KR101979179B1 - 피리딜 카르벤 인광 방출체 - Google Patents
피리딜 카르벤 인광 방출체 Download PDFInfo
- Publication number
- KR101979179B1 KR101979179B1 KR1020187030629A KR20187030629A KR101979179B1 KR 101979179 B1 KR101979179 B1 KR 101979179B1 KR 1020187030629 A KR1020187030629 A KR 1020187030629A KR 20187030629 A KR20187030629 A KR 20187030629A KR 101979179 B1 KR101979179 B1 KR 101979179B1
- Authority
- KR
- South Korea
- Prior art keywords
- mmol
- compound
- ligand
- added
- delete delete
- Prior art date
- Legal status (The legal status is an assumption and is not a legal conclusion. Google has not performed a legal analysis and makes no representation as to the accuracy of the status listed.)
- Active
Links
- -1 Pyridyl carbene Chemical compound 0.000 title claims description 40
- 150000001875 compounds Chemical class 0.000 claims abstract description 106
- 239000003446 ligand Substances 0.000 claims abstract description 94
- 239000012044 organic layer Substances 0.000 claims description 34
- 125000000217 alkyl group Chemical group 0.000 claims description 29
- 229910052751 metal Inorganic materials 0.000 claims description 25
- 239000002184 metal Substances 0.000 claims description 25
- 125000003118 aryl group Chemical group 0.000 claims description 24
- 125000000753 cycloalkyl group Chemical group 0.000 claims description 21
- 125000004104 aryloxy group Chemical group 0.000 claims description 20
- 125000001072 heteroaryl group Chemical group 0.000 claims description 20
- 229910052739 hydrogen Inorganic materials 0.000 claims description 19
- 239000001257 hydrogen Substances 0.000 claims description 19
- 125000003342 alkenyl group Chemical group 0.000 claims description 18
- 125000003545 alkoxy group Chemical group 0.000 claims description 18
- 125000003710 aryl alkyl group Chemical group 0.000 claims description 18
- YZCKVEUIGOORGS-OUBTZVSYSA-N Deuterium Chemical compound [2H] YZCKVEUIGOORGS-OUBTZVSYSA-N 0.000 claims description 17
- 150000001732 carboxylic acid derivatives Chemical class 0.000 claims description 17
- 125000000392 cycloalkenyl group Chemical group 0.000 claims description 17
- 229910052805 deuterium Inorganic materials 0.000 claims description 17
- 150000004820 halides Chemical class 0.000 claims description 17
- 150000002431 hydrogen Chemical class 0.000 claims description 17
- 150000002527 isonitriles Chemical class 0.000 claims description 17
- 150000002825 nitriles Chemical class 0.000 claims description 17
- FVZVCSNXTFCBQU-UHFFFAOYSA-N phosphanyl Chemical group [PH2] FVZVCSNXTFCBQU-UHFFFAOYSA-N 0.000 claims description 17
- 125000003396 thiol group Chemical group [H]S* 0.000 claims description 17
- 125000001424 substituent group Chemical group 0.000 claims description 16
- 125000004404 heteroalkyl group Chemical group 0.000 claims description 15
- 229910052741 iridium Inorganic materials 0.000 claims description 7
- 229910052697 platinum Inorganic materials 0.000 claims description 5
- 125000003282 alkyl amino group Chemical group 0.000 claims description 3
- 125000001769 aryl amino group Chemical group 0.000 claims description 3
- RAXXELZNTBOGNW-UHFFFAOYSA-N imidazole Natural products C1=CNC=N1 RAXXELZNTBOGNW-UHFFFAOYSA-N 0.000 abstract description 83
- 229910052757 nitrogen Inorganic materials 0.000 abstract description 80
- 239000000463 material Substances 0.000 abstract description 75
- HZVOZRGWRWCICA-UHFFFAOYSA-N methanediyl Chemical compound [CH2] HZVOZRGWRWCICA-UHFFFAOYSA-N 0.000 abstract description 28
- 125000002883 imidazolyl group Chemical group 0.000 abstract description 18
- 150000002902 organometallic compounds Chemical class 0.000 abstract description 15
- 125000004433 nitrogen atom Chemical group N* 0.000 abstract description 8
- 230000005284 excitation Effects 0.000 abstract description 7
- 238000000295 emission spectrum Methods 0.000 abstract description 2
- 238000005424 photoluminescence Methods 0.000 abstract 2
- YMWUJEATGCHHMB-UHFFFAOYSA-N Dichloromethane Chemical compound ClCCl YMWUJEATGCHHMB-UHFFFAOYSA-N 0.000 description 248
- XEKOWRVHYACXOJ-UHFFFAOYSA-N Ethyl acetate Chemical compound CCOC(C)=O XEKOWRVHYACXOJ-UHFFFAOYSA-N 0.000 description 165
- VLKZOEOYAKHREP-UHFFFAOYSA-N n-Hexane Chemical compound CCCCCC VLKZOEOYAKHREP-UHFFFAOYSA-N 0.000 description 139
- IJGRMHOSHXDMSA-UHFFFAOYSA-N Atomic nitrogen Chemical compound N#N IJGRMHOSHXDMSA-UHFFFAOYSA-N 0.000 description 133
- VYPSYNLAJGMNEJ-UHFFFAOYSA-N Silicium dioxide Chemical compound O=[Si]=O VYPSYNLAJGMNEJ-UHFFFAOYSA-N 0.000 description 76
- 230000015572 biosynthetic process Effects 0.000 description 73
- 239000010410 layer Substances 0.000 description 73
- 238000003786 synthesis reaction Methods 0.000 description 73
- LFQSCWFLJHTTHZ-UHFFFAOYSA-N Ethanol Chemical compound CCO LFQSCWFLJHTTHZ-UHFFFAOYSA-N 0.000 description 71
- 239000011541 reaction mixture Substances 0.000 description 60
- 235000019439 ethyl acetate Nutrition 0.000 description 57
- 239000000203 mixture Substances 0.000 description 54
- 239000007787 solid Substances 0.000 description 52
- ZMANZCXQSJIPKH-UHFFFAOYSA-N Triethylamine Chemical compound CCN(CC)CC ZMANZCXQSJIPKH-UHFFFAOYSA-N 0.000 description 48
- KDLHZDBZIXYQEI-UHFFFAOYSA-N palladium Substances [Pd] KDLHZDBZIXYQEI-UHFFFAOYSA-N 0.000 description 47
- 239000000243 solution Substances 0.000 description 40
- YXFVVABEGXRONW-UHFFFAOYSA-N Toluene Chemical compound CC1=CC=CC=C1 YXFVVABEGXRONW-UHFFFAOYSA-N 0.000 description 39
- 238000006243 chemical reaction Methods 0.000 description 35
- NDVLTYZPCACLMA-UHFFFAOYSA-N silver oxide Chemical compound [O-2].[Ag+].[Ag+] NDVLTYZPCACLMA-UHFFFAOYSA-N 0.000 description 34
- 239000002904 solvent Substances 0.000 description 34
- 238000004440 column chromatography Methods 0.000 description 33
- OKKJLVBELUTLKV-UHFFFAOYSA-N Methanol Chemical compound OC OKKJLVBELUTLKV-UHFFFAOYSA-N 0.000 description 30
- XLYOFNOQVPJJNP-UHFFFAOYSA-N water Substances O XLYOFNOQVPJJNP-UHFFFAOYSA-N 0.000 description 29
- MVPPADPHJFYWMZ-UHFFFAOYSA-N chlorobenzene Chemical compound ClC1=CC=CC=C1 MVPPADPHJFYWMZ-UHFFFAOYSA-N 0.000 description 26
- WYURNTSHIVDZCO-UHFFFAOYSA-N Tetrahydrofuran Chemical compound C1CCOC1 WYURNTSHIVDZCO-UHFFFAOYSA-N 0.000 description 24
- BDAGIHXWWSANSR-UHFFFAOYSA-N methanoic acid Natural products OC=O BDAGIHXWWSANSR-UHFFFAOYSA-N 0.000 description 24
- 238000010992 reflux Methods 0.000 description 23
- CSNNHWWHGAXBCP-UHFFFAOYSA-L Magnesium sulfate Chemical compound [Mg+2].[O-][S+2]([O-])([O-])[O-] CSNNHWWHGAXBCP-UHFFFAOYSA-L 0.000 description 22
- 239000000706 filtrate Substances 0.000 description 21
- 239000000047 product Substances 0.000 description 19
- WSFSSNUMVMOOMR-UHFFFAOYSA-N Formaldehyde Chemical compound O=C WSFSSNUMVMOOMR-UHFFFAOYSA-N 0.000 description 18
- 229910001923 silver oxide Inorganic materials 0.000 description 17
- ZMXDDKWLCZADIW-UHFFFAOYSA-N N,N-Dimethylformamide Chemical compound CN(C)C=O ZMXDDKWLCZADIW-UHFFFAOYSA-N 0.000 description 15
- 125000002915 carbonyl group Chemical group [*:2]C([*:1])=O 0.000 description 15
- 238000001816 cooling Methods 0.000 description 15
- 150000002148 esters Chemical class 0.000 description 15
- 125000000475 sulfinyl group Chemical group [*:2]S([*:1])=O 0.000 description 15
- 125000000472 sulfonyl group Chemical group *S(*)(=O)=O 0.000 description 15
- VEXZGXHMUGYJMC-UHFFFAOYSA-N Hydrochloric acid Chemical compound Cl VEXZGXHMUGYJMC-UHFFFAOYSA-N 0.000 description 14
- IXCSERBJSXMMFS-UHFFFAOYSA-N hydrogen chloride Substances Cl.Cl IXCSERBJSXMMFS-UHFFFAOYSA-N 0.000 description 14
- 229910000041 hydrogen chloride Inorganic materials 0.000 description 14
- 125000002252 acyl group Chemical group 0.000 description 13
- 239000002019 doping agent Substances 0.000 description 13
- 238000004770 highest occupied molecular orbital Methods 0.000 description 13
- FCEHBMOGCRZNNI-UHFFFAOYSA-N 1-benzothiophene Chemical compound C1=CC=C2SC=CC2=C1 FCEHBMOGCRZNNI-UHFFFAOYSA-N 0.000 description 12
- OSWFIVFLDKOXQC-UHFFFAOYSA-N 4-(3-methoxyphenyl)aniline Chemical compound COC1=CC=CC(C=2C=CC(N)=CC=2)=C1 OSWFIVFLDKOXQC-UHFFFAOYSA-N 0.000 description 12
- CSCPPACGZOOCGX-UHFFFAOYSA-N Acetone Chemical compound CC(C)=O CSCPPACGZOOCGX-UHFFFAOYSA-N 0.000 description 12
- UHOVQNZJYSORNB-UHFFFAOYSA-N Benzene Chemical compound C1=CC=CC=C1 UHOVQNZJYSORNB-UHFFFAOYSA-N 0.000 description 12
- IAZDPXIOMUYVGZ-UHFFFAOYSA-N Dimethylsulphoxide Chemical compound CS(C)=O IAZDPXIOMUYVGZ-UHFFFAOYSA-N 0.000 description 12
- JUJWROOIHBZHMG-UHFFFAOYSA-N Pyridine Chemical group C1=CC=NC=C1 JUJWROOIHBZHMG-UHFFFAOYSA-N 0.000 description 12
- IOJUPLGTWVMSFF-UHFFFAOYSA-N benzothiazole Chemical compound C1=CC=C2SC=NC2=C1 IOJUPLGTWVMSFF-UHFFFAOYSA-N 0.000 description 12
- 235000019253 formic acid Nutrition 0.000 description 12
- 239000000741 silica gel Substances 0.000 description 12
- 229910002027 silica gel Inorganic materials 0.000 description 12
- 150000003384 small molecules Chemical class 0.000 description 12
- LRHPLDYGYMQRHN-UHFFFAOYSA-N N-Butanol Chemical compound CCCCO LRHPLDYGYMQRHN-UHFFFAOYSA-N 0.000 description 11
- 238000004020 luminiscence type Methods 0.000 description 11
- 229910052943 magnesium sulfate Inorganic materials 0.000 description 11
- 235000019341 magnesium sulphate Nutrition 0.000 description 11
- 238000000034 method Methods 0.000 description 11
- GKASDNZWUGIAMG-UHFFFAOYSA-N triethyl orthoformate Chemical compound CCOC(OCC)OCC GKASDNZWUGIAMG-UHFFFAOYSA-N 0.000 description 11
- 125000000623 heterocyclic group Chemical group 0.000 description 10
- MFRIHAYPQRLWNB-UHFFFAOYSA-N sodium tert-butoxide Chemical compound [Na+].CC(C)(C)[O-] MFRIHAYPQRLWNB-UHFFFAOYSA-N 0.000 description 10
- YLQBMQCUIZJEEH-UHFFFAOYSA-N Furan Chemical compound C=1C=COC=1 YLQBMQCUIZJEEH-UHFFFAOYSA-N 0.000 description 9
- HEMHJVSKTPXQMS-UHFFFAOYSA-M Sodium hydroxide Chemical compound [OH-].[Na+] HEMHJVSKTPXQMS-UHFFFAOYSA-M 0.000 description 9
- 125000000304 alkynyl group Chemical group 0.000 description 9
- 238000001914 filtration Methods 0.000 description 9
- QJGQUHMNIGDVPM-UHFFFAOYSA-N nitrogen group Chemical group [N] QJGQUHMNIGDVPM-UHFFFAOYSA-N 0.000 description 9
- QTBSBXVTEAMEQO-UHFFFAOYSA-N Acetic acid Natural products CC(O)=O QTBSBXVTEAMEQO-UHFFFAOYSA-N 0.000 description 8
- 239000002243 precursor Substances 0.000 description 8
- PAYRUJLWNCNPSJ-UHFFFAOYSA-N Aniline Chemical compound NC1=CC=CC=C1 PAYRUJLWNCNPSJ-UHFFFAOYSA-N 0.000 description 7
- BAVYZALUXZFZLV-UHFFFAOYSA-N Methylamine Chemical compound NC BAVYZALUXZFZLV-UHFFFAOYSA-N 0.000 description 7
- 229910052799 carbon Inorganic materials 0.000 description 7
- 230000000052 comparative effect Effects 0.000 description 7
- 150000004696 coordination complex Chemical class 0.000 description 7
- 239000000758 substrate Substances 0.000 description 7
- 0 *[n]1c(*=**=*=*2)c2c2c1****2 Chemical compound *[n]1c(*=**=*=*2)c2c2c1****2 0.000 description 6
- JJYPMNFTHPTTDI-UHFFFAOYSA-N 3-methylaniline Chemical compound CC1=CC=CC(N)=C1 JJYPMNFTHPTTDI-UHFFFAOYSA-N 0.000 description 6
- RTZKZFJDLAIYFH-UHFFFAOYSA-N Diethyl ether Chemical compound CCOCC RTZKZFJDLAIYFH-UHFFFAOYSA-N 0.000 description 6
- OAKJQQAXSVQMHS-UHFFFAOYSA-N Hydrazine Chemical compound NN OAKJQQAXSVQMHS-UHFFFAOYSA-N 0.000 description 6
- KYQCOXFCLRTKLS-UHFFFAOYSA-N Pyrazine Chemical compound C1=CN=CC=N1 KYQCOXFCLRTKLS-UHFFFAOYSA-N 0.000 description 6
- VZTDIZULWFCMLS-UHFFFAOYSA-N ammonium formate Chemical compound [NH4+].[O-]C=O VZTDIZULWFCMLS-UHFFFAOYSA-N 0.000 description 6
- 125000005331 diazinyl group Chemical group N1=NC(=CC=C1)* 0.000 description 6
- ZUOUZKKEUPVFJK-UHFFFAOYSA-N diphenyl Chemical compound C1=CC=CC=C1C1=CC=CC=C1 ZUOUZKKEUPVFJK-UHFFFAOYSA-N 0.000 description 6
- 238000001704 evaporation Methods 0.000 description 6
- 230000008020 evaporation Effects 0.000 description 6
- 239000011368 organic material Substances 0.000 description 6
- WCPAKWJPBJAGKN-UHFFFAOYSA-N oxadiazole Chemical compound C1=CON=N1 WCPAKWJPBJAGKN-UHFFFAOYSA-N 0.000 description 6
- 229910052760 oxygen Inorganic materials 0.000 description 6
- 239000002244 precipitate Substances 0.000 description 6
- 238000001953 recrystallisation Methods 0.000 description 6
- 230000032258 transport Effects 0.000 description 6
- 229910052782 aluminium Inorganic materials 0.000 description 5
- XAGFODPZIPBFFR-UHFFFAOYSA-N aluminium Chemical compound [Al] XAGFODPZIPBFFR-UHFFFAOYSA-N 0.000 description 5
- 125000006615 aromatic heterocyclic group Chemical group 0.000 description 5
- 230000004888 barrier function Effects 0.000 description 5
- 230000000903 blocking effect Effects 0.000 description 5
- 238000009835 boiling Methods 0.000 description 5
- 230000005587 bubbling Effects 0.000 description 5
- 239000012043 crude product Substances 0.000 description 5
- 239000000412 dendrimer Substances 0.000 description 5
- 229920000736 dendritic polymer Polymers 0.000 description 5
- 238000000151 deposition Methods 0.000 description 5
- 239000011888 foil Substances 0.000 description 5
- 150000002460 imidazoles Chemical class 0.000 description 5
- 239000007788 liquid Substances 0.000 description 5
- 230000005693 optoelectronics Effects 0.000 description 5
- 229910052698 phosphorus Inorganic materials 0.000 description 5
