CN111936492A - 用于防治无脊椎害虫的萘异噁唑啉化合物 - Google Patents
用于防治无脊椎害虫的萘异噁唑啉化合物 Download PDFInfo
- Publication number
- CN111936492A CN111936492A CN201980024652.XA CN201980024652A CN111936492A CN 111936492 A CN111936492 A CN 111936492A CN 201980024652 A CN201980024652 A CN 201980024652A CN 111936492 A CN111936492 A CN 111936492A
- Authority
- CN
- China
- Prior art keywords
- compound
- formula
- compounds
- radical
- group
- Prior art date
- Legal status (The legal status is an assumption and is not a legal conclusion. Google has not performed a legal analysis and makes no representation as to the accuracy of the status listed.)
- Pending
Links
Classifications
-
- A—HUMAN NECESSITIES
- A01—AGRICULTURE; FORESTRY; ANIMAL HUSBANDRY; HUNTING; TRAPPING; FISHING
- A01N—PRESERVATION OF BODIES OF HUMANS OR ANIMALS OR PLANTS OR PARTS THEREOF; BIOCIDES, e.g. AS DISINFECTANTS, AS PESTICIDES OR AS HERBICIDES; PEST REPELLANTS OR ATTRACTANTS; PLANT GROWTH REGULATORS
- A01N43/00—Biocides, pest repellants or attractants, or plant growth regulators containing heterocyclic compounds
- A01N43/72—Biocides, pest repellants or attractants, or plant growth regulators containing heterocyclic compounds having rings with nitrogen atoms and oxygen or sulfur atoms as ring hetero atoms
- A01N43/80—Biocides, pest repellants or attractants, or plant growth regulators containing heterocyclic compounds having rings with nitrogen atoms and oxygen or sulfur atoms as ring hetero atoms five-membered rings with one nitrogen atom and either one oxygen atom or one sulfur atom in positions 1,2
-
- A—HUMAN NECESSITIES
- A01—AGRICULTURE; FORESTRY; ANIMAL HUSBANDRY; HUNTING; TRAPPING; FISHING
- A01N—PRESERVATION OF BODIES OF HUMANS OR ANIMALS OR PLANTS OR PARTS THEREOF; BIOCIDES, e.g. AS DISINFECTANTS, AS PESTICIDES OR AS HERBICIDES; PEST REPELLANTS OR ATTRACTANTS; PLANT GROWTH REGULATORS
- A01N43/00—Biocides, pest repellants or attractants, or plant growth regulators containing heterocyclic compounds
- A01N43/72—Biocides, pest repellants or attractants, or plant growth regulators containing heterocyclic compounds having rings with nitrogen atoms and oxygen or sulfur atoms as ring hetero atoms
- A01N43/88—Biocides, pest repellants or attractants, or plant growth regulators containing heterocyclic compounds having rings with nitrogen atoms and oxygen or sulfur atoms as ring hetero atoms six-membered rings with three ring hetero atoms
-
- A—HUMAN NECESSITIES
- A01—AGRICULTURE; FORESTRY; ANIMAL HUSBANDRY; HUNTING; TRAPPING; FISHING
- A01N—PRESERVATION OF BODIES OF HUMANS OR ANIMALS OR PLANTS OR PARTS THEREOF; BIOCIDES, e.g. AS DISINFECTANTS, AS PESTICIDES OR AS HERBICIDES; PEST REPELLANTS OR ATTRACTANTS; PLANT GROWTH REGULATORS
- A01N53/00—Biocides, pest repellants or attractants, or plant growth regulators containing cyclopropane carboxylic acids or derivatives thereof
-
- C—CHEMISTRY; METALLURGY
- C07—ORGANIC CHEMISTRY
- C07D—HETEROCYCLIC COMPOUNDS
- C07D261/00—Heterocyclic compounds containing 1,2-oxazole or hydrogenated 1,2-oxazole rings
- C07D261/02—Heterocyclic compounds containing 1,2-oxazole or hydrogenated 1,2-oxazole rings not condensed with other rings
- C07D261/04—Heterocyclic compounds containing 1,2-oxazole or hydrogenated 1,2-oxazole rings not condensed with other rings having one double bond between ring members or between a ring member and a non-ring member
-
- C—CHEMISTRY; METALLURGY
- C07—ORGANIC CHEMISTRY
- C07D—HETEROCYCLIC COMPOUNDS
- C07D407/00—Heterocyclic compounds containing two or more hetero rings, at least one ring having oxygen atoms as the only ring hetero atoms, not provided for by group C07D405/00
- C07D407/02—Heterocyclic compounds containing two or more hetero rings, at least one ring having oxygen atoms as the only ring hetero atoms, not provided for by group C07D405/00 containing two hetero rings
- C07D407/10—Heterocyclic compounds containing two or more hetero rings, at least one ring having oxygen atoms as the only ring hetero atoms, not provided for by group C07D405/00 containing two hetero rings linked by a carbon chain containing aromatic rings
-
- C—CHEMISTRY; METALLURGY
- C07—ORGANIC CHEMISTRY
- C07D—HETEROCYCLIC COMPOUNDS
- C07D409/00—Heterocyclic compounds containing two or more hetero rings, at least one ring having sulfur atoms as the only ring hetero atoms
- C07D409/02—Heterocyclic compounds containing two or more hetero rings, at least one ring having sulfur atoms as the only ring hetero atoms containing two hetero rings
- C07D409/10—Heterocyclic compounds containing two or more hetero rings, at least one ring having sulfur atoms as the only ring hetero atoms containing two hetero rings linked by a carbon chain containing aromatic rings
-
- C—CHEMISTRY; METALLURGY
- C07—ORGANIC CHEMISTRY
- C07D—HETEROCYCLIC COMPOUNDS
- C07D413/00—Heterocyclic compounds containing two or more hetero rings, at least one ring having nitrogen and oxygen atoms as the only ring hetero atoms
- C07D413/02—Heterocyclic compounds containing two or more hetero rings, at least one ring having nitrogen and oxygen atoms as the only ring hetero atoms containing two hetero rings
- C07D413/10—Heterocyclic compounds containing two or more hetero rings, at least one ring having nitrogen and oxygen atoms as the only ring hetero atoms containing two hetero rings linked by a carbon chain containing aromatic rings
-
- C—CHEMISTRY; METALLURGY
- C07—ORGANIC CHEMISTRY
- C07D—HETEROCYCLIC COMPOUNDS
- C07D413/00—Heterocyclic compounds containing two or more hetero rings, at least one ring having nitrogen and oxygen atoms as the only ring hetero atoms
- C07D413/02—Heterocyclic compounds containing two or more hetero rings, at least one ring having nitrogen and oxygen atoms as the only ring hetero atoms containing two hetero rings
- C07D413/12—Heterocyclic compounds containing two or more hetero rings, at least one ring having nitrogen and oxygen atoms as the only ring hetero atoms containing two hetero rings linked by a chain containing hetero atoms as chain links
-
- C—CHEMISTRY; METALLURGY
- C07—ORGANIC CHEMISTRY
- C07D—HETEROCYCLIC COMPOUNDS
- C07D417/00—Heterocyclic compounds containing two or more hetero rings, at least one ring having nitrogen and sulfur atoms as the only ring hetero atoms, not provided for by group C07D415/00
- C07D417/02—Heterocyclic compounds containing two or more hetero rings, at least one ring having nitrogen and sulfur atoms as the only ring hetero atoms, not provided for by group C07D415/00 containing two hetero rings
- C07D417/10—Heterocyclic compounds containing two or more hetero rings, at least one ring having nitrogen and sulfur atoms as the only ring hetero atoms, not provided for by group C07D415/00 containing two hetero rings linked by a carbon chain containing aromatic rings
Landscapes
- Chemical & Material Sciences (AREA)
- Organic Chemistry (AREA)
- Life Sciences & Earth Sciences (AREA)
- Dentistry (AREA)
- Wood Science & Technology (AREA)
- Plant Pathology (AREA)
- Health & Medical Sciences (AREA)
- Engineering & Computer Science (AREA)
- Agronomy & Crop Science (AREA)
- General Health & Medical Sciences (AREA)
- Pest Control & Pesticides (AREA)
- Zoology (AREA)
- Environmental Sciences (AREA)
- Agricultural Chemicals And Associated Chemicals (AREA)
- Pharmaceuticals Containing Other Organic And Inorganic Compounds (AREA)
- Heterocyclic Carbon Compounds Containing A Hetero Ring Having Nitrogen And Oxygen As The Only Ring Hetero Atoms (AREA)
- Catching Or Destruction (AREA)
- Plural Heterocyclic Compounds (AREA)
Abstract
Description
发明领域
本发明涉及适于农业和非农业用途的某些异噁唑啉化合物和组合物,以及使用它们来防治无脊椎害虫诸如农业和非农业环境中的节肢动物的方法。
发明背景
为获得高作物效率,防治无脊椎害虫是极为重要的。无脊椎害虫对农作物生长和储存的损害会导致产量显著降低,从而造成对消费者的费用上升。对于林业、温室作物、观赏植物、苗圃作物、贮藏食物和纤维产品、居室、草皮、木制品以及公共卫生和动物卫生,防治无脊椎害虫也是重要的。为此目的,有许多产品可商购获得,但是持续需要更有效、更经济、毒性更小、对环境更安全或具有不同作用位点的新型化合物。
发明概述
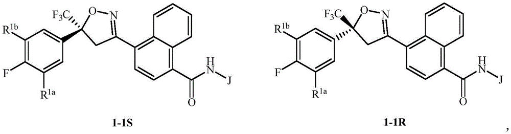
本发明涉及式1的化合物,包含它们的组合物和它们在防治无脊椎害虫方面的用途:
其中
J是被一个氰基取代的C2–C4烷基;被一个氰基取代的-CH2(环丙基);或者未被取代的或者被一个氰基或一个C(O)NHR17取代的环丙基;或
J是
R1a是Cl或CF3;
R1b是H或Cl;
R2是未被取代的或者被独立地选自以下的取代基取代的C1–C4烷基:氰基、硝基、OR9、S(O)nR10、CO2R11和C(O)NR12R13;
R3是H;或者未被取代的或者被独立地选自以下的取代基取代的C1–C4烷基:氰基、硝基、OR9、S(O)nR10、CO2R11和C(O)NR12R13;
R4是H、C1–C4烷基或C1–C4卤代烷基;
R5是H或C1–C4烷基;
R6是H或C1–C4烷基;
R7是H、C1–C4烷基或C1–C4卤代烷基;
X是-O-或-C(O)-;
R8是H、C1–C4烷基、C1–C4卤代烷基或C3–C6环烷基;
R9、R10、R11、R12和R13各自独立地是H或C1–C4烷基;
R14是H;或者未被取代的或者被独立地选自以下的取代基取代的C1–C4烷基:氰基、硝基、OR9、S(O)nR10、CO2R11和C(O)NR12R13;
R15是H、C1–C4烷基或C1–C4卤代烷基;
R16是氟、C1–C4烷基、C1–C4卤代烷基、C1–C6烷氧基、C1–C6卤代烷氧基、氨基或C1–C6烷基氨基;
R17是H、C1–C4烷基、C1–C4卤代烷基或C3–C6环烷基;
Q是吡啶基、嘧啶基、吡嗪基、哒嗪基、1,2,4-三嗪基、1,3,5-三嗪基、呋喃基、噻吩基、吡咯基、吡唑基、咪唑基、1,2,3-三唑基、1,2,4-三唑基、四唑基、噁唑基、噻唑基、异噁唑基、异噻唑基、1,2,3-噁二唑基、1,2,4-噁二唑基、1,3,4-噁二唑基、1,2,3-噻二唑基、1,2,4-噻二唑基或1,3,4-噻二唑基,其各自未被取代或者被独立地选自以下的取代基取代:氰基、硝基、卤素、C1–C4烷基、C1–C4卤代烷基、C1–C4烷氧基、C1–C4卤代烷氧基、C1–C4烷硫基、C1–C4卤代烷硫基、C1–C4烷基亚磺酰基、C1–C4卤代烷基亚磺酰基、C1–C4烷基磺酰基、C1–C4卤代烷基磺酰基、C2–C5烷氧基羰基、C2–C5烷基氨基羰基和C3–C5二烷基氨基羰基;并且
n各自独立地是0、1或2。
本发明还提供了一种组合物,所述组合物包含式1的化合物和至少一种附加组分,所述附加组分选自表面活性剂、固体稀释剂和液体稀释剂。在一个实施方案中,本发明还提供了用于防治无脊椎害虫的组合物,所述组合物包含式1的化合物和至少一种附加组分,所述附加组分选自表面活性剂、固体稀释剂和液体稀释剂,所述组合物任选地还包含至少一种附加的生物学活性化合物或药剂。
本发明提供了一种用于防治无脊椎害虫的方法,所述方法包括使所述无脊椎害虫或其环境接触生物学有效量的式1的化合物(例如作为本文所述的组合物)。本发明还涉及此类方法,其中使无脊椎害虫或其环境接触组合物,所述组合物包含生物学有效量的式1的化合物和至少一种附加组分,所述附加组分选自表面活性剂、固体稀释剂和液体稀释剂,所述组合物任选地还包含生物学有效量的至少一种附加的生物学活性化合物或药剂。
本发明还提供了一种用于保护种子免受无脊椎害虫侵害的方法,所述方法包括使所述种子接触生物学有效量的式1的化合物(例如作为本文所述的组合物)。本发明还涉及经处理的种子。
本发明还提供了增加农作物活力的方法,所述方法包括使所述农作物、从中生长出农作物的种子或农作物的所在地(例如生长培养基)与生物学有效量的式1的化合物(例如作为本文所述的组合物)接触。
发明详述
如本文所用,术语“包含”、“包括”、“具有”、“含有”、“其特征在于”,或者其任意其他变型旨在包括非排他性的包括,受到明确指出的任何限制。例如,包含一系列要素的组合物、混合物、工艺或方法不必仅限于那些要素,而可以包括其他未明确列出的要素或者此类组合物、混合物、工艺或方法所固有的要素。
过渡短语“由……组成”不包括未指定的任何要素、步骤或成分。如果在权利要求书中,则这将使权利要求书不包括所列举的物质之外的物质,但通常与之相关的杂质除外。当短语“由...组成”出现在权利要求书主体的一个条款中而不是紧接在前序部分之后时,它仅限制该条款中列出的要素;其他要素不从权利要求整体中排除。
过渡短语“基本上由……组成”用于定义组合物或方法,该组合物或方法包括除了字面上公开的那些之外的材料、步骤、特征、组分或要素,前提是这些附加的材料、步骤、特征、组分或要素不会实质上影响要求保护的发明的基本和新颖的特征。术语“基本上由...组成”介于“包含”和“由...组成”之间。
在申请人已经用诸如“包括”之类的开放式术语定义发明或其部分时,应该容易理解,除非另有说明,否则说明书应解释为还使用术语“基本上由……组成”或“由...组成”来描述此类发明。
此外,除非有相反的明确说明,“或”是指包含性的“或”,而不是指排他性的“或”。例如,以下任何一种情况均满足条件A或B:A是真实的(或存在的)且B是虚假的(或不存在的),A是虚假的(或不存在的)且B是真实的(或存在的),以及A和B都是真实的(或存在的)。
同样,位于本发明要素或组分前的不定冠词“a”或“an”旨在对于要素或组分的实例(即出现)数是非限制性的。因此,应将“a”或“an”理解为包括一个或至少一个,并且要素或组分的单数词语形式也包括复数指代,除非有数字明显表示单数。
如本公开中所涉及的,术语“无脊椎害虫”包括具有经济学重要性的作为害虫的节肢动物、腹足动物、线虫动物和蠕虫。术语“节肢动物”包括昆虫、螨虫、蜘蛛、蝎子、蜈蚣、马陆、球潮虫和综合纲动物。术语“腹足动物”包括蜗牛、蛞蝓以及其他柄眼目动物。术语“线虫动物”包括所有线虫纲的成员。
在本公开的上下文中,“防治无脊椎害虫”是指抑制无脊椎害虫的发育(包括死亡、摄食量下降、和/或交配干扰),并且可类似定义相关的表达。
术语“农业的”是指诸如用于食物和纤维的田园作物的生产,并且包括玉米(maize或corn)、大豆和其他豆类、水稻、谷类食物(例如小麦、燕麦、大麦、裸麦和水稻)、叶菜(例如莴苣、卷心菜以及其他菜荚作物)、果菜(例如番茄、辣椒、茄子、十字花科植物和葫芦科植物)、马铃薯、甘薯、葡萄、棉花、木本果(例如梨果、硬质种子和柑橘)、小果(例如浆果、樱桃)以及其他特殊作物(例如芥菜、向日葵和橄榄)的生长。
术语“非农业的”是指非田园作物诸如园艺作物(例如不在田地中生长的温室植物、苗圃植物或观赏植物),居住结构、农业结构、商业结构和产业结构,草皮(例如草场、牧场、高尔夫球场、草坪、运动场等),木制品,储藏制品,农林间作和植被管理,以及公共卫生应用。
术语“作物活力”是指农作物的生长速率或生物量积累。“活力增加”是指相对于未经处理的对照农作物,农作物的生长或生物量积累的增加。术语“作物产量”是指在收获农作物后获得的作物材料的数量和质量二者方面的回报。“作物产量的增加”是指相对于未经处理的对照农作物的作物产量的增加。
术语“生物学有效量”是指当施用于(即接触)要防治的无脊椎害虫或其环境、或植物、从中生长出植物的种子或植物的所在地(例如,生长培养基)时,足以产生所需生物学效应,从而保护植物免受无脊椎害虫的伤害或达到其他所需效果(例如,提高植物活力)的生物学活性化合物(例如,式1的化合物)的量。
在上述表述中,单独使用或在复合词诸如“烷硫基”或“卤代烷基”中使用的术语“烷基”包括直链或支链烷基,诸如甲基、乙基、正丙基、异丙基,或不同的丁基、戊基或己基异构体。
“烷氧基”包括例如甲氧基、乙氧基、正丙氧基、异丙氧基以及不同的丁氧基、戊氧基和己氧基异构体。“烷硫基”包括支链或直链的烷硫基基团,例如甲硫基、乙硫基、以及不同的丙硫基、丁硫基、戊硫基和己硫基异构体。
单独的或在诸如“卤代烷基”的复合词中的或者当在诸如“用卤素取代的烷基”的描述中使用的术语“卤素”包括氟、氯、溴或碘。此外,当用于诸如“卤代烷基”的复合词中时,或者当用于诸如“用卤素取代的烷基”的描述中时,所述烷基可以是用卤原子(其可以是相同的或不同的)部分地或完全地取代的。“卤代烷基”或“被卤素取代的烷基”的实例包括F3C-、ClCH2-、CF3CH2-和CF3CCl2-。
本文所用的化学缩写S(O)和S(=O)表示亚磺酰胺基团。本文所用的化学缩写SO2、S(O)2和S(=O)2表示磺酰胺基团。本文所用的化学缩写C(O)和C(=O)表示羰基基团。本文所用的化学缩写CO2、C(O)O和C(=O)O表示氧羰基基团。
结构片段中的虚线表示该片段与分子其余部分的连接点。例如,当将式1中的变量J定义为J-1时,J-1结构中的虚线表示J-1在该位置连接到式1结构的其余部分,如下所示。
J-4中的变量X定义为-O-或-C(O)-,这意味着J-4如下所示。
当变量J定义为被一个氰基取代的-CH2(环丙基)时,这表示J如下所示(即氰基可连接到亚甲基或环丙基环的任意碳原子上)。
取代基中的碳原子总数由“Ci-Cj”前缀表示。例如,C1-C4烷基表示甲基、乙基以及各种丙基及丁基异构体。
当化合物被取代基(所述取代基带有指示所述取代基的数目可以超过1的下标)取代时,所述取代基(当它们超过1时)独立地选自所定义的取代基的组。此外,当下标指示一个范围(例如(R)i–j)时,则取代基的数量可以选自i和j之间的整数(含i和j)。当基团包含可以是氢的取代基时,则当此取代基被认为是氢时,应该认识到这相当于所述基团是未取代的。当基团上的一个或多个位置被称为是“未取代的”或“未经取代的”时,则连接氢原子以占据任意自由价。
当取代基为5元或6元含氮杂环时,除非另有说明,否则它可通过任何可用的碳或氮环原子连接至式1的其余部分。
本领域已知有多种合成方法能够制备芳族和非芳族杂环和环系;详细的综述参见八卷集的Comprehensive Heterocyclic Chemistry(A.R.Katritzky和C.W.Rees主编,Pergamon Press,Oxford,1984)和十二卷集的Comprehensive Heterocyclic ChemistryII(A.R.Katritzky、C.W.Rees和E.F.V.Scriven主编,Pergamon Press,Oxford,1996)。
本发明的化合物可以一种或多种立体异构体的形式存在。立体异构体是组成相同但其原子空间排列不同的异构体,包括对映异构体、非对映异构体、顺反异构体(也称为几何异构体)和阻转异构体。阻转异构体是由围绕单键的旋转受限而产生的,其中旋转势垒足够高,以至于允许同分异构体物质的分离。本领域技术人员会理解,当一种立体异构体相对于其他立体异构体富集时,或者当其与其他立体异构体分离时,其可能更有活性和/或可能表现出有益的效果。另外,本领域技术人员知晓如何分离、富集和/或选择性制备所述立体异构体。对于立体异构体所有方面的全面讨论,请参见Ernest L.Eliel and SamuelH.Wilen,Stereochemistry of Organic Compounds,John Wiley&Sons,1994。
选自式1的化合物通常以多于一种的形式存在,因此式1包括式1表示的化合物的所有晶体形式和非晶体形式。非晶体形式包括作为固体的实施方案,例如蜡和树胶,以及作为液体的实施方案,例如溶液和熔体。晶体形式包括基本上代表单晶类型的实施方案和代表多晶型物(即不同的晶体类型)的混合物的实施方案。术语“多晶型物”是指可以不同晶体形式结晶的化合物的特定晶体形式,这些形式具有晶格中分子的不同排列和/或构象。尽管多晶型物可以具有相同的化学组成,但由于存在或不存在可以弱或强结合在晶格中的共结晶水或其他分子,它们的组成也可能不同。多晶型物的化学、物理和生物学特性可能不同,例如晶体形状、密度、硬度、颜色、化学稳定性、熔点、吸湿性、悬浮性、溶解速率和生物利用度。本领域技术人员会理解,相对于由式1表示的同一化合物的另一种多晶型物或多晶型物的混合物,由式1表示的化合物的多晶型物可以表现出有益的效果(例如,适合制备有用的制剂、改善的生物学性能)。式1表示的化合物的特定多晶型物的制备和分离可以通过本领域技术人员已知的方法来实现,包括例如使用选择的溶剂和温度进行结晶。本发明的化合物可以作为一种或多种晶体多晶型物存在。本发明包括单独的多晶型物和多晶型物的混合物,包括相对于其他多晶型物富集一种多晶型物的混合物。对于同质多晶的全面讨论,请参见R.Hilfiker,Ed.,Polymorphism In the Pharmaceutical Industry,Wiley-VCH,Weinheim,2006。
如发明概述中所述的本发明实施方案包括下文所述的那些。在以下实施方案中,提及“式1的化合物”包括发明概述中所指定的取代基定义,除非在实施方案中进一步限定。
实施方案1.式1的化合物,其中J是J-1。
实施方案1a.实施方案1的化合物,其中R2是未被取代的或者被独立地选自以下的取代基取代的C1–C4烷基:OMe、SMe、S(O)Me和SO2Me。
实施方案1b.实施方案1a的化合物,其中R2是被OMe、SMe、S(O)Me或SO2Me取代的C1–C4烷基。
实施方案1c.实施方案1a的化合物,其中R2是C1–C4烷基。
实施方案1d.实施方案1c的化合物,其中R2是甲基。
实施方案1e.实施方案1-1d中任一项的化合物,其中R3是H或甲基。
实施方案1f.实施方案1-1d中任一项的化合物,其中R4是H、C1–C2烷基或C1–C2卤代烷基。
实施方案2.式1的化合物,其中J是J-2。
实施方案2a.实施方案2或2a的化合物,其中R5是H或甲基。
实施方案2b.实施方案2a的化合物,其中R5是甲基。
实施方案2c.实施方案2a的化合物,其中R5是H。
实施方案2d.实施方案2-2c中任一项的化合物,其中Q是吡啶基或嘧啶基。
实施方案2e.实施方案2d的化合物,其中Q是吡啶基。
实施方案2f.实施方案2d的化合物,其中Q是嘧啶基。
实施方案2g.实施方案2-2f中任一项的化合物,其中J-2是
实施方案3.由其中J是J-2a的式1的化合物和其中J是J-2b的式1的化合物组成的组合物,
其中,其中J是J-2a的式1的化合物与其中J是J-2b的式1的化合物之比大于60:40。
实施方案3a.实施方案3的组合物,其中,其中J是J-2a的式1的化合物与其中J是J-2b的式1的化合物之比大于80:20。
实施方案3b.实施方案3的组合物,其中,其中J是J-2a的式1的化合物与其中J是J-2b的式1的化合物之比大于90:10。
