KR102414108B1 - 헤테로고리 화합물 및 이를 포함한 유기 발광 소자 - Google Patents
헤테로고리 화합물 및 이를 포함한 유기 발광 소자 Download PDFInfo
- Publication number
- KR102414108B1 KR102414108B1 KR1020170100434A KR20170100434A KR102414108B1 KR 102414108 B1 KR102414108 B1 KR 102414108B1 KR 1020170100434 A KR1020170100434 A KR 1020170100434A KR 20170100434 A KR20170100434 A KR 20170100434A KR 102414108 B1 KR102414108 B1 KR 102414108B1
- Authority
- KR
- South Korea
- Prior art keywords
- group
- substituted
- alkoxy
- alkyl
- electrode
- Prior art date
- Legal status (The legal status is an assumption and is not a legal conclusion. Google has not performed a legal analysis and makes no representation as to the accuracy of the status listed.)
- Active
Links
- 150000002391 heterocyclic compounds Chemical class 0.000 title claims abstract description 48
- -1 cinoline group Chemical group 0.000 claims description 322
- 239000010410 layer Substances 0.000 claims description 209
- 125000001997 phenyl group Chemical group [H]C1=C([H])C([H])=C(*)C([H])=C1[H] 0.000 claims description 93
- YJTKZCDBKVTVBY-UHFFFAOYSA-N 1,3-Diphenylbenzene Chemical group C1=CC=CC=C1C1=CC=CC(C=2C=CC=CC=2)=C1 YJTKZCDBKVTVBY-UHFFFAOYSA-N 0.000 claims description 77
- 125000003837 (C1-C20) alkyl group Chemical group 0.000 claims description 73
- 125000004093 cyano group Chemical group *C#N 0.000 claims description 73
- 125000003118 aryl group Chemical group 0.000 claims description 72
- 125000003860 C1-C20 alkoxy group Chemical group 0.000 claims description 71
- YZCKVEUIGOORGS-OUBTZVSYSA-N Deuterium Chemical compound [2H] YZCKVEUIGOORGS-OUBTZVSYSA-N 0.000 claims description 69
- 229910052805 deuterium Inorganic materials 0.000 claims description 69
- 150000001875 compounds Chemical class 0.000 claims description 68
- 125000000717 hydrazino group Chemical group [H]N([*])N([H])[H] 0.000 claims description 67
- 125000005638 hydrazono group Chemical group 0.000 claims description 67
- 125000002887 hydroxy group Chemical group [H]O* 0.000 claims description 67
- 125000000449 nitro group Chemical group [O-][N+](*)=O 0.000 claims description 67
- 125000003739 carbamimidoyl group Chemical group C(N)(=N)* 0.000 claims description 66
- 125000006267 biphenyl group Chemical group 0.000 claims description 65
- 125000001624 naphthyl group Chemical group 0.000 claims description 64
- 125000003983 fluorenyl group Chemical group C1(=CC=CC=2C3=CC=CC=C3CC12)* 0.000 claims description 57
- 125000000609 carbazolyl group Chemical group C1(=CC=CC=2C3=CC=CC=C3NC12)* 0.000 claims description 56
- 125000001792 phenanthrenyl group Chemical group C1(=CC=CC=2C3=CC=CC=C3C=CC12)* 0.000 claims description 50
- 125000003367 polycyclic group Chemical group 0.000 claims description 48
- 125000003914 fluoranthenyl group Chemical group C1(=CC=C2C=CC=C3C4=CC=CC=C4C1=C23)* 0.000 claims description 44
- 125000005509 dibenzothiophenyl group Chemical group 0.000 claims description 42
- 125000000714 pyrimidinyl group Chemical group 0.000 claims description 41
- 125000003373 pyrazinyl group Chemical group 0.000 claims description 40
- 125000001041 indolyl group Chemical group 0.000 claims description 39
- 125000004076 pyridyl group Chemical group 0.000 claims description 39
- 125000002294 quinazolinyl group Chemical group N1=C(N=CC2=CC=CC=C12)* 0.000 claims description 39
- 230000005525 hole transport Effects 0.000 claims description 38
- 125000002943 quinolinyl group Chemical group N1=C(C=CC2=CC=CC=C12)* 0.000 claims description 38
- 125000002183 isoquinolinyl group Chemical group C1(=NC=CC2=CC=CC=C12)* 0.000 claims description 37
- 125000002178 anthracenyl group Chemical group C1(=CC=CC2=CC3=CC=CC=C3C=C12)* 0.000 claims description 36
- 125000002676 chrysenyl group Chemical group C1(=CC=CC=2C3=CC=C4C=CC=CC4=C3C=CC12)* 0.000 claims description 36
- 238000002347 injection Methods 0.000 claims description 36
- 239000007924 injection Substances 0.000 claims description 36
- 125000001567 quinoxalinyl group Chemical group N1=C(C=NC2=CC=CC=C12)* 0.000 claims description 36
- 239000012044 organic layer Substances 0.000 claims description 35
- 125000001828 phenalenyl group Chemical group C1(C=CC2=CC=CC3=CC=CC1=C23)* 0.000 claims description 35
- 125000001791 phenazinyl group Chemical group C1(=CC=CC2=NC3=CC=CC=C3N=C12)* 0.000 claims description 35
- 125000001935 tetracenyl group Chemical group C1(=CC=CC2=CC3=CC4=CC=CC=C4C=C3C=C12)* 0.000 claims description 35
- 125000006749 (C6-C60) aryl group Chemical group 0.000 claims description 34
- 125000000641 acridinyl group Chemical group C1(=CC=CC2=NC3=CC=CC=C3C=C12)* 0.000 claims description 34
- 125000000499 benzofuranyl group Chemical group O1C(=CC2=C1C=CC=C2)* 0.000 claims description 34
- 125000002883 imidazolyl group Chemical group 0.000 claims description 33
- 125000003226 pyrazolyl group Chemical group 0.000 claims description 33
- 125000001544 thienyl group Chemical group 0.000 claims description 33
- 125000005299 dibenzofluorenyl group Chemical group C1(=CC=CC2=C3C(=C4C=5C=CC=CC5CC4=C21)C=CC=C3)* 0.000 claims description 32
- 125000002541 furyl group Chemical group 0.000 claims description 32
- 125000002971 oxazolyl group Chemical group 0.000 claims description 32
- 125000003831 tetrazolyl group Chemical group 0.000 claims description 32
- 125000004196 benzothienyl group Chemical group S1C(=CC2=C1C=CC=C2)* 0.000 claims description 31
- 125000000842 isoxazolyl group Chemical group 0.000 claims description 31
- 125000001725 pyrenyl group Chemical group 0.000 claims description 31
- 125000000113 cyclohexyl group Chemical group [H]C1([H])C([H])([H])C([H])([H])C([H])(*)C([H])([H])C1([H])[H] 0.000 claims description 30
- 125000004306 triazinyl group Chemical group 0.000 claims description 30
- 125000006753 (C1-C60) heteroaryl group Chemical group 0.000 claims description 29
- 125000004366 heterocycloalkenyl group Chemical group 0.000 claims description 29
- 125000000592 heterocycloalkyl group Chemical group 0.000 claims description 29
- 125000002098 pyridazinyl group Chemical group 0.000 claims description 29
- 125000006717 (C3-C10) cycloalkenyl group Chemical group 0.000 claims description 28
- 125000006376 (C3-C10) cycloalkyl group Chemical group 0.000 claims description 28
- 125000002192 heptalenyl group Chemical group 0.000 claims description 28
- 125000003454 indenyl group Chemical group C1(C=CC2=CC=CC=C12)* 0.000 claims description 28
- 125000002080 perylenyl group Chemical group C1(=CC=C2C=CC=C3C4=CC=CC5=CC=CC(C1=C23)=C45)* 0.000 claims description 28
- 229910052739 hydrogen Inorganic materials 0.000 claims description 27
- 239000001257 hydrogen Substances 0.000 claims description 27
- 125000003828 azulenyl group Chemical group 0.000 claims description 26
- 125000001511 cyclopentyl group Chemical group [H]C1([H])C([H])([H])C([H])([H])C([H])(*)C1([H])[H] 0.000 claims description 26
- 150000002431 hydrogen Chemical class 0.000 claims description 26
- 125000003427 indacenyl group Chemical group 0.000 claims description 26
- 125000004934 phenanthridinyl group Chemical group C1(=CC=CC2=NC=C3C=CC=CC3=C12)* 0.000 claims description 26
- 125000004592 phthalazinyl group Chemical group C1(=NN=CC2=CC=CC=C12)* 0.000 claims description 26
- 125000000335 thiazolyl group Chemical group 0.000 claims description 25
- 125000001425 triazolyl group Chemical group 0.000 claims description 25
- JYEUMXHLPRZUAT-UHFFFAOYSA-N 1,2,3-triazine Chemical group C1=CN=NN=C1 JYEUMXHLPRZUAT-UHFFFAOYSA-N 0.000 claims description 24
- 125000002433 cyclopentenyl group Chemical group C1(=CCCC1)* 0.000 claims description 24
- 239000002019 doping agent Substances 0.000 claims description 24
- 125000003453 indazolyl group Chemical group N1N=C(C2=C1C=CC=C2)* 0.000 claims description 24
- 125000004593 naphthyridinyl group Chemical group N1=C(C=CC2=CC=CN=C12)* 0.000 claims description 24
- 125000004585 polycyclic heterocycle group Chemical group 0.000 claims description 24
- 125000000561 purinyl group Chemical group N1=C(N=C2N=CNC2=C1)* 0.000 claims description 24
- 125000006752 (C6-C60) arylthio group Chemical group 0.000 claims description 23
- 125000004857 imidazopyridinyl group Chemical group N1C(=NC2=C1C=CC=N2)* 0.000 claims description 23
- 125000001786 isothiazolyl group Chemical group 0.000 claims description 23
- 125000001715 oxadiazolyl group Chemical group 0.000 claims description 23
- 239000000126 substance Substances 0.000 claims description 23
- 125000001113 thiadiazolyl group Chemical group 0.000 claims description 23
- 125000000596 cyclohexenyl group Chemical group C1(=CCCCC1)* 0.000 claims description 22
- 125000000168 pyrrolyl group Chemical group 0.000 claims description 22
- 125000006743 (C1-C60) alkyl group Chemical group 0.000 claims description 21
- 125000000582 cycloheptyl group Chemical group [H]C1([H])C([H])([H])C([H])([H])C([H])([H])C([H])(*)C([H])([H])C1([H])[H] 0.000 claims description 21
- 125000004625 phenanthrolinyl group Chemical group N1=C(C=CC2=CC=C3C=CC=NC3=C12)* 0.000 claims description 21
- 125000003960 triphenylenyl group Chemical group C1(=CC=CC=2C3=CC=CC=C3C3=CC=CC=C3C12)* 0.000 claims description 21
- 125000006744 (C2-C60) alkenyl group Chemical group 0.000 claims description 20
- 125000006745 (C2-C60) alkynyl group Chemical group 0.000 claims description 20
- 125000006751 (C6-C60) aryloxy group Chemical group 0.000 claims description 20
- 125000001633 hexacenyl group Chemical group C1(=CC=CC2=CC3=CC4=CC5=CC6=CC=CC=C6C=C5C=C4C=C3C=C12)* 0.000 claims description 20
- 125000006746 (C1-C60) alkoxy group Chemical group 0.000 claims description 19
- 125000002837 carbocyclic group Chemical group 0.000 claims description 18
- DGEZNRSVGBDHLK-UHFFFAOYSA-N [1,10]phenanthroline Chemical group C1=CN=C2C3=NC=CC=C3C=CC2=C1 DGEZNRSVGBDHLK-UHFFFAOYSA-N 0.000 claims description 17
- 125000004541 benzoxazolyl group Chemical group O1C(=NC2=C1C=CC=C2)* 0.000 claims description 17
- 125000000904 isoindolyl group Chemical group C=1(NC=C2C=CC=CC12)* 0.000 claims description 17
- 125000004429 atom Chemical group 0.000 claims description 16
- HKMTVMBEALTRRR-UHFFFAOYSA-N Benzo[a]fluorene Chemical group C1=CC=CC2=C3CC4=CC=CC=C4C3=CC=C21 HKMTVMBEALTRRR-UHFFFAOYSA-N 0.000 claims description 15
- 229910052799 carbon Inorganic materials 0.000 claims description 15
- 230000000903 blocking effect Effects 0.000 claims description 14
- 125000000623 heterocyclic group Chemical group 0.000 claims description 14
- JUJWROOIHBZHMG-UHFFFAOYSA-N Pyridine Chemical group C1=CC=NC=C1 JUJWROOIHBZHMG-UHFFFAOYSA-N 0.000 claims description 13
- 125000005577 anthracene group Chemical group 0.000 claims description 13
- 125000005578 chrysene group Chemical group 0.000 claims description 13
- XNKVIGSNRYAOQZ-UHFFFAOYSA-N dibenzofluorene Chemical group C12=CC=CC=C2C2=CC=CC=C2C2=C1CC1=CC=CC=C12 XNKVIGSNRYAOQZ-UHFFFAOYSA-N 0.000 claims description 13
- 229910052760 oxygen Inorganic materials 0.000 claims description 13
- 125000001388 picenyl group Chemical group C1(=CC=CC2=CC=C3C4=CC=C5C=CC=CC5=C4C=CC3=C21)* 0.000 claims description 13
- 125000005581 pyrene group Chemical group 0.000 claims description 13
- 125000005580 triphenylene group Chemical group 0.000 claims description 13
