR13
、N(R13
)2
、C1
-C6
烷基、C2
-C6
烯基、C2
-C6
炔基、C3
-C7
環烷基、C2
-C10
雜環烷基、C6
-C10
芳基或C2
-C10
雜芳基。在一些實施例中,R6
及R7
各自獨立地為H、CN、N3
、F、Cl、Br、I、COOR13
、CON(R13
)2
、CH2
OH、CH2
N3
、OR13
、SR13
、N(R13
)2
、C1
-C3
鹵烷基、C1
-C6
烷基、C2
-C6
烯基、C2
-C6
炔基、C3
-C7
環烷基、C2
-C10
雜環烷基、C6
-C10
芳基或C2
-C10
雜芳基。在一些實施例中,R6
及R7
各自獨立地為H、C1
-C3
鹵烷基、CN、N3
、F、Cl、Br及I。在一些實施例中,R6
及R7
各自獨立地為H、CH2
F、CHF2
、CF3
、CN、N3
、F、Cl、Br及I。在一些實施例中,R6
及R7
各自為H。
在一些實施例中,各R13
獨立地為H、-C(=Z)R14
、-C(=Z)OR14
、-C(=Z)SR14
、-C(=Z)N(R14
)2
、C1
-C6
烷基、C2
-C6
烯基、C2
-C6
炔基、C3
-C7
環烷基、C2
-C10
雜環烷基、C6
-C10
芳基或C2
-C10
雜芳基。在一些實施例中,各R13
獨立地為H或C1
-C6
烷基。
在一些實施例中,各R14
獨立地為H、C1
-C6
烷基、C2
-C6
烯基、C2
-C6
炔基、C3
-C7
環烷基、C2
-C10
雜環烷基、C6
-C10
芳基或C2
-C10
雜芳基。在一些實施例中,各R14
獨立地為H或C1
-C6
烷基。
在式(I)及/或(Ia-1)之結構之一些實施例中,L1
為-O-或-O-C(R6
R7
)-,且L2
為-O-C(R6
R7
)-。在一些實施例中,L1
為-O-或-O-CH2
-,且L2
為-O-CH2
-。在一些實施例中,L1
為-O-,且L2
為-O-CH2
-。在一些實施例中,L1
為-O-CH2
-,且L2
為-O-CH2
-。
在式(I)、(Ia-1)及/或(Ia-2)之結構之一些實施例中,R4
及R11
各自獨立地為 H、OH、F、Cl、Br、I、CN、N3
或OR13
。在一些實施例中,R4
及R11
各自獨立地為OH、F、Cl、Br或OR13
。在一些實施例中,R4
及R11
各自獨立地為H、OH或F。在一些實施例中,R4
及R11
各自獨立地為OH或F。在一些實施例中,R4
為OH,且R11
為F。在一些實施例中,R4
為F,且R11
為OH。在一些實施例中,R4
及R11
各自為OH。
在式(Ib)之結構之一些實施例中,L1
為-O-或-O-CH2
-。在一些實施例中,L1
為-O-。在一些實施例中,L1
為-O-CH2
-。
在式(Id-1)之結構之一些實施例中,R4
及R11
各自獨立地為H、OH、F、Cl、Br、I、CN、N3
或OR13
。在一些實施例中,R4
及R11
各自獨立地為OH、F、Cl、Br或OR13
。在一些實施例中,R4
及R11
各自獨立地為H、OH或F。在一些實施例中,R4
及R11
各自獨立地為OH或F。在一些實施例中,R4
為OH,且R11
為F。在一些實施例中,R4
為F,且R11
為OH。在一些實施例中,R4
及R11
各自為OH。在一些實施例中,R4
及R11
各自為F。
在式(I)、(Ia-1)、(Ia-2)、(Ib)、(Ic)、(Id-1)、(Id-2)、(Ie)、(If)、(Ig)、(Ih)及/或(Ii)之結構之一些實施例中,鹼基1
及鹼基2
各自獨立地為: 。
在一些實施例中,鹼基1
及鹼基2
各自獨立地為:。
在一些實施例中,鹼基1
及鹼基2
各自獨立地為: 。
在一些實施例中,鹼基1
及鹼基2
各自獨立地為:。
在一些實施例中,鹼基1
及鹼基2
各自獨立地為:。
在一些實施例中,鹼基1
為,且鹼基2
為。
在一些實施例中,鹼基1
為,且鹼基2
為。
在一些實施例中,鹼基1
及鹼基2
各自為。
在一些實施例中,鹼基1
及鹼基2
各自為。
在(I)、(Ia-1)、(Ia-2)、(Ib)、(Ic)、(Id-1)、(Id-2)、(Ie)、(If)、(Ig)、(Ih)及/或(Ii)之結構之一些實施例中,A、A1
、A2
、A3
及A4
各自獨立地為H、OH、SH、F、Cl、Br、I、NH2
。
在式(I)、(Ia-1)、(Ia-2)、(Ib)、(Ic)、(Id-1)、(Id-2)、(Ie)、(If)、(Ig)、(Ih)及/或(Ii)之結構之一些實施例中,A1
、A2
及A3
各自獨立地為H、OH、SH、F、Cl、Br、I、NH2
。在一些實施例中,A1
、A2
及A3
各自獨立地為H、OH及NH2
。
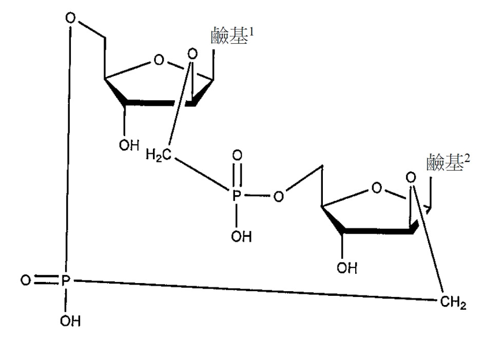
在一些實施例中,式(I)、(Ia-1)、(Ia-2)、(Ib)、(Ic)、(Id-1)、(Id-2)、(Ie)、(If)、(Ig)、(Ih)及/或(Ii)之環二核苷酸具有以下結構: ,
或其對映異構體、水合物、溶劑合物或醫藥學上可接受之鹽。
在一些實施例中,式(I)、(Ia-1)、(Ia-2)、(Ib)、(Ic)、(Id-1)、(Id-2)、(Ie)、(If)、(Ig)、(Ih)及/或(Ii)之環二核苷酸具有以下結構:,
或其對映異構體、水合物、溶劑合物或醫藥學上可接受之鹽。
在一些實施例中,式(I)、(Ia-1)、(Ia-2)、(Ib)、(Ic)、(Id-1)、(Id-2)、(Ie)、(If)、(Ig)、(Ih)及/或(Ii)之環二核苷酸具有以下結構:,
或其對映異構體、水合物、溶劑合物或醫藥學上可接受之鹽。
對掌性中心之存在允許化合物以兩種可能的光學異構體((R)-對映異構體或(S)-對映異構體)中之一者的形式存在或以該兩者之外消旋混合物的形式存在。在可連接於分子中之不同位置處的取代基存在的情況下,所有區位異構體及所形成之區位異構體之混合物包括於本文所描述之式(I)、(Ia-1)、(Ia-2)、(Ib)、(Ic)、(Id-1)、(Id-2)、(Ie)、(If)、(Ig)、(Ih)及/或(Ii)之範疇內。
本發明化合物,例如式(I)、(Ia-1)、(Ia-2)、(Ib)、(Ic)、(Id-1)、(Id-2)、(Ie)、(If)、(Ig)、(Ih)及/或(Ii)之化合物,可經展示於多個等效繪圖中。舉例而言,式(Ia-1)之化合物在本文中通常係如下文所示般描繪:(Ia-1)。
以上式(Ia)之化合物等效於如下所描繪之式(Ia)之化合物:(Ia-1)。
此外,先前繪圖中之每一者等效於以下對式(Ia-1)之化合物之描繪:(Ia-1)。IV. 組合物
在某些實施例中,本發明提供一種醫藥組合物,其包含本發明化合物(例如,式(I)、(Ia-1)、(Ia-2)、(Ib)、(Ic)、(Id-1)、(Id-2)、(Ie)、(If)、(Ig)、(Ih)及/或(Ii)之化合物)、其水合物、溶劑合物或醫藥學上可接受之鹽,以及醫藥學上可接受之賦形劑。
在某些實施例中,醫藥組合物包含一或多種其他治療劑,如下文更充分闡述。
包含本文所揭示之化合物或其醫藥學上可接受之鹽的醫藥組合物可用可根據常規選擇的一或多種醫藥學上可接受之賦形劑製備。錠劑可含有包括滑動劑、填充劑、黏合劑及其類似物之賦形劑。水性組合物可以無菌形式製備,且在意圖用於藉由除經口投與以外進行遞送時一般可為等張的。所有組合物可視情況含有諸如Rowe等人, Handbook of Pharmaceutical Excipients, 第6版, American Pharmacists Association, 2009中所闡述之彼等賦形劑的賦形劑。賦形劑可包括抗壞血酸及其他抗氧化劑、螯合劑(諸如EDTA)、碳水化合物(諸如糊精)、羥烷基纖維素、羥烷基甲基纖維素、硬脂酸及其類似物。在某些實施例中,組合物以固體劑型提供,包括固體口服劑型。
組合物包括適用於各種投與途徑,包括經口投與之彼等組合物。組合物可以單位劑型存在,且可藉由藥劑學技術中熟知之任何方法製備。此類方法包括使活性成分(例如本發明化合物或其藥用鹽)與一或多種醫藥學上可接受之賦形劑結合的步驟。組合物可藉由使活性成分與液體賦形劑或細粉狀固體賦形劑或兩者均勻且緊密地結合,且隨後視需要使產物成形來製備。技術及調配物一般見於Remington:The Science and Practice of Pharmacy, 第21版, Lippincott Wiliams and Wilkins, Philadelphia, Pa., 2006中。
[0002]
本文所描述之適用於經口投與之組合物可以離散單元(單位劑型)存在,包括(但不限於)膠囊、扁囊劑或錠劑,各自含有預定量之活性成分。在一個實施例中,醫藥組合物為錠劑。
本文所揭示之醫藥組合物包含一或多種本文所揭示之化合物,或其醫藥學上可接受之鹽,以及醫藥學上可接受之賦形劑及視情況選用之其他治療劑。含有活性成分之醫藥組合物可呈適用於預期投與方法之任何形式。當用於例如口服使用時,可製備錠劑、糖衣錠、口含錠、水性或油性懸浮液、可分散粉末或顆粒、乳液、硬或軟膠囊、糖漿或酏劑。可根據製造醫藥組合物之技術中已知的任何方法製備欲用於口服使用的組合物,且該等組合物可含有一或多種賦形劑,包括甜味劑、調味劑、著色劑及防腐劑,以便提供可口製劑。含有與醫藥學上可接受之無毒賦形劑摻合的活性成分之錠劑為可接受的,該等賦形劑適用於製造錠劑。此等賦形劑可為例如惰性稀釋劑,諸如碳酸鈣或碳酸鈉、乳糖、單水合乳糖、交聯羧甲纖維素鈉、聚維酮、磷酸鈣或磷酸鈉;粒化劑及崩解劑,諸如玉米澱粉或褐藻酸;黏合劑,諸如纖維素、微晶纖維素、澱粉、明膠或阿拉伯膠;及潤滑劑,諸如硬脂酸鎂、硬脂酸或滑石。錠劑可未經包覆或可利用已知技術(包括微囊封裝)包覆以延緩在胃腸道中之崩解及吸附,且因此提供較長時段的持續作用。舉例而言,可單獨或伴以蠟使用諸如單硬脂酸甘油酯或二硬脂酸甘油酯之時間延遲材料。
可與無活性成分組合產生劑型之活性成分的量可視預期治療個體及特定投與模式而變化。舉例而言,在一些實施例中,向人類經口投與之劑型可含有大約1至1000 mg活性材料,該活性材料與適當且適宜量之醫藥學上可接受之賦形劑一起調配。在某些實施例中,醫藥學上可接受之賦形劑的範圍為總組合物之約5至約95% (重量:重量)。
在某些實施例中,包含本發明化合物(例如,式(I)、(Ia-1)、(Ia-2)、(Ib)、(Ic)、(Id-1)、(Id-2)、(Ie)、(If)、(Ig)、(Ih)及/或(Ii)之化合物)或其藥學上可接受之鹽的組合物在一個變化形式中不含有影響活性成分代謝速率之藥劑。因此,應理解,包含本發明化合物之組合物在一個態樣中不包含將影響(例如減緩、阻礙或扼止)本發明之化合物或與本發明之化合物分開、依序或同時投與的任何其他活性成分之代謝的藥劑。亦應理解,本文中詳細描述之任何方法、套組、製品及其類似物在一個態樣中不包含將影響(例如減緩、阻礙或扼止)本發明化合物或與本發明化合物分開、依序或同時投與的任何其他活性成分之代謝的藥劑。
本發明進一步包括如上文所描述之醫藥組合物,其係用於調節STING接附蛋白活性,以誘導I型干擾素、細胞介素或趨化介素之STING依賴性產生。
本發明進一步包括如上文所描述之醫藥組合物,其係用於治療或預防病毒感染、由B型肝炎病毒、HIV引起之感染、過度增生性疾病或癌症。
本發明進一步包括式(I)、(Ia-1)、(Ia-2)、(Ib)、(Ic)、(Id-1)、(Id-2)、(Ie)、(If)、(Ig)、(Ih)及/或(Ii)之化合物,其係用於作為醫藥學上可接受之組合物之單一活性成分投與,該醫藥學上可接受之組合物可藉由此項技術中已知之習知方法,例如藉由結合活性成分至醫藥學上可接受之治療惰性的有機及/或無機載劑或賦形劑或藉由與其混合來製備。
另一種可能性係使用式(I)、(Ia-1)、(Ia-2)、(Ib)、(Ic)、(Id-1)、(Id-2)、(Ie)、(If)、(Ig)、(Ih)及/或(Ii)之化合物作為與已知藥物中之其他活性成分具有協同效應的第二或其他活性成分,或投與式(I)、(Ia-1)、(Ia-2)、(Ib)、(Ic)、(Id-1)、(Id-2)、(Ie)、(If)、(Ig)、(Ih)及/或(Ii)之化合物以及此類藥物。
本發明之式(I)、(Ia-1)、(Ia-2)、(Ib)、(Ic)、(Id-1)、(Id-2)、(Ie)、(If)、(Ig)、(Ih)及/或(Ii)之化合物亦可以前藥之形式或在活體內釋放活性成分之其他適合改良形式使用。V. 方法
在一個實施例中,本文提供一種治療疾病或病症之方法,其包含向有需要之人類或動物投與治療有效量之式(I)、(Ia-1)、(Ia-2)、(Ib)、(Ic)、(Id-1)、(Id-2)、(Ie)、(If)、(Ig)、(Ih)及/或(Ii)之環二核苷酸或其對映異構體、醫藥學上可接受之鹽、水合物或溶劑合物。
亦提供一種調節(例如增加) STING接附蛋白之活性之方法,其包含投與治療有效量之式(I)、(Ia-1)、(Ia-2)、(Ib)、(Ic)、(Id-1)、(Id-2)、(Ie)、(If)、(Ig)、(Ih)及/或(Ii)之環二核苷酸或其對映異構體、醫藥學上可接受之鹽、水合物、或溶劑合物。
干擾素基因接附蛋白之刺激劑(STING),亦稱為STING、STING蛋白、跨膜蛋白173 (TMEM173)、MPYS、IRF3活化介體(MITA)或內質網干擾素刺激劑(ERIS),為人類中由TMEM173基因(UniProt碼Q86WV6;NCBI參考序列:NP_938023.1 (同功異型物1)及NP_001288667 (同功異型物2))編碼之蛋白質。咸信STING接附蛋白經由不同分子機制充當直接胞漿DNA感測器(CDS)及I型干擾素信號傳導之接附蛋白。已證實STING接附蛋白可經由TBK1活化下游轉錄因子STAT6及IRF3,且經由IKKβ活化NF-κB,其可實現針對細胞內病原體之抗病毒反應或先天性免疫反應。當細胞受細胞內病原體(諸如病毒、分枝桿菌及細胞內寄生蟲)感染時,STING接附蛋白藉由誘導I型干擾素產生而在先天性免疫性中起作用。由STING接附蛋白介導之I型干擾素保護受感染之細胞及鄰近細胞避免由自分泌及旁分泌信號傳導引起之局部感染。
進一步提供一種預防或治療對STING接附蛋白之調節起反應之疾病或病狀的方法,其包含向有需要之人類或動物投與治療有效量之本發明化合物或其對映異構體、醫藥學上可接受之鹽、水合物或溶劑合物。
進一步提供一種誘導人類或動物中之STING接附蛋白依賴性I型干擾素、細胞介素或趨化介素之方法,其包含投與治療有效量之本發明化合物或其對映異構體、醫藥學上可接受之鹽、水合物或溶劑合物。
STING接附蛋白之活化又活化蛋白激酶TBK1,其接著活化下游轉錄因子NF-κB及IRF-3。咸信STING接附蛋白之活化最終引起釋放I型及III型干擾素以及多種細胞介素及趨化介素,諸如IL-6、TNF-α及INF-γ。因此,在人類或動物中誘導STING接附蛋白依賴性I型干擾素、細胞介素或趨化介素會引起該人類或動物中NF-κB、IRF-3、I型干擾素、III型干擾素、IL-6、TNF-α及INF-γ中之一或多者之活化。
進一步提供一種治療或預防病毒感染(例如由B型肝炎或HIV引起之感染)之方法,其包含向有需要之人類或動物投與治療有效量之本發明化合物或其對映異構體、醫藥學上可接受之鹽、水合物或溶劑合物。
可藉由本發明之方法治療或預防之病毒感染可為任何由病毒引起之感染,例如來自病毒之肝DNA病毒科(Hepadnaviridae
family)之病毒,例如B型肝炎;或任何反轉錄病毒,例如α反轉錄病毒屬,諸如勞斯肉瘤病毒(Rous sarcoma virus);β反轉錄病毒屬,諸如猴反轉錄病毒;δ反轉錄病毒屬,諸如牛白血病病毒或人類T-淋巴病毒(HTLV),包括HTLV-1、HTLV-2及HTLV-3;γ反轉錄病毒屬,諸如鼠類白血病病毒或貓白血病病毒;或慢病毒,諸如人類免疫缺乏病毒(HIV) (包括HIV-1及HIV-2)、猿猴免疫缺乏病毒、馬感染性貧血病毒、牛免疫缺乏病毒、K型兔內源性慢病毒(RELIK)或貓免疫缺乏病毒。
進一步提供一種治療或預防過度增生性疾病或癌症之方法,其包含向有需要之人類或動物投與治療有效量之本發明化合物或其對映異構體、醫藥學上可接受之鹽、水合物或溶劑合物。
過度增生性疾病包括由非癌細胞之過度生長引起之疾病。此類病狀包括(但不限於)牛皮癬、光化性角化症及皮脂溢性角化症、疣、瘢痕瘤及濕疹。
可藉由本發明方法治療或預防之癌症包括實體腫瘤及淋巴瘤,包括(但不限於)腎上腺癌症、膀胱癌、骨癌、腦癌、乳癌、結腸癌、結腸直腸癌、眼癌、頭頸癌、腎癌(諸如腎細胞癌)、肝癌、肺癌(諸如非小細胞肺癌)、卵巢癌、胰臟癌、前列腺癌、皮膚癌(諸如鱗狀細胞癌及黑素瘤)、甲狀腺癌、子宮癌、陰道癌及骨髓瘤(諸如多發性骨髓瘤)。癌症可為原發性,或復發性及/或難治性的。
進一步提供一種增強疫苗功效之方法,其包含向有需要之人類或動物投與治療有效量之本發明化合物或其對映異構體、醫藥學上可接受之鹽、水合物或溶劑合物。
本發明包括本發明化合物或其對映異構體、醫藥學上可接受之鹽、水合物或溶劑合物,其適用作人類或動物中之藥劑。
本發明進一步包括本發明化合物或其對映異構體、醫藥學上可接受之鹽、水合物或溶劑合物,其用於調節STING接附蛋白之活性。
本發明進一步包括本發明化合物或其對映異構體、醫藥學上可接受之鹽、水合物或溶劑合物,其係用於預防或治療人類或動物中之對STING接附蛋白之調節起反應之疾病或病狀。
本發明進一步包括本發明化合物或其對映異構體、醫藥學上可接受之鹽、水合物或溶劑合物,其單獨地或與一或多種治療活性物質組合用於人類或動物中之I型干擾素、細胞介素或趨化介素之STING依賴性誘導。
本發明進一步包括本發明化合物或其對映異構體、醫藥學上可接受之鹽、水合物或溶劑合物,其單獨地或與一或多種治療活性劑組合用於治療或預防人類或動物中之病毒感染。
本發明進一步包括本發明化合物或其對映異構體、醫藥學上可接受之鹽、水合物或溶劑合物,其單獨地或與一或多種治療活性物質組合用於治療或預防人類或動物中由B型肝炎病毒或HIV引起之感染。
本發明進一步包括本發明化合物或其對映異構體、醫藥學上可接受之鹽、水合物或溶劑合物,其單獨地或與一或多種治療活性劑組合用於治療或預防人類或動物中之過度增生性疾病或癌症。
本發明進一步包括本發明化合物或其對映異構體、醫藥學上可接受之鹽、水合物或溶劑合物,其用於增強人類或動物中之疫苗功效。
本發明進一步包括一種醫藥組合物,其係用於調節STING接附蛋白活性,以誘導人類或動物中之I型干擾素、細胞介素或趨化介素之STING依賴性產生。
本發明進一步包括一種醫藥組合物,其係用於治療或預防人類或動物中之病毒感染、由B型肝炎病毒、HIV引起之感染、過度增生性疾病或癌症。
本發明進一步包括本發明化合物或其對映異構體、醫藥學上可接受之鹽、水合物或溶劑合物之用途,其係用於之製造用以治療或預防由B型肝炎病毒、HIV引起之感染、過度增生性疾病或癌症之藥劑。VI. 投與
本發明化合物(在本文中亦稱為活性成分)可藉由適於待治療病狀之任何途徑投與。適合的途徑包括經口、經直腸、經鼻、局部(包括頰內及舌下)、經皮、經陰道及非經腸(包括皮下、肌肉內、靜脈內、皮內、鞘內及硬膜外)及其類似途徑。應瞭解,較佳途徑可隨例如接受者之病狀而變化。本文所揭示之某些化合物之優點為其係經口生物可用的且可為經口給藥的。
本發明化合物可根據有效給藥方案向個體投與持續所要時間段或持續時間,諸如至少約一個月、至少約2個月、至少約3個月、至少約6個月或至少約12個月或更久。在一個變化形式中,化合物按每日或間歇性時程投與個體生命之持續時間。
本發明化合物之劑量或給藥頻率可在治療過程內基於投藥醫師之判斷來調節。
可向個體(例如,人類)投與有效量之化合物。在某些實施例中,化合物每日投與一次。
化合物可藉由任何適用途徑及手段,諸如藉由經口或非經腸(例如靜脈內)投與來投與。化合物之治療有效量可包括每日每公斤體重約0.00001 mg至每日每公斤體重約10 mg,諸如每日每公斤體重約0.0001 mg至每日每公斤體重約10 mg,或諸如每日每公斤體重約0.001 mg至每日每公斤體重約1 mg,或諸如每日每公斤體重約0.01 mg至每日每公斤體重約1 mg,或諸如每日每公斤體重約0.05 mg至每日每公斤體重約0.5 mg,或諸如每日約0.3 mg至約30 mg,或諸如每日約30 mg至約300 mg。
本發明化合物可以本發明化合物之任何劑量(例如1 mg至1000 mg化合物)的形式與一或多種其他治療劑組合。治療有效量可包括每劑量約1 mg至每劑量約1000 mg,諸如每劑量約50 mg至每劑量約500 mg,或諸如每劑量約100 mg至每劑量約400 mg,或諸如每劑量約150 mg至每劑量約350 mg,或諸如每劑量約200 mg至每劑量約300 mg。本發明化合物之其他治療有效量係每劑量約100、125、150、175、200、225、250、275、300、325、350、375、400、425、450、475或約500 mg。本發明化合物之其他治療有效量係每劑量約100 mg、或每劑量約125、150、175、200、225、250、275、300、350、400、450或約500 mg。可每小時、每日或每週投與單次劑量。舉例而言,單次劑量可每隔1小時、2小時、3小時、4小時、6小時、8小時、12小時、16小時投與一次或每隔24小時投與一次。單次劑量亦可每隔1天、2天、3天、4天、5天、6天投與一次或每隔7天投與一次。單次劑量亦可每隔1週、2週、3週投與一次,或每隔4週投與一次。在某些實施例中,單次劑量可每隔一週投與一次。單次劑量亦可每月投與一次。
本發明亦包括套組,其包含本發明化合物或其對映異構體、醫藥學上可接受之鹽、水合物或溶劑合物或含有以上中之任一者的醫藥組合物。
在一個實施例中,提供包含本文所揭示之化合物或其醫藥學上可接受之鹽與一或多種(例如一種、兩種、三種、四種、一種或兩種、或一種至三種、或一種至四種)其他治療劑的組合的套組。VII. 組合療法
在某些實施例中,提供一種用於治療或預防罹患疾病或處於患病風險下之人類中之傳染病、病毒感染、B型肝炎感染、HIV感染、癌症或過度增生性疾病的方法,其包含向該人類投與治療有效量之本發明化合物或其醫藥學上可接受之鹽與治療有效量之一或多種(例如一種、兩種、三種、四種、一種或兩種、一種至三種、或一種至四種)其他治療劑的組合。在一個實施例中,提供一種用於治療罹患疾病或處於患病風險下之人類中之傳染病、病毒感染、B型肝炎感染、HIV感染、癌症或過度增生性疾病的方法,其包含向該人類投與治療有效量之本文所揭示之化合物或其醫藥學上可接受之鹽與治療有效量之一或多種(例如一種、兩種、三種、四種、一種或兩種、一種至三種、或一種至四種)其他治療劑的組合。
在某些實施例中,本發明提供一種用於治療病毒感染之方法,其包含向有需要之個體投與治療有效量之本文所揭示之化合物或其醫藥學上可接受之鹽與治療有效量之一或多種(例如一種、兩種、三種、四種、一種或兩種、一種至三種、或一種至四種)適合於治療病毒感染之其他治療劑的組合。在一些實施例中,病毒感染為B型肝炎感染。在一些實施例中,病毒感染為HIV感染。
在某些實施例中,本文所揭示之化合物或其醫藥學上可接受之鹽與一種、兩種、三種、四種或更多種其他治療劑組合。在某些實施例中,本文所揭示之化合物或其醫藥學上可接受之鹽與兩種其他治療劑組合。在其他實施例中,本文所揭示之化合物或其醫藥學上可接受之鹽與三種其他治療劑組合。在其他實施例中,本文所揭示之化合物或其醫藥學上可接受之鹽與四種其他治療劑組合。一種、兩種、三種、四種或更多種其他治療劑可為選自相同類別之治療劑的不同治療劑,及/或其可選自不同類別之治療劑。
組合療法之投與
在某些實施例中,與一或多種其他治療劑一起投與本文所揭示之化合物。本文所揭示之化合物與一或多種其他治療劑之共同投與通常係指同時或依序投與本文所揭示之化合物及一或多種其他治療劑,使得個體體內存在治療有效量之本文所揭示之化合物及一或多種其他治療劑。當依序投與時,該組合可以兩次或更多次投與形式投與。
共投與本文所揭示之化合物與一或多種其他治療劑通常係指同時或依序投與本文所揭示之化合物及一或多種其他治療劑,使得治療有效量之各藥劑存在於患者體內。
在某些實施例中,本發明化合物可以該化合物之任何劑量(例如10 mg至1000 mg化合物)的形式與一或多種(例如一種、兩種、三種、四種、一種或兩種、一種至三種、或一種至四種)其他治療劑組合。
共投與包括在投與單位劑量之一或多種其他治療劑之前或之後投與單位劑量之本文所揭示之化合物。本文所揭示之化合物可在投與一或多種其他治療劑之數秒、數分鐘或數小時內投與。舉例而言,在一些實施例中,首先投與單位劑量的本文所揭示之化合物,接著在數秒或數分鐘內投與單位劑量之一或多種其他治療劑。或者,在其他實施例中,首先投與單位劑量之一或多種其他治療劑,接著在數秒或數分鐘內投與單位劑量之本文所揭示之化合物。在一些實施例中,首先投與單位劑量之本文所揭示之化合物,接著在一段時間(例如1至12小時)後投與單位劑量之一或多種其他治療劑。在其他實施例中,首先投與單位劑量之一或多種其他治療劑,接著在一段時間(例如1至12小時)後投與單位劑量之本文所揭示之化合物。
在某些實施例中,本文所揭示之化合物以單一劑型形式與一或多種其他治療劑組合,以用於例如以用於口服投與之固體劑型形式同時投與給個體。
在某些實施例中,本發明化合物經調配為錠劑,其可視情況含有適用於治療受治療疾病的一或多種其他化合物。在某些實施例中,錠劑可含有用於治療病毒性疾病(例如B型肝炎病毒或HIV)之另一活性成分。
在某些實施例中,該等錠劑適用於每日一次給藥。
在一個實施例中,提供醫藥組合物,其包含本文所揭示之化合物或其醫藥學上可接受之鹽與一或多種(例如一種、兩種、三種、一種或兩種、一種至三種)其他治療劑之組合,及醫藥學上可接受之載劑、稀釋劑或賦形劑。
在一個實施例中,提供套組,其包含本文所揭示之化合物或其醫藥學上可接受之鹽與一或多種(例如一種、兩種、三種、四種、一種或兩種、或一種至三種、或一種至四種)其他治療劑之組合。
病毒性組合療法
本文中所描述之化合物可與一或多種抗病毒劑一起使用或組合,該等抗病毒劑包括阿巴卡韋(abacavir)、阿昔洛韋(aciclovir)、阿丹弗(adefovir)、金剛胺(amantadine)、安普那韋(amprenavir)、阿比朵爾(arbidol)、阿紮那韋(atazanavir)、立普妥(artipla)、溴夫定(brivudine)、西多福韋(cidofovir)、可比韋(combivir)、依度尿苷(edoxudine)、依法韋侖(efavirenz)、安卓西他賓(emtricitabine)、恩夫韋地(enfuvirtide)、因提弗(entecavir)、弗維森(fomvirsen)、夫沙那韋(fosamprenavir)、膦甲酸(foscarnet)、膦乙醇(fosfonet)、更昔洛韋(ganciclovir)、加德西(gardasil)、伊巴他濱(ibacitabine)、英木洛韋(immunovir)、碘苷(idoxuridine)、咪喹莫特(imiquimod)、茚地那韋(indinavir)、肌苷、整合酶抑制劑、干擾素(包括III型干擾素、II型干擾素、I型干擾素)、拉米夫定(lamivudine)、洛匹那韋(lopinavir)、洛韋胺(loviride)、MK-0518、馬拉維若(maraviroc)、嗎啉脒胍(moroxydine)、奈非那韋(nelfinavir)、奈韋拉平(nevirapine)、多吉美(nexavir)、核苷類似物、奧司他韋(oseltamivir)、噴昔洛韋(penciclovir)、帕拉米韋(peramivir)、普可那利(pleconaril)、鬼臼毒素(podophyllotoxin)、蛋白酶抑制劑、逆轉錄酶抑制劑、利巴韋林(ribavirin)、金剛乙胺(rimantadine)、利托那韋(ritonavir)、沙奎那韋(saquinavir)、司他夫定(stavudine)、替諾福韋(tenofovir)、替諾福韋地索普西(tenofovir disoproxil)、替拉那韋(tipranavir)、曲氟尿苷(trifluridine)、曲利志韋(trizivir)、曲金剛胺(tromantadine)、特魯瓦達(truvada)、纈更昔洛韋(valganciclovir)、維克維若(vicriviroc)、阿糖腺苷(vidarabine)、偉拉咪定(viramidine)、紮西他濱(zalcitabine)、紮那米韋(zanamivir)、齊多夫定(zidovudine)及其組合。
在某些實施例中,本文所揭示之化合物或其醫藥學上可接受之鹽與5至30 mg反丁烯二酸替諾福韋艾拉酚胺(tenofovir alafenamide fumarate)、半反丁烯二酸替諾福韋艾拉酚胺(tenofovir alafenamide hemifumarate)或替諾福韋艾拉酚胺(tenofovir alafenamide)組合。在某些實施例中,本文所揭示之化合物或其醫藥學上可接受之鹽與5至10、5至15、5至20、5至25、25至30、20至30、15至30或10至30 mg反丁烯二酸替諾福韋艾拉酚胺、半反丁烯二酸替諾福韋艾拉酚胺或替諾福韋艾拉酚胺組合。在某些實施例中,本文所揭示之化合物或其醫藥學上可接受之鹽與10 mg反丁烯二酸替諾福韋艾拉酚胺、半反丁烯二酸替諾福韋艾拉酚胺或替諾福韋艾拉酚胺組合。在某些實施例中,本文所揭示之化合物或其醫藥學上可接受之鹽與25 mg反丁烯二酸替諾福韋艾拉酚胺、半反丁烯二酸替諾福韋艾拉酚胺或替諾福韋艾拉酚胺組合。如本文所揭示之化合物(例如,式(I)化合物)可以化合物之任何劑量(例如50 mg至500 mg化合物)的形式與本文所提供之藥劑組合,其與各劑量組合經特定及個別列出的情況一樣。
在某些實施例中,本文所揭示之化合物或其醫藥學上可接受之鹽與100至400 mg反丁烯二酸替諾福韋地索普西、半反丁烯二酸替諾福韋地索普西或替諾福韋地索普西組合。在某些實施例中,本文所揭示之化合物或其醫藥學上可接受之鹽與100至150、100至200、100至250、100至300、100至350、150至200、150至250、150至300、150至350、150至400、200至250、200至300、200至350、200至400、250至350、250至400、350至400或300至400 mg之反丁烯二酸替諾福韋地索普西、半反丁烯二酸替諾福韋地索普西或替諾福韋地索普西組合。在某些實施例中,本文所揭示之化合物或其醫藥學上可接受之鹽與300 mg反丁烯二酸替諾福韋地索普西、半反丁烯二酸替諾福韋地索普西或替諾福韋地索普西組合。在某些實施例中,本文所揭示之化合物或其醫藥學上可接受之鹽與250 mg反丁烯二酸替諾福韋地索普西、半反丁烯二酸替諾福韋地索普西或替諾福韋地索普西組合。在某些實施例中,本文所揭示之化合物或其醫藥學上可接受之鹽與150 mg反丁烯二酸替諾福韋地索普西、半反丁烯二酸替諾福韋地索普西或替諾福韋地索普西組合。如本文所揭示之化合物(例如,式(I)化合物)可以化合物之任何劑量(例如50 mg至500 mg化合物)的形式與本文所提供之藥劑組合,其與各劑量組合經特定及個別列出的情況一樣。
HIV組合療法
在某些實施例中,提供一種用於治療或預防有感染或處於有感染風險下之人類或動物中之HIV感染的方法,其包含向該人類或動物投與治療有效量之本文所揭示之化合物或其醫藥學上可接受之鹽與治療有效量之一或多種(例如一種、兩種、三種、一種或兩種、或一種至三種)其他治療劑的組合。在一個實施例中,提供一種用於治療有感染或處於有感染風險下之人類或動物中之HIV感染的方法,其包含向該人類或動物投與治療有效量之本文所揭示之化合物或其醫藥學上可接受之鹽與治療有效量之一或多種(例如一種、兩種、三種、一種或兩種、或一種至三種)其他治療劑的組合。
在某些實施例中,本發明提供一種能夠用於治療HIV感染之方法,其包含向有需要之個體投與治療有效量之本文所揭示之化合物或其醫藥學上可接受之鹽與治療有效量之適合於治療HIV感染的一或多種其他治療劑的組合。
在某些實施例中,本文所揭示之化合物係以錠劑形式調配,其可視情況含有一或多種其他適用於治療HIV之化合物。在某些實施例中,錠劑可含有用於治療HIV之另一活性成分,諸如HIV蛋白酶抑制劑、HIV非核苷或非核苷酸逆轉錄酶抑制劑、HIV核苷或核苷酸逆轉錄酶抑制劑、HIV整合酶抑制劑、HIV非催化位點(或異位)整合酶抑制劑、藥物動力學增強劑及其組合。
在某些實施例中,該等錠劑適用於每日一次給藥。
在上述實施例中,其他治療劑可為抗HIV劑。在一些實施例中,其他治療劑係選自由以下組成之群:HIV組合藥物、HIV蛋白酶抑制劑、HIV非核苷或非核苷酸逆轉錄酶抑制劑、HIV核苷或核苷酸逆轉錄酶抑制劑、HIV整合酶抑制劑、HIV非催化位點(或異位)整合酶抑制劑、HIV進入抑制劑、HIV成熟抑制劑、免疫調節劑、免疫治療劑、抗體-藥物結合物、基因調節劑、基因編輯因子(諸如CRISPR/Cas9、鋅指核酸酶、歸巢核酸酶、合成核酸酶、TALEN)、細胞療法(諸如嵌合抗原受體T細胞,CAR-T及經工程改造之T細胞受體,TCR-T)、潛時逆轉劑、靶向HIV衣殼之化合物、基於免疫之療法、磷脂醯肌醇3-激酶(PI3K)抑制劑、α-4/β-7拮抗劑、HIV抗體、雙特異性抗體及「抗體樣」治療蛋白、HIV p17基質蛋白抑制劑、IL-13拮抗劑、肽基-脯胺醯基順式-反式異構酶A調節劑、二硫化蛋白質異構酶抑制劑、補體C5a受體拮抗劑、DNA甲基轉移酶抑制劑、HIV vif基因調節劑、Vif二聚拮抗劑、HIV-1病毒感染性因子抑制劑、TAT蛋白抑制劑、HIV-1 Nef調節劑、Hck酪胺酸激酶調節劑、混合譜系激酶-3 (MLK-3)抑制劑、HIV-1剪接抑制劑、Rev蛋白抑制劑、整合素拮抗劑、核蛋白抑制劑、剪接因子調節劑、含有COMM結構域之蛋白質1調節劑、HIV核糖核酸酶H抑制劑、逆細胞週期素調節劑、CDK-9抑制劑、樹突狀ICAM-3捕獲非整合素1抑制劑、HIV GAG蛋白抑制劑、HIV POL蛋白抑制劑、補體因子H調節劑、泛素連接酶抑制劑、脫氧胞苷激酶抑制劑、細胞週期素依賴性激酶抑制劑、前蛋白轉化酶PC9刺激劑、ATP依賴性RNA解螺旋酶DDX3X抑制劑、逆轉錄酶激活複合抑制劑、G6PD及NADH-氧化酶抑制劑、藥物動力學增強劑、HIV基因療法、HIV疫苗及其他HIV治療劑及其組合。
在一些實施例中,其他治療劑係選自由以下組成之群:用於HIV之組合藥物、用於治療HIV之其他藥物、HIV蛋白酶抑制劑、HIV逆轉錄酶抑制劑、HIV整合酶抑制劑、HIV非催化位點(或異位)整合酶抑制劑、HIV進入(融合)抑制劑、HIV成熟抑制劑、潛時逆轉劑、衣殼抑制劑、基於免疫之療法、PI3K抑制劑、HIV抗體,及雙特異性抗體,及「抗體樣」治療蛋白,及其組合。 HIV 組合藥物
組合藥物之實例包括ATRIPLA®
(依法韋侖、反丁烯二酸替諾福韋地索普西及安卓西他賓);COMPLERA®
(EVIPLERA®
;利匹韋林(rilpivirine)、反丁烯二酸替諾福韋地索普西及安卓西他賓);STRIBILD®
(埃替格韋(elvitegravir)、考比西他(cobicistat)、反丁烯二酸替諾福韋地索普西及安卓西他賓);TRUVADA®
(反丁烯二酸替諾福韋地索普西及安卓西他賓;TDF+FTC);DESCOVY® (替諾福韋艾拉酚胺及安卓西他賓);ODEFSEY® (替諾福韋艾拉酚胺、安卓西他賓及利匹韋林)、GENVOYA® (替諾福韋艾拉酚胺、安卓西他賓、考比西他及埃替格韋);BIKTARVY® (比替拉韋(bictegravir)、安卓西他賓、替諾福韋艾拉酚胺);地瑞那韋(darunavir)、半反丁烯二酸替諾福韋艾拉酚胺、安卓西他賓及考比西他;依法韋侖、拉米夫定(lamivudine)及反丁烯二酸替諾福韋地索普西;拉米夫定及反丁烯二酸替諾福韋地索普西;替諾福韋及拉米夫定;替諾福韋艾拉酚胺及安卓西他賓;半反丁烯二酸替諾福韋艾拉酚胺及安卓西他賓;半反丁烯二酸替諾福韋艾拉酚胺、安卓西他賓及利匹韋林;半反丁烯二酸替諾福韋艾拉酚胺、安卓西他賓、考比西他及埃替格韋;COMBIVIR®
(齊多夫定及拉米夫定;AZT+3TC);EPZICOM®
(LIVEXA®
;硫酸阿巴卡韋及拉米夫定;ABC+3TC);KALETRA®
(ALUVIA®
;洛匹那韋及利托那韋);TRIUMEQ®
(都魯拉韋(dolutegravir)、阿巴卡韋及拉米夫定);TRIZIVIR®
(硫酸阿巴卡韋、齊多夫定及拉米夫定;ABC+AZT+3TC);阿紮那韋及考比西他;硫酸阿紮那韋及考比西他;硫酸阿紮那韋及利托那韋;地瑞那韋(darunavir)及考比西他;都魯拉韋及利匹韋林;都魯拉韋及鹽酸利匹韋林;都魯拉韋、硫酸阿巴卡韋及拉米夫定;拉米夫定、奈韋拉平及齊多夫定;雷特格韋(raltegravir)及拉米夫定;多拉韋林(doravirine)、拉米夫定及反丁烯二酸替諾福韋地索普西;多拉韋林、拉米夫定及替諾福韋二吡呋酯;都魯拉韋+拉米夫定、拉米夫定+阿巴卡韋+齊多夫定、拉米夫定+阿巴卡韋、拉米夫定+反丁烯二酸替諾福韋地索普西、拉米夫定+齊多夫定+奈韋拉平、咯匹那韋+利托那韋、咯匹那韋+利托那韋+阿巴卡韋+拉米夫定、咯匹那韋+利托那韋+齊多夫定+拉米夫定、替諾福韋+拉米夫定,及反丁烯二酸替諾福韋地索普西+安卓西他賓+鹽酸利匹韋林、咯匹那韋、利托那韋、齊多夫定及拉米夫定;Vacc-4x及羅米地辛(romidepsin);及APH-0812。HIV 蛋白酶抑制劑
HIV蛋白酶抑制劑之實例包括安普那韋(amprenavir)、阿紮那韋(atazanavir)、貝卡那韋(brecanavir)、地瑞那韋(darunavir)、夫沙那韋(fosamprenavir)、夫沙那韋鈣、茚地那韋(indinavir)、硫酸茚地那韋、洛匹那韋(lopinavir)、奈非那韋(nelfinavir)、甲磺酸奈非那韋、利托那韋(ritonavir)、沙喹那韋(saquinavir)、甲磺酸沙喹那韋、替拉那韋(tipranavir)、DG-17、TMB-657 (PPL-100)、T-169、BL-008及TMC-310911。HIV 逆轉錄酶抑制劑
HIV非核苷或非核苷酸逆轉錄酶抑制劑之實例包括達匹韋林(dapivirine)、地拉韋定(delavirdine)、甲磺酸地拉韋定、多拉韋林、依法韋侖、依曲韋林(etravirine)、香菇多醣、奈韋拉平、利匹韋林、ACC-007、AIC-292、KM-023、PC-1005及VM-1500。
HIV核苷或核苷酸逆轉錄酶抑制劑之實例包括阿丹弗(adefovir)、阿丹弗酯(adefovir dipivoxil)、阿茲夫定(azvudine)、安卓西他賓、替諾福韋、替諾福韋艾拉酚胺、反丁烯二酸替諾福韋艾拉酚胺、半反丁烯二酸替諾福韋艾拉酚胺、替諾福韋地索普西、反丁烯二酸替諾福韋地索普西、半反丁烯二酸替諾福韋地索普西、VIDEX®
及VIDEX EC®
(地達諾新(didanosine),ddl)、阿巴卡韋、硫酸阿巴卡韋、阿洛夫定、阿普瑞西他濱(apricitabine)、森沙戊定(censavudine)、地達諾新、艾夫他濱(elvucitabine)、非替那韋(festinavir)、氟沙定替酯(fosalvudine tidoxil)、CMX-157、達匹韋林、多拉韋林、依曲韋林、OCR-5753、乳清酸替諾福韋地索普西、福齊夫定替酯(fozivudine tidoxil)、拉米夫定、福斯非茲(phosphazid)、司他夫定(stavudine)、紮西他濱(zalcitabine)、齊多夫定、GS-9131、GS-9148、MK-8504及KP-1461。HIV 整合酶抑制劑
HIV整合酶抑制劑之實例包括埃替格韋、薑黃素、薑黃素之衍生物、菊苣酸、菊苣酸之衍生物、3,5-二咖啡醯奎寧酸、3,5-二咖啡醯奎寧酸之衍生物、金黃三羧酸、金黃三羧酸之衍生物、咖啡酸苯乙酯、咖啡酸苯乙酯之衍生物、酪胺酸磷酸化抑制劑、酪胺酸磷酸化抑制劑之衍生物、槲皮素、槲皮素之衍生物、雷特格韋、都魯拉韋、JTK-351、比替拉韋(bictegravir)、AVX-15567、卡伯拉韋(cabotegravir) (長效可注射)、二酮喹啉-4-1衍生物、整合酶-LEDGF抑制劑、ledgin、M-522、M-532、NSC-310217、NSC-371056、NSC-48240、NSC-642710、NSC-699171、NSC-699172、NSC-699173、NSC-699174、二苯乙烯二磺酸、T-169及卡伯拉韋。
HIV非催化位點或異位整合酶抑制劑(NCINI)之實例包括CX-05045、CX-05168,及CX-14442。HIV 進入抑制劑
HIV進入(融合)抑制劑之實例包括森尼韋若(cenicriviroc)、CCR5抑制劑、gp41抑制劑、CD4附接抑制劑、gp120抑制劑,及CXCR4抑制劑。
CCR5抑制劑之實例包括阿普納維(aplaviroc)、維克維若(vicriviroc)、馬拉維若(maraviroc)、森尼韋若、PRO-140、艾達他韋(adaptavir) (RAP-101)、尼非韋羅(nifeviroc) (TD-0232)、抗GP120/CD4或CCR5雙特異性抗體、B-07、MB-66、多肽C25P、TD-0680及vMIP (海米普(Haimipu))。
gp41抑制劑之實例包括艾博韋他(albuvirtide)、恩夫韋地(enfuvirtide)、BMS-986197、恩夫韋地生物更佳藥、恩夫韋地生物類似藥、HIV-1融合抑制劑(P26-Bapc)、ITV-1、ITV-2、ITV-3、ITV-4、PIE-12三聚體及西夫韋他(sifuvirtide)。
CD4附接抑制劑之實例包括伊利祖單抗(ibalizumab)及CADA類似物。
gp120抑制劑之實例包括Radha-108 (受體) 3B3-PE38、BanLec、膨潤土基奈米醫學、福斯薩維緩血酸胺(fostemsavir tromethamine)、IQP-0831,及BMS-663068。
CXCR4抑制劑之實例包括普樂沙福(plerixafor)、ALT-1188、N15肽,及vMIP (海米普)。HIV 成熟抑制劑
HIV成熟抑制劑之實例包括BMS-955176及GSK-2838232。潛時逆轉劑
潛時逆轉劑之實例包括組蛋白脫乙醯基酶(HDAC)抑制劑、諸如萬珂(velcade)之蛋白酶體抑制劑、蛋白質激酶C (PKC)活化劑、Smyd2抑制劑、BET-溴結構域4 (BRD4)抑制劑、離子黴素、PMA、SAHA (辛二醯苯胺異羥肟酸,或辛二醯基、苯胺,及氧肟酸)、AM-0015、ALT-803、NIZ-985、NKTR-255、IL-15調節抗體、JQ1、二硫龍、兩性黴素B,及諸如拉格唑拉類似物(largazole analog)之泛素抑制劑,及GSK-343。
HDAC抑制劑之實例包括羅米地辛、伏立諾他(vorinostat)及帕比諾他(panobinostat)。
PKC活化劑之實例包括吲哚內醯胺(indolactam)、普羅斯坦(prostratin)、巨大戟醇B及DAG內酯。衣殼抑制劑
衣殼抑制劑之實例包括衣殼聚合抑制劑或衣殼分裂化合物、諸如偶氮二甲醯胺之HIV核蛋白衣p7 (NCp7)抑制劑、HIV p24衣殼蛋白抑制劑、AVI-621、AVI-101、AVI-201、AVI-301,及AVI-CAN1-15系列。基於免疫之療法
基於免疫之療法之實例包括鐸樣受體調節劑,諸如TLR1、TLR2、TLR3、TLR4、TLR5、TLR6、TLR7、TLR8、TLR9、TLR10、TLR11、TLR12及TLR13;漸進式細胞死亡蛋白質1 (Pd-1)調節劑;漸進式死亡配體1 (Pd-L1)調節劑;IL-15調節劑;德瑪韋(DermaVir);介白素-7;氯奎寧(羥基氯奎);普留淨(proleukin) (阿地白介素(aldesleukin),IL-2);干擾素α;干擾素α-2b;干擾素α-n3;聚乙二醇化干擾素α;干擾素γ;羥基脲;黴酚酸嗎啉乙酯(MPA)及其酯衍生物黴酚酸嗎啉乙酯(MMF);利巴韋林;瑞他立德(rintatolimod)、聚合物聚乙二亞胺(PEI);吉朋(gepon);瑞他立德;IL-12;WF-10;VGV -1;MOR-22;BMS-936559;CYT-107、介白素-15/Fc融合蛋白、normferon、聚乙二醇化干擾素α-2a、聚乙二醇化干擾素α-2b、重組介白素-15、RPI-MN、GS-9620、STING調節劑、RIG-I調節劑、NOD2調節劑,及IR-103。
TLR8調節劑之實例包括莫托莫特(motolimod)、雷西莫特(resiquimod)、3M-051、3M-052、MCT-465、IMO-4200、VTX-763、VTX-1463及以下文獻中揭示之調節劑:US20140045849 (Janssen)、US20140073642 (Janssen)、WO2014/056953 (Janssen)、WO2014/076221 (Janssen)、WO2014/128189 (Janssen)、US20140350031 (Janssen)、WO2014/023813 (Janssen)、US20080234251 (Array Biopharma)、US20080306050 (Array Biopharma)、US20100029585 (Ventirx Pharma)、US20110092485 (Ventirx Pharma)、US20110118235 (Ventirx Pharma)、US20120082658 (Ventirx Pharma)、US20120219615 (Ventirx Pharma)、US20140066432 (Ventirx Pharma)、US20140088085 (VentirxPharma)、US20140275167 (Novira therapeutics)、US20130251673 (Novira therapeutics)、美國專利第9670205號(Gilead Sciences Inc.)、US20160289229 (Gilead Sciences Inc.)、美國專利申請案第15/692161號(Gilead Sciences Inc.)及美國專利申請案第15/692093號(Gilead Sciences Inc.)。磷脂醯肌醇 3- 激酶 (PI3K) 抑制劑
PI3K抑制劑之實例包括艾德斯布(idelalisib)、艾德昔布(alpelisib)、布帕昔布(buparlisib)、CAI乳清酸鹽、考班昔布(copanlisib)、杜維力絲(duvelisib)、吉達力絲(gedatolisib)、來那替尼(neratinib)、帕努昔布(panulisib)、哌立福新(perifosine)、皮克立西(pictilisib)、皮拉力絲(pilaralisib)、甲磺酸普喹替尼(puquitinib mesylate)、瑞戈替布(rigosertib)、瑞戈替布鈉、索諾昔布(sonolisib)、泰尼西布(taselisib)、AMG-319、AZD-8186、BAY-1082439、CLR-1401、CLR-457、CUDC-907、DS-7423、EN-3342、GSK-2126458、GSK-2269577、GSK-2636771、INCB-040093、LY-3023414、MLN-1117、PQR-309、RG-7666、RP-6530、RV-1729、SAR-245409、SAR-260301、SF-1126、TGR-1202、UCB-5857、VS-5584、XL-765,及ZSTK-474。α-4
/β- 7 拮抗劑
整合素α-4/β-7拮抗劑之實例包括PTG-100、TRK-170、阿布里單抗(abrilumab)、艾托珠單抗(etrolizumab)、甲基卡洛斯特 (carotegrast methyl)及維多珠單抗(vedolizumab)。HIV 抗體、雙特異性抗體及「抗體樣」治療蛋白
HIV抗體、雙特異性抗體及「抗體樣」治療蛋白之實例包括DARTs®
、DUOBODIES®
、BITES®
、XmAbs®
、TandAbs®
、Fab衍生物、bnABs (廣譜中和HIV-1抗體)、BMS-936559、TMB-360及靶向HIV gp120或gp41之抗體、靶向HIV之抗體募集分子、抗CD63單株抗體、抗GB病毒C抗體、抗GP120/CD4、CCR5雙特異性抗體、抗nef單域抗體、抗Rev抗體、駱駝衍生之抗CD18抗體、駱駝衍生之抗ICAM-1抗體、DCVax-001、靶向gp140之抗體、基於gp41之HIV治療性抗體、人類重組型mAb (PGT-121)、伊利祖單抗(ibalizumab)、Immuglo及MB-66。
以此方式靶向HIV之抗體之實例包括巴維昔單抗(bavituximab)、UB-421、C2F5、2G12、C4E10、C2F5+C2G12+C4E10、8ANC195、3BNC117、3BNC60、10-1074、PGT145、PGT121、PGT-151、PGT-133、MDX010 (伊派利單抗(ipilimumab))、DH511、N6、VRC01 PGDM1400、A32、7B2、10E8、10E8v4、CAP256-VRC26.25、DRVIA7、VRC-07-523、VRC-HIVMAB080-00-AB、VRC-HIVMAB060-00-AB、MGD-014及VRC07。HIV雙特異性抗體之實例包括MGD014。藥物動力學增強劑
藥物動力學增強劑之實例包括考比西他及利托那韋。HIV 疫苗
