WO2018051254A1 - Cyclic substituted-1,2,4-oxadiazole compounds as immunomodulators - Google Patents
Cyclic substituted-1,2,4-oxadiazole compounds as immunomodulators Download PDFInfo
- Publication number
- WO2018051254A1 WO2018051254A1 PCT/IB2017/055546 IB2017055546W WO2018051254A1 WO 2018051254 A1 WO2018051254 A1 WO 2018051254A1 IB 2017055546 W IB2017055546 W IB 2017055546W WO 2018051254 A1 WO2018051254 A1 WO 2018051254A1
- Authority
- WO
- WIPO (PCT)
- Prior art keywords
- alkyl
- compound
- heteroaryl
- pharmaceutically acceptable
- stereoisomer
- Prior art date
- Legal status (The legal status is an assumption and is not a legal conclusion. Google has not performed a legal analysis and makes no representation as to the accuracy of the status listed.)
- Ceased
Links
- 0 C*S(N(*)C(*)c1nc(C)n[o]1)(=O)=O Chemical compound C*S(N(*)C(*)c1nc(C)n[o]1)(=O)=O 0.000 description 9
- AYFVYJQAPQTCCC-NFJMKROFSA-N CC([C@@H](C(O)=O)N)O Chemical compound CC([C@@H](C(O)=O)N)O AYFVYJQAPQTCCC-NFJMKROFSA-N 0.000 description 3
- ZSPNEHCYTQKEQK-JRZJBTRGSA-N CC(C)COC(C)[C@@H](C(OCC(C)C)=O)NS(Oc(cc1)ccc1[N+]([O-])=O)(=O)=O Chemical compound CC(C)COC(C)[C@@H](C(OCC(C)C)=O)NS(Oc(cc1)ccc1[N+]([O-])=O)(=O)=O ZSPNEHCYTQKEQK-JRZJBTRGSA-N 0.000 description 1
- FYZCAMOMBUGRNL-LBGQEWASSA-N CC([C@@H](C(O)=O)NC(N[C@@H](CC(N)=O)c1nc(CC(O)=O)n[o]1)=O)O Chemical compound CC([C@@H](C(O)=O)NC(N[C@@H](CC(N)=O)c1nc(CC(O)=O)n[o]1)=O)O FYZCAMOMBUGRNL-LBGQEWASSA-N 0.000 description 1
- ZDGGCNBFCLDMJJ-BRIYQRAZSA-N CC([C@H](C(O)=O)NC(N[C@@H](CC(N)=O)c1nc(Cc(cccc2OC)c2OC)n[o]1)=O)O Chemical compound CC([C@H](C(O)=O)NC(N[C@@H](CC(N)=O)c1nc(Cc(cccc2OC)c2OC)n[o]1)=O)O ZDGGCNBFCLDMJJ-BRIYQRAZSA-N 0.000 description 1
- WJUFSDZVCOTFON-UHFFFAOYSA-N COc(ccc(C=O)c1)c1OC Chemical compound COc(ccc(C=O)c1)c1OC WJUFSDZVCOTFON-UHFFFAOYSA-N 0.000 description 1
- BAAMVXRLSHUTJC-UHFFFAOYSA-N COc1cc([Br](O)O)ccn1 Chemical compound COc1cc([Br](O)O)ccn1 BAAMVXRLSHUTJC-UHFFFAOYSA-N 0.000 description 1
- NXZSEWHJRGSMKD-KBIXCLLPSA-N C[C@@H]([C@@H](C(O)=O)NC(N[C@@H](CCC(O)=O)c1nc(N(CC2)C[C@H]2F)n[o]1)=O)O Chemical compound C[C@@H]([C@@H](C(O)=O)NC(N[C@@H](CCC(O)=O)c1nc(N(CC2)C[C@H]2F)n[o]1)=O)O NXZSEWHJRGSMKD-KBIXCLLPSA-N 0.000 description 1
- WQNOAUXFHDPDNJ-WYFGTUCQSA-N C[C@@H]([C@@H](C(O)=O)NC(N[C@@H](CCC(O)=O)c1nc(N2C[C@H](CO)CC2)n[o]1)=O)O Chemical compound C[C@@H]([C@@H](C(O)=O)NC(N[C@@H](CCC(O)=O)c1nc(N2C[C@H](CO)CC2)n[o]1)=O)O WQNOAUXFHDPDNJ-WYFGTUCQSA-N 0.000 description 1
- BNZLJFGVQJIVKH-JTQLQIEISA-N NC(C[C@@H](c1nc(-c2cc(F)ccc2F)n[o]1)NC(C1(CC1)C(N)=O)=O)=O Chemical compound NC(C[C@@H](c1nc(-c2cc(F)ccc2F)n[o]1)NC(C1(CC1)C(N)=O)=O)=O BNZLJFGVQJIVKH-JTQLQIEISA-N 0.000 description 1
- WHBSTRALVUEUJG-ZETCQYMHSA-N NC(C[C@@H](c1nc(-c2nccnc2)n[o]1)NC(c1nccnc1C(O)=O)=O)=O Chemical compound NC(C[C@@H](c1nc(-c2nccnc2)n[o]1)NC(c1nccnc1C(O)=O)=O)=O WHBSTRALVUEUJG-ZETCQYMHSA-N 0.000 description 1
- GJKMBFYWYAZFRH-BDAKNGLRSA-N NC(C[C@@H](c1nc([C@@H]2NCCCC2)n[o]1)NC(NCCOI)=O)=O Chemical compound NC(C[C@@H](c1nc([C@@H]2NCCCC2)n[o]1)NC(NCCOI)=O)=O GJKMBFYWYAZFRH-BDAKNGLRSA-N 0.000 description 1
- ITLBFMNVJLLAFY-NAKRPEOUSA-O NC(C[C@@H](c1nc([C@H]2NCCCC2)n[o]1)NC([C@H](C1)NC[C@H]1[OH2+])=O)=O Chemical compound NC(C[C@@H](c1nc([C@H]2NCCCC2)n[o]1)NC([C@H](C1)NC[C@H]1[OH2+])=O)=O ITLBFMNVJLLAFY-NAKRPEOUSA-O 0.000 description 1
- UQQIPNLNHODSHP-AWEZNQCLSA-O OC(C[C@@H](c1nc(-c(cc(cc2)F)c2F)n[o]1)NC(c1cccc(C([OH2+])=O)c1)=O)=O Chemical compound OC(C[C@@H](c1nc(-c(cc(cc2)F)c2F)n[o]1)NC(c1cccc(C([OH2+])=O)c1)=O)=O UQQIPNLNHODSHP-AWEZNQCLSA-O 0.000 description 1
- VDBLASGJRNZIHZ-XPUUQOCRSA-N OC[C@@H](C(O)=O)NS(N[C@@H](CC(O)=O)c1nc(-c2nccnc2)n[o]1)(=O)=O Chemical compound OC[C@@H](C(O)=O)NS(N[C@@H](CC(O)=O)c1nc(-c2nccnc2)n[o]1)(=O)=O VDBLASGJRNZIHZ-XPUUQOCRSA-N 0.000 description 1
- BTJIUGUIPKRLHP-UHFFFAOYSA-N [O-][N+](c(cc1)ccc1O)=O Chemical compound [O-][N+](c(cc1)ccc1O)=O BTJIUGUIPKRLHP-UHFFFAOYSA-N 0.000 description 1
- HBQSFSHZXMBAKL-UHFFFAOYSA-N [O-][N+](c(cc1)ccc1OS(Cl)(=O)=O)=O Chemical compound [O-][N+](c(cc1)ccc1OS(Cl)(=O)=O)=O HBQSFSHZXMBAKL-UHFFFAOYSA-N 0.000 description 1
Classifications
-
- C—CHEMISTRY; METALLURGY
- C07—ORGANIC CHEMISTRY
- C07D—HETEROCYCLIC COMPOUNDS
- C07D271/00—Heterocyclic compounds containing five-membered rings having two nitrogen atoms and one oxygen atom as the only ring hetero atoms
- C07D271/02—Heterocyclic compounds containing five-membered rings having two nitrogen atoms and one oxygen atom as the only ring hetero atoms not condensed with other rings
- C07D271/06—1,2,4-Oxadiazoles; Hydrogenated 1,2,4-oxadiazoles
-
- C—CHEMISTRY; METALLURGY
- C07—ORGANIC CHEMISTRY
- C07D—HETEROCYCLIC COMPOUNDS
- C07D271/00—Heterocyclic compounds containing five-membered rings having two nitrogen atoms and one oxygen atom as the only ring hetero atoms
- C07D271/02—Heterocyclic compounds containing five-membered rings having two nitrogen atoms and one oxygen atom as the only ring hetero atoms not condensed with other rings
- C07D271/06—1,2,4-Oxadiazoles; Hydrogenated 1,2,4-oxadiazoles
- C07D271/07—1,2,4-Oxadiazoles; Hydrogenated 1,2,4-oxadiazoles with oxygen, sulfur or nitrogen atoms, directly attached to ring carbon atoms, the nitrogen atoms not forming part of a nitro radical
-
- C—CHEMISTRY; METALLURGY
- C07—ORGANIC CHEMISTRY
- C07D—HETEROCYCLIC COMPOUNDS
- C07D413/00—Heterocyclic compounds containing two or more hetero rings, at least one ring having nitrogen and oxygen atoms as the only ring hetero atoms
- C07D413/02—Heterocyclic compounds containing two or more hetero rings, at least one ring having nitrogen and oxygen atoms as the only ring hetero atoms containing two hetero rings
- C07D413/04—Heterocyclic compounds containing two or more hetero rings, at least one ring having nitrogen and oxygen atoms as the only ring hetero atoms containing two hetero rings directly linked by a ring-member-to-ring-member bond
-
- C—CHEMISTRY; METALLURGY
- C07—ORGANIC CHEMISTRY
- C07D—HETEROCYCLIC COMPOUNDS
- C07D413/00—Heterocyclic compounds containing two or more hetero rings, at least one ring having nitrogen and oxygen atoms as the only ring hetero atoms
- C07D413/02—Heterocyclic compounds containing two or more hetero rings, at least one ring having nitrogen and oxygen atoms as the only ring hetero atoms containing two hetero rings
- C07D413/06—Heterocyclic compounds containing two or more hetero rings, at least one ring having nitrogen and oxygen atoms as the only ring hetero atoms containing two hetero rings linked by a carbon chain containing only aliphatic carbon atoms
-
- C—CHEMISTRY; METALLURGY
- C07—ORGANIC CHEMISTRY
- C07D—HETEROCYCLIC COMPOUNDS
- C07D413/00—Heterocyclic compounds containing two or more hetero rings, at least one ring having nitrogen and oxygen atoms as the only ring hetero atoms
- C07D413/02—Heterocyclic compounds containing two or more hetero rings, at least one ring having nitrogen and oxygen atoms as the only ring hetero atoms containing two hetero rings
- C07D413/12—Heterocyclic compounds containing two or more hetero rings, at least one ring having nitrogen and oxygen atoms as the only ring hetero atoms containing two hetero rings linked by a chain containing hetero atoms as chain links
-
- C—CHEMISTRY; METALLURGY
- C07—ORGANIC CHEMISTRY
- C07D—HETEROCYCLIC COMPOUNDS
- C07D413/00—Heterocyclic compounds containing two or more hetero rings, at least one ring having nitrogen and oxygen atoms as the only ring hetero atoms
- C07D413/14—Heterocyclic compounds containing two or more hetero rings, at least one ring having nitrogen and oxygen atoms as the only ring hetero atoms containing three or more hetero rings
-
- C—CHEMISTRY; METALLURGY
- C07—ORGANIC CHEMISTRY
- C07D—HETEROCYCLIC COMPOUNDS
- C07D417/00—Heterocyclic compounds containing two or more hetero rings, at least one ring having nitrogen and sulfur atoms as the only ring hetero atoms, not provided for by group C07D415/00
- C07D417/14—Heterocyclic compounds containing two or more hetero rings, at least one ring having nitrogen and sulfur atoms as the only ring hetero atoms, not provided for by group C07D415/00 containing three or more hetero rings
Definitions
- the present invention relates to cyclic substituted- 1,2,4-oxadiazole and thiadiazole compounds and their derivatives therapeutically useful as immune modulators.
- the invention also relates to pharmaceutical compositions comprising cyclic substituted 1,2,4-oxadiazole and thiadiazole compounds and their derivatives as therapeutic agents.
- Immune system in mammals sustains the ability to control the homeostasis between the activation and inactivation of lymphocytes through various regulatory mechanisms during and after an immune response. Among these mechanisms, there are mechanisms that specifically modulate the immune response as and when required. Mechanism via PD-1 pathway relates to almost every aspect of immune responses including autoimmunity, tumour immunity, infectious immunity, transplantation immunity, allergy and immunological privilege.
- PD-1 or Programmed Cell Death 1 or PDCD1
- PD-1 is a ⁇ 55kD type I membrane glycoprotein and is a receptor of the CD28 superfamily that negatively regulates T cell antigen receptor signalling by interacting with the specific ligands and is suggested to play significant role in the maintenance of self-tolerance.
- the PD- 1 protein's structure comprises of an extracellular IgV domain followed by a transmembrane region and an intracellular tail.
- the intracellular tail contains two phosphorylation sites located in an immunoreceptor tyrosine-based inhibitory motif and an immunoreceptor tyrosine- based switch motif, which suggests that PD-1 negatively regulates TCR signals.
- PD-1 is expressed on the surface of activated T cells, B cells, and macrophages, (Y.
- CTLA-4 (Cytotoxic T- Lymphocyte Antigen 4), also known as CD 152 (Cluster of differentiation 152), a protein that also plays an important regulatory role in the immune system]
- CD 152 Cluster of differentiation 152
- T cell exhaustion was initially described for CD8 T cells in mice chronically infected with lymphocytic choriomeningitis virus clone 13.
- T cell antigen receptor drives the sustained expression of T cell inhibitory receptors, including programmed cell death- 1 (PD-1) and lymphocyte activationgene-3 (LAG-3), on virus-specific CD8 T cells (Joseph Illingworth et al., Journal of Immunology (2013), 190(3), 1038-1047).
- PD-1 programmed cell death- 1
- LAG-3 lymphocyte activationgene-3
- Blockade of PD-1 an inhibitory receptor expressed by T cells, can overcome immune resistance.
- PD-1 is a key immune check point receptor expressed by activated T cells, and it mediates immune suppression.
- PD-1 functions primarily in peripheral tissues, where T cells may encounter the immune suppressive PD-1 ligands; PD-L1 (B7-H1) and PD-L2 (B7-DC), which are expressed by tumor cells, stromal cells or both. Inhibition of the interaction between PD- 1 and PD- Ll can enhance T-cell responses in vitroand mediate preclinical antitumor activity (Suzanne L. Topalian et al., N Engl J Med. 2012, 366(26): 2443-2454).
- PD-1 plays critical roles in the regulation of the immune response to cancer, allergy, and chronic viral infection (Julie R. Brahmer et al., N Engl J Med. 2012, 366(26): 2455-2465).
- Tumour cells and virus (including HCV and HIV) infected cells are known to exploit the PD- 1 signalling pathway (to create immunosuppression) in order to escape immune surveillance by host T cells. It has been reported that the PD-1 gene is one of genes responsible for autoimmune diseases like systemic lupus erythematosus (Prokunina et al., Nature Genetics, 2002, Vol. 32, No. 4, 666-669.).
- the present invention relates to cyclic substituted 1,2,4-oxadiazole and thiadiazolecompounds or a stereoisomer thereof or a pharmaceutically acceptable salt thereof.
- the compounds of present invention are capable of suppressing and/or inhibiting the programmed cell death 1 (PD-1) signalling pathway.
- the present in ention provides compound of formula (I):
- X is O or S
- each dotted line— represents an optional bond
- R 2 is a side chain of an amino acid or is alkyl, alkenyl, alkynyl, cycloalkyl, (cycloalkyl)alkyl-, (heteroaryl)alkyl-, heteroaryl, arylalkyl-, aryl, heterocycloalkyl or (heterocycloalkyl)alkyl-; wherein alkyl, alkenyl, alkynyl, cycloalkyl, (cycloalkyl)alkyl-, (heteroaryl)alkyl-, heteroaryl, arylalkyl-, aryl, heterocycloalkyl or (heterocycloalkyl)alkyl- are optionally substituted with 1 to 4 substituents selected from carboxylic acid, carboxylate, thiocarboxylate, thioacid, amido, amino, hydroxyl, cycloalkyl, aryl, -CONR9R10, aryl-COOH,
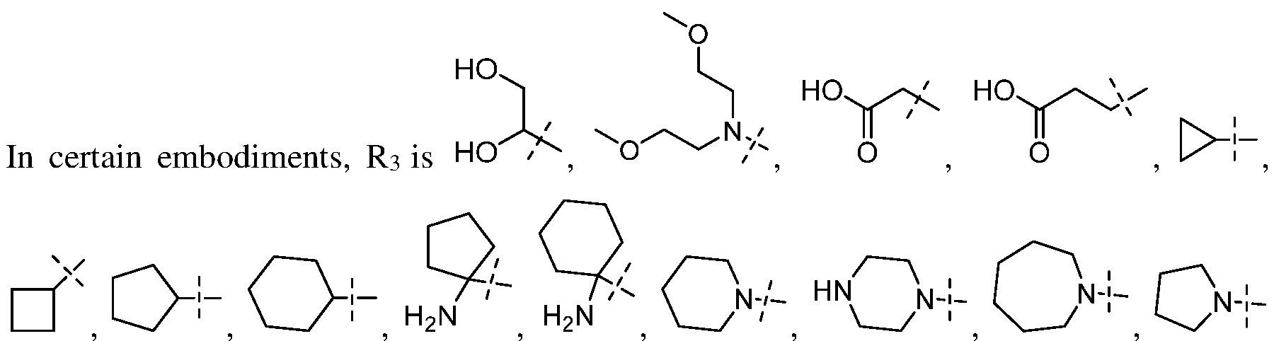
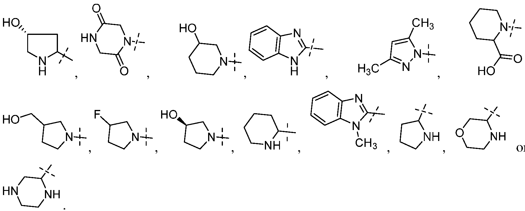
- R3 is aryl, arylalkyl-, heterocycloalkyl, (heterocycloalkyl)alkyl-, cycloalkyl, heteroaryl, (heteroaryl)alkyl- or -alkyl-(COOH); or a group represented by the formula, -CH(ORb)(CH20Rb), -C(R 7 R8)(NR9Rio) or -N(Rn) 2 ; wherein aryl, arylalkyl-, heterocycloalkyl, (heterocycloalkyl)alkyl-, cycloalkyl, heteroaryl and (heteroaryl)alkyl- are optionally substituted with 1 to 4 occurrences of R e ;
- R 4 and R5 independently are hydrogen or absent
- R 6 is hydrogen or alkyl; or R 6 and R c taken together with the atoms to which they are attached form a 5- to 7-membered ring optionally substituted with one or more groups independently selected from hydroxyl, halo, amino, cyano and alkyl;
- R 7 representsheteroalkyl, alkoxy, aryl, heterocycloalkyl or heteroaryl; each optionally substituted with halo, cyano or haloalkyl;
- Rg and Rn each independently represent hydrogen, alkyl, heteroalkyl, alkoxy, aryl, heterocycloalkyl or heteroaryl; each optionally substituted with hydroxy, halo, amino, cyano and alkyl; or
- R 7 and Rg taken together with the atoms to which they are attached form a 5- to 7-membered cycloalkyl ring which is optionally substituted with one or more substituents each independently selected from hydroxy, halo, amino, cyano and alkyl;
- R9 and Rio independently are hydrogen, alkyl or acyl; or R9 and Rio taken together with the atoms to which they are attached form a 5- to 7-membered carbocyclic ring or heterocyclic ring which is optionally substituted with one or more substituents each independently selected from hydroxy, halo, amino, cyano and alkyl;
- W represents O or S
- Aaa represents an amino acid residue
- R a is -NRcRd, aminoalkyl-, aminoaryl-, alkyl, aryl, cycloalkyl, heterocycloalkyl or heteroaryl; wherein the alkyl, aryl, cycloalkyl, heterocycloalkyl and heteroaryl are optionally substituted with 1 to 4 substituents, each independently selected from alkyl, amido, amino, carboxylic acid, hydroxyl, halo, cyano, acyl, haloalkyl and alkoxy;
- Rb and R c each independently for each occurrence represents hydrogen or alkyl
- Rd is hydrogen, alkyl, acyl, alkoxyalkyl, aryl or arylalkyl; wherein aryl and aralkyl are optionally substituted with one or more hydroxyl, cyano, alkyl or alkoxy;
- R e at each occurrence, is alkyl, alkoxy, halo, hydroxyl, -C(0)OH, aralkyl-, aryl, (heteroaryl)alkyl-, heteroaryl, cycloalkyl, (cycloalkyl)alkyl-, hydroxyalkyl, alkoxyalkyl- or acyl; wherein the alkyl, aralkyl, aryl, (heteroaryl)alkyl-, heteroaryl, cycloalkyl, (cycloalkyl)alkyl- are optionally substituted with 1 to 4 substituents, each independently selected from alkyl, amido, carboxylic acid, hydroxyl, halo, cyano, acyl, haloalkyl and alkoxy; or
- R 3 represents arylalkyl-, (heterocycloalkyl)alkyl-, (heteroaryl)alkyl-, -alkyl-(COOH); or a group represented by the general formula -CH(ORb)(CH 2 ORb), -QRyRsXNRgRio) or - N(Rii) 2 ; wherein the arylalkyl-, (heterocycloalkyl)alkyl- and (heteroaryl)alkyl-, are optionally substituted with 1 to 4 occurrences of R e .
- the present invention relates to a process for preparation of compounds of formula (I) or a pharmaceutically acceptable salt or a stereoisomer thereof.
- a pharmaceutical composition comprising a compound of formula (I) or a pharmaceutically acceptable salt or a stereoisomer thereof and processes for preparing such compositions.
- it provides use of cyclic substituted 1,2,4- oxadiazole and thiadiazolecompounds and derivatives of formula (I), pharmaceutically acceptable salts and stereoisomers thereof, which are capable of suppressing and/or inhibiting the programmed cell death 1 (PD 1 ) signaling pathway.
- these compounds can be used to treat one or more diseases characterized by aberrant or undesired activity of the PD1 signaling pathway.
- the present invention provides cyclic substituted 1,2,4-oxadiazole and thiadiazolecompounds and their derivatives as therapeutic agents useful for treatment of disorders via immunopotentiation comprising inhibition of immunosuppressive signals induced due to PD- 1, PD-L1 or PD-L2 and therapies using them.
- the present invention provides compound of formula (I):
- X is O or S
- each dotted line— represents an optional bond
- R 2 is a side chain of an amino acid or is alkyl, alkenyl, alkynyl, cycloalkyl, (cycloalkyl)alkyl-, (heteroaryl)alkyl-, heteroaryl, arylalkyl-, aryl, heterocycloalkyl or (heterocycloalkyl)alkyl-; wherein alkyl, alkenyl, alkynyl, cycloalkyl, (cycloalkyl)alkyl-, (heteroaryl)alkyl-, heteroaryl, arylalkyl-, aryl, heterocycloalkyl or (heterocycloalkyl)alkyl- are optionally substituted with 1 to 4 substituents selected from carboxylic acid, carboxylate, thiocarboxylate, thioacid, amido, amino, hydroxyl, cycloalkyl, aryl, -CONR 9 R10, aryl-COOH,
- R3 is aryl, arylalkyl-, heterocycloalkyl, (heterocycloalkyl)alkyl-, cycloalkyl, heteroaryl, (heteroaryl)alkyl- or -alkyl-(COOH); or a group represented by the formula, -CH(ORb)(CH 2 ORb), -C(R 7 R8)(NR9Rio) or -N(Rn) 2 ; wherein aryl, arylalkyl-, heterocycloalkyl, (heterocycloalkyl)alkyl-, cycloalkyl, heteroaryl and (heteroaryl)alkyl- are optionally substituted with 1 to 4 occurrences of R e ;
- R 4 and R5 independently are hydrogen or absent
- R 6 is hydrogen or alkyl; or R 6 and R c taken together with the atoms to which they are attached form a 5- to 7-membered ring optionally substituted with one or more groups independently selected from hydroxyl, halo, amino, cyano and alkyl; R 7 representshetero alkyl, alkoxy, aryl, heterocycloalkyl or heteroaryl; each optionally substituted with halo, cyano or haloalkyl;
- R8 and Rn each independently represent hydrogen, alkyl, heteroalkyl, alkoxy, aryl, heterocycloalkyl or heteroaryl; each optionally substituted with hydroxy, halo, amino, cyano and alkyl; or
- R 7 and Rg taken together with the atoms to which they are attached form a 5- to 7-membered cycloalkyl ring which is optionally substituted with one or more substituents each independently selected from hydroxy, halo, amino, cyano and alkyl;
- R9 and Rio independently arehydrogen, alkyl or acyl; or R9 and Rio taken together with the atoms to which they are attached form a 5- to 7-membered carbocyclic ring or heterocyclic ring which is optionally substituted with one or more substituents each independently selected from hydroxy, halo, amino, cyano and alkyl;
- W represents O or S
- Aaa represents an amino acid residue
- R a is -NRcRd, aminoalkyl-, aminoaryl-, alkyl, aryl, cycloalkyl, heterocycloalkyl or heteroaryl; wherein the alkyl, aryl, cycloalkyl, heterocycloalkyl, and heteroaryl are optionally substituted with 1 to 4 substituents, each independently selected from alkyl, amido, amino, carboxylic acid, hydroxyl, halo, cyano, acyl, haloalkyl and alkoxy;
- Rb and R c each independently for each occurrence represents hydrogen or alkyl
- Rd is hydrogen, alkyl, acyl, alkoxyalkyl, aryl or arylalkyl; wherein aryl and aralkyl are optionally substituted with one or more hydroxyl, cyano, alkyl or alkoxy;
- R 3 represents arylalkyl-, (heterocycloalkyl)alkyl-, (heteroaryl)alkyl-, -alkyl-(COOH); or a group represented by the general formula -CH(ORb)(CH20Rb), -QRyRsXNRgRio) or - N(Rn) 2 ; wherein the arylalkyl-, (heterocycloalkyl)alkyl- and (heteroaryl)alkyl-, are optionally substituted with 1 to 4 occurrences of R e .
- X is O.
- the ring containing X is 1,2,4-oxadiazole ring.
- — represents a bond
- R c and Rd independently represent hydrogen, alkyl, aralkyl, or heteroalkyl.
- Ri is -S0 2 R a , wherein R a is aminoalkyl-, alkyl, cycloalkyl, aryl, heterocycloalkyl or heteroaryl; wherein the alkyl, cycloalkyl, aryl, heterocycloalkyl and heteroaryl are optionally substituted with 1 to 4 substituents, each independently selected from alkyl, halo, cyano, amino, amido, carboxylic acid, haloalkyl and hydroxyl.
- Ri is -S0 2 R a , wherein R a is cycloalkyl, aryl, heterocycloalkyl or heteroaryl; wherein the said cycloalkyl, aryl, heterocycloalkyl and heteroaryl are optionally substituted with 1 to 4 substituents, each independently selected from alkyl, halo, cyano, amino, amido, carboxylic acid, haloalkyl and hydroxyl.
- Ri is -S0 2 -Aaa, wherein Aaa represents an amino acid residue.
- Ri is heterocycloalkyl, (heterocycloalkyl)alkyl-, heteroaryl, (heteroaryl)alkyl-, aryl or arylalkyl-; each optionally substituted with 1 to 4 substituents each independently selected from alkyl, alkoxy, amino, amido, carboxylic acid, carboxylate thiocarboxylate, thioacid, -SH, -S(alkyl), aryl, heteroaryl, heterocycloalkyl, cycloalkyl and hydroxyl;
- R 3 is cycloalkyl, aryl, heterocycloalkyl, heteroaryl or -alkyl-(COOH); wherein the cycloalkyl, aryl, heterocycloalkyl and heteroaryl are optionally substituted with 1 to 4 occurrences of R e ; and Aaa, W, R a and R e are as defined in formula (I).
- Ri is -CO-Aaa and R 3 represents arylalkyl, (heterocycloalkyl)alkyl-, (heteroaryl)alkyl-, -alkyl-(COOH) or a group represented by the general formula, -CH(ORb)(CH 2 ORb), -QRyRsXNRgRio) or -N(Rn) 2 ; wherein the arylalkyl, (heterocycloalkyl)alkyl-, (heteroaryl)alkyl- are optionally substituted with 1 to 4 occurrences of R e ; and Aaa, R 7 , Rg, R9, Rio, R11, Rt > , Re are as defined in formula (I).
- Ri is -CO-Aaa and R 3 represents aryl-CH 2 -, (heteroaryl) -CH 2 -, -CH 2 -COOH, -(CH 2 ) 2 -COOH or a group represented by the general formula, -N(Rn) 2 or -CH(OR b )(CH 2 OR b ).
- Ri is -CO-Aaa, wherein Aaa is same as defined in compound of formula (I).
- Ri is or -S0 2 -Aaa, wherein Aaa is same as defined in compound of formula (I). In certain embodiments, Aaa is a natural amino acid residue.
- Aaa is an amino acid residue wherein a C-terminal carboxyl group of the amino acid residue is a free C-terminal carboxyl group (-COOH) or a modified C-terminal carboxyl group.
- Aaa is Ser, Thr, Gly, Lys, Phe or Ala.
- Aaa is Ser or Thr.
- Aaa is Thr.
- Ri is -S0 2 R a , wherein R a is aryl, heterocyclocalkyl, cycloalkyl or heteroaryl; wherein the aryl, cycloalkyl and heteroaryl are optionally substituted with 1 to 4 substituents, each selected from halo, cyano and acyl.
- Ri is -S0 2 R a , wherein R a is aryl, cycloalkyl or heteroaryl; wherein the aryl, cycloalkyl and heteroaryl are optionally substituted with 1 to 4 substituents, each selected from halo, cyano and acyl.
- Ri is -S0 2 R a , wherein R a is phenyl, cyclopropyl, cyclopentyl, cyclohexyl, morpholinyl or imidazolyl, wherein the phenyl, cyclopropyl, cyclopentyl, cyclohexyl and imidazolyl are optionally substituted with 1-2 substituents, each independently selected from fluoro, cyano and -C(0)CH3.
- Ri is -S0 2 R a , wherein R a is phenyl, cyclopropyl, morpholinyl or imidazolyl; wherein the said phenyl, cyclopropyl, morpholinyl and imidazolyl are optionally substituted with 1-2 substituents, each independently selected from fluoro, cyano and -C(0)CH3.
- R 3 is aryl, arylalkyl-, heterocycloalkyl, (heterocycloalkyl)alkyl-, (heteroaryl)alkyl- or -alkyl-(COOH); wherein the aryl, arylalkyl-, heterocycloalkyl, (heterocycloalkyl)alkyl-, (heteroaryl)alkyl- are optionally substituted with 1 to 4 occurrences of R e ;
- R 3 represents -CH(ORb)(CH20Rb), or -N(Rn) 2 ; wherein Rn, Rb are as defined in formula (I).
- R 2 represents alkyl, alkenyl, alkynyl, cycloalkyl, (cycloalkyl)alkyl-, (heteroaryl)alkyl-, heteroaryl, arylalkyl-, aryl, heterocycloalkyl or (heterocycloalkyl)alkyl-; wherein the alkyl, alkenyl, alkynyl, cycloalkyl, (cycloalkyl)alkyl-, (heteroaryl)alkyl-, heteroaryl, arylalkyl-, aryl, heterocycloalkyl or (heterocycloalkyl)alkyl- are optionally substituted with 1 to 4 substituents each independently selected from carboxylic acid, carboxylate, thiocarboxylate, thioacid, amido, amino, hydroxyl, cycloalkyl, aryl, aryl-COOH, heterocycloalkyl, heteroaryl,
- R 2 is a side chain of an amino acid.
- R 3 represents arylalkyl-, (heterocycloalkyl)alkyl-, (heteroaryl)alkyl-, -alkyl-(COOH); or a group represented by the general formula -CH(OR b )(CH 2 OR b ), -QRyRsXNRgRio) or -N(Rn) 2 ; wherein the arylalkyl-, (heterocycloalkyl)alkyl- and (heteroaryl)alkyl-, are optionally substituted with 1 to 4 occurrences of R e .
- the present invention provides compound of formula (IA):
- R 2 is alkyl, alkenyl, alkynyl, cycloalkyl, (cycloalkyl)alkyl-, (heteroaryl)alkyl-, heteroaryl, arylalkyl-, aryl, heterocycloalkyl or (heterocycloalkyl)alkyl-; wherein the alkyl, alkenyl, alkynyl, cycloalkyl, (cycloalkyl)alkyl-, (heteroaryl)alkyl-, heteroaryl, arylalkyl-, aryl, heterocycloalkyl or (heterocycloalkyl)alkyl- are optionally substituted with 1 to 4 substituents each selected from carboxylic acid, carboxylate, thiocarboxylate, thioacid, amido, amino, hydroxyl, cycloalkyl, aryl, aryl-COOH, heterocycloalkyl, heteroaryl, guanidino
- R 1 is heteroaryl, heteroarylalkyl, or heterocycloalkyl.
- the present invention provides compound of formula (IB):
- R3 represents aryl, heterocycloalkyl, heteroaryl or cycloalkyl; wherein the aryl, heterocycloalkyl, heteroaryl or cycloalkyl are optionally substituted with 1 to 4 occurrences of R e ; and R 2 , R e , R 6 and R a are same as defined in formula (I).
- R 1 is heteroaryl, heteroarylalkyl, or heterocycloalkyl.
- R a is aminoalkyl-, alkyl, cycloalkyl, aryl, heterocycloalkyl or heteroaryl; wherein the alkyl, cycloalkyl, aryl, heterocycloalkyl and heteroaryl are optionally substituted with 1 to 4 substituents, each independently selected from alkyl, cyano, amino, amido, carboxylic acid, haloalkyl and hydroxyl.
- R a is aminoalkyl-, alkyl, cyclopropyl, phenyl, pyrrolidinyl or pyrazinyl; each optionally substituted with 1 to 4 substituents, each independently selected from - CH 3 , -NH2, -CONH2, -C(0)OH and -OH.
- the present invention provides compound of formula (IC):
- R 3 represents aryl, heterocycloalkyl, heteroaryl or cycloalkyl; wherein the aryl, heterocycloalkyl, heteroaryl or cycloalkyl are optionally substituted with 1 to 4 occurrences of R e ; and R2, Re, R 6 and R a are same as defined in formula (I).
- R a is -NR c Rd or is aryl or heteroaryl substituted by halo, cyano or haloalkyl.
- R a is aryl, heterocyclocalkyl, cycloalkyl or heteroaryl; wherein the aryl, cycloalkyl and heteroaryl are optionally substituted with 1 to 4 substituents, each selected from halo, cyano and acyl.
- R a is phenyl, cyclopropyl, cyclopentyl, cyclohexyl, morpholinyl or imidazolyl, wherein the phenyl, cyclopropyl, cyclopentyl, cyclohexyl and imidazolyl are optionally substituted with 1 -2 substituents, each independently selected from fluoro, cyano and -
- R a is -NR c Rd or is aryl or heteroaryl substituted by halo, cyano or haloalkyl.