- 229920000642 polymer Polymers 0.000 description 5
- IOXGEAHHEGTLMQ-UHFFFAOYSA-N pyridazine Chemical group C1=CC=NN=C1.C1=CC=NN=C1 IOXGEAHHEGTLMQ-UHFFFAOYSA-N 0.000 description 5
- XSCHRSMBECNVNS-UHFFFAOYSA-N quinoxaline Chemical compound N1=CC=NC2=CC=CC=C21 XSCHRSMBECNVNS-UHFFFAOYSA-N 0.000 description 5
- 150000003839 salts Chemical class 0.000 description 5
- UAOUIVVJBYDFKD-XKCDOFEDSA-N (1R,9R,10S,11R,12R,15S,18S,21R)-10,11,21-trihydroxy-8,8-dimethyl-14-methylidene-4-(prop-2-enylamino)-20-oxa-5-thia-3-azahexacyclo[9.7.2.112,15.01,9.02,6.012,18]henicosa-2(6),3-dien-13-one Chemical compound C([C@@H]1[C@@H](O)[C@@]23C(C1=C)=O)C[C@H]2[C@]12C(N=C(NCC=C)S4)=C4CC(C)(C)[C@H]1[C@H](O)[C@]3(O)OC2 UAOUIVVJBYDFKD-XKCDOFEDSA-N 0.000 description 4
- UUOLETYDNTVQDY-UHFFFAOYSA-N 2-chloro-3-nitropyridine Chemical compound [O-][N+](=O)C1=CC=CN=C1Cl UUOLETYDNTVQDY-UHFFFAOYSA-N 0.000 description 4
- WCDCAXVNBOLWNO-UHFFFAOYSA-N 2-fluoro-3-iodopyridine Chemical compound FC1=NC=CC=C1I WCDCAXVNBOLWNO-UHFFFAOYSA-N 0.000 description 4
- OLQLKEGDKARDNO-UHFFFAOYSA-N 2-n-phenylpyridine-2,3-diamine Chemical compound NC1=CC=CN=C1NC1=CC=CC=C1 OLQLKEGDKARDNO-UHFFFAOYSA-N 0.000 description 4
- VQGHOUODWALEFC-UHFFFAOYSA-N 2-phenylpyridine Chemical compound C1=CC=CC=C1C1=CC=CC=N1 VQGHOUODWALEFC-UHFFFAOYSA-N 0.000 description 4
- QBWKPGNFQQJGFY-QLFBSQMISA-N 3-[(1r)-1-[(2r,6s)-2,6-dimethylmorpholin-4-yl]ethyl]-n-[6-methyl-3-(1h-pyrazol-4-yl)imidazo[1,2-a]pyrazin-8-yl]-1,2-thiazol-5-amine Chemical compound N1([C@H](C)C2=NSC(NC=3C4=NC=C(N4C=C(C)N=3)C3=CNN=C3)=C2)C[C@H](C)O[C@H](C)C1 QBWKPGNFQQJGFY-QLFBSQMISA-N 0.000 description 4
- 125000001054 5 membered carbocyclic group Chemical group 0.000 description 4
- 125000004008 6 membered carbocyclic group Chemical group 0.000 description 4
- UJOBWOGCFQCDNV-UHFFFAOYSA-N 9H-carbazole Chemical compound C1=CC=C2C3=CC=CC=C3NC2=C1 UJOBWOGCFQCDNV-UHFFFAOYSA-N 0.000 description 4
- WEVYAHXRMPXWCK-UHFFFAOYSA-N Acetonitrile Chemical compound CC#N WEVYAHXRMPXWCK-UHFFFAOYSA-N 0.000 description 4
- UFWIBTONFRDIAS-UHFFFAOYSA-N Naphthalene Chemical compound C1=CC=CC2=CC=CC=C21 UFWIBTONFRDIAS-UHFFFAOYSA-N 0.000 description 4
- PCNDJXKNXGMECE-UHFFFAOYSA-N Phenazine Natural products C1=CC=CC2=NC3=CC=CC=C3N=C21 PCNDJXKNXGMECE-UHFFFAOYSA-N 0.000 description 4
- SMWDFEZZVXVKRB-UHFFFAOYSA-N Quinoline Chemical compound N1=CC=CC2=CC=CC=C21 SMWDFEZZVXVKRB-UHFFFAOYSA-N 0.000 description 4
- MWPLVEDNUUSJAV-UHFFFAOYSA-N anthracene Chemical compound C1=CC=CC2=CC3=CC=CC=C3C=C21 MWPLVEDNUUSJAV-UHFFFAOYSA-N 0.000 description 4
- 229940125810 compound 20 Drugs 0.000 description 4
- 229940125846 compound 25 Drugs 0.000 description 4
- 125000004122 cyclic group Chemical group 0.000 description 4
- 239000000539 dimer Substances 0.000 description 4
- 230000000694 effects Effects 0.000 description 4
- 239000003480 eluent Substances 0.000 description 4
- 230000005281 excited state Effects 0.000 description 4
- JAXFJECJQZDFJS-XHEPKHHKSA-N gtpl8555 Chemical compound OC(=O)C[C@H](N)C(=O)N[C@@H](CCC(O)=O)C(=O)N[C@@H](C(C)C)C(=O)N[C@@H](C(C)C)C(=O)N1CCC[C@@H]1C(=O)N[C@H](B1O[C@@]2(C)[C@H]3C[C@H](C3(C)C)C[C@H]2O1)CCC1=CC=C(F)C=C1 JAXFJECJQZDFJS-XHEPKHHKSA-N 0.000 description 4
- 238000002347 injection Methods 0.000 description 4
- 239000007924 injection Substances 0.000 description 4
- AWJUIBRHMBBTKR-UHFFFAOYSA-N isoquinoline Chemical compound C1=NC=CC2=CC=CC=C21 AWJUIBRHMBBTKR-UHFFFAOYSA-N 0.000 description 4
- 150000002894 organic compounds Chemical class 0.000 description 4
- YNPNZTXNASCQKK-UHFFFAOYSA-N phenanthrene Chemical compound C1=CC=C2C3=CC=CC=C3C=CC2=C1 YNPNZTXNASCQKK-UHFFFAOYSA-N 0.000 description 4
- BBEAQIROQSPTKN-UHFFFAOYSA-N pyrene Chemical compound C1=CC=C2C=CC3=CC=CC4=CC=C1C2=C43 BBEAQIROQSPTKN-UHFFFAOYSA-N 0.000 description 4
- UMJSCPRVCHMLSP-UHFFFAOYSA-N pyridine Natural products COC1=CC=CN=C1 UMJSCPRVCHMLSP-UHFFFAOYSA-N 0.000 description 4
- 238000000859 sublimation Methods 0.000 description 4
- 230000008022 sublimation Effects 0.000 description 4
- 229910052717 sulfur Inorganic materials 0.000 description 4
- AOSZTAHDEDLTLQ-AZKQZHLXSA-N (1S,2S,4R,8S,9S,11S,12R,13S,19S)-6-[(3-chlorophenyl)methyl]-12,19-difluoro-11-hydroxy-8-(2-hydroxyacetyl)-9,13-dimethyl-6-azapentacyclo[10.8.0.02,9.04,8.013,18]icosa-14,17-dien-16-one Chemical compound C([C@@H]1C[C@H]2[C@H]3[C@]([C@]4(C=CC(=O)C=C4[C@@H](F)C3)C)(F)[C@@H](O)C[C@@]2([C@@]1(C1)C(=O)CO)C)N1CC1=CC=CC(Cl)=C1 AOSZTAHDEDLTLQ-AZKQZHLXSA-N 0.000 description 3
- SZUVGFMDDVSKSI-WIFOCOSTSA-N (1s,2s,3s,5r)-1-(carboxymethyl)-3,5-bis[(4-phenoxyphenyl)methyl-propylcarbamoyl]cyclopentane-1,2-dicarboxylic acid Chemical compound O=C([C@@H]1[C@@H]([C@](CC(O)=O)([C@H](C(=O)N(CCC)CC=2C=CC(OC=3C=CC=CC=3)=CC=2)C1)C(O)=O)C(O)=O)N(CCC)CC(C=C1)=CC=C1OC1=CC=CC=C1 SZUVGFMDDVSKSI-WIFOCOSTSA-N 0.000 description 3
- WWTBZEKOSBFBEM-SPWPXUSOSA-N (2s)-2-[[2-benzyl-3-[hydroxy-[(1r)-2-phenyl-1-(phenylmethoxycarbonylamino)ethyl]phosphoryl]propanoyl]amino]-3-(1h-indol-3-yl)propanoic acid Chemical compound N([C@@H](CC=1C2=CC=CC=C2NC=1)C(=O)O)C(=O)C(CP(O)(=O)[C@H](CC=1C=CC=CC=1)NC(=O)OCC=1C=CC=CC=1)CC1=CC=CC=C1 WWTBZEKOSBFBEM-SPWPXUSOSA-N 0.000 description 3
- IWZSHWBGHQBIML-ZGGLMWTQSA-N (3S,8S,10R,13S,14S,17S)-17-isoquinolin-7-yl-N,N,10,13-tetramethyl-2,3,4,7,8,9,11,12,14,15,16,17-dodecahydro-1H-cyclopenta[a]phenanthren-3-amine Chemical compound CN(C)[C@H]1CC[C@]2(C)C3CC[C@@]4(C)[C@@H](CC[C@@H]4c4ccc5ccncc5c4)[C@@H]3CC=C2C1 IWZSHWBGHQBIML-ZGGLMWTQSA-N 0.000 description 3
- KQZLRWGGWXJPOS-NLFPWZOASA-N 1-[(1R)-1-(2,4-dichlorophenyl)ethyl]-6-[(4S,5R)-4-[(2S)-2-(hydroxymethyl)pyrrolidin-1-yl]-5-methylcyclohexen-1-yl]pyrazolo[3,4-b]pyrazine-3-carbonitrile Chemical compound ClC1=C(C=CC(=C1)Cl)[C@@H](C)N1N=C(C=2C1=NC(=CN=2)C1=CC[C@@H]([C@@H](C1)C)N1[C@@H](CCC1)CO)C#N KQZLRWGGWXJPOS-NLFPWZOASA-N 0.000 description 3
- WZZBNLYBHUDSHF-DHLKQENFSA-N 1-[(3s,4s)-4-[8-(2-chloro-4-pyrimidin-2-yloxyphenyl)-7-fluoro-2-methylimidazo[4,5-c]quinolin-1-yl]-3-fluoropiperidin-1-yl]-2-hydroxyethanone Chemical compound CC1=NC2=CN=C3C=C(F)C(C=4C(=CC(OC=5N=CC=CN=5)=CC=4)Cl)=CC3=C2N1[C@H]1CCN(C(=O)CO)C[C@@H]1F WZZBNLYBHUDSHF-DHLKQENFSA-N 0.000 description 3
- ONBQEOIKXPHGMB-VBSBHUPXSA-N 1-[2-[(2s,3r,4s,5r)-3,4-dihydroxy-5-(hydroxymethyl)oxolan-2-yl]oxy-4,6-dihydroxyphenyl]-3-(4-hydroxyphenyl)propan-1-one Chemical compound O[C@@H]1[C@H](O)[C@@H](CO)O[C@H]1OC1=CC(O)=CC(O)=C1C(=O)CCC1=CC=C(O)C=C1 ONBQEOIKXPHGMB-VBSBHUPXSA-N 0.000 description 3
- MLCNOCRGSBCAGH-UHFFFAOYSA-N 2,3-dichloropyrazine Chemical compound ClC1=NC=CN=C1Cl MLCNOCRGSBCAGH-UHFFFAOYSA-N 0.000 description 3
- YSUIQYOGTINQIN-UZFYAQMZSA-N 2-amino-9-[(1S,6R,8R,9S,10R,15R,17R,18R)-8-(6-aminopurin-9-yl)-9,18-difluoro-3,12-dihydroxy-3,12-bis(sulfanylidene)-2,4,7,11,13,16-hexaoxa-3lambda5,12lambda5-diphosphatricyclo[13.2.1.06,10]octadecan-17-yl]-1H-purin-6-one Chemical compound NC1=NC2=C(N=CN2[C@@H]2O[C@@H]3COP(S)(=O)O[C@@H]4[C@@H](COP(S)(=O)O[C@@H]2[C@@H]3F)O[C@H]([C@H]4F)N2C=NC3=C2N=CN=C3N)C(=O)N1 YSUIQYOGTINQIN-UZFYAQMZSA-N 0.000 description 3
- NPRYCHLHHVWLQZ-TURQNECASA-N 2-amino-9-[(2R,3S,4S,5R)-4-fluoro-3-hydroxy-5-(hydroxymethyl)oxolan-2-yl]-7-prop-2-ynylpurin-8-one Chemical compound NC1=NC=C2N(C(N(C2=N1)[C@@H]1O[C@@H]([C@H]([C@H]1O)F)CO)=O)CC#C NPRYCHLHHVWLQZ-TURQNECASA-N 0.000 description 3
- AVFPIISXWMMLOV-UHFFFAOYSA-N 2-n-(1,3-benzodioxol-5-yl)pyridine-2,3-diamine Chemical compound NC1=CC=CN=C1NC1=CC=C(OCO2)C2=C1 AVFPIISXWMMLOV-UHFFFAOYSA-N 0.000 description 3
- YJRUTQNPPWLFRM-UHFFFAOYSA-N 2-n-(3-methylphenyl)-3-n-propan-2-ylpyrazine-2,3-diamine Chemical compound CC(C)NC1=NC=CN=C1NC1=CC=CC(C)=C1 YJRUTQNPPWLFRM-UHFFFAOYSA-N 0.000 description 3
- ZFQMBPLMVOTTFG-UHFFFAOYSA-N 2-n-ethyl-3-n-phenylpyridine-2,3-diamine Chemical compound CCNC1=NC=CC=C1NC1=CC=CC=C1 ZFQMBPLMVOTTFG-UHFFFAOYSA-N 0.000 description 3
- UQXRQVGWVGDXMS-UHFFFAOYSA-N 2-n-ethylpyridine-2,3-diamine Chemical compound CCNC1=NC=CC=C1N UQXRQVGWVGDXMS-UHFFFAOYSA-N 0.000 description 3
- YLNGBXBRRZCMCW-UHFFFAOYSA-N 2-n-methyl-3-n-[3-(n-phenylanilino)phenyl]pyridine-2,3-diamine Chemical compound CNC1=NC=CC=C1NC1=CC=CC(N(C=2C=CC=CC=2)C=2C=CC=CC=2)=C1 YLNGBXBRRZCMCW-UHFFFAOYSA-N 0.000 description 3
- QEORHYXDOJMCEV-UHFFFAOYSA-N 3-chloro-n-phenylpyrazin-2-amine Chemical compound ClC1=NC=CN=C1NC1=CC=CC=C1 QEORHYXDOJMCEV-UHFFFAOYSA-N 0.000 description 3
- MVFOZPUJBFFGFO-UHFFFAOYSA-N 3-iodo-n-methylpyridin-2-amine Chemical compound CNC1=NC=CC=C1I MVFOZPUJBFFGFO-UHFFFAOYSA-N 0.000 description 3
- BVSSLWSVVVVYMO-UHFFFAOYSA-N 3-n-methyl-2-n-phenylpyridine-2,3-diamine Chemical compound CNC1=CC=CN=C1NC1=CC=CC=C1 BVSSLWSVVVVYMO-UHFFFAOYSA-N 0.000 description 3
- PCCSYAWZVABITQ-UHFFFAOYSA-N 3-nitro-n-phenylpyridin-2-amine Chemical compound [O-][N+](=O)C1=CC=CN=C1NC1=CC=CC=C1 PCCSYAWZVABITQ-UHFFFAOYSA-N 0.000 description 3
- OJRUSAPKCPIVBY-KQYNXXCUSA-N C1=NC2=C(N=C(N=C2N1[C@H]3[C@@H]([C@@H]([C@H](O3)COP(=O)(CP(=O)(O)O)O)O)O)I)N Chemical compound C1=NC2=C(N=C(N=C2N1[C@H]3[C@@H]([C@@H]([C@H](O3)COP(=O)(CP(=O)(O)O)O)O)O)I)N OJRUSAPKCPIVBY-KQYNXXCUSA-N 0.000 description 3
- 229940126657 Compound 17 Drugs 0.000 description 3
- 229940126062 Compound A Drugs 0.000 description 3
- NLDMNSXOCDLTTB-UHFFFAOYSA-N Heterophylliin A Natural products O1C2COC(=O)C3=CC(O)=C(O)C(O)=C3C3=C(O)C(O)=C(O)C=C3C(=O)OC2C(OC(=O)C=2C=C(O)C(O)=C(O)C=2)C(O)C1OC(=O)C1=CC(O)=C(O)C(O)=C1 NLDMNSXOCDLTTB-UHFFFAOYSA-N 0.000 description 3
- OPFJDXRVMFKJJO-ZHHKINOHSA-N N-{[3-(2-benzamido-4-methyl-1,3-thiazol-5-yl)-pyrazol-5-yl]carbonyl}-G-dR-G-dD-dD-dD-NH2 Chemical compound S1C(C=2NN=C(C=2)C(=O)NCC(=O)N[C@H](CCCN=C(N)N)C(=O)NCC(=O)N[C@H](CC(O)=O)C(=O)N[C@H](CC(O)=O)C(=O)N[C@H](CC(O)=O)C(N)=O)=C(C)N=C1NC(=O)C1=CC=CC=C1 OPFJDXRVMFKJJO-ZHHKINOHSA-N 0.000 description 3
- WTKZEGDFNFYCGP-UHFFFAOYSA-N Pyrazole Chemical compound C=1C=NNC=1 WTKZEGDFNFYCGP-UHFFFAOYSA-N 0.000 description 3
- CZPWVGJYEJSRLH-UHFFFAOYSA-N Pyrimidine Chemical compound C1=CN=CN=C1 CZPWVGJYEJSRLH-UHFFFAOYSA-N 0.000 description 3
- RWRDLPDLKQPQOW-UHFFFAOYSA-N Pyrrolidine Chemical compound C1CCNC1 RWRDLPDLKQPQOW-UHFFFAOYSA-N 0.000 description 3
- SLGBZMMZGDRARJ-UHFFFAOYSA-N Triphenylene Natural products C1=CC=C2C3=CC=CC=C3C3=CC=CC=C3C2=C1 SLGBZMMZGDRARJ-UHFFFAOYSA-N 0.000 description 3
- LJOOWESTVASNOG-UFJKPHDISA-N [(1s,3r,4ar,7s,8s,8as)-3-hydroxy-8-[2-[(4r)-4-hydroxy-6-oxooxan-2-yl]ethyl]-7-methyl-1,2,3,4,4a,7,8,8a-octahydronaphthalen-1-yl] (2s)-2-methylbutanoate Chemical compound C([C@H]1[C@@H](C)C=C[C@H]2C[C@@H](O)C[C@@H]([C@H]12)OC(=O)[C@@H](C)CC)CC1C[C@@H](O)CC(=O)O1 LJOOWESTVASNOG-UFJKPHDISA-N 0.000 description 3
- XRWSZZJLZRKHHD-WVWIJVSJSA-N asunaprevir Chemical compound O=C([C@@H]1C[C@H](CN1C(=O)[C@@H](NC(=O)OC(C)(C)C)C(C)(C)C)OC1=NC=C(C2=CC=C(Cl)C=C21)OC)N[C@]1(C(=O)NS(=O)(=O)C2CC2)C[C@H]1C=C XRWSZZJLZRKHHD-WVWIJVSJSA-N 0.000 description 3
- 230000008901 benefit Effects 0.000 description 3
- MUALRAIOVNYAIW-UHFFFAOYSA-N binap Chemical compound C1=CC=CC=C1P(C=1C(=C2C=CC=CC2=CC=1)C=1C2=CC=CC=C2C=CC=1P(C=1C=CC=CC=1)C=1C=CC=CC=1)C1=CC=CC=C1 MUALRAIOVNYAIW-UHFFFAOYSA-N 0.000 description 3
- 235000010290 biphenyl Nutrition 0.000 description 3
- 239000012267 brine Substances 0.000 description 3
- 229940125904 compound 1 Drugs 0.000 description 3
- 229940126543 compound 14 Drugs 0.000 description 3
- 229940125758 compound 15 Drugs 0.000 description 3
- 229940126142 compound 16 Drugs 0.000 description 3
- 229940125782 compound 2 Drugs 0.000 description 3
- 229940126086 compound 21 Drugs 0.000 description 3
- 229940126208 compound 22 Drugs 0.000 description 3
- 229940125961 compound 24 Drugs 0.000 description 3
- 229940127204 compound 29 Drugs 0.000 description 3
- 229940125877 compound 31 Drugs 0.000 description 3
- 230000021615 conjugation Effects 0.000 description 3
- 238000010586 diagram Methods 0.000 description 3
- TXCDCPKCNAJMEE-UHFFFAOYSA-N dibenzofuran Chemical compound C1=CC=C2C3=CC=CC=C3OC2=C1 TXCDCPKCNAJMEE-UHFFFAOYSA-N 0.000 description 3
- QKBTTXJHJNXCOQ-UHFFFAOYSA-N dibenzofuran-4-amine Chemical compound O1C2=CC=CC=C2C2=C1C(N)=CC=C2 QKBTTXJHJNXCOQ-UHFFFAOYSA-N 0.000 description 3
- VVVPGLRKXQSQSZ-UHFFFAOYSA-N indolo[3,2-c]carbazole Chemical class C1=CC=CC2=NC3=C4C5=CC=CC=C5N=C4C=CC3=C21 VVVPGLRKXQSQSZ-UHFFFAOYSA-N 0.000 description 3
- 125000001449 isopropyl group Chemical group [H]C([H])([H])C([H])(*)C([H])([H])[H] 0.000 description 3
- 230000007246 mechanism Effects 0.000 description 3
- NIHNNTQXNPWCJQ-UHFFFAOYSA-N o-biphenylenemethane Natural products C1=CC=C2CC3=CC=CC=C3C2=C1 NIHNNTQXNPWCJQ-UHFFFAOYSA-N 0.000 description 3
- 229910052763 palladium Inorganic materials 0.000 description 3
- 230000008569 process Effects 0.000 description 3
- 238000002390 rotary evaporation Methods 0.000 description 3
- 239000000377 silicon dioxide Substances 0.000 description 3
- 239000011734 sodium Substances 0.000 description 3
- HPALAKNZSZLMCH-UHFFFAOYSA-M sodium;chloride;hydrate Chemical compound O.[Na+].[Cl-] HPALAKNZSZLMCH-UHFFFAOYSA-M 0.000 description 3
- 239000000126 substance Substances 0.000 description 3
- 238000002207 thermal evaporation Methods 0.000 description 3
- VLLMWSRANPNYQX-UHFFFAOYSA-N thiadiazole Chemical compound C1=CSN=N1.C1=CSN=N1 VLLMWSRANPNYQX-UHFFFAOYSA-N 0.000 description 3
