WO2024119440A1 - Biodegradable multi-block copolymers comprising linking units derived from cyclic ketene acetal - Google Patents
Biodegradable multi-block copolymers comprising linking units derived from cyclic ketene acetal Download PDFInfo
- Publication number
- WO2024119440A1 WO2024119440A1 PCT/CN2022/137597 CN2022137597W WO2024119440A1 WO 2024119440 A1 WO2024119440 A1 WO 2024119440A1 CN 2022137597 W CN2022137597 W CN 2022137597W WO 2024119440 A1 WO2024119440 A1 WO 2024119440A1
- Authority
- WO
- WIPO (PCT)
- Prior art keywords
- copolymer
- linking units
- ester linking
- ethylenically unsaturated
- carbonyl
- Prior art date
- Legal status (The legal status is an assumption and is not a legal conclusion. Google has not performed a legal analysis and makes no representation as to the accuracy of the status listed.)
- Ceased
Links
Classifications
-
- C—CHEMISTRY; METALLURGY
- C08—ORGANIC MACROMOLECULAR COMPOUNDS; THEIR PREPARATION OR CHEMICAL WORKING-UP; COMPOSITIONS BASED THEREON
- C08L—COMPOSITIONS OF MACROMOLECULAR COMPOUNDS
- C08L101/00—Compositions of unspecified macromolecular compounds
- C08L101/16—Compositions of unspecified macromolecular compounds the macromolecular compounds being biodegradable
-
- C—CHEMISTRY; METALLURGY
- C08—ORGANIC MACROMOLECULAR COMPOUNDS; THEIR PREPARATION OR CHEMICAL WORKING-UP; COMPOSITIONS BASED THEREON
- C08G—MACROMOLECULAR COMPOUNDS OBTAINED OTHERWISE THAN BY REACTIONS ONLY INVOLVING UNSATURATED CARBON-TO-CARBON BONDS
- C08G63/00—Macromolecular compounds obtained by reactions forming a carboxylic ester link in the main chain of the macromolecule
- C08G63/66—Polyesters containing oxygen in the form of ether groups
- C08G63/664—Polyesters containing oxygen in the form of ether groups derived from hydroxy carboxylic acids
-
- C—CHEMISTRY; METALLURGY
- C08—ORGANIC MACROMOLECULAR COMPOUNDS; THEIR PREPARATION OR CHEMICAL WORKING-UP; COMPOSITIONS BASED THEREON
- C08G—MACROMOLECULAR COMPOUNDS OBTAINED OTHERWISE THAN BY REACTIONS ONLY INVOLVING UNSATURATED CARBON-TO-CARBON BONDS
- C08G63/00—Macromolecular compounds obtained by reactions forming a carboxylic ester link in the main chain of the macromolecule
- C08G63/68—Polyesters containing atoms other than carbon, hydrogen and oxygen
- C08G63/685—Polyesters containing atoms other than carbon, hydrogen and oxygen containing nitrogen
- C08G63/6852—Polyesters containing atoms other than carbon, hydrogen and oxygen containing nitrogen derived from hydroxy carboxylic acids
-
- C—CHEMISTRY; METALLURGY
- C08—ORGANIC MACROMOLECULAR COMPOUNDS; THEIR PREPARATION OR CHEMICAL WORKING-UP; COMPOSITIONS BASED THEREON
- C08G—MACROMOLECULAR COMPOUNDS OBTAINED OTHERWISE THAN BY REACTIONS ONLY INVOLVING UNSATURATED CARBON-TO-CARBON BONDS
- C08G63/00—Macromolecular compounds obtained by reactions forming a carboxylic ester link in the main chain of the macromolecule
- C08G63/91—Polymers modified by chemical after-treatment
- C08G63/912—Polymers modified by chemical after-treatment derived from hydroxycarboxylic acids
-
- C—CHEMISTRY; METALLURGY
- C11—ANIMAL OR VEGETABLE OILS, FATS, FATTY SUBSTANCES OR WAXES; FATTY ACIDS THEREFROM; DETERGENTS; CANDLES
- C11D—DETERGENT COMPOSITIONS; USE OF SINGLE SUBSTANCES AS DETERGENTS; SOAP OR SOAP-MAKING; RESIN SOAPS; RECOVERY OF GLYCEROL
- C11D3/00—Other compounding ingredients of detergent compositions covered in group C11D1/00
- C11D3/16—Organic compounds
- C11D3/37—Polymers
- C11D3/3703—Macromolecular compounds obtained otherwise than by reactions only involving carbon-to-carbon unsaturated bonds
- C11D3/3715—Polyesters or polycarbonates
-
- C—CHEMISTRY; METALLURGY
- C11—ANIMAL OR VEGETABLE OILS, FATS, FATTY SUBSTANCES OR WAXES; FATTY ACIDS THEREFROM; DETERGENTS; CANDLES
- C11D—DETERGENT COMPOSITIONS; USE OF SINGLE SUBSTANCES AS DETERGENTS; SOAP OR SOAP-MAKING; RESIN SOAPS; RECOVERY OF GLYCEROL
- C11D3/00—Other compounding ingredients of detergent compositions covered in group C11D1/00
- C11D3/48—Medical, disinfecting agents, disinfecting, antibacterial, germicidal or antimicrobial compositions
-
- C—CHEMISTRY; METALLURGY
- C08—ORGANIC MACROMOLECULAR COMPOUNDS; THEIR PREPARATION OR CHEMICAL WORKING-UP; COMPOSITIONS BASED THEREON
- C08F—MACROMOLECULAR COMPOUNDS OBTAINED BY REACTIONS ONLY INVOLVING CARBON-TO-CARBON UNSATURATED BONDS
- C08F8/00—Chemical modification by after-treatment
- C08F8/14—Esterification
Definitions
- the invention relates to biodegradable multi-block copolymers containing linking units derived from cyclic ketene acetal between the blocks, a process for preparing the biodegradable multi-block copolymers containing linking units derived from cyclic ketene acetal between the blocks, and use thereof in detergent compositions and fabric and home care compositions.
- polymers whose carbon backbone is interrupted by functional groups such as ester, amide, carbonate, urethane or ether groups and whose hydrocarbon moieties between the functional groups are predominantly of an aliphatic nature are degradable by microorganisms.
- polyolefins with a purely carbon backbone are resistant to a microbial attack.
- An exception is, for example, polyvinyl alcohol, which is completely degraded to carbon dioxide and water after oxidative cleavage.
- polyvinyl acetate is only degraded with difficulty, since it initially has to largely hydrolyze to polyvinyl alcohol.
- DE 3930097A1 discloses UV-crosslinkable copolymers composed of cyclic olefinically unsaturated ring-opening polymerizable monomers, olefinically unsaturated monomers and olefinically unsaturated acetophenone or benzophenone derivatives. These polymers are suitable as coatings, for impregnating materials, or as adhesives and, in particular, as pressure-sensitive adhesive.
- US 5,912,312A discloses a copolymer containing vinyl pyrrolidone and 2-methylene-1, 3-dioxepane which is hydrolytically degradable in aqueous acid or basic solutions and biodegradable. It is described in the patent application that the copolymer is particularly advantageous as binders in such products as fish feed, and also useful as a dispersant in systems where PVP itself has been the conventional polymer of choice.
- polymers with higher biodegradability for example in fields of detergent and fabric treatment product.
- Polymeric additives are widely used in detergents and fabric treatment formulations, for example dispersants, anti-graying agents, dye transfer inhibitors, dye fixation agents, and the like. It is still challenging to develop such polymer additives, since the polymers as the additives are required to have not only high biodegradability, but also desirable functional application properties.
- the object can be achieved by a copolymer comprising ester linking units derived from a cyclic ketene acetal and blocks derived from one or more ethylenically unsaturated comonomers, wherein the blocks are linked by the ester linking units derived from a cyclic ketene acetal.
- the present invention provides a copolymer, which comprises
- ester linking units containing a moiety of -C (O) -O- are interrupted by the polyoxyalkylene-carbonyl segment between the carbonyl “-C (O) -” and the oxygen “-O-” of the moiety of -C (O) -O-when the blocks are derived from one ethylenically unsaturated comonomer.
- the present invention provides a copolymer, which comprises
- the present invention provides a copolymer, which comprises
- the copolymer in the first aspect has a uniform distribution of ester linking units between the blocks derived from one or more ethylenically unsaturated comonomers in polymeric backbones.
- the present invention provides a process for preparing a copolymer, preferably the copolymer as described herein, which includes steps of
- first unmodified copolymer and the second unmodified copolymer differ from each other in the cyclic ketene acetal forming the ester linking units and/or in the ethylenically unsaturated comonomer forming the blocks, preferably in the ethylenically unsaturated comonomer forming the blocks.
- the present invention provides a process for preparing a copolymer, preferably the copolymer as described herein, which includes
- the present invention provides a process for preparing a copolymer, preferably the copolymer as described herein, which includes
- first unmodified copolymer and the second unmodified copolymer differ from each other in the cyclic ketene acetal forming the ester linking units and/or in the ethylenically unsaturated comonomer forming the blocks, preferably in the ethylenically unsaturated comonomer forming the blocks.
- the present invention provides a cleansing composition or a fabric and home care composition comprising the copolymer as described herein and at least one surfactant.
- the present invention provides a method of preserving an aqueous cleansing composition comprising the copolymer as described herein against microbial contamination or growth, which includes adding 2-phenoxyethanol in the detergent composition.
- the present invention provides a method of cleansing a fabric or a hard surface, which comprises an antimicrobial treatment of the fabric or the hard surface with a cleansing composition comprising the copolymer as described herein and 4, 4’-dichloro-2-hydroxydiphenylether.
- a (co) polymer or composition “comprises” the components or elements as mentioned, other components or elements may be comprised; in case of a (co) polymer or composition “consists essentially of” the components or elements as mentioned, it comprises mainly or almost only the mentioned components or elements and other components or elements in very minor amounts, and in case of a (co) polymer or composition “consist of” the components or elements as mentioned, it comprises only the mentioned components or elements and may possibly comprises impurities not avoidable in a technical environment.
- the term is intended to mean the indicated material is at the very minimum and not deliberately introduced into a (co) polymer or composition, or preferably is not present at an analytically detectable level.
- the indicated material may be present, if at all, at a level of less than 1%, or even less than 0.1%, or even more less than 0.01%, or even 0%, by weight of the (co) polymer or composition.
- the term “about” as used herein encompasses the exact number “X” mentioned as e.g., “about X%” etc., and small variations of X, including from minus 5 to plus 5%deviation from X (with X for this calculation set to 100%) , preferably from minus 2 to plus 2%, more preferably from minus 1 to plus 1%, even more preferably from minus 0.5 to plus 0.5%and smaller variations.
- X the value X given itself is already “100%” (such as for purity etc. ) then the term “about” clearly can and thus does only mean deviations thereof which are smaller than “100” .
- compositions and formulations designed for treating fabric include but are not limited to, laundry cleansing compositions and detergents, fabric softening compositions, fabric enhancing compositions, fabric freshening compositions, laundry prewash, laundry pretreat, laundry additives, spray products, dry cleansing agent or composition, laundry rinse additive, wash additive, post-rinse fabric treatment, ironing aid, unit dose formulation, delayed delivery formulation, detergent contained on or in a porous substrate or nonwoven sheet, and other suitable forms that may be apparent to one skilled in the art in view of the teachings herein and detailed herein below when describing the compositions.
- compositions may be used as a pre-laundering treatment, a post-laundering treatment, or may be added during the rinse or wash cycle of the laundering operation, and as further detailed herein below when describing the use and application of the copolymer according to the present invention and compositions comprising the copolymers.
- any percentage given for a component of a composition is calculated in reference to the active ingredient thereof with exclusion of impurities which may be present in commercially available sources of such components (for example, residual solvents or by-products) , based on the weight of the total composition, unless otherwise specified. Also, all ratios are by weight, unless specified otherwise.
- the present invention provides a copolymer, which comprises
- ester linking units containing a moiety of -C (O) -O- are interrupted by the polyoxyalkylene-carbonyl segment between the carbonyl “-C (O) -” and the oxygen “-O-” of the moiety of -C (O) -O-, when the blocks are derived from one ethylenically unsaturated comonomer.
- ester linking units containing a moiety of -C (O) -O-, which have been derived from a cyclic ketene acetal via radical ring-opening polymerization and optionally interrupted by a polyoxyalkylene-carbonyl segment between the carbonyl “-C (O) -” and the oxygen “-O-” of the moiety of -C (O) -O-.
- the moiety of -C (O) -O- optionally contains a polyoxyalkylene-carbonyl segment inserted between the carbonyl “-C (O) -” and the oxygen “-O-” , which may be represented by -C (O) -Gx-O-wherein G represents a polyoxyalkylene-carbonyl segment and x is 0 or 1.
- interrupted ester linking units will be used as an abbreviation for the ester linking units containing a moiety of -C (O) -O-which have been derived from a cyclic ketene acetal via radical ring-opening polymerization and interrupted by a polyoxyalkylene-carbonyl segment between the carbonyl “-C (O) -” and the oxygen “-O-” of the moiety of -C (O) -O-.
- ester linking units will be used as an abbreviation for the ester linking units containing a moiety of -C (O) -O-which have been derived from a cyclic ketene acetal via radical ring-opening polymerization and not interrupted between the carbonyl “-C (O) -” and the oxygen “-O-” of the moiety of-C (O) -O-.
- the present invention provides a copolymer, which comprises
- the present invention provides a copolymer, which comprises
- polyoxyalkylene-carbonyl segment refers to a segment containing a polyoxyalkylene chain and a carbonyl at the end of the polyoxyalkylene chain.
- the polyoxyalkylene-carbonyl segment may be represented by a general formula of
- R, R 1 and R 2 are independently of one another, a linear or branched C 2.12 -alkylene, provided that any two of R, R 1 and R 2 in adjacent blocks are different from each other,
- R 3 is a linear or branched C 1-11 -alkylene
- n is a number of 1 or higher
- n and o are independently of one another, a number of 0 or higher,
- ** represents the bond to the oxygen “-O-” of the moiety of -C (O) -O-in the interrupted ester linking units.
- the group -O-R 3 -C (O) -in formula (I) represents an oxyalkylenecarbonyl group which corresponds to the closest one of -O-R 2 -, -O-R 1 -and -O-R-with the terminal methylene therein being replaced with a carbonyl group.
- the group -O-R 3 -C (O) -in formula (I) represents an oxyalkylenecarbonyl group which corresponds to -O-R 2 -with the terminal methylene of R 2 being replaced with a carbonyl group, when the index o is a number of higher than zero.
- the group -O-R 3 -C (O) -in formula (I) represents an oxyalkylenecarbonyl group which corresponds to -O-R 1 -with the terminal methylene of R 1 being replaced with a carbonyl group, when the index o is zero and the index n is a number of higher than zero.
- the group -O-R 3 -C (O) -in formula (I) represents an oxyalkylenecarbonyl group which corresponds to -O-R-with the terminal methylene of R being replaced with a carbonyl group, when both indices o and n are zero.
- the polyoxyalkylene-carbonyl segment is a polyoxyethylene-carbonyl segment (i.e., formula (I) in which R is ethylene, n and o are zero, and R 3 is -CH 2 -) , a polyoxypropylene-carbonyl segment (i.e., formula (I) in which R is 1, 2-propylene, n and o are zero, and R 3 is 1, 1-ethylene) , a polyoxybutylene-carbonyl segment (i.e., formula (I) in which R is 1, 2-butylene, n and o are zero, and R 3 is propylidene) , poly (oxyethylene-oxypropylene) -carbonyl segment, poly (oxyethylene-oxypropylene-oxyethylene) -carbonyl segment, poly (oxyethylene-oxybutylene) -carbonyl segment, poly (oxyethylene-oxybutylene-oxyethylene) -carbonyl segment (i.e., formula (I) in which R is ethylene, ethylene
- the polyoxyalkylene-carbonyl segment is a polyoxyethylene-carbonyl segment of formula (I) in which R is ethylene, n and o are zero and R 3 is -CH 2 -, or a polyoxypropylene-carbonyl segment of formula (I) in which R is 1, 2-propylene, n and o are zero and R 3 is 1, 1-ethylene.
- the polyoxyalkylene-carbonyl segment is a polyoxyethylene-carbonyl segment of formula (I) in which R is ethylene, n and o are zero, and R 3 is -CH 2 -.
- the polyoxyalkylene-carbonyl segment may have a number average molecular weight (Mn) in the range of 400 to 1500 g/mol, preferably 400 to 1200 g/mol, more preferably 400 to 800 g/mol.
- Mn number average molecular weight
- the optionally interrupted ester linking units may be represented by a general formula of
- R 1 and R 2 are independently of one another, hydrogen or a linear or branched alkyl, for example linear or branched C 1-12 -alkyl,
- R 3 is a linear or branched alkylene, arylene, alkylarylene or arylalkylene, which is optionally interrupted by a heteroatom such as O, S and N, and preferably having 1 to 12 carbon atoms in each alkylene and alkyl moiety, and 5 to 12 ring atoms in each arylene and arylene moiety, -G-is a polyoxyalkylene-carbonyl segment of formula (I) as described hereinabove,
- x is 0 or 1.
- ester linking units which have been derived from a cyclic ketene acetal via radical ring-opening polymerization and not interrupted may be represented by the formula (II) in which x is 0; and ester linking units which have been derived from a cyclic ketene acetal via radical ring-opening polymerization and interrupted by a polyoxyalkylene-carbonyl segment may be represented by the formula (II) in which x is 1.
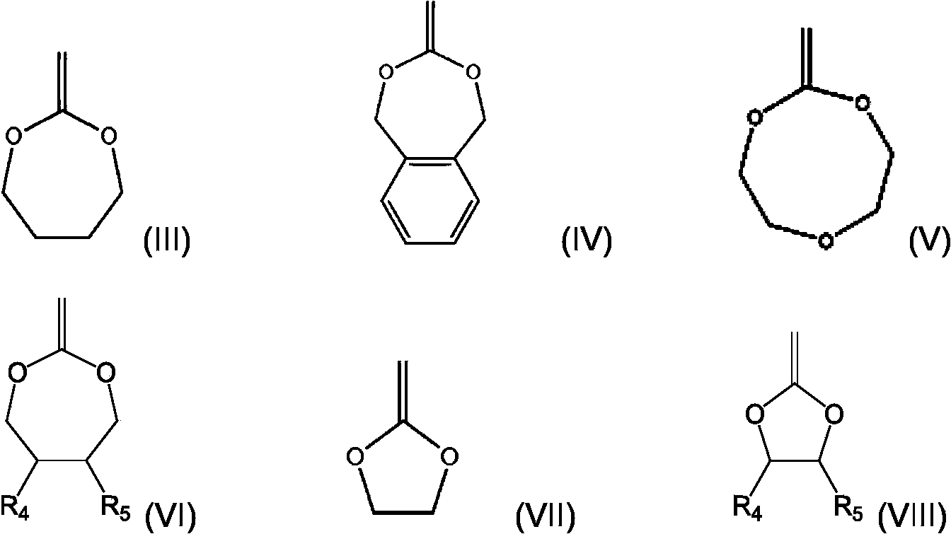
- the cyclic ketene acetal from which the optionally interrupted ester linking units are derived is preferably selected from the group consisting of 2-methylene-1, 3-dioxepane (MDO) of formula (III) , 5, 6-benzo-2-methylene-1, 3-dioxepane (BMDO) of formula (IV) , 2-methylene-1, 3, 6-trioxocane (MTC) of formula (V) , 5, 6-dialkyl-2-methylene-1, 3-dioxepane of formula (VI) , 2-methylene-1, 3-dioxolane of formula (VII) , and 4, 5-dialkyl-2-methylene-1, 3-dioxolane of formula (VIIII)
- R 4 and R 5 in formula (VI) and (VIII) are, independently of one another, a linear or branched alkyl, preferably C 1-12 -alkyl group.
- the cyclic ketene acetal from which the optionally interrupted ester linking units are derived is selected from the group consisting of 5, 6-benzo-2-methylene-1, 3-dioxepane (BMDO) , 2-methylene-1, 3-dioxepane (MDO) and 2-methylene-1, 3, 6-trioxocane (MTC) , most preferably 5, 6-benzo-2-methylene-1, 3-dioxepane (BMDO) and 2-methylene-1, 3, 6-trioxocane (MTC) .
- BMDO 3-dioxepane
- MDO 2-methylene-1, 3-dioxepane
- MTC 2-methylene-1, 3, 6-trioxocane
- ethylenically unsaturated comonomers suitable for the copolymers according to the present invention may include, but are not limited to, ethylenically unsaturated monocarboxylic acids and derivatives thereof such as salts, esters, anhydrides and amides, for example (meth) acrylic acid, alkyl (meth) acrylate, crotonic acid, N-methacryloyI-D-glucosamine, vinyl benzoic acid, vinylacetic acid, acrylamide, and methyl acrylamide; ethylenically unsaturated dicarboxylic acids and derivatives thereof such as salts, esters, anhydrides and amides, such as fumaric acid, maleic acid and maleic anhydride,
- the ethylenically unsaturated comonomer may be selected from the group consisting of (meth) acrylic acid, alkyl (meth) acrylates such as methyl (meth) acrylate and butyl (meth) acrylate, maleic acid, maleic acid anhydride, itaconic acid, itaconic anhydride, N-vinylpyrrolidinone, N-vinyl imidazole, vinyl esters such as vinyl acetate. More preferably, the ethylenically unsaturated comonomer may be selected from the group consisting of N-vinylpyrrolidinone and N-vinyl imidazole.
- the blocks derived from one or more ethylenically unsaturated comonomers generally have an average number of repeating monomeric units in the range of 1 to 10, preferably 1 to 8, more preferably 1 to 5 per block.
- the present invention provides a copolymer, which comprises
- cyclic ketene acetal is selected from the group consisting of 5, 6-benzo-2-methylene-1, 3-dioxepane (BMDO) , 2-methylene-1, 3-dioxepane (MDO) and 2-methylene-1, 3, 6-trioxocane (MTC)
- the one or more ethylenically unsaturated comonomers are selected from the group consisting of N-vinylpyrrolidinone and N-vinyl imidazole.
- the cyclic ketene acetal is preferably 5, 6-benzo-2-methylene-1, 3-dioxepane (BMDO) or 2-methylene-1, 3, 6-trioxocane (MTC)
- the ethylenically unsaturated comonomer is preferably N-vinylpyrrolidinone or N-vinyl imidazole.
- the present invention provides a copolymer, which comprises
- cyclic ketene acetal is selected from the group consisting of 5, 6-benzo-2-methylene-1, 3-dioxepane (BMDO) , 2-methylene-1, 3-dioxepane (MDO) and 2-methylene-1, 3, 6-trioxocane (MTC) , and the ethylenically unsaturated comonomers are N-vinylpyrrolidinone and N-vinyl imidazole.
- the cyclic ketene acetal is preferably 5, 6-benzo-2-methylene-1, 3-dioxepane (BMDO) or 2-methylene-1, 3, 6-trioxocane (MTC) .
- the copolymer in the first aspect has a uniform distribution of the optionally interrupted ester linking units between the blocks in polymeric backbones.
- the copolymerization of the cyclic ketene acetal and the one or more ethylenically unsaturated comonomers proceeds throughout the entire polymerization process, leading to a uniform or homogeneous incorporation of the optionally interrupted ester linking units.
- Uniform distribution of the optionally interrupted ester linking units is intended to mean substantially uniform or homogeneous incorporation of cyclic ketene acetal over the copolymers of the cyclic ketene acetal and the comonomers.
- the monomeric units originating from the cyclic ketene acetal and the monomeric units originating from the one or more ethylenically unsaturated comonomers may be present in a molar ratio in the range of 1 ⁇ 1 to 1 ⁇ 10, preferably 1 ⁇ 1 to 1 ⁇ 8, more preferably 1 ⁇ 1 to 1 ⁇ 5, most preferably 2 ⁇ 5 to 1 ⁇ 5.
- the cyclic ketene acetal and the one or more ethylenically unsaturated comonomers are polymerized at a molar ratio in the range of 1 ⁇ 1 to 1 ⁇ 10, preferably 1 ⁇ 1 to 1 ⁇ 8, more preferably 1 ⁇ 1 to 1 ⁇ 5, most preferably 2 ⁇ 5 to 1 ⁇ 5 during the preparation of the copolymer.
