CN107743486B - 杂环取代的二环唑杀有害生物剂 - Google Patents
杂环取代的二环唑杀有害生物剂 Download PDFInfo
- Publication number
- CN107743486B CN107743486B CN201680025166.6A CN201680025166A CN107743486B CN 107743486 B CN107743486 B CN 107743486B CN 201680025166 A CN201680025166 A CN 201680025166A CN 107743486 B CN107743486 B CN 107743486B
- Authority
- CN
- China
- Prior art keywords
- compound
- substituted
- ring
- except
- group
- Prior art date
- Legal status (The legal status is an assumption and is not a legal conclusion. Google has not performed a legal analysis and makes no representation as to the accuracy of the status listed.)
- Active
Links
Classifications
-
- C—CHEMISTRY; METALLURGY
- C07—ORGANIC CHEMISTRY
- C07D—HETEROCYCLIC COMPOUNDS
- C07D401/00—Heterocyclic compounds containing two or more hetero rings, having nitrogen atoms as the only ring hetero atoms, at least one ring being a six-membered ring with only one nitrogen atom
- C07D401/02—Heterocyclic compounds containing two or more hetero rings, having nitrogen atoms as the only ring hetero atoms, at least one ring being a six-membered ring with only one nitrogen atom containing two hetero rings
- C07D401/04—Heterocyclic compounds containing two or more hetero rings, having nitrogen atoms as the only ring hetero atoms, at least one ring being a six-membered ring with only one nitrogen atom containing two hetero rings directly linked by a ring-member-to-ring-member bond
-
- A—HUMAN NECESSITIES
- A01—AGRICULTURE; FORESTRY; ANIMAL HUSBANDRY; HUNTING; TRAPPING; FISHING
- A01N—PRESERVATION OF BODIES OF HUMANS OR ANIMALS OR PLANTS OR PARTS THEREOF; BIOCIDES, e.g. AS DISINFECTANTS, AS PESTICIDES OR AS HERBICIDES; PEST REPELLANTS OR ATTRACTANTS; PLANT GROWTH REGULATORS
- A01N43/00—Biocides, pest repellants or attractants, or plant growth regulators containing heterocyclic compounds
- A01N43/34—Biocides, pest repellants or attractants, or plant growth regulators containing heterocyclic compounds having rings with one nitrogen atom as the only ring hetero atom
- A01N43/40—Biocides, pest repellants or attractants, or plant growth regulators containing heterocyclic compounds having rings with one nitrogen atom as the only ring hetero atom six-membered rings
-
- A—HUMAN NECESSITIES
- A01—AGRICULTURE; FORESTRY; ANIMAL HUSBANDRY; HUNTING; TRAPPING; FISHING
- A01N—PRESERVATION OF BODIES OF HUMANS OR ANIMALS OR PLANTS OR PARTS THEREOF; BIOCIDES, e.g. AS DISINFECTANTS, AS PESTICIDES OR AS HERBICIDES; PEST REPELLANTS OR ATTRACTANTS; PLANT GROWTH REGULATORS
- A01N43/00—Biocides, pest repellants or attractants, or plant growth regulators containing heterocyclic compounds
- A01N43/48—Biocides, pest repellants or attractants, or plant growth regulators containing heterocyclic compounds having rings with two nitrogen atoms as the only ring hetero atoms
- A01N43/56—1,2-Diazoles; Hydrogenated 1,2-diazoles
-
- A—HUMAN NECESSITIES
- A01—AGRICULTURE; FORESTRY; ANIMAL HUSBANDRY; HUNTING; TRAPPING; FISHING
- A01N—PRESERVATION OF BODIES OF HUMANS OR ANIMALS OR PLANTS OR PARTS THEREOF; BIOCIDES, e.g. AS DISINFECTANTS, AS PESTICIDES OR AS HERBICIDES; PEST REPELLANTS OR ATTRACTANTS; PLANT GROWTH REGULATORS
- A01N43/00—Biocides, pest repellants or attractants, or plant growth regulators containing heterocyclic compounds
- A01N43/48—Biocides, pest repellants or attractants, or plant growth regulators containing heterocyclic compounds having rings with two nitrogen atoms as the only ring hetero atoms
- A01N43/60—1,4-Diazines; Hydrogenated 1,4-diazines
-
- A—HUMAN NECESSITIES
- A01—AGRICULTURE; FORESTRY; ANIMAL HUSBANDRY; HUNTING; TRAPPING; FISHING
- A01N—PRESERVATION OF BODIES OF HUMANS OR ANIMALS OR PLANTS OR PARTS THEREOF; BIOCIDES, e.g. AS DISINFECTANTS, AS PESTICIDES OR AS HERBICIDES; PEST REPELLANTS OR ATTRACTANTS; PLANT GROWTH REGULATORS
- A01N43/00—Biocides, pest repellants or attractants, or plant growth regulators containing heterocyclic compounds
- A01N43/72—Biocides, pest repellants or attractants, or plant growth regulators containing heterocyclic compounds having rings with nitrogen atoms and oxygen or sulfur atoms as ring hetero atoms
- A01N43/74—Biocides, pest repellants or attractants, or plant growth regulators containing heterocyclic compounds having rings with nitrogen atoms and oxygen or sulfur atoms as ring hetero atoms five-membered rings with one nitrogen atom and either one oxygen atom or one sulfur atom in positions 1,3
- A01N43/76—1,3-Oxazoles; Hydrogenated 1,3-oxazoles
-
- A—HUMAN NECESSITIES
- A01—AGRICULTURE; FORESTRY; ANIMAL HUSBANDRY; HUNTING; TRAPPING; FISHING
- A01N—PRESERVATION OF BODIES OF HUMANS OR ANIMALS OR PLANTS OR PARTS THEREOF; BIOCIDES, e.g. AS DISINFECTANTS, AS PESTICIDES OR AS HERBICIDES; PEST REPELLANTS OR ATTRACTANTS; PLANT GROWTH REGULATORS
- A01N43/00—Biocides, pest repellants or attractants, or plant growth regulators containing heterocyclic compounds
- A01N43/72—Biocides, pest repellants or attractants, or plant growth regulators containing heterocyclic compounds having rings with nitrogen atoms and oxygen or sulfur atoms as ring hetero atoms
- A01N43/74—Biocides, pest repellants or attractants, or plant growth regulators containing heterocyclic compounds having rings with nitrogen atoms and oxygen or sulfur atoms as ring hetero atoms five-membered rings with one nitrogen atom and either one oxygen atom or one sulfur atom in positions 1,3
- A01N43/78—1,3-Thiazoles; Hydrogenated 1,3-thiazoles
-
- A—HUMAN NECESSITIES
- A01—AGRICULTURE; FORESTRY; ANIMAL HUSBANDRY; HUNTING; TRAPPING; FISHING
- A01N—PRESERVATION OF BODIES OF HUMANS OR ANIMALS OR PLANTS OR PARTS THEREOF; BIOCIDES, e.g. AS DISINFECTANTS, AS PESTICIDES OR AS HERBICIDES; PEST REPELLANTS OR ATTRACTANTS; PLANT GROWTH REGULATORS
- A01N43/00—Biocides, pest repellants or attractants, or plant growth regulators containing heterocyclic compounds
- A01N43/90—Biocides, pest repellants or attractants, or plant growth regulators containing heterocyclic compounds having two or more relevant hetero rings, condensed among themselves or with a common carbocyclic ring system
-
- C—CHEMISTRY; METALLURGY
- C07—ORGANIC CHEMISTRY
- C07D—HETEROCYCLIC COMPOUNDS
- C07D213/00—Heterocyclic compounds containing six-membered rings, not condensed with other rings, with one nitrogen atom as the only ring hetero atom and three or more double bonds between ring members or between ring members and non-ring members
- C07D213/02—Heterocyclic compounds containing six-membered rings, not condensed with other rings, with one nitrogen atom as the only ring hetero atom and three or more double bonds between ring members or between ring members and non-ring members having three double bonds between ring members or between ring members and non-ring members
- C07D213/04—Heterocyclic compounds containing six-membered rings, not condensed with other rings, with one nitrogen atom as the only ring hetero atom and three or more double bonds between ring members or between ring members and non-ring members having three double bonds between ring members or between ring members and non-ring members having no bond between the ring nitrogen atom and a non-ring member or having only hydrogen or carbon atoms directly attached to the ring nitrogen atom
- C07D213/60—Heterocyclic compounds containing six-membered rings, not condensed with other rings, with one nitrogen atom as the only ring hetero atom and three or more double bonds between ring members or between ring members and non-ring members having three double bonds between ring members or between ring members and non-ring members having no bond between the ring nitrogen atom and a non-ring member or having only hydrogen or carbon atoms directly attached to the ring nitrogen atom with hetero atoms or with carbon atoms having three bonds to hetero atoms with at the most one bond to halogen, e.g. ester or nitrile radicals, directly attached to ring carbon atoms
- C07D213/72—Nitrogen atoms
- C07D213/74—Amino or imino radicals substituted by hydrocarbon or substituted hydrocarbon radicals
-
- C—CHEMISTRY; METALLURGY
- C07—ORGANIC CHEMISTRY
- C07D—HETEROCYCLIC COMPOUNDS
- C07D401/00—Heterocyclic compounds containing two or more hetero rings, having nitrogen atoms as the only ring hetero atoms, at least one ring being a six-membered ring with only one nitrogen atom
- C07D401/14—Heterocyclic compounds containing two or more hetero rings, having nitrogen atoms as the only ring hetero atoms, at least one ring being a six-membered ring with only one nitrogen atom containing three or more hetero rings
-
- C—CHEMISTRY; METALLURGY
- C07—ORGANIC CHEMISTRY
- C07D—HETEROCYCLIC COMPOUNDS
- C07D403/00—Heterocyclic compounds containing two or more hetero rings, having nitrogen atoms as the only ring hetero atoms, not provided for by group C07D401/00
- C07D403/02—Heterocyclic compounds containing two or more hetero rings, having nitrogen atoms as the only ring hetero atoms, not provided for by group C07D401/00 containing two hetero rings
- C07D403/04—Heterocyclic compounds containing two or more hetero rings, having nitrogen atoms as the only ring hetero atoms, not provided for by group C07D401/00 containing two hetero rings directly linked by a ring-member-to-ring-member bond
-
- C—CHEMISTRY; METALLURGY
- C07—ORGANIC CHEMISTRY
- C07D—HETEROCYCLIC COMPOUNDS
- C07D405/00—Heterocyclic compounds containing both one or more hetero rings having oxygen atoms as the only ring hetero atoms, and one or more rings having nitrogen as the only ring hetero atom
- C07D405/14—Heterocyclic compounds containing both one or more hetero rings having oxygen atoms as the only ring hetero atoms, and one or more rings having nitrogen as the only ring hetero atom containing three or more hetero rings
-
- C—CHEMISTRY; METALLURGY
- C07—ORGANIC CHEMISTRY
- C07D—HETEROCYCLIC COMPOUNDS
- C07D407/00—Heterocyclic compounds containing two or more hetero rings, at least one ring having oxygen atoms as the only ring hetero atoms, not provided for by group C07D405/00
- C07D407/14—Heterocyclic compounds containing two or more hetero rings, at least one ring having oxygen atoms as the only ring hetero atoms, not provided for by group C07D405/00 containing three or more hetero rings
-
- C—CHEMISTRY; METALLURGY
- C07—ORGANIC CHEMISTRY
- C07D—HETEROCYCLIC COMPOUNDS
- C07D413/00—Heterocyclic compounds containing two or more hetero rings, at least one ring having nitrogen and oxygen atoms as the only ring hetero atoms
- C07D413/02—Heterocyclic compounds containing two or more hetero rings, at least one ring having nitrogen and oxygen atoms as the only ring hetero atoms containing two hetero rings
- C07D413/04—Heterocyclic compounds containing two or more hetero rings, at least one ring having nitrogen and oxygen atoms as the only ring hetero atoms containing two hetero rings directly linked by a ring-member-to-ring-member bond
-
- C—CHEMISTRY; METALLURGY
- C07—ORGANIC CHEMISTRY
- C07D—HETEROCYCLIC COMPOUNDS
- C07D417/00—Heterocyclic compounds containing two or more hetero rings, at least one ring having nitrogen and sulfur atoms as the only ring hetero atoms, not provided for by group C07D415/00
- C07D417/02—Heterocyclic compounds containing two or more hetero rings, at least one ring having nitrogen and sulfur atoms as the only ring hetero atoms, not provided for by group C07D415/00 containing two hetero rings
- C07D417/04—Heterocyclic compounds containing two or more hetero rings, at least one ring having nitrogen and sulfur atoms as the only ring hetero atoms, not provided for by group C07D415/00 containing two hetero rings directly linked by a ring-member-to-ring-member bond
-
- C—CHEMISTRY; METALLURGY
- C07—ORGANIC CHEMISTRY
- C07D—HETEROCYCLIC COMPOUNDS
- C07D471/00—Heterocyclic compounds containing nitrogen atoms as the only ring hetero atoms in the condensed system, at least one ring being a six-membered ring with one nitrogen atom, not provided for by groups C07D451/00 - C07D463/00
- C07D471/02—Heterocyclic compounds containing nitrogen atoms as the only ring hetero atoms in the condensed system, at least one ring being a six-membered ring with one nitrogen atom, not provided for by groups C07D451/00 - C07D463/00 in which the condensed system contains two hetero rings
- C07D471/04—Ortho-condensed systems
Landscapes
- Organic Chemistry (AREA)
- Chemical & Material Sciences (AREA)
- Life Sciences & Earth Sciences (AREA)
- Health & Medical Sciences (AREA)
- General Health & Medical Sciences (AREA)
- Dentistry (AREA)
- Plant Pathology (AREA)
- Engineering & Computer Science (AREA)
- Pest Control & Pesticides (AREA)
- Agronomy & Crop Science (AREA)
- Wood Science & Technology (AREA)
- Zoology (AREA)
- Environmental Sciences (AREA)
- Agricultural Chemicals And Associated Chemicals (AREA)
- Toxicology (AREA)
- Plural Heterocyclic Compounds (AREA)
- Pharmaceuticals Containing Other Organic And Inorganic Compounds (AREA)
Abstract
披露了式1的化合物,包括所有几何和立体异构体,其N‑氧化物和盐,其中Q是Q‑1、Q‑2、Q‑3或Q‑4并且A、R1、m、X1、X2、X3、X4、Y1、Y2和Y3是如本披露所定义的。还披露了包含式1的化合物的组合物,以及用于防治无脊椎有害生物的方法,该方法包括使该无脊椎有害生物或其环境与生物学有效量的本发明的化合物或组合物接触。
Description
技术领域
本发明涉及适用于农业和非农业用途的某些取代的二环唑、其N-氧化物、盐和组合物,以及其用于在农学和非农学环境中防治无脊椎有害生物如节肢动物的方法。
背景技术
防治无脊椎有害生物在实现高作物效率中是极其重要的。无脊椎有害生物对生长和储存的农作物的损害可引起生产量的显著降低,并由此导致消费者的成本增加。对林业、温室作物、观赏植物、苗圃作物、储存食品和纤维产品、家畜、家庭、草皮、木质产品以及公共和动物健康中的无脊椎有害生物的防治也是重要的。为了这些目的,许多产品是可商购的,但持续需要更有效、较低成本、较低毒性、对环境更安全或具有不同的作用位点的新型化合物。
发明内容
本发明针对式1的化合物(包括所有几何和立体异构体)、其N-氧化物和盐,以及包含它们的组合物,以及它们用于防治无脊椎有害生物的用途:
其中
Q是
A是CH、CR1或N;
每个R1独立地是卤素、氰基、硝基、C1-C4烷基、C1-C4卤代烷基、C1-C4烷氧基、C1-C4卤代烷氧基、C1-C4烷硫基或C1-C4卤代烷硫基;
m是0、1、2或3;
X1、X2、X3和X4各自独立地是CR2、CR3或N,其前提是(i)X1、X2、X3和X4之一是CR2,并且(ii)X1、X2、X3和X4中的不超过一个是N;
R2是C(=Z)R11、N(R8)C(=NR8)R9或LQa;或是任选地被C(=Z)R11、C(=Z)NR6R7或最高达3个Ry取代的C1-C6烷氧基;或是C1-C4烷基、C2-C4烯基或C2-C4炔基,各自被C(=Z)R11或C(=Z)NR6R7取代,并且各自任选地进一步被最高达3个Ry取代;
L是O、S(O)n、NR8或C(=Z);
每个Z独立地是O或S;
每个R3独立地是H、卤素、氰基、硝基、C1-C4烷基、C1-C4卤代烷基、C1-C4烷氧基或C1-C4卤代烷氧基;
Y1是O、S或NR4;
Y2是N或CR5a;
Y3是N或CR5b;
R4是H或C1-C4烷基;
R5a是H、卤素、氰基、硝基、C1-C4烷基、C3-C6环烷基、C1-C4卤代烷基、C1-C4烷氧基或C1-C4卤代烷氧基;
R5b是H、卤素、氰基、硝基、C1-C4烷基、C3-C6环烷基、C1-C4卤代烷基、C1-C4烷氧基或C1-C4卤代烷氧基;
R6是H、NR15R16、OR17、C(=NR10)R11、C(O)OR21、C(O)NR15R16、C(O)R22、S(O)nR23或Qb;或是C1-C6烷基、C3-C6环烷基、C2-C6烯基或C2-C6炔基,每个是未被取代的或被至少一个Rx取代的;
R7是H或Qb;或是C1-C6烷基、C3-C6环烷基、C2-C6烯基或C2-C6炔基,每个是未被取代的或被至少一个Rx取代的;或
R6和R7与它们所连接的氮原子一起形成含有选自碳原子和最高达2个杂原子的环成员的3-至10-元环,所述杂原子独立地选自一个氧原子、一个硫原子和最高达2个氮原子,其中最高达2个碳原子环成员独立地选自C(=O)和C(=S),并且该硫原子环成员选自S、S(O)或S(O)2,所述环是未被取代的或被最高达4个Rx取代的;或
R6和R7合在一起为=S(O)pR18R19或=S(=NR20)R18R19;
每个Rx独立地是卤素、氰基、硝基、羟基、C1-C6烷基、C1-C6卤代烷基、C3-C6环烷基、C1-C6烷氧基、C1-C6卤代烷氧基、C3-C6环烷氧基、C(=NR10)R11、C(O)OR21、C(O)NR15R16、OC(O)R22、NR25R26、NR24C(O)R22、C(O)R22、S(O)nR23、Si(R28)3、OSi(R28)3或Qb;
每个Ry独立地是卤素、氰基、羟基、C1-C6烷基、C1-C6卤代烷基、C3-C6环烷基、C1-C6烷氧基、C1-C6卤代烷氧基、C3-C6环烷氧基、C(=NR10)R11、C(O)OR21、OC(O)R22、NR25R26、NR24C(O)R22、S(O)nR23或Qb;
R8是H、C(O)OR21、C(O)NR15R16、C(O)R22、S(O)nR23或Qb;或是C1-C6烷基、C3-C6环烷基、C2-C6烯基或C2-C6炔基,每个是未被取代的或被至少一个Rx取代的;
R9是H、C(=NR10)R11、OR21或NR15R16;或是C1-C6烷基、C3-C6环烷基、C2-C6烯基或C2-C6炔基,每个是未被取代的或被至少一个Rx取代的;或是苯基、苯氧基或5-或6-元杂环芳族环,每个是未被取代的或被至少一个独立地选自下组的取代基取代的,该组由以下各项组成:卤素、氰基、硝基、C1-C4烷基、C3-C6环烷基、C1-C4卤代烷基、C1-C4烷氧基和C1-C4卤代烷氧基;或是3-至6-元杂环非芳族环,每个环含有选自碳原子和最高达3个杂原子的环成员,所述杂原子独立地选自一个氧原子、一个硫原子和最高达2个氮原子,其中最高达1个碳原子环成员独立地选自C(=O)和C(=S),并且该硫原子环成员选自S、S(O)或S(O)2,每个环是未被取代的或被至少一个独立地选自下组的取代基取代的,该组由以下各项组成:卤素、氰基、硝基、C1-C4烷基、C3-C6环烷基、C1-C4卤代烷基、C1-C4烷氧基和C1-C4卤代烷氧基;
每个R10独立地是OR12、S(O)nR13或NHR14;
每个R11独立地是H;或是C1-C6烷基、C3-C6环烷基、C2-C6烯基、C2-C6炔基、C1-C6烷氧基、C1-C6卤代烷氧基或C3-C6环烷氧基,每个是未被取代的或被至少一个Rx取代的;或是C(O)OR21、C(O)NR15R16、C(O)R22或Qb;
每个R12独立地是C1-C4烷基、C3-C6环烷基、C1-C4卤代烷基、C(O)R22、S(O)nR13或Qb;
每个R13独立地是C1-C4烷基或C1-C4卤代烷基;
R14是C1-C4烷基、C3-C6环烷基、C1-C4卤代烷基、C(O)R22或C(O)OR21;或是苯基,未被取代的或被至少一个独立地选自下组的取代基取代的,该组由以下各项组成:卤素、氰基、硝基、C1-C4烷基、C3-C6环烷基、C1-C4卤代烷基、C1-C4烷氧基和C1-C4卤代烷氧基;
R15是H、NR15aR16a、OR17、C(=NR10)R11、C(O)OR21、C(O)NR15aR16a、C(O)R22、S(O)nR23或Qb;或是C1-C6烷基、C3-C6环烷基、C2-C6烯基或C2-C6炔基,每个是未被取代的或被至少一个Rx取代的;
R16是H或Qb;或是C1-C6烷基、C3-C6环烷基、C2-C6烯基或C2-C6炔基,每个是未被取代的或被至少一个Rx取代的;或
R15和R16与它们所连接的氮原子一起形成含有选自碳原子和最高达2个杂原子的环成员的3-至10-元环,所述杂原子独立地选自一个氧原子、一个硫原子和最高达2个氮原子,其中最高达2个碳原子环成员独立地选自C(=O)和C(=S),并且该硫原子环成员选自S、S(O)或S(O)2,所述环是未被取代的或被最高达4个Rx取代的;或
