WO2025093368A1 - Enzyme stabilization in compositions containing a protease inhibitor - Google Patents
Enzyme stabilization in compositions containing a protease inhibitor Download PDFInfo
- Publication number
- WO2025093368A1 WO2025093368A1 PCT/EP2024/079772 EP2024079772W WO2025093368A1 WO 2025093368 A1 WO2025093368 A1 WO 2025093368A1 EP 2024079772 W EP2024079772 W EP 2024079772W WO 2025093368 A1 WO2025093368 A1 WO 2025093368A1
- Authority
- WO
- WIPO (PCT)
- Prior art keywords
- weight
- composition
- protease
- enzyme
- liquid
- Prior art date
- Legal status (The legal status is an assumption and is not a legal conclusion. Google has not performed a legal analysis and makes no representation as to the accuracy of the status listed.)
- Pending
Links
Classifications
-
- C—CHEMISTRY; METALLURGY
- C11—ANIMAL OR VEGETABLE OILS, FATS, FATTY SUBSTANCES OR WAXES; FATTY ACIDS THEREFROM; DETERGENTS; CANDLES
- C11D—DETERGENT COMPOSITIONS; USE OF SINGLE SUBSTANCES AS DETERGENTS; SOAP OR SOAP-MAKING; RESIN SOAPS; RECOVERY OF GLYCEROL
- C11D3/00—Other compounding ingredients of detergent compositions covered in group C11D1/00
- C11D3/16—Organic compounds
- C11D3/38—Products with no well-defined composition, e.g. natural products
- C11D3/386—Preparations containing enzymes, e.g. protease or amylase
- C11D3/38663—Stabilised liquid enzyme compositions
-
- C—CHEMISTRY; METALLURGY
- C11—ANIMAL OR VEGETABLE OILS, FATS, FATTY SUBSTANCES OR WAXES; FATTY ACIDS THEREFROM; DETERGENTS; CANDLES
- C11D—DETERGENT COMPOSITIONS; USE OF SINGLE SUBSTANCES AS DETERGENTS; SOAP OR SOAP-MAKING; RESIN SOAPS; RECOVERY OF GLYCEROL
- C11D3/00—Other compounding ingredients of detergent compositions covered in group C11D1/00
- C11D3/16—Organic compounds
- C11D3/20—Organic compounds containing oxygen
- C11D3/2003—Alcohols; Phenols
- C11D3/2041—Dihydric alcohols
- C11D3/2048—Dihydric alcohols branched
-
- C—CHEMISTRY; METALLURGY
- C11—ANIMAL OR VEGETABLE OILS, FATS, FATTY SUBSTANCES OR WAXES; FATTY ACIDS THEREFROM; DETERGENTS; CANDLES
- C11D—DETERGENT COMPOSITIONS; USE OF SINGLE SUBSTANCES AS DETERGENTS; SOAP OR SOAP-MAKING; RESIN SOAPS; RECOVERY OF GLYCEROL
- C11D3/00—Other compounding ingredients of detergent compositions covered in group C11D1/00
- C11D3/16—Organic compounds
- C11D3/20—Organic compounds containing oxygen
- C11D3/2068—Ethers
-
- C—CHEMISTRY; METALLURGY
- C11—ANIMAL OR VEGETABLE OILS, FATS, FATTY SUBSTANCES OR WAXES; FATTY ACIDS THEREFROM; DETERGENTS; CANDLES
- C11D—DETERGENT COMPOSITIONS; USE OF SINGLE SUBSTANCES AS DETERGENTS; SOAP OR SOAP-MAKING; RESIN SOAPS; RECOVERY OF GLYCEROL
- C11D3/00—Other compounding ingredients of detergent compositions covered in group C11D1/00
- C11D3/16—Organic compounds
- C11D3/20—Organic compounds containing oxygen
- C11D3/2096—Heterocyclic compounds
-
- C—CHEMISTRY; METALLURGY
- C11—ANIMAL OR VEGETABLE OILS, FATS, FATTY SUBSTANCES OR WAXES; FATTY ACIDS THEREFROM; DETERGENTS; CANDLES
- C11D—DETERGENT COMPOSITIONS; USE OF SINGLE SUBSTANCES AS DETERGENTS; SOAP OR SOAP-MAKING; RESIN SOAPS; RECOVERY OF GLYCEROL
- C11D3/00—Other compounding ingredients of detergent compositions covered in group C11D1/00
- C11D3/16—Organic compounds
- C11D3/38—Products with no well-defined composition, e.g. natural products
- C11D3/386—Preparations containing enzymes, e.g. protease or amylase
- C11D3/38618—Protease or amylase in liquid compositions only
-
- C—CHEMISTRY; METALLURGY
- C11—ANIMAL OR VEGETABLE OILS, FATS, FATTY SUBSTANCES OR WAXES; FATTY ACIDS THEREFROM; DETERGENTS; CANDLES
- C11D—DETERGENT COMPOSITIONS; USE OF SINGLE SUBSTANCES AS DETERGENTS; SOAP OR SOAP-MAKING; RESIN SOAPS; RECOVERY OF GLYCEROL
- C11D3/00—Other compounding ingredients of detergent compositions covered in group C11D1/00
- C11D3/16—Organic compounds
- C11D3/38—Products with no well-defined composition, e.g. natural products
- C11D3/386—Preparations containing enzymes, e.g. protease or amylase
- C11D3/3869—Enzyme enhancers or mediators
Definitions
- the present invention relates to the field of enzyme stabilization in compositions containing a non-polar protease inhibitor.
- the present invention provides liquid compositions comprising solubilizing agents, namely at least one neopentyl glycol, gamma-valerolactone, and diethylene glycol that have been identified to efficiently solubilize non-polar protease inhibitors, while additionally stabilizing enzymes, preferably hydrolases, in the liquid environment.
- Enzymes are increasingly used in various applications, such as in the detergent industry, as sustainable alternative to petrochemistry. Particularly proteases are nowadays routinely used in cleaning compositions. Furthermore, enzyme blends including a protease and one or more further enzyme such as an amylase, a cellulase, and/or a mannanase are used to further improve the performance of cleaning compositions.
- enzyme blends including a protease and one or more further enzyme such as an amylase, a cellulase, and/or a mannanase are used to further improve the performance of cleaning compositions.
- the use of enzymes is hampered by their instability in different environments, especially in detergent compositions but also more generally in hydrophobic solvents.
- proteases degrade themselves and also further enzymes present in the composition. To overcome the latter, protease inhibitors can be used as enzyme stabilizers.
- protease inhibitors only temporarily inhibit the enzyme activity under storage conditions but are released in the final application of the enzyme, therefore allowing the enzyme to exert its catalytic activity.
- protease inhibitors are peptide aldehydes and peptide aldehyde hydrosulfite adducts as e.g. described in W02009/118375 or WO2013/004636.
- the types of amino acid side chains of the peptide aldehyde or the hydrosulfite adducts determine the polarity of the protease inhibitor. It remains a challenge to provide water-containing products containing enzymes, such as cleaning compositions, comprising non-polar protease inhibitors with limited solubility in water and/or water-miscible organic solvents, which need to be solubilized in hydrophobic solvents.
- One part of this challenge is the negative effect of such hydrophobic solvents on the stability of enzymes also contained in the compositions. Therefore, there is a need to identify solubilizing agents, which efficiently solubilize the non-polar protease inhibitor without negatively impacting enzyme stability.
- WO2022/063698 discloses solvent systems comprising at least two organic solvents, wherein one of them is 1 ,2 propane diol (monopropylene glycol, MPG) and the other one is selected from diols other than 1 ,2-propane diol, preferably 1 ,6-hexane diol.
- MPG monopropylene glycol
- the disclosed solvent systems allow dissolution of enzyme stabilizers having limited solubility in water and/or water-miscible organic solvents in a water-containing protease product.
- WO2022/063698 is silent on alternative solubilizing agents, such as neopentyl glycol or gamma-valerolactone to enable solubilization of such enzyme inhibitors.
- WO2022/063698 does not show any beneficial effect on further enzymes (meaning other than proteases) when formulating enzymes. Therefore, there is still a need for improved solvent systems with less impact on protease stability and stability of further enzymes, such as amylases, mannanases and cellulases that nevertheless allow solubilization of non-polar protease inhibitors in water-containing products.
- compositions comprising solubilizing agents that have been identified to efficiently solubilize non-polar protease inhibitors and additionally stabilize enzymes, preferably hydrolases, in a liquid environment.
- solubilizing agents selected from the group consisting of neopentyl glycol, gamma-valerolactone, and diethylene glycol both allow dissolution of a protease inhibitor having limited solubility in water and/or water-miscible organic solvents, meaning a non-polar protease inhibitor, while also ensuring enzyme stability of proteases but additionally also of further enzymes, such as e.g. amylases, cellulases, or mannanases.
- compositions including liquid enzyme compositions and liquid cleaning compositions, comprising at least one protease, a protease inhibitor and at least one solubilizing agent selected from the group consisting of neopentyl glycol, gamma-valerolactone, and diethylene glycol.
- solubilizing agent selected from the group consisting of neopentyl glycol, gamma-valerolactone, and diethylene glycol.
- the terms "about” and “approximately” denote an interval of accuracy that a person skilled in the art will understand to still ensure the technical effect of the feature in question.
- the term typically indicates a deviation from the indicated numerical value of ⁇ 20%, preferably ⁇ 15%, more preferably ⁇ 10%, and even more preferably ⁇ 5%.
- first”, “second”, “third” or “(a)”, “(b)”, “(c)”, “(d)” etc. are used for distinguishing between elements and not necessarily for describing a sequential or chronological order. It is to be understood that the terms so used are interchangeable under appropriate circumstances and that the embodiments of the invention described herein are capable of operation in other sequences than described or illustrated herein.
- first, “second”, “third” or “(a)”, “(b)”, “(c)”, “(d)”, “i”, “ii” etc. relate to steps of a method or use or assay, there is no time or time interval coherence between the steps, i.e. the steps may be carried out simultaneously or there may be time intervals of seconds, minutes, hours, days, weeks, months or even years between such steps, unless otherwise indicated in the application as set forth herein above or below.
- compositions are a mixture of components (also called ingredients) prepared according to a specific formula.
- Compositions can be liquid or solid.
- Liquid compositions of the invention include solutions, emulsions and dispersions, gels etc. as long as the liquid is fluid and pourable.
- Liquid compositions according to the present invention preferably have a dynamic viscosity in the range of about 500 to about 20,000 mPa*s, determined at 25°C according to Brookfield, for example spindle 3 at 20 rpm with a Brookfield viscosimeter LVT-II.
- Gel means a shear thinning, lamellar gel, with a pouring viscosity in the range of from 100 to 5,000 mPa*s (milli Pascal seconds), more preferably less than 3,000 mPa*s, most preferably less than 1 ,500 mPa*s.
- Compositions include enzyme compositions, e.g. liquid enzyme compositions as described herein, and cleaning compositions, e.g. liquid cleaning compositions as described herein.
- the components of the composition can be separated by formulating them in different compartments, such as different compartments of multi-chamber-pouches or bottles having different chambers, from which the liquids are poured out at the same time in a predefined amount to assure the application of the right amount per individual point of use of each component from each chamber.
- multi-compartment-pouches and bottles etc. are known to a person of skill as well.
- compositions of the invention may be delivered in dual- or multi-compartment containers, in single-phase or multi-phase unit doses, in a spray or foam detergent, as premoistened wipes (i.e., the cleaning composition in combination with a nonwoven material such as that discussed in US 6,121 , 165, Mackey, et al.), and other homogeneous, non-homogeneous or single-phase or multiphase cleaning product forms.
- a composition "essentially devoid” of a compound shall mean herein that the respective compound is not added to the composition (on purpose), preferably that at most non-effective amounts are present, most preferably 0% of the compound are contained in the composition.
- compositions including liquid enzyme compositions and liquid cleaning compositions, and methods of the present invention comprises a protease as described herein.
- proteases also called “peptidases” and protease variants described herein have “protease activity” (also called “proteolytic activity” herein). This property is related to the hydrolytic activity of a protease (proteolysis, which means hydrolysis of peptide bonds linking amino acids together in a polypeptide chain) on protein containing substrates, e.g. casein, haemoglobin and BSA. Quantitatively, proteolytic activity is related to the rate of degradation of proteins by a protease or proteolytic enzyme in a defined course of time. The methods for analyzing proteolytic activity and thereby the effect of an inhibitor on the proteolytic activity are well-known in the literature (see e.g. Gupta et al. (2002), Appl. Microbiol. Biotechnol. 60: 381 -395).
- proteolytic activity can be determined by using Succinyl-Ala-Ala-Pro-Phe-p-nitroanilide (Suc-AAPF- pNA, short AAPF; see e.g. DelMar et al. (1979), Analytical Biochem 99, 316-320) as substrate.
- pNA is cleaved from the substrate molecule by proteolytic cleavage, resulting in release of free pNA which has a yellow color that can be quantified by measuring the optical density at 405 nm (OD405).
- Variant enzymes as generally used herein, meaning not solely applicable to proteases, differ from “parent” enzymes by certain amino acid alterations, preferably amino acid substitutions at one or more amino acid positions.
- the abbreviations for single amino acids used are according to the accepted IUPAC single letter or three letter amino acid abbreviation.
- amino acid alteration refers to amino acid substitution, deletion, or insertion.
- substitutions are generally described herein by providing the original amino acid followed by the number of the position within the amino acid sequence followed by the amino acid, which substitutes the original amino acid. Substitutions can also be described by merely naming the resulting amino acid without specifying the initial amino acid at this position. Positions of substitutions can be described by merely providing the number of the position within the amino acid sequence.
- “Insertions” are generally described herein by providing the original amino acid followed by the number of the position within the amino acid sequence followed by the original amino acid and the additional amino acid. Ways of introducing amino acid alterations, e.g., substitutions, into protein sequence are well known in the art.
- Variant polynucleotide and variant polypeptide sequences may be generally defined herein by their sequence identity when compared to another sequence. Sequence identity is usually provided as "% sequence identity” or "% identity”. For calculation of sequence identities, in a first step a sequence alignment is produced. According to this invention, a pairwise global alignment is produced, meaning that two sequences are aligned over their complete length. The alignment is usually produced by using a mathematical approach called alignment algorithm.
- the alignment is generated by using the algorithm of Needleman and Wunsch (J. Mol. Biol. (1979) 48, p. 443-453).
- the program "NEEDLE” The European Molecular Biology Open Software Suite (EMBOSS)
- EMBOSS European Molecular Biology Open Software Suite
- %-identity (identical residues I length of the alignment region, which is showing the sequence of the invention from start to stop codon excluding introns over its complete length) *100.
- Amino acid A is similar to amino acids S
- Amino acid D is similar to amino acids E; N
- Amino acid E is similar to amino acids D; K; Q
- Amino acid F is similar to amino acids W; Y
- Amino acid H is similar to amino acids N; Y
- Amino acid I is similar to amino acids L; M; V;
- Amino acid K is similar to amino acids E; Q; R
- Amino acid L is similar to amino acids I; M; V
- Amino acid M is similar to amino acids I; L; V
- Amino acid N is similar to amino acids D; H; S;
- Amino acid Q is similar to amino acids E; K; R
- Amino acid R is similar to amino acids K; Q
- Amino acid S is similar to amino acids A; N; T
- Amino acid T is similar to amino acids S
- Amino acid V is similar to amino acids I; L; M
- Amino acid W is similar to amino acids F; Y Amino acid Y is similar to amino acids F; H; W
- Non-polar proteinogenic amino acids are alanine, glycine, isoleucine, leucine, methionine, phenylalanine, proline, tryptophan, and valine.
- Enzyme properties generally include herein, but are not limited to, catalytic activity, substrate/cofactor specificity, product specificity, stability in the course of time, thermostability, pH stability, and chemical stability.
- Enzymatic activity or catalytic activity generally means the catalytic effect exerted by an enzyme, expressed as units per milligram of enzyme (specific activity) or molecules of substrate transformed per minute per molecule of enzyme (molecular activity).
- Enzymatic activity can be specified by the enzymes actual function, e.g., protease exert proteolytic activity by catalyzing the hydrolytic cleavage of peptide bonds, lipases exert lipolytic activity by hydrolytic cleavage of ester bonds, amylase activity involves hydrolysis of glycosidic linkages in polysaccharides, mannanase activity involves hydrolysis of the internal glycoside bonds in the mannan backbone etc.
- enzyme stability relates to the retention of enzymatic activity as a function of time during storage or operation. Retention of enzymatic activity as a function of time during storage is called “storage stability” and is preferred within the context of the invention.
- Storage-stability relating to hydrolase activity, preferably protease activity, amylase activity, mannanase activity, or cellulase activity, within a composition preferably means that the residual hydrolytic activity after storage for up to 14 days or up to 3 months at elevated temperatures of about 37°C or 45°C is at least 50%, at least 55%, at least 60%, at least 65%, at least 70%, at least 75%, at least 80%, or at least 85% when compared to the hydrolytic activity of a sample stored at -80°C.
- Suitable proteases according to the invention have at least 70%, more preferably at least 80%, more preferably at least 85%, most preferably at least 90% residual protease activity after storage for 28 days in a composition according to the invention at 45 °C.
- Suitable proteases according to the invention have proteolytic activity, preferably when determined according to the essays described above, they exhibit at least 50%, at least 60%, at least 70%, at least 80%, at least 90%, at least 100%, at least 110%, at least 120%, at least 130%, at least 140%, or at least 150% of the proteolytic activity of the protease according to SEQ ID NO: 1 comprising a R101 E substitution (according to BPN' (SEQ ID NO: 2) numbering).
- Proteases are members of class EC 3.4.
- Proteases include aminopeptidases (EC 3.4.11), dipeptidases (EC 3.4.13), dipeptidyl-peptidases and tripeptidyl-peptidases (EC 3.4.14), peptidyl-dipeptidases (EC 3.4.15), serine-type carboxypeptidases (EC 3.4.16), metallocarboxypeptidases (EC 3.4.17), cysteine-type carboxypeptidases (EC 3.4.18), omega peptidases (EC 3.4.19), serine endopeptidases (EC 3.4.21), cysteine endopeptidases (EC 3.4.22), aspartic endopeptidases (EC 3.4.23), metallo-endopeptidases (EC 3.4.24), threonine endopeptidases (EC 3.4.25), or endopeptidases of unknown catalytic mechanism (EC 3.4.99).
