US20130267517A1 - Novel 4-methyl-dihydropyrimidines for the treatment and prophylaxis of hepatitis b virus infection - Google Patents
Novel 4-methyl-dihydropyrimidines for the treatment and prophylaxis of hepatitis b virus infection Download PDFInfo
- Publication number
- US20130267517A1 US20130267517A1 US13/851,542 US201313851542A US2013267517A1 US 20130267517 A1 US20130267517 A1 US 20130267517A1 US 201313851542 A US201313851542 A US 201313851542A US 2013267517 A1 US2013267517 A1 US 2013267517A1
- Authority
- US
- United States
- Prior art keywords
- methyl
- fluoro
- phenyl
- carboxylic acid
- dihydro
- Prior art date
- Legal status (The legal status is an assumption and is not a legal conclusion. Google has not performed a legal analysis and makes no representation as to the accuracy of the status listed.)
- Abandoned
Links
- 0 [1*]C1=C(CCC([4*])([5*])C)NC([3*])=NC1([2*])C Chemical compound [1*]C1=C(CCC([4*])([5*])C)NC([3*])=NC1([2*])C 0.000 description 19
- ACVOCQOFMBNEFF-UHFFFAOYSA-N C.CC(C)(C)C1=NC=NN1.CC1=NN=C(C(C)(C)C)O1.CC1=NOC(C(C)(C)C)=N1 Chemical compound C.CC(C)(C)C1=NC=NN1.CC1=NN=C(C(C)(C)C)O1.CC1=NOC(C(C)(C)C)=N1 ACVOCQOFMBNEFF-UHFFFAOYSA-N 0.000 description 6
- GXCUMDAXOUCQQW-UHFFFAOYSA-N CC(C)(C)C1=NC=NN1.CC1=NN=C(C(C)(C)C)O1.CC1=NOC(C(C)(C)C)=N1 Chemical compound CC(C)(C)C1=NC=NN1.CC1=NN=C(C(C)(C)C)O1.CC1=NOC(C(C)(C)C)=N1 GXCUMDAXOUCQQW-UHFFFAOYSA-N 0.000 description 4
- LWQBTTKEJAYUOV-UHFFFAOYSA-N CC(C)(C)C1COCCN1C(C)(C)C Chemical compound CC(C)(C)C1COCCN1C(C)(C)C LWQBTTKEJAYUOV-UHFFFAOYSA-N 0.000 description 4
- XGWWLUSRGSRVPK-UHFFFAOYSA-N CC(C)(C)C1=C(F)C=CS1.CC(C)(C)C1=CC(F)=CS1.CC(C)(C)C1=CC=C(F)S1.CC(C)(C)C1=NC=C(Cl)S1.CC(C)(C)C1=NC=CS1.CC(C)(C)C1=NOC=C1.CC1=CC(C(C)(C)C)=NO1.CC1=CC=C(C(C)(C)C)N=C1.CC1=CN=C(C(C)(C)C)S1.CC1=CSC(C(C)(C)C)=N1.CN1C=CN=C1C(C)(C)C Chemical compound CC(C)(C)C1=C(F)C=CS1.CC(C)(C)C1=CC(F)=CS1.CC(C)(C)C1=CC=C(F)S1.CC(C)(C)C1=NC=C(Cl)S1.CC(C)(C)C1=NC=CS1.CC(C)(C)C1=NOC=C1.CC1=CC(C(C)(C)C)=NO1.CC1=CC=C(C(C)(C)C)N=C1.CC1=CN=C(C(C)(C)C)S1.CC1=CSC(C(C)(C)C)=N1.CN1C=CN=C1C(C)(C)C XGWWLUSRGSRVPK-UHFFFAOYSA-N 0.000 description 3
- CJJQAAQVMXYELF-UHFFFAOYSA-N CC(C)(C)C1CC(F)(F)CN1C(C)(C)C.CC(C)(C)C1COCCN1C(C)(C)C Chemical compound CC(C)(C)C1CC(F)(F)CN1C(C)(C)C.CC(C)(C)C1COCCN1C(C)(C)C CJJQAAQVMXYELF-UHFFFAOYSA-N 0.000 description 3
- XWTJLKNMHYBBCW-UHFFFAOYSA-N CC(C)(C)C1CC(F)(F)CCN1C(C)(C)C.CC(C)(C)C1CC(F)CN1C(C)(C)C.CC(C)(C)C1CCC(F)(F)CN1C(C)(C)C.CC1(F)CC(C(C)(C)C)N(C(C)(C)C)C1 Chemical compound CC(C)(C)C1CC(F)(F)CCN1C(C)(C)C.CC(C)(C)C1CC(F)CN1C(C)(C)C.CC(C)(C)C1CCC(F)(F)CN1C(C)(C)C.CC1(F)CC(C(C)(C)C)N(C(C)(C)C)C1 XWTJLKNMHYBBCW-UHFFFAOYSA-N 0.000 description 2
- RJOZFBGHZGURBC-UHFFFAOYSA-N CC(C)(C)C1CC(F)([F])CN1C(C)(C)C Chemical compound CC(C)(C)C1CC(F)([F])CN1C(C)(C)C RJOZFBGHZGURBC-UHFFFAOYSA-N 0.000 description 2
- RIZZIZOOMFEJDM-UHFFFAOYSA-N CC(C)(C)c1nc(C)n[o]1 Chemical compound CC(C)(C)c1nc(C)n[o]1 RIZZIZOOMFEJDM-UHFFFAOYSA-N 0.000 description 2
- ARZCGLLNYWBDPU-UHFFFAOYSA-N CC(C)(C)c1nnc(C)[o]1 Chemical compound CC(C)(C)c1nnc(C)[o]1 ARZCGLLNYWBDPU-UHFFFAOYSA-N 0.000 description 2
- ZEKBKTMMBLWNGK-UHFFFAOYSA-N CC(C)(C)c1nnn[nH]1 Chemical compound CC(C)(C)c1nnn[nH]1 ZEKBKTMMBLWNGK-UHFFFAOYSA-N 0.000 description 2
- XMGGJRNEQVECQS-MBSDFSHPSA-N COC(=O)C1=C(CN2CC(F)(F)C[C@H]2C(=O)O)NC(C2=CC=C(F)C=N2)=N[C@@]1(C)C1=CC=C(F)C=C1 Chemical compound COC(=O)C1=C(CN2CC(F)(F)C[C@H]2C(=O)O)NC(C2=CC=C(F)C=N2)=N[C@@]1(C)C1=CC=C(F)C=C1 XMGGJRNEQVECQS-MBSDFSHPSA-N 0.000 description 2
- YONXVGQGJUFKFJ-AOMKIAJQSA-N COC(=O)C1=C(CN2CC(F)(F)C[C@H]2C(=O)O)NC(C2=NC=CN2C)=N[C@@]1(C)C1=CC=C(F)C=C1 Chemical compound COC(=O)C1=C(CN2CC(F)(F)C[C@H]2C(=O)O)NC(C2=NC=CN2C)=N[C@@]1(C)C1=CC=C(F)C=C1 YONXVGQGJUFKFJ-AOMKIAJQSA-N 0.000 description 2
- SMSHUAYDJTUPEX-BTYIYWSLSA-N COC(=O)C1=C(CN2CC(F)(F)C[C@H]2C(=O)O)NC(C2=NC=CS2)=N[C@@]1(C)C1=CC(F)=C(F)C=C1 Chemical compound COC(=O)C1=C(CN2CC(F)(F)C[C@H]2C(=O)O)NC(C2=NC=CS2)=N[C@@]1(C)C1=CC(F)=C(F)C=C1 SMSHUAYDJTUPEX-BTYIYWSLSA-N 0.000 description 2
- JQCKUJBPHOIEPX-XGLRFROISA-N COC(=O)C1=C(CN2CCOC[C@H]2C(=O)O)NC(C2=CC=C(F)C=N2)=NC1(C)C1=CC=C(F)C=C1 Chemical compound COC(=O)C1=C(CN2CCOC[C@H]2C(=O)O)NC(C2=CC=C(F)C=N2)=NC1(C)C1=CC=C(F)C=C1 JQCKUJBPHOIEPX-XGLRFROISA-N 0.000 description 2
- ODSPLXGPEIPGFR-WJTDLLMHSA-K C#CC1=CC=C(F)C=C1.CC.CC(I)I.CCI.CCI.CCI.COC(=O)/C(C(C)=O)=C(\C)C1=CC=C(F)C=C1.COC(=O)C1=C(C)N(C(=O)OC(C)(C)C)C(C2=NC=CS2)=NC1(C)C1=CC=C(F)C=C1.COC(=O)C1=C(C)NC(C2=NC=CS2)=NC1(C)C1=CC=C(F)C=C1.COC(=O)CC(C)=O.C[Al](C)C.Cl.ClC(Cl)(Cl)Cl.N.N#CC1=NC=CS1.N=C(N)C1=NC=CS1.N=C(N)C1=NC=CS1.O=BC#CO.O=S(=O)(O[In](OS(=O)(=O)C(F)(F)F)OS(=O)(=O)C(F)(F)F)C(F)(F)F Chemical compound C#CC1=CC=C(F)C=C1.CC.CC(I)I.CCI.CCI.CCI.COC(=O)/C(C(C)=O)=C(\C)C1=CC=C(F)C=C1.COC(=O)C1=C(C)N(C(=O)OC(C)(C)C)C(C2=NC=CS2)=NC1(C)C1=CC=C(F)C=C1.COC(=O)C1=C(C)NC(C2=NC=CS2)=NC1(C)C1=CC=C(F)C=C1.COC(=O)CC(C)=O.C[Al](C)C.Cl.ClC(Cl)(Cl)Cl.N.N#CC1=NC=CS1.N=C(N)C1=NC=CS1.N=C(N)C1=NC=CS1.O=BC#CO.O=S(=O)(O[In](OS(=O)(=O)C(F)(F)F)OS(=O)(=O)C(F)(F)F)C(F)(F)F ODSPLXGPEIPGFR-WJTDLLMHSA-K 0.000 description 1
- POVGUWZBSOSUMQ-XNVDHSHNSA-K C.C.C.C.C.CC(=O)CC(=O)OC(C)(C)C.CC1(C2=CC(F)=C(F)C=C2)N=C(C2=NC=CS2)NC(CN2CCOC[C@H]2C(=O)O)=C1C#N.CC1=C(C#N)C(C)(C2=CC(F)=C(F)C=C2)N=C(C2=NC=CS2)N1.CC1=C(C(=O)OC(C)(C)C)C(C)(C2=CC(F)=C(F)C=C2)N=C(C2=NC=CS2)N1.CC[V](I)(I)I.COC(=O)[C@H]1CCCOC1.O=CC1=CC(F)=C(F)C=C1 Chemical compound C.C.C.C.C.CC(=O)CC(=O)OC(C)(C)C.CC1(C2=CC(F)=C(F)C=C2)N=C(C2=NC=CS2)NC(CN2CCOC[C@H]2C(=O)O)=C1C#N.CC1=C(C#N)C(C)(C2=CC(F)=C(F)C=C2)N=C(C2=NC=CS2)N1.CC1=C(C(=O)OC(C)(C)C)C(C)(C2=CC(F)=C(F)C=C2)N=C(C2=NC=CS2)N1.CC[V](I)(I)I.COC(=O)[C@H]1CCCOC1.O=CC1=CC(F)=C(F)C=C1 POVGUWZBSOSUMQ-XNVDHSHNSA-K 0.000 description 1
- BTBBLYRLNIUAEE-SYOZPUNSSA-L C.C.C.C.C.CC(=O)CC(=O)OC(C)(C)C.CC1=C(C#N)C(C)(C2=CC=C(F)C=C2)N=C(C2=NC=CS2)N1.CC1=C(C#N)[C@](C)(C2=CC=C(F)C=C2)N=C(C2=NC=CS2)N1.CC1=C(C(=O)O)C(C)(C2=CC=C(F)C=C2)N=C(C2=NC=CS2)N1.CC1=C(C(=O)OC(C)(C)C)C(C)(C2=CC=C(F)C=C2)N=C(C2=NC=CS2)N1.CCC(C)I.CCC[V](I)I.COC(=O)[C@H]1CCC(F)(F)C1.CSF.O=CC(F)(F)F.O=CC1=CC=C(F)C=C1 Chemical compound C.C.C.C.C.CC(=O)CC(=O)OC(C)(C)C.CC1=C(C#N)C(C)(C2=CC=C(F)C=C2)N=C(C2=NC=CS2)N1.CC1=C(C#N)[C@](C)(C2=CC=C(F)C=C2)N=C(C2=NC=CS2)N1.CC1=C(C(=O)O)C(C)(C2=CC=C(F)C=C2)N=C(C2=NC=CS2)N1.CC1=C(C(=O)OC(C)(C)C)C(C)(C2=CC=C(F)C=C2)N=C(C2=NC=CS2)N1.CCC(C)I.CCC[V](I)I.COC(=O)[C@H]1CCC(F)(F)C1.CSF.O=CC(F)(F)F.O=CC1=CC=C(F)C=C1 BTBBLYRLNIUAEE-SYOZPUNSSA-L 0.000 description 1
- VSGFHUGZIMQIHK-WPMXNZQFSA-L C.C.C.CC1=C(C#N)C(C)(C2=CC(F)=C(F)C=C2)N=C(C2=NC=CS2)N1.CC1=C(C#N)[C@](C)(C2=CC(F)=C(F)C=C2)N=C(C2=NC=CS2)N1.CCC[V](I)I.COC(=O)[C@H]1CCC(F)(F)C1.CSF.C[C@@]1(C2=CC(F)=C(F)C=C2)N=C(C2=NC=CS2)NC(CN2CC(F)(F)C[C@H]2C(=O)O)=C1C#N Chemical compound C.C.C.CC1=C(C#N)C(C)(C2=CC(F)=C(F)C=C2)N=C(C2=NC=CS2)N1.CC1=C(C#N)[C@](C)(C2=CC(F)=C(F)C=C2)N=C(C2=NC=CS2)N1.CCC[V](I)I.COC(=O)[C@H]1CCC(F)(F)C1.CSF.C[C@@]1(C2=CC(F)=C(F)C=C2)N=C(C2=NC=CS2)NC(CN2CC(F)(F)C[C@H]2C(=O)O)=C1C#N VSGFHUGZIMQIHK-WPMXNZQFSA-L 0.000 description 1
- IZPXJCXRKVQEID-UHFFFAOYSA-N C.CC(C)(C)C1=C(F)C=CS1.CC(C)(C)C1=CC(F)=CS1.CC(C)(C)C1=NC=C(Cl)S1.CC(C)(C)C1=NC=C(F)S1.CC(C)(C)C1=NC=CS1.CC(C)(C)C1=NOC=C1.CC1=CC(C(C)(C)C)=NO1.CC1=CC=C(C(C)(C)C)N=C1.CC1=CN=C(C(C)(C)C)S1.CC1=CSC(C(C)(C)C)=N1.CN1C=CN=C1C(C)(C)C Chemical compound C.CC(C)(C)C1=C(F)C=CS1.CC(C)(C)C1=CC(F)=CS1.CC(C)(C)C1=NC=C(Cl)S1.CC(C)(C)C1=NC=C(F)S1.CC(C)(C)C1=NC=CS1.CC(C)(C)C1=NOC=C1.CC1=CC(C(C)(C)C)=NO1.CC1=CC=C(C(C)(C)C)N=C1.CC1=CN=C(C(C)(C)C)S1.CC1=CSC(C(C)(C)C)=N1.CN1C=CN=C1C(C)(C)C IZPXJCXRKVQEID-UHFFFAOYSA-N 0.000 description 1
- GBWIOPKLBFVVED-UHFFFAOYSA-N C.CC(C)(C)C1CC(F)(F)CCN1C(C)(C)C.CC(C)(C)C1CC(F)CN1C(C)(C)C.CC(C)(C)C1COCCN1C(C)(C)C.CC1(F)CC(C(C)(C)C)N(C(C)(C)C)C1.CC1(F)CCC(C(C)(C)C)N(C(C)(C)C)C1 Chemical compound C.CC(C)(C)C1CC(F)(F)CCN1C(C)(C)C.CC(C)(C)C1CC(F)CN1C(C)(C)C.CC(C)(C)C1COCCN1C(C)(C)C.CC1(F)CC(C(C)(C)C)N(C(C)(C)C)C1.CC1(F)CCC(C(C)(C)C)N(C(C)(C)C)C1 GBWIOPKLBFVVED-UHFFFAOYSA-N 0.000 description 1
- LQSFZRPWIILHQT-AOQTVHJBSA-N C.CC(C)I.CCC.COC(=O)C1=C(C)NC(C2=CC=C(F)C=N2)=NC1(C)C1=CC=C(F)C=C1.COC(=O)C1=C(CN2CCOC[C@@H]2C(=O)O)NC(C2=CC=C(F)C=N2)=NC1(C)C1=CC=C(F)C=C1.COC(=O)[C@@H]1CCCOC1.N#CC1=CC=C(F)C=N1 Chemical compound C.CC(C)I.CCC.COC(=O)C1=C(C)NC(C2=CC=C(F)C=N2)=NC1(C)C1=CC=C(F)C=C1.COC(=O)C1=C(CN2CCOC[C@@H]2C(=O)O)NC(C2=CC=C(F)C=N2)=NC1(C)C1=CC=C(F)C=C1.COC(=O)[C@@H]1CCCOC1.N#CC1=CC=C(F)C=N1 LQSFZRPWIILHQT-AOQTVHJBSA-N 0.000 description 1
- VRFPUOAZVSWUHB-CHQXSUHWSA-K C.CC(C)I.CCC[V](I)I.CCC[V]I.COC(=O)C1=C(C)NC(C2=CC=C(F)C=N2)=NC1(C)C1=CC=C(F)C=C1.COC(=O)C1=C(C)NC(C2=CC=C(F)C=N2)=N[C@@]1(C)C1=CC=C(F)C=C1.COC(=O)C1=C(CN2CC(F)(F)C[C@H]2C(=O)O)NC(C2=CC=C(F)C=N2)=N[C@@]1(C)C1=CC=C(F)C=C1.COC(=O)[C@H]1CCC(F)(F)C1.CSF Chemical compound C.CC(C)I.CCC[V](I)I.CCC[V]I.COC(=O)C1=C(C)NC(C2=CC=C(F)C=N2)=NC1(C)C1=CC=C(F)C=C1.COC(=O)C1=C(C)NC(C2=CC=C(F)C=N2)=N[C@@]1(C)C1=CC=C(F)C=C1.COC(=O)C1=C(CN2CC(F)(F)C[C@H]2C(=O)O)NC(C2=CC=C(F)C=N2)=N[C@@]1(C)C1=CC=C(F)C=C1.COC(=O)[C@H]1CCC(F)(F)C1.CSF VRFPUOAZVSWUHB-CHQXSUHWSA-K 0.000 description 1
- ZTHXKAFVQYMSJR-UHFFFAOYSA-N C.CC(I)(I)I.CC([V])I.CC([V])I.COC(=O)C(C)(C)O.COC(=O)C1=C(CBr)N(C(=O)OC(C)(C)C)C(C2=NC=CS2)=NC1(C)C1=CC=C(F)C=C1.COC(=O)C1=C(COC(C)(C)C(=O)OC)N(C(=O)OC(C)(C)C)C(C2=NC=CS2)=NC1(C)C1=CC=C(F)C=C1.COC(=O)C1=C(COC(C)(C)C(=O)OC)N(C(=O)OC(C)(C)C)C(C2=NC=CS2)=NC1(C)C1=CC=C(F)C=C1.COC(=O)C1=C(COC(C)(C)C(=O)OC)NC(C2=NC=CS2)=NC1(C)C1=CC=C(F)C=C1.[NaH] Chemical compound C.CC(I)(I)I.CC([V])I.CC([V])I.COC(=O)C(C)(C)O.COC(=O)C1=C(CBr)N(C(=O)OC(C)(C)C)C(C2=NC=CS2)=NC1(C)C1=CC=C(F)C=C1.COC(=O)C1=C(COC(C)(C)C(=O)OC)N(C(=O)OC(C)(C)C)C(C2=NC=CS2)=NC1(C)C1=CC=C(F)C=C1.COC(=O)C1=C(COC(C)(C)C(=O)OC)N(C(=O)OC(C)(C)C)C(C2=NC=CS2)=NC1(C)C1=CC=C(F)C=C1.COC(=O)C1=C(COC(C)(C)C(=O)OC)NC(C2=NC=CS2)=NC1(C)C1=CC=C(F)C=C1.[NaH] ZTHXKAFVQYMSJR-UHFFFAOYSA-N 0.000 description 1
- GLTRUUOGOREJJO-UHFFFAOYSA-L C.CC(I)(I)I.CCC1(C(=O)OC)CC1.CC[V].CC[V]I.COC(=O)C1=C(CBr)N(C(=O)OC(C)(C)C)C(C2=NC=CS2)=NC1(C)C1=CC=C(F)C=C1.COC(=O)C1=C(CN(C)C2(C(=O)O)CC2)NC(C2=NC=CS2)=NC1(C)C1=CC=C(F)C=C1.COC(=O)C1=C(CN(C)C2(C(=O)OC)CC2)N(C(=O)OC(C)(C)C)C(C2=NC=CS2)=NC1(C)C1=CC=C(F)C=C1.COC(=O)C1=C(CN(C)C2(C(=O)OC)CC2)NC(C2=NC=CS2)=NC1(C)C1=CC=C(F)C=C1.[Li]O Chemical compound C.CC(I)(I)I.CCC1(C(=O)OC)CC1.CC[V].CC[V]I.COC(=O)C1=C(CBr)N(C(=O)OC(C)(C)C)C(C2=NC=CS2)=NC1(C)C1=CC=C(F)C=C1.COC(=O)C1=C(CN(C)C2(C(=O)O)CC2)NC(C2=NC=CS2)=NC1(C)C1=CC=C(F)C=C1.COC(=O)C1=C(CN(C)C2(C(=O)OC)CC2)N(C(=O)OC(C)(C)C)C(C2=NC=CS2)=NC1(C)C1=CC=C(F)C=C1.COC(=O)C1=C(CN(C)C2(C(=O)OC)CC2)NC(C2=NC=CS2)=NC1(C)C1=CC=C(F)C=C1.[Li]O GLTRUUOGOREJJO-UHFFFAOYSA-L 0.000 description 1
- HMBNZVURSMGTFO-WYNXPYTKSA-I C.CC1=CN=C(C#N)S1.CCC[V](I)(I)I.CCC[V](I)I.COC(=O)C1=C(C)NC(C2=NC=C(C)S2)=NC1(C)C1=CC=C(F)C=C1.COC(=O)C1=C(CN2CC(F)(F)C[C@H]2C(=O)O)NC(C2=NC=C(C)S2)=NC1(C)C1=CC=C(F)C=C1.COC(=O)[C@H]1CCC(F)(F)C1 Chemical compound C.CC1=CN=C(C#N)S1.CCC[V](I)(I)I.CCC[V](I)I.COC(=O)C1=C(C)NC(C2=NC=C(C)S2)=NC1(C)C1=CC=C(F)C=C1.COC(=O)C1=C(CN2CC(F)(F)C[C@H]2C(=O)O)NC(C2=NC=C(C)S2)=NC1(C)C1=CC=C(F)C=C1.COC(=O)[C@H]1CCC(F)(F)C1 HMBNZVURSMGTFO-WYNXPYTKSA-I 0.000 description 1
- NYAIAERMJIAJRX-QKTQEXLSSA-K C.CCC[V].CC[V](I)(I)I.COC(=O)C1=C(C)NC(C2=NC=CS2)=N[C@@]1(C)C1=CC(F)=C(F)C=C1.COC(=O)C1=C(CN2CCOC[C@H]2C(=O)OC)NC(C2=NC=CS2)=N[C@@]1(C)C1=CC(F)=C(F)C=C1.COC(=O)[C@H]1CCCOC1 Chemical compound C.CCC[V].CC[V](I)(I)I.COC(=O)C1=C(C)NC(C2=NC=CS2)=N[C@@]1(C)C1=CC(F)=C(F)C=C1.COC(=O)C1=C(CN2CCOC[C@H]2C(=O)OC)NC(C2=NC=CS2)=N[C@@]1(C)C1=CC(F)=C(F)C=C1.COC(=O)[C@H]1CCCOC1 NYAIAERMJIAJRX-QKTQEXLSSA-K 0.000 description 1
- BVHIRXAXSIWJSD-XXRBRTKDSA-N C.C[C@@]1(C2=CC=C(F)C=C2)N=C(C2=NC=CS2)NC(CN2CC(F)(F)C[C@H]2C(=O)O)=C1C#N Chemical compound C.C[C@@]1(C2=CC=C(F)C=C2)N=C(C2=NC=CS2)NC(CN2CC(F)(F)C[C@H]2C(=O)O)=C1C#N BVHIRXAXSIWJSD-XXRBRTKDSA-N 0.000 description 1
- WHSHSJUIVHQEJJ-UHFFFAOYSA-N CC(C)(C)C1CC(F)(F)CCN1C(C)(C)C.CC(C)(C)C1CC(F)CN1C(C)(C)C.CC(C)(C)C1COCCN1C(C)(C)C.CC1(F)CC(C(C)(C)C)N(C(C)(C)C)C1.CC1(F)CCC(C(C)(C)C)N(C(C)(C)C)C1 Chemical compound CC(C)(C)C1CC(F)(F)CCN1C(C)(C)C.CC(C)(C)C1CC(F)CN1C(C)(C)C.CC(C)(C)C1COCCN1C(C)(C)C.CC1(F)CC(C(C)(C)C)N(C(C)(C)C)C1.CC1(F)CCC(C(C)(C)C)N(C(C)(C)C)C1 WHSHSJUIVHQEJJ-UHFFFAOYSA-N 0.000 description 1
- DIQUVFRUXRMOJK-UHFFFAOYSA-N CC(C)(C)C1CCCCN1C(C)(C)C.CC(C)(C)N1CCCCC1 Chemical compound CC(C)(C)C1CCCCN1C(C)(C)C.CC(C)(C)N1CCCCC1 DIQUVFRUXRMOJK-UHFFFAOYSA-N 0.000 description 1
- XVBKCHNIMKURFP-UHFFFAOYSA-N CC(C)(C)C1CCCN1C(C)(C)C.CC(C)(C)N1CCCC1 Chemical compound CC(C)(C)C1CCCN1C(C)(C)C.CC(C)(C)N1CCCC1 XVBKCHNIMKURFP-UHFFFAOYSA-N 0.000 description 1
- KRJIEUUFWYGOIO-UHFFFAOYSA-N CC(C)(C)C1COCCN1C(C)(C)C.CC(C)(C)N1CCOCC1 Chemical compound CC(C)(C)C1COCCN1C(C)(C)C.CC(C)(C)N1CCOCC1 KRJIEUUFWYGOIO-UHFFFAOYSA-N 0.000 description 1
- VQFJJXWSXJDNBJ-PBVYKCSPSA-N CC1(C2=CC(F)=C(F)C=C2)N=C(C2=NC=CS2)NC(CN2CCOC[C@H]2C(=O)O)=C1C#N Chemical compound CC1(C2=CC(F)=C(F)C=C2)N=C(C2=NC=CS2)NC(CN2CCOC[C@H]2C(=O)O)=C1C#N VQFJJXWSXJDNBJ-PBVYKCSPSA-N 0.000 description 1
- OEYWTECSNMTPSX-AHBYMESISA-N CCC(I)(I)I.CCC(I)I.CCC([V])I.CCCI.CCI.COC(=O)/C(=C\C1=CC(F)=C(F)C=C1)C(C)=O.COC(=O)/C(C(C)=O)=C(/C)C1=CC(F)=C(F)C=C1.COC(=O)C(C(C)=O)C(C)C1=CC(F)=C(F)C=C1.COC(=O)C1=C(C)NC(C2=NC=CS2)=NC1(C)C1=CC(F)=C(F)C=C1.COC(=O)CC(C)=O.CSF.N=C(N)C1=NC=CS1.O=CC1=CC(F)=C(F)C=C1.[Li][Cu]C Chemical compound CCC(I)(I)I.CCC(I)I.CCC([V])I.CCCI.CCI.COC(=O)/C(=C\C1=CC(F)=C(F)C=C1)C(C)=O.COC(=O)/C(C(C)=O)=C(/C)C1=CC(F)=C(F)C=C1.COC(=O)C(C(C)=O)C(C)C1=CC(F)=C(F)C=C1.COC(=O)C1=C(C)NC(C2=NC=CS2)=NC1(C)C1=CC(F)=C(F)C=C1.COC(=O)CC(C)=O.CSF.N=C(N)C1=NC=CS1.O=CC1=CC(F)=C(F)C=C1.[Li][Cu]C OEYWTECSNMTPSX-AHBYMESISA-N 0.000 description 1
- PDOYPLKOSGEFFF-KLSUVOILSA-K CCC([V])I.CC[V](I)(I)I.COC(=O)C1=C(C)NC(C2=NC=CS2)=NC1(C)C1=CC(F)=C(F)C=C1.COC(=O)C1=C(CN2CCOC[C@H]2C(=O)OC)NC(C2=NC=CS2)=NC1(C)C1=CC(F)=C(F)C=C1.COC(=O)[C@H]1CCCOC1 Chemical compound CCC([V])I.CC[V](I)(I)I.COC(=O)C1=C(C)NC(C2=NC=CS2)=NC1(C)C1=CC(F)=C(F)C=C1.COC(=O)C1=C(CN2CCOC[C@H]2C(=O)OC)NC(C2=NC=CS2)=NC1(C)C1=CC(F)=C(F)C=C1.COC(=O)[C@H]1CCCOC1 PDOYPLKOSGEFFF-KLSUVOILSA-K 0.000 description 1
- HNXDNCXIROQDCS-NTPZTJFBSA-I CCI.CC[V](I)(I)I.CC[V](I)I.COC(=O)C1=C(C)NC(C2=NC=CS2)=NC1(C)C1=CC=C(F)C=C1.COC(=O)C1=C(C)NC(C2=NC=CS2)=N[C@@]1(C)C1=CC=C(F)C=C1.COC(=O)C1=C(CN2CCOCC2C(=O)O)NC(C2=NC=CS2)=N[C@@]1(C)C1=CC=C(F)C=C1.COC(=O)[C@H]1CCCOC1.CSF Chemical compound CCI.CC[V](I)(I)I.CC[V](I)I.COC(=O)C1=C(C)NC(C2=NC=CS2)=NC1(C)C1=CC=C(F)C=C1.COC(=O)C1=C(C)NC(C2=NC=CS2)=N[C@@]1(C)C1=CC=C(F)C=C1.COC(=O)C1=C(CN2CCOCC2C(=O)O)NC(C2=NC=CS2)=N[C@@]1(C)C1=CC=C(F)C=C1.COC(=O)[C@H]1CCCOC1.CSF HNXDNCXIROQDCS-NTPZTJFBSA-I 0.000 description 1
- HVCNXQOWACZAFN-UHFFFAOYSA-N CCN1CCOCC1 Chemical compound CCN1CCOCC1 HVCNXQOWACZAFN-UHFFFAOYSA-N 0.000 description 1
- BGIPBOFCZFETAH-AOMKIAJQSA-N CCOC(=O)C1=C(CN2CC(F)(F)C[C@H]2C(=O)O)NC(C2=NC=CS2)=N[C@@]1(C)C1=CC(F)=C(F)C=C1 Chemical compound CCOC(=O)C1=C(CN2CC(F)(F)C[C@H]2C(=O)O)NC(C2=NC=CS2)=N[C@@]1(C)C1=CC(F)=C(F)C=C1 BGIPBOFCZFETAH-AOMKIAJQSA-N 0.000 description 1
- BGIPBOFCZFETAH-KSFYIVLOSA-N CCOC(=O)C1=C(CN2CC(F)(F)C[C@H]2C(=O)O)NC(C2=NC=CS2)=N[C@]1(C)C1=CC(F)=C(F)C=C1 Chemical compound CCOC(=O)C1=C(CN2CC(F)(F)C[C@H]2C(=O)O)NC(C2=NC=CS2)=N[C@]1(C)C1=CC(F)=C(F)C=C1 BGIPBOFCZFETAH-KSFYIVLOSA-N 0.000 description 1
- AGKYFUWJWJMDCH-NVHKAFQKSA-N CCOC(=O)C1=C(CN2CCOC[C@H]2C(=O)O)NC(C2=NC=CS2)=NC1(C)C1=CC(F)=C(F)C=C1 Chemical compound CCOC(=O)C1=C(CN2CCOC[C@H]2C(=O)O)NC(C2=NC=CS2)=NC1(C)C1=CC(F)=C(F)C=C1 AGKYFUWJWJMDCH-NVHKAFQKSA-N 0.000 description 1
- GETQZCLCWQTVFV-UHFFFAOYSA-N CN(C)C Chemical compound CN(C)C GETQZCLCWQTVFV-UHFFFAOYSA-N 0.000 description 1
- BLWQMSDAQBQJDE-CISYCMJJSA-N CNC(=O)[C@@H]1CC(F)(F)CN1CC1=C(C(=O)OC)C(C)(C2=CC=C(F)C=C2)N=C(C2=NC=CS2)N1 Chemical compound CNC(=O)[C@@H]1CC(F)(F)CN1CC1=C(C(=O)OC)C(C)(C2=CC=C(F)C=C2)N=C(C2=NC=CS2)N1 BLWQMSDAQBQJDE-CISYCMJJSA-N 0.000 description 1
- DRGKTTMRTGHCOM-UHFFFAOYSA-N COC(=O)C1=C(CN(C)C2(C(=O)O)CC2)NC(C2=NC=CS2)=NC1(C)C1=CC=C(F)C=C1 Chemical compound COC(=O)C1=C(CN(C)C2(C(=O)O)CC2)NC(C2=NC=CS2)=NC1(C)C1=CC=C(F)C=C1 DRGKTTMRTGHCOM-UHFFFAOYSA-N 0.000 description 1
- UVRYOUODOYJATA-FQEVSTJZSA-N COC(=O)C1=C(CN(CC(=O)O)CC(F)(F)F)NC(C2=NC=CS2)=N[C@@]1(C)C1=CC=C(F)C=C1 Chemical compound COC(=O)C1=C(CN(CC(=O)O)CC(F)(F)F)NC(C2=NC=CS2)=N[C@@]1(C)C1=CC=C(F)C=C1 UVRYOUODOYJATA-FQEVSTJZSA-N 0.000 description 1
- WSFMBNASHSWGOE-UHFFFAOYSA-N COC(=O)C1=C(CN2CC(F)(F)CC2C(=O)O)NC(C2=NC=C(C)S2)=NC1(C)C1=CC=C(F)C=C1 Chemical compound COC(=O)C1=C(CN2CC(F)(F)CC2C(=O)O)NC(C2=NC=C(C)S2)=NC1(C)C1=CC=C(F)C=C1 WSFMBNASHSWGOE-UHFFFAOYSA-N 0.000 description 1
- YJXCAQVWMKSAOW-FXMQYSIJSA-N COC(=O)C1=C(CN2CC(F)(F)CC2C(N)=O)NC(C2=NC=CS2)=N[C@@]1(C)C1=CC=C(F)C=C1 Chemical compound COC(=O)C1=C(CN2CC(F)(F)CC2C(N)=O)NC(C2=NC=CS2)=N[C@@]1(C)C1=CC=C(F)C=C1 YJXCAQVWMKSAOW-FXMQYSIJSA-N 0.000 description 1
- MUYYJPSHOYVSKZ-VXLWULRPSA-N COC(=O)C1=C(CN2CC(F)(F)CC2CCCO)NC(C2=NC=CS2)=N[C@@]1(C)C1=CC=C(F)C=C1 Chemical compound COC(=O)C1=C(CN2CC(F)(F)CC2CCCO)NC(C2=NC=CS2)=N[C@@]1(C)C1=CC=C(F)C=C1 MUYYJPSHOYVSKZ-VXLWULRPSA-N 0.000 description 1
- AAMZWBDVTVMBMM-XLDIYJRPSA-N COC(=O)C1=C(CN2CC(F)(F)CCC2C(=O)O)NC(C2=NC=CS2)=N[C@@]1(C)C1=CC=C(F)C=C1 Chemical compound COC(=O)C1=C(CN2CC(F)(F)CCC2C(=O)O)NC(C2=NC=CS2)=N[C@@]1(C)C1=CC=C(F)C=C1 AAMZWBDVTVMBMM-XLDIYJRPSA-N 0.000 description 1
- ZUNJWALIUFZGCH-RBFZIWAESA-N COC(=O)C1=C(CN2CC(F)(F)C[C@@H]2C(=O)O)NC(C2=NC=CS2)=NC1(C)C1=CC=C(F)C=C1 Chemical compound COC(=O)C1=C(CN2CC(F)(F)C[C@@H]2C(=O)O)NC(C2=NC=CS2)=NC1(C)C1=CC=C(F)C=C1 ZUNJWALIUFZGCH-RBFZIWAESA-N 0.000 description 1
- NKMYCZYFWZUVLT-VXKWHMMOSA-N COC(=O)C1=C(CN2CC(F)(F)C[C@@]2(C)C(=O)O)NC(C2=NC=CS2)=N[C@@]1(C)C1=CC=C(F)C=C1 Chemical compound COC(=O)C1=C(CN2CC(F)(F)C[C@@]2(C)C(=O)O)NC(C2=NC=CS2)=N[C@@]1(C)C1=CC=C(F)C=C1 NKMYCZYFWZUVLT-VXKWHMMOSA-N 0.000 description 1
- NKMYCZYFWZUVLT-FCHUYYIVSA-N COC(=O)C1=C(CN2CC(F)(F)C[C@@]2(C)C(=O)O)NC(C2=NC=CS2)=N[C@]1(C)C1=CC=C(F)C=C1 Chemical compound COC(=O)C1=C(CN2CC(F)(F)C[C@@]2(C)C(=O)O)NC(C2=NC=CS2)=N[C@]1(C)C1=CC=C(F)C=C1 NKMYCZYFWZUVLT-FCHUYYIVSA-N 0.000 description 1
- JRGKRSHYXRUZDC-SBUREZEXSA-N COC(=O)C1=C(CN2CC(F)(F)C[C@H]2C(=O)N(C)C)NC(C2=NC=CS2)=N[C@@]1(C)C1=CC=C(F)C=C1 Chemical compound COC(=O)C1=C(CN2CC(F)(F)C[C@H]2C(=O)N(C)C)NC(C2=NC=CS2)=N[C@@]1(C)C1=CC=C(F)C=C1 JRGKRSHYXRUZDC-SBUREZEXSA-N 0.000 description 1
- QYMOCKSGLNKYQE-XDHUDOTRSA-N COC(=O)C1=C(CN2CC(F)(F)C[C@H]2C(=O)NC2=NC=CS2)NC(C2=NC=CS2)=N[C@@]1(C)C1=CC=C(F)C=C1 Chemical compound COC(=O)C1=C(CN2CC(F)(F)C[C@H]2C(=O)NC2=NC=CS2)NC(C2=NC=CS2)=N[C@@]1(C)C1=CC=C(F)C=C1 QYMOCKSGLNKYQE-XDHUDOTRSA-N 0.000 description 1
- FDDQOINJFNTOTG-AOMKIAJQSA-N COC(=O)C1=C(CN2CC(F)(F)C[C@H]2C(=O)NS(C)(=O)=O)NC(C2=NC=CS2)=N[C@@]1(C)C1=CC=C(F)C=C1 Chemical compound COC(=O)C1=C(CN2CC(F)(F)C[C@H]2C(=O)NS(C)(=O)=O)NC(C2=NC=CS2)=N[C@@]1(C)C1=CC=C(F)C=C1 FDDQOINJFNTOTG-AOMKIAJQSA-N 0.000 description 1
- WCEMCMUOXZLBQL-AOMKIAJQSA-N COC(=O)C1=C(CN2CC(F)(F)C[C@H]2C(=O)O)NC(C2=C(F)C=CS2)=N[C@@]1(C)C1=CC=C(F)C=C1 Chemical compound COC(=O)C1=C(CN2CC(F)(F)C[C@H]2C(=O)O)NC(C2=C(F)C=CS2)=N[C@@]1(C)C1=CC=C(F)C=C1 WCEMCMUOXZLBQL-AOMKIAJQSA-N 0.000 description 1
- WCEMCMUOXZLBQL-KSFYIVLOSA-N COC(=O)C1=C(CN2CC(F)(F)C[C@H]2C(=O)O)NC(C2=C(F)C=CS2)=N[C@]1(C)C1=CC=C(F)C=C1 Chemical compound COC(=O)C1=C(CN2CC(F)(F)C[C@H]2C(=O)O)NC(C2=C(F)C=CS2)=N[C@]1(C)C1=CC=C(F)C=C1 WCEMCMUOXZLBQL-KSFYIVLOSA-N 0.000 description 1
- CXTWEGQVOALBLA-AOMKIAJQSA-N COC(=O)C1=C(CN2CC(F)(F)C[C@H]2C(=O)O)NC(C2=CC(F)=CS2)=N[C@@]1(C)C1=CC=C(F)C=C1 Chemical compound COC(=O)C1=C(CN2CC(F)(F)C[C@H]2C(=O)O)NC(C2=CC(F)=CS2)=N[C@@]1(C)C1=CC=C(F)C=C1 CXTWEGQVOALBLA-AOMKIAJQSA-N 0.000 description 1
- KAFUHKOVVSOUFQ-NYHFZMIOSA-N COC(=O)C1=C(CN2CC(F)(F)C[C@H]2C(=O)O)NC(C2=CC=C(F)S2)=N[C@@]1(C)C1=CC=C(F)C=C1 Chemical compound COC(=O)C1=C(CN2CC(F)(F)C[C@H]2C(=O)O)NC(C2=CC=C(F)S2)=N[C@@]1(C)C1=CC=C(F)C=C1 KAFUHKOVVSOUFQ-NYHFZMIOSA-N 0.000 description 1
- UEQPEJSPIPFQQH-AOMKIAJQSA-N COC(=O)C1=C(CN2CC(F)(F)C[C@H]2C(=O)O)NC(C2=NC(C)=CS2)=N[C@@]1(C)C1=CC=C(F)C=C1 Chemical compound COC(=O)C1=C(CN2CC(F)(F)C[C@H]2C(=O)O)NC(C2=NC(C)=CS2)=N[C@@]1(C)C1=CC=C(F)C=C1 UEQPEJSPIPFQQH-AOMKIAJQSA-N 0.000 description 1
- UEQPEJSPIPFQQH-KSFYIVLOSA-N COC(=O)C1=C(CN2CC(F)(F)C[C@H]2C(=O)O)NC(C2=NC(C)=CS2)=N[C@]1(C)C1=CC=C(F)C=C1 Chemical compound COC(=O)C1=C(CN2CC(F)(F)C[C@H]2C(=O)O)NC(C2=NC(C)=CS2)=N[C@]1(C)C1=CC=C(F)C=C1 UEQPEJSPIPFQQH-KSFYIVLOSA-N 0.000 description 1
- WSFMBNASHSWGOE-AOMKIAJQSA-N COC(=O)C1=C(CN2CC(F)(F)C[C@H]2C(=O)O)NC(C2=NC=C(C)S2)=N[C@@]1(C)C1=CC=C(F)C=C1 Chemical compound COC(=O)C1=C(CN2CC(F)(F)C[C@H]2C(=O)O)NC(C2=NC=C(C)S2)=N[C@@]1(C)C1=CC=C(F)C=C1 WSFMBNASHSWGOE-AOMKIAJQSA-N 0.000 description 1
- LVGXCEOSCZDOEJ-QKKBWIMNSA-N COC(=O)C1=C(CN2CC(F)(F)C[C@H]2C(=O)O)NC(C2=NC=C(Cl)S2)=N[C@@]1(C)C1=CC=C(F)C=C1 Chemical compound COC(=O)C1=C(CN2CC(F)(F)C[C@H]2C(=O)O)NC(C2=NC=C(Cl)S2)=N[C@@]1(C)C1=CC=C(F)C=C1 LVGXCEOSCZDOEJ-QKKBWIMNSA-N 0.000 description 1
- ZUNJWALIUFZGCH-ZDGMYTEDSA-N COC(=O)C1=C(CN2CC(F)(F)C[C@H]2C(=O)O)NC(C2=NC=CS2)=NC1(C)C1=CC=C(F)C=C1 Chemical compound COC(=O)C1=C(CN2CC(F)(F)C[C@H]2C(=O)O)NC(C2=NC=CS2)=NC1(C)C1=CC=C(F)C=C1 ZUNJWALIUFZGCH-ZDGMYTEDSA-N 0.000 description 1
- ZUNJWALIUFZGCH-BTYIYWSLSA-N COC(=O)C1=C(CN2CC(F)(F)C[C@H]2C(=O)O)NC(C2=NC=CS2)=N[C@@]1(C)C1=CC=C(F)C=C1 Chemical compound COC(=O)C1=C(CN2CC(F)(F)C[C@H]2C(=O)O)NC(C2=NC=CS2)=N[C@@]1(C)C1=CC=C(F)C=C1 ZUNJWALIUFZGCH-BTYIYWSLSA-N 0.000 description 1
- OUROLLHQDOEECT-LBOXEOMUSA-N COC(=O)C1=C(CN2CC(F)(F)C[C@H]2C(=O)O)NC(C2=NOC(C)=C2)=NC1(C)C1=CC=C(F)C=C1 Chemical compound COC(=O)C1=C(CN2CC(F)(F)C[C@H]2C(=O)O)NC(C2=NOC(C)=C2)=NC1(C)C1=CC=C(F)C=C1 OUROLLHQDOEECT-LBOXEOMUSA-N 0.000 description 1
- MFNMIMGXVZGVAV-BJQOMGFOSA-N COC(=O)C1=C(CN2CC(F)(F)C[C@H]2C(=O)O)NC(C2=NOC=C2)=NC1(C)C1=CC=C(F)C=C1 Chemical compound COC(=O)C1=C(CN2CC(F)(F)C[C@H]2C(=O)O)NC(C2=NOC=C2)=NC1(C)C1=CC=C(F)C=C1 MFNMIMGXVZGVAV-BJQOMGFOSA-N 0.000 description 1
- IRIMZGWWSVADJI-XGLRFROISA-N COC(=O)C1=C(CN2CC(F)(F)C[C@H]2C(=O)OC)NC(C2=CC=C(F)C=N2)=NC1(C)C1=CC=C(F)C=C1 Chemical compound COC(=O)C1=C(CN2CC(F)(F)C[C@H]2C(=O)OC)NC(C2=CC=C(F)C=N2)=NC1(C)C1=CC=C(F)C=C1 IRIMZGWWSVADJI-XGLRFROISA-N 0.000 description 1
- FSAZSFIGZBWKQS-AOMKIAJQSA-N COC(=O)C1=C(CN2CC(F)(F)C[C@H]2C(=O)OC)NC(C2=NC=CS2)=N[C@@]1(C)C1=CC=C(F)C=C1 Chemical compound COC(=O)C1=C(CN2CC(F)(F)C[C@H]2C(=O)OC)NC(C2=NC=CS2)=N[C@@]1(C)C1=CC=C(F)C=C1 FSAZSFIGZBWKQS-AOMKIAJQSA-N 0.000 description 1
- LGTSWGFXXXWGQI-DFBJGRDBSA-N COC(=O)C1=C(CN2CC(F)(F)C[C@H]2C(=O)OCCN(C)C)NC(C2=NC=CS2)=N[C@@]1(C)C1=CC=C(F)C=C1 Chemical compound COC(=O)C1=C(CN2CC(F)(F)C[C@H]2C(=O)OCCN(C)C)NC(C2=NC=CS2)=N[C@@]1(C)C1=CC=C(F)C=C1 LGTSWGFXXXWGQI-DFBJGRDBSA-N 0.000 description 1
- LNNFAHSFIDJJGD-SBUREZEXSA-N COC(=O)C1=C(CN2CC(F)(F)C[C@H]2C(C)(C)O)NC(C2=NC=CS2)=N[C@@]1(C)C1=CC=C(F)C=C1 Chemical compound COC(=O)C1=C(CN2CC(F)(F)C[C@H]2C(C)(C)O)NC(C2=NC=CS2)=N[C@@]1(C)C1=CC=C(F)C=C1 LNNFAHSFIDJJGD-SBUREZEXSA-N 0.000 description 1
- YJXCAQVWMKSAOW-BTYIYWSLSA-N COC(=O)C1=C(CN2CC(F)(F)C[C@H]2C(N)=O)NC(C2=NC=CS2)=N[C@@]1(C)C1=CC=C(F)C=C1 Chemical compound COC(=O)C1=C(CN2CC(F)(F)C[C@H]2C(N)=O)NC(C2=NC=CS2)=N[C@@]1(C)C1=CC=C(F)C=C1 YJXCAQVWMKSAOW-BTYIYWSLSA-N 0.000 description 1
- NHZOMKAJHFHZEN-SBUREZEXSA-N COC(=O)C1=C(CN2CC(F)(F)C[C@H]2C2=NC(C)=NO2)NC(C2=NC=CS2)=N[C@@]1(C)C1=CC=C(F)C=C1 Chemical compound COC(=O)C1=C(CN2CC(F)(F)C[C@H]2C2=NC(C)=NO2)NC(C2=NC=CS2)=N[C@@]1(C)C1=CC=C(F)C=C1 NHZOMKAJHFHZEN-SBUREZEXSA-N 0.000 description 1
- GFYXUUJOPUGOJQ-SBUREZEXSA-N COC(=O)C1=C(CN2CC(F)(F)C[C@H]2C2=NN=C(C)O2)NC(C2=NC=CS2)=N[C@@]1(C)C1=CC=C(F)C=C1 Chemical compound COC(=O)C1=C(CN2CC(F)(F)C[C@H]2C2=NN=C(C)O2)NC(C2=NC=CS2)=N[C@@]1(C)C1=CC=C(F)C=C1 GFYXUUJOPUGOJQ-SBUREZEXSA-N 0.000 description 1
- AEZNGLPASVSHLO-JTSKRJEESA-N COC(=O)C1=C(CN2CC(F)(F)C[C@H]2C2=NN=NC2)NC(C2=NC=CS2)=N[C@@]1(C)C1=CC=C(F)C=C1 Chemical compound COC(=O)C1=C(CN2CC(F)(F)C[C@H]2C2=NN=NC2)NC(C2=NC=CS2)=N[C@@]1(C)C1=CC=C(F)C=C1 AEZNGLPASVSHLO-JTSKRJEESA-N 0.000 description 1
- PCGNXUXDLMUKOA-BTYIYWSLSA-N COC(=O)C1=C(CN2CC(F)(F)C[C@H]2CO)NC(C2=NC=CS2)=N[C@@]1(C)C1=CC=C(F)C=C1 Chemical compound COC(=O)C1=C(CN2CC(F)(F)C[C@H]2CO)NC(C2=NC=CS2)=N[C@@]1(C)C1=CC=C(F)C=C1 PCGNXUXDLMUKOA-BTYIYWSLSA-N 0.000 description 1