实施方案3c.实施方案3的组合物,其中,其中J是J-2a的式1的化合物与其中J是J-2b的式1的化合物之比大于95:5。
实施方案3d.实施方案3的组合物,其中,其中J是J-2a的式1的化合物与其中J是J-2b的式1的化合物之比大于99:1。
实施方案3e.由其中J是J-2a的式1的化合物和其中J是J-2b的式1的化合物组成的组合物,
R5是甲基;
其中,其中J是J-2a的式1的化合物与其中J是J-2b的式1的化合物之比大于60:40。
实施方案3f.实施方案3e的组合物,其中,其中J是J-2a的式1的化合物与其中J是J-2b的式1的化合物之比大于80:20。
实施方案3g.实施方案3e的组合物,其中,其中J是J-2a的式1的化合物与其中J是J-2b的式1的化合物之比大于90:10。
实施方案3h.实施方案3e的组合物,其中,其中J是J-2a的式1的化合物与其中J是J-2b的式1的化合物之比大于95:5。
实施方案3i.实施方案3e的组合物,其中,其中J是J-2a的式1的化合物与其中J是J-2b的式1的化合物之比大于99:1。
实施方案3j.由其中J是J-2a的式1的化合物和其中J是J-2b的式1的化合物组成的组合物,
Q是吡啶基;
其中,其中J是J-2a的式1的化合物与其中J是J-2b的式1的化合物之比大于60:40。
实施方案3k.实施方案3j的组合物,其中,其中J是J-2a的式1的化合物与其中J是J-2b的式1的化合物之比大于80:20。
实施方案3l.实施方案3j的组合物,其中,其中J是J-2a的式1的化合物与其中J是J-2b的式1的化合物之比大于90:10。
实施方案3m.实施方案3j的组合物,其中,其中J是J-2a的式1的化合物与其中J是J-2b的式1的化合物之比大于95:5。
实施方案3n.实施方案3j的组合物,其中,其中J是J-2a的式1的化合物与其中J是J-2b的式1的化合物之比大于99:1。
实施方案3o.由其中J是J-2a的式1的化合物和其中J是J-2b的式1的化合物组成的组合物,
Q是嘧啶基;
其中,其中J是J-2a的式1的化合物与其中J是J-2b的式1的化合物之比大于60:40。
实施方案3p.实施方案3o的组合物,其中,其中J是J-2a的式1的化合物与其中J是J-2b的式1的化合物之比大于80:20。
实施方案3q.实施方案3o的组合物,其中,其中J是J-2a的式1的化合物与其中J是J-2b的式1的化合物之比大于90:10。
实施方案3r.实施方案3o的组合物,其中,其中J是J-2a的式1的化合物与其中J是J-2b的式1的化合物之比大于95:5。
实施方案3s.实施方案3o的组合物,其中,其中J是J-2a的式1的化合物与其中J是J-2b的式1的化合物之比大于99:1。
实施方案4.式1的化合物,其中J是J-3。
实施方案4a.实施方案4的化合物,其中R6是H。
实施方案4b.实施方案4的化合物,其中R7是C1–C4烷基。
实施方案4c.实施方案4b的化合物,其中R7是甲基或乙基。
实施方案4d.实施方案4c的化合物,其中R7是甲基。
实施方案5.式1或实施方案1的化合物,其中J是J-4。
实施方案5a.实施方案5的化合物,其中X是-O-。
实施方案5b.实施方案5的化合物,其中X是-C(O)-。
实施方案5c.实施方案5、5a或5b的化合物,其中R8是C1–C2烷基或C1–C2卤代烷基。
实施方案5d.实施方案5c的化合物,其中R8是甲基或乙基。
实施方案5e.实施方案5d的化合物,其中R8是甲基。
实施方案6.式1的化合物,其中J是J-5。
实施方案6a.实施方案6的化合物,其中R14是C1–C4烷基。
实施方案6b.实施方案6a的化合物,其中R14是甲基或乙基。
实施方案6c.实施方案6b的化合物,其中R14是甲基。
实施方案6d.实施方案6-6c中任一项的化合物,其中R15是C1–C4烷基。
实施方案6e.实施方案6d的化合物,其中R14是甲基或乙基。
实施方案6f.实施方案6e的化合物,其中R14是甲基。
实施方案6g.实施方案6-6f中任一项的化合物,其中J-5是
实施方案7.由其中J是J-5a的式1的化合物和其中J是J-5b的式1的化合物组成的组合物,
其中,其中J是J-5a的式1的化合物与其中J是J-5b的式1的化合物之比大于60:40。
实施方案7a.实施方案7的组合物,其中,其中J是J-5a的式1的化合物与其中J是J-5b的式1的化合物之比大于80:20。
实施方案7b.实施方案7的组合物,其中,其中J是J-5a的式1的化合物与其中J是J-5b的式1的化合物之比大于90:10。
实施方案7c.实施方案7的组合物,其中,其中J是J-5a的式1的化合物与其中J是J-5b的式1的化合物之比大于95:5。
实施方案7d.实施方案7的组合物,其中,其中J是J-5a的式1的化合物与其中J是J-5b的式1的化合物之比大于99:1。
实施方案8.式1的化合物,其中J是J-6。
实施方案8a.实施方案8的化合物,其中R16是F、甲基或氨基。
实施方案8b.实施方案8a的化合物,其中R16是甲基。
实施方案9.式1的化合物,其中J是被一个氰基取代的C2–C4烷基。
实施方案9a.实施方案9的化合物,其中J是被一个氰基取代的乙基。
实施方案9b.实施方案9a的化合物,其中J是-CH(CN)CH3。
实施方案10.式1的化合物,其中J是被一个氰基取代的-CH2(环丙基)。
实施方案10a.实施方案10的化合物,其中J是-CH(CN)(环丙基)。
实施方案11.式1的化合物,其中J是未被取代的或者被一个氰基或一个C(O)NHR17取代的环丙基。
实施方案11a.实施方案11的化合物,其中J是环丙基。
实施方案11b.实施方案11的化合物,其中J是1-(氰基)环丙基。
实施方案11c.式1的化合物,其中J是被一个氰基取代的C2–C4烷基;或环丙基。
实施方案12.式1或实施方案1-11c中任一项的化合物,其中R1a是Cl。
实施方案12a.式1或实施方案1-11c中任一项的化合物,其中R1a是CF3。
实施方案13.式1或实施方案1-12a中任一项的化合物,其中R1b是H。
实施方案13a.式1或实施方案1-12a中任一项的化合物,其中R1b是Cl。
实施方案14.式1或实施方案1-11c中任一项的化合物,其中R1a是H且R1b是CF3。
实施方案15.式1或实施方案1-11c中任一项的化合物,其中R1a是Cl且R1b是Cl。
实施方案16.式1或实施方案1-11c中任一项的化合物,其中R1a是Cl且R1b是CF3。
实施方案17.式1或实施方案1-11c中任一项的化合物,其中R1a是H且R1b是CF3,或者R1a是Cl且R1b是Cl,或者R1a是Cl且R1b是CF3。
实施方案17a.式1或实施方案1-11c中任一项的化合物,其中R1a是H且R1b是CF3,或者R1a是Cl且R1b是Cl。
实施方案18.由式1-1S和式1-1R的化合物组成的组合物
其中式1-1S的化合物与式1-1R的化合物之比大于60:40。
实施方案18a.实施方案18的组合物,其中式1-1S的化合物与式1-1R的化合物之比大于80:20。
实施方案18b.实施方案18的组合物,其中式1-1S的化合物与式1-1R的化合物之比大于90:10。
实施方案18c.实施方案18的组合物,其中式1-1S的化合物与式1-1R的化合物之比大于95:5。
实施方案18d.实施方案18的组合物,其中式1-1S的化合物与式1-1R的化合物之比大于99:1。
实施方案19.由式1-1S和式1-1R的化合物组成的组合物
其中式1-1S的化合物与式1-1R的化合物之比大于60:40。
实施方案19a.实施方案19的组合物,其中J是J-1。
实施方案19b.实施方案19的组合物,其中J是J-2。
实施方案19c.实施方案19b的组合物,其中J是J-2a
实施方案19d.实施方案19的组合物,其中J是J-3。
实施方案19e.实施方案19的组合物,其中J是J-4。
实施方案19f.实施方案19的组合物,其中J是J-5。
实施方案19g.实施方案19f的组合物,其中J是J-5a
实施方案19h.实施方案19的组合物,其中J是J-6。
实施方案19i.实施方案19的组合物,其中J是被一个氰基取代的C2–C4烷基。
实施方案19j.实施方案19的组合物,其中J是被一个氰基取代的-CH2(环丙基)。
实施方案19k.实施方案19的组合物,其中J是未被取代的或者被一个氰基或一个C(O)NHR17取代的环丙基。
实施方案20-20k与实施方案19-19k相同,除了式1-1S的化合物与式1-1R的化合物之比大于80:20之外。
实施方案21-21k与实施方案19-19k相同,除了式1-1S的化合物与式1-1R的化合物之比大于90:10之外。
实施方案22-22k与实施方案19-19k相同,除了式1-1S的化合物与式1-1R的化合物之比大于95:5之外。
实施方案23-23k与实施方案19-19k相同,除了式1-1S的化合物与式1-1R的化合物之比大于99:1之外。
本发明的实施方案(包括上文实施方案1-23k以及本文所述的任意其他实施方案)可以任何方式组合,并且实施方案中的变量描述不仅适用于式1的化合物,还适用于用于制备式1的化合物的起始化合物和中间体化合物。此外,本发明的实施方案(包括上文实施方案1-23k以及本文所述的任意其他实施方案,以及它们的任意组合)适用于本发明的组合物和方法。
实施方案A.式1的化合物,其中J是J-1、J-2或J-5。
实施方案B.实施方案A的化合物,其中J是J-1。
实施方案C.实施方案B的化合物,其中R2是C1–C4烷基。
实施方案D.实施方案C的化合物,其中R2是甲基。
实施方案E.实施方案A的化合物,其中J是J-2。
实施方案F.实施方案E的化合物,其中R5是H或甲基。
实施方案G.实施方案F的化合物,其中Q是吡啶基或嘧啶基。
实施方案H.实施方案E、F或G中任一项的化合物,其中J-2是
实施方案I.实施方案A的化合物,其中J是J-5。
实施方案J.实施方案I的化合物,其中R14是C1–C4烷基。
实施方案K.实施方案I或J中任一项的化合物,其中J-5是
实施方案L.实施方案A-K中任一项的化合物,其中式1的化合物是式1-1S
实施方案M.式1的化合物,其中J是被一个氰基取代的C2–C4烷基;被一个氰基取代的-CH2(环丙基);或者未被取代的或者被一个氰基或一个C(O)NHR17取代的环丙基;或者J-1、J-2或J-5。
实施方案N.实施方案M的化合物,其中R1a是Cl且R1b是Cl;或者R1a是CF3且R1b是H。
实施方案O.实施方案N的化合物,其中J是被一个氰基取代的C2–C4烷基;或者环丙基。
实施方案P.实施方案N的化合物,其中J是J-1。
实施方案Q.实施方案P的化合物,其中R2是甲基;
R3是H或甲基;并且
R4是H或甲基。
实施方案R.实施方案N的化合物,其中J是J-2。
实施方案S.实施方案R的化合物,其中R5是H或甲基;并且
Q是吡啶基或嘧啶基。
实施方案T.实施方案S的化合物,其中J-2是
实施方案U.实施方案N的化合物,其中J是J-5。
实施方案V.实施方案U的化合物,其中R14是H或甲基;并且
R15是C1–C4烷基。
实施方案W.实施方案V的化合物,其中J-5是
实施方案L-1.式1-1S的化合物
实施方案L-2.式1-1S的化合物,其中J是被一个氰基取代的C2–C4烷基;被一个氰基取代的-CH2(环丙基);或者未被取代的或者被一个氰基或一个C(O)NHR17取代的环丙基;或者J-1、J-2或J-5。
实施方案L-3.实施方案L-2的化合物,其中R1a是Cl且R1b是Cl;或者
R1a是CF3且R1b是H。
实施方案L-4.实施方案L-3的化合物,其中J是被一个氰基取代的C2–C4烷基;或环丙基。
实施方案L-5.实施方案L-3的化合物,其中J是J-1。
实施方案L-6.实施方案L-5的化合物,其中R2是甲基;
R3是H或甲基;并且
R4是H或甲基。
实施方案L-7.实施方案L-3的化合物,其中J是J-2。
实施方案L-8.实施方案L-7的化合物,其中R5是H或甲基;并且
Q是吡啶基或嘧啶基。
实施方案L-9.实施方案L-8的化合物,其中J-2是
实施方案L-10.实施方案L-3的化合物,其中J是J-5。
实施方案L-11.实施方案L-10的化合物,其中R14是H或甲基;并且
R15是C1–C4烷基。
实施方案L-12.实施方案U的化合物,其中J-5是
具体实施方案包括选自以下的式1的化合物:化合物1、3、8、10、11、19、20、33、34、39、50、61、67、69、70和71。化合物号是指索引表。因此具体实施方案包括选自以下的式1的化合物:式1的化合物,其中R1a是Cl,R1b是Cl,J是J-1,R2是甲基,R3是H,并且R4是H(化合物1);式1的化合物,其中R1a是Cl,R1b是Cl,J是J-1,R2是甲基,R3是H,并且R4是甲基(化合物3);式1的化合物,其中R1a是Cl,R1b是Cl,J是J-2,R5是H,并且Q是2-嘧啶基(化合物10);式1的化合物,其中R1a是CF3,R1b是Cl,J是J-2,R5是H,并且Q是2-嘧啶基(化合物11);式1的化合物,其中R1a是Cl,R1b是Cl,J是J-2,R5是甲基,并且Q是2-嘧啶基(化合物19);式1的化合物,其中R1a是Cl,R1b是Cl,J是J-2a,R5是甲基,并且Q是2-吡啶基(化合物20);式1的化合物,其中R1a是Cl,R1b是Cl,J是J-3,R6是H,并且R7是甲基(化合物33);式1的化合物,其中R1a是Cl,R1b是Cl,J是J-4,X是O,并且R8是乙基(化合物34);式1的化合物,其中R1a是Cl,R1b是Cl,J是J-5a,R14是甲基,并且R15是甲基(化合物39);式1的化合物,其中R1a是CF3,R1b是H,J是J-2,R5是H,并且Q是2-嘧啶基(化合物50);式1的化合物,其中R1a是CF3,R1b是H,并且J是环丙基(化合物67);式1的化合物,其中R1a是CF3,R1b是H,并且J是1-(氰基)乙基(化合物69);式1的化合物,其中R1a是Cl,R1b是Cl,并且J是环丙基(化合物70);式1的化合物,其中R1a是Cl,R1b是Cl,并且J是1-(氰基)乙基(化合物71);式1-1S的化合物,其中R1a是Cl,R1b是Cl,J是J-1,R2是甲基,R3是H,并且R4是H(化合物8);和式1-1S的化合物,其中R1a是Cl,R1b是Cl,J是J-2,R5是H,并且Q是2-嘧啶基(化合物61)。
值得注意的是,本发明的化合物的特征在于有利的代谢和/或土壤残留模式,并且表现出对农业和非农业无脊椎害虫的广谱防治活性。
尤其值得注意的是,由于对无脊椎害虫的广谱防治性和经济重要性,因此通过防治无脊椎害虫来保护农作物免受无脊椎害虫损害或损伤是本发明的实施方案。由于本发明的化合物在植株内有利的转移特性或体系性,因此它们也同样保护未与式1的化合物或包含所述化合物的组合物直接接触的叶片或其他植株部分。
农药在非靶标生物中的生物蓄积是重要的安全考虑,通常需要限制农药和/或其代谢物在非靶标生物中的全身暴露和/或蓄积。例如,如果将一种作为杀虫剂的化合物施用于农作物,则希望该化合物不在脊椎动物的血浆或脂肪中蓄积。
式1的化合物可在脊椎动物中显示出良好的药代动力学特性。特别地,已发现式1的化合物可从脊椎动物血浆/血液中快速清除,并且在脊椎动物脂肪中的分布较低,因此减少了不期望的生物蓄积的可能性。值得注意的是与异噁唑啉环的5-位相连的苯环的4-位上的氟原子。
可以使用药理学中已知的多种测定方案来测定式1的化合物的药代动力学特性。在一种涉及单次口服给药的示例性方法中,三只雄性大鼠和三只雌性大鼠各自通过口服管饲法接受单次剂量的测试物质。在0.25、0.5、1、2、4、8、12和24小时时通过尾静脉采血,然后每24小时采血一次,直至处死。为了将样品处理为血浆,将血液收集在含有乙二胺四乙酸(EDTA)的试管中,并以约3000rpm的速度离心,以将血浆与红细胞分离。或者,使用微毛细管收集血液并将其分配到含有HPLC水(1:1,v/v)的试管中。还收集脂肪,将其均质化并提取以测定处死时式1的化合物的浓度。例如通过具有串联质谱检测(LC/MS/MS)的高效液相色谱法(HPLC)分析血浆或血液和脂肪中的式1的化合物和/或代谢物,以测定测试物质的浓度。使用非线性建模软件(例如,Pharsight-A CertaraTM Company,美国密苏里州圣路易斯)分析血浆或血液的药代动力学数据,以测定式1的化合物的血浆/血液半衰期、给药后达到最大血浆/血液浓度的时间(Tmax)、最大血浆/血液浓度(Cmax)和血浆/血液浓度曲线下面积(AUC)。由于脂肪分析需要处死大鼠,因此在单个时间点(即处死大鼠的时间)获得脂肪数据。然后测定式1的化合物的脂肪:血浆或脂肪:血液比率。
作为本发明的实施方案,还值得注意的是组合物,所述组合物包含任意前述实施方案以及本文所述任意其他实施方案以及它们的任意组合中的化合物和至少一种附加组分,所述附加组分选自表面活性剂、固体稀释剂和液体稀释剂,所述组合物任选地还包含至少一种附加的生物学活性化合物或药剂。
作为本发明的实施方案,还值得注意的是用于防治无脊椎害虫的组合物,所述组合物包含任意前述实施方案以及本文所述任意其他实施方案以及它们的任意组合中的化合物和至少一种附加组分,所述附加组分选自表面活性剂、固体稀释剂和液体稀释剂,所述组合物任选地还包含至少一种附加的生物学活性化合物或药剂。本发明的实施方案还包括防治无脊椎害虫的方法,所述方法包括使无脊椎害虫或其环境接触生物学有效量的任意前述实施方案中的化合物(例如作为本文所述的组合物)。
本发明的实施方案还包括为土壤浸液液体制剂形式的组合物,所述组合物包含任意前述实施方案中的化合物。本发明的实施方案还包括防治无脊椎害虫的方法,所述方法包括使土壤接触作为土壤浸液的液体组合物,所述液体组合物包含生物学有效量的任意前述实施方案中的化合物。
本发明的实施方案还包括用于防治无脊椎害虫的喷剂组合物,所述组合物包含生物学有效量的任意前述实施方案中的化合物和抛射剂。本发明的实施方案还包括用于防治无脊椎害虫的饵料组合物,所述组合物包含生物学有效量的任意前述实施方案中的化合物、一种或多种食物物料、任选存在的诱虫剂和任选存在的湿润剂。本发明的实施方案还包括用于防治无脊椎害虫的装置,所述装置包括所述饵料组合物和适于容纳所述饵料组合物的外罩,其中所述外罩具有至少一个开口,所述开口的尺寸能够使无脊椎害虫通过,以使无脊椎害虫能够从位于外罩外部的位置触及所述饵料组合物,并且其中所述外罩还适于放置在潜在或已知的无脊椎害虫活动场所之中或附近。
本发明的实施方案还包括用于保护种子免受无脊椎害虫侵害的方法,所述方法包括使所述种子接触生物学有效量的任意前述实施方案中的化合物。
本发明的实施方案还包括用于防治无脊椎害虫的方法,所述方法包括使所述无脊椎害虫或其环境接触生物学有效量的式1的化合物(例如作为本文所述的组合物),前提是所述方法不是通过疗法对人体进行医学治疗的方法。
本发明还涉及这样的方法,其中使无脊椎害虫或其环境接触组合物,所述组合物包含生物学有效量的式1的化合物和至少一种附加组分,所述附加组分选自表面活性剂、固体稀释剂和液体稀释剂,所述组合物任选地还包含生物学有效量的至少一种附加的生物学活性化合物或药剂,前提是所述方法不是通过疗法对人体进行医学治疗的方法。
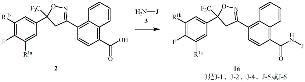
可以通过路线1-11中所述的一种或多种以下方法和变体制备式1的化合物。除非另有说明,否则下式1-15化合物中取代基的定义如上文发明概述中所定义。式1a和1b的化合物是式1的化合物的子集,且式1a和1b的所有取代基如上文中对式1所定义。可以使用以下缩写:DMF为N,N-二甲基甲酰胺,且DBU是1,8-二氮杂双环[5.4.0]十一-7-烯。
式1a的化合物(式1,其中J为J-1、J-2、J-4、J-5或J-6)可以通过路线1所示的方法由式2的化合物制备。在该方法中,通常在脱水偶联剂的存在下,使式2的羧酸与式3的胺化合物(其中J为J-1、J-2、J-4、J-5或J-6)偶联。可用于该方法的偶联剂包括二环己基碳二亚胺、1-(3-二甲基氨基丙基)-3-乙基碳二亚胺和羰基二咪唑。可用于该方法的其他偶联剂包括1-丙烷膦酸环酐、1-[双(二甲基氨基)亚甲基]-1H-1,2,3-三唑并[4,5-b]吡啶鎓3-氧化物六氟磷酸盐和N-[(二甲基氨基)-1H-1,2,3-三唑并[4,5-b]吡啶-1-基亚甲基]-N-甲基甲铵六氟磷酸盐N-氧化物;这些偶联剂通常在诸如三乙胺、吡啶、4-(二甲基氨基)吡啶或N,N-二异丙基乙胺的碱的存在下使用。通常的反应条件包括无水非质子溶剂(例如二氯甲烷、四氢呋喃或DMF),以及室温至70℃的反应温度。
路线1
还可以通过将式2的羧酸转化为其相应的酰氯,然后将酰氯与式3的胺偶联来制备式1a的化合物。合成例1的步骤C、以及合成例2和4中例示了路线1的方法。
式1a的化合物(式1,其中J为J-1、J-2、J-4、J-5或J-6)也可以通过路线2所示的方法制备。在该方法中,将式4的芳基溴或芳基碘羰基化,并与式3的胺化合物(其中J是J-1、J-2、J-4、J-5或J-6)偶联。
路线2
这种氨基羰基化方法通常包括在钯催化剂的存在下,在CO(一氧化碳)气氛下,用式3的胺处理式4的芳基溴(其中X为Br或I)。可用于该方法的钯催化剂通常包括表观氧化态为0(即,Pd(0))或2(即,Pd(II))的钯。在此方法中可用作催化剂的含钯化合物和络合物的实例包括PdCl2(PPh3)2(双(三苯基膦)二氯化钯(II))、Pd(PPh3)4(四(三苯基膦)钯(0))、Pd(C5H7O2)2(乙酰丙酮钯(II))、Pd2(dba)3(三(二亚苄基丙酮)二钯(0))和[1,1'-双(二苯基膦基)二茂铁]二氯化钯(II)。路线2的方法通常在液相中进行,其中钯催化剂在液相中具有良好的溶解性。有用的液相溶剂包括醚,例如1,2-二甲氧基乙烷;酰胺,例如N,N-二甲基乙酰胺;以及非卤化芳烃,例如甲苯。
路线2的方法可以在约25℃至约150℃的较宽温度范围内进行。值得注意的是约60℃至约110℃的温度,其通常提供更快的反应速率和更高的产品收率。氨基羰基化方法的文献实例包括H.Horino等人,Synthesis 1989,715;和J.J.Li,G.W.Gribble,editors,Palladium in Heterocyclic Chemistry:A Guide for the Synthetic Chemist,2000。合成例5的步骤B中例示了路线2的方法。
可以通过与路线1和2中所述的方法类似的方法制备其中J是(i)被一个氰基取代的C2–C4烷基,(ii)被一个氰基取代的-CH2(环丙基),或者(iii)未被取代的或者被一个氰基或一个C(O)NHR17取代的环丙基的式1的化合物。
可以通过路线3所示的方法由式5的化合物制备式1b的化合物(式1,其中J为J-3)。在该方法中,用式6的适当取代的胺处理式5的酰胺。
路线3
路线3的方法可以通过以下来进行:在约25℃至约110℃的温度下用DMF-DMA处理式5的酰胺,然后与式6的胺或其相应的盐偶联。也可以通过用原甲酸三乙酯和式6的胺或其相应的盐在甲苯中处理式5的酰胺来一步制备式1b的化合物。关于该方法的文献实例,参见T.Mita等人,WO2009/005015;W.Zhao等人,Org.Lett.2011,5160;和Y.Kusuoka等人,WO2014/126208。合成例3的步骤B中例示了路线3的方法。
式5的化合物可以由相应的式2的羧酸制备,如路线4的方法所示。
路线4
路线4中所示的一般转化在文献中是众所周知的,并且包括羧酸与氨源(如氢氧化铵、二噁烷中的铵和碳酸铵)通过它们相应的酰氯的偶联。或者,可以在诸如HBTU的偶联剂的存在下,在诸如THF或二噁烷的溶剂中直接进行偶联。合成例3的步骤A中例示了路线4的方法。
如路线5的方法所示,可以通过水解式7的酯(其中Ra是甲基或乙基)来制备式2的化合物。
路线5
Ra是甲基或乙基
在该方法中,通过本领域已知的操作将式7的酯转化为相应的式2的羧酸。例如,用氢氧化锂水溶液在四氢呋喃中处理式7的酯,然后酸化,得到相应的式2的羧酸。合成例1的步骤B中例示了路线5的方法。
可以通过将式8的苯乙烯与衍生自式9的肟的腈氧化物进行1,3-偶极环加成来制备式7的化合物,如路线6的方法所示。
路线6
该方法通常包括式9的肟的氯化以及随后的脱氯化氢以得到原位生成的腈氧化物,然后将其与式8的苯乙烯进行1,3-偶极环加成反应,从而得到式7的化合物。在通常的操作中,在式8的苯乙烯的存在下,将氯化试剂(如次氯酸钠、N-氯代琥珀酰亚胺或氯胺-T)与式9的肟混合。取决于反应条件,可能需要诸如吡啶或三乙胺的胺碱以促进脱氯化氢反应。在该方法中可用的溶剂包括四氢呋喃、乙醚、二氯甲烷、二噁烷和甲苯。反应温度为室温至溶剂的回流温度。关于腈氧化物与烯烃的环加成的一般操作,参见Lee,Synthesis,1982,6,508-509;Kanemasa等人,Tetrahedron,2000,56,1057-1064;EP 1,538,138 A1,以及其中引用的参考文献。合成例1的步骤A中例示了路线6的方法。
式8和9的化合物是可商购的或本领域已知的;参见例如T.Mita等人,US 7951828,以及G.Lahm等人,WO 2007/079162。
如路线7的方法所示,可以通过将式8的苯乙烯与衍生自式10的肟的腈氧化物进行1,3-偶极环加成反应来制备式4的化合物。
路线7
路线7的方法类似于路线6的方法。式10的肟是可商购的或是本领域已知的;参见例如G.Lahm等人,WO 2007/079162。合成例5的步骤A中例示了路线7的方法。
也可以如路线8的方法所示,通过将式11的化合物与羟胺环合来制备式7的化合物。
路线8
在该方法中,可以通过在溶剂(如二氯乙烷、氯仿或THF)中,在碱水溶液(如NaOH、Cs2CO3或K2CO3)的存在下,用羟胺或其盐处理式11的酮,来形成式7的异噁唑啉。关于该方法的实例,参见G.Annis,WO 2009/126668;和K.Matoba等人,Angew.Chem.Int.Ed.2010,49(33),5762。
可以通过将式12的化合物与式13的萘酮缩合来制备式11的化合物,如路线9的方法所示。
路线9
该方法包括在碱(例如Ca(OH)2、K2CO3、CsCO3)的存在下,在溶剂(例如甲苯、DMF、MTBE、三氟甲基苯或乙腈)中或在此类溶剂的混合物中,使式12与式13的化合物反应。通常的反应温度为约60℃至约130℃。关于该方法的示例,参见G.Annis,WO 2009/126668。
式12和式13的化合物是可商购的或是本领域已知的;参见例如Chunhua Yang等人,WO2017/176948;D.Leysen等人,WO 2005/082236;和F.Cohen等人,WO 2006/069063。
也可以如路线10的方法中所示,通过将式14的化合物与羟胺环合来制备式4的化合物。
路线10
该方法与路线8中描述的方法相似。用羟胺类似地处理式14的化合物,从而形成式4的异噁唑啉。
如路线11的方法所示,可以通过使式12的化合物与式15的萘酮缩合来制备式14的化合物。
路线11
该方法类似于路线9中所述的方法。用碱对式12的化合物和式15的萘酮进行类似处理,从而形成式14的化合物。式12和15的化合物是可商购的或本领域已知的;参见例如D.Leysen等人,WO2005/082236;和F.Cohen等人,WO 2006/069063。
应认识到,上述用于制备式1的化合物的某些试剂和反应条件可能不与中间体中存在的某些官能团相容。在这些情况下,将保护/脱保护序列或官能团互变引入到合成中将有助于获得所期望的产物。保护基的使用和选择对于化学合成领域的技术人员将是显而易见的(参见例如Greene,T.W.、Wuts,P.G.M.Protective Groups in Organic Synthesis,第2版;Wiley:New York,1991)。本领域技术人员将认识到,在一些情况下,在引入任何单独路线中的描述的试剂后,可能需要实施未详细描述的额外常规合成步骤,以完成式I的化合物的合成。本领域技术人员还将认识到,可能需要以与制备式1的化合物时呈现的具体顺序不同的顺序来实施上文路线中示出的步骤的组合。
本领域技术人员还将认识到,本文所述的式1的化合物和中间体可经历各种亲电反应、亲核反应、自由基反应、有机金属反应、氧化反应和还原反应,以引入取代基或修饰现有的取代基。
无需进一步详尽说明,相信本领域技术人员使用以上所述内容可将本发明利用至最大限度。因此,以下合成例应理解为仅是例证性的,而不以任何方式限制本发明的公开内容。以下合成例中的步骤示出了整个合成转化中每个步骤的操作,并且用于每个步骤的原料不必由在其他实施例或步骤中描述了操作的具体制备步骤制得。百分比均按重量计,除非是色谱溶剂混合物或除非另外指明。色谱溶剂混合物的份数和百分比均按体积计,除非另外指明。以距四甲基硅烷的低场ppm数为单位报告1H NMR波谱;“s”表示单峰,“d”表示双峰,“t”表示三峰,“q”表示四峰,“m”表示多峰,“dd”表示双重双峰,“dt”表示双重三峰,“brs”表示宽单峰。DMF表示N,N-二甲基甲酰胺。化合物号参见索引表A-G。
合成例1
N-[(1R)-2-氨基-1-甲基-2-氧代乙基]-4-[5-(3,5-二氯-4-氟苯基)-4,5-二氢-5-(三氟甲基)-3-异噁唑基]-1-萘甲酰胺(化合物1)的制备
步骤A:4-[5-(3,5-二氯-4-氟苯基)-4,5-二氢-5-(三氟甲基)-3-异噁唑基]-1-萘
甲酸甲酯的制备
向搅拌中的4-[(羟基亚氨基)甲基]-1-萘甲酸甲酯(1.50g,6.55mmol)在N,N-二甲基甲酰胺(4.0mL)中的溶液中加入N-氯代琥珀酰亚胺(1.05g,7.86mmol)。将混合物在室温下搅拌1.5h,然后加入1,3-二氯-4-氟-5-[1-(三氟甲基)乙烯基]苯(2.04g,7.86mmol)和三乙胺(1.38mL,9.83mmol)在N,N-二甲基甲酰胺(10.0mL)中的溶液。在室温下再搅拌2h后,将反应混合物用水稀释并用乙酸乙酯萃取。将有机相用盐水洗涤,干燥(Na2SO4),并减压浓缩。将残余物经硅胶色谱法纯化(使用己烷/乙酸乙酯作为洗脱剂),以得到作为白色固体的标题化合物(1.30g,43%收率).1H NMR(CDCl3):8.87(m,1H),8.78(m,1H),8.08(d,1H),7.67(m,2H),7.63(d,2H),7.52(d,1H),4.27(d,1H),4.02(s,3H),3.89(d,1H).
步骤B:4-[5-(3,5-二氯-4-氟苯基)-4,5-二氢-5-(三氟甲基)-3-异噁唑基]-1-萘
甲酸的制备
向搅拌中的4-[5-(3,5-二氯-4-氟苯基)-4,5-二氢-5-(三氟甲基)-3-异噁唑基]-1-萘甲酸甲酯(即,步骤A的产物)(1.20g,2.47mmol)在四氢呋喃(10mL)中的溶液中加入一水合氢氧化锂(0.31g,7.41mmol)在水(10mL)中的溶液。将所得的混合物在室温下搅拌过夜。将反应混合物在水和乙醚之间分配。然后将水层用6N盐酸水溶液酸化至pH 2,并用乙酸乙酯萃取。将合并的有机层用盐水洗涤,干燥并浓缩得到作为白色固体的标题化合物(1.10g,94%收率)。
1H NMR(DMSO-d6):13.52(br s,1H),8.83(m,1H),8.77(m,1H),8.12(d,1H),7.92(d,1H),7.88(d,2H),7.73(m,2H),4.56(s,2H).
步骤C:N-[(1R)-2-氨基-1-甲基-2-氧代乙基]-4-[5-(3,5-二氯-4-氟苯基)-4,5-
二氢-5-(三氟甲基)-3-异噁唑基]-1-萘甲酰胺的制备
将4-[5-(3,5-二氯-4-氟苯基)-4,5-二氢-5-(三氟甲基)-3-异噁唑基]-1-萘甲酸(即,步骤B的产物)(190mg,0.40mmol)、(R)-2-氨基丙酰胺盐酸盐(97mg,0.80mmol)、三乙胺(0.17mL,1.20mmol)和1-[双(二甲基氨基)亚甲基-1H-1,2,3-三唑并[4,5-b]吡啶鎓3-氧化物六氟磷酸盐(HATU,182mg,0.48mmol)在DMF(3mL)中的混合物在室温下搅拌过夜。然后将反应混合物在乙酸乙酯和水之间分配,将各相分离,并将水相用乙酸乙酯萃取。将合并的有机层用盐水洗涤,干燥,并浓缩。将所得的残余物经硅胶柱色谱法纯化(使用己烷/乙酸乙酯作为洗脱剂),以得到作为白色固体的标题产物,其为一种本发明的化合物(180mg,83%收率)。1H NMR(DMSO-d6):8.77(d,1H),8.72(d,1H),8.30(d,1H),7.88(m,3H),7.63-7.72(m,3H),7.46(br s,1H),7.05(br s,1H),4.54(s,2H),4.50(m,1H),1.36(d,3H).