R15和R16合在一起为=S(O)pR18R19或=S(=NR20)R18R19;
每个R15a独立地是H、C1-C6烷基、C1-C4卤代烷基、C(O)R27或S(O)2R27;或是苯基或5-或6-元杂环芳族环,每个是未被取代的或被至少一个独立地选自下组的取代基取代的,该组由以下各项组成:卤素、氰基、硝基、C1-C4烷基、C3-C6环烷基、C1-C4卤代烷基、C1-C4烷氧基和C1-C4卤代烷氧基;
每个R16a独立地是H、C1-C6烷基或C1-C4卤代烷基;或
R15a和R16a与它们所连接的氮原子一起形成含有选自碳原子和最高达2个杂原子的环成员的3-至7-元环,所述杂原子独立地选自一个氧原子、一个硫原子和最高达2个氮原子,其中最高达2个碳原子环成员独立地选自C(=O)和C(=S),并且该硫原子环成员选自S、S(O)或S(O)2,所述环是未被取代的或被至少一个独立地选自下组的取代基取代的,该组由以下各项组成:卤素、氰基、硝基、C1-C4烷基、C3-C6环烷基、C1-C4卤代烷基、C1-C4烷氧基和C1-C4卤代烷氧基;
R17是C1-C4烷基、C3-C6环烷基或C1-C4卤代烷基;或是苯基,未被取代的或被至少一个独立地选自下组的取代基取代的,该组由以下各项组成:卤素、氰基、硝基、C1-C4烷基、C3-C6环烷基、C1-C4卤代烷基、C1-C4烷氧基和C1-C4卤代烷氧基;
每个R18独立地是C1-C4烷基或C1-C4卤代烷基;或是苯基,未被取代的或被至少一个独立地选自下组的取代基取代的,该组由以下各项组成:卤素、氰基、硝基、C1-C4烷基、C3-C6环烷基、C1-C4卤代烷基、C1-C4烷氧基和C1-C4卤代烷氧基;
每个R19独立地是C1-C4烷基或C1-C4卤代烷基;或是苯基,未被取代的或被至少一个独立地选自下组的取代基取代的,该组由以下各项组成:卤素、氰基、硝基、C1-C4烷基、C3-C6环烷基、C1-C4卤代烷基、C1-C4烷氧基和C1-C4卤代烷氧基;或
R18和R19与它们所连接的硫原子一起形成环;
R20是H、氰基、C1-C4烷基、C1-C4卤代烷基或C(O)R22;或是苯基,未被取代的或被至少一个独立地选自下组的取代基取代的,该组由以下各项组成:卤素、氰基、硝基、C1-C4烷基、C3-C6环烷基、C1-C4卤代烷基、C1-C4烷氧基和C1-C4卤代烷氧基;
每个R21独立地是C1-C4烷基、C1-C4卤代烷基、C3-C6环烷基或C3-C6卤代环烷基;或是苯基,未被取代的或被至少一个独立地选自下组的取代基取代的,该组由以下各项组成:卤素、氰基、硝基、C1-C4烷基、C3-C6环烷基、C1-C4卤代烷基、C1-C4烷氧基和C1-C4卤代烷氧基;
每个R22独立地是C1-C4烷基、C1-C4卤代烷基、C3-C6环烷基、C3-C6卤代环烷基、C1-C6烷氧基、C1-C6卤代烷氧基、C3-C6环烷氧基或NR25R26;或是苯基,未被取代的或被至少一个独立地选自下组的取代基取代的,该组由以下各项组成:卤素、氰基、硝基、C1-C4烷基、C3-C6环烷基、C1-C4卤代烷基、C1-C4烷氧基和C1-C4卤代烷氧基;
每个R23独立地是C1-C4烷基、C1-C4卤代烷基、C3-C6环烷基、C3-C6卤代环烷基、C3-C6环烷基烷基或C3-C6卤代环烷基烷基;或是苯基,未被取代的或被至少一个独立地选自下组的取代基取代的,该组由以下各项组成:卤素、氰基、硝基、C1-C4烷基、C3-C6环烷基、C1-C4卤代烷基、C1-C4烷氧基和C1-C4卤代烷氧基;
每个R24独立地是C1-C4烷基;
每个R25独立地是H、C1-C4烷基、C1-C4卤代烷基、C1-C4烷氧基或C1-C4卤代烷氧基;或是苯基,未被取代的或被至少一个独立地选自下组的取代基取代的,该组由以下各项组成:卤素、氰基、硝基、C1-C4烷基、C3-C6环烷基、C1-C4卤代烷基、C1-C4烷氧基和C1-C4卤代烷氧基;
每个R26独立地是C1-C4烷基或C1-C4卤代烷基;或是苯基,未被取代的或被至少一个独立地选自下组的取代基取代的,该组由以下各项组成:卤素、氰基、硝基、C1-C4烷基、C3-C6环烷基、C1-C4卤代烷基、C1-C4烷氧基和C1-C4卤代烷氧基;或
R25和R26独立地与它们所连接的氮原子一起形成含有选自碳原子和最高达2个杂原子的环成员的3-至7-元环,所述杂原子独立地选自一个氧原子、一个硫原子和最高达2个氮原子,其中最高达2个碳原子环成员独立地选自C(=O)和C(=S),并且该硫原子环成员选自S、S(O)或S(O)2,所述环是未被取代的或被至少一个独立地选自下组的取代基取代的,该组由以下各项组成:卤素、氰基、硝基、C1-C4烷基、C3-C6环烷基、C1-C4卤代烷基、C1-C4烷氧基和C1-C4卤代烷氧基;
每个R27独立地是C1-C6烷基、C1-C6卤代烷基、C1-C6烷氧基、C1-C6卤代烷氧基或NR29R30;或是苯基或5-或6-元杂环芳族环,每个是未被取代的或被至少一个独立地选自下组的取代基取代的,该组由以下各项组成:卤素、氰基、硝基、C1-C4烷基、C3-C6环烷基、C1-C4卤代烷基、C1-C4烷氧基和C1-C4卤代烷氧基;
每个R28独立地是C1-C6烷基、C3-C6环烷基或苯基;
每个R29独立地是H或Qb;或是C1-C6烷基、C3-C6环烷基、C2-C6烯基或C2-C6炔基,每个是未被取代的或被至少一个独立地选自下组的取代基取代的,该组由以下各项组成:卤素、氰基、硝基、C1-C4烷基、C3-C6环烷基、C1-C4卤代烷基、C1-C4烷氧基和C1-C4卤代烷氧基;
每个R30独立地是H或Qb;或是C1-C6烷基、C3-C6环烷基、C2-C6烯基或C2-C6炔基,每个是未被取代的或被至少一个独立地选自下组的取代基取代的,该组由以下各项组成:卤素、氰基、硝基、C1-C4烷基、C3-C6环烷基、C1-C4卤代烷基、C1-C4烷氧基和C1-C4卤代烷氧基;或
R29和R30与它们所连接的氮原子一起形成含有选自碳原子和最高达2个杂原子的环成员的3-至10-元环,所述杂原子独立地选自一个氧原子、一个硫原子和最高达2个氮原子,其中最高达2个碳原子环成员独立地选自C(=O)和C(=S),并且该硫原子环成员选自S、S(O)或S(O)2,所述环是未被取代的或被最高达4个独立地选自下组的取代基取代的,该组由以下各项组成:卤素、氰基、硝基、C1-C4烷基、C3-C6环烷基、C1-C4卤代烷基、C1-C4烷氧基和C1-C4卤代烷氧基;
Qa是5-至10-元芳族环或环体系,每个环或环体系含有选自碳原子和最高达3个杂原子的环成员,所述杂原子独立地选自一个氧原子、一个硫原子和最高达3个氮原子,其中最高达2个碳原子环成员独立地选自C(=O)和C(=S),并且该硫原子环成员选自S、S(O)或S(O)2,每个环或环体系是未被取代的或被至少一个Rx取代的;或是3-至6-元部分饱和的环,每个环含有选自碳原子和最高达2个杂原子的环成员,所述杂原子独立地选自一个氧原子、一个硫原子和最高达2个氮原子,其中最高达2个碳原子环成员独立地选自C(=O)和C(=S),并且该硫原子环成员选自S、S(O)或S(O)2,每个环是未被取代的或被至少一个独立地选自下组的取代基取代的,该组由以下各项组成:卤素、氰基、硝基、C1-C4烷基、C3-C6环烷基、C1-C4卤代烷基、C1-C4烷氧基和C1-C4卤代烷氧基;
每个Qb独立地是苯基、5-或6-元杂环芳族环或3-至6-元杂环非芳族环,每个环含有选自碳原子和最高达2个杂原子的环成员,所述杂原子独立地选自一个氧原子、一个硫原子和最高达2个氮原子,其中最高达2个碳原子环成员独立地选自C(=O)和C(=S),并且该硫原子环成员选自S、S(O)或S(O)2,每个环是未被取代的或被至少一个独立地选自下组的取代基取代的,该组由以下各项组成:卤素、氰基、硝基、C1-C4烷基、C3-C6环烷基、C1-C4卤代烷基、C1-C4烷氧基和C1-C4卤代烷氧基;
每个n独立地是0、1或2;并且
p是1或2。
本发明还提供了一种组合物,该组合物包含式1的化合物、其N-氧化物或盐、以及至少一种选自由表面活性剂、固体稀释剂和液体稀释剂组成的组的附加组分。在一个实施例中,本发明还提供了一种用于防治无脊椎有害生物的组合物,该组合物包含式1的化合物、其N-氧化物或盐、以及至少一种选自由表面活性剂、固体稀释剂和液体稀释剂组成的组的附加组分,所述组合物任选地还包含至少一种附加的生物学活性化合物或试剂。
本发明提供了一种用于防治无脊椎有害生物的方法,该方法包括使该无脊椎有害生物或其环境与生物学有效量的式1的化合物、其N-氧化物或盐(例如,作为在此所述的组合物)接触。本发明还涉及这样的方法,其中使该无脊椎有害生物或其环境与包含生物学有效量的式1的化合物、其N-氧化物或盐、以及至少一种选自由表面活性剂、固体稀释剂和液体稀释剂组成的组的附加组分的组合物接触,所述组合物任选地还包含生物学有效量的至少一种附加的生物学活性化合物或试剂。
本发明还提供了一种用于保护种子免受无脊椎有害生物的方法,该方法包括使该种子与生物学有效量的式1的化合物、其N-氧化物或盐(例如,作为在此所述的组合物)接触。本发明还涉及经处理的种子。本发明还提供了一种用于保护动物免受无脊椎寄生有害生物的方法,该方法包括向该动物施用杀寄生物有效量的式1的化合物、其N-氧化物或盐(例如,作为在此所述的组合物)。本发明还提供了式1的化合物、其N-氧化物或盐(例如,作为在此所述的组合物)在保护动物免受无脊椎有害生物中的用途。
本发明还提供了一种用于增加作物植物的活力的方法,该方法包括使该作物植物、生长该作物植物的种子或该作物植物的所在地(例如,生长培养基)与生物学有效量的式1的化合物(例如,作为在此所述的组合物)接触。
发明详述
如在此所用,术语“包含”、“包含着”、“包括”、“包括着”、“具有”、“具有着”、“含有”、“含有着”、“特征在于”或其任何其他变型旨在覆盖非排他性的包括,以任何明确指明的限定为条件。例如,包含一系列元素的组合物、混合物、工艺或方法不必仅限于那些元素,而是可以包括其他未明确列出的元素,或此类组合物、混合物、工艺或方法固有的元素。
连接短语“由...组成”排除任何未指出的元素、步骤或成分。如果在权利要求中,则此类短语将使权利要求为封闭式,使其不包含除那些描述的材料以外的材料,但与其相关的常规杂质除外。当短语“由...组成”出现在权利要求的主体的子句中,而非紧接前序部分时,其仅限制在该子句中提到的元素;其他元素不作为整体从权利要求中被排除。
连接短语“基本上由...组成”用于限定除了字面披露的那些以外还包括材料、步骤、特征、组分、或元素的组合物或方法,前提是这些附加的材料、步骤、特征、组分、或元素不会实质影响请求保护的发明的基本和新颖特征。术语“基本上由...组成”居于“包含”和“由...组成”中间。
当申请人已经用开放式术语如“包含着”定义了本发明或其一部分时,则应易于理解(除非另外指明),说明书应被解释为还使用术语“基本上由...组成”或“由...组成”描述本发明。
此外,除非有相反的明确说明,“或”是指包含性的“或”,而不是指排他性的“或”。例如,条件A或B由下列任一项满足:A是真(或存在)和B是假(或不存在),A是假(或不存在)和B是真(或存在),和A和B二者都是真(或存在)。
同样,在本发明的元素或组分前的不定冠词“一个/一种(a/an)”关于元素或组分的例子(即,出现)的数目旨在是非限制性的。因此,“一个/一种”应理解为包括一个/一种或至少一个/一种,并且元素或组分的单数词语形式还包括复数,除非该数值明显意指单数。
如本披露所提及,术语“无脊椎有害生物”包括作为有害生物具有经济重要性的节肢动物、腹足动物、线虫和蠕虫。术语“节肢动物”包括昆虫、螨虫、蜘蛛、蝎子、蜈蚣、千足虫、球潮虫和综合纲(symphylan)。术语“腹足动物”包括蜗牛、蛞蝓和其他柄眼亚目。术语“线虫”包括线虫动物门的成员,例如食植物的线虫和寄生于动物的蠕虫线虫。术语“蠕虫”包括所有的寄生虫,如蛔虫(线虫动物门)、犬恶丝虫(线虫动物门,胞管肾纲类)、吸虫(扁形动物门,吸虫纲)、棘头虫(棘头动物门)和绦虫(扁形动物门,绦虫纲)。
在本披露的上下文中,“无脊椎有害生物防治”是指抑制无脊椎有害生物发育(包括死亡率、取食减少和/或交配干扰),并且相关的表达以类似方式定义。
术语“农学”是指大田作物的生产,例如用于食物和纤维,并且包括玉蜀黍或玉米、大豆和其他豆类、稻、谷类(例如,小麦、燕麦、大麦、黑麦和稻)、叶类蔬菜(例如,莴苣、卷心菜和其他甘蓝类作物)、水果蔬菜(例如,西红柿、胡椒、茄子、十字花科植物和葫芦)、马铃薯、甘薯、葡萄、棉花、木本果(例如,梨果、核果(stone)和柑橘)、小果(例如,浆果和樱桃)和其他特种作物(例如,低芥酸菜籽、向日葵和橄榄)的生长。
术语“非农学”是指不同于大田作物,如园艺作物(例如,不在田地生长的温室、苗圃或观赏植物)、住宅、农业、商业和工业结构,草皮(例如,草场、牧场、高尔夫球场、草坪、运动场等)、木制产品、储存产品、农业林业和植被管理、公共卫生(即人类)和动物健康(例如,驯养动物如宠物、家畜和家禽,非驯养动物如野生动物)应用。
术语“作物活力”是指作物植物的生长速率或生物质积累。“活力的增加”是指作物植物相对于未处理的对照作物植物在生长或生物质积累上的增加。术语“作物产量”是指收获作物植物后获得的作物材料的在数量和质量二者上的回报。“作物产量的增加”是指相对于未处理的对照作物植物的作物产量增加。
术语“生物学有效量”是指当施用于(即接触)待防治的无脊椎有害生物或其环境,或植物、生长植物的种子或植物的所在地(例如,生长培养基)以保护植物免受无脊椎有害生物的伤害或为了其他所希望的效果(例如,增加植物活力)时足以产生所希望生物效应的生物学活性化合物(例如,式1的化合物)的量。
式1的结构中的变量R1的位置由下面所示的编号系统描述。
结构片段中的波形线表示片段与分子剩余部分的连接点。例如,当将式1中的变量Q定义为Q-1时,Q-1中平分键的波形线意味着Q-1在所述位置处连接到式1的结构的其余部分,如下所示。
在结构Q-1、Q-2、Q-3和Q-4中,变量X1、X2、X3和X4定义为各自独立地是CR2、CR3或N,前提是(i)X1、X2、X3和X4之一是CR2,和(ii)X1、X2、X3和X4中的不超过一个是N。X1、X2、X3和X4的这种定义描述了下表中所示的X1、X2、X3和X4的十六种可能的组合。
在以上详述中,术语“烷基”,单独使用或在复合词如“烷硫基”或“卤代烷基”中使用,包括直链或支链烷基,诸如甲基、乙基、正丙基、异丙基、或不同的丁基、戊基、或己基异构体。“烯基”包括直链或支链的烯烃,诸如乙烯基、1-丙烯基、2-丙烯基、以及不同的丁烯基、戊烯基和己烯基异构体。“烯基”还包括聚烯,诸如1,2-丙二烯基和2,4-己二烯基。“炔基”包括直链或支链的炔烃,诸如乙炔基、1-丙炔基、2-丙炔基、以及不同的丁炔基、戊炔基和己炔基异构体。“炔基”还可包括由多个三键构成的部分,诸如2,5-己二炔基。
“烷氧基”包括例如甲氧基、乙氧基、正丙氧基、异丙氧基和不同的丁氧基、戊氧基和己氧基异构体。“烷硫基”包括支链或直链的烷硫基部分,诸如甲硫基、乙硫基、以及不同的丙硫基、丁硫基、戊硫基和己硫基异构体。
“环烷基”包括例如环丙基、环丁基、环戊基和环己基。
术语“卤素”,单独地或在复合词如“卤代烷基”中,或者当在描述如“被卤素取代的烷基”中使用时,包括氟、氯、溴或碘。此外,当在复合词如“卤代烷基”中使用时,或者当在描述如“被卤素取代的烷基”中使用时,所述烷基可以是被卤素原子(其可以是相同的或不同的)部分地或完全地取代的。“卤代烷基”或“被卤素取代的烷基”的实例包括F3C-、ClCH2-、CF3CH2-和CF3CCl2-。术语“卤代环烷基”、“卤代烷氧基”、“卤代烷硫基”、“卤代烯基”、“卤代炔基”等类似于术语“卤代烷基”定义。“卤代烷氧基”的实例包括CF3O-、CCl3CH2O-、HCF2CH2CH2O-和CF3CH2O-。“卤代烷硫基”的实例包括CCl3S-、CF3S-、CCl3CH2S-和ClCH2CH2CH2S-。
如在此所用的化学缩写S(O)和S(=O)表示亚磺酰基部分。如在此所用的化学缩写SO2、S(O)2和S(=O)2表示磺酰基部分。如在此所用的化学缩写C(O)和C(=O)表示羰基部分。如在此所用的化学缩写CO2、C(O)O和C(=O)O表示氧基羰基部分。“CHO”是指甲酰基。
在取代基中的碳原子的总数用“Ci-Cj”前缀表示,其中i和j是从1至6的数。例如,C1-C4烷基磺酰基表示甲基磺酰基至丁基磺酰基;C2烷氧基烷基表示CH3OCH2-;C3烷氧基烷基表示例如CH3CH(OCH3)-、CH3OCH2CH2-或CH3CH2OCH2-;并且C4烷氧基烷基表示被包含总共四个碳原子的烷氧基取代的烷基的各种异构体,实例包括CH3CH2CH2OCH2-和CH3CH2OCH2CH2-。
当化合物被带有下标(其表示所述取代基的数目可超过1)的取代基取代时,所述取代基(当它们超过1时)独立地选自所定义的取代基的组,例如,(R1)m,m是0、1、2或3。此外,当下标表示范围时,例如(R)i-j,那么取代基的数目可以选自在i与j(包含端值)之间的整数。当基团包含可为氢的取代基,例如R3或R4时,则当该取代基为氢时,公认这等同于所述基团是未被取代的。当可变基团表明可任选连接到一个位置上时,例如(R1)m,其中m可以是0,则即使可变基团定义中没有进行叙述,氢也可以在所述位置上。当基团上的一个或多个位置据说是“没有取代的”或“未取代的”时,则连接氢原子以占据任何自由价。
除非另外指明,作为式1的组分的“环”或“环体系”(例如,取代基Qa)是碳环或杂环的。术语“环体系”表示两个或更多个稠环。术语“二环体系”和“稠合二环体系”表示由两个稠环组成的环体系,其可以是“单边稠合的”、“桥连二环的”或“螺二环的”。“单边稠合的二环体系”表示环体系,其中两个组成环具有共同的两个相邻的原子。“桥连二环体系”通过将一个或多个原子的链段结合到环的不相邻的环成员上来形成。“螺二环体系”通过将两个或更多个原子的链段结合到环的同一个环成员上来形成。术语“稠合杂二环体系”表示其中至少一个环原子不是碳的稠合二环体系。术语“环成员”是指形成环或环体系的骨架的原子或其他部分(例如,C(=O)、C(=S)、S(O)或S(O)2)。
术语“碳环(carbocyclic ring)”、“碳环(carbocycle)”或“碳环体系”表示其中形成环骨架的原子仅选自碳的环或环体系。术语“杂环(heterocyclic ring)”、“杂环(heterocycle)”或“杂环体系”表示其中至少一个形成环骨架的原子不是碳(例如,氮、氧或硫)的环或环体系。通常,杂环包含不超过4个氮、不超过2个氧和不超过2个硫。除非另外指明,碳环或杂环可以是饱和或不饱和的环。“饱和的”是指具有由通过单键彼此连接的原子组成的骨架的环;除非另外指明,其余的原子价被氢原子占据。除非另外说明,“不饱和环”可以是部分不饱和的或完全不饱和的。表述“完全不饱和的环”意指原子的环,其中在该环中的原子之间的键根据价键理论是单键或双键,并且此外该环中的原子之间的键包括尽可能多的双键,但没有累积双键(即没有C=C=C或C=C=N)。术语“部分不饱和的环”表示包含至少一个环成员通过双键键合到邻近环成员的环,并且在概念上可能在相邻环成员之间容纳大于存在的双键(即为其部分不饱和形式)数目的若干非累积双键(即,为其完全不饱和的对应形式)。
除非另外指明,杂环和环体系可通过任何可用的碳或氮经由替换在所述碳或氮上的氢来连接。
“芳族的”表示每个环原子基本上在相同的平面上且具有垂直于该环平面的p-轨道,且其中(4n+2)个π电子(其中n是正整数)与该环相关联以符合休克尔规则。术语“芳族环体系”表示碳环或杂环体系,其中该环体系的至少一个环是芳族的。当完全不饱和的碳环满足休克尔规则时,则所述环还被称为“芳族环”或“芳族碳环”。术语“芳族碳环体系”表示碳环体系,其中该环体系的至少一个环是芳族的。当完全不饱和的杂环满足休克尔规则时,则所述环还被称为“杂芳族环”、“芳族杂环”或“杂环芳族环”。术语“芳族杂环体系”表示其中该环体系的至少一个环是芳族的杂环体系。术语“非芳族环体系”表示可以是完全饱和的、以及部分或完全不饱和的碳环或杂环体系,前提是环体系中的环都不是芳族的。术语“非芳族碳环体系”表示其中环体系中没有环是芳族的碳环。术语“非芳族杂环体系”表示其中环体系中没有环是芳族的杂环体系。
与杂环有关的术语“任选地取代的”是指这样的基团,其为未取代的或具有至少一个不消除由未取代的类似物所拥有的生物活性的非氢取代基。如在此所用,除非另外指明,将应用下列定义。术语“任选地取代的”与短语“取代或未取代的”或与术语“(未)取代的”可互换使用。除非另外指明,任选地取代的基团可在基团的每个可取代的位置处具有取代基,并且每个取代彼此独立。
当取代基是5-或6-元含氮杂环时,除非另有说明,其可通过任何可用的碳或氮环原子连接至式1的其余部分。如上所指出,Qa可以是(尤其)任选地被一个或多个取代基取代的苯基,该一个或多个取代基选自如在发明内容中所定义的取代基的组中。任选地被一至五个取代基取代的苯基的实例是如在示例1中的U-1所示的环,其中,Rv是如在发明内容中对于Qa所定义的Rx,并且r是从0到5的整数。
如上所指出,Qb可以是(尤其)5-或6-元杂环芳族环,任选地被一个或多个选自如在发明内容中所定义的取代基的组中的取代基取代。任选地被一个或多个取代基取代的5-或6-元不饱和的芳族杂环的实例包括示例1中所示的环U-2至U-61,其中Rv是如在发明内容中对于Qb所定义的任何取代基,并且r为从0至4的整数,受限于每个U基团上的可用位置的数目。由于U-29、U-30、U-36、U-37、U-38、U-39、U-40、U-41、U-42和U-43仅有一个可用位置,所以对于这些U基团,r限于整数0或1,并且r是0意指该U基团是未被取代的,并且氢存在于由(Rv)r所指示的位置处。
示例1
如上所指出,Qa可以是(尤其)8-、9-或10-元邻位稠合的二环体系,任选地被一个或多个选自如在发明内容中所定义的取代基的组中的取代基取代。任选地被从一个或多个取代基取代的8-、9-或10-元邻位稠合的二环体系的实例包括示例3中所示的环U-81至U-123,其中Rv是如在发明内容中对于Qa所定义的任何取代基,并且r通常是从0至4的整数。
示例3
虽然在结构U-1至U-123中示出Rv基团,但是应注意到,因为它们是任选的取代基,所以它们不必须存在。应注意到,当Rv为H时,当连接到原子上时,这如同所述原子为未取代的一样。需要取代以填充其化合价的氮原子被H或Rv取代。应注意到,当(Rv)r与U基团之间的连接点示出为浮动时,(Rv)r可连接到U基团的任何可用的碳原子或氮原子。应注意到,当U基团上的连接点示出为浮动时,U基团可通过U基团的任何可用的碳或氮经由替换氢原子而连接到式1的其余部分。应注意到,一些U基团仅能被少于4个Rv基团取代(例如U-2至U-5、U-7至U-48、以及U-52至U-61)。
本领域中已知多种合成方法能够制备芳族和非芳族的杂环和环体系;对于广泛的评论,参见八卷集的Comprehensive Heterocyclic Chemistry[综合杂环化学],A.R.Katritzky和C.W.Rees主编,Pergamon Press,Oxford[培格曼出版社,牛津],1984和十二卷集的Comprehensive Heterocyclic Chemistry II,A.R.Katritzky,C.W.Rees和E.F.V.Scriven主编,Pergamon Press,Oxford,1996。
本发明的化合物可作为一种或多种立体异构体存在。立体异构体为构成相同但它们的原子在空间中的排列不同的异构体,并且包括对映异构体、非对映异构体、顺-反异构体(还称为几何异构体)和阻转异构体。阻转异构体起因于围绕单键的旋转受限制,其中旋转势垒足够高以允许同分异构物种的分离。本领域的技术人员将理解,一种立体异构体当相对于一种或多种其他立体异构体富集时,或当与一种或多种其他立体异构体分离时,可能更有活性和/或可能表现出有益的效果。另外,熟练的技术人员知道如何分离、富集和/或选择性地制备所述立体异构体。对于立体异构现象的所有方面的综合讨论,参见ErnestL.Eliel和Samuel H.Wilen的Stereochemistry of Organic Compounds[有机化合物立体化学],John Wiley&Sons[约翰威立父子出版社],1994。
本发明包括所有比例以及同位素形式(诸如氘代化合物)的所有立体异构体、构象异构体以及它们的混合物。
本领域的技术人员将理解,不是所有的含氮杂环都可以形成N-氧化物,因为氮需要可用的孤电子对以氧化成氧化物;本领域的技术人员将认出可形成N-氧化物的那些含氮杂环。本领域技术人员还将认识到叔胺能够形成N-氧化物。用于制备杂环和叔胺的N-氧化物的合成方法是本领域的技术人员非常熟知的,包括使用过氧酸诸如过氧乙酸和3-氯过氧苯甲酸(MCPBA)、过氧化氢、烷基氢过氧化物诸如叔丁基氢过氧化物、过硼酸钠和二环氧乙烷诸如二甲基二环氧乙烷来氧化杂环和叔胺。用于制备N-氧化物的这些方法已被广泛描述和综述于文献中,参见例如:T.L.Gilchrist,Comprehensive Organic Synthesis[综合有机合成],第7卷,第748-750页,S.V.Ley编辑,Pergamon Press;M.Tisler和B.Stanovnik,Comprehensive Heterocyclic Chemistry,第3卷,第18-20页,A.J.Boulton和A.McKillop编辑,Pergamon Press;M.R.Grimmett和B.R.T.Keene,Advances in HeterocyclicChemistry[杂环化学进展],第43卷,第149-161页,A.R.Katritzky编辑,Academic Press[学术出版社];M.Tisler和B.Stanovnik,Advances in Heterocyclic Chemistry,第9卷,第285-291页,A.R.Katritzky和A.J.Boulton编辑,Academic Press;和G.W.H.Cheeseman和E.S.G.Werstiuk,Advances in Heterocyclic Chemistry,第22卷,第390-392页,A.R.Katritzky和A.J.Boulton编辑,学术出版社。
本领域的技术人员认识到,由于在环境中和在生理条件下化合物的盐与它们相应的非盐形式处于平衡,因此盐共享非盐形式的生物效用。因此,多种式1的化合物的盐可用于防治无脊椎有害生物。式1的化合物的盐包括与无机酸或有机酸的酸加成盐,所述酸诸如氢溴酸、盐酸、硝酸、磷酸、硫酸、乙酸、丁酸、富马酸、乳酸、马来酸、丙二酸、草酸、丙酸、水杨酸、酒石酸、4-甲苯磺酸或戊酸。当式1的化合物包含酸性部分诸如羧酸或苯酚时,盐还包括与有机碱或无机碱形成的那些,所述碱诸如吡啶、三乙基胺或氨、或钠、钾、锂、钙、镁或钡的酰胺、氢化物、氢氧化物或碳酸盐。因此,本发明包括选自式1、其N-氧化物和合适的盐的化合物。
选自式1、立体异构体、互变异构体,其N-化物和盐的化合物通常以多于一种形式存在,并且因此式1包括式1表示的所有结晶和非结晶形式的化合物。非结晶形式包括为固体的实施例诸如蜡和树胶,以及为液体的实施例诸如溶液和熔融物。晶体形式包括代表基本上单晶类型的实施例和代表多晶型物(即不同结晶类型)的混合物的实施例。术语“多晶型物”是指可以以不同晶型结晶的化合物的具体晶型,这些晶型在晶格中具有不同的分子排列和/或构象。虽然多晶型物可具有相同的化学组成,但是它们也可以在组成上由于共结晶水或其他分子的存在或不存在而不同,该共结晶水或其他分子可弱结合或强结合在晶格内。多晶型物可以在此类化学、物理、和生物特性方面不同,诸如晶体形状、密度、硬度、颜色、化学稳定性、熔点、吸湿性、可悬浮性、溶解速率和生物利用度。本领域的技术人员将理解,相对于由式1表示的相同化合物的另一种多晶型物或多晶型物的混合物,由式1表示的化合物的多晶型物可展现出有益效果(例如适合制备有用配制品,改善的生物性能)。由式1表示的化合物的具体多晶型物的制备和分离可通过本领域技术人员已知的方法实现,包括例如采用所选溶剂和温度的结晶。本发明的化合物可作为一种或多种结晶多晶型物存在。本发明包括单独多晶型物和多晶型物的混合物二者,包括相对于其他富集一种多晶型物的混合物。对于多晶型现象的综合讨论,参见R.Hilfiker编辑的Polymorphism in thePharmaceutical Industry[制药工业的多晶型现象],Wiley-VCH,Weinheim[魏因海姆],2006。
本发明的如在发明内容中所述的实施例包括下述的那些。在下列实施例中,除非在实施例中另外定义,对“式1的化合物”的提及包括在发明内容中指定的取代基的定义。
实施例1.一种式1的化合物,其中
Q是
A是CH、CR1或N;
每个R1独立地是卤素、氰基、硝基、C1-C4烷基、C1-C4卤代烷基、C1-C4烷氧基、C1-C4卤代烷氧基、C1-C4烷硫基或C1-C4卤代烷硫基;
m是0、1、2或3;
X1、X2、X3和X4各自独立地是CR2、CR3或N,其前提是(i)X1、X2、X3和X4之一是CR2,并且(ii)X1、X2、X3和X4中的不超过一个是N;
R2是C(=Z)R11、N(R8)C(=NR8)R9、LQa、或被C(=Z)R11或C(=Z)NR6R7取代的C1-C4烷基;
L是O、S(O)n、NR8或C(=Z);
每个Z独立地是O或S;
每个R3独立地是H、卤素、氰基、硝基、C1-C4烷基、C1-C4卤代烷基、C1-C4烷氧基或C1-C4卤代烷氧基;
Y1是O、S或NR4;
Y2是N或CR5a;
Y3是N或CR5b;
R4是H或C1-C4烷基;
R5a是H、卤素、氰基、硝基、C1-C4烷基、C3-C6环烷基、C1-C4卤代烷基、C1-C4烷氧基或C1-C4卤代烷氧基;
R5b是H、卤素、氰基、硝基、C1-C4烷基、C3-C6环烷基、C1-C4卤代烷基、C1-C4烷氧基或C1-C4卤代烷氧基;
R6是H、NR15R16、OR17、C(=NR10)R11、C(O)OR21、C(O)NR15R16、C(O)R22、S(O)nR23或Qb;或是C1-C6烷基、C3-C6环烷基、C2-C6烯基或C2-C6炔基,每个是未被取代的或被至少一个Rx取代的;
R7是H或Qb;或是C1-C6烷基、C3-C6环烷基、C2-C6烯基或C2-C6炔基,每个是未被取代的或被至少一个Rx取代的;或
R6和R7与它们所连接的氮原子一起形成含有选自碳原子和最高达2个杂原子的环成员的3-至10-元环,所述杂原子独立地选自一个氧原子、一个硫原子和最高达2个氮原子,其中最高达2个碳原子环成员独立地选自C(=O)和C(=S),并且该硫原子环成员选自S、S(O)或S(O)2,所述环是未被取代的或被最高达4个Rx取代的;或
R6和R7合在一起为=S(O)pR18R19或=S(=NR20)R18R19;
每个Rx独立地是卤素、氰基、硝基、羟基、C1-C6烷基、C1-C6卤代烷基、C3-C6环烷基、C1-C6烷氧基、C1-C6卤代烷氧基、C3-C6环烷氧基、C(=NR10)R11、C(O)OR21、C(O)NR15R16、OC(O)R22、NR25R26、NR24C(O)R22、C(O)R22、S(O)nR23、Si(R28)3、OSi(R28)3或Qb;
R8是H、C(O)OR21、C(O)NR15R16、C(O)R22、S(O)nR23或Qb;或是C1-C6烷基、C3-C6环烷基、C2-C6烯基或C2-C6炔基,每个是未被取代的或被至少一个Rx取代的;
R9是H、C(=NR10)R11、OR21或NR15R16;或是C1-C6烷基、C3-C6环烷基、C2-C6烯基或C2-C6炔基,每个是未被取代的或被至少一个Rx取代的;或是苯基、苯氧基或5-或6-元杂环芳族环,每个是未被取代的或被至少一个独立地选自下组的取代基取代的,该组由以下各项组成:卤素、氰基、硝基、C1-C4烷基、C3-C6环烷基、C1-C4卤代烷基、C1-C4烷氧基和C1-C4卤代烷氧基;或是3-至6-元杂环非芳族环,每个环含有选自碳原子和最高达3个杂原子的环成员,所述杂原子独立地选自一个氧原子、一个硫原子和最高达2个氮原子,其中最高达1个碳原子环成员独立地选自C(=O)和C(=S),并且该硫原子环成员选自S、S(O)或S(O)2,每个环是未被取代的或被至少一个独立地选自下组的取代基取代的,该组由以下各项组成:卤素、氰基、硝基、C1-C4烷基、C3-C6环烷基、C1-C4卤代烷基、C1-C4烷氧基和C1-C4卤代烷氧基;
每个R10独立地是OR12、S(O)nR13或NHR14;
每个R11独立地是H;或是C1-C6烷基、C3-C6环烷基、C2-C6烯基或C2-C6炔基,每个是未被取代的或被至少一个Rx取代的;或是C1-C6烷氧基、C1-C6卤代烷氧基、C3-C6环烷氧基、C(O)OR21、C(O)NR15R16、C(O)R22或Qb;
每个R12独立地是C1-C4烷基、C3-C6环烷基、C1-C4卤代烷基、C(O)R22、S(O)nR13或Qb;
每个R13独立地是C1-C4烷基或C1-C4卤代烷基;
R14是C1-C4烷基、C3-C6环烷基、C1-C4卤代烷基、C(O)R22或C(O)OR21;或是苯基,未被取代的或被至少一个独立地选自下组的取代基取代的,该组由以下各项组成:卤素、氰基、硝基、C1-C4烷基、C3-C6环烷基、C1-C4卤代烷基、C1-C4烷氧基和C1-C4卤代烷氧基;
每个R15独立地是H、C1-C6烷基、C1-C4卤代烷基、C(O)R27或S(O)2R27;或是苯基或5-或6-元杂环芳族环,每个是未被取代的或被至少一个独立地选自下组的取代基取代的,该组由以下各项组成:卤素、氰基、硝基、C1-C4烷基、C3-C6环烷基、C1-C4卤代烷基、C1-C4烷氧基和C1-C4卤代烷氧基;
每个R16独立地是H、C1-C6烷基或C1-C4卤代烷基;或
R15和R16与它们所连接的氮原子一起形成含有选自碳原子和最高达2个杂原子的环成员的3-至7-元环,所述杂原子独立地选自一个氧原子、一个硫原子和最高达2个氮原子,其中最高达2个碳原子环成员独立地选自C(=O)和C(=S),并且该硫原子环成员选自S、S(O)或S(O)2,所述环是未被取代的或被至少一个独立地选自下组的取代基取代的,该组由以下各项组成:卤素、氰基、硝基、C1-C4烷基、C3-C6环烷基、C1-C4卤代烷基、C1-C4烷氧基和C1-C4卤代烷氧基;
R17是C1-C4烷基、C3-C6环烷基或C1-C4卤代烷基;或是苯基,未被取代的或被至少一个独立地选自下组的取代基取代的,该组由以下各项组成:卤素、氰基、硝基、C1-C4烷基、C3-C6环烷基、C1-C4卤代烷基、C1-C4烷氧基和C1-C4卤代烷氧基;
每个R18独立地是C1-C4烷基或C1-C4卤代烷基;或是苯基,未被取代的或被至少一个独立地选自下组的取代基取代的,该组由以下各项组成:卤素、氰基、硝基、C1-C4烷基、C3-C6环烷基、C1-C4卤代烷基、C1-C4烷氧基和C1-C4卤代烷氧基;
每个R19独立地是C1-C4烷基或C1-C4卤代烷基;或是苯基,未被取代的或被至少一个独立地选自下组的取代基取代的,该组由以下各项组成:卤素、氰基、硝基、C1-C4烷基、C3-C6环烷基、C1-C4卤代烷基、C1-C4烷氧基和C1-C4卤代烷氧基;或
R18和R19与它们所连接的硫原子一起形成环;
R20是H、氰基、C1-C4烷基、C1-C4卤代烷基或C(O)R22;或是苯基,未被取代的或被至少一个独立地选自下组的取代基取代的,该组由以下各项组成:卤素、氰基、硝基、C1-C4烷基、C3-C6环烷基、C1-C4卤代烷基、C1-C4烷氧基和C1-C4卤代烷氧基;
每个R21独立地是C1-C4烷基、C1-C4卤代烷基、C3-C6环烷基或C3-C6卤代环烷基;或是苯基,未被取代的或被至少一个独立地选自下组的取代基取代的,该组由以下各项组成:卤素、氰基、硝基、C1-C4烷基、C3-C6环烷基、C1-C4卤代烷基、C1-C4烷氧基和C1-C4卤代烷氧基;
每个R22独立地是C1-C4烷基、C1-C4卤代烷基、C3-C6环烷基或C3-C6卤代环烷基;或是苯基,未被取代的或被至少一个独立地选自下组的取代基取代的,该组由以下各项组成:卤素、氰基、硝基、C1-C4烷基、C3-C6环烷基、C1-C4卤代烷基、C1-C4烷氧基和C1-C4卤代烷氧基;
每个R23独立地是C1-C4烷基、C1-C4卤代烷基、C3-C6环烷基、C3-C6卤代环烷基、C3-C6环烷基烷基或C3-C6卤代环烷基烷基;或是苯基,未被取代的或被至少一个独立地选自下组的取代基取代的,该组由以下各项组成:卤素、氰基、硝基、C1-C4烷基、C3-C6环烷基、C1-C4卤代烷基、C1-C4烷氧基和C1-C4卤代烷氧基;
每个R24独立地是C1-C4烷基;
每个R25独立地是H、C1-C4烷基或C1-C4卤代烷基;或是苯基,未被取代的或被至少一个独立地选自下组的取代基取代的,该组由以下各项组成:卤素、氰基、硝基、C1-C4烷基、C3-C6环烷基、C1-C4卤代烷基、C1-C4烷氧基和C1-C4卤代烷氧基;