HIV疫苗之實例包括肽疫苗、重組型子單元蛋白疫苗、活載體疫苗、DNA疫苗、CD4衍生之肽疫苗、疫苗組合、rgp120 (AIDSVAX)、ALVAC HIV (vCP1521)/AIDSVAX B/E (gp120) (RV144)、單體gp120 HIV-1次型C疫苗、Remune、ITV-1、Contre Vir、Ad5-ENVA-48、DCVax-001 (CDX-2401)、Vacc-4x、Vacc-C5、VAC-3S、多進化枝DNA重組型腺病毒-5 (rAd5)、Pennvax-G、Pennvax-GP、HIV-TriMix-mRNA疫苗、HIV-LAMP-vax、Ad35、Ad35-GRIN、NAcGM3/VSSP ISA-51、聚-ICLC佐劑化疫苗、TatImmune、GTU-multiHIV (FIT-06)、gp140[δ]V2.TV1+MF-59、rVSVIN HIV-1 gag疫苗、SeV-Gag疫苗、AT-20、DNK-4、ad35-Grin/ENV、TBC-M4、HIVAX、HIVAX-2、NYVAC-HIV-PT1、NYVAC-HIV-PT4、DNA-HIV-PT123、rAAV1-PG9DP、GOVX-B11、GOVX-B21、TVI-HIV-1、Ad-4 (Ad4-env進化枝C+Ad4-mGag)、EN41-UGR7C、EN41-FPA2、PreVaxTat、AE-H、MYM-V101、CombiHIVvac、ADVAX、MYM-V201、MVA-CMDR、DNA-Ad5 gag/pol/nef/nev (HVTN505)、MVATG-17401、ETV-01、CDX-1401、rcAD26.MOS1.HIV-Env、Ad26.Mod.HIV疫苗、AGS-004、AVX-101、AVX-201、PEP-6409、SAV-001、ThV-01、TL-01、TUTI-16、VGX-3300、IHV-001及病毒樣顆粒疫苗(諸如假病毒顆粒疫苗)、CombiVICHvac、LFn-p24 B/C融合疫苗、基於GTU之DNA疫苗、HIV gag/pol/nef/env DNA疫苗、抗TAT HIV疫苗、共軛多肽疫苗、樹突狀細胞疫苗、基於gag之DNA疫苗、GI-2010、gp41 HIV-1疫苗、HIV疫苗(PIKA佐劑)、I i-key/MHC II類抗原決定基雜交肽疫苗、ITV-2、ITV-3、ITV-4、LIPO-5、多進化枝Env疫苗、MVA疫苗、Pennvax-GP、pp71缺失型HCMV載體HIV gag疫苗、重組型肽疫苗(HIV感染)、NCI、rgp160 HIV疫苗、 RNActive HIV疫苗、SCB-703、Tat Oyi疫苗、TBC-M4、治療性HIV疫苗、UBI HIV gp120、Vacc-4x+羅米地辛、變異型gp120多肽疫苗、rAd5 gag-pol env A/B/C疫苗、DNA.HTI及MVA.HTI。額外 HIV 治療劑
其他治療劑之實例包括揭示於以下中之化合物:WO 2004/096286 (Gilead Sciences)、WO 2006/015261 (Gilead Sciences)、WO 2006/110157 (Gilead Sciences)、WO 2012/003497 (Gilead Sciences)、WO 2012/003498 (Gilead Sciences)、WO 2012/145728 (Gilead Sciences)、WO 2013/006738 (Gilead Sciences)、WO 2013/159064 (Gilead Sciences)、WO 2014/100323 (Gilead Sciences)、US 2013/0165489 (賓夕法尼亞大學)、US 2014/0221378 (Japan Tobacco)、US 2014/0221380 (Japan Tobacco)、WO 2009/062285 (Boehringer Ingelheim)、WO 2010/130034 (Boehringer Ingelheim)、WO 2013/006792 (Pharma Resources)、US 20140221356 (Gilead Sciences)、US 20100143301 (Gilead Sciences)及WO 2013/091096 (Boehringer Ingelheim)。
用於治療HIV之其他藥物之實例包括乙醯嗎喃(acemannan)、阿拉泊韋(alisporivir)、BanLec、去鐵酮、格瑪木因(Gamimune)、米特法林(metenkefalin)、納曲酮(naltrexone)、普拉斯汀(Prolastin)、REP 9、RPI-MN、VSSP、H1viral、SB-728-T、1,5-二咖啡醯奎寧酸、rHIV7-shl-TAR-CCR5RZ、AAV-eCD4-Ig基因療法、MazF基因療法、BlockAide、ABX-464、AG-1105、APH-0812、BIT-225、CYT-107、HGTV-43、HPH-116、HS-10234、IMO-3100、IND-02、MK-1376、MK-8507、MK-8591、NOV-205、PA-1050040 (PA-040)、PGN-007、SCY-635、SB-9200、SCB-719、TR-452、TEV-90110、TEV-90112、TEV-90111、TEV-90113、RN-18、Immuglo,及VIR-576。基因療法及細胞療法
基因療法及細胞療法包括:用於使基因沉默之基因修飾;用以直接殺死受感染細胞之基因方法;經設計以將個體之大部分自身免疫系統替換以增強對受感染細胞之免疫反應或激活個體之自身免疫系統以殺死受感染細胞,或尋找且殺死受感染細胞之免疫細胞輸注;用以修飾細胞活性以進一步改變針對感染之內源性免疫反應之基因方法。
樹突狀細胞療法之實例包括AGS-004。基因編輯因子
基因編輯系統之實例包括CRISPR/Cas9系統、鋅指核酸酶系統、TALEN系統、歸巢核酸內切酶系統及大範圍核酸酶系統。
靶向HIV之CRISPR/Cas9系統之實例包括EBT101。CAR-T 細胞療法
CAR-T細胞療法包括經工程改造以表現嵌合抗原受體(CAR)之免疫效應細胞之群體,其中CAR包含HIV抗原結合域。HIV抗原包括HIV包膜蛋白或其部分、gp120或其部分、gp120上之CD4結合位點、gp120上之CD4誘導結合位點、gp120上之N聚糖、gp120之V2、gp41上之近膜區域。免疫效應細胞為T細胞或NK細胞。在一些實施例中,T細胞為CD4+ T細胞、CD8+ T細胞或其組合。
HIV CAR-T之實例包括VC-CAR-T。TCR-T 細胞療法
TCR-T細胞療法包括經工程改造以靶向受病毒感染之細胞之表面上之HIV衍生的肽之T細胞。
熟習此項技術者應瞭解,上列其他治療劑可包括於上列類別中之超過一者中。特定類別不欲限制彼等類別中所列之彼等化合物的功能。
在一特定實施例中,本文所揭示之化合物或其醫藥學上可接受之鹽與HIV核苷或核苷酸逆轉錄酶抑制劑及HIV非核苷逆轉錄酶抑制劑組合。在另一特定實施例中,本文所揭示之化合物或其醫藥學上可接受之鹽與HIV核苷或核苷酸逆轉錄酶抑制劑及HIV蛋白酶抑制化合物組合。在另一實施例中,本文所揭示之化合物或其醫藥學上可接受之鹽與HIV核苷或核苷酸逆轉錄酶抑制劑、HIV非核苷逆轉錄酶抑制劑及藥物動力學增強劑組合。在某些實施例中,本文所揭示之化合物或其醫藥學上可接受之鹽與至少一種HIV核苷逆轉錄酶抑制劑、整合酶抑制劑及藥物動力學增強劑組合。在另一實施例中,本文所揭示之化合物或其醫藥學上可接受之鹽與兩種HIV核苷或核苷酸逆轉錄酶抑制劑組合。
在特定實施例中,本文所揭示之化合物或其醫藥學上可接受之鹽與一種、兩種、三種、四種或更多種選自以下之其他治療劑組合:ATRIPLA®
(依法韋侖、反丁烯二酸替諾福韋地索普西及安卓西他賓);COMPLERA®
(EVIPLERA®
;利匹韋林、反丁烯二酸替諾福韋地索普西及安卓西他賓);STRIBILD®
(埃替格韋、考比西他、反丁烯二酸替諾福韋地索普西及安卓西他賓);TRUVADA®
(反丁烯二酸替諾福韋地索普西及安卓西他賓;TDF +FTC);DESCOVY® (替諾福韋艾拉酚胺及安卓西他賓);ODEFSEY® (替諾福韋艾拉酚胺、安卓西他賓及利匹韋林);GENVOYA® (替諾福韋艾拉酚胺、安卓西他賓、考比西他及埃替格韋);BIKTARVY® (比替拉韋、安卓西他賓、替諾福韋艾拉酚胺);阿丹弗;阿丹弗酯;考比西他;安卓西他賓;替諾福韋;替諾福韋地索普西;反丁烯二酸替諾福韋地索普西;替諾福韋艾拉酚胺;半反丁烯二酸替諾福韋艾拉酚胺;TRIUMEQ®
(都魯拉韋、阿巴卡韋及拉米夫定);都魯拉韋、硫酸阿巴卡韋及拉米夫定;雷特格韋;雷特格韋及拉米夫定;馬拉維若;恩夫韋地;ALUVIA®
(KALETRA®
;咯匹那韋及利托那韋);COMBIVIR®
(齊多夫定及拉米夫定;AZT+3TC);EPZICOM®
(LIVEXA®
;硫酸阿巴卡韋及拉米夫定;ABC+3TC);TRIZIVIR®
(硫酸阿巴卡韋、齊多夫定及拉米夫定;ABC+AZT+3TC);利匹韋林;鹽酸利匹韋林;硫酸阿紮那韋及考比西他;阿紮那韋及考比西他;地瑞那韋及考比西他;阿紮那韋;硫酸阿紮那韋;都魯拉韋;埃替格韋;利托那韋;硫酸阿紮那韋及利托那韋;地瑞那韋;拉米夫定;普拉斯汀;夫沙那韋;夫沙那韋鈣依法韋侖;依曲韋林(etravirine);奈非那韋;甲磺酸奈非那韋;干擾素;地達諾新;司他夫定;茚地那韋;硫酸茚地那韋;替諾福韋及拉米夫定;齊多夫定;奈韋拉平;沙奎那韋;甲磺酸沙喹那韋;阿地白介素;紮西他濱;替拉那韋;安普那韋;地拉韋定;甲磺酸地拉韋定;Radha-108 (瑞西普托);拉米夫定及反丁烯二酸替諾福韋地索普西;依法韋侖、拉米夫定及反丁烯二酸替諾福韋地索普西;福斯非茲;拉米夫定、奈韋拉平及齊多夫定;阿巴卡韋;以及硫酸阿巴卡韋。
在特定實施例中,本文所揭示之化合物或其醫藥學上可接受之鹽與以下組合:硫酸阿巴卡韋、替諾福韋、替諾福韋地索普西、反丁烯二酸替諾福韋地索普西、半反丁烯二酸替諾福韋地索普西、替諾福韋艾拉酚胺、半反丁烯二酸替諾福韋艾拉酚胺或比替拉韋。
在特定實施例中,本文所揭示之化合物或其醫藥學上可接受之鹽與以下組合:替諾福韋、替諾福韋地索普西、反丁烯二酸替諾福韋地索普西、替諾福韋艾拉酚胺、半反丁烯二酸替諾福韋艾拉酚胺或比替拉韋。
在一特定實施例中,本文所揭示之化合物或其醫藥學上可接受之鹽與以下組合:選自由以下組成之群的第一其他治療劑:硫酸阿巴卡韋、替諾福韋、替諾福韋地索普西、反丁烯二酸替諾福韋地索普西、替諾福韋艾拉酚胺、半反丁烯二酸替諾福韋艾拉酚胺及比替拉韋;及選自由安卓西他賓及拉米夫定組成之群的第二其他治療劑。
在特定實施例中,本文所揭示之化合物或其醫藥學上可接受之鹽與以下組合:選自由替諾福韋、替諾福韋地索普西、反丁烯二酸替諾福韋地索普西、替諾福韋艾拉酚胺、半反丁烯二酸替諾福韋艾拉酚胺及比替拉韋組成之群的第一其他治療劑及第二其他治療劑,其中第二其他治療劑為安卓西他賓。
在某些實施例中,本文所揭示之化合物或其醫藥學上可接受之鹽與5至30 mg反丁烯二酸替諾福韋艾拉酚胺、半反丁烯二酸替諾福韋艾拉酚胺或替諾福韋艾拉酚胺及200 mg安卓西他賓組合。在某些實施例中,本文所揭示之化合物或其醫藥學上可接受之鹽與5至10 mg、5至15 mg、5至20 mg、5至25 mg、25至30 mg、20至30 mg、15至30 mg或10至30 mg反丁烯二酸替諾福韋艾拉酚胺、半反丁烯二酸替諾福韋艾拉酚胺或替諾福韋艾拉酚胺及200 mg安卓西他賓組合。在某些實施例中,本文所揭示之化合物或其醫藥學上可接受之鹽與10 mg反丁烯二酸替諾福韋艾拉酚胺、半反丁烯二酸替諾福韋艾拉酚胺或替諾福韋艾拉酚胺及200 mg安卓西他賓組合。在某些實施例中,本文所揭示之化合物或其醫藥學上可接受之鹽與25 mg反丁烯二酸替諾福韋艾拉酚胺、半反丁烯二酸替諾福韋艾拉酚胺或替諾福韋艾拉酚胺及200 mg安卓西他賓組合。如本文所揭示之化合物(例如式(I)之化合物)可以化合物之任何劑量(例如1 mg至500 mg化合物)的形式與本文所提供之藥劑組合,其與各劑量組合經特定及個別列出的情況一樣。
在某些實施例中,本文所揭示之化合物或其醫藥學上可接受之鹽與200至400 mg反丁烯二酸替諾福韋地索普西、半反丁烯二酸替諾福韋地索普西或替諾福韋地索普西及200 mg安卓西他賓組合。在某些實施例中,本文所揭示之化合物或其醫藥學上可接受之鹽與200至250 mg、200至300 mg、200至350 mg、250至350 mg、250至400 mg、350至400 mg、300至400 mg、或250至400 mg反丁烯二酸替諾福韋地索普西、半反丁烯二酸替諾福韋地索普西或替諾福韋地索普西及200 mg安卓西他賓組合。在某些實施例中,本文所揭示之化合物或其醫藥學上可接受之鹽與300 mg反丁烯二酸替諾福韋地索普西、半反丁烯二酸替諾福韋地索普西或替諾福韋地索普西及200 mg安卓西他賓組合。如本文所揭示之化合物(例如式(I)之化合物)可以化合物之任何劑量(例如1 mg至500 mg化合物)的形式與本文所提供之藥劑組合,其與各劑量組合經特定及個別列出的情況一樣。
HBV組合療法
在某些實施例中,提供一種用於治療或預防有感染或處於有感染風險下之人類中之HBV感染的方法,其包含向該人類投與治療有效量之本文所揭示之化合物或其醫藥學上可接受之鹽與治療有效量之一或多種(例如一種、兩種、三種、四種、一種或兩種、一種至三種、或一種至四種)其他治療劑的組合。在一個實施例中,提供一種用於治療有感染或處於有感染風險下之人類中之HBV感染的方法,其包含向該人類投與治療有效量之本文所揭示之化合物或其醫藥學上可接受之鹽與治療有效量之一或多種(例如一種、兩種、三種、四種、一種或兩種、一種至三種、或一種至四種)其他治療劑的組合。
在某些實施例中,本發明提供一種用於治療HBV感染的方法,其包含向有需要之患者投與治療有效量之本文所揭示之化合物或其醫藥學上可接受之鹽與治療有效量之一或多種(例如一種、兩種、三種、四種、一種或兩種、一種至三種、或一種至四種)適合於治療HBV感染之其他治療劑的組合。
本文所描述之化合物可與以下中之一或多者一起使用或組合:化學治療劑、免疫調節劑、免疫治療劑、治療性抗體、治療性疫苗、雙特異性抗體及「抗體樣」治療性蛋白質(諸如DARTs®、Duobodies®、Bites®、XmAbs®、TandAbs®、Fab衍生物)、抗體-藥物結合物(ADC)、基因修飾劑或基因編輯因子(諸如CRISPR Cas9、鋅指核酸酶、歸巢核酸內切酶、合成核酸酶、TALEN)、細胞療法(諸如CAR-T (嵌合抗原受體T細胞)及TCR-T (經工程改造之T細胞受體)藥劑)或其任何組合。
在某些實施例中,式(I)化合物經調配為錠劑,其可視情況含有一或多種其他適用於治療HBV之化合物。在某些實施例中,錠劑可含有用於治療HBV之另一活性成分,諸如3-二加氧酶(IDO)抑制劑、脂蛋白元A1調節劑、精胺酸酶抑制劑、B淋巴細胞及T淋巴細胞衰減抑制劑、布魯頓氏酪胺酸激酶(BTK)抑制劑、CCR2趨化介素拮抗劑、CD137抑制劑、CD160抑制劑、CD305抑制劑、CD4促效劑及調節劑、靶向HBcAg之化合物、靶向B型肝炎核心抗原(HBcAg)之化合物、核心蛋白異位調節劑、共價閉合環狀DNA (cccDNA)抑制劑、親環蛋白抑制劑、細胞毒性T淋巴細胞相關蛋白4 (ipi4)抑制劑、DNA聚合酶抑制劑、核酸內切酶調節劑、表觀遺傳調節劑、法尼酯X受體促效劑、HBsAg抑制劑、HBsAg分泌或組裝抑制劑、HBV DNA聚合酶抑制劑、HBV複製抑制劑、HBV RNAse抑制劑、HBV病毒進入抑制劑、HBx抑制劑、B型肝炎大型包膜蛋白調節劑、B型肝炎大型包膜蛋白刺激劑、B型肝炎結構蛋白調節劑、B型肝炎表面抗原(HBsAg)抑制劑、B型肝炎表面抗原(HBsAg)分泌或組裝抑制劑、B型肝炎病毒E抗原抑制劑、B型肝炎病毒複製抑制劑、肝炎病毒結構蛋白抑制劑、HIV-1逆轉錄酶抑制劑、玻尿酸酶抑制劑、IAPs抑制劑、IL-2促效劑、IL-7促效劑、免疫調節劑、吲哚胺-2抑制劑、核糖核苷酸還原酶抑制劑、介白素-2配體、ipi4抑制劑、離胺酸去甲基酶抑制劑、組蛋白去甲基酶抑制劑、KDM1抑制劑、KDM5抑制劑、殺手細胞凝集素樣受體子族G成員1抑制劑、淋巴細胞活化基因3抑制劑、淋巴毒素β受體活化劑、Axl調節劑、B7-H3調節劑、B7-H4調節劑、CD160調節劑、CD161調節劑、CD27調節劑、CD47調節劑、CD70調節劑、GITR調節劑、HEVEM調節劑、ICOS調節劑、Mer調節劑、NKG2A調節劑、NKG2D調節劑、OX40調節劑、SIRPα調節劑、TIGIT調節劑、Tim-4調節劑、Tyro調節劑、Na+-牛膽酸酯共輸送多肽(NTCP)抑制劑、自然殺手細胞受體2B4抑制劑、NOD2基因刺激劑、核蛋白抑制劑、核蛋白調節劑、PD-1抑制劑、PD-L1抑制劑、肽基脯胺醯異構酶抑制劑、磷脂醯環己六醇-3激酶(PI3K)抑制劑、視黃酸誘導性基因1刺激劑、逆轉錄酶抑制劑、核糖核酸酶抑制劑、RNA DNA聚合酶抑制劑、SLC10A1基因抑制劑、SMAC模擬物、Src酪胺酸激酶抑制劑、干擾素基因(STING)促進劑刺激劑、NOD1刺激劑、T細胞表面醣蛋白CD28抑制劑、T細胞表面醣蛋白CD8調節劑、胸腺素促效劑、胸腺素α 1配體、Tim-3抑制劑、TLR-3促效劑、TLR-7促效劑、TLR-9促效劑、TLR9基因刺激劑、鐸樣受體(TLR)調節劑、病毒性核糖核苷酸還原酶抑制劑,及其組合。HBV 組合藥物
用於治療HBV之組合藥物的實例包括TRUVADA®
(反丁烯二酸替諾福韋地索普西及安卓西他賓);ABX-203、拉米夫定及PEG-IFN-α;ABX-203阿丹弗及PEG-IFNα;以及INO-1800 (INO-9112及RG7944)。其他 HBV 藥物
用於治療HBV之其他藥物的實例包括α-羥基酚酮、安多索韋(amdoxovir)、β-羥基胞嘧啶核苷、AL-034、CCC-0975、艾夫他濱(elvucitabine)、依澤替米貝(ezetimibe)、環孢素A、龍膽苦苷(gentiopicrin/gentiopicroside)、JNJ-56136379、硝唑尼特(nitazoxanide)、比林納潘特(birinapant)、NJK14047、NOV-205 (莫里克桑(molixan),BAM-205)、寡苷酸、米沃替酯(mivotilate)、菲隆(feron)、GST-HG-131、左旋咪唑(levamisole)、卡舒寧(Ka Shu Ning)、阿洛菲隆(alloferon)、WS-007、Y-101 (替芬泰(Ti Fen Tai))、rSIFN-co、PEG-IIFNm、KW-3、BP-Inter-014、齊墩果酸(oleanolic acid)、HepB-nRNA、cTP-5 (rTP-5)、HSK-II-2、HEISCO-106-1、HEISCO-106、赫普巴納(Hepbarna)、IBPB-006IA、和普印芬(Hepuyinfen)、DasKloster 0014-01、ISA-204、將安泰(Jiangantai) (肝西康(Ganxikang))、MIV-210、OB-AI-004、PF-06、胡黃連苷(picroside)、DasKloster-0039、和普蘭太(hepulantai)、IMB-2613、TCM-800B、還原麩胱甘肽、RO-6864018、RG-7834、UB-551及ZH-2N,及US20150210682 (Roche)、US 2016/0122344 (Roche)、WO2015173164、WO2016023877、US2015252057A (Roche)、WO16128335A1 (Roche)、WO16120186A1 (Roche)、US2016237090A (Roche)、WO16107833A1 (Roche)、WO16107832A1 (Roche)、US2016176899A (Roche)、WO16102438A1 (Roche)、WO16012470A1 (Roche)、US2016220586A (Roche)及US2015031687A (Roche)中所揭示之化合物。HBV 疫苗
HBV疫苗包括預防性及治療性疫苗兩者。HBV預防性疫苗之實例包括Vaxelis、Hexaxim、Heplisav、Mosquirix、DTwP-HBV疫苗、Bio-Hep-B、D/T/P/HBV/M (LBVP-0101;LBVW-0101)、DTwP-Hepb-Hib-IPV疫苗、Heberpenta L、DTwP-HepB-Hib、V-419、CVI-HBV-001、Tetrabhay、B型肝炎預防性疫苗(Advax Super D)、Hepatrol-07、GSK-223192A、ENGERIX B®
、重組B型肝炎疫苗(肌內,Kangtai Biological Products)、重組B型肝炎疫苗(漢遜多態酵母,肌內,Hualan Biological Engineering)、重組B型肝炎表面抗原疫苗、Bimmugen、Euforavac、Eutravac、anrix-DTaP-IPV-Hep B、HBAI-20、Infanrix-DTaP-IPV-Hep B-Hib、Pentabio Vaksin DTP-HB-Hib、Comvac 4、Twinrix、Euvax-B、Tritanrix HB、Infanrix Hep B、Comvax、DTP-Hib-HBV疫苗、DTP-HBV疫苗、宜泰(Yi Tai)、Heberbiovac HB、Trivac HB、GerVax、DTwP-Hep B-Hib疫苗、Bilive、Hepavax-Gene、SUPERVAX、Comvac5、Shanvac-B、Hebsulin、Recombivax HB、Revac B mcf、Revac B+、Fendrix、DTwP-HepB-Hib、DNA-001、Shan5、Shan6、rhHBsAG疫苗、HBI五價五價、LBVD、Infanrix HeXa,及DTaP-rHB-Hib疫苗。
HBV治療性疫苗之實例包括HBsAG-HBIG複合物、ARB-1598、Bio-Hep-B、NASVAC、abi-HB (靜脈內)、ABX-203、Tetrabhay、GX-110E、GS-4774、肽疫苗(εPA-44)、Hepatrol-07、NASVAC (NASTERAP)、IMP-321、BEVAC、Revac B mcf、Revac B+、MGN-1333、KW-2、CVI-HBV-002、AltraHepB、VGX-6200、FP-02、FP-02.2、TG-1050、NU-500、HBVax、im/TriGrid/抗原疫苗、Mega-CD40L-有佐劑疫苗、HepB-v、RG7944 (INO-1800)、基於重組VLP之治療性疫苗(HBV感染,VLP Biotech)、AdTG-17909、AdTG-17910、AdTG-18202、ChronVac-B、TG-1050及Lm HBV。HBV DNA 聚合酶抑制劑
HBV DNA聚合酶抑制劑之實例包括阿丹弗(HEPSERA®
)、安卓西他賓(EMTRIVA®
)、反丁烯二酸替諾福韋地索普西(VIREAD®
)、替諾福韋艾拉酚胺、替諾福韋、替諾福韋地索普西、反丁烯二酸替諾福韋韋艾拉酚胺、半反丁烯二酸替諾福韋艾拉酚胺、替諾福韋酯(tenofovir dipivoxil)、反丁烯二酸替諾福韋酯、替諾福韋十八烷氧基乙酯、CMX-157、拜斯福韋(besifovir)、因提弗(entecavir) (BARACLUDE®
)、順丁烯二酸因提弗、替比夫定(telbivudine)(TYZEKA®
)、非洛西韋(filocilovir)、帕拉德福韋(pradefovir)、克來夫定(clevudine)、利巴韋林、拉米夫定(EPIVIR-HBV®
)、疊氮膦(phosphazide)、泛昔洛韋(famciclovir)、弗索林(fusolin)、美他卡韋(metacavir)、SNC-019754、FMCA、AGX-1009、AR-II-04-26、HIP-1302、天冬胺酸替諾福韋地索普西、乳清酸替諾福韋地索普西及HS-10234。免疫調節劑
免疫調節劑之實例包括瑞他立德、鹽酸艾咪朵爾(imidol hydrochloride)、因加容(ingaron)、德瑪韋、氯奎寧(羥基氯奎)、普留淨、羥基脲、黴酚酸嗎啉乙酯(MPA)及其酯衍生物黴酚酸嗎啉乙酯(MMF)、JNJ-440、WF-10、AB-452、利巴韋林、IL-12、INO-9112、聚合物聚乙二亞胺(PEI)、吉朋(Gepon)、VGV-1、MOR-22、CRV-431、JNJ-0535、TG-1050、ABI-H2158、BMS-936559、GS-9688、RO-7011785、RG-7854、AB-506、RO-6871765、AIC-649及IR-103。鐸樣受體 (TLR) 調節劑
TLR調節劑包括TLR1、TLR2、TLR3、TLR4、TLR5、TLR6、TLR7、TLR8、TLR9、TLR10、TLR11、TLR12及TLR13之調節劑。TLR3調節劑之實例包括瑞他立德、聚ICLC、RIBOXXON®、阿伯辛(Apoxxim)、RIBOXXIM®、IPH-33、MCT-465、MCT-475及ND-1.1。
TLR7調節劑之實例包括GS-9620、GSK-2245035、咪喹莫特、雷西莫特、DSR-6434、DSP-3025、IMO-4200、MCT-465、MEDI-9197、3M-051、SB-9922、3M-052、林托普(Limtop)、D、特拉莫德(telratolimod))、SP-0509、TMX-30X、TMX-202、RG-7863、RG-7795、LHC-165、RG-7854及US20100143301 (Gilead Sciences)、US20110098248 (Gilead Sciences)及US20090047249 (Gilead Sciences)中揭示之化合物。
TLR8調節劑之實例包括莫托莫特、雷西莫特、3M-051、3M-052、MCT-465、IMO-4200、VTX-763、VTX-1463、GS-9688及以下中揭示之化合物:US20140045849 (Janssen)、US20140073642 (Janssen)、WO2014/056953 (Janssen)、WO2014/076221 (Janssen)、WO2014/128189 (Janssen)、US20140350031 (Janssen)、WO2014/023813 (Janssen)、US20080234251 (Array Biopharma)、US20080306050 (Array Biopharma)、US20100029585 (Ventirx Pharma)、US20110092485 (Ventirx Pharma)、US20110118235 (Ventirx Pharma)、US20120082658 (Ventirx Pharma)、US20120219615 (Ventirx Pharma)、US20140066432 (Ventirx Pharma)、US20140088085 (Ventirx Pharma)、US20140275167 (Novira Therapeutics)、US20130251673 (Novira Therapeutics)、美國專利案第9670205號、US20160289229、美國專利申請案第15/692161號及美國專利申請案第15/692093號。
TLR9調節劑之實例包括BB-001、BB-006、CYT-003、IMO-2055、IMO-2125、IMO-3100、IMO-8400、IR-103、IMO-9200、阿托莫特(agatolimod)、DIMS-9054、DV-1079、DV-1179、AZD-1419、利福莫特(leftolimod) (MGN-1703)、利騰莫特(litenimod)及CYT-003-QbG10。
TLR7、TLR8及TLR9調節劑之實例包括以下中揭示之化合物:WO2017047769 (Teika Seiyaku)、WO2015014815 (Janssen)、WO2018045150(Gilead Sciences Inc)、WO2018045144 (Gilead Sciences Inc)、WO2015162075(Roche)、WO2017034986 (堪薩斯州大學)、WO2018095426 (Jiangsu Hengrui Medicine Co Ltd)、WO2016091698(Roche)、WO2016075661 (GlaxoSmithKline Biologicals)、WO2016180743 (Roche)、WO2018089695 (Dynavax Technologies)、WO2016055553 (ROche)、WO2015168279 (Novartis)、WO2016107536 (Medshine Discovery)、WO2018086593 (Livo (Shanghai) Pharmaceutical)、WO2017106607(Merck)、WO2017061532 (Sumitomo Dainippon Pharma)、WO2016023511 (Chia Tai Tianqing Pharmaceutical)、WO2017076346 (Chia Tai Tianqing Pharmaceutical)、WO2017046112(ROche)、WO2018078149(Roche)、WO2017040233 (3M Co)、WO2016141092 (Gilead Sciences)、WO2018049089 (BristolMyers Squibb)、WO2015057655 (Eisai Co Ltd)、WO2017001307 (Roche)、WO2018005586 (BristolMyers Squibb)、WO201704023(3M Co),WO2017163264 (科學與工業研究委員會(印度))、WO2018046460 (GlaxoSmithKline Biologicals)、WO2018047081 (Novartis)、WO2016142250 (Roche)、WO2015168269 (Novartis)、WO201804163 (Roche)、WO2018038877 (3M Co)、WO2015057659 (Eisai Co Ltd)、WO2017202704 (Roche)、WO2018026620 (BristolMyers Squibb)、WO2016029077 (Janus Biotherapeutics)、WO201803143 (Merck)、WO2016096778 (Roche)、WO2017190669 (Shanghai De Novo Pharmatech)、US09884866 (明尼蘇達州大學)、WO2017219931 (Sichuan KelunBiotech Biopharmaceutical)、WO2018002319 (Janssen Sciences)、WO2017216054(Roche)、WO2017202703 (Roche)、WO2017184735 (IFM Therapeutics)、WO2017184746 (IFM Therapeutics)、WO2015088045 (Takeda Pharmaceutical)、WO2017038909 (Takeda Pharmaceutical)、WO2015095780 (堪薩斯州大學)、WO2015023958 (堪薩斯州大學)。干擾素 α 受體配體
干擾素α受體配體之實例包括干擾素α-2b (INTRON A®
)、聚乙二醇化干擾素α-2a (PEGASYS®
)、聚乙二醇化干擾素α-1b、干擾素α 1b (HAPGEN®
)、Veldona、Infradure、羅擾素-A、YPEG-干擾素α-2a (YPEG-rhIFNα-2a)、P-1101、Algeron、Alfarona、Ingaron (干擾素γ)、rSIFN-co (重組超化合物干擾素)、Ypeg干擾素α-2b (YPEG-rhIFNα-2b)、MOR-22、peg干擾素α-2b (PEG-INTRON®
)、貝爾芬(Bioferon)、樂複能(Novaferon)、Inmutag (Inferon)、MULTIFERON®、干擾素α-n1 (HUMOFERON®
)、干擾素β-1a (AVONEX®
)、Shaferon、干擾素α-2b (Axxo)、阿法菲酮(Alfaferone)、干擾素α-2b (BioGeneric Pharma)、干擾素-α 2 (CJ)、Laferonum、VIPEG、BLAUFERON-A、BLAUFERON-B、Intermax α、Realdiron、Lanstion、Pegaferon、PDferon-B PDferon-B、干擾素α-2b (IFN,Laboratorios Bioprofarma)、alfainterferona 2b、Kalferon、Pegnano、Feronsure、PegiHep、干擾素α 2b (Zydus-Cadila)、干擾素α 2a、Optipeg A、Realfa 2B、Reliferon、干擾素α-2b (Amega)、干擾素α-2b (Virchow)、ropeg干擾素α-2b、rHSA-IFN α-2a (重組人類血清白蛋白干擾素α 2a融合蛋白)、rHSA-IFN α 2b、重組人類干擾素α-(1b,2a,2b)、peg干擾素α-2b (Amega)、peg干擾素α-2a、Reaferon-EC、Proquiferon、Uniferon、Urifron、干擾素α-2b (Changchun Institute of Biological Products)、安達芬(Anterferon)、Shanferon、Layfferon、上海雷泰(Shang Sheng Lei Tai)、因特芬(INTEFEN)、賽若金(SINOGEN)、福康泰(Fukangtai)、Pegstat、rHSA-IFN α-2b、SFR-9216,及Interapo (Interapa)。玻尿酸酶抑制劑
玻尿酸酶抑制劑之實例包括阿斯君默(astodrimer)。B 型肝炎表面抗原 (HBsAg) 抑制劑
HBsAg抑制劑之實例包括HBF-0259、PBHBV-001、PBHBV-2-15、PBHBV-2-1、REP-9AC、REP-9C、REP-9、REP-2139、REP-2139-Ca、REP-2165、REP-2055、REP-2163、REP-2165、REP-2053、REP-2031及REP-006,及REP-9AC'。
HBsAg分泌抑制劑之實例包括BM601。細胞毒性 T 淋巴細胞相關蛋白 4 (ipi4) 抑制劑
細胞毒性T淋巴細胞相關蛋白4 (ipi4)抑制劑之實例包括AGEN-2041、AGEN-1884、伊匹魯密單抗(ipilumimab)、貝拉西普(belatacept)、PSI-001、PRS-010、Probody mAb、曲美木單抗(tremelimumab)及JHL-1155。親環蛋白抑制劑
親環蛋白抑制劑之實例包括CPI-431-32、EDP-494、OCB-030、SCY-635、NVP-015、NVP-018、NVP-019、STG-175及以下中揭示之化合物:US8513184 (Gilead Sciences)、US20140030221 (Gilead Sciences)、US20130344030 (Gilead Sciences)及US20130344029 (Gilead Sciences)。HBV 病毒進入抑制劑
HBV病毒進入抑制劑之實例包括米魯德西B(Myrcludex B)。靶向病毒 mRNA 之反義寡核苷酸
靶向病毒mRNA之反義寡核苷酸的實例包括ISIS-HBVRx、IONIS-HBVRx、IONIS-GSK6-LRx、GSK-3389404、RG-6004。短干擾 RNA (siRNA) 及 ddRNAi
siRNA之實例包括TKM-HBV (TKM-HepB)、ALN-HBV、SR-008、HepB-nRNA,及ARC-520、ARC-521、ARB-1740、ARB-1467。
DNA定向RNA干擾(ddRNAi)之實例包括BB-HB-331。核酸內切酶調節劑
核酸內切酶調節劑之實例包括PGN-514。核糖核苷酸還原酶抑制劑
核糖核苷酸還原酶抑制劑之實例包括曲美多斯(Trimidox)。HBV E 抗原抑制劑
HBV E抗原抑制劑之實例包括漢黃芩素(wogonin)。共價閉合環狀 DNA (cccDNA) 抑制劑
cccDNA抑制劑之實例包括BSBI-25及CHR-101。法尼酯 X 受體促效劑
法尼酯x受體促效劑之實例為諸如EYP-001、GS-9674、EDP-305、MET-409、Tropifexor、AKN-083、RDX-023、BWD-100、LMB-763、INV-3、NTX-023-1、EP-024297及GS-8670。HBV 抗體
靶向B型肝炎病毒表面抗原之HBV抗體之實例包括GC-1102、XTL-17、XTL-19、KN-003、IV Hepabulin SN及全人類單株抗體療法(B型肝炎病毒感染,Humabs BioMed)。
包括單株抗體及多株抗體之HBV抗體之實例包括Zutectra、上生甘迪(Shang Sheng Gan Di)、Uman Big (B型肝炎超免疫)、Omri-Hep-B、Nabi-HB、Hepatect CP、HepaGam B、igantibe、Niuliva、CT-P24、B型肝炎免疫球蛋白(靜脈內,pH4,HBV感染,Shanghai RAAS Blood Products)及Fovepta (BT-088)。
全人類單株抗體包括HBC-34。CCR2 趨化介素拮抗劑
CCR2趨化介素拮抗劑之實例包括丙帕鍺。胸腺素促效劑
胸腺素促效劑之實例包括胸腺法新(Thymalfasin),重組胸腺素α 1 (GeneScience)細胞介素
細胞介素之實例包括重組IL-7、CYT-107、介白素-2 (IL-2,Immunex)、重組人介白素-2 (Shenzhen Neptunus)、IL-15、IL-21、IL-24及西莫介白素(celmoleukin)。核蛋白調節劑
核蛋白調節劑可為HBV核心或衣殼蛋白抑制劑。核蛋白調節劑之實例包括GS-4882、AB-423、AT-130、GLS4、NVR-1221、NVR-3778、AL-3778、BAY 41-4109、甲磺酸莫非賽定(morphothiadine mesilate)、ARB-168786、ARB-880、JNJ-379、RG-7907、HEC-72702、AB-506、ABI-H0731、JNJ-440 、ABI-H2158及DVR-23。
衣殼抑制劑之實例包括以下中所揭示之化合物:US20140275167 (Novira Therapeutics)、US20130251673 (Novira Therapeutics)、US20140343032 (Roche)、WO2014037480 (Roche)、US20130267517 (Roche)、WO2014131847 (Janssen)、WO2014033176 (Janssen)、WO2014033170 (Janssen)、WO2014033167 (Janssen)、WO2015/059212 (Janssen)、WO2015118057(Janssen)、WO2015011281 (Janssen)、WO2014184365 (Janssen)、WO2014184350 (Janssen)、WO2014161888 (Janssen)、WO2013096744 (Novira)、US20150225355 (Novira)、US20140178337 (Novira)、US20150315159 (Novira)、US20150197533 (Novira)、US20150274652 (Novira)、US20150259324、(Novira)、US20150132258 (Novira)、US9181288 (Novira)、WO2014184350 (Janssen)、WO2013144129 (Roche)、WO2017198744 (Roche)、US 20170334882 (Novira)、US 20170334898 (Roche)、WO2017202798 (Roche)、WO2017214395 (Enanta)、WO2018001944 (Roche)、WO2018001952 (Roche)、WO2018005881 (Novira)、WO2018005883 (Novira)、WO2018011100 (Roche)、WO2018011160 (Roche)、WO2018011162 (Roche)、WO2018011163 (Roche)、WO2018036941 (Roche)、WO2018043747 (Kyoto Univ)、US20180065929 (Janssen)、WO2016168619 (印第安納大學)、WO2016195982 (The Penn State Foundation)、WO2017001655 (Janssen)、WO2017048950 (Assembly Biosciences)、WO2017048954 (Assembly Biosciences)、WO2017048962 (Assembly Biosciences)、US20170121328 (Novira)、US20170121329 (Novira)。
轉錄物抑制劑之實例包括以下中所揭示之化合物:WO2017013046 (Roche)、WO2017016960 (Roche)、WO2017017042 (Roche)、WO2017017043 (Roche)、WO2017061466 (Toyoma chemicals)、WO2016177655 (Roche)、WO2016161268 (Enanta). WO2017001853 (Redex Pharma)、WO2017211791 (Roche)、WO2017216685 (Novartis)、WO2017216686 (Novartis)、WO2018019297 (Ginkgo Pharma)、WO2018022282 (Newave Pharma)、US20180030053 (Novartis)、WO2018045911 (Zhejiang Pharma)。視黃酸誘導性基因 1 刺激劑
視黃酸誘導性基因1刺激劑之實例包括SB-9200、SB-40、SB-44、ORI-7246、ORI-9350、ORI-7537、ORI-9020、ORI-9198,及ORI-7170、RGT-100。NOD2 刺激劑
NOD2刺激劑之實例包括SB-9200。磷脂醯肌醇 3- 激酶 (PI3K) 抑制劑
PI3K抑制劑之實例包括艾德昔布(idelalisib)、ACP-319、AZD-8186、AZD-8835、布帕昔布(buparlisib)、CDZ-173、CLR-457、皮克昔布(pictilisib)、來那替尼(neratinib)、瑞戈替布(rigosertib)、瑞戈替布鈉、EN-3342、TGR-1202、艾培昔布(alpelisib)、杜維昔布(duvelisib)、IPI-549、UCB-5857、泰尼昔布(taselisib)、XL-765、吉達昔布(gedatolisib)、ME-401、VS-5584、考班昔布(copanlisib)、乳清酸CAI、哌立福新(perifosine)、RG-7666、GSK-2636771、DS-7423、帕努昔布(panulisib)、GSK-2269557、GSK-2126458、CUDC-907、PQR-309、INCB-40093、皮拉昔布(pilaralisib)、BAY-1082439、甲磺酸普喹替尼(puquitinib mesylate)、SAR-245409、AMG-319、RP-6530、ZSTK-474、MLN-1117、SF-1126、RV-1729、索諾昔布(sonolisib)、LY-3023414、SAR-260301、TAK-117、HMPL-689、特納昔布(tenalisib)、沃塔昔布(voxtalisib)及CLR-1401。吲哚胺 -2,3- 二加氧酶 (IDO) 路徑抑制劑
IDO抑制劑之實例包括艾帕斯塔(epacadostat) (INCB24360)、雷米諾他(resminostat) (4SC-201)、因多莫得(indoximod)、F-001287、SN-35837、NLG-919、GDC-0919、GBV-1028、GBV-1012、NKTR-218,及US20100015178 (Incyte)、US2016137652 (Flexus Biosciences, Inc.)、WO2014073738 (Flexus Biosciences, Inc.)及WO2015188085 (Flexus Biosciences, Inc.)中所揭示之化合物。PD-1 抑制劑
PD-1抑制劑之實例包括測米匹單抗(cemiplimab)、尼沃單抗(nivolumab)、派立珠單抗(pembrolizumab)、皮立珠單抗(pidilizumab)、BGB-108、STI-A1014、SHR-1210、PDR-001、PF-06801591、IBI-308、GB-226、STI-1110、JNJ-63723283、CA-170、德瓦魯單抗(durvalumab)、阿特珠單抗(atezolizumab)及mDX-400、JS-001、坎立珠單抗(Camrelizumab)、斯迪利單抗(Sintilimab)、緹勒珠單抗(tislelizumab)、BCD-100、BGB-A333、JNJ-63723283、GLS-010 (WBP-3055)、CX-072、AGEN-2034、GNS-1480 (表皮生長因子受體拮抗劑;漸進式細胞死亡配體1抑制劑)、CS-1001、M-7824 (PD-L1/TGF-β雙功能融合蛋白)、傑諾珠單抗(Genolimzumab)、BMS-936559。PD-L1 抑制劑
PD-L1抑制劑之實例包括阿特珠單抗、艾維路單抗(avelumab)、AMP-224、MEDI-0680、RG-7446、GX-P2、德瓦魯單抗、KY-1003、KD-033、MSB-0010718C、TSR-042、ALN-PDL、STI-A1014、GS-4224、CX-072及BMS-936559。