- 238000009281 ultraviolet germicidal irradiation Methods 0.000 description 3
- GHYOCDFICYLMRF-UTIIJYGPSA-N (2S,3R)-N-[(2S)-3-(cyclopenten-1-yl)-1-[(2R)-2-methyloxiran-2-yl]-1-oxopropan-2-yl]-3-hydroxy-3-(4-methoxyphenyl)-2-[[(2S)-2-[(2-morpholin-4-ylacetyl)amino]propanoyl]amino]propanamide Chemical compound C1(=CCCC1)C[C@@H](C(=O)[C@@]1(OC1)C)NC([C@H]([C@@H](C1=CC=C(C=C1)OC)O)NC([C@H](C)NC(CN1CCOCC1)=O)=O)=O GHYOCDFICYLMRF-UTIIJYGPSA-N 0.000 description 2
- QFLWZFQWSBQYPS-AWRAUJHKSA-N (3S)-3-[[(2S)-2-[[(2S)-2-[5-[(3aS,6aR)-2-oxo-1,3,3a,4,6,6a-hexahydrothieno[3,4-d]imidazol-4-yl]pentanoylamino]-3-methylbutanoyl]amino]-3-(4-hydroxyphenyl)propanoyl]amino]-4-[1-bis(4-chlorophenoxy)phosphorylbutylamino]-4-oxobutanoic acid Chemical compound CCCC(NC(=O)[C@H](CC(O)=O)NC(=O)[C@H](Cc1ccc(O)cc1)NC(=O)[C@@H](NC(=O)CCCCC1SC[C@@H]2NC(=O)N[C@H]12)C(C)C)P(=O)(Oc1ccc(Cl)cc1)Oc1ccc(Cl)cc1 QFLWZFQWSBQYPS-AWRAUJHKSA-N 0.000 description 2
- UVNPEUJXKZFWSJ-LMTQTHQJSA-N (R)-N-[(4S)-8-[6-amino-5-[(3,3-difluoro-2-oxo-1H-pyrrolo[2,3-b]pyridin-4-yl)sulfanyl]pyrazin-2-yl]-2-oxa-8-azaspiro[4.5]decan-4-yl]-2-methylpropane-2-sulfinamide Chemical compound CC(C)(C)[S@@](=O)N[C@@H]1COCC11CCN(CC1)c1cnc(Sc2ccnc3NC(=O)C(F)(F)c23)c(N)n1 UVNPEUJXKZFWSJ-LMTQTHQJSA-N 0.000 description 2
- JYEUMXHLPRZUAT-UHFFFAOYSA-N 1,2,3-triazine Chemical compound C1=CN=NN=C1 JYEUMXHLPRZUAT-UHFFFAOYSA-N 0.000 description 2
- YJTKZCDBKVTVBY-UHFFFAOYSA-N 1,3-Diphenylbenzene Chemical group C1=CC=CC=C1C1=CC=CC(C=2C=CC=CC=2)=C1 YJTKZCDBKVTVBY-UHFFFAOYSA-N 0.000 description 2
- FLBAYUMRQUHISI-UHFFFAOYSA-N 1,8-naphthyridine Chemical compound N1=CC=CC2=CC=CN=C21 FLBAYUMRQUHISI-UHFFFAOYSA-N 0.000 description 2
- UNILWMWFPHPYOR-KXEYIPSPSA-M 1-[6-[2-[3-[3-[3-[2-[2-[3-[[2-[2-[[(2r)-1-[[2-[[(2r)-1-[3-[2-[2-[3-[[2-(2-amino-2-oxoethoxy)acetyl]amino]propoxy]ethoxy]ethoxy]propylamino]-3-hydroxy-1-oxopropan-2-yl]amino]-2-oxoethyl]amino]-3-[(2r)-2,3-di(hexadecanoyloxy)propyl]sulfanyl-1-oxopropan-2-yl Chemical compound O=C1C(SCCC(=O)NCCCOCCOCCOCCCNC(=O)COCC(=O)N[C@@H](CSC[C@@H](COC(=O)CCCCCCCCCCCCCCC)OC(=O)CCCCCCCCCCCCCCC)C(=O)NCC(=O)N[C@H](CO)C(=O)NCCCOCCOCCOCCCNC(=O)COCC(N)=O)CC(=O)N1CCNC(=O)CCCCCN\1C2=CC=C(S([O-])(=O)=O)C=C2CC/1=C/C=C/C=C/C1=[N+](CC)C2=CC=C(S([O-])(=O)=O)C=C2C1 UNILWMWFPHPYOR-KXEYIPSPSA-M 0.000 description 2
- BNRDGHFESOHOBF-UHFFFAOYSA-N 1-benzoselenophene Chemical compound C1=CC=C2[se]C=CC2=C1 BNRDGHFESOHOBF-UHFFFAOYSA-N 0.000 description 2
- HYZJCKYKOHLVJF-UHFFFAOYSA-N 1H-benzimidazole Chemical compound C1=CC=C2NC=NC2=C1 HYZJCKYKOHLVJF-UHFFFAOYSA-N 0.000 description 2
- MTAODLNXWYIKSO-UHFFFAOYSA-N 2-fluoropyridine Chemical compound FC1=CC=CC=N1 MTAODLNXWYIKSO-UHFFFAOYSA-N 0.000 description 2
- OWROLTVNXRCEDW-UHFFFAOYSA-N 2-n-(3-methylphenyl)pyridine-2,3-diamine Chemical compound CC1=CC=CC(NC=2C(=CC=CN=2)N)=C1 OWROLTVNXRCEDW-UHFFFAOYSA-N 0.000 description 2
- OSTVGSLFDYBTRO-UHFFFAOYSA-N 2-n-dibenzofuran-4-ylpyridine-2,3-diamine Chemical compound NC1=CC=CN=C1NC1=CC=CC2=C1OC1=CC=CC=C12 OSTVGSLFDYBTRO-UHFFFAOYSA-N 0.000 description 2
- ZBWDHVAPJVHHCZ-UHFFFAOYSA-N 2-n-methyl-3-n-(3-methylphenyl)pyrazine-2,3-diamine Chemical compound CNC1=NC=CN=C1NC1=CC=CC(C)=C1 ZBWDHVAPJVHHCZ-UHFFFAOYSA-N 0.000 description 2
- WSAKJYKPYLLCPZ-UHFFFAOYSA-N 2-n-methyl-3-n-phenylpyridine-2,3-diamine Chemical compound CNC1=NC=CC=C1NC1=CC=CC=C1 WSAKJYKPYLLCPZ-UHFFFAOYSA-N 0.000 description 2
- COANMWJRJDRXNS-UHFFFAOYSA-N 2-n-methylpyridine-2,3-diamine Chemical compound CNC1=NC=CC=C1N COANMWJRJDRXNS-UHFFFAOYSA-N 0.000 description 2
- CTPZYIKPTSKZFD-UHFFFAOYSA-N 2-n-phenyl-3-n-propan-2-ylpyridine-2,3-diamine Chemical compound CC(C)NC1=CC=CN=C1NC1=CC=CC=C1 CTPZYIKPTSKZFD-UHFFFAOYSA-N 0.000 description 2
- KFZMGEQAYNKOFK-UHFFFAOYSA-N 2-propanol Substances CC(C)O KFZMGEQAYNKOFK-UHFFFAOYSA-N 0.000 description 2
- OLGGLCIDAMICTA-UHFFFAOYSA-N 2-pyridin-2-yl-1h-indole Chemical compound N1C2=CC=CC=C2C=C1C1=CC=CC=N1 OLGGLCIDAMICTA-UHFFFAOYSA-N 0.000 description 2
- BCHZICNRHXRCHY-UHFFFAOYSA-N 2h-oxazine Chemical compound N1OC=CC=C1 BCHZICNRHXRCHY-UHFFFAOYSA-N 0.000 description 2
- CLVOWQGBRGLTBC-UHFFFAOYSA-N 3-chloro-n-methylpyrazin-2-amine Chemical compound CNC1=NC=CN=C1Cl CLVOWQGBRGLTBC-UHFFFAOYSA-N 0.000 description 2
- VHCWENVIQSXOQV-UHFFFAOYSA-N 3-chloro-n-propan-2-ylpyrazin-2-amine Chemical compound CC(C)NC1=NC=CN=C1Cl VHCWENVIQSXOQV-UHFFFAOYSA-N 0.000 description 2
- RSPHWOYYWACCJK-UHFFFAOYSA-N 3-n,3-n-diphenylbenzene-1,3-diamine Chemical compound NC1=CC=CC(N(C=2C=CC=CC=2)C=2C=CC=CC=2)=C1 RSPHWOYYWACCJK-UHFFFAOYSA-N 0.000 description 2
- JSQSJAKLSSCKND-UHFFFAOYSA-N 3-n-methyl-2-n-(3-methylphenyl)pyridine-2,3-diamine Chemical compound CNC1=CC=CN=C1NC1=CC=CC(C)=C1 JSQSJAKLSSCKND-UHFFFAOYSA-N 0.000 description 2
- RPOZPZAEUYGBDA-UHFFFAOYSA-N 3-nitro-n,n-diphenylaniline Chemical compound [O-][N+](=O)C1=CC=CC(N(C=2C=CC=CC=2)C=2C=CC=CC=2)=C1 RPOZPZAEUYGBDA-UHFFFAOYSA-N 0.000 description 2
- WDBQJSCPCGTAFG-QHCPKHFHSA-N 4,4-difluoro-N-[(1S)-3-[4-(3-methyl-5-propan-2-yl-1,2,4-triazol-4-yl)piperidin-1-yl]-1-pyridin-3-ylpropyl]cyclohexane-1-carboxamide Chemical compound FC1(CCC(CC1)C(=O)N[C@@H](CCN1CCC(CC1)N1C(=NN=C1C)C(C)C)C=1C=NC=CC=1)F WDBQJSCPCGTAFG-QHCPKHFHSA-N 0.000 description 2
- BWGRDBSNKQABCB-UHFFFAOYSA-N 4,4-difluoro-N-[3-[3-(3-methyl-5-propan-2-yl-1,2,4-triazol-4-yl)-8-azabicyclo[3.2.1]octan-8-yl]-1-thiophen-2-ylpropyl]cyclohexane-1-carboxamide Chemical compound CC(C)C1=NN=C(C)N1C1CC2CCC(C1)N2CCC(NC(=O)C1CCC(F)(F)CC1)C1=CC=CS1 BWGRDBSNKQABCB-UHFFFAOYSA-N 0.000 description 2
- CNPURSDMOWDNOQ-UHFFFAOYSA-N 4-methoxy-7h-pyrrolo[2,3-d]pyrimidin-2-amine Chemical compound COC1=NC(N)=NC2=C1C=CN2 CNPURSDMOWDNOQ-UHFFFAOYSA-N 0.000 description 2
- FOWPHNVIKXNDBS-UHFFFAOYSA-N 5-methyl-2-n-(3-methylphenyl)pyridine-2,3-diamine Chemical compound CC1=CC=CC(NC=2C(=CC(C)=CN=2)N)=C1 FOWPHNVIKXNDBS-UHFFFAOYSA-N 0.000 description 2
- ZIIKKNNQZLDMFD-UHFFFAOYSA-N 5-phenylpyrazine-2,3-diamine Chemical compound N1=C(N)C(N)=NC=C1C1=CC=CC=C1 ZIIKKNNQZLDMFD-UHFFFAOYSA-N 0.000 description 2
- ZOXJGFHDIHLPTG-UHFFFAOYSA-N Boron Chemical group [B] ZOXJGFHDIHLPTG-UHFFFAOYSA-N 0.000 description 2
- CURLTUGMZLYLDI-UHFFFAOYSA-N Carbon dioxide Chemical compound O=C=O CURLTUGMZLYLDI-UHFFFAOYSA-N 0.000 description 2
- LCGLNKUTAGEVQW-UHFFFAOYSA-N Dimethyl ether Chemical compound COC LCGLNKUTAGEVQW-UHFFFAOYSA-N 0.000 description 2
- QUSNBJAOOMFDIB-UHFFFAOYSA-N Ethylamine Chemical compound CCN QUSNBJAOOMFDIB-UHFFFAOYSA-N 0.000 description 2
- UFHFLCQGNIYNRP-UHFFFAOYSA-N Hydrogen Chemical compound [H][H] UFHFLCQGNIYNRP-UHFFFAOYSA-N 0.000 description 2
- SIKJAQJRHWYJAI-UHFFFAOYSA-N Indole Chemical compound C1=CC=C2NC=CC2=C1 SIKJAQJRHWYJAI-UHFFFAOYSA-N 0.000 description 2
- MZRVEZGGRBJDDB-UHFFFAOYSA-N N-Butyllithium Chemical compound [Li]CCCC MZRVEZGGRBJDDB-UHFFFAOYSA-N 0.000 description 2
- XYFCBTPGUUZFHI-UHFFFAOYSA-N Phosphine Chemical compound P XYFCBTPGUUZFHI-UHFFFAOYSA-N 0.000 description 2
- XUIMIQQOPSSXEZ-UHFFFAOYSA-N Silicon Chemical group [Si] XUIMIQQOPSSXEZ-UHFFFAOYSA-N 0.000 description 2
- FAPWRFPIFSIZLT-UHFFFAOYSA-M Sodium chloride Chemical compound [Na+].[Cl-] FAPWRFPIFSIZLT-UHFFFAOYSA-M 0.000 description 2
- YTPLMLYBLZKORZ-UHFFFAOYSA-N Thiophene Chemical compound C=1C=CSC=1 YTPLMLYBLZKORZ-UHFFFAOYSA-N 0.000 description 2
- LNUFLCYMSVYYNW-ZPJMAFJPSA-N [(2r,3r,4s,5r,6r)-2-[(2r,3r,4s,5r,6r)-6-[(2r,3r,4s,5r,6r)-6-[(2r,3r,4s,5r,6r)-6-[[(3s,5s,8r,9s,10s,13r,14s,17r)-10,13-dimethyl-17-[(2r)-6-methylheptan-2-yl]-2,3,4,5,6,7,8,9,11,12,14,15,16,17-tetradecahydro-1h-cyclopenta[a]phenanthren-3-yl]oxy]-4,5-disulfo Chemical compound O([C@@H]1[C@@H](COS(O)(=O)=O)O[C@@H]([C@@H]([C@H]1OS(O)(=O)=O)OS(O)(=O)=O)O[C@@H]1[C@@H](COS(O)(=O)=O)O[C@@H]([C@@H]([C@H]1OS(O)(=O)=O)OS(O)(=O)=O)O[C@@H]1[C@@H](COS(O)(=O)=O)O[C@H]([C@@H]([C@H]1OS(O)(=O)=O)OS(O)(=O)=O)O[C@@H]1C[C@@H]2CC[C@H]3[C@@H]4CC[C@@H]([C@]4(CC[C@@H]3[C@@]2(C)CC1)C)[C@H](C)CCCC(C)C)[C@H]1O[C@H](COS(O)(=O)=O)[C@@H](OS(O)(=O)=O)[C@H](OS(O)(=O)=O)[C@H]1OS(O)(=O)=O LNUFLCYMSVYYNW-ZPJMAFJPSA-N 0.000 description 2
- QZLAKPGRUFFNRD-UHFFFAOYSA-N [1]benzoselenolo[3,2-b]pyridine Chemical compound C1=CN=C2C3=CC=CC=C3[se]C2=C1 QZLAKPGRUFFNRD-UHFFFAOYSA-N 0.000 description 2
- WIUZHVZUGQDRHZ-UHFFFAOYSA-N [1]benzothiolo[3,2-b]pyridine Chemical compound C1=CN=C2C3=CC=CC=C3SC2=C1 WIUZHVZUGQDRHZ-UHFFFAOYSA-N 0.000 description 2
- DZBUGLKDJFMEHC-UHFFFAOYSA-N acridine Chemical compound C1=CC=CC2=CC3=CC=CC=C3N=C21 DZBUGLKDJFMEHC-UHFFFAOYSA-N 0.000 description 2
- 125000001931 aliphatic group Chemical group 0.000 description 2
- 150000001412 amines Chemical class 0.000 description 2
- 150000004982 aromatic amines Chemical class 0.000 description 2
- YCOXTKKNXUZSKD-UHFFFAOYSA-N as-o-xylenol Natural products CC1=CC=C(O)C=C1C YCOXTKKNXUZSKD-UHFFFAOYSA-N 0.000 description 2
- 125000004429 atom Chemical group 0.000 description 2
- CUFNKYGDVFVPHO-UHFFFAOYSA-N azulene Chemical compound C1=CC=CC2=CC=CC2=C1 CUFNKYGDVFVPHO-UHFFFAOYSA-N 0.000 description 2
- 239000004305 biphenyl Substances 0.000 description 2
- 229910052796 boron Inorganic materials 0.000 description 2
- 235000011089 carbon dioxide Nutrition 0.000 description 2
- 125000003636 chemical group Chemical group 0.000 description 2
- 238000004587 chromatography analysis Methods 0.000 description 2
- 229940125797 compound 12 Drugs 0.000 description 2
- 230000008021 deposition Effects 0.000 description 2
- UZVGSSNIUNSOFA-UHFFFAOYSA-N dibenzofuran-1-carboxylic acid Chemical compound O1C2=CC=CC=C2C2=C1C=CC=C2C(=O)O UZVGSSNIUNSOFA-UHFFFAOYSA-N 0.000 description 2
- IYYZUPMFVPLQIF-UHFFFAOYSA-N dibenzothiophene Chemical compound C1=CC=C2C3=CC=CC=C3SC2=C1 IYYZUPMFVPLQIF-UHFFFAOYSA-N 0.000 description 2
- YFIWWHMQKBLKIJ-UHFFFAOYSA-N diethoxymethoxyethane;formic acid Chemical compound OC=O.CCOC(OCC)OCC YFIWWHMQKBLKIJ-UHFFFAOYSA-N 0.000 description 2
- GVEPBJHOBDJJJI-UHFFFAOYSA-N fluoranthrene Natural products C1=CC(C2=CC=CC=C22)=C3C2=CC=CC3=C1 GVEPBJHOBDJJJI-UHFFFAOYSA-N 0.000 description 2
- RMBPEFMHABBEKP-UHFFFAOYSA-N fluorene Chemical compound C1=CC=C2C3=C[CH]C=CC3=CC2=C1 RMBPEFMHABBEKP-UHFFFAOYSA-N 0.000 description 2
- 230000005525 hole transport Effects 0.000 description 2
- 229960005544 indolocarbazole Drugs 0.000 description 2
- SNHMUERNLJLMHN-UHFFFAOYSA-N iodobenzene Chemical compound IC1=CC=CC=C1 SNHMUERNLJLMHN-UHFFFAOYSA-N 0.000 description 2
- 150000002503 iridium Chemical class 0.000 description 2
- KWGKDLIKAYFUFQ-UHFFFAOYSA-M lithium chloride Chemical compound [Li+].[Cl-] KWGKDLIKAYFUFQ-UHFFFAOYSA-M 0.000 description 2
- ZCSHNCUQKCANBX-UHFFFAOYSA-N lithium diisopropylamide Chemical compound [Li+].CC(C)[N-]C(C)C ZCSHNCUQKCANBX-UHFFFAOYSA-N 0.000 description 2
- 239000011159 matrix material Substances 0.000 description 2
- VNWKTOKETHGBQD-UHFFFAOYSA-N methane Chemical compound C VNWKTOKETHGBQD-UHFFFAOYSA-N 0.000 description 2
- 238000013508 migration Methods 0.000 description 2
- 230000005012 migration Effects 0.000 description 2
- CCCXKBLCIOUOGA-UHFFFAOYSA-N n-(1,3-benzodioxol-5-yl)-3-nitropyridin-2-amine Chemical compound [O-][N+](=O)C1=CC=CN=C1NC1=CC=C(OCO2)C2=C1 CCCXKBLCIOUOGA-UHFFFAOYSA-N 0.000 description 2
- XQYXDWHVXPNULZ-UHFFFAOYSA-N n-(3-methylphenyl)-3-nitropyridin-2-amine Chemical compound CC1=CC=CC(NC=2C(=CC=CN=2)[N+]([O-])=O)=C1 XQYXDWHVXPNULZ-UHFFFAOYSA-N 0.000 description 2
- IBHBKWKFFTZAHE-UHFFFAOYSA-N n-[4-[4-(n-naphthalen-1-ylanilino)phenyl]phenyl]-n-phenylnaphthalen-1-amine Chemical group C1=CC=CC=C1N(C=1C2=CC=CC=C2C=CC=1)C1=CC=C(C=2C=CC(=CC=2)N(C=2C=CC=CC=2)C=2C3=CC=CC=C3C=CC=2)C=C1 IBHBKWKFFTZAHE-UHFFFAOYSA-N 0.000 description 2
- DDBQQNCEHLMYGB-UHFFFAOYSA-N n-ethyl-3-nitropyridin-2-amine Chemical compound CCNC1=NC=CC=C1[N+]([O-])=O DDBQQNCEHLMYGB-UHFFFAOYSA-N 0.000 description 2
- SILGRKFIVIVPKA-UHFFFAOYSA-N n-methyl-3-nitropyridin-2-amine Chemical compound CNC1=NC=CC=C1[N+]([O-])=O SILGRKFIVIVPKA-UHFFFAOYSA-N 0.000 description 2
- 239000003921 oil Substances 0.000 description 2
- 235000019198 oils Nutrition 0.000 description 2
- 230000003287 optical effect Effects 0.000 description 2
- 239000003960 organic solvent Substances 0.000 description 2
- AZHVQJLDOFKHPZ-UHFFFAOYSA-N oxathiazine Chemical compound O1SN=CC=C1 AZHVQJLDOFKHPZ-UHFFFAOYSA-N 0.000 description 2
- 125000004430 oxygen atom Chemical group O* 0.000 description 2
- XDJOIMJURHQYDW-UHFFFAOYSA-N phenalene Chemical compound C1=CC(CC=C2)=C3C2=CC=CC3=C1 XDJOIMJURHQYDW-UHFFFAOYSA-N 0.000 description 2
- HXITXNWTGFUOAU-UHFFFAOYSA-N phenylboronic acid Chemical compound OB(O)C1=CC=CC=C1 HXITXNWTGFUOAU-UHFFFAOYSA-N 0.000 description 2
- 125000004437 phosphorous atom Chemical group 0.000 description 2
- 239000000843 powder Substances 0.000 description 2
- 239000011241 protective layer Substances 0.000 description 2
- CRTBNOWPBHJICM-UHFFFAOYSA-N pyrazine Chemical compound C1=CN=CC=N1.C1=CN=CC=N1 CRTBNOWPBHJICM-UHFFFAOYSA-N 0.000 description 2
- ZZYXNRREDYWPLN-UHFFFAOYSA-N pyridine-2,3-diamine Chemical compound NC1=CC=CN=C1N ZZYXNRREDYWPLN-UHFFFAOYSA-N 0.000 description 2
- JWVCLYRUEFBMGU-UHFFFAOYSA-N quinazoline Chemical compound N1=CN=CC2=CC=CC=C21 JWVCLYRUEFBMGU-UHFFFAOYSA-N 0.000 description 2
- 229910052710 silicon Inorganic materials 0.000 description 2