每个R26独立地是C1-C4烷基或C1-C4卤代烷基;或是苯基,未被取代的或被至少一个独立地选自下组的取代基取代的,该组由以下各项组成:卤素、氰基、硝基、C1-C4烷基、C3-C6环烷基、C1-C4卤代烷基、C1-C4烷氧基和C1-C4卤代烷氧基;或
R25和R26独立地与它们所连接的氮原子一起形成含有选自碳原子和最高达2个杂原子的环成员的3-至7-元环,所述杂原子独立地选自一个氧原子、一个硫原子和最高达2个氮原子,其中最高达2个碳原子环成员独立地选自C(=O)和C(=S),并且该硫原子环成员选自S、S(O)或S(O)2,所述环是未被取代的或被至少一个独立地选自下组的取代基取代的,该组由以下各项组成:卤素、氰基、硝基、C1-C4烷基、C3-C6环烷基、C1-C4卤代烷基、C1-C4烷氧基和C1-C4卤代烷氧基;
每个R27独立地是C1-C6烷基、C1-C6卤代烷基、C1-C6烷氧基、C1-C6卤代烷氧基或NR29R30;或是苯基或5-或6-元杂环芳族环,每个是未被取代的或被至少一个独立地选自下组的取代基取代的,该组由以下各项组成:卤素、氰基、硝基、C1-C4烷基、C3-C6环烷基、C1-C4卤代烷基、C1-C4烷氧基和C1-C4卤代烷氧基;
每个R28独立地是C1-C6烷基、C3-C6环烷基或苯基;
每个R29独立地是H或Qb;或是C1-C6烷基、C3-C6环烷基、C2-C6烯基或C2-C6炔基,每个是未被取代的或被至少一个独立地选自下组的取代基取代的,该组由以下各项组成:卤素、氰基、硝基、C1-C4烷基、C3-C6环烷基、C1-C4卤代烷基、C1-C4烷氧基和C1-C4卤代烷氧基;
每个R30独立地是H或Qb;或是C1-C6烷基、C3-C6环烷基、C2-C6烯基或C2-C6炔基,每个是未被取代的或被至少一个独立地选自下组的取代基取代的,该组由以下各项组成:卤素、氰基、硝基、C1-C4烷基、C3-C6环烷基、C1-C4卤代烷基、C1-C4烷氧基和C1-C4卤代烷氧基;或
R29和R30与它们所连接的氮原子一起形成含有选自碳原子和最高达2个杂原子的环成员的3-至10-元环,所述杂原子独立地选自一个氧原子、一个硫原子和最高达2个氮原子,其中最高达2个碳原子环成员独立地选自C(=O)和C(=S),并且该硫原子环成员选自S、S(O)或S(O)2,所述环是未被取代的或被最高达4个独立地选自下组的取代基取代的,该组由以下各项组成:卤素、氰基、硝基、C1-C4烷基、C3-C6环烷基、C1-C4卤代烷基、C1-C4烷氧基和C1-C4卤代烷氧基;
Qa是5-至10-元芳族环或环体系,每个环或环体系含有选自碳原子和最高达3个杂原子的环成员,所述杂原子独立地选自一个氧原子、一个硫原子和最高达3个氮原子,其中最高达2个碳原子环成员独立地选自C(=O)和C(=S),并且该硫原子环成员选自S、S(O)或S(O)2,每个环或环体系是未被取代的或被至少一个Rx取代的;或是3-至6-元部分饱和的环,每个环含有选自碳原子和最高达2个杂原子的环成员,所述杂原子独立地选自一个氧原子、一个硫原子和最高达2个氮原子,其中最高达2个碳原子环成员独立地选自C(=O)和C(=S),并且该硫原子环成员选自S、S(O)或S(O)2,每个环是未被取代的或被至少一个独立地选自下组的取代基取代的,该组由以下各项组成:卤素、氰基、硝基、C1-C4烷基、C3-C6环烷基、C1-C4卤代烷基、C1-C4烷氧基和C1-C4卤代烷氧基;
每个Qb独立地是苯基、5-或6-元杂环芳族环或3-至6-元杂环非芳族环,每个环含有选自碳原子和最高达2个杂原子的环成员,所述杂原子独立地选自一个氧原子、一个硫原子和最高达2个氮原子,其中最高达2个碳原子环成员独立地选自C(=O)和C(=S),并且该硫原子环成员选自S、S(O)或S(O)2,每个环是未被取代的或被至少一个独立地选自下组的取代基取代的,该组由以下各项组成:卤素、氰基、硝基、C1-C4烷基、C3-C6环烷基、C1-C4卤代烷基、C1-C4烷氧基和C1-C4卤代烷氧基;
每个n独立地是0、1或2;并且
p是1或2。
实施例1a.一种式1的化合物,其中
Q是Q-2;
A是CH、CR1或N;
每个R1独立地是卤素、氰基、硝基、C1-C4烷基、C1-C4卤代烷基、C1-C4烷氧基、C1-C4卤代烷氧基、C1-C4烷硫基或C1-C4卤代烷硫基;
m是0或1;
X1、X2、X3和X4各自独立地是CR2、CR3或N,其前提是(i)X1、X2、X3和X4之一是CR2,并且(ii)X1、X2、X3和X4中的不超过一个是N;
R2是C(=Z)R11;
每个Z独立地是O或S;
每个R3独立地是H、卤素、氰基、硝基、C1-C4烷基、C1-C4卤代烷基、C1-C4烷氧基或C1-C4卤代烷氧基;
Y2是N或CR5a;
R5a是H、卤素、氰基、硝基、C1-C4烷基、C3-C6环烷基、C1-C4卤代烷基、C1-C4烷氧基或C1-C4卤代烷氧基;
每个Rx独立地是卤素、氰基、硝基、羟基、C1-C6烷基、C1-C6卤代烷基、C3-C6环烷基、C1-C6烷氧基、C1-C6卤代烷氧基、C3-C6环烷氧基、C(=NR10)R11、C(O)OR21、C(O)NR15R16、OC(O)R22、NR25R26、NR24C(O)R22、C(O)R22、S(O)nR23、Si(R28)3、OSi(R28)3或Qb;
R8是H、C(O)OR21、C(O)NR15R16、C(O)R22、S(O)nR23或Qb;或是C1-C6烷基、C3-C6环烷基、C2-C6烯基或C2-C6炔基,每个是未被取代的或被至少一个Rx取代的;
R9是H、C(=NR10)R11、OR21或NR15R16;或是C1-C6烷基、C3-C6环烷基、C2-C6烯基或C2-C6炔基,每个是未被取代的或被至少一个Rx取代的;或是苯基、苯氧基或5-或6-元杂环芳族环,每个是未被取代的或被至少一个独立地选自下组的取代基取代的,该组由以下各项组成:卤素、氰基、硝基、C1-C4烷基、C3-C6环烷基、C1-C4卤代烷基、C1-C4烷氧基和C1-C4卤代烷氧基;或是3-至6-元杂环非芳族环,每个环含有选自碳原子和最高达3个杂原子的环成员,所述杂原子独立地选自一个氧原子、一个硫原子和最高达2个氮原子,其中最高达1个碳原子环成员独立地选自C(=O)和C(=S),并且该硫原子环成员选自S、S(O)或S(O)2,每个环是未被取代的或被至少一个独立地选自下组的取代基取代的,该组由以下各项组成:卤素、氰基、硝基、C1-C4烷基、C3-C6环烷基、C1-C4卤代烷基、C1-C4烷氧基和C1-C4卤代烷氧基;
每个R10独立地是OR12、S(O)nR13或NHR14;
每个R11独立地是H;或是C1-C6烷基、C3-C6环烷基、C2-C6烯基或C2-C6炔基,每个是未被取代的或被至少一个Rx取代的;或是C1-C6烷氧基、C1-C6卤代烷氧基、C3-C6环烷氧基、C(O)OR21、C(O)NR15R16、C(O)R22或Qb;
每个R12独立地是C1-C4烷基、C3-C6环烷基、C1-C4卤代烷基、C(O)R22、S(O)nR13或Qb;
每个R13独立地是C1-C4烷基或C1-C4卤代烷基;
R14是C1-C4烷基、C3-C6环烷基、C1-C4卤代烷基、C(O)R22或C(O)OR21;或是苯基,未被取代的或被至少一个独立地选自下组的取代基取代的,该组由以下各项组成:卤素、氰基、硝基、C1-C4烷基、C3-C6环烷基、C1-C4卤代烷基、C1-C4烷氧基和C1-C4卤代烷氧基;
每个R15独立地是H、C1-C6烷基、C1-C4卤代烷基、C(O)R27或S(O)2R27;或是苯基或5-或6-元杂环芳族环,每个是未被取代的或被至少一个独立地选自下组的取代基取代的,该组由以下各项组成:卤素、氰基、硝基、C1-C4烷基、C3-C6环烷基、C1-C4卤代烷基、C1-C4烷氧基和C1-C4卤代烷氧基;
每个R16独立地是H、C1-C6烷基或C1-C4卤代烷基;或
R15和R16与它们所连接的氮原子一起形成含有选自碳原子和最高达2个杂原子的环成员的3-至7-元环,所述杂原子独立地选自一个氧原子、一个硫原子和最高达2个氮原子,其中最高达2个碳原子环成员独立地选自C(=O)和C(=S),并且该硫原子环成员选自S、S(O)或S(O)2,所述环是未被取代的或被至少一个独立地选自下组的取代基取代的,该组由以下各项组成:卤素、氰基、硝基、C1-C4烷基、C3-C6环烷基、C1-C4卤代烷基、C1-C4烷氧基和C1-C4卤代烷氧基;
R17是C1-C4烷基、C3-C6环烷基或C1-C4卤代烷基;或是苯基,未被取代的或被至少一个独立地选自下组的取代基取代的,该组由以下各项组成:卤素、氰基、硝基、C1-C4烷基、C3-C6环烷基、C1-C4卤代烷基、C1-C4烷氧基和C1-C4卤代烷氧基;
每个R18独立地是C1-C4烷基或C1-C4卤代烷基;或是苯基,未被取代的或被至少一个独立地选自下组的取代基取代的,该组由以下各项组成:卤素、氰基、硝基、C1-C4烷基、C3-C6环烷基、C1-C4卤代烷基、C1-C4烷氧基和C1-C4卤代烷氧基;
每个R19独立地是C1-C4烷基或C1-C4卤代烷基;或是苯基,未被取代的或被至少一个独立地选自下组的取代基取代的,该组由以下各项组成:卤素、氰基、硝基、C1-C4烷基、C3-C6环烷基、C1-C4卤代烷基、C1-C4烷氧基和C1-C4卤代烷氧基;或
R18和R19与它们所连接的硫原子一起形成环;
R20是H、氰基、C1-C4烷基、C1-C4卤代烷基或C(O)R22;或是苯基,未被取代的或被至少一个独立地选自下组的取代基取代的,该组由以下各项组成:卤素、氰基、硝基、C1-C4烷基、C3-C6环烷基、C1-C4卤代烷基、C1-C4烷氧基和C1-C4卤代烷氧基;
每个R21独立地是C1-C4烷基、C1-C4卤代烷基、C3-C6环烷基或C3-C6卤代环烷基;或是苯基,未被取代的或被至少一个独立地选自下组的取代基取代的,该组由以下各项组成:卤素、氰基、硝基、C1-C4烷基、C3-C6环烷基、C1-C4卤代烷基、C1-C4烷氧基和C1-C4卤代烷氧基;
每个R22独立地是C1-C4烷基、C1-C4卤代烷基、C3-C6环烷基或C3-C6卤代环烷基;或是苯基,未被取代的或被至少一个独立地选自下组的取代基取代的,该组由以下各项组成:卤素、氰基、硝基、C1-C4烷基、C3-C6环烷基、C1-C4卤代烷基、C1-C4烷氧基和C1-C4卤代烷氧基;
每个R23独立地是C1-C4烷基、C1-C4卤代烷基、C3-C6环烷基、C3-C6卤代环烷基、C3-C6环烷基烷基或C3-C6卤代环烷基烷基;或是苯基,未被取代的或被至少一个独立地选自下组的取代基取代的,该组由以下各项组成:卤素、氰基、硝基、C1-C4烷基、C3-C6环烷基、C1-C4卤代烷基、C1-C4烷氧基和C1-C4卤代烷氧基;
每个R24独立地是C1-C4烷基;
每个R25独立地是H、C1-C4烷基或C1-C4卤代烷基;或是苯基,未被取代的或被至少一个独立地选自下组的取代基取代的,该组由以下各项组成:卤素、氰基、硝基、C1-C4烷基、C3-C6环烷基、C1-C4卤代烷基、C1-C4烷氧基和C1-C4卤代烷氧基;
每个R26独立地是C1-C4烷基或C1-C4卤代烷基;或是苯基,未被取代的或被至少一个独立地选自下组的取代基取代的,该组由以下各项组成:卤素、氰基、硝基、C1-C4烷基、C3-C6环烷基、C1-C4卤代烷基、C1-C4烷氧基和C1-C4卤代烷氧基;或
R25和R26独立地与它们所连接的氮原子一起形成含有选自碳原子和最高达2个杂原子的环成员的3-至7-元环,所述杂原子独立地选自一个氧原子、一个硫原子和最高达2个氮原子,其中最高达2个碳原子环成员独立地选自C(=O)和C(=S),并且该硫原子环成员选自S、S(O)或S(O)2,所述环是未被取代的或被至少一个独立地选自下组的取代基取代的,该组由以下各项组成:卤素、氰基、硝基、C1-C4烷基、C3-C6环烷基、C1-C4卤代烷基、C1-C4烷氧基和C1-C4卤代烷氧基;
每个R27独立地是C1-C6烷基、C1-C6卤代烷基、C1-C6烷氧基、C1-C6卤代烷氧基或NR29R30;或是苯基或5-或6-元杂环芳族环,每个是未被取代的或被至少一个独立地选自下组的取代基取代的,该组由以下各项组成:卤素、氰基、硝基、C1-C4烷基、C3-C6环烷基、C1-C4卤代烷基、C1-C4烷氧基和C1-C4卤代烷氧基;
每个R28独立地是C1-C6烷基、C3-C6环烷基或苯基;
每个R29独立地是H或Qb;或是C1-C6烷基、C3-C6环烷基、C2-C6烯基或C2-C6炔基,每个是未被取代的或被至少一个独立地选自下组的取代基取代的,该组由以下各项组成:卤素、氰基、硝基、C1-C4烷基、C3-C6环烷基、C1-C4卤代烷基、C1-C4烷氧基和C1-C4卤代烷氧基;
每个R30独立地是H或Qb;或是C1-C6烷基、C3-C6环烷基、C2-C6烯基或C2-C6炔基,每个是未被取代的或被至少一个独立地选自下组的取代基取代的,该组由以下各项组成:卤素、氰基、硝基、C1-C4烷基、C3-C6环烷基、C1-C4卤代烷基、C1-C4烷氧基和C1-C4卤代烷氧基;或
R29和R30与它们所连接的氮原子一起形成含有选自碳原子和最高达2个杂原子的环成员的3-至10-元环,所述杂原子独立地选自一个氧原子、一个硫原子和最高达2个氮原子,其中最高达2个碳原子环成员独立地选自C(=O)和C(=S),并且该硫原子环成员选自S、S(O)或S(O)2,所述环是未被取代的或被最高达4个独立地选自下组的取代基取代的,该组由以下各项组成:卤素、氰基、硝基、C1-C4烷基、C3-C6环烷基、C1-C4卤代烷基、C1-C4烷氧基和C1-C4卤代烷氧基;
Qa是5-至10-元芳族环或环体系,每个环或环体系含有选自碳原子和最高达3个杂原子的环成员,所述杂原子独立地选自一个氧原子、一个硫原子和最高达3个氮原子,其中最高达2个碳原子环成员独立地选自C(=O)和C(=S),并且该硫原子环成员选自S、S(O)或S(O)2,每个环或环体系是未被取代的或被至少一个Rx取代的;或是3-至6-元部分饱和的环,每个环含有选自碳原子和最高达2个杂原子的环成员,所述杂原子独立地选自一个氧原子、一个硫原子和最高达2个氮原子,其中最高达2个碳原子环成员独立地选自C(=O)和C(=S),并且该硫原子环成员选自S、S(O)或S(O)2,每个环是未被取代的或被至少一个独立地选自下组的取代基取代的,该组由以下各项组成:卤素、氰基、硝基、C1-C4烷基、C3-C6环烷基、C1-C4卤代烷基、C1-C4烷氧基和C1-C4卤代烷氧基;
每个Qb独立地是苯基、5-或6-元杂环芳族环或3-至6-元杂环非芳族环,每个环含有选自碳原子和最高达2个杂原子的环成员,所述杂原子独立地选自一个氧原子、一个硫原子和最高达2个氮原子,其中最高达2个碳原子环成员独立地选自C(=O)和C(=S),并且该硫原子环成员选自S、S(O)或S(O)2,每个环是未被取代的或被至少一个独立地选自下组的取代基取代的,该组由以下各项组成:卤素、氰基、硝基、C1-C4烷基、C3-C6环烷基、C1-C4卤代烷基、C1-C4烷氧基和C1-C4卤代烷氧基;
每个n独立地是0、1或2;并且
p是1或2。
实施例1b.如式1所述的化合物,其中Q是Q-1、Q-2或Q-3。
实施例2.如式1所述的化合物,其中Q是Q-1、Q-2或Q-3,并且Y3是CR5b。
实施例3.如式1所述的化合物,其中Q是Q-1或Q-2。
实施例4.如式1所述的化合物,其中Q是Q-1。
实施例5.如式1所述的化合物,其中Q是Q-1,并且Y1是O或S。
实施例6.如式1所述的化合物,其中Q是Q-1,并且Y1是S。
实施例7.如式1所述的化合物,其中Q是Q-1,并且Y1是O。
实施例8.如式1所述的化合物,其中Q是Q-2。
实施例9.如式1所述的化合物,其中Q是Q-2,并且Y2是CR5a。
实施例9a.一种式1的化合物,其中Q是Q-2,Y2是CR5a,并且R5a是H。
实施例10.如式1或实施例1-9中任一项所述的化合物,其中A是CH、CR1或N,并且R1是卤素。
实施例11.如实施例10所述的化合物,其中A是CH、CF或N。
实施例11a.如实施例10所述的化合物,其中A是CF或N。
实施例12.如实施例10所述的化合物,其中A是CH或CF。
实施例13.如实施例10所述的化合物,其中A是CH。
实施例14.如实施例10所述的化合物,其中A是N。
实施例15.如式1或实施例1-9中任一项所述的化合物,其中m是1,并且R1是C1-C4烷基、C1-C4卤代烷基、C1-C4烷氧基或卤素。
实施例16.如实施例15所述的化合物,其中R1是CF3、OMe、Me、或F。
实施例17.如实施例16所述的化合物,其中R1是CF3、OMe、Me、或F,并且处于4-位。
实施例18.如实施例17所述的化合物,其中R1是CF3,并且处于4-位。
实施例19.如式1或实施例1-9中任一项所述的化合物,其中m是0。
实施例20.如式1的化合物或如实施例1-19中任一项所述的化合物,其中X1是CR2;或X2是CR2。
实施例20a.如式1的化合物或如实施例1-19中任一项所述的化合物,其中X1是CR2,并且X2、X3和X4各自独立地是CR3;或X2是CR2,并且X1、X3和X4各自独立地是CR3。
实施例20b.如式1的化合物或如实施例1-19中任一项所述的化合物,其中X1是CR2,并且X2、X3和X4之一是N;或X2是CR2,并且X1、X3和X4之一是N。
实施例21.如实施例20所述的化合物,其中X1是CR2,并且X2、X3和X4各自独立地是CR3。
实施例22.如实施例20所述的化合物,其中X2是CR2,并且X1、X3和X4各自独立地是CR3。
实施例23.如式1或实施例1-22中任一项所述的化合物,其中每个R3独立地是H或卤素。
实施例24.如实施例23所述的化合物,其中每个R3独立地是H或F。
实施例25.如实施例24所述的化合物,其中每个R3是H。
实施例26.如式1的化合物或如实施例1-25中任一项所述的化合物,其中R2是C(=Z)R11、LQa、或被C(=Z)R11或C(=Z)NR6R7取代的C1-C4烷基。
实施例27.如式1的化合物或如实施例1-25中任一项所述的化合物,其中R2是C(=Z)R11、或被C(=Z)R11或C(=Z)NR6R7取代的C1-C4烷基。
实施例28.如式1的化合物或如实施例1-25中任一项所述的化合物,其中R2是C(=Z)R11或LQa。
实施例29.如式1的化合物或如实施例1-25中任一项所述的化合物,其中R2是C(=Z)R11。
实施例30.如式1的化合物或如实施例1-25中任一项所述的化合物,其中R2是LQa。
实施例31.如式1的化合物或如实施例1-25中任一项所述的化合物,其中R2是LQa并且L是O。
实施例32.如式1的化合物或如实施例1-25中任一项所述的化合物,其中R2是LQa并且L是S。
实施例33.如式1的化合物或如实施例1-25中任一项所述的化合物,其中R2是LQa并且L是NR8。
实施例35.如式1的化合物或如实施例1-25中任一项所述的化合物,其中R2是LQa并且L是C(O)。
实施例38.如式1的化合物或如实施例1-25中任一项所述的化合物,其中R2是LQa;并且Qa是未被取代的或被至少一个Rx取代的苯基。
实施例39.如式1的化合物或如实施例1-25中任一项所述的化合物,其中R2是LQa;并且Qa是5-或6-元杂芳族环,每个环含有选自碳原子和最高达3个杂原子的环成员,所述杂原子独立地选自一个氧原子、一个硫原子和最高达3个氮原子,每个环是未被取代的或被至少一个Rx取代的。
实施例40.如实施例39所述的化合物,其中该杂芳族环是5-元杂芳族环。
实施例41.如实施例40所述的化合物,其中该杂芳族环是在2-位具有氮原子的5-元杂芳族环。
实施例42.如实施例39所述的化合物,其中该杂芳族环是6-元杂芳族环。
实施例43.如实施例42所述的化合物,其中该杂芳族环是在2-位具有氮原子的6-元杂芳族环。
实施例43a.如实施例42所述的化合物,其中该杂芳环是未被取代的或被1-2个Rx取代的6-元杂芳环。
实施例44.如实施例43所述的化合物,其中该杂芳族环是在2-位具有氮原子并被C1-C4卤代烷基取代的6-元杂芳族环。
实施例45.如实施例44所述的化合物,其中该杂芳族环是在2-位具有氮原子并被CF3取代的6-元杂芳族环。
实施例46.如式1的化合物或如实施例1-25中任一项所述的化合物,其中R2是C(=Z)R11或LQa;或是任选地被C(=Z)R11、C(=Z)NR6R7或最高达3个Ry取代的C1-C6烷氧基;或是被C(=Z)R11或C(=Z)NR6R7取代并任选地进一步被最高达3个Ry取代的C1-C4烷基。
实施例47.如式1的化合物或如实施例1-25中任一项所述的化合物,其中R2是C(=O)R11或LQa;或是任选地被C(=Z)R11、C(=Z)NR6R7或最高达3个Ry取代的C1-C6烷氧基;或是被C(=O)NR6R7取代并任选地进一步被最高达3个Ry取代的C1-C2烷基。
实施例48.如式1的化合物或如实施例1-25中任一项所述的化合物,其中R2是C(=O)R11;或是任选地被C(=Z)R11、C(=Z)NR6R7或最高达3个Ry取代的C1-C6烷氧基;或是被C(=O)NR6R7取代并任选地进一步被最高达3个Ry取代的C1-C2烷基。
实施例49.如式1的化合物或如实施例1-25中任一项所述的化合物,其中R2是C(=O)R11或C1-C6烷氧基;或是被C(=O)NR6R7取代的C1-C2烷基。
本发明的实施例,包括以上的实施例1-49以及任何在此所述的其他实施例,可以以任何方式组合,并且实施例中的变量的描述不仅涉及式1的化合物,而且还涉及对于制备式1的化合物有用的起始化合物和中间体化合物。此外,本发明的实施例,包括以上的实施例1-497以及任何在此所述的其他实施例以及其任何组合,涉及本发明的组合物和方法。
实施例1-49的组合由以下示出:
实施例A.一种式1的化合物,其中
X1或X2是CR2。
实施例B.如实施例A所述的化合物,其中
Q是Q-1或Q-2。
实施例C.如实施例B所述的化合物,其中
Q是Q-1;并且
Y1是O或S。
实施例D.如实施例B所述的化合物,其中
Q是Q-2;并且
Y2是CR5a。
实施例E.如实施例A-D中任一项所述的化合物,其中
A是CH或CF;并且
m是0。
实施例F.一种式1的化合物,其中
A是CH或CF;
m是0;
Q是Q-2;
Y2是CR5a;
X1是CR2,并且X2、X3和X4各自是CH;或X2是CR2,并且X1、X3和X4是CH;
R2是C(=Z)R11。
实施例G.一种式1的化合物,其中
A是CH或CF;
m是0;
Q是Q-2;
Y2是CR5a;
X1是CR2,并且X2、X3和X4各自是CH;
R2是C(=Z)R11。
实施例H.一种式1的化合物,其中
A是CH或CF;
m是0;
Q是Q-2;
Y2是CR5a;
X2是CR2,并且X1、X3和X4是CH;
R2是C(=Z)R11。
实施例I.一种式1的化合物,其中
A是CH;
m是0;
Q是Q-2;
Y2是CR5a;
R5a是H;
X1是CR2,并且X2、X3和X4各自是CH;或X2是CR2,并且X1、X3和X4是CH;并且
R2是C(=Z)R11。
实施例J.一种式1的化合物,其中
A是CH;
m是0;
Q是Q-2;
Y2是CR5a;
R5a是H;
X1是CR2,并且X2、X3和X4各自是CH;并且
R2是C(=Z)R11。
实施例K.一种式1的化合物,其中
A是CH;
m是0;
Q是Q-2;
Y2是CR5a;
R5a是H;
X2是CR2,并且X1、X3和X4是CH;并且
R2是C(=Z)R11。
实施例1-45的另外的组合包括:
实施例A1.一种式1的化合物,其中
Q是Q-2;并且
Y2是CR5a。
实施例A2.如实施例A1所述的化合物,其中
X1是CR2;或X2是CR2。
实施例A3.如实施例A2所述的化合物,其中
X1是CR2,并且X2、X3和X4各自独立地是CR3;或X2是CR2并且X1、X3和X4各自独立地是CR3。
实施例A4.如实施例A2所述的化合物,其中
X1是CR2并且X2、X3和X4之一是N;或X2是CR2并且X1、X3和X4之一是N。
实施例A5.如实施例A2所述的化合物,其中R2是C(=Z)R11或LQa;或是任选地被C(=Z)R11、C(=Z)NR6R7或最高达3个Ry取代的C1-C6烷氧基;或是被C(=Z)R11或C(=Z)NR6R7取代并任选地进一步被最高达3个Ry取代的C1-C4烷基。
实施例A6.如实施例A5所述的化合物,其中
R2是C(=O)R11或LQa;或是任选地被C(=Z)R11、C(=Z)NR6R7或最高达3个Ry取代的C1-C6烷氧基;或是被C(=O)NR6R7取代并任选地进一步被最高达3个Ry取代的C1-C2烷基;
L是O;并且
Qa是未被取代的或被1-2个Rx取代的6-元杂芳环。
实施例A7.如实施例A6所述的化合物,其中
A是CH、CF或N;并且
m是0。
实施例A8.如实施例A7所述的化合物,其中
A是CH或CF。
具体实施例包括选自由以下各项组成的组的式1的化合物(化合物编号参考索引表A):
3-(甲硫基)-1-[2-(3-吡啶基)-2H-吲唑-4-基]-1-丙酮(化合物2);
3-(甲氧基甲基氨基)-1-[2-(3-吡啶基)-2H-吲唑-5-基]-1-丙酮(化合物32);
2-(3-吡啶基)-5-(2-嘧啶基氧基)-2H-吲唑(化合物42);
α-氧代-2-(3-吡啶基)-N-(2,2,2-三氟乙基)-2H-吲唑-5-乙酰胺(化合物48);
5-(2-甲基丙氧基)-2-(3-吡啶基)-2H-吲唑(化合物54);
α-甲基-2-(3-吡啶基)-N-(2-嘧啶基甲基)-2H-吲唑-5-乙酰胺(化合物59);
2-(3-吡啶基)-N-(2-嘧啶基甲基)-2H-吲唑-5-乙酰胺(化合物84);以及
N-(1-氰基-1-甲基乙基)-α-甲基-2-(3-吡啶基)-2H-吲唑-5-乙酰胺(化合物85)。
值得注意的是,本发明的化合物的特征在于有利的代谢和/或土壤残留模式,并表现出防治广谱的农学和非农学无脊椎有害生物的活性。
特别值得注意的是,由于无脊椎有害生物防治谱和经济重要性的原因,通过防治无脊椎有害生物保护农作物免受由无脊椎有害生物引起的损害或伤害是本发明的实施例。本发明的化合物由于其在植物中的有利的易位特性或内吸性还保护叶或不与式1的化合物或包含该化合物的组合物直接接触的其他植物部分。
还值得注意的作为本发明的实施例的是包含前述实施例中任一项、以及在此所述的任何其他实施例及其任何组合所述的化合物,以及至少一种选自由表面活性剂、固体稀释剂和液体稀释剂组成的组的附加组分的组合物,所述组合物任选地进一步包含至少一种附加的生物学活性化合物或试剂。
另外值得注意的作为本发明的实施例的是用于防治无脊椎有害生物的包含前述实施例中任一项、以及在此所述的任何其他实施例及其任何组合所述的化合物,以及至少一种选自由表面活性剂、固体稀释剂和液体稀释剂组成的组的附加组分的组合物,所述组合物任选地进一步包含至少一种附加的生物学活性化合物或试剂。本发明的实施例进一步包括用于防治无脊椎有害生物的方法,这些方法包括使无脊椎有害生物或其环境与生物学有效量的如前述实施例中任一项所述的化合物(例如,作为在此所述的组合物)接触。
本发明的实施例还包括呈土壤浸液液体制剂形式的包含如前述实施例中任一项所述的化合物的组合物。本发明的实施例进一步包括用于防治无脊椎有害生物的方法,这些方法包括使土壤与作为土壤浸液的液体组合物接触,该土壤浸液包含生物学有效量的如前述实施例中任一项所述的化合物。
本发明的实施例还包括一种用于防治无脊椎有害生物的喷雾组合物,该喷雾组合物包含生物学有效量的如前述实施例中任一项所述的化合物和推进剂。本发明的实施例进一步包括一种用于防治无脊椎有害生物的诱饵组合物,该诱饵组合物包含生物学有效量的如前述实施例中任一项所述的化合物、一种或多种食物材料、任选地引诱剂和任选地保湿剂。本发明的实施例还包括一种用于防治无脊椎有害生物的装置,该装置包括所述诱饵组合物和适配为接收所述诱饵组合物的壳体,其中该壳体具有至少一个开口,该开口被定尺寸以允许该无脊椎有害生物通过该开口,使得该无脊椎有害生物可以从该壳体外部的位置接近所述诱饵组合物,并且其中该壳体进一步被适配为放置在该无脊椎有害生物的潜在或已知活动的所在地中或附近。
本发明的实施例还包括用于保护种子免受无脊椎有害生物的方法,这些方法包括使该种子与生物学有效量的如前述实施例中任一项所述的化合物接触。
本发明的实施例还包括用于保护动物免受无脊椎寄生有害生物的方法,这些方法包括向该动物施用杀寄生虫有效量的如前述实施例中任一项所述的化合物。
本发明的实施例还包括用于防治无脊椎有害生物的方法,这些方法包括使该无脊椎有害生物或其环境与生物学有效量的式1的化合物、其N-氧化物或盐(例如,作为在此所述的组合物)接触,前提是这些方法不是通过治疗对人或动物体进行药物处理的方法。
本发明还涉及这样的方法,其中使该无脊椎有害生物或其环境与包含生物学有效量的式1的化合物、其N-氧化物或盐、以及至少一种选自由表面活性剂、固体稀释剂和液体稀释剂组成的组的附加组分的组合物接触,所述组合物任选地还包含生物学有效量的至少一种附加的生物学活性化合物或试剂,前提是这些方法不是通过治疗对人或动物体进行药物处理的方法。
式1的化合物可以通过如方案1-12中所述的以下方法和变型中的一种或多种来制备。除非另外指出,下式1-22的化合物中的取代基的定义如以上发明内容中所定义。式1a-1f的化合物是式1的化合物的不同子集,并且式1a-1f的所有取代基如以上对于式1所定义。使用以下缩写:THF是四氢呋喃,DMF是N,N-二甲基甲酰胺,NMP是N-甲基吡咯烷酮,Ac是乙酸根,MS是甲磺酸根,Tf是三氟甲磺酸根,并且Nf是全氟丁磺酸根。
式1a(其中Q是Q-1、Q-3或Q-4的式1)的化合物可以如方案1所示通过在催化剂和合适配体的存在下将式2(其中LG是合适的离去基团如Cl、Br、I、Tf或Nf)的杂环化合物与式3(其中M是合适的金属或类金属如Mg、Zn或B物种)的杂环化合物偶联来制备。催化剂可以由过渡金属如Pd(例如Pd(OAc)2或Pd2(dba)3和单-或双-齿配体如PPh3、PCy3、Pt-Bu3、2-二环己基磷-2,4,6-三异丙基联苯、4,5-双二苯基膦-9,9-二甲基氧杂蒽、2-双环己基膦-2’,6’-二甲氧基联苯和1,1’-双(二苯基膦)二茂铁。所使用的典型的碱包括碳酸盐如碳酸钠或碳酸铯,磷酸盐如三磷酸钾,胺如乙基二异丙胺,或醇盐如叔丁醇钠。典型的溶剂包括THF、二噁烷、甲苯、乙醇、DMF、水或其混合物。典型的反应温度在从环境温度至溶剂沸点的范围内。
方案1
式1a(其中Q是Q-1、Q-3或Q-4的式1)的化合物也可以如方案2所示通过在催化剂和合适配体的存在下将式4的化合物与式5(其中LG是合适的离去基团如Cl、Br、I、Tf或Nf)的化合物偶联来制备。在方案2的方法中可以使用各种催化剂,并且这些催化剂可以由过渡金属物种如铜或Pd(例如络合物如Pd(OAc)2或Pd2(dba)3)和配体产生。典型的配体可以是单齿的或双齿的,并且包括PPh3、PCy3、Pt-Bu3、2-二环己基磷-2,4,6-三异丙基联苯、4,5-双二苯基膦-9,9-二甲基氧杂蒽、2-双环己基膦-2’,6’-二甲氧基联苯和1,1’-双(二苯基膦)二茂铁。所使用的典型的碱包括碳酸盐如碳酸钠或碳酸铯,磷酸盐如三磷酸钾,胺如乙基二异丙胺,或醇盐如叔丁醇钠。添加剂如分子筛、Bu4N+Br-或铜盐或银盐(例如,AgOAc)可以是有益的。典型的反应溶剂包括THF、二噁烷、甲苯、乙醇、DMF、水或其混合物。典型的反应温度在从环境温度至溶剂沸点的范围内。例如,参见Chemical Communications[化学通讯]2011,47(17),第5043-5045页;Journal of the American Chemical Society[美国化学会志]2010,132(11),第3674-3675页;Heterocycles[杂环]2011,83(6),第1371-1376页;美国专利申请公开20090076266;Bulletin of the Chemical Society of Japan[日本化学学会通报]1998,71(2),第467-473页;Tetrahedron Letters[四面体通讯]2008,49(10),第1598-1600页;和Tetrahedron Letters 2010,51(42),第5624-5627页。
方案2
其中LG是卤素的式2的化合物可以在卤素源如CuBr2或BnNEt3 +Br-的存在下通过用ON+源如亚硝酸异戊酯或亚硝酸叔丁酯或亚硝酸处理由相应的胺制备。优选的反应条件包括水性或有机溶剂如THF或乙腈,反应温度在从0℃至溶剂沸点的范围内。
其中LG是Cl或Br的式2的化合物也可以通过用卤化剂如POCl3、PCl5、PBr3或SOCl2处理由相应的羟基化合物制备。其中LG是OMS或OTf的式2的化合物也可以通过用MsCl或Tf2O处理由相应的羟基化合物制备。
式4的化合物可以通过用ON+源例如亚硝酸异戊酯或亚硝酸叔丁酯处理由相应的胺化合物制备。在环境温度至溶剂沸点的范围内的温度下,优选的反应条件包括醚溶剂如THF。
式6的化合物可以在环境温度至高达溶剂沸点的范围内的温度下在适当的溶剂如DMF、NMP或乙酸中通过用卤化剂如N-溴代琥珀酰亚胺处理通过相应的式7的化合物的亲电卤化作用来制备(方案3)。
方案3
式8的2-氨基苯并噻唑可由式9的邻位未取代的苯胺和硫氰酸根阴离子(其中M是K+、Na+或Bu4N+)制备,如方案4所示。该反应可以在单个步骤中在例如乙酸中进行,或通过中间体硫脲,随后进行氧化而进行。合适的氧化剂包括溴。
方案4
式1b的化合物可以通过方案5所示的方法由式10的化合物制备,其中用叠氮化物试剂(例如,叠氮化钠或叠氮化四丁基铵)处理式10的化合物。典型的反应条件包括作为溶剂的DMF或NMP,并且反应温度在从80℃至溶剂沸点的范围内。
方案5
式1b的化合物还可以通过方案5a所示的方法由具有化学式10a的化合物来制备,其中用亚磷酸三乙酯处理具有化学式10a的化合物。
方案5a
式10和10a的化合物是席夫碱并且可以通过本领域已知的方法制备(参见例如March,J.,Advanced Organic Chemistry[高等有机化学],Wiley,1992,第896-898页)。
式1c的化合物可以由式11的化合物通过方案6所示的方法在铜(II)催化剂如Cu(OAc)2或CuBr2的存在下经由用分子氧或过氧化物如叔丁基氢过氧化物氧化式11的化合物来制备。典型的反应条件包括醇溶剂如叔戊醇、DMF、NMP或氨水,并且反应温度为从60℃至溶剂的沸点。
方案6
式11的2-氨基偶氮化合物可以通过本领域已知的方法通过式9的苯胺与式12的重氮盐的反应来制备(参见,例如,March,J.,Advanced Organic Chemistry,Wiley,1992,第525-526页)。式11的化合物也可以通过在溶剂如乙酸中通过式13的芳基亚硝基化合物与式14的二胺的反应来制备。这两种方法在方案7中示出。
方案7
式1d的化合物可以通过式14(其中LG是合适的离去基团如Cl或Br)的化合物与式16的氨基吡啶或氨基二嗪的缩合来制备,如方案8所示。典型的反应条件包括醇溶剂如乙醇或甲苯,并且反应温度在从环境温度至溶剂沸点的范围内。吡啶氮可以任选地被保护为BH3加合物、N-氧化物、或2-或6-卤代吡啶衍生物。
方案8
式1e的化合物可以如方案9所示通过式15的2-氨基吡啶与式16的芳基腈的环加成来制备(参见,例如,Journal of the American Chemical Society 2009,131(42),第15080-15081页,和WO 2013041472)。
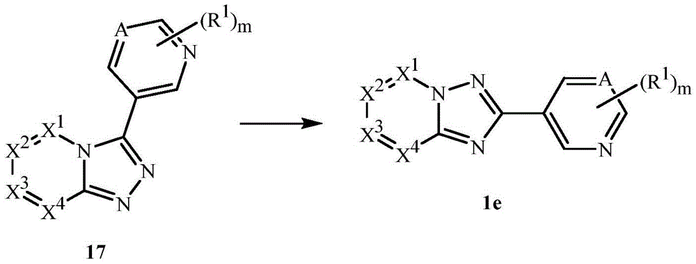
方案9
式1e的化合物也可以如方案10所示通过用碱处理通过式17的化合物的重排来制备(参见,例如,J.Het Chem[杂环化学期刊]1970,7,第1019页)。式17的化合物可以通过WO2008006540和J.Org.Chem.[有机化学期刊],1966,第251页描述的方法来制备。
方案10
式18的中间体可以通过方案11所示的方法通过用异氰酸酯接着羟胺和适当的碱如三乙胺处理式15的2-氨基吡啶来制备。
方案11
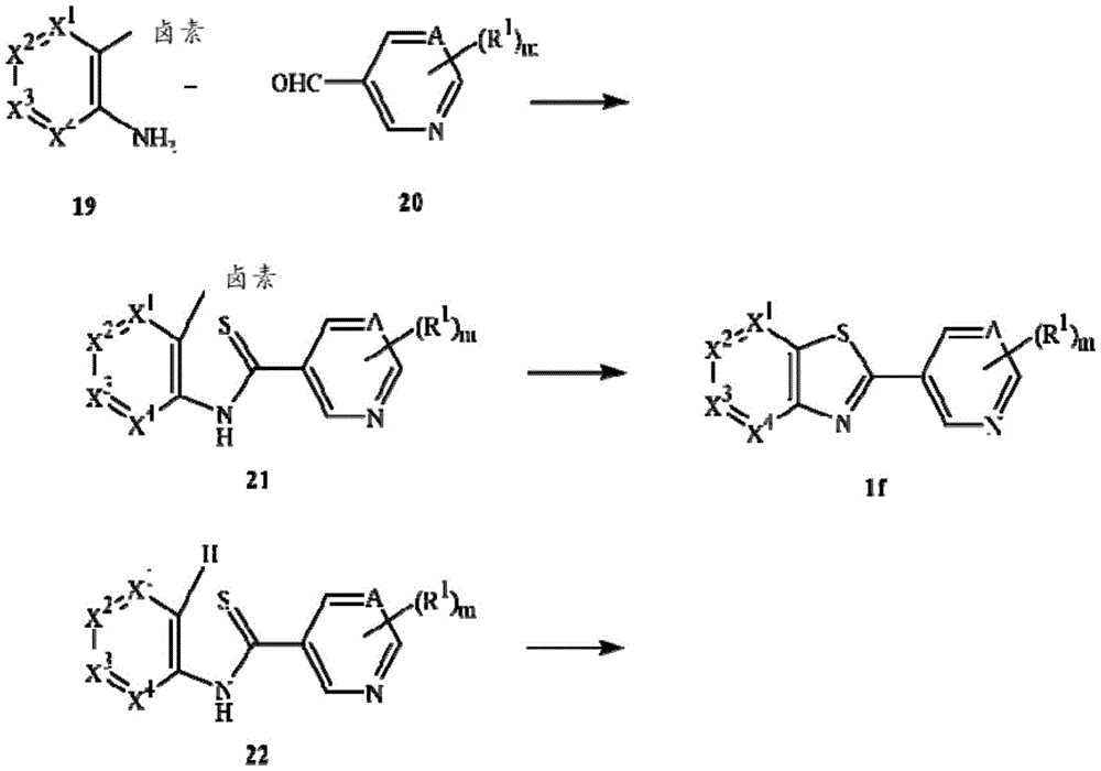
式1f的化合物可以如方案12所示在作为硫源并作为氧化剂二者的硫的存在下通过式20的芳基醛与具有邻位卤素(优选碘)的式19的苯胺的氧化环化来制备。该反应在碱例如K2CO3的存在下,在合适的溶剂如水或DMF中进行,并通过加入铜盐(例如,CuI或CuCl2)和优选合适的配体如1,10-菲咯啉催化。典型的反应温度在从70℃至溶剂沸点的范围内。
方案12
式1f的化合物也可以如方案12的第二反应中所示在合适的溶剂如甲苯或DMF中,任选地添加铜盐如CuI,以及优选合适的配体如1,10-菲咯啉通过式21的2-卤代硫酰胺与碱例如KOtBu、NaH、DBU或Cs2CO3的环化作用来制备。该反应也可以由Pd物种(例如由Pd2(dba)3和(t-Bu)2P-o-联苯制备),碱如Cs2CO3在合适的溶剂如1,2-二甲氧基乙烷或二噁烷中催化。典型的反应温度在从80℃至溶剂沸点的范围内。对于铜和Pd催化的反应,式21的化合物上的卤素取代基优选为Br或I。例如,参见Journal of Organic Chemistry[有机化学期刊]2006,71(5),第1802-1808页;Tetrahedron Letters[四面体通讯]2003,44(32),第6073-6077页;Synthetic Communications[合成通讯]1991,21(5),第625-33页;和欧洲专利申请号450420。
