KR102456073B1 - 유기금속 화합물 및 이를 포함한 유기 발광 소자 - Google Patents
유기금속 화합물 및 이를 포함한 유기 발광 소자 Download PDFInfo
- Publication number
- KR102456073B1 KR102456073B1 KR1020170096378A KR20170096378A KR102456073B1 KR 102456073 B1 KR102456073 B1 KR 102456073B1 KR 1020170096378 A KR1020170096378 A KR 1020170096378A KR 20170096378 A KR20170096378 A KR 20170096378A KR 102456073 B1 KR102456073 B1 KR 102456073B1
- Authority
- KR
- South Korea
- Prior art keywords
- group
- substituted
- unsubstituted
- layer
- aromatic condensed
- Prior art date
- Legal status (The legal status is an assumption and is not a legal conclusion. Google has not performed a legal analysis and makes no representation as to the accuracy of the status listed.)
- Active
Links
- 150000002902 organometallic compounds Chemical class 0.000 title claims abstract description 45
- -1 ter-butyl group Chemical group 0.000 claims description 192
- 239000010410 layer Substances 0.000 claims description 171
- 125000003118 aryl group Chemical group 0.000 claims description 82
- 125000001997 phenyl group Chemical group [H]C1=C([H])C([H])=C(*)C([H])=C1[H] 0.000 claims description 81
- YZCKVEUIGOORGS-OUBTZVSYSA-N Deuterium Chemical compound [2H] YZCKVEUIGOORGS-OUBTZVSYSA-N 0.000 claims description 59
- 229910052805 deuterium Inorganic materials 0.000 claims description 59
- 125000004093 cyano group Chemical group *C#N 0.000 claims description 58
- 125000006749 (C6-C60) aryl group Chemical group 0.000 claims description 54
- 125000003367 polycyclic group Chemical group 0.000 claims description 52
- 150000001875 compounds Chemical class 0.000 claims description 50
- 125000001624 naphthyl group Chemical group 0.000 claims description 49
- YJTKZCDBKVTVBY-UHFFFAOYSA-N 1,3-Diphenylbenzene Chemical group C1=CC=CC=C1C1=CC=CC(C=2C=CC=CC=2)=C1 YJTKZCDBKVTVBY-UHFFFAOYSA-N 0.000 claims description 48
- 125000006376 (C3-C10) cycloalkyl group Chemical group 0.000 claims description 47
- 125000000592 heterocycloalkyl group Chemical group 0.000 claims description 46
- 125000006743 (C1-C60) alkyl group Chemical group 0.000 claims description 45
- 125000006753 (C1-C60) heteroaryl group Chemical group 0.000 claims description 45
- 125000006267 biphenyl group Chemical group 0.000 claims description 42
- 125000006717 (C3-C10) cycloalkenyl group Chemical group 0.000 claims description 39
- 125000003983 fluorenyl group Chemical group C1(=CC=CC=2C3=CC=CC=C3CC12)* 0.000 claims description 37
- 230000005525 hole transport Effects 0.000 claims description 37
- 125000006744 (C2-C60) alkenyl group Chemical group 0.000 claims description 33
- 125000006752 (C6-C60) arylthio group Chemical group 0.000 claims description 33
- 125000001792 phenanthrenyl group Chemical group C1(=CC=CC=2C3=CC=CC=C3C=CC12)* 0.000 claims description 33
- 125000006746 (C1-C60) alkoxy group Chemical group 0.000 claims description 32
- 125000006745 (C2-C60) alkynyl group Chemical group 0.000 claims description 32
- 125000004366 heterocycloalkenyl group Chemical group 0.000 claims description 32
- 238000002347 injection Methods 0.000 claims description 32
- 239000007924 injection Substances 0.000 claims description 32
- 125000004585 polycyclic heterocycle group Chemical group 0.000 claims description 32
- 125000000609 carbazolyl group Chemical group C1(=CC=CC=2C3=CC=CC=C3NC12)* 0.000 claims description 31
- 125000006751 (C6-C60) aryloxy group Chemical group 0.000 claims description 30
- 239000012044 organic layer Substances 0.000 claims description 29
- 125000002178 anthracenyl group Chemical group C1(=CC=CC2=CC3=CC=CC=C3C=C12)* 0.000 claims description 28
- 230000000903 blocking effect Effects 0.000 claims description 28
- 125000003914 fluoranthenyl group Chemical group C1(=CC=C2C=CC=C3C4=CC=CC=C4C1=C23)* 0.000 claims description 28
- 125000000714 pyrimidinyl group Chemical group 0.000 claims description 26
- 125000002943 quinolinyl group Chemical group N1=C(C=CC2=CC=CC=C12)* 0.000 claims description 26
- 125000005509 dibenzothiophenyl group Chemical group 0.000 claims description 24
- 229910052739 hydrogen Inorganic materials 0.000 claims description 24
- 239000001257 hydrogen Substances 0.000 claims description 24
- 125000002183 isoquinolinyl group Chemical group C1(=NC=CC2=CC=CC=C12)* 0.000 claims description 24
- 125000005299 dibenzofluorenyl group Chemical group C1(=CC=CC2=C3C(=C4C=5C=CC=CC5CC4=C21)C=CC=C3)* 0.000 claims description 23
- 125000000623 heterocyclic group Chemical group 0.000 claims description 23
- 125000002294 quinazolinyl group Chemical group N1=C(N=CC2=CC=CC=C12)* 0.000 claims description 23
- 125000002080 perylenyl group Chemical group C1(=CC=C2C=CC=C3C4=CC=CC5=CC=CC(C1=C23)=C45)* 0.000 claims description 22
- 125000001725 pyrenyl group Chemical group 0.000 claims description 22
- 150000002431 hydrogen Chemical class 0.000 claims description 21
- JQQSUOJIMKJQHS-UHFFFAOYSA-N pentaphenyl group Chemical group C1=CC=CC2=CC3=CC=C4C=C5C=CC=CC5=CC4=C3C=C12 JQQSUOJIMKJQHS-UHFFFAOYSA-N 0.000 claims description 21
- 125000004076 pyridyl group Chemical group 0.000 claims description 21
- 125000003960 triphenylenyl group Chemical group C1(=CC=CC=2C3=CC=CC=C3C3=CC=CC=C3C12)* 0.000 claims description 21
- 125000003860 C1-C20 alkoxy group Chemical group 0.000 claims description 20
- 229910052799 carbon Inorganic materials 0.000 claims description 20
- 125000003373 pyrazinyl group Chemical group 0.000 claims description 20
- 125000001424 substituent group Chemical group 0.000 claims description 20
- 125000001567 quinoxalinyl group Chemical group N1=C(C=NC2=CC=CC=C12)* 0.000 claims description 19
- 125000002676 chrysenyl group Chemical group C1(=CC=CC=2C3=CC=C4C=CC=CC4=C3C=CC12)* 0.000 claims description 18
- 125000001828 phenalenyl group Chemical group C1(C=CC2=CC=CC3=CC=CC1=C23)* 0.000 claims description 18
- 125000001633 hexacenyl group Chemical group C1(=CC=CC2=CC3=CC4=CC5=CC6=CC=CC=C6C=C5C=C4C=C3C=C12)* 0.000 claims description 17
- 125000002496 methyl group Chemical group [H]C([H])([H])* 0.000 claims description 17
- JUJWROOIHBZHMG-UHFFFAOYSA-N Pyridine Chemical group C1=CC=NC=C1 JUJWROOIHBZHMG-UHFFFAOYSA-N 0.000 claims description 16
- 125000000641 acridinyl group Chemical group C1(=CC=CC2=NC3=CC=CC=C3C=C12)* 0.000 claims description 16
- 125000002837 carbocyclic group Chemical group 0.000 claims description 16
- 125000003933 pentacenyl group Chemical group C1(=CC=CC2=CC3=CC4=CC5=CC=CC=C5C=C4C=C3C=C12)* 0.000 claims description 16
- 125000001791 phenazinyl group Chemical group C1(=CC=CC2=NC3=CC=CC=C3N=C12)* 0.000 claims description 16
- BASFCYQUMIYNBI-UHFFFAOYSA-N platinum Chemical compound [Pt] BASFCYQUMIYNBI-UHFFFAOYSA-N 0.000 claims description 16
- 125000004306 triazinyl group Chemical group 0.000 claims description 16
- 125000002883 imidazolyl group Chemical group 0.000 claims description 15
- 125000000842 isoxazolyl group Chemical group 0.000 claims description 15
- 125000004593 naphthyridinyl group Chemical group N1=C(C=CC2=CC=CN=C12)* 0.000 claims description 15
- 125000003226 pyrazolyl group Chemical group 0.000 claims description 15
- 125000001511 cyclopentyl group Chemical group [H]C1([H])C([H])([H])C([H])([H])C([H])(*)C1([H])[H] 0.000 claims description 14
- 125000004934 phenanthridinyl group Chemical group C1(=CC=CC2=NC=C3C=CC=CC3=C12)* 0.000 claims description 14
- 125000004625 phenanthrolinyl group Chemical group N1=C(C=CC2=CC=C3C=CC=NC3=C12)* 0.000 claims description 14
- 125000000113 cyclohexyl group Chemical group [H]C1([H])C([H])([H])C([H])([H])C([H])(*)C([H])([H])C1([H])[H] 0.000 claims description 13
- 125000001495 ethyl group Chemical group [H]C([H])([H])C([H])([H])* 0.000 claims description 13
- 125000003454 indenyl group Chemical group C1(C=CC2=CC=CC=C12)* 0.000 claims description 13
- 229910052757 nitrogen Inorganic materials 0.000 claims description 13
- 125000001388 picenyl group Chemical group C1(=CC=CC2=CC=C3C4=CC=C5C=CC=CC5=C4C=CC3=C21)* 0.000 claims description 13
- 125000001935 tetracenyl group Chemical group C1(=CC=CC2=CC3=CC4=CC=CC=C4C=C3C=C12)* 0.000 claims description 13
- JYEUMXHLPRZUAT-UHFFFAOYSA-N 1,2,3-triazine Chemical group C1=CN=NN=C1 JYEUMXHLPRZUAT-UHFFFAOYSA-N 0.000 claims description 12
- 125000000596 cyclohexenyl group Chemical group C1(=CCCCC1)* 0.000 claims description 12
- 125000000959 isobutyl group Chemical group [H]C([H])([H])C([H])(C([H])([H])[H])C([H])([H])* 0.000 claims description 12
- 125000001972 isopentyl group Chemical group [H]C([H])([H])C([H])(C([H])([H])[H])C([H])([H])C([H])([H])* 0.000 claims description 12
- 125000002971 oxazolyl group Chemical group 0.000 claims description 12
- 125000001147 pentyl group Chemical group C(CCCC)* 0.000 claims description 12
- 125000001436 propyl group Chemical group [H]C([*])([H])C([H])([H])C([H])([H])[H] 0.000 claims description 12
- 125000002914 sec-butyl group Chemical group [H]C([H])([H])C([H])([H])C([H])(*)C([H])([H])[H] 0.000 claims description 12
- WZJYKHNJTSNBHV-UHFFFAOYSA-N benzo[h]quinoline Chemical group C1=CN=C2C3=CC=CC=C3C=CC2=C1 WZJYKHNJTSNBHV-UHFFFAOYSA-N 0.000 claims description 11
- 125000000582 cycloheptyl group Chemical group [H]C1([H])C([H])([H])C([H])([H])C([H])([H])C([H])(*)C([H])([H])C1([H])[H] 0.000 claims description 11
- 125000002433 cyclopentenyl group Chemical group C1(=CCCC1)* 0.000 claims description 11
- 125000004051 hexyl group Chemical group [H]C([H])([H])C([H])([H])C([H])([H])C([H])([H])C([H])([H])C([H])([H])* 0.000 claims description 11
- 229910052760 oxygen Inorganic materials 0.000 claims description 11
- PBMFSQRYOILNGV-UHFFFAOYSA-N pyridazine Chemical group C1=CC=NN=C1 PBMFSQRYOILNGV-UHFFFAOYSA-N 0.000 claims description 10
- ICPSWZFVWAPUKF-UHFFFAOYSA-N 1,1'-spirobi[fluorene] Chemical group C1=CC=C2C=C3C4(C=5C(C6=CC=CC=C6C=5)=CC=C4)C=CC=C3C2=C1 ICPSWZFVWAPUKF-UHFFFAOYSA-N 0.000 claims description 9
- FZWLAAWBMGSTSO-UHFFFAOYSA-N Thiazole Chemical group C1=CSC=N1 FZWLAAWBMGSTSO-UHFFFAOYSA-N 0.000 claims description 9
- 125000003828 azulenyl group Chemical group 0.000 claims description 9