- R3 is represents arylalkyl-, (heterocycloalkyl)alkyl-, (heteroaryl)alkyl-, -alkyl-(COOH); or a group represented by the general formula - CH(ORb)(CH 2 OR b ), -C(R 7 R8)(NR 9 Rio) or -N(Rn) 2 ; wherein the arylalkyl-, (heterocycloalkyl)alkyl- and (heteroaryl)alkyl- are optionally substituted with 1 to 4 occurrences of R e .
- the present invention provides compound of formula (ID):
- R3 represents arylalkyl-, (heterocycloalkyl)alkyl-, (heteroaryl)alkyl, -alkyl-(COOH); or a group represented by the general formula, -CH(ORb)(CH 2 OR b ), -C(R 7 R 8 )(NR 9 Rio) or -N(Rn) 2 ; wherein arylalkyl-, (heterocycloalkyl)alkyl- or (heteroaryl)alkyl- are optionally substituted with 1 to 4 occurrences of R e ; and Aaa, R 2 , R 6 , R 7 , Rg, R9, Rio, Rb, Re andRn are as defined in formula (I).
- the present invention provides a compound of formula (IE):
- R3 represents arylalkyl, (heterocycloalkyl)alkyl-, (heteroaryl)alkyl-, -alkyl-(COOH); or a group represented by the general formula, -CH(ORb)(CH 2 OR b ), -C(R7R8)(NR 9 Rio)or -N(Rn) 2 ; and wherein the arylalkyl, (heterocycloalkyl)alkyl-, and (heteroaryl)alkyl- are optionally substituted with 1 to 4 occurrences of R e ; and Aaa, R 2 , R3, R 6 , R7, Rs, R9, Rio, Rb andRn are as defined in formula (I).
- the present invention provides a compound of formula (IF):
- R3 represents aryl, heterocycloalkyl, heteroaryl or cycloalkyl; each optionally substituted with 1 to 4 occurrences of R e ;
- R 2 , R e , R 6 and R a are same as defined in formula (I).
- R e is alkyl, alkoxy, halo, hydroxyl, -C(0)OH, or haloalkyl.
- R3 is N-(2-aminoethyl)-2-aminoethyl-N-(2-aminoethyl)-2-aminoethyl-N-(2-aminoethyl)-2-aminoethyl-N-(2-aminoethyl)-2-aminoethyl-N-(2-aminoethyl)-2-aminoethyl
- R3 is a group of the formula, -C(R 7 R8)(COOH) in which R 7 and R8, are same as defined in formula (I).
- R3 is a group of the formula, -C(R 7 R8)(N(R9)Rio) in which R 7 , Rs, R9 and Rio are same as defined in formula (I).
- R3 represents -alkyl-(COOH) or a group represented by the general formula -CH(ORb)(CH 2 ORb).
- R3 represents -C(R 7 R8)(NR9Rio);
- R 7 and Rg are taken together with the atoms to which they are attached form a 5- to 7- membered cycloalkyl ring which is optionally substituted with one or more substituents each independently selected from hydroxy, halo, amino, cyano and alkyl; and
- R9 and Rio are each hydrogen.
- R3 represents -C(R 7 Rs)(NR9Rio);
- R 7 represents heteroaryl optionally substituted with halo, cyano or haloalkyl
- R8 represents hydrogen
- R9 and Rio are each hydrogen.
- R3 is arylalkyl- optionally substituted with 1 to 4 occurrences of R e .
- R 2 is alkyl or alkynyl substituted by one or more substituents selected from carboxylic acid, carboxylate, thiocarboxylate, thioacid, amido, amino and amidino.
- R 2 is -CH(CH 3 )OH, -CH 2 -SH, -CH 2 -COOH, -CH 2 -CONH 2 , - (CH 2 ) 2 -COOH.
- R 2 is alkyl substituted by carboxylic acid, amido or amidino.
- R 2 is -(CH 2 )COOH or -(CH 2 )CONH 2 .
- R 6 is hydrogen
- amino acid residue is understood in the art to mean a carboxylic acid, substituted at the alpha, beta or gamma carbon by an amino (-NH 2 ) group.
- the amino acid residue Aaa is connected to the carbonyl group CO via a covalent bond between the carbonyl carbon and the amino group of the amino acid residue.
- the amino acid is an alpha-amino acid
- the amino acid residue Aaa is connected to the carbonyl group CO via a covalent bond between the carbonyl carbon and the alpha-amino group of the amino acid residue.
- R 6 and R c may be combined together with the atoms to which they are attached to form a 5-7 membered ring optionally substituted with one or more groups independently selected from hydroxyl, halo, amino, cyano and alkyl.
- one, more or all amino acid residues are D amino acid residues.
- one, more than one, or all amino acid residues are L amino acid residues.
- the present invention provides a compound, or a pharmaceutically acceptable salt or a stereoisomer thereof, selected from:
- the preferred compound, or a pharmaceutically acceptable salt or a stereoisomer thereof is selected from:
- the terms “optional” or “optionally” mean that the subsequently described event or circumstance may occur or may not occur, and that the description includes instances where the event or circumstance occurs as well as instances in which it does not.
- “optionally substituted alkyl” refers to when the alkyl may be substituted as well as the event or circumstance where the alkyl is not substituted.
- substituted refers to moieties having substituents replacing hydrogen on one or more carbons of the backbone.
- a moiety that is optionally substituted may have one or more hydrogens of the indicated moiety be replaced by a substituent, each of which may be the same or different.
- substitution or “substituted with” includes the implicit proviso that such substitution is in accordance with permitted valence of the substituted atom and the substituent, and that the substitution results in a stable compound, e.g., which does not spontaneously undergo transformation such as by rearrangement, cyclization, elimination, etc.
- substituted is contemplated to include all permissible substituents of organic compounds.
- the permissible substituents include acyclic and cyclic, branched and unbranched, carbocyclic and heterocyclic, aromatic and non-aromatic substituents of organic compounds.
- the permissible substituents can be one or more and the same or different for appropriate organic compounds.
- the heteroatoms such as nitrogen may have hydrogen substituents and/or any permissible substituents of organic compounds described herein which satisfy the valences of the heteroatoms.
- Substituents can include any substituents described herein, for example, a halogen, a hydroxyl, a carbonyl (such as a carboxyl, an alkoxycarbonyl, a formyl, or an acyl), a thiocarbonyl (such as a thioester, a thioacetate, or a thioformate), an alkoxyl, a phosphoryl, a phosphate, a phosphonate, a phosphinate, an amino, an amido, an amidine, an imine, a cyano, a nitro, a sulfhydryl, an alkylthio, a sulfate, a sulfonate, a sulfamoyl, a sulfonamido, a sulfonyl, a heterocyclyl, an aralkyl, and an aromatic or heteroaromatic moiety.
- the term "optionally substituted” refers to the replacement of one to six hydrogen radicals on the same carbon or on different carbons in a given structure with the radical of a specified substituent including, but not limited to: hydroxyl, hydroxyalkyl, alkoxy, alkoxyalkyl, halogen, alkyl, aryl, aryloxy, aralkyl, heteroaryl, heteroaryloxy, heteroaralkyl, cycloalkyl, cycloalkyloxy, (cycloalkyl)alkyl, heterocycloalkyl, (heterocycloalkyl)alkyl, amino, aminoalkyl, alkylamino, dialkylamino, acyl, -C(0) 2 H, -O(acyl), -NH(acyl), -N(alkyl)(acyl), cyano, phosphinate, phosphate, phosphonate, sulfonate, sulfonamido, sul
- “optionally substituted” refers to the replacement of one to four hydrogen radicals in a given structure with the substituents mentioned above. More preferably, one to three hydrogen radicals are replaced by the substituents as mentioned above. It is understood that the substituent can be further substituted.
- alkyl refers to saturated aliphatic groups, including, but not limited to, Ci-Cio straight-chain alkyl groups or C3-C10 branched-chain alkyl groups.
- the "alkyl” group refers to Ci-C 6 straight-chain alkyl groups or C3-C6 branched-chain alkyl groups.
- the "alkyl” group refers to C1-C4 straight-chain alkyl groups or C3-C4 branched- chain alkyl groups.
- alkyl examples include, but are not limited to, methyl, ethyl, 1 -propyl, 2- propyl, n-butyl, sec-butyl, tert-butyl, 1-pentyl, 2-pentyl, 3-pentyl, neo-pentyl, 1-hexyl, 2-hexyl, 3- hexyl, 1-heptyl, 2-heptyl, 3-heptyl, 4-heptyl, 1-octyl, 2-octyl, 3-octyl or 4-octyl and the like.
- the "alkyl” group may be optionally substituted.
- alkylthio refers to a thiol group substituted with an alkyl group and may be represented by the general formula -S.
- heteroalkyl refers to a straight- or branched-chain alkyl group in which one or more of carbon atoms have been replaced by a heteroatom or heterogroup selected from S, O, P, N and -(CO)-; wherein the 'alkyl' group is as defined above.
- exemplary heteroalkyls include alkyl ethers, secondary and tertiary alkyl amines, amides, alkyl sulfides, alkyl disulfides, and the like.
- the group may be a terminal group or a bridging group.
- alkenyl refers to an aliphatic group containing at least one double bond and is intended to include both "unsubstitutedalkenyls" and “substituted alkenyls", the latter of which refers to alkenyl moieties having substituents replacing a hydrogen on one or more carbons of the alkenyl group. Such substituents may occur on one or more carbons that are included or not included in one or more double bonds. Moreover, such substituents include all those contemplated for alkyl groups, as discussed below, except where stability is prohibitive. For example, substitution of alkenyl groups by one or more alkyl, carbocyclyl, aryl, heterocyclyl or heteroaryl groups is contemplated.
- alkynyl refers to an aliphatic group containing at least one triple bond and is intended to include both "unsubstitutedalkynyls" and “substituted alkynyls", the latter of which refers to alkynyl moieties having substituents replacing a hydrogen on one or more carbons of the alkynyl group. Such substituents may occur on one or more carbons that are included or not included in one or more triple bonds. Moreover, such substituents include all those contemplated for alkyl groups, as discussed above, except where stability is prohibitive. For example, substitution of alkynyl groups by one or more alkyl, carbocyclyl, aryl, heterocyclyl or heteroaryl groups is contemplated.
- acyl refers to a group R-CO- wherein R is an optionally substituted alkyl group defined above.
- R is an optionally substituted alkyl group defined above.
- 'acyl' groups are, but not limited to, CH3CO-, CH3CH2CO-, CH3CH2CH2CO- or (CH 3 ) 2 CHCO-.
- acylamino refers to an amino group substituted with acyl.
- Acylamino groups include -N(H)C(0)CH 3 , -N(H)C(0)CH 2 CH 3 and the like.
- alkoxy refers to alkyl groups (as defined above) bonded to an oxygen atom that is attached to a core structure.
- alkoxy groups Preferably, alkoxy groups have one to six carbon atoms. Examples of alkoxy groups include, but are not limited to, methoxy, ethoxy, propoxy, isopropoxy, butoxy, isobutoxy, tert-butoxy, pentoxy, 3-methyl butoxy and the like.
- haloalkyl refers to alkyl group (as defined above) is substituted with one or more halogens.
- a monohaloalkyl radical for example, may have a chlorine, bromine, iodine or fluorine atom.
- Dihalo and polyhaloalkyl radicals may have two and more of the same or different halogen atoms respectively.
- haloalkyl examples include, but are not limited to, chloromethyl, dichloromethyl, trichloromethyl, dichloroethyl, dichloropropyl, fluoromethyl, difluoromethyl, trifluoromethyl, pentafluoroethyl, heptafluoropropyl, difluorochloromethyl, dichlorofluoromethyl, difluoroethyl, difluoropropyl and the like.
- haloalkoxy refers to radicals wherein one or more of the hydrogen atoms of the alkoxy group are substituted with one or more halogens.
- Representative examples of “haloalkoxy” groups include, but are not limited to, difluoromethoxy (-OCHF2), trifluoromethoxy (-OCF3) or trifluoroethoxy (-OCH2CF3).
- aryl alone or in combination with other term(s) means a 6- to 10-membered carbocyclic aromatic system containing one or two rings wherein such rings may be fused.
- fused means that the second ring is attached or formed by having two adjacent atoms in common with the first ring.
- fused is equivalent to the term “condensed”. Examples of aryl groups include but are not limited to phenyl, naphthyl or indanyl. Unless otherwise specified, all aryl groups described herein may be optionally substituted.
- amine and “amino” are art-recognized and refer to both unsubstituted and substituted amines and salts thereof, e.g., a moiety that can be represented by
- each R x independently represents hydrogen or a hydrocarbyl group, or two R x are taken together with the N atom to which they are attached to form a heterocycle having from 4 to 8 atoms in the ring structure.
- amide or “amido” as used herein, refers to a group
- each R x independently represent a hydrogen or hydrocarbyl group, or two R x are taken together with the N atom to which they are attached complete a heterocycle having from 4 to 8 atoms in the ring structure.
- aminoalkyl refers to an amino group, as defined above, in which one or two hydrogen atoms are substituted with alkyl group. A carbon atom of the alkyl group is attached to the parent molecular group.
- Aminoalkyl groups include -CH2NH2, -(Ctb ⁇ Ntb, -(Ctb ⁇ Ntb, - (CH 2 ) 4 NH2 and the like.
- nitro refers to an -NO2 group.
- alkylamino and cycloalkylamino refer to an -N-group, wherein nitrogen atom of said group being attached to alkyl or cycloalkyl respectively.
- Representative examples of an “alkylamino” and “cycloalkylamino” groups include, but are not limited to, - NHCH3 and -NH-cyclopropyl.
- An amino group can be optionally substituted with one or more of the suitable groups.
- cycloalkyl alone or in combination with other term(s) means C3- C10 saturated cyclic hydrocarbon ring.
- a cycloalkyl may be a single ring, which typically contains from 3 to 7 carbon ring atoms. Examples of single -ring cycloalkyls include cyclopropyl, cyclobutyl, cyclopentyl, cyclohexyl, cycloheptyl and the like.
- a cycloalkyl may alternatively be polycyclic or contain more than one ring. Examples of polycyclic cycloalkyls include bridged, fused, and spirocycliccarbocyclyls.
- cycloalkyloxy refers to an -O-cycloalkyl group wherein the cycloalkyl group is as defined above.
- cyano refers to a -CN group.
- hydroxy or "hydroxyl” refers to -OH group.
- thiol or "sulfhydryl” refers to -SH group.
- hydroxyalkyl or "hydroxylalkyl” means alkyl substituted with one or more hydroxyl groups, wherein the alkyl groups are as defined above.
- alkyl groups are as defined above.
- examples of “hydroxyalkyl” include, but are not limited to, hydroxymethyl, hydroxyethyl, hydroxypropyl, propan-2-ol and the like.
- halo or halogen alone or in combination with other term(s) means fluorine, chlorine, bromine or iodine.
- carboxy or “carboxylic acid”, as used herein, refers to a group represented by the formula— C0 2 H.
- thioacid refers to a group represented by the formula -C(0)SH.
- thiocarboxylate refers to a group represented by the formula -(C(O)S) " .
- carboxylate refers to a group represented by the formula -(C0 2 ) ⁇ .
- esters refers to a group -C(0)OR y wherein R y represents a hydrocarbyl group.
- thioester refers to a group— C(0)SR z or— SC(0)R z wherein R z represents a hydrocarbyl.
- aryl as used herein include substituted or unsubstituted single-ring aromatic groups in which each atom of the ring is carbon.
- the ring is a 5- to 7-membered ring, more preferably a 6-membered ring.
- aryl also includes polycyclic ring systems having two or more cyclic rings in which two or more carbons are common to two adjoining rings wherein at least one of the rings is aromatic, e.g., the other cyclic rings can be cycloalkyls, cycloalkenyls, cycloalkynyls, aryls, heteroaryls, and/or heterocyclyls.
- Aryl groups include benzene, naphthalene, phenanthrene, phenol, aniline, and the like.
- aralkyl and "arylalkyl”, as used herein, refers to an alkyl group substituted with an aryl group.
- Arylalkyl groups include benzyl and the like.
- heterocycloalkyl refers to a non-aromatic, saturated or partially saturated, monocyclic or polycyclic ring system of 3 to 15 members having at least one heteroatom or heterogroup selected from O, N, S, S(O), S(0) 2 , NH and C(O) with the remaining ring atoms being independently selected from the group consisting of carbon, oxygen, nitrogen, and sulfur.
- heterocycloalkyl also refers to a bridged bicyclic ring system having at least one heteroatom or heterogroup selected from O, N, S, S(O), S(0) 2 , NH or C(O).
- the "monocyclic heterocycloalkyl” refers to non-aromatic, saturated or partially saturated, monocyclic heterocycloalkyl rings having 4 to 7 member atoms.
- Examples of “monocyclic heterocycloalkyl” include, but are not limited to, azetidinyl, oxetanyl, imidazolidinyl, pyrrolidinyl, oxazolidinyl, thiazolidinyl, pyrazolidinyl, tetrahydrofuranyl, piperidinyl, piperazinyl, tetrahydropyranyl, morpholinyl, thiomorpholinyl, 1,4-dioxanyl, dioxidothiomorpholinyl, oxapiperazinyl, oxapiperidinyl, tetrahydrofuryl, tetrahydropyranyl, tetrahydrothiophenyl, dihydropyranyl and N- oxide
- bicyclic heterocycloalkyl refers to non-aromatic, saturated or partially saturated, monocyclic heterocycloalkyl rings having 7 to 11 member atoms.
- Examples of “bicyclic heterocycloalkyl” include, but are not limited to, indolinyl, indolinylmethyl, aza-bicyclooctanyl, azocinyl, chromanyl, xanthenyl and N-oxides thereof. Attachment of a heterocycloalkyl substituent can occur via either a carbon atom or a heteroatom.
- a heterocycloalkyl group can be optionally substituted by one or more aforesaid groups.
- heterocycloalkyl refers to a 5- to 6-membered ring selected from azetidinyl, oxetanyl, imidazolidinyl, pyrrolidinyl, oxazolidinyl, thiazolidinyl, pyrazolidinyl, tetrahydrofuranyl, piperidinyl, piperazinyl, tetrahydropyranyl, morpholinyl, thiomorpholinyl, 1,4- dioxanyl and N-oxides thereof.
- heterocycloalkyl includes azetidinyl, pyrrolidinyl, morpholinyl and piperidinyl. All heterocycloalkyl groups are optionally substituted by one or more aforesaid groups.
- heteroaryl refers to an aromatic heterocyclic ring system containing 5 to 20 ring atoms, preferably 5 to 10 ring atoms, which can be a monocyclic heteroaryl or bicyclic heteroaryl or polycyclic heteroaryl fused together or linked covalently.
- the rings may contain from 1 to 4 heteroatoms selected from N, O and S, wherein the N or S atom is optionally oxidized or the N atom is optionally quarternized. Any suitable ring position of the heteroaryl moiety may be covalently linked to the parent molecular structure.
- the "monocyclic heteroaryl” refers to a 5- or 6- membered heteroaryl ring.
- the 5 membered ring consists of two double bonds and one, two, three or four heteroatoms selected from N, O and S, wherein the N or S atom is optionally oxidized or the N atom is optionally quarternized.
- the 6 membered ring consists of three double bonds and one, two, three or four N atoms wherein the N atom is optionally oxidized or quarternized.
- the 5 or 6 membered heteroaryl is connected to the parent molecular moiety through any carbon atom or any nitrogen atom contained within the heteroaryl.
- monocyclic heteroaryl include, but are not limited to, furyl, imidazolyl, isoxazolyl, isothiazolyl, oxadiazolyl, oxazolyl, pyridinyl, pyridazinyl, pyrimidinyl, pyrazinyl, pyrazolyl, pyrrolyl, tetrazolyl, thiadiazolyl, thiazolyl, thienyl, triazolyl and triazinyl. All monocyclic heteroaryls are optionally substituted by one or more aforesaid groups.
- bicyclic heteroaryl refers to a monocyclic heteroaryl fused to a phenyl, a monocyclic cycloalkyl, a monocyclic cycloalkenyl, a monocyclic heterocycloalkyl, or a monocyclic heteroaryl.
- the fused cycloalkyl or heterocycloalkyl portion of the bicyclic heteroaryl group is optionally substituted.
- the bicyclic heteroaryl is a monocyclic heteroaryl fused to a phenyl ring, then the bicyclic heteroaryl group is attached to the parent molecular moiety through any carbon atom or nitrogen atom within the bicyclic ring system.
- the bicyclic heteroaryl contains a fused cycloalkyl, cycloalkenyl, heteroaryl or heterocycloalkyl, then the bicyclic heteroaryl group is attached to the parent molecular moiety through any carbon or nitrogen atom contained within the monocyclic heteroaryl portion of the bicyclic ring system.
- heterocyclyl includes definitions of “heterocycloalkyl”
- '(cycloalkyl)alkyl', 'arylalkyl', '(heterocycloalkyl)alkyl' or 'heteroaralkyl' refers to an alkyl group which is further substituted by cycloalkyl, aryl, heterocycloalkyl or heteroaryl respectively, wherein cycloalkyl, aryl, heterocycloalkyl and heteroaryl are as above defined.
- halo and “halogen” as used herein means halogen and includes chloro, fluoro, bromo and iodo.
- haloalkyl refers to an alkyl group substituted with a halogen group.
- nitro refers to -NO2 group.
- lower when used in conjunction with a chemical moiety, such as, acyl, acyloxy, alkyl, alkenyl, alkynyl or alkoxy is meant to include groups where there are ten or fewer non- hydrogen atoms in the substituent, preferably six or fewer.
- acyl, acyloxy, alkyl, alkenyl, alkynyl or alkoxy substituents defined herein are respectively lower acyl, lower acyloxy, lower alkyl, lower alkenyl, lower alkynyl or lower alkoxy, whether they appear alone or in combination with other substituents, such as in the recitations hydroxyalkyl and aralkyl (in which case, for example, the atoms within the aryl group are not counted when counting the carbon atoms in the alkyl substituent).
- compounds of the invention may be prodrugs of the compounds of formula (I), e.g., wherein a hydroxyl in the parent compound is presented as an ester or a carbonate or carboxylic acid present in the parent compound is presented as an ester.
- the prodrug is metabolized to the active parent compound in vivo (e.g., the ester is hydrolyzed to the corresponding hydroxyl or carboxylic acid).
- the compounds of the present invention can also containunnatural proportions of atomic isotopes at one or more of the atoms thatconstitutesuch compounds.
- the present invention also embraces isotopically-labeled variants of the present invention which are identical to those recited herein, but for the factthat one or more atoms of the compound are replaced by an atom having the atomic mass or mass numberdifferentfrom the predominant atomic mass or mass numberusuallyfound in nature for the atom. All isotopes of any particular atom or element as specified are contemplatedwithin the scope of the compounds of the invention, and their uses.
- Exemplary isotopes thatcanbeincorporated in to compounds of the invention include isotopes of hydrogen, carbon, nitrogen, oxygen, phosphorous, sulfur, fluorine, chlorine and iodine, such as 2 H ("D"), 3 H, n C, 13 C, 14 C, 13 N, 15 N, 15 0, 17 0, 18 0, 35 S, 18 F, 36 C1, 123 I and 125 I.
- Isotopically labeled compounds of the present inventions cangenerallybeprepared by followingproceduresanalogous to those disclosed in the schemes and/or in the examples herein below, by substituting an isotopically labeled reagent for a non-isotopically labeled reagent.
- the present invention provides a pharmaceutical composition
- a pharmaceutical composition comprising at least one compound as disclosed herein, or a pharmaceutically acceptable salt or stereoisomer thereof, optionally admixed with a pharmaceutically acceptable carrier or diluent.
- the pharmaceutical composition of the invention further comprises at least one agent selected from an anticancer agent, a chemotherapy agent, and an antiproliferative compound.
- the present invention also provides methods for formulating the disclosed compounds for pharmaceutical administration.
- compositions and methods of the present invention may be utilized to treat an individual in need thereof.
- the individual is a mammal such as a human or a non-human mammal.
- the composition or the compound is preferably administered as a pharmaceutical composition comprising, for example, a compound of the invention and a pharmaceutically acceptable carrier.
- Pharmaceutically acceptable carriers include, for example, aqueous solutions such as water or physiologically buffered saline or other solvents or vehicles such as glycols, glycerol, oils such as olive oil or injectable organic esters.
- the aqueous solution is pyrogen-free or substantially pyrogen-free.
- the excipients can be chosen, for example, to effect delayed release of an agent or to selectively target one or more cells, tissues or organs.
- the pharmaceutical composition can be in dosage unit form such as tablet, capsule (including sprinkle capsule and gelatin capsule), granule, lyophile for reconstitution, powder, solution, syrup, suppository, injection or the like.
- the composition can also be present in a transdermal delivery system, e.g., a skin patch.
- the composition can also be present in a solution suitable for topical administration, such as an eye drop.
- a pharmaceutically acceptable carrier can contain physiologically acceptable agents that act, for example, to stabilize, increase solubility or to increase the absorption of a compound such as a compound of the invention.
- physiologically acceptable agents include, for example, carbohydrates, such as glucose, sucrose or dextrans, antioxidants, such as ascorbic acid or glutathione, chelating agents, low molecular weight proteins or other stabilizers or excipients.
- the choice of a pharmaceutically acceptable carrier, including a physiologically acceptable agent depends, for example, on the route of administration of the composition.
- the preparation of pharmaceutical composition can be a self-emulsifying drug delivery system or a self- microemulsifying drug delivery system.
- the pharmaceutical composition also can be a liposome or other polymer matrix, which can have incorporated therein, for example, a compound of the invention.
- Liposomes for example, which comprise phospholipids or other lipids, are nontoxic, physiologically acceptable and metabolizable carriers that are relatively simple to make and administer.
- phrases "pharmaceutically acceptable” is employed herein to refer to those compounds, materials, compositions, and/or dosage forms which are, within the scope of sound medical judgment, suitable for use in contact with the tissues of human beings and animals without excessive toxicity, irritation, allergic response or other problem or complication, commensurate with a reasonable benefit/risk ratio.
- pharmaceutically acceptable carrier means a pharmaceutically acceptable material, composition or vehicle, such as a liquid or solid filler, diluent, excipient, solvent or encapsulating material. Each carrier must be “acceptable” in the sense of being compatible with the other ingredients of the formulation and not injurious to the patient.
- materials which can serve as pharmaceutically acceptable carriers include: (1) sugars, such as lactose, glucose and sucrose; (2) starches, such as corn starch and potato starch; (3) cellulose, and its derivatives, such as sodium carboxymethyl cellulose, ethyl cellulose and cellulose acetate; (4) powdered tragacanth; (5) malt; (6) gelatin; (7) talc; (8) excipients, such as cocoa butter and suppository waxes; (9) oils, such as peanut oil, cottonseed oil, safflower oil, sesame oil, olive oil, corn oil and soybean oil; (10) glycols, such as propylene glycol; (11) polyols, such as glycerin, sorbitol, mannitol and polyethylene glycol; (12) esters, such as ethyl oleate and ethyl laurate; ( 13) agar; (14) buffering agents, such as magnesium hydroxide and aluminum hydroxide
- a pharmaceutical composition can be administered to a subject by any of a number of routes of administration including, for example, orally (for example, drenches as in aqueous or non-aqueous solutions or suspensions, tablets, capsules (including sprinkle capsules and gelatin capsules), boluses, powders, granules, pastes for application to the tongue); absorption through the oral mucosa (e.g., sublingually); anally, rectally or vaginally (for example, as a pessary, cream or foam); parenterally (including intramuscularly, intravenously, subcutaneously or intrathecally as, for example, a sterile solution or suspension); nasally; intraperitoneally; subcutaneously; transdermally (for example as a patch applied to the skin); and topically (for example, as a cream, ointment or spray applied to the skin, or as an eye drop).
- routes of administration including, for example, orally (for example, drenches as in aqueous or
- the compound may also be formulated for inhalation.
- a compound may be simply dissolved or suspended in sterile water. Details of appropriate routes of administration and compositions suitable for same can be found in, for example, U.S. Pat. Nos. 6, 110,973, 5,763,493, 5,731 ,000, 5,541,231, 5,427,798, 5,358,970 and 4, 172,896, as well as in patents cited therein.
- the formulations may conveniently be presented in unit dosage form and may be prepared by any methods well known in the art of pharmacy.
- the amount of active ingredient which can be combined with a carrier material to produce a single dosage form will vary depending upon the host being treated, the particular mode of administration.
- the amount of active ingredient that can be combined with a carrier material to produce a single dosage form will generally be that amount of the compound which produces a therapeutic effect. Generally, out of one hundred percent, this amount will range from about 1 percent to about ninety-nine percent of active ingredient, preferably from about 5 percent to about 70 percent, most preferably from about 10 percent to about 30 percent.
- Methods of preparing these formulations or compositions include the step of bringing into association an active compound, such as a compound of the invention, with the carrier and, optionally, one or more accessory ingredients.
- an active compound such as a compound of the invention
- the formulations are prepared by uniformly and intimately bringing into association a compound of the present invention with liquid carriers or finely divided solid carriers or both, and then, if necessary, shaping the product.
- Formulations of the invention suitable for oral administration may be in the form of capsules (including sprinkle capsules and gelatin capsules), cachets, pills, tablets, lozenges (using a flavored basis, usually sucrose and acacia or tragacanth), lyophile, powders, granules, or as a solution or a suspension in an aqueous or non-aqueous liquid, or as an oil-in-water or water-in-oil liquid emulsion, or as an elixir or syrup, or as pastilles (using an inert base, such as gelatin and glycerin, or sucrose and acacia) and/or as mouth washes and the like, each containing a predetermined amount of a compound of the present invention as an active ingredient.
- capsules including sprinkle capsules and gelatin capsules
- cachets pills, tablets, lozenges (using a flavored basis, usually sucrose and acacia or tragacanth)
- lyophile powders,
- compositions or compounds may also be administered as a bolus, electuary or paste.
- solid dosage forms for oral administration capsules (including sprinkle capsules and gelatin capsules), tablets, pills, dragees, powders, granules and the like)
- the active ingredient is mixed with one or more pharmaceutically acceptable carriers, such as sodium citrate or dicalcium phosphate, and/or any of the following: (1) fillers or extenders, such as starches, lactose, sucrose, glucose, mannitol, and/or silicic acid; (2) binders, such as, for example, carboxymethylcellulose, alginates, gelatin, polyvinyl pyrrolidone, sucrose and/or acacia; (3) humectants, such as glycerol; (4) disintegrating agents, such as agar-agar, calcium carbonate, potato or tapioca starch, alginic acid, certain silicates, and sodium carbonate; (5) solution retarding agents, such as paraffin; (6)
- the pharmaceutical compositions may also comprise buffering agents.
- Solid compositions of a similar type may also be employed as fillers in soft and hard- filled gelatin capsules using such excipients as lactose or milk sugars, as well as high molecular weight polyethylene glycols and the like.
- a tablet may be made by compression or molding, optionally with one or more accessory ingredients.
- Compressed tablets may be prepared using binder (for example, gelatin or hydroxypropylmethyl cellulose), lubricant, inert diluent, preservative, disintegrant (for example, sodium starch glycolate or cross-linked sodium carboxymethyl cellulose), surface-active or dispersing agent.
- Molded tablets may be made by molding in a suitable machine a mixture of the powdered compound moistened with an inert liquid diluent.
- the tablets, and other solid dosage forms of the pharmaceutical compositions may optionally be scored or prepared with coatings and shells, such as enteric coatings and other coatings well known in the pharmaceutical-formulating art. They may also be formulated so as to provide slow or controlled release of the active ingredient therein using, for example, hydroxypropylmethyl cellulose in varying proportions to provide the desired release profile, other polymer matrices, liposomes and/or microspheres.
- compositions may be sterilized by, for example, filtration through a bacteria-retaining filter, or by incorporating sterilizing agents in the form of sterile solid compositions that can be dissolved in sterile water, or some other sterile injectable medium immediately before use.
- These compositions may also optionally contain opacifying agents and may be of a composition that they release the active ingredient(s) only, or preferentially, in a certain portion of the gastrointestinal tract, optionally, in a delayed manner.
- embedding compositions that can be used include polymeric substances and waxes.
- the active ingredient can also be in micro-encapsulated form, if appropriate, with one or more of the above- described excipients.
- Liquid dosage forms useful for oral administration include pharmaceutically acceptable emulsions, lyophiles for reconstitution, microemulsions, solutions, suspensions, syrups and elixirs.
- the liquid dosage forms may contain inert diluents commonly used in the art, such as, for example, water or other solvents, cyclodextrins and derivatives thereof, solubilizing agents and emulsifiers, such as ethyl alcohol, isopropyl alcohol, ethyl carbonate, ethyl acetate, benzyl alcohol, benzyl benzoate, propylene glycol, 1,3-butylene glycol, oils (in particular, cottonseed, groundnut, corn, germ, olive, castor and sesame oils), glycerol, tetrahydrofuryl alcohol, polyethylene glycols and fatty acid esters of sorbitan, and mixtures thereof.
- inert diluents commonly used in the art, such
- the oral compositions can also include adjuvants such as wetting agents, emulsifying and suspending agents, sweetening, flavoring, coloring, perfuming and preservative agents.
- adjuvants such as wetting agents, emulsifying and suspending agents, sweetening, flavoring, coloring, perfuming and preservative agents.
- Suspensions in addition to the active compounds, may contain suspending agents as, for example, ethoxylatedisostearyl alcohols, polyoxyethylene sorbitol and sorbitan esters, microcrystalline cellulose, aluminummetahydroxide, bentonite, agar-agar and tragacanth, and mixtures thereof.
- suspending agents as, for example, ethoxylatedisostearyl alcohols, polyoxyethylene sorbitol and sorbitan esters, microcrystalline cellulose, aluminummetahydroxide, bentonite, agar-agar and tragacanth, and mixtures thereof.
- Formulations of the pharmaceutical compositions for rectal, vaginal, or urethral administration may be presented as a suppository, which may be prepared by mixing one or more active compounds with one or more suitable nonirritating excipients or carriers comprising, for example, cocoa butter, polyethylene glycol, a suppository wax or a salicylate, and which is solid at room temperature, but liquid at body temperature and, therefore, will melt in the rectum or vaginal cavity and release the active compound.
- suitable nonirritating excipients or carriers comprising, for example, cocoa butter, polyethylene glycol, a suppository wax or a salicylate, and which is solid at room temperature, but liquid at body temperature and, therefore, will melt in the rectum or vaginal cavity and release the active compound.
- Formulations of the pharmaceutical compositions for administration to the mouth may be presented as a mouthwash or an oral spray or an oral ointment.
- compositions can be formulated for delivery via a catheter, stent, wire or other intraluminal device. Delivery via such devices may be especially useful for delivery to the bladder, urethra, ureter, rectum or intestine.
- Formulations which are suitable for vaginal administration also include pessaries, tampons, creams, gels, pastes, foams or spray formulations containing such carriers as are known in the art to be appropriate.
- Dosage forms for the topical or transdermal administration include powders, sprays, ointments, pastes, creams, lotions, gels, solutions, patches and inhalants.
- the active compound may be mixed under sterile conditions with a pharmaceutically acceptable carrier, and with any preservatives, buffers, or propellants that may be required.
- the ointments, pastes, creams and gels may contain, in addition to an active compound, excipients, such as animal and vegetable fats, oils, waxes, paraffins, starch, tragacanth, cellulose derivatives, polyethylene glycols, silicones, bentonites, silicic acid, talc and zinc oxide or mixtures thereof.
