CN115806522A - 一种取代吡啶衍生物及其应用 - Google Patents
一种取代吡啶衍生物及其应用 Download PDFInfo
- Publication number
- CN115806522A CN115806522A CN202211483042.6A CN202211483042A CN115806522A CN 115806522 A CN115806522 A CN 115806522A CN 202211483042 A CN202211483042 A CN 202211483042A CN 115806522 A CN115806522 A CN 115806522A
- Authority
- CN
- China
- Prior art keywords
- compound
- acid
- yield
- white solid
- preparation
- Prior art date
- Legal status (The legal status is an assumption and is not a legal conclusion. Google has not performed a legal analysis and makes no representation as to the accuracy of the status listed.)
- Granted
Links
Landscapes
- Plural Heterocyclic Compounds (AREA)
- Pyridine Compounds (AREA)
Abstract
本发明公开了一种取代吡啶衍生物及其应用,属于药物化学技术领域。所述取代吡啶衍生物为通式Ⅰ所示的化合物或其药学上可接受的盐。本发明的取代吡啶衍生物能够作为ALKBH5小分子抑制剂,对ALKBH5具有明显的抑制活性,在蛋白酶水平上抑制RNA去甲基化酶,修饰调控m6A水平,可用于制备治疗与ALKBH5功能失调相关疾病的药物。
Description
技术领域
本发明属于药物化学技术领域,具体涉及一种取代吡啶衍生物及其应用。
背景技术
RNA的动态修饰对生命体的许多生理过程例如细胞周期调控、细胞增殖分化起着至关重要的作用,是表观遗传调控领域的重要研究内容。其中,N6-甲基腺苷(N6-methyladenosine,m6A)是信使RNA(message RNA,mRNA)修饰中最常见、最保守也是目前研究的热点之一。ALKBH5是mRNA的去甲基化酶,可以调控m6A水平。研究表明ALKBH5在多种癌症中异常表达,如卵巢癌、子宫内膜癌、宫颈癌、乳腺癌、急性髓系白血病和胃癌等。
因此,利用小分子抑制剂抑制ALKBH5的酶催化活性,可用于治疗与ALKBHI5蛋白功能失调相关的适应症。目前尚无高活性的ALKBH5小分子抑制剂报道。
发明内容
发明目的:本发明基于取代吡啶类的苗头化合物设计合成了一系列衍生物并进行初步构效关系讨论,最终得到了具有较优活性的新型ALKBH5小分子抑制剂,在体外可以显著抑制ALKBH5对m6A的去甲基化活性,有望成为具有较好前景的抗肿瘤候选药物。
本发明目的之一在于提供一种如通式Ⅰ所示的化合物或其药学上可接受的盐:
其中,
R1选自-COORa、-CONRbRc、-CO-NH-OH、氰基、羟基、巯基、卤素、硝基、氨基、甲氧基、三氟甲基,其中Ra、Rb、Rc各自独立地代表氢、C1-C4烷基、C1-C4卤代烷基、苯基或取代苯基,取代苯基的取代基是卤素、C1-C4烷基、C1-C4卤代烷基、氰基、羟基、巯基、卤素、硝基、氨基、甲氧基或三氟甲基;
R2选自H、F、C1-C4烷基或C1-C4卤代烷基;
在某些优选的实施方式中,Rd为取代的苯基时,取代基选自氟、硝基、三氟甲基或甲氧基。
在某些优选的实施方式中,R1选自COOH、COOCH3或CO-NH-OH。
在某些优选的实施方式中,R2选自H或CH3。
在某些优选的实施方式中,L1、L2选自羰基、磺酰基或亚甲基。
在一些优选的实施方式中,所述药学上可接受的盐包括通式I化合物与下列酸形成的酸加成盐:盐酸、氢溴酸、硫酸、磷酸、甲磺酸、苯磺酸、对甲苯磺酸、萘磺酸、柠檬酸、酒石酸、乳酸、丙酮酸、乙酸、马来酸或琥珀酸、富马酸、水杨酸、苯基乙酸、杏仁酸;还包括通式I化合物与无机碱形成的碱式盐:钠盐、钾盐、锂盐、钙盐、锌盐、镁盐、葡甲胺盐、氨基丁三醇盐、二乙胺盐或乙醇胺盐。
本发明通式Ⅰ的化合物优选以下化合物:
本发明涉及的上述通式Ⅰ化合物还可以其盐的形式存在,它们在体内转化为通式I化合物,与通式Ⅰ化合物有同样的药理功效。例如,在本发明的范围内,按照本领域已知的工艺,将本发明化合物转化为药学上可接受的盐的形式,并且以盐形式使用它们。
在某些实施方案中,根据通式I的化合物可含有足以形成盐的酸性官能团或碱性官能团。代表性的盐包括药用无机碱,有机碱。
本发明另一目的在于提供一种药物组合物,所述药物组合物包括通式Ⅰ的化合物或其药学上可接受的盐以及药学上可接受的载体或赋形剂。
本发明的药物组合物可以采用各种已知的方式施用,例如口服、注射、通过吸入喷雾施用。本发明的药物组合物可单独给药也可与其他药物联合用药。口服组合物可以是任何口服可接受的剂型,包含但不限于片剂、胶囊剂、混悬剂和溶液。常用的药学上可接受的载体或赋形剂包括稀释剂、表面活性剂、润滑剂、抗氧剂、粘合剂、着色剂、乳化剂等。无菌可注射组合物可按照本领域已知的技术使用适合的分散剂或润湿剂和助悬剂来配制。可以使用的药学上可接受的载体和溶剂包括水、氯化钠溶液等。
可以改变本发明的药物组合物中活性成分的实际剂量水平以获得对特定患者、组合物和施用方式而言可以有效实现所需治疗响应、对患者无毒的活性成分的量。所选择的的剂量水平取决于多种因素,包括所用的具体的本发明的化合物或其盐的活性、施用途径、施用时间、所用的具体组合物的排泄速率、治疗的持续时间、与所用的具体组合物组合使用的其它药物、化合物和/或材料、所治疗的患者的年龄、性别、体重、一般健康状况和既往病史以及医学领域中公知的类似因素。
本发明另一目的在于提供通式Ⅰ的化合物或其药学上可接受的盐在制备用于治疗与ALKBH5蛋白功能失调相关疾病的药物中的用途。所述与ALKBH5蛋白功能失调相关疾病为胶质母细胞瘤、卵巢癌、子宫内膜癌、宫颈癌、乳腺癌、急性髓系白血病、垂体腺瘤、口腔鳞状细胞癌、食道鳞状细胞癌、胃癌、乙肝病毒相关肝细胞癌和肝内胆管癌。
有益效果:本发明制备的通式Ⅰ的化合物及其药学上可接受的盐是一类有效的ALKBH5小分子抑制剂,对ALKBH5具有明显的抑制活性,在蛋白酶水平上抑制RNA去甲基化酶,修饰调控m6A水平,可用于治疗与ALKBH5相关的疾病,如卵巢癌、子宫内膜癌、宫颈癌、乳腺癌等各类癌症。因此,上述化合物可以用于制备治疗与ALKBH5有关的临床病症的药物。
具体实施方式
下面结合具体实施例描述本发明通式Ⅰ化合物的制备方法,但这些具体方法不对本发明构成任何限制。本发明化合物还可以任选将在本说明书中描述的或本领域已知的各种合成方法组合起来而方便地制得,这样的组合可由本发明所属领域的技术人员容易地进行。
本发明具体实施例中使用的起始原料、反应试剂等均为市售。本发明可以采用本领域常用的成盐方法制备成盐的形式,例如:室温下,将化合物溶于盐酸乙醇中进行反应,生成盐酸盐;或者向其中加入苯磺酸进行反应生成苯磺酸盐;或者室温下,将化合物溶于氢氧化纳的甲醇溶液中进行反应,生成钠盐;或者回流条件下,向其丙酮溶液中加入乙醇胺进行反应,生成乙醇胺盐。
本发明实施例中未注明具体条件的实验方法,通常按照常规条件,或按照原料或商品制造厂商所建议的条件。未注明具体来源的试剂,为市场购买的常规试剂。
化合物的结构是通过核磁共振(NMR)和质谱(MS)来确定的,1H NMR和13C NMR核磁共振波谱由Bruker AV-300核磁共振仪测定,测定溶剂为氘代二甲基亚砜(DMSO-d6),内标为四甲基硅烷(TMS)。质谱由Agilent公司的1946A-MSD型质谱仪(ESI-MS)测定。化学反应采用0.25mm GF254薄层色谱硅胶板进行检测,并通过ZF7型三用紫外分析仪观察。
实施例中如无特殊说明,反应在空气氛下进行。实施例中如无特殊说明,反应的温度室温为20℃~30℃。
1
步骤1:合成化合物1-2
将化合物1-1(3g,19.85mmol)溶于20mL吡啶中,加入SeO2(3.3g,29.77mmol),120℃反应2h。TLC监测反应结束,旋转蒸发除去大部分吡啶,加入10ml水,抽滤除去残渣。水相使用2M HCl调pH=5,有大量固体析出,抽滤,得到化合物1-2,为白灰色固体,收率为55.63%。m/z(ESI-MS):180.1[M-H]-。
步骤2:合成化合物1-4