- PHTYAAULGOPBCI-XLDIYJRPSA-N COC(=O)C1=C(CN2CCC(F)(F)CC2C(=O)O)NC(C2=NC=CS2)=N[C@@]1(C)C1=CC=C(F)C=C1 Chemical compound COC(=O)C1=C(CN2CCC(F)(F)CC2C(=O)O)NC(C2=NC=CS2)=N[C@@]1(C)C1=CC=C(F)C=C1 PHTYAAULGOPBCI-XLDIYJRPSA-N 0.000 description 1
- MAYOVMRJWDRAME-UHFFFAOYSA-N COC(=O)C1=C(CN2CCOCC2C(=O)O)NC(C2=NC=CS2)=NC1(C)C1=CC=C(F)C=C1 Chemical compound COC(=O)C1=C(CN2CCOCC2C(=O)O)NC(C2=NC=CS2)=NC1(C)C1=CC=C(F)C=C1 MAYOVMRJWDRAME-UHFFFAOYSA-N 0.000 description 1
- JQCKUJBPHOIEPX-PHSANKKPSA-N COC(=O)C1=C(CN2CCOC[C@@H]2C(=O)O)NC(C2=CC=C(F)C=N2)=NC1(C)C1=CC=C(F)C=C1 Chemical compound COC(=O)C1=C(CN2CCOC[C@@H]2C(=O)O)NC(C2=CC=C(F)C=N2)=NC1(C)C1=CC=C(F)C=C1 JQCKUJBPHOIEPX-PHSANKKPSA-N 0.000 description 1
- MAYOVMRJWDRAME-ZHRRBRCNSA-N COC(=O)C1=C(CN2CCOC[C@@H]2C(=O)O)NC(C2=NC=CS2)=N[C@@]1(C)C1=CC=C(F)C=C1 Chemical compound COC(=O)C1=C(CN2CCOC[C@@H]2C(=O)O)NC(C2=NC=CS2)=N[C@@]1(C)C1=CC=C(F)C=C1 MAYOVMRJWDRAME-ZHRRBRCNSA-N 0.000 description 1
- AINOVWWZOJXDFH-SBUREZEXSA-N COC(=O)C1=C(CN2CCOC[C@H]2C(=O)O)NC(C2=NC=CN2C)=N[C@@]1(C)C1=CC=C(F)C=C1 Chemical compound COC(=O)C1=C(CN2CCOC[C@H]2C(=O)O)NC(C2=NC=CN2C)=N[C@@]1(C)C1=CC=C(F)C=C1 AINOVWWZOJXDFH-SBUREZEXSA-N 0.000 description 1
- DDYGUONZYBJRGM-CISYCMJJSA-N COC(=O)C1=C(CN2CCOC[C@H]2C(=O)O)NC(C2=NC=CS2)=NC1(C)C1=CC(F)=C(F)C=C1 Chemical compound COC(=O)C1=C(CN2CCOC[C@H]2C(=O)O)NC(C2=NC=CS2)=NC1(C)C1=CC(F)=C(F)C=C1 DDYGUONZYBJRGM-CISYCMJJSA-N 0.000 description 1
- MAYOVMRJWDRAME-CISYCMJJSA-N COC(=O)C1=C(CN2CCOC[C@H]2C(=O)O)NC(C2=NC=CS2)=NC1(C)C1=CC=C(F)C=C1 Chemical compound COC(=O)C1=C(CN2CCOC[C@H]2C(=O)O)NC(C2=NC=CS2)=NC1(C)C1=CC=C(F)C=C1 MAYOVMRJWDRAME-CISYCMJJSA-N 0.000 description 1
- MAYOVMRJWDRAME-AOMKIAJQSA-N COC(=O)C1=C(CN2CCOC[C@H]2C(=O)O)NC(C2=NC=CS2)=N[C@@]1(C)C1=CC=C(F)C=C1 Chemical compound COC(=O)C1=C(CN2CCOC[C@H]2C(=O)O)NC(C2=NC=CS2)=N[C@@]1(C)C1=CC=C(F)C=C1 MAYOVMRJWDRAME-AOMKIAJQSA-N 0.000 description 1
- AHYZQDKSYBOGMD-NVHKAFQKSA-N COC(=O)C1=C(CN2CCOC[C@H]2C(=O)OC)NC(C2=NC=CS2)=NC1(C)C1=CC(F)=C(F)C=C1 Chemical compound COC(=O)C1=C(CN2CCOC[C@H]2C(=O)OC)NC(C2=NC=CS2)=NC1(C)C1=CC(F)=C(F)C=C1 AHYZQDKSYBOGMD-NVHKAFQKSA-N 0.000 description 1
- SVOCBISCOFJAKE-NVHKAFQKSA-N COC(=O)C1=C(CN2CCOC[C@H]2C(=O)OC)NC(C2=NC=CS2)=NC1(C)C1=CC=C(F)C=C1 Chemical compound COC(=O)C1=C(CN2CCOC[C@H]2C(=O)OC)NC(C2=NC=CS2)=NC1(C)C1=CC=C(F)C=C1 SVOCBISCOFJAKE-NVHKAFQKSA-N 0.000 description 1
- OCHPMPATDKWYSA-XESZBRCGSA-N COC(=O)C1=C(CN2CCOC[C@H]2CO)NC(C2=NC=CS2)=NC1(C)C1=CC=C(F)C=C1 Chemical compound COC(=O)C1=C(CN2CCOC[C@H]2CO)NC(C2=NC=CS2)=NC1(C)C1=CC=C(F)C=C1 OCHPMPATDKWYSA-XESZBRCGSA-N 0.000 description 1
- LXRZSOWLURJOMV-DDVAMESESA-N COC(=O)C1=C(CN2C[C@@H](F)C[C@H]2C(=O)O)NC(C2=NC=CS2)=N[C@@]1(C)C1=CC=C(F)C=C1 Chemical compound COC(=O)C1=C(CN2C[C@@H](F)C[C@H]2C(=O)O)NC(C2=NC=CS2)=N[C@@]1(C)C1=CC=C(F)C=C1 LXRZSOWLURJOMV-DDVAMESESA-N 0.000 description 1
- LXRZSOWLURJOMV-RQVMVGKASA-N COC(=O)C1=C(CN2C[C@H](F)C[C@H]2C(=O)O)NC(C2=NC=CS2)=N[C@@]1(C)C1=CC=C(F)C=C1 Chemical compound COC(=O)C1=C(CN2C[C@H](F)C[C@H]2C(=O)O)NC(C2=NC=CS2)=N[C@@]1(C)C1=CC=C(F)C=C1 LXRZSOWLURJOMV-RQVMVGKASA-N 0.000 description 1
- PIBSMAUMPDYXPU-UHFFFAOYSA-N COC(=O)C1=C(COC(C(=O)O)C(F)(F)F)NC(C2=NC=CS2)=NC1(C)C1=CC=C(F)C=C1 Chemical compound COC(=O)C1=C(COC(C(=O)O)C(F)(F)F)NC(C2=NC=CS2)=NC1(C)C1=CC=C(F)C=C1 PIBSMAUMPDYXPU-UHFFFAOYSA-N 0.000 description 1
- ORVMPDWFORZXDH-UHFFFAOYSA-N COC(=O)C1=C(COC(C)(C)C(=O)OC)NC(C2=NC=CS2)=NC1(C)C1=CC=C(F)C=C1 Chemical compound COC(=O)C1=C(COC(C)(C)C(=O)OC)NC(C2=NC=CS2)=NC1(C)C1=CC=C(F)C=C1 ORVMPDWFORZXDH-UHFFFAOYSA-N 0.000 description 1
- MPIXODMDGWSXCG-JXFKEZNVSA-N C[C@@]1(C2=CC(F)=C(F)C=C2)N=C(C2=NC=CS2)NC(CN2CC(F)(F)C[C@H]2C(=O)O)=C1C#N Chemical compound C[C@@]1(C2=CC(F)=C(F)C=C2)N=C(C2=NC=CS2)NC(CN2CC(F)(F)C[C@H]2C(=O)O)=C1C#N MPIXODMDGWSXCG-JXFKEZNVSA-N 0.000 description 1
- GKHJVPYKTWYMBQ-JXFKEZNVSA-N C[C@@]1(C2=CC=C(F)C=C2)N=C(C2=NC=CS2)NC(CN2CC(F)(F)C[C@H]2C(=O)O)=C1C#N Chemical compound C[C@@]1(C2=CC=C(F)C=C2)N=C(C2=NC=CS2)NC(CN2CC(F)(F)C[C@H]2C(=O)O)=C1C#N GKHJVPYKTWYMBQ-JXFKEZNVSA-N 0.000 description 1
- YVDWFZIVIIKYBQ-UHFFFAOYSA-N Cc1nnc(C)[o]1 Chemical compound Cc1nnc(C)[o]1 YVDWFZIVIIKYBQ-UHFFFAOYSA-N 0.000 description 1
Images
Classifications
-
- C—CHEMISTRY; METALLURGY
- C07—ORGANIC CHEMISTRY
- C07D—HETEROCYCLIC COMPOUNDS
- C07D417/00—Heterocyclic compounds containing two or more hetero rings, at least one ring having nitrogen and sulfur atoms as the only ring hetero atoms, not provided for by group C07D415/00
- C07D417/14—Heterocyclic compounds containing two or more hetero rings, at least one ring having nitrogen and sulfur atoms as the only ring hetero atoms, not provided for by group C07D415/00 containing three or more hetero rings
-
- C—CHEMISTRY; METALLURGY
- C07—ORGANIC CHEMISTRY
- C07D—HETEROCYCLIC COMPOUNDS
- C07D401/00—Heterocyclic compounds containing two or more hetero rings, having nitrogen atoms as the only ring hetero atoms, at least one ring being a six-membered ring with only one nitrogen atom
- C07D401/14—Heterocyclic compounds containing two or more hetero rings, having nitrogen atoms as the only ring hetero atoms, at least one ring being a six-membered ring with only one nitrogen atom containing three or more hetero rings
-
- C—CHEMISTRY; METALLURGY
- C07—ORGANIC CHEMISTRY
- C07D—HETEROCYCLIC COMPOUNDS
- C07D405/00—Heterocyclic compounds containing both one or more hetero rings having oxygen atoms as the only ring hetero atoms, and one or more rings having nitrogen as the only ring hetero atom
- C07D405/14—Heterocyclic compounds containing both one or more hetero rings having oxygen atoms as the only ring hetero atoms, and one or more rings having nitrogen as the only ring hetero atom containing three or more hetero rings
-
- C—CHEMISTRY; METALLURGY
- C07—ORGANIC CHEMISTRY
- C07D—HETEROCYCLIC COMPOUNDS
- C07D413/00—Heterocyclic compounds containing two or more hetero rings, at least one ring having nitrogen and oxygen atoms as the only ring hetero atoms
- C07D413/14—Heterocyclic compounds containing two or more hetero rings, at least one ring having nitrogen and oxygen atoms as the only ring hetero atoms containing three or more hetero rings
-
- C—CHEMISTRY; METALLURGY
- C07—ORGANIC CHEMISTRY
- C07D—HETEROCYCLIC COMPOUNDS
- C07D417/00—Heterocyclic compounds containing two or more hetero rings, at least one ring having nitrogen and sulfur atoms as the only ring hetero atoms, not provided for by group C07D415/00
- C07D417/02—Heterocyclic compounds containing two or more hetero rings, at least one ring having nitrogen and sulfur atoms as the only ring hetero atoms, not provided for by group C07D415/00 containing two hetero rings
- C07D417/04—Heterocyclic compounds containing two or more hetero rings, at least one ring having nitrogen and sulfur atoms as the only ring hetero atoms, not provided for by group C07D415/00 containing two hetero rings directly linked by a ring-member-to-ring-member bond
Definitions
- the present invention relates to organic compounds useful for therapy and/or prophylaxis in a human, and in particular to Hepatitis B virus (HBV) inhibitors by targeting on HBV capsid useful for treating HBV infection.
- HBV Hepatitis B virus
- HBV is a species of the hepadnaviridae family of viruses. HBV is a serious public health problem worldwide, with more than 400 million people especially in Asia-pacific regions chronically infected by this small enveloped DNA virus. Although most individuals seem to resolve the infection following acute symptoms, 15-40% of HBV patients will finally develop clinical diseases during their lifespan, most notably, hepatitis, liver cirrhosis, and hepatocellular carcinoma. Every year 500,000 to 1 million people die from the end stage of liver diseases caused by HBV infection.
- HBV lifecycle begins with the binding of the “Dane” particle with an unidentified receptor on the surface of hepatocyte. Following entry, viral genome is delivered into nucleus where a covalently closed circular DNA (cccDNA) is formed through DNA repair of viral relaxed circular DNA. Unlike the mechanisms of most other DNA viruses, HBV cccDNA replicates through the retrotranscription of a 1.1-genome unit-length RNA copy (pregenomic RNA). Viral pregenomic RNA interacts with other two viral components, capsid protein and polymerase, as well as some host factors, to form capsid particles where viral DNA replication occurs. Most copies of the encapsidated genome then efficiently associate with the envelope proteins for virion assembly and secretion; a minority of these genomes are shunted to the nucleus, where they are converted to cccDNA.
- cccDNA covalently closed circular DNA
- nucleoside (tide) analogs targeting viral polymerase (lamivudine, adefovir, tenofovir, telbivudine and entecavir) and interferon modulating host immune functions. Mutations in the primary sequence of the polymerase that confer resistance to lamivudine and adefovir have been identified clinically and underlie a rebound of serum virus titers that 70% of treated patients experience within 3 years of the start of lamivudine therapy. Although resistance to telbivudine, adefovir, and entecavir occurs more rarely, it has been recorded.
- Interferon alpha is the other major therapy available for hepatitis B, but it is limited by a poor long-term response and debilitating side effects. Some viral genotypes do not show good responses to interferon therapy. Now, the standard of clinic cure of HBV infection is the loss and/or seroconversion of HBsAg. The majority (around or more than 90%) of treated patients fail to achieve this goal. This drawback is mainly due to the presence of a stable pool of viral cccDNA in nucleus that doesn't replicate itself, therefore, shows no accessibility to nucleoside (tide) analogs.
- HBV capsid protein plays essential roles in HBV replication.
- HBV has an icosahedral core comprising of 240 copies of the capsid (or core) protein.
- the predominant biological function of capsid protein is to act as a structural protein to encapsidate pre-genomic RNA and form immature capsid particles in the cytoplasm. This step is prerequisite for viral DNA replication.
- the HBV capsid spontaneously self-assembles from many copies of core dimers present in the cytoplasm. It has been shown that the formation of a trimeric nucleus and the subsequent elongation reactions occur by adding one dimeric subunit at a time until it is complete.
- capsid protein regulates viral DNA synthesis through different phosphorylation status of its C-terminal phosphorylation sites.
- capsid protein might facilitate the nuclear translocation of viral relaxed circular genome by means of the nuclear localization signals located in the Arginine-rich domain of the C-terminal region of capsid protein.
- capsid protein could play a structural and regulatory role in the functionality of cccDNA minichromosomes.
- Capsid protein also interacts with viral large envelope protein in endoplasmic reticulum and triggers the release of intact viral particles from hepatocytes.
- capsid related anti-HBV inhibitors There have been a couple of capsid related anti-HBV inhibitors reported. For example, phenylpropenamide derivatives, including compounds named AT-61 and AT-130 (Feld J. et al. Antiviral Research 2007, 168-177), and a class of thiazolidin-4-ones from Valeant R&D (WO2006/033995), have been shown to inhibit pgRNA packaging. A recent study suggested that phenylpropenamides are, in fact, accelerators of HBV capsid assembly, and their actions result in the formation of empty capsids. These very interesting results illustrate the importance of the kinetic pathway in successful virus assembly.
- HAP Heteroaryldihydropyrimidines or HAP, including compounds named Bay 41-4109, Bay 38-7690 and Bay 39-5493, were discovered in a tissue culture-based screening (Deres K. et al. Science 2003, 893). These HAP analogs act as synthetic allosteric activators and are able to induce aberrant capsid formation that leads to degradation of the core protein. HAP analogs also reorganized core protein from preassembled capsids into noncapsid polymers, presumably by interaction of HAP with dimers freed during capsid ‘breathing’, the transitory breaking of individual intersubunit bonds.
- Bay 41-4109 was administered to HBV infected transgenic mouse or humanized mouse models and demonstrated in vivo efficacy with HBV DNA reduction (Deres K. et al. Science 2003, 893; Brezillon N. et al. PLoS ONE 2011, e25096.). It was also shown that bis-ANS, a small molecule that acts as a molecular ‘wedge’ and interferes with normal capsid-protein geometry and capsid formation (Zlotnick A. et al. J. Virol. 2002, 4848-4854).
- Objects of the present invention are novel compounds of formula I, their manufacture, medicaments based on a compound in accordance with the invention and their production as well as the use of compounds of formula I for the treatment or prophylaxis of HBV infection.
- FIG. 1 Bay 41-4109 was converted to XLVI in human liver microsomes.
- FIG. 2 Mean ⁇ SD Plasma Concentration-Time Curve of Bay41-4109 in Male ICR Mice Following Intravenous and Oral Administration* *Drug exposure in liver is not available due to instability of Bay 41-4109 in liver homogenate.
- FIG. 3 Mean ⁇ SD Plasma and Tissue Concentration-Time Curve of Example 6 in Male ICR Mice Following Intravenous and Oral Administration
- FIG. 4 Mean ⁇ SD Plasma and Tissue Concentration-Time Curve of Example 11 in Male ICR Mice Following Intravenous and Oral Administration
- FIG. 5 Mean ⁇ SD Plasma and Tissue Concentration-Time Curve of Example 13 in Male ICR Mice Following Intravenous and Oral Administration
- FIG. 6 Mean ⁇ SD Plasma and Tissue Concentration-Time Curve of Example 19 in Male ICR Mice Following Intravenous and Oral Administration
- FIG. 7 X-ray structure of compound XXVII
- C 1-6 alkyl alone or in combination signifies a saturated, linear- or branched chain alkyl group containing 1 to 6, particularly 1 to 4 carbon atoms, for example methyl, ethyl, propyl, isopropyl, 1-butyl, 2-butyl, tert-butyl and the like.
- Particular “C 1-6 alkyl” groups are methyl, ethyl, isopropyl, tert-butyl.
- cycloalkyl refers to a saturated carbon ring containing from 3 to 7 carbon atoms, particularly from 3 to 6 carbon atoms, for example, cyclopropyl, cyclobutyl, cyclopentyl, cyclohexyl, cycloheptyl and the like.
- Particular cycloalkyl groups are cyclopropyl, cyclopentyl and cyclohexyl.
- C 1-6 alkoxy alone or in combination signifies a group C 1-6 alkyl-O—, wherein the “C 1-6 alkyl” is as defined above; for example methoxy, ethoxy, propoxy, isopropoxy, n-butoxy, i-butoxy, 2-butoxy, t-butoxy and the like.
- Particular C 1-6 alkoxy groups are methoxy and ethoxy and more particularly methoxy.
- C 2-6 alkoxy alone or in combination signifies a group C 2-6 alkyl-O—, wherein the “C 2-6 alkyl” alone or in combination signifies a saturated, linear- or branched chain alkyl group containing 2 to 6, particularly 2 to 4 carbon atoms; for example ethoxy, propoxy, isopropoxy, n-butoxy, i-butoxy, 2-butoxy, t-butoxy and the like.
- C 1-2 alkoxy alone or in combination refers to methoxy or ethoxy.
- C y H 2y alone or in combination signifies a saturated, linear- or branched chain alkyl group containing 1 to 6, particularly 1 to 4 carbon atoms.
- amino alone or in combination, refers to primary (—NH 2 ), secondary (—NH—) or tertiary amino
- carbonyl alone or in combination refers to the group —C(O)—.
- cyano alone or in combination refers to the group —CN.
- halogen means fluorine, chlorine, bromine or iodine. Halogen is particularly fluorine or chlorine, more particularly fluorine.
- hydroxy alone or in combination refers to the group —OH.
- sulfonyl alone or in combination refers to the group —S(O) 2 —.
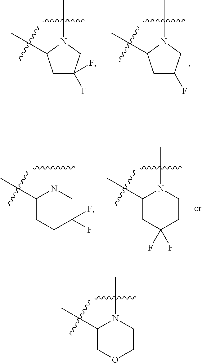
- morpholinyl alone or in combination refers to the group (i). When morpholine is formed between either of R 4 or R 5 and R 7 along with the atoms to which they are attached it represents the group (ii):
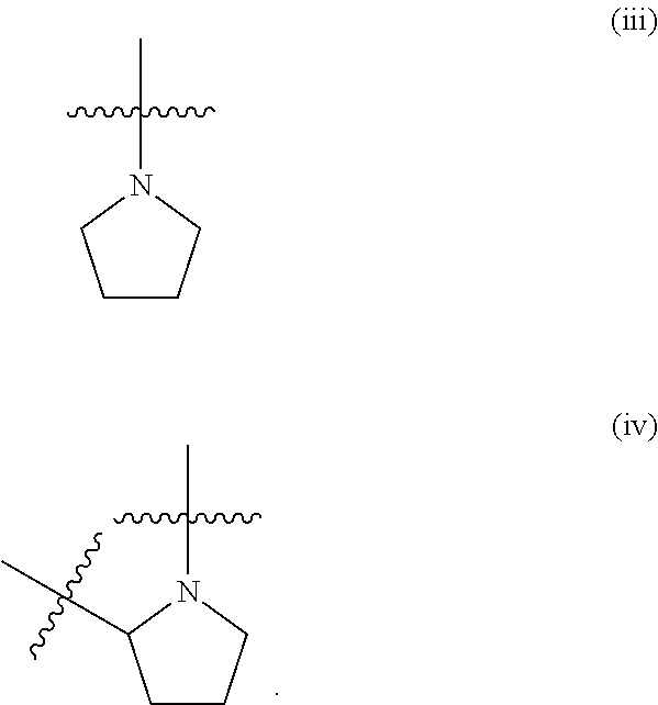
- pyrrolidinyl alone or in combination refers to the group (iii). When pyrrolidinyl is formed between either of R 4 or R 5 and R 7 along with the atoms to which they are attached it represents the group (iv):
- piperidinyl alone or in combination refers to the group (v).
- piperidinyl is formed between either of R 4 or R 5 and R 7 along with the atoms to which they are attached it represents the group (vi):
- tautomers isomers refers to constitutional isomers of organic compounds that readily interconvert by a chemical reaction called tautomerization. This reaction commonly results in the formal migration of a hydrogen atom or proton, accompanied by a switch of a single bond and adjacent double bond.
- tautomerization a chemical reaction that causes formal migration of a hydrogen atom or proton, accompanied by a switch of a single bond and adjacent double bond.
- pharmaceutically acceptable salt refers to conventional acid-addition salts or base-addition salts that retain the biological effectiveness and properties of the compounds of formula I and are formed from suitable non-toxic organic or inorganic acids or organic or inorganic bases.
- Acid-addition salts include for example those derived from inorganic acids such as hydrochloric acid, hydrobromic acid, hydroiodic acid, sulfuric acid, sulfamic acid, phosphoric acid and nitric acid, and those derived from organic acids such as p-toluenesulfonic acid, salicylic acid, methanesulfonic acid, oxalic acid, succinic acid, citric acid, malic acid, lactic acid, fumaric acid, and the like.
- Base-addition salts include those derived from ammonium, potassium, sodium and, quaternary ammonium hydroxides, such as for example, tetramethyl ammonium hydroxide.
- the chemical modification of a pharmaceutical compound into a salt is a technique well known to pharmaceutical chemists in order to obtain improved physical and chemical stability, hygroscopicity, flowability and solubility of compounds. It is for example described in Bastin R. J., et. al., Organic Process Research & Development 2000, 4, 427-435; or in Ansel, H., et. al., In: Pharmaceutical Dosage Forms and Drug Delivery Systems, 6th ed. (1995), pp. 196 and 1456-1457. Particular are the sodium salts of the compounds of formula I.
- Racemates can be separated according to known methods into the enantiomers.
- diastereomeric salts which can be separated by crystallization are formed from the racemic mixtures by reaction with an optically active acid such as e.g. D- or L-tartaric acid, mandelic acid, malic acid, lactic acid or camphorsulfonic acid.
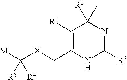
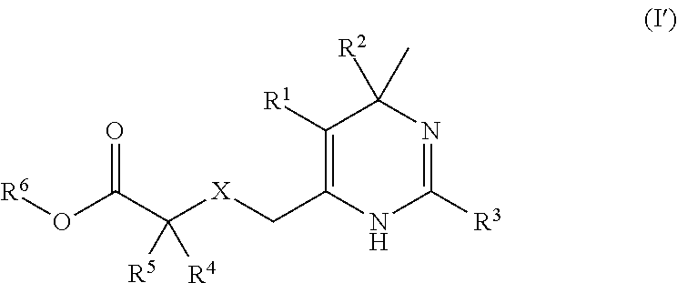
- the present invention provides (i) novel compounds having the general formula I:
- R 1 is C 1-2 alkoxycarbonyl or cyano
- R 2 is phenyl, which is substituted by halogen
- R 3 is thiazolyl, thienyl, imidazolyl, isoxazolyl or pyridinyl; which is unsubstituted or substituted by halogen or C 1-6 alkyl;
- X is oxygen or —NR 7 ;
- R 4 and R 5 independently selected from hydrogen, C 1-6 alkyl and trifluoroC 1-6 alkyl; or
- R 4 and R 5 together with the carbon atom to which they are attached, form a 3 to 7 membered cycloalkyl;
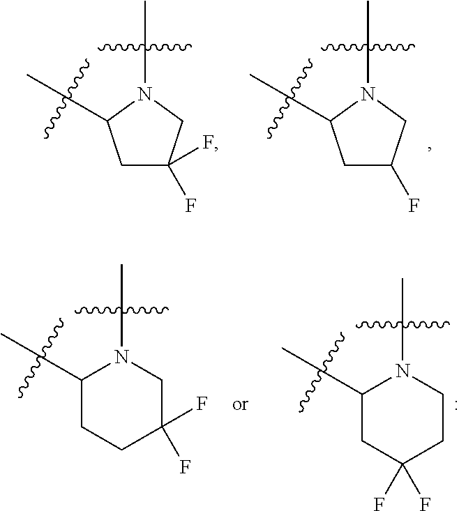
- R 4 and R 5 when X is —NR 7 , one of R 4 and R 5 is hydrogen or C 1-6 alkyl, and the other of R 4 and R 5 along with R 7 and the atoms to which R 4 or R 5 and R 7 are attached form a pyrrolidinyl, morpholinyl or piperidinyl ring, which ring is unsubstituted or substituted by fluoro;
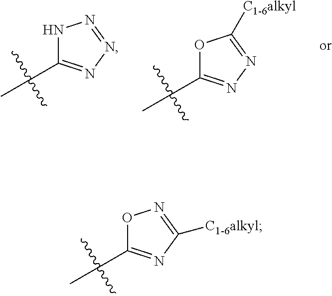
- M is C 1-6 alkoxycarbonyl, carboxy, diC 1-6 alkylaminoC 2-6 alkoxycarbonyl, aminocarbonyl, C 1-6 alkylaminocarbonyl, diC 1-6 alkylaminocarbonyl, C 1-6 alkylsulfonylaminocarbonyl, 2-thiazolylaminocarbonyl, hydroxy-C y H 2y —,
- R 7 is C 1-6 alkyl or trifluoroC 1-6 alkyl
- y is 1-6;
- Another embodiment of present invention is (ii) a compound of formula I, wherein
- R 1 is C 1-2 alkoxycarbonyl or cyano
- R 2 is phenyl, which is once or twice substituted by halogen
- R 3 is 2-thiazolyl, which is unsubstituted or once substituted by C 1-6 alkyl or halogen; or 2-thienyl or 2-pyridinyl, which is once substituted by halogen; or 2-imidazolyl, which is once substituted by C 1-6 alkyl; or 3-isoxazolyl, which is unsubstituted or once substituted by C 1-6 alkyl;
- X is oxygen or —NR 7 ;
- R 4 and R 5 are independently selected from hydrogen, C 1-6 alkyl and trifluoroC 1-6 alkyl; or
- R 4 and R 5 together with the carbon atom to which they are attached, form a 3 to 7 membered cycloalkyl;
- R 4 and R 5 when X is —NR 7 , one of R 4 and R 5 is hydrogen or C 1-6 alkyl, and the other of R 4 and R 5 along with R 7 and the atoms to which R 4 or R 5 and R 7 are attached form a morpholinyl; or pyrrolidinyl or piperidinyl, which is substituted by fluoro;
- M is C 1-6 alkoxycarbonyl, carboxy, diC 1-6 alkylamino-C 2-6 alkoxycarbonyl, aminocarbonyl, C 1-6 alkylaminocarbonyl, diC 1-6 alkylaminocarbonyl, C 1-6 alkylsulfonylaminocarbonyl, 2-thiazolylaminocarbonyl, hydroxy-C y H 2y —,
- R 7 is C 1-6 alkyl or trifluoroC 1-6 alkyl
- y is 1-6;
- R 1 is methoxycarbonyl, ethoxycarbonyl or cyano
- R 2 is phenyl substituted once or twice by fluoro
- X is oxygen or —NR 7 ;
- R 4 and R 5 are independently selected from hydrogen, methyl and trifluoromethyl; or
- R 4 and R 5 together with the carbon atom to which they are attached form cyclopropyl; or when X is —NR 7 , one of R 4 and R 5 is hydrogen or methyl, and the other of R 4 and R 5 along with R 7 and the atoms to which R 4 or R 5 and R 7 are attached form:
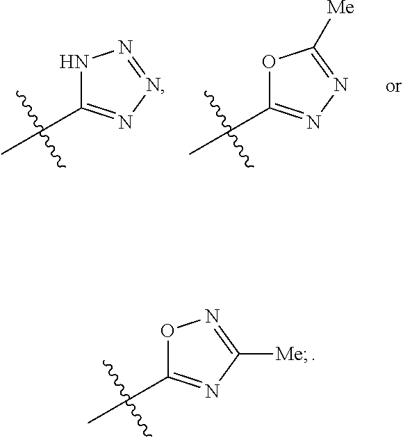
- M is methoxycarbonyl, carboxy, dimethylaminoethoxycarbonyl, aminocarbonyl, dimethylaminocarbonyl, methylaminocarbonyl, methylsulfonylaminocarbonyl, 2-thiazolylaminocarbonyl, hydroxymethyl, hydroxypropyl, —C(Me) 2 OH,
- R 7 is methyl or trifluoroethyl
- Another embodiment of present invention is (iv) a compound of formula I or a pharmaceutically acceptable salt or tautomerism isomers thereof, wherein
- R 1 is C 1-2 alkoxycarbonyl
- R 2 is phenyl which is once substituted by halogen
- R 3 is 2-thiazolyl
- X is oxygen
- R 4 and R 5 are independently selected from hydrogen, C 1-6 alkyl and trifluoroC 1-6 alkyl;
- M is C 1-6 alkoxycarbonyl or carboxy.
- R 1 is methyoxycarbonyl
- R 2 is 4-fluorophenyl
- R 3 is thiazol-2-yl
- X is oxygen
- R 4 and R 5 are independently selected from hydrogen, methyl and trifluoromethyl
- M is methoxycarbonyl or carboxy.
- Another embodiment of present invention is (vi) a compound of formula I or a pharmaceutically acceptable salt or tautomerism isomers thereof, wherein
- R 1 is C 1-2 alkoxycarbonyl
- R 2 is phenyl which is once substituted by halogen
- R 3 is 2-thiazolyl
- X is —N—C 1-6 alkyl or —N-trifluoroC 1-6 alkyl
- R 4 is hydrogen
- R 5 is hydrogen
- R 4 and R 5 together with the carbon atom to which they are attached, form a 3 to 7 membered cycloalkyl
- M is carboxy
- R 1 is methoxycarbonyl
- R 2 is 4-fluorophenyl
- R 3 is thiazol-2-yl
- X is —NCH 3 or —NCH 2 CF 3 ;
- R 4 is hydrogen
- R 5 is hydrogen
- M is carboxy
- Another embodiment of present invention is (viii) a compound of formula I or a pharmaceutically acceptable salt or tautomerism isomers thereof, wherein
- R 1 is C 1-2 alkoxycarbonyl or cyano
- R 2 is phenyl which is once or twice substituted by halogen
- R 3 is 2-thiazolyl; or 2-pyridinyl, which is once substituted by halogen; or 2-imidazolyl, which is once substituted by C 1-6 alkyl;
- X is —NR 7 ;
- R 4 and R 5 is hydrogen, and the other of R 4 and R 5 along with R 7 and the atoms to which R 4 or R 5 and R 7 are attached form a morpholinyl;
- M is C 1-6 alkoxycarbonyl, carboxy or hydroxy-C y H 2y —;
- y is 1-6.
- R 1 is methoxycarbonyl, ethoxycarbonyl or cyano
- R 2 is 4-fluorophenyl or 3,4-difluorophenyl
- R 3 is thiazol-2-yl, 5-fluoro-pyridin-2-yl or 1-methyl-imidiazolid-2-yl;
- R 4 and R 5 along with R 7 and the atoms to which R 4 or R 5 and R 7 are attached form:
- M is methoxycarbonyl, carboxy or hydroxymethyl-.