- the monomeric units originating from the cyclic ketene acetal and the oxyalkylene monomeric units originating from the polyoxyalkylene-carbonyl segment may be present in a molar ratio in the range of 1 ⁇ 5 to 1 ⁇ 30, preferably 1 ⁇ 8 to 1 ⁇ 25, more preferably 1 ⁇ 10 to 1 ⁇ 20.
- the interrupted ester linking units may account for at least 50%by mole, preferably 75%by mole, more preferably 85%by mole, most preferably 90%by mole or 95%by mole, based on the sum of the interrupted ester linking units and if present the uninterrupted ester linking units.
- the monomeric units originating from the two or more ethylenically unsaturated comonomers may be present in any suitable molar ratios without particular restriction.
- the molar ratio of N-vinylpyrrolidinone to N-vinyl imidazole may be in the range of 10 ⁇ 1 to 1 ⁇ 2, preferably 6 ⁇ 1 to 1 ⁇ 2, most preferably 4 ⁇ 1 to 1 ⁇ 1.
- the uninterrupted ester linking units may account for at least 50%by mole, preferably 75%by mole, more preferably 85%by mole, most preferably 90%by mole, 95%by mole, based on the sum of the uninterrupted ester linking units and if present interrupted ester linking units.
- the uninterrupted ester linking units account for 100%by mole of the ester linking units containing a moiety of -C (O) -O-which have been derived from a cyclic ketene acetal via radical ring-opening polymerization.
- the copolymer comprising the uninterrupted ester linking units and the blocks derived from two or more ethylenically unsaturated comonomers linked by the ester linking units
- the copolymer has a statistically random distribution of the blocks derived from each of ethylenically unsaturated comonomers over the polymeric backbone of the copolymer.
- the copolymer has a hybrid architecture in form of -B 1 -E-B 2 -E-B 1 -E-B 2 -E-, wherein B 1 and B 2 represent the blocks derived from two ethylenically unsaturated comonomers respectively and E represents the ester linking units uninterrupted ester linking units.
- the molar ratio of monomeric units as described herein can be determined by 1 H NMR measurement.
- the copolymers according to the present invention may have a number average molecular weight (Mn) in the range of from 1,000 to 50,000 g/mol, preferably from 2,000 to 30,000 g/mol, more preferably from 3,000 to 30,000 g/mol, still preferable from 3,000 to 10,000 g/mol or 3,000 to 6,000 g/mol, as measured by gel permeation chromatography (GPC) .
- Mn number average molecular weight
- copolymers according to the present invention are linear copolymers.
- the present invention provides a process for preparing a copolymer, preferably the copolymer as described herein, which includes steps of
- first unmodified copolymer and the second unmodified copolymer differ from each other in the cyclic ketene acetal forming the ester linking units and/or in the ethylenically unsaturated comonomer forming the blocks, preferably in the ethylenically unsaturated comonomer forming the blocks.
- the first and the second unmodified copolymer comprising ester linking units derived from a cyclic ketene acetal via radical ring-opening polymerization and comprising blocks derived from an ethylenically unsaturated comonomer and linked by the ester linking units may be respectively referred to as the first unmodified copolymer and the second unmodified copolymer as abbreviations.
- the first unmodified copolymer and the second unmodified copolymer may be commercially available, or may be prepared by free radical polymerization of a cyclic ketene acetal and an ethylenically unsaturated comonomer in accordance with conventional processes.
- the radical polymerization the cyclic ketene acetal will undergo ring-opening, i.e., radical ring-opening polymerization, and form ester linking units containing a moiety of -C (O) -O-, by which the blocks of the ethylenically unsaturated comonomer are linked.
- Suitable free radical initiators for the radical polymerization are any conventional ones, including for example acyl peroxides such as deacetyl peroxide, dibenzoyl peroxide and tert-butyl peroxy-2-ethylhexanoate; peroxides such as di-tert-butyl peroxide; percarbonates such as dicyclohexyl peroxydicarbonate; and azo compounds such as 2, 2’-azobis (isobutyronitrile) (AIBN) , 2, 2’-azobis (2, 4-dimethylvaleronitrile) , 1, 1’ -azobis (cyanocyclohexane) and 2, 2’-azobis (methylbutyronitrile) .
- acyl peroxides such as deacetyl peroxide, dibenzoyl peroxide and tert-butyl peroxy-2-ethylhexanoate
- peroxides such as di-tert-butyl peroxide
- the free radical initiators are azo compounds such as 2, 2’-azobis (isobutyronitrile) (AIBN) , 2, 2’-azobis (2, 4-dimethylvaleron itrile) , 1, 1’-azobis (cyanocyclohexane) and 2, 2’-azobis (methylbutyronitrile) , more pererably 2’-azobis (isobutyronitrile) (AI BN) .
- the transesterification of the first unmodified copolymer with either (i) the polyalkylene oxide monocarboxylic acid polyester or (ii) the second unmodified copolymer may be carried out in accordance with any conventional process without particular restriction.
- the transesterification may be carried out in the presence of a zinc catalyst under an inert atmosphere while heating, for example at a temperature of 120°C.
- the polyalkylene oxide monocarboxylic acid polyester refers to a polyester of polyalkylene oxide monocarboxylic acid, which may be commercially available ones or may be prepared by any conventional process without any particular restriction.
- the polyalkylene oxide monocarboxylic acid polyester may be prepared by polycondensation of a polyalkylene oxide monocarboxylic acid.
- the polyalkylene oxide monocarboxylic acid may be commercially available ones or may be prepared by any known process, for example by oxidation of a polyalkylene oxide in the presence of a catalyst such as platinum (Pt) catalyst, as described for example in the PCT patent application No. PCT/EP2022/065984.
- the polyalkylene oxide monocarboxylic acid polyester is a polyester of polyethylene oxide monocarboxylic acid, a polyester of polyprepylene oxide monocarboxylic acid, a polyester of polyoxybutylene monocarboxylic acid, a polyester of poly (ethylene oxide-propylene oxide) monocarboxylic acid, a polyester of poly (ethylene oxide-propylene oxide-ethylene oxide) monocarboxylic acid, a polyester of poly (ethylene oxide-butylene oxide) monocarboxylic acid, a polyester of poly (ethylene oxide-butylene oxide-ethylene oxide) monocarboxylic acid, and the like.
- the polyalkylene oxide monocarboxylic acid polyester is a polyester of polyethylene oxide monocarboxylic acid or a polyester of polypropylene oxide monocarboxylic acid, more preferably polyethylene oxide monocarboxylic acid.
- the polyalkylene oxide monocarboxylic acid polyester may have a number average molecular weight (Mn) in the range of 2,000 to 20,000, preferably 4,000 to 15,000.
- the present invention provides a process for preparing a copolymer, preferably the copolymer as described herein, which includes
- polyoxyalkylene-carbonyl segments will be resulted from the polyalkylene oxide monocarboxylic acid polyester upon transesterification and thus be inserted between the ester linking units derived from the cyclic ketene acetal.
- a polyoxyalkylene-carbonyl segment preferably a polyoxyalkylene-carbonyl segment as described in the first aspect, will be incorporated into the ester linking units derived from the cyclic ketene acetal.
- the polyoxyalkylene-carbonyl segment is inserted between the carbonyl “-C (O) -” and the oxygen “-O-” of the moiety of -C (O) -O-in the ester linking units.
- the present invention provides a process for preparing a copolymer, preferably the copolymer as described herein, which includes
- first unmodified copolymer and the second unmodified copolymer differ from each other in the cyclic ketene acetal forming the ester linking units and/or in the ethylenically unsaturated comonomer forming the blocks, preferably in the ethylenically unsaturated comonomer forming the blocks.
- a modified copolymer having a hybrid architecture is resulted from the first and second unmodified copolymers.
- the hybrid architecture has a statistically random distribution of the blocks originating from each of the unmodified copolymers over the polymeric backbone of the modified copolymer.
- the first unmodified copolymer and the second unmodified copolymer differ from each other in the ethylenically unsaturated comonomer forming the blocks.
- the present invention provides a process for preparing a copolymer, preferably the copolymer as described herein, which includes
- first unmodified copolymer and the second unmodified copolymer comprise the same ester linking units derived from a cyclic ketene acetal.
- the hybrid architecture is in form of -B 1 -E-B 2 -E-B 1 -E-B 2 -E-, wherein B 1 and B 2 represent the blocks originating from the first and second unmodified copolymers respectively and E represents the same ester linking units originating from the first and second unmodified copolymers.
- a modified copolymer having a hybrid architecture may also be obtained from three or more different unmodified copolymers by transesterification, each comprising ester linking units derived from a cyclic ketene acetal via radical ring-opening polymerization and comprising blocks derived from an ethylenically unsaturated comonomer and linked by the ester linking units, and being different from each other in the cyclic ketene acetal forming the ester linking units and/or in the ethylenically unsaturated comonomer forming the blocks, preferably in the ethylenically unsaturated comonomer forming the blocks.
- the copolymers as described in the first aspect or the copolymers obtained/obtained from the process as described in the second aspect have a good biodegradability, and also application properties such as anti-adhesive property, dye-transfer inhibition property and compatibility with biocides.
- copolymers as described herein may be used in cleansing compositions such as laundry detergent compositions and industrial and institutional cleansing compositions, fabric and home care compositions, cosmetic or personal care compositions, oil field-formulations such as crude oil emulsion breaker, inks, electro plating compositions, cementitious compositions, lacquers or paints, and agrochemical formulations, preferably in laundry detergent compositions, and in fabric and home care compositions.
- cleansing compositions such as laundry detergent compositions and industrial and institutional cleansing compositions, fabric and home care compositions, cosmetic or personal care compositions, oil field-formulations such as crude oil emulsion breaker, inks, electro plating compositions, cementitious compositions, lacquers or paints, and agrochemical formulations, preferably in laundry detergent compositions, and in fabric and home care compositions.
- the present invention provides a cleansing composition or a fabric and home care composition comprising the copolymer as described herein and at least one surfactant.
- cleaning composition includes compositions and formulations designed for cleansing any soiled material, which includes, but are not limited to laundry detergent compositions, industrial and institutional cleansing compositions for use of cleansing for example hard surfaces such as tiles, carpets, PVC-surfaces, wooden surfaces, metal surfaces, lacquered surfaces.
- fabric and home care compositions includes for example fabric softening compositions, fabric enhancing compositions, fabric freshening compositions, laundry prewash, laundry pretreat, laundry additives, spray products, dry cleansing compositions, laundry additives, laundry rinse additives, wash additives, post-rinse fabric treatment compositions, ironing aids, dish washing compositions, hard surface cleansing compositions, unit dose formulations, delayed delivery formulations, detergents contained on or in a porous substrate or nonwoven sheet, light-duty and heavy-duty liquid detergent compositions, bleaching compositions.
- compositions and fabric and home care compositions are known in the art. Any conventional formulations of those compositions may be applied with including at least one copolymer according to the present invention.
- the copolymer according to the present invention may be used in those compositions in addition to or in place of an active or additive ingredient having a similar functional property.
- the present invention provides a laundry detergent composition and a fabric and home care composition comprising the copolymer as described herein and at least one surfactant, preferably a liquid laundry detergent composition such as a laundry care composition or a laundry washing composition, or a liquid fabric and home care composition.
- the copolymer according to the present invention may be present in a cleansing composition or a fabric and home care composition in an amount in the range of 0.01%to 20%, preferably 0.05%to 15%, more preferably 0.1%to 10%, and most preferably 0.5%to 5%, based on the total weight of the composition.
- the composition may further comprise 1%to 70%by weight of the surfactant.
- surfactant useful for the present invention may be selected from anionic surfactants, cationic surfactants, non-ionic surfactants, amphoteric surfactants, zwitterionic surfactants and any combinations thereof.
- Nonlimiting examples of anionic surfactants may include C 9 -C 20 linear alkylbenzene sulfonates (LAS) , C 10 -C 20 primary, branched chain and random alkyl sulfates (AS) ; C 10 -C 18 secondary (2, 3) alkyl sulfates of the formula CH 3 (CH 2 ) x (CHOSO 3 - M + ) CH 3 and CH 3 (CH 2 ) y (CHOSO 3 - M + ) CH 2 CH 3 where x and (y+1) are integers of at least about 7 and M is a water-solubilizing cation; unsaturated sulfates such as oleyl sulfate; C 10 -C 18 alkyl alkoxy sulfates (AExS) wherein x is from 1 to 30; C 10 -C 18 alkyl alkoxy carboxylates comprising 1 to 5 ethoxy units; mid-chain branched alkyl sulfates as
- suitable anionic surfactants are alkali metal and ammonium salts of C 8 -C 12 -alkyl sulfates, of C 12 -C 18 -fatty alcohol ether sulfates, of C 12 -C 18 -fatty alcohol polyether sulfates, of sulfuric acid half-esters of ethoxylated C 4 -C 12 -alkylphenols (ethoxylation: 3 to 50 mol of ethylene oxide/mol) , of C 12 -C 18 -alkylsulfonic acids, of C 12 -C 18 sulfo fatty acid alkyl esters, for example of C 12 -C 18 sulfo fatty acid methyl esters, of C 10 -C 18 -alkylarylsulfonic acids, preferably of n-C 10 -C 1s -alkylbenzene sulfonic acids, of C 10 -C 18 alkyl alkoxy carboxylates and of soaps
- an anionic surfactant selected from C 10 -C 15 -linear alkylbenzenes sulfonates, C 10 -C 18 -alkylether sulfates with 1 to 5 ethoxy units and C 10 -C 18 -alkylsulfates may be used.
- the cleansing composition or the fabric and home care composition may comprise one or more anionic surfactants in an amount in the range of 1%to 50%, preferably 2%to 30%, more preferably 3%to 25%, and most preferably 5%to 25 %, based on the total weight of the composition.
- Non-limiting examples of non-ionic surfactants may include C 8 -C 18 alkyl ethoxylates, such as non-ionic surfactants from Shell; ethylenoxide/propylenoxide block alkoxylates, such as from BASF; C 14 -C 22 mid-chain branched alkyl alkoxylates, BAEx, wherein x is from 1 to 30, as described in US 6,153,577, US 6,020,303 and US 6,093,856; alkylpolysaccharides as described in U.S.
- the non-ionic surfactants are in particular alkoxylated alcohols and alkoxylated fatty alcohols, di-and multiblock copolymers of ethylene oxide and propylene oxide and reaction products of sorbitan with ethylene oxide or propylene oxide, furthermore alkylphenol ethoxylates, alkyl glycosides, polyhydroxy fatty acid amides (glucamides) .
- the non-ionic surfactants may be selected from C 12/14 and C 16/18 fatty alkoholalkoxylates, C 13/15 oxoalkoholalkoxylates, C 13 -alkoholalkoxylates, and 2-propylheptylalkoholalkoxylates, each having 3 to 15 ethoxy units, preferably 5 to 10 ethoxy units, or having 1 to 3 propoxy-and 2 to 15 ethoxy units.
- the cleansing composition or the fabric and home care composition may comprise one or more non-ionic surfactants in an amount in the range of 1%to 50%, preferably 2%to 40%, more preferably 3%to 30%, and most preferably 5%to 25 %, based on the total weight of the composition.
- Non-limiting examples of amphoteric surfactants may include water-soluble amine oxides and water-soluble sulfoxides, especially water-soluble amine oxides.
- Preferred amine oxides are alkyl dimethyl amine oxides and alkyl amido propyl dimethyl amine oxides, more preferably coco dimethyl amino oxide and coco amido propyl dimethyl amine oxide.
- Amine oxides may have a linear or mid-branched alkyl moiety.
- Typical linear amine oxides include water-soluble amine oxides containing one C 8 -C 18 -alkyl moiety and two moieties selected from C 1 -C 3 -alkyl groups and C 1 -C 3 -hydroxyalkyl groups.
- the linear amine oxide surfactants in particular may include linear C 10 -C 18 -alkyl dimethyl amine oxides and linear C 8 -C 12 -alkoxy ethyl dihydroxy ethyl amine oxides.
- Typical mid-branched amine oxides have one alkyl moiety having n 1 carbon atoms and one alkyl branch having n 2 carbon atoms wherein the alkyl branch is located on the ⁇ or ⁇ carbon from the nitrogen.
- This type of branching for the amine oxide is also known in the art as an internal amine oxide.
- the sum of n 1 and n 2 is in the range of 10 to 24, preferably from 12 to 20, and more preferably 10 to 16.
- the number of carbon atoms for the one alkyl moiety (n 1 ) should be approximately the same number of carbon atoms as the one alkyl branch (n 2 ) such that the one alkyl moiety and the one alkyl branch are symmetric.
- symmetric means that (n 1 -n 2 ) is less than or equal to 5, preferably 4, most preferably from 0 to 4 carbon atoms in at least 50 wt%, more preferably at least 75 wt%to 100 wt%of the mid-branched amine oxides.
- the amine oxide further comprises two moieties, independently selected from a C 1 -C 3 -alkyl, a C 1 -C 3 -hydroxyalkyl group, or a polyethylene oxide group containing an average of 1 to 3 ethylene oxide groups.
- amphoteric surfactants may be selected from C 8-18 -alkyl dimethyl aminoxides and C 8 -C 18 -alkyl di (hydroxyethyl) aminoxide.
- Non-limiting examples of zwitterionic surfactants may include betaines such as alkyl betaines, alkylamidobetaines, amidazoliniumbetaines, sulfobetaines (INCI Sultaines) as well as phosphobetaines.
- betaines such as alkyl betaines, alkylamidobetaines, amidazoliniumbetaines, sulfobetaines (INCI Sultaines) as well as phosphobetaines.
- Preferred betaines are, for example alkylbetaines and sulfobetaines.
- alkylbetaines and sulfobetaines include (designated in accordance with INCI) : Almondamidopropyl Betaines, Apricotamidopropyl Betaines, Avocadamidopropyl Betaines, Babassuamidopropyl Betaines, Behenamidopropyl Betaines, Behenyl Betaines, Canolamidopropyl Betaines, Capryl/Capramidopropyl Betaines, Carnitine, Cetyl Betaines, Cocamidoethyl Betaines, Cocamidopropyl Betaines, Cocamidopropyl Hydroxysultaine, Coco-Betaines, Coco-Hydroxysultaine, Coco/Oleamidopropyl Betaines, Coco-Sultaine, Decyl Betaines, Dihydroxyethyl Oleyl Glycinate, Dihydroxyethyl Soy Glycinate, Dihydroxyethyl Stearyl Glycinate, Dihydroxyethyl Tallow G
- Non-limiting examples of cationic surfactants may include quaternary ammonium surfactants, which can have up to 26 carbon atoms, for example alkoxylated quaternary ammonium (AQA) surfactants as described in US 6,136,769; dimethyl hydroxyethyl quaternary ammonium as described in US 6,004,922; dimethyl hydroxyethyl lauryl ammonium chloride; polyamine cationic surfactants as described in WO 98/35002, WO 98/35003, WO 98/35004, WO 98/35005, and WO 98/35006; cationic ester surfactants as described in US patents Nos. 4,228,042, 4,239,660 4,260,529 and US 6,022,844; and amino surfactants as described in US 6,221,825 and WO 00/47708, specifically amido propyldimethyl amine (APA) .
- AQA alkoxylated quaternary ammonium
- compositions of the invention may comprise adjunct additives (also abbreviated herein as “adjuncts” ) , such adjuncts being preferably in addition to the surfactant as described hereinabove.
- adjunct additives also abbreviated herein as “adjuncts”
- Suitable adjuncts may include builders, fatty acids and/or salts thereof, structurants, thickeners and rheology modifiers, clay/soil removal/anti-redeposition agents, polymeric soil release agents, dispersants such as polymeric dispersing agents, polymeric grease cleansing agents, solubilizing agents, amphiphilic copolymers, chelating agents, enzymes, enzyme stabilizing systems, encapsulated benefit agents such as encapsulated perfume, bleaching compounds, bleaching agents, bleach activators, bleach catalysts, catalytic materials, brighteners, malodor control agents, pigments, dyes, opacifiers, pearlescent agents, hueing agents, dye transfer inhibiting agents, fabric softeners, carriers, suds boosters, suds suppressors (antifoams) , color speckles, silver care, anti-tarnish and/or anti-corrosion agents, alkalinity sources, pH adjusters, pH-buffer agents, hydrotropes, scrubbing particles, anti-bacterial and anti-microbial agents
- builders include complexing agents, ion-exchange compounds, dispersing agents, scale inhibiting agents and precipitating agents.
- Builders may be selected from citrates, phosphates, silicates, carbonates, phosphonates, amino carboxylates and polycarboxylates.
- Suitable citrates include mono-, di-and tri-alkali metal salts of citric acid, ammonium or substituted ammonium salts of citric acid, as well as citric acid. Citrates can be used as the anhydrous compound or as a hydrate, for example as trisodium citrate dihydrate. Any amount of citrates, when used, is calculated referring to anhydrous trisodium citrate.
- Suitable phosphates include sodium metaphosphate, sodium orthophosphate, sodium hydrogenphosphate, sodium pyrophosphate and polyphosphates such as sodium tripolyphosphate. However, it is preferred that the compositions according to the invention is free from phosphates, polyphosphates, and hydrogenphosphates.
- Suitable silicates include sodium disilicate and sodium metasilicate, aluminosilicates such as for example zeolites and sheet silicates, in particular those of the formula ⁇ -Na 2 Si 2 O 5 , ⁇ -Na 2 Si 2 O 5 , and ⁇ -Na 2 Si 2 O 5 .
- Suitable carbonates include alkali metal carbonates and alkali metal hydrogen carbonates, preferably sodium salts.
- Suitable phosphonates are hydroxyalkanephosphonates and aminoalkanephosphonates.
- hydroxyalkanephosphonates 1-hydroxyethane-1, 1-diphosphonate (HEDP) is of particular importance as the builder. It is preferably used as sodium salt, the disodium salt being neutral and the tetrasodium salt being alkaline (pH 9) .
- Suitable aminoalkanephosphonates are preferably ethylene diaminetetramethylenephosphonate (EDTMP) , diethylenetriaminepenta-methylenephosphonate (DTPMP) , and also their higher homologues.
- the phosphonates are preferably used in the form of the neutrally reacting sodium salts, e.g. as hexasodium salt of EDTMP or as hepta-and octa-sodium salts of DTPMP.
- Suitable amino carboxylates and polycarboxylates are nitrilotriacetates, ethylene diamine tetraacetate, diethylene triamine pentaacetate, triethylenetetraamine hexaacetate, propylene diamine tetraacetic acid, ethanol-diglycines, methylglycine diacetate, and glutamine diacetate.
- the amino carboxylates and polycarboxylates are preferably used in the form of respective non-substituted or substituted ammonium salts and the alkali metal salts such as the sodium salts, in particular in respective fully neutralized salts form.
- compositions according to the invention may comprise an alkali carrier.
- the alkali carrier can ensure, for example, a pH of at least 9 if an alkaline pH is desired.
- Suitable alkali carriers are for example, alkali metal carbonates, alkali metal hydrogen carbonates, and alkali metal metasilicates, and alkali metal hydroxides.
- the alkali metal is potassium in each case, more preferably sodium.
- a pH >7 may also be adjusted by using amines, preferably alkanolamines, more preferably triethanolamine.
- compositions according to the present invention may comprise an enzyme, preferably a detergent enzyme.
- the enzyme is classified as an oxidoreductase (EC 1) , a transferase (EC 2) , a hydrolase (EC 3) , a lyase (EC 4) , an isomerase (EC 5) , or a ligase (EC 6) .
- EC 1 oxidoreductase
- EC 2 transferase
- hydrolase EC 3
- EC 4 hydrolase
- an isomerase EC 5
- ligase ligase
- the EC-numbering is according to Enzyme Nomenclature, Recommendations (1992) of the Nomenclature Committee of the International Union of Biochemistry and Molecular Biology including its supplements published 1993-1999.
- the enzyme is a hydrolase (EC 3) .
- the enzyme may be selected from proteases, amylases, lipases, cellulases, mannanases, hemicellulases, phospholipases, esterases, pectinases, lactases, peroxidases, xylanases, cutinases, pectate lyases, keratinases, reductases, oxidases, phenoloxidases, lipoxygenases, ligninases, pullulanases, tannases, pentosanases, malanases, beta-glucanases, arabinosidases, hyaluronidases, chondroitinases, laccases, nucleases, DNase, phosphodiesterases, phytases, carbohydrases, galactanases, xanthanases, xyloglucanases, oxidoreductase, perhydrolases, aminopeptidase, asparaginas
- the enzyme is selected from the group consisting of proteases, amylases, lipases, cellulases, mannanases, xylanases, DNases, dispersins, pectinases, oxidoreductases, and cutinases, and combinations of at least two of the foregoing types.