合成例2
4-[5-(3,5-二氯-4-氟苯基)-4,5-二氢-5-(三氟甲基)-3-异噁唑基]-N-(2-吡啶基甲基)-1-萘甲酰胺(化合物15)的制备
将4-[5-(3,5-二氯-4-氟苯基)-4,5-二氢-5-(三氟甲基)-3-异噁唑基]-1-萘甲酸(200mg,0.42mmol)、2-吡啶基甲胺(92mg,0.84mmol)、三乙胺(0.18mL,1.26mmol)和1-[双(二甲基氨基)亚甲基-1H-1,2,3-三唑并[4,5-b]吡啶鎓3-氧化物六氟磷酸盐(HATU,240mg,0.64mmol)在DMF(3mL)中的混合物在室温下搅拌过夜。然后将反应混合物在乙酸乙酯和水之间分配。将各相分离,并将水相用乙酸乙酯萃取。将合并的有机层用盐水洗涤,干燥,并浓缩。将所得的残余物经硅胶柱色谱法纯化(使用己烷/乙酸乙酯作为洗脱剂),以得到作为白色固体的标题产物,其为一种本发明的化合物(132mg,56%收率)。1H NMR(CDCl3):8.80(d,1H),8.50(d,1H),8.36(d,1H),7.71(ddd,1H),7.58-7.66(m,5H),7.49(s,1H),7.48(s,1H),7.36(d,1H),7.22(dd,1H),4.84(d,2H),4.25(d,1H),3.89(d,1H).
合成例3
4-[5-(3,5-二氯-4-氟苯基)-4,5-二氢-5-(三氟甲基)-3-异噁唑基]-N-[(甲氧基亚氨基)甲基]-1-萘甲酰胺(化合物33)的制备
步骤A:4-[5-(3,5-二氯-4-氟苯基)-4,5-二氢-5-(三氟甲基)-3-异噁唑基]-1-萘
甲酰胺的制备
向4-[5-(3,5-二氯-4-氟苯基)-4,5-二氢-5-(三氟甲基)-3-异噁唑基]-1-萘甲酸(500mg,1.06mmol)在二氯甲烷(20mL)中的悬浮液中加入草酰氯(269mg,2.12mmol)和1滴DMF。将混合物在室温下搅拌1hr,然后浓缩并用甲苯减压蒸馏。将残余物溶于THF(5mL)中,并加入氢氧化铵水溶液(3mL,14.8M)。将反应混合物在室温下搅拌4hr,然后在乙酸乙酯和水之间分配。将各层分离,并将水层用乙酸乙酯萃取。将合并的有机层用盐水洗涤,干燥,并浓缩,以得到作为白色固体的伯酰胺(490mg)。将粗品酰胺无需进一步纯化而直接用于下一步。
步骤B:4-[5-(3,5-二氯-4-氟苯基)-4,5-二氢-5-(三氟甲基)-3-异噁唑基]-N-
[(甲氧基亚氨基)甲基]-1-萘甲酰胺的制备
将4-[5-(3,5-二氯-4-氟苯基)-4,5-二氢-5-(三氟甲基)-3-异噁唑基]-1-萘甲酰胺(490mg)、甲氧基胺盐酸盐(266mg,3.18mmol)和原甲酸三乙酯(2mL,12mmol)在甲苯(20mL)中的混合物在70℃下搅拌24hr。将反应混合物冷却并在乙酸乙酯和水之间分配。将各层分离,并将水层用乙酸乙酯萃取。将合并的有机层用盐水洗涤,干燥,浓缩,并将残余物经硅胶柱色谱法纯化(使用己烷/乙酸乙酯作为洗脱剂),以得到作为白色固体的标题产物,其为一种本发明的化合物(402mg,两步收率72%)。1H NMR(CDCl3):8.83(d,1H),8.66(d,1H),8.34(d,1H),7.89(d,1H),7.69(m,3H),7.64(d,2H),7.54(d,1H),4.27(d,1H),3.90(d,1H),3.89(s,3H).
合成例4
4-[5-(3,5-二氯-4-氟苯基)-4,5-二氢-5-(三氟甲基)-3-异噁唑基]-N-(2-吡啶基甲基)-N-[(4R)-2-乙基-3-氧代-4-异噁唑烷基]-1-萘甲酰胺(化合物34)的制备
向4-[5-(3,5-二氯-4-氟苯基)-4,5-二氢-5-(三氟甲基)-3-异噁唑基]-1-萘甲酸(200mg,0.42mmol)在二氯甲烷(10mL)中的悬浮液中加入草酰氯(107mg,0.84mmol)和1滴DMF。将混合物在室温下搅拌1hr,然后浓缩并用甲苯减压蒸馏。将残余物溶于2mL二氯甲烷中,并在室温下缓慢加入到(4R)-4-氨基-2-乙基异噁唑烷-3-酮盐酸盐(210mg,1.26mmol)和三乙胺(170mg,1.68mmol)在二氯甲烷(5mL)的悬浮液中。将反应混合物在室温下搅拌过夜,然后浓缩,并将残余物经硅胶柱色谱法纯化(使用己烷/乙酸乙酯作为洗脱剂),以得到作为白色固体的标题化合物(196mg,79%收率)。1H NMR(CDCl3):8.81(d,1H),8.30(d,1H),7.60-7.67(m,5H),7.45(d,1H),6.85(br s,1H),5.00(m,2H),4.26(d,1H),4.13(dd,1H),3.89(d,1H),3.65(m,2H),1.26(t,3H).
合成例5
N-[[4-[5-(3,5-二氯-4-氟苯基)-4,5-二氢-5-(三氟甲基)-3-异噁唑基]-1-萘基]羰基]甘氨酸甲酯(化合物35)的制备
步骤A:3-(4-溴-1-萘基)-5-(3,5-二氯-4-氟苯基)-4,5-二氢-5-(三氟甲基)异噁
唑的制备
向搅拌中的4-溴-1-萘甲酸肟(1.00g,4.0mmol)在N,N-二甲基甲酰胺(12.0mL)中的溶液中加入N-氯代琥珀酰亚胺(0.64g,4.8mmol)。将反应混合物在室温下搅拌1h,然后加入1,3-二氯-4-氟-5-[1-(三氟甲基)乙烯基]苯(1.24g,4.8mmol)和三乙胺(1.68mL,12.0mmol)在N,N-二甲基甲酰胺(12.0mL)中的溶液。在室温下再搅拌2h后,将反应混合物用水稀释,并用乙酸乙酯萃取。将有机相用盐水洗涤,干燥(Na2SO4),并减压浓缩。将残余物经硅胶柱色谱法纯化(使用己烷/乙酸乙酯作为洗脱剂),以得到作为白色固体的标题化合物(1.60g,76%收率).1H NMR(CDCl3):8.88(m,1H),8.35(m,1H),7.82(d,1H),7.69(m,2H),7.64(d,2H),7.36(d,1H),4.27(d,1H),3.88(d,1H).
步骤B:N-[[4-[5-(3,5-二氯-4-氟苯基)-4,5-二氢-5-(三氟甲基)-3-异噁唑基]-
1-萘基]羰基]甘氨酸甲酯的制备
将3-(4-溴-1-萘基)-5-(3,5-二氯-4-氟苯基)-4,5-二氢-5-(三氟甲基)异噁唑(1000mg,1.97mmol)、[1,1’-双(二苯基膦基)-二茂铁]二氯化钯(II)(PdCl2(dppf))(146mg,0.20mmol)、甘氨酸甲酯盐酸盐(371mg,2.96mmol)和三乙胺(2.76mL,19.7mmol)在甲苯(20mL)中的混合物用一氧化碳吹洗15分钟。将反应混合物在一氧化碳气氛下在70℃下搅拌过夜。将混合物冷却至室温,通过硅藻土过滤介质短柱过滤,并用少量乙酸乙酯冲洗。将滤液浓缩,并将残余物经硅胶柱色谱法纯化(使用己烷/乙酸乙酯作为洗脱剂),以得到作为白色固体的标题产物,其为一种本发明的化合物(600mg,56%收率)。1H NMR(DMSO-d6):9.13(t,1H),8.78(d,1H),8.32(d,1H),7.90(m,3H),7.70(m,3H),4.53(s,2H),4.11(d,2H),4.74(s,3H).
上述合成例1是制备其中J是J-1的式1的化合物的实例。
上述合成例2是制备其中J是J-2的式1的化合物的实例。
上述合成例3是制备其中J是J-3的式1的化合物的实例。
上述合成例4是制备其中J是J-4的式1的化合物的实例。
上述合成例5是制备其中J是J-5的式1的化合物的实例。
其中J是J-6的式1的化合物可以通过类似于上述合成例1、2、4和5中所述的那些的操作来制备。
其中J是(i)被一个氰基取代的C2–C4烷基,(ii)被一个氰基取代的-CH2(环丙基),或者(iii)未被取代的或者被一个氰基或一个C(O)NHR17取代的环丙基的式1的化合物可以通过类似于上述合成例1、2、4和5中所述的那些的操作来制备。
通过本文所述的操作以及本领域已知的方法,可以制备表1-1至7-2的以下化合物。下表中使用以下缩写:Me表示甲基,Et表示乙基,i-Pr表示异丙基,i-Bu表示异丁基,并且OMe表示甲氧基。
表1-1
表1-2
表2-1
R1a是Cl,R1b是Cl,R5是H
| <u>Q</u> | <u>Q</u> | <u>Q</u> | <u>Q</u> |
| 2-吡啶基 | 3-吡啶基 | 4-吡啶基 | 2-嘧啶基 |
| 4-嘧啶基 | 5-嘧啶基 | 2-吡嗪基 | 3-吡嗪基 |
| 3-哒嗪基 | 4-哒嗪基 | 3-(1,2,4-三嗪基) | 5-(1,2,4-三嗪基) |
| 6-(1,2,4-三嗪基) | 2-(1,3,5-三嗪基) | 2-呋喃基 | 3-呋喃基 |
| 2-噻吩基 | 3-噻吩基 | 2-吡咯基 | 3-吡咯基 |
| 1-Me-2-吡咯基 | 1-Me-3-吡咯基 | 3-吡唑基 | 4-吡唑基 |
| 5-吡唑基 | 1-Me-3-吡唑基 | 1-Me-4-吡唑基 | 1-Me-5-吡唑基 |
| 2-咪唑基 | 4-咪唑基 | 1-Me-2-咪唑基 | 1-Me-4-咪唑基 |
| 1-Me-5-咪唑基 | 1,2,3-三唑基 | 1-Me-4-(1,2,3-三唑基) | 1-Me-5-(1,2,3-三唑基) |
| 1,2,4-三唑基 | 1-Me-3-(1,2,4-三唑基) | 1-Me-5-(1,2,4-三唑基) | 2-Me-3-(1,2,4-三唑基) |
| 2-Me-5-(1,2,4-三唑基) | 4-Me-3-(1,2,4-三唑基) | 四唑基 | 1-Me-5-(四唑基) |
| 2-Me-5-(四唑基) | 2-噁唑基 | 4-噁唑基 | 5-噁唑基 |
| 2-噻唑基 | 4-噻唑基 | 5-噻唑基 | 3-异噁唑基 |
| 4-异噁唑基 | 5-异噁唑基 | 3-异噻唑基 | 4-异噻唑基 |
| 5-异噻唑基 | 4-(1,2,3-噁二唑基) | 5-(1,2,3-噁二唑基) | 3-(1,2,4-噁二唑基) |
| 5-(1,2,4-噁二唑基) | 1,3,4-噁二唑基 | 4-(1,2,3-噻二唑基) | 5-(1,2,3-噻二唑基) |
| 3-(1,2,4-噻二唑基) | 5-(1,2,4-噻二唑基) | 1,3,4-噻二唑基 |
R1a是CF3,R1b是H,R5是H
R1a是CF3,R1b是Cl,R5是H
| <u>Q</u> | <u>Q</u> | <u>Q</u> | <u>Q</u> |
| 2-吡啶基 | 3-吡啶基 | 4-吡啶基 | 2-嘧啶基 |
| 4-嘧啶基 | 5-嘧啶基 | 2-吡嗪基 | 3-吡嗪基 |
| 3-哒嗪基 | 4-哒嗪基 | 3-(1,2,4-三嗪基) | 5-(1,2,4-三嗪基) |
| 6-(1,2,4-三嗪基) | 2-(1,3,5-三嗪基) | 2-呋喃基 | 3-呋喃基 |
| 2-噻吩基 | 3-噻吩基 | 2-吡咯基 | 3-吡咯基 |
| 1-Me-2-吡咯基 | 1-Me-3-吡咯基 | 3-吡唑基 | 4-吡唑基 |
| 5-吡唑基 | 1-Me-3-吡唑基 | 1-Me-4-吡唑基 | 1-Me-5-吡唑基 |
| 2-咪唑基 | 4-咪唑基 | 1-Me-2-咪唑基 | 1-Me-4-咪唑基 |
| 1-Me-5-咪唑基 | 1,2,3-三唑基 | 1-Me-4-(1,2,3-三唑基) | 1-Me-5-(1,2,3-三唑基) |
| 1,2,4-三唑基 | 1-Me-3-(1,2,4-三唑基) | 1-Me-5-(1,2,4-三唑基) | 2-Me-3-(1,2,4-三唑基) |
| 2-Me-5-(1,2,4-三唑基) | 4-Me-3-(1,2,4-三唑基) | 四唑基 | 1-Me-5-(四唑基) |
| 2-Me-5-(四唑基) | 2-噁唑基 | 4-噁唑基 | 5-噁唑基 |
| 2-噻唑基 | 4-噻唑基 | 5-噻唑基 | 3-异噁唑基 |
| 4-异噁唑基 | 5-异噁唑基 | 3-异噻唑基 | 4-异噻唑基 |
| 5-异噻唑基 | 4-(1,2,3-噁二唑基) | 5-(1,2,3-噁二唑基) | 3-(1,2,4-噁二唑基) |
| 5-(1,2,4-噁二唑基) | 1,3,4-噁二唑基 | 4-(1,2,3-噻二唑基) | 5-(1,2,3-噻二唑基) |
| 3-(1,2,4-噻二唑基) | 5-(1,2,4-噻二唑基) | 1,3,4-噻二唑基 |
R1a是Cl,R1b是Cl,R5是Me
| <u>Q</u> | <u>Q</u> | <u>Q</u> | <u>Q</u> |
| 2-吡啶基 | 3-吡啶基 | 4-吡啶基 | 2-嘧啶基 |
| 4-嘧啶基 | 5-嘧啶基 | 2-吡嗪基 | 3-吡嗪基 |
| 3-哒嗪基 | 4-哒嗪基 | 3-(1,2,4-三嗪基) | 5-(1,2,4-三嗪基) |
| 6-(1,2,4-三嗪基) | 2-(1,3,5-三嗪基) | 2-呋喃基 | 3-呋喃基 |
| 2-噻吩基 | 3-噻吩基 | 2-吡咯基 | 3-吡咯基 |
| 1-Me-2-吡咯基 | 1-Me-3-吡咯基 | 3-吡唑基 | 4-吡唑基 |
| 5-吡唑基 | 1-Me-3-吡唑基 | 1-Me-4-吡唑基 | 1-Me-5-吡唑基 |
| 2-咪唑基 | 4-咪唑基 | 1-Me-2-咪唑基 | 1-Me-4-咪唑基 |
| 1-Me-5-咪唑基 | 1,2,3-三唑基 | 1-Me-4-(1,2,3-三唑基) | 1-Me-5-(1,2,3-三唑基) |
| 1,2,4-三唑基 | 1-Me-3-(1,2,4-三唑基) | 1-Me-5-(1,2,4-三唑基) | 2-Me-3-(1,2,4-三唑基) |
| 2-Me-5-(1,2,4-三唑基) | 4-Me-3-(1,2,4-三唑基) | 四唑基 | 1-Me-5-(四唑基) |
| 2-Me-5-(四唑基) | 2-噁唑基 | 4-噁唑基 | 5-噁唑基 |
| 2-噻唑基 | 4-噻唑基 | 5-噻唑基 | 3-异噁唑基 |
| 4-异噁唑基 | 5-异噁唑基 | 3-异噻唑基 | 4-异噻唑基 |
| 5-异噻唑基 | 4-(1,2,3-噁二唑基) | 5-(1,2,3-噁二唑基) | 3-(1,2,4-噁二唑基) |
| 5-(1,2,4-噁二唑基) | 1,3,4-噁二唑基 | 4-(1,2,3-噻二唑基) | 5-(1,2,3-噻二唑基) |
| 3-(1,2,4-噻二唑基) | 5-(1,2,4-噻二唑基) | 1,3,4-噻二唑基 |
R1a是CF3,R1b是H,R5是Me
R1a是CF3,R1b是Cl,R5是Me
| <u>Q</u> | <u>Q</u> | <u>Q</u> | <u>Q</u> |
| 2-吡啶基 | 3-吡啶基 | 4-吡啶基 | 2-嘧啶基 |
| 4-嘧啶基 | 5-嘧啶基 | 2-吡嗪基 | 3-吡嗪基 |
| 3-哒嗪基 | 4-哒嗪基 | 3-(1,2,4-三嗪基) | 5-(1,2,4-三嗪基) |
| 6-(1,2,4-三嗪基) | 2-(1,3,5-三嗪基) | 2-呋喃基 | 3-呋喃基 |
| 2-噻吩基 | 3-噻吩基 | 2-吡咯基 | 3-吡咯基 |
| 1-Me-2-吡咯基 | 1-Me-3-吡咯基 | 3-吡唑基 | 4-吡唑基 |
| 5-吡唑基 | 1-Me-3-吡唑基 | 1-Me-4-吡唑基 | 1-Me-5-吡唑基 |
| 2-咪唑基 | 4-咪唑基 | 1-Me-2-咪唑基 | 1-Me-4-咪唑基 |
| 1-Me-5-咪唑基 | 1,2,3-三唑基 | 1-Me-4-(1,2,3-三唑基) | 1-Me-5-(1,2,3-三唑基) |
| 1,2,4-三唑基 | 1-Me-3-(1,2,4-三唑基) | 1-Me-5-(1,2,4-三唑基) | 2-Me-3-(1,2,4-三唑基) |
| 2-Me-5-(1,2,4-三唑基) | 4-Me-3-(1,2,4-三唑基) | 四唑基 | 1-Me-5-(四唑基) |
| 2-Me-5-(四唑基) | 2-噁唑基 | 4-噁唑基 | 5-噁唑基 |
| 2-噻唑基 | 4-噻唑基 | 5-噻唑基 | 3-异噁唑基 |
| 4-异噁唑基 | 5-异噁唑基 | 3-异噻唑基 | 4-异噻唑基 |
| 5-异噻唑基 | 4-(1,2,3-噁二唑基) | 5-(1,2,3-噁二唑基) | 3-(1,2,4-噁二唑基) |
| 5-(1,2,4-噁二唑基) | 1,3,4-噁二唑基 | 4-(1,2,3-噻二唑基) | 5-(1,2,3-噻二唑基) |
| 3-(1,2,4-噻二唑基) | 5-(1,2,4-噻二唑基) | 1,3,4-噻二唑基 |
表2-2
R1a是Cl,R1b是Cl,R5是Me
R1a是CF3,R1b是H,R5是Me
| <u>Q</u> | <u>Q</u> | <u>Q</u> | <u>Q</u> |
| 2-吡啶基 | 3-吡啶基 | 4-吡啶基 | 2-嘧啶基 |
| 4-嘧啶基 | 5-嘧啶基 | 2-吡嗪基 | 3-吡嗪基 |
| 3-哒嗪基 | 4-哒嗪基 | 3-(1,2,4-三嗪基) | 5-(1,2,4-三嗪基) |
| 6-(1,2,4-三嗪基) | 2-(1,3,5-三嗪基) | 2-呋喃基 | 3-呋喃基 |
| 2-噻吩基 | 3-噻吩基 | 2-吡咯基 | 3-吡咯基 |
| 1-Me-2-吡咯基 | 1-Me-3-吡咯基 | 3-吡唑基 | 4-吡唑基 |
| 5-吡唑基 | 1-Me-3-吡唑基 | 1-Me-4-吡唑基 | 1-Me-5-吡唑基 |
| 2-咪唑基 | 4-咪唑基 | 1-Me-2-咪唑基 | 1-Me-4-咪唑基 |
| 1-Me-5-咪唑基 | 1,2,3-三唑基 | 1-Me-4-(1,2,3-三唑基) | 1-Me-5-(1,2,3-三唑基) |
| 1,2,4-三唑基 | 1-Me-3-(1,2,4-三唑基) | 1-Me-5-(1,2,4-三唑基) | 2-Me-3-(1,2,4-三唑基) |
| 2-Me-5-(1,2,4-三唑基) | 4-Me-3-(1,2,4-三唑基) | 四唑基 | 1-Me-5-(四唑基) |
| 2-Me-5-(四唑基) | 2-噁唑基 | 4-噁唑基 | 5-噁唑基 |
| 2-噻唑基 | 4-噻唑基 | 5-噻唑基 | 3-异噁唑基 |
| 4-异噁唑基 | 5-异噁唑基 | 3-异噻唑基 | 4-异噻唑基 |
| 5-异噻唑基 | 4-(1,2,3-噁二唑基) | 5-(1,2,3-噁二唑基) | 3-(1,2,4-噁二唑基) |
| 5-(1,2,4-噁二唑基) | 1,3,4-噁二唑基 | 4-(1,2,3-噻二唑基) | 5-(1,2,3-噻二唑基) |
| 3-(1,2,4-噻二唑基) | 5-(1,2,4-噻二唑基) | 1,3,4-噻二唑基 |
R1a是CF3,R1b是Cl,R5是Me
表2-3
R1a是Cl,R1b是Cl,R5是H
| <u>Q</u> | <u>Q</u> | <u>Q</u> | <u>Q</u> |
| 2-吡啶基 | 3-吡啶基 | 4-吡啶基 | 2-嘧啶基 |
| 4-嘧啶基 | 5-嘧啶基 | 2-吡嗪基 | 3-吡嗪基 |
| 3-哒嗪基 | 4-哒嗪基 | 3-(1,2,4-三嗪基) | 5-(1,2,4-三嗪基) |
| 6-(1,2,4-三嗪基) | 2-(1,3,5-三嗪基) | 2-呋喃基 | 3-呋喃基 |
| 2-噻吩基 | 3-噻吩基 | 2-吡咯基 | 3-吡咯基 |
| 1-Me-2-吡咯基 | 1-Me-3-吡咯基 | 3-吡唑基 | 4-吡唑基 |
| 5-吡唑基 | 1-Me-3-吡唑基 | 1-Me-4-吡唑基 | 1-Me-5-吡唑基 |
| 2-咪唑基 | 4-咪唑基 | 1-Me-2-咪唑基 | 1-Me-4-咪唑基 |
| 1-Me-5-咪唑基 | 1,2,3-三唑基 | 1-Me-4-(1,2,3-三唑基) | 1-Me-5-(1,2,3-三唑基) |
| 1,2,4-三唑基 | 1-Me-3-(1,2,4-三唑基) | 1-Me-5-(1,2,4-三唑基) | 2-Me-3-(1,2,4-三唑基) |
| 2-Me-5-(1,2,4-三唑基) | 4-Me-3-(1,2,4-三唑基) | 四唑基 | 1-Me-5-(四唑基) |
| 2-Me-5-(四唑基) | 2-噁唑基 | 4-噁唑基 | 5-噁唑基 |
| 2-噻唑基 | 4-噻唑基 | 5-噻唑基 | 3-异噁唑基 |
| 4-异噁唑基 | 5-异噁唑基 | 3-异噻唑基 | 4-异噻唑基 |
| 5-异噻唑基 | 4-(1,2,3-噁二唑基) | 5-(1,2,3-噁二唑基) | 3-(1,2,4-噁二唑基) |
| 5-(1,2,4-噁二唑基) | 1,3,4-噁二唑基 | 4-(1,2,3-噻二唑基) | 5-(1,2,3-噻二唑基) |
| 3-(1,2,4-噻二唑基) | 5-(1,2,4-噻二唑基) | 1,3,4-噻二唑基 |
R1a是CF3,R1b是H,R5是H
R1a是CF
3
,R1b是Cl,R5是H
| <u>Q</u> | <u>Q</u> | <u>Q</u> | <u>Q</u> |
| 2-吡啶基 | 3-吡啶基 | 4-吡啶基 | 2-嘧啶基 |
| 4-嘧啶基 | 5-嘧啶基 | 2-吡嗪基 | 3-吡嗪基 |
| 3-哒嗪基 | 4-哒嗪基 | 3-(1,2,4-三嗪基) | 5-(1,2,4-三嗪基) |
| 6-(1,2,4-三嗪基) | 2-(1,3,5-三嗪基) | 2-呋喃基 | 3-呋喃基 |
| 2-噻吩基 | 3-噻吩基 | 2-吡咯基 | 3-吡咯基 |
| 1-Me-2-吡咯基 | 1-Me-3-吡咯基 | 3-吡唑基 | 4-吡唑基 |
| 5-吡唑基 | 1-Me-3-吡唑基 | 1-Me-4-吡唑基 | 1-Me-5-吡唑基 |
| 2-咪唑基 | 4-咪唑基 | 1-Me-2-咪唑基 | 1-Me-4-咪唑基 |
| 1-Me-5-咪唑基 | 1,2,3-三唑基 | 1-Me-4-(1,2,3-三唑基) | 1-Me-5-(1,2,3-三唑基) |
| 1,2,4-三唑基 | 1-Me-3-(1,2,4-三唑基) | 1-Me-5-(1,2,4-三唑基) | 2-Me-3-(1,2,4-三唑基) |
| 2-Me-5-(1,2,4-三唑基) | 4-Me-3-(1,2,4-三唑基) | 四唑基 | 1-Me-5-(四唑基) |
| 2-Me-5-(四唑基) | 2-噁唑基 | 4-噁唑基 | 5-噁唑基 |
| 2-噻唑基 | 4-噻唑基 | 5-噻唑基 | 3-异噁唑基 |
| 4-异噁唑基 | 5-异噁唑基 | 3-异噻唑基 | 4-异噻唑基 |
| 5-异噻唑基 | 4-(1,2,3-噁二唑基) | 5-(1,2,3-噁二唑基) | 3-(1,2,4-噁二唑基) |
| 5-(1,2,4-噁二唑基) | 1,3,4-噁二唑基 | 4-(1,2,3-噻二唑基) | 5-(1,2,3-噻二唑基) |
| 3-(1,2,4-噻二唑基) | 5-(1,2,4-噻二唑基) | 1,3,4-噻二唑基 |
R1a是Cl,R1b是Cl,R5是Me
| <u>Q</u> | <u>Q</u> | <u>Q</u> | <u>Q</u> |
| 2-吡啶基 | 3-吡啶基 | 4-吡啶基 | 2-嘧啶基 |
| 4-嘧啶基 | 5-嘧啶基 | 2-吡嗪基 | 3-吡嗪基 |
| 3-哒嗪基 | 4-哒嗪基 | 3-(1,2,4-三嗪基) | 5-(1,2,4-三嗪基) |
| 6-(1,2,4-三嗪基) | 2-(1,3,5-三嗪基) | 2-呋喃基 | 3-呋喃基 |
| 2-噻吩基 | 3-噻吩基 | 2-吡咯基 | 3-吡咯基 |
| 1-Me-2-吡咯基 | 1-Me-3-吡咯基 | 3-吡唑基 | 4-吡唑基 |
| 5-吡唑基 | 1-Me-3-吡唑基 | 1-Me-4-吡唑基 | 1-Me-5-吡唑基 |
| 2-咪唑基 | 4-咪唑基 | 1-Me-2-咪唑基 | 1-Me-4-咪唑基 |
| 1-Me-5-咪唑基 | 1,2,3-三唑基 | 1-Me-4-(1,2,3-三唑基) | 1-Me-5-(1,2,3-三唑基) |
| 1,2,4-三唑基 | 1-Me-3-(1,2,4-三唑基) | 1-Me-5-(1,2,4-三唑基) | 2-Me-3-(1,2,4-三唑基) |
| 2-Me-5-(1,2,4-三唑基) | 4-Me-3-(1,2,4-三唑基) | 四唑基 | 1-Me-5-(四唑基) |
| 2-Me-5-(四唑基) | 2-噁唑基 | 4-噁唑基 | 5-噁唑基 |
| 2-噻唑基 | 4-噻唑基 | 5-噻唑基 | 3-异噁唑基 |
| 4-异噁唑基 | 5-异噁唑基 | 3-异噻唑基 | 4-异噻唑基 |
| 5-异噻唑基 | 4-(1,2,3-噁二唑基) | 5-(1,2,3-噁二唑基) | 3-(1,2,4-噁二唑基) |
| 5-(1,2,4-噁二唑基) | 1,3,4-噁二唑基 | 4-(1,2,3-噻二唑基) | 5-(1,2,3-噻二唑基) |
| 3-(1,2,4-噻二唑基) | 5-(1,2,4-噻二唑基) | 1,3,4-噻二唑基 |
R1a是CF3,R1b是H,R5是Me
| <u>Q</u> | <u>Q</u> | <u>Q</u> | <u>Q</u> |
| 2-吡啶基 | 3-吡啶基 | 4-吡啶基 | 2-嘧啶基 |
| 4-嘧啶基 | 5-嘧啶基 | 2-吡嗪基 | 3-吡嗪基 |
| 3-哒嗪基 | 4-哒嗪基 | 3-(1,2,4-三嗪基) | 5-(1,2,4-三嗪基) |
| 6-(1,2,4-三嗪基) | 2-(1,3,5-三嗪基) | 2-呋喃基 | 3-呋喃基 |
| 2-噻吩基 | 3-噻吩基 | 2-吡咯基 | 3-吡咯基 |
| 1-Me-2-吡咯基 | 1-Me-3-吡咯基 | 3-吡唑基 | 4-吡唑基 |
| 5-吡唑基 | 1-Me-3-吡唑基 | 1-Me-4-吡唑基 | 1-Me-5-吡唑基 |
| 2-咪唑基 | 4-咪唑基 | 1-Me-2-咪唑基 | 1-Me-4-咪唑基 |
| 1-Me-5-咪唑基 | 1,2,3-三唑基 | 1-Me-4-(1,2,3-三唑基) | 1-Me-5-(1,2,3-三唑基) |
| 1,2,4-三唑基 | 1-Me-3-(1,2,4-三唑基) | 1-Me-5-(1,2,4-三唑基) | 2-Me-3-(1,2,4-三唑基) |
| 2-Me-5-(1,2,4-三唑基) | 4-Me-3-(1,2,4-三唑基) | 四唑基 | 1-Me-5-(四唑基) |
| 2-Me-5-(四唑基) | 2-噁唑基 | 4-噁唑基 | 5-噁唑基 |
| 2-噻唑基 | 4-噻唑基 | 5-噻唑基 | 3-异噁唑基 |
| 4-异噁唑基 | 5-异噁唑基 | 3-异噻唑基 | 4-异噻唑基 |
| 5-异噻唑基 | 4-(1,2,3-噁二唑基) | 5-(1,2,3-噁二唑基) | 3-(1,2,4-噁二唑基) |
| 5-(1,2,4-噁二唑基) | 1,3,4-噁二唑基 | 4-(1,2,3-噻二唑基) | 5-(1,2,3-噻二唑基) |
| 3-(1,2,4-噻二唑基) | 5-(1,2,4-噻二唑基) | 1,3,4-噻二唑基 |
R1a是CF3,R1b是Cl,R5是Me
| <u>Q</u> | <u>Q</u> | <u>Q</u> | <u>Q</u> |
| 2-吡啶基 | 3-吡啶基 | 4-吡啶基 | 2-嘧啶基 |
| 4-嘧啶基 | 5-嘧啶基 | 2-吡嗪基 | 3-吡嗪基 |
| 3-哒嗪基 | 4-哒嗪基 | 3-(1,2,4-三嗪基) | 5-(1,2,4-三嗪基) |
| 6-(1,2,4-三嗪基) | 2-(1,3,5-三嗪基) | 2-呋喃基 | 3-呋喃基 |
| 2-噻吩基 | 3-噻吩基 | 2-吡咯基 | 3-吡咯基 |
| 1-Me-2-吡咯基 | 1-Me-3-吡咯基 | 3-吡唑基 | 4-吡唑基 |
| 5-吡唑基 | 1-Me-3-吡唑基 | 1-Me-4-吡唑基 | 1-Me-5-吡唑基 |
| 2-咪唑基 | 4-咪唑基 | 1-Me-2-咪唑基 | 1-Me-4-咪唑基 |
| 1-Me-5-咪唑基 | 1,2,3-三唑基 | 1-Me-4-(1,2,3-三唑基) | 1-Me-5-(1,2,3-三唑基) |
| 1,2,4-三唑基 | 1-Me-3-(1,2,4-三唑基) | 1-Me-5-(1,2,4-三唑基) | 2-Me-3-(1,2,4-三唑基) |
| 2-Me-5-(1,2,4-三唑基) | 4-Me-3-(1,2,4-三唑基) | 四唑基 | 1-Me-5-(四唑基) |
| 2-Me-5-(四唑基) | 2-噁唑基 | 4-噁唑基 | 5-噁唑基 |
| 2-噻唑基 | 4-噻唑基 | 5-噻唑基 | 3-异噁唑基 |
| 4-异噁唑基 | 5-异噁唑基 | 3-异噻唑基 | 4-异噻唑基 |
| 5-异噻唑基 | 4-(1,2,3-噁二唑基) | 5-(1,2,3-噁二唑基) | 3-(1,2,4-噁二唑基) |
| 5-(1,2,4-噁二唑基) | 1,3,4-噁二唑基 | 4-(1,2,3-噻二唑基) | 5-(1,2,3-噻二唑基) |
| 3-(1,2,4-噻二唑基) | 5-(1,2,4-噻二唑基) | 1,3,4-噻二唑基 |
表2-4
R1a是Cl,R1b是Cl,R5是Me
| <u>Q</u> | <u>Q</u> | <u>Q</u> | <u>Q</u> |
| 2-吡啶基 | 3-吡啶基 | 4-吡啶基 | 2-嘧啶基 |
| 4-嘧啶基 | 5-嘧啶基 | 2-吡嗪基 | 3-吡嗪基 |
| 3-哒嗪基 | 4-哒嗪基 | 3-(1,2,4-三嗪基) | 5-(1,2,4-三嗪基) |
| 6-(1,2,4-三嗪基) | 2-(1,3,5-三嗪基) | 2-呋喃基 | 3-呋喃基 |
| 2-噻吩基 | 3-噻吩基 | 2-吡咯基 | 3-吡咯基 |
| 1-Me-2-吡咯基 | 1-Me-3-吡咯基 | 3-吡唑基 | 4-吡唑基 |
| 5-吡唑基 | 1-Me-3-吡唑基 | 1-Me-4-吡唑基 | 1-Me-5-吡唑基 |
| 2-咪唑基 | 4-咪唑基 | 1-Me-2-咪唑基 | 1-Me-4-咪唑基 |
| 1-Me-5-咪唑基 | 1,2,3-三唑基 | 1-Me-4-(1,2,3-三唑基) | 1-Me-5-(1,2,3-三唑基) |
| 1,2,4-三唑基 | 1-Me-3-(1,2,4-三唑基) | 1-Me-5-(1,2,4-三唑基) | 2-Me-3-(1,2,4-三唑基) |
| 2-Me-5-(1,2,4-三唑基) | 4-Me-3-(1,2,4-三唑基) | 四唑基 | 1-Me-5-(四唑基) |
| 2-Me-5-(四唑基) | 2-噁唑基 | 4-噁唑基 | 5-噁唑基 |
| 2-噻唑基 | 4-噻唑基 | 5-噻唑基 | 3-异噁唑基 |
| 4-异噁唑基 | 5-异噁唑基 | 3-异噻唑基 | 4-异噻唑基 |
| 5-异噻唑基 | 4-(1,2,3-噁二唑基) | 5-(1,2,3-噁二唑基) | 3-(1,2,4-噁二唑基) |