- 239000012321 sodium triacetoxyborohydride Substances 0.000 description 2
- 238000010129 solution processing Methods 0.000 description 2
- 238000006467 substitution reaction Methods 0.000 description 2
- 125000004434 sulfur atom Chemical group 0.000 description 2
- 239000000725 suspension Substances 0.000 description 2
- 238000012546 transfer Methods 0.000 description 2
- 125000005580 triphenylene group Chemical group 0.000 description 2
- KTZQTRPPVKQPFO-UHFFFAOYSA-N 1,2-benzoxazole Chemical compound C1=CC=C2C=NOC2=C1 KTZQTRPPVKQPFO-UHFFFAOYSA-N 0.000 description 1
- BCMCBBGGLRIHSE-UHFFFAOYSA-N 1,3-benzoxazole Chemical compound C1=CC=C2OC=NC2=C1 BCMCBBGGLRIHSE-UHFFFAOYSA-N 0.000 description 1
- RCVOGGHHDHYGBV-UHFFFAOYSA-N 1-(2,3-dihydro-1,4-benzodioxin-6-yl)-3-methylimidazo[4,5-b]pyridin-3-ium Chemical compound C12=CC=CN=C2[N+](C)=CN1C1=CC=C(OCCO2)C2=C1 RCVOGGHHDHYGBV-UHFFFAOYSA-N 0.000 description 1
- CBYAZOKPJYBCHE-UHFFFAOYSA-N 1-iodo-3-nitrobenzene Chemical compound [O-][N+](=O)C1=CC=CC(I)=C1 CBYAZOKPJYBCHE-UHFFFAOYSA-N 0.000 description 1
- FYRPEHRWMVMHQM-UHFFFAOYSA-N 1-nitro-3-phenylbenzene Chemical group [O-][N+](=O)C1=CC=CC(C=2C=CC=CC=2)=C1 FYRPEHRWMVMHQM-UHFFFAOYSA-N 0.000 description 1
- SEULWJSKCVACTH-UHFFFAOYSA-N 1-phenylimidazole Chemical compound C1=NC=CN1C1=CC=CC=C1 SEULWJSKCVACTH-UHFFFAOYSA-N 0.000 description 1
- WJFKNYWRSNBZNX-UHFFFAOYSA-N 10H-phenothiazine Chemical compound C1=CC=C2NC3=CC=CC=C3SC2=C1 WJFKNYWRSNBZNX-UHFFFAOYSA-N 0.000 description 1
- BAXOFTOLAUCFNW-UHFFFAOYSA-N 1H-indazole Chemical compound C1=CC=C2C=NNC2=C1 BAXOFTOLAUCFNW-UHFFFAOYSA-N 0.000 description 1
- VEPOHXYIFQMVHW-XOZOLZJESA-N 2,3-dihydroxybutanedioic acid (2S,3S)-3,4-dimethyl-2-phenylmorpholine Chemical compound OC(C(O)C(O)=O)C(O)=O.C[C@H]1[C@@H](OCCN1C)c1ccccc1 VEPOHXYIFQMVHW-XOZOLZJESA-N 0.000 description 1
- SHCWQWRTKPNTEM-UHFFFAOYSA-N 2,6-dichloro-3-nitropyridine Chemical compound [O-][N+](=O)C1=CC=C(Cl)N=C1Cl SHCWQWRTKPNTEM-UHFFFAOYSA-N 0.000 description 1
- PCDAZIGBFBVXCV-UHFFFAOYSA-N 2-(3-phenylphenyl)-1H-pyridine-2,3-diamine Chemical compound C1(=CC(=CC=C1)C1(NC=CC=C1N)N)C1=CC=CC=C1 PCDAZIGBFBVXCV-UHFFFAOYSA-N 0.000 description 1
- RICKKZXCGCSLIU-UHFFFAOYSA-N 2-[2-[carboxymethyl-[[3-hydroxy-5-(hydroxymethyl)-2-methylpyridin-4-yl]methyl]amino]ethyl-[[3-hydroxy-5-(hydroxymethyl)-2-methylpyridin-4-yl]methyl]amino]acetic acid Chemical compound CC1=NC=C(CO)C(CN(CCN(CC(O)=O)CC=2C(=C(C)N=CC=2CO)O)CC(O)=O)=C1O RICKKZXCGCSLIU-UHFFFAOYSA-N 0.000 description 1
- LUAJUWOJEFFNFE-UHFFFAOYSA-N 2-chloro-5-methyl-3-nitropyridine Chemical compound CC1=CN=C(Cl)C([N+]([O-])=O)=C1 LUAJUWOJEFFNFE-UHFFFAOYSA-N 0.000 description 1
- CPGACJMMQLDUAD-UHFFFAOYSA-N 2-n-(1,3-benzodioxol-5-yl)-3-n-propan-2-ylpyridine-2,3-diamine Chemical compound CC(C)NC1=CC=CN=C1NC1=CC=C(OCO2)C2=C1 CPGACJMMQLDUAD-UHFFFAOYSA-N 0.000 description 1
- UEPLCTHKRSEKLE-UHFFFAOYSA-N 2-n-methyl-3-n-phenylpyrazine-2,3-diamine Chemical compound CNC1=NC=CN=C1NC1=CC=CC=C1 UEPLCTHKRSEKLE-UHFFFAOYSA-N 0.000 description 1
- BHOPVJOGYZSLDP-UHFFFAOYSA-N 2-phenoxy-[1]benzofuro[3,2-b]pyridine Chemical compound O(C1=CC=CC=C1)C1=NC2=C(C=C1)OC1=C2C=CC=C1 BHOPVJOGYZSLDP-UHFFFAOYSA-N 0.000 description 1
- 150000005360 2-phenylpyridines Chemical class 0.000 description 1
- QMEQBOSUJUOXMX-UHFFFAOYSA-N 2h-oxadiazine Chemical compound N1OC=CC=N1 QMEQBOSUJUOXMX-UHFFFAOYSA-N 0.000 description 1
- ZOHSHSFJSKYUJG-UHFFFAOYSA-N 3-(1,3-benzodioxol-5-yl)-1-propan-2-yl-2H-imidazo[4,5-b]pyridine Chemical compound O1COC2=C1C=CC(=C2)N2CN(C=1C2=NC=CC1)C(C)C ZOHSHSFJSKYUJG-UHFFFAOYSA-N 0.000 description 1
- FYAYKYXOTSPZPX-UHFFFAOYSA-N 3-(3-methyl-2H-imidazo[4,5-b]pyridin-1-yl)-N,N-diphenylaniline Chemical compound C1(=CC=CC=C1)N(C=1C=C(C=CC1)N1CN(C2=NC=CC=C21)C)C2=CC=CC=C2 FYAYKYXOTSPZPX-UHFFFAOYSA-N 0.000 description 1
- JEALZUTXUILDRK-UHFFFAOYSA-N 3-(3-methylimidazo[4,5-b]pyridin-3-ium-1-yl)-n,n-diphenylaniline Chemical compound C12=CC=CN=C2[N+](C)=CN1C(C=1)=CC=CC=1N(C=1C=CC=CC=1)C1=CC=CC=C1 JEALZUTXUILDRK-UHFFFAOYSA-N 0.000 description 1
- MCXOPHLCNMBLPI-UHFFFAOYSA-N 3-N-methyl-2-(3-phenylphenyl)-1H-pyridine-2,3-diamine Chemical compound C1(=CC(=CC=C1)C1(NC=CC=C1NC)N)C1=CC=CC=C1 MCXOPHLCNMBLPI-UHFFFAOYSA-N 0.000 description 1
- MZSAMHOCTRNOIZ-UHFFFAOYSA-N 3-[4-(aminomethyl)-6-(trifluoromethyl)pyridin-2-yl]oxy-N-phenylaniline Chemical compound NCC1=CC(=NC(=C1)C(F)(F)F)OC=1C=C(NC2=CC=CC=C2)C=CC=1 MZSAMHOCTRNOIZ-UHFFFAOYSA-N 0.000 description 1
- ITQTTZVARXURQS-UHFFFAOYSA-N 3-methylpyridine Chemical compound CC1=CC=CN=C1 ITQTTZVARXURQS-UHFFFAOYSA-N 0.000 description 1
- WIKRPGQJJRWTJB-UHFFFAOYSA-N 3-nitro-n-(3-phenylphenyl)pyridin-2-amine Chemical compound [O-][N+](=O)C1=CC=CN=C1NC1=CC=CC(C=2C=CC=CC=2)=C1 WIKRPGQJJRWTJB-UHFFFAOYSA-N 0.000 description 1
- QLILRKBRWXALIE-UHFFFAOYSA-N 3-nitropyridine Chemical compound [O-][N+](=O)C1=CC=CN=C1 QLILRKBRWXALIE-UHFFFAOYSA-N 0.000 description 1
- UHANRXGLCQTSKZ-UHFFFAOYSA-N 3-phenyl-1-propan-2-yl-2h-imidazo[4,5-b]pyridine Chemical compound C12=NC=CC=C2N(C(C)C)CN1C1=CC=CC=C1 UHANRXGLCQTSKZ-UHFFFAOYSA-N 0.000 description 1
- WINSRTFZTVSEIM-UHFFFAOYSA-N 3-phenyl-1-propan-2-ylimidazo[4,5-b]pyridin-1-ium Chemical compound C12=NC=CC=C2[N+](C(C)C)=CN1C1=CC=CC=C1 WINSRTFZTVSEIM-UHFFFAOYSA-N 0.000 description 1
- MUNOBADFTHUUFG-UHFFFAOYSA-N 3-phenylaniline Chemical compound NC1=CC=CC(C=2C=CC=CC=2)=C1 MUNOBADFTHUUFG-UHFFFAOYSA-N 0.000 description 1
- BWCDLEQTELFBAW-UHFFFAOYSA-N 3h-dioxazole Chemical compound N1OOC=C1 BWCDLEQTELFBAW-UHFFFAOYSA-N 0.000 description 1
- KWIVRAVCZJXOQC-UHFFFAOYSA-N 3h-oxathiazole Chemical compound N1SOC=C1 KWIVRAVCZJXOQC-UHFFFAOYSA-N 0.000 description 1
- KJLVONPWGOBFHQ-UHFFFAOYSA-N 4,6-diphenylbenzene-1,3-diamine Chemical compound NC1=CC(N)=C(C=2C=CC=CC=2)C=C1C1=CC=CC=C1 KJLVONPWGOBFHQ-UHFFFAOYSA-N 0.000 description 1
- DHDHJYNTEFLIHY-UHFFFAOYSA-N 4,7-diphenyl-1,10-phenanthroline Chemical group C1=CC=CC=C1C1=CC=NC2=C1C=CC1=C(C=3C=CC=CC=3)C=CN=C21 DHDHJYNTEFLIHY-UHFFFAOYSA-N 0.000 description 1
- FJNSSRRFFJIVJQ-UHFFFAOYSA-N 4-(1,3-benzodioxol-5-yl)pyridine-2,3-diamine Chemical compound NC1=NC=CC(C=2C=C3OCOC3=CC=2)=C1N FJNSSRRFFJIVJQ-UHFFFAOYSA-N 0.000 description 1
- DEUFNSJMHLSSES-UHFFFAOYSA-N 4-(3-methylphenyl)pyridine-2,3-diamine Chemical compound CC1=CC=CC(C=2C(=C(N)N=CC=2)N)=C1 DEUFNSJMHLSSES-UHFFFAOYSA-N 0.000 description 1
- DIVZFUBWFAOMCW-UHFFFAOYSA-N 4-n-(3-methylphenyl)-1-n,1-n-bis[4-(n-(3-methylphenyl)anilino)phenyl]-4-n-phenylbenzene-1,4-diamine Chemical group CC1=CC=CC(N(C=2C=CC=CC=2)C=2C=CC(=CC=2)N(C=2C=CC(=CC=2)N(C=2C=CC=CC=2)C=2C=C(C)C=CC=2)C=2C=CC(=CC=2)N(C=2C=CC=CC=2)C=2C=C(C)C=CC=2)=C1 DIVZFUBWFAOMCW-UHFFFAOYSA-N 0.000 description 1
- FVKXLPMRQXMHBX-UHFFFAOYSA-N 4-propan-2-ylpyridine-2,3-diamine Chemical compound CC(C)C1=CC=NC(N)=C1N FVKXLPMRQXMHBX-UHFFFAOYSA-N 0.000 description 1
- IODANHRTJVJLSC-UHFFFAOYSA-N 5-(3-methylphenyl)pyrazine-2,3-diamine Chemical compound C1(=CC(=CC=C1)C=1N=C(C(=NC=1)N)N)C IODANHRTJVJLSC-UHFFFAOYSA-N 0.000 description 1
- ADLVDYMTBOSDFE-UHFFFAOYSA-N 5-chloro-6-nitroisoindole-1,3-dione Chemical compound C1=C(Cl)C([N+](=O)[O-])=CC2=C1C(=O)NC2=O ADLVDYMTBOSDFE-UHFFFAOYSA-N 0.000 description 1
- ADXFGWMAALDJSF-UHFFFAOYSA-N 5-methyl-n-(3-methylphenyl)-3-nitropyridin-2-amine Chemical compound CC1=CC=CC(NC=2C(=CC(C)=CN=2)[N+]([O-])=O)=C1 ADXFGWMAALDJSF-UHFFFAOYSA-N 0.000 description 1
- XYEVAHUAWWCGGQ-UHFFFAOYSA-N 6-chloro-3-nitro-n-phenylpyridin-2-amine Chemical compound [O-][N+](=O)C1=CC=C(Cl)N=C1NC1=CC=CC=C1 XYEVAHUAWWCGGQ-UHFFFAOYSA-N 0.000 description 1
- ZCYVEMRRCGMTRW-UHFFFAOYSA-N 7553-56-2 Chemical compound [I] ZCYVEMRRCGMTRW-UHFFFAOYSA-N 0.000 description 1
- GJCOSYZMQJWQCA-UHFFFAOYSA-N 9H-xanthene Chemical compound C1=CC=C2CC3=CC=CC=C3OC2=C1 GJCOSYZMQJWQCA-UHFFFAOYSA-N 0.000 description 1
- BKSDJKDHWSEYEE-UHFFFAOYSA-N C1(=CC(=CC=C1)N1CC(=CC=C1)[N+](=O)[O-])C1=CC=CC=C1 Chemical compound C1(=CC(=CC=C1)N1CC(=CC=C1)[N+](=O)[O-])C1=CC=CC=C1 BKSDJKDHWSEYEE-UHFFFAOYSA-N 0.000 description 1
- RBHPQHGBSBVQFA-UHFFFAOYSA-M C1(=CC=CC=C1)P(C1=CC=CC=C1)C=1C(=C(C(=C2C=CC=CC12)C1=CC=CC2=CC=CC=C12)[O-])P(C1=CC=CC=C1)C1=CC=CC=C1.CC(C)C.[Na+] Chemical compound C1(=CC=CC=C1)P(C1=CC=CC=C1)C=1C(=C(C(=C2C=CC=CC12)C1=CC=CC2=CC=CC=C12)[O-])P(C1=CC=CC=C1)C1=CC=CC=C1.CC(C)C.[Na+] RBHPQHGBSBVQFA-UHFFFAOYSA-M 0.000 description 1
- LKDLQPWBUSRRIS-UHFFFAOYSA-N C1=CC=C(C=2OC3=C(C21)C=CC=C3)N3CC(=CC=C3)[N+](=O)[O-] Chemical compound C1=CC=C(C=2OC3=C(C21)C=CC=C3)N3CC(=CC=C3)[N+](=O)[O-] LKDLQPWBUSRRIS-UHFFFAOYSA-N 0.000 description 1
- UPBGHGUXWDFSLZ-UHFFFAOYSA-N CN1c2cccnc2N2c3c4[o]c5ccccc5c4ccc3C(C3)C3C12 Chemical compound CN1c2cccnc2N2c3c4[o]c5ccccc5c4ccc3C(C3)C3C12 UPBGHGUXWDFSLZ-UHFFFAOYSA-N 0.000 description 1
- OKTJSMMVPCPJKN-UHFFFAOYSA-N Carbon Chemical compound [C] OKTJSMMVPCPJKN-UHFFFAOYSA-N 0.000 description 1
- 101001061807 Homo sapiens Rab-like protein 6 Proteins 0.000 description 1
- OVEBLTPJVXRVAN-UHFFFAOYSA-N O1COC2=C1C=CC(=C2)N2CC(=CC=C2)[N+](=O)[O-] Chemical compound O1COC2=C1C=CC(=C2)N2CC(=CC=C2)[N+](=O)[O-] OVEBLTPJVXRVAN-UHFFFAOYSA-N 0.000 description 1
- 235000019502 Orange oil Nutrition 0.000 description 1
- ZCQWOFVYLHDMMC-UHFFFAOYSA-N Oxazole Chemical compound C1=COC=N1 ZCQWOFVYLHDMMC-UHFFFAOYSA-N 0.000 description 1
- OAICVXFJPJFONN-UHFFFAOYSA-N Phosphorus Chemical compound [P] OAICVXFJPJFONN-UHFFFAOYSA-N 0.000 description 1
- 229920001609 Poly(3,4-ethylenedioxythiophene) Polymers 0.000 description 1
- 102100029618 Rab-like protein 6 Human genes 0.000 description 1
- KEAYESYHFKHZAL-UHFFFAOYSA-N Sodium Chemical compound [Na] KEAYESYHFKHZAL-UHFFFAOYSA-N 0.000 description 1
- VMHLLURERBWHNL-UHFFFAOYSA-M Sodium acetate Chemical compound [Na+].CC([O-])=O VMHLLURERBWHNL-UHFFFAOYSA-M 0.000 description 1
- DWAQJAXMDSEUJJ-UHFFFAOYSA-M Sodium bisulfite Chemical compound [Na+].OS([O-])=O DWAQJAXMDSEUJJ-UHFFFAOYSA-M 0.000 description 1
- 239000007983 Tris buffer Substances 0.000 description 1
- UHMKIFCZHWQCTK-UHFFFAOYSA-N [8-(8-diphenylphosphanylnaphthalen-1-yl)naphthalen-1-yl]-diphenylphosphane Chemical compound C1=CC=CC=C1P(C=1C2=C(C=3C4=C(P(C=5C=CC=CC=5)C=5C=CC=CC=5)C=CC=C4C=CC=3)C=CC=C2C=CC=1)C1=CC=CC=C1 UHMKIFCZHWQCTK-UHFFFAOYSA-N 0.000 description 1
- 239000007864 aqueous solution Substances 0.000 description 1
- 150000004945 aromatic hydrocarbons Chemical group 0.000 description 1
- 238000007080 aromatic substitution reaction Methods 0.000 description 1
- MCOQHIWZJUDQIC-UHFFFAOYSA-N barban Chemical compound ClCC#CCOC(=O)NC1=CC=CC(Cl)=C1 MCOQHIWZJUDQIC-UHFFFAOYSA-N 0.000 description 1
- RFRXIWQYSOIBDI-UHFFFAOYSA-N benzarone Chemical compound CCC=1OC2=CC=CC=C2C=1C(=O)C1=CC=C(O)C=C1 RFRXIWQYSOIBDI-UHFFFAOYSA-N 0.000 description 1
- 239000003054 catalyst Substances 0.000 description 1
- 230000008859 change Effects 0.000 description 1
- WCZVZNOTHYJIEI-UHFFFAOYSA-N cinnoline Chemical compound N1=NC=CC2=CC=CC=C21 WCZVZNOTHYJIEI-UHFFFAOYSA-N 0.000 description 1
- 229940126214 compound 3 Drugs 0.000 description 1
- 229940125898 compound 5 Drugs 0.000 description 1
- 229920001940 conductive polymer Polymers 0.000 description 1
- 238000010168 coupling process Methods 0.000 description 1
- 238000005859 coupling reaction Methods 0.000 description 1
- 238000004132 cross linking Methods 0.000 description 1
- 239000013058 crude material Substances 0.000 description 1
- 238000002425 crystallisation Methods 0.000 description 1
- 230000008025 crystallization Effects 0.000 description 1
- 238000013461 design Methods 0.000 description 1
- 150000004985 diamines Chemical class 0.000 description 1
- DHFABSXGNHDNCO-UHFFFAOYSA-N dibenzoselenophene Chemical compound C1=CC=C2C3=CC=CC=C3[se]C2=C1 DHFABSXGNHDNCO-UHFFFAOYSA-N 0.000 description 1
- 229910001873 dinitrogen Inorganic materials 0.000 description 1
- QPJFIVIVOOQUKD-UHFFFAOYSA-N dipyrazino[2,3-f:2,3-h]quinoxaline Chemical group C1=CN=C2C3=NC=CN=C3C3=NC=CN=C3C2=N1 QPJFIVIVOOQUKD-UHFFFAOYSA-N 0.000 description 1
- 238000004821 distillation Methods 0.000 description 1
- 238000005401 electroluminescence Methods 0.000 description 1
- 238000005516 engineering process Methods 0.000 description 1
- 239000003822 epoxy resin Substances 0.000 description 1
- 125000001033 ether group Chemical group 0.000 description 1
- 238000002474 experimental method Methods 0.000 description 1
- JVZRCNQLWOELDU-UHFFFAOYSA-N gamma-Phenylpyridine Natural products C1=CC=CC=C1C1=CC=NC=C1 JVZRCNQLWOELDU-UHFFFAOYSA-N 0.000 description 1
- 239000007789 gas Substances 0.000 description 1
- 239000011521 glass Substances 0.000 description 1
- 229910052736 halogen Inorganic materials 0.000 description 1
- 125000005843 halogen group Chemical group 0.000 description 1
- 150000002367 halogens Chemical group 0.000 description 1
- 238000004128 high performance liquid chromatography Methods 0.000 description 1
- 125000004435 hydrogen atom Chemical group [H]* 0.000 description 1
- 238000005984 hydrogenation reaction Methods 0.000 description 1
- 239000005457 ice water Substances 0.000 description 1
- 238000005286 illumination Methods 0.000 description 1
- JXXWJMUPNZDILL-UHFFFAOYSA-N imidazo[4,5-b]pyridin-2-one Chemical compound C1=CC=NC2=NC(=O)N=C21 JXXWJMUPNZDILL-UHFFFAOYSA-N 0.000 description 1