- the enzyme is a protease, preferably, a serine protease, more preferably, a subtilisin protease.
- the protease is a protease with at least 90%sequence identity to SEQ ID NO: 22 of EP1921147B1 and having the amino acid substitution R101E (according to BPN’ numbering) .
- the amylase is an amylase with at least 90%sequence identity to SEQ ID NO: 54 of WO2021032881A1.
- composition of the present invention can comprise one type of enzyme or more than one enzyme of different types, e.g., an amylase and a protease, or more than one enzyme of the same type, e.g., two or more different proteases, or mixtures thereof, e.g., an amylase and two different proteases.
- the enzyme when present, may be present in the compositions according to the present invention in an amount sufficient to provide an effective amount for achieving a beneficial effect, preferably for primary washing effects and/or secondary washing effects, like antigreying or antipilling effects (e.g., in case of cellulases) .
- the enzyme may be present in an amount of 0.00001%to 5%, preferably 0.00001%to 2%, more preferably 0.0001%to 1%, or even more preferably 0.001%to 0.5%enzyme protein based on the total weight of the compositions.
- an enzyme-containing compositions may further comprise an enzyme stabilizing system.
- the enzyme-containing composition may comprise 0.001%to 10%, 0.005%to 8%, or 0.01%to 6%of an enzyme stabilizing system, based on the total weight of the compositions.
- the enzyme stabilizing system can be any stabilizing system which is compatible with the enzyme.
- the enzyme stabilizing system comprises at least one compound selected from the group consisting of polyols (preferably, ethylene glycol, 1, 2-propanediol, 1, 3-propanediol, glycerol or sorbitol) , salts (preferably, CaCl 2 , MgCl 2 or NaCl) , short chain (preferably, C 1 -C 6 ) carboxylic acids or salts thereof (preferably, formic acid, formate (preferably, sodium formate) , acetic acid, acetate, or lactate) , borate, boric acid, boronic acids (preferably, 4-formyl phenylboronic acid (4-FPBA) ) , peptide aldehydes, peptide acetals, and peptide aldehyde hydrosulfite adducts.
- polyols preferably, ethylene glycol, 1, 2-propanediol, 1, 3-propanediol, glycerol or sorbi
- the enzyme stabilizing system comprises a combination of at least two of the compounds selected from the group consisting of salts, polyols, and short chain carboxylic acids and preferably one or more of the compounds selected from the group consisting of borate, boric acid, boronic acids (preferably, 4-formyl phenylboronic acid (4-FPBA) ) , peptide aldehydes, peptide acetals, and peptide aldehyde hydrosulfite adducts.
- the compounds selected from the group consisting of salts, polyols, and short chain carboxylic acids preferably one or more of the compounds selected from the group consisting of borate, boric acid, boronic acids (preferably, 4-formyl phenylboronic acid (4-FPBA) ) , peptide aldehydes, peptide acetals, and peptide aldehyde hydrosulfite adducts.
- boronic acids preferably, 4-formyl phenyl
- protease inhibitors may be added, preferably selected from borate, boric acid, boronic acids (preferably, 4-FPBA) , peptide aldehydes (preferably, peptide aldehydes like Z-VAL-H or Z-GAY-H) , peptide acetals, and peptide aldehyde hydrosulfite adducts.
- compositions according to the invention may further comprise a bleaching agent, which is preferably selected from sodium perborate, anhydrous or as the monohydrate or as the tetrahydrate or as the so-called dihydrate, sodium percarbonate, anhydrous or as the monohydrate, and sodium persulfate.
- a bleaching agent which is preferably selected from sodium perborate, anhydrous or as the monohydrate or as the tetrahydrate or as the so-called dihydrate, sodium percarbonate, anhydrous or as the monohydrate, and sodium persulfate.
- compositions according to the invention may further comprise a bleach catalyst, which is preferably selected from oxaziridinium-based bleach catalysts, bleach-boosting transition metal salts or transition metal complexes such as, for example, manganese-, iron-, cobalt-, ruthenium-or molybdenum-salen complexes or carbonyl complexes.
- a bleach catalyst which is preferably selected from oxaziridinium-based bleach catalysts, bleach-boosting transition metal salts or transition metal complexes such as, for example, manganese-, iron-, cobalt-, ruthenium-or molybdenum-salen complexes or carbonyl complexes.
- Manganese, iron, cobalt, ruthenium, molybdenum, titanium, vanadium and copper complexes with nitrogen-containing tripod ligands and also cobalt-, iron-, copper-and ruthenium-amine complexes can also be used as bleach catalysts.
- compositions according to the invention can comprise a bleach activator, for example tetraacetyl ethylene diamine, tetraacetylmethylene diamine, tetraacetylglycoluril, tetraacetylhexylene diamine, acylated phenolsulfonates such as for example n-nonanoyl-or isononanoyloxybenzene sulfonates, N-methylmorpholinium-acetonitrile salts ( “MMA salts” ) , trimethylammonium acetonitrile salts, N-acylimides such as, for example, N-nonanoylsuccinimide, 1, 5-diacetyl-2, 2-dioxohexahydro-1, 3, 5-triazine ( “DADHT” ) or nitrile quats (trimethylammonium acetonitrile salts) .
- a bleach activator for example tetraace
- compositions according to the invention may comprise a corrosion inhibitor, for example selected from triazoles, in particular benzotriazoles, bisbenzotriazoles, aminotriazoles, alkylaminotriazoles, also phenol derivatives such as, for example, hydroquinone, pyrocatechol, hydroxyhydroquinone, gallic acid, phloroglucinol or pyrogallol.
- a corrosion inhibitor for example selected from triazoles, in particular benzotriazoles, bisbenzotriazoles, aminotriazoles, alkylaminotriazoles, also phenol derivatives such as, for example, hydroquinone, pyrocatechol, hydroxyhydroquinone, gallic acid, phloroglucinol or pyrogallol.
- compositions according to the invention may comprise other cleansing polymers and/or soil release polymers and/or anti-graying polymers.
- the additional cleansing polymers may include, without limitation, “multifunctional polyethylene imines” (for example BASF’s HP20) and/or “multifunctional diamines” (for example BASF’s HP96) .
- Suitable multifunctional polyethylene imines are typically ethoxylated polyethylene imines with a weight-average molecular weight Mw in the range from 3,000 to 250,000, preferably 5,000 to 200,000, more preferably 8,000 to 100,000, more preferably 8,000 to 50,000, more preferably 10,000 to 30,000, and most preferably 10,000 to 20,000 g/mol.
- Suitable multifunctional polyethylene imines have 80 wt%to 99 wt%, preferably 85 wt%to 99 wt%, more preferably 90 wt%to 98 wt%, most preferably 93 wt%to 97 wt%or 94 wt%to 96 wt%ethylene oxide side chains, based on the total weight of the materials.
- Ethoxylated polyethylene imines are typically based on a polyethylene imine core and a polyethylene oxide shell.
- Suitable polyethylene imine core molecules are polyethylene imines with a weight-average molecular weight Mw in the range of 500 to 5,000 g/mol.
- Mw weight-average molecular weight
- Preferably employed is a molecular weight from 500 to 1,000 g/mol, even more preferred is a Mw of 600 to 800 g/mol.
- the ethoxylated polymer then has on average 5 to 50, preferably 10 to 35 and even more preferably 20 to 35 ethylene oxide (EO) units per NH-functional group.
- EO ethylene oxide
- Suitable multifunctional diamines are typically ethoxylated C 2 -C 12 -alkylene diamines, preferably hexamethylene diamine, which are further quaternized and optionally sulfated.
- Typical multifunctional diamines have a weight-average molecular weight Mw in the range from 2,000 to 10,000, more preferably 3,000 to 8,000, and most preferably 4,000 to 6,000 g/mol.
- ethoxylated hexamethylene diamine may be employed, which contains on average 10 to 50, preferably 15 to 40 and even more preferably 20 to 30 ethylene oxide (EO) groups per NH-functional group, and which preferably bears two cationic ammonium groups and two anionic sulfate groups.
- EO ethylene oxide
- Suitable anti-graying polymers include copolymers of acrylic or maleic acid and styrene, graft polymers of acrylic acid onto maltodextrin or carboxymethylated cellulose and their alkali metal salts, in particular sodium salts thereof.
- compositions according to the present invention may also comprise a complexing agent, which is preferably selected from methylglycinediacetic acid (MGDA) and glutamic acid diacetic acid (GLDA) and salts thereof.
- MGDA and GLDA may be present as racemate or as enantiomerically pure compounds.
- GLDA is preferably selected from L-GLDA or enantiomerically enriched mixtures of L-GLDA in which at least 80 mol%, preferably at least 90 mol%, of L-GLDA is present.
- Suitable salts ara ammonium salts and alkali metal salts, particularly preferably potassium and in particular sodium salts.
- compositions according to the present invention may also comprise an antimicrobial agent and/or preservative.
- An antimicrobial agent is a chemical compound that kills microorganisms or inhibits their growth or reproduction. Microorganisms can be bacteria, yeasts or molds.
- a preservative is an antimicrobial agent which may be added to aqueous products and compositions to maintain the original performance, characteristics and integrity of the products and compositions by killing contaminating microorganisms or inhibiting their growth. Examples of preservatives ara as listed on pages 35 to 39 in patent application WO2021/115912 A1.
- antimicrobial agents and/or preservatives are the following antimicrobial agents and/or preservatives:
- glutaraldehyde (Synonyms: 1, 5-pentandial, pentane-1, 5-dial, glutaral, glutardialdehyde) ;
- Hexa-2, 4-dienoic acid trivial name “sorbic acid”
- salts e.g., calcium sorbate, sodium sorbate
- potassium (E, E) -hexa-2, 4-dienoate Potassium Sorbate
- Benzoic acid and salts of benzoic acid e.g., sodium benzoate, ammonium benzoate, calcium benzoate, magnesium benzoate, MEA-benzoate, potassium benzoate;
- Salicylic acid and its salts e.g., calcium salicylate, magnesium salicylate, MEA salicylate, sodium salicylate, potassium salicylate, TEA salicylate;
- DDAC Didecyldimethylammonium chloride
- compositions according to the invention may comprise the at least one antimicrobial agent or preservative in an amount of 0.0001 to 10%, based on the total weight of the compositions.
- compositions according to the invention may comprise 2-phenoxyethanol in an amount of 2 ppm to 5%, preferably 0.1%to 2%, or 4, 4’-dichloro 2-hydroxydiphenyl ether (DCPP) in an amount of 0.001%to 3%, preferably 0.002%to 1%, more preferably 0.01%to 0.6%, based on the total weight of the compositions.
- DCPP 4, 4’-dichloro 2-hydroxydiphenyl ether
- compositions according to the invention may comprise 4, 4’-dichloro-2-hydroxydiphenylether, preferably in an amount of 0.001 to 3%, preferably 0.002 to 1%, more preferably 0.01 to 0.6%, based on the total weight of the compositions.
- compositions according to the invention may also comprise water and/or additional organic solvents, e.g., ethanol or propylene glycol, and/or fillers such as sodium sulfate.
- additional organic solvents e.g., ethanol or propylene glycol
- fillers such as sodium sulfate.
- Further optional ingredients may include, but are not limited to, viscosity modifiers, cationic surfactants, foam boosting or foam reducing agents, perfumes, dyes, optical brighteners, and dye transfer inhibiting agents.
- the present invention provides a method of preserving an aqueous cleansing composition comprising the copolymer as described herein against microbial contamination or growth, which includes adding 2-phenoxyethanol in the detergent composition.
- the present invention provides a method of cleansing a fabric or a hard surface, which includes an antimicrobial treatment of the fabric or the hard surface with a cleansing composition comprising the copolymer as described herein and 4, 4’-dichloro-2-hydroxydiphenylether.
- NVP N-Vinylpyrrolidinone, Sigma-Aldrich, 98.0%.
- NVI N-vinyl imidazole, Sigma-Aldrich, 99.0%.
- MTC 2-methylene-1, 3, 6-trioxocane, which was prepared by the process as described hereinbelow.
- BMDO 5, 6-benzo-2-methylene-1, 3-dioxepane, which was prepared by the process as described hereinbelow.
- PEG monocarboxylic acid polyester polyester of PEG-600 monocarboxylic acid, which was prepared by the process as described hereinbelow.
- Diethylene glycol (Sigma-Aldrich, 98.0%, 126.8 g, 1.20 mol)
- bromoacetaldehyde dimethylacetal (Sigma-Aldrich, 99.0%, 202.0 g, 1.20 mol) were mixed as a stock solution.
- Dioxane (Sigma-Aldrich, 98.0%, 330 g) and p-toluenesulfonic acid (Sigma-Aldrich, 98.0%, 1.14 g, 10 mmol) were added to a pre-dried three-neck flask fitted with a Claisen bridge and dropping funnel for collecting methanol, and heated to a temperature of 100 °C, with the stock solution being added dropwise over 5 h under nitrogen. Methanol was removed while keeping effectively recycling dioxane. When almost the calculated amount of methanol was collected, the temperature was raised to 120 °C under a reduced pressure.
- Step 2.1 Synthesis of 5, 6-benzo-2- (bromomethyl) -1, 3-dioxepane
- Dioxane (Sigma-Aldrich, 98.0%, 330 g) and p-toluenesulfonic acid (Sigma-Aldrich, 98.0%, 1.01 g, 10 mmol) were added to a pre-dried three-neck flask fitted with a Claisen bridge and dropping funnel for collecting methanol, and heated to a temperature to 100 °C, with the stock solution dropwise being added over 5 h under nitrogen. Methanol was removed while keeping effectively recycling dioxane. When almost the calculated amount of methanol was collected, the temperature was raised to 120 °C under a reduced pressure. After cooling to room temperature, the crude product solidified.
- Step 2.2 Synthesis of BMDO from 5, 6-benzo-2- (bromomethyl) -1, 3-dioxepane
- Oxygen was passed through the stirred mixture (20 mL/h) via a glass tube, equipped with a glass frit and the temperature was allowed to rise to 60 °C. Oxygen dosage and temperature were maintained for the following 8 hours and 30 minutes and then oxygen dosage was stopped and the mixture was allowed to cool down to room temperature.
- PEG-600 monocarboxylic acid (100.0 g, 98%, with 2%water) was mixed with zinc octanoate (0.4 g) and heated for 48 hours under a vacuum of 100 mbar at 135 °C.
- Example 1 Preparation of copolymer of MTC and NVP (abbreviated as poly (MTC-NVP) )
- the polymerization solution was precipitated in diethyl ether.
- the precipitate was redissolved in dichloromethane and then precipitated in diethyl ether.
- the process of redissolution and precipitation was carried out three times to remove the residual reactants.
- the resultant polymer powder was then dried under vacuum overnight.
- Example 2 Preparation of copolymer of BMDO and NVP (abbreviated as poly (BMDO-NVP) )
- the polymerization solution was precipitated in diethyl ether.
- the precipitate was redissolved in dichloromethane and then precipitated in diethyl ether.
- the process of redissolution and precipitation was carried out three times to remove the residual reactants.
- the resultant polymer powder was then dried under vacuum overnight.
- Example 3 Preparation of copolymer of MTC and NVI (abbreviated as poly (MTC-NVI) )
- the polymerization was allowed to continue for another hour before quenching by placing the vial into an ice bath.
- the polymerization solution was precipitated in diethyl ether.
- the precipitate was redissolved in dichloromethane and then precipitated in diethyl ether.
- the process of redissolution and precipitation was carried out three times to remove the residual reactants.
- the resultant polymer powder was then dried under vacuum overnight.
- Example 4 Preparation of copolymer of BMDO and NVI (abbreviated as poly (BMDO-NVI) )
- the polymerization solution was precipitated in diethyl ether.
- the precipitate was redissolved in dichloromethane and then precipitated in diethyl ether.
- the process of redissolution and precipitation was carried out three times to remove the residual reactants.
- the resultant polymer powder was then dried under vacuum overnight.
- Example 5 Preparation of poly (MTC-NVP) having PEG-carbonyl segments inserted into MTC ester units by transesterification (abbreviated as poly [ (MTC-NVP) -EO] )
- the poly (MTC-NVP) (2 g) as prepared in Example 1 the poly (MTC-NVP) (2 g) as prepared in Example 1, the PEG monocarboxylic acid polyester (2 g) and zinc octanoate (0.08 g) were mixed. The mixture was purged by nitrogen for 30 min before heating up to 120 °C. The transesterification was allowed to continue for 6 hours before cooling down to room temperature, yielding a viscous liquid.
- the obtained transesterification product contains a moiety of G inserted between -C (O) -and -O-in the ester bond -C (O) -O-in the MTC monomeric units, and the moiety of G is of formula * -OCH 2 CH 2 (O-CH 2 CH 2 ) 11 -CH 2 C (O) - ** in which * refers to the bond to -C (O) -and ** refers to the bond to -O-.
- Example 6 Preparation of poly (MTC-NVP) having PEG-carbonyl segments inserted into MTC ester units by transesterification (abbreviated as poly [ (MTC-NVP) -EO] )
- the preparation was carried out in the same manner as in Example 5, with the exception that 3 g of the PEG monocarboxylic acid polyester was used.
- Example 7 Preparation of poly [ (BMDO-NVP) having PEG-carbonyl segments inserted into BMDO ester units by transesterification (abbreviated as poly [ (BMDO-NVP) -EO] )
- poly (BMDO-NVP) (2 g) as prepared in Example 2 the PEG monocarboxylic acid polyester (2 g) and zinc octanoate (0.08 g) were mixed. The mixture was purged by nitrogen for 30 min before heating up to 120 °C. The transesterification was allowed to continue for 6 hours before cooling down to room temperature, yielding a viscous liquid.
- the obtained transesterification product contains a moiety of G inserted between -C (O) -and -O-in the ester bond -C (O) -O-in the BMDO monomeric units, and the moiety of G is of formula * -OCH 2 CH 2 (O-CH 2 CH 2 ) 11 -CH 2 C (O) - ** in which * refers to the bond to -C (O) -and ** refers to the bond to -O-.
- Example 8 Preparation of poly [ (BMDO-NVP) having PEG-carbonyl segments inserted into BMDO ester units by transesterification (abbreviated as poly [ (BMDO-NVP) -EO] )
- the preparation was carried out in the same manner as in Example 7, with the exception that 3 g of the PEG monocarboxylic acid polyester was used.
- Example 9 Preparation of copolymer of poly (MTC-NVP) and poly (MTC-NVI) by transesterification (abbreviated as poly (MTC-NVP-NVI)
- poly (MTC-NVP) as prepared in Example 1 (4 g) , poly (MTC-NVI) as prepared in Example 3 (1 g) and zinc octanoate (0.1 g) were mixed.
- the mixture was purged by nitrogen for 30 min before heating up to 120 °C.
- the transesterification was allowed to continue for 6 hours before cooling down to room temperature, yielding a viscous liquid as the resultant block copolymer.
- the obtained transesterification product contains blocks of NVP and blocks of NVI which are linked by ester linking units derived from MTC.
- Example 10 Preparation of copolymer of poly (BMDO-NVP) and poly (BMDO-NVI) by transesterification (abbreviated as poly (BMDO-NVP-NVI)
- poly (BMDO-NVP) as prepared in Example 2 (4 g)
- poly (BMDO-NVI) as prepared in Example 4 (1 g)
- zinc octanoate 0.1 g
- the mixture was purged by nitrogen for 30 min before heating up to 120 °C.
- the transesterification was allowed to continue for 6 hours before cooling down to room temperature, yielding a viscous liquid as the resultant block copolymer.
- the obtained transesterification product contains blocks of NVP and blocks of NVI which are linked by ester linking units derived from BMDO.
- Example 11 Preparation of graft copolymer of PEG with poly (MTC-NVP) (abbreviated as poly [EO 1k -g- (MTC-r-NVP) ] )
- Example 12 Preparation of graft copolymer of PEG with poly (MTC-NVP) (abbreviated as poly [EO sk -g- (MTC-r-NVP) ] )
- Example 13 Preparation of graft copolymer of PEG with poly (BMDO-NVP) (abbreviated as poly [EO 1k -g- (BMDO-r-NVP) ] )
- Example 14 Preparation of a mixture of poly (BMDO-NVP) and PEG monocarboxylic acid polyester
- a copolymer of BMDO and NVP (poly (BMDO-NVP) ) as prepared in Example 2 and a PEG monocarboxylic acid polyester at a weight ratio of 40 ⁇ 60 were dissolved in water to provide the mixture.
- the parental copolymers i.e., unmodified copolymers before transesterification were characterized by Gel Permeation Chromatography (GPC) to obtain the molecular weight and distribution.
- GPC Gel Permeation Chromatography
- Copolymer sequence was characterized by backbone ester alkaline degradation experiment and subsequent mass spectrometry.
- the polymers after transesterification were also characterized by GPC.
- DOSY Diffusion Ordered Spectroscopy
- the anti-adhesive properties of the copolymers as synthesized were evaluated using Quartz-Crystal Microbalance (QCM) characterization technique, which detects the kinetics of mass adsorption and allows to precisely monitor the coating process.
- QCM Quartz-Crystal Microbalance
- the adsorbed copolymers according to the present invention in form of layer exhibit protein and cell-repellent properties, leading to a biologically inert surface on different kinds of fabrics.
- the surface adsorption (SA) was determined by a Quartz-Crystal Microbalance with dissipation monitoring (QCM-D, a special embodiment of the QCM method) which measures the resonance frequency of a freely oscillating quartz crystal after excitation.
- QCM-D Quartz-Crystal Microbalance with dissipation monitoring
- the shift in resonance frequency scales inversely proportionally with mass changes at the quartz surface.
- the SA was calculated from the shift of the 7 th overtone of the resonance frequency according to the method of Sauerbrey.
- the Q-Sense Pro (Biolin Scientific Holding AB) operating system has a mass sensitivity of about 2 ng/cm 2 .
- the QCM measurements were performed using standard flow-through methods with a flow rate of 20 ⁇ L/min at 23 °C.
- the mass change after polymer coating process and after Skin milk powder absorption amounts are summarized in Table 2.
- the copolymers according to the present invention exhibit excellent anti-adhesive property as indicated by the Iow protein absorption amounts.
- the anti-adhesive property of the copolymers according to the present invention is much better than that of corresponding graft copolymers derived from same comonomers, and comparable to that of the parental copolymers (i.e., unmodified copolymers before transesterification) , while have significantly improved biodegradability compared with the corresponding graft copolymers and parental copolymers as discussed hereinbelow.
- Example 14 having the weight ratio between BMDO, NVP and PEG moieties same as that in the copolymer of Example 8 showed a similar polymer adsorption efficiency, yet worse anti-adhesive property.
- LAS Disponil LDBS 5, Commercially available from BASF;
- AEO Lutensol A7N, Commercially available from BASF
- Example 1 (Ref. ) 10.3
- Example 3 (Ref. ) 10.1
- Example 5 (I nv. ) 10.8
- Example 6 (Inv. ) 11.1
- Example 9 (Inv. ) 10.7
- Example 12 (Comp. ) 12.6
- the biodegradability of the copolymers was evaluated by the assay of enzymatic degradability.
- Enzymes can catalyze hydrolysis of ester bonds into an alcohol and an acid.
- the acid produced by hydrolysis will lower the pH of the solution, which can be monitored by a pH-sensitive indicator.
- This method is based on a publication by Tokiwa (Hydrolysis of polyesters by lipases. Nature, 1977, 270, 76-78. ) .
- BTB bromothymol blue
- a 6000 ⁇ L of reaction solution was prepared by mixing 0 ⁇ L (control) or 240 ⁇ L of the cutinase solution, 600 ⁇ L of a PBS buffer (100 mM) , 1200 ⁇ L of the BTB solution, and balance of water.
- Biodegradation in wastewater was also tested in triplicate using the OECD 301F manometric respirometry method.
- 30 mg/mL test substance was inoculated into wastewater taken from Mannheim Wastewater Treatment Plant and incubated in a closed flask at 25°C for 28 days. The consumption of oxygen during this time is measured as the change in pressure inside the flask using an OxiTop C (WTW) .
- WTW OxiTop C
- Evolved CO2 is absorbed using an NaOH solution.