- 125000003336 coronenyl group Chemical group C1(=CC2=CC=C3C=CC4=CC=C5C=CC6=CC=C1C1=C6C5=C4C3=C21)* 0.000 claims description 9
- TXCDCPKCNAJMEE-UHFFFAOYSA-N dibenzofuran Chemical group C1=CC=C2C3=CC=CC=C3OC2=C1 TXCDCPKCNAJMEE-UHFFFAOYSA-N 0.000 claims description 9
- 125000002192 heptalenyl group Chemical group 0.000 claims description 9
- 125000003427 indacenyl group Chemical group 0.000 claims description 9
- 229910052741 iridium Inorganic materials 0.000 claims description 9
- ZLTPDFXIESTBQG-UHFFFAOYSA-N isothiazole Chemical group C=1C=NSC=1 ZLTPDFXIESTBQG-UHFFFAOYSA-N 0.000 claims description 9
- 238000000034 method Methods 0.000 claims description 9
- WCPAKWJPBJAGKN-UHFFFAOYSA-N oxadiazole Chemical group C1=CON=N1 WCPAKWJPBJAGKN-UHFFFAOYSA-N 0.000 claims description 9
- 229910052717 sulfur Inorganic materials 0.000 claims description 9
- 125000003831 tetrazolyl group Chemical group 0.000 claims description 9
- 125000001425 triazolyl group Chemical group 0.000 claims description 9
- 125000000008 (C1-C10) alkyl group Chemical group 0.000 claims description 8
- HYZJCKYKOHLVJF-UHFFFAOYSA-N 1H-benzimidazole Chemical group C1=CC=C2NC=NC2=C1 HYZJCKYKOHLVJF-UHFFFAOYSA-N 0.000 claims description 8
- IYYZUPMFVPLQIF-ALWQSETLSA-N dibenzothiophene Chemical group C1=CC=CC=2[34S]C3=C(C=21)C=CC=C3 IYYZUPMFVPLQIF-ALWQSETLSA-N 0.000 claims description 8
- 229910052697 platinum Inorganic materials 0.000 claims description 8
- KDLHZDBZIXYQEI-UHFFFAOYSA-N Palladium Chemical compound [Pd] KDLHZDBZIXYQEI-UHFFFAOYSA-N 0.000 claims description 7
- 125000000217 alkyl group Chemical group 0.000 claims description 7
- GKOZUEZYRPOHIO-UHFFFAOYSA-N iridium atom Chemical group [Ir] GKOZUEZYRPOHIO-UHFFFAOYSA-N 0.000 claims description 7
- AUONHKJOIZSQGR-UHFFFAOYSA-N oxophosphane Chemical compound P=O AUONHKJOIZSQGR-UHFFFAOYSA-N 0.000 claims description 7
- 125000000355 1,3-benzoxazolyl group Chemical group O1C(=NC2=C1C=CC=C2)* 0.000 claims description 6
- FCEHBMOGCRZNNI-UHFFFAOYSA-N 1-benzothiophene Chemical group C1=CC=C2SC=CC2=C1 FCEHBMOGCRZNNI-UHFFFAOYSA-N 0.000 claims description 6
- YLQBMQCUIZJEEH-UHFFFAOYSA-N Furan Chemical group C=1C=COC=1 YLQBMQCUIZJEEH-UHFFFAOYSA-N 0.000 claims description 6
- YTPLMLYBLZKORZ-UHFFFAOYSA-N Thiophene Chemical group C=1C=CSC=1 YTPLMLYBLZKORZ-UHFFFAOYSA-N 0.000 claims description 6
- 239000002210 silicon-based material Substances 0.000 claims description 5
- IANQTJSKSUMEQM-UHFFFAOYSA-N 1-benzofuran Chemical group C1=CC=C2OC=CC2=C1 IANQTJSKSUMEQM-UHFFFAOYSA-N 0.000 claims description 4
- LYTMVABTDYMBQK-UHFFFAOYSA-N 2-benzothiophene Chemical group C1=CC=CC2=CSC=C21 LYTMVABTDYMBQK-UHFFFAOYSA-N 0.000 claims description 4
- 125000000168 pyrrolyl group Chemical group 0.000 claims description 4
- 125000006758 (C2-C60) alkyl group Chemical group 0.000 claims description 3
- 229910052762 osmium Inorganic materials 0.000 claims description 3
- 125000001820 oxy group Chemical group [*:1]O[*:2] 0.000 claims description 3
- 229910052763 palladium Inorganic materials 0.000 claims description 3
- SYQBFIAQOQZEGI-UHFFFAOYSA-N osmium atom Chemical compound [Os] SYQBFIAQOQZEGI-UHFFFAOYSA-N 0.000 claims description 2
- NAWXUBYGYWOOIX-SFHVURJKSA-N (2s)-2-[[4-[2-(2,4-diaminoquinazolin-6-yl)ethyl]benzoyl]amino]-4-methylidenepentanedioic acid Chemical compound C1=CC2=NC(N)=NC(N)=C2C=C1CCC1=CC=C(C(=O)N[C@@H](CC(=C)C(O)=O)C(O)=O)C=C1 NAWXUBYGYWOOIX-SFHVURJKSA-N 0.000 claims 1
- WCVXAYSKMJJPLO-UHFFFAOYSA-N furan Chemical compound C=1C=COC=1.C=1C=COC=1 WCVXAYSKMJJPLO-UHFFFAOYSA-N 0.000 claims 1
- 125000002887 hydroxy group Chemical group [H]O* 0.000 description 39
- 125000000449 nitro group Chemical group [O-][N+](*)=O 0.000 description 39
- 125000005638 hydrazono group Chemical group 0.000 description 37
- 125000003739 carbamimidoyl group Chemical group C(N)(=N)* 0.000 description 36
- 125000000717 hydrazino group Chemical group [H]N([*])N([H])[H] 0.000 description 36
- 239000000463 material Substances 0.000 description 33
- 230000015572 biosynthetic process Effects 0.000 description 24
- 238000003786 synthesis reaction Methods 0.000 description 24
- 239000000126 substance Substances 0.000 description 20
- 239000002019 doping agent Substances 0.000 description 18
- 239000002356 single layer Substances 0.000 description 18
- 125000003837 (C1-C20) alkyl group Chemical group 0.000 description 16
- 229910052783 alkali metal Inorganic materials 0.000 description 16
- 150000001340 alkali metals Chemical class 0.000 description 16
- 229910052784 alkaline earth metal Inorganic materials 0.000 description 15
- 150000001342 alkaline earth metals Chemical class 0.000 description 15
- 125000000499 benzofuranyl group Chemical group O1C(=CC2=C1C=CC=C2)* 0.000 description 15
- RAXXELZNTBOGNW-UHFFFAOYSA-N imidazole Natural products C1=CNC=N1 RAXXELZNTBOGNW-UHFFFAOYSA-N 0.000 description 15
- 125000001544 thienyl group Chemical group 0.000 description 14
- 125000004196 benzothienyl group Chemical group S1C(=CC2=C1C=CC=C2)* 0.000 description 13
- 125000004432 carbon atom Chemical group C* 0.000 description 13
- 125000002541 furyl group Chemical group 0.000 description 13
- 125000001041 indolyl group Chemical group 0.000 description 13
- YMWUJEATGCHHMB-UHFFFAOYSA-N Dichloromethane Chemical compound ClCCl YMWUJEATGCHHMB-UHFFFAOYSA-N 0.000 description 12
- 239000003446 ligand Substances 0.000 description 12
- 125000004429 atom Chemical group 0.000 description 11
- 229940125904 compound 1 Drugs 0.000 description 11
- 229910052761 rare earth metal Inorganic materials 0.000 description 11
- 150000002910 rare earth metals Chemical class 0.000 description 11
- 125000004857 imidazopyridinyl group Chemical group N1C(=NC2=C1C=CC=N2)* 0.000 description 10
- 239000000758 substrate Substances 0.000 description 10
- 230000002950 deficient Effects 0.000 description 9
- QJGQUHMNIGDVPM-UHFFFAOYSA-N nitrogen group Chemical group [N] QJGQUHMNIGDVPM-UHFFFAOYSA-N 0.000 description 9
- 125000002098 pyridazinyl group Chemical group 0.000 description 9
- 125000001786 isothiazolyl group Chemical group 0.000 description 8
- 125000001715 oxadiazolyl group Chemical group 0.000 description 8
- 125000004592 phthalazinyl group Chemical group C1(=NN=CC2=CC=CC=C12)* 0.000 description 8
- 125000001113 thiadiazolyl group Chemical group 0.000 description 8
- 125000000335 thiazolyl group Chemical group 0.000 description 8
- 125000006762 (C1-C60) heteroarylene group Chemical group 0.000 description 7
- 125000006761 (C6-C60) arylene group Chemical group 0.000 description 7
- KDCGOANMDULRCW-UHFFFAOYSA-N 7H-purine Chemical compound N1=CNC2=NC=NC2=C1 KDCGOANMDULRCW-UHFFFAOYSA-N 0.000 description 7
- DGEZNRSVGBDHLK-UHFFFAOYSA-N [1,10]phenanthroline Chemical compound C1=CN=C2C3=NC=CC=C3C=CC2=C1 DGEZNRSVGBDHLK-UHFFFAOYSA-N 0.000 description 7
- 150000001341 alkaline earth metal compounds Chemical class 0.000 description 7
- 125000003342 alkenyl group Chemical group 0.000 description 7
- 125000004541 benzoxazolyl group Chemical group O1C(=NC2=C1C=CC=C2)* 0.000 description 7
- 230000000052 comparative effect Effects 0.000 description 7
- RDOWQLZANAYVLL-UHFFFAOYSA-N phenanthridine Chemical compound C1=CC=C2C3=CC=CC=C3C=NC2=C1 RDOWQLZANAYVLL-UHFFFAOYSA-N 0.000 description 7
- 150000003536 tetrazoles Chemical class 0.000 description 7
- 150000003852 triazoles Chemical class 0.000 description 7
- FLBAYUMRQUHISI-UHFFFAOYSA-N 1,8-naphthyridine Chemical group N1=CC=CC2=CC=CN=C21 FLBAYUMRQUHISI-UHFFFAOYSA-N 0.000 description 6
- UHOVQNZJYSORNB-UHFFFAOYSA-N Benzene Chemical compound C1=CC=CC=C1 UHOVQNZJYSORNB-UHFFFAOYSA-N 0.000 description 6
- RTZKZFJDLAIYFH-UHFFFAOYSA-N Diethyl ether Chemical compound CCOCC RTZKZFJDLAIYFH-UHFFFAOYSA-N 0.000 description 6
- ZCQWOFVYLHDMMC-UHFFFAOYSA-N Oxazole Chemical compound C1=COC=N1 ZCQWOFVYLHDMMC-UHFFFAOYSA-N 0.000 description 6
- YRKCREAYFQTBPV-UHFFFAOYSA-N acetylacetone Chemical compound CC(=O)CC(C)=O YRKCREAYFQTBPV-UHFFFAOYSA-N 0.000 description 6
- 150000001339 alkali metal compounds Chemical class 0.000 description 6
- 125000004653 anthracenylene group Chemical group 0.000 description 6
- XSCHRSMBECNVNS-UHFFFAOYSA-N benzopyrazine Natural products N1=CC=NC2=CC=CC=C21 XSCHRSMBECNVNS-UHFFFAOYSA-N 0.000 description 6
- 239000011575 calcium Substances 0.000 description 6
- 125000005566 carbazolylene group Chemical group 0.000 description 6
- 125000005584 chrysenylene group Chemical group 0.000 description 6
- 125000005724 cycloalkenylene group Chemical group 0.000 description 6
- 125000002993 cycloalkylene group Chemical group 0.000 description 6
- 125000005567 fluorenylene group Chemical group 0.000 description 6
- 125000005842 heteroatom Chemical group 0.000 description 6
- 239000011777 magnesium Substances 0.000 description 6
- 125000002911 monocyclic heterocycle group Chemical group 0.000 description 6
- 125000004957 naphthylene group Chemical group 0.000 description 6
- MHAUGLFOVCQYNR-UHFFFAOYSA-N pentaphenylene Chemical group C1=CC=C2C3=CC=CC=C3C3=CC=CC=C3C3=CC=CC=C3C3=CC=CC=C3C2=C1 MHAUGLFOVCQYNR-UHFFFAOYSA-N 0.000 description 6
- 125000000843 phenylene group Chemical group C1(=C(C=CC=C1)*)* 0.000 description 6
- 229910052698 phosphorus Inorganic materials 0.000 description 6
- 229920000767 polyaniline Polymers 0.000 description 6
- 125000005548 pyrenylene group Chemical group 0.000 description 6
- 125000005551 pyridylene group Chemical group 0.000 description 6
- 150000002909 rare earth metal compounds Chemical class 0.000 description 6
- 229910052710 silicon Inorganic materials 0.000 description 6
- 125000005730 thiophenylene group Chemical group 0.000 description 6
- 125000000027 (C1-C10) alkoxy group Chemical group 0.000 description 5
- HKMTVMBEALTRRR-UHFFFAOYSA-N Benzo[a]fluorene Chemical compound C1=CC=CC2=C3CC4=CC=CC=C4C3=CC=C21 HKMTVMBEALTRRR-UHFFFAOYSA-N 0.000 description 5
- OKTJSMMVPCPJKN-UHFFFAOYSA-N Carbon Chemical compound [C] OKTJSMMVPCPJKN-UHFFFAOYSA-N 0.000 description 5