PD-1抑制劑之實例包括以下中所揭示之化合物:WO2017112730 (Incyte Corp)、WO2017087777(Incyte Corp)、WO2017017624、WO2014151634 (BristolMyers Squibb Co)、WO201317322 (BristolMyers Squibb Co)、WO2018119286 (Incyte Corp)、WO2018119266 (Incyte Corp)、WO2018119263(Incyte Corp)、WO2018119236 (Incyte Corp)、WO2018119221(Incyte Corp)、WO2018118848 (BristolMyers Squibb Co)、WO20161266460 (BristolMyers Squibb Co)、WO2017087678 (BristolMyers Squibb Co)、WO2016149351 (BristolMyers Squibb Co)、WO2015033299 (Aurigene Discovery Technologies Ltd)、WO2015179615 (Eisai Co Ltd;Eisai Research Institute)、WO2017066227 (BristolMyers Squibb Co)、WO2016142886 (Aurigene Discovery Technologies Ltd)、WO2016142852 (Aurigene Discovery Technologies Ltd)、WO2016142835 (Aurigene Discovery Technologies Ltd;Individual)、WO2016142833 (Aurigene Discovery Technologies Ltd)、WO2018085750 (BristolMyers Squibb Co)、 WO2015033303 (Aurigene Discovery Technologies Ltd)、WO2017205464 (Incyte Corp)、WO2016019232 (3M Co;Individual;Texas A&M University System)、WO2015160641 (BristolMyers Squibb Co)、WO2017079669 (Incyte Corp)、WO2015033301 (Aurigene Discovery Technologies Ltd)、WO2015034820 (BristolMyers Squibb Co)、WO2018073754 (Aurigene Discovery Technologies Ltd)、 WO2016077518 (BristolMyers Squibb Co)、WO2016057624 (BristolMyers Squibb Co)、WO2018044783 (Incyte Corp)、WO2016100608 (BristolMyers Squibb Co)、WO2016100285 (BristolMyers Squibb Co)、WO2016039749 (BristolMyers Squibb Co)、WO2015019284 (Cambridge Enterprise Ltd)、WO2016142894 (Aurigene Discovery Technologies Ltd)、WO2015134605 (BristolMyers Squibb Co)、WO2018051255 (Aurigene Discovery Technologies Ltd)、WO2018051254 (Aurigene Discovery Technologies Ltd)、WO2017222976 (Incyte Corp)、WO2017070089 (Incyte Corp)、WO2018044963 (BristolMyers Squibb Co)、WO2013144704 (Aurigene Discovery Technologies Ltd)、WO2018013789 (Incyte Corp)、WO2017176608 (BristolMyers Squibb Co)、WO2018009505 (BristolMyers Squibb Co)、WO2011161699 (Aurigene Discovery Technologies Ltd)、WO2015119944 (Incyte Corp;Merck Sharp & Dohme Corp)、WO2017192961 (Incyte Corp)、WO2017106634 (Incyte Corp)、WO2013132317 (Aurigene Discovery Technologies Ltd)、WO2012168944 (Aurigene Discovery Technologies Ltd)、WO2015036927 (Aurigene Discovery Technologies Ltd)、WO2015044900 (Aurigene Discovery Technologies Ltd)、WO2018026971 (Arising International)。重組胸腺素 α-1
重組胸腺素α-1之實例包括NL-004及聚乙二醇化胸腺素α-1。布魯頓氏酪胺酸激酶 (BTK) 抑制劑
BTK抑制劑之實例包括ABBV-105、阿卡拉布魯替尼(acalabrutinib) (ACP-196)、ARQ-531、BMS-986142、達沙替尼(dasatinib)、依魯替尼(ibrutinib)、GDC-0853、PRN-1008、SNS-062、ONO-4059、BGB-3111、ML-319、MSC-2364447、RDX-022、X-022、AC-058、RG-7845、斯比布魯替尼(spebrutinib)、TAS-5315、TP-0158、TP-4207、HM-71224、KBP-7536、M-2951、TAK-020、AC-0025及在US20140330015 (Ono Pharmaceutical)、US20130079327 (Ono Pharmaceutical)及US20130217880 (Ono Pharmaceutical)中所揭示之化合物。KDM 抑制劑
KDM5抑制劑之實例包括以下中所揭示之化合物:WO2016057924 (Genentech/Constellation Pharmaceuticals)、US20140275092 (Genentech/Constellation Pharmaceuticals)、US20140371195 (Epitherapeutics)及US20140371214 (Epitherapeutics)、US20160102096 (Epitherapeutics)、US20140194469 (Quanticel)、US20140171432、US20140213591 (Quanticel)、US20160039808 (Quanticel)、US20140275084 (Quanticel)、WO2014164708 (Quanticel)。
KDM1抑制劑之實例包括US9186337B2 (Oryzon Genomics)中所揭示之化合物、GSK-2879552及RG-6016。STING 促效劑
STING促效劑之實例包括SB-11285、AdVCA0848、STINGVAX及以下中揭示之化合物:WO 2018065360 (Biolog Life Science Institute Forschungslabor und Biochemica-Vertrieb GmbH, Germany)、WO 2018009466 (Aduro Biotech)、WO 2017186711 (InvivoGen)、WO 2017161349 (Immune Sensor)、WO 2017106740 (Aduro Biotech)、US 20170158724 (Glaxo Smithkiline)、WO 2017075477 (Aduro Biotech)、US 20170044206 (Merck)、WO 2014179760 (加利福尼亞大學)、WO2018098203 (Janssn)、WO2018118665 (Merck)、WO2018118664 (Merck)、WO2018100558 (Takeda)、WO2018067423 (Merck)、WO2018060323 (Boehringer)。非核苷逆轉錄酶抑制劑 ( NNRTI )
NNRTI之實例包括以下中揭示之化合物:WO2018118826 (Merck)、WO2018080903 (Merck)、WO2018119013 (Merck)、WO2017100108 (Idenix)、WO2017027434 (Merck)、WO2017007701 (Merck)、WO2008005555 (Gilead)。HBV 複製抑制劑
B型肝炎病毒複製抑制劑之實例包括異噻氟定(isothiafludine)、IQP-HBV、RM-5038及Xingantie。精胺酸酶抑制劑
精胺酸酶抑制劑之實例包括CB-1158、C-201及雷米諾他。基因療法及細胞療法
基因療法及細胞療法包括用以使基因沉默之基因修飾;用以直接殺死受感染細胞之基因方法;經設計以將患者之大部分自身免疫系統替換以增強對受感染細胞之免疫反應或激活患者之自身免疫系統以殺死受感染細胞,或尋找且殺死受感染細胞之免疫細胞輸注;用以修飾細胞活性以進一步改變針對感染之內源性免疫反應之基因方法。基因編輯因子
基因組編輯系統之實例包括CRISPR/Cas9系統、鋅指核酸酶系統、TALEN系統、歸巢核酸內切酶系統及大範圍核酸酶系統;例如經由靶向裂解進行之cccDNA消除,及改變B型肝炎病毒(HBV)病毒基因中之一或多者。改變(例如基因剔除及/或阻斷基因表現)PreC 、
C、X 、 PreSI 、 PreS2 、
S、P 或 SP
基因係指(1)減少或消除PreC 、
C、X 、 PreSI 、 PreS2 、
S、P 或 SP
基因表現,(2)干擾前核蛋白(Precore)、核心蛋白(Core)、X蛋白、長表面蛋白質、中表面蛋白、S蛋白(亦稱為HBs抗原及HBsAg)、聚合酶蛋白及/或B型肝炎剪接蛋白質功能(HBe、HBc、HBx、PreS1、PreS2、S、Pol及/或HBSP)或(3)減少或消除細胞內、血清及/或腦實質內的HBe、HBc、HBx、LHBs、MHBs、SHBs、Pol及/或HBSP蛋白質含量。PreC 、
C、X 、 PreSI 、 PreS2 、
S、P
及/或SP
基因中之一或多者之阻斷基因表現係藉由靶向HBV cccDNA及/或整合HBV DNA內之基因執行。CAR-T 細胞療法
CAR T細胞療法包括經工程改造以表現嵌合抗原受體(CAR)之免疫效應細胞群體,其中CAR包含HBV抗原結合域。免疫效應細胞為T細胞或NK細胞。在一些實施例中,T細胞為CD4+ T細胞、CD8+ T細胞或其組合。細胞可為自體或同種異體的。TCR-T 細胞療法
TCR T細胞療法包括表現HBV特異性T細胞受體之T細胞。TCR-T細胞係經工程改造以靶向在感染病毒之細胞之表面上呈現的HBV源性肽。在一些實施例中,T細胞表現HBV表面抗原(HBsAg)特異性TCR。針對HBV之治療的TCR-T療法之實例包括LTCR-H2-1。
在另一特定實施例中,本文所揭示之化合物或其醫藥學上可接受之鹽與以下各者組合:HBV DNA聚合酶抑制劑;一或兩種選自由以下組成之群的其他治療劑:免疫調節劑、TLR調節劑、HBsAg抑制劑、HBsAg分泌或組裝抑制劑、HBV治療性疫苗、HBV抗體(包括靶向B型肝炎病毒之表面抗原之HBV抗體及雙特異性抗體)及「抗體樣」治療蛋白(諸如DARTs®
、DUOBODIES®
、BITES®
、XmAbs®
、TandAbs®
、Fab衍生物或TCR樣抗體)、親環蛋白抑制劑、視黃酸誘導性基因1刺激劑、RIG-I樣受體刺激劑、PD-1抑制劑、PD-L1抑制劑、精胺酸酶抑制劑、PI3K抑制劑、IDO抑制劑及NOD2刺激劑;及一或兩種選自由以下組成之群的其他治療劑:HBV病毒進入抑制劑、NTCP抑制劑、HBx抑制劑、cccDNA抑制劑、靶向B型肝炎病毒之表面抗原之HBV抗體、siRNA、miRNA基因治療劑、sshRNA、KDM5抑制劑及核蛋白調節劑(HBV核心或衣殼蛋白調節劑)。
在另一實施例中,本文所揭示之化合物或其醫藥學上可接受之鹽與HBV DNA聚合酶抑制劑及至少一種選自由以下組成之群的第二其他治療劑組合:免疫調節劑、TLR調節劑、HBsAg抑制劑、HBV治療性疫苗、HBV抗體(包括靶向B型肝炎病毒表面抗原之HBV抗體及雙特異性抗體)及「抗體樣」治療蛋白(諸如DARTs®
、DUOBODIES®
、BITES®
、XmAbs®
、TandAbs®
、Fab衍生物或TCR樣抗體)、親環蛋白抑制劑、視黃酸誘導性基因1刺激劑、RIG-I樣受體刺激劑、PD-1抑制劑、PD-L1抑制劑、精胺酸酶抑制劑、PI3K抑制劑、IDO抑制劑及NOD2刺激劑。
在另一實施例中,本文所揭示之化合物或其醫藥學上可接受之鹽係與HBV DNA聚合酶抑制劑及至少一種選自由以下組成之群的第二其他治療劑組合:HBV病毒進入抑制劑、NTCP抑制劑、HBx抑制劑、cccDNA抑制劑、靶向B型肝炎病毒表面抗原之HBV抗體、siRNA、miRNA基因治療劑、sshRNA、KDM5抑制劑及核蛋白調節劑(HBV核心或衣殼蛋白抑制劑)。
在特定實施例中,本文所揭示之化合物或其醫藥學上可接受之鹽係與化合物及用於治療HBV之其他藥物及其組合相組合,該等化合物係諸如揭示於以下中之化合物:美國公開案第2010/0143301 號(Gilead Sciences)、美國公開案第2011/0098248號(Gilead Sciences)、美國公開案第2009/0047249號(Gilead Sciences)、美國專利第8722054號(Gilead Sciences)、美國公開案第2014/0045849號 (Janssen)、美國公開案第2014/0073642號(Janssen)、WO2014/056953 (Janssen)、WO2014/076221 (Janssen)、WO2014/128189 (Janssen)、美國公開案第2014/0350031號(Janssen)、WO2014/023813 (Janssen)、美國公開案第2008/0234251號(Array Biopharma)、美國公開案第2008/0306050號(Array Biopharma)、美國公開案第2010/0029585號(Ventirx Pharma)、美國公開案第2011/0092485號(Ventirx Pharma)、US2011/0118235 (Ventirx Pharma)、美國公開案第2012/0082658號(Ventirx Pharma)、美國公開案第2012/0219615號(Ventirx Pharma)、美國公開案第2014/0066432號(Ventirx Pharma)、美國公開案第2014/0088085號(Ventirx Pharma)、美國公開案第2014/0275167號(Novira Therapeutics)、美國公開案第2013/0251673號(Novira Therapeutics) 、美國專利第8513184號(Gilead Sciences)、美國公開案第2014/0030221號(Gilead Sciences)、美國公開案第2013/0344030號(Gilead Sciences)、美國公開案第2013/0344029號(Gilead Sciences)、US20140275167 (Novira Therapeutics)、US20130251673 (Novira Therapeutics)、美國公開案第2014/0343032號(Roche)、WO2014037480 (Roche)、美國公開案第2013/0267517號(Roche)、WO2014131847 (Janssen)、WO2014033176 (Janssen)、WO2014033170 (Janssen)、WO2014033167 (Janssen)、WO2015/059212 (Janssen)、WO2015118057(Janssen)、WO2015011281 (Janssen)、WO2014184365 (Janssen)、WO2014184350 (Janssen)、WO2014161888 (Janssen)、WO2013096744 (Novira)、US20150225355 (Novira)、US20140178337 (Novira)、US20150315159 (Novira)、US20150197533 (Novira)、US20150274652 (Novira)、US20150259324、(Novira)、US20150132258 (Novira)、US9181288 (Novira)、WO2014184350 (Janssen)、WO2013144129 (Roche)、US20100015178 (Incyte)、US2016137652 (Flexus Biosciences、Inc.)、WO2014073738 (Flexus Biosciences、Inc.)、WO2015188085(Flexus Biosciences、Inc.)、美國公開案第2014/0330015號(Ono Pharmaceutical)、美國公開案第2013/0079327號(Ono Pharmaceutical)、美國公開案第2013/0217880號(Ono pharmaceutical)、WO2016057924 (Genentech/Constellation Pharmaceuticals)、US20140275092 (Genentech/Constellation Pharmaceuticals)、US20140371195 (Epitherapeutics)及US20140371214 (Epitherapeutics)、US20160102096 (Epitherapeutics)、US20140194469 (Quanticel)、US20140171432、US20140213591 (Quanticel)、US20160039808 (Quanticel)、US20140275084 (Quanticel)、WO2014164708 (Quanticel)、US9186337B2 (Oryzon Genomics)中。
癌症組合療法
在一個實施例中,本發明之化合物可與癌症治療之其他治療方法一起使用。較佳地,涵蓋具有化學治療劑、激素、抗體、手術及/或輻射治療之組合療法。
在一些實施例中,另外的抗癌療法為手術及/或放射線療法。
在一些實施例中,另外的抗癌療法為至少一種額外癌症藥劑。
在一些實施例中,提供一種組合,其包含式(之化合物或其醫藥學上可接受之鹽及至少另一種癌症藥劑。
在一些實施例中,提供一種供治療使用之組合,其包含本發明化合物或其醫藥學上可接受之鹽及至少另一種癌症藥劑。
在一些實施例中,提供組合在製造用於治療癌症之藥劑中之用途,該組合包含本發明化合物或其醫藥學上可接受之鹽及至少一種癌症藥劑。
另外的癌症藥劑之實例包括:嵌入物質,諸如蒽環黴素(anthracycline)、小紅莓(doxorubicin)、艾達黴素(idarubicin)、表柔比星(epirubicin)及道諾黴素(daunorubicin);拓樸異構酶抑制劑,諸如伊立替康(irinotecan)、拓朴替康(topotecan)、喜樹鹼(camptothecin)、片螺素D (lamellarin D)、依託泊苷(etoposide)、替尼泊甙(teniposide)、米托蒽醌(mitoxantrone)、安吖啶(amsacrine)、玫瑰樹鹼(ellipticines)及金黃三羧酸(aurintricarboxylic acid);亞硝基脲化合物,諸如卡莫司汀(carmustine) (BCNU)、洛莫司汀(lomustine) (CCNU)及鏈脲菌素(streptozocin);氮芥,諸如環磷醯胺、二氯甲基二乙胺(mechlorethamine)、烏拉莫司汀(uramustine)、苯達莫司汀(bendamustine)、美法侖(melphalan)、苯丁酸氮芥(chlorambucil)、馬磷醯胺(mafosfamide)、曲洛磷胺(trofosfamid)及異環磷醯胺(ifosfamide);烷基磺酸酯,諸如白消安(busulfan)及曲奧舒凡(treosulfan);烷基化劑,諸如普卡巴嗪(procarbazin)、達卡巴嗪(dacarbazin)、替莫唑胺(temozolomid)及噻替派(thiotepa);鉑類似物,諸如順鉑(cisplatin)、卡鉑(carboplatin)、奈達鉑(nedaplatin)、奧沙利鉑(oxaliplatin)、賽特鉑(satraplatin)及四硝酸三鉑(triplatin tetranitrate);微管破壞性藥物,諸如長春鹼(vinblastine)、秋水仙醯胺(colcemid)及諾考達唑(nocodazole)、抗葉酸劑,如同甲胺喋呤、胺基喋呤、二氯甲胺喋呤、培美曲塞(pemetrexed)、雷替曲塞(raltitrexed)及普拉曲沙(pralatrexate);嘌呤類似物,如同硫唑嘌呤、巰基嘌呤、硫鳥嘌呤、氟達拉賓(fludarabine)、磷酸氟達拉賓、噴司他丁(pentostatin)及克拉屈濱(cladribine);嘧啶類似物,如同5-氟尿嘧啶、氟尿苷、阿糖胞苷、6-氮尿嘧啶、吉西他濱(gemcitabine);類固醇,諸如吉西他津(gestagene)、安德羅津(androgene)、糖皮質激素、地塞米松(dexamethasone)、潑尼龍(prednisolone)及潑尼松(prednisone);抗癌抗體,諸如單株抗體,例如阿侖單抗(alemtuzumab)、阿泊珠單抗(apolizumab)、西妥昔單抗(cetuximab)、依帕珠單抗(epratuzumab)、加利昔單抗(galiximab)、吉妥單抗(gemtuzumab)、伊派利單抗(ipilimumab)、拉貝珠單抗(labetuzumab)、帕尼單抗(panitumumab)、利妥昔單抗(rituximab)、曲妥珠單抗(trastuzumab)、尼妥珠單抗(nimotuzumab)、馬帕木單抗(mapatumumab)、馬妥珠單抗(matuzumab)、rhMab ICR62及帕妥珠單抗(pertuzumab)、放射性標記抗體及抗體-藥物結合物;抗癌肽,諸如放射性標記肽及肽-藥物結合物;及紫杉烷及紫杉烷類似物,諸如太平洋紫杉醇(paclitaxel)及多烯紫杉醇(docetaxel)。
在某些實施例中,一種用於治療或預防罹患過度增生性病症或癌症或處於罹患過度增生性病症或癌症之風險下的人類或動物中之過度增生性病症或癌症的方法,其包含向該人類或動物投與治療有效量之如本文所揭示之本發明化合物或其醫藥學上可接受之鹽與治療有效量之一或多種(例如一種、兩種、三種、一種或兩種、或一種至三種)其他治療劑的組合。在一個實施例中,一種用於治療罹患過度增生性病症或癌症或處於罹患過度增生性病症或癌症之風險下的人類或動物中之過度增生性病症或癌症的方法,其包含向該人類或動物投與治療有效量之本文所揭示之化合物或其醫藥學上可接受之鹽與治療有效量之一或多種(例如一種、兩種、三種、一種或兩種、或一種至三種)其他治療劑的組合。
在某些實施例中,本發明提供一種用於治療過度增生性病症或癌症之方法,其包含向有需要之個體投與治療有效量之本文所揭示之化合物或其醫藥學上可接受之鹽與治療有效量之一或多種額外的適合於治療過度增生性病症或癌症之治療劑的組合。
本文中所描述之化合物可與以下中之一或多者一起使用或組合:化學治療劑、抗癌劑、抗血管生成劑、抗纖維化劑、免疫治療劑、治療性抗體、雙特異性抗體及「抗體樣」治療性蛋白質(諸如DARTs®、Duobodies®、Bites®、XmAbs®、TandAbs®、Fab衍生物)、抗體-藥物結合物(ADC)、放射線治療劑、抗腫瘤劑、抗增殖劑、溶瘤病毒、基因調節劑或編輯因子(諸如CRISPR/Cas9、鋅指核酸酶或合成核酸酶、TALENs)、CAR (嵌合抗原受體)T細胞免疫治療劑、經工程改造之T細胞受體(TCR-T)或其任何組合。該等治療劑可呈化合物、抗體、多肽或聚核苷酸之形式。在一個實施例中,本文提供一種產品,其包含用於同時、單獨或依序用於療法中的呈組合製劑形式的本文中所描述之化合物及其他治療劑。
該一或多種治療劑包括(但不限於)基因、配體、受體、蛋白質或因子之抑制劑、促效劑、拮抗劑、配體、調節劑、刺激劑、阻斷劑、活化劑或抑制劑。其他治療劑之非限制性實例包括:阿貝爾森鼠類白血病病毒致癌基因同源物1基因(ABL,諸如ABL1)、乙醯基-CoA羧化酶(諸如ACC1/2)、經活化CDC激酶(ACK,諸如ACK1)、腺苷脫胺酶、腺苷受體(諸如A2B、A2a、A3)、腺苷酸環化酶、ADP核糖基環化酶-1、促腎上腺皮質激素受體(ACTH)、氣單胞菌溶素(Aerolysin)、AKT1基因、Alk-5蛋白激酶、鹼性磷酸酶、α1腎上腺素受體、α2腎上腺素受體、α-酮戊二酸去氫酶(KGDH)、胺基肽酶N、AMP經活化蛋白激酶、退行性淋巴瘤激酶(ALK,諸如ALK1)、雄激素受體、血管生成素(諸如配體-1、配體-2)、血管緊縮素原(AGT)基因、鼠類胸腺瘤病毒致癌基因同源物1 (AKT)蛋白激酶(諸如AKT1、AKT2、AKT3)、載脂蛋白A-I (APOA1)基因、細胞凋亡誘導因子、細胞凋亡蛋白(諸如1、2)、細胞凋亡信號調節激酶(ASK,諸如ASK1)、精胺酸酶(I)、精胺酸脫亞胺酶、芳香酶、星狀同源物1 (ASTE1)基因、共濟失調毛細管擴張症及Rad 3相關(ATR)絲胺酸/蘇胺酸蛋白激酶、極光蛋白激酶(諸如1、2)、Axl酪胺酸激酶受體、桿狀病毒含IAP重複物5 (BIRC5)基因、基礎免疫球蛋白、B細胞淋巴瘤2 (BCL2)基因、Bcl2結合組分3、Bcl2蛋白、BCL2L11基因、BCR (斷點叢集區)蛋白及基因、β腎上腺素受體、β連環蛋白、B淋巴細胞抗原CD19、B淋巴細胞抗原CD20、B淋巴細胞黏附分子、B淋巴細胞刺激劑配體、骨形態生成蛋白-10配體、骨形態生成蛋白-9配體調節劑、短尾畸型蛋白、緩激肽受體、B-raf原致癌基因(BRAF)、Brc-Abl酪胺酸激酶、溴結構域及外部結構域(BET)含溴結構域之蛋白(諸如BRD2、BRD3、BRD4)、布魯頓氏酪胺酸激酶(BTK)、調鈣蛋白、調鈣蛋白依賴性蛋白激酶(CaMK,諸如CAMKII)、睪丸癌抗原2、睪丸癌抗原NY-ESO-1、癌症/睪丸抗原1B (CTAG1)基因、大麻素受體(諸如CB1、CB2)、碳酸酐酶、酪蛋白激酶(CK,諸如CKI、CKII)、卡斯蛋白酶(諸如卡斯蛋白酶-3、卡斯蛋白酶-7、卡斯蛋白酶-9)、卡斯蛋白酶8細胞凋亡相關半胱胺酸肽酶CASP8-FADD類調節劑、卡斯蛋白酶募集結構域蛋白-15、組織蛋白酶G、CCR5基因、CDK活化激酶(CAK)、查核點激酶(諸如CHK1、CHK2)、趨化介素(C-C主結構)受體(諸如CCR2、CCR4、CCR5)、趨化介素(C-X-C主結構)受體(諸如CXCR4、CXCR1及CXCR2)、趨化介素CC21配體、膽囊收縮素CCK2受體、絨膜促性腺激素、c-Kit (酪胺酸-蛋白激酶Kit或CD117)、緊密連接蛋白(諸如6、18)、分化叢集(CD),諸如CD4、CD27、CD29、CD30、CD33、CD37、CD40、CD40配體受體、CD40配體、CD40LG基因、CD44、CD45、CD47、CD49b、CD51、CD52、CD55、CD58、CD66e、CD70基因、CD74、CD79、CD79b、CD79B基因、CD80、CD95、CD99、CD117、CD122、CDw123、CD134、CDw137、CD158a、CD158b1、CD158b2、CD223、CD276抗原;群集素(CLU)基因、群集素、c-Met (肝細胞生長因子受體(HGFR))、補體C3、結締組織生長因子、COP9信號體次單位5、CSF-1 (群落刺激因子1受體)、CSF2基因、CTLA-4 (細胞毒性T淋巴細胞蛋白4)受體、細胞週期素D1、細胞週期素G1、細胞週期素依賴性激酶(CDK,諸如CDK1、CDK1B、CDK2-9)、環加氧酶(諸如1、2)、CYP2B1基因、豪豬屬半胱胺酸棕櫚醯基轉移酶、細胞色素P450 11B2、細胞色素P450 17、細胞色素P450 17A1、細胞色素P450 2D6、細胞色素P450 3A4、細胞色素P450還原酶、細胞介素信號傳導-1、細胞介素信號傳導-3、細胞質異檸檬酸去氫酶、胞嘧啶脫胺酶、胞嘧啶DNA甲基轉移酶、細胞毒性T淋巴細胞蛋白-4、DDR2基因、δ樣蛋白質配體(諸如3、4)、去氧核糖核酸酶、Dickkopf-1配體、二氫葉酸還原酶(DHFR)、二氫嘧啶去氫酶、二肽基肽酶IV、盤狀結構域受體(DDR,諸如DDR1)、DNA結合蛋白(諸如HU-β)、DNA依賴性蛋白激酶、DNA旋轉酶、DNA甲基轉移酶、DNA聚合酶(諸如α)、DNA引物酶、dUTP焦磷酸酶、L-多巴色素互變異構酶、棘皮動物微管樣蛋白4、EGFR酪胺酸激酶受體、彈性蛋白酶、延長因子1 α2、延長因子2、內皮因子、核酸內切酶、內質網素、內皮唾酸蛋白、內皮生長抑素、內皮素(諸如ET-A、ET-B)、zeste基因增強子同源物2 (EZH2)、艾普瑞林 (EPH)酪胺酸激酶(諸如Epha3、Ephb4)、艾普瑞林B2配體、表皮生長因子、表皮生長因子受體(EGFR)、表皮生長因子受體(EGFR)基因、後生因子、上皮細胞黏附分子(EpCAM)、Erb-b2 (v-erb-B2禽類紅血球胚細胞白血病病毒致癌基因同源物2)酪胺酸激酶受體、Erb-b3酪胺酸激酶受體、Erb-b4酪胺酸激酶受體、E-選擇素、雌二醇17β去氫酶、雌激素受體(諸如α、β)、雌激素相關受體、真核轉譯始動因子5A (EIF5A)基因、核輸出蛋白1、細胞外信號相關激酶(諸如1、2)、細胞外信號調節激酶(ERK)、因子(諸如Xa,VIIa)、法尼酯x受體(FXR)、Fas配體、脂肪酸合成酶(FASN)、鐵蛋白、FG-2配體、FGF-5配體、纖維母細胞生長因子(FGF,諸如FGF1、FGF2、FGF4)、纖維結合蛋白、Fms相關酪胺酸激酶3 (Flt3)、局部黏著斑激酶(FAK,諸如FAK2)、葉酸羥化酶前列腺特異性膜抗原1 (FOLH1)、葉酸受體(諸如α)、葉酸、葉酸轉運蛋白1、FYN酪胺酸激酶、成對鹼性胺基酸分裂酶(FURIN)、β-葡糖苷酸酶、半乳糖苷基轉移酶、半乳糖凝集素-3、神經節苷脂GD2、糖皮質激素、糖皮質激素誘導之TNFR相關蛋白GITR受體、麩胺酸羧肽酶II、麩醯胺酸酶、麩胱甘肽S-轉移酶P、肝糖合成酶激酶(GSK,諸如3-β)、磷脂肌醇蛋白聚糖3 (GPC3)、促性腺激素釋放激素(GNRH)、顆粒球巨噬細胞群落刺激因子(GM-CSF)受體、顆粒球群落刺激因子(GCSF)配體、生長因子受體結合蛋白2 (GRB2)、Grp78 (78 kDa葡萄糖調節蛋白)鈣結合蛋白、分子伴隨蛋白groEL2基因、熱衝擊蛋白質(諸如27、70、90α、β)、熱衝擊蛋白質基因、熱穩定腸毒素受體、刺蝟蛋白、肝素酶、肝細胞生長因子、HERV-H LTR相關蛋白2、己醣激酶、組胺H2受體、組蛋白甲基轉移酶(DOT1L)、組蛋白脫乙醯基酶(HDAC,諸如1、2、3、6、10、11)、組蛋白H1、組蛋白H3、HLA I級抗原(A-2α)、HLA II級抗原、同源盒蛋白質NANOG、HSPB1基因、人類白細胞抗原(HLA)、人類乳頭狀瘤病毒(諸如E6、E7)蛋白、玻尿酸、玻尿酸酶、低氧誘導性因子-1α (HIF1α)、印記型人母系表現轉錄物(H19)基因、有絲分裂原活化蛋白激酶激酶激酶激酶1 (MAP4K1)、酪胺酸-蛋白激酶HCK、I-κ-B激酶(IKK,諸如IKKbe)、IL-1α、IL-1β、IL-12、IL-12基因、IL-15、IL-17、IL-2基因、IL-2受體α次單位、IL-2、IL-3受體、IL-4、IL-6、IL-7、IL-8、免疫球蛋白(諸如G、G1、G2、K、M)、免疫球蛋白Fc受體、免疫球蛋白γ Fc受體(諸如I、III、IIIA)、吲哚胺2,3-二加氧酶(IDO,諸如IDO1)、吲哚胺吡咯2,3-二加氧酶1抑制劑、胰島素受體、類胰島素生長因子(諸如1、2)、整合素α-4/β-1、整合素α-4/β-7、整合素α-5/β-1、整合素α-V/β-3、整合素α-V/β-5、整合素α-V/β-6、細胞間黏附分子1 (ICAM-1)、干擾素(諸如α、α2、β、γ)、黑素瘤無干擾素誘導性蛋白2 (AIM2)、干擾素I型受體、介白素1配體、介白素13受體α2、介白素2配體、介白素-1受體相關激酶4 (IRAK4)、介白素-2、介白素-29配體、異檸檬酸去氫酶(諸如IDH1、IDH2)、Janus激酶(JAK,諸如JAK1、JAK2)、Jun N端激酶、激肽釋放酶相關肽酶3 (KLK3)基因、殺手細胞Ig樣受體、激酶插入結構域受體(KDR)、類動蛋白KIF11、克爾斯滕大鼠肉瘤病毒致癌基因同源物(KRAS)基因、吻素(Kisspeptin) (KiSS-1)受體、KIT基因、v-kit哈迪朱克曼4貓類肉瘤病毒致癌基因同源物(KIT)酪胺酸激酶、乳鐵傳遞蛋白、羊毛甾醇-14去甲基酶、LDL受體相關蛋白-1、白三烯A4羥化酶、李斯特菌溶胞素(Listeriolysin)、L-選擇素、促黃體生成激素受體、解離酶、淋巴細胞活化基因3蛋白(LAG-3)、淋巴細胞抗原75、淋巴細胞功能抗原-3受體、淋巴細胞特異性蛋白酪胺酸激酶(LCK)、淋巴細胞趨化介素、Lyn (Lck/Yes新穎)酪胺酸激酶、離胺酸去甲基酶(諸如KDM1、KDM2、KDM4、KDM5、KDM6、A/B/C/D)、溶血凝血酯-1 (Lysophosphatidate-1)受體、溶酶體相關膜蛋白家族(LAMP)基因、離胺醯氧化酶同源物2、離胺醯氧化酶蛋白(LOX)、類離胺醯氧化酶蛋白(LOXL,諸如LOXL2)、造血先驅細胞激酶1 (HPK1)、肝細胞生長因子受體(MET)基因、巨噬細胞、群落刺激因子(MCSF)配體、巨噬細胞遷移抑制因子、MAGEC1基因、MAGEC2基因、穹窿蛋白、MAPK-活化蛋白激酶(諸如MK2)、Mas相關G蛋白偶聯受體、基質金屬蛋白酶(MMP,諸如MMP2、MMP9)、Mcl-1分化蛋白、Mdm2 p53-結合蛋白、Mdm4蛋白、Melan-A (MART-1)黑素瘤抗原、黑色素細胞蛋白Pmel 17、促黑色素細胞激素配體、黑素瘤抗原家族A3 (MAGEA3)基因、黑素瘤相關抗原(諸如1、2、3、6)、膜銅胺氧化酶、間皮素、MET酪胺酸激酶、代謝型麩胺酸受體1、金屬還原酶STEAP1 (前列腺6次跨膜上皮抗原1)、轉移抑素、甲硫胺酸胺基肽酶-2、甲基轉移酶、粒線體3酮脂醯CoA硫解酶、促分裂原活化蛋白激酶(MAPK)、有絲分裂原活化蛋白激酶(MEK,諸如MEK1、MEK2)、mTOR (雷帕黴素機理目標)(絲胺酸/蘇胺酸激酶)、mTOR複合物(諸如1、2)、黏蛋白(諸如1、5A、16)、mut T同源物(MTH,諸如MTH1)、Myc原致癌基因蛋白、骨髓細胞白血病1 (MCL1)基因、十八烷基化富含丙胺酸之蛋白激酶C基質(MARCKS)蛋白、NAD ADP核糖基轉移酶、利鈉肽受體C、神經細胞黏附分子1、神經激肽1 (NK1)受體、神經激肽受體、神經菌毛素2、NFκ B活化蛋白、NIMA相關激酶9 (NEK9)、氧化氮合成酶、NK細胞受體、NK3受體、NKG2 A B活化NK受體、去甲腎上腺素轉運蛋白、Notch (諸如Notch-2受體、Notch-3受體、Notch-4受體)、細胞核紅細胞2相關因子2、核因子(NF) κ B、核仁素、核仁磷酸蛋白、核仁磷酸蛋白-退行性淋巴瘤激酶(NPM-ALK)、2氧化戊二酸去氫酶、2,5-寡腺苷酸合成酶、O-甲基鳥嘌呤DNA甲基轉移酶、類鴉片受體(諸如δ)、鳥胺酸去羧酶、乳清酸磷酸核糖轉移酶、孤兒核激素受體NR4A1、骨鈣化素、破骨細胞分化因子、骨橋蛋白、OX-40 (腫瘤壞死因子受體超家族成員4 TNFRSF4或CD134)受體、P3蛋白、p38激酶、p38 MAP激酶、p53腫瘤抑制蛋白、副甲狀腺激素配體、過氧化體增殖物活化受體(PPAR,諸如α、δ、γ)、 P-醣蛋白(諸如1)、磷酸酶及收縮素同源物(PTEN)、磷脂醯肌醇3-激酶(PI3K)、磷酸肌醇-3激酶(PI3K,諸如α、δ、γ)、磷酸化酶激酶(PK)、PKN3基因、胎盤生長因子、血小板衍生生長因子(PDGF,諸如α、β)、血小板衍生生長因子(PDGF,諸如α、β)、多效性抗藥性轉運蛋白、叢蛋白B1、PLK1基因、polo樣激酶(PLK)、Polo樣激酶1、聚ADP核糖聚合酶(PARP,諸如PARP1、2及3)、 黑素瘤優先表現抗原(PRAME)基因、戊烯基結合蛋白(PrPB)、可能的轉錄因子PML、孕酮受體、漸進式細胞死亡1 (PD-1)、漸進式細胞死亡配體1抑制劑(PD-L1)、激活蛋白質(PSAP)基因、前列腺素受體(EP4)、前列腺特異性抗原、前列腺酸磷酸酶、蛋白酶體、蛋白E7、蛋白法呢基轉移酶、蛋白激酶(PK,諸如A、B、C)、蛋白酪胺酸激酶、蛋白酪胺酸磷酸酶β、原致癌基因絲胺酸/蘇胺酸-蛋白激酶(PIM,諸如PIM-1、PIM-2、PIM-3)、P-選擇素、嘌呤核苷磷酸化酶、嘌呤受體P2X配體閘控離子通道7 (P2X7)、丙酮酸去氫酶(PDH)、丙酮酸去氫酶激酶、丙酮酸激酶(PYK)、5-α-還原酶、Raf蛋白激酶(諸如1,B)、RAF1基因、Ras基因、RasGTP酶、RET基因、Ret酪胺酸激酶受體、視網膜母細胞瘤相關蛋白、視黃酸受體(諸如γ)、類視黃素X受體、Rheb (大腦中富含之Ras同源物) GTP酶、Rho (Ras同源物)相關蛋白激酶2、核糖核酸酶、核糖核苷酸還原酶(諸如M2次單位)、核糖體蛋白S6激酶、核糖核酸聚合酶(諸如I、II)、Ron (Recepteur d'Origine Nantais)酪胺酸激酶、ROS1 (ROS原致癌基因1,受體酪胺酸激酶)基因、Ros1酪胺酸激酶、Runt相關轉錄因子3、γ-分泌酶、S100鈣結合蛋白A9、肌內質鈣ATP酶、第二粒線體源性半胱天冬酶活化物(SMAC)蛋白、分泌型捲曲相關蛋白-2、信號蛋白-4D、絲胺酸蛋白酶、絲胺酸/蘇胺酸激酶(STK)、 絲胺酸/蘇胺酸-蛋白激酶(TBK,諸如TBK1)、信號轉導及轉錄(STAT,諸如STAT-1、STAT-3、STAT-5)、信號傳導淋巴球性活化分子(SLAM)家族成員7、前列腺6次跨膜上皮抗原(STEAP)基因、SL細胞介素配體、平滑(SMO)受體、碘化鈉共轉運蛋白、磷酸鈉共轉運蛋白2B、生長抑素受體(諸如1、2、3、4、5)、音蝟因子蛋白、交換因子(SOS)、特異性蛋白1 (Sp1)、轉錄因子、鞘磷脂合成酶、神經鞘胺醇激酶(諸如1、2)、 神經鞘胺醇-1-磷酸受體-1、脾酪胺酸激酶(SYK)、SRC基因、Src酪胺酸激酶、STAT3基因、甾類硫酸酯酶、干擾素基因刺激劑(STING)受體、干擾素基因蛋白刺激劑、基質細胞衍生因子1配體、SUMO (小型類反泛素改質劑)、超氧化歧化酶、存活素蛋白、突觸蛋白3、多配體蛋白聚糖-1、共核蛋白α、T細胞表面醣蛋白CD28、箱結合激酶(TBK)、TATA盒結合蛋白相關因子RNA聚合酶I次單位B (TAF1B)基因、 T細胞CD3醣蛋白ζ鏈、T細胞分化抗原CD6、含T細胞免疫球蛋白及黏蛋白結構域蛋白3(TIM-3)、T細胞表面醣蛋白CD8、Tec蛋白質酪胺酸激酶、Tek酪胺酸激酶受體、端粒酶、端粒酶逆轉錄酶(TERT)基因、肌腱蛋白、TGF β2配體、血小板生成素受體、胸苷激酶、胸苷磷酸化酶、胸苷酸合成酶、胸腺素(諸如α1)、甲狀腺激素受體、促甲狀腺激素受體、組織因子、TNF相關細胞凋亡誘導配體、TNFR1相關死亡結構域蛋白質、TNF相關細胞凋亡誘導配體(TRAIL)受體、 TNFSF11基因、TNFSF9基因、鐸樣受體(TLR,諸如1-13)、拓樸異構酶(諸如I、II、III)、轉錄因子、轉移酶、轉鐵蛋白、轉化生長因子(TGF,諸如β)激酶、轉化生長因子TGF-β受體激酶、轉麩醯胺酸酶、易位相關蛋白、跨膜醣蛋白NMB、Trop-2鈣信號轉導蛋白、滋胚層醣蛋白(TPBG)基因、滋胚層醣蛋白、肌旋蛋白受體激酶(Trk)受體(諸如TrkA、TrkB、TrkC)、 色胺酸5-羥化酶、微管蛋白、腫瘤壞死因子(TNF,諸如α、β)、腫瘤壞死因子13C受體、腫瘤進展基因座2 (TPL2)、腫瘤蛋白53 (TP53)基因、腫瘤抑制劑候選物2 (TUSC2)基因、酪胺酸酶、酪胺酸羥化酶、酪胺酸激酶(TK)、酪胺酸激酶受體、具有免疫球蛋白類及EGF類結構域之酪胺酸激酶(TIE)受體、 酪胺酸蛋白激酶ABL1抑制劑、泛素、泛素羧基水解酶同功酶L5、泛素硫酯酶-14、泛素共軛酶E2I (UBE2I、UBC9)、尿素酶(Urease)、尿激酶纖維蛋白溶酶原活化劑、子宮球蛋白(Uteroglobin)、香草素VR1、血管細胞黏著蛋白質1、血管內皮生長因子受體(VEGFR)、T細胞活化之V結構域Ig抑制劑(VISTA)、VEGF-1受體、VEGF-2受體、VEGF-3受體、VEGF-A、VEGF-B、波形蛋白(Vimentin)、維生素D3受體、 原致癌基因酪胺酸-蛋白激酶Yes、Wee-1蛋白激酶、威爾姆斯氏腫瘤抗原1、威爾姆斯氏腫瘤蛋白質、細胞凋亡之X連鎖抑制蛋白質(X-linked inhibitor of apoptosis protein)、鋅指蛋白轉錄因子或其任何組合。
其他治療劑之非限制性實例可由其作用機制分類成例如以下各組:
- 抗代謝物/抗癌劑,諸如嘧啶類似物氟尿苷、卡培他濱(capecitabine)、阿糖胞苷、CPX-351 (脂質阿糖胞苷、道諾黴素)及TAS-118;
- 嘌呤類似物、葉酸拮抗劑(諸如普拉曲沙(pralatrexate))及相關抑制劑;
- 抗增生/抗有絲分裂劑,包括天然產物,諸如長春花生物鹼(vinca alkaloid) (長春鹼(vinblastine)、長春新鹼(vincristine))及微管破裂劑,諸如紫杉烷(太平洋紫杉醇、多烯紫杉醇)、長春鹼、諾考達唑(nocodazole)、埃博黴素(epothilone)、長春瑞賓(vinorelbine) (NAVELBINE®
),及表鬼臼毒素(epipodophyllotoxins)(依託泊苷、替尼泊甙);
- DNA損傷劑,諸如放射菌素、安吖啶、白消安、卡鉑、苯丁酸氮芥、順鉑、環磷醯胺(CYTOXAN®
)、放線菌素D、道諾黴素、小紅莓、表柔比星、異環磷醯胺、美法侖、二氯甲二乙胺、絲裂黴素C、米托蒽醌、亞硝基脲、丙卡巴肼、紫杉醇、克癌易(Taxotere)、替尼泊甙、依託泊苷及三伸乙基硫代磷醯胺;
- DNA低甲基化劑,諸如瓜達西汀(guadecitabine)(SGI-110)、ASTX727;
- 抗生素,諸如放線菌素D、道諾黴素、小紅莓、伊達比星、蒽環黴素、米托蒽醌、博來黴素(bleomycins)、普卡黴素(plicamycin)(光神黴素(mithramycin));
- 酶,諸如系統地代謝L-天冬醯胺且剝奪不具有合成其自身天冬醯胺之能力的細胞之L-天冬醯胺酶;
- 抗血小板劑;
- 靶向Bcl-2之DNAi寡核苷酸,諸如PNT2258;
- 活化或再活化潛在人類免疫缺陷病毒(HIV)之藥劑,諸如帕比諾他(panobinostat)及羅米地辛(romidepsin);
- 天冬醯胺酶刺激劑,諸如克立他酶(crisantaspase)(Erwinase®)及GRASPA (ERY-001、ERY-ASP)、聚乙二醇化卡拉斯酶(calaspargase pegol);
- pan-Trk、ROS1及ALK抑制劑,諸如恩曲替尼(entrectinib)、TPX-0005;
- 退行性淋巴瘤激酶(ALK)抑制劑,諸如艾樂替尼(alectinib)、色瑞替尼(ceritinib);
- 抗增生/抗有絲分裂烷基化劑,諸如氮芥環磷醯胺及類似物(美法侖、氯芥苯丁酸、六甲基三聚氰胺(hexamethylmelamine)及噻替派)、烷基亞硝基脲(卡莫司汀)及類似物、鏈脲菌素及三氮烯(達卡巴嗪);
- 抗增生/抗有絲分裂抗代謝物,諸如葉酸類似物(甲胺喋呤);
- 鉑配位複合物(順鉑、奧沙利鉑(oxiloplatinim)及卡鉑)、丙卡巴肼、羥脲、米托坦(mitotane)及胺麩精(aminoglutethimide);
- 激素、激素類似物(雌激素、他莫昔芬(tamoxifen)、戈舍瑞林(goserelin)、比卡魯胺(bicalutamide)及尼魯胺(nilutamide))及芳香酶抑制劑(來曲唑(letrozole)及阿那曲唑(anastrozole));
- 抗凝劑,諸如肝素、合成肝素鹽及其他凝血酶抑制劑;
- 纖維蛋白溶解劑,諸如組織纖維蛋白溶酶原活化劑、鏈球菌激酶、尿激酶、阿司匹林(aspirin)、雙嘧達莫(dipyridamole)、噻氯匹定(ticlopidine)及克羅匹多(clopidogrel);
- 抗遷移劑;
- 抗分泌劑(布瑞汀(breveldin));
- 免疫抑制劑,諸如他克莫司(tacrolimus)、西羅莫司(sirolimus)、硫唑嘌呤及黴酚酸酯(mycophenolate);
- 生長因子抑制劑,及血管內皮生長因子抑制劑;
- 纖維母細胞生長因子抑制劑,諸如FPA14;
- 抗VEGFR抗體,諸如IMC-3C5、GNR-011、塔尼比單抗(tanibirumab);
- 抗VEGF/DDL4抗體,諸如ABT-165;
- 抗鈣黏素抗體,諸如HKT-288;
- 抗CD70抗體,諸如AMG-172;含有抗富含白胺酸之重複物之15號(LRRC15)抗體,諸如ABBV-085.ARGX-110;
- 血管收縮素受體阻斷劑、氧化氮供體;
- 反義寡核苷酸,諸如AEG35156、IONIS-KRAS-2.5Rx、EZN-3042、RX-0201、IONIS-AR-2.5Rx、BP-100 (普瑞博森(prexigebersen))、IONIS-STAT3-2.5Rx;
- DNA干擾寡核苷酸,諸如PNT2258、AZD-9150;
- 抗ANG-2抗體,諸如MEDI3617及LY3127804;
- 抗ANG-1/ANG-2 抗體,諸如AMG-780;
- 抗MET/EGFR抗體,諸如LY3164530;
- 抗EGFR抗體,諸如ABT-414、AMG-595、萊西單抗(necitumumab)、ABBV-221、馬佛多坦德帕土西珠單抗(depatuxizumab mafodotin) (ABT-414)、托木妥昔單抗(tomuzotuximab)、ABT-806、維必施(vectibix)、莫多西單抗(modotuximab)、RM-1929;
- 抗CSF1R抗體,諸如艾瑪圖單抗(emactuzumab)、LY3022855、AMG-820、FPA-008 (卡比拉單抗(cabiralizumab));
- 抗CD40抗體,諸如RG7876、SEA-CD40、APX-005M、ABBV-428;
- 抗內皮因子抗體,諸如TRC105 (卡妥昔單抗(carotuximab));
- 抗CD45抗體,諸如131I-BC8 (lomab-B);
- 抗HER3抗體,諸如LJM716、GSK2849330;
- 抗HER2抗體,諸如馬妥昔單抗(margetuximab)、MEDI4276、BAT-8001;
- 抗HLA-DR抗體,諸如IMMU-114;
- 抗IL-3抗體,諸如JNJ-56022473;
- 抗OX40抗體,諸如MEDI6469、MEDI6383、MEDI0562 (塔沃西單抗(tavolixizumab))、MOXR0916、PF-04518600、RG-7888、GSK-3174998、INCAGN1949、BMS-986178、GBR-8383、ABBV-368;
- 抗EphA3抗體,諸如KB-004;
- 抗CD20抗體,諸如奧濱尤妥珠單抗(obinutuzumab)、IGN-002;
- 抗CD20/CD3抗體,諸如RG7828;
- 抗CD37抗體,諸如AGS67E、奧特勒土珠單抗(otlertuzumab)(TRU-016);
- 抗ENPP3抗體,諸如AGS-16C3F;
- 抗FGFR-3抗體,諸如LY3076226、B-701;
- 抗FGFR-2抗體,諸如GAL-F2;
- 抗C5抗體,諸如ALXN-1210;
- 抗CD27抗體,諸如瓦裏木單抗(varlilumab)(CDX-1127);
- 抗TROP-2抗體,諸如IMMU-132
- 抗NKG2a抗體,諸如莫納珠單抗(monalizumab);
- 抗VISTA抗體,諸如HMBD-002;
- 抗PVRIG抗體,諸如COM-701;
- 抗EpCAM抗體,諸如VB4-845;
- 抗BCMA抗體,諸如GSK-2857916
- 抗CEA抗體,諸如RG-7813;
- 抗分化簇3 (CD3)抗體,諸如MGD015;
- 抗葉酸受體α抗體,諸如IMGN853;
- MCL-1抑制劑,諸如AMG-176、S-64315及AZD-5991、483-LM、A-1210477、UMI-77、JKY-5-037;
- epha2抑制劑,諸如MM-310;
- 抗LAG-3抗體,諸如瑞拉單抗(relatlimab)(ONO-4482)、LAG-525、MK-4280、REGN-3767;
- raf激酶/VEGFR抑制劑,諸如RAF-265;
- 多梳蛋白(EED)抑制劑,諸如MAK683;
- 抗纖維母細胞活化蛋白(FAP)/IL-2R抗體,諸如RG7461;
- 抗纖維母細胞活化蛋白(FAP)/TRAIL-R2抗體,諸如RG7386;
- 抗岩藻糖基-GM1抗體,諸如BMS-986012;
- p38 MAP激酶抑制劑,諸如那力替尼(ralimetinib);
- PRMT1抑制劑,諸如MS203;
- 神經鞘胺醇激酶2 (SK2)抑制劑,諸如奧帕尼布(opaganib);
- FLT3-ITD抑制劑,諸如BCI-332;
- 細胞核紅細胞2相關因子2刺激劑,諸如奧瑪韋隆(omaveloxolone)(RTA-408);
- 肌旋蛋白受體激酶(TRK)抑制劑,諸如LOXO-195、ONO-7579;
- 抗ICOS抗體,諸如JTX-2011、GSK3359609;
- 抗DR5 (TRAIL2)抗體,諸如DS-8273;
- 抗GD2抗體,諸如APN-301;
- 抗介白素-17 (IL-17)抗體,諸如CJM-112;
- 抗碳酸酐酶IX抗體,諸如TX-250;
- 抗CD38-阿騰金,諸如TAK573;
- 抗黏蛋白1抗體,諸如加迪珠單抗(gatipotuzumab);
- 黏蛋白1抑制劑,諸如GO-203-2C;
- MARCKS蛋白質抑制劑,諸如BIO-11006;
- 葉酸拮抗劑,諸如阿弗地林(arfolitixorin);
- 半乳糖凝集素-3抑制劑,諸如GR-MD-02;
- 磷酸化P68抑制劑,諸如RX-5902;
- CD95/TNF調節劑,諸如奧弗沃巴(ofranergene obadenovec);
- PI3K/Akt/mTOR抑制劑,諸如ABTL-0812;
- pan-PIM激酶抑制劑,諸如INCB-053914;
- IL-12基因刺激劑,諸如EGEN-001、塔沃特德(tavokinogene telseplasmid);
- 熱衝擊蛋白質HSP90抑制劑,諸如TAS-116、PEN-866;
- VEGF/HGF拮抗劑,諸如MP-0250;
- SYK酪胺酸激酶/FLT3酪胺酸激酶抑制劑,諸如TAK-659;
- SYK酪胺酸激酶/JAK酪胺酸激酶抑制劑,諸如ASN-002;