- the amount of oxygen consumed by the microbial population during biodegradation of the test substance, after correction using a blank, is expressed as a percentage of the ThOD (Theoretical Oxygen Demand) . The percentage indicates the biodegradation extent.
- the test results are summarized in Table 7.
- copolymers according to the present invention have significantly improved biodegradability compared with the corresponding graft copolymers (Examples 11 and 12) and parental copolymers (Examples 1 and 2) .
- Liquid laundry detergent formulations were prepared, which comprises 1%by weight of the copolymers according to the present invention as shown in Table 8, optionally 0.3 %of the biocide HP 100 or 1%phenoxyethanol.
- AEO C 12 /C 14 fatty alcohol (7EO) (BASF Product)
- AES Alcohol Ethoxysulfate (BASF Product)
- Coco fatty acid Edenor K12-18 (Emery Oleochemicals)
- HP 100 commercial product containing 30%of the antimicrobial active 4, 4’-dichoro 2-hydroxydiphenylether (BASF Product)
- PE Phenoxyethanol (BASF Product)
- copolymers according to the present invention can be combined with the biocide, HP 100 (4, 4’-dichloro-2-hydroxydiphenylether) or PE (2-phenoxyethanol) , in a liquid laundry formulation without any instability or turbidity.
Landscapes
- Chemical & Material Sciences (AREA)
- Chemical Kinetics & Catalysis (AREA)
- Organic Chemistry (AREA)
- Health & Medical Sciences (AREA)
- Medicinal Chemistry (AREA)
- Polymers & Plastics (AREA)
- Life Sciences & Earth Sciences (AREA)
- Engineering & Computer Science (AREA)
- Oil, Petroleum & Natural Gas (AREA)
- Wood Science & Technology (AREA)
- General Chemical & Material Sciences (AREA)
- Addition Polymer Or Copolymer, Post-Treatments, Or Chemical Modifications (AREA)
Abstract
The present invention relates to a copolymer, which comprises (i) ester linking units containing a moiety of -C (O) -O-, which have been derived from a cyclic ketene acetal via radical ring-opening polymerization and optionally interrupted by a polyoxyalkylene-carbonyl segment between the carbonyl "-C (O) -" and the oxygen "-O-" of the moiety of -C (O) -O-, and (ii) blocks derived from one or more ethylenically unsaturated comonomers, which are linked by the ester linking units containing a moiety of -C (O) -O-, provided that the ester linking units containing a moiety of -C (O) -O-are interrupted by the polyoxyalkylene-carbonyl segment between the carbonyl "-C (O) -" and the oxygen "-O-" of the moiety of -C (O) -O-when the blocks are derived from one ethylenically unsaturated comonomer. The present invention also relates to a process for preparing the copolymer, and use thereof in detergent compositions and fabric and home care compositions.
Description
The invention relates to biodegradable multi-block copolymers containing linking units derived from cyclic ketene acetal between the blocks, a process for preparing the biodegradable multi-block copolymers containing linking units derived from cyclic ketene acetal between the blocks, and use thereof in detergent compositions and fabric and home care compositions.
It is known that polymers whose carbon backbone is interrupted by functional groups such as ester, amide, carbonate, urethane or ether groups and whose hydrocarbon moieties between the functional groups are predominantly of an aliphatic nature are degradable by microorganisms. In contrast, polyolefins with a purely carbon backbone are resistant to a microbial attack. An exception is, for example, polyvinyl alcohol, which is completely degraded to carbon dioxide and water after oxidative cleavage. In contrast polyvinyl acetate is only degraded with difficulty, since it initially has to largely hydrolyze to polyvinyl alcohol.
DE 3930097A1 discloses UV-crosslinkable copolymers composed of cyclic olefinically unsaturated ring-opening polymerizable monomers, olefinically unsaturated monomers and olefinically unsaturated acetophenone or benzophenone derivatives. These polymers are suitable as coatings, for impregnating materials, or as adhesives and, in particular, as pressure-sensitive adhesive.
US 5,912,312A discloses a copolymer containing vinyl pyrrolidone and 2-methylene-1, 3-dioxepane which is hydrolytically degradable in aqueous acid or basic solutions and biodegradable. It is described in the patent application that the copolymer is particularly advantageous as binders in such products as fish feed, and also useful as a dispersant in systems where PVP itself has been the conventional polymer of choice.
In recent time, there is an increasing demand to provide polymers with higher biodegradability, for example in fields of detergent and fabric treatment product. Polymeric additives are widely used in detergents and fabric treatment formulations, for example dispersants, anti-graying agents, dye transfer inhibitors, dye fixation agents, and the like. It is still challenging to develop such polymer additives, since the polymers as the additives are required to have not only high biodegradability, but also desirable functional application properties.
Summary of Invention
It is an object of the present invention to provide a polymer useful in detergent compositions and fabric and home care compositions which has a higher biodegradability and desirable functional properties.
It was found by the inventors that the object can be achieved by a copolymer comprising ester linking units derived from a cyclic ketene acetal and blocks derived from one or more ethylenically unsaturated comonomers, wherein the blocks are linked by the ester linking units derived from a cyclic ketene acetal.
Accordingly, in the first aspect, the present invention provides a copolymer, which comprises
- ester linking units containing a moiety of -C (O) -O-, which have been derived from a cyclic ketene acetal via radical ring-opening polymerization and optionally interrupted by a polyoxyalkylene-carbonyl segment between the carbonyl “-C (O) -” and the oxygen “-O-” of the moiety of -C (O) -O-,
- blocks derived from one or more ethylenically unsaturated comonomers, which are linked by the ester linking units containing a moiety of -C (O) -O-,
provided that the ester linking units containing a moiety of -C (O) -O-are interrupted by the polyoxyalkylene-carbonyl segment between the carbonyl “-C (O) -” and the oxygen “-O-” of the moiety of -C (O) -O-when the blocks are derived from one ethylenically unsaturated comonomer.
In some embodiments according to the first aspect, the present invention provides a copolymer, which comprises
- ester linking units containing a moiety of -C (O) -O-, which have been derived from a cyclic ketene acetal via radical ring-opening polymerization and interrupted by a polyoxyalkylene-carbonyl segment between the carbonyl “-C (O) -” and the oxygen “-O-” of the moiety of -C (O) -O-, and
- blocks derived from one or more ethylenically unsaturated comonomers, which are linked by the ester linking units containing a moiety of -C (O) -O-.
In some other embodiments according to the first aspect, the present invention provides a copolymer, which comprises
- ester linking units containing a moiety of -C (O) -O-, which have been derived from a cyclic ketene acetal via radical ring-opening polymerization and not interrupted between the carbonyl “-C (O) -” and the oxygen “-O-” of the moiety of -C (O) -O, and
- blocks derived from two or more ethylenically unsaturated comonomers, which are linked by the ester linking units containing a moiety of -C (O) -O-.
Preferably, the copolymer in the first aspect has a uniform distribution of ester linking units between the blocks derived from one or more ethylenically unsaturated comonomers in polymeric backbones.
In the second aspect, the present invention provides a process for preparing a copolymer, preferably the copolymer as described herein, which includes steps of
(a) providing a first unmodified copolymer comprising ester linking units derived from a cyclic ketene acetal via radical ring-opening polymerization and comprising blocks derived from an ethylenically unsaturated comonomer and linked by the ester linking units, and
(b) subjecting the first unmodified copolymer to transesterification with (i) a polyalkylene oxide monocarboxylic acid polyester, or (ii) a second unmodified copolymer comprising ester linking units derived from a cyclic ketene acetal via radical ring-opening polymerization and comprising blocks derived from an ethylenically unsaturated comonomer and linked by the ester linking units,
wherein the first unmodified copolymer and the second unmodified copolymer differ from each other in the cyclic ketene acetal forming the ester linking units and/or in the ethylenically unsaturated comonomer forming the blocks, preferably in the ethylenically unsaturated comonomer forming the blocks.
In some embodiments according to the second aspect, the present invention provides a process for preparing a copolymer, preferably the copolymer as described herein, which includes
(a) providing a first unmodified copolymer comprising ester linking units derived from a cyclic ketene acetal via radical ring-opening polymerization and comprising blocks derived from an ethylenically unsaturated comonomer and linked by the ester linking units, and
(b) subjecting the first unmodified copolymer to transesterification with (i) a polyalkylene oxide monocarboxylic acid polyester.
In some other embodiments according to the second aspect, the present invention provides a process for preparing a copolymer, preferably the copolymer as described herein, which includes
(a) providing a first unmodified copolymer comprising ester linking units derived from a cyclic ketene acetal via radical ring-opening polymerization and comprising blocks derived from an ethylenically unsaturated comonomer and linked by the ester linking units, and
(b) subjecting the first unmodified copolymer to transesterification with (ii) a second unmodified copolymer comprising ester linking units derived from a cyclic ketene acetal via radical ring-opening polymerization and comprising blocks derived from an ethylenically unsaturated comonomer and linked by the ester linking units,
wherein the first unmodified copolymer and the second unmodified copolymer differ from each other in the cyclic ketene acetal forming the ester linking units and/or in the ethylenically unsaturated comonomer forming the blocks, preferably in the ethylenically unsaturated comonomer forming the blocks.
In the third aspect, the present invention provides a cleansing composition or a fabric and home care composition comprising the copolymer as described herein and at least one surfactant.
In the fourth aspect, the present invention provides a method of preserving an aqueous cleansing composition comprising the copolymer as described herein against microbial contamination or growth, which includes adding 2-phenoxyethanol in the detergent composition.
In the fourth aspect, the present invention provides a method of cleansing a fabric or a hard surface, which comprises an antimicrobial treatment of the fabric or the hard surface with a cleansing composition comprising the copolymer as described herein and 4, 4’-dichloro-2-hydroxydiphenylether.
The singular forms “a” , “an” and “the” include plural referents unless the context clearly dictates otherwise. The terms “comprise (s) ” , “comprising” , etc. are used interchangeably with “contain (s) ” , “containing” , etc. and are to be interpreted in a non-limiting, open manner. That is, e.g., further components or elements can be present. The expressions “consist (s) of” or “consisting of” or cognates can be embraced within “comprise (s) ” or “comprising” or cognates. The terms “include (s) ” , “including” , etc. are to be interpreted in a non-limiting, open manner.
Herein, in case of a (co) polymer or composition “comprises” the components or elements as mentioned, other components or elements may be comprised; in case of a (co) polymer or composition “consists essentially of” the components or elements as mentioned, it comprises mainly or almost only the mentioned components or elements and other components or elements in very minor amounts, and in case of a (co) polymer or composition “consist of” the components or elements as mentioned, it comprises only the mentioned components or elements and may possibly comprises impurities not avoidable in a technical environment.
Similarly, in case of any of the terms “substantially free of... ” , “substantially free from... ” and “ (comprising/containing) essentially no... ” is used herein, the term is intended to mean the indicated material is at the very minimum and not deliberately introduced into a (co) polymer or composition, or preferably is not present at an analytically detectable level. For example, the indicated material may be present, if at all, at a level of less than 1%, or even less than 0.1%, or even more less than 0.01%, or even 0%, by weight of the (co) polymer or composition.
The term “about” as used herein encompasses the exact number “X” mentioned as e.g., “about X%” etc., and small variations of X, including from minus 5 to plus 5%deviation from X (with X for this calculation set to 100%) , preferably from minus 2 to plus 2%, more preferably from minus 1 to plus 1%, even more preferably from minus 0.5 to plus 0.5%and smaller variations. Of course, if the value X given itself is already “100%” (such as for purity etc. ) then the term “about” clearly can and thus does only mean deviations thereof which are smaller than “100” .
The phrase “fabric and home care composition” is meant to include compositions and formulations designed for treating fabric. Such compositions include but are not limited to, laundry cleansing compositions and detergents, fabric softening compositions, fabric enhancing compositions, fabric freshening compositions, laundry prewash, laundry pretreat, laundry additives, spray products, dry cleansing agent or composition, laundry rinse additive, wash additive, post-rinse fabric treatment, ironing aid, unit dose formulation, delayed delivery formulation, detergent contained on or in a porous substrate or nonwoven sheet, and other suitable forms that may be apparent to one skilled in the art in view of the teachings herein and detailed herein below when describing the compositions. Such compositions may be used as a pre-laundering treatment, a post-laundering treatment, or may be added during the rinse or wash cycle of the laundering operation, and as further detailed herein below when describing the use and application of the copolymer according to the present invention and compositions comprising the copolymers.
Herein, any percentage given for a component of a composition is calculated in reference to the active ingredient thereof with exclusion of impurities which may be present in commercially available sources of such components (for example, residual solvents or by-products) , based on the weight of the total composition, unless otherwise specified. Also, all ratios are by weight, unless specified otherwise.
All temperatures herein are in degrees Celsius (℃) unless otherwise indicated. All measurements herein are conducted at 20℃ and under the atmospheric pressure unless otherwise specified.
In the first aspect, the present invention provides a copolymer, which comprises
- ester linking units containing a moiety of -C (O) -O-, which have been derived from a cyclic ketene acetal via radical ring-opening polymerization and optionally interrupted by a polyoxyalkylene-carbonyl segment between the carbonyl “-C (O) -” and the oxygen “-O-” of the moiety of -C (O) -O-,
- blocks derived from one or more ethylenically unsaturated comonomers, which are linked by the ester linking units containing a moiety of -C (O) -O-,
provided that the ester linking units containing a moiety of -C (O) -O-are interrupted by the polyoxyalkylene-carbonyl segment between the carbonyl “-C (O) -” and the oxygen “-O-” of the moiety of -C (O) -O-, when the blocks are derived from one ethylenically unsaturated comonomer.
Hereinbelow, the term “optionally interrupted ester linking units” will be used as an abbreviation for the ester linking units containing a moiety of -C (O) -O-, which have been derived from a cyclic ketene acetal via radical ring-opening polymerization and optionally interrupted by a polyoxyalkylene-carbonyl segment between the carbonyl “-C (O) -” and the oxygen “-O-” of the moiety of -C (O) -O-. In those optionally interrupted ester linking units, the moiety of -C (O) -O-optionally contains a polyoxyalkylene-carbonyl segment inserted between the carbonyl “-C (O) -” and the oxygen “-O-” , which may be represented by -C (O) -Gx-O-wherein G represents a polyoxyalkylene-carbonyl segment and x is 0 or 1.
Accordingly, the term “interrupted ester linking units” will be used as an abbreviation for the ester linking units containing a moiety of -C (O) -O-which have been derived from a cyclic ketene acetal via radical ring-opening polymerization and interrupted by a polyoxyalkylene-carbonyl segment between the carbonyl “-C (O) -” and the oxygen “-O-” of the moiety of -C (O) -O-. In such interrupted ester linking units, the moiety of -C (O) -O-contains a polyoxyalkylene-carbonyl segment inserted between the carbonyl “-C (O) -” and the oxygen “-O-” , which may be represented by -C (O) -G
x-O-wherein G represents a polyoxyalkylene-carbonyl segment and x 1.
The term “uninterrupted ester linking units” will be used as an abbreviation for the ester linking units containing a moiety of -C (O) -O-which have been derived from a cyclic ketene acetal via radical ring-opening polymerization and not interrupted between the carbonyl “-C (O) -” and the oxygen “-O-” of the moiety of-C (O) -O-.
In some embodiments according to the first aspect, the present invention provides a copolymer, which comprises
- ester linking units containing a moiety of -C (O) -O-, which have been derived from a cyclic ketene acetal via radical ring-opening polymerization and interrupted by a polyoxyalkylene-carbonyl segment between the carbonyl “-C (O) -” and the oxygen “-O-” of the moiety of -C (O) -O-, and
- blocks derived from one or more ethylenically unsaturated comonomers, which are linked by the ester linking units containing a moiety of -C (O) -O-.
In some other embodiments according to the first aspect, the present invention provides a copolymer, which comprises
- ester linking units containing a moiety of -C (O) -O-, which have been derived from a cyclic ketene acetal via radical ring-opening polymerization and not interrupted between the carbonyl “-C (O) -” and the oxygen “-O-” of the moiety of -C (O) -O-, and
- blocks derived from two or more ethylenically unsaturated comonomers, which are linked by the ester linking units containing a moiety of -C (O) -O-.
Herein, the polyoxyalkylene-carbonyl segment refers to a segment containing a polyoxyalkylene chain and a carbonyl at the end of the polyoxyalkylene chain. The polyoxyalkylene-carbonyl segment may be represented by a general formula of
*-O-R- [O-R]
m- [O-R
1]
n- [O-R
2]
o-O-R
3-C (O) -
** (i)
wherein
R, R
1 and R
2 are independently of one another, a linear or branched C
2.12-alkylene, provided that any two of R, R
1 and R
2 in adjacent blocks are different from each other,
R
3 is a linear or branched C
1-11-alkylene,
m is a number of 1 or higher,
n and o are independently of one another, a number of 0 or higher,
* represents the bond to the carbonyl “-C (O) -” of the moiety of -C (O) -O-in the interrupted ester linking units, and
** represents the bond to the oxygen “-O-” of the moiety of -C (O) -O-in the interrupted ester linking units.
Particularly, the group -O-R
3-C (O) -in formula (I) represents an oxyalkylenecarbonyl group which corresponds to the closest one of -O-R
2-, -O-R
1-and -O-R-with the terminal methylene therein being replaced with a carbonyl group. For example, the group -O-R
3-C (O) -in formula (I) represents an oxyalkylenecarbonyl group which corresponds to -O-R
2-with the terminal methylene of R
2 being replaced with a carbonyl group, when the index o is a number of higher than zero. Alternatively, the group -O-R
3-C (O) -in formula (I) represents an oxyalkylenecarbonyl group which corresponds to -O-R
1-with the terminal methylene of R
1 being replaced with a carbonyl group, when the index o is zero and the index n is a number of higher than zero. Alternatively, the group -O-R
3-C (O) -in formula (I) represents an oxyalkylenecarbonyl group which corresponds to -O-R-with the terminal methylene of R being replaced with a carbonyl group, when both indices o and n are zero.
For example, the polyoxyalkylene-carbonyl segment is a polyoxyethylene-carbonyl segment (i.e., formula (I) in which R is ethylene, n and o are zero, and R
3 is -CH
2-) , a polyoxypropylene-carbonyl segment (i.e., formula (I) in which R is 1, 2-propylene, n and o are zero, and R
3 is 1, 1-ethylene) , a polyoxybutylene-carbonyl segment (i.e., formula (I) in which R is 1, 2-butylene, n and o are zero, and R
3 is propylidene) , poly (oxyethylene-oxypropylene) -carbonyl segment, poly (oxyethylene-oxypropylene-oxyethylene) -carbonyl segment, poly (oxyethylene-oxybutylene) -carbonyl segment, poly (oxyethylene-oxybutylene-oxyethylene) -carbonyl segment (i.e., formula (I) in which R is ethylene, R
1 is 1, 2-propylene and R
2 is ethylene, m, n and o are a number of 1 or higher and R
3 is -CH
2-) , and the like.
More preferably, the polyoxyalkylene-carbonyl segment is a polyoxyethylene-carbonyl segment of formula (I) in which R is ethylene, n and o are zero and R
3 is -CH
2-, or a polyoxypropylene-carbonyl segment of formula (I) in which R is 1, 2-propylene, n and o are zero and R
3 is 1, 1-ethylene. Most preferably, the polyoxyalkylene-carbonyl segment is a polyoxyethylene-carbonyl segment of formula (I) in which R is ethylene, n and o are zero, and R
3 is -CH
2-.
The polyoxyalkylene-carbonyl segment may have a number average molecular weight (Mn) in the range of 400 to 1500 g/mol, preferably 400 to 1200 g/mol, more preferably 400 to 800 g/mol. The optionally interrupted ester linking units may be represented by a general formula of
-CR
1R
2-C (O) -G
x-O-R
3- (II)
wherein
R
1 and R
2 are independently of one another, hydrogen or a linear or branched alkyl, for example linear or branched C
1-12-alkyl,
R
3 is a linear or branched alkylene, arylene, alkylarylene or arylalkylene, which is optionally interrupted by a heteroatom such as O, S and N, and preferably having 1 to 12 carbon atoms in each alkylene and alkyl moiety, and 5 to 12 ring atoms in each arylene and arylene moiety, -G-is a polyoxyalkylene-carbonyl segment of formula (I) as described hereinabove,
x is 0 or 1.
It will be understood that ester linking units which have been derived from a cyclic ketene acetal via radical ring-opening polymerization and not interrupted may be represented by the formula (II) in which x is 0; and ester linking units which have been derived from a cyclic ketene acetal via radical ring-opening polymerization and interrupted by a polyoxyalkylene-carbonyl segment may be represented by the formula (II) in which x is 1.
The cyclic ketene acetal from which the optionally interrupted ester linking units are derived is preferably selected from the group consisting of 2-methylene-1, 3-dioxepane (MDO) of formula (III) , 5, 6-benzo-2-methylene-1, 3-dioxepane (BMDO) of formula (IV) , 2-methylene-1, 3, 6-trioxocane (MTC) of formula (V) , 5, 6-dialkyl-2-methylene-1, 3-dioxepane of formula (VI) , 2-methylene-1, 3-dioxolane of formula (VII) , and 4, 5-dialkyl-2-methylene-1, 3-dioxolane of formula (VIIII)
wherein R
4 and R
5 in formula (VI) and (VIII) are, independently of one another, a linear or branched alkyl, preferably C
1-12-alkyl group.
More preferably, the cyclic ketene acetal from which the optionally interrupted ester linking units are derived is selected from the group consisting of 5, 6-benzo-2-methylene-1, 3-dioxepane (BMDO) , 2-methylene-1, 3-dioxepane (MDO) and 2-methylene-1, 3, 6-trioxocane (MTC) , most preferably 5, 6-benzo-2-methylene-1, 3-dioxepane (BMDO) and 2-methylene-1, 3, 6-trioxocane (MTC) .
Suitable ethylenically unsaturated comonomers for deriving the blocks linked by the ester linking units containing a moiety of -C (O) -O-may be those endowing the copolymers with certain functional application properties. For example, ethylenically unsaturated comonomers suitable for the copolymers according to the present invention may include, but are not limited to, ethylenically unsaturated monocarboxylic acids and derivatives thereof such as salts, esters, anhydrides and amides, for example (meth) acrylic acid, alkyl (meth) acrylate, crotonic acid, N-methacryloyI-D-glucosamine, vinyl benzoic acid, vinylacetic acid, acrylamide, and methyl acrylamide; ethylenically unsaturated dicarboxylic acids and derivatives thereof such as salts, esters, anhydrides and amides, such as fumaric acid, maleic acid and maleic anhydride, itaconic acid and itaconic anhydride; ethylenically unsaturated alcohols such as allyl alcohol; ethylenically unsaturated amines such as allyl amine; vinyl lactams such as N-vinylpyrrolidinone; vinyl heterocyclic compounds such as N-vinyl imidazole and vinyl pyridine; vinyl ethers such as methyl vinyl ether; alkenyl carboxyalkyl ethers; vinyl esters of carboxylic acids such as vinyl formate, vinyl acetate, vinyl propionate, vinyl butyrate, vinyl isobutyrate, vinyl valerate, vinyl 2-ethylhexanoate, vinyl isooctanoate, vinyl nonoate, vinyl decanoate and vinyl pivalate; alkenyl aromatics such as vinyl benzene; alkenyl aldehydes such as acrolein; alkenyl nitriles such as acrylonitrile and methacrylonitrile; and olefins.
Preferably, the ethylenically unsaturated comonomer may be selected from the group consisting of (meth) acrylic acid, alkyl (meth) acrylates such as methyl (meth) acrylate and butyl (meth) acrylate, maleic acid, maleic acid anhydride, itaconic acid, itaconic anhydride, N-vinylpyrrolidinone, N-vinyl imidazole, vinyl esters such as vinyl acetate. More preferably, the ethylenically unsaturated comonomer may be selected from the group consisting of N-vinylpyrrolidinone and N-vinyl imidazole.
The blocks derived from one or more ethylenically unsaturated comonomers generally have an average number of repeating monomeric units in the range of 1 to 10, preferably 1 to 8, more preferably 1 to 5 per block.