| 5-(1,2,4-噁二唑基) | 1,3,4-噁二唑基 | 4-(1,2,3-噻二唑基) | 5-(1,2,3-噻二唑基) |
| 3-(1,2,4-噻二唑基) | 5-(1,2,4-噻二唑基) | 1,3,4-噻二唑基 |
R1a是CF3,R1b是H,R5是Me
| <u>Q</u> | <u>Q</u> | <u>Q</u> | <u>Q</u> |
| 2-吡啶基 | 3-吡啶基 | 4-吡啶基 | 2-嘧啶基 |
| 4-嘧啶基 | 5-嘧啶基 | 2-吡嗪基 | 3-吡嗪基 |
| 3-哒嗪基 | 4-哒嗪基 | 3-(1,2,4-三嗪基) | 5-(1,2,4-三嗪基) |
| 6-(1,2,4-三嗪基) | 2-(1,3,5-三嗪基) | 2-呋喃基 | 3-呋喃基 |
| 2-噻吩基 | 3-噻吩基 | 2-吡咯基 | 3-吡咯基 |
| 1-Me-2-吡咯基 | 1-Me-3-吡咯基 | 3-吡唑基 | 4-吡唑基 |
| 5-吡唑基 | 1-Me-3-吡唑基 | 1-Me-4-吡唑基 | 1-Me-5-吡唑基 |
| 2-咪唑基 | 4-咪唑基 | 1-Me-2-咪唑基 | 1-Me-4-咪唑基 |
| 1-Me-5-咪唑基 | 1,2,3-三唑基 | 1-Me-4-(1,2,3-三唑基) | 1-Me-5-(1,2,3-三唑基) |
| 1,2,4-三唑基 | 1-Me-3-(1,2,4-三唑基) | 1-Me-5-(1,2,4-三唑基) | 2-Me-3-(1,2,4-三唑基) |
| 2-Me-5-(1,2,4-三唑基) | 4-Me-3-(1,2,4-三唑基) | 四唑基 | 1-Me-5-(四唑基) |
| 2-Me-5-(四唑基) | 2-噁唑基 | 4-噁唑基 | 5-噁唑基 |
| 2-噻唑基 | 4-噻唑基 | 5-噻唑基 | 3-异噁唑基 |
| 4-异噁唑基 | 5-异噁唑基 | 3-异噻唑基 | 4-异噻唑基 |
| 5-异噻唑基 | 4-(1,2,3-噁二唑基) | 5-(1,2,3-噁二唑基) | 3-(1,2,4-噁二唑基) |
| 5-(1,2,4-噁二唑基) | 1,3,4-噁二唑基 | 4-(1,2,3-噻二唑基) | 5-(1,2,3-噻二唑基) |
| 3-(1,2,4-噻二唑基) | 5-(1,2,4-噻二唑基) | 1,3,4-噻二唑基 |
R1a是CF
3
,R1b是Cl,R5是Me
表3-1
| <u>R<sup>1a</sup></u> | <u>R<sup>1b</sup></u> | <u>R<sup>6</sup></u> | <u>R<sup>7</sup></u> | <u>R<sup>1a</sup></u> | <u>R<sup>1b</sup></u> | <u>R<sup>6</sup></u> | <u>R<sup>7</sup></u> | |
| Cl | Cl | H | Me | CF<sub>3</sub> | H | H | Me | |
| Cl | Cl | H | Et | CF<sub>3</sub> | H | H | Et | |
| Cl | Cl | Me | Me | CF<sub>3</sub> | H | Me | Me | |
| Cl | Cl | Me | Et | CF<sub>3</sub> | H | Me | Et | |
| CF<sub>3</sub> | Cl | H | Me | CF<sub>3</sub> | Cl | Me | Me | |
| CF<sub>3</sub> | Cl | H | Et | CF<sub>3</sub> | Cl | Me | Et |
表3-2
| <u>R<sup>1a</sup></u> | <u>R<sup>1b</sup></u> | <u>R<sup>6</sup></u> | <u>R<sup>7</sup></u> | <u>R<sup>1a</sup></u> | <u>R<sup>1b</sup></u> | <u>R<sup>6</sup></u> | <u>R<sup>7</sup></u> | |
| Cl | Cl | H | Me | CF<sub>3</sub> | H | H | Me | |
| Cl | Cl | H | Et | CF<sub>3</sub> | H | H | Et | |
| Cl | Cl | Me | Me | CF<sub>3</sub> | H | Me | Me | |
| Cl | Cl | Me | Et | CF<sub>3</sub> | H | Me | Et | |
| CF<sub>3</sub> | Cl | H | Me | CF<sub>3</sub> | Cl | Me | Me | |
| CF<sub>3</sub> | Cl | H | Et | CF<sub>3</sub> | Cl | Me | Et |
表4-1
X是-O-
| <u>R<sup>1a</sup></u> | <u>R<sup>1b</sup></u> | <u>R</u><sup>8</sup> | <u>R<sup>1a</sup></u> | <u>R<sup>1b</sup></u> | <u>R</u><sup>8</sup> | |
| Cl | Cl | Me | CF<sub>3</sub> | H | Me | |
| Cl | Cl | Et | CF<sub>3</sub> | H | Et | |
| Cl | Cl | CH<sub>2</sub>CF<sub>3</sub> | CF<sub>3</sub> | H | CH<sub>2</sub>CF<sub>3</sub> | |
| CF<sub>3</sub> | Cl | Me | ||||
| CF<sub>3</sub> | Cl | Et | ||||
| CF<sub>3</sub> | Cl | CH<sub>2</sub>CF<sub>3</sub> |
X是-C(O)-
| <u>R<sup>1a</sup></u> | <u>R<sup>1b</sup></u> | <u>R</u><sup>8</sup> | <u>R<sup>1a</sup></u> | <u>R<sup>1b</sup></u> | <u>R</u><sup>8</sup> | |
| Cl | Cl | Me | CF<sub>3</sub> | H | Me | |
| Cl | Cl | Et | CF<sub>3</sub> | H | Et | |
| Cl | Cl | CH<sub>2</sub>CF<sub>3</sub> | CF<sub>3</sub> | H | CH<sub>2</sub>CF<sub>3</sub> | |
| CF<sub>3</sub> | Cl | Me | ||||
| CF<sub>3</sub> | Cl | Et | ||||
| CF<sub>3</sub> | Cl | CH<sub>2</sub>CF<sub>3</sub> |
表4-2
X是-O-
| <u>R<sup>1a</sup></u> | <u>R<sup>1b</sup></u> | <u>R</u><sup>8</sup> | <u>R<sup>1a</sup></u> | <u>R<sup>1b</sup></u> | <u>R</u><sup>8</sup> | |
| Cl | Cl | Me | CF<sub>3</sub> | H | Me | |
| Cl | Cl | Et | CF<sub>3</sub> | H | Et | |
| Cl | Cl | CH<sub>2</sub>CF<sub>3</sub> | CF<sub>3</sub> | H | CH<sub>2</sub>CF<sub>3</sub> | |
| CF<sub>3</sub> | Cl | Me | ||||
| CF<sub>3</sub> | Cl | Et | ||||
| CF<sub>3</sub> | Cl | CH<sub>2</sub>CF<sub>3</sub> |
X是-C(O)-
| <u>R<sup>1a</sup></u> | <u>R<sup>1b</sup></u> | <u>R</u><sup>8</sup> | <u>R<sup>1a</sup></u> | <u>R<sup>1b</sup></u> | <u>R</u><sup>8</sup> | |
| Cl | Cl | Me | CF<sub>3</sub> | H | Me | |
| Cl | Cl | Et | CF<sub>3</sub> | H | Et | |
| Cl | Cl | CH<sub>2</sub>CF<sub>3</sub> | CF<sub>3</sub> | H | CH<sub>2</sub>CF<sub>3</sub> | |
| CF<sub>3</sub> | Cl | Me | ||||
| CF<sub>3</sub> | Cl | Et | ||||
| CF<sub>3</sub> | Cl | CH<sub>2</sub>CF<sub>3</sub> |
表5-1
表5-2
表5-3
表5-4
表6-1
表6-2
| <u>R<sup>1a</sup></u> | <u>R<sup>1b</sup></u> | <u>R</u><sup>16</sup> | <u>R<sup>1a</sup></u> | <u>R<sup>1b</sup></u> | <u>R</u><sup>16</sup> | |
| Cl | Cl | Me | CF<sub>3</sub> | H | Me | |
| Cl | Cl | F | CF<sub>3</sub> | H | F | |
| Cl | Cl | NH<sub>2</sub> | CF<sub>3</sub> | H | NH<sub>2</sub> | |
| CF<sub>3</sub> | Cl | Me | ||||
| CF<sub>3</sub> | Cl | F | ||||
| CF<sub>3</sub> | Cl | NH<sub>2</sub> |
表7-1
表7-2
通过前述路线1-11和合成例1-5中所述的方法和变体制备的式1的具体化合物示于以下索引表中。可以使用以下缩写:Cmpd表示化合物,t是tertiary,c是环,Me是甲基,Et是乙基,且Ph是苯基。缩写“Ex.”表示“实施例”,并且随后跟有指示制备化合物的合成例的数字。
熔点数据(MP)报告为温度范围(例如122-126)。质谱数据(MS)报告为单一数值(例如542)。对于质谱数据(AP+(M+1)),所报告的数值是通过向分子中加入H+(分子量为1)而形成的母分子离子(M)的分子量,从而得到通过使用大气压化学电离(AP+)的质谱法观察到的M+1峰。未报告随着含有多个卤素的化合物出现的另外的分子离子峰(例如M+2或M+4)。
索引表A
索引表A-1
索引表A-2
索引表B
索引表B-1
索引表B-2
索引表C
索引表D
索引表E
索引表F
索引表G
本发明的化合物一般用作组合物(即制剂)中的无脊椎害虫防治活性成分,所述组合物含有至少一种用作载体的附加组分,所述附加组分选自表面活性剂、固体稀释剂和液体稀释剂。选择所述制剂或组合物成分,以与所述活性成分的物理特性、施用方式和环境因素(如土壤类型、湿度和温度)一致。
有用的制剂包括液体和固体组合物。液体组合物包括溶液剂(包括乳油(emulsifiable concentrate))、混悬剂、乳剂(包括微乳剂、水包油乳剂、可流动浓缩物(flowable concentrate)和/或悬乳剂(suspoemulsion))等,它们可以任选地被稠化成凝胶。水性液体组合物的一般类型为可溶性浓缩物、悬浮浓缩物、胶囊混悬剂、浓缩乳剂、微乳剂、水包油悬乳剂、可流动浓缩物和悬乳剂。非水性液体组合物的一般类型为乳油、可微乳化的浓缩物、可分散浓缩物和油分散体。
固体组合物的一般类型为粉剂(dust)、粉末(powder)、颗粒剂、粒料(pellet)、小球(prill)、锭剂、片剂、填充膜(包括种子包衣)等,它们可以是水分散性的(“可润湿的”)或水溶性的。由成膜溶液剂或可流动混悬剂形成的膜和包衣尤其可用于种子处理。活性成分可被(微)胶囊包封,并且进一步形成混悬剂或固体制剂;或者,可将含有活性成分的整个制剂包囊(或“包覆”)。包囊可以控制或延迟活性成分的释放。可乳化的颗粒结合了乳油制剂和干颗粒制剂两者的优点。高强度组合物主要用作用于进一步配制的中间体。
可喷洒制剂通常在喷洒之前分散在合适的介质中。将此类液体和固体制剂配制成易于在喷洒介质(通常是水,但偶尔也可以是其他适合的介质,例如芳烃或石蜡烃或植物油)中稀释。喷洒量的范围可以为每公顷约一升至数千升,更通常为每公顷约十升至数百升。可将可喷洒制剂在水槽中与水或另一种合适的介质混合,用于通过空气或地面施用处理叶片,或者施用到植物的生长介质中。液体制剂和干制剂可以直接定量加入到滴灌系统中,或者在栽培期间定量加入到垄沟中。液体制剂和固体制剂可以在种植之前的种子处理时施用于作物和其他期望的植物的种子上,以便通过全身吸收来保护发育中的根和其他地面下的植物部分和/或叶。
所述制剂通常包含有效量的活性成分、稀释剂和表面活性剂,其在如下的大概的范围内,总和为按重量计100%。
固体稀释剂包括例如粘土(例如膨润土、蒙脱石、绿坡缕石和高岭土)、石膏、纤维素、二氧化钛、氧化锌、淀粉、糊精、糖(例如乳糖、蔗糖)、二氧化硅、滑石、云母、硅藻土、尿素、碳酸钙、碳酸钠和碳酸氢钠、以及硫酸钠。通常的固体稀释剂描述于Watkins等人的Handbook of Insecticide Dust Diluents and Carriers,第2版(Dorland Books,Caldwell,New Jersey)中。
液体稀释剂包括例如水、N,N-二甲基烷酰胺(例如N,N-二甲基甲酰胺)、柠檬烯、二甲基亚砜、N-烷基吡咯烷酮(例如N-甲基吡咯烷酮)、烷基磷酸酯(例如磷酸三乙酯)、乙二醇、三甘醇、丙二醇、二丙二醇、聚丙二醇、碳酸亚丙酯、碳酸亚丁酯、石蜡(例如石腊油、正链烷烃、异链烷烃)、烷基苯、烷基萘、甘油、三乙酸甘油酯、山梨醇、芳族烃、脱芳构化脂族化合物、烷基苯、烷基萘、酮(诸如环己酮、2-庚酮、异佛尔酮和4-羟基-4-甲基-2-戊酮)、乙酸酯(诸如乙酸异戊酯、乙酸己酯、乙酸庚酯、乙酸辛酯、乙酸壬酯、乙酸十三烷酯和乙酸异冰片酯)、其他酯(诸如烷基化的乳酸酯、二价苯甲酸烷基酯和苯甲酸芳基酯、γ-丁内酯)、以及可以是直链、支链、饱和或不饱和的醇(诸如甲醇、乙醇、正丙醇、异丙醇、正丁醇、异丁醇、正己醇、2-乙基己醇、正辛醇、癸醇、异癸醇、异十八醇、鲸蜡醇、月桂醇、十三烷醇、油醇、环己醇、四氢糠醇、二丙酮醇、甲酚和苄醇。液体稀释剂还包括饱和的和不饱和脂肪酸(通常为C6-C22)的甘油酯,如植物种子和果实的油(例如橄榄油、蓖麻油、亚麻籽油、芝麻油、玉米油、花生油、葵花籽油、葡萄籽油、红花油、棉籽油、大豆油、油菜籽油、椰子油和棕榈仁油)、动物源脂肪(例如牛脂、猪脂、猪油、鳕鱼肝油、鱼油)、以及它们的混合物。液体稀释剂还包括烷基化(例如甲基化、乙基化、丁基化)的脂肪酸,其中脂肪酸可以通过源自植物和动物的甘油酯的水解获得,并且可通过蒸馏进行纯化。通常的液体稀释剂描述于Marsden的SolventsGuide,第2版(Interscience,New York,1950)中。
本发明的固体和液体组合物通常包含一种或多种表面活性剂。当加进液体中时,表面活性剂(还被称为“表面活性试剂”)通常改变,最通常降低液体的表面张力。根据表面活性剂分子中的亲水基团和亲脂基团的性质,表面活性剂可用作润湿剂、分散剂、乳化剂或消泡剂。
表面活性剂可分为非离子、阴离子或阳离子表面活性剂。可用于本发明的组合物的非离子表面活性剂包括但不限于:醇烷氧基化物,诸如基于天然醇和合成醇(其可以是支链或直链的)并且由醇和环氧乙烷、环氧丙烷、环氧丁烷或它们的混合物制得的醇烷氧基化物;胺乙氧基化物、链烷醇酰胺和乙氧基化链烷醇酰胺;烷氧基化甘油三酯,诸如乙氧基化的大豆油、蓖麻油和油菜籽油;烷基苯酚烷氧基化物,诸如辛基苯酚乙氧基化物、壬基苯酚乙氧基化物、二壬基苯酚乙氧基化物和十二烷基苯酚乙氧基化物(由苯酚和环氧乙烷、环氧丙烷、环氧丁烷或它们混合物制得);由环氧乙烷或环氧丙烷制得的嵌段聚合物,和其中末端嵌段由环氧丙烷制得的反式嵌段聚合物;乙氧基化脂肪酸;乙氧基化脂肪酯和油;乙氧基化甲酯;乙氧基化三苯乙烯基苯酚(包括由环氧乙烷、环氧丙烷、环氧丁烷或它们的混合物制得的那些);脂肪酸酯、甘油酯、羊毛脂系衍生物、多乙氧基化酯(诸如多乙氧基化脱水山梨糖醇脂肪酸酯、多乙氧基化山梨醇脂肪酸酯和多乙氧基化甘油脂肪酸酯);其他脱水山梨糖醇衍生物,诸如脱水山梨糖醇酯;聚合物表面活性剂,诸如无规共聚物、嵌段共聚物、醇酸peg(聚乙二醇)树脂、接枝或梳型聚合物以及星型聚合物;聚乙二醇(peg);聚乙二醇脂肪酸酯;硅氧烷系表面活性剂;和糖衍生物,诸如蔗糖酯、烷基多苷和烷基多糖。
有用的阴离子表面活性剂包括但不限于:烷基芳基磺酸及其盐;羧化醇或烷基苯酚乙氧基化物;二苯基磺酸酯衍生物;木质素和木质素衍生物,诸如木质素磺酸盐;马来酸或琥珀酸或它们的酸酐;烯烃磺酸酯;磷酸酯,诸如醇烷氧基化物的磷酸酯、烷基苯酚烷氧基化物的磷酸酯、和苯乙烯基苯酚乙氧基化物的磷酸酯;蛋白质系表面活性剂;肌氨酸衍生物;苯乙烯基苯酚醚硫酸盐;油和脂肪酸的硫酸盐和磺酸盐;乙氧基化烷基苯酚的硫酸盐和磺酸盐;醇的硫酸盐;乙氧基化醇的硫酸盐;胺和酰胺的磺酸盐,诸如N,N-烷基牛磺酸盐;苯、枯烯、甲苯、二甲苯以及十二烷基苯和十三烷基苯的磺酸盐;缩聚萘的磺酸盐;萘和烷基萘的磺酸盐;石油馏分的磺酸盐;磺基琥珀酰胺酸盐(sulfosuccinamate);以及磺基琥珀酸盐和它们的衍生物,诸如二烷基磺基琥珀酸盐。
有用的阳离子表面活性剂包括但不限于:酰胺和乙氧基化酰胺;胺诸如N-烷基丙二胺、三亚丙基三胺和二亚丙基四胺,和乙氧基化胺、乙氧基化二胺以及丙氧基化胺(由胺和环氧乙烷、环氧丙烷、环氧丁烷或它们的混合物制得);胺盐诸如胺乙酸盐,和二胺盐;季铵盐,诸如季盐、乙氧基化季盐和二季盐;以及胺氧化物,诸如烷基二甲基胺氧化物和二-(2-羟基乙基)-烷基胺氧化物。
还可用于本发明的组合物的是非离子表面活性剂和阴离子表面活性剂的混合物,或非离子表面活性剂和阳离子表面活性剂的混合物。非离子、阴离子和阳离子表面活性剂及其推荐应用公开于多种已公布的参考文献中,包括由McCutcheon’s Division,TheManufacturing Confectioner Publishing Co.出版的McCutcheon’s Emulsifiers andDetergents(北美和国际年鉴版);Sisely和Wood的Encyclopedia of Surface ActiveAgents(Chemical Publ.Co.,Inc.,New York,1964);以及A.S.Davidson和B.Milwidsky的Synthetic Detergents,第七版(John Wiley and Sons,New York,1987)。
本发明的组合物还可包含本领域技术人员已知为制剂助剂的制剂助剂和添加剂(其中一些也可被认为是起到固体稀释剂、液体稀释剂或表面活性剂的作用)。此类制剂助剂和添加剂可控制:pH(缓冲剂)、加工过程中的起泡(消泡剂,如聚有机硅氧烷)、活性成分的沉降(助悬剂)、粘度(触变增稠剂)、容器内的微生物生长(抗微生物剂)、产品冷冻(防冻剂)、颜色(染料/颜料分散体)、洗脱(成膜剂或粘合剂)、蒸发(防蒸发剂),以及其他制剂属性。成膜剂包括例如聚乙酸乙烯酯、聚乙酸乙烯酯共聚物、聚乙烯吡咯烷酮-乙酸乙烯酯共聚物、聚乙烯醇、聚乙烯醇共聚物和蜡。制剂助剂和添加剂的实例包括由McCutcheon’sDivision,The Manufacturing Confectioner Publishing Co.出版的McCutcheon’sVolune 2:Functional Materials(北美和国际年鉴版);和PCT公布WO 03/024222中所列的那些。
通常通过将活性成分溶于溶剂中或通过在液体或干稀释剂中研磨活性成分来将式1的化合物和任何其他的活性成分掺入到本发明的组合物中。可通过简单地混合所述成分来制备溶液剂,包括乳油。如果意图用作乳油的液体组合物的溶剂是水不可混溶的,则通常加入乳化剂使含有活性成分的溶剂在用水稀释时发生乳化。可使用介质磨来湿磨粒径为至多2,000μm的活性成分浆液,以获得平均直径低于3μm的颗粒。可将含水浆液制备为成品悬浮浓缩物(参见例如U.S.3,060,084)或通过喷雾干燥进一步加工以形成水分散性的颗粒。干制剂通常需要干研磨步骤,其产生2至10μm范围内的平均粒径。粉剂和粉末可通过混合并且通常通过研磨(诸如用锤磨或流能磨)来制备。可通过将活性物质喷雾在预成形颗粒载体上或通过附聚技术来制备颗粒和粒料。参见Browning的“Agglomeration”(ChemicalEngineering,1967年12月4日,第147-48页),Perry’s ChemicalEngineer’s Handbook第4版(McGraw-Hill,New York,1963)第8-57页及其后页,以及WO 91/13546。粒料可以如U.S.4,172,714中所述来制备。可以如U.S.4,144,050、U.S.3,920,442和DE 3,246,493中所教导的来制备水分散性的和水溶性的颗粒。片剂可以如U.S.5,180,587、U.S.5,232,701和U.S.5,208,030中所教导的来制备。膜剂可以如GB 2,095,558和U.S.3,299,566中所教导的来制备。
与配制领域相关的其他信息,参见T.S.Woods的“The Formulator’s Toolbox-Product Forms forModern Agriculture”(Pesticide Chemistry and Bioscience,TheFood-Environment Challenge),T.Brooks和T.R.Roberts编,Proceedings of the 9thInternational Congress on Pesticide Chemistry,The RoyalSociety of Chemistry,Cambridge,1999,第120-133页。还可参见U.S.3,235,361第6栏第16行至第7栏第19行和实施例10-41;U.S.3,309,192第5栏第43行至第7栏第62行和实施例8、12、15、39、41、52、53、58、132、138-140、162-164、166、167以及169-182;U.S.2,891,855第3栏第66行至第5栏第17行和实施例1-4;Klingman的Weed Control as a Science(John Wiley and Sons,Inc.,New York,1961),第81-96页;Hance等人的Weed Control Handbook,第8版(BlackwellScientificPublications,Oxford,1989);和Developments in formulation technology(PJB Publications,Richmond,UK,2000)。
在以下实施例中,所有制剂均根据常规方法制备。化合物编号参见索引表A-G中的化合物。无需进一步详尽说明,相信本领域技术人员使用以上所述内容可将本发明利用至最大限度。因此,以下实施例应理解为仅是例证性的,而不以任何方式限制本发明的公开内容。百分比为重量百分比,除非另外说明。
实施例A
高强度浓缩物
化合物1 98.5%
二氧化硅气凝胶 0.5%
合成无定形精细二氧化硅 1.0%
实施例B
可湿性粉末
实施例C
颗粒
化合物8
10.0%
绿坡缕石颗粒(低挥发性物质,0.71/0.30mm;U.S.S.No.25- 90.0%
50筛目)
实施例D
挤出的粒料
实施例E
可乳化浓缩物
化合物11 10.0%
聚氧乙烯山梨醇六油酸酯 20.0%
C6-C10脂肪酸甲酯 70.0%
实施例F
微乳剂
实施例G
种子处理剂
实施例H
肥料棒
实施例I
悬浮浓缩物
实施例J
水乳剂(Emulsion in Water)
实施例K
油分散体
实施例L
悬浮乳剂
实施例M
悬浮浓缩物
实施例N
水乳剂
实施例O
油分散体
实施例P
悬浮乳剂
本发明的化合物表现出抗广谱无脊椎害虫活性。这些害虫包括栖息于多种环境诸如植物叶片、根茎、土壤、收割的作物或其他食品或建筑物中的无脊椎害虫。这些害虫包括例如以叶片(包括叶、茎杆、花朵和果实)、种子、木材或纺织物纤维为食,从而对例如生长或储藏的农作物、森林作物、温室作物、观赏植物、苗圃作物、储藏的食品或纤维制品、或者住房或其他结构或它们的内容物造成损坏或损害的无脊椎害虫。本领域技术人员会知晓,不是所有的化合物均对所有害虫的整个生长阶段具有同样的功效。
因此,这些本发明的化合物和组合物在农业上可用于保护田地作物免受植食性无脊椎害虫的侵害,并且还可在非农业上用于保护其他园艺作物和植物免受植食性无脊椎害虫的侵害。该用途包括保护包含为了提供有利特征而通过基因工程(即转基因)或诱变改性引入的遗传物质的作物和其他植物(即农业和非农业)。此类特征的实例包括耐除草剂、耐植食性害虫(例如昆虫、螨虫、蚜虫、蜘蛛、线虫、蜗牛、植物病原真菌、细菌和病毒)、改善植物生长、对不利生长环境(诸如高温或低温、低土壤湿度或高土壤湿度、和高盐度)的耐受性增强、开花或结果提高、收获量增大、成熟更快、所收获产品的质量和/或营养价值更高、或者所收获产品的储藏或加工性改善。可将转基因植物改性,以表达多种特征。包含由基因工程或诱变提供的特征的植物实例包括表达除虫性苏云金芽孢杆菌(Bacillusthuringiensis)毒素的各种玉米、棉花、大豆和马铃薯,诸如YIELD 和INVICTA RR2 PROTM;和各种耐除草剂的玉米、棉花、大豆和油菜籽品种,诸如ROUNDUPLIBERTY和以及表达N-乙酰转移酶(GAT)以提供对草甘膦除草剂抗性的作物;或包含提供对抑制乙酰乳酸合酶(ALS)的除草剂的抗性的HRA基因的作物。本发明的化合物和组合物可由通过基因工程或诱变改性引入的特征表现出增强的效果,从而增强特征的表型表达或有效性,或增强本发明的化合物和组合物的无脊椎害虫防治功效。具体地讲,本发明的化合物和组合物可与对无脊椎害虫具有毒性的蛋白质或其他天然产品的表型表达表现出增强的效果,以提供对这些害虫的大于加和的防治效果。
本发明的组合物还可任选地包含植物营养素,例如包含至少一种植物营养素的肥料组合物,所述植物营养素选自氮、磷、钾、硫、钙、镁、铁、铜、硼、锰、锌和钼。值得注意的是包含至少一种肥料组合物的组合物,所述肥料组合物包含至少一种选自氮、磷、钾、硫、钙和镁的植物营养素。还包含至少一种植物营养素的本发明的组合物可为液体或固体形式。值得注意的是颗粒剂、小块或片剂形式的固体制剂。可通过将本发明的化合物或组合物与肥料组合物以及配制成分一起混合,然后由诸如造粒或挤出的方法制得制剂,来制备包含肥料组合物的固体制剂。或者,可通过将本发明的化合物或组合物在挥发性溶剂中的溶液或悬浮液喷雾到先前制得的尺寸稳定的混合物形式(例如颗粒剂、小块或片剂)的肥料组合物上,然后蒸发溶剂,来制得固体制剂。
非农业用途是指在非农作物田地的区域中防治无脊椎害虫。本发明的化合物和组合物的非农业用途包括防治储藏的谷物、豆类和其他食品中的以及纺织物诸如衣服和地毯中的无脊椎害虫。本发明的化合物和组合物的非农业用途还包括防治观赏植物、森林作物、庭院、沿路边和铁路的公用事业用地,以及草皮诸如草坪、高尔夫球场和牧场上的无脊椎害虫。本发明的化合物和组合物的非农业用途还包括防治可由人和/或伴侣动物、家畜、农场动物、动物园动物或其他动物居住的居室和其他建筑物中的无脊椎害虫。本发明的化合物和组合物的非农业用途还包括防治会损坏用于建筑中的木头或其他建筑材料的害虫,诸如白蚁。