- Another embodiment of present invention is (x) a compound of formula I or a pharmaceutically acceptable salt or tautomerism isomers thereof, wherein
- R 1 is C 1-2 alkoxycarbonyl or cyano
- R 2 is phenyl which is once or twice substituted by halogen
- R 3 is 2-thiazolyl, which is unsubstituted or once substituted by C 1-6 alkyl or halogen; or 2-thienyl or 2-pyridinyl, which is once substituted by halogen; or 2-imidazolyl, which is once substituted by C 1-6 alkyl; or 3-isoxazolyl, which is unsubstituted or once substituted by C 1-6 alkyl;
- X is —NR 7 ;
- R 4 and R 5 is hydrogen or C 1-6 alkyl, and the other of R 4 and R 5 along with R 7 and the atoms to which R 4 or R 5 and R 7 are attached form a pyrrolidinyl or piperidinyl, which is substituted by fluoro;
- M is C 1-6 alkoxycarbonyl, carboxy, diC 1-6 alkylaminoC 2-6 alkoxycarbonyl, aminocarbonyl, C 1-6 alkylaminocarbonyl, diC 1-6 alkylaminocarbonyl, C 1-6 alkylsulfonylaminocarbonyl, 2-thiazolylaminocarbonyl, hydroxy-C y H 2y —,
- y is 1-6.
- R 1 is methoxycarbonyl, ethoxycarbonyl or cyano
- R 2 is 4-fluorophenyl or 3,4-difluorophenyl
- X is —NR 7 ;
- R 4 and R 5 is hydrogen or methyl, and the other of R 4 and R 5 along with R 7 and the atoms to which R 4 or R 5 and R 7 are attached form
- M is methoxycarbonyl, carboxy, dimethylaminoethoxycarbonyl, aminocarbonyl, dimethylaminocarbonyl, methylaminocarbonyl, methylsulfonylaminocarbonyl, 2-thiazolylaminocarbonyl, hydroxymethyl, hydroxypropyl, —C(Me) 2 OH,
- Another embodiment of present invention is (xii) a compound of formula I′ or a pharmaceutically acceptable salt or tautomerism isomers thereof,
- R 1 is C 1-2 alkoxycarbonyl or cyano
- R 2 is phenyl, which is substituted by halogen
- R 3 is 2-thiazolyl which is unsubstituted or substituted by C 1-6 alkyl or 2-pyridinyl, which is substituted by halogen;
- X is oxygen or —NR 7 ;
- R 4 and R 5 are independently selected from hydrogen, C 1-6 alkyl and trifluoroC 1-6 alkyl; or
- R 4 and R 5 together with the carbon atom to which they are attached, form a 3 to 7 membered cycloalkyl;
- R 4 and R 5 when X is —NR 7 , one of R 4 and R 5 is hydrogen or C 1-6 alkyl, and the other of R 4 and R 5 along with R 7 and the atoms to which R 4 or R 5 and R 7 are attached form a morpholinyl; or pyrrolidinyl substituted by fluoro;
- R 6 is hydrogen or C 1-6 alkyl
- R 7 is C 1-6 alkyl.
- R 1 is methoxycarbonyl or cyano
- R 2 is phenyl substituted once or twice by fluoro
- R 3 is thiazol-2-yl, 5-methyl-thiazol-2-yl or 5-fluoro-pyridin-2-yl; or;
- X is oxygen or —NR 7 ;
- R 4 and R 5 are independently selected from hydrogen, methyl and trifluoromethyl; or
- R 4 and R 5 together with the carbon atom to which they are attached form cyclopropyl
- R 4 and R 5 when X is —NR 7 , one of R 4 and R 5 is hydrogen or methyl and the other of R 4 and R 5 along with R 7 and the atoms to which R 4 or R 5 and R 7 are attached form
- R 6 is hydrogen or methyl
- R 7 is methyl
- Still further embodiment of present invention is (xiv) a compound of formula I′ or a pharmaceutically acceptable salt or tautomerism isomers thereof, wherein
- R 1 is C 1-2 alkoxycarbonyl
- R 2 is phenyl which is substituted by halogen
- R 3 is 2-thiazolyl
- X is oxygen
- R 4 and R 5 are independently selected from hydrogen, C 1-6 alkyl and trifluoroC 1-6 alkyl;
- R 6 is hydrogen or C 1-6 alkyl.
- More further embodiment of present invention is (xv) a compound of formula I′ or a pharmaceutically acceptable salt or tautomerism isomers thereof, wherein
- R 1 is methyoxycarbonyl
- R 2 is 4-fluorophenyl
- R 3 is thiazolidin-2-yl
- X is oxygen
- R 4 and R 5 are independently selected from hydrogen, methyl and trifluoromethyl
- R 6 is hydrogen or methyl.
- Another further embodiment of present invention is (xvi) a compound of formula I′ or a pharmaceutically acceptable salt or tautomerism isomers thereof, wherein
- R 1 is C 1-2 alkoxycarbonyl
- R 2 is phenyl which is substituted by halogen
- R 3 is 2-thiazolyl
- X is NC 1-6 alkyl
- R 4 and R 5 together with the carbon atom to which they are attached, form a 3 to 7 membered cycloalkyl
- R 6 is hydrogen
- R 1 is methoxycarbonyl
- R 2 is 4-fluorophenyl
- R 3 is thiazolidin-2-yl
- X is —NCH 3 ;
- R 4 and R 5 together with the carbon atom to which they are attached, form cyclopropyl
- R 6 is hydrogen
- More further embodiment of present invention is (xviii) a compound of formula I′ or a pharmaceutically acceptable salt or tautomerism isomers thereof, wherein
- R 1 is C 1-2 alkoxycarbonyl or cyano
- R 2 is phenyl which is substituted by halogen
- R 3 is 2-thiazolyl; or 2-pyridinyl, which is substituted by halogen;
- X is —NR 7 ;
- R 4 and R 5 is hydrogen or C 1-6 alkyl, and the other of R 4 and R 5 along with R 7 and the atoms to which R 4 or R 5 and R 7 are attached form
- R 6 is hydrogen or C 1-6 alkyl.
- R 1 is methoxycarbonyl or cyano
- R 2 is 4-fluorophenyl or 3,4-difluorophenyl
- R 3 is thiazolidin-2-yl or 5-fluoro-pyridin-2-yl., one of R 4 and R 5 is hydrogen or methyl, and the other of R 4 and R 5 along with R 7 and the atoms to which R 4 or R 5 and R 7 are attached form
- R 6 is hydrogen or methyl.
- Still further embodiment of present invention is (xx) a compound of formula I′ or a pharmaceutically acceptable salt or tautomerism isomers thereof, wherein
- R 1 is C 1-2 alkoxycarbonyl or cyano
- R 2 is phenyl which is substituted by halogen
- R 3 is 2-thiazolyl which is unsubstituted or substituted by C 1-6 alkyl or 2-pyridinyl, which is substituted by halogen;
- X is —NR 7 ;
- R 4 and R 5 is hydrogen or C 1-6 alkyl, and the other of R 4 and R 5 along with R 7 and the atoms to which R 4 or R 5 and R 7 are attached form pyrrolidinyl substituted by fluoro;
- R 6 is hydrogen or C 1-6 alkyl.
- Another further embodiment of present invention is (xxi) a compound of formula I′ or a pharmaceutically acceptable salt or tautomerism isomers thereof, wherein
- R 1 is methoxycarbonyl or cyano
- R 2 is 4-fluorophenyl or 3,4-difluorophenyl
- R 3 is thiazol-2-yl, 5-methyl-thiazol-2-yl or 5-fluoro-pyridin-2-yl; or;
- X is —NR 7 ;
- R 4 and R 5 is hydrogen or methyl, and the other of R 4 and R 5 along with R 7 and the atoms to which R 4 or R 5 and R 7 are attached form
- R 6 is hydrogen or methyl.
- 4-Hydrogen-dihydropyrimidines such as Bay 41-4109 can be oxidized to pyrimidine product XLVI when treated with human, rat or mouse liver microsomes.
- pooled liver microsomes (20 mg/ml) from human, male Wister rat and male CD-1 mouse were obtained from BD Bioscience (Franklin Lakes, N.J. USA).
- Incubation reaction mixtures contained a final concentration of 0.1M sodium phosphate buffer (pH 7.4), 0.5 mg/ml microsomal protein, 5 ⁇ M of the tested compounds and 1 mM NADPH in a total volume of 400 ⁇ l.
- the incubations were done for 60 minutes and 300 ⁇ l of the mixtures was transferred to 150 ⁇ l of ice cold methanol to terminate reactions. After vortexes for 3 minutes and centrifuged at 4000 rpm at 4° C. for 10 minutes, the clear supernatant was used directly for analysis. The samples were analyzed by Applied Biosystems API 3200 Q TRAP LC/MS/MS system using electrospray ionization mode.
- Pyrimidine product XLVI was the major metabolite in the in vitro clearance tests ( FIG. 1 ), and it was inactive to HBV DNA reduction in HepDE19 cell based assays with EC 50 value above 100 ⁇ M.
- the 4-methyl-dihydropyrimidines series in this invention do not have the aromatization issues of the core structure.
- HBV viruses infect hepatocyte cells and replicate in the liver. To have effective viral suppression, it is important for an anti-HBV drug to have sufficient exposure in the target organ.
- the following findings highlight increased metabolic stability and high liver exposure of 4-methyldihydropyrimidine analogs in this invention.
- liver homogenate solutions fresh mouse liver sample was homogenized by adding saline (1 g liver tissue: 5 mL saline) immediately after collection. After centrifuging for 10 minutes at 14000 rpm, the pooled supernatant was used to prepare liver homogenate solutions. The effective compounds concentrations in liver homogenate were 100, 300, and 1000 ng/mL. Then, they were incubated at rt. After incubation time of 0, 15 and 30 minutes, 180 ⁇ l aliquots of MeOH was added into 20 ⁇ l of homogenate, respectively. All these samples were vortex mixed for 5 minutes at 1500 rpm and centrifuged for 10 minutes at 14000 rpm. The supernatants were transferred into a 96-well plate for LC-MS/MS analysis. The results were summarized and showed in Table 3.
- Bay41-4109 is not stable in liver homogenate treated with saline. About 2% of compound was detected after 15 minutes room temperature incubation, at three different concentration levels. In samples incubated for 30 minutes, only 0.16% can be found (at 1000 ng/mL. Not detected in 100 ng/mL and 300 ng/mL samples due to instrument sensitivity).
- Example 13 is stable in in liver homogenate treated with saline.
- the in vivo DMPK of selected compounds were evaluated in male ICR mice following intravenous (or i.v.) or oral (or p.o.) administration.
- compounds were dissolved in 6% Solutol solution (Solutol:Ethanol, 1:1, v/v), and 94% 0.9% saline for i.v. dose.
- compounds were mixed with 0.89% microcrystalline cellulose and 0.11% carboxymethyl cellulose sodium water solution, or 1% RC591 as suspensions.
- the single dose exposure levels of Bay 41-4109, Example 6, Example 11, Example 13 and Example 19 in mouse plasma and/or liver are shown as FIG. 2-6 .
- the compounds of the present invention can be prepared by any conventional means. Suitable processes for synthesizing these compounds as well as their starting materials are provided in the schemes below and in the examples. All substituents, in particular, R 1 to R 5 , M and X are as defined above unless otherwise indicated. Furthermore, and unless explicitly otherwise stated, all reactions, reaction conditions, abbreviations and symbols have the meanings well known to a person of ordinary skill in organic chemistry.
- One category of the compounds described herein relates to 4-methyl-5-ester-6-methyl-dihydropyrimidine based analogues with the formula Intermediate-1 wherein R 8 is C 1-6 alkyl.
- Amidine III can be prepared from commercial available nitrile II, ammonium chloride and trimethyl aluminum. The reaction is typically performed by adding trimethyl aluminum to the mixture of ammonium chloride in toluene at 0° C. After 30 minutes, nitrile II is added into the flask and the reaction mixture is stirred at 80° C. overnight.
- the indium triflate catalyzed condensation reaction of commercial available ester IV and ethynyl-benzene V gives ⁇ , ⁇ -unsaturated ketone VI.
- the reaction is typically performed in o-xylene at 120° C. for 2 h.
- Ketone VIII can be prepared by condensation of ester IV with substituted benzaldehyde VII. The reaction is typically performed in ethanol with catalytic quantity of piperidine and acetic acid at rt overnight.
- Ketone IX can be prepared by 1,4-Michael addition of methyl group to the ⁇ , ⁇ -unsaturated ketone VIII.
- the reaction is typically performed by adding methyl lithium solution to cuprous iodide in THF solution at 0° C. and stirred for 1 hour at 0° C., then the solution of VIII in THF is added into the mixture at ⁇ 78° C. and stirred for 1 hour at ⁇ 78° C.
- ⁇ , ⁇ Unsaturated ketone VI can be prepared by oxidative elimination of ketone IX.
- the reaction is typically performed by adding sodium hydride into the solution of ketone IX in THF, then phenylselenyl chloride is added and stirred at rt for 1 hour. After the mixture is treated with pentene, ether and saturated sodium bicarbonate, the organic layer is treated with H 2 O 2 solution (30%) and stirred at rt for 1 hour.
- Analogs with general structure Intermediate-1 can be prepared by the condensation reaction of ⁇ , ⁇ unsaturated ketone VI with amidine III.
- the reaction is typically carried out by adding a solution of VI in NMP dropwisely into a mixture of amidine III and NaHCO 3 in NMP at 120° C., after addition the mixture is stirred at 120° C. for half an hour before workup.
- Compound XI can be obtained by the deprotection of Intermediate-2.
- the reaction is typically performed in DCM with TFA at rt for 2 hours.
- Compound XII can be obtained by coupling reaction from XI with ammonia.
- the reaction is typically performed in DCM with HATU and ammonia of dioxane solution at rt for 1 hour.
- Cyano compound Intermediate-3 can be obtained by dehydrate reaction from compound XII.
- the reaction is typically performed in 1,2-dichloroethane with thionyl chloride or trifluoroacetic anhydride under refluxing for 1 hour.
- the Boc-protected compound XIII can be obtained by treatment of ester Intermediated or cyano Intermediate-3 with di-tert-butyldicarbonate and DMAP as base in an inert organic solvent such as DCM, typically at rt for 24 hours.
- the compound XIV can be obtained by the bromination of compound XIII.
- the reaction is typically performed in tetrachloromethane with NBS and AIBN as catalyst at 80° C. for 2 hours.
- the amino substituted intermediate XVI can be obtained through substitution reaction of compound XIV with XV.
- the reaction can be carried out with a suitable organic base such as N,N-diisopropylethylamine, inorganic base such as NaH, Na 2 CO 3 , or t-BuOK in an inert organic solvent such as DCM, THF or DMF at rt or 50° C. for 1-10 hours.
- a suitable organic base such as N,N-diisopropylethylamine, inorganic base such as NaH, Na 2 CO 3 , or t-BuOK
- an inert organic solvent such as DCM, THF or DMF at rt or 50° C. for 1-10 hours.
- Compound Ia can be obtained from the deprotection of XVI treated with TFA in DCM or HCl in MeOH as deprotective agent at rt.
- Compound XVIII can be obtained by substitution reaction of compound XIV with alcohol XVII.
- the reaction is typically performed by adding NaH to the solution of alcohol XVII in anhydrous THF at it, then bromide XIV is added into the flask and the mixture is stirred at rt for 3 hours.
- Compound Ib can be obtained by treating XVIII with TFA in DCM or HCl in MeOH at rt.
- This invention also relates to a process for the preparation of a compound of formula I comprising the reaction of
- step (a) the acid can be for example TFA or HCl.
- the invention also relates to a compound of formula I for use as therapeutically active substance.
- a compound of formula (I) when manufactured according to the above process is also an object of the invention.
- compositions or medicaments containing the compounds of the invention and a therapeutically inert carrier, diluent or excipient, as well as methods of using the compounds of the invention to prepare such compositions and medicaments.
- compounds of formula I may be formulated by mixing at ambient temperature at the appropriate pH, and at the desired degree of purity, with physiologically acceptable carriers, i.e., carriers that are non-toxic to recipients at the dosages and concentrations employed into a galenical administration form.
- the pH of the formulation depends mainly on the particular use and the concentration of compound, but preferably ranges anywhere from about 3 to about 8.
- a compound of formula I is formulated in an acetate buffer, at pH 5.
- the compounds of formula I are sterile.
- the compound may be stored, for example, as a solid or amorphous composition, as a lyophilized formulation or as an aqueous solution.
- compositions are formulated, dosed, and administered in a fashion consistent with good medical practice.
- Factors for consideration in this context include the particular disorder being treated, the particular human being treated, the clinical condition of the individual patient, the cause of the disorder, the site of delivery of the agent, the method of administration, the scheduling of administration, and other factors known to medical practitioners.
- the “effective amount” of the compound to be administered will be governed by such considerations, and is the minimum amount necessary to the suppression of serum HBV DNA levels, or HBeAg seroconversion to HBeAb, or HBsAg loss, or normalization of alanine aminotransferase levels and improvement in liver histology. For example, such amount may be below the amount that is toxic to normal cells, or the human as a whole.
- the pharmaceutically effective amount of the compound of the invention administered parenterally per dose will be in the range of about 0.01 to 100 mg/kg, alternatively about 0.1 to 20 mg/kg of patient body weight per day, with the typical initial range of compound used being 0.3 to 15 mg/kg/day.
- oral unit dosage forms such as tablets and capsules, contain from about 0.1 to about 1000 mg of the compound of the invention.
- the compounds of the invention may be administered by any suitable means, including oral, topical (including buccal and sublingual), rectal, vaginal, transdermal, parenteral, subcutaneous, intraperitoneal, intrapulmonary, intradermal, intrathecal and epidural and intranasal, and, if desired for local treatment, intralesional administration.
- Parenteral infusions include intramuscular, intravenous, intraarterial, intraperitoneal, or subcutaneous administration.
- the compounds of the present invention may be administered in any convenient administrative form, e.g., tablets, powders, capsules, solutions, dispersions, suspensions, syrups, sprays, suppositories, gels, emulsions, patches, etc.
- Such compositions may contain components conventional in pharmaceutical preparations, e.g., diluents, carriers, pH modifiers, sweeteners, bulking agents, and further active agents.
- a typical formulation is prepared by mixing a compound of the present invention and a carrier or excipient.
- Suitable carriers and excipients are well known to those skilled in the art and are described in detail in, e.g., Ansel, Howard C., et al., Ansel's Pharmaceutical Dosage Forms and Drug Delivery Systems . Philadelphia: Lippincott, Williams & Wilkins, 2004; Gennaro, Alfonso R., et al. Remington: The Science and Practice of Pharmacy . Philadelphia: Lippincott, Williams & Wilkins, 2000; and Rowe, Raymond C. Handbook of Pharmaceutical Excipients . Chicago, Pharmaceutical Press, 2005.
- the formulations may also include one or more buffers, stabilizing agents, surfactants, wetting agents, lubricating agents, emulsifiers, suspending agents, preservatives, antioxidants, opaquing agents, glidants, processing aids, colorants, sweeteners, perfuming agents, flavoring agents, diluents and other known additives to provide an elegant presentation of the drug (i.e., a compound of the present invention or pharmaceutical composition thereof) or aid in the manufacturing of the pharmaceutical product (i.e., medicament).
- buffers stabilizing agents, surfactants, wetting agents, lubricating agents, emulsifiers, suspending agents, preservatives, antioxidants, opaquing agents, glidants, processing aids, colorants, sweeteners, perfuming agents, flavoring agents, diluents and other known additives to provide an elegant presentation of the drug (i.e., a compound of the present invention or pharmaceutical composition thereof) or aid in the manufacturing
- An example of a suitable oral dosage form is a tablet containing about 0.1 mg to 1000 mg of the compound of the invention compounded with about 90 mg to 30 mg anhydrous lactose, about 5 mg to 40 mg sodium croscarmellose, about 5 mg to 30 mg polyvinylpyrrolidone (PVP) K30, and about 1 mg to 10 mg magnesium stearate.
- the powdered ingredients are first mixed together and then mixed with a solution of the PVP.
- the resulting composition can be dried, granulated, mixed with the magnesium stearate and compressed to tablet form using conventional equipment.
- An example of an aerosol formulation can be prepared by dissolving the compound, for example 5 mg to 400 mg, of the invention in a suitable buffer solution, e.g. a phosphate buffer, adding a tonicifier, e.g. a salt such sodium chloride, if desired.
- the solution may be filtered, e.g., using a 0.2 micron filter, to remove impurities and contaminants
- An embodiment therefore, includes a pharmaceutical composition comprising a compound of Formula I, or a stereoisomer or pharmaceutically acceptable salt thereof.
- a pharmaceutical composition comprising a compound of Formula I, or a stereoisomer or pharmaceutically acceptable salt thereof, together with a pharmaceutically acceptable carrier or excipient.
- the compounds of the invention can inhibit HBV's de novo DNA synthesis and reduce HBV DNA levels. Accordingly, the compounds of the invention are useful for the treatment or prophylaxis of HBV infection.
- the invention relates to the use of a compound of formula I for the treatment or prophylaxis of HBV infection.
- the invention relates in particular to the use of a compound of formula I for the preparation of a medicament for the treatment or prophylaxis of HBV infection.
- Another embodiment includes a method of treating or prophylaxising HBV infection in a human in need of such treatment, wherein the method comprises administering to said human a therapeutically effective amount of a compound of Formula I, a stereoisomer, tautomer, prodrug or pharmaceutically acceptable salt thereof.
- the compounds of the invention can be used together with interferon, pegylated interferons, Lamivudine, Adefovir dipivoxil, Entecavir, Telbivudine, and Tenofovir disoproxil for the treatment or prophylaxis of HBV.
- Acidic condition A: 0.1% formic acid in H 2 O; B: 0.1% formic acid in acetonitrile;
- Mass spectra generally only ions which indicate the parent mass are reported, and unless otherwise stated the mass ion quoted is the positive mass ion (M+H) + .
- LC-MS/MS instrument on liver homogenate stability test An Agilent 1290 series LC system composited of a binary pump, a degasser, a CTCPAL autosampler and a thermostatted column was applied. The Chromatographic separation was achieved on a Chromolith Performance RP-18 endcapped (3 ⁇ 100 mm) at room temperature.
- Mass spectrometric detection was performed on an Agilent 6530 Q-TOF instrument in full scan mode with an AJS ESI interface in positive ionization mode. Data processing was performed with Agilent MassHunter Workstation Data Acquisition B.04.00 and Agilent MassHunter Workstation Qualitative Analysis B.04.00.
- the microwave assisted reactions were carried out in a Biotage Initiator Sixty microwave synthesizer.
- the chiral intermediate compound XXVII was separated from XXI by SFC and the absolute stereochemistry was determined by X-ray diffraction study (please see FIG. 7 ).
- the title compound was prepared in analogy to Example 3 in Scheme 6 by using morpholine-(S)-3-carboxylic acid methyl ester XXVIII instead of 1-methylamino-cyclopropanecarboxylic acid methyl ester in the replacement reaction.
- the chiral intermediate XXXV was separated from XXXIV by SFC and the absolute configuration was assigned through comparing its retention time on SFC with that of the stereochemistry known compound XXVII.
- Example 14 was prepared in analogy to Example 7 in Scheme 7 from Compound XXXV.
- the chiral intermediate XLII was separated from XLI by SFC.
- Example 21 was prepared from XLII in analogy to Example 3 in Scheme 6.
- Example 22 was prepared in the same method as shown in Scheme 5 and Scheme 6 by using morpholine-(S)-3-carboxylic acid methyl ester XXVIII in the replacement reaction.
- HepDE19 (Haitao Guo et al, Journal of Virology, 81, November 2007, 12472-12484; Richeng Mao et al, Journal of Virology, 85, January 2011, 1048-1057) cells were derived from HepG2 (ATCC, American Type Culture Collection) cells through transfection with pTet-off plasmid (Clontech) that expresses the Tet-responsive transcriptional activator and pTREHBVDE plasmid in which HBV pgRNA expression is controlled by a CMV early promoter with a tetracycline-responsive element.
- the transfected cells were selected with G418 (also known as Genticin, purchased from Invitrogen).
- DMEM Dulbecco's modified Eagle's medium
- Invitrogen supplemented with 10% fetal bovine serum, 100 U/ml penicillin, and 100 ⁇ g/ml streptomycin, 0.5 mg/ml of G418 and 1 ⁇ g/ml tetracycline.
- HepDE19 cells were seeded into 96-well plates (3 ⁇ 10 4 cells/well) with tetracycline-free medium and incubated overnight at 37° C.
- the test or control compounds were serially half-log diluted with medium and added into the plates (the final concentration of DMSO kept at 0.5% in each well).
- HepDE19 cells (5 ⁇ 10 3 cells/well) were seeded into 96-well plates and compounds were treated as described above. Five days after treatment, cell viability was measured by addition of 20 ⁇ l of CCK-8 reagent. Four hours after incubation at 37° C., the absorbance at wavelengths of 450 nm and 630 nm (OD 450 and OD 630 ) was recorded by a plate reader. The 50% cytotoxic concentration (CC 50 ) of each compounds were determined accordingly.
- the compounds of the present invention were tested for their capacity to inhibit a HBV activity and activation as described herein.
- the Examples were tested in the above assay and found to have EC 50 of about 0.01 ⁇ M to about 50 ⁇ M.
- Particular compounds of formula I were found to have EC 50 of about 0.1 ⁇ M to about 30 ⁇ M.
- a compound of formula I can be used in a manner known per se as the active ingredient for the production of tablets of the following composition:
- a compound of formula I can be used in a manner known per se as the active ingredient for the production of capsules of the following composition:
Landscapes
- Chemical & Material Sciences (AREA)
- Organic Chemistry (AREA)
- Pharmaceuticals Containing Other Organic And Inorganic Compounds (AREA)
- Plural Heterocyclic Compounds (AREA)
Abstract
Description
- This application claims the benefit of priority under 35 U.S.C. §119(a) to PCT/CN2012/073388 filed Mar. 31, 2012 the contents of which is herein incorporated by reference in its entirety.
- The present invention relates to organic compounds useful for therapy and/or prophylaxis in a human, and in particular to Hepatitis B virus (HBV) inhibitors by targeting on HBV capsid useful for treating HBV infection.
- HBV is a species of the hepadnaviridae family of viruses. HBV is a serious public health problem worldwide, with more than 400 million people especially in Asia-pacific regions chronically infected by this small enveloped DNA virus. Although most individuals seem to resolve the infection following acute symptoms, 15-40% of HBV patients will finally develop clinical diseases during their lifespan, most notably, hepatitis, liver cirrhosis, and hepatocellular carcinoma. Every year 500,000 to 1 million people die from the end stage of liver diseases caused by HBV infection.
- HBV lifecycle begins with the binding of the “Dane” particle with an unidentified receptor on the surface of hepatocyte. Following entry, viral genome is delivered into nucleus where a covalently closed circular DNA (cccDNA) is formed through DNA repair of viral relaxed circular DNA. Unlike the mechanisms of most other DNA viruses, HBV cccDNA replicates through the retrotranscription of a 1.1-genome unit-length RNA copy (pregenomic RNA). Viral pregenomic RNA interacts with other two viral components, capsid protein and polymerase, as well as some host factors, to form capsid particles where viral DNA replication occurs. Most copies of the encapsidated genome then efficiently associate with the envelope proteins for virion assembly and secretion; a minority of these genomes are shunted to the nucleus, where they are converted to cccDNA.
- Currently, there are two types of anti-HBV agents on the market, nucleoside (tide) analogs targeting viral polymerase (lamivudine, adefovir, tenofovir, telbivudine and entecavir) and interferon modulating host immune functions. Mutations in the primary sequence of the polymerase that confer resistance to lamivudine and adefovir have been identified clinically and underlie a rebound of serum virus titers that 70% of treated patients experience within 3 years of the start of lamivudine therapy. Although resistance to telbivudine, adefovir, and entecavir occurs more rarely, it has been recorded. Interferon alpha is the other major therapy available for hepatitis B, but it is limited by a poor long-term response and debilitating side effects. Some viral genotypes do not show good responses to interferon therapy. Now, the standard of clinic cure of HBV infection is the loss and/or seroconversion of HBsAg. The majority (around or more than 90%) of treated patients fail to achieve this goal. This drawback is mainly due to the presence of a stable pool of viral cccDNA in nucleus that doesn't replicate itself, therefore, shows no accessibility to nucleoside (tide) analogs.
- Hence, there is certainly a medical need for treatments with improved characteristics, and for a diversity of approaches in the development of therapies for HBV infection.
- HBV capsid protein plays essential roles in HBV replication. HBV has an icosahedral core comprising of 240 copies of the capsid (or core) protein. The predominant biological function of capsid protein is to act as a structural protein to encapsidate pre-genomic RNA and form immature capsid particles in the cytoplasm. This step is prerequisite for viral DNA replication. The HBV capsid spontaneously self-assembles from many copies of core dimers present in the cytoplasm. It has been shown that the formation of a trimeric nucleus and the subsequent elongation reactions occur by adding one dimeric subunit at a time until it is complete. Besides this function, capsid protein regulates viral DNA synthesis through different phosphorylation status of its C-terminal phosphorylation sites. When a near full-length relaxed circular DNA is formed through reverse-transcription of viral pregenomic RNA, an immature capsid becomes a mature capsid. On one hand, capsid protein might facilitate the nuclear translocation of viral relaxed circular genome by means of the nuclear localization signals located in the Arginine-rich domain of the C-terminal region of capsid protein. In nucleus, as a component of viral cccDNA minichromosome, capsid protein could play a structural and regulatory role in the functionality of cccDNA minichromosomes. Capsid protein also interacts with viral large envelope protein in endoplasmic reticulum and triggers the release of intact viral particles from hepatocytes.
- There have been a couple of capsid related anti-HBV inhibitors reported. For example, phenylpropenamide derivatives, including compounds named AT-61 and AT-130 (Feld J. et al. Antiviral Research 2007, 168-177), and a class of thiazolidin-4-ones from Valeant R&D (WO2006/033995), have been shown to inhibit pgRNA packaging. A recent study suggested that phenylpropenamides are, in fact, accelerators of HBV capsid assembly, and their actions result in the formation of empty capsids. These very interesting results illustrate the importance of the kinetic pathway in successful virus assembly.
- Heteroaryldihydropyrimidines or HAP, including compounds named Bay 41-4109, Bay 38-7690 and Bay 39-5493, were discovered in a tissue culture-based screening (Deres K. et al. Science 2003, 893). These HAP analogs act as synthetic allosteric activators and are able to induce aberrant capsid formation that leads to degradation of the core protein. HAP analogs also reorganized core protein from preassembled capsids into noncapsid polymers, presumably by interaction of HAP with dimers freed during capsid ‘breathing’, the transitory breaking of individual intersubunit bonds. Bay 41-4109 was administered to HBV infected transgenic mouse or humanized mouse models and demonstrated in vivo efficacy with HBV DNA reduction (Deres K. et al. Science 2003, 893; Brezillon N. et al. PLoS ONE 2011, e25096.). It was also shown that bis-ANS, a small molecule that acts as a molecular ‘wedge’ and interferes with normal capsid-protein geometry and capsid formation (Zlotnick A. et al. J. Virol. 2002, 4848-4854).
- Objects of the present invention are novel compounds of formula I, their manufacture, medicaments based on a compound in accordance with the invention and their production as well as the use of compounds of formula I for the treatment or prophylaxis of HBV infection.
-
FIG. 1 . Bay 41-4109 was converted to XLVI in human liver microsomes. -
FIG. 2 . Mean±SD Plasma Concentration-Time Curve of Bay41-4109 in Male ICR Mice Following Intravenous and Oral Administration* *Drug exposure in liver is not available due to instability of Bay 41-4109 in liver homogenate. -
FIG. 3 . Mean±SD Plasma and Tissue Concentration-Time Curve of Example 6 in Male ICR Mice Following Intravenous and Oral Administration -
FIG. 4 . Mean±SD Plasma and Tissue Concentration-Time Curve of Example 11 in Male ICR Mice Following Intravenous and Oral Administration -
FIG. 5 . Mean±SD Plasma and Tissue Concentration-Time Curve of Example 13 in Male ICR Mice Following Intravenous and Oral Administration -
FIG. 6 . Mean±SD Plasma and Tissue Concentration-Time Curve of Example 19 in Male ICR Mice Following Intravenous and Oral Administration -
FIG. 7 . X-ray structure of compound XXVII - As used herein, the term “C1-6alkyl” alone or in combination signifies a saturated, linear- or branched chain alkyl group containing 1 to 6, particularly 1 to 4 carbon atoms, for example methyl, ethyl, propyl, isopropyl, 1-butyl, 2-butyl, tert-butyl and the like. Particular “C1-6alkyl” groups are methyl, ethyl, isopropyl, tert-butyl.
- The term “cycloalkyl”, alone or in combination, refers to a saturated carbon ring containing from 3 to 7 carbon atoms, particularly from 3 to 6 carbon atoms, for example, cyclopropyl, cyclobutyl, cyclopentyl, cyclohexyl, cycloheptyl and the like. Particular cycloalkyl groups are cyclopropyl, cyclopentyl and cyclohexyl.
- The term “C1-6alkoxy” alone or in combination signifies a group C1-6alkyl-O—, wherein the “C1-6alkyl” is as defined above; for example methoxy, ethoxy, propoxy, isopropoxy, n-butoxy, i-butoxy, 2-butoxy, t-butoxy and the like. Particular C1-6alkoxy groups are methoxy and ethoxy and more particularly methoxy.
- The term “C2-6alkoxy” alone or in combination signifies a group C2-6alkyl-O—, wherein the “C2-6alkyl” alone or in combination signifies a saturated, linear- or branched chain alkyl group containing 2 to 6, particularly 2 to 4 carbon atoms; for example ethoxy, propoxy, isopropoxy, n-butoxy, i-butoxy, 2-butoxy, t-butoxy and the like.
- The term “C1-2alkoxy” alone or in combination refers to methoxy or ethoxy.
- The term “CyH2y” alone or in combination signifies a saturated, linear- or branched chain alkyl group containing 1 to 6, particularly 1 to 4 carbon atoms.
- The term “amino”, alone or in combination, refers to primary (—NH2), secondary (—NH—) or tertiary amino
- The term “carbonyl” alone or in combination refers to the group —C(O)—.
- The term “carboxy” alone or in combination refers to the group —COOH.
- The term “cyano” alone or in combination refers to the group —CN.
- The term “halogen” means fluorine, chlorine, bromine or iodine. Halogen is particularly fluorine or chlorine, more particularly fluorine.
- The term “hydroxy” alone or in combination refers to the group —OH.
- The term “sulfonyl” alone or in combination refers to the group —S(O)2—.
- The term “morpholinyl” alone or in combination refers to the group (i). When morpholine is formed between either of R4 or R5 and R7 along with the atoms to which they are attached it represents the group (ii):
- The term “pyrrolidinyl” alone or in combination refers to the group (iii). When pyrrolidinyl is formed between either of R4 or R5 and R7 along with the atoms to which they are attached it represents the group (iv):
- The term “piperidinyl” alone or in combination refers to the group (v). When piperidinyl is formed between either of R4 or R5 and R7 along with the atoms to which they are attached it represents the group (vi):
- The term “tautomers isomers” refers to constitutional isomers of organic compounds that readily interconvert by a chemical reaction called tautomerization. This reaction commonly results in the formal migration of a hydrogen atom or proton, accompanied by a switch of a single bond and adjacent double bond. For example, compounds of general formular (I)
- and its tautomers isomer
- The term “pharmaceutically acceptable salt” refers to conventional acid-addition salts or base-addition salts that retain the biological effectiveness and properties of the compounds of formula I and are formed from suitable non-toxic organic or inorganic acids or organic or inorganic bases. Acid-addition salts include for example those derived from inorganic acids such as hydrochloric acid, hydrobromic acid, hydroiodic acid, sulfuric acid, sulfamic acid, phosphoric acid and nitric acid, and those derived from organic acids such as p-toluenesulfonic acid, salicylic acid, methanesulfonic acid, oxalic acid, succinic acid, citric acid, malic acid, lactic acid, fumaric acid, and the like. Base-addition salts include those derived from ammonium, potassium, sodium and, quaternary ammonium hydroxides, such as for example, tetramethyl ammonium hydroxide. The chemical modification of a pharmaceutical compound into a salt is a technique well known to pharmaceutical chemists in order to obtain improved physical and chemical stability, hygroscopicity, flowability and solubility of compounds. It is for example described in Bastin R. J., et. al., Organic Process Research &
Development 2000, 4, 427-435; or in Ansel, H., et. al., In: Pharmaceutical Dosage Forms and Drug Delivery Systems, 6th ed. (1995), pp. 196 and 1456-1457. Particular are the sodium salts of the compounds of formula I. - Compounds of the general formula I which contain one or several chiral centers can either be present as racemates, diastereomeric mixtures, or optically active single isomers. The racemates can be separated according to known methods into the enantiomers. Particularly, diastereomeric salts which can be separated by crystallization are formed from the racemic mixtures by reaction with an optically active acid such as e.g. D- or L-tartaric acid, mandelic acid, malic acid, lactic acid or camphorsulfonic acid.
- The present invention provides (i) novel compounds having the general formula I:
- wherein
- R1 is C1-2alkoxycarbonyl or cyano;
- R2 is phenyl, which is substituted by halogen;
- R3 is thiazolyl, thienyl, imidazolyl, isoxazolyl or pyridinyl; which is unsubstituted or substituted by halogen or C1-6alkyl;
- X is oxygen or —NR7;
- R4 and R5 independently selected from hydrogen, C1-6alkyl and trifluoroC1-6alkyl; or
- R4 and R5, together with the carbon atom to which they are attached, form a 3 to 7 membered cycloalkyl; or
- when X is —NR7, one of R4 and R5 is hydrogen or C1-6alkyl, and the other of R4 and R5 along with R7 and the atoms to which R4 or R5 and R7 are attached form a pyrrolidinyl, morpholinyl or piperidinyl ring, which ring is unsubstituted or substituted by fluoro;
- M is C1-6alkoxycarbonyl, carboxy, diC1-6alkylaminoC2-6alkoxycarbonyl, aminocarbonyl, C1-6alkylaminocarbonyl, diC1-6alkylaminocarbonyl, C1-6alkylsulfonylaminocarbonyl, 2-thiazolylaminocarbonyl, hydroxy-CyH2y—,
- R7 is C1-6alkyl or trifluoroC1-6alkyl;
- y is 1-6;
- or pharmaceutically acceptable salts, or tautomerism isomers thereof.
- Another embodiment of present invention is (ii) a compound of formula I, wherein
- R1 is C1-2alkoxycarbonyl or cyano;
- R2 is phenyl, which is once or twice substituted by halogen;
- R3 is 2-thiazolyl, which is unsubstituted or once substituted by C1-6alkyl or halogen; or 2-thienyl or 2-pyridinyl, which is once substituted by halogen; or 2-imidazolyl, which is once substituted by C1-6alkyl; or 3-isoxazolyl, which is unsubstituted or once substituted by C1-6alkyl;
- X is oxygen or —NR7;
- R4 and R5 are independently selected from hydrogen, C1-6alkyl and trifluoroC1-6alkyl; or
- R4 and R5, together with the carbon atom to which they are attached, form a 3 to 7 membered cycloalkyl; or
- when X is —NR7, one of R4 and R5 is hydrogen or C1-6alkyl, and the other of R4 and R5 along with R7 and the atoms to which R4 or R5 and R7 are attached form a morpholinyl; or pyrrolidinyl or piperidinyl, which is substituted by fluoro;
- M is C1-6alkoxycarbonyl, carboxy, diC1-6alkylamino-C2-6alkoxycarbonyl, aminocarbonyl, C1-6alkylaminocarbonyl, diC1-6alkylaminocarbonyl, C1-6alkylsulfonylaminocarbonyl, 2-thiazolylaminocarbonyl, hydroxy-CyH2y—,
- R7 is C1-6alkyl or trifluoroC1-6alkyl;
- y is 1-6;
- or pharmaceutically acceptable salts, or tautomerism isomers thereof.
- Further embodiment of present invention is (iii) a compound of formula I, wherein
- R1 is methoxycarbonyl, ethoxycarbonyl or cyano;
- R2 is phenyl substituted once or twice by fluoro;
- R3 is
- X is oxygen or —NR7;
- R4 and R5 are independently selected from hydrogen, methyl and trifluoromethyl; or
- R4 and R5 together with the carbon atom to which they are attached form cyclopropyl; or when X is —NR7, one of R4 and R5 is hydrogen or methyl, and the other of R4 and R5 along with R7 and the atoms to which R4 or R5 and R7 are attached form:
- M is methoxycarbonyl, carboxy, dimethylaminoethoxycarbonyl, aminocarbonyl, dimethylaminocarbonyl, methylaminocarbonyl, methylsulfonylaminocarbonyl, 2-thiazolylaminocarbonyl, hydroxymethyl, hydroxypropyl, —C(Me)2OH,
- R7 is methyl or trifluoroethyl;
- or pharmaceutically acceptable salts, or tautomerism isomers thereof.
- Another embodiment of present invention is (iv) a compound of formula I or a pharmaceutically acceptable salt or tautomerism isomers thereof, wherein
- R1 is C1-2alkoxycarbonyl;
- R2 is phenyl which is once substituted by halogen;
- R3 is 2-thiazolyl;
- X is oxygen;
- R4 and R5 are independently selected from hydrogen, C1-6alkyl and trifluoroC1-6alkyl;
- M is C1-6alkoxycarbonyl or carboxy.
- Further embodiment of present invention is (v) a compound of formula I or a pharmaceutically acceptable salt or tautomerism isomers thereof, wherein
- R1 is methyoxycarbonyl;
- R2 is 4-fluorophenyl;
- R3 is thiazol-2-yl;
- X is oxygen;
- R4 and R5 are independently selected from hydrogen, methyl and trifluoromethyl;
- M is methoxycarbonyl or carboxy.
- Another embodiment of present invention is (vi) a compound of formula I or a pharmaceutically acceptable salt or tautomerism isomers thereof, wherein
- R1 is C1-2alkoxycarbonyl;
- R2 is phenyl which is once substituted by halogen;
- R3 is 2-thiazolyl;
- X is —N—C1-6alkyl or —N-trifluoroC1-6alkyl;
- R4 is hydrogen;
- R5 is hydrogen;
- or R4 and R5, together with the carbon atom to which they are attached, form a 3 to 7 membered cycloalkyl;
- M is carboxy.
