WO2021115912A1 - Formulations comprising a hydrophobically modified polyethyleneimine and one or more enzymes - Google Patents
Formulations comprising a hydrophobically modified polyethyleneimine and one or more enzymes Download PDFInfo
- Publication number
- WO2021115912A1 WO2021115912A1 PCT/EP2020/084420 EP2020084420W WO2021115912A1 WO 2021115912 A1 WO2021115912 A1 WO 2021115912A1 EP 2020084420 W EP2020084420 W EP 2020084420W WO 2021115912 A1 WO2021115912 A1 WO 2021115912A1
- Authority
- WO
- WIPO (PCT)
- Prior art keywords
- acid
- polyalkyleneimine
- enzyme
- weight
- enzyme preparation
- Prior art date
- Legal status (The legal status is an assumption and is not a legal conclusion. Google has not performed a legal analysis and makes no representation as to the accuracy of the status listed.)
- Ceased
Links
Classifications
-
- C—CHEMISTRY; METALLURGY
- C11—ANIMAL OR VEGETABLE OILS, FATS, FATTY SUBSTANCES OR WAXES; FATTY ACIDS THEREFROM; DETERGENTS; CANDLES
- C11D—DETERGENT COMPOSITIONS; USE OF SINGLE SUBSTANCES AS DETERGENTS; SOAP OR SOAP-MAKING; RESIN SOAPS; RECOVERY OF GLYCEROL
- C11D3/00—Other compounding ingredients of detergent compositions covered in group C11D1/00
- C11D3/48—Medical, disinfecting agents, disinfecting, antibacterial, germicidal or antimicrobial compositions
-
- C—CHEMISTRY; METALLURGY
- C11—ANIMAL OR VEGETABLE OILS, FATS, FATTY SUBSTANCES OR WAXES; FATTY ACIDS THEREFROM; DETERGENTS; CANDLES
- C11D—DETERGENT COMPOSITIONS; USE OF SINGLE SUBSTANCES AS DETERGENTS; SOAP OR SOAP-MAKING; RESIN SOAPS; RECOVERY OF GLYCEROL
- C11D3/00—Other compounding ingredients of detergent compositions covered in group C11D1/00
- C11D3/16—Organic compounds
- C11D3/37—Polymers
- C11D3/3703—Macromolecular compounds obtained otherwise than by reactions only involving carbon-to-carbon unsaturated bonds
- C11D3/3723—Polyamines or polyalkyleneimines
-
- C—CHEMISTRY; METALLURGY
- C11—ANIMAL OR VEGETABLE OILS, FATS, FATTY SUBSTANCES OR WAXES; FATTY ACIDS THEREFROM; DETERGENTS; CANDLES
- C11D—DETERGENT COMPOSITIONS; USE OF SINGLE SUBSTANCES AS DETERGENTS; SOAP OR SOAP-MAKING; RESIN SOAPS; RECOVERY OF GLYCEROL
- C11D3/00—Other compounding ingredients of detergent compositions covered in group C11D1/00
- C11D3/16—Organic compounds
- C11D3/38—Products with no well-defined composition, e.g. natural products
- C11D3/386—Preparations containing enzymes, e.g. protease or amylase
- C11D3/38636—Preparations containing enzymes, e.g. protease or amylase containing enzymes other than protease, amylase, lipase, cellulase, oxidase or reductase
Definitions
- Formulations comprising a hydrophobically modified polyethyleneimine and one or more enzymes
- the invention relates to an enzyme preparation comprising a hydrophobically modified poly- alkyleneimine and at least one hydrolase. Said enzyme preparation is aimed, in one aspect, to be formulated into a detergent formulation.
- the present invention also relates to the use of a hydrophobically modified polyalkyleneimine to (a) inhibit and/or reduce microbial growth in liquid formulations and/or (b) inhibit and/or reduce biofilm formation on surfaces of devices regularly contacted with aqueous formulations such as cleaning devices like laundry machines and/or (d) inhibit and/or reduce material regularly contacted with aqueous formulations such as objects to be cleaned like hard surfaces and/or textiles.
- a “biofilm” is usually a complex structure adhering to surfaces that are regularly in contact with water, consisting of colonies of bacteria and usually other microorganisms such as yeasts, fungi, and protozoa that secrete a mucilaginous protective coating in which they are encased.
- Biofilms can form on solid surfaces, in liquid compositions, as well as on soft surfaces such as textile, and are typically resistant to conventional methods of disinfection. Biofilm may adversely affect the long-term function of a washing device. Notably, biofilm often is sticky and soil may adhere to the surface comprising biofilm. Further, biofilm may be a source of undesired odor on washed items due to decomposition of the same.
- Bacteria living in a biofilm usually have significantly different properties from planktonic bacteria of the same species, as the dense and protected environment of the film allows them to cooperate and interact in various ways.
- One benefit of this environment is increased resistance to detergents and antibiotics, as the dense extracellular matrix and the outer layer of cells protect the interior of the community.
- the problem to be solved was to provide a formulation providing antimicrobial activity, which inhibits and/or reduces microbial growth in liquid, preferably aqueous environment, and/or inhibits biofilm formation on surfaces of devices and/or objects to be cleaned which is regularly in contact with aqueous formulations.
- the present invention solved the problem by providing a liquid enzyme preparation comprising at least one hydrophobically modified polyalkyleneimine and at least one hydrolase.
- any particular upper concentration, weight ratio or amount can be associated with any particular lower concentration, weight ratio or amount, respectively.
- the present invention is directed to an enzyme preparation comprising at least one hydrophobi- cally modified polyalkyleneimine (component (a)) and at least one hydrolase (component (b)), wherein the hydrophobically modified polyalkyleneimine comprises a polyalkyleneimine backbone having a weight-average molecular weight greater than or equal to 200 g/mol and less than 1000 g/mol, and hydrophobic moieties which are covalently attached to the backbone of polyalkyleneimine.
- the enzyme preparation of the invention optionally comprises component (c) which comprises at least one compound selected from solvents, enzyme stabilizers, and compounds stabilizing the liquid enzyme preparation as such.
- the hydrophobically modified polyalkyleneimines may be obtained by a process which compris es the reaction of an unmodified polyalkyleneimine with a hydrophobicizing agent.
- hydrophobically modified polyalkyleneimine refers to polyalkyleneimine with hydrophobic groups chemically attached to unmodified polyalkyleneimine backbone.
- unmodified or non-modified refers to a polymer substrate that is not modified or functionalized.
- hydrocarbon radical refers to any straight, branched, cyclic, acyclic, heterocyclic, saturated or unsaturated chain, which contains a carbon backbone comprising one or more hydrogen atoms, optionally substituted with one or more heteroatoms in or on the carbon backbone.
- hydrophobic moiety is a moiety which can be saturated or unsaturated, substituted or unsubstituted, straight or branched, cyclic or acyclic hydrocarbon group.
- alkyl means a saturated hydrocarbon radical, which may be straight, branched or cyclic, such as, for example, methyl, ethyl, n-propyl, iso-propyl, n-butyl, sec-butyl, t- butyl, pentyl, n-hexyl, cyclohexyl.
- hydroxyalkyl means an alkyl radical, more typically an alkyl radical, that is substituted with a hydroxyl groups, such as for example, hydroxymethyl, hydroxyethyl, hydroxypropyl, and hydroxydecyl.
- alkylene means a bivalent acyclic saturated hydrocarbon radical, including but not limited to methylene, polymethylene, and alkyl substituted polymethylene radicals, such as, for example, dimethylene, tetramethylene, and 2-methyltrimethylene.
- alkenyl and alkadienyl refer to alkyl groups having, respectively, one or two carbon-carbon double bonds within the chain.
- the unmodified polyalkyleneimines which form the basis of the hy- drophobically modified polyalkyleneimines comprise homopolymers of ethyleneimine (aziridine) and higher homologs thereof, propyleneimine (methylaziridine) and butyleneimine (1,2- dimethylaziridine, 1,1-dimethylaziridine and 1-ethylaziridine), copolymers of ethyleneimine with its higher homologs, and the graft polymers of polyamidoamines or polyvinylamines with ethyleneimine and/or its higher homologs.
- graft polymers of alkyleneimines described in WO 02/095122 such as ethyleneimine onto polyamidoamines or onto polyvinylamines.
- Such graft polymers generally have a weight fraction of alkyleneimines of at least 10% by weight, in particular at least 30% by weight, e.g. 10 to 90% by weight in particular 10 to 85% by weight, based on the total weight of the unmodified polyalkyleneimine.
- the unmodified polyalkyleneimines are branched polyalkyleneimines, preferably polyeth- yleneimines, in particular branched polyethyleneimines, in more particular homopolymers of ethyleneimines, in still more particular branched homopolymers of ethyleneimines.
- the unmodified polyalkyleneimine may have a weight-average molecular weight M w of from greater than or equal to 200 g/mol to less than 1000 g/mol.
- the unmodified polyalkyleneimine has a weight-average molecular weight M w of from greater than or equal to 300 g/mol to less than 1000 g/mol.
- the unmodified polyalkyleneimine has a weight- average molecular weight M w of from greater than or equal to 500 g/mol to less than 1000 g/mol.
- the molecular weights given here refer to the molecular weights specified by means of gel permeation chromatography and measured on dilute aqueous solutions at 25°C, which correspond to the weight-average molecular weight.
- the present invention also relates to the reaction of the unmodified polyalkyleneimine with at least one hydrophobicizing agent.
- suitable hydrophobicizing agents include but not limit to: a) long chain, linear or branched carboxylic acids having 4 to 30 carbon atoms, preferably 6 to 18 carbon atoms, more preferably 8 to 16 carbon atoms, in the alkyl or alkenyl radical; examples include but are not limited to saturated fatty acids like caproic acid, enanthic acid, caprylic acid, pelargonic acid, capric acid, undecanoic acid, lauric acid, tridecanoic acid, myristic acid, pentadecanoic acid, palmitic acid, margaric acid, stearic acid, nonadeca- noic acid, arachic acid, heneicosanoic acid, behenic acid; further examples include but are not limited to unsaturated fatty acids such as palmitoleic acid (16:1), oleic acid (18:1), lino- leic acid (18:2), linolenic acid (18:3), arachidonic acid (20:4) and
- Example of suitable natural plant oils are soybean oil, rapeseed oil, palm oil, corn oil, cottonseed oil, coconut oil, palm kernel oil;
- Example of suitable animal/marine oils are lard, fish oil, beef tallow oil, seal oil and milk fat, and those obtained by hydrogenation or ester-exchange of these oil, and mixture thereof; usually, natural oils are mixtures of saturated, mono-unsaturated, and poly-unsaturated fatty acids of various length.
- the natural oil comprises about 40-90% by weight saturated fatty acid, preferably the natural oil comprises about 75% saturated C12-C16 fatty acid.
- said natural oil comprises about 10-50% by weight mono-unsaturated fatty acids, preferably the natural oil comprises about 10-40% mono-unsaturated C18 fatty acid. In one embodiment, the natural oil comprises about 40-50% by weight saturated C12 fatty acids and 30-40% by weight mono-unsaturated C18 fatty acids, all relative to the total amount of fatty acids in the natural oil.
- linear or branched alkyl halides having 4 to 30 carbon atoms, preferably 6 to 18 carbon atoms, more preferably 8 to 16 carbon atoms, in the linear or branched alkyl radical such as octyl chloride, nonyl chloride, decyl chloride, dodecyl chloride, tetradecyl chloride, hex- adecyl chloride, octadecyl chloride and mixtures thereof;
- alkyl epoxides having 4 to 30 carbon atoms, preferably 6 to 18 carbon atoms, more preferably 8 to 16 carbon atoms in the linear or branched alkyl radical, such as hexadecenyl oxide, dodecenyl oxide and octadecenyl oxide and mixtures thereof;
- alkyl ketene dimers having 4 to 30 carbon atoms, preferably 6 to 18 carbon atoms, in particular 8 to 16 carbon atom
- linear or branched aliphatic aldehydes having 4 to 30 carbon atoms, preferably 6 to 18 carbon atoms, in particular 8 to 16 carbon atoms, and dialkyl ketones having in total 4 to 30 carbon atoms, preferably 6 to 18 carbon atoms, in particular 8 to 16 carbon atoms, in the two alkyl groups and mixtures thereof.
- reaction conditions for the reaction of the unmodified polyalkyleneimine with at least one hydrophobicizing agent naturally depend on the type and functionality of the polyalkyleneimine and the hydrophobicizing agents. The ones skilled in the art are familiar with the measures that are important for such reactions.
- the reaction may be performed with or without a solvent or diluent.
- suitable solvents for the reaction include but not limit to hydrocarbons, in particular aromatic hydrocarbons, e.g. alkylbenzenes such as xylenes, toluene, cumene, tert-butylbenzene and the like.
- the reaction may take place as a solvent-free reaction, which at least comprises (i) heating the mixture of polyalkyleneimine and hydrophobicizing agent to melt state; (ii) stirring the mixture and reacting the polyalkyleneimine with an amount of hydrophobicizing agent, wherein the amount of the hydrophobicizing agent used is sufficient to derivatize about 2 mol% to 25 mol%, in particular about 5 to 20 mol%, in more particular 6 to 15 mol% of the nitrogen atoms of the polyalkyleneimine.
- the reaction taking place between the unmodified polyalkyleneimine and natural oils as the hydrophobicizing agent comprises (i) heating the mixture of poly- alkyleneimine and natural oil to melt state; (ii) stirring the mixture and reacting the polyalkylene- imine under nitrogen flow with an amount of natural oil at a temperature of 80 to 120°C, wherein the amount of the hydrophobicizing agent used is sufficient to derivatize about 2 mol% to 25 mol%, in particular about 5 to 20 mol%, in more particular 6 to 15 mol% of the nitrogen atoms of the polyalkyleneimine.
- the hydrophobicizing agent may be used in an amount which corresponds to the desired functionality, it also being possible to use the hydrophobicizing agent in excess.
- the hydrophobicizing agent used in the reaction is selected from natural oil comprising about 40-90% by weight saturated fatty acid, preferably the natural oil comprises about 75% saturated C12-C16 fatty acid. In one embodiment, said natural oil comprises about 10-50% by weight mono-unsaturated fatty acids, preferably the natural oil comprises about 10-40% mono-unsaturated C18 fatty acid. In one embodiment, the natural oil comprises about 40-50% by weight saturated C12 fatty acids and 30-40% by weight mono-unsaturated Cis fatty acids, all relative to the total amount of fatty acids in the natural oil. In one embodiment, the hydrophobicizing agent is palm kernel oil.
- the reaction may be performed in the presence of catalysts which improve the reactivity of the hydrophobicizing agent toward the polyalkyleneimine.
- the type of catalyst depends in a manner known per se on the type and reactivity of the hydrophobicizing agent.
- the catalysts are usually Lewis acids or Bronsted acids.
- carboxylic acids and carboxylic acid derivatives are used as the hydrophobicizing agent, it has proven advantageous to remove the low molecular weight products, such as water, alcohols or hydrogen chloride which form during the reaction from the reaction mixture.
- the water formed will preferably be removed from the reaction mixture via an entrainer or vacuum.
- Typical entrainers are hydrocarbons, in particular alkyl aromatics such as toluene or xylenes.
- At least one hydrophobically modified polyalkyleneimine according to the invention comprises a polyalkyleneimine backbone having a weight-average molecular weight greater than or equal to 200 g/mol and less than 1000 g/mol, preferably greater than or equal to 300 g/mol and less than 1000 g/mol, more preferably greater than or equal to 500 g/mol and less than 1000 g/mol; and hydrophobic moieties which are covalently attached to the backbone of polyalkyleneimine.
- At least one hydrophobically modified polyalkyleneimine is a product of reacting at least one unmodified polyalkyleneimine according to the invention with a hydrophobicizing agent is selected from natural oil comprising about 40-90% by weight saturated fatty acid, preferably the natural oil comprises about 75% saturated C12-C16 fatty acid.
- said natural oil comprises about 10-50% by weight mono-unsaturated fatty acids, preferably the natural oil comprises about 10-40% mono-unsaturated Cis fatty acid.
- the natural oil comprises about 40-50% by weight saturated C12 fatty acids and 30-40% by weight mono-unsaturated C18 fatty acids, all relative to the total amount of fatty acids in the natural oil.
- the hydrophobicizing agent is palm kernel oil.
- hydrophobically modified polyalkyleneimines are to be understood as meaning poly- alkyleneimines in which the hydrogen atoms of the primary and secondary amino groups are partially or completely replaced by linear or branched aliphatic, saturated or unsaturated hydrocarbon radicals such as alkyl, alkenyl, alkadienyl or hydroxyalkyl radicals.
- the hydrocarbon radicals generally have 4 to 30 carbon atoms, preferably 6 to 18 carbon atoms, more preferably 8 to 16 carbon atoms.
- the hydrophobically modified polyalkyleneimines can be obtained by a process which comprises the reaction of an unmodified polyalkyleneimine with a hydrophobicizing agent.
- a hydrophobicizing agent used in each case, the hydrocarbon radicals can be linked to the nitrogen atom of the polyalkyleneimine directly or via a functional group, e.g.
- the hydrophobicizing agent is selected from natural oil comprising about 40-90% by weight saturated fatty acid, preferably the natural oil comprises about 75% saturated C12-C16 fatty acid.
- said natural oil comprises about 10-50% by weight mono-unsaturated fatty acids, preferably the natural oil comprises about 10-40% mono-unsaturated C18 fatty acid. In one embodiment, the natural oil comprises about 40-50% by weight saturated Ci 2 fatty acids and 30-40% by weight mono-unsaturated C18 fatty acids, all relative to the total amount of fatty acids in the natural oil. In one embodiment, the hydrophobicizing agent is palm kernel oil.
- the hydrophobically modified polyalkyleneimine has the hydrocarbon radical which is linked to one nitrogen atom of the polyalkyleneimine directly or via a carbonyl group.
- the hydrocarbon radicals are linear, more preferably, the hydrocarbon radicals are saturated.
- the hydrocarbon radicals in the preferred hydrophobically modified polyalkyleneimines are present in the form of C4-C3o-alkyl, C4-C3o-al- kylcarbonyl, C4-C3o-alkenyl, C4-C3o-alkenylcarbonyl, C4-C3o-alkadieny, C4-C3o-alkadienylcarbonyl and/or hydroxy-C4-C3o-alkyl groups, in particular in the form of C6-Cis-alkyl, Cs-Cis-alkylcar- bonyl, C6-Cis-alkenyl, Cs-Cis-alkenylcarbonyl, C6-Cis-alkadienyl, C6-Cis-alkadienylcarbonyl and/or hydroxy-C6-Ci8-alkyl groups, particularly preferably in the form of Cs-Ci6-alkyl
- the hydrocarbon radicals are present in the form of C4-C3o-alkylcarbonyl or C4-C3o-alkenylcarbonyl group, particularly in the form of C6-Cis-alkylcarbonyl or Cs-Cis-alkenyl- carbonyl group, more particularly, in the form of Ce-Ci6-alkylcarbonyl or Ce-Ci6-alkenylcarbonyl group, where the alkyl and alkenyl radicals of the aforementioned groups are preferably linear.
- the total amount of hydrocarbon radicals present is in the range of about 20% to 35% by weight, or in the range of about 25% to 30% by weight, relative to the total weight of the hydrophobically modified polyalkyleneimines.
- the at least 80% by weight hydrocarbon radicals present relative to the total weight of the hydrophobically modified polyalkyleneimines are in the form of C12-C16 alkylcarbonyl and in the form of C18 alkenylcarbon- yi.
- hydrocarbon radicals in the form of C12-C16 alkylcarbonyl are present in amounts in the range of about 40 to 75% by weight and/or hydrocarbon radicals in the form of C18 alkenylcarbonyl are present in amounts in the range of about 10 to 20 % by weight, all relative to the total amount of hydrocarbon radicals.
- about from 2 to 25 mol%, in particular 5 to 20 mol%, in more particular from 6 to 15 mol% of the nitrogen atoms of the hydrophobically modified polyalkyleneimine carry a hydrocarbon radical.
- the fraction of the hydrocarbon radicals constitutes preferably 5 to 60% by weight, in particular 10 to 50% by weight and specifically 10 to 35% by weight, based on the total weight of the hydrophobically modified polyalkyleneimine.
- the hydrophobically modified polyalkyleneimine used according to the present invention can be linear or branched.
- the branched polyalkyleneimine branching may occur at its nitrogen fractions.
- the linear polyalkyleneimines are composed exclusively of repeat units of formula A; the branched polyalkyleneimines have, besides the linear repeat units, tertiary nitro gen atoms according to the formula B: A B in which Q is C2-C8 alkylene, preferably is ethylene, propylene or butylene.
- branched, hydrophobically modified polyalkyleneimines in particular branched, hydrophobically modified polyethyleneimines, which, based on the polyalkylene- imine on which they are based, have, on average, per polyalkyleneimine molecule at least one, preferably at least 5 or at least 10, branching points according to formula B.
- branching points according to formula B.
- at least 5%, in particular at least 10% and particularly preferably at least 15%, e.g. 5 to 40% and specifically 15 to 35%, of the nitrogen atoms of the parent polyalkyleneimine are tertiary nitrogen atoms.
- branching i.e. if at least 10%, in particular 15%, e.g.
- the hydrophobically modified polyalkyleneimines have a structure similar to a core-shell structure, where the polyalkyleneimine moieties form the core and the hydrophobic radicals form the shell.
- the hydrophobically modified polyalkyleneimines may be present in non-crosslinked or cross- linked form.
- the hydrophobically modified polyalkyleneimines are non-crosslinked.
- the hydrophobically modified polyalkyleneimine has a weight-average molecular weight in the range of from 300 g/mol to 5000 g/mol, preferably from 500 to 3000 g/mol, more preferably from 800 g/mol to 2000 g/mol.
- Non-crosslinked means that that there is no deliberate cross-linking in the sense of formation of covalent bounds between single hydrophobically modified polyalkyleneimines molecules. Therefore, essentially no cross-links are introduced by the process of production as such. Es sentially no cross-links may mean that the degree of cross-linking is low, such as below 5%, which might be due to cross-linking substances being present in the reaction mixture as impuri ties.
- the hydrophobically modified polyalkyleneimine are generally water-soluble or water-dispersible and can be used in aqueous liquid formulations.
- the liquid enzyme preparation of the invention comprises at least one enzyme selected from the group of hydrolases (EC.3), which may be part of a liquid enzyme concentrate.
- “Liquid en- zyme concentrate” herein means any liquid enzyme-comprising product comprising at least one enzyme.
- “Liquid” in the context of enzyme concentrate is related to the physical appearance at 20°C and 101.3 kPa.
- the liquid enzyme concentrate may result from dissolution of solid enzyme in solvent.
- the solvent may be selected from water and an organic solvent.
- a liquid enzyme concentrate resulting from dissolution of solid enzyme in solvent may comprise amounts of enzyme up to the saturation concentration.
- Dissolution herein means, that solid compounds are liquified by contact with at least one solvent. Dissolution means complete dissolution of a solid compound until the saturation concentration is achieved in a specified solvent, wherein no phase-separation occurs.
- Liquid enzyme concentrates may comprise amounts of enzyme in the range of 0.1 % to 40% by weight, or 0.5% to 30% by weight, or 1% to 25% by weight, or 3% to 25% by weight, or 5% to 25% by weight, all relative to the total weight of the enzyme concentrate.
- liquid enzyme concentrates are resulting from fermentation and are aqueous.
- Fermentation means the process of cultivating recombinant cells which express the desired enzyme in a suitable nutrient medium allowing the recombinant host cells to grow (this process may be called fermentation) and express the desired protein.
- fermentation broth usually is collected and further processed, wherein the fermentation broth comprises a liquid fraction and a solid fraction.
- the desired protein or enzyme may be recovered from the liquid fraction of the fermentation broth or from cell lysates. Recovery of the desired enzyme uses methods known to those skilled in the art. Suitable methods for recovery of proteins or enzymes from fermentation broth include but are not limited to collection, centrifugation, filtration, extraction, and precipitation.
- Aqueous enzyme concentrates resulting from fermentation may comprise water in amounts of more than about 50% by weight, more than about 60% by weight, more than about 70% by weight, or more than about 80% by weight, all relative to the total weight of the enzyme concentrate.
- Aqueous enzyme concentrates which result from fermentation may comprise residual components such as salts originating from the fermentation medium, cell debris originating from the production host cells, metabolites produced by the production host cells during fermentation.
- residual components may be comprised in liquid enzyme concentrates in amounts less than 30% by weight, less than 20% by weight less, than 10% by weight, or less than 5% by weight, all relative to the total weight of the aqueous enzyme concentrate.
- Hydrolases in the context of the present invention are identified by polypeptide sequences (also called amino acid sequences herein).
- polypeptide sequence specifies the three- dimensional structure including the “active site” of an enzyme which in turn determines the cata lytic activity of the same.
- Polypeptide sequences may be identified by a SEQ ID NO. According to the World Intellectual Property Office (WIPO) Standard ST.25 (1998) the amino acids herein are represented using three-letter code with the first letter as a capital or the corresponding one letter.
- the hydrolase according to the invention relates to parent enzymes and/or variant enzymes, both having enzymatic activity.
- Hydrolases having enzymatic activity are enzymatically active or exert enzymatic conversion, meaning that enzymes act on substrates and convert these into products.
- Preferred hydrolases are selected from the group of enzymes acting on ester bond (E.C. 3.1), glycosylases (E.C. 3.2), and peptidases (E.C. 3.4).
- Enzymes acting on ester bond (E.C. 3.1) are hereinafter also referred to as lipases, and DNAses.
- Glycosylases (E.C. 3.2) are hereinafter also referred to as either amylases, cellulases, and mannanases.
- Peptidases are hereinafter also referred to as proteases.
- enzyme herein excludes inactive variants of an enzyme.
- a “parent” sequence (of a parent protein or enzyme, also called “parent enzyme”) is the starting sequence for introduction of changes (e.g. by introducing one or more amino acid substitutions, insertions, deletions, or a combination thereof) to the sequence, resulting in “variants” of the parent sequences.
- the term parent enzyme (or parent sequence) includes wild-type enzymes (sequences) and synthetically generated sequences (enzymes) which are used as starting se quences for introduction of (further) changes.
- enzyme variant or “sequence variant” or “variant enzyme” refers to an enzyme that differs from its parent enzyme in its amino acid sequence to a certain extent. If not indicated otherwise, variant enzyme “having enzymatic activity” means that this variant enzyme has the same type of enzymatic activity as the respective parent enzyme.
- Amino acid substitutions are described by providing the original amino acid of the parent en zyme followed by the number of the position within the amino acid sequence, followed by the substituted amino acid.
- Amino acid deletions are described by providing the original amino acid of the parent enzyme followed by the number of the position within the amino acid sequence, followed by *.
- Amino acid insertions are described by providing the original amino acid of the parent enzyme followed by the number of the position within the amino acid sequence, followed by the original amino acid and the additional amino acid. For example, an insertion at position 180 of lysine next to glycine is designated as “Gly180Glyl_ys” or “G180GK”.
- Arg170Tyr, Glu represents a substitution of arginine at position 170 with tyrosine or glutamic acid.
- Arg170Tyr, Glu represents a substitution of arginine at position 170 with tyrosine or glutamic acid.
- different alterations or optional substitutions may be indicated in brackets e.g. Arg170[Tyr, Gly] or Arg170 ⁇ Tyr, Gly ⁇ ; or in short R170 [Y,G] or R170 ⁇ Y, G ⁇ ; or in long R170Y, R170G.
- Enzyme variants may be defined by their sequence identity when compared to a parent enzyme. Sequence identity usually is provided as “% sequence identity” or “% identity”. For calculation of sequence identities, in a first step a sequence alignment has to be produced. According to this invention, a pairwise global alignment has to be produced, meaning that two sequences have to be aligned over their complete length, which is usually produced by using a mathematical approach, called alignment algorithm.
- the alignment is generated by using the algorithm of Needleman and Wunsch (J. Mol. Biol. (1979) 48, p. 443-453).
- %-identity (identical residues / length of the alignment region which is showing the respective sequence of this invention over its complete length) *100.
- enzyme variants may be described as an amino acid sequence which is at least n% identical to the amino acid sequence of the respective parent enzyme with “n” being an integer between 10 and 100.
- variant enzymes are at least 70%, at least 75%, at least 80%, at least 81%, at least 82%, at least 83%, at least 84%, at least 85%, at least 86%, at least 87%, at least 88%, at least 89%, at least 90%, at least 91%, at least 92%, at least 93%, at least 94%, at least 95%, at least 96%, at least 97%, at least 98%, or at least 99% identical when compared to the full length amino acid sequence of the parent enzyme, wherein the enzyme variant has enzymatic activity.
- Enzyme variants may be defined by their sequence similarity when compared to a parent enzyme. Sequence similarity usually is provided as “% sequence similarity” or “%-similarity”. % sequence similarity takes into account that defined sets of amino acids share similar properties, e.g by their size, by their hydrophobicity, by their charge, or by other characteristics. Herein, the exchange of one amino acid with a similar amino acid may be called “conservative mutation”.
- Conservative amino acid substitutions may occur over the full length of the sequence of a poly peptide sequence of a functional protein such as an enzyme. In one embodiment, such muta tions are not pertaining the functional domains of an enzyme. In one embodiment, conservative mutations are not pertaining the catalytic centers of an enzyme.
- a value for sequence similarity of two amino acid sequences may be calculated from the same alignment, which is used to calculate %-identity.
- %-similarity [ (identical residues + similar residues) / length of the alignment region which is showing the respective sequence(s) of this invention over its complete length ] *100.
- enzyme variants may be described as an amino acid sequence which is at least m% similar to the respective parent sequences with “m” being an integer between 10 and 100.
- variant enzymes are at least 70%, at least 75%, at least 80%, at least 85%, at least 90%, at least 91%, at least 92%, at least 93%, at least 94%, at least 95%, at least 96%, at least 97%, at least 98%, or at least 99% similar when compared to the full length polypeptide sequence of the parent enzyme, wherein the variant enzyme has enzymatic activity.
- Enzymatic activity means the catalytic effect exerted by an enzyme, which usually is expressed as units per milligram of enzyme (specific activity) which relates to molecules of substrate transformed per minute per molecule of enzyme (molecular activity).
- Variant enzymes may have enzymatic activity according to the present invention when said en zyme variants exhibit at least 20%, at least 25%, at least 30%, at least 35%, at least 40%, at least 45%, at 10 least 50%, at least 55%, at least 60%, at least 65%, at least 70%, at least 75%, at least 80%, at least 85%, at least 90%, at least 95%, or 100% of the enzymatic activity of the respective parent enzyme.
- component (b) comprises at least one protease and/or at least one lipase and/or at least one amylase and/or at least one cellulase and/or at least one mannanase and/or at least one DNase.
- inventive enzyme preparations comprise at least one protease (component (b)).
- Proteases are members of class EC 3.4.
- Proteases include aminopeptidases (EC 3.4.11), dipeptidases (EC 3.4.13), dipeptidyl-peptidases and tripeptidyl-peptidases (EC 3.4.14), peptidyl- dipeptidases (EC 3.4.15), serine-type carboxypeptidases (EC 3.4.16), metal locarboxypeptidas- es (EC 3.4.17), cysteine-type carboxypeptidases (EC 3.4.18), omega peptidases (EC 3.4.19), serine endopeptidases (EC 3.4.21), cysteine endopeptidases (EC 3.4.22), aspartic endopepti- dases (EC 3.4.23), metallo-endopeptidases (EC 3.4.24), threonine endopeptidases (EC 3.4.25), or endopeptidases
- At least one protease is selected from serine proteases (EC 3.4.21).
- Serine proteases or serine peptidases are characterized by having a serine in the catalytically active site, which forms a covalent adduct with the substrate during the catalytic reaction.
- a serine protease in the context of the present invention is selected from the group consisting of chymo- trypsin (e.g., EC 3.4.21.1), elastase (e.g., EC 3.4.21.36), elastase (e.g., EC 3.4.21.37 or EC 3.4.21.71), granzyme (e.g., EC 3.4.21.78 or EC 3.4.21.79), kallikrein (e.g., EC 3.4.21.34, EC 3.4.21.35, EC 3.4.21.118, or EC 3.4.21.119,) plasmin (e.g., EC 3.4.21.7), trypsin (e.g., EC 3.4.21.4), thrombin (e.g., EC 3.4.21.5), and subtilisin.
- Subtilisin is also known as subtilopepti- dase, e.g., EC 3.4.21.62, the latter hereinafter also being referred to as “
- subtilases A sub-group of the serine proteases tentatively designated as subtilases has been proposed by Siezen et al. (1991), Protein Eng. 4:719-737 and Siezen et al. (1997), Protein Science 6:501- 523.
- Subtilases includes the subtilisin family, thermitase family, the proteinase K family, the lan- tibiotic peptidase family, the kexin family and the pyrolysin family.
- subtilisins which are serine proteases from the family S8 as defined by the MEROPS database (http://merops.sanger.ac.uk).
- the subtilisin related class of serine proteases shares a common amino acid sequence defining a catalytic triad which distinguishes them from the chymotrypsin related class of serine proteases.
- Subtilisins and chymotrypsin related serine proteases both have a catalytic triad comprising aspartate, histidine and serine.
- subtilisins as described in WO 89/06276 and EP 0283075, WO 89/06279, WO 89/09830, WO 89/09819, WO 91/06637 and WO 91/02792.
- Proteases are active proteins exerting “protease activity” or “proteolytic activity”. Proteolytic activity is related to the rate of degradation of protein by a protease or proteolytic enzyme in a defined course of time.
- proteolytic activity may be determined by using Succinyl-Ala-Ala-Pro-Phe-p-nitroanilide (Suc-AAPF-pNA, short AAPF; see e.g. DelMar et al. (1979), Analytical Biochem 99, 316-320) as substrate.
- Ser-AAPF-pNA Succinyl-Ala-Ala-Pro-Phe-p-nitroanilide
- pNA is cleaved from the substrate molecule by proteolytic cleavage, resulting in release of yellow color of free pNA which can be quantified by measuring OD405.
- Proteolytic activity may be provided in units per gram enzyme.
- 1 U protease may correspond to the amount of protease which sets free 1 pmol folin-positive amino acids and peptides (as tyrosine) per minute at pH 8.0 and 37°C (casein as substrate).
- Proteases of the subtilisin type may be bacterial proteases originating from a microorganism selected from Bacillus, Clostridium, Enterococcus, Geobacillus, Lactobacillus, Lactococcus, Oceanobacillus, Staphylococcus, Streptococcus, or Streptomyces protease, or a Gram-negative bacterial polypeptide such as a Campylobacter, E. coli, Flavobacterium, Fuso- bacterium, Helicobacter, llyobacter, Neisseria, Pseudomonas, Salmonella, and Ureaplasma.
- At least one protease is selected from Bacillus alcalophilus, Ba cillus amyloliquefaciens, Bacillus brevis, Bacillus circulans, Bacillus clausii, Bacillus coagulans, Bacillus firmus, Bacillus gibsonii, Bacillus lautus, Bacillus lentus, Bacillus licheniformis, Bacillus megaterium, Bacillus pumilus, Bacillus sphaericus, Bacillus stearothermophilus, Bacillus subtilis, or Bacillus thuringiensis protease.
- At least one protease is selected from the following: subtilisin from Bacillus amyloliquefaciens BPN 1 (described by Vasantha et al. (1984) J. Bac- teriol. Volume 159, p. 811-819 and JA Wells et al. (1983) in Nucleic Acids Research, Volume 11, p. 7911-7925); subtilisin from Bacillus licheniformis (subtilisin Carlsberg; disclosed in EL Smith et al. (1968) in J. Biol Chem, Volume 243, pp. 2184-2191, and Jacobs et al. (1985) in Nucl. Acids Res, Vol 13, p.
- subtilisin PB92 original sequence of the alkaline protease PB92 is described in EP 283075 A2; subtilisin 147 and/or 309 (Esperase®, Savinase®, respectively) as disclosed in WO 89/06279; subtilisin from Bacillus ientus as disclosed in WO 91/02792, such as from Bacillus Ientus DSM 5483 or the variants of Bacillus Ientus DSM 5483 as described in WO 95/23221; subtilisin from Bacillus alcalophilus (DSM 11233) disclosed in DE 10064983; subtilisin from Bacillus gibsonii (DSM 14391) as disclosed in WO 2003/054184; subtilisin from Bacillus sp.
- DSM 11233 subtilisin from Bacillus alcalophilus
- DSM 14391 subtilisin from Bacillus gibsonii
- component (b) comprises at least subtilisin 309 (which might be called Savinase herein) as disclosed as sequence a) in Table I of WO 89/06279 or a variant which is at least 80% identical thereto and has proteolytic activity.
- subtilisin 309 which might be called Savinase herein
- Examples of useful proteases in accordance with the present invention comprise the variants described in: WO 92/19729, WO 95/23221, WO 96/34946, WO 98/20115, WO 98/20116, WO 99/11768, WO 01/44452, WO 02/088340, WO 03/006602, WO 2004/03186, WO 2004/041979, WO 2007/006305, WO 2011/036263, WO 2011/036264, and WO 2011/072099.
- Suitable examples comprise especially variants of subtilisin protease derived from SEQ ID NO:22 as described in EP 1921147 (which is the sequence of mature alkaline protease from Bacillus Ientus DSM 5483) with amino acid substitutions in one or more of the following positions: 3, 4, 9, 15,
- Suitable proteases include protease variants having proteolytic activity which are at least 40%, at least 45%, at least 50%, at least 55%, at least 60%, at least 65%, at least 70%, at least 75%, at least 80%, at least 85%, at least 90%, at least 91%, at least 92%, at least 93%, at least 94%, at least 95%, at least 96%, at least 97%, at least 98% or at least 99% identical when compared to the full length polypeptide sequence of the parent enzyme as disclosed above.
- Suitable proteases include protease variants having proteolytic activity which are at least 40%, at least 45%, at least 50%, at least 55%, at least 60%, at least 65%, at least 70%, at least 75%, at least 80%, at least 85%, at least 90%, at least 91%, at least 92%, at least 93%, at least 94%, at least 95%, at least 96%, at least 97%, at least 98% or at least 99% similar when compared to the full length polypeptide sequence of the parent enzyme.
- At least one protease has SEQ ID NO:22 as described in EP 1921147, or a protease which is at least 80% identical thereto and has proteolytic activity.
- said protease is characterized by having amino acid glutamic acid (E), or aspartic acid (D), or asparagine (N), or glutamine (Q), or alanine (A), or glycine (G), or serine (S) at position 101 (according to BPN’ numbering) and has proteolytic activity.
- said protease comprises one or more further substitutions: (a) threonine at position 3 (3T), (b) isoleucine at position 4 (4I), (c) alanine, threonine or arginine at position 63 (63A, 63T, or 63R), (d) aspartic acid or glutamic acid at position 156 (156D or 156E), (e) proline at position 194 (194P), (f) methionine at position 199 (199M), (g) isoleucine at position 205 (205I), (h) aspartic acid, glutamic acid or glycine at position 217 (217D, 217E or 217G), (i) combinations of two or more amino acids according to (a) to (h).
- At least one protease may be at least 80% identical to SEQ ID NO:22 as described in EP 1921147 and is characterized by comprising one amino acid (according to (a)-(h)) or combinations according to (i) together with the amino acid 101 E, 101D, 101N, 101Q, 101A, 101G, or 101S (according to BPN’ numbering) and having proteolytic activity.
- said protease is characterized by comprising the mutation (according to BPN’ numbering) R101 E, or S3T + V4I + V205I, or R101E and S3T, V4I, and V205I, or S3T + V4I + V199M + V205I + L217D, and having proteolytic activity.
- the protease having a polypeptide sequence according to SEQ ID NO:22 as described in EP 1921147 with R101E substitution may be called Lavergy Pro 104 LS herein, and is preferred in some embodiments.
- protease according to SEQ ID NO:22 as described in EP 1921147 is characterized by comprising the mutation (according to BPN’ numbering) S3T + V4I + S9R + A15T + V68A + D99S + R101S + A103S + 1104V + N218D, and having proteolytic activity.
- a combination of at least two proteases may be used.
- inventive enzyme preparations comprise at least one lipase (component (b)).
- Lipase means active protein having lipase activity (or lipolytic activity; triacylglycerol lipase, EC 3.1.1.3), cutinase activity (EC 3.1.1.74; enzymes having cutinase ac tivity may be called cutinase herein), sterol esterase activity (EC 3.1.1.13) and/or wax-ester hy drolase activity (EC 3.1.1.50).
- lipase activity may be measured by ester bond hydrolysis in the substrate para-nitrophenyl palmitate (pNP-Palmitate, C: 16) and releases pNP which is yellow and can be detected at 405 nm.
- Lipolytic activity means the catalytic effect exerted by a lipase, which may be provided in lipolytic units (LU).
- Lipases include those of bacterial or fungal origin.
- a suitable lipase is selected from the following: lipases from Humicola (synonym Thermomyces), e.g. from H. lanuginosa ( T . lanuginosus ) as described in EP 258068, EP 305216, WO 92/05249 and WO 2009/109500 or from H. insolens as described in WO 96/13580; lipases derived from Rhizo- mucor miehei as described in WO 92/05249; lipase from strains of Pseudomonas (some of these now renamed to Burkholderia ), e.g. from P.
- alcaligenes or P. pseudoalcaligenes EP 218272, WO 94/25578, WO 95/30744, WO 95/35381 , WO 96/00292), P. cepacia (EP 331376), P. stutzeri (GB 1372034), P. fluorescens, Pseudomonas sp. strain SD705 (WO 95/06720 and WO 96/27002), P. wisconsinensis (WO 96/12012), Pseudomonas mendocina (WO 95/14783),
- P. glumae (WO 95/35381 , WO 96/00292); lipase from Streptomyces griseus (WO 2011/150157) and S. pristinaespiralis (WO 2012/137147), GDSL-type Streptomyces lipases (WO 2010/065455); lipase from Thermobifida fusca as disclosed in WO 2011/084412; lipase from Geobacillus stearothermophilus as disclosed in WO 2011/084417; Bacillus lipases, e.g. as disclosed in WO 00/60063, lipases from B. subtilis as disclosed in Dartois et al.
- Suitable lipases also include those referred to as acyltransferases or perhydrolases, e.g. acyl- transferases with homology to Candida antarctica lipase A (WO 2010/111143), acyltransferase from Mycobacterium smegmatis (WO 2005/056782), perhydrolases from the CE7 family (WO 2009/67279), and variants of the M. smegmatis perhydrolase in particular the S54V variant (WO 2010/100028).
- acyltransferases or perhydrolases e.g. acyl- transferases with homology to Candida antarctica lipase A (WO 2010/111143), acyltransferase from Mycobacterium smegmatis (WO 2005/056782), perhydrolases from the CE7 family (WO 2009/67279), and variants of the M. smegmatis perhydrolase in particular the S54V variant (WO 2010/
- Suitable lipases include also those which are variants of the above described lipases which have lipolytic activity. Such suitable lipase variants are e.g. those which are developed by methods as disclosed in WO 95/22615, WO 97/04079, WO 97/07202, WO 00/60063, WO 2007/087508, EP 407225 and EP 260105.
- Suitable lipases include lipase variants having lipolytic activity which are at least 40%, at least 45%, at least 50%, at least 55%, at least 60%, at least 65%, at least 70%, at least 75%, at least
- Suitable lipases include lipase variants having lipolytic activity which are at least 40%, at least 45%, at least 50%, at least 55%, at least 60%, at least 65%, at least 70%, at least 75%, at least
- lipase is selected from fungal triacylglycerol lipase (EC class 3.1.1.3).
- Fungal triacylglycerol lipase may be selected from lipases of Thermomyces lanuginosa.
- at least one Thermomyces lanuginosa lipase is selected from triacylglycerol lipase according to amino acids 1-269 of SEQ ID NO:2 of US 5869438 and variants thereof having lipolytic activity.
- Triacylglycerol lipase according to amino acids 1-269 of SEQ ID NO:2 of US 5869438 may be called Lipolase herein.
- Thermomyces lanuginosa lipase may be selected from variants having lipolytic activity which are at least 90%, at least 91%, at least 92%, at least 93%, at least 94%, at least 95%, at least 96%, at least 97%, at least 98% or at least 99% identical when compared to the full length polypeptide sequence of amino acids 1-269 of SEQ ID NO:2 of US 5869438.
- Thermomyces lanuginosa lipase may be selected from variants having lipolytic activity comprising conservative mutations only, which do however not pertain the functional domain of amino acids 1-269 of SEQ ID NO:2 of US 5869438.
- Lipase variants of this embodiment having lipolytic activity may be at least 95%, at least 96%, at least 97%, at least 98% or at least 99% similar when compared to the full length polypeptide sequence of amino acids 1-269 of SEQ ID NO:2 of US 5869438.
- At least one Thermomyces lanuginosa lipase may be at least 80% identical to SEQ ID NO:2 of US 5869438 characterized by having amino acid T231R and N233R.
- Said Thermomyces lanu ginosa lipase may further comprise one or more of the following amino acid exchanges: Q4V, V60S, A150G, L227G, P256K.
- a combination of at least two lipases may be used.
- inventive enzyme preparations comprise at least one amylase (component (b)).
- amylases according to the invention (alpha and/or beta) include those of bacterial or fungal origin (EC 3.2.1.1 and 3.2.1.2, respectively). Chemically modified or protein engineered mutants are included.
- Amylases according to the invention have “amylolytic activity” or “amylase activity” involving (endo)hydrolysis of glucosidic linkages in polysaccharides oamylase activity may be determined by assays for measurement of a-amylase activity which are known to those skilled in the art. Examples for assays measuring a-amylase activity are: a-amylase activity can be determined by a method employing Phadebas tablets as substrate (Phadebas Amylase Test, supplied by Magle Life Science). Starch is hydrolyzed by the a- amylase giving soluble blue fragments.
- the absorbance of the resulting blue solution, measured spectrophotometrically at 620 nm, is a function of the a-amylase activity.
- the measured absorbance is directly proportional to the specific activity (activity/mg of pure a-amylase protein) of the a-amylase in question under the given set of conditions.
- a-amylase activity can also be determined by a method employing the Ethyliden-4-nitrophenyl- a-D-maltoheptaosid (EPS).
- EPS Ethyliden-4-nitrophenyl- a-D-maltoheptaosid
- D-maltoheptaoside is a blocked oligosaccharide which can be cleaved by an endo-amylase.
- kits containing EPS substrate and a- glucosidase is manufactured by Roche Costum Biotech (cat. No. 10880078103).
- the slope of the time dependent absorption-curve is directly proportional to the specific activity (activity per mg enzyme) of the a-amylase in question under the given set of conditions.
- Amylolytic activity may be provided in units per gram enzyme.
- 1 unit a-amylase may liberate 1.0 mg of maltose from starch in 3 min at pH 6.9 at 20°C.
- At least one amylase may be selected from the following:
- Suitable variants of SEQ ID NO:6 include those comprising a deletion in positions 181 and/or 182 and/or a substitution in position 193.
- Preferred variants of SEQ NO: 6 are those having a substitution, a deletion or an insertion in one or more of the following positions: R181, G182, H183, G184, N195, I206, E212, E216 and K269.
- amylases from Bacillus sp. comprising amino acids 1 to 485 of SEQ ID NO:2 as described in WO 00/60060.
- amylases from Bacillus amyloliquefaciens or variants thereof, preferably selected from amylases according to SEQ ID NO: 3 as described in WO 2016/092009.
- amylases having SEQ ID NO:12 as described in WO 2006/002643 or amylase variants comprising the substitutions Y295F and M202LITV within said SEQ ID NO: 12.
- amylases having SEQ ID NO:6 as described in WO 2011/098531 or amylase variants comprising a substitution at one or more positions selected from the group consisting of 193 [G,A,S,T or M], 195 [F,W,Y,L,I or V], 197 [F,W,Y,L,I or V], 198 [Q or N], 200 [F,W,Y,L,I or V], 203 [F,W,Y,L,I or V], 206 [F,W,Y,N,L,I,V,H,Q,D or E], 210 [F,W,Y,L,I or V], 212 [F,W,Y,L,I or V], 213 [G,A,S,T or M] and 243 [F,W,Y,L,I or V] within said SEQ ID NO:6.
- amylases having SEQ ID NO:1 as described in WO 2013/001078 or amylase variants comprising an alteration at two or more (several) positions corresponding to positions G304, W140, W189, D134, E260, F262, W284, W347, W439, W469, G476, and G477 within said SEQ ID NO:1.
- amylases having SEQ ID NO:2 as described in WO 2013/001087 or amylase variants comprising a deletion of positions 181 + 182, or 182+183, or 183+184, within said SEQ ID NO:2, optionally comprising one or two or more modifications in any of positions corre- sponding to W140, W159, W167, Q169, W189, E194, N260, F262, W284, F289, G304, G305, R320, W347, W439, W469, G476 and G477 within said SEQ ID NO:2.
- amylases which are hybrid alpha-amylases from above mentioned amylases as for example as described in WO 2006/066594;
- hybrid amylases according to WO 2014/183920 with A and B domains having at least 90% identity to SEQ ID NO:2 of WO 2014/183920 and a C domain having at least 90% identity to SEQ ID NO:6 of WO 2014/183920, wherein the hybrid amylase has amylolytic activity; preferably the hybrid alpha-amylase is at least 95% identical to SEQ ID NO: 23 of WO 2014/183920 and having amylolytic activity;
- hybrid amylase according to WO 2014/183921 with A and B domains having at least 75% identity to SEQ ID NO: 2, SEQ ID NO: 15, SEQ ID NO: 20, SEQ ID NO: 23, SEQ ID NO: 29, SEQ ID NO: 26, SEQ ID NO: 32, and SEQ ID NO: 39 as disclosed in WO 2014/183921 and a C domain having at least 90% identity to SEQ ID NO: 6 of WO 2014/183921 , wherein the hybrid amylase has amylolytic activity; preferably, the hybrid alpha-amylase is at least 95% identical to SEQ ID NO: 30 as disclosed in WO 2014/183921 and having amylolytic activity.