农业或非农业无脊椎害虫的实例包括鳞翅目害虫的卵、幼虫和成虫,诸如夜蛾科粘虫、毛虫、尺蠖和棉铃虫(例如大螟(Sesamia inferens Walker)、玉米螟(Sesamianonagrioides Lefebvre)、南部灰翅夜蛾(Spodoptera eridania Cramer)、秋粘虫(Spodoptera frugiperda J.E.Smith)、甜菜夜蛾(Spodoptera exigua Hübner)、棉叶虫(Spodoptera littoralis Boisduval)、黄带粘虫(Spodoptera ornithogalli Guenée)、小地老虎(Agrotis ipsilon Hufnagel)、天鹅绒豆毛虫(Anticarsia gemmatalis Hübner)、绿果冬夜蛾(Lithophane antennata Walker)、甘蓝夜蛾(Barathra brassicaeLinnaeus)、大豆夜蛾(Pseudoplusia includens Walker)、甘蓝银纹夜蛾(Trichoplusiani Hübner)、烟草蚜虫(Heliothis virescens Fabricius));螟蛾科钻蛀虫、鞘蛾、结网毛虫、松果梢斑螟、菜青虫和雕叶虫(例如欧洲玉米螟(Ostrinia nubilalis Hübner)、脐橙螟(Amyelois transitella Walker)、玉米根部结网毛虫(Crambus caliginosellusClemens)、草地螟(螟蛾科:草螟亚科)诸如稻切叶野螟(Herpetogramma licarsisalisWalker)、甘蔗二点螟(Chilo infuscatellus Snellen)、番茄小钻蛀虫(Neoleucinodeselegantalis Guenée)、稻纵卷叶螟(Cnaphalocrocis medinalis)、葡萄卷叶虫(Desmiafuneralis Hübner)、甜瓜野螟(Diaphania nitidalis Stoll)、卷心菜芯蛴螬(Hellualahydralis Guenée)、三化螟(Scirpophaga incertulas Walker)、幼嫩新梢钻蛀虫(Scirpophaga infuscatellus Snellen)、稻白螟(Scirpophaga innotata Walker)、甘蔗白禾螟蛾(Scirpophaga nivella Fabricius)、黑头稻螟(Chilo polychrysus Meyrick)、水稻二化螟(Chilo suppressalis Walker)、大菜螟(Crocidolomia binotalisEnglish));卷叶蛾科卷叶虫、芽虫、种虫、和果虫(例如苹果小卷蛾(Cydia pomonellaLinnaeus)、葡萄浆果蛾(Endopiza viteana Clemens)、梨小食心虫(Grapholita molestaBusck)、苹果异形小卷蛾(Cryptophlebia leucotreta Meyrick)、柑桔天牛(Ecdytolophaaurantiana Lima)、红带卷蛾(Argyrotaenia velutinana Walker)、玫瑰带纹卷叶蛾(Choristoneura rosaceana Harris)、苹果浅褐卷叶蛾(Epiphyas postvittana Walker)、女贞细卷蛾(Eupoecilia ambiguella Hübner)、苹果顶芽卷叶蛾(Pandemis pyrusanaKearfott)、杂食卷叶蛾(Platynota stultana Walsingham)、葡萄褐卷蛾(Pandemiscerasana Hübner)、苹褐卷叶蛾(Pandemis heparana Denis&Schiffermüller));和许多其他经济上重要的鳞翅目昆虫(例如小菜蛾(Plutella xylostella Linnaeus)、棉红铃虫(Pectinophora gossypiella Saunders)、舞毒蛾(Lymantria dispar Linnaeus)、桃小食心虫(Carposina niponensis Walsingham)、桃条麦蛾(Anarsia lineatella Zeller)、马铃薯块茎蛾(Phthorimaea operculella Zeller)、带状斑点潜叶虫(Lithocolletisblancardella Fabricius)、苹果金纹细蛾(Lithocolletis ringoniella Matsumura)、稻纵卷叶螟(Lerodea eufala Edwards)、旋纹潜叶蛾(Leucoptera scitella Zeller));蜚蠊目害虫的卵、蛹和成虫,包括姬蠊科和蜚蠊科蟑螂(例如东方蜚蠊(Blatta orientalisLinnaeus)、亚洲蟑螂(Blatella asahinai Mizukubo)、德国小蠊(Blattella germanicaLinnaeus)、褐带皮蠊(Supella longipalpa Fabricius)、美洲大蠊(Periplanetaamericana Linnaeus)、褐色蜚蠊(Periplaneta brunnea Burmeister)、马德拉蜚蠊(Leucophaea maderae Fabricius)、黑胸大蠊(Periplaneta fuliginosa Service)、澳洲大蠊(Periplaneta australasiae Fabr.)、龙虾蟑螂(Nauphoeta cinerea Olivier)和淡色歪尾蠊(Symploce pallens Stephens));鞘翅目害虫的卵、以叶片、果实、根茎、种子、和泡囊组织为食的幼虫和成虫,包括长角象鼻虫科、豆象科和象鼻虫科象鼻虫(例如棉籽象鼻虫(Anthonomus grandis Boheman)、稻水象甲(Lissorhoptrus oryzophilus Kuschel)、谷象(Sitophilus granarius Linnaeus)、米象(Sitophilus oryzae Linnaeus))、早熟禾象鼻虫(Listronotus maculicollis Dietz)、牧草长喙象(Sphenophorus parvulusGyllenhal)、猎长喙象(Sphenophorus venatus vestitus)、丹佛长喙象(Sphenophoruscicatristriatus Fahraeus));叶甲科跳甲、守瓜、根虫、叶甲、马铃薯虫、和潜叶虫(例如科罗拉多马铃薯甲虫(Leptinotarsa decemlineata Say)、西部玉米根虫(Diabroticavirgifera virgifera LeConte));金龟子科金龟子和其他甲虫(例如日本金龟子(Popillia japonica Newman)、东方丽金龟(Anomala orientalis Waterhouse、Exomalaorientalis(Waterhouse)Baraud)、北方圆头犀金龟(Cyclocephala borealis Arrow)、南方圆头犀金龟(Cyclocephala immaculata Olivier或C.lurida Bland)、蜣螂和蛴螬(蜉金龟属)、草皮黑金龟(Ataenius spretulus Haldeman)、绿金龟(Cotinis nitidaLinnaeus)、栗玛绒金龟(Maladera castanea Arrow)、六月鳃金龟(Phyllophaga属)和欧洲金龟子(Rhizotrogus majalis Razoumowsky));皮蠹科皮蠹;叩头虫科线虫;小蠹虫科树皮甲虫和拟步行虫科面象虫。
此外,农业和非农业害虫包括:革翅目害虫的卵、成虫和幼虫,包括蠼螋科蠼螋(例如欧洲球螋(Forficula auricularia Linnaeus)、黑蠼螋(Chelisoches morioFabricius));半翅目和同翅目害虫的卵、幼虫、成虫和蛹,诸如盲蝽科盲蝽、蝉科蝉、大叶蝉科叶蝉(例如Empoasca属)臭虫科臭虫(例如Cimex lectularius Linnaeus)、蜡蝉科和稻虱科蜡蝉、角蝉科角蝉、木虱科木虱、粉虱科粉虱、蚜科蚜虫、根瘤蚜科根瘤蚜、粉蚧科粉蚧、介壳虫科、盾介壳虫科和硕介壳虫科蚧虫、网蝽科网蝽、蝽科椿象、长蝽科高粱长蝽(例如毛长蝽(Blissus leucopterus hirtus Montandon)和南方麦小蝽(Blissus insularisBarber))以及长蝽科其他长蝽、沫蝉科沫蝉、缘蝽科南瓜缘蝽、和红蝽科红蝽和污棉虫。
农业和非农业害虫还包括蜱螨目(螨)害虫的卵、幼虫、蛹和成虫,诸如叶螨科叶螨和红螨(例如苹果红蜘蛛(Panonychus ulmi Koch)、二斑叶螨(Tetranychus urticaeKoch)、McDaniel叶螨(Tetranychus mcdanieli McGregor));细须螨科葡萄短须螨(例如柑橘红蜘蛛(Brevipalpus lewisi McGregor));瘿螨科锈蜱和芽蜱以及其他以叶片为食的螨虫,蚍螨科尘螨、蠕形螨科蠕形螨、食甜螨科谷螨;通常称为硬蜱的硬蜱科壁虱(例如鹿蜱(Ixodes scapularis Say)、澳洲致瘫蜱(Ixodes holocyclus Neumann)、美洲犬蜱(Dermacentor variabilis Say)、孤星虱(Amblyomma americanum Linnaeus))和通常称为软蜱的隐喙蜱科壁虱(例如回归热蜱(Ornithodoros turicata)、常见鸡蜱(Argasradiatus));痒螨科、蒲螨科和疥螨科痒螨和疥螨;直翅目害虫的卵、成虫和幼虫,包括蚱蜢、蝗虫和蟋蟀(例如迁徙蚱蜢(例如Melanoplus sanguinipes Fabricius、M.differentialis Thomas))、美国蜢(例如Schistocerca americana Drury)、沙漠蝗(Schistocerca gregaria Forskal)、飞蝗(Locusta migratoria Linnaeus)、灌丛蝗(Zonocerus属)、家蟋蟀(Acheta domesticus Linnaeus)、蝼蛄(例如黄褐色蝼蛄(Scapteriscus vicinus Scudder)和南部蝼蛄(Scapteriscus borellii Giglio-Tos));双翅目害虫的卵、成虫和幼虫,包括潜叶虫(例如Liriomyza属,诸如蔬菜斑潜蝇(Liriomyzasativae Blanchard))、蠓、果蝇(Tephritidae)、眼蝇(例如Oscinella frit Linnaeus)、蛆、家蝇(例如Musca domestica Linnaeus)、夏厕蝇(例如Fannia canicularis Linnaeus、F.femoralis Stein)、厩蝇(例如Stomoxys calcitrans Linnaeus)、秋家蝇、角蝇、丽蝇(例如Chrysomya属、Phormia属)以及其他家蝇类害虫、马虻(例如Tabanus属)、肤蝇(例如Gastrophilus属、Oestrus属)、牛皮蝇(例如Hypoderma属)、鹿虻(例如Chrysops属)、羊蜱蝇(例如Melophagus ovinus Linnaeus)和其他短角亚目害虫、蚊(例如Aedes属、Anopheles属、Culex属)、墨蚊(例如Prosimulium属、Simulium属)、铗蠓、白蛉、尖眼蕈蚊以及其他长角亚目害虫;缨尾目害虫的卵、成虫和幼虫,包括葱蓟马(Thrips tabaci Lindeman)、花蓟马(Frankliniella属)以及其他以叶片为食的蓟马;膜翅目昆虫害虫,包括蚁科蚂蚁,包括弗罗里达木蚁(Camponotus floridanus Buckley)、红木蚁(Camponotus ferrugineusFabricius)、黑木蚁(Camponotus pennsylvanicus De Geer)、白足蚁(Technomyrmexalbipes fr.Smith)、大头蚁(Pheidole属)、黑头酸臭蚁(Tapinoma melanocephalumFabricius);法老蚁(Monomorium pharaonis Linnaeus)、小火蚁(Wasmanniaauropunctata Roger)、火蚁(Solenopsis geminata Fabricius)、入侵红火蚁(Solenopsisinvicta Buren)、阿根廷蚁(Iridomyrmex humilis Mayr)、疯蚁(Paratrechinalongicornis Latreille)、铺道蚁(Tetramorium caespitum Linnaeus)、玉米毛蚁(Lasiusalienus)和臭家蚁(Tapinoma sessile Say)。其他膜翅目害虫包括蜂(包括木匠蜂)、大胡蜂、胡蜂、黄蜂和锯蝇(Neodiprion属;Cephus属);等翅目昆虫害虫,包括白蚁科白蚁(例如Macrotermes属、Odontotermes obesus Rambur)、木白蚁科白蚁(例如Cryptotermes属)和犀白蚁科白蚁(例如Reticulitermes属、Coptotermes属、Heterotermes tenuisHagen)、北美散白蚁(Reticulitermes flavipes Kollar)、西方散白蚁(Reticulitermeshesperus Banks)、乳白蚁(Coptotermes formosanus Shiraki)、西印度干木白蚁(Incisitermes immigrans Snyder)、麻头砂白蚁(Cryptotermes brevis Walker)、干木白蚁(Incisitermes snyderi Light)、南部散白蚁(Reticulitermes virginicus Banks)、西部干木白蚁(Incisitermes minor Hagen)、树白蚁诸如象白蚁属以及其他具有经济学重要性的白蚁;缨尾目昆虫害虫,诸如蠹虫(Lepisma saccharina Linnaeus)和家衣鱼(Thermobia domestica Packard)。涉及的其他节肢动物害虫包括:蜘蛛目蜘蛛诸如棕色隐士蛛(Loxosceles reclusa Gertsch&Mulaik)和黑寡妇毒蛛(Latrodectus mactansFabricius),以及蚰蜒目蜈蚣诸如蚰蜒(Scutigera coleoptrata Linnaeus)。
储藏谷物的无脊椎害虫的实例包括大谷蠹(Prostephanus truncatus)、谷蠹(Rhyzopertha dominica)、米象(Stiophilus oryzae)、玉米象(Stiophilus zeamais)、四纹豆象(Callosobruchus maculatus)、赤拟谷盗(Tribolium castaneum)、谷象(Stiophilus granarius)、印度谷螟(Plodia interpunctella)、地中海粉螟(Ephestiakuhniella)和锈赤扁谷盗(Cryptolestis ferrugineus)。
本发明的化合物对抵抗以下鳞翅目害虫具有活性(例如Alabama argillacea Hübner(衣蛾)、Archips argyrospila Walker(果树卷叶蛾)、A.rosana Linnaeus(欧洲卷叶蛾)、和其他黄卷蛾属物种、Chilo suppressalis Walker(水稻螟虫)、Cnaphalocrosismedinalis Guenée(稻纵卷叶螟)、Crambus caliginosellus Clemens(玉米根部结网毛虫)、Crambus teterrellus Zincken(蓝草草螟)、Cydia pomonella Linnaeus(苹果小卷蛾)、Earias insulana Boisduval(金刚钻)、Earias vittella Fabricius(翠纹棉铃虫)、Helicoverpa armigera Hübner(美洲棉铃虫)、Helicoverpa zea Boddie(棉铃虫)、Heliothis virescens Fabricius(烟草蚜虫)、Herpetogramma licarsisalis Walker(草地螟)、Lobesia botrana Denis&Schiffermüller(葡萄浆果蛾)、Pectinophoragossypiella Saunders(棉红铃虫)、Phyllocnistis citrella Stainton(柑橘潜叶蛾)、Pieris brassicae Linnaeus(大菜粉蝶)、Pieris rapae Linnaeus(菜白蛾)、Plutellaxylostella Linnaeus(小菜蛾)、Spodoptera exigua Hübner(甜菜夜蛾)、Spodopteralitura Fabricius(斜纹夜蛾、茶蚕)、Spodoptera frugiperda J.E.Smith(秋粘虫)、Trichoplusia ni Hübner(甘蓝银纹夜蛾)和Tuta absoluta Meyrick(番茄斑潜蝇))。
本发明的化合物对同翅目害虫具有活性,其包括:Acyrthosiphon pisum Harris(豆长管蚜)、Aphis craccivora Koch(黑豆蚜)、Aphis fabae Scopoli(蚕豆蚜)、Aphisgossypii Glover(棉蚜、瓜蚜)、Aphis pomi De Geer(苹果蚜)、Aphis spiraecola Patch(卷叶蚜)、Aulacorthum solani Kaltenbach(茄无网长管蚜)、Chaetosiphon fragaefoliiCockerell(草莓蚜)、Diuraphis noxia Kurdjumov/Mordvilko(俄罗斯小麦蚜)、Dysaphisplantaginea Paaserini(蔷薇长管蚜)、Eriosoma lanigerum Hausmann(苹果绵蚜)、Hyalopterus pruni Geoffroy(桃大尾蚜)、Lipaphis erysimi Kaltenbach(罗卜蚜)、Metopolophium dirrhodum Walker(麦蚜)、Macrosiphum euphorbiae Thomas(马铃薯蚜)、Myzus persicae Sulzer(桃蚜、桃蚜)、Nasonovia ribisnigri Mosley(莴苣蚜)、Pemphigus属(根蚜和瘿蚜)、Rhopalosiphum maidis Fitch(玉米叶蚜)、Rhopalosiphumpadi Linnaeus(禾谷缢管蚜)、Schizaphis graminum Rondani(麦二叉蚜)、Sitobionavenae Fabricius(麦长管蚜)、Therioaphis maculata Buckton(苜蓿斑蚜)、Toxopteraaurantii Boyer de Fonscolombe(桔二岔蚜)、和Toxoptera citricida Kirkaldy(褐色橘蚜);Adelges属(球蚜);Phylloxera devastatrix Pergande(美洲山核桃根瘤蚜);Bemisiatabaci Gennadius(烟粉虱、甘薯粉虱)、Bemisia argentifolii Bellows&Perring(银叶粉虱)、Dialeurodes citri Ashmead(柑桔白粉虱)和Trialeurodes vaporariorum Westwood(温室白粉虱);Empoasca fabae Harris(马铃薯小绿叶蝉)、Laodelphax striatellusFallen(灰飞虱)、Macrolestes quadrilineatus Forbes(二点叶蝉)、Nephotettixcinticeps Uhler(青叶蝉)、Nephotettix nigropictus (黑尾叶蝉)、Nilaparvatalugens (褐飞虱)、Peregrinus maidis Ashmead(玉米蜡蝉)、Sogatella furciferaHorvath(白背飞虱)、Sogatodes orizicola Muir(稻飞虱)、Typhlocyba pomaria McAtee(苹果白叶蝉)、Erythroneoura属(葡萄小叶蝉);Magicidada septendecim Linnaeus(周期蝉);Icerya purchasi Maskell(吹绵介壳虫)、Quadraspidiotus perniciosus Comstock(圣约瑟虫);Planococcus citri Risso(桔粉蚧);Pseudococcus属(其他粉蚧复合体);Cacopsylla pyricola Foerster(梨黄木虱)、Trioza diospyri Ashmead(柿木虱)。
本发明的化合物对半翅目害虫具有活性,其包括:Acrosternum hilare Say(稻绿蝽)、Anasa tristis De Geer(南瓜缘蝽)、Blissus leucopterus leucopterus Say(高粱长蝽)、Cimex lectularius Linnaeus(臭虫)、Corythuca gossypii Fabricius(棉网蝽)、Cyrtopeltis modesta Distant(番茄蝽)、Dysdercus suturellus (污棉虫)、Euchistus servus Say(茶翅蝽)、Euchistus variolarius Palisot de Beauvois(单斑蝽)、Graptosthetus属(长蝽复合体)、Halymorpha halys (茶翅蝽)、Leptoglossuscorculus Say(缘蝽科松籽蝽)、Lygus lineolaris Palisot de Beauvois(牧草盲蝽)、Nezara viridula Linnaeus(南部稻绿蝽)、Oebalus pugnax Fabricius(稻褐蝽)、Oncopeltus fasciatus Dallas(大马利筋长蝽)、Pseudatomoscelis seriatus Reuter(棉盲蝽)。本发明的化合物可防治的其他昆虫目包括缨尾目(例如Frankliniellaoccidentalis Pergande(西花蓟马)、Scirthothrips citri Moulton(柑桔蓟马)、Sericothrips variabilis Beach(大豆蓟马)和Thrips tabaci Lindeman(葱蓟马);和鞘翅目(例如Leptinotarsa decemlineata Say(科罗拉多马铃薯甲虫)、Epilachnavarivestis Mulsant(墨西哥豆瓢虫)和细胸叩头虫属、山叩头虫属或宽胸叩头虫属线虫)。
值得注意的是本发明的化合物用于防治小菜蛾(Plutella xylostella)的用途。值得注意的是本发明的化合物用于防治秋粘虫(Spodoptera frugiperda)的用途。值得注意的是本发明的化合物用于防治西花蓟马(Frankliniella occidentalis)的用途。值得注意的是本发明的化合物用于防治马铃薯小绿叶蝉(Empoasca fabae)的用途。值得注意的是本发明的化合物用于防治玉米蜡蝉(Peregrinus maidis)的用途。值得注意的是本发明的化合物用于防治棉蚜(Aphis gossypii)的用途。值得注意的是本发明的化合物用于防治桃蚜(Myzus persicae)的用途。值得注意的是本发明的化合物用于防治甘薯粉虱(Bemisiatabaci)的用途。
本发明的化合物还可用于增加农作物的活力。该方法包括使农作物(例如叶、花、果实或根)或从中生长出农作物的种子与足以实现所需的植物活力效果的量(即生物学有效量)的式1的化合物接触。通常,将式1的化合物以配制的组合物的形式施用。尽管通常将式1的化合物直接施用于农作物或其种子,但也可以将其施用于农作物的所在地,即农作物的环境,尤其是环境中足够靠近以使式1的化合物迁移到农作物中的部分。与该方法有关的场所最通常包括生长培养基(即,向植物提供营养的培养基),通常是从中生长出植物的土壤。因此,对农作物进行处理以增加农作物的活力,所述处理包括使农作物、从中生长出农作物的种子或农作物的所在地与生物学有效量的式1的化合物接触。
作物活力的增加可导致一种或多种以下观察到的效果:(a)最佳的作物种植(cropestablishment),如出色的种子发芽、作物萌发和作物植株密度(crop stand)所证明;(b)增强的作物生长,如叶片的快速健壮生长(例如用叶面积指数所测量的)、株高、分蘖数(例如对水稻而言)、根系质量和作物营养物质的总干重所证明;(c)提高的作物收成率,如开花时间、花期、花朵数量、总生物量蓄积(即产量)和/或水果或谷物等级的产品适销性(即品质)所证明;(d)作物抵御或预防植物病害感染以及节肢动物、线虫或软体动物害虫侵害的能力增强;以及(e)作物抵御环境应力(例如,暴露于极端温度、水分不足(suboptimalmoisture)或植物毒性化学物质)的能力增强。
与未处理的植物相比,本发明的化合物可以通过杀死植物环境中的植食性无脊椎害虫或以其他方式阻止其摄食来增加所处理植物的活力。在没有此类对植食性无脊椎害虫的防治的情况下,害虫通过消耗植物组织或树液或传播植物病原体例如病毒来降低植物活力。即使在没有植食性无脊椎害虫的情况下,本发明的化合物也可以通过改变植物的代谢来增加植物活力。通常,如果农作物在非理想环境(即,包含不利于植物的一个或多个方面的环境)中生长,则通过用本发明的化合物处理农作物会最显著地增加农作物的活力,实现其会在理想环境中表现出的充分遗传潜能。
值得注意的是一种增加农作物活力的方法,其中该农作物生长在包含植食性无脊椎害虫的环境中。还值得注意的是一种增加农作物活力的方法,其中该农作物生长在不包含植食性无脊椎害虫的环境中。还值得注意的是一种增加农作物活力的方法,其中该农作物生长在水分含量少于支持农作物生长的理想水分的环境中。值得注意的是一种增加农作物活力的方法,其中该农作物是水稻。还值得注意的是一种增加农作物活力的方法,其中该农作物是玉米。还值得注意的是一种增加农作物活力的方法,其中该农作物是大豆。
本发明的化合物可与一种或多种其他生物学活性化合物或药剂混合,以形成多组分杀虫剂,赋予甚至更广谱的农业和非农业用途,所述生物学活性化合物或药剂包括杀昆虫剂、杀真菌剂、杀线虫剂、杀菌剂、杀螨剂、除草剂、除草剂安全剂、生长调节剂诸如昆虫蜕皮抑制剂和生根刺激剂、化学不育剂、化学信息素、拒斥剂、诱虫剂、信息素、取食刺激剂、其他生物学活性化合物,或者昆虫病原细菌、病毒或真菌。因此本发明还涉及组合物,所述组合物包含生物学有效量的式1的化合物,至少一种选自表面活性剂、固体稀释剂和液体稀释剂的附加组分,和至少一种附加的生物学活性化合物或药剂。就本发明的混合物而言,可将其他生物学活性化合物或药剂与本发明的化合物(包括式1的化合物)配制在一起,以形成预混物;或者可将其他生物学活性化合物或药剂与本发明的化合物(包括式1的化合物)分开配制,并且在施用前(例如在喷雾罐中)将两种制剂混合在一起,或者将两种制剂依次施用。
可与本发明的化合物配制在一起的此类生物学活性化合物或药剂的实例是:杀虫剂例如阿巴美丁(abamectin)、高灭磷(acephate)、灭螨醌(acequinocyl)、啶虫脒(acetamiprid)、氟丙菊酯(acrinathrin)、双丙环虫酯(afidopyropen)([(3S,4R,4aR,6S,6aS,12R,12aS,12bS)-3-[(环丙基羰基)氧基]-1,3,4,4a,5,6,6a,12,12a,12b-十氢-6,12-二羟基-4,6a,12b-三甲基-11-氧代-9-(3-吡啶基)-2H,11H-萘并[2,1-b]吡喃并[3,4-e]吡喃-4-基]甲基环丙烷羧酸酯)、磺胺螨酯(amidoflumet)、双甲脒(amitraz)、阿维菌素(avermectin)、印楝素(azadirachtin)、谷硫磷(azinphos-methyl)、丙硫克百威(benfuracarb)、杀虫磺(bensultap)、联苯菊酯(bifenthrin)、联苯肼酯(bifenazate)、双三氟虫脲(bistrifluron)、硼酸盐(borate)、噻嗪酮(buprofezin)、硫线磷(cadusafos)、甲萘威(carbaryl)、克百威(carbofuran)、杀螟丹(cartap)、carzol、氯虫苯甲酰胺(chlorantraniliprole)、虫螨腈(chlorfenapyr)、定虫隆(chlorfluazuron)、毒死蜱(chlorpyrifos)、甲基毒死蜱(chlorpyrifos-methyl)、环虫酰肼(chromafenozide)、四螨嗪(clofentezin)、噻虫胺(clothianidin)、溴氰虫酰胺(cyantraniliprole)(3-溴-1-(3-氯-2-吡啶基)-N-[4-氰基-2-甲基-6-[(甲基氨基)羰基]苯基]-1H-吡唑-5-甲酰胺)、环溴虫酰胺(cyclaniliprole)(3-溴-N-[2-溴-4-氯-6-[[(1-环丙基ethyl)氨基]羰基]苯基]-1-(3-氯-2-吡啶基)-1H-吡唑-5-甲酰胺)、乙腈菊酯(cycloprothrin)、环氧虫啶(cycloxaprid)((5S,8R)-1-[(6-氯-3-吡啶基)甲基]-2,3,5,6,7,8-六氢-9-硝基-5,8-乙氧基-1H-咪唑并[1,2-a]氮杂)、丁氟螨酯(cyflumetofen)、氟氯氰菊酯(cyfluthrin)、β-氟氯氰菊酯(beta-cyfluthrin)、氯氟氰菊酯(cyhalothrin)、γ-氯氟氰菊酯(gamma-cyhalothrin)、高氯氟氰菊酯(lambda-cyhalothrin)、氯氰菊酯(cypermethrin)、α-氯氰菊酯(alpha-cypermethrin)、ζ-氯氰菊酯(zeta-cypermethrin)、灭蝇胺(cyromazine)、溴氰菊酯(deltamethrin)、丁醚脲(diafenthiuron)、二嗪磷(diazinon)、狄氏剂(dieldrin)、除虫脲(iflubenzuron)、四氟甲醚菊酯(dimefluthrin)、杀虫双(dimehypo)、乐果(dimethoate)、呋虫胺(dinotefuran)、二苯丙醚(diofenolan)、甲氨基阿维菌素(emamectin)、硫丹(endosulfan)、S-氰戊菊酯(esfenvalerate)、乙虫腈(ethiprole)、醚菊酯(etofenprox)、乙螨唑(etoxazole)、苯丁锡(fenbutatin oxide)、杀螟硫磷(fenitrothion)、苯硫威(fenothiocarb)、苯氧威(fenoxycarb)、甲氰菊酯(fenpropathrin)、氰戊菊酯(fenvalerate)、氟虫腈(fipronil)、flometoquin(2-乙基-3,7-二甲基-6-[4-(三氟甲氧基)苯氧基]-4-喹啉基甲基碳酸酯)、氟啶虫酰胺(flonicamid)、氟苯虫酰胺(flubendiamide)、氟氰戊菊酯(flucythrinate)、嘧虫胺(flufenerim)、氟虫脲(flufenoxuron)、氟菌螨酯(flufenoxystrobin)((αE)-2-[[2-氯-4-(三氟甲基)苯氧基]甲基]-α-(甲氧基亚甲基)苯乙酸甲酯)、flufensulfone(5-氯-2-[(3,4,4-三氟-3-丁烯-1-基)磺酰基]噻唑)、氟己芬(fluhexafon)、fluopyram、flupiprole(1-[2,6-二氯-4-(三氟甲基)苯基]-5-[(2-甲基-2-丙烯-1-基)氨基]-4-[(三氟甲基)亚磺酰基]-1H-吡唑-3-甲腈)、氟吡呋喃酮(flupyradifurone)(4-[[(6-氯-3-吡啶基)甲基](2,2-二氟乙基)氨基]-2(5H)-呋喃酮)、氟胺氰菊酯(fluvalinate)、τ-氟胺氰菊酯(tau-fluvalinate)、大福松(fonophos)、伐虫脒(formetanate)、噻唑膦(fosthiazate)、氯虫酰肼(halofenozide)、heptafluthrin([2,3,5,6-四氟-4-(甲氧基甲基)苯基]甲基2,2-二甲基-3-[(1Z)-3,3,3-三氟-1-丙烯-1-基]环丙烷羧酸酯)、氟铃脲(hexaflumuron)、噻螨酮(hexythiazox)、伏蚁腙(hydramethylnon)、吡虫啉(imidacloprid)、茚虫威(indoxacarb)、杀虫皂(insecticidal soaps)、异柳磷(isofenphos)、虱螨脲(lufenuron)、马拉硫磷(malathion)、氯氟醚菊酯(meperfluthrin)([2,3,5,6-四氟-4-(甲氧基甲基)苯基]甲基(1R,3S)-3-(2,2-二氯乙烯基)-2,2-二甲基环丙烷羧酸酯)、氰氟虫腙(metaflumizone)、四聚乙醛(metaldehyde)、甲胺磷(methamidophos)、杀扑磷(methidathion)、甲硫威(methiodicarb)、灭多威(methomyl)、烯虫酯(methoprene)、甲氧滴滴涕(methoxychlor)、甲氧卞氟菊酯(metofluthrin)、甲氧虫酰肼(methoxyfenozide)、甲氧卞氟菊酯(metofluthrin)、久效磷(monocrotophos)、monofluthrin([2,3,5,6-四氟-4-(甲氧基甲基)苯基]甲基3-(2-氰基-1-丙烯-1-基)-2,2-二甲基环丙烷羧酸酯)、烟碱(nicotine)、烯啶虫胺(nitenpyram)、硝虫噻嗪(nithiazine)、氟酰脲(novaluron)、多氟脲(noviflumuron)、杀线威(oxamyl)、对硫磷(parathion)、甲基对硫磷(parathion-methyl)、扑灭司林(permethrin)、甲拌磷(phorate)、伏杀硫磷(phosalone)、亚胺硫磷(phosmet)、磷胺(phosphamidon)、抗蚜威(pirimicarb)、丙溴磷(profenofos)、丙氟菊酯(profluthrin)、炔螨特(propargite)、丙苯烃菊酯(protrifenbute)、pyflubumide(1,3,5-三甲基-N-(2-甲基-1-氧代丙基)-N-[3-(2-甲基丙基)-4-[2,2,2-三氟-1-甲氧基-1-(三氟甲基)乙基]苯基]-1H-吡唑-4-甲酰胺)、吡蚜酮(pymetrozine)、pyrafluprole、除虫菊素(pyrethrin)、哒螨灵(pyridaben)、三氟甲吡醚(pyridalyl)、pyrifluquinazon、嘧螨胺(pyriminostrobin)((αE)-2-[[[2-[(2,4-二氯苯基)氨基]-6-(三氟甲基)-4-嘧啶基]氧基]甲基]-α-(甲氧基亚甲基)苯乙酸甲酯)、pyriprole、吡丙醚(pyriproxyfen)、鱼藤酮(rotenone)、利阿诺定(ryanodine)、氟硅菊酯(silafluofen)、乙基多杀菌素(spinetoram)、多杀霉素(spinosad)、螺螨酯(spirodiclofen)、螺甲螨酯(spiromesifen)、螺虫乙酯(spirotetramat)、硫丙磷(sulprofos)、氟啶虫胺腈(sulfoxaflor)(N-[甲基氧化[1-[6-(三氟甲基)-3-吡啶基]乙基]-λ4-亚硫烷基]氰胺)、虫酰肼(tebufenozide)、吡螨胺(tebufenpyrad)、氟苯脲(teflubenzuron)、七氟菊酯(tefluthrin)、特丁磷(terbufos)、杀虫畏(tetrachlorvinphos)、胺菊酯(tetramethrin)、四氟醚菊酯(tetramethylfluthrin)([2,3,5,6-四氟-4-(甲氧基甲基)苯基]甲基2,2,3,3-四甲基环丙烷羧酸酯)、氟氰虫酰胺(tetraniliprole)、噻虫啉(thiacloprid)、噻虫嗪(thiamethoxam)、硫双威(thiodicarb)、杀虫双(thiosultap-sodium)、tioxazafen(3-苯基-5-(2-噻吩基)-1,2,4-噁二唑)、唑虫酰胺(tolfenpyrad)、四溴菊酯(tralomethrin)、唑蚜威(triazamate)、敌百虫(trichlorfon)、三氟苯嘧啶(triflumezopyrim)(2,4-二氧代-1-(5-嘧啶基甲基)-3-[3-(三氟甲基)苯基]-2H-吡啶并[1,2-a]嘧啶鎓内盐)、杀铃脲(triflumuron)、苏云金芽孢杆菌(Bacillus thuringiensis)δ-内毒素、昆虫病原细菌、昆虫病原病毒和昆虫病原真菌。