- At least one protease may be selected from metal lo-endoproteases (EC 3.4.24).
- a metallopro-tease may for example be a thermolysin from, e.g., family M4 or another metalloprotease such as those from M5, M7 or M8 families.
- a metal loprotease may especially be derived from Bacillus amyloliquefaciens described in WO 07/044993A2, from Bacillus, Brevibacillus, Thermoactinomyces, Geobacillus, Paenibacillus, Lysinibacillus or Streptomyces spp.
- At least one protease may be selected from serine proteases (EC 3.4.21). Serine proteases or serine peptidases are characterized by having a serine in the catalytically active site, which forms a covalent adduct with the substrate during the catalytic reaction.
- a serine protease may be selected from the group consisting of chymotrypsin (e.g., EC 3.4.21.1), elastase (e.g., EC 3.4.21.36, EC 3.4.21.37, or EC 3.4.21.71), granzyme (e.g., EC 3.4.21 .78 or EC 3.4.21 .79), kalli krein (e.g., EC 3.4.21 .34, EC 3.4.21 .35, EC 3.4.21 .118, or EC 3.4.21 .119,) plasmin (e.g., EC 3.4.21.7), trypsin (e.g., EC 3.4.21.4), thrombin (e.g., EC 3.4.21.5), and subtilisin.
- subtilisin is also known as subtilopeptidase, e.g., EC 3.4.21.62, the latter hereinafter also being referred to as "subtilisin”.
- subtilisins and chymotrypsin-related serine proteases both have a catalytic triad comprising aspartate, histidine and serine.
- subtilisin related proteases the relative order of these amino acids, reading from the amino to carboxy-terminus, is aspartate-histidine-serine.
- the chymotrypsin-related proteases the relative order is histidine-aspartate-serine.
- subtilisin herein refers to a serine protease having the catalytic triad of subtilisin related proteases.
- subtilisins as described in WO 89/06276 and EP 0283075, WO 89/06279, WO 89/09830, WO 89/09819, WO 91/06637 and WO 91/02792.
- Parent proteases of the subtilisin type (EC 3.4.21.62) and variants may be bacterial proteases.
- Said bacterial protease may derived from gram-positive bacteria such as a Bacillus, Clostridium, Enterococcus, Geobacillus, Lactobacillus, Lactococcus, Oceanobacillus, Staphylococcus, Streptococcus, or Streptomyces protease, or gramnegative bacteria such as a Campylobacter, Escherichia (e.g. E. coll), Flavobacterium, Fusobacterium, Helicobacter, llyobacter, Neisseria, Pseudomonas, Salmonella, or Ureaplasma protease.
- the parent proteases and variants may be derived from Bacillus alcalophil us, Bacillus amyloliquefaciens, Bacillus brevis, Bacillus circulans, Bacillus clausii, Bacillus coagulans, Bacillus firmus, Bacillus gibsonii, Bacillus lautus, Bacillus lentus, Bacillus licheniformis, Bacillus megaterium, Bacillus pumilus, Bacillus sphaericus, Bacillus stearothermophilus, Bacillus subtilis, or Bacillus thuringiensis.
- At least one protease may be selected from the following: subtilisin from Bacillus amyloliquefaciens BPN' (SEQ ID NO: 2 herein, described by Vasantha et al. (1984) J. Bacteriol. Volume 159, p. 811-819 and JA Wells et al. (1983) in Nucleic Acids Research, Volume 11 , p. 7911 -7925); subtilisin from Bacillus licheniformis (subtilisin Carlsberg; disclosed in EL Smith et al. (1968) in J. Biol Chem, Volume 243, pp. 2184-2191 , and Jacobs et al. (1985) in Nucl.
- subtilisin PB92 original sequence of the alkaline protease PB92 is described in EP 283075 A2; subtilisin 147 and/or 309 (Esperase®, Savinase®, respectively) as disclosed in WO 89/06279; subtilisin from Bacillus lentus as disclosed in WO 91/02792, such as from Bacillus lentus DSM 5483 or the variants of Bacillus lentus DSM 5483 as described in WO 95/23221 ; subtilisin from Bacillus alcalophilus (DSM 11233) disclosed in DE 10064983; subtilisin from Bacillus gibsonii (DSM 14391) as disclosed in WO 2003/054184; subtilisin from Bacillus sp.
- DSM 11233 subtilisin from Bacillus alcalophilus
- DSM 14391 subtilisin from Bacillus gibsonii
- component a comprises at least subtilisin 309 (which might be called Savinase herein) as disclosed as sequence a) in Table I of WO 89/06279 or a variant thereof which is at least 80% similar and/or identical thereto and has proteolytic activity.
- subtilisin 309 which might be called Savinase herein
- Examples of useful proteases in accordance with the present invention comprise the variants of subtilisin protease derived from SEQ ID NO: 22 as described in EP 1921147 (disclosed in SEQ ID NO: 1 herein, which is the sequence of mature alkaline protease from Bacillus lentus DSM 5483) with amino acid substitutions in one or more of the following positions: 3, 4, 9, 15, 24, 27, 33, 36, 57, 68, 76, 77, 87, 95, 96, 97, 98, 99, 100, 101 , 102, 103, 104, 106, 118, 120, 123, 128, 129, 130, 131 , 154, 160, 167, 170, 194, 195, 199, 205, 206, 217, 218, 222, 224, 232, 235, 236, 245, 248, 252 and 274 (according to the BPN' numbering), which have proteolytic activity.
- such a protease is not mutated
- the protease of component a has SEQ ID NO: 22 as described in EP 1921147 (SEQ ID NO: 1 herein), or a protease which is at least 80% identical thereto and has proteolytic activity.
- said protease is characterized by having at least amino acid glutamic acid (E), or aspartic acid (D), or asparagine (N), or glutamine (Q), or alanine (A), or glycine (G), or serine (S) at position 101 (according to BPN' numbering) and has proteolytic activity.
- the at least one protease of component a is at least 80% identical to SEQ ID NO: 22 as described in EP 1921147 (SEQ ID NO: 1 herein) and is characterized by comprising one amino acid (according to (a)-(h) above) or combinations according to (I) above together with the amino acid 101 E, 101D, 101 N, 101 Q, 101A, 101 G, or 101 S (according to BPN' numbering, SEQ ID NO: 2 herein) and having proteolytic activity.
- said protease is characterized by comprising the substitution (according to BPN' numbering) R101 E, or S3T + V4I + V205I, or R101 E and S3T, V4I, and V205I, or S3T + V4I + V199M + V205I + L217D, and having proteolytic activity.
- the at least one protease comprised in component a is at least 80% identical to SEQ ID NO: 22 as described in EP 1921147 (SEQ ID NO: 1 herein) and has at least the substitutions S3T+V4I+R101 E+V205I or
- the at least one protease comprised in component a. is a protease according to SEQ ID NO: 22 as described in EP 1921147 (SEQ ID NO: 1 herein) is characterized by comprising the substitutions (according to BPN' numbering) S3T + V4I + S9R + A15T + V68A + D99S + R101 S + A103S + 1104V + N218D and having proteolytic activity.
- the at least one protease comprised in component a is a protease 80% identical to SEQ ID NO: 22 as described in EP 1921147 (SEQ ID NO: 1 herein) having the substitution R101 E (according to BPN' numbering, SEQ ID NO: 2 herein).
- the at least one protease comprised in component a is a protease 80% identical to SEQ ID NO: 22 as described in EP 1921147 (SEQ ID NO: 1 herein) having the substitution R101 E (according to BPN' numbering, SEQ ID NO: 2 herein).
- SEQ ID NO: 22 is a protease 82%, 84%, 85%, 86%, 88%, 90%, 92%, 94%, 95%, 96%, 98% or 99% but less than 100% identical to SEQ ID NO: 22 as described in EP 1921147 (SEQ ID NO: 1 herein) having the substitution R101 E (according to BPN' numbering, SEQ ID NO: 2 herein).
- the at least one protease comprised in component a is a protease identical to SEQ ID NO: 22 as described in EP 1921147 (SEQ ID NO: 1 herein) having the substitution R101 E according to BPN' numbering (SEQ ID NO: 2 herein).
- component a in one embodiment, comprises a combination of at least two proteases, preferably selected from the group of serine endopeptidases (EC 3.4.21), more preferably selected from the group of subtilisin type proteases (EC 3.4.21 .62) - all as disclosed above.
- proteases preferably selected from the group of serine endopeptidases (EC 3.4.21), more preferably selected from the group of subtilisin type proteases (EC 3.4.21 .62) - all as disclosed above.
- At least one protease may be selected from those commercially available including but not limited to those sold under the trade names Alcalase®, Blaze®, DuralaseTM, DurazymTM, Relase®, Relase® Ultra, Savinase®, Savinase® Ultra, Primase®, Polarzyme®, Kannase®, Liquanase®, Liquanase® Ultra, Ovozyme®, Coronase®, Coronase® Ultra, Neutrase®, Everlase® and Esperase® (Novozymes A/S), those sold under the tradename Maxatase®, Maxacai®, Maxapem®, Purafect®, Purafect® Prime, Purafect MA®, Purafect Ox®, Purafect OxP®, Puramax®, Properase®, FN2®, FN3®, FN4®, Excellase®, Eraser®, Ultimase®, Opticlean®, Effectenz®, Preferenz® and
- proteases include also those, which are variants of the above-described proteases, which have proteolytic activity.
- protease variants include variants with at least 40 to 100% identity to the full-length polypeptide sequence of the parent enzyme as disclosed above.
- protease variants having proteolytic activity are at least 70%, at least 75%, at least 80%, at least 85%, at least 90%, at least 91 %, at least 92%, at least 93%, at least 94%, at least 95%, at least 96%, at least 97%, at least 98% or at least 99% identical to the full-length polypeptide sequence of the parent enzyme as disclosed above.
- the invention relates to protease variants comprising conservative substitutions not pertaining the functional domain of the respective protease.
- protease variants have proteolytic activity according to the present invention when said protease variants exhibit increased proteolytic activity when compared to the parent protease.
- the liquid composition of the invention is a liquid enzyme composition that comprises amounts of protease (component a.) in the range of about 0.05% to 10% by weight relative to the total weight of the liquid composition, wherein the amount relates to 100% active enzyme.
- the protease is comprised in amounts in the range of about 2% to about 12% by weight, about 2% to about 10% by weight, about 2% to about 8% by weight, about 2% to about 6% by weight, or more preferably of about 2% to about 5% by weight, all relative to the total weight of the liquid composition.
- the liquid composition of the invention is a liquid cleaning composition that comprises amounts of the protease (component a.) in the range of about 0.0005% to 0.1 % by weight relative to the total weight of the liquid composition, wherein the amount relates to 100% active enzyme.
- the protease is comprised in amounts in the range of about 0.02% to 0.06% by weight, more preferably of about 0.02% to 0.05% by weight, all relative to the total weight of the liquid composition.
- protease inhibitors as used herein are compounds that slow down or halt enzymatic activity of proteases. Protease inhibitors frequently also stabilize the enzyme in its three-dimensional structure. Hence, protease inhibitors usually also act as protease stabilizers.
- the protease inhibitor in the compositions of the present invention is a peptide aldehyde, or a salt or a derivative thereof, preferably the protease inhibitor in the composition of the present invention is a peptide aldehyde, a peptide aldehyde hydrosulfite adduct, or a combination thereof.
- a “derivative” of a compound as used herein, e. g. a peptide aldehyde, is a compound that is derived from the compound by a chemical reaction, e. g. a peptide aldehyde hydrosulfite adduct.
- salt as used herein is a compound consisting of an assembly of positively charged cations and negatively charged anions resulting in a compound with no net electric charge.
- component b. comprises at least one peptide stabilizer, meaning peptide aldehyde herein.
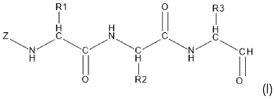
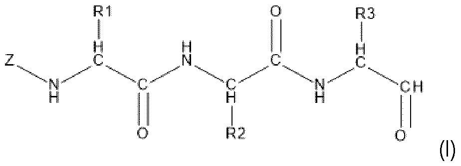
- the peptide aldehyde is a tripeptide aldehyde, preferably selected from a compound of formula (I) or a salt thereof or hydrosulfite adduct thereof:
- R1 , R2, R3 and Z within formula (I) are defined as follows:
- R1 is an amino acid side chain of an L or D amino acid selected from the group consisting of Gly, Ala, Vai, Leu, lie, Met, Pro, Phe, Trp, Ser, Thr, Asp, Gin, Tyr, Cys, Lys, Arg, His, Asn, Glu, m-tyrosine, 3,4-dihydroxyphenylalanine, Nva, or Nle.
- R1 is an amino acid side chain of an L or D amino acid selected from the group consisting of Ala, Vai, Gly, Arg, Leu, Phe, lie, His or Thr. More preferably, R1 is an amino acid side chain of an L or D amino acid selected from the group consisting of Ala, Vai, Gly, Arg, Leu, lie or His.
- R2 is an amino acid side chain of an L or D amino acid selected from the group consisting of Gly, Ala, Vai, Leu, lie, Met, Pro, Phe, Trp, Ser, Thr, Asp, Gin, Tyr, Cys, Lys, Arg, His, Asn, Glu, m-tyrosine, 3,4-dihydroxyphenylalanine, Nva, or Nle.
- R2 is an amino acid side chain of an L or D amino acid selected from the group consisting of Ala, Cys, Gly, Pro, Ser, Thr, Vai, Nva or Nle. More preferably, R2 is an amino acid side chain of an L or D amino acid selected from the group consisting of Ala, Gly, Pro or Vai.
- R3 is an amino acid side chain of an L or D amino acid selected from the group consisting of Tyr, m-tyrosine, 3,4- dihydroxyphenylalanine, Phe, Vai, Ala, Met, Nva, Leu, lie or Nle or other non-natural amino acids carrying alkyl groups.
- R3 is an amino acid side chain of an L or D amino acid selected from the group consisting of Tyr, Phe, Vai, Ala or Leu.
- R1 and R2 may be amino acid side chains of non-polar L or D amino acids which herein include amino acids comprising aliphatic or aromatic R groups.
- Non-polar amino acids herein specifically include Gly, Ala, Vai, Leu, lie, Met, Pro, Phe and Trp.
- R1 is an amino acid side chain of an L or D-amino acid residue of Gly or Vai
- R2 is an amino acid side chain of an L or D-amino acid residue of Ala
- R3 is an amino acid side chain of an L or D-amino acid residue of Tyr, Ala, or Leu.
- At least two of R1 , R2 and R3 are amino acid side chains of non-polar amino acid residues, preferably independently from each other selected from an L or D-amino acid residue of Ala, Vai, Gly and Leu.
- R1 , R2 and R3 are amino acid side chains of non-polar amino acid residues.
- R1 is an amino acid side chain of an L or D-amino acid residue of Vai
- R2 is an amino acid side chain of an L or D-amino acid residue of Ala
- R3 is an amino acid side chain of an L or D-amino acid residue of Leu.
- the more non-polar amino acids are comprised in the peptide aldehyde, the more challenges exist to solubilize the peptide stabilizer in water and/or water-miscible solvents.
- Z in formula (I) selected from hydrogen, an N-terminal protection group, and one or more amino acid residues optionally comprising an N-terminal protection group.
- Z is an N-terminal protection group.
- the N-terminal protection group is preferably a small aliphatic group, e.g., formyl, acetyl, fluorenylmethyloxycarbonyl (Fmoc), tert-butyloxycarbonyl (Boc), methoxycarbonyl (Moc), methoxyacetyl (Mac), methyl carbamate or a methylamino carbonyl/methyl urea group.
- a small aliphatic group e.g., formyl, acetyl, fluorenylmethyloxycarbonyl (Fmoc), tert-butyloxycarbonyl (Boc), methoxycarbonyl (Moc), methoxyacetyl (Mac), methyl carbamate or a methylamino carbonyl/methyl urea group.
- the N-terminal protection group is preferably a bulky aromatic group such as benzoyl (Bz), benzyloxycarbonyl (Cbz), p-methoxybenzyl carbonyl (MOZ), benzyl (Bn), p-methoxybenzyl (PMB) or p-methoxyphenyl (PMP).
- Bz benzoyl
- Cbz benzyloxycarbonyl
- MOZ p-methoxybenzyl carbonyl
- Bn benzyl
- PMB p-methoxybenzyl
- PMP p-methoxyphenyl
- N-terminal protection groups are described in Greene's Protective Groups in Organic Synthesis, Fifth Edition by Peter G. M. Wuts, published in 2014 by John Wiley & Sons, Inc and in Isidro-Llobet et al., Amino Acid-Protecting Groups, Chem. Rev. 2009 109(6), 2455-2504.
- compositions of the invention comprise at least one peptide aldehyde (component b.) selected from compounds according to formula (I), wherein
- R1 is an amino acid side chain of an L or D-amino acid residue of Vai
- R2 is an amino acid side chain of an L or D- amino acid residue of Ala
- R3 is an amino acid side chain of an L or D-amino acid residue of Leu and the N-terminal protection group Z is selected from benzyloxycarbonyl (Cbz), p-methoxybenzyl carbonyl (MOZ), benzyl (Bn), benzoyl (Bz), p-methoxybenzyl (PMB), p-methoxyphenyl (PMP), formyl, acetyl (Ac), methyloxy, alkoxycarbonyl, methoxycarbonyl, fluorenylmethyloxycarbonyl (Fmoc), or tert-butyloxycarbonyl (Boc).
- Z-VAL-H This compound is referred to as Z-VAL-H herein.
- R1 is an amino acid side chain of an L or D-amino acid residue of Vai
- R2 is an amino acid side chain of an L or D- amino acid residue of Ala
- R3 is an amino acid side chain of an L or D-amino acid residue of Leu and the N-terminal protection group Z of the peptide aldehyde is benzyloxycarbonyl (Cbz).
- This compound is referred to as Cbz-VAL-H herein, wherein -H represents the aldehyde group.
- the liquid composition of the invention is a liquid enzyme composition that comprises amounts of the peptide aldehyde (component b.) in the range of about 0.05% to 0.8% by weight relative to the total weight of the liquid composition, wherein the amount relates to 100% active content.