- Suitable amylases comprised in component (b) include amylase variants of the amylases disclosed herein having amylase activity which are at least 40%, at least 45%, at least 50%, at least 55%, at least 60%, at least 65%, at least 70%, at least 75%, at least 80%, at least 85%, at least 90%, at least 91%, at least 92%, at least 93%, at least 94%, at least 95%, at least 96%, at least 97%, at least 98% or at least 99% identical when compared to the full-length polypeptide sequence of the parent enzyme as disclosed above.
- Suitable amylases comprised in component (b) include amylase variants of the amylases disclosed herein having amylase activity which are at least 40%, at least 45%, at least 50%, at least 55%, at least 60%, at least 65%, at least 70%, at least 75%, at least 80%, at least 85%, at least 90%, at least 91%, at least 92%, at least 93%, at least 94%, at least 95%, at least 96%, at least 97%, at least 98% or at least 99% similar when compared to the full-length polypeptide sequence of the parent enzyme.
- a combination of at least two amylases may be used.
- At least one enzyme comprised in component (b) may be selected from the group of cellulases.
- At least one cellulase may be selected from cellobiohydrolase (1,4-P-D-glucan cellobiohydro- lase, EC 3.2.1.91), endo-ss-1,4-glucanase (endo-1,4-P-D-glucan 4-glucanohydrolase, EC 3.2.1.4) and ss-glucosidase (EC 3.2.1.21).
- component (b) comprises at least one cellulase of the glycosyl hydrolase family 7 (GH7, pfam00840), preferably selected from en- doglucanases (EC 3.2.1.4).
- Cellulases are enzymes involved in hydrolysis of cellulose. Assays for measurement of “cellulase activity” or “cellulolytic activity” are known to those skilled in the art. For example, cellulolytic activity may be determined by virtue of the fact that cellulase hydrolyses carboxymethyl cellulose to reducing carbohydrates, the reducing ability of which is determined colorimetrically by means of the ferricyanide reaction, according to Hoffman, W. S., J. Biol. Chem. 120, 51 (1937).
- component (b) comprises at least one cellulase 80% identical to a polypeptide sequence according to SEQ ID NO:2 of WO 95/02675. In one embodiment, component (b) comprises at least one cellulase 80% identical to a polypeptide sequence according to SEQ ID NO:4 of WO 2004/053039. In one embodiment, component (b) comprises at least one cellulase 80% identical to a polypeptide sequence according to SEQ ID NO:2 of WO 2002/99091.
- Cellulolytic activity may be provided in units per gram enzyme. For example, 1 unit may liberate 1.0 pmole of glucose from cellulose in one hour at pH 5.0 at 37 °C (2 hour incubation time).
- Cellulases according to the invention include those of bacterial or fungal origin. In one embodi ment, at least one cellulase is selected from cellulases comprising a cellulose binding domain.
- At least one cellulase is selected from cellulases comprising a catalytic do main only, meaning that the cellulase lacks cellulose binding domain.
- component (b) may comprise a combination of at least two cellulases, preferably selected from endoglucanases (EC 3.2.1.4) as disclosed above.
- At least one enzyme comprised in component (b) may be selected from the group of mannan degrading enzymes.
- At least one mannan degrading enzyme may be selected from b- mannosidase (EC 3.2.1.25), endo-1,4-p-mannosidase (EC 3.2.1.78), and 1,4-p-mannobiosidase (EC 3.2.1.100).
- at least one mannan degrading enzyme is selected from the group of endo-1,4 ⁇ -mannosidase (EC 3.2.1.78), a group of enzymes which may be called endo-b- 1,4-D-mannanase, b-mannanase, or mannanase herein.
- a polypeptide having mannanase activity may be tested for mannanase activity according to standard test procedures known in the art, such as by applying a solution to be tested to 4 mm diameter holes punched out in agar plates containing 0.2% AZCL galactomannan (carob), i. e. substrate for the assay of endo-1,4-beta-D-mannanase available as CatNo. I-AZGMA from the company Megazyme (Megazyme's Internet address: http://www.megazyme.com/Purchase/index.html).
- Component (b) may comprise at least one mannanase selected from alkaline mannanase of Family 5 or 26.
- alkaline mannanase is meant to encompass mannanases having an enzymatic activity of at least 40% of its maximum activity at a given pH ranging from 7 to 12, preferably 7.5 to10.5.
- At least one mannanase comprised in component (b) may be selected from mannanases originating from Bacillus organisms, such as described in JP-0304706 [beta-mannanase from Bacil lus sp.], JP-63056289 [alkaline, thermostable beta-mannanase], JP-63036774 [Bacillus microorganism FERM P-8856 producing beta-mannanase and beta-mannosidase at an alkaline pH], JP-08051975 [alkaline beta-mannanases from alkalophilic Bacillus sp.
- At least one mannanase comprised in component (b) is a polypeptide 80% identical to SEQ ID NO: 2 in US6566114. At least one mannanase comprised in component (b) may be selected from mannanases originating from Trichoderma organisms, such as disclosed in WO 93/24622 or in WO 2011/085747.
- Component (b) may comprise mannanase variants having mannanase activity which are at least 40%, at least 45%, at least 50%, at least 55%, at least 60%, at least 65%, at least 70%, at least 75%, at least 80%, at least 85%, at least 90%, at least 91%, at least 92%, at least 93%, at least 94%, at least 95%, at least 96%, at least 97%, at least 98% or at least 99% identical when compared to the full-length polypeptide sequence of the corresponding parent enzyme as disclosed above.
- Component (b) may comprise mannanase variants having mannanase activity which are at least 40%, at least 45%, at least 50%, at least 55%, at least 60%, at least 65%, at least 70%, at least 75%, at least 80%, at least 85%, at least 90%, at least 91%, at least 92%, at least 93%, at least 94%, at least 95%, at least 96%, at least 97%, at least 98% or at least 99% similar when compared to the full-length polypeptide sequence of the corresponding parent enzyme as dis closed above.
- component (b) may comprise a combination of at least two mannan-degrading enzymes, preferably selected from endo-1 ,4 ⁇ -mannosidase (EC 3.2.1.78) as disclosed above.
- At least one enzyme comprised in component (b) may be selected from the group of DNA de grading enzymes. Said enzymes usually catalyzes the hydrolytic cleavage of phosphodiester linkages in DNA.
- DNAse activity may be determined on DNAse Test Agar with Methyl Green (BD, Franklin Lakes, NJ, USA), which should be prepared according to the manual from supplier. Briefly, 21 g of agar is dissolved in 500 ml water and then autoclaved for 15 min at 121 °C. Autoclaved agar is tem- perated 10 to 48°C in water bath, and 20 ml of agar is to be poured into petridishes with and allowed to solidify by incubation o/n at room temperature. On solidified agar plates, 5 pi of enzyme solution is added and DNAse activity is observed as colorless zones around the spotted enzyme solutions.
- DNAse Test Agar with Methyl Green BD, Franklin Lakes, NJ, USA
- DNAse activity may be determined by using the DNAseAlertTM Kit (11-02-01-04, IDT Intergrated DNA Technologies) according to the supplier's manual. Briefly, 95 pi DNase sample is mixed with 5 mI substrate in a microtiter plate, and fluorescence is immediately measured using e.g. a Clariostar microtiter reader from BMG Labtech (536 nm excitation, 556 nm emission).
- At least one DNAse comprised in component (b) may be selected from DNAses originating from Bacillus such as from Bacillus cibi, Bacillus horikoshii, Bacillus horneckiae, Bacillus idriensis, Bacillus algicola, Bacillus vietnamensis, Bacillus hwajinpoensis, Paenibacillus mucilanginosus, Bacillus indicus, Bacillus luciferensis, Bacillus marisflavr, and variants thereof.
- at least one DNAse in component (b) is selected from polypeptides 80% identical to SEQ ID NO: 1 of WO 2019/081724.
- Said polypeptide may comprise one or more substitutions at positions selected from T1, G4, S7, K8, S9, S13, N16, T22, S25, S27, D32, L33, S39, G41, S42, D45, Q48, S57, S59, N61, T65, S66, V76, F78, P91, S101, S106, Q109, A112, S116, T127, S130, T138, Q140, S144, A147, C148, W154, T157, Y159, G162, S167, Q174, G175, L177, S179, and C180 - all as disclosed in Wo2019/081724 and WO 2019/081721.
- Component (b) may comprise DNAse variants having DNA degrading activity which are at least 40%, at least 45%, at least 50%, at least 55%, at least 60%, at least 65%, at least 70%, at least
- Component (b) may comprise DNAse variants having DNA degrading activity which are at least 40%, at least 45%, at least 50%, at least 55%, at least 60%, at least 65%, at least 70%, at least
- component (b) may comprise a combination of at least two DNAses.
- the liquid enzyme preparation of the invention comprises component (c) which comprises at least one compound selected from solvents, enzyme stabilizers, and compounds stabilizing the liquid enzyme preparation as such.
- the liquid enzyme preparation of the invention may comprise at least one enzyme stabilizer.
- Said enzyme stabilizer (component (c)) may be selected from boron-containing compounds, polyols, peptide aldehydes, other stabilizers, and mixtures thereof.
- Boron-containing compounds may be selected from boric acid or its derivatives and from boronic acid or its derivatives such as aryl boronic acids or its derivatives, from salts thereof, and from mixtures thereof.
- Boric acid herein may be called orthoboric acid.
- boron-containing compound (component (c)) is selected from the group consisting of aryl boronic acids and its derivatives.
- boron-containing compound is selected from the group consisting of benzene boronic acid (BBA) which is also called phenyl boronic acid (PBA), derivatives thereof, and mixtures thereof.
- BBA benzene boronic acid
- PBA phenyl boronic acid
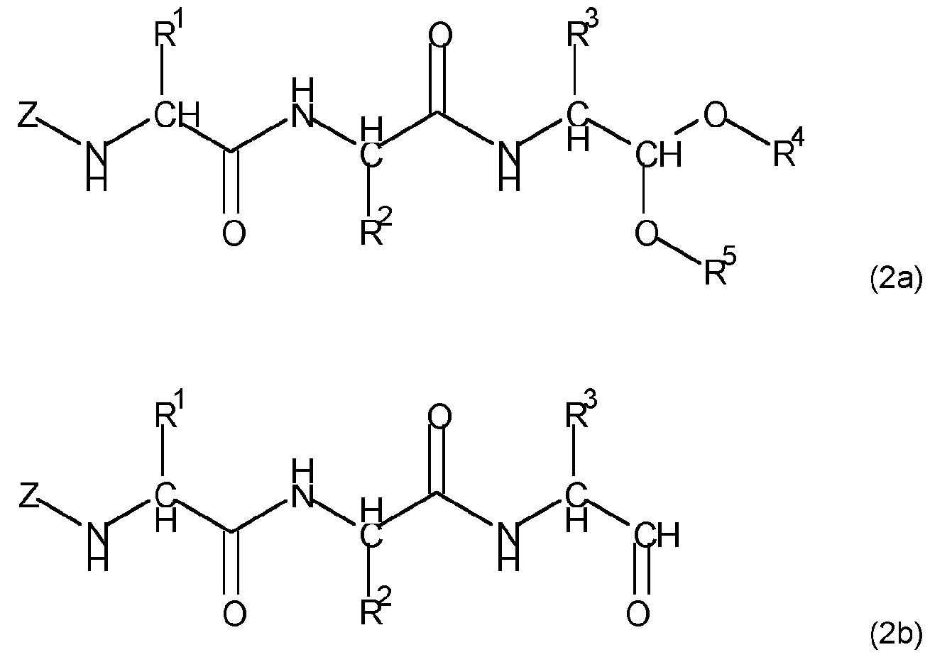
- phenyl boronic acid derivatives are selected from the group consisting of the derivatives of formula (1a) and (1b) formula: wherein
- R1 is selected from the group consisting of hydrogen, hydroxy, non-substituted or substituted CrCe alkyl, and non-substituted or substituted C 1 -C 6 alkenyl; in a preferred embodiment, R is selected from the group consisting of hydroxy, and non-substituted Ci alkyl;
- R2 is selected from the group consisting of hydrogen, hydroxy, non-substituted or substituted CrCe alkyl, and non-substituted or substituted C 1 -C 6 alkenyl; in a preferred embodiment, R is selected from the group consisting of H, hydroxy, and substituted Ci alkyl.
- phenyl-boronic acid derivatives are selected from the group consisting of 4-formyl phenyl boronic acid (4-FPBA), 4-carboxy phenyl boronic acid (4-CPBA), 4-(hydroxymethyl) phenyl boronic acid (4-HMPBA), and p-tolylboronic acid (p-TBA).
- Suitable derivatives include: 2-thienyl boronic acid, 3-thienyl boronic acid, (2-acetamidophenyl) boronic acid, 2-benzofuranyl boronic acid, 1-naphthyl boronic acid, 2- naphthyl boronic acid, 2-FPBA, 3-FBPA, 1-thianthrenyl boronic acid, 4-dibenzofuran boronic acid, 5-methyl-2-thienyl boronic acid, 1-benzothiophene-2 boronic acid, 2-furanyl boronic acid, 3-furanyl boronic acid, 4,4 biphenyl-diboronic acid, 6-hydroxy-2-naphthaleneboronic acid, 4- (methylthio) phenyl boronic acid, 4-(trimethylsilyl) phenyl boronic acid, 3-bromothiophene bo ronic acid, 4-methylthiophene boronic acid, 2-naphthyl boronic acid,
- Polyols may be selected from polyols containing from 2 to 6 hydroxyl groups. Suitable examples include glycol, propylene glycol, 1,2-propane diol, 1,2-butane diol, 1 ,2- pentane diol, ethylene glycol, hexylene glycol, glycerol, sorbitol, mannitol, erythriol, glucose, fructose, and lactose.
- R 1 , R 2 , R 3 , R 4 , R 5 and Z within formulae (2a) and (2b) are defined as follows:
- R 1 , R 2 and R 3 are each independently selected from the group consisting of hydrogen, optionally substituted C1-8 alkyl, optionally substituted C2-6 alkenyl, optionally substituted Ci-salkoxy, optionally substituted 3- to 12-membered cycloalkyl, and optionally substituted 6- to 10-membered aryl; or wherein each R 1 , R 2 and R 3 is independently selected as -(CH 2 )3- which is also attached to the nitrogen atom of -NH-C(H)- so that -N-C(H)R 1 ' 2 or 3 - forms a 5-membered heterocyclic ring;
- R 4 and R 5 are each independently selected from the group consisting of hydrogen, optionally substituted C1-8 alkyl, optionally substituted C2-6 alkenyl, optionally substituted Ci-salkoxy, op- tionally substituted Ci-4acyl, optionally substituted Ci- 8 alkyl phenyl (e.g. benzyl), and optionally substituted 6- to 10-membered aryl; or wherein R 4 and R 5 are joined to form an optionally sub stituted 5- or 6-membered ring;
- Z is selected from hydrogen, an N-terminal protection group, and one or more amino acid residues optionally comprising an N-terminal protection group.
- R 1 is a group such that NH-CHR 1 -CO is an L or D-amino acid residue of Gly, Ala,
- R 1 is a group such that NH- CHR 1 -CO is an L or D-amino acid residue of Ala, Val, Gly, Arg, Leu, Phe, lie, His or Thr. Even more preferably, R 1 is a group such that NH-CHR 1 -CO is an L or D-amino acid residue of Ala, Val, Gly, Arg, Leu, lie or His.
- R 2 is a group such that NH-CHR 2 -CO is an L or D-amino acid residue of Gly, Ala, Val, Leu, lie, Met, Pro, Phe, Trp, Ser, Thr, Asp, Gin, Tyr, Cys, Lys, Arg, His, Asn, Glu, m- tyrosine, 3,4-dihydroxyphenylalanine, Nva, or Nle. More preferably, R 2 is a group such that NH- CHR 2 -CO is an L or D-amino acid residue of Ala, Cys, Gly, Pro, Ser, Thr, Val, Nva or Nle. Even more preferably, R 2 is a group such that NH-CHR 2 -CO is an L or D-amino acid residue of Ala, Gly, Pro or Val.
- R 1 is a group such that NH-CHR 1 -CO is an L or D-amino acid residue of Ala, Val, Gly, Arg, Leu, lie or His and R 2 is a group such that NH-CHR 2 -CO is an L or D-amino acid residue of Ala.
- R 1 is a group such that NH-CHR 1 -CO is an L or D- amino acid residue of Ala, Val, Gly, Arg, Leu, lie or His and R 2 is a group such that NH-CHR 2 - CO is an L or D-amino acid residue of Gly.
- R 1 is a group such that NH- CHR 1 -CO is an L or D-amino acid residue of Ala, Val, Gly, Arg, Leu, lie or His and R 2 is a group such that NH-CHR 2 -CO is an L or D-amino acid residue of Pro.
- R 1 is a group such that NH-CHR 1 -CO is an L or D-amino acid residue of Ala, Val, Gly, Arg, Leu, lie or His and R 2 is a group such that NH-CHR 2 -CO is an L or D-amino acid residue of Val.
- R 1 is a group such that NH-CHR 1 -CO is an L or D-amino acid residue of Ala and R 2 is a group such that NH-CHR 2 -CO is an L or D-amino acid residue of Ala, Gly, Pro or Val.
- R 1 is a group such that NH-CHR 1 -CO is an L or D-amino acid residue of Val and R 2 is a group such that NH-CHR 2 -CO is an L or D-amino acid residue of Ala, Gly, Pro or Val.
- R 1 is a group such that NH-CHR 1 -CO is an L or D-amino acid residue of Gly and R 2 is a group such that NH-CHR 2 -CO is an L or D-amino acid residue of Ala,
- R 1 is a group such that NH-CHR 1 -CO is an L or D-amino acid residue of Arg and R 2 is a group such that NH-CHR 2 -CO is an L or D-amino acid residue of Ala, Gly, Pro or Val.
- R 1 is a group such that NH-CHR 1 -CO is an L or D- amino acid residue of Leu and R 2 is a group such that NH-CHR 2 -CO is an L or D-amino acid residue of Ala, Gly, Pro or Val.
- R 1 is a group such that NH-CHR 1 -CO is an L or D-amino acid residue of lie and R 2 is a group such that NH-CHR 2 -CO is an L or D-amino acid residue of Ala, Gly, Pro or Val.
- R 1 is a group such that NH-CHR 1 -CO is an L or D-amino acid residue of His and R 2 is a group such that NH-CHR 2 -CO is an L or D-amino acid residue of Ala, Gly, Pro or Val.
- R 3 is a group selected from optionally substituted Ci-s alkyl, such as CH 2 Si(CH3)3, Ci-salkylphosphates such as (CH 2 ) n PO(OR) 2 , Ci-e alkylnitriles such as CH 2 CN, Ci-salkylsulfones such as CH 2 S0 2 R, Ci-salkylethers such as (CH 2 ) n OR, Ci-salkylesters such as CH 2 C0 2 R, and Ci-salkylamides; optionally substituted Ci-salkoxy, optionally substituted 3- to 12-membered cycloalkyl, such as cyclohexylmethyl; and optionally substituted 6- to 10- membered aryl, wherein R is independently selected from the group consisting of hydrogen, optionally substituted C1-3 alkyl, optionally substituted Ci-salkoxy, optionally substituted 3- to 12- membered cycloalkyl, optionally substituted 6- to 10-membered aryl
- R 3 is a group such that NH-CHR 3 -CO is an L or D-amino acid residue of Tyr, m- tyrosine, 3,4-dihydroxyphenylalanine, Phe, Val, Ala, Met, Nva, Leu, lie or Nle or other nonnatural amino acids carrying alkyl groups. More preferably, R 3 is a group such that NH-CHR 3 - CO is an L or D-amino acid residue of Tyr, Phe, Val, Ala or Leu.
- R 1 , R 2 and R 3 is a group such that NH-CHR 1 -CO, NH-CHR 2 -CO and NH- CHR 3 -CO each is an L or D-amino acid residue of Gly, Ala, Val, Leu, lie, Met, Pro, Phe, Trp,
- R 1 and R 2 is a group such that NH-CHR 1 -CO and NH-CHR 2 -CO each is an L or D-amino acid residue of Ala, Cys, Gly, Pro, Ser, Thr, Val, Nva or Nle, and R 3 is a group such that NH-CHR 3 -CO is an L or D-amino acid residue of Tyr, m-tyrosine, 3,4-dihydroxyphenylalanine, Phe, Val, Ala, Met, Nva, Leu, lie or Nle.
- R 1 is a group such that NH-CHR 1 -CO is an L or D-amino acid residue of Gly or Val
- R 2 is a group such that NH-CHR 2 -CO is an L or D-amino acid residue of Ala
- R 3 is a group such that NH-CHR 3 -CO is an L or D-amino acid residue of Tyr, Ala, or Leu.
- R 1 is a group such that NH-CHR 1 -CO is an L or D-amino acid residue of Val
- R 2 is a group such that NH-CHR 2 -CO is an L or D-amino acid residue of Ala
- R 3 is a group such that NH-CHR 3 -CO is an L or D-amino acid residue of Leu.
- R 1 is a group such that NH-CHR 1 -CO is an L or D-amino acid residue of Gly
- R 2 is a group such that NH-CHR 2 -CO is an L or D-amino acid residue of Ala
- R 3 is a group such that NH-CHR 3 -CO is an L or D-amino acid residue of Tyr.
- R 1 is a group such that NH-CHR 1 -CO is an L or D-amino acid residue of Val
- R 2 is a group such that NH-CHR 2 -CO is an L or D-amino acid residue of Ala
- R 3 is a group such that NH-CHR 3 -CO is an L or D-amino acid residue of Ala.
- R 1 is a group such that NH-CHR 1 -CO is an L or D-amino acid residue of Val
- R 2 is a group such that NH-CHR 2 -CO is an L or D-amino acid residue of Ala
- R 3 is a group such that NH-CHR 3 -CO is an L or D-amino acid residue of Norleucine.
- R 1 is a group such that NH-CHR 1 -CO is an L or D-amino acid residue of Val
- R 2 is a group such that NH-CHR 2 -CO is an L or D-amino acid residue of Ala
- R 3 is a group such that NH-CHR 3 -CO is an L or D-amino acid residue of Norvaline.
- R 4 and R 5 are each independently selected from hydrogen, methyl, ethyl, i- propyl, n-propyl, i-butyl, s-butyl, n-butyl, i-pentyl, 2-pentyl, 3-pentyl, neopentyl, cyclopentyl, cyclohexyl, and benzyl.
- R 4 and R 5 may each independently be selected from methyl, ethyl, isopropyl, 2-butyl or 3-pentyl. More preferably, R 4 and R 5 are both methyl, ethyl, isopropyl, 2-butyl or 3-pentyl.
- Z is selected from hydrogen, an N-terminal protection group, and one or more amino acid residues optionally comprising an N-terminal protection group.
- Z is an N-terminal protection group.
- the N-terminal protection group may be selected from formyl, acetyl (Ac), benzoyl (Bz), tri- fluoroacetyl, fluorenylmethyloxycarbonyl (Fmoc), methoxysuccinyl, aromatic and aliphatic urethane protecting groups, benzyloxycarbonyl (Cbz), ferf-butyloxycarbonyl (Boc), adaman- tyloxycarbonyl, p-methoxybenzyl carbonyl (MOZ), benzyl (Bn), p-methoxybenzyl (PMB) or p- methoxyphenyl (PMP), methoxycarbonyl (Moc); methoxyacetyl (Mac); methyl carbamate, a me- thylamino carbonyl/methyl urea group, tityl (Trt), 3,5-dimethoxyphenylisoproxycarbonyl (Ddz), 2- (4
- the N- terminal protection group is preferably a small aliphatic group, e.g., formyl, acetyl, fluorenylme- thyloxycarbonyl (Fmoc), fert-butyloxycarbonyl (Boc), methoxycarbonyl (Moc); methoxyacetyl (Mac); methyl carbamate or a methylamino carbonyl/methyl urea group.
- a small aliphatic group e.g., formyl, acetyl, fluorenylme- thyloxycarbonyl (Fmoc), fert-butyloxycarbonyl (Boc), methoxycarbonyl (Moc); methoxyacetyl (Mac); methyl carbamate or a methylamino carbonyl/methyl urea group.
- the N-terminal protection group is preferably a bulky aromatic group such as benzoyl (Bz), benzyloxycarbonyl (Cbz), p-methoxybenzyl carbonyl (MOZ), benzyl (Bn), p-methoxybenzyl (PMB) or p-methoxyphenyl (PMP).
- Bz benzoyl
- Cbz benzyloxycarbonyl
- MOZ p-methoxybenzyl carbonyl
- Bn benzyl
- PMB p-methoxybenzyl
- PMP p-methoxyphenyl
- N-terminal protection groups are described in Greene’s Protective Groups in Organic Synthesis, Fifth Edition by Peter G. M. Wuts, published in 2014 by John Wiley & Sons, Inc and in Isidro-Llobet et al., Amino Acid-Protecting Groups, Chem. Rev. 2009 109(6), 2455- 2504.
- the N-terminal protection group is selected from benzyloxycarbonyl (Cbz), p-metho- xybenzyl carbonyl (MOZ), benzyl (Bn), benzoyl (Bz), p-methoxybenzyl (PMB), p-methoxyphenyl (PMP), formyl, acetyl (Ac), methyloxy, alkoxycarbonyl, methoxycarbonyl, fluorenylmethyloxycar- bonyl (Fmoc), or fe/f-butyloxycarbonyl (Boc).
- the N-terminal protection group is benzyloxycarbonyl (Cbz).
- the peptide stabilizer is selected from compounds according to formula (2b), wherein
- R 1 and R 2 is a group such that NH-CHR 1 -CO and NH-CHR 2 -CO each is an L or D-amino acid residue selected from Ala, Cys, Gly, Pro, Ser, Thr, Val, Nva or Nle, and R 3 is a group such that NH-CHR 3 -CO is an L or D-amino acid residue selected from Tyr, m-tyrosine, 3,4-dihydroxyphenylalanine, Phe, Val, Ala, Met, Nva, Leu, lie or Nle; and
- the N-terminal protection group Z is selected from benzyloxycarbonyl (Cbz), p- methoxybenzyl carbonyl (MOZ), benzyl (Bn), benzoyl (Bz), p-methoxybenzyl (PMB), p- methoxyphenyl (PMP), formyl, acetyl (Ac), methyloxy, alkoxycarbonyl, methoxycarbonyl, fluorenylmethyloxycarbonyl (Fmoc), or fe/f-butyloxycarbonyl (Boc).
- the peptiptide stabilizer according to formula (2b) is character ized in
- R 1 is a group such that NH-CHR 1 -CO is an L or D-amino acid residue of Val
- R 2 is a group such that NH-CHR 2 -CO is an L or D-amino acid residue of Ala
- R 3 is a group such that NH-CHR 3 -CO is an L or D-amino acid residue of Leu;
- the N-terminal protection group Z is selected from benzyloxycarbonyl (Cbz), p- methoxybenzyl carbonyl (MOZ), benzyl (Bn), benzoyl (Bz), p-methoxybenzyl (PMB), p- methoxyphenyl (PMP), formyl, acetyl (Ac), methyloxy, alkoxycarbonyl, methoxycarbonyl, fluorenylmethyloxycarbonyl (Fmoc), or ferf-butyloxycarbonyl (Boc); preferably, the N- terminal protection group Z is benzyloxycarbonyl (Cbz).
- the enzyme preparation comprises about 0.1-2% by weight relative to the total weight of the enzyme preparation of at least one peptide stabilizer.
- the enzyme preparation comprises about 0.15-1%, or 0.2-0.5%, or about 0.3% by weight relative to the total weight of the enzyme preparation of at least one peptide stabilizer.
- the enzyme preparation comprises about 0.3% by weight relative to the total weight of the enzyme prepara tion of a peptide stabilizer according to formula (2b) characterized in
- R 1 is a group such that NH-CHR 1 -CO is an L or D-amino acid residue of Val
- R 2 is a group such that NH-CHR 2 -CO is an L or D-amino acid residue of Ala
- R 3 is a group such that NH-CHR 3 -CO is an L or D-amino acid residue of Leu;
- N-terminal protection group Z is benzyloxycarbonyl (Cbz).
- stabilizers may be selected from salts like NaCI or KCI, and alkali salts of lactic acid and formic acid.
- stabilizers may be selected from water-soluble sources of zinc (II), calci um (II) and/or magnesium (II) ions in the finished compositions that provide such ions to the enzymes, as well as other metal ions (e.g. barium (II), scandium (II), iron (II), manganese (II), aluminum (III), Tin (II), cobalt (II), copper (II), Nickel (II), and oxovanadium (IV)).
- metal ions e.g. barium (II), scandium (II), iron (II), manganese (II), aluminum (III), Tin (II), cobalt (II), copper (II), Nickel (II), and oxovanadium (IV)
- the inventive enzyme preparation is aqueous, comprising water in amounts in the range of 5% to 95 % by weight, in the range of 5% to 30% by weight, in the range of 5% to 25% by weight, or in the range of 20% to 70% by weight, all relative to the total weight of the enzyme preparation.
- the enzyme preparation of the invention comprises at least one organic solvent selected from ethanol, n-propanol, iso-propanol, n-butanol, iso-butanol, sec.-butanol, ethylene glycol, propylene glycol, 1,3-propane diol, butane diol, glycerol, diglycol, propyl diglycol, butyl diglycol, hexylene glycol, ethylene glycol methyl ether, ethylene glycol ethyl ether, ethylene glycol propyl ether, and phenoxyethanol, preferred are ethanol, isopropanol or propylene glycol.
- the enzyme preparation of the invention may comprise at least one organic solvent selected from compounds such as 2-butoxyethanol, isopropyl alcohol, and d-limonene.
- Said enzyme preparation may comprise organic solvents in amounts in the range of 0% to 20% by weight relative to the total weight of the enzyme preparation.
- the enzyme preparation comprises water in amounts in the range of 5% to 15% by weight and no significant amounts of organic solvent, for example 1% by weight or less, all relative to the total weight of the enzyme preparation.
- the liquid enzyme preparation of the invention does not comprise an organic solvent.
- Compounds stabilizing the liquid enzyme preparation as such means any compound except enzyme stabilizers needed to establish storage stability of a liquid preparation in amounts effective to ensure the storage stability.
- Storage stability in the context of liquid preparations to those skilled in the art usually includes aspects of appearance of the product and uniformity of dosage.
- Appearance of the product is influenced by the pH of the product and by the presence of compounds such as preservatives, antioxidants, viscosity modifiers, emulsifiers etc.
- Uniformity of dosage is usually related to the homogeneity of a product.
- Inventive enzyme preparations may be alkaline or exhibit a neutral or slightly acidic pH value, for example 6 to 14, 6.5 to 13, 8 to 10.5, or 8.5 to 9.0.
- the liquid enzyme preparation of the invention may comprise at least one preservative. Preservatives are usually added in amounts effective in preventing microbial growth of the liquid enzyme preparation, preferably the aqueous enzyme preparation. At least one preservative may be selected from the group
- Benzylhemiformal synonym: (Benzyloxy)methanol (CAS No. 14548-60-8); (Ethylenedioxy)dimethanol, synonyms: Dascocide 9;(ethylenedioxy)dimethanol (reaction products of ethylene glycol with paraformaldehyde (EGForm)) (CAS. No.3586-55-8);
- DBNPA 2.2-dibromo-2-cyanoacetamide
- DTBMA 2,2'-dithiobis[N-methylbenzamide]
- DDCB 2-bromo-2-(bromomethyl)pentanedinitrile
- 2-Butanone, peroxide synonym: 2-butanone-peroxide (CAS No. 1338-23-4); 2-butyl-benzo[d]isothiazol-3-one (BBIT, CAS No. 4299-07-4);
- Biphenyl -2-ol, and its salts o-phenylphenol, MEA-o-phenylphenate, potassium phenylphenate, sodium phenylphenate;
- Didecyldimethylammonium chloride (DDAC, CAS No. 68424-95-3 and CAS No. 7173-51-5); Dodecylguanidine monohydrochloride (CAS No 13590-97-1);
- Hexa-2,4-dienoic acid (Sorbic acid, CAS No. 110-44-1) and its salts, e.g. calcium sorbate, sodium sorbate
- Lactic acid and its salts L-(+)-lactic acid (CAS No. 79-33-4);
- CAC Methenamine 3-chloroallylochloride
- Monochloramine generated from ammonium carbamate and a chlorine source N.N'-methylenebismorpholine (MBM, CAS No. 5625-90-1); N-(3-aminopropyl)-N-dodecylpropane-1, 3-diamine (Diamine, CAS No. 2372-82-9); N-(trichloromethylthio)phthalimide (Folpet, CAS No. 133-07-3); p-[(diiodomethyl)sulphonyl]toluene (CAS No. 20018-09-1);
- Peracetic acid (CAS No. 79-21-0); polyhexamethylene biguanide hydrochloride (PHMB, CAS No 1802181-67-4), polyhexameth- ylene biguanide hydrochloride (PHMB, CAS No. 27083-27-8), e.g. poly(iminoimidocarbonyl)- iminohexamethylene hydrochloride, poly(iminocarbonimidoyliminocarbonimidoylimino -1,6- hexanediyl), polyaminopropyl biguanide;
- Salts of benzoic acid e.g. ammonium benzoate, calcium benzoate, magnesium benzoate, MEA- benzoate, potassium benzoate;
- Esters of benzoic acid e.g. butyl benzoate, ethyl benzoate, isobutyl benzoate, isopropyl benzoate, methyl benzoate, phenyl benzoate, propyl benzoate;
- Benzoic acid and its sodium salt (CAS No 65-85-0, CAS No. 532-32-1);
- Propionic acid and its salts e.g. ammonium propionate, calcium propionate, magnesium propionate, potassium propionate, sodium propionate;
- Salicylic acid and its salts e.g. calcium salicylate, magnesium salicylate, MEA salicylate, sodium salicylate, potassium salicylate, TEA salicylate;
- Inorganic sulphites and hydrogensulphites e.g. sodium sulfite, ammonium sulfite, ammonium bisulfite, potassium sulfite, potassium hydrogene sulfite, sodium bisulfite, sodium metasulfite, potassium metasulfite, potassium metabisulfite;
- Chlorobutanol (CAS No 57-15-8);
- Butyl 4 -hydroxybenzoate and its salts e.g. butylparaben, sodium butyl paraben, potassium butyl paraben;
- Propyl 4-hydroxybenzoate and its salts e.g. propyl paraben, sodium propyl paraben, potassium propyl paraben; lsopropyl-4-hydroxybenzoic acid and its salts and esters; lsobutyl-4-hydroxybenzoic acid and its salts and esters;
- 4-Hydroxybenzoic acid and its salts and esters e.g. methyl paraben, ethyl paraben, potassium ethyl paraben, potassium paraben, potassium methyl paraben, sodium methyl paraben, sodium ethyl paraben, sodium paraben, calcium paraben, calcium methyl paraben, calcium ethyl paraben;
- 3-Acetyl-6-methylpyran-2,4(3H)-dione and its salts e.g. dehydroacetic acid, sodium dehydroa- cetic acid (Cas Nos 520-45-6, 4418-26-2, 16807-48-0);
- Phenylmercuric salts (including borate), e.g. phenyl mercuric acetate, phenyl mercuric benzoate (CAS Nos. 62-38-4 and 94-43-9);
- Undec-10-enoic acid and its salts e.g. undecylenic acid, potassium undecylenic acid, sodium undecylenic acid, calcium undecylenic acid, MEA-undecylenic acid, TEA-undecylenic acid;
- 1-(4-Chlorophenyl)-3-(3,4-dichlorophenyl)urea e.g. triclocarban (CAS No 101-20-2); Chlorocresol, e,g, p-chloro-m-cresol (CAS No. 59-50-7);
- Chloroxylenol (CAS Nos 88-04-0, 1321-23-9);
- Methenamine 3 -chloroallylochloride synonym: Quaternium 15 (CAS No 4080-31-3), 1-(4-Chlorophenoxy)-1-(imidazol-1-yl)-3,3-dimethylbutan-2-one, synonym: Climbazole (CAS No 38083-17-9);
- N,N'-bis(4-chlorophenyl)-3,12-diimino-2,4,11,13-tetraazatetradecanediamidine and its digluconate, diacetate and dihydrochloride e.g. chlorohexidine, chlorhexidine digluconate, chloro- hexidine diacetate, chlorhexidine dihydrochloride (CAS Nos 55-56-1 , 56-95-1, 18472-51-0, 3697-42-5);
- Alkyl (C12-C22) trimethyl ammonium bromide and chloride e.g. behentrimonium chloriode, cetri- monium bromide, cetrimonium chloride, laurtrimonium bromide, laurtrimonium chloride, stear- trimonium bromide, steartrimonium chloride (CAS Nos 17301-53-0, 57-09-0, 112-02-7, 1119-94-
- Sodium hydroxymethylamino acetate synonym: sodium N-(hydroxymethyl)glycinate, sodium hydroxymethylglycinate (CAS No 70161-44-3);
- Benzenemethanaminium N,N -dimethyl-N-[2-[2-[4-(1 , 1,3,3, -tetramethylbutyl)phenoxy]ethoxy]- ethyl]-, chloride, synonym: benzethonium chloride CAS No 121-54-0);
- Benzalkonium chloride, bromide and saccharinate e.g. benzalkonium chloride, benzalkonium bromide, benzalkonium saccharinate (CAS Nos 8001-54-5, 63449-41-2, 91080-29-4, 68989-01-
- 1,2,3-Propanetricarboxylic acid 2-hydroxy-, monohydrate and 1,2,3-Propanetricarboxylic acid, 2-hydroxy-silver(1+) salt, monohydrate,
- I NCI citric acid (and) silver citrate; Tetrahydro-3,5-dimethyl-1,3,5-thiadia-zine-2-thione (further names: 3,5-dimethyl-1,3-5- thiadiazinane-2-thione, Protectol® DZ, Protectol® DZ P, Dazomet, CAS No. 533-74-4);
- 2.4-dichlorobenzyl alcohol (CAS-No. 1777-82-8, further names: dichlorobenzyl alcohol, 2,4- dichloro-benzenemethanol, (2,4-dichloro-phenyl)-methanol, DCBA, Protectol® DA);
- 1-propanol (CAS-No. 71-23-8, further names: n-propanol, propan-1-ol, n-propyl alcohol, Protectol® NP S);
- 5-bromo-5-nitro-1,3-dioxane (CAS-No. 30007-47-7, further names: 5-bromo-5-nitro-m-dioxane, Bronidox®);
- 2-bromo-2-nitropropane-1,3-diol (CAS-No. 52-51-7, further names: 2-bromo-2-nitro-1,3- propanediol, Bronopol®, Protectol® BN, Myacide AS);
- Glutaraldehyde (CAS-No. 111-30-8, further names: 1-5-pentandial, pentane-1, 5-dial, glutaral, glutardialdehyde, Protectol® GA, Protectol® GA 50, Myacide® GA);
- Glyoxal (CAS No. 107-22-2; further names: ethandial, oxylaldehyde, 1,2-ethandial, Protectol® GL);
- 2,4,4'-trichloro-2'-hydroxydiphenyl ether (CAS No. 3380-34-5, further names: triclosan, Irgasan® DP 300, Irgacare® MP, TCS);
- 2-Phenoxyethanol (CAS-no. 122-99-6, further names: Phenoxyethanol, Methylphenylglycol, Phenoxetol, ethylene glycol phenyl ether, Ethylene glycol monophenyl ether, Protectol® PE); Phenoxypropanol (CAS-No. 770-35-4, CAS No 4169-04-4, propylene glycol phenyl ether, phe- noxyisopropanol 1-phenoxy-2-propanol, 2-phenoxy-1 -propanol);
- Glucoprotamine (CAS-No. 164907-72-6, chemical description: reaction product of glutamic acid and alkylpropylenediamine, further names: Glucoprotamine 50);
- Cyclohexyl hydroxyl diazenium-1 -oxide, potassium salt (CAS No. 66603-10-9, further names: N- cyclohexyl-diazenium dioxide, Potassium HDO, Xyligene, Protectol® KD);
- Formic acid (CAS-No. 64-18-6, further names: methanoic acid, Protectol® FM, Protectol® FM 75, Protectol® FM 85, Protectol® FM 99, Lutensol® FM) and its salts, e.g. sodium formiate (CAS No 141-53-7);
- anorganic silver complexes such as silver zeolites and silver glass compounds (e.g. Irgaguard® B5000, Irgaguard® B6000, Irgaguard® B7000) and others described in WO-A-99/18790, EP1041879B1 ;
- an enzyme preparation of the invention comprises at least one preservative selected from the group consisting of 2-phenoxyethanol, glutaraldehyde, 2-bromo-2- nitropropane-1,3-diol, and formic acid in acid form or as its salt.
- the enzyme preparation of the invention may comprise at least one preservative in amounts ranging from 2 ppm to 5% by weight relative to the total weight of the enzyme preparation.
- the enzyme preparation of the invention may comprise phenoxyethanol in amounts ranging from 0.1% to 2% by weight relative to the total weight of the enzyme preparation.
- the enzyme preparation of the invention may comprise 2-bromo-2-nitropropane-1 ,3-diol in amounts ranging from 20 ppm to 1000 ppm.
- the enzyme preparation of the invention may comprise glutaraldehyde in amounts ranging from 10 ppm to 2000 ppm.
- the enzyme preparation of the invention may comprise formic acid and/or formic acid salt in amounts ranging from 0.05% to 0.5% by weight relative to the total weight of the enzyme preparation.
- liquid enzyme preparation of the invention does not comprise any preservative.
- the invention relates to a process for making an enzyme preparation, said process comprising the step of mixing at least component (a) as disclosed above, component (b) as disclosed above, and optionally component (c) as disclosed above.
- component (c) comprises at least one enzyme stabilizer as disclosed above. In a preferred embodiment, component (c) does not comprise an organic solvent and/or a compound stabilizing the liquid enzyme preparation as such.
- component (c) as disclosed above is mixed with components (a) and (b) in one or more steps.
- the invention in one aspect relates to the use of the liquid enzyme preparation of the invention to be formulated into detergent formulations such as l&l and homecare formulations for laundry and hard surface cleaning, wherein at least components (a) and (b) are mixed in no specified order in one or more steps with one or more detergent components.
- detergent formulations such as l&l and homecare formulations for laundry and hard surface cleaning
- at least components (a), (b) and (c) as disclosed above are mixed in no specified order in one or more steps with one or more detergent components.
- the invention relates to a detergent formulation comprising the liquid enzyme preparation of the invention and one or more detergent components.
- the invention relates to a detergent formulation comprising components (a) and (b) as disclosed above and one or more detergent components.
- the detergent formulation of the invention comprises at least one enzyme (component (b)) selected from the group of serine proteases (EC 3.4.21), triacylglycerol lipase (EC 3.1.1.3), alpha amylases (EC 3.2.1.1), endoglucanases (EC 3.2.1.4), endo-1 ,4-3-mannosidase (EC 3.2.1.78), and DNA degrading enzymes.
- the invention relates to a method for preparation of a detergent formulation according to the invention, wherein at least one hydrophobically modified polyalkyleneimine, at least one hydro lase, and at least one detergent component are mixed in one or more steps in any order.
- Detergent components vary in type and/or amount in a detergent formulation depending on the desired application such as laundering white textiles, colored textiles, and wool.
- the compo nents) chosen further depend on physical form of a detergent formulation (liquid, solid, gel, provided in pouches or as a tablet, etc).
- the component(s) chosen e.g. for laundering formula tions further depend on regional conventions which themselves are related to aspects like washing temperatures used, mechanics of laundry machine (vertical vs. horizontal axis ma chines), water consumption per wash cycle etc. and geographical characteristics like average hardness of water.
- Suitable detergent components comprise inter alia surfactants, builders, polymers, alkaline, bleaching systems, fluorescent whitening agents, suds suppressors and stabilizers, hydrotropes, and corrosion inhibitors. Further examples are described e.g. in “complete Tech nology Book on Detergents with Formulations (Detergent Cake, Dishwashing Detergents, Liquid & Paste Detergents, Enzyme Detergents, Cleaning Powder & Spray Dried Washing Powder)”, Engineers India Research Institute (EIRI), 6 th edition (2015). Another reference book for those skilled in the art may be “Detergent Formulations Encyclopedia”, Solverchem Publications,
- detergent components are in addition to the components comprised in the enzyme preparation of the invention. If a component comprised in the enzyme preparation of the invention is also a detergent component, it might be the concentrations that need to be adjusted that the component is effective for the purpose desired in the detergent formulation.
- Detergent components may have more than one function in the final application of a detergent formulation, therefore any detergent component mentioned in the context of a specific function herein, may also have another function in the final application of a detergent formulation.
- the function of a specific detergent component in the final application of a detergent formulation usually depends on its amount within the detergent formulation, i.e. the effective amount of a detergent component.
- effective amount includes amounts of individual components to provide effective stain removal and/or effective cleaning conditions (e.g. pH, quantity of foaming), amounts of certain components to effectively provide optical benefits (e.g. optical brightening, dye transfer inhibition), and/or amounts of certain components to effectively aid the processing (maintain physical characteristics during processing, storage and use; e.g. viscosity modifiers, hydrotropes, desiccants).
- effective stain removal and/or effective cleaning conditions e.g. pH, quantity of foaming
- optical benefits e.g. optical brightening, dye transfer inhibition
- amounts of certain components to effectively aid the processing maintain physical characteristics during processing, storage and use; e.g. viscosity modifiers, hydrotropes, desiccants.
- a detergent formulation is a formulation of more than two detergent components, wherein at least one component is effective in stain-removal, at least one component is effective in providing the optimal cleaning conditions, and at least one component is effective in maintaining the physical characteristics of the detergent.
- Detergent formulations of the invention may comprise component (a) and component (b) being dissolved in solvent. Dissolved may mean being dissolved in the overall detergent formulation. Dissolved may mean component (a) and component (b) being part of the liquid enzyme preparation of the invention which may be encapsulated. Encapsulated liquid enzyme preparation may be part of a liquid detergent formulation or part of a solid detergent formulation.
- the detergent formulation of the invention is liquid at 20°C and 101.3 kPa.
- the liquid detergent formulation may comprise water or may be essentially free of water, meaning that no significant amounts of water are present.
- Non-significant amounts of water herein means that the liquid detergent formulation comprises less than 15%, less than 10%, less than 7%, less than 5%, less than 4%, less than 3%, less than 2% by weight water, all relative to the total weight of the liquid detergent formulation, or no water.
- enzyme concentrate free of water free of water means that the liquid detergent formulation does not comprise significant amounts of water but does comprise organic solvents in amounts of 30-80% by weight, relative to the total weight of the enzyme concentrate.
- Water-comprising liquid detergent formulations may comprise water as sole solvent.
- mixtures of water with one or more water-miscible solvents are used as aqueous medium.
- water-miscible solvent refers to organic solvents that are miscible with water at ambient temperature without phase-separation. Examples are ethylene glycol, 1,2-propylene glycol, isopropanol, and diethylene glycol.
- at least 50% by volume of the respective aqueous medium is water, referring to the solvent.
- Detergent formulations of the invention comprise at least one compound selected from surfactants, builders, polymers, fragrances and dyestuffs.
- Detergent formulations of the invention comprise one or more surfactant(s).
- surfactant (synonymously used herein with “surface active agent” ) means an organic chemical that, when added to a liquid, changes the properties of that liquid at an interface. According to its ionic charge, a surfactant is called non-ionic, anionic, cationic, or amphoteric.
- Non-limiting examples of surfactants are disclosed McCutcheon's 2016 Detergents and Emulsi fiers, and McCutcheon's 2016 Functional Materials, both North American and International Edition, MC Publishing Co, 2016 edition. Further useful examples are disclosed in earlier editions of the same publications which are known to those skilled in the art. Examples provided below for surfactants of any kind are to be understood to be non-limiting.
- the amount of surfactants may vary.
- laundry detergents comprise higher amounts of surfactants than detergents used in automatic dishwashing (ADW). This may be due to the requirement of how much the cleaning process is dependent on sudsing of a detergent formulation.
- ADW automatic dishwashing
- ADW requires low sudsing deter- gent formulations.
- At least one hydrophobically modified polyalkyleneimine according to the invention is used in solid and/or liquid detergent formulations, preferably in liquid detergent formulations, which comprise at least one non-ionic surfactant.
- Non-ionic surfactant means a surfactant that contains neither positively nor negatively charged (i.e. ionic) functional groups. In contrast to anionic and cationic surfactants, non-ionic surfactants do not ionize in solution.
- Non-ionic surfactants may be compounds of the general formulae (la) and (lb):
- R 1 is selected from C1-C23 alkyl and C2-C23 alkenyl, wherein alkyl and/or alkenyl are linear or branched; examples are n-CzHis, n-CgHig, n-CnH 2 3, n-Ci3H 2 7, n-CisH 3i , n-Ci7H 3 5, i-CgHig, i-
- C12H25 ⁇ R 2 is selected from H, C1-C20 alkyl and C2-C20 alkenyl, wherein alkyl and/or alkenyl are linear or branched.
- R 3 and R 4 each independently selected from C1-C16 alkyl, wherein alkyl is linear or branched; examples are methyl, ethyl, n-propyl, isopropyl, n-butyl, isobutyl, sec-butyl, tert-butyl, n-pentyl, isopentyl, sec-pentyl, neopentyl, 1,2-dimethylpropyl, isoamyl, n-hexyl, isohexyl, sec-hexyl, n- heptyl, n-octyl, 2-ethylhexyl, n-nonyl, n-decyl, isodecyl.
- R 5 is selected from H and C1-C18 alkyl, wherein alkyl is linear or branched.