式1f的化合物也可以通过式22的硫代酰胺的氧化环化来制备,如方案12的第三反应所示。通常在该方法中使用的氧化剂包括溴或碘、DDQ和K3Fe(CN)6。例如,参见Tetrahedron[四面体]2007,63(41),第10276-10281页;Synthesis[合成]2007,(6),819-823;和美国专利申请公开20120215154。
方案12中描述的三种方法可用于制备其中X1-X4为碳原子,或其中X1-X4之一为氮的化合物(例如,参见J.Heterocyclic Chem.[杂环化学期刊]2009,46,第1125页及其中引用的参考文献)。
式1的化合物和其中Z为S的式1的化合物的制备中使用的中间体可以通过用例如劳氏试剂(CAS号19172-47-5)、Belleau试剂(CAS号88816-02-8)或P2S5硫化其中Z为S的相应的化合物来制备。硫化反应通常在溶剂如甲苯、二甲苯或二噁烷中,并在从80℃至溶剂沸点的升高温度下进行。
应认识到,上述对于制备式1的化合物所描述的某些试剂和反应条件可能不与中间体中存在的某些官能团相容。在这些情况下,将保护/去保护序列或官能团相互转换结合到合成中将有助于获得所期望的产物。保护基团的使用和选择对于化学合成领域的技术人员将是显而易见的(参见,例如,Greene,T.W.;Wuts,P.G.M.Protective Groups inOrganic Synthesis[有机合成中的保护基团],第2版;Wiley:纽约,1991)。本领域的技术人员将认识到,在一些情况下,在引入各个方案中所描绘的试剂之后,可能需要没有详细描述的额外常规合成步骤以完成式1的化合物的合成。本领域的技术人员还将认识到,可能需要以与制备式1的化合物所呈现的具体序列不同的顺序来进行以上方案中示出的步骤的组合。
本领域的技术人员还将认识到,在此所述的式1的化合物和中间体可经受各种亲电反应、亲核反应、自由基反应、有机金属反应、氧化反应和还原反应以添加取代基或改性现有的取代基。
无需进一步详尽说明,据信本领域技术人员使用前述说明可将本发明利用至其最大程度。因此,以下合成实例应被解释为仅仅是说明性的,并非以任何方式限制本披露。以下合成实例中的步骤示出了在整体合成转化中每个步骤的程序,并且用于每个步骤的起始物质并不必须由其程序描述于其他实例或步骤中的具体制备试验来制备。百分比是按重量计,除了色谱溶剂混合物或除非另外指明之外。除非另外指明,色谱溶剂混合物的份数和百分比是按体积计。1H NMR谱以距四甲基硅烷的低场的ppm来报告。“s”意指单峰、“d”意指双重峰、“t”意指三重峰、“q”意指四重峰、“m”意指多重峰、“dd”意指双重双峰、“dt”意指双重三峰、“br s”意指宽单峰。DMF意指N,N-二甲基甲酰胺。化合物编号参照索引表A。
合成实例1
1-[2-(3-吡啶基)-2H-吲唑-4-基]乙酮(化合物5)的制备
步骤A:1-[2-(3-吡啶基)-2H-吲唑-4-基]乙酮的制备
在氮气气氛下,将4-溴-2-(3-吡啶基)-2H-吲唑(2g,7.3mmol)、正丁基乙烯醚(1.8mL,14.6mmol)、乙酸钯(163mg,0.73mmol)、DPPP(601mg,1.46mmol)、和K2CO3(1.2g,8.7mmol)在脱气的DMF(40mL)和水(10mL)中的溶液加热到100℃持续2小时。冷却至室温后,将反应混合物用水性1N HCl(20mL)处理并搅拌15分钟。然后将该反应混合物用EtOAc(100mL)稀释,并分离各层。将水层用EtOAc(2X 100mL)萃取,并且将合并的有机层用水(3X50mL)然后用盐水(50mL)洗涤。将有机相经硫酸钠干燥,过滤,并且在真空中浓缩。将粗产物通过正相柱色谱法(硅胶,在己烷中的0-100%EtOAc)进行纯化,以产生呈灰白色固体的标题化合物(0.98g)。1H NMR(500MHz,CDCl3)δ9.28(m,1H),9.23(d,J=0.95Hz,1H),8.69(m,1H),8.31(m,1H),8.05(m,1H),7.84(m,1H),7.51(m,1H),7.44(m,1H),2.72(s,3H)。
合成实例2
N-(1-甲基乙基)-2-(3-吡啶基)-2H-吲唑-5-乙酰胺(化合物38)的制备
步骤A:2-[2-(3-吡啶基)-2H-吲唑-5-基]丙二酸二甲基酯的制备
在氮气气氛下,将丙二酸二甲基酯(0.83mL,7.3mmol)、5-溴-2-(3-吡啶基)-2H-吲唑(1.0g,3.65mmol)和磷酸钾(1.9mg,9.12mmol)溶解于干的二噁烷(20mL)中,并且将反应混合物进行脱气10分钟。添加乙酸钯(II)(33mg,0.146mmol)和9,9-二甲基-4,5-双(二苯基膦基)-呫吨(170mg,0.292mmol),并且将反应混合物加热至回流过夜。然后将该反应混合物冷却,通过过滤,并将过滤的固体用EtOAc洗涤。将合并的有机滤液在减压下浓缩,并且将粗产物通过正相柱色谱法(用在己烷中的20-60%EtOAc洗脱的硅胶)进行纯化,以产生呈白色固体的标题化合物(0.78g)。1H NMR(500MHz,CDCl3)δ9.17(d,J=2.45Hz,1H),8.67(s,1H),8.45(s,1H),8.23-8.31(m,1H),7.73-7.85(m,2H),7.46-7.55(m,1H),7.37-7.44(m,1H),4.75(s,1H),3.79(s,6H)。
步骤B:2-(3-吡啶基)-2H-吲唑-5-乙酸的制备
将2-[2-(3-吡啶基)-2H-吲唑-5-基]丙二酸二甲基酯(0.7g,2.15mmol)在1N水性NaOH(20mL)和MeOH(20mL)的混合物中的悬浮液加热至回流持续3小时。将该反应冷却,将甲醇蒸发,并且将反应混合物用3M HCl酸化至pH 3-4。然后将该反应混合物加热至回流持续3小时。冷却后,将沉淀的产物通过过滤进行分离,用水洗涤,并干燥,以产生呈白色固体的标题化合物(0.37g)。1H NMR(500MHz,CDCl3)δ9.28-9.36(m,1H),9.10-9.17(m,1H),8.61-8.68(m,1H),8.43-8.51(m,1H),7.59-7.72(m,3H),7.21-7.29(m,1H),3.64(d,J=12.72Hz,2H)。
步骤C:N-(1-甲基乙基)-2-(3-吡啶基)-2H-吲唑-5-乙酰胺的制备
在氮气气氛下,将丙基磷酸酐()(1.7mL,2.84mmol,50wt%在EtOAc中)添加到2-(3-吡啶基)-2H-吲唑-5-乙酸(360mg,1.42mmol)、异丙胺(250μL,2.84mmol)和三乙胺(395μL,2.84mmol)在干的二氯甲烷(10mL)中的搅拌溶液中。将反应混合物在室温下搅拌过夜。添加二氯甲烷(20mL),将反应混合物用水洗涤,并且将有机相经硫酸钠干燥。将有机相在减压下蒸发以得到一种固体,然后将该固体用1:1乙醚/己烷进行研磨。将该固体通过过滤进行分离,并进一步用1:1乙醚/己烷洗涤,以得到呈白色固体的标题化合物(0.37g)。1HNMR(500MHz,CD3OD)δ9.21(d,J=2.45Hz,1H),8.81(s,1H),8.59(dd,J=4.65,1.22Hz,1H),8.40(d,J=1.47Hz,1H),7.93-8.04(m,1H),7.58-7.68(m,3H),7.25-7.32(m,1H),3.91-4.04(m,1H),3.54(s,2H),1.15(d,J=6.36Hz,6H)。
通过如前述方案1-12以及合成实例1和2中所述的方法和变型而制备的式1的具体化合物示于以下索引表中。
索引表中使用的缩写可以包括:Cmpd意指化合物,t是叔,c是环,Me是甲基,Et是乙基,Pr是丙基,i-Pr是异丙基,Bu是丁基,c-Pr是环丙基,c-Pn是环戊基,c-Hx是环己基,t-Bu是叔丁基,Ph是苯基,OMe是甲氧基,SMe是甲硫基,并且SO2Me意指甲基磺酰基。结构片段中的波形线或“-”表示片段与分子剩余部分的连接点。
索引表A
Rb、Rc和Rd是H
Ra、Rc和Rd是H
Rc和Rd是H
在本发明的化合物的制备中有用的中间体的实例在表I-1至I-16中示出。以下缩写用于下表中:Me意指甲基,Et意指乙基,Ph意指苯基,C(O)意指羰基并且CHO意指甲酰基。
表I-1
A是CH
| <u>R</u> | <u>R</u> |
| -COOH | -C(O)OMe |
| -C(O)OEt | 氰基 |
| -C(O)Cl | -C(O)OPh |
| -C(O)O(4-硝基苯基) | -C(O)Me |
| -CHO | Cl |
| Br | I |
| -OS(O)<sub>2</sub>CF<sub>3</sub> | NH<sub>2</sub> |
| 硝基 | OH |
A是CF
| <u>R</u> | <u>R</u> |
| -COOH | -C(O)OMe |
| -C(O)OEt | 氰基 |
| -C(O)Cl | -C(O)OPh |
| -C(O)O(4-硝基苯基) | -C(O)Me |
| -CHO | Cl |
| Br | I |
| -OS(O)<sub>2</sub>CF<sub>3</sub> | NH<sub>2</sub> |
| 硝基 | OH |
A是N
表I-2
A是CH
| <u>R</u> | <u>R</u> |
| -COOH | -C(O)OMe |
| -C(O)OEt | 氰基 |
| -C(O)Cl | -C(O)OPh |
| -C(O)O(4-硝基苯基) | -C(O)Me |
| -CHO | Cl |
| Br | I |
| -OS(O)<sub>2</sub>CF<sub>3</sub> | NH<sub>2</sub> |
| 硝基 | OH |
A是CF
| <u>R</u> | <u>R</u> |
| -COOH | -C(O)OMe |
| -C(O)OEt | 氰基 |
| -C(O)Cl | -C(O)OPh |
| -C(O)O(4-硝基苯基) | -C(O)Me |
| -CHO | Cl |
| Br | I |
| -OS(O)<sub>2</sub>CF<sub>3</sub> | NH<sub>2</sub> |
| 硝基 | OH |
A是N
表I-3
A是CH
| <u>R</u> | <u>R</u> |
| -COOH | -C(O)OMe |
| -C(O)OEt | 氰基 |
| -C(O)Cl | -C(O)OPh |
| -C(O)O(4-硝基苯基) | -C(O)Me |
| -CHO | Cl |
| Br | I |
| -OS(O)<sub>2</sub>CF<sub>3</sub> | NH<sub>2</sub> |
| 硝基 | OH |
A是CF
| <u>R</u> | <u>R</u> |
| -COOH | -C(O)OMe |
| -C(O)OEt | 氰基 |
| -C(O)Cl | -C(O)OPh |
| -C(O)O(4-硝基苯基) | -C(O)Me |
| -CHO | Cl |
| Br | I |
| -OS(O)<sub>2</sub>CF<sub>3</sub> | NH<sub>2</sub> |
| 硝基 | OH |
A是N
| <u>R</u> | <u>R</u> |
| -COOH | -C(O)OMe |
| -C(O)OEt | 氰基 |
| -C(O)Cl | -C(O)OPh |
| -C(O)O(4-硝基苯基) | -C(O)Me |
| -CHO | Cl |
| Br | I |
| -OS(O)<sub>2</sub>CF<sub>3</sub> | NH<sub>2</sub> |
| 硝基 | OH |
表I-4
A是CH
| <u>R</u> | <u>R</u> |
| -COOH | -C(O)OMe |
| -C(O)OEt | 氰基 |
| -C(O)Cl | -C(O)OPh |
| -C(O)O(4-硝基苯基) | -C(O)Me |
| -CHO | Cl |
| Br | I |
| -OS(O)<sub>2</sub>CF<sub>3</sub> | NH<sub>2</sub> |
| 硝基 | OH |
A是CF
| <u>R</u> | <u>R</u> |
| -COOH | -C(O)OMe |
| -C(O)OEt | 氰基 |
| -C(O)Cl | -C(O)OPh |
| -C(O)O(4-硝基苯基) | -C(O)Me |
| -CHO | Cl |
| Br | I |
| -OS(O)<sub>2</sub>CF<sub>3</sub> | NH<sub>2</sub> |
| 硝基 | OH |
A是N
| <u>R</u> | <u>R</u> |
| -COOH | -C(O)OMe |
| -C(O)OEt | 氰基 |
| -C(O)Cl | -C(O)OPh |
| -C(O)O(4-硝基苯基) | -C(O)Me |
| -CHO | Cl |
| Br | I |
| -OS(O)<sub>2</sub>CF<sub>3</sub> | NH<sub>2</sub> |
| 硝基 | OH |
表I-5
表I-5与表I-1相同,除了在标题“表1-1”下示出的结构用以上示出的结构代替。
表I-6
表I-6与表I-1相同,除了在标题“表I-1”下示出的结构用以上示出的结构代替。
表I-7
表I-7与表I-1相同,除了在标题“表I-1”下示出的结构用以上示出的结构代替。
表I-8
表I-8与表I-1相同,除了在标题“表I-1”下示出的结构用以上示出的结构代替。
表I-9
表I-9与表I-1相同,除了在标题“表I-1”下示出的结构用以上示出的结构代替。
表I-10
表I-10与表I-1相同,除了在标题“表I-1”下示出的结构用以上示出的结构代替。
表I-11
表I-11与表I-1相同,除了在标题“表I-1”下示出的结构用以上示出的结构代替。
表I-12
表I-12与表I-1相同,除了在标题“表I-1”下示出的结构用以上示出的结构代替。
表I-13
表I-13与表I-1相同,除了在标题“表I-1”下示出的结构用以上示出的结构代替。
表I-14
表I-14与表I-1相同,除了在标题“表I-1”下示出的结构用以上示出的结构代替。
表I-15
表I-15与表I-1相同,除了在标题“表I-1”下示出的结构用以上示出的结构代替。
表I-16
表I-16与表I-1相同,除了在标题“表I-1”下示出的结构用以上示出的结构代替。
通过在此所述的程序与本领域已知的方法一起,可以制备表1至28g中的下列化合物。在下表中可以使用以下缩写:t意指叔,s意指仲,i意指异,c意指环,Me意指甲基,Et意指乙基,Pr意指丙基,Bu意指丁基,Ph意指苯基,OMe意指甲氧基,OEt意指乙氧基,SMe意指甲硫基,SEt意指乙硫基,-CN意指氰基,Ph意指苯基,Py意指吡啶基,-NO2意指硝基,S(O)Me意指甲基亚磺酰基,以及S(O)2Me意指甲基磺酰基。
在片段定义开始时的“-”表示所述片段与分子剩余部分的连接点;例如,“-CH2CH2OMe”表示片段2-甲氧基乙基。环状片段通过使用圆括号内的两个“-”表示;例如,片段1-吡咯烷基由“N(-CH2CH2CH2CH2-)”表示,其中氮原子与四碳链的两个末端碳原子键合,如下所示。
表1a
A是CH;R5a是H
表1b
表1b与表1a相同,除了A是CF。
表1c
表1c与表1a相同,除了A是N。
表1d
表1d与表1a相同,除了R5a是F。
表1e
表1e与表1a相同,除了R5a是F并且A是CF。
表1f
表1f与表1a相同,除了R5a是F并且A是N。
表2a-1
L是O;A是CH;R5a是H
表2b-1
表2b-1与表2a-1相同,除了A是CF。
表2c-1
表2c-1与表2a-1相同,除了A是N。
表2d-1
表2d-1与表2a-1相同,除了R5a是F。
表2e-1
表2e-1与表2a-1相同,除了R5a是F并且A是CF。
表2f-1
表2f-1与表2a-1相同,除了R5a是F并且A是N。
表2a-2
表2a-2与表2a-1相同,除了L是S。
表2b-2
表2b-2与表2a-1相同,除了A是CF并且L是S。
表2c-2
表2c-2与表2a-1相同,除了A是N并且L是S。
表2d-2
表2d-2与表2a-1相同,除了R5a是F并且L是S。
表2e-2
表2e-2与表2a-1相同,除了R5a是F,A是CF并且L是S。
表2f-2
表2f-2与表2a-1相同,除了R5a是F,A是N并且L是S。
表2a-3
表2a-3与表2a-1相同,除了L是S(O)。
表2b-3
表2b-3与表2a-1相同,除了A是CF并且L是S(O)。
表2c-3
表2c-3与表2a-1相同,除了A是N并且L是S(O)。
表2d-3
表2d-3与表2a-1相同,除了R5a是F并且L是S(O)。
表2e-3
表2e-3与表2a-1相同,除了R5a是F,A是CF并且L是S(O)。
表2f-3
表2f-3与表2a-1相同,除了R5a是F,A是N并且L是S(O)。
表2a-4
表2a-4与表2a-1相同,除了L是SO2。
表2b-4
表2b-4与表2a-1相同,除了A是CF并且L是SO2。
表2c-4
表2c-4与表2a-1相同,除了A是N并且L是SO2。
表2d-4
表2d-4与表2a-1相同,除了R5a是F并且L是SO2。
表2e-4
表2e-4与表2a-1相同,除了R5a是F,A是CF并且L是SO2。
表2f-4
表2f-4与表2a-1相同,除了R5a是F,A是N并且L是SO2。
表2a-5
表2a-5与表2a-1相同,除了L是NH。
表2b-5
表2b-5与表2a-1相同,除了A是CF并且L是NH。
表2c-5
表2c-5与表2a-1相同,除了A是N并且L是NH。
表2d-5
表2d-5与表2a-1相同,除了R5a是F并且L是NH。
表2e-5
表2e-5与表2a-1相同,除了R5a是F,A是CF并且L是NH。
表2f-5
表2f-5与表2a-1相同,除了R5a是F,A是N并且L是NH。
表2a-6
表2a-6与表2a-1相同,除了L是NMe。
表2b-6
表2b-6与表2a-1相同,除了A是CF并且L是NMe。
表2c-6
表2c-6与表2a-1相同,除了A是N并且L是NMe。
表2d-6
表2d-6与表2a-1相同,除了R5a是F并且L是NMe。
表2e-6
表2e-6与表2a-1相同,除了R5a是F,A是CF并且L是NMe。
表2f-6
表2f-6与表2a-1相同,除了R5a是F,A是N并且L是NMe。
表2a-7
表2a-7与表2a-1相同,除了L是C(O)。
表2b-7
表2b-7与表2a-1相同,除了A是CF并且L是C(O)。
表2c-7
表2c-7与表2a-1相同,除了A是N并且L是C(O)。
表2d-7
表2d-7与表2a-1相同,除了R5a是F并且L是C(O)。
表2e-7
表2e-7与表2a-1相同,除了R5a是F,A是CF并且L是C(O)。
表2f-7
表2f-7与表2a-1相同,除了R5a是F,A是N并且L是C(O)。
表3a、3b、3c、3d、3e和3f
以下结构属于表3a、3b、3c、3d、3e和3f:
表3a与表1a相同,除了在标题“表1a”下示出的结构用以上示出的结构代替。
表3b与表1a相同,除了在标题“表1a”下示出的结构用以上示出的结构代替,并且A是CF。
表3c与表1a相同,除了在标题“表1a”下示出的结构用以上示出的结构代替,并且A是N。
表3d与表1a相同,除了在标题“表1a”下示出的结构用以上示出的结构代替,并且R5a是F。
表3e与表1a相同,除了在标题“表1a”下示出的结构用以上示出的结构代替,并且R5a是F且A是CF。
表3f与表1a相同,除了在标题“表1a”下示出的结构用以上示出的结构代替,并且R5a是F且A是N。
表3g
表3g与表1a相同,除了在标题“表1a”下示出的结构用以上示出的结构代替。
表3h
表3h与表1a相同,除了在标题“表1a”下示出的结构用以上示出的结构代替。
表4a、4b、4c、4d、4e和4f
以下结构属于表4a、4b、4c、4d、4e和4f:
表4a与表1a相同,除了在标题“表1a”下示出的结构用以上示出的结构代替。
表4b与表1a相同,除了在标题“表1a”下示出的结构用以上示出的结构代替,并且A是CF。
表4c与表1a相同,除了在标题“表1a”下示出的结构用以上示出的结构代替,并且A是N。
表4d与表1a相同,除了在标题“表1a”下示出的结构用以上示出的结构代替,并且R5a是F。
表4e与表1a相同,除了在标题“表1a”下示出的结构用以上示出的结构代替,并且R5a是F且A是CF。
表4f与表1a相同,除了在标题“表1a”下示出的结构用以上示出的结构代替,并且R5a是F且A是N。
表4g
表4g与表1a相同,除了在标题“表1a”下示出的结构用以上示出的结构代替。
表4h
表4h与表1a相同,除了在标题“表1a”下示出的结构用以上示出的结构代替。
表5a、5b、5c、5d、5e和5f
以下结构属于表5a、5b、5c、5d、5e和5f:
表5a与表1a相同,除了在标题“表1a”下示出的结构用以上示出的结构代替。
表5b与表1a相同,除了在标题“表1a”下示出的结构用以上示出的结构代替,并且A是CF。
表5c与表1a相同,除了在标题“表1a”下示出的结构用以上示出的结构代替,并且A是N。
表5d与表1a相同,除了在标题“表1a”下示出的结构用以上示出的结构代替,并且R5a是F。
表5e与表1a相同,除了在标题“表1a”下示出的结构用以上示出的结构代替,并且R5a是F且A是CF。
表5f与表1a相同,除了在标题“表1a”下示出的结构用以上示出的结构代替,并且R5a是F且A是N。
表6a、6b、6c、6d、6e和6f
以下结构属于表6a、6b、6c、6d、6e和6f:
表6a与表1a相同,除了在标题“表1a”下示出的结构用以上示出的结构代替。
表6b与表1a相同,除了在标题“表1a”下示出的结构用以上示出的结构代替,并且A是CF。
表6c与表1a相同,除了在标题“表1a”下示出的结构用以上示出的结构代替,并且A是N。
表6d与表1a相同,除了在标题“表1a”下示出的结构用以上示出的结构代替,并且R5a是F。
表6e与表1a相同,除了在标题“表1a”下示出的结构用以上示出的结构代替,并且R5a是F且A是CF。
表6f与表1a相同,除了在标题“表1a”下示出的结构用以上示出的结构代替,并且R5a是F且A是N。
表7a
A是CH;R5a是H
表7b
表7b与表7a相同,除了A是CF。
表7c
表7c与表7a相同,除了A是N。
表7d
表7d与表7a相同,除了R5a是F。
表7e
表7e与表7a相同,除了R5a是F并且A是CF。
表7f
表7f与表7a相同,除了R5a是F并且A是N。
表8a-1
L是O;A是CH;R5a是H
表8b-1
表8b-1与表8a-1相同,除了A是CF。
表8c-1
表8c-1与表8a-1相同,除了A是N。
表8d-1
表8d-1与表8a-1相同,除了R5a是F。
表8e-1
表8e-1与表8a-1相同,除了R5a是F并且A是CF。
表8f-1
表8f-1与表8a-1相同,除了R5a是F并且A是N。
表8a-2
表8a-2与表8a-1相同,除了L是S。
表8b-2
表8b-2与表8a-1相同,除了A是CF并且L是S。
表8c-2
表8c-2与表8a-1相同,除了A是N并且L是S。
表8d-2
表8d-2与表8a-1相同,除了R5a是F并且L是S。
表8e-2
表8e-2与表8a-1相同,除了R5a是F,A是CF并且L是S。
表8f-2
表8f-2与表8a-1相同,除了R5a是F,A是N并且L是S。
表8a-3
表8a-3与表8a-1相同,除了L是S(O)。
表8b-3
表8b-3与表8a-1相同,除了A是CF并且L是S(O)。
表8c-3
表8c-3与表8a-1相同,除了A是N并且L是S(O)。
表8d-3
表8d-3与表8a-1相同,除了R5a是F并且L是S(O)。
表8e-3
表8e-3与表8a-1相同,除了R5a是F,A是CF并且L是S(O)。
表8f-3
表8f-3与表8a-1相同,除了R5a是F,A是N并且L是S(O)。
表8a-4
表8a-4与表8a-1相同,除了L是SO2。
表8b-4
表8b-4与表8a-1相同,除了A是CF并且L是SO2。
表8c-4
表8c-4与表8a-1相同,除了A是N并且L是SO2。
表8d-4
表8d-4与表8a-1相同,除了R5a是F并且L是SO2。
表8e-4
表8e-4与表8a-1相同,除了R5a是F,A是CF并且L是SO2。
表8f-4
表8f-4与表8a-1相同,除了R5a是F,A是N并且L是SO2。
表8a-5
表8a-5与表8a-1相同,除了L是NH。
表8b-5
表8b-5与表8a-1相同,除了A是CF并且L是NH。
表8c-5
表8c-5与表8a-1相同,除了A是N并且L是NH。
表8d-5
表8d-5与表8a-1相同,除了R5a是F并且L是NH。
表8e-5
表8e-5与表8a-1相同,除了R5a是F,A是CF并且L是NH。
表8f-5
表8f-5与表8a-1相同,除了R5a是F,A是N并且L是NH。
表8a-6
表8a-6与表8a-1相同,除了L是NMe。
表8b-6
表8b-6与表8a-1相同,除了A是CF并且L是NMe。
表8c-6
表8c-6与表8a-1相同,除了A是N并且L是NMe。
表8d-6
表8d-6与表8a-1相同,除了R5a是F并且L是NMe。
表8e-6
表8e-6与表8a-1相同,除了R5a是F,A是CF并且L是NMe。
表8f-6
表8f-6与表8a-1相同,除了R5a是F,A是N并且L是NMe。
表8a-7
表8a-7与表8a-1相同,除了L是C(O)。
表8b-7
表8b-7与表8a-1相同,除了A是CF并且L是C(O)。
表8c-7
表8c-7与表8a-1相同,除了A是N并且L是C(O)。
表8d-7
表8d-7与表8a-1相同,除了R5a是F并且L是C(O)。
表8e-7
表8e-7与表8a-1相同,除了R5a是F,A是CF并且L是C(O)。
表8f-7e
表8f-7与表8a-1相同,除了R5a是F,A是N并且L是C(O)。
表9a、9b、9c、9d、9e和9f
以下结构属于表9a、9b、9c、9d、9e和9f:
表9a与表7a相同,除了在标题“表7a”下示出的结构用以上示出的结构代替。
表9b与表7a相同,除了在标题“表7a”下示出的结构用以上示出的结构代替,并且A是CF。
表9c与表7a相同,除了在标题“表7a”下示出的结构用以上示出的结构代替,并且A是N。
表9d与表7a相同,除了在标题“表7a”下示出的结构用以上示出的结构代替,并且R5a是F。
表9e与表7a相同,除了在标题“表7a”下示出的结构用以上示出的结构代替,并且R5a是F且A是CF。
表9f与表7a相同,除了在标题“表7a”下示出的结构用以上示出的结构代替,并且R5a是F且A是N。
表9g
表9g与表7a相同,除了在标题“表7a”下示出的结构用以上示出的结构代替。
表9h
表9h与表7a相同,除了在标题“表7a”下示出的结构用以上示出的结构代替。
表10a、10b、10c、10d、10e和10f
以下结构属于表10a、10b、10c、10d、10e和10f:
表10a与表7a相同,除了在标题“表7a”下示出的结构用以上示出的结构代替。
表10b与表7a相同,除了在标题“表7a”下示出的结构用以上示出的结构代替,并且A是CF。
表10c与表7a相同,除了在标题“表7a”下示出的结构用以上示出的结构代替,并且A是N。
表10d与表7a相同,除了在标题“表7a”下示出的结构用以上示出的结构代替,并且R5a是F。
表10e与表7a相同,除了在标题“表7a”下示出的结构用以上示出的结构代替,并且R5a是F且A是CF。
表10f与表7a相同,除了在标题“表7a”下示出的结构用以上示出的结构代替,并且R5a是F且A是N。
表10g
表10g与表7a相同,除了在标题“表7a”下示出的结构用以上示出的结构代替。
表10h
表10h与表7a相同,除了在标题“表7a”下示出的结构用以上示出的结构代替。
表11a、11b、11c、11d、11e和11f
以下结构属于表11a、11b、11c、11d、11e和11f:
表11a与表7a相同,除了在标题“表7a”下示出的结构用以上示出的结构代替。
表11b与表7a相同,除了在标题“表7a”下示出的结构用以上示出的结构代替,并且A是CF。
表11c与表7a相同,除了在标题“表7a”下示出的结构用以上示出的结构代替,并且A是N。
表11d与表7a相同,除了在标题“表7a”下示出的结构用以上示出的结构代替,并且R5a是F。
表11e与表7a相同,除了在标题“表7a”下示出的结构用以上示出的结构代替,并且R5a是F且A是CF。
表11f与表7a相同,除了在标题“表7a”下示出的结构用以上示出的结构代替,并且R5a是F且A是N。
表12a、12b、12c、12d、12e和12f
以下结构属于表12a、12b、12c、12d、12e和12f:
表12a与表7a相同,除了在标题“表7a”下示出的结构用以上示出的结构代替。
表12b与表7a相同,除了在标题“表7a”下示出的结构用以上示出的结构代替,并且A是CF。
表12c与表7a相同,除了在标题“表7a”下示出的结构用以上示出的结构代替,并且A是N。
表12d与表7a相同,除了在标题“表7a”下示出的结构用以上示出的结构代替,并且R5a是F。
表12e与表7a相同,除了在标题“表7a”下示出的结构用以上示出的结构代替,并且R5a是F且A是CF。
表12f与表7a相同,除了在标题“表7a”下示出的结构用以上示出的结构代替,并且R5a是F且A是N。
表13
表14a
L是O
表14b
表14b与表14a相同,除了L是S。
表14c
表14c与表14a相同,除了L是S(O)。
表14d
表14d与表14a相同,除了L是SO2。
表14e
表14e与表14a相同,除了L是NH。
表14f
表14f与表14a相同,除了L是NMe。
表14g
表14g与表14a相同,除了L是C(O)。
表15
表16a
L是O
表16b
表16b与表16a相同,除了L是S。
表16c
表16c与表16a相同,除了L是S(O)。
表16d
表16d与表16a相同,除了L是SO2。
表16e
表16e与表16a相同,除了L是NH。
表16f
表16f与表16a相同,除了L是NMe。
表16g
表16g与表16a相同,除了L是C(O)。
表17
表18a
L是O
表18b
表18b与表18a相同,除了L是S。
表18c
表18c与表18a相同,除了L是S(O)。
表18d
表18d与表18a相同,除了L是SO2。
表18e
表18e与表18a相同,除了L是NH。
表18f
表18f与表18a相同,除了L是NMe。
表18g
表18g与表18a相同,除了L是C(O)。
表19
表20a
L是O
表20b
表20b与表20a相同,除了L是S。
表20c
表20c与表20a相同,除了L是S(O)。
表20d
表20d与表20a相同,除了L是SO2。
表20e
表20e与表20a相同,除了L是NH。
表20f
表20f与表20a相同,除了L是NMe。
表20g
表20g与表20a相同,除了L是C(O)。
表21
表22a
L是O
表22b
表22b与表22a相同,除了L是S。
表22c
表22c与表22a相同,除了L是S(O)。
表22d
表22d与表22a相同,除了L是SO2。
表22e
表22e与表22a相同,除了L是NH。
表22f
表22f与表22a相同,除了L是NMe。
表22g
表22g与表22a相同,除了L是C(O)。
表23
表24a
L是O
表24b
表24b与表24a相同,除了L是S。
表24c
表24c与表24a相同,除了L是S(O)。
表24d
表24d与表24a相同,除了L是SO2。
表24e
表24e与表24a相同,除了L是NH。
表24f
表24f与表24a相同,除了L是NMe。
表24g
表24g与表24a相同,除了L是C(O)。
表25
表26a
L是O
表26b
表26b与表26a相同,除了L是S。
表26c
表26c与表26a相同,除了L是S(O)。
表26d
表26d与表26a相同,除了L是SO2。
表26e
表26e与表26a相同,除了L是NH。
表26f
表26f与表26a相同,除了L是NMe。
表26g
表26g与表26a相同,除了L是C(O)。
表27
表28a
L是O
表28b
表28b与表28a相同,除了L是S。
表28c
表28c与表28a相同,除了L是S(O)。
表28d
表28d与表28a相同,除了L是SO2。
表28e
表28e与表28a相同,除了L是NH。
表28f
表28f与表28a相同,除了L是NMe。
表28g
表28g与表28a相同,除了L是C(O)。
本发明的化合物一般将用作组合物(即制剂)中的无脊椎有害生物防治活性成分,其中至少一种附加组分选自下组,该组由以下各项组成:表面活性剂、固体稀释剂和液体稀释剂,用作载体。选择该制剂或组合物成分,以与活性成分的物理特性、施用模式和环境因素诸如土壤类型、水分和温度一致。
有用的制剂包括液体和固体组合物二者。液体组合物包括任选地可以被稠化成凝胶的溶液(包括可乳化的浓缩物)、悬浮液、乳液(包括微乳液、水包油乳液、可流动的浓缩物和/或悬浮乳液)等。水性液体组合物的一般类型为可溶性浓缩物、悬浮液浓缩物、胶囊悬浮液、浓缩乳液、微乳液、水包油乳液、可流动的浓缩物和悬浮乳液。非水性液体组合物的一般类型为可乳化的浓缩物、可微乳化的浓缩物、可分散的浓缩物和油分散体。
固体组合物的一般类型为粉剂、粉末、颗粒剂、球剂、粒料、锭剂、片剂、填充膜(包括种子包衣)等,它们可以是水-可分散的(“可润湿的”)或水-溶性的。由成膜溶液或可流动的悬浮液形成的膜和包衣特别可用于种子处理。活性成分可以被(微)包封并进一步形成为悬浮液或固体制剂;可替代地,活性成分的整个制剂可以被包封(或“包覆”)。包封可以控制或延缓活性成分的释放。可乳化的颗粒剂结合了可乳化的浓缩物制剂和干颗粒制剂两者的优点。高强度组合物主要用作进一步制剂的中间体。
可喷雾的制剂通常在喷雾之前分散在适宜的介质中。此类液体和固体制剂被配制成在喷雾介质,通常为水,但偶尔另一种合适介质像芳族烃或石蜡烃或植物油中易于稀释的。喷雾体积的范围可以为每公顷从约一升至几千升,但更典型为在每公顷从约十至几百升的范围内。可喷雾的制剂可在槽中与水或另一种合适的介质混合,用于通过空气或地面施用来进行叶处理,或用于施用到植物的生长介质中。液体和干制剂可以直接计量加入滴灌系统中,或在种植期间计量加入垄沟中。液体和固体制剂可在种植之前作为种子处理剂施用到作物和其他期望的植被的种子上,以便通过内吸吸收来保护发育中的根和其他地面下的植物部分和/或叶。
制剂通常将含有总计达100重量百分比的在以下近似范围内的有效量的活性成分、稀释剂和表面活性剂。
固体稀释剂包括,例如,粘土诸如膨润土、蒙脱土、凹凸棒石和高岭土、石膏、纤维素、二氧化钛、氧化锌、淀粉、糊精、糖(例如,乳糖、蔗糖)、二氧化硅、滑石、云母、硅藻土、脲、碳酸钙、碳酸钠和碳酸氢钠、以及硫酸钠。典型的固体稀释剂在Watkins等人的Handbook ofInsecticide Dust Diluents and Carriers[杀昆虫剂粉剂稀释剂和载体手册],第2版,Dorland Books,考德威尔,新泽西州中有所描述。
液体稀释剂包括,例如水、N,N-二甲基烷酰胺(例如,N,N-二甲基甲酰胺)、柠檬烯、二甲基亚砜、N-烷基吡咯烷酮(例如,N-甲基吡咯烷酮)、磷酸烷基酯(例如,磷酸三乙酯)、乙二醇、三甘醇、丙二醇、二丙二醇、聚丙二醇、碳酸亚丙酯、碳酸亚丁酯、石蜡(例如白矿物油、正链烷烃、异链烷烃)、烷基苯、烷基萘、甘油、三乙酸甘油酯、山梨醇、芳烃、脱芳构化脂族化合物、烷基苯、烷基萘、酮,诸如环己酮、2-庚酮、异佛尔酮和4-羟基-4-甲基-2-戊酮,乙酸酯,诸如乙酸异戊酯、乙酸己酯、乙酸庚酯、乙酸辛酯、乙酸壬酯、乙酸十三烷基酯和乙酸异冰片酯,其他酯,诸如诸如烷基化乳酸酯、二元酯、苯甲酸烷基和芳基酯、γ-丁内酯,以及可以是直链、支链、饱和或不饱和的醇,诸如甲醇、乙醇,正丙醇、异丙醇、正丁醇、异丁醇、正己醇、2-乙基己醇、正辛醇、癸醇、异癸醇、异十八烷醇、鲸蜡醇、月桂醇、十三烷醇、油醇、环己醇、四氢糠醇、双丙酮醇、甲酚和苄醇。液体稀释剂还包括饱和的和不饱和的脂肪酸(通常为C6-C22)的甘油酯,诸如植物种子和果实油(例如,橄榄油、蓖麻油、亚麻籽油、芝麻油、玉米油(玉蜀黍油)、花生油、葵花籽油、葡萄籽油、红花油、棉籽油、大豆油、油菜籽油、椰子油和棕榈仁油),动物源脂肪(例如,牛脂、猪脂、猪油、鱼肝油、鱼油),以及它们的混合物。液体稀释剂还包括烷基化(例如甲基化、乙基化、丁基化)脂肪酸,其中脂肪酸可以通过来自植物和动物来源的甘油酯的水解获得,并且可通过蒸馏纯化。典型的液体稀释剂在Marsden,Solvents Guide[溶剂指南],第2版,Interscience,纽约,1950中描述。