- Further embodiment of present invention is (vii) a compound of formula I or a pharmaceutically acceptable salt or tautomerism isomers thereof, wherein
- R1 is methoxycarbonyl;
- R2 is 4-fluorophenyl;
- R3 is thiazol-2-yl;
- X is —NCH3 or —NCH2CF3;
- R4 is hydrogen;
- R5 is hydrogen;
- or R4 and R5, together with the carbon atom to which they are attached, form cyclopropyl;
- M is carboxy.
- Another embodiment of present invention is (viii) a compound of formula I or a pharmaceutically acceptable salt or tautomerism isomers thereof, wherein
- R1 is C1-2alkoxycarbonyl or cyano;
- R2 is phenyl which is once or twice substituted by halogen;
- R3 is 2-thiazolyl; or 2-pyridinyl, which is once substituted by halogen; or 2-imidazolyl, which is once substituted by C1-6alkyl;
- X is —NR7;
- one of R4 and R5 is hydrogen, and the other of R4 and R5 along with R7 and the atoms to which R4 or R5 and R7 are attached form a morpholinyl;
- M is C1-6alkoxycarbonyl, carboxy or hydroxy-CyH2y—;
- y is 1-6.
- Further embodiment of present invention is (ix) a compound of formula I or a pharmaceutically acceptable salt or tautomerism isomers thereof, wherein
- R1 is methoxycarbonyl, ethoxycarbonyl or cyano;
- R2 is 4-fluorophenyl or 3,4-difluorophenyl;
- R3 is thiazol-2-yl, 5-fluoro-pyridin-2-yl or 1-methyl-imidiazolid-2-yl;
- one of R4 and R5 along with R7 and the atoms to which R4 or R5 and R7 are attached form:
- M is methoxycarbonyl, carboxy or hydroxymethyl-.
- Another embodiment of present invention is (x) a compound of formula I or a pharmaceutically acceptable salt or tautomerism isomers thereof, wherein
- R1 is C1-2alkoxycarbonyl or cyano;
- R2 is phenyl which is once or twice substituted by halogen;
- R3 is 2-thiazolyl, which is unsubstituted or once substituted by C1-6alkyl or halogen; or 2-thienyl or 2-pyridinyl, which is once substituted by halogen; or 2-imidazolyl, which is once substituted by C1-6alkyl; or 3-isoxazolyl, which is unsubstituted or once substituted by C1-6alkyl;
- X is —NR7;
- one of R4 and R5 is hydrogen or C1-6alkyl, and the other of R4 and R5 along with R7 and the atoms to which R4 or R5 and R7 are attached form a pyrrolidinyl or piperidinyl, which is substituted by fluoro;
- M is C1-6alkoxycarbonyl, carboxy, diC1-6alkylaminoC2-6alkoxycarbonyl, aminocarbonyl, C1-6alkylaminocarbonyl, diC1-6alkylaminocarbonyl, C1-6alkylsulfonylaminocarbonyl, 2-thiazolylaminocarbonyl, hydroxy-CyH2y—,
- y is 1-6.
- Further embodiment of present invention is (xi) a compound of formula I or a pharmaceutically acceptable salt or tautomerism isomers thereof, wherein
- R1 is methoxycarbonyl, ethoxycarbonyl or cyano;
- R2 is 4-fluorophenyl or 3,4-difluorophenyl;
- R3 is
- X is —NR7;
- one of R4 and R5 is hydrogen or methyl, and the other of R4 and R5 along with R7 and the atoms to which R4 or R5 and R7 are attached form
- M is methoxycarbonyl, carboxy, dimethylaminoethoxycarbonyl, aminocarbonyl, dimethylaminocarbonyl, methylaminocarbonyl, methylsulfonylaminocarbonyl, 2-thiazolylaminocarbonyl, hydroxymethyl, hydroxypropyl, —C(Me)2OH,
- Another embodiment of present invention is (xii) a compound of formula I′ or a pharmaceutically acceptable salt or tautomerism isomers thereof,
- wherein
- R1 is C1-2alkoxycarbonyl or cyano;
- R2 is phenyl, which is substituted by halogen;
- R3 is 2-thiazolyl which is unsubstituted or substituted by C1-6alkyl or 2-pyridinyl, which is substituted by halogen;
- X is oxygen or —NR7;
- R4 and R5 are independently selected from hydrogen, C1-6alkyl and trifluoroC1-6alkyl; or
- R4 and R5, together with the carbon atom to which they are attached, form a 3 to 7 membered cycloalkyl; or
- when X is —NR7, one of R4 and R5 is hydrogen or C1-6alkyl, and the other of R4 and R5 along with R7 and the atoms to which R4 or R5 and R7 are attached form a morpholinyl; or pyrrolidinyl substituted by fluoro;
- R6 is hydrogen or C1-6alkyl;
- R7 is C1-6alkyl.
- Further embodiment of present invention is (xiii) a compound of formula I′ or a pharmaceutically acceptable salt or tautomerism isomers thereof, wherein
- R1 is methoxycarbonyl or cyano;
- R2 is phenyl substituted once or twice by fluoro;
- R3 is thiazol-2-yl, 5-methyl-thiazol-2-yl or 5-fluoro-pyridin-2-yl; or;
- X is oxygen or —NR7;
- R4 and R5 are independently selected from hydrogen, methyl and trifluoromethyl; or
- R4 and R5 together with the carbon atom to which they are attached form cyclopropyl; or
- when X is —NR7, one of R4 and R5 is hydrogen or methyl and the other of R4 and R5 along with R7 and the atoms to which R4 or R5 and R7 are attached form
- R6 is hydrogen or methyl;
- R7 is methyl.
- Still further embodiment of present invention is (xiv) a compound of formula I′ or a pharmaceutically acceptable salt or tautomerism isomers thereof, wherein
- R1 is C1-2alkoxycarbonyl;
- R2 is phenyl which is substituted by halogen;
- R3 is 2-thiazolyl;
- X is oxygen;
- R4 and R5 are independently selected from hydrogen, C1-6alkyl and trifluoroC1-6alkyl;
- R6 is hydrogen or C1-6alkyl.
- More further embodiment of present invention is (xv) a compound of formula I′ or a pharmaceutically acceptable salt or tautomerism isomers thereof, wherein
- R1 is methyoxycarbonyl;
- R2 is 4-fluorophenyl;
- R3 is thiazolidin-2-yl;
- X is oxygen;
- R4 and R5 are independently selected from hydrogen, methyl and trifluoromethyl;
- R6 is hydrogen or methyl.
- Another further embodiment of present invention is (xvi) a compound of formula I′ or a pharmaceutically acceptable salt or tautomerism isomers thereof, wherein
- R1 is C1-2alkoxycarbonyl;
- R2 is phenyl which is substituted by halogen;
- R3 is 2-thiazolyl;
- X is NC1-6alkyl;
- R4 and R5, together with the carbon atom to which they are attached, form a 3 to 7 membered cycloalkyl;
- R6 is hydrogen.
- Further embodiment of present invention is (xvii) a compound of formula I′ or a pharmaceutically acceptable salt or tautomerism isomers thereof, wherein
- R1 is methoxycarbonyl;
- R2 is 4-fluorophenyl;
- R3 is thiazolidin-2-yl;
- X is —NCH3;
- R4 and R5, together with the carbon atom to which they are attached, form cyclopropyl;
- R6 is hydrogen.
- More further embodiment of present invention is (xviii) a compound of formula I′ or a pharmaceutically acceptable salt or tautomerism isomers thereof, wherein
- R1 is C1-2alkoxycarbonyl or cyano;
- R2 is phenyl which is substituted by halogen;
- R3 is 2-thiazolyl; or 2-pyridinyl, which is substituted by halogen;
- X is —NR7;
- one of R4 and R5 is hydrogen or C1-6alkyl, and the other of R4 and R5 along with R7 and the atoms to which R4 or R5 and R7 are attached form
- R6 is hydrogen or C1-6alkyl.
- Further embodiment of present invention is (xix) a compound of formula I′ or a pharmaceutically acceptable salt or tautomerism isomers thereof, wherein
- R1 is methoxycarbonyl or cyano;
- R2 is 4-fluorophenyl or 3,4-difluorophenyl;
- R3 is thiazolidin-2-yl or 5-fluoro-pyridin-2-yl., one of R4 and R5 is hydrogen or methyl, and the other of R4 and R5 along with R7 and the atoms to which R4 or R5 and R7 are attached form
- R6 is hydrogen or methyl.
- Still further embodiment of present invention is (xx) a compound of formula I′ or a pharmaceutically acceptable salt or tautomerism isomers thereof, wherein
- R1 is C1-2alkoxycarbonyl or cyano;
- R2 is phenyl which is substituted by halogen;
- R3 is 2-thiazolyl which is unsubstituted or substituted by C1-6alkyl or 2-pyridinyl, which is substituted by halogen;
- X is —NR7;
- one of R4 and R5 is hydrogen or C1-6alkyl, and the other of R4 and R5 along with R7 and the atoms to which R4 or R5 and R7 are attached form pyrrolidinyl substituted by fluoro;
- R6 is hydrogen or C1-6alkyl.
- Another further embodiment of present invention is (xxi) a compound of formula I′ or a pharmaceutically acceptable salt or tautomerism isomers thereof, wherein
- R1 is methoxycarbonyl or cyano;
- R2 is 4-fluorophenyl or 3,4-difluorophenyl;
- R3 is thiazol-2-yl, 5-methyl-thiazol-2-yl or 5-fluoro-pyridin-2-yl; or;
- X is —NR7;
- one of R4 and R5 is hydrogen or methyl, and the other of R4 and R5 along with R7 and the atoms to which R4 or R5 and R7 are attached form
- R6 is hydrogen or methyl.
- Particular compounds of formula I, including their activity data, NMR data and MS data are summarized in the following Table 1 and 2.
-
TABLE 1 Structure, name and activity data of particular compounds HepDe19 Example EC50 CC50 No. Structure Name (μM) (μM) 1 4-(4-Fluoro-phenyl)-6- (1-methoxycarbonyl-1- methyl-ethoxymethyl)-4- methyl-2-thiazol-2-yl- 1,4-dihydro-pyrimidine- 5-carboxylic acid methyl ester 26.29 >100 2 6-(1-Carboxy-2,2,2- trifluoro-ethoxymethyl)- 4-(4-fluoro-phenyl)-4- methyl-2-thiazol-2-yl- 1,4-dihydro-pyrimidine- 5-carboxylic acid methyl ester 24.43 >100 3 6-{[(1-Carboxy- cyclopropyl)-methyl- amino]-methyl}-4-(4- fluoro-phenyl)-4-methyl- 2-thiazol-2-yl-1,4- dihydro-pyrimidine-5- carboxylic acid methyl ester 21.31 >100 4 4-[6-(4-Fluoro-phenyl)- 5-methoxycarbonyl-6- methyl-2-thiazol-2-yl- 3,6-dihydro-pyrimidin-4- ylmethyl]-morpholine-3- carboxylic acid 1.46 >100 5 4-[6-(4-Fluoro-phenyl)- 5-methoxycarbonyl-6- methyl-2-thiazol-2-yl- 3,6-dihydro-pyrimidin-4- ylmethyl]-morpholine- (S)-3-carboxylic acid methyl ester 0.7 >100 6 4-[6-(4-Fluoro-phenyl)- 5-methoxycarbonyl-6- methyl-2-thiazol-2-yl- 3,6-dihydro-pyrimidin-4- ylmethyl]-morpholine- (S)-3-carboxylic acid 1.2 >100 7 (S)-4-[6-(4-Fluoro- phenyl)-5- methoxycarbonyl-6- methyl-2-thiazol-2-yl- 3,6-dihydro-pyrimidin-4- ylmethyl]-morpholine- (S)-3-carboxylic acid 0.77 >100 8 (S)-4-[6-(4-Fluoro- phenyl)-5- methoxycarbonyl-6- methyl-2-thiazol-2-yl- 3,6-dihydro-pyrimidin-4- ylmethyl]-morpholine- (R)-3-carboxylic acid 3.01 >100 9 4-[6-(4-Fluoro-phenyl)- 2-(5-fluoro-pyridin-2-yl)- 5-methoxycarbonyl-6- methyl-3,6-dihydro- pyrimidin-4-ylmethyl]- morpholine-(R)-3- carboxylic acid 4.18 >100 10 4-[6-(4-Fluoro-phenyl)- 2-(5-fluoro-pyridin-2-yl)- 5-methoxycarbonyl-6- methyl-3,6-dihydro- pyrimidin-4-ylmethyl]- morpholine-(S)-3- carboxylic acid 7.04 >100 11 6-(2-(S)-Carboxy-4,4- difluoro-pyrrolidin-1- ylmethyl)-4-(4-fluoro- phenyl)-4-methyl-2- thiazol-2-yl-1,4-dihydro- pyrimidine-5-carboxylic acid methyl ester 0.46 95.5 12 6-(2-(R)-Carboxy-4,4- difluoro-pyrrolidin-1- ylmethyl)-4-(4-fluoro- phenyl)-4-methyl-2- thiazol-2-yl-1,4-dihydro- pyrimidine-5-carboxylic acid methyl ester 6.59 82 13 (S)-6-((S)-2-Carboxy- 4,4-difluoro-pyrrolidin-1- ylmethyl)-4-(4-fluoro- phenyl)-4-methyl-2- thiazol-2-yl-1,4-dihydro- pyrimidine-5-carboxylic acid methyl ester 0.15 >100 14 (S)-6-((S)-2-Carboxy- 4,4-difluoro-pyrrolidin-1- ylmethyl)-4-(3,4- difluoro-phenyl)-4- methyl-2-thiazol-2-yl- 1,4-dihydro-pyrimidine- 5-carboxylic acid methyl ester 0.2 >100 15 4-[(S)-6-(3,4-Difluoro- phenyl)-5- methoxycarbonyl-6- methyl-2-thiazol-2-yl- 3,6-dihydro-pyrimidin-4- ylmethyl]-morpholine-3- carboxylic acid methyl ester 0.56 >100 16 4-[6-(3,4-Difluoro- phenyl)-5- methoxycarbonyl-6- methyl-2-thiazol-2-yl- 3,6-dihydro-pyrimidin-4- ylmethyl]-morpholine-3- carboxylic acid 0.25 >100 17 6-(4,4-Difluoro-2- methoxycarbonyl- pyrrolidin-1-ylmethyl)-4- (4-fluoro-phenyl)-2-(5- fluoro-pyridin-2-yl)-4- methyl-1,4-dihydro- pyrimidine-5-carboxylic acid methyl ester 0.59 90 18 6-(2-Carboxy-4,4- difluoro-pyrrolidin-1- ylmethyl)-4-(4-fluoro- phenyl)-2-(5-fluoro- pyridin-2-yl)-4-methyl- 1,4-dihydro-pyrimidine- 5-carboxylic acid methyl ester 0.57 25 19 6-(2-Carboxy-4,4- difluoro-pyrrolidin-1- ylmethyl)-4-(4-fluoro- phenyl)-4-methyl-2-(5- methyl-thiazol-2-yl)-1,4- dihydro-pyrimidine-5- carboxylic acid methyl ester 16.7 >100 20 (S)-6-((S)-2-Carboxy- 4,4-difluoro-2-methyl- pyrrolidin-1-ylmethyl)-4- (4-fluoro-phenyl)-4- methyl-2-thiazol-2-yl- 1,4-dihydro-pyrimidine- 5-carboxylic acid methyl ester 2.8 >100 21 (S)-1-[(S)-5-Cyano-6-(4- fluoro-phenyl)-6-methyl- 2-thiazol-2-yl-3,6- dihydro-pyrimidin-4- ylmethyl]-4,4-difluoro- pyrrolidine-2-carboxylic acid 21 >100 22 (S)-4-[5-Cyano-6-(3,4- difluoro-phenyl)-6- methyl-2-thiazol-2-yl- 3,6-dihydro-pyrimidin-4- ylmethyl]-morpholine-3- carboxylic acid 20.4 >100 23 (S)-1-[(S)-5-Cyano-6- (3,4-difluoro-phenyl)-6- methyl-2-thiazol-2-yl- 3,6-dihydro-pyrimidin-4- ylmethyl]-4,4-difluoro- pyrrolidine-2-carboxylic acid 7 >100 24 (S)-6-((S)-2-Carboxy- 4,4-difluoro-pyrrolidin-1- ylmethyl)-4-(3,4- difluoro-phenyl)-4- methyl-2-thiazol-2-yl- 1,4-dihydro-pyrimidine- 5-carboxylic acid ethyl ester 0.8 100 25 (S)-6-(2-Carboxy-5,5- difluoro-piperidin-1- ylmethyl)-4-(4-fluoro- phenyl)-4-methyl-2- thiazol-2-yl-1,4-dihydro- pyrimidine-5-carboxylic acid methyl ester 1.09 100 26 (S)-6-(2-Carboxy-4,4- difluoro-piperidin-1- ylmethyl)4-(4-fluoro- phenyl)-4-methyl-2- thiazol-2-yl-1,4-dihydro- pyrimidine-5-carboxylic acid methyl ester 1.97 100 27 (S)-6-((S)-2-Carboxy- 4,4-difluoro-pyrrolidin-1- ylmethyl)-4-(4-fluoro- phenyl)-4-methyl-2-(1- methyl-1H-imidazol-2- yl)-1,4-dihydro- pyrimidine-5-carboxylic acid methyl ester 2.72 55.8 28 (R)-6-((S)-2-Carboxy- 4,4-difluoro-pyrrolidin-1- ylmethyl)-4-(3,4- difluoro-phenyl)-4- methyl-2-thiazol-2-yl- 1,4-dihydro-pyrimidine- 5-carboxylic acid ethyl ester 7.48 100 29 (S)-4-[6-(3,4-Difluoro- phenyl)-5- ethoxycarbonyl-6- methyl-2-thiazol-2-yl- 3,6-dihydro-pyrimidin-4- ylmethyl]-morpholine-3- carboxylic acid 3.98 100 30 (S)-4-[(S)-6-(4-Fluoro- phenyl)-5- methoxycarbonyl-6- methyl-2-(1-methyl-1H- imidazol-2-yl)-3,6- dihydro-pyrimidin-4- ylmethyl]-morpholine-3- carboxylic acid 6.77 100 31 (R)-6-((S)-2-Carboxy- 4,4-difluoro-pyrrolidin-1- ylmethyl)-4-(4-fluoro- phenyl)-4-methyl-2-(4- methyl-thiazol-2-yl)-1,4- dihydro-pyrimidine-5- carboxylic acid methyl ester 1.67 100 32 (S)-6-((S)-2-Carboxy- 4,4-difluoro-pyrrolidin-1- ylmethyl)-4-(4-fluoro- phenyl)-4-methyl-2-(4- methyl-thiazol-2-yl)-1,4- dihydro-pyrimidine-5- carboxylic acid methyl ester 0.13 75 33 (S)-6-((S)-2-Carboxy- 4,4-difluoro-pyrrolidin-1- ylmethyl)-2-(5-chloro- thiazol-2-yl)-4-(4-fluoro- phenyl)-4-methyl-1,4- dihydro-pyrimidine-5- carboxylic acid methyl ester 2.07 80 34 (S)-6-((2S,4R)-2- Carboxy-4-fluoro- pyrrolidin-1-ylmethyl)-4- (4-fluoro-phenyl)-4- methyl-2-thiazol-2-yl- 1,4-dihydro-pyrimidine- 5-carboxylic acid methyl ester 2.84 100 35 6-((S)-2-Carboxy-4,4- difluoro-pyrrolidin-1- ylmethyl)-4-(4-fluoro- phenyl)-2-isoxazol-3-yl- 4-methyl-1,4-dihydro- pyrimidine-5-carboxylic acid methyl ester 15 100 36 (R)-6-((S)-2-Carboxy- 4,4-difluoro-2-methyl- pyrrolidin-1-ylmethyl)-4- (4-fluoro-phenyl)-4- methyl-2-thiazol-2-yl- 1,4-dihydro-pyrimidine- 5-carboxylic acid methyl ester 7.49 100 37 (S)-6-((S)-2-Carboxy- 4,4-difluoro-pyrrolidin-1- ylmethyl)-4-(4-fluoro- phenyl)-4-methyl-2-(5- methyl-thiazol-2-yl)-1,4- dihydro-pyrimidine-5- carboxylic acid methyl ester 0.47 85 38 (S)-6-((S)-2-Carboxy- 4,4-difluoro-pyrrolidin-1- ylmethyl)-4-(4-fluoro- phenyl)-2-(5-fluoro- thiophen-2-yl)-4-methyl- 1,4-dihydro-pyrimidine- 5-carboxylic acid methyl ester 2.03 39 (S)-6-((2S,4S)-2- Carboxy-4-fluoro- pyrrolidin-1-ylmethyl)-4- (4-fluoro-phenyl)-4- methyl-2-thiazol-2-yl- 1,4-dihydro-pyrimidine- 5-carboxylic acid methyl ester 10.5 100 40 6-((S)-2-Carboxy-4,4- difluoro-pyrrolidin-1- ylmethyl)-4-(4-fluoro- phenyl)-4-methyl-2-(5- methyl-isoxazol-3-yl)- 1,4-dihydro-pyrimidine- 5-carboxylic acid methyl ester 5.39 100 41 (S)-6-((S)-2-Carboxy- 4,4-difluoro-pyrrolidin-1- ylmethyl)-4-(4-fluoro- phenyl)-2-(3-fluoro- thiophen-2-yl)-4-methyl- 1,4-dihydro-pyrimidine- 5-carboxylic acid methyl ester 0.285 100 42 (R)-6-((S)-2-Carboxy- 4,4-difluoro-pyrrolidin-1- ylmethyl)-4-(4-fluoro- phenyl)-2-(3-fluoro- thiophen-2-yl)-4-methyl- 1,4-dihydro-pyrimidine- 5-carboxylic acid methyl ester 6.81 100 43 (S)-6-((S)-2-Carboxy- 4,4-difluoro-pyrrolidin-1- ylmethyl)-4-(4-fluoro- phenyl)-2-(4-fluoro- thiophen-2-yl)-4-methyl- 1,4-dihydro-pyrimidine- 5-carboxylic acid methyl ester 0.131 100 44 (S)-6-{[Carboxymethyl- (2,2,2-trifluoro-ethyl)- amino]-methyl}-4-(4- fluoro-phenyl)-4-methyl- 2-thiazol-2-yl-1,4- dihydro-pyrimidine-5- carboxylic acid methyl ester 21.5 100 45 (S)-6-((S)-4,4-Difluoro- 2-methoxycarbonyl- pyrrolidin-1-ylmethyl)-4- (4-fluoro-phenyl)-4- methyl-2-thiazol-2-yl- 1,4-dihydro-pyrimidine- 5-carboxylic acid methyl ester 0.783 100 46 (S)-6-[(S)-2-(2- Dimethylamino- ethoxycarbonyl)-4,4- difluoro-pyrrolidin-1- ylmethyl]-4-(4-fluoro- phenyl)-4-methyl-2- thiazol-2-yl-1,4-dihydro- pyrimidine-5-carboxylic acid methyl ester 2.13 100 47 (S)-6-(2-Carbamoyl-4,4- difluoro-pyrrolidin-1- ylmethyl)-4-(4-fluoro- phenyl)-4-methyl-2- thiazol-2-yl-1,4-dihydro- pyrimidine-5-carboxylic acid methyl ester 0.048 100 48 (S)-6-((S)-2-Carbamoyl- 4,4-difluoro-pyrrolidin-1- ylmethyl)-4-(4-fluoro- phenyl)-4-methyl-2- thiazol-2-yl-1,4-dihydro- pyrimidine-5-carboxylic acid methyl ester 0.08 100 49 (S)-6-((S)-2- Dimethylcarbarnoyl-4,4- difluoro-pyrrolidin-1- ylmethyl)-4-(4-fluoro- phenyl)-4-methyl-2- thiazol-2-yl-1,4-dihydro- pyrimidine-5-carboxylic acid methyl ester 0.29 100 50 6-((S)-4,4-Difluoro-2- methylcarbamoyl- pyrrolidin-1-ylmethyl)-4- (4-fluoro-phenyl)-4- methyl-2-thiazol-2-yl- 1,4-dihydro-pyrimidine- 5-carboxylic acid methyl ester 0.606 100 51 (S)-6-((S)-4,4-Difluoro- 2- methanesulfonylaminocarbonyl- pyrrolidin-1- ylmethyl)-4-(4-fluoro- phenyl)-4-methyl-2- thiazol-2-yl-1,4-dihydro- pyrimidine-5-carboxylic acid methyl ester 18.16 90 52 (S)-6-[(S)-4,4-Difluoro- 2-(thiazol-2- ylcarbamoyl)-pyrrolidin- 1-ylmethyl]-4-(4-fluoro- phenyl)-4-methyl-2- thiazol-2-yl-1,4-dihydro- pyrimidine-5-carboxylic acid methyl ester 5.426 4.07 53 4-(4-Fluoro-phenyl)-6- ((R)-3-hydroxymethyl- morpholin-4-ylmethyl)- 4-methyl-2-thiazol-2-yl- 1,4-dihydro-pyrimidine- 5-carboxylic acid methyl ester 1.75 100 54 (S)-6-[(S)-4,4-Difluoro- 2-(1-hydroxy-1-methyl- ethyl)-pyrrolidin-1- ylmethyl]-4-(4-fluoro- phenyl)-4-methyl-2- thiazol-2-yl-1,4-dihydro- pyrimidine-5-carboxylic acid methyl ester 0.7 50.4 55 (S)-6-((S)-4,4-Difluoro- 2-hydroxymethyl- pyrrolidin-1-ylmethyl)-4- (4-fluoro-phenyl)-4- methyl-2-thiazol-2-yl- 1,4-dihydro-pyrimidine- 5-carboxylic acid methyl ester 0.067 100 56 (S)-6-[4,4-Difluoro-2-(3- hydroxy-propyl)- pyrrolidin-1-ylmethyl]-4- (4-fluoro-phenyl)-4- methyl-2-thiazol-2-yl- 1,4-dihydro-pyrimidine- 5-carboxylic acid methyl ester 0.66 90 57 (S)-6-[(S)-4,4-Difluoro- 2-(5-methyl- [1,3,4]oxadiazol-2-yl)- pyrrolidin-1-ylmethyl]-4- (4-fluoro-phenyl)-4- methyl-2-thiazol-2-yl- 1,4-dihydro-pyrimidine- 5-carboxylic acid methyl ester 1.558 100 58 (S)-6-[(S)-4,4-Difluoro- 2-(1H-tetrazol-5-yl)- pyrrolidin-1-ylmethyl]-4- (4-fluoro-phenyl)-4- methyl-2-thiazol-2-yl- 1,4-dihydro-pyrimidine- 5-carboxylic acid methyl ester 1.017 100 59 (S)-6-[(S)-4,4-Difluoro- 2-(3-methyl- [1,2,4]oxadiazol-5-yl)- pyrrolidin-1-ylmethyl]-4- (4-fluoro-phenyl)-4- methyl-2-thiazol-2-yl- 1,4-dihydro-pyrimidine- 5-carboxylic acid methyl ester 1.238 65.3 -
TABLE 2 NMR and MS data of particular compounds Example No. 1H NMR data MW 1 1H NMR (MeOD-d4, 400 MHz), 7.95 (d, 1H, J = 3.2 Hz), MS: calc'd 462 (MH+), 7.75 (d, 1H, J = 3.2 Hz), 7.49-7.45 (m, 2H), exp 462 (MH+). 7.04 (t, 2H, J = 8.8 Hz), 4.71-4.62 (m, 2H), 3.80 (s, 3H), 3.43 (s, 3H), 1.92 (s, 3H), 1.57 (s, 6H). 2 1H NMR (MeOD-d4, 400 MHz), 7.94 (d, 1H, J = 2.8 Hz), MS: calc'd 488 (MH+), 7.93 (d, 1H, J = 2.8 Hz), 7.53-7.49 (m, 2H), exp 488 (MH+). 7.07-7.03 (m, 2H), 4.85-4.78 (m, 2H), 4.40-4.37 (m, 1H), 3.44 (s, 3H), 1.94 (s, 3H). 3 1H NMR (MeOD-d4, 400 MHz), 8.12 (d, 1H, J = 3.2 Hz), MS: calc'd 459 (MH+), 8.06 (d, 1H, J = 3.2 Hz), 7.63-7.60 (m, 2H), exp 459 (MH+). 7.15 (t, 2H, J = 8.8 Hz), 4.30 (s, 2H), 3.51 (s, 3H), 2.79 (s, 3H), 2.10 (s, 3H), 1.52-1.51 (m, 2H), 1.38-1.37 (m, 2H). 4 1H NMR (CD3OD, 500 MHz) δ 8.10 (d, 1H), 8.03 (d, LC-MS: calc'd 1H), 7.64-7.61 (m, 2H), 7.15-7.12 (m, 2H), 475 (MH+), exp 475 (MH+). 4.32-4.31 (m, 2H), 4.18-4.14 (m, 2H), 3.99-3.72 (m, 3H), 3.51-3.49 (m, 4H), 3.02 (m, 1H), 2.11 (d, 3H). 5 1H NMR (MeOD-d4, 400 MHz), 7.95 (d, 1H, J = 3.2 Hz), MS: calc'd (MH+) 489 7.74 (d, 1H, J = 3.2 Hz), 7.48-7.45 (m, 2H), exp (MH+) 489. 7.03 (t, 2H, J = 8.8 Hz), 4.05-3.87 (m, 4H), 3.78-3.71 (m, 5H), 3.49-3.45 (m, 1H), 3.42 (s, 3H), 3.14-3.07 (m, 1H), 2.52-2.42 (m, 1H), 1.99 (s, 3H). 6 1H NMR (MeOD-d4, 400 MHz), 7.95 (d, 1H, J = 3.2 Hz), MS: calc'd (MH+) 475 7.74 (d, 1H, J = 3.2 Hz), 7.48-7.45 (m, 2H), exp (MH+) 475. 7.03 (t, 2H, J = 8.8 Hz), 4.35-4.21 (m, 2H), 4.17-4.05 (m, 2H), 3.96-3.84 (m, 2H), 3.75-3.70 (m, 1H), 3.58-3.47 (m, 4H), 2.97-2.89 (m, 1H), 1.99 (s, 3H). 7 1H NMR (MeOD-d4, 400 MHz), 8.07 (d, 1H, J = 3.2 Hz), MS: calc'd (MH+) 475 7.97 (d, 1H, J = 3.2 Hz), 7.62-7.59 (m, 2H), exp (MH+) 475. 7.13 (t, 2H, J = 8.8 Hz), 4.31 (s, 2H), 4.17-4.05 (m, 2H), 3.96-3.84 (m, 3H), 3.62-3.55 (m, 1H), 3.51 (s, 3H), 3.03-2.99 (m, 1H), 2.09 (s, 3H). 8 1H NMR (MeOD-d4, 400 MHz), 8.07 (d, 1H, J = 3.2 Hz), MS: calc'd (MH+) 475 7.97 (d, 1H, J = 3.2 Hz), 7.62-7.59 (m, 2H), exp (MH+) 475. 7.13 (t, 2H, J = 8.8 Hz), 4.28 (dd, 2H, J1 = 33.4 Hz, J2 = 16.4 Hz), 4.17-4.05 (m, 2H), 3.96-3.84 (m, 3H), 3.62-3.50 (m, 4H), 3.03-2.99 (m, 1H), 2.09 (s, 3H). 9 1H NMR (MeOD-d4, 400 MHz), 8.60 (d, 1H, J = 2.8 Hz), MS: calc'd (MH+) 487 8.53-8.50 (m, 1H), 7.80-7.78 (m, 1H), exp (MH+) 487. 7.59-7.56 (m, 2H), 7.11-7.07 (m, 2H), 4.11-4.01 (m, 3H), 3.99-3.97 (m, 1H), 3.88-3.84 (m, 1H), 3.82-3.80 (m, 1H), 3.59-3.56 (m, 1H), 3.49 (s, 3H), 3.44-3.38 (m, 1H), 2.89-2.80 (m, 1H), 2.05 (s, 3H). 10 1H NMR (MeOD-d4, 400 MHz), 8.60 (d, 1H, J = 2.8 Hz), MS: calc'd (MH+) 487 8.55-8.53 (m, 1H), 7.83-7.79 (m, 1H), exp (MH+) 487. 7.60-7.57 (m, 2H), 7.13-7.08 (m, 2H), 4.17-4.08 (m, 3H), 4.01-3.97 (m, 1H), 3.91-3.84 (m, 1H), 3.82-3.80 (m, 1H), 3.60-3.58 (m, 1H), 3.50 (s, 3H), 3.44-3.38 (m, 1H), 2.89-2.80 (m, 1H), 2.06 (s, 3H). 11 1H NMR (CD3OD, 500 MHz) δ 8.15-8.15 (m, 2H), LC-MS: calc'd 7.67-7.62 (m, 2H), 7.19-7.14 (m, 2H), 4.16-3.90 (m, 495 (MH+), exp 495 (MH+). 3H), 3.65-3.61 (m, 1H), 3.51 (d, 3H), 3.25-3.20 (m, 1H), 2.86-2.82 (m, 1H), 2.63-2.61 (m, 1H), 2.15 (d, 3H). 12 1H NMR (CD3OD, 500 MHz) δ 7.96 (s, 1H), 7.77 (s, LC-MS: calc'd 1H), 7.52 (d, 2H), 7.06 (d, 2H), 4.00-3.95 (m, 3H), 495 (MH+), exp 495 (MH+). 3.63-3.61 (m, 1H), 3.46 (s, 3H), 3.20-3.18 (m, 1H), 2.79 (m, 1H), 2.67 (m, 1H), 1.95 (s, 3H). 13 1H NMR (MeOD-d4, 400 MHz), 8.21 (s, 2H), MS: calc'd (MH+) 495 7.67-7.65 (m, 2H), 7.21-7.17 (m, 2H,), 4.16 (d, 1H, J = 15.6 Hz), exp (MH+) 495. 4.02 (t, 1H, J = 8.0 Hz), 3.93 (d, 1H, J = 15.6 Hz), 3.72-3.61 (m, 1H), 3.53 (s, 3H), 3.29-3.19 (m, 1H), 2.91-2.78 (m, 1H), 2.59-2.55 (m, 1H), 2.17 (s, 3H). 14 1H NMR (MeOD-d4, 400 MHz), 8.11 (d, 1H, J = 3.2 Hz), MS: calc'd (MH+) 513.1, 8.04 (d, 1H, J = 3.2 Hz), 7.55-7.49 (m, 1H), exp (MH+) 513.1 7.40-7.38 (m, 1H), 7.34-7.29 (m, 1H,), 4.15 (d, 1H, J = 15.6 Hz), 4.02-3.98 (m, 2H), 3.74-3.61 (m, 1H), 3.53 (s, 3H), 3.30-3.23 (m, 1H), 2.91-2.78 (m, 1H), 2.65-2.49 (m, 1H), 2.08 (s, 3H). 15 1H NMR (MeOD-d4, 400 MHz), 8.17 (d, 1H, J = 3.2 Hz), MS: calc'd (MH+) 507, 8.10 (d, 1H, J = 3.2 Hz), 7.62-7.53 (m, 1H), exp (MH+) 507. 7.45-7.39 (m, 1H), 7.37-7.25 (m, 1H,), 4.25-4.18 (m, 2H), 4.10-4.06 (m, 2H), 3.96-3.94 (m, 1H), 3.89-3.86 (m, 2H), 3.84 (s, 3H), 3.55 (s, 3H), 3.50-3.40 (m, 1H), 2.90-2.87 (m, 1H), 2.08 (s, 3H). 16 1H NMR (MeOD-d4, 400 MHz), 8.06 (d, 1H, J = 3.2 Hz), MS: calc'd (MH+) 493 7.95 (d, 1H, J = 3.2 Hz), 7.53-7.51 (m, 1H), exp (MH+) 493. 7.40-7.37 (m, 1H), 7.31-7.25 (m, 1H,), 4.39-4.28 (m, 2H), 4.15-4.12 (m, 2H), 3.58-3.50 (m, 4H), 3.05-3.01 (m, 1H), 2.05 (s, 3H). 17 1H NMR (MeOD-d4, 400 MHz), 8.80 (d, 1H, J = 2.8 Hz), MS: calc'd (MH+) 521 8.43-8.40 (m, 1H), 8.01-7.98 (m, 1H), exp (MH+) 521 7.70-7.66 (m, 2H), 7.24-7.18 (m, 2H), 4.16-3.94 (m, 3H), 3.84-3.83 (m, 3H), 3.61-3.55 (m, 4H), 3.22-3.18 (m, 1H), 2.91-2.78 (m, 1H), 3.61-3.48 (m, 1H), 2.24-2.21 (m, 3H). 18 1H NMR (MeOD-d4, 400 MHz), 8.77 (d, 1H, J = 2.8 Hz), MS: calc'd (MH+) 507 8.46-8.42 (m, 1H), 8.00-7.95 (m, 1H), exp (MH+) 507. 7.70-7.66 (m, 2H), 7.23-7.19 (m, 2H), 4.16 (d, 1H, J = 16 Hz), 3.98 (t, 1H, J = 8.8 Hz), 3.88 (d, 1H, J = 16 Hz), 3.60-3.56 (m, 4H), 3.28-3.15 (m, 1H), 2.93-1.79 (m, 1H), 2.58-44 (m, 1H), 2.21 (s, 3H). 19 1H NMR (400 MHz, MeOH-d4) 7.87 (s, 1 H), MS: calc'd (MH+) 509 7.47-7.51 (m, 2 H), 7.01-7.06 (m, 2 H), 3.92-4.30 (m, 2 exp (MH+) 509. H), 3.49 (s, 3 H), 3.40 (m, 2H), 2.35-2.90 (m, 3 H), 2.36 (s, 3 H), 1.85 (s, 3 H). 20 1H NMR (400 MHz, MeOH-d4) 8.02-8.18 (m, 2 H), MS: calc'd (MH+) 509 7.54-7.65 (m, 2 H), 7.08-7.20 (m, 2 H), exp (MH+) 509. 3.88-4.14 (m, 2 H), 3.49 (s, 3 H), 2.75-2.90 (m, 2 H), 2.41-2.57 (m, 2 H), 2.09 (s, 3 H), 1.56 (s, 3 H). 21 1H NMR (MeOD-d4, 400 MHz), 7.98 (d, 1H, J = 3.2 Hz), MS: calc'd (M+ + H) 462, 7.81 (d, 1H, J = 3.2 Hz), 7.57-7.53 (m, 2H), exp (M+ + H) 462. 7.14 (t, 2H, J = 8.8 Hz), 3.92-3.74 (m, 3H), 3.49-3.41 (m, 1H), 3.18-3.08 (m, 1H), 2.81-2.69 (m, 1H), 2.55-2.49 (m, 1H), 1.89 (s, 3H). 22 1H NMR (MeOD-d4, 400 MHz), 8.03 (d, 1H, J = 3.2 Hz), MS: calc'd (MH+) 460 7.88 (d, 1H, J = 3.2 Hz), 7.45-7.42 (m, 1H), exp (MH+) 460. 7.36-7.30 (m, 2H), 4.16-4.01 (m, 4H), 3.96-3.82 (m, 3H), 3.43-3.37 (m, 1H), 2.93-2.86 (m, 1H), 1.92 (s, 3H). 23 1H NMR (MeOD-d4, 400 MHz), 7.98 (d, 1H, J = 3.2 Hz), MS: calc'd (MH+) 480 7.81 (d, 1H, J = 3.2 Hz), 7.44-7.39 (m, 1H), exp (MH+) 480. 7.35-7.27 (m, 2H), 3.92-3.74 (m, 3H), 3.49-3.41 (m, 1H), 3.18-3.08 (m, 1H), 2.81-2.69 (m, 1H), 2.52-2.46 (m, 1H), 1.86 (s, 3H). 24 1H NMR (MeOD-d4, 400 MHz), 7.95 (d, J = 3.01 Hz, MS: calc'd (MH+) 527 1 H), 7.73 (d, J = 3.26 Hz, 1 H), 7.37 (ddd, J = 12.17, exp (MH+) 527. 7.78, 1.88 Hz, 1 H), 7.28 (br. s., 1 H), 7.17-7.26 (m, 1 H), 3.85-4.06 (m, 4 H) 3.69 (t, J = 8.16 Hz, 1 H) 3.48-3.61 (m, 1 H) 2.99-3.18 (m, 1 H) 2.61-2.78 (m, 1 H) 2.39-2.58 (m, 1 H) 1.89 (s, 3 H)1.04 (t, J = 7.03 Hz, 3 H). 25 1H NMR (MeOD-d4, 400 MHz), 8.25 (s, 2 H), MS: calc'd (MH+) 509 7.58-7.75 (m, 2 H), 7.19 (t, J = 8.66 Hz, 2 H), exp (MH+) 509. 3.93-4.19 (m, 2 H), 3.75 (d, J = 1.25 Hz, 1 H), 3.53 (s, 3 H), 3.35-3.46 (m, 1 H), 2.88-3.10 (m, 1 H), 1.85-2.41 (m, 7 H). 26 1H NMR (MeOD-d4, 400 MHz), 7.97 (d, J = 3.01 Hz, MS: calc'd (MH+) 509 1 H), 7.72 (d, J = 3.01 Hz, 1 H), 7.49 (dd, J = 8.66, exp (MH+) 509. 5.40 Hz, 2 H), 7.04 (t, J = 8.78 Hz, 2 H), 3.72-3.87 (m, 2 H), 3.44 (s, 3 H), 3.25-3.31 (m, 1 H), 3.14 (d, J = 12.05 Hz, 1 H), 2.47-2.60 (m, 1 H), 1.97-2.41 (m, 4 H), 1.89 (s, 3 H). 27 1H NMR (MeOD-d4, 400 MHz), 7.53 (dd, J = 8.66, MS: calc'd (MH+) 492 5.40 Hz, 2 H), 7.19 (s, 1 H), 6.98-7.11 (m, 3 H), exp (MH+) 492. 3.77-3.96 (m, 5 H), 3.51-3.65 (m, 2 H), 3.46 (s, 3 H), 3.01 (td, J = 15.12, 11.42 Hz, 1 H), 2.64 (qd, J = 12.84, 8.16 Hz, 1 H), 2.32-2.50 (m, 1 H), 1.84-2.00 (m, 3 H). 28 1H NMR (MeOD-d4, 400 MHz), 7.95 (d, J = 3.01 Hz, MS: calc'd (MH+) 527 1 H), 7.72 (d, J = 3.26 Hz, 1 H), 7.36 (ddd, J = 12.30, exp (MH+) 527. 7.78, 2.26 Hz, 1 H), 7.27 (br. s., 1 H), 7.21 (dd, J = 10.29, 8.28 Hz, 1 H), 3.80-4.02 (m, 4 H), 3.44-3.58 (m, 2 H), 2.87 (td, J = 15.56, 11.04 Hz, 1 H), 2.54-2.73 (m, 1 H), 2.35-2.52 (m, 1 H), 1.89 (s, 3 H), 1.03 (t, J = 7.03 Hz, 3 H). 29 1H NMR (MeOD-d4, 400 MHz), 8.10 (d, J = 2.76 Hz, MS: calc'd (MH+) 507 1 H), 7.99-8.06 (m, 1 H), 7.52-7.63 (m, 1 H), exp (MH+) 507. 7.44 (d, J = 7.03 Hz, 1 H), 7.22-7.38 (m, 1 H), 5.36 (t, J = 4.64 Hz, 1 H), 4.30-4.54 (m, 2 H), 4.09-4.22 (m, 3 H), 3.86-4.06 (m, 4 H), 3.55-3.73 (m, 1 H), 1.98-2.15 (m, 3 H), 0.92 (t, J = 6.78 Hz, 3 H). 30 1H NMR (MeOD-d4, 400 MHz), 7.52 (dd, J = 8.66, MS: calc'd (MH+) 472 5.40 Hz, 2 H), 7.21 (s, 1 H), 6.98-7.11 (m, 3 H), exp (MH+) 472. 3.72-4.06 (m, 10 H) 3.48 (s, 3 H), 3.12-3.23 (m, 1 H), 2.61 (ddd, J = 11.54, 8.16, 3.14 Hz, 1 H), 1.93 (s, 3 H). 31 1H NMR (CDCl3, 400 MHz), 7.47-7.59 (m, 2 H), MS: calc'd (MH+) 509 7.18 (s, 1 H), 7.01-7.12 (m, 2 H), 4.12 (d, J = 14.56 Hz, exp (MH+) 509. 1 H), 3.98 (dd, J = 9.79, 6.02 Hz, 1 H), 3.61 (d, J = 14.31 Hz, 1 H), 3.53 (d, J = 10.54 Hz, 1 H), 3.47 (s, 3 H), 3.12 (br. s., 1 H), 2.71-2.90 (m, 1 H), 2.50-2.67 (m, 1 H), 2.46 (s, 3 H), 1.98-2.07 (m, 3 H). 32 1H NMR (CDCl3, 400 MHz), 7.49-7.61 (m, 2 H), MS: calc'd (MH+) 509 7.17 (s, 1 H), 7.05-7.13 (m, 2 H), 4.14 (d, J = 14.31 Hz, exp (MH+) 509. 1 H), 3.92 (dd, J = 9.66, 6.15 Hz, 1 H), 3.49-3.58 (m, 2 H), 3.47 (s, 3 H), 3.18-3.33 (m, 1 H), 2.81 (dd, J = 14.68, 9.66 Hz, 1 H), 2.57 (dd, J = 12.30, 6.02 Hz, 1 H), 2.46 (s, 3 H), 2.01 (s, 3 H). 33 1H NMR (CDCl3, 400 MHz), 7.71 (s, 1 H), MS: calc'd (MH+) 529 7.41-7.58 (m, 2 H), 7.00-7.17 (m, 2 H), 4.12-4.21 (m, 1 H), exp (MH+) 529. 3.93-4.03 (m, 1 H), 3.70-3.78 (m, 1 H), 3.54 (s, 4 H), 3.15-3.30 (m, 1 H), 2.75-2.90 (m, 1 H), 2.52-2.69 (m, 1 H), 2.15 (s, 3 H). 