将化合物1-2(1.00g,5.52mmol),化合物1-3(1.67g,8.28mmol)和NMI(1.59ml,8.28mmol)溶于30mL无水乙腈中,室温反应15min后,加入四甲基氯代脲六氟磷酸酯(1.59g,8.28mmol),继续室温反应过夜。TLC监测反应结束,旋转蒸发除去溶剂,经硅胶柱层析(DCM:MeOH=100:1)纯化得到化合物1-4,为白色固体,收率为75.87%。m/z(ESI-MS):366.3[M+H]+。
步骤3:合成化合物1-5
将化合物1-4(1.50g,4.11mmol)溶于30mL甲醇中,分批加入Pd/C(10%),反应体系在氢气环境下室温搅拌过夜。TLC监测反应结束,借助硅藻土进行过滤,滤液浓缩后的粗品经硅胶柱层析(DCM:MeOH=80:1)纯化得到化合物1-5,为白色固体,收率为71.17%。m/z(ESI-MS):336.3[M+H]+。
步骤4:合成化合物1-6
将化合物1-5(900mg,2.68mmol)溶解在MeOH、H2O和THF的混合物溶液(1:1:1)中,加入LiOH(193mg,8.05mmol),室温反应5h。TLC监测反应结束,旋转蒸发除去溶剂,加入适量水,2M HCl调pH=3,白色沉淀析出,抽滤,得化合物1-6,为白色固体,收率为92.77%。m/z(ESI-MS):320.0[M-H]-。
步骤5:合成化合物1
在氩气气氛下,将化合物1-5(100mg,0.311mmol)溶于在5mL无水二氯甲烷中,冷却到0℃,并逐滴添加化合物1-7(30μl,0.373mmol)。然后将反应混合物在室温搅拌过夜。TLC监测反应结束,将粗品用水洗涤3次,无水硫酸钠干燥,浓缩,得到化合物1,为白色固体,收率为53.93%。1H NMR(300MHz,DMSO-d6)δ13.19(s,1H),10.58(s,1H),8.90(d,J=4.9Hz,1H),8.41(t,J=2.0Hz,1H),8.34-8.28(m,1H),8.07(dd,J=4.9,1.7Hz,1H),7.99(dd,J=8.2,1.9Hz,1H),7.78-7.67(m,1H),7.59(t,J=8.0Hz,1H),6.55-6.23(m,2H),5.82(dd,J=9.9,2.2Hz,1H)。
实施例2:2-(((2-丙烯基氨基苯基)磺酰基)氨基甲酰基)异烟酸(化合物2)的制备
参考实施例1的制备方法,按照实施例1中的步骤2-5合成化合物2,不同的是本实施例在步骤2中用化合物2-1替换化合物1-3。
化合物2-2为白色固体,收率为70.34%。m/z(ESI-MS):366.3[M+H]+。
化合物2-3为白色固体,收率为68.29%。m/z(ESI-MS):336.3[M+H]+。
化合物2-4为白色固体,收率为90.30%。m/z(ESI-MS):320.0[M-H]-。
化合物2为白色固体,收率为50.21%。1H NMR(300MHz,DMSO-d6)δ9.90(s,1H),8.91(d,J=4.9Hz,1H),8.32(d,J=8.3Hz,2H),8.19-8.00(m,2H),7.71(t,J=7.9Hz,1H),7.39(t,J=7.7Hz,1H),6.54(dd,J=17.0,10.2Hz,1H),6.30(dd,J=17.0,1.7Hz,1H),5.89(dd,J=10.3,1.7Hz,1H)。
实施例3:2-(((3-(2-氯乙酰氨基)苯基)磺酰基)氨基甲酰基)异烟酸(化合物3)的制备
参考实施例1的制备方法,不同的是在步骤5中用化合物氯乙酰氯替换化合物1-7。
化合物3为白色固体,收率为56.97%。1H NMR(300MHz,DMSO-d6)δ10.76(s,1H),8.91(d,J=4.9Hz,1H),8.36(t,J=2.0Hz,1H),8.30(s,1H),8.10(dd,J=5.0,1.7Hz,1H),7.95-7.84(m,1H),7.76(d,J=7.8Hz,1H),7.62(t,J=8.0Hz,1H),4.31(s,2H)。
实施例4:2-(((2-(2-氯乙酰氨基)苯基)磺酰基)氨基甲酰基)异烟酸(化合物4)的制备
参考实施例1的制备方法,不同的是在步骤5中用化合物2-4替换化合物1-6,化合物氯乙酰氯替换化合物1-7。制得化合物4为白色固体,收率为53.28%。1H NMR(300MHz,DMSO-d6)δ10.06(s,1H),8.92(d,J=5.0Hz,1H),8.32(s,1H),8.15-8.06(m,3H),7.81-7.64(m,1H),7.50-7.37(m,1H),4.49(s,2H)。
实施例5:2-(((3-((4,6-二氯-1,3,5-三嗪-2-基)氨基)苯基)磺酰基)氨基甲酰基)异烟酸(化合物5)的制备
将化合物1-5(100mg,0.311mmol)和三乙胺(43μl,0.311mmol)溶解至10mL丙酮,在冰浴条件下加入5mL三聚氯氰丙酮溶液(57mg,0.311mmol)。将所述反应混合物室温搅拌2h。有大量白色沉淀析出,抽滤,用少量丙酮洗涤滤饼,得到化合物5,为白色固体,收率为53.41%。1H NMR(300MHz,DMSO-d6)δ11.49(s,1H),8.92(dt,J=5.0,1.3Hz,1H),8.29(m,2H),8.10(dt,J=5.0,1.7Hz,1H),8.01-7.90(m,1H),7.88-7.75(m,1H),7.67(dt,J=16.0,8.0Hz,1H)。
实施例6:2-(((2-((4,6-二氯-1,3,5-三嗪-2-基)氨基)苯基)磺酰基)氨基甲酰基)异烟酸(化合物6)的制备
合成步骤同实施例5,不同的是用化合物2-4换化合物1-5。制得化合物6为白色固体,收率为47.97%。1H NMR(300MHz,DMSO-d6)δ10.29(s,1H),8.80(d,J=1.5Hz,1H),8.68(d,J=7.4Hz,1H),8.04(dd,J=7.4,1.5Hz,1H),7.83(dd,J=7.5,1.5Hz,1H),7.62(td,J=7.5,1.6Hz,1H),7.47(dd,J=7.6,1.6Hz,1H),7.37(td,J=7.5,1.6Hz,1H)。
实施例7:2-(((3-甲酰基-4-羟基苯基)磺酰基)氨基甲酰基)异烟酸甲酯(化合物7)的制备
步骤1:合成化合物7-2
在100mL反应瓶中加入10mL氯磺酸,冰浴预冷30min。将化合物7-1(2g,14.69mmol)溶于2mL二氯甲烷中,缓慢滴加到氯磺酸中,继续冰浴反应30min后,恢复至室温反应过夜。TLC监测反应结束,将反应液缓慢滴加到冰水中淬灭,EA萃取3次,饱和食盐水洗涤,无水硫酸钠干燥,减压蒸发除去溶剂,经硅胶柱层析(PE:EA=10:1)纯化得到化合物7-2,为白色固体,收率为60.92%。m/z(ESI-MS):235.6[M+H]+。
步骤2:合成化合物7-3
将化合物7-2(2g,8.52mmol)溶于30mL无水1,4-二氧六环中,滴加100mL 0.4M氨的1,4-二氧六环溶液,室温反应过夜。TLC监测反应结束,向反应液中加入适量水,2M HCl调pH=4,DCM萃取水相3次,合并有机相用饱和食盐水洗涤,无水硫酸钠干燥,减压蒸发除去溶剂,经硅胶柱层析(PE:EA=2:1)纯化得到化合物7-3,为白色固体,收率为82.86%。m/z(ESI-MS):216.2[M+H]+。
步骤3:合成化合物7-4
将化合物7-3(1.5g,6.97mmol)溶于30mL无水二氯甲烷中,-20℃下缓慢滴加10mLBBr3(2.0M in methylene chloride),-20℃反应30min后恢复至室温反应过夜。TLC监测反应结束,缓慢滴加甲醇淬灭三溴化硼,减压蒸发除去溶剂,经硅胶柱层析(纯DCM)纯化得到化合物7-4,为白色固体,收率为71.31%。m/z(ESI-MS):202.2[M+H]+。
步骤4:合成化合物7
参考实施例1的制备方法,合成步骤同实施例1步骤2,不同的是用化合物7-4替换化合物1-3。化合物7为白色固体,收率为67.20%。1H NMR(300MHz,DMSO-d6)δ12.10(s,1H),10.49(s,1H),9.13(d,J=5.1Hz,1H),8.56-8.41(m,2H),8.43-8.22(m,2H),7.40(d,J=8.8Hz,1H),3.93(s,3H)。
实施例8:2-(((3-甲酰基-4-羟基苯基)磺酰基)氨基甲酰基)异烟酸(化合物8)的制备
参考实施例1的制备方法,合成步骤同实施例1步骤4,不同的是用化合物7替换化合物1-5。制得化合物8为白色固体,收率为88.39%。1H NMR(300MHz,DMSO-d6)δ12.13(s,1H),10.52(s,1H),9.10(d,J=5.1Hz,1H),8.58-8.43(m,2H),8.43-8.22(m,2H),7.41(d,J=8.8Hz,1H)。