- excipients such as animal and vegetable fats, oils, waxes, paraffins, starch, tragacanth, cellulose derivatives, polyethylene glycols, silicones, bentonites, silicic acid, talc and zinc oxide or mixtures thereof.
- Powders and sprays can contain, in addition to an active compound, excipients such as lactose, talc, silicic acid, aluminum hydroxide, calcium silicates and polyamide powder or mixtures of these substances.
- Sprays can additionally contain customary propellants, such as chlorofluorohydrocarbons and volatile unsubstituted hydrocarbons, such as butane and propane.
- Transdermal patches have the added advantage of providing controlled delivery of a compound of the present invention to the body.
- dosage forms can be made by dissolving or dispersing the active compound in the proper medium.
- Absorption enhancers can also be used to increase the flux of the compound across the skin. The rate of such flux can be controlled by either providing a rate controlling membrane or dispersing the compound in a polymer matrix or gel.
- Ophthalmic formulations eye ointments, powders, solutions and the like, are also contemplated as being within the scope of this invention.
- Exemplary ophthalmic formulations are described in U.S. Publication Nos. 2005/0080056, 2005/0059744, 2005/0031697 and 2005/004074 and U.S. Pat. No. 6,583, 124, the contents of which are incorporated herein by reference.
- liquid ophthalmic formulations have properties similar to that of lacrimal fluids, aqueous humor or vitreous humor or are compatable with such fluids.
- a preferred route of administration is local administration (e.g., topical administration, such as eye drops, or administration via an implant).
- parenteral administration and “administered parenterally” as used herein means modes of administration other than enteral and topical administration, usually by injection, and includes, without limitation, intravenous, intramuscular, intraarterial, intrathecal, intracapsular, intraorbital, intracardiac, intradermal, intraperitoneal, transtracheal, subcutaneous, subcuticular, intraarticular, subcapsular, subarachnoid, intraspinal and intrasternal injection and infusion.
- compositions suitable for parenteral administration comprise one or more active compounds in combination with one or more pharmaceutically acceptable sterile isotonic aqueous or nonaqueous solutions, dispersions, suspensions or emulsions, or sterile powders which may be reconstituted into sterile injectable solutions or dispersions just prior to use, which may contain antioxidants, buffers, bacteriostats, solutes which render the formulation isotonic with the blood of the intended recipient or suspending or thickening agents.
- aqueous and nonaqueous carriers examples include water, ethanol, polyols (such as glycerol, propylene glycol, polyethylene glycol, and the like), and suitable mixtures thereof, vegetable oils, such as olive oil, and injectable organic esters, such as ethyl oleate.
- polyols such as glycerol, propylene glycol, polyethylene glycol, and the like
- vegetable oils such as olive oil
- injectable organic esters such as ethyl oleate.
- Proper fluidity can be maintained, for example, by the use of coating materials, such as lecithin, by the maintenance of the required particle size in the case of dispersions, and by the use of surfactants.
- compositions may also contain adjuvants such as preservatives, wetting agents, emulsifying agents and dispersing agents. Prevention of the action of microorganisms may be ensured by the inclusion of various antibacterial and antifungal agents, for example, paraben, chlorobutanol, phenol sorbic acid, and the like. It may also be desirable to include isotonic agents, such as sugars, sodium chloride, and the like into the compositions. In addition, prolonged absorption of the injectable pharmaceutical form may be brought about by the inclusion of agents that delay absorption such as aluminummonostearate and gelatin.
- adjuvants such as preservatives, wetting agents, emulsifying agents and dispersing agents.
- Prevention of the action of microorganisms may be ensured by the inclusion of various antibacterial and antifungal agents, for example, paraben, chlorobutanol, phenol sorbic acid, and the like. It may also be desirable to include isotonic agents, such as sugars, sodium chloride
- the absorption of the drug in order to prolong the effect of a drug, it is desirable to slow the absorption of the drug from subcutaneous or intramuscular injection. This may be accomplished by the use of a liquid suspension of crystalline or amorphous material having poor water solubility. The rate of absorption of the drug then depends upon its rate of dissolution, which, in turn, may depend upon crystal size and crystalline form. Alternatively, delayed absorption of a parenterally administered drug form is accomplished by dissolving or suspending the drug in an oil vehicle.
- Injectable depot forms are made by forming microencapsulated matrices of the subject compounds in biodegradable polymers such as polylactide-polyglycolide. Depending on the ratio of drug to polymer, and the nature of the particular polymer employed, the rate of drug release can be controlled. Examples of other biodegradable polymers include poly(orthoesters) and poly(anhydrides). Depot injectable formulations are also prepared by entrapping the drug in liposomes or microemulsions that are compatible with body tissue.
- active compounds can be given per se or as a pharmaceutical composition containing, for example, 0.1 to 99.5% (more preferably, 0.5 to 90%) of active ingredient in combination with a pharmaceutically acceptable carrier.
- Methods of introduction may also be provided by rechargeable or biodegradable devices.
- Various slow release polymeric devices have been developed and tested in vivo in recent years for the controlled delivery of drugs, including proteinaceous biopharmaceuticals.
- a variety of biocompatible polymers including hydrogels, including both biodegradable and non-degradable polymers, can be used to form an implant for the sustained release of a compound at a particular target site.
- Actual dosage levels of the active ingredients in the pharmaceutical compositions may be varied so as to obtain an amount of the active ingredient that is effective to achieve the desired therapeutic response for a particular patient, composition, and mode of administration, without being toxic to the patient.
- the selected dosage level will depend upon a variety of factors including the activity of the particular compound or combination of compounds employed, or the ester, salt or amide thereof, the route of administration, the time of administration, the rate of excretion of the particular compound(s) being employed, the duration of the treatment, other drugs, compounds and/or materials used in combination with the particular compound(s) employed, the age, sex, weight, condition, general health and prior medical history of the patient being treated, and like factors well known in the medical arts.
- a physician or veterinarian having ordinary skill in the art can readily determine and prescribe the therapeutically effective amount of the pharmaceutical composition required. For example, the physician or veterinarian could start doses of the pharmaceutical composition or compound at levels lower than that required in order to achieve the desired therapeutic effect and gradually increase the dosage until the desired effect is achieved.
- terapéuticaally effective amount is meant the concentration of a compound that is sufficient to elicit the desired therapeutic effect. It is generally understood that the effective amount of the compound will vary according to the weight, sex, age, and medical history of the subject. Other factors which influence the effective amount may include, but are not limited to, the severity of the patient's condition, the disorder being treated, the stability of the compound and, if desired, another type of therapeutic agent being administered with the compound of the invention. A larger total dose can be delivered by multiple administrations of the agent. Methods to determine efficacy and dosage are known to those skilled in the art (Isselbacher et al. ( 1996) Harrison's Principles of Internal Medicine 13 ed., 1814-1882, herein incorporated by reference). In general, a suitable daily dose of an active compound used in the compositions and methods of the invention will be that amount of the compound that is the lowest dose effective to produce a therapeutic effect. Such an effective dose will generally depend upon the factors described above.
- the effective daily dose of the active compound may be administered as one, two, three, four, five, six or more sub-doses administered separately at appropriate intervals throughout the day, optionally, in unit dosage forms.
- the active compound may be administered two or three times daily. In preferred embodiments, the active compound will be administered once daily.
- the patient receiving this treatment is any animal in need, including primates, in particular humans, and other mammals such as equines, cattle, swine and sheep; and poultry and pets in general.
- wetting agents such as sodium lauryl sulfate and magnesium stearate, as well as coloring agents, release agents, coating agents, sweetening, flavoring and perfuming agents, preservatives and antioxidants can also be present in the compositions.
- antioxidants examples include: (1) water-soluble antioxidants, such as ascorbic acid, cysteine hydrochloride, sodium bisulfate, sodium metabisulfite, sodium sulfite and the like; (2) oil-soluble antioxidants, such as ascorbylpalmitate, butylated hydroxyanisole (BHA), butylated hydroxytoluene (BHT), lecithin, propyl gallate, alpha- tocopherol, and the like; and (3) metal-chelating agents, such as citric acid, ethylenediaminetetraacetic acid (EDTA), sorbitol, tartaric acid, phosphoric acid, and the like.
- water-soluble antioxidants such as ascorbic acid, cysteine hydrochloride, sodium bisulfate, sodium metabisulfite, sodium sulfite and the like
- oil-soluble antioxidants such as ascorbylpalmitate, butylated hydroxyanisole (BHA), butylated hydroxytoluene (BHT),
- the programmed cell death protein 1 pathway (PD- 1 ) pathway has been implicated in a number of diseases and conditions, and the pathway is known to regulate various immune responses. Numerous studies have sought to activate immune response by targeting the PD- 1 pathway, thereby providing a therapy for certain conditions, such as cancers. In fact, studies indicate that blockade of the PD-1 pathway, for example by inhibiting an immunosuppressive signal induced by PD- 1 , PD-LI or PD-L2, leads to anti-tumor activity in various cancers including lung, breast, colon, renal, bladder, thyroid, prostate, osteosarcoma, and Hodgkin's lymphoma. Furthermore, PD-1 activity has also been associated with autoimmune conditions, such as lupus erythematosus , juvenile idiopathic arthritis, and allergic encephalomyelitis.
- the present invention provides a use of a compound of the invention, or a pharmaceutically acceptable salt or a stereoisomer thereof, as a medicament.
- the present invention provides uses of a compound of the present invention for the preparation of a medicament, e.g., for the treatment of cancer.
- the present invention provides methods for treating cancer, wherein the method comprises administration of a therapeutically effective amount of a compound of the present invention to the subject in need thereof.
- the present invention provides methods for inhibiting growth of tumour cells and/or metastasis by administering a therapeutically effective amount of a compound of the present invention to the subject in need thereof.
- tumour cells include cells of a cancer such as but not limited to melanoma, renal cancer, prostate cancer, breast cancer, colon cancer and lung cancer, bone cancer, pancreatic cancer, skin cancer, cancer of the head or neck, cutaneous or intraocular malignant melanoma, uterine cancer, ovarian cancer, rectal cancer, cancer of the anal region, stomach cancer, testicular cancer, carcinoma of the fallopian tubes, carcinoma of the endometrium, carcinoma of the cervix, carcinoma of the vagina, carcinoma of the vulva, Hodgkin's Disease, non-Hodgkin's lymphoma, cancer of the esophagus, cancer of the small intestine, cancer of the endocrine system, cancer of the thyroid gland, cancer of the parathyroid gland, cancer of the adrenal gland, sarcoma of soft tissue, cancer of the urethra, cancer of the penis, chronic or acute leukemias including acute myeloid leukemia, chronic myeloid leukemia, acute lymphoblastic
- the cancer is selected from breast cancer, colon cancer, lung cancer, melanoma, prostate cancer, and renal cancer.
- the present invention provides uses of a compound of the present invention for the preparation of a medicament for the treatment of an infectious disease, such as a bacterial, viral or fungal infection, as well as methods of administering a therapeutically effective amount of a compound of the present invention for the treatment of a bacterial, viral or a fungal infection.
- Still yet other embodiments of the present invention provides a method of treatment of infection by blockade of the PD- 1 pathway, for example inhibiting an immunosuppressive signal induced by PD-1, PD-L1 or PD-L2, wherein the method comprises administration of a therapeutically effective amount of a compound of the present invention to the subject in need thereof.
- the invention provides uses of a compound of the present invention in inhibiting the PD- 1 pathway (e.g., PD-1 , PD-L1 or PD-L2).
- the invention provides a use of a compound of the invention in the manufacture of a medicament for modulating an immune response mediated by the PD- 1 signaling pathway.
- the present invention provides methods for treating infectious disease in a subject comprising administering a therapeutically effective amount of a compound of the present invention for the treatment of the infectious disease.
- infectious disease include but are not limited to HIV, Influenza, Herpes, Giardia, Malaria, Leishmania, the pathogenic infection by the virus Hepatitis (A, B, & C), herpes virus (e.g., VZV, HSV-I, HAV-6, HSV-II, and CMV, Epstein Barr virus), adenovirus, influenza virus, flaviviruses, echovirus, rhinovirus, coxsackie virus, cornovirus, respiratory syncytial virus, mumps virus, rotavirus, measles virus, rubella virus, parvovirus, vaccinia virus, HTLV virus, dengue virus, papillomavirus, molluscum virus, poliovirus, rabies virus, JC virus and arboviral encephalitis virus, pathogenic infection by the bacteria chlamydia, rickettsial bacteria, mycobacteria, staphylococci, streptococci, pneumonococci, meningoco
- coli legionella, diphtheria, salmonella, bacilli, cholera, tetanus, botulism, anthrax, plague, leptospirosis, and Lyme's disease bacteria, pathogenic infection by the fungi Candida (albicans, krusei, glabrata, tropicalis, etc.), Cryptococcus neoformans, Aspergillus (fumigatus, niger, etc.), Genus Mucorales (mucor, absidia, rhizophus), Sporothrixschenkii, Blastomycesdermatitidis, Paracoccidioidesbrasiliensis, Coccidioidesimmitis and Histoplasmacapsulatum, and pathogenic infection by the parasites Entamoebahistolytica, Balantidium coli, Naegleriafowleri, Acanthamoeba sp., Giardia lambia, Cryptosporidium sp., Pneumocysti
- the compounds of the present invention may be used as single drugs (monotherapy) or conjointly with one or more other agents (conjoint therapy).
- the compounds may be used by themselves or preferably, in a pharmaceutical composition in which the compound is mixed with one or more pharmaceutically acceptable materials.
- compositions may be administered by oral or inhalation routes, or by parenteral administration route.
- compositions can be administered orally, by intravenous infusion, topically, intraperitoneally, intravesically or intrathecally.
- parenteral administration includes but not limited to intraarticular (in the joints), intravenous, intramuscular, intradermal, intraperitoneal and subcutaneous routes.
- Suitable liquid compositions may be aqueous or non-aqueous, isotonic sterile injection solutions, and may contain antioxidants, buffers, bacteriostats and solutes that render the formulation isotonic with the blood of the intended recipient and aqueous and non-aqueous sterile suspensions that can include suspending agents, solubilizers, thickening agents, stabilizers and preservatives.
- Oral administration, parenteral administration, subcutaneous administration and intravenous administration are preferred methods of administration.
- the dosage of the compounds of the present invention varies depending on a patient's age, weight or symptoms, as well as the compound's potency or therapeutic efficacy, the dosing regimen and/or treatment time.
- suitable routes of administration may, for example, include oral, eyedrop, rectal, transmucosal, topical or intestinal administration; parenteral delivery, including intramuscular, subcutaneous, intramedullary injections, as well as intrathecal, direct intraventricular, intravenous, intraperitoneal, intranasal or intraocular injections.
- the compounds of the invention may be administered in an amount of 0.5 mg or 1 mg up to 500 mg, 1 g or 2 g per dosage regimen.
- the dosage may be administered once per week, once per three days, once per two days, once per day, twice per day, three times per day or more often.
- the compound in certain adults the compound can be continuously administered by intravenous administration for a period of time designated by a physician. Since the dosage is affected by various conditions, an amount less than or greater than the dosage ranges contemplated about may be implemented in certain cases. A physician can readily determine the appropriate dosage for a patient undergoing therapeutic treatment.
- the compounds of the present invention may be administered in combination with one or more other drugs (1) to complement and/or enhance effect of the compound of the present invention, (2) to modulate pharmacodynamics, improve absorption or reduce dosage of the compound of the present invention, and/or (3) to reduce or ameliorate the side effects of the compound of the present invention.
- the phrase "conjoint administration” refers to any form of administration of two or more different therapeutic compounds such that the second compound is administered while the previously administered therapeutic compound is still effective in the body (e.g., the two compounds are simultaneously effective in the patient, which may include synergistic effects of the two compounds).
- the different therapeutic compounds can be administered either in the same formulation or in a separate formulation, either concomitantly or sequentially.
- the different therapeutic compounds can be administered within one hour, 12 hours, 24 hours, 36 hours, 48 hours, 72 hours or a week of one another.
- the respective compounds may be administered by the same or different route and the same or different method.
- the dosage of the other drug can be a dosage that has been clinically used, or may be a reduced dosage that is effective when administered in combination with a compound of the present invention.
- the ratio of the compound of the present invention and the other drug can vary according to age and weight of a subject to be administered, administration method, administration time, disorder to be treated, symptom and combination thereof.
- the other drug may be used in an amount of 0.01 to 100 parts by mass, based on 1 part by mass of the compound of the present invention.
- Conjoint therapy can be employed to treat any diseases discussed herein.
- the compound of the present invention can be used with an existing chemotherapeutic conjointly using a single pharmaceutical composition or a combination of different pharmaceutical compositions.
- the chemotherapeutic include an alkylation agent, nitrosourea agent, antimetabolite, anticancer antibiotics, vegetable-origin alkaloid, topoisomerase inhibitor, hormone drug, hormone antagonist, aromatase inhibitor, P-glycoprotein inhibitor, platinum complex derivative, other immunotherapeutic drugs and other anticancer drugs.
- a compound of the invention can be administered conjointly with a cancer treatment adjunct, such as a leucopenia (neutropenia) treatment drug, thrombocytopenia treatment drug, antiemetic and cancer pain intervention drug, concomitantly or in a mixture form.
- a cancer treatment adjunct such as a leucopenia (neutropenia) treatment drug, thrombocytopenia treatment drug, antiemetic and cancer pain intervention drug, concomitantly or in a mixture form.
- Chemotherapeutic agents that may be conjointly administered with compounds of the invention include: aminoglutethimide, amsacrine, anastrozole, asparaginase, beg, bicalutamide, bleomycin, bortezomib, buserelin, busulfan, campothecin, capecitabine, carboplatin, carfilzomib, carmustine, chlorambucil, chloroquine, cisplatin, cladribine, clodronate, colchicine, cyclophosphamide, cyproterone, cytarabine, dacarbazine, dactinomycin, daunorubicin, demethoxyviridin, dexamethasone, , dichloroacetate, dienestrol diethylstilbestrol, docetaxel, doxorubicin, epirubicin, estradiol, estramustine, etoposide, everolimus, exe
- a compound of the invention may be conjointly administered with non-chemical methods of cancer treatment.
- a compound of the invention may be conjointly administered with radiation therapy.
- a compound of the invention may be conjointly administered with surgery, with thermoablation, with focused ultrasound therapy, with cryotherapy, or with any combination of these.
- different compounds of the invention may be conjointly administered with one or more other compounds of the invention.
- such combinations may be conjointly administered with other therapeutic agents, such as other agents suitable for the treatment of cancer, immunological or neurological diseases, such as the agents identified above.
- conjointly administering one or more additional chemotherapeutic agents with a compound of the invention provides a synergistic effect.
- conjointly administering one or more additional chemotherapeutics agents provides an additive effect.
- the compound of the present invention can be used with one or more other immunomodulators and/or potentiating agents conjointly using a single pharmaceutical composition or a combination of different pharmaceutical compositions.
- Suitable immunomodulators include various cytokines, vaccines, and adjuvants. Examples of cytokines, vaccines, and adjuvants that stimulate immune responses include GM-CSF, M-CSF, G-CSF, interferon-a, ⁇ or ⁇ , IL-1, IL-2, IL-3, IL-12, Poly(LC), and C P G.
- the potentiating agents includes cyclophosphamide and analogs of cyclophosphamide, anti-TGFP and Imatinib (Gleevec), a mitosis inhibitor, such as paclitaxel, Sunitinib (Sutent) or other antiangiogenic agents, an aromatase inhibitor, such as letrozole, an A2a adenosine receptor (A2AR) antagonist, an angiogenesis inhibitor, anthracyclines, oxaliplatin, doxorubicin, TLR4 antagonists, and IL-18 antagonists.
- a mitosis inhibitor such as paclitaxel, Sunitinib (Sutent) or other antiangiogenic agents
- an aromatase inhibitor such as letrozole
- A2a adenosine receptor (A2AR) antagonist an angiogenesis inhibitor
- anthracyclines oxaliplatin
- doxorubicin TLR4 antagonists
- a therapeutic that "prevents" a disorder or condition refers to a compound that, in a statistical sample, reduces the occurrence of the disorder or condition in the treated sample relative to an untreated control sample, or delays the onset or reduces the severity of one or more symptoms of the disorder or condition relative to the untreated control sample.
- treating includes prophylactic and/or therapeutic treatments.
- prophylactic or therapeutic treatment is art-recognized and includes administration to the host of one or more of the subject compositions. If it is administered prior to clinical manifestation of the unwanted condition (e.g., disease or other unwanted state of the host animal) then the treatment is prophylactic (i.e., it protects the host against developing the unwanted condition), whereas if it is administered after manifestation of the unwanted condition, the treatment is therapeutic, (i.e., it is intended to diminish, ameliorate, or stabilize the existing unwanted condition or side effects thereof).
- prodrug is intended to encompass compounds which, under physiologic conditions, are converted into the therapeutically active agents of the present invention (e.g., a compound of formula (I)).
- a common method for making a prodrug is to include one or more selected moieties which are hydrolyzed under physiologic conditions to reveal the desired molecule.
- the prodrug is converted by an enzymatic activity of the host animal.
- esters or carbonates e.g., esters or carbonates of alcohols or carboxylic acids
- some or all of the compounds of formula (I) in a formulation represented above can be replaced with the corresponding suitable prodrug, e.g., wherein a hydroxyl in the parent compound is presented as an ester or a carbonate or carboxylic acid present in the parent compound is presented as an ester.
- suitable prodrug e.g., wherein a hydroxyl in the parent compound is presented as an ester or a carbonate or carboxylic acid present in the parent compound is presented as an ester.
- the term “comprise” or “comprising” is generally used in the sense of include, that is to say permitting the presence of one or more additional (unspecified) features or components.
- amino acid means a molecule containing both an amino group and a carboxyl group, and includes its salts, esters, combinations of its various salts, as well as tautomeric forms. In solution, at neutral pH, amino and acid groups of an amino acid can exchange a proton to form a doubly ionized, through overall neutral, entity identified as a zwitterion.
- the amino acids are ⁇ -, ⁇ -, ⁇ - or ⁇ - amino acids, including their stereoisomers and racemates.
- L-amino acid denotes an a-amino acid having the levorotatory configuration around the a-carbon, that is, a carboxylic acid of general formula CH(COOH)(NH2)-(side chain), having the L-configuration.
- D-amino acid similarly denotes a carboxylic acid of general formula -CH(COOH)(NH2)-(side chain), having the dextrorotatory-configuration around the a-carbon.
- Side chains of L-amino acids can include naturally occurring and non-naturally occurring moieties. Non-naturally occurring (i.e., unnatural) amino acid side chains are moieties that are used in place of naturally occurring amino acid side chains in, for example, amino acid analogs.
- amino acid residue means a moiety sharing structural similarity to the parent amino acid.
- An amino acid residue may be covalently bonded to another chemical moiety via the amino group of the residue, or the carboxylate group of the residue (i.e., a hydrogen atom of -NH 2 or -OH is replaced by a bond to another chemical moiety).
- Amino acids include the twenty standard amino acids used by most biological organisms in protein synthesis.
- Unnatural amino acid residues may be selected from, but are not limited to, alpha and alpha-disubstituted amino acids, N-alkyl amino acids, and natural amino acids substituted with lower alkyl, aralkyl, hydroxyl, aryl, aryloxy, (heteroaryl)alkyl or acyl.
- lysine can be substituted to form an unnatural amino acid, e.g., at a carbon atom of its side chain, or alternatively by mono- or dialkylation of its terminal NH 2 group (e.g., wherein the amino group of the lysine sidechain is taken together with its substituents to form a heterocyclic ring such as piperidine or pyrrolidine).
- the terminal amino group of the lysine sidechain can form a ring with the amino acid backbone, as in capreomycidine.
- Further unnatural derivatives of lysine include homolysine and norlysine.
- the sidechain of lysine can alternatively be substituted by a second amino group.
- the alkyl portion of the lysine side chain can be incorporated into a carbocyclic ring structure to form a semirigidanalog, such as, e.g., cyclohexyl or cyclopentyl.
- a semirigidanalog such as, e.g., cyclohexyl or cyclopentyl.
- the unnatural amino acid can be a derivative of a natural amino acid having one or more double bonds.
- the beta-methyl group in threonine, can be replaced with an ethyl, phenyl or other higher alkyl group.
- the imidazole moiety in histidine, can be substituted, or alternatively, the alkylene backbone of the side chain can be substituted.
- unnatural amino acids include homoserine, and homologs of natural amino acids.
- an unnatural amino acid can be alkylated (e.g., methylated) at the alpha position.
- unnatural amino acids include alpha, beta- and beta, gamma- dehydroamino amino acid analogs.
- amino acids include penicillamine and betamethoxyvaline.
- unnatural amino acids include the amino acids wherein the side chain comprises amino, alkylamino, acylamino, -COO-alkyl, cycloalkyl, heterocyclyl, heteroaryl, guanidino, (cycloalkyl)alkyl, (heterocyclyl)alkyl and (heteroaryl)alkyl.
- Modified N-terminal amino group and “modified C-terminal carboxyl group” mean that the amino group or carboxyl group is altered.
- N-terminal modifications include, but are not limited to, are acetylated, formylated or guanylated N-termini.
- Modification of the C-terminal carboxyl group is preferably with the general formula - COR' (R'replaces the hydroxyl group of the last amino acid); wherein R'isalkoxy, amino or an imide.
- the C-terminus may be esterified or amidated.
- contemplated salts of the invention include, but are not limited to, alkyl, dialkyl, trialkyl or tetra- alkyl ammonium salts.
- contemplated salts of the invention include, but are not limited to, L-arginine, benenthamine, benzathine, betaine, calcium hydroxide, choline, deanol, diethanolamine, diethylamine, 2-(diethylamino)ethanol, ethanolamine, ethylenediamine, N-methylglucamine, hydrabamine, lH-imidazole, lithium, L-lysine, magnesium, 4-(2- hydroxyethyl)morpholine, piperazine, potassium, l-(2-hydroxyethyl)pyrrolidine, sodium, triethanolamine, tromethamine, and zinc salts.
- contemplated salts of the invention include, but are not limited to, Na, Ca, K, Mg, Zn or other metal salts.
- the pharmaceutically acceptable acid addition salts can also exist as various solvates, such as with water, methanol, ethanol, dimethylformamide, and the like. Mixtures of such solvates can also be prepared.
- the source of such solvate can be from the solvent of crystallization, inherent in the solvent of preparation or crystallization or adventitious to such solvent.
- stereoisomers refers to any enantiomers, diastereoisomers or geometrical isomers, such as of the compounds of the invention. When compounds of the invention are chiral, they can exist in racemic or in optically active form.
- the pharmaceutical activity of the racemates or stereoisomers of the compounds according to the invention may differ, it may be desirable to use compounds that are enriched in one of the enantiomers.
- the end product or even the intermediates can be separated into enantiomeric compounds by chemical or physical measures known to the person skilled in the art or even employed as such in the synthesis.
- diastereomers are formed from the mixture by reaction with an optically active resolving agent.
- suitable resolving agents are optically active acids such as the R and S forms of tartaric acid, diacetyltartaric acid, dibenzoyltartaric acid, mandelic acid, malic acid, lactic acid, suitable N-protected amino acids (for example N-benzoylproline or N-benzenesulfonylproline), or the various optically active camphorsulfonic acids.
- optically active resolving agent for example dinitrobenzoylphenylglycine, cellulose triacetate or other derivatives of carbohydrates or chirallyderivatised methacrylate polymers immobilised on silica gel.
- compounds of the invention may be racemic. In certain embodiments, compounds of the invention may be enriched in one enantiomer. For example, a compound of the invention may have greater than 30% ee, 40% ee, 50% ee, 60% ee, 70% ee, 80% ee, 90% ee or even 95% or greater ee. In certain embodiments, compounds of the invention may have more than one stereocenter. In certain such embodiments, compounds of the invention may be enriched in one or more diastereomer. For example, a compound of the invention may have greater than 30% de, 40% de, 50% de, 60% de, 70% de, 80% de, 90% de or even 95% or greater de.
- subject includes mammals (especially humans) and other animals, such as domestic animals (e.g., household pets including cats and dogs) and non-domestic animals (such as wildlife).
- domestic animals e.g., household pets including cats and dogs
- non-domestic animals such as wildlife.
- LC-MSD (Agilent 1100 series with Single Quad, Dual Mode mass spectrometer/ API 2000, Triple Quad, ESV APCI SHIMADZU LCMS-2020 WITH SINGLE QUAD)
- LC-MSD (Agilent 1100 series with Single Quad, Dual Mode mass spectrometer/ API 2000, Triple Quad, ESI / APCI SHIMADZU LCMS-2020 WITH SINGLE QUAD)
- Column Mercury MS Synergi 2 ⁇ , 20X4.0mm; Gradient: A- 0.1% formic acid in water/B-MeCN; 0-0.5min 30A-70B; 1.5-2.4min 100B-0A; 2.5-3.0min 30A-70B; Flow 2.0mL/min; Column temperature 30°C.
- Example-1 (S)-N-(3-amino-l-(3-(2,5-difluorophenyl)-l,2,4-oxadiazol-5-yl)-3-oxopropyl)- cyclopropane-l,l-dicarboxamide (Compound 1)
- the compound 12 was prepared from compound 2h according to the procedure described in step 6 of Example - 1 with appropriate variations in reactants, quantities of reagents, solvents and reaction conditions.
- the compound 24 was prepared from compound 3h according to the procedure described in step 6 of Example - 1 with appropriate variations in reactants, quantities of reagents, solvents and reaction conditions (20 mg).
- Example-4 (N-((S)-3-carboxy-l-(3-(pyrazin-2-yl)-l,2,4-oxadiazol-5-yl)propyl)sulfamoyl)-L- allothreonine (Compound 40)
- the compound 40 was prepared from compound 4e according to the procedure described in step 6 of Example - 1 with appropriate variations in reactants, quantities of reagents, solvents and reaction conditions.
- the Compound 54 was prepared from Compound 5h according to the procedure described in step 6 of Example - 1 with appropriate variations in reactants, quantities of reagents, solvents and reaction conditions.
- 3 ⁇ 4-NMR (DMSO-D 6 , 300 MHz): ⁇ 3.12 (d, 3H), 3.75 (m, 7H), 4.21 (s, IH), 5.10 (bs, IH), 6.92-7.01 (m, 2H), 7.11 (s, IH), 7.26 (s, IH), 7.77 (s, IH), 8.91 (m, 2H), 9.30 (s, IH); LCMS: 385.2(M+H) +
- the compound 56 was prepared from compound 6h according to the procedure described in step 6 of Example - 1 with appropriate variations in reactants, quantities of reagents, solvents and reaction conditions.
- the compound 57 was prepared from compound 7h according to the procedure described in step 6 of Example - 1 with appropriate variations in reactants, quantities of reagents, solvents and reaction conditions.
- ⁇ - ⁇ 400 MHz, CDsOD: ⁇ 9.30 (s,lH), 8.98-8.89 (m, 2H), 7.72 (s,lH), 7.26 (s, 1H), 7.11 (s, 1H), 7.0-6.92 (m, 2H), 5.11 (s, 1H), 4.21 (s, 1H), 3.77-3.72 (d, 6H), 3.13-3.11 (m 2H); LCMS: 347.2 (M+H) +
- rm-PDL-1 Recombinant mouse PD-L1 (rm-PDL-1, cat no: 1019-B7-100; R&D Systems) were used as the source of PD-L1. Requirement:
- Working concentrations were titrated from 10 ⁇ to 1 ⁇ . (eBioscience-650850-85); 0.05% Trypsin and 0.02% EDTA (SIGMA 59417C); 96-well format ELISA plates (Corning CLS3390); BD FACS caliber (E6016); Recombinant mouse B7-H1/PDL1 Fc Chimera, (rm-PD- Ll cat no: 1019-B7-100).
- Splenocytes were cultured in RPMI complete media (RPMI + 10% fetal bovine serum + ImM sodium pyruvate + 10,000units/mL penicillin and 10,000 ⁇ g/mL streptomycin) and maintained in a C0 2 incubator with 5% CO2 at 37 °C.
- CFSE is a dye that passively diffuses into cells and binds to intracellular proteins.
- lxlO 6 cells/mL of harvested splenocytes were treated with 5 ⁇ of CFSE in pre-warmed lxPBS/0.1 % BSA solution for 10 min at 37 °C. Excess CFSE was quenched using 5 volumes of ice-cold culture media to the cells and incubated on ice for 5 min.
- CFSE labelled splenocytes were further given three washes with ice cold complete RPMI media.
- CFSE labelled lx 10 5 splenocytes added to wells containing either MDA-MB231 cells (lxlO 5 cells cultured in high glucose DMEM medium) or recombinant human PDL-1 (100 ng/mL) and test compounds.
- Splenocytes were stimulated with anti-mouse CD3 and anti- mouse CD28 antibody ( ⁇ g/mL each), and the culture was further incubated for 72 h at 37 °C with 5% CO2.
- Cells were harvested and washed thrice with ice cold FACS buffer and % proliferation was analysed by flow cytometry with 488 nm excitation and 521 nm emission filters.
- Percent splenocyte proliferation was analysed using cell quest FACS program and percent rescue of splenocyte proliferation by compound was estimated after deduction of % background proliferation value and normalising to % stimulated splenocyte proliferation (positive control) as 100%.
- Stimulated splenocytes Splenocytes + anti-CD3/CD28 stimulation
Landscapes
- Chemical & Material Sciences (AREA)
- Organic Chemistry (AREA)
- Pharmaceuticals Containing Other Organic And Inorganic Compounds (AREA)
Abstract
The present invention relates to cyclic substituted-1,2,4-oxadiazole compounds of formula (I) and their use to inhibit the programmed cell death 1 (PD1) signalling pathway and/or for treatment of disorders by inhibiting an immunosuppressive signal induced by PD-1, PD-L1 or PD-L2.
Description
CYCLIC SUBSTITUTED-1, 2, 4-OXADIAZOLE COMPOUNDS AS IMMUNOMODULATORS
RELATED APPLICATIONS
This application claims the benefit of priority to Indian provisional application number 201641031321, filed on September 14, 2016; the contents of which are hereby incorporated by reference in their entirety.
TECHNICAL FIELD
The present invention relates to cyclic substituted- 1,2,4-oxadiazole and thiadiazole compounds and their derivatives therapeutically useful as immune modulators. The invention also relates to pharmaceutical compositions comprising cyclic substituted 1,2,4-oxadiazole and thiadiazole compounds and their derivatives as therapeutic agents.
BACKGROUND OF THE INVENTION
Immune system in mammals sustains the ability to control the homeostasis between the activation and inactivation of lymphocytes through various regulatory mechanisms during and after an immune response. Among these mechanisms, there are mechanisms that specifically modulate the immune response as and when required. Mechanism via PD-1 pathway relates to almost every aspect of immune responses including autoimmunity, tumour immunity, infectious immunity, transplantation immunity, allergy and immunological privilege. PD-1 (or Programmed Cell Death 1 or PDCD1) is a ~55kD type I membrane glycoprotein and is a receptor of the CD28 superfamily that negatively regulates T cell antigen receptor signalling by interacting with the specific ligands and is suggested to play significant role in the maintenance of self-tolerance.