34 1H NMR (MeOD-d4, 400 MHz), 7.93-8.01 (m, 1 H), MS: calc'd (MH+) 477 7.79-7.89 (m, 1 H), 7.55-7.67 (m, 2 H), exp (MH+) 477. 7.06-7.17 (m, 2 H), 5.45-5.58 (m, 1 H), 5.31-5.45 (m, 1 H), 3.81-4.12 (m, 2 H), 3.48 (s, 3 H), 2.70-2.94 (m, 2 H), 2.31-2.55 (m, 2 H), 1.96-2.10 (m, 3 H). 35 1H NMR (MeOD-d4, 400 MHz), 8.80-8.87 (m, 1 H), MS: calc'd (MH+) 479 7.48-7.59 (m, 2 H), 7.10 (s, 3 H), 3.77-4.10 (m, 3 exp (MH+) 479. H), 3.48-3.62 (m, 1 H), 3.46 (d, J = 4.27 Hz, 3 H), 3.00-3.23 (m, 1 H), 2.70-2.87 (m, 1 H), 2.42-2.64 (m, 1 H), 1.98 (d, J = 3.51 Hz, 3 H). 36 1H NMR (MeOD-d4, 400 MHz), 8.14-8.17 (m, 1 H), MS: calc'd (MH+) 509 8.10-8.13 (m, 1 H), 7.58-7.65 (m, 2 H), exp (MH+) 509. 7.11-7.19 (m, 2 H), 3.99-4.06 (m, 2 H), 3.52 (s, 4 H), 3.35-3.38 (m, 1 H), 2.75-2.89 (m, 1 H), 2.41-2.56 (m, 1 H), 2.12 (s, 3 H), 1.56 (s, 3 H). 37 1H NMR (MeOD-d4, 400 MHz), 7.62 (s, 1H), 7.50 (dd, MS: calc'd (MH+) 509 J = 5.40, 8.66 Hz, 2H), 7.05 (t, J = 8.78 Hz, 2H), exp (MH+) 509. 3.90 (d, J = 5.77 Hz, 2H), 3.65 (t, J = 8.28 Hz, 1H), 3.39-3.58 (m, 7H), 3.05 (d, J = 11.54 Hz, 1H), 2.68 (dd, J = 7.91, 13.18 Hz, 1H), 2.48-2.58 (m, 4H). 38 1H NMR (MeOD-d4, 400 MHz), 7.62 (t, J = 3.9 Hz, 1 MS: calc'd (MH+) 512 H), 7.46 (dd, J = 8.7, 5.4 Hz, 2 H), 7.02 (t, J = 8.8 Hz, exp (MH+)512. 2 H), 6.59 (dd, J = 4.3, 1.8 Hz, 1 H), 3.86 (d, J = 14.3 Hz, 2 H), 3.75 (t, J = 6.5 Hz, 1 H), 3.41-3.62 (m, 6 H), 3.06 (q, J = 7.3 Hz, 2 H), 2.61 (dd, J = 16.1, 7.5 Hz, 1 H), 2.26-2.45 (m, 1 H). 39 1H NMR (MeOD-d4, 400 MHz), 7.96 (d, J = 3.0 Hz, 1 MS: calc'd (MH+) 477 H), 7.85 (d, J = 3.3 Hz, 1 H), 7.65 (dd, J = 8.8, 5.3 Hz, exp (MH+)477. 2 H), 7.13 (t, J = 8.8 Hz, 2 H), 5.29-5.52 (m, 1 H), 4.62 (d, J = 14.1 Hz, 1 H), 4.39 (d, J = 9.5 Hz, 1 H), 4.08-4.27 (m, 2 H), 3.44-3.69 (m, 5 H), 2.54-2.97 (m, 3 H). 40 1H NMR (MeOD-d4, 400 MHz), 7.51 (dd, J = 8.2, 5.4 Hz, MS: calc'd (MH+) 493 2 H), 7.06 (q, J = 8.8 Hz, 2 H), 6.61 (d, J = 4.0 Hz, exp (MH+)493. 1 H), 3.72-3.96 (m, 2 H), 3.40-3.63 (m, 6 H), 2.82-3.12 (m, 2 H), 2.57-2.76 (m, 1 H), 2.35-2.52 ppm (m, 5 H). 41 1H NMR (CDCl3, 400 MHz), 7.53 (m, 2H), 7.43 (m, MS: calc'd (MH+) 512 1H), 7.08 (m, 2H), 6.85 (d, 1H, J = 5.6 Hz), 4.08 (d, exp (MH+) 512. 1H, J = 14.2 Hz), 3.86 (1H, m), 3.57 (d, 1H, J = 14.2 Hz), 3.50 (1H, m), 3.45 (3H, s), 3.20 (1H, m), 2.77 (1H, m), 2.54 (1H, m), 1.97 (3H, s). 42 1H NMR (CDCl3, 400 MHz), 7.52 (m, 2H), MS: calc'd (MH+) 512 7.42 (m, 1H), 7.06 (m, 2H), 6.84 (d, 1H, J = 5.6 Hz), exp (MH+) 512. 4.05 (d, 1H, J = 14.2 Hz), 3.91 (m, 1H), 3.64 (d, 1H, J = 14.2 Hz), 3.47 (m, 1H), 3.45 (3H, s), 3.10 (m, 1H), 2.78 (m, 1H), 2.55 (m, 1H), 1.98 (s, 3H). 43 1H NMR (CDCl3, 400 MHz), 7.70 (s, 1H), 7.45 (m, MS: calc'd (MH+) 512 2H), 7.00 (m, 3H), 4.07 (d, 1H, J = 15.0 Hz), 3.72 (m, exp (MH+) 512. 1H), 3.55 (s, 3H), 3.54-3.34 (m, 2H), 3.07 (m, 1H), 2.68 (m, 1H), 2.32 (m, 1H), 2.01 (s, 3H). 44 1H NMR (MeOD-d4, 400 MHz), □7.95 (d, J = 3.26 Hz, MS: calc'd (MH+) 501 1 H), 7.75 (d, J = 3.26 Hz, 1 H), 7.44-7.54 (m, 2 H), exp (MH+) 501. 7.05 (t, J = 8.78 Hz, 2 H), 3.90-4.09 (m, 2H), 3.63 (s, 2 H), 3.45 (s, 3 H), 1.91 (s, 3 H). 45 1H NMR (MeOD-d4, 400 MHz), 8.23 (d, J = 0.75 Hz, MS: calc'd (MH+) 509 2 H), 7.61-7.70 (m, 2 H), 7.19 (t, J = 8.66 Hz, 2 H), exp (MH+) 509. 4.06-4.16 (m, 1 H), 4.02 (t, J = 8.03 Hz, 1H), 3.92 (d, J = 15.81 Hz, 1 H), 3.82 (s, 3 H), 3.59 (d, J = 10.79 Hz, 1 H), 3.53 (s, 3 H), 3.12-3.28 (m, 1 H), 2.72-2.89 (m, 1 H), 2.43-2.61 (m, 1 H), 2.16 (s, 3 H). 46 1H NMR (MeOD-d4, 400 MHz), 7.94 (d, J = 3.01 Hz, MS: calc'd (MH+) 566 1 H), 7.74 (d, J = 3.01 Hz, 1 H), 7.49 (br. s., 2 H), exp (MH+) 566. 7.05 (t, J = 8.78 Hz, 2 H), 4.33 (t, J = 5.65 Hz, 2 H), 3.94 (s, 3 H), 3.42-3.56 (m, 5 H), 2.66-2.82 (m, 4 H), 2.33 (s, 6 H), 1.90 (s, 3 H). 47 1H NMR (MeOD-d4, 400 MHz), 7.95 (br. s., 1 H) MS: calc'd (MH+) 494 7.69-7.84 (m, 1 H) 7.61 (dd, J = 8.28, 5.52 Hz, 1 H) exp (MH+) 494. 7.48 (dd, J = 8.03, 5.52 Hz, 1 H) 6.99-7.17 (m, 2 H) 3.39-3.88 (m, 6 H) 2.91-3.30 (m, 2 H) 2.62-2.86 (m, 1 H) 2.22-2.53 (m, 1 H) 1.81-2.02 (m, 3 H). 48 1H NMR (MeOD-d4, 400 MHz), 8.13-8.00 (m, 1 H) MS: calc'd (MH+) 494 7.98-7.82 (m, 1 H) 7.59 (br. s., 2 H) 7.13 (s, 2 H) exp (MH+) 494.1. 3.96-3.82 (m, 1 H) 3.80-3.64 (m, 2 H) 3.62-3.44 (m, 4 H) 3.24-3.07 (m, 1 H) 2.84-2.66 (m, 1 H) 2.49-2.26 (m, 1 H) 2.02 (s, 3 H). 49 1H NMR (MeOD-d4, 400 MHz), 8.10-7.98 (m, 1 H) MS: calc'd (MH+) 522 7.94-7.76 (m, 1 H) 7.62-7.43 (m, 2 H) 7.10 (s, 2 H) exp (MH+) 522.0. 4.27 (s, 1 H) 3.95 (s, 1 H) 3.76-3.53 (m, 2 H) 3.47 (s, 3 H) 3.09 (s, 4 H) 3.00 (s, 3 H) 2.91-2.75 (m, 1 H) 2.43-2.21 (m, 1 H) 1.97 (s, 3 H). 50 1H NMR (MeOD-d4, 400 MHz), 8.05-7.89 (m, 1 H) MS: calc'd (MH+) 508 7.87-7.69 (m, 1 H) 7.66-7.33 (m, 2 H) 7.07 (br. s., 2 exp (MH+) 508.2. H) 3.92-3.59 (m, 3 H) 3.57-3.39 (m, 4 H) 3.27-2.95 (m, 1 H) 2.90-2.58 (m, 4 H) 2.39-2.23 (m, 1 H) 2.02-1.77 (m, 3 H). 51 1H NMR (MeOD-d4, 400 MHz), 8.14-8.03 (m, 1 H) MS: calc'd (MH+) 572 8.00-7.91 (m, 1 H) 7.65-7.51 (m, 2 H) 7.11 (s, 2 H) exp (MH+) 572.2. 4.03-3.81 (m, 3 H) 3.63 (d, J = 11.04 Hz, 1 H) 3.50 (s, 3 H) 3.28-3.10 (m, 1 H) 291-2.73 (m, 1 H) 2.68 (s, 3 H) 2.49 (qd, J = 14.01, 7.15 Hz, 1 H) 2.06 (s, 3 H). 52 1H NMR (MeOD-d4, 400 MHz), 8.00-7.84 (m, 1 H) MS: calc'd (MH+) 577 7.82-7.62 (m, 1 H) 7.60-7.29 (m, 3 H) 7.13 (br. s., 1 exp (MH+) 577.3. H) 7.03 (br. s., 2 H) 4.10-3.76 (m, 3 H) 3.72-3.55 (m, 1 H) 3.45 (s, 3 H) 3.25-3.08 (m, 1 H) 2.95-2.73 (m, 1 H) 2.63-2.35 (m, 1 H) 1.97-1.64 (m, 3 H). 53 1H NMR (MeOD-d4, 400 MHz), 7.86-8.06 (m, 2 H) MS: calc'd (MH+) 461 7.63 (dd, J = 8.53, 5.27 Hz, 2 H) 7.13 (t, J = 8.16 Hz, 2 exp (MH+) 461. H) 4.41-4.73 (m, 2 H) 4.02-4.24 (m, 2 H) 3.87-3.98 (m, 3 H) 3.72-3.65 (m, 2 H) 3.35-3.55 (m, 5 H) 2.09 (d, J = 4.52 Hz, 3 H). 54 1H NMR (CDCl3, 400 MHz), 7.81-7.91 (m, 1 H), MS: calc'd (MH+) 509 7.38-7.66 (m, 3 H), 7.03 (br. s., 2 H), 4.10-4.28 (m, exp (MH+) 509. 1 H), 3.88-4.09 (m, 1 H), 3.45-3.59 (m, 3 H), 3.29-3.45 (m, 1 H), 3.23 (t, J = 8.41 Hz, 1 H), 2.87-3.09 (m, 1 H), 2.41 (dd, J = 14.31, 7.28 Hz, 1 H), 2.19 (s, 1 H), 1.86-2.00 (m, 3 H), 1.18-1.33 (m, 6 H). 55 1H NMR (CDCl3, 400 MHz), 7.86 (d, 1H, J = 3.1 Hz), MS: calc'd (MH+) 481 7.52 (m, 3H), 7.02 (m, 2H), 4.04 (m, 1H), 3.79 (m, exp (MH+) 481. 2H), 3.52 (s, 3H), 3.52 (m, 2H), 3.16 (m, 1H), 3.00 (m, 1H), 2.40 (m, 2H), 1.98 (s, 3H). 56 1H NMR (MeOD-d4, 400 MHz), 7.95 (d, J = 4.0 Hz, MS: calc'd (MH+) 509 1H), 7.75 (d, J = 4.0 Hz, 1H), 7.51-7.47 (m, 2H), exp (MH+) 509. 7.05 (t, J = 8.0 Hz, 2H), 3.96 (d, J = 16 Hz, 1H), 3.74 (d, J = 16 Hz, 1H), 3.58 (t, J = 6.0 Hz, 2H), 3.50-3.40 (m, 1H), 3.48 (s, 3H), 2.98-2.85 (m, 2H), 2.57-2.45 (m, 1H), 2.13-2.05 (m, 1H), 1.92-1.85 (m, 1H), 1.90 (s, 3H), 1.63-1.49 (m, 3H). 57 1H NMR (MeOD-d4, 400 MHz), 7.97 (br. s., 1 H) MS: calc'd (MH+) 533 7.83-7.68 (m, 1 H) 7.44 (br. s., 2 H) 7.03 (br. s., 2 H) exp (MH+) 533.2. 4.55-4.37 (m, 1 H) 3.97 (d, J = 3.26 Hz, 2 H) 3.67-3.53 (m, 1 H) 3.45 (s, 3 H) 3.27-3.13 (m, 1 H) 2.96-2.66 (m, 2 H) 2.36 (s, 3 H) 1.84 (s, 3 H). 58 1H NMR (MeOD-d4, 400 MHz), 8.02-7.92 (m, 1 H) MS: calc'd (MH+) 519 7.77 (d, J = 3.01 Hz, 1 H) 7.48 (dd, J = 8.53, 5.27 Hz, exp (MH+) 519.1. 2 H) 7.05 (t, J = 8.66 Hz, 2 H) 4.50 (t, J = 8.28 Hz, 1 H) 3.72-3.57 (m, 2 H) 3.41 (s, 3 H) 3.24-3.08 (m, 2 H) 2.80 (td, J = 15.75, 7.15 Hz, 2 H) 1.85 (s, 3 H). 59 1H NMR (MeOD-d4, 400 MHz), 7.95 (d, J = 3.01 Hz, 1 MS: calc'd (MH+) 533 H) 7.74 (d, J = 3.26 Hz, 1 H) 7.47 (dd, J = 8.66, 5.40 Hz, exp (MH+) 533.2. 2 H) 7.04 (t, J = 8.78 Hz, 2 H) 4.53 (t, J = 7.91 Hz, 1 H) 3.95 (d, J = 8.53 Hz, 2 H) 3.60 (d, J = 10.79 Hz, 1 H) 3.50-3.39 (m, 3 H) 3.26 (br. s., 1 H) 2.99-2.85 (m, 1 H) 2.78-2.64 (m, 1 H) 2.35 (s, 3 H) 1.90-1.81 (m, 3 H). - More particular compounds of formula I include the following:
- 4-[6-(4-fluoro-phenyl)-5-methoxycarbonyl-6-methyl-2-thiazol-2-yl-3,6-dihydro-pyrimidin-4-ylmethyl]-morpholine-3-carboxylic acid;
- 4-[6-(4-fluoro-phenyl)-5-methoxycarbonyl-6-methyl-2-thiazol-2-yl-3,6-dihydro-pyrimidin-4-ylmethyl]-morpholine-(S)-3-carboxylic acid;
- (S)-4-[6-(4-fluoro-phenyl)-5-methoxycarbonyl-6-methyl-2-thiazol-2-yl-3,6-dihydro-pyrimidin-4-ylmethyl]-morpholine-(S)-3-carboxylic acid;
- (S)-4-[6-(4-fluoro-phenyl)-5-methoxycarbonyl-6-methyl-2-thiazol-2-yl-3,6-dihydro-pyrimidin-4-ylmethyl]-morpholine-(R)-3-carboxylic acid;
- 4-[6-(4-fluoro-phenyl)-2-(5-fluoro-pyridin-2-yl)-5-methoxycarbonyl-6-methyl-3,6-dihydro-pyrimidin-4-ylmethyl]-morpholine-(R)-3-carboxylic acid;
- 4-[6-(4-fluoro-phenyl)-2-(5-fluoro-pyridin-2-yl)-5-methoxycarbonyl-6-methyl-3,6-dihydro-pyrimidin-4-ylmethyl]-morpholine-(S)-3-carboxylic acid;
- 6-(2-(S)-carboxy-4,4-difluoro-pyrrolidin-1-ylmethyl)-4-(4-fluoro-phenyl)-4-methyl-2-thiazol-2-yl-1,4-dihydro-pyrimidine-5-carboxylic acid methyl ester;
- 6-(2-(R)-carboxy-4,4-difluoro-pyrrolidin-1-ylmethyl)-4-(4-fluoro-phenyl)-4-methyl-2-thiazol-2-yl-1,4-dihydro-pyrimidine-5-carboxylic acid methyl ester;
- (S)-6-((S)-2-carboxy-4,4-difluoro-pyrrolidin-1-ylmethyl)-4-(4-fluoro-phenyl)-4-methyl-2-thiazol-2-yl-1,4-dihydro-pyrimidine-5-carboxylic acid methyl ester;
- (S)-6-((S)-2-carboxy-4,4-difluoro-pyrrolidin-1-ylmethyl)-4-(3,4-difluoro-phenyl)-4-methyl-2-thiazol-2-yl-1,4-dihydro-pyrimidine-5-carboxylic acid methyl ester;
- 4-[6-(3,4-difluoro-phenyl)-5-methoxycarbonyl-6-methyl-2-thiazol-2-yl-3,6-dihydro-pyrimidin-4-ylmethyl]-morpholine-3-carboxylic acid;
- 6-(4,4-difluoro-2-methoxycarbonyl-pyrrolidin-1-ylmethyl)-4-(4-fluoro-phenyl)-2-(5-fluoro-pyridin-2-yl)-4-methyl-1,4-dihydro-pyrimidine-5-carboxylic acid methyl ester;
- 6-(2-carboxy-4,4-difluoro-pyrrolidin-1-ylmethyl)-4-(4-fluoro-phenyl)-2-(5-fluoro-pyridin-2-yl)-4-methyl-1,4-dihydro-pyrimidine-5-carboxylic acid methyl ester;
- 6-((S)-2-carboxy-4,4-difluoro-pyrrolidin-1-ylmethyl)-4-(4-fluoro-phenyl)-4-methyl-2-(5-methyl-thiazol-2-yl)-1,4-dihydro-pyrimidine-5-carboxylic acid methyl ester;
- 6-(2-carboxy-4,4-difluoro-2-methyl-pyrrolidin-1-ylmethyl)-4-(4-fluoro-phenyl)-4-methyl-2-thiazol-2-yl-1,4-dihydro-pyrimidine-5-carboxylic acid methyl ester;
- (S)-1-[(S)-5-cyano-6-(3,4-difluoro-phenyl)-6-methyl-2-thiazol-2-yl-3,6-dihydro-pyrimidin-4-ylmethyl]-4,4-difluoro-pyrrolidine-2-carboxylic acid;
- (S)-6-((S)-2-Carboxy-4,4-difluoro-pyrrolidin-1-ylmethyl)-4-(3,4-difluoro-phenyl)-4-methyl-2-thiazol-2-yl-1,4-dihydro-pyrimidine-5-carboxylic acid ethyl ester;
- (S)-6-(2-Carboxy-5,5-difluoro-piperidin-1-ylmethyl)-4-(4-fluoro-phenyl)-4-methyl-2-thiazol-2-yl-1,4-dihydro-pyrimidine-5-carboxylic acid methyl ester;
- (S)-6-(2-Carboxy-4,4-difluoro-piperidin-1-ylmethyl)-4-(4-fluoro-phenyl)-4-methyl-2-thiazol-2-yl-1,4-dihydro-pyrimidine-5-carboxylic acid methyl ester;
- (S)-6-((S)-2-Carboxy-4,4-difluoro-pyrrolidin-1-ylmethyl)-4-(4-fluoro-phenyl)-4-methyl-2-(1-methyl-1H-imidazol-2-yl)-1,4-dihydro-pyrimidine-5-carboxylic acid methyl ester;
- (S)-6-((S)-2-Carboxy-4,4-difluoro-pyrrolidin-1-ylmethyl)-4-(4-fluoro-phenyl)-4-methyl-2-(4-methyl-thiazol-2-yl)-1,4-dihydro-pyrimidine-5-carboxylic acid methyl ester;
- (S)-6-((S)-2-Carboxy-4,4-difluoro-pyrrolidin-1-ylmethyl)-2-(5-chloro-thiazol-2-yl)-4-(4-fluoro-phenyl)-4-methyl-1,4-dihydro-pyrimidine-5-carboxylic acid methyl ester;
- (S)-6-((S)-2-Carboxy-4,4-difluoro-pyrrolidin-1-ylmethyl)-4-(4-fluoro-phenyl)-4-methyl-2-(5-methyl-thiazol-2-yl)-1,4-dihydro-pyrimidine-5-carboxylic acid methyl ester;
- (S)-6-((S)-2-Carboxy-4,4-difluoro-pyrrolidin-1-ylmethyl)-4-(4-fluoro-phenyl)-2-(5-fluoro-thiophen-2-yl)-4-methyl-1,4-dihydro-pyrimidine-5-carboxylic acid methyl ester;
- (S)-6-((S)-2-Carboxy-4,4-difluoro-pyrrolidin-1-ylmethyl)-4-(4-fluoro-phenyl)-2-(3-fluoro-thiophen-2-yl)-4-methyl-1,4-dihydro-pyrimidine-5-carboxylic acid methyl ester;
- (S)-6-((S)-2-Carboxy-4,4-difluoro-pyrrolidin-1-ylmethyl)-4-(4-fluoro-phenyl)-2-(4-fluoro-thiophen-2-yl)-4-methyl-1,4-dihydro-pyrimidine-5-carboxylic acid methyl ester;
- (S)-6-((S)-4,4-Difluoro-2-methoxycarbonyl-pyrrolidin-1-ylmethyl)-4-(4-fluoro-phenyl)-4-methyl-2-thiazol-2-yl-1,4-dihydro-pyrimidine-5-carboxylic acid methyl ester;
- (S)-6-(2-Carbamoyl-4,4-difluoro-pyrrolidin-1-ylmethyl)-4-(4-fluoro-phenyl)-4-methyl-2-thiazol-2-yl-1,4-dihydro-pyrimidine-5-carboxylic acid methyl ester;
- (S)-6-((S)-2-Dimethylcarbamoyl-4,4-difluoro-pyrrolidin-1-ylmethyl)-4-(4-fluoro-phenyl)-4-methyl-2-thiazol-2-yl-1,4-dihydro-pyrimidine-5-carboxylic acid methyl ester;
- (S)-6-[(S)-4,4-Difluoro-2-(thiazol-2-ylcarbamoyl)-pyrrolidin-1-ylmethyl]-4-(4-fluoro-phenyl)-4-methyl-2-thiazol-2-yl-1,4-dihydro-pyrimidine-5-carboxylic acid methyl ester;
- (S)-6-[(S)-4,4-Difluoro-2-(1-hydroxy-1-methyl-ethyl)-pyrrolidin-1-ylmethyl]-4-(4-fluoro-phenyl)-4-methyl-2-thiazol-2-yl-1,4-dihydro-pyrimidine-5-carboxylic acid methyl ester;
- (S)-6-((S)-4,4-Difluoro-2-hydroxymethyl-pyrrolidin-1-ylmethyl)-4-(4-fluoro-phenyl)-4-methyl-2-thiazol-2-yl-1,4-dihydro-pyrimidine-5-carboxylic acid methyl ester;
- (S)-6-[(S)-4,4-Difluoro-2-(5-methyl-[1,3,4]oxadiazol-2-yl)-pyrrolidin-1-ylmethyl]-4-(4-fluoro-phenyl)-4-methyl-2-thiazol-2-yl-1,4-dihydro-pyrimidine-5-carboxylic acid methyl ester;
- (S)-6-[(S)-4,4-Difluoro-2-(1H-tetrazol-5-yl)-pyrrolidin-1-ylmethyl]-4-(4-fluoro-phenyl)-4-methyl-2-thiazol-2-yl-1,4-dihydro-pyrimidine-5-carboxylic acid methyl ester; and
- (S)-6-[(S)-4,4-Difluoro-2-(3-methyl-[1,2,4]oxadiazol-5-yl)-pyrrolidin-1-ylmethyl]-4-(4-fluoro-phenyl)-4-methyl-2-thiazol-2-yl-1,4-dihydro-pyrimidine-5-carboxylic acid methyl ester.
- It is very important for a drug to have a moderate or low clearance, as this often lead to a good oral bioavailability and high exposure in target organ. Reducing the clearance of a compound or drug could then potentially reduce drastically the daily dose required for efficacy and therefore give a much better safety profile as well. From the examples below, it has been found a marked increase of metabolic stability and liver exposure of 4-methyldihydropyrimidines of current invention.
- 4-Hydrogen-dihydropyrimidines such as Bay 41-4109 can be oxidized to pyrimidine product XLVI when treated with human, rat or mouse liver microsomes. In this experiment, pooled liver microsomes (20 mg/ml) from human, male Wister rat and male CD-1 mouse were obtained from BD Bioscience (Franklin Lakes, N.J. USA). Incubation reaction mixtures contained a final concentration of 0.1M sodium phosphate buffer (pH 7.4), 0.5 mg/ml microsomal protein, 5 μM of the tested compounds and 1 mM NADPH in a total volume of 400 μl. The incubations were done for 60 minutes and 300 μl of the mixtures was transferred to 150 μl of ice cold methanol to terminate reactions. After vortexes for 3 minutes and centrifuged at 4000 rpm at 4° C. for 10 minutes, the clear supernatant was used directly for analysis. The samples were analyzed by Applied Biosystems API 3200 Q TRAP LC/MS/MS system using electrospray ionization mode.
- Pyrimidine product XLVI was the major metabolite in the in vitro clearance tests (
FIG. 1 ), and it was inactive to HBV DNA reduction in HepDE19 cell based assays with EC50 value above 100 μM. On the other hand, the 4-methyl-dihydropyrimidines series in this invention do not have the aromatization issues of the core structure. - HBV viruses infect hepatocyte cells and replicate in the liver. To have effective viral suppression, it is important for an anti-HBV drug to have sufficient exposure in the target organ. The following findings highlight increased metabolic stability and high liver exposure of 4-methyldihydropyrimidine analogs in this invention.
- In this experiment, fresh mouse liver sample was homogenized by adding saline (1 g liver tissue: 5 mL saline) immediately after collection. After centrifuging for 10 minutes at 14000 rpm, the pooled supernatant was used to prepare liver homogenate solutions. The effective compounds concentrations in liver homogenate were 100, 300, and 1000 ng/mL. Then, they were incubated at rt. After incubation time of 0, 15 and 30 minutes, 180 μl aliquots of MeOH was added into 20 μl of homogenate, respectively. All these samples were vortex mixed for 5 minutes at 1500 rpm and centrifuged for 10 minutes at 14000 rpm. The supernatants were transferred into a 96-well plate for LC-MS/MS analysis. The results were summarized and showed in Table 3.
-
TABLE 3 The percentage of Bay 41-4109 and Example 13 remaining in mouse liver homogenate. Concentration Peak Incubation Time Percentage Compound (ng/mL) Area* (mm) to 0 min Bay41-4109 100 9263 15 1.84% 504715 0 100% 300 N.D. 30 0% 1363649 0 100% 1000 7868 30 0.16% 93431 15 1.90% 4930207 0 100% Example 100 58644 15 119% 13 49480 0 100% 300 120162 30 108% 111014 0 100% 1000 368388 30 86.0% 375366 15 87.6% 428458 0 100% *the data directly calculated by LC/MS/MS, the relative standard variation is at 20%. **: not detected - By comparing the peak area of individual samples at 15 and 30 min to the one at 0 min from same concentration level, the stability of Bay41-4109 and Example 13 in CD-1 mouse liver homogenate was evaluated.
- It can be obviously concluded that Bay41-4109 is not stable in liver homogenate treated with saline. About 2% of compound was detected after 15 minutes room temperature incubation, at three different concentration levels. In samples incubated for 30 minutes, only 0.16% can be found (at 1000 ng/mL. Not detected in 100 ng/mL and 300 ng/mL samples due to instrument sensitivity).
- It can be concluded that Example 13 is stable in in liver homogenate treated with saline.
- The in vivo DMPK of selected compounds were evaluated in male ICR mice following intravenous (or i.v.) or oral (or p.o.) administration. In single dose pharmacokinetics (SDPK) studies, compounds were dissolved in 6% Solutol solution (Solutol:Ethanol, 1:1, v/v), and 94% 0.9% saline for i.v. dose. For p.o. administration, compounds were mixed with 0.89% microcrystalline cellulose and 0.11% carboxymethyl cellulose sodium water solution, or 1% RC591 as suspensions. The single dose exposure levels of Bay 41-4109, Example 6, Example 11, Example 13 and Example 19 in mouse plasma and/or liver are shown as
FIG. 2-6 . - The compounds of the present invention can be prepared by any conventional means. Suitable processes for synthesizing these compounds as well as their starting materials are provided in the schemes below and in the examples. All substituents, in particular, R1 to R5, M and X are as defined above unless otherwise indicated. Furthermore, and unless explicitly otherwise stated, all reactions, reaction conditions, abbreviations and symbols have the meanings well known to a person of ordinary skill in organic chemistry.
- General synthetic scheme for 4-methyl-5-ester-6-methyl-dihydropyrimidine based analogues Intermediate-1 (Scheme 1)
- One category of the compounds described herein relates to 4-methyl-5-ester-6-methyl-dihydropyrimidine based analogues with the formula Intermediate-1 wherein R8 is C1-6alkyl.
- Compound of interest Intermediate-1 can be prepared according to the general synthesis method shown in
Scheme 1. - Amidine III can be prepared from commercial available nitrile II, ammonium chloride and trimethyl aluminum. The reaction is typically performed by adding trimethyl aluminum to the mixture of ammonium chloride in toluene at 0° C. After 30 minutes, nitrile II is added into the flask and the reaction mixture is stirred at 80° C. overnight.
- The indium triflate catalyzed condensation reaction of commercial available ester IV and ethynyl-benzene V gives α,β-unsaturated ketone VI. The reaction is typically performed in o-xylene at 120° C. for 2 h.
- As an alternative method to synthesize tetra-substituted α,β-unsaturated ketone VI, especially when R8 is tert-butyl group. Ketone VIII can be prepared by condensation of ester IV with substituted benzaldehyde VII. The reaction is typically performed in ethanol with catalytic quantity of piperidine and acetic acid at rt overnight.
- Ketone IX can be prepared by 1,4-Michael addition of methyl group to the α,β-unsaturated ketone VIII. The reaction is typically performed by adding methyl lithium solution to cuprous iodide in THF solution at 0° C. and stirred for 1 hour at 0° C., then the solution of VIII in THF is added into the mixture at −78° C. and stirred for 1 hour at −78° C.
- α,βUnsaturated ketone VI can be prepared by oxidative elimination of ketone IX. The reaction is typically performed by adding sodium hydride into the solution of ketone IX in THF, then phenylselenyl chloride is added and stirred at rt for 1 hour. After the mixture is treated with pentene, ether and saturated sodium bicarbonate, the organic layer is treated with H2O2 solution (30%) and stirred at rt for 1 hour.
- Analogs with general structure Intermediate-1 can be prepared by the condensation reaction of α,βunsaturated ketone VI with amidine III. The reaction is typically carried out by adding a solution of VI in NMP dropwisely into a mixture of amidine III and NaHCO3 in NMP at 120° C., after addition the mixture is stirred at 120° C. for half an hour before workup.
- General synthetic scheme for 4-methyl-5-cyano-6-nitrogen-substituted-2,4-dihydro-pyrimidine based analogues Intermediate-3 (Scheme-2)
- Compounds of interest Intermediate-3 can be prepared according to the general synthesis method shown in
Scheme 2. - Compound XI can be obtained by the deprotection of Intermediate-2. The reaction is typically performed in DCM with TFA at rt for 2 hours.
- Compound XII can be obtained by coupling reaction from XI with ammonia. The reaction is typically performed in DCM with HATU and ammonia of dioxane solution at rt for 1 hour.
- Cyano compound Intermediate-3 can be obtained by dehydrate reaction from compound XII. The reaction is typically performed in 1,2-dichloroethane with thionyl chloride or trifluoroacetic anhydride under refluxing for 1 hour.
- General synthetic scheme for 4-methyl-5-ester or cyano-6-aminoalkyl-dihydropyrimidine based analogues Ia (Scheme 3)
- Compounds of interest Ia can be prepared according to the general synthesis method shown in Scheme 3.
- The Boc-protected compound XIII can be obtained by treatment of ester Intermediated or cyano Intermediate-3 with di-tert-butyldicarbonate and DMAP as base in an inert organic solvent such as DCM, typically at rt for 24 hours.
- The compound XIV can be obtained by the bromination of compound XIII. The reaction is typically performed in tetrachloromethane with NBS and AIBN as catalyst at 80° C. for 2 hours.
- The amino substituted intermediate XVI can be obtained through substitution reaction of compound XIV with XV. The reaction can be carried out with a suitable organic base such as N,N-diisopropylethylamine, inorganic base such as NaH, Na2CO3, or t-BuOK in an inert organic solvent such as DCM, THF or DMF at rt or 50° C. for 1-10 hours.
- Compound Ia can be obtained from the deprotection of XVI treated with TFA in DCM or HCl in MeOH as deprotective agent at rt.
- General synthetic scheme for 4-methyl-5-ester or cyano-6-alkoxymethyl-dihydropyrimidine based analogue Ib (Scheme 4)
- Compound of interest Ib can be prepared according to the general synthesis method shown in
Scheme 4. - Compound XVIII can be obtained by substitution reaction of compound XIV with alcohol XVII. The reaction is typically performed by adding NaH to the solution of alcohol XVII in anhydrous THF at it, then bromide XIV is added into the flask and the mixture is stirred at rt for 3 hours.
- Compound Ib can be obtained by treating XVIII with TFA in DCM or HCl in MeOH at rt.
- This invention also relates to a process for the preparation of a compound of formula I comprising the reaction of
-
- in the presence of an acid;
wherein R1 to R5, M and X are defined above unless otherwise indicated.
In step (a), the acid can be for example TFA or HCl. - The invention also relates to a compound of formula I for use as therapeutically active substance.
- A compound of formula (I) when manufactured according to the above process is also an object of the invention.
- Another embodiment provides pharmaceutical compositions or medicaments containing the compounds of the invention and a therapeutically inert carrier, diluent or excipient, as well as methods of using the compounds of the invention to prepare such compositions and medicaments. In one example, compounds of formula I may be formulated by mixing at ambient temperature at the appropriate pH, and at the desired degree of purity, with physiologically acceptable carriers, i.e., carriers that are non-toxic to recipients at the dosages and concentrations employed into a galenical administration form. The pH of the formulation depends mainly on the particular use and the concentration of compound, but preferably ranges anywhere from about 3 to about 8. In one example, a compound of formula I is formulated in an acetate buffer, at
pH 5. In another embodiment, the compounds of formula I are sterile. The compound may be stored, for example, as a solid or amorphous composition, as a lyophilized formulation or as an aqueous solution. - Compositions are formulated, dosed, and administered in a fashion consistent with good medical practice. Factors for consideration in this context include the particular disorder being treated, the particular human being treated, the clinical condition of the individual patient, the cause of the disorder, the site of delivery of the agent, the method of administration, the scheduling of administration, and other factors known to medical practitioners. The “effective amount” of the compound to be administered will be governed by such considerations, and is the minimum amount necessary to the suppression of serum HBV DNA levels, or HBeAg seroconversion to HBeAb, or HBsAg loss, or normalization of alanine aminotransferase levels and improvement in liver histology. For example, such amount may be below the amount that is toxic to normal cells, or the human as a whole.
- In one example, the pharmaceutically effective amount of the compound of the invention administered parenterally per dose will be in the range of about 0.01 to 100 mg/kg, alternatively about 0.1 to 20 mg/kg of patient body weight per day, with the typical initial range of compound used being 0.3 to 15 mg/kg/day. In another embodiment, oral unit dosage forms, such as tablets and capsules, contain from about 0.1 to about 1000 mg of the compound of the invention.
- The compounds of the invention may be administered by any suitable means, including oral, topical (including buccal and sublingual), rectal, vaginal, transdermal, parenteral, subcutaneous, intraperitoneal, intrapulmonary, intradermal, intrathecal and epidural and intranasal, and, if desired for local treatment, intralesional administration. Parenteral infusions include intramuscular, intravenous, intraarterial, intraperitoneal, or subcutaneous administration.
- The compounds of the present invention may be administered in any convenient administrative form, e.g., tablets, powders, capsules, solutions, dispersions, suspensions, syrups, sprays, suppositories, gels, emulsions, patches, etc. Such compositions may contain components conventional in pharmaceutical preparations, e.g., diluents, carriers, pH modifiers, sweeteners, bulking agents, and further active agents.
- A typical formulation is prepared by mixing a compound of the present invention and a carrier or excipient. Suitable carriers and excipients are well known to those skilled in the art and are described in detail in, e.g., Ansel, Howard C., et al., Ansel's Pharmaceutical Dosage Forms and Drug Delivery Systems. Philadelphia: Lippincott, Williams & Wilkins, 2004; Gennaro, Alfonso R., et al. Remington: The Science and Practice of Pharmacy. Philadelphia: Lippincott, Williams & Wilkins, 2000; and Rowe, Raymond C. Handbook of Pharmaceutical Excipients. Chicago, Pharmaceutical Press, 2005. The formulations may also include one or more buffers, stabilizing agents, surfactants, wetting agents, lubricating agents, emulsifiers, suspending agents, preservatives, antioxidants, opaquing agents, glidants, processing aids, colorants, sweeteners, perfuming agents, flavoring agents, diluents and other known additives to provide an elegant presentation of the drug (i.e., a compound of the present invention or pharmaceutical composition thereof) or aid in the manufacturing of the pharmaceutical product (i.e., medicament).