- m is in the range of zero to 200, preferably 1-80, more preferably 3-20; n and 0, each independently in the range of zero to 100; n preferably is in the range of 1 to 10, more preferably 1 to 6; 0 preferably is in the range of 1 to 50, more preferably 4 to 25.
- the sum of m, n and 0 is at least one, preferably the sum of m, n and 0 is in the range of 5 to 100, more preferably in the range of from 9 to 50.
- Compounds according to formula (la) may be called alkyl polyethyleneglycol ether (AEO) herein.
- Compounds according to formula (lb) may be called alkylphenol polyethyleneglycol ether (APEO) herein.
- the detergent formulation comprises at least one non-ionic surfactant se lected from general formula (la), wherein m is in the range of 3 to 11 , preferably not more than 7; n and 0 is 0, R 1 is C12-C14, R 2 and R 5 is H.
- the detergent formulation comprises at least two non-ionic surfactants, selected from compounds of general formula (la), wherein one of said non-ionic surfactants is characterized in R 1 being C12, R 2 and R 5 being H, m is 7, n and 0
- the non-ionic surfactants of the general formulae (la) and (lb) may be of any structure, is it block or random structure, and is not limited to the displayed sequence of formulae (la) and (lb).
- Non-ionic surfactants may further be compounds of the general formula (II), which might be called alkyl-polyglycosides (APG):
- APG alkyl-polyglycosides
- R 1 is selected from C1-C17 alkyl and C2-C17 alkenyl, wherein alkyl and/or alkenyl are linear or branched; examples are n-C7Hi 5 , n-CgH ⁇ , n-CnH 2 3, n-Ci3H 2 7, n-CisH 3i , n-Ci7H 3 5, i-CgHig, i- C 12 H 25 .
- R 2 is selected from H, C1-C17 alkyl and C 2 -Ci7 alkenyl, wherein alkyl and/or alkenyl are linear or branched.
- G 1 is selected from monosaccharides with 4 to 6 carbon atoms, such as glucose and xylose.
- the integer w of the general formula (II) is in the range of from 1.1 to 4, w being an average number.
- Non-ionic surfactants may further be compounds of general formula (III):
- AO is selected from ethylene oxide (EO), propylene oxide (PO), butylene oxide (BO), and mix tures thereof.
- R 6 is selected from C 5 -C 17 alkyl and C 5 -C 17 alkenyl, wherein alkyl and/or alkenyl are linear or branched.
- R 7 is selected from H, Ci-Cie-alkyl, wherein alkyl is linear or branched.
- the integer y of the general formula (III) is a number in the range of 1 to 70, preferably 7 to 15.
- Non-ionic surfactants may further be selected from sorbitan esters and/or ethoxylated or propoxylated sorbitan esters.
- Non-limiting examples are products sold under the trade names SPAN and TWEEN.
- Non-ionic surfactants may further be selected from alkoxylated mono- or di-alkylamines, fatty acid monoethanolamides (FAMA), fatty acid diethanolamides (FADA), ethoxylated fatty acid monoethanolamides (EFAM), propoxylated fatty acid monoethanolamides (PFAM), polyhydroxy alkyl fatty acid amides, or N-acyl N-alkyl derivatives of glucosamine (glucamides, GA, or fatty acid glucamide, FAGA), and combinations thereof.
- FAMA fatty acid monoethanolamides
- FADA fatty acid diethanolamides
- EFAM ethoxylated fatty acid monoethanolamides
- PFAM propoxylated fatty acid monoethanolamides
- polyhydroxy alkyl fatty acid amides or N-acyl N-alkyl derivatives of glucosamine (glucamides, GA, or fatty acid glucamide, FAGA), and combinations thereof.
- a liquid detergent formulation according to the invention comprises at least one non-ionic surfactant, wherein the total amount of non-ionic surfactant may be in the range from 0.5% to 80%, preferably in the range from 5 to 70% by weight, all relative to the total weight of the detergent formulation.
- a typical amount of the hydrophobically modified poly- alkyleneimine to be employed in the detergent formulation of the invention is in the range from 0.01% to 30% by weight, preferably in the range from 0.01% to 15% by weight, more preferably in the range from 0.05% to 5% by weight, all relative to the total weight of the detergent formulation.
- the liquid detergent formulation according to the invention comprises of at least one non-ionic surfactant in the range of 0.3-30% by weight, in the range of 0.4-20% by weight, or in the range of 0.5-10%, all relative to the total weight of a detergent formulation.
- At least one non-ionic surfactant is selected from a surfactant according to general formula (la), and wherein m 7; n and o is 0, R 1 is C12-C14, R 2 and R 5 is H.
- the liquid detergent formulation according to the invention comprises mix tures of two or more different non-ionic surfactants.
- the liquid detergent formulation of the invention may comprise at least one non-ionic surfactant and/or at least one amphoteric surfactant.
- the hydrophobically modified polyalkyleneimines is used in detergent formulations, preferably liquid detergent formulations, which comprise at least one amphoteric surfactant.
- Amphoteric surfactants are those, depending on pH, which can be either cationic, zwit- terionic or anionic.
- Amphoteric surfactants may be compounds according to general formula (IV), which might be called modified amino acids (proteinogenic as well as non-proteinogenic):
- R 8 is selected from H, C 1 -C 4 alkyl, C 2 -C 4 alkenyl, wherein alkyl and/or are linear or branched.
- R 9 is selected from C 1 -C 22 - alkyl, C 2 -C 22 - alkenyl, C 10 -C 22 alkylcarbonyl, and C 10 -C 22 alkenylcar- bonyl.
- R 10 is selected from H, methyl, -(CH 2 )3NHC(NH)NH 2 , -CH 2 C(0)NH 2 , -CH 2 C(0)0H, - (CH 2 )2C(0)NH 2 , -(CH 2 ) 2 C(0)0H, (imidazole-4-yl)-methyl, -CH(CH 3 )C2H 5 , -CH 2 CH(CH 3 )2, -
- R x is selected from H and Ci-C 4 -alkyl.
- Amphoteric surfactants may further be compounds of general formulae (Va), (Vb), or (Vc), which might be called betaines and/or sulfobetaines:
- R 11 is selected from linear or branched C 7 -C 22 alkyl and linear or branched C 7 -C 22 alkenyl.
- R 12 are each independently selected from linear C 1 -C 4 alkyl.
- R 13 is selected from C 1 -C 5 alkyl and hydroxy C 1 -C 5 alkyl; for example 2-hydroxypropyl.
- A is selected from carboxylate and sulfonate.
- Amphoteric surfactants may further be compounds of general formula (VI), which might be called alkyl-amphocarboxylates:
- R 11 is selected from C 7 -C 22 alkyl and C 7 -C 22 alkenyl, wherein alkyl and/or alkenyl are linear or branched, preferably linear.
- R 14 is selected from -CH 2 C(0)0-
- R 15 is selected from H and -CH 2 C(0)0
- the integer r in general formula (VI) is in the range of 2 to 6.
- Non-limiting examples of further suitable alkyl-amphocarboxylates include sodium cocoampho- acetate, sodium lauroamphoacetate, sodium capryloamphoacetate, disodium cocoamphodiace- tate, disodium lauroamphodiacetate, disodium caprylamphodiacetate, disodium capryloam- phodiacetate, disodium cocoamphodipropionate, disodium lauroamphodipropionate, disodium caprylamphodipropionate, and disodium capryloamphodipropionate.
- Amphoteric surfactants may further be compounds of general formula (VII), which might be called amine oxides (AO):
- R 16 is selected from Cs-Cis linear or branched alkyl, hydroxy Cs-Cis alkyl, acylamidopropoyl and C 8 -Ci 8 alkyl phenyl group; wherein alkyl and/or alkenyl are linear or branched.
- R 17 is selected from C 2 -C 3 alkylene, hydroxy C 2 -C 3 alkylene, and mixtures thereof.
- each residue can be independently selected from C1-C3 alkyl and hydroxy C1-C3;
- R 15 groups can be attached to each other, e.g., through an oxygen or nitrogen atom, to form a ring structure.
- integer x in general formula (VII) is in the range of 0 to 5, preferably from 0 to 3, most pref erably 0.
- Non-limiting examples of further suitable amine oxides include C10-C18 alkyl dimethyl amine oxides and Cs-Cis alkoxy ethyl di hydroxy ethyl amine oxides.
- Examples of such materials include dimethyloctyl amine oxide, diethyldecyl amine oxide, bis-(2-hydroxyethyl)dodecyl amine oxide, dimethyldodecylamine oxide, dipropyltetradecyl amine oxide, methylethylhexadecyl amine oxide, dodecylamidopropyl dimethyl amine oxide, cetyl dimethyl amine oxide, stearyl dimethyl amine oxide, tallow dimethyl amine oxide and dimethyl-2-hydroxyoctadecyl amine oxide.
- a further example of a suitable amine oxide is cocamidylpropyl dimethylaminoxide, sometimes also called cocamidopropylamine oxide.
- a liquid detergent formulation according to the invention may comprise two or more different amphoteric surfactants.
- a liquid detergent formulation according to the invention comprises at least one amphoteric surfactant, wherein the total amount of amphoteric surfactant may be in the range from 0.01% to 10%, in the range from 0.1 to 5%, or in the range from 0.5 to 1% by weight, all relative to the total weight of the detergent formulation.
- a typical amount of the hy- drophobically modified polyalkyleneimine to be employed in the detergent formulation of the invention is in the range from 0.01% to 30% by weight, preferably in the range from 0.01% to 15% by weight, more preferably in the range from 0.05% to 5% by weight, all relative to the total weight of the detergent formulation.
- the liquid detergent formulation of the invention may comprise at least one non-ionic surfactant and/or at least one amphoteric surfactant and/or at least one anionic surfactant.
- the hydrophobically modified polyalkyleneimines is used in detergent formulations, preferably liquid detergent formulations, which comprise at least one anionic surfactant.
- Anionic surfactant means a surfactant with a negatively charged ionic group.
- Anionic surfactants include, but are not limited to, surface-active compounds that contain a hydrophobic group and at least one water-solubilizing anionic group, usually selected from sulfates, sulfonate, and carboxylates to form a water-soluble compound.
- Anionic surfactants may be compounds of general formula (Villa) or (Vlllb):
- R 1 is selected from CrC23-alkyl (such as 1-, 2-, 3-, 4- CrC23-alkyl) and C2-C23-alkenyl, wherein alkyl and/or alkenyl are linear or branched, and wherein 2-, 3-, or 4-alkyl; examples are n-C7Hi5, n-CgHi9, n-CnH23, n-Ci3H27, n-CisH3i, n-Ci7H35, i-CgH 19, 1-C12H25.
- R 2 is selected from H, CrC2o-alkyl and C2-C2o-alkenyl, wherein alkyl and/or alkenyl are linear or branched.
- R 3 and R 4 each independently selected from Ci-Ci 6 -alkyl, wherein alkyl is linear or branched; examples are methyl, ethyl, n-propyl, isopropyl, n-butyl, isobutyl, sec-butyl, tert-butyl, n- pentyl, isopentyl, sec-pentyl, neopentyl, 1,2-dimethylpropyl, isoamyl, n-hexyl, isohexyl, sec-hexyl, n-heptyl, n-octyl, 2-ethylhexyl, n-nonyl, n-decyl, isodecyl.
- A is selected from -RCOO , -SO 3 and RSO 3 , wherein R is selected from linear or branched CrCe-alkyl, and C 1 -C 4 hydroxyalkyl, wherein alkyl is.
- R is selected from linear or branched CrCe-alkyl, and C 1 -C 4 hydroxyalkyl, wherein alkyl is.
- Compounds might be called (fatty) alcohol/alkyl (ethoxy/ether) sulfates [(F)A(E)S] when A is SO 3 , (fatty) alcohol/alkyl (ethoxy/ether) carboxylat [(F)A(E)C] when A is -RCOO .
- M + is selected from H and salt forming cations.
- Salt forming cations may be monovalent or multivalent; hence M + equals 1/v M v+ . Examples include but are not limited to sodium, po tassium, magnesium, calcium, ammonium, and the ammonium salt of mono-, di, and tri ethanolamine.
- integers of the general formulae (Villa) and (VI I lb) are defined as follows: m is in the range of zero to 200, preferably 1-80, more preferably 3-20; n and 0, each independently in the range of zero to 100; n preferably is in the range of 1 to 10, more preferably 1 to 6; 0 preferably is in the range of 1 to 50, more preferably 4 to 25.
- the sum of m, n and 0 is at least one, preferably the sum of m, n and 0 is in the range of 5 to 100, more preferably in the range of from 9 to 50.
- Anionic surfactants of the general formulae (Villa) and (VI Mb) may be of any structure, block copolymers or random copolymers.
- anionic surfactants include salts (M + ) of C12-C18 sulfo fatty acid alkyl esters (such as C12-C18 sulfo fatty acid methyl esters), Cio-Ci 8 -alkylarylsulfonic acids (such as n-Cio- Cis-alkylbenzene sulfonic acids) and C10-C18 alkyl alkoxy carboxylates.
- M + in all cases is selected from salt forming cations.
- Salt forming cations may be monovalent or multivalent; hence M + equals 1/v M v+ .
- Examples include but are not limited to sodium, potassium, magnesium, calcium, ammonium, and the ammonium salt of mono-, di, and triethanolamine.
- Non-limiting examples of further suitable anionic surfactants include branched alkylbenzenesul- fonates (BABS), phenylalkanesulfonates, alpha-olefinsulfonates (AOS), olefin sulfonates, al- kene sulfonates, alkane-2, 3-diylbis(sulfates), hydroxyalkanesulfonates and disulfonates, secondary alkanesulfonates (SAS), paraffin sulfonates (PS), sulfonated fatty acid glycerol esters, alkyl- or alkenylsuccinic acid, fatty acid derivatives of amino acids, diesters and monoesters of sulfo-succinic acid.
- BABS branched alkylbenzenesul- fonates
- AOS alpha-olefinsulfonates
- olefin sulfonates al- ken
- the detergent formulation comprises at least one anionic surfactant selected from compounds of general formula (IX): wherein R 1 in formula (IX) is C10-C13 alkyl.
- Detergent formulations of the invention may comprise salts of compounds according to formula (IX), preferably sodium salts.
- the detergent formula tion may comprise at least two anionic surfactants, selected from compounds of general formula (IX), wherein one of said anionic surfactants is characterized in R 1 being C10, and the other sur factant is characterized in R 1 being C13.
- the detergent formulation may comprise at least two anionic surfactants, selected from sodium salts of compounds of general formula (IX), wherein one of said anionic surfactants is characterized in R 1 being C10, and the other surfactant is characterized in R 1 being C13.
- anionic surfactants selected from sodium salts of compounds of general formula (IX), wherein one of said anionic surfactants is characterized in R 1 being C10, and the other surfactant is characterized in R 1 being C13.
- Compounds like this may be called LAS (linear alkylbenzene sulfonates) herein.
- Anionic surfactants may be compounds of general formula (X), which might be called N-acyl amino acid surfactants:
- R 19 is selected from linear or branched C 6 -C 22 -alkyl and linear or branched C 6 -C 22 -alkenyl such as oleyl.
- R 20 is selected from H and Ci-C 4 -alkyl.
- R 21 is selected from H, methyl, -(CH 2 )3NHC(NH)NH 2 , -CH 2 C(0)NH 2 , -CH 2 C(0)0H, -
- R 22 is selected from -COOX and -CH 2 S0 3 X, wherein X is selected from Li + , Na + and K + .
- Non-limiting examples of suitable N-acyl amino acid surfactants are the mono- and di- carboxylate salts (e.g., sodium, potassium, ammonium and ammonium salt of mono-, di, and triethanolamine) of N-acylated glutamic acid, for example, sodium cocoyl glutamate, sodium lauroyl glutamate, sodium myristoyl glutamate, sodium palmitoyl glutamate, sodium stearoyl glutamate, disodium cocoyl glutamate, disodium stearoyl glutamate, potassium cocoyl glutamate, potassium lauroyl glutamate, and potassium myristoyl glutamate; the carboxylate salts (e.g., sodium, potassium, ammonium and ammonium salt of mono-, di, and triethanolamine) of N-acylated alanine, for example, sodium cocoyl alaninate, and triethanolamine lauroyl alaninate; the carboxylate salts (e.g., sodium, potassium, ammoni
- Anionic surfactants may further be selected from the group of soaps.
- Suitable are salts (M + ) of saturated and unsaturated Ci 2 -Cie fatty acids, such as lauric acid, myristic acid, palmitic acid, stearic acid, behenic acid, oleic acid, (hydrated) erucic acid.
- M + is selected from salt forming cations. Salt forming cations may be monovalent or multivalent; hence M + equals 1/v M v+ . Examples include but are not limited to sodium, potassium, magnesium, calcium, ammonium, and the ammonium salt of mono-, di, and triethanolamine.
- suitable soaps include soap mixtures derived from natural fatty acids such as tallow, coconut oil, palm kernel oil, laurel oil, olive oil, or canola oil.
- Such soap mixtures comprise soaps of lauric acid and/or myristic acid and/or palmitic acid and/or stearic acid and/or oleic acid and/or linoleic acid in different amounts, depending on the natural fatty acids from which the soaps are derived.
- anionic surfactants include salts (M + ) of sulfates, sulfonates or carboxylates derived from natural fatty acids such as tallow, coconut oil, palm kernel oil, laurel oil, olive oil, or canola oil.
- Such anionic surfactants comprise sulfates, sulfonates or carboxylates of lauric acid and/or myristic acid and/or palmitic acid and/or stearic acid and/or oleic acid and/or linoleic acid in different amounts, depending on the natural fatty acids from which the soaps are derived.
- the detergent formulation may comprise at least two anionic surfactants selected from compounds of general formula (IX), and wherein one of said anionic surfactants is characterized in R 1 being C10, and the other surfactant is characterized in R 1 being C13.
- a liquid detergent formulation according to the invention comprises at least one anionic surfactant, wherein the total amount of anionic surfactant may be in the range from 0.5 to 80%, preferably in the range from 1 to 70% by weight, all relative to the total weight of the detergent formulation.
- a typical amount of the hydrophobically modified polyalkyleneimine may be employed in the detergent formulation of the invention is in the range from 0.01% to 10% by weight, in the range from 0.05% to 5% by weight, or in the range from 0.1% to 1% by weight, all relative to the total weight of the detergent formulation.
- the liquid detergent formulation according to the invention may comprise at least two anionic surfactant in amounts in the range of 0.5-25% by weight, in the range of 1-20% by weight, or in the range of 1.5-15%, all relative to the total weight of a detergent formulation, wherein at least two anionic surfactants are selected from compounds of general formula (IX), and wherein one of said anionic surfactants is characterized in R 1 being C10, and the other surfactant is characterized in R 1 being C13.
- the hydrophobically modified polyalkyleneimines is used in detergent for mulations, preferably liquid detergent formulations, which comprise at least one cationic surfac tant.
- Cationic surfactant means a surfactant with a positively charged ionic group.
- these cationic moieties are nitrogen containing groups such as quaternary ammonium or proto- nated amino groups.
- the cationic protonated amines can be primary, secondary, or tertiary amines.
- Cationic surfactants may be compounds of the general formula (XI) which might be called quaternary ammonium compounds (quats):
- R 23 is selected from H, C1-C4 alkyl (such as methyl) and C2-C4 alkenyl, wherein alkyl and/or alkenyl is linear or branched.
- R 24 is selected from C 1 -C 4 alkyl (such as methyl), C 2 -C 4 alkenyl and C 1 -C 4 hydroxyalkyl (such as hydroxyethyl), wherein alkyl and/or alkenyl is linear or branched.
- R 25 is selected from C1-C22 alkyl (such as methyl, C18 alkyl), C2-C4 alkenyl, C12-C22 alkylcar- bonyloxymethyl and C12-C22 alkylcarbonyloxyethyl (such as C16-C18 alkylcarbonyloxyethyl), wherein alkyl and/or alkenyl is linear or branched.
- R 26 is selected from C12-C18 alkyl, C2-C4 alkenyl, C12-C22 alkylcarbonyloxymethyl, C12-C22 alkylcarbonyloxyethyl and 3-(Ci 2 -C 22 alkylcarbonyloxy)-2(Ci 2 -C 22 alkylcarbonyloxy)-propyl.
- X is selected from halogenid, such as Cl or Br.
- Non-limiting examples of further cationic surfactants include, amines such as primary, secondary and tertiary monoamines with C18 alkyl or alkenyl chains, ethoxylated alkylamines, alkox- ylates of ethylenediamine, imidazoles (such as 1-(2-hydroxyethyl)-2-imidazoline, 2-alkyl-1-(2- hydroxyethyl)-2-imidazoline, and the like), quaternary ammonium salts like alkylquaternary ammonium chloride surfactants such as n-alkyl(Ci2-Ci8)dimethylbenzyl ammonium chloride, n- tetradecyldimethylbenzylammonium chloride monohydrate, and a naphthylene-substituted quaternary ammonium chloride such as dimethyl-1-naphthylmethylammonium chloride.
- amines such as primary, secondary and terti
- Particularly suitable cationic surfactants that may be:
- ester quats in particular quaternary esterified mono-, di- and trialkanolamines which are esterified with C8-C22-carboxylic acids; • imidazoline quats, in particular 1-alkylimidazolinium salts of formulae XII or XIII
- R 27 is selected from Ci-C25-alkyl and C2-C25-alkenyl
- R 28 is selected from Ci-C4-alkyl and hydroxy-Ci-C4-alkyl
- R 29 is selected from Ci-C4-alkyl, hydroxy-Ci-C4-alkyl and a R*-(CO)-R 30 -(CH 2 ) j - radical, wherein R* is selected from Ci-C2i-alkyl and C2-C2i-alkenyl; R 30 is selected from-O- and -NH-; j is 2 or 3.
- Detergent formulations of the invention may comprise one or more compounds selected from complexing agents (chelating agents, sequestrating agents), precipitating agents, and ion exchange compounds, which may form water-soluble complexes with calcium and magnesium.
- complexing agents chelating agents, sequestrating agents
- precipitating agents precipitating agents
- ion exchange compounds which may form water-soluble complexes with calcium and magnesium.
- Such compounds may be called “builders” or “building agents” herein, without meaning to limit such compounds to this function in the final application of a detergent formulation.
- Non-phosphate based builders according to the invention include sodium gluconate, citrate(s), silicate(s), carbonate(s), phosphonate(s), amino carboxylate(s), polycarboxylate(s), polysul- fonate(s), and polyphosphonate(s).
- Detergent formulations of the invention may comprise one or more citrates.
- the term “citrate(s)” includes the mono- and the dialkali metal salts and in particular the mono- and preferably the trisodium salt of citric acid, ammonium or substituted ammonium salts of citric acid as well as citric acid as such.
- Citrate can be used as the anhydrous compound or as the hydrate, for example as sodium citrate dihydrate.
- the detergent formulation of the invention may comprise citric acid in amounts in the range of 0.1% to 10.0% by weight, in the range of 0.5% to 8.0% by weight, in the range of 1.0% to 5.0% by weight, or in the range of 1.5 to 3.0% by weight, all rela tive to the total weight of the detergent formulation.
- Detergent formulations of the invention may comprise one or more silicates.
- “Silicate(s)” in the context of the present invention include in particular sodium disilicate and sodium metasilicate, aluminosilicates such as sodium aluminosilicates like zeolith A (i.e. Nai 2 (AI0 2 )i 2 (SiC> 2 )i 2 *27H 2 0), and sheet silicates, in particular those of the formula alpha-I ⁇ ShOs, beta-Na 2 Si 2 C>5, and delta- Na2Si205.
- Detergent formulations of the invention may comprise one or more carbonates.
- the term “car- bonate(s)” includes alkali metal carbonates and alkali metal hydrogen carbonates, preferred are the sodium salts. Particularly suitable is sodium carbonate (Na 2 CC>3).
- Detergent formulations of the invention may comprise one or more phosphonates.
- “Phospho- nates” include, but are not limited to 2-phosphinobutane-1,2,4-tricarboxylic acid (PBTC); eth- ylenediaminetetra(methylenephosphonic acid) (EDTMPA); 1-hydroxyethane-1,1-diphosphonic acid (HEDP), CH2C(OH)[PO(OH)2]2; aminotris(methylenephosphonic acid) (ATMP), N[CH 2 PO(OH) 2 ]3; aminotris(methylenephosphonate), sodium salt (ATMP), N[CH 2 PO(ONa) 2 ]3; 2- hydroxyethyliminobis(methylenephosphonic acid), HOCH 2 CH 2 N[CH 2 PO(OH) 2 ] 2 ; diethylenetri- aminepenta(methylenephosphonic acid) (DTPMP), (HO) 2 POCH 2 N[CH 2 CH 2 N[CH 2 PO(OH) 2
- the detergent formulation of the invention may comprise at least one phosphonate, preferably selected from derivatives polyphosphonic acids such as of diphosphonic acid such as sodium salt of HEDP, derivatives of aminopolyphosphonic acid such as aminoalkylene phosphonic acids such as DTPMP in amounts in the range of 0.1% to 5.0% by weight, in the range of 0.5% to 3.0% by weight, or in the range of 1.0% to 2.0% by weight, all relative to the total weight of the detergent formulation.
- derivatives polyphosphonic acids such as of diphosphonic acid such as sodium salt of HEDP
- derivatives of aminopolyphosphonic acid such as aminoalkylene phosphonic acids
- DTPMP aminoalkylene phosphonic acids
- Detergent formulations of the invention may comprise one or more aminocarboxylates.
- suitable “amino carboxylates” include, but are not limited to: diethanol glycine (DEG), dimethylglycine (DMG), nitrilitriacetic acid (NTA), N-hydroxyethylaminodiacetic acid, ethylenediaminetetraacetic acid (EDTA), N-(2hydroxyethyl)iminodiacetic acid (HEIDA), hydrox- yethylenediaminetriacetic acid, N-hydroxyethyl-ethylenediaminetriacetic acid (HEDTA), hydrox- yethylenediaminetetraacetic acid, diethylenetriaminepentaacetic acid (DTPA), and methylgly- cinediacetic acid (MGDA), glutamic acid-diacetic acid (GLDA), iminodisuccinic acid (IDS), hy- droxyiminodisuccinic acid, ethylenediamined
- ASMA aspartic acid-N-mono- acetic acid
- ASDA aspartic acid-N,N-diacetic acid
- ASMP aspartic acid-N- monopropionic acid
- SMAS N-(2-sulfomethyl) aspartic acid
- SEAS N-(2-sulfoethyl) aspartic acid
- SMGL SGL
- SEGL N-(2-sulfoethyl) glutamic acid
- MIDA alpha-alanine-N,N-diacetic acid
- SEDA isoserine-N,N-diacetic acid
- ISDA alpha-alanine-N,N-diacetic acid
- PHDA phenylalanine-N,N-diacetic acid
- ANDA an- thranilic acid-N ,N-diacetic acid
- ammonium salts refers to salts with at least one cation that bears a nitrogen atom that is permanently or temporarily quaternized.
- cations that bear at least one nitrogen atom that is permanently quaternized include tetramethylammonium, tetraethylammonium, dimethyldiethyl ammonium, and n-Cio-C2o-alkyl trimethyl ammonium.
- Examples of cations that bear at least one nitrogen atom that is temporarily quaternized include protonated amines and ammonia, such as monomethyl ammonium, dimethyl ammonium, trimethyl ammonium, monoethyl ammonium, diethyl ammonium, triethyl ammonium, n-Cio-C2o-alkyl dimethyl ammonium 2-hydroxyethylammonium, bis(2-hydroxyethyl) ammonium, tris(2-hydroxyethyl)ammonium, N-methyl 2-hydroxyethyl ammonium, N,N-dimethyl- 2-hydroxyethylammonium, and especially NH + .
- protonated amines and ammonia such as monomethyl ammonium, dimethyl ammonium, trimethyl ammonium, monoethyl ammonium, diethyl ammonium, triethyl ammonium, n-Cio-C2o-alkyl dimethyl ammonium 2-hydroxyethy
- detergent formulations of the invention comprise more than one builder.
- inventive detergent formulations contain less than 0.2% by weight of nitrilotriacetic acid (NTA), or 0.01 to 0.1% NTA by weight relative to the total weight of the detergent formulation.
- NTA nitrilotriacetic acid
- the detergent formulation of the invention comprises at least one ami- nocarboxylate selected from ethylenediaminetetraacetic acid (EDTA), diethylenetriaminepent- aacetic acid (DTPA), methylglycine diacetate (MGDA), and glutamic acid diacetate (GLDA), which all may be (partially) neutralized with alkali, in amounts in the range of 0.1% to 25.0% by weight, in the range of 1.0% to 15.0% by weight, in the range of 2.0% to 12.0% by weight, or in the range of 2.5% to 10.0% by weight, all relative to the total weight of the detergent formulation.
- EDTA ethylenediaminetetraacetic acid
- DTPA diethylenetriaminepent- aacetic acid
- MGDA methylglycine diacetate
- GLDA glutamic acid diacetate
- alkali refers to alkali metal cations, same or different, for example cations of lithium, sodium, potassium, rubidium, cesium, and combinations of at least two of the foregoing.
- Preferred examples of alkali metal cations are sodium and potassium and combinations of sodium and potassium.
- detergent builders are polymers with complexing groups like, for example, polyethylenimine in which 20 to 90 mole-% of the N-atoms bear at least one CH2COO group, and the respective alkali metal salts of the above sequestrants, especially their sodium salts.
- suitable detergent builders are polyalkylenimines, for example polyethyl- enimines and polypropylene imines.
- Polyalkylenimines may be used as such or as polyalkox- ylated derivatives, for examples ethoxylated or propoxylated.
- Polyalkylenimines comprise at least three alkylenimine units per molecule.
- said alkylenimine unit is a C2-Cio-alkylendiamine unit, for example a 1,2-propylendiamine, preferably an a,u-C2-Cio-alkylendiamine, for example 1,2-ethylendiamine, 1,3-propylendiamine, 1,4-butylendiamine, 1,5-pentylendiaminne, 1,6-he- xandiamine (also being referred to as 1,6-hexylendiamine), 1,8-diamine or 1 ,10-decandiamine, even more preferred are 1,2-ethylendiamine, 1,3-propylendiamine, 1,4-butylendiamine, and 1,6- hexandiamine.
- 1,2-ethylendiamine 1,3-propylendiamine, 1,4-butylendiamine, and 1,6- hexandiamine.
- said polyalkylenimine is selected from poly- alkylenimine unit, preferably a polyethylenimine or polypropylenimine unit.
- polyethylenimine in the context of the present invention does not only refer to polyethylenimine homopolymers but also to polyalkylenimines comprising NH-CH2-CH2-NH structural elements together with other alkylene diamine structural elements, for example NH-CH2-CH2- CH2-NH structural elements, NH-CH2-CH(CH3)-NH structural elements, NH-(CH2)4-NH structural elements, NH-(CH2)6-NH structural elements or (NH-(CH2)8-NH structural elements but the NH- CH2-CH2- NH structural elements being in the majority with respect to the molar share.
- Preferred polyethylenimines comprise NH-CH2-CH2-NH structural elements being in the majority with respect to the molar share, for example amounting to 60 mol-% or more, more preferably amounting to at least 70 mol-%, referring to all alkylenimine structural elements.
- the term polyethylenimine refers to those polyalkylenimines that bear only one or zero alkylenimine structural element per polyethylenimine unit that is different from NH-CH2- CH2-NH.
- polypropylenimine in the context of the present invention does not only refer to polypropylenimine homopolymers but also to polyalkylenimines comprising NH-CH2-CH(CH 3 )-NH structural elements together with other alkylene diamine structural elements, for example NH- CH2-CH2-CH2-NH structural elements, NH-CH2-CH2-NH structural elements, NH-(CH )4-NH structural elements, NH-(CH ) 6 -NH structural elements or (NH-(CH 2 ) 8 -NH structural elements but the NH-CH2-CH(CH3)-NH structural elements being in the majority with respect to the molar share.
- Preferred polypropylenimines comprise NH-CH2-CH(CH3)-NH structural elements being in the majority with respect to the molar share, for example amounting to 60 mol-% or more, more preferably amounting to at least 70 mol-%, referring to all alkylenimine structural elements.
- the term polypropylenimine refers to those polyalkylenimines that bear only one or zero alkylenimine structural element per polypropylenimine unit that is different from NH-CH 2 -CH(CH 3 )-NH.
- Branches may be alkylenamino groups such as, but not limited to -CH2-CH2-NH2 groups or (CH2)3-NH2-groups.
- Longer branches may be, for examples, -(CH2)3-N(CH2CH2CH2NH2)2 or - (CH2)2-N(CH2CH2NH2)2 groups.
- Highly branched polyethylenimines are, e.g., polyethylenimine dendrimers or related molecules with a degree of branching in the range from 0.25 to 0.95, preferably in the range from 0.30 to 0.80 and particularly preferably at least 0.5.
- branched polyethylenimine units are polyethylenimine units with DB in the range from 0.25 to 0.95, particularly preferably in the range from 0.30 to 0.90% and very particularly preferably at least 0.5.
- Preferred polyethylenimine units are those that exhibit little or no branching, thus predominantly linear or linear polyethylenimine units.
- CH3-groups are not being considered as branches.
- polyalkylenimine may have a primary amine value in the range of from 1 to 1000 mg KOH/g, preferably from 10 to 500 mg KOH/g, most preferred from 50 to 300 mg KOH/g.
- the primary amine value can be determined according to ASTM D2074-07.
- polyalkylenimine may have a secondary amine value in the range of from 10 to 1000 mg KOH/g, preferably from 50 to 500 mg KOH/g, most preferred from 50 to 500 mg KOH/g.
- the secondary amine value can be determined according to ASTM D2074-07.
- polyalkylenimine may have a tertiary amine value in the range of from 1 to 300 mg KOH/g, preferably from 5 to 200 mg KOH/g, most preferred from 10 to 100 mg KOH/g.
- the tertiary amine value can be determined according to ASTM D2074- 07.
- the molar share of tertiary N atoms is determined by 15 N-NMR spectroscopy. In cases that tertiary amine value and result according to 13 C-NMR spectroscopy are inconsistent, the results obtained by 13 C-NMR spectroscopy will be given preference.
- the average molecular weight M w of said poly- alkylenimine is in the range of from 250 to 100,000 g/mol, preferably up to 50,000 g/mol and more preferably from 800 up to 25,000 g/mol.
- the average molecular weight M w of polyalkylen- imine may be determined by gel permeation chromatography (GPC) of the intermediate respective polyalkylenimine, with 1.5 % by weight aqueous formic acid as eluent and cross-linked poly- hydroxyethyl methacrylate as stationary phase.
- GPC gel permeation chromatography
- Said polyalkylenimine may be free or alkoxylated, said alkoxylation being selected from ethoxy- lation, propoxylation, butoxylation and combinations of at least two of the foregoing. Preference is given to ethylene oxide, 1,2-propylene oxide and mixtures of ethylene oxide and 1,2-pro- pylene oxide. If mixtures of at least two alkylene oxides are applied, they can be reacted stepwise or simultaneously.
- an alkoxylated polyalkylenimine bears at least 6 nitrogen atoms per unit.
- polyalkylenimine is alkoxylated with 2 to 50 moles of alkylene oxide per NH group, preferably 5 to 30 moles of alkylene oxide per NH group, even more preferred 5 to 25 moles of ethylene oxide or 1,2-propylene oxide or combinations therefrom per NH group.
- an NH2 unit is counted as two NH groups.
- all - or almost all - NH groups are alkoxylated, and there are no detectable amounts of NH groups left.
- the molecular weight distribution may be narrow or broad.
- the polydispersity Q M w /M n in the range of from 1 to 3, preferably at least 2, or it may be greater than 3 and up to 20, for example 3.5 to 15 and even more preferred in the range of from 4 to 5.5.
- the polydispersity Q of alkoxylated polyalkylenimine is in the range of from 2 to 10.
- alkoxylated polyalkylenimine is selected from poly- ethoxylated polyethylenimine, ethoxylated polypropylenimine, ethoxylated a,w-hexandiamines, ethoxylated and propoxylated polyethylenimine, ethoxylated and propoxylated polypropylenimine, and ethoxylated and poly-propoxylated a,w-hexandiamines.
- the average molecular weight M n (number average) of alkoxylated polyethylenimine is in the range of from 2,500 to 1,500,000 g/mol, determined by GPC, preferably up to 500,000 g/mol.
- the average alkoxylated polyalkylenimine are selected from ethoxylated a,w-hexanediamines and ethoxylated and poly-propoxylated a,w- hexanediamines, each with an average molecular weight M n (number average) in the range of from 800 to 500,000 g/mol, preferably 1,000 to 30,000 g/mol.
- Detergent formulations of the invention may comprise one or more complexing agent other than EDTA, DTPA, MGDA and GLDA, e.g. citrate, phosphonic acid derivatives, for example the disodium salt of hydroxyethane-1 ,1-diphosphonic acid (“HEDP”), for example trisodium citrate, and phosphates such as STPP (sodium tripolyphosphate).
- complexing agent other than EDTA, DTPA, MGDA and GLDA e.g. citrate, phosphonic acid derivatives, for example the disodium salt of hydroxyethane-1 ,1-diphosphonic acid (“HEDP”), for example trisodium citrate, and phosphates such as STPP (sodium tripolyphosphate).
- HEDP hydroxyethane-1 ,1-diphosphonic acid
- STPP sodium tripolyphosphate
- the formulation according to the invention is free from phosphates and polyphosphates, with hydrogenphosphates being subsumed, for example free from trisodiumphosphate, pentasodiumtripolyphosphate and hexasodiummetaphosphate.
- free from is to be understood as meaning that the content of phosphate and polyphosphate is in total in the range from 10 ppm to 0.2% by weight, determined by gravimetry and relative to the total weight of the detergent formulation.
- Liquid detergent formulations of the invention may comprise one or more corrosion inhibitors.
- suitable corrosion inhibitors include sodium silicate, triazoles such as benzotriazoles, bisbenzotriazoles, aminotriazoles, alkylaminotriazoles, phenol derivatives such as hydroquinone, pyrocatechol, hydroxyhydroquinone, gallic acid, phloroglucinol and pyrogallol, further polyethylenimine and salts of bismuth or zinc.
- Corrosion inhibitors may be formulated into liquid detergent formulations of the invention in amounts of 0.1 to 1.5 % w/w relative to the overall weight of the liquid detergent formulation.
- Liquid detergent formulations of the invention may comprise one or more buffers such as mo- noethanolamine and N,N,N-triethanolamine.
- Liquid detergent formulations of the invention may be adapted in sudsing characteristics for satisfying various purposes.
- Hand dishwashing detergents usually request stable suds.
- Automatic dishwasher detergents are usually requested to be low sudsing.
- Laundry detergents may range from high sudsing through a moderate or intermediate range to low.
- Low sudsing laundry detergents are usually recommended for front-loading, tumbler-type washers and washer-dryer combinations.
- suds stabilizers include but are not limited to alkanolamides and alkylamine oxides.
- Examples of suds suppressors include but are not limited to alkyl phosphates, silicones and soaps.
- Liquid detergent formulations of the invention may comprise one or more fragrances such as benzyl salicylate, 2-(4-tert.-butylphenyl) 2-methylpropional, commercially available as Lilial®, and hexyl cinnamaldehyde.
- fragrances such as benzyl salicylate, 2-(4-tert.-butylphenyl) 2-methylpropional, commercially available as Lilial®, and hexyl cinnamaldehyde.
- Liquid detergent formulations of the invention may comprise one or more dyestuffs such as Acid Blue 9, Acid Yellow 3, Acid Yellow 23, Acid Yellow 73, Pigment Yellow 101, Acid Green 1, Solvent Green 7, and Acid Green 25.
- dyestuffs such as Acid Blue 9, Acid Yellow 3, Acid Yellow 23, Acid Yellow 73, Pigment Yellow 101, Acid Green 1, Solvent Green 7, and Acid Green 25.
- Liquid detergent formulations may comprise at least one compound selected from organic solvents, preservatives, viscosity modifiers, and hydrotropes.
- liquid detergent formulations comprise amounts of organic solvents are 0.5 to 25% by weight, relative to the total weight of the liquid detergent formulation. Especially when inventive liquid detergent formulations are provided in pouches or the like, 8 to 25% by weight of organic solvent(s) relative to the total weight of the liquid detergent formulation may be comprised.
- Organic solvents are those disclosed above - see component (c).
- Inventive liquid detergent formulations may comprise one or more preservatives selected from those disclosed above in amounts effective in avoiding microbial growth of the liquid detergent formulation - see component (c).
- a detergent formulation of the invention may comprise at least one preservative in amounts ranging from 0.0001% to 10% relative to the total weight of the detergent formulation.
- the detergent formulation of the invention may comprise 2- Phenoxyethanol in a concentration of 0.01% to 5%, or 0.1% to 2% by weight relative to the total weight of the detergent formulation.
- the detergent formulation of the invention may comprise 2- bromo-2-nitropentane-1,3-diol in a concentration of 5 ppm to 5000 ppm, or 20 ppm to 1000 ppm.
- the detergent formulation of the invention may comprise Glutaraldehyde in a concentration of 2 ppm to 5000 ppm, or 10 ppm to 2000 ppm.
- the detergent formulation of the invention may comprise formic acid (as an acid or its salt) in a concentration of 0.01 % to 3% by weight, or 0.05% to 0.5% by weight, relative to the total weight of the detergent formulation.
- the detergent formulation is an aqueous detergent formulation comprising 2-phenoxyethanol and/or glutaraldehyde and/or 2-bromo-2-nitropentane-1,3-diol and/or formic acid in acid form or its salt, especially in amounts as indicated above.
- liquid detergent formulations comprise one or more viscosity modifiers.
- suitable viscosity modifiers include agar-agar, car- ragene, tragacanth, gum arabic, xanthan gum, alginates, pectins, hydroxyethyl cellulose, hy- droxypropyl cellulose, starch, gelatin, locust bean gum, cross-linked poly(meth)acrlyates, for example polyacrlyic acid cross-linked with bis-(meth)acrylamide, furthermore silicic acid, clay such as - but not limited to - montmorrilionite, zeolite, dextrin, and casein.
- Viscosity modifiers may be comprised in amounts effective in providing the desired viscosity.
- liquid detergent formulations comprise one or more hydrotropes which may be organic solvents such as ethanol, isopropanol, ethylene glycol, 1,2- propylene glycol, and further organic solvents that are water-miscible under normal conditions without limitation.
- suitable hydrotropes are the sodium salts of toluene sulfonic acid, of xylene sulfonic acid, and of cumene sulfonic acid.
- Hydrotropes may be comprised in amounts that facilitate or enables the dissolution of compounds that exhibit limited solubilty in water.
- the formulation according to the invention is free from those heavy metal compounds which do not act as bleach catalysts, in particular from compounds of iron.
- “free from” is to be understood as meaning that the content of heavy metal compounds which do not act as bleach catalysts is in total in the range from 0 to 100 ppm, prefera bly 1 to 30 ppm, determined by the Leach method.
- the content of heavy metal compounds which do not act as bleach catalysts is in total in the range from 0 to 100 ppm, prefera bly 1 to 30 ppm, determined by the Leach method.
- Heavy metals are all metals with a specific density of at least 6 g/cm 3 , with the exception of zinc and bismuth.
- heavy metals are precious metals, and also iron, copper, lead, tin, nickel, cadmium and chromium.
- liquid detergent formulations of the invention are free from bleaches, for example free from inorganic peroxide compounds or chlorine bleaches such as sodium hypochlorite, meaning that liquid detergent formulations according to the invention comprise in total 0.01% by weight or less of inorganic peroxide compound and chlorine bleach, relative in each case on total weight of the liquid detergent formulation.
- Liquid detergent formulation may be called aqueous herein when the solvent comprised in the detergent formulation is essentially water.
- water is the sole solvent.
- mixtures of water with one or more water-miscible solvents are used.
- water-miscible solvent refers to organic solvents that are miscible with water at ambient temperature without phase-separation. Examples are ethylene glycol, 1,2-propylene glycol, isopropanol, and diethylene glycol.
- at least 50% by volume referring to the whole solvent comprised in the aqueous detergent formulation is water.
- Detergent formulation or “cleaning formulation” herein means formulations designated for cleaning soiled material. Cleaning may mean laundering or hard surface cleaning. Soiled mate rial according to the invention includes textiles and/or hard surfaces.
- laundering relates to both household laundering and industrial laundering and means the process of treating textiles with a solution comprising a detergent formulation of the present invention. The laundering process may be carried out by using technical devices such as a household or an industrial washing machine. Alternatively, the laundering process may be done by hand.
- textile means any textile material including yarns (thread made of natural or synthetic fibers used for knitting or weaving), yarn intermediates, fibers, non-woven materials, natural materials, synthetic materials, as well as fabrics (a textile made by weaving, knitting or felting fibers) made of these materials such as garments (any article of clothing made of textile), cloths and other articles.
- fibers includes natural fibers, synthetic fibers, and mixtures thereof.
- natural fibers are of plant (such as flax, jute and cotton) or animal origin, comprising proteins like collagen, keratin and fibroin (e.g. silk, sheeps wool, angora, mohair, cashmere).
- fibers of synthetic origin are polyurethane fibers such as Spandex® or Lycra®, polyester fibers, polyolefins such as elastofin, or polyamide fibers such as nylon. Fibers may be single fibers or parts of textiles such as knitwear, wovens, or nonwovens.
- hard surface cleaning is defined herein as cleaning of hard surfaces wherein hard surfaces may include any hard surfaces in the household, such as floors, furnishing, walls, sanitary ceramics, glass, metallic surfaces including cutlery or dishes.
- hard surface cleaning may therefore may mean “dish washing” which refers to all forms of washing dishes, e.g. by hand or automatic dish wash (ADW).
- Dish washing includes, but is not limited to, the cleaning of all forms of crockery such as plates, cups, glasses, bowls, all forms of cutlery such as spoons, knives, forks and serving utensils as well as ceramics, plastics such as melamine, metals, china, glass and acrylics.
- the detergent formulation of the invention is a laundry detergent, comprising at least components (a) and (b) as disclosed above, optionally component (c) as disclosed above, and at least one detergent component.
- the invention provides a liquid detergent formulation, preferably a liquid laundering detergent, comprising at least components (a) and (b) as disclosed above, optionally component (c) as disclosed above, and at least one detergent component.
- the invention relates to the use of component (a) as disclosed above as a pre servative in liquid formulations, preferably liquid enzyme preparations and/or liquid detergent formulations.
- the invention relates to a method for inhibiting microbial growth in liquid formulations by adding component (a) as disclosed above to said liquid formulation.
- the liquid formulation is an enzyme concentrate and/or enzyme preparation.
- the liquid formulation is a liquid detergent formulation, preferably a liquid enzyme-containing detergent formulation.
- component (a) to a liquid, preferably aqueous enzyme concentrate or enzyme preparation allows the reduction of preservatives needed for inhibiting microbial growth in said liquid products.
- Reduction of preservatives means reduction by 10-80% by weight relative to the total amount of preservatives usually present.
- component (a) to a liquid, preferably aqueous detergent formulation allows the reduction of preservatives needed for inhibiting microbial growth.
- Reduction of preservatives means reduction by 10-80% by weight relative to the total amount of preservatives usually present.
- the invention relates to a method for inhibiting microbial growth on hard and/or flexible surfaces present in washing and cleaning devices, by using solid or liquid detergent formulations comprising component (a) as disclosed above; preferably said detergent formulations additionally comprise at least one enzyme according to component (b) as disclosed above.
- inhibition of microbial growth means that biofilm formation is reduced by at least 50 to 85%, by at least 60 to 90%, or by at least 70-95% when compared to biofilm formation on hard and flexible surfaces present in washing and cleaning devices in which detergent formulations lacking component (a) were used.
- biofilm formation is avoided completely, meaning that essentially no biofilm is formed.
- biofilm means, that less than about 4%, less than about 3.5%, less than about 3%, less than about 2.5%, less than about 2%, less than about 1.5%, or less than about 1% biofilm is formed when compared to the biofilm formation on objects to be cleaned such as hard surfaces and/or textiles which were washed or cleaned with detergent formulations lacking component (a).
- inhibition of microbial growth means that biofilm formation is avoided and/or the biofilm present is reduced by using a detergent formulation comprising component (a) and preferably additionally component (b) as disclosed herein.
- the invention relates to a method for inhibiting microbial growth on objects to be cleaned such as hard surfaces and/or textile, preferably textiles, by using detergent formulations comprising component (a) as disclosed above, preferably detergent formulation additionally comprising at least one enzyme according to component (b) as disclosed above.
- inhibition of microbial growth means that the biofilm formation may be reduced by at least 10% to 80%, by at least 30% to 90%, or by at least 50% to 95% when compared to the biofilm formation on objects to be cleaned such as hard surfaces and/or textiles which were washed or cleaned with detergent formulations lacking component (a).
- biofilm formation is avoided completely, meaning that essentially no biofilm is formed.
- biofilm means, that less than about 4%, less than about 3.5%, less than about 3%, less than about 2.5%, less than about 2%, less than about 1.5%, or less than about 1% biofilm is formed when compared to the biofilm formation on objects to be cleaned such as hard surfaces and/or textiles which were washed or cleaned with detergent formulations lacking component (a).
- inhibition of microbial growth means that biofilm formation on objects to be cleaned such as hard surfaces and/or textiles, preferably textiles, is avoided and/or the biofilm present is reduced by using a detergent formulation comprising component (a) and preferably additionally component (b) as disclosed herein.
- the biofilm according to the embodiments described above comprises at least one microorganism selected from the group of bacteria and fungi.
- the biofilm comprises bacteria selected from the group of proteobacteria.
- proteobacteria is selected from the order Enterobacterales and Pseudomona- dales.
- Preferred Enterobacterales are selected from the genus Escherichia.