The PD- 1 protein's structure comprises of an extracellular IgV domain followed by a transmembrane region and an intracellular tail. The intracellular tail contains two phosphorylation sites located in an immunoreceptor tyrosine-based inhibitory motif and an immunoreceptor tyrosine- based switch motif, which suggests that PD-1 negatively regulates TCR signals. Also, PD-1 is expressed on the surface of activated T cells, B cells, and macrophages, (Y. Agata et al., Intlmmunol, May 1996, 8, 765) suggesting that compared to CTLA-4 [(Cytotoxic T- Lymphocyte Antigen 4), also known as CD 152 (Cluster of differentiation 152), a protein that also
plays an important regulatory role in the immune system] , PD- 1 more broadly negatively regulates immune responses.
Indeed, functional "exhaustion" (immune dysfunction) among T and B cell subsets is a well-described feature of chronic viral infections, such as hepatitis B and C and HIV viruses. T cell exhaustion was initially described for CD8 T cells in mice chronically infected with lymphocytic choriomeningitis virus clone 13. In the lymphocytic choriomeningitis virus mouse model, repeated antigen stimulation through the T cell antigen receptor drives the sustained expression of T cell inhibitory receptors, including programmed cell death- 1 (PD-1) and lymphocyte activationgene-3 (LAG-3), on virus-specific CD8 T cells (Joseph Illingworth et al., Journal of Immunology (2013), 190(3), 1038-1047).
Blockade of PD-1, an inhibitory receptor expressed by T cells, can overcome immune resistance. PD-1 is a key immune check point receptor expressed by activated T cells, and it mediates immune suppression. PD-1 functions primarily in peripheral tissues, where T cells may encounter the immune suppressive PD-1 ligands; PD-L1 (B7-H1) and PD-L2 (B7-DC), which are expressed by tumor cells, stromal cells or both. Inhibition of the interaction between PD- 1 and PD- Ll can enhance T-cell responses in vitroand mediate preclinical antitumor activity (Suzanne L. Topalian et al., N Engl J Med. 2012, 366(26): 2443-2454).
PD-1 plays critical roles in the regulation of the immune response to cancer, allergy, and chronic viral infection (Julie R. Brahmer et al., N Engl J Med. 2012, 366(26): 2455-2465).
Tumour cells and virus (including HCV and HIV) infected cells are known to exploit the PD- 1 signalling pathway (to create immunosuppression) in order to escape immune surveillance by host T cells. It has been reported that the PD-1 gene is one of genes responsible for autoimmune diseases like systemic lupus erythematosus (Prokunina et al., Nature Genetics, 2002, Vol. 32, No. 4, 666-669.).
International applications WO2011161699 and WO2012168944 report peptides and their derivatives derived from PD1 ectodomaincapable of inhibiting the programmed cell death 1 (PD1) signalling pathway. Further, WO2013144704 and WO2013132317 report cyclic peptides and peptidomimetic compounds as therapeutic agents capable of inhibiting the programmed cell death 1 (PD 1 ) respectively.
Still there is a need for more potent, better and/or selective immune modulators of PD-1 pathway.
SUMMARY OF THE INVENTION
The present invention relates to cyclic substituted 1,2,4-oxadiazole and thiadiazolecompounds or a stereoisomer thereof or a pharmaceutically acceptable salt thereof. The compounds of present invention are capable of suppressing and/or inhibiting the programmed cell death 1 (PD-1) signalling pathway.
In one aspect, the present in ention provides compound of formula (I):
or a pharmaceutically acceptable salt or a stereoisomer thereof;
wherein,
X is O or S;
each dotted line— represents an optional bond;
Ri is -C(=W)Ra, -S02Ra, -S02-Aaa, -CO-Aaa, heterocycloalkyl, (heterocycloalkyl)alkyl-, cycloalkyl, (cycloalkyl)alkyl-, heteroaryl, (heteroaryl)alkyl-, aryl or arylalkyl-; wherein the heterocycloalkyl, (heterocycloalkyl)alkyl, cycloalkyl, (cycloalkyl)alkyl, heteroaryl, (heteroaryl)alkyl, aryl and arylalkyl- are optionally substituted with 1 to 4 substituents each independently selected from alkyl, alkoxy, amino, amido, carboxylic acid, carboxylate thiocarboxylate, thioacid, -SH, -S(alkyl), aryl, heteroaryl, heterocycloalkyl, cycloalkyl and hydroxyl;
R2 is a side chain of an amino acid or is alkyl, alkenyl, alkynyl, cycloalkyl, (cycloalkyl)alkyl-, (heteroaryl)alkyl-, heteroaryl, arylalkyl-, aryl, heterocycloalkyl or (heterocycloalkyl)alkyl-; wherein alkyl, alkenyl, alkynyl, cycloalkyl, (cycloalkyl)alkyl-, (heteroaryl)alkyl-, heteroaryl, arylalkyl-, aryl, heterocycloalkyl or (heterocycloalkyl)alkyl- are optionally substituted with 1 to 4 substituents selected from carboxylic acid, carboxylate,
thiocarboxylate, thioacid, amido, amino, hydroxyl, cycloalkyl, aryl, -CONR9R10, aryl-COOH, heterocycloalkyl, heteroaryl, guanidino, amidino,-SH and -S(alkyl); optionally wherein two or three carbon atoms of the alkyl, alkenyl or alkynyl form part of a 3- to 7-membered carbocyclic or heterocyclic ring which is optionally substituted with 1 to 4 substituents, each independently selected from alkyl, alkoxy, carboxylic acid, carboxylate and hydroxyl;
R3 is aryl, arylalkyl-, heterocycloalkyl, (heterocycloalkyl)alkyl-, cycloalkyl, heteroaryl, (heteroaryl)alkyl- or -alkyl-(COOH); or a group represented by the formula, -CH(ORb)(CH20Rb), -C(R7R8)(NR9Rio) or -N(Rn)2; wherein aryl, arylalkyl-, heterocycloalkyl, (heterocycloalkyl)alkyl-, cycloalkyl, heteroaryl and (heteroaryl)alkyl- are optionally substituted with 1 to 4 occurrences of Re;
R4 and R5 independently are hydrogen or absent;
R6 is hydrogen or alkyl; or R6 and Rc taken together with the atoms to which they are attached form a 5- to 7-membered ring optionally substituted with one or more groups independently selected from hydroxyl, halo, amino, cyano and alkyl;
R7 representsheteroalkyl, alkoxy, aryl, heterocycloalkyl or heteroaryl; each optionally substituted with halo, cyano or haloalkyl;
Rg and Rn each independently represent hydrogen, alkyl, heteroalkyl, alkoxy, aryl, heterocycloalkyl or heteroaryl; each optionally substituted with hydroxy, halo, amino, cyano and alkyl; or
R7 and Rg taken together with the atoms to which they are attached form a 5- to 7-membered cycloalkyl ring which is optionally substituted with one or more substituents each independently selected from hydroxy, halo, amino, cyano and alkyl;
R9 and Rio independently are hydrogen, alkyl or acyl; or R9 and Rio taken together with the atoms to which they are attached form a 5- to 7-membered carbocyclic ring or heterocyclic ring which is optionally substituted with one or more substituents each independently selected from hydroxy, halo, amino, cyano and alkyl;
W represents O or S;
Aaa represents an amino acid residue;
Ra is -NRcRd, aminoalkyl-, aminoaryl-, alkyl, aryl, cycloalkyl, heterocycloalkyl or heteroaryl; wherein the alkyl, aryl, cycloalkyl, heterocycloalkyl and heteroaryl are optionally substituted with 1 to 4 substituents, each independently selected from alkyl, amido, amino, carboxylic acid, hydroxyl, halo, cyano, acyl, haloalkyl and alkoxy;
Rb and Rc each independently for each occurrence represents hydrogen or alkyl;
Rd is hydrogen, alkyl, acyl, alkoxyalkyl, aryl or arylalkyl; wherein aryl and aralkyl are optionally substituted with one or more hydroxyl, cyano, alkyl or alkoxy;
Re, at each occurrence,is alkyl, alkoxy, halo, hydroxyl, -C(0)OH, aralkyl-, aryl, (heteroaryl)alkyl-, heteroaryl, cycloalkyl, (cycloalkyl)alkyl-, hydroxyalkyl, alkoxyalkyl- or acyl; wherein the alkyl, aralkyl, aryl, (heteroaryl)alkyl-, heteroaryl, cycloalkyl, (cycloalkyl)alkyl- are optionally substituted with 1 to 4 substituents, each independently selected from alkyl, amido, carboxylic acid, hydroxyl, halo, cyano, acyl, haloalkyl and alkoxy; or
two Re groups attached to same carbon atom together represent an oxo (=0) or thioxo (=S); wherein either:
A) Ri represents C(=W)Ra, -S02Ra, heterocycloalkyl, (heterocycloalkyl)alkyl-, heteroaryl, (heteroaryl)alkyl-, cycloalkyl, (cycloalkyl)alkyl-, aryl or arylalkyl-; wherein Ra is -NRcRd or is alkyl, aryl, cycloalkyl, heterocycloalkyl or heteroaryl substituted by halo, cyano or haloalkyl; or
B) R3 represents arylalkyl-, (heterocycloalkyl)alkyl-, (heteroaryl)alkyl-, -alkyl-(COOH); or a group represented by the general formula -CH(ORb)(CH2ORb), -QRyRsXNRgRio) or - N(Rii)2; wherein the arylalkyl-, (heterocycloalkyl)alkyl- and (heteroaryl)alkyl-, are optionally substituted with 1 to 4 occurrences of Re.
In another aspect, the present invention relates to a process for preparation of compounds of formula (I) or a pharmaceutically acceptable salt or a stereoisomer thereof.
In a further aspect of the present invention, it relates to a pharmaceutical composition comprising a compound of formula (I) or a pharmaceutically acceptable salt or a stereoisomer thereof and processes for preparing such compositions.
In yet another aspect of the present invention, it provides use of cyclic substituted 1,2,4- oxadiazole and thiadiazolecompounds and derivatives of formula (I), pharmaceutically acceptable salts and stereoisomers thereof, which are capable of suppressing and/or inhibiting the programmed cell death 1 (PD 1 ) signaling pathway. For example, these compounds can be used to treat one or more diseases characterized by aberrant or undesired activity of the PD1 signaling pathway.
DETAILED DESCRIPTION OF THE INVENTION
The present invention provides cyclic substituted 1,2,4-oxadiazole and thiadiazolecompounds and their derivatives as therapeutic agents useful for treatment of disorders via immunopotentiation comprising inhibition of immunosuppressive signals induced due to PD- 1, PD-L1 or PD-L2 and therapies using them.
Each embodiment is provided by way of explanation of the invention, and not by way of limitation of the invention. In fact, it will be apparent to those skilled in the art that various modification and variations can be made in the present invention without departing from the scope or spirit of the invention. For instance, features illustrated or described as part of one embodiment can be used on another embodiment to yield a still further embodiment. Thus it is intended that the present invention covers such modifications and variations as come within the scope of the appended claims and their equivalents. Other objects, features and aspects of the present invention are disclosed in, or are obvious from, the following detailed description. It is to be understood by one of ordinary skill in the art that the present discussion is a description of exemplary embodiments only, and is not to be construed as limiting the broader aspects of the present invention.
In certain embodiments, the present invention provides compound of formula (I):
or a pharmaceutically acceptable salt or a stereoisomer thereof;
wherein,
X is O or S;
each dotted line— represents an optional bond;
Ri is -CO-Aaa, -C(=W)Ra, -S02Ra, -S02-Aaa, heterocycloalkyl, (heterocycloalkyl)alkyl-, cycloalkyl, (cycloalkyl)alkyl-, heteroaryl, (heteroaryl)alkyl-, aryl or arylalkyl-; wherein the heterocycloalkyl, (heterocycloalkyl)alkyl, cycloalkyl, (cycloalkyl)alkyl, heteroaryl, (heteroaryl)alkyl, aryl and arylalkyl- are optionally substituted with 1 to 4 substituents each independently selected from alkyl, alkoxy, amino, amido, carboxylic acid, carboxylate thiocarboxylate, thioacid, -SH, -S(alkyl), aryl, heteroaryl, heterocycloalkyl, cycloalkyl and hydroxyl;
R2 is a side chain of an amino acid or is alkyl, alkenyl, alkynyl, cycloalkyl, (cycloalkyl)alkyl-, (heteroaryl)alkyl-, heteroaryl, arylalkyl-, aryl, heterocycloalkyl or (heterocycloalkyl)alkyl-; wherein alkyl, alkenyl, alkynyl, cycloalkyl, (cycloalkyl)alkyl-, (heteroaryl)alkyl-, heteroaryl, arylalkyl-, aryl, heterocycloalkyl or (heterocycloalkyl)alkyl- are optionally substituted with 1 to 4 substituents selected from carboxylic acid, carboxylate, thiocarboxylate, thioacid, amido, amino, hydroxyl, cycloalkyl, aryl, -CONR9R10, aryl-COOH, heterocycloalkyl, heteroaryl, guanidino, amidino, -SH and -S(alkyl); optionally wherein two or three carbon atoms of the alkyl, alkenyl or alkynyl form part of a 3- to 7-membered carbocyclic or heterocyclic ring which is optionally substituted with 1 to 4 substituents, each independently selected from alkyl, alkoxy, carboxylic acid, carboxylate and hydroxyl;
R3 is aryl, arylalkyl-, heterocycloalkyl, (heterocycloalkyl)alkyl-, cycloalkyl, heteroaryl, (heteroaryl)alkyl- or -alkyl-(COOH); or a group represented by the formula, -CH(ORb)(CH2ORb), -C(R7R8)(NR9Rio) or -N(Rn)2; wherein aryl, arylalkyl-, heterocycloalkyl, (heterocycloalkyl)alkyl-, cycloalkyl, heteroaryl and (heteroaryl)alkyl- are optionally substituted with 1 to 4 occurrences of Re;
R4 and R5 independently are hydrogen or absent;
R6 is hydrogen or alkyl; or R6 and Rc taken together with the atoms to which they are attached form a 5- to 7-membered ring optionally substituted with one or more groups independently selected from hydroxyl, halo, amino, cyano and alkyl;
R7 representshetero alkyl, alkoxy, aryl, heterocycloalkyl or heteroaryl; each optionally substituted with halo, cyano or haloalkyl;
R8 and Rn each independently represent hydrogen, alkyl, heteroalkyl, alkoxy, aryl, heterocycloalkyl or heteroaryl; each optionally substituted with hydroxy, halo, amino, cyano and alkyl; or
R7 and Rg taken together with the atoms to which they are attached form a 5- to 7-membered cycloalkyl ring which is optionally substituted with one or more substituents each independently selected from hydroxy, halo, amino, cyano and alkyl;
R9 and Rio independently arehydrogen, alkyl or acyl; or R9 and Rio taken together with the atoms to which they are attached form a 5- to 7-membered carbocyclic ring or heterocyclic ring which is optionally substituted with one or more substituents each independently selected from hydroxy, halo, amino, cyano and alkyl;
W represents O or S;
Aaa represents an amino acid residue;
Ra is -NRcRd, aminoalkyl-, aminoaryl-, alkyl, aryl, cycloalkyl, heterocycloalkyl or heteroaryl; wherein the alkyl, aryl, cycloalkyl, heterocycloalkyl, and heteroaryl are optionally substituted with 1 to 4 substituents, each independently selected from alkyl, amido, amino, carboxylic acid, hydroxyl, halo, cyano, acyl, haloalkyl and alkoxy;
Rb and Rc each independently for each occurrence represents hydrogen or alkyl;
Rd is hydrogen, alkyl, acyl, alkoxyalkyl, aryl or arylalkyl; wherein aryl and aralkyl are optionally substituted with one or more hydroxyl, cyano, alkyl or alkoxy;
Re, at each occurrence,is alkyl, alkoxy, halo, hydroxyl, -C(0)OH, aralkyl-, aryl, (heteroaryl)alkyl-, heteroaryl, cycloalkyl, (cycloalkyl)alkyl-, hydroxyalkyl, alkoxyalkyl- or acyl; wherein the alkyl, aralkyl, aryl, (heteroaryl)alkyl-, heteroaryl, cycloalkyl, (cycloalkyl)alkyl- are optionally substituted with 1 to 4 substituents, each independently selected from alkyl, amido, carboxylic acid, hydroxyl, halo, cyano, acyl, haloalkyl and alkoxy; or two Re groups attached to same carbon atom together represent an oxo (=0) or thioxo (=S); wherein either:
A) Ri represents C(=W)Ra, -S02Ra,heterocycloalkyl, (heterocycloalkyl)alkyl-, heteroaryl, (heteroaryl)alkyl-, cycloalkyl, (cycloalkyl)alkyl-, aryl or arylalkyl-; wherein Ra is -NRcRd or is alkyl, aryl, cycloalkyl, heterocycloalkyl or heteroaryl substituted by halo, cyano or haloalkyl; or
B) R3 represents arylalkyl-, (heterocycloalkyl)alkyl-, (heteroaryl)alkyl-, -alkyl-(COOH); or a group represented by the general formula -CH(ORb)(CH20Rb), -QRyRsXNRgRio) or - N(Rn)2; wherein the arylalkyl-, (heterocycloalkyl)alkyl- and (heteroaryl)alkyl-, are optionally substituted with 1 to 4 occurrences of Re.
In certain preferred embodiments of formula (I), X is O. In certain such embodiments, the ring containing X is 1,2,4-oxadiazole ring.
In certain preferred embodiments,— represents a bond;
In certain embodiments, Ri is -CO-Aaa, -C(=W)Ra, -S02Ra, -S02-Aaa, heterocycloalkyl, (heterocycloalkyl)alkyl-, heteroaryl, (heteroaryl)alkyl-, aryl or arylalkyl-; wherein heterocycloalkyl, (heterocycloalkyl)alkyl-, heteroaryl, (heteroaryl)alkyl-, aryl or arylalkyl- are optionally substituted with 1 to 4 substituents each independently selected from alkyl, alkoxy, amino, amido, carboxylic acid, carboxylate, thiocarboxylate, thioacid, -SH, -S(alkyl), aryl, heteroaryl, heterocycloalkyl, cycloalkyl and hydroxyl.
In certain preferred embodiments, Ri represents -C(=W)Ra, -S02Ra, -S02-Aaa, heterocycloalkyl, (heterocycloalkyl)alkyl-, heteroaryl, (heteroaryl)alkyl-, aryl or arylalkyl-; wherein the heterocycloalkyl, (heterocycloalkyl)alkyl-, heteroaryl, (heteroaryl)alkyl-, aryl or arylalkyl- are optionally substituted with 1 to 4 substituents each independently selected from alkyl, alkoxy, amino, amido, carboxylic acid, carboxylate, thiocarboxylate, thioacid, -SH, - S(alkyl), aryl, heteroaryl, heterocycloalkyl, cycloalkyl and hydroxyl.
In certain embodiments, Ri is -C(=W)Ra, wherein W and Ra are as defined in formula (I).
In certain embodiments, Ri is -C(=S)Ra or -C(=0)Ra, wherein Ra is aminoalkyl-, alkyl, cycloalkyl, aryl, heterocycloalkyl or heteroaryl; wherein the alkyl, cycloalkyl, aryl, heterocycloalkyl and heteroaryl are optionally substituted with 1 to 4 substituents, each independently selected from alkyl, cyano, amino, amido, carboxylic acid, haloalkyl and hydroxyl.
In certain embodiments, Ri is -C(=S)Ra or -C(=0)Ra; wherein Ra is -NRcRd; Rc and Rd are as defined in formula (I).
In certain embodiments, Ri is -C(=S)Ra; wherein Ra is -NRcRd; Rc and Rd are as defined in formula (I).
In certain embodiments, Rc and Rd independently represent hydrogen, alkyl, aralkyl, or heteroalkyl.
In certain embodiments, Ri is -C(=0)Ra, wherein Ra is aminoalkyl-, alkyl, cyclopropyl, phenyl, pyrrolidinyl or pyrazinyl; each optionally substituted with 1 to 4 substituents, each independently selected from -CH3, -NH2, -CONH2, -C(0)OH and -OH.
In certain embodiments, Ri is -S02Ra, wherein Ra is aminoalkyl-, alkyl, cycloalkyl, aryl, heterocycloalkyl or heteroaryl; wherein the alkyl, cycloalkyl, aryl, heterocycloalkyl and heteroaryl are optionally substituted with 1 to 4 substituents, each independently selected from alkyl, halo, cyano, amino, amido, carboxylic acid, haloalkyl and hydroxyl.
In certain embodiments, Ri is -S02Ra, wherein Ra is cycloalkyl, aryl, heterocycloalkyl or heteroaryl; wherein the said cycloalkyl, aryl, heterocycloalkyl and heteroaryl are optionally substituted with 1 to 4 substituents, each independently selected from alkyl, halo, cyano, amino, amido, carboxylic acid, haloalkyl and hydroxyl.
In certain embodiments, Ri is -S02-Aaa, wherein Aaa represents an amino acid residue.In certain embodiments, Ri is heterocycloalkyl, (heterocycloalkyl)alkyl-, heteroaryl, (heteroaryl)alkyl-, aryl or arylalkyl-; each optionally substituted with 1 to 4 substituents each independently selected from alkyl, alkoxy, amino, amido, carboxylic acid, carboxylate thiocarboxylate, thioacid, -SH, -S(alkyl), aryl, heteroaryl, heterocycloalkyl, cycloalkyl and hydroxyl;
In certain preferred embodiments, in compound of formula (I), either:
Ri represents -C(=W)Ra, -S02Ra, -S02-Aaa, heterocycloalkyl, (heterocycloalkyl)alkyl-, heteroaryl, (heteroaryl)alkyl-, aryl or arylalkyl-; wherein the heterocycloalkyl, (heterocycloalkyl)alkyl-, heteroaryl, (heteroaryl)alkyl-, aryl or arylalkyl- are optionally substituted with 1 to 4 substituents each independently selected from alkyl, alkoxy, amino, amido, carboxylic acid, carboxylate, thiocarboxylate, thioacid, -SH, -S(alkyl), aryl, heteroaryl, heterocycloalkyl, cycloalkyl and hydroxyl; or
R3 is cycloalkyl, aryl, heterocycloalkyl, heteroaryl or -alkyl-(COOH); wherein the cycloalkyl, aryl, heterocycloalkyl and heteroaryl are optionally substituted with 1 to 4 occurrences of Re; and Aaa, W, Ra and Re are as defined in formula (I).
In certain preferred embodiments of compound of formula (I), Ri is -CO-Aaa and R3 represents arylalkyl, (heterocycloalkyl)alkyl-, (heteroaryl)alkyl-, -alkyl-(COOH) or a group represented by the general formula, -CH(ORb)(CH2ORb), -QRyRsXNRgRio) or -N(Rn)2; wherein the arylalkyl, (heterocycloalkyl)alkyl-, (heteroaryl)alkyl- are optionally substituted with 1 to 4 occurrences of Re; and Aaa, R7, Rg, R9, Rio, R11, Rt>, Re are as defined in formula (I).
In certain preferred embodiments of compound of formula (I), Ri is -CO-Aaa and R3 represents aryl-CH2-, (heteroaryl) -CH2-, -CH2-COOH, -(CH2)2-COOH or a group represented by the general formula, -N(Rn)2 or -CH(ORb)(CH2ORb).
In certain embodiments, Ri is -CO-Aaa, wherein Aaa is same as defined in compound of formula (I).
In certain embodiments, Ri is or -S02-Aaa, wherein Aaa is same as defined in compound of formula (I).
In certain embodiments, Aaa is a natural amino acid residue.
In certain embodiments, Aaa is an amino acid residue wherein a C-terminal carboxyl group of the amino acid residue is a free C-terminal carboxyl group (-COOH) or a modified C-terminal carboxyl group.
In certain embodiments, Aaa is Ser, Thr, Gly, Lys, Phe or Ala.
In certain embodiments, Aaa is Ser or Thr.
In certain embodiments, Aaa is Thr.
In certain embodiments, Ri is -S02Ra, wherein Ra is aryl, heterocyclocalkyl, cycloalkyl or heteroaryl; wherein the aryl, cycloalkyl and heteroaryl are optionally substituted with 1 to 4 substituents, each selected from halo, cyano and acyl.
In certain embodiments, Ri is -S02Ra, wherein Ra is aryl, cycloalkyl or heteroaryl; wherein the aryl, cycloalkyl and heteroaryl are optionally substituted with 1 to 4 substituents, each selected from halo, cyano and acyl.
In certain embodiments, Ri is -S02Ra, wherein Ra is phenyl, cyclopropyl, cyclopentyl, cyclohexyl, morpholinyl or imidazolyl, wherein the phenyl, cyclopropyl, cyclopentyl, cyclohexyl and imidazolyl are optionally substituted with 1-2 substituents, each independently selected from fluoro, cyano and -C(0)CH3.
In certain embodiments, Ri is -S02Ra, wherein Ra is phenyl, cyclopropyl, morpholinyl or imidazolyl; wherein the said phenyl, cyclopropyl, morpholinyl and imidazolyl are optionally substituted with 1-2 substituents, each independently selected from fluoro, cyano and -C(0)CH3.
In certain embodiments, Ri is -C(=0)NRcRd., wherein Rc is hydrogen or alkyl and Rd is alkoxyalkyl, aryl or arylalkyl; wherein the aryl and arylalkyl are optimally substituted with one or more alkoxy.
In certain embodiments, Ri is -C(=0)NRcRd., wherein Rc is hydrogen or ethyl and Rd is phenyl, benzyl or methoxyethyl optionally substituted with methoxy.
In certain embodiments, R3 is aryl, arylalkyl-, heterocycloalkyl, (heterocycloalkyl)alkyl-, (heteroaryl)alkyl- or -alkyl-(COOH); wherein the aryl, arylalkyl-, heterocycloalkyl,
(heterocycloalkyl)alkyl-, (heteroaryl)alkyl- are optionally substituted with 1 to 4 occurrences of Re;
In certain embodiments, R3 represents -CH(ORb)(CH20Rb), or -N(Rn)2; wherein Rn, Rb are as defined in formula (I).
In certain embodiments, R2 represents alkyl, alkenyl, alkynyl, cycloalkyl, (cycloalkyl)alkyl-, (heteroaryl)alkyl-, heteroaryl, arylalkyl-, aryl, heterocycloalkyl or (heterocycloalkyl)alkyl-; wherein the alkyl, alkenyl, alkynyl, cycloalkyl, (cycloalkyl)alkyl-, (heteroaryl)alkyl-, heteroaryl, arylalkyl-, aryl, heterocycloalkyl or (heterocycloalkyl)alkyl- are optionally substituted with 1 to 4 substituents each independently selected from carboxylic acid, carboxylate, thiocarboxylate, thioacid, amido, amino, hydroxyl, cycloalkyl, aryl, aryl-COOH, heterocycloalkyl, heteroaryl, guanidino, amidino,-SH and -S(alkyl); optionally wherein two or three carbon atoms of the alkyl, alkenyl or alkynyl form part of a 3- to 7-membered optionally substituted carbocyclic ring or optionally substituted heterocyclic ring, wherein the said optional substituent represents 1 to 4 substituents, each independently selected from alkyl, alkoxy, carboxylic acid, carboxylate and hydroxyl.
In certain embodiments, R2 is a side chain of an amino acid. In certain embodiments, the present invention provides compound of formula (I) wherein Ri represents C(=W)Ra, -S02Ra, heterocycloalkyl, (heterocycloalkyl)alkyl-, heteroaryl, (heteroaryl)alkyl-, cycloalkyl, (cycloalkyl)alkyl-, aryl or arylalkyl-; wherein Ra is -NRcRd or is alkyl, aryl, cycloalkyl, heterocycloalkyl or heteroaryl substituted by halo, cyano, or haloalkyl; and
R3 represents arylalkyl-, (heterocycloalkyl)alkyl-, (heteroaryl)alkyl-, -alkyl-(COOH); or a group represented by the general formula -CH(ORb)(CH2ORb), -QRyRsXNRgRio) or -N(Rn)2; wherein the arylalkyl-, (heterocycloalkyl)alkyl- and (heteroaryl)alkyl-, are optionally substituted with 1 to 4 occurrences of Re.
or a pharmaceutically acceptable salt or a stereoisomer thereof; wherein,
R2 is alkyl, alkenyl, alkynyl, cycloalkyl, (cycloalkyl)alkyl-, (heteroaryl)alkyl-, heteroaryl, arylalkyl-, aryl, heterocycloalkyl or (heterocycloalkyl)alkyl-; wherein the alkyl, alkenyl, alkynyl, cycloalkyl, (cycloalkyl)alkyl-, (heteroaryl)alkyl-, heteroaryl, arylalkyl-, aryl, heterocycloalkyl or (heterocycloalkyl)alkyl- are optionally substituted with 1 to 4 substituents each selected from carboxylic acid, carboxylate, thiocarboxylate, thioacid, amido, amino, hydroxyl, cycloalkyl, aryl, aryl-COOH, heterocycloalkyl, heteroaryl, guanidino, amidino, -SH, -S(alkyl); optionally wherein two or three carbon atoms of the alkyl, alkenyl or alkynyl form part of a 3- to 7-membered carbocyclic or heterocyclic ring optionally substituted with 1 to 4 substituents, each independently selected from alkyl, alkoxy, carboxylic acid, carboxylate and hydroxyl; and
Ri, R3 and R6 are as defined informula (I).
In certain embodiments, Ri is -C(=W)Ra, -S02Ra, -S02-Aaa, (heteroaryl)alkyl, (heterocycloalkyl)alkyl-, or arylalkyl-; and Ra is -NRcRd or is alkyl, aryl, cycloalkyl, heterocycloalkyl or heteroaryl, wherein the said alkyl, aryl, cycloalkyl, heterocycloalkyl and heteroaryl are substituted by halo, cyano, or haloalkyl.
In certain embodiments, R1 is heteroaryl, heteroarylalkyl, or heterocycloalkyl.
In certain embodiments, the present invention provides compound of formula (IB):
(IB) or a pharmaceutically acceptable salt or a stereoisomer thereof; wherein
R3 represents aryl, heterocycloalkyl, heteroaryl or cycloalkyl; wherein the aryl, heterocycloalkyl, heteroaryl or cycloalkyl are optionally substituted with 1 to 4 occurrences of Re; and R2, Re, R6 and Ra are same as defined in formula (I).
In certain embodiments of formula (I) or (IA), R1 is heteroaryl, heteroarylalkyl, or heterocycloalkyl.
In certain embodiments, Ra is aminoalkyl-, alkyl, cycloalkyl, aryl, heterocycloalkyl or heteroaryl; wherein the alkyl, cycloalkyl, aryl, heterocycloalkyl and heteroaryl are optionally substituted with 1 to 4 substituents, each independently selected from alkyl, cyano, amino, amido, carboxylic acid, haloalkyl and hydroxyl.
In certain embodiments, Ra is aminoalkyl-, alkyl, cyclopropyl, phenyl, pyrrolidinyl or pyrazinyl; each optionally substituted with 1 to 4 substituents, each independently selected from - CH3, -NH2, -CONH2, -C(0)OH and -OH.
In certain embodiments, the present invention provides compound of formula (IC):
(IC) or a pharmaceutically acceptable salt or a stereoisomer thereof; wherein,
R3 represents aryl, heterocycloalkyl, heteroaryl or cycloalkyl; wherein the aryl, heterocycloalkyl, heteroaryl or cycloalkyl are optionally substituted with 1 to 4 occurrences of Re; and R2, Re, R6 and Ra are same as defined in formula (I).
In certain embodiments of formula (I), (IA), (IB), or (IC), Ra is -NRcRd or is aryl or heteroaryl substituted by halo, cyano or haloalkyl.
In certain embodiments, Ra is aryl, heterocyclocalkyl, cycloalkyl or heteroaryl; wherein the aryl, cycloalkyl and heteroaryl are optionally substituted with 1 to 4 substituents, each selected from halo, cyano and acyl.
In certain embodiments, Ra is phenyl, cyclopropyl, cyclopentyl, cyclohexyl, morpholinyl or imidazolyl, wherein the phenyl, cyclopropyl, cyclopentyl, cyclohexyl and imidazolyl are optionally substituted with 1 -2 substituents, each independently selected from fluoro, cyano and -
C(0)CH3.
In certain embodiments, Ra is -NRcRd or is aryl or heteroaryl substituted by halo, cyano or haloalkyl.
In certain embodiments, R3 is represents arylalkyl-, (heterocycloalkyl)alkyl-, (heteroaryl)alkyl-, -alkyl-(COOH); or a group represented by the general formula - CH(ORb)(CH2ORb), -C(R7R8)(NR9Rio) or -N(Rn)2; wherein the arylalkyl-, (heterocycloalkyl)alkyl- and (heteroaryl)alkyl- are optionally substituted with 1 to 4 occurrences of Re.
In certain embodiments, the present invention provides compound of formula (ID):
(I D) or a pharmaceutically acceptable salt or a stereoisomer thereof; wherein,
R3 represents arylalkyl-, (heterocycloalkyl)alkyl-, (heteroaryl)alkyl, -alkyl-(COOH); or a group represented by the general formula, -CH(ORb)(CH2ORb), -C(R7R8)(NR9Rio) or -N(Rn)2; wherein arylalkyl-, (heterocycloalkyl)alkyl- or (heteroaryl)alkyl- are optionally substituted with 1 to 4 occurrences of Re; and Aaa, R2, R6, R7, Rg, R9, Rio, Rb, Re andRn are as defined in formula (I).
In certain embodiments, the present invention provides a compound of formula (IE):
(I E) or a pharmaceutically acceptable salt or a stereoisomer thereof; wherein,
R3 represents arylalkyl, (heterocycloalkyl)alkyl-, (heteroaryl)alkyl-, -alkyl-(COOH); or a group represented by the general formula, -CH(ORb)(CH2ORb), -C(R7R8)(NR9Rio)or -N(Rn)2; and wherein the arylalkyl, (heterocycloalkyl)alkyl-, and (heteroaryl)alkyl- are optionally substituted with 1 to 4 occurrences of Re; and Aaa, R2, R3, R6, R7, Rs, R9, Rio, Rb andRn are as defined in formula (I).
In certain embodiments, the present invention provides a compound of formula (IF):
(IF) or a pharmaceutically acceptable salt or a stereoisomer thereof; wherein,
R3 represents aryl, heterocycloalkyl, heteroaryl or cycloalkyl; each optionally substituted with 1 to 4 occurrences of Re; and
R2, Re, R6 and Ra are same as defined in formula (I).
In certain embodiments, Re is alkyl, alkoxy, halo, hydroxyl, -C(0)OH, or haloalkyl.
In certain embodiments, R3 is a group of the formula, -C(R7R8)(COOH) in which R7 and R8, are same as defined in formula (I).
In certain embodiments, R3 is a group of the formula, -C(R7R8)(N(R9)Rio) in which R7, Rs, R9 and Rio are same as defined in formula (I).
In certain embodiments, particularly of the compounds of formula (ID) and (IE), R3 represents -alkyl-(COOH) or a group represented by the general formula -CH(ORb)(CH2ORb).
In certain embodiments, particularly of the compounds of formula (ID) and (IE), R3 represents -C(R7R8)(NR9Rio);
R7 and Rg are taken together with the atoms to which they are attached form a 5- to 7- membered cycloalkyl ring which is optionally substituted with one or more substituents each independently selected from hydroxy, halo, amino, cyano and alkyl; and
R9 and Rio are each hydrogen.
In further embodiments, particularly of the compounds of formula (ID) and (IE), R3 represents -C(R7Rs)(NR9Rio);
R7 represents heteroaryl optionally substituted with halo, cyano or haloalkyl;
R8 represents hydrogen; and
R9 and Rio are each hydrogen.
In certain embodiments of the compounds of formula (ID) or (IE), R3 is arylalkyl- optionally substituted with 1 to 4 occurrences of Re.