本发明的固体和液体组合物通常包括一种或多种表面活性剂。当添加到液体中时,表面活性剂(也称为“表面活性试剂”)通常改变、最经常地降低液体的表面张力。根据表面活性剂分子中的亲水和亲脂基团的性质,表面活性剂可用作润湿剂、分散剂、乳化剂或消泡剂。
表面活性剂可以分类为非离子的、阴离子的或阳离子的。可用于本发明组合物的非离子表面活性剂包括但不限于:醇烷氧基化物,诸如基于天然醇和合成醇(其可以是支链或直链的)并且由醇和环氧乙烷、环氧丙烷、环氧丁烷或它们的混合物制备的醇烷氧基化物;胺乙氧基化物、链烷醇酰胺和乙氧基化链烷醇酰胺;烷氧基化甘油三酯,诸如乙氧基化的大豆油、蓖麻油和油菜籽油;烷基酚烷氧基化物,诸如辛基酚乙氧基化物、壬基酚乙氧基化物、二壬基酚乙氧基化物和十二烷基酚乙氧基化物(由苯酚和环氧乙烷、环氧丙烷、环氧丁烷或它们混合物制备);由环氧乙烷或环氧丙烷制备的嵌段聚合物和其中末端嵌段由环氧丙烷制备的反式嵌段聚合物;乙氧基化脂肪酸;乙氧基化脂肪酯和油;乙氧基化甲酯;乙氧基化三苯乙烯基酚(包括由环氧乙烷、环氧丙烷、环氧丁烷或它们的混合物制备的那些);脂肪酸酯、甘油酯、基于羊毛脂的衍生物、多乙氧基化酯(如多乙氧基化脱水山梨糖醇脂肪酸酯、多乙氧基化山梨醇脂肪酸酯和多乙氧基化甘油脂肪酸酯);其他脱水山梨糖醇衍生物如脱水山梨糖醇酯;聚合物表面活性剂,诸如无规共聚物、嵌段共聚物、醇酸peg(聚乙二醇)树脂、接枝或梳型聚合物以及星型聚合物;聚乙二醇(pegs);聚乙二醇脂肪酸酯;硅酮基表面活性剂;和糖衍生物,诸如蔗糖酯、烷基多糖苷和烷基多糖。
有用的阴离子表面活性剂包括但不限于:烷基芳基磺酸及其盐;羧化的醇或烷基酚乙氧基化物;二苯基磺酸酯衍生物;木质素和木质素衍生物,诸如木质素磺酸盐;马来酸或琥珀酸或它们的酸酐;烯烃磺酸酯;磷酸酯,诸如醇烷氧基化物的磷酸酯,烷基酚烷氧基化物的磷酸酯和苯乙烯基苯酚乙氧基化物的磷酸酯;基于蛋白质的表面活性剂;肌氨酸衍生物;苯乙烯基苯酚醚硫酸盐;油和脂肪酸的硫酸盐和磺酸盐;乙氧基化烷基酚的硫酸盐和磺酸盐;醇的硫酸盐;乙氧基化醇的硫酸盐;胺和酰胺的磺酸盐,诸如N,N-烷基牛磺酸盐;苯、枯烯、甲苯、二甲苯以及十二烷基苯和十三烷基苯的磺酸盐;缩聚萘的磺酸盐;萘和烷基萘的磺酸盐;分馏石油的磺酸盐;磺基琥珀酰胺酸盐;以及磺基琥珀酸盐和它们的衍生物,诸如二烷基磺基琥珀酸盐。
有用的阳离子表面活性剂包括但不限于:酰胺和乙氧基化酰胺;胺诸如N-烷基丙二胺、三亚丙基三胺和二亚丙基四胺,和乙氧基化胺、乙氧基化二胺以及丙氧基化胺(由胺和环氧乙烷、环氧丙烷、环氧丁烷或它们的混合物制备);胺盐如乙酸铵和二胺盐;季铵盐如季盐、乙氧基化季盐和二季盐;以及胺氧化物,诸如烷基二甲基胺氧化物和双-(2-羟乙基)-烷基胺氧化物。
还可用于本发明组合物的是非离子表面活性剂和阴离子表面活性剂的混合物、或非离子表面活性剂和阳离子表面活性剂的混合物。非离子表面活性剂、阴离子表面活性剂和阳离子表面活性剂及其推荐用途在多个已公布的参考文献中披露,这些参考文献包括McCutcheon分部,The Manufacturing Confectioner Publishing Co.[糖果制造商出版公司]出版的McCutcheon’s Emulsifiers and Detergents[McCutcheon的乳化剂和洗涤剂],annual American and International Editions[美国和国际年度版];Sisely和Wood,Encyclopedia of Surface Active Agents[表面活性剂百科全书],Chemical Publ.Co.,Inc.[化工出版社有限公司],纽约,1964;以及A.S.Davidson和B.Milwidsky,SyntheticDetergents[合成洗涤剂],第七版,约翰威利父子公司,纽约,1987。
本发明的组合物还可包含本领域技术人员已知为辅助制剂的制剂助剂和添加剂(其中一些也可被认为是起到固体稀释剂、液体稀释剂或表面活性剂作用)。此类制剂助剂和添加剂可控制:pH(缓冲剂)、加工过程中的起泡(消泡剂,诸如聚有机硅氧烷)、活性成分的沉降(悬浮剂)、粘度(触变增稠剂)、容器内的微生物生长(抗微生物剂)、产品冷冻(防冻剂)、颜色(染料/颜料分散体)、洗脱(成膜剂或粘着剂)、蒸发(蒸发阻滞剂)、以及其他制剂属性。成膜剂包括例如聚乙酸乙烯酯、聚乙酸乙烯酯共聚物、聚乙烯吡咯烷酮-乙酸乙烯酯共聚物、聚乙烯醇、聚乙烯醇共聚物和蜡。制剂助剂和添加剂的实例包括由McCutcheon的分部,The Manufacturing Confectioner Publishing Co.出版的McCutcheon的第二卷:Functional Materials[功能材料],国际和北美年度版;以及PCT公布WO 03/024222中列出的那些。
通常通过将活性成分溶于溶剂中或者通过在液体或干稀释剂中研磨将式1的化合物和任何其他活性成分结合到本发明组合物中。可通过简单地混合这些成分来制备包括可乳化的浓缩物的溶液。如果旨在用作可乳化的浓缩物的液体组合物的溶剂是与水不混溶的,通常加入乳化剂以使含有活性成分的溶剂在用水稀释时乳化。粒径最高达2,000μm的活性成分浆料可以使用介质研磨机进行湿法研磨,以得到平均粒径低于3μm的颗粒。水性浆液可以制成成品悬浮液浓缩物(参见,例如,U.S.3,060,084)或通过喷雾干燥进一步加工以形成水可分散性颗粒剂。干制剂通常需要干研磨过程,其产生在2至10μm范围内的平均粒径。粉剂和粉末可以通过共混并且通常通过研磨(例如用锤磨机或流能磨)来制备。可通过将活性物质喷雾在预成形的颗粒剂载体上或者通过附聚技术来制备颗粒剂和球剂。参见,Browning,“Agglomeration[附聚]”,Chemical Engineering[化学工程],1967年12月4日,第147-48页;Perry’s Chemical Engineer’s Handbook[佩里化学工程师手册],第4版,McGraw-Hill[麦格劳希尔集团],纽约,1963,第8-57页及其后页,以及WO 91/13546。球剂可以如U.S.4,172,714中所述制备。水-可分散性和水-溶性颗粒剂可如在U.S.4,144,050、U.S.3,920,442和DE3,246,493中教导的来制备。片剂可以如在U.S.5,180,587,U.S.5,232,701和U.S.5,208,030中所教导的来制备。膜可以如在GB 2,095,558和U.S.3,299,566中所教导的来制备。
关于制剂领域的进一步信息,参见T.S.Woods,Pesticide Chemistry andBioscience,The Food-Environment Challenge[农药化学与生物科学,食品与环境挑战]中的“The Formulator’s Toolbox-Product Forms for Modern Agriculture[制剂工具箱-现代农业产品形式]”,T.Brooks和T.R.Roberts编辑,Proceedings of the 9thInternational Congress on Pesticide Chemistry[第九届农药化学国际会议论文集],The Royal Society of Chemistry[皇家化学学会],剑桥,1999,第120-133页。还参见U.S.3,235,361,第6栏,第16行至第7栏,第19行和实例10-41;U.S.3,309,192,第5栏,第43行至第7栏,第62行和实例8、12、15、39、41、52、53、58、132、138-140、162-164、166、167和169-182;U.S.2,891,855,第3栏,第66行至第5栏,第17行和实例1-4;Klingman,WeedControl as a Science[杂草控制科学],约翰威利父子公司,纽约,1961,第81-96页;Hance等人,Weed Control Handbook[杂草控制手册],第8版,Blackwell ScientificPublications[布莱克威尔科学出版社],牛津,1989;和Developments in formulationtechnology[配方技术的发展],PJB出版公司[PJB Publications],里士满,UK,2000。
在下列实例中,所有制剂以常规的方式制备。化合物编号参照索引表A中的化合物。无需进一步详尽说明,据信本领域技术人员使用前述说明可将本发明利用至其最大程度。因此,以下实例应被解释为仅仅是说明性的,并非以任何方式限制本披露。除非另外说明,否则百分比按重量计。
实例A
高强度浓缩物
化合物2 98.5%
二氧化硅气凝胶 0.5%
合成无定形精细二氧化硅 1.0%
实例B
可润湿的粉末
实例C
颗粒剂
化合物42 10.0%
凹凸棒石颗粒剂(低挥发性物质,0.71/0.30mm; 90.0%
U.S.S.No.25-50筛)
实例D
挤出球剂
实例E
可乳化的浓缩物
化合物54 10.0%
聚氧乙烯山梨醇六油酸酯 20.0%
C6-C10脂肪酸甲酯 70.0%
实例F
微乳液
实例G
种子处理
实例H
肥料棒
实例I
悬浮浓缩物
实例J
在水中的乳液
实例K
油分散体
实例L
悬浮乳液
本发明的化合物表现出针对广谱的无脊椎有害生物的活性。这些有害生物包括栖息于各种环境中的无脊椎动物,这些环境是例如像植物叶、根、土壤、收获的作物或其他食物、建筑结构或动物皮肤。这些有害生物包括例如以叶子(包括叶、茎、花和果实)、种子、木材、纺织纤维或动物血液或组织上为食,并且从而对例如生长中或储存的农学作物、森林、温室作物、观赏植物、苗圃作物、储存的食品或纤维制品、或房屋或其他结构物或其内容物造成伤害或损害,或对动物健康或公共卫生有害的无脊椎动物。本领域技术人员将理解,并不是所有的化合物对所有有害生物的所有生长阶段都同等有效。
因此,这些本发明的化合物和组合物在农业上可用于保护大田作物免受植食性无脊椎有害生物,并且还非农业地用于保护其他园艺作物和植物免受植食性无脊椎有害生物。该效用包括保护通过遗传工程(即转基因的)引入或者由诱变修饰的遗传物质以提供有利的性状的作物和其他植物(即农学和非农学的)。此类性状的实例包括耐除草剂、耐植食性有害生物(例如昆虫、螨、蚜虫、蜘蛛、线虫、蜗牛、植物致病真菌、细菌和病毒)、改进的植物生长、对不良生长条件如高温和低温、高或低的土壤湿度以及高盐度的提高的耐受性、增加的开花或结果、更高的收获产量、更快成熟、收获产品的更髙质量和/或营养价值、或收获产品的改善的储存或加工特性。转基因植物可以经修饰以表达多种性状。含有由基因工程或诱变提供的性状的植物的实例包括表达杀虫苏云金芽孢杆菌毒素的各种玉米、棉花、大豆和马铃薯如YIELD 和INVICTA RR2 PROTM和耐受除草剂的各种玉米、棉花、大豆和油菜籽如RoundupLiberty 和以及表达N-乙酰基转移酶(GAT)以提供对草甘膦除草剂的抗性的作物,或含有提供对抑制乙酰乳酸合酶(ALS)的除草剂的抗性的HRA基因的作物。本发明的化合物和组合物可以与通过基因工程引入或通过诱变修饰的性状协同地相互作用,从而增强性状的表型表达或有效性或者提高本发明的化合物和组合物的无脊椎有害生物防治有效性。特别地,本发明的化合物和组合物可以与蛋白质或对无脊椎有害生物有毒的其他天然产品的表型表达协同地相互作用,以提供对这些有害生物的高于加合的防治。
本发明的组合物还可以任选地包含植物营养素,例如,包含至少一种选自氮、磷、钾、硫、钙、镁、铁、铜、硼、锰、锌和钼的植物营养素的肥料组合物。值得注意的是包含至少一种肥料组合物的组合物,该肥料组合物包含至少一种选自氮、磷、钾、硫、钙和镁的植物营养素。本发明的进一步包含至少一种植物营养素的组合物可以是呈液体或固体的形式。值得注意的是呈颗粒、小棒或片剂形式的固体制剂。包含肥料组合物的固体制剂可以通过将本发明的化合物或组合物与该肥料组合物和配制成分一起混合并且然后通过诸如造粒或挤出的方法制备制剂来制备。可替代地,固体制剂可以通过将本发明的化合物或组合物在挥发性溶剂中的溶液或悬浮液喷雾到以前制备的呈尺寸稳定的混合物形式(例如,颗粒、小棒或片剂)的肥料组合物上,并且然后蒸发溶剂来制备。
非农学用途是指除作物植物田地外的区域中的无脊椎有害生物防治。本发明的化合物和组合物的非农学用途包括在储存的谷物、豆类和其他食品以及纺织品如衣物和地毯中防治无脊椎有害生物。本发明的化合物和组合物的非农学用途还包括在观赏植物、森林、院落、路边和铁路用地、以及草皮如草坪、高尔夫球场和牧场中的无脊椎有害生物防治。本发明的化合物和组合物的非农学用途还包括在房屋和可能被人类和/或同伴、农场、牧场、动物园或其他动物占据的其他建筑物中的无脊椎有害生物防治。本发明的化合物和组合物的非农学用途还包括可能损害建筑物中使用的木材或其他结构材料的有害生物诸如白蚁的防治。
本发明的化合物和组合物的非农学用途还包括通过防治寄生的或传播传染性疾病的无脊椎有害生物来保护人和动物健康。对动物寄生虫的防治包括防治寄生于宿主动物身体表面(例如,肩部、腋窝、腹部、大腿内侧)的外部寄生虫和寄生于宿主动物身体内部(例如,胃、肠、肺、静脉、皮下、淋巴组织)的内部寄生虫。外部寄生虫或传播疾病的有害生物包括,例如,恙螨、壁虱、虱、蚊子、蝇、螨虫和跳蚤。内部寄生虫包括犬恶丝虫、钩虫和蠕虫。本发明的化合物和组合物适用于内吸和/或非内吸防治动物上寄生虫的侵害或者感染。本发明的化合物和组合物特别适用于对抗外部寄生虫或传播疾病的有害生物。本发明的化合物和组合物适用于对抗寄生虫,寄生虫寄生于农业劳作动物,如牛、绵羊、山羊、马、猪、驴、骆驼、水牛、兔、母鸡、火鸡、鸭、鹅和蜜蜂;宠物动物和家畜,如狗、猫、宠物鸟和水族鱼;以及所谓的实验动物,如仓鼠、豚鼠、大鼠和小鼠。通过对抗这些寄生虫,降低了死亡率和性能下降(在肉、奶、羊毛、皮肤、蛋、蜂蜜等方面),因此施用包含本发明的化合物的组合物允许更经济且简单地饲养动物。
农艺学或非农艺学无脊椎有害生物的实例包括鳞翅目的卵、幼虫和成虫,如夜蛾科的粘虫、糖蛾、尺蠖和棉铃虫(heliothines)(例如,粉色蛀茎虫(pink stem borer)(大螟(Sesamia inferens Walker))、玉米钻心虫(corn stalk borer)(Sesamia nonagrioidesLefebvre)、南方粘虫(Southern Armyworm)(南方灰翅夜蛾(Spodoptera eridaniaCramer))、秋夜蛾(fall armyworm)(草地贪夜蛾(Spodoptera frugiperdaJ.E.Smith))、甜菜夜蛾(beet armyworm)(甜菜夜蛾(Spodoptera exigua Hübner))、棉叶虫(cottonleafworm)(海灰翅夜蛾(Spodoptera littoralis Boisduval))、黄条粘虫(yellowstripedarmyworm)(Spodoptera ornithogalli Guenée)、小地老虎(black cutworm)(小地老虎(Agrotis ipsilon Hufnagel))、velvetbean caterpillar(藜豆夜蛾(Anticarsiagemmatalis Hübner))、绿果夜蛾(green fruitworm)(绿果冬夜蛾(Lithophane antennataWalker))、甘蓝夜蛾(cabbage armyworm)(甘蓝夜蛾(Barathra brassicae Linnaeus))、大豆尺蠖(soybean looper)(大豆尺蠖(Pseudoplusia includens Walker))、粉纹夜蛾(cabbage looper)(粉纹夜蛾(Trichoplusia ni Hübner))、烟青虫(tobacco budworm)(烟芽夜蛾(Heliothis virescens Fabricius));来自螟蛾科的螟虫、鞘蛾、结网虫、coneworms、甘蓝虫和雕叶虫(skeletonizers)(例如,欧洲玉米螟(European corn borer)(玉米螟(Ostrinia nubilalis Hübner))、脐橙螟(navel orangeworm)(Amyeloistransitella Walker))、玉米根结网虫(corn root webworm)(玉米根草螟(Crambuscaliginosellus Clemens))、草地螟(sod webworms)(螟蛾科:草螟亚科)如草地螟(sodworm)(水稻切叶野螟(Herpetogramma licarsisalis Walker))、甘蔗二点螟(sugarcanestem borer)(粟灰螟(Chilo infuscatellus Snellen))、小番茄蛀虫(tomato smallborer)(Neoleucinodes elegantalis Guenée)、绿卷叶螟(green leafroller)(稻纵卷叶螟(Cnaphalocrocis medinalis))、葡萄卷叶虫(grape leaffolder)(葡萄卷叶虫(Desmiafuneralis Hübner))、甜瓜野螟(melon worm)(瓜绢野螟(Diaphania nitidalis Stoll))、甘蓝芯蛴螬(cabbage center grub)(Helluala hydralis Guenée)、水稻三化螟(yellowstem borer)(三化螟(Scirpophaga incertulas Walker))、早期嫩梢蛀虫(early shootborer)(蔗螟(Scirpophaga infuscatellus Snellen))、白色蛀茎虫(white stem borer)(稻白螟(Scirpophaga innotata Walker))、顶部嫩梢蛀虫(top shoot borer)(甘蔗白螟(Scirpophaga nivella Fabricius))、黑头稻螟(dark-headed rice borer)(Chilopolychrysus Meyrick)、条纹稻螟(striped riceborer)(二化螟(Chilo suppressalisWalker))、卷心菜丛毛虫(cabbage cluster caterpillar)(英国大菜螟(Crocidolomiabinotalis English));卷蛾科的卷叶虫、蚜虫、种实虫和果实虫(例如,苹果蠹蛾(codlingmoth)(苹果蠹蛾(Cydia pomonella Linnaeus))、葡萄小卷叶蛾(grape berry moth)(萄果实虫主虫(Endopiza viteana Clemens))、梨小食心虫(oriental fruit moth)(东方果实蛾(Grapholita molesta Busck))、柑橘假苹果蠹蛾(citrus false codling moth)(苹果异形小卷蛾(Cryptophlebia leucotreta Meyrick))、柑橘天牛(citrus borer)(Ecdytolopha aurantiana Lima)、红带卷叶蛾(redbanded leafroller)(红带卷蛾(Argyrotaenia velutinana Walker))、斜带卷叶蛾(obliquebanded leafroller)(蔷薇斜条卷叶蛾(Choristoneura rosaceana Harris))、苹果浅褐卷叶蛾(light brown applemoth)(苹果浅褐卷蛾(Epiphyas postvittana Walker))、欧洲葡萄小卷叶蛾(Europeangrape berry moth)(女贞细卷蛾(Eupoecilia ambiguella Hübner))、苹果顶芽卷叶蛾(apple bud moth)(苹果顶芽卷叶蛾(Pandemis pyrusana Kearfott))、杂食性卷叶蛾(omnivorous leafroller)(杂食性卷叶蛾(Platynota stultana Walsingham))、葡萄褐卷蛾(barred fruit-tree tortrix)(葡萄褐卷蛾(Pandemis cerasana Hübner))、苹果褐卷叶蛾(apple brown tortrix)(苹果褐卷蛾(Pandemis heparana Denis&Schiffermüller));和许多其他经济上重要的鳞翅目(例如,小菜蛾(diamondback moth)(小菜蛾(Plutella xylostella Linnaeus))、棉红铃虫(pink bollworm)(棉红铃虫(Pectinophoragossypiella Saunders))、舞毒蛾(gypsy moth)(舞毒蛾(Lymantria dispar Linnaeus))、桃小食心虫(peach fruit borer)(桃小食心虫(Carposina niponensis Walsingham))、桃条麦蛾(peach twig borer)(桃条麦蛾(Anarsia lineatella Zeller))、马铃薯块茎蛾(potato tuberworm)(马铃薯块茎蛾(Phthorimaea operculella Zeller))、斑点绦虫状潜叶蛾(spotted teniform leafminer)(斑幕潜叶蛾(Lithocolletis blancardellaFabricius))、苹果金纹细蛾(Asiatic apple leafminer)(金纹细蛾(Lithocolletisringoniella Matsumura))、稻纵卷叶螟(rice leaffolder)(稻纵卷叶螟(Lerodea eufalaEdwards))、旋纹潜叶蛾(apple leafminer)(旋纹潜叶蛾(Leucoptera scitellaZeller));蜚蠊目的卵、若虫和成虫,包括来自姬蜚蠊科和蜚蠊科的蟑螂(例如,东方蟑螂(oriental cockroach)(东方蟑螂(Blatta orientalis Linnaeus))、亚洲蟑螂(Asiancockroach)(Blatella asahinai Mizukubo)、德国蟑螂(German cockroach)(德国小蠊(Blattella germanica Linnaeus))、褐色带蟑螂(brownbanded cockroach)(褐带皮蠊(Supella longipalpa Fabricius))、美洲蟑螂(American cockroach)(美洲大蠊(Periplaneta americana Linnaeus))、褐色蟑螂(brown cockroach)(褐色大蠊(Periplaneta brunnea Burmeister))、马德拉蟑螂(Madeira cockroach)(马德拉蜚蠊(Leucophaea maderae Fabricius))、黑胸大蠊(smoky brown cockroach)(黑胸大蠊(Periplaneta fuliginosa Service))、澳洲蟑螂(Australian Cockroach)(澳洲蟑螂(Periplaneta australasiae Fabr.))、龙虾蟑螂(lobster cockroach)(灰色蟑螂(Nauphoeta cinerea Olivier))和光滑蟑螂(smooth cockroach)(淡色歪尾蠊(Symplocepallens Stephens));鞘翅目的卵,叶子喂养、果实喂养、根喂养、种子喂养和囊泡组织喂养的幼虫和成虫,包括来自长角象虫科(Anthribidae)、豆象科(Bruchidae)和象鼻虫科(Curculionidae)的象鼻虫(例如,棉铃象虫(boll weevil)(墨西哥棉铃象(Anthonomusgrandis Boheman))、稻水象虫(rice water weevil)(稻水象甲(Lissorhoptrusoryzophilus Kuschel))、谷象(granary weevil)(谷象(Sitophilus granariusLinnaeus))、米象(rice weevil)(米象(Sitophilus oryzae Linnaeus))、早熟禾象鼻虫(annual bluegrass weevil)(早熟禾象鼻虫(Listronotus maculicollis Dietz))、早熟禾谷象甲(bluegrass billbug)(牧草长喙象(Sphenophorus parvulus Gyllenhal))、狩猎谷象(hunting billbug)(猎长喙象(Sphenophorus venatus vestitus))、丹佛谷象(Denver billbug)(丹佛长喙象(Sphenophorus cicatristriatus Fahraeus));叶甲科(Chrysomelidae)的跳甲、黄瓜叶甲、根虫、叶甲、马铃薯甲虫和潜叶虫(例如,科罗拉多马铃薯甲虫(Colorado potato beetle)(马铃薯甲虫(Leptinotarsa decemlineata Say))、西部玉米根虫(western corn rootworm)(西方玉米根虫(Diabrotica virgifera virgiferaLeConte));来自金龟子科的金龟子和其他甲虫(例如,日本丽金龟(Japanese beetle)(日本丽金龟(Popillia japonica Newman))、东方丽金龟(oriental beetle)(东方丽金龟(Anomala orientalis Waterhouse、Exomala orientalis(Waterhouse)Baraud))、北方独角仙(northern masked chafer)(北方圆头犀金龟(Cyclocephala borealis Arrow))、南方独角仙(southern masked chafer)(南方圆头犀金龟(Cyclocephala immaculataOlivier或C.lurida Bland))、蜣螂(dung beetle)和白蛴螬(white grub)(蜉金龟属(Aphodius)物种)、草皮黑金龟(black turfgrass ataenius)(草皮黑金龟(Ataeniusspretulus Haldeman))、绿色六月金龟(green June beetle)(绿花金龟(Cotinis nitidaLinnaeus))、亚洲花园甲虫(Asiatic garden beetle)(紫绒鳃角金龟(Maladera castaneaArrow))、五月/六月鳃金龟(May/June beetles)(鳃角金龟属(Phyllophaga)物种)和欧洲金龟子(European chafer)(欧洲切根鳃金龟(Rhizotrogus majalis Razoumowsky));来自皮蠹科的皮蠹;来自叩头甲科的金针虫;来自小蠹科(Scolytidae)的树皮甲虫和来自拟步甲科(Tenebrionidae)的面粉甲虫。
此外,农学和非农学有害生物包括:革翅目的卵、成虫和幼虫,包括来自蠼螋科的蠼螋(例如,欧洲蠼螋(European earwig)(地蜈蚣(Forficula auricularia Linnaeus))、黑蠼螋(black earwig)(黑蠼螋(Chelisoches morio Fabricius));半翅目和同翅目的卵、幼虫、成虫和若虫,如来自盲蝽科的盲蝽(plant bugs),来自蝉科的蝉,来自大叶蝉科的叶蝉(leafhoppers)(例如,小绿叶蝉属(Empoasca)物种),来自臭虫科的臭虫(例如,温带臭虫(Cimex lectularius Linnaeus)),来自蜡蝉科和飞虱科的飞虱,来自角蝉科的角蝉,来自木虱科的木虱,来自粉虱科的粉虱,来自蚜科的蚜虫,来自根瘤蚜科的根瘤蚜,来自粉蚧科的粉蚧,来自蚧科、盾蚧科和绵蚧科的介壳虫(scales),来自网蝽科的网蝽,来自蝽科的蝽象,来自长蝽科的长蝽(chinch bugs)(例如,毛长蝽(hairy chinch bug)(美洲毛谷长蝽(Blissus leucopterus hirtus Montandon))和南部麦长蝽(southern chinch bug)(南部麦长蝽(Blissus insularis Barber))和其他来自长蝽科的长蝽(seed bugs),来自沫蝉科的沫蝉,来自缘蝽科的南瓜缘蝽,以及来自红蝽科的红蝽(red bugs)和污棉虫(cottonstainers)。
农学和非农学有害生物还包括:蜱螨目(螨)的卵、幼虫、若虫和成虫,如叶螨科的叶螨(spider mites)和红螨(例如,欧洲红螨(European red mite)(苹果全爪螨(Panonychus ulmi Koch))、两点叶螨(two spotted spider mite)(二斑叶螨(Tetranychus urticae Koch))、迈叶螨(McDaniel mite)(迈叶螨(Tetranychusmcdanieli McGregor));细须螨科中的短须螨(flat mites)(例如,葡萄短须螨(citrusflat mite)(刘氏短须螨(Brevipalpus lewisi McGregor));瘿螨科中的锈螨和蚜螨,和其他叶子喂养的螨虫和在人类和动物健康方面有重要影响的螨虫,即表皮螨科(Epidermoptidae)中的尘螨、蠕形螨科(Demodicidae)中的毛囊螨、食甜螨科(Glycyphagidae)中的谷螨;硬蜱科的蜱,通常称为硬蜱(例如,鹿蜱(deer tick)(黑脚硬蜱(Ixodes scapularis Say))、澳大利亚致瘫痪蜱(Australian paralysis tick)(全环硬蜱(Ixodes holocyclus Neumann))、美洲犬蜱(American dog tick)(变异矩头蜱(Dermacentor variabilis Say))、孤星蜱(lone star tick)(美洲钝眼蜱(Amblyommaamericanum Linnaeus))和隐喙蜱科的蜱,通常被称为软蜱(例如,回归热蜱(relapsingfever tick)(回归热钝缘蜱(Ornithodoros turicata))、常见鸡蜱(common fowl tick(常见鸡蜱(Argas radiatus));在痒螨科、蒲螨科和疥螨科中的疥螨(scab mites)和痒螨(itch mites);直翅目的卵、成虫和幼虫,包括蚱蜢、蝗虫和蟋蟀(例如,迁徙蚱蜢(migratory grasshoppers)(例如,血黑蝗(Melanoplus sanguinipes Fabricius)、殊种蝗(M.differentialis Thomas)、美洲蚱蜢(American grasshoppers)(例如,美洲沙漠蝗(Schistocerca americana Drury))、沙漠蝗(desert locust)(沙漠蝗(Schistocercagregaria Forskal))、飞蝗(migratory locust)(飞蝗(Locusta migratoria Linnaeus))、灌木蝗(bush locust)(腺蝗属(Zonocerus)物种)、家蟋(house cricket)(家蟋(Achetadomesticus Linnaeus))、蝼蛄(mole crickets)(例如,黄褐色蝼蛄(tawny mole cricket)(黄褐色蝼蛄(Scapteriscus vicinus Scudder))和南美蝼蛄(southern mole cricket)(南美蝼蛄(Scapteriscus borellii Giglio-Tos));双翅目的卵、成虫和幼虫,包括潜叶虫(例如,斑潜蝇属(Liriomyza)物种,如蔬菜斑潜蝇(serpentine vegetable leafminer)(美洲斑潜蝇(Liriomyza sativae Blanchard))、蠓(midges)、果蝇(fruit flies)(实蝇科(Tephritidae))、麦秆蝇(frit flies)(例如,瑞典麦秆蝇(Oscinella frit Linnaeus))、土壤蛆(soil maggots)、家蝇(house flies)(例如,家蝇(Musca domestica Linnaeus))、小家蝇(lesser house flies)(例如,夏厕蝇(Fannia canicularis Linnaeus)、小舍蝇(F.femoralis Stein))、厩螯蝇(stable flies)(例如,厩螯蝇(Stomoxys calcitransLinnaeus))、秋家蝇(face flies)、角蝇(horn flies)、丽蝇(blow flies)(例如,金蝇属(Chrysomya)物种、伏蝇属(Phormia)物种)以及其他蝇类有害生物、马蝇(horse flies)(例如,虻属(Tabanus)物种)、肤蝇(bot flies)(例如,胃蝇属(Gastrophilus)物种,狂蝇属(Oestrus)物种)、纹皮蝇(cattle grubs)(例如,牛皮蝇属(Hypoderma)物种)、鹿虻(deerflies)(例如,斑虻属(Chrysops)物种)、绵羊蜱(keds)(例如,绵羊虱蝇(Melophagusovinus Linnaeus))以及其他短角亚目(Brachycera)、蚊子(例如,伊蚊属(Aedes)物种、按蚊属(Anopheles)物种、库蚊属(Culex)物种)、蚋(black flies)(例如,原蚋属(Prosimulium)物种、蚋属(Simulium)物种)、叮咬蠓(biting midges)、沙蝇(sand flies)、眼菌蚊(sciarids)以及其他长角亚目(Nematocera);缨翅目的卵、成虫、和幼虫,包括葱蓟马(onion thrips)(棉蓟马(Thrips tabaci Lindeman))、花蓟马(flower thrips)(花蓟马属(Frankliniella)物种)、以及其他叶子喂养的蓟马;膜翅目的昆虫有害生物,包括蚁科的蚂蚁,包括佛罗里达木蚁(the Florida carpenter ant)(佛罗里达弓背蚁(Camponotusfloridanus Buckley))、红木蚁(red carpenter ant)(红木蚁(Camponotus ferrugineusFabricius))、黑木蚁(black carpenter ant)(黑木蚁(Camponotus pennsylvanicus DeGeer))、白足蚁(white-footed ant)(白足蚁(Technomyrmex albipes fr.Smith))、大头蚁(big headed ants)(大头蚁属(Pheidole)物种)、幽灵蚁(ghost ant)(黑头酸臭蚁(Tapinoma melanocephalum Fabricius));法老蚁(Pharaoh ant)(小黄家蚁(Monomoriumpharaonis Linnaeus))、小火蚁(little fire ant)(小火蚁(Wasmannia auropunctataRoger))、火蚁(fire ant)(火蚁(Solenopsis geminata Fabricius))、红火蚁(redimported fire ant)(红火蚁(Solenopsis invicta Buren))、阿根廷蚁(Argentine ant)(阿根廷蚁(Iridomyrmex humilis Mayr))、疯蚁(crazy ant)(长角立毛蚁(Paratrechinalongicornis Latreille))、铺道蚁(pavement ant)(草地铺道蚁(Tetramorium caespitumLinnaeus))、玉米田蚁(cornfield ant)(玉米田蚁(Lasius alienus))和香家蚁(odorous house ant)(家蚁(Tapinoma sessile Say))。其他膜翅目,包括蜂(包括木蜂(carpenter bees))、大黄蜂(hornets)、小黄蜂(yellow jackets)、胡蜂(wasps)和叶蜂(sawflies)(新松叶蜂属(Neodiprion)物种);茎蜂属(Cephus)物种);等翅目的昆虫有害生物,包括白蚁科(Termitidae)(例如,大白蚁属(Macrotermes)物种,土白蚁(Odontotermesobesus Rambur))、木白蚁科(Kalotermitidae)(例如,堆砂白蚁属(Cryptotermes)物种)、以及鼻白蚁科(Rhinotermitidae)(例如,散白蚁属(Reticulitermes)物种,乳白蚁属(Coptotermes)物种,异白蚁属(Heterotermes tenuis Hagen))家族、东部地下白蚁(theeastern subterranean termite)(木食性散白蚁(Reticulitermes flavipes Kollar))、西部地下白蚁(western subterranean termite)(西方散白蚁(Reticulitermes hesperusBanks))、台湾乳白蚁(Formosan subterranean termite)(家白蚁(Coptotermesformosanus Shiraki))、西印度干木白蚁(West Indian drywood termite)(Incisitermesimmigrans Snyder)、粉白蚁(powder post termite)(麻头砂白蚁(Cryptotermes brevisWalker))、干木白蚁(drywood termite)(斯氏楹白蚁(Incisitermes snyderi Light))、东南部地下白蚁(southeastern subterranean termite)(美小黑散白蚁(Reticulitermesvirginicus Banks))、西部干木白蚁(western drywood termite)(西部干木白蚁(Incisitermes minor Hagen))、树栖白蚁(arboreal termites)如象白蚁属(Nasutitermes)物种的白蚁以及其他具有经济意义的白蚁;缨尾目的昆虫有害生物,如蠹虫(silverfish)(衣鱼(Lepisma saccharina Linnaeus))和家衣鱼(firebrat)(家衣鱼(Thermobia domestica Packard));食毛目的昆虫有害生物,包括头虱(head louse)(头虱(Pediculus humanus capitis De Geer))、体虱(body louse)(体虱(Pediculus humanusLinnaeus))、鸡体虱(chicken body louse)(Menacanthus stramineus Nitszch)、狗啮毛虱(dog biting louse)(犬毛虱(Trichodectes canis De Geer))、绒毛虱(fluff louse)(绒毛虱(Goniocotes gallinae De Geer))、羊体虱(sheep body louse)(羊虱(Bovicolaovis Schrank))、短鼻牛虱(short-nosed cattle louse)(牛血虱(Haematopinuseurysternus Nitzsch))、长鼻牛虱(long-nosed cattle louse)(牛颚虱(Linognathusvituli Linnaeus))及其他攻击人和动物的吸吮和嚼咬型寄生虱;蚤目(Siphonoptera)的昆虫有害生物,包括东方鼠蚤(the oriental rat flea)(印鼠客蚤(Xenopsylla cheopisRothschild))、猫蚤(cat flea)(猫栉头蚤(Ctenocephalides felis Bouche))、犬蚤(dogflea)(犬栉首蚤(Ctenocephalides canis Curtis))、鸡蚤(hen flea)(鸡角叶蚤(Ceratophyllus gallinae Schrank))、吸着蚤(sticktight flea)(禽角头蚤(Echidnophaga gallinacea Westwood))、人蚤(human flea)(人蚤(Pulex irritansLinnaeus))以及折磨哺乳动物和禽类的其他跳蚤。所覆盖的另外节肢动物有害生物包括:蜘蛛目的蜘蛛,如棕色遁蛛(the brown recluse spider)(棕隐士蛛(Loxosceles reclusaGertsch&Mulaik))和黑寡妇毒蛛(the black widow spider)(黑寡妇毒蛛(Latrodectusmactans Fabricius)),以及蚰蜒目的蜈蚣,如蚰蜒(the house centipede)(蚰蜒(Scutigera coleoptrata Linnaeus))。