实施例9:N2-(3-甲酰基-4-羟基苯基)磺酰基)-N4-羟基吡啶-2,4-二酰胺(化合物9)制备
将氢氧化钾(11.2g,200mmol)溶于30mL无水甲醇中,在冰浴条件下滴加到盐酸羟胺(9.34g,134.4mmol)甲醇溶液中,反应持续搅拌1h。经过滤除去沉淀,收集滤液得到新鲜的羟胺溶液,用于进一步反应。在冰浴条件下将化合物7(100mg,0.274mmol)溶解于新鲜羟胺溶液。将反应混合物在室温下搅拌1h。TLC监测反应结束,用2M HCl中和,析出沉淀,抽滤,少量水洗涤,得化合物9,为淡黄色固体,收率为21.33%。1H NMR(300MHz,DMSO-d6)δ11.60(s,1H),10.97(d,J=4.9Hz,1H),10.17(s,1H),8.96(d,J=4.9Hz,1H),8.85-8.73(m,2H),8.22(d,J=1.6Hz,1H),7.95(dd,J=7.4,1.5Hz,1H),7.88(dd,J=7.6,1.5Hz,1H),7.03(d,J=7.5Hz,1H)。
实施例10:2-((3-甲酰基-4-羟基苄基)氨基甲酰基)异烟酸(化合物10)的制备
步骤1:合成化合物10-2
将化合物10-1(2g,16.24mmol)溶于40mL THF,加入40mL NaHCO3水溶液(4.09g,48.72mmol),滴加(Boc)2O(4.10mL,17.86mmol),室温反应4h。TLC监测反应完全。反应液用EA萃取3次,合并有机相用饱和食盐水洗涤,无水硫酸钠干燥,减压蒸发除去溶剂,得到3.3g粉红色油状液体,不经进一步纯化直接投下一步。m/z(ESI-MS):224.3[M+H]+。
步骤2:合成化合物10-3
将化合物10-2(3g,13.44mmol),多聚甲醛(2.42mg,80.62mmol),三乙胺(7.47mL,16.12mmol)溶于30mL乙腈中,分批次加入氯化镁(1.92g,20.15mmol),全部加完后升温回流12h。TLC监测,反应完全。反应液用EA和水萃取,合并有机相用饱和食盐水洗涤,无水硫酸钠干燥,减压蒸发除去溶剂,硅胶柱层析(PE:EA=8:1)纯化得化合物10-3,为白色固体,收率为30.44%。m/z(ESI-MS):252.3[M+H]+。
步骤3:合成化合物10-4
将化合物10-3(800mg,3.18mmol)溶于30mL氯化氢-乙酸乙酯溶液中,室温反应过夜。有大量白色固体析出,抽滤,得化合物10-4,为白色固体,收率为89.71%。m/z(ESI-MS):188.6[M+H]+。
步骤4:合成化合物10-5
参考实施例1的制备方法,合成步骤同实施例1步骤2,不同的是用化合物10-4替换化合物1-3。得到化合物10-5为白色固体,收率为73.67%。m/z(ESI-MS):315.3[M+H]+。
步骤5:合成化合物10
参考实施例1的制备方法,合成步骤同实施例1步骤4,不同的是用化合物10-5替换化合物1-5。得到化合物10为白色固体,收率为85.60%。1H NMR(300MHz,DMSO-d6)δ11.31(s,1H),10.18(s,1H),9.02-8.72(m,2H),8.30(d,J=1.5Hz,1H),8.09(dd,J=7.4,1.5Hz,1H),7.79(q,J=1.4Hz,1H),7.25(m,1H),6.88(d,J=7.5Hz,1H),4.49(dt,J=10.1,1.0Hz,2H)。
实施例11:2-((3-甲酰基-4-羟基苯甲酰)氨基甲酰基)异烟酸(化合物11)的制备
步骤1:合成化合物11-2
将化合物11-1(500mg,3.40mmol)和碳酸钾(939mg,12.33mmol)溶于3mL DMSO中,冰浴条件下加入2mL 30% H2O2水溶液,室温反应10min。TLC监测反应结束,加水析出大量白色沉淀,抽滤,得到化合物11-2,为白色固体,收率为80.36%。m/z(ESI-MS):166.1[M+H]+。
步骤2:合成化合物11-3
参考实施例1的制备方法,合成步骤同实施例1步骤2,不同的是用化合物11-2替换化合物1-3。得化合物11-3为白色固体,收率为65.08%。m/z(ESI-MS):329.3[M+H]+。
步骤3:合成化合物11
参考实施例1的制备方法,合成步骤同实施例1步骤4,不同的是用化合物11-3替换化合物1-5。得到化合物11为白色固体,收率为87.21%。1H NMR(300MHz,DMSO-d6)δ12.81(s,1H),12.28(s,1H),11.46(s,1H),10.17(s,1H),8.85-8.75(m,2H),8.27(d,J=1.4Hz,1H),8.10(dd,J=7.6,1.5Hz,1H),8.00(dd,J=7.6,1.5Hz,1H),7.00(d,J=7.4Hz,1H)。
实施例12:2-(((3-甲酰基-4-羟基苯基)磺酰基)(甲基)氨基甲酰基)异烟酸(化合物12)的制备
步骤1:合成化合物12-1a
将化合物1-1(1g,7.29mmol)、溴化苄(1.5g,8.75mmol)和K2CO3(2g,14.58mmol)溶于20mL DMF中,室温反应4h。TLC监测反应完全。将反应液倒入100mL水中,EA萃取3次,合并有机相用饱和食盐水洗涤,无水硫酸钠干燥,减压蒸发除去溶剂,经硅胶柱层析(PE)纯化得化合物12-1a,为无色油状液体,收率为87.44%。m/z(ESI-MS):228.3[M+H]+。
步骤2:合成化合物12-2a
将化合物12-1a(1.44g,6.34mmol)溶于20mL吡啶中,加入SeO2(1.48,13.31mmol),120℃反应2h。TLC监测,反应完全,后处理。减压蒸发除去大部分吡啶。加入10mL水,抽滤。滤液用饱和碳酸氢钠调pH=7,析出沉淀,抽滤,得化合物12-2a,为黄色固体,收率为68.08%。m/z(ESI-MS):256.2[M-H]-。
步骤3:合成化合物12-1b
将盐酸甲胺(575mg,8.52mmol)溶于20mL无水二氯甲烷中,加入TEA(1.78mL,12.78mmol)、DMAP(52mg,0.426mmol),室温搅拌30min。向反应体系中缓慢滴加化合物7-2(1g,4.26mmol)的二氯甲烷溶液,室温反应4h。TLC监测反应完全。使用水和DCM萃取,合并有机相,柠檬酸洗涤,饱和食盐水洗涤,无水硫酸钠干燥,减压蒸发除去溶剂,经硅胶柱层析(PE:EA=30:1)纯化得化合物12-1b,为白色固体,产率为71.22%。m/z(ESI-MS):230.2[M+H]+。
步骤4:合成化合物12-2b
参考实施例7的制备方法,合成步骤同实施例7步骤3,不同的是用化合物12-2b替换化合物7-3。化合物12-2b为白色固体,收率为59.61%。m/z(ESI-MS):216.2[M+H]+。
步骤5:合成化合物12-3
参考实施例1的制备方法,合成步骤同实施例1步骤2,不同的是用化合物12-2a替换化合物1-2,化合物12-2b替换化合物1-3。化合物12-3为白色固体,收率为60.43%。m/z(ESI-MS):455.4[M+H]+。
步骤6:合成化合物12
将化合物12-3(100mg,0.220mmol)溶于4mL无水二氯甲烷中,缓慢滴加4mL BF3的乙醚溶液,室温搅拌过夜。TLC监测反应完全。饱和NH4Cl水溶液中和反应液,DCM萃取,合并有机相用饱和食盐水洗涤,无水硫酸钠干燥,减压蒸发除去溶剂,经硅胶柱层析(DCM;MeOH=20:1)纯化得化合物12,为白色固体,收率为30.77%。1H NMR(300MHz,DMSO-d6)δ11.60(s,1H),10.17(s,1H),8.85(d,J=7.4Hz,1H),8.36(d,J=1.6Hz,1H),8.16(d,J=1.5Hz,1H),8.08(dd,J=7.6,1.4Hz,1H),7.80(dd,J=7.5,1.5Hz,1H),7.04(d,J=7.5Hz,1H),2.97(s,3H)。
步骤1:合成化合物13-2
将化合物13-1(2g,12.33mmol)溶于30mL甲醇中,在0℃加入(Boc)2O(2.84mL,12.33mmol)和NiCl2·6H2O(300mg,1.23μmol)。反应在0℃下搅拌5min后,分批加入NaBH4(2.8g,73.98mmol),室温反应24h。TLC监测反应完全。减压蒸发除去溶剂,使用水和EA萃取,合并有机相用饱和食盐水洗,无水硫酸钠干燥,减压蒸发除去溶剂,经硅胶柱层析(PE:EA=3:1)纯化得化合物13-2,为黄色油状液体,产率24.36%。m/z(ESI-MS):267.3[M+H]+。