- TXCDCPKCNAJMEE-UHFFFAOYSA-N dibenzofuran Chemical group C1=CC=C2C3=CC=CC=C3OC2=C1 TXCDCPKCNAJMEE-UHFFFAOYSA-N 0.000 claims description 12
- IYYZUPMFVPLQIF-ALWQSETLSA-N dibenzothiophene Chemical group C1=CC=CC=2[34S]C3=C(C=21)C=CC=C3 IYYZUPMFVPLQIF-ALWQSETLSA-N 0.000 claims description 12
- 229910052717 sulfur Inorganic materials 0.000 claims description 12
- 238000000034 method Methods 0.000 claims description 11
- MYKQKWIPLZEVOW-UHFFFAOYSA-N 11h-benzo[a]carbazole Chemical group C1=CC2=CC=CC=C2C2=C1C1=CC=CC=C1N2 MYKQKWIPLZEVOW-UHFFFAOYSA-N 0.000 claims description 10
- FZWLAAWBMGSTSO-UHFFFAOYSA-N Thiazole Chemical group C1=CSC=N1 FZWLAAWBMGSTSO-UHFFFAOYSA-N 0.000 claims description 10
- WZJYKHNJTSNBHV-UHFFFAOYSA-N benzo[h]quinoline Chemical group C1=CN=C2C3=CC=CC=C3C=CC2=C1 WZJYKHNJTSNBHV-UHFFFAOYSA-N 0.000 claims description 10
- ZLTPDFXIESTBQG-UHFFFAOYSA-N isothiazole Chemical group C=1C=NSC=1 ZLTPDFXIESTBQG-UHFFFAOYSA-N 0.000 claims description 10
- WCPAKWJPBJAGKN-UHFFFAOYSA-N oxadiazole Chemical group C1=CON=N1 WCPAKWJPBJAGKN-UHFFFAOYSA-N 0.000 claims description 10
- FLBAYUMRQUHISI-UHFFFAOYSA-N 1,8-naphthyridine Chemical group N1=CC=CC2=CC=CN=C21 FLBAYUMRQUHISI-UHFFFAOYSA-N 0.000 claims description 9
- HYZJCKYKOHLVJF-UHFFFAOYSA-N 1H-benzimidazole Chemical group C1=CC=C2NC=NC2=C1 HYZJCKYKOHLVJF-UHFFFAOYSA-N 0.000 claims description 9
- RDOWQLZANAYVLL-UHFFFAOYSA-N phenanthridine Chemical group C1=CC=C2C3=CC=CC=C3C=NC2=C1 RDOWQLZANAYVLL-UHFFFAOYSA-N 0.000 claims description 9
- LFSXCDWNBUNEEM-UHFFFAOYSA-N phthalazine Chemical group C1=NN=CC2=CC=CC=C21 LFSXCDWNBUNEEM-UHFFFAOYSA-N 0.000 claims description 9
- PBMFSQRYOILNGV-UHFFFAOYSA-N pyridazine Chemical group C1=CC=NN=C1 PBMFSQRYOILNGV-UHFFFAOYSA-N 0.000 claims description 9
- 125000001424 substituent group Chemical group 0.000 claims description 9
- 239000010409 thin film Substances 0.000 claims description 9
- IANQTJSKSUMEQM-UHFFFAOYSA-N 1-benzofuran Chemical group C1=CC=C2OC=CC2=C1 IANQTJSKSUMEQM-UHFFFAOYSA-N 0.000 claims description 8
- FCEHBMOGCRZNNI-UHFFFAOYSA-N 1-benzothiophene Chemical group C1=CC=C2SC=CC2=C1 FCEHBMOGCRZNNI-UHFFFAOYSA-N 0.000 claims description 8
- YTPLMLYBLZKORZ-UHFFFAOYSA-N Thiophene Chemical group C=1C=CSC=1 YTPLMLYBLZKORZ-UHFFFAOYSA-N 0.000 claims description 8
- 125000000355 1,3-benzoxazolyl group Chemical group O1C(=NC2=C1C=CC=C2)* 0.000 claims description 7
- YLQBMQCUIZJEEH-UHFFFAOYSA-N Furan Chemical group C=1C=COC=1 YLQBMQCUIZJEEH-UHFFFAOYSA-N 0.000 claims description 7
- 239000000872 buffer Substances 0.000 claims description 7
- 150000003852 triazoles Chemical class 0.000 claims description 7
- 125000004062 acenaphthenyl group Chemical group C1(CC2=CC=CC3=CC=CC1=C23)* 0.000 claims description 6
- GUVXZFRDPCKWEM-UHFFFAOYSA-N pentalene group Chemical group C1=CC=C2C=CC=C12 GUVXZFRDPCKWEM-UHFFFAOYSA-N 0.000 claims description 6
- BGEVROQFKHXUQA-UHFFFAOYSA-N 71012-25-4 Chemical group C12=CC=CC=C2C2=CC=CC=C2C2=C1C1=CC=CC=C1N2 BGEVROQFKHXUQA-UHFFFAOYSA-N 0.000 claims description 5
- BBEAQIROQSPTKN-UHFFFAOYSA-N pyrene Chemical compound C1=CC=C2C=CC3=CC=CC4=CC=C1C2=C43 BBEAQIROQSPTKN-UHFFFAOYSA-N 0.000 claims description 4
- 125000005583 coronene group Chemical group 0.000 claims description 3
- 125000003187 heptyl group Chemical group [H]C([*])([H])C([H])([H])C([H])([H])C([H])([H])C([H])([H])C([H])([H])C([H])([H])[H] 0.000 claims description 3
- LSQODMMMSXHVCN-UHFFFAOYSA-N ovalene Chemical group C1=C(C2=C34)C=CC3=CC=C(C=C3C5=C6C(C=C3)=CC=C3C6=C6C(C=C3)=C3)C4=C5C6=C2C3=C1 LSQODMMMSXHVCN-UHFFFAOYSA-N 0.000 claims description 3
- 125000001820 oxy group Chemical group [*:1]O[*:2] 0.000 claims description 3
- 125000005582 pentacene group Chemical group 0.000 claims description 3
- GBXQPDCOMJJCMJ-UHFFFAOYSA-M trimethyl-[6-(trimethylazaniumyl)hexyl]azanium;bromide Chemical compound [Br-].C[N+](C)(C)CCCCCC[N+](C)(C)C GBXQPDCOMJJCMJ-UHFFFAOYSA-M 0.000 claims description 3
- 150000004982 aromatic amines Chemical class 0.000 claims description 2
- GVEPBJHOBDJJJI-UHFFFAOYSA-N fluoranthrene Natural products C1=CC(C2=CC=CC=C22)=C3C2=CC=CC3=C1 GVEPBJHOBDJJJI-UHFFFAOYSA-N 0.000 claims description 2
- CTAPFRYPJLPFDF-UHFFFAOYSA-N isoxazole Chemical compound C=1C=NOC=1 CTAPFRYPJLPFDF-UHFFFAOYSA-N 0.000 claims description 2
- 125000005504 styryl group Chemical group 0.000 claims description 2
- NSILVESQCSUIAJ-UHFFFAOYSA-M hexocyclium methyl sulfate Chemical group COS([O-])(=O)=O.C1C[N+](C)(C)CCN1CC(O)(C=1C=CC=CC=1)C1CCCCC1 NSILVESQCSUIAJ-UHFFFAOYSA-M 0.000 claims 1
- 239000000463 material Substances 0.000 description 36
- 230000015572 biosynthetic process Effects 0.000 description 29
- 238000003786 synthesis reaction Methods 0.000 description 28
- JQQSUOJIMKJQHS-UHFFFAOYSA-N pentaphenyl group Chemical group C1=CC=CC2=CC3=CC=C4C=C5C=CC=CC5=CC4=C3C=C12 JQQSUOJIMKJQHS-UHFFFAOYSA-N 0.000 description 23
- 239000002356 single layer Substances 0.000 description 18
- 229910052783 alkali metal Inorganic materials 0.000 description 17
- 150000001340 alkali metals Chemical class 0.000 description 17
- 125000003933 pentacenyl group Chemical group C1(=CC=CC2=CC3=CC4=CC5=CC=CC=C5C=C4C=C3C=C12)* 0.000 description 17
- 229910052784 alkaline earth metal Inorganic materials 0.000 description 16
- 150000001342 alkaline earth metals Chemical class 0.000 description 16
- RTZKZFJDLAIYFH-UHFFFAOYSA-N Diethyl ether Chemical compound CCOCC RTZKZFJDLAIYFH-UHFFFAOYSA-N 0.000 description 15
- 125000004432 carbon atom Chemical group C* 0.000 description 13
- 238000004895 liquid chromatography mass spectrometry Methods 0.000 description 12
- 229910052761 rare earth metal Inorganic materials 0.000 description 11
- 150000002910 rare earth metals Chemical class 0.000 description 11
- 125000000008 (C1-C10) alkyl group Chemical group 0.000 description 9
- 239000000758 substrate Substances 0.000 description 9
- 125000000027 (C1-C10) alkoxy group Chemical group 0.000 description 8
- 125000006762 (C1-C60) heteroarylene group Chemical group 0.000 description 8
- 125000006761 (C6-C60) arylene group Chemical group 0.000 description 8
- ICPSWZFVWAPUKF-UHFFFAOYSA-N 1,1'-spirobi[fluorene] Chemical group C1=CC=C2C=C3C4(C=5C(C6=CC=CC=C6C=5)=CC=C4)C=CC=C3C2=C1 ICPSWZFVWAPUKF-UHFFFAOYSA-N 0.000 description 8
- 125000004653 anthracenylene group Chemical group 0.000 description 8
- 125000005566 carbazolylene group Chemical group 0.000 description 8
- 125000005584 chrysenylene group Chemical group 0.000 description 8
- 229940125904 compound 1 Drugs 0.000 description 8
- 125000005567 fluorenylene group Chemical group 0.000 description 8
- 125000004957 naphthylene group Chemical group 0.000 description 8
- 229910052757 nitrogen Inorganic materials 0.000 description 8
- MHAUGLFOVCQYNR-UHFFFAOYSA-N pentaphenylene Chemical group C1=CC=C2C3=CC=CC=C3C3=CC=CC=C3C3=CC=CC=C3C3=CC=CC=C3C2=C1 MHAUGLFOVCQYNR-UHFFFAOYSA-N 0.000 description 8
- 125000000843 phenylene group Chemical group C1(=C(C=CC=C1)*)* 0.000 description 8
- 125000005548 pyrenylene group Chemical group 0.000 description 8
- 125000005551 pyridylene group Chemical group 0.000 description 8
- 125000005730 thiophenylene group Chemical group 0.000 description 8
- OKTJSMMVPCPJKN-UHFFFAOYSA-N Carbon Chemical compound [C] OKTJSMMVPCPJKN-UHFFFAOYSA-N 0.000 description 7
- 150000001341 alkaline earth metal compounds Chemical class 0.000 description 7
- 125000005724 cycloalkenylene group Chemical group 0.000 description 7
- 125000002993 cycloalkylene group Chemical group 0.000 description 7
- 239000011777 magnesium Substances 0.000 description 7
- 229910052751 metal Inorganic materials 0.000 description 7
- 239000002184 metal Substances 0.000 description 7
- 239000011368 organic material Substances 0.000 description 7
- 125000005560 phenanthrenylene group Chemical group 0.000 description 7
- 229910052698 phosphorus Inorganic materials 0.000 description 7
- XLYOFNOQVPJJNP-UHFFFAOYSA-N water Substances O XLYOFNOQVPJJNP-UHFFFAOYSA-N 0.000 description 7
- KXZQISAMEOLCJR-UHFFFAOYSA-N 7H-indeno[2,1-a]anthracene Chemical group C1=CC=C2C=C3C4=CC5=CC=CC=C5CC4=CC=C3C2=C1 KXZQISAMEOLCJR-UHFFFAOYSA-N 0.000 description 6
- IJGRMHOSHXDMSA-UHFFFAOYSA-N Atomic nitrogen Chemical compound N#N IJGRMHOSHXDMSA-UHFFFAOYSA-N 0.000 description 6
- UHOVQNZJYSORNB-UHFFFAOYSA-N Benzene Chemical compound C1=CC=CC=C1 UHOVQNZJYSORNB-UHFFFAOYSA-N 0.000 description 6
- CSNNHWWHGAXBCP-UHFFFAOYSA-L Magnesium sulfate Chemical compound [Mg+2].[O-][S+2]([O-])([O-])[O-] CSNNHWWHGAXBCP-UHFFFAOYSA-L 0.000 description 6
- KDLHZDBZIXYQEI-UHFFFAOYSA-N Palladium Chemical compound [Pd] KDLHZDBZIXYQEI-UHFFFAOYSA-N 0.000 description 6
- 150000001339 alkali metal compounds Chemical class 0.000 description 6
- 125000000217 alkyl group Chemical group 0.000 description 6
- 239000011575 calcium Substances 0.000 description 6
- 230000000052 comparative effect Effects 0.000 description 6
- 230000002950 deficient Effects 0.000 description 6
- 125000005842 heteroatom Chemical group 0.000 description 6
- 125000006588 heterocycloalkylene group Chemical group 0.000 description 6
- 229920000767 polyaniline Polymers 0.000 description 6
- 150000002909 rare earth metal compounds Chemical class 0.000 description 6
- 229910052710 silicon Inorganic materials 0.000 description 6
- 125000003336 coronenyl group Chemical group C1(=CC2=CC=C3C=CC4=CC=C5C=CC6=CC=C1C1=C6C5=C4C3=C21)* 0.000 description 5
- 125000002950 monocyclic group Chemical group 0.000 description 5
- QJGQUHMNIGDVPM-UHFFFAOYSA-N nitrogen group Chemical group [N] QJGQUHMNIGDVPM-UHFFFAOYSA-N 0.000 description 5
- QFLWZFQWSBQYPS-AWRAUJHKSA-N (3S)-3-[[(2S)-2-[[(2S)-2-[5-[(3aS,6aR)-2-oxo-1,3,3a,4,6,6a-hexahydrothieno[3,4-d]imidazol-4-yl]pentanoylamino]-3-methylbutanoyl]amino]-3-(4-hydroxyphenyl)propanoyl]amino]-4-[1-bis(4-chlorophenoxy)phosphorylbutylamino]-4-oxobutanoic acid Chemical compound CCCC(NC(=O)[C@H](CC(O)=O)NC(=O)[C@H](Cc1ccc(O)cc1)NC(=O)[C@@H](NC(=O)CCCCC1SC[C@@H]2NC(=O)N[C@H]12)C(C)C)P(=O)(Oc1ccc(Cl)cc1)Oc1ccc(Cl)cc1 QFLWZFQWSBQYPS-AWRAUJHKSA-N 0.000 description 4
- IXHWGNYCZPISET-UHFFFAOYSA-N 2-[4-(dicyanomethylidene)-2,3,5,6-tetrafluorocyclohexa-2,5-dien-1-ylidene]propanedinitrile Chemical compound FC1=C(F)C(=C(C#N)C#N)C(F)=C(F)C1=C(C#N)C#N IXHWGNYCZPISET-UHFFFAOYSA-N 0.000 description 4
- ZCQWOFVYLHDMMC-UHFFFAOYSA-N Oxazole Chemical compound C1=COC=N1 ZCQWOFVYLHDMMC-UHFFFAOYSA-N 0.000 description 4
- 238000006243 chemical reaction Methods 0.000 description 4
- ZSWFCLXCOIISFI-UHFFFAOYSA-N cyclopentadiene Chemical compound C1C=CC=C1 ZSWFCLXCOIISFI-UHFFFAOYSA-N 0.000 description 4
- 238000000151 deposition Methods 0.000 description 4
- 125000005647 linker group Chemical group 0.000 description 4
- 229910052744 lithium Inorganic materials 0.000 description 4
- 229910052749 magnesium Inorganic materials 0.000 description 4
- 229910021645 metal ion Inorganic materials 0.000 description 4
- 125000005593 norbornanyl group Chemical group 0.000 description 4
- 125000003518 norbornenyl group Chemical group C12(C=CC(CC1)C2)* 0.000 description 4
- 125000005565 oxadiazolylene group Chemical group 0.000 description 4
- 125000005563 perylenylene group Chemical group 0.000 description 4