In some embodiments according to the first aspect, the present invention provides a copolymer, which comprises
- ester linking units containing a moiety of -C (O) -O-, which have been derived from a cyclic ketene acetal via radical ring-opening polymerization and interrupted by a polyoxyalkylene-carbonyl segment between the carbonyl “-C (O) -” and the oxygen “-O-” of the moiety of -C (O) -O-, and
- blocks derived from one or more, preferably one, ethylenically unsaturated comonomers, which are linked by the ester linking units containing a moiety of-C (O) -O-,
wherein the cyclic ketene acetal is selected from the group consisting of 5, 6-benzo-2-methylene-1, 3-dioxepane (BMDO) , 2-methylene-1, 3-dioxepane (MDO) and 2-methylene-1, 3, 6-trioxocane (MTC) , and the one or more ethylenically unsaturated comonomers are selected from the group consisting of N-vinylpyrrolidinone and N-vinyl imidazole.
In the immediately above embodiments, the cyclic ketene acetal is preferably 5, 6-benzo-2-methylene-1, 3-dioxepane (BMDO) or 2-methylene-1, 3, 6-trioxocane (MTC) , and the ethylenically unsaturated comonomer is preferably N-vinylpyrrolidinone or N-vinyl imidazole.
In some other embodiments according to the first aspect, the present invention provides a copolymer, which comprises
- ester linking units containing a moiety of -C (O) -O-, which have been derived from a cyclic ketene acetal via radical ring-opening polymerization and not interrupted between the carbonyl “-C (O) -” and the oxygen “-O-” of the moiety of -C (O) -O-, and
- blocks derived from two or more, preferably two, ethylenically unsaturated comonomers, which are linked by the ester linking units containing a moiety of -C (O) -O-,
wherein the cyclic ketene acetal is selected from the group consisting of 5, 6-benzo-2-methylene-1, 3-dioxepane (BMDO) , 2-methylene-1, 3-dioxepane (MDO) and 2-methylene-1, 3, 6-trioxocane (MTC) , and the ethylenically unsaturated comonomers are N-vinylpyrrolidinone and N-vinyl imidazole.
In the immediately above embodiments, the cyclic ketene acetal is preferably 5, 6-benzo-2-methylene-1, 3-dioxepane (BMDO) or 2-methylene-1, 3, 6-trioxocane (MTC) .
Preferably, the copolymer in the first aspect has a uniform distribution of the optionally interrupted ester linking units between the blocks in polymeric backbones. The copolymerization of the cyclic ketene acetal and the one or more ethylenically unsaturated comonomers proceeds throughout the entire polymerization process, leading to a uniform or homogeneous incorporation of the optionally interrupted ester linking units. Statistically random copolymer architectures will thus be obtained. Uniform distribution of the optionally interrupted ester linking units is intended to mean substantially uniform or homogeneous incorporation of cyclic ketene acetal over the copolymers of the cyclic ketene acetal and the comonomers.
In the copolymer according to the present invention, the monomeric units originating from the cyclic ketene acetal and the monomeric units originating from the one or more ethylenically unsaturated comonomers may be present in a molar ratio in the range of 1 ∶ 1 to 1 ∶ 10, preferably 1 ∶ 1 to 1 ∶ 8, more preferably 1 ∶ 1 to 1 ∶ 5, most preferably 2∶ 5 to 1 ∶ 5. In other words, the cyclic ketene acetal and the one or more ethylenically unsaturated comonomers are polymerized at a molar ratio in the range of 1 ∶ 1 to 1 ∶ 10, preferably 1 ∶ 1 to 1 ∶ 8, more preferably 1∶ 1 to 1∶ 5, most preferably 2∶ 5 to 1∶ 5 during the preparation of the copolymer.
In some embodiments of the copolymer comprising the interrupted ester linking units, the monomeric units originating from the cyclic ketene acetal and the oxyalkylene monomeric units originating from the polyoxyalkylene-carbonyl segment may be present in a molar ratio in the range of 1∶ 5 to 1∶ 30, preferably 1∶ 8 to 1∶ 25, more preferably 1∶ 10 to 1∶ 20.
In the copolymer comprising the interrupted ester linking units, the interrupted ester linking units may account for at least 50%by mole, preferably 75%by mole, more preferably 85%by mole, most preferably 90%by mole or 95%by mole, based on the sum of the interrupted ester linking units and if present the uninterrupted ester linking units.
In some embodiments of the copolymer comprising the uninterrupted ester linking units, the monomeric units originating from the two or more ethylenically unsaturated comonomers may be present in any suitable molar ratios without particular restriction. For example, in the embodiments of the copolymer comprising the uninterrupted ester linking units and blocks derived from N-vinylpyrrolidinone and N-vinyl imidazole as the ethylenically unsaturated comonomers, the molar ratio of N-vinylpyrrolidinone to N-vinyl imidazole may be in the range of 10∶1 to 1∶ 2, preferably 6∶ 1 to 1∶ 2, most preferably 4∶ 1 to 1∶ 1.
In the copolymer comprising the uninterrupted ester linking units, the uninterrupted ester linking units may account for at least 50%by mole, preferably 75%by mole, more preferably 85%by mole, most preferably 90%by mole, 95%by mole, based on the sum of the uninterrupted ester linking units and if present interrupted ester linking units. Preferably, the uninterrupted ester linking units account for 100%by mole of the ester linking units containing a moiety of -C (O) -O-which have been derived from a cyclic ketene acetal via radical ring-opening polymerization.
In some embodiments of the copolymer comprising the uninterrupted ester linking units and the blocks derived from two or more ethylenically unsaturated comonomers linked by the ester linking units, the copolymer has a statistically random distribution of the blocks derived from each of ethylenically unsaturated comonomers over the polymeric backbone of the copolymer. For example, the copolymer has a hybrid architecture in form of -B
1-E-B
2-E-B
1-E-B
2-E-, wherein B
1 and B
2 represent the blocks derived from two ethylenically unsaturated comonomers respectively and E represents the ester linking units uninterrupted ester linking units.
The molar ratio of monomeric units as described herein can be determined by
1H NMR measurement.
The copolymers according to the present invention may have a number average molecular weight (Mn) in the range of from 1,000 to 50,000 g/mol, preferably from 2,000 to 30,000 g/mol, more preferably from 3,000 to 30,000 g/mol, still preferable from 3,000 to 10,000 g/mol or 3,000 to 6,000 g/mol, as measured by gel permeation chromatography (GPC) .
The copolymers according to the present invention are linear copolymers.
In the second aspect, the present invention provides a process for preparing a copolymer, preferably the copolymer as described herein, which includes steps of
(a) providing a first unmodified copolymer comprising ester linking units derived from a cyclic ketene acetal via radical ring-opening polymerization and comprising blocks derived from an ethylenically unsaturated comonomer and linked by the ester linking units, and
(b) subjecting the first unmodified copolymer to transesterification with (i) a polyalkylene oxide monocarboxylic acid polyester, or (ii) a second unmodified copolymer comprising ester linking units derived from a cyclic ketene acetal via radical ring-opening polymerization and comprising blocks derived from an ethylenically unsaturated comonomer and linked by the ester linking units,
wherein the first unmodified copolymer and the second unmodified copolymer differ from each other in the cyclic ketene acetal forming the ester linking units and/or in the ethylenically unsaturated comonomer forming the blocks, preferably in the ethylenically unsaturated comonomer forming the blocks.
Hereinbelow, the first and the second unmodified copolymer comprising ester linking units derived from a cyclic ketene acetal via radical ring-opening polymerization and comprising blocks derived from an ethylenically unsaturated comonomer and linked by the ester linking units may be respectively referred to as the first unmodified copolymer and the second unmodified copolymer as abbreviations.
The first unmodified copolymer and the second unmodified copolymer may be commercially available, or may be prepared by free radical polymerization of a cyclic ketene acetal and an ethylenically unsaturated comonomer in accordance with conventional processes. During the radical polymerization, the cyclic ketene acetal will undergo ring-opening, i.e., radical ring-opening polymerization, and form ester linking units containing a moiety of -C (O) -O-, by which the blocks of the ethylenically unsaturated comonomer are linked. Suitable free radical initiators for the radical polymerization are any conventional ones, including for example acyl peroxides such as deacetyl peroxide, dibenzoyl peroxide and tert-butyl peroxy-2-ethylhexanoate; peroxides such as di-tert-butyl peroxide; percarbonates such as dicyclohexyl peroxydicarbonate; and azo compounds such as 2, 2’-azobis (isobutyronitrile) (AIBN) , 2, 2’-azobis (2, 4-dimethylvaleronitrile) , 1, 1’ -azobis (cyanocyclohexane) and 2, 2’-azobis (methylbutyronitrile) . Preferably, the free radical initiators are azo compounds such as 2, 2’-azobis (isobutyronitrile) (AIBN) , 2, 2’-azobis (2, 4-dimethylvaleron itrile) , 1, 1’-azobis (cyanocyclohexane) and 2, 2’-azobis (methylbutyronitrile) , more pererably 2’-azobis (isobutyronitrile) (AI BN) .
Any general description or any description with preference with respect to the cyclic ketene acetal, the ethylenically unsaturated comonomers, and monomeric ratios thereof are also applicable here for the polymers in the second aspect of the present invention.
The transesterification of the first unmodified copolymer with either (i) the polyalkylene oxide monocarboxylic acid polyester or (ii) the second unmodified copolymer may be carried out in accordance with any conventional process without particular restriction. For example, the transesterification may be carried out in the presence of a zinc catalyst under an inert atmosphere while heating, for example at a temperature of 120℃.
Herein, the polyalkylene oxide monocarboxylic acid polyester refers to a polyester of polyalkylene oxide monocarboxylic acid, which may be commercially available ones or may be prepared by any conventional process without any particular restriction. For example the polyalkylene oxide monocarboxylic acid polyester may be prepared by polycondensation of a polyalkylene oxide monocarboxylic acid. The polyalkylene oxide monocarboxylic acid may be commercially available ones or may be prepared by any known process, for example by oxidation of a polyalkylene oxide in the presence of a catalyst such as platinum (Pt) catalyst, as described for example in the PCT patent application No. PCT/EP2022/065984.
Particularly, the polyalkylene oxide monocarboxylic acid polyester is a polyester of polyethylene oxide monocarboxylic acid, a polyester of polyprepylene oxide monocarboxylic acid, a polyester of polyoxybutylene monocarboxylic acid, a polyester of poly (ethylene oxide-propylene oxide) monocarboxylic acid, a polyester of poly (ethylene oxide-propylene oxide-ethylene oxide) monocarboxylic acid, a polyester of poly (ethylene oxide-butylene oxide) monocarboxylic acid, a polyester of poly (ethylene oxide-butylene oxide-ethylene oxide) monocarboxylic acid, and the like.
Preferably, the polyalkylene oxide monocarboxylic acid polyester is a polyester of polyethylene oxide monocarboxylic acid or a polyester of polypropylene oxide monocarboxylic acid, more preferably polyethylene oxide monocarboxylic acid.
The polyalkylene oxide monocarboxylic acid polyester may have a number average molecular weight (Mn) in the range of 2,000 to 20,000, preferably 4,000 to 15,000.
In some embodiments according to the second aspect, the present invention provides a process for preparing a copolymer, preferably the copolymer as described herein, which includes
(a) providing a first unmodified copolymer comprising ester linking units derived from a cyclic ketene acetal via radical ring-opening polymerization and comprising blocks derived from an ethylenically unsaturated comonomer and linked by the ester linking units, and
(b) subjecting the first unmodified copolymer to transesterification with (i) a polyalkylene oxide monocarboxylic acid polyester.
It will be understood that polyoxyalkylene-carbonyl segments will be resulted from the polyalkylene oxide monocarboxylic acid polyester upon transesterification and thus be inserted between the ester linking units derived from the cyclic ketene acetal. In other words, upon the transesterification, a polyoxyalkylene-carbonyl segment, preferably a polyoxyalkylene-carbonyl segment as described in the first aspect, will be incorporated into the ester linking units derived from the cyclic ketene acetal. Particularly, the polyoxyalkylene-carbonyl segment is inserted between the carbonyl “-C (O) -” and the oxygen “-O-” of the moiety of -C (O) -O-in the ester linking units.
In some other embodiments according to the second aspect, the present invention provides a process for preparing a copolymer, preferably the copolymer as described herein, which includes
(a) providing a first unmodified copolymer comprising ester linking units derived from a cyclic ketene acetal via radical ring-opening polymerization and comprising blocks derived from an ethylenically unsaturated comonomer and linked by the ester linking units, and
(b) subjecting the first unmodified copolymer to transesterification with (ii) a second unmodified copolymer comprising ester linking units derived from a cyclic ketene acetal via radical ring-opening polymerization and comprising blocks derived from an ethylenically unsaturated comonomer and linked by the ester linking units,
wherein the first unmodified copolymer and the second unmodified copolymer differ from each other in the cyclic ketene acetal forming the ester linking units and/or in the ethylenically unsaturated comonomer forming the blocks, preferably in the ethylenically unsaturated comonomer forming the blocks.
Upon the transesterification, a modified copolymer having a hybrid architecture is resulted from the first and second unmodified copolymers. The hybrid architecture has a statistically random distribution of the blocks originating from each of the unmodified copolymers over the polymeric backbone of the modified copolymer.
In some preferable embodiments, the first unmodified copolymer and the second unmodified copolymer differ from each other in the ethylenically unsaturated comonomer forming the blocks.
In some particular embodiments, the present invention provides a process for preparing a copolymer, preferably the copolymer as described herein, which includes
(a) providing a first unmodified copolymer comprising ester linking units derived from a cyclic ketene acetal via radical ring-opening polymerization and comprising blocks derived from a first ethylenically unsaturated comonomer and linked by the ester linking units, and
(b) subjecting the first unmodified copolymer to transesterification with (ii) a second unmodified copolymer comprising ester linking units derived from a cyclic ketene acetal via radical ring-opening polymerization and comprising blocks derived from second ethylenically unsaturated comonomer and linked by the ester linking units,
wherein the first unmodified copolymer and the second unmodified copolymer comprise the same ester linking units derived from a cyclic ketene acetal.
In the immediately above particular embodiments, the hybrid architecture is in form of -B
1-E-B
2-E-B
1-E-B
2-E-, wherein B
1 and B
2 represent the blocks originating from the first and second unmodified copolymers respectively and E represents the same ester linking units originating from the first and second unmodified copolymers.
It can be contemplated that a modified copolymer having a hybrid architecture may also be obtained from three or more different unmodified copolymers by transesterification, each comprising ester linking units derived from a cyclic ketene acetal via radical ring-opening polymerization and comprising blocks derived from an ethylenically unsaturated comonomer and linked by the ester linking units, and being different from each other in the cyclic ketene acetal forming the ester linking units and/or in the ethylenically unsaturated comonomer forming the blocks, preferably in the ethylenically unsaturated comonomer forming the blocks.
It was surprisingly found by the inventors that the copolymers as described in the first aspect or the copolymers obtained/obtained from the process as described in the second aspect have a good biodegradability, and also application properties such as anti-adhesive property, dye-transfer inhibition property and compatibility with biocides.
The copolymers as described herein may be used in cleansing compositions such as laundry detergent compositions and industrial and institutional cleansing compositions, fabric and home care compositions, cosmetic or personal care compositions, oil field-formulations such as crude oil emulsion breaker, inks, electro plating compositions, cementitious compositions, lacquers or paints, and agrochemical formulations, preferably in laundry detergent compositions, and in fabric and home care compositions.
Therefore, in the third aspect, the present invention provides a cleansing composition or a fabric and home care composition comprising the copolymer as described herein and at least one surfactant.
The term “cleansing composition” as used herein includes compositions and formulations designed for cleansing any soiled material, which includes, but are not limited to laundry detergent compositions, industrial and institutional cleansing compositions for use of cleansing for example hard surfaces such as tiles, carpets, PVC-surfaces, wooden surfaces, metal surfaces, lacquered surfaces. The term “fabric and home care compositions” includes for example fabric softening compositions, fabric enhancing compositions, fabric freshening compositions, laundry prewash, laundry pretreat, laundry additives, spray products, dry cleansing compositions, laundry additives, laundry rinse additives, wash additives, post-rinse fabric treatment compositions, ironing aids, dish washing compositions, hard surface cleansing compositions, unit dose formulations, delayed delivery formulations, detergents contained on or in a porous substrate or nonwoven sheet, light-duty and heavy-duty liquid detergent compositions, bleaching compositions.
Various types of cleansing compositions and fabric and home care compositions are known in the art. Any conventional formulations of those compositions may be applied with including at least one copolymer according to the present invention. The copolymer according to the present invention may be used in those compositions in addition to or in place of an active or additive ingredient having a similar functional property.
In some embodiments, the present invention provides a laundry detergent composition and a fabric and home care composition comprising the copolymer as described herein and at least one surfactant, preferably a liquid laundry detergent composition such as a laundry care composition or a laundry washing composition, or a liquid fabric and home care composition.
The copolymer according to the present invention may be present in a cleansing composition or a fabric and home care composition in an amount in the range of 0.01%to 20%, preferably 0.05%to 15%, more preferably 0.1%to 10%, and most preferably 0.5%to 5%, based on the total weight of the composition. The composition may further comprise 1%to 70%by weight of the surfactant.
There is no particular restriction to the surfactant useful for the present invention, which may be selected from anionic surfactants, cationic surfactants, non-ionic surfactants, amphoteric surfactants, zwitterionic surfactants and any combinations thereof.
Nonlimiting examples of anionic surfactants may include C
9-C
20 linear alkylbenzene sulfonates (LAS) , C
10-C
20 primary, branched chain and random alkyl sulfates (AS) ; C
10-C
18 secondary (2, 3) alkyl sulfates of the formula CH
3 (CH
2)
x (CHOSO
3
-M
+) CH
3 and CH
3 (CH
2)
y (CHOSO
3
-M
+) CH
2CH
3 where x and (y+1) are integers of at least about 7 and M is a water-solubilizing cation; unsaturated sulfates such as oleyl sulfate; C
10-C
18 alkyl alkoxy sulfates (AExS) wherein x is from 1 to 30; C
10-C
18 alkyl alkoxy carboxylates comprising 1 to 5 ethoxy units; mid-chain branched alkyl sulfates as described in US 6,020,303 and US 6,060,443; mid-chain branched alkyl alkoxy sulfates as described in US 6,008,181 and US 6,020,303; modified alkylbenzene sulfonate (MLAS) as described in WO 99/05243, WO 99/05242 and WO 99/05244; methyl ester sulfonate (MES) ; and alpha-olefin sulfonate (AOS) .
Preferable examples of suitable anionic surfactants are alkali metal and ammonium salts of C
8-C
12-alkyl sulfates, of C
12-C
18-fatty alcohol ether sulfates, of C
12-C
18-fatty alcohol polyether sulfates, of sulfuric acid half-esters of ethoxylated C
4-C
12-alkylphenols (ethoxylation: 3 to 50 mol of ethylene oxide/mol) , of C
12-C
18-alkylsulfonic acids, of C
12-C
18 sulfo fatty acid alkyl esters, for example of C
12-C
18 sulfo fatty acid methyl esters, of C
10-C
18-alkylarylsulfonic acids, preferably of n-C
10-C
1s-alkylbenzene sulfonic acids, of C
10-C
18 alkyl alkoxy carboxylates and of soaps such as for example C
8-C
24-carboxylic acids. Preference is given to the alkali metal salts of the aforementioned compounds, particularly preferably the sodium salts.
For example, an anionic surfactant selected from C
10-C
15-linear alkylbenzenes sulfonates, C
10-C
18-alkylether sulfates with 1 to 5 ethoxy units and C
10-C
18-alkylsulfates may be used.
The cleansing composition or the fabric and home care composition may comprise one or more anionic surfactants in an amount in the range of 1%to 50%, preferably 2%to 30%, more preferably 3%to 25%, and most preferably 5%to 25 %, based on the total weight of the composition.
Non-limiting examples of non-ionic surfactants may include C
8-C
18 alkyl ethoxylates, such as
non-ionic surfactants from Shell; ethylenoxide/propylenoxide block alkoxylates, such as
from BASF; C
14-C
22 mid-chain branched alkyl alkoxylates, BAEx, wherein x is from 1 to 30, as described in US 6,153,577, US 6,020,303 and US 6,093,856; alkylpolysaccharides as described in U.S. 4,565,647; specifically alkylpolyglycosides as described in US 4,483,780 and US 4,483,779; polyhydroxy fatty acid amides as described in US 5,332,528; and ether capped poly (oxyalkylated) alcohol surfactants as described in US 6,482,994 and WO 01/42408.
The non-ionic surfactants are in particular alkoxylated alcohols and alkoxylated fatty alcohols, di-and multiblock copolymers of ethylene oxide and propylene oxide and reaction products of sorbitan with ethylene oxide or propylene oxide, furthermore alkylphenol ethoxylates, alkyl glycosides, polyhydroxy fatty acid amides (glucamides) .
Preferably, the non-ionic surfactants may be selected from C
12/14 and C
16/18 fatty alkoholalkoxylates, C
13/15 oxoalkoholalkoxylates, C
13-alkoholalkoxylates, and 2-propylheptylalkoholalkoxylates, each having 3 to 15 ethoxy units, preferably 5 to 10 ethoxy units, or having 1 to 3 propoxy-and 2 to 15 ethoxy units.
The cleansing composition or the fabric and home care composition may comprise one or more non-ionic surfactants in an amount in the range of 1%to 50%, preferably 2%to 40%, more preferably 3%to 30%, and most preferably 5%to 25 %, based on the total weight of the composition.
Non-limiting examples of amphoteric surfactants may include water-soluble amine oxides and water-soluble sulfoxides, especially water-soluble amine oxides. Preferred amine oxides are alkyl dimethyl amine oxides and alkyl amido propyl dimethyl amine oxides, more preferably coco dimethyl amino oxide and coco amido propyl dimethyl amine oxide. Amine oxides may have a linear or mid-branched alkyl moiety.
Typical linear amine oxides include water-soluble amine oxides containing one C
8-C
18-alkyl moiety and two moieties selected from C
1-C
3-alkyl groups and C
1-C
3-hydroxyalkyl groups. The amine oxides of formula R
1-N (R
2) (R
3) O in which R
1 is a C
8-C
18-alkyl and R
2 and R
3 are selected from methyl, ethyl, propyl, isopropyl, 2-hydroxethyl, 2-hydroxypropyl and 3-hydroxypropyl. The linear amine oxide surfactants in particular may include linear C
10-C
18-alkyl dimethyl amine oxides and linear C
8-C
12-alkoxy ethyl dihydroxy ethyl amine oxides.
Typical mid-branched amine oxides have one alkyl moiety having n
1 carbon atoms and one alkyl branch having n
2 carbon atoms wherein the alkyl branch is located on the α or β carbon from the nitrogen. This type of branching for the amine oxide is also known in the art as an internal amine oxide. The sum of n
1 and n
2 is in the range of 10 to 24, preferably from 12 to 20, and more preferably 10 to 16. The number of carbon atoms for the one alkyl moiety (n
1) should be approximately the same number of carbon atoms as the one alkyl branch (n
2) such that the one alkyl moiety and the one alkyl branch are symmetric. Here “symmetric” means that (n
1-n
2) is less than or equal to 5, preferably 4, most preferably from 0 to 4 carbon atoms in at least 50 wt%, more preferably at least 75 wt%to 100 wt%of the mid-branched amine oxides. The amine oxide further comprises two moieties, independently selected from a C
1-C
3-alkyl, a C
1-C
3-hydroxyalkyl group, or a polyethylene oxide group containing an average of 1 to 3 ethylene oxide groups.
Preferably, the amphoteric surfactants may be selected from C
8-18-alkyl dimethyl aminoxides and C
8-C
18-alkyl di (hydroxyethyl) aminoxide.