- 125000005577 anthracene group Chemical group 0.000 description 5
- 239000000872 buffer Substances 0.000 description 5
- XNKVIGSNRYAOQZ-UHFFFAOYSA-N dibenzofluorene Chemical group C12=CC=CC=C2C2=CC=CC=C2C2=C1CC1=CC=CC=C12 XNKVIGSNRYAOQZ-UHFFFAOYSA-N 0.000 description 5
- 125000006588 heterocycloalkylene group Chemical group 0.000 description 5
- 125000002950 monocyclic group Chemical group 0.000 description 5
- 125000005560 phenanthrenylene group Chemical group 0.000 description 5
- LFSXCDWNBUNEEM-UHFFFAOYSA-N phthalazine Chemical group C1=NN=CC2=CC=CC=C21 LFSXCDWNBUNEEM-UHFFFAOYSA-N 0.000 description 5
- 125000005580 triphenylene group Chemical group 0.000 description 5
- 238000001771 vacuum deposition Methods 0.000 description 5
- 125000006756 (C5-C30) carbocyclic group Chemical group 0.000 description 4
- KXZQISAMEOLCJR-UHFFFAOYSA-N 7H-indeno[2,1-a]anthracene Chemical group C1=CC=C2C=C3C4=CC5=CC=CC=C5CC4=CC=C3C2=C1 KXZQISAMEOLCJR-UHFFFAOYSA-N 0.000 description 4
- BPMFPOGUJAAYHL-UHFFFAOYSA-N 9H-Pyrido[2,3-b]indole Chemical compound C1=CC=C2C3=CC=CC=C3NC2=N1 BPMFPOGUJAAYHL-UHFFFAOYSA-N 0.000 description 4
- UJOBWOGCFQCDNV-UHFFFAOYSA-N 9H-carbazole Chemical compound C1=CC=C2C3=CC=CC=C3NC2=C1 UJOBWOGCFQCDNV-UHFFFAOYSA-N 0.000 description 4
- CSNNHWWHGAXBCP-UHFFFAOYSA-L Magnesium sulfate Chemical compound [Mg+2].[O-][S+2]([O-])([O-])[O-] CSNNHWWHGAXBCP-UHFFFAOYSA-L 0.000 description 4
- PCNDJXKNXGMECE-UHFFFAOYSA-N Phenazine Natural products C1=CC=CC2=NC3=CC=CC=C3N=C21 PCNDJXKNXGMECE-UHFFFAOYSA-N 0.000 description 4
- KYQCOXFCLRTKLS-UHFFFAOYSA-N Pyrazine Chemical compound C1=CN=CC=N1 KYQCOXFCLRTKLS-UHFFFAOYSA-N 0.000 description 4
- SMWDFEZZVXVKRB-UHFFFAOYSA-N Quinoline Chemical compound N1=CC=CC2=CC=CC=C21 SMWDFEZZVXVKRB-UHFFFAOYSA-N 0.000 description 4
- DZBUGLKDJFMEHC-UHFFFAOYSA-N acridine Chemical compound C1=CC=CC2=CC3=CC=CC=C3N=C21 DZBUGLKDJFMEHC-UHFFFAOYSA-N 0.000 description 4
- 125000005578 chrysene group Chemical group 0.000 description 4
- 229940125782 compound 2 Drugs 0.000 description 4
- ZSWFCLXCOIISFI-UHFFFAOYSA-N cyclopentadiene Chemical compound C1C=CC=C1 ZSWFCLXCOIISFI-UHFFFAOYSA-N 0.000 description 4
- 238000000151 deposition Methods 0.000 description 4
- 239000011521 glass Substances 0.000 description 4
- AWJUIBRHMBBTKR-UHFFFAOYSA-N isoquinoline Chemical compound C1=NC=CC2=CC=CC=C21 AWJUIBRHMBBTKR-UHFFFAOYSA-N 0.000 description 4
- 229910052744 lithium Inorganic materials 0.000 description 4
- 229910052751 metal Inorganic materials 0.000 description 4
- 239000002184 metal Substances 0.000 description 4
- 229910021645 metal ion Inorganic materials 0.000 description 4
- PXHVJJICTQNCMI-UHFFFAOYSA-N nickel Substances [Ni] PXHVJJICTQNCMI-UHFFFAOYSA-N 0.000 description 4
- 239000011368 organic material Substances 0.000 description 4
- 125000005565 oxadiazolylene group Chemical group 0.000 description 4
- 125000005550 pyrazinylene group Chemical group 0.000 description 4
- 125000005581 pyrene group Chemical group 0.000 description 4
- 125000005576 pyrimidinylene group Chemical group 0.000 description 4
- 229910052709 silver Inorganic materials 0.000 description 4
- 125000005557 thiazolylene group Chemical group 0.000 description 4
- 125000005558 triazinylene group Chemical group 0.000 description 4
- 125000005559 triazolylene group Chemical group 0.000 description 4
- TXBFHHYSJNVGBX-UHFFFAOYSA-N (4-diphenylphosphorylphenyl)-triphenylsilane Chemical compound C=1C=CC=CC=1P(C=1C=CC(=CC=1)[Si](C=1C=CC=CC=1)(C=1C=CC=CC=1)C=1C=CC=CC=1)(=O)C1=CC=CC=C1 TXBFHHYSJNVGBX-UHFFFAOYSA-N 0.000 description 3
- UGUHFDPGDQDVGX-UHFFFAOYSA-N 1,2,3-thiadiazole Chemical group C1=CSN=N1 UGUHFDPGDQDVGX-UHFFFAOYSA-N 0.000 description 3
- IXHWGNYCZPISET-UHFFFAOYSA-N 2-[4-(dicyanomethylidene)-2,3,5,6-tetrafluorocyclohexa-2,5-dien-1-ylidene]propanedinitrile Chemical compound FC1=C(F)C(=C(C#N)C#N)C(F)=C(F)C1=C(C#N)C#N IXHWGNYCZPISET-UHFFFAOYSA-N 0.000 description 3
- KFZMGEQAYNKOFK-UHFFFAOYSA-N Isopropanol Chemical compound CC(C)O KFZMGEQAYNKOFK-UHFFFAOYSA-N 0.000 description 3
- 229920001609 Poly(3,4-ethylenedioxythiophene) Polymers 0.000 description 3
- CZPWVGJYEJSRLH-UHFFFAOYSA-N Pyrimidine Chemical compound C1=CN=CN=C1 CZPWVGJYEJSRLH-UHFFFAOYSA-N 0.000 description 3
- BQCADISMDOOEFD-UHFFFAOYSA-N Silver Chemical compound [Ag] BQCADISMDOOEFD-UHFFFAOYSA-N 0.000 description 3
- 229910052792 caesium Inorganic materials 0.000 description 3
- 229910052791 calcium Inorganic materials 0.000 description 3
- 239000010949 copper Substances 0.000 description 3
- 230000008021 deposition Effects 0.000 description 3
- GVEPBJHOBDJJJI-UHFFFAOYSA-N fluoranthene Chemical compound C1=CC(C2=CC=CC=C22)=C3C2=CC=CC3=C1 GVEPBJHOBDJJJI-UHFFFAOYSA-N 0.000 description 3
- 239000010931 gold Substances 0.000 description 3
- 150000002500 ions Chemical class 0.000 description 3
- 229910052749 magnesium Inorganic materials 0.000 description 3
- 125000000956 methoxy group Chemical group [H]C([H])([H])O* 0.000 description 3
- 125000005564 oxazolylene group Chemical group 0.000 description 3
- 125000005563 perylenylene group Chemical group 0.000 description 3
- UMJSCPRVCHMLSP-UHFFFAOYSA-N pyridine Natural products COC1=CC=CN=C1 UMJSCPRVCHMLSP-UHFFFAOYSA-N 0.000 description 3
- 239000004332 silver Substances 0.000 description 3
- 238000003756 stirring Methods 0.000 description 3
- XLYOFNOQVPJJNP-UHFFFAOYSA-N water Substances O XLYOFNOQVPJJNP-UHFFFAOYSA-N 0.000 description 3
- OOKAZRDERJMRCJ-KOUAFAAESA-N (3r)-7-[(1s,2s,4ar,6s,8s)-2,6-dimethyl-8-[(2s)-2-methylbutanoyl]oxy-1,2,4a,5,6,7,8,8a-octahydronaphthalen-1-yl]-3-hydroxy-5-oxoheptanoic acid Chemical compound C1=C[C@H](C)[C@H](CCC(=O)C[C@@H](O)CC(O)=O)C2[C@@H](OC(=O)[C@@H](C)CC)C[C@@H](C)C[C@@H]21 OOKAZRDERJMRCJ-KOUAFAAESA-N 0.000 description 2
- MIOPJNTWMNEORI-GMSGAONNSA-N (S)-camphorsulfonic acid Chemical compound C1C[C@@]2(CS(O)(=O)=O)C(=O)C[C@@H]1C2(C)C MIOPJNTWMNEORI-GMSGAONNSA-N 0.000 description 2
- MYKQKWIPLZEVOW-UHFFFAOYSA-N 11h-benzo[a]carbazole Chemical compound C1=CC2=CC=CC=C2C2=C1C1=CC=CC=C1N2 MYKQKWIPLZEVOW-UHFFFAOYSA-N 0.000 description 2
- BAXOFTOLAUCFNW-UHFFFAOYSA-N 1H-indazole Chemical compound C1=CC=C2C=NNC2=C1 BAXOFTOLAUCFNW-UHFFFAOYSA-N 0.000 description 2
- YBYIRNPNPLQARY-UHFFFAOYSA-N 1H-indene Chemical compound C1=CC=C2CC=CC2=C1 YBYIRNPNPLQARY-UHFFFAOYSA-N 0.000 description 2
- UIWLITBBFICQKW-UHFFFAOYSA-N 1h-benzo[h]quinolin-2-one Chemical compound C1=CC=C2C3=NC(O)=CC=C3C=CC2=C1 UIWLITBBFICQKW-UHFFFAOYSA-N 0.000 description 2
- VEPOHXYIFQMVHW-XOZOLZJESA-N 2,3-dihydroxybutanedioic acid (2S,3S)-3,4-dimethyl-2-phenylmorpholine Chemical compound OC(C(O)C(O)=O)C(O)=O.C[C@H]1[C@@H](OCCN1C)c1ccccc1 VEPOHXYIFQMVHW-XOZOLZJESA-N 0.000 description 2
- LRKMFFQTCGUHNO-UHFFFAOYSA-N 2-(5-phenyloxadiazol-4-yl)phenol Chemical compound Oc1ccccc1-c1nnoc1-c1ccccc1 LRKMFFQTCGUHNO-UHFFFAOYSA-N 0.000 description 2
- YQAPKRUPKSVPLI-UHFFFAOYSA-N 2-(5-phenylthiadiazol-4-yl)phenol Chemical compound OC1=CC=CC=C1C1=C(C=2C=CC=CC=2)SN=N1 YQAPKRUPKSVPLI-UHFFFAOYSA-N 0.000 description 2
- HNWFFTUWRIGBNM-UHFFFAOYSA-N 2-methyl-9,10-dinaphthalen-2-ylanthracene Chemical compound C1=CC=CC2=CC(C3=C4C=CC=CC4=C(C=4C=C5C=CC=CC5=CC=4)C4=CC=C(C=C43)C)=CC=C21 HNWFFTUWRIGBNM-UHFFFAOYSA-N 0.000 description 2
- JVYZLBBNUCRSNR-UHFFFAOYSA-N 2-phenyl-1,3-benzothiazol-4-ol Chemical compound N=1C=2C(O)=CC=CC=2SC=1C1=CC=CC=C1 JVYZLBBNUCRSNR-UHFFFAOYSA-N 0.000 description 2
- FZTBAQBBLSYHJZ-UHFFFAOYSA-N 2-phenyl-1,3-oxazol-4-ol Chemical compound OC1=COC(C=2C=CC=CC=2)=N1 FZTBAQBBLSYHJZ-UHFFFAOYSA-N 0.000 description 2
- CCMLIFHRMDXEBM-UHFFFAOYSA-N 2-phenyl-1,3-thiazol-4-ol Chemical compound OC1=CSC(C=2C=CC=CC=2)=N1 CCMLIFHRMDXEBM-UHFFFAOYSA-N 0.000 description 2
- HJJXCBIOYBUVBH-UHFFFAOYSA-N 2-phenyl-1h-benzimidazol-4-ol Chemical compound N1C=2C(O)=CC=CC=2N=C1C1=CC=CC=C1 HJJXCBIOYBUVBH-UHFFFAOYSA-N 0.000 description 2
- VHRHRMPFHJXSNR-UHFFFAOYSA-N 2-phenylpyridin-3-ol Chemical compound OC1=CC=CN=C1C1=CC=CC=C1 VHRHRMPFHJXSNR-UHFFFAOYSA-N 0.000 description 2
- OBAJPWYDYFEBTF-UHFFFAOYSA-N 2-tert-butyl-9,10-dinaphthalen-2-ylanthracene Chemical compound C1=CC=CC2=CC(C3=C4C=CC=CC4=C(C=4C=C5C=CC=CC5=CC=4)C4=CC=C(C=C43)C(C)(C)C)=CC=C21 OBAJPWYDYFEBTF-UHFFFAOYSA-N 0.000 description 2
- ZVFQEOPUXVPSLB-UHFFFAOYSA-N 3-(4-tert-butylphenyl)-4-phenyl-5-(4-phenylphenyl)-1,2,4-triazole Chemical compound C1=CC(C(C)(C)C)=CC=C1C(N1C=2C=CC=CC=2)=NN=C1C1=CC=C(C=2C=CC=CC=2)C=C1 ZVFQEOPUXVPSLB-UHFFFAOYSA-N 0.000 description 2
- GAMYYCRTACQSBR-UHFFFAOYSA-N 4-azabenzimidazole Chemical compound C1=CC=C2NC=NC2=N1 GAMYYCRTACQSBR-UHFFFAOYSA-N 0.000 description 2
- VFUDMQLBKNMONU-UHFFFAOYSA-N 9-[4-(4-carbazol-9-ylphenyl)phenyl]carbazole Chemical compound C12=CC=CC=C2C2=CC=CC=C2N1C1=CC=C(C=2C=CC(=CC=2)N2C3=CC=CC=C3C3=CC=CC=C32)C=C1 VFUDMQLBKNMONU-UHFFFAOYSA-N 0.000 description 2
- 229910001148 Al-Li alloy Inorganic materials 0.000 description 2
- ROFVEXUMMXZLPA-UHFFFAOYSA-N Bipyridyl Chemical compound N1=CC=CC=C1C1=CC=CC=N1 ROFVEXUMMXZLPA-UHFFFAOYSA-N 0.000 description 2
- OYPRJOBELJOOCE-UHFFFAOYSA-N Calcium Chemical compound [Ca] OYPRJOBELJOOCE-UHFFFAOYSA-N 0.000 description 2
- SIKJAQJRHWYJAI-UHFFFAOYSA-N Indole Chemical compound C1=CC=C2NC=CC2=C1 SIKJAQJRHWYJAI-UHFFFAOYSA-N 0.000 description 2
- 229910018068 Li 2 O Inorganic materials 0.000 description 2
- FYYHWMGAXLPEAU-UHFFFAOYSA-N Magnesium Chemical group [Mg] FYYHWMGAXLPEAU-UHFFFAOYSA-N 0.000 description 2
- UFWIBTONFRDIAS-UHFFFAOYSA-N Naphthalene Chemical compound C1=CC=CC2=CC=CC=C21 UFWIBTONFRDIAS-UHFFFAOYSA-N 0.000 description 2
- WTKZEGDFNFYCGP-UHFFFAOYSA-N Pyrazole Chemical compound C=1C=NNC=1 WTKZEGDFNFYCGP-UHFFFAOYSA-N 0.000 description 2
- WYURNTSHIVDZCO-UHFFFAOYSA-N Tetrahydrofuran Chemical compound C1CCOC1 WYURNTSHIVDZCO-UHFFFAOYSA-N 0.000 description 2
- PSLUFJFHTBIXMW-WYEYVKMPSA-N [(3r,4ar,5s,6s,6as,10s,10ar,10bs)-3-ethenyl-10,10b-dihydroxy-3,4a,7,7,10a-pentamethyl-1-oxo-6-(2-pyridin-2-ylethylcarbamoyloxy)-5,6,6a,8,9,10-hexahydro-2h-benzo[f]chromen-5-yl] acetate Chemical compound O([C@@H]1[C@@H]([C@]2(O[C@](C)(CC(=O)[C@]2(O)[C@@]2(C)[C@@H](O)CCC(C)(C)[C@@H]21)C=C)C)OC(=O)C)C(=O)NCCC1=CC=CC=N1 PSLUFJFHTBIXMW-WYEYVKMPSA-N 0.000 description 2