- the peptide aldehyde is comprised in amounts in the range of about 0.05% to about 0.6% by weight, of about 0.05% to about 0.5% by weight, of about 0.05% to about 0.4%, of about 0.05% to about 0.25%, of about 0.15% to about 0.2% or of about 0.1 % to about 0.25% by weight, all relative to the total weight of the liquid composition.
- the liquid composition of the invention is a liquid cleaning composition that comprises amounts of the peptide aldehyde (component b.) in the range of about 0.00005% to 0.06% by weight relative to the total weight of the liquid composition, wherein the amount relates to 100% active content.
- the peptide aldehyde is comprised in amounts in the range of about 0.00005% to 0.04% by weight, of about 0.00005% to 0.004% by weight, of about 0.0005% to 0.004%, or of about 0.001 % to 0.003% by weight, all relative to the total weight of the liquid composition.
- Component c. Solubilizing agents according to the invention
- Component c. comprises at least on solubilizing agent selected from the group consisting of
- component c. comprises neopentyl glycol (NPG; IUPAC name: 2,2-dimethylpropane-l ,3-diol, sometimes also referred to as 2,2-dimethyl-1 ,3-propanediol), having the formula (II):
- the liquid composition of the invention comprises amounts of neopentyl glycol as component c. ranging from about 0.01% to 25%.
- the liquid composition of the invention is a liquid enzyme composition that comprises amounts of neopentyl glycol as component c. ranging from about 5% to 25% by weight, preferably from about 10% to 20% by weight.
- the total amount of neopentyl glycol as component c. in the liquid enzyme composition of the invention may be at least 5% by weight, at least 6% by weight, at least 7% by weight, at least 8% by weight, at least 9% by weight, or at least 10% by weight.
- liquid enzyme composition in the liquid enzyme composition may not be more than 25% by weight, not more than 24% by weight, not more than 23% by weight, not more than 22% by weight, not more than 21% by weight, not more than 20% by weight, not more than 19% by weight, not more than 18% by weight, not more than 17% by weight, not more than 16% by weight, not more than 15% by weight, not more than 14% by weight, not more than 13% by weight, or not more than 12% by weight.
- the liquid composition of the invention is a liquid cleaning composition that comprises amounts of neopentyl glycol as component c. ranging from about 0.01% to 1% by weight, preferably from about 0.05% to 0.2% by weight.
- the total amount of neopentyl glycol as component c. in the liquid cleaning composition of the invention may be at least 0.01% by weight, at least 0.02% by weight, at least 0.03% by weight, at least 0.04% by weight, or at least 0.05% by weight.
- the total amount of neopentyl glycol as component c. in the liquid cleaning composition may not be more than 1% by weight, not more than 0.8% by weight, not more than 0.6% by weight, not more than 0.4% by weight, not more than 0.2% by weight, or not more than 0.15% by weight.
- component c. comprises gamma-valerolactone (GVL; IUPAC name: 5-methyloxolan-2- one, sometimes also referred to as y-valerolactone, 5-methyldihydrofuran-2(3H)-one, 4-pentanolide, 4- valerolactone, 4-pentalactone, 4-hydroxypentanoic acid lactone), having the formula (III):
- the liquid composition of the invention comprises amounts of gamma-valerolactone as component c. ranging from about 0.005% to 10%.
- the liquid composition of the invention is a liquid enzyme composition that comprises amounts of gamma-valerolactone as component c. ranging from about 1% to 10% by weight, preferably from about 2% to 8% by weight, more preferably from about 2% to 5% by weight.
- the total amount of gamma- valerolactone as component c. in the liquid enzyme compositions of the invention may be at least 1% by weight, at least 2% by weight, at least 3% by weight, at least 4% by weight, or at least 4.5% by weight.
- liquid enzyme compositions of the invention may not be more than 10% by weight, not more than 9% by weight, not more than 8% by weight, not more than 7% by weight, not more than 6% by weight, not more than 5.5% by weight or not more than 5% by weight, all relative to the total weight of the liquid composition.
- the liquid composition of the invention is a liquid cleaning composition that comprises amounts of gamma-valerolacone as component c. ranging from about 0.005% to 0.5% by weight, preferably from about 0.01% to 0.1% by weight.
- the total amount of gamma-valerolactone as component c. in the liquid cleaning composition of the invention may be at least 0.005% by weight, at least 0.01% by weight, at least 0.02% by weight, at least 0.03% by weight, at least 0.04% by weight, or at least 0.05% by weight.
- the total amount of gamma-valerolactone as component c. in the liquid cleaning composition may not be more than 0.5% by weight, not more than 0.4% by weight, not more than 0.3% by weight, not more than 0.2% by weight, not more than 0.15% by weight, or not more than 0.1% by weight.
- component c. comprises diethylene glycol (DEG; IUPAC name: 2, 2' -oxydiethanol, sometimes also referred to as 2,2'-oxybis(ethan-1-ol), 2-(2-hydroxyethoxy)ethan-1-ol, ethylene diglycol, diglycol, 2,2'-oxybisethanol, 2,2'-oxydiethanol, 3-oxa-1,5-pentanediol, dihydroxy diethyl ether, digenos, digol), having the formula (IV):
- DEG diethylene glycol
- IUPAC name: 2,2' -oxydiethanol sometimes also referred to as 2,2'-oxybis(ethan-1-ol), 2-(2-hydroxyethoxy)ethan-1-ol, ethylene diglycol, diglycol, 2,2'-oxybisethanol, 2,2'-oxydiethanol, 3-oxa-1,5-pentanediol, dihydroxy diethyl ether, digenos, digol
- the liquid composition of the invention comprises amounts of diethylene glycol as component c. ranging from about 0.01% to 15%.
- the liquid composition of the invention is a liquid enzyme composition that comprises amounts of diethylene glycol as component c. ranging from about 5% to about 15% by weight, preferably from about 8% to about 12% by weight.
- the total amount of diethylene glycol as component c. in the liquid enzyme compositions of the invention may be at least 5% by weight, at least 6% by weight, at least 7% by weight, at least 8% by weight, at least 9% by weight, at least 9.5% by weight, or at least 10% by weight, all relative to the total weight of the liquid composition.
- liquid enzyme compositions of the invention may not be more than 15% by weight, not more than 14% by weight, not more than 13% by weight, not more than 12% by weight, not more than 11 % by weight, or not more than 10.5% by weight all relative to the total weight of the liquid composition.
- the liquid composition of the invention is a liquid cleaning composition that comprises amounts of diethylene glycol as component c. ranging from about 0.01 % to 1 % by weight, preferably from about 0.05% to 0.2% by weight.
- the total amount of diethylene glycol as component c. in the liquid cleaning composition of the invention may be at least 0.01 % by weight, at least 0.02% by weight, at least 0.03% by weight, at least 0.04% by weight, or at least 0.05% by weight.
- the total amount of neopentyl glycol as component c. in the liquid cleaning composition may not be more than 1 % by weight, not more than 0.8% by weight, not more than 0.6% by weight, not more than 0.4% by weight, not more than 0.2% by weight, or not more than 0.15% by weight.
- composition according to the invention including liquid enzyme compositions and liquid cleaning compositions, may comprise further components.
- compositions including the liquid enzyme compositions and the liquid cleaning compositions, according to the invention are provided in a liquid form, they contain preferably water as the main solvent.
- Nonaqueous solvents can also or additionally be used. Suitable non-aqueous solvents encompass mono- or polyhydric alcohols, alkanolamines or glycol ethers, provided they are miscible with water in the specified concentration range.
- the solvents are preferably selected from ethanol, n-propanol, iso-propanol, butanols, glycol, propanediol, butanediol, glycerol, diglycol, propyl diglycol, butyl diglycol, hexylene glycol, ethylene glycol methyl ether, ethylene glycol ethyl ether, ethylene glycol propyl ether, ethylene glycol mono-n-butyl ether, diethylene glycol methyl ether, diethylene glycol ethyl ether, propylene glycol methyl ether, propylene glycol ethyl ether, propylene glycol propyl ether, dipropylene glycol monomethyl ether, dipropylene glycol monoethyl ether, diisopropylene glycol monomethyl ether, diisopropylene glycol monoethyl ether, methoxytriglycol, ethoxytriglycol, but
- the composition may contain at least one polyol as additional non-aqueous solvent.
- the polyol can in particular encompass glycerol, 1,2 propanediol (mono propylene glycol, MPG), 1 ,3-propanediol, ethylene glycol, and/or dipropylene glycol.
- the composition preferably contains a solvent mixture of glycerol and MPG.
- the composition according to the invention comprises MPG as additional solvent.
- the liquid composition of the invention is a liquid enzyme composition that comprises amounts of MPG as additional solvent ranging from about 1 % to about 35% by weight, preferably from about 5% to about 30% by weight.
- the total amount of MPG in the liquid enzyme composition of the invention may be at least 1 % by weight, at least 2% by weight, at least 4% by weight, at least 5% by weight, at least 6% by weight, at least 8% by weight, or at least 9% by weight.
- the total amount of MPG in the liquid enzyme composition may not be more than 40% by weight, not more than 35% by weight, not more than 30% by weight, not more than 28% by weight, not more than 26% by weight, not more than 24% by weight, not more than 22% by weight, not more than 20% by weight, not more than 18% by weight, not more than 16% by weight, not more than 14% by weight, not more than 12% by weight, or not more than 10% by weight.
- the liquid composition of the invention is a liquid cleaning composition that comprises amounts of MPG as additional solvent ranging from about 0.01 % to about 3% by weight, preferably from about 0.05 to about 1 % by weight, more preferably from about 0.05 to about 0.5% by weight.
- the composition according to the invention comprises glycerol as additional solvent.
- the liquid composition of the invention is a liquid enzyme composition that comprises amounts of glycerol as additional solvent ranging from about 10% to about 50% by weight, preferably from about 15% to about 45% by weight.
- the total amount of glycerol in the liquid enzyme composition of the invention may be at least 10% by weight, at least 12% by weight, at least 14% by weight, at least 15% by weight, at least 16% by weight, at least 18% by weight, or at least 19% by weight.
- the total amount of glycerol in the liquid enzyme composition may not be more than 45% by weight, not more than 42% by weight, not more than 40% by weight, not more than 38% by weight, not more than 36% by weight, not more than 34% by weight, not more than 32% by weight, not more than 30% by weight, not more than 28% by weight, not more than 26% by weight, not more than 24% by weight, not more than 22% by weight, or not more than 20% by weight.
- the liquid composition of the invention is a liquid cleaning composition that comprises amounts of glycerol as additional solvent ranging from about 0.01 % to about 5% by weight, preferably from about 0.05 to about 1 % by weight, more preferably from about 0.05 to about 0.5% by weight.
- the cleaning composition comprises at least one preservative.
- a preservative is an antimicrobial agent which may be added to aqueous products and compositions to maintain the original performance, characteristics and integrity of the products and compositions by killing contaminating microorganisms or inhibiting their growth.
- An antimicrobial agent is a chemical compound that kills microorganisms or inhibits their growth or reproduction. Microorganisms can be bacteria, yeasts or molds.
- composition may contain one or more antimicrobial agents and/or preservatives as listed in patent WO2021/115912 A1 ("Formulations comprising a hydrophobically modified polyethylene-imine and one or more enzymes”) on pages 35 to 39.
- Especially of interest for the cleaning compositions and fabric and home care products and specifically in laundry formulations are any of the following antimicrobial agents and/or preservatives: 4,4'-dichloro 2-hydroxydiphenyl ether (further names: 5-chloro-2-(4-chlorophenoxy) phenol, Diclosan, DCPP), Tinosan® HP 100 (30wt.% of DCPP in 1 ,2-propylene glycol); 2-phenoxyethanol (further names: phenoxyethanol, methylphenylglycol, phenoxetol, ethylene glycol phenyl ether, ethylene glycol monophenyl ether, 2-(phenoxy) ethanol, 2-phenoxy-1 -ethanol); 2-bromo-2-nitropropane-1,3-diol (further names: 2-bromo-2-nitro-1,3-propanediol, bronopol); glutaraldehyde (further names: 1 -5-pentandial, pent
- the composition contains 2-phenoxyethanol in a concentration of 0.1 to 2%, preferably ⁇ 0.9%, or 4,4'- dichloro 2-hydroxydiphenyl ether (DCPP) in a concentration of 0.005 to 0.6%.
- 2-phenoxyethanol in a concentration of 0.1 to 2%, preferably ⁇ 0.9%, or 4,4'- dichloro 2-hydroxydiphenyl ether (DCPP) in a concentration of 0.005 to 0.6%.
- DCPP 4,4'- dichloro 2-hydroxydiphenyl ether
- the composition of the invention e.g. a liquid enzyme composition, comprises 0.8-1% 2- phenoxyethanol.
- the invention also encompasses a method of preserving an aqueous composition according to the invention against microbial contamination or growth, which method comprises addition of at least one antimicrobial agent or preservative, preferably 2-phenoxyethanol.
- the invention also encompasses a method of providing an antimicrobial effect on textiles after treatment with a solid laundry detergent (e.g. powders, granulates, capsules, tablets, bars etc.), a liquid laundry detergent, a softener or an after-rinse containing 4, 4' -dichloro 2-hydroxy-diphenyl ether (DCPP).
- a solid laundry detergent e.g. powders, granulates, capsules, tablets, bars etc.
- DCPP after-rinse containing 4, 4' -dichloro 2-hydroxy-diphenyl ether
- compositions of the invention e.g. a liquid enzyme composition
- compositions of the present invention may comprise at least one further enzyme in addition to the protease as described herein.
- the at least one further enzyme is a detergent enzyme.
- the further enzyme is classified as an oxidoreductase (EC 1), a transferase (EC 2), a hydrolase (EC 3), a lyase (EC 4), an isomerase (EC 5), or a Ligase (EC 6) (EC-numbering according to Enzyme Nomenclature, Recommendations (1992) of the Nomenclature Committee of the International Union of Biochemistry and Molecular Biology including its supplements published 1993-1999).
- the further enzyme is a hydrolase (EC 3), in one embodiment the further enzyme is a glycosidase (EC 3.2) or a peptidase (EC 3.4). In one embodiment, the further enzyme is selected from the group consisting of an amylase (in particular an alpha-amylase (EC 3.2.1.1)), a cellulase (EC 3.2.1.4), a lactase (EC 3.2.1.108), a mannanase (EC 3.2.1.25), a lipase (EC3.1.1.3), a phytase (EC 3.1.3.8), a nuclease (EC 3.1.11 to EC 3.1.31), and a protease.
- an amylase in particular an alpha-amylase (EC 3.2.1.1)
- a cellulase EC 3.2.1.4
- a lactase EC 3.2.1.108
- a mannanase EC 3.2.1.25
- lipase
- the further enzyme is selected from the group consisting of oxidoreductases, transferases, hydrolases, lyases, isomerases, ligases, aminopeptidases, amylases, asparaginases, carbohydrases, carboxypeptidases, catalases, cellulases, chitinases, cutinases, cyclodextrin glycosyltransferases, deoxyribonucleases, esterases, alpha-galactosidases, betagalactosidases, glucoamylases, alpha-glucosidases, beta-glucosidases, hyaluronic acid synthases, invertases, laccases, lipases, mannanases, mannosidases, mutanases, oxidases, pectinolytic enzymes, peroxidases, phytases, polyphenoloxidases, proteases, rib
- the further enzyme is selected from the group consisting of mannanases, amylases, cellulases, lipases, dispersins, and DNases.
- the further enzyme is selected from the group consisting of mannanases, amylases, and cellulases.
- the further enzyme is a mannanase.
- the compositions of the present invention comprise a mannanase.
- Mannanases as described herein are enzymes selected from the group of mannan degrading enzymes that according to the invention have “mannanase activity”.
- the mannanase may be selected from p-mannosidase (EC 3.2.1.25), endo-1 ,4-p-mannosidase (EC 3.2.1.78), and 1,4- p-mannobiosidase (EC 3.2.1.100).
- the mannanase is selected from the group of endo-1,4-p- mannosidase (EC 3.2.1.78), a group of enzymes which may be called endo-p-1 ,4-D-mannanase, p-mannanase, or mannanase herein.
- Endo-1 , 4-mannanases randomly hydrolyze the 1 ,4-linkages within the mannan backbone releasing manno-oligosaccharides (MOS).
- Mannanase activity may be determined by assays for measurement of mannanase activity, which are known to those skilled in the art. For instance, a mannanase to be tested may be applied to 4 mm diameter holes punched out in agar plates comprising 0.2% AZCL galactomannan (carob), i.e. a substrate for the assay of endo-1 ,4-beta- D-mannanase. Carob is e.g. available as l-AZGMA from the company Megazyme. Mannan degrading activity may be tested in a liquid assay using carob galactomannan dyed with Remazol Brilliant Blue as described in McCleary, B. V.10 (1978).
- carob AZCL galactomannan
- Suitable mannanases according to the invention have mannanase activity, preferably when determined according to the essays described above, they exhibit at least 50%, at least 60%, at least 70%, at least 80%, at least 90%, at least 100%, at least 110%, at least 120%, at least 130%, at least 140%, or at least 150% of the mannanase activity of the mannanase variant comprising or consisting of SEC ID NO: 3 with the amino acid substitutions G59V, N66D, A89H, E234Q, W259M, N282Y, T318N, E319G, and S322G according to the numbering of SEC ID NO: 3.
- the mannanase comprised in the composition of the invention may be selected from alkaline mannanase of Family 5 or 26 (i.e., GH5 or GH26).
- alkaline mannanase is meant to encompass mannanases having an enzymatic activity of at least 40% of its maximum activity at a given pH ranging from 7 to 12, preferably 7.5 to 10.5.
- the mannanase comprised in the composition of the invention may be selected from mannanases originating from Bacillus organisms, such as described in JP-0304706 [beta-mannanase from Bacillus sp.], JP-63056289 [alkaline, thermostable beta-mannanase], JP-63036774 [Bacillus microorganism FERM P-8856 producing beta-mannanase and beta-mannosidase at an alkaline pH], JP-08051975 [alkaline beta-mannanases from alkalophilic Bacillus sp.
- Suitable mannanases are described in WO 99/064619],
- the mannanase comprised in the composition of the invention may be selected from mannanases originating from Trichoderma organisms, such as disclosed in WO 93/24622.
- the mannanase comprised in the composition of the invention maybe a sequence disclosed in W02005003319 as SEQ ID NO: 388.