- 239000007943 implant Substances 0.000 description 1
- 238000010348 incorporation Methods 0.000 description 1
- AMGQUBHHOARCQH-UHFFFAOYSA-N indium;oxotin Chemical group [In].[Sn]=O AMGQUBHHOARCQH-UHFFFAOYSA-N 0.000 description 1
- PZOUSPYUWWUPPK-UHFFFAOYSA-N indole Natural products CC1=CC=CC2=C1C=CN2 PZOUSPYUWWUPPK-UHFFFAOYSA-N 0.000 description 1
- RKJUIXBNRJVNHR-UHFFFAOYSA-N indolenine Natural products C1=CC=C2CC=NC2=C1 RKJUIXBNRJVNHR-UHFFFAOYSA-N 0.000 description 1
- 229910052740 iodine Inorganic materials 0.000 description 1
- 239000011630 iodine Substances 0.000 description 1
- GKOZUEZYRPOHIO-UHFFFAOYSA-N iridium atom Chemical compound [Ir] GKOZUEZYRPOHIO-UHFFFAOYSA-N 0.000 description 1
- UEEXRMUCXBPYOV-UHFFFAOYSA-N iridium;2-phenylpyridine Chemical group [Ir].C1=CC=CC=C1C1=CC=CC=N1.C1=CC=CC=C1C1=CC=CC=N1.C1=CC=CC=C1C1=CC=CC=N1 UEEXRMUCXBPYOV-UHFFFAOYSA-N 0.000 description 1
- JJWLVOIRVHMVIS-UHFFFAOYSA-N isopropylamine Chemical compound CC(C)N JJWLVOIRVHMVIS-UHFFFAOYSA-N 0.000 description 1
- 238000010030 laminating Methods 0.000 description 1
- QDLAGTHXVHQKRE-UHFFFAOYSA-N lichenxanthone Natural products COC1=CC(O)=C2C(=O)C3=C(C)C=C(OC)C=C3OC2=C1 QDLAGTHXVHQKRE-UHFFFAOYSA-N 0.000 description 1
- 125000000040 m-tolyl group Chemical group [H]C1=C([H])C(*)=C([H])C(=C1[H])C([H])([H])[H] 0.000 description 1
- 239000011777 magnesium Substances 0.000 description 1
- 238000004519 manufacturing process Methods 0.000 description 1
- 229910044991 metal oxide Inorganic materials 0.000 description 1
- 150000004706 metal oxides Chemical class 0.000 description 1
- LPEKGGXMPWTOCB-UHFFFAOYSA-N methyl 2-hydroxypropionate Chemical compound COC(=O)C(C)O LPEKGGXMPWTOCB-UHFFFAOYSA-N 0.000 description 1
- 238000012986 modification Methods 0.000 description 1
- 230000004048 modification Effects 0.000 description 1
- 238000004776 molecular orbital Methods 0.000 description 1
- 239000000178 monomer Substances 0.000 description 1
- DYEGEQTYEIHCSO-UHFFFAOYSA-N n-diazo-4-dodecylbenzenesulfonamide Chemical compound CCCCCCCCCCCCC1=CC=C(S(=O)(=O)N=[N+]=[N-])C=C1 DYEGEQTYEIHCSO-UHFFFAOYSA-N 0.000 description 1
- YYRIVURSZLOFLJ-UHFFFAOYSA-N n-dibenzofuran-4-yl-3-nitropyridin-2-amine Chemical compound [O-][N+](=O)C1=CC=CN=C1NC1=CC=CC2=C1OC1=CC=CC=C21 YYRIVURSZLOFLJ-UHFFFAOYSA-N 0.000 description 1
- 239000010502 orange oil Substances 0.000 description 1
- 238000013086 organic photovoltaic Methods 0.000 description 1
- 229910052762 osmium Inorganic materials 0.000 description 1
- 230000003647 oxidation Effects 0.000 description 1
- 238000007254 oxidation reaction Methods 0.000 description 1
- LXNAVEXFUKBNMK-UHFFFAOYSA-N palladium(II) acetate Substances [Pd].CC(O)=O.CC(O)=O LXNAVEXFUKBNMK-UHFFFAOYSA-N 0.000 description 1
- YJVFFLUZDVXJQI-UHFFFAOYSA-L palladium(ii) acetate Chemical compound [Pd+2].CC([O-])=O.CC([O-])=O YJVFFLUZDVXJQI-UHFFFAOYSA-L 0.000 description 1
- 238000000059 patterning Methods 0.000 description 1
- 229950000688 phenothiazine Drugs 0.000 description 1
- 150000003009 phosphonic acids Chemical class 0.000 description 1
- 239000011574 phosphorus Substances 0.000 description 1
- 229910000073 phosphorus hydride Inorganic materials 0.000 description 1
- 238000001782 photodegradation Methods 0.000 description 1
- LFSXCDWNBUNEEM-UHFFFAOYSA-N phthalazine Chemical compound C1=NN=CC2=CC=CC=C21 LFSXCDWNBUNEEM-UHFFFAOYSA-N 0.000 description 1
- IEQIEDJGQAUEQZ-UHFFFAOYSA-N phthalocyanine Chemical class N1C(N=C2C3=CC=CC=C3C(N=C3C4=CC=CC=C4C(=N4)N3)=N2)=C(C=CC=C2)C2=C1N=C1C2=CC=CC=C2C4=N1 IEQIEDJGQAUEQZ-UHFFFAOYSA-N 0.000 description 1
- 229920000647 polyepoxide Polymers 0.000 description 1
- 239000002861 polymer material Substances 0.000 description 1
- 150000004033 porphyrin derivatives Chemical class 0.000 description 1
- 238000012545 processing Methods 0.000 description 1
- CPNGPNLZQNNVQM-UHFFFAOYSA-N pteridine Chemical compound N1=CN=CC2=NC=CN=C21 CPNGPNLZQNNVQM-UHFFFAOYSA-N 0.000 description 1
- 238000010926 purge Methods 0.000 description 1
- 150000003222 pyridines Chemical class 0.000 description 1
- 125000004076 pyridyl group Chemical group 0.000 description 1
- YMXFJTUQQVLJEN-UHFFFAOYSA-N pyrimidine Chemical compound C1=CN=CN=C1.C1=CN=CN=C1 YMXFJTUQQVLJEN-UHFFFAOYSA-N 0.000 description 1
- 238000006862 quantum yield reaction Methods 0.000 description 1
- 230000007261 regionalization Effects 0.000 description 1
- 238000011160 research Methods 0.000 description 1
- 229920006395 saturated elastomer Polymers 0.000 description 1
- 239000004065 semiconductor Substances 0.000 description 1
- 230000011664 signaling Effects 0.000 description 1
- 150000004756 silanes Chemical class 0.000 description 1
- VFWRGKJLLYDFBY-UHFFFAOYSA-N silver;hydrate Chemical compound O.[Ag].[Ag] VFWRGKJLLYDFBY-UHFFFAOYSA-N 0.000 description 1
- 239000002356 single layer Substances 0.000 description 1
- 239000001632 sodium acetate Substances 0.000 description 1
- 235000017281 sodium acetate Nutrition 0.000 description 1
- 239000011780 sodium chloride Substances 0.000 description 1
- 239000012312 sodium hydride Substances 0.000 description 1
- 229910000104 sodium hydride Inorganic materials 0.000 description 1
- 235000010267 sodium hydrogen sulphite Nutrition 0.000 description 1
- 239000012265 solid product Substances 0.000 description 1
- 238000001228 spectrum Methods 0.000 description 1
- 238000004528 spin coating Methods 0.000 description 1
- 238000003756 stirring Methods 0.000 description 1
- 239000010409 thin film Substances 0.000 description 1
- 229930192474 thiophene Natural products 0.000 description 1
- 230000001052 transient effect Effects 0.000 description 1
- RMNIZOOYFMNEJJ-UHFFFAOYSA-K tripotassium;phosphate;hydrate Chemical compound O.[K+].[K+].[K+].[O-]P([O-])([O-])=O RMNIZOOYFMNEJJ-UHFFFAOYSA-K 0.000 description 1
- 238000001771 vacuum deposition Methods 0.000 description 1
- 238000007740 vapor deposition Methods 0.000 description 1
- 238000005406 washing Methods 0.000 description 1
- 238000003466 welding Methods 0.000 description 1
- UGOMMVLRQDMAQQ-UHFFFAOYSA-N xphos Chemical compound CC(C)C1=CC(C(C)C)=CC(C(C)C)=C1C1=CC=CC=C1P(C1CCCCC1)C1CCCCC1 UGOMMVLRQDMAQQ-UHFFFAOYSA-N 0.000 description 1
- 229910052725 zinc Inorganic materials 0.000 description 1
Images
Classifications
-
- C—CHEMISTRY; METALLURGY
- C07—ORGANIC CHEMISTRY
- C07F—ACYCLIC, CARBOCYCLIC OR HETEROCYCLIC COMPOUNDS CONTAINING ELEMENTS OTHER THAN CARBON, HYDROGEN, HALOGEN, OXYGEN, NITROGEN, SULFUR, SELENIUM OR TELLURIUM
- C07F15/00—Compounds containing elements of Groups 8, 9, 10 or 18 of the Periodic Table
- C07F15/0006—Compounds containing elements of Groups 8, 9, 10 or 18 of the Periodic Table compounds of the platinum group
- C07F15/0033—Iridium compounds
-
- C—CHEMISTRY; METALLURGY
- C09—DYES; PAINTS; POLISHES; NATURAL RESINS; ADHESIVES; COMPOSITIONS NOT OTHERWISE PROVIDED FOR; APPLICATIONS OF MATERIALS NOT OTHERWISE PROVIDED FOR
- C09K—MATERIALS FOR MISCELLANEOUS APPLICATIONS, NOT PROVIDED FOR ELSEWHERE
- C09K11/00—Luminescent, e.g. electroluminescent, chemiluminescent materials
- C09K11/06—Luminescent, e.g. electroluminescent, chemiluminescent materials containing organic luminescent materials
-
- H01L27/3211—
-
- H01L51/0085—
-
- H01L51/5016—
-
- H—ELECTRICITY
- H05—ELECTRIC TECHNIQUES NOT OTHERWISE PROVIDED FOR
- H05B—ELECTRIC HEATING; ELECTRIC LIGHT SOURCES NOT OTHERWISE PROVIDED FOR; CIRCUIT ARRANGEMENTS FOR ELECTRIC LIGHT SOURCES, IN GENERAL
- H05B33/00—Electroluminescent light sources
- H05B33/10—Apparatus or processes specially adapted to the manufacture of electroluminescent light sources
-
- H—ELECTRICITY
- H10—SEMICONDUCTOR DEVICES; ELECTRIC SOLID-STATE DEVICES NOT OTHERWISE PROVIDED FOR
- H10K—ORGANIC ELECTRIC SOLID-STATE DEVICES
- H10K50/00—Organic light-emitting devices
- H10K50/10—OLEDs or polymer light-emitting diodes [PLED]
- H10K50/11—OLEDs or polymer light-emitting diodes [PLED] characterised by the electroluminescent [EL] layers
-
- H—ELECTRICITY
- H10—SEMICONDUCTOR DEVICES; ELECTRIC SOLID-STATE DEVICES NOT OTHERWISE PROVIDED FOR
- H10K—ORGANIC ELECTRIC SOLID-STATE DEVICES
- H10K59/00—Integrated devices, or assemblies of multiple devices, comprising at least one organic light-emitting element covered by group H10K50/00
- H10K59/30—Devices specially adapted for multicolour light emission
- H10K59/35—Devices specially adapted for multicolour light emission comprising red-green-blue [RGB] subpixels
-
- H—ELECTRICITY
- H10—SEMICONDUCTOR DEVICES; ELECTRIC SOLID-STATE DEVICES NOT OTHERWISE PROVIDED FOR
- H10K—ORGANIC ELECTRIC SOLID-STATE DEVICES
- H10K85/00—Organic materials used in the body or electrodes of devices covered by this subclass
- H10K85/30—Coordination compounds
- H10K85/341—Transition metal complexes, e.g. Ru(II)polypyridine complexes
- H10K85/342—Transition metal complexes, e.g. Ru(II)polypyridine complexes comprising iridium
-
- C—CHEMISTRY; METALLURGY
- C09—DYES; PAINTS; POLISHES; NATURAL RESINS; ADHESIVES; COMPOSITIONS NOT OTHERWISE PROVIDED FOR; APPLICATIONS OF MATERIALS NOT OTHERWISE PROVIDED FOR
- C09K—MATERIALS FOR MISCELLANEOUS APPLICATIONS, NOT PROVIDED FOR ELSEWHERE
- C09K2211/00—Chemical nature of organic luminescent or tenebrescent compounds
- C09K2211/10—Non-macromolecular compounds
- C09K2211/1003—Carbocyclic compounds
- C09K2211/1007—Non-condensed systems
-
- C—CHEMISTRY; METALLURGY
- C09—DYES; PAINTS; POLISHES; NATURAL RESINS; ADHESIVES; COMPOSITIONS NOT OTHERWISE PROVIDED FOR; APPLICATIONS OF MATERIALS NOT OTHERWISE PROVIDED FOR
- C09K—MATERIALS FOR MISCELLANEOUS APPLICATIONS, NOT PROVIDED FOR ELSEWHERE
- C09K2211/00—Chemical nature of organic luminescent or tenebrescent compounds
- C09K2211/10—Non-macromolecular compounds
- C09K2211/1003—Carbocyclic compounds
- C09K2211/1011—Condensed systems
-
- C—CHEMISTRY; METALLURGY
- C09—DYES; PAINTS; POLISHES; NATURAL RESINS; ADHESIVES; COMPOSITIONS NOT OTHERWISE PROVIDED FOR; APPLICATIONS OF MATERIALS NOT OTHERWISE PROVIDED FOR
- C09K—MATERIALS FOR MISCELLANEOUS APPLICATIONS, NOT PROVIDED FOR ELSEWHERE
- C09K2211/00—Chemical nature of organic luminescent or tenebrescent compounds
- C09K2211/10—Non-macromolecular compounds
- C09K2211/1018—Heterocyclic compounds
- C09K2211/1025—Heterocyclic compounds characterised by ligands
- C09K2211/1029—Heterocyclic compounds characterised by ligands containing one nitrogen atom as the heteroatom
-
- C—CHEMISTRY; METALLURGY
- C09—DYES; PAINTS; POLISHES; NATURAL RESINS; ADHESIVES; COMPOSITIONS NOT OTHERWISE PROVIDED FOR; APPLICATIONS OF MATERIALS NOT OTHERWISE PROVIDED FOR
- C09K—MATERIALS FOR MISCELLANEOUS APPLICATIONS, NOT PROVIDED FOR ELSEWHERE
- C09K2211/00—Chemical nature of organic luminescent or tenebrescent compounds
- C09K2211/10—Non-macromolecular compounds
- C09K2211/1018—Heterocyclic compounds
- C09K2211/1025—Heterocyclic compounds characterised by ligands
- C09K2211/1044—Heterocyclic compounds characterised by ligands containing two nitrogen atoms as heteroatoms
-
- C—CHEMISTRY; METALLURGY
- C09—DYES; PAINTS; POLISHES; NATURAL RESINS; ADHESIVES; COMPOSITIONS NOT OTHERWISE PROVIDED FOR; APPLICATIONS OF MATERIALS NOT OTHERWISE PROVIDED FOR
- C09K—MATERIALS FOR MISCELLANEOUS APPLICATIONS, NOT PROVIDED FOR ELSEWHERE
- C09K2211/00—Chemical nature of organic luminescent or tenebrescent compounds
- C09K2211/18—Metal complexes
- C09K2211/185—Metal complexes of the platinum group, i.e. Os, Ir, Pt, Ru, Rh or Pd
-
- H—ELECTRICITY
- H10—SEMICONDUCTOR DEVICES; ELECTRIC SOLID-STATE DEVICES NOT OTHERWISE PROVIDED FOR
- H10K—ORGANIC ELECTRIC SOLID-STATE DEVICES
- H10K2101/00—Properties of the organic materials covered by group H10K85/00
- H10K2101/10—Triplet emission
-
- Y—GENERAL TAGGING OF NEW TECHNOLOGICAL DEVELOPMENTS; GENERAL TAGGING OF CROSS-SECTIONAL TECHNOLOGIES SPANNING OVER SEVERAL SECTIONS OF THE IPC; TECHNICAL SUBJECTS COVERED BY FORMER USPC CROSS-REFERENCE ART COLLECTIONS [XRACs] AND DIGESTS
- Y02—TECHNOLOGIES OR APPLICATIONS FOR MITIGATION OR ADAPTATION AGAINST CLIMATE CHANGE
- Y02E—REDUCTION OF GREENHOUSE GAS [GHG] EMISSIONS, RELATED TO ENERGY GENERATION, TRANSMISSION OR DISTRIBUTION
- Y02E10/00—Energy generation through renewable energy sources
- Y02E10/50—Photovoltaic [PV] energy
- Y02E10/549—Organic PV cells
-
- Y—GENERAL TAGGING OF NEW TECHNOLOGICAL DEVELOPMENTS; GENERAL TAGGING OF CROSS-SECTIONAL TECHNOLOGIES SPANNING OVER SEVERAL SECTIONS OF THE IPC; TECHNICAL SUBJECTS COVERED BY FORMER USPC CROSS-REFERENCE ART COLLECTIONS [XRACs] AND DIGESTS
- Y10—TECHNICAL SUBJECTS COVERED BY FORMER USPC
- Y10S—TECHNICAL SUBJECTS COVERED BY FORMER USPC CROSS-REFERENCE ART COLLECTIONS [XRACs] AND DIGESTS
- Y10S428/00—Stock material or miscellaneous articles
- Y10S428/917—Electroluminescent
Landscapes
- Chemical & Material Sciences (AREA)
- Organic Chemistry (AREA)
- Engineering & Computer Science (AREA)
- Materials Engineering (AREA)
- Physics & Mathematics (AREA)
- Optics & Photonics (AREA)
- Crystallography & Structural Chemistry (AREA)
- Inorganic Chemistry (AREA)
- Manufacturing & Machinery (AREA)
- Electroluminescent Light Sources (AREA)
- Plural Heterocyclic Compounds (AREA)
Abstract
Description
도 2는 별도의 전자 수송층을 갖지 않는 역전된 유기 발광 디바이스를 도시한다.