- SCVFZCLFOSHCOH-UHFFFAOYSA-M potassium acetate Chemical compound [K+].CC([O-])=O SCVFZCLFOSHCOH-UHFFFAOYSA-M 0.000 description 4
- 125000005550 pyrazinylene group Chemical group 0.000 description 4
- 125000005576 pyrimidinylene group Chemical group 0.000 description 4
- 239000000243 solution Substances 0.000 description 4
- 125000005557 thiazolylene group Chemical group 0.000 description 4
- 125000005558 triazinylene group Chemical group 0.000 description 4
- 125000005559 triazolylene group Chemical group 0.000 description 4
- 238000001771 vacuum deposition Methods 0.000 description 4
- UGUHFDPGDQDVGX-UHFFFAOYSA-N 1,2,3-thiadiazole Chemical group C1=CSN=N1 UGUHFDPGDQDVGX-UHFFFAOYSA-N 0.000 description 3
- BPMFPOGUJAAYHL-UHFFFAOYSA-N 9H-Pyrido[2,3-b]indole Chemical group C1=CC=C2C3=CC=CC=C3NC2=N1 BPMFPOGUJAAYHL-UHFFFAOYSA-N 0.000 description 3
- KFZMGEQAYNKOFK-UHFFFAOYSA-N Isopropanol Chemical compound CC(C)O KFZMGEQAYNKOFK-UHFFFAOYSA-N 0.000 description 3
- 229920001609 Poly(3,4-ethylenedioxythiophene) Polymers 0.000 description 3
- YXFVVABEGXRONW-UHFFFAOYSA-N Toluene Chemical compound CC1=CC=CC=C1 YXFVVABEGXRONW-UHFFFAOYSA-N 0.000 description 3
- 125000005605 benzo group Chemical group 0.000 description 3
- JFDZBHWFFUWGJE-UHFFFAOYSA-N benzonitrile Chemical compound N#CC1=CC=CC=C1 JFDZBHWFFUWGJE-UHFFFAOYSA-N 0.000 description 3
- 229910052792 caesium Inorganic materials 0.000 description 3
- 229910052791 calcium Inorganic materials 0.000 description 3
- 230000008021 deposition Effects 0.000 description 3
- 238000001704 evaporation Methods 0.000 description 3
- 229910052740 iodine Inorganic materials 0.000 description 3
- 150000002500 ions Chemical class 0.000 description 3
- 239000003446 ligand Substances 0.000 description 3
- 229910052943 magnesium sulfate Inorganic materials 0.000 description 3
- 235000019341 magnesium sulphate Nutrition 0.000 description 3
- 125000000956 methoxy group Chemical group [H]C([H])([H])O* 0.000 description 3
- 125000002911 monocyclic heterocycle group Chemical group 0.000 description 3
- 125000004433 nitrogen atom Chemical group N* 0.000 description 3
- 125000005564 oxazolylene group Chemical group 0.000 description 3
- BASFCYQUMIYNBI-UHFFFAOYSA-N platinum Chemical compound [Pt] BASFCYQUMIYNBI-UHFFFAOYSA-N 0.000 description 3
- 238000010898 silica gel chromatography Methods 0.000 description 3
- 229910052709 silver Inorganic materials 0.000 description 3
- 239000002904 solvent Substances 0.000 description 3
- QBLFZIBJXUQVRF-UHFFFAOYSA-N (4-bromophenyl)boronic acid Chemical compound OB(O)C1=CC=C(Br)C=C1 QBLFZIBJXUQVRF-UHFFFAOYSA-N 0.000 description 2
- 125000006758 (C2-C60) alkyl group Chemical group 0.000 description 2
- MIOPJNTWMNEORI-GMSGAONNSA-N (S)-camphorsulfonic acid Chemical compound C1C[C@@]2(CS(O)(=O)=O)C(=O)C[C@@H]1C2(C)C MIOPJNTWMNEORI-GMSGAONNSA-N 0.000 description 2
- UZKWTJUDCOPSNM-UHFFFAOYSA-N 1-ethenoxybutane Chemical compound CCCCOC=C UZKWTJUDCOPSNM-UHFFFAOYSA-N 0.000 description 2
- UIWLITBBFICQKW-UHFFFAOYSA-N 1h-benzo[h]quinolin-2-one Chemical compound C1=CC=C2C3=NC(O)=CC=C3C=CC2=C1 UIWLITBBFICQKW-UHFFFAOYSA-N 0.000 description 2
- AMEVJOWOWQPPJQ-UHFFFAOYSA-N 2,4-dichloro-6-phenyl-1,3,5-triazine Chemical compound ClC1=NC(Cl)=NC(C=2C=CC=CC=2)=N1 AMEVJOWOWQPPJQ-UHFFFAOYSA-N 0.000 description 2
- LRKMFFQTCGUHNO-UHFFFAOYSA-N 2-(5-phenyloxadiazol-4-yl)phenol Chemical compound Oc1ccccc1-c1nnoc1-c1ccccc1 LRKMFFQTCGUHNO-UHFFFAOYSA-N 0.000 description 2
- YQAPKRUPKSVPLI-UHFFFAOYSA-N 2-(5-phenylthiadiazol-4-yl)phenol Chemical compound OC1=CC=CC=C1C1=C(C=2C=CC=CC=2)SN=N1 YQAPKRUPKSVPLI-UHFFFAOYSA-N 0.000 description 2
- HNWFFTUWRIGBNM-UHFFFAOYSA-N 2-methyl-9,10-dinaphthalen-2-ylanthracene Chemical compound C1=CC=CC2=CC(C3=C4C=CC=CC4=C(C=4C=C5C=CC=CC5=CC=4)C4=CC=C(C=C43)C)=CC=C21 HNWFFTUWRIGBNM-UHFFFAOYSA-N 0.000 description 2
- JVYZLBBNUCRSNR-UHFFFAOYSA-N 2-phenyl-1,3-benzothiazol-4-ol Chemical compound N=1C=2C(O)=CC=CC=2SC=1C1=CC=CC=C1 JVYZLBBNUCRSNR-UHFFFAOYSA-N 0.000 description 2
- FZTBAQBBLSYHJZ-UHFFFAOYSA-N 2-phenyl-1,3-oxazol-4-ol Chemical compound OC1=COC(C=2C=CC=CC=2)=N1 FZTBAQBBLSYHJZ-UHFFFAOYSA-N 0.000 description 2
- CCMLIFHRMDXEBM-UHFFFAOYSA-N 2-phenyl-1,3-thiazol-4-ol Chemical compound OC1=CSC(C=2C=CC=CC=2)=N1 CCMLIFHRMDXEBM-UHFFFAOYSA-N 0.000 description 2
- HJJXCBIOYBUVBH-UHFFFAOYSA-N 2-phenyl-1h-benzimidazol-4-ol Chemical compound N1C=2C(O)=CC=CC=2N=C1C1=CC=CC=C1 HJJXCBIOYBUVBH-UHFFFAOYSA-N 0.000 description 2
- VHRHRMPFHJXSNR-UHFFFAOYSA-N 2-phenylpyridin-3-ol Chemical compound OC1=CC=CN=C1C1=CC=CC=C1 VHRHRMPFHJXSNR-UHFFFAOYSA-N 0.000 description 2
- OBAJPWYDYFEBTF-UHFFFAOYSA-N 2-tert-butyl-9,10-dinaphthalen-2-ylanthracene Chemical compound C1=CC=CC2=CC(C3=C4C=CC=CC4=C(C=4C=C5C=CC=CC5=CC=4)C4=CC=C(C=C43)C(C)(C)C)=CC=C21 OBAJPWYDYFEBTF-UHFFFAOYSA-N 0.000 description 2
- ZVFQEOPUXVPSLB-UHFFFAOYSA-N 3-(4-tert-butylphenyl)-4-phenyl-5-(4-phenylphenyl)-1,2,4-triazole Chemical compound C1=CC(C(C)(C)C)=CC=C1C(N1C=2C=CC=CC=2)=NN=C1C1=CC=C(C=2C=CC=CC=2)C=C1 ZVFQEOPUXVPSLB-UHFFFAOYSA-N 0.000 description 2
- WDBQJSCPCGTAFG-QHCPKHFHSA-N 4,4-difluoro-N-[(1S)-3-[4-(3-methyl-5-propan-2-yl-1,2,4-triazol-4-yl)piperidin-1-yl]-1-pyridin-3-ylpropyl]cyclohexane-1-carboxamide Chemical compound FC1(CCC(CC1)C(=O)N[C@@H](CCN1CCC(CC1)N1C(=NN=C1C)C(C)C)C=1C=NC=CC=1)F WDBQJSCPCGTAFG-QHCPKHFHSA-N 0.000 description 2
- BWGRDBSNKQABCB-UHFFFAOYSA-N 4,4-difluoro-N-[3-[3-(3-methyl-5-propan-2-yl-1,2,4-triazol-4-yl)-8-azabicyclo[3.2.1]octan-8-yl]-1-thiophen-2-ylpropyl]cyclohexane-1-carboxamide Chemical compound CC(C)C1=NN=C(C)N1C1CC2CCC(C1)N2CCC(NC(=O)C1CCC(F)(F)CC1)C1=CC=CS1 BWGRDBSNKQABCB-UHFFFAOYSA-N 0.000 description 2
- DHDHJYNTEFLIHY-UHFFFAOYSA-N 4,7-diphenyl-1,10-phenanthroline Chemical compound C1=CC=CC=C1C1=CC=NC2=C1C=CC1=C(C=3C=CC=CC=3)C=CN=C21 DHDHJYNTEFLIHY-UHFFFAOYSA-N 0.000 description 2
- ZRYZBQLXDKPBDU-UHFFFAOYSA-N 4-bromobenzaldehyde Chemical compound BrC1=CC=C(C=O)C=C1 ZRYZBQLXDKPBDU-UHFFFAOYSA-N 0.000 description 2
- KDCGOANMDULRCW-UHFFFAOYSA-N 7H-purine Chemical group N1=CNC2=NC=NC2=C1 KDCGOANMDULRCW-UHFFFAOYSA-N 0.000 description 2
- VIZUPBYFLORCRA-UHFFFAOYSA-N 9,10-dinaphthalen-2-ylanthracene Chemical compound C12=CC=CC=C2C(C2=CC3=CC=CC=C3C=C2)=C(C=CC=C2)C2=C1C1=CC=C(C=CC=C2)C2=C1 VIZUPBYFLORCRA-UHFFFAOYSA-N 0.000 description 2
- VFUDMQLBKNMONU-UHFFFAOYSA-N 9-[4-(4-carbazol-9-ylphenyl)phenyl]carbazole Chemical compound C12=CC=CC=C2C2=CC=CC=C2N1C1=CC=C(C=2C=CC(=CC=2)N2C3=CC=CC=C3C3=CC=CC=C32)C=C1 VFUDMQLBKNMONU-UHFFFAOYSA-N 0.000 description 2
- 229910001148 Al-Li alloy Inorganic materials 0.000 description 2
- ROFVEXUMMXZLPA-UHFFFAOYSA-N Bipyridyl Chemical compound N1=CC=CC=C1C1=CC=CC=N1 ROFVEXUMMXZLPA-UHFFFAOYSA-N 0.000 description 2
- OYPRJOBELJOOCE-UHFFFAOYSA-N Calcium Chemical compound [Ca] OYPRJOBELJOOCE-UHFFFAOYSA-N 0.000 description 2
- YVMKUNDBYMJKDO-UHFFFAOYSA-N ClC1=NC(=NC(=N1)Cl)C1=CC=CC=C1.ClC1=NC(=NC(=N1)Cl)C1=CC=CC=C1 Chemical compound ClC1=NC(=NC(=N1)Cl)C1=CC=CC=C1.ClC1=NC(=NC(=N1)Cl)C1=CC=CC=C1 YVMKUNDBYMJKDO-UHFFFAOYSA-N 0.000 description 2
- 229910018068 Li 2 O Inorganic materials 0.000 description 2
- FYYHWMGAXLPEAU-UHFFFAOYSA-N Magnesium Chemical group [Mg] FYYHWMGAXLPEAU-UHFFFAOYSA-N 0.000 description 2
- XYFCBTPGUUZFHI-UHFFFAOYSA-N Phosphine Chemical compound P XYFCBTPGUUZFHI-UHFFFAOYSA-N 0.000 description 2
- BQCADISMDOOEFD-UHFFFAOYSA-N Silver Chemical compound [Ag] BQCADISMDOOEFD-UHFFFAOYSA-N 0.000 description 2
- 229910052771 Terbium Inorganic materials 0.000 description 2
- JHYLKGDXMUDNEO-UHFFFAOYSA-N [Mg].[In] Chemical compound [Mg].[In] JHYLKGDXMUDNEO-UHFFFAOYSA-N 0.000 description 2
- 125000004054 acenaphthylenyl group Chemical group C1(=CC2=CC=CC3=CC=CC1=C23)* 0.000 description 2
- XIVOUNPJCNJBPR-UHFFFAOYSA-N acridin-1-ol Chemical compound C1=CC=C2C=C3C(O)=CC=CC3=NC2=C1 XIVOUNPJCNJBPR-UHFFFAOYSA-N 0.000 description 2
- 229910001508 alkali metal halide Inorganic materials 0.000 description 2
- 150000008045 alkali metal halides Chemical class 0.000 description 2
- 125000002947 alkylene group Chemical group 0.000 description 2
- 229910052782 aluminium Inorganic materials 0.000 description 2
- XAGFODPZIPBFFR-UHFFFAOYSA-N aluminium Chemical compound [Al] XAGFODPZIPBFFR-UHFFFAOYSA-N 0.000 description 2
- 125000006615 aromatic heterocyclic group Chemical group 0.000 description 2
- IPWKHHSGDUIRAH-UHFFFAOYSA-N bis(pinacolato)diboron Chemical compound O1C(C)(C)C(C)(C)OB1B1OC(C)(C)C(C)(C)O1 IPWKHHSGDUIRAH-UHFFFAOYSA-N 0.000 description 2
- 150000001717 carbocyclic compounds Chemical class 0.000 description 2
- 239000011248 coating agent Substances 0.000 description 2
- 238000000576 coating method Methods 0.000 description 2
- 229940126214 compound 3 Drugs 0.000 description 2
- 229940125898 compound 5 Drugs 0.000 description 2
- 125000004122 cyclic group Chemical group 0.000 description 2
- DKHNGUNXLDCATP-UHFFFAOYSA-N dipyrazino[2,3-f:2',3'-h]quinoxaline-2,3,6,7,10,11-hexacarbonitrile Chemical compound C12=NC(C#N)=C(C#N)N=C2C2=NC(C#N)=C(C#N)N=C2C2=C1N=C(C#N)C(C#N)=N2 DKHNGUNXLDCATP-UHFFFAOYSA-N 0.000 description 2
- 238000009826 distribution Methods 0.000 description 2
- 125000001495 ethyl group Chemical group [H]C([H])([H])C([H])([H])* 0.000 description 2
- 239000011521 glass Substances 0.000 description 2
- 150000002430 hydrocarbons Chemical group 0.000 description 2
- 229910010272 inorganic material Inorganic materials 0.000 description 2
- 239000011147 inorganic material Substances 0.000 description 2
- VDBNYAPERZTOOF-UHFFFAOYSA-N isoquinolin-1(2H)-one Chemical compound C1=CC=C2C(=O)NC=CC2=C1 VDBNYAPERZTOOF-UHFFFAOYSA-N 0.000 description 2
- SJCKRGFTWFGHGZ-UHFFFAOYSA-N magnesium silver Chemical compound [Mg].[Ag] SJCKRGFTWFGHGZ-UHFFFAOYSA-N 0.000 description 2
- 229910044991 metal oxide Inorganic materials 0.000 description 2
- 150000004706 metal oxides Chemical class 0.000 description 2
- 125000002496 methyl group Chemical group [H]C([H])([H])* 0.000 description 2
- 239000011259 mixed solution Substances 0.000 description 2
- 238000012986 modification Methods 0.000 description 2
- 230000004048 modification Effects 0.000 description 2
- LCPYTQFVQRPZCV-UHFFFAOYSA-N n-[4-(4-carbazol-9-ylphenyl)phenyl]-4-phenyl-n-(4-phenylphenyl)aniline Chemical compound C1=CC=CC=C1C1=CC=C(N(C=2C=CC(=CC=2)C=2C=CC=CC=2)C=2C=CC(=CC=2)C=2C=CC(=CC=2)N2C3=CC=CC=C3C3=CC=CC=C32)C=C1 LCPYTQFVQRPZCV-UHFFFAOYSA-N 0.000 description 2
- 239000013110 organic ligand Substances 0.000 description 2
- AICOOMRHRUFYCM-ZRRPKQBOSA-N oxazine, 1 Chemical compound C([C@@H]1[C@H](C(C[C@]2(C)[C@@H]([C@H](C)N(C)C)[C@H](O)C[C@]21C)=O)CC1=CC2)C[C@H]1[C@@]1(C)[C@H]2N=C(C(C)C)OC1 AICOOMRHRUFYCM-ZRRPKQBOSA-N 0.000 description 2
- KELCFVWDYYCEOQ-UHFFFAOYSA-N phenanthridin-1-ol Chemical compound C1=CC=CC2=C3C(O)=CC=CC3=NC=C21 KELCFVWDYYCEOQ-UHFFFAOYSA-N 0.000 description 2
- IEQIEDJGQAUEQZ-UHFFFAOYSA-N phthalocyanine Chemical class N1C(N=C2C3=CC=CC=C3C(N=C3C4=CC=CC=C4C(=N4)N3)=N2)=C(C=CC=C2)C2=C1N=C1C2=CC=CC=C2C4=N1 IEQIEDJGQAUEQZ-UHFFFAOYSA-N 0.000 description 2
- 235000011056 potassium acetate Nutrition 0.000 description 2