- Suitable mannanases include also those, which are variants of the above described mannanases which have mannan degrading activity.
- the mannanase of the present invention is a mannanase that comprises an amino acid sequence which is at least 65% identical to SEQ ID NO: 3.
- the mannanase is a variant of a parent mannanase, wherein the mannanase variant comprises one or more amino acid substitutions at positions selected from the group consisting of 59, 66, 89, 234, 259, 282, 318, 319, and 322, according to the numbering of SEQ ID NO: 3, and an amino acid sequence which is at least 65%, preferably at least 70%, at least 75%, at least 80%, at least 85%, at least 90%, at least 91 %, at least 92%, at least 93%, at least 94%, at least 95%, at least 96%, at least 97%, or even more preferably at least 98% but less than 100% identical SEQ ID NO: 3.
- the mannanase is a variant of a parent mannanase that comprises at least one, at least two, at least three, at least four, at least five, at least six, at least seven, at least eight or all amino acid substitutions selected from the group consisting of X59V, X66D, X89H, X234Q, X259M, X282Y, X318N, X319G, and X322G according to the numbering of SEQ ID NO: 3 and an amino acid sequence which is at least 65%, preferably at least 70%, at least 75%, at least 80%, at least 85%, at least 90%, at least 91 %, at least 92%, at least 93%, at least 94%, at least 95%, at least 96%, at least 97%, or even more preferably at least 98% but less than 100% identical SEQ ID NO: 3.
- the mannanase is a variant of a parent mannanase comprising or consisting of SEQ ID NO: 3 with the amino acid substitutions Q59V, N66D, A89H, E234Q, W259M, N282Y, T318N, E319G, and S322G according to the numbering of SEQ ID NO: 3 and optionally additionally comprises one or more, preferably 1 -10, more preferably 1-5 conservative amino acid substitutions.
- mannanase variants include variants with at least 40 to 100% similarity and/or identity when compared to the full-length polypeptide sequence of the parent enzyme as disclosed above.
- mannanase variants having mannan degrading activity are at least 70%, at least 75%, at least 80%, at least 85%, at least 90%, at least 91 %, at least 92%, at least 93%, at least 94%, at least 95%, at least 96%, at least 97%, at least 98% or at least 99% similar and/or identical to the full-length polypeptide sequence of the parent enzyme as disclosed above.
- mannanase variants have mannan degrading activity according to the pre-sent invention when said mannanase variants exhibit at least 20%, at least 25%, at least 30%, at least 35%, at least 40%, at least 45%, at least 50%, at least 55%, at least 60%, at least 65%, at least 70%, at least 75%, at least 80%, at least 85%, at least 90%, at least 95%, or 100% of the mannan degrading activity of the respective parent mannanase.
- At least one mannanase may be selected from a commercially available mannanase such as Mannaway® (Novozymes A/S).
- compositions of the present invention including liquid enzyme compositions and liquid cleaning compositions, comprise an amylase.
- Amylases according to the invention (alpha and/or beta) include amylases of bacterial or fungal origin (EC 3.2.1.1 and 3.2.1.2, respectively), preferably selected from the group of alpha-amylases (EC 3.2.1.1). Chemically modified or protein engineered variants are included.
- Amylases according to the invention have "amylolytic activity” or “amylase activity” involving (en-do)hydrolysis of glucosidic linkages in polysaccharides.
- Alpha-amylase activity may be determined by assays for measurement of alpha-amylase activity which are known to those skilled in the art.
- Alpha-amylase activity can for example be determined by a method employing Phadebas tablets as substrate (Phadebas Amylase Test, supplied by Magle Life Science).
- Starch is hydrolyzed by the alpha-amylase giving soluble blue fragments.
- the absorbance of the resulting blue solution measured spectrophotometrically at 620 nm, is a function of the alpha-amylase activity. The measured absorbance is directly proportional to the specific activity (activity/mg of pure alpha-amylase protein) of the alpha-amylase in question under the given set of conditions.
- Alpha-amylase activity can also be determined by a method employing the ethyliden-4-nitrophenyl-alpha-D- maltoheptaosid (EPS).
- D-maltoheptaoside is a blocked oligosaccharide, which can be cleaved by an endo-amylase.
- the alpha-glucosidase included in the kit digests the substrate to liberate a free PNP molecule, which has a yellow color and thus can be measured by visible spectrophotometry at 405nm.
- Kits containing EPS substrate and alpha-glucosidase are manufactured by Roche Costum Biotech (cat. No. 10880078103). The slope of the time dependent absorption-curve is directly proportional to the specific activity (activity per mg enzyme) of the alpha-amylase in question under the given set of conditions.
- Amylolytic activity may be provided in units per gram enzyme.
- 1 unit alpha-amylase may liberate 1.0 mg of maltose from starch in 3 min at pH 6.9 at 20°C.
- Suitable amylases according to the invention have amylase activity, preferably when determined according to the essays described above, they exhibit at least 50%, at least 60%, at least 70%, at least 80%, at least 90%, at least 100%, at least 110%, at least 120%, at least 130%, at least 140%, or at least 150% of the amylase activity of the amylase according to SEQ ID NO: 4, having the amino acid substitutions N25H, G4Q, R176K, G186E, T251 E, L405M, and Y482W according to the numbering of SEQ ID NO: 5.
- Suitable amylases according to the invention have at least 40% residual activity after storage for 3 months at 45 °C in compositions according to the invention including liquid enzyme and liquid detergent compositions.
- At least one amylase is selected from:
- Suitable variants of SEQ ID NO: 6 include those comprising a deletion in positions 181 and/or 182 and/or a substitution in position 193.
- Preferred variants of SEQ NO: 6 are those having a substitution, a deletion or an insertion in one or more of the following positions: R181 , G182, H183, G184, N195, 1206, E212, E216 and K269.
- amylases from Bacillus sp. comprising amino acids 1 to 485 of SEQ ID NO: 2 as described in WO 00/60060.
- amylases from Bacillus amyloliquefaciens or variants thereof, preferably selected from amylases according to SEQ ID NO: 3 as described in WO 2016/092009.
- amylases having SEQ ID NO: 12 as described in WO 2006/002643 or amylase variants comprising the substitutions Y295F and M202LITV within said SEQ ID NO: 12.
- amylases having SEQ ID NO: 6 as described in WO 2011/098531 or amylase variants comprising a substitution at one or more positions selected from the group consisting of 193 [G,A,S,T or M], 195 [F, W, Y, L, I or V], 197 [F, W,Y,L, I or V], 198 [Q or N], 200 [F, W, Y,L, I or V], 203 [F, W, Y,L, I or V], 206 [F,W,Y,N,L,I,V,H,Q,D or E], 210 [F,W,Y,L,I or V], 212 [F,W,Y,L,I or V], 213 [G,A,S,T or M] and 243 [F, W,Y,L, I or V] within said SEQ ID NO: 6.
- amylases having SEQ ID NO: 1 as described in WO 2013/001078 or amylase variants comprising an alteration at two or more (several) positions corresponding to positions G304, W140, W189, D134, E260, F262, W284, W347, W439, W469, G476, and G477 within said SEQ ID NO: 1.
- amylases having SEQ ID NO: 2 as described in WO 2013/001087 or amylase variants comprising a deletion of positions 181 +182, or 182+183, or 183+184, within said SEQ ID NO: 2, optionally comprising one or two or more modifications in any of positions corresponding to W140, W159, W167, Q169, W189, E194, N260, F262, W284, F289, G304, G305, R320, W347, W439, W469, G476 and G477 within said SEQ ID NO: 2.
- amylases which are hybrid alpha-amylases from above mentioned amylases as for example as described in WO 2006/066594.
- hybrid amylases according to WO 2014/183920 with A and B domains having at least 90% identity to SEQ ID NO: 2 of WO 2014/183920 and a C domain having at least 90% identity to SEQ ID NO: 6 of WO 2014/183920, wherein the hybrid amylase has amylolytic activity; preferably the hybrid alpha-amylase is at least 95% identical to SEQ ID NO: 23 of WO 2014/183920, having amylolytic activity.
- hybrid amylase according to WO 2014/183921 with A and B domains having at least 75% identity to SEQ ID NO: 2, SEQ ID NO: 15, SEQ ID NO: 20, SEQ ID NO: 23, SEQ ID NO: 29, SEQ ID NO: 26, SEQ ID NO: 32, or SEQ ID NO: 39 as disclosed in WO 2014/183921 and a C domain having at least 90% identity to SEQ ID NO: 6 of WO 2014/183921, wherein the hybrid amylase has amylolytic activity; preferably, the hybrid alpha-amylase is at least 95% identical to SEQ ID NO: 30 as disclosed in WO 2014/183921 , having amylolytic activity.
- the amylase is a sequence having at least 80%, preferably at least 85%, more preferably at least 90%, more preferably at least 95%, even more preferably at least 98% sequence identity to SEQ ID NO: 4, having amylolytic activity.
- said amylase is characterized by comprising the substitution N25H, G4Q, R176K, G186E, T251 E, L405M, and Y482W according to the numbering of SEQ ID NO: 5.
- the amylase is a sequence according to SEQ ID NO: 4 comprising the substitutions N25H, G4Q, R176K, G186E, T251 E, L405M, and Y482W according to the numbering of SEQ ID NO: 5.
- Suitable amylases also include those, which are variants of the above-described amylases, which have amylolytic activity.
- amylase variants include variants with at least 40 to 100% identity when compared to the full-length polypeptide sequence of the parent enzyme as disclosed above.
- amylase variants having amylolytic activity are at least 70%, at least 75%, at least 80%, at least 85%, at least 90%, at least 91 %, at least 92%, at least 93%, at least 94%, at least 95%, at least 96%, at least 97%, at least 98% or at least 99% identical to the full-length polypeptide sequence of the parent enzyme as disclosed above.
- the invention relates to amylase variants comprising conservative substitutions not pertaining the functional domain of the respective amylase.
- Amylase variants of this embodiment having amylolytic activity may be at least 70%, at least 75%, at least 80%, at least 85%, at least 90%, at least 91%, at least 92%, at least 93%, at least 94%, at least 95%, at least 96%, at least 97%, at least 98% or at least 99% similar to the full- length polypeptide sequence of the parent enzyme.
- amylase variants have amylolytic activity according to the present invention when said amylase variants exhibit increased amylolytic activity when compared to the parent amylase.
- amylase variants have amylolytic activity according to the present invention when said amylase variants exhibit increased amylolytic activity when compared to the parent cellulase.
- amylase variants have amylolytic activity according to the present invention when said amylase variants exhibit at least 20%, at least 25%, at least 30%, at least 35%, at least 40%, at least 45%, at least 50%, at least 55%, at least 60%, at least 65%, at least 70%, at least 75%, at least 80%, at least 85%, at least 90%, at least 95%, or 100% of the amylolytic activity of the respective parent amylase.
- At least one amylase is selected from commercially available amylases which include but are not limited to products sold under the trade names DuramylTM, TermamylTM, FungamylTM, StainzymeTM, Stainzyme PlusTM, NatalaseTM, Liquozyme X and BANTM, AmplifyTM, Amplify PrimeTM (from Novozymes A/S), and RapidaseTM, PurastarTM, PoweraseTM, EffectenzTM (MIOO from DuPont), PreferenzTM (S1000, S110 and F1000; from DuPont), PrimaGreenTM (ALL; DuPont), OptisizeTM (DuPont).
- commercially available amylases which include but are not limited to products sold under the trade names DuramylTM, TermamylTM, FungamylTM, StainzymeTM, Stainzyme PlusTM, NatalaseTM, Liquozyme X and BANTM, AmplifyTM, Amplify PrimeTM
- compositions of the present invention comprising a cellulase.
- Cellulases according to the invention have cellulase activity and include those of bacterial or fungal origin.
- Cellulases are enzymes involved in hydrolysis of cellulose. Assays for measurement of "cellulase activity” or “cellulolytic activity” are known to those skilled in the art. For example, cellulolytic activity may be determined using a calorimetric assay, where the cellulase hydrolyses carboxymethyl cellulose to reducing carboxyd rates, which can be determined calorimetrically via the ferricyanide reaction according to Hoffman, W. S., J. Biol. Chem. 120, 51 (1937). Suitable cellulases according to the invention have at least 50% residual activity after 14-day storage at 45°C in compositions according to the invention, e.g. liquid enzyme and liquid detergent compositions, including a protease and cellularlase blend.
- Cellulolytic activity may be provided in units per gram enzyme. For example, 1 unit may liberate 1.0 pmole of glucose from cellulose in one hour at pH 5.0 at 37°C (2 hour incubation time).
- At least one cellulase comprised in the composition of the invention may be selected from cellobiohydrolase (1,4- P-D-glucan cellobiohydrolase, EC 3.2.1.91), endo-ss-1 ,4-glucanase (EC 3.2.1.4) and ss-glucosidase (EC 3.2.1.21).
- Endoglucanases of EC class 3.2.1.4 may be named endoglucanase, endo-1 ,4-ss-D-glucan 4-glucano hydrolase, endo-1 ,4-beta-glucanase, carboxymethyl cellulase, and beta-1 , 4-glucanase.
- Endoglucanases may be classified by amino acid sequence similarities (Henrissat, B. Accessed at UniProt 10/26/2011) under family 5 containing more than 20 endoglucanases of EC 3.2.1.4. Reference is also made to T.-M. Enveri, "Microbial Cellulases” in W.M. Fogarty, Microbial Enzymes and Biotechnology, Applied Science Publishers, p. 183-224 (1983); Methods in Enzymology, (1988) Vol. 160, p. 200-391 (edited by Wood, W.A. and Kellogg, S.T.); Beguin, P., "Molecular Biology of Cellulose Degradation", Annu. Rev. Microbiol. (1990), Vol. 44, pp.
- At least one cellulase comprised in the composition of the invention is selected of the glycosyl hydrolase family 7 (GH7, pfam00840), preferably selected from endoglucanases (EC 3.2.1.4).
- GH7, pfam00840 glycosyl hydrolase family 7
- endoglucanases EC 3.2.1.4
- At least one cellulase comprised in the composition of the invention is selected from cellulases comprising a cellulose binding domain. In one embodiment, at least one cellulase is selected from cellulases comprising a catalytic domain only, meaning that the cellulase lacks cellulose binding domain.
- Bacillus such as Bacillus sp. CBS 670.93 and CBS 669.93
- Melanocarpus such as Melanocarpus albomyces as disclosed in WO 97/14804
- Clostridium e.g. Clostridium thermocellum
- Humicola such as Humicola insolens (DSM1800) as disclosed in EP 0495257, EP 0531315, EP 0531372, US 4435307, US 5648263, US 5776757, WO 89/09259, WO 91/17244, WO 94/07998 (sequence displayed in figure 1 "43kd human variants thereof), WO 95/24471 , WO 96/11262 and WO 98/12307.
- DSM1800 Humicola insolens
- Fusarium such as Fusarium oxysporum e.g. strain J79 (DSM2672) as disclosed in EP 0495257, EP 0531315, EP 0531372, US 5648263, US 5776757, WO 89/09259, WO 91/17244, WO 95/24471 and WO 96/11262
- Thielavia such as Thielavia terrestris or Myceliophthora thermophila strain CBS 11765 as disclosed in EP 0531315, US 5648263, US 5776757, WO 89/09259, WO 91/17244, WO 95/24471 , WO 96/11262, WO 96/29397 (SEQ ID NO: 9 and variants thereof), and WO 98/12307.
- Trichoderma such as Trichoderma reesei, Trichoderma longibrachiatum or Trichoderma harzianum as disclosed in EP 1305432, EP 1240525, WO 92/06165, WO 94/21801 , WO 94/26880, WO 95/02043, WO 95/24471 and WO 02/099091.
- Aspergillus such as Aspergillus aculeatus as disclosed in WO 93/17244
- Acremonium such as Acremonium sp., Acremoniu persicinum, Acremonium acremonium, Acremonium brachypenium, Acremonum dichromosporum, Acremonium obclavatum, Acremonium pinkertoniae, Acremonium roseogriseum, Acremonium incoloratum, and Acremonium furatum as disclosed in WO 96/11262 and WO 96/29397 (SEQ ID NO: 5 and variants thereof).
- Cellvibrio such as Cellvibrio mixtus DSM 11683, Cellvibrio mixtus DSM 11684, Cellvibrio mixtus DSM 11685, Cellvibrio mixtus ACM 2601 , Cellvibrio mixtus DSM 1523, and Cellvibrio gilvus DSM 11686, as disclosed in WO 98/08940.
- Cephalosporium such as Cephalosporium sp. RYM-202 as disclosed in WO 96/11262.
- Suitable cellulases include also those, which are variants of the above described cellulases which have cellulolytic activity.
- cellulase variants include variants with at least 40 to 100% identity when compared to the full length polypeptide sequence of the parent enzyme as disclosed above.
- cellulase variants having cellulolytic activity are at least 70%, at least 75%, at least 80%, at least 85%, at least 90%, at least 91 %, at least 92%, at least 93%, at least 94%, at least 95%, at least 96%, at least 97%, at least 98% or at least 99% similar and/or identical to the full length polypeptide sequence of the parent enzyme as disclosed above.
- the composition of the invention comprises a Humicola insolens DSM 1800 cellulase complex having endoglucanase, cellobiohydrolase and beta-glucosidase activity.
- the cellulase is a sequence having at least 80%, preferably 85%, more preferably 90%, more preferably 92%, more preferably 95%, more preferably 96% more preferably 98%, more preferably 99%, or 100% sequence identity to SEQ ID NO: 6, having cellulase activity.
- the composition of the invention comprises at least one Humicola insolens DSM 1800 endoglucanase (EC 3.2.1.4) having the amino acid sequence disclosed in Fig. 14A-E of WO 91/17244, preferably amino acids 20-434 according said sequence, more preferably having one or more substitutions at positions selected from 182, 223, and 231 , most preferably selected from P182S, A223V, and A231V.
- the endoglucanase is at least 80% similar and/or identical to a polypeptide according to SEQ ID NO: 2 of WO 95/02675.
- the composition of the invention comprises at least a Bacillus sp. Cellulase (EC 3.2.1.4) selected from a polypeptide at least 80% similar and/or identical to the amino acid sequence of position 1 to position 773 of SEQ ID NO: 2 of WO 2004/053039 or a catalytically active fragment thereof.