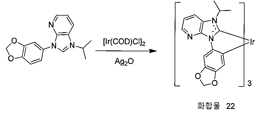
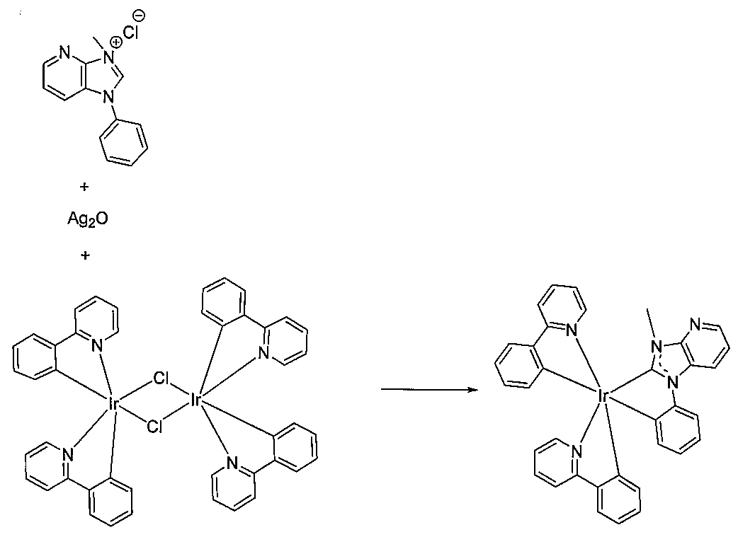
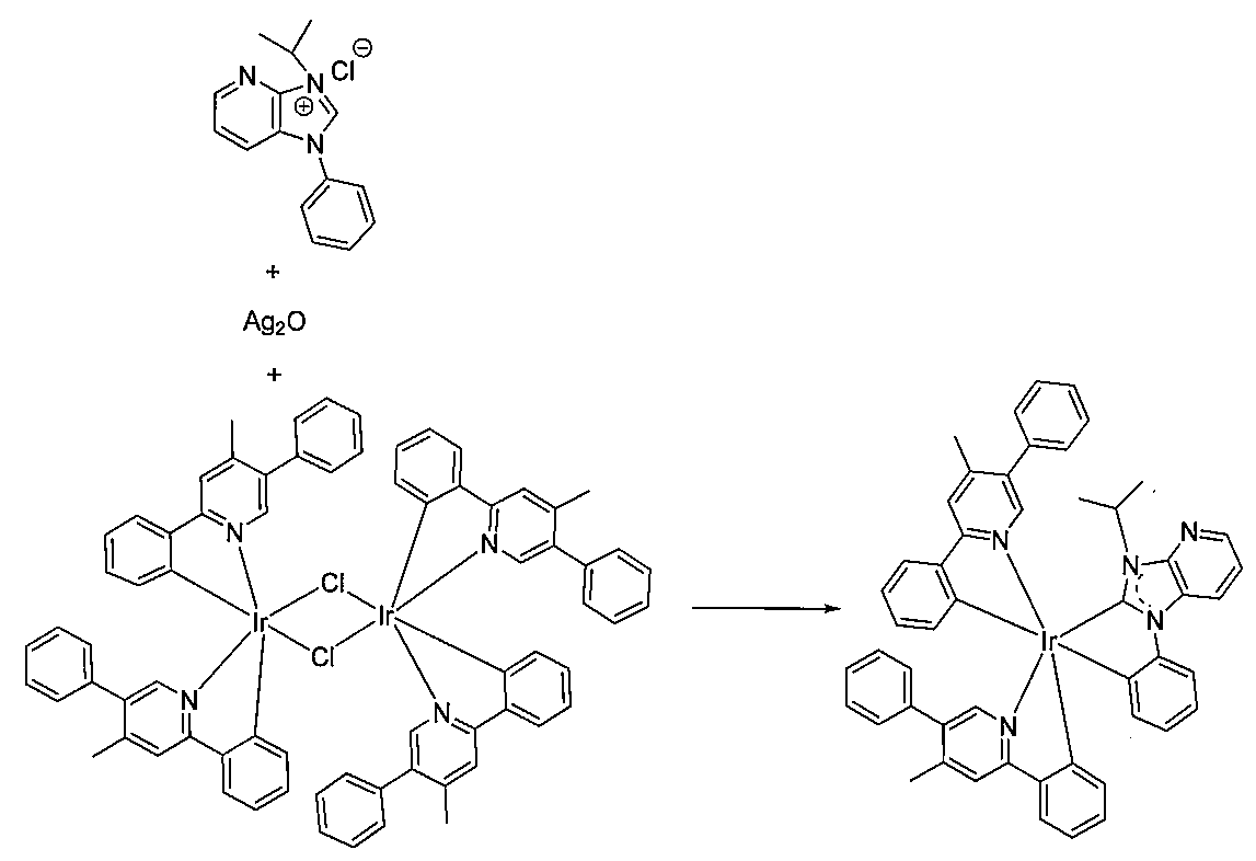
도 3은 이미다졸 카르벤 리간드의 이미다졸 고리에 융합된 질소-함유 헤테로시클릭 고리를 포함하는 예시의 유기금속 화합물을 도시한다.
Claims (26)
- 하기 화학식 II, 화학식 III 및 화학식 IV로 이루어진 군으로부터 선택되는 리간드 L을 포함하는 화합물:
<화학식 II>
<화학식 III>
<화학식 IV>
상기 화학식에서,
RA는 일치환, 이치환, 삼치환 또는 사치환을 나타낼 수 있으며;
R2는 일치환 또는 이치환을 나타낼 수 있고;
각각의 R1 및 R2는 수소, 중수소, 할라이드, 알킬, 시클로알킬, 헤테로알킬, 아릴알킬, 알콕시, 아릴옥시, 아미노, 실릴, 알케닐, 시클로알케닐, 헤테로알케닐, 알키닐, 아릴, 헤테로아릴, 카르복실산, 니트릴, 이소니트릴, 술파닐, 포스피노 및 이의 조합으로 이루어진 군으로부터 독립적으로 선택되며;
RA는 알킬, 아릴아미노, 알킬아미노, 아릴옥실 및 알콕시로 이루어진 군으로부터 선택되는, 하메트 시그마 상수가 0 보다 적은 전자 공여기이며;
리간드 L은 원자 번호가 40보다 큰 금속 M에 배위 결합되며;
금속 M은 Ir 또는 Pt이다. - 제1항에 있어서, 금속 M은 Ir인 화합물.
- 제1항에 있어서, R1은 알킬 또는 시클로알킬인 화합물.
- 제1항에 있어서, R1은 아릴인 화합물.
- 제1항에 있어서, 호모렙틱인 화합물.
- 제1항에 있어서, 헤테로렙틱인 화합물.
- 제7항에 있어서, m은 3인 화합물.
- 제7항에 있어서, L'는 모노음이온성 2좌 리간드인 화합물.
- 제7항에 있어서, L'는 하기로 이루어진 군으로부터 선택되는 것인 화합물:
상기 화학식에서,
Ra, Rb 및 Rc는 일치환, 이치환, 삼치환 또는 사치환을 나타낼 수 있으며;
Ra, Rb 및 Rc는 수소, 중수소, 할라이드, 알킬, 시클로알킬, 헤테로알킬, 아릴알킬, 알콕시, 아릴옥시, 아미노, 실릴, 알케닐, 시클로알케닐, 헤테로알케닐, 알키닐, 아릴, 헤테로아릴, 카르복실산, 니트릴, 이소니트릴, 술파닐, 포스피노 및 이의 조합으로 이루어진 군으로부터 독립적으로 선택되며;
Ra, Rb 및 Rc의 2개의 인접하는 치환기는 임의로 결합되어 융합된 고리를 형성한다. - 유기 발광 디바이스를 포함하는 제1의 디바이스로서,
상기 유기 발광 디바이스는
애노드;
캐소드; 및
애노드와 캐소드의 사이에 배치된 유기층을 더 포함하며, 유기층이 제1항 내지 제12항 중 어느 한항에 따른 화합물을 더 포함하는 것인 제1의 디바이스.
- 삭제
- 삭제
- 삭제
- 삭제
- 삭제
- 삭제
- 삭제
- 삭제
- 삭제
- 삭제
- 삭제
- 삭제
- 삭제
Applications Claiming Priority (3)
| Application Number | Priority Date | Filing Date | Title |
|---|---|---|---|
| US13/043,180 US8883322B2 (en) | 2011-03-08 | 2011-03-08 | Pyridyl carbene phosphorescent emitters |
| US13/043,180 | 2011-03-08 | ||
| PCT/US2012/027044 WO2012121936A2 (en) | 2011-03-08 | 2012-02-28 | Pyridyl carbene phosphorescent emitters |
Related Parent Applications (1)
| Application Number | Title | Priority Date | Filing Date |
|---|---|---|---|
| KR1020137026567A Division KR20140017591A (ko) | 2011-03-08 | 2012-02-28 | 피리딜 카르벤 인광 방출체 |
Publications (2)
| Publication Number | Publication Date |
|---|---|
| KR20180118253A KR20180118253A (ko) | 2018-10-30 |
| KR101979179B1 true KR101979179B1 (ko) | 2019-05-15 |
Family
ID=45814688
Family Applications (2)
| Application Number | Title | Priority Date | Filing Date |
|---|---|---|---|
| KR1020187030629A Active KR101979179B1 (ko) | 2011-03-08 | 2012-02-28 | 피리딜 카르벤 인광 방출체 |
| KR1020137026567A Ceased KR20140017591A (ko) | 2011-03-08 | 2012-02-28 | 피리딜 카르벤 인광 방출체 |
Family Applications After (1)
| Application Number | Title | Priority Date | Filing Date |
|---|---|---|---|
| KR1020137026567A Ceased KR20140017591A (ko) | 2011-03-08 | 2012-02-28 | 피리딜 카르벤 인광 방출체 |
Country Status (6)
| Country | Link |
|---|---|
| US (4) | US8883322B2 (ko) |
| EP (3) | EP3936512A1 (ko) |
| JP (2) | JP6073819B2 (ko) |
| KR (2) | KR101979179B1 (ko) |
| TW (2) | TWI624471B (ko) |
| WO (1) | WO2012121936A2 (ko) |
Families Citing this family (106)
| Publication number | Priority date | Publication date | Assignee | Title |
|---|---|---|---|---|
| US8883322B2 (en) | 2011-03-08 | 2014-11-11 | Universal Display Corporation | Pyridyl carbene phosphorescent emitters |
| KR20120135363A (ko) * | 2011-06-01 | 2012-12-13 | 엘지디스플레이 주식회사 | 청색 인광 화합물 및 이를 이용한 유기전계 발광소자 |
| US9315724B2 (en) * | 2011-06-14 | 2016-04-19 | Basf Se | Metal complexes comprising azabenzimidazole carbene ligands and the use thereof in OLEDs |
| CN107501330A (zh) * | 2011-06-14 | 2017-12-22 | Udc 爱尔兰有限责任公司 | 包含氮杂苯并咪唑碳烯配体的金属配合物及其在oled中的用途 |
| JP5987281B2 (ja) * | 2011-08-24 | 2016-09-07 | コニカミノルタ株式会社 | 有機エレクトロルミネッセンス素子及び有機エレクトロルミネッセンス素子の製造方法 |
| JP5742586B2 (ja) * | 2011-08-25 | 2015-07-01 | コニカミノルタ株式会社 | 有機エレクトロルミネッセンス素子、照明装置及び表示装置 |
| KR101673521B1 (ko) * | 2012-03-02 | 2016-11-08 | 삼성디스플레이 주식회사 | 파이렌계 화합물, 이를 포함한 유기 발광 소자 및 이를 포함한 유기 발광 장치 |
| KR102250019B1 (ko) * | 2012-03-14 | 2021-05-11 | 가부시키가이샤 한도오따이 에네루기 켄큐쇼 | 발광 소자 |
| EP2890221A4 (en) | 2012-08-24 | 2016-09-14 | Konica Minolta Inc | TRANSPARENT ELECTRODE, ELECTRONIC DEVICE AND METHOD FOR PRODUCING THE TRANSPARENT ELECTRODE |
| CN104662023B (zh) | 2012-09-20 | 2017-08-18 | Udc 爱尔兰有限责任公司 | 供电子应用的氮杂二苯并呋喃 |
| US10319917B2 (en) | 2012-11-06 | 2019-06-11 | Udc Ireland Limited | Phenoxasiline based compounds for electronic application |
| US8946697B1 (en) * | 2012-11-09 | 2015-02-03 | Universal Display Corporation | Iridium complexes with aza-benzo fused ligands |
| KR102008321B1 (ko) * | 2012-11-13 | 2019-08-07 | 엘지디스플레이 주식회사 | 청색 인광 화합물 및 이를 이용하는 유기발광다이오드소자 |
| US20150340612A1 (en) * | 2013-01-03 | 2015-11-26 | Merck Patent Gmbh | Uv emitters comprising a multiple bond |
| US10374172B2 (en) | 2013-03-20 | 2019-08-06 | Udc Ireland Limited | Azabenzimidazole carbene complexes as efficiency booster in OLEDs |
| US10128448B2 (en) | 2013-04-29 | 2018-11-13 | Udc Ireland Limited | Transition metal complexes with carbene ligands and the use thereof in OLEDs |
| KR102086554B1 (ko) * | 2013-06-12 | 2020-03-10 | 삼성디스플레이 주식회사 | 이리듐 착물 및 이를 포함한 유기 발광 소자 |
| JP6506272B2 (ja) * | 2013-07-02 | 2019-04-24 | ユー・ディー・シー アイルランド リミテッド | 有機発光ダイオードにおいて使用するための一置換されたジアザベンゾイミダゾールカルベン金属錯体 |
| US20150028290A1 (en) * | 2013-07-25 | 2015-01-29 | Universal Display Corporation | Heteroleptic osmium complex and method of making the same |
| JP6486353B2 (ja) | 2013-07-31 | 2019-03-20 | ユー・ディー・シー アイルランド リミテッド | 発光性ジアザベンゾイミダゾールカルベン金属錯体 |
| EP3063153B1 (en) | 2013-10-31 | 2018-03-07 | Idemitsu Kosan Co., Ltd. | Azadibenzothiophenes for electronic applications |
| WO2015091716A1 (en) | 2013-12-20 | 2015-06-25 | Basf Se | Highly efficient oled devices with very short decay times |
| CN106661068A (zh) | 2014-03-31 | 2017-05-10 | Udc 爱尔兰有限责任公司 | 包含具有o‑取代非环金属化芳基的碳烯配位体的金属络合物和其在有机发光二极管中的用途 |
| US10862053B2 (en) * | 2014-04-04 | 2020-12-08 | Konica Minolta, Inc. | Method for synthesizing organic metal complex and organic electroluminescent element using compound synthesized by said synthesis method |
| EP3174885B1 (en) | 2014-07-28 | 2019-10-02 | Idemitsu Kosan Co., Ltd. | 2,9-functionalized benzimidazolo[1,2-a]benzimidazoles as hosts for organic light emitting diodes (oleds) |
| KR102356439B1 (ko) * | 2014-08-07 | 2022-01-28 | 인텔 코포레이션 | 셀간 d2d 탐색을 위한 d2d 동기화 신호 송신을 위한 자원 할당 및 ue 거동 |
| EP2982676B1 (en) | 2014-08-07 | 2018-04-11 | Idemitsu Kosan Co., Ltd. | Benzimidazo[2,1-B]benzoxazoles for electronic applications |
| EP3186264B1 (en) | 2014-08-08 | 2018-11-28 | UDC Ireland Limited | Electroluminescent imidazo-quinoxaline carbene metal complexes |
| EP2993215B1 (en) | 2014-09-04 | 2019-06-19 | Idemitsu Kosan Co., Ltd. | Azabenzimidazo[2,1-a]benzimidazoles for electronic applications |
| EP3015469B1 (en) | 2014-10-30 | 2018-12-19 | Idemitsu Kosan Co., Ltd. | 5-(benzimidazol-2-yl)benzimidazo[1,2-a]benzimidazoles for electronic applications |
| WO2016079667A1 (en) | 2014-11-17 | 2016-05-26 | Idemitsu Kosan Co., Ltd. | Indole derivatives for electronic applications |
| US10424746B2 (en) | 2014-11-18 | 2019-09-24 | Udc Ireland Limited | Pt- or Pd-carbene complexes for use in organic light emitting diodes |
| EP3034507A1 (en) | 2014-12-15 | 2016-06-22 | Idemitsu Kosan Co., Ltd | 1-functionalized dibenzofurans and dibenzothiophenes for organic light emitting diodes (OLEDs) |
| EP3034506A1 (en) | 2014-12-15 | 2016-06-22 | Idemitsu Kosan Co., Ltd | 4-functionalized carbazole derivatives for electronic applications |
| EP3053918B1 (en) | 2015-02-06 | 2018-04-11 | Idemitsu Kosan Co., Ltd. | 2-carbazole substituted benzimidazoles for electronic applications |
| EP3054498B1 (en) | 2015-02-06 | 2017-09-20 | Idemitsu Kosan Co., Ltd. | Bisimidazodiazocines |
| EP3061759B1 (en) | 2015-02-24 | 2019-12-25 | Idemitsu Kosan Co., Ltd | Nitrile substituted dibenzofurans |
| US11056657B2 (en) * | 2015-02-27 | 2021-07-06 | University Display Corporation | Organic electroluminescent materials and devices |
| GB2536212A (en) * | 2015-03-04 | 2016-09-14 | Cambridge Display Tech Ltd | Light-emitting material and organic light-emitting device |
| EP3070144B1 (en) | 2015-03-17 | 2018-02-28 | Idemitsu Kosan Co., Ltd. | Seven-membered ring compounds |
| EP3072943B1 (en) | 2015-03-26 | 2018-05-02 | Idemitsu Kosan Co., Ltd. | Dibenzofuran/carbazole-substituted benzonitriles |
| EP3075737B1 (en) | 2015-03-31 | 2019-12-04 | Idemitsu Kosan Co., Ltd | Benzimidazolo[1,2-a]benzimidazole carrying aryl- or heteroarylnitril groups for organic light emitting diodes |
| EP4060757A1 (en) * | 2015-06-03 | 2022-09-21 | UDC Ireland Limited | Highly efficient oled devices with very short decay times |
| WO2017056055A1 (en) | 2015-10-01 | 2017-04-06 | Idemitsu Kosan Co., Ltd. | Benzimidazolo[1,2-a]benzimidazole carrying triazine groups for organic light emitting diodes |
| WO2017056053A1 (en) | 2015-10-01 | 2017-04-06 | Idemitsu Kosan Co., Ltd. | Benzimidazolo[1,2-a]benzimidazole carrying benzimidazolo[1,2-a]benzimidazolyl groups, carbazolyl groups, benzofurane groups or benzothiophene groups for organic light emitting diodes |
| EP3150604B1 (en) | 2015-10-01 | 2021-07-14 | Idemitsu Kosan Co., Ltd. | Benzimidazolo[1,2-a]benzimidazole carrying benzimidazolo[1,2-a]benzimidazolylyl groups, carbazolyl groups, benzofurane groups or benzothiophene groups for organic light emitting diodes |
| EP3150606B1 (en) | 2015-10-01 | 2019-08-14 | Idemitsu Kosan Co., Ltd. | Benzimidazolo[1,2-a]benzimidazoles carrying benzofurane or benzothiophene groups for organic light emitting diodes |
| KR20180079328A (ko) | 2015-11-04 | 2018-07-10 | 이데미쓰 고산 가부시키가이샤 | 벤즈이미다졸 축합 헤테로아릴 |
| WO2017093958A1 (en) | 2015-12-04 | 2017-06-08 | Idemitsu Kosan Co., Ltd. | Benzimidazolo[1,2-a]benzimidazole derivatives for organic light emitting diodes |
| KR102684614B1 (ko) | 2015-12-21 | 2024-07-15 | 유디씨 아일랜드 리미티드 | 삼각형 리간드를 갖는 전이 금속 착체 및 oled에서의 이의 용도 |
| JP6788314B2 (ja) | 2016-01-06 | 2020-11-25 | コニカミノルタ株式会社 | 有機エレクトロルミネッセンス素子、有機エレクトロルミネッセンス素子の製造方法、表示装置及び照明装置 |
| WO2017178864A1 (en) | 2016-04-12 | 2017-10-19 | Idemitsu Kosan Co., Ltd. | Seven-membered ring compounds |
| KR102671041B1 (ko) | 2016-10-20 | 2024-06-03 | 삼성디스플레이 주식회사 | 유기금속 화합물 및 이를 포함한 유기 발광 소자 |
| KR102693423B1 (ko) * | 2016-10-26 | 2024-08-09 | 삼성전자주식회사 | 유기금속 화합물 및 이를 포함한 유기 발광 소자 |
| KR102784883B1 (ko) * | 2016-12-12 | 2025-03-20 | 엘지디스플레이 주식회사 | 인광 화합물과 이를 이용한 발광다이오드 및 유기발광다이오드 표시장치 |
| US10396298B2 (en) | 2017-01-25 | 2019-08-27 | National Tsing Hua University | Iridium complex and organic light-emitting diode using the same |
| JP6468314B2 (ja) * | 2017-06-15 | 2019-02-13 | コニカミノルタ株式会社 | 有機エレクトロルミネッセンス素子、照明装置及び表示装置 |
| KR102606281B1 (ko) | 2017-07-14 | 2023-11-27 | 삼성디스플레이 주식회사 | 유기금속 화합물 및 이를 포함하는 유기 발광 소자 |
| KR102474204B1 (ko) | 2017-07-21 | 2022-12-06 | 삼성디스플레이 주식회사 | 유기금속 화합물 및 이를 포함하는 유기 발광 소자 |
| KR20190011866A (ko) * | 2017-07-25 | 2019-02-08 | 삼성디스플레이 주식회사 | 유기금속 화합물 및 이를 포함한 유기 발광 소자 |
| KR102456073B1 (ko) | 2017-07-28 | 2022-10-19 | 삼성디스플레이 주식회사 | 유기금속 화합물 및 이를 포함한 유기 발광 소자 |
| US12289984B2 (en) * | 2017-11-17 | 2025-04-29 | Beijing Summer Sprout Technology Co., Ltd. | Metal complex containing azabenzothiazole |
| JP7459065B2 (ja) | 2018-09-12 | 2024-04-01 | メルク パテント ゲーエムベーハー | 有機エレクトロルミネッセンスデバイス用の材料 |
| TWI826522B (zh) | 2018-09-12 | 2023-12-21 | 德商麥克專利有限公司 | 電致發光裝置 |
| TW202030902A (zh) | 2018-09-12 | 2020-08-16 | 德商麥克專利有限公司 | 電致發光裝置 |
| KR102285174B1 (ko) * | 2018-10-29 | 2021-08-03 | 고려대학교 산학협력단 | 직각구조의 아릴-작용기가 결합된 청색 인광 화합물 및 이를 이용한 유기발광소자 |
| WO2020091344A1 (ko) * | 2018-10-29 | 2020-05-07 | 고려대학교 산학협력단 | 직각구조의 아릴-작용기가 결합된 청색 인광 화합물 및 이를 이용한 유기발광소자 |
| US20220127286A1 (en) | 2019-03-04 | 2022-04-28 | Merck Patent Gmbh | Ligands for nano-sized materials |
| KR102188262B1 (ko) * | 2019-03-11 | 2020-12-08 | 부산대학교 산학협력단 | 진청색 이리듐 착화합물 및 이를 포함하는 유기전계발광소자 |
| EP3947338A4 (en) * | 2019-03-27 | 2023-01-04 | Kemin Industries, Inc. | METHODS FOR PREPARING METAL CARBOXYLATES IN A MONOTOPE REACTION |
| KR102819939B1 (ko) | 2019-04-08 | 2025-06-13 | 삼성디스플레이 주식회사 | 유기금속 화합물 및 이를 포함한 유기 발광 소자 |
| WO2020208051A1 (en) | 2019-04-11 | 2020-10-15 | Merck Patent Gmbh | Materials for organic electroluminescent devices |
| US12534665B2 (en) * | 2019-04-15 | 2026-01-27 | Samsung Display Co., Ltd. | Organometallic compound, organic light-emitting device including the same, and apparatus including the light-emitting device |
| KR102804493B1 (ko) | 2019-04-30 | 2025-05-09 | 삼성디스플레이 주식회사 | 유기 발광 소자 |
| KR102698885B1 (ko) | 2019-05-10 | 2024-08-28 | 삼성디스플레이 주식회사 | 유기금속 화합물 및 이를 포함한 유기 발광 소자 |
| KR102801659B1 (ko) | 2019-06-14 | 2025-04-30 | 삼성디스플레이 주식회사 | 유기 발광 소자 및 유기금속 화합물 |
| KR102307305B1 (ko) * | 2019-06-20 | 2021-09-29 | 고려대학교 세종산학협력단 | 청색 인광 화합물 및 이를 포함하는 유기발광소자 |
| CN112457349B (zh) * | 2019-09-06 | 2024-10-15 | 环球展览公司 | 有机电致发光材料和装置 |
| US11820783B2 (en) * | 2019-09-06 | 2023-11-21 | Universal Display Corporation | Organic electroluminescent materials and devices |
| CN114641482A (zh) | 2019-11-04 | 2022-06-17 | 默克专利有限公司 | 用于有机电致发光器件的材料 |
| TW202134252A (zh) | 2019-11-12 | 2021-09-16 | 德商麥克專利有限公司 | 有機電致發光裝置用材料 |
| KR102373027B1 (ko) | 2019-11-13 | 2022-03-11 | 고려대학교 산학협력단 | 청색 인광소재, 그 제조 방법, 및 이의 광물리적 특성 |
| TW202136181A (zh) | 2019-12-04 | 2021-10-01 | 德商麥克專利有限公司 | 有機電致發光裝置用的材料 |