- OWJJRQSAIMYXQJ-UHFFFAOYSA-N pyrene-1,6-diamine Chemical compound C1=C2C(N)=CC=C(C=C3)C2=C2C3=C(N)C=CC2=C1 OWJJRQSAIMYXQJ-UHFFFAOYSA-N 0.000 description 2
- MCJGNVYPOGVAJF-UHFFFAOYSA-N quinolin-8-ol Chemical compound C1=CN=C2C(O)=CC=CC2=C1 MCJGNVYPOGVAJF-UHFFFAOYSA-N 0.000 description 2
- 150000004059 quinone derivatives Chemical class 0.000 description 2
- 230000004044 response Effects 0.000 description 2
- 239000010948 rhodium Substances 0.000 description 2
- 239000004332 silver Substances 0.000 description 2
- 229910052708 sodium Inorganic materials 0.000 description 2
- 239000011734 sodium Substances 0.000 description 2
- 238000004528 spin coating Methods 0.000 description 2
- 238000003756 stirring Methods 0.000 description 2
- PCCVSPMFGIFTHU-UHFFFAOYSA-N tetracyanoquinodimethane Chemical compound N#CC(C#N)=C1C=CC(=C(C#N)C#N)C=C1 PCCVSPMFGIFTHU-UHFFFAOYSA-N 0.000 description 2
- 125000003718 tetrahydrofuranyl group Chemical group 0.000 description 2
- 239000010936 titanium Substances 0.000 description 2
- SHZGCJCMOBCMKK-GASJEMHNSA-N (3r,4s,5s,6r)-6-methyloxane-2,3,4,5-tetrol Chemical compound C[C@H]1OC(O)[C@H](O)[C@@H](O)[C@@H]1O SHZGCJCMOBCMKK-GASJEMHNSA-N 0.000 description 1
- 125000006759 (C2-C60) alkenylene group Chemical group 0.000 description 1
- 125000006760 (C2-C60) alkynylene group Chemical group 0.000 description 1
- 125000006736 (C6-C20) aryl group Chemical group 0.000 description 1
- POILWHVDKZOXJZ-ARJAWSKDSA-M (z)-4-oxopent-2-en-2-olate Chemical compound C\C([O-])=C\C(C)=O POILWHVDKZOXJZ-ARJAWSKDSA-M 0.000 description 1
- BCMCBBGGLRIHSE-UHFFFAOYSA-N 1,3-benzoxazole Chemical group C1=CC=C2OC=NC2=C1 BCMCBBGGLRIHSE-UHFFFAOYSA-N 0.000 description 1
- IYZMXHQDXZKNCY-UHFFFAOYSA-N 1-n,1-n-diphenyl-4-n,4-n-bis[4-(n-phenylanilino)phenyl]benzene-1,4-diamine Chemical compound C1=CC=CC=C1N(C=1C=CC(=CC=1)N(C=1C=CC(=CC=1)N(C=1C=CC=CC=1)C=1C=CC=CC=1)C=1C=CC(=CC=1)N(C=1C=CC=CC=1)C=1C=CC=CC=1)C1=CC=CC=C1 IYZMXHQDXZKNCY-UHFFFAOYSA-N 0.000 description 1
- STTGYIUESPWXOW-UHFFFAOYSA-N 2,9-dimethyl-4,7-diphenyl-1,10-phenanthroline Chemical compound C=12C=CC3=C(C=4C=CC=CC=4)C=C(C)N=C3C2=NC(C)=CC=1C1=CC=CC=C1 STTGYIUESPWXOW-UHFFFAOYSA-N 0.000 description 1
- LYTMVABTDYMBQK-UHFFFAOYSA-N 2-benzothiophene Chemical group C1=CC=CC2=CSC=C21 LYTMVABTDYMBQK-UHFFFAOYSA-N 0.000 description 1
- QZTQQBIGSZWRGI-UHFFFAOYSA-N 2-n',7-n'-bis(3-methylphenyl)-2-n',7-n'-diphenyl-9,9'-spirobi[fluorene]-2',7'-diamine Chemical compound CC1=CC=CC(N(C=2C=CC=CC=2)C=2C=C3C4(C5=CC=CC=C5C5=CC=CC=C54)C4=CC(=CC=C4C3=CC=2)N(C=2C=CC=CC=2)C=2C=C(C)C=CC=2)=C1 QZTQQBIGSZWRGI-UHFFFAOYSA-N 0.000 description 1
- ZDAWFMCVTXSZTC-UHFFFAOYSA-N 2-n',7-n'-dinaphthalen-1-yl-2-n',7-n'-diphenyl-9,9'-spirobi[fluorene]-2',7'-diamine Chemical compound C1=CC=CC=C1N(C=1C2=CC=CC=C2C=CC=1)C1=CC=C(C=2C(=CC(=CC=2)N(C=2C=CC=CC=2)C=2C3=CC=CC=C3C=CC=2)C23C4=CC=CC=C4C4=CC=CC=C43)C2=C1 ZDAWFMCVTXSZTC-UHFFFAOYSA-N 0.000 description 1
- CJJMFSZAZAEBFI-UHFFFAOYSA-N 4-(4,6-dichloro-1,3,5-triazin-2-yl)benzonitrile Chemical compound ClC1=NC(=NC(=N1)Cl)C1=CC=C(C#N)C=C1 CJJMFSZAZAEBFI-UHFFFAOYSA-N 0.000 description 1
- SESASPRCAIMYLA-UHFFFAOYSA-N 4-bromonaphthalene-1-carbaldehyde Chemical compound C1=CC=C2C(Br)=CC=C(C=O)C2=C1 SESASPRCAIMYLA-UHFFFAOYSA-N 0.000 description 1
- AWXGSYPUMWKTBR-UHFFFAOYSA-N 4-carbazol-9-yl-n,n-bis(4-carbazol-9-ylphenyl)aniline Chemical compound C12=CC=CC=C2C2=CC=CC=C2N1C1=CC=C(N(C=2C=CC(=CC=2)N2C3=CC=CC=C3C3=CC=CC=C32)C=2C=CC(=CC=2)N2C3=CC=CC=C3C3=CC=CC=C32)C=C1 AWXGSYPUMWKTBR-UHFFFAOYSA-N 0.000 description 1
- ZOKIJILZFXPFTO-UHFFFAOYSA-N 4-methyl-n-[4-[1-[4-(4-methyl-n-(4-methylphenyl)anilino)phenyl]cyclohexyl]phenyl]-n-(4-methylphenyl)aniline Chemical compound C1=CC(C)=CC=C1N(C=1C=CC(=CC=1)C1(CCCCC1)C=1C=CC(=CC=1)N(C=1C=CC(C)=CC=1)C=1C=CC(C)=CC=1)C1=CC=C(C)C=C1 ZOKIJILZFXPFTO-UHFFFAOYSA-N 0.000 description 1
- DIVZFUBWFAOMCW-UHFFFAOYSA-N 4-n-(3-methylphenyl)-1-n,1-n-bis[4-(n-(3-methylphenyl)anilino)phenyl]-4-n-phenylbenzene-1,4-diamine Chemical compound CC1=CC=CC(N(C=2C=CC=CC=2)C=2C=CC(=CC=2)N(C=2C=CC(=CC=2)N(C=2C=CC=CC=2)C=2C=C(C)C=CC=2)C=2C=CC(=CC=2)N(C=2C=CC=CC=2)C=2C=C(C)C=CC=2)=C1 DIVZFUBWFAOMCW-UHFFFAOYSA-N 0.000 description 1
- AOQKGYRILLEVJV-UHFFFAOYSA-N 4-naphthalen-1-yl-3,5-diphenyl-1,2,4-triazole Chemical compound C1=CC=CC=C1C(N1C=2C3=CC=CC=C3C=CC=2)=NN=C1C1=CC=CC=C1 AOQKGYRILLEVJV-UHFFFAOYSA-N 0.000 description 1
- ZCYVEMRRCGMTRW-UHFFFAOYSA-N 7553-56-2 Chemical compound [I] ZCYVEMRRCGMTRW-UHFFFAOYSA-N 0.000 description 1
- WREVVZMUNPAPOV-UHFFFAOYSA-N 8-aminoquinoline Chemical compound C1=CN=C2C(N)=CC=CC2=C1 WREVVZMUNPAPOV-UHFFFAOYSA-N 0.000 description 1
- MZYDBGLUVPLRKR-UHFFFAOYSA-N 9-(3-carbazol-9-ylphenyl)carbazole Chemical compound C12=CC=CC=C2C2=CC=CC=C2N1C1=CC(N2C3=CC=CC=C3C3=CC=CC=C32)=CC=C1 MZYDBGLUVPLRKR-UHFFFAOYSA-N 0.000 description 1
- DVNOWTJCOPZGQA-UHFFFAOYSA-N 9-[3,5-di(carbazol-9-yl)phenyl]carbazole Chemical compound C12=CC=CC=C2C2=CC=CC=C2N1C1=CC(N2C3=CC=CC=C3C3=CC=CC=C32)=CC(N2C3=CC=CC=C3C3=CC=CC=C32)=C1 DVNOWTJCOPZGQA-UHFFFAOYSA-N 0.000 description 1
- KLSJWNVTNUYHDU-UHFFFAOYSA-N Amitrole Chemical group NC1=NC=NN1 KLSJWNVTNUYHDU-UHFFFAOYSA-N 0.000 description 1
- RBZFEVRLHRZGQA-UHFFFAOYSA-N BrC1=C2C=CC=NC2=C2N=CC=CC2=C1.BrC1=C2C=CC=NC2=C2N=CC=CC2=C1 Chemical compound BrC1=C2C=CC=NC2=C2N=CC=CC2=C1.BrC1=C2C=CC=NC2=C2N=CC=CC2=C1 RBZFEVRLHRZGQA-UHFFFAOYSA-N 0.000 description 1
- CPELXLSAUQHCOX-UHFFFAOYSA-M Bromide Chemical compound [Br-] CPELXLSAUQHCOX-UHFFFAOYSA-M 0.000 description 1
- 229910052684 Cerium Inorganic materials 0.000 description 1
- VEXZGXHMUGYJMC-UHFFFAOYSA-M Chloride anion Chemical compound [Cl-] VEXZGXHMUGYJMC-UHFFFAOYSA-M 0.000 description 1
- 229910052693 Europium Inorganic materials 0.000 description 1
- KRHYYFGTRYWZRS-UHFFFAOYSA-M Fluoride anion Chemical compound [F-] KRHYYFGTRYWZRS-UHFFFAOYSA-M 0.000 description 1
- 229910052688 Gadolinium Inorganic materials 0.000 description 1
- 229910005690 GdF 3 Inorganic materials 0.000 description 1
- 101000837344 Homo sapiens T-cell leukemia translocation-altered gene protein Proteins 0.000 description 1
- WHXSMMKQMYFTQS-UHFFFAOYSA-N Lithium Chemical compound [Li] WHXSMMKQMYFTQS-UHFFFAOYSA-N 0.000 description 1
- KWYHDKDOAIKMQN-UHFFFAOYSA-N N,N,N',N'-tetramethylethylenediamine Chemical compound CN(C)CCN(C)C KWYHDKDOAIKMQN-UHFFFAOYSA-N 0.000 description 1
- CBENFWSGALASAD-UHFFFAOYSA-N Ozone Chemical compound [O-][O+]=O CBENFWSGALASAD-UHFFFAOYSA-N 0.000 description 1
- OAICVXFJPJFONN-UHFFFAOYSA-N Phosphorus Chemical compound [P] OAICVXFJPJFONN-UHFFFAOYSA-N 0.000 description 1
- CZPWVGJYEJSRLH-UHFFFAOYSA-N Pyrimidine Chemical compound C1=CN=CN=C1 CZPWVGJYEJSRLH-UHFFFAOYSA-N 0.000 description 1
- 229910006404 SnO 2 Inorganic materials 0.000 description 1
- 102100028692 T-cell leukemia translocation-altered gene protein Human genes 0.000 description 1
- 229910052775 Thulium Inorganic materials 0.000 description 1
- RTAQQCXQSZGOHL-UHFFFAOYSA-N Titanium Chemical compound [Ti] RTAQQCXQSZGOHL-UHFFFAOYSA-N 0.000 description 1
- 229910052769 Ytterbium Inorganic materials 0.000 description 1
- XLOMVQKBTHCTTD-UHFFFAOYSA-N Zinc monoxide Chemical compound [Zn]=O XLOMVQKBTHCTTD-UHFFFAOYSA-N 0.000 description 1
- 150000001338 aliphatic hydrocarbons Chemical class 0.000 description 1
- 229910000272 alkali metal oxide Inorganic materials 0.000 description 1
- 125000004450 alkenylene group Chemical group 0.000 description 1
- 229910045601 alloy Inorganic materials 0.000 description 1
- 239000000956 alloy Substances 0.000 description 1
- 150000001412 amines Chemical class 0.000 description 1
- 125000003277 amino group Chemical group 0.000 description 1
- 229910052789 astatine Inorganic materials 0.000 description 1
- 229910052788 barium Inorganic materials 0.000 description 1
- 229910001422 barium ion Inorganic materials 0.000 description 1
- LPTWEDZIPSKWDG-UHFFFAOYSA-N benzenesulfonic acid;dodecane Chemical compound OS(=O)(=O)C1=CC=CC=C1.CCCCCCCCCCCC LPTWEDZIPSKWDG-UHFFFAOYSA-N 0.000 description 1
- 125000003785 benzimidazolyl group Chemical group N1=C(NC2=C1C=CC=C2)* 0.000 description 1
- MFMVRILBADIIJO-UHFFFAOYSA-N benzo[e][1]benzofuran Chemical group C1=CC=C2C(C=CO3)=C3C=CC2=C1 MFMVRILBADIIJO-UHFFFAOYSA-N 0.000 description 1
- LJOLGGXHRVADAA-UHFFFAOYSA-N benzo[e][1]benzothiole Chemical group C1=CC=C2C(C=CS3)=C3C=CC2=C1 LJOLGGXHRVADAA-UHFFFAOYSA-N 0.000 description 1
- 125000005872 benzooxazolyl group Chemical group 0.000 description 1
- 229910001423 beryllium ion Inorganic materials 0.000 description 1
- UFVXQDWNSAGPHN-UHFFFAOYSA-K bis[(2-methylquinolin-8-yl)oxy]-(4-phenylphenoxy)alumane Chemical compound [Al+3].C1=CC=C([O-])C2=NC(C)=CC=C21.C1=CC=C([O-])C2=NC(C)=CC=C21.C1=CC([O-])=CC=C1C1=CC=CC=C1 UFVXQDWNSAGPHN-UHFFFAOYSA-K 0.000 description 1
- 229910052794 bromium Inorganic materials 0.000 description 1
- 125000004369 butenyl group Chemical group C(=CCC)* 0.000 description 1
- 229910001417 caesium ion Inorganic materials 0.000 description 1
- 229910001424 calcium ion Inorganic materials 0.000 description 1
- 150000001732 carboxylic acid derivatives Chemical class 0.000 description 1
- 239000000969 carrier Substances 0.000 description 1
- 238000005266 casting Methods 0.000 description 1
- 229910052801 chlorine Inorganic materials 0.000 description 1
- 239000002131 composite material Substances 0.000 description 1
- 230000008878 coupling Effects 0.000 description 1
- 238000010168 coupling process Methods 0.000 description 1
- 238000005859 coupling reaction Methods 0.000 description 1
- 125000001995 cyclobutyl group Chemical group [H]C1([H])C([H])([H])C([H])(*)C1([H])[H] 0.000 description 1
- 125000001162 cycloheptenyl group Chemical group C1(=CCCCCC1)* 0.000 description 1
- 125000001559 cyclopropyl group Chemical group [H]C1([H])C([H])([H])C1([H])* 0.000 description 1
- 230000007547 defect Effects 0.000 description 1
- 238000009792 diffusion process Methods 0.000 description 1
- 125000005594 diketone group Chemical group 0.000 description 1
- MNXYJVWXMUBENA-UHFFFAOYSA-N dinaphthofuran Chemical group C1=CC=CC2=C(C3=C(C4=CC=CC=C4C=C3)O3)C3=CC=C21 MNXYJVWXMUBENA-UHFFFAOYSA-N 0.000 description 1
- SYXXZXWLYNODHL-UHFFFAOYSA-N dinaphthothiophene Chemical group C1=CC=CC2=C(C3=C(C4=CC=CC=C4C=C3)S3)C3=CC=C21 SYXXZXWLYNODHL-UHFFFAOYSA-N 0.000 description 1
- 229940060296 dodecylbenzenesulfonic acid Drugs 0.000 description 1
- 125000001301 ethoxy group Chemical group [H]C([H])([H])C([H])([H])O* 0.000 description 1
- DQYBDCGIPTYXML-UHFFFAOYSA-N ethoxyethane;hydrate Chemical compound O.CCOCC DQYBDCGIPTYXML-UHFFFAOYSA-N 0.000 description 1
- 125000002534 ethynyl group Chemical group [H]C#C* 0.000 description 1
- OGPBJKLSAFTDLK-UHFFFAOYSA-N europium atom Chemical compound [Eu] OGPBJKLSAFTDLK-UHFFFAOYSA-N 0.000 description 1
- 230000005281 excited state Effects 0.000 description 1
- 229910052731 fluorine Inorganic materials 0.000 description 1
- WCVXAYSKMJJPLO-UHFFFAOYSA-N furan Chemical group C=1C=COC=1.C=1C=COC=1 WCVXAYSKMJJPLO-UHFFFAOYSA-N 0.000 description 1
- 230000009477 glass transition Effects 0.000 description 1
- 230000005283 ground state Effects 0.000 description 1
- 229910052735 hafnium Inorganic materials 0.000 description 1
- VBJZVLUMGGDVMO-UHFFFAOYSA-N hafnium atom Chemical compound [Hf] VBJZVLUMGGDVMO-UHFFFAOYSA-N 0.000 description 1