- JHYLKGDXMUDNEO-UHFFFAOYSA-N [Mg].[In] Chemical compound [Mg].[In] JHYLKGDXMUDNEO-UHFFFAOYSA-N 0.000 description 2
- 125000004054 acenaphthylenyl group Chemical group C1(=CC2=CC=CC3=CC=CC1=C23)* 0.000 description 2
- XIVOUNPJCNJBPR-UHFFFAOYSA-N acridin-1-ol Chemical compound C1=CC=C2C=C3C(O)=CC=CC3=NC2=C1 XIVOUNPJCNJBPR-UHFFFAOYSA-N 0.000 description 2
- 229910001508 alkali metal halide Inorganic materials 0.000 description 2
- 150000008045 alkali metal halides Chemical class 0.000 description 2
- 125000002947 alkylene group Chemical group 0.000 description 2
- 229910052782 aluminium Inorganic materials 0.000 description 2
- XAGFODPZIPBFFR-UHFFFAOYSA-N aluminium Chemical compound [Al] XAGFODPZIPBFFR-UHFFFAOYSA-N 0.000 description 2
- 125000006615 aromatic heterocyclic group Chemical group 0.000 description 2
- 150000001555 benzenes Chemical group 0.000 description 2
- 125000003785 benzimidazolyl group Chemical group N1=C(NC2=C1C=CC=C2)* 0.000 description 2
- 125000005605 benzo group Chemical group 0.000 description 2
- WDECIBYCCFPHNR-UHFFFAOYSA-N chrysene Chemical compound C1=CC=CC2=CC=C3C4=CC=CC=C4C=CC3=C21 WDECIBYCCFPHNR-UHFFFAOYSA-N 0.000 description 2
- 239000011248 coating agent Substances 0.000 description 2
- 238000000576 coating method Methods 0.000 description 2
- 238000004440 column chromatography Methods 0.000 description 2
- 229940126540 compound 41 Drugs 0.000 description 2
- 229910052802 copper Inorganic materials 0.000 description 2
- IYYZUPMFVPLQIF-UHFFFAOYSA-N dibenzothiophene Chemical compound C1=CC=C2C3=CC=CC=C3SC2=C1 IYYZUPMFVPLQIF-UHFFFAOYSA-N 0.000 description 2
- DKHNGUNXLDCATP-UHFFFAOYSA-N dipyrazino[2,3-f:2',3'-h]quinoxaline-2,3,6,7,10,11-hexacarbonitrile Chemical compound C12=NC(C#N)=C(C#N)N=C2C2=NC(C#N)=C(C#N)N=C2C2=C1N=C(C#N)C(C#N)=N2 DKHNGUNXLDCATP-UHFFFAOYSA-N 0.000 description 2
- 230000000694 effects Effects 0.000 description 2
- 238000004992 fast atom bombardment mass spectroscopy Methods 0.000 description 2
- NIHNNTQXNPWCJQ-UHFFFAOYSA-N fluorene Chemical compound C1=CC=C2CC3=CC=CC=C3C2=C1 NIHNNTQXNPWCJQ-UHFFFAOYSA-N 0.000 description 2
- 229910052737 gold Inorganic materials 0.000 description 2
- 150000002430 hydrocarbons Chemical group 0.000 description 2
- 125000003453 indazolyl group Chemical group N1N=C(C2=C1C=CC=C2)* 0.000 description 2
- XEEYBQQBJWHFJM-UHFFFAOYSA-N iron Substances [Fe] XEEYBQQBJWHFJM-UHFFFAOYSA-N 0.000 description 2
- VDBNYAPERZTOOF-UHFFFAOYSA-N isoquinolin-1(2H)-one Chemical compound C1=CC=C2C(=O)NC=CC2=C1 VDBNYAPERZTOOF-UHFFFAOYSA-N 0.000 description 2
- CTAPFRYPJLPFDF-UHFFFAOYSA-N isoxazole Chemical compound C=1C=NOC=1 CTAPFRYPJLPFDF-UHFFFAOYSA-N 0.000 description 2
- RENRQMCACQEWFC-UGKGYDQZSA-N lnp023 Chemical compound C1([C@H]2N(CC=3C=4C=CNC=4C(C)=CC=3OC)CC[C@@H](C2)OCC)=CC=C(C(O)=O)C=C1 RENRQMCACQEWFC-UGKGYDQZSA-N 0.000 description 2
- 238000004768 lowest unoccupied molecular orbital Methods 0.000 description 2
- SJCKRGFTWFGHGZ-UHFFFAOYSA-N magnesium silver Chemical compound [Mg].[Ag] SJCKRGFTWFGHGZ-UHFFFAOYSA-N 0.000 description 2
- 229910052943 magnesium sulfate Inorganic materials 0.000 description 2
- 235000019341 magnesium sulphate Nutrition 0.000 description 2
- 238000004519 manufacturing process Methods 0.000 description 2
- 229910044991 metal oxide Inorganic materials 0.000 description 2
- 150000004706 metal oxides Chemical class 0.000 description 2
- 238000012986 modification Methods 0.000 description 2
- 230000004048 modification Effects 0.000 description 2
- 229910052759 nickel Inorganic materials 0.000 description 2
- YNPNZTXNASCQKK-UHFFFAOYSA-N phenanthrene Chemical compound C1=CC=C2C3=CC=CC=C3C=CC2=C1 YNPNZTXNASCQKK-UHFFFAOYSA-N 0.000 description 2
- KELCFVWDYYCEOQ-UHFFFAOYSA-N phenanthridin-1-ol Chemical compound C1=CC=CC2=C3C(O)=CC=CC3=NC=C21 KELCFVWDYYCEOQ-UHFFFAOYSA-N 0.000 description 2
- BWHMMNNQKKPAPP-UHFFFAOYSA-L potassium carbonate Chemical compound [K+].[K+].[O-]C([O-])=O BWHMMNNQKKPAPP-UHFFFAOYSA-L 0.000 description 2
- 125000000561 purinyl group Chemical group N1=C(N=C2N=CNC2=C1)* 0.000 description 2
- BBEAQIROQSPTKN-UHFFFAOYSA-N pyrene Chemical compound C1=CC=C2C=CC3=CC=CC4=CC=C1C2=C43 BBEAQIROQSPTKN-UHFFFAOYSA-N 0.000 description 2
- JWVCLYRUEFBMGU-UHFFFAOYSA-N quinazoline Chemical compound N1=CN=CC2=CC=CC=C21 JWVCLYRUEFBMGU-UHFFFAOYSA-N 0.000 description 2
- MCJGNVYPOGVAJF-UHFFFAOYSA-N quinolin-8-ol Chemical compound C1=CN=C2C(O)=CC=CC2=C1 MCJGNVYPOGVAJF-UHFFFAOYSA-N 0.000 description 2
- 150000004059 quinone derivatives Chemical class 0.000 description 2
- 239000011541 reaction mixture Substances 0.000 description 2
- 229910052707 ruthenium Inorganic materials 0.000 description 2
- 229910052708 sodium Inorganic materials 0.000 description 2
- 239000007787 solid Substances 0.000 description 2
- 239000002904 solvent Substances 0.000 description 2
- 238000004528 spin coating Methods 0.000 description 2
- PCCVSPMFGIFTHU-UHFFFAOYSA-N tetracyanoquinodimethane Chemical compound N#CC(C#N)=C1C=CC(=C(C#N)C#N)C=C1 PCCVSPMFGIFTHU-UHFFFAOYSA-N 0.000 description 2
- VLLMWSRANPNYQX-UHFFFAOYSA-N thiadiazole Chemical compound C1=CSN=N1.C1=CSN=N1 VLLMWSRANPNYQX-UHFFFAOYSA-N 0.000 description 2
- GBXQPDCOMJJCMJ-UHFFFAOYSA-M trimethyl-[6-(trimethylazaniumyl)hexyl]azanium;bromide Chemical compound [Br-].C[N+](C)(C)CCCCCC[N+](C)(C)C GBXQPDCOMJJCMJ-UHFFFAOYSA-M 0.000 description 2
- 125000006759 (C2-C60) alkenylene group Chemical group 0.000 description 1
- 125000006760 (C2-C60) alkynylene group Chemical group 0.000 description 1
- BCMCBBGGLRIHSE-UHFFFAOYSA-N 1,3-benzoxazole Chemical compound C1=CC=C2OC=NC2=C1 BCMCBBGGLRIHSE-UHFFFAOYSA-N 0.000 description 1
- IYZMXHQDXZKNCY-UHFFFAOYSA-N 1-n,1-n-diphenyl-4-n,4-n-bis[4-(n-phenylanilino)phenyl]benzene-1,4-diamine Chemical compound C1=CC=CC=C1N(C=1C=CC(=CC=1)N(C=1C=CC(=CC=1)N(C=1C=CC=CC=1)C=1C=CC=CC=1)C=1C=CC(=CC=1)N(C=1C=CC=CC=1)C=1C=CC=CC=1)C1=CC=CC=C1 IYZMXHQDXZKNCY-UHFFFAOYSA-N 0.000 description 1
- ZKAMEFMDQNTDFK-UHFFFAOYSA-N 1h-imidazo[4,5-b]pyrazine Chemical compound C1=CN=C2NC=NC2=N1 ZKAMEFMDQNTDFK-UHFFFAOYSA-N 0.000 description 1
- STTGYIUESPWXOW-UHFFFAOYSA-N 2,9-dimethyl-4,7-diphenyl-1,10-phenanthroline Chemical compound C=12C=CC3=C(C=4C=CC=CC=4)C=C(C)N=C3C2=NC(C)=CC=1C1=CC=CC=C1 STTGYIUESPWXOW-UHFFFAOYSA-N 0.000 description 1
- QZTQQBIGSZWRGI-UHFFFAOYSA-N 2-n',7-n'-bis(3-methylphenyl)-2-n',7-n'-diphenyl-9,9'-spirobi[fluorene]-2',7'-diamine Chemical compound CC1=CC=CC(N(C=2C=CC=CC=2)C=2C=C3C4(C5=CC=CC=C5C5=CC=CC=C54)C4=CC(=CC=C4C3=CC=2)N(C=2C=CC=CC=2)C=2C=C(C)C=CC=2)=C1 QZTQQBIGSZWRGI-UHFFFAOYSA-N 0.000 description 1
- ZDAWFMCVTXSZTC-UHFFFAOYSA-N 2-n',7-n'-dinaphthalen-1-yl-2-n',7-n'-diphenyl-9,9'-spirobi[fluorene]-2',7'-diamine Chemical compound C1=CC=CC=C1N(C=1C2=CC=CC=C2C=CC=1)C1=CC=C(C=2C(=CC(=CC=2)N(C=2C=CC=CC=2)C=2C3=CC=CC=C3C=CC=2)C23C4=CC=CC=C4C4=CC=CC=C43)C2=C1 ZDAWFMCVTXSZTC-UHFFFAOYSA-N 0.000 description 1
- BCHZICNRHXRCHY-UHFFFAOYSA-N 2h-oxazine Chemical group N1OC=CC=C1 BCHZICNRHXRCHY-UHFFFAOYSA-N 0.000 description 1
- AGIJRRREJXSQJR-UHFFFAOYSA-N 2h-thiazine Chemical group N1SC=CC=C1 AGIJRRREJXSQJR-UHFFFAOYSA-N 0.000 description 1
- WDBQJSCPCGTAFG-QHCPKHFHSA-N 4,4-difluoro-N-[(1S)-3-[4-(3-methyl-5-propan-2-yl-1,2,4-triazol-4-yl)piperidin-1-yl]-1-pyridin-3-ylpropyl]cyclohexane-1-carboxamide Chemical compound FC1(CCC(CC1)C(=O)N[C@@H](CCN1CCC(CC1)N1C(=NN=C1C)C(C)C)C=1C=NC=CC=1)F WDBQJSCPCGTAFG-QHCPKHFHSA-N 0.000 description 1
- DHDHJYNTEFLIHY-UHFFFAOYSA-N 4,7-diphenyl-1,10-phenanthroline Chemical compound C1=CC=CC=C1C1=CC=NC2=C1C=CC1=C(C=3C=CC=CC=3)C=CN=C21 DHDHJYNTEFLIHY-UHFFFAOYSA-N 0.000 description 1
- AWXGSYPUMWKTBR-UHFFFAOYSA-N 4-carbazol-9-yl-n,n-bis(4-carbazol-9-ylphenyl)aniline Chemical compound C12=CC=CC=C2C2=CC=CC=C2N1C1=CC=C(N(C=2C=CC(=CC=2)N2C3=CC=CC=C3C3=CC=CC=C32)C=2C=CC(=CC=2)N2C3=CC=CC=C3C3=CC=CC=C32)C=C1 AWXGSYPUMWKTBR-UHFFFAOYSA-N 0.000 description 1
- ZOKIJILZFXPFTO-UHFFFAOYSA-N 4-methyl-n-[4-[1-[4-(4-methyl-n-(4-methylphenyl)anilino)phenyl]cyclohexyl]phenyl]-n-(4-methylphenyl)aniline Chemical compound C1=CC(C)=CC=C1N(C=1C=CC(=CC=1)C1(CCCCC1)C=1C=CC(=CC=1)N(C=1C=CC(C)=CC=1)C=1C=CC(C)=CC=1)C1=CC=C(C)C=C1 ZOKIJILZFXPFTO-UHFFFAOYSA-N 0.000 description 1
- DIVZFUBWFAOMCW-UHFFFAOYSA-N 4-n-(3-methylphenyl)-1-n,1-n-bis[4-(n-(3-methylphenyl)anilino)phenyl]-4-n-phenylbenzene-1,4-diamine Chemical compound CC1=CC=CC(N(C=2C=CC=CC=2)C=2C=CC(=CC=2)N(C=2C=CC(=CC=2)N(C=2C=CC=CC=2)C=2C=C(C)C=CC=2)C=2C=CC(=CC=2)N(C=2C=CC=CC=2)C=2C=C(C)C=CC=2)=C1 DIVZFUBWFAOMCW-UHFFFAOYSA-N 0.000 description 1
- AOQKGYRILLEVJV-UHFFFAOYSA-N 4-naphthalen-1-yl-3,5-diphenyl-1,2,4-triazole Chemical compound C1=CC=CC=C1C(N1C=2C3=CC=CC=C3C=CC=2)=NN=C1C1=CC=CC=C1 AOQKGYRILLEVJV-UHFFFAOYSA-N 0.000 description 1
- DEXFNLNNUZKHNO-UHFFFAOYSA-N 6-[3-[4-[2-(2,3-dihydro-1H-inden-2-ylamino)pyrimidin-5-yl]piperidin-1-yl]-3-oxopropyl]-3H-1,3-benzoxazol-2-one Chemical compound C1C(CC2=CC=CC=C12)NC1=NC=C(C=N1)C1CCN(CC1)C(CCC1=CC2=C(NC(O2)=O)C=C1)=O DEXFNLNNUZKHNO-UHFFFAOYSA-N 0.000 description 1
- BGEVROQFKHXUQA-UHFFFAOYSA-N 71012-25-4 Chemical compound C12=CC=CC=C2C2=CC=CC=C2C2=C1C1=CC=CC=C1N2 BGEVROQFKHXUQA-UHFFFAOYSA-N 0.000 description 1
- VIZUPBYFLORCRA-UHFFFAOYSA-N 9,10-dinaphthalen-2-ylanthracene Chemical compound C12=CC=CC=C2C(C2=CC3=CC=CC=C3C=C2)=C(C=CC=C2)C2=C1C1=CC=C(C=CC=C2)C2=C1 VIZUPBYFLORCRA-UHFFFAOYSA-N 0.000 description 1
- MZYDBGLUVPLRKR-UHFFFAOYSA-N 9-(3-carbazol-9-ylphenyl)carbazole Chemical compound C12=CC=CC=C2C2=CC=CC=C2N1C1=CC(N2C3=CC=CC=C3C3=CC=CC=C32)=CC=C1 MZYDBGLUVPLRKR-UHFFFAOYSA-N 0.000 description 1
- DVNOWTJCOPZGQA-UHFFFAOYSA-N 9-[3,5-di(carbazol-9-yl)phenyl]carbazole Chemical compound C12=CC=CC=C2C2=CC=CC=C2N1C1=CC(N2C3=CC=CC=C3C3=CC=CC=C32)=CC(N2C3=CC=CC=C3C3=CC=CC=C32)=C1 DVNOWTJCOPZGQA-UHFFFAOYSA-N 0.000 description 1
- KLSJWNVTNUYHDU-UHFFFAOYSA-N Amitrole Chemical group NC1=NC=NN1 KLSJWNVTNUYHDU-UHFFFAOYSA-N 0.000 description 1