- FLT3酪胺酸激酶抑制劑,諸如FF-10101;
- FLT3酪胺酸激酶促效劑,諸如CDX-301;
- FLT3/MEK1抑制劑,諸如E-6201;
- IL-24拮抗劑,諸如AD-IL24;
- RIG-I促進劑,諸如RGT-100;
- 氣單胞菌溶素刺激劑,諸如托普欣(topsalysin);
- P-醣蛋白1抑制劑,諸如HM-30181A;
- CSF-1拮抗劑,諸如ARRY-382、BLZ-945;
- 抗間皮素抗體,諸如SEL-403;
- 胸苷激酶刺激劑,諸如阿格維克(aglatimagene besadenovec);
- Polo樣激酶1抑制劑,諸如PCM-075;
- TLR-7促效劑,諸如TMX-101 (咪喹莫特);
- NEDD8抑制劑,諸如佩沃塔特(pevonedistat)(MLN-4924)、TAS-4464;
- 多效性路徑調節劑,諸如阿多米德(avadomide)(CC-122);
- FoxM1抑制劑,諸如硫鏈絲菌(thiostrepton);
- 抗MUC1抗體,諸如Mab-AR-20.5;
- 抗CD38抗體,諸如伊薩土西單抗(isatuximab)、MOR-202;
- UBA1抑制劑,諸如TAK-243;
- Src酪胺酸激酶抑制劑,諸如VAL-201;
- VDAC/HK抑制劑,諸如VDA-1102;
- BRAF/PI3K抑制劑,諸如ASN-003;
- Elf4a抑制劑,諸如羅西替布(rohinitib)、eFT226;
- TP53基因刺激劑,諸如ad-p53;
- PD-L1/EGFR抑制劑,諸如GNS-1480;
- 視黃酸受體α (RARα)抑制劑,諸如SY-1425;
- SIRT3抑制劑,諸如YC8-02;
- 基質細胞衍生之因子1配體抑制劑,諸如聚乙二醇化奧拉希德(olaptesed pegol) (NOX-A12);
- IL-4受體調節劑,諸如MDNA-55;
- 精胺酸酶-I刺激劑,諸如佩拉酶(pegzilarginase);
- 拓樸異構酶I抑制劑/低氧誘導性因子-1α抑制劑,諸如PEG-SN38 (聚乙二醇化非特坎(firtecan pegol));
- 低氧誘導性因子-1α抑制劑,諸如PT-2977、PT-2385;
- CD122促效劑,諸如NKTR-214;
- p53腫瘤抑制蛋白刺激劑,諸如克維林(kevetrin);
- Mdm4/Mdm2 p53結合蛋白質抑制劑,諸如ALRN-6924;
- 驅動蛋白軸蛋白質(KSP)抑制劑,諸如非那西布(filanesib)(ARRY-520);
- CD80-fc融合蛋白抑制劑,諸如FPT-155;
- 多發性內分泌腺瘤蛋白及混合細胞系白血病(MLL)抑制劑,諸如KO-539;
- 肝x受體促效劑,諸如RGX-104;
- IL-10促效劑,諸如AM-0010;
- EGFR/ErbB-2抑制劑,諸如瓦尼替尼(varlitinib);
- VEGFR/PDGFR抑制劑,諸如沃羅拉尼(vorolanib);
- IRAK4抑制劑,諸如CA-4948;
- 抗TLR-2抗體,諸如OPN-305;
- 調鈣蛋白調節劑,諸如CBP-501;
- 糖皮質激素受體拮抗劑,諸如瑞拉蘭特(relacorilant)(CORT-125134);
- 第二粒線體源性半胱天冬酶活化物(SMAC)蛋白質抑制劑,諸如BI-891065;
- 乳鐵傳遞蛋白調節劑,諸如LTX-315;
- Kit酪胺酸激酶/PDGF受體α拮抗劑,諸如DCC-2618;
- KIT抑制劑,諸如PLX-9486;
- 核輸出蛋白1抑制劑,諸如艾塔尼西(eltanexor);
- EGFR/ErbB2/Ephb4抑制劑,諸如特色瓦替尼(tesevatinib);
- 抗CD33抗體,諸如IMGN-779;
- 抗KMA抗體,諸如MDX-1097;
- 抗TIM-3抗體,諸如TSR-022, LY-3321367, MBG-453;
- 抗CD55抗體,諸如PAT-SC1;
- 抗PSMA抗體,諸如ATL-101;
- 抗CD100抗體,諸如VX-15;
- 抗EPHA3抗體,諸如非巴珠單抗(fibatuzumab);
- 抗Erbb抗體,諸如CDX-3379、HLX-02、塞裏班土單抗(seribantumab);
- 抗APRIL抗體,諸如BION-1301;
- 抗Tigit抗體,諸如BMS-986207、RG-6058;
- CHST15基因抑制劑,諸如STNM-01;
- RAS抑制劑,諸如NEO-100;
- 生長抑素受體拮抗劑,諸如OPS-201;
- CEBPA基因刺激劑,諸如MTL-501;
- DKK3基因調節劑,諸如MTG-201;
- p70s6k抑制劑,諸如MSC2363318A;
- 甲硫胺酸胺基肽酶2 (MetAP2)抑制劑,諸如M8891、APL-1202;
- 精胺酸N-甲基轉移酶5抑制劑,諸如GSK-3326595;
- 抗漸進式細胞死亡蛋白質1 (抗PD-1)抗體,諸如尼沃單抗(OPDIVO®、BMS-936558、MDX-1106)、派立珠單抗(KEYTRUDA®、MK-3477、SCH-900475、拉立珠單抗(lambrolizumab),CAS寄存號1374853-91-4)、皮立珠單抗、PF-06801591、BGB-A317、GLS-010 (WBP-3055)、AK-103 (HX-008)、MGA-012、BI-754091、REGN-2810 (測米匹單抗)、AGEN-2034、JS-001、JNJ-63723283、傑諾珠單抗(genolimzumab)(CBT-501)、LZM-009、BCD-100、LY-3300054、SHR-1201、BAT-1306,及抗漸進式死亡配體1 (抗PD-L1)抗體,諸如BMS-936559、阿特珠單抗(MPDL3280A)、德瓦魯單抗(MEDI4736)、艾維路單抗、CK-301 (MSB0010718C)、MEDI0680、CX-072、CBT-502、PDR-001 (斯帕塔利單抗(spartalizumab))、TSR-042 (多斯利單抗(dostarlimab))、JTX-4014、BGB-A333、SHR-1316、CS-1001 (WBP-3155、KN-035、IBI-308、FAZ-053及MDX1105-01);
- PD-L1/VISTA拮抗劑,諸如CA-170;
- 抗PD-L1/TGFβ抗體,諸如M7824;
- 抗運鐵蛋白抗體,諸如CX-2029;
- 抗IL-8 (介白素-8)抗體,諸如HuMax-Inflam;
- ATM (共濟失調毛細管擴張)抑制劑,諸如AZD0156;
- CHK1抑制劑,諸如GDC-0575、LY2606368 (普瑞替布(prexasertib))、SRA737、RG7741 (CHK1/2);
- CXCR4拮抗劑,諸如BL-8040、LY2510924、布利沙福(burixafor)(TG-0054)、X4P-002、X4P-001-IO;
- EXH2抑制劑,諸如GSK2816126;
- HER2抑制劑,諸如來那替尼(neratinib)、圖卡替尼(tucatinib)(ONT-380);
- KDM1抑制劑,諸如ORY-1001、IMG-7289、INCB-59872、GSK-2879552;
- CXCR2拮抗劑,諸如AZD-5069;
- GM-CSF抗體,諸如朗齊魯單抗(lenzilumab);
- DNA依賴性蛋白激酶抑制劑,諸如MSC2490484A (尼瑟替布(nedisertib))、VX-984、AsiDNA (DT-01);
- 蛋白激酶C (PKC)抑制劑,諸如LXS-196、索塔妥林(sotrastaurin);
- 選擇性雌激素受體下調劑(SERD),諸如氟維司群(fulvestrant)(Faslodex®)、RG6046、RG6047、艾拉司群(elacestrant)(RAD-1901)及AZD9496;
- 選擇性雌激素受體共價拮抗劑(SERCA),諸如H3B-6545;
- 選擇性雄激素受體調節劑(SARM),諸如GTX-024、達諾米德(darolutamide);
- 轉型生長因子-β (TGF-β)激酶拮抗劑,諸如高倫替布(galunisertib);
- 抗轉型生長因子-β (TGF-β)抗體,諸如LY3022859、NIS793、XOMA 089;
- 雙特異性抗體,諸如MM-141 (IGF-1/ErbB3)、MM-111 (Erb2/Erb3)、JNJ-64052781 (CD19/CD3)、PRS-343 (CD-137/HER2)、AFM26 (BCMA/CD16A)、JNJ-61186372 (EGFR/cMET)、AMG-211 (CEA/CD3)、RG7802 (CEA/CD3)、ERY-974 (CD3/GPC3) 範茨珠單抗(vancizumab) (血管生成素/VEGF)、PF-06671008 (鈣黏素/CD3)、AFM-13 (CD16/CD30)、 APVO436 (CD123/CD3)、弗圖珠單抗(flotetuzumab) (CD123/CD3)、 REGN-1979 (CD20/CD3)、MCLA-117 (CD3/CLEC12A)、MCLA-128 (HER2/HER3)、JNJ-0819、JNJ-7564 (CD3/血紅素)、AMG-757 (DLL3-CD3)、MGD-013 (PD-1/LAG-3)、AK-104 (CTLA-4/PD-1)、AMG-330 (CD33/CD3)、AMG-420 (BCMA/CD3)、BI-836880 (VEFG/ANG2)、JNJ-63709178 (CD123/CD3)、MGD-007 (CD3/gpA33)、MGD-009 (CD3/B7H3);
- 突變型選擇性EGFR抑制劑,諸如PF-06747775、EGF816 (納紮替尼(nazartinib))、ASP8273、ACEA-0010、BI-1482694;
- 抗GITR (糖皮質激素誘導之腫瘤壞死因子受體相關蛋白質)抗體,諸如MEDI1873、FPA-154、INCAGN-1876、TRX-518、BMS-986156、MK-1248、GWN-323;
- 抗δ樣蛋白質配體3 (DDL3)抗體,諸如特西諾瓦單抗(rovalpituzumab tesirine);
- 抗群集素抗體,諸如AB-16B5;
- 抗艾普瑞林-A4 (EFNA4)抗體,諸如PF-06647263;
- 抗RANKL抗體,諸如德諾單抗(denosumab);
- 抗間皮素抗體,諸如BMS-986148、抗MSLN-MMAE;
- 抗磷酸鈉共轉運蛋白2B (NaP2B)抗體,諸如立伐土珠單抗(lifastuzumab);
- 抗c-Met抗體,諸如ABBV-399;
- 腺苷A2A受體拮抗劑,諸如CPI-444、AZD-4635、普雷迪南(preladenant)、PBF-509;
- α-酮戊二酸去氫酶(KGDH)抑制劑,諸如CPI-613;
- XPO1抑制劑,諸如西林俄(selinexor)(KPT-330);
- 異檸檬酸去氫酶2 (IDH2)抑制劑,諸如艾那尼布(enasidenib)(AG-221);
- IDH1抑制劑,諸如AG-120及AG-881 (IDH1及IDH2)、IDH-305、BAY-1436032;
- 介白素-3受體(IL-3R)調節劑,諸如SL-401;
- 精胺酸脫亞胺酶刺激劑,諸如聚乙二醇精胺酸酶(ADI-PEG-20);
- 抗體-藥物結合物,諸如MLN0264 (抗GCC、鳥苷酸環化酶C)、T-DM1 (曲妥珠單抗恩他新(trastuzumab emtansine),Kadcycla)、米拉珠單抗(milatuzumab)-小紅莓(hCD74-DOX)、貝倫妥單抗維多汀(brentuximab vedotin)、DCDT2980S、保納珠單抗維多汀(polatuzumab vedotin)、SGN-CD70A、SGN-CD19A、英妥珠單抗奧米欣(inotuzumab ozogamicin)、洛瓦土珠單抗美登素(lorvotuzumab mertansine)、SAR3419、尹薩珠單抗戈維特坎(isactuzumab govitecan)、因福土單抗維多汀(enfortumab vedotin )(ASG-22ME)、ASG-15ME、DS-8201 (曲妥珠單抗德魯特坎(trastuzumab deruxtecan))、225Ac-林妥珠單抗(225Ac-lintuzumab)、U3-1402、177Lu-特特拉克斯坦-特圖瑪(177Lu-tetraxetan-tetuloma)、替索圖單抗維多汀(tisotumab vedotin)、阿內圖單抗拉夫坦辛(anetumab ravtansine)、CX-2009、SAR-566658、W-0101、保納珠單抗維多汀(polatuzumab vedotin)、ABBV-085;
- 緊密連接蛋白-18抑制劑,諸如克迪西單抗(claudiximab);
- β-連環蛋白抑制劑,諸如CWP-291;
- 抗CD73抗體,諸如MEDI-9447 (奧勒魯單抗(oleclumab))、CPX-006、IPH-53、BMS-986179;
- CD73拮抗劑,諸如AB-680、PSB-12379、PSB-12441、PSB-12425;
- CD39/CD73拮抗劑,諸如PBF-1662;
- 趨化介素受體2 (CCR)抑制劑,諸如PF-04136309、CCX-872、BMS-813160 (CCR2/CCR5);
- 胸苷酸合成酶抑制劑,諸如ONX-0801;
- ALK/ROS1抑制劑,諸如勞拉替尼(lorlatinib);
- 端粒酶抑制劑,諸如G007-LK;
- Mdm2 p53-結合蛋白抑制劑,諸如CMG-097、HDM-201;
- c-PIM抑制劑,諸如PIM447;
- BRAF抑制劑,諸如達拉非尼(dabrafenib)、維羅非尼(vemurafeni)、恩拉菲尼(encorafenib)(LGX818)、PLX8394;
- 神經鞘胺醇激酶-2 (SK2)抑制劑,諸如Yeliva® (ABC294640);
- 細胞週期抑制劑,諸如司美替尼(selumetinib)(MEK1/2),及沙帕他濱(sapacitabine);
- AKT抑制劑,諸如MK-2206、伊巴替布(ipatasertib)、阿弗替布(afuresertib)、AZD5363及ARQ-092、卡瓦替布(capivasertib)、曲西立濱(triciribine);
- 抗CTLA-4 (細胞毒性T淋巴細胞蛋白質-4)抑制劑,諸如曲美木單抗(tremelimumab)、AGEN-1884、BMS-986218;
- c-MET抑制劑,諸如AMG-337、薩沃替尼(savolitinib)、提瓦替尼(tivantinib)(ARQ-197)、卡普尼布(capmatinib)及特潑替尼(tepotinib)、ABT-700、AG213、AMG-208、JNJ-38877618 (OMO-1)、默萊替尼(merestinib)、HQP-8361;
- c-Met/VEGFR抑制劑,諸如BMS-817378、TAS-115;
- c-Met/RON抑制劑,諸如BMS-777607;
- BRAF/EGFR抑制劑,諸如BGB-283;
- bcr/abl抑制劑,諸如瑞把替尼(rebastinib)、阿西尼布(asciminib);
- MNK1/MNK2抑制劑,諸如eFT-508;
- mTOR抑制劑/細胞色素P450 3A4刺激劑,諸如TYME-88;
- 離胺酸特異性去甲基酶-1 (LSD1)抑制劑,諸如CC-90011;
- 泛RAF抑制劑,諸如LY3009120、LXH254、TAK-580;
- Raf/MEK抑制劑,諸如RG7304;
- CSF1R/KIT及FLT3抑制劑,諸如派西尼布(pexidartinib)(PLX3397);
- 激酶抑制劑,諸如凡德他尼(vandetanib);
- E選擇素拮抗劑,諸如GMI-1271;
- 分化誘導劑,諸如維甲酸;
- 表皮生長因子受體(EGFR)抑制劑,諸如奧希替尼(osimertinib)(AZD-9291);
- 拓樸異構酶抑制劑,諸如小紅莓、道諾黴素、放線菌素D、艾尼西德(eniposide)、表柔比星、依託泊苷、伊達比星、伊立替康、米托蒽醌、匹蒽醌(pixantrone)、索布佐生(sobuzoxane)、拓朴替康、伊立替康、MM-398 (脂質伊立替康)、沃薩洛辛(vosaroxin)及GPX-150、阿多比欣(aldoxorubicin)、AR-67、瑪韋替尼(mavelertinib)、AST-2818、阿維替尼(avitinib)(ACEA-0010)、伊洛福芬(irofulven)(MGI-114);
- 皮質類固醇,諸如可的松(cortisone)、地塞米松、氫化可的松、甲基潑尼龍、潑尼松、潑尼龍;
- 生長因子信號轉導激酶抑制劑;
- 核苷類似物,諸如DFP-10917;
- Axl抑制劑,諸如BGB-324 (貝西替尼(bemcentinib))、SLC-0211;
- BET抑制劑,諸如INCB-054329、INCB057643、TEN-010、AZD-5153、ABT-767、BMS-986158、CC-90010、GSK525762 (莫尼西布(molibresib))、NHWD-870、ODM-207、GSK-2820151、GSK-1210151A、ZBC246、ZBC260、ZEN3694、FT-1101、RG-6146、CC-90010、米韋西布(mivebresib)、BI-894999、PLX-2853、PLX-51107、CPI-0610、GS-5829;
- PARP抑制劑,諸如奧拉帕尼(olaparib)、如卡帕瑞(veliparib)、他拉柔帕尼(talazoparib)、ABT-767、BGB-290;
- 蛋白酶體抑制劑,諸如依薩佐米(ixazomib)、卡非佐米(carfilzomib)(Kyprolis®)、馬瑞佐米(marizomib);
- 麩醯胺酸酶抑制劑,諸如CB-839;
- 疫苗,諸如肽疫苗TG-01 (RAS)、GALE-301、GALE-302、萊尼哌嗎-s (nelipepimut-s)、SurVaxM、DSP-7888、TPIV-200、PVX-410、VXL-100、DPX-E7、ISA-101、6MHP、OSE-2101、加利哌嗎-S (galinpepimut-S)、SVN53-67/M57-KLH、IMU-131;細菌載體疫苗,諸如CRS-207/GVAX:阿利莫金非洛巴克(axalimogene filolisbac) (ADXS11-001);腺病毒載體疫苗,諸如那多拉金非拉維克(nadofaragene firadenovec);自體Gp96疫苗;樹突狀細胞疫苗,諸如CVactm、斯塔賽爾-T (stapuldencel-T)、艾他賽爾-T (eltrapuldencel-T)、SL-701、BSK01TM、洛卡賽爾-T (rocapuldencel-T) (AGS-003)、DCVAC、CVactm
、斯塔賽爾-T (stapuldencel-T)、艾他賽爾-T (eltrapuldencel-T)、SL-701、BSK01TM
、ADXS31-142;溶瘤疫苗,諸如塔裏穆尼拉赫帕雷普韋克(talimogene laherparepvec)、派替莫金德瓦維克(pexastimogene devacirepvec)、GL-ONC1、MG1-MA3、小病毒H-1、ProstAtak、恩那希瑞(enadenotucirev)、MG1MA3、ASN-002 (TG-1042);治療性疫苗,諸如CVAC-301、CMP-001、PF-06753512、VBI-1901、TG-4010、ProscaVax™;腫瘤細胞疫苗,諸如Vigil® (IND-14205)、Oncoquest-L疫苗;減毒活重組血清型1脊髓灰白質炎病毒疫苗,諸如PVS-RIPO;阿達洛德西莫林(Adagloxad simolenin);MEDI-0457;DPV-001,即腫瘤衍生之自噬體富含癌症疫苗;RNA疫苗,諸如CV-9209、LV-305;DNA疫苗,諸如MEDI-0457、MVI-816、INO-5401;表現p53之經修飾痘瘡病毒安卡拉疫苗,諸如MVA-p53;DPX-Survivac;BriaVax™;GI-6301;GI-6207;GI-4000;
- 抗DLL4 (δ樣配體4)抗體,諸如登西珠單抗(demcizumab);
- STAT-3抑制劑,諸如那帕布新(napabucasin)(BBI-608);
- ATP酶p97抑制劑,諸如CB-5083;
- 平滑(SMO)受體抑制劑,諸如Odomzo® (索尼德吉(sonidegib),先前稱為LDE-225)、LEQ506、維莫德吉(vismodegib)(GDC-0449)、BMS-833923、格萊德吉(glasdegib)(PF-04449913)、LY2940680及伊曲康唑(itraconazole);
- 干擾素α配體調節劑,諸如干擾素α-2b、干擾素α-2a生物類似物(Biogenomics)、羅派干擾素(ropeginterferon)α-2b (AOP-2014、P-1101、PEG IFN α-2B)、穆提非隆(Multiferon)(阿法耐提(Alfanative),維拉金(Viragen))、干擾素α 1b、羅擾素-A (Roferon-A)(坎非隆(Canferon)、Ro-25-3036)、干擾素α-2a後續生物製劑(拜斯度(Biosidus))(Inmutag、Inter 2A)、干擾素α-2b後繼生物製劑(Biosidus(拜斯度)-Bioferon(拜非隆)、Citopheron(斯托非隆)、Ganapar(嘎納帕),Beijing Kawin Technology-卡非隆(Kaferon))、阿法菲酮(Alfaferone)、聚乙二醇化干擾素α-1b、聚乙二醇化干擾素α-2b後續生物製劑(Amega)、重組型人類干擾素α-1b、重組型人類干擾素α-2a、重組型人類干擾素α-2b、維托珠單抗(veltuzumab)-IFNα 2b結合物、Dynavax (SD-101)及干擾素α-n1 (霍莫非隆(Humoferon)、SM-10500、蘇米非隆(Sumiferon));
- 干擾素γ配體調節劑,諸如干擾素γ (OH-6000、奧格瑪100 (Ogamma 100));
- IL-6受體調節劑,諸如托西利單抗(tocilizumab)、思圖昔單抗(siltuximab)、AS-101 (CB-06-02、IVX-Q-101);
- 端粒酶調節劑,諸如特托莫肽(tertomotide)(GV-1001、HR-2802、Riavax)及伊美司他(imetelstat)(GRN-163、JNJ-63935937);
- DNA甲基轉移酶抑制劑,諸如替莫唑胺(temozolomide)(CCRG-81045)、地西他濱(decitabine)、瓜達西汀(guadecitabine)(S-110、SGI-110)、KRX-0402、RX-3117、RRx-001及阿紮胞苷(azacitidine);
- DNA旋轉酶抑制劑,諸如匹蒽醌(pixantrone)及索布佐生(sobuzoxane);
- BCL-2家族蛋白質抑制劑,諸如ABT-263、維奈托克(venetoclax)(ABT-199)、ABT-737及AT-101;
- Notch抑制劑,諸如LY3039478 (克尼斯塔(crenigacestat))、他瑞妥單抗(tarextumab)(抗Notch2/3)、BMS-906024;
- 抗肌肉抑制素抑制劑,諸如蘭多單抗(landogrozumab);
- 玻尿酸酶刺激劑,諸如PEGPH-20;
- Wnt路徑抑制劑,諸如SM-04755、PRI-724、WNT-974;
- γ-分泌酶抑制劑,諸如PF-03084014、MK-0752、RO-4929097;
- Grb-2 (生長因子受體結合蛋白質-2)抑制劑,諸如BP1001;
- TRAIL路徑誘導化合物,諸如ONC201、ABBV-621;
- 局部黏著斑激酶抑制劑,諸如VS-4718、迪法替尼(defactinib)、GSK2256098;
- 刺蝟抑制劑,諸如薩瑞德吉(saridegib)、索尼蒂吉伯(sonidegib)(LDE225)、格拉吉伯(glasdegib)及維莫德吉(vismodegib);
- 極光激酶抑制劑,諸如阿立塞替(alisertib)(MLN-8237)及AZD-2811、AMG-900、巴塞替尼(barasertib)、ENMD-2076;
- HSPB1調節劑(熱衝擊蛋白質27,HSP27),諸如溴夫定(brivudine)、阿帕托森(apatorsen);
- ATR抑制劑,諸如BAY-937、AZD6738、AZD6783、VX-803、VX-970 (貝佐替布(berzosertib))及VX-970;
- mTOR抑制劑,諸如賽泮替布(sapanisertib)及維塞替布(vistusertib)(AZD2014)、ME-344;
- mTOR/PI3K抑制劑,諸如吉達力絲(gedatolisib)、GSK2141795、奧米力絲(omipalisib)、RG6114;
- Hsp90抑制劑,諸如AUY922、奧那勒斯(onalespib)(AT13387)、SNX-2112、SNX5422;
- 鼠類雙微體(mdm2)致癌基因抑制劑,諸如DS-3032b、RG7775、AMG-232、HDM201及伊達努素(idasanutlin)(RG7388);
- CD137促效劑,諸如烏瑞魯單抗(urelumab)、烏圖木單抗(utomilumab)(PF-05082566);
- STING促效劑,諸如ADU-S100 (MIW-815)、SB-11285、MK-1454、SR-8291、AdVCA0848、GSK-532、SYN-STING、MSA-1、SR-8291;
- FGFR抑制劑,諸如FGF-401、INCB-054828、BAY-1163877、AZD4547、JNJ-42756493、LY2874455、Debio-1347;
- 脂肪酸合成酶(FASN)抑制劑,諸如TVB-2640;
- 抗KIR單株抗體,諸如利瑞路單抗(lirilumab)(IPH-2102)、IPH-4102;
- 抗原CD19抑制劑,諸如MOR208、MEDI-551、AFM-11、因厄比利珠單抗(inebilizumab);
- CD44黏合劑,諸如A6;
- 蛋白質磷酸酶2A (PP2A)抑制劑,諸如LB-100;
- CYP17抑制劑,諸如西維諾尼(seviteronel)(VT-464)、ASN-001、ODM-204、CFG920、乙酸阿比特龍(abiraterone acetate);
- RXR促效劑,諸如IRX4204;
- 刺蝟/平滑(hh/Smo)拮抗劑,諸如塔拉吉伯(taladegib)、帕替吉伯(patidegib);
- 補體C3調節劑,諸如因普拉姆PGG (Imprime PGG);
- IL-15促效劑,諸如ALT-803、NKTR-255及hetIL-15;
- EZH2 (zeste基因增強子同源物2)抑制劑,諸如塔澤斯塔(tazemetostat)、CPI-1205、GSK-2816126;
- 溶瘤病毒,諸如派拉瑞普(pelareorep)、CG-0070、MV-NIS療法、HSV-1716、DS-1647、VCN-01、ONCOS-102、TBI-1401、塔沙圖瑞(tasadenoturev)(DNX-2401)、沃西金阿米維克(vocimagene amiretrorepvec)、RP-1、CVA21、Celyvir、LOAd-703、OBP-301;
- DOT1L (組蛋白甲基轉移酶)抑制劑,諸如皮諾斯塔(pinometostat)(EPZ-5676);
- 毒素,諸如霍亂毒素(Cholera toxin)、蓖麻毒素、假單胞菌外毒素(Pseudomonas exotoxin)、百日咳博特氏菌(Bordetella pertussis)腺苷酸環化酶毒素、白喉毒素及半胱天冬酶活化物;
- DNA質體,諸如BC-819
- PLK 1、2及3之PLK抑制劑,諸如沃納塞替(volasertib)(PLK1);
- WEE1抑制劑,諸如AZD1775 (阿達替布(adavosertib));
- Rho激酶(ROCK)抑制劑,諸如AT13148、KD025;
- ERK抑制劑,諸如GDC-0994、LY3214996、MK-8353;
- IAP抑制劑,諸如ASTX660、debio-1143、比林納潘特(birinapant)、APG-1387、LCL-161;
- RNA聚合酶抑制劑,諸如魯尼特丁(lurbinectedin)(PM-1183)、CX-5461;
- 微管蛋白抑制劑,諸如PM-184、BAL-101553 (利沙布林(lisavanbulin)),及OXI-4503、弗拉帕欣(fluorapacin)(AC-0001)、普拉布林(plinabulin);
- 鐸樣受體4 (TL4)促效劑,諸如G100、GSK1795091及PEPA-10;
- 延長因子1α2抑制劑,諸如普替德新(plitidepsin);
- CD95抑制劑,諸如APG-101、APO-010、阿蘇賽普(asunercept);
- WT1抑制劑,諸如DSP-7888;
- 剪接因子3B次單位1 (SF3B1)抑制劑,諸如H3B-8800;
- PDGFRα/KIT突變體特異性抑制劑,諸如BLU-285;
- SHP-2抑制劑,諸如TNO155 (SHP-099)、RMC-4550;及
- 類視黃素Z受體γ (RORγ)促效劑,諸如LYC-55716。
在一些實施例中,本文中提供治療或預防罹患過度增生性病症或癌症或處於罹患過度增生性病症或癌症的風險下之人類或動物中之過度增生性病症或癌症之方法,其包含向人類或動物投與治療有效量之如本文中所揭示之式(I)、(Ia-1)、(Ia-2)、(Ib)、(Ic)、(Id-1)、(Id-2)、(Ie)、(If)、(Ig)、(Ih)及/或(Ii)之化合物或其醫藥學上可接受之鹽與治療有效量之一或多種(例如一種、兩種、三種、一種或兩種或一至三種)選自由以下組成之群之其他治療劑的組合:凋亡信號調節激酶(ASK)抑制劑;布魯頓氏酪胺酸激酶(BTK)抑制劑;分化叢集47 (CD47)抑制劑;細胞週期素依賴型激酶(CDK)抑制劑;盤狀結構域受體(DDR)抑制劑;組蛋白脫乙醯基酶(HDAC)抑制劑;吲哚胺-吡咯-2,3-二加氧酶(IDO1)抑制劑;Janus激酶(JAK)抑制劑;離胺醯氧化酶樣蛋白質(LOXL)抑制劑;基質金屬蛋白酶(MMP)抑制劑;有絲分裂原活化蛋白激酶(MEK)抑制劑;磷脂醯肌醇3-激酶(PI3K)抑制劑;脾酪胺酸激酶(SYK)抑制劑;鐸樣受體8 (TLR8)抑制劑;鐸樣受體9 (TLR9)抑制劑;酪胺酸激酶抑制劑(TKI)及其任何組合或其醫藥學上可接受之鹽。非限制性實例包括:
-細胞凋亡信號調節激酶 (ASK) 抑制劑:
ASK抑制劑包括ASK1抑制劑。ASK1抑制劑之實例包括(但不限於) WO 2011/008709 (Gilead Sciences)及WO 2013/112741 (Gilead Sciences)中描述之抑制劑;
-布魯頓氏酪胺酸激酶 (BTK) 抑制劑 :
BTK抑制劑之實例包括(但不限於) (S)-6-胺基-9-(1-(丁-2-炔醯基)吡咯啶-3-基)-7-(4-苯氧基苯基)-7H-嘌呤-8(9H)-酮、阿卡拉布魯替尼(acalabrutinib)(ACP-196)、BGB-3111、CB988、HM71224、依魯替尼(ibrutinib)、M-2951 (伊沃替尼(evobrutinib))、M7583、替拉替尼(tirabrutinib)(ONO-4059)、PRN-1008、司培替尼(spebrutinib)(CC-292)、TAK-020、維卡替尼(vecabrutinib)、ARQ-531、SHR-1459、DTRMWXHS-12、TAS-5315;
-分化叢集 47 (CD47) 抑制劑
:CD47抑制劑之實例包括(但不限於)抗CD47 mAb (Vx-1004)、抗人類CD47 mAb (CNTO-7108)、CC-90002、CC-90002-ST-001、人類化抗CD47抗體(Hu5F9-G4)、NI-1701、NI-1801、RCT-1938及TTI-621;
-細胞週期素依賴性激酶 (CDK) 抑制劑 :
CDK抑制劑包括CDK1、2、3、4、6、7及9之抑制劑,諸如阿貝力布(abemaciclib)、阿昔迪布(alvocidib)(HMR-1275、夫拉平度(flavopiridol))、AT-7519、戴那西里(dinaciclib)、艾博蘭斯(ibrance)、FLX-925、LEE001、帕泊昔布(palbociclib)、利伯西利(ribociclib)、瑞戈替布(rigosertib)、西林俄(selinexor)、UCN-01、SY1365、CT-7001、SY-1365、G1T38、米西西尼(milciclib)、曲拉西利(trilaciclib)及TG-02;
-盤狀結構域受體 (DDR) 抑制劑 :
DDR抑制劑包括DDR1及/或DDR2之抑制劑。DDR抑制劑之實例包括(但不限於) WO 2014/047624 (Gilead Sciences)、US 2009-0142345 (Takeda Pharmaceutical)、US 2011-0287011 (Oncomed Pharmaceuticals)、WO 2013/027802 (Chugai Pharmaceutical)及WO 2013/034933 (Imperial Innovations)中所揭示之抑制劑;
-組蛋白脫乙醯基酶 (HDAC) 抑制劑 :
HDAC抑制劑之實例包括(但不限於)阿貝司他(abexinostat)、ACY-241、AR-42、BEBT-908、貝林諾他(belinostat)、CKD-581、CS-055 (HBI-8000)、CUDC-907 (非米斯他(fimepinostat))、恩替諾特(entinostat)、吉韋諾他(givinostat)、莫塞諾他(mocetinostat)、帕比諾他(panobinostat)、普拉諾他(pracinostat)、奎西諾他(quisinostat)(JNJ-26481585)、雷米諾他(resminostat)、瑞科諾他(ricolinostat)、SHP-141、丙戊酸(VAL-001)、伏立諾他(vorinostat)、替諾斯汀(tinostamustine)、雷米斯特(remetinostat)、恩替諾特(entinostat);
-吲哚胺 - 吡咯 -2,3- 二加氧酶 (IDO1) 抑制劑
:IDO1抑制劑之實例包括(但不限於) BLV-0801、艾帕斯塔(epacadostat)、F-001287、GBV-1012、GBV-1028、GDC-0919、因多莫得(indoximod)、NKTR-218、基於NLG-919之疫苗、PF-06840003、哌喃並萘醌衍生物(SN-35837)、雷米諾他(resminostat)、SBLK-200802、BMS-986205及shIDO-ST、EOS-200271、KHK-2455、LY-3381916;
-Janus 激酶 (JAK) 抑制劑 :
JAK抑制劑抑制JAK1、JAK2及/或JAK3。JAK抑制劑之實例包括(但不限於) AT9283、AZD1480、巴瑞替尼(baricitinib)、BMS-911543、非達替尼(fedratinib)、費戈替尼(filgotinib)(GLPG0634)、甘多替尼(gandotinib)(LY2784544)、INCB039110 (伊他替尼(itacitinib))、來他替尼(lestaurtinib)、莫羅替尼(momelotinib) (CYT0387)、NS-018、帕瑞替尼(pacritinib)(SB1518)、皮非替尼(peficitinib)(ASP015K)、蘆可替尼(ruxolitinib)、托法替尼(tofacitinib)(先前稱為塔索替尼(tasocitinib))、INCB052793及XL019;
-類離胺醯氧化酶蛋白 (LOXL ) 抑制劑 :
LOXL抑制劑包括LOXL1、LOXL2、LOXL3、LOXL4及/或LOXL5之抑制劑。LOXL抑制劑之實例包括(但不限於) WO 2009/017833 (Arresto Biosciences)中所描述之抗體。LOXL2抑制劑之實例包括(但不限於) WO 2009/017833 (Arresto Biosciences)、WO 2009/035791 (Arresto Biosciences)及WO 2011/097513 (Gilead Biologics)中所描述之抗體;
-基質金屬蛋白酶 (MMP) 抑制劑 :
MMP抑制劑包括MMP1至MMP10之抑制劑。MMP9抑制劑之實例包括(但不限於)馬立馬司他(marimastat)(BB-2516)、西馬司他(cipemastat)(Ro 32-3555)、GS-5745 (安德西單抗(andecaliximab))及WO 2012/027721 (Gilead Biologics)中描述之抑制劑;
-有絲分裂原活化蛋白激酶 (MEK) 抑制劑
:MEK抑制劑包括安奎諾爾(antroquinonol)、畢尼替尼(binimetinib)、考比替尼(cobimetinib) (GDC-0973、XL-518)、MT-144、司美替尼(selumetinib)(AZD6244)、索拉非尼(sorafenib)、曲美替尼(trametinib)(GSK1120212)、阿瑟替布(uprosertib)+曲美替尼(trametinib)、PD-0325901、皮馬瑟替(pimasertib)、LTT462、AS703988、CC-90003、瑞法美替尼(refametinib);
-磷脂醯肌醇 3- 激酶 (PI3K) 抑制劑:
PI3K抑制劑包括PI3Kγ、PI3Kδ、PI3Kβ、PI3Kα及/或pan-PI3K之抑制劑。PI3K抑制劑之實例包括(但不限於) ACP-319、AEZA-129、AMG-319、AS252424、AZD8186、BAY 10824391、BEZ235、布帕昔布(buparlisib) (BKM120)、BYL719 (艾培昔布(alpelisib))、CH5132799、考班昔布(copanlisib) (BAY 80-6946)、杜維力絲(duvelisib)、GDC-0032、GDC-0077、GDC-0941、GDC-0980、GSK2636771、GSK2269557、艾德斯布(idelalisib)(Zydelig®)、INCB50465、IPI-145、IPI-443、IPI-549、KAR4141、LY294002、LY3023414、MLN1117、OXY111A、PA799、PX-866、RG7604、瑞戈替布(rigosertib)、RP5090、RP6530、SRX3177、泰尼西布(taselisib)、TG100115、TGR-1202 (溫布昔布(umbralisib))、TGX221、WX-037、X-339、X-414、XL147 (SAR245408)、XL499、XL756、渥曼青黴素(wortmannin)、ZSTK474以及WO 2005/113556 (ICOS)、WO 2013/052699 (Gilead Calistoga)、WO 2013/116562 (Gilead Calistoga)、WO 2014/100765 (Gilead Calistoga)、WO 2014/100767 (Gilead Calistoga)及WO 2014/201409 (Gilead Sciences)中描述之化合物;
-脾酪胺酸激酶 (SYK) 抑制劑 :
SYK抑制劑之實例包括(但不限於) 6-(1H-吲唑-6-基)-N-(4-N-嗎啉基苯基)咪唑并[1,2-a]吡嗪-8-胺、BAY-61-3606、瑟杜替尼(cerdulatinib) (PRT-062607)、恩妥替尼(entospletinib)、福他替尼(fostamatinib) (R788)、HMPL-523、NVP-QAB 205 AA、R112, R343、塔馬替尼(tamatinib) (R406)及US 8450321 (Gilead Connecticut)中所描述之SYK抑制劑及U.S. 2015/0175616中所描述之SYK抑制劑;
-鐸樣受體 8 (TLR8) 抑制劑 :
TLR8抑制劑之實例包括(但不限於) E-6887、IMO-4200、IMO-8400、IMO-9200、MCT-465、MEDI-9197、莫托莫特(motolimod)、雷西莫特(resiquimod)、VTX-1463及VTX-763;
-鐸樣受體 9 (TLR9) 抑制劑 :
TLR9抑制劑之實例包括(但不限於) AST-008、IMO-2055、IMO-2125、勒菲妥莫特(lefitolimod)、利騰莫特(litenimod)、MGN-1601及PUL-042;及
-酪胺酸 - 激酶抑制劑 (TKI) :
TKI可靶向表皮生長因子受體(EGFR)以及纖維母細胞生長因子(FGF)、血小板衍生生長因子(PDGF)及血管內皮生長因子(VEGF)之受體。TKI之實例包括(但不限於)阿法替尼(afatinib)、ARQ-087 (德贊替尼(derazantinib))、asp5878、AZD3759、AZD4547、伯舒替尼(bosutinib)、布加替尼(brigatinib)、卡博替尼(cabozantinib)、西地尼布(cediranib)、克諾拉尼(crenolanib)、達可替尼(dacomitinib)、達沙替尼(dasatinib)、多韋替尼(dovitinib)、E-6201、厄達替尼(erdafitinib)、埃羅替尼(erlotinib)、吉非替尼(gefitinib)、吉列替尼(gilteritinib)(ASP-2215)、FP-1039、HM61713、埃克替尼(icotinib)、伊馬替尼(imatinib)、KX2-391 (Src)、拉帕替尼(lapatinib)、來他替尼(lestaurtinib)、樂伐替尼(lenvatinib)、米哚妥林(midostaurin)、尼達尼布(nintedanib)、ODM-203、奧希替尼(osimertinib)(AZD-9291)、普納替尼(ponatinib)、波齊奧替尼(poziotinib)、喹雜替尼(quizartinib)、拉多替尼(radotinib)、羅西替尼(rociletinib)、索凡替尼(sulfatinib)(HMPL-012)、舒尼替尼(sunitinib)、替沃尼布(tivoanib)及TH-4000、MEDI-575 (抗PDGFR抗體)。
如本文中所用,術語「化學治療劑」或「化學治療」(或在用化學治療劑治療之情況下之「化學療法」)意欲涵蓋適用於治療癌症之任何非蛋白質(亦即,非肽)化合物。化學治療劑之實例包括(但不限於):烷基化劑,諸如噻替派及環磷醯胺(CYTOXAN®
);烷基磺酸酯,諸如白消安、英丙舒凡(improsulfan)及哌泊舒凡(piposulfan);氮丙啶,諸如苯佐替派(benzodepa)、卡波醌(carboquone)、美妥替哌(meturedepa)及烏瑞替派(uredepa);乙烯亞胺及甲基三聚氰胺,包括六甲蜜胺、曲他胺、三伸乙基磷醯胺、三伸乙基硫代磷醯胺及三米蜜胺;多聚乙醯,尤其為布拉他辛(bullatacin)及布拉他辛酮(bullatacinone);喜樹鹼(camptothecin),包括合成類似物拓朴替康;苔蘚蟲素(bryostatin)、卡利斯他汀(callystatin);CC-1065,包括其阿多來新(adozelesin)、卡折來新(carzelesin)及比折來新(bizelesin)合成類似物;念珠藻環肽(cryptophycin),尤其念珠藻環肽1及念珠藻環肽8;海兔毒素(dolastatin);倍癌黴素(duocarmycin),包括合成類似物KW-2189及CB1-TM1;艾榴塞洛素(eleutherobin);5-氮雜胞苷(5-azacytidine);盤克斯塔叮(pancratistatin);沙考地汀(sarcodictyin);海綿抑素(spongistatin);氮芥,諸如苯丁酸氮芥(chlorambucil)、萘氮芥(chlornaphazine)、環磷醯胺、葡磷醯胺(glufosfamide)、伊沃醯胺(evofosfamide)、苯達莫司汀(bendamustine)、雌氮芥(estramustine)、異環磷醯胺、二氯甲基二乙胺(mechlorethamine)、氧化二氯甲基二乙胺鹽酸鹽、美法侖、新恩比興(novembichin)、芬司特瑞(phenesterine)、潑尼莫司汀(prednimustine)、曲洛磷胺(trofosfamide)及尿嘧啶氮芥(uracil mustard);亞硝基脲,諸如卡莫司汀、氯脲菌素、福莫司汀、洛莫司汀、尼莫司汀及雷莫司汀;抗生素,諸如烯二炔抗生素(例如,卡奇黴素(calicheamicin),尤其卡奇黴素γII及卡奇黴素φI1)、達米辛(dynemicin),包括達米辛 A、雙膦酸鹽,諸如氯屈膦酸鹽(clodronate)、埃斯培拉黴素(esperamicin)、新抑癌蛋白發色團及相關色蛋白烯二炔抗生素發色團、阿克拉黴素(aclacinomycins)、放射菌素、安曲黴素(authramycin)、偶氮絲胺酸(azaserine)、博來黴素(bleomycins)、放線菌素C (cactinomycin)、卡拉比辛(carabicin)、卡尼米辛(carrninomycin)、嗜癌菌素(carzinophilin)、色黴素(chromomycins)、放線菌素D、道諾黴素、地托比星(detorubicin)、6-重氮-5-側氧基-L-正白胺酸、小紅莓(包括嗎啉基-小紅莓、氰基嗎啉基-小紅莓、2-吡咯啉基-小紅莓,及去氧小紅莓)、表柔比星、依索比星(esorubicin)、艾達黴素(idarubicin)、麻西羅黴素(marcellomycin)、絲裂黴素,諸如絲裂黴素C、黴酚酸、諾加黴素(nogalamycin)、橄欖黴素(olivomycins)、培洛黴素(peplomycin)、泊非羅黴素(porfiromycin)、嘌呤黴素、奎那黴素(quelamycin)、羅多比星(rodorubicin)、鏈黑菌素(streptonigrin)、鏈脲菌素(streptozocin)、殺結核菌素(tubercidin)、烏苯美司(ubenimex)、淨司他丁(zinostatin)及左柔比星(zorubicin);抗代謝物,諸如甲胺喋呤及5-氟尿嘧啶(5-FU);葉酸類似物,諸如迪莫林(demopterin)、甲胺喋呤、蝶羅呤(pteropterin)及曲美沙特(trimetrexate);嘌呤類似物,諸如氟達拉賓(fludarabine)、6-巰基嘌呤、硫咪嘌呤(thiamiprine)、硫鳥嘌呤;嘧啶類似物,諸如安西他濱(ancitabine)、阿紮胞苷、6-氮尿苷、卡莫氟(carmofur)、阿糖胞苷、二去氧尿苷、去氧氟尿苷、依諾他濱(enocitabine)及氟尿苷;雄激素,諸如卡魯睾酮(calusterone)、丙酸屈他雄酮(dromostanolone propionate)、環硫雄醇(epitiostanol)、美雄烷(mepitiostane)及睪內酯(testolactone);抗腎上腺素,諸如胺麩精(aminoglutethimide)、米托坦及曲洛司坦(trilostane);葉酸補充劑,諸如亞葉酸;放射性治療劑,諸如鐳-223;單端孢黴烯(trichothecenes),尤其T-2毒素、弗納庫林A (verracurin A)、桿孢菌素A (roridin A)及胺癸叮(anguidine);類紫杉醇,諸如太平洋紫杉醇(TAXOL®
)、阿布拉生(abraxane)、多烯紫杉醇(TAXOTERE®
)、卡巴利他索(cabazitaxel)、BIND-014、替司他賽(tesetaxel);鉑類似物,諸如順鉑及卡鉑、NC-6004奈鉑;乙醯葡醛酯(aceglatone);醛磷醯胺糖苷(aldophosphamide glycoside);胺基乙醯丙酸;恩尿嘧啶(eniluracil);安吖啶(amsacrine);赫布西爾(hestrabucil);比山群(bisantrene);艾達曲克(edatraxate);得弗伐胺(defofamine);地美可辛(demecolcine);地吖醌(diaziquone);艾弗欣(elformthine);依利醋銨(elliptinium acetate);埃坡黴素(epothilone);依託格魯(etoglucid);硝酸鹽;羥基尿素;香菇多糖(lentinan);甲醯四氫葉酸(leucovorin);氯尼達明(lonidamine);類美登素,諸如美登素(maytansine)及安絲菌素(ansamitocins);丙脒腙(mitoguazone);米托蒽醌;莫哌達醇(mopidamol);二胺硝吖啶(nitracrine);噴司他丁;苯來美特(phenamet);吡柔比星(pirarubicin);洛索蒽醌(losoxantrone);氟嘧啶;醛葉酸;鬼臼酸;2-乙基醯肼;丙卡巴肼(procarbazine);多醣-K (PSK);雷佐生(razoxane);根瘤菌素(rhizoxin);西索菲蘭(sizofiran);螺旋鍺;細交鏈孢菌酮酸;曲貝替定(trabectedin)、三亞胺醌(triaziquone);2,2',2''-特洛米安(2,2',2''-tricUorotriemylamine);胺基甲酸酯;長春地辛;達卡巴嗪;甘露醇氮芥;二溴甘露醇(mitobronitol);二溴衛矛醇(mitolactol);哌泊溴烷(pipobroman);加西托星(gacytosine);阿拉伯糖苷(「Ara-C」);環磷醯胺;賽派塔(thiopeta);苯丁酸氮芥;吉西他濱(GEMZAR®