步骤2:合成化合物13-3
将化合物2(800mg,3.00mmol)溶于20mL甲醇中,加入20mL HCl-EA,室温反应过夜。析出沉淀,抽滤,得化合物13-3,为白色固体,收率为41.77%。m/z(ESI-MS):203.6[M+H]+。
步骤3:合成化合物13-4
参考实施例12的制备方法,合成步骤同实施例12步骤3,不同的是用化合物13-3替换盐酸甲胺。化合物13-4为白色固体,收率为69.76%。m/z(ESI-MS):365.4[M+H]+。
步骤4:合成化合物13-5
参考实施例7的制备方法,合成步骤同实施例7步骤3,不同的是用化合物13-4替换化合物7-3。化合物13-5为白色固体,收率为53.11%。m/z(ESI-MS):351.3[M+H]+。
步骤5:合成化合物13
参考实施例1的制备方法,合成步骤同实施例1步骤4,不同的是用化合物13-5替换化合物1-5。得到化合物13为白色固体,收率为89.23%。1H NMR(300MHz,DMSO-d6)δ11.50(s,1H),10.14(s,1H),8.65(d,J=7.5Hz,1H),8.19(d,J=1.5Hz,1H),7.99(t,J=11.9Hz,1H),7.94(d,J=1.5Hz,1H),7.83(dd,J=7.5,1.6Hz,1H),7.74(dd,J=7.4,1.5Hz,1H),7.03(d,J=7.5Hz,1H),4.22(d,J=11.9Hz,2H)。
实施例14:2-(((4-二羟硼基-3-甲酰基苯基)磺酰基)氨基甲酰基)异烟酸(化合物14)的制备
步骤1:合成化合物14-1
将化合物7(1.0g,2.74mmol)和碳酸钾(1.52g,10.98mmol)溶于5mL无水DMF中,冰浴下搅拌5min后,加入CF3SO2Cl(1.17mL,10.98mmol),室温反应4h。TLC监测反应完全。将反应液倒入50mL水中,EA萃取3次,合并有机相用饱和食盐水洗涤,无水硫酸钠干燥,减压蒸发除去溶剂,得化合物14-1,为黄色油状液体,不经进一步纯化直接投下一步。m/z(ESI-MS):497.4[M+H]+。
步骤2:合成化合物14-2
在25mL封管中将化合物14-1(500mg,1.01mmol)、B2pin2(307mg,1.21mmol)、Pd(dppf)2·CH2Cl2(7.68mg,10.07μmol)和醋酸钾(297mg,3.02mmol)溶于6mL 1,4-二氧六环溶液中,100℃反应7h。TLC监测反应完全。溶剂蒸发,使用EA和水萃取,合并有机相用饱和食盐水洗涤,无水硫酸钠干燥,减压蒸发除去溶剂,经硅胶柱层析(纯DCM)纯化得化合物14-2,为白色固体,收率为11.03%。m/z(ESI-MS):393.1[M+H]+。
步骤3:合成化合物14
参考实施例1的制备方法,合成步骤同实施例1步骤4,不同的是用化合物14-2替换化合物1-5。化合物14为白色固体,收率为73.29%。1H NMR(300MHz,DMSO-d6)δ10.02(s,1H),8.85-8.77(m,2H),8.51(s,2H),8.39(d,J=1.4Hz,1H),8.08(dd,J=7.4,1.5Hz,1H),7.97(dd,J=7.5,1.4Hz,1H),7.87(d,J=7.5Hz,1H)。
实施例15:2-(((3-乙酰基-4-羟基苯基)磺酰基)氨基甲酰基)异烟酸(化合物15)的制备
按照实施例8步骤合成化合物15-2~化合物15,不同之处在于用化合物15-1替换化合物7-1。得到化合物15-2为白色固体,收率为78.04%。m/z(ESI-MS):249.7[M+H]+。
化合物15-3为白灰色固体,收率为69.87%。m/z(ESI-MS):230.2[M+H]+。
化合物15-4为白色固体,收率为53.29%。m/z(ESI-MS):216.2[M+H]+。
化合物15-5为白色固体,收率为63.22%。m/z(ESI-MS):379.3[M+H]+。
化合物15为白色固体,收率为92.03%。1H NMR(300MHz,DMSO-d6)δ12.23(s,1H),8.92(d,J=4.9Hz,1H),8.43(d,J=2.5Hz,1H),8.35-8.25(m,1H),8.12(dt,J=6.8,2.3Hz,2H),7.21(d,J=8.8Hz,1H),2.67(s,3H)。
实施例16:2-(((3-乙酰基-4-二羟硼基苯基)磺酰基)氨基甲酰基)异烟酸(化合物16)的制备
按照实施例14步骤合成化合物16-1~化合物16,不同之处在于用化合物15-5替换化合物7。得到化合物16-1为黄色油状液体。m/z(ESI-MS):511.4[M+H]+。
化合物16-2为白色固体,收率为18.37%。m/z(ESI-MS):407.2[M+H]+。
化合物16为白色固体,收率为83.05%。1H NMR(300MHz,DMSO-d6)δ8.84-8.70(m,2H),8.57(s,2H),8.39(d,J=1.5Hz,1H),8.06(dd,J=7.4,1.5Hz,1H),7.91(dd,J=7.4,1.5Hz,1H),7.85(d,J=7.5Hz,1H),2.71(s,3H)。
实施例17:2-((萘-1-磺酰基)氨基甲酰基)异烟酸甲酯(化合物17)的制备
步骤1:合成化合物17-2
参考实施例7的制备方法,合成步骤同实施例7步骤2,不同的是用化合物17-1替换化合物7-2。化合物17-2为白色固体,收率为83.31%。m/z(ESI-MS):208.2[M+H]+。
步骤2:合成化合物17
参考实施例1的制备方法,合成步骤同实施例1步骤2,不同的是用化合物17-2替换化合物1-3。得到化合物17为白色固体,收率为68.54%。1H NMR(300MHz,DMSO-d6)δ8.91(d,J=5.1Hz,1H),8.85(d,J=8.3Hz,1H),8.42(s,1H),8.33(d,J=7.3Hz,1H),8.18(d,J=8.2Hz,1H),8.08-8.01(m,1H),8.01-7.92(m,1H),7.72-7.53(m,3H),3.93(s,3H)。
实施例18:2-((萘-1-基磺酰基)氨基甲酰基)异烟酸(化合物18)的制备
参考实施例1的制备方法,合成步骤同实施例1步骤4,不同的是用化合物17替换化合物1-5。得到化合物18为白色固体,收率为87.32%。1H NMR(300MHz,DMSO-d6)δ8.91(d,J=5.1Hz,1H),8.85(d,J=8.3Hz,1H),8.42(s,1H),8.33(d,J=7.3Hz,1H),8.18(d,J=8.2Hz,1H),8.10-8.01(m,1H),8.01-7.91(m,1H),7.73-7.52(m,3H)。
实施例19:N4-羟基-N2-(萘-1-基磺酰基)吡啶-2,4-二酰胺(化合物19)的制备
按照实施例9步骤合成化合物19,不同之处在于用化合物17替换化合物7。
化合物19为淡黄色固体,收率为20.78%。1H NMR(300MHz,DMSO-d6)δ8.97-8.87(m,1H),8.66(s,1H),8.34(d,J=4.8Hz,2H),8.25-8.17(m,1H),8.05-7.91(m,2H),7.65-7.48(m,4H)。
实施例20:2-((萘-1-基甲基)氨基甲酰基)异烟酸(化合物20)的制备
步骤1:合成化合物20-2
参考实施例1的制备方法,合成步骤同实施例1步骤2,不同的是用化合物20-1替换化合物1-3。化合物20-2为白色固体,收率为78.26%。m/z(ESI-MS):321.3[M+H]+。
步骤2:合成化合物20
参考实施例1的制备方法,合成步骤同实施例1步骤4,不同的是用化合物20-2替换化合物1-5。得到化合物20为白色固体,收率为91.07%。1H NMR(300MHz,DMSO-d6)δ9.26(t,J=6.2Hz,1H),8.65(d,J=4.9Hz,1H),8.30-8.22(m,1H),8.12-8.01(m,1H),7.83(dd,J=4.9,1.7Hz,1H),7.76(dd,J=7.4,2.0Hz,1H),7.65(dd,J=7.4,2.1Hz,1H),7.45-7.23(m,4H),4.81(d,J=6.2Hz,2H)。
实施例21:2-((萘-1-磺酰胺基)甲基)异烟酸(化合物21)的制备
步骤1:合成化合物21-1
参考实施例12的制备方法,合成步骤同实施例12步骤3,不同的是用化合物13-3替换盐酸甲胺,化合物17-1替换化合物7-2。得到化合物21-1为白色固体,收率为79.52%。m/z(ESI-MS):357.4[M+H]+。
步骤2:合成化合物21