Non-limiting examples of zwitterionic surfactants may include betaines such as alkyl betaines, alkylamidobetaines, amidazoliniumbetaines, sulfobetaines (INCI Sultaines) as well as phosphobetaines. Preferred betaines are, for example alkylbetaines and sulfobetaines. Examples of suitable alkylbetaines and sulfobetaines include (designated in accordance with INCI) : Almondamidopropyl Betaines, Apricotamidopropyl Betaines, Avocadamidopropyl Betaines, Babassuamidopropyl Betaines, Behenamidopropyl Betaines, Behenyl Betaines, Canolamidopropyl Betaines, Capryl/Capramidopropyl Betaines, Carnitine, Cetyl Betaines, Cocamidoethyl Betaines, Cocamidopropyl Betaines, Cocamidopropyl Hydroxysultaine, Coco-Betaines, Coco-Hydroxysultaine, Coco/Oleamidopropyl Betaines, Coco-Sultaine, Decyl Betaines, Dihydroxyethyl Oleyl Glycinate, Dihydroxyethyl Soy Glycinate, Dihydroxyethyl Stearyl Glycinate, Dihydroxyethyl Tallow Glycinate, Dimethicone Propyl PG-Betaines, Erucamidopropyl Hydroxysultaine, Hydrogenated Tallow Betaines, Isostearamidopropyl Betaines, Lauramidopropyl Betaines, Lauryl Betaines, Lauryl Hydroxysultaine, Lauryl Sultaine, Milkamidopropyl Betaines, Minkamidopropyl Betaines, Myristamidopropyl Betaines, Myristyl Betaines, Oleamidopropyl Betaines, Oleamidopropyl Hydroxysultaine, Oleyl Betaines, Olivamidopropyl Betaines, Palmamidopropyl Betaines, Palmitamidopropyl Betaines, Palmitoyl Carnitine, Palm Kernelamidopropyl Betaines, Polytetrafluoroethylene Acetoxypropyl Betaines, Ricinoleamidopropyl Betaines, Sesamidopropyl Betaines, Soyamidopropyl Betaines, Stearamidopropyl Betaines, Stearyl Betaines, Tallowamidopropyl Betaines, Tallowamidopropyl Hydroxysultaine, Tallow Betaines, Tallow Dihydroxyethyl Betaines, Undecylenamidopropyl Betaines And Wheat Germamidopropyl Betaines.
Non-limiting examples of cationic surfactants may include quaternary ammonium surfactants, which can have up to 26 carbon atoms, for example alkoxylated quaternary ammonium (AQA) surfactants as described in US 6,136,769; dimethyl hydroxyethyl quaternary ammonium as described in US 6,004,922; dimethyl hydroxyethyl lauryl ammonium chloride; polyamine cationic surfactants as described in WO 98/35002, WO 98/35003, WO 98/35004, WO 98/35005, and WO 98/35006; cationic ester surfactants as described in US patents Nos. 4,228,042, 4,239,660 4,260,529 and US 6,022,844; and amino surfactants as described in US 6,221,825 and WO 00/47708, specifically amido propyldimethyl amine (APA) .
The compositions of the invention may comprise adjunct additives (also abbreviated herein as “adjuncts” ) , such adjuncts being preferably in addition to the surfactant as described hereinabove.
Suitable adjuncts may include builders, fatty acids and/or salts thereof, structurants, thickeners and rheology modifiers, clay/soil removal/anti-redeposition agents, polymeric soil release agents, dispersants such as polymeric dispersing agents, polymeric grease cleansing agents, solubilizing agents, amphiphilic copolymers, chelating agents, enzymes, enzyme stabilizing systems, encapsulated benefit agents such as encapsulated perfume, bleaching compounds, bleaching agents, bleach activators, bleach catalysts, catalytic materials, brighteners, malodor control agents, pigments, dyes, opacifiers, pearlescent agents, hueing agents, dye transfer inhibiting agents, fabric softeners, carriers, suds boosters, suds suppressors (antifoams) , color speckles, silver care, anti-tarnish and/or anti-corrosion agents, alkalinity sources, pH adjusters, pH-buffer agents, hydrotropes, scrubbing particles, anti-bacterial and anti-microbial agents, preservatives, anti-oxidants, softeners, carriers, fillers, solvents, processing aids, pro-perfumes, and perfumes.
In the context of the present invention, no distinction will be made between builders and such components elsewhere called “co-builders” . Examples of builders include complexing agents, ion-exchange compounds, dispersing agents, scale inhibiting agents and precipitating agents.
Builders may be selected from citrates, phosphates, silicates, carbonates, phosphonates, amino carboxylates and polycarboxylates.
Suitable citrates include mono-, di-and tri-alkali metal salts of citric acid, ammonium or substituted ammonium salts of citric acid, as well as citric acid. Citrates can be used as the anhydrous compound or as a hydrate, for example as trisodium citrate dihydrate. Any amount of citrates, when used, is calculated referring to anhydrous trisodium citrate.
Suitable phosphates include sodium metaphosphate, sodium orthophosphate, sodium hydrogenphosphate, sodium pyrophosphate and polyphosphates such as sodium tripolyphosphate. However, it is preferred that the compositions according to the invention is free from phosphates, polyphosphates, and hydrogenphosphates.
Suitable silicates include sodium disilicate and sodium metasilicate, aluminosilicates such as for example zeolites and sheet silicates, in particular those of the formula α-Na
2Si
2O
5, β-Na
2Si
2O
5, and δ-Na
2Si
2O
5.
Suitable carbonates include alkali metal carbonates and alkali metal hydrogen carbonates, preferably sodium salts.
Suitable phosphonates are hydroxyalkanephosphonates and aminoalkanephosphonates. Among the hydroxyalkanephosphonates, 1-hydroxyethane-1, 1-diphosphonate (HEDP) is of particular importance as the builder. It is preferably used as sodium salt, the disodium salt being neutral and the tetrasodium salt being alkaline (pH 9) . Suitable aminoalkanephosphonates are preferably ethylene diaminetetramethylenephosphonate (EDTMP) , diethylenetriaminepenta-methylenephosphonate (DTPMP) , and also their higher homologues. The phosphonates are preferably used in the form of the neutrally reacting sodium salts, e.g. as hexasodium salt of EDTMP or as hepta-and octa-sodium salts of DTPMP.
Suitable amino carboxylates and polycarboxylates are nitrilotriacetates, ethylene diamine tetraacetate, diethylene triamine pentaacetate, triethylenetetraamine hexaacetate, propylene diamine tetraacetic acid, ethanol-diglycines, methylglycine diacetate, and glutamine diacetate. The amino carboxylates and polycarboxylates are preferably used in the form of respective non-substituted or substituted ammonium salts and the alkali metal salts such as the sodium salts, in particular in respective fully neutralized salts form.
The compositions according to the invention may comprise an alkali carrier. The alkali carrier can ensure, for example, a pH of at least 9 if an alkaline pH is desired. Suitable alkali carriers are for example, alkali metal carbonates, alkali metal hydrogen carbonates, and alkali metal metasilicates, and alkali metal hydroxides. Preferably the alkali metal is potassium in each case, more preferably sodium. In the present invention, a pH >7 may also be adjusted by using amines, preferably alkanolamines, more preferably triethanolamine.
The compositions according to the present invention may comprise an enzyme, preferably a detergent enzyme.
In one embodiment, the enzyme is classified as an oxidoreductase (EC 1) , a transferase (EC 2) , a hydrolase (EC 3) , a lyase (EC 4) , an isomerase (EC 5) , or a ligase (EC 6) . The EC-numbering is according to Enzyme Nomenclature, Recommendations (1992) of the Nomenclature Committee of the International Union of Biochemistry and Molecular Biology including its supplements published 1993-1999. Preferably, the enzyme is a hydrolase (EC 3) .
The enzyme may be selected from proteases, amylases, lipases, cellulases, mannanases, hemicellulases, phospholipases, esterases, pectinases, lactases, peroxidases, xylanases, cutinases, pectate lyases, keratinases, reductases, oxidases, phenoloxidases, lipoxygenases, ligninases, pullulanases, tannases, pentosanases, malanases, beta-glucanases, arabinosidases, hyaluronidases, chondroitinases, laccases, nucleases, DNase, phosphodiesterases, phytases, carbohydrases, galactanases, xanthanases, xyloglucanases, oxidoreductase, perhydrolases, aminopeptidase, asparaginase, carbohydrase, carboxypeptidase, catalase, chitinase, cyclodextrin glycosyltransferase, alpha-galactosidase, beta-galactosidase, glucoamylase, alpha-glucosidase, beta-glucosidase, invertase, ribonuclease, transglutaminase, and dispersins, and combinations of at least two of the foregoing types. More preferably, the enzyme is selected from the group consisting of proteases, amylases, lipases, cellulases, mannanases, xylanases, DNases, dispersins, pectinases, oxidoreductases, and cutinases, and combinations of at least two of the foregoing types. Most preferably, the enzyme is a protease, preferably, a serine protease, more preferably, a subtilisin protease.
Preferably, the protease is a protease with at least 90%sequence identity to SEQ ID NO: 22 of EP1921147B1 and having the amino acid substitution R101E (according to BPN’ numbering) . Preferably, the amylase is an amylase with at least 90%sequence identity to SEQ ID NO: 54 of WO2021032881A1.
The composition of the present invention can comprise one type of enzyme or more than one enzyme of different types, e.g., an amylase and a protease, or more than one enzyme of the same type, e.g., two or more different proteases, or mixtures thereof, e.g., an amylase and two different proteases.
The enzyme, when present, may be present in the compositions according to the present invention in an amount sufficient to provide an effective amount for achieving a beneficial effect, preferably for primary washing effects and/or secondary washing effects, like antigreying or antipilling effects (e.g., in case of cellulases) . Preferably, the enzyme may be present in an amount of 0.00001%to 5%, preferably 0.00001%to 2%, more preferably 0.0001%to 1%, or even more preferably 0.001%to 0.5%enzyme protein based on the total weight of the compositions.
Preferably, an enzyme-containing compositions may further comprise an enzyme stabilizing system. The enzyme-containing composition may comprise 0.001%to 10%, 0.005%to 8%, or 0.01%to 6%of an enzyme stabilizing system, based on the total weight of the compositions. The enzyme stabilizing system can be any stabilizing system which is compatible with the enzyme.
Preferably, the enzyme stabilizing system comprises at least one compound selected from the group consisting of polyols (preferably, ethylene glycol, 1, 2-propanediol, 1, 3-propanediol, glycerol or sorbitol) , salts (preferably, CaCl
2, MgCl
2 or NaCl) , short chain (preferably, C
1-C
6) carboxylic acids or salts thereof (preferably, formic acid, formate (preferably, sodium formate) , acetic acid, acetate, or lactate) , borate, boric acid, boronic acids (preferably, 4-formyl phenylboronic acid (4-FPBA) ) , peptide aldehydes, peptide acetals, and peptide aldehyde hydrosulfite adducts. Preferably, the enzyme stabilizing system comprises a combination of at least two of the compounds selected from the group consisting of salts, polyols, and short chain carboxylic acids and preferably one or more of the compounds selected from the group consisting of borate, boric acid, boronic acids (preferably, 4-formyl phenylboronic acid (4-FPBA) ) , peptide aldehydes, peptide acetals, and peptide aldehyde hydrosulfite adducts. In particular, if proteases are present in the composition, protease inhibitors may be added, preferably selected from borate, boric acid, boronic acids (preferably, 4-FPBA) , peptide aldehydes (preferably, peptide aldehydes like Z-VAL-H or Z-GAY-H) , peptide acetals, and peptide aldehyde hydrosulfite adducts.
The compositions according to the invention may further comprise a bleaching agent, which is preferably selected from sodium perborate, anhydrous or as the monohydrate or as the tetrahydrate or as the so-called dihydrate, sodium percarbonate, anhydrous or as the monohydrate, and sodium persulfate.
The compositions according to the invention may further comprise a bleach catalyst, which is preferably selected from oxaziridinium-based bleach catalysts, bleach-boosting transition metal salts or transition metal complexes such as, for example, manganese-, iron-, cobalt-, ruthenium-or molybdenum-salen complexes or carbonyl complexes. Manganese, iron, cobalt, ruthenium, molybdenum, titanium, vanadium and copper complexes with nitrogen-containing tripod ligands and also cobalt-, iron-, copper-and ruthenium-amine complexes can also be used as bleach catalysts.
The compositions according to the invention can comprise a bleach activator, for example tetraacetyl ethylene diamine, tetraacetylmethylene diamine, tetraacetylglycoluril, tetraacetylhexylene diamine, acylated phenolsulfonates such as for example n-nonanoyl-or isononanoyloxybenzene sulfonates, N-methylmorpholinium-acetonitrile salts ( “MMA salts” ) , trimethylammonium acetonitrile salts, N-acylimides such as, for example, N-nonanoylsuccinimide, 1, 5-diacetyl-2, 2-dioxohexahydro-1, 3, 5-triazine ( “DADHT” ) or nitrile quats (trimethylammonium acetonitrile salts) .
The compositions according to the invention may comprise a corrosion inhibitor, for example selected from triazoles, in particular benzotriazoles, bisbenzotriazoles, aminotriazoles, alkylaminotriazoles, also phenol derivatives such as, for example, hydroquinone, pyrocatechol, hydroxyhydroquinone, gallic acid, phloroglucinol or pyrogallol.
The compositions according to the invention may comprise other cleansing polymers and/or soil release polymers and/or anti-graying polymers.
The additional cleansing polymers may include, without limitation, “multifunctional polyethylene imines” (for example BASF’s
HP20) and/or “multifunctional diamines” (for example BASF’s
HP96) .
Suitable multifunctional polyethylene imines are typically ethoxylated polyethylene imines with a weight-average molecular weight Mw in the range from 3,000 to 250,000, preferably 5,000 to 200,000, more preferably 8,000 to 100,000, more preferably 8,000 to 50,000, more preferably 10,000 to 30,000, and most preferably 10,000 to 20,000 g/mol. Suitable multifunctional polyethylene imines have 80 wt%to 99 wt%, preferably 85 wt%to 99 wt%, more preferably 90 wt%to 98 wt%, most preferably 93 wt%to 97 wt%or 94 wt%to 96 wt%ethylene oxide side chains, based on the total weight of the materials. Ethoxylated polyethylene imines are typically based on a polyethylene imine core and a polyethylene oxide shell. Suitable polyethylene imine core molecules are polyethylene imines with a weight-average molecular weight Mw in the range of 500 to 5,000 g/mol. Preferably employed is a molecular weight from 500 to 1,000 g/mol, even more preferred is a Mw of 600 to 800 g/mol. The ethoxylated polymer then has on average 5 to 50, preferably 10 to 35 and even more preferably 20 to 35 ethylene oxide (EO) units per NH-functional group.
Suitable multifunctional diamines are typically ethoxylated C
2-C
12-alkylene diamines, preferably hexamethylene diamine, which are further quaternized and optionally sulfated. Typical multifunctional diamines have a weight-average molecular weight Mw in the range from 2,000 to 10,000, more preferably 3,000 to 8,000, and most preferably 4,000 to 6,000 g/mol. Particularly, ethoxylated hexamethylene diamine, furthermore quaternized and sulfated, may be employed, which contains on average 10 to 50, preferably 15 to 40 and even more preferably 20 to 30 ethylene oxide (EO) groups per NH-functional group, and which preferably bears two cationic ammonium groups and two anionic sulfate groups.
Suitable anti-graying polymers include copolymers of acrylic or maleic acid and styrene, graft polymers of acrylic acid onto maltodextrin or carboxymethylated cellulose and their alkali metal salts, in particular sodium salts thereof.
The compositions according to the present invention may also comprise a complexing agent, which is preferably selected from methylglycinediacetic acid (MGDA) and glutamic acid diacetic acid (GLDA) and salts thereof. MGDA and GLDA may be present as racemate or as enantiomerically pure compounds. GLDA is preferably selected from L-GLDA or enantiomerically enriched mixtures of L-GLDA in which at least 80 mol%, preferably at least 90 mol%, of L-GLDA is present. Suitable salts ara ammonium salts and alkali metal salts, particularly preferably potassium and in particular sodium salts.
The compositions according to the present invention may also comprise an antimicrobial agent and/or preservative. An antimicrobial agent is a chemical compound that kills microorganisms or inhibits their growth or reproduction. Microorganisms can be bacteria, yeasts or molds. A preservative is an antimicrobial agent which may be added to aqueous products and compositions to maintain the original performance, characteristics and integrity of the products and compositions by killing contaminating microorganisms or inhibiting their growth. Examples of preservatives ara as listed on pages 35 to 39 in patent application WO2021/115912 A1.
Especially of interest are the following antimicrobial agents and/or preservatives:
● 4, 4’-Dichloro-2-hydroxydiphenyl ether (Synonyms: 5-chloro-2- (4-chlorophenoxy) phenol, Diclosan, DCPP) ;
● 2-Phenoxyethanol (Synonyms: Phenoxyethanol, Methylphenylglycol, Phenoxetol, ethylene glycol phenyl ether, Ethylene glycol monophenyl ether, 2- (phenoxy) ethanol, 2-phenoxy-1-ethanol) ;
● 2-Bromo-2-nitropropane-1, 3-diol (Synonyms: 2-bromo-2-nitro-1, 3-propanediol, Bronopol) ;
● glutaraldehyde (Synonyms: 1, 5-pentandial, pentane-1, 5-dial, glutaral, glutardialdehyde) ;
● Glyoxal (Synonyms: ethandial, oxylaldehyde, 1, 2-ethandial) ;
● 2-Butyl-benzo [d] isothiazol-3-one (BBIT) ;
● 2-Methyl-2H-isothiazol-3-one (MIT) ;
● 2-Octyl-2H-isothiazol-3-one (OIT) ;
● 5-Chloro-2-methyl-2H-isothiazol-3-one (CIT or CMIT) ;
● Mixture of 5-chloro-2-methyl-2H-isothiazol-3-one (CMIT) and 2-methyl-2H-isothiazol-3-one (MIT) (Mixture of CMIT/MIT) ;
● 1, 2-benzisothiazol-3 (2H) -one (BIT) ;
● Hexa-2, 4-dienoic acid (trivial name “sorbic acid” ) and its salts, e.g., calcium sorbate, sodium sorbate; potassium (E, E) -hexa-2, 4-dienoate (Potassium Sorbate) ;
● Lactic acid and its salts; L- (+) -Iactic acid; especially sodium lactate;
● Benzoic acid and salts of benzoic acid, e.g., sodium benzoate, ammonium benzoate, calcium benzoate, magnesium benzoate, MEA-benzoate, potassium benzoate;
● Salicylic acid and its salts, e.g., calcium salicylate, magnesium salicylate, MEA salicylate, sodium salicylate, potassium salicylate, TEA salicylate;
● Benzalkonium chloride, benzalkonium bromide, benzalkonium saccharinate;
● Didecyldimethylammonium chloride (DDAC) ;
● N- (3-aminopropyl) -N-dodecylpropane-1, 3-diamine (Diamine) ;
● Peracetic acid; and
● Hydrogen peroxide.
The compositions according to the invention may comprise the at least one antimicrobial agent or preservative in an amount of 0.0001 to 10%, based on the total weight of the compositions.
Preferably, the compositions according to the invention may comprise 2-phenoxyethanol in an amount of 2 ppm to 5%, preferably 0.1%to 2%, or 4, 4’-dichloro 2-hydroxydiphenyl ether (DCPP) in an amount of 0.001%to 3%, preferably 0.002%to 1%, more preferably 0.01%to 0.6%, based on the total weight of the compositions.
Preferably, the compositions according to the invention may comprise 4, 4’-dichloro-2-hydroxydiphenylether, preferably in an amount of 0.001 to 3%, preferably 0.002 to 1%, more preferably 0.01 to 0.6%, based on the total weight of the compositions.
The compositions according to the invention may also comprise water and/or additional organic solvents, e.g., ethanol or propylene glycol, and/or fillers such as sodium sulfate.
Further optional ingredients may include, but are not limited to, viscosity modifiers, cationic surfactants, foam boosting or foam reducing agents, perfumes, dyes, optical brighteners, and dye transfer inhibiting agents.
In the fourth aspect, the present invention provides a method of preserving an aqueous cleansing composition comprising the copolymer as described herein against microbial contamination or growth, which includes adding 2-phenoxyethanol in the detergent composition.
In the fifth aspect, the present invention provides a method of cleansing a fabric or a hard surface, which includes an antimicrobial treatment of the fabric or the hard surface with a cleansing composition comprising the copolymer as described herein and 4, 4’-dichloro-2-hydroxydiphenylether.
Aspects of the present invention will be more fully illustrated by the following examples, which are set forth to illustrate certain aspects of the present invention and are not to be construed as limiting thereof.
Examples
Materials:
NVP: N-Vinylpyrrolidinone, Sigma-Aldrich, 98.0%.
NVI: N-vinyl imidazole, Sigma-Aldrich, 99.0%.
Recrystallized AIBN: 2’-azobis (isobutyronitrile) , Sigma-Aldrich.
MTC: 2-methylene-1, 3, 6-trioxocane, which was prepared by the process as described hereinbelow.
BMDO: 5, 6-benzo-2-methylene-1, 3-dioxepane, which was prepared by the process as described hereinbelow.
PEG monocarboxylic acid polyester: polyester of PEG-600 monocarboxylic acid, which was prepared by the process as described hereinbelow.
I. Preparation of Starting Materials
1. Preparation of MTC
Step 1.1 Synthesis of 2- (bromomethyl) -1, 3, 6-trioxocane
Diethylene glycol (Sigma-Aldrich, 98.0%, 126.8 g, 1.20 mol) , bromoacetaldehyde dimethylacetal (Sigma-Aldrich, 99.0%, 202.0 g, 1.20 mol) were mixed as a stock solution. Dioxane (Sigma-Aldrich, 98.0%, 330 g) and p-toluenesulfonic acid (Sigma-Aldrich, 98.0%, 1.14 g, 10 mmol) were added to a pre-dried three-neck flask fitted with a Claisen bridge and dropping funnel for collecting methanol, and heated to a temperature of 100 ℃, with the stock solution being added dropwise over 5 h under nitrogen. Methanol was removed while keeping effectively recycling dioxane. When almost the calculated amount of methanol was collected, the temperature was raised to 120 ℃ under a reduced pressure. After cooling to room temperature, the crude product was dissolved in CHCl
2 and washed with a NaHCO
3 solution and water. The solution was then dried over MgSO
4, concentrated, and distilled under a reduced pressure to give 110.0 g product, which was solidified into white crystals.
Step 1.2 Synthesis of MTC from 2- (bromomethyl) -1, 3, 6-trioxocane
2- (Bromomethyl) -1, 3, 6-trioxocane (110.0 g, 0.52 mol) was dissolved in 600 mL THF (Sigma-Aldrich, 98.0%) in a round-bottom flask. The flask was placed in an ice bath at 0 ℃ before t-BuOK (Sigma-Aldrich, 95.0%, 65.1 g, 0.68 mol) was slowly added over 6 h. The mixture was allowed to thaw to room temperature and continue to react under nitrogen for 24 h. Then the reaction mixture was poured into 2 L of diethyl ether. The insoluble material was removed by passing through Al
2O
3. The diethyl ether was removed, and the crude liquid was distilled under a reduced pressure to give a colorless liquid (30.0 g) .
2. Preparation of BMDO
Step 2.1: Synthesis of 5, 6-benzo-2- (bromomethyl) -1, 3-dioxepane
1, 2-benzenedimethanol (Sigma-Aldrich, 99.0%, 147.1 g, 1.06 mol) , bromoacetaldehyde dimethylacetal (Sigma-Aldrich, 99.0%, 180.0 g, 1.06 mol) were mixed as a stock solution. Dioxane (Sigma-Aldrich, 98.0%, 330 g) and p-toluenesulfonic acid (Sigma-Aldrich, 98.0%, 1.01 g, 10 mmol) were added to a pre-dried three-neck flask fitted with a Claisen bridge and dropping funnel for collecting methanol, and heated to a temperature to 100 ℃, with the stock solution dropwise being added over 5 h under nitrogen. Methanol was removed while keeping effectively recycling dioxane. When almost the calculated amount of methanol was collected, the temperature was raised to 120 ℃ under a reduced pressure. After cooling to room temperature, the crude product solidified. The product was dissolved in CHCl
2 and washed with a NaHCO
3 solution and water. The solution was then dried over MgSO
4, concentrated, and recrystallized in a mixture of chloroform and n-hexane to give 180.0 g of pale-yellow crystals.
Step 2.2: Synthesis of BMDO from 5, 6-benzo-2- (bromomethyl) -1, 3-dioxepane
A mixture of 5, 6-benzo-2- (bromomethyl) -1, 3-dioxepane (180.0 g, 0.74 mol) , t-BuOK (Sigma-Aldrich, 95.0%, 92.5 g, 0.96 mol) and 800 mL t-BuOH (Sigma-Aldrich, 98.0%) were added into a round-bottom flask and allowed to react under nitrogen at 80 ℃ for 24 h. After cooling to room temperature, the reaction mixture was poured into 2 L of diethyl ether. The insoluble material was removed by passing through Al
20
3. The diethyl ether was removed, and the crude liquid was distilled under reduced pressure to give a colorless liquid which solidified to white crystals (92.0 g) .