存储谷物中的无脊椎有害生物的实例包括平截长蠹(larger grain borer)(大谷蠹(Prostephanus truncatus))、谷蠹(lesser grain borer)(谷蠹(Rhyzoperthadominica))、米象(rice weevil)(米象(Stiophilus oryzae))、玉米象(maize weevil)(玉米象(Stiophilus zeamais))、豆象(cowpea weevil)(四纹豆象(Callosobruchusmaculatus))、赤拟谷盗(red flour beetle)(赤拟谷盗(Tribolium castaneum))、谷象(granary weevil)(Stiophilus granarius)、印度谷螟(Indian meal moth)(印度谷螟(Plodia interpunctella))、地中海面粉甲虫(Mediterranean flour beetle)(地中海粉螟(Ephestia kuhniella))和长角扁谷盗或锈扁谷盗(flat or rusty grain beetle)(锈赤扁谷盗(Cryptolestis ferrugineus))。
本发明的化合物可以具有针对线虫纲(Nematoda)、绦虫纲(Cestoda)、吸虫纲(Trematoda)和棘头纲(Acanthocephala)的成员的活性,包括经济上重要的圆线虫目(Strongylida)、蛔目(Ascaridida)、尖尾目(Oxyurida)、小杆目(Rhabditida)、旋尾目(Spirurida)和嘴刺目(Enoplida)的成员,例如但不限于经济上重要的农业有害生物(即,根结线虫属(Meloidogyne)中的根结线虫(root knot nematodes)、短体线虫属(Pratylenchus)中的根腐线虫(lesion nematodes)、毛刺线虫属(Trichodorus)中的粗短根线虫(stubby root nematodes)等)以及动物和人类健康有害生物(即,所有经济上重要的吸虫、绦虫和蛔虫,如马中的寻常圆线虫(Strongylus vulgaris)、犬中的犬弓蛔虫(Toxocara canis)、羊中的捻转血矛线虫(Haemonchus contortus)、犬中的犬恶丝虫(Dirofilaria immitis Leidy)、马中的叶状裸头绦虫(Anoplocephala perfoliata)、反刍动物中的肝片吸虫(Fasciola hepatica Linnaeus)等)。
本发明的化合物可以具有针对鳞翅目中的有害生物的活性(例如,棉叶波纹夜蛾(Alabama argillacea Hübner)(棉叶虫(cotton leaf worm))、果树黄卷蛾(Archipsargyrospila Walker)(果树卷叶蛾(fruit tree leaf roller))、A.rosana Linnaeus(欧洲卷叶蛾(European leaf roller))以及其他黄卷蛾属(Archips)物种、二化螟(Chilosuppressalis Walker)(稻螟(rice stem borer))、稻纵卷叶螟(Cnaphalocrosismedinalis Guenée)(稻纵卷叶螟(rice leaf roller))、玉米根草螟(Crambuscaliginosellus Clemens)(玉米根结网虫(corn root webworm))、早熟禾草螟(Crambusteterrellus Zincken)(早熟禾草螟(bluegrass webworm))、苹果蠹蛾(Cydia pomonellaLinnaeus)(苹果蠹蛾(codling moth))、棉斑实蛾(Earias insulana Boisduval)(多刺螟蛉虫(spiny bollworm))、翠纹钻夜蛾(Earias vittella Fabricius)(斑点螟蛉虫(spotted bollworm))、棉铃虫(Helicoverpa armigera Hübner)(美洲螟蛉虫(Americanbollworm))、谷实夜蛾(Helicoverpa zea Boddie)(玉米穗蛾(corn earworm))、烟芽夜蛾(Heliothis virescens Fabricius)(烟青虫(tobacco budworm))、Herpetogrammalicarsisalis Walker(草地螟(sod webworm)、葡萄花翅小卷蛾(Lobesia botrana Denis&Schiffermüller)(葡萄小卷叶蛾(grape berry moth))、棉红铃虫(Pectinophoragossypiella Saunders)(棉红铃虫(pink bollworm))、柑橘潜叶蛾(Phyllocnistiscitrella Stainton)(柑橘潜叶蛾(citrus leafminer))、大菜粉蝶(Pieris brassicaeLinnaeus)(大白粉蝶(large white butterfly))、小菜粉蝶(Pieris rapae Linnaeus)(小白粉蝶(small white butterfly))、小菜蛾(Plutella xylostella Linnaeus)(小菜蛾(diamondback moth))、甜菜夜蛾(Spodoptera exigua Hübner)(甜菜夜蛾(beetarmyworm))、斜纹夜蛾(Spodoptera litura Fabricius)(斜纹夜蛾(tobacco cutworm,cluster caterpillar))、草地贪夜蛾(Spodoptera frugiperda J.E.Smith)(秋夜蛾(fallarmyworm))、粉纹夜蛾(Trichoplusia ni Hübner)(粉纹夜蛾(cabbage looper)和番茄斑潜蝇(Tuta absoluta Meyrick)(番茄斑潜蝇(tomato leafminer))。
本发明的化合物对来自同翅目的成员具有显著的活性,包括:豌豆蚜(Acyrthosiphon pisum Harris)(豌豆蚜(pea aphid))、黑豆蚜(Aphis craccivora Koch)(豆蚜虫(cowpea aphid))、甜菜蚜(Aphis fabae Scopoli)(蚕豆蚜(black bean aphid))、棉蚜(Aphis gossypii Glover)(棉蚜(cotton aphid,melon aphid))、苹果蚜(Aphis pomiDe Geer)(苹果蚜(apple aphid))、梨绿蚜虫(Aphis spiraecola Patch)(绣线菊蚜(spirea aphid))、茄沟无网蚜(Aulacorthum solani Kaltenbach)(毛地黄蚜(foxgloveaphid))、草莓蚜(Chaetosiphon fragaefolii Cockerell)(草莓蚜(strawberry aphid))、麦双尾蚜(Diuraphis noxia Kurdjumov/Mordvilko)(俄罗斯小麦蚜虫(Russian wheataphid))、车前圆尾蚜(Dysaphis plantaginea Paaserini)(红苹果蚜(rosy appleaphid))、苹果绵蚜(Eriosoma lanigerum Hausmann)(苹果绵蚜(woolly apple aphid))、桃大尾蚜(Hyalopterus pruni Geoffroy)(桃大尾蚜(mealy plum aphid))、萝卜蚜(Lipaphis erysimi Kaltenbach)(萝卜蚜(turnip aphid))、麦无网长管蚜(Metopolophium dirrhodum Walker)(麦蚜(cereal aphid))、马铃薯长管蚜(Macrosiphumeuphorbiae Thomas)(马铃薯蚜(potato aphid))、桃蚜(Myzus persicae Sulzer)(桃蚜(peach-potato aphid,green peach aphid))、莴苣蚜(Nasonovia ribisnigri Mosley)(莴苣蚜(lettuce aphid))、瘿绵蚜属(Pemphigus)物种(根蚜(root aphids)和倍蚜(gallaphids))、玉米蚜(Rhopalosiphum maidis Fitch)(玉米蚜(corn leaf aphid))、禾谷缢管蚜(Rhopalosiphum padi Linnaeus)(禾谷缢管蚜(bird cherry-oat aphid))、麦二叉蚜(Schizaphis graminum Rondani)(麦二叉蚜(greenbug))、麦长管蚜(Sitobion avenaeFabricius)(麦长管蚜(English grain aphid))、苜蓿斑蚜(Therioaphis maculataBuckton)(苜蓿斑蚜(spotted alfalfa aphid))、橘二叉蚜(Toxoptera aurantii Boyerde Fonscolombe)(橘二叉蚜(black citrus aphid))和褐色橘蚜(Toxoptera citricidaKirkaldy)(褐色桔蚜(brown citrus aphid));球属(Adelges)物种(球蚜(adelgids));长山核桃根瘤蚜(Phylloxera devastatrix Pergande)(山胡桃根瘤蚜(pecanphylloxera));烟粉虱(Bemisia tabaci Gennadius)(烟粉虱(tobacco whitefly),甘薯粉虱(sweetpotato whitefly))、银叶粉虱(Bemisia argentifolii Bellows&Perring)(银叶粉虱(silverleaf whitefly))、柑橘粉虱(Dialeurodes citri Ashmead)(柑橘粉虱(citrus whitefly))和温室粉虱(Trialeurodes vaporariorum Westwood)(温室粉虱(greenhouse whitefly));马铃薯小绿叶蝉(Empoasca fabae Harris)(马铃薯叶蝉(potato leafhopper))、灰飞虱(Laodelphax striatellus Fallen)(小褐飞虱(smallerbrown planthopper))、二点叶蝉(Macrolestes quadrilineatus Forbes)(紫菀叶蝉(aster leafhopper))、黑尾叶蝉(Nephotettix cinticeps Uhler)(绿叶蝉(greenleafhopper))、二条黑尾叶蝉(Nephotettix nigropictus)(稻叶蝉(riceleafhopper))、褐飞虱(Nilaparvata lugens)(褐飞虱(brown planthopper))、玉米蜡蝉(Peregrinus maidis Ashmead)(玉米飞虱(corn planthopper))、白背飞虱(Sogatellafurcifera Horvath)(白背飞虱(white-backed planthopper))、稻飞虱(Sogatodesorizicola Muir)(稻飞虱(rice delphacid))、苹果白叶蝉(Typhlocyba pomaria McAtee)(苹白小叶蝉(white apple leafhopper))、葡萄斑叶蝉属(Erythroneoura)物种(葡萄叶蝉(grape leafhoppers));十七年蝉(Magicicada septendecim Linnaeus)(周期蝉(periodical cicada));吹绵蚧(Icerya purchasi Maskell)(吹绵蚧(cottony cushionscale))、梨圆蚧(Quadraspidiotus perniciosus Comstock)(梨圆蚧(San Jose scale));臀纹粉蚧(Planococcus citri Risso)(桔粉蚧(citrus mealybug));粉蚧属(Pseudococcus)物种(其他粉蚧系群);梨木虱(Cacopsylla pyricola Foerster)(梨木虱(pear psylla))、柿木虱(Trioza diospyri Ashmead)(柿木虱(persimmon psylla))。
本发明的化合物还对来自半翅目的成员具有活性,这些成员包括:拟绿蝽(Acrosternum hilare Say)(稻绿蝽(green stink bug))、南瓜缘蝽(Anasa tristis DeGeer)(南瓜虫(squash bug))、美洲谷长蝽(Blissus leucopterus leucopterus Say)(麦长蝽(chinch bug))、温带臭虫(Cimex lectularius Linnaeus)(臭虫(bed bug))、方翅网蝽(Corythuca gossypii Fabricius)(棉网蝽(cotton lace bug))、番茄蝽(CyrtopeltismodestaDistant)(番茄蝽(tomato bug))、棉黑翅红蝽(Dysdercus suturellus Herrich-)(棉红蝽(cotton stainer))、褐臭蝽(Euschistus servus Say)(褐臭蝽(brownstink bug))、Euchistus variolarius Palisot de Beauvois(单斑蝽(one-spottedstink bug))、Graptosthetus 属物种(长蝽复合体(complex of seed bugs))、茶翅蝽(Halymorpha halys)(棕色大理石纹椿(brown marmorated stink bug))、松叶根蝽(Leptoglossus corculus Say)(松叶根蝽(leaf-footed pine seed bug))、美国牧草盲蝽(Lygus lineolaris Palisot de Beauvois)(美国牧草盲蝽(tarnished plant bug))、稻绿蝽(Nezara viridula Linnaeus)(南方绿椿象(Southern green stink bug))、美洲稻蝽(Oebalus pugnax Fabricius)(稻蝽象(rice stink bug))、马利筋长蝽(Oncopeltusfasciatus Dallas)(大马利筋长蝽(largemilkweed bug))、棉盲蝽(Pseudatomoscelisseriatus Reuter)(棉盲蝽(cotton fleahopper))。由本发明的化合物防治的其他昆虫目包括缨翅目(Thysanoptera)(例如,西花蓟马(Frankliniella occidentalis Pergande)(西花蓟马(western flower thrips))、桔实蓟马(Scirthothrips citri Moulton)(柑橘蓟马(citrus thrips))、大豆蓟马(Sericothrips variabilis Beach)(大豆蓟马(soybeanthrips))、以及烟蓟马(Thrips tabaci Lindeman)(洋葱蓟马(onion thrips));和鞘翅目(Coleoptera)(例如,马铃薯叶甲(Leptinotarsa decemlineata Say)(科罗拉多马铃薯甲虫(Colorado potato beetle))、墨西哥豆瓢虫(Epilachna varivestis Mulsant)(墨西哥豆瓢虫(Mexican bean beetle))以及叩甲属(Agriotes)、Athous属或丘胸叩甲属(Limonius)的金针虫)。
应注意,一些同期分类体系将同翅目归类于半翅目的亚目。
值得注意的是使用本发明的化合物用于防治西花蓟马(western flower thrips)(西花蓟马(Frankliniella occidentalis))。值得注意的是本发明的化合物用于防治马铃薯叶蝉(potato leafhopper)(马铃薯小绿叶蝉(Empoasca fabae))的用途。值得注意的是使用本发明的化合物用于防治棉花蚜虫(cotton melon aphid)(棉蚜(Aphis gossypii))。值得注意的是本发明的化合物用于防治桃蚜(green peach aphid)(桃蚜(Myzuspersicae))的用途。值得注意的是本发明的化合物用于防治甘薯粉虱(sweetpotatowhitefly)(烟粉虱(Bemisia tabaci))的用途。
本发明的化合物也可用于增加作物植物的活力。该方法包括使作物植物(例如,叶子、花、果实或根)或生长该作物植物的种子与式1的化合物以足以实现所需的植物活力效果的量(即生物学有效量)接触。典型地,式1的化合物以配制的组合物施用。虽然式1的化合物通常直接施用于作物植物或其种子,但其也可以施用到作物植物的所在地,即作物植物的环境,特别是足够接近以使式1的化合物迁移到作物植物上的环境部分。与该方法相关的所在地最通常包括生长培养基(即,向植物提供营养物的培养基),通常是其中生长植物的土壤。因此,为了增加作物植物的活力对作物植物的处理包括使作物植物、生长种植作物的种子或作物植物的所在地与生物学有效量的式1的化合物接触。
增加作物活力可导致下列观察到的效果中的一项或多项:(a)如由优异的种子发芽、作物出苗和作物挺立展示的最佳作物培植;(b)如由快速且健康的叶生长(例如,通过叶面积指数测量)、植物高度、分蘖数(例如,对于稻)、根群和作物的营养体的总体干重展示的增强的作物生长;(c)如由开花时间、开花持续时间、花的数目、总生物质积聚(即产量)和/或果实或谷物的产品等级可销售性(即产质量)展示的改善的作物产量;(d)增强的作物耐受或预防植物病害感染和节肢动物、线虫或软体动物有害生物侵害的能力;和(e)增加的作物耐受环境胁迫,诸如暴露于极端的热量、未达到最佳标准的水分或植物性毒素化学品的能力。
相比于未经处理的植物,本发明的化合物可通过杀灭植食性无脊椎有害生物或者阻止其在植物的环境中的取食而增加经处理的植物的活力。不存在植食性无脊椎有害生物的此类防治时,有害生物通过消耗植物组织或汁液,或传播植物病原体诸如病毒来降低植物活力。甚至不存在植食性无脊椎有害生物时,本发明的化合物可通过改变植物的代谢来增加植物活力。一般来说,如果植物生长在非理想的环境中,即包含一个或多个不利于植物实现其在理想环境中应表现出的完全遗传潜力的方面,那么作物植物的活力将通过用本发明的化合物处理该植物最显著地增加。
值得注意的是用于增加作物植物的活力的方法,其中该作物植物在包括植食性无脊椎有害生物的环境中生长。还值得注意的是用于增加作物植物的活力的方法,其中该作物植物在不包括植食性无脊椎有害生物的环境中生长。还值得注意的是用于增加作物植物的活力的方法,其中该作物植物在包括少于支持作物植物生长的理想水分量的水分量的环境中生长。值得注意的是用于增加作物植物的活力的方法,其中该作物是稻。还值得注意的是用于增加作物植物的活力的方法,其中该作物是玉蜀黍(玉米)。还值得注意的是用于增加作物植物的活力的方法,其中该作物是大豆。
本发明的化合物还可与一种或多种其他生物学活性化合物或试剂混合以形成多组分杀有害生物剂,赋予甚至更广谱的农学和非农学效用,这些生物学活性化合物或试剂包括杀昆虫剂、杀真菌剂、杀线虫剂、杀菌剂、杀螨剂、除草剂、除草剂安全剂、生长调节剂诸如昆虫蜕皮抑制剂和生根刺激剂、化学不育剂、化学信息素、驱虫剂、引诱剂、信息素、取食刺激剂、其他生物学活性化合物或昆虫病原细菌、病毒或真菌。因此本发明还涉及包含生物学有效量的式1的化合物、至少一种附加组分和至少一种附加生物学活性化合物或试剂的组合物,该至少一种附加组分选自由表面活性剂、固体稀释剂和液体稀释剂组成的组。对于本发明的混合物,可将其他生物学活性化合物或试剂与本发明的化合物(包括式1的化合物)配制在一起以形成预混物,或者其他生物学活性化合物或试剂可与本发明的化合物(包括式1的化合物)分开配制,并且在施用前将两种制剂组合在一起(例如在喷雾罐中),或可替代地,依次施用。
可以配制本发明的化合物的这种生物学活性化合物或试剂的实例是杀昆虫剂,例如阿巴美丁(abamectin)、高灭磷、灭螨醌、啶虫脒、氟丙菊酯、啶喃环丙虫酯(afidopyropen)([(3S,4R,4aR,6S,6aS,12R,12aS,12bS)-3-[(环丙基羰基)氧基]-1,3,4,4a,5,6,6a,12,12a,12b-十氢-6,12-二羟基-4,6a,12b-三甲基-11-氧代-9-(3-吡啶基)-2H,11H-萘并[2,1-b]吡喃并[3,4-e]吡喃-4-基]甲基环丙烷羧酸酯)、磺胺螨酯、双甲脒、阿维菌素(avermectin)、印楝素、谷硫磷、丙硫克百威、杀虫磺、联苯菊酯、联苯肼酯、双三氟虫脲、硼酸盐、噻嗪酮、硫线磷、西维因、卡巴呋喃、杀螟丹、伐虫脒、氯虫苯甲酰胺、溴虫腈、定虫隆、毒死蜱、甲基毒死蜱、环虫酰肼、螨死净(clofentezin)、噻虫胺、氰虫酰胺(3-溴-1-(3-氯-2-吡啶基)-N-[4-氰基-2-甲基-6-[(甲基氨基)羰基]苯基]-1H-吡唑-5-甲酰胺)、环溴虫酰胺(3-溴-N-[2-溴-4-氯-6-[[(1-环丙基乙基)氨基]羰基]苯基]-1-(3-氯-2-吡啶基)-1H-吡唑-5-甲酰胺)、乙氰菊酯、环氧虫啶((5S,8R)-1-[(6-氯-3-吡啶基)甲基]-2,3,5,6,7,8-六氢-9-硝基-5,8-环氧基-1H-咪唑并[1,2-a]吖庚因)、丁氟螨酯、氟氯氰菊酯、β-氟氯氰菊酯、三氟氯氰菊酯、γ-三氟氯氰菊酯、λ-三氟氯氰菊酯、氯氰菊酯、α-氯氰菊酯、ζ-氯氰菊酯、灭蝇胺、溴氰菊酯、丁醚脲、二嗪农、狄氏剂、二氟脲、四氟甲醚菊酯、杀虫双、乐果、呋虫胺、苯虫醚、埃玛菌素、硫丹、高氰戊菊酯、乙虫腈、依芬普司、乙螨唑、苯丁锡、杀螟硫磷、苯硫威、苯氧威、甲氰菊酯、氰戊菊酯、氟虫腈、flometoquin(2-乙基-3,7-二甲基-6-[4-(三氟甲氧基)苯氧基]-4-喹啉基碳酸甲酯)、氟啶虫酰胺、氟虫酰胺、氟氰戊菊酯、嘧虫胺、氟虫脲、氟菌螨酯((αE)-2-[[2-氯-4-(三氟甲基)苯氧基]甲基]-α-(甲氧基亚甲基)苯乙酸甲酯)、氟噻虫砜(flufensulfone)(5-氯-2-[(3,4,4-三氟-3-丁烯-1-基)磺酰基]噻唑)、氰基硫醚类杀虫剂(fluhexafon)、氟吡菌酰胺、flupiprole(1-[2,6-二氯-4-(三氟甲基)苯基]-5-[(2-甲基-2-丙烯-1-基)氨基]-4-[(三氟甲基)亚磺酰基]-1H-吡唑-3-甲腈)、氟吡呋喃酮(4-[[(6-氯-3-吡啶基)甲基](2,2-二氟乙基)氨基]-2(5H)呋喃酮)、氟胺氰菊酯、τ-氟胺氰菊酯、地虫硫磷、伐虫脒、噻唑磷、氯虫酰肼、heptafluthrin(2,2-二甲基-3-[(1Z)-3,3,3-三氟-1-丙烯-1-基]环丙烷羧酸[2,3,5,6-四氟-4-(甲氧基甲基)苯基]甲酯)、氟铃脲、噻螨酮、氟蚁腙、吡虫啉、茚虫威、杀虫皂、异柳磷、虱螨脲、马拉硫磷、氯氟醚菊酯((1R,3S)-3-(2,2-二氯乙烯基)-2,2-二甲基环丙烷羧酸[2,3,5,6-四氟-4-(甲氧基甲基)苯基]甲酯)、氰氟虫腙、蜗牛敌、甲胺磷、杀扑磷、甲硫双威、灭多虫、甲氧普林、甲氧滴滴涕、甲氧苄氟菊酯、甲氧虫酰肼、甲氧苄氟菊酯、久效磷、monofluorothrin(3-(2-氰基-1-丙烯-1-基)-2,2-二甲基环丙烷羧酸[2,3,5,6-四氟-4-(甲氧基甲基)苯基]甲酯)、烟碱、烯啶虫胺、硝乙脲噻唑、双苯氟脲、多氟脲、草氨酰、对硫磷、甲基对硫磷、扑灭司林、甲拌磷、伏杀硫磷、亚胺硫磷、磷胺、抗蚜威、丙溴磷、丙氟菊酯(profluthrin)、克螨特、丙苯烃菊酯(protrifenbute)、pyflubumide(1,3,5-三甲基-N-(2-甲基-1-丙酰)-N-[3-(2-甲基丙基)-4-[2,2,2-三氟-1-甲氧基-1-(三氟甲基)乙基]苯基]-1H-吡唑-4-甲酰胺)、吡蚜酮、吡嗪氟虫腈(pyrafluprole)、除虫菊酯、哒螨灵、啶虫丙醚、新喹唑啉(间二氮杂苯)类杀虫剂(pyrifluquinazon)、嘧螨胺((αE)-2-[[[2-[(2,4-二氯苯基)氨基]-6-(三氟甲基)-4-嘧啶基]氧基]甲基]-α-(甲氧基亚甲基)苯乙酸甲酯)、吡啶氟虫腈(pyriprole)、蚊蝇醚、鱼藤酮、利阿诺定、氟硅菊酯、乙基多杀菌素、多杀菌素、螺螨酯、螺甲螨酯、螺虫乙酯、硫丙磷、砜虫啶(N-[甲基氧化[1-[6-(三氟甲基)-3-吡啶基]乙基]-λ4-磺酰亚基]氨腈)、虫酰肼、吡螨胺、伏虫脲、七氟菊酯、特丁磷、杀虫畏、似虫菊、四氟醚菊酯(2,2,3,3-四甲基环丙烷羧酸[2,3,5,6-四氟-4-(甲氧基甲基)苯基]甲酯)、氟氰虫酰胺、噻虫啉、噻虫嗪、硫双威、杀虫双、tioxazafen(3-苯基-5-(2-噻吩基)-1,2,4-噁二唑)、唑虫酰胺、四溴菊酯、唑蚜威、敌百虫、三氟苯嘧啶(triflumezopyrim)(2,4-二氧代-1-(5-嘧啶基甲基)-3-[3-(三氟甲基)苯基]-2H-吡啶并[1,2-a]嘧啶鎓内盐)、杀铃脲、苏云金芽孢杆菌δ-内毒素、昆虫病原细菌、昆虫病原病毒和昆虫病原真菌。
值得注意的是杀昆虫剂,诸如阿巴美丁、啶虫脒、氟丙菊酯、啶喃环丙虫酯、双甲脒、阿维菌素、印楝素、丙硫克百威、杀虫磺、联苯菊酯、噻嗪酮、硫线磷、西维因、杀螟丹、氯虫苯甲酰胺、溴虫腈、毒死蜱、噻虫胺、氰虫酰胺、环溴虫酰胺、乙氰菊酯、氟氯氰菊酯、β-氟氯氰菊酯、三氟氯氰菊酯、γ-三氟氯氰菊酯、λ-三氟氯氰菊酯、氯氰菊酯、α-氯氰菊酯、ζ-氯氰菊酯、灭蝇胺、溴氰菊酯、狄氏剂、呋虫胺、苯虫醚、埃玛菌素、硫丹、高氰戊菊酯、乙虫腈、依芬普司、乙螨唑、杀螟硫磷、苯硫威、苯氧威、氰戊菊酯、氟虫腈、flometoquin、氟啶虫酰胺、氟虫酰胺、氟虫脲、氟菌螨酯、氟噻虫砜、flupiprole、氟吡呋喃酮、氟胺氰菊酯、伐虫脒、噻唑磷、heptafluthrin、氟铃脲、氟蚁腙、吡虫啉、茚虫威、虱螨脲、氯氟醚菊酯、氰氟虫腙、甲硫双威、灭多虫、甲氧普林、甲氧虫酰肼、甲氧苄氟菊酯、monofluorothrin、烯啶虫胺、硝乙脲噻唑、双苯氟脲、草氨酰、pyflubumide、吡蚜酮、除虫菊酯、哒螨灵、啶虫丙醚、嘧螨胺、蚊蝇醚、利阿诺定、乙基多杀菌素、多杀菌素、螺螨酯、螺甲螨酯、螺虫乙酯、砜虫啶、虫酰肼、似虫菊、四氟醚菊酯、噻虫啉、噻虫嗪、硫双威、杀虫双、四溴菊酯、唑蚜威、三氟苯嘧啶、杀铃脲、苏云金芽孢杆菌δ-内毒素、苏云金芽孢杆菌的所有菌株以及核型多角体病毒的所有菌株。
用于与本发明的化合物混合的生物制剂的一个实施例包括昆虫病原细菌诸如苏云金芽孢杆菌,和胶囊包封的苏云金芽孢杆菌的δ-内毒素诸如由方法制备的和生物杀昆虫剂(和是Mycogen公司,印第安纳波利斯,印第安纳州,美国(Mycogen Corporation,Indianapolis,Indiana,USA)的商标);昆虫病原真菌诸如绿僵菌;和昆虫病原(天然存在的和遗传修饰的二者)病毒,包括杆状病毒、核型多角体病毒(NPV)诸如谷实夜蛾(Helicoverpa zea)核型多角体病毒(HzNPV)、芹菜夜蛾(Anagrapha falcifera)核型多角体病毒(AfNPV);和颗粒体病毒(GV),诸如苹果蠹蛾(Cydia pomonella)颗粒体病毒(CpGV)。
尤其值得注意的是其中其他无脊椎有害生物防治活性成分属于与式1的化合物不同的化学类别或者具有与其不同的作用位点的组合。在某些情况下,与至少一种具有相似防治谱但是不同作用位点的其他无脊椎有害生物防治活性成分的组合对于抗性管理将是特别有利的。因此,本发明的组合物可进一步包含生物学有效量的至少一种附加无脊椎有害生物防治活性成分,该活性成分具有类似的防治谱,但是属于不同的化学类别或者具有不同的作用位点。这些附加的生物学活性化合物或试剂包括但不限于乙酰胆碱酯酶(AChE)抑制剂,诸如氨基甲酸盐灭多虫、草氨酰、硫双威、唑蚜威和有机磷酸酯毒死蜱;GABA-门控氯离子通道拮抗剂,诸如环戊二烯类杀虫剂狄氏剂和硫丹,以及苯基吡唑类乙虫腈和氟虫腈;钠通道调节剂,诸如拟除虫菊酯联苯菊酯、氟氯氰菊酯、β-氟氯氰菊酯、三氟氯氰菊酯、λ-三氟氯氰菊酯、氯氰菊酯、溴氰菊酯、四氟甲醚菊酯、高氰戊菊酯、甲氧苄氟菊酯和丙氟菊酯;烟碱型乙酰胆碱受体(nAChR)激动剂,诸如新烟碱啶虫脒、噻虫胺、呋虫胺、吡虫啉、烯啶虫胺、硝乙脲噻唑、噻虫啉和噻虫嗪、以及砜虫啶;烟碱型乙酰胆碱受体(nAChR)变构活化剂,诸如多杀菌霉素类乙基多杀菌素和多杀菌素;氯离子通道活化剂,诸如阿维菌素阿巴美丁和埃玛菌素;保幼激素模拟物,诸如苯虫醚、甲氧普林、苯氧威和蚊蝇醚;选择性同翅目取食阻滞剂,诸如吡蚜酮和氟啶虫酰胺;螨生长抑制剂,诸如乙螨唑;线粒体ATP合酶抑制剂,如克螨特;经由质子梯度破坏的氧化性磷酸化作用的解偶联剂,诸如溴虫腈;烟碱型乙酰胆碱受体(nAChR)通道阻滞剂,诸如沙蚕毒素类似物杀螟丹;壳多糖生物合成抑制剂,诸如苯甲酰脲氟虫脲、氟铃脲、虱螨脲、双苯氟脲、多氟脲和杀铃脲、以及噻嗪酮;双翅目蜕皮干扰剂,诸如灭蝇胺;蜕皮激素受体激动剂,诸如双酰肼类甲氧虫酰肼和虫酰肼;真蛸胺受体激动剂,诸如双甲脒;线粒体复合体III电子传递抑制剂,诸如氟蚁腙;线粒体复合体I电子传递抑制剂,诸如哒螨灵;电压依赖型钠通道阻滞剂,诸如茚虫威;乙酰CoA羧化酶抑制剂,诸如季酮酸和1,5-二氢-4-羟基-2H-吡咯-2-酮(tetramic acid)螺螨酯、螺甲螨酯和螺虫乙酯;线粒体复合体II电子传递抑制剂,诸如β-酮腈腈吡螨酯和丁氟螨酯;利阿诺定受体调节剂,诸如氨茴酸二酰胺类氯虫苯甲酰胺、氰虫酰胺和氰虫酰胺,二酰胺类,诸如氟虫酰胺,和利阿诺定受体配体,诸如利阿诺定;其中对生物活性负责的靶位点为未知或未表征的化合物,诸如印楝素、联苯肼酯、啶虫丙醚、新喹唑啉(间二氮杂苯)类杀虫剂和三氟苯嘧啶;昆虫中肠膜微生物干扰剂,诸如苏云金芽孢杆菌和它们产生的δ-内毒素以及球形芽孢杆菌和生物制剂,包括核多角形病毒(NPV)以及其他天然存在的或遗传修饰的杀虫病毒。
可用本发明的化合物配制的生物学活性化合物或试剂的另外的实例是:杀真菌剂,诸如阿拉酸式苯-S-甲基、4-十二烷基-2,6-二甲基吗啉(aldimorph)、唑嘧菌胺、安美速、敌菌灵、戊环唑、嘧菌酯、苯霜灵(包括精苯霜灵)、麦锈灵、苯菌灵、苯噻菌胺(benthiavalicarb)(包括苯噻菌胺(benthiavalicarb-isopropyl))、苯并烯氟菌唑(benzovindiflupyr)、3-苯并[b]噻吩-2-基-5,6-二氢-1,4,2-噻嗪4-氧化物(bethoxazin)、乐杀螨、联苯、联苯三唑醇、联苯吡菌胺、灭瘟素、啶酰菌胺、糠菌唑、乙嘧酚磺酸酯、丁赛特、萎锈灵、环丙酰菌胺、敌菌丹、克菌丹、多菌灵、地茂散、百菌清、乙菌利、氢氧化铜、氧氯化铜、硫酸铜、丁香菌酯、氰霜唑、环氟菌胺、霜脲氰、环唑醇、嘧菌环胺、抑菌灵、双氯氰菌胺、哒菌清、氯硝胺、乙霉威、恶醚唑、二氟林、甲菌定、烯酰吗啉、醚菌胺、烯唑醇(包括烯唑醇-M)、敌螨普、二噻农、二硫戊环、十二环吗啉、多果定、益康唑、乙环唑、敌瘟磷、enoxastrobin(还被称为enestroburin(烯肟菌酯))、氟环唑、噻唑菌胺、乙菌定、土菌灵、噁唑菌酮、咪唑菌酮、烯肟菌胺、氯苯嘧啶醇、腈苯唑、甲呋酰苯胺、环酰菌胺、氰菌胺、拌种咯、苯锈啶、丁苯吗啉、胺苯吡菌酮、三苯基乙酸锡、三苯基氢氧化锡锡、福美铁、嘧菌腙、flometoquin、氟啶胺、咯菌腈、氟菌螨酯、氟吗啉、氟吡菌胺、氟吡菌酰胺、氟嘧菌酯、氟喹唑、氟硅唑、磺菌胺、氟噻菌净(flutianil)、氟酰胺、粉唑醇、氟唑菌酰胺、灭菌丹、四氯苯酞(还被称为苯酞)、麦穗宁、呋霜灵、福拉比、己唑醇、恶霉灵、双胍盐、抑霉唑、酰胺唑、酰胺唑、烷苯磺酸盐标准品、双胍辛胺三乙酸盐、iodicarb、种菌唑、异丙噻菌胺(isofetamid)、异稻瘟净、异菌脲、丙森锌、稻瘟灵、吡唑萘菌胺、异噻菌胺、春雷霉素、克收欣、代森锰锌、双炔酰菌胺、mandestrobin、代森锰、mapanipyrin、灭锈胺、消螨多、甲霜灵(包括高效甲霜灵/精甲霜灵)、叶菌唑、磺菌威、代森联、苯氧菌胺、苯菌酮、腈菌唑、萘替芬(naftitine)、甲胂铁铵(甲基胂酸铁)、氟苯嘧啶醇、辛噻酮、呋酰胺、肟醚菌胺、恶霜灵、氟噻唑吡乙酮(oxathiapiprolin)、噁喹酸、噁咪唑、氧化萎锈灵、氧四环素、戊菌唑、戊菌隆、戊苯吡菌胺、吡噻菌胺、稻痕酯(perfurazoate)、亚磷酸(包括其盐,如三乙膦酸铝)、啶氧菌酯、粉病灵、多氧霉素、噻菌灵、咪鲜胺、腐霉利、霜霉威、丙环唑、甲基代森锌、丙氧喹啉、硫菌威、丙硫菌唑、唑菌胺酯、唑胺菌酯、唑菌酯、定菌磷、吡菌苯威、pyributacarb、啶斑肟、甲氧苯啶菌(pyriofenone)、perisoxazole、嘧霉胺、啶斑肟、吡咯尼群、咯喹酮、喹唑(quinconazole)、quinmethionate、喹氧灵、五氯硝基苯、硅噻菌胺、氟唑环菌胺、硅氟唑、螺环菌胺、链霉素、硫磺、戊唑醇、特弗喹啉(tebufloquin)、teclofthalam、克枯烂、四氧硝基苯、特比萘芬、氟醚唑、噻苯哒唑、噻呋酰胺、托布津、甲基硫菌灵、福美双、噻酰菌胺、甲基立枯磷、tolprocarb、甲苯氟磺胺、三唑酮、三唑醇、嘧菌醇、唑菌嗪、三元硫酸铜、氯啶菌酯、十三吗啉、肟菌酯、氟菌唑、trimoprhamide三环唑、肟菌酯、嗪氨灵、灭菌唑、烯效唑、井冈霉素、霜霉灭(valifenalate)(还已知为valifenal)、霜霉灭(也被称为valifenal)、乙烯菌核利、代森锌、福美锌、苯酰菌胺和1-[4-[4-[5-(2,6-二氟苯基)-4,5-二氢-3-异噁唑基]-2-噻唑基]-1-哌啶基]-2-[5-甲基-3-(三氟甲基)-1H-吡唑-1-基]乙酮;杀线虫剂诸如氟吡菌酰胺、螺虫乙酯、硫双威、噻唑膦、阿巴美丁、异菌脲、氟噻虫砜(fluensulfone)、二甲基二硫醚、tioxazafen、1,3-二氯丙烯(1,3-D)、威百亩(钠和钾)、棉隆、三氯硝基甲烷、苯线磷、丙线磷、硫线磷(cadusaphos)、特丁磷、新烟磷(imicyafos)、草氨酰、卡巴呋喃、tioxazafen、坚强芽孢杆菌(Bacillus firmus)和巴斯德杆菌(Pasteuria nishizawae);杀细菌剂诸如链霉素;杀螨剂,诸如双甲脒、灭螨猛、克氯苯、三环锡、三氯杀螨醇、除螨灵、乙螨唑、喹螨醚、苯丁锡、甲氰菊酯、唑螨酯、噻螨酮、克螨特、哒螨灵和吡螨胺。