);6-硫代鳥嘌呤;巰基嘌呤;甲胺喋呤;長春鹼;鉑;依託泊苷(VP-16);異環磷醯胺;米托蒽醌;長春新鹼;長春瑞賓(NAVELBINE®
);諾凡特龍(novantrone);替尼泊甙;依達曲沙(edatrexate);柔紅黴素(daunomycin);胺基喋呤;希羅達(xeoloda);伊班膦酸鹽(ibandronate);CPT-11;拓樸異構酶抑制劑RFS 2000;二氟甲基鳥胺酸(DFMO);類視黃素,諸如視黃酸;卡培他濱(capecitabine);NUC-1031;FOLFIRI (氟尿嘧啶、甲醯四氫葉酸及伊立替康);及以上中之任一者之醫藥學上可接受之鹽、酸或衍生物。
「化學治療劑」之定義亦包括抗激素劑,諸如用於調節或抑制腫瘤上之激素作用的抗雌激素及選擇性雌激素受體調節劑(SERM)、芳香酶抑制劑、抗雄激素及以上中之任一者之醫藥學上可接受之鹽、酸或衍生物。抗激素劑
抗雌激素及SERM之實例包括例如他莫昔芬(包括NOLVADEXTM
)、雷諾昔芬、曲洛昔芬(droloxifene)、4-羥基他莫昔芬、曲沃昔芬(trioxifene)、雷洛昔芬(keoxifene)、LY117018、奧那司酮(onapristone)及托瑞米芬(toremifene)(FARESTON®
)。
芳香化酶之抑制劑調節腎上腺中之雌激素生產。實例包括4(5)-咪唑、胺麩精、乙酸甲地孕酮(MEGACE®
)、依西美坦(exemestane)、福美司坦(formestane)、法屈唑(fadrozole)、伏羅唑(vorozole) (RIVISOR®
)、來曲唑(letrozole) (FEMARA®
)及阿那曲唑(anastrozole) (ARIMIDEX®
)。
抗雄激素之實例包括阿帕魯胺(apalutamide)、阿比特龍(abiraterone)、恩雜魯胺(enzalutamide)、氟他胺(flutamide)、加利特龍(galeterone)、尼魯胺(nilutamide)、比卡魯胺(bicalutamide)、亮丙立德(leuprolide)、戈舍瑞林、ODM-201、APC-100、ODM-204。
黃體酮受體拮抗劑之實例包括奧那司酮。抗血管生成劑
抗血管生成劑包括(但不限於)類視黃素酸及其衍生物、2-甲氧雌二醇、ANGIOSTATIN®
、ENDOSTATIN®
、瑞戈非尼(regorafenib)、尼庫拉布(necuparanib)、蘇拉明(suramin)、角鯊胺(squalamine)、金屬蛋白酶-1之組織抑制劑、金屬蛋白酶-2之組織抑制劑、纖維蛋白溶酶原活化物抑制劑-1、纖維蛋白溶酶原活化物抑制劑-2、軟骨衍生之抑制劑、太平洋紫杉醇(白蛋白結合型太平洋紫杉醇)、血小板因子4、硫酸魚精蛋白(鯡精蛋白)、硫酸鹽化幾丁質衍生物(由雪蟹殼製備)、硫酸鹽化多醣肽聚醣複合物(sp-pg)、星形孢菌素、基質代謝調節劑(包括脯胺酸類似物,諸如l-氮雜環丁烷-2-甲酸(LACA)、順羥基脯胺酸、d,I-3,4-去氫脯胺酸、硫脯胺酸)、α,α'-二吡啶基、β-胺基丙腈反丁烯二酸鹽、4-丙基-5-(4-吡啶基)-2(3h)-噁唑酮、甲胺喋呤、米托蒽醌、肝素、干擾素、2巨球蛋白-血清、金屬蛋白酶-3之雞抑制劑(ChIMP-3)、胰凝乳蛋白酶抑制劑(chymostatin)、十四硫酸β-環糊精、艾尼米欣(eponemycin)、煙黴素(fumagillin)、硫代蘋果酸金鈉、d-青黴胺、β-1-抗膠原酶-血清、α-2-抗纖維蛋白溶酶、比山群、氯苯紮利二鈉(lobenzarit disodium)、n-2-羧基苯基-4-氯胺基苯甲酸二鈉或「CCA」、沙力度胺(thalidomide)、血管生成抑制性類固醇、羧基胺基咪唑、金屬蛋白酶抑制劑(諸如BB-94)、S100A9之抑制劑(諸如他喹莫德(tasquinimod))。其他抗血管生成劑包括抗體,較佳針對此等血管生成生長因子之單株抗體:β-FGF、α-FGF、FGF-5、VEGF同功異型物、VEGF-C、HGF/SF及Ang-1/Ang-2。抗纖維化劑
抗纖維化劑包括(但不限於)諸如β-胺基丙腈(BAPN)之化合物,以及揭示於與離胺醯氧化酶之抑制劑及其在治療與膠原蛋白之異常沈積相關之疾病及病狀中之用途相關的US 4965288中之化合物及揭示於與抑制LOX以治療各種病理性纖維化病況之化合物相關的US 4997854中之化合物,該等申請案以引用之方式併入本文中。其他例示性抑制劑描述於與諸如2-異丁基-3-氟-烯丙胺、2-異丁基-3-氯-烯丙胺或2-異丁基-3-溴-烯丙胺之化合物相關的US 4943593中;US 5021456、US 5059714、US 5120764、US 5182297、與2-(1-萘基氧基甲基)-3-氟烯丙胺相關之US 5252608中;及US 2004-0248871中,該等申請案以引用之方式併入本文中。
例示性抗纖維化劑亦包括與離胺醯氧化酶之活性位點之羰基反應的一級胺,且更尤其在結合羰基之後生成共振穩定化產物的一級胺,諸如以下一級胺:乙二胺(emylenemamine)、肼、苯肼及其衍生物;胺脲及脲衍生物;胺基腈,諸如BAPN或2-硝基乙胺;不飽和或飽和鹵胺,諸如2-溴-乙胺、2-氯乙胺、2-三氟乙胺、3-溴丙胺及對鹵基苯甲胺;及硒基高半胱胺酸內酯。
其他抗纖維化劑係滲透或不滲透細胞之銅螯合劑。例示性化合物包括阻斷源自藉由離胺醯氧化酶使離胺醯殘基及羥離胺醯殘基氧化去胺之醛衍生物的間接抑制劑。實例包括硫醇胺(尤其D-青黴胺)及其類似物,諸如2-胺基-5-巰基-5-甲基己酸、D-2-胺基-3-甲基-3-((2-乙醯胺基乙基)二硫基)丁酸、對-2-胺基-3-甲基-3-((2-胺基乙基二硫基)丁酸、硫化鈉-4-((對-1-二甲基-2-胺基-2-羧基乙基)二硫基)丁烷、2-乙醯胺基乙基-2-乙醯胺基乙硫醇磺酸鹽及三水合鈉-4-巰基丁烷亞磺酸鹽。免疫治療劑
免疫治療劑包括且不限於適用於治療個體之治療性抗體。治療性抗體之一些實例包括阿巴伏單抗(abagovomab)、ABP-980、阿達木單抗(adecatumumab)、阿夫妥珠單抗(afutuzumab)、阿侖單抗(alemtuzumab)、阿妥莫單抗(altumomab)、阿瑪西單抗(amatuximab)、麻安莫單抗(anatumomab)、阿西莫單抗(arcitumomab)、巴維昔單抗(bavituximab)、貝妥莫單抗(bectumomab)、貝伐珠單抗(bevacizumab)、比伐珠單抗(bivatuzumab)、布林莫單抗(blinatumomab)、貝倫妥單抗(brentuximab)、坎妥珠單抗(cantuzumab)、卡托莫西單抗(catumaxomab)、CC49、西妥昔單抗(cetuximab)、西他土珠單抗(citatuzumab)、西妥木單抗(cixutumumab)、克里伏妥珠單抗(clivatuzumab)、康納木單抗(conatumumab)、達西珠單抗(dacetuzumab)、達洛圖單抗(dalotuzumab)、達雷木單抗(daratumumab)、地莫單抗(detumomab)、迪奴圖單抗(dinutuximab)、德珠單抗(drozitumab)、杜里土單抗(duligotumab)、杜西吉土單抗(dusigitumab)、依美昔單抗(ecromeximab)、埃羅妥珠單抗(elotuzumab)、艾米貝珠單抗(emibetuzumab)、恩斯土昔單抗(ensituximab)、鄂托默單抗(ertumaxomab)、埃達珠單抗(etaracizumab)、伐吐珠單抗(farletuzumab)、費拉妥珠單抗(ficlatuzumab)、非吉單抗(figitumumab)、法蘭土單抗(flanvotumab)、浮土西單抗(futuximab)、加尼圖單抗(ganitumab)、吉妥單抗(gemtuzumab)、吉瑞昔單抗(girentuximab)、格雷巴土木單抗(glembatumumab)、異貝莫單抗(ibritumomab)、伊戈伏單抗(igovomab)、伊姆加土珠單抗(imgatuzumab)、因達西單抗(indatuximab)、伊諾妥珠單抗(inotuzumab)、英妥木單抗(intetumumab)、伊派利單抗(ipilimumab)(YERVOY®、MDX-010、BMS-734016及MDX-101)、伊妥木單抗(iratumumab)、拉貝珠單抗(labetuzumab)、來沙木單抗(lexatumumab)、林妥珠單抗(lintuzumab)、洛瓦土珠單抗(lorvotuzumab)、魯卡木單抗(lucatumumab)、馬帕木單抗(mapatumumab)、馬妥珠單抗(matuzumab)、米拉珠單抗(milatuzumab)、明瑞莫單抗(minretumomab)、米妥莫單抗(mitumomab)、莫格利珠單抗(mogamulizumab)、莫昔土莫單抗(moxetumomab)、那莫單抗(naptumomab)、納納土單抗(narnatumab)、萊西單抗(necitumumab)、尼妥珠單抗(nimotuzumab)、諾非單抗(nofetumomab)、OBI-833、奧濱尤妥珠單抗(obinutuzumab)、奧卡拉珠單抗(ocaratuzumab)、奧伐木單抗(ofatumumab)、奧拉單抗(olaratumab)、奧那組單抗(onartuzumab)、奧普珠單抗(oportuzumab)、奧戈伏單抗(oregovomab)、帕尼單抗(panitumumab)、帕薩珠單抗(parsatuzumab)、帕蘇多托克斯(pasudotox)、帕特里土單抗(patritumab)、潘妥莫單抗(pemtumomab)、帕妥珠單抗(pertuzumab)、平妥單抗(pintumomab)、普托木單抗(pritumumab)、拉克莫單抗(racotumomab)、拉德瑞單抗(radretumab)、雷莫蘆單抗(ramucirumab)(Cyramza®)、里樂木單抗(rilotumumab)、利妥昔單抗(rituximab)、羅妥木單抗(robatumumab)、薩馬里珠(samalizumab)、沙妥莫單抗(satumomab)、西羅珠單抗(sibrotuzumab)、司妥昔單抗(siltuximab)、索利托單抗(solitomab)、辛圖珠單抗(simtuzumab)、他卡珠單抗(tacatuzumab)、他普莫單抗(taplitumomab)、泰納莫單抗(tenatumomab)、泰普洛單抗(teprotumumab)、替加珠單抗(tigatuzumab)、托西莫單抗(tositumomab)、曲妥珠單抗(trastuzumab)、土庫珠單抗(tucotuzumab)、烏妥昔單抗(ublituximab)、維托珠單抗(veltuzumab)、沃爾希珠單抗(vorsetuzumab)、伏妥莫單抗(votumumab)、紮魯姆單抗(zalutumumab)及3F8。利妥昔單抗可用於治療惰性B細胞癌症,其包括邊緣區淋巴瘤、WM、CLL及小淋巴細胞性淋巴瘤。利妥昔單抗與化學治療劑之組合尤其有效。
例示性治療性抗體可進一步用放射性同位素粒子(諸如銦-111、釔-90 (90Y-克里伏妥珠單抗)或碘-131標記)或與其組合。癌症基因療法及細胞療法
癌症基因療法及細胞療法包括將正常基因插入癌細胞中以置換突變或改變的基因;用以使突變型基因沉默之基因修飾;用以直接殺死癌細胞之基因方法;包括經設計以將個體之大部分自身免疫系統替換以增強對癌細胞之免疫反應或激活個體之自身免疫系統(T細胞或自然殺手細胞)以殺死癌細胞或尋找且殺死癌細胞之免疫細胞輸注;用以修飾細胞活性以進一步改變針對癌症之內源性免疫反應之基因方法。基因編輯因子
基因組編輯系統之實例包括CRISPR/Cas9系統、鋅指核酸酶系統、TALEN系統、歸巢核酸內切酶系統及大範圍核酸酶系統。CAR-T 細胞療法 及 TCR-T 細胞 療法
CAR-T細胞療法包括經工程改造以表現嵌合抗原受體(CAR)之免疫效應細胞群體,其中CAR包含腫瘤抗原結合域。免疫效應細胞為T細胞或NK細胞。TCR-T細胞療法包括經工程改造以靶向腫瘤細胞表面上存在之靶腫瘤衍生的肽之TCR-T細胞。細胞可為自體或同種異體的。
在一些實施例中,CAR包含抗原結合域、跨膜域及細胞內信號傳導域。
在一些實施例中,細胞內結構域包含一級信號傳導域、共刺激結構域或一級信號傳導域及共刺激結構域兩者。
在一些實施例中,一級信號傳導域包含一或多種選自由以下組成之群的蛋白質之功能信號傳導域:CD3ζ、CD3γ、CD3δ、CD3ε、共同FcRγ (FCERIG)、FcRβ (FcεRlb)、CD79a、CD79b、FcγRIIa、DAP10及DAP12。
在一些實施例中,共刺激結構域包含一或多種選自由以下組成之群之蛋白質的功能結構域:CD27、CD28、4-1BB (CD137)、OX40、CD30、CD40、PD-1、ICOS、淋巴細胞功能相關抗原-1 (LFA-1)、CD2、CD7、LIGHT、NKG2C、B7-H3、特異性結合CD83之配體、CDS、ICAM-1、GITR、BAFFR、HVEM (LIGHTR)、SLAMF7、NKp80 (KLRF1)、CD160、CD19、CD4、CD8α、CD8β、IL2Rβ、IL2Rγ、IL7Rα、ITGA4、VLA1、CD49a、ITGA4、IA4、CD49D、ITGA6、VLA-6、CD49f、ITGAD、CD1 ld、ITGAE、CD103、ITGAL、CD1 la、LFA-1、ITGAM、CD1 lb、ITGAX、CD1 lc、ITGB1、CD29、ITGB2、CD18、LFA-1、ITGB7、TNFR2、TRANCE/RANKL、DNAM1 (CD226)、SLAMF4 (CD244、2B4)、CD84、CD96 (Tactile)、CEACAM1、CRTAM、Ly9 (CD229)、CD160 (BY55)、PSGL1、CD100 (SEMA4D)、CD69、SLAMF6 (NTB-A、Ly108)、SLAM (SLAMF1、CD150、IPO-3)、BLAME (SLAMF8)、SELPLG (CD162)、LTBR、LAT、GADS、SLP-76、PAG/Cbp、NKp44、NKp30、NKp46及NKG2D。
在一些實施例中,跨膜結構域包含選自由以下組成之群之蛋白質的跨膜結構域:T細胞受體之α、β或ζ鏈、CD28、CD3ε、CD45、CD4、CD5、CD8、CD9、CD16、CD22、CD33、CD37、CD64、CD80、CD86、CD134、CD137、CD154、KIRDS2、OX40、CD2、CD27、LFA-1 (CD1 la、CD18)、ICOS (CD278)、4-1BB (CD137)、GITR、CD40、BAFFR、HVEM (LIGHTR)、SLAMF7、NKp80 (KLRF1)、CD160、CD19、IL2Rβ、IL2Rγ、IL7R u、ITGA1、VLA1、CD49a、ITGA4、IA4、CD49D、ITGA6、VLA-6、CD49f、ITGAD、CD1 ld、ITGAE、CD103、ITGAL、CD1 la、LFA-1、ITGAM、CD1 lb、ITGAX、CD1 lc、ITGB1、CD29、ITGB2、CD18、LFA-1、ITGB7、TNFR2、DNAM1 (CD226)、SLAMF4 (CD244、2B4)、CD84、CD96 (Tactile)、CEACAM1、CRTAM、Ly9 (CD229)、CD160 (BY55)、PSGL1、CD100 (SEMA4D)、SLAMF6 (NTB-A、Ly108)、SLAM (SLAMF1、CD150、IPO-3)、BLAME (SLAMF8)、SELPLG (CD162)、LTBR、PAG/Cbp、NKp44、NKp30、NKp46、NKG2D及NKG2C。
在一些實施例中,抗原結合域結合腫瘤抗原。
在一些實施例中,腫瘤抗原選自由以下組成之群:CD19;CD123;CD22;CD30;CD171;CS-1 (亦被稱作CD2次單位1、CRACC、SLAMF7、CD319及19A24);C型類凝集素分子-1 (CLL-1或CLECLI);CD33;表皮生長因子受體變型III (EGFRvlll);神經節苷脂G2 (GD2);神經節苷脂GD3 (aNeuSAc(2-8)aNeuSAc(2-3)bDGaip(1-4)bDGIcp(1-1)Cer); B細胞成熟TNF受體家族成員(BCMA);Tn抗原((Tn Ag)或(GaINAcu-Ser/Thr));前列腺特異性膜抗原(PSMA);受體酪胺酸激酶樣孤兒受體1 (RORI);Fms樣酪胺酸激酶3 (FLT3);腫瘤相關醣蛋白72 (TAG72);CD38;CD44v6;癌胚抗原(CEA);上皮細胞黏附分子(EPCAM);B7H3 (CD276);KIT (CD117);介白素-13受體次單位α-2 (IL-13Ra2或CD213A2);間皮素;介白素11受體α (IL-11Ra);前列腺幹細胞抗原(PSCA);蛋白酶絲胺酸21 (睾蛋白或PRSS21);血管內皮生長因子2 (VEGFR2);Lewis(Y)抗原;CD24;血小板衍生生長因子受體β (PDGFR-β);階段特異性胚胎抗原-4 (SSEA-4);CD20;δ樣3 (DLL3);葉酸受體α;受體酪胺酸-蛋白激酶、ERBB2 (Her2/neu);細胞表面相關黏蛋白1 (MUC1);表皮生長因子受體(EGFR);神經細胞黏附分子(NCAM);前列腺酶;前列腺酸磷酸酶(PAP);經突變延長因子2 (ELF2M);艾普瑞林B2;纖維母細胞活化蛋白α (FAP);類胰島素生長因子1受體(IGF-I受體)、碳酸酐酶IX (CAIX);β型蛋白酶體(前體、巨蛋白因子)次單位9 (LMP2);醣蛋白100 (gp100);由斷點叢集區(BCR)及阿貝爾森鼠類白血病病毒致癌基因同源物1 (Abl)組成之致癌基因融合蛋白(bcr-abl);酪胺酸酶;艾普瑞林A型受體2 (EphA2);岩藻糖基GM1;唾液酸基Lewis黏附分子(sLe);神經節苷脂GM3 (aNeuSAc(2-3) bDGalp(1-4)bDGlcp(1-1)Cer);麩胺醯胺轉胺酶5 (TGS5);高分子量黑素瘤相關抗原(HMWMAA);鄰乙醯基-GD2神經節苷脂(OAcGD2);葉酸受體β;腫瘤內皮標記物1 (TEM1/CD248);相關腫瘤內皮標記物7 (TEM7R);前列腺6次跨膜上皮抗原1 (STEAP1);緊密連接蛋白6 (CLDN6);促甲狀腺激素受體(TSHR);G蛋白偶聯受體C類5組成員D (GPRCSD);X染色體開放閱讀框架61 (CXORF61);CD97;CD179a;退行性淋巴瘤激酶(ALK);聚唾液酸;胎盤特異性1 (PLAC1);globoH糖基神經醯胺之六醣部分(GloboH);乳腺分化抗原(NY-BR-1);尿溶蛋白2 (UPK2);A型肝炎病毒細胞受體1 (HAVCR1);腎上腺素受體β3 (ADRB3);泛連接蛋白3 (PANX3);G蛋白偶聯受體20 (GPR20);基因座K9淋巴細胞抗原6複合物(LY6K);嗅受體51E2 (ORS IE2);TCRγ可選閱讀框架蛋白(TARP);威爾姆斯腫瘤蛋白(WT1);癌症/睪丸抗原1 (NY-ESO-1);癌症/睪丸抗原2 (LAGE-la);黑素瘤相關抗原1 (MAGE-A1);位於染色體12p上之ETS易位變異基因6 (ETV6-AML);精子蛋白17 (SPA17);X抗原家族成員1A (XAGE1);血管生成素結合細胞表面受體2 (Tie 2);癌睪黑素瘤抗原-1 (MADCT-1);癌睪黑素瘤抗原-2 (MAD-CT-2);Fos相關抗原1;腫瘤蛋白p53 (p53);p53突變體;前列腺蛋白;存活素;端粒酶;前列腺癌腫瘤抗原-1 (PCTA-1或半乳糖凝集素8)、藉由T細胞識別之黑素瘤抗原1 (MelanA或MARTI);大鼠肉瘤(Ras)突變體;人類端粒酶逆轉錄酶(hTERT);肉瘤易位斷點;細胞凋亡黑素瘤抑制劑(ML-IAP);ERG (跨膜蛋白酶、絲胺酸2 (TMPRSS2) ETS融合基因);N-乙醯基葡糖胺基-轉移酶V (NA17);成對盒蛋白Pax-3 (PAX3);雄激素受體;細胞週期素B1;v-myc禽類髓細胞瘤病病毒致癌基因神經母細胞瘤衍生之同源物(MYCN);Ras同源物家族成員C (RhoC);酪胺酸酶相關蛋白2 (TRP-2);細胞色素P450 1B1(CYP IBI);CCCTC結合因子(鋅指蛋白)樣(BORIS或同級印記部位調節劑(Brother of the Regulator of Imprinted Sites))、藉由T細胞識別之鱗狀細胞癌抗原3 (SART3);成對盒蛋白Pax-5 (PAX5);前頂體素結合蛋白sp32 (OY-TES I);淋巴細胞特異性蛋白酪胺酸激酶(LCK);A激酶錨定蛋白4 (AKAP-4);X斷點滑膜肉瘤2 (SSX2);高級糖化最終產物之受體(RAGE-I);腎泛素1 (RU1);腎泛素2 (RU2);豆莢蛋白;人類乳頭狀瘤病毒E6 (HPV E6);人類乳頭狀瘤病毒E7 (HPV E7);腸道羧酸酯酶;經突變熱衝擊蛋白質70-2 (mut hsp70-2);CD79a;CD79b;CD72;白細胞相關免疫球蛋白樣受體1 (LAIRI);IgA受體之Fc片段(FCAR或CD89);白細胞免疫球蛋白樣受體子族A成員2 (LILRA2);CD300分子類家族成員f (CD300LF);C型凝集素結構域家族12成員A (CLEC12A);骨髓基質細胞抗原2 (BST2);含EGF類分子之黏蛋白樣激素受體樣2 (EMR2);淋巴細胞抗原75 (LY75);磷脂肌醇蛋白聚醣-3 (GPC3);Fc受體樣5 (FCRL5);及免疫球蛋白λ樣多肽1 (IGLL1)。
在一些實施例中,腫瘤抗原係選自CD150、5T4、ActRIIA、B7、BMCA、CA-125、CCNA1、CD123、CD126、CD138、CD14、CD148、CD15、CD19、CD20、CD200、CD21、CD22、CD23、CD24、CD25、CD26、CD261、CD262、CD30、CD33、CD362、CD37、CD38、CD4、CD40、CD40L、CD44、CD46、CD5、CD52、CD53、CD54、CD56、CD66a-d、CD74、CD8、CD80、CD92、CE7、CS-1、CSPG4、ED-B纖維結合蛋白、EGFR、EGFRvIII、EGP-2、EGP-4、EPHa2、ErbB2、ErbB3、ErbB4、FBP、GD2、GD3、HER1-HER2組合、HER2-HER3組合、HERV-K、HIV-1包膜醣蛋白gp120、HIV-1包膜醣蛋白gp41、HLA-DR、HM1.24、HMW-MAA、Her2、Her2/neu、IGF-1R、IL-11Rα、IL-13R-α2、IL-2、IL-22R-α、IL-6、IL-6R、Ia、Ii、L1-CAM、L1-細胞黏附分子、Lewis Y、Ll-CAM、MAGE A3、MAGE-A1、MART-1、MUC1、NKG2C配體、NKG2D配體、NYESO-1、OEPHa2、PIGF、PSCA、PSMA、ROR1、T101、TAC、TAG72、TIM-3、TRAIL-R1、TRAIL-Rl (DR4)、TRAIL-R2 (DR5)、VEGF、VEGFR2、WT-I、G蛋白偶聯受體、α胎蛋白(AFP)、血管生成因子、外源性同源結合分子(ExoCBM)、致癌基因產物、抗葉酸受體、c-Met、癌胚抗原(CEA)、細胞週期素(D 1)、肝配蛋白B2、上皮腫瘤抗原、雌激素受體、胚胎乙醯膽鹼受體、葉酸結合蛋白、gp100、B型肝炎表面抗原、κ鏈、κ輕鏈、kdr、λ鏈、活素(livin)、黑素瘤相關抗原、間皮素、小鼠雙微體2同源物(MDM2)、黏蛋白16 (MUC16)、經突變p53、經突變ras、壞死抗原、癌胚抗原、ROR2、孕酮受體、前列腺特異性抗原、tEGFR、肌腱蛋白、P2-微球蛋白、Fc受體樣5 (FcRL5)。
細胞療法之非限制性實例包括艾普塞爾-L (Algenpantucel-L)、西普亮塞-T (Sipuleucel-T)、(BPX-501)瑞沃賽爾(rivogenlecleucel) US9089520、WO2016100236、AU-105、ACTR-087、活化之同種異體自然殺手細胞CNDO-109-AANK、MG-4101、AU-101、BPX-601、FATE-NK100、LFU-835造血幹細胞、艾米亮塞-T (Imilecleucel-T)、巴塔賽爾-T (baltaleucel-T)、PNK-007、UCARTCS1、ET-1504、ET-1501、ET-1502、ET-190、CD19-ARTEMIS、ProHema、經FT-1050治療之骨髓幹細胞療法、CD4CARNK-92細胞、CryoStim、AlloStim、慢病毒轉導之huCART-meso細胞、CART-22細胞、EGFRt/19-28z/4-1BBL CAR T細胞、自體4H11-28z/fIL-12/EFGRt T細胞、CCR5-SBC-728-HSPC、CAR4-1BBZ、CH-296、dnTGFbRII-NY-ESOc259T、Ad-RTS-IL-12、IMA-101、IMA-201、CARMA-0508、TT-18、CMD-501、CMD-503、CMD-504、CMD-502、CMD-601、CMD-602、CSG-005。
在一些實施例中,腫瘤靶向抗原包括:α-胎蛋白、諸如ET-1402及AFP-TCR;炭疽毒素受體1,諸如抗TEM8 CAR T細胞療法;B細胞成熟抗原(BCMA),諸如bb-2121、UCART-BCMA、ET-140、KITE-585、MCM-998、LCAR-B38M、CART-BCMA、SEA-BCMA、BB212、UCART-BCMA、ET-140、P-BCMA-101、AUTO-2 (APRIL-CAR);抗CLL-1抗體,諸如KITE-796;B7同源物6、諸如CAR-NKp30及CAR-B7H6;B淋巴細胞抗原CD19,諸如TBI-1501、CTL-119 huCART-19 T細胞、JCAR-015 US7446190、JCAR-014、JCAR-017 (WO2016196388、WO2016033570、WO2015157386)、西卡思羅(axicabtagene ciloleucel) (KTE-C19)、US7741465、US6319494、UCART-19、EBV-CTL、T替沙津魯-T (T tisagenlecleucel-T) (CTL019)、WO2012079000、WO2017049166、CD19CAR-CD28-CD3ζ-EGFRt-表現T細胞、CD19/4-1BBL盾CAR T細胞T療法、C-CAR-011、CIK-CAR.CD19、CD19CAR-28-ζT細胞、PCAR-019、MatchCART、DSCAR-01、IM19 CAR-T;B淋巴細胞抗原CD20,諸如ATTCK-20;B淋巴細胞細胞黏附,諸如UCART-22、JCAR-018 WO2016090190;NY-ESO-1,諸如GSK-3377794、TBI-1301;碳酸酐酶,諸如DC-Ad-GMCAIX;卡斯蛋白酶9自殺基因,諸如CaspaCIDe DLI、BPX-501;CCR5,諸如SB-728;CDw123,諸如MB-102、UCART-123;CD20m,諸如CBM-C20.1;CD4,諸如ICG-122;CD30,諸如CART30 (CBM-C30.1;CD33,諸如CIK-CAR.CD33;CD38,諸如T-007、UCART-38;CD40配體,諸如BPX-201;CEACAM蛋白4調節劑,諸如MG7-CART;緊密連接蛋白6,諸如CSG-002;經靶向EBV,諸如CMD-003;EGFR,諸如自體4H11-28z/fIL-12/EFGRt T細胞;核酸內切酶,諸如PGN-514、PGN-201;埃-巴二氏病毒特異性T淋巴細胞,諸如TT-10;Erbb2,諸如CST-102、CIDeCAR;神經節苷脂(GD2),諸如4SCAR-GD2;麩胺酸羧肽酶II,諸如CIK-CAR.PSMA、CART-PSMA-TGFßRDN、P-PSMA-101;磷脂肌醇蛋白聚醣-3 (GPC3),諸如TT-16、GLYCAR;血紅蛋白,諸如PGN-236;肝細胞生長因子受體,諸如抗cMet RNA CAR T;人類乳頭狀瘤病毒E7蛋白,諸如KITE-439;免疫球蛋白γ Fc受體III,諸如ACTR087;IL-12,諸如DC-RTS-IL-12;IL-12促效劑/黏蛋白16,諸如JCAR-020;IL-13α2,諸如MB-101;IL-2,諸如CST-101;K-Ras GTP酶,諸如抗KRAS G12V mTCR細胞療法;神經細胞黏附分子L1 L1CAM (CD171),諸如JCAR-023;潛伏膜蛋白1/潛伏膜蛋白2,諸如Ad5f35-LMPd1-2-轉導自體樹突狀細胞;黑素瘤相關抗原10,諸如MAGE-A10C796T MAGE-A10 TCR;黑素瘤相關抗原3/黑素瘤相關抗原6 (MAGE A3/A6),諸如KITE-718;間皮素,諸如CSG-MESO、TC-210;NKG2D,諸如NKR-2;Ntrkr1酪胺酸激酶受體,諸如JCAR-024;T細胞受體,諸如BPX-701、IMCgp100;T淋巴細胞,諸如TT-12;腫瘤浸潤性淋巴細胞,諸如LN-144、LN-145;及威爾姆氏腫瘤蛋白,諸如JTCR-016、WT1-CTL。淋巴瘤或白血病組合療法
在一些實施例中,其他治療劑適用於治療淋巴瘤或白血病。此等藥劑包括阿地白介素、阿昔迪布(alvocidib)、三水合阿米福汀(amifostine trihydrate)、胺基喜樹鹼(aminocamptothecin)、抗新普拉通A10 (antineoplaston A10)、抗新普拉通AS2-1、抗胸腺細胞球蛋白、三氧化二砷、Bcl-2家族蛋白抑制劑ABT-263、β阿立辛、BMS-345541、硼替佐米(VELCADE®
)、硼替佐米(VELCADE®
,PS-341)、苔蘚蟲素1、布舒凡(bulsulfan)、坎帕斯-1H (campath-1H)、卡鉑、卡非佐米(carfilzomib) (Kyprolis®)、卡莫司汀(carmustine)、乙酸卡泊芬淨(caspofungin acetate)、CC-5103、苯丁酸氮芥、CHOP (環磷醯胺、小紅莓、長春新鹼及潑尼松)、順鉑、克拉屈濱(cladribine)、氯法拉濱(clofarabine)、薑黃素(curcumin)、CVP (環磷醯胺、長春新鹼及潑尼松)、環磷醯胺、環孢靈(cyclosporine)、阿糖胞苷、地尼白介素(denileukin diftitox)、地塞米松、多烯紫杉醇、海兔毒素10、小紅莓、鹽酸小紅莓、DT-PACE (地塞米松、沙立度胺(thalidomide)、順鉑、小紅莓、環磷醯胺及依託泊苷)、恩紮妥林(enzastaurin)、阿法依泊汀α (epoetin alfa)、依託泊苷、依維莫司(everolimus) (RAD001)、FCM (氟達拉賓、環磷醯胺及米托蒽醌)、FCR (氟達拉賓、環磷醯胺及利妥昔單抗)、非瑞替尼(fenretinide)、非格司亭(filgrastim)、夫拉平度(flavopiridol)、氟達拉賓、FR (氟達拉賓及利妥昔單抗)、格爾德黴素(geldanamycin) (17-AAG)、hyperCVAD (超分割環磷醯胺、長春新鹼、小紅莓、地塞米松、甲胺喋呤及阿糖胞苷)、ICE (異環磷醯胺、卡鉑及依託泊苷)、異環磷醯胺、鹽酸伊立替康、干擾素α-2b、伊沙匹隆(ixabepilone)、來那度胺(REVLIMID®
,CC-5013)、淋巴激素活化殺手細胞、MCP (米托蒽醌、苯丁酸氮芥及潑尼龍)、美法侖、美司鈉(mesna)、甲胺喋呤、鹽酸米托蒽醌、莫特沙芬釓(motexafin gadolinium)、黴酚酸嗎啉乙酯(mycophenolate mofetil)、奈拉濱(nelarabine)、奧巴克拉(obatoclax) (GX15-070)、奧利默森(oblimersen)、乙酸奧曲肽(octreotide acetate)、Ω-3脂肪酸、Omr-IgG-am (WNIG,Omrix)、奧沙利鉑、太平洋紫杉醇、帕泊昔布(PD0332991)、派非格司亭(pegfilgrastim)、聚乙二醇化脂質鹽酸小紅莓、派瑞弗辛(perifosin)、潑尼龍、潑尼松、重組flt3配體、重組人類血小板生成素、重組干擾素α、重組介白素-11、重組介白素-12、利妥昔單抗、R-CHOP (利妥昔單抗及CHOP)、R-CVP (利妥昔單抗及CVP)、R-FCM (利妥昔單抗及FCM)、R-ICE (利妥昔單抗及ICE),及R-MCP (利妥昔單抗及MCP)、R-羅斯維汀 (R-roscovitine) (塞利希布(seliciclib),CYC202)、沙格司亭(sargramostim)、檸檬酸西地那非(sildenafil citrate)、辛伐他汀(simvastatin)、西羅莫司(sirolimus)、苯乙烯基碸、他克莫司(tacrolimus)、坦螺旋黴素(tanespimycin)、坦羅莫司(temsirolimus) (CCl-779)、沙立度胺、治療性同種異體淋巴細胞、噻替派、替吡法尼(tipifarnib)、長春新鹼、硫酸長春新鹼、酒石酸氫長春瑞賓、SAHA (辛二醯苯胺異羥肟酸或辛二醯基苯胺及氧肟酸)、維羅非尼(vemurafenib) (Zelboraf®)、維奈托克(ABT-199)。
一種改良方法係放射免疫療法,其中單株抗體與放射性同位素粒子(諸如銦-111、釔-90及碘-131)組合。組合療法之實例包括(但不限於)碘-131托西莫單抗(BEXXAR®
)、釔-90替伊莫單抗(ibritumomab tiuxetan)(ZEVALIN®
)及BEXXAR®
與CHOP。
上述療法可補充有幹細胞移植或治療或與其組合。治療性程序包括周邊血液幹細胞移植、自體造血幹細胞移植、自體骨髓移植、抗體療法、生物療法、酶抑制劑療法、全身照射、幹細胞輸注、在幹細胞支援下之骨髓消融、經活體外處理之周邊血液幹細胞移植、臍帶血移植、免疫酶技術、低LET鈷-60 γ射線療法、博萊黴素、習知手術、輻射療法及非清髓性同種異體造血幹細胞移植。非霍奇金氏淋巴瘤組合療法
在一些實施例中,其他治療劑適用於治療非霍奇金氏淋巴瘤(NHL),尤其B細胞起源之非霍奇金氏淋巴瘤,該等治療劑包括單株抗體、標準化學療法方法(例如CHOP、CVP、FCM、MCP及其類似者)、放射免疫療法及其組合,尤其抗體療法與化學療法之組合。
用於NHL/B細胞癌症之治療的未結合單株抗體之實例包括利妥昔單抗、阿侖單抗、人類或人源化抗CD20抗體、盧米西單抗(lumiliximab)、抗TNF相關之細胞凋亡誘導配體(抗TRAIL)、貝伐單抗、加利昔單抗、依帕珠單抗(epratuzumab)、SGN-40及抗CD74。
用於NHL/B細胞癌症之治療的實驗抗體藥劑之實例包括:奧伐木單抗、ha20、PRO131921、阿侖單抗、加利昔單抗、SGN-40、CHIR-12.12、依帕珠單抗、盧米西單抗、阿泊珠單抗(apolizumab)、米拉珠單抗及貝伐單抗。
用於NHL/B細胞癌症之化學療法的標準方案之實例包括:CHOP、FCM、CVP、MCP、R-CHOP、R-FCM、R-CVP及R-MCP。
用於NHL/B細胞癌症之放射免疫療法之實例包括釔-90替伊莫單抗(ZEVALIN®
)及碘-131托西莫單抗(BEXXAR®
)。套細胞淋巴瘤組合療法
在一些實施例中,其他治療劑適用於治療套細胞淋巴瘤(MCL),其包括組合化學療法,諸如CHOP、hyperCVAD及FCM。此等方案亦可補充有單株抗體利妥昔單抗以形成組合療法R-CHOP、hyperCVAD-R及R-FCM。上述療法之任一者可與幹細胞移植或ICE組合以治療MCL。
適用於治療MCL之治療劑之其他實例包括:
- 免疫療法,諸如單株抗體(例如利妥昔單抗)及癌症疫苗,諸如GTOP-99,其係基於個別個體之腫瘤之基因組成;
- 放射免疫療法,其中單株抗體與放射性同位素粒子組合,諸如碘-131托西莫單抗(BEXXAR®
)、釔-90替伊莫單抗(ZEVALIN®
)及BEXXAR®
依序與CHOP一起用於治療;
- 與高劑量化學療法結合之自體幹細胞移植,投與蛋白酶體抑制劑,諸如硼替佐米(VELCADE®
或PS-341),或投與抗血管生成劑,諸如沙力度胺,尤其與利妥昔單抗之組合;
- 引起Bcl-2蛋白質分解且提高對化學療法之癌細胞敏感性之藥物,諸如奧利默森與其他化學治療劑之組合;
- mTOR抑制劑,其可引起抑制細胞生長及甚至細胞死亡。非限制性實例為西羅莫司、坦羅莫司(TORISEL®
、CCI-779)、CC-115、CC-223、SF-1126、PQR-309 (必米力絲(bimiralisib))、沃塔力絲(voxtalisib)、GSK-2126458及坦羅莫司與RITUXAN®
、VELCADE®
或其他化學治療劑之組合;
- 其他藥劑,諸如夫拉平度、帕泊昔布(PD0332991)、R-羅斯維汀(塞利希布,CYC202)、苯乙烯基碸、奧巴克拉(GX15-070)、TRAIL、抗TRAIL死亡受體DR4及DR5抗體、坦羅莫司(TORISEL®
,CCl-779)、依維莫司(RAD001)、BMS-345541、薑黃素、SAHA、沙力度胺、來那度胺(REVLIMID®
,CC-5013)及格爾德黴素(17-AAG)。瓦爾登斯特倫氏 (Waldenstrom ' s) 巨球蛋白血症組合療法
在一些實施例中,其他治療劑適合於治療瓦爾登斯特倫氏巨球蛋白血症(WM),該等治療劑包括阿地白介素、阿侖單抗、夫拉平度、三水合阿米福汀、胺基喜樹鹼、抗新普拉通A10、抗新普拉通AS2-1、抗胸腺細胞球蛋白、三氧化二砷、自體人類腫瘤衍生之HSPPC-96、Bcl-2家族蛋白抑制劑ABT-263、β阿立辛、硼替佐米(VELCADE®
)、苔蘚蟲素1、白消安、坎帕斯-1H、卡鉑、卡莫司汀、乙酸卡泊芬淨、CC-5103、順鉑、氯法拉濱、環磷醯胺、環孢靈、阿糖胞苷、地尼白介素、地塞米松、多烯紫杉醇、海兔毒素10、鹽酸小紅莓、DT-PACE、恩紮妥林、阿法依泊汀、依帕珠單抗(hLL2-抗CD22人類化抗體)、依託泊苷、依維莫司、非瑞替尼、非格司亭、氟達拉賓、異環磷醯胺、銦-111單株抗體MN-14、碘-131托西莫單抗、鹽酸伊立替康、伊沙匹隆、淋巴激素活化殺手細胞、美法侖、美司鈉、甲胺喋呤、鹽酸米托蒽醌、單株抗體CD19 (諸如替沙津魯-T、CART-19、CTL-019)、單株抗體CD20、莫特沙芬釓、黴酚酸嗎啉乙酯、奈拉濱、奧利默森、乙酸奧曲肽、Ω-3脂肪酸、奧沙利鉑、太平洋紫杉醇、派非格司亭、聚乙二醇化脂質鹽酸小紅莓、噴司他丁、哌立福新、強的松、重組flt3配體、重組人類血小板生成素、重組干擾素α、重組介白素-11、重組介白素-12、利妥昔單抗、沙格司亭、檸檬酸西地那非(VIAGRA®
)、辛伐他汀、西羅莫司、他克莫司、坦螺旋黴素、沙立度胺、治療性同種異體淋巴細胞、噻替派、替吡法尼、托西莫單抗、維托珠單抗、硫酸長春新鹼、酒石酸氫長春瑞賓、伏立諾他、WT1 126-134肽疫苗、WT-1類似肽疫苗、釔-90替伊莫單抗、釔-90人類化依帕珠單抗,及其任何組合。
用於治療WM之治療性程序之實例包括周邊血液幹細胞移植、自體造血幹細胞移植、自體骨髓移植、抗體療法、生物療法、酶抑制劑療法、全身照射、幹細胞輸注、在幹細胞支援下之骨髓消融、經活體外處理之周邊血液幹細胞移植、臍帶血移植、免疫酶技術、低LET鈷-60 γ射線療法、博萊黴素、習知手術、輻射療法及非清髓性同種異體造血幹細胞移植。彌漫性大 型 B 細胞淋巴瘤組合療法
在一些實施例中,其他治療劑適用於治療彌漫性大型B細胞淋巴瘤(DLBCL),其包括環磷醯胺、小紅莓、長春新鹼、潑尼松、抗CD20單株抗體、依託泊苷、博萊黴素、關於WM所列出之許多藥劑及其任何組合,諸如ICE及R-ICE。慢性淋巴細胞性白血病組合療法
在一些實施例中,其他治療劑適用於治療慢性淋巴細胞性白血病(CLL),其包括苯丁酸氮芥、環磷醯胺、氟達拉濱、噴司他汀、克拉屈濱、小紅莓、長春新鹼、潑尼松、潑尼龍、阿侖單抗、關於WM所列出之許多藥劑以及組合化學療法及化學免疫療法,包括以下常用組合方案:CVP、R-CVP、ICE、R-ICE、FCR及FR。骨髓纖維化組合療法
在一些實施例中,其他治療劑適合於治療骨髓纖維化,其包括刺蝟抑制劑、組蛋白脫乙醯基酶(HDAC)抑制劑及酪胺酸激酶抑制劑。刺蝟抑制劑之非限制性實例係薩瑞德吉及維莫德吉。
HDAC抑制劑之實例包括(但不限於)普拉諾他及帕比諾他。
酪胺酸激酶抑制劑之非限制性實例係來他替尼、伯舒替尼、伊馬替尼、吉爾替尼、拉多替尼及卡博替尼。過度增生性疾病組合療法
在一些實施例中,其他治療劑適合於治療過度增生性疾病,其包括吉西他濱、白蛋白結合型太平洋紫杉醇及吉西他濱/白蛋白結合型太平洋紫杉醇與JAK抑制劑及/或PI3Kδ抑制劑。膀胱癌組合療法
在一些實施例中,其他治療劑適合於治療膀胱癌,其包括阿特珠單抗、卡鉑、順鉑、多西他賽、小紅莓、氟尿嘧啶(5-FU)、吉西他濱、伊多米德(idosfamide)、干擾素α-2b、甲胺喋呤、絲裂黴素、白蛋白結合型太平洋紫杉醇、太平洋紫杉醇、培美曲塞、噻替派、長春鹼及其任何組合。乳癌組合療法
在一些實施例中,其他治療劑適合於治療乳癌,其包括白蛋白結合型太平洋紫杉醇、阿那曲唑、卡培他濱、卡鉑、順鉑、環磷醯胺、多烯紫杉醇、小紅莓、表柔比星、依維莫司、依西美坦、氟尿嘧啶、氟維司群、吉西他濱、伊沙匹隆、拉帕替尼、來曲唑、甲胺喋呤、米托蒽醌、太平洋紫杉醇、聚乙二醇化脂質小紅莓、帕妥珠單抗、他莫昔芬、托瑞米芬、曲妥珠單抗、長春瑞賓及其任何組合。三陰性乳癌組合療法
在一些實施例中,其他治療劑適合於治療三陰性乳癌,其包括環磷醯胺、多西他賽、小紅莓、表柔比星、氟尿嘧啶、太平洋紫杉醇及其組合。結腸直腸癌組合療法
在一些實施例中,其他治療劑適合於治療結腸直腸癌,其包括貝伐珠單抗、卡培他濱、西妥昔單抗、氟尿嘧啶、伊立替康、甲醯四氫葉酸、奧沙利鉑、帕尼單抗、阿柏西普(ziv-aflibercept)及其任何組合。去勢抵抗性前列腺癌組合療法
在一些實施例中,其他治療劑適合於治療去勢抵抗性前列腺癌,其包括阿比特龍、卡巴利他索、多西他賽、恩雜魯胺、潑尼松、西普亮塞-T及其任何組合。食道及食道胃接合處癌症組合療法
在一些實施例中,其他治療劑適合於治療食道及食道胃接合處癌症,其包括卡培他濱、卡鉑、順鉑、多烯紫杉醇、表柔比星、氟嘧啶、氟尿嘧啶、伊立替康、甲醯四氫葉酸、奧沙利鉑、太平洋紫杉醇、雷莫蘆單抗、曲妥珠單抗及其任何組合。胃癌組合療法
在一些實施例中,其他治療劑適合於治療胃癌,其包括卡培他濱、卡鉑、順鉑、多烯紫杉醇、表柔比星、氟嘧啶、氟尿嘧啶、伊立替康、甲醯四氫葉酸、絲裂黴素、奧沙利鉑、太平洋紫杉醇、雷莫蘆單抗、曲妥珠單抗及其任何組合。頭頸癌組合療法
在一些實施例中,其他治療劑適合於治療頭頸癌,其包括阿法替尼、博萊黴素、卡培他濱、卡鉑、西妥昔單抗、順鉑、多烯紫杉醇、氟尿嘧啶、吉西他濱、羥基脲、甲胺喋呤、尼沃單抗、太平洋紫杉醇、派立珠單抗、長春瑞賓及其任何組合。肝膽癌組合療法
在一些實施例中,其他治療劑適合於治療肝膽癌,其包括卡培他濱、順鉑、氟嘧啶、5-氟尿嘧啶、吉米他賓(gemecitabine)、奧沙利鉑、索拉非尼及其任何組合。肝細胞癌組合療法
在一些實施例中,其他治療劑適合於治療肝細胞癌,其包括卡培他濱、小紅莓、吉西他濱、索拉非尼及其任何組合。非小細胞肺癌組合療法
在一些實施例中,其他治療劑適合於治療非小細胞肺癌(NSCLC),其包括阿法替尼、白蛋白結合型太平洋紫杉醇、艾樂替尼、貝伐珠單抗、貝伐珠單抗、卡博替尼、卡鉑、順鉑、克卓替尼、達拉非尼、多烯紫杉醇、埃羅替尼、依託泊苷、吉西他濱、尼沃單抗、太平洋紫杉醇、派立珠單抗、培美曲塞、雷莫蘆單抗、曲美替尼、曲妥珠單抗、凡德他尼、維羅非尼、長春鹼、長春瑞賓及其任何組合。小細胞肺癌組合療法
在一些實施例中,其他治療劑適合於治療小細胞肺癌(SCLC),其包括本達斯米(bendamustime)、卡鉑、順鉑、環磷醯胺、多烯紫杉醇、小紅莓、依託泊苷、吉西他濱、伊皮利單抗(ipillimumab)、伊立替康、尼沃單抗、太平洋紫杉醇、替莫唑胺、拓朴替康、長春新鹼、長春瑞賓及其任何組合。黑素瘤組合療法
在一些實施例中,其他治療劑適合於治療黑素瘤,其包括白蛋白結合型太平洋紫杉醇、卡鉑、順鉑、克比替尼(cobiemtinib)、達拉非尼、達拉巴嗪(dacrabazine)、IL-2、伊馬替尼、干擾素α-2b、伊派利單抗、亞硝基脲、尼沃單抗、太平洋紫杉醇、派立珠單抗、皮利木單抗(pilimumab)、替莫唑胺、曲美替尼、維羅非尼、長春鹼及其任何組合。卵巢癌組合療法
在一些實施例中,其他治療劑適合於治療卵巢癌,其包括5-氟尿嘧啶、白蛋白結合型太平洋紫杉醇、六甲蜜胺、阿那曲唑、貝伐珠單抗、卡培他濱、卡鉑、順鉑、環磷醯胺、多烯紫杉醇、小紅莓、依託泊苷、依西美坦、吉西巴賓(gemcibabine)、異環磷醯胺、伊立替康、來曲唑、乙酸亮丙立德、脂質小紅莓、乙酸甲地孕酮、美法侖、奧拉帕尼、奧沙利鉑、太平洋紫杉醇、帕佐泮尼(Pazopanib)、培美曲塞(pemetrexed)、他莫昔芬(tamoifexn)、拓朴替康、長春瑞賓及其任何組合。胰臟癌組合療法
在一些實施例中,其他治療劑適合於治療胰臟癌,其包括5-氟尿嘧啶、白蛋白結合型太平洋紫杉醇、卡培他濱、順鉑、多烯紫杉醇、埃羅替尼、氟嘧啶、吉西他濱、伊立替康、甲醯四氫葉酸、奧沙利鉑、太平洋紫杉醇及其任何組合。腎細胞癌組合療法
在一些實施例中,其他治療劑適合於治療腎細胞癌,其包括阿西替尼、貝伐珠單抗、卡博替尼、埃羅替尼、依維莫司、樂瓦替尼(levantinib)、尼沃單抗、帕佐泮尼、索拉非尼、舒尼替尼、坦羅莫司及其任何組合。VIII. 套組
本發明提供一種套組,其包含本發明化合物或其醫藥學上可接受之鹽。該套組可進一步包含例如用於治療病毒感染之使用說明書。使用說明書通常係書面說明書,但含有說明書之電子儲存媒體(例如磁碟或光碟)亦為可接受的。
本發明亦提供一種醫藥套組,其包含有包含本發明化合物或其醫藥學上可接受之鹽的一或多個容器。與該等容器視情況相關聯的可為由管理醫藥產物之製造、使用或銷售之政府機構所規定形式的注意事項,該注意事項反映由用於人類投與之製造、使用或銷售機構的批准。各組分(若存在超過一種組分)可封裝於獨立容器中,或在交叉反應性及存放期允許的情況下,可將一些組分合併於一個容器中。套組可呈單位劑型、散裝包裝(例如多劑量包裝)或次單位劑量。套組亦可包括化合物之多個單位劑量及使用說明書,且足量包裝以供藥房(例如醫院藥房及混配藥房)儲存及使用。
亦提供製品,其包含單位劑量之本發明化合物或其醫藥學上可接受之鹽,以適合包裝用於本文所描述之方法。適合包裝為此項技術中已知,且包括例如小瓶、容器、安瓿、瓶子、罐、軟包裝及其類似物。製品可進一步經滅菌及/或密封。 IX. 實例
實施例亦關於適用於製備目標化合物或其醫藥學上可接受之鹽的方法及中間物。
提供適用於合成所揭示之化合物的通常已知之化學合成流程及條件的許多一般參考文獻為可用的(參見例如Smith, March's Advanced Organic Chemistry:Reactions, Mechanisms, and Structure, 第7版, Wiley-Interscience, 2013。)
如本文所描述之化合物可藉由此項技術中已知之任何方式,包括層析法,諸如高效液相層析(HPLC)、製備型薄層層析、急驟管柱層析及離子交換層析。可使用任何適合之固定相,包括正相及反相以及離子性樹脂。所揭示之化合物最通常經由矽及/或氧化鋁層析來純化。參見例如Introduction to Modern Liquid Chromatography, 第2版, L. R. Snyder及J. J. Kirkland編, John Wiley and Sons, 1979;及Thin Layer Chromatography, E. Stahl(編), Springer-Verlag, New York, 1969。
化合物係使用標準儀器法表徵。用具有低溫探針之布魯克AVANCE-600儀器(1
H,600.13 MHz)及具有低溫探針之布魯克AVANCE-500儀器(31
P,202.4 MHz,19