- the composition of the invention comprises at least a Thielavia terrestris cellulase (EC 3.2.1.4) having a polypeptide at least 80% similar and/or identical to the amino acid sequence of position 1 to position 299 of SEQ ID NO: 4 of WO 2004/053039 or a catalytically active fragment thereof.
- cellulase variants have cellulolytic activity according to the present invention when said cellulase variants exhibit increased cellulolytic activity when compared to the parent cellulase.
- cellulase variants have cellulolytic activity according to the present invention when said cellulase variants exhibit at least 20%, at least 25%, at least 30%, at least 35%, at least 40%, at least 45%, at least 50%, at least 55%, at least 60%, at least 65%, at least 70%, at least 75%, at least 80%, at least 85%, at least 90%, at least 95%, or 100% of the cellulolytic activity of the respective parent cellulase.
- At least one cellulase may be selected from Renozyme®, Celluzyme®, Celluclean®, Endolase® and Carezyme® (Novozymes A/S), ClazinaseTM, and Puradax HATM (Genencor Int. Inc.), and KAC-500(B)TM (Kao Corporation).
- At least one peroxidases may be selected from GuardzymeTM (Novozymes A/S).
- compositions of the present invention comprising enzyme blends of enzymes as described herein (meaning a combination of different enzymes).
- such blends are blends of two enzymes, e.g. protease and mannanase, protease and amylase, or protease and cellulase.
- such blends are blends of three enzymes, e.g. protease, mannanase and amylase, or protease, amylase and cellulase or protease, mannanase and cellulase.
- enzymes e.g. protease, mannanase and amylase, or protease, amylase and cellulase or protease, mannanase and cellulase.
- such blends are blends of four enzymes, e.g. protease, mannanase, amylase and cellulase.
- enzymes e.g. protease, mannanase, amylase and cellulase.
- such blends are blends of more than four enzymes including any enzyme combination of any enzymes as described herein.
- compositions according to the invention can comprise additional components such as buffer, preservative, dyestuff or fragrance.
- the invention relates to liquid enzyme compositions, characterized by a concentration of the protease of 0.05-12%, 0.05-10%, preferably 2-6%, a concentration of the protease inhibitor of 0.05-0.4%, preferably 0.1 - 0.25%, and a concentration of the at least on solubilizing agent, selected from the group consisting of, of: i. neopentyl glycol: 5-25%, preferably 8-12%,
- the liquid enzyme composition is essentially devoid of anionic surfactants, builders, polymers, alkalis, bleaching systems, fluorescent whitening agents, suds suppressors and stabilizers, hydrotropes, and/or corrosion inhibitors.
- the liquid enzyme composition is essentially devoid of anionic surfactants and builders.
- the liquid enzyme composition according to the invention comprises components supporting enzyme stability, such as e.g. calcium chloride dihydrate (CaCl2*2H2O), preferably 0.1 -0.5% by weight.
- enzyme stability such as e.g. calcium chloride dihydrate (CaCl2*2H2O), preferably 0.1 -0.5% by weight.
- liquid enzyme composition according to the invention comprises "further components” as described herein.
- the composition contains further solvents.
- the liquid enzyme composition comprises monopropylene glycol (MPG) as additional solvent.
- MPG monopropylene glycol
- the liquid composition of the invention is a liquid enzyme composition that comprises amounts of MPG as additional solvent ranging from about 1% to about 35% by weight, preferably from about 5% to about 30% by weight.
- the total amount of MPG in the liquid enzyme composition of the invention may be at least 1% by weight, at least 2% by weight, at least 4% by weight, at least 5% by weight, at least 6% by weight, at least 8% by weight, or at least 9% by weight.
- the total amount of MPG in the liquid enzyme composition may not be more than 40% by weight, not more than 35% by weight, not more than 30% by weight, not more than 28% by weight, not more than 26% by weight, not more than 24% by weight, not more than 22% by weight, not more than 20% by weight, not more than 18% by weight, not more than 16% by weight, not more than 14% by weight, not more than 12% by weight, or not more than 10% by weight.
- the liquid enzyme composition comprises glycerol as additional solvent.
- the liquid composition of the invention is a liquid enzyme composition that comprises amounts of glycerol as additional solvent ranging from about 10% to about 50% by weight, preferably from about 15% to about 45% by weight.
- the total amount of glycerol in the liquid enzyme composition of the invention may be at least 10% by weight, at least 12% by weight, at least 14% by weight, at least 15% by weight, at least 16% by weight, at least 18% by weight, or at least 19% by weight.
- the total amount of glycerol in the liquid enzyme composition may not be more than 45% by weight, not more than 42% by weight, not more than 40% by weight, not more than 38% by weight, not more than 36% by weight, not more than 34% by weight, not more than 32% by weight, not more than 30% by weight, not more than 28% by weight, not more than 26% by weight, not more than 24% by weight, not more than 22% by weight, or not more than 20% by weight.
- the liquid enzyme composition contains a solvent mixture of glycerol and MPG.
- liquid enzyme compositions according to the invention comprise specific ratios of component c. and the additional solvents as described herein.
- the liquid enzyme composition according to the invention comprises different amounts of and different ratios of component c., MPG and glycerol, for example those listed in tables 1 and 2 below (by weight means relative to the total weight of the liquid composition):
- Table 1 Example formulations of component c., MPG and glycerol in amounts % by weight
- the liquid enzyme composition comprises neopentyl glycol as component c. and MPG and glycerol as additional components.
- neopentyl glycol, MPG and glycerol are formulated according to formulation a:
- Formulation a neopentyl glycol:MPG:glycerol in ratios of 1 : ⁇ 3: ⁇ 6, or 1 : ⁇ 3: ⁇ 5, or 1 : ⁇ 3: ⁇ 4, or 1 : ⁇ 3: ⁇ 3.5 wherein the total amount of neopentyl glycol, MPG and glycerol in % by weight contained in formulation a is set to be more than 45%, preferably at least 48%, most preferably at least 50% and optionally at most 70%, preferably at most 65%, more preferably at most 60%, most preferably at most 55%.
- the liquid enzyme composition comprises gamma-valerolactone as component c. and MPG and glycerol as additional components.
- gamma-valerolactone, MPG and glycerol are formulated according to formulation b:
- Formulation b gamma-valerolactone:glycerol in a ratio of 1 : ⁇ 35, preferably 1 : ⁇ 30, more preferably 1 : ⁇ 25, even more preferably 1 : ⁇ 20 or most preferred 1 : ⁇ 18 wherein the total amount of gamma-valerolactone, MPG and glycerol in % by weight contained in formulation b is set to be at least 50% and optionally at most 70%.
- the liquid enzyme composition comprises diethylene glycol as component c. and MPG and glycerol as additional components.
- diethylene glycol, MPG and/or glycerol are formulated according to formulation c:
- Formulation c diethylene glycol: MPG:glycerol in a ratio of 1 :2:2 optionally wherein the total amount of diethylene glycol, MPG and glycerol in % by weight contained in formulation c is set to be at least 50% and optionally at most 70%, preferably at most 65%, more preferably at most 60%, most preferably at most 55%.
- the liquid enzyme composition comprises a preservative as described herein. In a preferred embodiment, the liquid enzyme composition comprises 0.1 to 2%, preferably 0.8-1 % 2-phenoxythanol.
- the liquid enzyme composition is essentially devoid of preservatives as described herein.
- the liquid enzyme composition comprises at least one further enzyme, I. e. an enzyme blend as described herein.
- the liquid enzyme composition additionally comprises a mannanase as described herein.
- the mannanase is comprised in a concentration range of 0.01 to 0.5%, more preferably 0.05 to 0.15%.
- the liquid enzyme composition additionally comprises an amylase as described herein.
- the amylase is comprised in a concentration range of 0.1 to 3%, more preferably 0.3 to 1 .0%.
- the liquid enzyme composition additionally comprises a cellulase as described herein.
- the cellulase is comprised in a concentration range of 0.05 to 1 .0%, more preferably 0.1 to 0.6%.
- the liquid enzyme composition comprises at least two further enzymes, i.e. an enzyme blend as described herein.
- the invention relates to liquid enzyme compositions, characterized by a concentration of the protease of O.05-12%, 0.05-10%, preferably 2-6%, a concentration of the protease inhibitor of 0.05-0.4%, preferably 0.15-0.25%, and a concentration of neopentyl glycol of 5-25%, preferably 8-16%, most preferably 8-12%, wherein the composition additionally comprises 5-30% MPG, preferably 8-20% MPG, more preferably 8-12% MPG and 10-40% glycerol, preferably 20-35% glycerol, more preferably 28-32% glycerol, and wherein the composition optionally additionally comprises an amylase and/or cellulase and/or mannanase, and wherein the composition optionally additionally comprises 0.1 -0.5% CaCI2, and optionally wherein the pH of the composition is set to 6.
- the invention relates to liquid enzyme compositions, characterized by a concentration of the protease of 0.05-12%, 0.05-10%, preferably 2-6%, a concentration of the protease inhibitor of 0.05-0.4%, preferably 0.1 -0.25%, and a concentration of neopentyl glycol of 5-25%, preferably 8-16%, most preferably 8-12%, wherein the composition additionally comprises 10-40% MPG, preferably 20-35% MPG, more preferably 28-34% MPG and 10-40% glycerol, preferably 12-30% glycerol, more preferably 14-20% glycerol and wherein the composition optionally additionally comprises an amylase and/or cellulase and/or mannanase, and wherein the composition optionally additionally comprises 0.1 -0.5% CaCI2, and optionally wherein the pH of the composition is set to 6.
- the invention relates to liquid enzyme compositions, characterized by a concentration of the protease of 0.05-12%, 0.05-10%, preferably 2-6%, a concentration of the protease inhibitor of 0.05-0.4%, preferably 0.1 -0.25%, and a concentration of neopentyl glycol of 5-25%, preferably 8-16%, more preferably 8-12%, wherein the composition additionally comprises 10-30% MPG, preferably 15-25% MPG, more preferably 18-22% MPG and 10-40% glycerol, preferably 15-30% glycerol, more preferably 18-22% glycerol, and wherein the composition optionally additionally comprises an amylase and/or cellulase and/or mannanase, and wherein the composition optionally additionally comprises 0.1 -0.5% CaCI2, and optionally wherein the pH of the composition is set to 6.
- the invention relates to liquid enzyme compositions, characterized by a concentration of the protease of 0.05-12%, 0.05-10%, preferably 2-6%, a concentration of the protease inhibitor of 0.05-0.4%, preferably 0.1 -0.25%, and a concentration of gamma-valerolactone of 1 -15%, preferably 2-10%, more preferably 2-6%, wherein the composition additionally comprises 2-25% MPG, preferably 2-15% MPG, more preferably 4-8% MPG and 30-50% glycerol, preferably 35-48% glycerol, more preferably 40-45% glycerol and wherein the composition optionally additionally comprises an amylase and/or cellulase and/or mannanase, and wherein the composition optionally additionally comprises 0.1 -0.5% CaCI2, and optionally wherein the pH of the composition is set to 6.
- the invention also relates to a method for preparation of a liquid enzyme composition according to the invention, comprising the steps of mixing at least components a. and b. and at least one of c. - all as disclosed herein - in one or more steps in any order.
- the invention also relates to a method for preparation of a liquid enzyme composition according to the invention, comprising the steps of mixing the solubilizing agent (component c.) with MPG in a first step and subsequently adding the protease inhibitor (component b.), the protease (component a.), glycerol and optionally additional enzymes.
- the invention also relates to a method for preparation of a liquid enzyme composition according to the invention, comprising the steps of mixing the protease inhibitor (component b.) and a solubilizing agent (component c.) optionally with MPG in a first step and subsequently adding the protease (component a.), glycerol and optionally additional enzymes.
- the invention also relates to a method for stabilizing and solubilizing a protease and protease inhibitor in a liquid enzyme composition, wherein the method comprises bringing together the protease (component a.), protease inhibitor (component b.) and a solubilizing agent (component c.) selected from the group consisting of:
- neopentyl glycol ii. gamma-valerolactone, and ill. diethylene glycol.
- the invention also relates to the use of component c. as described herein for the solubilization of a protease inhibitor (component b.) as described herein.
- the invention relates to compositions comprising a. at least one protease and b. a protease inhibitor and c. at least one solubilizing agent selected from the group consisting of:
- compositions designated for cleaning soiled material, such as textiles or dishware. Cleaning compositions according to the invention include compositions for different applications such as laundry and hard surface cleaning.
- compositions of the invention can for example be used in detergents, in hard surface cleaning compositions, in cosmetic and pharmaceutical formulations, in crop protection formulations, in coating agents, in adhesives, in leather treatment agents, in formulations for the textile industry, in fiber processing, in metal processing, in the food or feed industry, in water treatments, in the paper industry, or for fermentation or mineral processing. Therefore, the present invention also includes detergents, cleaning agents, wetting agents, coating agents, adhesives, leather treatment or textile treatment agents, or cosmetic, pharmaceutical, or crop protection formulations.
- detergent component is defined herein to mean a type of chemical, which can be used in detergent compositions. Typical detergent components are surfactants and builders.
- a detergent component includes amounts of certain components to provide effective stain removal and/or effective cleaning conditions (e. g. pH, temperature, water hardness, quantity of foaming), amounts of certain components to effectively provide optical benefits (e. g. optical brightening, dye transfer inhibition, color care), and amounts of certain components to effectively aid the processing (maintain physical characteristics during processing, storage and use; e.g. rheology modifiers, hydrotropes, desiccants).
- textile means any textile material including yarns (thread made of natural or synthetic fibers used for knitting or weaving), yarn intermediates, fibers, non-woven materials, natural materials, synthetic materials, as well as fabrics made of these materials such as garments, cloths, and other articles.
- fabric a textile made by weaving, knitting or felting fibers
- garment any article of clothing made of textile
- hard surface cleaning relates to both household hard surface cleaning and industrial hard surface cleaning and means the process of treating hard surfaces with a solution containing a cleaning composition of the present invention.
- Hard surfaces may include any hard surfaces in a household or industry, such as floors, furnishing, walls, sanitary ceramics, glass, metallic surfaces including medical devices, cutlery, and dishes (also called “dishware”).
- a particular form of hard surface cleaning is dishwashing, including manual dish washing (MDW) or automatic dishwashing (ADW).
- wash refers to all forms of washing dishes or dishware, e. g. by hand or automatic dish washing.
- Washing dishware includes, but is not limited to, the cleaning of all forms of crockery such as plates, cups, glasses, bowls, all forms of cutlery such as spoons, knives, forks and serving utensils as well as ceramics, plastics such as melamine, metals, china, glass, and acrylics.
- stains In the field of detergency, usually the term “stains” is used with reference to laundry, e.g., cleaning for textiles, fabric, or fibers, whereas the term “soils” is usually used with reference to hard surface cleaning, e.g., cleaning of dishes and cutlery.
- stain and “soil” are used interchangeably.
- Detergent components vary in type and/or amount in a cleaning composition, e.g. a detergent formulation, depending on the desired application such as laundering white textiles, colored textiles, and wool.
- the component(s) chosen further depend on physical form of a cleaning composition, e.g. a detergent formulation (liquid, solid, gel, provided in pouches or as a tablet, etc).
- the component(s) chosen e.g. for laundering formulations further depend on regional conventions which themselves are related to aspects like washing temperatures used, mechanics of laundry machine (vertical vs. horizontal axis machines), water consumption per wash cycle etc. and geographical characteristics like average hardness of water.
- detergent components and usage in cleaning compositions are known to those skilled in the art.
- Suitable detergent components comprise inter alia surfactants, builders, polymers, alkalis, bleaching systems, fluorescent whitening agents, suds suppressors and stabilizers, hydrotropes, and corrosion inhibitors. Further examples are described e.g. in "complete Technology Book on Detergents with Formulations (Detergent Cake, Dishwashing Detergents, Liquid & Paste Detergents, Enzyme Detergents, Cleaning Powder & Spray Dried Washing Powder)”, Engineers India Research Institute (EIRI), 6 th edition (2015). Another reference book for those skilled in the art may be “Detergent Formulations Encyclopedia”, Solverchem Publications, 2016.
- one or more of the detergent components, preferably the surfactant and/or the builder is bio-degradable and/or bio-based.
- detergent components are in addition to the components comprised in the compositions of the invention. If a component comprised in the liquid compositions of the invention is also a detergent component, it might be that its concentrations need to be adjusted for the component to be effective for the purpose desired in the cleaning composition, e.g. detergent formulation.
- Detergent components may have more than one function in the final application of a cleaning composition, e.g. a detergent formulation, therefore any detergent component mentioned in the context of a specific function herein, may also have another function in the final application of a cleaning composition, e.g. a detergent formulation.
- the function of a specific detergent component in the final application of a cleaning composition, e.g. a detergent formulation usually depends on its amount within the detergent formulation, i.e. the effective amount of a detergent component.
- a cleaning composition e.g. a detergent formulation
- a cleaning composition is a formulation of more than two detergent components, wherein at least one component is effective in stain-removal, at least one component is effective in providing the optimal cleaning conditions, and at least one component is effective in maintaining the physical characteristics of the cleaning composition.
- Cleaning compositions of the invention can be liquid or solid, preferably they are liquid. In one embodiment, at least a part of the cleaning composition of the invention is provided as a liquid. Depending on whether a water-soluble package is enclosing the liquid cleaning composition, e.g. detergent formulation, the liquid cleaning composition, e.g. detergent formulation comprises water or is essentially free from water.
- liquid cleaning compositions comprise enzyme blends as described herein.
- Cleaning compositions according to the invention comprise at least one compound selected from surfactants, builders, polymers, fragrances and dyestuffs.
- the cleaning compositions of the invention comprise at least one surfactant selected from anionic surfactants, non-ionic surfactants, amphoteric surfactants, and cationic surfactants.
- surfactant (synonymously used herein with “surface active agent”) means an organic chemical that, when added to a liquid, changes the properties of that liquid at an interface. According to its ionic charge, a surfactant is called non-ionic, anionic, cationic, or amphoteric.
- the cleaning compositions e.g. detergent formulations, in one embodiment, comprise 2% to 30% by weight of anionic surfactants and/or 2% to 30% by weight of non-ionic surfactants, all relative to the total weight of the cleaning compositions, e.g. detergent formulation.
- laundry detergents comprise higher amounts of surfactants than detergents for automated dish washing.