在某些情况下,本发明化合物与其他生物学活性(特别是无脊椎有害生物防治)化合物或试剂(即活性成分)的组合可导致大于累加(即协同)的效应。降低释放在环境中的活性成分的量,同时确保有效的有害生物防治一直是人们所期望的。当在施用率下发生无脊椎有害生物防治活性成分的协同作用,从而赋予农学上令人满意的无脊椎有害生物防治水平时,此类组合可有利地用于降低作物生产成本并且减少环境负荷。
可以将本发明的化合物及其组合物施用至植物,这些植物经基因转化以表达对无脊椎有害生物有毒的蛋白质(诸如苏云金芽孢杆菌δ-内毒素)。此种施用可提供更广谱的植物保护,并且对于抗性管理是有利的。本发明的化合物的外源性施用的无脊椎有害生物防治的作用可与表达的毒素蛋白质协同作用。
这些农用保护剂(即杀昆虫剂、杀真菌剂、杀线虫剂、杀螨剂、除草剂和生物制剂)的一般参考文献包括The Pesticide Manual[农药手册],第13版,C.D.S.Tomlin编辑,British Crop Protection Council[英国作物保护委员会],Farnham,Surrey,U.K.,2003和The BioPesticide Manual[生物农药手册],第2版,L.G.Copping编辑,British CropProtection Council,Farnham,Surrey,U.K.,2001。
对于其中使用这些不同混合组分中的一种或多种的实施例,这些不同混合组分(总量)与式1的化合物的重量比通常在约1:3000与约3000:1之间。值得注意的是在约1:300与约300:1之间的重量比(例如在约1:30与约30:1之间的比率)。本领域技术人员可以通过简单的实验容易地确定所希望的生物活性谱所必需的活性成分的生物有效量。将明显的是,包含这些附加组分可使无脊椎有害生物防治谱扩展超出由单独的式1的化合物的防治谱。
表A列出了式1的化合物与其他无脊椎有害生物防治剂的具体组合,例证了本发明的混合物、组合物和方法。表A的第一列列出了具体的无脊椎有害生物防治剂(例如,第一行中的“阿巴美丁”)。表A的第二列列出了无脊椎有害生物防治剂的作用方式(如果已知)或化学类别。表A的第三列列出了对于无脊椎有害生物防治剂可以被施用的速率,相对于式1的化合物的重量比范围的一个或多个实施例(例如阿巴美丁相对于式1的化合物按重量计为“50:1至1:50”)。因此,例如,表A的第一行具体披露了式1的化合物与阿巴美丁的组合可以以在50:1至1:50之间的重量比施用。表A的其余行将被类似地构造。进一步值得注意的是,表A列出了式1的化合物与其他无脊椎有害生物防治剂的具体组合,例证了本发明的混合物、组合物和方法,并且包括施用率的重量比范围的附加实施例。
表A
值得注意的是本发明的组合物,其中至少一种附加生物学活性化合物或试剂选自上表A中所列的无脊椎有害生物防治剂。
包括式1的化合物、其N-氧化物或其盐的化合物与附加无脊椎有害生物防治剂的重量比典型地在1000:1与1:1000之间,一个实施例在500:1与1:500之间,另一个实施例在250:1与1:200之间,并且另一个实施例在100:1与1:50之间。
下表B1至B8中列出的是包含式1的化合物(化合物编号参考索引表A中的化合物)和附加无脊椎有害生物防治剂的具体组合物的实施例。
表B1
表B2
表B2与表B1相同,除了在列标题“化合物编号”中的每个对化合物2的提及用对化合物32的提及替换。例如,表B2中的第一混合物被指定为B2-1并且是化合物32和另外的无脊椎有害生物防治剂阿巴美丁的混合物。
表B3
表B3与表B1相同,除了在列标题“化合物编号”中的每个对化合物2的提及用对化合物42的提及替换。例如,表B3中的第一混合物被指定为B3-1并且是化合物42和另外的无脊椎有害生物防治剂阿巴美丁的混合物。
表B4
表B4与表B1相同,除了在列标题“化合物编号”中的每个对化合物2的提及用对化合物48的提及替换。例如,表B4中的第一混合物被指定为B4-1并且是化合物48和另外的无脊椎有害生物防治剂阿巴美丁的混合物。
表B5
表B5与表B1相同,除了在列标题“化合物编号”中的每个对化合物2的提及用对化合物54的提及替换。例如,表B5中的第一混合物被指定为B5-1并且是化合物54和另外的无脊椎有害生物防治剂阿巴美丁的混合物。
表B6
表B6与表B1相同,除了在列标题“化合物编号”中的每个对化合物2的提及用对化合物59的提及替换。例如,表B6中的第一混合物被指定为B6-1并且是化合物59和另外的无脊椎有害生物防治剂阿巴美丁的混合物。
表B7
表B7与表B1相同,除了在列标题“化合物编号”中的每个对化合物2的提及用对化合物84的提及替换。例如,表B7中的第一混合物被指定为B7-1并且是化合物84和另外的无脊椎有害生物防治剂阿巴美丁的混合物。
表B8
表B8与表B1相同,除了在列标题“化合物编号”中的每个对化合物2的提及用对化合物85的提及替换。例如,表B8中的第一混合物被指定为B8-1并且是化合物85和另外的无脊椎有害生物防治剂阿巴美丁的混合物。
表B1至B8中列出的具体混合物通常以表A中指定的比率将式1的化合物与其他无脊椎有害生物防治剂组合。
下表C1至C8中列出的是包含式1的化合物(化合物编号(Cmpd.No.)参考索引表A中的化合物)和附加无脊椎有害生物防治剂的具体混合物。表C1至C8进一步列出了表C1至C8的混合物的典型的具体重量比。例如,表C1的第一行的第一重量比条目具体公开了以100份化合物2与1份阿巴美丁的重量比施用的索引表A的化合物2与阿巴美丁的混合物。
表C1
表C2
表C2与表C1相同,除了在列标题“化合物编号”中的每个对化合物2的提及用对化合物32的提及替换。例如,表C2第一行的第一重量比条目具体公开了以100份化合物32与1份阿巴美丁的重量比施用的化合物32与阿巴美丁的混合物。
表C3
表C3与表C1相同,除了在列标题“化合物编号”中的每个对化合物2的提及用对化合物42的提及替换。例如,表C3第一行的第一重量比条目具体公开了以100份化合物42与1份阿巴美丁的重量比施用的化合物42与阿巴美丁的混合物。
表C4
表C4与表C1相同,除了在列标题“化合物编号”中的每个对化合物2的提及用对化合物48的提及替换。例如,表C4第一行的第一重量比条目具体公开了以100份化合物48与1份阿巴美丁的重量比施用的化合物48与阿巴美丁的混合物。
表C5
表C5与表C1相同,除了在列标题“化合物编号”中的每个对化合物2的提及用对化合物54的提及替换。例如,表C5第一行的第一重量比条目具体公开了以100份化合物54与1份阿巴美丁的重量比施用的化合物54与阿巴美丁的混合物。
表C6
表C6与表C1相同,除了在列标题“化合物编号”中的每个对化合物2的提及用对化合物59的提及替换。例如,表C6第一行的第一重量比条目具体公开了以100份化合物59与1份阿巴美丁的重量比施用的化合物59与阿巴美丁的混合物。
表C7
表C7与表C1相同,除了在列标题“化合物编号”中的每个对化合物2的提及用对化合物84的提及替换。例如,表C7第一行的第一重量比条目具体公开了以100份化合物84与1份阿巴美丁的重量比施用的化合物84与阿巴美丁的混合物。
表C8
表C8与表C1相同,除了在列标题“化合物编号”中的每个对化合物2的提及用对化合物85的提及替换。例如,表C8第一行的第一重量比条目具体公开了以100份化合物85与1份阿巴美丁的重量比施用的化合物85与阿巴美丁的混合物。
下表D1至D8中列出的是包含式1的化合物(化合物编号(Cmpd.No.)参考索引表A中的化合物)和附加杀真菌剂的具体组合物的实施例。
表D1
表D2
表D2与表D1相同,除了在列标题“化合物编号”中的每个对化合物2的提及用对化合物32的提及替换。例如,表D2中的第一混合物被指定为D2-1并且是化合物32和另外的杀真菌剂噻菌灵的混合物。
表D3
表D3与表D1相同,除了在列标题“化合物编号”中的每个对化合物2的提及用对化合物42的提及替换。例如,表D3中的第一混合物被指定为D3-1并且是化合物42和另外的杀真菌剂噻菌灵的混合物。
表D4
表D4与表D1相同,除了在列标题“化合物编号”中的每个对化合物2的提及用对化合物48的提及替换。例如,表D4中的第一混合物被指定为D4-1并且是化合物48和另外的杀真菌剂噻菌灵的混合物。
表D5
表D5与表D1相同,除了在列标题“化合物编号”中的每个对化合物2的提及用对化合物54的提及替换。例如,表D5中的第一混合物被指定为D5-1并且是化合物54和另外的杀真菌剂噻菌灵的混合物。
表D6
表D6与表D1相同,除了在列标题“化合物编号”中的每个对化合物2的提及用对化合物59的提及替换。例如,表D6中的第一混合物被指定为D6-1并且是化合物59和另外的杀真菌剂噻菌灵的混合物。
表D7
表D7与表D1相同,除了在列标题“化合物编号”中的每个对化合物2的提及用对化合物84的提及替换。例如,表D7中的第一混合物被指定为D7-1并且是化合物84和另外的杀真菌剂噻菌灵的混合物。
表D8
表D8与表D1相同,除了在列标题“化合物编号”中的每个对化合物2的提及用对化合物85的提及替换。例如,表D8中的第一混合物被指定为D8-1并且是化合物85和另外的杀真菌剂噻菌灵的混合物。
在农学和非农学应用中,通过将生物学有效量的一种或多种通常呈组合物形式的本发明的化合物施用到有害生物环境中,包括侵害的农学和/或非农学所在地,施用到待保护的区域中,或直接施用到待控治的有害生物上,来控治无脊椎有害生物。
因此,本发明包括一种用于在农学和/或非农业应用中防治无脊椎有害生物的方法,包括使无脊椎有害生物或其环境与生物学有效量的一种或多种本发明的化合物或与包含至少一种这样的化合物的组合物或包含至少一种这样的化合物和生物学有效量的至少一种附加的生物学活性化合物或试剂的组合物接触。包含本发明的化合物和生物学有效量的至少一种附加的生物学活性化合物或试剂的合适组合物的实例包括颗粒状组合物,其中该附加的活性化合物存在于与本发明的化合物相同的颗粒上或存在于与本发明的化合物的那些颗粒分开的颗粒上。
为实现与本发明的化合物或组合物接触以保护大田作物免受无脊椎有害生物的侵害,通常在种植之前将该化合物或组合物施用到作物种子上,施用到作物植物的叶子(例如,叶、茎、花、果实)上,或在种植作物之前或之后施用到土壤或其他生长培养基上。
接触方法的一个实施例是通过喷雾。可替代地,包含本发明的化合物的颗粒状组合物可以施用到植物叶子上或土壤中。本发明的化合物也可以通过使植物与作为液体制剂的土壤浸液、到土壤中的颗粒状制剂、育苗箱处理物或移植浸泡物施用的包含本发明化合物的组合物相接触通过植物吸收有效地递送。值得注意的是呈土壤浸液液体制剂形式的本发明的组合物。还值得注意的是一种用于防治无脊椎有害生物的方法,该方法包括使无脊椎有害生物或其环境与生物学有效量的本发明的化合物或与包含生物学有效量的本发明的化合物的组合物接触。进一步值得注意的是这种方法,其中环境是土壤并且该组合物作为土壤浸液制剂施用到土壤中。另外值得注意的是还通过局部施用到受侵害的所在地来使本发明的化合物是有效的。其他接触方法包括通过直接喷雾和滞留喷雾、空中喷雾、凝胶、种子包衣、微胶囊化、内吸吸收、饵料、耳标、大丸药、喷雾器、熏剂、气溶胶、粉剂以及许多其他方法来施用本发明的化合物或组合物。接触方法的一个实施例是包含本发明的化合物或组合物的尺寸上稳定的肥料颗粒、小棒或片剂。本发明的化合物还可浸渍到用于制造无脊椎有害生物防治装置(例如,防昆虫网)的材料中。
本发明的化合物可用于处理所有植物、植物部分和种子。植物和种子品种和栽培品系可通过常规的繁殖和育种方法或通过基因工程方法获得。经基因修饰的植物或种子(转基因植物或种子)为其中异源性基因(转基因)已被稳定整合进植物或种子基因组中的那些。由其在植物基因组中的特定位置所限定的转基因被称为转化或转基因事件。
可根据本发明处理的经基因修饰的植物和种子栽培品系包括抵抗一种或多种生物胁迫的那些(有害生物,诸如线虫、昆虫、螨虫、真菌等)或非生物胁迫(干旱、低温、土壤盐化等),或包含其他期望的特征的那些。植物和种子可经基因修饰以表现出性状,例如除草剂耐受性、昆虫抗性、修饰的油特征或耐旱性。包括单个基因转化事件或转化事件的组合的有用的经基因修饰的植物和种子列出于表Z中。对于表Z中列出的基因修饰的附加信息可得自下列数据库:
http://www2.oecd.org/biotech/byidentifier.aspx
http://www.aphis.usda.go
http://gmoinfo.jrc.ec.europa.eu
以下缩写用于下表Z中:tol.为耐受性,res.为抗性,SU为磺酰脲类,ALS为乙酰乳酸合酶,HPPD为4-羟基苯丙酮酸双加氧酶,NA为不可用?
表Z
*阿根廷,**波兰,#茄子
用本发明的化合物处理经基因修饰的植物和种子可导致超加性或协同效应。例如,降低施用量、拓展活性谱、增加对生物胁迫/非生物胁迫的耐受性或增强贮存稳定性可大于来自仅简单在经基因修饰的植物和种子上施用本发明的化合物的加性效应所预期的。
本发明的化合物还可用于种子处理剂中以保护种子免受无脊椎有害生物。在本披露和权利要求书的上下文中,处理种子意指使种子与典型地被配制成本发明的组合物的生物学有效量的本发明的化合物接触。该种子处理剂保护种子免受无脊椎土壤有害生物并且总体上还可以保护由发芽种子发育成的幼苗的根和其他与土壤接触的植株部位。该种子处理剂还可以通过使本发明的化合物或第二活性成分在发育的植物中易位来向叶子提供保护。可将种子处理剂施用到所有类型的种子上,包括将发芽形成转基因植物以表达特定性状的那些。代表性实例包括表达对无脊椎有害生物有毒的蛋白质的那些,诸如苏云金芽孢杆菌毒素,或表达抗除草剂性的那些,诸如提供草甘膦抗性的草甘膦乙酰转移酶。具有本发明的化合物的种子处理剂还可增加由种子生长的植物的活力。
种子处理的一种方法是在播撒种子之前,通过用本发明的化合物(即作为配制的组合物)对种子喷雾或撒粉。经配制用于种子处理的组合物一般包含成膜剂或粘合剂。因此,典型地,本发明的种子包衣组合物包含生物学有效量的式1的化合物、其N-氧化物或盐、以及成膜剂或粘合剂。可通过将可流动的悬浮液浓缩物直接喷雾到种子的翻滚床中并且然后干燥种子来为种子包衣。可替代地,可将其他制剂类型诸如湿粉、溶液、悬浮乳液、可乳化的浓缩物和水中的乳液喷雾在种子上。该方法尤其可用于将膜包衣施用在种子上。本领域技术人员可采用各种包衣设备和方法。合适的方法包括在P.Kosters等人,SeedTreatment:Progress and Prospects[种子处理:进展与前景],1994BCPC专著号57以及其中列出的参考文献中列出的那些。
式1的化合物和它们的组合物,单独地或者与其他杀昆虫剂、杀线虫剂和杀真菌剂组合,尤其可用于对作物的种子处理,这些作物包括但不限于玉蜀黍或玉米、大豆、棉、谷类(例如,小麦、燕麦、大麦、黑麦和稻)、马铃薯、蔬菜和油菜。
可用式1的化合物配制以提供可用于种子处理的混合物的其他杀昆虫剂包括阿巴美丁、啶虫脒、氟丙菊酯、双甲脒、阿维菌素、印楝素、杀虫磺、联苯菊酯、噻嗪酮、硫线磷、西维因、卡巴呋喃、杀螟丹、氯虫苯甲酰胺、溴虫腈、毒死蜱、噻虫胺、氰虫酰胺、氟氯氰菊酯、β-氟氯氰菊酯、三氟氯氰菊酯、γ-三氟氯氰菊酯、λ-三氟氯氰菊酯、氯氰菊酯、α-氯氰菊酯、ζ-氯氰菊酯、灭蝇胺、溴氰菊酯、狄氏剂、呋虫胺、苯虫醚、埃玛菌素、硫丹、高氰戊菊酯、乙虫腈、依芬普司、乙螨唑、苯硫威、苯氧威、氰戊菊酯、氟虫腈、氟啶虫酰胺、氟虫酰胺、氟虫脲、氟胺氰菊酯、伐虫脒、噻唑磷、氟铃脲、氟蚁腙、吡虫啉、茚虫威、虱螨脲、氰氟虫腙、甲硫威、灭多虫、甲氧普烯、甲氧虫酰肼、烯啶虫胺、硝乙脲噻唑、双苯氟脲、草氨酰、吡蚜酮、除虫菊酯、哒螨灵、啶虫丙醚、蚊蝇醚、利阿诺定、乙基多杀菌素、多杀菌素、螺螨酯、螺甲螨酯、螺虫乙酯、砜虫啶、虫酰肼、似虫菊、噻虫啉、噻虫嗪、硫双威、杀虫双、四溴菊酯、唑蚜威、杀铃脲、苏云金芽孢杆菌δ-内毒素、苏云金芽孢杆菌的所有菌株以及核型多角体病毒的所有菌株。
可用式1的化合物配制以提供可用于种子处理的混合物的杀真菌剂包括吲唑磺菌胺、嘧菌酯、啶酰菌胺、多菌灵、萎锈灵、霜脲氰、环唑醇、恶醚唑、烯酰吗啉、氟啶胺、咯菌腈、氟喹唑、氟吡菌胺、氟嘧菌酯、粉唑醇、氟唑菌酰胺、种菌唑、异菌脲、甲霜灵、精甲霜灵、叶菌唑、腈菌唑、多效唑、戊苯吡菌胺、啶氧菌酯、丙硫菌唑、唑菌胺酯、氟唑环菌胺、硅噻菌胺、戊唑醇、噻菌灵、甲基硫菌灵、福美双、肟菌酯和灭菌唑。
包含对于种子处理有用的式1的化合物的组合物可以进一步包含细菌和真菌,该细菌和真菌具有提供保护免受植物病原真菌或细菌和/或土生动物诸如线虫的有害影响的能力。表现出杀线虫特性的细菌可包括但不限于坚强芽孢杆菌(Bacillus firmus)、蜡样芽孢杆菌(Bacillus cereus)、枯草芽孢杆菌(Bacillius subtiliis)和穿刺巴斯德芽孢菌(Pasteuria penetrans)。合适的坚强芽孢杆菌菌株是作为BioNemTM可商购的菌株CNCM I-1582(GB-126)。合适的蜡样芽胞杆菌菌株是菌株NCMM I-1592。两种芽孢杆菌菌株都披露于US 6,406,690中。表现出杀线虫活性的其他合适细菌是解淀粉芽孢杆菌(B.amyloliquefaciens)IN937a和枯草芽孢杆菌(B.subtilis)菌株GB03。表现出杀真菌特性的细菌可包括但不限于短小芽孢杆菌(B.pumilus)菌株GB34。表现出杀线虫特性的真菌种类可包括但不限于疣孢漆斑菌(Myrothecium verrucaria)、淡紫拟青霉(Paecilomyceslilacinus)和淡紫紫孢菌(Purpureocillium lilacinum)。
种子处理剂还可包含一种或多种天然来源的杀线虫剂,诸如被称为超敏蛋白(harpin)的激发子蛋白质,其是从某些细菌植物病原体诸如梨火疫病菌分离的。实例是作为N-HibitTM Gold CST可获得的Harpin-N-Tek种子处理技术
种子处理剂还可包括一种或多种豆科植物根结瘤细菌物种,诸如微共生固氮细菌慢生型大豆根瘤菌(Bradyrhizobium japonicum)。这些接种剂可任选地包含一种或多种脂类壳寡糖(LCO),其是由根瘤菌细菌在豆科植物的根上引发结节形成期间所产生的结节(Nod)因子。例如,brand种子处理技术结合了与接种剂组合的LCO启动子TechnologyTM。
种子处理剂还可包含一种或多种异黄酮,其可增加菌根真菌的根定殖的水平。菌根真菌通过增强根对营养素诸如水、硫酸盐、硝酸盐、磷酸盐和金属的吸收来改进植物生长。异黄酮的实例包括但不限于金雀异黄酮、鹰嘴豆芽素A、刺芒柄花素、黄豆苷元、黄豆黄素、橙皮素、柚皮素和红车轴草素。刺芒柄花素作为菌根接种剂产品诸如PHCAG中的活性成分是可获得的。
种子处理剂还可包括一种或多种植物活化剂,这些植物活化剂在被病原体接触后在植物中引起系统获得性抗性。引起此类保护性机制的植物活化剂的实例是阿拉酸式苯-S-甲基。
经处理的种子通常包含本发明的化合物,其量为从约0.1g至1kg/100kg种子(即处理前按该种子的重量计从约0.0001%至1%)。经配制用于种子处理的可流动的悬浮液典型地包含从约0.5%至约70%的活性成分、从约0.5%至约30%的成膜粘合剂、从约0.5%至约20%的分散剂、从0%至约5%的增稠剂、从0%至约5%的颜料和/或染料、从0%至约2%的消泡剂、从0至约1%的防腐剂、以及从0%至约75%的挥发性液体稀释剂。
本发明的化合物可被结合到饵料组合物中,该饵料组合物被无脊椎有害生物食用或用于装置诸如诱捕器、饵料站等中。此种饵料组合物可呈颗粒的形式,其包含(a)活性成分,即生物学有效量的式1的化合物、其N-氧化物或盐;(b)一种或多种食物原料;任选地(c)引诱剂,和任选地(d)一种或多种湿润剂。值得注意的是颗粒或饵料组合物,其包含在约0.001%-5%之间的活性成分、约40%-99%的食物原料和/或引诱剂;以及任选地约0.05%-10%的湿润剂,其可在非常低的施用率下,尤其是通过摄取而不是通过直接接触时致命的活性成分剂量下,有效防治土壤无脊椎有害生物。一些食物原料可用作食物源和引诱剂二者。食物原料包括碳水化合物、蛋白质和脂质。食物原料的实例是蔬菜粉、糖、淀粉、动物脂肪、植物油、酵母提取物和乳固体。引诱剂的实例是增味剂和风味剂,诸如水果或植物提取物、香料、或其他动物或植物组分、信息素或已知用于吸引目标无脊椎有害生物的其他试剂。湿润剂(即保水剂)的实例是乙二醇和其他多元醇、甘油和山梨醇。值得注意的是用于防治至少一种选自由蚂蚁、白蚁和蟑螂组成的组的无脊椎有害生物的饵料组合物(以及使用此种饵料组合物的方法)。一种用于防治无脊椎有害生物的装置,该装置可包括本发明的诱饵组合物和适配为接收该诱饵组合物的壳体,其中该壳体具有至少一个开口,该开口被定尺寸以允许该无脊椎有害生物通过该开口,使得该无脊椎有害生物可以从该壳体外部的位置接近该诱饵组合物,并且其中该壳体进一步被适配为放置在该无脊椎有害生物的潜在或已知活动的所在地中或附近。
本发明的一个实施例涉及一种用于防治无脊椎有害生物的方法,该方法包括用水稀释本发明的杀虫组合物(用表面活性剂、固体稀释剂和液体稀释剂配制的式1的化合物,或式1的化合物和至少一种其他杀有害生物剂的配制的混合物),以及任选地添加辅助剂以形成稀释的组合物,并且使无脊椎有害生物或它的环境与有效量的所述稀释的组合物接触。
尽管通过用水稀释足够浓度的本发明的杀虫组合物形成的喷雾组合物可提供充分的防治无脊椎有害生物的功效,但单独配制的辅助剂产品也可被添加到喷雾罐混合物中。这些附加的辅助剂通常被称为“喷雾辅助剂”或“罐-混合辅助剂”,并且包含混合在喷雾罐中以改善杀有害生物剂的性能或改变喷雾混合物的物理特性的任何物质。辅助剂可为表面活性剂、乳化剂、基于石油的作物油、作物衍生的种子油、酸化剂、缓冲液、增稠剂或消泡剂。辅助剂被用于增强功效(例如生物利用度、粘附性、渗透性、覆盖均匀度和保护耐久性),或最小化或消除与不相容性、发泡、飘移、蒸发、挥发和降解相关联的喷雾应用问题。为了获得最佳性能,关于活性成分的特性、制剂和目标(例如,作物、昆虫有害生物)来选择辅助剂。
在喷雾辅助剂之中,最通常使用油(包括作物油、作物油浓缩物、植物油浓缩物和甲基化的种子油浓缩物)来提高杀有害生物剂的功效,这可能是通过促进更均匀且一致的喷雾沉积来实现的。在其中可能由油或其他与水不混溶的液体引起的植物毒性是重要的情况下,由本发明的组合物制备的喷雾组合物一般将不包含油基喷雾辅助剂。然而,在其中由油基喷雾辅助剂造成的植物毒性在商业上无关紧要的情况下,由本发明组合物的组合物制备的喷雾组合物也可包含油基喷雾辅助剂,这可潜在地进一步增加对无脊椎有害生物的防治、以及耐雨性。
确定为“作物油”的产品通常含有95%至98%的石蜡或石脑油基石油和1%至2%的一种或多种用作乳化剂的表面活性剂。确定为“作物油浓缩物”的产品通常由80%至85%的可乳化石油基油和15%至20%的非离子表面活性剂组成。正确地确定为“植物油浓缩物”的产品通常由80%至85%的植物油(即种子油或果实油,最通常来自棉花、亚麻籽、大豆或向日葵)和15%至20%的非离子表面活性剂组成。可通过用通常衍生自植物油的脂肪酸的甲酯替代植物油改善辅助剂性能。甲基化的种子油浓缩物的实例包括浓缩物(UAP-Loveland产品公司(UAP-Loveland Products,Inc.))和Premium MSO甲基化喷雾油(海伦娜化学公司(Helena Chemical Company))。
添加到喷雾混合物中的辅助剂的量通常不超过按体积计约2.5%,并且更通常地该量为按体积计从约0.1%至约1%。添加到喷雾混合物中的辅助剂的施用率通常在每公顷约1升至5升之间。喷雾辅助剂的代表性实例包括:(先正达公司(Syngenta))液烃中的47%甲基化菜籽油;(海伦娜化学公司)聚氧化烯烃改性的七甲基三硅氧烷以及(巴斯夫公司(BASF))83%石蜡基矿物油中的17%表面活性剂共混物。
可在无其他辅助剂的情况下施用本发明的化合物,但是最常见的施用是施用制剂,该制剂包含一种或多种具有合适的载体、稀释剂和表面活性剂的活性成分,并且根据所设想的最终用途有可能与食物组合。一种施用方法涉及将本发明的化合物的水分散体或精炼油溶液喷雾。与喷雾油、喷雾油浓缩液、粘展剂、辅助剂、其他溶剂以及增效剂诸如胡椒基丁醚的组合通常增强化合物功效。对于非农学用途,此类喷雾可从喷雾容器诸如罐、瓶或其他容器中,借助于泵或通过将其从加压容器例如加压气溶胶喷雾罐中释放出来施用。此类喷雾组合物可采取多种形式,例如喷雾、薄雾、泡沫、烟雾或尘雾。因此,根据具体情况,此类喷雾组合物可进一步包含推进剂、发泡剂等。值得注意的是包含生物学有效量的本发明的化合物或组合物以及载体的喷雾组合物。此种喷雾组合物的一个实施例包含生物学有效量的本发明的化合物或组合物以及推进剂。代表性的推进剂包括但不限于甲烷、乙烷、丙烷、丁烷、异丁烷、丁烯、戊烷、异戊烷、新戊烷、戊烯、氢氟烃、氯氟烃、二甲醚和前述的混合物。值得注意的是用于防治至少一种无脊椎有害生物的喷雾组合物(和使用由喷雾容器分配的此种喷雾组合物的方法),这些无脊椎有害生物选自下组,该组由以下各项组成:蚊子、墨蚊、厩蝇、鹿虻、马虻、黄蜂、小黄蜂、大黄蜂、壁虱、蜘蛛、蚂蚁、蚋等,包括单独地或以组合。
本发明的生物学实例
以下测试证明本发明的化合物对特定有害生物的防治功效。“防治功效”表示导致摄食显著降低的无脊椎有害生物发育的抑制(包括死亡率)。然而,由化合物提供的有害生物防治保护不限于这些物种。化合物描述参见索引表A。
用于测试A-E的配方和喷雾方法学
使用包含10%丙酮、90%水和300ppmSpreader Lo-Foam Formula非离子表面活性剂的溶液来配制测试化合物,该非离子表面活性剂包含烷基芳基聚氧乙烯、游离脂肪酸、乙二醇和异丙醇(美国科罗拉多州格里利市Loveland产品公司(LovelandIndustries,Inc.Greeley,Colorado,USA))。配制的化合物通过定位在每个测试单元的顶部上方1.27cm(0.5英寸)的具有1/8JJ定制主体的SUJ2喷雾器喷嘴(美国伊利诺斯州惠顿喷雾系统公司(Spraying Systems Co.Wheaton,Illinois,USA))以1mL的液体施用。测试化合物以指定的速率被喷雾,并且每次测试重复三次。
测试A
为了通过接触和/或内吸手段评估对桃蚜(green peach aphid)(桃蚜(Myzuspersicae(Sulzer)))的防治,测试单元由内部具有12-15天龄萝卜植物的小开口容器组成。通过在测试植物的叶上,放置30-40条位于一片从栽培植物上切下的叶上的蚜虫(切叶方法)将该植物预侵害。随着叶片脱水,蚜虫在测试植物上移动。预侵害后,用一层砂覆盖测试单元的土壤。
配制测试化合物并且以250ppm和/或50ppm喷雾。在将配制的测试化合物喷雾后,使每个测试单元干燥1小时并且然后将黑色遮蔽盖放置在顶部上。使测试单元在19℃-21℃和50%-70%相对湿度的生长室中保持6天。然后视觉上评价每个测试单元的昆虫死亡率。
在250ppm下所测试的式1的化合物中,下列导致至少80%的死亡率:1、32、38、39、40、41、42、44、45、47、48、49、50、51、53、54、55、56、57、58、59、61、63、64、65、66、68、84、85、86、87和88。
在50ppm下所测试的式1的化合物中,下列导致至少80%的死亡率:2、3、4、31、32、33、34、37、38、39、40、41、42、44、45、47、48、49、50、51、54、55、56、57、58、59、61、65、66、68、84、85、86和87。
测试B
为了通过接触和/或内吸手段评估对棉花蚜虫(cotton melon aphid)(棉蚜(Aphis gossypii(Glover)))的防治,测试单元由内部具有6-7天龄棉植物的小开口容器组成。用30-40条位于根据切叶方法的一片叶上的昆虫将该植物预侵害,并用一层砂覆盖测试单元的土壤。
配制测试化合物并且以250ppm和/或50ppm喷雾。喷雾后,使测试单元在19℃和70%相对湿度的生长室中保持6天。然后视觉上评价每个测试单元的昆虫死亡率。
在250ppm下所测试的式1的化合物中,下列导致至少80%的死亡率:32、38、42、48、51、52、53、54、55、59、64、65、66、68、84、85、86和87。
在50ppm下所测试的式1的化合物中,下列导致至少80%的死亡率:2、38、42、51、52、54、59、64、65、66、68、84、85、86和87。
测试C
为了通过接触和/或内吸手段评估对马铃薯叶蝉(potato leafhopper)(马铃薯小绿叶蝉(Empoasca fabae))的防治,测试单元由内部具有5-6天龄Soleil豆植物(显出初生叶)的小开口容器组成。将白砂添加至土壤的顶部,并且在施用之前切除一片初生叶。
配制测试化合物并且以250ppm和/或50ppm喷雾。喷雾后,使测试单元干燥1小时,之后用5条马铃薯叶蝉(18-21天龄成虫)对它们进行后侵害。将黑色遮蔽盖放置在每个测试单元的顶部上,并使测试单元在24℃和70%相对湿度的生长室中保持6天。然后视觉上评价每个测试单元的昆虫死亡率。
在250ppm下所测试的式1的化合物中,下列提供了非常好至优异的防治功效水平(80%或更大的死亡率):56。
在50ppm下所测试的式1的化合物中,下列提供了非常好至优异的防治功效水平(80%或更大的死亡率):56。
测试D
为了通过接触和/或内吸手段评估对西花蓟马(western flower thrips)(西花蓟马(Frankliniella occidentalis))的防治,测试单元由内部具有5-7天龄Soleil豆植物的小开口容器组成。
配制测试化合物并且以250ppm和/或50ppm喷雾。喷雾后,使测试单元干燥1小时,并且然后将22-27条成年蓟马加入到该单元中。将黑色遮蔽盖放置在每个测试单元的顶部上,并使测试单元在25℃和45-55%相对湿度下保持7天。
在250ppm下所测试的式1的化合物中,下列提供了非常好至优异的防治功效水平(40%或更小的植物损害,和/或100%的死亡率):32、35、38和41。
在50ppm下所测试的式1的化合物中,下列提供了非常好至优异的防治功效水平(40%或更小的植物损害,和/或100%的死亡率):2和31。
测试E
为了通过接触和/或内吸手段评估对甘薯粉虱(sweetpotato whitefly)(烟粉虱(Bemisia tabaci(Gennadius)))的防治,测试单元由内部具有12-14天龄棉植物的小开口容器组成。在喷雾施用之前,从植物除去两个子叶,留下一片真叶用于测定。使成年粉虱在植物上产卵并且然后从测试单元中移出。使被至少15只卵侵害的棉植物经受喷雾测试。
配制测试化合物并且以250ppm和/或50ppm喷雾。喷雾后,使测试单元干燥1小时。然后取出圆筒,将单元取出至生长室并在28℃和50%-70%相对湿度下保持13天。然后视觉上评价每个测试单元的昆虫死亡率。
在250ppm下所测试的式1的化合物中,下列导致至少50%的死亡率:30、39、40、44、47、51、52、53、54、55、56、58、59、60、61、64、68、84和85。
在50ppm下所测试的式1的化合物中,下列导致至少50%的死亡率:30、51和54。
Claims (10)
1.选自式1的化合物、其N-氧化物或盐,
其中
Q是
A是CH或CR1;
每个R1独立地是卤素;
m是0;
X1是CR2,并且X2、X3和X4各自独立地是CR3;或者X2是CR2,并且X1、X3和X4各自独立地是CR3;
R2是C(=Z)R11或LQa;或是任选地被至多3个Ry取代的C1-C6烷氧基;或是C1-C4烷基,其被C(=Z)NR6R7取代,并且任选地进一步被至多3个Ry取代;
L是O;
每个Z独立地是O;
每个R3独立地是H或卤素;
Y2是CR5a;
R5a是H;
R6是H;或是C1-C6烷基,其是未被取代的或被至少一个Rx取代;
R7是H或Qb;或是C1-C6烷基、C3-C6环烷基、C2-C6烯基或C2-C6炔基,每个是未被取代的或被至少一个Rx取代;
每个Rx独立地是卤素、氰基、硝基、羟基、C1-C6卤代烷基、C1-C6烷氧基、C(O)NR15R16、NR25R26、S(O)nR23或Qb;
每个Ry独立地是卤素、氰基、羟基、C1-C6烷基、C3-C6环烷基或Qb;
每个R11独立地是C1-C6烷基,其是未被取代的或被至少一个Rx取代;或是C(O)NR15R16;
R15是H;或是C1-C6烷基,其是未被取代的或被至少一个Rx取代;
R16是H;或是C1-C6烷基,其是未被取代的或被至少一个Rx取代;
每个R23独立地是C1-C4烷基或C1-C4卤代烷基;
每个R25独立地是C1-C4烷氧基;
每个R26独立地是C1-C4烷基;
Qa是5-至10-元芳族环或环体系,每个环或环体系含有选自碳原子和至多3个杂原子的环成员,所述杂原子独立地选自3个氮原子,并且每个环或环体系是未被取代的或被至少一个Rx取代;
每个Qb独立地是未被取代的5-或6-元杂环芳族环或3-至6-元杂环非芳族环,每个环含有选自碳原子和至多2个杂原子的环成员,所述杂原子独立地选自一个氧原子、一个硫原子和至多2个氮原子;并且
每个n独立地是0、1或2。
2.如权利要求1所述的化合物,其中
R2是C(=O)R11或LQa;或是任选地被至多3个Ry取代的C1-C6烷氧基;或是被C(=O)NR6R7取代并任选地进一步被至多3个Ry取代的C1-C2烷基;并且
Qa是未被取代的或被1-2个Rx取代的6-元杂芳环。
3.如权利要求2所述的化合物,其中
A是CH。
4.如权利要求2所述的化合物,其中
A是CF。
5.如权利要求1所述的化合物,该化合物选自:
3-(甲硫基)-1-[2-(3-吡啶基)-2H-吲唑-4-基]-1-丙酮;
3-(甲氧基甲基氨基)-1-[2-(3-吡啶基)-2H-吲唑-5-基]-1-丙酮;
2-(3-吡啶基)-5-(2-嘧啶基氧基)-2H-吲唑;
α-氧代-2-(3-吡啶基)-N-(2,2,2-三氟乙基)-2H-吲唑-5-乙酰胺;
5-(2-甲基丙氧基)-2-(3-吡啶基)-2H-吲唑;
α-甲基-2-(3-吡啶基)-N-(2-嘧啶基甲基)-2H-吲唑-5-乙酰胺;
2-(3-吡啶基)-N-(2-嘧啶基甲基)-2H-吲唑-5-乙酰胺;和
N-(1-氰基-1-甲基乙基)-α-甲基-2-(3-吡啶基)-2H-吲唑-5-乙酰胺。
6.一种组合物,该组合物包含如权利要求1至5中任一项所述的化合物和至少一种选自表面活性剂、固体稀释剂和液体稀释剂的附加组分,所述组合物任选地还包含至少一种附加的生物学活性化合物或生物学活性剂。
7.如权利要求6所述的组合物,其中所述至少一种附加的生物学活性化合物或生物学活性剂选自:阿巴美丁、高灭磷、灭螨醌、啶虫脒、氟丙菊酯、啶喃环丙虫酯、磺胺螨酯、双甲脒、阿维菌素、印楝素、谷硫磷、丙硫克百威、杀虫磺、联苯菊酯、联苯肼酯、双三氟虫脲、硼酸盐、噻嗪酮、西维因、卡巴呋喃、杀螟丹、伐虫脒、氯虫苯甲酰胺、溴虫腈、定虫隆、毒死蜱、甲基毒死蜱、环虫酰肼、螨死净、噻虫胺、氰虫酰胺、环溴虫酰胺、乙氰菊酯、环氧虫啶、丁氟螨酯、氟氯氰菊酯、β-氟氯氰菊酯、三氟氯氰菊酯、γ-三氟氯氰菊酯、λ-三氟氯氰菊酯、氯氰菊酯、α-氯氰菊酯、δ-氯氰菊酯、灭蝇胺、溴氰菊酯、丁醚脲、二嗪农、狄氏剂、二氟脲、四氟甲醚菊酯、杀虫双、乐果、呋虫胺、苯虫醚、埃玛菌素、硫丹、高氰戊菊酯、乙虫腈、依芬普司、乙螨唑、苯丁锡、杀螟硫磷、苯硫威、苯氧威、甲氰菊酯、氰戊菊酯、氟虫腈、flometoquin、氟啶虫酰胺、氟虫酰胺、氟氰戊菊酯、嘧虫胺、氟虫脲、氟菌螨酯、氟噻虫砜、氟吡菌酰胺、flupiprole、氟吡呋喃酮、氟胺氰菊酯、τ-氟胺氰菊酯、地虫硫磷、伐虫脒、噻唑磷、氯虫酰肼、heptafluthrin、氟铃脲、噻螨酮、氟蚁腙、吡虫啉、茚虫威、杀虫皂、异柳磷、虱螨脲、马拉硫磷、氯氟醚菊酯、氰氟虫腙、蜗牛敌、甲胺磷、杀扑磷、甲硫双威、灭多虫、甲氧普林、甲氧滴滴涕、甲氧苄氟菊酯、久效磷、monofluthrin、甲氧虫酰肼、烯啶虫胺、硝乙脲噻唑、双苯氟脲、多氟脲、草氨酰、对硫磷、甲基对硫磷、扑灭司林、甲拌磷、伏杀硫磷、亚胺硫磷、磷胺、抗蚜威、丙溴磷、丙氟菊酯、克螨特、丙苯烃菊酯、pyflubumide、吡蚜酮、吡嗪氟虫腈、除虫菊酯、哒螨灵、啶虫丙醚、新喹唑啉(间二氮杂苯)类杀虫剂、嘧螨胺、吡啶氟虫腈、蚊蝇醚、鱼藤酮、兰尼碱、氟硅菊酯、乙基多杀菌素、多杀菌素、螺螨酯、螺甲螨酯、螺虫乙酯、硫丙磷、砜虫啶、虫酰肼、吡螨胺、伏虫脲、七氟菊酯、特丁磷、杀虫畏、似虫菊、四氟醚菊酯、噻虫啉、噻虫嗪、硫双威、杀虫双、唑虫酰胺、四溴菊酯、唑蚜威、敌百虫、杀铃脲、苏云金芽孢杆菌的所有菌株、昆虫病原细菌、核型多角体病毒的所有菌株、昆虫病原病毒以及昆虫病原真菌。