- Preferred Pseudo- monadales are selected from the genus Pseudomonas, and Acinetobacter.
- At least one Proteobacteria is selected from the species Escherichia coli, Pseudo monas aeruginosa, and Pseudomonas putida.
- the biofilm comprises at least Pseudomonas aeruginosa.
- Bacteria may be selected from the class of Bacilli, preferably from the genus Staphylococcus, more preferably from the species Staphylococcus aureus and Staphylococcus epidermidis.
- Bacteria may be selected from the class of Actinobacteria, preferably from the order Actinomy- cetales, more preferably from the genus Aeromicrobium, Microbacterium , and Micrococcus.
- Bacteria may be selected from the class of Alphaproteobacteria, preferably from the order Cau- lobacterales, more preferably from the genus Brevundimonas. Bacteria may be selected from the class of Gammaproteobacteria, preferably from the order Xanthomonadales, more preferably from the genus Stenotrophomonas.
- the biofilm according to the invention may comprise at least one microorganism selected from the group of fungi.
- the biofilm may comprise at least one fungus of the class Microbotryomy- cetes, preferably from the genus Rhodotorula, such as species selected from Rhodotorula muci- laginosa, R. glutinis, and R. minuta.
- the biofilm may comprise at least one fungus selected from the class Saccharomycetes, more preferably from the order Saccharomycetales, preferably from the genus Candida such as the species Candida albicans.
- Polyethyleneimine (Lupasol ® FG sold by BASF)
- EMPA 130 C.l. Direct Red 83.1 on cotton (Commercially available from Swissatest, Swissatest Testmaterialien AG, Switzerland)
- EMPA 133 C.l. Direct Blue 71 on cotton (commercially available from Swissatest, Swissatest Testmaterialien AG, Switzerland)
- JB 01 Mineral oil with carbon black on cotton
- JB 03 Sebum with pigment on cotton
- WFK 10A Standard cotton (commercially available from wfk testgewebe GmbH, Germany); WFK 20A: Polyester/cotton (65%/35%) (commercially available from wfk testgewebe GmbH, Germany)
- WFK 80A Knitted cotton (commercially available from wfk testgewebe GmbH, Germany)
- WFK clay-oil prepared using 20% WFK Clay (code 05203, commercially available from wfk testgewebe GmbH, Germany) with 1.25% mineral oil and 3.75% peanut oil in water.
- the weight-average molecular weight can be measured by gel permeation chromatography (GPC) using TSKgel GMPW XL columns, aqueous solution containing 1.8% acetic acid and 0.3 mol/L sodium acetate as eluent and polyethylene glycol salt as standards. Value outside this elution range are extrapolated.
- GPC gel permeation chromatography
- IP1 Inventive Polymer 1
- the mixture was heated to 150°C and stirred.
- the reaction was performed for 6h and the product was obtained as a yellow liquid.
- the fraction of hydrocarbon radicals is 14.4% based on the weight of polyethyleneimine.
- IP2 Inventive Polymer 2
- the mixture was heated to 150°C and stirred.
- the reaction was performed for 6h and the product was obtained as a yellow liquid.
- the fraction of hydrocarbon radicals is 18.5% based on the weight of polyethyleneimine.
- IP3 Inventive Polymer 3
- IP4 Inventive Polymer 4
- IP5 Inventive Polymer 5
- the mixture was heated to 150°C and stirred.
- the reaction was performed for 6h and the product was obtained as a yellow liquid.
- the fraction of hydrocarbon radicals is 30.7% based on the weight of polyethyleneimine.
- IP6 Inventive Polymer 6
- the mixture was heated to 150°C and stirred.
- the reaction was performed for 6h and the product was obtained as a yellow paste.
- the fraction of hydrocarbon radicals is 34.8% based on the weight of polyethyleneimine.
- IP7 Inventive Polymer 7
- the fraction of hydrocarbon radicals is 28.0% based on the weight of polyethyleneimine.
- the fraction of hydrocarbon radicals is 36.5% based on the weight of polyethyleneimine.
- the fraction of hydrocarbon radicals is 115.8% based on the weight of polyethyleneimine.
- Liquid laundry detergent formulations are Liquid laundry detergent formulations:
- LAS Maranil DBS/LC (BASF); two anionic surfactants, selected from compounds of general formula (IX), wherein one of said anionic surfactants is characterized in R 1 being C10, and the other surfactant is characterized in R 1 being C13.
- Coco fatty acid Edenor K12-18 (Emery Oleochemicals)
- Protease Lavergy Pro 104 LS (protease trade product from BASF); protease having a polypeptide sequence according to SEQ ID NO:22 as described in EP 1921147 with R101E substitution.
- IP4 and protease can be combined in a liquid laundry formulation without any instability or turbidity.
- AEO Lutensol A7N; non-ionic surfactant selected from general formula (la), wherein m is 7; n and o is 0, R 1 is C 12 -C 14 , R 2 and R 5 is H.
- LAS Disponil LDBS; two anionic surfactants, selected from sodium salts of compounds of general formula (IX), wherein one of said anionic surfactants is characterized in R 1 being C10, and the other surfactant is characterized in R 1 being C13.
- the formulations comprising the inventive polymer IP4 of the present invention make it possible to obtain the stable and transparent solutions with improved compatibilities in comparison with the formulations comprising the comparative polymer CP5 (M w >1000 g/mol).
- biofilms were cultivated in a nutrient medium in microtiter plates in the presence of polymer/enzyme/surfactant. After culturing, the biofilm was stained with a dye (safranin), the dye was then re-dissolved in a solvent. The absorption of the dye solution at 540 nm is a measure of the amount of biofilm that was grown in the well.
- a dye safranin
- the respective test organism was Pseudomonas aeruginosa DSM 1117 (P. aeruginosa) was cultured on tryptic soy agar at 35°C for 24 h. The first passage was stored at +4°C for 8 days.
- the inoculum was prepared by suspending 5 single colonies of the first passage in 200 ml 30% TSB + 2.5g/L glucose in a 200 mL shake flask at 35°C, on a shaker with agitation speed of -160 rpm for 24 h.
- TSB + 2.5 g/L glucose The plate was incubated in a humid chamber at 33°C and 40 rpm for 24 h.
- the absorption of the safranin solutions was determined using a plate reader at 540 nm.
- composition was tested in parallel in at least 10 wells, and the average over these 10 re- suits was taken. From each of these average absorption values a blank background value (av erage of 2 wells with growth medium, but without bacteria) was subtracted.
Landscapes
- Chemical & Material Sciences (AREA)
- Life Sciences & Earth Sciences (AREA)
- Engineering & Computer Science (AREA)
- Chemical Kinetics & Catalysis (AREA)
- Oil, Petroleum & Natural Gas (AREA)
- Wood Science & Technology (AREA)
- Organic Chemistry (AREA)
- Detergent Compositions (AREA)
Abstract
The present invention relates to an enzyme preparation comprising component (a): at least one hydrophobically modified polyalkyleneimine, component (b): at least one hydrolase, and optionally component (c): at least one compound selected from solvents, enzyme stabilizers, and compounds stabilizing the liquid enzyme preparation as such; wherein the hydrophobically modified polyalkyleneimine comprises a polyalkyleneimine backbone having a weight-average molecular weight greater than or equal to 200 g/mol and less than 1000 g/mol, and hydrophobic moieties which are covalently attached to the backbone of polyalkyleneimine. The invention further relates to a detergent formulation comprising said enzyme preparation.
Description
Formulations comprising a hydrophobically modified polyethyleneimine and one or more enzymes
The invention relates to an enzyme preparation comprising a hydrophobically modified poly- alkyleneimine and at least one hydrolase. Said enzyme preparation is aimed, in one aspect, to be formulated into a detergent formulation. The present invention also relates to the use of a hydrophobically modified polyalkyleneimine to (a) inhibit and/or reduce microbial growth in liquid formulations and/or (b) inhibit and/or reduce biofilm formation on surfaces of devices regularly contacted with aqueous formulations such as cleaning devices like laundry machines and/or (d) inhibit and/or reduce material regularly contacted with aqueous formulations such as objects to be cleaned like hard surfaces and/or textiles.
A “biofilm” is usually a complex structure adhering to surfaces that are regularly in contact with water, consisting of colonies of bacteria and usually other microorganisms such as yeasts, fungi, and protozoa that secrete a mucilaginous protective coating in which they are encased. Biofilms can form on solid surfaces, in liquid compositions, as well as on soft surfaces such as textile, and are typically resistant to conventional methods of disinfection. Biofilm may adversely affect the long-term function of a washing device. Notably, biofilm often is sticky and soil may adhere to the surface comprising biofilm. Further, biofilm may be a source of undesired odor on washed items due to decomposition of the same.
Bacteria living in a biofilm usually have significantly different properties from planktonic bacteria of the same species, as the dense and protected environment of the film allows them to cooperate and interact in various ways. One benefit of this environment is increased resistance to detergents and antibiotics, as the dense extracellular matrix and the outer layer of cells protect the interior of the community.
The problem to be solved was to provide a formulation providing antimicrobial activity, which inhibits and/or reduces microbial growth in liquid, preferably aqueous environment, and/or inhibits biofilm formation on surfaces of devices and/or objects to be cleaned which is regularly in contact with aqueous formulations.
The present invention solved the problem by providing a liquid enzyme preparation comprising at least one hydrophobically modified polyalkyleneimine and at least one hydrolase.
Description:
Throughout the description, including the claims, the term "comprising one" or “comprising a" should be understood as being synonymous with the term "comprising at least one", unless oth erwise specified, and "between" should be understood as being inclusive of the limits.
The terms “a”, “an” and “the” are used to refer to one or to more than one (i.e., to at least one) of the grammatical object of the article.
The term “and/or” includes the meanings “and”, “or” and also all the other possible combinations of the elements connected to this term.
It should be noted that in specifying any range of concentration, weight ratio or amount, any particular upper concentration, weight ratio or amount can be associated with any particular lower concentration, weight ratio or amount, respectively.
The present invention is directed to an enzyme preparation comprising at least one hydrophobi- cally modified polyalkyleneimine (component (a)) and at least one hydrolase (component (b)), wherein the hydrophobically modified polyalkyleneimine comprises a polyalkyleneimine backbone having a weight-average molecular weight greater than or equal to 200 g/mol and less than 1000 g/mol, and hydrophobic moieties which are covalently attached to the backbone of polyalkyleneimine.
The enzyme preparation of the invention optionally comprises component (c) which comprises at least one compound selected from solvents, enzyme stabilizers, and compounds stabilizing the liquid enzyme preparation as such.
Component (a)
The hydrophobically modified polyalkyleneimines may be obtained by a process which compris es the reaction of an unmodified polyalkyleneimine with a hydrophobicizing agent.
As used herein, the term “hydrophobically modified polyalkyleneimine” refers to polyalkyleneimine with hydrophobic groups chemically attached to unmodified polyalkyleneimine backbone.
As used herein, the term “unmodified or non-modified” refers to a polymer substrate that is not modified or functionalized.
As used herein, the term “hydrocarbon radical” refers to any straight, branched, cyclic, acyclic, heterocyclic, saturated or unsaturated chain, which contains a carbon backbone comprising one or more hydrogen atoms, optionally substituted with one or more heteroatoms in or on the carbon backbone.
As used herein, the term “hydrophobic moiety” is a moiety which can be saturated or unsaturated, substituted or unsubstituted, straight or branched, cyclic or acyclic hydrocarbon group.
As used herein, the term "alkyl" means a saturated hydrocarbon radical, which may be straight, branched or cyclic, such as, for example, methyl, ethyl, n-propyl, iso-propyl, n-butyl, sec-butyl, t- butyl, pentyl, n-hexyl, cyclohexyl.
As used herein, the term "hydroxyalkyl" means an alkyl radical, more typically an alkyl radical, that is substituted with a hydroxyl groups, such as for example, hydroxymethyl, hydroxyethyl, hydroxypropyl, and hydroxydecyl.
As used herein, the term "alkylene" means a bivalent acyclic saturated hydrocarbon radical, including but not limited to methylene, polymethylene, and alkyl substituted polymethylene radicals, such as, for example, dimethylene, tetramethylene, and 2-methyltrimethylene.
As used herein, the term "alkenyl" and “alkadienyl” refer to alkyl groups having, respectively, one or two carbon-carbon double bonds within the chain.
As used herein, the term “alkenylcarbonyl” refer s to a group -C(=0)R, wherein R is alkenyl which can be optionally substituted.
According to the invention, the unmodified polyalkyleneimines which form the basis of the hy- drophobically modified polyalkyleneimines comprise homopolymers of ethyleneimine (aziridine) and higher homologs thereof, propyleneimine (methylaziridine) and butyleneimine (1,2- dimethylaziridine, 1,1-dimethylaziridine and 1-ethylaziridine), copolymers of ethyleneimine with its higher homologs, and the graft polymers of polyamidoamines or polyvinylamines with ethyleneimine and/or its higher homologs. Also suitable are the graft polymers of alkyleneimines described in WO 02/095122, such as ethyleneimine onto polyamidoamines or onto polyvinylamines. Such graft polymers generally have a weight fraction of alkyleneimines of at least 10% by weight, in particular at least 30% by weight, e.g. 10 to 90% by weight in particular 10 to 85% by weight, based on the total weight of the unmodified polyalkyleneimine. In preferred embodiments, the unmodified polyalkyleneimines are branched polyalkyleneimines, preferably polyeth- yleneimines, in particular branched polyethyleneimines, in more particular homopolymers of ethyleneimines, in still more particular branched homopolymers of ethyleneimines.
The unmodified polyalkyleneimine may have a weight-average molecular weight Mw of from greater than or equal to 200 g/mol to less than 1000 g/mol. Preferably, the unmodified polyalkyleneimine has a weight-average molecular weight Mw of from greater than or equal to 300 g/mol to less than 1000 g/mol. More preferably, the unmodified polyalkyleneimine has a weight- average molecular weight Mw of from greater than or equal to 500 g/mol to less than 1000 g/mol. The molecular weights given here refer to the molecular weights specified by means of gel permeation chromatography and measured on dilute aqueous solutions at 25°C, which correspond to the weight-average molecular weight.
The present invention also relates to the reaction of the unmodified polyalkyleneimine with at least one hydrophobicizing agent. Examples of suitable hydrophobicizing agents include but not limit to: a) long chain, linear or branched carboxylic acids having 4 to 30 carbon atoms, preferably 6 to 18 carbon atoms, more preferably 8 to 16 carbon atoms, in the alkyl or alkenyl radical; examples include but are not limited to saturated fatty acids like caproic acid, enanthic acid, caprylic acid, pelargonic acid, capric acid, undecanoic acid, lauric acid, tridecanoic acid, myristic acid, pentadecanoic acid, palmitic acid, margaric acid, stearic acid, nonadeca- noic acid, arachic acid, heneicosanoic acid, behenic acid; further examples include but are not limited to unsaturated fatty acids such as palmitoleic acid (16:1), oleic acid (18:1), lino- leic acid (18:2), linolenic acid (18:3), arachidonic acid (20:4) and mixtures thereof, preferably lauric acid, stearic acid, palmitic acid and oleic acid, or their amide-forming derivatives, such as acid chlorides, esters or anhydrides of the specified carboxylic acids and mixtures thereof; b) natural oils, including plant oils, nut oils, seed oils, animal oils and marine oils, which typi cally contain triglycerides, free fatty acids, or a combination of triglycerides and free fatty acids. Example of suitable natural plant oils are soybean oil, rapeseed oil, palm oil, corn oil, cottonseed oil, coconut oil, palm kernel oil; Example of suitable animal/marine oils are lard, fish oil, beef tallow oil, seal oil and milk fat, and those obtained by hydrogenation or ester-exchange of these oil, and mixture thereof; usually, natural oils are mixtures of saturated, mono-unsaturated, and poly-unsaturated fatty acids of various length. In one embodiment, the natural oil comprises about 40-90% by weight saturated fatty acid, preferably the natural oil comprises about 75% saturated C12-C16 fatty acid. In one embodiment, said natural oil comprises about 10-50% by weight mono-unsaturated fatty acids, preferably the natural oil comprises about 10-40% mono-unsaturated C18 fatty acid. In one embodiment, the natural oil comprises about 40-50% by weight saturated C12 fatty acids and 30-40% by weight mono-unsaturated C18 fatty acids, all relative to the total amount of fatty acids in the natural oil. c) linear or branched alkyl halides having 4 to 30 carbon atoms, preferably 6 to 18 carbon atoms, more preferably 8 to 16 carbon atoms, in the linear or branched alkyl radical such as octyl chloride, nonyl chloride, decyl chloride, dodecyl chloride, tetradecyl chloride, hex- adecyl chloride, octadecyl chloride and mixtures thereof; d) alkyl epoxides having 4 to 30 carbon atoms, preferably 6 to 18 carbon atoms, more preferably 8 to 16 carbon atoms in the linear or branched alkyl radical, such as hexadecenyl oxide, dodecenyl oxide and octadecenyl oxide and mixtures thereof;
e) alkyl ketene dimers having 4 to 30 carbon atoms, preferably 6 to 18 carbon atoms, in particular 8 to 16 carbon atoms in the linear or branched alkyl radical, such as lauryl ketene, palmityl ketene, stearyl ketene and oleyl ketene dimers and mixtures thereof; f) cyclic dicarboxylic acid anhydrides, in particular alkyl-substituted succinic anhydrides having 4 to 30 carbon atoms, preferably 6 to 18 carbon atoms, in particular 8 to 16 carbon atoms, in the linear or branched alkyl radical, such as dodecenylsuccinic anhydride, tetradecylsuccinic anhydride, hexadecenylsuccinic anhydride and mixtures thereof; g) alkyl isocyanates having 4 to 30 carbon atoms, preferably 6 to 18 carbon atoms, more preferably 8 to 16 carbon atoms in the linear or branched alkyl radical, such as tetradecyl isocyanate, hexadecyl isocyanate, octadecyl isocyanate and mixtures thereof; h) chloroformic acid esters of linear or branched alkanols or alkenols having 4 to 30 carbon atoms, preferably 6 to 18 carbon atoms, more preferably 8 to 16 carbon atoms, and dialkyl ketones having in total 4 to 30 carbon atoms, in particular 6 to 18 carbon atoms and mixtures thereof. i) linear or branched aliphatic aldehydes having 4 to 30 carbon atoms, preferably 6 to 18 carbon atoms, in particular 8 to 16 carbon atoms, and dialkyl ketones having in total 4 to 30 carbon atoms, preferably 6 to 18 carbon atoms, in particular 8 to 16 carbon atoms, in the two alkyl groups and mixtures thereof.
The reaction conditions for the reaction of the unmodified polyalkyleneimine with at least one hydrophobicizing agent naturally depend on the type and functionality of the polyalkyleneimine and the hydrophobicizing agents. The ones skilled in the art are familiar with the measures that are important for such reactions.
The reaction may be performed with or without a solvent or diluent. Examples of suitable solvents for the reaction include but not limit to hydrocarbons, in particular aromatic hydrocarbons, e.g. alkylbenzenes such as xylenes, toluene, cumene, tert-butylbenzene and the like. In some embodiments, the reaction may take place as a solvent-free reaction, which at least comprises (i) heating the mixture of polyalkyleneimine and hydrophobicizing agent to melt state; (ii) stirring the mixture and reacting the polyalkyleneimine with an amount of hydrophobicizing agent, wherein the amount of the hydrophobicizing agent used is sufficient to derivatize about 2 mol% to 25 mol%, in particular about 5 to 20 mol%, in more particular 6 to 15 mol% of the nitrogen atoms of the polyalkyleneimine.
In a preferred embodiment, the reaction taking place between the unmodified polyalkyleneimine and natural oils as the hydrophobicizing agent, comprises (i) heating the mixture of poly-
alkyleneimine and natural oil to melt state; (ii) stirring the mixture and reacting the polyalkylene- imine under nitrogen flow with an amount of natural oil at a temperature of 80 to 120°C, wherein the amount of the hydrophobicizing agent used is sufficient to derivatize about 2 mol% to 25 mol%, in particular about 5 to 20 mol%, in more particular 6 to 15 mol% of the nitrogen atoms of the polyalkyleneimine. The hydrophobicizing agent may be used in an amount which corresponds to the desired functionality, it also being possible to use the hydrophobicizing agent in excess. In one embodiment, the hydrophobicizing agent used in the reaction is selected from natural oil comprising about 40-90% by weight saturated fatty acid, preferably the natural oil comprises about 75% saturated C12-C16 fatty acid. In one embodiment, said natural oil comprises about 10-50% by weight mono-unsaturated fatty acids, preferably the natural oil comprises about 10-40% mono-unsaturated C18 fatty acid. In one embodiment, the natural oil comprises about 40-50% by weight saturated C12 fatty acids and 30-40% by weight mono-unsaturated Cis fatty acids, all relative to the total amount of fatty acids in the natural oil. In one embodiment, the hydrophobicizing agent is palm kernel oil.
The reaction may be performed in the presence of catalysts which improve the reactivity of the hydrophobicizing agent toward the polyalkyleneimine. The type of catalyst depends in a manner known per se on the type and reactivity of the hydrophobicizing agent. The catalysts are usually Lewis acids or Bronsted acids.
In some embodiments, carboxylic acids and carboxylic acid derivatives are used as the hydrophobicizing agent, it has proven advantageous to remove the low molecular weight products, such as water, alcohols or hydrogen chloride which form during the reaction from the reaction mixture. For example, when using carboxylic acids, the water formed will preferably be removed from the reaction mixture via an entrainer or vacuum. Typical entrainers are hydrocarbons, in particular alkyl aromatics such as toluene or xylenes.
At least one hydrophobically modified polyalkyleneimine according to the invention comprises a polyalkyleneimine backbone having a weight-average molecular weight greater than or equal to 200 g/mol and less than 1000 g/mol, preferably greater than or equal to 300 g/mol and less than 1000 g/mol, more preferably greater than or equal to 500 g/mol and less than 1000 g/mol; and hydrophobic moieties which are covalently attached to the backbone of polyalkyleneimine.
In one embodiment, at least one hydrophobically modified polyalkyleneimine is a product of reacting at least one unmodified polyalkyleneimine according to the invention with a hydrophobicizing agent is selected from natural oil comprising about 40-90% by weight saturated fatty acid, preferably the natural oil comprises about 75% saturated C12-C16 fatty acid. In one embodiment, said natural oil comprises about 10-50% by weight mono-unsaturated fatty acids, preferably the natural oil comprises about 10-40% mono-unsaturated Cis fatty acid. In one embodiment, the
natural oil comprises about 40-50% by weight saturated C12 fatty acids and 30-40% by weight mono-unsaturated C18 fatty acids, all relative to the total amount of fatty acids in the natural oil.
In one embodiment, the hydrophobicizing agent is palm kernel oil.
The hydrophobically modified polyalkyleneimines are to be understood as meaning poly- alkyleneimines in which the hydrogen atoms of the primary and secondary amino groups are partially or completely replaced by linear or branched aliphatic, saturated or unsaturated hydrocarbon radicals such as alkyl, alkenyl, alkadienyl or hydroxyalkyl radicals. The hydrocarbon radicals generally have 4 to 30 carbon atoms, preferably 6 to 18 carbon atoms, more preferably 8 to 16 carbon atoms.
The hydrophobically modified polyalkyleneimines can be obtained by a process which comprises the reaction of an unmodified polyalkyleneimine with a hydrophobicizing agent. Depending on the hydrophobicizing agent used in each case, the hydrocarbon radicals can be linked to the nitrogen atom of the polyalkyleneimine directly or via a functional group, e.g. via a carbonyl group (*-C(=0)-#), via an oxycarbonyl group (*-0-C(=0)-#), via an aminocarbonyl group (*-NH- C(=0)-#), via a carbonyloxyhydroxylpropyl group (*-C(=0)-0-CH2-CH(0H)-CH2-#), via a 2- oxycarbonylethylenecarbonyl group (*-CH(COOH)-CH2-CO-#), or via a radical of the formula *- CH2-(C=0)-CH-(C=0)-# (in the formulae given above. Represents the linkage to the hydrocar bon radical and * represents the linkage to the nitrogen atom of the polyalkyleneimine). The hy drocarbon radical can also form an aldimine or ketimine group with the nitrogen of the polyalkyleneimine or be linked to 2 nitrogen atoms of the polyalkyleneimine via the carbon atom of a cyclic amidine group. In a preferred embodiment, the hydrophobicizing agent is selected from natural oil comprising about 40-90% by weight saturated fatty acid, preferably the natural oil comprises about 75% saturated C12-C16 fatty acid. In one embodiment, said natural oil comprises about 10-50% by weight mono-unsaturated fatty acids, preferably the natural oil comprises about 10-40% mono-unsaturated C18 fatty acid. In one embodiment, the natural oil comprises about 40-50% by weight saturated Ci2 fatty acids and 30-40% by weight mono-unsaturated C18 fatty acids, all relative to the total amount of fatty acids in the natural oil. In one embodiment, the hydrophobicizing agent is palm kernel oil.
Preferably, the hydrophobically modified polyalkyleneimine has the hydrocarbon radical which is linked to one nitrogen atom of the polyalkyleneimine directly or via a carbonyl group. The latter being particularly preferred. Preferably, the hydrocarbon radicals are linear, more preferably, the hydrocarbon radicals are saturated.
According to any one of the invention embodiments, the hydrocarbon radicals in the preferred hydrophobically modified polyalkyleneimines are present in the form of C4-C3o-alkyl, C4-C3o-al- kylcarbonyl, C4-C3o-alkenyl, C4-C3o-alkenylcarbonyl, C4-C3o-alkadieny, C4-C3o-alkadienylcarbonyl
and/or hydroxy-C4-C3o-alkyl groups, in particular in the form of C6-Cis-alkyl, Cs-Cis-alkylcar- bonyl, C6-Cis-alkenyl, Cs-Cis-alkenylcarbonyl, C6-Cis-alkadienyl, C6-Cis-alkadienylcarbonyl and/or hydroxy-C6-Ci8-alkyl groups, particularly preferably in the form of Cs-Ci6-alkyl, Cs-Cis- alkylcarbonyl, Cs-Ci6-alkenyl, Cs-Ci6-alkenylcarbonyl, Cs-Ci6-alkadienyl, C8-Ci6-alkadienyl- carbonyl and/or hydroxy-Cs-Ci 6-alkyl groups, where the alkyl, hydroxy-alkyl, alkenyl, alkadienyl radicals of the aforementioned groups are preferably linear.
In one embodiment, the hydrocarbon radicals are present in the form of C4-C3o-alkylcarbonyl or C4-C3o-alkenylcarbonyl group, particularly in the form of C6-Cis-alkylcarbonyl or Cs-Cis-alkenyl- carbonyl group, more particularly, in the form of Ce-Ci6-alkylcarbonyl or Ce-Ci6-alkenylcarbonyl group, where the alkyl and alkenyl radicals of the aforementioned groups are preferably linear.
In one embodiment, the total amount of hydrocarbon radicals present is in the range of about 20% to 35% by weight, or in the range of about 25% to 30% by weight, relative to the total weight of the hydrophobically modified polyalkyleneimines. Preferably the at least 80% by weight hydrocarbon radicals present relative to the total weight of the hydrophobically modified polyalkyleneimines are in the form of C12-C16 alkylcarbonyl and in the form of C18 alkenylcarbon- yi.
In one embodiment, hydrocarbon radicals in the form of C12-C16 alkylcarbonyl are present in amounts in the range of about 40 to 75% by weight and/or hydrocarbon radicals in the form of C18 alkenylcarbonyl are present in amounts in the range of about 10 to 20 % by weight, all relative to the total amount of hydrocarbon radicals.
According to any one of the invention embodiments, about from 2 to 25 mol%, in particular 5 to 20 mol%, in more particular from 6 to 15 mol% of the nitrogen atoms of the hydrophobically modified polyalkyleneimine carry a hydrocarbon radical. Correspondingly, the fraction of the hydrocarbon radicals constitutes preferably 5 to 60% by weight, in particular 10 to 50% by weight and specifically 10 to 35% by weight, based on the total weight of the hydrophobically modified polyalkyleneimine.
The hydrophobically modified polyalkyleneimine used according to the present invention can be linear or branched. In particular, the branched polyalkyleneimine branching may occur at its nitrogen fractions. The linear polyalkyleneimines are composed exclusively of repeat units of formula A; the branched polyalkyleneimines have, besides the linear repeat units, tertiary nitro gen atoms according to the formula B:
A B in which Q is C2-C8 alkylene, preferably is ethylene, propylene or butylene.
Preference is given to those branched, hydrophobically modified polyalkyleneimines, in particular branched, hydrophobically modified polyethyleneimines, which, based on the polyalkylene- imine on which they are based, have, on average, per polyalkyleneimine molecule at least one, preferably at least 5 or at least 10, branching points according to formula B. In particular, at least 5%, in particular at least 10% and particularly preferably at least 15%, e.g. 5 to 40% and specifically 15 to 35%, of the nitrogen atoms of the parent polyalkyleneimine are tertiary nitrogen atoms. Particularly, in the case of high degrees of branching, i.e. if at least 10%, in particular 15%, e.g. 10 to 40%, in particular 15 to 35% of the nitrogen atoms of the parent polyalky- limine are tertiary nitrogen atoms, the hydrophobically modified polyalkyleneimines have a structure similar to a core-shell structure, where the polyalkyleneimine moieties form the core and the hydrophobic radicals form the shell.
The hydrophobically modified polyalkyleneimines may be present in non-crosslinked or cross- linked form. Preferably, the hydrophobically modified polyalkyleneimines are non-crosslinked. According to any one of the invention embodiments, the hydrophobically modified polyalkyleneimine has a weight-average molecular weight in the range of from 300 g/mol to 5000 g/mol, preferably from 500 to 3000 g/mol, more preferably from 800 g/mol to 2000 g/mol.
“Non-crosslinked” means that that there is no deliberate cross-linking in the sense of formation of covalent bounds between single hydrophobically modified polyalkyleneimines molecules. Therefore, essentially no cross-links are introduced by the process of production as such. Es sentially no cross-links may mean that the degree of cross-linking is low, such as below 5%, which might be due to cross-linking substances being present in the reaction mixture as impuri ties.
The hydrophobically modified polyalkyleneimine are generally water-soluble or water-dispersible and can be used in aqueous liquid formulations.
Component (b)
The liquid enzyme preparation of the invention comprises at least one enzyme selected from the group of hydrolases (EC.3), which may be part of a liquid enzyme concentrate. “Liquid en-
zyme concentrate” herein means any liquid enzyme-comprising product comprising at least one enzyme. “Liquid” in the context of enzyme concentrate is related to the physical appearance at 20°C and 101.3 kPa.
The liquid enzyme concentrate may result from dissolution of solid enzyme in solvent. The solvent may be selected from water and an organic solvent. A liquid enzyme concentrate resulting from dissolution of solid enzyme in solvent may comprise amounts of enzyme up to the saturation concentration.
Dissolution herein means, that solid compounds are liquified by contact with at least one solvent. Dissolution means complete dissolution of a solid compound until the saturation concentration is achieved in a specified solvent, wherein no phase-separation occurs.
Liquid enzyme concentrates, may comprise amounts of enzyme in the range of 0.1 % to 40% by weight, or 0.5% to 30% by weight, or 1% to 25% by weight, or 3% to 25% by weight, or 5% to 25% by weight, all relative to the total weight of the enzyme concentrate. In one embodiment, liquid enzyme concentrates are resulting from fermentation and are aqueous.
Fermentation means the process of cultivating recombinant cells which express the desired enzyme in a suitable nutrient medium allowing the recombinant host cells to grow (this process may be called fermentation) and express the desired protein. At the end of the fermentation, fermentation broth usually is collected and further processed, wherein the fermentation broth comprises a liquid fraction and a solid fraction. Depending on whether the enzyme has been secreted into the liquid fraction or not, the desired protein or enzyme may be recovered from the liquid fraction of the fermentation broth or from cell lysates. Recovery of the desired enzyme uses methods known to those skilled in the art. Suitable methods for recovery of proteins or enzymes from fermentation broth include but are not limited to collection, centrifugation, filtration, extraction, and precipitation.
Aqueous enzyme concentrates resulting from fermentation may comprise water in amounts of more than about 50% by weight, more than about 60% by weight, more than about 70% by weight, or more than about 80% by weight, all relative to the total weight of the enzyme concentrate. Aqueous enzyme concentrates which result from fermentation, may comprise residual components such as salts originating from the fermentation medium, cell debris originating from the production host cells, metabolites produced by the production host cells during fermentation. In one embodiment, residual components may be comprised in liquid enzyme concentrates in amounts less than 30% by weight, less than 20% by weight less, than 10% by weight, or less than 5% by weight, all relative to the total weight of the aqueous enzyme concentrate.
Hydrolases in the context of the present invention are identified by polypeptide sequences (also called amino acid sequences herein). The polypeptide sequence specifies the three- dimensional structure including the “active site” of an enzyme which in turn determines the cata lytic activity of the same. Polypeptide sequences may be identified by a SEQ ID NO. According to the World Intellectual Property Office (WIPO) Standard ST.25 (1998) the amino acids herein are represented using three-letter code with the first letter as a capital or the corresponding one letter.
The hydrolase according to the invention relates to parent enzymes and/or variant enzymes, both having enzymatic activity. Hydrolases having enzymatic activity are enzymatically active or exert enzymatic conversion, meaning that enzymes act on substrates and convert these into products. Preferred hydrolases are selected from the group of enzymes acting on ester bond (E.C. 3.1), glycosylases (E.C. 3.2), and peptidases (E.C. 3.4). Enzymes acting on ester bond (E.C. 3.1), are hereinafter also referred to as lipases, and DNAses. Glycosylases (E.C. 3.2) are hereinafter also referred to as either amylases, cellulases, and mannanases. Peptidases are hereinafter also referred to as proteases.
The term “enzyme” herein excludes inactive variants of an enzyme.
A “parent” sequence (of a parent protein or enzyme, also called “parent enzyme”) is the starting sequence for introduction of changes (e.g. by introducing one or more amino acid substitutions, insertions, deletions, or a combination thereof) to the sequence, resulting in “variants” of the parent sequences. The term parent enzyme (or parent sequence) includes wild-type enzymes (sequences) and synthetically generated sequences (enzymes) which are used as starting se quences for introduction of (further) changes.
The term “enzyme variant” or “sequence variant” or “variant enzyme” refers to an enzyme that differs from its parent enzyme in its amino acid sequence to a certain extent. If not indicated otherwise, variant enzyme “having enzymatic activity” means that this variant enzyme has the same type of enzymatic activity as the respective parent enzyme.
In describing the variants of the present invention, the nomenclature described as follows is used:
Amino acid substitutions are described by providing the original amino acid of the parent en zyme followed by the number of the position within the amino acid sequence, followed by the substituted amino acid.
Amino acid deletions are described by providing the original amino acid of the parent enzyme followed by the number of the position within the amino acid sequence, followed by *.
Amino acid insertions are described by providing the original amino acid of the parent enzyme
followed by the number of the position within the amino acid sequence, followed by the original amino acid and the additional amino acid. For example, an insertion at position 180 of lysine next to glycine is designated as “Gly180Glyl_ys” or “G180GK”.
In cases where a substitution and an insertion occur at the same position, this may be indicated as S99SD+S99A or in short S99AD. In cases where an amino acid residue identical to the existing amino acid residue is inserted, it is clear that degeneracy in the nomenclature arises. If for example a glycine is inserted after the glycine in the above example this would be indicated by G180GG.
Where different alterations can be introduced at a position, the different alterations are separated by a comma, e.g. “Arg170Tyr, Glu” represents a substitution of arginine at position 170 with tyrosine or glutamic acid. Alternatively different alterations or optional substitutions may be indicated in brackets e.g. Arg170[Tyr, Gly] or Arg170{Tyr, Gly}; or in short R170 [Y,G] or R170 {Y, G}; or in long R170Y, R170G.
Enzyme variants may be defined by their sequence identity when compared to a parent enzyme. Sequence identity usually is provided as “% sequence identity” or “% identity”. For calculation of sequence identities, in a first step a sequence alignment has to be produced. According to this invention, a pairwise global alignment has to be produced, meaning that two sequences have to be aligned over their complete length, which is usually produced by using a mathematical approach, called alignment algorithm.
According to the invention, the alignment is generated by using the algorithm of Needleman and Wunsch (J. Mol. Biol. (1979) 48, p. 443-453). Preferably, the program “NEEDLE” (The European Molecular Biology Open Software Suite (EMBOSS)) is used for the purposes of the current invention, with using the programs default parameter (gap open=10.0, gap extend=0.5 and ma- trix= E BLOSU M 62) .
According to this invention, the following calculation of %-identity applies: %-identity = (identical residues / length of the alignment region which is showing the respective sequence of this invention over its complete length) *100.
According to this invention, enzyme variants may be described as an amino acid sequence which is at least n% identical to the amino acid sequence of the respective parent enzyme with “n” being an integer between 10 and 100. In one embodiment, variant enzymes are at least 70%, at least 75%, at least 80%, at least 81%, at least 82%, at least 83%, at least 84%, at least 85%, at least 86%, at least 87%, at least 88%, at least 89%, at least 90%, at least 91%, at least 92%, at least 93%, at least 94%, at least 95%, at least 96%, at least 97%, at least 98%, or at least 99% identical when compared to the full length amino acid sequence of the parent enzyme, wherein the enzyme variant has enzymatic activity.
Enzyme variants may be defined by their sequence similarity when compared to a parent enzyme. Sequence similarity usually is provided as “% sequence similarity” or “%-similarity”. % sequence similarity takes into account that defined sets of amino acids share similar properties, e.g by their size, by their hydrophobicity, by their charge, or by other characteristics. Herein, the exchange of one amino acid with a similar amino acid may be called “conservative mutation”.
For determination of %-similarity according to this invention the following applies: amino acid A is similar to amino acids S; amino acid D is similar to amino acids E and N; amino acid E is similar to amino acids D and K and Q; amino acid F is similar to amino acids W and Y; amino acid H is similar to amino acids N and Y; amino acid I is similar to amino acids L and M and V; amino acid K is similar to amino acids E and Q and R; amino acid L is similar to amino acids I and M and V; amino acid M is similar to amino acids I and L and V; amino acid N is similar to amino acids D and H and S; amino acid Q is similar to amino acids E and K and R; amino acid R is similar to amino acids K and Q; amino acid S is similar to amino acids A and N and T ; amino acid T is similar to amino acids S; amino acid V is similar to amino acids I and L and M; amino acid W is similar to amino acids F and Y; amino acid Y is similar to amino acids F and H and W.
Conservative amino acid substitutions may occur over the full length of the sequence of a poly peptide sequence of a functional protein such as an enzyme. In one embodiment, such muta tions are not pertaining the functional domains of an enzyme. In one embodiment, conservative mutations are not pertaining the catalytic centers of an enzyme.
To take conservative mutations into account, a value for sequence similarity of two amino acid sequences may be calculated from the same alignment, which is used to calculate %-identity.
According to this invention, the following calculation of %-similarity applies: %-similarity = [ (identical residues + similar residues) / length of the alignment region which is showing the respective sequence(s) of this invention over its complete length ] *100.
According to this invention, enzyme variants may be described as an amino acid sequence which is at least m% similar to the respective parent sequences with “m” being an integer between 10 and 100. In one embodiment, variant enzymes are at least 70%, at least 75%, at least 80%, at least 85%, at least 90%, at least 91%, at least 92%, at least 93%, at least 94%, at least 95%, at least 96%, at least 97%, at least 98%, or at least 99% similar when compared to the full length polypeptide sequence of the parent enzyme, wherein the variant enzyme has enzymatic activity.
“Enzymatic activity” means the catalytic effect exerted by an enzyme, which usually is expressed as units per milligram of enzyme (specific activity) which relates to molecules of substrate transformed per minute per molecule of enzyme (molecular activity).
Variant enzymes may have enzymatic activity according to the present invention when said en zyme variants exhibit at least 20%, at least 25%, at least 30%, at least 35%, at least 40%, at least 45%, at 10 least 50%, at least 55%, at least 60%, at least 65%, at least 70%, at least 75%, at least 80%, at least 85%, at least 90%, at least 95%, or 100% of the enzymatic activity of the respective parent enzyme.
In one embodiment, component (b) comprises at least one protease and/or at least one lipase and/or at least one amylase and/or at least one cellulase and/or at least one mannanase and/or at least one DNase.
Protease
In one embodiment, inventive enzyme preparations comprise at least one protease (component (b)). Proteases are members of class EC 3.4. Proteases include aminopeptidases (EC 3.4.11), dipeptidases (EC 3.4.13), dipeptidyl-peptidases and tripeptidyl-peptidases (EC 3.4.14), peptidyl- dipeptidases (EC 3.4.15), serine-type carboxypeptidases (EC 3.4.16), metal locarboxypeptidas- es (EC 3.4.17), cysteine-type carboxypeptidases (EC 3.4.18), omega peptidases (EC 3.4.19), serine endopeptidases (EC 3.4.21), cysteine endopeptidases (EC 3.4.22), aspartic endopepti- dases (EC 3.4.23), metallo-endopeptidases (EC 3.4.24), threonine endopeptidases (EC 3.4.25), or endopeptidases of unknown catalytic mechanism (EC 3.4.99).
In one embodiment, at least one protease is selected from serine proteases (EC 3.4.21). Serine proteases or serine peptidases are characterized by having a serine in the catalytically active site, which forms a covalent adduct with the substrate during the catalytic reaction. A serine protease in the context of the present invention is selected from the group consisting of chymo- trypsin (e.g., EC 3.4.21.1), elastase (e.g., EC 3.4.21.36), elastase (e.g., EC 3.4.21.37 or EC 3.4.21.71), granzyme (e.g., EC 3.4.21.78 or EC 3.4.21.79), kallikrein (e.g., EC 3.4.21.34, EC 3.4.21.35, EC 3.4.21.118, or EC 3.4.21.119,) plasmin (e.g., EC 3.4.21.7), trypsin (e.g., EC 3.4.21.4), thrombin (e.g., EC 3.4.21.5), and subtilisin. Subtilisin is also known as subtilopepti- dase, e.g., EC 3.4.21.62, the latter hereinafter also being referred to as “subtilisin”.
A sub-group of the serine proteases tentatively designated as subtilases has been proposed by Siezen et al. (1991), Protein Eng. 4:719-737 and Siezen et al. (1997), Protein Science 6:501- 523. Subtilases includes the subtilisin family, thermitase family, the proteinase K family, the lan- tibiotic peptidase family, the kexin family and the pyrolysin family.
A subgroup of the subtilases are the subtilisins which are serine proteases from the family S8 as defined by the MEROPS database (http://merops.sanger.ac.uk).
The subtilisin related class of serine proteases shares a common amino acid sequence defining a catalytic triad which distinguishes them from the chymotrypsin related class of serine proteases. Subtilisins and chymotrypsin related serine proteases both have a catalytic triad comprising aspartate, histidine and serine.
Examples include the subtilisins as described in WO 89/06276 and EP 0283075, WO 89/06279, WO 89/09830, WO 89/09819, WO 91/06637 and WO 91/02792.
Proteases are active proteins exerting “protease activity” or “proteolytic activity”. Proteolytic activity is related to the rate of degradation of protein by a protease or proteolytic enzyme in a defined course of time.
The methods for analyzing proteolytic activity are well-known in the literature (see e.g. Gupta et al. (2002), Appl. Microbiol. Biotechnol. 60: 381-395). Proteolytic activity may be determined by using Succinyl-Ala-Ala-Pro-Phe-p-nitroanilide (Suc-AAPF-pNA, short AAPF; see e.g. DelMar et al. (1979), Analytical Biochem 99, 316-320) as substrate. pNA is cleaved from the substrate molecule by proteolytic cleavage, resulting in release of yellow color of free pNA which can be quantified by measuring OD405.
Proteolytic activity may be provided in units per gram enzyme. For example, 1 U protease may correspond to the amount of protease which sets free 1 pmol folin-positive amino acids and peptides (as tyrosine) per minute at pH 8.0 and 37°C (casein as substrate).
Proteases of the subtilisin type (EC 3.4.21.62) may be bacterial proteases originating from a microorganism selected from Bacillus, Clostridium, Enterococcus, Geobacillus, Lactobacillus, Lactococcus, Oceanobacillus, Staphylococcus, Streptococcus, or Streptomyces protease, or a Gram-negative bacterial polypeptide such as a Campylobacter, E. coli, Flavobacterium, Fuso- bacterium, Helicobacter, llyobacter, Neisseria, Pseudomonas, Salmonella, and Ureaplasma.
In one aspect of the invention, at least one protease is selected from Bacillus alcalophilus, Ba cillus amyloliquefaciens, Bacillus brevis, Bacillus circulans, Bacillus clausii, Bacillus coagulans, Bacillus firmus, Bacillus gibsonii, Bacillus lautus, Bacillus lentus, Bacillus licheniformis, Bacillus megaterium, Bacillus pumilus, Bacillus sphaericus, Bacillus stearothermophilus, Bacillus subtilis, or Bacillus thuringiensis protease.
In one embodiment of the present invention, at least one protease is selected from the following: subtilisin from Bacillus amyloliquefaciens BPN1 (described by Vasantha et al. (1984) J. Bac- teriol. Volume 159, p. 811-819 and JA Wells et al. (1983) in Nucleic Acids Research, Volume 11, p. 7911-7925); subtilisin from Bacillus licheniformis (subtilisin Carlsberg; disclosed in EL Smith et al. (1968) in J. Biol Chem, Volume 243, pp. 2184-2191, and Jacobs et al. (1985) in
Nucl. Acids Res, Vol 13, p. 8913-8926); subtilisin PB92 (original sequence of the alkaline protease PB92 is described in EP 283075 A2); subtilisin 147 and/or 309 (Esperase®, Savinase®, respectively) as disclosed in WO 89/06279; subtilisin from Bacillus ientus as disclosed in WO 91/02792, such as from Bacillus Ientus DSM 5483 or the variants of Bacillus Ientus DSM 5483 as described in WO 95/23221; subtilisin from Bacillus alcalophilus (DSM 11233) disclosed in DE 10064983; subtilisin from Bacillus gibsonii (DSM 14391) as disclosed in WO 2003/054184; subtilisin from Bacillus sp. (DSM 14390) disclosed in WO 2003/056017; subtilisin from Bacillus sp. (DSM 14392) disclosed in WO 2003/055974; subtilisin from Bacillus gibsonii (DSM 14393) disclosed in WO 2003/054184; subtilisin having SEQ ID NO: 4 as described in WO 2005/063974; subtilisin having SEQ ID NO: 4 as described in WO 2005/103244; subtilisin having SEQ ID NO: 7 as described in WO 2005/103244; and subtilisin having SEQ ID NO: 2 as described in application DE 102005028295.4.
In one embodiment, component (b) comprises at least subtilisin 309 (which might be called Savinase herein) as disclosed as sequence a) in Table I of WO 89/06279 or a variant which is at least 80% identical thereto and has proteolytic activity.
Examples of useful proteases in accordance with the present invention comprise the variants described in: WO 92/19729, WO 95/23221, WO 96/34946, WO 98/20115, WO 98/20116, WO 99/11768, WO 01/44452, WO 02/088340, WO 03/006602, WO 2004/03186, WO 2004/041979, WO 2007/006305, WO 2011/036263, WO 2011/036264, and WO 2011/072099. Suitable examples comprise especially variants of subtilisin protease derived from SEQ ID NO:22 as described in EP 1921147 (which is the sequence of mature alkaline protease from Bacillus Ientus DSM 5483) with amino acid substitutions in one or more of the following positions: 3, 4, 9, 15,
24, 27, 33, 36, 57, 68, 76, 77, 87, 95, 96, 97, 98, 99, 100, 101 , 102, 103, 104, 106, 118, 120, 123, 128, 129, 130, 131, 154, 160, 167, 170, 194, 195, 199, 205, 206, 217, 218, 222, 224, 232, 235, 236, 245, 248, 252 and 274 (according to the BPN' numbering), which have proteolytic activity. In one embodiment, such a protease is not mutated at positions Asp32, His64 and Ser221 (according to BPN’ numbering).
Suitable proteases include protease variants having proteolytic activity which are at least 40%, at least 45%, at least 50%, at least 55%, at least 60%, at least 65%, at least 70%, at least 75%, at least 80%, at least 85%, at least 90%, at least 91%, at least 92%, at least 93%, at least 94%, at least 95%, at least 96%, at least 97%, at least 98% or at least 99% identical when compared to the full length polypeptide sequence of the parent enzyme as disclosed above.
Suitable proteases include protease variants having proteolytic activity which are at least 40%, at least 45%, at least 50%, at least 55%, at least 60%, at least 65%, at least 70%, at least 75%, at least 80%, at least 85%, at least 90%, at least 91%, at least 92%, at least 93%, at least 94%,
at least 95%, at least 96%, at least 97%, at least 98% or at least 99% similar when compared to the full length polypeptide sequence of the parent enzyme.
In one embodiment, at least one protease has SEQ ID NO:22 as described in EP 1921147, or a protease which is at least 80% identical thereto and has proteolytic activity. In one embodiment, said protease is characterized by having amino acid glutamic acid (E), or aspartic acid (D), or asparagine (N), or glutamine (Q), or alanine (A), or glycine (G), or serine (S) at position 101 (according to BPN’ numbering) and has proteolytic activity. In one embodiment, said protease comprises one or more further substitutions: (a) threonine at position 3 (3T), (b) isoleucine at position 4 (4I), (c) alanine, threonine or arginine at position 63 (63A, 63T, or 63R), (d) aspartic acid or glutamic acid at position 156 (156D or 156E), (e) proline at position 194 (194P), (f) methionine at position 199 (199M), (g) isoleucine at position 205 (205I), (h) aspartic acid, glutamic acid or glycine at position 217 (217D, 217E or 217G), (i) combinations of two or more amino acids according to (a) to (h). At least one protease may be at least 80% identical to SEQ ID NO:22 as described in EP 1921147 and is characterized by comprising one amino acid (according to (a)-(h)) or combinations according to (i) together with the amino acid 101 E, 101D, 101N, 101Q, 101A, 101G, or 101S (according to BPN’ numbering) and having proteolytic activity. In one embodiment, said protease is characterized by comprising the mutation (according to BPN’ numbering) R101 E, or S3T + V4I + V205I, or R101E and S3T, V4I, and V205I, or S3T + V4I + V199M + V205I + L217D, and having proteolytic activity. The protease having a polypeptide sequence according to SEQ ID NO:22 as described in EP 1921147 with R101E substitution may be called Lavergy Pro 104 LS herein, and is preferred in some embodiments.