- CPELXLSAUQHCOX-UHFFFAOYSA-M Bromide Chemical compound [Br-] CPELXLSAUQHCOX-UHFFFAOYSA-M 0.000 description 1
- WVVHXFVSLBNUFE-UHFFFAOYSA-M C1(=CC=CCCCC1)[Pt]Cl Chemical compound C1(=CC=CCCCC1)[Pt]Cl WVVHXFVSLBNUFE-UHFFFAOYSA-M 0.000 description 1
- 125000003358 C2-C20 alkenyl group Chemical group 0.000 description 1
- YSISPDLPNNZMDC-UHFFFAOYSA-N CC1=C(C(=C(C=C1C)C)C)C(C(C)=O)C(C)=O Chemical compound CC1=C(C(=C(C=C1C)C)C)C(C(C)=O)C(C)=O YSISPDLPNNZMDC-UHFFFAOYSA-N 0.000 description 1
- 229910052684 Cerium Inorganic materials 0.000 description 1
- VEXZGXHMUGYJMC-UHFFFAOYSA-M Chloride anion Chemical compound [Cl-] VEXZGXHMUGYJMC-UHFFFAOYSA-M 0.000 description 1
- 229940126062 Compound A Drugs 0.000 description 1
- RYGMFSIKBFXOCR-UHFFFAOYSA-N Copper Chemical compound [Cu] RYGMFSIKBFXOCR-UHFFFAOYSA-N 0.000 description 1
- KRHYYFGTRYWZRS-UHFFFAOYSA-M Fluoride anion Chemical compound [F-] KRHYYFGTRYWZRS-UHFFFAOYSA-M 0.000 description 1
- 229910052688 Gadolinium Inorganic materials 0.000 description 1
- 229910005690 GdF 3 Inorganic materials 0.000 description 1
- NLDMNSXOCDLTTB-UHFFFAOYSA-N Heterophylliin A Natural products O1C2COC(=O)C3=CC(O)=C(O)C(O)=C3C3=C(O)C(O)=C(O)C=C3C(=O)OC2C(OC(=O)C=2C=C(O)C(O)=C(O)C=2)C(O)C1OC(=O)C1=CC(O)=C(O)C(O)=C1 NLDMNSXOCDLTTB-UHFFFAOYSA-N 0.000 description 1
- 101000837344 Homo sapiens T-cell leukemia translocation-altered gene protein Proteins 0.000 description 1
- 241000243251 Hydra Species 0.000 description 1
- UFHFLCQGNIYNRP-UHFFFAOYSA-N Hydrogen Chemical compound [H][H] UFHFLCQGNIYNRP-UHFFFAOYSA-N 0.000 description 1
- ONIBWKKTOPOVIA-BYPYZUCNSA-N L-Proline Chemical compound OC(=O)[C@@H]1CCCN1 ONIBWKKTOPOVIA-BYPYZUCNSA-N 0.000 description 1
- 229930182821 L-proline Natural products 0.000 description 1
- WHXSMMKQMYFTQS-UHFFFAOYSA-N Lithium Chemical compound [Li] WHXSMMKQMYFTQS-UHFFFAOYSA-N 0.000 description 1
- CBENFWSGALASAD-UHFFFAOYSA-N Ozone Chemical compound [O-][O+]=O CBENFWSGALASAD-UHFFFAOYSA-N 0.000 description 1
- KJTLSVCANCCWHF-UHFFFAOYSA-N Ruthenium Chemical compound [Ru] KJTLSVCANCCWHF-UHFFFAOYSA-N 0.000 description 1
- 229910006404 SnO 2 Inorganic materials 0.000 description 1
- 102100028692 T-cell leukemia translocation-altered gene protein Human genes 0.000 description 1
- 229910052771 Terbium Inorganic materials 0.000 description 1
- SLGBZMMZGDRARJ-UHFFFAOYSA-N Triphenylene Natural products C1=CC=C2C3=CC=CC=C3C3=CC=CC=C3C2=C1 SLGBZMMZGDRARJ-UHFFFAOYSA-N 0.000 description 1
- 229910052769 Ytterbium Inorganic materials 0.000 description 1
- XLOMVQKBTHCTTD-UHFFFAOYSA-N Zinc monoxide Chemical compound [Zn]=O XLOMVQKBTHCTTD-UHFFFAOYSA-N 0.000 description 1
- 150000001338 aliphatic hydrocarbons Chemical class 0.000 description 1
- 229910000272 alkali metal oxide Inorganic materials 0.000 description 1
- 125000004450 alkenylene group Chemical group 0.000 description 1
- 229910045601 alloy Inorganic materials 0.000 description 1
- 239000000956 alloy Substances 0.000 description 1
- 125000003277 amino group Chemical group 0.000 description 1
- BVCZEBOGSOYJJT-UHFFFAOYSA-N ammonium carbamate Chemical compound [NH4+].NC([O-])=O BVCZEBOGSOYJJT-UHFFFAOYSA-N 0.000 description 1
- 150000001450 anions Chemical class 0.000 description 1
- YCOXTKKNXUZSKD-UHFFFAOYSA-N as-o-xylenol Natural products CC1=CC=C(O)C=C1C YCOXTKKNXUZSKD-UHFFFAOYSA-N 0.000 description 1
- 229910052788 barium Inorganic materials 0.000 description 1
- 229910001422 barium ion Inorganic materials 0.000 description 1
- RFRXIWQYSOIBDI-UHFFFAOYSA-N benzarone Chemical compound CCC=1OC2=CC=CC=C2C=1C(=O)C1=CC=C(O)C=C1 RFRXIWQYSOIBDI-UHFFFAOYSA-N 0.000 description 1
- LPTWEDZIPSKWDG-UHFFFAOYSA-N benzenesulfonic acid;dodecane Chemical compound OS(=O)(=O)C1=CC=CC=C1.CCCCCCCCCCCC LPTWEDZIPSKWDG-UHFFFAOYSA-N 0.000 description 1
- MFMVRILBADIIJO-UHFFFAOYSA-N benzo[e][1]benzofuran Chemical compound C1=CC=C2C(C=CO3)=C3C=CC2=C1 MFMVRILBADIIJO-UHFFFAOYSA-N 0.000 description 1
- LJOLGGXHRVADAA-UHFFFAOYSA-N benzo[e][1]benzothiole Chemical compound C1=CC=C2C(C=CS3)=C3C=CC2=C1 LJOLGGXHRVADAA-UHFFFAOYSA-N 0.000 description 1
- 125000005872 benzooxazolyl group Chemical group 0.000 description 1
- IOJUPLGTWVMSFF-UHFFFAOYSA-N benzothiazole Chemical group C1=CC=C2SC=NC2=C1 IOJUPLGTWVMSFF-UHFFFAOYSA-N 0.000 description 1
- 229910001423 beryllium ion Inorganic materials 0.000 description 1
- 235000010290 biphenyl Nutrition 0.000 description 1
- 239000004305 biphenyl Substances 0.000 description 1
- JDOBIJWMPMUWNO-UHFFFAOYSA-N bis(4-carbazol-9-ylphenyl)-diphenylsilane Chemical compound C1=CC=CC=C1[Si](C=1C=CC(=CC=1)N1C2=CC=CC=C2C2=CC=CC=C21)(C=1C=CC(=CC=1)N1C2=CC=CC=C2C2=CC=CC=C21)C1=CC=CC=C1 JDOBIJWMPMUWNO-UHFFFAOYSA-N 0.000 description 1
- UFVXQDWNSAGPHN-UHFFFAOYSA-K bis[(2-methylquinolin-8-yl)oxy]-(4-phenylphenoxy)alumane Chemical compound [Al+3].C1=CC=C([O-])C2=NC(C)=CC=C21.C1=CC=C([O-])C2=NC(C)=CC=C21.C1=CC([O-])=CC=C1C1=CC=CC=C1 UFVXQDWNSAGPHN-UHFFFAOYSA-K 0.000 description 1
- 125000004369 butenyl group Chemical group C(=CCC)* 0.000 description 1
- 229910001417 caesium ion Inorganic materials 0.000 description 1
- 229910001424 calcium ion Inorganic materials 0.000 description 1
- KXDHJXZQYSOELW-UHFFFAOYSA-N carbonic acid monoamide Natural products NC(O)=O KXDHJXZQYSOELW-UHFFFAOYSA-N 0.000 description 1
- 239000000969 carrier Substances 0.000 description 1
- 238000005266 casting Methods 0.000 description 1
- 150000001768 cations Chemical class 0.000 description 1
- 238000006243 chemical reaction Methods 0.000 description 1
- 239000007795 chemical reaction product Substances 0.000 description 1
- WCZVZNOTHYJIEI-UHFFFAOYSA-N cinnoline Chemical group N1=NC=CC2=CC=CC=C21 WCZVZNOTHYJIEI-UHFFFAOYSA-N 0.000 description 1
- 238000004140 cleaning Methods 0.000 description 1
- 229910017052 cobalt Inorganic materials 0.000 description 1
- 239000010941 cobalt Substances 0.000 description 1
- GUTLYIVDDKVIGB-UHFFFAOYSA-N cobalt atom Chemical compound [Co] GUTLYIVDDKVIGB-UHFFFAOYSA-N 0.000 description 1
- 229940125898 compound 5 Drugs 0.000 description 1
- GBRBMTNGQBKBQE-UHFFFAOYSA-L copper;diiodide Chemical compound I[Cu]I GBRBMTNGQBKBQE-UHFFFAOYSA-L 0.000 description 1
- 125000004122 cyclic group Chemical group 0.000 description 1
- 125000001995 cyclobutyl group Chemical group [H]C1([H])C([H])([H])C([H])(*)C1([H])[H] 0.000 description 1
- 125000001162 cycloheptenyl group Chemical group C1(=CCCCCC1)* 0.000 description 1
- 125000001559 cyclopropyl group Chemical group [H]C1([H])C([H])([H])C1([H])* 0.000 description 1
- 238000010586 diagram Methods 0.000 description 1
- ZHXBTDJWYYJMDG-UHFFFAOYSA-N dibenzofuran Chemical group C1=CC=C2C3=CC=CC=C3OC2=C1.C1=CC=C2C3=CC=CC=C3OC2=C1 ZHXBTDJWYYJMDG-UHFFFAOYSA-N 0.000 description 1
- NZZIMKJIVMHWJC-UHFFFAOYSA-N dibenzoylmethane Chemical compound C=1C=CC=CC=1C(=O)CC(=O)C1=CC=CC=C1 NZZIMKJIVMHWJC-UHFFFAOYSA-N 0.000 description 1
- MNXYJVWXMUBENA-UHFFFAOYSA-N dinaphthofuran Chemical compound C1=CC=CC2=C(C3=C(C4=CC=CC=C4C=C3)O3)C3=CC=C21 MNXYJVWXMUBENA-UHFFFAOYSA-N 0.000 description 1
- SYXXZXWLYNODHL-UHFFFAOYSA-N dinaphthothiophene Chemical compound C1=CC=CC2=C(C3=C(C4=CC=CC=C4C=C3)S3)C3=CC=C21 SYXXZXWLYNODHL-UHFFFAOYSA-N 0.000 description 1
- 150000004870 dithiazoles Chemical group 0.000 description 1
- 229940060296 dodecylbenzenesulfonic acid Drugs 0.000 description 1
- 125000001301 ethoxy group Chemical group [H]C([H])([H])C([H])([H])O* 0.000 description 1
- 125000002534 ethynyl group Chemical group [H]C#C* 0.000 description 1
- 238000011156 evaluation Methods 0.000 description 1
- 230000005281 excited state Effects 0.000 description 1
- 239000000706 filtrate Substances 0.000 description 1
- 238000001914 filtration Methods 0.000 description 1
- 125000003838 furazanyl group Chemical group 0.000 description 1
- PCHJSUWPFVWCPO-UHFFFAOYSA-N gold Chemical compound [Au] PCHJSUWPFVWCPO-UHFFFAOYSA-N 0.000 description 1
- 230000005283 ground state Effects 0.000 description 1
- 150000004820 halides Chemical class 0.000 description 1
- 238000010438 heat treatment Methods 0.000 description 1
- 125000003187 heptyl group Chemical group [H]C([*])([H])C([H])([H])C([H])([H])C([H])([H])C([H])([H])C([H])([H])C([H])([H])[H] 0.000 description 1
- XMBWDFGMSWQBCA-UHFFFAOYSA-N hydrogen iodide Chemical compound I XMBWDFGMSWQBCA-UHFFFAOYSA-N 0.000 description 1
- AMGQUBHHOARCQH-UHFFFAOYSA-N indium;oxotin Chemical group [In].[Sn]=O AMGQUBHHOARCQH-UHFFFAOYSA-N 0.000 description 1
- PZOUSPYUWWUPPK-UHFFFAOYSA-N indole Natural products CC1=CC=CC2=C1C=CN2 PZOUSPYUWWUPPK-UHFFFAOYSA-N 0.000 description 1
- RKJUIXBNRJVNHR-UHFFFAOYSA-N indolenine Natural products C1=CC=C2CC=NC2=C1 RKJUIXBNRJVNHR-UHFFFAOYSA-N 0.000 description 1
- 238000007641 inkjet printing Methods 0.000 description 1
- SNHMUERNLJLMHN-UHFFFAOYSA-N iodobenzene Chemical compound IC1=CC=CC=C1 SNHMUERNLJLMHN-UHFFFAOYSA-N 0.000 description 1
- 229910052742 iron Inorganic materials 0.000 description 1
- 230000001678 irradiating effect Effects 0.000 description 1
- 125000000904 isoindolyl group Chemical group C=1(NC=C2C=CC=CC12)* 0.000 description 1
- QRXWMOHMRWLFEY-UHFFFAOYSA-N isoniazide Chemical compound NNC(=O)C1=CC=NC=C1 QRXWMOHMRWLFEY-UHFFFAOYSA-N 0.000 description 1
- 238000007648 laser printing Methods 0.000 description 1
- 229910001416 lithium ion Inorganic materials 0.000 description 1
- IMKMFBIYHXBKRX-UHFFFAOYSA-M lithium;quinoline-2-carboxylate Chemical compound [Li+].C1=CC=CC2=NC(C(=O)[O-])=CC=C21 IMKMFBIYHXBKRX-UHFFFAOYSA-M 0.000 description 1
- 229910001425 magnesium ion Inorganic materials 0.000 description 1
- 239000011159 matrix material Substances 0.000 description 1
- HZVOZRGWRWCICA-UHFFFAOYSA-N methanediyl Chemical group [CH2] HZVOZRGWRWCICA-UHFFFAOYSA-N 0.000 description 1
- MBABOKRGFJTBAE-UHFFFAOYSA-N methyl methanesulfonate Chemical compound COS(C)(=O)=O MBABOKRGFJTBAE-UHFFFAOYSA-N 0.000 description 1
- 229910000476 molybdenum oxide Inorganic materials 0.000 description 1