- 150000004820 halides Chemical class 0.000 description 1
- 229910052736 halogen Inorganic materials 0.000 description 1
- 150000002367 halogens Chemical class 0.000 description 1
- 238000010438 heat treatment Methods 0.000 description 1
- 125000001072 heteroaryl group Chemical group 0.000 description 1
- 125000004051 hexyl group Chemical group [H]C([H])([H])C([H])([H])C([H])([H])C([H])([H])C([H])([H])C([H])([H])* 0.000 description 1
- 125000004435 hydrogen atom Chemical group [H]* 0.000 description 1
- XMBWDFGMSWQBCA-UHFFFAOYSA-N hydrogen iodide Chemical compound I XMBWDFGMSWQBCA-UHFFFAOYSA-N 0.000 description 1
- AMGQUBHHOARCQH-UHFFFAOYSA-N indium;oxotin Chemical group [In].[Sn]=O AMGQUBHHOARCQH-UHFFFAOYSA-N 0.000 description 1
- 239000004615 ingredient Substances 0.000 description 1
- 238000007641 inkjet printing Methods 0.000 description 1
- 239000011229 interlayer Substances 0.000 description 1
- 239000011630 iodine Substances 0.000 description 1
- 229910052741 iridium Inorganic materials 0.000 description 1
- GKOZUEZYRPOHIO-UHFFFAOYSA-N iridium atom Chemical group [Ir] GKOZUEZYRPOHIO-UHFFFAOYSA-N 0.000 description 1
- 125000000959 isobutyl group Chemical group [H]C([H])([H])C([H])(C([H])([H])[H])C([H])([H])* 0.000 description 1
- 150000002527 isonitriles Chemical class 0.000 description 1
- 125000001972 isopentyl group Chemical group [H]C([H])([H])C([H])(C([H])([H])[H])C([H])([H])C([H])([H])* 0.000 description 1
- 238000003475 lamination Methods 0.000 description 1
- 238000007648 laser printing Methods 0.000 description 1
- 229910001416 lithium ion Inorganic materials 0.000 description 1
- IMKMFBIYHXBKRX-UHFFFAOYSA-M lithium;quinoline-2-carboxylate Chemical compound [Li+].C1=CC=CC2=NC(C(=O)[O-])=CC=C21 IMKMFBIYHXBKRX-UHFFFAOYSA-M 0.000 description 1
- 238000004768 lowest unoccupied molecular orbital Methods 0.000 description 1
- 229910001425 magnesium ion Inorganic materials 0.000 description 1
- 238000004519 manufacturing process Methods 0.000 description 1
- 239000011159 matrix material Substances 0.000 description 1
- 238000002844 melting Methods 0.000 description 1
- 230000008018 melting Effects 0.000 description 1
- 229910000476 molybdenum oxide Inorganic materials 0.000 description 1
- BLFVVZKSHYCRDR-UHFFFAOYSA-N n-[4-[4-(n-naphthalen-2-ylanilino)phenyl]phenyl]-n-phenylnaphthalen-2-amine Chemical compound C1=CC=CC=C1N(C=1C=C2C=CC=CC2=CC=1)C1=CC=C(C=2C=CC(=CC=2)N(C=2C=CC=CC=2)C=2C=C3C=CC=CC3=CC=2)C=C1 BLFVVZKSHYCRDR-UHFFFAOYSA-N 0.000 description 1
- LKKPNUDVOYAOBB-UHFFFAOYSA-N naphthalocyanine Chemical class N1C(N=C2C3=CC4=CC=CC=C4C=C3C(N=C3C4=CC5=CC=CC=C5C=C4C(=N4)N3)=N2)=C(C=C2C(C=CC=C2)=C2)C2=C1N=C1C2=CC3=CC=CC=C3C=C2C4=N1 LKKPNUDVOYAOBB-UHFFFAOYSA-N 0.000 description 1
- NYESPUIMUJRIAP-UHFFFAOYSA-N naphtho[1,2-e][1]benzofuran Chemical group C1=CC=CC2=C3C(C=CO4)=C4C=CC3=CC=C21 NYESPUIMUJRIAP-UHFFFAOYSA-N 0.000 description 1
- XRJUVKFVUBGLMG-UHFFFAOYSA-N naphtho[1,2-e][1]benzothiole Chemical group C1=CC=CC2=C3C(C=CS4)=C4C=CC3=CC=C21 XRJUVKFVUBGLMG-UHFFFAOYSA-N 0.000 description 1
- QGLKJKCYBOYXKC-UHFFFAOYSA-N nonaoxidotritungsten Chemical compound O=[W]1(=O)O[W](=O)(=O)O[W](=O)(=O)O1 QGLKJKCYBOYXKC-UHFFFAOYSA-N 0.000 description 1
- 230000003287 optical effect Effects 0.000 description 1
- 125000002524 organometallic group Chemical group 0.000 description 1
- 229910052762 osmium Inorganic materials 0.000 description 1
- SYQBFIAQOQZEGI-UHFFFAOYSA-N osmium atom Chemical compound [Os] SYQBFIAQOQZEGI-UHFFFAOYSA-N 0.000 description 1
- PQQKPALAQIIWST-UHFFFAOYSA-N oxomolybdenum Chemical compound [Mo]=O PQQKPALAQIIWST-UHFFFAOYSA-N 0.000 description 1
- 238000012856 packing Methods 0.000 description 1
- 229910052763 palladium Inorganic materials 0.000 description 1
- JZRYQZJSTWVBBD-UHFFFAOYSA-N pentaporphyrin i Chemical class N1C(C=C2NC(=CC3=NC(=C4)C=C3)C=C2)=CC=C1C=C1C=CC4=N1 JZRYQZJSTWVBBD-UHFFFAOYSA-N 0.000 description 1
- 125000001147 pentyl group Chemical group C(CCCC)* 0.000 description 1
- OJMIONKXNSYLSR-UHFFFAOYSA-N phosphorous acid Chemical compound OP(O)O OJMIONKXNSYLSR-UHFFFAOYSA-N 0.000 description 1
- 239000011574 phosphorus Substances 0.000 description 1
- 229910000073 phosphorus hydride Inorganic materials 0.000 description 1
- SIOXPEMLGUPBBT-UHFFFAOYSA-M picolinate Chemical compound [O-]C(=O)C1=CC=CC=N1 SIOXPEMLGUPBBT-UHFFFAOYSA-M 0.000 description 1
- 229920003023 plastic Polymers 0.000 description 1
- 229910052697 platinum Inorganic materials 0.000 description 1
- 229910052700 potassium Inorganic materials 0.000 description 1
- 230000002265 prevention Effects 0.000 description 1
- 125000004368 propenyl group Chemical group C(=CC)* 0.000 description 1
- 125000001436 propyl group Chemical group [H]C([*])([H])C([H])([H])C([H])([H])[H] 0.000 description 1
- 125000002568 propynyl group Chemical group [*]C#CC([H])([H])[H] 0.000 description 1
- 239000002994 raw material Substances 0.000 description 1
- 230000009467 reduction Effects 0.000 description 1
- 230000003014 reinforcing effect Effects 0.000 description 1
- 229910052703 rhodium Inorganic materials 0.000 description 1
- MHOVAHRLVXNVSD-UHFFFAOYSA-N rhodium atom Chemical compound [Rh] MHOVAHRLVXNVSD-UHFFFAOYSA-N 0.000 description 1
- 229910052701 rubidium Inorganic materials 0.000 description 1
- 229910001419 rubidium ion Inorganic materials 0.000 description 1
- 229930195734 saturated hydrocarbon Natural products 0.000 description 1
- 229910052706 scandium Inorganic materials 0.000 description 1
- 125000002914 sec-butyl group Chemical group [H]C([H])([H])C([H])([H])C([H])(*)C([H])([H])[H] 0.000 description 1
- VSZWPYCFIRKVQL-UHFFFAOYSA-N selanylidenegallium;selenium Chemical compound [Se].[Se]=[Ga].[Se]=[Ga] VSZWPYCFIRKVQL-UHFFFAOYSA-N 0.000 description 1
- 229910001415 sodium ion Inorganic materials 0.000 description 1
- AKHNMLFCWUSKQB-UHFFFAOYSA-L sodium thiosulfate Chemical compound [Na+].[Na+].[O-]S([O-])(=O)=S AKHNMLFCWUSKQB-UHFFFAOYSA-L 0.000 description 1
- 235000019345 sodium thiosulphate Nutrition 0.000 description 1
- 238000004544 sputter deposition Methods 0.000 description 1
- 229910052712 strontium Inorganic materials 0.000 description 1
- 229910001427 strontium ion Inorganic materials 0.000 description 1
- 230000002194 synthesizing effect Effects 0.000 description 1
- GZCRRIHWUXGPOV-UHFFFAOYSA-N terbium atom Chemical compound [Tb] GZCRRIHWUXGPOV-UHFFFAOYSA-N 0.000 description 1
- 125000000999 tert-butyl group Chemical group [H]C([H])([H])C(*)(C([H])([H])[H])C([H])([H])[H] 0.000 description 1
- 125000003507 tetrahydrothiofenyl group Chemical group 0.000 description 1
- 238000001931 thermography Methods 0.000 description 1
- FRNOGLGSGLTDKL-UHFFFAOYSA-N thulium atom Chemical compound [Tm] FRNOGLGSGLTDKL-UHFFFAOYSA-N 0.000 description 1
- XOLBLPGZBRYERU-UHFFFAOYSA-N tin dioxide Chemical compound O=[Sn]=O XOLBLPGZBRYERU-UHFFFAOYSA-N 0.000 description 1
- 229910001887 tin oxide Inorganic materials 0.000 description 1
- 229910052719 titanium Inorganic materials 0.000 description 1
- MBYLVOKEDDQJDY-UHFFFAOYSA-N tris(2-aminoethyl)amine Chemical group NCCN(CCN)CCN MBYLVOKEDDQJDY-UHFFFAOYSA-N 0.000 description 1
- 229910001930 tungsten oxide Inorganic materials 0.000 description 1
- 125000000391 vinyl group Chemical group [H]C([*])=C([H])[H] 0.000 description 1
- 229910052727 yttrium Inorganic materials 0.000 description 1
- 239000011701 zinc Substances 0.000 description 1
- YVTHLONGBIQYBO-UHFFFAOYSA-N zinc indium(3+) oxygen(2-) Chemical compound [O--].[Zn++].[In+3] YVTHLONGBIQYBO-UHFFFAOYSA-N 0.000 description 1
Images
Classifications
-
- C—CHEMISTRY; METALLURGY
- C07—ORGANIC CHEMISTRY
- C07D—HETEROCYCLIC COMPOUNDS
- C07D471/00—Heterocyclic compounds containing nitrogen atoms as the only ring hetero atoms in the condensed system, at least one ring being a six-membered ring with one nitrogen atom, not provided for by groups C07D451/00 - C07D463/00
- C07D471/02—Heterocyclic compounds containing nitrogen atoms as the only ring hetero atoms in the condensed system, at least one ring being a six-membered ring with one nitrogen atom, not provided for by groups C07D451/00 - C07D463/00 in which the condensed system contains two hetero rings
- C07D471/04—Ortho-condensed systems
-
- C—CHEMISTRY; METALLURGY
- C07—ORGANIC CHEMISTRY
- C07D—HETEROCYCLIC COMPOUNDS
- C07D519/00—Heterocyclic compounds containing more than one system of two or more relevant hetero rings condensed among themselves or condensed with a common carbocyclic ring system not provided for in groups C07D453/00 or C07D455/00
-
- C—CHEMISTRY; METALLURGY
- C07—ORGANIC CHEMISTRY
- C07D—HETEROCYCLIC COMPOUNDS
- C07D401/00—Heterocyclic compounds containing two or more hetero rings, having nitrogen atoms as the only ring hetero atoms, at least one ring being a six-membered ring with only one nitrogen atom
- C07D401/14—Heterocyclic compounds containing two or more hetero rings, having nitrogen atoms as the only ring hetero atoms, at least one ring being a six-membered ring with only one nitrogen atom containing three or more hetero rings
-
- C—CHEMISTRY; METALLURGY
- C09—DYES; PAINTS; POLISHES; NATURAL RESINS; ADHESIVES; COMPOSITIONS NOT OTHERWISE PROVIDED FOR; APPLICATIONS OF MATERIALS NOT OTHERWISE PROVIDED FOR
- C09K—MATERIALS FOR MISCELLANEOUS APPLICATIONS, NOT PROVIDED FOR ELSEWHERE
- C09K11/00—Luminescent, e.g. electroluminescent, chemiluminescent materials
- C09K11/06—Luminescent, e.g. electroluminescent, chemiluminescent materials containing organic luminescent materials
-
- H01L29/786—
-
- H01L51/0067—
-
- H01L51/5036—
-
- H01L51/5048—
-
- H—ELECTRICITY
- H10—SEMICONDUCTOR DEVICES; ELECTRIC SOLID-STATE DEVICES NOT OTHERWISE PROVIDED FOR
- H10D—INORGANIC ELECTRIC SEMICONDUCTOR DEVICES
- H10D30/00—Field-effect transistors [FET]
- H10D30/60—Insulated-gate field-effect transistors [IGFET]
- H10D30/67—Thin-film transistors [TFT]
-
- H—ELECTRICITY
- H10—SEMICONDUCTOR DEVICES; ELECTRIC SOLID-STATE DEVICES NOT OTHERWISE PROVIDED FOR
- H10K—ORGANIC ELECTRIC SOLID-STATE DEVICES
- H10K50/00—Organic light-emitting devices
- H10K50/10—OLEDs or polymer light-emitting diodes [PLED]
- H10K50/11—OLEDs or polymer light-emitting diodes [PLED] characterised by the electroluminescent [EL] layers
- H10K50/125—OLEDs or polymer light-emitting diodes [PLED] characterised by the electroluminescent [EL] layers specially adapted for multicolour light emission, e.g. for emitting white light
-
- H—ELECTRICITY
- H10—SEMICONDUCTOR DEVICES; ELECTRIC SOLID-STATE DEVICES NOT OTHERWISE PROVIDED FOR
- H10K—ORGANIC ELECTRIC SOLID-STATE DEVICES
- H10K50/00—Organic light-emitting devices
- H10K50/10—OLEDs or polymer light-emitting diodes [PLED]
- H10K50/14—Carrier transporting layers
-
- H—ELECTRICITY
- H10—SEMICONDUCTOR DEVICES; ELECTRIC SOLID-STATE DEVICES NOT OTHERWISE PROVIDED FOR
- H10K—ORGANIC ELECTRIC SOLID-STATE DEVICES
- H10K85/00—Organic materials used in the body or electrodes of devices covered by this subclass
- H10K85/60—Organic compounds having low molecular weight
- H10K85/615—Polycyclic condensed aromatic hydrocarbons, e.g. anthracene
-
- H—ELECTRICITY