3. Preparation of PEG monocarboxylic acid polyester
Step 3.1 Synthesis of PEG-600 monocarboxylic acid
Platinum on charcoal (BASF Rome, 5.0 wt%Pt on C, water content of 59.7 wt%, 283 g, 29.2 mmol Pt) was suspended in a mixture of polyethylene glycol (Mn = 600) (1750 g, 2.92 mol) and water (4083 mL) , heated to 53 ℃ and stirred at 800 rpm. Oxygen was passed through the stirred mixture (20 mL/h) via a glass tube, equipped with a glass frit and the temperature was allowed to rise to 60 ℃. Oxygen dosage and temperature were maintained for the following 8 hours and 30 minutes and then oxygen dosage was stopped and the mixture was allowed to cool down to room temperature. Solids were separated from the liquid phase by filtration and the filter cake was washed with 500 mL of warm water. The washing water was mixed with the filtrate. Water was removed from the liquid mixture by distillation over a wiped film evaporator (overall height: 87.2 cm, diameter: 3.54 cm, wiped height: 43 cm, feed: 4.0 mL /min, 44 ℃, 18 mbar, 600 rpm) . The sump product (1812 g) from the wiped film evaporator contained 2.7 wt%water (determined by Karl-Fischer titration) and the conversion was determined by means of the acid number (91 mg KOH/g) .
Step 3.2 Synthesis of PEG-600 monocarboxylic acid polyester
PEG-600 monocarboxylic acid (100.0 g, 98%, with 2%water) was mixed with zinc octanoate (0.4 g) and heated for 48 hours under a vacuum of 100 mbar at 135 ℃.
II. Preparation and Characterization of Copolymers
Example 1: Preparation of copolymer of MTC and NVP (abbreviated as poly (MTC-NVP) )
m = 1 on average, and n = 3 on average Recrystallized AIBN (38 mg, 0.23 mmol) and MTC (1.5 g, 11.5 mmol) were dissolved in anhydrous dioxane (4.5 g) in a vial and degassed with dry nitrogen for 30 minutes before merging the vial into an oil bath at 80 ℃. Meanwhile, recrystallized AIBN (38 mg, 0.23 mmol) in dioxane (0.6 g) was dosed over 3 hours and NVP (3.8 g, 34.6 mmol) in dioxane (6.2 g) was dosed over 5 hours. The polymerization was allowed to continue for another hour before quenching by placing the vial into an ice bath. The polymerization solution was precipitated in diethyl ether. The precipitate was redissolved in dichloromethane and then precipitated in diethyl ether. The process of redissolution and precipitation was carried out three times to remove the residual reactants. The resultant polymer powder was then dried under vacuum overnight.
Example 2: Preparation of copolymer of BMDO and NVP (abbreviated as poly (BMDO-NVP) )
m = 1 on average, and n = 3 on average Recrystallized AIBN (34 mg, 0.20 mmol) and BMDO (1.7 g, 10.4 mmol) were dissolved in anhydrous dioxane (2.5 g) a vial and degassed with dry nitrogen for 30 minutes before merging the vial into an oil bath at 80 ℃. Meanwhile, AIBN (34 mg, 0.20 mmol) in dioxane (0.6 g) was dosed over 3 hours and NVP (3.5 g, 31.2 mmol) in dioxane (1.5 g) was dosed over 5 hours. The polymerization was allowed to continue for another hour before quenching by placing the vial into an ice bath. The polymerization solution was precipitated in diethyl ether. The precipitate was redissolved in dichloromethane and then precipitated in diethyl ether. The process of redissolution and precipitation was carried out three times to remove the residual reactants. The resultant polymer powder was then dried under vacuum overnight.
Example 3: Preparation of copolymer of MTC and NVI (abbreviated as poly (MTC-NVI) )
m = 1 on average, and n = 3 on average Recrystallized AIBN (38 mg, 0.23 mmol) and MTC (1.5 g, 11.5 mmol) were dissolved in anhydrous dioxane (4.5 g) a vial and degassed with dry nitrogen for 30 minutes before merging the vial into an oil bath at 80 ℃. Meanwhile, recrystallized AIBN (38 mg, 0.23 mmol) in dioxane (0.6 g) was dosed over 3 hours and N-vinyl imidazole (NVI, 3.3 g, 34.6 mmol) in dioxane (6.2 g) was dosed over 5 hours. The polymerization was allowed to continue for another hour before quenching by placing the vial into an ice bath. The polymerization solution was precipitated in diethyl ether. The precipitate was redissolved in dichloromethane and then precipitated in diethyl ether. The process of redissolution and precipitation was carried out three times to remove the residual reactants. The resultant polymer powder was then dried under vacuum overnight.
Example 4: Preparation of copolymer of BMDO and NVI (abbreviated as poly (BMDO-NVI) )
m = 1 on average, and n = 3 on average Recrystallized AIBN (34 mg, 0.20 mmol) and BMDO (1.7 g, 10.4 mmol) were dissolved in anhydrous dioxane (2.5 g) a vial and degassed with dry nitrogen for 30 minutes before merging the vial into an oil bath at 80 ℃. Meanwhile, recrystallized AIBN (34 mg, 0.20 mmol) in dioxane (0.6 g) was dosed over 3 hours and NVI (3.3 g, 34.6 mmol) in dioxane (1.4 g) was dosed over 5 hours. The polymerization was allowed to continue for another hour before quenching by placing the vial into an ice bath. The polymerization solution was precipitated in diethyl ether. The precipitate was redissolved in dichloromethane and then precipitated in diethyl ether. The process of redissolution and precipitation was carried out three times to remove the residual reactants. The resultant polymer powder was then dried under vacuum overnight.
Example 5: Preparation of poly (MTC-NVP) having PEG-carbonyl segments inserted into MTC ester units by transesterification (abbreviated as poly [ (MTC-NVP) -EO] )
In a vial, the poly (MTC-NVP) (2 g) as prepared in Example 1, the PEG monocarboxylic acid polyester (2 g) and zinc octanoate (0.08 g) were mixed. The mixture was purged by nitrogen for 30 min before heating up to 120 ℃. The transesterification was allowed to continue for 6 hours before cooling down to room temperature, yielding a viscous liquid. The obtained transesterification product contains a moiety of G inserted between -C (O) -and -O-in the ester bond -C (O) -O-in the MTC monomeric units, and the moiety of G is of formula
*-OCH
2CH
2 (O-CH
2CH
2)
11-CH
2C (O) -
**in which
*refers to the bond to -C (O) -and
**refers to the bond to -O-.
Example 6: Preparation of poly (MTC-NVP) having PEG-carbonyl segments inserted into MTC ester units by transesterification (abbreviated as poly [ (MTC-NVP) -EO] )
The preparation was carried out in the same manner as in Example 5, with the exception that 3 g of the PEG monocarboxylic acid polyester was used.
Example 7: Preparation of poly [ (BMDO-NVP) having PEG-carbonyl segments inserted into BMDO ester units by transesterification (abbreviated as poly [ (BMDO-NVP) -EO] )
In a vial, poly (BMDO-NVP) (2 g) as prepared in Example 2, the PEG monocarboxylic acid polyester (2 g) and zinc octanoate (0.08 g) were mixed. The mixture was purged by nitrogen for 30 min before heating up to 120 ℃. The transesterification was allowed to continue for 6 hours before cooling down to room temperature, yielding a viscous liquid. The obtained transesterification product contains a moiety of G inserted between -C (O) -and -O-in the ester bond -C (O) -O-in the BMDO monomeric units, and the moiety of G is of formula
*-OCH
2CH
2 (O-CH
2CH
2)
11-CH
2C (O) -
**in which
*refers to the bond to -C (O) -and
**refers to the bond to -O-.
Example 8: Preparation of poly [ (BMDO-NVP) having PEG-carbonyl segments inserted into BMDO ester units by transesterification (abbreviated as poly [ (BMDO-NVP) -EO] )
The preparation was carried out in the same manner as in Example 7, with the exception that 3 g of the PEG monocarboxylic acid polyester was used.
Example 9: Preparation of copolymer of poly (MTC-NVP) and poly (MTC-NVI) by transesterification (abbreviated as poly (MTC-NVP-NVI)
In a vial, poly (MTC-NVP) as prepared in Example 1 (4 g) , poly (MTC-NVI) as prepared in Example 3 (1 g) and zinc octanoate (0.1 g) were mixed. The mixture was purged by nitrogen for 30 min before heating up to 120 ℃. The transesterification was allowed to continue for 6 hours before cooling down to room temperature, yielding a viscous liquid as the resultant block copolymer. The obtained transesterification product contains blocks of NVP and blocks of NVI which are linked by ester linking units derived from MTC.
Example 10: Preparation of copolymer of poly (BMDO-NVP) and poly (BMDO-NVI) by transesterification (abbreviated as poly (BMDO-NVP-NVI)
In a vial, poly (BMDO-NVP) as prepared in Example 2 (4 g) , poly (BMDO-NVI) as prepared in Example 4 (1 g) and zinc octanoate (0.1 g) were mixed. The mixture was purged by nitrogen for 30 min before heating up to 120 ℃. The transesterification was allowed to continue for 6 hours before cooling down to room temperature, yielding a viscous liquid as the resultant block copolymer. The obtained transesterification product contains blocks of NVP and blocks of NVI which are linked by ester linking units derived from BMDO.
Example 11: Preparation of graft copolymer of PEG with poly (MTC-NVP) (abbreviated as poly [EO
1k-g- (MTC-r-NVP) ] )
MTC (1.5 g, 11.5 mmol) were dissolved in polyethylene glycol (Mn = 1,000, 5.64 g) in a vial and degassed with dry nitrogen for 30 minutes before merging the vial into an oil bath at 100 ℃. Meanwhile, tert-Butyl peroxy-2-ethylhexanoate (300 mg, 1.4 mmol) and NVP (3.8 g, 34.6 mmol) were dosed over 5 hours. The polymerization was allowed to continue for another hour before quenching by placing the vial into an ice bath. The polymerization solution was precipitated in diethyl ether. The precipitate was redissolved in dichloromethane and then precipitated in diethyl ether. The process of redissolution and precipitation was carried out three times to remove the residual reactants. The resultant polymer powder was then dried under vacuum overnight.
Example 12: Preparation of graft copolymer of PEG with poly (MTC-NVP) (abbreviated as poly [EO
sk-g- (MTC-r-NVP) ] )
MTC (1.5 g, 11.5 mmol) were dissolved in polyethylene glycol (Mn = 5,000, 5.64 g) and degassed with dry nitrogen for 30 minutes before merging into an oil bath at 100 ℃. Meanwhile, tert-Butyl peroxy-2-ethylhexanoate (300 mg, 1.4 mmol) and NVP (3.8 g, 34.6 mmol) were dosed over 5 hours. The polymerization was allowed to continue for another hour before quenching by placing the vial into an ice bath. The polymerization solution was precipitated in diethyl ether. The precipitate was redissolved in dichloromethane and then precipitated in diethyl ether. The process of redissolution and precipitation was carried out three times to remove the residual reactants. The resultant polymer powder was then dried under vacuum overnight.
Example 13: Preparation of graft copolymer of PEG with poly (BMDO-NVP) (abbreviated as poly [EO
1k-g- (BMDO-r-NVP) ] )
The preparation was carried out in the same manner as in Example 11 with the exception that BMDO (1.86 g, 11.5mmol) was used instead of MTC.
Example 14: Preparation of a mixture of poly (BMDO-NVP) and PEG monocarboxylic acid polyester
A copolymer of BMDO and NVP (poly (BMDO-NVP) ) as prepared in Example 2 and a PEG monocarboxylic acid polyester at a weight ratio of 40∶ 60 were dissolved in water to provide the mixture.
Characterization
The parental copolymers (i.e., unmodified copolymers) before transesterification were characterized by Gel Permeation Chromatography (GPC) to obtain the molecular weight and distribution. The degree of polymerization (DP) ratio between the cyclic ketene acetal and the comonomer was calculated from
1H NMR. Copolymer sequence was characterized by backbone ester alkaline degradation experiment and subsequent mass spectrometry.
The polymers after transesterification were also characterized by GPC. The formation of multi-block copolymer structures, instead of polymer mixtures, was confirmed by the disappearance of the polymer peaks from the parental copolymers before transesterification and the appearance of the new polymer peak with unimodal-distribution and a broadened dispersity
Additionally, the multi-block copolymers were also characterized with Diffusion Ordered Spectroscopy (DOSY) , which relates to the chemical shifts of NMR resonances to their translational diffusion coefficient. The functional groups derived from the parental copolymers, including the ester bond from the cyclic ketene acetal and the heterocycles from NVP or NVI, exhibit similar diffusion coefficients, indicating that the blocks of the comonomers NVP or NVI are covalently bonded. The structural characterization results are summarized in Table 1.
Table 1
Ref. = Reference Example;
Inv. = Inventive Example;
Comp. = Comparative Example
The weight proportion of PEG-carbonyl segment moieties in the copolymers of Examples 5 and 7 as well as the graft copolymers of Examples 11 to 13 are all 50%. Therefore, the test comparison of the four Examples demonstrates the effect from polymer architectures, either multi-block linear copolymers or graft copolymers, on their application performance and biodegradability.
III. Performance Evaluation
III. 1 Anti-Adhesive Effect
The anti-adhesive properties of the copolymers as synthesized were evaluated using Quartz-Crystal Microbalance (QCM) characterization technique, which detects the kinetics of mass adsorption and allows to precisely monitor the coating process. The adsorbed copolymers according to the present invention in form of layer exhibit protein and cell-repellent properties, leading to a biologically inert surface on different kinds of fabrics.
The surface adsorption (SA) was determined by a Quartz-Crystal Microbalance with dissipation monitoring (QCM-D, a special embodiment of the QCM method) which measures the resonance frequency of a freely oscillating quartz crystal after excitation. The shift in resonance frequency scales inversely proportionally with mass changes at the quartz surface. The SA was calculated from the shift of the 7
th overtone of the resonance frequency according to the method of Sauerbrey. The Q-Sense Pro (Biolin Scientific Holding AB) operating system has a mass sensitivity of about 2 ng/cm
2. The QCM measurements were performed using standard flow-through methods with a flow rate of 20 μL/min at 23 ℃. A typical experiment comprised the following steps: Immersing the quartz plate in 1) a solution of 10 mmol/L of 4- (2-hydroxyethyl) -1-piperazineethanesulfonic acid (HEPES) in water with pH 7 (= “buffer” ) until a stable baseline was achieved; 2) in a solution of 0.1wt%polymer in buffer for 2 h; 3) in buffer for 2 h; 4) in a solution of 0.1wt%Skin milk powder in buffer for 0.5 h; 5) in buffer for 0.5 h. The mass change after polymer coating process and after Skin milk powder absorption amounts are summarized in Table 2.
Table 2
It can be seen, the copolymers according to the present invention exhibit excellent anti-adhesive property as indicated by the Iow protein absorption amounts. The anti-adhesive property of the copolymers according to the present invention is much better than that of corresponding graft copolymers derived from same comonomers, and comparable to that of the parental copolymers (i.e., unmodified copolymers before transesterification) , while have significantly improved biodegradability compared with the corresponding graft copolymers and parental copolymers as discussed hereinbelow. It was also found that the simple polymer mixture of Example 14 having the weight ratio between BMDO, NVP and PEG moieties same as that in the copolymer of Example 8 showed a similar polymer adsorption efficiency, yet worse anti-adhesive property.
III. 2 Dye-Transfer Inhibition Performance
Fabrics made of cotton were washed using a liquid detergent as shown in Table 3 containing a polymer additive (1 wt%) as shown in Table 4 at 40 ℃ in the presence of C.I. Direct Red 83.1 (1 wt%, based on the weight of the detergent formulation) . After the washing cycle as shown in Table 5, the fabrics were rinsed and dried. In order to evaluate the dye-transfer inhibition effect, the fabric whiteness before and after washing was determined by photometric measurement of the reflectance using an Elrepho 2000 photometer (Datacolor) at a wavelength of 650 nm. The test results for dye-transfer inhibiting effect are summarized in Table 4.
Table 3
| lngredients | [%by weight] |
| LAS (linear alkylbenzene sulfonate) | 6 |
| AEO (C 12/C 14 fatty alCohol (7EO) ) | 24 |
| Sodium Citrate | 0.5 |
| Ethanol | 1.5 |
| Propylene GlyCol | 5.0 |
| Polymer Additive | 1.0 |
| Deion ized Water | Add to 100 |
LAS: Disponil LDBS 5, Commercially available from BASF;
AEO: Lutensol A7N, Commercially available from BASF
Table 4
| Polymer additive | Whiteness decrease |
| Blank | 16.5 |
| Sokalan HP K 30 * | 10.5 |
| Example 1 (Ref. ) | 10.3 |
| Example 3 (Ref. ) | 10.1 |
| Example 5 (I nv. ) | 10.8 |
| Example 6 (Inv. ) | 11.1 |
| Example 9 (Inv. ) | 10.1 |
| Example 11 (Comp. ) | 10.7 |
| Example 12 (Comp. ) | 12.6 |
*alkoxylated polyethyleneimine (PEI) , commercially available from BASF
Table 5
| Machine Type | Launder-o-meter, 120 rpm |
| Washing Liquor/g | 200 |
| Detergent/ [g/L] | 3 g/L |
| Hard Water/ [mg CaCO 3/L] | 250 ppm |
| Ca: Mg Ratio | 3∶ 2 |
| Fabric Type | Polyester woven WFK 30A, Cotton knitted WFK 80A |
| Fabric Size/cm*cm | 6*6 |
| Washing Time/min | 30 |
| Washing Temp. /℃ | 30 (1 st cycle) , 80 (2 nd cycle) |
| Washing Cycle | 2 |
| Washing Repeat | 1 |
| Rinsing Condition | Tap water directly |
| Dry Condition | Oyen 2 h, 50℃ |
| Fabric Measurement | 2 nd cycle |
II. 3 Biodegradability
The biodegradability of the copolymers was evaluated by the assay of enzymatic degradability. Enzymes can catalyze hydrolysis of ester bonds into an alcohol and an acid. The acid produced by hydrolysis will lower the pH of the solution, which can be monitored by a pH-sensitive indicator. This method is based on a publication by Tokiwa (Hydrolysis of polyesters by lipases. Nature, 1977, 270, 76-78. ) . The pH shift is monitored by the absorbance change of bromothymol blue (pKs = 7.1) from 615 nm (blue) to 433 nm (yellow) . By measuring both wavelengths in the beginning and over the course of the experiment, small changes can be monitored. By evaluating the ratio of these values of absorbance (433 nm/615 nm) rather than measuring the absolute values, the contribution of scattered light which can arise from undissolved polymer and/or aggregation during the experiment can be reduced. All samples are measured as triplicates to account for pipetting errors. Autohydrolysis (spontaneous hydrolysis in water) of the tested polymers was also tested as control trials without the addition of enzymes. A 5 % (w/v) aqueous copolymer solution was prepared in a test tube. A 0.6 mg/mL cutinase solution was prepared by dissolving the enzyme in a solution consisting of 50%1x PBS buffer (100 mM sodium phosphate buffer) and 50%glycerol and then added to the test tube. 1 mg/mL bromothymol blue (BTB) solution was used as indicator. A 6000 μL of reaction solution was prepared by mixing 0 μL (control) or 240 μL of the cutinase solution, 600 μL of a PBS buffer (100 mM) , 1200 μL of the BTB solution, and balance of water.
The solution was shaken reciprocally at 30 ℃. The results are summarized in Table 6.
Table 6
1) AV= Average; 2) SD = Standard Deviation
Biodegradation in wastewater was also tested in triplicate using the OECD 301F manometric respirometry method. 30 mg/mL test substance was inoculated into wastewater taken from Mannheim Wastewater Treatment Plant and incubated in a closed flask at 25℃ for 28 days. The consumption of oxygen during this time is measured as the change in pressure inside the flask using an OxiTop C (WTW) . Evolved CO2 is absorbed using an NaOH solution. The amount of oxygen consumed by the microbial population during biodegradation of the test substance, after correction using a blank, is expressed as a percentage of the ThOD (Theoretical Oxygen Demand) . The percentage indicates the biodegradation extent. The test results are summarized in Table 7.
Table 7
| Examples | 28 days (%) | 56 days (%) |
| 1 (Ref. ) | 8 | 10 |
| 2 (Ref. ) | 5 | 10 |
| 5 (Inv. ) | 60 | 65 |
| 6 (Inv. ) | 65 | 70 |
| 7 (Inv. ) | 60 | 60 |
| 8 (Inv. ) | 65 | 65 |
| 11 (Comp. ) | 35 | 40 |
| 12 (Comp. ) | 1 5 | 20 |
It can be seen that the copolymers according to the present invention have significantly improved biodegradability compared with the corresponding graft copolymers (Examples 11 and 12) and parental copolymers (Examples 1 and 2) .
II. 4 Compatibility with Biocide in a Liquid Laundry Formulation
Liquid laundry detergent formulations were prepared, which comprises 1%by weight of the copolymers according to the present invention as shown in Table 8, optionally 0.3 %of the biocide
HP 100 or 1%phenoxyethanol. The formulations were prepared by first preparing a premix containing surfactants, solvents, fatty acid, citric acid and NaOH, as shown in Table 8, and water up to 90%. This premix was prepared by adding all components to the appropriate amount of water and stirring at room temperature. Subsequently, the pH was set to pH=8.5 using NaOH. Then the final formulations were prepared by stirring at room temperature: 90%of this premix, the appropriate concentrations of the copolymer, optionally
HP 100 or 2-phenoxyethanol, and water up 100%. For the purpose of comparison, a standard liquid detergent formulation neither containing a copolymer of the invention nor a biocide was prepared. All amounts indicated in Table 8 are provided as active ingredients.
Materials:
AEO: C
12/C
14 fatty alcohol (7EO) (BASF Product)
AES: Alcohol Ethoxysulfate (BASF Product)
LAS: Linear alkylbenzene sulfonate (BASF Product)
Coco fatty acid: Edenor K12-18 (Emery Oleochemicals)
HP 100: commercial product containing 30%of the antimicrobial active 4, 4’-dichoro 2-hydroxydiphenylether (BASF Product)
Claims (24)
- A copolymer, which comprises- ester linking units containing a moiety of -C (O) -O-, which have been derived from a cyclic ketene acetal via radical ring-opening polymerization and optionally interrupted by a polyoxyalkylene-carbonyl segment between the carbonyl “-C (O) -” and the oxygen “-O-” of the moiety of -C (O) -O-,- blocks derived from one or more ethylenically unsaturated comonomers, which are linked by the ester linking units containing a moiety of -C (O) -O-,provided that the ester linking units containing a moiety of -C (O) -O-are interrupted by the polyoxyalkylene-carbonyl segment between the carbonyl “-C (O) -” and the oxygen “-O-” of the moiety of -C (O) -O-when the blocks are derived from one ethylenically unsaturated comonomer.
- The copolymer according to claim 1, which comprises- ester linking units containing a moiety of -C (O) -O-, which have been derived from a cyclic ketene acetal via radical ring-opening polymerization and interrupted by a polyoxyalkylene-carbonyl segment between the carbonyl “-C (O) -” and the oxygen “-O-” of the moiety of -C (O) -O-, and- blocks derived from one or more, preferaly one, ethylenically unsaturated comonomers, which are linked by the ester linking units containing a moiety of -C (O) -O-.
- The copolymer according to claim 1 or 2, wherein the polyoxyalkylene-carbonyl segment is represented by a general formula of*-O-R- [O-R] m- [O-R 1] n- [O-R 2] o-O-R 3-C (O) -** (I)whereinR, R 1 and R 2 are independently of one another, a linear or branched C 2-12-alkylene, provided that any two of R, R 1 and R 2 in adjacent blocks are different from each other,R 3 is a linear or branched C 1-11-alkylene,m is a number of 1 or higher,n and o are independently of one another, a number of 0 or higher,* represents the bond to the carbonyl “-C (O) -” of the moiety of -C (O) -O-in the interrupted ester linking units, and** represents the bond to the oxygen “-O-” of the moiety of -C (O) -O-in the interrupted ester linking units.
- The copolymer according to any of preceding claims, wherein the polyoxyalkylene-carbonyl segment is a polyoxyethylene-carbonyl segment of formula (I) in which R is ethylene, n and o are zero and R 3 is -CH 2-, or a polyoxypropylene-carbonyl segment of formula (I) in which R is 1, 2-propylene, n and o are zero and R 3 is 1, 1-ethylene.