In one embodiment, protease according to SEQ ID NO:22 as described in EP 1921147 is characterized by comprising the mutation (according to BPN’ numbering) S3T + V4I + S9R + A15T + V68A + D99S + R101S + A103S + 1104V + N218D, and having proteolytic activity.
According to the present invention, a combination of at least two proteases may be used.
Lipase
In one embodiment, inventive enzyme preparations comprise at least one lipase (component (b)). “Lipases”, “lipolytic enzyme”, “lipid esterase”, all refer to an enzyme of EC class 3.1.1 (“carboxylic ester hydrolase”). Lipase means active protein having lipase activity (or lipolytic activity; triacylglycerol lipase, EC 3.1.1.3), cutinase activity (EC 3.1.1.74; enzymes having cutinase ac tivity may be called cutinase herein), sterol esterase activity (EC 3.1.1.13) and/or wax-ester hy drolase activity (EC 3.1.1.50).
The methods for determining lipolytic activity are well-known in the literature (see e g. Gupta et al. (2003), Biotechnol. Appl. Biochem. 37, p. 63-71). E.g. the lipase activity may be measured
by ester bond hydrolysis in the substrate para-nitrophenyl palmitate (pNP-Palmitate, C: 16) and releases pNP which is yellow and can be detected at 405 nm.
“Lipolytic activity” means the catalytic effect exerted by a lipase, which may be provided in lipolytic units (LU). For example, 1LU may correspond to the amount of lipase which produces 1 pmol of titratable fatty acid per minute in a pH stat. under the following conditions: temperature 30°C.; pH=9.0; substrate may be an emulsion of 3.3 wt.% of olive oil and 3.3% gum arabic, in the presence of 13 mmol/I Ca2+ and 20 mmol/l NaCI in 5 mmol/l Tris-buffer.
Lipases include those of bacterial or fungal origin. In one aspect of the invention, a suitable lipase is selected from the following: lipases from Humicola (synonym Thermomyces), e.g. from H. lanuginosa ( T . lanuginosus ) as described in EP 258068, EP 305216, WO 92/05249 and WO 2009/109500 or from H. insolens as described in WO 96/13580; lipases derived from Rhizo- mucor miehei as described in WO 92/05249; lipase from strains of Pseudomonas (some of these now renamed to Burkholderia ), e.g. from P. alcaligenes or P. pseudoalcaligenes (EP 218272, WO 94/25578, WO 95/30744, WO 95/35381 , WO 96/00292), P. cepacia (EP 331376), P. stutzeri (GB 1372034), P. fluorescens, Pseudomonas sp. strain SD705 (WO 95/06720 and WO 96/27002), P. wisconsinensis (WO 96/12012), Pseudomonas mendocina (WO 95/14783),
P. glumae (WO 95/35381 , WO 96/00292); lipase from Streptomyces griseus (WO 2011/150157) and S. pristinaespiralis (WO 2012/137147), GDSL-type Streptomyces lipases (WO 2010/065455); lipase from Thermobifida fusca as disclosed in WO 2011/084412; lipase from Geobacillus stearothermophilus as disclosed in WO 2011/084417; Bacillus lipases, e.g. as disclosed in WO 00/60063, lipases from B. subtilis as disclosed in Dartois et al. (1992), Biochemi- ca et Biophysica Acta, 1131, 253-360 or WO 2011/084599, B. stearothermophilus (JP S64- 074992) or B. pumilus (WO 91/16422); lipase from Candida antarctica as disclosed in WO 94/01541; cutinase from Pseudomonas mendocina (US 5389536, WO 88/09367); cutinase from Magnaporthe grisea (WO 2010/107560); cutinase from Fusarum solani pisi as disclosed in WO 90/09446, WO 00/34450 and WO 01/92502; and cutinase from Humicola lanuginosa as disclosed in WO 00/34450 and WO 01/92502.
Suitable lipases also include those referred to as acyltransferases or perhydrolases, e.g. acyl- transferases with homology to Candida antarctica lipase A (WO 2010/111143), acyltransferase from Mycobacterium smegmatis (WO 2005/056782), perhydrolases from the CE7 family (WO 2009/67279), and variants of the M. smegmatis perhydrolase in particular the S54V variant (WO 2010/100028).
Suitable lipases include also those which are variants of the above described lipases which have lipolytic activity. Such suitable lipase variants are e.g. those which are developed by
methods as disclosed in WO 95/22615, WO 97/04079, WO 97/07202, WO 00/60063, WO 2007/087508, EP 407225 and EP 260105.
Suitable lipases include lipase variants having lipolytic activity which are at least 40%, at least 45%, at least 50%, at least 55%, at least 60%, at least 65%, at least 70%, at least 75%, at least
80%, at least 85%, at least 90%, at least 91%, at least 92%, at least 93%, at least 94%, at least
95%, at least 96%, at least 97%, at least 98% or at least 99% identical when compared to the full length polypeptide sequence of the parent enzyme as disclosed above.
Suitable lipases include lipase variants having lipolytic activity which are at least 40%, at least 45%, at least 50%, at least 55%, at least 60%, at least 65%, at least 70%, at least 75%, at least
80%, at least 85%, at least 90%, at least 91%, at least 92%, at least 93%, at least 94%, at least
95%, at least 96%, at least 97%, at least 98% or at least 99% similar when compared to the full length polypeptide sequence of the parent enzyme.
In one embodiment, lipase is selected from fungal triacylglycerol lipase (EC class 3.1.1.3). Fungal triacylglycerol lipase may be selected from lipases of Thermomyces lanuginosa. In one embodiment, at least one Thermomyces lanuginosa lipase is selected from triacylglycerol lipase according to amino acids 1-269 of SEQ ID NO:2 of US 5869438 and variants thereof having lipolytic activity. Triacylglycerol lipase according to amino acids 1-269 of SEQ ID NO:2 of US 5869438 may be called Lipolase herein.
Thermomyces lanuginosa lipase may be selected from variants having lipolytic activity which are at least 90%, at least 91%, at least 92%, at least 93%, at least 94%, at least 95%, at least 96%, at least 97%, at least 98% or at least 99% identical when compared to the full length polypeptide sequence of amino acids 1-269 of SEQ ID NO:2 of US 5869438.
Thermomyces lanuginosa lipase may be selected from variants having lipolytic activity comprising conservative mutations only, which do however not pertain the functional domain of amino acids 1-269 of SEQ ID NO:2 of US 5869438. Lipase variants of this embodiment having lipolytic activity may be at least 95%, at least 96%, at least 97%, at least 98% or at least 99% similar when compared to the full length polypeptide sequence of amino acids 1-269 of SEQ ID NO:2 of US 5869438.
At least one Thermomyces lanuginosa lipase may be at least 80% identical to SEQ ID NO:2 of US 5869438 characterized by having amino acid T231R and N233R. Said Thermomyces lanu ginosa lipase may further comprise one or more of the following amino acid exchanges: Q4V, V60S, A150G, L227G, P256K.
According to the present invention, a combination of at least two lipases may be used.
Amylase
In one embodiment, inventive enzyme preparations comprise at least one amylase (component (b)). “Amylases” according to the invention (alpha and/or beta) include those of bacterial or fungal origin (EC 3.2.1.1 and 3.2.1.2, respectively). Chemically modified or protein engineered mutants are included.
Amylases according to the invention have “amylolytic activity” or “amylase activity” involving (endo)hydrolysis of glucosidic linkages in polysaccharides oamylase activity may be determined by assays for measurement of a-amylase activity which are known to those skilled in the art. Examples for assays measuring a-amylase activity are: a-amylase activity can be determined by a method employing Phadebas tablets as substrate (Phadebas Amylase Test, supplied by Magle Life Science). Starch is hydrolyzed by the a- amylase giving soluble blue fragments. The absorbance of the resulting blue solution, measured spectrophotometrically at 620 nm, is a function of the a-amylase activity. The measured absorbance is directly proportional to the specific activity (activity/mg of pure a-amylase protein) of the a-amylase in question under the given set of conditions. a-amylase activity can also be determined by a method employing the Ethyliden-4-nitrophenyl- a-D-maltoheptaosid (EPS). D-maltoheptaoside is a blocked oligosaccharide which can be cleaved by an endo-amylase. Following the cleavage, the a-glucosidase included in the kit to digest the substrate to liberate a free PNP molecule which has a yellow color and thus can be measured by visible spectophotometry at 405nm. Kits containing EPS substrate and a- glucosidase is manufactured by Roche Costum Biotech (cat. No. 10880078103). The slope of the time dependent absorption-curve is directly proportional to the specific activity (activity per mg enzyme) of the a-amylase in question under the given set of conditions.
Amylolytic activity may be provided in units per gram enzyme. For example, 1 unit a-amylase may liberate 1.0 mg of maltose from starch in 3 min at pH 6.9 at 20°C.
At least one amylase may be selected from the following:
• amylases from Bacillus licheniformis having SEQ ID NO:2 as described in WO 95/10603. Suitable variants are described in WO 95/10603 comprising one or more substitutions in the following positions: 15, 23, 105, 106, 124, 128, 133, 154, 156, 178, 179, 181, 188, 190, 197, 201, 202, 207, 208, 209, 211, 243, 264, 304, 305, 391, 408, and 444 which have amylolytic activity. Variants are described in WO 94/02597, WO 94/018314, WO 97/043424 and SEQ ID NO:4 of WO 99/019467.
• amylases from B. stearothermophilus having SEQ ID NO:6 as disclosed in WO 02/10355 or an amylase with optionally having a C-terminal truncation over the wildtype sequence. Suitable variants of SEQ ID NO:6 include those comprising a deletion in positions 181 and/or 182 and/or a substitution in position 193.
• amylases from Bacillus sp.707 having SEQ ID NO:6 as disclosed in WO 99/19467. Preferred variants of SEQ NO: 6 are those having a substitution, a deletion or an insertion in one or more of the following positions: R181, G182, H183, G184, N195, I206, E212, E216 and K269.
• amylases from Bacillus halmapalus having SEQ ID NO:2 or SEQ ID NO:7 as described in WO 96/23872, also described herein as SP-722. Preferred variants are described in WO 97/3296, WO 99/194671 and WO 2013/001078.
• amylases from Bacillus sp. DSM 12649 having SEQ ID NO:4 as disclosed in WO 00/22103.
• amylases from Bacillus strain TS-23 having SEQ ID NO:2 as disclosed in WO 2009/061380.
• amylases from Cytophaga sp. having SEQ ID NO:1 as disclosed in WO 2013/184577.
• amylases from Bacillus megaterium DSM 90 having SEQ ID NO:1 as disclosed in WO 2010/104675.
• amylases from Bacillus sp. comprising amino acids 1 to 485 of SEQ ID NO:2 as described in WO 00/60060.
• amylases from Bacillus amyloliquefaciens or variants thereof, preferably selected from amylases according to SEQ ID NO: 3 as described in WO 2016/092009.
• amylases having SEQ ID NO:12 as described in WO 2006/002643 or amylase variants comprising the substitutions Y295F and M202LITV within said SEQ ID NO: 12.
• amylases having SEQ ID NO:6 as described in WO 2011/098531 or amylase variants comprising a substitution at one or more positions selected from the group consisting of 193 [G,A,S,T or M], 195 [F,W,Y,L,I or V], 197 [F,W,Y,L,I or V], 198 [Q or N], 200 [F,W,Y,L,I or V], 203 [F,W,Y,L,I or V], 206 [F,W,Y,N,L,I,V,H,Q,D or E], 210 [F,W,Y,L,I or V], 212 [F,W,Y,L,I or V], 213 [G,A,S,T or M] and 243 [F,W,Y,L,I or V] within said SEQ ID NO:6.
• amylases having SEQ ID NO:1 as described in WO 2013/001078 or amylase variants comprising an alteration at two or more (several) positions corresponding to positions G304, W140, W189, D134, E260, F262, W284, W347, W439, W469, G476, and G477 within said SEQ ID NO:1.
• amylases having SEQ ID NO:2 as described in WO 2013/001087 or amylase variants comprising a deletion of positions 181 + 182, or 182+183, or 183+184, within said SEQ ID NO:2, optionally comprising one or two or more modifications in any of positions corre-
sponding to W140, W159, W167, Q169, W189, E194, N260, F262, W284, F289, G304, G305, R320, W347, W439, W469, G476 and G477 within said SEQ ID NO:2.
• amylases which are hybrid alpha-amylases from above mentioned amylases as for example as described in WO 2006/066594;
• hybrid amylases according to WO 2014/183920 with A and B domains having at least 90% identity to SEQ ID NO:2 of WO 2014/183920 and a C domain having at least 90% identity to SEQ ID NO:6 of WO 2014/183920, wherein the hybrid amylase has amylolytic activity; preferably the hybrid alpha-amylase is at least 95% identical to SEQ ID NO: 23 of WO 2014/183920 and having amylolytic activity;
• hybrid amylase according to WO 2014/183921 with A and B domains having at least 75% identity to SEQ ID NO: 2, SEQ ID NO: 15, SEQ ID NO: 20, SEQ ID NO: 23, SEQ ID NO: 29, SEQ ID NO: 26, SEQ ID NO: 32, and SEQ ID NO: 39 as disclosed in WO 2014/183921 and a C domain having at least 90% identity to SEQ ID NO: 6 of WO 2014/183921 , wherein the hybrid amylase has amylolytic activity; preferably, the hybrid alpha-amylase is at least 95% identical to SEQ ID NO: 30 as disclosed in WO 2014/183921 and having amylolytic activity.
Suitable amylases comprised in component (b) include amylase variants of the amylases disclosed herein having amylase activity which are at least 40%, at least 45%, at least 50%, at least 55%, at least 60%, at least 65%, at least 70%, at least 75%, at least 80%, at least 85%, at least 90%, at least 91%, at least 92%, at least 93%, at least 94%, at least 95%, at least 96%, at least 97%, at least 98% or at least 99% identical when compared to the full-length polypeptide sequence of the parent enzyme as disclosed above.
Suitable amylases comprised in component (b) include amylase variants of the amylases disclosed herein having amylase activity which are at least 40%, at least 45%, at least 50%, at least 55%, at least 60%, at least 65%, at least 70%, at least 75%, at least 80%, at least 85%, at least 90%, at least 91%, at least 92%, at least 93%, at least 94%, at least 95%, at least 96%, at least 97%, at least 98% or at least 99% similar when compared to the full-length polypeptide sequence of the parent enzyme.
According to the present invention, a combination of at least two amylases may be used. Cellulase
At least one enzyme comprised in component (b) may be selected from the group of cellulases. At least one cellulase may be selected from cellobiohydrolase (1,4-P-D-glucan cellobiohydro- lase, EC 3.2.1.91), endo-ss-1,4-glucanase (endo-1,4-P-D-glucan 4-glucanohydrolase, EC 3.2.1.4) and ss-glucosidase (EC 3.2.1.21). Preferably, component (b) comprises at least one
cellulase of the glycosyl hydrolase family 7 (GH7, pfam00840), preferably selected from en- doglucanases (EC 3.2.1.4).
"Cellulases", “cellulase enzymes” or “cellulolytic enzymes” are enzymes involved in hydrolysis of cellulose. Assays for measurement of “cellulase activity” or “cellulolytic activity” are known to those skilled in the art. For example, cellulolytic activity may be determined by virtue of the fact that cellulase hydrolyses carboxymethyl cellulose to reducing carbohydrates, the reducing ability of which is determined colorimetrically by means of the ferricyanide reaction, according to Hoffman, W. S., J. Biol. Chem. 120, 51 (1937).
In one embodiment, component (b) comprises at least one cellulase 80% identical to a polypeptide sequence according to SEQ ID NO:2 of WO 95/02675. In one embodiment, component (b) comprises at least one cellulase 80% identical to a polypeptide sequence according to SEQ ID NO:4 of WO 2004/053039. In one embodiment, component (b) comprises at least one cellulase 80% identical to a polypeptide sequence according to SEQ ID NO:2 of WO 2002/99091.
Cellulolytic activity may be provided in units per gram enzyme. For example, 1 unit may liberate 1.0 pmole of glucose from cellulose in one hour at pH 5.0 at 37 °C (2 hour incubation time).
Cellulases according to the invention include those of bacterial or fungal origin. In one embodi ment, at least one cellulase is selected from cellulases comprising a cellulose binding domain.
In one embodiment, at least one cellulase is selected from cellulases comprising a catalytic do main only, meaning that the cellulase lacks cellulose binding domain.
According to the present invention, component (b) may comprise a combination of at least two cellulases, preferably selected from endoglucanases (EC 3.2.1.4) as disclosed above.
Mannan-degrading enzyme
At least one enzyme comprised in component (b) may be selected from the group of mannan degrading enzymes. At least one mannan degrading enzyme may be selected from b- mannosidase (EC 3.2.1.25), endo-1,4-p-mannosidase (EC 3.2.1.78), and 1,4-p-mannobiosidase (EC 3.2.1.100). Preferably, at least one mannan degrading enzyme is selected from the group of endo-1,4^-mannosidase (EC 3.2.1.78), a group of enzymes which may be called endo-b- 1,4-D-mannanase, b-mannanase, or mannanase herein.
A polypeptide having mannanase activity may be tested for mannanase activity according to standard test procedures known in the art, such as by applying a solution to be tested to 4 mm diameter holes punched out in agar plates containing 0.2% AZCL galactomannan (carob), i. e. substrate for the assay of endo-1,4-beta-D-mannanase available as CatNo. I-AZGMA from the
company Megazyme (Megazyme's Internet address: http://www.megazyme.com/Purchase/index.html).
Component (b) may comprise at least one mannanase selected from alkaline mannanase of Family 5 or 26. The term “alkaline mannanase” is meant to encompass mannanases having an enzymatic activity of at least 40% of its maximum activity at a given pH ranging from 7 to 12, preferably 7.5 to10.5.
At least one mannanase comprised in component (b) may be selected from mannanases originating from Bacillus organisms, such as described in JP-0304706 [beta-mannanase from Bacil lus sp.], JP-63056289 [alkaline, thermostable beta-mannanase], JP-63036774 [Bacillus microorganism FERM P-8856 producing beta-mannanase and beta-mannosidase at an alkaline pH], JP-08051975 [alkaline beta-mannanases from alkalophilic Bacillus sp. AM-001], WO 97/11164 [mannanase from Bacillus amyloliquefaciens], WO 91/18974 [mannanase active at an extreme pH and temperature], WO 2014/100018 [endo-(3-mannanase1 cloned from a Bacillus circulans or Bacillus lentus strain CMG1240 (Blemanl; see U.S. 5,476,775)]. Suitable mannanases are described in WO 99/064619]
In one embodiment, at least one mannanase comprised in component (b) is a polypeptide 80% identical to SEQ ID NO: 2 in US6566114. At least one mannanase comprised in component (b) may be selected from mannanases originating from Trichoderma organisms, such as disclosed in WO 93/24622 or in WO 2011/085747.
Component (b) may comprise mannanase variants having mannanase activity which are at least 40%, at least 45%, at least 50%, at least 55%, at least 60%, at least 65%, at least 70%, at least 75%, at least 80%, at least 85%, at least 90%, at least 91%, at least 92%, at least 93%, at least 94%, at least 95%, at least 96%, at least 97%, at least 98% or at least 99% identical when compared to the full-length polypeptide sequence of the corresponding parent enzyme as disclosed above.
Component (b) may comprise mannanase variants having mannanase activity which are at least 40%, at least 45%, at least 50%, at least 55%, at least 60%, at least 65%, at least 70%, at least 75%, at least 80%, at least 85%, at least 90%, at least 91%, at least 92%, at least 93%, at least 94%, at least 95%, at least 96%, at least 97%, at least 98% or at least 99% similar when compared to the full-length polypeptide sequence of the corresponding parent enzyme as dis closed above.
According to the present invention, component (b) may comprise a combination of at least two mannan-degrading enzymes, preferably selected from endo-1 ,4^-mannosidase (EC 3.2.1.78) as disclosed above.
DNAse
At least one enzyme comprised in component (b) may be selected from the group of DNA de grading enzymes. Said enzymes usually catalyzes the hydrolytic cleavage of phosphodiester linkages in DNA. The DNAses are classified e.g. in E.C. 3.1.11, E.C. 3.1.12, E.C. 3.1.15, E.C. 3.1.16, E.C. 3.1.21, E.C 3.1.22, E.C 3.1.23, E.C 3.1.24 and E.C.3.1.25 as well as EC 3.1.21.X, where X=1 , 2, 3, 4, 5, 6, 7, 8 or 9.
DNAse activity may be determined on DNAse Test Agar with Methyl Green (BD, Franklin Lakes, NJ, USA), which should be prepared according to the manual from supplier. Briefly, 21 g of agar is dissolved in 500 ml water and then autoclaved for 15 min at 121 °C. Autoclaved agar is tem- perated 10 to 48°C in water bath, and 20 ml of agar is to be poured into petridishes with and allowed to solidify by incubation o/n at room temperature. On solidified agar plates, 5 pi of enzyme solution is added and DNAse activity is observed as colorless zones around the spotted enzyme solutions.
DNAse activity may be determined by using the DNAseAlert™ Kit (11-02-01-04, IDT Intergrated DNA Technologies) according to the supplier's manual. Briefly, 95 pi DNase sample is mixed with 5 mI substrate in a microtiter plate, and fluorescence is immediately measured using e.g. a Clariostar microtiter reader from BMG Labtech (536 nm excitation, 556 nm emission).
At least one DNAse comprised in component (b) may be selected from DNAses originating from Bacillus such as from Bacillus cibi, Bacillus horikoshii, Bacillus horneckiae, Bacillus idriensis, Bacillus algicola, Bacillus vietnamensis, Bacillus hwajinpoensis, Paenibacillus mucilanginosus, Bacillus indicus, Bacillus luciferensis, Bacillus marisflavr, and variants thereof. In one embodiment, at least one DNAse in component (b) is selected from polypeptides 80% identical to SEQ ID NO: 1 of WO 2019/081724. Said polypeptide may comprise one or more substitutions at positions selected from T1, G4, S7, K8, S9, S13, N16, T22, S25, S27, D32, L33, S39, G41, S42, D45, Q48, S57, S59, N61, T65, S66, V76, F78, P91, S101, S106, Q109, A112, S116, T127, S130, T138, Q140, S144, A147, C148, W154, T157, Y159, G162, S167, Q174, G175, L177, S179, and C180 - all as disclosed in Wo2019/081724 and WO 2019/081721.
Component (b) may comprise DNAse variants having DNA degrading activity which are at least 40%, at least 45%, at least 50%, at least 55%, at least 60%, at least 65%, at least 70%, at least
75%, at least 80%, at least 85%, at least 90%, at least 91%, at least 92%, at least 93%, at least
94%, at least 95%, at least 96%, at least 97%, at least 98% or at least 99% identical when compared to the full-length polypeptide sequence of the corresponding parent enzyme as dis closed above.
Component (b) may comprise DNAse variants having DNA degrading activity which are at least 40%, at least 45%, at least 50%, at least 55%, at least 60%, at least 65%, at least 70%, at least
75%, at least 80%, at least 85%, at least 90%, at least 91%, at least 92%, at least 93%, at least
94%, at least 95%, at least 96%, at least 97%, at least 98% or at least 99% similar when compared to the full-length polypeptide sequence of the corresponding parent enzyme as disclosed above.
According to the present invention, component (b) may comprise a combination of at least two DNAses.
Component (c)
In one embodiment, the liquid enzyme preparation of the invention comprises component (c) which comprises at least one compound selected from solvents, enzyme stabilizers, and compounds stabilizing the liquid enzyme preparation as such.
Enzyme stabilizers
The liquid enzyme preparation of the invention may comprise at least one enzyme stabilizer. Said enzyme stabilizer (component (c)) may be selected from boron-containing compounds, polyols, peptide aldehydes, other stabilizers, and mixtures thereof.
Boron-containing compounds:
Boron-containing compounds (component (c)) may be selected from boric acid or its derivatives and from boronic acid or its derivatives such as aryl boronic acids or its derivatives, from salts thereof, and from mixtures thereof. Boric acid herein may be called orthoboric acid.
In one embodiment, boron-containing compound (component (c)) is selected from the group consisting of aryl boronic acids and its derivatives. In one embodiment, boron-containing compound is selected from the group consisting of benzene boronic acid (BBA) which is also called phenyl boronic acid (PBA), derivatives thereof, and mixtures thereof. In one embodiment, phenyl boronic acid derivatives are selected from the group consisting of the derivatives of formula (1a) and (1b) formula:
wherein
R1 is selected from the group consisting of hydrogen, hydroxy, non-substituted or substituted CrCe alkyl, and non-substituted or substituted C1-C6 alkenyl; in a preferred embodiment, R is selected from the group consisting of hydroxy, and non-substituted Ci alkyl;
R2 is selected from the group consisting of hydrogen, hydroxy, non-substituted or substituted CrCe alkyl, and non-substituted or substituted C1-C6 alkenyl; in a preferred embodiment, R is selected from the group consisting of H, hydroxy, and substituted Ci alkyl.
In one embodiment phenyl-boronic acid derivatives (component (c)) are selected from the group consisting of 4-formyl phenyl boronic acid (4-FPBA), 4-carboxy phenyl boronic acid (4-CPBA), 4-(hydroxymethyl) phenyl boronic acid (4-HMPBA), and p-tolylboronic acid (p-TBA).
Other suitable derivatives (component (c)) include: 2-thienyl boronic acid, 3-thienyl boronic acid, (2-acetamidophenyl) boronic acid, 2-benzofuranyl boronic acid, 1-naphthyl boronic acid, 2- naphthyl boronic acid, 2-FPBA, 3-FBPA, 1-thianthrenyl boronic acid, 4-dibenzofuran boronic acid, 5-methyl-2-thienyl boronic acid, 1-benzothiophene-2 boronic acid, 2-furanyl boronic acid, 3-furanyl boronic acid, 4,4 biphenyl-diboronic acid, 6-hydroxy-2-naphthaleneboronic acid, 4- (methylthio) phenyl boronic acid, 4-(trimethylsilyl) phenyl boronic acid, 3-bromothiophene bo ronic acid, 4-methylthiophene boronic acid, 2-naphthyl boronic acid, 5-bromothiophene boronic acid, 5-chlorothiophene boronic acid, dimethylthiophene boronic acid, 2-bromophenyl boronic acid, 3-chlorophenyl boronic acid, 3-methoxy-2-thiophene boronic acid, p-methyl-phenylethyl boronic acid, 2-thianthrenyl boronic acid, di-benzothiophene boronic acid, 9-anthracene boronic acid, 3,5 dichlorophenyl boronic, acid, diphenyl boronic acid anhydride, o-chlorophenyl boronic acid, p-chlorophenyl boronic acid, m-bromophenyl boronic acid, p-bromophenyl boronic acid, p- fluorophenyl boronic acid, octyl boronic acid, 1,3,5 trimethylphenyl boronic acid, 3-chloro-4- fluorophenyl boronic acid, 3-aminophenyl boronic acid, 3,5-bis-(trifluoromethyl) phenyl boronic acid, 2,4 dichlorophenyl boronic acid, 4-methoxyphenyl boronic acid, and mixtures thereof.
Polyols:
Polyols (component (c)) may be selected from polyols containing from 2 to 6 hydroxyl groups. Suitable examples include glycol, propylene glycol, 1,2-propane diol, 1,2-butane diol, 1 ,2- pentane diol, ethylene glycol, hexylene glycol, glycerol, sorbitol, mannitol, erythriol, glucose, fructose, and lactose.
Peptide aldehydes:
Peptide aldehydes (component (c)) may be selected from di-, tri- or tetrapeptide aldehydes and aldehyde analogues (either of the form B1-BO-R wherein, R is H, CF , CX3, CHX2, or CH2X (X=halogen), BO is a single amino acid residue (in one embodiment with an optionally substitut ed aliphatic or aromatic side chain); and B1 consists of one or more amino acid residues (in one
embodiment one, two or three), optionally comprising an N-terminal protection group, or as described in WO 09/118375 and WO 98/13459, or a protease inhibitor of the protein type such as RASI, BASI, WASI (bifunctional alpha-amylase/subtilisin inhibitors of rice, barley and wheat) or Cl2 or SSI. At least one peptide stabilizer may be selected from a compound of formula (2a) or a salt thereof or from a compound of formula (2b):
R1, R2, R3, R4, R5 and Z within formulae (2a) and (2b) are defined as follows:
R1, R2 and R3are each independently selected from the group consisting of hydrogen, optionally substituted C1-8 alkyl, optionally substituted C2-6 alkenyl, optionally substituted Ci-salkoxy, optionally substituted 3- to 12-membered cycloalkyl, and optionally substituted 6- to 10-membered aryl; or wherein each R1, R2 and R3 is independently selected as -(CH2)3- which is also attached to the nitrogen atom of -NH-C(H)- so that -N-C(H)R1'2 or 3- forms a 5-membered heterocyclic ring;
R4and R5 are each independently selected from the group consisting of hydrogen, optionally substituted C1-8 alkyl, optionally substituted C2-6 alkenyl, optionally substituted Ci-salkoxy, op- tionally substituted Ci-4acyl, optionally substituted Ci-8 alkyl phenyl (e.g. benzyl), and optionally substituted 6- to 10-membered aryl; or wherein R4 and R5 are joined to form an optionally sub stituted 5- or 6-membered ring;
Z is selected from hydrogen, an N-terminal protection group, and one or more amino acid residues optionally comprising an N-terminal protection group.
Preferably, R1 is a group such that NH-CHR1-CO is an L or D-amino acid residue of Gly, Ala,
Val, Leu, lie, Met, Pro, Phe, Trp, Ser, Thr, Asp, Gin, Tyr, Cys, Lys, Arg, His, Asn, Glu, m- tyrosine, 3,4-dihydroxyphenylalanine, Nva, or Nle. More preferably, R1 is a group such that NH- CHR1-CO is an L or D-amino acid residue of Ala, Val, Gly, Arg, Leu, Phe, lie, His or Thr. Even more preferably, R1 is a group such that NH-CHR1-CO is an L or D-amino acid residue of Ala, Val, Gly, Arg, Leu, lie or His.
Preferably, R2 is a group such that NH-CHR2-CO is an L or D-amino acid residue of Gly, Ala, Val, Leu, lie, Met, Pro, Phe, Trp, Ser, Thr, Asp, Gin, Tyr, Cys, Lys, Arg, His, Asn, Glu, m- tyrosine, 3,4-dihydroxyphenylalanine, Nva, or Nle. More preferably, R2 is a group such that NH- CHR2-CO is an L or D-amino acid residue of Ala, Cys, Gly, Pro, Ser, Thr, Val, Nva or Nle. Even more preferably, R2 is a group such that NH-CHR2-CO is an L or D-amino acid residue of Ala, Gly, Pro or Val.
In one embodiment R1 is a group such that NH-CHR1-CO is an L or D-amino acid residue of Ala, Val, Gly, Arg, Leu, lie or His and R2 is a group such that NH-CHR2-CO is an L or D-amino acid residue of Ala. In one embodiment R1 is a group such that NH-CHR1-CO is an L or D- amino acid residue of Ala, Val, Gly, Arg, Leu, lie or His and R2 is a group such that NH-CHR2- CO is an L or D-amino acid residue of Gly. In one embodiment R1 is a group such that NH- CHR1-CO is an L or D-amino acid residue of Ala, Val, Gly, Arg, Leu, lie or His and R2 is a group such that NH-CHR2-CO is an L or D-amino acid residue of Pro. In one embodiment R1 is a group such that NH-CHR1-CO is an L or D-amino acid residue of Ala, Val, Gly, Arg, Leu, lie or His and R2 is a group such that NH-CHR2-CO is an L or D-amino acid residue of Val.
In one embodiment R1 is a group such that NH-CHR1-CO is an L or D-amino acid residue of Ala and R2 is a group such that NH-CHR2-CO is an L or D-amino acid residue of Ala, Gly, Pro or Val. In one embodiment R1 is a group such that NH-CHR1-CO is an L or D-amino acid residue of Val and R2 is a group such that NH-CHR2-CO is an L or D-amino acid residue of Ala, Gly, Pro or Val. In one embodiment R1 is a group such that NH-CHR1-CO is an L or D-amino acid residue of Gly and R2 is a group such that NH-CHR2-CO is an L or D-amino acid residue of Ala,
Gly, Pro or Val. In one embodiment R1 is a group such that NH-CHR1-CO is an L or D-amino acid residue of Arg and R2 is a group such that NH-CHR2-CO is an L or D-amino acid residue of Ala, Gly, Pro or Val. In one embodiment R1 is a group such that NH-CHR1-CO is an L or D- amino acid residue of Leu and R2 is a group such that NH-CHR2-CO is an L or D-amino acid residue of Ala, Gly, Pro or Val. In one embodiment R1 is a group such that NH-CHR1-CO is an L or D-amino acid residue of lie and R2 is a group such that NH-CHR2-CO is an L or D-amino acid residue of Ala, Gly, Pro or Val. In one embodiment R1 is a group such that NH-CHR1-CO is an L
or D-amino acid residue of His and R2 is a group such that NH-CHR2-CO is an L or D-amino acid residue of Ala, Gly, Pro or Val.
In one embodiment, R3 is a group selected from optionally substituted Ci-s alkyl, such as CH2Si(CH3)3, Ci-salkylphosphates such as (CH2)nPO(OR)2, Ci-e alkylnitriles such as CH2CN, Ci-salkylsulfones such as CH2S02R, Ci-salkylethers such as (CH2)nOR, Ci-salkylesters such as CH2C02R, and Ci-salkylamides; optionally substituted Ci-salkoxy, optionally substituted 3- to 12-membered cycloalkyl, such as cyclohexylmethyl; and optionally substituted 6- to 10- membered aryl, wherein R is independently selected from the group consisting of hydrogen, optionally substituted C1-3 alkyl, optionally substituted Ci-salkoxy, optionally substituted 3- to 12- membered cycloalkyl, optionally substituted 6- to 10-membered aryl, and optionally substituted 6- to 10-membered heteroaryl and n is an integer from 1 to 8, i.e. 1 , 2, 3, 4, 5, 6, 7 or 8.
Preferably, R3 is a group such that NH-CHR3-CO is an L or D-amino acid residue of Tyr, m- tyrosine, 3,4-dihydroxyphenylalanine, Phe, Val, Ala, Met, Nva, Leu, lie or Nle or other nonnatural amino acids carrying alkyl groups. More preferably, R3 is a group such that NH-CHR3- CO is an L or D-amino acid residue of Tyr, Phe, Val, Ala or Leu.
In one embodiment, R1, R2 and R3 is a group such that NH-CHR1-CO, NH-CHR2-CO and NH- CHR3-CO each is an L or D-amino acid residue of Gly, Ala, Val, Leu, lie, Met, Pro, Phe, Trp,
Ser, Thr, Asp, Gin, Tyr, Cys, Lys, Arg, His, Asn, Glu, m-tyrosine, 3,4-dihydroxyphenylalanine, Nva or Nle.
In one embodiment, R1 and R2 is a group such that NH-CHR1-CO and NH-CHR2-CO each is an L or D-amino acid residue of Ala, Cys, Gly, Pro, Ser, Thr, Val, Nva or Nle, and R3 is a group such that NH-CHR3-CO is an L or D-amino acid residue of Tyr, m-tyrosine, 3,4-dihydroxyphenylalanine, Phe, Val, Ala, Met, Nva, Leu, lie or Nle.
In one embodiment, R1 is a group such that NH-CHR1-CO is an L or D-amino acid residue of Gly or Val, R2 is a group such that NH-CHR2-CO is an L or D-amino acid residue of Ala, and R3 is a group such that NH-CHR3-CO is an L or D-amino acid residue of Tyr, Ala, or Leu.
In one embodiment, R1 is a group such that NH-CHR1-CO is an L or D-amino acid residue of Val, R2 is a group such that NH-CHR2-CO is an L or D-amino acid residue of Ala, and R3 is a group such that NH-CHR3-CO is an L or D-amino acid residue of Leu.
In one embodiment, R1 is a group such that NH-CHR1-CO is an L or D-amino acid residue of Gly, R2 is a group such that NH-CHR2-CO is an L or D-amino acid residue of Ala, and R3 is a group such that NH-CHR3-CO is an L or D-amino acid residue of Tyr.
In one embodiment, R1 is a group such that NH-CHR1-CO is an L or D-amino acid residue of Val, R2 is a group such that NH-CHR2-CO is an L or D-amino acid residue of Ala, and R3 is a group such that NH-CHR3-CO is an L or D-amino acid residue of Ala.
In one embodiment, R1 is a group such that NH-CHR1-CO is an L or D-amino acid residue of Val, R2 is a group such that NH-CHR2-CO is an L or D-amino acid residue of Ala, and R3 is a group such that NH-CHR3-CO is an L or D-amino acid residue of Norleucine.
In one embodiment, R1 is a group such that NH-CHR1-CO is an L or D-amino acid residue of Val, R2 is a group such that NH-CHR2-CO is an L or D-amino acid residue of Ala, and R3 is a group such that NH-CHR3-CO is an L or D-amino acid residue of Norvaline.
In one embodiment, R4 and R5are each independently selected from hydrogen, methyl, ethyl, i- propyl, n-propyl, i-butyl, s-butyl, n-butyl, i-pentyl, 2-pentyl, 3-pentyl, neopentyl, cyclopentyl, cyclohexyl, and benzyl.
R4 and R5may each independently be selected from methyl, ethyl, isopropyl, 2-butyl or 3-pentyl. More preferably, R4 and R5 are both methyl, ethyl, isopropyl, 2-butyl or 3-pentyl.
Z is selected from hydrogen, an N-terminal protection group, and one or more amino acid residues optionally comprising an N-terminal protection group. Preferably, Z is an N-terminal protection group.
The N-terminal protection group may be selected from formyl, acetyl (Ac), benzoyl (Bz), tri- fluoroacetyl, fluorenylmethyloxycarbonyl (Fmoc), methoxysuccinyl, aromatic and aliphatic urethane protecting groups, benzyloxycarbonyl (Cbz), ferf-butyloxycarbonyl (Boc), adaman- tyloxycarbonyl, p-methoxybenzyl carbonyl (MOZ), benzyl (Bn), p-methoxybenzyl (PMB) or p- methoxyphenyl (PMP), methoxycarbonyl (Moc); methoxyacetyl (Mac); methyl carbamate, a me- thylamino carbonyl/methyl urea group, tityl (Trt), 3,5-dimethoxyphenylisoproxycarbonyl (Ddz), 2- (4-biphenyl)isopropoxycarbonyl (Bpoc), 2-nitrophenylsulfenyl (Nps), 2-(4-nitrophenylsulfonyl)- ethoxycarbonyl (Nsc), 1,1-dioxobenzo[b]thiophene-2-ylmethyloxycarbonyl (Bsmoc), (1,1-dioxo- naphtho[1,2-b]thiophene-2-yl)methyloxycarbonyl (a-Nsmoc), 1-(4,4-dimethyl-2,6-dioxocyclohex-
1-ylidene)-3-methylbutyl (ivDde), 2,7-di-tert-butyl-Fmoc (Fmoc*), 2-fluoro-Fmoc (Fmoc(2F)),
2-monoisooctyl-Fmoc (mio-Fmoc) and 2,7-diisooctyl-Fmoc (dio-Fmoc), tetrachlorophthaloyl (TCP), 2-phenyl(methyl)sulfonio)ethyloxycarbonyl tetrafluoroborate (Pms), ethanesulfonylethox- ycarbonyl (Esc), 2-(4-sulfophenylsulfonyl)ethoxycarbonyl (Sps), allyloxycarbonyl (Alloc), o-nitro- benzenesulfonyl (oNBS), 2,4-dinitrobenzenesulfonyl (dNBS), Benzothiazole-2-sulfonyl (Bts), 2,2,2-trichloroethyloxycarbonyl (Troc), dithiasuccinoyl (Dts), p-nitrobenzyloxycarbonyl (pNZ), oAzidoacids, Propargyloxycarbonyl (Poc), o-Nitrobenzyloxycarbonyl (oNZ), 4-Nitroveratryl- oxycarbonyl (NVOC), 2-(2-Nitrophenyl)propyloxycarbonyl (NPPOC), 2-(3,4-Methylenedioxy-6-
nitrophenyl)propyloxycarbonyl (MNPPOC), 9-(4-Bromophenyl)-9-fluorenyl (BrPhF), Az- idomethyloxycarbonyl (Azoc), Hexafluoroacetone (HFA), 2-Chlorobenzyloxycarbonyl (Cl-Z), Trifluoroacetyl (tfa), 2-(Methylsulfonyl)ethoxycarbonyl (Msc), Tetrachlorophthaloyl (TCP), Phe- nyldisulphanylethyloxycarbonyl (Phdec), 2-Pyridyldisulphanylethyloxycarbonyl (Pydec), or 4- Methyltrityl (Mtt).
If Z is one or more amino acid residue(s) comprising an N-terminal protection group, the N- terminal protection group is preferably a small aliphatic group, e.g., formyl, acetyl, fluorenylme- thyloxycarbonyl (Fmoc), fert-butyloxycarbonyl (Boc), methoxycarbonyl (Moc); methoxyacetyl (Mac); methyl carbamate or a methylamino carbonyl/methyl urea group. In the case of a tripeptide, the N-terminal protection group is preferably a bulky aromatic group such as benzoyl (Bz), benzyloxycarbonyl (Cbz), p-methoxybenzyl carbonyl (MOZ), benzyl (Bn), p-methoxybenzyl (PMB) or p-methoxyphenyl (PMP).
Further suitable N-terminal protection groups are described in Greene’s Protective Groups in Organic Synthesis, Fifth Edition by Peter G. M. Wuts, published in 2014 by John Wiley & Sons, Inc and in Isidro-Llobet et al., Amino Acid-Protecting Groups, Chem. Rev. 2009 109(6), 2455- 2504.
Preferably, the N-terminal protection group is selected from benzyloxycarbonyl (Cbz), p-metho- xybenzyl carbonyl (MOZ), benzyl (Bn), benzoyl (Bz), p-methoxybenzyl (PMB), p-methoxyphenyl (PMP), formyl, acetyl (Ac), methyloxy, alkoxycarbonyl, methoxycarbonyl, fluorenylmethyloxycar- bonyl (Fmoc), or fe/f-butyloxycarbonyl (Boc). Most preferably, the N-terminal protection group is benzyloxycarbonyl (Cbz).
In a preferred embodiment, the peptide stabilizer is selected from compounds according to formula (2b), wherein
• R1 and R2 is a group such that NH-CHR1-CO and NH-CHR2-CO each is an L or D-amino acid residue selected from Ala, Cys, Gly, Pro, Ser, Thr, Val, Nva or Nle, and R3 is a group such that NH-CHR3-CO is an L or D-amino acid residue selected from Tyr, m-tyrosine, 3,4-dihydroxyphenylalanine, Phe, Val, Ala, Met, Nva, Leu, lie or Nle; and
• the N-terminal protection group Z is selected from benzyloxycarbonyl (Cbz), p- methoxybenzyl carbonyl (MOZ), benzyl (Bn), benzoyl (Bz), p-methoxybenzyl (PMB), p- methoxyphenyl (PMP), formyl, acetyl (Ac), methyloxy, alkoxycarbonyl, methoxycarbonyl, fluorenylmethyloxycarbonyl (Fmoc), or fe/f-butyloxycarbonyl (Boc).
In a more preferred embodiment, the peptiptide stabilizer according to formula (2b) is character ized in
• R1 is a group such that NH-CHR1-CO is an L or D-amino acid residue of Val, R2 is a group such that NH-CHR2-CO is an L or D-amino acid residue of Ala, and R3 is a group such that NH-CHR3-CO is an L or D-amino acid residue of Leu; and
• the N-terminal protection group Z is selected from benzyloxycarbonyl (Cbz), p- methoxybenzyl carbonyl (MOZ), benzyl (Bn), benzoyl (Bz), p-methoxybenzyl (PMB), p- methoxyphenyl (PMP), formyl, acetyl (Ac), methyloxy, alkoxycarbonyl, methoxycarbonyl, fluorenylmethyloxycarbonyl (Fmoc), or ferf-butyloxycarbonyl (Boc); preferably, the N- terminal protection group Z is benzyloxycarbonyl (Cbz).
In one embodiment, the enzyme preparation comprises about 0.1-2% by weight relative to the total weight of the enzyme preparation of at least one peptide stabilizer. Preferably, the enzyme preparation comprises about 0.15-1%, or 0.2-0.5%, or about 0.3% by weight relative to the total weight of the enzyme preparation of at least one peptide stabilizer. More preferably, the enzyme preparation comprises about 0.3% by weight relative to the total weight of the enzyme prepara tion of a peptide stabilizer according to formula (2b) characterized in
• R1 is a group such that NH-CHR1-CO is an L or D-amino acid residue of Val, R2 is a group such that NH-CHR2-CO is an L or D-amino acid residue of Ala, and R3 is a group such that NH-CHR3-CO is an L or D-amino acid residue of Leu; and
• the N-terminal protection group Z is benzyloxycarbonyl (Cbz).
Other stabilizers:
Other stabilizers (component (c)) may be selected from salts like NaCI or KCI, and alkali salts of lactic acid and formic acid.
Other stabilizers (component (c)) may be selected from water-soluble sources of zinc (II), calci um (II) and/or magnesium (II) ions in the finished compositions that provide such ions to the enzymes, as well as other metal ions (e.g. barium (II), scandium (II), iron (II), manganese (II), aluminum (III), Tin (II), cobalt (II), copper (II), Nickel (II), and oxovanadium (IV)).
Solvents
In one embodiment, the inventive enzyme preparation is aqueous, comprising water in amounts in the range of 5% to 95 % by weight, in the range of 5% to 30% by weight, in the range of 5%
to 25% by weight, or in the range of 20% to 70% by weight, all relative to the total weight of the enzyme preparation.
In one embodiment, the enzyme preparation of the invention comprises at least one organic solvent selected from ethanol, n-propanol, iso-propanol, n-butanol, iso-butanol, sec.-butanol, ethylene glycol, propylene glycol, 1,3-propane diol, butane diol, glycerol, diglycol, propyl diglycol, butyl diglycol, hexylene glycol, ethylene glycol methyl ether, ethylene glycol ethyl ether, ethylene glycol propyl ether, and phenoxyethanol, preferred are ethanol, isopropanol or propylene glycol. Further, the enzyme preparation of the invention may comprise at least one organic solvent selected from compounds such as 2-butoxyethanol, isopropyl alcohol, and d-limonene.
Said enzyme preparation may comprise organic solvents in amounts in the range of 0% to 20% by weight relative to the total weight of the enzyme preparation. In one embodiment, the enzyme preparation comprises water in amounts in the range of 5% to 15% by weight and no significant amounts of organic solvent, for example 1% by weight or less, all relative to the total weight of the enzyme preparation.
In one embodiment, the liquid enzyme preparation of the invention does not comprise an organic solvent.
Compounds stabilizing the liquid enzyme preparation as such
Compounds stabilizing the liquid enzyme preparation as such means any compound except enzyme stabilizers needed to establish storage stability of a liquid preparation in amounts effective to ensure the storage stability.
Storage stability in the context of liquid preparations to those skilled in the art usually includes aspects of appearance of the product and uniformity of dosage.
Appearance of the product is influenced by the pH of the product and by the presence of compounds such as preservatives, antioxidants, viscosity modifiers, emulsifiers etc.
Uniformity of dosage is usually related to the homogeneity of a product.
Inventive enzyme preparations may be alkaline or exhibit a neutral or slightly acidic pH value, for example 6 to 14, 6.5 to 13, 8 to 10.5, or 8.5 to 9.0.
The liquid enzyme preparation of the invention may comprise at least one preservative. Preservatives are usually added in amounts effective in preventing microbial growth of the liquid enzyme preparation, preferably the aqueous enzyme preparation.