- H10—SEMICONDUCTOR DEVICES; ELECTRIC SOLID-STATE DEVICES NOT OTHERWISE PROVIDED FOR
- H10K—ORGANIC ELECTRIC SOLID-STATE DEVICES
- H10K85/00—Organic materials used in the body or electrodes of devices covered by this subclass
- H10K85/60—Organic compounds having low molecular weight
- H10K85/615—Polycyclic condensed aromatic hydrocarbons, e.g. anthracene
- H10K85/626—Polycyclic condensed aromatic hydrocarbons, e.g. anthracene containing more than one polycyclic condensed aromatic rings, e.g. bis-anthracene
-
- H—ELECTRICITY
- H10—SEMICONDUCTOR DEVICES; ELECTRIC SOLID-STATE DEVICES NOT OTHERWISE PROVIDED FOR
- H10K—ORGANIC ELECTRIC SOLID-STATE DEVICES
- H10K85/00—Organic materials used in the body or electrodes of devices covered by this subclass
- H10K85/60—Organic compounds having low molecular weight
- H10K85/649—Aromatic compounds comprising a hetero atom
- H10K85/654—Aromatic compounds comprising a hetero atom comprising only nitrogen as heteroatom
-
- H—ELECTRICITY
- H10—SEMICONDUCTOR DEVICES; ELECTRIC SOLID-STATE DEVICES NOT OTHERWISE PROVIDED FOR
- H10K—ORGANIC ELECTRIC SOLID-STATE DEVICES
- H10K85/00—Organic materials used in the body or electrodes of devices covered by this subclass
- H10K85/60—Organic compounds having low molecular weight
- H10K85/649—Aromatic compounds comprising a hetero atom
- H10K85/657—Polycyclic condensed heteroaromatic hydrocarbons
- H10K85/6572—Polycyclic condensed heteroaromatic hydrocarbons comprising only nitrogen in the heteroaromatic polycondensed ring system, e.g. phenanthroline or carbazole
-
- C—CHEMISTRY; METALLURGY
- C09—DYES; PAINTS; POLISHES; NATURAL RESINS; ADHESIVES; COMPOSITIONS NOT OTHERWISE PROVIDED FOR; APPLICATIONS OF MATERIALS NOT OTHERWISE PROVIDED FOR
- C09K—MATERIALS FOR MISCELLANEOUS APPLICATIONS, NOT PROVIDED FOR ELSEWHERE
- C09K2211/00—Chemical nature of organic luminescent or tenebrescent compounds
- C09K2211/10—Non-macromolecular compounds
- C09K2211/1018—Heterocyclic compounds
-
- C—CHEMISTRY; METALLURGY
- C09—DYES; PAINTS; POLISHES; NATURAL RESINS; ADHESIVES; COMPOSITIONS NOT OTHERWISE PROVIDED FOR; APPLICATIONS OF MATERIALS NOT OTHERWISE PROVIDED FOR
- C09K—MATERIALS FOR MISCELLANEOUS APPLICATIONS, NOT PROVIDED FOR ELSEWHERE
- C09K2211/00—Chemical nature of organic luminescent or tenebrescent compounds
- C09K2211/10—Non-macromolecular compounds
- C09K2211/1018—Heterocyclic compounds
- C09K2211/1025—Heterocyclic compounds characterised by ligands
- C09K2211/1029—Heterocyclic compounds characterised by ligands containing one nitrogen atom as the heteroatom
-
- C—CHEMISTRY; METALLURGY
- C09—DYES; PAINTS; POLISHES; NATURAL RESINS; ADHESIVES; COMPOSITIONS NOT OTHERWISE PROVIDED FOR; APPLICATIONS OF MATERIALS NOT OTHERWISE PROVIDED FOR
- C09K—MATERIALS FOR MISCELLANEOUS APPLICATIONS, NOT PROVIDED FOR ELSEWHERE
- C09K2211/00—Chemical nature of organic luminescent or tenebrescent compounds
- C09K2211/10—Non-macromolecular compounds
- C09K2211/1018—Heterocyclic compounds
- C09K2211/1025—Heterocyclic compounds characterised by ligands
- C09K2211/1059—Heterocyclic compounds characterised by ligands containing three nitrogen atoms as heteroatoms
-
- H—ELECTRICITY
- H10—SEMICONDUCTOR DEVICES; ELECTRIC SOLID-STATE DEVICES NOT OTHERWISE PROVIDED FOR
- H10K—ORGANIC ELECTRIC SOLID-STATE DEVICES
- H10K50/00—Organic light-emitting devices
- H10K50/10—OLEDs or polymer light-emitting diodes [PLED]
- H10K50/11—OLEDs or polymer light-emitting diodes [PLED] characterised by the electroluminescent [EL] layers
- H10K50/12—OLEDs or polymer light-emitting diodes [PLED] characterised by the electroluminescent [EL] layers comprising dopants
-
- H—ELECTRICITY
- H10—SEMICONDUCTOR DEVICES; ELECTRIC SOLID-STATE DEVICES NOT OTHERWISE PROVIDED FOR
- H10K—ORGANIC ELECTRIC SOLID-STATE DEVICES
- H10K50/00—Organic light-emitting devices
- H10K50/10—OLEDs or polymer light-emitting diodes [PLED]
- H10K50/14—Carrier transporting layers
- H10K50/15—Hole transporting layers
- H10K50/156—Hole transporting layers comprising a multilayered structure
-
- H—ELECTRICITY
- H10—SEMICONDUCTOR DEVICES; ELECTRIC SOLID-STATE DEVICES NOT OTHERWISE PROVIDED FOR
- H10K—ORGANIC ELECTRIC SOLID-STATE DEVICES
- H10K50/00—Organic light-emitting devices
- H10K50/10—OLEDs or polymer light-emitting diodes [PLED]
- H10K50/14—Carrier transporting layers
- H10K50/16—Electron transporting layers
-
- H—ELECTRICITY
- H10—SEMICONDUCTOR DEVICES; ELECTRIC SOLID-STATE DEVICES NOT OTHERWISE PROVIDED FOR
- H10K—ORGANIC ELECTRIC SOLID-STATE DEVICES
- H10K50/00—Organic light-emitting devices
- H10K50/10—OLEDs or polymer light-emitting diodes [PLED]
- H10K50/17—Carrier injection layers
-
- H—ELECTRICITY
- H10—SEMICONDUCTOR DEVICES; ELECTRIC SOLID-STATE DEVICES NOT OTHERWISE PROVIDED FOR
- H10K—ORGANIC ELECTRIC SOLID-STATE DEVICES
- H10K50/00—Organic light-emitting devices
- H10K50/10—OLEDs or polymer light-emitting diodes [PLED]
- H10K50/17—Carrier injection layers
- H10K50/171—Electron injection layers
-
- H—ELECTRICITY
- H10—SEMICONDUCTOR DEVICES; ELECTRIC SOLID-STATE DEVICES NOT OTHERWISE PROVIDED FOR
- H10K—ORGANIC ELECTRIC SOLID-STATE DEVICES
- H10K50/00—Organic light-emitting devices
- H10K50/10—OLEDs or polymer light-emitting diodes [PLED]
- H10K50/18—Carrier blocking layers
-
- H—ELECTRICITY
- H10—SEMICONDUCTOR DEVICES; ELECTRIC SOLID-STATE DEVICES NOT OTHERWISE PROVIDED FOR
- H10K—ORGANIC ELECTRIC SOLID-STATE DEVICES
- H10K50/00—Organic light-emitting devices
- H10K50/10—OLEDs or polymer light-emitting diodes [PLED]
- H10K50/18—Carrier blocking layers
- H10K50/181—Electron blocking layers
-
- H—ELECTRICITY
- H10—SEMICONDUCTOR DEVICES; ELECTRIC SOLID-STATE DEVICES NOT OTHERWISE PROVIDED FOR
- H10K—ORGANIC ELECTRIC SOLID-STATE DEVICES
- H10K59/00—Integrated devices, or assemblies of multiple devices, comprising at least one organic light-emitting element covered by group H10K50/00
- H10K59/10—OLED displays
- H10K59/12—Active-matrix OLED [AMOLED] displays
- H10K59/121—Active-matrix OLED [AMOLED] displays characterised by the geometry or disposition of pixel elements
- H10K59/1213—Active-matrix OLED [AMOLED] displays characterised by the geometry or disposition of pixel elements the pixel elements being TFTs
Landscapes
- Chemical & Material Sciences (AREA)
- Organic Chemistry (AREA)
- Engineering & Computer Science (AREA)
- Materials Engineering (AREA)
- Physics & Mathematics (AREA)
- Spectroscopy & Molecular Physics (AREA)
- Optics & Photonics (AREA)
- Electroluminescent Light Sources (AREA)
- Nitrogen And Oxygen Or Sulfur-Condensed Heterocyclic Ring Systems (AREA)
- Devices For Indicating Variable Information By Combining Individual Elements (AREA)
Abstract
Description
| 화합물 | 1H NMR (CDCl3 , 500 MHz) | LC-MS | |
| found | calc. | ||
| 1 | 7.83-7.85 (m, 2H), 8.11-8.13 (m, 1H), 8.29-8.32 (m, 4H), 8.34-8.46 (m, 6H), 8.51-8.60 (m, 6H), 8.68-8.77 (m, 6H), 9.14-9.16 (m, 2H) | 665.75 | 665.76 |
| 3 | 7.76-7.79 (m, 2H), 8.27-8.45 (m, 10H), 8.50-8.60 (m, 6H), 8.68-8.75 (m, 4H), 8.73-8.76 (m, 2H), 9.13-9.17 (m, 2H) | 683.73 | 683.75 |
| 5 | 8.26-8.32 (m, 6H), 8.38-8.42 (m, 2H), 8.45-8.60 (m, 10H), 8.67-8.75 (m, 6H), 9.15-9.20 (m, 2H) | 690.76 | 690.77 |
| 11 | 7.95-8.08 (m, 4H), 8.20-8.22 (m, 1H), 8.30-8.43 (m, 4H), 8.48-8.55 (m, 4H), 8.59-8.63 (m, 2H), 8.67-8.70 (m, 2H), 8.74-8.76 (m, 2H), 8.77-8.88 (m, 10H), 9.16-9.20 (m, 2H) | 765.86 | 765.88 |
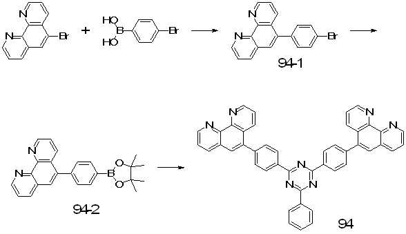
| 94 | 7.83-7.86 (m, 2H), 8.06-8.22 (m, 3H), 8.34-8.41 (m, 4H), 8.41-8.49 (m, 6H), 8.55-8.62 (m, 4H), 8.72-8.77 (m, 2H), 8.85-8.91 (m, 2H), 9.12-9.20 (m, 4H) | 665.73 | 665.76 |
| 전자 수송층 재료 |
구동전압 (V) |
전류밀도 (㎃/㎠) |
효율 (cd/A) |
색좌표 CIE(x,y) |
T97수명 (@1.0㎃/㎠) |
|
| 실시예 1 | 화합물 1 | 3.8 | 10 | 5.22 | 0.140, 0.054 | 136 |
| 실시예 2 | 화합물 3 | 3.7 | 10 | 5.02 | 0.141, 0.054 | 115 |
| 실시예 3 | 화합물 5 | 3.8 | 10 | 5.41 | 0.141, 0.055 | 123 |
| 실시예 4 | 화합물 11 | 3.9 | 10 | 5.39 | 0.140, 0.056 | 148 |
| 실시예 5 | 화합물 94 | 4.1 | 10 | 5.15 | 0.142, 0.055 | 107 |
| 비교예 1 | A | 4.9 | 10 | 4.08 | 0.141, 0.054 | 54 |
| 비교예 2 | B | 4.3 | 10 | 4.66 | 0.140, 0.056 | 77 |
| 비교예 3 | C | 4.7 | 10 | 4.20 | 0.140, 0.052 | 61 |
| 비교예 4 | D | 4.4 | 10 | 4.65 | 0.141, 0.053 | 95 |
Claims (20)
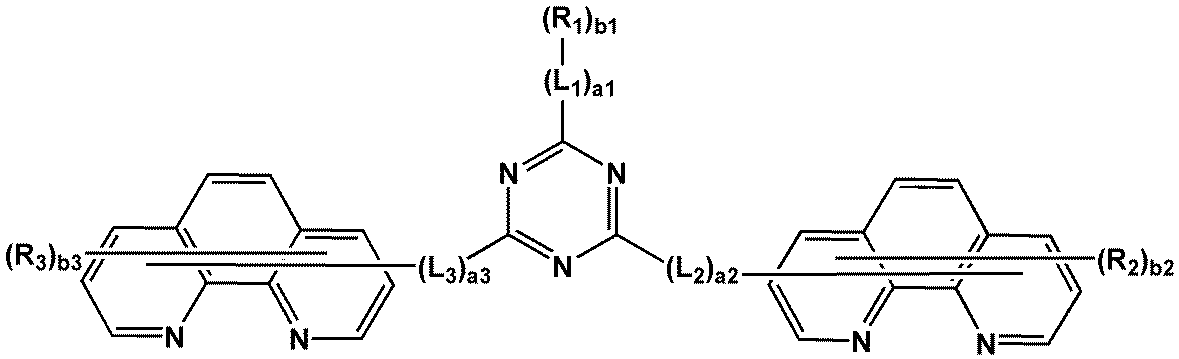
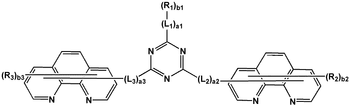
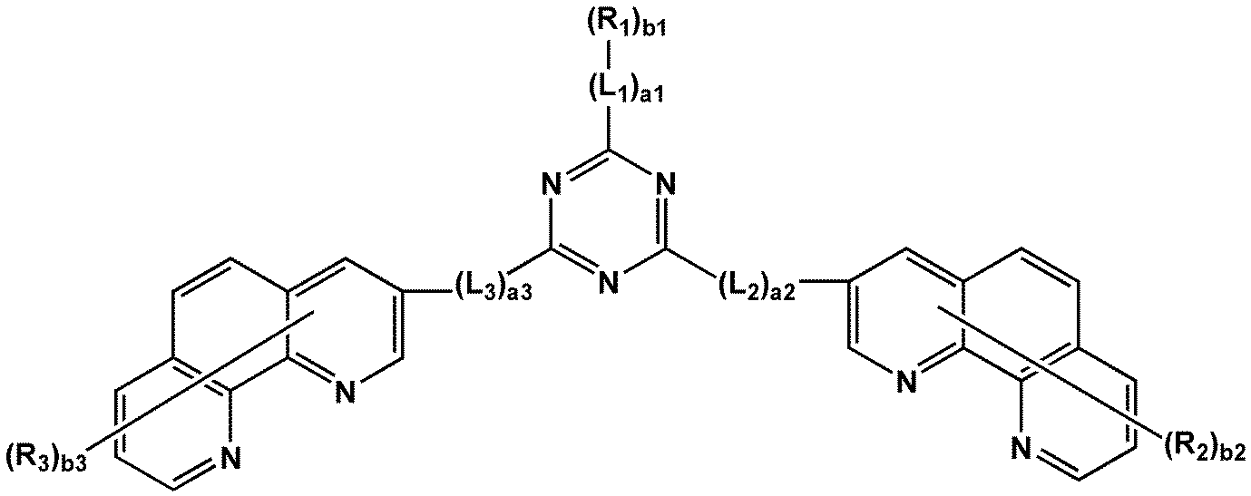
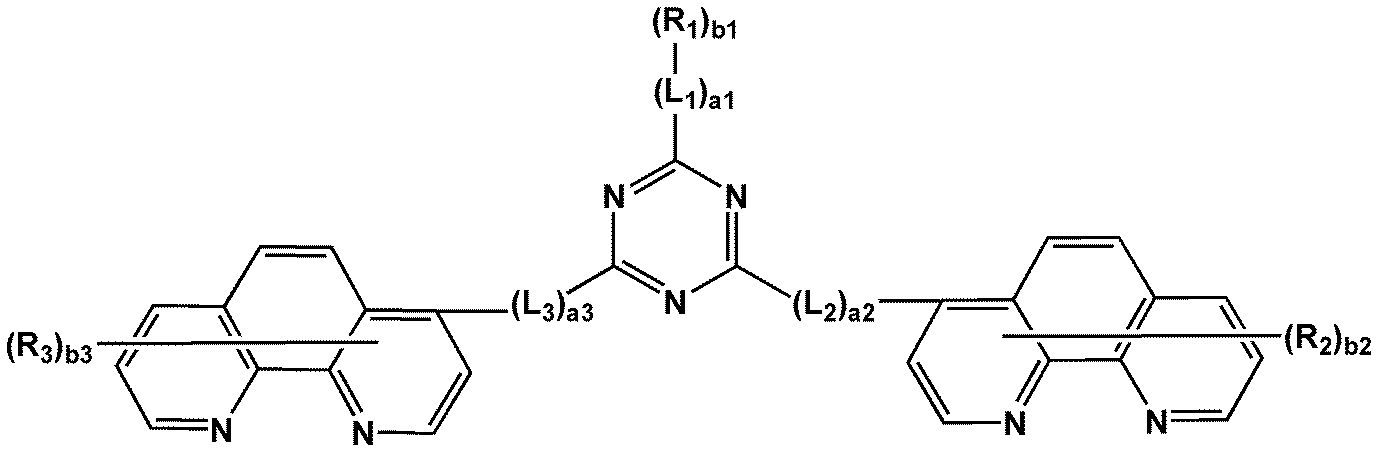
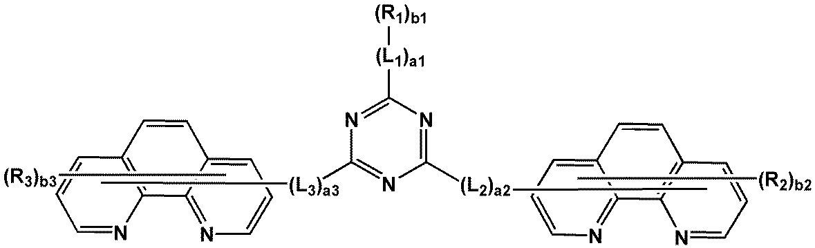
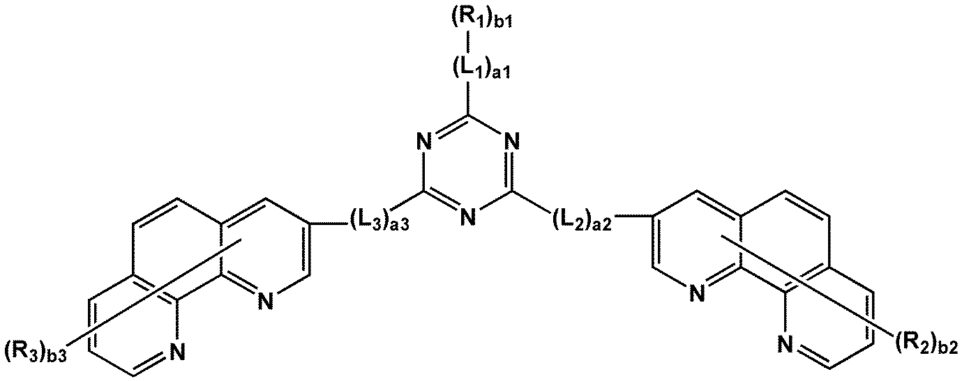
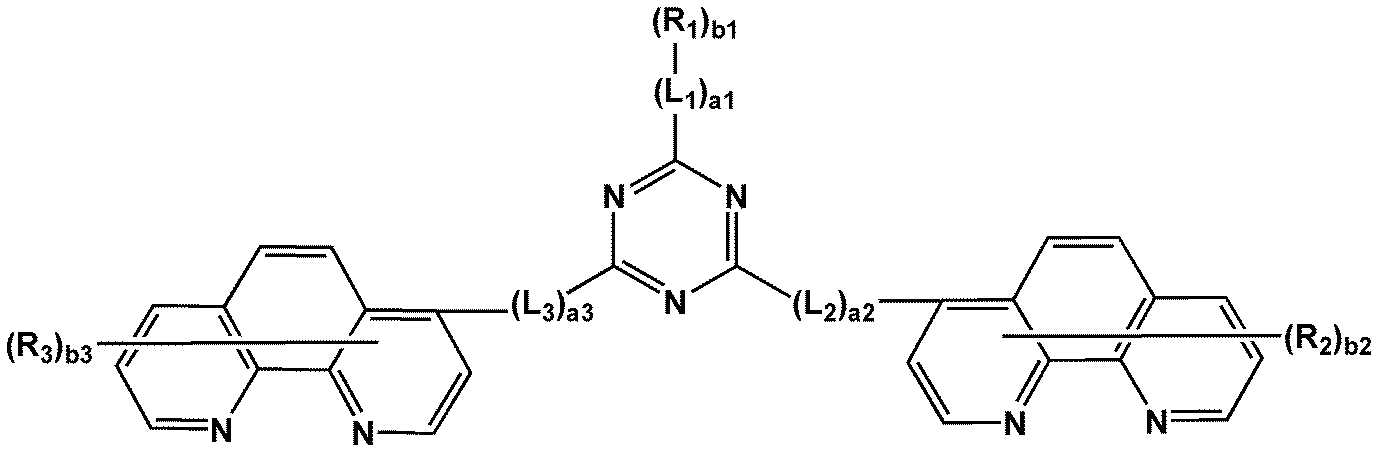
- 하기 화학식 1로 표시되는 헤테로고리 화합물:
<화학식 1>
상기 화학식 1 중,
L1은 벤젠 그룹, 펜탈렌 그룹, 인덴 그룹, 아줄렌 그룹, 헵탈렌 그룹, 인다센 그룹, 아세나프텐 그룹, 플루오렌 그룹, 스파이로-플루오렌 그룹, 벤조플루오렌 그룹, 디벤조플루오렌 그룹, 페날렌 그룹, 페난트렌 그룹, 안트라센 그룹, 플루오란텐 그룹, 트리페닐렌 그룹, 파이렌 그룹, 크라이센 그룹, 나프타센 그룹, 피롤 그룹, 티오펜 그룹, 퓨란 그룹, 이미다졸 그룹, 피라졸 그룹, 티아졸 그룹, 이소티아졸 그룹, 옥사졸 그룹, 이속사졸 그룹, 피리딘 그룹, 피라진 그룹, 피리미딘 그룹, 피리다진 그룹, 인돌 그룹, 이소인돌 그룹, 인다졸 그룹, 푸린 그룹, 퀴놀린 그룹, 이소퀴놀린 그룹, 벤조퀴놀린 그룹, 프탈라진 그룹, 나프티리딘 그룹, 퀴녹살린 그룹, 퀴나졸린 그룹, 시놀린 그룹, 카바졸 그룹, 페난트리딘 그룹, 아크리딘 그룹, 페나진 그룹, 벤조이미다졸 그룹, 벤조퓨란 그룹, 벤조티오펜 그룹, 이소벤조티아졸 그룹, 이소벤조옥사졸 그룹, 트리아졸 그룹, 테트라졸 그룹, 옥사디아졸 그룹, 트리아진 그룹, 디벤조퓨란 그룹, 디벤조티오펜 그룹, 벤조카바졸 그룹 및 디벤조카바졸 그룹; 및
중수소, -F, -Cl, -Br, -I, 히드록실기, 시아노기, 니트로기, 아미디노기, 히드라지노기, 히드라조노기, C1-C20알킬기, C1-C20알콕시기, 시클로펜틸기, 시클로헥실기, 시클로헵틸기, 시클로펜테닐기, 시클로헥세닐기, 페닐기, 비페닐기, 터페닐기, 펜탈레닐기, 인데닐기, 나프틸기, 아줄레닐기, 헵탈레닐기, 인다세닐기, 아세나프틸기, 플루오레닐기, 스파이로-플루오레닐기, 벤조플루오레닐기, 디벤조플루오레닐기, 페날레닐기, 페난트레닐기, 안트라세닐기, 플루오란테닐기, 트리페닐레닐기, 파이레닐기, 크라이세닐기, 나프타세닐기, 피롤일기, 티오페닐기, 퓨라닐기, 이미다졸일기, 피라졸일기, 티아졸일기, 이소티아졸일기, 옥사졸일기, 이속사졸일기, 피리디닐기, 피라지닐기, 피리미디닐기, 피리다지닐기, 인돌일기, 이소인돌일기, 인다졸일기, 푸리닐기, 퀴놀리닐기, 이소퀴놀리닐기, 벤조퀴놀리닐기, 프탈라지닐기, 나프티리디닐기, 퀴녹살리닐기, 퀴나졸리닐기, 시놀리닐기, 카바졸일기, 페난트리디닐기, 아크리디닐기, 페나지닐기, 벤조이미다졸일기, 벤조퓨라닐기, 벤조티오페닐기, 이소벤조티아졸일기, 이소벤조옥사졸일기, 트리아졸일기, 테트라졸일기, 옥사디아졸일기, 트리아지닐기, 디벤조퓨라닐기, 디벤조티오페닐기, 벤조카바졸일기, 디벤조카바졸일기, 티아디아졸일기 및 이미다조피리디닐기 중 적어도 하나로 치환된, 벤젠 그룹, 펜탈렌 그룹, 인덴 그룹, 아줄렌 그룹, 헵탈렌 그룹, 인다센 그룹, 아세나프텐 그룹, 플루오렌 그룹, 스파이로-플루오렌 그룹, 벤조플루오렌 그룹, 디벤조플루오렌 그룹, 페날렌 그룹, 페난트렌 그룹, 안트라센 그룹, 플루오란텐 그룹, 트리페닐렌 그룹, 파이렌 그룹, 크라이센 그룹, 나프타센 그룹, 피센 그룹, 페릴렌 그룹, 펜타센 그룹, 헥사센 그룹, 루비센 그룹, 코로넨 그룹, 오발렌 그룹, 피롤 그룹, 티오펜 그룹, 퓨란 그룹, 이미다졸 그룹, 피라졸 그룹, 티아졸 그룹, 이소티아졸 그룹, 옥사졸 그룹, 이속사졸 그룹, 피리딘 그룹, 피라진 그룹, 피리미딘 그룹, 피리다진 그룹, 인돌 그룹, 이소인돌 그룹, 인다졸 그룹, 푸린 그룹, 퀴놀린 그룹, 이소퀴놀린 그룹, 벤조퀴놀린 그룹, 프탈라진 그룹, 나프티리딘 그룹, 퀴녹살린 그룹, 퀴나졸린 그룹, 시놀린 그룹, 카바졸 그룹, 페난트리딘 그룹, 아크리딘 그룹, 페나진 그룹, 벤조이미다졸 그룹, 벤조퓨란 그룹, 벤조티오펜 그룹, 이소벤조티아졸 그룹, 이소벤조옥사졸 그룹, 트리아졸 그룹, 테트라졸 그룹, 옥사디아졸 그룹, 트리아진 그룹, 디벤조퓨란 그룹, 디벤조티오펜 그룹, 벤조카바졸 그룹 및 디벤조카바졸 그룹; 중에서 선택되고,
L2 내지 L3는 서로 독립적으로, 벤젠 그룹, 펜탈렌 그룹, 인덴 그룹, 아줄렌 그룹, 헵탈렌 그룹, 인다센 그룹, 아세나프텐 그룹, 플루오렌 그룹, 스파이로-플루오렌 그룹, 벤조플루오렌 그룹, 디벤조플루오렌 그룹, 페날렌 그룹, 페난트렌 그룹, 안트라센 그룹, 플루오란텐 그룹, 트리페닐렌 그룹, 파이렌 그룹, 크라이센 그룹, 나프타센 그룹, 피롤 그룹, 티오펜 그룹, 퓨란 그룹, 이미다졸 그룹, 피라졸 그룹, 티아졸 그룹, 이소티아졸 그룹, 옥사졸 그룹, 이속사졸 그룹, 피리딘 그룹, 피라진 그룹, 피리미딘 그룹, 피리다진 그룹, 인돌 그룹, 이소인돌 그룹, 인다졸 그룹, 푸린 그룹, 퀴놀린 그룹, 이소퀴놀린 그룹, 벤조퀴놀린 그룹, 프탈라진 그룹, 나프티리딘 그룹, 퀴녹살린 그룹, 퀴나졸린 그룹, 시놀린 그룹, 카바졸 그룹, 페난트리딘 그룹, 아크리딘 그룹, 페난트롤린 그룹, 페나진 그룹, 벤조이미다졸 그룹, 벤조퓨란 그룹, 벤조티오펜 그룹, 이소벤조티아졸 그룹, 벤조옥사졸 그룹, 이소벤조옥사졸 그룹, 트리아졸 그룹, 테트라졸 그룹, 옥사디아졸 그룹, 트리아진 그룹, 디벤조퓨란 그룹, 디벤조티오펜 그룹, 벤조카바졸 그룹 및 디벤조카바졸 그룹; 및