In certain embodiments, R2 is alkyl or alkynyl substituted by one or more substituents selected from carboxylic acid, carboxylate, thiocarboxylate, thioacid, amido, amino and amidino.
In certain embodiments, R2 is -CH(CH3)CH2CH3, -CH(CH )OH, -CH2-SH, -CH2-COOH, -CH2-CONH2, -(CH2)2-COOH, -CH2-heteroaryl, -CH2-aryl, -C(=NH)NH2 or -CH2-aryl-OH.
In certain embodiments, R2 is -CH(CH3)OH, -CH2-SH, -CH2-COOH, -CH2-CONH2, - (CH2)2-COOH.
In certain embodiments, R2 is alkyl substituted by carboxylic acid, amido or amidino.
In certain embodiments, R2 is alkyl substituted by -C(0)OH, -C(0)NH2 or -C(=NH)NH2.
In certain embodiments, R2 is -(CH2)COOH, -(CH2)2COOH, -(CH2)CONH2, - (CH2)2CONH2 or -(CH2)C(=NH)NH2.
In certain embodiments, R2 is -(CH2)COOH or -(CH2)CONH2.
In certain embodiments, R6 is hydrogen.
An amino acid residue is understood in the art to mean a carboxylic acid, substituted at the alpha, beta or gamma carbon by an amino (-NH2) group. In the group -CO-Aaa, the amino acid residue Aaa is connected to the carbonyl group CO via a covalent bond between the carbonyl carbon and the amino group of the amino acid residue. In preferred embodiments, the amino acid is an alpha-amino acid, and the amino acid residue Aaa is connected to the carbonyl group CO via a covalent bond between the carbonyl carbon and the alpha-amino group of the amino acid residue.
In certain embodiments, R6 and Rc may be combined together with the atoms to which they are attached to form a 5-7 membered ring optionally substituted with one or more groups independently selected from hydroxyl, halo, amino, cyano and alkyl.
In certain embodiments, one, more or all amino acid residues are D amino acid residues.
In certain embodiments, one, more than one, or all amino acid residues are L amino acid residues.
In certain embodiments, the present invention provides a compound, or a pharmaceutically acceptable salt or a stereoisomer thereof, selected from:
20
In certain embodiments, the preferred compound, or a pharmaceutically acceptable salt or a stereoisomer thereof is selected from:
Unless defined otherwise, all technical and scientific terms used herein have the same g as is commonly understood by one of skill in art to which the subject matter herein
belongs. As used in the specification and the appended claims, unless specified to the contrary, the following terms have the meaning indicated in order to facilitate the understanding of the present invention.
The singular forms "a", "an" and "the" encompass plural references unless the context clearly indicates otherwise.
As used herein, the term "or" refers to "and/or", unless stated otherwise.
As used herein, the terms "optional" or "optionally" mean that the subsequently described event or circumstance may occur or may not occur, and that the description includes instances where the event or circumstance occurs as well as instances in which it does not. For example, "optionally substituted alkyl" refers to when the alkyl may be substituted as well as the event or circumstance where the alkyl is not substituted.
The term "substituted" refers to moieties having substituents replacing hydrogen on one or more carbons of the backbone. Thus, a moiety that is optionally substituted may have one or more hydrogens of the indicated moiety be replaced by a substituent, each of which may be the same or different. It will be understood that "substitution" or "substituted with" includes the implicit proviso that such substitution is in accordance with permitted valence of the substituted atom and the substituent, and that the substitution results in a stable compound, e.g., which does not spontaneously undergo transformation such as by rearrangement, cyclization, elimination, etc. As used herein, the term "substituted" is contemplated to include all permissible substituents of organic compounds. In a broad aspect, the permissible substituents include acyclic and cyclic, branched and unbranched, carbocyclic and heterocyclic, aromatic and non-aromatic substituents of organic compounds. The permissible substituents can be one or more and the same or different for appropriate organic compounds. For purposes of this invention, the heteroatoms such as nitrogen may have hydrogen substituents and/or any permissible substituents of organic compounds described herein which satisfy the valences of the heteroatoms. Substituents can include any substituents described herein, for example, a halogen, a hydroxyl, a carbonyl (such as a carboxyl, an alkoxycarbonyl, a formyl, or an acyl), a thiocarbonyl (such as a thioester, a thioacetate, or a thioformate), an alkoxyl, a phosphoryl, a phosphate, a phosphonate, a phosphinate, an amino, an amido, an amidine, an imine, a cyano, a nitro, a sulfhydryl, an alkylthio, a sulfate, a sulfonate, a sulfamoyl, a sulfonamido, a sulfonyl, a heterocyclyl, an aralkyl, and an aromatic or
heteroaromatic moiety. It will be understood by those skilled in the art that substituents can themselves be substituted, if appropriate. Unless specifically stated as "unsubstituted" references to chemical moieties herein are understood to include substituted variants. For example, reference to an "aryl" group or moiety implicitly includes both substituted and unsubstituted variants. As used herein, the term "optionally substituted" refers to the replacement of one to six hydrogen radicals on the same carbon or on different carbons in a given structure with the radical of a specified substituent including, but not limited to: hydroxyl, hydroxyalkyl, alkoxy, alkoxyalkyl, halogen, alkyl, aryl, aryloxy, aralkyl, heteroaryl, heteroaryloxy, heteroaralkyl, cycloalkyl, cycloalkyloxy, (cycloalkyl)alkyl, heterocycloalkyl, (heterocycloalkyl)alkyl, amino, aminoalkyl, alkylamino, dialkylamino, acyl, -C(0)2H, -O(acyl), -NH(acyl), -N(alkyl)(acyl), cyano, phosphinate, phosphate, phosphonate, sulfonate, sulfonamido, sulfate, haloalkyl or haloalkoxy. Preferably, "optionally substituted" refers to the replacement of one to four hydrogen radicals in a given structure with the substituents mentioned above. More preferably, one to three hydrogen radicals are replaced by the substituents as mentioned above. It is understood that the substituent can be further substituted.
As used herein, the term "alkyl" refers to saturated aliphatic groups, including, but not limited to, Ci-Cio straight-chain alkyl groups or C3-C10 branched-chain alkyl groups. Preferably, the "alkyl" group refers to Ci-C6 straight-chain alkyl groups or C3-C6 branched-chain alkyl groups. Most preferably, the "alkyl" group refers to C1-C4 straight-chain alkyl groups or C3-C4 branched- chain alkyl groups. Examples of "alkyl" include, but are not limited to, methyl, ethyl, 1 -propyl, 2- propyl, n-butyl, sec-butyl, tert-butyl, 1-pentyl, 2-pentyl, 3-pentyl, neo-pentyl, 1-hexyl, 2-hexyl, 3- hexyl, 1-heptyl, 2-heptyl, 3-heptyl, 4-heptyl, 1-octyl, 2-octyl, 3-octyl or 4-octyl and the like. The "alkyl" group may be optionally substituted.
The term "alkylthio", as used herein, refers to a thiol group substituted with an alkyl group and may be represented by the general formula -S.
As used herein, the term "heteroalkyl" refers to a straight- or branched-chain alkyl group in which one or more of carbon atoms have been replaced by a heteroatom or heterogroup selected from S, O, P, N and -(CO)-; wherein the 'alkyl' group is as defined above. Exemplary heteroalkyls include alkyl ethers, secondary and tertiary alkyl amines, amides, alkyl sulfides, alkyl disulfides, and the like. The group, may be a terminal group or a bridging group.
The term "alkenyl", as used herein, refers to an aliphatic group containing at least one double bond and is intended to include both "unsubstitutedalkenyls" and "substituted alkenyls", the latter of which refers to alkenyl moieties having substituents replacing a hydrogen on one or more carbons of the alkenyl group. Such substituents may occur on one or more carbons that are included or not included in one or more double bonds. Moreover, such substituents include all those contemplated for alkyl groups, as discussed below, except where stability is prohibitive. For example, substitution of alkenyl groups by one or more alkyl, carbocyclyl, aryl, heterocyclyl or heteroaryl groups is contemplated.
The term "alkynyl", as used herein, refers to an aliphatic group containing at least one triple bond and is intended to include both "unsubstitutedalkynyls" and "substituted alkynyls", the latter of which refers to alkynyl moieties having substituents replacing a hydrogen on one or more carbons of the alkynyl group. Such substituents may occur on one or more carbons that are included or not included in one or more triple bonds. Moreover, such substituents include all those contemplated for alkyl groups, as discussed above, except where stability is prohibitive. For example, substitution of alkynyl groups by one or more alkyl, carbocyclyl, aryl, heterocyclyl or heteroaryl groups is contemplated.
The term "acyl" refers to a group R-CO- wherein R is an optionally substituted alkyl group defined above. Examples of 'acyl' groups are, but not limited to, CH3CO-, CH3CH2CO-, CH3CH2CH2CO- or (CH3)2CHCO-.
The term "acylamino" refers to an amino group substituted with acyl. Acylamino groups include -N(H)C(0)CH3, -N(H)C(0)CH2CH3 and the like.
As used herein, the term "alkoxy" refers to alkyl groups (as defined above) bonded to an oxygen atom that is attached to a core structure. Preferably, alkoxy groups have one to six carbon atoms. Examples of alkoxy groups include, but are not limited to, methoxy, ethoxy, propoxy, isopropoxy, butoxy, isobutoxy, tert-butoxy, pentoxy, 3-methyl butoxy and the like.
As used herein, the term "haloalkyl" refers to alkyl group (as defined above) is substituted with one or more halogens. A monohaloalkyl radical, for example, may have a chlorine, bromine, iodine or fluorine atom. Dihalo and polyhaloalkyl radicals may have two and more of the same or different halogen atoms respectively. Examples of haloalkyl include, but are not limited to, chloromethyl, dichloromethyl, trichloromethyl, dichloroethyl, dichloropropyl, fluoromethyl,
difluoromethyl, trifluoromethyl, pentafluoroethyl, heptafluoropropyl, difluorochloromethyl, dichlorofluoromethyl, difluoroethyl, difluoropropyl and the like.
As used herein, the term "haloalkoxy" refers to radicals wherein one or more of the hydrogen atoms of the alkoxy group are substituted with one or more halogens. Representative examples of "haloalkoxy" groups include, but are not limited to, difluoromethoxy (-OCHF2), trifluoromethoxy (-OCF3) or trifluoroethoxy (-OCH2CF3).
As used herein, the term "aryl" alone or in combination with other term(s) means a 6- to 10-membered carbocyclic aromatic system containing one or two rings wherein such rings may be fused. The term "fused" means that the second ring is attached or formed by having two adjacent atoms in common with the first ring. The term "fused" is equivalent to the term "condensed". Examples of aryl groups include but are not limited to phenyl, naphthyl or indanyl. Unless otherwise specified, all aryl groups described herein may be optionally substituted.
The terms "amine" and "amino" are art-recognized and refer to both unsubstituted and substituted amines and salts thereof, e.g., a moiety that can be represented by
wherein each Rx independently represents hydrogen or a hydrocarbyl group, or two Rx are taken together with the N atom to which they are attached to form a heterocycle having from 4 to 8 atoms in the ring structure.
wherein each Rx independently represent a hydrogen or hydrocarbyl group, or two Rx are taken together with the N atom to which they are attached complete a heterocycle having from 4 to 8 atoms in the ring structure.
As used herein, "aminoalkyl" refers to an amino group, as defined above, in which one or two hydrogen atoms are substituted with alkyl group. A carbon atom of the alkyl group is attached
to the parent molecular group. Aminoalkyl groups include -CH2NH2, -(Ctb^Ntb, -(Ctb^Ntb, - (CH2)4NH2 and the like.
As used herein, "nitro" refers to an -NO2 group.
As used herein, "alkylamino" and "cycloalkylamino", refer to an -N-group, wherein nitrogen atom of said group being attached to alkyl or cycloalkyl respectively. Representative examples of an "alkylamino" and "cycloalkylamino" groups include, but are not limited to, - NHCH3 and -NH-cyclopropyl. An amino group can be optionally substituted with one or more of the suitable groups.
As used herein the term "cycloalkyl" alone or in combination with other term(s) means C3- C10 saturated cyclic hydrocarbon ring. A cycloalkyl may be a single ring, which typically contains from 3 to 7 carbon ring atoms. Examples of single -ring cycloalkyls include cyclopropyl, cyclobutyl, cyclopentyl, cyclohexyl, cycloheptyl and the like. A cycloalkyl may alternatively be polycyclic or contain more than one ring. Examples of polycyclic cycloalkyls include bridged, fused, and spirocycliccarbocyclyls.
As used herein, "cycloalkyloxy" refers to an -O-cycloalkyl group wherein the cycloalkyl group is as defined above.
As used herein, the term "cyano" refers to a -CN group.
As used herein, the term "hydroxy" or "hydroxyl" refers to -OH group.
As used herein, the term "oxo" refers to =0 group.
As used herein, the term "thiol" or "sulfhydryl" refers to -SH group.
As used herein, the term "hydroxyalkyl" or "hydroxylalkyl" means alkyl substituted with one or more hydroxyl groups, wherein the alkyl groups are as defined above. Examples of "hydroxyalkyl" include, but are not limited to, hydroxymethyl, hydroxyethyl, hydroxypropyl, propan-2-ol and the like.
As used herein, the term "halo" or "halogen" alone or in combination with other term(s) means fluorine, chlorine, bromine or iodine.
The term "carboxy" or "carboxylic acid", as used herein, refers to a group represented by the formula— C02H.
The term "thioacid", "thiocarboxy" or "thiocarboxylic acid", as used herein, refers to a group represented by the formula -C(0)SH. The term "thiocarboxylate" refers to a group represented by the formula -(C(O)S)".
The term "carboxylate" refers to a group represented by the formula -(C02)~. The term "amidino", as used herein, refers to -C(=NH)NH2 group.
The term "ester", as used herein, refers to a group -C(0)ORy wherein Ry represents a hydrocarbyl group.
The term "thioester", as used herein, refers to a group— C(0)SRz or— SC(0)Rz wherein Rz represents a hydrocarbyl. The term "aryl" as used herein include substituted or unsubstituted single-ring aromatic groups in which each atom of the ring is carbon. Preferably the ring is a 5- to 7-membered ring, more preferably a 6-membered ring. The term "aryl" also includes polycyclic ring systems having two or more cyclic rings in which two or more carbons are common to two adjoining rings wherein at least one of the rings is aromatic, e.g., the other cyclic rings can be cycloalkyls, cycloalkenyls, cycloalkynyls, aryls, heteroaryls, and/or heterocyclyls. Aryl groups include benzene, naphthalene, phenanthrene, phenol, aniline, and the like.
The terms "aralkyl" and "arylalkyl", as used herein, refers to an alkyl group substituted with an aryl group. Arylalkyl groups include benzyl and the like.
As used herein, the term "heterocycloalkyl" refers to a non-aromatic, saturated or partially saturated, monocyclic or polycyclic ring system of 3 to 15 members having at least one heteroatom or heterogroup selected from O, N, S, S(O), S(0)2, NH and C(O) with the remaining ring atoms being independently selected from the group consisting of carbon, oxygen, nitrogen, and sulfur. The term "heterocycloalkyl" also refers to a bridged bicyclic ring system having at least one heteroatom or heterogroup selected from O, N, S, S(O), S(0)2, NH or C(O). The "monocyclic heterocycloalkyl" refers to non-aromatic, saturated or partially saturated, monocyclic heterocycloalkyl rings having 4 to 7 member atoms. Examples of "monocyclic heterocycloalkyl" include, but are not limited to, azetidinyl, oxetanyl, imidazolidinyl, pyrrolidinyl, oxazolidinyl, thiazolidinyl, pyrazolidinyl, tetrahydrofuranyl, piperidinyl, piperazinyl, tetrahydropyranyl, morpholinyl, thiomorpholinyl, 1,4-dioxanyl, dioxidothiomorpholinyl, oxapiperazinyl,
oxapiperidinyl, tetrahydrofuryl, tetrahydropyranyl, tetrahydrothiophenyl, dihydropyranyl and N- oxides thereof. The "bicyclic heterocycloalkyl" refers to non-aromatic, saturated or partially saturated, monocyclic heterocycloalkyl rings having 7 to 11 member atoms. Examples of "bicyclic heterocycloalkyl" include, but are not limited to, indolinyl, indolinylmethyl, aza-bicyclooctanyl, azocinyl, chromanyl, xanthenyl and N-oxides thereof. Attachment of a heterocycloalkyl substituent can occur via either a carbon atom or a heteroatom. A heterocycloalkyl group can be optionally substituted by one or more aforesaid groups.
Preferably, "heterocycloalkyl" refers to a 5- to 6-membered ring selected from azetidinyl, oxetanyl, imidazolidinyl, pyrrolidinyl, oxazolidinyl, thiazolidinyl, pyrazolidinyl, tetrahydrofuranyl, piperidinyl, piperazinyl, tetrahydropyranyl, morpholinyl, thiomorpholinyl, 1,4- dioxanyl and N-oxides thereof. More preferably, "heterocycloalkyl" includes azetidinyl, pyrrolidinyl, morpholinyl and piperidinyl. All heterocycloalkyl groups are optionally substituted by one or more aforesaid groups.
As used herein, the term "heteroaryl" refers to an aromatic heterocyclic ring system containing 5 to 20 ring atoms, preferably 5 to 10 ring atoms, which can be a monocyclic heteroaryl or bicyclic heteroaryl or polycyclic heteroaryl fused together or linked covalently. The rings may contain from 1 to 4 heteroatoms selected from N, O and S, wherein the N or S atom is optionally oxidized or the N atom is optionally quarternized. Any suitable ring position of the heteroaryl moiety may be covalently linked to the parent molecular structure.
The "monocyclic heteroaryl" refers to a 5- or 6- membered heteroaryl ring. The 5 membered ring consists of two double bonds and one, two, three or four heteroatoms selected from N, O and S, wherein the N or S atom is optionally oxidized or the N atom is optionally quarternized. The 6 membered ring consists of three double bonds and one, two, three or four N atoms wherein the N atom is optionally oxidized or quarternized. The 5 or 6 membered heteroaryl is connected to the parent molecular moiety through any carbon atom or any nitrogen atom contained within the heteroaryl. Representative examples of monocyclic heteroaryl include, but are not limited to, furyl, imidazolyl, isoxazolyl, isothiazolyl, oxadiazolyl, oxazolyl, pyridinyl, pyridazinyl, pyrimidinyl, pyrazinyl, pyrazolyl, pyrrolyl, tetrazolyl, thiadiazolyl, thiazolyl, thienyl, triazolyl and triazinyl. All monocyclic heteroaryls are optionally substituted by one or more aforesaid groups.
As used herein, the term "bicyclic heteroaryl" refers to a monocyclic heteroaryl fused to a phenyl, a monocyclic cycloalkyl, a monocyclic cycloalkenyl, a monocyclic heterocycloalkyl, or a monocyclic heteroaryl. The fused cycloalkyl or heterocycloalkyl portion of the bicyclic heteroaryl group is optionally substituted. When the bicyclic heteroaryl is a monocyclic heteroaryl fused to a phenyl ring, then the bicyclic heteroaryl group is attached to the parent molecular moiety through any carbon atom or nitrogen atom within the bicyclic ring system. When the bicyclic heteroaryl contains a fused cycloalkyl, cycloalkenyl, heteroaryl or heterocycloalkyl, then the bicyclic heteroaryl group is attached to the parent molecular moiety through any carbon or nitrogen atom contained within the monocyclic heteroaryl portion of the bicyclic ring system.
As used herein, the term "heterocyclyl" includes definitions of "heterocycloalkyl" and
"heteroaryl".
As used herein, the term '(cycloalkyl)alkyl', 'arylalkyl', '(heterocycloalkyl)alkyl' or 'heteroaralkyl' refers to an alkyl group which is further substituted by cycloalkyl, aryl, heterocycloalkyl or heteroaryl respectively, wherein cycloalkyl, aryl, heterocycloalkyl and heteroaryl are as above defined.
The terms "halo" and "halogen" as used herein means halogen and includes chloro, fluoro, bromo and iodo.
The term "haloalkyl", as used herein, refers to an alkyl group substituted with a halogen group.
As used herein, the term "nitro" refers to -NO2 group.
The term "lower" when used in conjunction with a chemical moiety, such as, acyl, acyloxy, alkyl, alkenyl, alkynyl or alkoxy is meant to include groups where there are ten or fewer non- hydrogen atoms in the substituent, preferably six or fewer. A "lower alkyl", for example, refers to an alkyl group that contains ten or fewer carbon atoms, preferably six or fewer. In certain embodiments, acyl, acyloxy, alkyl, alkenyl, alkynyl or alkoxy substituents defined herein are respectively lower acyl, lower acyloxy, lower alkyl, lower alkenyl, lower alkynyl or lower alkoxy, whether they appear alone or in combination with other substituents, such as in the recitations hydroxyalkyl and aralkyl (in which case, for example, the atoms within the aryl group are not counted when counting the carbon atoms in the alkyl substituent).
In certain embodiments, compounds of the invention may be prodrugs of the compounds of formula (I), e.g., wherein a hydroxyl in the parent compound is presented as an ester or a carbonate or carboxylic acid present in the parent compound is presented as an ester. In a further embodiment, the prodrug is metabolized to the active parent compound in vivo (e.g., the ester is hydrolyzed to the corresponding hydroxyl or carboxylic acid).
In certain embodiments, the compounds of the present invention can also containunnatural proportions of atomic isotopes at one or more of the atoms thatconstitutesuch compounds. For example, the present invention also embraces isotopically-labeled variants of the present invention which are identical to those recited herein, but for the factthat one or more atoms of the compound are replaced by an atom having the atomic mass or mass numberdifferentfrom the predominant atomic mass or mass numberusuallyfound in nature for the atom. All isotopes of any particular atom or element as specified are contemplatedwithin the scope of the compounds of the invention, and their uses. Exemplary isotopes thatcanbeincorporated in to compounds of the invention include isotopes of hydrogen, carbon, nitrogen, oxygen, phosphorous, sulfur, fluorine, chlorine and iodine, such as 2H ("D"), 3H, nC, 13C, 14C, 13N, 15N, 150, 170, 180, 35S, 18F, 36C1, 123I and 125I. Isotopically labeled compounds of the present inventions cangenerallybeprepared by followingproceduresanalogous to those disclosed in the schemes and/or in the examples herein below, by substituting an isotopically labeled reagent for a non-isotopically labeled reagent.
Pharmaceutical Compositions
In certain embodiments, the present invention provides a pharmaceutical composition comprising at least one compound as disclosed herein, or a pharmaceutically acceptable salt or stereoisomer thereof, optionally admixed with a pharmaceutically acceptable carrier or diluent.
In certain embodiments, the pharmaceutical composition of the invention further comprises at least one agent selected from an anticancer agent, a chemotherapy agent, and an antiproliferative compound.
The present invention also provides methods for formulating the disclosed compounds for pharmaceutical administration.
The compositions and methods of the present invention may be utilized to treat an individual in need thereof. In certain embodiments, the individual is a mammal such as a human
or a non-human mammal. When administered to an animal, such as a human, the composition or the compound is preferably administered as a pharmaceutical composition comprising, for example, a compound of the invention and a pharmaceutically acceptable carrier. Pharmaceutically acceptable carriers are well known in the art and include, for example, aqueous solutions such as water or physiologically buffered saline or other solvents or vehicles such as glycols, glycerol, oils such as olive oil or injectable organic esters. In a preferred embodiment, when such pharmaceutical compositions are for human administration, particularly for invasive routes of administration (i.e., routes, such as injection or implantation, that circumvent transport or diffusion through an epithelial barrier), the aqueous solution is pyrogen-free or substantially pyrogen-free. The excipients can be chosen, for example, to effect delayed release of an agent or to selectively target one or more cells, tissues or organs. The pharmaceutical composition can be in dosage unit form such as tablet, capsule (including sprinkle capsule and gelatin capsule), granule, lyophile for reconstitution, powder, solution, syrup, suppository, injection or the like. The composition can also be present in a transdermal delivery system, e.g., a skin patch. The composition can also be present in a solution suitable for topical administration, such as an eye drop.
A pharmaceutically acceptable carrier can contain physiologically acceptable agents that act, for example, to stabilize, increase solubility or to increase the absorption of a compound such as a compound of the invention. Such physiologically acceptable agents include, for example, carbohydrates, such as glucose, sucrose or dextrans, antioxidants, such as ascorbic acid or glutathione, chelating agents, low molecular weight proteins or other stabilizers or excipients. The choice of a pharmaceutically acceptable carrier, including a physiologically acceptable agent, depends, for example, on the route of administration of the composition. The preparation of pharmaceutical composition can be a self-emulsifying drug delivery system or a self- microemulsifying drug delivery system. The pharmaceutical composition (preparation) also can be a liposome or other polymer matrix, which can have incorporated therein, for example, a compound of the invention. Liposomes, for example, which comprise phospholipids or other lipids, are nontoxic, physiologically acceptable and metabolizable carriers that are relatively simple to make and administer.
The phrase "pharmaceutically acceptable" is employed herein to refer to those compounds, materials, compositions, and/or dosage forms which are, within the scope of sound medical
judgment, suitable for use in contact with the tissues of human beings and animals without excessive toxicity, irritation, allergic response or other problem or complication, commensurate with a reasonable benefit/risk ratio.
The phrase "pharmaceutically acceptable carrier" as used herein means a pharmaceutically acceptable material, composition or vehicle, such as a liquid or solid filler, diluent, excipient, solvent or encapsulating material. Each carrier must be "acceptable" in the sense of being compatible with the other ingredients of the formulation and not injurious to the patient. Some examples of materials which can serve as pharmaceutically acceptable carriers include: (1) sugars, such as lactose, glucose and sucrose; (2) starches, such as corn starch and potato starch; (3) cellulose, and its derivatives, such as sodium carboxymethyl cellulose, ethyl cellulose and cellulose acetate; (4) powdered tragacanth; (5) malt; (6) gelatin; (7) talc; (8) excipients, such as cocoa butter and suppository waxes; (9) oils, such as peanut oil, cottonseed oil, safflower oil, sesame oil, olive oil, corn oil and soybean oil; (10) glycols, such as propylene glycol; (11) polyols, such as glycerin, sorbitol, mannitol and polyethylene glycol; (12) esters, such as ethyl oleate and ethyl laurate; ( 13) agar; (14) buffering agents, such as magnesium hydroxide and aluminum hydroxide; (15) alginic acid; (16) pyrogen-free water; (17) isotonic saline; (18) Ringer's solution; (19) ethyl alcohol; (20) phosphate buffer solutions; and (21) other non-toxic compatible substances employed in pharmaceutical formulations.
A pharmaceutical composition (preparation) can be administered to a subject by any of a number of routes of administration including, for example, orally (for example, drenches as in aqueous or non-aqueous solutions or suspensions, tablets, capsules (including sprinkle capsules and gelatin capsules), boluses, powders, granules, pastes for application to the tongue); absorption through the oral mucosa (e.g., sublingually); anally, rectally or vaginally (for example, as a pessary, cream or foam); parenterally (including intramuscularly, intravenously, subcutaneously or intrathecally as, for example, a sterile solution or suspension); nasally; intraperitoneally; subcutaneously; transdermally (for example as a patch applied to the skin); and topically (for example, as a cream, ointment or spray applied to the skin, or as an eye drop). The compound may also be formulated for inhalation. In certain embodiments, a compound may be simply dissolved or suspended in sterile water. Details of appropriate routes of administration and compositions
suitable for same can be found in, for example, U.S. Pat. Nos. 6, 110,973, 5,763,493, 5,731 ,000, 5,541,231, 5,427,798, 5,358,970 and 4, 172,896, as well as in patents cited therein.
The formulations may conveniently be presented in unit dosage form and may be prepared by any methods well known in the art of pharmacy. The amount of active ingredient which can be combined with a carrier material to produce a single dosage form will vary depending upon the host being treated, the particular mode of administration. The amount of active ingredient that can be combined with a carrier material to produce a single dosage form will generally be that amount of the compound which produces a therapeutic effect. Generally, out of one hundred percent, this amount will range from about 1 percent to about ninety-nine percent of active ingredient, preferably from about 5 percent to about 70 percent, most preferably from about 10 percent to about 30 percent.
Methods of preparing these formulations or compositions include the step of bringing into association an active compound, such as a compound of the invention, with the carrier and, optionally, one or more accessory ingredients. In general, the formulations are prepared by uniformly and intimately bringing into association a compound of the present invention with liquid carriers or finely divided solid carriers or both, and then, if necessary, shaping the product.
Formulations of the invention suitable for oral administration may be in the form of capsules (including sprinkle capsules and gelatin capsules), cachets, pills, tablets, lozenges (using a flavored basis, usually sucrose and acacia or tragacanth), lyophile, powders, granules, or as a solution or a suspension in an aqueous or non-aqueous liquid, or as an oil-in-water or water-in-oil liquid emulsion, or as an elixir or syrup, or as pastilles (using an inert base, such as gelatin and glycerin, or sucrose and acacia) and/or as mouth washes and the like, each containing a predetermined amount of a compound of the present invention as an active ingredient. Compositions or compounds may also be administered as a bolus, electuary or paste. To prepare solid dosage forms for oral administration (capsules (including sprinkle capsules and gelatin capsules), tablets, pills, dragees, powders, granules and the like), the active ingredient is mixed with one or more pharmaceutically acceptable carriers, such as sodium citrate or dicalcium phosphate, and/or any of the following: (1) fillers or extenders, such as starches, lactose, sucrose, glucose, mannitol, and/or silicic acid; (2) binders, such as, for example, carboxymethylcellulose, alginates, gelatin, polyvinyl pyrrolidone, sucrose and/or acacia; (3)
humectants, such as glycerol; (4) disintegrating agents, such as agar-agar, calcium carbonate, potato or tapioca starch, alginic acid, certain silicates, and sodium carbonate; (5) solution retarding agents, such as paraffin; (6) absorption accelerators, such as quaternary ammonium compounds; (7) wetting agents, such as, for example, cetyl alcohol and glycerol monostearate; (8) absorbents, such as kaolin and bentonite clay; (9) lubricants, such a talc, calcium stearate, magnesium stearate, solid polyethylene glycols, sodium lauryl sulfate, and mixtures thereof; (10) complexing agents, such as, modified and unmodified cyclodextrins; and (11) coloring agents. In the case of capsules (including sprinkle capsules and gelatin capsules), tablets and pills, the pharmaceutical compositions may also comprise buffering agents. Solid compositions of a similar type may also be employed as fillers in soft and hard- filled gelatin capsules using such excipients as lactose or milk sugars, as well as high molecular weight polyethylene glycols and the like.
A tablet may be made by compression or molding, optionally with one or more accessory ingredients. Compressed tablets may be prepared using binder (for example, gelatin or hydroxypropylmethyl cellulose), lubricant, inert diluent, preservative, disintegrant (for example, sodium starch glycolate or cross-linked sodium carboxymethyl cellulose), surface-active or dispersing agent. Molded tablets may be made by molding in a suitable machine a mixture of the powdered compound moistened with an inert liquid diluent.
The tablets, and other solid dosage forms of the pharmaceutical compositions, such as dragees, capsules (including sprinkle capsules and gelatin capsules), pills and granules, may optionally be scored or prepared with coatings and shells, such as enteric coatings and other coatings well known in the pharmaceutical-formulating art. They may also be formulated so as to provide slow or controlled release of the active ingredient therein using, for example, hydroxypropylmethyl cellulose in varying proportions to provide the desired release profile, other polymer matrices, liposomes and/or microspheres. They may be sterilized by, for example, filtration through a bacteria-retaining filter, or by incorporating sterilizing agents in the form of sterile solid compositions that can be dissolved in sterile water, or some other sterile injectable medium immediately before use. These compositions may also optionally contain opacifying agents and may be of a composition that they release the active ingredient(s) only, or preferentially, in a certain portion of the gastrointestinal tract, optionally, in a delayed manner. Examples of embedding compositions that can be used include polymeric substances and waxes. The active
ingredient can also be in micro-encapsulated form, if appropriate, with one or more of the above- described excipients.
Liquid dosage forms useful for oral administration include pharmaceutically acceptable emulsions, lyophiles for reconstitution, microemulsions, solutions, suspensions, syrups and elixirs. In addition to the active ingredient, the liquid dosage forms may contain inert diluents commonly used in the art, such as, for example, water or other solvents, cyclodextrins and derivatives thereof, solubilizing agents and emulsifiers, such as ethyl alcohol, isopropyl alcohol, ethyl carbonate, ethyl acetate, benzyl alcohol, benzyl benzoate, propylene glycol, 1,3-butylene glycol, oils (in particular, cottonseed, groundnut, corn, germ, olive, castor and sesame oils), glycerol, tetrahydrofuryl alcohol, polyethylene glycols and fatty acid esters of sorbitan, and mixtures thereof.
Besides inert diluents, the oral compositions can also include adjuvants such as wetting agents, emulsifying and suspending agents, sweetening, flavoring, coloring, perfuming and preservative agents.
Suspensions, in addition to the active compounds, may contain suspending agents as, for example, ethoxylatedisostearyl alcohols, polyoxyethylene sorbitol and sorbitan esters, microcrystalline cellulose, aluminummetahydroxide, bentonite, agar-agar and tragacanth, and mixtures thereof.
Formulations of the pharmaceutical compositions for rectal, vaginal, or urethral administration may be presented as a suppository, which may be prepared by mixing one or more active compounds with one or more suitable nonirritating excipients or carriers comprising, for example, cocoa butter, polyethylene glycol, a suppository wax or a salicylate, and which is solid at room temperature, but liquid at body temperature and, therefore, will melt in the rectum or vaginal cavity and release the active compound.
Formulations of the pharmaceutical compositions for administration to the mouth may be presented as a mouthwash or an oral spray or an oral ointment.
Alternatively or additionally, compositions can be formulated for delivery via a catheter, stent, wire or other intraluminal device. Delivery via such devices may be especially useful for delivery to the bladder, urethra, ureter, rectum or intestine.
Formulations which are suitable for vaginal administration also include pessaries, tampons, creams, gels, pastes, foams or spray formulations containing such carriers as are known in the art to be appropriate.
Dosage forms for the topical or transdermal administration include powders, sprays, ointments, pastes, creams, lotions, gels, solutions, patches and inhalants. The active compound may be mixed under sterile conditions with a pharmaceutically acceptable carrier, and with any preservatives, buffers, or propellants that may be required.
The ointments, pastes, creams and gels may contain, in addition to an active compound, excipients, such as animal and vegetable fats, oils, waxes, paraffins, starch, tragacanth, cellulose derivatives, polyethylene glycols, silicones, bentonites, silicic acid, talc and zinc oxide or mixtures thereof.
Powders and sprays can contain, in addition to an active compound, excipients such as lactose, talc, silicic acid, aluminum hydroxide, calcium silicates and polyamide powder or mixtures of these substances. Sprays can additionally contain customary propellants, such as chlorofluorohydrocarbons and volatile unsubstituted hydrocarbons, such as butane and propane.
Transdermal patches have the added advantage of providing controlled delivery of a compound of the present invention to the body. Such dosage forms can be made by dissolving or dispersing the active compound in the proper medium. Absorption enhancers can also be used to increase the flux of the compound across the skin. The rate of such flux can be controlled by either providing a rate controlling membrane or dispersing the compound in a polymer matrix or gel.