F,470.4 MHz)量測NMR光譜。在Waters Q-Tof Micro上獲得電灑離子化法(ESI)模式下之質譜。在Waters LC-MS儀器(Waters 600控制器、Waters 3100質量偵測器、Waters光電二極體陣列偵測器)上經Luna C18管柱(Phenomenex, 5 µm, 150 × 4.6 mm)及Zic-Hilic管柱(SeQuant, 5 µm, 100 × 4.6 mm)獲得HPLC。
在用於製備目標物之任何製程期間,可能必要及/或需要保護所涉及之任何分子上的敏感性或反應性基團。此可藉助於習知保護基達成,如描述於標準著作中,諸如T. W. Greene及P. G. M. Wuts, 「Protective Groups in Organic Synthesis」,第4版, Wiley, New York 2006。可在適宜後續階段使用此項技術已知之方法移除保護基。
適用於實施例之方法的例示性化學實體現將參考說明性合成流程關於本文中其通用製備及隨後特定實例來描述。業內人士應認識到,為獲得本文之各種化合物,起始物質可經適當選擇,以使得將按需要在具有或不具有保護下經由反應流程攜帶最終所要取代基,產生所要產物。或者,可能需要或希望在最終所要取代基之位置利用可經由反應流程攜帶且適當時經所要取代基置換的適合基團。此外,熟習此項技術者應認識到,以下流程中所展示之轉化可以與特定側基之官能性相容之任何順序執行。一般流程中所描繪之各反應較佳在約0℃至所用有機溶劑之回流溫度的溫度下運行。
本文所提供之實例描述本文所揭示之化合物的合成以及用於製備該等化合物之中間物。應理解,可組合本文所描述之個別步驟。亦應理解,獨立批次之化合物可經組合且隨後在下一合成步驟中繼續闡述。
在以下實例描述中,描述特定實施例。足夠詳細地描述此等實施例以使熟習此項技術者能夠實施本發明之某些實施例。可使用其他實施例,且可在不脫離本發明之範疇的情況下進行邏輯及其他改變。因此,以下描述並不意欲限制本發明之範疇。
本文所描述之方法一般提供特定對映異構體或非對映異構體作為所要產物,但在所有情況下均未確定對映異構體或非對映異構體之立體化學。當未確定對映異構體或非對映異構體中特定立體中心之立體化學時,在不展示彼特定立體中心處的任何立體化學之情況下繪製化合物,儘管該化合物可為實質上對映異構性或非對映異構性純的。
本發明化合物之代表性合成描述於以下流程及隨後特定實例中。特定實例係使用PerkinElmer ChemDraw專業版17.0.0.206 (121), PerkinElmer Informatics, Inc.命名。
實例1.一般合成方法
實例中詳細描述之特定2'2'-環二核苷酸係根據下文所描述之一般合成方法合成。
縮寫清單:
ACN 乙腈
BOMOM 苯甲醯氧基甲氧基甲基
BSA 牛血清白蛋白
Bz 苯甲醯基
CPG 受控微孔玻璃
CSO (-)-(8,8-二氯樟腦基磺醯基)-噁吖丙啶
DBU 1,8-二氮雜雙環[5.4.0]十一-7-烯
DCA 二氯乙酸
DCM 二氯甲烷
DMAM 二甲胺基亞甲基
DMF 二甲基甲醯胺
DMOCP 2-氯-5,5-二甲基-1,3,2-二氧磷雜環己烷-2-氧化物
DMSO 二甲亞碸
DMTr 4,4-二甲氧基三苯甲基
ESI 電灑離子化法
EtOH 乙醇
ETT 乙硫基四唑
FBS 胎牛血清
HEPES 4-(2-羥乙基)-1-哌嗪乙磺酸
HRMS 高解析質譜
iBu 異丁基
iPr 異丙基
LCAA 長鏈胺基烷基
MeIm 1-甲基咪唑
MeOH 甲醇
MOP 4-甲氧基-1-氧離子基-2-吡啶基甲基
MOP-OH 4-甲氧基-1-氧離子基-2-吡啶基甲醇
MPNO 4-甲氧基吡啶-1-氧化物
Pic 4-甲氧基-2-吡啶基甲基
Pic-OH 4-甲氧基-2-吡啶基甲醇
Py 吡啶
TBDMS 第三丁基二甲基矽烷基
TBDMSCl 第三丁基二甲基矽烷基氯
tBuOOH 過氧化第三丁醇
TEA 三乙胺
TEAB 三乙基碳酸氫銨
THF 四氫呋喃
TIPSCl 三異丙基苯磺醯基氯
Ts 對甲苯磺醯基
Tzol 四唑製備來源於核苷 -2'- 膦酸甲酯之單體
根據Páv, O;Košiová, I.;Barvík, I.;Pohl, R.;Buděšínský, M.;Rosenberg, I. Synthesis of oligoribonucleotides with phosphonate-modified linkages.Org. Biomol. Chem. 2011
,9
, 6120 - 6126及Páv, O.;Panova, N.;Snášel, J.;Zborníková, E.;Rosenberg I.
Activation of human RNase L by 2'- and 5'-O
-methylphosphonate-modified oligoadenylates.Bioorg. Med. Chem. Lett.
2012,22
, 181 - 185製備膦酸酯及胺基磷酸酯單體。亦使用以上提及的來自根據文獻製備(Kovacs T., Van Aerschot A., Herdewijn P., Torrence P. F.Nucleosides, Nucleotides & Nucleic Acids 1995
,14:6
, 1259-1267 and Van Aerschot A., Herdewijn P., Janssen G., Cools M., De Clercq E.Antiviral Research 1989
,12
, 133-150)或可商購(Carbsyntoh)的前體之方案來製備及3´-去氧-3´-氟膦酸酯及胺基磷酸酯單體。
製備中間物 4
:在氬氣下將含0.45M四唑之ACN (14.4 mL,6.5 mmol)添加至中間物2
(1.4 g,2.2 mmol)及N
,N
,N´
,N´
-四異丙基二胺基磷酸甲酯(1.8 mL,6.5 mmol)於DCM (20 mL)中之經攪拌溶液。於室溫在氬氣下攪拌反應混合物2 h。將反應混合物用DCM (300 mL)稀釋且用碳酸氫鈉飽和溶液(3×100 ml)萃取。將有機層經無水硫酸鈉乾燥,且蒸發。將殘餘物溶解於甲苯(5 mL)中且逐滴添加至己烷(300 mL)中。收集沈澱且自苯凍乾,得到中間物4
。
製備中間物 5
:於4℃在氬氣下將氫化鈉(0.36 g,9.0 mmol)添加至化合物1
(2.0 g,3.0 mmol)於DMF (30 mL)中之經攪拌溶液(流程1)。於4℃在氬氣下再攪拌反應混合物60 min。在氬氣下將膦酸二異丙基甲苯磺醯氧基甲酯(1.6 g,4.5 mmol)添加至反應混合物,接著將其於室溫在氬氣下再攪拌16 h。此後,於4℃將含冰AcOH (0.5 mL,9.0 mmol)之DMF (5 mL)逐滴添加至反應混合物,屆時,濃縮混合物且藉由矽膠層析(用0%至10%之乙醇於氯仿中之梯度溶離)純化粗膦酸二異丙酯:C45
H49
O9
N5
FNaP (M+Na)+
之HRMS (ESI)計算值876.31441, 實驗值876.31354。
將溴三甲基矽烷(1.3 mL;10.0 mmol)添加至以上膦酸二異丙酯(2.1 g;2.5 mmol)及2,6-二甲基吡啶(2.3 mL;20.0 mmol)於ACN (25 mL)中之溶液。在室溫下攪拌反應混合物16 h,且接著濃縮。將殘餘物溶解於氯仿(0.5 L)中且用0.2 M TEAB (3×100 ml)萃取。將有機層經無水硫酸鈉乾燥,濃縮且接著與二噁烷及吡啶一起共蒸發。粗核苷膦酸未經進一步純化即使用。
將DMOCP (2.3 g;12.5 mmol)添加至以上粗核苷膦酸、Pic-OH (1.0 g;7.5 mmol)及MPNO (1.6 g;12.5 mmol)於吡啶(25 mL)中之溶液。將反應混合物在室溫下攪拌16小時,藉由添加2M TEAB (20 mL)淬滅,並蒸發。將殘餘物溶解於氯仿(0.5 L)中且用0.2 M TEAB (3×100 ml)萃取。將有機層經無水硫酸鈉乾燥,蒸發且與二噁烷一起共蒸發。隨後在65℃用60%吡啶/水(50 mL)處理粗diPic膦酸酯16 h。濃縮反應混合物且藉由矽膠層析(用0%至100%乙酸乙酯/乙醇/丙酮/水4:1:1:1於乙酸乙酯中之梯度)溶離純化殘餘物(經TEA緩衝之SiO2
),並自二噁烷凍乾以提供中間產物5
:C46
H44
FN6
NaO10
P (M+Na)+
之HRMS (ESI)計算值913.27328, 實驗值913.27244;1
H NMR (DMSO-d 6
) δ 11.21 (br s, 1H), 8.73 (s, 1H), 8.59 (s, 1H), 8.24 (m, 1H), 8.03 (m, 2H), 7.64 (m, 1H), 7.55 (m, 2H), 7.35 (m, 2H), 7.25 (m, 2H), 7.22 (m, 4H), 7.19 (m, 1H), 6.99 (m, 1H), 6.84 (m, 1H), 6.83 (m, 4H), 6.15 (d,J
= 7.0 Hz, 1H), 5.57 (d,J
= 54.0 Hz, 1H), 5.40 (d,J
= 18.0 Hz, 1H), 4.79 (dd,J
= 14.4, 8.4 Hz, 1H), 4.75 (dd,J
= 14.4, 8.2 Hz, 1H), 4.38 (m, 1H), 3.76 (br s, 2H), 3.76 (s, 3H), 3.70 (s, 6H), 3.30 (dd,J
= 11.0, 5.2 Hz, 1H), 3.24 (dd,J
= 11.0, 3.8 Hz, 1H),31
P NMR (DMSO-d 6
) δ 14.06;19
F NMR (DMSO-d 6
) δ -195.14。製備經改質之固體支撐物 CE-CPG
根據Pačes, O.等人, (2008).Collection of Czechoslovak Chemical Communications 73
(1):32-43製備經氫琥珀酸12-氰基-13-[(4,4'-二甲氧基三苯甲基)氧基]-3,6,9-三氧雜十三烷(CE-CPG)改質之固體支撐物(LCAA-CPG)。CE-CPG 合成來源於核苷 -2'- 膦酸甲酯之二核苷酸
藉由「三醯分光(trityl off)」法,以每管柱尺度1 μmol,在5'→2'方向上使 CE-CPG (20 mg)合成二核苷酸,參加流程1。用於磷酸三酯及胺基磷酸酯方法之合成方案展示於表1中。
通常,使用六個管柱製備CDN。在MOS寡核苷酸合成器(IOCB Prague, Czech Republic)上執行合成。在許多實例中,封端步驟係任選的且不包括封端步驟。偶合步驟之平均產率在93至95%範圍內(傳導性檢測器,DMTr+
)。
向具有結合之直鏈二聚物之CE-CPG固體支撐物中添加10% Et2
NH之ACN溶液(500 μl),且在室溫下用Eppendorf Thermomixer舒適型振盪器振盪異質混合物2 h。蒸發溶劑且添加DMOCP (10 mg)於吡啶(400 μl)中之溶液。在室溫下振盪異質混合物2小時。接著,向反應混合物中添加10 μl Et3
N及266 μl水且在65℃下繼續振盪16小時。蒸發反應混合物。
向反應混合物中添加50%MeOH水溶液(600 μl)且藉由傾析自溶液分離固體支撐物,並用50% MeOH水溶液(3×200 μl)洗滌。向甲醇溶液中添加33% MeNH2
於EtOH中之溶液(600 μl)且在室溫下振盪混合物8小時。接著蒸發溶劑。將殘餘物溶解於0.1 mol.l-1
TEAB (1.5 ml)中且施用於半製備型C18管柱(Luna 5 μm C18 250×10 mm)。藉由逆相層析法分離環二核苷酸。
在經TBDMS保護之CDN之情況下,MeNH2
處理及蒸發之後的方案為如下由以上程序修改。將殘餘物溶解於20% ACN/0.1 mol.l-1
TEAB (1.5 ml)中且裝載於SEP-PAK管柱上。用0.1 mol.l-1
TEAB (5 ml)洗滌管柱。
接著,產物用80% ACN/水溶液(5 ml)溶離。蒸發溶離劑且殘餘物與iPrOH (3×200 μl)一起共蒸餾。使矽烷化二核苷酸溶解於DMSO (115 μl)、Et3
N (60 μl)及Et3
N·3HF (75 μl)之混合物中且在65℃下加熱反應混合物3小時。將溶液用0.1 mol.l-1
TEAB (3 mL)稀釋且裝載至半製備型C18管柱(Luna 5 μm C18 250×10 mm)上。
藉由逆相層析法分離環二核苷酸。
用於純化之製備型HPLC條件如下:Luna C18 (5 µm, 250×10mm, Phenomenex);流速3 mL/min;移動相A:0.1M TEAB/H2
O,移動相B:50% ACN/0.1M TEAB/H2
O;HPLC方法1:等度溶離A (15 min),接著線性梯度A-30% B (35 min);HPLC方法2:等度溶離A (15 min),接著線性梯度A-20% B (35 min)。
流程1.來源於核苷-2'-膦酸甲酯之CND之例示性合成
實例2. 2-胺基-9-((1R
,6R
,8R
,9R
,15R
,17R
,18R
,19R
)-17-(6-胺基-9H
-嘌呤-9-基)-3,12,18,19-四羥基-3,12-二氧離子基-2,4,7,10,13,16-六氧雜-3,12-二磷雜三環[13.2.1.16,9
]十九烷-8-基)-1,9-二氫-6H
-嘌呤-6-酮
使用MOS寡核苷酸合成器,根據上述方法而無需封端步驟製備固相產物。
C21
H25
N10
O13
P2
之ESI-MS (M-H)-
計算值:687.1;實驗值:687.1;HPLC方法1, 滯留時間(min) = 34.0。
實例3. 2-胺基-9-((1R
,6R
,8R
,9R
,15R
,17R
,18R
,19R
)-8-(6-胺基-9H
-嘌呤-9-基)-3,12,18,19-四羥基-3,12-二氧離子基-2,4,7,10,13,16-六氧雜-3,12-二磷雜三環[13.2.1.16,9
]十九烷-17-基)-1,9-二氫-6H
-嘌呤-6-酮
使用MOS寡核苷酸合成器,根據上述方法而無需封端步驟且以1 μmol尺度製備固相產物。簡言之,用3% DCA/DCM處理CE-CPG 2 min,並接著用ACN及DCM洗滌。添加膦酸酯中間物5
於吡啶(0.1M,0.1mL)中及TIPSCl於吡啶(0.3M,0.1 mL)中之混合物,使該混合物反應10 min,並接著用ACN及DCM洗滌。
用3% DCA/DCM處理CPG 2 min,並接著用ACN及DCM洗滌。接著添加鳥苷(N
-ibu)-3'-OTBMDS-CED胺基磷酸酯(購自ChemGenes之-5683)於乙腈(0.1M,0.1mL)中及ETT於乙腈(0.3M,0.1 mL)中之混合物,使該混合物反應10 min並隨後用ACN及DCM洗滌。用5.5M tBuOOH於癸烷及DCM中之混合物(1/4, v/v)處理CPG 3 min,並接著用ACN及DCM洗滌。用3% DCA/DCM處理CPG 2 min,並接著用ACN及DCM洗滌。
自合成器移除含有CPG結合之線性二聚體之管柱且將CPG轉移至2 mL螺紋管中。將Et2
NH於ACN (500 μl)中之10%溶液添加至具有經結合線性二聚體之CPG固體支撐物,且在室溫下用Eppendorf Thermomixer舒適型振盪器振盪異質混合物2 h。在Speed Vac上濃縮溶劑。將DMOCP (10 mg)於吡啶(400 μl)中之溶液添加至套管。在室溫下振盪異質混合物2 h。接著,向反應混合物中添加10 μl Et3
N及266 μl水且在65℃下繼續振盪16小時。在Speed Vac上濃縮反應混合物。向反應混合物中添加50% MeOH水溶液 (600 μl)且藉由傾析自溶液分離固體支撐物,且用50% MeOH水溶液 (3×200 μl)洗滌。收集溶液且在Speed Vac上於2 mL螺紋管中進行蒸發。
將殘餘物溶解於50% MeOH水溶液(600 μl)且添加33% MeNH2
於EtOH (600 μl)中之溶液。在室溫下振盪混合物8小時。隨後蒸發溶劑。將殘餘物溶解於20% ACN/0.1 mol.l-1
TEAB (1.5 ml)中且裝載於SEP-PAK管柱上。用0.1 mol.l-1
TEAB (5 ml)洗滌管柱。
接著,產物用80% ACN/水溶液(5 ml)溶離。
蒸發溶離劑且殘餘物與iPrOH (3×200 μl)一起共蒸餾。
使矽烷化二核苷酸溶解於DMSO (115 μl)、Et3
N (60 μl)及Et3
N·3HF (75 μl)之混合物中且在65℃下加熱反應混合物3 h。溶液用0.1 mol.l-1
TEAB (3 mL)稀釋且裝載至半製備型C18管柱(Luna 5 μm C18 250×10 mm)上。
藉由逆相層析法分離環二核苷酸,得到實例3:C21
H25
N10
O13
P2
之ESI-MS (M-H)-
計算值:687.1;實驗值:687.1;HPLC方法1, 滯留時間(min) = 32.5。
在25℃下D2
O中之1
H及31
P NMR資料(圓括號中之偶合常數)
實例4. 9,9'-((1R
,7R
,9R
,10R
,16R
,18R
,19R
,20R
)-4,13,19,20-四羥基-4,13-二氧離子基-2,5,8,11,14,17-六氧雜-4,13-二磷雜三環[14.2.1.17,10
]二十烷-9,18-二基)雙(2-胺基-1,9-二氫-6H
-嘌呤-6-酮)
使用MOS寡核苷酸合成器,根據上述方法製備固相產物而無需封端步驟。
C22
H27
N10
O14
P2
之ESI-MS (M-H)-
計算值:717.1;實驗值:717.1;HPLC方法1, 滯留時間(min) = 31.2。
實例5. (1R
,6R
,8R
,9S
,15R
,17R
,18R
,19R
)-8,17-雙(6-胺基-9H
-嘌呤-9-基)-3,12,18,19-四羥基-2,4,7,10,13,16-六氧雜-3,12-二磷雜三環[13.2.1.16,9
]十九烷3,12-二氧化物
使用MOS寡核苷酸合成器,根據上述方法製備固相產物而無需封端步驟。
C21
H25
N10
O12
P2
之ESI-MS (M-H)-
計算值:671.1;實驗值:671.1;HPLC方法1, 滯留時間(min) = 30.5。
實例6. (1S
,7R
,9R
,10S
,16R
,18R
,19R
,20R
)-9,18-雙(6-胺基-9H
-嘌呤-9-基)-4,13,19,20-四羥基-2,5,8,11,14,17-六氧雜-4,13-二磷雜三環[14.2.1.17,10
]二十烷 4,13-二氧化物
使用MOS寡核苷酸合成器,根據上述方法製備固相產物而無需封端步驟。
C22
H27
N10
O12
P2
之ESI-MS (M-H)-
計算值:685.1;實驗值:685.1;HPLC方法1, 滯留時間(min) = 30.8。
實例7. (1R
,7R
,9R
,10R
,16R
,18R
,19S
,20S
)-9,18-雙(6-胺基-9H
-嘌呤-9-基)-4,13,19,20-四羥基-2,5,8,11,14,17-六氧雜-4,13-二磷雜三環[14.2.1.17,10
]二十烷 4,13-二氧化物
使用MOS寡核苷酸合成器,根據上述方法製備固相產物而無需封端步驟。
C22
H27
N10
O12
P2
之ESI-MS (M-H)-
計算值:685.1;實驗值:685.1;HPLC方法1, 滯留時間(min) = 30.1。
實例8. (1S
,6R
,8R
,9S
,15R
,17R
,18R
,19R
)-8,17-雙(6-胺基-9H
-嘌呤-9-基)-18,19-二氟-3,12-二氫羥基-2,4,7,10,13,16-六氧雜-3,12-二磷雜三環[13.2.1.16,9
]十九烷3,12-二氧化物
使用MOS寡核苷酸合成器,根據上述方法而無需封端步驟且以1 μmol尺度製備固相產物。簡言之,用3% DCA/DCM處理CE-CPG 2 min,並接著用ACN及DCM洗滌。添加膦酸酯中間物5
於吡啶(0.1M,0.1mL)中及TIPSCl於吡啶(0.3M,0.1 mL)中之混合物,使該混合物反應10 min,並接著用ACN及DCM洗滌。用3% DCA/DCM處理CPG 2 min,並接著用ACN及DCM洗滌。
向CPG添加胺基磷酸酯中間物3
於乙腈(0.1M,0.1 mL)中及ETT於乙腈(0.3M,0.1 mL)中之混合物,使該混合物反應10 min,並接著用ACN及DCM洗滌。用5.5M tBuOOH於癸烷及DCM中之混合物(1/4, v/v)處理CPG 3 min,並接著用ACN及DCM洗滌。用3% DCA/DCM處理CPG 2 min,並接著用ACN及DCM洗滌。
自合成器移除含有CPG結合之線性二聚體之管柱且將CPG轉移至2-mL螺紋管中。將Et2
NH於ACN (500 μl)中之10%溶液添加至具有經結合線性二聚體之CPG固體支撐物,且在室溫下用Eppendorf Thermomixer舒適型振盪器振盪異質混合物2 h。在Speed Vac上蒸發溶劑。將DMOCP (10 mg)於吡啶(400 μl)中之溶液添加至套管中。在室溫下振盪異質混合物2 h。接著,向反應混合物中添加10 μl Et3
N及266 μl水且在65℃下繼續振盪16小時。在Speed Vac上蒸發反應混合物。
向反應混合物中添加50% MeOH水溶液(600 μl)且藉由傾析自溶液分離固體支撐物,且用50% MeOH水溶液(3×200 μl)洗滌。收集溶液且在Speed Vac上於2 mL螺紋管中進行蒸發。
將殘餘物溶解於50% MeOH水溶液(600 μl)中且添加33% MeNH2
於EtOH (600 μl)中之溶液。在室溫下振盪混合物8小時。接著蒸發溶劑。將殘餘物溶解於0.1M TEAB (1.5 ml)中且施用於半製備型C18管柱(Luna 5 μm C18 250×10 mm)。使用乙腈於0.1M TEAB中之線性梯度的逆相層析法得到實例8:C21
H24
F2
N10
O10
P2
之ESI-MS (M-H)-
計算值:675.1;實驗值:675.2. HPLC方法2, 滯留時間(min) = 39.5;1
H NMR (D2
O) δ 8.26 (s, 1H), 8.19 (s, 1H), 8.16 (s, 1H), 8.05 (s, 1H), 6.23 (d,J
= 8.6 Hz, 1H), 6.19 (d,J
= 8.2 Hz, 1H), 5.60 (dd,J
= 53.1, 4.1 Hz, 1H), 5.52 (dd,J
= 53.3, 3.9 Hz, 1H), 5.09 (dddd,J
= 25.0, 8.6, 7.2, 3.9 Hz, 1H), 4.83 (m, 1H), 4.78 (m, 1H), 4.73 (ddd,J
= 23.9, 8.2, 4.1 Hz, 1H), 4.33 (ddd,J
= 11.8, 4.1, 1.3 Hz, 1H), 4.30 (dt,J
= 11.8, 2.3 Hz, 1H), 4.26 (ddt,J
= 11.8, 3.9, 1.9 Hz, 1H), 4.21 (dq,J
= 11.8, 1.6 Hz, 1H), 4.08 (dd,J
= 15.5, 4.8 Hz, 1H), 3.85 (dd,J
= 15.5, 6.9 Hz, 1H);19
F NMR (D2
O) δ -191.63, -191.75;31
P NMR (D2
O) δ 20.84, -1.22。
實例9. 2-胺基-9-((1S
,6R
,8R
,9S
,15R
,17R
,18R
,19R
)-8-(6-胺基-9H
-嘌呤-9-基)-18,19-二氟-3,12-二氫羥基-3,12-二氧離子基-2,4,7,10,13,16-六氧雜-3,12-二磷雜三環[13.2.1.16,9
]十九烷-17-基)-1,9-二氫-6H-嘌呤-6-酮
使用MOS寡核苷酸合成器,根據上述方法,以1 μmol尺度而無需封端步驟製備所要固相產物。簡言之,用3% DCA/DCM處理CE-CPG 2 min,並接著用ACN及DCM洗滌。添加膦酸酯中間物5
於吡啶(0.1M,0.1mL)中及TIPSCl於吡啶(0.3M,0.1 mL)中之混合物,使該混合物反應10 min,並接著用ACN及DCM洗滌。用3% DCA/DCM處理CPG 2 min,並接著用ACN及DCM洗滌。
將胺基磷酸酯中間物4
於乙腈(0.1M,0.1 mL)中及ETT於乙腈(0.3M,0.1 mL)中之混合物添加至CPC,使該混合物反應10 min,並接著用ACN及DCM洗滌。用5.5M tBuOOH於癸烷及DCM中之混合物(1/4, v/v)處理CPG 3 min,並接著用ACN及DCM洗滌。用3% DCA/DCM處理CPG 2 min,並接著用ACN及DCM洗滌。
自合成器移除含有CPG結合之線性二聚體之管柱且將CPG轉移至2-mL螺紋管中。將Et2
NH於ACN (500 μl)中之10%溶液添加至具有經結合線性二聚體之CPG固體支撐物,且在室溫下用Eppendorf Thermomixer舒適型振盪器振盪異質混合物2 h。在Speed Vac上蒸發溶劑。將DMOCP (10 mg)於吡啶(400 μl)中之溶液添加至套管中。在室溫下振盪異質混合物2 h。接著,向反應混合物中添加10 μl Et3
N及266 μl水且在65℃下繼續振盪16小時。在Speed Vac上蒸發反應混合物。
向反應混合物中添加50% MeOH水溶液(600 μl)且藉由傾析自溶液分離固體支撐物,且用50% MeOH水溶液(3×200 μl)洗滌。收集溶液且在Speed Vac上於2 mL螺紋管中進行蒸發。
將殘餘物溶解於50% MeOH水溶液(600 μl)中且添加33% MeNH2
於EtOH (600 μl)中之溶液。在室溫下振盪混合物8小時。接著蒸發溶劑。將殘餘物溶解於0.1M TEAB (1.5 ml)中且施用於半製備型C18管柱(Luna 5 μm C18 250×10 mm)。使用乙腈於0.1M TEAB中之線性梯度的逆相層析法得到實例9:C21
H24
F2
N10
O11
P2
之ESI-MS (M-H)-
計算值:692.1;實驗值:692.2;HPLC方法2, 滯留時間(min) = 38.0;1
H NMR (D2
O) δ 8.28 (s, 1H), 8.19 (s, 1H), 7.88 (s, 1H), 6.25 (d,J
= 7.8 Hz, 1H), 6.08 (d,J
= 8.3 Hz, 1H), 5.60 (dd,J
= 52.8, 4.0 Hz, 1H), 5.49 (dd,J
= 52.8, 3.8 Hz, 1H), 5.02 (dddd,J
= 24.6, 8.3, 5.9, 3.8 Hz, 1H), 4.78 (m, 1H), 4.77 (m, 1H), 4.66 (ddd,J
= 24.0, 7.8, 4.0 Hz, 1H), 4.27 (ddd,J
= 11.7, 4.0, 1.3 Hz, 1H), 4.22 (m, 2H), 4.18 (ddt,J
= 11.7, 3.1, 2.3 Hz, 1H), 4.00 (dd,J
= 15.6, 4.5 Hz, 1H), 3.65 (dd,J
= 15.6, 7.2 Hz, 1H),19
F NMR (D2
O) δ -191.55, -192.33;31
P NMR (D2
O) δ 20.49, -0.89。實例 10 . 生物評估
環二核苷酸經判定為STING促效劑:(A)若在STING差示掃描螢光測定分析法(DSF)中證明其在熱偏移>0.5℃之情況下結合於人類STING蛋白質之AQ等位基因形式,及(B)若其在EC50
<100 µmol.l-1
之情況下證明經由螢火蟲螢光素酶報導子之IRF-3依賴性表現之STING活化。ISRE 報導質體 (pGL64.27-4xISRE)
藉由Sigma Aldrich (Czech Republic, Prague)合成含有四個干擾素敏感性反應元件(ISRE)之序列AAAGATCTTGGAAAGTGAAA CCTTGGAAAACGAAACTGGACAAAGGGAAACTGCAGAAACTGAAACAAAGCTTAA (SEQ ID NO:1)及TTAAGCTTTGTTTCAGTTTCTGCA GTTTCCCTTTGTCCAGTTTCGTTTTCCAAGGTTTCACTTTCCAAGATCTTT (SEQ ID NO:2)之兩個互補寡核苷酸。寡核苷酸以等莫耳量混合,雜交且藉由限制性核酸內切酶HindIII (目錄號R0104S,NEB, Ipswich, USA)及BglII (目錄號R0144S,NEB, Ipswich, USA)裂解。最終,其接合至由相同酶線性化之質體pGL4.27
(目錄號E6651,Promega, Madison, USA)。因此,具有四個ISRE位點之序列安置於螢火蟲螢光素酶報導基因之最小啟動子之上游。293T wtSTING-FL 報導細胞
在轉染之前一天,293T細胞(目錄號CRL-3216,ATCC, Manassas, USA)在具有高葡萄糖(目錄號D5796,Sigma Aldrich, Czech Republic)之補充有10%熱滅活FBS (目錄號S1520,Biowest, Riverside, USA)之不含抗生素之DMEM中,以125,000個細胞/平方公分之密度接種至經聚-D-離胺酸(目錄號P6407,Sigma Aldrich, Czech Republic)塗佈之六孔盤上。在轉染之日,將編碼人類野生型STING (WT STING)之2.5 μg質體pUNO1-hSTING-WT (目錄號puno1-hstingwt, InvivoGen, San Diego, USA,)於125 μL OptiMEM培養基(目錄號31985062, ThermoFisher, Waltham, USA)中稀釋且與相同的含有12.5 μL脂染胺2000之125 μL培養基(目錄號11668019, ThermoFisher, Waltham, USA)混合。在室溫(RT)培育5分鐘後,將250 μL混合物逐滴添加至一個孔中之細胞。細胞在37℃,5% CO2
下培育36小時,且接著用0.05%胰蛋白酶及0.22 g/L之EDTA(目錄號皆為L0941,Biowest, Riverside, USA)剝離。
將經轉染之細胞在具有高葡萄糖之含有10%熱滅活FBS、30 µg/mL之殺稻瘟菌素(目錄號ant-bl-05, InvivoGen, San Diego, USA)、0.06 mg/ml之青黴素G及0.1 mg/ml之硫酸鏈黴素(目錄號皆為L0018,Biowest, Riverside, USA)之DMEM培養基中,以50,000個細胞/1平方公分之密度接種至經聚-D-離胺酸塗佈之六孔盤上。每3-4天補充培養基一次,
直至形成對殺稻瘟菌素具有抗性之可見細胞群落。
根據如上文所描述之相同程序,穩定表現WT STING之殺稻瘟菌素抗性細胞經pGL64.27-4xISRE質體進一步轉染。
在具有高葡萄糖之含有10%熱滅活FBS、30 µg/mL之
殺稻瘟菌素、0.06 mg/ml之青黴素G及0.1 mg/ml之硫酸鏈黴素之
DMEM中,關於對300 µg/mL之潮黴素(目錄號10687010,ThermoFisher, Waltham, USA)之抗性選擇經轉染之細胞。藉由在96孔盤中限制稀釋細胞來製備經穩定地雙重轉染的細胞之均質培養物,且選擇具有來源於單一細胞之細胞之孔。擴增此等細胞,且使用單株小鼠抗STING抗體(目錄號MAB7169,1:1000稀釋;2o
抗體目錄號HAF007,1:2000稀釋,皆來自R&D Systems, Minneapolis, USA)藉由西方墨點法(western blot)及藉由在50 µM STING促效劑2'3' cGAMP (目錄號tlrl-nacga23,InvivoGen, San Diego, USA)存在下誘導螢火蟲螢光素酶表現來確認WT STING之表現。用與pUNO1質體互補之引子pUNO1_Seq_F (TGCTTGCTCAACTCTACGTC)(SEQ ID NO:3)及pUNO1_Seq_R (GTGGTTTGTCCAAACTCATC) (SEQ ID NO:4)擴增來自經轉染的細胞之基因組DNA,且藉由DNA測序來確認經轉染的細胞中存在WT STING基因。使用 293T wtSTING-FL 報導細胞之毛地黃皂苷分析法
將293T wtSTING-FL細胞在具有高葡萄糖之補充有10%熱滅活FBS之100 µl DMEM中,以250,000個細胞/平方公分之密度接種至經聚-D-離胺酸塗佈之96孔盤上。次日,移除培養基且向細胞中添加化合物於含有以下之毛地黃皂苷緩衝液中之三倍連續稀釋液:50 mmol.l-1
HEPES (目錄號H3375,Sigma Aldrich, Czech Republic) pH 7.0、100 mmol.l-1
KCl、3 mmol.l-1
MgCl2
、0.1 mmol.l-1
DTT (目錄號D0632,Sigma Aldrich, Czech Republic)、85 mmol.l-1
蔗糖(目錄號S7903,Sigma Aldrich, Czech Republic)、0.2% BSA (目錄號A2153,Sigma Aldrich, Czech Republic)、1 mmol.l-1
ATP (目錄號A1852, Sigma Aldrich, Czech Republic)、0.1 mmol.l-1
GTP (目錄號G8877,Sigma Aldrich, Czech Republic)及10 µg/mL之毛地黃皂苷A (目錄號D141,Sigma Aldrich, Czech Republic)。在37℃,5% CO2
下培育30分鐘後移除緩衝液,用100 μl培養基洗滌細胞一次,且將100 μl培養基添加至各孔中。具有細胞之培育盤在37℃,5% CO2
下培育5小時,移除50 μl培養基且向各孔中添加30 μl ONE-Glo™螢光素酶分析系統試劑(目錄號E6120,Promega, Madison, USA)。用Synergy H1 (Biotek, Winooski, USA)讀取發光。使用格拉夫帕德稜鏡(San Diego, CA USA)自8點劑量反應曲線計算50%有效濃度(EC50
)。對照化合物3'3'-c-二-GMP (目錄號tlrl-nacdg)、3'3'-c-二-AMP (目錄號tlrl-nacda)、3'3'-cGAMP (目錄號tlrl-nacga)、2'3'-cGAMP (目錄號tlrl-nacga23)及2'2'-cGAMP (目錄號tlrl-nacga22)係自Invivogen (San Diego, USA)購得。WT STING 及 AQ STING 蛋白
使用PCR (Phusion®高保真DNA聚合酶,目錄號M0530S,NEB, Ipswich, USA),使用來自pUNO1-hSTING-WT (目錄號puno1-hstingwt,InvivoGen, San Diego, USA)及pUNO1-hSTING-HAQ質體(puno1-hsting-haq,InvivoGen, San Diego, USA)之寡核苷酸hSTING140-BamH-For (GTGGGATCCGCCCCAGCTGAGATCTCTGCAG) (SEQ ID NO:5)及hSTING379-Not-Rev3 (TATGCGGCCGCCTATTACAC AGTAACCTCTTCCTTTTC)(SEQ ID NO:6)擴增WT及AQ人類STING (G230A-R293Q)cDNA。經純化之PCR產物用限制酶BamHI (目錄號R0136S,NEB, Ipswich, USA)及NotI (目錄號R0189S,NEB, Ipswich, USA)裂解且選殖至經相同酶線性化之
pSUMO載體中。藉由在pHis-parallel2質體(Clontech, Moutain View, USA)之NdeI與BamHI位點之間引入8-His-SUMO序列來產生質體pSUMO。因此,pSUMO-STING WT或pSUMO-STING AQ質體編碼具有N端8xHis及SUMO標籤之經截短之人類WT STING或AQ STING (胺基酸殘基140-343)。
重組型WT STING及AQ STING蛋白質在Rosetta-gami B (DE3)勝任細胞(目錄號71136-3,
Merck Millipore, Billerica, USA)中過表現。使用Dounce均質器,使細菌集結粒再懸浮於含有50 mmol.l-1
TrisCl (目錄號T1503,Sigma Aldrich, Czech Republic) pH 8.0、300 mmol.l-1
NaCl、3 mmol.l-1
β-巰基乙醇(目錄號M6250,Sigma Aldrich, Czech Republic)、10%甘油(目錄號G5516,Sigma Aldrich, Czech Republic)及20 mmol.l-1
咪唑(目錄號I5513,Sigma Aldrich, Czech Republic)之冰冷的溶解緩衝液中。向均質物中添加DNase I (目錄號D5025,Sigma Aldrich, Czech Republic)及RNase A (目錄號R6513,Sigma Aldrich, Czech Republic) (最終濃度50 μg/ml)以及MgCl2
(最終濃度5 mmol.l-1
)且使用French Press G-M™ 高壓細胞壓縮均質器(1500 psi,3個循環)使細菌溶解。溶解物在30,000 g下旋轉20分鐘且上清液與Ni-NTA樹脂(目錄號745400.25,Macherey-Nagel, Düren, Germany)一起溫和攪拌30分鐘。將樹脂倒入層析管柱中,用50 ml緩衝液A (50 mmol.l-1
TrisCl (pH 8.0)、800 mmol.l-1
NaCl、3 mmol.l-1
β-巰基乙醇;10%甘油;20 mmol.l-1
咪唑)洗滌且用含有300 mmol.l-1
咪唑之15 ml緩衝液A溶離經8-His-SUMO標記之STING蛋白。用重組型SUMO蛋白酶(80 µg/ml之蛋白質溶液,目錄號12588018,ThermoFisher, Waltham, USA)使經溶離之蛋白質裂解。在含有150 mmol.l-1
NaCl及10%甘油之50 mmol.l-1
Tris Cl緩衝液pH 7.4中,使用HiLoad 16/60 Superdex 75 (目錄號28989333,GE Healthcare Bio-Sciences, Pittsburgh, USA)藉由尺寸排阻層析進一步純化蛋白質。將蛋白質用Amicon® Ultra-15 10 K裝置(目錄號UFC901008,Merck Millipore, Billerica, USA)濃縮且在液態N2
中急驟冷凍。
STING蛋白質之WT及AQ等位基因形式在含有150 mmol.l-1
NaCl、1:500 SYPRO Orange (目錄號S6650,ThermoFisher, Waltham, USA)及150 μM CDN或水之100 mmol.l-1
TrisCl緩衝液pH 7.4中稀釋至0.1 mg/ml之最終濃度。將反應混合物之20 μL溶液一式三份地抽吸至96孔光學反應板中且用PCR循環器(LightCycler ® 480 Instrument II - Roche, Basel, Switzerland)進行樣品之熱變性。進行熱變性曲線之第一微分以計算STING-CDN複合物及STING去輔基蛋白之變性溫度。藉由自STING CDN複合物之平均變性溫度減去STING去輔基蛋白之平均變性溫度來計算各CDN之熱偏移。
儘管出於清楚理解之目的已藉助於說明及實例相當詳細地描述前述發明,但熟習此項技術者應瞭解,可在所附申請專利範圍之範疇內實踐某些改變及修改。此外,本文中所提供之各參考文獻係以全文引用的方式併入本文中,其併入程度如同與各參考文獻單獨地以引用的方式併入之程度相同。當本申請案與本文所提供之參考文獻之間存在衝突時,應以本申請案為準。
Claims (43)
- 一種式(I)化合物:(I), 或其醫藥學上可接受之鹽, 其中 L1 為-O-或-K-C(R6 R7 )-; L2 為-K-C(R6 R7 )-; Y1 及Y2 各自獨立地為-O-、-S-或-CH2 -; X1 及X3 各自獨立地為OH、SH、OR13 、SR13 或N(R13 )2 ; X2 及X4 各自獨立地為O或S; R1 、R5 、R8 及R12 各自獨立地為H、CH2 F、CHF2 、CF3 、CN、N3 、F、Cl、Br、I、COOR13 、CON(R13 )2 、CH2 OH、C1 -C6 烷基、C2 -C6 烯基、C2 -C6 炔基、C1 -C6 經取代烷基、C2 -C6 經取代烯基、C2 -C6 經取代炔基、OR13 、SR13 或N(R13 )2 ; R2 、R3 、R4 、R9 、R10 及R11 各自獨立地為H、OH、F、Cl、Br、I、CN、N3 、C1 -C6 烷基、C2 -C6 烯基、C2 -C6 炔基、C1 -C6 經取代烷基、C2 -C6 經取代烯基、C2 -C6 經取代炔基、OR13 、SR13 或N(R13 )2 ; R6 及R7 各自獨立地為H、CH2 F、CHF2 、CF3 、CN、N3 、F、Cl、Br、I、COOR13 、CON(R13 )2 、CH2 OH、CH2 N3 、OR13 、SR13 、N(R13 )2 、C1 -C6 烷基、C2 -C6 烯基、C2 -C6 炔基、C1 -C6 經取代烷基、C2 -C6 經取代烯基、C2 -C6 經取代炔基、C3 -C7 環烷基、C2 -C10 雜環烷基、C2 -C10 經取代雜環烷基、C6 -C10 芳基、C6 -C10 經取代芳基、C2 -C10 雜芳基或C2 -C10 經取代雜芳基; 各R13 獨立地為H、-C(=Z)R14 、-C(=Z)OR14 、-C(=Z)SR14 、-C(=Z)N(R14 )2 、C1 -C6 烷基、C2 -C6 烯基、C2 -C6 炔基、C1 -C6 經取代烷基、C2 -C6 經取代烯基、C2 -C6 經取代炔基、C3 -C7 環烷基、C2 -C10 雜環烷基、C2 -C10 經取代雜環烷基、C6 -C10 芳基、C6 -C10 經取代芳基、C2 -C10 雜芳基或C2 -C10 經取代雜芳基; 各R14 獨立地為H、C1 -C6 烷基、C2 -C6 烯基、C2 -C6 炔基、C1 -C6 經取代烷基、C2 -C6 經取代烯基、C2 -C6 經取代炔基、C3 -C7 環烷基、C2 -C10 雜環烷基、C2 -C10 經取代雜環烷基、C6 -C10 芳基、C6 -C10 經取代芳基、C2 -C10 雜芳基或C2 -C10 經取代雜芳基; 各Z獨立地為O、S或NR13 ; K為表示-O-、-S-、-S(O)-、-S(O)2 -、-NH-或-NR13 -之變數; 鹼基1 及鹼基2 各自獨立地為: 其中 A、A1 、A2 、A3 及A4 各自獨立地為H、OH、SH、F、Cl、Br、I、NH2 、OR13 、SR13 、NHR13 、N(R13 )2 或R14 ;及 其中該C1 -C6 經取代烷基、C2 -C6 經取代烯基、C2 -C6 經取代炔基、C2 -C10 經取代雜環烷基、C6 -C10 經取代芳基或C2 -C10 經取代雜芳基經1、2、3或4個獨立地選自由以下組成之群之取代基取代:-OH、-SH、-NH2 、=O、=NH、=S、≡N、鹵素、-N3 、C1 -6 烷基、C1 -6 烷氧基、-CN及-COORp ,其中Rp 為氫或C1 至C6 烷基。
- 如請求項1之化合物,其中 Y1 及Y2 為O。
- 如請求項1至2中任一項之化合物,其中 L1 為-O-或-O-C(R6 R7 )-,及 L2 為-O-C(R6 R7 )-。
- 如請求項1至3中任一項之化合物,其中 X2 及X4 為O,及 X1 及X3 各自獨立地為OH或OR13 。
- 如請求項1至4中任一項之化合物,其中 R1 、R5 、R8 及R12 各自獨立地為H、CH2 F、CHF2 、CF3 、CN、N3 、F、Cl、Br、I、COOR13 、CON(R13 )2 、CH2 OH、C1 -C6 烷基、C2 -C6 烯基、C2 -C6 炔基、OR13 、SR13 或N(R13 )2 。
- 如請求項1至5中任一項之化合物,其中 R2 、R3 、R4 、R9 、R10 及R11 各自獨立地為H、OH、F、Cl、Br、I、CN、N3 、C1 -C6 烷基、C2 -C6 烯基、C2 -C6 炔基、OR13 、SR13 或N(R13 )2 。
- 如請求項1至6中任一項之化合物,其中 R6 及R7 各自獨立地為H、CH2 F、CHF2 、CF3 、CN、N3 、F、Cl、Br、I、COOR13 、CON(R13 )2 、CH2 OH、CH2 N3 、OR13 、SR13 、N(R13 )2 、C1 -C6 烷基、C2 -C6 烯基、C2 -C6 炔基、C3 -C7 環烷基、C2 -C10 雜環烷基、C6 -C10 芳基或C2 -C10 雜芳基。
- 如請求項1至7中任一項之化合物,其中 各R13 獨立地為H、-C(=Z)R14 、-C(=Z)OR14 、-C(=Z)SR14 、-C(=Z)N(R14 )2 、C1 -C6 烷基、C2 -C6 烯基、C2 -C6 炔基、C3 -C7 環烷基、C2 -C10 雜環烷基、C6 -C10 芳基或C2 -C10 雜芳基。
- 如請求項1至8中任一項之化合物,其中 各R14 獨立地為H、C1 -C6 烷基、C2 -C6 烯基、C2 -C6 炔基、C3 -C7 環烷基、C2 -C10 雜環烷基、C6 -C10 芳基或C2 -C10 雜芳基。
- 如請求項1至10中任一項之化合物,其中R4 及R11 各自獨立地為OH、F、Cl、Br、I、CN、N3 或OR13 。
- 如請求項1至11中任一項之化合物,其中L1 為-O-或-O-CH2 -,且L2 為-O-CH2 -。
- 如請求項13之化合物,其中L1 為-O-或-O-CH2 -。
- 一種醫藥組合物,其包含如請求項1至24中任一項之化合物或其醫藥學上可接受之鹽,及醫藥學上可接受之載劑、賦形劑及/或稀釋劑。
- 如請求項25之醫藥組合物,其係用於調節STING接附蛋白之活性以誘導依賴於該STING接附蛋白之I型干擾素、細胞介素及/或趨化介素之產生。
- 如請求項25之醫藥組合物,其係用於治療或預防人類或動物中之病毒感染、B型肝炎病毒感染、HIV感染、過度增生性疾病或癌症。
- 一種如請求項1至24中任一項之化合物或其醫藥學上可接受之鹽的用途,其用於製造用以治療或預防疾病或病症之藥劑。
- 一種如請求項1至24中任一項之化合物或其醫藥學上可接受之鹽的用途,其用於製造用以調節STING接附蛋白之活性之藥劑。
- 一種如請求項1至24中任一項之化合物或其醫藥學上可接受之鹽的用途,其用於製造用以治療或預防對STING接附蛋白之調節起反應之疾病或病狀之藥劑。
- 一種如請求項1至24中任一項之化合物或其醫藥學上可接受之鹽的用途,其用於製造用以誘導STING接附蛋白依賴性I型干擾素、細胞介素或趨化介素之藥劑。
- 一種如請求項1至24中任一項之化合物或其醫藥學上可接受之鹽的用途,其用於製備用以治療或預防病毒感染、過度增生性疾病或癌症之藥劑。
- 如請求項32之用途,其中該病毒感染為B型肝炎感染或HIV感染。
- 一種如請求項1至24中任一項之化合物或其醫藥學上可接受之鹽的用途,其用於製造用以增強疫苗功效之藥劑。
- 如請求項28至34中任一項之用途,其中該藥劑進一步包含另一種治療活性劑或與另一種治療活性劑組合投與。
- 如請求項1至24中任一項之化合物或其醫藥學上可接受之鹽,其係用於治療或預防有需要之人類或動物中之疾病或病症。
- 如請求項1至24中任一項之化合物或其醫藥學上可接受之鹽,其係用於調節STING接附蛋白之活性。
- 如請求項1至24中任一項之化合物或其醫藥學上可接受之鹽,其係單獨或與一或多種治療活性劑組合用於治療或預防人類或動物中之對STING接附蛋白之調節起反應之疾病或病狀。
- 如請求項1至24中任一項之化合物或其醫藥學上可接受之鹽,其係用於在人類或動物中誘導STING接附蛋白依賴性I型干擾素、細胞介素或趨化介素。
- 如請求項1至24中任一項之化合物或其醫藥學上可接受之鹽,其係單獨或與一或多種治療活性劑組合用於治療或預防人類或動物中之病毒感染。
- 如請求項1至24中任一項之化合物或其醫藥學上可接受之鹽,其係單獨或與一或多種治療活性劑組合用於治療或預防人類或動物中之B型肝炎病毒或HIV感染。
- 如請求項1至24中任一項之化合物或其醫藥學上可接受之鹽,其係單獨或與一或多種治療活性劑組合用於治療或預防人類或動物中之過度增生性疾病或癌症。
- 如請求項1至24中任一項之化合物或其醫藥學上可接受之鹽,其係用於在人類或動物中增強疫苗之功效。
Applications Claiming Priority (2)
| Application Number | Priority Date | Filing Date | Title |
|---|---|---|---|
| US201862654045P | 2018-04-06 | 2018-04-06 | |