- BLFVVZKSHYCRDR-UHFFFAOYSA-N n-[4-[4-(n-naphthalen-2-ylanilino)phenyl]phenyl]-n-phenylnaphthalen-2-amine Chemical compound C1=CC=CC=C1N(C=1C=C2C=CC=CC2=CC=1)C1=CC=C(C=2C=CC(=CC=2)N(C=2C=CC=CC=2)C=2C=C3C=CC=CC3=CC=2)C=C1 BLFVVZKSHYCRDR-UHFFFAOYSA-N 0.000 description 1
- FTMRMQALUDDFQO-UHFFFAOYSA-N naphtho[2,3-b][1]benzofuran Chemical compound C1=CC=C2C=C3C4=CC=CC=C4OC3=CC2=C1 FTMRMQALUDDFQO-UHFFFAOYSA-N 0.000 description 1
- UWMISBRPSJFHIR-UHFFFAOYSA-N naphtho[2,3-b][1]benzothiole Chemical compound C1=CC=C2C=C3C4=CC=CC=C4SC3=CC2=C1 UWMISBRPSJFHIR-UHFFFAOYSA-N 0.000 description 1
- 230000007935 neutral effect Effects 0.000 description 1
- QGLKJKCYBOYXKC-UHFFFAOYSA-N nonaoxidotritungsten Chemical compound O=[W]1(=O)O[W](=O)(=O)O[W](=O)(=O)O1 QGLKJKCYBOYXKC-UHFFFAOYSA-N 0.000 description 1
- 230000003287 optical effect Effects 0.000 description 1
- PQQKPALAQIIWST-UHFFFAOYSA-N oxomolybdenum Chemical compound [Mo]=O PQQKPALAQIIWST-UHFFFAOYSA-N 0.000 description 1
- ZUOUZKKEUPVFJK-UHFFFAOYSA-N phenylbenzene Natural products C1=CC=CC=C1C1=CC=CC=C1 ZUOUZKKEUPVFJK-UHFFFAOYSA-N 0.000 description 1
- 229910052700 potassium Inorganic materials 0.000 description 1
- 229910000027 potassium carbonate Inorganic materials 0.000 description 1
- LPNYRYFBWFDTMA-UHFFFAOYSA-N potassium tert-butoxide Chemical compound [K+].CC(C)(C)[O-] LPNYRYFBWFDTMA-UHFFFAOYSA-N 0.000 description 1
- 239000002244 precipitate Substances 0.000 description 1
- 238000011085 pressure filtration Methods 0.000 description 1
- 229960002429 proline Drugs 0.000 description 1
- 125000004368 propenyl group Chemical group C(=CC)* 0.000 description 1
- 125000002568 propynyl group Chemical group [*]C#CC([H])([H])[H] 0.000 description 1
- LVTJOONKWUXEFR-FZRMHRINSA-N protoneodioscin Natural products O(C[C@@H](CC[C@]1(O)[C@H](C)[C@@H]2[C@]3(C)[C@H]([C@H]4[C@@H]([C@]5(C)C(=CC4)C[C@@H](O[C@@H]4[C@H](O[C@H]6[C@@H](O)[C@@H](O)[C@@H](O)[C@H](C)O6)[C@@H](O)[C@H](O[C@H]6[C@@H](O)[C@@H](O)[C@@H](O)[C@H](C)O6)[C@H](CO)O4)CC5)CC3)C[C@@H]2O1)C)[C@H]1[C@H](O)[C@H](O)[C@H](O)[C@@H](CO)O1 LVTJOONKWUXEFR-FZRMHRINSA-N 0.000 description 1
- 239000002994 raw material Substances 0.000 description 1
- 239000000376 reactant Substances 0.000 description 1
- 238000010992 reflux Methods 0.000 description 1
- 229910052702 rhenium Inorganic materials 0.000 description 1
- WUAPFZMCVAUBPE-UHFFFAOYSA-N rhenium atom Chemical compound [Re] WUAPFZMCVAUBPE-UHFFFAOYSA-N 0.000 description 1
- 229910052703 rhodium Inorganic materials 0.000 description 1
- 239000010948 rhodium Substances 0.000 description 1
- 229910052701 rubidium Inorganic materials 0.000 description 1
- 229910001419 rubidium ion Inorganic materials 0.000 description 1
- 150000003839 salts Chemical class 0.000 description 1
- 229930195734 saturated hydrocarbon Natural products 0.000 description 1
- 229910052706 scandium Inorganic materials 0.000 description 1
- 239000010944 silver (metal) Substances 0.000 description 1
- VFWRGKJLLYDFBY-UHFFFAOYSA-N silver;hydrate Chemical compound O.[Ag].[Ag] VFWRGKJLLYDFBY-UHFFFAOYSA-N 0.000 description 1
- 229910001415 sodium ion Inorganic materials 0.000 description 1
- 238000004544 sputter deposition Methods 0.000 description 1
- 229910052712 strontium Inorganic materials 0.000 description 1
- 229910001427 strontium ion Inorganic materials 0.000 description 1
- 230000002194 synthesizing effect Effects 0.000 description 1
- 125000000999 tert-butyl group Chemical group [H]C([H])([H])C(*)(C([H])([H])[H])C([H])([H])[H] 0.000 description 1
- 125000003718 tetrahydrofuranyl group Chemical group 0.000 description 1
- 125000003507 tetrahydrothiofenyl group Chemical group 0.000 description 1
- 238000001931 thermography Methods 0.000 description 1
- 229930192474 thiophene Natural products 0.000 description 1
- XOLBLPGZBRYERU-UHFFFAOYSA-N tin dioxide Chemical compound O=[Sn]=O XOLBLPGZBRYERU-UHFFFAOYSA-N 0.000 description 1
- 229910001887 tin oxide Inorganic materials 0.000 description 1
- 229910001930 tungsten oxide Inorganic materials 0.000 description 1
- 125000000391 vinyl group Chemical group [H]C([*])=C([H])[H] 0.000 description 1
- 229910052727 yttrium Inorganic materials 0.000 description 1
- 239000011701 zinc Substances 0.000 description 1
- YVTHLONGBIQYBO-UHFFFAOYSA-N zinc indium(3+) oxygen(2-) Chemical compound [O--].[Zn++].[In+3] YVTHLONGBIQYBO-UHFFFAOYSA-N 0.000 description 1
Images
Classifications
-
- C—CHEMISTRY; METALLURGY
- C07—ORGANIC CHEMISTRY
- C07F—ACYCLIC, CARBOCYCLIC OR HETEROCYCLIC COMPOUNDS CONTAINING ELEMENTS OTHER THAN CARBON, HYDROGEN, HALOGEN, OXYGEN, NITROGEN, SULFUR, SELENIUM OR TELLURIUM
- C07F15/00—Compounds containing elements of Groups 8, 9, 10 or 18 of the Periodic Table
- C07F15/0006—Compounds containing elements of Groups 8, 9, 10 or 18 of the Periodic Table compounds of the platinum group
- C07F15/0086—Platinum compounds
-
- C—CHEMISTRY; METALLURGY
- C09—DYES; PAINTS; POLISHES; NATURAL RESINS; ADHESIVES; COMPOSITIONS NOT OTHERWISE PROVIDED FOR; APPLICATIONS OF MATERIALS NOT OTHERWISE PROVIDED FOR
- C09K—MATERIALS FOR MISCELLANEOUS APPLICATIONS, NOT PROVIDED FOR ELSEWHERE
- C09K11/00—Luminescent, e.g. electroluminescent, chemiluminescent materials
- C09K11/06—Luminescent, e.g. electroluminescent, chemiluminescent materials containing organic luminescent materials
-
- H01L51/0085—
-
- H01L51/0087—
-
- H01L51/5024—
-
- H01L51/5056—
-
- H01L51/5072—
-
- H—ELECTRICITY
- H10—SEMICONDUCTOR DEVICES; ELECTRIC SOLID-STATE DEVICES NOT OTHERWISE PROVIDED FOR
- H10K—ORGANIC ELECTRIC SOLID-STATE DEVICES
- H10K50/00—Organic light-emitting devices
- H10K50/10—OLEDs or polymer light-emitting diodes [PLED]
- H10K50/11—OLEDs or polymer light-emitting diodes [PLED] characterised by the electroluminescent [EL] layers
- H10K50/12—OLEDs or polymer light-emitting diodes [PLED] characterised by the electroluminescent [EL] layers comprising dopants
-
- H—ELECTRICITY
- H10—SEMICONDUCTOR DEVICES; ELECTRIC SOLID-STATE DEVICES NOT OTHERWISE PROVIDED FOR
- H10K—ORGANIC ELECTRIC SOLID-STATE DEVICES
- H10K50/00—Organic light-emitting devices
- H10K50/10—OLEDs or polymer light-emitting diodes [PLED]
- H10K50/14—Carrier transporting layers
- H10K50/15—Hole transporting layers
-
- H—ELECTRICITY
- H10—SEMICONDUCTOR DEVICES; ELECTRIC SOLID-STATE DEVICES NOT OTHERWISE PROVIDED FOR
- H10K—ORGANIC ELECTRIC SOLID-STATE DEVICES
- H10K50/00—Organic light-emitting devices
- H10K50/10—OLEDs or polymer light-emitting diodes [PLED]
- H10K50/14—Carrier transporting layers
- H10K50/16—Electron transporting layers
-
- H—ELECTRICITY
- H10—SEMICONDUCTOR DEVICES; ELECTRIC SOLID-STATE DEVICES NOT OTHERWISE PROVIDED FOR
- H10K—ORGANIC ELECTRIC SOLID-STATE DEVICES
- H10K85/00—Organic materials used in the body or electrodes of devices covered by this subclass
- H10K85/30—Coordination compounds
- H10K85/341—Transition metal complexes, e.g. Ru(II)polypyridine complexes
- H10K85/342—Transition metal complexes, e.g. Ru(II)polypyridine complexes comprising iridium
-
- H—ELECTRICITY
- H10—SEMICONDUCTOR DEVICES; ELECTRIC SOLID-STATE DEVICES NOT OTHERWISE PROVIDED FOR
- H10K—ORGANIC ELECTRIC SOLID-STATE DEVICES
- H10K85/00—Organic materials used in the body or electrodes of devices covered by this subclass
- H10K85/30—Coordination compounds
- H10K85/341—Transition metal complexes, e.g. Ru(II)polypyridine complexes
- H10K85/346—Transition metal complexes, e.g. Ru(II)polypyridine complexes comprising platinum
-
- C—CHEMISTRY; METALLURGY
- C09—DYES; PAINTS; POLISHES; NATURAL RESINS; ADHESIVES; COMPOSITIONS NOT OTHERWISE PROVIDED FOR; APPLICATIONS OF MATERIALS NOT OTHERWISE PROVIDED FOR
- C09K—MATERIALS FOR MISCELLANEOUS APPLICATIONS, NOT PROVIDED FOR ELSEWHERE
- C09K2211/00—Chemical nature of organic luminescent or tenebrescent compounds
- C09K2211/10—Non-macromolecular compounds
- C09K2211/1018—Heterocyclic compounds
- C09K2211/1025—Heterocyclic compounds characterised by ligands
- C09K2211/1044—Heterocyclic compounds characterised by ligands containing two nitrogen atoms as heteroatoms
-
- C—CHEMISTRY; METALLURGY
- C09—DYES; PAINTS; POLISHES; NATURAL RESINS; ADHESIVES; COMPOSITIONS NOT OTHERWISE PROVIDED FOR; APPLICATIONS OF MATERIALS NOT OTHERWISE PROVIDED FOR
- C09K—MATERIALS FOR MISCELLANEOUS APPLICATIONS, NOT PROVIDED FOR ELSEWHERE
- C09K2211/00—Chemical nature of organic luminescent or tenebrescent compounds
- C09K2211/10—Non-macromolecular compounds
- C09K2211/1018—Heterocyclic compounds
- C09K2211/1025—Heterocyclic compounds characterised by ligands
- C09K2211/1074—Heterocyclic compounds characterised by ligands containing more than three nitrogen atoms as heteroatoms
-
- C—CHEMISTRY; METALLURGY
- C09—DYES; PAINTS; POLISHES; NATURAL RESINS; ADHESIVES; COMPOSITIONS NOT OTHERWISE PROVIDED FOR; APPLICATIONS OF MATERIALS NOT OTHERWISE PROVIDED FOR
- C09K—MATERIALS FOR MISCELLANEOUS APPLICATIONS, NOT PROVIDED FOR ELSEWHERE
- C09K2211/00—Chemical nature of organic luminescent or tenebrescent compounds
- C09K2211/18—Metal complexes
- C09K2211/185—Metal complexes of the platinum group, i.e. Os, Ir, Pt, Ru, Rh or Pd
-
- H—ELECTRICITY
- H10—SEMICONDUCTOR DEVICES; ELECTRIC SOLID-STATE DEVICES NOT OTHERWISE PROVIDED FOR
- H10K—ORGANIC ELECTRIC SOLID-STATE DEVICES
- H10K2101/00—Properties of the organic materials covered by group H10K85/00
- H10K2101/10—Triplet emission
-
- H—ELECTRICITY
- H10—SEMICONDUCTOR DEVICES; ELECTRIC SOLID-STATE DEVICES NOT OTHERWISE PROVIDED FOR
- H10K—ORGANIC ELECTRIC SOLID-STATE DEVICES
- H10K2102/00—Constructional details relating to the organic devices covered by this subclass
- H10K2102/10—Transparent electrodes, e.g. using graphene
- H10K2102/101—Transparent electrodes, e.g. using graphene comprising transparent conductive oxides [TCO]
- H10K2102/103—Transparent electrodes, e.g. using graphene comprising transparent conductive oxides [TCO] comprising indium oxides, e.g. ITO
-
- H—ELECTRICITY
- H10—SEMICONDUCTOR DEVICES; ELECTRIC SOLID-STATE DEVICES NOT OTHERWISE PROVIDED FOR
- H10K—ORGANIC ELECTRIC SOLID-STATE DEVICES
- H10K2102/00—Constructional details relating to the organic devices covered by this subclass