参考实施例1的制备方法,合成步骤同实施例1步骤4,不同的是用化合物21-1替换化合物1-5。得到化合物21为白色固体,收率为89.71%。1H NMR(300MHz,DMSO-d6)δ8.66(d,J=7.5Hz,1H),8.15-7.98(m,4H),7.94(d,J=1.5Hz,1H),7.84(dd,J=7.6,1.6Hz,1H),7.81-7.70(m,2H),7.60(td,J=7.6,1.4Hz,1H),7.43(td,J=7.5,1.5Hz,1H),4.22(d,J=11.9Hz,2H)。
实施例22:2-((1-萘甲酰胺基)甲基)异烟酸(化合物22)的制备
步骤1:合成化合物22-2
参考实施例1的制备方法,合成步骤同实施例1步骤2,不同的是用化合物13-3替换化合物1-3,化合物22-1替换化合物1-2。得到化合物22-2为白色固体,收率为78.26%。m/z(ESI-MS):321.3[M+H]+。
步骤2:合成化合物22
参考实施例1的制备方法,合成步骤同实施例1步骤4,不同的是用化合物22-2替换化合物1-5。得到化合物22为白色固体,收率为89.90%。1H NMR(300MHz,DMSO-d6)δ13.70(s,1H),9.27(t,J=6.0Hz,1H),8.77(d,J=5.0Hz,1H),8.28(dt,J=8.5,3.0Hz,1H),8.07(d,J=8.2Hz,1H),8.04-7.98(m,1H),7.93(s,1H),7.73(ddd,J=12.1,6.0,1.5Hz,2H),7.66-7.55(m,3H),4.74(d,J=6.0Hz,2H)。
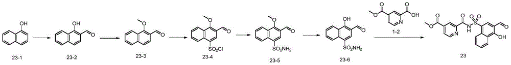
实施例23:2-(((3-甲酰基-4-羟基萘-1-基)磺酰基)氨基甲酰基)异烟酸甲酯(化合物23)的制备
步骤1:合成化合物23-2
参考实施例10的制备方法,合成步骤同实施例10步骤2,不同的是用化合物23-1替换化合物10-2。化合物23-2为黄色固体,收率为60.21%。m/z(ESI-MS):173.2[M+H]+。
步骤2:合成化合物23-3
将化合物23-2(5g,29.04mmol)和碳酸钾(6.09g,43.56mmol)溶于10mL DMF中,加入碘甲烷(2.71mL,43.56mmol),室温反应过夜。TLC监测反应结束,加水搅拌30min,EA萃取3次,合并有机相用饱和食盐水洗涤,无水硫酸钠干燥,减压蒸发除去溶剂,经硅胶柱层析(PE:EA=100:1)纯化得化合物23-3,为黄色固体,收率为88.01%。m/z(ESI-MS):187.2[M+H]+。
步骤3:合成化合物23-4~化合物23
参考实施例7的制备方法,按照实施例7步骤1-4合成化合物23-4~化合物23,不同之处在于用化合物23-3替换化合物7-1。
化合物23-4为白色固体,收率为50.30%。m/z(ESI-MS):285.7[M+H]+。
化合物23-5为白色固体,收率为68.21%。m/z(ESI-MS):266.3[M+H]+。
化合物23-6为白色固体,收率为70.35%。m/z(ESI-MS):252.2[M+H]+。
化合物23为白色固体,收率为58.32%。1H NMR(300MHz,DMSO-d6)δ10.38(s,1H),8.91(d,J=4.9Hz,1H),8.72(d,J=8.5Hz,1H),8.65(s,1H),8.48(d,J=8.3Hz,1H),8.23(s,1H),8.08(td,J=4.9,1.7Hz,1H),7.82(t,J=7.8Hz,1H),7.65(t,J=7.6Hz,1H),3.89(s,3H)。
实施例24:2-(((3-甲酰基-4-羟基萘-1-基)磺酰基)氨基甲酰基)异烟酸(化合物24)制备
参考实施例1的制备方法,合成步骤同实施例1步骤4,不同的是用化合物23替换化合物1-5。得到化合物24为白色固体,收率为83.05%。1H NMR(300MHz,DMSO-d6)δ10.43(s,1H),8.97-8.86(m,1H),8.77(dd,J=12.3,8.6Hz,1H),8.73-8.49(m,1H),8.47-8.36(m,1H),8.21(dt,J=2.3,1.2Hz,1H),8.07(dd,J=4.9,1.6Hz,1H),7.95-7.60(m,2H).
实施例25:N2-(3-甲酰基-4-羟基萘-1-基)磺酰基)-N4-羟基吡啶-2,4-二酰胺(化合物25)的制备
按照实施例9步骤合成化合物19,不同之处在于用化合物23替换化合物7。
化合物25为淡黄色固体,收率为19.37%。1H NMR(300MHz,DMSO-d6)δ12.09(s,1H),10.81(d,J=4.9Hz,1H),10.19(s,1H),8.96(d,J=4.9Hz,1H),8.85–8.75(m,2H),8.41(ddd,J=15.6,7.4,1.5Hz,2H),8.25(s,1H),7.87(dd,J=7.4,1.5Hz,1H),7.58(td,J=7.5,1.6Hz,1H),7.45(td,J=7.4,1.6Hz,1H).
实施例26:2-(((4-二羟硼基-3-甲酰基萘-1-基)磺酰基)氨基甲酰基)异烟酸(化合物26)的制备
参考实施例14的制备方法,按照实施例14步骤1-3合成化合物26-1~化合物26,不同之处在于用化合物23替换化合物7。
化合物26-1为黄色油状液体。m/z(ESI-MS):547.4[M+H]+。
化合物26-2为白色固体,收率为17.39%。m/z(ESI-MS):443.2[M+H]+。
化合物26为白色固体,收率为87.52%。1H NMR(300MHz,DMSO-d6)δ10.00(s,1H),8.80(d,J=1.5Hz,1H),8.78-8.67(m,2H),8.47-8.36(m,4H),8.08(dd,J=7.4,1.5Hz,1H),7.57(td,J=7.5,1.6Hz,1H),7.47(td,J=7.4,1.6Hz,1H)。
实施例27:2-(((3-乙酰基-4-羟基萘-1-基)磺酰基)氨基甲酰基)异烟酸甲酯(化合物27)的制备
参考实施例23的制备方法,按照实施例23步骤2-6合成化合物27-2~化合物27,不同之处在于用化合物27-1替换化合物23-2。
化合物27-2为白色固体,收率为89.33%。m/z(ESI-MS):201.2[M+H]+。
化合物27-3为白色固体,收率为70.21%。m/z(ESI-MS):299.7[M+H]+。
化合物27-4为白色固体,收率为73.68%。m/z(ESI-MS):280.3[M+H]+。
化合物27-5为白色固体,收率为70.21%。m/z(ESI-MS):266.3[M+H]+。
化合物27为白色固体,收率为79.98%。1H NMR(300MHz,DMSO-d6)δ14.57(s,1H),8.96-8.89(m,1H),8.80(d,J=8.6Hz,1H),8.74(s,1H),8.51-8.43(m,1H),8.24-8.19(m,1H),8.08(dd,J=5.0,1.7Hz,1H),7.90(ddd,J=8.5,7.0,1.4Hz,1H),7.78-7.69(m,1H),3.88(s,3H),2.84(s,3H)。
实施例28:2-(((3-乙酰基-4-羟基萘-1-基)磺酰基)氨基甲酰基)异烟酸(化合物28)制备
参考实施例1的制备方法,合成步骤同实施例1步骤4,不同的是用化合物27替换化合物1-5。得到化合物28为白色固体,收率为89.77%。1H NMR(300MHz,DMSO-d6)δ14.59(s,1H),8.91(dd,J=4.9,0.9Hz,1H),8.81(d,J=8.6Hz,1H),8.75(s,1H),8.48(dd,J=8.4,1.4Hz,1H),8.26-8.17(m,1H),8.08(dd,J=4.9,1.7Hz,1H),7.91(ddd,J=8.5,7.0,1.4Hz,1H),7.74(ddd,J=8.2,7.0,1.1Hz,1H),2.85(s,3H)。
实施例29:N2-((3-乙酰基-4-羟基萘-1-基)磺酰基)-N4-羟基吡啶-2,4-二酰胺(化合物29)的制备
按照实施例9步骤合成化合物29,不同之处在于用化合物27替换化合物7。
化合物29为淡黄色固体,收率为24.96%。1H NMR(300MHz,DMSO-d6)δ8.78(d,J=8.4Hz,1H),8.65(d,J=5.0Hz,1H),8.36(s,1H),8.31(d,J=8.2Hz,1H),8.25(s,1H),7.68(d,J=5.2Hz,1H),7.55(dq,J=15.0,7.1Hz,2H),2.44(s,3H).