| US62/654,045 | 2018-04-06 |
Publications (1)
| Publication Number | Publication Date |
|---|---|
| TW202005654A true TW202005654A (zh) | 2020-02-01 |
Family
ID=66429435
Family Applications (1)
| Application Number | Title | Priority Date | Filing Date |
|---|---|---|---|
| TW108111938A TW202005654A (zh) | 2018-04-06 | 2019-04-03 | 2,2,─環二核苷酸 |
Country Status (3)
| Country | Link |
|---|---|
| US (1) | US20190322697A1 (zh) |
| TW (1) | TW202005654A (zh) |
| WO (1) | WO2019193533A1 (zh) |
Families Citing this family (2)
| Publication number | Priority date | Publication date | Assignee | Title |
|---|---|---|---|---|
| US20230141284A1 (en) | 2020-04-10 | 2023-05-11 | Ono Pharmaceutical Co., Ltd. | Cancer therapeutic method |
| CN120884733B (zh) * | 2025-09-24 | 2025-12-16 | 华中科技大学同济医学院附属同济医院 | 一种基于prf的创面修复材料及其制备方法 |
Family Cites Families (305)
| Publication number | Priority date | Publication date | Assignee | Title |
|---|---|---|---|---|
| US4965288A (en) | 1988-02-25 | 1990-10-23 | Merrell Dow Pharmaceuticals Inc. | Inhibitors of lysyl oxidase |
| US4943593A (en) | 1988-02-25 | 1990-07-24 | Merrell Dow Pharmaceuticals Inc. | Inhibitors of lysyl oxidase |
| US5021456A (en) | 1988-02-25 | 1991-06-04 | Merrell Dow Pharmaceuticals Inc. | Inhibitors of lysyl oxidase |
| US5059714A (en) | 1988-02-25 | 1991-10-22 | Merrell Dow Pharmaceuticals Inc. | Inhibitors of lysyl oxidase |
| US5252608A (en) | 1988-02-25 | 1993-10-12 | Merrell Dow Pharmaceuticals Inc. | Inhibitors of lysyl oxidase |
| US5182297A (en) | 1988-02-25 | 1993-01-26 | Merrell Dow Pharmaceuticals Inc. | Inhibitors of lysyl oxidase |
| US5120764A (en) | 1988-11-01 | 1992-06-09 | Merrell Dow Pharmaceuticals Inc. | Inhibitors of lysyl oxidase |
| US4997854A (en) | 1989-08-25 | 1991-03-05 | Trustees Of Boston University | Anti-fibrotic agents and methods for inhibiting the activity of lysyl oxidase in-situ using adjacently positioned diamine analogue substrates |
| US6319494B1 (en) | 1990-12-14 | 2001-11-20 | Cell Genesys, Inc. | Chimeric chains for receptor-associated signal transduction pathways |
| IL104570A0 (en) | 1992-03-18 | 1993-05-13 | Yeda Res & Dev | Chimeric genes and cells transformed therewith |
| FR2828206B1 (fr) | 2001-08-03 | 2004-09-24 | Centre Nat Rech Scient | Utilisation d'inhibiteurs des lysyl oxydases pour la culture cellulaire et le genie tissulaire |
| US7446190B2 (en) | 2002-05-28 | 2008-11-04 | Sloan-Kettering Institute For Cancer Research | Nucleic acids encoding chimeric T cell receptors |
| US7429565B2 (en) | 2003-04-25 | 2008-09-30 | Gilead Sciences, Inc. | Antiviral phosphonate analogs |
| RS55551B1 (sr) | 2004-05-13 | 2017-05-31 | Icos Corp | Hinazolinoni kao inhibitori humane fosfatidilinozitol 3-kinaze delta |
| HRP20070078A2 (hr) | 2004-07-27 | 2007-05-31 | Gilead Sciences | Fosfonatni analozi spojeva koji inhibiraju hiv |
| US20090142345A1 (en) | 2005-03-15 | 2009-06-04 | Takeda Pharmaceutical Company Limited | Prophylactic/therapeutic agent for cancer |
| TW201402124A (zh) | 2005-08-19 | 2014-01-16 | Array Biopharma Inc | 作為類鐸受體(toll-like receptor)調節劑之8-經取代苯并氮雜呯 |
| TWI382019B (zh) | 2005-08-19 | 2013-01-11 | Array Biopharma Inc | 作為類鐸受體(toll-like receptor)調節劑之胺基二氮雜呯 |
| JP5356228B2 (ja) | 2006-07-07 | 2013-12-04 | ギリアード サイエンシーズ, インコーポレイテッド | toll様レセプター7の調節因子 |
| TWI434849B (zh) | 2007-06-29 | 2014-04-21 | Gilead Sciences Inc | 類鐸(Toll-like)受體7之調節劑 |
| EP2537529B1 (en) | 2007-08-02 | 2018-10-17 | Gilead Biologics, Inc. | Loxl2 inhibitory antibodies and uses thereof |
| NZ585226A (en) | 2007-11-16 | 2012-08-31 | Gilead Sciences Inc | Inhibitors of human immunodeficiency virus replication |
| BR122019015876B8 (pt) | 2008-07-08 | 2021-07-27 | Incyte Holdings Corp | compostos derivados de 1,2,5-oxadiazóis, composição, bem como seus usos |
| EP2313111B1 (en) | 2008-08-01 | 2013-09-04 | Ventirx Pharmaceuticals, Inc. | Toll-like receptor agonist formulations and their use |
| US8652843B2 (en) | 2008-08-12 | 2014-02-18 | Oncomed Pharmaceuticals, Inc. | DDR1-binding agents and methods of use thereof |
| US8450321B2 (en) | 2008-12-08 | 2013-05-28 | Gilead Connecticut, Inc. | 6-(1H-indazol-6-yl)-N-[4-(morpholin-4-yl)phenyl]imidazo-[1,2-A]pyrazin-8-amine, or a pharmaceutically acceptable salt thereof, as a SYK inhibitor |
| SG172060A1 (en) | 2008-12-09 | 2011-07-28 | Gilead Sciences Inc | Modulators of toll-like receptors |
| US8338441B2 (en) | 2009-05-15 | 2012-12-25 | Gilead Sciences, Inc. | Inhibitors of human immunodeficiency virus replication |
| TWI598347B (zh) | 2009-07-13 | 2017-09-11 | 基利科學股份有限公司 | 調節細胞凋亡信號之激酶的抑制劑 |
| CN102781933B (zh) | 2009-08-18 | 2016-01-20 | 文蒂雷克斯药品公司 | 作为toll样受体调节剂的取代的苯并氮杂* |
| US8691809B2 (en) | 2009-08-18 | 2014-04-08 | Ventirx Pharmaceuticals, Inc. | Substituted benzoazepines as toll-like receptor modulators |
| CN102666541B (zh) | 2009-10-22 | 2015-11-25 | 吉里德科学公司 | 用于治疗特别是病毒感染的嘌呤或脱氮嘌呤的衍生物 |
| CA2789022A1 (en) | 2010-02-04 | 2011-08-11 | Gilead Biologics, Inc. | Antibodies that bind to lysyl oxidase-like 2 (loxl2) and methods of use therefor |
| US9186337B2 (en) | 2010-02-24 | 2015-11-17 | Oryzon Genomics S.A. | Lysine demethylase inhibitors for diseases and disorders associated with Hepadnaviridae |
| US20130165489A1 (en) | 2010-05-03 | 2013-06-27 | The Trustees Of The University Of Pennsylvania | Small Molecule Modulators of HIV-1 Capsid Stability and Methods Thereof |
| WO2011146862A1 (en) | 2010-05-21 | 2011-11-24 | Bellicum Pharmaceuticals, Inc. | Methods for inducing selective apoptosis |
| CN102918040B (zh) | 2010-05-31 | 2015-03-18 | 小野药品工业株式会社 | 6-羟基嘌呤衍生物 |
| US8907053B2 (en) | 2010-06-25 | 2014-12-09 | Aurigene Discovery Technologies Limited | Immunosuppression modulating compounds |
| ES2634490T3 (es) | 2010-07-02 | 2017-09-28 | Gilead Sciences, Inc. | Derivados de ácido napht-2-ylacetico para tratar el sida |
| CA2802492C (en) | 2010-07-02 | 2018-10-16 | Gilead Sciences, Inc. | 2-quinolinyl-acetic acid derivatives as hiv antiviral compounds |
| KR101518144B1 (ko) | 2010-08-27 | 2015-05-28 | 길리아드 바이오로직스, 인크. | 매트릭스 메탈로프로테이나제 9에 대한 항체 |
| NZ608673A (en) | 2010-10-01 | 2015-04-24 | Univ Pennsylvania | Therapeutic use of a tlr agonist and combination therapy |
| JP6092107B2 (ja) | 2010-10-01 | 2017-03-08 | ベンティアールエックス ファーマシューティカルズ, インコーポレイテッドVentiRx Pharmaceuticals,Inc. | アレルギー性疾患の治療方法 |
| PH12013501201A1 (en) | 2010-12-09 | 2013-07-29 | Univ Pennsylvania | Use of chimeric antigen receptor-modified t cells to treat cancer |
| AR084217A1 (es) | 2010-12-10 | 2013-05-02 | Gilead Sciences Inc | Inhibidores macrociclicos de virus flaviviridae |
| MX346387B (es) | 2011-01-12 | 2017-03-02 | Ventirx Pharmaceuticals Inc | Benzoazepinas sustituidas como moduladores de receptores tipo toll. |
| BR112013017947A2 (pt) | 2011-01-12 | 2018-12-18 | Array Biopharma Inc | benzoazepinas substituídas como moduladores de receptor toll-like |
| US8877205B2 (en) | 2011-02-12 | 2014-11-04 | Globeimmune, Inc. | Yeast-based therapeutic for chronic hepatitis B infection |
| CN103608335B (zh) | 2011-04-08 | 2018-02-23 | 爱尔兰詹森科学公司 | 用于治疗病毒感染的嘧啶衍生物 |
| AP2013007249A0 (en) | 2011-04-21 | 2013-11-30 | Gilead Sciences Inc | Benzothiazole compounds and their pharmaceutical use |
| EA028254B1 (ru) | 2011-05-18 | 2017-10-31 | Янссен Сайенсиз Айрлэнд Юси | Хиназолиновые производные для лечения вирусных инфекций и дальнейших заболеваний |
| EP2717895A1 (en) | 2011-06-08 | 2014-04-16 | Aurigene Discovery Technologies Limited | Therapeutic compounds for immunomodulation |
| AU2012278976B2 (en) | 2011-07-06 | 2017-05-11 | Gilead Sciences, Inc. | Compounds for the treatment of HIV |
| CN102863512B (zh) | 2011-07-07 | 2016-04-20 | 上海泓博智源医药技术有限公司 | 抗病毒化合物 |
| DE102011080362A1 (de) | 2011-08-03 | 2013-02-07 | Robert Bosch Gmbh | Elektrisches Kontaktelement mit Rastlanze für ein Steckergehäuse |
| JP6101205B2 (ja) | 2011-08-23 | 2017-03-22 | 中外製薬株式会社 | 抗腫瘍活性を有する新規な抗ddr1抗体 |
| GB201115529D0 (en) | 2011-09-08 | 2011-10-26 | Imp Innovations Ltd | Antibodies, uses and methods |
| EP2763994A4 (en) | 2011-10-04 | 2015-08-26 | Gilead Calistoga Llc | NEW QUINOXALINE INHIBITORS OF THE PI3K PATH |
| RU2615999C2 (ru) | 2011-11-29 | 2017-04-12 | Оно Фармасьютикал Ко., Лтд. | Гидрохлорид производного пуринона |
| EP2794613B1 (en) | 2011-12-20 | 2017-03-29 | Boehringer Ingelheim International GmbH | Condensed triclyclic compounds as inhibitors of hiv replication |
| SG10201608528YA (en) | 2011-12-21 | 2016-12-29 | Novira Therapeutics Inc | Hepatitis b antiviral agents |
| UY34573A (es) | 2012-01-27 | 2013-06-28 | Gilead Sciences Inc | Inhibidor de la quinasa que regula la señal de la apoptosis |
| WO2013116562A1 (en) | 2012-02-03 | 2013-08-08 | Gilead Calistoga Llc | Compositions and methods of treating a disease with (s)-4 amino-6-((1-(5-chloro-4-oxo-3-phenyl-3,4-dihydroquinazolin-2-yl)ethyl)amino)pyrimidine-5-carbonitrile |
| CN104245695B (zh) | 2012-02-08 | 2017-06-06 | 爱尔兰詹森科学公司 | 用于治疗病毒性感染的哌啶基‑嘧啶衍生物 |
| EP2822957A1 (en) | 2012-03-07 | 2015-01-14 | Aurigene Discovery Technologies Limited | Peptidomimetic compounds as immunomodulators |
| AU2013239366A1 (en) | 2012-03-29 | 2014-10-16 | Aurigene Discovery Technologies Limited | Immunomodulating cyclic compounds from the BC loop of human PD1 |
| RU2014142598A (ru) | 2012-03-31 | 2016-05-27 | Ф. Хоффманн-Ля Рош Аг | Новые 4-метилдигидропиримидины для лечения и профилактики инфекции вируса гепатита в |
| US20130267517A1 (en) | 2012-03-31 | 2013-10-10 | Hoffmann-La Roche Inc. | Novel 4-methyl-dihydropyrimidines for the treatment and prophylaxis of hepatitis b virus infection |
| PH12014500842A1 (en) | 2012-04-20 | 2014-06-09 | Gilead Sciences Inc | Benzothiazol-6-yl acetic acid derivatives and their use for treating an hiv infection |
| SG11201408047XA (en) | 2012-06-08 | 2015-01-29 | Gilead Sciences Inc | Macrocyclic inhibitors of flaviviridae viruses |
| AR091279A1 (es) | 2012-06-08 | 2015-01-21 | Gilead Sciences Inc | Inhibidores macrociclicos de virus flaviviridae |
| US9090653B2 (en) | 2012-06-08 | 2015-07-28 | Gilead Sciences, Inc. | Macrocyclic inhibitors of flaviviridae viruses |
| CN104507538B (zh) | 2012-06-08 | 2018-04-06 | 艾杜罗生物科技公司 | 癌症免疫疗法的组合物和方法 |
| CN104781239B (zh) | 2012-08-10 | 2019-03-01 | 爱尔兰詹森科学公司 | 用于治疗病毒感染和另外的疾病的烷基嘧啶衍生物 |
| ES2610758T3 (es) | 2012-08-28 | 2017-05-03 | Janssen Sciences Ireland Uc | Derivados de sulfamoílo bicíclicos condensados y su uso como medicamentos en el tratamiento de la hepatitis B |
| JP2015533782A (ja) | 2012-08-28 | 2015-11-26 | ヤンセン・サイエンシズ・アイルランド・ユーシー | スルファモイル−アリールアミド及びb型肝炎の治療のための薬剤としてのその使用 |
| EP2892893B2 (en) | 2012-09-10 | 2019-10-16 | F.Hoffmann-La Roche Ag | 6-amino acid heteroaryldihydropyrimidines for the treatment and prophylaxis of hepatitis b virus infection |
| UY35044A (es) | 2012-09-24 | 2014-04-30 | Gilead Sciences Inc | ANTICUERPOS ANTI-dDr1 |
| PT2903968T (pt) | 2012-10-02 | 2017-03-13 | Gilead Sciences Inc | Inibidores de desmetilases de histonas |
| TR201807076T4 (tr) | 2012-10-10 | 2018-06-21 | Janssen Sciences Ireland Uc | Viral enfeksiyonların ve diğer hastalıkların tedavisine yönelik pirolo[3,2-d]pirimidin derivatları. |
| KR101268466B1 (ko) | 2012-11-12 | 2013-06-04 | 유병수 | 사축형 윈드 터빈 |
| SG11201503042QA (en) | 2012-11-16 | 2015-06-29 | Janssen Sciences Ireland Uc | Heterocyclic substituted 2-amino-quinazoline derivatives for the treatment of viral infections |
| US9604961B2 (en) | 2012-12-06 | 2017-03-28 | Celgene Quanticel Research, Inc. | Histone demethylase inhibitors |
| KR20150095668A (ko) | 2012-12-13 | 2015-08-21 | 아두로 바이오테크, 인코포레이티드 | 규정된 입체화학을 갖는 환식 퓨린 다이뉴클레오타이드를 포함하는 조성물, 그리고 이의 제조 방법 및 용도 |
| EP2934145B1 (en) | 2012-12-19 | 2017-11-15 | Celgene Quanticel Research, Inc. | Histone demethylase inhibitors |
| NZ708870A (en) | 2012-12-21 | 2016-09-30 | Gilead Calistoga Llc | Isoquinolinone or quinazolinone phosphatidylinositol 3-kinase inhibitors |
| JP6125663B2 (ja) | 2012-12-21 | 2017-05-10 | ギリアード カリストガ エルエルシー | ホスファチジルイノシトール3−キナーゼ阻害剤としての置換ピリミジンアミノアルキル−キナゾロン |
| PE20151499A1 (es) | 2012-12-21 | 2015-10-29 | Gilead Sciences Inc | Compuestos de carbamoilpiridona policiclicos y su uso farmaceutico |
| KR20150100814A (ko) | 2012-12-21 | 2015-09-02 | 콴티셀 파마슈티컬스, 인크. | 히스톤 데메틸라제 억제제 |
| WO2014104279A1 (ja) | 2012-12-27 | 2014-07-03 | 日本たばこ産業株式会社 | 置換されたスピロピリド[1,2-a]ピラジン誘導体及びそのHIVインテグラーゼ阻害剤としての医薬用途 |
| EA035174B1 (ru) | 2013-02-21 | 2020-05-12 | Янссен Сайенсиз Айрлэнд Юси | Производные 2-аминопиримидина в качестве модуляторов толл-подобных рецепторов tlr7 и/или tlr8 |
| EP2961736B1 (en) | 2013-02-27 | 2018-04-11 | Gilead Sciences, Inc. | Inhibitors of histone demethylases |
| EP2961732B1 (en) | 2013-02-28 | 2017-04-12 | Janssen Sciences Ireland UC | Sulfamoyl-arylamides and the use thereof as medicaments for the treatment of hepatitis b |
| EP2968282B1 (en) | 2013-03-12 | 2018-05-09 | Celgene Quanticel Research, Inc. | Histone dementhylase inhibitors |
| WO2014165128A2 (en) | 2013-03-12 | 2014-10-09 | Novira Therapeutics, Inc. | Hepatitis b antiviral agents |
| MX2015011898A (es) | 2013-03-13 | 2016-05-05 | Genentech Inc | Compuestos de pirazolo y usos de los mismos. |
| ES2731773T3 (es) | 2013-03-14 | 2019-11-19 | Celgene Quanticel Res Inc | Inhibidores de la histona desmetilasa |
| US9308236B2 (en) | 2013-03-15 | 2016-04-12 | Bristol-Myers Squibb Company | Macrocyclic inhibitors of the PD-1/PD-L1 and CD80(B7-1)/PD-L1 protein/protein interactions |
| PT2970211T (pt) | 2013-03-15 | 2017-10-31 | Quanticel Pharmaceuticals Inc | Inibidores de histona demetilase |
| AU2014247138B2 (en) | 2013-04-03 | 2018-06-28 | Janssen Sciences Ireland Uc | N-phenyl-carboxamide derivatives and the use thereof as medicaments for the treatment of hepatitis B |
| JP2016518140A (ja) | 2013-05-03 | 2016-06-23 | ザ リージェンツ オブ ザ ユニバーシティ オブ カリフォルニア | I型インターフェロンの環状ジヌクレオチド誘導法 |
| JO3603B1 (ar) | 2013-05-17 | 2020-07-05 | Janssen Sciences Ireland Uc | مشتقات سلفامويل بيرولاميد واستخدامها كادوية لمعالجة التهاب الكبد نوع بي |
| JP6533217B2 (ja) | 2013-05-17 | 2019-06-19 | エフ.ホフマン−ラ ロシュ アーゲーF. Hoffmann−La Roche Aktiengesellschaft | B型肝炎ウイルス感染症の治療および予防のための6−架橋ヘテロアリールジヒドロピリミジン類 |
| CA2909742C (en) | 2013-05-17 | 2020-08-04 | Janssen Sciences Ireland Uc | Sulphamoylthiophenamide derivatives and the use thereof as medicaments for the treatment of hepatitis b |
| US9724408B2 (en) | 2013-05-18 | 2017-08-08 | Aduro Biotech, Inc. | Compositions and methods for activating stimulator of interferon gene-dependent signalling |
| HK1223911A1 (zh) | 2013-06-14 | 2017-08-11 | Gilead Sciences, Inc. | 磷脂醯肌醇3-激酶抑制剂 |
| ES2774749T3 (es) | 2013-07-25 | 2020-07-22 | Janssen Sciences Ireland Unlimited Co | Derivados de pirrolamida sustituidos con glioxamida y su uso como medicamentos para el tratamiento de la hepatitis B |
| EP3027624B1 (en) | 2013-07-30 | 2018-09-12 | Janssen Sciences Ireland UC | Thieno[3,2-d]pyrimidines derivatives for the treatment of viral infections |
| EP3030322A2 (en) | 2013-08-05 | 2016-06-15 | Cambridge Enterprise Limited | Inhibition of cxcr4 signaling in cancer immunotherapy |
| US10471139B2 (en) | 2013-08-15 | 2019-11-12 | The University Of Kansas | Toll-like receptor agonists |
| CA2923184A1 (en) | 2013-09-04 | 2015-03-12 | Bristol-Myers Squibb Company | Compounds useful as immunomodulators |
| CA2922982A1 (en) | 2013-09-06 | 2015-03-12 | Aurigene Discovery Technologies Limited | Cyclic peptidomimetic compounds as immunomodulators |
| SG11201601679TA (en) | 2013-09-06 | 2016-04-28 | Aurigene Discovery Tech Ltd | 1,3,4-oxadiazole and 1,3,4-thiadiazole derivatives as immunomodulators |
| PL3363790T3 (pl) | 2013-09-06 | 2020-07-27 | Aurigene Discovery Technologies Limited | Pochodne 1,2,4-oksadiazolu jako immunomodulatory |
| WO2015036927A1 (en) | 2013-09-10 | 2015-03-19 | Aurigene Discovery Technologies Limited | Immunomodulating peptidomimetic derivatives |
| PL3043865T3 (pl) | 2013-09-11 | 2021-07-05 | Institut National De La Santé Et De La Recherche Médicale (Inserm) | SPOSOBY I KOMPOZYCjE FARMACEUTYCZNE W LECZENIU ZAKAŻENIA WIRUSEM ZAPALENIA WĄTROBY TYPU B |
| WO2015044900A1 (en) | 2013-09-27 | 2015-04-02 | Aurigene Discovery Technologies Limited | Therapeutic immunomodulating compounds |
| EP3626717A1 (en) | 2013-10-14 | 2020-03-25 | Eisai R&D Management Co., Ltd. | Selectively substituted quinoline compounds |
| KR102365952B1 (ko) | 2013-10-14 | 2022-02-22 | 에자이 알앤드디 매니지먼트 가부시키가이샤 | 선택적으로 치환된 퀴놀린 화합물 |
| JP6452119B2 (ja) | 2013-10-23 | 2019-01-16 | ヤンセン・サイエンシズ・アイルランド・アンリミテッド・カンパニー | カルボキサミド誘導体およびb型肝炎の処置のための医薬品としてのその使用 |
| CA2928003A1 (en) | 2013-11-14 | 2015-05-21 | Novira Therapeutics, Inc. | Azepane derivatives and methods of treating hepatitis b infections |
| WO2015077354A1 (en) | 2013-11-19 | 2015-05-28 | The University Of Chicago | Use of sting agonist as cancer treatment |
| CA2933466A1 (en) | 2013-12-13 | 2015-06-18 | Takeda Pharmaceutical Company Limited | Pyrrolo[3,2-c]pyridine derivatives as tlr inhibitors |
| WO2015095780A1 (en) | 2013-12-20 | 2015-06-25 | The University Of Kansas | Toll-like receptor 8 agonists |
| US9290505B2 (en) | 2013-12-23 | 2016-03-22 | Gilead Sciences, Inc. | Substituted imidazo[1,2-a]pyrazines as Syk inhibitors |
| US9169212B2 (en) | 2014-01-16 | 2015-10-27 | Novira Therapeutics, Inc. | Azepane derivatives and methods of treating hepatitis B infections |
| US9181288B2 (en) | 2014-01-16 | 2015-11-10 | Novira Therapeutics, Inc. | Azepane derivatives and methods of treating hepatitis B infections |
| EP3099685B1 (en) | 2014-01-30 | 2018-04-18 | F.Hoffmann-La Roche Ag | Novel dihydroquinolizinones for the treatment and prophylaxis of hepatitis b virus infection |
| SG11201606428UA (en) | 2014-02-04 | 2016-09-29 | Incyte Corp | Combination of a pd-1 antagonist and an ido1 inhibitor for treating cancer |
| CA2932551A1 (en) | 2014-02-06 | 2015-08-13 | Janssen Sciences Ireland Uc | Sulphamoylpyrrolamide derivatives and the use thereof as medicaments for the treatment of hepatitis b |
| EP3572430A3 (en) | 2014-03-05 | 2020-02-12 | Bristol-Myers Squibb Company | Treatment of renal cancer using a combination of an anti-pd-1 antibody and another anti-cancer agent |
| JP6306750B2 (ja) | 2014-03-07 | 2018-04-04 | エフ.ホフマン−ラ ロシュ アーゲーF. Hoffmann−La Roche Aktiengesellschaft | B型肝炎ウイルス感染症の治療および予防のための新規な6−縮合ヘテロアリールジヒドロピリミジン |
| US9400280B2 (en) | 2014-03-27 | 2016-07-26 | Novira Therapeutics, Inc. | Piperidine derivatives and methods of treating hepatitis B infections |
| PH12016502010B1 (en) | 2014-04-10 | 2023-08-16 | Seattle Childrens Hospital Dba Seattle Childrens Res Inst | Drug related transgene expression |
| US9850225B2 (en) | 2014-04-14 | 2017-12-26 | Bristol-Myers Squibb Company | Compounds useful as immunomodulators |
| AR100137A1 (es) | 2014-04-22 | 2016-09-14 | Hoffmann La Roche | Compuestos 4-amino-imidazoquinolina |
| KR102139847B1 (ko) | 2014-05-01 | 2020-07-31 | 노파르티스 아게 | 톨-유사 수용체 7 효능제로서의 화합물 및 조성물 |
| ES2908150T3 (es) | 2014-05-01 | 2022-04-27 | Novartis Ag | Compuestos y composiciones como agonistas del receptor de tipo Toll 7 |
| MX2016014728A (es) | 2014-05-13 | 2017-03-23 | Hoffmann La Roche | Dihidroquinolizidinonas novedosas para el tratamiento y profilaxis de la infeccion con virus de la hepatitis b. |
| CN110354266A (zh) | 2014-05-23 | 2019-10-22 | 卫材 R&D 管理有限公司 | 用于治疗癌症的组合疗法 |
| MX2016015928A (es) | 2014-06-04 | 2017-03-20 | Glaxosmithkline Ip Dev Ltd | Dinucleotidos ciclicos como moduladores de sting. |
| RU2016149812A (ru) | 2014-06-06 | 2018-07-17 | Флексус Байосайенсиз, Инк. | Иммунорегулирующие средства |
| WO2016012470A1 (en) | 2014-07-25 | 2016-01-28 | F. Hoffmann-La Roche Ag | New amorphous and crystalline forms of (3s)-4-[[(4r)-4-(2-chloro-4-fluoro-phenyl)-5-methoxycarbonyl-2-thiazol-2-yl-1, 4-dihydropyrimidin-6-yl]methyl]morpholine-3-carboxylic acid |
| EP3174538B1 (en) | 2014-08-01 | 2019-11-06 | 3M Innovative Properties Company | Methods and therapeutic combinations for treating tumors |
| CN106573898B (zh) | 2014-08-14 | 2018-11-09 | 豪夫迈·罗氏有限公司 | 治疗和预防乙型肝炎病毒感染的新的哒嗪酮和三嗪酮 |
| AU2015303558B2 (en) | 2014-08-15 | 2018-07-12 | Chia Tai Tianqing Pharmaceutical Group Co., Ltd. | Pyrrolopyrimidine compounds used as TLR7 agonist |
| CN107108629A (zh) | 2014-08-22 | 2017-08-29 | 贾纳斯生物治疗有限公司 | 新颖的n2, n4, n7, 6‑四取代的蝶啶‑2,4,7‑三胺和2, 4, 6, 7‑四取代的蝶啶化合物及其合成和使用方法 |
| EA201790154A1 (ru) | 2014-08-27 | 2017-08-31 | Джилид Сайэнс, Инк. | Соединения и способы для ингибирования гистоновых деметилаз |
| TWI751102B (zh) | 2014-08-28 | 2022-01-01 | 美商奇諾治療有限公司 | 對cd19具專一性之抗體及嵌合抗原受體 |
| US9884866B2 (en) | 2014-09-08 | 2018-02-06 | Regents Of The University Of Minnesota | Immunomodulators and immunomodulator conjugates |
| ES2768610T3 (es) | 2014-09-11 | 2020-06-23 | Bristol Myers Squibb Co | Inhibidores macrocíclicos de las interacciones proteína/proteína PD-1/PD-L1 y CD80(B7-1)/PD-L1 |
| JP6783230B2 (ja) | 2014-10-10 | 2020-11-11 | ジェネンテック, インコーポレイテッド | ヒストンデメチラーゼのインヒビターとしてのピロリドンアミド化合物 |
| US9732119B2 (en) | 2014-10-10 | 2017-08-15 | Bristol-Myers Squibb Company | Immunomodulators |
| JP2017531655A (ja) | 2014-10-11 | 2017-10-26 | エフ.ホフマン−ラ ロシュ アーゲーF. Hoffmann−La Roche Aktiengesellschaft | 感染性疾患の処置に使用するための化合物 |