- the cleaning compositions e.g.
- detergent formulations of the invention comprise at least one non-ionic surfactant selected from alkoxylated alcohols, di- and multiblock copolymers of ethylene oxide and propylene oxide and reaction products of sorbitan with ethylene oxide or propylene oxide, alkyl polyglycosides (APG), hydroxyalkyl mixed ethers and amine oxides.
- non-ionic surfactant selected from alkoxylated alcohols, di- and multiblock copolymers of ethylene oxide and propylene oxide and reaction products of sorbitan with ethylene oxide or propylene oxide, alkyl polyglycosides (APG), hydroxyalkyl mixed ethers and amine oxides.
- the cleaning compositions e.g. detergent formulations, of the invention comprise at least one anionic surfactant selected from alkali metal and ammonium salts of Cs-Cis-alkyl sulfates, of Cs-C -fatty alcohol polyether sulfates, of sulfuric acid half-esters of ethoxylated C4-Ci2-alkylphenols (ethoxylation: 1 to 50 mol of ethylene oxide/mol), C12-C18 sulfo fatty acid alkyl esters, for example of C12-C18 sulfo fatty acid methyl esters, furthermore of Ci2-Ci8-alkylsulfonic acids and of Cio-Cis-alkylarylsulfonic acids.
- anionic surfactant selected from alkali metal and ammonium salts of Cs-Cis-alkyl sulfates, of Cs-C -fatty alcohol polyether sulfates, of sulfuric acid half-esters of ethoxy
- alkali metal salts of the aforementioned compounds particularly preferably the sodium salts.
- suitable anionic surfactants include branched alkylbenzenesulfonates (BABS), phenylalkanesulfonates, alpha-olefinsulfonates (AOS), olefin sulfonates, alkene sulfonates, alkane-2,3-diylbis(sulfates), hydroxyalkanesulfonates and disulfonates, secondary alkanesulfonates (SAS), paraffin sulfonates (PS), sulfonated fatty acid glycerol esters, alkyl- or alkenylsuccinic acid, fatty acid derivatives of amino acids, diesters and monoesters of sulfo-succinic acid.
- BABS branched alkylbenzenesulfonates
- AOS alpha-olefinsulfonates
- the cleaning compositions e.g. detergent formulations of the invention comprise at least one anionic surfactant of general formula (AS-I):
- R 1 is selected from Ci-C23-alkyl (such as 1-, 2-, 3-, 4- Ci-C23-alkyl) and C2-C23-alkenyl, wherein alkyl and/or alkenyl are linear (straight-chain; n-) or branched, and wherein 2-, 3-, or 4-alkyl; examples are n-CzHis, n- C9H19, n-CnH23, n-Ci3H27, n-CisHsi, n-CizFhe, i-CgH , i-Cigfe.
- Ci-C23-alkyl such as 1-, 2-, 3-, 4- Ci-C23-alkyl
- C2-C23-alkenyl wherein alkyl and/or alkenyl are linear (straight-chain; n-) or branched, and wherein 2-, 3-, or 4-alkyl
- examples are n-CzHis, n- C9H19,
- R 2 is selected from H, Ci-Cgo-alkyl and Cg-Cgo-alkenyl, wherein alkyl and/or alkenyl are linear (straightchain; n-) or branched.
- R 3 and R 4 each independently selected from Ci-Ci6-alkyl, wherein alkyl is linear (straight-chain; n-) or branched; examples are methyl, ethyl, n-propyl, isopropyl, n-butyl, isobutyl, sec-butyl, tert-butyl, n-pentyl, isopentyl, sec-pentyl, neopentyl, 1 ,2-dimethylpropyl, isoamyl, n-hexyl, isohexyl, sec-hexyl, n-heptyl, n- octyl, 2-ethylhexyl, n-nonyl, n-decyl, isodecyl.
- A’ is selected from -RCOQ-, -SOr and RSOr, wherein R is selected from linear (straight-chain; n-) or branched Ci-Cs-alkyl, wherein alkyl for example is methyl, ethyl, n-propyl, isopropyl, n-butyl, isobutyl, secbutyl, tert-butyl, n-pentyl, isopentyl, sec-pentyl, neopentyl, 1 ,2-dimethylpropyl, isoamyl, n-hexyl, isohexyl, sec-hexyl, n-heptyl, n-octyl, 2-ethylhexyl, or any other isomer of Ci-Cs-hydroxyalkyl and C1-C4- hydroxyalkyl is selected from hydroxymethyl, 1 -hydroxyethyl, 2-hydroxyethyl, 1-
- M + is selected from H and salt forming cations.
- Salt forming cations usually are monovalent or multivalent; hence M + equals 1/v M v+ . Examples include but are not limited to sodium, potassium, magnesium, calcium, ammonium, and the ammonium salt of mono-, di, and triethanolamine.
- m is in the range of zero to 200, preferably 1 -80, more preferably 3-20; n and o, each independently in the range of zero to 100; n preferably is in the range of 1 to 10, more preferably 1 to 6; o preferably is in the range of 1 to 50, more preferably 4 to 25.
- the sum of m, n and o is at least one, preferably the sum of m, n and o is in the range of 5 to 100, more preferably in the range of from 9 to 50.
- Anionic surfactants of the general formula (AS-I) can be of any structure, block copolymers or random copolymers.
- the cleaning compositions, e.g. detergent formulations of the invention comprise at least one anionic surfactant according to formula (AS-I), wherein R 1 is Ce-Cis-alkyl, R 2 is H, A’ is SOr, m is 2-30, and n and o are 0.
- M + preferably is sodium, potassium, magnesium, calcium, ammonium, and the ammonium salt of mono-, di, and triethanolamine.
- Such compounds may be called alcohol ethoxy sulphates (AES) herein.
- the cleaning compositions e.g. detergent formulations of the invention comprise at least one anionic surfactant according to formula (AS-I), wherein R 1 is n-CuFte, R 2 is H, A- is SOy, m, n and o being 0. M + preferably is NI .
- Such compounds may be called ammonium lauryl sulfate (ALS) herein.
- the cleaning compositions, e.g. detergent formulations of the invention comprise at least one anionic surfactant according to formula (AS-I), wherein R 1 is n-CuFte, R 2 is selected from H, A- is SOy, m being 2-5, preferably 3, and n and o being 0. M + preferably is Na + .
- Such compounds may be called laurylethersulfates (LES) herein, preferably sodium laurylethersulfates (SLES).
- laundry detergent formulations comprise compounds according to formula AS-I.
- the cleaning compositions e.g. detergent formulations comprise at least one anionic surfactant selected from compounds of general formula (AS-II):
- Cleaning compositions e.g. detergent formulations of the invention, in one embodiment, comprise salts of compounds according to formula (AS-II), preferably sodium salts.
- the cleaning compositions e.g. detergent formulations of the invention comprise at least two anionic surfactants, selected from compounds of general formula (AS-II), wherein one of said anionic surfactants is characterized in R 1 being C10, and the other surfactant is characterized in R 1 being C13.
- AS-II general formula
- Compounds like this may be called LAS (linear alkylbenzene sulfonates) herein.
- laundry detergent formulations comprise compounds according to formula AS-II.
- cleaning compositions e.g. detergent formulations comprise at least one anionic surfactant selected from AS-I and AS-II and at least one soap.
- soaps are selected from salts (M + ) of saturated and unsaturated C12-C18 fatty acids, such as lauric acid, myristic acid, palmitic acid, stearic acid, behenic acid, oleic acid, (hydrated) erucic acid.
- M + is selected from salt forming cations. Salt forming cations may be monovalent or multivalent; hence M + equals 1/v M v+ . Examples include but are not limited to sodium, potassium, magnesium, calcium, ammonium, and the ammonium salt of mono-, di, and triethanolamine.
- suitable soaps include soap mixtures derived from natural fatty acids such as tallow, coconut oil, palm kernel oil, laurel oil, olive oil, or canola oil.
- Such soap mixtures comprise soaps of lauric acid and/or myristic acid and/or palmitic acid and/or stearic acid and/or oleic acid and/or linoleic acid in different amounts, depending on the natural fatty acids from which the soaps are derived.
- the cleaning compositions e.g. detergent formulations of the invention comprise at least one non-ionic surfactant of the general formula (NIS-I): wherein in formula (NIS-I) the following applies:
- R 1 is selected from C1-C23 alkyl and C2-C23 alkenyl, wherein alkyl and/or alkenyl are linear (straight-chain; n-) or branched; examples are n-CzHis, n-CgHig, n-CnFte, n-Ci3H27, n-CisHsi, n-CizHgs, i-CgHig, i-Ci2H25.
- R 2 is selected from H, C1-C20 alkyl and C2-C20 alkenyl, wherein alkyl and/or alkenyl are linear (straightchain; n-) or branched.
- R 3 and R 4 each independently selected from C1-C16 alkyl, wherein alkyl is linear (straight-chain; n-) or branched; examples are methyl, ethyl, n-propyl, isopropyl, n-butyl, isobutyl, sec-butyl, tert-butyl, n-pentyl, isopentyl, sec-pentyl, neopentyl, 1 ,2-dimethylpropyl, isoamyl, n-hexyl, isohexyl, sec-hexyl, n-heptyl, n- octyl, 2 -ethylhexyl, n-nonyl, n-decyl, isodecyl.
- R 5 is selected from H and C1-C18 alkyl, wherein alkyl is linear (straight-chain; n-) or branched.
- NIS-I The integers of the general formula (NIS-I) are defined as follows: m is in the range of zero to 200, preferably 1 -80, more preferably 3-20; n and 0, each independently in the range of zero to 100; n preferably is in the range of 1 to 10, more preferably 1 to 6; 0 preferably is in the range of 1 to 50, more preferably 4 to 25.
- the sum of m, n and 0 is at least one, preferably the sum of m, n and 0 is in the range of 5 to 100, more preferably in the range of from 9 to 50.
- the non-ionic surfactants of the general formula (NIS-I) can be of any structure, is it block or random structure, and is not limited to the displayed sequence of formula (NIS-I).
- NIS-I general formula
- NIS-I general formula
- NIS-I non-ionic surfactants
- NIS-I non-ionic surfactants
- NIS-I non-ionic surfactants
- NIS-I non-ionic surfactants
- NIS-I non-ionic surfactants
- the cleaning compositions e.g. detergent formulations of the invention comprise at least one non-ionic surfactant of the general formula (NIS-I I):
- - AO being identical or different alkylene oxides, selected from CH2-CH2-O, (CH2)3-O,
- R 1 is selected from linear (straight-chain; n-) or branched C4-C3o-alkyl, and from straight-chain or branched
- R 1 preferably is selected from straight-chain or branched C ⁇ Cso-alkyl, n-C ⁇ Cso-alkyl, n-C7-Ci5 alkyl, or n-Cio-Ci2-alkyl.
- R 2 is selected from linear (straight-chain; n-) or branched Ci-Cso-alkyl, and from straight-chain or branched
- R 2 preferably is selected from straight-chain or branched C6-C2o-alkyl, preferably straight-chain or branched C8-Ci2-alkyl, more preferably straight-chain or branched Cio-Ci2-alkyl.
- the integer x of the general formula (NIS-II) preferably is a number in the range of 5 to 70, 10 to 60, 15 to
- the cleaning compositions e.g. detergent formulations of the invention comprise at least one non-ionic surfactant according to formula (NIS-II), wherein R 1 is n-C 3 -Ci7 alkyl, R 2 is linear or branched C 8 -Ci4 alkyl.
- NIS-II non-ionic surfactant according to formula (NIS-II), wherein R 1 is n-C 3 -Ci7 alkyl, R 2 is linear or branched C 8 -Ci4 alkyl.
- AO is selected from -(CH2CH2O) X 2-(CH 2 CH(CH3)-O) X 3, -(CH2CH 2 O) X 2-(CH(CH3)CH2-O) X 3, and -(CH 2 CH 2 O) X 4, wherein x2 and x4 is a number in the range of 15-50 and x3 is a number in the range of 1 to 15.
- the cleaning compositions e.g. detergent formulations of the invention comprise at least one non-ionic surfactant according to formula (NIS-II), wherein R 1 is n-Cs alkyl, R 2 is branched On alkyl, AO is CH2-CH2-O, and x is 22.
- NIS-II non-ionic surfactant according to formula (NIS-II), wherein R 1 is n-Cs alkyl, R 2 is branched On alkyl, AO is CH2-CH2-O, and x is 22.
- the cleaning compositions e.g. detergent formulations of the invention comprise at least one non-ionic surfactant according to formula (NIS-II), wherein R 1 is n-Cs alkyl, R 2 is n-Cs-Cw alkyl, AO is CH2-CH2-O, and x is 40.
- NIS-II non-ionic surfactant according to formula (NIS-II), wherein R 1 is n-Cs alkyl, R 2 is n-Cs-Cw alkyl, AO is CH2-CH2-O, and x is 40.
- the cleaning compositions e.g. detergent formulations of the invention comprise at least one non-ionic surfactant according to formula (NIS-II), wherein R 1 is n-Cs alkyl, R 2 is n-Cw alkyl, AO is selected from -(CH 2 CH2O)X2-(CH 2 CH(CH3)-O)X3, -(CH 2 CH 2 O)X 2 -(CH(CH 3 )CH 2 -O)X3, wherein x2 is 22 and x3 is 1.
- NIS-II non-ionic surfactant according to formula (NIS-II)
- cleaning compositions e.g. detergent formulations comprising at least one non-ionic surfactant according to formula (NIS-II), preferably those as disclosed above, are automated dishwashing detergents.
- the automated dishwashing detergents comprise at least one compound according to formula (NIS-II) in the range of about 0.3% to 10% by weight, in the range of about 0.5% to 5% by weight, or in the range of about 1 % to 3%, all relative to the total weight of a cleaning composition.
- At least one non-ionic surfactant is a compound according to formula (NIS-II), wherein R 1 is n-Cs alkyl, R 2 is branched Cn alkyl, AO is CH 2 -CH 2 -O, and x is 22.
- the cleaning compositions e.g. detergent formulations of the invention comprise at least one amphoteric surfactant according to general formula (AMS-I), which might be called modified amino acids (proteinogenic as well as non-proteinogenic):
- AMS-I amphoteric surfactant according to general formula
- AMS-I The variables in general formula (AMS-I) are defined as follows:
- R 8 is selected from H, C1-C4 alkyl, C 2 -C4 alkenyl, wherein alkyl and/or are linear (straight-chain; n-) or branched.
- R 9 is selected from C1-C22- alkyl, C 2 -C 22 - alkenyl, Cio-C 22 alkylcarbonyl, and C10-C22 alkenylcarbonyl.
- - R 10 is selected from H, methyl, -(CH 2 ) 3 NHC(NH)NH 2 , -CH 2 C(O)NH 2 , -CH 2 C(O)OH, -(CH 2 ) 2 C(O)NH 2 , - (CH 2 ) 2 C(O)OH, (imidazole-4-yl)-methyl, -CH(CH 3 )C 2 H 5 , -CH 2 CH(CH 3 ) 2 , -(CH 2 ) 4 NH 2 , benzyl, hydroxymethyl, -CH(OH)CH3, (indole-3-yl)-methyl, (4-hydroxy-phenyl)-methyl, isopropyl, -(CH 2 ) 2 SCH3, and -CH 2 SH.
- R x is selected from H and Ci-C4-alkyl.
- the cleaning compositions e.g. detergent formulations of the invention comprise at least one amphoteric surfactant of general formulae (AMS-lla), (AMS-llb), or (AMS-llc), which might be called betaines and/or sulfobetaines:
- AMS-lla The variables in general formulae (AMS-lla), (AMS-llb) and (AMS-llc) are defined as follows:
- R 11 is selected from linear (straight-chain; n-) or branched C7-C22 alkyl and linear (straight-chain; n-) or branched C7-C22 alkenyl.
- R 12 are each independently selected from linear (straight-chain; n-) C1-C4 alkyl.
- R 13 is selected from C1-C5 alkyl and hydroxy C1-C5 alkyl; for example 2-hydroxypropyl.
- A’ is selected from carboxylate and sulfonate.
- AMS-lla The integer r in general formulae (AMS-lla), (AMS-llb), and (AMS-llc) is in the range of 2 to 6.
- the cleaning compositions e.g. detergent formulations of the invention comprise at least one amphoteric surfactant of general formula (AMS-III), which might be called alkyl-amphocarboxylates:
- AMS-III amphoteric surfactant of general formula
- R 11 is selected from C7-C22 alkyl and C7-C22 alkenyl, wherein alkyl and/or alkenyl are linear (straight-chain; n-) or branched, preferably linear.
- - R 14 is selected from -CH 2 C(O)O-M + , -CH 2 CH 2 C(O)O-M + and -CH 2 CH(OH)CH 2 SO3-M + .
- R 15 is selected from H and -CH2C(O)O-
- AMS-III The integer r in general formula (AMS-III) is in the range of 2 to 6.
- Non-limiting examples of further suitable alkyl-amphocarboxylates include sodium cocoamphoacetate, sodium lauroamphoacetate, sodium capryloamphoacetate, disodium cocoamphodiacetate, disodium lauroamphodiacetate, disodium caprylamphodiacetate, disodium capryloamphodiacetate, disodium cocoamphodipropionate, disodium lauroamphodipropionate, disodium caprylamphodipropionate, and disodium capryloamphodipropionate.
- the cleaning compositions e.g. detergent formulations of the invention comprise at least one amphoteric surfactant according to general formula (AMS-IV), which might be called amine oxides (AO):
- R 16 is selected from Cs-Cis alkyl, hydroxy Cs-C alkyl, acylamidopropoyl and Cs-C alkyl phenyl group; wherein alkyl and/or alkenyl are linear (straight-chain; n-) or branched.
- R 17 is selected from C2-C3 alkylene, hydroxy C2-C3 alkylene, and mixtures thereof.
- each residue can be independently selected from C1-C3 alkyl and hydroxy C1-C3;
- R 15 groups can be attached to each other, e.g., through an oxygen or nitrogen atom, to form a ring structure.
- the integer x in general formula (AMS-IV) is in the range of 0 to 5, preferably from 0 to 3, most preferably 0.
- Non-limiting examples of further suitable amine oxides include C10-C18 alkyl dimethyl amine oxides and Cs-Cis alkoxy ethyl dihydroxyethyl amine oxides.