实施例30:2-(((3-乙酰基-4-二羟硼基萘-1-基)磺酰基)氨基甲酰基)异烟酸(化合物30)的制备
参考实施例14的制备方法,按照实施例14步骤1-3合成化合物30-1~化合物30,不同之处在于用化合物27替换化合物7。
化合物30-1为黄色油状液体。m/z(ESI-MS):561.5[M+H]+。
化合物30-2为白色固体,收率为21.75%。m/z(ESI-MS):457.2[M+H]+。
化合物30为白色固体,收率为89.21%。1H NMR(300MHz,DMSO-d6)δ8.80(d,J=1.5Hz,1H),8.70(dd,J=7.4,2.2Hz,2H),8.52(d,J=10.3Hz,3H),8.39-8.30(m,1H),8.08(dd,J=7.4,1.5Hz,1H),7.57-7.38(m,2H),2.75(s,3H)。
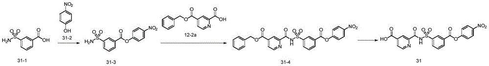
实施例31:2-(((3-((4-硝基苯氧基)羰基)苯基)磺酰基)氨基甲酰基)异烟酸(化合物31)的制备
步骤1:合成化合物31-3
将化合物31-1(500mg,2.49mmol)溶于20mL无水二氯甲烷中,依次加入EDCI(715mg,3.73mmol),DMAP(455mg,3.73mmol)和TEA(1.04mL,7.46mmol),0℃活化30min后,加入化合物31-2(415mg,2.98mmol),室温反应过夜。TLC监测反应完全。用DCM和水萃取,合并有机相用饱和食盐水洗涤,无水硫酸钠干燥,经硅胶柱层析(PE:EA=20:1)纯化得化合物31-3,为黄色固体,收率为69.81%。m/z(ESI-MS):323.3[M+H]+。
步骤2:合成化合物31-4
参考实施例1的制备方法,合成步骤同实施例1步骤2,不同的是用化合物31-3替换化合物1-3。化合物31-4为黄色固体,收率为67.72%。m/z(ESI-MS):562.5[M+H]+。
步骤3:合成化合物31
参考实施例12的制备方法,合成步骤同实施例12步骤6,不同的是用化合物31-4替换化合物12-3。得到化合物31为黄色固体,收率为33.07%。1H NMR(300MHz,DMSO-d6)δ8.80(d,J=1.5Hz,1H),8.67(d,J=7.4Hz,1H),8.44(t,J=1.5Hz,1H),8.29-8.20(m,2H),8.16(dt,J=7.5,1.5Hz,1H),8.06(dd,J=7.4,1.5Hz,1H),7.97(dt,J=7.5,1.5Hz,1H),7.61(t,J=7.5Hz,1H),7.37-7.27(m,2H)。
实施例32:2-(((3-((4-三氟甲基苯氧基)羰基)苯基)磺酰基)氨基甲酰基)异烟酸(化合物32)的制备
参考实施例31的制备方法,按照实施例31步骤1-3合成化合物32-2~化合物32,不同之处在于用化合物32-1替换化合物31-2。
化合物32-2为白色固体,收率为71.66%。m/z(ESI-MS):346.3[M+H]+。
化合物32-3为白色固体,收率为59.06%。m/z(ESI-MS):585.5[M+H]+。
化合物32为白色固体,收率为28.09%。1H NMR(300MHz,DMSO-d6)δ8.80(d,J=1.5Hz,1H),8.65(d,J=7.6Hz,1H),8.41(t,J=1.5Hz,1H),8.14(dt,J=7.4,1.5Hz,1H),8.06(dd,J=7.4,1.5Hz,1H),7.93(dt,J=7.6,1.5Hz,1H),7.71-7.56(m,3H),7.29-7.19(m,2H)。
实施例33:2-(((3-((4-氟苯氧基)羰基)苯基)磺酰基)氨基甲酰基)异烟酸(化合物33)的制备
参考实施例31的制备方法,按照实施例31步骤1-3合成化合物33-2~化合物33,不同之处在于用化合物33-1替换化合物31-2。
化合物33-2为白色固体,收率为69.43%。m/z(ESI-MS):296.3[M+H]+。
化合物33-3为白色固体,收率为56.89%。m/z(ESI-MS):535.5[M+H]+。
化合物33为白色固体,收率为29.01%。1H NMR(300MHz,DMSO-d6)δ8.80(d,J=1.5Hz,1H),8.70(d,J=7.5Hz,1H),8.46(t,J=1.5Hz,1H),8.15(dt,J=7.4,1.5Hz,1H),8.08(dd,J=7.4,1.5Hz,1H),7.96(dt,J=7.4,1.5Hz,1H),7.65-7.54(m,1H),7.16(ddt,J=6.6,5.1,1.5Hz,2H),7.14-7.02(m,2H)。
实施例34:2-(((3-((4-甲氧基苯氧基)羰基)苯基)磺酰基)氨基甲酰基)异烟酸(化合物34)的制备
参考实施例31的制备方法,按照实施例31步骤1-3合成化合物34-2~化合物34,不同之处在于用化合物34-1替换化合物31-2。
化合物34-2为白色固体,收率为71.01%。m/z(ESI-MS):308.3[M+H]+。
化合物34-3为白色固体,收率为51.77%。m/z(ESI-MS):547.5[M+H]+。
化合物34为白色固体,收率为30.10%。1H NMR(300MHz,DMSO-d6)δ8.80(d,J=1.5Hz,1H),8.70(d,J=7.5Hz,1H),8.46(t,J=1.5Hz,1H),8.17(dt,J=7.5,1.5Hz,1H),8.06(dd,J=7.4,1.5Hz,1H),7.95(dt,J=7.6,1.5Hz,1H),7.59(t,J=7.5Hz,1H),7.18-7.08(m,2H),6.90-6.81(m,2H),3.77(s,3H)。
实施例35:2-(((2-((4-硝基苯氧基)羰基)苯基)磺酰基)氨基甲酰基)异烟酸(化合物35)的制备
参考实施例31的制备方法,按照实施例31步骤1-3合成化合物35-2~化合物35,不同之处在于用化合物35-1替换化合物31-1。
化合物35-2为黄色固体,收率为68.32%。m/z(ESI-MS):323.3[M+H]+。
化合物35-3为黄色固体,收率为53.87%。m/z(ESI-MS):562.5[M+H]+。
化合物35为黄色固体,收率为29.01%。1H NMR(300MHz,DMSO-d6)δ8.80(d,J=1.5Hz,1H),8.67(d,J=7.4Hz,1H),8.31-8.22(m,2H),8.14(dd,J=7.4,1.5Hz,1H),8.05(ddd,J=7.4,4.6,1.6Hz,2H),7.68(td,J=7.5,1.6Hz,1H),7.55(td,J=7.4,1.6Hz,1H),7.33-7.23(m,2H)。
实施例36:2-(((2-((4-三氟甲基苯氧基)羰基)苯基)磺酰基)氨基甲酰基)异烟酸(化合物36)的制备
参考实施例31的制备方法,按照实施例31步骤1-3合成化合物36-1~化合物36,不同之处在于用化合物35-1替换化合物31-1,用化合物32-1替换化合物31-2。
化合物36-1为白色固体,收率为68.32%。m/z(ESI-MS):346.3[M+H]+。
化合物36-2为白色固体,收率为53.87%。m/z(ESI-MS):585.5[M+H]+。
化合物36为白色固体,收率为29.01%。1H NMR(300MHz,DMSO-d6)δ8.80(d,J=1.5Hz,1H),8.65(d,J=7.5Hz,1H),8.15(dd,J=7.4,1.6Hz,1H),8.05(dt,J=7.4,1.6Hz,2H),7.73-7.62(m,3H),7.67-7.52(m,1H),7.26-7.16(m,2H)。
实施例37:2-(((2-((4-氟苯氧基)羰基)苯基)磺酰基)氨基甲酰基)异烟酸(化合物37)
参考实施例31的制备方法,按照实施例31步骤1-3合成化合物37-1~化合物37,不同之处在于用化合物35-1替换化合物31-1,用化合物33-1替换化合物31-2。
化合物37-1为白色固体,收率为61.06%。m/z(ESI-MS):296.3[M+H]+。
化合物37-2为白色固体,收率为57.33%。m/z(ESI-MS):535.5[M+H]+。
化合物37为白色固体,收率为28.91%。1H NMR(300MHz,DMSO-d6)δ8.80(d,J=1.5Hz,1H),8.70(d,J=7.5Hz,1H),8.11(ddd,J=16.4,7.5,1.5Hz,2H),7.98(dd,J=7.5,1.6Hz,1H),7.74(td,J=7.5,1.5Hz,1H),7.56(td,J=7.4,1.5Hz,1H),7.19(ddt,J=6.6,4.9,1.4Hz,2H),7.14 -7.03(m,2H)。
实施例38:2-(((2-((4-甲氧基苯氧基)羰基)苯基)磺酰基)氨基甲酰基)异烟酸(化合物38)的制备
参考实施例31的制备方法,按照实施例31步骤1-3合成化合物38-1~化合物38,不同之处在于用化合物35-1替换化合物31-1,用化合物34-1替换化合物31-2。
化合物38-1为白色固体,收率为63.08%。m/z(ESI-MS):308.3[M+H]+。
化合物38-2为白色固体,收率为55.01%。m/z(ESI-MS):547.5[M+H]+。
化合物38为白色固体,收率为26.33%。1H NMR(300MHz,DMSO-d6)δ8.80(d,J=1.5Hz,1H),8.70(d,J=7.5Hz,1H),8.14(dd,J=7.5,1.6Hz,1H),8.03(ddd,J=14.1,7.4,1.5Hz,2H),7.74(td,J=7.4,1.5Hz,1H),7.55(td,J=7.4,1.5Hz,1H),7.17-7.08(m,2H),6.90-6.81(m,2H),3.77(s,3H)。
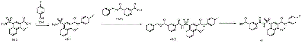
实施例39:2-(((4-甲氧基-3-((4-硝基苯氧基)羰基)萘-1-基)磺酰基)氨基甲酰基)异烟酸(化合物39)的制备
步骤1:合成化合物39-2
参考实施例7的制备方法,合成步骤同实施例7步骤1,不同的是用化合物39-1替换化合物7-1。化合物39-2为白色固体,收率为73.05%。m/z(ESI-MS):299.7[M-H]-。
步骤2:合成化合物39-3
参考实施例7的制备方法,合成步骤同实施例7步骤2,不同的是用化合物39-2替换化合物7-2。化合物39-3为白色固体,收率为73.05%。m/z(ESI-MS):280.3[M-H]-。步骤3:合成化合物39-4~化合物39
参考实施例31的制备方法,按照实施例31步骤1-3合成化合物39-4~化合物39,不同之处在于用化合物39-3替换化合物31-1。
化合物39-4为黄色固体,收率为62.78%。m/z(ESI-MS):403.4[M+H]+。
化合物39-5为黄色固体,收率为53.90%。m/z(ESI-MS):642.6[M+H]+。