- The copolymer according to any of preceding claims, wherein the polyoxyalkylene-carbonyl segment have a number average molecular weight (Mn) in the range of 400 to 1500, preferably 400 to 1200, more preferably 400 to 800.
- The copolymer according to claim 1, which comprises- ester linking units containing a moiety of -C (O) -O-, which have been derived from a cyclic ketene acetal via radical ring-opening polymerization and not interrupted between the carbonyl “-C (O) -” and the oxygen “-O-” of the moiety of -C (O) -O-, andblocks derived from two or more, preferaly two, ethylenically unsaturated comonomers, which are linked by the ester linking units containing a moiety of -C (O) -O-.
- The copolymer according to any of preceding claims, wherein the cyclic ketene acetal is selected from the group consisting of 2-methylene-1, 3-dioxepane of formula (III) , 5, 6-benzo-2-methylene-1, 3-dioxepane of formula (IV) , 2-methylene-1, 3, 6-trioxocane of formula (V) , 5, 6-dialkyl-2-methylene-1, 3-dioxepane of formula (VI) , 2-methylene-1, 3-dioxolane of formula (VII) , and 4, 5-dialkyl-2-methylene-1, 3-dioxolane of formula (VIIII)wherein R 4 and R 5 in formula (VI) and (VIII) are, independently of one another, a linear or branched alkyl, preferably C 1-12-alkyl group.
- The copolymer according to any of preceding claims, wherein the one or more ethylenically unsaturated comonomer are selected from the group consisting of (meth) acrylic acid, alkyl (meth) acrylates such as methyl (meth) acrylate and butyl (meth) acrylate, maleic acid, maleic acid anhydride, itaconic acid, itaconic anhydride, N-vinylpyrrolidinone, N-vinyl imidazole, vinyl esters such as vinyl acetate, preferably selected from the group consisting of N-vinylpyrrolidinone and N-vinyl imidazole.
- The copolymer according to any of preceding claims, wherein the blocks derived from one or more ethylenically unsaturated comonomers have an average number of repeating monomeric units in the range of 1 to 10, preferably 1 to 8, more preferably 1 to 5 per block.
- The copolymer according to any of preceding claims, wherein the cyclic ketene acetal and the one or more ethylenically unsaturated comonomers are polymerized at a molar ratio in the range of 1 ∶ 1 to 1 ∶ 10, preferably 1 ∶ 1 to 1 ∶ 8, more preferably 1 ∶ 1 to 1 ∶ 5, most preferably 2∶ 5 to 1∶ 5 during the preparation of the copolymer.
- A process for preparing a copolymer, preferably the copolymer according to any of preceding claims, which includes steps of(a) providing a first unmodified copolymer comprising ester linking units derived from a cyclic ketene acetal via radical ring-opening polymerization and comprising blocks derived from an ethylenically unsaturated comonomer and linked by the ester linking units, and(b) subjecting the first unmodified copolymer to transesterification with (i) a polyalkylene oxide monocarboxylic acid polyester, or (ii) a second unmodified copolymer comprising ester linking units derived from a cyclic ketene acetal via radical ring-opening polymerization and comprising blocks derived from an ethylenically unsaturated comonomer and linked by the ester linking unitswherein the first unmodified copolymer and the second unmodified copolymer differ from each other in the cyclic ketene acetal forming the ester linking units and/or in the ethylenically unsaturated comonomer forming the blocks, preferably in the ethylenically unsaturated comonomer forming the blocks.
- The process according to claim 11, which includes steps of(a) providing a first unmodified copolymer comprising ester linking units derived from a cyclic ketene acetal via radical ring-opening polymerization and comprising blocks derived from an ethylenically unsaturated comonomer and linked by the ester linking units, and(b) subjecting the first unmodified copolymer to transesterification with (i) a polyalkylene oxide monocarboxylic acid polyester.
- The process according to claim 11 or 12, wherein the polyalkylene oxide monocarboxylic acid polyester is a polyester of polyethylene oxide monocarboxylic acid, a polyester of polypropylene oxide monocarboxylic acid, a polyester of polyoxybutylene monocarboxylic acid, a polyester of poly (ethylene oxide-propylene oxide) monocarboxylic acid, a polyester of poly (ethylene oxide-propylene oxide-ethylene oxide) monocarboxylic acid, a polyester of poly (ethylene oxide-butylene oxide) monocarboxylic acid, a polyester of poly (ethylene oxide-butylene oxide-ethylene oxide) monocarboxylic acid.
- The process according to claim 13, wherein the polyalkylene oxide monocarboxylic acid polyester is a polyester of polyethylene oxide monocarboxylic acid or a polyester of polypropylene oxide monocarboxylic acid, preferably polyethylene oxide monocarboxylic acid.
- The process according to claim 11, which includes steps of(a) providing a first unmodified copolymer comprising ester linking units derived from a cyclic ketene acetal via radical ring-opening polymerization and comprising blocks derived from an ethylenically unsaturated comonomer and linked by the ester linking units, and(b) subjecting the first unmodified copolymer to transesterification with (ii) a second unmodified copolymer comprising ester linking units derived from a cyclic ketene acetal via radical ring-opening polymerization and comprising blocks derived from an ethylenically unsaturated comonomer and linked by the ester linking units,wherein the first unmodified copolymer and the second unmodified copolymer differ from each other in the cyclic ketene acetal forming the ester linking units and/or in the ethylenically unsaturated comonomer forming the blocks, preferably in the ethylenically unsaturated comonomer forming the blocks.
- The process according to claim 15, wherein the first unmodified copolymer and the second unmodified copolymer comprise the same ester linking units derived from a cyclic ketene acetal.
- The process according to any of claims 11 to 16, wherein the cyclic ketene acetal is as defined in preceding claim 7.
- The process according to any of claims 11 to 17, wherein the one or more ethylenically unsaturated comonomer is as defined in claim 8.
- A cleansing composition or a fabric and home care composition, which comprises a copolymer according to any of claims 1 to 10, or a copolymer obtainable or obtained from the process according to any of claims 11 to 18, and at least one surfactant.
- The cleansing composition or the fabric and home care composition according to claim 19, which comprises 2-phenoxyethanol, preferably in an amount of 2 ppm to 5%, more preferably 0.1 to 2%by weight, based on the total weight of the composition.
- The cleansing composition or fabric and home care composition according to claim 19, which comprises 4, 4’-dichloro-2-hydroxydiphenylether, preferably in an amount of 0.001 to 3%, preferably 0.002 to 1%, more preferably 0.01 to 0.6%, based on the total weight of the composition.
- The cleansing composition or the fabric and home care composition according to any one of claims 19 to 21, which comprises at least one enzyme, preferably at least one enzyme selected from the group consisting of proteases, amylases, lipases, cellulases, hemicellulases, mannanases, xylanases, DNases, dispersins, pectinases, oxidoreductases, and cutinases.
- A method of preserving an aqueous detergent composition comprising a copolymer according to any of claims 1 to 10 or a copolymer obtainable or obtained from the process according to any of claims 11 to 18 against microbial contamination or growth, which includes adding 2-phenoxyethanol in the detergent composition.
- A method of laundering fabric or cleansing hard surfaces, which includes an antimicrobial treatment of a fabric or a hard surface with a detergent composition comprising a copolymer according to any of claims 1 to 10 or a copolymer obtainable or obtained from the process according to any of claims 11 to 18 and 4, 4’-dichloro-2-hydroxydiphenylether.
Priority Applications (1)
| Application Number | Priority Date | Filing Date | Title |
|---|---|---|---|
| PCT/CN2022/137597 WO2024119440A1 (en) | 2022-12-08 | 2022-12-08 | Biodegradable multi-block copolymers comprising linking units derived from cyclic ketene acetal |
Applications Claiming Priority (1)
| Application Number | Priority Date | Filing Date | Title |
|---|---|---|---|
| PCT/CN2022/137597 WO2024119440A1 (en) | 2022-12-08 | 2022-12-08 | Biodegradable multi-block copolymers comprising linking units derived from cyclic ketene acetal |
Publications (1)
| Publication Number | Publication Date |
|---|---|
| WO2024119440A1 true WO2024119440A1 (en) | 2024-06-13 |
Family
ID=85158897
Family Applications (1)
| Application Number | Title | Priority Date | Filing Date |
|---|---|---|---|
| PCT/CN2022/137597 Ceased WO2024119440A1 (en) | 2022-12-08 | 2022-12-08 | Biodegradable multi-block copolymers comprising linking units derived from cyclic ketene acetal |
Country Status (1)
| Country | Link |
|---|---|
| WO (1) | WO2024119440A1 (en) |
Citations (35)
| Publication number | Priority date | Publication date | Assignee | Title |
|---|---|---|---|---|
| US4228042A (en) | 1978-06-26 | 1980-10-14 | The Procter & Gamble Company | Biodegradable cationic surface-active agents containing ester or amide and polyalkoxy group |
| US4239660A (en) | 1978-12-13 | 1980-12-16 | The Procter & Gamble Company | Detergent composition comprising a hydrolyzable cationic surfactant and specific alkalinity source |
| US4260529A (en) | 1978-06-26 | 1981-04-07 | The Procter & Gamble Company | Detergent composition consisting essentially of biodegradable nonionic surfactant and cationic surfactant containing ester or amide |
| US4483780A (en) | 1982-04-26 | 1984-11-20 | The Procter & Gamble Company | Detergent compositions containing polyglycoside and polyethoxylate detergent surfactants |
| US4483779A (en) | 1982-04-26 | 1984-11-20 | The Procter & Gamble Company | Detergent compositions comprising polyglycoside and polyethoxylate surfactants and anionic fluorescer |
| US4565647A (en) | 1982-04-26 | 1986-01-21 | The Procter & Gamble Company | Foaming surfactant compositions |
| US4923941A (en) * | 1987-10-28 | 1990-05-08 | American Cyanamid Company | Carboxy-functional polymers and their use as detergent additives |
| EP0414103A2 (en) * | 1989-08-22 | 1991-02-27 | BASF Aktiengesellschaft | Copolymers based on olefinic unsaturated radical ring-opening ketene derivatives |
| DE3930097A1 (en) | 1989-09-09 | 1991-03-14 | Basf Ag | UV CROSSLINKABLE COPOLYMERISATE |
| US5332528A (en) | 1990-09-28 | 1994-07-26 | The Procter & Gamble Company | Polyhydroxy fatty acid amides in soil release agent-containing detergent compositions |
| WO1998035005A1 (en) | 1997-02-11 | 1998-08-13 | The Procter & Gamble Company | A cleaning composition |
| WO1998035004A1 (en) | 1997-02-11 | 1998-08-13 | The Procter & Gamble Company | Solid detergent compositions |
| WO1998035006A1 (en) | 1997-02-11 | 1998-08-13 | The Procter & Gamble Company | Liquid cleaning composition |
| WO1998035002A1 (en) | 1997-02-11 | 1998-08-13 | The Procter & Gamble Company | Cleaning compositions |
| WO1998035003A1 (en) | 1997-02-11 | 1998-08-13 | The Procter & Gamble Company | Detergent compound |
| WO1999005243A1 (en) | 1997-07-21 | 1999-02-04 | The Procter & Gamble Company | Detergent compositions containing mixtures of crystallinity-disrupted surfactants |
| WO1999005242A1 (en) | 1997-07-21 | 1999-02-04 | The Procter & Gamble Company | Improved alkylbenzenesulfonate surfactants |
| WO1999005244A1 (en) | 1997-07-21 | 1999-02-04 | The Procter & Gamble Company | Improved alkyl aryl sulfonate surfactants |
| US5912312A (en) | 1998-05-01 | 1999-06-15 | Isp Investments Inc. | Homogeneous copolymers containing vinyl pyrrolidone and 2-methylene-1,3-dioxepane and process for making same |
| US6004922A (en) | 1996-05-03 | 1999-12-21 | The Procter & Gamble Company | Laundry detergent compositions comprising cationic surfactants and modified polyamine soil dispersents |
| US6008181A (en) | 1996-04-16 | 1999-12-28 | The Procter & Gamble Company | Mid-Chain branched Alkoxylated Sulfate Surfactants |
| US6020303A (en) | 1996-04-16 | 2000-02-01 | The Procter & Gamble Company | Mid-chain branched surfactants |
| US6022844A (en) | 1996-03-05 | 2000-02-08 | The Procter & Gamble Company | Cationic detergent compounds |
| US6060443A (en) | 1996-04-16 | 2000-05-09 | The Procter & Gamble Company | Mid-chain branched alkyl sulfate surfactants |
| US6093856A (en) | 1996-11-26 | 2000-07-25 | The Procter & Gamble Company | Polyoxyalkylene surfactants |
| WO2000047708A1 (en) | 1999-02-10 | 2000-08-17 | The Procter & Gamble Company | Low density particulate solids useful in laundry detergents |
| US6136769A (en) | 1996-05-17 | 2000-10-24 | The Procter & Gamble Company | Alkoxylated cationic detergency ingredients |
| US6221825B1 (en) | 1996-12-31 | 2001-04-24 | The Procter & Gamble Company | Thickened, highly aqueous liquid detergent compositions |
| WO2001042408A2 (en) | 1999-12-08 | 2001-06-14 | The Procter & Gamble Company | Ether-capped poly(oxyalkylated) alcohol surfactants |
| US6482994B2 (en) | 1997-08-02 | 2002-11-19 | The Procter & Gamble Company | Ether-capped poly(oxyalkylated) alcohol surfactants |
| EP1921147B1 (en) | 1994-02-24 | 2011-06-08 | Henkel AG & Co. KGaA | Improved enzymes and detergents containing them |
| US20110160426A1 (en) * | 2008-04-14 | 2011-06-30 | Philipps-Universitat Marburg | Hydrolytically decomposable ionic copolymers |
| US20130198968A1 (en) * | 2010-03-12 | 2013-08-08 | David K. Hood | Functional additives for cleansing compositions |
| WO2021032881A1 (en) | 2019-08-22 | 2021-02-25 | Basf Se | Amylase variants |
| WO2021115912A1 (en) | 2019-12-09 | 2021-06-17 | Basf Se | Formulations comprising a hydrophobically modified polyethyleneimine and one or more enzymes |
-
2022
- 2022-12-08 WO PCT/CN2022/137597 patent/WO2024119440A1/en not_active Ceased
Patent Citations (37)
| Publication number | Priority date | Publication date | Assignee | Title |
|---|---|---|---|---|
| US4228042A (en) | 1978-06-26 | 1980-10-14 | The Procter & Gamble Company | Biodegradable cationic surface-active agents containing ester or amide and polyalkoxy group |
| US4260529A (en) | 1978-06-26 | 1981-04-07 | The Procter & Gamble Company | Detergent composition consisting essentially of biodegradable nonionic surfactant and cationic surfactant containing ester or amide |
| US4239660A (en) | 1978-12-13 | 1980-12-16 | The Procter & Gamble Company | Detergent composition comprising a hydrolyzable cationic surfactant and specific alkalinity source |
| US4483779A (en) | 1982-04-26 | 1984-11-20 | The Procter & Gamble Company | Detergent compositions comprising polyglycoside and polyethoxylate surfactants and anionic fluorescer |
| US4483780A (en) | 1982-04-26 | 1984-11-20 | The Procter & Gamble Company | Detergent compositions containing polyglycoside and polyethoxylate detergent surfactants |
| US4565647A (en) | 1982-04-26 | 1986-01-21 | The Procter & Gamble Company | Foaming surfactant compositions |
| US4565647B1 (en) | 1982-04-26 | 1994-04-05 | Procter & Gamble | Foaming surfactant compositions |
| US4923941A (en) * | 1987-10-28 | 1990-05-08 | American Cyanamid Company | Carboxy-functional polymers and their use as detergent additives |
| EP0414103A2 (en) * | 1989-08-22 | 1991-02-27 | BASF Aktiengesellschaft | Copolymers based on olefinic unsaturated radical ring-opening ketene derivatives |
| DE3930097A1 (en) | 1989-09-09 | 1991-03-14 | Basf Ag | UV CROSSLINKABLE COPOLYMERISATE |
| US5332528A (en) | 1990-09-28 | 1994-07-26 | The Procter & Gamble Company | Polyhydroxy fatty acid amides in soil release agent-containing detergent compositions |
| EP1921147B1 (en) | 1994-02-24 | 2011-06-08 | Henkel AG & Co. KGaA | Improved enzymes and detergents containing them |
| US6022844A (en) | 1996-03-05 | 2000-02-08 | The Procter & Gamble Company | Cationic detergent compounds |
| US6060443A (en) | 1996-04-16 | 2000-05-09 | The Procter & Gamble Company | Mid-chain branched alkyl sulfate surfactants |
| US6020303A (en) | 1996-04-16 | 2000-02-01 | The Procter & Gamble Company | Mid-chain branched surfactants |
| US6008181A (en) | 1996-04-16 | 1999-12-28 | The Procter & Gamble Company | Mid-Chain branched Alkoxylated Sulfate Surfactants |
| US6004922A (en) | 1996-05-03 | 1999-12-21 | The Procter & Gamble Company | Laundry detergent compositions comprising cationic surfactants and modified polyamine soil dispersents |
| US6136769A (en) | 1996-05-17 | 2000-10-24 | The Procter & Gamble Company | Alkoxylated cationic detergency ingredients |
| US6093856A (en) | 1996-11-26 | 2000-07-25 | The Procter & Gamble Company | Polyoxyalkylene surfactants |
| US6153577A (en) | 1996-11-26 | 2000-11-28 | The Procter & Gamble Company | Polyoxyalkylene surfactants |
| US6221825B1 (en) | 1996-12-31 | 2001-04-24 | The Procter & Gamble Company | Thickened, highly aqueous liquid detergent compositions |
| WO1998035004A1 (en) | 1997-02-11 | 1998-08-13 | The Procter & Gamble Company | Solid detergent compositions |
| WO1998035003A1 (en) | 1997-02-11 | 1998-08-13 | The Procter & Gamble Company | Detergent compound |
| WO1998035002A1 (en) | 1997-02-11 | 1998-08-13 | The Procter & Gamble Company | Cleaning compositions |
| WO1998035006A1 (en) | 1997-02-11 | 1998-08-13 | The Procter & Gamble Company | Liquid cleaning composition |
| WO1998035005A1 (en) | 1997-02-11 | 1998-08-13 | The Procter & Gamble Company | A cleaning composition |
| WO1999005243A1 (en) | 1997-07-21 | 1999-02-04 | The Procter & Gamble Company | Detergent compositions containing mixtures of crystallinity-disrupted surfactants |
| WO1999005244A1 (en) | 1997-07-21 | 1999-02-04 | The Procter & Gamble Company | Improved alkyl aryl sulfonate surfactants |
| WO1999005242A1 (en) | 1997-07-21 | 1999-02-04 | The Procter & Gamble Company | Improved alkylbenzenesulfonate surfactants |
| US6482994B2 (en) | 1997-08-02 | 2002-11-19 | The Procter & Gamble Company | Ether-capped poly(oxyalkylated) alcohol surfactants |
| US5912312A (en) | 1998-05-01 | 1999-06-15 | Isp Investments Inc. | Homogeneous copolymers containing vinyl pyrrolidone and 2-methylene-1,3-dioxepane and process for making same |
| WO2000047708A1 (en) | 1999-02-10 | 2000-08-17 | The Procter & Gamble Company | Low density particulate solids useful in laundry detergents |
| WO2001042408A2 (en) | 1999-12-08 | 2001-06-14 | The Procter & Gamble Company | Ether-capped poly(oxyalkylated) alcohol surfactants |
| US20110160426A1 (en) * | 2008-04-14 | 2011-06-30 | Philipps-Universitat Marburg | Hydrolytically decomposable ionic copolymers |
| US20130198968A1 (en) * | 2010-03-12 | 2013-08-08 | David K. Hood | Functional additives for cleansing compositions |
| WO2021032881A1 (en) | 2019-08-22 | 2021-02-25 | Basf Se | Amylase variants |
| WO2021115912A1 (en) | 2019-12-09 | 2021-06-17 | Basf Se | Formulations comprising a hydrophobically modified polyethyleneimine and one or more enzymes |
Non-Patent Citations (4)
| Title |
|---|
| AI XIAOQING ET AL: "UV-curable hyperbranched poly(ester- co -vinyl) by radical ring-opening copolymerization for antifouling coatings", POLYMER CHEMISTRY, vol. 12, no. 31, 10 August 2021 (2021-08-10), Cambridge, pages 4524 - 4531, XP093043116, ISSN: 1759-9954, DOI: 10.1039/D1PY00810B * |
| SEEMA AGARWAL ET AL: "Polycaprolactone-Based Novel Degradable Ionomers by Radical Ring-Opening Polymerization of 2-Methylene-1,3-dioxepane", MACROMOLECULES, vol. 42, no. 5, 10 March 2009 (2009-03-10), US, pages 1574 - 1579, XP093043108, ISSN: 0024-9297, DOI: 10.1021/ma802615f * |
| TOKIWA: "Hydrolysis of polyesters by lipases", NATURE, vol. 270, 1977, pages 76 - 78, XP055124611, DOI: 10.1038/270076a0 |
| YOICHI HIRAGURI: "Synthesis of Biodegradable Hydrogel by Radical Ring-Opening Polymerization of 2-Methylene-1,3,6-Trioxocane", PART A: PURE AND APPLIED CHEMISTRY, vol. 43, no. 7, 17 December 2007 (2007-12-17), US, pages 1021 - 1027, XP093043423, ISSN: 1060-1325 * |
Similar Documents
| Publication | Publication Date | Title |
|---|---|---|
| US20250136740A1 (en) | Biodegradable graft polymers for dye transfer inhibition | |
| US20240360280A1 (en) | Modified alkoxylated polyalkylene imines or modified alkoxylated polyamines | |
| US20250122337A1 (en) | Modified alkoxylated polyalkylene imines and modified alkoxylated polyamines obtainable by a process comprising the steps a) to d) | |
| US20240360381A1 (en) | Modified alkoxylated oligoalkylene imines and modified alkoxylated oligoamines | |
| EP4384561B1 (en) | Biodegradable graft polymers | |
| US20250129197A1 (en) | Biodegradable graft polymers | |
| WO2023021101A1 (en) | Modified alkoxylated polyalkylene imines | |
| WO2024119440A1 (en) | Biodegradable multi-block copolymers comprising linking units derived from cyclic ketene acetal | |
| WO2024126268A1 (en) | Biodegradable graft polymers for dye transfer inhibition | |
| WO2024175409A1 (en) | Modified hyperbranched alkoxylated polyalkylene imines | |
| US20250163348A1 (en) | A block copolymer, preparation process and composition thereof | |
| WO2025055891A1 (en) | Alkoxylated iso-nonanol | |
| US20250059471A1 (en) | Water-soluble graft polymer, their preparation, uses, and compositions comprising such polymers | |
| WO2024175401A1 (en) | Modified alkoxylated polyalkylene imines or modified alkoxylated polyamines | |
| WO2025131888A1 (en) | Modified alkoxylated polyalkylene imines or modified alkoxylated polyamines | |
| CN117813330A (en) | Biodegradable graft polymers | |
| WO2025202032A1 (en) | Biodegradable alkoxylated polyols, their preparation, uses, and compositions comprising them | |
| WO2024231110A1 (en) | Biodegradable polyol propoxylates, their preparation, uses, and compositions comprising them | |
| WO2025125117A1 (en) | Biodegradable propoxylated ethylenediamines, their preparation, uses, and compositions comprising them | |
| WO2024175407A1 (en) | Modified alkoxylated polyalkylene imines or modified alkoxylated polyamines | |
| CN117795048A (en) | Biodegradable graft polymers for dye transfer inhibition | |
| US20250297192A1 (en) | Biodegradable graft polymers useful for dye transfer inhibition | |
| EP4680658A1 (en) | Alkoxylated nitrogen containing polymers and their use | |
| WO2025180874A1 (en) | Substituted 1,3-dioxolane sulfates and their use | |
| WO2025223955A1 (en) | Method for producing polyaspartic acid, polyaspartic acid and its use |
Legal Events
| Date | Code | Title | Description |
|---|---|---|---|
| 121 | Ep: the epo has been informed by wipo that ep was designated in this application |
Ref document number: 22851382 Country of ref document: EP Kind code of ref document: A1 |
|
| NENP | Non-entry into the national phase |
Ref country code: DE |
|
| 122 | Ep: pct application non-entry in european phase |
Ref document number: 22851382 Country of ref document: EP Kind code of ref document: A1 |