值得注意的是诸如以下的杀虫剂:阿巴美丁、啶虫脒、氟丙菊酯、双丙环虫酯、双甲脒、阿维菌素、印楝素、丙硫克百威、杀虫磺、联苯菊酯、噻嗪酮、硫线磷、甲萘威、杀螟丹、氯虫苯甲酰胺、虫螨腈、毒死蜱、噻虫胺、溴氰虫酰胺、环溴虫酰胺、乙腈菊酯、氟氯氰菊酯、β-氟氯氰菊酯、氯氟氰菊酯、γ-氯氟氰菊酯、高氯氟氰菊酯、氯氰菊酯、α-氯氰菊酯、ζ-氯氰菊酯、灭蝇胺、溴氰菊酯、狄氏剂、呋虫胺、二苯丙醚、甲氨基阿维菌素、硫丹、S-氰戊菊酯、乙虫腈、醚菊酯、乙螨唑、杀螟硫磷、苯硫威、苯氧威、氰戊菊酯、氟虫腈、flometoquin、氟啶虫酰胺、氟苯虫酰胺、氟虫脲、氟菌螨酯、flufensulfone、flupiprole、氟吡呋喃酮、氟胺氰菊酯、伐虫脒、噻唑膦、heptafluthrin、氟铃脲、伏蚁腙、吡虫啉、茚虫威、虱螨脲、氯氟醚菊酯、氰氟虫腙、甲硫威、灭多威、烯虫酯、甲氧虫酰肼、甲氧卞氟菊酯、monofluthrin、烯啶虫胺、硝虫噻嗪、氟酰脲、杀线威、pyflubumide、吡蚜酮、除虫菊素、哒螨灵、三氟甲吡醚、嘧螨胺、吡丙醚、利阿诺定、乙基多杀菌素、多杀霉素、螺螨酯、螺甲螨酯、螺虫乙酯、氟啶虫胺腈、虫酰肼、胺菊酯、四氟醚菊酯、噻虫啉、噻虫嗪、硫双威、杀虫双、四溴菊酯、唑蚜威、三氟苯嘧啶、杀铃脲、苏云金芽孢杆菌δ-内毒素、苏云金芽孢杆菌的所有菌株和核型多角体病毒的所有毒株。
用于与本发明的化合物混合的生物药剂的一个实施方案包括昆虫病原细菌,例如苏云金芽孢杆菌,以及苏云金芽孢杆菌的包囊δ-内毒素,例如通过方法制备的和生物杀虫剂(和为Mycogen Corporation,Indianapolis,Indiana,USA的商标);昆虫病原真菌,例如绿僵菌;和昆虫病原(天然存在的和转基因的)病毒,包括杆状病毒、核型多角体病毒(NPV)诸如谷实夜蛾核型多角体病毒(HzNPV)、芹菜夜蛾核型多角体病毒(AfNPV);和颗粒体病毒(GV)诸如苹果蠹蛾颗粒体病毒(CpGV)。
尤其值得注意的是其中其他无脊椎害虫防治活性成分与式1的化合物属于不同化学类别或者具有不同作用位点的组合。在某些情况下,与至少一种具有类似防治谱但是作用位点不同的其他无脊椎害虫防治活性成分组合,对于抗性管理是尤其有利的。因此,本发明的组合物还可包含生物学有效量的至少一种附加无脊椎害虫防治活性成分,所述活性成分具有类似防治谱,但是属于不同化学类别或者具有不同作用位点。这些附加的生物学活性化合物或药剂包括但不限于:乙酰胆碱酯酶(AChE)抑制剂,例如氨基甲酸酯类灭多威、杀线威、硫双威、唑蚜威,以及有机磷类毒死蜱;GABA门控氯通道拮抗剂类,例如环二烯类狄氏剂和硫丹,以及苯基吡唑类乙虫腈和氟虫腈;钠通道调节剂,例如拟除虫菊酯类联苯菊酯、氟氯氰菊酯、β-氟氯氰菊酯、氯氟氰菊酯、高氯氟氰菊酯、氯氰菊酯、溴氰菊酯、四氟甲醚菊酯、S-氰戊菊酯、甲氧卞氟菊酯和丙氟菊酯;烟碱乙酰胆碱受体(nAChR)激动剂,例如新烟碱类啶虫脒、噻虫胺、呋虫胺、吡虫啉、烯啶虫胺、硝虫噻嗪、噻虫啉、和噻虫嗪、和氟啶虫胺腈;烟碱乙酰胆碱受体(nAChR)变构激活剂,例如多杀菌素类乙基多杀菌素和多杀霉素;氯通道激活剂,例如阿维菌素类阿巴美丁和甲氨基阿维菌素;保幼激素模拟物,例如二苯丙醚、烯虫酯、苯氧威和吡丙醚;选择性同翅目进食阻滞剂,例如吡蚜酮和氟啶虫酰胺;螨虫生长抑制剂,例如乙螨唑;线粒体ATP合成酶抑制剂,例如炔螨特;通过破坏质子梯度实现氧化磷酸化的解偶联剂,例如虫螨腈;烟碱乙酰胆碱受体(nAChR)通道阻滞剂,例如沙蚕毒素类似物杀螟丹;甲壳素生物合成抑制剂,例如苯甲酰脲类氟虫脲、氟铃脲、虱螨脲、氟酰脲、多氟脲和杀铃脲、和噻嗪酮;双翅目蜕皮破坏剂,例如灭蝇胺;蜕皮激素受体激动剂,例如二酰基肼类甲氧虫酰肼和虫酰肼;章鱼胺受体激动剂,例如双甲脒;线粒体复合体III电子传输抑制剂,例如伏蚁腙;线粒体复合体I电子传输抑制剂,例如哒螨灵;电压依赖性钠通道阻滞剂,例如茚虫威;乙酰辅酶A羧化酶抑制剂,例如特窗酸类(tetronic acids)和1,5-二氢-4-羟基-2H-吡咯-2-酮(tetramic acids)螺螨酯、螺甲螨酯和螺虫乙酯;线粒体复合体II电子传输抑制剂,例如β-酮腈类腈吡螨酯(cyenopyrafen)和丁氟螨酯(cyflumetofen);ryanidine受体调节剂,例如邻甲酰氨基苯甲酰胺类氯虫苯甲酰胺、溴氰虫酰胺和氰虫酰胺,二酰胺类,例如氟苯虫酰胺,以及利阿诺定受体配体,例如利阿诺定;其中负责生物活性的靶位是未知的或未表征的化合物,例如印楝素、联苯肼酯、三氟甲吡醚、pyrifluquinazon和三氟苯嘧啶;昆虫中肠膜的微生物破坏剂,例如苏云金芽孢杆菌及其产生的δ-内毒素以及球形芽孢杆菌(Bacillus sphaericus);以及生物药剂,包括核型多角体病毒(NPV)以及其他天然存在的或转基因的杀虫病毒。
可与本发明的化合物一起配制的生物学活性化合物或药剂的实例为:杀真菌剂,例如阿拉酸式苯-S-甲基(acibenzolar-S-methyl)、4-十二烷基-2,6-二甲基吗啉(aldimorph)、唑嘧菌胺(ametoctradin)、吲唑磺菌胺(amisulbrom)、敌菌灵(anilazine)、阿扎康唑(azaconazole)、嘧菌酯(azoxystrobin)、苯霜灵(benalaxyl)(包括苯霜灵-M)、麦锈灵(benodanil)、苯菌灵(benomyl)、苯噻菌胺酯(benthiavalicarb)(包括苯噻菌胺酯-异丙基)、苯并烯氟菌唑(benzovindiflupyr)、bethoxazin、乐杀螨(binapacryl)、二苯硫脲酯棉(biphenyl)、联苯三唑醇(bitertanol)、联苯吡菌胺(bixafen)、杀稻瘟菌素-S(blasticidin-S)、啶酰菌胺(boscalid)、糠菌唑(bromuconazole)、乙嘧酚磺酸酯(bupirimate)、丁赛特(buthiobate)、萎锈灵(carboxin)、环丙酰菌胺(carpropamid)、敌菌丹(captafol)、克菌丹(captan)、多菌灵(carbendazim)、地茂散(chloroneb)、百菌清(chlorothalonil)、乙菌利(chlozolinate)、氢氧化铜(copper hydroxide)、王铜(copperoxychloride)、硫酸铜(copper sulfate)、丁香菌酯(coumoxystrobin)、氰霜唑(cyazofamid)、环氟菌胺(cyflufenamid)、霜脲氰(cymoxanil)、环唑醇(cyproconazole)、嘧菌环胺(cyprodinil)、抑菌灵(dichlofluanid)、双氯氰菌胺(diclocymet)、哒菌酮(diclomezine)、氯硝胺(dicloran)、乙霉威(diethofencarb)、苯醚甲环唑(difenoconazole)、二氟林(diflumetorim)、甲菌定(dimethirimol)、烯酰吗啉(dimethomorph)、甲氧菌平(dimoxystrobin)、烯唑醇(diniconazole)(包括烯唑醇-M)、敌螨普(dinocap)、二氰蒽醌(dithianon)、二硫戊环类(dithiolanes)、吗菌灵(dodemorph)、多果定(dodine)、益康唑(econazole)、乙环唑(etaconazole)、克瘟散(edifenphos)、烯肟菌酯(enoxastrobin)(也称为enestroburin)、氟环唑(epoxiconazole)、噻唑菌胺(ethaboxam)、乙嘧酚(ethirimol)、氯唑灵(etridiazole)、噁唑菌酮(famoxadone)、咪唑菌酮(fenamidone)、烯肟菌胺(fenaminstrobin)、氯苯嘧啶醇(fenarimol)、腈苯唑(fenbuconazole)、甲呋酰胺(fenfuram)、环酰菌胺(fenhexamide)、氰菌胺(fenoxanil)、拌种咯(fenpiclonil)、苯锈啶(fenpropidin)、丁苯吗啉(fenpropimorph)、胺苯吡菌酮(fenpyrazamine)、三苯基乙酸锡(fentin acetate)、三苯基氢氧化锡(fentinhydroxide)、福美铁(ferbam)、嘧菌腙(ferimzone)、氟美喹(flometoquin)、氟啶胺(fluazinam)、咯菌腈(fludioxonil)、氟菌螨酯、氟吗啉(flumorph)、氟吡菌胺(fluopicolide)、氟吡菌酰胺(fluopyram)、氟嘧菌酯(fluoxastrobin)、氟喹唑(fluquinconazole)、氟硅唑(flusilazole)、磺菌胺(flusulfamide)、flutianil、氟酰胺(flutolanil)、粉唑醇(flutriafol)、氟唑菌酰胺(fluxapyroxad)、灭菌丹(folpet)、稻瘟酞(fthalide)(也称为phthalide)、麦穗宁(fuberidazole)、呋霜灵(furalaxyl)、呋吡菌胺(furametpyr)、己唑醇(hexaconazole)、噁霉灵(hymexazole)、双辛胍胺(guazatine)、抑霉唑(imazalil)、酰胺唑(imibenconazole)、烷苯磺酸盐(iminoctadine albesilate)、双胍辛胺三乙酸盐(iminoctadine triacetate)、iodicarb、种菌唑(ipconazole)、isofetamid、异稻瘟净(iprobenfos)、异菌脲(iprodione)、缬霉威(iprovalicarb)、稻瘟灵(isoprothiolane)、吡唑萘菌胺(isopyrazam)、异噻菌胺(isotianil)、春日霉素(kasugamycin)、醚菌酯(kresoxim-methyl)、代森锰锌(mancozeb)、双炔酰菌胺(mandipropamid)、mandestrobin、代森锰(maneb)、mapanipyrin、灭锈胺(mepronil)、消螨多(meptyldinocap)、甲霜灵(metalaxyl)(包括甲霜灵-M/精甲霜灵)、叶菌唑(metconazole)、磺菌威(methasulfocarb)、代森联(metiram)、苯氧菌胺(metominostrobin)、苯菌酮(metrafenone)、腈菌唑(myclobutanil)、naftitine、甲胂铁铵(neo-asozin)(ferric methanearsonate)、氟苯嘧啶醇(nuarimol)、辛噻酮(octhilinone)、呋酰胺(ofurace)、肟醚菌胺(orysastrobin)、恶霜灵(oxadixyl)、氟噻唑吡乙酮(oxathiapiprolin)、奥索利酸(oxolinic acid)、恶咪唑(oxpoconazole)、氧化莠锈灵(oxycarboxin)、土霉素(oxytetracycline)、戊菌唑(penconazole)、戊菌隆(pencycuron)、氟唑菌苯胺(penflufen)、吡噻菌胺(penthiopyrad)、perfurazoate、亚磷酸(包括其盐,例如三乙膦酸铝(fosetyl-aluminm))、啶氧菌酯(picoxystrobin)、哌丙灵(piperalin)、多抗霉素(polyoxin)、烯丙苯噻唑(probenazole)、咪鲜胺(prochloraz)、腐霉利(procymidone)、霜霉威(propamocarb)、丙环唑(propiconazole)、丙森锌(propineb)、丙氧喹啉(proquinazid)、胺丙威(prothiocarb)、丙硫菌唑(prothioconazole)、吡唑醚菌酯(pyraclostrobin)、唑胺菌酯(pyrametostrobin)、唑菌酯(pyraoxystrobin)、吡嘧磷(pyrazophos)、吡本卡布(pyribencarb)、pyributacarb、啶斑肟(pyrifenox)、pyriofenone、perisoxazole、嘧霉胺(pyrimethanil)、啶斑肟(pyrifenox)、硝吡咯菌素(pyrrolnitrin)、咯喹酮(pyroquilon)、氟喹唑(quinconazole)、quinmethionate、喹氧灵(quinoxyfen)、五氯硝基苯(quintozene)、硫硅菌胺(silthiofam)、氟唑环菌胺(sedaxane)、硅氟唑(simeconazole)、螺环菌胺(spiroxamine)、链霉素(streptomycin)、硫(sulfur)、戊唑醇(tebuconazole)、tebufloquin、teclofthalam、叶枯酞(tecloftalam)、四氯硝基苯(tecnazene)、特比萘芬(terbinafine)、氟醚唑(tetraconazole)、噻苯唑(thiabendazole)、噻呋酰胺(thifluzamide)、硫菌灵(thiophanate)、甲基硫菌灵(thiophanate-methyl)、福美双(thiram)、噻酰菌胺(tiadinil)、甲基立枯磷(tolclofos-methyl)、tolprocarb、甲苯氟磺胺(tolyfluanid)、三唑酮(triadimefon)、三唑醇(triadimenol)、嘧菌醇(triarimol)、咪唑嗪(triazoxide)、三元硫酸铜(tribasic coppersulfate)、氯啶菌酯(triclopyricarb)、十三吗啉(tridemorph)、肟菌酯(trifloxystrobin)、氟菌唑(triflumizole)、trimoprhamide tricyclazole、肟菌酯、嗪胺灵(triforine)、灭菌唑(triticonazole)、烯效唑(uniconazole)、井冈霉素(validamycin)、valifenalate(也称为valifenal)、乙烯菌核利(vinclozolin)、代森锌(zineb)、福美锌(ziram)、苯酰菌胺(zoxamide)和1-[4-[4-[5-(2,6-二氟苯基)-4,5-二氢-3-异噁唑基]-2-噻唑基]-1-哌啶基]-2-[5-甲基-3-(三氟甲基)-1H-吡唑-1-基]乙酮;杀线虫剂,例如氟吡菌酰胺(fluopyram)、螺虫乙酯、硫双威、噻唑膦、阿巴美丁、异菌脲、氟烯线砜(fluensulfone)、二甲基二硫醚(dimethyl disulfide)、tioxazafen、1,3-二氯丙烯(1,3-D)、威百亩(metam)(钠和钾)、棉隆(dazomet)、氯化苦(chloropicrin)、苯线磷(fenamiphos)、灭线磷(ethoprophos)、硫线磷(cadusaphos)、特丁磷、imicyafos、杀线威、克百威(carbofuran)、tioxazafen、坚强芽孢杆菌(Bacillus firmus)和Pasteurianishizawae;杀细菌剂,例如链霉素(streptomycin);杀螨剂,例如双甲脒、灭螨猛(chinomethionat)、乙酯杀螨醇(chlorobenzilate)、三环锡(cyhexatin)、三氯杀螨醇(dicofol)、除螨灵(dienochlor)、乙螨唑、喹螨醚(fenazaquin)、苯丁锡、甲氰菊酯(fenpropathrin)、唑螨酯(fenpyroximate)、噻螨酮、炔螨特、哒螨灵和吡螨胺。
在某些情况下,本发明化合物与其他生物活性(特别是无脊椎害虫防治)化合物或药剂(即,活性成分)的组合可以增强效果。在确保有效防治害虫的同时减少环境中释放的活性成分的量始终是理想的。当在施用率下发生增强的无脊椎害虫防治从而实现在农业上令人满意的无脊椎害虫防治水平时,此类组合对于降低作物生产成本和降低环境负荷可能是有利的。
本发明的化合物及其组合物可以施用于经转基因表达对无脊椎害虫有毒的蛋白质的植物(例如苏云金芽孢杆菌δ-内毒素)。这样的施用可以提供更广范围的植物保护,并且有利于抗性管理。本发明的外用无脊椎动物害虫防治化合物与表达的毒素蛋白的组合可以提供增强的作用。
关于这些农业保护剂(即,杀细菌剂、杀真菌剂、杀线虫剂、杀螨剂、除草剂和生物药剂)的一般文献包括:The Pesticide Manual,13th Edition,C.D.S.Tomlin,Ed.,British Crop Protection Council,Farnham,Surrey,U.K.,2003和The BioPesticideManual,2nd Edition,L.G.Copping,Ed.,British Crop Protection Council,Farnham,Surrey,U.K.,2001。
在农业和非农业应用中,通过将生物学有效量的一种或多种通常为组合物形式的本发明的化合物施用到害虫环境中,包括侵害的农业和/或非农业场所,施用到要保护的区域中,或直接施用到要防治的害虫上,来防治无脊椎害虫。
因此本发明包括在农业和/或非农业应用中防治无脊椎害虫的方法,所述方法包括使无脊椎害虫或其环境接触生物学有效量的一种或多种本发明的化合物,或接触包含至少一种此类化合物的组合物,或接触包含至少一种此类化合物和生物学有效量的至少一种附加的生物学活性化合物或药剂的组合物。包含本发明的化合物和生物学有效量的至少一种附加的生物学活性化合物或药剂的适宜组合物的实例包括颗粒状组合物,其中所述附加活性化合物存在于与本发明的化合物颗粒相同的颗粒上,或者存在于与本发明的化合物的那些颗粒不相同的颗粒上。
为了实现与本发明的化合物或组合物接触以保护田地作物免受无脊椎害虫侵害,通常在种植之前将所述化合物或组合物施用到作物种子上,施用到作物植株的叶子(例如叶片、茎杆、花朵、果实)上,或在作物种植之前或之后施用到土壤或其他生长培养基中。
接触方法的一个实施方案是通过喷雾。或者,可将包含本发明的化合物的颗粒状组合物施用到植物叶子上或土壤中。还可通过使植物与以浸壤液体制剂形式、以施用到土壤中的颗粒状制剂形式、以育苗箱处理物或移植浸泡形式施用的包含本发明的化合物的组合物接触,经由植物摄入来有效递送本发明的化合物。值得注意的是浸壤液体制剂形式的本发明的组合物。还值得注意的是防治无脊椎害虫的方法,所述方法包括使无脊椎害虫或其环境接触生物学有效量的本发明的化合物,或接触包含生物学有效量的本发明的化合物的组合物。还值得注意的是这样的方法,其中环境为土壤,并且将所述组合物作为浸壤制剂施用到土壤中。还值得注意的是,还可通过局部施用到所侵害的位置上来使本发明的化合物生效。其他接触方法包括经由直接喷雾和滞留喷雾、航空喷洒、凝胶、种子包覆、微胶囊化、全身吸收、饵料、耳标、大丸剂、喷雾、熏剂、气溶胶、粉剂以及其他许多方法,来施用本发明的化合物或组合物。接触方法的一个实施方案是尺寸上稳定的肥料颗粒、包含本发明的化合物或组合物的小块或片剂。本发明的化合物还可浸渍到用于组装无脊椎害虫防治装置(例如防昆虫网)的材料中。
本发明的化合物可用于处理所有植物、植物部分和种子。可以通过常规的繁殖和育种方法或通过基因工程方法获得植物和种子品种及栽培品种。转基因植物或种子(基因修饰植物或种子)是指将异源基因(转基因)稳定整合到植物或种子基因组中的那些植物或种子。由其在植物基因组中的特定位置定义的转基因被称为转化或转基因事件。
可以根据本发明处理的转基因植物和种子栽培种包括对一种或多种生物胁迫(例如线虫、昆虫、螨虫、真菌等)或非生物胁迫(干旱、低温、土壤盐分等)具有抗性的那些,或者包含其他理想特征的那些。可以对植物和种子进行基因修饰,使其表现出诸如除草剂耐受性、抗虫性、改良的油性(oil profile)或干旱耐受性等特征。
用本发明的化合物处理转基因植物和种子可以导致超加和或增强的作用。例如,施用率的降低、活性谱的拓宽、对生物/非生物胁迫的耐受性增强或者增强的储存稳定性可能比施用本发明的化合物对转基因植物和种子的简单加和效应所预期的更大。
本发明的化合物还可用于向种子提供保护以避免无脊椎害虫侵害的种子处理物中。在本公开和权利要求上下文中,处理种子是指使种子接触通常被配制成本发明的组合物的生物学有效量的本发明的化合物。这样的种子处理物保护种子以避免无脊椎地下害虫侵害,并且一般还可保护由发芽的种子发育成的秧苗根茎和其他接触土壤的植株部分。所述种子处理物还通过使本发明的化合物或第二活性成分在发育的植株中移动,向叶子提供保护。可将种子处理物施用到各类种子上,包括可发芽形成转基因植株以表达特定特征的那些种子。代表性实例包括表达对无脊椎害虫具有毒性的蛋白质的那些,诸如苏云金芽孢杆菌毒素,或表达抗除草剂性的那些,诸如提供草甘膦抗性的草甘膦乙酰转移酶。用本发明的化合物进行种子处理也可以增加从种子生长的植物的活力。
种子处理的一种方法是在播撒种子之前,用本发明的化合物(即作为配制好的组合物)喷雾或撒粉于种子上。配制用于处理种子的组合物一般包含成膜剂或粘合剂。因此,本发明的种子包衣组合物通常包含生物学有效量的式的1化合物,以及成膜剂或粘合剂。通过将可流动的悬浮浓缩物直接喷雾到种子滚动床中,然后将种子干燥,来将种子包衣。或者,可将其他制剂类型诸如湿粉、溶液剂、悬乳剂、乳油和乳剂的水溶液喷雾到种子上。该方法尤其可用于将膜包衣施用到种子上。本领域技术人员可采用各种包衣设备和方法。适宜的方法包括P.Kosters等人在Seed Treatment:Progress and Prospects(1994BCPC专著No.57)以及其中所列参考文献中列出的那些。
单独使用或与其他杀虫剂、杀线虫剂和杀真菌剂组合使用的式1的化合物及其组合物特别适用于作物种子的处理,所述作物包括但不限于玉米、大豆、棉花、谷物(例如小麦、燕麦、大麦、黑麦和水稻)、马铃薯、蔬菜和油菜。
可与式1的化合物一起配制以提供用于种子处理的混合物的其他杀虫剂包括:阿巴美丁、啶虫脒、氟丙菊酯、双甲脒、阿维菌素、印楝素、杀虫磺、联苯菊酯、噻嗪酮、硫线磷、甲萘威、克百威、杀螟丹、氯虫苯甲酰胺、虫螨腈、毒死蜱、噻虫胺、溴氰虫酰胺、氟氯氰菊酯、β-氟氯氰菊酯、氯氟氰菊酯、γ-氯氟氰菊酯、高氯氟氰菊酯、氯氰菊酯、α-氯氰菊酯、ζ-氯氰菊酯、灭蝇胺、溴氰菊酯、狄氏剂、呋虫胺、二苯丙醚、甲氨基阿维菌素、硫丹、S-氰戊菊酯、乙虫腈、醚菊酯、乙螨唑、苯硫威、苯氧威、氰戊菊酯、氟虫腈、氟啶虫酰胺、氟苯虫酰胺、氟虫脲、氟胺氰菊酯、伐虫脒、噻唑膦、氟铃脲、伏蚁腙、吡虫啉、茚虫威、虱螨脲、氰氟虫腙、灭虫威(methiocarb)、灭多威、烯虫酯、甲氧虫酰肼、烯啶虫胺、硝虫噻嗪、氟酰脲、杀线威、吡蚜酮、除虫菊素、哒螨灵、三氟甲吡醚、吡丙醚、利阿诺定、乙基多杀菌素、多杀霉素、螺螨酯、螺甲螨酯、螺虫乙酯、氟啶虫胺腈、虫酰肼、胺菊酯、噻虫啉、噻虫嗪、硫双威、杀虫双、四溴菊酯、唑蚜威、杀铃脲、苏云金芽孢杆菌δ-内毒素、苏云金芽孢杆菌的所有菌株以及核型多角体病毒的所有毒株。
可与式1的化合物一起配制以提供用于种子处理的混合物的杀真菌剂包括:吲唑磺菌胺、嘧菌酯、啶酰菌胺、多菌灵、萎锈灵、霜脲氰、环唑醇、苯醚甲环唑、烯酰吗啉、氟啶胺、咯菌腈、氟喹唑、氟吡菌胺、氟嘧菌酯、粉唑醇、氟唑菌酰胺、种菌唑、异菌脲、甲霜灵、精甲霜灵、叶菌唑、腈菌唑、多效唑(paclobutrazole)、氟唑菌苯胺、啶氧菌酯、丙硫菌唑、吡唑醚菌酯、氟唑环菌胺、硫硅菌胺、戊唑醇、噻苯唑、甲基硫菌灵、福美双、肟菌酯和灭菌唑。
用于种子处理的包含式1的化合物的组合物可进一步包含细菌和真菌,所述细菌和真菌具有提供保护以免受植物病原性真菌或细菌和/或土壤生动物例如线虫的有害影响的能力。表现出杀线虫特性的细菌可以包括但不限于坚强芽孢杆菌、蜡样芽孢杆菌(Bacillus cereus)、枯草芽孢杆菌(Bacillius subtiliis)和穿刺芽孢杆菌(Pasteuriapenetrans)。适合的坚强芽孢杆菌菌株是CNCM I-1582(GB-126)菌株,其可以BioNemTM的形式商购获得。适合的蜡样芽孢杆菌菌株是菌株NCMM I-1592。在US6,406,690中公开了这两种芽孢杆菌属菌株。表现出杀线虫活性的其他适合的细菌是解淀粉芽孢杆菌(B.amyloliquefaciens)IN937a和枯草芽孢杆菌(B.subtilis)GB03菌株。表现出杀真菌特性的细菌可包括但不限于短小芽孢杆菌(B.pumilus)GB34菌株。表现出杀线虫性质的真菌种类可以包括但不限于疣孢漆斑菌(Myrothecium verrucaria)、淡紫拟青霉(Paecilomyces lilacinus)和淡紫紫孢菌(Purpureocillium lilacinum)。
种子处理还可以包括一种或多种天然来源的杀线虫剂,例如被称为过敏蛋白(harpin)的激发子蛋白,其是从某些细菌植物病原体(例如梨火疫病菌(Erwiniaamylovora))中分离出来。一个实例是Harpin-N-Tek种子处理技术,其可作为N-HibitTMGold CST获得。
种子处理还可以包括一种或多种豆科植物根瘤菌,例如微共生固氮细菌日本根瘤菌(Bradyrhizobium japonicum)。这些接种物可任选地包括一种或多种脂-壳寡糖(LCO),其是在豆科植物根上形成根瘤期间由根瘤菌细菌产生的根瘤(Nod)因子。例如,品牌的种子处理技术包括LCO Promoter TechnologyTM和接种剂的结合。
种子处理还可以包括一种或多种异黄酮,它们可以增加菌根真菌的根部定植水平。菌根真菌通过增强营养物质(例如水、硫酸盐、硝酸盐、磷酸盐和金属)的根吸收来改善植物生长。异黄酮的例子包括但不限于金雀异黄素、鹰嘴豆芽素A、芒柄花素(formononetin)、黄豆苷元(daidzein)、黄豆黄素(glycitein)、橙皮素、柚皮素和红车轴草素(pratensein)。芒柄花素可作为菌根接种剂产品中的活性成分而获得,例如PHC AG。
种子处理还可以包括一种或多种植物激活剂,其在接触病原体后诱导植物的系统获得抗性。诱导这种保护机制的植物激活剂的一个实例是阿拉酸式苯-S-甲基。
处理过的种子通常包含本发明的化合物,其量为约0.1g至1kg每100kg种子(即处理前按所述种子重量计为约0.0001至1%)。用于种子处理的可流动混悬剂制剂通常包含约0.5至约70%的活性成分,约0.5至约30%的成膜粘合剂,约0.5至约20%的分散剂,0至约5%的增稠剂,0至约5%的颜料和/或染料,0至约2%的消泡剂,0至约1%的防腐剂,和0至约75%的挥发性液体稀释剂。
本发明的化合物可被掺入到饵料组合物中,所述饵料组合物可被无脊椎害虫食用,或用于装置诸如诱捕器、饵料站等中。此类饵料组合物可为颗粒形式,其包含(a)活性成分,即生物学有效量的式的1化合物;(b)一种或多种食物物料;任选存在的(c)诱虫剂,和任选存在的(d)一种或多种湿润剂。值得注意的是颗粒或饵料组合物,其包含约0.001%至5%的活性成分,约40%至99%的食物物料和/或诱虫剂;并且任选包含约0.05%至10%的湿润剂,其可在非常低的施用率下,尤其是在摄取而不是直接接触时致命的活性成分剂量下,有效防治土壤无脊椎害虫。某些食物物料既可用作食物源,也可用作诱虫剂。食物物料包括碳水化合物、蛋白质和类脂。食物物料的实例是蔬菜粉、糖、淀粉、动物脂、植物油、酵母提取物和乳固形物。诱虫剂的实例是增味剂和香味剂,诸如水果或植物提取物、香料、或其他动物或植物组分、信息素或已知用于吸引目标无脊椎害虫的其他试剂。湿润剂即保水剂实例是乙二醇和其他多元醇、甘油和山梨醇。值得注意的是用于防治至少一种选自蚂蚁、白蚁和蟑螂的无脊椎害虫的饵料组合物(以及使用此类饵料组合物的方法)。用于防治无脊椎害虫的装置包括本发明的饵料组合物和适于容纳所述饵料组合物的外罩,其中所述外罩具有至少一个开口,所述开口的尺寸能够使无脊椎害虫通过,以使无脊椎害虫能够从位于外罩外部的位置触及所述饵料组合物,并且其中所述外罩还适于放置在潜在或已知的无脊椎害虫活动场所之中或附近。
本发明的一个实施方案涉及一种防治无脊椎害虫的方法,该方法包括用水稀释本发明的杀虫组合物(用表面活性剂、固体稀释剂和液体稀释剂配制的式1的化合物或者式1的化合物与至少一种其他农药的配制混合物),并任选地添加辅剂以形成稀释组合物,并使无脊椎害虫或其环境接触有效量的所述稀释组合物。
尽管通过用水稀释足够浓度的本发明的杀虫组合物形成的喷雾组合物可以提供足够的防治无脊椎害虫的功效,但是也可以将单独配制的辅剂产品添加到喷雾罐混合物中。这些附加的辅剂通常被称为“喷雾辅剂”或“桶混辅剂”,并且包括在喷雾罐中混合以改善农药性能或改变喷雾混合物的物理性质的任何物质。辅剂可以是表面活性剂、乳化剂、石油系农作物油、农作物衍生的种子油、酸化剂、缓冲剂、增稠剂或消泡剂。辅剂用于增强功效(例如生物有效性、粘附性、渗透性、覆盖均匀性和保护的持久性),或者最小化或消除与不相容性、起泡、漂移、蒸发、挥发和降解相关的喷雾施用问题。为了获得最佳性能,根据活性成分、制剂和目标物(例如农作物、害虫)的性质选择辅剂。