化合物39为黄色固体,收率为27.74%。1H NMR(300MHz,DMSO-d6)δ8.80(d,J=1.5Hz,1H),8.66(d,J=7.6Hz,1H),8.55-8.43(m,2H),8.34(d,J=1.3Hz,1H),8.32(d,J=1.3Hz,1H),8.24(s,1H),8.05(dd,J=7.4,1.4Hz,1H),7.61(td,J=7.5,1.6Hz,1H),7.48(td,J=7.5,1.6Hz,1H),7.34(d,J=1.3Hz,1H),7.31(d,J=1.3Hz,1H),3.81(s,3H)。实施例40:2-(((4-甲氧基-3-((4-三氟甲基苯氧基)羰基)萘-1-基)磺酰基)氨基甲酰基)异烟酸(化合物40)的制备
参考实施例31的制备方法,按照实施例31步骤1-3合成化合物40-1~化合物40,不同之处在于用化合物39-3替换化合物31-1,用化合物32-1替换化合物31-2。
化合物40-1为白色固体,收率为63.20%。m/z(ESI-MS):426.4[M+H]+。
化合物40-2为白色固体,收率为56.81%。m/z(ESI-MS):665.6[M+H]+。
化合物40为白色固体,收率为25.32%。1H NMR(300MHz,DMSO-d6)δ8.80(d,J=1.5Hz,1H),8.66(d,J=7.6Hz,1H),8.49(ddd,J=7.2,2.6,1.5Hz,2H),8.22(s,1H),8.05(dd,J=7.4,1.4Hz,1H),7.76-7.63(m,2H),7.58(td,J=7.5,1.6Hz,1H),7.48(td,J=7.5,1.6Hz,1H),7.20(d,J=1.3Hz,1H),7.18(d,J=1.3Hz,1H),3.82(s,3H)。
实施例41:2-(((4-甲氧基-3-((4-氟苯氧基)羰基)萘-1-基)磺酰基)氨基甲酰基)异烟酸(化合物41)的制备
参考实施例31的制备方法,按照实施例31步骤1-3合成化合物41-1~化合物41,不同之处在于用化合物39-3替换化合物31-1,用化合物33-1替换化合物31-2。
化合物41-1为白色固体,收率为58.91%。m/z(ESI-MS):376.4[M+H]+。
化合物41-2为白色固体,收率为60.02%。m/z(ESI-MS):615.6[M+H]+。
化合物41为白色固体,收率为27.65%。1H NMR(300MHz,DMSO-d6)δ8.80(d,J=1.5Hz,1H),8.65(d,J=7.6Hz,1H),8.54(dd,J=7.4,1.6Hz,1H),8.48(dd,J=7.4,1.6Hz,1H),8.21(s,1H),8.06(dd,J=7.4,1.4Hz,1H),7.60(td,J=7.4,1.6Hz,1H),7.48(td,J=7.4,1.6Hz,1H),7.18(ddt,J=6.6,5.1,1.4Hz,2H),7.14–7.04(m,2H),3.83(s,3H)。
实施例42:2-(((4-甲氧基-3-((4-甲氧基苯氧基)羰基)萘-1-基)磺酰基)氨基甲酰基)异烟酸(化合物42)的制备
参考实施例31的制备方法,按照实施例31步骤1-3合成化合物42-1~化合物42,不同之处在于用化合物39-3替换化合物31-1,用化合物34-1替换化合物31-2。
化合物42-1为白色固体,收率为64.83%。m/z(ESI-MS):388.4[M+H]+。
化合物42-2为白色固体,收率为54.71%。m/z(ESI-MS):627.6[M+H]+。
化合物42为白色固体,收率为28.60%。1H NMR(300MHz,DMSO-d6)δ8.80(d,J=1.5Hz,1H),8.66(d,J=7.6Hz,1H),8.53(dd,J=7.4,1.5Hz,1H),8.48(dd,J=7.4,1.6Hz,1H),8.22(s,1H),8.05(dd,J=7.4,1.5Hz,1H),7.60(td,J=7.4,1.6Hz,1H),7.48(td,J=7.5,1.6Hz,1H),7.15-7.07(m,2H),6.89-6.79(m,2H),3.81(s,3H),3.77(s,3H)。
实施例43:2-((萘-1-基甲基)氨基甲酰基)异烟酸钠(化合物43)的制备
将化合物20(100mg,0.326mmol)溶于10mL甲醇中,使用移液枪精确加入326μL1MNaOH-甲醇溶液,立即变为无色澄清溶液。20min后,减压浓缩除去甲醇,烘干,得化合物43,为白色固体,收率为83.21%。1H NMR(300MHz,DMSO-d6)δ8.94-8.82(m,2H),8.78(d,J=1.5Hz,1H),8.21-8.09(m,1H),8.05(dd,J=7.5,1.6Hz,1H),7.87(ddt,J=8.4,7.5,1.5Hz,2H),7.60-7.46(m,2H),7.46-7.36(m,1H),7.34(dd,J=7.5,1.7Hz,1H),4.83(d,J=9.9Hz,2H)。
实施例44:2-((萘-1-基甲基)氨基甲酰基)异烟酸盐酸盐(化合物44)的制备
将化合物20(100mg,0.326mmol)溶于10mL盐酸-乙醇溶液中,室温反应4h。减压浓缩除去乙醇,加入适量乙酸乙酯,抽滤,得化合物44,为白色固体,收率为76.08%。1H NMR(300MHz,DMSO-d6)δ8.92(t,J=9.9Hz,1H),8.81(d,J=7.5Hz,1H),8.52(s,1H),8.30(d,J=1.5Hz,1H),8.17-8.05(m,2H),7.86(ddt,J=10.7,7.1,1.5Hz,2H),7.60-7.46(m,2H),7.45-7.34(m,1H),7.33(dd,J=7.5,1.7Hz,1H),4.79(d,J=9.9Hz,2H)。
实施例45:ALKBH5蛋白的表达与纯化
ALKBH5基因质粒从金斯瑞生物科技公司购买。
实验步骤:
用重组质粒转染大肠杆菌BL21(DE3)菌株,37℃在无菌LB培养基中复苏菌体。挑取单克隆至10mL LB液体培养基(含50μg/mL卡那霉素,Amp),37℃震荡培养(220rpm)过夜,转移至1L LB液体培养基(含50μg/mL卡那霉素,Amp),37℃震荡培养(220rpm)6-8小时至OD600在0.6-0.8,降温至12℃,加入1mM IPTG(Merck)诱导表达16小时(180rpm)后收菌,于-80℃保存备用。
4g上步骤的菌泥加入40mL破菌裂解液,混匀后加入PMSF(碧云天),超声裂解40分钟,裂解后的混合液经低温高速离心(10000rpm,20min,4℃),取上清过滤(0.4μm微孔滤膜),经AKTA pure 25(GE Healthcare,Life Sciences)采用His柱分离纯化(平衡液:20mMpH 8.0Tris-HCl,300mM NaCl,10mM咪唑;洗脱液:20mM pH 8.0Tris-HCl,300mM NaCl,500mM咪唑),10% SDS-PAGE确认条带分子量及纯度,透析过夜(20mM pH 8.0Tris-HCl,300mM NaCl)。所得蛋白经BCA测定浓度后保存于-80℃备用。
实施例46:基于荧光偏振(FP)测定化合物对ALKBH5的抑制活性
本发明基于与ALKBH5结合的一段ssDNA构造荧光分子探针,作为研究该类化合物竞争ALKBH5与ssDNA结合的方法,测定该类化合物在不同浓度条件下的抑制率,进而计算IC50值。
所用器材和试剂如下:
本实验所用的仪器是SpectraMax Paradigm Multi-Mode Microplate Reader(Molecular Devices)。所用蛋白为ALKBH5(实验室自己表达和纯化的蛋白,序列为66-292)。所用探针为荧光标记的m6A-ssDNA(5′-ATTGTCA(dm6A)CAGCAGA-FAM-3′,委托金斯瑞生物科技公司合成)。所有待测化合物都配制成溶于DMSO的10mM母液。实验所用384孔黑板为Corning生产。
实验步骤:
测试终体积选择60μL,分别按20μL不同浓度的化合物(每个化合物使用两倍梯度稀释10~14个梯度,初始浓度为100μM),20μL ALKBH5蛋白(300nM,终浓度100nM),20μL荧光探针(30nM,终浓度10nM)的顺序加入孔中。每次实验设置空白对照(40μLpH=7.5Tris-HCl缓冲液+20μL 10nM荧光探针)和阴性对照(20μL pH=7.5Tris-HCl缓冲液+20μL ALKBH5蛋白+20μL 10nM荧光探针)。加完样后将384孔板用锡箔纸遮挡,在室温下摇床孵育1小时,使用SpectraMax Paradigm Multi-Mode Microplate Reader在激发波长485nm、发射波长为535nm的条件下读取荧光,计算mP值,利用以下公式计算抑制率后,再利用GraphPad Prism5.0计算IC50值。
抑制率=(化合物组mP值-空白组mP值)/(阴性对照组mP值-空白组mP值)×100%
实验结果如表1所示,以文献报道(Chem Asian J 2018,13(19),2854-2867.)的化合物MD-9作为先导化合物,以其活性数据作为对照。MD-9的结构式为
表1本发明化合物对ALKBH5蛋白的IC50值
由表1结果可知,本发明的化合物对ALKBH5有明显的抑制活性,可作为ALKBH5蛋白小分子抑制剂,在蛋白酶水平上抑制RNA去甲基化酶。
综上可见,本发明提供的取代吡啶类化合物对ALKBH5具有明显的抑制活性,为一种有效的ALKBH5抑制剂。因此,含有上述化合物作为有效成分的药物,可以用于制备治疗与ALKBH5有关的临床病症的药物。
如上所述,尽管参照特定的优选实施例已经表示和表述了本发明,但其不得解释为对本发明自身的限制。在不脱离所附权利要求定义的本发明的精神和范围前提下,可对其在形式上和细节上作出各种变化。
Claims (10)
2.根据权利要求1所述的化合物,其特征在于,所述Rd为取代的苯基时,取代基选自氟、硝基、三氟甲基或甲氧基。
3.根据权利要求1所述的化合物,其特征在于,所述R1为-COOH、-COOCH3、-CO-NH-OH。
4.根据权利要求1所述的化合物,其特征在于,所述R2为H或CH3。
5.根据权利要求1所述的化合物,其特征在于,所述L1、L2选自羰基、磺酰基或亚甲基。
6.根据权利要求1所述的化合物,其特征在于:所述药学上可接受的盐包括通式I化合物与下列酸形成的酸加成盐:盐酸、氢溴酸、硫酸、磷酸、甲磺酸、苯磺酸、对甲苯磺酸、萘磺酸、柠檬酸、酒石酸、乳酸、丙酮酸、乙酸、马来酸或琥珀酸、富马酸、水杨酸、苯基乙酸、杏仁酸;还包括通式I化合物与无机碱形成的碱式盐:钠盐、钾盐、锂盐、钙盐、锌盐、镁盐、葡甲胺盐、氨基丁三醇盐、二乙胺盐或乙醇胺盐。
8.一种药物组合物,其特征在于:包括权利要求1-7任一项所述的化合物或其药学上可接受的盐以及药学上可接受的载体或赋形剂。
9.根据权利要求1-7任一项所述的化合物在制备用于治疗与ALKBH5蛋白功能失调相关疾病的药物中的用途。