- H10K2102/301—Details of OLEDs
- H10K2102/351—Thickness
-
- H—ELECTRICITY
- H10—SEMICONDUCTOR DEVICES; ELECTRIC SOLID-STATE DEVICES NOT OTHERWISE PROVIDED FOR
- H10K—ORGANIC ELECTRIC SOLID-STATE DEVICES
- H10K50/00—Organic light-emitting devices
- H10K50/10—OLEDs or polymer light-emitting diodes [PLED]
- H10K50/11—OLEDs or polymer light-emitting diodes [PLED] characterised by the electroluminescent [EL] layers
-
- H—ELECTRICITY
- H10—SEMICONDUCTOR DEVICES; ELECTRIC SOLID-STATE DEVICES NOT OTHERWISE PROVIDED FOR
- H10K—ORGANIC ELECTRIC SOLID-STATE DEVICES
- H10K50/00—Organic light-emitting devices
- H10K50/10—OLEDs or polymer light-emitting diodes [PLED]
- H10K50/14—Carrier transporting layers
- H10K50/15—Hole transporting layers
- H10K50/155—Hole transporting layers comprising dopants
-
- H—ELECTRICITY
- H10—SEMICONDUCTOR DEVICES; ELECTRIC SOLID-STATE DEVICES NOT OTHERWISE PROVIDED FOR
- H10K—ORGANIC ELECTRIC SOLID-STATE DEVICES
- H10K50/00—Organic light-emitting devices
- H10K50/10—OLEDs or polymer light-emitting diodes [PLED]
- H10K50/17—Carrier injection layers
-
- H—ELECTRICITY
- H10—SEMICONDUCTOR DEVICES; ELECTRIC SOLID-STATE DEVICES NOT OTHERWISE PROVIDED FOR
- H10K—ORGANIC ELECTRIC SOLID-STATE DEVICES
- H10K50/00—Organic light-emitting devices
- H10K50/10—OLEDs or polymer light-emitting diodes [PLED]
- H10K50/17—Carrier injection layers
- H10K50/171—Electron injection layers
-
- H—ELECTRICITY
- H10—SEMICONDUCTOR DEVICES; ELECTRIC SOLID-STATE DEVICES NOT OTHERWISE PROVIDED FOR
- H10K—ORGANIC ELECTRIC SOLID-STATE DEVICES
- H10K50/00—Organic light-emitting devices
- H10K50/10—OLEDs or polymer light-emitting diodes [PLED]
- H10K50/18—Carrier blocking layers
-
- H—ELECTRICITY
- H10—SEMICONDUCTOR DEVICES; ELECTRIC SOLID-STATE DEVICES NOT OTHERWISE PROVIDED FOR
- H10K—ORGANIC ELECTRIC SOLID-STATE DEVICES
- H10K50/00—Organic light-emitting devices
- H10K50/80—Constructional details
- H10K50/805—Electrodes
- H10K50/81—Anodes
-
- H—ELECTRICITY
- H10—SEMICONDUCTOR DEVICES; ELECTRIC SOLID-STATE DEVICES NOT OTHERWISE PROVIDED FOR
- H10K—ORGANIC ELECTRIC SOLID-STATE DEVICES
- H10K50/00—Organic light-emitting devices
- H10K50/80—Constructional details
- H10K50/805—Electrodes
- H10K50/82—Cathodes
-
- H—ELECTRICITY
- H10—SEMICONDUCTOR DEVICES; ELECTRIC SOLID-STATE DEVICES NOT OTHERWISE PROVIDED FOR
- H10K—ORGANIC ELECTRIC SOLID-STATE DEVICES
- H10K71/00—Manufacture or treatment specially adapted for the organic devices covered by this subclass
-
- H—ELECTRICITY
- H10—SEMICONDUCTOR DEVICES; ELECTRIC SOLID-STATE DEVICES NOT OTHERWISE PROVIDED FOR
- H10K—ORGANIC ELECTRIC SOLID-STATE DEVICES
- H10K71/00—Manufacture or treatment specially adapted for the organic devices covered by this subclass
- H10K71/10—Deposition of organic active material
- H10K71/16—Deposition of organic active material using physical vapour deposition [PVD], e.g. vacuum deposition or sputtering
- H10K71/164—Deposition of organic active material using physical vapour deposition [PVD], e.g. vacuum deposition or sputtering using vacuum deposition
-
- H—ELECTRICITY
- H10—SEMICONDUCTOR DEVICES; ELECTRIC SOLID-STATE DEVICES NOT OTHERWISE PROVIDED FOR
- H10K—ORGANIC ELECTRIC SOLID-STATE DEVICES
- H10K85/00—Organic materials used in the body or electrodes of devices covered by this subclass
- H10K85/30—Coordination compounds
- H10K85/321—Metal complexes comprising a group IIIA element, e.g. Tris (8-hydroxyquinoline) gallium [Gaq3]
- H10K85/324—Metal complexes comprising a group IIIA element, e.g. Tris (8-hydroxyquinoline) gallium [Gaq3] comprising aluminium, e.g. Alq3
-
- H—ELECTRICITY
- H10—SEMICONDUCTOR DEVICES; ELECTRIC SOLID-STATE DEVICES NOT OTHERWISE PROVIDED FOR
- H10K—ORGANIC ELECTRIC SOLID-STATE DEVICES
- H10K85/00—Organic materials used in the body or electrodes of devices covered by this subclass
- H10K85/40—Organosilicon compounds, e.g. TIPS pentacene
Landscapes
- Chemical & Material Sciences (AREA)
- Organic Chemistry (AREA)
- Engineering & Computer Science (AREA)
- Materials Engineering (AREA)
- Crystallography & Structural Chemistry (AREA)
- Inorganic Chemistry (AREA)
- Physics & Mathematics (AREA)
- Optics & Photonics (AREA)
- Electroluminescent Light Sources (AREA)
Abstract
Description
(특허문헌 1) US 7846763
| 화합물 |
1H NMR (CDCl3 , 500 MHz) | FAB-MS [M+] | |
| found | calc. | ||
| 1 | 9.54 (d, 1H), 7.66(t, 1H), 7.23 (m, 2H), 7.11 (t,1H), 7.01(d, 1H), 6.77(t, 1H), 6.67(d, 1H), 5.43(m, 2H), 4.98(s, 1H), 2.26 (s, 3H), 1.93 (s, 3H), 1.62 (s, 1H) ppm. | 513.11 | 513.11 |
| 5 | 9.73 (d, 1H), 7.80-7.70(m, 4H), 7.58-7.48 (m, 6H), 7.25-7.20 (m,2H), 6.78(t, 1H), 6.65(d, 1H), 6.35(s, 1H), 5.42(m, 2H), 3.80(s, 1H), 1.54 (s, 3H) ppm. | 638.15 | 638.15 |
| 41 | 9.59 (d, 1H), 7.86-7.82(m, 3H), 7.24-7.21 (m, 2H), 6.81-6.66 (m, 3H), 5.43 (m, 2H), 3.86 (s, 1H), 2.26-2.07 (m, 6H), 1.46 (s, 1H) ppm. | 644.22 | 644.21 |
| 45 | 9.68 (d, 1H), 7.83-7.80(m, 3H), 7.30-7.27 (m, 2H), 7.20-7.13 (m, 3H), 6.94-7.02 (m, 3H), 4.98 (s, 1H), 3.84(s, 1H), 2.23 (s, 3H), 1.97 (s, 3H), 1.41 (s, 1H) ppm. | 564.14 | 564.14 |
| 69 | 9.71 (d, 1H), 8.41-8.34 (m, 3H), 7.83-7.80 (m, 3H), 7.30-7.05 (m, 3H), 4.94 (s, 1H), 3.86 (s, 1H), 2.28 (s, 3H), 1.95 (s, 3H), 1.71 (s, 1H) ppm. | 566.13 | 566.13 |
| 도펀트 화합물 | 구동 전압 (V) |
전류밀도 (mA/cm2) |
휘도 (cd/m2) |
발광 효율 (cd/A) | 발광색 | 최대 발광 파장(nm) | |
| 실시예 1 | 1 | 5.32 | 50 | 4125 | 8.25 | 청색 | 470 |
| 실시예 2 | 5 | 5.42 | 50 | 4025 | 8.05 | 청색 | 462 |
| 실시예 3 | 41 | 5.48 | 50 | 4033 | 8.07 | 청색 | 463 |
| 실시예 4 | 45 | 5.46 | 50 | 4024 | 8.05 | 청색 | 458 |
| 실시예 5 | 69 | 5.42 | 50 | 4055 | 8.11 | 청색 | 460 |
| 비교예 1 | FIrpic | 6.56 | 50 | 3870 | 7.74 | 청색 | 475 |
| 비교예 2 | C | 6.27 | 50 | 4021 | 8.04 | 청색 | 464 |
| 비교예 3 | A | 6.44 | 50 | 3805 | 7.61 | 청색 | 462 |
| 비교예 4 | B | 5.83 | 50 | 3720 | 7.44 | 청색 | 473 |
110: 제1전극
150: 유기층
190: 제2전극
Claims (20)
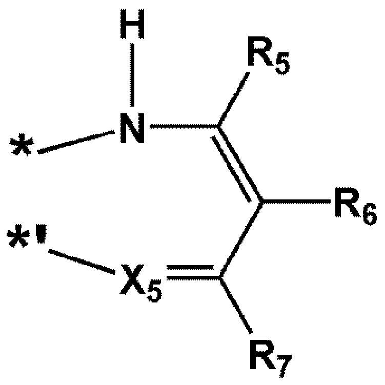
- 하기 화학식 10으로 표시된 유기금속 화합물:
<화학식 10>
상기 화학식 10 중,
M은 이리듐(Ir), 백금(Pt), 오스뮴(Os) 또는 팔라듐(Pd)이고,
Z1 내지 Z8은 서로 독립적으로 C 또는 N이고,
n은 1 또는 2이고,
X3는 N 또는 C(R3)이고,
X4는 N 또는 C(R4)이고,
X5는 N, O 또는 S이고,
R1 내지 R7은 서로 독립적으로 수소, 중수소, -F, 시아노기, 치환 또는 비치환된 C1-C60알킬기, 치환 또는 비치환된 C2-C60알케닐기, 치환 또는 비치환된 C2-C60알키닐기, 치환 또는 비치환된 C1-C60알콕시기, 치환 또는 비치환된 C3-C10시클로알킬기, 치환 또는 비치환된 C1-C10헤테로시클로알킬기, 치환 또는 비치환된 C3-C10시클로알케닐기, 치환 또는 비치환된 C1-C10헤테로시클로알케닐기, 치환 또는 비치환된 C6-C60아릴기, 치환 또는 비치환된 C6-C60아릴옥시기, 치환 또는 비치환된 C6-C60아릴티오기, 치환 또는 비치환된 C1-C60헤테로아릴기, 치환 또는 비치환된 1가 비-방향족 축합다환 그룹, 치환 또는 비치환된 1가 비-방향족 헤테로축합다환 그룹, -Si(Q1)(Q2)(Q3), -N(Q1)(Q2), -B(Q1)(Q2), -C(=O)(Q1), -S(=O)2(Q1) 및 -P(=O)(Q1)(Q2) 중에서 선택되고,
R3과 R4는 선택적으로, 서로 결합되어, 치환 또는 비치환된 C4-C30카보시클릭 그룹 또는 치환 또는 비치환된 C2-C60헤테로시클릭 그룹을 형성할 수 있고,
a1 및 a2는 서로 독립적으로, 0 내지 10의 정수 중에서 선택되고, a1이 2 이상인 경우에, R1은 서로 동일하거나 상이하고, a2가 2 이상인 경우에, R2는 서로 동일하거나 상이하고,
상기 * 및 *'은 각각 상기 화학식 1 중 M와의 결합 사이트이고,
상기 치환된 C4-C30카보시클릭 그룹, 치환된 C2-C60헤테로시클릭 그룹, 치환된 C1-C60알킬기, 치환된 C2-C60알케닐기, 치환된 C2-C60알키닐기, 치환된 C1-C60알콕시기, 치환된 C3-C10시클로알킬기, 치환된 C1-C10헤테로시클로알킬기, 치환된 C3-C10시클로알케닐기, 치환된 C1-C10헤테로시클로알케닐기, 치환된 C6-C60아릴기, 치환된 C6-C60아릴옥시기, 치환된 C6-C60아릴티오기, 치환된 C1-C60헤테로아릴기, 치환된 1가 비-방향족 축합다환 그룹 및 치환된 1가 비-방향족 헤테로축합다환 그룹의 치환기는,
중수소, -F, 시아노기, C1-C60알킬기, C2-C60알케닐기, C2-C60알키닐기 및 C1-C60알콕시기;
중수소, -F, 시아노기, C3-C10시클로알킬기, C1-C10헤테로시클로알킬기, C3-C10시클로알케닐기, C1-C10헤테로시클로알케닐기, C6-C60아릴기, C6-C60아릴옥시기, C6-C60아릴티오기, C1-C60헤테로아릴기, 1가 비-방향족 축합다환 그룹, 1가 비-방향족 헤테로축합다환 그룹, -Si(Q11)(Q12)(Q13), -N(Q11)(Q12), -B(Q11)(Q12), -C(=O)(Q11), -S(=O)2(Q11) 및 -P(=O)(Q11)(Q12) 중에서 선택된 적어도 하나로 치환된, C1-C60알킬기, C2-C60알케닐기, C2-C60알키닐기 및 C1-C60알콕시기;
C3-C10시클로알킬기, C1-C10헤테로시클로알킬기, C3-C10시클로알케닐기, C1-C10헤테로시클로알케닐기, C6-C60아릴기, C6-C60아릴옥시기, C6-C60아릴티오기, C1-C60헤테로아릴기, 1가 비-방향족 축합다환 그룹 및 1가 비-방향족 헤테로축합다환 그룹;
중수소, -F, 시아노기, C1-C60알킬기, C2-C60알케닐기, C2-C60알키닐기, C1-C60알콕시기, C3-C10시클로알킬기, C1-C10헤테로시클로알킬기, C3-C10시클로알케닐기, C1-C10헤테로시클로알케닐기, C6-C60아릴기, C6-C60아릴옥시기, C6-C60아릴티오기, C1-C60헤테로아릴기, 1가 비-방향족 축합다환 그룹, 1가 비-방향족 헤테로축합다환 그룹, -Si(Q21)(Q22)(Q23), -N(Q21)(Q22), -B(Q21)(Q22), -C(=O)(Q21), -S(=O)2(Q21) 및 -P(=O)(Q21)(Q22) 중에서 선택된 적어도 하나로 치환된, C3-C10시클로알킬기, C1-C10헤테로시클로알킬기, C3-C10시클로알케닐기, C1-C10헤테로시클로알케닐기, C6-C60아릴기, C6-C60아릴옥시기, C6-C60아릴티오기, C1-C60헤테로아릴기, 1가 비-방향족 축합다환 그룹 및 1가 비-방향족 헤테로축합다환 그룹; 및
-Si(Q31)(Q32)(Q33), -N(Q31)(Q32), -B(Q31)(Q32), -C(=O)(Q31), -S(=O)2(Q31) 및 -P(=O)(Q31)(Q32);
중에서 선택되고,
상기 Q1 내지 Q3, Q11 내지 Q13, Q21 내지 Q23 및 Q31 내지 Q33은 서로 독립적으로, 수소, 중수소, -F, 시아노기, C1-C60알킬기, C2-C60알케닐기, C2-C60알키닐기, C1-C60알콕시기, C3-C10시클로알킬기, C1-C10헤테로시클로알킬기, C3-C10시클로알케닐기, C1-C10헤테로시클로알케닐기, C6-C60아릴기, C1-C60헤테로아릴기, 1가 비-방향족 축합다환 그룹, 1가 비-방향족 헤테로축합다환 그룹, 중수소, -F 및 시아노기 중에서 선택된 적어도 하나로 치환된 C1-C60알킬기, 중수소, -F 및 시아노기 중에서 선택된 적어도 하나로 치환된 C6-C60아릴기, 비페닐기 및 터페닐기 중에서 선택된다. - 제1항에 있어서,
상기 M은 Pt 또는 Ir인, 유기금속 화합물. - 삭제
- 삭제
- 삭제
- 제1항에 있어서,
상기 X3는 C(R3)이고, 상기 X4는 C(R4)인, 유기금속 화합물. - 제1항에 있어서,
상기 R1 및 R2는 서로 독립적으로 수소, 중수소, -F, 시아노기, C1-C60알킬기, C3-C10시클로알킬기, C1-C10헤테로시클로알킬기, C6-C60아릴기, C1-C60헤테로아릴기 및 1가 비-방향족 축합다환 그룹, 1가 비-방향족 헤테로축합다환 그룹; 및
중수소, -F, 시아노기, C1-C60알킬기, C2-C60알케닐기, C2-C60알키닐기 및 C1-C60알콕시기, C3-C10시클로알킬기, C1-C10헤테로시클로알킬기, C3-C10시클로알케닐기, C1-C10헤테로시클로알케닐기, C6-C60아릴기, C6-C60아릴옥시기, C6-C60아릴티오기 및 C1-C60헤테로아릴기 중에서 선택된 적어도 하나의 치환기로 치환된, C1-C60알킬기, C3-C10시클로알킬기, C1-C10헤테로시클로알킬기, C6-C60아릴기, C1-C60헤테로아릴기 및 1가 비-방향족 축합다환 그룹, 1가 비-방향족 헤테로축합다환 그룹; 중에서 선택된, 유기금속 화합물. - 제1항에 있어서,
상기 R3 및 R4는 서로 독립적으로, 수소, 중수소, -F, 시아노기, 메틸기, 에틸기, 프로필기, 이소부틸기, sec-부틸기, ter-부틸기, 펜틸기, iso-아밀기, 헥실기, C1-C20알콕시기, 시클로펜틸기, 시클로헥실기, 시클로헵틸기, 시클로펜테닐기, 시클로헥세닐기, 페닐기, 나프틸기, 플루오레닐기, 스파이로-바이플루오레닐기, 스파이로-플루오렌-벤조플루오레닐기, 벤조플루오레닐기, 디벤조플루오레닐기, 파이레닐기, 페날레닐기, 페난트레닐기, 안트라세닐기, 플루오란테닐기, 트리페닐레닐기, 피리디닐기, 피리미딜기, 퀴놀리닐기, 이소퀴놀리닐기, 벤조퀴놀리닐기, 나프티리디닐기, 퀴녹살리닐기, 퀴나졸리닐기, 카바졸일기, 페난트리디닐기, 아크리디닐기, 페난트롤리닐기, 페나지닐기, 트리아지닐기, 디벤조퓨라닐기, 디벤조티오페닐기, 비페닐기 및 터페닐기; 및
중수소, -F, 시아노기, C1-C60알킬기, C2-C60알케닐기, C2-C60알키닐기 및 C1-C60알콕시기, C3-C10시클로알킬기, C1-C10헤테로시클로알킬기, C3-C10시클로알케닐기, C1-C10헤테로시클로알케닐기, C6-C60아릴기, C6-C60아릴옥시기, C6-C60아릴티오기 및 C1-C60헤테로아릴기 중에서 선택된 적어도 하나의 치환기로 치환된, 메틸기, 에틸기, 프로필기, 이소부틸기, sec-부틸기, ter-부틸기, 펜틸기, iso-아밀기, 헥실기, C1-C20알콕시기, 시클로펜틸기, 시클로헥실기, 시클로헵틸기, 시클로펜테닐기, 시클로헥세닐기, 페닐기, 나프틸기, 플루오레닐기, 스파이로-바이플루오레닐기, 스파이로-플루오렌-벤조플루오레닐기, 벤조플루오레닐기, 디벤조플루오레닐기, 파이레닐기, 페날레닐기, 페난트레닐기, 안트라세닐기, 플루오란테닐기, 트리페닐레닐기, 피리디닐기, 피리미딜기, 퀴놀리닐기, 이소퀴놀리닐기, 벤조퀴놀리닐기, 나프티리디닐기, 퀴녹살리닐기, 퀴나졸리닐기, 카바졸일기, 페난트리디닐기, 아크리디닐기, 페난트롤리닐기, 페나지닐기, 트리아지닐기, 디벤조퓨라닐기, 디벤조티오페닐기, 비페닐기 및 터페닐기; 중에서 선택되고,