Ophthalmic formulations, eye ointments, powders, solutions and the like, are also contemplated as being within the scope of this invention. Exemplary ophthalmic formulations are described in U.S. Publication Nos. 2005/0080056, 2005/0059744, 2005/0031697 and 2005/004074 and U.S. Pat. No. 6,583, 124, the contents of which are incorporated herein by reference. If desired, liquid ophthalmic formulations have properties similar to that of lacrimal fluids, aqueous humor or vitreous humor or are compatable with such fluids. A preferred route of administration is local administration (e.g., topical administration, such as eye drops, or administration via an implant).
The phrases "parenteral administration" and "administered parenterally" as used herein means modes of administration other than enteral and topical administration, usually by injection, and includes, without limitation, intravenous, intramuscular, intraarterial, intrathecal, intracapsular, intraorbital, intracardiac, intradermal, intraperitoneal, transtracheal, subcutaneous, subcuticular, intraarticular, subcapsular, subarachnoid, intraspinal and intrasternal injection and infusion.
Pharmaceutical compositions suitable for parenteral administration comprise one or more active compounds in combination with one or more pharmaceutically acceptable sterile isotonic aqueous or nonaqueous solutions, dispersions, suspensions or emulsions, or sterile powders which may be reconstituted into sterile injectable solutions or dispersions just prior to use, which may contain antioxidants, buffers, bacteriostats, solutes which render the formulation isotonic with the blood of the intended recipient or suspending or thickening agents.
Examples of suitable aqueous and nonaqueous carriers that may be employed in the pharmaceutical compositions of the invention include water, ethanol, polyols (such as glycerol, propylene glycol, polyethylene glycol, and the like), and suitable mixtures thereof, vegetable oils, such as olive oil, and injectable organic esters, such as ethyl oleate. Proper fluidity can be maintained, for example, by the use of coating materials, such as lecithin, by the maintenance of the required particle size in the case of dispersions, and by the use of surfactants.
These compositions may also contain adjuvants such as preservatives, wetting agents, emulsifying agents and dispersing agents. Prevention of the action of microorganisms may be ensured by the inclusion of various antibacterial and antifungal agents, for example, paraben, chlorobutanol, phenol sorbic acid, and the like. It may also be desirable to include isotonic agents, such as sugars, sodium chloride, and the like into the compositions. In addition, prolonged absorption of the injectable pharmaceutical form may be brought about by the inclusion of agents that delay absorption such as aluminummonostearate and gelatin.
In some cases, in order to prolong the effect of a drug, it is desirable to slow the absorption of the drug from subcutaneous or intramuscular injection. This may be accomplished by the use of a liquid suspension of crystalline or amorphous material having poor water solubility. The rate of absorption of the drug then depends upon its rate of dissolution, which, in turn, may depend
upon crystal size and crystalline form. Alternatively, delayed absorption of a parenterally administered drug form is accomplished by dissolving or suspending the drug in an oil vehicle.
Injectable depot forms are made by forming microencapsulated matrices of the subject compounds in biodegradable polymers such as polylactide-polyglycolide. Depending on the ratio of drug to polymer, and the nature of the particular polymer employed, the rate of drug release can be controlled. Examples of other biodegradable polymers include poly(orthoesters) and poly(anhydrides). Depot injectable formulations are also prepared by entrapping the drug in liposomes or microemulsions that are compatible with body tissue.
For use in the methods of this invention, active compounds can be given per se or as a pharmaceutical composition containing, for example, 0.1 to 99.5% (more preferably, 0.5 to 90%) of active ingredient in combination with a pharmaceutically acceptable carrier.
Methods of introduction may also be provided by rechargeable or biodegradable devices. Various slow release polymeric devices have been developed and tested in vivo in recent years for the controlled delivery of drugs, including proteinaceous biopharmaceuticals. A variety of biocompatible polymers (including hydrogels), including both biodegradable and non-degradable polymers, can be used to form an implant for the sustained release of a compound at a particular target site.
Actual dosage levels of the active ingredients in the pharmaceutical compositions may be varied so as to obtain an amount of the active ingredient that is effective to achieve the desired therapeutic response for a particular patient, composition, and mode of administration, without being toxic to the patient.
The selected dosage level will depend upon a variety of factors including the activity of the particular compound or combination of compounds employed, or the ester, salt or amide thereof, the route of administration, the time of administration, the rate of excretion of the particular compound(s) being employed, the duration of the treatment, other drugs, compounds and/or materials used in combination with the particular compound(s) employed, the age, sex, weight, condition, general health and prior medical history of the patient being treated, and like factors well known in the medical arts.
A physician or veterinarian having ordinary skill in the art can readily determine and prescribe the therapeutically effective amount of the pharmaceutical composition required. For example, the physician or veterinarian could start doses of the pharmaceutical composition or compound at levels lower than that required in order to achieve the desired therapeutic effect and gradually increase the dosage until the desired effect is achieved. By "therapeutically effective amount" is meant the concentration of a compound that is sufficient to elicit the desired therapeutic effect. It is generally understood that the effective amount of the compound will vary according to the weight, sex, age, and medical history of the subject. Other factors which influence the effective amount may include, but are not limited to, the severity of the patient's condition, the disorder being treated, the stability of the compound and, if desired, another type of therapeutic agent being administered with the compound of the invention. A larger total dose can be delivered by multiple administrations of the agent. Methods to determine efficacy and dosage are known to those skilled in the art (Isselbacher et al. ( 1996) Harrison's Principles of Internal Medicine 13 ed., 1814-1882, herein incorporated by reference). In general, a suitable daily dose of an active compound used in the compositions and methods of the invention will be that amount of the compound that is the lowest dose effective to produce a therapeutic effect. Such an effective dose will generally depend upon the factors described above.
If desired, the effective daily dose of the active compound may be administered as one, two, three, four, five, six or more sub-doses administered separately at appropriate intervals throughout the day, optionally, in unit dosage forms. In certain embodiments of the present invention, the active compound may be administered two or three times daily. In preferred embodiments, the active compound will be administered once daily.
The patient receiving this treatment is any animal in need, including primates, in particular humans, and other mammals such as equines, cattle, swine and sheep; and poultry and pets in general.
Wetting agents, emulsifiers and lubricants, such as sodium lauryl sulfate and magnesium stearate, as well as coloring agents, release agents, coating agents, sweetening, flavoring and perfuming agents, preservatives and antioxidants can also be present in the compositions.
Examples of pharmaceutically acceptable antioxidants include: (1) water-soluble antioxidants, such as ascorbic acid, cysteine hydrochloride, sodium bisulfate, sodium metabisulfite, sodium sulfite and the like; (2) oil-soluble antioxidants, such as ascorbylpalmitate, butylated hydroxyanisole (BHA), butylated hydroxytoluene (BHT), lecithin, propyl gallate, alpha- tocopherol, and the like; and (3) metal-chelating agents, such as citric acid, ethylenediaminetetraacetic acid (EDTA), sorbitol, tartaric acid, phosphoric acid, and the like.
Methods of Treatment
The programmed cell death protein 1 pathway (PD- 1 ) pathway has been implicated in a number of diseases and conditions, and the pathway is known to regulate various immune responses. Numerous studies have sought to activate immune response by targeting the PD- 1 pathway, thereby providing a therapy for certain conditions, such as cancers. In fact, studies indicate that blockade of the PD-1 pathway, for example by inhibiting an immunosuppressive signal induced by PD- 1 , PD-LI or PD-L2, leads to anti-tumor activity in various cancers including lung, breast, colon, renal, bladder, thyroid, prostate, osteosarcoma, and Hodgkin's lymphoma. Furthermore, PD-1 activity has also been associated with autoimmune conditions, such as lupus erythematosus , juvenile idiopathic arthritis, and allergic encephalomyelitis.
In certain embodiments, the present invention provides a use of a compound of the invention, or a pharmaceutically acceptable salt or a stereoisomer thereof, as a medicament.
In certain embodiments, the present invention provides uses of a compound of the present invention for the preparation of a medicament, e.g., for the treatment of cancer.
In certain embodiments, the present invention provides methods for treating cancer, wherein the method comprises administration of a therapeutically effective amount of a compound of the present invention to the subject in need thereof.
In certain embodiments, the present invention provides methods for inhibiting growth of tumour cells and/or metastasis by administering a therapeutically effective amount of a compound of the present invention to the subject in need thereof.
Representative tumour cells include cells of a cancer such as but not limited to melanoma, renal cancer, prostate cancer, breast cancer, colon cancer and lung cancer, bone cancer, pancreatic cancer, skin cancer, cancer of the head or neck, cutaneous or intraocular malignant melanoma,
uterine cancer, ovarian cancer, rectal cancer, cancer of the anal region, stomach cancer, testicular cancer, carcinoma of the fallopian tubes, carcinoma of the endometrium, carcinoma of the cervix, carcinoma of the vagina, carcinoma of the vulva, Hodgkin's Disease, non-Hodgkin's lymphoma, cancer of the esophagus, cancer of the small intestine, cancer of the endocrine system, cancer of the thyroid gland, cancer of the parathyroid gland, cancer of the adrenal gland, sarcoma of soft tissue, cancer of the urethra, cancer of the penis, chronic or acute leukemias including acute myeloid leukemia, chronic myeloid leukemia, acute lymphoblastic leukemia, chronic lymphocytic leukemia, solid tumours of childhood, lymphocytic lymphoma, cancer of the bladder, cancer of the kidney or ureter, carcinoma of the renal pelvis, neoplasm of the central nervous system (CNS), non-small cell lung cancer (NSCLC), primary CNS lymphoma, tumour angiogenesis, spinal axis tumour, brain stem glioma, pituitary adenoma, Kaposi's sarcoma, epidermoid cancer, squamous cell cancer, T-cell lymphoma, environmentally induced cancers including those induced by asbestos, and combinations of said cancers. In certain embodiments, the cancer is selected from breast cancer, colon cancer, lung cancer, melanoma, prostate cancer, and renal cancer. In certain embodiments, the present invention provides uses of a compound of the present invention for the preparation of a medicament for the treatment of an infectious disease, such as a bacterial, viral or fungal infection, as well as methods of administering a therapeutically effective amount of a compound of the present invention for the treatment of a bacterial, viral or a fungal infection. Still yet other embodiments of the present invention provides a method of treatment of infection by blockade of the PD- 1 pathway, for example inhibiting an immunosuppressive signal induced by PD-1, PD-L1 or PD-L2, wherein the method comprises administration of a therapeutically effective amount of a compound of the present invention to the subject in need thereof. In certain embodiments, the invention provides uses of a compound of the present invention in inhibiting the PD- 1 pathway (e.g., PD-1 , PD-L1 or PD-L2). In further embodiments, the invention provides a use of a compound of the invention in the manufacture of a medicament for modulating an immune response mediated by the PD- 1 signaling pathway.
In certain embodiments, the present invention provides methods for treating infectious disease in a subject comprising administering a therapeutically effective amount of a compound of the present invention for the treatment of the infectious disease.
Representative infectious disease include but are not limited to HIV, Influenza, Herpes, Giardia, Malaria, Leishmania, the pathogenic infection by the virus Hepatitis (A, B, & C), herpes virus (e.g., VZV, HSV-I, HAV-6, HSV-II, and CMV, Epstein Barr virus), adenovirus, influenza virus, flaviviruses, echovirus, rhinovirus, coxsackie virus, cornovirus, respiratory syncytial virus, mumps virus, rotavirus, measles virus, rubella virus, parvovirus, vaccinia virus, HTLV virus, dengue virus, papillomavirus, molluscum virus, poliovirus, rabies virus, JC virus and arboviral encephalitis virus, pathogenic infection by the bacteria chlamydia, rickettsial bacteria, mycobacteria, staphylococci, streptococci, pneumonococci, meningococci and conococci, klebsiella, proteus, serratia, pseudomonas, E. coli, legionella, diphtheria, salmonella, bacilli, cholera, tetanus, botulism, anthrax, plague, leptospirosis, and Lyme's disease bacteria, pathogenic infection by the fungi Candida (albicans, krusei, glabrata, tropicalis, etc.), Cryptococcus neoformans, Aspergillus (fumigatus, niger, etc.), Genus Mucorales (mucor, absidia, rhizophus), Sporothrixschenkii, Blastomycesdermatitidis, Paracoccidioidesbrasiliensis, Coccidioidesimmitis and Histoplasmacapsulatum, and pathogenic infection by the parasites Entamoebahistolytica, Balantidium coli, Naegleriafowleri, Acanthamoeba sp., Giardia lambia, Cryptosporidium sp., Pneumocystis carinii, Plasmodium vivax, Babesiamicroti, Trypanosomabrucei, Trypanosomacruzi, Leishmaniadonovani, Toxoplasma gondi, Nippostrongylusbrasiliensis.
The compounds of the present invention may be used as single drugs (monotherapy) or conjointly with one or more other agents (conjoint therapy). The compounds may be used by themselves or preferably, in a pharmaceutical composition in which the compound is mixed with one or more pharmaceutically acceptable materials.
The pharmaceutical composition may be administered by oral or inhalation routes, or by parenteral administration route. For example, compositions can be administered orally, by intravenous infusion, topically, intraperitoneally, intravesically or intrathecally. Examples of parenteral administration includes but not limited to intraarticular (in the joints), intravenous, intramuscular, intradermal, intraperitoneal and subcutaneous routes. Suitable liquid compositions may be aqueous or non-aqueous, isotonic sterile injection solutions, and may contain antioxidants,
buffers, bacteriostats and solutes that render the formulation isotonic with the blood of the intended recipient and aqueous and non-aqueous sterile suspensions that can include suspending agents, solubilizers, thickening agents, stabilizers and preservatives. Oral administration, parenteral administration, subcutaneous administration and intravenous administration are preferred methods of administration.
The dosage of the compounds of the present invention varies depending on a patient's age, weight or symptoms, as well as the compound's potency or therapeutic efficacy, the dosing regimen and/or treatment time. Generally, suitable routes of administration may, for example, include oral, eyedrop, rectal, transmucosal, topical or intestinal administration; parenteral delivery, including intramuscular, subcutaneous, intramedullary injections, as well as intrathecal, direct intraventricular, intravenous, intraperitoneal, intranasal or intraocular injections. The compounds of the invention may be administered in an amount of 0.5 mg or 1 mg up to 500 mg, 1 g or 2 g per dosage regimen. The dosage may be administered once per week, once per three days, once per two days, once per day, twice per day, three times per day or more often. In alternative embodiments, in certain adults the compound can be continuously administered by intravenous administration for a period of time designated by a physician. Since the dosage is affected by various conditions, an amount less than or greater than the dosage ranges contemplated about may be implemented in certain cases. A physician can readily determine the appropriate dosage for a patient undergoing therapeutic treatment. The compounds of the present invention may be administered in combination with one or more other drugs (1) to complement and/or enhance effect of the compound of the present invention, (2) to modulate pharmacodynamics, improve absorption or reduce dosage of the compound of the present invention, and/or (3) to reduce or ameliorate the side effects of the compound of the present invention. As used herein, the phrase "conjoint administration" refers to any form of administration of two or more different therapeutic compounds such that the second compound is administered while the previously administered therapeutic compound is still effective in the body (e.g., the two compounds are simultaneously effective in the patient, which may include synergistic effects of the two compounds). For example, the different therapeutic compounds can be administered either in the same formulation or in a separate formulation, either concomitantly or sequentially. In certain embodiments, the different therapeutic compounds can
be administered within one hour, 12 hours, 24 hours, 36 hours, 48 hours, 72 hours or a week of one another. Thus, an individual who receives such treatment can benefit from a combined effect of different therapeutic compounds. The respective compounds may be administered by the same or different route and the same or different method. The dosage of the other drug can be a dosage that has been clinically used, or may be a reduced dosage that is effective when administered in combination with a compound of the present invention. The ratio of the compound of the present invention and the other drug can vary according to age and weight of a subject to be administered, administration method, administration time, disorder to be treated, symptom and combination thereof. For example, the other drug may be used in an amount of 0.01 to 100 parts by mass, based on 1 part by mass of the compound of the present invention.
Conjoint therapy can be employed to treat any diseases discussed herein. For example, in the methods of the invention directed to the treatment of cancer, the compound of the present invention can be used with an existing chemotherapeutic conjointly using a single pharmaceutical composition or a combination of different pharmaceutical compositions. Examples of the chemotherapeutic include an alkylation agent, nitrosourea agent, antimetabolite, anticancer antibiotics, vegetable-origin alkaloid, topoisomerase inhibitor, hormone drug, hormone antagonist, aromatase inhibitor, P-glycoprotein inhibitor, platinum complex derivative, other immunotherapeutic drugs and other anticancer drugs. Further, a compound of the invention can be administered conjointly with a cancer treatment adjunct, such as a leucopenia (neutropenia) treatment drug, thrombocytopenia treatment drug, antiemetic and cancer pain intervention drug, concomitantly or in a mixture form. Chemotherapeutic agents that may be conjointly administered with compounds of the invention include: aminoglutethimide, amsacrine, anastrozole, asparaginase, beg, bicalutamide, bleomycin, bortezomib, buserelin, busulfan, campothecin, capecitabine, carboplatin, carfilzomib, carmustine, chlorambucil, chloroquine, cisplatin, cladribine, clodronate, colchicine, cyclophosphamide, cyproterone, cytarabine, dacarbazine, dactinomycin, daunorubicin, demethoxyviridin, dexamethasone, , dichloroacetate, dienestrol diethylstilbestrol, docetaxel, doxorubicin, epirubicin, estradiol, estramustine, etoposide, everolimus, exemestane, filgrastim, fludarabine, fludrocortisone, fluorouracil, fluoxymesterone, flutamide, gemcitabine, genistein, goserelin, hydroxyurea, idarubicin, ifosfamide, imatinib,
interferon, irinotecan, ironotecan, lenalidomide, letrozole, leucovorin, leuprolide, levamisole, lomustine, lonidamine, mechlorethamine, medroxyprogesterone, megestrol, melphalan, mercaptopurine, mesna, metformin, methotrexate, mitomycin, mitotane, mitoxantrone, nilutamide, nocodazole, octreotide, oxaliplatin, paclitaxel, pamidronate, pentostatin, perifosine, plicamycin, pomalidomide, porfimer, procarbazine, raltitrexed, rituximab, sorafenib, streptozocin, sunitinib, suramin, tamoxifen, temozolomide, temsirolimus, teniposide, testosterone, thalidomide, thioguanine, thiotepa, titanocene dichloride, topotecan, trastuzumab, tretinoin, vinblastine, vincristine, vindesine and vinorelbine.
In certain embodiments, a compound of the invention may be conjointly administered with non-chemical methods of cancer treatment. In a further embodiment, a compound of the invention may be conjointly administered with radiation therapy. In a further embodiment, a compound of the invention may be conjointly administered with surgery, with thermoablation, with focused ultrasound therapy, with cryotherapy, or with any combination of these.
In certain embodiments, different compounds of the invention may be conjointly administered with one or more other compounds of the invention. Moreover, such combinations may be conjointly administered with other therapeutic agents, such as other agents suitable for the treatment of cancer, immunological or neurological diseases, such as the agents identified above. In certain embodiments, conjointly administering one or more additional chemotherapeutic agents with a compound of the invention provides a synergistic effect. In certain embodiments, conjointly administering one or more additional chemotherapeutics agents provides an additive effect.
The compound of the present invention can be used with one or more other immunomodulators and/or potentiating agents conjointly using a single pharmaceutical composition or a combination of different pharmaceutical compositions. Suitable immunomodulators include various cytokines, vaccines, and adjuvants. Examples of cytokines, vaccines, and adjuvants that stimulate immune responses include GM-CSF, M-CSF, G-CSF, interferon-a, β or γ, IL-1, IL-2, IL-3, IL-12, Poly(LC), and CPG.
In certain embodiments, the potentiating agents includes cyclophosphamide and analogs of cyclophosphamide, anti-TGFP and Imatinib (Gleevec), a mitosis inhibitor, such as paclitaxel, Sunitinib (Sutent) or other antiangiogenic agents, an aromatase inhibitor, such as letrozole, an A2a
adenosine receptor (A2AR) antagonist, an angiogenesis inhibitor, anthracyclines, oxaliplatin, doxorubicin, TLR4 antagonists, and IL-18 antagonists.
As used herein, a therapeutic that "prevents" a disorder or condition refers to a compound that, in a statistical sample, reduces the occurrence of the disorder or condition in the treated sample relative to an untreated control sample, or delays the onset or reduces the severity of one or more symptoms of the disorder or condition relative to the untreated control sample.
The term "treating" includes prophylactic and/or therapeutic treatments. The term "prophylactic or therapeutic" treatment is art-recognized and includes administration to the host of one or more of the subject compositions. If it is administered prior to clinical manifestation of the unwanted condition (e.g., disease or other unwanted state of the host animal) then the treatment is prophylactic (i.e., it protects the host against developing the unwanted condition), whereas if it is administered after manifestation of the unwanted condition, the treatment is therapeutic, (i.e., it is intended to diminish, ameliorate, or stabilize the existing unwanted condition or side effects thereof). The term "prodrug" is intended to encompass compounds which, under physiologic conditions, are converted into the therapeutically active agents of the present invention (e.g., a compound of formula (I)). A common method for making a prodrug is to include one or more selected moieties which are hydrolyzed under physiologic conditions to reveal the desired molecule. In other embodiments, the prodrug is converted by an enzymatic activity of the host animal. For example, esters or carbonates (e.g., esters or carbonates of alcohols or carboxylic acids) are preferred prodrugs of the present invention. In certain embodiments, some or all of the compounds of formula (I) in a formulation represented above can be replaced with the corresponding suitable prodrug, e.g., wherein a hydroxyl in the parent compound is presented as an ester or a carbonate or carboxylic acid present in the parent compound is presented as an ester. As used herein, the term "comprise" or "comprising" is generally used in the sense of include, that is to say permitting the presence of one or more additional (unspecified) features or components.
As used herein, the term "including" as well as other forms, such as "include", "includes," and "included," is not limiting.
As used herein, the term "amino acid" means a molecule containing both an amino group and a carboxyl group, and includes its salts, esters, combinations of its various salts, as well as tautomeric forms. In solution, at neutral pH, amino and acid groups of an amino acid can exchange a proton to form a doubly ionized, through overall neutral, entity identified as a zwitterion. In some embodiments, the amino acids are α-, β-, γ- or δ- amino acids, including their stereoisomers and racemates. As used herein, the term "L-amino acid" denotes an a-amino acid having the levorotatory configuration around the a-carbon, that is, a carboxylic acid of general formula CH(COOH)(NH2)-(side chain), having the L-configuration. The term "D-amino acid" similarly denotes a carboxylic acid of general formula -CH(COOH)(NH2)-(side chain), having the dextrorotatory-configuration around the a-carbon. Side chains of L-amino acids can include naturally occurring and non-naturally occurring moieties. Non-naturally occurring (i.e., unnatural) amino acid side chains are moieties that are used in place of naturally occurring amino acid side chains in, for example, amino acid analogs.
An "amino acid residue" as used herein, means a moiety sharing structural similarity to the parent amino acid. An amino acid residue may be covalently bonded to another chemical moiety via the amino group of the residue, or the carboxylate group of the residue (i.e., a hydrogen atom of -NH2 or -OH is replaced by a bond to another chemical moiety).
Amino acids include the twenty standard amino acids used by most biological organisms in protein synthesis. Unnatural amino acid residues may be selected from, but are not limited to, alpha and alpha-disubstituted amino acids, N-alkyl amino acids, and natural amino acids substituted with lower alkyl, aralkyl, hydroxyl, aryl, aryloxy, (heteroaryl)alkyl or acyl.
For example, lysine can be substituted to form an unnatural amino acid, e.g., at a carbon atom of its side chain, or alternatively by mono- or dialkylation of its terminal NH2 group (e.g., wherein the amino group of the lysine sidechain is taken together with its substituents to form a heterocyclic ring such as piperidine or pyrrolidine). In another example, the terminal amino group of the lysine sidechain can form a ring with the amino acid backbone, as in capreomycidine. Further unnatural derivatives of lysine include homolysine and norlysine. The sidechain of lysine can alternatively be substituted by a second amino group. In another example, the alkyl portion of the lysine side chain can be incorporated into a carbocyclic ring structure to form a semirigidanalog, such as, e.g., cyclohexyl or cyclopentyl.
Throughout this specification and claims, the 'L-threonine residue' mentioned in compound of formula (I) or compounds of the present invention and/or preparation thereof can be represented by any one of the following formulae.
L-threonine L-threonine L-threonine L-threonine L-t reon ne In certain embodiments, the unnatural amino acid can be a derivative of a natural amino acid having one or more double bonds.
In other example embodiments, in threonine, the beta-methyl group can be replaced with an ethyl, phenyl or other higher alkyl group. In histidine, the imidazole moiety can be substituted, or alternatively, the alkylene backbone of the side chain can be substituted. Further examples of unnatural amino acids include homoserine, and homologs of natural amino acids.
In further example embodiments, an unnatural amino acid can be alkylated (e.g., methylated) at the alpha position.
Further examples of unnatural amino acids include alpha, beta- and beta, gamma- dehydroamino amino acid analogs.
Further exemplary amino acids include penicillamine and betamethoxyvaline.
Further examples of unnatural amino acids include the amino acids wherein the side chain comprises amino, alkylamino, acylamino, -COO-alkyl, cycloalkyl, heterocyclyl, heteroaryl, guanidino, (cycloalkyl)alkyl, (heterocyclyl)alkyl and (heteroaryl)alkyl. "Modified N-terminal amino group" and "modified C-terminal carboxyl group" mean that the amino group or carboxyl group is altered.
Modification of the N-terminal amino group is preferably with the general formula -NRxRy; wherein Rx is hydrogen or alkyl and Ry is alkyl, alkenyl, -C(=NH)NH2, alkynyl or acyl.
Examples of N-terminal modifications include, but are not limited to, are acetylated, formylated or guanylated N-termini.
Modification of the C-terminal carboxyl group is preferably with the general formula - COR' (R'replaces the hydroxyl group of the last amino acid); wherein R'isalkoxy, amino or an imide. For example, the C-terminus may be esterified or amidated.
This invention includes pharmaceutically acceptable salts of compounds of the invention and their use in the compositions and methods of the present invention. In certain embodiments, contemplated salts of the invention include, but are not limited to, alkyl, dialkyl, trialkyl or tetra- alkyl ammonium salts. In certain embodiments, contemplated salts of the invention include, but are not limited to, L-arginine, benenthamine, benzathine, betaine, calcium hydroxide, choline, deanol, diethanolamine, diethylamine, 2-(diethylamino)ethanol, ethanolamine, ethylenediamine, N-methylglucamine, hydrabamine, lH-imidazole, lithium, L-lysine, magnesium, 4-(2- hydroxyethyl)morpholine, piperazine, potassium, l-(2-hydroxyethyl)pyrrolidine, sodium, triethanolamine, tromethamine, and zinc salts. In certain embodiments, contemplated salts of the invention include, but are not limited to, Na, Ca, K, Mg, Zn or other metal salts.
The pharmaceutically acceptable acid addition salts can also exist as various solvates, such as with water, methanol, ethanol, dimethylformamide, and the like. Mixtures of such solvates can also be prepared. The source of such solvate can be from the solvent of crystallization, inherent in the solvent of preparation or crystallization or adventitious to such solvent. The term "stereoisomers" refers to any enantiomers, diastereoisomers or geometrical isomers, such as of the compounds of the invention. When compounds of the invention are chiral, they can exist in racemic or in optically active form. Since the pharmaceutical activity of the racemates or stereoisomers of the compounds according to the invention may differ, it may be desirable to use compounds that are enriched in one of the enantiomers. In these cases, the end product or even the intermediates can be separated into enantiomeric compounds by chemical or physical measures known to the person skilled in the art or even employed as such in the synthesis. In the case of racemic amines, diastereomers are formed from the mixture by reaction with an optically active resolving agent. Examples of suitable resolving agents are optically active acids such as the R and S forms of tartaric acid, diacetyltartaric acid, dibenzoyltartaric acid, mandelic acid, malic acid, lactic acid, suitable N-protected amino acids (for example N-benzoylproline or
N-benzenesulfonylproline), or the various optically active camphorsulfonic acids. Also advantageous is chromatographic enantiomer resolution with the aid of an optically active resolving agent (for example dinitrobenzoylphenylglycine, cellulose triacetate or other derivatives of carbohydrates or chirallyderivatised methacrylate polymers immobilised on silica gel).
In certain embodiments, compounds of the invention may be racemic. In certain embodiments, compounds of the invention may be enriched in one enantiomer. For example, a compound of the invention may have greater than 30% ee, 40% ee, 50% ee, 60% ee, 70% ee, 80% ee, 90% ee or even 95% or greater ee. In certain embodiments, compounds of the invention may have more than one stereocenter. In certain such embodiments, compounds of the invention may be enriched in one or more diastereomer. For example, a compound of the invention may have greater than 30% de, 40% de, 50% de, 60% de, 70% de, 80% de, 90% de or even 95% or greater de.
The term "subject" includes mammals (especially humans) and other animals, such as domestic animals (e.g., household pets including cats and dogs) and non-domestic animals (such as wildlife).
Naturally-occurring amino acids are identified throughout the description and claims by the conventional three-letter abbreviations indicated in the below table.
Table -I: List of Amino acid codes
The abbreviations used in the entire specification may be summarized herein below with their particular meaning.
°C (degree Celsius); % (percentage); brine (NaCl solution); CH2CI2/DCM (Dichloromethane); Boc (Tert-butyloxycarbonyl);; HATU (N-[(Dimethylamino)-lH-l ,2,3-triazolo-[4,5-b]pyridin-l- ylmethylene]-N methylmethanaminium hexafluorophosphate N-oxide); DIPEA (N,N- Diisopropylethylamine); DMF (Dimethyl formamide); EtOH (Ethanol); MeOH (Methanol); EDC.HC1 (l-(3-Dimethylaminopropyl)-3-ethylcarbodiimide hydrochloride), Fmoc (9- Fluorenylmethyloxycarbonyl); g or gr (gram); HOBt (1 -Hydroxy benzotriazole); h or hr (Hours); HPLC (High-performance liquid chromatography); K2CO3 (Potassium carbonate); LCMS (Liquid chromatography mass spectroscopy); Liq.NH3 (Liquid ammonia); mmol (Millimoles); M (Molar); μΐ (Microlitre); mL (Millilitre); mg (Milligram); MS (ES) (Mass spectroscopy-electro spray); min (Minutes); Na (Sodium); NaHC03 (Sodium bicarbonate); NH2NH2.H20 (Hydrazine hydrate); Na2S04 (Sodium sulphate);Na(CN)BH3(Sodium cyano borohydride), PD l/PD-1 (Programmed cell death 1); PD-L1 (Programmed death- ligand 1); PD-L2 (Programmed cell death 1 ligand 2); prep-HPLC/preparative HPLC (Preparative High-performance liquid chromatography); S02Cl2(Thionyl chloride), TEA/Et3N (Triethylamine); Tf20(Trifluoromethane sulphonic anhydride), TLC (Thin Layer Chromatography); THF (Tetrahydrofuran); TIPS (Triisopropylsilane); TFA (Trifluoroacetic acid); tR (Retention time); Trt (Trityl or Triphenylmethyl), Mel (Methyl Iodide), RT(Room temperature), Ca. (approximately), etc.
EXPERIMENTAL General Information on Analytical Methods:
LCMS Conditions:
Method A:
LC-MSD (Agilent 1100 series with Single Quad, Dual Mode mass spectrometer/ API 2000, Triple Quad, ESV APCI SHIMADZU LCMS-2020 WITH SINGLE QUAD)
Column :Mercury MS Synergi 2μ, 20X4.0mm; Gradient: A- 0.1 % formic acid in water/B-MeCN;
0-0.5min 70A-30B; 1.5-2.4min 5A-95B; 2.5-3.0min 70A-30B; Flow 2.0mL/min; Column temperature 30°C.
Method B:
LC-MSD (Agilent 1100 series with Single Quad, Dual Mode mass spectrometer/ API 2000, Triple Quad, ESI / APCI SHIMADZU LCMS-2020 WITH SINGLE QUAD)
Column :Mercury MS Synergi 2μ, 20X4.0mm; Gradient: A- 0.1% formic acid in water/B-MeCN; 0-0.5min 30A-70B; 1.5-2.4min 100B-0A; 2.5-3.0min 30A-70B; Flow 2.0mL/min; Column temperature 30°C.
Example-1: (S)-N-(3-amino-l-(3-(2,5-difluorophenyl)-l,2,4-oxadiazol-5-yl)-3-oxopropyl)- cyclopropane-l,l-dicarboxamide (Compound 1)
Step 1: Preparation of compound lb
To a stirred solution of compound la (2.5 g, 17.98 mmol) in Ethanol (10.0 mL) was added sodium carbonate (5.7 g, 40.9 mmol) followed by hydroxylamine hydrochloride (1.88 g, 26.97 mmol) in water (3.0 mL) and the resultant solution was stirred at 70 °C for 6 h, before cooling down to ambient temperature. The reaction mixture was diluted with water (50.0 mL) and the solid product generated was collected under vacuum filtration, washed with cold water and was dried under reduced pressure to furnish the compound lb (Yield: 1.2 g). LCMS: 173.0 (M+H)+.
Step 2: Preparation of compound Id
To a stirred solution of the compound lc (3.0 g, 5.03 mmol) in DMF (15.0 mL) under argon at ambient temperature was added HOBT (1.01 g, 7.55 mmol), followed by DIC (0.95 g, 7.55 mmol) and the reaction mixture was stirred at ambient temperature for 15 min. To this mixture was added intermediate lb (0.87 g, 5.03 mmol) and the resultant mixture was stirred at room
temperature for 4 h, before pouring the reaction contents in to ice-cold water. The precipitate thus generated was collected by filtration, and was re-dissolved in EtOAc, dried over Na2S04 and the solvents were removed under reduced pressure to furnish the desired product Id (Yield: 2.80 g). LCMS: 773.1 (M+H)+.
Step 3: Preparation of compound le
1d 1e
To a stirred solution of compound Id (1.5 g, 2.0 mmol) in MeCN (15.0 mL) under inert atmosphere was added acetic acid (1.5 mL) the resultant mixture was stirred at 80 °C for 16 h, when TLC-analysis has indicate the completion of the reaction. The reaction mixture was then cooled down to room temperature, and was poured on to crushed ice and the resultant precipitate was collected by vacuum filtration, washed with water and was dried under vacuum. The crude product was further purified by MPLC (CombiFlash, Gradient: 3:2 Hex-EtOAc) to furnish the oxadiazolele (Yield: 0.60 g). LCMS: 755.1 (M+Na)+.
Step 4: Preparation of compound If
To a stirred solution of compound le (1.00 g, 1.37 mmol) in dry DMF (5.0 mL) under inert atmosphere was added piperidine (2.0 mL) and the resultant mixture was stirred at room temperature for 1 h, when TLC-analysis has indicated the completion of the reaction. The reaction mixture was poured on to crushed ice, the precipitate generated was collected by vacuum filtration, washed with water and dried in vacuuo. The crude product was then repeatedly agitated with pentane and the solvent was removed by filtration (3 x 20 mL) to furnish the desired compound If (Yield: 0.60 g). LCMS: 511.3 (M+H)+, 533.2 (M+Na)+.