중수소, -F, -Cl, -Br, -I, 히드록실기, 시아노기, 니트로기, 아미디노기, 히드라지노기, 히드라조노기, C1-C20알킬기, C1-C20알콕시기, 시클로펜틸기, 시클로헥실기, 시클로헵틸기, 시클로펜테닐기, 시클로헥세닐기, 페닐기, 비페닐기, 터페닐기, 펜탈레닐기, 인데닐기, 나프틸기, 아줄레닐기, 헵탈레닐기, 인다세닐기, 아세나프틸기, 플루오레닐기, 스파이로-플루오레닐기, 벤조플루오레닐기, 디벤조플루오레닐기, 페날레닐기, 페난트레닐기, 안트라세닐기, 플루오란테닐기, 트리페닐레닐기, 파이레닐기, 크라이세닐기, 나프타세닐기, 피롤일기, 티오페닐기, 퓨라닐기, 이미다졸일기, 피라졸일기, 티아졸일기, 이소티아졸일기, 옥사졸일기, 이속사졸일기, 피리디닐기, 피라지닐기, 피리미디닐기, 피리다지닐기, 인돌일기, 이소인돌일기, 인다졸일기, 푸리닐기, 퀴놀리닐기, 이소퀴놀리닐기, 벤조퀴놀리닐기, 프탈라지닐기, 나프티리디닐기, 퀴녹살리닐기, 퀴나졸리닐기, 시놀리닐기, 카바졸일기, 페난트리디닐기, 아크리디닐기, 페난트롤리닐기, 페나지닐기, 벤조이미다졸일기, 벤조퓨라닐기, 벤조티오페닐기, 이소벤조티아졸일기, 벤조옥사졸일기, 이소벤조옥사졸일기, 트리아졸일기, 테트라졸일기, 옥사디아졸일기, 트리아지닐기, 디벤조퓨라닐기, 디벤조티오페닐기, 벤조카바졸일기, 디벤조카바졸일기, 티아디아졸일기 및 이미다조피리디닐기 중 적어도 하나로 치환된, 벤젠 그룹, 펜탈렌 그룹, 인덴 그룹, 아줄렌 그룹, 헵탈렌 그룹, 인다센 그룹, 아세나프텐 그룹, 플루오렌 그룹, 스파이로-플루오렌 그룹, 벤조플루오렌 그룹, 디벤조플루오렌 그룹, 페날렌 그룹, 페난트렌 그룹, 안트라센 그룹, 플루오란텐 그룹, 트리페닐렌 그룹, 파이렌 그룹, 크라이센 그룹, 나프타센 그룹, 피센 그룹, 페릴렌 그룹, 펜타센 그룹, 헥사센 그룹, 루비센 그룹, 코로넨 그룹, 오발렌 그룹, 피롤 그룹, 티오펜 그룹, 퓨란 그룹, 이미다졸 그룹, 피라졸 그룹, 티아졸 그룹, 이소티아졸 그룹, 옥사졸 그룹, 이속사졸 그룹, 피리딘 그룹, 피라진 그룹, 피리미딘 그룹, 피리다진 그룹, 인돌 그룹, 이소인돌 그룹, 인다졸 그룹, 푸린 그룹, 퀴놀린 그룹, 이소퀴놀린 그룹, 벤조퀴놀린 그룹, 프탈라진 그룹, 나프티리딘 그룹, 퀴녹살린 그룹, 퀴나졸린 그룹, 시놀린 그룹, 카바졸 그룹, 페난트리딘 그룹, 아크리딘 그룹, 페난트롤린 그룹, 페나진 그룹, 벤조이미다졸 그룹, 벤조퓨란 그룹, 벤조티오펜 그룹, 이소벤조티아졸 그룹, 벤조옥사졸 그룹, 이소벤조옥사졸 그룹, 트리아졸 그룹, 테트라졸 그룹, 옥사디아졸 그룹, 트리아진 그룹, 디벤조퓨란 그룹, 디벤조티오펜 그룹, 벤조카바졸 그룹 및 디벤조카바졸 그룹; 중에서 선택되고,
a1 내지 a3은 서로 독립적으로, 0, 1, 2, 3, 4 또는 5이고,
a1 내지 a3이 0인 경우, L1 내지 L3은 각각 단일결합이고,
a1이 2 이상인 경우, L1은 서로 동일하거나 상이하고, a2가 2 이상인 경우, L2는 서로 동일하거나 상이하고, a3이 2 이상인 경우, L3는 서로 동일하거나 상이하고,
상기 a1 내지 a3은 식 a1 + a2 + a3 ≥ 1을 만족하고,
R1은 수소, 중수소, -F, -Cl, -Br, -I, 히드록실기, 시아노기, 니트로기, 아미디노기, 히드라지노기, 히드라조노기, C1-C20알킬기, 및 C1-C20알콕시기;
중수소, -F, -Cl, -Br, -I, 히드록실기, 시아노기, 니트로기, 아미디노기, 히드라지노기, 히드라조노기, C1-C20알킬기, 및 C1-C20알콕시기 중에서 선택된 적어도 하나로 치환된 C1-C20알킬기 및 C1-C20알콕시기;
시클로펜틸기, 시클로헥실기, 시클로헵틸기, 시클로펜테닐기, 시클로헥세닐기, 페닐기, 비페닐기, 터페닐기, 펜탈레닐기, 인데닐기, 나프틸기, 아줄레닐기, 헵탈레닐기, 인다세닐기, 아세나프틸기, 플루오레닐기, 스파이로-플루오레닐기, 벤조플루오레닐기, 디벤조플루오레닐기, 페날레닐기, 페난트레닐기, 안트라세닐기, 플루오란테닐기, 트리페닐레닐기, 파이레닐기, 크라이세닐기, 나프타세닐기, 피롤일기, 티오페닐기, 퓨라닐기, 이미다졸일기, 피라졸일기, 티아졸일기, 이소티아졸일기, 옥사졸일기, 이속사졸일기, 피리디닐기, 피라지닐기, 피리미디닐기, 피리다지닐기, 인돌일기, 이소인돌일기, 인다졸일기, 푸리닐기, 퀴놀리닐기, 이소퀴놀리닐기, 벤조퀴놀리닐기, 프탈라지닐기, 나프티리디닐기, 퀴녹살리닐기, 퀴나졸리닐기, 시놀리닐기, 카바졸일기, 페난트리디닐기, 아크리디닐기, 페나지닐기, 벤조이미다졸일기, 벤조퓨라닐기, 벤조티오페닐기, 이소벤조티아졸일기, 이소벤조옥사졸일기, 트리아졸일기, 테트라졸일기, 옥사디아졸일기, 트리아지닐기, 디벤조퓨라닐기, 디벤조티오페닐기, 벤조카바졸일기, 디벤조카바졸일기, 티아디아졸일기 및 이미다조피리디닐기;
중수소, -F, -Cl, -Br, -I, 히드록실기, 시아노기, 니트로기, 아미디노기, 히드라지노기, 히드라조노기, C1-C20알킬기, C1-C20알콕시기, 시클로펜틸기, 시클로헥실기, 시클로헵틸기, 시클로펜테닐기, 시클로헥세닐기, 페닐기, 비페닐기, 터페닐기, 펜탈레닐기, 인데닐기, 나프틸기, 아줄레닐기, 헵탈레닐기, 인다세닐기, 아세나프틸기, 플루오레닐기, 스파이로-플루오레닐기, 벤조플루오레닐기, 디벤조플루오레닐기, 페날레닐기, 페난트레닐기, 안트라세닐기, 플루오란테닐기, 트리페닐레닐기, 파이레닐기, 크라이세닐기, 나프타세닐기, 피롤일기, 티오페닐기, 퓨라닐기, 이미다졸일기, 피라졸일기, 티아졸일기, 이소티아졸일기, 옥사졸일기, 이속사졸일기, 피리디닐기, 피라지닐기, 피리미디닐기, 피리다지닐기, 인돌일기, 이소인돌일기, 인다졸일기, 푸리닐기, 퀴놀리닐기, 이소퀴놀리닐기, 벤조퀴놀리닐기, 프탈라지닐기, 나프티리디닐기, 퀴녹살리닐기, 퀴나졸리닐기, 시놀리닐기, 카바졸일기, 페난트리디닐기, 아크리디닐기, 페나지닐기, 벤조이미다졸일기, 벤조퓨라닐기, 벤조티오페닐기, 이소벤조티아졸일기, 이소벤조옥사졸일기, 트리아졸일기, 테트라졸일기, 옥사디아졸일기, 트리아지닐기, 디벤조퓨라닐기, 디벤조티오페닐기, 벤조카바졸일기, 디벤조카바졸일기, 티아디아졸일기, 이미다조피리디닐기, -Si(Q31)(Q32)(Q33), -N(Q31)(Q32), -B(Q31)(Q32), -C(=O)(Q31), -S(=O)2(Q31) 및 -P(=O)(Q31)(Q32) 중 적어도 하나로 치환된 시클로펜틸기, 시클로헥실기, 시클로헵틸기, 시클로펜테닐기, 시클로헥세닐기, 페닐기, 비페닐기, 터페닐기, 펜탈레닐기, 인데닐기, 나프틸기, 아줄레닐기, 헵탈레닐기, 인다세닐기, 아세나프틸기, 플루오레닐기, 스파이로-플루오레닐기, 벤조플루오레닐기, 디벤조플루오레닐기, 페날레닐기, 페난트레닐기, 안트라세닐기, 플루오란테닐기, 트리페닐레닐기, 파이레닐기, 크라이세닐기, 나프타세닐기, 피롤일기, 티오페닐기, 퓨라닐기, 이미다졸일기, 피라졸일기, 티아졸일기, 이소티아졸일기, 옥사졸일기, 이속사졸일기, 피리디닐기, 피라지닐기, 피리미디닐기, 피리다지닐기, 인돌일기, 이소인돌일기, 인다졸일기, 푸리닐기, 퀴놀리닐기, 이소퀴놀리닐기, 벤조퀴놀리닐기, 프탈라지닐기, 나프티리디닐기, 퀴녹살리닐기, 퀴나졸리닐기, 시놀리닐기, 카바졸일기, 페난트리디닐기, 아크리디닐기, 페나지닐기, 벤조이미다졸일기, 벤조퓨라닐기, 벤조티오페닐기, 이소벤조티아졸일기, 이소벤조옥사졸일기, 트리아졸일기, 테트라졸일기, 옥사디아졸일기, 트리아지닐기, 디벤조퓨라닐기, 디벤조티오페닐기, 벤조카바졸일기, 디벤조카바졸일기, 티아디아졸일기 및 이미다조피리디닐기; 및
-Si(Q1)(Q2)(Q3), -N(Q1)(Q2), -B(Q1)(Q2), -C(=O)(Q1), -S(=O)2(Q1) 및 -P(=O)(Q1)(Q2);
중에서 선택되고,
R2 내지 R3는 서로 독립적으로, 수소, 중수소, -F, -Cl, -Br, -I, 히드록실기, 시아노기, 니트로기, 아미디노기, 히드라지노기, 히드라조노기, C1-C20알킬기, 및 C1-C20알콕시기;
중수소, -F, -Cl, -Br, -I, 히드록실기, 시아노기, 니트로기, 아미디노기, 히드라지노기, 히드라조노기, C1-C20알킬기, 및 C1-C20알콕시기 중에서 선택된 적어도 하나로 치환된 C1-C20알킬기 및 C1-C20알콕시기;
시클로펜틸기, 시클로헥실기, 시클로헵틸기, 시클로펜테닐기, 시클로헥세닐기, 페닐기, 비페닐기, 터페닐기, 펜탈레닐기, 인데닐기, 나프틸기, 아줄레닐기, 헵탈레닐기, 인다세닐기, 아세나프틸기, 플루오레닐기, 스파이로-플루오레닐기, 벤조플루오레닐기, 디벤조플루오레닐기, 페날레닐기, 페난트레닐기, 안트라세닐기, 플루오란테닐기, 트리페닐레닐기, 파이레닐기, 크라이세닐기, 나프타세닐기, 피롤일기, 티오페닐기, 퓨라닐기, 이미다졸일기, 피라졸일기, 티아졸일기, 이소티아졸일기, 옥사졸일기, 이속사졸일기, 피리디닐기, 피라지닐기, 피리미디닐기, 피리다지닐기, 인돌일기, 이소인돌일기, 인다졸일기, 푸리닐기, 퀴놀리닐기, 이소퀴놀리닐기, 벤조퀴놀리닐기, 프탈라지닐기, 나프티리디닐기, 퀴녹살리닐기, 퀴나졸리닐기, 시놀리닐기, 카바졸일기, 페난트리디닐기, 아크리디닐기, 페난트롤리닐기, 페나지닐기, 벤조이미다졸일기, 벤조퓨라닐기, 벤조티오페닐기, 이소벤조티아졸일기, 벤조옥사졸일기, 이소벤조옥사졸일기, 트리아졸일기, 테트라졸일기, 옥사디아졸일기, 트리아지닐기, 디벤조퓨라닐기, 디벤조티오페닐기, 벤조카바졸일기, 디벤조카바졸일기, 티아디아졸일기 및 이미다조피리디닐기;
중수소, -F, -Cl, -Br, -I, 히드록실기, 시아노기, 니트로기, 아미디노기, 히드라지노기, 히드라조노기, C1-C20알킬기, C1-C20알콕시기, 시클로펜틸기, 시클로헥실기, 시클로헵틸기, 시클로펜테닐기, 시클로헥세닐기, 페닐기, 비페닐기, 터페닐기, 펜탈레닐기, 인데닐기, 나프틸기, 아줄레닐기, 헵탈레닐기, 인다세닐기, 아세나프틸기, 플루오레닐기, 스파이로-플루오레닐기, 벤조플루오레닐기, 디벤조플루오레닐기, 페날레닐기, 페난트레닐기, 안트라세닐기, 플루오란테닐기, 트리페닐레닐기, 파이레닐기, 크라이세닐기, 나프타세닐기, 피롤일기, 티오페닐기, 퓨라닐기, 이미다졸일기, 피라졸일기, 티아졸일기, 이소티아졸일기, 옥사졸일기, 이속사졸일기, 피리디닐기, 피라지닐기, 피리미디닐기, 피리다지닐기, 인돌일기, 이소인돌일기, 인다졸일기, 푸리닐기, 퀴놀리닐기, 이소퀴놀리닐기, 벤조퀴놀리닐기, 프탈라지닐기, 나프티리디닐기, 퀴녹살리닐기, 퀴나졸리닐기, 시놀리닐기, 카바졸일기, 페난트리디닐기, 아크리디닐기, 페난트롤리닐기, 페나지닐기, 벤조이미다졸일기, 벤조퓨라닐기, 벤조티오페닐기, 이소벤조티아졸일기, 벤조옥사졸일기, 이소벤조옥사졸일기, 트리아졸일기, 테트라졸일기, 옥사디아졸일기, 트리아지닐기, 디벤조퓨라닐기, 디벤조티오페닐기, 벤조카바졸일기, 디벤조카바졸일기, 티아디아졸일기, 이미다조피리디닐기, -Si(Q31)(Q32)(Q33), -N(Q31)(Q32), -B(Q31)(Q32), -C(=O)(Q31), -S(=O)2(Q31) 및 -P(=O)(Q31)(Q32) 중 적어도 하나로 치환된 시클로펜틸기, 시클로헥실기, 시클로헵틸기, 시클로펜테닐기, 시클로헥세닐기, 페닐기, 비페닐기, 터페닐기, 펜탈레닐기, 인데닐기, 나프틸기, 아줄레닐기, 헵탈레닐기, 인다세닐기, 아세나프틸기, 플루오레닐기, 스파이로-플루오레닐기, 벤조플루오레닐기, 디벤조플루오레닐기, 페날레닐기, 페난트레닐기, 안트라세닐기, 플루오란테닐기, 트리페닐레닐기, 파이레닐기, 크라이세닐기, 나프타세닐기, 피롤일기, 티오페닐기, 퓨라닐기, 이미다졸일기, 피라졸일기, 티아졸일기, 이소티아졸일기, 옥사졸일기, 이속사졸일기, 피리디닐기, 피라지닐기, 피리미디닐기, 피리다지닐기, 인돌일기, 이소인돌일기, 인다졸일기, 푸리닐기, 퀴놀리닐기, 이소퀴놀리닐기, 벤조퀴놀리닐기, 프탈라지닐기, 나프티리디닐기, 퀴녹살리닐기, 퀴나졸리닐기, 시놀리닐기, 카바졸일기, 페난트리디닐기, 아크리디닐기, 페난트롤리닐기, 페나지닐기, 벤조이미다졸일기, 벤조퓨라닐기, 벤조티오페닐기, 이소벤조티아졸일기, 벤조옥사졸일기, 이소벤조옥사졸일기, 트리아졸일기, 테트라졸일기, 옥사디아졸일기, 트리아지닐기, 디벤조퓨라닐기, 디벤조티오페닐기, 벤조카바졸일기, 디벤조카바졸일기, 티아디아졸일기 및 이미다조피리디닐기; 및
-Si(Q1)(Q2)(Q3), -N(Q1)(Q2), -B(Q1)(Q2), -C(=O)(Q1), -S(=O)2(Q1) 및 -P(=O)(Q1)(Q2);
중에서 선택되고,
상기 상기 Q1 내지 Q3 및 Q31 내지 Q33은 서로 독립적으로, C1-C20알킬기, C1-C20알콕시기, 페닐기, 비페닐기 및 터페닐기; 및
-F, -Cl, -Br, -I, 시아노기, C1-C20알킬기 및 C1-C20알콕시기 중에서 선택된 적어도 하나로 치환된 페닐기 중에서 선택되고;
b1 내지 b3은 서로 독립적으로 1, 2, 3, 4, 5, 6 또는 7이고,
b1이 2 이상인 경우 R1은 서로 동일하거나 상이하고, b2가 2 이상인 경우 R2는 서로 동일하거나 상이하고, b3가 2 이상인 경우 R3은 서로 동일하거나 상이하고,
상기 치환된 C3-C60카보시클릭 그룹, 치환된 C1-C60헤테로시클릭 그룹, 치환된 C1-C60알킬기, 치환된 C2-C60알케닐기, 치환된 C2-C60알키닐기, 치환된 C1-C60알콕시기, 치환된 C3-C10시클로알킬기, 치환된 C1-C10헤테로시클로알킬기, 치환된 C3-C10시클로알케닐기, 치환된 C1-C10헤테로시클로알케닐기, 치환된 C6-C60아릴기, 치환된 C6-C60아릴옥시기, 치환된 C6-C60아릴티오기, 치환된 C1-C60헤테로아릴기, 치환된 1가 비-방향족 축합다환 그룹 및 치환된 1가 비-방향족 헤테로축합다환 그룹의 치환기 중 적어도 하나는,
중수소, -F, -Cl, -Br, -I, 히드록실기, 시아노기, 니트로기, 아미디노기, 히드라지노기, 히드라조노기, C1-C60알킬기, C2-C60알케닐기, C2-C60알키닐기 및 C1-C60알콕시기;
중수소, -F, -Cl, -Br, -I, 히드록실기, 시아노기, 니트로기, 아미디노기, 히드라지노기, 히드라조노기, C3-C10시클로알킬기, C1-C10헤테로시클로알킬기, C3-C10시클로알케닐기, C1-C10헤테로시클로알케닐기, C6-C60아릴기, C6-C60아릴옥시기, C6-C60아릴티오기, C1-C60헤테로아릴기, 1가 비-방향족 축합다환 그룹, 1가 비-방향족 헤테로축합다환 그룹, -Si(Q11)(Q12)(Q13), -N(Q11)(Q12), -B(Q11)(Q12), -C(=O)(Q11), -S(=O)2(Q11) 및 -P(=O)(Q11)(Q12) 중에서 선택된 적어도 하나로 치환된, C1-C60알킬기, C2-C60알케닐기, C2-C60알키닐기 및 C1-C60알콕시기;
C3-C10시클로알킬기, C1-C10헤테로시클로알킬기, C3-C10시클로알케닐기, C1-C10헤테로시클로알케닐기, C6-C60아릴기, C6-C60아릴옥시기, C6-C60아릴티오기, C1-C60헤테로아릴기, 1가 비-방향족 축합다환 그룹, 1가 비-방향족 헤테로축합다환 그룹, 비페닐기 및 터페닐기;
중수소, -F, -Cl, -Br, -I, 히드록실기, 시아노기, 니트로기, 아미디노기, 히드라지노기, 히드라조노기, C1-C60알킬기, C2-C60알케닐기, C2-C60알키닐기, C1-C60알콕시기, C3-C10시클로알킬기, C1-C10헤테로시클로알킬기, C3-C10시클로알케닐기, C1-C10헤테로시클로알케닐기, C6-C60아릴기, C6-C60아릴옥시기, C6-C60아릴티오기, C1-C60헤테로아릴기, 1가 비-방향족 축합다환 그룹, 1가 비-방향족 헤테로축합다환 그룹, -Si(Q21)(Q22)(Q23), -N(Q21)(Q22), -B(Q21)(Q22), -C(=O)(Q21), -S(=O)2(Q21) 및 -P(=O)(Q21)(Q22) 중에서 선택된 적어도 하나로 치환된, C3-C10시클로알킬기, C1-C10헤테로시클로알킬기, C3-C10시클로알케닐기, C1-C10헤테로시클로알케닐기, C6-C60아릴기, C6-C60아릴옥시기, C6-C60아릴티오기, C1-C60헤테로아릴기, 1가 비-방향족 축합다환 그룹 및 1가 비-방향족 헤테로축합다환 그룹; 및
-Si(Q31)(Q32)(Q33), -N(Q31)(Q32), -B(Q31)(Q32), -C(=O)(Q31), -S(=O)2(Q31) 및 -P(=O)(Q31)(Q32);
중에서 선택되고,
상기 Q1 내지 Q3, Q11 내지 Q13, Q21 내지 Q23 및 Q31 내지 Q33은 서로 독립적으로, 수소, 중수소, -F, -Cl, -Br, -I, 히드록실기, 시아노기, 니트로기, 아미디노기, 히드라지노기, 히드라조노기, C1-C60알킬기, C2-C60알케닐기, C2-C60알키닐기, C1-C60알콕시기, C3-C10시클로알킬기, C1-C10헤테로시클로알킬기, C3-C10시클로알케닐기, C1-C10헤테로시클로알케닐기, C6-C60아릴기, C1-C60헤테로아릴기, 1가 비-방향족 축합다환 그룹, 1가 비-방향족 헤테로축합다환 그룹, 비페닐기 및 터페닐기 중에서 선택된다. - 삭제
- 제1항에 있어서,
상기 a1은 0이고,
상기 a2 및 a3 중 적어도 하나는 1인, 헤테로고리 화합물. - 제1항에 있어서,
상기 a1은 1이고,
상기 a2 및 a3은 모두 0인, 헤테로고리 화합물. - 제1항에 있어서,
상기 a1, a2 및 a3은 모두 1인, 헤테로고리 화합물. - 삭제
- 제1항에 있어서,
R1은 수소, 중수소, -F, -Cl, -Br, -I, 히드록실기, 시아노기, 니트로기, 아미디노기, 히드라지노기, 히드라조노기, C1-C20알킬기, 및 C1-C20알콕시기;
중수소, -F, -Cl, -Br, -I, 히드록실기, 시아노기, 니트로기, 아미디노기, 히드라지노기, 히드라조노기, C1-C20알킬기, 및 C1-C20알콕시기 중에서 선택된 적어도 하나로 치환된 C1-C20알킬기, 및 C1-C20알콕시기; 및
하기 화학식 5-1 내지 5-20로 표시되는 그룹; 중에서 선택되고,
R2 및 R3는 서로 독립적으로,
수소, 중수소, -F, -Cl, -Br, -I, 히드록실기, 시아노기, 니트로기, 아미디노기, 히드라지노기, 히드라조노기, C1-C20알킬기, 및 C1-C20알콕시기; 및
중수소, -F, -Cl, -Br, -I, 히드록실기, 시아노기, 니트로기, 아미디노기, 히드라지노기, 히드라조노기, C1-C20알킬기, 및 C1-C20알콕시기 중에서 선택된 적어도 하나로 치환된 C1-C20알킬기, 및 C1-C20알콕시기;
중에서 선택되는, 헤테로고리 화합물:
상기 화학식 5-1 내지 5-20 중,
Y31은 O, S, C(Z33)(Z34), N(Z35) 또는 Si(Z36)(Z37)이고;
Z31 내지 Z37은 서로 독립적으로,
수소, 중수소, -F, -Cl, -Br, -I, 히드록실기, 시아노기, 니트로기, 아미디노기, 히드라지노기, 히드라조노기, C1-C20알킬기, C1-C20알콕시기, 시클로펜틸기, 시클로헥실기, 시클로헵틸기, 시클로펜테닐기, 시클로헥세닐기, 페닐기, 비페닐기, 터페닐기, 펜탈레닐기, 인데닐기, 나프틸기, 아줄레닐기, 헵탈레닐기, 인다세닐기, 아세나프틸기, 플루오레닐기, 스파이로-플루오레닐기, 벤조플루오레닐기, 디벤조플루오레닐기, 페날레닐기, 페난트레닐기, 안트라세닐기, 플루오란테닐기, 트리페닐레닐기, 파이레닐기, 크라이세닐기, 나프타세닐기, 피롤일기, 티오페닐기, 퓨라닐기, 이미다졸일기, 피라졸일기, 티아졸일기, 이소티아졸일기, 옥사졸일기, 이속사졸일기, 피리디닐기, 피라지닐기, 피리미디닐기, 피리다지닐기, 인돌일기, 이소인돌일기, 인다졸일기, 푸리닐기, 퀴놀리닐기, 이소퀴놀리닐기, 벤조퀴놀리닐기, 프탈라지닐기, 나프티리디닐기, 퀴녹살리닐기, 퀴나졸리닐기, 시놀리닐기, 카바졸일기, 페난트리디닐기, 아크리디닐기, 페나지닐기, 벤조이미다졸일기, 벤조퓨라닐기, 벤조티오페닐기, 이소벤조티아졸일기, 이소벤조옥사졸일기, 트리아졸일기, 테트라졸일기, 옥사디아졸일기, 트리아지닐기, 디벤조퓨라닐기, 디벤조티오페닐기, 벤조카바졸일기, 디벤조카바졸일기, 티아디아졸일기 및 이미다조피리디닐기 중에서 선택되고,
e2는 0 내지 2의 정수 중에서 선택되고,
e3은 0 내지 3의 정수 중에서 선택되고,
e4는 0 내지 4의 정수 중에서 선택되고,
e5는 0 내지 5의 정수 중에서 선택되고,
e6는 0 내지 6의 정수 중에서 선택되고,
e7은 0 내지 7의 정수 중에서 선택되고,
e9는 0 내지 9의 정수 중에서 선택되고,
* 및 *'은 이웃한 원자와의 결합 사이트이다. - 제1항에 있어서,
상기 화학식 1의 트리아진 코어를 중심으로 대칭 구조를 갖는 헤테로고리 화합물. - 제10항에 있어서,
상기 화학식 1-1 내지 1-4 중,
상기 L2 및 L3는 서로 동일한, 헤테로고리 화합물. - 제1전극;
상기 제1전극에 대향된 제2전극; 및
상기 제1전극과 상기 제2전극 사이에 배치되고 발광층을 포함한 유기층;
을 포함하고,
상기 유기층은 상기 제1항, 제3항 내지 제5항 및 제7항 내지 제12항 중 어느 한 항의 헤테로고리 화합물을 1종 이상 포함한, 유기 발광 소자. - 제13항에 있어서,
상기 제1전극이 애노드이고,
상기 제2전극이 캐소드이고,
상기 유기층이, i) 상기 제1전극과 상기 발광층 사이에 배치되고 정공 주입층, 정공 수송층, 버퍼층, 전자 저지층 또는 이의 임의의 조합을 포함한 정공 수송 영역 및 ii) 상기 발광층과 상기 제2전극 사이에 배치되고 정공 저지층, 전자 수송층, 전자 주입층 또는 이의 임의의 조합을 포함한 전자 수송 영역을 포함하는, 유기 발광 소자. - 제14항에 있어서,
상기 전자 수송 영역에 상기 헤테로고리 화합물이 1종 이상 포함되어 있는, 유기 발광 소자. - 제14항에 있어서,
상기 전자 수송 영역이 전자 수송층 및 전자 주입층을 포함하고,
상기 전자 수송층에 상기 헤테로고리 화합물이 1종 이상 포함되어 있는, 유기 발광 소자. - 제14항에 있어서,
상기 정공 수송 영역은 p-도펀트를 포함하고,
상기 p-도펀트는 시아노기-함유 화합물을 포함한, 유기 발광 소자. - 제13항에 있어서,
상기 발광층은 파이렌-함유 화합물, 아릴아민계 화합물 및 스티릴계 화합물 중 적어도 하나를 포함한, 유기 발광 소자. - 제13항에 있어서,
상기 발광층은 제1색광 방출-발광층이고,
상기 제1전극과 제2전극 사이에, i) 적어도 하나의 제2색광 방출-발광층이 추가로 포함되어 있거나, ii) 적어도 하나의 제2색광 방출-발광층 및 적어도 하나의 제3색광 방출-발광층이 추가로 포함되어 있고,
상기 제1색광의 최대 발광 파장, 상기 제2색광의 최대 발광 파장 및 상기 제3색광의 최대 발광 파장은 서로 동일하거나 상이하고,
상기 제1색광과 상기 제2색광이 서로 혼합된 혼색광 또는 상기 제1색광, 상기 제2색광 및 상기 제3색광이 서로 혼합된 혼색광이 방출되는, 유기 발광 소자. - 박막 트랜지스터 및 제13항의 유기 발광 소자를 포함하고,
상기 박막 트랜지스터는 소스 전극, 드레인 전극, 활성층 및 게이트 전극을 포함하고,
상기 유기 발광 소자의 제1전극과 상기 박막 트랜지스터의 소스 전극 및 드레인 전극 중 하나가 서로 전기적으로 연결되어 있는, 전자 장치.