在喷雾辅剂中,包括农作物油、农作物油浓缩物、植物油浓缩物和甲基化种子油浓缩物在内的油类最常用于提高农药功效,可能是通过促进更均匀的喷雾沉积物来实现的。在关注可能由油或其他与水不混溶的液体引起的植物毒性的情况下,由本发明的组合物制备的喷雾组合物通常不包含油系喷雾辅剂。然而,在由油系喷雾辅剂引起的植物毒性在商业上微不足道的情况下,由本发明的组合物的组合物制备的喷雾组合物也可以包含油系喷雾辅剂,这可能潜在地进一步提高对无脊椎害虫的防治以及耐雨性。。
被识别为“农作物油”的产品通常包含95%至98%的石蜡系或石脑油系石油以及1-2%的一种或多种用作乳化剂的表面活性剂。被识别为“农作物浓缩油”的产品通常由80%至85%的乳化石油系油和15%至20%的非离子表面活性剂组成。被正确识别为“植物油浓缩物”的产品通常包含80%至85%的植物油(即种子油或果油,最常源于棉花、亚麻籽、大豆或向日葵)和15%至20%的非离子表面活性剂。可以通过用通常来自植物油的脂肪酸甲酯代替植物油来改善辅剂性能。甲基化种子油浓缩物的实例包括浓缩物(UAP-Loveland Products,Inc.)和Premium MSO甲基化喷雾油(Helena Chemical Company)。
添加到喷雾混合物中的辅剂的量通常不超过约2.5体积%,更典型地,其量为约0.1体积%至约1体积%。添加到喷雾混合物中的辅剂的施用率通常为每公顷约1至5L。喷雾辅剂的代表性实例包括:(Syngenta)液态烃中47%的甲基化菜籽油、(HelenaChemical Company)聚环氧烷改性的七甲基三硅氧烷,和(BASF)在83%石蜡系矿物油中的17%表面活性剂混合物。
可在无其他辅剂的情况下施用本发明的化合物,但是最常见的施用是施用制剂,所述制剂包含一种或多种具有适宜载体、稀释剂和表面活性剂的活性成分,并且根据所设想的最终用途,有可能与食物组合。一种施用方法涉及将本发明的化合物的水分散体或精炼油溶液进行喷雾。与喷雾油、喷雾油浓缩液、粘展剂、辅剂、其他溶剂以及胡椒基丁醚的组合通常可增强化合物功效。就非农业用途而言,此类喷剂可从喷雾容器诸如罐、瓶或其他容器中,经由泵或通过将其从加压容器例如加压气溶胶喷雾罐中释出来施用。此类喷雾组合物可采取多种形式,例如喷剂、薄雾、泡沫、烟雾或尘雾。因此,根据具体情况,此类喷雾组合物还可包含抛射剂、发泡剂等。值得注意的是喷雾组合物,所述组合物包含生物学有效量的本发明的化合物或组合物,以及载体。此类喷雾组合物的一个实施方案包含生物学有效量的本发明的化合物或组合物,以及抛射剂。代表性的抛射剂包括但不限于甲烷、乙烷、丙烷、丁烷、异丁烷、丁烯、戊烷、异戊烷、新戊烷、戊烯、氢氟烃、氯氟烃、二甲基醚,以及前述的混合物。值得注意的是用于防治至少一种无脊椎害虫的喷雾组合物(以及使用由喷雾容器分配出的此类喷雾组合物的方法),所述无脊椎害虫选自蚊子、墨蚊、厩蝇、鹿虻、马虻、黄蜂、胡蜂、大胡蜂、壁虱、蜘蛛、蚂蚁、蚋等等,包括各种上述害虫或其组合。
下列测试证明了本发明的化合物对具体害虫的防治功效。“防治功效”表示抑制无脊椎害虫发育、导致摄食显著降低的功效(包括死亡)。然而,由所述化合物提供的害虫防治保护不限于这些物种。化合物描述参见索引表A-G。
本发明的生物学实施例
测试A-H的配方和喷雾方法
使用含有10%丙酮、90%水和300ppm Activator非离子表面活性剂(LovelandProducts,Loveland,Colorado,USA)的溶液配制测试化合物。通过位于每个测试单元顶部上方1.27cm(0.5英寸)处的雾化器喷嘴,以1mL液体施用配制好的化合物。以所示的速率喷洒测试化合物,每个测试重复三次。
测试A
为评价对小菜蛾(Plutella xylostella L.)的防治,测试单元由小开口容器构成,所述小开口容器内有12-14天龄的芥菜植物。使用接种器,用经由玉米棒屑分布在试验单元中的约50只新生幼虫将其预先侵害。在分布到试验单元中后,所述幼虫在试验植物上移动。
配制测试化合物,并以250ppm、50ppm、10ppm和2ppm的浓度喷雾。喷雾配制好的测试化合物后,将每个测试单元干燥1小时,然后将黑色的筛网盖放在顶部。将测试单元在25℃和70%相对湿度的生长室中放置6天。然后根据所消耗的叶子目测评估植物的进食损害,并评估幼虫的死亡率。
在以250ppm测试的式1化合物中,以下化合物具有非常好到极好水平的防治效果(40%或更少的进食损害和/或100%的死亡率):1、2、10、34、35、39和40。
在以50ppm测试的式1化合物中,以下化合物具有非常好到极好水平的防治效果(40%或更少的进食损害和/或100%的死亡率):1、2、10、34、35、39和40。
在以10ppm测试的式1化合物中,以下化合物具有非常好到极好水平的防治效果(40%或更少的进食损害和/或100%的死亡率):1、2、3、4、5、6、7、8、10、11、12、13、14、15、16、17、18、19、20、21、22、23、24、25、26、27、28、29、30、31、32、33、34、35、39、40、41、42、43、44、45、46、47、48、49、50、52、53、54、55、56、57、58、59、60、61、62、63、65、70、71、72、73、74、75、76、77、78和79。
在以2ppm测试的式1化合物中,以下化合物具有非常好到极好水平的防治效果(40%或更少的进食损害和/或100%的死亡率):1、2、3、4、5、6、7、8、10、11、12、13、14、15、16、17、18、19、20、22、23、24、26、27、28、29、30、31、33、34、35、39、40、41、43、44、45、46、47、48、49、50、52、53、55、56、58、59、60、61、63、65、70、71、72、73、74、75、76、77、78和79。
测试B
为了评估对秋粘虫(Spodoptera frugiperda(J.E.Smith))的防治,测试单元由小开口容器构成,所述小开口容器内有4-5天龄的玉米植物。用一片昆虫食物上10-15只1天龄的幼虫将其预先侵害。
配制测试化合物,并以250ppm、50ppm、10ppm和2ppm的浓度喷雾。喷雾配制好的测试化合物后,将测试单元在25℃和70%相对湿度的生长室中保持6天。然后根据所消耗的叶子目测评估植物的进食损害,并评估幼虫的死亡率。
在以250ppm测试的式1化合物中,以下化合物具有非常好到极好水平的防治效果(40%或更少的进食损害和/或100%的死亡率):1、2、10、34、35、39和40。
在以50ppm测试的式1化合物中,以下化合物具有非常好到极好水平的防治效果(40%或更少的进食损害和/或100%的死亡率):1、2、10、34、35、39和40。
在以10ppm测试的式1化合物中,以下化合物具有非常好到极好水平的防治效果(40%或更少的进食损害和/或100%的死亡率):1、2、3、4、6、7、8、10、11、12、13、14、15、16、17、18、19、20、22、23、24、27、28、29、30、31、33、34、39、41、43、44、45、46、47、48、49、50、52、55、58、59、60、61、63、65、70、71、72、73、74、75、76、77、78或79。
在以2ppm测试的式1化合物中,以下化合物具有非常好到极好水平的防治效果(40%或更少的进食损害和/或100%的死亡率):1、2、3、4、8、10、11、13、15、16、18、19、20、33、34、39、43、46、49、50、59、60、61、63、65、70、71、74、76、78或79。
测试C
为了通过接触和/或系统方式评估对玉米蜡蝉(Peregrinus maidis(Ashmead))的防治,测试单元由小开口容器构成,所述小开口容器内有3-4天龄玉米植物。在施用测试化合物之前,将白沙添加到土壤的顶部。
配制测试化合物,并以50ppm的浓度喷雾。喷雾配制好的测试化合物后,将测试单元干燥1小时,然后再用约15-20只若虫(18-21天龄)侵害。在每个测试单元的顶部放置黑色的筛网盖,并将测试单元在22-24℃和50-70%相对湿度的生长室中放置6天。然后目测评估每个测试单元的昆虫死亡率。
在以50ppm测试的式1化合物中,下列化合物导致至少80%的死亡率:11、44、46、60、61和63。
测试D
为了通过接触和/或系统方式评估对马铃薯小绿叶蝉(Empoasca fabae(Harris))的防治,测试单元由小开口容器构成,所述小开口容器内有5-6天龄的Soleil豆类植物(初生叶片)。将白沙添加到土壤表层,并在施用测试化合物之前切下其中一张初生叶片。
配制测试化合物,并以250ppm、50ppm、10ppm和2ppm的浓度喷雾。喷雾配制好的测试化合物后,将测试单元干燥1小时,然后再用5只马铃薯叶蝉(18-21天龄的成虫)进行侵害。将黑色的筛网盖置于测试单元的顶部,并将测试单元在20℃和70%相对湿度的生长室中放置6天。然后目测评估每个测试单元的昆虫死亡率。
在以250ppm测试的式1化合物中,下列化合物导致至少80%的死亡率:1、2、10、34、35、39和40。
在以50ppm测试的式1化合物中,下列化合物导致至少80%的死亡率:1、2、3、4、5、8、10、11、12、13、14、15、16、17、18、19、20、27、31、33、34、39、40、41、42、43、44、45、46、47、48、49、50、52、53、55、58、59、60、61、63、65、70、71、72、75、76、78或79。
在以10ppm测试的式1化合物中,下列化合物导致至少80%的死亡率:3、4、8、10、11、13、14、15、16、18、19、20、27、33、41、43、44、47、48、49、50、52、58、59、60、61、63、65、70、71、72、75、76、78、79。
在以2ppm测试的式1化合物中,下列化合物导致至少80%的死亡率:15、16、18、20、33、61和63。
测试E
为了通过接触和/或系统方式评估对桃蚜(Myzus persicae(Sulzer))的防治,测试单元由小开口容器构成,所述小开口容器内有12-15天龄的萝卜植物。通过将从培养植物上切下的一片叶子上(切叶法)30-40只蚜虫放在测试植物的叶子上来将其预先侵害。在叶片干燥时,将蚜虫移到测试植物上。在预侵害之后,将测试单元的土壤用一层沙子覆盖。
配制测试化合物,并以250ppm、50ppm和10ppm的浓度喷雾。喷雾配制好的测试化合物后,将每个测试单元干燥1小时,然后将黑色的筛网盖放在顶部。将测试单元在19-21℃和50-70%相对湿度的生长室中放置6天。然后目测评估每个测试单元的昆虫死亡率。
在以250ppm测试的式1化合物中,下列化合物导致至少80%的死亡率:2、10、34和35。
在以50ppm测试的式1化合物中,下列化合物导致至少80%的死亡率:3、4、8、11、18、19、20、33、34、35、41、44、50、58、60、61、63和70。
在以10ppm测试的式1的化合物中,下列化合物导致至少80%的死亡率:61和63。
测试F
为了通过接触和/或系统方式评估对棉蚜(Aphis gossypii(Glover))的防治,测试单元由小开口容器构成,所述小开口容器内有5天龄的秋葵植物。根据切叶方法,将其用一片叶子上30-40只昆虫预先侵害,并且将测试单元的土壤用一层沙子覆盖。
配制测试化合物,并以250ppm、50ppm和10ppm的浓度喷雾。喷雾后,将测试单元在19℃和70%相对湿度的生长室中放置6天。然后目测评估每个测试单元的昆虫死亡率。
在以250ppm测试的式1化合物中,下列化合物导致至少80%的死亡率:1、2、10、34、35和39。
在以50ppm测试的式1化合物中,下列化合物导致至少80%的死亡率:3、4、8、10、11、16、18、19、20、22、33、34、35、41、44,46、47、49、50、55、58、59、60、61、63和70。
在以10ppm测试的式1化合物中,下列化合物导致至少80%的死亡率:19、20、33、41、44、59、60、61、63和70。
测试G
为了通过接触和/或系统方式评估对甘薯粉虱(烟粉虱(Bemisia tabaci(Gennadius))的防治,测试单元由小开口容器构成,所述小开口容器内有12-14天龄的棉花植物。在喷雾施用之前,从植物上除去两个子叶,留下一片真叶用于测定。使成年粉虱在植物上产卵,然后从测试单元中取出。对被至少15个卵侵害的棉花植株进行喷雾测试。
配制测试化合物,并以250ppm、50ppm和10ppm的浓度喷雾。喷雾后,将测试单元干燥1小时。然后取下圆筒,将各单元移至生长室,并在28℃和50-70%相对湿度下保持13天。然后目测评估每个测试单元的昆虫死亡率。
在以250ppm测试的式1化合物中,下列化合物导致至少70%的死亡率:2、34和40。
在以50ppm测试的式1化合物中,下列化合物导致至少70%的死亡率:3、8、11、15、17、18、19、20、33、34、41、42、44、46、49、55、58、60、61、63和70。
在以10ppm测试的式1化合物中,下列化合物导致至少70%的死亡率:8、11、18、19、20、33、34、42、49、61和63。
在以2ppm测试的式1化合物中,下列化合物导致至少70%的死亡率:18、20、33和63。
测试H
为了通过接触和/或系统方式评估对西花蓟马(Frankliniellla occidentalis(Pergande))的防治,测试单元由小开口容器构成,所述小开口容器内有5-7天龄的Soleil豆类植物。
配制测试化合物,并以250ppm、50ppm、10ppm和2ppm的浓度喷雾。喷雾后,将测试单元干燥1小时,然后向每个单元中加入约60只蓟马(成虫和若虫)。将黑色的筛网盖放在顶部,并将测试单元在25℃和45-55%相对湿度下放置6天。然后目测评估每个测试单元的植物损害和昆虫死亡率。
在以250ppm测试的式1化合物中,以下化合物具有非常好到极好水平的防治效果(30%或更少的植物破坏和/或100%的死亡率):1、2、10、34、35、39和40。
在以50ppm测试的式1化合物中,下列化合物具有非常好到极好水平的防治效果(30%或更少的植物破坏和/或100%的死亡率):1、10、34、35、39和40。
在以10ppm测试的式1化合物中,以下化合物具有非常好到极好水平的防治效果(对植物造成30%或更少的破坏和/或100%的死亡率):1、3、4、5、7、8、10、11、12、13、14、15、16、17、18、19、20、21、22、23、25、26、27、28、29、31、33、34、39、41、43、44,45、46、47、48、49、50、58、59、60、61、63、65、70、71、72、73、74、75、76、78和79。
在以2ppm测试的式1化合物中,以下化合物具有非常好到极好水平的防治效果(对植物造成30%或更少的破坏和/或100%的死亡率):3、4、8、10、11、13、14、16、19、20、22、26、27、33、34、39、43、44、46、47、50、59、60、61、63、70、71、72、73、74、75、76、78和79。
Claims (17)
1.选自式1的化合物,
其中
J是被一个氰基取代的C2–C4烷基;被一个氰基取代的-CH2(环丙基);或者未被取代的或者被一个氰基或一个C(O)NHR17取代的环丙基;或者
J是
R1a是Cl或CF3;
R1b是H或Cl;
R2是未被取代的或者被独立地选自以下的取代基取代的C1–C4烷基:氰基、硝基、OR9、S(O)nR10、CO2R11和C(O)NR12R13;
R3是H;或者未被取代的或者被独立地选自以下的取代基取代的C1–C4烷基:氰基、硝基、OR9、S(O)nR10、CO2R11和C(O)NR12R13;
R4是H、C1–C4烷基或C1–C4卤代烷基;
R5是H或C1–C4烷基;
R6是H或C1–C4烷基;
R7是H、C1–C4烷基或C1–C4卤代烷基;
X是-O-或-C(O)-;
R8是H、C1–C4烷基、C1–C4卤代烷基或C3–C6环烷基;
R9、R10、R11、R12和R13各自独立地是H或C1–C4烷基;
R14是H;或者未被取代的或者被独立地选自以下的取代基取代的C1–C4烷基:氰基、硝基、OR9、S(O)nR10、CO2R11和C(O)NR12R13;
R15是H、C1–C4烷基或C1–C4卤代烷基;
R16是氟、C1–C4烷基、C1–C4卤代烷基、C1–C6烷氧基、C1–C6卤代烷氧基、氨基或C1–C6烷基氨基;
R17是H、C1–C4烷基、C1–C4卤代烷基或C3–C6环烷基;
Q是吡啶基、嘧啶基、吡嗪基、哒嗪基、1,2,4-三嗪基、1,3,5-三嗪基、呋喃基、噻吩基、吡咯基、吡唑基、咪唑基、1,2,3-三唑基、1,2,4-三唑基、四唑基、噁唑基、噻唑基、异噁唑基、异噻唑基、1,2,3-噁二唑基、1,2,4-噁二唑基、1,3,4-噁二唑基、1,2,3-噻二唑基、1,2,4-噻二唑基或1,3,4-噻二唑基,其各自未被取代或者被独立地选自以下的取代基取代:氰基、硝基、卤素、C1–C4烷基、C1–C4卤代烷基、C1–C4烷氧基、C1–C4卤代烷氧基、C1–C4烷硫基、C1–C4卤代烷硫基、C1–C4烷基亚磺酰基、C1–C4卤代烷基亚磺酰基、C1–C4烷基磺酰基、C1–C4卤代烷基磺酰基、C2–C5烷氧基羰基、C2–C5烷基氨基羰基和C3–C5二烷基氨基羰基;并且
n各自独立地是0、1或2。
2.权利要求1的化合物,其中
J是被一个氰基取代的C2–C4烷基;被一个氰基取代的-CH2(环丙基);或者未被取代的或者被一个氰基或一个C(O)NHR17取代的环丙基;或者J-1、J-2或J-5。
3.权利要求2的化合物,其中
R1a是Cl且R1b是Cl;或者
R1a是CF3且R1b是H。
4.权利要求3的化合物,其中
J是被一个氰基取代的C2–C4烷基;或者环丙基。
5.权利要求3的化合物,其中J是J-1。
6.权利要求5的化合物,其中
R2是甲基;
R3是H或甲基;并且
R4是H或甲基。
7.权利要求3的化合物,其中J是J-2。
8.权利要求7的化合物,其中
R5是H或甲基;并且
Q是吡啶基或嘧啶基。
10.权利要求3的化合物,其中J是J-5。
11.权利要求10的化合物,其中
R14是H或甲基;并且
R15是C1–C4烷基。
13.组合物,其包含权利要求1的化合物和至少一种附加组分,所述附加组分选自表面活性剂、固体稀释剂和液体稀释剂,所述组合物任选地还包含至少一种附加的生物学活性化合物或药剂。
14.权利要求13的组合物,其中所述至少一种附加的生物学活性化合物或药剂选自阿巴美丁(abamectin)、高灭磷(acephate)、灭螨醌(acequinocyl)、啶虫脒(acetamiprid)、氟丙菊酯(acrinathrin)、双丙环虫酯(afidopyropen)、磺胺螨酯(amidoflumet)、双甲脒(amitraz)、阿维菌素(avermectin)、印楝素(azadirachtin)、谷硫磷(azinphos-methyl)、丙硫克百威(benfuracarb)、杀虫磺(bensultap)、联苯菊酯(bifenthrin)、联苯肼酯(bifenazate)、双三氟虫脲(bistrifluron)、硼酸盐(borate)、噻嗪酮(buprofezin)、甲萘威(carbaryl)、克百威(carbofuran)、杀螟丹(cartap)、carzol、氯虫苯甲酰胺(chlorantraniliprole)、虫螨腈(chlorfenapyr)、定虫隆(chlorfluazuron)、毒死蜱(chlorpyrifos)、甲基毒死蜱(chlorpyrifos-methyl)、环虫酰肼(chromafenozide)、四螨嗪(clofentezin)、噻虫胺(clothianidin)、溴氰虫酰胺(cyantraniliprole)、环溴虫酰胺(cyclaniliprole)、乙腈菊酯(cycloprothrin)、环氧虫啶(cycloxaprid)、丁氟螨酯(cyflumetofen)、氟氯氰菊酯(cyfluthrin)、β-氟氯氰菊酯(beta-cyfluthrin)、氯氟氰菊酯(cyhalothrin)、γ-氯氟氰菊酯(gamma-cyhalothrin)、高氯氟氰菊酯(lambda-cyhalothrin)、氯氰菊酯(cypermethrin)、α-氯氰菊酯(alpha-cypermethrin)、ζ-氯氰菊酯(zeta-cypermethrin)、灭蝇胺(cyromazine)、溴氰菊酯(deltamethrin)、丁醚脲(diafenthiuron)、二嗪磷(diazinon)、狄氏剂(dieldrin)、除虫脲(iflubenzuron)、四氟甲醚菊酯(dimefluthrin)、杀虫双(dimehypo)、乐果(dimethoate)、呋虫胺(dinotefuran)、二苯丙醚(diofenolan)、甲氨基阿维菌素(emamectin)、硫丹(endosulfan)、S-氰戊菊酯(esfenvalerate)、乙虫腈(ethiprole)、醚菊酯(etofenprox)、乙螨唑(etoxazole)、苯丁锡(fenbutatin oxide)、杀螟硫磷(fenitrothion)、苯硫威(fenothiocarb)、苯氧威(fenoxycarb)、甲氰菊酯(fenpropathrin)、氰戊菊酯(fenvalerate)、氟虫腈(fipronil)、flometoquin、氟啶虫酰胺(flonicamid)、氟苯虫酰胺(flubendiamide)、氟氰戊菊酯(flucythrinate)、嘧虫胺(flufenerim)、氟虫脲(flufenoxuron)、氟菌螨酯(flufenoxystrobin)、flufensulfone、fluorpyram、flupiprole、氟吡呋喃酮(flupyradifurone)、氟胺氰菊酯(fluvalinate)、τ-氟胺氰菊酯(tau-fluvalinate)、大福松(fonophos)、伐虫脒(formetanate)、噻唑膦(fosthiazate)、氯虫酰肼(halofenozide)、heptafluthrin、氟铃脲(hexaflumuron)、噻螨酮(hexythiazox)、伏蚁腙(hydramethylnon)、吡虫啉(imidacloprid)、茚虫威(indoxacarb)、杀虫皂(insecticidalsoaps)、异柳磷(isofenphos)、虱螨脲(lufenuron)、马拉硫磷(malathion)、氯氟醚菊酯(meperfluthrin)、氰氟虫腙(metaflumizone)、四聚乙醛(metaldehyde)、甲胺磷(methamidophos)、杀扑磷(methidathion)、甲硫威(methiodicarb)、灭多威(methomyl)、烯虫酯(methoprene)、甲氧滴滴涕(methoxychlor)、甲氧卞氟菊酯(metofluthrin)、久效磷(monocrotophos)、monofluthrin、甲氧虫酰肼(methoxyfenozide)、烯啶虫胺(nitenpyram)、硝虫噻嗪(nithiazine)、氟酰脲(novaluron)、多氟脲(noviflumuron)、杀线威(oxamyl)、对硫磷(parathion)、甲基对硫磷(parathion-methyl)、扑灭司林(permethrin)、甲拌磷(phorate)、伏杀硫磷(phosalone)、亚胺硫磷(phosmet)、磷胺(phosphamidon)、抗蚜威(pirimicarb)、丙溴磷(profenofos)、丙氟菊酯(profluthrin)、炔螨特(propargite)、丙苯烃菊酯(protrifenbute)、pyflubumide、吡蚜酮(pymetrozine)、pyrafluprole、除虫菊素(pyrethrin)、哒螨灵(pyridaben)、三氟甲吡醚(pyridalyl)、pyrifluquinazon、嘧螨胺(pyriminostrobin)、pyriprole、吡丙醚(pyriproxyfen)、鱼藤酮(rotenone)、利阿诺定(ryanodine)、氟硅菊酯(silafluofen)、乙基多杀菌素(spinetoram)、多杀霉素(spinosad)、螺螨酯(spirodiclofen)、螺甲螨酯(spiromesifen)、螺虫乙酯(spirotetramat)、硫丙磷(sulprofos)、氟啶虫胺腈(sulfoxaflor)、虫酰肼(tebufenozide)、吡螨胺(tebufenpyrad)、氟苯脲(teflubenzuron)、七氟菊酯(tefluthrin)、特丁磷(terbufos)、杀虫畏(tetrachlorvinphos)、胺菊酯(tetramethrin)、四氟醚菊酯(tetramethylfluthrin)、噻虫啉(thiacloprid)、噻虫嗪(thiamethoxam)、硫双威(thiodicarb)、杀虫双(thiosultap-sodium)、唑虫酰胺(tolfenpyrad)、四溴菊酯(tralomethrin)、唑蚜威(triazamate)、敌百虫(trichlorfon)、杀铃脲(triflumuron)、苏云金芽孢杆菌(Bacillus thuringiensis)的所有菌株、昆虫病原细菌、核型多角体病毒(Nucleo polyhedrosis viruses)的所有毒株、昆虫病原病毒和昆虫病原真菌。
15.权利要求14的组合物,其中所述至少一种附加的生物学活性化合物或药剂选自阿巴美丁、啶虫脒、氟丙菊酯、双丙环虫酯、双甲脒、阿维菌素、印楝素、丙硫克百威、杀虫磺、联苯菊酯、3-溴-1-(3-氯-2-吡啶基)-N-[4-氰基-2-甲基-6-[(甲基氨基)羰基]苯基]-1H-吡唑-5-甲酰胺、噻嗪酮、甲萘威、杀螟丹、氯虫苯甲酰胺、虫螨腈、毒死蜱、噻虫胺、溴氰虫酰胺、环溴虫酰胺、乙腈菊酯、氟氯氰菊酯、β-氟氯氰菊酯、氯氟氰菊酯、高氯氟氰菊酯、γ-氯氟氰菊酯、氯氰菊酯、α-氯氰菊酯、ζ-氯氰菊酯、灭蝇胺、溴氰菊酯、狄氏剂、呋虫胺、二苯丙醚、甲氨基阿维菌素、硫丹、S-氰戊菊酯、乙虫腈、醚菊酯、乙螨唑、杀螟硫磷、苯硫威、苯氧威、氰戊菊酯、氟虫腈、flometoquin、氟啶虫酰胺、氟苯虫酰胺、氟虫脲、氟菌螨酯、flufensulfone、flupiprole、氟吡呋喃酮、氟胺氰菊酯、伐虫脒、噻唑膦、heptafluthrin、氟铃脲、伏蚁腙、吡虫啉、茚虫威、虱螨脲、氯氟醚菊酯、氰氟虫腙、甲硫威、灭多威、烯虫酯、甲氧虫酰肼、甲氧卞氟菊酯、monofluthrin、烯啶虫胺、硝虫噻嗪、氟酰脲、杀线威、pyflubumide、吡蚜酮、除虫菊素、哒螨灵、三氟甲吡醚、嘧螨胺、吡丙醚、利阿诺定、乙基多杀菌素、多杀霉素、螺螨酯、螺甲螨酯、螺虫乙酯、氟啶虫胺腈、虫酰肼、胺菊酯、噻虫啉、噻虫嗪、硫双威、杀虫双、四溴菊酯、四氟醚菊酯、唑蚜威、杀铃脲、苏云金芽孢杆菌的所有菌株和核型多角体病毒的所有毒株。
16.用于防治无脊椎害虫的方法,所述方法包括使所述无脊椎害虫或其环境接触生物学有效量的权利要求1的化合物。
17.经处理的种子,所述种子包含按所述种子在处理前的重量计约0.0001%至1%的量的权利要求1的化合物。
Applications Claiming Priority (7)
| Application Number | Priority Date | Filing Date | Title |
|---|---|---|---|
| US201862629154P | 2018-02-12 | 2018-02-12 | |
| US62/629,154 | 2018-02-12 | ||
| US201862631665P | 2018-02-17 | 2018-02-17 | |
| US62/631,665 | 2018-02-17 | ||
| US201862657647P | 2018-04-13 | 2018-04-13 | |
| US62/657,647 | 2018-04-13 | ||
| PCT/US2019/016260 WO2019156903A1 (en) | 2018-02-12 | 2019-02-01 | Naphthalene isoxazoline compounds for controlling invertebrate pests |
Publications (1)
| Publication Number | Publication Date |
|---|---|
| CN111936492A true CN111936492A (zh) | 2020-11-13 |
Family
ID=65444357
Family Applications (1)
| Application Number | Title | Priority Date | Filing Date |
|---|---|---|---|
| CN201980024652.XA Pending CN111936492A (zh) | 2018-02-12 | 2019-02-01 | 用于防治无脊椎害虫的萘异噁唑啉化合物 |
Country Status (23)
| Country | Link |
|---|---|
| US (2) | US11576382B2 (zh) |
| EP (1) | EP3752502A1 (zh) |
| JP (2) | JP7462562B2 (zh) |
| KR (2) | KR102730849B1 (zh) |
| CN (1) | CN111936492A (zh) |
| AU (2) | AU2019217817A1 (zh) |
| CA (1) | CA3090462A1 (zh) |
| CL (2) | CL2020002073A1 (zh) |
| CO (1) | CO2020009935A2 (zh) |
| CR (1) | CR20200349A (zh) |
| EC (1) | ECSP20048661A (zh) |
| IL (1) | IL276607B2 (zh) |
| MA (1) | MA51825A (zh) |
| MX (2) | MX2020008428A (zh) |
| NI (1) | NI202000054A (zh) |
| PE (1) | PE20211429A1 (zh) |
| PH (1) | PH12020551215A1 (zh) |
| SG (1) | SG11202007496VA (zh) |
| TW (1) | TWI812673B (zh) |
| UA (1) | UA126987C2 (zh) |
| UY (1) | UY38079A (zh) |
| WO (1) | WO2019156903A1 (zh) |
| ZA (1) | ZA202004898B (zh) |
Cited By (3)
| Publication number | Priority date | Publication date | Assignee | Title |
|---|---|---|---|---|