At least one preservative may be selected from the group
Benzylhemiformal, synonym: (Benzyloxy)methanol (CAS No. 14548-60-8); (Ethylenedioxy)dimethanol, synonyms: Dascocide 9;(ethylenedioxy)dimethanol (reaction products of ethylene glycol with paraformaldehyde (EGForm)) (CAS. No.3586-55-8);
.alpha., .alpha.',. alpha. "-trimethyl-1 ,3,5-triazine-1 ,3,5(2H,4H,6H)-triethanol, synonyms: Tris(N- hydroxy propyl) hexahydrotriazine, hexahydro-1,3-5-tris(2-hydroxypropyl)-s-triazine (HPT, CAS No. 25254-50-6);
2.2-dibromo-2-cyanoacetamide (DBNPA, CAS No. 10222-01-2); 2,2'-dithiobis[N-methylbenzamide] (DTBMA, CAS No. 2527-58-4); 2-bromo-2-(bromomethyl)pentanedinitrile (DBDCB, CAS No. 35691-65-7);
2-Butanone, peroxide, synonym: 2-butanone-peroxide (CAS No. 1338-23-4); 2-butyl-benzo[d]isothiazol-3-one (BBIT, CAS No. 4299-07-4);
2-methyl-2H-isothiazol-3-one (MIT, CAS No 2682-20-4);
2-octyl-2H-isothiazol-3-one (OIT, CAS No. 26530-20-1);
5-Chloro-2-methyl-2H-isothiazol-3-one (CIT, CMIT, CAS No. 26172-55-4);
Mixture of 5-chloro-2-methyl-2H- isothiazol-3-one (CMIT, EINECS 247-500-7) and 2-methyl-2H- isothiazol-3-one (MIT, EINECS 220-239-6) (Mixture of CMIT/MIT, CAS No. 55965-84-9);
1.2-benzisothiazol-3(2H)-one (BIT, CAS No. 2634-33-5);
3,3'-methylenebis[5-methyloxazolidine] (Oxazolidin/MBO, CAS No. 66204-44-2); 4,4-dimethyloxazolidine (CAS No. 51200-87-4);
7a-ethyldihydro-1 H,3H,5H-oxazolo[3,4-c]oxazole (EDHO, CAS No. 7747-35-5);
Benzyl Alcohol (CAS No. 100-51-6);
Biphenyl-2-ol (CAS No. 90-43-7);
Biphenyl -2-ol, and its salts, o-phenylphenol, MEA-o-phenylphenate, potassium phenylphenate, sodium phenylphenate;
Sodium 2-biphenylate (CAS No. 132-27-4); cis-1-(3-chloroallyl)-3,5,7-triaza-1- azoniaadamantane chloride (cis CTAC, CAS No. 51229-78-
8);
Didecyldimethylammonium chloride (DDAC, CAS No. 68424-95-3 and CAS No. 7173-51-5); Dodecylguanidine monohydrochloride (CAS No 13590-97-1);
Ethanol (CAS. No 64-17-5); n-propanol (1 -propanol, CAS No. 71-23-8)
Hexa-2,4-dienoic acid (Sorbic acid, CAS No. 110-44-1) and its salts, e.g. calcium sorbate, sodium sorbate
Potassium (E,E)-hexa-2,4-dienoate (Potassium Sorbate, CAS No. 24634-61-5);
Hydrogen peroxide (CAS No. 7722-84-1);
Lactic acid and its salts;
L-(+)-lactic acid (CAS No. 79-33-4);
2-methyl-1 ,2-benzothiazol-3(2H)-one (MBIT, CAS No. 2527-66-4);
Methenamine 3-chloroallylochloride (CTAC, CAS No. 4080-31-3);
Monochloramine generated from ammonium carbamate and a chlorine source N.N'-methylenebismorpholine (MBM, CAS No. 5625-90-1); N-(3-aminopropyl)-N-dodecylpropane-1, 3-diamine (Diamine, CAS No. 2372-82-9); N-(trichloromethylthio)phthalimide (Folpet, CAS No. 133-07-3); p-[(diiodomethyl)sulphonyl]toluene (CAS No. 20018-09-1);
Peracetic acid (CAS No. 79-21-0); polyhexamethylene biguanide hydrochloride (PHMB, CAS No 1802181-67-4), polyhexameth- ylene biguanide hydrochloride (PHMB, CAS No. 27083-27-8), e.g. poly(iminoimidocarbonyl)- iminohexamethylene hydrochloride, poly(iminocarbonimidoyliminocarbonimidoylimino -1,6- hexanediyl), polyaminopropyl biguanide;
Pyridine-2-thiol 1-oxide, sodium salt (Sodium pyrithione, CAS No. 3811-73-2);
Pyrithione zinc (Zinc pyrithione, CAS No. 13463-41-7);
Reaction mass of titanium dioxide and silver chloride, silver chloride (CAS No. 7783-90-6); Sodium Azide (CAS No. 26628-22-8);
Tetrahydro-1,3,4,6-tetrakis(hydroxymethyl)imidazo[4,5-d]imidazole-2,5 (1H,3H)-dione (TMAD, CAS No 5395-50-6);
Tetrakis(hydroxymethyl)phosphonium sulphate (2:1) (THPS, CAS No. 55566-30-8);
Salts of benzoic acid e.g. ammonium benzoate, calcium benzoate, magnesium benzoate, MEA- benzoate, potassium benzoate;
Esters of benzoic acid, e.g. butyl benzoate, ethyl benzoate, isobutyl benzoate, isopropyl benzoate, methyl benzoate, phenyl benzoate, propyl benzoate;
Benzoic acid and its sodium salt (CAS No 65-85-0, CAS No. 532-32-1);
Propionic acid and its salts, e.g. ammonium propionate, calcium propionate, magnesium propionate, potassium propionate, sodium propionate;
Salicylic acid and its salts, e.g. calcium salicylate, magnesium salicylate, MEA salicylate, sodium salicylate, potassium salicylate, TEA salicylate;
Inorganic sulphites and hydrogensulphites, e.g. sodium sulfite, ammonium sulfite, ammonium bisulfite, potassium sulfite, potassium hydrogene sulfite, sodium bisulfite, sodium metasulfite, potassium metasulfite, potassium metabisulfite;
Chlorobutanol (CAS No 57-15-8);
Butyl 4 -hydroxybenzoate and its salts e.g. butylparaben, sodium butyl paraben, potassium butyl paraben;
Propyl 4-hydroxybenzoate and its salts, e.g. propyl paraben, sodium propyl paraben, potassium propyl paraben;
lsopropyl-4-hydroxybenzoic acid and its salts and esters; lsobutyl-4-hydroxybenzoic acid and its salts and esters;
Benzyl-4-hydroxybenzoic acid and its salts and esters;
Pentyl-4-hydroxybenzoic acid and its salts and esters;
4-Hydroxybenzoic acid and its salts and esters, e.g. methyl paraben, ethyl paraben, potassium ethyl paraben, potassium paraben, potassium methyl paraben, sodium methyl paraben, sodium ethyl paraben, sodium paraben, calcium paraben, calcium methyl paraben, calcium ethyl paraben;
3-Acetyl-6-methylpyran-2,4(3H)-dione and its salts, e.g. dehydroacetic acid, sodium dehydroa- cetic acid (Cas Nos 520-45-6, 4418-26-2, 16807-48-0);
3,3'-Dibromo-4,4'-hexamethylenedioxydibenzamidine and its salts (including isethionate), e.g. dibromohexamidine isethionate (CAS No. 93856-83-8);
Thiomersal (CAS No 54-64-8);
Phenylmercuric salts (including borate), e.g. phenyl mercuric acetate, phenyl mercuric benzoate (CAS Nos. 62-38-4 and 94-43-9);
Undec-10-enoic acid and its salts, e.g. undecylenic acid, potassium undecylenic acid, sodium undecylenic acid, calcium undecylenic acid, MEA-undecylenic acid, TEA-undecylenic acid;
5-Pyrimidinamine, 1,3-bis(2-ethylhexyl)hexahydro-5-methyl-, e.g. hexetidine (CAS No. 141-94-
6);
1-(4-Chlorophenyl)-3-(3,4-dichlorophenyl)urea, e.g. triclocarban (CAS No 101-20-2); Chlorocresol, e,g, p-chloro-m-cresol (CAS No. 59-50-7);
Chloroxylenol (CAS Nos 88-04-0, 1321-23-9);
N,N"-Methylenebis[N'-[3-(hydroxymethyl)-2,5-dioxoimidazolidin-4-yl]urea], synonym: imidazoli- dinyl urea (CAS No. 39236-46-9);
Methenamine (CAS No. 100-97-0);
Methenamine 3 -chloroallylochloride, synonym: Quaternium 15 (CAS No 4080-31-3), 1-(4-Chlorophenoxy)-1-(imidazol-1-yl)-3,3-dimethylbutan-2-one, synonym: Climbazole (CAS No 38083-17-9);
1,3-Bis(hydroxymethyl)-5,5-dimethylimidazolidine-2,4-dione, synonym: DMDM hydantoin (CAS No 6440-58-0);
1-Hydroxy-4-methyl-6-(2,4,4-trimethylpentyl)-2 pyridon and its monoethanolamine salt, e.g. 1- hydroxy-4-methyl-6-(2,4,4-trimethylpentenyl)-2-pyridon, piroctone olamine (CAS Nos 50650-76- 5, 68890-66-4);
2,2'-Methylenebis(6-bromo-4-chlorophenol), synonym: bromochorophene (CAS No 15435-29-
7);
4-lsopropyl-m-cresol, synonym: o-cymen-5-ol (CAS No 3228-02-2);
2-Benzyl-4-chlorophenol, synonym: chlorophene (CAS No 120-32-1);
2-Chloroacetamide (CAS No 79-07-2);
N,N'-bis(4-chlorophenyl)-3,12-diimino-2,4,11,13-tetraazatetradecanediamidine and its digluconate, diacetate and dihydrochloride, e.g. chlorohexidine, chlorhexidine digluconate, chloro- hexidine diacetate, chlorhexidine dihydrochloride (CAS Nos 55-56-1 , 56-95-1, 18472-51-0, 3697-42-5);
Alkyl (C12-C22) trimethyl ammonium bromide and chloride, e.g. behentrimonium chloriode, cetri- monium bromide, cetrimonium chloride, laurtrimonium bromide, laurtrimonium chloride, stear- trimonium bromide, steartrimonium chloride (CAS Nos 17301-53-0, 57-09-0, 112-02-7, 1119-94-
4, 112-00-5, 1120-02-1, 112-03-8);
4.4-Dimethyl-1 ,3-oxazolidine (CAS No 51200-87-4);
N-(Hydroxymethyl)-N-(dihydroxymethyl-1,3-dioxo-2,5-imidazolidinyl-4)-N'-(hydroxymethyl)urea, synonym: diazolidinyl urea (CAS No 78491-02-8);
Benzenecarboximidamide, 4,4'-(1,6-hexanediylbis(oxy))bis-, and its salts (including isothionate and p-hydroxybenzoate), e.g. hexamidine, hexamidine diisethionate, hexamidine paraben (CAS Nos 3811-75-4, 659-40-5, 93841-83-9);
5-Ethyl-3,7-dioxa-1-azabicyclo[3.3.0] octane, synonym: 7-ethylbicyclooxazolidine (CAS No 7747-35-5);
3-(p-Chlorophenoxy)-propane-1,2-diol, synonym: chlorophenesin (CAS No 104-29-0);
Sodium hydroxymethylamino acetate, synonym: sodium N-(hydroxymethyl)glycinate, sodium hydroxymethylglycinate (CAS No 70161-44-3);
Benzenemethanaminium, N,N -dimethyl-N-[2-[2-[4-(1 , 1,3,3, -tetramethylbutyl)phenoxy]ethoxy]- ethyl]-, chloride, synonym: benzethonium chloride CAS No 121-54-0);
Benzalkonium chloride, bromide and saccharinate, e.g. benzalkonium chloride, benzalkonium bromide, benzalkonium saccharinate (CAS Nos 8001-54-5, 63449-41-2, 91080-29-4, 68989-01-
5, 68424-85-1, 68391-01-5, 61789-71-7, 85409-22-9);
Methanol, (phenylmethoxy), synonym: benzylhemiformal (CAS No 14548-60-8); 3-lodo-2-propynylbutylcarbamate (IPBC, CAS No 55406-53-6)
Ethyl Lauroyl Arginate HCI (CAS No 60372-77-2);
1,2,3-Propanetricarboxylic acid, 2-hydroxy-, monohydrate and 1,2,3-Propanetricarboxylic acid, 2-hydroxy-silver(1+) salt, monohydrate, I NCI : citric acid (and) silver citrate; Tetrahydro-3,5-dimethyl-1,3,5-thiadia-zine-2-thione (further names: 3,5-dimethyl-1,3-5- thiadiazinane-2-thione, Protectol® DZ, Protectol® DZ P, Dazomet, CAS No. 533-74-4);
2.4-dichlorobenzyl alcohol (CAS-No. 1777-82-8, further names: dichlorobenzyl alcohol, 2,4- dichloro-benzenemethanol, (2,4-dichloro-phenyl)-methanol, DCBA, Protectol® DA);
1-propanol (CAS-No. 71-23-8, further names: n-propanol, propan-1-ol, n-propyl alcohol, Protectol® NP S);
5-bromo-5-nitro-1,3-dioxane (CAS-No. 30007-47-7, further names: 5-bromo-5-nitro-m-dioxane,
Bronidox®);
2-bromo-2-nitropropane-1,3-diol (CAS-No. 52-51-7, further names: 2-bromo-2-nitro-1,3- propanediol, Bronopol®, Protectol® BN, Myacide AS);
Glutaraldehyde (CAS-No. 111-30-8, further names: 1-5-pentandial, pentane-1, 5-dial, glutaral, glutardialdehyde, Protectol® GA, Protectol® GA 50, Myacide® GA);
Glyoxal (CAS No. 107-22-2; further names: ethandial, oxylaldehyde, 1,2-ethandial, Protectol® GL);
2,4,4'-trichloro-2'-hydroxydiphenyl ether (CAS No. 3380-34-5, further names: triclosan, Irgasan® DP 300, Irgacare® MP, TCS);
2-Phenoxyethanol (CAS-no. 122-99-6, further names: Phenoxyethanol, Methylphenylglycol, Phenoxetol, ethylene glycol phenyl ether, Ethylene glycol monophenyl ether, Protectol® PE); Phenoxypropanol (CAS-No. 770-35-4, CAS No 4169-04-4, propylene glycol phenyl ether, phe- noxyisopropanol 1-phenoxy-2-propanol, 2-phenoxy-1 -propanol);
Glucoprotamine (CAS-No. 164907-72-6, chemical description: reaction product of glutamic acid and alkylpropylenediamine, further names: Glucoprotamine 50);
Cyclohexyl hydroxyl diazenium-1 -oxide, potassium salt (CAS No. 66603-10-9, further names: N- cyclohexyl-diazenium dioxide, Potassium HDO, Xyligene, Protectol® KD);
Formic acid (CAS-No. 64-18-6, further names: methanoic acid, Protectol® FM, Protectol® FM 75, Protectol® FM 85, Protectol® FM 99, Lutensol® FM) and its salts, e.g. sodium formiate (CAS No 141-53-7);
Performic acid and its salts; anorganic silver complexes such as silver zeolites and silver glass compounds (e.g. Irgaguard® B5000, Irgaguard® B6000, Irgaguard® B7000) and others described in WO-A-99/18790, EP1041879B1 ;
1,3,5-Tris-(2-hydroxyethyl)-hexahydro-1,3,5-triazin (CAS-No. 4719-04-4, further names: Flex- yhydrotriazine, T ris(hydroethyl)-hexyhydrotriazin, hexyhydro-1 ,3-5-tris(2-hydroxyethyl)-s- triazine, 2,2',2"-(hexahydro-1,3,5-triazine-1,3,5- triyl)triethanol, Protectol® FIT);
In one embodiment, an enzyme preparation of the invention comprises at least one preservative selected from the group consisting of 2-phenoxyethanol, glutaraldehyde, 2-bromo-2- nitropropane-1,3-diol, and formic acid in acid form or as its salt.
The enzyme preparation of the invention may comprise at least one preservative in amounts ranging from 2 ppm to 5% by weight relative to the total weight of the enzyme preparation. The enzyme preparation of the invention may comprise phenoxyethanol in amounts ranging from 0.1% to 2% by weight relative to the total weight of the enzyme preparation. The enzyme preparation of the invention may comprise 2-bromo-2-nitropropane-1 ,3-diol in amounts ranging from 20 ppm to 1000 ppm. The enzyme preparation of the invention may comprise glutaraldehyde in
amounts ranging from 10 ppm to 2000 ppm. The enzyme preparation of the invention may comprise formic acid and/or formic acid salt in amounts ranging from 0.05% to 0.5% by weight relative to the total weight of the enzyme preparation.
In one embodiment, the liquid enzyme preparation of the invention does not comprise any preservative.
Preparation of enzyme preparation
The invention relates to a process for making an enzyme preparation, said process comprising the step of mixing at least component (a) as disclosed above, component (b) as disclosed above, and optionally component (c) as disclosed above.
In one embodiment, component (c) comprises at least one enzyme stabilizer as disclosed above. In a preferred embodiment, component (c) does not comprise an organic solvent and/or a compound stabilizing the liquid enzyme preparation as such.
In one embodiment, component (c) as disclosed above is mixed with components (a) and (b) in one or more steps.
Use of enzyme preparation for formulation processes
The invention in one aspect relates to the use of the liquid enzyme preparation of the invention to be formulated into detergent formulations such as l&l and homecare formulations for laundry and hard surface cleaning, wherein at least components (a) and (b) are mixed in no specified order in one or more steps with one or more detergent components. In one embodiment, at least components (a), (b) and (c) as disclosed above are mixed in no specified order in one or more steps with one or more detergent components.
In one aspect, the invention relates to a detergent formulation comprising the liquid enzyme preparation of the invention and one or more detergent components.
In one aspect, the invention relates to a detergent formulation comprising components (a) and (b) as disclosed above and one or more detergent components. In one embodiment, the detergent formulation of the invention comprises at least one enzyme (component (b)) selected from the group of serine proteases (EC 3.4.21), triacylglycerol lipase (EC 3.1.1.3), alpha amylases (EC 3.2.1.1), endoglucanases (EC 3.2.1.4), endo-1 ,4-3-mannosidase (EC 3.2.1.78), and DNA degrading enzymes.
The invention relates to a method for preparation of a detergent formulation according to the invention, wherein at least one hydrophobically modified polyalkyleneimine, at least one hydro lase, and at least one detergent component are mixed in one or more steps in any order.
Detergent components vary in type and/or amount in a detergent formulation depending on the desired application such as laundering white textiles, colored textiles, and wool. The compo nents) chosen further depend on physical form of a detergent formulation (liquid, solid, gel, provided in pouches or as a tablet, etc). The component(s) chosen e.g. for laundering formula tions further depend on regional conventions which themselves are related to aspects like washing temperatures used, mechanics of laundry machine (vertical vs. horizontal axis ma chines), water consumption per wash cycle etc. and geographical characteristics like average hardness of water.
Individual detergent components and usage in detergent formulations are known to those skilled in the art. Suitable detergent components comprise inter alia surfactants, builders, polymers, alkaline, bleaching systems, fluorescent whitening agents, suds suppressors and stabilizers, hydrotropes, and corrosion inhibitors. Further examples are described e.g. in “complete Tech nology Book on Detergents with Formulations (Detergent Cake, Dishwashing Detergents, Liquid & Paste Detergents, Enzyme Detergents, Cleaning Powder & Spray Dried Washing Powder)”, Engineers India Research Institute (EIRI), 6th edition (2015). Another reference book for those skilled in the art may be “Detergent Formulations Encyclopedia”, Solverchem Publications,
2016.
It is understood that the detergent components are in addition to the components comprised in the enzyme preparation of the invention. If a component comprised in the enzyme preparation of the invention is also a detergent component, it might be the concentrations that need to be adjusted that the component is effective for the purpose desired in the detergent formulation.
Detergent components may have more than one function in the final application of a detergent formulation, therefore any detergent component mentioned in the context of a specific function herein, may also have another function in the final application of a detergent formulation. The function of a specific detergent component in the final application of a detergent formulation usually depends on its amount within the detergent formulation, i.e. the effective amount of a detergent component.
The term “effective amount” includes amounts of individual components to provide effective stain removal and/or effective cleaning conditions (e.g. pH, quantity of foaming), amounts of certain components to effectively provide optical benefits (e.g. optical brightening, dye transfer inhibition), and/or amounts of certain components to effectively aid the processing (maintain
physical characteristics during processing, storage and use; e.g. viscosity modifiers, hydrotropes, desiccants).
In one embodiment, a detergent formulation is a formulation of more than two detergent components, wherein at least one component is effective in stain-removal, at least one component is effective in providing the optimal cleaning conditions, and at least one component is effective in maintaining the physical characteristics of the detergent.
Detergent formulations of the invention may comprise component (a) and component (b) being dissolved in solvent. Dissolved may mean being dissolved in the overall detergent formulation. Dissolved may mean component (a) and component (b) being part of the liquid enzyme preparation of the invention which may be encapsulated. Encapsulated liquid enzyme preparation may be part of a liquid detergent formulation or part of a solid detergent formulation.
In one embodiment, the detergent formulation of the invention is liquid at 20°C and 101.3 kPa. The liquid detergent formulation may comprise water or may be essentially free of water, meaning that no significant amounts of water are present. Non-significant amounts of water herein means that the liquid detergent formulation comprises less than 15%, less than 10%, less than 7%, less than 5%, less than 4%, less than 3%, less than 2% by weight water, all relative to the total weight of the liquid detergent formulation, or no water. In one embodiment, enzyme concentrate free of water free of water means that the liquid detergent formulation does not comprise significant amounts of water but does comprise organic solvents in amounts of 30-80% by weight, relative to the total weight of the enzyme concentrate.
Water-comprising liquid detergent formulations may comprise water as sole solvent. In embodiments, mixtures of water with one or more water-miscible solvents are used as aqueous medium. The term water-miscible solvent refers to organic solvents that are miscible with water at ambient temperature without phase-separation. Examples are ethylene glycol, 1,2-propylene glycol, isopropanol, and diethylene glycol. Preferably, at least 50% by volume of the respective aqueous medium is water, referring to the solvent.
Detergent formulations of the invention comprise at least one compound selected from surfactants, builders, polymers, fragrances and dyestuffs.
Detergent formulations of the invention comprise one or more surfactant(s). "Surfactant" (synonymously used herein with “surface active agent” ) means an organic chemical that, when added to a liquid, changes the properties of that liquid at an interface. According to its ionic charge, a surfactant is called non-ionic, anionic, cationic, or amphoteric.
Non-limiting examples of surfactants are disclosed McCutcheon's 2016 Detergents and Emulsi fiers, and McCutcheon's 2016 Functional Materials, both North American and International Edition, MC Publishing Co, 2016 edition. Further useful examples are disclosed in earlier editions of the same publications which are known to those skilled in the art. Examples provided below for surfactants of any kind are to be understood to be non-limiting.
Depending on the application field of a detergent, the amount of surfactants may vary. For example, laundry detergents comprise higher amounts of surfactants than detergents used in automatic dishwashing (ADW). This may be due to the requirement of how much the cleaning process is dependent on sudsing of a detergent formulation. E.g. ADW requires low sudsing deter- gent formulations.
In one embodiment, at least one hydrophobically modified polyalkyleneimine according to the invention is used in solid and/or liquid detergent formulations, preferably in liquid detergent formulations, which comprise at least one non-ionic surfactant. Non-ionic surfactant means a surfactant that contains neither positively nor negatively charged (i.e. ionic) functional groups. In contrast to anionic and cationic surfactants, non-ionic surfactants do not ionize in solution.
The variables of the general formulae (la) and (lb) are defined as follows:
R1 is selected from C1-C23 alkyl and C2-C23 alkenyl, wherein alkyl and/or alkenyl are linear or branched; examples are n-CzHis, n-CgHig, n-CnH23, n-Ci3H27, n-CisH3i, n-Ci7H35, i-CgHig, i-
C12H25·
R2 is selected from H, C1-C20 alkyl and C2-C20 alkenyl, wherein alkyl and/or alkenyl are linear or branched.
R3 and R4, each independently selected from C1-C16 alkyl, wherein alkyl is linear or branched; examples are methyl, ethyl, n-propyl, isopropyl, n-butyl, isobutyl, sec-butyl, tert-butyl, n-pentyl, isopentyl, sec-pentyl, neopentyl, 1,2-dimethylpropyl, isoamyl, n-hexyl, isohexyl, sec-hexyl, n- heptyl, n-octyl, 2-ethylhexyl, n-nonyl, n-decyl, isodecyl.
R5 is selected from H and C1-C18 alkyl, wherein alkyl is linear or branched.
The integers of the general formulae (la) and (lb) are defined as follows: m is in the range of zero to 200, preferably 1-80, more preferably 3-20; n and 0, each independently in the range of zero to 100; n preferably is in the range of 1 to 10, more preferably 1 to 6; 0 preferably is in the range of 1 to 50, more preferably 4 to 25. The sum of m, n and 0 is at least one, preferably the sum of m, n and 0 is in the range of 5 to 100, more preferably in the range of from 9 to 50.
Compounds according to formula (la) may be called alkyl polyethyleneglycol ether (AEO) herein. Compounds according to formula (lb) may be called alkylphenol polyethyleneglycol ether (APEO) herein.
In one embodiment, the detergent formulation comprises at least one non-ionic surfactant se lected from general formula (la), wherein m is in the range of 3 to 11 , preferably not more than 7; n and 0 is 0, R1 is C12-C14, R2 and R5 is H. Preferably, the detergent formulation comprises at least two non-ionic surfactants, selected from compounds of general formula (la), wherein one of said non-ionic surfactants is characterized in R1 being C12, R2 and R5 being H, m is 7, n and 0
= 0, and the other surfactant is characterized in R1 being C14, R2 and R5 being H, m being 7, n and o = 0.
In one embodiment, the detergent formulation comprises at least two non-ionic surfactants, selected from compounds of general formula (la), wherein one of said non-ionic surfactants is characterized in R1 being n-CnH23, R5 being H, m is 7, n and 0 = 0, and the other surfactant is characterized in R1 being C13H27, R5 being H, m being 7, n and 0 = 0.
The non-ionic surfactants of the general formulae (la) and (lb) may be of any structure, is it block or random structure, and is not limited to the displayed sequence of formulae (la) and (lb).
Non-ionic surfactants may further be compounds of the general formula (II), which might be called alkyl-polyglycosides (APG):
The variables of the general formula (II) are defined as follows:
R1 is selected from C1-C17 alkyl and C2-C17 alkenyl, wherein alkyl and/or alkenyl are linear or branched; examples are n-C7Hi5, n-CgH^, n-CnH23, n-Ci3H27, n-CisH3i, n-Ci7H35, i-CgHig, i- C12H25.
R2 is selected from H, C1-C17 alkyl and C2-Ci7 alkenyl, wherein alkyl and/or alkenyl are linear or branched.
G1 is selected from monosaccharides with 4 to 6 carbon atoms, such as glucose and xylose. The integer w of the general formula (II) is in the range of from 1.1 to 4, w being an average number.
The variables of the general formula (III) are defined as follows:
AO is selected from ethylene oxide (EO), propylene oxide (PO), butylene oxide (BO), and mix tures thereof.
R6 is selected from C5-C17 alkyl and C5-C17 alkenyl, wherein alkyl and/or alkenyl are linear or branched.
R7 is selected from H, Ci-Cie-alkyl, wherein alkyl is linear or branched.
The integer y of the general formula (III) is a number in the range of 1 to 70, preferably 7 to 15.
Non-ionic surfactants may further be selected from sorbitan esters and/or ethoxylated or propoxylated sorbitan esters. Non-limiting examples are products sold under the trade names SPAN and TWEEN.
Non-ionic surfactants may further be selected from alkoxylated mono- or di-alkylamines, fatty acid monoethanolamides (FAMA), fatty acid diethanolamides (FADA), ethoxylated fatty acid monoethanolamides (EFAM), propoxylated fatty acid monoethanolamides (PFAM), polyhydroxy alkyl fatty acid amides, or N-acyl N-alkyl derivatives of glucosamine (glucamides, GA, or fatty acid glucamide, FAGA), and combinations thereof.
In one embodiment, a liquid detergent formulation according to the invention comprises at least one non-ionic surfactant, wherein the total amount of non-ionic surfactant may be in the range from 0.5% to 80%, preferably in the range from 5 to 70% by weight, all relative to the total weight of the detergent formulation. A typical amount of the hydrophobically modified poly- alkyleneimine to be employed in the detergent formulation of the invention is in the range from 0.01% to 30% by weight, preferably in the range from 0.01% to 15% by weight, more preferably in the range from 0.05% to 5% by weight, all relative to the total weight of the detergent formulation.
In one embodiment, the liquid detergent formulation according to the invention comprises of at least one non-ionic surfactant in the range of 0.3-30% by weight, in the range of 0.4-20% by weight, or in the range of 0.5-10%, all relative to the total weight of a detergent formulation. At least one non-ionic surfactant is selected from a surfactant according to general formula (la), and wherein m 7; n and o is 0, R1 is C12-C14, R2 and R5 is H. In an embodiment, the detergent formulation comprises two non-ionic surfactants, selected from compounds of general formula (la), wherein one of said non-ionic surfactants is characterized in R1 being C12, R2 and R5 being H, m is 7, n and o = 0, and the other surfactant is characterized in R1 being Cu, R2 and R5 being H, m being 7, n and o = 0.
In one embodiment, the liquid detergent formulation according to the invention comprises mix tures of two or more different non-ionic surfactants.
The liquid detergent formulation of the invention may comprise at least one non-ionic surfactant and/or at least one amphoteric surfactant.
In one embodiment, the hydrophobically modified polyalkyleneimines is used in detergent formulations, preferably liquid detergent formulations, which comprise at least one amphoteric surfactant. Amphoteric surfactants are those, depending on pH, which can be either cationic, zwit- terionic or anionic.
Amphoteric surfactants may be compounds according to general formula (IV), which might be called modified amino acids (proteinogenic as well as non-proteinogenic):
The variables in general formula (IV) are defined as follows:
R8 is selected from H, C1-C4 alkyl, C2-C4 alkenyl, wherein alkyl and/or are linear or branched.
R9 is selected from C1-C22- alkyl, C2-C22- alkenyl, C10-C22 alkylcarbonyl, and C10-C22 alkenylcar- bonyl.
R10 is selected from H, methyl, -(CH2)3NHC(NH)NH2, -CH2C(0)NH2, -CH2C(0)0H, - (CH2)2C(0)NH2, -(CH2)2C(0)0H, (imidazole-4-yl)-methyl, -CH(CH3)C2H5, -CH2CH(CH3)2, -
(CH2)4NH2, benzyl, hydroxymethyl, -CH(OH)CH3, (indole-3-yl)-methyl, (4-hydroxy-phenyl)- methyl, isopropyl, -(CH2)2SCH3, and -CH2SH.
Rx is selected from H and Ci-C4-alkyl.
Amphoteric surfactants may further be compounds of general formulae (Va), (Vb), or (Vc), which might be called betaines and/or sulfobetaines:
.12
R .12
.12
R (Vc)
The variables in general formulae (Va), (Vb) and (Vc) are defined as follows:
R11 is selected from linear or branched C7-C22 alkyl and linear or branched C7-C22 alkenyl. R12 are each independently selected from linear C1-C4 alkyl.
R13 is selected from C1-C5 alkyl and hydroxy C1-C5 alkyl; for example 2-hydroxypropyl.
A is selected from carboxylate and sulfonate.
The integer r in general formulae (Va), (Vb), and (Vc) is in the range of 2 to 6.
Amphoteric surfactants may further be compounds of general formula (VI), which might be called alkyl-amphocarboxylates:
The variables in general formula (VI) are defined as follows:
R11 is selected from C7-C22 alkyl and C7-C22 alkenyl, wherein alkyl and/or alkenyl are linear or branched, preferably linear.
R14 is selected from -CH2C(0)0-|\/l+, -CH2CH2C(0)0-M+ and -CH2CH(0H)CH2S03-M+.
R15 is selected from H and -CH2C(0)0
The integer r in general formula (VI) is in the range of 2 to 6.
Non-limiting examples of further suitable alkyl-amphocarboxylates include sodium cocoampho- acetate, sodium lauroamphoacetate, sodium capryloamphoacetate, disodium cocoamphodiace- tate, disodium lauroamphodiacetate, disodium caprylamphodiacetate, disodium capryloam- phodiacetate, disodium cocoamphodipropionate, disodium lauroamphodipropionate, disodium caprylamphodipropionate, and disodium capryloamphodipropionate.
Amphoteric surfactants may further be compounds of general formula (VII), which might be called amine oxides (AO):
The variables in general formula (VII) are defined as follows:
R16 is selected from Cs-Cis linear or branched alkyl, hydroxy Cs-Cis alkyl, acylamidopropoyl and C8-Ci8 alkyl phenyl group; wherein alkyl and/or alkenyl are linear or branched.
R17 is selected from C2-C3 alkylene, hydroxy C2-C3 alkylene, and mixtures thereof.
R18: each residue can be independently selected from C1-C3 alkyl and hydroxy C1-C3; R15 groups can be attached to each other, e.g., through an oxygen or nitrogen atom, to form a ring structure.
The integer x in general formula (VII) is in the range of 0 to 5, preferably from 0 to 3, most pref erably 0.
Non-limiting examples of further suitable amine oxides include C10-C18 alkyl dimethyl amine oxides and Cs-Cis alkoxy ethyl di hydroxy ethyl amine oxides. Examples of such materials include dimethyloctyl amine oxide, diethyldecyl amine oxide, bis-(2-hydroxyethyl)dodecyl amine oxide, dimethyldodecylamine oxide, dipropyltetradecyl amine oxide, methylethylhexadecyl amine oxide, dodecylamidopropyl dimethyl amine oxide, cetyl dimethyl amine oxide, stearyl dimethyl amine oxide, tallow dimethyl amine oxide and dimethyl-2-hydroxyoctadecyl amine oxide.
A further example of a suitable amine oxide is cocamidylpropyl dimethylaminoxide, sometimes also called cocamidopropylamine oxide.
A liquid detergent formulation according to the invention may comprise two or more different amphoteric surfactants.
In one embodiment, a liquid detergent formulation according to the invention comprises at least one amphoteric surfactant, wherein the total amount of amphoteric surfactant may be in the range from 0.01% to 10%, in the range from 0.1 to 5%, or in the range from 0.5 to 1% by weight, all relative to the total weight of the detergent formulation. A typical amount of the hy- drophobically modified polyalkyleneimine to be employed in the detergent formulation of the invention is in the range from 0.01% to 30% by weight, preferably in the range from 0.01% to 15% by weight, more preferably in the range from 0.05% to 5% by weight, all relative to the total weight of the detergent formulation.
The liquid detergent formulation of the invention may comprise at least one non-ionic surfactant and/or at least one amphoteric surfactant and/or at least one anionic surfactant.
In one embodiment, the hydrophobically modified polyalkyleneimines is used in detergent formulations, preferably liquid detergent formulations, which comprise at least one anionic surfactant. Anionic surfactant means a surfactant with a negatively charged ionic group. Anionic surfactants include, but are not limited to, surface-active compounds that contain a hydrophobic group and at least one water-solubilizing anionic group, usually selected from sulfates, sulfonate, and carboxylates to form a water-soluble compound.
(VI I lb)
The variables in general formulae (Villa and Vlllb) are defined as follows:
R1 is selected from CrC23-alkyl (such as 1-, 2-, 3-, 4- CrC23-alkyl) and C2-C23-alkenyl, wherein alkyl and/or alkenyl are linear or branched, and wherein 2-, 3-, or 4-alkyl; examples are n-C7Hi5, n-CgHi9, n-CnH23, n-Ci3H27, n-CisH3i, n-Ci7H35, i-CgH 19, 1-C12H25.
R2 is selected from H, CrC2o-alkyl and C2-C2o-alkenyl, wherein alkyl and/or alkenyl are linear or branched.
R3 and R4, each independently selected from Ci-Ci6-alkyl, wherein alkyl is linear or branched; examples are methyl, ethyl, n-propyl, isopropyl, n-butyl, isobutyl, sec-butyl, tert-butyl, n- pentyl, isopentyl, sec-pentyl, neopentyl, 1,2-dimethylpropyl, isoamyl, n-hexyl, isohexyl, sec-hexyl, n-heptyl, n-octyl, 2-ethylhexyl, n-nonyl, n-decyl, isodecyl.
A is selected from -RCOO , -SO3 and RSO3 , wherein R is selected from linear or branched CrCe-alkyl, and C1-C4 hydroxyalkyl, wherein alkyl is. Compounds might be called (fatty) alcohol/alkyl (ethoxy/ether) sulfates [(F)A(E)S] when A is SO3 , (fatty) alcohol/alkyl (ethoxy/ether) carboxylat [(F)A(E)C] when A is -RCOO .
M+ is selected from H and salt forming cations. Salt forming cations may be monovalent or multivalent; hence M+ equals 1/v Mv+. Examples include but are not limited to sodium, po tassium, magnesium, calcium, ammonium, and the ammonium salt of mono-, di, and tri ethanolamine.
The integers of the general formulae (Villa) and (VI I lb) are defined as follows: m is in the range of zero to 200, preferably 1-80, more preferably 3-20; n and 0, each independently in the range of zero to 100; n preferably is in the range of 1 to 10, more preferably 1 to 6; 0 preferably is in the range of 1 to 50, more preferably 4 to 25. The sum of m, n and 0 is at least one, preferably the sum of m, n and 0 is in the range of 5 to 100, more preferably in the range of from 9 to 50.
Anionic surfactants of the general formulae (Villa) and (VI Mb) may be of any structure, block copolymers or random copolymers.
Further suitable anionic surfactants include salts (M+) of C12-C18 sulfo fatty acid alkyl esters (such as C12-C18 sulfo fatty acid methyl esters), Cio-Ci8-alkylarylsulfonic acids (such as n-Cio- Cis-alkylbenzene sulfonic acids) and C10-C18 alkyl alkoxy carboxylates.
M+ in all cases is selected from salt forming cations. Salt forming cations may be monovalent or multivalent; hence M+ equals 1/v Mv+. Examples include but are not limited to sodium, potassium, magnesium, calcium, ammonium, and the ammonium salt of mono-, di, and triethanolamine.
Non-limiting examples of further suitable anionic surfactants include branched alkylbenzenesul- fonates (BABS), phenylalkanesulfonates, alpha-olefinsulfonates (AOS), olefin sulfonates, al- kene sulfonates, alkane-2, 3-diylbis(sulfates), hydroxyalkanesulfonates and disulfonates, secondary alkanesulfonates (SAS), paraffin sulfonates (PS), sulfonated fatty acid glycerol esters, alkyl- or alkenylsuccinic acid, fatty acid derivatives of amino acids, diesters and monoesters of sulfo-succinic acid.
In one embodiment, the detergent formulation comprises at least one anionic surfactant selected from compounds of general formula (IX):
wherein R1 in formula (IX) is C10-C13 alkyl. Detergent formulations of the invention may comprise salts of compounds according to formula (IX), preferably sodium salts. The detergent formula tion may comprise at least two anionic surfactants, selected from compounds of general formula (IX), wherein one of said anionic surfactants is characterized in R1 being C10, and the other sur factant is characterized in R1 being C13. The detergent formulation may comprise at least two anionic surfactants, selected from sodium salts of compounds of general formula (IX), wherein one of said anionic surfactants is characterized in R1 being C10, and the other surfactant is characterized in R1 being C13. Compounds like this may be called LAS (linear alkylbenzene sulfonates) herein.
Anionic surfactants may be compounds of general formula (X), which might be called N-acyl amino acid surfactants:
The variables in general formula (X) are defined as follows:
R19 is selected from linear or branched C6-C22-alkyl and linear or branched C6-C22-alkenyl such as oleyl.
R20 is selected from H and Ci-C4-alkyl.
R21 is selected from H, methyl, -(CH2)3NHC(NH)NH2, -CH2C(0)NH2, -CH2C(0)0H, -
(CH2)2C(0)NH2, -(CH2)2C(0)0H, (imidazole-4-yl)-methyl, -CH(CH3)C2H5, -CH2CH(CH3)2, - (CH2)4NH2, benzyl, hydroxymethyl, -CH(OH)CH3, (indole-3-yl)-methyl, (4-hydroxy-phenyl)- methyl, isopropyl, -(CH2)2SCH3, and -CH2SH.
R22 is selected from -COOX and -CH2S03X, wherein X is selected from Li+, Na+ and K+.
Non-limiting examples of suitable N-acyl amino acid surfactants are the mono- and di- carboxylate salts (e.g., sodium, potassium, ammonium and ammonium salt of mono-, di, and triethanolamine) of N-acylated glutamic acid, for example, sodium cocoyl glutamate, sodium lauroyl glutamate, sodium myristoyl glutamate, sodium palmitoyl glutamate, sodium stearoyl glutamate, disodium cocoyl glutamate, disodium stearoyl glutamate, potassium cocoyl glutamate, potassium lauroyl glutamate, and potassium myristoyl glutamate; the carboxylate salts (e.g., sodium, potassium, ammonium and ammonium salt of mono-, di, and triethanolamine) of N-acylated alanine, for example, sodium cocoyl alaninate, and triethanolamine lauroyl alaninate; the carboxylate salts (e.g., sodium, potassium, ammonium and ammonium salt of mono-, di, and triethanolamine) of N-acylated glycine, for example, sodium cocoyl glycinate, and potassium cocoyl glycinate; the carboxylate salts (e.g., sodium, potassium, ammonium and ammonium salt of mono-, di, and triethanolamine) of N-acylated sarcosine, for example, sodium lauroyl sar- cosinate, sodium cocoyl sarcosinate, sodium myristoyl sarcosinate, sodium oleoyl sarcosinate, and ammonium lauroyl sarcosinate.
Anionic surfactants may further be selected from the group of soaps. Suitable are salts (M+) of saturated and unsaturated Ci2-Cie fatty acids, such as lauric acid, myristic acid, palmitic acid, stearic acid, behenic acid, oleic acid, (hydrated) erucic acid. M+ is selected from salt forming cations. Salt forming cations may be monovalent or multivalent; hence M+ equals 1/v Mv+. Examples include but are not limited to sodium, potassium, magnesium, calcium, ammonium, and the ammonium salt of mono-, di, and triethanolamine.
Further non-limiting examples of suitable soaps include soap mixtures derived from natural fatty acids such as tallow, coconut oil, palm kernel oil, laurel oil, olive oil, or canola oil. Such soap mixtures comprise soaps of lauric acid and/or myristic acid and/or palmitic acid and/or stearic acid and/or oleic acid and/or linoleic acid in different amounts, depending on the natural fatty acids from which the soaps are derived.
Further non-limiting examples of suitable anionic surfactants include salts (M+) of sulfates, sulfonates or carboxylates derived from natural fatty acids such as tallow, coconut oil, palm kernel oil, laurel oil, olive oil, or canola oil. Such anionic surfactants comprise sulfates, sulfonates or carboxylates of lauric acid and/or myristic acid and/or palmitic acid and/or stearic acid and/or
oleic acid and/or linoleic acid in different amounts, depending on the natural fatty acids from which the soaps are derived.
Mixtures of two or more different anionic surfactants may also be present in detergent formulations according to the present invention. In one embodiment, the detergent formulation may comprise at least two anionic surfactants, selected from compounds of general formula (Villa), and wherein one of said anionic surfactants is characterized in R1 being Cn, R2 being H, m being 2, n and o = 0, A being SOy, M+ being Na+, and the other surfactant is characterized in R1 being C13, R2 being H, m being 2, n and 0 = 0, A being SOy, M+ being Na+. In another embodiment, the detergent formulation may comprise at least two anionic surfactants selected from compounds of general formula (IX), and wherein one of said anionic surfactants is characterized in R1 being C10, and the other surfactant is characterized in R1 being C13.
In one embodiment, a liquid detergent formulation according to the invention comprises at least one anionic surfactant, wherein the total amount of anionic surfactant may be in the range from 0.5 to 80%, preferably in the range from 1 to 70% by weight, all relative to the total weight of the detergent formulation. A typical amount of the hydrophobically modified polyalkyleneimine may be employed in the detergent formulation of the invention is in the range from 0.01% to 10% by weight, in the range from 0.05% to 5% by weight, or in the range from 0.1% to 1% by weight, all relative to the total weight of the detergent formulation.
The liquid detergent formulation according to the invention may comprise at least two anionic surfactant in amounts in the range of 0.5-25% by weight, in the range of 1-20% by weight, or in the range of 1.5-15%, all relative to the total weight of a detergent formulation, wherein at least two anionic surfactants are selected from compounds of general formula (Villa), and wherein one of said anionic surfactants is characterized in R1 being Cn, R2 being H, m being 2, n and 0 = 0, A being SO3', M+ being Na+, and the other surfactant is characterized in R1 being C13, R2 being H, m being 2, n and 0 = 0, A being SO3', M+ being Na+.
The liquid detergent formulation according to the invention may comprise at least two anionic surfactant in amounts in the range of 0.5-25% by weight, in the range of 1-20% by weight, or in the range of 1.5-15%, all relative to the total weight of a detergent formulation, wherein at least two anionic surfactants are selected from compounds of general formula (IX), and wherein one of said anionic surfactants is characterized in R1 being C10, and the other surfactant is characterized in R1 being C13.
In one embodiment, the hydrophobically modified polyalkyleneimines is used in detergent for mulations, preferably liquid detergent formulations, which comprise at least one cationic surfac tant. Cationic surfactant means a surfactant with a positively charged ionic group. Typically,
these cationic moieties are nitrogen containing groups such as quaternary ammonium or proto- nated amino groups. The cationic protonated amines can be primary, secondary, or tertiary amines.
Cationic surfactants may be compounds of the general formula (XI) which might be called quaternary ammonium compounds (quats):
The variables in general formula (XI) are defined as follows:
R23 is selected from H, C1-C4 alkyl (such as methyl) and C2-C4 alkenyl, wherein alkyl and/or alkenyl is linear or branched.
R24 is selected from C1-C4 alkyl (such as methyl), C2-C4 alkenyl and C1-C4 hydroxyalkyl (such as hydroxyethyl), wherein alkyl and/or alkenyl is linear or branched.
R25 is selected from C1-C22 alkyl (such as methyl, C18 alkyl), C2-C4 alkenyl, C12-C22 alkylcar- bonyloxymethyl and C12-C22 alkylcarbonyloxyethyl (such as C16-C18 alkylcarbonyloxyethyl), wherein alkyl and/or alkenyl is linear or branched.
R26 is selected from C12-C18 alkyl, C2-C4 alkenyl, C12-C22 alkylcarbonyloxymethyl, C12-C22 alkylcarbonyloxyethyl and 3-(Ci2-C22 alkylcarbonyloxy)-2(Ci2-C22 alkylcarbonyloxy)-propyl.
X is selected from halogenid, such as Cl or Br.
Non-limiting examples of further cationic surfactants include, amines such as primary, secondary and tertiary monoamines with C18 alkyl or alkenyl chains, ethoxylated alkylamines, alkox- ylates of ethylenediamine, imidazoles (such as 1-(2-hydroxyethyl)-2-imidazoline, 2-alkyl-1-(2- hydroxyethyl)-2-imidazoline, and the like), quaternary ammonium salts like alkylquaternary ammonium chloride surfactants such as n-alkyl(Ci2-Ci8)dimethylbenzyl ammonium chloride, n- tetradecyldimethylbenzylammonium chloride monohydrate, and a naphthylene-substituted quaternary ammonium chloride such as dimethyl-1-naphthylmethylammonium chloride.
Particularly suitable cationic surfactants that may be:
• N,N-dimethyl-N-(hydroxy-C7-C25-alkyl)ammonium salts;
• mono- and di(C7-C25-alkyl)dimethylammonium compounds quaternized with alkylating agents;
• ester quats, in particular quaternary esterified mono-, di- and trialkanolamines which are esterified with C8-C22-carboxylic acids;
• imidazoline quats, in particular 1-alkylimidazolinium salts of formulae XII or XIII
The variables in formulae (XII) and (XIII) are defined as follows:
R27is selected from Ci-C25-alkyl and C2-C25-alkenyl;
R28 is selected from Ci-C4-alkyl and hydroxy-Ci-C4-alkyl;
R29 is selected from Ci-C4-alkyl, hydroxy-Ci-C4-alkyl and a R*-(CO)-R30-(CH2)j- radical, wherein R* is selected from Ci-C2i-alkyl and C2-C2i-alkenyl; R30 is selected from-O- and -NH-; j is 2 or 3.
Detergent formulations of the invention may comprise one or more compounds selected from complexing agents (chelating agents, sequestrating agents), precipitating agents, and ion exchange compounds, which may form water-soluble complexes with calcium and magnesium. Such compounds may be called “builders” or “building agents” herein, without meaning to limit such compounds to this function in the final application of a detergent formulation.
Non-phosphate based builders according to the invention include sodium gluconate, citrate(s), silicate(s), carbonate(s), phosphonate(s), amino carboxylate(s), polycarboxylate(s), polysul- fonate(s), and polyphosphonate(s).
Detergent formulations of the invention may comprise one or more citrates. The term “citrate(s)” includes the mono- and the dialkali metal salts and in particular the mono- and preferably the trisodium salt of citric acid, ammonium or substituted ammonium salts of citric acid as well as citric acid as such. Citrate can be used as the anhydrous compound or as the hydrate, for example as sodium citrate dihydrate. The detergent formulation of the invention may comprise citric acid in amounts in the range of 0.1% to 10.0% by weight, in the range of 0.5% to 8.0% by weight, in the range of 1.0% to 5.0% by weight, or in the range of 1.5 to 3.0% by weight, all rela tive to the total weight of the detergent formulation. The citric acid may be provided as a mixture with formiate, e.g. Na-citrate:Na-formiate=9:1.
Detergent formulations of the invention may comprise one or more silicates. “Silicate(s)” in the context of the present invention include in particular sodium disilicate and sodium metasilicate, aluminosilicates such as sodium aluminosilicates like zeolith A (i.e. Nai2(AI02)i2(SiC>2)i2*27H20),
and sheet silicates, in particular those of the formula alpha-I ^ShOs, beta-Na2Si2C>5, and delta- Na2Si205.
Detergent formulations of the invention may comprise one or more carbonates. The term “car- bonate(s)” includes alkali metal carbonates and alkali metal hydrogen carbonates, preferred are the sodium salts. Particularly suitable is sodium carbonate (Na2CC>3).