상기 R3 및 R4는 선택적으로, 서로 결합되어, 벤젠 그룹, 나프탈렌 그룹, 플루오렌 그룹, 스파이로-바이플루오렌 그룹, 인덴 그룹, 피롤 그룹, 티오펜 그룹, 퓨란(furan) 그룹, 이미다졸 그룹, 피라졸 그룹, 티아졸 그룹, 이소티아졸 그룹, 옥사졸 그룹, 이속사졸(isoxazole) 그룹, 피리딘 그룹, 피라진 그룹, 피리미딘 그룹, 피리다진 그룹, 퀴놀린 그룹, 이소퀴놀린 그룹, 벤조퀴놀린 그룹, 퀴녹살린 그룹, 퀴나졸린 그룹, 카바졸 그룹, 벤조이미다졸 그룹, 벤조퓨란(benzofuran) 그룹, 벤조티오펜 그룹, 이소벤조티오펜 그룹, 벤조옥사졸 그룹, 이소벤조옥사졸 그룹, 트리아졸 그룹, 테트라졸 그룹, 옥사디아졸 그룹, 트리아진 그룹, 디벤조퓨란(dibenzofuran) 그룹 및 디벤조티오펜 그룹; 및
중수소, -F, 시아노기, C1-C60알킬기, C2-C60알케닐기, C2-C60알키닐기 및 C1-C60알콕시기, C3-C10시클로알킬기, C1-C10헤테로시클로알킬기, C3-C10시클로알케닐기, C1-C10헤테로시클로알케닐기, C6-C60아릴기, C6-C60아릴옥시기, C6-C60아릴티오기 및 C1-C60헤테로아릴기 중에서 선택된 적어도 하나의 치환기로 치환된, 벤젠 그룹, 나프탈렌 그룹, 플루오렌 그룹, 스파이로-바이플루오렌 그룹, 인덴 그룹, 피롤 그룹, 티오펜 그룹, 퓨란(furan) 그룹, 이미다졸 그룹, 피라졸 그룹, 티아졸 그룹, 이소티아졸 그룹, 옥사졸 그룹, 이속사졸(isoxazole) 그룹, 피리딘 그룹, 피라진 그룹, 피리미딘 그룹, 피리다진 그룹, 퀴놀린 그룹, 이소퀴놀린 그룹, 벤조퀴놀린 그룹, 퀴녹살린 그룹, 퀴나졸린 그룹, 카바졸 그룹, 벤조이미다졸 그룹, 벤조퓨란(benzofuran) 그룹, 벤조티오펜 그룹, 이소벤조티오펜 그룹, 벤조옥사졸 그룹, 이소벤조옥사졸 그룹, 트리아졸 그룹, 테트라졸 그룹, 옥사디아졸 그룹, 트리아진 그룹, 디벤조퓨란(dibenzofuran) 그룹 및 디벤조티오펜 그룹; 중에서 선택된 어느 하나의 그룹을 형성하는, 유기금속 화합물. - 삭제
- 삭제
- 제1항에 있어서,
상기 R5 내지 R7은 서로 독립적으로 수소, 중수소, -F, 시아노기, 메틸기, 에틸기, 프로필기, 이소부틸기, sec-부틸기, ter-부틸기, 펜틸기, iso-아밀기, 헥실기, 페닐기, 나프틸기, 안트라세닐기, 페난트레닐기, 트리페닐레닐기, 플루오란테닐기, 페닐기, 비페닐기, 터페닐기, C1-C10알킬기로 치환된 페닐기, -F로 치환된 페닐기, 펜탈레닐기, 인데닐기, 나프틸기, 아줄레닐기, 헵탈레닐기, 인다세닐기, 아세나프틸기, 플루오레닐기, 스파이로-비플루오레닐기, 벤조플루오레닐기, 디벤조플루오레닐기, 페날레닐기, 페난트레닐기, 안트라세닐기, 플루오란테닐기, 트리페닐레닐기, 파이레닐기, 크라이세닐기, 나프타세닐기, 피세닐기, 페릴레닐기, 펜타페닐기, 헥사세닐기, 펜타세닐기, 루비세닐기, 코로네닐기 및 오발레닐기; 및
중수소, -F, 시아노기, C1-C60알킬기, C2-C60알케닐기, C2-C60알키닐기 및 C1-C60알콕시기, C3-C10시클로알킬기, C1-C10헤테로시클로알킬기, C3-C10시클로알케닐기, C1-C10헤테로시클로알케닐기, C6-C60아릴기, C6-C60아릴옥시기, C6-C60아릴티오기 및 C1-C60헤테로아릴기 중에서 선택된 적어도 하나의 치환기로 치환된, 메틸기, 에틸기, 프로필기, 이소부틸기, sec-부틸기, ter-부틸기, 펜틸기, iso-아밀기, 헥실기, 페닐기, 나프틸기, 안트라세닐기, 페난트레닐기, 트리페닐레닐기, 플루오란테닐기, 페닐기, 비페닐기, 터페닐기, C1-C10알킬기로 치환된 페닐기, -F로 치환된 페닐기, 펜탈레닐기, 인데닐기, 나프틸기, 아줄레닐기, 헵탈레닐기, 인다세닐기, 아세나프틸기, 플루오레닐기, 스파이로-비플루오레닐기, 벤조플루오레닐기, 디벤조플루오레닐기, 페날레닐기, 페난트레닐기, 안트라세닐기, 플루오란테닐기, 트리페닐레닐기, 파이레닐기, 크라이세닐기, 나프타세닐기, 피세닐기, 페릴레닐기, 펜타페닐기, 헥사세닐기, 펜타세닐기, 루비세닐기, 코로네닐기 및 오발레닐기; 중에서 선택된, 유기금속 화합물. - 삭제
- 제1전극;
상기 제1전극에 대향된 제2전극; 및
상기 제1전극과 상기 제2전극 사이에 개재되고 발광층을 포함한 유기층;
을 포함하고,
상기 유기층은 상기 제1항, 제2항, 제6항 내지 제8항, 제11항 또는 제13항 중 어느 한 항의 유기금속 화합물을 1종 이상 포함한, 유기 발광 소자. - 제14항에 있어서,
상기 제1전극이 애노드이고,
상기 제2전극이 캐소드이고,
상기 유기층은 상기 제1전극과 상기 발광층 사이에 개재된 정공 수송 영역 및 상기 발광층과 상기 제2전극 사이에 개재된 전자 수송 영역을 더 포함하고,
상기 정공 수송 영역은, 정공 주입층, 정공 수송층, 발광 보조층, 전자 저지층 또는 이의 임의의 조합을 포함하고,
상기 전자 수송 영역은, 정공 저지층, 전자 수송층, 전자 주입층 또는 이의 임의의 조합을 포함한, 유기 발광 소자. - 제14항에 있어서,
상기 발광층에 상기 유기금속 화합물이 포함되어 있는, 유기 발광 소자. - 제16항에 있어서,
상기 발광층은 호스트를 더 포함하고, 상기 발광층 중 호스트의 질량이 상기 발광층 중 상기 유기금속 화합물의 질량보다 큰, 유기 발광 소자. - 제17항에 있어서,
상기 호스트가 실리콘-함유 화합물 및 포스핀 옥사이드-함유 화합물 중 적어도 하나를 포함한, 유기 발광 소자. - 제15항에 있어서,
상기 정공 수송 영역이 전자 저지층을 포함하고, 상기 전자 저지층에 상기 유기금속 화합물이 포함되어 있거나;
또는 상기 전자 수송 영역이 정공 저지층을 포함하고, 상기 정공 저지층에 상기 유기금속 화합물이 포함되어 있는, 유기 발광 소자. - 제15항에 있어서,
상기 전자 수송 영역이 정공 저지층을 포함하고, 상기 정공 저지층은 실리콘-함유 화합물 및 포스핀 옥사이드-함유 화합물 중 적어도 하나를 포함한, 유기 발광 소자.
Priority Applications (2)
| Application Number | Priority Date | Filing Date | Title |
|---|---|---|---|
| KR1020170096378A KR102456073B1 (ko) | 2017-07-28 | 2017-07-28 | 유기금속 화합물 및 이를 포함한 유기 발광 소자 |
| US15/952,587 US10873040B2 (en) | 2017-07-28 | 2018-04-13 | Organometallic compound and organic light emitting device including the same |
Applications Claiming Priority (1)
| Application Number | Priority Date | Filing Date | Title |
|---|---|---|---|
| KR1020170096378A KR102456073B1 (ko) | 2017-07-28 | 2017-07-28 | 유기금속 화합물 및 이를 포함한 유기 발광 소자 |
Publications (2)
| Publication Number | Publication Date |
|---|---|
| KR20190014218A KR20190014218A (ko) | 2019-02-12 |
| KR102456073B1 true KR102456073B1 (ko) | 2022-10-19 |
Family
ID=65138382
Family Applications (1)
| Application Number | Title | Priority Date | Filing Date |
|---|---|---|---|
| KR1020170096378A Active KR102456073B1 (ko) | 2017-07-28 | 2017-07-28 | 유기금속 화합물 및 이를 포함한 유기 발광 소자 |
Country Status (2)
| Country | Link |
|---|---|
| US (1) | US10873040B2 (ko) |
| KR (1) | KR102456073B1 (ko) |
Families Citing this family (2)
| Publication number | Priority date | Publication date | Assignee | Title |
|---|---|---|---|---|
| KR20220007827A (ko) * | 2020-07-10 | 2022-01-19 | 삼성디스플레이 주식회사 | 발광 소자 재료의 정제 방법 및 상기 방법으로 정제된 재료를 포함하는 발광 소자 |
| KR20220078357A (ko) * | 2020-12-03 | 2022-06-10 | 삼성전자주식회사 | 유기금속 화합물 및 이를 포함한 조성물, 유기 발광 소자 및 전자 장치 |
Citations (1)
| Publication number | Priority date | Publication date | Assignee | Title |
|---|---|---|---|---|
| JP2008521946A (ja) | 2004-11-25 | 2008-06-26 | ビーエーエスエフ ソシエタス・ヨーロピア | 有機発光ダイオード(oled)における遷移金属−カルベン錯体の使用 |
Family Cites Families (12)
| Publication number | Priority date | Publication date | Assignee | Title |
|---|---|---|---|---|
| US6939624B2 (en) | 2000-08-11 | 2005-09-06 | Universal Display Corporation | Organometallic compounds and emission-shifting organic electrophosphorescence |
| DE10338550A1 (de) | 2003-08-19 | 2005-03-31 | Basf Ag | Übergangsmetallkomplexe mit Carbenliganden als Emitter für organische Licht-emittierende Dioden (OLEDs) |
| US7393599B2 (en) | 2004-05-18 | 2008-07-01 | The University Of Southern California | Luminescent compounds with carbene ligands |
| US9051344B2 (en) | 2005-05-06 | 2015-06-09 | Universal Display Corporation | Stability OLED materials and devices |
| ATE550342T1 (de) * | 2006-04-05 | 2012-04-15 | Basf Se | Heteroleptische übergangsmetall-carben-komplexe und deren verwendung in organischen leuchtdioden (oleds) |
| US8883322B2 (en) | 2011-03-08 | 2014-11-11 | Universal Display Corporation | Pyridyl carbene phosphorescent emitters |
| US9461254B2 (en) | 2012-01-03 | 2016-10-04 | Universal Display Corporation | Organic electroluminescent materials and devices |
| WO2013130483A1 (en) | 2012-02-27 | 2013-09-06 | Jian Li | Microcavity oled device with narrow band phosphorescent emitters |
| WO2014147006A1 (en) * | 2013-03-20 | 2014-09-25 | Basf Se | White organic light-emitting device |
| KR102349659B1 (ko) | 2013-06-10 | 2022-01-11 | 아리조나 보드 오브 리젠츠 온 비하프 오브 아리조나 스테이트 유니버시티 | 개질된 방출 스펙트럼을 갖는 인광성 네자리 금속 착물 |
| JP6506272B2 (ja) | 2013-07-02 | 2019-04-24 | ユー・ディー・シー アイルランド リミテッド | 有機発光ダイオードにおいて使用するための一置換されたジアザベンゾイミダゾールカルベン金属錯体 |
| JP6486353B2 (ja) | 2013-07-31 | 2019-03-20 | ユー・ディー・シー アイルランド リミテッド | 発光性ジアザベンゾイミダゾールカルベン金属錯体 |
-
2017
- 2017-07-28 KR KR1020170096378A patent/KR102456073B1/ko active Active
-
2018
- 2018-04-13 US US15/952,587 patent/US10873040B2/en active Active
Patent Citations (1)
| Publication number | Priority date | Publication date | Assignee | Title |
|---|---|---|---|---|
| JP2008521946A (ja) | 2004-11-25 | 2008-06-26 | ビーエーエスエフ ソシエタス・ヨーロピア | 有機発光ダイオード(oled)における遷移金属−カルベン錯体の使用 |
Also Published As
| Publication number | Publication date |
|---|---|
| US10873040B2 (en) | 2020-12-22 |
| US20190036044A1 (en) | 2019-01-31 |
| KR20190014218A (ko) | 2019-02-12 |
Similar Documents
| Publication | Publication Date | Title |
|---|---|---|
| KR102504132B1 (ko) | 유기금속 화합물, 이를 포함한 유기 발광 소자 및 상기 유기 발광 소자를 포함한 발광 장치 | |
| KR102414108B1 (ko) | 헤테로고리 화합물 및 이를 포함한 유기 발광 소자 | |
| KR102504130B1 (ko) | 축합환 화합물 및 이를 포함한 유기 발광 소자 | |
| KR102458681B1 (ko) | 헤테로시클릭 화합물 및 이를 포함한 유기 발광 소자 | |
| KR102676045B1 (ko) | 유기금속 화합물 및 이를 포함한 유기 발광 소자 | |
| KR20230064592A (ko) | 축합환 화합물 및 이를 포함한 유기 발광 소자 | |
| KR102673241B1 (ko) | 축합환 화합물 및 이를 포함한 유기 발광 소자 | |
| KR102518722B1 (ko) | 유기금속 화합물 및 이를 포함한 유기 발광 소자 | |
| KR102707563B1 (ko) | 축합환 화합물 및 이를 포함한 유기 발광 소자 | |
| KR102568783B1 (ko) | 유기금속 화합물, 이를 포함한 유기 발광 소자 및 상기 유기 발광 소자를 포함한 유기 발광 장치 | |
| KR102635543B1 (ko) | 유기금속 화합물 및 이를 포함한 유기 발광 소자 | |
| KR102600472B1 (ko) | 축합환 화합물 및 이를 포함한 유기 발광 소자 | |
| KR20200113057A (ko) | 아민계 화합물 및 이를 포함한 유기 발광 소자 | |
| KR20180097807A (ko) | 다환 화합물 및 이를 포함한 유기 발광 소자 | |
| KR102783339B1 (ko) | 헤테로시클릭 화합물 및 이를 포함한 유기 발광 소자 | |
| KR102875649B1 (ko) | 유기금속 화합물 및 이를 포함한 유기 발광 소자 | |
| KR20210091862A (ko) | 유기금속 화합물 및 이를 포함한 유기 발광 소자 | |
| KR102755526B1 (ko) | 유기금속 화합물 및 이를 포함한 유기 발광 소자 | |
| KR102527229B1 (ko) | 유기금속 화합물 및 이를 포함한 유기 발광 소자 | |
| KR20200133138A (ko) | 아릴아민 화합물 및 이를 포함한 유기 발광 소자 | |
| KR102456073B1 (ko) | 유기금속 화합물 및 이를 포함한 유기 발광 소자 | |
| EP3854795B1 (en) | Condensed cyclic compound and organic light emitting diode comprising same | |
| KR102462420B1 (ko) | 축합환 화합물 및 이를 포함한 유기 발광 소자 | |
| KR102536247B1 (ko) | 헤테로고리 화합물 및 이를 포함한 유기 발광 소자 | |
| KR20210132291A (ko) | 유기금속 화합물 및 이를 포함한 유기 발광 소자 |
Legal Events
| Date | Code | Title | Description |
|---|---|---|---|
| PA0109 | Patent application |
Patent event code: PA01091R01D Comment text: Patent Application Patent event date: 20170728 |
|
| PG1501 | Laying open of application | ||
| A201 | Request for examination | ||
| PA0201 | Request for examination |
Patent event code: PA02012R01D Patent event date: 20200715 Comment text: Request for Examination of Application Patent event code: PA02011R01I Patent event date: 20170728 Comment text: Patent Application |
|
| E902 | Notification of reason for refusal | ||
| PE0902 | Notice of grounds for rejection |
Comment text: Notification of reason for refusal Patent event date: 20220127 Patent event code: PE09021S01D |
|
| E701 | Decision to grant or registration of patent right | ||
| PE0701 | Decision of registration |
Patent event code: PE07011S01D Comment text: Decision to Grant Registration Patent event date: 20220713 |
|
| GRNT | Written decision to grant | ||
| PR0701 | Registration of establishment |
Comment text: Registration of Establishment Patent event date: 20221013 Patent event code: PR07011E01D |
|
| PR1002 | Payment of registration fee |
Payment date: 20221014 End annual number: 3 Start annual number: 1 |
|
| PG1601 | Publication of registration |

























































