10.根据权利要求9所述的用途,其特征在于,所述与ALKBH5蛋白功能失调相关疾病为胶质母细胞瘤、卵巢癌、子宫内膜癌、宫颈癌、乳腺癌、急性髓系白血病、垂体腺瘤、口腔鳞状细胞癌、食道鳞状细胞癌、胃癌、乙肝病毒相关肝细胞癌和肝内胆管癌。
Priority Applications (1)
| Application Number | Priority Date | Filing Date | Title |
|---|---|---|---|
| CN202211483042.6A CN115806522B (zh) | 2022-11-24 | 2022-11-24 | 一种取代吡啶衍生物及其应用 |
Applications Claiming Priority (1)
| Application Number | Priority Date | Filing Date | Title |
|---|---|---|---|
| CN202211483042.6A CN115806522B (zh) | 2022-11-24 | 2022-11-24 | 一种取代吡啶衍生物及其应用 |
Publications (2)
| Publication Number | Publication Date |
|---|---|
| CN115806522A true CN115806522A (zh) | 2023-03-17 |
| CN115806522B CN115806522B (zh) | 2025-05-13 |
Family
ID=85484191
Family Applications (1)
| Application Number | Title | Priority Date | Filing Date |
|---|---|---|---|
| CN202211483042.6A Active CN115806522B (zh) | 2022-11-24 | 2022-11-24 | 一种取代吡啶衍生物及其应用 |
Country Status (1)
| Country | Link |
|---|---|
| CN (1) | CN115806522B (zh) |
Citations (5)
| Publication number | Priority date | Publication date | Assignee | Title |
|---|---|---|---|---|
| WO2011106632A1 (en) * | 2010-02-26 | 2011-09-01 | Millennium Pharmaceuticals, Inc. | Substituted hydroxamic acids and uses thereof |
| CN102970867A (zh) * | 2010-03-18 | 2013-03-13 | 拜耳知识产权有限责任公司 | 作为活性剂对抗非生物植物应激的芳基和杂芳基磺酰胺 |
| CN104981458A (zh) * | 2012-10-02 | 2015-10-14 | Epi生物医疗有限公司 | 组蛋白去甲基化酶抑制剂 |
| CN111936492A (zh) * | 2018-02-12 | 2020-11-13 | Fmc公司 | 用于防治无脊椎害虫的萘异噁唑啉化合物 |
| CN114957110A (zh) * | 2021-02-26 | 2022-08-30 | 清华大学 | 一种抗病毒化合物及其制备方法和应用 |
-
2022
- 2022-11-24 CN CN202211483042.6A patent/CN115806522B/zh active Active
Patent Citations (5)
| Publication number | Priority date | Publication date | Assignee | Title |
|---|---|---|---|---|
| WO2011106632A1 (en) * | 2010-02-26 | 2011-09-01 | Millennium Pharmaceuticals, Inc. | Substituted hydroxamic acids and uses thereof |
| CN102970867A (zh) * | 2010-03-18 | 2013-03-13 | 拜耳知识产权有限责任公司 | 作为活性剂对抗非生物植物应激的芳基和杂芳基磺酰胺 |
| CN104981458A (zh) * | 2012-10-02 | 2015-10-14 | Epi生物医疗有限公司 | 组蛋白去甲基化酶抑制剂 |
| CN111936492A (zh) * | 2018-02-12 | 2020-11-13 | Fmc公司 | 用于防治无脊椎害虫的萘异噁唑啉化合物 |
| CN114957110A (zh) * | 2021-02-26 | 2022-08-30 | 清华大学 | 一种抗病毒化合物及其制备方法和应用 |
Non-Patent Citations (3)
| Title |
|---|
| CA: "1789921-92-1、1458327-93-9、1456096-85-7", 《REGISTRY》, 28 June 2015 (2015-06-28) * |
| MOHUA DAS,等: "Multi-Protein Dynamic Combinatorial Chemistry: A Novel Strategy that Leads to Simultaneous Discovery of Subfamily-Selectiv Inhibitors for Nucleic Acid Demethylases FTO and ALKBH3", 《MULTI-PROTEIN DYNAMIC COMBINATORIAL CHEMISTRY: A NOVEL STRATEGY THAT LEADS TO SIMULTANEOUS DISCOVERY OF SUBFAMILY-SELECTIVE INHIBITORS FOR NUCLEIC ACID DEMETHYLASES FTO AND ALKBH3》, vol. 13, no. 19, 4 October 2018 (2018-10-04), pages 2854 - 2867 * |
| WEN-LONG FEI,等: "Discovery of the salicylaldehyde-based compound DDO-02267 as a lysine-targeting covalent inhibitor of ALKBH5", 《EUROPEAN JOURNAL OF MEDICINAL CHEMISTRY》, vol. 284, 23 December 2024 (2024-12-23), pages 117183 * |
Also Published As
| Publication number | Publication date |
|---|---|
| CN115806522B (zh) | 2025-05-13 |
Similar Documents
| Publication | Publication Date | Title |
|---|---|---|
| US5679688A (en) | Quinaldoyl-amine derivatives of oxo-and hydroxy-substituted hydrocarbons | |
| CN103319466B (zh) | 含香豆素母核的1,2,3-三唑-氨基二硫代甲酸酯化合物、制备方法及其应用 | |
| JP2016511237A (ja) | 選択的hdac3阻害剤 | |
| CN105777464B (zh) | 异羟肟酸衍生物及其制备方法和应用 | |
| CN106928198B (zh) | 磺酰胺衍生物及其制备方法与应用 | |
| CN106967004B (zh) | 含脲基的ido1和ido2双重抑制剂、其制法及其医药用途 | |
| CN113264900A (zh) | 一种苯并异噻唑和苯并噻吩的制备方法及其医药用途 | |
| JP2024530956A (ja) | 多環式系化合物およびその使用 | |
| CN107501169A (zh) | 一类反式二芳基乙烯类lsd1抑制剂、其制备方法及应用 | |
| JPH11269140A (ja) | 分化誘導剤 | |
| AU2009248231A1 (en) | Novel N-(2-amino-phenyl)-acrylamides | |
| US9133105B2 (en) | Transcription factor modulators | |
| CN103992311B (zh) | Hedgehog信号通路抑制剂 | |
| CN114539267A (zh) | 一种吴茱萸碱衍生物及其应用 | |
| CN115806522A (zh) | 一种取代吡啶衍生物及其应用 | |
| CN110088090A (zh) | 基于环丙沙星衍生物的抗菌药物 | |
| CN105801464A (zh) | 吡咯酰胺类化合物及其制备方法与用途 | |
| CN116655605B (zh) | 一种苯基吡唑类化合物、及其制备方法和应用 | |
| CN114702501B (zh) | 一种具有抗肿瘤功效的咪唑类肽脱甲酰基酶抑制剂 | |
| CN114524792B (zh) | 具有抗菌增敏活性的双芳基衍生物及其在抗菌中的应用 | |
| CN113929674B (zh) | 含1,4-二氢喹唑啉结构的化合物及其制备方法与应用 | |
| CN118265699A (zh) | 一种非对称性联苯衍生物及其制备方法与医药用途 | |
| CN106496132B (zh) | N-(4-取代苯基)-2-取代乙酰胺类化合物及其作为sirt2蛋白抑制剂的用途 | |
| CN106632323B (zh) | 一种n-甲基莫西沙星醛缩氨基硫脲类衍生物及其制备方法和应用 | |
| CN118908940B (zh) | 一种靶向抗凋亡Bcl-2的蛋白水解靶向嵌合体的制备和应用 |
Legal Events
| Date | Code | Title | Description |
|---|---|---|---|
| PB01 | Publication | ||
| PB01 | Publication | ||
| SE01 | Entry into force of request for substantive examination | ||
| SE01 | Entry into force of request for substantive examination | ||
| GR01 | Patent grant | ||
| GR01 | Patent grant |




























