Detergent formulations of the invention may comprise one or more phosphonates. “Phospho- nates” include, but are not limited to 2-phosphinobutane-1,2,4-tricarboxylic acid (PBTC); eth- ylenediaminetetra(methylenephosphonic acid) (EDTMPA); 1-hydroxyethane-1,1-diphosphonic acid (HEDP), CH2C(OH)[PO(OH)2]2; aminotris(methylenephosphonic acid) (ATMP), N[CH2PO(OH)2]3; aminotris(methylenephosphonate), sodium salt (ATMP), N[CH2PO(ONa)2]3; 2- hydroxyethyliminobis(methylenephosphonic acid), HOCH2CH2N[CH2PO(OH)2]2; diethylenetri- aminepenta(methylenephosphonic acid) (DTPMP), (HO)2POCH2N[CH2CH2N[CH2PO(OH)2]2]2; diethylenetriaminepenta(methylenephosphonate), sodium salt, CgHps-xjNsNaxOisPs (x=7); hex- amethylenediamine(tetramethylenephosphonate), potassium salt, CIOH(28-X)N2KXOI2P4 (x=6); and bis(hexamethylene)triamine(pentamethylenephosphonic acid), (H02)P0CH2N[(CH2)2N[CH2P0(0H)2]2]2. Salts thereof may be suitable, too.
The detergent formulation of the invention may comprise at least one phosphonate, preferably selected from derivatives polyphosphonic acids such as of diphosphonic acid such as sodium salt of HEDP, derivatives of aminopolyphosphonic acid such as aminoalkylene phosphonic acids such as DTPMP in amounts in the range of 0.1% to 5.0% by weight, in the range of 0.5% to 3.0% by weight, or in the range of 1.0% to 2.0% by weight, all relative to the total weight of the detergent formulation.
Detergent formulations of the invention may comprise one or more aminocarboxylates. Nonlimiting examples of suitable “amino carboxylates” include, but are not limited to: diethanol glycine (DEG), dimethylglycine (DMG), nitrilitriacetic acid (NTA), N-hydroxyethylaminodiacetic acid, ethylenediaminetetraacetic acid (EDTA), N-(2hydroxyethyl)iminodiacetic acid (HEIDA), hydrox- yethylenediaminetriacetic acid, N-hydroxyethyl-ethylenediaminetriacetic acid (HEDTA), hydrox- yethylenediaminetetraacetic acid, diethylenetriaminepentaacetic acid (DTPA), and methylgly- cinediacetic acid (MGDA), glutamic acid-diacetic acid (GLDA), iminodisuccinic acid (IDS), hy- droxyiminodisuccinic acid, ethylenediaminedisuccinic acid (EDDS), aspartic acid-diacetic acid, and alkali metal salts or ammonium salts thereof. Further suitable are aspartic acid-N-mono- acetic acid (ASMA), aspartic acid-N,N-diacetic acid (ASDA), aspartic acid-N- monopropionic acid (ASMP), N-(2-sulfomethyl) aspartic acid (SMAS), N-(2-sulfoethyl) aspartic acid (SEAS), N-(2-sulfomethyl) glutamic acid (SMGL), N-(2-sulfoethyl) glutamic acid (SEGL), N-methyl- iminodiacetic acid (MIDA), alpha-alanine-N,N-diacetic acid (alpha-ALDA), serine-N,N-diacetic
acid (SEDA), isoserine-N,N-diacetic acid (ISDA), phenylalanine-N,N-diacetic acid (PHDA), an- thranilic acid-N ,N-diacetic acid (ANDA), sulfanilic acid-N,N-diacetic acid (SLDA), taurine-N,N- diacetic acid (TUDA) and sulfomethyl-N,N-diacetic acid (SMDA) and alkali metal salts or ammonium salts thereof. The term “ammonium salts” as used in in this context refers to salts with at least one cation that bears a nitrogen atom that is permanently or temporarily quaternized. Examples of cations that bear at least one nitrogen atom that is permanently quaternized include tetramethylammonium, tetraethylammonium, dimethyldiethyl ammonium, and n-Cio-C2o-alkyl trimethyl ammonium. Examples of cations that bear at least one nitrogen atom that is temporarily quaternized include protonated amines and ammonia, such as monomethyl ammonium, dimethyl ammonium, trimethyl ammonium, monoethyl ammonium, diethyl ammonium, triethyl ammonium, n-Cio-C2o-alkyl dimethyl ammonium 2-hydroxyethylammonium, bis(2-hydroxyethyl) ammonium, tris(2-hydroxyethyl)ammonium, N-methyl 2-hydroxyethyl ammonium, N,N-dimethyl- 2-hydroxyethylammonium, and especially NH +.
In one embodiment, detergent formulations of the invention comprise more than one builder. Preferably, inventive detergent formulations contain less than 0.2% by weight of nitrilotriacetic acid (NTA), or 0.01 to 0.1% NTA by weight relative to the total weight of the detergent formulation.
In one embodiment, the detergent formulation of the invention comprises at least one ami- nocarboxylate selected from ethylenediaminetetraacetic acid (EDTA), diethylenetriaminepent- aacetic acid (DTPA), methylglycine diacetate (MGDA), and glutamic acid diacetate (GLDA), which all may be (partially) neutralized with alkali, in amounts in the range of 0.1% to 25.0% by weight, in the range of 1.0% to 15.0% by weight, in the range of 2.0% to 12.0% by weight, or in the range of 2.5% to 10.0% by weight, all relative to the total weight of the detergent formulation.
The term alkali refers to alkali metal cations, same or different, for example cations of lithium, sodium, potassium, rubidium, cesium, and combinations of at least two of the foregoing. Preferred examples of alkali metal cations are sodium and potassium and combinations of sodium and potassium.
Further examples of detergent builders are polymers with complexing groups like, for example, polyethylenimine in which 20 to 90 mole-% of the N-atoms bear at least one CH2COO group, and the respective alkali metal salts of the above sequestrants, especially their sodium salts.
Further examples of suitable detergent builders are polyalkylenimines, for example polyethyl- enimines and polypropylene imines. Polyalkylenimines may be used as such or as polyalkox-
ylated derivatives, for examples ethoxylated or propoxylated. Polyalkylenimines comprise at least three alkylenimine units per molecule.
In one embodiment of the present invention, said alkylenimine unit is a C2-Cio-alkylendiamine unit, for example a 1,2-propylendiamine, preferably an a,u-C2-Cio-alkylendiamine, for example 1,2-ethylendiamine, 1,3-propylendiamine, 1,4-butylendiamine, 1,5-pentylendiaminne, 1,6-he- xandiamine (also being referred to as 1,6-hexylendiamine), 1,8-diamine or 1 ,10-decandiamine, even more preferred are 1,2-ethylendiamine, 1,3-propylendiamine, 1,4-butylendiamine, and 1,6- hexandiamine.
In another embodiment of the present invention, said polyalkylenimine is selected from poly- alkylenimine unit, preferably a polyethylenimine or polypropylenimine unit.
The term “polyethylenimine” in the context of the present invention does not only refer to polyethylenimine homopolymers but also to polyalkylenimines comprising NH-CH2-CH2-NH structural elements together with other alkylene diamine structural elements, for example NH-CH2-CH2- CH2-NH structural elements, NH-CH2-CH(CH3)-NH structural elements, NH-(CH2)4-NH structural elements, NH-(CH2)6-NH structural elements or (NH-(CH2)8-NH structural elements but the NH- CH2-CH2- NH structural elements being in the majority with respect to the molar share. Preferred polyethylenimines comprise NH-CH2-CH2-NH structural elements being in the majority with respect to the molar share, for example amounting to 60 mol-% or more, more preferably amounting to at least 70 mol-%, referring to all alkylenimine structural elements. In a special embodiment, the term polyethylenimine refers to those polyalkylenimines that bear only one or zero alkylenimine structural element per polyethylenimine unit that is different from NH-CH2- CH2-NH.
The term “polypropylenimine” in the context of the present invention does not only refer to polypropylenimine homopolymers but also to polyalkylenimines comprising NH-CH2-CH(CH3)-NH structural elements together with other alkylene diamine structural elements, for example NH- CH2-CH2-CH2-NH structural elements, NH-CH2-CH2-NH structural elements, NH-(CH )4-NH structural elements, NH-(CH )6-NH structural elements or (NH-(CH2)8-NH structural elements but the NH-CH2-CH(CH3)-NH structural elements being in the majority with respect to the molar share. Preferred polypropylenimines comprise NH-CH2-CH(CH3)-NH structural elements being in the majority with respect to the molar share, for example amounting to 60 mol-% or more, more preferably amounting to at least 70 mol-%, referring to all alkylenimine structural elements. In a special embodiment, the term polypropylenimine refers to those polyalkylenimines that bear only one or zero alkylenimine structural element per polypropylenimine unit that is different from NH-CH2-CH(CH3)-NH.
Branches may be alkylenamino groups such as, but not limited to -CH2-CH2-NH2 groups or (CH2)3-NH2-groups. Longer branches may be, for examples, -(CH2)3-N(CH2CH2CH2NH2)2 or - (CH2)2-N(CH2CH2NH2)2 groups. Highly branched polyethylenimines are, e.g., polyethylenimine dendrimers or related molecules with a degree of branching in the range from 0.25 to 0.95, preferably in the range from 0.30 to 0.80 and particularly preferably at least 0.5. The degree of branching can be determined for example by 13C-NMR or 15N-NMR spectroscopy, preferably in D2O, and is defined as follows: DB = D+T/D+T+L with D (dendritic) corresponding to the fraction of tertiary amino groups, L (linear) corresponding to the fraction of secondary amino groups and T (terminal) corresponding to the fraction of primary amino groups.
Within the context of the present invention, branched polyethylenimine units are polyethylenimine units with DB in the range from 0.25 to 0.95, particularly preferably in the range from 0.30 to 0.90% and very particularly preferably at least 0.5. Preferred polyethylenimine units are those that exhibit little or no branching, thus predominantly linear or linear polyethylenimine units.
In the context of the present invention, CH3-groups are not being considered as branches.
In one embodiment of the present invention polyalkylenimine may have a primary amine value in the range of from 1 to 1000 mg KOH/g, preferably from 10 to 500 mg KOH/g, most preferred from 50 to 300 mg KOH/g. The primary amine value can be determined according to ASTM D2074-07.
In one embodiment of the present invention polyalkylenimine may have a secondary amine value in the range of from 10 to 1000 mg KOH/g, preferably from 50 to 500 mg KOH/g, most preferred from 50 to 500 mg KOH/g. The secondary amine value can be determined according to ASTM D2074-07.
In one embodiment of the present invention polyalkylenimine may have a tertiary amine value in the range of from 1 to 300 mg KOH/g, preferably from 5 to 200 mg KOH/g, most preferred from 10 to 100 mg KOH/g. The tertiary amine value can be determined according to ASTM D2074- 07.
In one embodiment of the present invention, the molar share of tertiary N atoms is determined by 15N-NMR spectroscopy. In cases that tertiary amine value and result according to 13C-NMR spectroscopy are inconsistent, the results obtained by 13C-NMR spectroscopy will be given preference.
In one embodiment of the present invention, the average molecular weight Mw of said poly- alkylenimine is in the range of from 250 to 100,000 g/mol, preferably up to 50,000 g/mol and more preferably from 800 up to 25,000 g/mol. The average molecular weight Mw of polyalkylen- imine may be determined by gel permeation chromatography (GPC) of the intermediate respective polyalkylenimine, with 1.5 % by weight aqueous formic acid as eluent and cross-linked poly- hydroxyethyl methacrylate as stationary phase.
Said polyalkylenimine may be free or alkoxylated, said alkoxylation being selected from ethoxy- lation, propoxylation, butoxylation and combinations of at least two of the foregoing. Preference is given to ethylene oxide, 1,2-propylene oxide and mixtures of ethylene oxide and 1,2-pro- pylene oxide. If mixtures of at least two alkylene oxides are applied, they can be reacted stepwise or simultaneously.
In one embodiment of the present invention, an alkoxylated polyalkylenimine bears at least 6 nitrogen atoms per unit.
In one embodiment of the present invention, polyalkylenimine is alkoxylated with 2 to 50 moles of alkylene oxide per NH group, preferably 5 to 30 moles of alkylene oxide per NH group, even more preferred 5 to 25 moles of ethylene oxide or 1,2-propylene oxide or combinations therefrom per NH group. In the context of the present invention, an NH2 unit is counted as two NH groups. Preferably, all - or almost all - NH groups are alkoxylated, and there are no detectable amounts of NH groups left.
Depending on the manufacture of such alkoxylated polyalkylenimine, the molecular weight distribution may be narrow or broad. For example, the polydispersity Q = Mw/Mn in the range of from 1 to 3, preferably at least 2, or it may be greater than 3 and up to 20, for example 3.5 to 15 and even more preferred in the range of from 4 to 5.5.
In one embodiment of the present invention, the polydispersity Q of alkoxylated polyalkylenimine is in the range of from 2 to 10.
In one embodiment of the present invention alkoxylated polyalkylenimine is selected from poly- ethoxylated polyethylenimine, ethoxylated polypropylenimine, ethoxylated a,w-hexandiamines, ethoxylated and propoxylated polyethylenimine, ethoxylated and propoxylated polypropylenimine, and ethoxylated and poly-propoxylated a,w-hexandiamines.
In one embodiment of the present invention the average molecular weight Mn (number average) of alkoxylated polyethylenimine is in the range of from 2,500 to 1,500,000 g/mol, determined by GPC, preferably up to 500,000 g/mol.
In one embodiment of the present invention, the average alkoxylated polyalkylenimine are selected from ethoxylated a,w-hexanediamines and ethoxylated and poly-propoxylated a,w- hexanediamines, each with an average molecular weight Mn (number average) in the range of from 800 to 500,000 g/mol, preferably 1,000 to 30,000 g/mol.
Detergent formulations of the invention may comprise one or more complexing agent other than EDTA, DTPA, MGDA and GLDA, e.g. citrate, phosphonic acid derivatives, for example the disodium salt of hydroxyethane-1 ,1-diphosphonic acid (“HEDP”), for example trisodium citrate, and phosphates such as STPP (sodium tripolyphosphate).
In one embodiment of the present invention, the formulation according to the invention is free from phosphates and polyphosphates, with hydrogenphosphates being subsumed, for example free from trisodiumphosphate, pentasodiumtripolyphosphate and hexasodiummetaphosphate.
In connection with phosphates and polyphosphates, in the context of the present invention, “free from” is to be understood as meaning that the content of phosphate and polyphosphate is in total in the range from 10 ppm to 0.2% by weight, determined by gravimetry and relative to the total weight of the detergent formulation.
Liquid detergent formulations of the invention may comprise one or more corrosion inhibitors. Non-limiting examples of suitable corrosion inhibitors include sodium silicate, triazoles such as benzotriazoles, bisbenzotriazoles, aminotriazoles, alkylaminotriazoles, phenol derivatives such as hydroquinone, pyrocatechol, hydroxyhydroquinone, gallic acid, phloroglucinol and pyrogallol, further polyethylenimine and salts of bismuth or zinc. Corrosion inhibitors may be formulated into liquid detergent formulations of the invention in amounts of 0.1 to 1.5 % w/w relative to the overall weight of the liquid detergent formulation.
Liquid detergent formulations of the invention may comprise one or more buffers such as mo- noethanolamine and N,N,N-triethanolamine.
Liquid detergent formulations of the invention may be adapted in sudsing characteristics for satisfying various purposes. Hand dishwashing detergents usually request stable suds. Automatic dishwasher detergents are usually requested to be low sudsing. Laundry detergents may range from high sudsing through a moderate or intermediate range to low. Low sudsing laundry detergents are usually recommended for front-loading, tumbler-type washers and washer-dryer combinations. Those skilled in the art are familiar with using suds stabilizers or suds suppressors as detergent components in detergent formulations which are suitable for specific applications. Examples of suds stabilizers include but are not limited to alkanolamides and alkylamine oxides. Examples of suds suppressors include but are not limited to alkyl phosphates, silicones and soaps.
Liquid detergent formulations of the invention may comprise one or more fragrances such as benzyl salicylate, 2-(4-tert.-butylphenyl) 2-methylpropional, commercially available as Lilial®, and hexyl cinnamaldehyde.
Liquid detergent formulations of the invention may comprise one or more dyestuffs such as Acid Blue 9, Acid Yellow 3, Acid Yellow 23, Acid Yellow 73, Pigment Yellow 101, Acid Green 1, Solvent Green 7, and Acid Green 25.
Liquid detergent formulations may comprise at least one compound selected from organic solvents, preservatives, viscosity modifiers, and hydrotropes.
In one embodiment of the present invention, liquid detergent formulations comprise amounts of organic solvents are 0.5 to 25% by weight, relative to the total weight of the liquid detergent formulation. Especially when inventive liquid detergent formulations are provided in pouches or the like, 8 to 25% by weight of organic solvent(s) relative to the total weight of the liquid detergent formulation may be comprised. Organic solvents are those disclosed above - see component (c).
Inventive liquid detergent formulations may comprise one or more preservatives selected from those disclosed above in amounts effective in avoiding microbial growth of the liquid detergent formulation - see component (c). A detergent formulation of the invention may comprise at least one preservative in amounts ranging from 0.0001% to 10% relative to the total weight of the detergent formulation. The detergent formulation of the invention may comprise 2- Phenoxyethanol in a concentration of 0.01% to 5%, or 0.1% to 2% by weight relative to the total weight of the detergent formulation. The detergent formulation of the invention may comprise 2- bromo-2-nitropentane-1,3-diol in a concentration of 5 ppm to 5000 ppm, or 20 ppm to 1000 ppm. The detergent formulation of the invention may comprise Glutaraldehyde in a concentration of 2 ppm to 5000 ppm, or 10 ppm to 2000 ppm. The detergent formulation of the invention may comprise formic acid (as an acid or its salt) in a concentration of 0.01 % to 3% by weight, or 0.05% to 0.5% by weight, relative to the total weight of the detergent formulation.
In a preferred embodiment, the detergent formulation is an aqueous detergent formulation comprising 2-phenoxyethanol and/or glutaraldehyde and/or 2-bromo-2-nitropentane-1,3-diol and/or formic acid in acid form or its salt, especially in amounts as indicated above.
In one embodiment of the present invention, liquid detergent formulations comprise one or more viscosity modifiers. Non-limiting examples of suitable viscosity modifiers include agar-agar, car- ragene, tragacanth, gum arabic, xanthan gum, alginates, pectins, hydroxyethyl cellulose, hy- droxypropyl cellulose, starch, gelatin, locust bean gum, cross-linked poly(meth)acrlyates, for example polyacrlyic acid cross-linked with bis-(meth)acrylamide, furthermore silicic acid, clay
such as - but not limited to - montmorrilionite, zeolite, dextrin, and casein. Viscosity modifiers may be comprised in amounts effective in providing the desired viscosity.
In one embodiment of the present invention, liquid detergent formulations comprise one or more hydrotropes which may be organic solvents such as ethanol, isopropanol, ethylene glycol, 1,2- propylene glycol, and further organic solvents that are water-miscible under normal conditions without limitation. Further examples of suitable hydrotropes are the sodium salts of toluene sulfonic acid, of xylene sulfonic acid, and of cumene sulfonic acid. Hydrotropes may be comprised in amounts that facilitate or enables the dissolution of compounds that exhibit limited solubilty in water.
In one embodiment of the present invention, the formulation according to the invention is free from those heavy metal compounds which do not act as bleach catalysts, in particular from compounds of iron. In connection with heavy metal compounds in the context of the present invention, “free from” is to be understood as meaning that the content of heavy metal compounds which do not act as bleach catalysts is in total in the range from 0 to 100 ppm, prefera bly 1 to 30 ppm, determined by the Leach method. In the context of the present invention,
“heavy metals” are all metals with a specific density of at least 6 g/cm3, with the exception of zinc and bismuth. In particular, heavy metals are precious metals, and also iron, copper, lead, tin, nickel, cadmium and chromium.
In one embodiment, liquid detergent formulations of the invention are free from bleaches, for example free from inorganic peroxide compounds or chlorine bleaches such as sodium hypochlorite, meaning that liquid detergent formulations according to the invention comprise in total 0.01% by weight or less of inorganic peroxide compound and chlorine bleach, relative in each case on total weight of the liquid detergent formulation.
Liquid detergent formulation may be called aqueous herein when the solvent comprised in the detergent formulation is essentially water. In one embodiment, water is the sole solvent. In other embodiments, mixtures of water with one or more water-miscible solvents are used. The term water-miscible solvent refers to organic solvents that are miscible with water at ambient temperature without phase-separation. Examples are ethylene glycol, 1,2-propylene glycol, isopropanol, and diethylene glycol. Preferably, at least 50% by volume referring to the whole solvent comprised in the aqueous detergent formulation is water.
“Detergent formulation” or “cleaning formulation” herein means formulations designated for cleaning soiled material. Cleaning may mean laundering or hard surface cleaning. Soiled mate rial according to the invention includes textiles and/or hard surfaces.
The term “laundering” relates to both household laundering and industrial laundering and means the process of treating textiles with a solution comprising a detergent formulation of the present invention. The laundering process may be carried out by using technical devices such as a household or an industrial washing machine. Alternatively, the laundering process may be done by hand.
The term “textile” means any textile material including yarns (thread made of natural or synthetic fibers used for knitting or weaving), yarn intermediates, fibers, non-woven materials, natural materials, synthetic materials, as well as fabrics (a textile made by weaving, knitting or felting fibers) made of these materials such as garments (any article of clothing made of textile), cloths and other articles.
The term “fibers” includes natural fibers, synthetic fibers, and mixtures thereof. Examples of natural fibers are of plant (such as flax, jute and cotton) or animal origin, comprising proteins like collagen, keratin and fibroin (e.g. silk, sheeps wool, angora, mohair, cashmere). Examples for fibers of synthetic origin are polyurethane fibers such as Spandex® or Lycra®, polyester fibers, polyolefins such as elastofin, or polyamide fibers such as nylon. Fibers may be single fibers or parts of textiles such as knitwear, wovens, or nonwovens.
The term “hard surface cleaning” is defined herein as cleaning of hard surfaces wherein hard surfaces may include any hard surfaces in the household, such as floors, furnishing, walls, sanitary ceramics, glass, metallic surfaces including cutlery or dishes. The term “hard surface cleaning” may therefore may mean “dish washing” which refers to all forms of washing dishes, e.g. by hand or automatic dish wash (ADW). Dish washing includes, but is not limited to, the cleaning of all forms of crockery such as plates, cups, glasses, bowls, all forms of cutlery such as spoons, knives, forks and serving utensils as well as ceramics, plastics such as melamine, metals, china, glass and acrylics.
In a preferred aspect the detergent formulation of the invention is a laundry detergent, comprising at least components (a) and (b) as disclosed above, optionally component (c) as disclosed above, and at least one detergent component.
In one embodiment, the invention provides a liquid detergent formulation, preferably a liquid laundering detergent, comprising at least components (a) and (b) as disclosed above, optionally component (c) as disclosed above, and at least one detergent component.
Method of use
In one aspect, the invention relates to the use of component (a) as disclosed above as a pre servative in liquid formulations, preferably liquid enzyme preparations and/or liquid detergent formulations.
In one aspect, the invention relates to a method for inhibiting microbial growth in liquid formulations by adding component (a) as disclosed above to said liquid formulation.
In one embodiment, the liquid formulation is an enzyme concentrate and/or enzyme preparation. In one embodiment, the liquid formulation is a liquid detergent formulation, preferably a liquid enzyme-containing detergent formulation.
In one embodiment, the addition of component (a) to a liquid, preferably aqueous enzyme concentrate or enzyme preparation allows the reduction of preservatives needed for inhibiting microbial growth in said liquid products. Reduction of preservatives means reduction by 10-80% by weight relative to the total amount of preservatives usually present.
In one embodiment, the addition of component (a) to a liquid, preferably aqueous detergent formulation allows the reduction of preservatives needed for inhibiting microbial growth. Reduction of preservatives means reduction by 10-80% by weight relative to the total amount of preservatives usually present.
In one aspect, the invention relates to a method for inhibiting microbial growth on hard and/or flexible surfaces present in washing and cleaning devices, by using solid or liquid detergent formulations comprising component (a) as disclosed above; preferably said detergent formulations additionally comprise at least one enzyme according to component (b) as disclosed above. In this context, inhibition of microbial growth means that biofilm formation is reduced by at least 50 to 85%, by at least 60 to 90%, or by at least 70-95% when compared to biofilm formation on hard and flexible surfaces present in washing and cleaning devices in which detergent formulations lacking component (a) were used. In one embodiment, biofilm formation is avoided completely, meaning that essentially no biofilm is formed. Essentially no biofilm means, that less than about 4%, less than about 3.5%, less than about 3%, less than about 2.5%, less than about 2%, less than about 1.5%, or less than about 1% biofilm is formed when compared to the biofilm formation on objects to be cleaned such as hard surfaces and/or textiles which were washed or cleaned with detergent formulations lacking component (a).
In one embodiment, inhibition of microbial growth means that biofilm formation is avoided and/or the biofilm present is reduced by using a detergent formulation comprising component (a) and preferably additionally component (b) as disclosed herein.
In one aspect, the invention relates to a method for inhibiting microbial growth on objects to be cleaned such as hard surfaces and/or textile, preferably textiles, by using detergent formulations comprising component (a) as disclosed above, preferably detergent formulation additionally comprising at least one enzyme according to component (b) as disclosed above. In this context, inhibition of microbial growth means that the biofilm formation may be reduced by at least 10% to 80%, by at least 30% to 90%, or by at least 50% to 95% when compared to the biofilm formation on objects to be cleaned such as hard surfaces and/or textiles which were washed or cleaned with detergent formulations lacking component (a). In one embodiment, biofilm formation is avoided completely, meaning that essentially no biofilm is formed. Essentially no biofilm means, that less than about 4%, less than about 3.5%, less than about 3%, less than about 2.5%, less than about 2%, less than about 1.5%, or less than about 1% biofilm is formed when compared to the biofilm formation on objects to be cleaned such as hard surfaces and/or textiles which were washed or cleaned with detergent formulations lacking component (a).
In one embodiment, inhibition of microbial growth means that biofilm formation on objects to be cleaned such as hard surfaces and/or textiles, preferably textiles, is avoided and/or the biofilm present is reduced by using a detergent formulation comprising component (a) and preferably additionally component (b) as disclosed herein.
In one embodiment, the biofilm according to the embodiments described above comprises at least one microorganism selected from the group of bacteria and fungi.
In one embodiment, the biofilm comprises bacteria selected from the group of proteobacteria. In one embodiment proteobacteria is selected from the order Enterobacterales and Pseudomona- dales. Preferred Enterobacterales are selected from the genus Escherichia. Preferred Pseudo- monadales are selected from the genus Pseudomonas, and Acinetobacter.
Preferably at least one Proteobacteria is selected from the species Escherichia coli, Pseudo monas aeruginosa, and Pseudomonas putida. In a preferred embodiment, the biofilm comprises at least Pseudomonas aeruginosa.
Bacteria may be selected from the class of Bacilli, preferably from the genus Staphylococcus, more preferably from the species Staphylococcus aureus and Staphylococcus epidermidis.
Bacteria may be selected from the class of Actinobacteria, preferably from the order Actinomy- cetales, more preferably from the genus Aeromicrobium, Microbacterium , and Micrococcus.
Bacteria may be selected from the class of Alphaproteobacteria, preferably from the order Cau- lobacterales, more preferably from the genus Brevundimonas.
Bacteria may be selected from the class of Gammaproteobacteria, preferably from the order Xanthomonadales, more preferably from the genus Stenotrophomonas.
The biofilm according to the invention may comprise at least one microorganism selected from the group of fungi. The biofilm may comprise at least one fungus of the class Microbotryomy- cetes, preferably from the genus Rhodotorula, such as species selected from Rhodotorula muci- laginosa, R. glutinis, and R. minuta. The biofilm may comprise at least one fungus selected from the class Saccharomycetes, more preferably from the order Saccharomycetales, preferably from the genus Candida such as the species Candida albicans.
Examples
Materials used
Polyethyleneimine (Lupasol® FG sold by BASF)
Palm kernel oil sold from Shanghai Jinyang Co., Ltd
EMPA 130: C.l. Direct Red 83.1 on cotton (Commercially available from Swissatest, Swissatest Testmaterialien AG, Switzerland)
EMPA 133: C.l. Direct Blue 71 on cotton (commercially available from Swissatest, Swissatest Testmaterialien AG, Switzerland)
Stained fabrics:
JB 01: Mineral oil with carbon black on cotton, Chinese standard for detergency tests JB 03: Sebum with pigment on cotton, Chinese standard for detergency tests Test white fabrics:
WFK 10A: Standard cotton (commercially available from wfk testgewebe GmbH, Germany); WFK 20A: Polyester/cotton (65%/35%) (commercially available from wfk testgewebe GmbH, Germany)
WFK 80A: Knitted cotton (commercially available from wfk testgewebe GmbH, Germany)
WFK clay-oil: prepared using 20% WFK Clay (code 05203, commercially available from wfk testgewebe GmbH, Germany) with 1.25% mineral oil and 3.75% peanut oil in water.
Molecular weight Determination
The weight-average molecular weight can be measured by gel permeation chromatography (GPC) using TSKgel GMPWXL columns, aqueous solution containing 1.8% acetic acid and 0.3 mol/L sodium acetate as eluent and polyethylene glycol salt as standards. Value outside this elution range are extrapolated.
Preparation of hydrophobically modified polyethyleneimine
Inventive Polymer 1 (IP1): 120 g of polyethyleneimine (Mw=800 g/mol) and 20.3 g of hexanoic acid were mixed and purged with nitrogen flow. The mixture was heated to 150°C and stirred. The reaction was performed for 6h and the product was obtained as a yellow liquid. The fraction of hydrocarbon radicals is 14.4% based on the weight of polyethyleneimine.
Inventive Polymer 2 (IP2): 120 g of polyethyleneimine (Mw=800 g/mol) and 25.1 g of octanoic acid were mixed and purged with nitrogen flow. The mixture was heated to 150°C and stirred. The reaction was performed for 6h and the product was obtained as a yellow liquid. The fraction of hydrocarbon radicals is 18.5% based on the weight of polyethyleneimine.
Inventive Polymer 3 (IP3): 60 g of polyethyleneimine (Mw=800 g/mol) and 17.5 g of lauric acid were mixed and purged with nitrogen flow. The mixture was heated to 150°C and stirred. The reaction was performed for 6h and the product was obtained as a yellow liquid. The fraction of hydrocarbon radicals is 26.6% based on the weight of polyethyleneimine.
Inventive Polymer 4 (IP4): 900 g of polyethyleneimine (Mw=800 g/mol) and 297 g of palm kernel oil were mixed and purged with nitrogen flow. The mixture was heated to 90°C and stirred. The reaction was performed for 6h and the product was obtained as a yellow liquid. The fraction of hydrocarbon radicals is 28.7% based on the weight of polyethyleneimine.
Inventive Polymer 5 (IP5): 90 g of polyethyleneimine (Mw=800 g/mol) and 29.9 g of myristic acid were mixed and purged with nitrogen flow. The mixture was heated to 150°C and stirred. The reaction was performed for 6h and the product was obtained as a yellow liquid. The fraction of hydrocarbon radicals is 30.7% based on the weight of polyethyleneimine.
Inventive Polymer 6 (IP6): 90 g of polyethyleneimine (Mw=800 g/mol) and 33.5 g of palmitic acid were mixed and purged with nitrogen flow. The mixture was heated to 150°C and stirred. The reaction was performed for 6h and the product was obtained as a yellow paste. The fraction of hydrocarbon radicals is 34.8% based on the weight of polyethyleneimine.
Inventive Polymer 7 (IP7): 80 g of polyethyleneimine (Mw=800 g/mol) and 33.1 g of stearic acid were mixed and purged with nitrogen flow. The mixture was heated to 150°C and stirred. The reaction was performed for 6h and the product was obtained as a yellowish paste. The fraction of hydrocarbon radicals is 38.9% based on the weight of polyethyleneimine.
Comparative polymer 1 (CP1) was obtained by the reaction of polyethyleneimine (Mw = 2000 g/mol) and lauric acid under the condition described in U.S. Pat No. 2010/0017973. The fraction of hydrocarbon radicals is 25.6% based on the weight of polyethyleneimine.
Comparative polymer 2 (CP2) was obtained by the reaction of polyethyleneimine (Mw = 1300 g/mol) and lauric acid under the condition described in U.S. Pat No. 2010/0017973. The fraction of hydrocarbon radicals is 25.6% based on the weight of polyethyleneimine.
Comparative polymer 3 (CP3) was obtained by the reaction of polyethyleneimine (Mw = 5000 g/mol) and lauric acid under the condition described in U.S. Pat No. 2010/0017973. The fraction of hydrocarbon radicals is 28.0% based on the weight of polyethyleneimine.
Comparative polymer 4 (CP4) was obtained by the reaction of polyethyleneimine (Mw = 5000 g/mol) and palmitic acid under the condition described in U.S. Pat No. 2010/0017973. The fraction of hydrocarbon radicals is 36.5% based on the weight of polyethyleneimine. Comparative polymer 5 (CP5) was obtained by the reaction of polyethyleneimine (Mw = 5000 g/mol) and palmitic acid under the condition described in U.S. Pat No. 2010/0017973. The fraction of hydrocarbon radicals is 115.8% based on the weight of polyethyleneimine.
Stability of liquid formulation
AEO: Lutensol A07 (BASF); two non-ionic surfactants selected from compounds of general formula (la), wherein one of said non-ionic surfactants is characterized in R1 being C12, R2 and
R5 being H, m is 7, n and o = 0, and the other surfactant is characterized in R1 being C14, R5 being H, m being 7, n and o = 0.
AES: Texapon N 70 (BASF); two anionic surfactants, selected from compounds of general formula (Villa), wherein one of said anionic surfactants is characterized in R1 being Cn, R2 being H , m being 2, n and o = 0, A being SO3', M+ being Na+ and the other surfactant is characterized in R1 being C13, R2 being H, m being 2, n and 0 = 0, A being SO3', M+ being Na+.
LAS: Maranil DBS/LC (BASF); two anionic surfactants, selected from compounds of general formula (IX), wherein one of said anionic surfactants is characterized in R1 being C10, and the other surfactant is characterized in R1 being C13. Coco fatty acid: Edenor K12-18 (Emery Oleochemicals)
Protease: Lavergy Pro 104 LS (protease trade product from BASF); protease having a polypeptide sequence according to SEQ ID NO:22 as described in EP 1921147 with R101E substitution.
The above formulations were prepared by first preparing a premix, containing surfactants, sol- vents, fatty acid, citric acid and NaOH and water up to 90%. This pre-mix was prepared by adding all components to the appropriate amount of water and stir at room temperature. Subsequently the pH was set to pH=8.5 using NaOH. Then the final formulations were prepared by stirring at room temperature: 90% of this pre-mix, the appropriate concentrations of Polymer 4 and/or protease and water up 100%.
IP4 and protease can be combined in a liquid laundry formulation without any instability or turbidity.
AEO: Lutensol A7N; non-ionic surfactant selected from general formula (la), wherein m is 7; n and o is 0, R1 is C12-C14, R2 and R5 is H.
AES: Texapon N70
LAS: Disponil LDBS; two anionic surfactants, selected from sodium salts of compounds of general formula (IX), wherein one of said anionic surfactants is characterized in R1 being C10, and the other surfactant is characterized in R1 being C13.
The compatibility tests were performed with the formulations containing varied surfactants, particularly with the formulation A and formulation C which comprise anionic surfactants as dominant components in the surfactant blends.
As demonstrated above, it has been found unexpectedly that the formulations comprising the inventive polymer IP4 of the present invention make it possible to obtain the stable and transparent solutions with improved compatibilities in comparison with the formulations comprising the comparative polymer CP5 (Mw>1000 g/mol).
Inhibition of biofilm formation
In general, biofilms were cultivated in a nutrient medium in microtiter plates in the presence of polymer/enzyme/surfactant. After culturing, the biofilm was stained with a dye (safranin), the dye was then re-dissolved in a solvent. The absorption of the dye solution at 540 nm is a measure of the amount of biofilm that was grown in the well.
The respective test organism was Pseudomonas aeruginosa DSM 1117 (P. aeruginosa) was cultured on tryptic soy agar at 35°C for 24 h. The first passage was stored at +4°C for 8 days.
The inoculum was prepared by suspending 5 single colonies of the first passage in 200 ml 30% TSB + 2.5g/L glucose in a 200 mL shake flask at 35°C, on a shaker with agitation speed of -160 rpm for 24 h. The cell density of this o/n culture was photometrically determined at 595 nm (OD595nm) and adjusted in 60 % TSB + 5 g/L glucose to ODs95nm = 0.4.
Polymer/enzyme/surfactant solutions were prepared in 2x the final concentrations in the wells in deionized water, sterile filtered and 75 pi were added to the appropriate wells of a transparent 96 well-microtiter plate. 75 pl_ of the OD595nm= 0.4 cell suspension (inoculum) were transferred to each of the appropriate wells of the microtiter plate. Biofilms were thus cultivated in 30 %
TSB + 2.5 g/L glucose. The plate was incubated in a humid chamber at 33°C and 40 rpm for 24 h.
After incubation the supernatant containing planktonic cells was removed with a pipette, wells were washed 3 x with 195 pL 0.85 % NaCI solution. After removing the NaCI solution, the plate was tapped on a tissue to minimize residual NaCI in wells, empty plate was dried in the laminar flow.
Safranin (Gram’s safranin, Sigma-Aldrich) was used for staining the biofilm: 175 pL was used per well and left for 30 min at room temperature (RT).
The supernatant was removed with a pipette, wells were washed 4 x with 195 pl_ 0.85% NaCI solution and finally the liquid was removed with a pipette and the plate was tapped on a tissue to minimize residual NaCI in wells. Empty plate was dried in the laminar flow. The wells were filled with 175 pl_ 30 % acetic acid in deionized H20 (dye solvent). Dye was further dissolved by pipetting up and down and liquid was transferred to a fresh MTP.
The absorption of the safranin solutions was determined using a plate reader at 540 nm.
Each composition was tested in parallel in at least 10 wells, and the average over these 10 re- suits was taken. From each of these average absorption values a blank background value (av erage of 2 wells with growth medium, but without bacteria) was subtracted.
Three systems were evaluated:
1. No addition of any polymers, surfactants or enzymes to the biofilm growth medium
2. Addition of 0.05% polymer of example 4 and 0.005% of Lavergy Pro 104 LS to the growth medium where the percentages refer to the weight of growth medium in each well of the microtiter plate
3. Addition of 0.01 % Lutensol A07, 0.005% polymer of example 4 and 0.005% Lavergy pro 104 LS to the growth medium where the percentages refer to the weight of growth medi um in each well of the microtiter plate
The data show that the combination of the inventive polymer IP4 and protease and optionally a non-ionic surfactant is able to prevent the formation of a biofilm, with respect to the experiment in which biofilm can grow in the absence of further chemicals/enzymes.
Claims
1. An enzyme preparation comprising component (a): at least one hydrophobically modified polyalkyleneimine, component (b): at least one hydrolase, and optionally component (c): at least one compound selected from solvents, enzyme stabi lizers, and compounds stabilizing the liquid enzyme preparation as such; wherein the hydrophobically modified polyalkyleneimine comprises a polyalkyleneimine backbone having a weight-average molecular weight greater than or equal to 200 g/mol and less than 1000 g/mol, and hydrophobic moieties which are covalently attached to the backbone of polyalkyleneimine.
2. The enzyme preparation according to claim 1 , wherein at least one hydrolase is selected from the group of serine proteases (EC 3.4.21), triacylglycerol lipase (EC 3.1.1.3), alpha amylases (EC 3.2.1.1), endoglucanases (EC 3.2.1.4), endo-1,4-p-mannosidase (EC 3.2.1.78), and DNA degrading enzymes.
3. The enzyme preparation according to any one of claims 1 to 2, wherein the hydrophobically modified polyalkyleneimine has the hydrocarbon radical which is linked to one nitrogen atom of the polyalkyleneimine directly or via a carbonyl group, and wherein said hydrocarbon radicals are present in the form of C4-C3o-alkylcarbonyl or C4-C30- alkenylcarbonyl group, particularly in the form of C6-Cis-alkylcarbonyl or C6-C18- alkenylcarbonyl group, more particularly, in the form of Cs-Ci6-alkylcarbonyl or Cs-Cis- alkenylcarbonyl group, where the alkyl and alkenyl radicals of the aforementioned groups are preferably linear.
4. The enzyme preparation according to any one of claims 1 to 3, wherein the hydrophobically modified polyalkyleneimine in the polyalkyleneimine backbone is branched.
5. The enzyme preparation according to any one of claims 1 to 4, wherein the hydrophobically modified polyalkyleneimine is hydrophobically modified polyethyleneimine, hydrophobically modified polypropyleneimine or hydrophobically modified polybutyleneimine.
6. The enzyme preparation according to any one of claims 1 to 5, wherein the hydrophobi cally modified polyalkyleneimine has a weight-average molecular weight in the range of from 300 to 5000 g/mol, preferably 500 to 3000 g/mol, more preferably 800 to 2000 g/mol.
7. The enzyme preparation according to any one of claims 1 to 6, wherein the hydrophobi- cally modified polyalkyleneimines are obtained by a process which comprises the reaction of an unmodified polyalkyleneimine with a hydrophobicizing agent, wherein the hydropho- bicizing agent is preferably selected from natural oil comprising about 40-90% by weight saturated fatty acid, preferably the natural oil comprises about 75% saturated C12-C16 fatty acid.
8. The enzyme preparation according to any one of claims 1 to 7, wherein the enzyme preparation comprises component (c), and wherein component (c) comprises
• at least one compound selected from enzyme stabilizers, preferably selected from boron-containing compounds and peptide-stabilizers, and/or
• at least one compound selected from compounds stabilizing the liquid enzyme preparation as such, preferably at least one compound selected from preservatives.
9. A detergent formulation comprising the enzyme preparation according to claims 1 to 8 and at least one surfactant, preferably selected from non-ionic surfactants, in amounts effective in cleaning.
10. The detergent formulation according to claim 9, wherein the detergent formulation is liquid at 20°C and 101.3 Pa.
11. Method for preparation of a detergent formulation according to claims 9 to 10, wherein at least one hydrophobically modified polyalkyleneimine, at least one hydrolase, and at least one detergent component are mixed in one or more steps in any order.
12. A method for inhibiting microbial growth in liquid formulations by adding at least one hy drophobically modified polyalkyleneimine to said liquid formulation, wherein the hydropho bically modified polyalkyleneimine comprises a polyalkyleneimine backbone having a weight-average molecular weight greater than or equal to 200 g/mol and less than 1000 g/mol, and hydrophobic moieties which are covalently attached to the backbone of polyalkyleneimine.
13. A method for inhibiting microbial growth on hard and/or flexible surfaces present in washing and cleaning devices, by using solid or detergent formulations according to claims 9 to 10 for washing and cleaning.
14. A method according to claim 13, wherein inhibition of microbial growth is characterized by
a biofilm formation which is reduced by at least 50% to 90% when compared to the biofilm formation in washing and cleaning devices in which detergent formulations lacking hydro- phobically modified polyalkyleneimine were used.
15. A method for inhibiting microbial growth on objects to be cleaned such as hard surfaces and/or textile by using detergent formulations according to claims 9 to 10 for washing and cleaning.