| CN115785017A (zh) * | 2022-12-06 | 2023-03-14 | 海利尔药业集团股份有限公司 | 一种取代的苯酰胺异噁唑啉衍生物或其作为农药可接受的盐、组合物及其用途 |
| CN115806522A (zh) * | 2022-11-24 | 2023-03-17 | 中国药科大学 | 一种取代吡啶衍生物及其应用 |
| CN115960053A (zh) * | 2023-01-16 | 2023-04-14 | 山东诚创蓝海医药科技有限公司 | 一种萘异噁唑啉类化合物及其用途 |
Families Citing this family (2)
| Publication number | Priority date | Publication date | Assignee | Title |
|---|---|---|---|---|
| BR112020003494A2 (pt) | 2017-09-07 | 2020-08-25 | Augusta University Research Institute, Inc | composto, métodos para aumentar uma resposta imunossupressora, para tratar um distúrbio inflamatório, uma doença autoimune, doença do enxerto contra hospedeiro, infecção crônica e obesidade e para inibir ou reduzir a rejeição a um transplante, e, composição farmacêutica |
| TW202012399A (zh) * | 2018-09-12 | 2020-04-01 | 美商富曼西公司 | 用於防制無脊椎動物害蟲之異口咢唑啉化合物 |
Citations (20)
| Publication number | Priority date | Publication date | Assignee | Title |
|---|---|---|---|---|
| CN101351456A (zh) * | 2005-12-30 | 2009-01-21 | 杜邦公司 | 用于防治无脊椎害虫的异噁唑啉 |
| CN101743000A (zh) * | 2007-06-27 | 2010-06-16 | 杜邦公司 | 动物虫害控制方法 |
| CN101765592A (zh) * | 2007-06-26 | 2010-06-30 | 杜邦公司 | 萘异噁唑啉无脊椎害虫防治剂 |
| US20100179194A1 (en) * | 2007-04-10 | 2010-07-15 | Bayer Corpscience Ag | Insecticidal aryl isoxazoline derivatives |
| CN101809004A (zh) * | 2007-10-03 | 2010-08-18 | 杜邦公司 | 用于控制无脊椎害虫的萘异噁唑啉化合物 |
| CN101815706A (zh) * | 2007-06-13 | 2010-08-25 | 杜邦公司 | 异*唑啉杀昆虫剂 |
| CN102131789A (zh) * | 2008-08-22 | 2011-07-20 | 先正达参股股份有限公司 | 杀虫化合物 |
| CN102131804A (zh) * | 2008-08-22 | 2011-07-20 | 先正达参股股份有限公司 | 杀虫化合物 |
| CN102143960A (zh) * | 2008-09-04 | 2011-08-03 | 先正达参股股份有限公司 | 杀虫化合物 |
| CN102369199A (zh) * | 2009-04-01 | 2012-03-07 | 巴斯夫欧洲公司 | 用于防治无脊椎动物害虫的异*唑啉化合物 |
| US20120077765A1 (en) * | 2010-09-24 | 2012-03-29 | Pfizer Inc. | Isoxazoline oximes as antiparasitic agents |
| CN103347880A (zh) * | 2011-02-10 | 2013-10-09 | 诺瓦提斯公司 | 用于控制无脊椎害虫的异噁唑啉衍生物 |
| CN103764643A (zh) * | 2011-08-25 | 2014-04-30 | 先正达参股股份有限公司 | 用于制备硫杂环丁烷衍生物的方法 |
| CN103957701A (zh) * | 2011-09-12 | 2014-07-30 | 梅里亚有限公司 | 包含异噁唑啉活性剂的杀寄生物组合物,其方法和用途 |
| CN104168900A (zh) * | 2012-02-06 | 2014-11-26 | 梅里亚有限公司 | 包含全身性地起作用的活性剂的杀寄生虫口服兽用组合物、方法及其用途 |
| AU2014262193A1 (en) * | 2007-10-03 | 2014-11-27 | E. I. Du Pont De Nemours And Company | Naphthalene isoxazoline compounds for control of invertebrate pests |
| US20170020848A1 (en) * | 2015-04-08 | 2017-01-26 | Merial Inc. | Extended release injectable formulations comprising an isoxazoline active agent, methods and uses thereof |
| WO2017147352A1 (en) * | 2016-02-24 | 2017-08-31 | Merial, Inc. | Antiparasitic isoxazoline compounds, long-acting injectable formulations comprising them, methods and uses thereof |
| WO2017176948A1 (en) * | 2016-04-06 | 2017-10-12 | Merial, Inc. | Process for the preparation of enantiomerically enriched isoxazoline compounds - crystalline toluene solvate of (s)-afoxolaner |
| CN107427496A (zh) * | 2015-02-26 | 2017-12-01 | 梅里亚股份有限公司 | 包含异噁唑啉活性剂的长效可注射配制剂、其方法和用途 |
Family Cites Families (34)
| Publication number | Priority date | Publication date | Assignee | Title |
|---|---|---|---|---|
| US2891855A (en) | 1954-08-16 | 1959-06-23 | Geigy Ag J R | Compositions and methods for influencing the growth of plants |
| US3235361A (en) | 1962-10-29 | 1966-02-15 | Du Pont | Method for the control of undesirable vegetation |
| US3060084A (en) | 1961-06-09 | 1962-10-23 | Du Pont | Improved homogeneous, readily dispersed, pesticidal concentrate |
| US3299566A (en) | 1964-06-01 | 1967-01-24 | Olin Mathieson | Water soluble film containing agricultural chemicals |
| US3309192A (en) | 1964-12-02 | 1967-03-14 | Du Pont | Method of controlling seedling weed grasses |
| US4144050A (en) | 1969-02-05 | 1979-03-13 | Hoechst Aktiengesellschaft | Micro granules for pesticides and process for their manufacture |
| US3920442A (en) | 1972-09-18 | 1975-11-18 | Du Pont | Water-dispersible pesticide aggregates |
| US4172714A (en) | 1976-12-20 | 1979-10-30 | E. I. Du Pont De Nemours And Company | Dry compactible, swellable herbicidal compositions and pellets produced therefrom |
| GB2095558B (en) | 1981-03-30 | 1984-10-24 | Avon Packers Ltd | Formulation of agricultural chemicals |
| DE3246493A1 (de) | 1982-12-16 | 1984-06-20 | Bayer Ag, 5090 Leverkusen | Verfahren zur herstellung von wasserdispergierbaren granulaten |
| US5180587A (en) | 1988-06-28 | 1993-01-19 | E. I. Du Pont De Nemours And Company | Tablet formulations of pesticides |
| ZW13690A1 (en) | 1989-08-30 | 1990-11-21 | Aeci Ltd | Active ingredient dosage device |
| AU651335B2 (en) | 1990-03-12 | 1994-07-21 | E.I. Du Pont De Nemours And Company | Water-dispersible or water-soluble pesticide granules from heat-activated binders |
| EP0480679B1 (en) | 1990-10-11 | 1996-09-18 | Sumitomo Chemical Company Limited | Pesticidal composition |
| US6406690B1 (en) | 1995-04-17 | 2002-06-18 | Minrav Industries Ltd. | Bacillus firmus CNCM I-1582 or Bacillus cereus CNCM I-1562 for controlling nematodes |
| TW200724033A (en) | 2001-09-21 | 2007-07-01 | Du Pont | Anthranilamide arthropodicide treatment |
| AU2003261713A1 (en) | 2002-08-26 | 2004-03-11 | Nissan Chemical Industries, Ltd. | Substituted benzanilide compound and pest control agent |
| US7142142B2 (en) | 2004-02-25 | 2006-11-28 | Nelicor Puritan Bennett, Inc. | Multi-bit ADC with sigma-delta modulation |
| KR20120127754A (ko) | 2004-12-20 | 2012-11-23 | 제넨테크, 인크. | Iap의 피롤리딘 억제제 |
| AU2006285613B2 (en) | 2005-09-02 | 2011-11-17 | Nissan Chemical Corporation | Isoxazoline-substituted benzamide compound and harmful organism-controlling agent |
| TW200803740A (en) | 2005-12-16 | 2008-01-16 | Du Pont | 5-aryl isoxazolines for controlling invertebrate pests |
| WO2009005015A1 (ja) | 2007-06-29 | 2009-01-08 | Nissan Chemical Industries, Ltd. | 置換イソキサゾリン又はエノンオキシム化合物および有害生物防除剤 |
| TWI583664B (zh) | 2008-04-09 | 2017-05-21 | 杜邦股份有限公司 | 羰基化合物及其製備方法 |
| TWI487486B (zh) | 2009-12-01 | 2015-06-11 | Syngenta Participations Ag | 以異唑啉衍生物為主之殺蟲化合物 |
| GB2491594A (en) * | 2010-06-09 | 2012-12-12 | Syngenta Participations Ag | Pesticidal mixtures comprising enantiomerically enriched isoxazoline derivatives |
| DK178277B1 (da) * | 2010-06-18 | 2015-10-26 | Novartis Tiergesundheit Ag | Diaryloxazolinforbindelser til bekæmpelse af fiskelus |
| WO2012007426A1 (en) | 2010-07-13 | 2012-01-19 | Basf Se | Azoline substituted isoxazoline benzamide compounds for combating animal pests |
| AU2012298448A1 (en) | 2011-08-25 | 2014-03-06 | Syngenta Participations Ag | Isoxazoline derivatives as insecticidal compounds |
| WO2014029640A1 (en) * | 2012-08-24 | 2014-02-27 | Syngenta Participations Ag | Methods of controlling insects |
| JPWO2014126208A1 (ja) | 2013-02-14 | 2017-02-02 | 日産化学工業株式会社 | イソキサゾリン置換ベンズアミド化合物の結晶性多形体及びその製造方法 |
| WO2014206911A1 (en) | 2013-06-24 | 2014-12-31 | Basf Se | Isothiazoline compounds for combating invertebrate pests |
| PE20161068A1 (es) * | 2014-02-26 | 2016-10-21 | Basf Se | Compuestos de azolina |
| AR106084A1 (es) | 2015-09-23 | 2017-12-13 | Syngenta Participations Ag | Benzamidas sustituidas con isoxazolina como insecticidas |
| WO2018039508A1 (en) | 2016-08-25 | 2018-03-01 | Merial, Inc. | Method for reducing unwanted effects in parasiticidal treatments |
-
2019
- 2019-01-30 TW TW108103507A patent/TWI812673B/zh active
- 2019-02-01 PH PH1/2020/551215A patent/PH12020551215A1/en unknown
- 2019-02-01 EP EP19705875.3A patent/EP3752502A1/en active Pending
- 2019-02-01 CA CA3090462A patent/CA3090462A1/en active Pending
- 2019-02-01 CN CN201980024652.XA patent/CN111936492A/zh active Pending
- 2019-02-01 IL IL276607A patent/IL276607B2/en unknown
- 2019-02-01 WO PCT/US2019/016260 patent/WO2019156903A1/en not_active Ceased
- 2019-02-01 AU AU2019217817A patent/AU2019217817A1/en not_active Abandoned
- 2019-02-01 US US16/968,913 patent/US11576382B2/en active Active
- 2019-02-01 MA MA051825A patent/MA51825A/fr unknown
- 2019-02-01 CR CR20200349A patent/CR20200349A/es unknown
- 2019-02-01 SG SG11202007496VA patent/SG11202007496VA/en unknown
- 2019-02-01 JP JP2020543046A patent/JP7462562B2/ja active Active
- 2019-02-01 KR KR1020207025993A patent/KR102730849B1/ko active Active
- 2019-02-01 KR KR1020247037651A patent/KR20240166590A/ko active Pending
- 2019-02-01 MX MX2020008428A patent/MX2020008428A/es unknown
- 2019-02-01 PE PE2020001206A patent/PE20211429A1/es unknown
- 2019-02-01 UA UAA202005831A patent/UA126987C2/uk unknown
- 2019-02-08 UY UY0001038079A patent/UY38079A/es not_active Application Discontinuation
-
2020
- 2020-08-06 NI NI202000054A patent/NI202000054A/es unknown
- 2020-08-07 ZA ZA2020/04898A patent/ZA202004898B/en unknown
- 2020-08-10 CL CL2020002073A patent/CL2020002073A1/es unknown
- 2020-08-11 MX MX2025000900A patent/MX2025000900A/es unknown
- 2020-08-12 CO CONC2020/0009935A patent/CO2020009935A2/es unknown
- 2020-08-12 EC ECSENADI202048661A patent/ECSP20048661A/es unknown
-
2022
- 2022-12-16 CL CL2022003625A patent/CL2022003625A1/es unknown
-
2023
- 2023-01-17 US US18/097,814 patent/US12137688B2/en active Active
-
2024
- 2024-03-22 JP JP2024046255A patent/JP7642900B2/ja active Active
- 2024-05-29 AU AU2024203595A patent/AU2024203595A1/en active Pending
Patent Citations (20)
| Publication number | Priority date | Publication date | Assignee | Title |
|---|---|---|---|---|
| CN101351456A (zh) * | 2005-12-30 | 2009-01-21 | 杜邦公司 | 用于防治无脊椎害虫的异噁唑啉 |
| US20100179194A1 (en) * | 2007-04-10 | 2010-07-15 | Bayer Corpscience Ag | Insecticidal aryl isoxazoline derivatives |
| CN101815706A (zh) * | 2007-06-13 | 2010-08-25 | 杜邦公司 | 异*唑啉杀昆虫剂 |
| CN101765592A (zh) * | 2007-06-26 | 2010-06-30 | 杜邦公司 | 萘异噁唑啉无脊椎害虫防治剂 |
| CN101743000A (zh) * | 2007-06-27 | 2010-06-16 | 杜邦公司 | 动物虫害控制方法 |
| AU2014262193A1 (en) * | 2007-10-03 | 2014-11-27 | E. I. Du Pont De Nemours And Company | Naphthalene isoxazoline compounds for control of invertebrate pests |
| CN101809004A (zh) * | 2007-10-03 | 2010-08-18 | 杜邦公司 | 用于控制无脊椎害虫的萘异噁唑啉化合物 |
| CN102131804A (zh) * | 2008-08-22 | 2011-07-20 | 先正达参股股份有限公司 | 杀虫化合物 |
| CN102131789A (zh) * | 2008-08-22 | 2011-07-20 | 先正达参股股份有限公司 | 杀虫化合物 |
| CN102143960A (zh) * | 2008-09-04 | 2011-08-03 | 先正达参股股份有限公司 | 杀虫化合物 |
| CN102369199A (zh) * | 2009-04-01 | 2012-03-07 | 巴斯夫欧洲公司 | 用于防治无脊椎动物害虫的异*唑啉化合物 |
| US20120077765A1 (en) * | 2010-09-24 | 2012-03-29 | Pfizer Inc. | Isoxazoline oximes as antiparasitic agents |
| CN103347880A (zh) * | 2011-02-10 | 2013-10-09 | 诺瓦提斯公司 | 用于控制无脊椎害虫的异噁唑啉衍生物 |
| CN103764643A (zh) * | 2011-08-25 | 2014-04-30 | 先正达参股股份有限公司 | 用于制备硫杂环丁烷衍生物的方法 |
| CN103957701A (zh) * | 2011-09-12 | 2014-07-30 | 梅里亚有限公司 | 包含异噁唑啉活性剂的杀寄生物组合物,其方法和用途 |
| CN104168900A (zh) * | 2012-02-06 | 2014-11-26 | 梅里亚有限公司 | 包含全身性地起作用的活性剂的杀寄生虫口服兽用组合物、方法及其用途 |
| CN107427496A (zh) * | 2015-02-26 | 2017-12-01 | 梅里亚股份有限公司 | 包含异噁唑啉活性剂的长效可注射配制剂、其方法和用途 |
| US20170020848A1 (en) * | 2015-04-08 | 2017-01-26 | Merial Inc. | Extended release injectable formulations comprising an isoxazoline active agent, methods and uses thereof |
| WO2017147352A1 (en) * | 2016-02-24 | 2017-08-31 | Merial, Inc. | Antiparasitic isoxazoline compounds, long-acting injectable formulations comprising them, methods and uses thereof |
| WO2017176948A1 (en) * | 2016-04-06 | 2017-10-12 | Merial, Inc. | Process for the preparation of enantiomerically enriched isoxazoline compounds - crystalline toluene solvate of (s)-afoxolaner |
Cited By (7)
| Publication number | Priority date | Publication date | Assignee | Title |
|---|---|---|---|---|
| CN115806522A (zh) * | 2022-11-24 | 2023-03-17 | 中国药科大学 | 一种取代吡啶衍生物及其应用 |
| CN115806522B (zh) * | 2022-11-24 | 2025-05-13 | 中国药科大学 | 一种取代吡啶衍生物及其应用 |
| CN115785017A (zh) * | 2022-12-06 | 2023-03-14 | 海利尔药业集团股份有限公司 | 一种取代的苯酰胺异噁唑啉衍生物或其作为农药可接受的盐、组合物及其用途 |
| CN115785017B (zh) * | 2022-12-06 | 2023-12-08 | 海利尔药业集团股份有限公司 | 一种取代的苯酰胺异噁唑啉衍生物或其作为农药可接受的盐、组合物及其用途 |
| CN115960053A (zh) * | 2023-01-16 | 2023-04-14 | 山东诚创蓝海医药科技有限公司 | 一种萘异噁唑啉类化合物及其用途 |
| WO2024007956A1 (zh) * | 2023-01-16 | 2024-01-11 | 山东诚创蓝海医药科技有限公司 | 一种萘异噁唑啉类化合物及其用途 |
| US12240822B2 (en) | 2023-01-16 | 2025-03-04 | Shandong Chengchuang Blue Sea Pharmaceutical Technology Co., Ltd. | Naphthalene isoxazoline compound and application thereof |
Also Published As
Similar Documents
| Publication | Publication Date | Title |
|---|---|---|
| CN107635984B (zh) | 杂环取代的二环唑杀有害生物剂 | |
| CN112996787A (zh) | 用于防治无脊椎害虫的噁唑啉化合物 | |
| CN107743486B (zh) | 杂环取代的二环唑杀有害生物剂 | |
| CN107912041B (zh) | 二环吡唑杀有害生物剂 | |
| JP7642900B2 (ja) | 無脊椎有害生物を防除するためのナフタレンイソオキサゾリン化合物 | |
| CN108699031B (zh) | 杂环取代的二环唑杀虫剂 | |
| JP7244441B2 (ja) | メソイオン殺虫剤 | |
| JP7417585B2 (ja) | 無脊椎有害生物を防除するためのイソオキサゾリン化合物 | |
| JP7011642B2 (ja) | 複素環で置換した二環式アゾール有害生物防除剤 | |
| JP2023511411A (ja) | メソイオン性殺虫剤 | |
| CN108473508B (zh) | 杂环取代的二环唑杀虫剂 | |
| KR20250068761A (ko) | 피라졸 아미드 살충제 | |
| JP2022548023A (ja) | メタ-ジアミド殺虫剤 | |
| CN116133524A (zh) | 用于防治无脊椎有害生物的三唑酮化合物 | |
| CN115038695A (zh) | 用于防治无脊椎有害生物的吡啶化合物 | |
| EA043836B1 (ru) | Нафталинизоксазолиновые соединения для борьбы с беспозвоночными вредителями | |
| OA20256A (en) | Naphthalene Isoxazoline compounds for controlling invertebrate pests |
Legal Events
| Date | Code | Title | Description |
|---|---|---|---|
| PB01 | Publication | ||
| PB01 | Publication | ||
| SE01 | Entry into force of request for substantive examination | ||
| SE01 | Entry into force of request for substantive examination |
































































































































