| CN115052865A (zh) | 2020-01-29 | 2022-09-13 | 默克专利有限公司 | 苯并咪唑衍生物 |
| KR102840023B1 (ko) | 2020-03-23 | 2025-07-29 | 삼성디스플레이 주식회사 | 유기금속 화합물 및 이를 포함하는 유기 발광 소자 |
| EP4126884B1 (en) | 2020-03-23 | 2025-07-09 | Merck Patent GmbH | Materials for organic electroluminescent devices |
| KR102853327B1 (ko) | 2020-05-14 | 2025-09-01 | 삼성디스플레이 주식회사 | 유기금속 화합물 및 이를 포함한 유기 발광 소자 |
| KR20210151309A (ko) * | 2020-06-04 | 2021-12-14 | 삼성디스플레이 주식회사 | 헤테로고리 화합물 및 이를 포함한 유기 발광 소자 |
| KR20220007827A (ko) * | 2020-07-10 | 2022-01-19 | 삼성디스플레이 주식회사 | 발광 소자 재료의 정제 방법 및 상기 방법으로 정제된 재료를 포함하는 발광 소자 |
| KR102867203B1 (ko) | 2020-07-13 | 2025-10-16 | 삼성디스플레이 주식회사 | 발광 소자, 이를 포함한 전자 장치 및 유기금속 화합물 |
| KR102801011B1 (ko) | 2020-07-13 | 2025-04-30 | 삼성디스플레이 주식회사 | 발광 소자 및 이를 포함한 전자 장치 |
| KR20220037040A (ko) | 2020-09-16 | 2022-03-24 | 삼성디스플레이 주식회사 | 유기금속 화합물, 이를 포함한 발광 소자 및 이를 포함한 전자 장치 |
| KR102870801B1 (ko) | 2020-10-13 | 2025-10-14 | 삼성디스플레이 주식회사 | 유기금속 화합물, 이를 포함한 발광 소자 및 이를 포함한 전자 장치 |
| KR102779968B1 (ko) | 2020-12-02 | 2025-03-13 | 삼성디스플레이 주식회사 | 유기금속 화합물, 이를 포함한 발광 소자 및 이를 포함한 전자 장치 |
| KR20220078797A (ko) | 2020-12-03 | 2022-06-13 | 삼성디스플레이 주식회사 | 유기금속 화합물, 이를 포함한 발광 소자 및 이를 포함한 전자 장치 |
| KR20220085924A (ko) | 2020-12-15 | 2022-06-23 | 삼성디스플레이 주식회사 | 발광 소자 및 이를 포함하는 전자 장치 |
| KR20220085892A (ko) | 2020-12-15 | 2022-06-23 | 삼성디스플레이 주식회사 | 유기 전계 발광 소자 및 유기 전계 발광 소자용 유기 금속 화합물 |
| KR20220134796A (ko) * | 2021-03-24 | 2022-10-06 | 삼성디스플레이 주식회사 | 유기금속 화합물을 포함한 발광 소자, 상기 발광 소자를 포함한 전자 장치 및 상기 유기금속 화합물 |
| KR102892042B1 (ko) | 2021-03-25 | 2025-11-28 | 삼성디스플레이 주식회사 | 유기 전계 발광 소자 및 유기 전계 발광 소자용 유기 금속 화합물 |
| CN115141232A (zh) | 2021-03-31 | 2022-10-04 | 三星显示有限公司 | 有机金属化合物、包含其的发光装置和电子设备 |
| CN115197274A (zh) | 2021-04-02 | 2022-10-18 | 三星显示有限公司 | 有机金属化合物、包含其的发光装置及电子设备 |
| US20230006152A1 (en) * | 2021-05-18 | 2023-01-05 | City University Of Hong Kong | Metal complex and light emitting device |
| US20230041530A1 (en) * | 2021-06-16 | 2023-02-09 | Universal Display Corporation | Organic electroluminescent materials and devices |
| CN114213374B (zh) * | 2021-12-28 | 2024-05-31 | 棓诺(苏州)新材料有限公司 | 4-氨基氧芴的合成方法 |
| KR102847010B1 (ko) * | 2022-07-29 | 2025-08-14 | 삼성전자주식회사 | 유기금속 화합물, 이를 포함한 유기 발광 소자 및 상기 유기 발광 소자를 포함한 전자 장치 |
| WO2024105066A1 (en) | 2022-11-17 | 2024-05-23 | Merck Patent Gmbh | Materials for organic electroluminescent devices |
Citations (2)
| Publication number | Priority date | Publication date | Assignee | Title |
|---|---|---|---|---|
| US20070141397A1 (en) | 2005-12-15 | 2007-06-21 | Idemitsu Kosan Co., Ltd | Transition metal complex compound and organic electroluminescence device using the compound |
| US20080200686A1 (en) | 2005-06-14 | 2008-08-21 | Basf Aktiengesellschaft | Method for the Isomerisation of Transition Metal Complexes Containing Cyclometallated, Carbene Ligands |
Family Cites Families (142)
| Publication number | Priority date | Publication date | Assignee | Title |
|---|---|---|---|---|
| US4769292A (en) | 1987-03-02 | 1988-09-06 | Eastman Kodak Company | Electroluminescent device with modified thin film luminescent zone |
| GB8909011D0 (en) | 1989-04-20 | 1989-06-07 | Friend Richard H | Electroluminescent devices |
| US5061569A (en) | 1990-07-26 | 1991-10-29 | Eastman Kodak Company | Electroluminescent device with organic electroluminescent medium |
| DE69412567T2 (de) | 1993-11-01 | 1999-02-04 | Hodogaya Chemical Co., Ltd., Tokio/Tokyo | Aminverbindung und sie enthaltende Elektrolumineszenzvorrichtung |
| US5707745A (en) | 1994-12-13 | 1998-01-13 | The Trustees Of Princeton University | Multicolor organic light emitting devices |
| US5703436A (en) | 1994-12-13 | 1997-12-30 | The Trustees Of Princeton University | Transparent contacts for organic devices |
| US6939625B2 (en) | 1996-06-25 | 2005-09-06 | Nôrthwestern University | Organic light-emitting diodes and methods for assembly and enhanced charge injection |
| US5844363A (en) | 1997-01-23 | 1998-12-01 | The Trustees Of Princeton Univ. | Vacuum deposited, non-polymeric flexible organic light emitting devices |
| US6091195A (en) | 1997-02-03 | 2000-07-18 | The Trustees Of Princeton University | Displays having mesa pixel configuration |
| US5834893A (en) | 1996-12-23 | 1998-11-10 | The Trustees Of Princeton University | High efficiency organic light emitting devices with light directing structures |
| US6013982A (en) | 1996-12-23 | 2000-01-11 | The Trustees Of Princeton University | Multicolor display devices |
| US6303238B1 (en) | 1997-12-01 | 2001-10-16 | The Trustees Of Princeton University | OLEDs doped with phosphorescent compounds |
| US6337102B1 (en) | 1997-11-17 | 2002-01-08 | The Trustees Of Princeton University | Low pressure vapor phase deposition of organic thin films |
| US6087196A (en) | 1998-01-30 | 2000-07-11 | The Trustees Of Princeton University | Fabrication of organic semiconductor devices using ink jet printing |
| US6528187B1 (en) | 1998-09-08 | 2003-03-04 | Fuji Photo Film Co., Ltd. | Material for luminescence element and luminescence element using the same |
| US6830828B2 (en) | 1998-09-14 | 2004-12-14 | The Trustees Of Princeton University | Organometallic complexes as phosphorescent emitters in organic LEDs |
| US6097147A (en) | 1998-09-14 | 2000-08-01 | The Trustees Of Princeton University | Structure for high efficiency electroluminescent device |
| US6294398B1 (en) | 1999-11-23 | 2001-09-25 | The Trustees Of Princeton University | Method for patterning devices |
| US6458475B1 (en) | 1999-11-24 | 2002-10-01 | The Trustee Of Princeton University | Organic light emitting diode having a blue phosphorescent molecule as an emitter |
| KR100377321B1 (ko) | 1999-12-31 | 2003-03-26 | 주식회사 엘지화학 | 피-형 반도체 성질을 갖는 유기 화합물을 포함하는 전기소자 |
| US20020121638A1 (en) | 2000-06-30 | 2002-09-05 | Vladimir Grushin | Electroluminescent iridium compounds with fluorinated phenylpyridines, phenylpyrimidines, and phenylquinolines and devices made with such compounds |
| CN101924190B (zh) | 2000-08-11 | 2012-07-04 | 普林斯顿大学理事会 | 有机金属化合物和发射转换有机电致磷光 |
| US6579630B2 (en) | 2000-12-07 | 2003-06-17 | Canon Kabushiki Kaisha | Deuterated semiconducting organic compounds used for opto-electronic devices |
| JP3812730B2 (ja) | 2001-02-01 | 2006-08-23 | 富士写真フイルム株式会社 | 遷移金属錯体及び発光素子 |
| JP4307000B2 (ja) | 2001-03-08 | 2009-08-05 | キヤノン株式会社 | 金属配位化合物、電界発光素子及び表示装置 |
| JP4310077B2 (ja) | 2001-06-19 | 2009-08-05 | キヤノン株式会社 | 金属配位化合物及び有機発光素子 |
| CN100440568C (zh) | 2001-06-20 | 2008-12-03 | 昭和电工株式会社 | 发光材料和有机发光装置 |
| US7071615B2 (en) | 2001-08-20 | 2006-07-04 | Universal Display Corporation | Transparent electrodes |
| US7250226B2 (en) | 2001-08-31 | 2007-07-31 | Nippon Hoso Kyokai | Phosphorescent compound, a phosphorescent composition and an organic light-emitting device |
| US7431968B1 (en) | 2001-09-04 | 2008-10-07 | The Trustees Of Princeton University | Process and apparatus for organic vapor jet deposition |
| US6835469B2 (en) | 2001-10-17 | 2004-12-28 | The University Of Southern California | Phosphorescent compounds and devices comprising the same |
| US7166368B2 (en) | 2001-11-07 | 2007-01-23 | E. I. Du Pont De Nemours And Company | Electroluminescent platinum compounds and devices made with such compounds |
| US6863997B2 (en) | 2001-12-28 | 2005-03-08 | The Trustees Of Princeton University | White light emitting OLEDs from combined monomer and aggregate emission |
| KR100691543B1 (ko) | 2002-01-18 | 2007-03-09 | 주식회사 엘지화학 | 새로운 전자 수송용 물질 및 이를 이용한 유기 발광 소자 |
| US6878975B2 (en) | 2002-02-08 | 2005-04-12 | Agilent Technologies, Inc. | Polarization field enhanced tunnel structures |
| US20030230980A1 (en) | 2002-06-18 | 2003-12-18 | Forrest Stephen R | Very low voltage, high efficiency phosphorescent oled in a p-i-n structure |
| US7189989B2 (en) | 2002-08-22 | 2007-03-13 | Fuji Photo Film Co., Ltd. | Light emitting element |
| KR100686268B1 (ko) | 2002-08-27 | 2007-02-28 | 후지필름 가부시키가이샤 | 유기금속 착체, 유기 el 소자 및 유기 el 디스플레이 |
| US6687266B1 (en) | 2002-11-08 | 2004-02-03 | Universal Display Corporation | Organic light emitting materials and devices |
| JP4365199B2 (ja) | 2002-12-27 | 2009-11-18 | 富士フイルム株式会社 | 有機電界発光素子 |
| JP4365196B2 (ja) | 2002-12-27 | 2009-11-18 | 富士フイルム株式会社 | 有機電界発光素子 |
| EP1606296B1 (en) | 2003-03-24 | 2009-08-05 | University Of Southern California | PHENYL-PYRAZOLE COMPLEXES OF Ir |
| US7090928B2 (en) | 2003-04-01 | 2006-08-15 | The University Of Southern California | Binuclear compounds |
| JP5318347B2 (ja) | 2003-04-15 | 2013-10-16 | メルク パテント ゲーエムベーハー | 発光可能な、マトリックス材料と有機半導体との混合物、その使用、ならびに前記混合物を含む電子部品 |
| US7029765B2 (en) | 2003-04-22 | 2006-04-18 | Universal Display Corporation | Organic light emitting devices having reduced pixel shrinkage |
| JP4673744B2 (ja) | 2003-05-29 | 2011-04-20 | 新日鐵化学株式会社 | 有機電界発光素子 |
| JP2005011610A (ja) | 2003-06-18 | 2005-01-13 | Nippon Steel Chem Co Ltd | 有機電界発光素子 |
| US20050025993A1 (en) | 2003-07-25 | 2005-02-03 | Thompson Mark E. | Materials and structures for enhancing the performance of organic light emitting devices |
| TWI390006B (zh) | 2003-08-07 | 2013-03-21 | Nippon Steel Chemical Co | Organic EL materials with aluminum clamps |
| DE10338550A1 (de) | 2003-08-19 | 2005-03-31 | Basf Ag | Übergangsmetallkomplexe mit Carbenliganden als Emitter für organische Licht-emittierende Dioden (OLEDs) |
| US20060269780A1 (en) | 2003-09-25 | 2006-11-30 | Takayuki Fukumatsu | Organic electroluminescent device |
| JP4822687B2 (ja) | 2003-11-21 | 2011-11-24 | 富士フイルム株式会社 | 有機電界発光素子 |
| US7332232B2 (en) | 2004-02-03 | 2008-02-19 | Universal Display Corporation | OLEDs utilizing multidentate ligand systems |
| WO2005089024A1 (ja) | 2004-03-11 | 2005-09-22 | Mitsubishi Chemical Corporation | 電荷輸送膜用組成物及びイオン化合物、それを用いた電荷輸送膜及び有機電界発光素子、並びに、有機電界発光素子の製造方法及び電荷輸送膜の製造方法 |
| TW200531592A (en) | 2004-03-15 | 2005-09-16 | Nippon Steel Chemical Co | Organic electroluminescent device |
| JP4869565B2 (ja) | 2004-04-23 | 2012-02-08 | 富士フイルム株式会社 | 有機電界発光素子 |
| US7154114B2 (en) | 2004-05-18 | 2006-12-26 | Universal Display Corporation | Cyclometallated iridium carbene complexes for use as hosts |
| US7491823B2 (en) | 2004-05-18 | 2009-02-17 | The University Of Southern California | Luminescent compounds with carbene ligands |
| WO2005113704A2 (en) | 2004-05-18 | 2005-12-01 | The University Of Southern California | Luminescent compounds with carbene ligands |
| US7393599B2 (en) | 2004-05-18 | 2008-07-01 | The University Of Southern California | Luminescent compounds with carbene ligands |
| US7279704B2 (en) | 2004-05-18 | 2007-10-09 | The University Of Southern California | Complexes with tridentate ligands |
| US7534505B2 (en) | 2004-05-18 | 2009-05-19 | The University Of Southern California | Organometallic compounds for use in electroluminescent devices |
| US7445855B2 (en) | 2004-05-18 | 2008-11-04 | The University Of Southern California | Cationic metal-carbene complexes |
| WO2005123873A1 (ja) | 2004-06-17 | 2005-12-29 | Konica Minolta Holdings, Inc. | 有機エレクトロルミネッセンス素子材料、有機エレクトロルミネッセンス素子、表示装置及び照明装置 |
| CA2568667A1 (en) | 2004-06-28 | 2006-01-05 | Ciba Specialty Chemicals Holding Inc. | Electroluminescent metal complexes with triazoles and benzotriazoles |
| US20060008670A1 (en) | 2004-07-06 | 2006-01-12 | Chun Lin | Organic light emitting materials and devices |
| EP2178348B1 (en) | 2004-07-23 | 2012-11-21 | Konica Minolta Holdings, Inc. | Organic electroluminescent element, display and illuminator |
| DE102004057072A1 (de) | 2004-11-25 | 2006-06-01 | Basf Ag | Verwendung von Übergangsmetall-Carbenkomplexen in organischen Licht-emittierenden Dioden (OLEDs) |
| KR101272435B1 (ko) | 2004-12-30 | 2013-06-07 | 이 아이 듀폰 디 네모아 앤드 캄파니 | 유기금속 착체 |
| GB2437453B (en) | 2005-02-04 | 2011-05-04 | Konica Minolta Holdings Inc | Material for organic electroluminescence element, organic electroluminescence element, display device and lighting device |
| KR100803125B1 (ko) | 2005-03-08 | 2008-02-14 | 엘지전자 주식회사 | 적색 인광 화합물 및 이를 사용한 유기전계발광소자 |
| JP5125502B2 (ja) | 2005-03-16 | 2013-01-23 | コニカミノルタホールディングス株式会社 | 有機エレクトロルミネッセンス素子材料、有機エレクトロルミネッセンス素子 |
| DE102005014284A1 (de) | 2005-03-24 | 2006-09-28 | Basf Ag | Verwendung von Verbindungen, welche aromatische oder heteroaromatische über Carbonyl-Gruppen enthaltende Gruppen verbundene Ringe enthalten, als Matrixmaterialien in organischen Leuchtdioden |
| JPWO2006103874A1 (ja) | 2005-03-29 | 2008-09-04 | コニカミノルタホールディングス株式会社 | 有機エレクトロルミネッセンス素子材料、有機エレクトロルミネッセンス素子、表示装置及び照明装置 |
| GB2439030B (en) | 2005-04-18 | 2011-03-02 | Konica Minolta Holdings Inc | Organic electroluminescent device, display and illuminating device |
| US7807275B2 (en) | 2005-04-21 | 2010-10-05 | Universal Display Corporation | Non-blocked phosphorescent OLEDs |
| TWI418606B (zh) * | 2005-04-25 | 2013-12-11 | Udc Ireland Ltd | 有機電致發光裝置 |
| US9051344B2 (en) | 2005-05-06 | 2015-06-09 | Universal Display Corporation | Stability OLED materials and devices |
| JP4533796B2 (ja) | 2005-05-06 | 2010-09-01 | 富士フイルム株式会社 | 有機電界発光素子 |
| CN101203583A (zh) | 2005-05-31 | 2008-06-18 | 通用显示公司 | 发射磷光的二极管中的苯并[9,10]菲基质 |