Applications Claiming Priority (2)
| Application Number | Priority Date | Filing Date | Title |
|---|---|---|---|
| CNPCT/CN2019/124056 | 2019-12-09 | ||
| CN2019124056 | 2019-12-09 |
Publications (1)
| Publication Number | Publication Date |
|---|---|
| WO2021115912A1 true WO2021115912A1 (en) | 2021-06-17 |
Family
ID=73740380
Family Applications (1)
| Application Number | Title | Priority Date | Filing Date |
|---|---|---|---|
| PCT/EP2020/084420 Ceased WO2021115912A1 (en) | 2019-12-09 | 2020-12-03 | Formulations comprising a hydrophobically modified polyethyleneimine and one or more enzymes |
Country Status (1)
| Country | Link |
|---|---|
| WO (1) | WO2021115912A1 (en) |
Cited By (44)
| Publication number | Priority date | Publication date | Assignee | Title |
|---|---|---|---|---|
| WO2021209278A1 (en) * | 2020-04-14 | 2021-10-21 | Basf Se | Method of imparting chlorine resistance effect to colored fabric |
| WO2022136409A1 (en) | 2020-12-23 | 2022-06-30 | Basf Se | Amphiphilic alkoxylated polyalkylene imines or alkoxylated polyamines |
| WO2022263354A1 (en) | 2021-06-18 | 2022-12-22 | Basf Se | Biodegradable graft polymers |
| WO2023017061A1 (en) | 2021-08-12 | 2023-02-16 | Basf Se | Biodegradable graft polymers for dye transfer inhibition |
| WO2023017064A1 (en) | 2021-08-12 | 2023-02-16 | Basf Se | Biodegradable graft polymers |
| WO2023017062A1 (en) | 2021-08-12 | 2023-02-16 | Basf Se | Biodegradable graft polymers |
| WO2023117494A1 (en) | 2021-12-20 | 2023-06-29 | Basf Se | Polypropylene imine polymers (ppi), their preparation, uses, and compositions comprising such ppi |
| WO2024017797A1 (en) | 2022-07-21 | 2024-01-25 | Basf Se | Biodegradable graft polymers useful for dye transfer inhibition |
| WO2024042005A1 (en) | 2022-08-22 | 2024-02-29 | Basf Se | Process for producing sulfatized esteramines |
| WO2024083600A1 (en) | 2022-10-20 | 2024-04-25 | Basf Se | Odor controlling bacteria |
| WO2024094735A1 (en) | 2022-11-04 | 2024-05-10 | Basf Se | Polypeptides having protease activity for use in detergent compositions |
| WO2024094733A1 (en) | 2022-11-04 | 2024-05-10 | Basf Se | Polypeptides having protease activity for use in detergent compositions |
| WO2024119440A1 (en) | 2022-12-08 | 2024-06-13 | Basf Se | Biodegradable multi-block copolymers comprising linking units derived from cyclic ketene acetal |
| WO2024126270A1 (en) | 2022-12-12 | 2024-06-20 | Basf Se | Biodegradable graft polymers as dye transfer inhibitors |
| WO2024126268A1 (en) | 2022-12-12 | 2024-06-20 | Basf Se | Biodegradable graft polymers for dye transfer inhibition |
| WO2024126267A1 (en) | 2022-12-12 | 2024-06-20 | Basf Se | Biodegradable graft polymers |
| DE102023135175A1 (en) | 2022-12-16 | 2024-06-27 | Basf Se | Process for the preparation of amino acid esters and organic sulfonic acid salts as well as amino acid esters and their salts |
| WO2024175401A1 (en) | 2023-02-21 | 2024-08-29 | Basf Se | Modified alkoxylated polyalkylene imines or modified alkoxylated polyamines |
| WO2024175407A1 (en) | 2023-02-21 | 2024-08-29 | Basf Se | Modified alkoxylated polyalkylene imines or modified alkoxylated polyamines |
| WO2024175409A1 (en) | 2023-02-21 | 2024-08-29 | Basf Se | Modified hyperbranched alkoxylated polyalkylene imines |
| WO2024180261A2 (en) | 2023-03-02 | 2024-09-06 | Basf Se | Environmenal friendly ethylene oxide, propylene oxide and downstream products |
| WO2024188713A1 (en) | 2023-03-13 | 2024-09-19 | Basf Se | Alkoxylated nitrogen containing polymers and their use |
| WO2024200177A1 (en) | 2023-03-24 | 2024-10-03 | Basf Se | Process for the preparation of amino acid esters as organoether sulfate salts from alkoxylated alcohols |
| WO2024213626A1 (en) | 2023-04-12 | 2024-10-17 | Basf Se | Vinyl acetate having low deuterium content |
| WO2024231110A1 (en) | 2023-05-05 | 2024-11-14 | Basf Se | Biodegradable polyol propoxylates, their preparation, uses, and compositions comprising them |
| WO2024256175A1 (en) | 2023-06-13 | 2024-12-19 | Basf Se | Stabilized cleaning compositions comprising edds and enzymes and their use |
| WO2025026743A1 (en) | 2023-07-28 | 2025-02-06 | Basf Se | Mannanases for sustainable cleaning |
| WO2025055891A1 (en) | 2023-09-11 | 2025-03-20 | Basf Se | Alkoxylated iso-nonanol |
| WO2025055889A1 (en) | 2023-09-11 | 2025-03-20 | Basf Se | Cleaning formulations comprising alkoxylated nonanol |
| WO2025093368A1 (en) | 2023-11-02 | 2025-05-08 | Basf Se | Enzyme stabilization in compositions containing a protease inhibitor |
| WO2025125117A1 (en) | 2023-12-15 | 2025-06-19 | Basf Se | Biodegradable propoxylated ethylenediamines, their preparation, uses, and compositions comprising them |
| WO2025131888A1 (en) | 2023-12-19 | 2025-06-26 | Basf Se | Modified alkoxylated polyalkylene imines or modified alkoxylated polyamines |
| WO2025132258A1 (en) | 2023-12-20 | 2025-06-26 | Basf Se | Stabilized enzyme composition comprising a protease |
| WO2025180874A1 (en) | 2024-02-27 | 2025-09-04 | Basf Se | Substituted 1,3-dioxolane sulfates and their use |
| WO2025195856A1 (en) | 2024-03-19 | 2025-09-25 | Basf Se | Compositions of guerbet alkyl sulfates and their use |
| EP4624572A1 (en) | 2024-03-27 | 2025-10-01 | Basf Se | Polypeptides having protease activity for use in detergent compositions |
| WO2025202370A1 (en) | 2024-03-27 | 2025-10-02 | Basf Se | Polypeptides having protease activity for use in detergent compositions |
| WO2025202379A1 (en) | 2024-03-27 | 2025-10-02 | Basf Se | Polypeptides having protease activity for use in detergent compositions |
| WO2025202374A1 (en) | 2024-03-27 | 2025-10-02 | Basf Se | Polypeptides having protease activity for use in detergent compositions |
| WO2025202369A1 (en) | 2024-03-27 | 2025-10-02 | Basf Se | Polypeptides having protease activity for use in detergent compositions |
| WO2025202032A1 (en) | 2024-03-26 | 2025-10-02 | Basf Se | Biodegradable alkoxylated polyols, their preparation, uses, and compositions comprising them |
| WO2025202372A1 (en) | 2024-03-27 | 2025-10-02 | Basf Se | Polypeptides having protease activity for use in detergent compositions |
| WO2025223955A1 (en) | 2024-04-25 | 2025-10-30 | Basf Se | Method for producing polyaspartic acid, polyaspartic acid and its use |
| WO2025238047A1 (en) | 2024-05-14 | 2025-11-20 | Basf Se | Cellulose acetate with low degree of substitution |
Citations (111)
| Publication number | Priority date | Publication date | Assignee | Title |
|---|---|---|---|---|
| GB1372034A (en) | 1970-12-31 | 1974-10-30 | Unilever Ltd | Detergent compositions |
| EP0218272A1 (en) | 1985-08-09 | 1987-04-15 | Gist-Brocades N.V. | Novel lipolytic enzymes and their use in detergent compositions |
| EP0258068A2 (en) | 1986-08-29 | 1988-03-02 | Novo Nordisk A/S | Enzymatic detergent additive |
| EP0260105A2 (en) | 1986-09-09 | 1988-03-16 | Genencor, Inc. | Preparation of enzymes having altered activity |
| JPS6336774B2 (en) | 1979-05-25 | 1988-07-21 | Tokyo Shibaura Electric Co | |
| EP0283075A2 (en) | 1987-02-27 | 1988-09-21 | Gist-Brocades N.V. | Molecular cloning and expression of genes encoding proteolytic enzymes |
| JPS6356289B2 (en) | 1979-11-15 | 1988-11-08 | Kansai Denryoku Kk | |
| WO1988009367A1 (en) | 1987-05-29 | 1988-12-01 | Genencor, Inc. | Cutinase cleaning composition |
| EP0305216A1 (en) | 1987-08-28 | 1989-03-01 | Novo Nordisk A/S | Recombinant Humicola lipase and process for the production of recombinant humicola lipases |
| JPS6474992A (en) | 1987-09-16 | 1989-03-20 | Fuji Oil Co Ltd | Dna sequence, plasmid and production of lipase |
| WO1989006279A1 (en) | 1988-01-07 | 1989-07-13 | Novo-Nordisk A/S | Mutated subtilisin genes |
| WO1989006276A2 (en) | 1988-01-08 | 1989-07-13 | Dpz Deutsches Primatenzentrum Gesellschaft Mbh | Hiv-2-type retroviruses of primates, vaccines, diagnostic and pharmaceutical compositions |
| EP0331376A2 (en) | 1988-02-28 | 1989-09-06 | Amano Pharmaceutical Co., Ltd. | Recombinant DNA, bacterium of the genus pseudomonas containing it, and process for preparing lipase by using it |
| WO1989009819A1 (en) | 1988-04-12 | 1989-10-19 | Genex Corporation | Combining mutations for stabilization of subtilisin |
| WO1989009830A1 (en) | 1988-04-12 | 1989-10-19 | Genex Corporation | Subtilisin mutations |
| WO1990009446A1 (en) | 1989-02-17 | 1990-08-23 | Plant Genetic Systems N.V. | Cutinase |
| EP0407225A1 (en) | 1989-07-07 | 1991-01-09 | Unilever Plc | Enzymes and enzymatic detergent compositions |
| JPH034706A (en) | 1989-05-31 | 1991-01-10 | Kubota Corp | Preparation of artificial seed |
| WO1991002792A1 (en) | 1989-08-25 | 1991-03-07 | Henkel Research Corporation | Alkaline proteolytic enzyme and method of production |
| WO1991006637A1 (en) | 1989-10-31 | 1991-05-16 | Genencor International, Inc. | Subtilisin mutants |
| WO1991016422A1 (en) | 1990-04-14 | 1991-10-31 | Kali-Chemie Aktiengesellschaft | Alkaline bacillus lipases, coding dna sequences therefor and bacilli which produce these lipases |
| WO1991018974A1 (en) | 1990-05-29 | 1991-12-12 | Chemgen Corporation | HEMICELLULASE ACTIVE AT EXTREMES OF pH AND TEMPERATURE AND THE MEANS FOR THE PRODUCTION THEREOF |
| WO1992005249A1 (en) | 1990-09-13 | 1992-04-02 | Novo Nordisk A/S | Lipase variants |
| WO1992019729A1 (en) | 1991-05-01 | 1992-11-12 | Novo Nordisk A/S | Stabilized enzymes and detergent compositions |
| WO1993024622A1 (en) | 1992-05-22 | 1993-12-09 | Alko Ltd. | Mannanase enzymes, genes coding for them, methods for isolating the genes, and methods for bleaching lignocellulosic pulps |
| WO1994001541A1 (en) | 1992-07-06 | 1994-01-20 | Novo Nordisk A/S | C. antarctica lipase and lipase variants |
| WO1994002597A1 (en) | 1992-07-23 | 1994-02-03 | Novo Nordisk A/S | MUTANT α-AMYLASE, DETERGENT, DISH WASHING AGENT, AND LIQUEFACTION AGENT |
| WO1994018314A1 (en) | 1993-02-11 | 1994-08-18 | Genencor International, Inc. | Oxidatively stable alpha-amylase |
| WO1994025578A1 (en) | 1993-04-27 | 1994-11-10 | Gist-Brocades N.V. | New lipase variants for use in detergent applications |
| WO1995002675A1 (en) | 1993-07-12 | 1995-01-26 | Novo Nordisk A/S | A detergent composition comprising two cellulase components |
| US5389536A (en) | 1986-11-19 | 1995-02-14 | Genencor, Inc. | Lipase from Pseudomonas mendocina having cutinase activity |
| WO1995006720A1 (en) | 1993-08-30 | 1995-03-09 | Showa Denko K.K. | Novel lipase, microorganism producing the lipase, process for producing the lipase, and use of the lipase |
| WO1995010603A1 (en) | 1993-10-08 | 1995-04-20 | Novo Nordisk A/S | Amylase variants |
| WO1995014783A1 (en) | 1993-11-24 | 1995-06-01 | Showa Denko K.K. | Lipase gene and variant lipase |
| WO1995022615A1 (en) | 1994-02-22 | 1995-08-24 | Novo Nordisk A/S | A method of preparing a variant of a lipolytic enzyme |
| WO1995023221A1 (en) | 1994-02-24 | 1995-08-31 | Cognis, Inc. | Improved enzymes and detergents containing them |
| WO1995030744A2 (en) | 1994-05-04 | 1995-11-16 | Genencor International Inc. | Lipases with improved surfactant resistance |
| WO1995035381A1 (en) | 1994-06-20 | 1995-12-28 | Unilever N.V. | Modified pseudomonas lipases and their use |
| WO1996000292A1 (en) | 1994-06-23 | 1996-01-04 | Unilever N.V. | Modified pseudomonas lipases and their use |
| WO1996012012A1 (en) | 1994-10-14 | 1996-04-25 | Solvay S.A. | Lipase, microorganism producing same, method for preparing said lipase and uses thereof |
| WO1996013580A1 (en) | 1994-10-26 | 1996-05-09 | Novo Nordisk A/S | An enzyme with lipolytic activity |
| WO1996023872A1 (en) | 1995-02-02 | 1996-08-08 | Stichting Centraal Laboratorium Van De Bloedtransfusiedienst Van Het Nederlandse Rode Kruis | Enrichment of hematopoietic stem cells from blood or bone marrow |
| WO1996027002A1 (en) | 1995-02-27 | 1996-09-06 | Novo Nordisk A/S | Novel lipase gene and process for the production of lipase with the use of the same |
| WO1996034946A1 (en) | 1995-05-05 | 1996-11-07 | Novo Nordisk A/S | Protease variants and compositions |
| WO1997003296A1 (en) | 1995-07-08 | 1997-01-30 | Hohmann Joerg | Device for measuring the extension of a threaded bolt or screw |
| WO1997004079A1 (en) | 1995-07-14 | 1997-02-06 | Novo Nordisk A/S | A modified enzyme with lipolytic activity |
| WO1997007202A1 (en) | 1995-08-11 | 1997-02-27 | Novo Nordisk A/S | Novel lipolytic enzymes |
| WO1997011164A1 (en) | 1995-09-20 | 1997-03-27 | Genencor International, Inc. | Purified mannanase from bacillus amyloliquefaciens and method of preparation |
| WO1997043424A1 (en) | 1996-05-14 | 1997-11-20 | Genencor International, Inc. | MODIFIED α-AMYLASES HAVING ALTERED CALCIUM BINDING PROPERTIES |
| WO1998013459A1 (en) | 1996-09-24 | 1998-04-02 | The Procter & Gamble Company | Liquid detergents containing proteolytic enzyme, peptide aldehyde and calcium ions |
| WO1998020115A1 (en) | 1996-11-04 | 1998-05-14 | Novo Nordisk A/S | Subtilase variants and compositions |
| WO1998020116A1 (en) | 1996-11-04 | 1998-05-14 | Novo Nordisk A/S | Subtilase variants and compositions |
| US5869438A (en) | 1990-09-13 | 1999-02-09 | Novo Nordisk A/S | Lipase variants |
| WO1999011768A1 (en) | 1997-08-29 | 1999-03-11 | Novo Nordisk A/S | Protease variants and compositions |
| WO1999018790A1 (en) | 1997-10-10 | 1999-04-22 | Nvid International, Inc. | Disinfectant and method of making |
| WO1999019467A1 (en) | 1997-10-13 | 1999-04-22 | Novo Nordisk A/S | α-AMYLASE MUTANTS |
| WO1999064619A2 (en) | 1998-06-10 | 1999-12-16 | Novozymes A/S | Novel mannanases |
| WO2000022103A1 (en) | 1998-10-13 | 2000-04-20 | Novozymes A/S | A modified polypeptide with reduced immune response |
| WO2000034450A1 (en) | 1998-12-04 | 2000-06-15 | Novozymes A/S | Cutinase variants |
| WO2000060063A1 (en) | 1999-03-31 | 2000-10-12 | Novozymes A/S | Lipase variant |
| WO2000060060A2 (en) | 1999-03-31 | 2000-10-12 | Novozymes A/S | Polypeptides having alkaline alpha-amylase activity and nucleic acids encoding same |
| WO2001044452A1 (en) | 1999-12-15 | 2001-06-21 | Novozymes A/S | Subtilase variants having an improved wash performance on egg stains |
| WO2001092502A1 (en) | 2000-06-02 | 2001-12-06 | Novozymes A/S | Cutinase variants |
| WO2002009091A1 (en) | 2000-07-21 | 2002-01-31 | Kabushiki Kaisha Kenwood | Frequency thinning device and method for compressing information by thinning out frequency components of signal |
| WO2002010355A2 (en) | 2000-08-01 | 2002-02-07 | Novozymes A/S | Alpha-amylase mutants with altered stability |
| DE10064983A1 (en) | 2000-12-23 | 2002-07-18 | Henkel Kgaa | New subtilisin protease from Bacillus alcalophilus, useful e.g. in washing and cleaning compositions, comprises at positions 230, 256 and 259 amino acids Val, Gly and Asn |
| WO2002088340A2 (en) | 2001-05-02 | 2002-11-07 | Henkel Kommanditgesellschaft Auf Aktien | Alkaline protease variants and detergents and cleaning agents containing said alkaline protease variants |
| WO2002095122A1 (en) | 2001-05-18 | 2002-11-28 | Basf Aktiengesellschaft | Hydrophobically modified polyethylenimines and polyvinylamines for wrinkle-resistant finishing of textiles containing cellulose |
| WO2003006602A2 (en) | 2001-07-12 | 2003-01-23 | Novozymes A/S | Subtilase variants |
| WO2003054184A1 (en) | 2001-12-20 | 2003-07-03 | Henkel Kommanditgesellschaft Auf Aktien | Novel alkali protease formed by bacillus gibsonii (dsm 14393) and washing and cleaning agents containing said novel alkali protease |
| WO2003056017A2 (en) | 2001-12-22 | 2003-07-10 | Henkel Kommanditgesellschaft Auf Aktien | Alkaline protease from bacillus sp. (dsm 14390) and washing and cleaning products comprising said alkaline protease |
| WO2003055974A2 (en) | 2001-12-22 | 2003-07-10 | Henkel Kommanditgesellschaft Auf Aktien | Novel alkaline protease from bacillus sp. (dsm 14392) and washing and cleaning products comprising said novel alkaline protease |
| WO2004003186A2 (en) | 2002-06-26 | 2004-01-08 | Novozymes A/S | Subtilases and subtilase variants having altered immunogenicity |
| WO2004041979A2 (en) | 2002-11-06 | 2004-05-21 | Novozymes A/S | Subtilase variants |
| WO2004053039A2 (en) | 2002-12-11 | 2004-06-24 | Novozymes A/S | Detergent composition comprising endo-glucanase |
| WO2005056782A2 (en) | 2003-12-03 | 2005-06-23 | Genencor International, Inc. | Perhydrolase |
| WO2005063974A1 (en) | 2003-12-23 | 2005-07-14 | Henkel Kommanditgesellschaft Auf Aktien | Novel alkaline protease and washing and cleaning products containing said novel alkaline protease |
| WO2005103244A1 (en) | 2004-04-23 | 2005-11-03 | Henkel Kommanditgesellschaft Auf Aktien | Novel alkaline proteases, and detergents and cleaners containing the same |
| WO2006002643A2 (en) | 2004-07-05 | 2006-01-12 | Novozymes A/S | Alpha-amylase variants with altered properties |
| WO2006066594A2 (en) | 2004-12-23 | 2006-06-29 | Novozymes A/S | Alpha-amylase variants |
| US20060234895A1 (en) * | 2005-04-15 | 2006-10-19 | Souter Philip F | Liquid laundry detergent compositions with modified polyethyleneimine polymers and lipase enzyme |
| WO2007006305A1 (en) | 2005-07-08 | 2007-01-18 | Novozymes A/S | Subtilase variants |
| WO2007087508A2 (en) | 2006-01-23 | 2007-08-02 | Novozymes A/S | Lipase variants |
| WO2009061380A2 (en) | 2007-11-05 | 2009-05-14 | Danisco Us Inc., Genencor Division | VARIANTS OF BACILLUS sp. TS-23 ALPHA-AMYLASE WITH ALTERED PROPERTIES |
| WO2009067279A1 (en) | 2007-11-21 | 2009-05-28 | E.I. Du Pont De Nemours And Company | Production of peracids using an enzyme having perhydrolysis activity |
| WO2009109500A1 (en) | 2008-02-29 | 2009-09-11 | Novozymes A/S | Polypeptides having lipase activity and polynucleotides encoding same |
| WO2009118375A2 (en) | 2008-03-26 | 2009-10-01 | Novozymes A/S | Stabilized liquid enzyme compositions |
| US20100017973A1 (en) | 2006-12-22 | 2010-01-28 | Basf Se | Hydrophobically modified polyalkylenimines for use as dye transfer inhibitors |
| WO2010065455A2 (en) | 2008-12-01 | 2010-06-10 | Danisco Us Inc. | Enzymes with lipase activity |
| WO2010100028A2 (en) | 2009-03-06 | 2010-09-10 | Huntsman Advanced Materials (Switzerland) Gmbh | Enzymatic textile bleach-whitening methods |
| WO2010104675A1 (en) | 2009-03-10 | 2010-09-16 | Danisco Us Inc. | Bacillus megaterium strain dsm90-related alpha-amylases, and methods of use, thereof |
| WO2010107560A2 (en) | 2009-03-18 | 2010-09-23 | Danisco Us Inc. | Fungal cutinase from magnaporthe grisea |
| WO2010111143A2 (en) | 2009-03-23 | 2010-09-30 | Danisco Us Inc. | Cal a-related acyltransferases and methods of use, thereof |
| WO2011036263A1 (en) | 2009-09-25 | 2011-03-31 | Novozymes A/S | Subtilase variants |
| WO2011036264A1 (en) | 2009-09-25 | 2011-03-31 | Novozymes A/S | Use of protease variants |
| WO2011072099A2 (en) | 2009-12-09 | 2011-06-16 | Danisco Us Inc. | Compositions and methods comprising protease variants |
| WO2011084599A1 (en) | 2009-12-21 | 2011-07-14 | Danisco Us Inc. | Detergent compositions containing bacillus subtilis lipase and methods of use thereof |
| WO2011084417A1 (en) | 2009-12-21 | 2011-07-14 | Danisco Us Inc. | Detergent compositions containing geobacillus stearothermophilus lipase and methods of use thereof |
| WO2011084412A1 (en) | 2009-12-21 | 2011-07-14 | Danisco Us Inc. | Detergent compositions containing thermobifida fusca lipase and methods of use thereof |
| WO2011085747A1 (en) | 2010-01-13 | 2011-07-21 | Direvo Industrial Biotechnology Gmbh | Novel mannanase variants |
| WO2011098531A1 (en) | 2010-02-10 | 2011-08-18 | Novozymes A/S | Variants and compositions comprising variants with high stability in presence of a chelating agent |
| WO2011150157A2 (en) | 2010-05-28 | 2011-12-01 | Danisco Us Inc. | Detergent compositions containing streptomyces griseus lipase and methods of use thereof |
| WO2012137147A1 (en) | 2011-04-08 | 2012-10-11 | Danisco Us, Inc. | Compositions |
| WO2013001078A1 (en) | 2011-06-30 | 2013-01-03 | Novozymes A/S | Alpha-amylase variants |
| WO2013001087A2 (en) | 2011-06-30 | 2013-01-03 | Novozymes A/S | Method for screening alpha-amylases |
| WO2013184577A1 (en) | 2012-06-08 | 2013-12-12 | Danisco Us Inc. | Alpha-amylase variants derived from the alpha amylase of cytophaga sp.amylase|(cspamy2). |
| WO2014100018A1 (en) | 2012-12-19 | 2014-06-26 | Danisco Us Inc. | Novel mannanase, compositions and methods of use thereof |
| WO2014183920A1 (en) | 2013-05-17 | 2014-11-20 | Novozymes A/S | Polypeptides having alpha amylase activity |
| WO2014183921A1 (en) | 2013-05-17 | 2014-11-20 | Novozymes A/S | Polypeptides having alpha amylase activity |
| WO2016092009A1 (en) | 2014-12-10 | 2016-06-16 | Henkel Ag & Co. Kgaa | Solid detergents and cleaning agents with amylase |
| WO2019081724A1 (en) | 2017-10-27 | 2019-05-02 | Novozymes A/S | Dnase variants |
-
2020
- 2020-12-03 WO PCT/EP2020/084420 patent/WO2021115912A1/en not_active Ceased
Patent Citations (116)
| Publication number | Priority date | Publication date | Assignee | Title |
|---|---|---|---|---|
| GB1372034A (en) | 1970-12-31 | 1974-10-30 | Unilever Ltd | Detergent compositions |
| JPS6336774B2 (en) | 1979-05-25 | 1988-07-21 | Tokyo Shibaura Electric Co | |
| JPS6356289B2 (en) | 1979-11-15 | 1988-11-08 | Kansai Denryoku Kk | |
| EP0218272A1 (en) | 1985-08-09 | 1987-04-15 | Gist-Brocades N.V. | Novel lipolytic enzymes and their use in detergent compositions |
| EP0258068A2 (en) | 1986-08-29 | 1988-03-02 | Novo Nordisk A/S | Enzymatic detergent additive |
| EP0260105A2 (en) | 1986-09-09 | 1988-03-16 | Genencor, Inc. | Preparation of enzymes having altered activity |
| US5389536A (en) | 1986-11-19 | 1995-02-14 | Genencor, Inc. | Lipase from Pseudomonas mendocina having cutinase activity |
| EP0283075A2 (en) | 1987-02-27 | 1988-09-21 | Gist-Brocades N.V. | Molecular cloning and expression of genes encoding proteolytic enzymes |
| WO1988009367A1 (en) | 1987-05-29 | 1988-12-01 | Genencor, Inc. | Cutinase cleaning composition |
| EP0305216A1 (en) | 1987-08-28 | 1989-03-01 | Novo Nordisk A/S | Recombinant Humicola lipase and process for the production of recombinant humicola lipases |
| JPS6474992A (en) | 1987-09-16 | 1989-03-20 | Fuji Oil Co Ltd | Dna sequence, plasmid and production of lipase |
| WO1989006279A1 (en) | 1988-01-07 | 1989-07-13 | Novo-Nordisk A/S | Mutated subtilisin genes |
| WO1989006276A2 (en) | 1988-01-08 | 1989-07-13 | Dpz Deutsches Primatenzentrum Gesellschaft Mbh | Hiv-2-type retroviruses of primates, vaccines, diagnostic and pharmaceutical compositions |
| EP0331376A2 (en) | 1988-02-28 | 1989-09-06 | Amano Pharmaceutical Co., Ltd. | Recombinant DNA, bacterium of the genus pseudomonas containing it, and process for preparing lipase by using it |
| WO1989009819A1 (en) | 1988-04-12 | 1989-10-19 | Genex Corporation | Combining mutations for stabilization of subtilisin |
| WO1989009830A1 (en) | 1988-04-12 | 1989-10-19 | Genex Corporation | Subtilisin mutations |
| WO1990009446A1 (en) | 1989-02-17 | 1990-08-23 | Plant Genetic Systems N.V. | Cutinase |
| JPH034706A (en) | 1989-05-31 | 1991-01-10 | Kubota Corp | Preparation of artificial seed |
| EP0407225A1 (en) | 1989-07-07 | 1991-01-09 | Unilever Plc | Enzymes and enzymatic detergent compositions |
| WO1991002792A1 (en) | 1989-08-25 | 1991-03-07 | Henkel Research Corporation | Alkaline proteolytic enzyme and method of production |
| WO1991006637A1 (en) | 1989-10-31 | 1991-05-16 | Genencor International, Inc. | Subtilisin mutants |
| WO1991016422A1 (en) | 1990-04-14 | 1991-10-31 | Kali-Chemie Aktiengesellschaft | Alkaline bacillus lipases, coding dna sequences therefor and bacilli which produce these lipases |
| WO1991018974A1 (en) | 1990-05-29 | 1991-12-12 | Chemgen Corporation | HEMICELLULASE ACTIVE AT EXTREMES OF pH AND TEMPERATURE AND THE MEANS FOR THE PRODUCTION THEREOF |
| US5476775A (en) | 1990-05-29 | 1995-12-19 | Chemgen Corporation | Hemicellulase active at PH and temperature extremes |
| WO1992005249A1 (en) | 1990-09-13 | 1992-04-02 | Novo Nordisk A/S | Lipase variants |
| US5869438A (en) | 1990-09-13 | 1999-02-09 | Novo Nordisk A/S | Lipase variants |
| WO1992019729A1 (en) | 1991-05-01 | 1992-11-12 | Novo Nordisk A/S | Stabilized enzymes and detergent compositions |
| WO1993024622A1 (en) | 1992-05-22 | 1993-12-09 | Alko Ltd. | Mannanase enzymes, genes coding for them, methods for isolating the genes, and methods for bleaching lignocellulosic pulps |
| WO1994001541A1 (en) | 1992-07-06 | 1994-01-20 | Novo Nordisk A/S | C. antarctica lipase and lipase variants |
| WO1994002597A1 (en) | 1992-07-23 | 1994-02-03 | Novo Nordisk A/S | MUTANT α-AMYLASE, DETERGENT, DISH WASHING AGENT, AND LIQUEFACTION AGENT |
| WO1994018314A1 (en) | 1993-02-11 | 1994-08-18 | Genencor International, Inc. | Oxidatively stable alpha-amylase |
| WO1994025578A1 (en) | 1993-04-27 | 1994-11-10 | Gist-Brocades N.V. | New lipase variants for use in detergent applications |
| WO1995002675A1 (en) | 1993-07-12 | 1995-01-26 | Novo Nordisk A/S | A detergent composition comprising two cellulase components |
| WO1995006720A1 (en) | 1993-08-30 | 1995-03-09 | Showa Denko K.K. | Novel lipase, microorganism producing the lipase, process for producing the lipase, and use of the lipase |
| WO1995010603A1 (en) | 1993-10-08 | 1995-04-20 | Novo Nordisk A/S | Amylase variants |
| WO1995014783A1 (en) | 1993-11-24 | 1995-06-01 | Showa Denko K.K. | Lipase gene and variant lipase |
| WO1995022615A1 (en) | 1994-02-22 | 1995-08-24 | Novo Nordisk A/S | A method of preparing a variant of a lipolytic enzyme |
| WO1995023221A1 (en) | 1994-02-24 | 1995-08-31 | Cognis, Inc. | Improved enzymes and detergents containing them |
| EP1921147A2 (en) | 1994-02-24 | 2008-05-14 | Henkel Kommanditgesellschaft auf Aktien | Improved enzymes and detergents containing them |
| WO1995030744A2 (en) | 1994-05-04 | 1995-11-16 | Genencor International Inc. | Lipases with improved surfactant resistance |
| WO1995035381A1 (en) | 1994-06-20 | 1995-12-28 | Unilever N.V. | Modified pseudomonas lipases and their use |
| WO1996000292A1 (en) | 1994-06-23 | 1996-01-04 | Unilever N.V. | Modified pseudomonas lipases and their use |
| WO1996012012A1 (en) | 1994-10-14 | 1996-04-25 | Solvay S.A. | Lipase, microorganism producing same, method for preparing said lipase and uses thereof |
| WO1996013580A1 (en) | 1994-10-26 | 1996-05-09 | Novo Nordisk A/S | An enzyme with lipolytic activity |
| WO1996023872A1 (en) | 1995-02-02 | 1996-08-08 | Stichting Centraal Laboratorium Van De Bloedtransfusiedienst Van Het Nederlandse Rode Kruis | Enrichment of hematopoietic stem cells from blood or bone marrow |
| WO1996027002A1 (en) | 1995-02-27 | 1996-09-06 | Novo Nordisk A/S | Novel lipase gene and process for the production of lipase with the use of the same |
| WO1996034946A1 (en) | 1995-05-05 | 1996-11-07 | Novo Nordisk A/S | Protease variants and compositions |
| WO1997003296A1 (en) | 1995-07-08 | 1997-01-30 | Hohmann Joerg | Device for measuring the extension of a threaded bolt or screw |
| WO1997004079A1 (en) | 1995-07-14 | 1997-02-06 | Novo Nordisk A/S | A modified enzyme with lipolytic activity |
| WO1997007202A1 (en) | 1995-08-11 | 1997-02-27 | Novo Nordisk A/S | Novel lipolytic enzymes |
| WO1997011164A1 (en) | 1995-09-20 | 1997-03-27 | Genencor International, Inc. | Purified mannanase from bacillus amyloliquefaciens and method of preparation |
| WO1997043424A1 (en) | 1996-05-14 | 1997-11-20 | Genencor International, Inc. | MODIFIED α-AMYLASES HAVING ALTERED CALCIUM BINDING PROPERTIES |
| WO1998013459A1 (en) | 1996-09-24 | 1998-04-02 | The Procter & Gamble Company | Liquid detergents containing proteolytic enzyme, peptide aldehyde and calcium ions |
| WO1998020115A1 (en) | 1996-11-04 | 1998-05-14 | Novo Nordisk A/S | Subtilase variants and compositions |
| WO1998020116A1 (en) | 1996-11-04 | 1998-05-14 | Novo Nordisk A/S | Subtilase variants and compositions |
| WO1999011768A1 (en) | 1997-08-29 | 1999-03-11 | Novo Nordisk A/S | Protease variants and compositions |
| WO1999018790A1 (en) | 1997-10-10 | 1999-04-22 | Nvid International, Inc. | Disinfectant and method of making |
| EP1041879B1 (en) | 1997-10-10 | 2007-12-05 | Pure Bioscience | Disinfectant and method of making |
| WO1999019467A1 (en) | 1997-10-13 | 1999-04-22 | Novo Nordisk A/S | α-AMYLASE MUTANTS |
| WO1999064619A2 (en) | 1998-06-10 | 1999-12-16 | Novozymes A/S | Novel mannanases |
| US6566114B1 (en) | 1998-06-10 | 2003-05-20 | Novozymes, A/S | Mannanases |
| WO2000022103A1 (en) | 1998-10-13 | 2000-04-20 | Novozymes A/S | A modified polypeptide with reduced immune response |
| WO2000034450A1 (en) | 1998-12-04 | 2000-06-15 | Novozymes A/S | Cutinase variants |
| WO2000060060A2 (en) | 1999-03-31 | 2000-10-12 | Novozymes A/S | Polypeptides having alkaline alpha-amylase activity and nucleic acids encoding same |
| WO2000060063A1 (en) | 1999-03-31 | 2000-10-12 | Novozymes A/S | Lipase variant |
| WO2001044452A1 (en) | 1999-12-15 | 2001-06-21 | Novozymes A/S | Subtilase variants having an improved wash performance on egg stains |
| WO2001092502A1 (en) | 2000-06-02 | 2001-12-06 | Novozymes A/S | Cutinase variants |
| WO2002009091A1 (en) | 2000-07-21 | 2002-01-31 | Kabushiki Kaisha Kenwood | Frequency thinning device and method for compressing information by thinning out frequency components of signal |
| WO2002010355A2 (en) | 2000-08-01 | 2002-02-07 | Novozymes A/S | Alpha-amylase mutants with altered stability |
| DE10064983A1 (en) | 2000-12-23 | 2002-07-18 | Henkel Kgaa | New subtilisin protease from Bacillus alcalophilus, useful e.g. in washing and cleaning compositions, comprises at positions 230, 256 and 259 amino acids Val, Gly and Asn |
| WO2002088340A2 (en) | 2001-05-02 | 2002-11-07 | Henkel Kommanditgesellschaft Auf Aktien | Alkaline protease variants and detergents and cleaning agents containing said alkaline protease variants |
| WO2002095122A1 (en) | 2001-05-18 | 2002-11-28 | Basf Aktiengesellschaft | Hydrophobically modified polyethylenimines and polyvinylamines for wrinkle-resistant finishing of textiles containing cellulose |
| WO2003006602A2 (en) | 2001-07-12 | 2003-01-23 | Novozymes A/S | Subtilase variants |
| WO2003054184A1 (en) | 2001-12-20 | 2003-07-03 | Henkel Kommanditgesellschaft Auf Aktien | Novel alkali protease formed by bacillus gibsonii (dsm 14393) and washing and cleaning agents containing said novel alkali protease |
| WO2003056017A2 (en) | 2001-12-22 | 2003-07-10 | Henkel Kommanditgesellschaft Auf Aktien | Alkaline protease from bacillus sp. (dsm 14390) and washing and cleaning products comprising said alkaline protease |
| WO2003055974A2 (en) | 2001-12-22 | 2003-07-10 | Henkel Kommanditgesellschaft Auf Aktien | Novel alkaline protease from bacillus sp. (dsm 14392) and washing and cleaning products comprising said novel alkaline protease |
| WO2004003186A2 (en) | 2002-06-26 | 2004-01-08 | Novozymes A/S | Subtilases and subtilase variants having altered immunogenicity |
| WO2004041979A2 (en) | 2002-11-06 | 2004-05-21 | Novozymes A/S | Subtilase variants |
| WO2004053039A2 (en) | 2002-12-11 | 2004-06-24 | Novozymes A/S | Detergent composition comprising endo-glucanase |
| WO2005056782A2 (en) | 2003-12-03 | 2005-06-23 | Genencor International, Inc. | Perhydrolase |
| WO2005063974A1 (en) | 2003-12-23 | 2005-07-14 | Henkel Kommanditgesellschaft Auf Aktien | Novel alkaline protease and washing and cleaning products containing said novel alkaline protease |
| WO2005103244A1 (en) | 2004-04-23 | 2005-11-03 | Henkel Kommanditgesellschaft Auf Aktien | Novel alkaline proteases, and detergents and cleaners containing the same |
| WO2006002643A2 (en) | 2004-07-05 | 2006-01-12 | Novozymes A/S | Alpha-amylase variants with altered properties |
| WO2006066594A2 (en) | 2004-12-23 | 2006-06-29 | Novozymes A/S | Alpha-amylase variants |
| US20060234895A1 (en) * | 2005-04-15 | 2006-10-19 | Souter Philip F | Liquid laundry detergent compositions with modified polyethyleneimine polymers and lipase enzyme |
| WO2007006305A1 (en) | 2005-07-08 | 2007-01-18 | Novozymes A/S | Subtilase variants |
| WO2007087508A2 (en) | 2006-01-23 | 2007-08-02 | Novozymes A/S | Lipase variants |
| US20100017973A1 (en) | 2006-12-22 | 2010-01-28 | Basf Se | Hydrophobically modified polyalkylenimines for use as dye transfer inhibitors |
| WO2009061380A2 (en) | 2007-11-05 | 2009-05-14 | Danisco Us Inc., Genencor Division | VARIANTS OF BACILLUS sp. TS-23 ALPHA-AMYLASE WITH ALTERED PROPERTIES |
| WO2009067279A1 (en) | 2007-11-21 | 2009-05-28 | E.I. Du Pont De Nemours And Company | Production of peracids using an enzyme having perhydrolysis activity |
| WO2009109500A1 (en) | 2008-02-29 | 2009-09-11 | Novozymes A/S | Polypeptides having lipase activity and polynucleotides encoding same |
| WO2009118375A2 (en) | 2008-03-26 | 2009-10-01 | Novozymes A/S | Stabilized liquid enzyme compositions |
| WO2010065455A2 (en) | 2008-12-01 | 2010-06-10 | Danisco Us Inc. | Enzymes with lipase activity |
| WO2010100028A2 (en) | 2009-03-06 | 2010-09-10 | Huntsman Advanced Materials (Switzerland) Gmbh | Enzymatic textile bleach-whitening methods |
| WO2010104675A1 (en) | 2009-03-10 | 2010-09-16 | Danisco Us Inc. | Bacillus megaterium strain dsm90-related alpha-amylases, and methods of use, thereof |
| WO2010107560A2 (en) | 2009-03-18 | 2010-09-23 | Danisco Us Inc. | Fungal cutinase from magnaporthe grisea |
| WO2010111143A2 (en) | 2009-03-23 | 2010-09-30 | Danisco Us Inc. | Cal a-related acyltransferases and methods of use, thereof |
| WO2011036263A1 (en) | 2009-09-25 | 2011-03-31 | Novozymes A/S | Subtilase variants |
| WO2011036264A1 (en) | 2009-09-25 | 2011-03-31 | Novozymes A/S | Use of protease variants |
| WO2011072099A2 (en) | 2009-12-09 | 2011-06-16 | Danisco Us Inc. | Compositions and methods comprising protease variants |
| WO2011084599A1 (en) | 2009-12-21 | 2011-07-14 | Danisco Us Inc. | Detergent compositions containing bacillus subtilis lipase and methods of use thereof |
| WO2011084417A1 (en) | 2009-12-21 | 2011-07-14 | Danisco Us Inc. | Detergent compositions containing geobacillus stearothermophilus lipase and methods of use thereof |
| WO2011084412A1 (en) | 2009-12-21 | 2011-07-14 | Danisco Us Inc. | Detergent compositions containing thermobifida fusca lipase and methods of use thereof |
| WO2011085747A1 (en) | 2010-01-13 | 2011-07-21 | Direvo Industrial Biotechnology Gmbh | Novel mannanase variants |
| WO2011098531A1 (en) | 2010-02-10 | 2011-08-18 | Novozymes A/S | Variants and compositions comprising variants with high stability in presence of a chelating agent |
| WO2011150157A2 (en) | 2010-05-28 | 2011-12-01 | Danisco Us Inc. | Detergent compositions containing streptomyces griseus lipase and methods of use thereof |
| WO2012137147A1 (en) | 2011-04-08 | 2012-10-11 | Danisco Us, Inc. | Compositions |
| WO2013001078A1 (en) | 2011-06-30 | 2013-01-03 | Novozymes A/S | Alpha-amylase variants |
| WO2013001087A2 (en) | 2011-06-30 | 2013-01-03 | Novozymes A/S | Method for screening alpha-amylases |
| WO2013184577A1 (en) | 2012-06-08 | 2013-12-12 | Danisco Us Inc. | Alpha-amylase variants derived from the alpha amylase of cytophaga sp.amylase|(cspamy2). |
| WO2014100018A1 (en) | 2012-12-19 | 2014-06-26 | Danisco Us Inc. | Novel mannanase, compositions and methods of use thereof |
| WO2014183920A1 (en) | 2013-05-17 | 2014-11-20 | Novozymes A/S | Polypeptides having alpha amylase activity |
| WO2014183921A1 (en) | 2013-05-17 | 2014-11-20 | Novozymes A/S | Polypeptides having alpha amylase activity |
| WO2016092009A1 (en) | 2014-12-10 | 2016-06-16 | Henkel Ag & Co. Kgaa | Solid detergents and cleaning agents with amylase |
| WO2019081724A1 (en) | 2017-10-27 | 2019-05-02 | Novozymes A/S | Dnase variants |
| WO2019081721A1 (en) | 2017-10-27 | 2019-05-02 | Novozymes A/S | Dnase variants |
Non-Patent Citations (25)
| Title |
|---|
| "complete Technology Book on Detergents with Formulations", 2015, ENGINEERS INDIA RESEARCH INSTITUTE (EIRI, article "Detergent Cake, Dishwashing Detergents, Liquid & Paste Detergents, Enzyme Detergents, Cleaning Powder & Spray Dried Washing Powder" |
| "McCutcheon's 2016 Detergents and Emulsifiers", 2016, MC PUBLISHING CO |
| AZEVEDO M. M. ET AL: "Polyethyleneimine and polyethyleneimine-based nanoparticles: novel bacterial and yeast biofilm inhibitors", JOURNAL OF MEDICAL MICROBIOLOGY, vol. 63, no. 9, 1 September 2014 (2014-09-01), pages 1167 - 1173, XP055782188, ISSN: 0022-2615, DOI: 10.1099/jmm.0.069609-0 * |
| CAS , no. 55-56-1 |
| CAS, no. 1802181-67-4 |
| CAS, no. 520-45-6 |
| DARTOIS ET AL., BIOCHEMI-CA ET BIOPHYSICA ACTA, vol. 1131, 1992, pages 253 - 360 |
| DELMAR ET AL., ANALYTICAL BIOCHEM, vol. 99, 1979, pages 316 - 320 |
| DEREK FLEMING ET AL: "Approaches to Dispersing Medical Biofilms", MICROORGANISMS, vol. 5, no. 2, 1 April 2017 (2017-04-01), pages 15, XP055396358, DOI: 10.3390/microorganisms5020015 * |
| DOS SANTOS JOSE C S ET AL: "Improving the catalytic properties of immobilized Lecitase via physical coating with ionic polymers", ENZYME AND MICROBIAL TECHNOLOGY, STONEHAM, MA, US, vol. 60, 28 March 2014 (2014-03-28), pages 1 - 8, XP028663535, ISSN: 0141-0229, DOI: 10.1016/J.ENZMICTEC.2014.03.001 * |
| EL SMITH ET AL., J. BIOL CHEM, vol. 243, 1968, pages 2184 - 2191 |
| GUPTA ET AL., APPL. MICROBIOL. BIOTECHNOL., vol. 60, 2002, pages 381 - 395 |
| GUPTA ET AL., BIOTECHNOL. APPL. BIOCHEM., vol. 37, 2003, pages 63 - 71 |
| HOFFMAN, W. S., J. BIOL. CHEM., vol. 120, 1937, pages 51 |
| HOQUE JIAUL ET AL: "Charge-Switchable Polymeric Coating Kills Bacteria and Prevents Biofilm Formation in Vivo", ACS APPLIED MATERIALS & INTERFACES, vol. 11, no. 42, 24 September 2019 (2019-09-24), US, pages 39150 - 39162, XP055782214, ISSN: 1944-8244, DOI: 10.1021/acsami.9b11453 * |
| HYUN KOO ET AL: "Targeting microbial biofilms: current and prospective therapeutic strategies", NATURE REVIEWS MICROBIOLOGY, 25 September 2017 (2017-09-25), GB, XP055414269, ISSN: 1740-1526, DOI: 10.1038/nrmicro.2017.99 * |
| ISIDRO-LLOBET ET AL.: "Amino Acid-Protecting Groups", CHEM. REV., vol. 109, no. 6, 2009, pages 2455 - 2504, XP055559012, DOI: 10.1021/cr800323s |
| JA WELLS ET AL., NUCLEIC ACIDS RESEARCH, vol. 11, 1983, pages 7911 - 7925 |
| JACOBS ET AL., NUCL. ACIDS RES, vol. 13, 1985, pages 8913 - 8926 |
| NEEDLEMANWUNSCH, J. MOL. BIOL., vol. 48, 1979, pages 443 - 453 |
| PETER G. M. WUTS: "Greene's Protective Groups in Organic Synthesis", 2014, JOHN WILEY & SONS, INC |
| SIEZEN ET AL., PROTEIN ENG, vol. 4, 1991, pages 719 - 737 |
| SIEZEN ET AL., PROTEIN SCIENCE, vol. 6, 1997, pages 501 - 523 |
| THE EUROPEAN MOLECULAR BIOLOGY OPEN SOFTWARE SUITE (EMBOSS |
| VASANTHA ET AL., J. BAC-TERIOL., vol. 159, 1984, pages 811 - 819 |
Cited By (44)
| Publication number | Priority date | Publication date | Assignee | Title |
|---|---|---|---|---|
| WO2021209278A1 (en) * | 2020-04-14 | 2021-10-21 | Basf Se | Method of imparting chlorine resistance effect to colored fabric |
| WO2022136409A1 (en) | 2020-12-23 | 2022-06-30 | Basf Se | Amphiphilic alkoxylated polyalkylene imines or alkoxylated polyamines |
| WO2022263354A1 (en) | 2021-06-18 | 2022-12-22 | Basf Se | Biodegradable graft polymers |
| WO2023017061A1 (en) | 2021-08-12 | 2023-02-16 | Basf Se | Biodegradable graft polymers for dye transfer inhibition |
| WO2023017064A1 (en) | 2021-08-12 | 2023-02-16 | Basf Se | Biodegradable graft polymers |
| WO2023017062A1 (en) | 2021-08-12 | 2023-02-16 | Basf Se | Biodegradable graft polymers |
| WO2023117494A1 (en) | 2021-12-20 | 2023-06-29 | Basf Se | Polypropylene imine polymers (ppi), their preparation, uses, and compositions comprising such ppi |
| WO2024017797A1 (en) | 2022-07-21 | 2024-01-25 | Basf Se | Biodegradable graft polymers useful for dye transfer inhibition |
| WO2024042005A1 (en) | 2022-08-22 | 2024-02-29 | Basf Se | Process for producing sulfatized esteramines |
| WO2024083600A1 (en) | 2022-10-20 | 2024-04-25 | Basf Se | Odor controlling bacteria |
| WO2024094735A1 (en) | 2022-11-04 | 2024-05-10 | Basf Se | Polypeptides having protease activity for use in detergent compositions |
| WO2024094733A1 (en) | 2022-11-04 | 2024-05-10 | Basf Se | Polypeptides having protease activity for use in detergent compositions |
| WO2024119440A1 (en) | 2022-12-08 | 2024-06-13 | Basf Se | Biodegradable multi-block copolymers comprising linking units derived from cyclic ketene acetal |
| WO2024126270A1 (en) | 2022-12-12 | 2024-06-20 | Basf Se | Biodegradable graft polymers as dye transfer inhibitors |
| WO2024126268A1 (en) | 2022-12-12 | 2024-06-20 | Basf Se | Biodegradable graft polymers for dye transfer inhibition |
| WO2024126267A1 (en) | 2022-12-12 | 2024-06-20 | Basf Se | Biodegradable graft polymers |
| DE102023135175A1 (en) | 2022-12-16 | 2024-06-27 | Basf Se | Process for the preparation of amino acid esters and organic sulfonic acid salts as well as amino acid esters and their salts |
| WO2024175401A1 (en) | 2023-02-21 | 2024-08-29 | Basf Se | Modified alkoxylated polyalkylene imines or modified alkoxylated polyamines |
| WO2024175407A1 (en) | 2023-02-21 | 2024-08-29 | Basf Se | Modified alkoxylated polyalkylene imines or modified alkoxylated polyamines |
| WO2024175409A1 (en) | 2023-02-21 | 2024-08-29 | Basf Se | Modified hyperbranched alkoxylated polyalkylene imines |
| WO2024180261A2 (en) | 2023-03-02 | 2024-09-06 | Basf Se | Environmenal friendly ethylene oxide, propylene oxide and downstream products |
| WO2024188713A1 (en) | 2023-03-13 | 2024-09-19 | Basf Se | Alkoxylated nitrogen containing polymers and their use |
| WO2024200177A1 (en) | 2023-03-24 | 2024-10-03 | Basf Se | Process for the preparation of amino acid esters as organoether sulfate salts from alkoxylated alcohols |
| WO2024213626A1 (en) | 2023-04-12 | 2024-10-17 | Basf Se | Vinyl acetate having low deuterium content |
| WO2024231110A1 (en) | 2023-05-05 | 2024-11-14 | Basf Se | Biodegradable polyol propoxylates, their preparation, uses, and compositions comprising them |
| WO2024256175A1 (en) | 2023-06-13 | 2024-12-19 | Basf Se | Stabilized cleaning compositions comprising edds and enzymes and their use |
| WO2025026743A1 (en) | 2023-07-28 | 2025-02-06 | Basf Se | Mannanases for sustainable cleaning |
| WO2025055891A1 (en) | 2023-09-11 | 2025-03-20 | Basf Se | Alkoxylated iso-nonanol |
| WO2025055889A1 (en) | 2023-09-11 | 2025-03-20 | Basf Se | Cleaning formulations comprising alkoxylated nonanol |
| WO2025093368A1 (en) | 2023-11-02 | 2025-05-08 | Basf Se | Enzyme stabilization in compositions containing a protease inhibitor |
| WO2025125117A1 (en) | 2023-12-15 | 2025-06-19 | Basf Se | Biodegradable propoxylated ethylenediamines, their preparation, uses, and compositions comprising them |
| WO2025131888A1 (en) | 2023-12-19 | 2025-06-26 | Basf Se | Modified alkoxylated polyalkylene imines or modified alkoxylated polyamines |
| WO2025132258A1 (en) | 2023-12-20 | 2025-06-26 | Basf Se | Stabilized enzyme composition comprising a protease |
| WO2025180874A1 (en) | 2024-02-27 | 2025-09-04 | Basf Se | Substituted 1,3-dioxolane sulfates and their use |
| WO2025195856A1 (en) | 2024-03-19 | 2025-09-25 | Basf Se | Compositions of guerbet alkyl sulfates and their use |
| WO2025202032A1 (en) | 2024-03-26 | 2025-10-02 | Basf Se | Biodegradable alkoxylated polyols, their preparation, uses, and compositions comprising them |
| EP4624572A1 (en) | 2024-03-27 | 2025-10-01 | Basf Se | Polypeptides having protease activity for use in detergent compositions |
| WO2025202370A1 (en) | 2024-03-27 | 2025-10-02 | Basf Se | Polypeptides having protease activity for use in detergent compositions |
| WO2025202379A1 (en) | 2024-03-27 | 2025-10-02 | Basf Se | Polypeptides having protease activity for use in detergent compositions |
| WO2025202374A1 (en) | 2024-03-27 | 2025-10-02 | Basf Se | Polypeptides having protease activity for use in detergent compositions |
| WO2025202369A1 (en) | 2024-03-27 | 2025-10-02 | Basf Se | Polypeptides having protease activity for use in detergent compositions |
| WO2025202372A1 (en) | 2024-03-27 | 2025-10-02 | Basf Se | Polypeptides having protease activity for use in detergent compositions |
| WO2025223955A1 (en) | 2024-04-25 | 2025-10-30 | Basf Se | Method for producing polyaspartic acid, polyaspartic acid and its use |
| WO2025238047A1 (en) | 2024-05-14 | 2025-11-20 | Basf Se | Cellulose acetate with low degree of substitution |
Similar Documents
| Publication | Publication Date | Title |
|---|---|---|
| WO2021115912A1 (en) | Formulations comprising a hydrophobically modified polyethyleneimine and one or more enzymes | |
| US11214777B2 (en) | Method for using lipase enzymes for cleaning | |
| US20240132808A1 (en) | Storage-Stable Hydrolase Containing Liquids | |
| US20190292494A1 (en) | Stabilization of enzymes in compositions | |
| US11732250B2 (en) | Lipase enzymes | |
| WO2020069913A1 (en) | Compounds stabilizing hydrolases in liquids | |
| JP7798425B2 (en) | Liquid anti-biofilm composition | |
| JP7531964B2 (en) | Compounds that stabilize amylase in liquids | |
| US20210395650A1 (en) | Compounds stabilizing hydrolases in liquids | |
| EP3717612A1 (en) | Storage-stable enzyme preparations, their production and use | |
| WO2022063698A1 (en) | Liquid composition comprising peptide aldehyde | |
| EP3677676A1 (en) | Compounds stabilizing amylases in liquids | |
| WO2020229480A1 (en) | Compounds stabilizing hydrolases in liquids | |
| EP3788145A1 (en) | Amylase enzymes |
Legal Events
| Date | Code | Title | Description |
|---|---|---|---|
| 121 | Ep: the epo has been informed by wipo that ep was designated in this application |
Ref document number: 20820363 Country of ref document: EP Kind code of ref document: A1 |
|
| DPE1 | Request for preliminary examination filed after expiration of 19th month from priority date (pct application filed from 20040101) | ||
| NENP | Non-entry into the national phase |
Ref country code: DE |
|
| 122 | Ep: pct application non-entry in european phase |
Ref document number: 20820363 Country of ref document: EP Kind code of ref document: A1 |

