8.如权利要求7所述的组合物,其中该至少一种附加的生物学活性化合物或生物学活性剂选自:阿巴美丁、啶虫脒、氟丙菊酯、啶喃环丙虫酯、双甲脒、阿维菌素、印楝素、丙硫克百威、杀虫磺、联苯菊酯、3-溴-1-(3-氯-2-吡啶基)-N-[4-氰基-2-甲基-6-[(甲基氨基)羰基]苯基]-1H-吡唑-5-甲酰胺、噻嗪酮、西维因、杀螟丹、氯虫苯甲酰胺、溴虫腈、毒死蜱、噻虫胺、氰虫酰胺、环溴虫酰胺、乙氰菊酯、氟氯氰菊酯、β-氟氯氰菊酯、三氟氯氰菊酯、λ-三氟氯氰菊酯、γ-三氟氯氰菊酯、氯氰菊酯、α-氯氰菊酯、δ-氯氰菊酯、灭蝇胺、溴氰菊酯、狄氏剂、呋虫胺、苯虫醚、埃玛菌素、硫丹、高氰戊菊酯、乙虫腈、依芬普司、乙螨唑、杀螟硫磷、苯硫威、苯氧威、氰戊菊酯、氟虫腈、flometoquin、氟啶虫酰胺、氟虫酰胺、氟虫脲、氟菌螨酯、氟噻虫砜、flupiprole、氟吡呋喃酮、氟胺氰菊酯、伐虫脒、噻唑磷、heptafluthrin、氟铃脲、氟蚁腙、吡虫啉、茚虫威、虱螨脲、氯氟醚菊酯、氰氟虫腙、甲硫双威、灭多虫、甲氧普林、甲氧虫酰肼、甲氧苄氟菊酯、monofluthrin、烯啶虫胺、硝乙脲噻唑、双苯氟脲、草氨酰、pyflubumide、吡蚜酮、除虫菊酯、哒螨灵、啶虫丙醚、嘧螨胺、蚊蝇醚、兰尼碱、乙基多杀菌素、多杀菌素、螺螨酯、螺甲螨酯、螺虫乙酯、砜虫啶、虫酰肼、似虫菊、噻虫啉、噻虫嗪、硫双威、杀虫双、四溴菊酯、四氟醚菊酯、唑蚜威、杀铃脲、苏云金芽孢杆菌的所有菌株以及核型多角体病毒的所有菌株。
9.一种用于防治无脊椎有害生物的方法,该方法包括使该无脊椎有害生物或其环境与生物学有效量的如权利要求1至5中任一项所述的化合物接触。
10.一种处理种子的方法,所述方法包括用按处理前该种子的重量计约0.0001%至1%的量的如权利要求1至5中任一项所述的化合物处理该种子。
Applications Claiming Priority (3)
| Application Number | Priority Date | Filing Date | Title |
|---|---|---|---|
| US201562131949P | 2015-03-12 | 2015-03-12 | |
| US62/131,949 | 2015-03-12 | ||
| PCT/US2016/020612 WO2016144678A1 (en) | 2015-03-12 | 2016-03-03 | Heterocycle-substituted bicyclic azole pesticides |
Publications (2)
| Publication Number | Publication Date |
|---|---|
| CN107743486A CN107743486A (zh) | 2018-02-27 |
| CN107743486B true CN107743486B (zh) | 2021-04-09 |
Family
ID=55854786
Family Applications (1)
| Application Number | Title | Priority Date | Filing Date |
|---|---|---|---|
| CN201680025166.6A Active CN107743486B (zh) | 2015-03-12 | 2016-03-03 | 杂环取代的二环唑杀有害生物剂 |
Country Status (9)
| Country | Link |
|---|---|
| US (1) | US10647692B2 (zh) |
| EP (1) | EP3268359B1 (zh) |
| JP (1) | JP6740239B2 (zh) |
| KR (1) | KR102536024B1 (zh) |
| CN (1) | CN107743486B (zh) |
| BR (1) | BR112017019326B1 (zh) |
| ES (1) | ES2778628T3 (zh) |
| MX (1) | MX2017011579A (zh) |
| WO (1) | WO2016144678A1 (zh) |
Families Citing this family (15)
| Publication number | Priority date | Publication date | Assignee | Title |
|---|---|---|---|---|
| WO2016164200A1 (en) | 2015-04-09 | 2016-10-13 | E I Du Pont De Nemours And Company | Bicyclic pyrazole pesticides |
| ES2766853T3 (es) | 2015-12-14 | 2020-06-15 | Fmc Corp | Pesticidas de azol bicíclico sustituido con heterociclo |
| WO2018139560A1 (ja) | 2017-01-26 | 2018-08-02 | 三井化学アグロ株式会社 | ピリドン化合物およびそれを有効成分とする農園芸用殺菌剤 |
| CA3059702A1 (en) | 2017-04-10 | 2018-10-18 | Mitsui Chemicals Agro, Inc. | Pyridone compounds and agricultural and horticultural fungicides containing the same as active ingredients |
| WO2018190350A1 (ja) | 2017-04-10 | 2018-10-18 | 三井化学アグロ株式会社 | ピリドン化合物およびそれを有効成分とする農園芸用殺菌剤 |
| MY190386A (en) | 2017-04-11 | 2022-04-20 | Mitsui Chemicals Agro Inc | Pyridone compounds and agricultural and horticultural fungicides containing the same as active ingredients |
| JP7157738B2 (ja) | 2017-06-08 | 2022-10-20 | 三井化学アグロ株式会社 | ピリドン化合物およびそれを有効成分とする農園芸用殺菌剤 |
| KR20200044099A (ko) | 2017-09-06 | 2020-04-28 | 바이엘 애니멀 헬스 게엠베하 | 동물 기생충의 방제 및 예방을 위한 국소 투여가능한 제형 |
| KR102711049B1 (ko) * | 2018-07-14 | 2024-09-27 | 에프엠씨 코포레이션 | 인다졸을 포함하는 살충 혼합물 |
| US12114658B2 (en) | 2018-07-25 | 2024-10-15 | Mitsui Chemicals Crop & Life Solutions, Inc. | Compounds having a nitrogen-containing unsaturated six-membered ring and agricultural and horticultural fungicides containing the same as active ingredients |
| TWI873157B (zh) * | 2019-07-11 | 2025-02-21 | 美商富曼西公司 | 包含吲唑之殺蟲混合物 |
| UY39043A (es) * | 2020-01-30 | 2021-08-31 | Fmc Corp | Compuestos piridina para controlar plagas de invertebrados |
| CN116547282A (zh) * | 2020-10-23 | 2023-08-04 | 新基公司 | 杂环化合物及其用于治疗蠕虫感染和疾病的用途 |
| CN114287434B (zh) * | 2022-01-14 | 2023-07-21 | 海利尔药业集团股份有限公司 | 一种含fluchlordiniliprole的杀虫组合物 |
| TW202342445A (zh) * | 2022-02-17 | 2023-11-01 | 美商富曼西公司 | 用於製備n-(1-甲基環丙基)-2-(3-吡啶基)-2h-吲唑-4-甲醯胺及其中間體的方法 |
Citations (1)
| Publication number | Priority date | Publication date | Assignee | Title |
|---|---|---|---|---|
| WO2013106254A1 (en) * | 2012-01-11 | 2013-07-18 | Dow Agrosciences Llc | Pesticidal compositions and processes related thereto |
Family Cites Families (66)
| Publication number | Priority date | Publication date | Assignee | Title |
|---|---|---|---|---|
| US2891855A (en) | 1954-08-16 | 1959-06-23 | Geigy Ag J R | Compositions and methods for influencing the growth of plants |
| US3235361A (en) | 1962-10-29 | 1966-02-15 | Du Pont | Method for the control of undesirable vegetation |
| US3060084A (en) | 1961-06-09 | 1962-10-23 | Du Pont | Improved homogeneous, readily dispersed, pesticidal concentrate |
| US3299566A (en) | 1964-06-01 | 1967-01-24 | Olin Mathieson | Water soluble film containing agricultural chemicals |
| US3309192A (en) | 1964-12-02 | 1967-03-14 | Du Pont | Method of controlling seedling weed grasses |
| US4144050A (en) | 1969-02-05 | 1979-03-13 | Hoechst Aktiengesellschaft | Micro granules for pesticides and process for their manufacture |
| US3920442A (en) | 1972-09-18 | 1975-11-18 | Du Pont | Water-dispersible pesticide aggregates |
| US3966760A (en) * | 1974-05-23 | 1976-06-29 | Morton-Norwich Products, Inc. | 2-Substituted-5,6-dimethoxyindazoles |
| US4172714A (en) | 1976-12-20 | 1979-10-30 | E. I. Du Pont De Nemours And Company | Dry compactible, swellable herbicidal compositions and pellets produced therefrom |
| GB2095558B (en) | 1981-03-30 | 1984-10-24 | Avon Packers Ltd | Formulation of agricultural chemicals |
| DE3246493A1 (de) | 1982-12-16 | 1984-06-20 | Bayer Ag, 5090 Leverkusen | Verfahren zur herstellung von wasserdispergierbaren granulaten |
| GB8421386D0 (en) * | 1984-08-23 | 1984-09-26 | Fujisawa Pharmaceutical Co | Imidazo-heterocyclic compounds |
| WO1989001333A1 (en) * | 1987-08-07 | 1989-02-23 | The Australian National University | IMIDAZO[1,2-b]PYRIDAZINES |
| WO1989001478A1 (en) * | 1987-08-07 | 1989-02-23 | The Australian National University | ARYLOXY- AND ARALKYLTHIO-IMIDAZO[1,2-b]PYRIDAZINES |
| US5180587A (en) | 1988-06-28 | 1993-01-19 | E. I. Du Pont De Nemours And Company | Tablet formulations of pesticides |
| ZW13690A1 (en) | 1989-08-30 | 1990-11-21 | Aeci Ltd | Active ingredient dosage device |
| AU651335B2 (en) | 1990-03-12 | 1994-07-21 | E.I. Du Pont De Nemours And Company | Water-dispersible or water-soluble pesticide granules from heat-activated binders |
| DE4011106A1 (de) | 1990-04-06 | 1991-10-10 | Bayer Ag | Neue heterocyclisch substituierte dihydropyridine, verfahren zu ihrer herstellung und ihre verwendung in arzneimitteln |
| EP0480679B1 (en) | 1990-10-11 | 1996-09-18 | Sumitomo Chemical Company Limited | Pesticidal composition |
| US6406690B1 (en) | 1995-04-17 | 2002-06-18 | Minrav Industries Ltd. | Bacillus firmus CNCM I-1582 or Bacillus cereus CNCM I-1562 for controlling nematodes |
| PT1171437E (pt) * | 1999-04-20 | 2004-03-31 | Syngenta Ltd | Pesticidas derivados de indazole ou benzotriazole |
| WO2001021615A1 (fr) * | 1999-09-17 | 2001-03-29 | Yamanouchi Pharmaceutical Co., Ltd. | Dérivés de benzimidazole |
| US20030023284A1 (en) * | 2001-02-20 | 2003-01-30 | Vladimir Gartstein | Method and apparatus for the in-vivo treatment of pathogens |
| TW200724033A (en) | 2001-09-21 | 2007-07-01 | Du Pont | Anthranilamide arthropodicide treatment |
| AU2003223012A1 (en) * | 2002-04-26 | 2003-11-10 | Pfizer Products Inc. | Pyrimidine-2, 4, 6-trione metallo-proteinase inhibitors |
| JP2004067629A (ja) * | 2002-08-09 | 2004-03-04 | Yamanouchi Pharmaceut Co Ltd | ミトコンドリア機能活性化剤及び新規なベンゾイミダゾール誘導体 |
| TW200736252A (en) * | 2006-01-27 | 2007-10-01 | Astrazeneca Ab | Novel heteroaryl substituted benzothiazoles |
| JP2009528384A (ja) * | 2006-03-02 | 2009-08-06 | スミスクライン・ビーチャム・コーポレイション | Pi3キナーゼ阻害剤として用いるためのチアゾロン |
| RU2447891C2 (ru) * | 2006-04-05 | 2012-04-20 | Новартис Аг | Комбинации терапевтических средств, предназначенные для лечения рака |
| WO2008006540A1 (en) | 2006-07-12 | 2008-01-17 | Syngenta Participations Ag | Triazolopyridine derivatives as herbicides |
| EP1878724A1 (en) * | 2006-07-15 | 2008-01-16 | sanofi-aventis | A regioselective palladium catalyzed synthesis of benzimidazoles and azabenzimidazoles |
| EP2125800A1 (en) * | 2007-01-22 | 2009-12-02 | AstraZeneca AB | Novel heteroaryl substituted imidazo ý1,2 -a¨pyridine derivatives |
| CA2693024A1 (en) * | 2007-06-26 | 2008-12-31 | Sanofi-Aventis | A transition metal catalyzed synthesis of 2h-indazoles |
| GB0716414D0 (en) * | 2007-08-22 | 2007-10-03 | Syngenta Participations Ag | Novel insecticides |
| US8952207B2 (en) | 2007-09-11 | 2015-02-10 | The University Of Houston System | Copper-catalyzed C—H bond arylation |
| EP2103614A1 (en) * | 2008-03-18 | 2009-09-23 | Santhera Pharmaceuticals (Schweiz) AG | Substituted imidazopyrimidine, imidazopyrazine and imidazopyridazine derivatives as melanocortin-4 receptor modulators |
| PA8854101A1 (es) * | 2008-12-18 | 2010-07-27 | Ortho Mcneil Janssen Pharm | Derivados de imidazol bicíclicos sustituidos como moduladores de gamma secretasa |
| AU2011279509A1 (en) * | 2010-07-13 | 2013-01-10 | Merck Sharp & Dohme Corp. | Spirocyclic compounds |
| US8592603B2 (en) | 2011-02-22 | 2013-11-26 | Kaohsiung Medical University | Synthesis of 2-(4-aminophenyl) benzothiazole derivatives and use thereof |
| WO2013019682A1 (en) * | 2011-07-29 | 2013-02-07 | Tempero Pharmaceuticals, Inc. | Compounds and methods |
| WO2013041472A1 (en) | 2011-09-19 | 2013-03-28 | F. Hoffmann-La Roche Ag | Triazolopyridine compounds as pde10a inhibitors |
| WO2013191113A1 (ja) * | 2012-06-18 | 2013-12-27 | 住友化学株式会社 | 縮合複素環化合物 |
| WO2014149208A1 (en) * | 2013-03-15 | 2014-09-25 | Dow Agrosciences Llc | Purine-based pesticidal compositions and related methods |
| JP6466921B2 (ja) | 2013-05-28 | 2019-02-06 | バイエル・クロップサイエンス・アクチェンゲゼルシャフト | 有害生物防除剤としてのヘテロ環式化合物 |
| WO2015000715A1 (en) * | 2013-07-02 | 2015-01-08 | Syngenta Participations Ag | Pesticidally active bi- or tricyclic heterocycles with sulfur containing substituents |
| TWI652014B (zh) * | 2013-09-13 | 2019-03-01 | 美商艾佛艾姆希公司 | 雜環取代之雙環唑殺蟲劑 |
| EP3116868B1 (de) | 2014-03-10 | 2018-06-06 | Bayer CropScience Aktiengesellschaft | Heterocylische verbindungen als schädlingsbekämpfungsmittel |
| WO2015175719A1 (en) | 2014-05-16 | 2015-11-19 | Dow Agrosciences Llc | Pesticidal compositions and related methods |
| CN106715424B (zh) | 2014-06-05 | 2020-07-14 | 拜耳作物科学股份公司 | 作为农药的双环化合物 |
| CN107001383B (zh) | 2014-08-19 | 2019-07-26 | 日本农药株式会社 | 氧氮杂卓化合物及含有该化合物作为有效成分的农园艺用杀虫剂以及其使用方法 |
| BR112017009513A2 (pt) | 2014-11-06 | 2018-02-06 | Basf Se | utilização de um composto heterobicíclico, utilização dos compostos i, compostos, composição agrícola ou veterinária, método para o combate ou controle de pragas, método para a proteção de culturas e sementes |
| WO2016087418A1 (de) | 2014-12-02 | 2016-06-09 | Bayer Cropscience Aktiengesellschaft | Bicyclische verbindungen als schädlingsbekämpfungsmittel |
| CN107406443A (zh) | 2014-12-02 | 2017-11-28 | 拜耳作物科学股份公司 | 作为有害生物防治剂的双环化合物 |
| JP2017537916A (ja) | 2014-12-02 | 2017-12-21 | バイエル・クロップサイエンス・アクチェンゲゼルシャフト | 有害生物防除剤としての二環式化合物 |
| JP2017537909A (ja) | 2014-12-02 | 2017-12-21 | バイエル・クロップサイエンス・アクチェンゲゼルシャフト | 有害生物防除剤としての二環式化合物 本出願は、新規二環式化合物、それら化合物を含んでいる組成物、害虫(animal pest)を防除するためのそれらの使用、並びに、それらを調製するための方法及び中間体に関する。 |
| EP3227288B1 (de) | 2014-12-02 | 2018-08-29 | Bayer CropScience AG | Bicyclische verbindungen als schädlingsbekämpfungsmittel |
| WO2016087417A1 (de) | 2014-12-02 | 2016-06-09 | Bayer Cropscience Aktiengesellschaft | Bicyclische verbindungen als schädlingsbekämpfungsmittel |
| CN107207495A (zh) * | 2014-12-02 | 2017-09-26 | 拜耳作物科学股份公司 | 作为害虫防治剂的双环化合物 |
| JP6826977B2 (ja) | 2014-12-02 | 2021-02-10 | バイエル・クロップサイエンス・アクチェンゲゼルシャフト | 有害生物防除剤としての二環式化合物 |
| WO2016144351A1 (en) * | 2015-03-11 | 2016-09-15 | E. I. Du Pont De Nemours And Company | Heterocycle-substituted bicyclic azole pesticides |
| WO2016164200A1 (en) | 2015-04-09 | 2016-10-13 | E I Du Pont De Nemours And Company | Bicyclic pyrazole pesticides |
| WO2017045955A1 (en) | 2015-09-14 | 2017-03-23 | Basf Se | Heterobicyclic compounds |
| WO2017062729A1 (en) | 2015-10-08 | 2017-04-13 | E. I. Du Pont De Nemours And Company | Heterocycle-substituted bicyclic azole pesticides |
| ES2766853T3 (es) | 2015-12-14 | 2020-06-15 | Fmc Corp | Pesticidas de azol bicíclico sustituido con heterociclo |
| ES2818608T3 (es) | 2016-07-12 | 2021-04-13 | Bayer Cropscience Ag | Compuestos bicíclicos como pesticidas |
| MX2019000511A (es) | 2016-07-15 | 2019-03-28 | Fmc Corp | Pesticidas de azoles biciclicos sustituidos con heterociclos. |
-
2016
- 2016-03-03 MX MX2017011579A patent/MX2017011579A/es unknown
- 2016-03-03 ES ES16718938T patent/ES2778628T3/es active Active
- 2016-03-03 KR KR1020177028771A patent/KR102536024B1/ko active Active
- 2016-03-03 CN CN201680025166.6A patent/CN107743486B/zh active Active
- 2016-03-03 EP EP16718938.0A patent/EP3268359B1/en active Active
- 2016-03-03 US US15/554,325 patent/US10647692B2/en active Active
- 2016-03-03 JP JP2017548005A patent/JP6740239B2/ja not_active Expired - Fee Related
- 2016-03-03 WO PCT/US2016/020612 patent/WO2016144678A1/en not_active Ceased
- 2016-03-03 BR BR112017019326-4A patent/BR112017019326B1/pt not_active IP Right Cessation
Patent Citations (1)
| Publication number | Priority date | Publication date | Assignee | Title |
|---|---|---|---|---|
| WO2013106254A1 (en) * | 2012-01-11 | 2013-07-18 | Dow Agrosciences Llc | Pesticidal compositions and processes related thereto |
Also Published As
| Publication number | Publication date |
|---|---|
| BR112017019326A2 (pt) | 2018-06-05 |
| WO2016144678A1 (en) | 2016-09-15 |
| CN107743486A (zh) | 2018-02-27 |
| KR102536024B1 (ko) | 2023-05-24 |
| US10647692B2 (en) | 2020-05-12 |
| MX2017011579A (es) | 2018-03-15 |
| EP3268359A1 (en) | 2018-01-17 |
| KR20170127535A (ko) | 2017-11-21 |
| ES2778628T3 (es) | 2020-08-11 |
| US20180037564A1 (en) | 2018-02-08 |
| JP2018509416A (ja) | 2018-04-05 |
| JP6740239B2 (ja) | 2020-08-12 |
| BR112017019326B1 (pt) | 2022-04-26 |
| EP3268359B1 (en) | 2019-12-18 |
Similar Documents
| Publication | Publication Date | Title |
|---|---|---|
| CN107743486B (zh) | 杂环取代的二环唑杀有害生物剂 | |
| CN107635984B (zh) | 杂环取代的二环唑杀有害生物剂 | |
| JP6513682B2 (ja) | 複素環置換二環式アゾール有害生物防除剤 | |
| CN107912041B (zh) | 二环吡唑杀有害生物剂 | |
| CN112996787A (zh) | 用于防治无脊椎害虫的噁唑啉化合物 | |
| CN108699031B (zh) | 杂环取代的二环唑杀虫剂 | |
| CN114945275A (zh) | 包含吲唑杀有害生物剂的混合物 | |
| CN110869370B (zh) | 介离子杀虫剂 | |
| ES2941286T3 (es) | Compuestos de meta-diamidas para controlar plagas de invertebrados | |
| CN112752753A (zh) | 包含吲唑化合物的杀虫混合物 | |
| CN111936492A (zh) | 用于防治无脊椎害虫的萘异噁唑啉化合物 | |
| CN108473508B (zh) | 杂环取代的二环唑杀虫剂 | |
| CN112689632A (zh) | 用于防治无脊椎害虫的异噁唑啉化合物 | |
| JP7011642B2 (ja) | 複素環で置換した二環式アゾール有害生物防除剤 | |
| JP2023511411A (ja) | メソイオン性殺虫剤 | |
| CN116133524A (zh) | 用于防治无脊椎有害生物的三唑酮化合物 | |
| JP2022548023A (ja) | メタ-ジアミド殺虫剤 | |
| CN115038695A (zh) | 用于防治无脊椎有害生物的吡啶化合物 | |
| CN116745266A (zh) | 用于防治无脊椎有害生物的唑类化合物 | |
| CN115996640A (zh) | 用于防治无脊椎有害生物的色烯酮化合物 |
Legal Events
| Date | Code | Title | Description |
|---|---|---|---|
| PB01 | Publication | ||
| PB01 | Publication | ||
| SE01 | Entry into force of request for substantive examination | ||
| SE01 | Entry into force of request for substantive examination | ||
| TA01 | Transfer of patent application right |
Effective date of registration: 20180720 Address after: American Pennsylvania Applicant after: FMC Corp. Address before: American Delaware Applicant before: E. I. Du Pont Company |
|
| TA01 | Transfer of patent application right | ||
| GR01 | Patent grant | ||
| GR01 | Patent grant |






































































































































































