- Examples of such materials include dimethyloctyl amine oxide, diethyldecyl amine oxide, bis-(2-hydroxyethyl)dodecyl amine oxide, dimethyldodecylamine oxide, dipropyltetradecyl amine oxide, methylethylhexadecyl amine oxide, dodecylamidopropyl dimethyl amine oxide, cetyl dimethyl amine oxide, stearyl dimethyl amine oxide, tallow dimethyl amine oxide and dimethyl-2- hydroxyoctadecyl amine oxide.
- a further example of a suitable amine oxide is cocamidylpropyl dimethylaminoxide, sometimes also called cocamidopropylamine oxide.
- compositions e.g. detergent formulations according to the present invention.
- manual dishwashing detergents comprise at least one amphoteric surfactant.
- liquid cleaning compositions according to the invention comprise at least one amphoteric surfactant, wherein the total amount of amphoteric surfactant preferably is in the range from 0.01 % to 10%, in the range from 0.1 to 5%, or in the range from 0.5 to 1 % by weight, all relative to the total weight of the cleaning composition, e.g. detergent formulation.
- at least one amphoteric surfactant is selected from compound according to formulae AMS-lla, AMS-llb, AMS-llc and AMS-IV.
- cleaning compositions e.g. detergent formulations, of the invention comprise one or more complexing agents (chelating agents, sequestrating agents), precipitating agents, and/or ion exchange compounds, which usually form water-soluble complexes with calcium and magnesium.
- complexing agents chelating agents, sequestrating agents
- precipitating agents precipitating agents
- ion exchange compounds which usually form water-soluble complexes with calcium and magnesium.
- builders or building agents” herein, without meaning to limit such compounds to this function in the final application of a cleaning composition, e.g. detergent formulation.
- Non-phosphate-based builders according to the invention include sodium gluconate, citrate(s), silicate(s), carbonate(s), phosphonate(s), amino carboxylate(s), polycarboxylate(s), polysulfonate(s), and polyphosphonate(s).
- cleaning compositions e.g. detergent formulations, of the invention comprise one or more citrates.
- citrate(s) includes the mono- and the dialkali metal salts and in particular the mono- and preferably the trisodium salt of citric acid, ammonium or substituted ammonium salts of citric acid as well as citric acid as such.
- Citrate can be used as the anhydrous compound or as the hydrate, for example as sodium citrate dihydrate.
- the cleaning compositions e.g. detergent formulations, of the invention, in one embodiment, comprise at least one phosphonate preferably selected from derivatives of polyphosphonic acids such as of diphosphonic acid such as sodium salt of HEDP, derivatives of aminopolyphosphonic acid such as aminoalkylene phosphonic acids such as DTPMP.
- Said phosphonates preferably are comprised in amounts in the range of 0.1 % to 5.0% by weight, in the range of 0.5% to 3.0% by weight, or in the range of 1.0% to 2.0% by weight, all relative to the total weight of the cleaning composition.
- Cleaning compositions of the invention may comprise one or more amino carboxylates.
- suitable "amino carboxylates” include, but are not limited to: diethanol glycine (DEG), dimethylglycine (DMG), nitrilitriacetic acid (NTA), N-hydroxyethylaminodiacetic acid, eth-ylenediaminetetraacetic acid (EDTA), N- (2hydroxyethyl)iminodiacetic acid (HEIDA), hydroxyeth-ylenediaminetriacetic acid, N-hydroxyethyl- ethylenediaminetriacetic acid (HEDTA), hydroxyeth-ylenediaminetetraacetic acid, diethylenetriaminepentaacetic acid (DTPA), and methylglycinedi-acetic acid (MGDA), glutamic acid-diacetic acid (GLDA), iminodisuccinic acid (IDS), hydroxyimi-nodisuccinic acid, ethylenediaminedis
- MGDA aspartic acid-N-monoacetic acid
- ASDA aspartic acid-N, N-diacetic acid
- ASMP aspartic acid-N-monopropionic acid
- SMAS N-(2-sulfomethyl) aspartic acid
- SEAS N-(2-sulfoethyl) aspartic acid
- SMGL SGL
- SEGL N-methyliminodiacetic acid
- MIDA alpha-alanine-N, N-diacetic acid
- SEDA isoserine-N, N-diacetic acid (ISDA), phenylalanine-N, N-diacetic acid
- ISDA isoserine-N, N-diacetic acid
- ISDA phenylalanine-N, N-diacetic acid
- ammonium salts refers to salts with at least one cation that bears a nitrogen atom that is permanently or temporarily quaternized.
- cations that bear at least one nitrogen atom that is permanently quaternized include tetramethylammonium, tetraethylammonium, dimethyldiethyl ammonium, and n-C10-C20-alkyl tri-methyl ammonium.
- Examples of cations that bear at least one nitrogen atom that is temporarily quaternized include protonated amines and ammonia, such as monomethyl ammonium, dimethyl ammonium, trimethyl ammonium, monoethyl ammonium, diethyl ammonium, triethyl ammonium, n-C10-C20-alkyl dimethyl ammonium 2-hydroxyethylammonium, bis(2-hydroxyethyl) ammonium, tris(2-hydroxyethyl)ammonium, N-methyl 2- hydroxyethyl ammonium, N,N-dimethyl-2-hydroxyethylammonium, and especially NH4+.
- protonated amines and ammonia such as monomethyl ammonium, dimethyl ammonium, trimethyl ammonium, monoethyl ammonium, diethyl ammonium, triethyl ammonium, n-C10-C20-alkyl dimethyl ammonium 2-hydroxyethylammoni
- Said amino carboxylates preferably are comprised in amounts in the range of 0% to 30.0% by weight, in the range of 0.5% to 25.0% by weight, in the range of 1 % to 20% by weight, in the range of 2% to 15%, in the range of 2.5% to 10% by weight, in the range of 3% to 8% by weight, or in the range of 2.5 to 5% by weight, all relative to the total weight of the cleaning composition.
- the compositions according to the invention are free from phosphates and polyphosphates, with hydrogenphosphates being subsumed, for example free from trisodiumphosphate, pentasodiumtripolyphosphate and hexasodiummetaphosphate.
- hydrogenphosphates being subsumed, for example free from trisodiumphosphate, pentasodiumtripolyphosphate and hexasodiummetaphosphate.
- "free from” is to be understood as meaning that the content of phosphate and polyphosphate is in total in the range from 10 ppm to 0.2% by weight, determined by gravimetry and relative to the total weight of the cleaning composition.
- the composition of the present invention is a liquid cleaning composition additionally comprising at least one detergent component, wherein the detergent component is a compound selected from an anionic surfactant and a builder, wherein the anionic surfactant is preferably selected from linear alkylbenzene sulphonate (LAS) or alcohol ethoxy sulphates (AES) and wherein the builder preferably is a non-phosphate based builder, preferably selected from citrates, phosphonates and amino carboxylates.
- the detergent component is a compound selected from an anionic surfactant and a builder
- the anionic surfactant is preferably selected from linear alkylbenzene sulphonate (LAS) or alcohol ethoxy sulphates (AES)
- the builder preferably is a non-phosphate based builder, preferably selected from citrates, phosphonates and amino carboxylates.
- liquid cleaning compositions e.g. detergent formulations
- liquid cleaning compositions e.g. detergent formulations
- liquid cleaning compositions, e.g. detergent formulations of the invention usually comprise one or more rheology modifiers, which are also known as thickeners in the art.
- the cleaning composition, e.g. detergent formulation of the invention comprises at least one naturally derived polymeric structurants, preferably selected from polysaccharide derivatives such as xanthan gum in amounts in the range of 0.1 % to about 5% by weight, or even from about 0.2% to about 0.5% by weight, relative to the total weight of the cleaning composition.
- liquid cleaning compositions e.g. detergent formulations, of the invention are free from bleaches, for example free from inorganic peroxide compounds or chlorine bleaches such as sodium hypochlorite, meaning that liquid cleaning compositions, e.g. detergent formulations according to the invention comprise in total 0.8%, 0.5%, 0.1 % or 0.01 % by weight or less of inorganic peroxide compound and chlorine bleach, relative in each case on total weight of the liquid cleaning composition.
- liquid cleaning compositions of the invention are preferably selected from liquid laundry detergents, liquid manual dishwashing detergents and liquid automated dishwashing detergents.
- liquid enzyme compositions as described herein are added to the liquid cleaning compositions.
- liquid enzyme compositions of the invention to a liquid cleaning composition, preferably a liquid detergent formulation, usually occurs in a weight ratio liquid composition:detergent formulation of about 1 :1000, 1 :500, 1 :100, 1 :50, 1 :30, 1 :25, 1 :20, or 1 : 10.
- Components a. and b. and c., further components and detergent component(s) are such that their amounts in the liquid cleaning compositions comply with their ratios, amounts and total amounts as defined above in the chapters on the individual components or the chapter on the liquid enzyme composition, and thus the cleaning composition comprises those components in such amounts and ratios which result from the use of such liquid composition in such a cleaning composition, e.g. detergent formulation.
- the liquid cleaning composition is characterized by a concentration of the protease of 0.0005-0.1%, preferably 0.02-0.06%, a concentration of the protease inhibitor of 0.00005-0.06%, preferably 0.0005-0.004%, and a concentration of the solubilizing agent of:
- neopentyl glycol 0.01-1%, preferably 0.05-0.2%
- ii. gamma-valerolactone 0.005-0.5%, preferably 0.01-0.1%
- diethylene glycol 0.01-1%, preferably 0.05-0.2%
- the invention also relates to a method for preparation of a cleaning composition of the invention, comprising the steps of mixing at least components a. and b. and at least one of c. - all as disclosed herein - with at least one detergent component in one or more steps in any order.
- the method of preparation of a cleaning composition comprises the steps of mixing the liquid enzyme composition of the invention with at least one detergent component in one or more steps in any order.
- the invention in one aspect relates to the use of the liquid enzyme compositions of the invention as a detergent component for the cleaning compositions such as l&l and homecare formulations for laundry and hard surface cleaning.
- the invention also relates to a method for cleaning a soiled textile or dishware, wherein the method comprises providing a solid textile or dishware and bringing the soiled fabric or dishware in contact with a liquid cleaning composition according as described herein.
- a composition comprising: a. at least one protease and b. a protease inhibitor and c. at least one solubilizing agent selected from the group consisting of:
- neopentyl glycol ii. gamma-valerolactone, and ill. diethylene glycol.
- a composition comprising: b. a protease inhibitor and c. at least one solubilizing agent selected from the group consisting of:
- the composition according to any of embodiments 1 to 3, wherein the solubilizing agent is gammavalerolactone.
- the protease inhibitor is selected from the group consisting of peptide aldehydes, salts or derivates thereof, preferably peptide aldehydes or peptide aldehyde hydrosulfite adducts and combinations thereof, more preferably a peptide aldehyde or peptide aldehyde hydrosulfite adduct comprising non-polar amino acid side chains.
- composition according to embodiment 10 wherein the protease inhibitor is a peptide aldehyde, salt, or hydrosulfite adduct thereof, preferably a tripeptide aldehyde.
- R1, R2, R3 are amino acid side chains of non-polar amino acids
- Z is an N-terminal protection group, preferably selected from benzyloxycarbonyl (Cbz), p-methoxybenzyl carbonyl (MOZ), benzyl (Bn), benzoyl (Bz), p-methoxybenzyl (PMB), p-methoxyphenyl (PMP), formyl, acetyl (Ac), methyloxy, alkoxycarbonyl, methoxycarbonyl, fluorenylmethyloxycarbonyl (Fmoc), and tertbutyloxycarbonyl (Boc).
- composition according to embodiment 12 wherein R1, R2 and R3 are amino acid side chains selected from the group consisting of Gly, Ala, Vai, Leu, lie, Met, Pro, Phe and Trp.
- the composition according to embodiment 13 wherein R1 is an amino acid side chain of Vai, R2 is an amino acid side chain of Ala, and R3 is an amino acid side chain of Leu.
- the composition according to embodiment 14, wherein the protease inhibitor is Z-VAL-H.
- the composition according to any of embodiments 1 and 3 to 16 wherein the at least one protease comprised in component a.
- the composition according to embodiment 18, wherein the at least one protease comprised in component a. is a protease identical to SEQ ID NO: 1 having the substitution R101 E according to the numbering of SEQ ID NO: 2.
- the composition according to embodiment 21 wherein the at least one further enzyme is an amylase.
- composition according to embodiment 21 wherein the at least one further enzyme is a cellulase.
- the composition according to embodiment 21 wherein the at least one further enzyme is a mannanase.
- the composition according to embodiment 21, wherein the composition comprises an amylase and a cellulase.
- the composition according to any of the preceding embodiments wherein the composition further comprises glycerol and/or further comprises MPG.
- the composition according to embodiment 29, wherein the composition comprises 0.01 % to 35% MPG.
- liquid enzyme composition preferably 8-12%, ii. gamma-valerolactone: 1 -6%, preferably 4.5-5.5%, and/or ill. diethylene glycol: 8-12%, preferably 9.5-10.5%.
- the liquid enzyme composition according to any of embodiments 33 or 34 wherein the liquid enzyme composition is essentially devoid of anionic surfactants and builders.
- the liquid enzyme composition according to any of embodiments 32 to 35 wherein the composition additionally comprises calcium chloride dihydrate, preferably 0.1 -0.5% by weight, more preferably 0.2%- 0.4% by weight.
- the liquid enzyme composition according to any of embodiments 32 to 36 wherein the pH of the composition is set to 6.
- the liquid enzyme composition according to embodiment 38 wherein the composition comprises glycerol and MPG.
- liquid enzyme composition according to any of embodiments 38 or 39, wherein the composition comprises glycerol from about 10% to 50% by weight, preferably from about 15% to 45% by weight.
- the liquid enzyme composition according to embodiment 39 wherein the composition comprises neopentyl glycol: MPG:glycerol in ratios of 1 : ⁇ 3: ⁇ 6, or 1 : ⁇ 3: ⁇ 5, or 1 : ⁇ 3: ⁇ 4, or 1 : ⁇ 3: ⁇ 3.5, preferably 1 : ⁇ 3: ⁇ 4 or 1 : ⁇ 3: ⁇ 3.5, most preferably 1 : ⁇ 3: ⁇ 3.5, wherein the total amount of neopentyl glycol, MPG and glycerol in % by weight contained in the composition is set to be more than 45%, preferably at least 48%, most preferably at least 50% and optionally at most 70%.
- the liquid enzyme composition according to embodiment 39 wherein the composition comprises gamma- valerolactone:glycerol in a ratio of 1 : ⁇ 35, preferably 1 : ⁇ 30, more preferably 1 : ⁇ 25, even more preferably 1 : ⁇ 20 or most preferred 1 : ⁇ 18, wherein the total amount of gamma-valerolactone, MPG and glycerol in % by weight contained in the composition is set to be at least 50% and optionally at most 70%.
- the liquid enzyme composition according to embodiment 44 wherein the total amount of diethylene glycol, MPG and glycerol in % by weight contained in the composition is set to be at least 50% and optionally at most 70%.
- the liquid enzyme composition according to any of embodiments 32 to 45, wherein the composition comprises: a. 0.05-12%, 0.05-10%, preferably 2% to 6% by weight protease, b. 0.05-0.4%, preferably 0.1 % to 0.25% by weight protease inhibitor, c. 5-25%, preferably 8-16%, most preferably 8-12% by weight neopentyl glycol, d. 10-40%, preferably 12-30%, more preferably 14-20% glycerol, e. 10-40%, preferably 20-35%, more preferably 28-34% MPG, and f. 0.1 -0.5% CaCI 2 *2H 2 O wherein optionally the pH of the composition is set to 6.
- the liquid enzyme composition according to any of embodiments 32 to 45, wherein the composition comprises: a. 0.05-12%, 0.05-10%, preferably 2-6% by weight protease, b. 0.05-0.4%, preferably 0.1 -0.25% by weight protease inhibitor, c. 5-25%, preferably 8-16%, more preferably 8-12% by weight neopentyl glycol, d. 10-40%, preferably 15-30%, more preferably 18-22% glycerol, e. 10-30%, preferably 15-25%, more preferably 18-22% MPG, and f. 0.1 -0.5% CaCI 2 *2H 2 O wherein optionally the pH of the composition is set to 6.
- the liquid enzyme composition according to any of embodiments 32 to 45, wherein the composition comprises: a. 0.05-12%, 0.05-10%, preferably 2-6% by weight protease, b. 0.05-0.4%, preferably 0.1 -0.25% by weight protease inhibitor, c. 1-15%, preferably 2-10%, more preferably 2-6% by weight gamma-valerolactone, d. 30-50%, preferably 35-48%, more preferably 40-45% glycerol, e. 2-25%, preferably 2-15%, more preferably 4-8% MPG, and f. 0.1 -0.5% CaCI 2 *2H 2 O wherein optionally the pH of the composition is set to 6.
- liquid enzyme composition according to any of embodiments 46 to 49, wherein the composition additionally comprises 0.1-2% amylase.
- the liquid cleaning composition according to embodiment 52 wherein the detergent component is a compound selected from an anionic surfactant and a builder, wherein the anionic surfactant is preferably selected from linear alkylbenzene sulphonate (LAS) or alcohol ethoxy sulphates (AES) and wherein the builder preferably is a non-phosphate-based builder, preferably selected from citrates, phosphonates and amino carboxylates.
- the concentration of the protease is 0.0005-0.1 %, preferably 0.02-0.06%
- the concentration of the protease inhibitor is 0.00005- 0.06%, preferably 0.0005-0.004%
- concentration of the solubilizing agent is:
- composition II. gamma-valerolactone: 0.005-0.5%, preferably 0.01-0.1 %, and/or ill. diethylene glycol: 0.01-1 %, preferably 0.05-0.2%.
- the composition according to any of embodiments 1 to 33 or 35 to 54, wherein the composition further comprises 2-phenoxyethanol, preferably in an amount ranging from 2 ppm to 5%, more preferably 0.1 to 2% by weight of the composition.
- a method for cleaning a soiled textile or dishware comprising providing a soiled textile or dishware and bringing the soiled fabric or dishware in contact with a liquid cleaning composition according to any of embodiments 52 to 55.
- a method for stabilizing and solubilizing a protease and a protease inhibitor in a liquid enzyme composition comprising bringing together the protease, protease inhibitor and a solubilizing agent selected from the group consisting of:
- neopentyl glycol ii. gamma-valerolactone, and ill. diethylene glycol.