To a stirred solution of compound If (0.17 g, 0.33 mmol), compound lg (65 mg, 0.50 mmol) and HATU (0.19 g, 0.50 mmol) in dry DMF (3.0 mL) under inert atmosphere was added DIPEA (0.13 g, 1.00 mmol) and the resultant mixture was stirred at ambient conditions for 16 h, when TLC-analysis has indicated the completion of the reaction. The reaction mixture was partitioned between water (50 mL) and EtOAc (25 mL), and the aqueous layer was evaporated with EtOAc (25 mL x 3). Combined organic phases were washed once with cold water, dried over Na2S04 and the solvent was removed under reduced pressure to furnish the desired compound lh (Yield: 0.25 g). LCMS: 622.0 (M+H)+.
Step 6: Preparation of compound 1
TFA (5.0 mL) was added to the compound lh (0.15 g) followed by triisopropylsilane (0.25 mL) and the resultant mixture was stirred at ambient temperature for 2 h. The solvents were removed under reduced pressure, and the crude product thus obtained was agitated with diethyl ether (20.0 mL), before collecting the solid product by vacuum filtration. The solid was repeatedly washed with diethyl ether (2 x 10 mL) and was dried under reduced pressure to obtain the crude amide, which was further purified by preparative HPLC (Column: X-Bridge C-18, 250 x 21.0 mm, Phase A: 0.1 % TFA in water, Phase B: MeCN, Gradient Elusion) to furnish the compound 1 (46.0 mg). 1H-NMR (DMSO-De, 300 MHz): £=1.28-1.38 (m, 4H), 2.87-2.96 (m, 2H), 5.48-5.56 (m, 1H), 7.08 (s, 1H), 7.18-7.28 (m, 2H), 7.52-7.62 (m, 3H), 7.70-7.77 (m, 1H), 9.75 (d, 1H); LCMS: 380.2 (M+H)+.
The compounds mentioned in the below table were prepared by procedure similar to the one described in Example- 1 with appropriate variations in reactants, quantities of reagents,
solvents and reaction conditions. The characterization data of the compounds are summarized herein below table.
Example-2: (S)-3-(cyclopropanesulfonamido)-3-(3-(2,5-difluorophenyl)-l,2,4-oxadiazol-5- yl)propanamide (Compound 12)
To a stirred solution of compound If (0.20 g) (prepared in step-4 of Example- 1) in DCM (10.0 mL) was added pyridine (94.0 mg) followed by cyclopropane compound 2g (0.18 g) and the resultant mixture was stirred at ambient conditions for 15 h. When TLC-analysis has indicated the completion of the reaction, the reaction mixture was concentrated under reduced pressure to furnish the crude sulphonamide, which was further purified by MPLC (CombiFlash®, Gradient Elusion, 20-50% EtOAc in hexanes) to obtain the desired compound 2h (0.15 g). LCMS: 615.1 (M+H)+.
Step 2: Preparation of Compound 12
The compound 12 was prepared from compound 2h according to the procedure described in step 6 of Example - 1 with appropriate variations in reactants, quantities of reagents, solvents and reaction conditions.
1H-NMR (DMSO-De, 400 MHz): δ= 0.86-0.95 (m, 4H), 2.57-2.67 (m, 1H), 2.82-3.34 (m, 2H), 5.15-5.21 (q, 1H), 7.09 (s, 1H), 7.54-7.60 (m, 3H), 7.74-7.77 (m, 1H), 8.30 (d, 1H); LCMS: 373.1 (M+H)+
The compounds mentioned in the below table were prepared by procedure similar to the one described in Example-2 with appropriate variations in reactants, quantities of reagents, solvents and reaction conditions. The characterization data of the compounds are summarized herein below table.
(q,
(t, 7.61
(q,
Example-3: (S)-3-(3-(3-fluorophenyl)-l,2,4-oxadiazol-5-yl)-3-(3-(2-methoxy- ethyl)thioureido)propanamide (Compound 24)
Step 1: Preparation of compound 3h
2f 3g 3h
To a stirred solution of compound 2f (0.15 g) (prepared as per the procedure described in step-4 of Example 1 ) in EtOH (10.0 mL) under inert atmosphere was added compound 3g (44 mg) and the resultant mixture was refluxed for 16 h. When TLC-analysis has indicated the completion of the reaction, the solvent was removed under reduced pressure, the crude product was repeatedly washed with pentane (2 x 10 mL) and diethyl ether (2 x 10 mL) and was dried under reduced pressure to furnish the compound 3h (70.0 mg). LCMS: 610.0 (M+H)+.
Step 2: Preparation of Compound 24
The compound 24 was prepared from compound 3h according to the procedure described in step 6 of Example - 1 with appropriate variations in reactants, quantities of reagents, solvents and reaction conditions (20 mg). LCMS: 368.1 (M+H)+.
The compounds mentioned in the below table were prepared by procedure similar to the one described in Example-3 with appropriate variations in reactants, quantities of reagents, solvents and reaction conditions. The characterization data of the compounds are summarized herein below table.
(d, 1H), 7.85 (d, 1H), 12.10-12.50 (bs, 2H); LCMS: 411.2 (M+H)+
Ή-NMR (DMSO-De, 300 MHz): «5 = 1.04 (d, 4H), 2.01-2.17(m, 5H), 3.99-4.15 (m, 3H), 5.05
38 (m, 1H), 6.22 (d, 1H), 7.26 (d, 1H), 7.80-7.86 (m,
LCMS: 461.3 (M+H)+
Ή-NMR (DMSO-De, 300 MHz): «5 = 1.19 (d,
3H), 1.33-1.37 (m, 1H), 2.29-2.21 (m, 1H), 2.27-
39 2.38 (m, 1H), 2.50-2.55 (m, 2H), 4.23 (s, 1H),
1H), 7.88-7.98 (m, 2H); LCMS: 429.3 (M+H)+
Example-4: (N-((S)-3-carboxy-l-(3-(pyrazin-2-yl)-l,2,4-oxadiazol-5-yl)propyl)sulfamoyl)-L- allothreonine (Compound 40)
Step 1: Preparation of Compound 4a
A solution of 4-nitrophenol (1.3 g , 9.99 mmol) and pyridine (0.8 mL, 9.99 mmol) in Et20
(20 mL) was added dropwise to a solution of S02C12 (0.8 mL, 9.99 mmol)in Et20 (20 mL) at -
78°C under argon. The reaction mixture allowed to warm to room temperature, stirred for 4 h. The completeness of the reaction was confirmed by TLC analysis. The reaction mixture was evaporated under reduced pressure to get crude compound. The crude compound was purified by silica gel
column chromatography (Eluent: 0-3% ethyl acetate in hexane) to afford 1.2 g of compound 4a. H1NMR (400 MHz: CDCb): 8.39-8.36 (m 2H), 7.61- 7.57 (m 2H).
Step 2: Preparation of Com ound 4c
-78 °C to RT, 2 h 4c
4b
A solution of compound 4b (0.6 g, 2.59 mmol), molecular sieves (l.Og) and Et3N (1.1 mL, 7.77 mmol) in dry CH2CI2 (25.0 mL), was added dropwise to a solution of compound 4a (1.2 g , 5.18 mmol) in dry CH2CI2 (5.0 mL) at -78°C under argon. After being stirred for 30 minutes, the reaction mixture was allowed to warm to room temperature for 2 h. The completeness of the reaction was confirmed by TLC analysis. The reaction mixture was evaporated under reduced pressure to get crude compound. The crude compound was purified by silica gel column chromatography (Eluent: 0-7% ethyl acetate in hexane) to afford 0.7 g of compound 4c.
H1NMR (300 MHz: CDCb): 8.30-8.27 (m 2H), 7.52- 7.49(m 2H), 5.70-5.67 (1H d, J 9.6), 4.17- 3.90 (1H, m), 1.49 (9H, s), 1.28-1.23 (3H, m), 1.15 (9H, s).
Step 3: Pre aration of Compound 4e
To a stirred solution of compound 4d (0.3 g, 1.0 mmol) and Et3N (0.4 mL, 2.95 mmol) in dry THF (3.0 mL) and was added a solution of compound 4c (0.64 g, 1.47 mmol) in THF (3.0 mL), then the reaction mixture stirred at 70 °C for 16 h. The completeness of the reaction was confirmed by TLC analysis. The reaction mixture was evaporated under reduced pressure, diluted with ethyl acetate (25 mL) and was washed with water (20 mL) followed by sat. K2C03 solution (20 mL) and brine (20 mL). After drying the organics over Na2S04, solvents were removed under reduced pressure to furnish 0.35 g of compound 4e, which was taken for further steps without any purification. LCMS: 543.1 (M+H-¾u)+.
Step 4: Preparation of Compound 40
The compound 40 was prepared from compound 4e according to the procedure described in step 6 of Example - 1 with appropriate variations in reactants, quantities of reagents, solvents and reaction conditions.
1H-NMR (DMSO-De, 300 MHz): δ = 1.05-1.13 (m, 3H), 2.05-2.12 (m, 3H), 2.32-2.42 (m, 2H), 3.61-3.65 (m, 1H), 3.96 (m, 1H), 4.88 (q, 2H), 7.06 (d, 1H), 8.14 (m, 1H), 8.87 (m, 2H), 9.25 (s, 1H), 12.4 (bs, 1H); LCMS (M+H)+: 430.9.
The compounds mentioned in the below table were prepared by procedure similar to the one described in Example-4 with appropriate variations in reactants, quantities of reagents, solvents and reaction conditions. The characterization data of the compounds are summarized herein below table.
Example-5: (S)-3-((3,4-dimethoxybenzyl)amino)-3-(3-(pyrazin-2-yl)-l,2,4-oxadiazol-5- yl)propanamide (Compound
Step 1: Preparation of Compound 5h
To a stirred solution of compound 5f (70.0 mg) (prepared as per the procedure described in step-4 of Example 1) and Compound 6g (30.0 mg) in dry DCM (5.0 mL) under inert atmosphere, was added sodium cyanoborohydride(35.0 mg) and the resultant mixture was stirred at ambient temperature for 16 h. The reaction mixture was diluted with sat. NaHC03 soln. (ca. 25 mL) and was repeatedly extracted with DCM (3 x 25 mL). The combined organic phases was washed with brine and water; dried over Na2S04 and the solvent was removed under reduced pressure to furnish
the crude product, which was triturated with pentane to furnish the Compound 5h (70.0 mg).
LCMS: 627.1 (M+H)+.
Step 2: Preparationof Compound 54
The Compound 54 was prepared from Compound 5h according to the procedure described in step 6 of Example - 1 with appropriate variations in reactants, quantities of reagents, solvents and reaction conditions. ¾-NMR (DMSO-D6, 300 MHz): δ= 3.12 (d, 3H), 3.75 (m, 7H), 4.21 (s, IH), 5.10 (bs, IH), 6.92-7.01 (m, 2H), 7.11 (s, IH), 7.26 (s, IH), 7.77 (s, IH), 8.91 (m, 2H), 9.30 (s, IH); LCMS: 385.2(M+H)+
The compounds mentioned in the below table were prepared by procedure similar to the one described in Example-5 with appropriate variations in reactants, quantities of reagents, solvents and reaction conditions. The characterization data of the compounds are summarized herein below table.
Example 6: methyl (S)-2-((3-amino-3-oxo-l-(3-(pyrazin-2-yl)-l,2,4-oxadiazol-5- yl)propyl)amino)-4-methoxyth nd 56)
To a stirred solution of compound 5f (0.20 g) (prepared as per the procedure described in step-4 of Example 1) in MeCN (5.0 mL) under inert atmosphere was added compound 6g (0.12 g) followed by K2CO3 (0.12 g) and the resultant mixture was heated at 80 °C for 16 h, when TLC- analysis has indicated the completion of the reaction. The reaction mixture was diluted with water (ca. 50 mL) and was repeatedly extracted with EtOAc (2 x 20 mL). The combined organic phases was washed with brine and water; dried over Na2S04 and the solvent was removed under reduced pressure to furnish the crude product, which was purified by MPLC (CombiFlash, Gradient Elusion, 20-50% EtOAc in hexanes) to furnish the compound 6h (100.0 mg). LCMS: 632.1 (M+H)+.
Step 2: Preparationof compound 56
The compound 56 was prepared from compound 6h according to the procedure described in step 6 of Example - 1 with appropriate variations in reactants, quantities of reagents, solvents and reaction conditions. Ή-ΝΜΙί (DMSO-D6, 300 MHz): δ = 2.60 (s, 3H), 3.36 (d, 2H), 3.56- 3.62 (m, 2H), 3.82 (s, 3H), 7.32 (s, 1H), 7.82 (s, 1H), 8.88 (m, 2H), 9.27 (s, 1H); LCMS: 390.1 (M+H)+
Example-7: (S)-3-((2-methoxypyridin-4-yl)amino)-3-(3-((S)-piperidin-2-yl)-l,2,4-oxadiazol- 5-yl)propanamide (Compound 57)
To a stirred solution of compound 6f (0.1 g, 0.17 mmol) (prepared as per the procedure described in step-4 of Example 1) in DCM (10.0 mL) was added 4 A molecular sieves (1.0 g), Copper (Il)acetate (0.07 g, 0.34 mmol), followed by compound 7g (0.03 g, 0.189 mmol) and triethylamine (0.05 mL, 0.54 mmol) the resultant solution was stirred in presence of air at RT for 16 h. The completion of the reaction was confirmed by TLC analysis. Then the reaction mixture was diluted with DCM (20 mL) and filtered through Celite®; dried over Na2S04 and the solvents were removed under reduced pressure to furnish the desired compound 7h (0.1 g), which was taken-up for further steps without purification. LCMS: 689.1 (M+H)+
Step 20: Preparation of compound 57
The compound 57 was prepared from compound 7h according to the procedure described in step 6 of Example - 1 with appropriate variations in reactants, quantities of reagents, solvents and reaction conditions. Ή-ΝΜΙί (400 MHz, CDsOD): δ 9.30 (s,lH), 8.98-8.89 (m, 2H), 7.72 (s,lH), 7.26 (s, 1H), 7.11 (s, 1H), 7.0-6.92 (m, 2H), 5.11 (s, 1H), 4.21 (s, 1H), 3.77-3.72 (d, 6H), 3.13-3.11 (m 2H); LCMS: 347.2 (M+H)+
Although the present application has been illustrated by certain of the preceding examples, it is not to be construed as being limited thereby; but rather, the present application encompasses the generic area as hereinbefore disclosed. Various modifications and embodiments can be made without departing from the spirit and scope thereof. For example, the following compounds which can be prepared by following similar procedure as described above with suitable modification known to the one ordinary skilled in the art are also included in the scope of the present application:
Compound 61 Compound 62
Example 8
Rescue of mouse splenocyte proliferation in the presence of recombinant PD-L1/PD-L2
Recombinant mouse PD-L1 (rm-PDL-1, cat no: 1019-B7-100; R&D Systems) were used as the source of PD-L1. Requirement:
Mouse splenocytes harvested from 6-8 weeks old C57 BL6 mice; RPMI 1640 (GIBCO, Cat # 11875); DMEM with high glucose (GIBCO, Cat # D6429); Fetal Bovine Serum [Hyclone, Cat # SH30071.03]; Penicillin (10000unit/mL)-Streptomycin(10,000μg/mL) Liquid (GIBCO, Cat # 15140-122); MEM Sodium Pyruvate solution lOOmM (lOOx), Liquid (GIBCO, Cat # 11360); Nonessential amino acid (GIBCO, Cat # 11140); L-Glutamine (GIBCO, Cat # 25030); Anti-CD3 antibody (eBiosciences - 16-0032); Anti-CD28 antibody (eBiosciences - 16-0281); ACK lysis buffer (lmL) (GIBCO, Cat # -A10492); Histopaque (density- 1.083 gm/mL) (SIGMA 10831); Trypan blue solution (SIGMA-T8154); 2 mL Norm JectLuer Lock syringe- (Sigma 2014-12); 40μπι nylon cell strainer (BD FALCON 35230); Hemacytometer (Bright line-SIGMA Z359629); FACS Buffer (PBS/0.1 % BSA): Phosphate Buffered Saline (PBS) pH 7.2 (HiMedia TS 1006) with 0.1% Bovine Serum Albumin (BSA) (SIGMA A7050) and sodium azide (SIGMA 08591); 5 mM stock solution of CFSE: CFSE stock solution was prepared by diluting lyophilized CFSE with 180 μΐ, of Dimethyl sulfoxide (DMSO-D6 C2H6SO, SIGMA-D-5879) and aliquoted in to tubes for further use. Working concentrations were titrated from 10 μΜ to 1 μΜ. (eBioscience-650850-85); 0.05% Trypsin and 0.02% EDTA (SIGMA 59417C); 96-well format ELISA plates (Corning CLS3390); BD FACS caliber (E6016); Recombinant mouse B7-H1/PDL1 Fc Chimera, (rm-PD- Ll cat no: 1019-B7-100).
Splenocyte preparation and culturing:
Splenocytes harvested in a 50 mL falcon tube by mashing mouse spleen in a 40 μπι cell strainer and were further treated with 1 mL ACK lysis buffer for 5 min at room temperature. After
washing with 9 mL of RPMI complete media, cells were re-suspended in 3 mL of lxPBS in a 15 mL tube. 3 mL of Histopaque was added carefully to the bottom of the tube without disturbing overlaying splenocyte suspension. After centrifuging at 800xg for 20 min at room temperature, the opaque layer of splenocytes was collected carefully without disturbing / mixing the layers. Splenocytes were washed twice with cold lxPBS followed by total cell counting using Trypan Blue exclusion method and used further for cell based assays.
Splenocytes were cultured in RPMI complete media (RPMI + 10% fetal bovine serum + ImM sodium pyruvate + 10,000units/mL penicillin and 10,000μg/mL streptomycin) and maintained in a C02 incubator with 5% CO2 at 37 °C.
CFSE Proliferation assay:
CFSE is a dye that passively diffuses into cells and binds to intracellular proteins. lxlO6 cells/mL of harvested splenocytes were treated with 5 μΜ of CFSE in pre-warmed lxPBS/0.1 % BSA solution for 10 min at 37 °C. Excess CFSE was quenched using 5 volumes of ice-cold culture media to the cells and incubated on ice for 5 min. CFSE labelled splenocytes were further given three washes with ice cold complete RPMI media. CFSE labelled lx 105 splenocytes added to wells containing either MDA-MB231 cells (lxlO5 cells cultured in high glucose DMEM medium) or recombinant human PDL-1 (100 ng/mL) and test compounds. Splenocytes were stimulated with anti-mouse CD3 and anti- mouse CD28 antibody (^g/mL each), and the culture was further incubated for 72 h at 37 °C with 5% CO2. Cells were harvested and washed thrice with ice cold FACS buffer and % proliferation was analysed by flow cytometry with 488 nm excitation and 521 nm emission filters.
Data compilation, processing and inference:
Percent splenocyte proliferation was analysed using cell quest FACS program and percent rescue of splenocyte proliferation by compound was estimated after deduction of % background proliferation value and normalising to % stimulated splenocyte proliferation (positive control) as 100%.
Stimulated splenocytes: Splenocytes + anti-CD3/CD28 stimulation
Background proliferation: Splenocytes + anti-CD3/CD28 + PD-L1
Compound proliferation: Splenocytes + anti-CD3/CD28 + PD-L1 + Compound
Compound effect is examined by adding required cone, of compound to anti-CD3/CD28 stimulated splenocytes in presence of ligand (PDL-1).
Table II: Percent rescue of splenocyte proliferation at 100 nM concentration of compounds
Incorporation by Reference
All publications and patents mentioned herein are hereby incorporated by reference in their entirety as if each individual publication or patent was specifically and individually indicated to be incorporated by reference. In case of conflict, the present application, including any definitions herein, will control.
Equivalents
While specific embodiments of the subject invention have been discussed, the above specification is illustrative and not restrictive. Many variations of the invention will become apparent to those skilled in the art upon review of this specification and the claims below. The full
scope of the invention should be determined by reference to the claims, along with their full scope of equivalents, and the specification, along with such variations.
Claims
We Claim:
1. A compound of formula (I):
or a pharmaceutically acceptable salt or a stereoisomer thereof;
wherein,
X is O or S;
each dotted line— represents an optional bond;
Ri is -CO-Aaa, -C(=W)Ra, -S02Ra, -S02-Aaa, heterocycloalkyl, (heterocycloalkyl)alkyl-, cycloalkyl, (cycloalkyl)alkyl-, heteroaryl, (heteroaryl)alkyl-, aryl or arylalkyl-; wherein the heterocycloalkyl, (heterocycloalkyl)alkyl, cycloalkyl, (cycloalkyl) alkyl, heteroaryl, (heteroaryl)alkyl, aryl and arylalkyl- are optionally substituted with 1 to 4 substituents each independently selected from alkyl, alkoxy, amino, amido, carboxylic acid, carboxylate, thiocarboxylate, thioacid, -SH, -S(alkyl), aryl, heteroaryl, heterocycloalkyl, cycloalkyl and hydroxyl;
R2 is a side chain of an amino acid or is alkyl, alkenyl, alkynyl, cycloalkyl, (cycloalkyl)alkyl-, (heteroaryl)alkyl-, heteroaryl, arylalkyl-, aryl, heterocycloalkyl or (heterocycloalkyl)alkyl-; wherein alkyl, alkenyl, alkynyl, cycloalkyl, (cycloalkyl)alkyl-, (heteroaryl)alkyl-, heteroaryl, arylalkyl-, aryl, heterocycloalkyl or (heterocycloalkyl)alkyl- are optionally substituted with 1 to 4 substituents selected from carboxylic acid, carboxylate, thiocarboxylate, thioacid, amido, amino, hydroxyl, cycloalkyl, aryl, - CONR9R10, aryl-COOH, heterocycloalkyl, heteroaryl, guanidino, amidino, -SH and - S(alkyl); optionally wherein two or three carbon atoms of the alkyl, alkenyl or alkynyl form part of a 3- to 7-membered carbocyclic or heterocyclic ring which is optionally substituted with 1 to 4 substituents, each independently selected from alkyl, alkoxy, carboxylic acid, carboxylate and hydroxyl;
R3 is aryl, arylalkyl-, heterocycloalkyl, (heterocycloalkyl)alkyl-, cycloalkyl, heteroaryl, (heteroaryl)alkyl- or -alkyl-(COOH); or a group represented by the formula, - CH(ORb)(CH2ORb), -C(R7R8)(NR9Rio) or -N(Rn)2; wherein aryl, arylalkyl-, heterocycloalkyl, (heterocycloalkyl)alkyl-, cycloalkyl, heteroaryl and (heteroaryl)alkyl- are optionally substituted with 1 to 4 occurrences of Re;
R4 and R5 independently are hydrogen or absent;
R6 is hydrogen or alkyl; or R6 and Rc taken together with the atoms to which they are attached form a 5- to 7-membered ring optionally substituted with one or more groups independently selected from hydroxyl, halo, amino, cyano and alkyl;
R7 represents heteroalkyl, alkoxy, aryl, heterocycloalkyl or heteroaryl; each optionally substituted with halo, cyano or haloalkyl;
Rg and Rn each independently represent hydrogen, alkyl, heteroalkyl, alkoxy, aryl, heterocycloalkyl or heteroaryl; each optionally substituted with hydroxy, halo, amino, cyano and alkyl; or
R7 and Rg taken together with the atoms to which they are attached form a 5- to 7- membered cycloalkyl ring which is optionally substituted with one or more substituents each independently selected from hydroxy, halo, amino, cyano and alkyl;
R9 and Rio independently is hydrogen, alkyl or acyl; or R9 and Rio taken together with the atoms to which they are attached form a 5- to 7-membered carbocyclic ring or heterocyclic ring which is optionally substituted with one or more substituents each independently selected from hydroxy, halo, amino, cyano and alkyl;
W represents O or S ;
Aaa represents an amino acid residue;
Ra is -NRcRd, aminoalkyl-, aminoaryl-, alkyl, aryl, cycloalkyl, heterocycloalkyl or heteroaryl; wherein the alkyl, aryl, cycloalkyl, heterocycloalkyl and heteroaryl are optionally substituted with 1 to 4 substituents, each independently selected from alkyl, amido, amino, carboxylic acid, hydroxyl, halo, cyano, acyl, haloalkyl and alkoxy;
Rb and Rc each independently for each occurrence represents hydrogen or alkyl;
Rd is hydrogen, alkyl, acyl, alkoxyalkyl, aryl or arylalkyl; wherein aryl and aralkyl are optionally substituted with one or more hydroxyl, cyano, alkyl or alkoxy;
Re, at each occurrence, is alkyl, alkoxy, halo, hydroxyl, -C(0)OH, aralkyl-, aryl, (heteroaryl)alkyl-, heteroaryl, cycloalkyl, (cycloalkyl)alkyl-, hydroxyalkyl, alkoxyalkyl- or acyl; wherein the alkyl, aralkyl, aryl, (heteroaryl)alkyl-, heteroaryl, cycloalkyl, (cycloalkyl)alkyl- are optionally substituted with 1 to 4 substituents, each independently selected from alkyl, amido, carboxylic acid, hydroxyl, halo, cyano, acyl, haloalkyl and alkoxy; or two Re groups attached to same carbon atom together represent an oxo (=0) or thioxo (=S); wherein either:
A) Ri represents C(=W)Ra, -S02Ra, heterocycloalkyl, (heterocycloalkyl)alkyl-, heteroaryl, (heteroaryl)alkyl-, cycloalkyl, (cycloalkyl)alkyl-,aryl or arylalkyl-; wherein Ra is -NRcRd or is alkyl, aryl, cycloalkyl, heterocycloalkyl or heteroaryl substituted by halo, cyano or haloalkyl; or
B) R3 represents arylalkyl-, (heterocycloalkyl)alkyl-, (heteroaryl)alkyl-, -alkyl-(COOH) or a group represented by the general formula -CH(ORb)(CH2ORb),-C(R7R8)(NR9Rio) or N(Rii)2; wherein the arylalkyl-, (heterocycloalkyl)alkyl- and (heteroaryl)alkyl-, are optionally substituted with 1 to 4 occurrences of Re.
2. The compound of claim 1 , wherein the compound is of formula (IA):
or a pharmaceutically acceptable salt or a stereoisomer thereof; wherein,
R2 is alkyl, alkenyl, alkynyl, cycloalkyl, (cycloalkyl)alkyl-, (heteroaryl)alkyl-, heteroaryl, arylalkyl-, aryl, heterocycloalkyl or (heterocycloalkyl)alkyl-; wherein the alkyl, alkenyl, alkynyl, cycloalkyl, (cycloalkyl)alkyl-, (heteroaryl)alkyl-, heteroaryl, arylalkyl-,
aryl, heterocycloalkyl or (heterocycloalkyl) alkyl- are optionally substituted with 1 to 4 substituents each selected from carboxylic acid, carboxylate, thiocarboxylate, thioacid, amido, amino, hydroxyl, cycloalkyl, aryl, aryl-COOH, heterocycloalkyl, heteroaryl, guanidino, amidino, -SH or -S(alkyl); optionally wherein two or three carbon atoms of the alkyl, alkenyl or alkynyl form part of a 3- to 7-membered carbocyclic or heterocyclic ring optionally substituted with 1 to 4 substituents, each independently selected from alkyl, alkoxy, carboxylic acid, carboxylate or hydroxyl; and
Ri, R3 and R6 are as defined in claim 1.
3. The compound of claim 1 or 2, wherein
Ri is -C(=W)Ra, -S02Ra, -S02-Aaa, (heteroaryl)alkyl, (heterocycloalkyl)alkyl-, or arylalkyl-; and
Ra is -NRcRd or is alkyl, aryl, cycloalkyl, heterocycloalkyl or heteroaryl, wherein the said alkyl, aryl, cycloalkyl, heterocycloalkyl and heteroaryl are substituted by halo, cyano, or haloalkyl.
4. The compound of claim 1 or 2, wherein R1 is heteroaryl, heteroarylalkyl, or heterocycloalkyl.
5. The compound of any one of claims 1-3, wherein the compound is of formula (IB):
(IB) or a pharmaceutically acceptable salt or a stereoisomer thereof; wherein
R3 represents aryl, heterocycloalkyl, heteroaryl or cycloalkyl; wherein the aryl, heterocycloalkyl, heteroaryl or cycloalkyl are optionally substituted with 1 to 4 occurrences of Re; and
R2, Re, R6 and Ra are same as defined in claim 1.
6. The compound of claim 5, wherein Ra is aminoalkyl-, alkyl, cycloalkyl, aryl, heterocycloalkyl or heteroaryl; wherein the alkyl, cycloalkyl, aryl, heterocycloalkyl and heteroaryl are optionally substituted with 1 to 4 substituents, each independently selected from alkyl, cyano, amino, amido, carboxylic acid, haloalkyl and hydroxyl.
7. The compound of claim 6, wherein Ra is aminoalkyl-, alkyl, cyclopropyl, phenyl, pyrrolidinyl or pyrazinyl; each optionally substituted with 1 to 4 substituents, each independently selected from -CH3, -NH2, -CONH2, -C(0)OH and -OH.
8. The compound of claim 1 or 2, wherein the compound is of formula (IC):
or a pharmaceutically acceptable salt or a stereoisomer thereof; wherein
R3 represents aryl, heterocycloalkyl, heteroaryl or cycloalkyl; wherein the aryl, heterocycloalkyl, heteroaryl or cycloalkyl are optionally substituted with 1 to 4 occurrences of Re; and
R2, Re, R6, Re and Ra are as defined in claim 1.
9. The compound of claim 8, wherein Ra is aryl, heterocyclocalkyl, cycloalkyl or heteroaryl; wherein the aryl, cycloalkyl and heteroaryl are optionally substituted with 1 to 4 substituents, each selected from halo, cyano and acyl.
10. The compound of claim 9, wherein Ra is phenyl, cyclopropyl, cyclopentyl, cyclohexyl, morpholinyl or imidazolyl, wherein the phenyl, cyclopropyl, cyclopentyl, cyclohexyl and imidazolyl are optionally substituted with 1-2 substituents, each independently selected from fluoro, cyano and -C(0)CH3.
1 1. The compound of any one of claims 1 , 2, 5, and 8, wherein Ra is -NRcRd or is aryl or heteroaryl substituted by halo, cyano or haloalkyl.
12. The compound of any one of claims 1 to 1 1 , wherein R3 is represents arylalkyl-, (heterocycloalkyl)alkyl-, (heteroaryl)alkyl-, -alkyl-(COOH); or a group represented by the general formula -CH(ORb)(CH2ORb), -C(R7R8)(NR9Rio) or -N(Rn)2; wherein the arylalkyl-, (heterocycloalkyl)alkyl- and (heteroaryl)alkyl- are optionally substituted with 1 to 4 occurrences of Re.
The compound of claim 1 or 2, wherein the compound is of formula (ID):
(I D) or a pharmaceutically acceptable salt or a stereoisomer thereof; wherein,
R3 represents arylalkyl-, (heterocycloalkyl)alkyl-, (heteroaryl)alkyl-, -alkyl- (COOH) or a group represented by the general formula, -CH(ORb)(CH2ORb), - C(R7R8)(NR9Rio) or -N(Rn)2; wherein the arylalkyl-, (heterocycloalkyl)alkyl- and (heteroaryl)alkyl- are optionally substituted with 1 to 4 occurrences of Re; and
Aaa, R2, R6, R7, Rg, R9, Rio, Rb, Re and Rn are same as defined in claim 1.
The compound of claim 1 or 2, wherein the compound is of formula (IE):
R2 O
N O R6
(I E) or a pharmaceutically acceptable salt or a stereoisomer thereof; wherein,
R3 represents arylalkyl, (heterocycloalkyl)alkyl-, (heteroaryl)alkyl-, -alkyl- (COOH); or a group represented by the general formula, -CH(ORb)(CH20Rb), - C(R7R8)(NR9Rio)or -N(Rn)2; and wherein the arylalkyl, (heterocycloalkyl)alkyl-, and (heteroaryl)alkyl- are optionally substituted with 1 to 4 occurrences of Re; and
Aaa, R2, R6, R7, Rs, R9, Rio, Rt>, and Rn are as defined in claim 1.
15. The compound of claim 1 or 2, wherein the compound is of formula (IF):
(I F) or a pharmaceutically acceptable salt or a stereoisomer thereof; wherein,
R3 represents aryl, heterocycloalkyl, heteroaryl or cycloalkyl; each optionally substituted with 1 to 4 occurrences of Re; and
R2, Re, R6 and Ra are same as defined in claim 1.
16. The compound of claim 13 or 14, wherein R3 represents -alkyl-(COOH) or a group represented by the general formula, -CH(ORb)(CH20Rb).
17. The compound of claim 13 or 14, wherein R3 represents -C(R7R8)(NR9Rio);
R7 and Rg are taken together with the atoms to which they are attached form a 5- to 7-membered cycloalkyl ring which is optionally substituted with one or more substituents each independently selected from hydroxy, halo, amino, cyano and alkyl; and
R9 and Rio are each hydrogen.
18. The compound of claim 13 or 14, wherein R3 represents -C(R7R8)(NR9Rio);
R7 represents heteroaryl optionally substituted with halo, cyano or haloalkyl; Rg represents hydrogen; and
R9 and Rio are each hydrogen.
19. The compound of claim 13 or 14, wherein R3 is arylalkyl- optionally substituted with 1 to 4 occurrences of Re.
20. The compound of any one of claims 1 - 19, wherein R2 is alkyl, alkenyl, alkynyl, cycloalkyl, (cycloalkyl)alkyl-, (heteroaryl)alkyl-, heteroaryl, arylalkyl-, aryl, heterocycloalkyl or (heterocycloalkyl)alkyl-; wherein the alkyl, alkenyl, alkynyl, cycloalkyl, (cycloalkyl)alkyl-, (heteroaryl)alkyl-, heteroaryl, arylalkyl-, aryl, heterocycloalkyl or (heterocycloalkyl)alkyl- are optionally substituted with 1 to 4 substituents each selected from carboxylic acid, carboxylate, thiocarboxylate, thioacid, amido, amino, hydroxyl, cycloalkyl, aryl, aryl-COOH, heterocycloalkyl, heteroaryl, guanidino, amidino, -SH or -S(alkyl); optionally wherein two or three carbon atoms of the alkyl, alkenyl or alkynyl form part of a 3- to 7-membered carbocyclic or heterocyclic ring optionally substituted with 1 to 4 substituents, each independently selected from alkyl, alkoxy, carboxylic acid, carboxylate or hydroxyl.
21. The compound of claim 20, wherein R2 is -CH(CH3)CH2CH3, -CH(CH3)OH, -CH2-SH, - CH2-COOH, -CH2-CONH2, -(CH2)2-COOH, -CH2-heteroaryl, -CH2-aryl, -C(=NH)NH2 or -CH2- aryl-OH.
22. The compound of claim 21 , wherein R2 is -CH(CH3)OH, -CH2-SH, -CH2-COOH, -CH2- CONH2, -(CH2)2-COOH.
23. The compound of claim 1-19, wherein R2 is side chian of amino acid.
24. The compound of any one of claims 1 - 23, wherein wherein Re is alkyl, alkoxy, halo, hydroxyl, -C(0)OH, or haloalkyl.
or a pharmaceutically acceptable salt or stereoisomer thereof.
or a pharmaceutically acceptable salt or stereoisomer thereof.
or a pharmaceutically acceptable salt or stereoisomer thereof.
or a pharmaceutically acceptable salt or stereoisomer thereof.
or a pharmaceutically acceptable salt or stereoisomer thereof.
or a pharmaceutically acceptable salt or stereoisomer thereof.
or a pharmaceutically acceptable salt or stereoisomer thereof.
or a pharmaceutically acceptable salt or stereoisomer thereof.
or a pharmaceutically acceptable salt or stereoisomer thereof.
or a pharmaceutically acceptable salt or stereoisomer thereof.
or a pharmaceutically acceptable salt or stereoisomer thereof.