- An example of a suitable oral dosage form is a tablet containing about 0.1 mg to 1000 mg of the compound of the invention compounded with about 90 mg to 30 mg anhydrous lactose, about 5 mg to 40 mg sodium croscarmellose, about 5 mg to 30 mg polyvinylpyrrolidone (PVP) K30, and about 1 mg to 10 mg magnesium stearate. The powdered ingredients are first mixed together and then mixed with a solution of the PVP. The resulting composition can be dried, granulated, mixed with the magnesium stearate and compressed to tablet form using conventional equipment. An example of an aerosol formulation can be prepared by dissolving the compound, for example 5 mg to 400 mg, of the invention in a suitable buffer solution, e.g. a phosphate buffer, adding a tonicifier, e.g. a salt such sodium chloride, if desired. The solution may be filtered, e.g., using a 0.2 micron filter, to remove impurities and contaminants.
- An embodiment, therefore, includes a pharmaceutical composition comprising a compound of Formula I, or a stereoisomer or pharmaceutically acceptable salt thereof. In a further embodiment includes a pharmaceutical composition comprising a compound of Formula I, or a stereoisomer or pharmaceutically acceptable salt thereof, together with a pharmaceutically acceptable carrier or excipient.
- The compounds of the invention can inhibit HBV's de novo DNA synthesis and reduce HBV DNA levels. Accordingly, the compounds of the invention are useful for the treatment or prophylaxis of HBV infection.
- The invention relates to the use of a compound of formula I for the treatment or prophylaxis of HBV infection.
- The use of a compound of formula I for the preparation of medicaments useful in the treatment or prophylaxis diseases that are related to HBV infection is an object of the invention.
- The invention relates in particular to the use of a compound of formula I for the preparation of a medicament for the treatment or prophylaxis of HBV infection.
- Another embodiment includes a method of treating or prophylaxising HBV infection in a human in need of such treatment, wherein the method comprises administering to said human a therapeutically effective amount of a compound of Formula I, a stereoisomer, tautomer, prodrug or pharmaceutically acceptable salt thereof.
- The compounds of the invention can be used together with interferon, pegylated interferons, Lamivudine, Adefovir dipivoxil, Entecavir, Telbivudine, and Tenofovir disoproxil for the treatment or prophylaxis of HBV.
- The invention will be more fully understood by reference to the following examples. They should not, however, be construed as limiting the scope of the invention.
- Abbreviations used herein are as follows:
- AIBN: azobisisobutyronitrile
- Boc: tert-butoxycarbonyl
- t-BuOK: potassium tert-butoxide
- calc'd: calculated
- CC50: cytotoxic concentration 50%
- CCl4: tetrachloromethane
- CDCl3: deuterated chloroform
- CCK-8: cell counting kit-8
- CDI: N,N′-Carbonyldiimidazole
- CMV: cytomegalovirus
- d: day
- DIPEA: N,N-diisopropylethylamine
- DCM: dichloromethylene
- DMAP: N,N′-dimethylaminopyridine
- DMF: dimethylformamide
- DMSO: dimethylsulfoxide
- DNA: deoxyribonucleic acid
- EDCI: 1-ethyl-3-(3-dimethylaminopropyl)carbodiimide
- EDTA: ethylenediaminetetraacetic acid
- exp: expected
- EtOAc: ethyl acetate
- FBS: fetal bovine serum
- g: gram
- EC50: concentration required for 50% induction of acetylated tubulin
- FES: fetal bovine serum
- h: hour or hours
- HAP: heteroaryldihydropyrimidine
- HATU: 2-(7-Aza-1H-benzotriazole-1-yl)-1,1,3,3-tetramethyluronium hexafluorophosphate
- HBeAb: hepatitis B e antibody
- HBeAg: hepatitis B e antigen
- HBsAg: hepatitis B surface antigen
- HCl: hydrogen chloride
- HPLC: high performance liquid chromatography
- Hz: Hertz
- In(OTf)3: indium (III) trifluoromethanesulfonate
- IPA: isopropanol
- KOH: potassium
- LC/MS: liquid chromatography mass spectrometer
- LiOH: lithium hydroxide
- LDA: lithium diisopropylamide
- MeOD-d4 or CD3OD:deuterated methanol
- MeOH: methanol
- mg: milligram
- MHz: megahertz
- min: minute or minutes
- mL: milliliter
- mM: milliliter
- NMP: 1-methyl-piperidin-2-one
- mmol: millimole
- NaCl: sodium chloride
- NaOH: sodium hydroxide
- NBS: N-bromosuccinimide
- NEt3: triethylamine
- NMR: nuclear magnetic resonance
- PBS: Phosphate buffered saline
- prep-HPLC: preparative high performance liquid chromatography
- RP-HPLC: reverse phase high performance liquid chromatography
- rt: room temperature
- SDPK: single dose pharmacokinetics
- SFC: supercritical fluid chromatography
- SSC: saline-sodium citrate buffer
- TEA: triethylamine
- TFA: trifluoroacetic acid
- TFAA: trifluoroacetic acid anhydride
- THF: tetrahydrofuran
- μl: microliter
- μM: micromole
- Intermediates and final compounds were purified by flash chromatography using one of the following instruments: i) Biotage SP1 system and the
Quad 12/25 Cartridge module. ii) ISCO combi-flash chromatography instrument. Silica gel brand and pore size: i) KP-SIL 60 Å, particle size: 40-60 μM; ii) CAS registry NO: Silica Gel: 63231-67-4, particle size: 47-60 micron silica gel; iii) ZCX from Qingdao Haiyang Chemical Co., Ltd, pore: 200-300 or 300-400. - Intermediates and final compounds were purified by preparative HPLC on reversed phase column using XBridge™ Prep-C18 (5 μm,
OBD™ 30×100 mm) column or SunFire™ Prep-C18 (5 μM,OBD™ 30×100 mm) column. Waters AutoP purification System (Column: XBridge™ Prep-C18, 30×100 mm, Sample Manager 2767, Pump 2525, Detector: Micromass ZQ and UV 2487, solvent system: acetonitrile and 0.1% ammonium hydroxide in water). For SFC chiral separation, intermediates were separated by chiral column (Daicel chiralpak IC, 5 μm, 30×250 mm) column using Mettler Toledo SFC-Multigram III system, solvent system: 95% CO2 and 5% IPA (0.5% TEA in IPA), backpressure 100 bar, detection UV@ 254 nm. - LC/MS spectra of compounds were obtained using a LC/MS (Waters™ Alliance 2795-Micromass ZQ). LC/MS conditions were as follows (running
time 6 min): - Acidic condition: A: 0.1% formic acid in H2O; B: 0.1% formic acid in acetonitrile;
- Basic condition: A: 0.01% NH3.H2O in H2O; B: acetonitrile;
- Neutral condition: A: H2O; B: acetonitrile.
- Mass spectra (MS): generally only ions which indicate the parent mass are reported, and unless otherwise stated the mass ion quoted is the positive mass ion (M+H)+.
- LC-MS/MS instrument on liver homogenate stability test: An Agilent 1290 series LC system composited of a binary pump, a degasser, a CTCPAL autosampler and a thermostatted column was applied. The Chromatographic separation was achieved on a Chromolith Performance RP-18 endcapped (3×100 mm) at room temperature.
- Mass spectrometric detection was performed on an Agilent 6530 Q-TOF instrument in full scan mode with an AJS ESI interface in positive ionization mode. Data processing was performed with Agilent MassHunter Workstation Data Acquisition B.04.00 and Agilent MassHunter Workstation Qualitative Analysis B.04.00.
- The microwave assisted reactions were carried out in a Biotage Initiator Sixty microwave synthesizer.
- NMR Spectra were obtained using Bruker Avance 400 MHz.
- All reactions involving air-sensitive reagents were performed under an argon atmosphere. Reagents were used as received from commercial suppliers without further purification unless otherwise noted.
- The following examples were prepared by the general methods outlined in the schemes above. They are intended to illustrate the meaning of the present invention but should by no means represent a limitation within the meaning of the present invention.
- The title compound was prepared according to the general synthesis methods shown in
Scheme 1 andScheme 4. A detailed synthesis route is provided as shown inScheme 5. - To a stirred suspension of NH4Cl in toluene (400 mL) was added Al(CH3)3 solution (1.0 M, 56 mL) at 0° C. over 30 minutes. After the mixture solution was stirred at rt for 30 minutes, the solution of thiazole-2-carbonitrile (5.24 g, 47.6 mmol) in toluene (10 mL) was added into the flask. The reaction mixture was stirred at 80° C. for 16 hours before cooling to rt and then the mixture was poured into a slurry of silica gel in DCM. After stirring for 20 minutes, the slurry was filtered and washed with MeOH three times and concentrated in vacuo to afford crude product of thiazole-2-carboxamidine XIX that was used in next step reaction without further purification. MS: calc'd (MH+) 128.2, exp (MH+) 128.1.
- A mixture of 3-oxo-butyric acid methyl ester (5.0 g, 43.1 mmol), 1-ethynyl-4-fluoro-benzene (5.0 g, 41.7 mmol) and In(OTf)3 (400 mg, 0.71 mmol) in o-xylene (20 ml) was heated to 120° C. for 1 to 2 h. After solvent removal, the residue was purified by column chromatography (EtOAc/petroleum ether: 1/10) to afford XX as light yellowish oil (4.0 g, yield: 40.8%).
- To a mixture of thiazole-2-carboxamidine XIX (1.7 g, 10.5 mmol) and NaHCO3 (2.5 g, 29.8 mmol) in NMP (10 mL) which was preheated to 120° C. was added dropwisely (E)-2-acetyl-3-(4-fluoro-phenyl)-but-2-enoic acid methyl ester XX (2.4 g, 10.2 mmol) in NMP (10 mL) in about 1 h. The mixture was stirred at 120° C. for 0.5 h before reaction workup with EtOAc (200 mL) and water. The organic layer was dried and concentrated, and the residue was purified by column chromatography (EtOAc/
petroleum ether 1/4 to 1/2) to afford 4-(4-fluoro-phenyl)-4,6-dimethyl-2-thiazol-2-yl-1,4-dihydro-pyrimidine-5-carboxylic acid methyl ester XXI as yellow viscous oil (1.7 g, yield: 48.3%). MS: calc'd (MH+) 346, exp (MH+) 346. 1H NMR (MeOD-d4, 400 MHz) 7.93 (d, 1H, J=3.2 Hz), 7.72 (d, 1H, J=3.2 Hz), 7.51-7.47 (m, 2H), 7.04 (t, 2H, J=8.8 Hz), 3.45 (s, 3H), 2.28 (s, 3H), 1.90 (s, 3H). - To a solution of XXI (1.0 g, 2.9 mmol) in DCM (20 mL) was added DMAP (0.15 g, 1.2 mmol) and Boc2O (0.94 g, 4.3 mmol), and the mixture was stirred overnight. The mixture was washed with water (15 mL) and brine (15 mL). The organic layer was separated, dried over anhydrous Na2SO4 and concentrated, and the residue was purified by column chromatography (EtOAc/petroleum ether from 1/4 to 1/3) to afford 4-(4-fluoro-phenyl)-4,6-dimethyl-2-thiazol-2-yl-4H-pyrimidine-1,5-dicarboxylic acid 1-tert-butyl ester 5-methyl ester XXII as yellow solid (0.91 g, yield: 70.5%).
- A solution of XXII (0.90 g, 2.02 mmol) and NBS (0.54 g, 3.03 mmol) in CCl4 (30 mL) was heated to 50° C., then AIBN (30 mg) was added to initiate the reaction. The mixture was stirred for 2 h. The mixture was purified by column chromatography (EtOAc/petroleum ether from 1/4 to 1/3) to afford 6-bromomethyl-4-(4-fluoro-phenyl)-4-methyl-2-thiazol-2-yl-4H-pyrimidine-1,5-dicarboxylic acid 1-tert-butyl ester 5-methyl ester XXIII as yellow solid (1.03 g, yield: 97.3%).
- Sodium hydride (12 mg, 0.5 mmol) was added to a solution of 2-hydroxy-2-methyl-propionic acid methyl ester (59 mg, 0.5 mmol) in THF at rt. Then the mixture was stirred at rt for 30 min. Compound XXIII (105 mg, 0.2 mmol) was added and stirred at rt overnight. Then the mixture was partitioned between water and EtOAc. The organic phase was dried, concentrated and used in the next step without further purification.
- The crude product XXIV from above step was dissolved in DCM and then TFA was added. The mixture was stirred at rt for 2 hours. The solvent was removed and the residue was purified by prep-HPLC to afford Example 1 as yellow solid (40 mg, yield: 43% for 2 steps). MS: calc'd 462 (MH+), exp 462 (MH+). 1H NMR (MeOD-d4, 400 MHz), 7.95 (d, 1H, J=3.2 Hz), 7.75 (d, 1H, J=3.2 Hz), 7.49-7.45 (m, 2H), 7.04 (t, 2H, J=8.8 Hz), 4.71-4.62 (m, 2H), 3.80 (s, 3H), 3.43 (s, 3H), 1.92 (s, 3H), 1.57 (s, 6H).
- The title compound was prepared in analogy to Example 1 in
Scheme 5 by using 3,3,3-trifluoro-2-hydroxy-propionic acid methyl ester instead of 2-hydroxy-2-methyl-propionic acid methyl ester, the so-obtained methyl ester was hydrolyzed by LiOH as indicated in Scheme 3. MS: calc'd 488 (MH+), exp 488 (MH+). 1H NMR (MeOD-d4, 400 MHz), 7.94 (d, 1H, J=2.8 Hz), 7.93 (d, 1H, J=2.8 Hz), 7.53-7.49 (m, 2H), 7.07-7.03 (m, 2H), 4.85-4.78 (m, 2H), 4.40-4.37 (m, 1H), 3.44 (s, 3H), 1.94 (s, 3H). - The title compound was prepared according to the synthesis method shown in
Scheme 1 and Scheme 3. A detailed synthesis route is provided as shown inScheme 6. - To a solution of 6-bromomethyl-4-(4-fluoro-phenyl)-4-methyl-2-thiazol-2-yl-4H-pyrimidine-1,5-dicarboxylic acid 1-tert-butyl ester 5-methyl ester XXIII (1.00 g, 1.90 mmol) and potassium carbonate in DMF was added 1-methylamino-cyclopropanecarboxylic acid methyl ester (258 mg, 2.00 mmol), the mixture was stirred at 40° C. for 3 hours and LC-MS indicated that the reaction was finished. The mixture was partitioned between water and ethyl acetate. The organic phase was dried and concentrated to afford the crude product used in the next step without further purification.
- The crude product XXV from above step was dissolved in DCM and then TFA was added. The mixture was stirred at rt for 2 hours. LC-MS indicated that the reaction was finished. The solvent was removed and the residue was used in the next step without further purification.
- The crude product XXVI from above step was dissolved in MeOH (5 mL) and LiOH in water (2 mL) was added to the mixture. The mixture was stirred at rt for 2 h and LC-MS indicated that the reaction was finished. The solvent was removed and the mixture was adjusted to pH (3˜5) with diluted hydrochloric acid. The mixture was purified by prep-HPLC to afford Example 3 as yellow solid (0.63 g, yield for 3 steps: 73%). MS: calc'd 459 (MH+), exp 459 (MH+). 1H NMR (MeOD-d4, 400 MHz), 8.12 (d, 1H, J=3.2 Hz), 8.06 (d, 1H, J=3.2 Hz), 7.63-7.60 (m, 2H), 7.15 (t, 2H, J=8.8 Hz), 4.30 (s, 2H), 3.51 (s, 3H), 2.79 (s, 3H), 2.10 (s, 3H), 1.52-1.51 (m, 2H), 1.38-1.37 (m, 2H).
- The title compound was prepared in analogy to Example 3 in
Scheme 6 by using morpholine-3-carboxylic acid methyl ester instead of 1-methylamino-cyclopropanecarboxylic acid methyl ester. LC-MS: calc'd 475 (MH+), exp 475 (MH+). 1H NMR (MeOD-d4, 400 MHz) δ 8.10 (d, 1H), 8.03 (d, 1H), 7.64-7.61 (m, 2H), 7.15-7.12 (m, 2H), 4.32-4.31 (m, 2H), 4.18-4.14 (m, 2H), 3.99-3.72 (m, 3H), 3.51-3.49 (m, 4H), 3.02 (m, 1H), 2.11 (d, 3H). - The title compound was prepared in analogy to Example 3 in
Scheme 6 by using morpholine-(S)-3-carboxylic acid methyl ester instead of 1-methylamino-cyclopropanecarboxylic acid methyl ester. - The title compound was prepared by from the hydrolysis of Example 5 with LiOH in MeOH as shown in
Scheme 6. - The title compound was prepared according to the synthesis method shown in
Scheme 1 and Scheme 3. A detailed synthesis route is provided as shown in Scheme 7. - The chiral intermediate compound XXVII was separated from XXI by SFC and the absolute stereochemistry was determined by X-ray diffraction study (please see
FIG. 7 ). The title compound was prepared in analogy to Example 3 inScheme 6 by using morpholine-(S)-3-carboxylic acid methyl ester XXVIII instead of 1-methylamino-cyclopropanecarboxylic acid methyl ester in the replacement reaction. - The title compound was prepared in analogy to Example 7 in Scheme 7 by using morpholine-(R)-3-carboxylic acid methyl ester instead of 1-methylamino-cyclopropanecarboxylic acid methyl ester.
- The title compound was prepared according to the methods shown in
Scheme 8. - 5-Fluoro-pyridine-2-carbonitrile was used in the synthesis of Compound XXIX in the same methods as shown in
Scheme 5. Following similar procedures toScheme 5 andScheme 6, XXIX was converted to Example 9 by using morpholine-(R)-3-carboxylic acid methyl ester XXX in the replacement reaction. - The title compound was prepared in analogy to Example 9 in
Scheme 8 by using morpholine-(S)-3-carboxylic acid methyl ester instead of morpholine-(R)-3-carboxylic acid methyl ester in the replacement reaction. - The title compound was prepared in analogy to Example 3 in
Scheme 6 by using 4,4-difluoro-pyrrolidine-(S)-2-carboxylic acid methyl ester instead of 1-methylamino-cyclopropanecarboxylic acid methyl ester. - The title compound was prepared in analogy to Example 3 in
Scheme 6 by using 4,4-difluoro-pyrrolidine-(R)-2-carboxylic acid methyl ester instead of 1-methylamino-cyclopropanecarboxylic acid methyl ester. - The title compound was prepared in analogy to Example 7 in Scheme 7 by using 4,4-difluoro-pyrrolidine-(S)-2-carboxylic acid methyl ester instead of using morpholine-(S)-3-carboxylic acid methyl ester XXVIII in the replacement reaction.
- The title compound was prepared according to the synthesis method shown in
Scheme 1 and Scheme 3. A detailed synthesis route is provided as shown in Scheme 9. - A mixture of 3,4-difluoro-benzaldehyde (8.96 g, 63.1 mmol), 3-oxo-butyric acid methyl ester (7.32 g, 63.1 mmol), piperidine (0.27 g, 3.16 mmol) and acetic acid (0.19 g, 3.16 mmol) in anhydrous ethanol (200 mL) was stirred for 12 hours at room temperature. After removal of the solvent, the residue was purified by flash column chromatography (EtOAc:hexane=1:10) to afford the product of 2-[1-(3,4-difluoro-phenyl)-meth-(Z)-ylidene]-3-oxo-butyric acid methyl ester XXXI as yellow solid (13.6 g). Yield: 90%. MS: calc'd (M++H) 241.0, exp (M++H) 241.1.
- A solution of methylithium (1.6 M in ether, 48.7 mL, 78 mmol) was added to a suspension of copper(I) iodide (14.9 g, 78 mmol) in 200 mL of anhydrous THF under argon at 0° C. and the mixture was stirred for 1 hour at 0° C. A solution of XXXI (8.0 g, 31.2 mmol) in 50 mL of anhydrous THF was added dropwisely into the mixture at −78° C. After stirring at −78° C. for 1 hour, the reaction mixture was quenched with saturated ammonium chloride solution, extracted with EtOAc, washed with brine and dried over anhydrous sodium sulfate. After removal of organic solvent, the residue was purified by flash column chromatography (EtOAc:hexane=1:10) to afford 6.39 g of XXXII as oil. Yield: 80%. MS: calc'd (M++H) 257.1.
- NaH (60%, 1.10 g, 27.5 mmol) was added into a solution of XXXII (5.0 g, 18.3 mmol) in anhydrous THF (100 mL) under argon. A solution of phenylselenyl chloride (5.3 g, 27.5 mmol) in THF (20 mL) was added into the flask at rt through syringe and the mixture was stirred at rt for 1 h. 60 mL of pentene/ether mixture (v/v=1/1) and 30 mL of saturated NaHCO3 solution were added into the reaction mixture. The organic layer was separated and washed with brine, and treated with H2O2 solution (30%, 4 mL) in DCM (50 mL) The mixture was stirred at rt (for 0.5˜2 hours) and diluted with DCM (100 mL). The organic phase was separated, washed with saturated sodium bicarbonate, sodium sulfite, water and brine in sequential and dried over anhydrous sodium sulfate. After removal of organic solvent, the residue was purified by flash column chromatography (EtOAc:hexane=1:10) to afford 3.97 g of XXXIII as yellow oil. MS: calc'd (M++H) 255.1, exp (M++H) 255.1
- A mixture of XXXIII (2.54 g, 10 mmol), thiazole-2-carboxamidine hydrochloride XIX (1.6 g, 10 mmol) and sodium bicarbonate (1.68 g, 20 mmol) in NMP (15 mL) was stirred for 3 hours at 120° C. After cooling, the mixture was separated between water and ethyl acetate. The organic phase was dried and concentrated. The residue was purified to afford the product of 4-(3,4-difluoro-phenyl)-4,6-dimethyl-2-thiazol-2-yl-1,4-dihydro-pyrimidine-5-carboxylic acid methyl ester XXXIV as yellow solid (2.00 g). Yield: 55%. MS: calc'd (M++H) 363.1, exp (M++H) 363.1.
- The chiral intermediate XXXV was separated from XXXIV by SFC and the absolute configuration was assigned through comparing its retention time on SFC with that of the stereochemistry known compound XXVII.
- The title compound Example 14 was prepared in analogy to Example 7 in Scheme 7 from Compound XXXV.
- The title compound was prepared by the methods shown in
Scheme 10 by using XXXIV in the bromination and following replacement reactions, which were carried out in the same procedures asScheme 5 andScheme 6. - The title compound was obtained by hydrolysis of Example 15 with LiOH in MeOH.
- The title compound was prepared in analogy to Example 9 in
Scheme 8 by using 4,4-difluoro-pyrrolidine-(S)-2-carboxylic acid methyl ester instead of morpholine-(R)-3-carboxylic acid methyl ester XXXVIII in the replacement reaction. - The title compound was prepared in the methods as shown in Scheme 11.
- Compound XXXVI was obtained by SFC chiral separation of intermediate XXIX and the absolute configuration was assigned through comparing its retention time on SFC with that of the stereochemistry known compound XXVII. Example 9 was prepared from XXXVI by following the procedures in
Scheme 5 andScheme 6, except that 4,4-difluoro-pyrrolidine-(S)-2-carboxylic acid methyl ester XXXVII was used in the replacement reaction. - The title compound was prepared in the methods as shown in
Scheme 12 by using 5-methyl-thiazole-2-carbonitrile in the preparation of ammidine. Compound XXXVIII was obtained by following the procedures inScheme 5. And 4,4-difluoro-pyrrolidine-(S)-2-carboxylic acid methyl ester XXXVII was used in the preparation of Example 19, in methods similar toScheme 5 andScheme 6. - The title compound was prepared in analogy to Example 3 in
Scheme 6 by using 4,4-difluoro-2-methyl-pyrrolidine-2-carboxylic acid methyl ester instead of morpholine-3-carboxylic acid methyl ester. - The title compound was prepared according to the synthesis method shown in
Scheme 2 and Scheme 3. A detailed synthesis route is provided as shown in Scheme 13. - Compound 4-(4-fluoro-phenyl)-4,6-dimethyl-2-thiazol-2-yl-1,4-dihydro-pyrimidine-5-carboxylic acid tert-butyl ester XXXIX was prepared in analogy to XXXIV in Scheme 9 by using 3-oxo-butyric acid tert-butyl ester and 4-fluoro-benzaldehyde instead of 3-oxo-butyric acid methyl ester and 3,4-difluoro-benzaldehyde in the condensation reaction.
- To a solution of 4-(4-fluoro-phenyl)-4,6-dimethyl-2-thiazol-2-yl-1,4-dihydro-pyrimidine-5-carboxylic acid tert-butyl ester XXXIX (1.0 g, 2.58 mmol) in DCM (15 mL) was added TFA (2 mL), and the mixture was stirred for 3 hr. After that, the solvent and excess TFA was removed in vacuum. The residue XL was dissolved in DCM (15 mL), to which was added HATU (1.21 g, 3.70 mmol) and NH3 in dioxane (10 mL, 0.5 M), and the mixture was stirred overnight. The mixture was diluted with DCM (50 mL), and washed with aqueous NaHCO3 and brine. The organic layer was separated, dried over anhydrous Na2SO4 and concentrated to give 0.89 g of 4-(4-fluoro-phenyl)-4,6-dimethyl-2-thiazol-2-yl-1,4-dihydro-pyrimidine-5-carboxylic acid amide as light yellow solid which was directly for next use without purification.
- The above crude intermediate (0.89 g) was dissolved in THF (10 mL), TFAA (3 mL) was added and the mixture was stirred for 3 hr. After removal of THF and excess TFAA, the residue was dissolved in MeOH (20 mL). To the solution, K2CO3 (2.0 g, 14.5 mmol) was added, and the mixture was stirred at rt for 3 hr. Then the mixture was filtered, the solid was washed with EtOAc (10 mL×2). The combined filtrate was concentrated, the residue was purified by column chromatography (EtOAc/
petroleum ether 1/3 to 1/2) to afford XLI as yellow solid (700 mg, totally yield: 87.0%). - The chiral intermediate XLII was separated from XLI by SFC.
- The title compound Example 21 was prepared from XLII in analogy to Example 3 in
Scheme 6. - The title compound was prepared according to the synthesis method shown in
Scheme 2 and Scheme 3. A detailed synthesis route is provided as shown in Scheme 14. - Compound 4-(3,4-difluoro-phenyl)-4,6-dimethyl-2-thiazol-2-yl-1,4-dihydro-pyrimidine-5-carboxylic acid tert-butyl ester XLIII was prepared in analogy to XXXIV in Scheme 9 by using 3-oxo-butyric acid tert-butyl ester and 3,4-difluorobenzaldehyde as starting material.
- Compound 4-(3,4-difluoro-phenyl)-4,6-dimethyl-2-thiazol-2-yl-1,4-dihydro-pyrimidine-5-carbonitrile XLIV was prepared from tert-butyl ester XLIII in the same method as XLI in Scheme 13.
- The title compound Example 22 was prepared in the same method as shown in
Scheme 5 andScheme 6 by using morpholine-(S)-3-carboxylic acid methyl ester XXVIII in the replacement reaction. - The title compound was prepared according to the synthesis method shown in
Scheme 2 and Scheme 3. A detailed synthesis route is provided as shown in Scheme 15. - Compound XLV was chiral separated from racemate XLIV by SFC and the absolute configuration was assigned through comparing its retention time on SFC with that of the stereochemistry known compound XXVII. The title compound was prepared in the same method as shown in
Scheme 5 andScheme 6 by using XXXVII in the replacement reaction. - The title compound was prepared in analogy to Example 7 in Scheme 7 by using 4-ethynyl-1,2-difluoro-benzene instead of (S)-morpholine-3-carboxylic acid methyl ester.
- The title compound was prepared in analogy to Example 7 in Scheme 7 by using 5,5-difluoro-piperidine-2-carboxylic acid instead of (S)-morpholine-3-carboxylic acid methyl ester.
- The title compound was prepared in analogy to Example 7 in Scheme 7 by using 4,4-difluoro-piperidine-2-carboxylic acid instead of (S)-morpholine-3-carboxylic acid methyl ester.
- The title compound was prepared in analogy to Example 7 in Scheme 7 by using 1-methyl-1H-imidazole-2-carbonitrile instead of thiazole-2-carbonitrile.
- The title compound was prepared in analogy to Example 7 in Scheme 7 by using 4-ethynyl-1,2-difluoro-benzene instead of 1-ethynyl-4-fluoro-benzene.
- The title compound was prepared in analogy to Example 28 by using (S)-morpholine-3-carboxylic acid instead of (S)-4,4-difluoro-pyrrolidine-2-carboxylic acid.
- The title compound was prepared in analogy to Example 27 by using (S)-morpholine-3-carboxylic acid instead of (S)-4,4-difluoro-pyrrolidine-2-carboxylic acid.
- The title compound was prepared in analogy to Example 13 by using 4-methyl-thiazole-2-carbonitrile instead of thiazole-2-carbonitrile.
- The title compound was prepared in analogy to Example 13 by using 4-methyl-thiazole-2-carbonitrile instead of thiazole-2-carbonitrile.
- The title compound was prepared in analogy to Example 13 by using 5-chloro-thiazole-2-carbonitrile instead of thiazole-2-carbonitrile.
- The title compound was prepared in analogy to Example 7 in Scheme 7 by using (2S,4R)-4-fluoro-pyrrolidine-2-carboxylic acid instead of (S)-morpholine-3-carboxylic acid methyl ester.
- The title compound was prepared in analogy to Example 11 by using isoxazole-3-carbonitrile instead of thiazole-2-carbonitrile.
- The title compound was prepared in analogy to Example 7 in Scheme 7 by using (S)-4,4-difluoro-2-methyl-pyrrolidine-2-carboxylic acid instead of (S)-morpholine-3-carboxylic acid methyl ester.
- The title compound was prepared in analogy to Example 13 by using 5-methyl-thiazole-2-carbonitrile instead of thiazole-2-carbonitrile.
- The title compound was prepared in analogy to Example 13 by using 5-fluoro-thiophene-2-carbonitrile instead of thiazole-2-carbonitrile.
- The title compound was prepared in analogy to Example 7 in Scheme 7 by using (2S,4S)-4-fluoro-pyrrolidine-2-carboxylic acid instead of (S)-morpholine-3-carboxylic acid methyl ester.
- The title compound was prepared in analogy to Example 11 by using 5-methyl-isoxazole-3-carbonitrile instead of thiazole-2-carbonitrile.
- The title compound was prepared in analogy to Example 13 by using 3-fluoro-thiophene-2-carbonitrile instead of thiazole-2-carbonitrile.
- The title compound was prepared in analogy to Example 13 by using 3-fluoro-thiophene-2-carbonitrile instead of thiazole-2-carbonitrile.
- The title compound was prepared in analogy to Example 13 by using 4-fluoro-thiophene-2-carbonitrile instead of thiazole-2-carbonitrile.
- The title compound was prepared in analogy to Example 7 in Scheme 7 by using (2,2,2-trifluoro-ethylamino)-acetic acid instead of (S)-morpholine-3-carboxylic acid methyl ester.
- The title compound was prepared in analogy to Example 7 in Scheme 7 by using (S)-4,4-difluoro-pyrrolidine-2-carboxylic acid methyl ester instead of (S)-morpholine-3-carboxylic acid methyl ester.
- The title compound was prepared in analogy to Example 7 in Scheme 7 by using (S)-4,4-difluoro-pyrrolidine-2-carboxylic acid 2-dimethylamino-ethyl ester instead of (S)-morpholine-3-carboxylic acid methyl ester.
- The title compound was prepared in analogy to Example 7 in Scheme 7 by using 4,4-difluoro-pyrrolidine-2-carboxylic acid amide instead of (S)-morpholine-3-carboxylic acid methyl ester.
- The title compound was prepared in analogy to Example 7 in Scheme 7 by using (S)-4,4-difluoro-pyrrolidine-2-carboxylic acid amide instead of (S)-morpholine-3-carboxylic acid methyl ester.
- The title compound was prepared in analogy to Example 7 in Scheme 7 by using (S)-4,4-difluoro-pyrrolidine-2-carboxylic acid dimethylamide instead of (S)-morpholine-3-carboxylic acid methyl ester.
- The title compound was prepared in analogy to Example 7 in Scheme 7 by using (S)-4,4-difluoro-pyrrolidine-2-carboxylic acid methylamide instead of (S)-morpholine-3-carboxylic acid methyl ester.
- The title compound was prepared in analogy to Example 7 in Scheme 7 by using N—((S)-4,4-difluoro-pyrrolidine-2-carbonyl)-methanesulfonamide instead of (S)-morpholine-3-carboxylic acid methyl ester.
- The title compound was prepared in analogy to Example 7 in Scheme 7 by using (S)-4,4-difluoro-pyrrolidine-2-carboxylic acid thiazol-2-ylamide instead of (S)-morpholine-3-carboxylic acid methyl ester.
- The title compound was prepared in analogy to Example 7 in Scheme 7 by using (R)-1-morpholin-3-yl-methanol instead of (S)-morpholine-3-carboxylic acid methyl ester.
- The title compound was prepared in analogy to Example 7 in Scheme 7 by using 2-((S)-4,4-difluoro-pyrrolidin-2-yl)-propan-2-ol instead of (S)-morpholine-3-carboxylic acid methyl ester.
- The title compound was prepared in analogy to Example 7 in Scheme 7 by using ((S)-4,4-difluoro-pyrrolidin-2-yl)-methanol instead of (S)-morpholine-3-carboxylic acid methyl ester.
- The title compound was prepared in analogy to Example 7 in Scheme 7 by using ((S)-4,4-difluoro-pyrrolidin-2-yl)-propan-1-ol instead of (S)-morpholine-3-carboxylic acid methyl ester.
- The title compound was prepared in analogy to Example 7 in Scheme 7 by using 2-((S)-4,4-difluoro-pyrrolidin-2-yl)-5-methyl-[1,3,4]oxadiazole instead of (S)-morpholine-3-carboxylic acid methyl ester.
- The title compound was prepared in analogy to Example 7 in Scheme 7 by using 5-((S)-4,4-difluoro-pyrrolidin-2-yl)-1H-tetrazole instead of (S)-morpholine-3-carboxylic acid methyl ester.
- The title compound was prepared in analogy to Example 7 in Scheme 7 by using 5-((S)-4,4-difluoro-pyrrolidin-2-yl)-3-methyl-[1,2,4]oxadiazole instead of (S)-morpholine-3-carboxylic acid methyl ester.
- Cells and culture conditions: HepDE19 (Haitao Guo et al, Journal of Virology, 81, November 2007, 12472-12484; Richeng Mao et al, Journal of Virology, 85, January 2011, 1048-1057) cells were derived from HepG2 (ATCC, American Type Culture Collection) cells through transfection with pTet-off plasmid (Clontech) that expresses the Tet-responsive transcriptional activator and pTREHBVDE plasmid in which HBV pgRNA expression is controlled by a CMV early promoter with a tetracycline-responsive element. The transfected cells were selected with G418 (also known as Genticin, purchased from Invitrogen). In tetracycline-free medium, cells support high levels of HBV DNA replication and HBV virus secretion. These cells were maintained in Dulbecco's modified Eagle's medium (DMEM)-F12 medium (Invitrogen) supplemented with 10% fetal bovine serum, 100 U/ml penicillin, and 100 μg/ml streptomycin, 0.5 mg/ml of G418 and 1 μg/ml tetracycline.
- Anti-HBV activity and cytotoxicity: HepDE19 cells were seeded into 96-well plates (3×104 cells/well) with tetracycline-free medium and incubated overnight at 37° C. The test or control compounds were serially half-log diluted with medium and added into the plates (the final concentration of DMSO kept at 0.5% in each well). Five days after compound treatment, cells were washed with PBS and lysed with 50 mM Tris-1 mM EDTA-0.2% CA-630 (pH 8.0) at 37° C. for 20 min. After centrifugation to remove nuclei and other debris, the supernatant was transferred into a new plate and incubated with 2M NaOH/20×SSC (3M NaCl, 0.3M Sodium citrate, pH7.0) at rt for 30 min. Then the samples were transferred to nylon membrane and neutralized withlM Tris (pH7.4)/2M NaCl. The presence of HBV DNA was detected by dot-blot with DIG-labeled HBV specific DNA probe and quantified by dot density. The compound concentrations that inhibited HBV DNA by 50% (EC50) were determined (See Table 1).
- To determine if the anti-HBV effect of compound is due to cytotoxicity, HepDE19 cells (5×103 cells/well) were seeded into 96-well plates and compounds were treated as described above. Five days after treatment, cell viability was measured by addition of 20 μl of CCK-8 reagent. Four hours after incubation at 37° C., the absorbance at wavelengths of 450 nm and 630 nm (OD450 and OD630) was recorded by a plate reader. The 50% cytotoxic concentration (CC50) of each compounds were determined accordingly.
- The compounds of the present invention were tested for their capacity to inhibit a HBV activity and activation as described herein. The Examples were tested in the above assay and found to have EC50 of about 0.01 μM to about 50 μM. Particular compounds of formula I were found to have EC50 of about 0.1 μM to about 30 μM.
- Results of HepDe19 EC50 (μM) and CC50 (μM) are given in Table 1.
- A compound of formula I can be used in a manner known per se as the active ingredient for the production of tablets of the following composition:
- Per Tablet
-
Active ingredient 200 mg Microcrystalline cellulose 155 mg Corn starch 25 mg Talc 25 mg Hydroxypropylmethylcellulose 20 mg 425 mg - A compound of formula I can be used in a manner known per se as the active ingredient for the production of capsules of the following composition:
- Per Capsule
-
Active ingredient 100.0 mg Corn starch 20.0 mg Lactose 95.0 mg Talc 4.5 mg Magnesium stearate 0.5 mg 220.0 mg
Claims (26)
1. A compound of formula (I)
wherein:
R1 is C1-2 alkoxycarbonyl or cyano;
R2 is phenyl, which is substituted by halogen;
R3 is thiazolyl, thienyl, imidazolyl, isoxazolyl or pyridinyl; which is unsubstituted or substituted by halogen or C1-6alkyl;
X is oxygen or —NR7;
R4 and R5 are independently selected from hydrogen, C1-6alkyl and trifluoroC1-6alkyl; or
R4 and R5, together with the carbon atom to which they are attached, form a 3 to 7 membered cycloalkyl; or
when X is —NR7, one of R4 and R5 is hydrogen or C1-6alkyl, and the other of R4 and R5 along with R7 and the atoms to which R4 or R5 and R7 are attached form a pyrrolidinyl, morpholinyl or piperidinyl ring, which pyrrolidinyl, morpholinyl or piperidinyl ring is unsubstituted or substituted by fluoro;
M is C1-6 alkoxycarbonyl, carboxy, di-C1-6alkylaminoC2-6alkoxycarbonyl, aminocarbonyl, C1-6alkylaminocarbonyl, di-C1-6alkylaminocarbonyl, C1-6alkylsulfonylaminocarbonyl, 2-thiazolylaminocarbonyl, hydroxy-CyH2y—,
or pharmaceutically acceptable salts, or tautomerism isomers thereof.
2. A compound according to claim 1 , wherein,
R1 is C1-2alkoxycarbonyl or cyano;
R2 is phenyl, which is once or twice substituted by halogen;
R3 is (i) 2-thiazolyl which is unsubstituted or once substituted by C1-6alkyl or halogen, (ii) 2-thienyl, (iii) 2-pyridinyl, which 2-thienyl or 2-pyridinyl are once substituted by halogen, (iv) 2-imidazolyl substituted by one C1-6alkyl; or (v) 3-isoxazolyl which is unsubstituted or substituted by one C1-6alkyl;
X is oxygen or —NR7;
R4 and R5 are independently selected from hydrogen, C1-6alkyl and trifluoroC1-6alkyl; or
R4 and R5, together with the carbon atom to which they are attached, form a 3 to 7 membered cycloalkyl ring; or
when X is —NR7, one of R4 and R5 is hydrogen or C1-6alkyl, and the other of R4 and R5 along with R7 and the atoms to which R4 or R5 and R7 are attached form a morpholinyl, pyrrolidinyl or piperidinyl each substituted by fluoro;
M is C1-6alkoxycarbonyl, carboxy, diC1-6alkylamino-C2-6alkoxycarbonyl, aminocarbonyl, C1-6alkylaminocarbonyl, diC1-6alkylaminocarbonyl, C1-6alkylsulfonylaminocarbonyl, 2-thiazolylaminocarbonyl, hydroxy-CyH2y—,
or pharmaceutically acceptable salts, or tautomerism isomers thereof.
3. A compound according to claim 2 , wherein
R2 is phenyl substituted by one or two fluorine atoms;
R3 is
R4 and R5 are independently selected from hydrogen, methyl and trifluoromethyl; or
R4 and R5 together with the carbon atom to which they are attached are cyclopropyl; or when X is —NR7, one of R4 and R5 is hydrogen or methyl, and the other of R4 and R5 along with R7 and the atoms to which R4 or R5 and R7 are attached form:
M is methoxycarbonyl, carboxy, dimethylaminoethoxycarbonyl, aminocarbonyl, dimethylaminocarbonyl, methylaminocarbonyl, methylsulfonylaminocarbonyl, 2-thiazolylaminocarbonyl, hydroxymethyl, hydroxypropyl, —C(Me)2OH,
or pharmaceutically acceptable salts, or tautomerism isomers thereof.
4. A compound according to claim 1 wherein.
R1 is C1-2alkoxycarbonyl;
R2 is phenyl substituted by one halogen;
R3 is thiazol-2-yl;
X is oxygen;
R4 and R5 are independently selected from hydrogen, C1-6alkyl and trifluoroC1-6alkyl;
M is C1-6alkoxycarbonyl or carboxy.
5. A compound according to any one of claim 4 , wherein;
R1 is methoxycarbonyl;
R2 is 4-fluorophenyl;
R3 is thiazol-2-yl;
X is oxygen;
R4 and R5 are independently selected from hydrogen, methyl and trifluoromethyl;
M is methoxycarbonyl or carboxy.