Priority Applications (5)
| Application Number | Priority Date | Filing Date | Title |
|---|---|---|---|
| KR1020170100434A KR102414108B1 (ko) | 2017-08-08 | 2017-08-08 | 헤테로고리 화합물 및 이를 포함한 유기 발광 소자 |
| US15/913,162 US10903432B2 (en) | 2017-08-08 | 2018-03-06 | Heterocyclic compound and organic light-emitting device including the same |
| EP18175088.6A EP3441391B1 (en) | 2017-08-08 | 2018-05-30 | Heterocyclic compound and organic light-emitting device including the same |
| CN201810652269.6A CN109384802B (zh) | 2017-08-08 | 2018-06-22 | 杂环化合物以及包括该杂环化合物的有机发光装置和电子设备 |
| JP2018142926A JP7169802B2 (ja) | 2017-08-08 | 2018-07-30 | ヘテロ環式化合物、それを含んだ有機発光素子及び電子装置 |
Applications Claiming Priority (1)
| Application Number | Priority Date | Filing Date | Title |
|---|---|---|---|
| KR1020170100434A KR102414108B1 (ko) | 2017-08-08 | 2017-08-08 | 헤테로고리 화합물 및 이를 포함한 유기 발광 소자 |
Publications (2)
| Publication Number | Publication Date |
|---|---|
| KR20190016638A KR20190016638A (ko) | 2019-02-19 |
| KR102414108B1 true KR102414108B1 (ko) | 2022-06-29 |
Family
ID=62492458
Family Applications (1)
| Application Number | Title | Priority Date | Filing Date |
|---|---|---|---|
| KR1020170100434A Active KR102414108B1 (ko) | 2017-08-08 | 2017-08-08 | 헤테로고리 화합물 및 이를 포함한 유기 발광 소자 |
Country Status (5)
| Country | Link |
|---|---|
| US (1) | US10903432B2 (ko) |
| EP (1) | EP3441391B1 (ko) |
| JP (1) | JP7169802B2 (ko) |
| KR (1) | KR102414108B1 (ko) |
| CN (1) | CN109384802B (ko) |
Families Citing this family (22)
| Publication number | Priority date | Publication date | Assignee | Title |
|---|---|---|---|---|
| KR102536248B1 (ko) | 2017-06-21 | 2023-05-25 | 삼성디스플레이 주식회사 | 헤테로시클릭 화합물 및 이를 포함한 유기 발광 소자 |
| KR102536246B1 (ko) | 2018-03-23 | 2023-05-25 | 삼성디스플레이 주식회사 | 헤테로고리 화합물 및 이를 포함한 유기 발광 소자 |
| CN109180567B (zh) | 2018-09-25 | 2022-05-20 | 武汉天马微电子有限公司 | 氮杂环化合物、显示面板以及显示装置 |
| KR102885310B1 (ko) * | 2019-04-04 | 2025-11-13 | 덕산네오룩스 주식회사 | 유기전기소자용 화합물 및 이를 이용한 유기전기소자 |
| CN110156777A (zh) * | 2019-05-21 | 2019-08-23 | 吉林工程技术师范学院 | 一种三嗪衍生物及其有机电致发光器件 |
| KR102781575B1 (ko) * | 2019-06-07 | 2025-03-18 | 삼성디스플레이 주식회사 | 헤테로시클릭 화합물 및 이를 포함한 유기 발광 소자 |
| KR102727032B1 (ko) * | 2019-06-10 | 2024-11-07 | 삼성디스플레이 주식회사 | 헤테로시클릭 화합물 및 이를 포함한 유기 발광 소자 |
| KR102763275B1 (ko) * | 2019-07-15 | 2025-02-10 | 삼성디스플레이 주식회사 | 화합물 및 이를 포함하는 유기 발광 소자 |
| CN110903159A (zh) * | 2019-08-12 | 2020-03-24 | 宇瑞(上海)化学有限公司 | 一种以邻菲啰啉及衍生物为核心化合物及以该化合物为cpl层制作的oled器件 |
| KR102761520B1 (ko) * | 2020-01-31 | 2025-02-04 | 삼성디스플레이 주식회사 | 정공 수송 영역이 11족 금속 칼코젠 화합물을 포함하는 발광 소자 |
| KR20210138832A (ko) | 2020-05-12 | 2021-11-22 | 삼성디스플레이 주식회사 | 유기 전계 발광 소자 및 유기 전계 발광 소자용 화합물 |
| KR102839497B1 (ko) * | 2020-05-25 | 2025-07-28 | 삼성디스플레이 주식회사 | 헤테로고리 화합물을 포함한 발광 소자 및 상기 발광 소자를 포함한 전자 장치 |
| KR20210151309A (ko) | 2020-06-04 | 2021-12-14 | 삼성디스플레이 주식회사 | 헤테로고리 화합물 및 이를 포함한 유기 발광 소자 |
| CN113838987A (zh) * | 2020-06-23 | 2021-12-24 | 三星显示有限公司 | 有机发光装置 |
| KR102801011B1 (ko) | 2020-07-13 | 2025-04-30 | 삼성디스플레이 주식회사 | 발광 소자 및 이를 포함한 전자 장치 |
| DE112021004268T5 (de) * | 2020-08-11 | 2023-11-23 | Semiconductor Energy Laboratory Co., Ltd. | Licht emittierende Vorrichtung, Licht emittierende Einrichtung, Anzeigevorrichtung, elektronisches Gerät und Beleuchtungsvorrichtung |
| KR20220072897A (ko) | 2020-11-24 | 2022-06-03 | 삼성디스플레이 주식회사 | 발광 소자 및 이를 포함하는 장치 |
| KR20220100132A (ko) * | 2021-01-07 | 2022-07-15 | 삼성디스플레이 주식회사 | 발광 소자 및 이를 포함한 전자 장치 |
| CN115232153B (zh) * | 2021-04-23 | 2024-07-16 | 江苏三月科技股份有限公司 | 一种含有萘和1,10-菲啰啉结构的有机化合物及包含其的oled发光器件 |
| CN114478589A (zh) * | 2022-03-10 | 2022-05-13 | 宇瑞(上海)化学有限公司 | 邻菲啰啉化合物、有机电致发光器件及显示或照明装置 |
| CN117327100A (zh) * | 2022-06-22 | 2024-01-02 | 烟台显华科技集团股份有限公司 | 一种双联菲啰啉取代化合物及其应用 |
| CN117327099A (zh) * | 2022-06-22 | 2024-01-02 | 烟台显华科技集团股份有限公司 | 一种邻菲罗啉取代化合物及其应用 |
Citations (2)
| Publication number | Priority date | Publication date | Assignee | Title |
|---|---|---|---|---|
| JP2003045662A (ja) * | 2001-08-01 | 2003-02-14 | Konica Corp | 有機エレクトロルミネッセンス素子及び表示装置 |
| US20120286249A1 (en) | 2011-05-13 | 2012-11-15 | Jae-Yong Lee | Condensed-cyclic compound, organic light-emitting device comprising the same, and flat panel display apparatus including the device |
Family Cites Families (31)
| Publication number | Priority date | Publication date | Assignee | Title |
|---|---|---|---|---|
| JP3755196B2 (ja) | 1996-06-28 | 2006-03-15 | チッソ株式会社 | シクロペンタジエン誘導体を用いることを特徴とする電界発光素子 |
| US5645948A (en) | 1996-08-20 | 1997-07-08 | Eastman Kodak Company | Blue organic electroluminescent devices |
| JP3834954B2 (ja) | 1997-09-05 | 2006-10-18 | チッソ株式会社 | シラシクロペンタジエン環を有する正孔輸送材料 |
| JP4172172B2 (ja) | 2001-10-10 | 2008-10-29 | コニカミノルタホールディングス株式会社 | 有機エレクトロルミネッセンス素子 |
| JP4060669B2 (ja) | 2002-08-28 | 2008-03-12 | 富士フイルム株式会社 | 1,3,6,8−四置換ピレン化合物、有機el素子及び有機elディスプレイ |
| KR100525408B1 (ko) | 2002-12-24 | 2005-11-02 | 엘지전자 주식회사 | 유기 전계 발광 소자 |
| JP4595346B2 (ja) | 2003-02-25 | 2010-12-08 | 東レ株式会社 | 発光素子用材料、及びこれを含む発光素子 |
| JP5086608B2 (ja) | 2006-11-08 | 2012-11-28 | ケミプロ化成株式会社 | 新規なジ(フェナントロリン)誘導体、それよりなる電子輸送材料およびそれを含む有機エレクトロルミネッセンス素子 |
| JP2010182637A (ja) * | 2009-02-09 | 2010-08-19 | Fujifilm Corp | 有機電界発光素子の製造方法及び有機電界発光素子 |
| KR101741415B1 (ko) * | 2009-04-29 | 2017-05-30 | 롬엔드하스전자재료코리아유한회사 | 신규한 유기 발광 화합물 및 이를 채용하고 있는 유기 전계 발광 소자 |
| KR101387738B1 (ko) * | 2009-12-29 | 2014-04-22 | 제일모직주식회사 | 유기광전소자용 화합물 및 이를 포함하는 유기광전소자 |
| KR101108167B1 (ko) * | 2010-02-12 | 2012-02-06 | 삼성모바일디스플레이주식회사 | 유기 발광 디스플레이 장치 |
| JP5340999B2 (ja) | 2010-03-04 | 2013-11-13 | コニカミノルタ株式会社 | 有機エレクトロルミネッセンス素子及び表示装置 |
| US9252368B2 (en) * | 2011-11-11 | 2016-02-02 | Tosoh Corporation | Cyclic azine compound having nitrogen-containing condensed aromatic group, method for producing same, and organic electroluminescent device comprising same as constituent component |
| JP6251670B2 (ja) * | 2012-03-29 | 2017-12-20 | 株式会社Joled | 有機エレクトロルミネッセンス素子 |
| JP6335428B2 (ja) | 2012-12-21 | 2018-05-30 | 出光興産株式会社 | 有機エレクトロルミネッセンス素子および電子機器 |
| US10069079B2 (en) * | 2013-04-08 | 2018-09-04 | Merck Patent Gmbh | Organic electroluminescent device with thermally activated delayed fluorescence material |
| KR102145888B1 (ko) * | 2013-12-13 | 2020-08-20 | 삼성디스플레이 주식회사 | 트리아진계 화합물 및 이를 포함하는 유기 발광 소자 |
| KR102195540B1 (ko) | 2014-04-25 | 2020-12-29 | 덕산네오룩스 주식회사 | 유기전기 소자용 화합물, 이를 이용한 유기전기소자 및 그 전자 장치 |
| KR101627691B1 (ko) * | 2014-04-29 | 2016-06-07 | (주)피엔에이치테크 | 유기발광 화합물 및 이를 포함하는 유기전계발광소자 |
| KR102244071B1 (ko) * | 2014-05-02 | 2021-04-26 | 삼성디스플레이 주식회사 | 유기 발광 소자 |
| US9997716B2 (en) * | 2014-05-27 | 2018-06-12 | Universal Display Corporation | Organic electroluminescent materials and devices |
| KR102275535B1 (ko) | 2014-10-17 | 2021-07-09 | 엘지디스플레이 주식회사 | 유기전계발광소자 |
| US10096782B2 (en) | 2014-08-01 | 2018-10-09 | Lg Display Co., Ltd. | Organic light emitting display device |
| KR102297602B1 (ko) | 2014-08-01 | 2021-09-06 | 엘지디스플레이 주식회사 | 유기전계발광소자 |
| KR101887213B1 (ko) * | 2014-08-12 | 2018-08-09 | 삼성에스디아이 주식회사 | 화합물, 이를 포함하는 유기 광전자 소자 및 표시장치 |
| EP3032605B1 (en) * | 2014-12-08 | 2019-08-21 | LG Display Co., Ltd. | Organic light emitting display device |
| KR102214158B1 (ko) | 2015-01-29 | 2021-02-09 | 도레이 카부시키가이샤 | 페난트롤린 유도체, 그것을 함유하는 전자 디바이스, 발광 소자 및 광전 변환 소자 |
| KR102399573B1 (ko) * | 2015-08-04 | 2022-05-19 | 삼성디스플레이 주식회사 | 화합물 및 이를 포함하는 유기 발광 소자 |
| KR20170104718A (ko) * | 2016-03-07 | 2017-09-18 | 덕산네오룩스 주식회사 | 유기전기 소자용 화합물, 이를 이용한 유기전기소자 및 그 전자 장치 |
| KR102544984B1 (ko) * | 2016-03-18 | 2023-06-20 | 삼성디스플레이 주식회사 | 화합물 및 이를 포함하는 유기 발광 소자 |
-
2017
- 2017-08-08 KR KR1020170100434A patent/KR102414108B1/ko active Active
-
2018
- 2018-03-06 US US15/913,162 patent/US10903432B2/en active Active
- 2018-05-30 EP EP18175088.6A patent/EP3441391B1/en active Active
- 2018-06-22 CN CN201810652269.6A patent/CN109384802B/zh active Active
- 2018-07-30 JP JP2018142926A patent/JP7169802B2/ja active Active
Patent Citations (2)
| Publication number | Priority date | Publication date | Assignee | Title |
|---|---|---|---|---|
| JP2003045662A (ja) * | 2001-08-01 | 2003-02-14 | Konica Corp | 有機エレクトロルミネッセンス素子及び表示装置 |
| US20120286249A1 (en) | 2011-05-13 | 2012-11-15 | Jae-Yong Lee | Condensed-cyclic compound, organic light-emitting device comprising the same, and flat panel display apparatus including the device |
Also Published As
| Publication number | Publication date |
|---|---|
| EP3441391A1 (en) | 2019-02-13 |
| US20190051841A1 (en) | 2019-02-14 |
| EP3441391B1 (en) | 2020-09-02 |
| CN109384802A (zh) | 2019-02-26 |
| KR20190016638A (ko) | 2019-02-19 |
| US10903432B2 (en) | 2021-01-26 |
| CN109384802B (zh) | 2023-01-13 |
| JP7169802B2 (ja) | 2022-11-11 |
| JP2019031484A (ja) | 2019-02-28 |
Similar Documents
| Publication | Publication Date | Title |
|---|---|---|
| KR102414108B1 (ko) | 헤테로고리 화합물 및 이를 포함한 유기 발광 소자 | |
| KR102536248B1 (ko) | 헤테로시클릭 화합물 및 이를 포함한 유기 발광 소자 | |
| KR102504130B1 (ko) | 축합환 화합물 및 이를 포함한 유기 발광 소자 | |
| KR102597025B1 (ko) | 헤테로시클릭 화합물 및 이를 포함한 유기 발광 소자 | |
| KR102449219B1 (ko) | 유기 발광 소자 | |
| KR102458681B1 (ko) | 헤테로시클릭 화합물 및 이를 포함한 유기 발광 소자 | |
| KR20230064592A (ko) | 축합환 화합물 및 이를 포함한 유기 발광 소자 | |
| KR102536246B1 (ko) | 헤테로고리 화합물 및 이를 포함한 유기 발광 소자 | |
| KR102616577B1 (ko) | 축합환 화합물 및 이를 포함하는 유기 발광 소자 | |
| KR102639569B1 (ko) | 축합환 화합물 및 이를 포함한 유기 발광 소자 | |
| KR20170099027A (ko) | 유기 발광 소자 | |
| KR102608415B1 (ko) | 다이아민 화합물을 포함한 유기 발광 소자 및 다이아민 화합물 | |
| KR102415376B1 (ko) | 축합환 화합물 및 이를 포함한 유기 발광 소자 | |
| KR20180081661A (ko) | 헤테로고리 화합물 및 이를 포함한 유기 발광 소자 | |
| KR20230126688A (ko) | 헤테로시클릭 화합물 및 이를 포함한 유기 발광 소자 | |
| KR102400484B1 (ko) | 아민계 화합물 및 이를 포함한 유기 발광 소자 | |
| KR20200113057A (ko) | 아민계 화합물 및 이를 포함한 유기 발광 소자 | |
| KR20180097807A (ko) | 다환 화합물 및 이를 포함한 유기 발광 소자 | |
| KR20180042513A (ko) | 축합환 화합물 및 이를 포함한 유기 발광 소자 | |
| KR102630642B1 (ko) | 헤테로시클릭 화합물 및 이를 포함한 유기 발광 소자 | |
| KR20180034747A (ko) | 축합환 화합물 및 이를 포함한 유기 발광 소자 | |
| KR102552271B1 (ko) | 축합환 화합물 및 이를 포함한 유기 발광 소자 | |
| KR102537438B1 (ko) | 화합물 및 이를 포함하는 유기 발광 소자 | |
| KR102497280B1 (ko) | 화합물 및 이를 포함하는 유기 발광 소자 | |
| KR20190083020A (ko) | 유기 발광 소자 |
Legal Events
| Date | Code | Title | Description |
|---|---|---|---|
| PA0109 | Patent application |
Patent event code: PA01091R01D Comment text: Patent Application Patent event date: 20170808 |
|
| PG1501 | Laying open of application | ||
| A201 | Request for examination | ||
| PA0201 | Request for examination |
Patent event code: PA02012R01D Patent event date: 20200610 Comment text: Request for Examination of Application Patent event code: PA02011R01I Patent event date: 20170808 Comment text: Patent Application |
|
| E902 | Notification of reason for refusal | ||
| PE0902 | Notice of grounds for rejection |
Comment text: Notification of reason for refusal Patent event date: 20211117 Patent event code: PE09021S01D |
|
| E701 | Decision to grant or registration of patent right | ||
| PE0701 | Decision of registration |
Patent event code: PE07011S01D Comment text: Decision to Grant Registration Patent event date: 20220323 |
|
| GRNT | Written decision to grant | ||
| PR0701 | Registration of establishment |
Comment text: Registration of Establishment Patent event date: 20220623 Patent event code: PR07011E01D |
|
| PR1002 | Payment of registration fee |
Payment date: 20220624 End annual number: 3 Start annual number: 1 |
|
| PG1601 | Publication of registration |






















































































