| WO2006132173A1 (ja) | 2005-06-07 | 2006-12-14 | Nippon Steel Chemical Co., Ltd. | 有機金属錯体及びこれを用いた有機電界発光素子 |
| US7638072B2 (en) | 2005-06-27 | 2009-12-29 | E. I. Du Pont De Nemours And Company | Electrically conductive polymer compositions |
| WO2007004380A1 (ja) | 2005-07-01 | 2007-01-11 | Konica Minolta Holdings, Inc. | 有機エレクトロルミネッセンス素子材料、有機エレクトロルミネッセンス素子、表示装置及び照明装置 |
| WO2007028417A1 (en) | 2005-09-07 | 2007-03-15 | Technische Universität Braunschweig | Triplett emitter having condensed five-membered rings |
| JP4887731B2 (ja) | 2005-10-26 | 2012-02-29 | コニカミノルタホールディングス株式会社 | 有機エレクトロルミネッセンス素子、表示装置及び照明装置 |
| EP1956022B1 (en) | 2005-12-01 | 2012-07-25 | Nippon Steel Chemical Co., Ltd. | Compound for organic electroluminescent element and organic electroluminescent element |
| KR20080085000A (ko) | 2005-12-01 | 2008-09-22 | 신닛테츠가가쿠 가부시키가이샤 | 유기 전계 발광소자 |
| EP2338593B1 (de) | 2006-01-31 | 2013-06-19 | Basf Se | Verfahren zur Herstellung von Übergangsmetall-Carbenkomplexen |
| KR101600624B1 (ko) | 2006-02-10 | 2016-03-21 | 유니버셜 디스플레이 코포레이션 | 시클로금속화 이미다조[1,2-f]페난트리딘 및디이미다조[1,2-a:1',2'-c]퀴나졸린 리간드, 및 이의등전자성 및 벤즈고리화된 유사체의 금속 착체 |
| JP4823730B2 (ja) | 2006-03-20 | 2011-11-24 | 新日鐵化学株式会社 | 発光層化合物及び有機電界発光素子 |
| ATE550342T1 (de) * | 2006-04-05 | 2012-04-15 | Basf Se | Heteroleptische übergangsmetall-carben-komplexe und deren verwendung in organischen leuchtdioden (oleds) |
| WO2007123392A1 (en) | 2006-04-24 | 2007-11-01 | Erasmus Universiteit Rotterdam | Determining the replicative history of lymphocytes |
| KR101453109B1 (ko) | 2006-04-26 | 2014-10-27 | 이데미쓰 고산 가부시키가이샤 | 방향족 아민 유도체 및 그들을 이용한 유기 전기 발광 소자 |
| JP5432523B2 (ja) | 2006-05-11 | 2014-03-05 | 出光興産株式会社 | 有機エレクトロルミネッセンス素子 |
| CN101461074B (zh) | 2006-06-02 | 2011-06-15 | 出光兴产株式会社 | 有机电致发光元件用材料及使用了它的有机电致发光元件 |
| JP5139297B2 (ja) | 2006-08-23 | 2013-02-06 | 出光興産株式会社 | 芳香族アミン誘導体及びそれらを用いた有機エレクトロルミネッセンス素子 |
| JP5589251B2 (ja) | 2006-09-21 | 2014-09-17 | コニカミノルタ株式会社 | 有機エレクトロルミネッセンス素子材料 |
| US8062769B2 (en) | 2006-11-09 | 2011-11-22 | Nippon Steel Chemical Co., Ltd. | Indolocarbazole compound for use in organic electroluminescent device and organic electroluminescent device |
| WO2008062636A1 (fr) | 2006-11-24 | 2008-05-29 | Idemitsu Kosan Co., Ltd. | Dérivé d'amine aromatique et élément électroluminescent organique utilisant celui-ci |
| US8119255B2 (en) | 2006-12-08 | 2012-02-21 | Universal Display Corporation | Cross-linkable iridium complexes and organic light-emitting devices using the same |
| WO2009030981A2 (en) * | 2006-12-28 | 2009-03-12 | Universal Display Corporation | Long lifetime phosphorescent organic light emitting device (oled) structures |
| WO2008101842A1 (en) | 2007-02-23 | 2008-08-28 | Basf Se | Electroluminescent metal complexes with benzotriazoles |
| EP2150556B1 (de) | 2007-04-26 | 2011-01-12 | Basf Se | Silane enthaltend phenothiazin-s-oxid oder phenothiazin-s,s-dioxid-gruppen und deren verwendung in oleds |
| WO2008156879A1 (en) | 2007-06-20 | 2008-12-24 | Universal Display Corporation | Blue phosphorescent imidazophenanthridine materials |
| CN101720330B (zh) | 2007-06-22 | 2017-06-09 | Udc爱尔兰有限责任公司 | 发光Cu(I)络合物 |
| US8373159B2 (en) * | 2007-07-05 | 2013-02-12 | Basf Se | Organic light-emitting diodes comprising carbene-transition metal complex emitter, and at least one compound selected from disilylcarbazoles, disilyldibenzofurans, disilyldibenzothiophenes, disilyldibenzophospholes, disilyldibenzothiophene s-oxides and disilyldibe |
| WO2009008201A1 (ja) | 2007-07-07 | 2009-01-15 | Idemitsu Kosan Co., Ltd. | ナフタレン誘導体、有機el素子用材料及びそれを用いた有機el素子 |
| US8779655B2 (en) | 2007-07-07 | 2014-07-15 | Idemitsu Kosan Co., Ltd. | Organic electroluminescence device and material for organic electroluminescence device |
| WO2009008205A1 (ja) | 2007-07-07 | 2009-01-15 | Idemitsu Kosan Co., Ltd. | 有機エレクトロルミネッセンス素子および有機エレクトロルミネッセンス素子用材料 |
| US20090045731A1 (en) | 2007-07-07 | 2009-02-19 | Idemitsu Kosan Co., Ltd. | Organic electroluminescence device and material for organic electroluminescence device |
| JP5473600B2 (ja) | 2007-07-07 | 2014-04-16 | 出光興産株式会社 | クリセン誘導体及びそれを用いた有機エレクトロルミネッセンス素子 |
| TW200903877A (en) | 2007-07-10 | 2009-01-16 | Idemitsu Kosan Co | Material for organic electroluminescence device and organic electroluminescence device utilizing the same |
| US8080658B2 (en) | 2007-07-10 | 2011-12-20 | Idemitsu Kosan Co., Ltd. | Material for organic electroluminescent element and organic electroluminescent element employing the same |
| CN101688052A (zh) | 2007-07-27 | 2010-03-31 | E.I.内穆尔杜邦公司 | 包含无机纳米颗粒的导电聚合物的含水分散体 |
| EP2185532B1 (en) | 2007-08-08 | 2016-11-09 | Universal Display Corporation | Benzo-fused thiophene compounds comprising a triphenylene group |
| JP2009040728A (ja) | 2007-08-09 | 2009-02-26 | Canon Inc | 有機金属錯体及びこれを用いた有機発光素子 |
| US8383249B2 (en) * | 2007-10-04 | 2013-02-26 | Universal Display Corporation | Complexes with tridentate ligands |
| US8067100B2 (en) | 2007-10-04 | 2011-11-29 | Universal Display Corporation | Complexes with tridentate ligands |
| JP2011500648A (ja) | 2007-10-17 | 2011-01-06 | ビーエーエスエフ ソシエタス・ヨーロピア | 架橋カルベンリガンドを有する遷移金属錯体およびoledにおけるその使用 |
| US20090101870A1 (en) | 2007-10-22 | 2009-04-23 | E. I. Du Pont De Nemours And Company | Electron transport bi-layers and devices made with such bi-layers |
| US7914908B2 (en) | 2007-11-02 | 2011-03-29 | Global Oled Technology Llc | Organic electroluminescent device having an azatriphenylene derivative |
| DE102007053771A1 (de) | 2007-11-12 | 2009-05-14 | Merck Patent Gmbh | Organische Elektrolumineszenzvorrichtungen |
| WO2009063833A1 (ja) | 2007-11-15 | 2009-05-22 | Idemitsu Kosan Co., Ltd. | ベンゾクリセン誘導体及びそれを用いた有機エレクトロルミネッセンス素子 |
| EP2221896A4 (en) | 2007-11-22 | 2012-04-18 | Idemitsu Kosan Co | ORGANIC EL ELEMENT |
| US8574725B2 (en) | 2007-11-22 | 2013-11-05 | Idemitsu Kosan Co., Ltd. | Organic el element and solution containing organic el material |
| US8143613B2 (en) * | 2007-11-27 | 2012-03-27 | The Regents Of The University Of Michigan | Organic light emitting device having multiple separate emissive layers |
| WO2009073245A1 (en) | 2007-12-06 | 2009-06-11 | Universal Display Corporation | Light-emitting organometallic complexes |
| WO2009085344A2 (en) | 2007-12-28 | 2009-07-09 | Universal Display Corporation | Dibenzothiophene-containing materials in phosphorescent light emitting diodes |
| US8221905B2 (en) | 2007-12-28 | 2012-07-17 | Universal Display Corporation | Carbazole-containing materials in phosphorescent light emitting diodes |
| KR101691610B1 (ko) | 2008-02-12 | 2017-01-02 | 유디씨 아일랜드 리미티드 | 디벤조[f,h]퀴녹살린과의 전계발광 금속 착물 |
| CN104377308B (zh) * | 2008-10-28 | 2019-08-06 | 密执安州立大学董事会 | 具有单独的红色、绿色和蓝色子元件的堆叠式白色oled |
| KR20110110172A (ko) * | 2008-12-12 | 2011-10-06 | 유니버셜 디스플레이 코포레이션 | 도핑된 정공 수송층을 통한 oled 안정성 향상 |
| TWI687408B (zh) * | 2009-04-28 | 2020-03-11 | 美商環球展覽公司 | 具有甲基-d3取代之銥錯合物 |
| WO2011073149A1 (de) * | 2009-12-14 | 2011-06-23 | Basf Se | Metallkomplexe, enthaltend diazabenzimidazolcarben-liganden und deren verwendung in oleds |
| JP6014938B2 (ja) | 2010-06-18 | 2016-10-26 | ユー・ディー・シー アイルランド リミテッド | 少なくとも1種の金属有機化合物及び少なくとも1種の金属酸化物を含有する層を含む有機電子デバイス |
| JP5990515B2 (ja) * | 2010-06-18 | 2016-09-14 | ビーエーエスエフ ソシエタス・ヨーロピアBasf Se | ジベンゾフラン化合物と8−ヒドロキシキノリノラトアルカリ土類金属錯体または8−ヒドロキシキノリノラトアルカリ金属錯体との層を含む、有機電子デバイス |
| US9142792B2 (en) * | 2010-06-18 | 2015-09-22 | Basf Se | Organic electronic devices comprising a layer comprising at least one metal organic compound and at least one metal oxide |
| US8748011B2 (en) * | 2011-02-23 | 2014-06-10 | Universal Display Corporation | Ruthenium carbene complexes for OLED material |
| US8883322B2 (en) | 2011-03-08 | 2014-11-11 | Universal Display Corporation | Pyridyl carbene phosphorescent emitters |
| KR102119353B1 (ko) * | 2011-06-08 | 2020-06-29 | 유니버셜 디스플레이 코포레이션 | 헤테로렙틱 이리듐 카르벤 착물 및 이를 사용한 발광 디바이스 |
| US9315724B2 (en) * | 2011-06-14 | 2016-04-19 | Basf Se | Metal complexes comprising azabenzimidazole carbene ligands and the use thereof in OLEDs |
| GB2536212A (en) * | 2015-03-04 | 2016-09-14 | Cambridge Display Tech Ltd | Light-emitting material and organic light-emitting device |
-
2011
- 2011-03-08 US US13/043,180 patent/US8883322B2/en active Active
-
2012
- 2012-02-28 EP EP21189954.7A patent/EP3936512A1/en active Pending
- 2012-02-28 KR KR1020187030629A patent/KR101979179B1/ko active Active
- 2012-02-28 WO PCT/US2012/027044 patent/WO2012121936A2/en not_active Ceased
- 2012-02-28 JP JP2013557759A patent/JP6073819B2/ja active Active
- 2012-02-28 EP EP18187166.6A patent/EP3424935B1/en active Active
- 2012-02-28 EP EP12708222.0A patent/EP2683728B1/en active Active
- 2012-02-28 KR KR1020137026567A patent/KR20140017591A/ko not_active Ceased
- 2012-03-08 TW TW101107956A patent/TWI624471B/zh active
- 2012-03-08 TW TW105118036A patent/TWI638820B/zh active
-
2014
- 2014-10-10 US US14/511,689 patent/US9972793B2/en active Active
-
2016
- 2016-07-22 JP JP2016143865A patent/JP6316351B2/ja active Active
-
2018
- 2018-04-10 US US15/949,601 patent/US10873038B2/en active Active
-
2020
- 2020-11-02 US US17/086,769 patent/US11600791B2/en active Active
Patent Citations (2)
| Publication number | Priority date | Publication date | Assignee | Title |
|---|---|---|---|---|
| US20080200686A1 (en) | 2005-06-14 | 2008-08-21 | Basf Aktiengesellschaft | Method for the Isomerisation of Transition Metal Complexes Containing Cyclometallated, Carbene Ligands |
| US20070141397A1 (en) | 2005-12-15 | 2007-06-21 | Idemitsu Kosan Co., Ltd | Transition metal complex compound and organic electroluminescence device using the compound |
Also Published As
| Publication number | Publication date |
|---|---|
| US20150021590A1 (en) | 2015-01-22 |
| WO2012121936A2 (en) | 2012-09-13 |
| US8883322B2 (en) | 2014-11-11 |
| WO2012121936A3 (en) | 2012-11-22 |
| EP3936512A1 (en) | 2022-01-12 |
| TW201634475A (zh) | 2016-10-01 |
| EP2683728B1 (en) | 2018-09-05 |
| US10873038B2 (en) | 2020-12-22 |
| JP6073819B2 (ja) | 2017-02-01 |
| TWI624471B (zh) | 2018-05-21 |
| EP3424935A1 (en) | 2019-01-09 |
| EP2683728A2 (en) | 2014-01-15 |
| KR20180118253A (ko) | 2018-10-30 |
| JP6316351B2 (ja) | 2018-04-25 |
| WO2012121936A4 (en) | 2013-02-28 |
| EP3424935B1 (en) | 2021-08-11 |
| US11600791B2 (en) | 2023-03-07 |
| KR20140017591A (ko) | 2014-02-11 |
| TW201241002A (en) | 2012-10-16 |
| JP2017008063A (ja) | 2017-01-12 |
| US20210050530A1 (en) | 2021-02-18 |
| TWI638820B (zh) | 2018-10-21 |
| US20120228583A1 (en) | 2012-09-13 |
| JP2014508778A (ja) | 2014-04-10 |
| US9972793B2 (en) | 2018-05-15 |
| US20190109287A1 (en) | 2019-04-11 |
Similar Documents
| Publication | Publication Date | Title |
|---|---|---|
| KR101979179B1 (ko) | 피리딜 카르벤 인광 방출체 | |
| KR102505876B1 (ko) | 도펀트로서 헤테로렙틱 이리듐 착물 | |
| EP2542644B1 (en) | Phosphorescent materials | |
| EP2551274B1 (en) | Tetradentate platinum complexes | |
| EP2694503B1 (en) | Substituted oligoazacarbazoles for light emitting diodes | |
| KR101907711B1 (ko) | 유기 발광 다이오드용 게르마늄-함유 적색 발광체 물질 | |
| EP3398953B1 (en) | Organic electroluminescent materials and devices | |
| KR101948498B1 (ko) | 인광 oled 물질로서 티아졸 및 옥사졸 카르벤 금속 착물 | |
| EP2594572A1 (en) | Organic light emitting materials | |
| KR20180063384A (ko) | 인광 물질 | |
| KR20150083017A (ko) | 유기 전계발광 물질 및 소자 | |
| WO2011156752A1 (en) | Delayed-fluorescence oled | |
| KR20150097430A (ko) | 유기 전계발광 물질 및 소자 | |
| KR20140015375A (ko) | Oled 물질용 루테늄 카르벤 착물 |
Legal Events
| Date | Code | Title | Description |
|---|---|---|---|
| A107 | Divisional application of patent | ||
| A201 | Request for examination | ||
| PA0104 | Divisional application for international application |
Comment text: Divisional Application for International Patent Patent event code: PA01041R01D Patent event date: 20181023 Application number text: 1020137026567 Filing date: 20131008 |
|
| PA0201 | Request for examination |
Patent event code: PA02012R01D Patent event date: 20181023 Comment text: Request for Examination of Application |
|
| PG1501 | Laying open of application | ||
| E902 | Notification of reason for refusal | ||
| PE0902 | Notice of grounds for rejection |
Comment text: Notification of reason for refusal Patent event date: 20181120 Patent event code: PE09021S01D |
|
| E701 | Decision to grant or registration of patent right | ||
| PE0701 | Decision of registration |
Patent event code: PE07011S01D Comment text: Decision to Grant Registration Patent event date: 20190219 |
|
| GRNT | Written decision to grant | ||
| PR0701 | Registration of establishment |
Comment text: Registration of Establishment Patent event date: 20190509 Patent event code: PR07011E01D |
|
| PR1002 | Payment of registration fee |
Payment date: 20190509 End annual number: 3 Start annual number: 1 |
|
| PG1601 | Publication of registration | ||
| PR1001 | Payment of annual fee |
Payment date: 20220427 Start annual number: 4 End annual number: 4 |
|
| PR1001 | Payment of annual fee |
Payment date: 20230426 Start annual number: 5 End annual number: 5 |

























































































































