6. A compound according to claim 1 wherein;
R1 is C1-2alkoxycarbonyl;
R2 is phenyl substituted by one halogen;
R3 is 2-thiazolyl;
X is —N(C1-6alkyl) or —N(trifluoroC1-6alkyl);
R4 is hydrogen;
R5 is hydrogen;
or R4 and R5, together with the carbon atom to which they are attached, form a 3 to 7 membered cycloalkyl;
M is carboxy.
7. A compound according to any one of claim 6 , wherein:
R1 is methoxycarbonyl;
R2 is 4-fluorophenyl;
R3 is thiazol-2-yl;
X is —NCH3 or —NCH2CF3;
R4 is hydrogen;
R5 is hydrogen;
or R4 and R5, together with the carbon atom to which they are attached, form cyclopropyl;
M is carboxy.
8. A compound according to claim 1 wherein
R1 is C1-2alkoxycarbonyl or cyano;
R2 is phenyl substituted by one kor two halogen;
R3 isthiazol-2-yl; 2-pyridin-2-yl substituted by one halogen; or imidazol-2-yl substituted by one C1-6alkyl;
X is —NR7;
one of R4 and R5 is hydrogen, and the other of R4 and R5 along with R7 and the atoms to which R4 or R5 and R7 are attached form a morpholinyl;
M is C1-6alkoxycarbonyl, carboxy or hydroxy-CyH2y—;
y is 1-6.
9. A compound according to any one of claim 8 , wherein
R1 is methoxycarbonyl, ethoxycarbonyl or cyano;
R2 is 4-fluorophenyl or 3,4-difluorophenyl;
R3 is thiazol-2-yl, 5-fluoro-pyridin-2-yl or 1-methyl-imidiazolid-2-yl;
one of R4 and R5 is hydrogen, and the other of R4 and R5 along with R7 and the atoms to which R4 or R5 and R7 are attached form:
10. A compound according to claim 1 or 2 , wherein
R1 is C1-2alkoxycarbonyl or cyano;
R2 is phenyl substituted by one or two halogen;
R3 is thiazol-2-yl optionally substituted by one C1-6alkyl or one halogen; thien-2-yl or -pyridin-2-yl said thien-2-yl or -pyridin-2-yl substituted by one halogen; -imidazol-2-yl, which substituted by one C1-6alkyl; or isoxazol-3-yl optionally substituted by one C1-6alkyl;
X is —NR7;
one of R4 and R5 is hydrogen or C1-6alkyl, and the other of R4 and R5 along with R7 and the atoms to which R4 or R5 and R7 are attached form a pyrrolidinyl or piperidinyl substituted by fluoro;
M is C1-6alkoxycarbonyl, carboxy, di-C1-6alkylaminoC2-6alkoxycarbonyl, aminocarbonyl, C1-6alkylaminocarbonyl, di-C1-6alkylaminocarbonyl, C1-6alkylsulfonylaminocarbonyl, 2-thiazolylaminocarbonyl, hydroxy-CyH2y—,
11. A compound according to any one of claim 1 , 2 , 3 or 10 , wherein
R1 is methoxycarbonyl, ethoxycarbonyl or cyano;
R2 is 4-fluorophenyl or 3,4-difluorophenyl;
R3 is
X is —NR7;
one of R4 and R5 is hydrogen or methyl, and the other of R4 and R5 along with R7 and the atoms to which R4 or R5 and R7 are attached form:
M is methoxycarbonyl, carboxy, dimethylaminoethoxycarbonyl, aminocarbonyl, dimethylaminocarbonyl, methylaminocarbonyl, methylsulfonylaminocarbonyl, 2-thiazolylaminocarbonyl, hydroxymethyl, hydroxypropyl, —C(Me)2OH,
12. A compound according to claim 1 of formula (I′)
wherein,
R1 is C1-2alkoxycarbonyl or cyano;
R2 is phenyl, which is substituted by halogen;
R3 is 2-thiazolyl which is unsubstituted or substituted by C1-6alkyl or 2-pyridinyl, which is substituted by halogen;
X is oxygen or —NR7;
R4 and R5 are independently selected from hydrogen, C1-6alkyl and trifluoroC1-6alkyl; or
R4 and R5, together with the carbon atom to which they are attached, form a 3 to 7 membered cycloalkyl; or
when X is —NR7, one of R4 and R5 is hydrogen or C1-6alkyl, and the other of R4 and R5 along with R7 and the atoms to which R4 or R5 and R7 are attached form a morpholinyl; or pyrrolidinyl substituted by fluoro;
R6 is hydrogen or C1-6alkyl;
R7 is C1-6alkyl;
or pharmaceutically acceptable salts, or tautomerism isomers thereof.
13. A compound according to claim 12 , wherein
R1 is methoxycarbonyl or cyano;
R2 is phenyl substituted once or twice by fluoro;
R3 is thiazol-2-yl, 5-methyl-thiazol-2-yl or 5-fluoro-pyridin-2-yl; or;
X is oxygen or —NR7;
R4 and R5 are independently selected from hydrogen, methyl and trifluoromethyl; or
R4 and R5 together with the carbon atom to which they are attached form cyclopropyl; or
when X is —NR7, one of R4 and R5 is hydrogen or methyl, and the other of R4 and R5 along with R7 and the atoms to which R4 or R5 and R7 are attached form:
or pharmaceutically acceptable salts, or tautomerism isomers thereof.
14. A compound according to claim 12 , wherein
R1 is C1-2alkoxycarbonyl or cyano;
R2 is phenyl which is substituted by halogen;
R3 is thiazol-2-yl or pyridin-2-yl, which is substituted by halogen;
X is —NR7;
one of R4 and R5 is hydrogen or C1-6alkyl, and the other of R4 and R5 along with R7 and the atoms to which R4 or R5 and R7 are attached form a morpholinyl;
R6 is hydrogen or C1-6alkyl.
15. A compound according to any one of claim 14 , wherein
R1 is methoxycarbonyl or cyano;
R2 is 4-fluorophenyl or 3,4-difluorophenyl;
R3 is thiazol-2-yl or 5-fluoro-pyridin-2-yl;
one of R4 and R5 is hydrogen or methyl, and the other of R4 and R5 along with R7 and the atoms to which R4 or R5 and R7 are attached formform
16. A compound according to claim 12 , wherein
R1 is C1-2alkoxycarbonyl or cyano;
R2 is phenyl which is substituted by halogen;
R3 is 2-thiazolyl optionally substituted by C1-6alkyl or 2-pyridinylsaid pyridinyl substituted by halogen;
X is —NR7;
one of R4 and R5 is hydrogen or C1-6alkyl, and the other and the other of R4 and R5 along with R7 and the atoms to which R4 or R5 and R7 are attached form a pyrrolidinyl substituted by fluoro;
R6 is hydrogen or C1-6alkyl.
17. A compound according to any one of claims 16 , wherein
R1 is methoxycarbonyl or cyano;
R2 is 4-fluorophenyl or 3,4-difluorophenyl;
R3 is thiazol-2-yl, 5-methyl-thiazol-2-yl or 5-fluoro-pyridin-2-yl;
X is —NR7;
one of R4 and R5 is hydrogen or methyl, and the other of R4 and R5 along with R7 and the atoms to which R4 or R5 and R7 are attached form
18. A compound according to any one of claims 1 selected from 4-(4-fluoro-phenyl)-6-(1-methoxycarbonyl-1-methyl-ethoxymethyl)-4-methyl-2-thiazol-2-yl-1,4-dihydro-pyrimidine-5-carboxylic acid methyl ester; 6-(1-carboxy-2,2,2-trifluoro-ethoxymethyl)-4-(4-fluoro-phenyl)-4-methyl-2-thiazol-2-yl-1,4-dihydro-pyrimidine-5-carboxylic acid methyl ester; 6-{[(1-carboxy-cyclopropyl)-methyl-amino]-methyl}-4-(4-fluoro-phenyl)-4-methyl-2-thiazol-2-yl-1,4-dihydro-pyrimidine-5-carboxylic acid methyl ester; 4-[6-(4-fluoro-phenyl)-5-methoxycarbonyl-6-methyl-2-thiazol-2-yl-3,6-dihydro-pyrimidin-4-ylmethyl]-morpholine-3-carboxylic acid; 4-[6-(4-fluoro-phenyl)-5-methoxycarbonyl-6-methyl-2-thiazol-2-yl-3,6-dihydro-pyrimidin-4-ylmethyl]-morpholine-(S)-3-carboxylic acid methyl ester; 4-[6-(4-fluoro-phenyl)-5-methoxycarbonyl-6-methyl-2-thiazol-2-yl-3,6-dihydro-pyrimidin-4-ylmethyl]-morpholine-(S)-3-carboxylic acid; (S)-4-[6-(4-fluoro-phenyl)-5-methoxycarbonyl-6-methyl-2-thiazol-2-yl-3,6-dihydro-pyrimidin-4-ylmethyl]-morpholine-(S)-3-carboxylic acid; (S)-4-[6-(4-fluoro-phenyl)-5-methoxycarbonyl-6-methyl-2-thiazol-2-yl-3,6-dihydro-pyrimidin-4-ylmethyl]-morpholine-(R)-3-carboxylic acid; 4-[6-(4-fluoro-phenyl)-2-(5-fluoro-pyridin-2-yl)-5-methoxycarbonyl-6-methyl-3,6-dihydro-pyrimidin-4-ylmethyl]-morpholine-(R)-3-carboxylic acid; 4-[6-(4-fluoro-phenyl)-2-(5-fluoro-pyridin-2-yl)-5-methoxycarbonyl-6-methyl-3,6-dihydro-pyrimidin-4-ylmethyl]-morpholine-(S)-3-carboxylic acid; 6-(2-(S)-carboxy-4,4-difluoro-pyrrolidin-1-ylmethyl)-4-(4-fluoro-phenyl)-4-methyl-2-thiazol-2-yl-1,4-dihydro-pyrimidine-5-carboxylic acid methyl ester; 6-(2-(R)-carboxy-4,4-difluoro-pyrrolidin-1-ylmethyl)-4-(4-fluoro-phenyl)-4-methyl-2-thiazol-2-yl-1,4-dihydro-pyrimidine-5-carboxylic acid methyl ester; (S)-6-((S)-2-carboxy-4,4-difluoro-pyrrolidin-1-ylmethyl)-4-(4-fluoro-phenyl)-4-methyl-2-thiazol-2-yl-1,4-dihydro-pyrimidine-5-carboxylic acid methyl ester; (S)-6-((S)-2-carboxy-4,4-difluoro-pyrrolidin-1-ylmethyl)-4-(3,4-difluoro-phenyl)-4-methyl-2-thiazol-2-yl-1,4-dihydro-pyrimidine-5-carboxylic acid methyl ester; 4-[(S)-6-(3,4-difluoro-phenyl)-5-methoxycarbonyl-6-methyl-2-thiazol-2-yl-3,6-dihydro-pyrimidin-4-ylmethyl]-morpholine-3-carboxylic acid methyl ester; 4-[6-(3,4-difluoro-phenyl)-5-methoxycarbonyl-6-methyl-2-thiazol-2-yl-3,6-dihydro-pyrimidin-4-ylmethyl]-morpholine-3-carboxylic acid; 6-(4,4-difluoro-2-methoxycarbonyl-pyrrolidin-1-ylmethyl)-4-(4-fluoro-phenyl)-2-(5-fluoro-pyridin-2-yl)-4-methyl-1,4-dihydro-pyrimidine-5-carboxylic acid methyl ester; 6-(2-carboxy-4,4-difluoro-pyrrolidin-1-ylmethyl)-4-(4-fluoro-phenyl)-2-(5-fluoro-pyridin-2-yl)-4-methyl-1,4-dihydro-pyrimidine-5-carboxylic acid methyl ester; 6-((S)-2-carboxy-4,4-difluoro-pyrrolidin-1-ylmethyl)-4-(4-fluoro-phenyl)-4-methyl-2-(5-methyl-thiazol-2-yl)-1,4-dihydro-pyrimidine-5-carboxylic acid methyl ester; 6-(2-carboxy-4,4-difluoro-2-methyl-pyrrolidin-1-ylmethyl)-4-(4-fluoro-phenyl)-4-methyl-2-thiazol-2-yl-1,4-dihydro-pyrimidine-5-carboxylic acid methyl ester; (S)-1-[(S)-5-cyano-6-(4-fluoro-phenyl)-6-methyl-2-thiazol-2-yl-3,6-dihydro-pyrimidin-4-ylmethyl]-4,4-difluoro-pyrrolidine-2-carboxylic acid; (S)-4-[5-cyano-6-(3,4-difluoro-phenyl)-6-methyl-2-thiazol-2-yl-3,6-dihydro-pyrimidin-4-ylmethyl]-morpholine-3-carboxylic acid; (S)-1-[(S)-5-cyano-6-(3,4-difluoro-phenyl)-6-methyl-2-thiazol-2-yl-3,6-dihydro-pyrimidin-4-ylmethyl]-4,4-difluoro-pyrrolidine-2-carboxylic acid; (S)-6-((S)-2-carboxy-4,4-difluoro-pyrrolidin-1-ylmethyl)-4-(3,4-difluoro-phenyl)-4-methyl-2-thiazol-2-yl-1,4-dihydro-pyrimidine-5-carboxylic acid ethyl ester; (S)-6-(2-carboxy-5,5-difluoro-piperidin-1-ylmethyl)-4-(4-fluoro-phenyl)-4-methyl-2-thiazol-2-yl-1,4-dihydro-pyrimidine-5-carboxylic acid methyl ester; (S)-6-(2-carboxy-4,4-difluoro-piperidin-1-ylmethyl)-4-(4-fluoro-phenyl)-4-methyl-2-thiazol-2-yl-1,4-dihydro-pyrimidine-5-carboxylic acid methyl ester; (S)-6-((S)-2-carboxy-4,4-difluoro-pyrrolidin-1-ylmethyl)-4-(4-fluoro-phenyl)-4-methyl-2-(1-methyl-1H-imidazol-2-yl)-1,4-dihydro-pyrimidine-5-carboxylic acid methyl ester; (R)-6-((S)-2-carboxy-4,4-difluoro-pyrrolidin-1-ylmethyl)-4-(3,4-difluoro-phenyl)-4-methyl-2-thiazol-2-yl-1,4-dihydro-pyrimidine-5-carboxylic acid ethyl ester; (S)-4-[6-(3,4-difluoro-phenyl)-5-ethoxycarbonyl-6-methyl-2-thiazol-2-yl-3,6-dihydro-pyrimidin-4-ylmethyl]-morpholine-3-carboxylic acid; (S)-4-[(S)-6-(4-fluoro-phenyl)-5-methoxycarbonyl-6-methyl-2-(1-methyl-1H-imidazol-2-yl)-3,6-dihydro-pyrimidin-4-ylmethyl]-morpholine-3-carboxylic acid; (R)-6-((S)-2-carboxy-4,4-difluoro-pyrrolidin-1-ylmethyl)-4-(4-fluoro-phenyl)-4-methyl-2-(4-methyl-thiazol-2-yl)-1,4-dihydro-pyrimidine-5-carboxylic acid methyl ester; (S)-6-((S)-2-carboxy-4,4-difluoro-pyrrolidin-1-ylmethyl)-4-(4-fluoro-phenyl)-4-methyl-2-(4-methyl-thiazol-2-yl)-1,4-dihydro-pyrimidine-5-carboxylic acid methyl ester; (S)-6-((S)-2-carboxy-4,4-difluoro-pyrrolidin-1-ylmethyl)-2-(5-chloro-thiazol-2-yl)-4-(4-fluoro-phenyl)-4-methyl-1,4-dihydro-pyrimidine-5-carboxylic acid methyl ester; (S)-6-((2S,4R)-2-carboxy-4-fluoro-pyrrolidin-1-ylmethyl)-4-(4-fluoro-phenyl)-4-methyl-2-thiazol-2-yl-1,4-dihydro-pyrimidine-5-carboxylic acid methyl ester; 6-((S)-2-carboxy-4,4-difluoro-pyrrolidin-1-ylmethyl)-4-(4-fluoro-phenyl)-2-isoxazol-3-yl-4-methyl-1,4-dihydro-pyrimidine-5-carboxylic acid methyl ester; (R)-6-((S)-2-carboxy-4,4-difluoro-2-methyl-pyrrolidin-1-ylmethyl)-4-(4-fluoro-phenyl)-4-methyl-2-thiazol-2-yl-1,4-dihydro-pyrimidine-5-carboxylic acid methyl ester; (S)-6-((S)-2-carboxy-4,4-difluoro-pyrrolidin-1-ylmethyl)-4-(4-fluoro-phenyl)-4-methyl-2-(5-methyl-thiazol-2-yl)-1,4-dihydro-pyrimidine-5-carboxylic acid methyl ester; (S)-6-((S)-2-carboxy-4,4-difluoro-pyrrolidin-1-ylmethyl)-4-(4-fluoro-phenyl)-2-(5-fluoro-thiophen-2-yl)-4-methyl-1,4-dihydro-pyrimidine-5-carboxylic acid methyl ester; (S)-6-((2S,4S)-2-carboxy-4-fluoro-pyrrolidin-1-ylmethyl)-4-(4-fluoro-phenyl)-4-methyl-2-thiazol-2-yl-1,4-dihydro-pyrimidine-5-carboxylic acid methyl ester; 6-((S)-2-carboxy-4,4-difluoro-pyrrolidin-1-ylmethyl)-4-(4-fluoro-phenyl)-4-methyl-2-(5-methyl-isoxazol-3-yl)-1,4-dihydro-pyrimidine-5-carboxylic acid methyl ester; (S)-6-((S)-2-carboxy-4,4-difluoro-pyrrolidin-1-ylmethyl)-4-(4-fluoro-phenyl)-2-(3-fluoro-thiophen-2-yl)-4-methyl-1,4-dihydro-pyrimidine-5-carboxylic acid methyl ester; (R)-6-((S)-2-carboxy-4,4-difluoro-pyrrolidin-1-ylmethyl)-4-(4-fluoro-phenyl)-2-(3-fluoro-thiophen-2-yl)-4-methyl-1,4-dihydro-pyrimidine-5-carboxylic acid methyl ester; (S)-6-((S)-2-carboxy-4,4-difluoro-pyrrolidin-1-ylmethyl)-4-(4-fluoro-phenyl)-2-(4-fluoro-thiophen-2-yl)-4-methyl-1,4-dihydro-pyrimidine-5-carboxylic acid methyl ester; (S)-6-{[carboxymethyl-(2,2,2-trifluoro-ethyl)-amino]-methyl}-4-(4-fluoro-phenyl)-4-methyl-2-thiazol-2-yl-1,4-dihydro-pyrimidine-5-carboxylic acid methyl ester; (S)-6-((S)-4,4-difluoro-2-methoxycarbonyl-pyrrolidin-1-ylmethyl)-4-(4-fluoro-phenyl)-4-methyl-2-thiazol-2-yl-1,4-dihydro-pyrimidine-5-carboxylic acid methyl ester; (S)-6-[(S)-2-(2-dimethylamino-ethoxycarbonyl)-4,4-difluoro-pyrrolidin-1-ylmethyl]-4-(4-fluoro-phenyl)-4-methyl-2-thiazol-2-yl-1,4-dihydro-pyrimidine-5-carboxylic acid methyl ester; (S)-6-(2-carbamoyl-4,4-difluoro-pyrrolidin-1-ylmethyl)-4-(4-fluoro-phenyl)-4-methyl-2-thiazol-2-yl-1,4-dihydro-pyrimidine-5-carboxylic acid methyl ester; (S)-6-((S)-2-carbamoyl-4,4-difluoro-pyrrolidin-1-ylmethyl)-4-(4-fluoro-phenyl)-4-methyl-2-thiazol-2-yl-1,4-dihydro-pyrimidine-5-carboxylic acid methyl ester; (S)-6-((S)-2-dimethylcarbamoyl-4,4-difluoro-pyrrolidin-1-ylmethyl)-4-(4-fluoro-phenyl)-4-methyl-2-thiazol-2-yl-1,4-dihydro-pyrimidine-5-carboxylic acid methyl ester; 6-((S)-4,4-difluoro-2-methylcarbamoyl-pyrrolidin-1-ylmethyl)-4-(4-fluoro-phenyl)-4-methyl-2-thiazol-2-yl-1,4-dihydro-pyrimidine-5-carboxylic acid methyl ester; (S)-6-((S)-4,4-difluoro-2-methanesulfonylaminocarbonyl-pyrrolidin-1-ylmethyl)-4-(4-fluoro-phenyl)-4-methyl-2-thiazol-2-yl-1,4-dihydro-pyrimidine-5-carboxylic acid methyl ester; (S)-6-[(S)-4,4-difluoro-2-(thiazol-2-ylcarbamoyl)-pyrrolidin-1-ylmethyl]-4-(4-fluoro-phenyl)-4-methyl-2-thiazol-2-yl-1,4-dihydro-pyrimidine-5-carboxylic acid methyl ester; 4-(4-fluoro-phenyl)-6-((R)-3-hydroxymethyl-morpholin-4-ylmethyl)-4-methyl-2-thiazol-2-yl-1,4-dihydro-pyrimidine-5-carboxylic acid methyl ester; (S)-6-[(S)-4,4-difluoro-2-(1-hydroxy-1-methyl-ethyl)-pyrrolidin-1-ylmethyl]-4-(4-fluoro-phenyl)-4-methyl-2-thiazol-2-yl-1,4-dihydro-pyrimidine-5-carboxylic acid methyl ester; (S)-6-((S)-4,4-difluoro-2-hydroxymethyl-pyrrolidin-1-ylmethyl)-4-(4-fluoro-phenyl)-4-methyl-2-thiazol-2-yl-1,4-dihydro-pyrimidine-5-carboxylic acid methyl ester; (S)-6-[4,4-difluoro-2-(3-hydroxy-propyl)-pyrrolidin-1-ylmethyl]-4-(4-fluoro-phenyl)-4-methyl-2-thiazol-2-yl-1,4-dihydro-pyrimidine-5-carboxylic acid methyl ester; (S)-6-[(S)-4,4-difluoro-2-(5-methyl-[1,3,4]oxadiazol-2-yl)-pyrrolidin-1-ylmethyl]-4-(4-fluoro-phenyl)-4-methyl-2-thiazol-2-yl-1,4-dihydro-pyrimidine-5-carboxylic acid methyl ester; (S)-6-[(S)-4,4-difluoro-2-(1H-tetrazol-5-yl)-pyrrolidin-1-ylmethyl]-4-(4-fluoro-phenyl)-4-methyl-2-thiazol-2-yl-1,4-dihydro-pyrimidine-5-carboxylic acid methyl ester; and (S)-6-[(S)-4,4-difluoro-2-(3-methyl-[1,2,4]oxadiazol-5-yl)-pyrrolidin-1-ylmethyl]-4-(4-fluoro-phenyl)-4-methyl-2-thiazol-2-yl-1,4-dihydro-pyrimidine-5-carboxylic acid methyl ester.
20. A compound according to any one of claim 1 for use as therapeutically active substance.
21. A pharmaceutical composition comprising a compound in accordance with any one of claim 1 and at least one carrier, diluent or excipient.
22. The use of a compound according to any one of claim 1 for the treatment or prophylaxis of hepatitis B virus infection.
23. The use of a compound according to any one of claim 1 for the preparation of a medicament for the treatment or prophylaxis of hepatitis B virus infection.
24. A compound according to any one of claim 1 for the treatment or prophylaxis of hepatitis B virus infection.
25. A compound according to any one of claims 1 when manufactured according to a process of claim 19 .
26. A method for the treatment or prophylaxis of hepatitis B virus infection, which method comprises administering an effective amount of a compound as defined in any one of claim 1 .
Priority Applications (1)
| Application Number | Priority Date | Filing Date | Title |
|---|---|---|---|
| US14/839,376 US9856247B2 (en) | 2012-03-31 | 2015-08-28 | 4-methyl-dihydropyrimidines for the treatment and prophylaxis of Hepatitis B virus infection |
Applications Claiming Priority (2)
| Application Number | Priority Date | Filing Date | Title |
|---|---|---|---|
| CN2012073388 | 2012-03-31 | ||
| CNPCT/CN2012/073388 | 2012-03-31 |
Related Child Applications (1)
| Application Number | Title | Priority Date | Filing Date |
|---|---|---|---|
| US14/839,376 Continuation US9856247B2 (en) | 2012-03-31 | 2015-08-28 | 4-methyl-dihydropyrimidines for the treatment and prophylaxis of Hepatitis B virus infection |
Publications (1)
| Publication Number | Publication Date |
|---|---|
| US20130267517A1 true US20130267517A1 (en) | 2013-10-10 |
Family
ID=49292800
Family Applications (2)
| Application Number | Title | Priority Date | Filing Date |
|---|---|---|---|
| US13/851,542 Abandoned US20130267517A1 (en) | 2012-03-31 | 2013-03-27 | Novel 4-methyl-dihydropyrimidines for the treatment and prophylaxis of hepatitis b virus infection |
| US14/839,376 Expired - Fee Related US9856247B2 (en) | 2012-03-31 | 2015-08-28 | 4-methyl-dihydropyrimidines for the treatment and prophylaxis of Hepatitis B virus infection |
Family Applications After (1)
| Application Number | Title | Priority Date | Filing Date |
|---|---|---|---|
| US14/839,376 Expired - Fee Related US9856247B2 (en) | 2012-03-31 | 2015-08-28 | 4-methyl-dihydropyrimidines for the treatment and prophylaxis of Hepatitis B virus infection |
Country Status (1)
| Country | Link |
|---|---|
| US (2) | US20130267517A1 (en) |
Cited By (102)
| Publication number | Priority date | Publication date | Assignee | Title |
|---|---|---|---|---|
| US8993771B2 (en) | 2013-03-12 | 2015-03-31 | Novira Therapeutics, Inc. | Hepatitis B antiviral agents |
| US9061008B2 (en) | 2011-12-21 | 2015-06-23 | Novira Therapeutics, Inc. | Hepatitis B antiviral agents |
| US9169212B2 (en) | 2014-01-16 | 2015-10-27 | Novira Therapeutics, Inc. | Azepane derivatives and methods of treating hepatitis B infections |
| US9181288B2 (en) | 2014-01-16 | 2015-11-10 | Novira Therapeutics, Inc. | Azepane derivatives and methods of treating hepatitis B infections |
| US9340538B2 (en) | 2012-08-24 | 2016-05-17 | Sunshine Lake Pharma Co., Ltd. | Dihydropyrimidine compounds and their application in pharmaceuticals |
| US9400280B2 (en) | 2014-03-27 | 2016-07-26 | Novira Therapeutics, Inc. | Piperidine derivatives and methods of treating hepatitis B infections |
| WO2016141092A1 (en) | 2015-03-04 | 2016-09-09 | Gilead Sciences, Inc. | Toll-like receptor modulating 4,6-diamino-pyrido[3,2-d]pyrimidine compounds |
| US9498479B2 (en) | 2013-11-19 | 2016-11-22 | Sunshine Lake Pharma Co., Ltd. | Dihydropyrimidine compounds and their application in pharmaceuticals |
| US9532987B2 (en) | 2013-09-05 | 2017-01-03 | Genentech, Inc. | Use of a combination of a MEK inhibitor and an ERK inhibitor for treatment of hyperproliferative diseases |
| WO2017011552A1 (en) * | 2015-07-13 | 2017-01-19 | Enanta Pharmaceuticals, Inc. | Hepatitis b antiviral agents |
| US9573941B2 (en) | 2013-11-27 | 2017-02-21 | Sunshine Lake Pharma Co., Ltd. | Processes for preparing dihydropyrimidine derivatives and intermediates thereof |
| WO2017035230A1 (en) | 2015-08-26 | 2017-03-02 | Gilead Sciences, Inc. | Deuterated toll-like receptor modulators |
| US9771358B2 (en) | 2014-03-28 | 2017-09-26 | Sunshine Lake Pharma Co., Ltd. | Dihydropyrimidine compounds and their application in pharmaceuticals |
| WO2017205078A1 (en) | 2016-05-27 | 2017-11-30 | Gilead Sciences, Inc. | Methods for treating hepatitis b virus infections using ns5a, ns5b or ns3 inhibitors |
| WO2017205115A1 (en) | 2016-05-27 | 2017-11-30 | Gilead Sciences, Inc. | Compounds for the treatment of hepatitis b virus infection |
| US9884831B2 (en) | 2015-03-19 | 2018-02-06 | Novira Therapeutics, Inc. | Azocane and azonane derivatives and methods of treating hepatitis B infections |
| US9884818B2 (en) | 2013-05-17 | 2018-02-06 | Janssen Sciences Ireland Uc | Sulphamoylpyrrolamide derivatives and the use thereof as medicaments for the treatment of hepatitis B |
| US9895349B2 (en) | 2013-04-03 | 2018-02-20 | Janssen Sciences Ireland Us | N-phenyl-carboxamide derivatives and the use thereof as medicaments for the treatment of hepatitis B |
| WO2018039531A1 (en) | 2016-08-26 | 2018-03-01 | Gilead Sciences, Inc. | Substituted pyrrolizine compounds and uses thereof |
| WO2018045150A1 (en) | 2016-09-02 | 2018-03-08 | Gilead Sciences, Inc. | 4,6-diamino-pyrido[3,2-d]pyrimidine derivaties as toll like receptor modulators |
| WO2018045144A1 (en) | 2016-09-02 | 2018-03-08 | Gilead Sciences, Inc. | Toll like receptor modulator compounds |
| WO2018144605A1 (en) | 2017-02-02 | 2018-08-09 | Gilead Sciences, Inc. | Compounds for the treatment of hepatitis b virus infection |
| WO2018144390A1 (en) | 2017-01-31 | 2018-08-09 | Gilead Sciences, Inc. | Crystalline forms of tenofovir alafenamide |
| US10071961B2 (en) | 2013-10-23 | 2018-09-11 | Janssen Sciences Ireland Uc | Carboxamide derivatives and the use thereof as medicaments for the treatment of hepatitis B |
| US10077239B2 (en) | 2015-09-29 | 2018-09-18 | Novira Therapeutics, Inc. | Crystalline forms of a hepatitis B antiviral agent |
| US10098889B2 (en) | 2015-02-07 | 2018-10-16 | Sunshine Lake Pharma Co., Ltd. | Complexes and salts of dihydropyrimidine derivatives and their application in pharmaceuticals |
| WO2018195321A1 (en) | 2017-04-20 | 2018-10-25 | Gilead Sciences, Inc. | Pd-1/pd-l1 inhibitors |
| US10125094B2 (en) | 2013-02-28 | 2018-11-13 | Janssen Sciences Ireland Uc | Sulfamoyl-arylamides and the use thereof as medicaments for the treatment of hepatitis B |
| US10160743B2 (en) | 2013-05-17 | 2018-12-25 | Janssen Sciences Ireland Uc | Sulphamoylthiophenamide derivatives and the use thereof as medicaments for the treatment of hepatitis B |
| US10179792B2 (en) | 2016-03-07 | 2019-01-15 | Enanta Pharmaceuticals, Inc. | Hepatitis B antiviral agents |
| US10189846B2 (en) | 2016-06-10 | 2019-01-29 | Enanta Pharmaceuticals, Inc. | Hepatitis B antiviral agents |
| US10213420B2 (en) | 2014-02-05 | 2019-02-26 | Novira Therapeutics, Inc. | Combination therapy for treatment of HBV infections |
| WO2019040102A1 (en) | 2017-08-22 | 2019-02-28 | Gilead Sciences, Inc. | Therapeutic heterocyclic compounds |
| US10280175B2 (en) | 2016-02-02 | 2019-05-07 | Enanta Pharmaceuticals, Inc. | Hepatitis B antiviral agents |
| US10301255B2 (en) | 2015-07-22 | 2019-05-28 | Enanta Pharmaceuticals, Inc. | Hepatitis B antiviral agents |
| WO2019160882A1 (en) | 2018-02-13 | 2019-08-22 | Gilead Sciences, Inc. | Pd-1/pd-l1 inhibitors |
| US10392349B2 (en) | 2014-01-16 | 2019-08-27 | Novira Therapeutics, Inc. | Azepane derivatives and methods of treating hepatitis B infections |
| WO2019165374A1 (en) | 2018-02-26 | 2019-08-29 | Gilead Sciences, Inc. | Substituted pyrrolizine compounds as hbv replication inhibitors |
| US10428070B2 (en) | 2017-12-06 | 2019-10-01 | Enanta Pharmaceuticals, Inc. | Hepatitis B antiviral agents |
| WO2019195181A1 (en) | 2018-04-05 | 2019-10-10 | Gilead Sciences, Inc. | Antibodies and fragments thereof that bind hepatitis b virus protein x |
| WO2019193542A1 (en) | 2018-04-06 | 2019-10-10 | Institute Of Organic Chemistry And Biochemistry Ascr, V.V.I. | 2'3'-cyclic dinucleotides |
| WO2019193533A1 (en) | 2018-04-06 | 2019-10-10 | Institute Of Organic Chemistry And Biochemistry Ascr, V.V.I. | 2'2'-cyclic dinucleotides |
| WO2019193543A1 (en) | 2018-04-06 | 2019-10-10 | Institute Of Organic Chemistry And Biochemistry Ascr, V.V.I. | 3'3'-cyclic dinucleotides |
| US10441589B2 (en) | 2016-04-15 | 2019-10-15 | Novira Therapeutics, Inc. | Combinations and methods comprising a capsid assembly inhibitor |
| US10442788B2 (en) | 2015-04-01 | 2019-10-15 | Enanta Pharmaceuticals, Inc. | Hepatitis B antiviral agents |
| WO2019200247A1 (en) | 2018-04-12 | 2019-10-17 | Precision Biosciences, Inc. | Optimized engineered meganucleases having specificity for a recognition sequence in the hepatitis b virus genome |
| US10450270B2 (en) | 2013-07-25 | 2019-10-22 | Janssen Sciences Ireland Uc | Glyoxamide substituted pyrrolamide derivatives and the use thereof as medicaments for the treatment of hepatitis B |
| WO2019204609A1 (en) | 2018-04-19 | 2019-10-24 | Gilead Sciences, Inc. | Pd-1/pd-l1 inhibitors |
| WO2019211799A1 (en) | 2018-05-03 | 2019-11-07 | Institute Of Organic Chemistry And Biochemistry Ascr, V.V.I. | 2'3'-cyclic dinucleotide analogue comprising a cyclopentanyl modified nucleotide |
| WO2020010223A1 (en) | 2018-07-06 | 2020-01-09 | Gilead Sciences, Inc. | Therapeutic heterocyclic compounds |
| WO2020010200A1 (en) | 2018-07-06 | 2020-01-09 | Gilead Sciences, Inc. | Therapeutic heterocyclic compounds |
| WO2020014643A1 (en) | 2018-07-13 | 2020-01-16 | Gilead Sciences, Inc. | Pd-1/pd-l1 inhibitors |
| WO2020028097A1 (en) | 2018-08-01 | 2020-02-06 | Gilead Sciences, Inc. | Solid forms of (r)-11-(methoxymethyl)-12-(3-methoxypropoxy)-3,3-dimethyl-8-0x0-2,3,8,13b-tetrahydro-1h-pyrido[2,1-a]pyrrolo[1,2-c] phthalazine-7-c arboxylic acid |
| WO2020086556A1 (en) | 2018-10-24 | 2020-04-30 | Gilead Sciences, Inc. | Pd-1/pd-l1 inhibitors |
| WO2020092528A1 (en) | 2018-10-31 | 2020-05-07 | Gilead Sciences, Inc. | Substituted 6-azabenzimidazole compounds having hpk1 inhibitory activity |
| WO2020092621A1 (en) | 2018-10-31 | 2020-05-07 | Gilead Sciences, Inc. | Substituted 6-azabenzimidazole compounds as hpk1 inhibitors |
| US10662416B2 (en) | 2016-10-14 | 2020-05-26 | Precision Biosciences, Inc. | Engineered meganucleases specific for recognition sequences in the hepatitis B virus genome |
| US10676429B2 (en) | 2012-08-28 | 2020-06-09 | Janssen Sciences Ireland Uc | Sulfamoyl-arylamides and the use thereof as medicaments for the treatment of hepatitis B |
| US10723733B2 (en) | 2017-12-06 | 2020-07-28 | Enanta Pharmaceuticals, Inc. | Hepatitis B antiviral agents |
| US10729688B2 (en) | 2018-03-29 | 2020-08-04 | Enanta Pharmaceuticals, Inc. | Hepatitis B antiviral agents |
| US10738035B2 (en) | 2015-05-13 | 2020-08-11 | Enanta Pharmaceuticals, Inc. | Hepatitis B antiviral agents |
| WO2020178768A1 (en) | 2019-03-07 | 2020-09-10 | Institute Of Organic Chemistry And Biochemistry Ascr, V.V.I. | 3'3'-cyclic dinucleotide analogue comprising a cyclopentanyl modified nucleotide as sting modulator |
| WO2020178770A1 (en) | 2019-03-07 | 2020-09-10 | Institute Of Organic Chemistry And Biochemistry Ascr, V.V.I. | 3'3'-cyclic dinucleotides and prodrugs thereof |
| WO2020178769A1 (en) | 2019-03-07 | 2020-09-10 | Institute Of Organic Chemistry And Biochemistry Ascr, V.V.I. | 2'3'-cyclic dinucleotides and prodrugs thereof |
| WO2020214652A1 (en) | 2019-04-17 | 2020-10-22 | Gilead Sciences, Inc. | Solid forms of a toll-like receptor modulator |
| WO2020214663A1 (en) | 2019-04-17 | 2020-10-22 | Gilead Sciences, Inc. | Solid forms of a toll-like receptor modulator |
| WO2020237025A1 (en) | 2019-05-23 | 2020-11-26 | Gilead Sciences, Inc. | Substituted exo-methylene-oxindoles which are hpk1/map4k1 inhibitors |
| US10865211B2 (en) | 2018-09-21 | 2020-12-15 | Enanta Pharmaceuticals, Inc. | Functionalized heterocycles as antiviral agents |
| WO2020255038A1 (en) | 2019-06-18 | 2020-12-24 | Janssen Sciences Ireland Unlimited Company | Combination of hepatitis b virus (hbv) vaccines and pyridopyrimidine derivatives |
| US10875876B2 (en) | 2015-07-02 | 2020-12-29 | Janssen Sciences Ireland Uc | Cyclized sulfamoylarylamide derivatives and the use thereof as medicaments for the treatment of hepatitis B |
| WO2020263830A1 (en) | 2019-06-25 | 2020-12-30 | Gilead Sciences, Inc. | Flt3l-fc fusion proteins and methods of use |
| WO2021011891A1 (en) | 2019-07-18 | 2021-01-21 | Gilead Sciences, Inc. | Long-acting formulations of tenofovir alafenamide |
| WO2021034804A1 (en) | 2019-08-19 | 2021-02-25 | Gilead Sciences, Inc. | Pharmaceutical formulations of tenofovir alafenamide |
| US10952978B2 (en) | 2017-08-28 | 2021-03-23 | Enanta Pharmaceuticals, Inc. | Hepatitis B antiviral agents |
| US10966999B2 (en) | 2017-12-20 | 2021-04-06 | Institute Of Organic Chemistry And Biochemistry Ascr, V.V.I. | 3′3′ cyclic dinucleotides with phosphonate bond activating the sting adaptor protein |
| WO2021067181A1 (en) | 2019-09-30 | 2021-04-08 | Gilead Sciences, Inc. | Hbv vaccines and methods treating hbv |
| US10973801B2 (en) | 2018-03-14 | 2021-04-13 | Janssen Sciences Ireland Unlimited Company | Capsid assembly modulator dosing regimen |
| WO2021113765A1 (en) | 2019-12-06 | 2021-06-10 | Precision Biosciences, Inc. | Optimized engineered meganucleases having specificity for a recognition sequence in the hepatitis b virus genome |
| US11058678B2 (en) | 2018-01-22 | 2021-07-13 | Enanta Pharmaceuticals, Inc. | Substituted heterocycles as antiviral agents |
| US11078193B2 (en) | 2014-02-06 | 2021-08-03 | Janssen Sciences Ireland Uc | Sulphamoylpyrrolamide derivatives and the use thereof as medicaments for the treatment of hepatitis B |
| US11096931B2 (en) | 2019-02-22 | 2021-08-24 | Janssen Sciences Ireland Unlimited Company | Amide derivatives useful in the treatment of HBV infection or HBV-induced diseases |
| WO2021188959A1 (en) | 2020-03-20 | 2021-09-23 | Gilead Sciences, Inc. | Prodrugs of 4'-c-substituted-2-halo-2'-deoxyadenosine nucleosides and methods of making and using the same |
| US11198693B2 (en) | 2018-11-21 | 2021-12-14 | Enanta Pharmaceuticals, Inc. | Functionalized heterocycles as antiviral agents |
| US11203610B2 (en) | 2017-12-20 | 2021-12-21 | Institute Of Organic Chemistry And Biochemistry Ascr, V.V.I. | 2′3′ cyclic dinucleotides with phosphonate bond activating the sting adaptor protein |
| US11236111B2 (en) | 2019-06-03 | 2022-02-01 | Enanta Pharmaceuticals, Inc. | Hepatitis B antiviral agents |
| US11236108B2 (en) | 2019-09-17 | 2022-02-01 | Enanta Pharmaceuticals, Inc. | Functionalized heterocycles as antiviral agents |
| WO2022031894A1 (en) | 2020-08-07 | 2022-02-10 | Gilead Sciences, Inc. | Prodrugs of phosphonamide nucleotide analogues and their pharmaceutical use |
| WO2022087149A2 (en) | 2020-10-22 | 2022-04-28 | Gilead Sciences, Inc. | Interleukin-2-fc fusion proteins and methods of use |
| US11472808B2 (en) | 2019-06-04 | 2022-10-18 | Enanta Pharmaceuticals, Inc. | Substituted pyrrolo[1,2-c]pyrimidines as hepatitis B antiviral agents |
| US11491148B2 (en) | 2019-05-06 | 2022-11-08 | Janssen Sciences Ireland Unlimited Company | Amide derivatives useful in the treatment of HBV infection or HBV-induced diseases |
| WO2022241134A1 (en) | 2021-05-13 | 2022-11-17 | Gilead Sciences, Inc. | COMBINATION OF A TLR8 MODULATING COMPOUND AND ANTI-HBV siRNA THERAPEUTICS |
| WO2022271684A1 (en) | 2021-06-23 | 2022-12-29 | Gilead Sciences, Inc. | Diacylglyercol kinase modulating compounds |
| WO2022271659A1 (en) | 2021-06-23 | 2022-12-29 | Gilead Sciences, Inc. | Diacylglyercol kinase modulating compounds |
| WO2022271650A1 (en) | 2021-06-23 | 2022-12-29 | Gilead Sciences, Inc. | Diacylglyercol kinase modulating compounds |
| WO2022271677A1 (en) | 2021-06-23 | 2022-12-29 | Gilead Sciences, Inc. | Diacylglyercol kinase modulating compounds |
| US11738019B2 (en) | 2019-07-11 | 2023-08-29 | Enanta Pharmaceuticals, Inc. | Substituted heterocycles as antiviral agents |
| US11760755B2 (en) | 2019-06-04 | 2023-09-19 | Enanta Pharmaceuticals, Inc. | Hepatitis B antiviral agents |
| US11802125B2 (en) | 2020-03-16 | 2023-10-31 | Enanta Pharmaceuticals, Inc. | Functionalized heterocyclic compounds as antiviral agents |
| WO2025240243A1 (en) | 2024-05-13 | 2025-11-20 | Gilead Sciences, Inc. | Combination therapies with bulevirtide and an inhibitory nucleic acid targeting hepatitis b virus |
| WO2025240244A1 (en) | 2024-05-13 | 2025-11-20 | Gilead Sciences, Inc. | Combination therapies comprising bulevirtide and lonafarnib for use in the treatment of hepatitis d virus infection |