| US9637485B2 (en) | 2014-11-03 | 2017-05-02 | Hoffmann-La Roche Inc. | 6,7-dihydrobenzo[a]quinolizin-2-one derivatives for the treatment and prophylaxis of hepatitis B virus infection |
| UY36390A (es) | 2014-11-05 | 2016-06-01 | Flexus Biosciences Inc | Compuestos moduladores de la enzima indolamina 2,3-dioxigenasa (ido), sus métodos de síntesis y composiciones farmacéuticas que los contienen |
| JP2017533925A (ja) | 2014-11-13 | 2017-11-16 | グラクソスミスクライン バイオロジカルズ ソシエテ アノニム | アレルギー性疾患又は他の炎症状態の治療に有用なアデニン誘導体 |
| US9856292B2 (en) | 2014-11-14 | 2018-01-02 | Bristol-Myers Squibb Company | Immunomodulators |
| US11266739B2 (en) | 2014-12-03 | 2022-03-08 | Juno Therapeutics, Inc. | Methods and compositions for adoptive cell therapy |
| SI3230298T1 (sl) | 2014-12-08 | 2021-04-30 | F. Hoffmann-La Roche Ag | Spojine 3-substituiranega 5-amino-6H-tiazolo(4,5-d)pirimidin-2,7-diona za zdravljenje ali preprečevanje okužbe z virusom |
| US20160166613A1 (en) | 2014-12-15 | 2016-06-16 | Bellicum Pharmaceuticals, Inc. | Methods for controlled elimination of therapeutic cells |
| US9861680B2 (en) | 2014-12-18 | 2018-01-09 | Bristol-Myers Squibb Company | Immunomodulators |
| WO2016096778A1 (en) | 2014-12-18 | 2016-06-23 | F. Hoffmann-La Roche Ag | Benzazepine sulfonamide compounds |
| US9944678B2 (en) | 2014-12-19 | 2018-04-17 | Bristol-Myers Squibb Company | Immunomodulators |
| WO2016102438A1 (en) | 2014-12-23 | 2016-06-30 | F. Hoffmann-La Roche Ag | Process for the preparation of 4-phenyl-5-alkoxycarbonyl-2-thiazol-2-yl-1,4-dihydropyrimidine analogues |
| US9676793B2 (en) | 2014-12-23 | 2017-06-13 | Hoffmann-Laroche Inc. | Co-crystals of 5-amino-2-oxothiazolo[4,5-d]pyrimidin-3(2H)-yl-5-hydroxymethyl tetrahydrofuran-3-yl acetate and methods for preparing and using the same |
| CN105732635A (zh) | 2014-12-29 | 2016-07-06 | 南京明德新药研发股份有限公司 | 一类Toll样受体7激动剂 |
| CA2972434A1 (en) | 2014-12-30 | 2016-07-07 | Novira Therapeutics, Inc. | Derivatives and methods of treating hepatitis b infections |
| WO2016107832A1 (en) | 2014-12-30 | 2016-07-07 | F. Hoffmann-La Roche Ag | Novel tetrahydropyridopyrimidines and tetrahydropyridopyridines for the treatment and prophylaxis of hepatitis b virus infection |
| CN107109497A (zh) | 2014-12-31 | 2017-08-29 | 豪夫迈·罗氏有限公司 | 通过实时PCR从细胞裂解物定量HBV cccDNA的高通量新方法 |
| MA41338B1 (fr) | 2015-01-16 | 2019-07-31 | Hoffmann La Roche | Composés de pyrazine pour le traitement de maladies infectieuses |
| EP3250685A1 (en) | 2015-01-27 | 2017-12-06 | F. Hoffmann-La Roche AG | Recombinant hbv cccdna, the method to generate thereof and the use thereof |
| US20160222060A1 (en) | 2015-02-04 | 2016-08-04 | Bristol-Myers Squibb Company | Immunomodulators |
| HK1244281B (zh) | 2015-02-11 | 2020-02-07 | F. Hoffmann-La Roche Ag | 治疗和预防乙型肝炎病毒感染的2-氧代-6,7-二氢苯并[a]喹嗪-3-甲酸衍生物 |
| EP3722297A1 (en) | 2015-03-04 | 2020-10-14 | Gilead Sciences, Inc. | Toll-like receptor modulating 4,6-diamino-pyrido[3,2-d]pyrimidine compounds |
| MX364223B (es) | 2015-03-06 | 2019-04-16 | Hoffmann La Roche | Compuestos de dicarboxamida de benzazepinas. |
| EP4023645A1 (en) | 2015-03-10 | 2022-07-06 | Aurigene Discovery Technologies Limited | 1,2,4-oxadiazole and thiadiazole compounds as immunomodulators |
| JP6692826B2 (ja) | 2015-03-10 | 2020-05-13 | アドゥロ バイオテック,インク. | 「インターフェロン遺伝子刺激因子」依存性シグナル伝達の活性化のための組成物及び方法 |
| SG11201706900YA (en) | 2015-03-10 | 2017-09-28 | Aurigene Discovery Tech Ltd | 1,3,4-oxadiazole and thiadiazole compounds as immunomodulators |
| AU2016230795A1 (en) | 2015-03-10 | 2017-09-07 | Aurigene Discovery Technologies Limited | Therapeutic cyclic compounds as immunomodulators |
| MX2017011612A (es) | 2015-03-10 | 2018-03-23 | Aurigene Discovery Tech Ltd | Compuestos de tiadiazol y 1,2,4-oxadiazol 3-sustituidos como inmunomoduladores. |
| AU2016230767A1 (en) | 2015-03-10 | 2017-09-07 | Aurigene Discovery Technologies Limited | 3-substituted 1,3,4-oxadiazole and thiadiazole compounds as immunomodulators |
| US9809625B2 (en) | 2015-03-18 | 2017-11-07 | Bristol-Myers Squibb Company | Immunomodulators |
| US10442788B2 (en) | 2015-04-01 | 2019-10-15 | Enanta Pharmaceuticals, Inc. | Hepatitis B antiviral agents |
| AU2016249021A1 (en) | 2015-04-17 | 2017-10-19 | Assembly Biosciences, Inc. | Hepatitis B viral assembly effectors |
| CN107624113B (zh) | 2015-05-04 | 2020-10-23 | 豪夫迈·罗氏有限公司 | 作为HBsAg (HBV 表面抗原)和HBV DNA 生成的抑制剂用于治疗乙型肝炎病毒感染的四氢吡啶并嘧啶和四氢吡啶并吡啶类化合物 |
| CN107592864B (zh) | 2015-05-12 | 2021-04-16 | 豪夫迈·罗氏有限公司 | 用于治疗和预防病毒感染的新的取代的氨基噻唑并嘧啶二酮 |
| WO2016196388A1 (en) | 2015-05-29 | 2016-12-08 | Juno Therapeutics, Inc. | Composition and methods for regulating inhibitory interactions in genetically engineered cells |
| WO2016195982A2 (en) | 2015-06-01 | 2016-12-08 | The Penn State Research Foundation | Hepatitis b virus capsid assembly |
| US20160376864A1 (en) | 2015-06-29 | 2016-12-29 | Cameron International Corporation | Apparatus and method for distributing fluids to a wellbore |
| GB201511477D0 (en) | 2015-06-30 | 2015-08-12 | Redx Pharma Plc | Antiviral compounds |
| JP6839104B2 (ja) | 2015-06-30 | 2021-03-03 | エフ.ホフマン−ラ ロシュ アーゲーF. Hoffmann−La Roche Aktiengesellschaft | ウイルス感染の治療及び予防のための新規な置換アミノチアゾロピリミジンジオン |
| US10875876B2 (en) | 2015-07-02 | 2020-12-29 | Janssen Sciences Ireland Uc | Cyclized sulfamoylarylamide derivatives and the use thereof as medicaments for the treatment of hepatitis B |
| WO2017007701A1 (en) | 2015-07-07 | 2017-01-12 | Merck Sharp & Dohme Corp. | Antiviral phosphodiamide compounds |
| EP3325477B1 (en) | 2015-07-21 | 2019-05-01 | H. Hoffnabb-La Roche Ag | Novel tricyclic 4-pyridone-3-carboxylic acid derivatives for the treatment and prophylaxis of hepatitis b virus infection |
| WO2017016960A1 (en) | 2015-07-24 | 2017-02-02 | F. Hoffmann-La Roche Ag | Process for the preparation of (6s)-6-alkyl-10-alkoxy-9-(substituted alkoxy)-2-oxo-6,7-dihydrobenzo[a]quinolizine-3-carboxylic acid analogues |
| WO2017017042A1 (en) | 2015-07-27 | 2017-02-02 | F. Hoffmann-La Roche Ag | Novel tetracyclic 4-oxo-pyridine-3-carboxylic acid derivatives for the treatment and prophylaxis of hepatitis b virus infection |
| EP3328858B1 (en) | 2015-07-28 | 2019-05-15 | H. Hoffnabb-La Roche Ag | Novel 6,7-dihydropyrido[2,1-a]phthalazin-2-ones for the treatment and prophylaxis of hepatitis b virus infection |
| AU2016298823A1 (en) | 2015-07-29 | 2018-02-08 | Novartis Ag | Combination of PD-1 antagonist with an EGFR inhibitor |
| MA42615A (fr) | 2015-08-10 | 2018-06-20 | Merck Sharp & Dohme | Composés phosphodiamide antiviraux d'ester d'acide bêta-aminé |
| UA123701C2 (uk) | 2015-08-13 | 2021-05-19 | Мерк Шарп І Доум Корп. | Циклічні динуклеотидні сполуки як агоністи sting |
| WO2017034986A1 (en) | 2015-08-21 | 2017-03-02 | University Of Kansas | Human tlr8-selective agonists |
| WO2017038909A1 (en) | 2015-08-28 | 2017-03-09 | Takeda Pharmaceutical Company Limited | Heterocyclic compounds |
| CA2996213C (en) | 2015-08-31 | 2023-10-03 | 3M Innovative Properties Company | Guanidine substituted imidazo[4,5-c] ring compounds |
| TWI786639B (zh) | 2015-09-15 | 2022-12-11 | 美商艾森伯利生物科學公司 | B型肝炎核心蛋白質調節劑 |
| JP6893501B2 (ja) | 2015-09-17 | 2021-06-23 | エフ・ホフマン−ラ・ロシュ・アクチェンゲゼルシャフト | スルフィニルフェニル又はスルホンイミドイルフェニルベンザゼピン |
| JP6856900B2 (ja) | 2015-09-17 | 2021-04-14 | 国立大学法人富山大学 | トール様受容体7またはトール様受容体9の活性化阻害剤 |
| MY201101A (en) | 2015-09-17 | 2024-02-05 | Novartis Ag | Car t cell therapies with enhanced efficacy |
| CN108135891B (zh) | 2015-10-05 | 2021-07-20 | 富士胶片富山化学株式会社 | 抗乙型肝炎病毒药 |
| US10632192B2 (en) | 2015-10-07 | 2020-04-28 | Sumitomo Dainippon Pharma Co., Ltd. | Pyrimidine compounds and their use as vaccine adjuvants |
| US10745382B2 (en) | 2015-10-15 | 2020-08-18 | Bristol-Myers Squibb Company | Compounds useful as immunomodulators |
| TW201718581A (zh) | 2015-10-19 | 2017-06-01 | 英塞特公司 | 作為免疫調節劑之雜環化合物 |
| US10906930B2 (en) | 2015-10-28 | 2021-02-02 | Chinook Therapeutics, Inc. | Compositions and methods for activating “stimulator of interferon gene”-dependent signalling |
| US20180353483A1 (en) | 2015-11-04 | 2018-12-13 | Incyte Corporation | Pharmaceutical compositions and methods for indoleamine, 2, 3-dioxygenase inhibition and indications therefor |
| HUE052770T2 (hu) | 2015-11-05 | 2021-05-28 | Chia Tai Tianqing Pharmaceutical Group Co Ltd | 7-(Tiazol-5-il)pirrolopirimidin vegyület mint TLR7 agonista |
| CN108738324B (zh) | 2015-11-19 | 2022-06-21 | 百时美施贵宝公司 | 抗糖皮质激素诱导的肿瘤坏死因子受体(gitr)抗体及其用途 |
| SMT202200369T1 (it) | 2015-11-19 | 2022-11-18 | Incyte Corp | Composti eterociclici come immunomodulatori |
| ES2863225T3 (es) | 2015-12-03 | 2021-10-11 | Glaxosmithkline Ip Dev Ltd | Dinucleótidos cíclicos purinos como moduladores del sting |
| EP3386512B1 (en) | 2015-12-10 | 2023-11-22 | Merck Sharp & Dohme LLC | Antiviral phosphodiamide prodrugs of tenofovir |
| WO2017106740A1 (en) | 2015-12-16 | 2017-06-22 | Aduro Biotech, Inc. | Methods for identifying inhibitors of "stimulator of interferon gene"-dependent interferon production |
| SI3889145T1 (sl) | 2015-12-17 | 2024-05-31 | Merck Patent Gmbh | 8-ciano-5-piperidino-kinolini kot antagonisti tlr7/8 in njihove uporabe za zdravljenje imunskih motenj |
| MA44075A (fr) | 2015-12-17 | 2021-05-19 | Incyte Corp | Dérivés de n-phényl-pyridine-2-carboxamide et leur utilisation en tant que modulateurs des interactions protéine/protéine pd-1/pd-l1 |
| SG10202005790VA (en) | 2015-12-22 | 2020-07-29 | Incyte Corp | Heterocyclic compounds as immunomodulators |
| US10723756B2 (en) | 2016-01-11 | 2020-07-28 | Innate Tumor Immunity Inc. | Cyclic dinucleotides for treating conditions associated with STING activity such as cancer |
| SG11201806863WA (en) | 2016-02-19 | 2018-09-27 | Novartis Ag | Tetracyclic pyridone compounds as antivirals |
| EP3429596B1 (en) | 2016-03-18 | 2022-08-31 | Immune Sensor, LLC | Cyclic di-nucleotide compounds and methods of use |
| WO2017163264A1 (en) | 2016-03-21 | 2017-09-28 | Council Of Scientific & Industrial Research | Blocking toll-like receptor 9 signaling with small molecule antagonist |
| US10358463B2 (en) | 2016-04-05 | 2019-07-23 | Bristol-Myers Squibb Company | Immunomodulators |
| WO2017175156A1 (en) | 2016-04-07 | 2017-10-12 | Glaxosmithkline Intellectual Property Development Limited | Heterocyclic amides useful as protein modulators |
| CR20200045A (es) | 2016-04-07 | 2020-03-11 | Glaxosmithkline Ip Dev Ltd | AMIDAS HETEROCÍCLICAS ÚTILES COMO MODULADORES DE PROTEÍNAS (Divisional 2018-0472) |
| MX2018012249A (es) | 2016-04-19 | 2019-02-07 | Innate Tumor Immunity Inc | Moduladores de nlpr3. |
| US10533007B2 (en) | 2016-04-19 | 2020-01-14 | Innate Tumor Immunity, Inc. | NLRP3 modulators |
| WO2017186711A1 (en) | 2016-04-25 | 2017-11-02 | Invivogen | Novel complexes of immunostimulatory compounds, and uses thereof |
| PL3453707T3 (pl) | 2016-05-06 | 2022-06-13 | Shanghai De Novo Pharmatech Co., Ltd. | Pochodna benzazepiny, sposób wytwarzania, kompozycja farmaceutyczna i jej zastosowanie |
| ES2906460T3 (es) | 2016-05-06 | 2022-04-18 | Incyte Corp | Compuestos heterocíclicos como inmunomoduladores |
| WO2017198744A1 (en) | 2016-05-20 | 2017-11-23 | F. Hoffmann-La Roche Ag | Novel pyrazine compounds with oxygen, sulfur and nitrogen linker for the treatment of infectious diseases |
| EP3464245B1 (en) | 2016-05-23 | 2020-10-14 | H. Hoffnabb-La Roche Ag | Benzazepine dicarboxamide compounds with tertiary amide function |
| JP7022702B2 (ja) | 2016-05-23 | 2022-02-18 | エフ・ホフマン-ラ・ロシュ・アクチェンゲゼルシャフト | 第二級アミド基を有するベンズアゼピンジカルボキサミド化合物 |
| TW201808902A (zh) | 2016-05-26 | 2018-03-16 | 美商英塞特公司 | 作為免疫調節劑之雜環化合物 |
| JP6957522B2 (ja) | 2016-05-26 | 2021-11-02 | エフ.ホフマン−ラ ロシュ アーゲーF. Hoffmann−La Roche Aktiengesellschaft | B型肝炎ウイルス疾患の治療および予防のためのキサントン誘導体 |
| WO2017211791A1 (en) | 2016-06-07 | 2017-12-14 | F. Hoffmann-La Roche Ag | Combination therapy of an hbsag inhibitor and a tlr7 agonist |
| SG11201810834WA (en) | 2016-06-10 | 2018-12-28 | Enanta Pharm Inc | Hepatitis b antiviral agents |
| WO2017216054A1 (en) | 2016-06-12 | 2017-12-21 | F. Hoffmann-La Roche Ag | Dihydropyrimidinyl benzazepine carboxamide compounds |
| WO2017216686A1 (en) | 2016-06-16 | 2017-12-21 | Novartis Ag | 8,9-fused 2-oxo-6,7-dihydropyrido-isoquinoline compounds as antivirals |
| WO2017216685A1 (en) | 2016-06-16 | 2017-12-21 | Novartis Ag | Pentacyclic pyridone compounds as antivirals |
| SG11201811414TA (en) | 2016-06-20 | 2019-01-30 | Incyte Corp | Heterocyclic compounds as immunomodulators |
| WO2017219931A1 (zh) | 2016-06-22 | 2017-12-28 | 四川科伦博泰生物医药股份有限公司 | 二氢蝶啶酮类衍生物、其制备方法及其用途 |
| US10071079B2 (en) | 2016-06-29 | 2018-09-11 | Bristol-Myers Squibb Company | [1,2,4]triazolo[1,5-a]pyridinyl substituted indole compounds |
| MA45550A (fr) | 2016-06-29 | 2019-05-08 | Novira Therapeutics Inc | Dérivés de diazépinone et leur utilisation dans le traitement des infections par l'hépatite b |
| ES2817426T3 (es) | 2016-06-29 | 2021-04-07 | Novira Therapeutics Inc | Derivados de oxadiazepinona y su uso en el tratamiento de infecciones por hepatitis B |
| EP3478686B1 (en) | 2016-06-29 | 2020-04-15 | H. Hoffnabb-La Roche Ag | Novel dihydropyrrolopyrimidines for the treatment and prophylaxis of hepatitis b virus infection |
| EP3478680B1 (en) | 2016-06-29 | 2020-04-22 | H. Hoffnabb-La Roche Ag | Novel tetrahydropyridopyrimidines for the treatment and prophylaxis of hbv infection |
| KR102468272B1 (ko) | 2016-06-30 | 2022-11-18 | 삼성전자주식회사 | 음향 출력 장치 및 그 제어 방법 |
| JP6301402B2 (ja) | 2016-07-01 | 2018-03-28 | 日新製鋼株式会社 | フェライト系ステンレス鋼板およびその製造方法 |
| US11053256B2 (en) | 2016-07-01 | 2021-07-06 | Janssen Sciences Ireland Unlimited Company | Dihydropyranopyrimidines for the treatment of viral infections |
| WO2018009466A1 (en) | 2016-07-05 | 2018-01-11 | Aduro Biotech, Inc. | Locked nucleic acid cyclic dinucleotide compounds and uses thereof |
| TW201803886A (zh) | 2016-07-06 | 2018-02-01 | 史貝羅威生物科學有限公司 | 化合物、組合物及用於治療疾病之方法 |
| WO2018009648A1 (en) | 2016-07-06 | 2018-01-11 | Sperovie Biosciences, Inc. | Compounds, compositions, and methods for the treatment of disease |
| JP7168551B2 (ja) | 2016-07-08 | 2022-11-09 | ブリストル-マイヤーズ スクイブ カンパニー | 免疫調節剤として有用な1,3-ジヒドロキシフェニル誘導体 |
| JP7034133B2 (ja) | 2016-07-14 | 2022-03-11 | エフ.ホフマン-ラ ロシュ アーゲー | 感染性疾患の処置のためのカルボキシ 6,7-ジヒドロ-4H-ピラゾロ[1,5-a]ピラジン化合物 |
| WO2018011160A1 (en) | 2016-07-14 | 2018-01-18 | F. Hoffmann-La Roche Ag | 6,7-dihydro-4h-pyrazolo[1,5-a]pyrazine compounds for the treatment of infectious diseases |
| MA45669A (fr) | 2016-07-14 | 2019-05-22 | Incyte Corp | Composés hétérocycliques utilisés comme immunomodulateurs |
| EP3484886B1 (en) | 2016-07-14 | 2020-03-04 | Hoffmann-La Roche AG | 6,7-dihydro-4h-pyrazolo[1,5-a]pyrazine and 6,7-dihydro-4h-triazolo[1,5-a]pyrazine compounds for the treatment of infectious diseases |
| WO2018011100A1 (en) | 2016-07-14 | 2018-01-18 | F. Hoffmann-La Roche Ag | Novel tetrahydropyrazolopyridine compounds for the treatment of infectious diseases |
| WO2018013887A1 (en) | 2016-07-15 | 2018-01-18 | Sperovie Biosciences, Inc. | Compounds, compositions, and methods for the treatment of disease |
| EP3484504A4 (en) | 2016-07-15 | 2020-07-29 | Sperovie Biosciences, Inc. | COMPOUNDS, COMPOSITIONS AND METHODS OF TREATMENT OF DISEASE |
| EP3490987B1 (en) | 2016-07-29 | 2022-09-21 | Guangzhou Lupeng Pharmaceutical Company Ltd. | Novel therapeutic agents for the treatment of hbv infection |
| WO2018019297A1 (zh) | 2016-07-29 | 2018-02-01 | 银杏树药业(苏州)有限公司 | 异喹啉酮类化合物及其制备抗病毒药物的应用 |
| EA038972B1 (ru) | 2016-07-30 | 2021-11-16 | Бристол-Маерс Сквибб Компани | Диметоксифенилзамещенные соединения индола в качестве ингибиторов tlr7, tlr8 или tlr9 |
| JP2019530732A (ja) | 2016-08-03 | 2019-10-24 | アライジング・インターナショナル・インコーポレイテッドArising International, Inc. | 免疫モジュレータとして有用な対称または半対称化合物 |
| CN109689059A (zh) | 2016-08-24 | 2019-04-26 | 豪夫迈·罗氏有限公司 | Hbv衣壳组装抑制剂和核苷或核苷酸类似物的组合疗法 |
| CN109641920A (zh) | 2016-08-26 | 2019-04-16 | 3M创新有限公司 | 由胍基基团取代的稠合[1,2]咪唑并[4,5-c]环化合物 |
| MA46045A (fr) | 2016-08-29 | 2021-04-28 | Incyte Corp | Composés hétérocycliques utilisés comme immunomodulateurs |
| US10144706B2 (en) | 2016-09-01 | 2018-12-04 | Bristol-Myers Squibb Company | Compounds useful as immunomodulators |
| PT3507276T (pt) | 2016-09-02 | 2022-01-11 | Gilead Sciences Inc | Compostos moduladores do recetor de tipo toll |
| EP3507288B1 (en) | 2016-09-02 | 2020-08-26 | Gilead Sciences, Inc. | 4,6-diamino-pyrido[3,2-d]pyrimidine derivaties as toll like receptor modulators |
| WO2018043747A1 (ja) | 2016-09-05 | 2018-03-08 | 国立大学法人京都大学 | 抗b型肝炎ウイルス剤 |
| BE1024865B1 (fr) | 2016-09-07 | 2018-07-31 | Glaxosmithkline Biologicals Sa | Derives d'imidazoquinoleine |
| DK3510033T3 (da) | 2016-09-09 | 2022-02-28 | Novartis Ag | Forbindelser og sammensætninger som inhibitorer af endosomale toll-lignende receptorer |
| WO2018045911A1 (zh) | 2016-09-09 | 2018-03-15 | 浙江海正药业股份有限公司 | 二氢嘧啶类化合物及其制备方法和用途 |
| MA46188A (fr) | 2016-09-09 | 2019-07-17 | Bristol Myers Squibb Co | Composés indole substitués par pyridyle |
| WO2018051255A1 (en) | 2016-09-14 | 2018-03-22 | Aurigene Discovery Technologies Limited | Cyclic substituted-1,3,4-oxadiazole and thiadiazole compounds as immunomodulators |
| WO2018051254A1 (en) | 2016-09-14 | 2018-03-22 | Aurigene Discovery Technologies Limited | Cyclic substituted-1,2,4-oxadiazole compounds as immunomodulators |
| US10537590B2 (en) | 2016-09-30 | 2020-01-21 | Boehringer Ingelheim International Gmbh | Cyclic dinucleotide compounds |
| UA125223C2 (uk) | 2016-10-04 | 2022-02-02 | Мерк Шарп І Доум Корп. | СПОЛУКИ БЕНЗО[b]ТІОФЕНУ ЯК АГОНІСТИ STING |
| US11001605B2 (en) | 2016-10-07 | 2021-05-11 | Biolog Life Science Institute Gmbh & Co. Kg | Cyclic dinucleotides containing benzimidazole, method for the production of same, and use of same to activate stimulator of interferon genes (sting)-dependent signaling pathways |
| BR112019007872A2 (pt) | 2016-10-20 | 2019-07-02 | Aurigene Discovery Technologies Limited | inibidores duplos de vista e das vias pd-1 |
| US10736908B2 (en) | 2016-10-26 | 2020-08-11 | Merck Sharp & Dohme Corp. | Antiviral aryl-amide phosphodiamide compounds |
| WO2018078149A1 (en) | 2016-10-31 | 2018-05-03 | F. Hoffmann-La Roche Ag | Novel cyclicsulfonimidoylpurinone compounds and derivatives for the treatment and prophylaxis of virus infection |
| CN110267971B (zh) | 2016-11-07 | 2023-12-19 | 百时美施贵宝公司 | 免疫调节剂 |
| EP3538513A1 (en) | 2016-11-11 | 2019-09-18 | Dynavax Technologies Corporation | Toll-like receptor antagonist compounds and methods of use |
| EP3539963A4 (en) | 2016-11-11 | 2020-05-13 | Hepo Pharmaceutical Co., Ltd. | NITROGEN-CONTAINING HETEROCYCLIC COMPOUND, PREPARATION METHOD, INTERMEDIATE, PHARMACEUTICAL COMPOSITION AND USE |
| JOP20170188A1 (ar) | 2016-11-25 | 2019-01-30 | Janssen Biotech Inc | ثنائي النوكليوتيدات الحلقية كمنبهات ستينغ (sting) |
| MY192084A (en) | 2016-11-28 | 2022-07-26 | Jiangsu Hengrui Medicine Co | Pyrazolo-heteroaryl derivative, preparation method and medical use thereof |
| JOP20170192A1 (ar) | 2016-12-01 | 2019-01-30 | Takeda Pharmaceuticals Co | داي نوكليوتيد حلقي |
| US20190328762A1 (en) | 2016-12-20 | 2019-10-31 | Merck Sharp & Dohme Corp. | Combinations of pd-1 antagonists and cyclic dinucleotide sting agonists for cancer treatment |
| WO2018118665A1 (en) | 2016-12-20 | 2018-06-28 | Merck Sharp & Dohme Corp. | Cyclic dinucleotide sting agonists for cancer treatment |
| KR102599339B1 (ko) | 2016-12-20 | 2023-11-08 | 브리스톨-마이어스 스큅 컴퍼니 | 면역조정제로서 유용한 화합물 |
| WO2018119236A1 (en) | 2016-12-22 | 2018-06-28 | Incyte Corporation | Triazolo[1,5-a]pyridine derivatives as immunomodulators |
| MX391981B (es) | 2016-12-22 | 2025-03-21 | Incyte Corp | Derivados de benzooxazol como inmunomoduladores. |
| MA47131A (fr) | 2016-12-22 | 2021-05-12 | Idenix Pharmaceuticals Llc | Composés benzyl-amide phosphodiamide antiviraux |
| MA47099A (fr) | 2016-12-22 | 2021-05-12 | Incyte Corp | Composés hétéroaromatiques bicycliques utilisés en tant qu'immunomodulateurs |
| US20180179179A1 (en) | 2016-12-22 | 2018-06-28 | Incyte Corporation | Heterocyclic compounds as immunomodulators |
| US10519159B2 (en) | 2016-12-22 | 2019-12-31 | Merck Sharp & Dohme Corp. | Antiviral aliphatic ester prodrugs of tenofovir |
| US20180177784A1 (en) | 2016-12-22 | 2018-06-28 | Incyte Corporation | Heterocyclic compounds as immunomodulators |
-
2019
- 2019-04-03 TW TW108111938A patent/TW202005654A/zh unknown
- 2019-04-04 WO PCT/IB2019/052764 patent/WO2019193533A1/en not_active Ceased
- 2019-04-04 US US16/375,134 patent/US20190322697A1/en not_active Abandoned
Also Published As
| Publication number | Publication date |
|---|---|
| WO2019193533A1 (en) | 2019-10-10 |
| US20190322697A1 (en) | 2019-10-24 |
Similar Documents
| Publication | Publication Date | Title |
|---|---|---|
| TWI793231B (zh) | 活化sting轉接蛋白之具有膦酸酯鍵之2'3'環二核苷酸 | |
| TWI786242B (zh) | 活化sting轉接蛋白之具有膦酸酯鍵之3’3’環二核苷酸 | |
| TW202014193A (zh) | 包含碳環核苷酸之2’3’-環二核苷酸 | |
| TWI818007B (zh) | 2'3'-環二核苷酸 | |
| TW201934128A (zh) | 活化sting轉接蛋白之具有膦酸酯鍵之2’2’環二核苷酸 | |
| CN113543851B (zh) | 2’3’-环二核苷酸及其前药 | |
| TWI833744B (zh) | 3'3'-環二核苷酸 | |
| KR102808642B1 (ko) | 3'3'-사이클릭 다이뉴클레오티드 및 이의 프로드럭 | |
| TW202005654A (zh) | 2,2,─環二核苷酸 | |
| TW202100162A (zh) | 包含碳環核苷酸之3’3’-環二核苷酸 | |
| HK40058398B (zh) | 2’3’-环二核苷酸及其前药 | |
| HK40057676B (zh) | 3’3’-环二核苷酸及其前药 |




















































