Larmaceutically acceptable salt or stereoisomer thereof.
or a pharmaceutically acceptable salt or stereoisomer thereof.
or a pharmaceutically acceptable salt or stereoisomer thereof.
or a pharmaceutically acceptable salt or stereoisomer thereof.
or a pharmaceutically acceptable salt or stereoisomer thereof.
or a pharmaceutically acceptable salt or stereoisomer thereof.
or a pharmaceutically acceptable salt or stereoisomer thereof.
or a pharmaceutically acceptable salt or stereoisomer thereof.
or a pharmaceutically acceptable salt or stereoisomer thereof.
or a pharmaceutically acceptable salt or stereoisomer thereof.
or a pharmaceutically acceptable salt or stereoisomer thereof.
or a pharmaceutically acceptable salt or stereoisomer thereof.
or a pharmaceutically acceptable salt or stereoisomer thereof.
pharmaceutically acceptable salt or stereoisomer thereof. A compound having the structure:
pharmaceutically acceptable salt or stereoisomer thereof. A compound having the structure:
or a pharmaceutically acceptable salt or stereoisomer thereof.
or a pharmaceutically acceptable salt or stereoisomer thereof.
or a pharmaceutically acceptable salt or stereoisomer thereof. 85. A compound having the structure:
or a pharmaceutically acceptable salt or stereoisomer thereof.
87. A pharmaceutical composition comprising at least one compound according to any one of claims 1-86, or a pharmaceutically acceptable salt or stereoisomer thereof; and a pharamaceutically acceptable carrier or excipient.
88. The pharmaceutical composition according to claim 87, further comprising at least one agent selected from an anticancer agent, a chemotherapy agent, and an antiproliferative compound.
89. A compound according to any one of claims 1 to 86, for use as a medicament.
90. A method of treating cancer, comprising administering to a subject, in need thereof, the compound of formula (I) or a pharmaceutically acceptable salt or a stereoisomer thereof according to claim 1 to 1-86.
91. The method of claim 90, wherein the cancer is selected from melanoma, renal cancer, prostate cancer, breast cancer, colon cancer and lung cancer, bone cancer, pancreatic cancer, skin cancer, cancer of the head or neck, cutaneous or intraocular malignant melanoma, uterine cancer, ovarian cancer, rectal cancer, cancer of the anal region, stomach cancer, testicular cancer,
carcinoma of the fallopian tubes, carcinoma of the endometrium, carcinoma of the cervix, carcinoma of the vagina, carcinoma of the vulva, Hodgkin's Disease, non-Hodgkin's lymphoma, cancer of the esophagus, cancer of the small intestine, cancer of the endocrine system, cancer of the thyroid gland, cancer of the parathyroid gland, cancer of the adrenal gland, sarcoma of soft tissue, cancer of the urethra, cancer of the penis, chronic or acute leukemias including acute myeloid leukemia, chronic myeloid leukemia, acute lymphoblastic leukemia, chronic lymphocytic leukemia, solid tumours of childhood, lymphocytic lymphoma, cancer of the bladder, cancer of the kidney or ureter, carcinoma of the renal pelvis, neoplasm of the central nervous system (CNS), non-small cell lung cancer (NSCLC), primary CNS lymphoma, tumour angiogenesis, spinal axis tumour, brain stem glioma, pituitary adenoma, Kaposi's sarcoma, epidermoid cancer, squamous cell cancer, T-cell lymphoma, environmentally induced cancers including those induced by asbestos, and combinations of said cancers.
92. The method of claim 90, wherein the cancer is selected from breast cancer, colon cancer, lung cancer, melanoma, prostate cancer, and renal cancer.
93. The method of any one of claims 90-92, wherein the subject is a mammal, e.g., a human.
94. The method of any one of claims 90-92, further comprising conjointly administering to the subject a second chemotherapeutic agent.
95. The method of any one of claims 90-92, further comprising conjointly administering to the subject one or more non-chemical cancer treatments, e.g., radiation therapy, surgery, thermoablation, focused ultrasound therapy or cryotherapy.
96. A method for inhibiting the PD-1 pathway (e.g., PD-1, PD-L1 or PD-L2) in a subject, comprising administering to the subject a compound of any one of claims 1 to 86.
97. A method for treating a bacterial, viral or fungal infection or an immunological condition, comprising administering to a subject in need thereof a compound of any one of claims 1 to 86.
98. Use of a compound of any one of claims 1 - 86 or a pharmaceutically acceptable salt thereof in the manufacture of a medicament for treating cancer.
99. The use of claim 98, wherein the cancer is selected from breast cancer, colon cancer, lung cancer, melanoma, prostate cancer, and renal cancer.
100. The use of claim 98, wherein the cancer is selected from bone cancer, cancer of the head or neck, pancreatic cancer, skin cancer, cutaneous or intraocular malignant melanoma, carcinoma of the endometrium, carcinoma of the cervix, carcinoma of the vagina, carcinoma of the vulva, Hodgkin's Disease, non-Hodgkin's lymphoma, cancer of the esophagus, cancer of the small intestine, cancer of the endocrine system, cancer of the thyroid gland, cancer of the parathyroid gland, cancer of the adrenal gland, sarcoma of soft tissue, cancer of the urethra, cancer of the penis, chronic or acute leukemias including acute myeloid leukemia, chronic myeloid leukemia, acute lymphoblastic leukemia, chronic lymphocytic leukemia, solid tumors of childhood, lymphocytic lymphoma, cancer of the bladder, cancer of the kidney or ureter, carcinoma of the renal pelvis, neoplasm of the central nervous system (CNS), primary CNS lymphoma, tumor angiogenesis, spinal axis tumor, brain stem glioma, pituitary adenoma, Kaposi's sarcoma, epidermoid cancer, squamous cell cancer, T-cell lymphoma, environmentally induced cancers including those induced by asbestos, and combinations of said cancers.
101. Use of a compound of any one of claims 1 - 86 or a pharmaceutically acceptable salt thereof in the manufacture of a medicament for treating an infectious disease.
102. The use of claim 101, wherein the infectious disease is a bacterial infectious disease, a viral infectious disease or a fungal infectious disease.
103. The use of claim 101, wherein the infectious disease is selected from HIV, Influenza,
Herpes, Giardia, Malaria, Leishmania, the pathogenic infection by the virus Hepatitis (A, B, & C), herpes virus (e.g., VZV, HSV-I, HAV-6, HSV-II, and CMV, Epstein Barr virus), adenovirus, influenza virus, flaviviruses, echovirus, rhinovirus, coxsackie virus, cornovirus, respiratory syncytial virus, mumps virus, rotavirus, measles virus, rubella virus, parvovirus, vaccinia virus,
HTLV virus, dengue virus, papillomavirus, molluscum virus, poliovirus, rabies virus, JC virus and
arboviral encephalitis virus, pathogenic infection by the bacteria chlamydia, rickettsial bacteria, mycobacteria, staphylococci, streptococci, pneumonococci, meningococci and conococci, klebsiella, proteus, serratia, pseudomonas, E. coli, legionella, diphtheria, salmonella, bacilli, cholera, tetanus, botulism, anthrax, plague, leptospirosis, and Lyme's disease bacteria, pathogenic infection by the fungi Candida (albicans, krusei, glabrata, tropicalis, etc.), Cryptococcus neoformans, Aspergillus (fumigatus, niger, etc.), Genus Mucorales (mucor, absidia, rhizophus), Sporothrix schenkii, Blastomyces dermatitidis, Paracoccidioides brasiliensis, Coccidioides immitis and Histoplasma capsulatum, and pathogenic infection by the parasites Entamoeba histolytica, Balantidium coli, Naegleria fowleri, Acanthamoeba sp., Giardia lambia, Cryptosporidium sp., Pneumocystis carinii, Plasmodium vivax, Babesia microti, Trypanosoma brucei, Trypanosoma cruzi, Leishmania donovani, Toxoplasma gondi, or Nippostrongylus brasiliensis.
104. Use of a compound of any one of claims 1 - 86 or a pharmaceutically acceptable salt thereof in the manufacture of a medicament for modulating an immune response mediated by the PD- 1 signaling pathway.
Applications Claiming Priority (2)
| Application Number | Priority Date | Filing Date | Title |
|---|---|---|---|
| IN201641031321 | 2016-09-14 | ||
| IN201641031321 | 2016-09-14 |
Publications (1)
| Publication Number | Publication Date |
|---|---|
| WO2018051254A1 true WO2018051254A1 (en) | 2018-03-22 |
Family
ID=61619881
Family Applications (1)
| Application Number | Title | Priority Date | Filing Date |
|---|---|---|---|
| PCT/IB2017/055546 Ceased WO2018051254A1 (en) | 2016-09-14 | 2017-09-14 | Cyclic substituted-1,2,4-oxadiazole compounds as immunomodulators |
Country Status (1)
| Country | Link |
|---|---|
| WO (1) | WO2018051254A1 (en) |
Cited By (50)
| Publication number | Priority date | Publication date | Assignee | Title |
|---|---|---|---|---|
| WO2019032547A1 (en) | 2017-08-08 | 2019-02-14 | Chemocentryx, Inc. | Macrocyclic immunomodulators |
| WO2019165374A1 (en) | 2018-02-26 | 2019-08-29 | Gilead Sciences, Inc. | Substituted pyrrolizine compounds as hbv replication inhibitors |
| WO2019193542A1 (en) | 2018-04-06 | 2019-10-10 | Institute Of Organic Chemistry And Biochemistry Ascr, V.V.I. | 2'3'-cyclic dinucleotides |
| WO2019193543A1 (en) | 2018-04-06 | 2019-10-10 | Institute Of Organic Chemistry And Biochemistry Ascr, V.V.I. | 3'3'-cyclic dinucleotides |
| WO2019195181A1 (en) | 2018-04-05 | 2019-10-10 | Gilead Sciences, Inc. | Antibodies and fragments thereof that bind hepatitis b virus protein x |
| WO2019193533A1 (en) | 2018-04-06 | 2019-10-10 | Institute Of Organic Chemistry And Biochemistry Ascr, V.V.I. | 2'2'-cyclic dinucleotides |
| WO2019200247A1 (en) | 2018-04-12 | 2019-10-17 | Precision Biosciences, Inc. | Optimized engineered meganucleases having specificity for a recognition sequence in the hepatitis b virus genome |
| WO2019211799A1 (en) | 2018-05-03 | 2019-11-07 | Institute Of Organic Chemistry And Biochemistry Ascr, V.V.I. | 2'3'-cyclic dinucleotide analogue comprising a cyclopentanyl modified nucleotide |
| WO2019232319A1 (en) | 2018-05-31 | 2019-12-05 | Peloton Therapeutics, Inc. | Compositions and methods for inhibiting cd73 |
| WO2020028097A1 (en) | 2018-08-01 | 2020-02-06 | Gilead Sciences, Inc. | Solid forms of (r)-11-(methoxymethyl)-12-(3-methoxypropoxy)-3,3-dimethyl-8-0x0-2,3,8,13b-tetrahydro-1h-pyrido[2,1-a]pyrrolo[1,2-c] phthalazine-7-c arboxylic acid |
| WO2020092621A1 (en) | 2018-10-31 | 2020-05-07 | Gilead Sciences, Inc. | Substituted 6-azabenzimidazole compounds as hpk1 inhibitors |
| WO2020092528A1 (en) | 2018-10-31 | 2020-05-07 | Gilead Sciences, Inc. | Substituted 6-azabenzimidazole compounds having hpk1 inhibitory activity |
| US10662416B2 (en) | 2016-10-14 | 2020-05-26 | Precision Biosciences, Inc. | Engineered meganucleases specific for recognition sequences in the hepatitis B virus genome |
| US10710986B2 (en) | 2018-02-13 | 2020-07-14 | Gilead Sciences, Inc. | PD-1/PD-L1 inhibitors |
| WO2020178770A1 (en) | 2019-03-07 | 2020-09-10 | Institute Of Organic Chemistry And Biochemistry Ascr, V.V.I. | 3'3'-cyclic dinucleotides and prodrugs thereof |
| WO2020178768A1 (en) | 2019-03-07 | 2020-09-10 | Institute Of Organic Chemistry And Biochemistry Ascr, V.V.I. | 3'3'-cyclic dinucleotide analogue comprising a cyclopentanyl modified nucleotide as sting modulator |
| WO2020178769A1 (en) | 2019-03-07 | 2020-09-10 | Institute Of Organic Chemistry And Biochemistry Ascr, V.V.I. | 2'3'-cyclic dinucleotides and prodrugs thereof |
| US10774071B2 (en) | 2018-07-13 | 2020-09-15 | Gilead Sciences, Inc. | PD-1/PD-L1 inhibitors |
| WO2020192570A1 (en) | 2019-03-22 | 2020-10-01 | 上海再极医药科技有限公司 | Small-molecule inhibitor of pd-1/pd-l1, pharmaceutical composition thereof with pd-l1 antibody, and application of same |
| WO2020214663A1 (en) | 2019-04-17 | 2020-10-22 | Gilead Sciences, Inc. | Solid forms of a toll-like receptor modulator |
| WO2020214652A1 (en) | 2019-04-17 | 2020-10-22 | Gilead Sciences, Inc. | Solid forms of a toll-like receptor modulator |
| WO2020237025A1 (en) | 2019-05-23 | 2020-11-26 | Gilead Sciences, Inc. | Substituted exo-methylene-oxindoles which are hpk1/map4k1 inhibitors |
| US10899735B2 (en) | 2018-04-19 | 2021-01-26 | Gilead Sciences, Inc. | PD-1/PD-L1 inhibitors |
| US10919852B2 (en) | 2017-07-28 | 2021-02-16 | Chemocentryx, Inc. | Immunomodulator compounds |
| WO2021034804A1 (en) | 2019-08-19 | 2021-02-25 | Gilead Sciences, Inc. | Pharmaceutical formulations of tenofovir alafenamide |
| US10966999B2 (en) | 2017-12-20 | 2021-04-06 | Institute Of Organic Chemistry And Biochemistry Ascr, V.V.I. | 3′3′ cyclic dinucleotides with phosphonate bond activating the sting adaptor protein |
| WO2021067181A1 (en) | 2019-09-30 | 2021-04-08 | Gilead Sciences, Inc. | Hbv vaccines and methods treating hbv |
| WO2021113765A1 (en) | 2019-12-06 | 2021-06-10 | Precision Biosciences, Inc. | Optimized engineered meganucleases having specificity for a recognition sequence in the hepatitis b virus genome |
| WO2021188959A1 (en) | 2020-03-20 | 2021-09-23 | Gilead Sciences, Inc. | Prodrugs of 4'-c-substituted-2-halo-2'-deoxyadenosine nucleosides and methods of making and using the same |
| US11203610B2 (en) | 2017-12-20 | 2021-12-21 | Institute Of Organic Chemistry And Biochemistry Ascr, V.V.I. | 2′3′ cyclic dinucleotides with phosphonate bond activating the sting adaptor protein |
| US11236085B2 (en) | 2018-10-24 | 2022-02-01 | Gilead Sciences, Inc. | PD-1/PD-L1 inhibitors |
| WO2022241134A1 (en) | 2021-05-13 | 2022-11-17 | Gilead Sciences, Inc. | COMBINATION OF A TLR8 MODULATING COMPOUND AND ANTI-HBV siRNA THERAPEUTICS |
| WO2022261310A1 (en) | 2021-06-11 | 2022-12-15 | Gilead Sciences, Inc. | Combination mcl-1 inhibitors with anti-body drug conjugates |
| WO2022261301A1 (en) | 2021-06-11 | 2022-12-15 | Gilead Sciences, Inc. | Combination mcl-1 inhibitors with anti-cancer agents |
| WO2022270628A1 (en) * | 2021-06-25 | 2022-12-29 | 国立大学法人 大分大学 | Heterocycloalkyl-substituted polyheteroazole derivative as medical drug for treatment and/or prevention of rs virus infectious disease |
| WO2022271684A1 (en) | 2021-06-23 | 2022-12-29 | Gilead Sciences, Inc. | Diacylglyercol kinase modulating compounds |
| WO2022271659A1 (en) | 2021-06-23 | 2022-12-29 | Gilead Sciences, Inc. | Diacylglyercol kinase modulating compounds |
| WO2022271650A1 (en) | 2021-06-23 | 2022-12-29 | Gilead Sciences, Inc. | Diacylglyercol kinase modulating compounds |
| WO2022271677A1 (en) | 2021-06-23 | 2022-12-29 | Gilead Sciences, Inc. | Diacylglyercol kinase modulating compounds |
| AU2018360386B2 (en) * | 2017-11-03 | 2023-11-09 | Aurigene Oncology Limited | Dual inhibitors of TIM-3 and PD-1 pathways |
| US11939306B2 (en) | 2017-09-29 | 2024-03-26 | Curis, Inc. | Crystal forms of immunomodulators |
| US12064418B2 (en) | 2017-11-06 | 2024-08-20 | Curis, Inc. | Conjoint therapies for immunomodulation |
| US12116417B2 (en) | 2017-11-14 | 2024-10-15 | GC Cell Corporation | Anti-HER2 antibody or antigen-binding fragment thereof, and chimeric antigen receptor comprising same |
| US12187689B2 (en) | 2017-10-11 | 2025-01-07 | Aurigene Oncology Limited | Crystalline forms of 3-substituted 1,2,4-oxadiazole |
| US12410261B2 (en) | 2017-11-14 | 2025-09-09 | GC Cell Corporation | Anti-HER2 antibody or antigen-binding fragment thereof, and chimeric antigen receptor comprising same |
| US12435118B2 (en) | 2016-12-28 | 2025-10-07 | GC Cell Corporation | Chimeric antigen receptor and natural killer cells expressing same |
| WO2025240243A1 (en) | 2024-05-13 | 2025-11-20 | Gilead Sciences, Inc. | Combination therapies with bulevirtide and an inhibitory nucleic acid targeting hepatitis b virus |
| WO2025240242A1 (en) | 2024-05-13 | 2025-11-20 | Gilead Sciences, Inc. | Combination therapies with ribavirin |
| WO2025240246A1 (en) | 2024-05-13 | 2025-11-20 | Gilead Sciences, Inc. | Combination therapies with ribavirin |
| WO2025240244A1 (en) | 2024-05-13 | 2025-11-20 | Gilead Sciences, Inc. | Combination therapies comprising bulevirtide and lonafarnib for use in the treatment of hepatitis d virus infection |
Citations (3)
| Publication number | Priority date | Publication date | Assignee | Title |
|---|---|---|---|---|
| WO1999047529A1 (en) * | 1998-03-18 | 1999-09-23 | Ariad Pharmaceuticals, Inc. | Heterocyclic signal transduction inhibitors, compositions containing them |
| WO2015033299A1 (en) * | 2013-09-06 | 2015-03-12 | Aurigene Discovery Technologies Limited | 1,2,4-oxadiazole derivatives as immunomodulators |
| WO2016142833A1 (en) * | 2015-03-10 | 2016-09-15 | Aurigene Discovery Technologies Limited | 1,2,4-oxadiazole and thiadiazole compounds as immunomodulators |
-
2017
- 2017-09-14 WO PCT/IB2017/055546 patent/WO2018051254A1/en not_active Ceased
Patent Citations (3)
| Publication number | Priority date | Publication date | Assignee | Title |
|---|---|---|---|---|
| WO1999047529A1 (en) * | 1998-03-18 | 1999-09-23 | Ariad Pharmaceuticals, Inc. | Heterocyclic signal transduction inhibitors, compositions containing them |
| WO2015033299A1 (en) * | 2013-09-06 | 2015-03-12 | Aurigene Discovery Technologies Limited | 1,2,4-oxadiazole derivatives as immunomodulators |
| WO2016142833A1 (en) * | 2015-03-10 | 2016-09-15 | Aurigene Discovery Technologies Limited | 1,2,4-oxadiazole and thiadiazole compounds as immunomodulators |
Cited By (73)
| Publication number | Priority date | Publication date | Assignee | Title |
|---|---|---|---|---|
| US10662416B2 (en) | 2016-10-14 | 2020-05-26 | Precision Biosciences, Inc. | Engineered meganucleases specific for recognition sequences in the hepatitis B virus genome |
| US11274285B2 (en) | 2016-10-14 | 2022-03-15 | Precision Biosciences, Inc. | Engineered meganucleases specific for recognition sequences in the Hepatitis B virus genome |
| US12435118B2 (en) | 2016-12-28 | 2025-10-07 | GC Cell Corporation | Chimeric antigen receptor and natural killer cells expressing same |
| US11708326B2 (en) | 2017-07-28 | 2023-07-25 | Chemocentryx, Inc. | Immunomodulator compounds |
| US10919852B2 (en) | 2017-07-28 | 2021-02-16 | Chemocentryx, Inc. | Immunomodulator compounds |
| US11691985B2 (en) | 2017-08-08 | 2023-07-04 | Chemocentryx, Inc. | Macrocyclic immunomodulators |
| US10392405B2 (en) | 2017-08-08 | 2019-08-27 | Chemocentryx, Inc. | Macrocyclic immunomodulators |
| WO2019032547A1 (en) | 2017-08-08 | 2019-02-14 | Chemocentryx, Inc. | Macrocyclic immunomodulators |
| US11059834B2 (en) | 2017-08-08 | 2021-07-13 | Chemocentryx, Inc. | Macrocyclic immunomodulators |
| US11939306B2 (en) | 2017-09-29 | 2024-03-26 | Curis, Inc. | Crystal forms of immunomodulators |
| US12252475B2 (en) | 2017-09-29 | 2025-03-18 | Curis, Inc. | Crystal forms of immunomodulators |
| US12187689B2 (en) | 2017-10-11 | 2025-01-07 | Aurigene Oncology Limited | Crystalline forms of 3-substituted 1,2,4-oxadiazole |
| AU2018360386B2 (en) * | 2017-11-03 | 2023-11-09 | Aurigene Oncology Limited | Dual inhibitors of TIM-3 and PD-1 pathways |
| US12064418B2 (en) | 2017-11-06 | 2024-08-20 | Curis, Inc. | Conjoint therapies for immunomodulation |
| US12116417B2 (en) | 2017-11-14 | 2024-10-15 | GC Cell Corporation | Anti-HER2 antibody or antigen-binding fragment thereof, and chimeric antigen receptor comprising same |
| US12410261B2 (en) | 2017-11-14 | 2025-09-09 | GC Cell Corporation | Anti-HER2 antibody or antigen-binding fragment thereof, and chimeric antigen receptor comprising same |
| US10966999B2 (en) | 2017-12-20 | 2021-04-06 | Institute Of Organic Chemistry And Biochemistry Ascr, V.V.I. | 3′3′ cyclic dinucleotides with phosphonate bond activating the sting adaptor protein |
| US11203610B2 (en) | 2017-12-20 | 2021-12-21 | Institute Of Organic Chemistry And Biochemistry Ascr, V.V.I. | 2′3′ cyclic dinucleotides with phosphonate bond activating the sting adaptor protein |
| US12338233B2 (en) | 2018-02-13 | 2025-06-24 | Gilead Sciences, Inc. | PD-1/Pd-L1 inhibitors |
| US10710986B2 (en) | 2018-02-13 | 2020-07-14 | Gilead Sciences, Inc. | PD-1/PD-L1 inhibitors |
| US11555029B2 (en) | 2018-02-13 | 2023-01-17 | Gilead Sciences, Inc. | PD-1/PD-L1 inhibitors |
| WO2019165374A1 (en) | 2018-02-26 | 2019-08-29 | Gilead Sciences, Inc. | Substituted pyrrolizine compounds as hbv replication inhibitors |
| WO2019195181A1 (en) | 2018-04-05 | 2019-10-10 | Gilead Sciences, Inc. | Antibodies and fragments thereof that bind hepatitis b virus protein x |
| US11292812B2 (en) | 2018-04-06 | 2022-04-05 | Institute Of Organic Chemistry And Biochemistry Ascr, V.V.I. | 3′3′-cyclic dinucleotides |
| WO2019193533A1 (en) | 2018-04-06 | 2019-10-10 | Institute Of Organic Chemistry And Biochemistry Ascr, V.V.I. | 2'2'-cyclic dinucleotides |
| WO2019193543A1 (en) | 2018-04-06 | 2019-10-10 | Institute Of Organic Chemistry And Biochemistry Ascr, V.V.I. | 3'3'-cyclic dinucleotides |
| WO2019193542A1 (en) | 2018-04-06 | 2019-10-10 | Institute Of Organic Chemistry And Biochemistry Ascr, V.V.I. | 2'3'-cyclic dinucleotides |
| US11149052B2 (en) | 2018-04-06 | 2021-10-19 | Institute Of Organic Chemistry And Biochemistry Ascr, V.V.I. | 2′3′-cyclic dinucleotides |
| WO2019200247A1 (en) | 2018-04-12 | 2019-10-17 | Precision Biosciences, Inc. | Optimized engineered meganucleases having specificity for a recognition sequence in the hepatitis b virus genome |
| US11788077B2 (en) | 2018-04-12 | 2023-10-17 | Precision Biosciences, Inc. | Polynucleotides encoding optimized engineered meganucleases having specificity for a recognition sequence in the Hepatitis B virus genome |
| US11142750B2 (en) | 2018-04-12 | 2021-10-12 | Precision Biosciences, Inc. | Optimized engineered meganucleases having specificity for a recognition sequence in the Hepatitis B virus genome |
| US10899735B2 (en) | 2018-04-19 | 2021-01-26 | Gilead Sciences, Inc. | PD-1/PD-L1 inhibitors |
| WO2019211799A1 (en) | 2018-05-03 | 2019-11-07 | Institute Of Organic Chemistry And Biochemistry Ascr, V.V.I. | 2'3'-cyclic dinucleotide analogue comprising a cyclopentanyl modified nucleotide |
| WO2019232319A1 (en) | 2018-05-31 | 2019-12-05 | Peloton Therapeutics, Inc. | Compositions and methods for inhibiting cd73 |
| US10774071B2 (en) | 2018-07-13 | 2020-09-15 | Gilead Sciences, Inc. | PD-1/PD-L1 inhibitors |
| US12269812B2 (en) | 2018-07-13 | 2025-04-08 | Gilead Sciences, Inc. | PD-1/PD-L1 inhibitors |
| WO2020028097A1 (en) | 2018-08-01 | 2020-02-06 | Gilead Sciences, Inc. | Solid forms of (r)-11-(methoxymethyl)-12-(3-methoxypropoxy)-3,3-dimethyl-8-0x0-2,3,8,13b-tetrahydro-1h-pyrido[2,1-a]pyrrolo[1,2-c] phthalazine-7-c arboxylic acid |
| US11236085B2 (en) | 2018-10-24 | 2022-02-01 | Gilead Sciences, Inc. | PD-1/PD-L1 inhibitors |
| EP4371987A1 (en) | 2018-10-31 | 2024-05-22 | Gilead Sciences, Inc. | Substituted 6-azabenzimidazole compounds as hpk1 inhibitors |
| EP4671244A1 (en) | 2018-10-31 | 2025-12-31 | Gilead Sciences, Inc. | SUBSTITUTED 6-AZABENZIMIDAZOLE COMPOUNDS AS HPK1 HIBITORS |
| WO2020092621A1 (en) | 2018-10-31 | 2020-05-07 | Gilead Sciences, Inc. | Substituted 6-azabenzimidazole compounds as hpk1 inhibitors |
| WO2020092528A1 (en) | 2018-10-31 | 2020-05-07 | Gilead Sciences, Inc. | Substituted 6-azabenzimidazole compounds having hpk1 inhibitory activity |
| US11766447B2 (en) | 2019-03-07 | 2023-09-26 | Institute Of Organic Chemistry And Biochemistry Ascr, V.V.I. | 3′3′-cyclic dinucleotide analogue comprising a cyclopentanyl modified nucleotide as sting modulator |
| WO2020178770A1 (en) | 2019-03-07 | 2020-09-10 | Institute Of Organic Chemistry And Biochemistry Ascr, V.V.I. | 3'3'-cyclic dinucleotides and prodrugs thereof |
| US12318403B2 (en) | 2019-03-07 | 2025-06-03 | Institute Of Organic Chemistry And Biochemistry Ascr, V.V.I. | 2′3′-cyclic dinucleotides and prodrugs thereof |
| WO2020178768A1 (en) | 2019-03-07 | 2020-09-10 | Institute Of Organic Chemistry And Biochemistry Ascr, V.V.I. | 3'3'-cyclic dinucleotide analogue comprising a cyclopentanyl modified nucleotide as sting modulator |
| WO2020178769A1 (en) | 2019-03-07 | 2020-09-10 | Institute Of Organic Chemistry And Biochemistry Ascr, V.V.I. | 2'3'-cyclic dinucleotides and prodrugs thereof |
| WO2020192570A1 (en) | 2019-03-22 | 2020-10-01 | 上海再极医药科技有限公司 | Small-molecule inhibitor of pd-1/pd-l1, pharmaceutical composition thereof with pd-l1 antibody, and application of same |
| WO2020214652A1 (en) | 2019-04-17 | 2020-10-22 | Gilead Sciences, Inc. | Solid forms of a toll-like receptor modulator |
| EP4458416A2 (en) | 2019-04-17 | 2024-11-06 | Gilead Sciences, Inc. | Solid forms of a toll-like receptor modulator |
| WO2020214663A1 (en) | 2019-04-17 | 2020-10-22 | Gilead Sciences, Inc. | Solid forms of a toll-like receptor modulator |
| WO2020237025A1 (en) | 2019-05-23 | 2020-11-26 | Gilead Sciences, Inc. | Substituted exo-methylene-oxindoles which are hpk1/map4k1 inhibitors |
| WO2021034804A1 (en) | 2019-08-19 | 2021-02-25 | Gilead Sciences, Inc. | Pharmaceutical formulations of tenofovir alafenamide |
| WO2021067181A1 (en) | 2019-09-30 | 2021-04-08 | Gilead Sciences, Inc. | Hbv vaccines and methods treating hbv |
| EP4458975A2 (en) | 2019-09-30 | 2024-11-06 | Gilead Sciences, Inc. | Hbv vaccines and methods treating hbv |
| EP4567109A2 (en) | 2019-12-06 | 2025-06-11 | Precision Biosciences, Inc. | Optimized engineered meganucleases having specificity for a recognition sequence in the hepatitis b virus genome |
| WO2021113765A1 (en) | 2019-12-06 | 2021-06-10 | Precision Biosciences, Inc. | Optimized engineered meganucleases having specificity for a recognition sequence in the hepatitis b virus genome |
| US12410418B2 (en) | 2019-12-06 | 2025-09-09 | Precision Biosciences, Inc. | Optimized engineered meganucleases having specificity for a recognition sequence in the Hepatitis B virus genome |
| WO2021188959A1 (en) | 2020-03-20 | 2021-09-23 | Gilead Sciences, Inc. | Prodrugs of 4'-c-substituted-2-halo-2'-deoxyadenosine nucleosides and methods of making and using the same |
| WO2022241134A1 (en) | 2021-05-13 | 2022-11-17 | Gilead Sciences, Inc. | COMBINATION OF A TLR8 MODULATING COMPOUND AND ANTI-HBV siRNA THERAPEUTICS |
| US11957693B2 (en) | 2021-06-11 | 2024-04-16 | Gilead Sciences, Inc. | Combination MCL-1 inhibitors with anti-cancer agents |
| US11931424B2 (en) | 2021-06-11 | 2024-03-19 | Gilead Sciences, Inc. | Combination MCL-1 inhibitors with anti-body drug conjugates |
| WO2022261310A1 (en) | 2021-06-11 | 2022-12-15 | Gilead Sciences, Inc. | Combination mcl-1 inhibitors with anti-body drug conjugates |
| WO2022261301A1 (en) | 2021-06-11 | 2022-12-15 | Gilead Sciences, Inc. | Combination mcl-1 inhibitors with anti-cancer agents |
| WO2022271650A1 (en) | 2021-06-23 | 2022-12-29 | Gilead Sciences, Inc. | Diacylglyercol kinase modulating compounds |
| WO2022271677A1 (en) | 2021-06-23 | 2022-12-29 | Gilead Sciences, Inc. | Diacylglyercol kinase modulating compounds |
| WO2022271659A1 (en) | 2021-06-23 | 2022-12-29 | Gilead Sciences, Inc. | Diacylglyercol kinase modulating compounds |
| WO2022271684A1 (en) | 2021-06-23 | 2022-12-29 | Gilead Sciences, Inc. | Diacylglyercol kinase modulating compounds |
| WO2022270628A1 (en) * | 2021-06-25 | 2022-12-29 | 国立大学法人 大分大学 | Heterocycloalkyl-substituted polyheteroazole derivative as medical drug for treatment and/or prevention of rs virus infectious disease |
| WO2025240243A1 (en) | 2024-05-13 | 2025-11-20 | Gilead Sciences, Inc. | Combination therapies with bulevirtide and an inhibitory nucleic acid targeting hepatitis b virus |
| WO2025240242A1 (en) | 2024-05-13 | 2025-11-20 | Gilead Sciences, Inc. | Combination therapies with ribavirin |
| WO2025240246A1 (en) | 2024-05-13 | 2025-11-20 | Gilead Sciences, Inc. | Combination therapies with ribavirin |
| WO2025240244A1 (en) | 2024-05-13 | 2025-11-20 | Gilead Sciences, Inc. | Combination therapies comprising bulevirtide and lonafarnib for use in the treatment of hepatitis d virus infection |
Similar Documents
| Publication | Publication Date | Title |
|---|---|---|
| WO2018051254A1 (en) | Cyclic substituted-1,2,4-oxadiazole compounds as immunomodulators | |
| WO2018051255A1 (en) | Cyclic substituted-1,3,4-oxadiazole and thiadiazole compounds as immunomodulators | |
| AU2016230793B2 (en) | 1,2,4-oxadiazole and thiadiazole compounds as immunomodulators | |
| EP3267985A2 (en) | 3-substituted-1,2,4-oxadiazole and thiadiazole compounds as immunomodulators | |
| CA2979163A1 (en) | 3-substituted 1,3,4-oxadiazole and thiadiazole compounds as immunomodulators | |
| EP3267993A1 (en) | Therapeutic cyclic compounds as immunomodulators | |
| CA2979145A1 (en) | 1,3,4-oxadiazole and thiadiazole compounds as immunomodulators | |
| BR112017019303B1 (en) | 1,2,4-OXADIAZOLE AND TIADIAZOLE COMPOUNDS AS IMMUNOMODULATORS | |
| EA040967B1 (en) | 1,2,4-OXADIAZOLE AND THIADIASOLE COMPOUNDS AS IMMUNOMODULATORS |
Legal Events
| Date | Code | Title | Description |
|---|---|---|---|
| 121 | Ep: the epo has been informed by wipo that ep was designated in this application |
Ref document number: 17850385 Country of ref document: EP Kind code of ref document: A1 |
|
| NENP | Non-entry into the national phase |
Ref country code: DE |
|
| 122 | Ep: pct application non-entry in european phase |
Ref document number: 17850385 Country of ref document: EP Kind code of ref document: A1 |


































































































