| WO2025240242A1 (en) | 2024-05-13 | 2025-11-20 | Gilead Sciences, Inc. | Combination therapies with ribavirin |
| WO2025240246A1 (en) | 2024-05-13 | 2025-11-20 | Gilead Sciences, Inc. | Combination therapies with ribavirin |
Families Citing this family (4)
| Publication number | Priority date | Publication date | Assignee | Title |
|---|---|---|---|---|
| SG11201902944TA (en) | 2016-11-07 | 2019-05-30 | Arbutus Biopharma Corp | Substituted pyridinone-containing tricyclic compounds, and methods using same |
| CA3056886A1 (en) | 2017-03-21 | 2018-09-27 | Arbutus Biopharma Corporation | Substituted dihydroindene-4-carboxamides and analogs thereof, and methods using same |
| TWI826492B (en) | 2018-07-27 | 2023-12-21 | 加拿大商愛彼特生物製藥公司 | Substituted tetrahydrocyclopenta[c]pyrroles, substituted dihydropyrrolizines, analogues thereof, and methods using same |
| TWI827760B (en) | 2018-12-12 | 2024-01-01 | 加拿大商愛彼特生物製藥公司 | Substituted arylmethylureas and heteroarylmethylureas, analogues thereof, and methods using same |
Citations (1)
| Publication number | Priority date | Publication date | Assignee | Title |
|---|---|---|---|---|
| US7074784B2 (en) * | 2000-03-16 | 2006-07-11 | Siegfried Goldmann | Medicaments against viral diseases |
Family Cites Families (37)
| Publication number | Priority date | Publication date | Assignee | Title |
|---|---|---|---|---|
| DE3234684A1 (en) | 1982-09-18 | 1984-03-22 | Bayer Ag, 5090 Leverkusen | NEW DIHYDROPYRIMIDINE, METHOD FOR THE PRODUCTION THEREOF AND THEIR USE IN MEDICINAL PRODUCTS |
| GB8906168D0 (en) | 1989-03-17 | 1989-05-04 | Pfizer Ltd | Therapeutic agents |
| SE9702564D0 (en) | 1997-07-02 | 1997-07-02 | Astra Ab | New compounds |
| DE19817265A1 (en) | 1998-04-18 | 1999-10-21 | Bayer Ag | Treating hepatitis B using new or known dihydropyrimidine derivative antiviral agents |
| DE19817262A1 (en) | 1998-04-18 | 1999-10-21 | Bayer Ag | New dihydropyrimidine derivatives and their corresponding mesomers useful in treatment of hepatitis |
| DE19817264A1 (en) | 1998-04-18 | 1999-10-21 | Bayer Ag | New dihydropyrimidine derivatives and their corresponding mesomers useful as antiviral agents |
| AU4289100A (en) | 1999-03-25 | 2000-10-16 | Bayer Aktiengesellschaft | Dihydropyrimidines and their use in the treatment of hepatitis |
| AU3009801A (en) | 1999-12-22 | 2001-07-03 | Bayer Aktiengesellschaft | Combinations of medicaments for treating viral diseases |
| CN1406233A (en) | 2000-02-28 | 2003-03-26 | 拜尔公司 | Medicine for viral diseases |
| DE10012549A1 (en) | 2000-03-15 | 2001-09-20 | Bayer Ag | New heterocyclic-substituted dihydropyrimidine derivatives useful for treatment of viral infections, especially hepatitis B infections |
| DE10012824A1 (en) | 2000-03-16 | 2001-09-20 | Bayer Ag | New 6-hydroxyhydrocarbyl or 6-thiohydrocarbyl-dihydropyrimidine-5-carboxylic acid derivatives, useful for the treatment of viral infections, especially hepatitis B infections |
| DE10013125A1 (en) | 2000-03-17 | 2001-09-20 | Bayer Ag | New 4-dihalophenyl-dihydropyrimidine-5-carboxylate ester derivatives, useful as antiviral agents having strong activity against hepatitis B virus and low cytotoxicity |
| DE10013126A1 (en) | 2000-03-17 | 2001-09-20 | Bayer Ag | New 6-aminoalkyl-dihydropyrimidine-5-carboxylate ester derivatives, useful as antiviral agents having strong activity against hepatitis B virus and low cytotoxicity |
| EP1646615B1 (en) | 2003-06-06 | 2009-08-26 | Vertex Pharmaceuticals Incorporated | Pyrimidine derivatives as modulators of atp-binding cassette transporters |
| WO2005007124A2 (en) | 2003-07-23 | 2005-01-27 | Bristol-Myers Squibb Company | Substituted dihydropyrimidine inhibitors of calcium channel function |
| JP2008503492A (en) | 2004-06-17 | 2008-02-07 | スミスクライン・ビーチャム・コーポレイション | Novel inhibitors of Rho-kinase |
| WO2006033995A2 (en) | 2004-09-16 | 2006-03-30 | Valeant Research And Development | Thiazolidin-4-ones having anti-hepatitis b activity |
| WO2007014023A1 (en) | 2005-07-21 | 2007-02-01 | Valeant Research & Development | Thiazolidinones, oxazolidinones, and pyrrolidinones for hbv |
| WO2007051062A2 (en) | 2005-10-28 | 2007-05-03 | Chemocentryx, Inc. | Substituted dihydropyridines and methods of use |
| CN101443330B (en) | 2006-06-13 | 2012-12-19 | 上海海和药物研究开发有限公司 | Heterocycle non-nucleosides compound and preparation method thereof, medicament composition and purpose as antivirus antivirus inhibitor |
| CN101104617B (en) | 2006-07-10 | 2010-06-23 | 北京摩力克科技有限公司 | Dihydropyrimidine compounds and use of the same in preparing medicament for curing and preventing virosis |
| CN101104604B (en) | 2006-07-10 | 2011-03-02 | 北京摩力克科技有限公司 | Optically pure dihydropyrimidine compounds and use for the same in preparing medicament for curing and preventing virosis |
| CN101225084A (en) | 2007-01-16 | 2008-07-23 | 北京摩力克科技有限公司 | Dihydropyrimidine compound and use thereof in preparation of medicine treating and preventing virus diseases |
| RU2443703C2 (en) | 2007-06-18 | 2012-02-27 | Саншайн Лейк Фарма Ко., Лтд | Bromophenyl substituted thiazolyl dihydropyrimidines |
| CN101328168B (en) | 2007-06-18 | 2011-09-07 | 张中能 | Diethylcarbamyl-substituted thiazole dihydropyrimidine |
| CN101328169B (en) | 2007-06-18 | 2011-05-25 | 张中能 | A kind of ethoxycarbonyl-substituted thiazole dihydropyrimidine |
| CN101328170B (en) | 2007-06-18 | 2011-09-14 | 张中能 | Fluorophenyl-substituted thiazole dihydropyrimidine |
| JP2011502133A (en) | 2007-11-02 | 2011-01-20 | メシルジーン インコーポレイテッド | Inhibitors of histone deacetylase |
| WO2010069147A1 (en) | 2008-12-17 | 2010-06-24 | 张中能 | Dihydropyrimidine derivatives, compositions thereof and their use |
| CN101575318B (en) | 2009-06-25 | 2012-02-08 | 中国人民解放军军事医学科学院毒物药物研究所 | Dihydropyrimidine compounds and their use in the preparation of medicines for treating and/or preventing viral diseases |
| CN101575314B (en) | 2009-06-25 | 2011-05-11 | 中国人民解放军军事医学科学院毒物药物研究所 | Dihydropyridine compounds and application thereof on preparing drugs for curing and/or preventing virus diseases |
| ES2620177T3 (en) | 2009-10-15 | 2017-06-27 | Guerbet | Imaging agents and their use for in vivo diagnosis of neurodegenerative diseases, particularly Alzheimer's disease and derived diseases |
| US9487534B2 (en) | 2011-08-02 | 2016-11-08 | Scripps Research Institute, A Not-For-Profit Public Benefit Corporation Of California | Modulators of virus assembly as antiviral agents |
| KR102056665B1 (en) | 2012-01-06 | 2019-12-17 | 얀센 사이언시즈 아일랜드 언리미티드 컴퍼니 | 4,4-disubstituted-1,4-dihydropyrimidines and the use thereof as medicaments for the treatment of hepatitis B |
| RU2014142598A (en) | 2012-03-31 | 2016-05-27 | Ф. Хоффманн-Ля Рош Аг | NEW 4-METHYLDHYDROPYRIMIDINES FOR THE TREATMENT AND PREVENTION OF HEPATITIS B VIRUS INFECTION |
| CA2876690C (en) | 2012-08-24 | 2020-06-09 | Sunshine Lake Pharma Co., Ltd. | Dihydropyrimidine compounds and their application in pharmaceuticals |
| EP2892893B2 (en) | 2012-09-10 | 2019-10-16 | F.Hoffmann-La Roche Ag | 6-amino acid heteroaryldihydropyrimidines for the treatment and prophylaxis of hepatitis b virus infection |
-
2013
- 2013-03-27 US US13/851,542 patent/US20130267517A1/en not_active Abandoned
-
2015
- 2015-08-28 US US14/839,376 patent/US9856247B2/en not_active Expired - Fee Related
Patent Citations (1)
| Publication number | Priority date | Publication date | Assignee | Title |
|---|---|---|---|---|
| US7074784B2 (en) * | 2000-03-16 | 2006-07-11 | Siegfried Goldmann | Medicaments against viral diseases |
Cited By (160)
| Publication number | Priority date | Publication date | Assignee | Title |
|---|---|---|---|---|
| US9676747B2 (en) | 2011-12-21 | 2017-06-13 | Novira Therapeutics, Inc. | Hepatitis B antiviral agents |
| US9061008B2 (en) | 2011-12-21 | 2015-06-23 | Novira Therapeutics, Inc. | Hepatitis B antiviral agents |
| US9066932B2 (en) | 2011-12-21 | 2015-06-30 | Novira Therapeutics, Inc. | Hepatitis B antiviral agents |
| US10196376B2 (en) | 2011-12-21 | 2019-02-05 | Novira Therapeutics, Inc. | Hepatitis B antiviral agents |
| US9751857B2 (en) | 2011-12-21 | 2017-09-05 | Novira Therapeutics, Inc. | Hepatitis B antiviral agents |
| US9340538B2 (en) | 2012-08-24 | 2016-05-17 | Sunshine Lake Pharma Co., Ltd. | Dihydropyrimidine compounds and their application in pharmaceuticals |
| US10676429B2 (en) | 2012-08-28 | 2020-06-09 | Janssen Sciences Ireland Uc | Sulfamoyl-arylamides and the use thereof as medicaments for the treatment of hepatitis B |
| US10995064B2 (en) | 2012-08-28 | 2021-05-04 | Janssen Sciences Ireland Uc | Sulfamoyl-arylamides and the use thereof as medicaments for the treatment of hepatitis B |
| US10125094B2 (en) | 2013-02-28 | 2018-11-13 | Janssen Sciences Ireland Uc | Sulfamoyl-arylamides and the use thereof as medicaments for the treatment of hepatitis B |
| US10941113B2 (en) | 2013-02-28 | 2021-03-09 | Janssen Sciences Ireland Uc | Sulfamoyl-arylamides and the use thereof as medicaments for the treatment of hepatitis B |
| US9205079B2 (en) | 2013-03-12 | 2015-12-08 | Novira Therapeutics, Inc. | Hepatitis B antiviral agents |
| US9579313B2 (en) | 2013-03-12 | 2017-02-28 | Novira Therapeutics, Inc. | Hepatitis B antiviral agents |
| US8993771B2 (en) | 2013-03-12 | 2015-03-31 | Novira Therapeutics, Inc. | Hepatitis B antiviral agents |
| US9895349B2 (en) | 2013-04-03 | 2018-02-20 | Janssen Sciences Ireland Us | N-phenyl-carboxamide derivatives and the use thereof as medicaments for the treatment of hepatitis B |
| US10398677B2 (en) | 2013-04-03 | 2019-09-03 | Janssen Sciences Ireland Uc | N-phenyl-carboxamide derivatives and the use thereof as medicaments for the treatment of hepatitis B |
| US9884818B2 (en) | 2013-05-17 | 2018-02-06 | Janssen Sciences Ireland Uc | Sulphamoylpyrrolamide derivatives and the use thereof as medicaments for the treatment of hepatitis B |
| US10160743B2 (en) | 2013-05-17 | 2018-12-25 | Janssen Sciences Ireland Uc | Sulphamoylthiophenamide derivatives and the use thereof as medicaments for the treatment of hepatitis B |
| US10457638B2 (en) | 2013-05-17 | 2019-10-29 | Janssen Sciences Ireland Uc | Sulphamoylpyrrolamide derivatives and the use thereof as medicaments for the treatment of hepatitis B |
| US10450270B2 (en) | 2013-07-25 | 2019-10-22 | Janssen Sciences Ireland Uc | Glyoxamide substituted pyrrolamide derivatives and the use thereof as medicaments for the treatment of hepatitis B |
| US9532987B2 (en) | 2013-09-05 | 2017-01-03 | Genentech, Inc. | Use of a combination of a MEK inhibitor and an ERK inhibitor for treatment of hyperproliferative diseases |
| US10071961B2 (en) | 2013-10-23 | 2018-09-11 | Janssen Sciences Ireland Uc | Carboxamide derivatives and the use thereof as medicaments for the treatment of hepatitis B |
| US10377709B2 (en) | 2013-10-23 | 2019-08-13 | Janssen Sciences Ireland Uc | Carboxamide derivatives and the use thereof as medicaments for the treatment of hepatitis B |
| US9498479B2 (en) | 2013-11-19 | 2016-11-22 | Sunshine Lake Pharma Co., Ltd. | Dihydropyrimidine compounds and their application in pharmaceuticals |
| US9643962B2 (en) | 2013-11-27 | 2017-05-09 | Sunshine Lake Pharma Co., Ltd. | Processes for preparing dihydropyrimidine derivatives and intermediates thereof |
| US9617252B2 (en) | 2013-11-27 | 2017-04-11 | Sunshine Lake Pharma Co., Ltd. | Processes for preparing dihydropyrimidine derivatives and intermediates thereof |
| US9573941B2 (en) | 2013-11-27 | 2017-02-21 | Sunshine Lake Pharma Co., Ltd. | Processes for preparing dihydropyrimidine derivatives and intermediates thereof |
| US10392349B2 (en) | 2014-01-16 | 2019-08-27 | Novira Therapeutics, Inc. | Azepane derivatives and methods of treating hepatitis B infections |
| US9873671B2 (en) | 2014-01-16 | 2018-01-23 | Novira Therapeutics, Inc. | Azepane derivatives and methods of treating hepatitis B infections |
| US9505722B2 (en) | 2014-01-16 | 2016-11-29 | Novira Therapeutics, Inc. | Azepane derivatives and methods of treating hepatitis B infections |
| US9339510B2 (en) | 2014-01-16 | 2016-05-17 | Novira Therapeutics, Inc. | Azepane derivatives and methods of treating hepatitis B infections |
| US9181288B2 (en) | 2014-01-16 | 2015-11-10 | Novira Therapeutics, Inc. | Azepane derivatives and methods of treating hepatitis B infections |
| US9169212B2 (en) | 2014-01-16 | 2015-10-27 | Novira Therapeutics, Inc. | Azepane derivatives and methods of treating hepatitis B infections |
| US10632112B2 (en) | 2014-02-05 | 2020-04-28 | Novira Therapeutics, Inc. | Combination therapy for treatment of HBV infections |
| US10213420B2 (en) | 2014-02-05 | 2019-02-26 | Novira Therapeutics, Inc. | Combination therapy for treatment of HBV infections |
| US11078193B2 (en) | 2014-02-06 | 2021-08-03 | Janssen Sciences Ireland Uc | Sulphamoylpyrrolamide derivatives and the use thereof as medicaments for the treatment of hepatitis B |
| US9400280B2 (en) | 2014-03-27 | 2016-07-26 | Novira Therapeutics, Inc. | Piperidine derivatives and methods of treating hepatitis B infections |
| US9771358B2 (en) | 2014-03-28 | 2017-09-26 | Sunshine Lake Pharma Co., Ltd. | Dihydropyrimidine compounds and their application in pharmaceuticals |
| US10098889B2 (en) | 2015-02-07 | 2018-10-16 | Sunshine Lake Pharma Co., Ltd. | Complexes and salts of dihydropyrimidine derivatives and their application in pharmaceuticals |
| EP3321265A1 (en) | 2015-03-04 | 2018-05-16 | Gilead Sciences, Inc. | 4,6-diamino-pyrido[3,2-d]pyrimidine compounds and their utilisation as modulators of toll-like receptors |
| EP3722297A1 (en) | 2015-03-04 | 2020-10-14 | Gilead Sciences, Inc. | Toll-like receptor modulating 4,6-diamino-pyrido[3,2-d]pyrimidine compounds |
| WO2016141092A1 (en) | 2015-03-04 | 2016-09-09 | Gilead Sciences, Inc. | Toll-like receptor modulating 4,6-diamino-pyrido[3,2-d]pyrimidine compounds |
| US10537580B2 (en) | 2015-03-19 | 2020-01-21 | Novira Therapeutics, Inc. | Azocane and azonane derivatives and methods of treating hepatitis B infections |
| US9884831B2 (en) | 2015-03-19 | 2018-02-06 | Novira Therapeutics, Inc. | Azocane and azonane derivatives and methods of treating hepatitis B infections |
| US10442788B2 (en) | 2015-04-01 | 2019-10-15 | Enanta Pharmaceuticals, Inc. | Hepatitis B antiviral agents |
| US10738035B2 (en) | 2015-05-13 | 2020-08-11 | Enanta Pharmaceuticals, Inc. | Hepatitis B antiviral agents |
| US10875876B2 (en) | 2015-07-02 | 2020-12-29 | Janssen Sciences Ireland Uc | Cyclized sulfamoylarylamide derivatives and the use thereof as medicaments for the treatment of hepatitis B |
| US10179131B2 (en) | 2015-07-13 | 2019-01-15 | Enanta Pharmaceuticals, Inc. | Hepatitis B antiviral agents |
| US10702528B2 (en) | 2015-07-13 | 2020-07-07 | Enanta Pharmaceuticals, Inc. | Hepatitis B antiviral agents |
| WO2017011552A1 (en) * | 2015-07-13 | 2017-01-19 | Enanta Pharmaceuticals, Inc. | Hepatitis b antiviral agents |
| US10301255B2 (en) | 2015-07-22 | 2019-05-28 | Enanta Pharmaceuticals, Inc. | Hepatitis B antiviral agents |
| WO2017035230A1 (en) | 2015-08-26 | 2017-03-02 | Gilead Sciences, Inc. | Deuterated toll-like receptor modulators |
| US10077239B2 (en) | 2015-09-29 | 2018-09-18 | Novira Therapeutics, Inc. | Crystalline forms of a hepatitis B antiviral agent |
| US10280175B2 (en) | 2016-02-02 | 2019-05-07 | Enanta Pharmaceuticals, Inc. | Hepatitis B antiviral agents |
| US10179792B2 (en) | 2016-03-07 | 2019-01-15 | Enanta Pharmaceuticals, Inc. | Hepatitis B antiviral agents |
| US10934306B2 (en) | 2016-03-07 | 2021-03-02 | Enanta Pharmaceuticals, Inc. | Hepatitis B antiviral agents |
| US12054493B2 (en) | 2016-03-07 | 2024-08-06 | Enanta Pharmaceuticals, Inc. | Hepatitis B antiviral agents |
| US10538532B2 (en) | 2016-03-07 | 2020-01-21 | Enanta Pharmaceuticals, Inc. | Hepatitis B antiviral agents |
| US11129834B2 (en) | 2016-04-15 | 2021-09-28 | Novira Therapeutics, Inc. | Combinations and methods comprising a capsid assembly inhibitor |
| US10441589B2 (en) | 2016-04-15 | 2019-10-15 | Novira Therapeutics, Inc. | Combinations and methods comprising a capsid assembly inhibitor |
| WO2017205078A1 (en) | 2016-05-27 | 2017-11-30 | Gilead Sciences, Inc. | Methods for treating hepatitis b virus infections using ns5a, ns5b or ns3 inhibitors |
| WO2017205115A1 (en) | 2016-05-27 | 2017-11-30 | Gilead Sciences, Inc. | Compounds for the treatment of hepatitis b virus infection |
| US10640511B2 (en) | 2016-06-10 | 2020-05-05 | Enant Pharmaceuticals, Inc. | Hepatitis B antiviral agents |
| US10189846B2 (en) | 2016-06-10 | 2019-01-29 | Enanta Pharmaceuticals, Inc. | Hepatitis B antiviral agents |
| EP3922634A1 (en) | 2016-08-26 | 2021-12-15 | Gilead Sciences, Inc. | Substituted pyrrolizine compounds and uses thereof |
| WO2018039531A1 (en) | 2016-08-26 | 2018-03-01 | Gilead Sciences, Inc. | Substituted pyrrolizine compounds and uses thereof |
| WO2018045144A1 (en) | 2016-09-02 | 2018-03-08 | Gilead Sciences, Inc. | Toll like receptor modulator compounds |
| WO2018045150A1 (en) | 2016-09-02 | 2018-03-08 | Gilead Sciences, Inc. | 4,6-diamino-pyrido[3,2-d]pyrimidine derivaties as toll like receptor modulators |
| US11274285B2 (en) | 2016-10-14 | 2022-03-15 | Precision Biosciences, Inc. | Engineered meganucleases specific for recognition sequences in the Hepatitis B virus genome |
| US10662416B2 (en) | 2016-10-14 | 2020-05-26 | Precision Biosciences, Inc. | Engineered meganucleases specific for recognition sequences in the hepatitis B virus genome |
| WO2018144390A1 (en) | 2017-01-31 | 2018-08-09 | Gilead Sciences, Inc. | Crystalline forms of tenofovir alafenamide |
| EP4424374A2 (en) | 2017-01-31 | 2024-09-04 | Gilead Sciences, Inc. | Crystalline forms of tenofovir alafenamide |
| US10442804B2 (en) | 2017-02-02 | 2019-10-15 | Gilead Sciences, Inc. | Compounds for the treatment of hepatitis B virus infection |
| WO2018144605A1 (en) | 2017-02-02 | 2018-08-09 | Gilead Sciences, Inc. | Compounds for the treatment of hepatitis b virus infection |
| EP4026835A2 (en) | 2017-04-20 | 2022-07-13 | Gilead Sciences, Inc. | Pd-1/pd-l1 inhibitors |
| WO2018195321A1 (en) | 2017-04-20 | 2018-10-25 | Gilead Sciences, Inc. | Pd-1/pd-l1 inhibitors |
| WO2019040102A1 (en) | 2017-08-22 | 2019-02-28 | Gilead Sciences, Inc. | Therapeutic heterocyclic compounds |
| US11596611B2 (en) | 2017-08-28 | 2023-03-07 | Enanta Pharmaceuticals, Inc. | Hepatitis B antiviral agents |
| US12011425B2 (en) | 2017-08-28 | 2024-06-18 | Enanta Pharmaceuticals, Inc. | Hepatitis B antiviral agents |
| US10952978B2 (en) | 2017-08-28 | 2021-03-23 | Enanta Pharmaceuticals, Inc. | Hepatitis B antiviral agents |
| US12496282B2 (en) | 2017-08-28 | 2025-12-16 | Enanta Pharmaceuticals, Inc. | Hepatitis B antiviral agents |
| US10723733B2 (en) | 2017-12-06 | 2020-07-28 | Enanta Pharmaceuticals, Inc. | Hepatitis B antiviral agents |
| US10428070B2 (en) | 2017-12-06 | 2019-10-01 | Enanta Pharmaceuticals, Inc. | Hepatitis B antiviral agents |
| US10966999B2 (en) | 2017-12-20 | 2021-04-06 | Institute Of Organic Chemistry And Biochemistry Ascr, V.V.I. | 3′3′ cyclic dinucleotides with phosphonate bond activating the sting adaptor protein |
| US11203610B2 (en) | 2017-12-20 | 2021-12-21 | Institute Of Organic Chemistry And Biochemistry Ascr, V.V.I. | 2′3′ cyclic dinucleotides with phosphonate bond activating the sting adaptor protein |
| US11058678B2 (en) | 2018-01-22 | 2021-07-13 | Enanta Pharmaceuticals, Inc. | Substituted heterocycles as antiviral agents |
| WO2019160882A1 (en) | 2018-02-13 | 2019-08-22 | Gilead Sciences, Inc. | Pd-1/pd-l1 inhibitors |
| EP4227302A1 (en) | 2018-02-13 | 2023-08-16 | Gilead Sciences, Inc. | Pd-1/pd-l1 inhibitors |
| WO2019165374A1 (en) | 2018-02-26 | 2019-08-29 | Gilead Sciences, Inc. | Substituted pyrrolizine compounds as hbv replication inhibitors |
| US10973801B2 (en) | 2018-03-14 | 2021-04-13 | Janssen Sciences Ireland Unlimited Company | Capsid assembly modulator dosing regimen |
| US10729688B2 (en) | 2018-03-29 | 2020-08-04 | Enanta Pharmaceuticals, Inc. | Hepatitis B antiviral agents |
| WO2019195181A1 (en) | 2018-04-05 | 2019-10-10 | Gilead Sciences, Inc. | Antibodies and fragments thereof that bind hepatitis b virus protein x |
| US11292812B2 (en) | 2018-04-06 | 2022-04-05 | Institute Of Organic Chemistry And Biochemistry Ascr, V.V.I. | 3′3′-cyclic dinucleotides |
| WO2019193533A1 (en) | 2018-04-06 | 2019-10-10 | Institute Of Organic Chemistry And Biochemistry Ascr, V.V.I. | 2'2'-cyclic dinucleotides |
| WO2019193543A1 (en) | 2018-04-06 | 2019-10-10 | Institute Of Organic Chemistry And Biochemistry Ascr, V.V.I. | 3'3'-cyclic dinucleotides |
| WO2019193542A1 (en) | 2018-04-06 | 2019-10-10 | Institute Of Organic Chemistry And Biochemistry Ascr, V.V.I. | 2'3'-cyclic dinucleotides |
| US11149052B2 (en) | 2018-04-06 | 2021-10-19 | Institute Of Organic Chemistry And Biochemistry Ascr, V.V.I. | 2′3′-cyclic dinucleotides |
| WO2019200247A1 (en) | 2018-04-12 | 2019-10-17 | Precision Biosciences, Inc. | Optimized engineered meganucleases having specificity for a recognition sequence in the hepatitis b virus genome |
| US11142750B2 (en) | 2018-04-12 | 2021-10-12 | Precision Biosciences, Inc. | Optimized engineered meganucleases having specificity for a recognition sequence in the Hepatitis B virus genome |
| US11788077B2 (en) | 2018-04-12 | 2023-10-17 | Precision Biosciences, Inc. | Polynucleotides encoding optimized engineered meganucleases having specificity for a recognition sequence in the Hepatitis B virus genome |
| EP4600247A2 (en) | 2018-04-19 | 2025-08-13 | Gilead Sciences, Inc. | Pd-1/pd-l1 inhibitors |
| WO2019204609A1 (en) | 2018-04-19 | 2019-10-24 | Gilead Sciences, Inc. | Pd-1/pd-l1 inhibitors |
| WO2019211799A1 (en) | 2018-05-03 | 2019-11-07 | Institute Of Organic Chemistry And Biochemistry Ascr, V.V.I. | 2'3'-cyclic dinucleotide analogue comprising a cyclopentanyl modified nucleotide |
| US11186579B2 (en) | 2018-07-06 | 2021-11-30 | Gilead Sciences, Inc. | Therapeutic heterocyclic compounds |
| WO2020010200A1 (en) | 2018-07-06 | 2020-01-09 | Gilead Sciences, Inc. | Therapeutic heterocyclic compounds |
| WO2020010223A1 (en) | 2018-07-06 | 2020-01-09 | Gilead Sciences, Inc. | Therapeutic heterocyclic compounds |
| US11098027B2 (en) | 2018-07-06 | 2021-08-24 | Gilead Sciences, Inc. | Therapeutic heterocyclic compounds |
| US12269812B2 (en) | 2018-07-13 | 2025-04-08 | Gilead Sciences, Inc. | PD-1/PD-L1 inhibitors |
| EP4234030A2 (en) | 2018-07-13 | 2023-08-30 | Gilead Sciences, Inc. | Pd-1/pd-l1 inhibitors |
| WO2020014643A1 (en) | 2018-07-13 | 2020-01-16 | Gilead Sciences, Inc. | Pd-1/pd-l1 inhibitors |
| WO2020028097A1 (en) | 2018-08-01 | 2020-02-06 | Gilead Sciences, Inc. | Solid forms of (r)-11-(methoxymethyl)-12-(3-methoxypropoxy)-3,3-dimethyl-8-0x0-2,3,8,13b-tetrahydro-1h-pyrido[2,1-a]pyrrolo[1,2-c] phthalazine-7-c arboxylic acid |
| US11377450B2 (en) | 2018-09-21 | 2022-07-05 | Enanta Pharmaceuticals, Inc. | Functionalized heterocycles as antiviral agents |
| US10865211B2 (en) | 2018-09-21 | 2020-12-15 | Enanta Pharmaceuticals, Inc. | Functionalized heterocycles as antiviral agents |
| WO2020086556A1 (en) | 2018-10-24 | 2020-04-30 | Gilead Sciences, Inc. | Pd-1/pd-l1 inhibitors |
| EP4371987A1 (en) | 2018-10-31 | 2024-05-22 | Gilead Sciences, Inc. | Substituted 6-azabenzimidazole compounds as hpk1 inhibitors |
| WO2020092528A1 (en) | 2018-10-31 | 2020-05-07 | Gilead Sciences, Inc. | Substituted 6-azabenzimidazole compounds having hpk1 inhibitory activity |
| WO2020092621A1 (en) | 2018-10-31 | 2020-05-07 | Gilead Sciences, Inc. | Substituted 6-azabenzimidazole compounds as hpk1 inhibitors |
| EP4671244A1 (en) | 2018-10-31 | 2025-12-31 | Gilead Sciences, Inc. | SUBSTITUTED 6-AZABENZIMIDAZOLE COMPOUNDS AS HPK1 HIBITORS |
| US11198693B2 (en) | 2018-11-21 | 2021-12-14 | Enanta Pharmaceuticals, Inc. | Functionalized heterocycles as antiviral agents |
| US12264159B2 (en) | 2018-11-21 | 2025-04-01 | Enanta Pharmaceuticals, Inc. | Functionalized heterocycles as antiviral agents |
| US11891393B2 (en) | 2018-11-21 | 2024-02-06 | Enanta Pharmaceuticals, Inc. | Functionalized heterocycles as antiviral agents |
| US11096931B2 (en) | 2019-02-22 | 2021-08-24 | Janssen Sciences Ireland Unlimited Company | Amide derivatives useful in the treatment of HBV infection or HBV-induced diseases |
| WO2020178768A1 (en) | 2019-03-07 | 2020-09-10 | Institute Of Organic Chemistry And Biochemistry Ascr, V.V.I. | 3'3'-cyclic dinucleotide analogue comprising a cyclopentanyl modified nucleotide as sting modulator |
| US12318403B2 (en) | 2019-03-07 | 2025-06-03 | Institute Of Organic Chemistry And Biochemistry Ascr, V.V.I. | 2′3′-cyclic dinucleotides and prodrugs thereof |
| US11766447B2 (en) | 2019-03-07 | 2023-09-26 | Institute Of Organic Chemistry And Biochemistry Ascr, V.V.I. | 3′3′-cyclic dinucleotide analogue comprising a cyclopentanyl modified nucleotide as sting modulator |
| WO2020178770A1 (en) | 2019-03-07 | 2020-09-10 | Institute Of Organic Chemistry And Biochemistry Ascr, V.V.I. | 3'3'-cyclic dinucleotides and prodrugs thereof |
| WO2020178769A1 (en) | 2019-03-07 | 2020-09-10 | Institute Of Organic Chemistry And Biochemistry Ascr, V.V.I. | 2'3'-cyclic dinucleotides and prodrugs thereof |
| WO2020214652A1 (en) | 2019-04-17 | 2020-10-22 | Gilead Sciences, Inc. | Solid forms of a toll-like receptor modulator |
| WO2020214663A1 (en) | 2019-04-17 | 2020-10-22 | Gilead Sciences, Inc. | Solid forms of a toll-like receptor modulator |
| EP4458416A2 (en) | 2019-04-17 | 2024-11-06 | Gilead Sciences, Inc. | Solid forms of a toll-like receptor modulator |
| US11491148B2 (en) | 2019-05-06 | 2022-11-08 | Janssen Sciences Ireland Unlimited Company | Amide derivatives useful in the treatment of HBV infection or HBV-induced diseases |
| WO2020237025A1 (en) | 2019-05-23 | 2020-11-26 | Gilead Sciences, Inc. | Substituted exo-methylene-oxindoles which are hpk1/map4k1 inhibitors |
| US11236111B2 (en) | 2019-06-03 | 2022-02-01 | Enanta Pharmaceuticals, Inc. | Hepatitis B antiviral agents |
| US11760755B2 (en) | 2019-06-04 | 2023-09-19 | Enanta Pharmaceuticals, Inc. | Hepatitis B antiviral agents |
| US11472808B2 (en) | 2019-06-04 | 2022-10-18 | Enanta Pharmaceuticals, Inc. | Substituted pyrrolo[1,2-c]pyrimidines as hepatitis B antiviral agents |
| WO2020255038A1 (en) | 2019-06-18 | 2020-12-24 | Janssen Sciences Ireland Unlimited Company | Combination of hepatitis b virus (hbv) vaccines and pyridopyrimidine derivatives |
| WO2020263830A1 (en) | 2019-06-25 | 2020-12-30 | Gilead Sciences, Inc. | Flt3l-fc fusion proteins and methods of use |
| US11738019B2 (en) | 2019-07-11 | 2023-08-29 | Enanta Pharmaceuticals, Inc. | Substituted heterocycles as antiviral agents |
| WO2021011891A1 (en) | 2019-07-18 | 2021-01-21 | Gilead Sciences, Inc. | Long-acting formulations of tenofovir alafenamide |
| WO2021034804A1 (en) | 2019-08-19 | 2021-02-25 | Gilead Sciences, Inc. | Pharmaceutical formulations of tenofovir alafenamide |
| US11236108B2 (en) | 2019-09-17 | 2022-02-01 | Enanta Pharmaceuticals, Inc. | Functionalized heterocycles as antiviral agents |
| EP4458975A2 (en) | 2019-09-30 | 2024-11-06 | Gilead Sciences, Inc. | Hbv vaccines and methods treating hbv |
| WO2021067181A1 (en) | 2019-09-30 | 2021-04-08 | Gilead Sciences, Inc. | Hbv vaccines and methods treating hbv |
| EP4567109A2 (en) | 2019-12-06 | 2025-06-11 | Precision Biosciences, Inc. | Optimized engineered meganucleases having specificity for a recognition sequence in the hepatitis b virus genome |
| WO2021113765A1 (en) | 2019-12-06 | 2021-06-10 | Precision Biosciences, Inc. | Optimized engineered meganucleases having specificity for a recognition sequence in the hepatitis b virus genome |
| US12410418B2 (en) | 2019-12-06 | 2025-09-09 | Precision Biosciences, Inc. | Optimized engineered meganucleases having specificity for a recognition sequence in the Hepatitis B virus genome |
| US11802125B2 (en) | 2020-03-16 | 2023-10-31 | Enanta Pharmaceuticals, Inc. | Functionalized heterocyclic compounds as antiviral agents |
| WO2021188959A1 (en) | 2020-03-20 | 2021-09-23 | Gilead Sciences, Inc. | Prodrugs of 4'-c-substituted-2-halo-2'-deoxyadenosine nucleosides and methods of making and using the same |
| EP4667477A2 (en) | 2020-08-07 | 2025-12-24 | Gilead Sciences, Inc. | Prodrugs of phosphonamide nucleotide analogues and their pharmaceutical use |
| WO2022031894A1 (en) | 2020-08-07 | 2022-02-10 | Gilead Sciences, Inc. | Prodrugs of phosphonamide nucleotide analogues and their pharmaceutical use |
| WO2022087149A2 (en) | 2020-10-22 | 2022-04-28 | Gilead Sciences, Inc. | Interleukin-2-fc fusion proteins and methods of use |
| EP4667499A2 (en) | 2020-10-22 | 2025-12-24 | Gilead Sciences, Inc. | Interleukin-2-fc fusion proteins and methods of use |
| WO2022241134A1 (en) | 2021-05-13 | 2022-11-17 | Gilead Sciences, Inc. | COMBINATION OF A TLR8 MODULATING COMPOUND AND ANTI-HBV siRNA THERAPEUTICS |
| WO2022271677A1 (en) | 2021-06-23 | 2022-12-29 | Gilead Sciences, Inc. | Diacylglyercol kinase modulating compounds |
| WO2022271684A1 (en) | 2021-06-23 | 2022-12-29 | Gilead Sciences, Inc. | Diacylglyercol kinase modulating compounds |
| WO2022271659A1 (en) | 2021-06-23 | 2022-12-29 | Gilead Sciences, Inc. | Diacylglyercol kinase modulating compounds |
| WO2022271650A1 (en) | 2021-06-23 | 2022-12-29 | Gilead Sciences, Inc. | Diacylglyercol kinase modulating compounds |
| WO2025240244A1 (en) | 2024-05-13 | 2025-11-20 | Gilead Sciences, Inc. | Combination therapies comprising bulevirtide and lonafarnib for use in the treatment of hepatitis d virus infection |
| WO2025240242A1 (en) | 2024-05-13 | 2025-11-20 | Gilead Sciences, Inc. | Combination therapies with ribavirin |
| WO2025240246A1 (en) | 2024-05-13 | 2025-11-20 | Gilead Sciences, Inc. | Combination therapies with ribavirin |
| WO2025240243A1 (en) | 2024-05-13 | 2025-11-20 | Gilead Sciences, Inc. | Combination therapies with bulevirtide and an inhibitory nucleic acid targeting hepatitis b virus |
Also Published As
| Publication number | Publication date |
|---|---|
| US20160052921A1 (en) | 2016-02-25 |
| US9856247B2 (en) | 2018-01-02 |
| US20170334898A9 (en) | 2017-11-23 |
Similar Documents
| Publication | Publication Date | Title |
|---|---|---|
| US9856247B2 (en) | 4-methyl-dihydropyrimidines for the treatment and prophylaxis of Hepatitis B virus infection | |
| EP2831060B1 (en) | Novel 4-methyl-dihydropyrimidines for the treatment and prophylaxis of hepatitis b virus infection | |
| US12351575B2 (en) | 6-fused heteroaryldihydropyrimidines for the treatment and prophylaxis of hepatitis B virus infection | |
| US9447086B2 (en) | 6-amino acid heteroaryldihydropyrimidines for the treatment and prophylaxis of hepatitis B virus infection | |
| US11713312B2 (en) | Substituted bicyclic compounds as farnesoid X receptor modulators | |
| WO2017064156A1 (en) | Novel 6-fused and 2-heteroaryldihydropyrimidines for the treatment and prophylaxis of hepatitis b virus infection | |
| US20050043545A1 (en) | 4-(5-Membered)-heteroaryl acyl pyrrolidine derivatives as hcv inhibitors | |
| CN109111451B (en) | Dihydropyrimidine compound and application thereof in medicine | |
| JP7770594B2 (en) | Amide heteroaromatic compounds useful in the treatment of liver diseases | |
| HK1203944B (en) | 4-methyl-dihydropyrimidines for the treatment and prophylaxis of hepatitis b virus infection | |
| JP2026021479A (en) | Amide heteroaromatic compounds useful in the treatment of liver diseases | |
| HK1230189A1 (en) | Novel 6-fused heteroaryldihydropyrimidines for the treatment and prophylaxis of hepatitis b virus infection |
Legal Events
| Date | Code | Title | Description |
|---|---|---|---|
| STCB | Information on status: application discontinuation |
Free format text: ABANDONED -- FAILURE TO PAY ISSUE FEE |
|
| STCB | Information on status: application discontinuation |
Free format text: ABANDONED -- FAILURE TO PAY ISSUE FEE |























































































