- Condition 1 100% solubilizing agent*
- Condition 2 50% solubilizing agent, 50% water
- Condition 3 40% solubilizing agent, 10% glycerol, 50% water
- Condition 4 10% solubilizing agent, 40% glycerol, 50% water
- solubilizing agent was present as solid material (EC, NPG and sorbitol), the solubilizing agent was tested as 70% solution in water
- the stabilizer was dissolved in the respective solubilizing agent followed by subsequent addition of glycerol and water.
- the resulting solution was visually inspected to a) see if the dilution with glycerol and water led to precipitation of the inhibitor and b) to see if the inhibitor was completely soluble, meaning whether the solid material dissolved without leaving any residue within 24 h.
- the results are displayed in table 3.
- Enzyme stability was tested by determining enzyme activity after storage of the enzyme in different aqueous formulations containing the respective solubilizing agent over a course of 14 days.
- the reference formulation was 50% glycerol aqueous solution. The results are displayed in tables 4 and 5.
- the protease according SEQ ID NO: 1 having the substitution R101 E according to the numbering of SEQ ID NO: 2 (abbreviated as P herein, 2.5% active enzyme) was stored for 14 days in the respective solubilizing agent at pH 6 at 45°C without inhibitor.
- the protease has been used as a pre-formulated concentrate (11 % (w/w) P in 20% (w/w) MPG).
- the activity after storage was determined with a standard assay using dimethyl-casein (DMC, 0.3% (w/v)) as substrate.
- DMC dimethyl-casein
- the release of free amino groups of DMC by proteolytic cleavage was detected using 2,4,6- trinitrobenzenesulfonic acid (TNBS, 0.2% (w/v)), measuring CD at 405 nm.
- CHES N-cyclohexyl-2-aminoethanesulfonic acid
- the cellulase according to SEC ID NO: 6 (abbreviated as C herein, 0.3% active enzyme) was stored for 14 days in the respective solubilizing agent at pH 6 at 45°C without inhibitor.
- the cellulase has been used as a pre-formulated concentrate (10% (w/w) C in 30% (w/w) glycerol).
- the activity after storage was determined with a standard assay using 4-nitrophenyl-p-D-lactopyranoside (pNPL) as substrate.
- 4-ni trophenol pNP, yellow color
- pNP can be quantified by measuring the OD at 405 nm.
- the amylase according SEQ ID NO: 4 comprising the substitutions N25H, G4Q, R176K, G186E, T251 E, L405M, and Y482W according to the numbering of SEQ ID NO: 5 (abbreviated as A herein, 0.4% active enzyme) was stored for 14 days in the respective solubilizing agent at pH 6 at 45°C without inhibitor.
- the amylase has been used as pre-formulated concentrate (3% (w/w) A in 40% (w/w) glycerol).
- the activity after storage was determined with a standard assay using ethylidene-4-nitrophenoyl-o-D- maltoheptasoide (EPS) as substrate and o-glucosidase as second enzyme.
- EPS ethylidene-4-nitrophenoyl-o-D- maltoheptasoide
- o-glucosidase Upon cleavage of the glucose chain by the amylase, the o-glucosidase present in excess can hydrolyze and release 4-nitrophenol (pNP). The resulting yellow color can be quantified by measuring the OD at 405 nm.
- the mannanase according to SEQ ID NO: 3 comprising the amino acid substitutions Q59V, N66D, A89H, E234Q, W259M, N282Y, T318N, E319G, and S322G according to the numbering of SEQ ID NO: 3 (abbreviated as M herein, 0,05% active enzyme) was stored for 14 days in the respective solubilizing agent at pH 6 at 37°C without inhibitor.
- the mannanase has been used as a pre-formulated concentrate (2% (w/w) M in 30% (w/w) glycerol).
- the activity after storage was determined with a standard assay using azurine-crosslinked (AZCL) galactomannan as substrate.
- Azurin blue color
- Azurin can be quantified by measuring the OD at 590 nm.
- Enzyme activity (protease P, cellulase C, amylase A) after storage in aqueous compositions comprising different solubilizing agents in comparison to storage in 50% glycerol aqueous solution.
- Mannanase activity (mannanase M) after storage in aqueous compositions comprising different solubilizing agents in comparison to storage in 50% glycerol aqueous solution.
- solubilizing agents DEG, GVL and NPG overall showed a stabilizing effect on different enzymes and were considered suitable solubilizing agents.
- Example 3 Solubility of Cbz-VAL-H in different formulations comprising a combination of the respective solubilizing agent, glycerol, and MPG
- the solubility of the protease inhibitor Cbz-VAL-H in different aqueous formulations including the respective suitable solubilizing agent, glycerol and monopropylene glycol (MPG) was analyzed.
- the inhibitor was first dissolved in a mixture of the respective solubilizing agent and MPG (NPG/MPG, GVL/MPG or DEG/MPG). Glycerol and water were added subsequently.
- the resulting solution was visually inspected to a) see if the dilution with glycerol and water led to precipitation of the inhibitor and b) to see if the inhibitor was completely soluble, meaning whether the solid material dissolved without leaving any residue within 24 h.
- Example 4 Storage stability of protease and Cbz-VAL-H in suitable formulations comprising a combination of the respective solubilizing agent, glycerol, and MPG
- Protease storage stability was tested by determining enzyme activity after storage of the enzyme together with Cbz- VAL-H in different aqueous formulations containing the respective solubilizing agent, glycerol and MPG. Enzyme activity was determined according to example 2.
- Preformulated protease concentrate formulations were formulated with water, glycerol, MPG and the four solubilizing agents to be compared (DEG, NPG, GVL, HDO (as control)). Enzyme concentrations were set to 2.5-3% w/w active protease P. The concentration of the protease inhibitor Cbz-VAL-H was set to 0.15% w/w. The compositions additionally contain 0.3% w/w CaCl2*2H2O. The solutions were stored in closed vessels at -80 °C or at 45 °C for 14 or 28 days. Enzyme activity after storage was measured and the residual activity was normalized to the activity of the -80 °C samples. Formulations containing hexane diol (HDO) were used as comparison. The results are displayed in table 9.
- HDO hexane diol
- Example 5 Storage stability of enzymes in blends after storage in suitable formulations comprising a combination of the respective solubilizing agent, Cbz-VAL-H, glycerol, and MPG
- Enzyme storage stability in blends was tested by determining enzyme activity after storage of the enzymes together with Cbz-VAL-H in different aqueous formulations containing the respective solubilizing agent, glycerol and MPG. Enzyme activity was determined according to example 2.
- Protease/cellulase blend in formulations comprising DEG, NPG, or GVL as solubilizing agent
- Preformulated enzyme concentrate formulations (Protease P, Cellulase C - see Example 2 for description) were formulated with water, glycerol, MPG and the three solubilizing agents to be compared (DEG, NPG, GVL).
- Enzyme concentrations were set to 2-2.5% w/w active protease P and 0.3-0.6% w/w active cellulase C.
- the concentration of the protease inhibitor Cbz-VAL-H was set to 0.15% w/w. All compositions additionally contain 0.3% w/w CaCl2*2H2O.
- the pH value was adjusted to 6.0.
- Preformulated enzyme concentrate formulations (protease P, amylase A, see Example 2 for description) were formulated with water, glycerol, MPG and the two solubilizing agents to be compared (NPG, GVL). Enzyme concentrations were set to 2.5-5% w/w active protease P and 0.3-1% w/w active amylase A. The concentration of the protease inhibitor Cbz-VAL-H was set to 0.15% w/w. All compositions additionally contain 0.3% w/w CaCl2*2H2O. The pH value was adjusted to 6.0. The solutions were stored in closed vessels at -80 °C and 45 °C for 14 days or 3 months.
- Enzyme activity after storage was measured and the residual activity was normalized to the activity of the -80 °C samples.
- Formulations containing hexane diol (HDO) were used as comparison. After 14 days, no significant reduction in activity was detected (results not displayed). The results of the 3-month storage experiment are displayed in table 11 .
- Table 11 Residual activity of protease P and amylase A after three months storage. All percentages are given in w/w.
- Preformulated enzyme concentrate formulations (protease P, amylase A, cellulase C, see Example 2 for description) were formulated with water, glycerol, MPG and the two solubilizing agents to be compared (NPG, GVL). Enzyme concentrations were set to 1 .8-4.5 active w/w protease P, 0.3-1 .0% w/w active amylase A and 0.2- 0.6 % w/w active cellulase C. The concentration of the protease inhibitor Cbz-VAL-H was set to 0.15% w/w. All compositions additionally contain 0.3% w/w CaCl2*2H2O. The pH value was adjusted to 6.0.
- Table 12 Residual activity of cellulase C, amylase A and protease P after 14 days or 3 months storage. All percentages are given in w/w. It is further noted that aqueous formulations containing 10% w/w NPG, 10% w/w MPG, 30% w/w glycerol, 0.3% w/w CaCl2*2H20, 0.15% w/w Cbz-VAL-H, 1 .8% active w/w protease, 0.3% w/w active amylase and 0.6% w/w active cellulase that were stored for 14 days at 45°C showed 79% residual cellulase activity, whereas formulations containing 10% w/w NPG, 20% w/w MPG, 20% w/w glycerol, 0.3% w/w CaCl2*2H2O, 0.15% w/w Cbz-VAL-H 2.5% w/w active protease, 1 % w/w
- formulations containing 5% w/w HDO, 45% w/w MPG, 10% w/w glycerol, 0.3% w/w CaCl2*2H2O, 0.15% w/w Cbz-VAL-H, 1 .8% w/w active protease, 0.3% w/w active amylase and 0.6% w/w active cellulase that were stored for 14 days at 45°C showed 0% residual cellulase activity.
Landscapes
- Chemical & Material Sciences (AREA)
- Life Sciences & Earth Sciences (AREA)
- Engineering & Computer Science (AREA)
- Chemical Kinetics & Catalysis (AREA)
- Oil, Petroleum & Natural Gas (AREA)
- Wood Science & Technology (AREA)
- Organic Chemistry (AREA)
- Health & Medical Sciences (AREA)
- Emergency Medicine (AREA)
- Detergent Compositions (AREA)
- Enzymes And Modification Thereof (AREA)
Abstract
The present invention provides solubilizing agents that have been identified to efficiently solubilize non-polar protease inhibitors, while additionally stabilizing enzymes, preferably hydrolases, in a liquid environment. Further provided are methods for stabilizing and solubilizing a protease and protease inhibitor in a liquid composition comprising such solubilizing agents and methods for cleaning a soiled fabric or dishware using a liquid composition comprising such solubilizing agents.
Description
Enzyme stabilization in compositions containing a protease inhibitor
Field of the invention
The present invention relates to the field of enzyme stabilization in compositions containing a non-polar protease inhibitor. Specifically, the present invention provides liquid compositions comprising solubilizing agents, namely at least one neopentyl glycol, gamma-valerolactone, and diethylene glycol that have been identified to efficiently solubilize non-polar protease inhibitors, while additionally stabilizing enzymes, preferably hydrolases, in the liquid environment.
Background of the invention
Enzymes are increasingly used in various applications, such as in the detergent industry, as sustainable alternative to petrochemistry. Particularly proteases are nowadays routinely used in cleaning compositions. Furthermore, enzyme blends including a protease and one or more further enzyme such as an amylase, a cellulase, and/or a mannanase are used to further improve the performance of cleaning compositions. However, the use of enzymes is hampered by their instability in different environments, especially in detergent compositions but also more generally in hydrophobic solvents. Moreover, proteases degrade themselves and also further enzymes present in the composition. To overcome the latter, protease inhibitors can be used as enzyme stabilizers. Reversible protease inhibitors only temporarily inhibit the enzyme activity under storage conditions but are released in the final application of the enzyme, therefore allowing the enzyme to exert its catalytic activity. One type of protease inhibitors are peptide aldehydes and peptide aldehyde hydrosulfite adducts as e.g. described in W02009/118375 or WO2013/004636.
The types of amino acid side chains of the peptide aldehyde or the hydrosulfite adducts determine the polarity of the protease inhibitor. It remains a challenge to provide water-containing products containing enzymes, such as cleaning compositions, comprising non-polar protease inhibitors with limited solubility in water and/or water-miscible organic solvents, which need to be solubilized in hydrophobic solvents. One part of this challenge is the negative effect of such hydrophobic solvents on the stability of enzymes also contained in the compositions. Therefore, there is a need to identify solubilizing agents, which efficiently solubilize the non-polar protease inhibitor without negatively impacting enzyme stability.
WO2022/063698 discloses solvent systems comprising at least two organic solvents, wherein one of them is 1 ,2 propane diol (monopropylene glycol, MPG) and the other one is selected from diols other than 1 ,2-propane diol, preferably 1 ,6-hexane diol. The disclosed solvent systems allow dissolution of enzyme stabilizers having limited solubility in water and/or water-miscible organic solvents in a water-containing protease product. WO2022/063698 is silent on alternative solubilizing agents, such as neopentyl glycol or gamma-valerolactone to enable solubilization of such enzyme inhibitors. Additionally, WO2022/063698 does not show any beneficial effect on further enzymes (meaning other than proteases) when formulating enzymes.
Therefore, there is still a need for improved solvent systems with less impact on protease stability and stability of further enzymes, such as amylases, mannanases and cellulases that nevertheless allow solubilization of non-polar protease inhibitors in water-containing products.
The present invention provides compositions comprising solubilizing agents that have been identified to efficiently solubilize non-polar protease inhibitors and additionally stabilize enzymes, preferably hydrolases, in a liquid environment.
Brief summary of the invention
The present inventors surprisingly found that solubilizing agents selected from the group consisting of neopentyl glycol, gamma-valerolactone, and diethylene glycol both allow dissolution of a protease inhibitor having limited solubility in water and/or water-miscible organic solvents, meaning a non-polar protease inhibitor, while also ensuring enzyme stability of proteases but additionally also of further enzymes, such as e.g. amylases, cellulases, or mannanases.
More specifically the present invention provides compositions, including liquid enzyme compositions and liquid cleaning compositions, comprising at least one protease, a protease inhibitor and at least one solubilizing agent selected from the group consisting of neopentyl glycol, gamma-valerolactone, and diethylene glycol. Further provided are methods for stabilizing and solubilizing a protease and protease inhibitor in a liquid composition comprising such solubilizing agents and methods for cleaning a soiled fabric or dishware using a liquid composition comprising such solubilizing agents.
Detailed description of the invention
The present invention may be understood more readily by reference to the following detailed description of the embodiments of the invention and the examples included herein.
Although the present invention will be described with respect to particular embodiments, this description is not to be construed in a limiting sense.
General definitions
Unless otherwise noted, the terms used herein are to be understood according to conventional usage by those of ordinary skill in the relevant art.
Before describing exemplary embodiments of the present invention in detail, definitions important for understanding the present invention are provided. Unless stated otherwise or apparent from the nature of the definition, the definitions apply to all compounds, methods and uses described herein.
As used in this specification and in the appended claims, the singular forms of "a" and "an" also include the respective plurals and vice versa unless the context clearly dictates otherwise.
In the context of the present invention, the terms "about" and "approximately" denote an interval of accuracy that a person skilled in the art will understand to still ensure the technical effect of the feature in question. The term
typically indicates a deviation from the indicated numerical value of ± 20%, preferably ± 15%, more preferably ± 10%, and even more preferably ± 5%.
Furthermore, the terms "first", "second", "third" or "(a)", "(b)", "(c)", "(d)" etc. in the description and in the claims, are used for distinguishing between elements and not necessarily for describing a sequential or chronological order. It is to be understood that the terms so used are interchangeable under appropriate circumstances and that the embodiments of the invention described herein are capable of operation in other sequences than described or illustrated herein. In case the terms "first", "second", "third" or "(a)", "(b)", "(c)", "(d)", "i", "ii" etc. relate to steps of a method or use or assay, there is no time or time interval coherence between the steps, i.e. the steps may be carried out simultaneously or there may be time intervals of seconds, minutes, hours, days, weeks, months or even years between such steps, unless otherwise indicated in the application as set forth herein above or below.
Throughout this application, various publications are referenced. The disclosures of all these publications and the references cited within those publications in their entireties are hereby incorporated by reference into this application to describe the state of the art to which this invention pertains more fully.
It is to be understood that the term "comprising" is not limiting. For the purposes of the present invention the term "consisting of" is considered to be a preferred embodiment of the term "comprising". If hereinafter a group is defined to comprise at least a certain number of members, this is meant to also encompass a group which consists of these members only.
The term „at least one" as used herein means one or more.
A "composition” is a mixture of components (also called ingredients) prepared according to a specific formula. Compositions can be liquid or solid. Liquid compositions of the invention include solutions, emulsions and dispersions, gels etc. as long as the liquid is fluid and pourable. Liquid compositions according to the present invention preferably have a dynamic viscosity in the range of about 500 to about 20,000 mPa*s, determined at 25°C according to Brookfield, for example spindle 3 at 20 rpm with a Brookfield viscosimeter LVT-II.
"Gel", as used herein, means a shear thinning, lamellar gel, with a pouring viscosity in the range of from 100 to 5,000 mPa*s (milli Pascal seconds), more preferably less than 3,000 mPa*s, most preferably less than 1 ,500 mPa*s. Compositions include enzyme compositions, e.g. liquid enzyme compositions as described herein, and cleaning compositions, e.g. liquid cleaning compositions as described herein.
The components of the composition can be separated by formulating them in different compartments, such as different compartments of multi-chamber-pouches or bottles having different chambers, from which the liquids are poured out at the same time in a predefined amount to assure the application of the right amount per individual point of use of each component from each chamber. Such multi-compartment-pouches and bottles etc. are known to a person of skill as well.
The compositions of the invention may be delivered in dual- or multi-compartment containers, in single-phase or multi-phase unit doses, in a spray or foam detergent, as premoistened wipes (i.e., the cleaning composition in combination with a nonwoven material such as that discussed in US 6,121 , 165, Mackey, et al.), and other homogeneous, non-homogeneous or single-phase or multiphase cleaning product forms.
A composition "essentially devoid” of a compound shall mean herein that the respective compound is not added to the composition (on purpose), preferably that at most non-effective amounts are present, most preferably 0% of the compound are contained in the composition.
Component a.: Proteases
The compositions, including liquid enzyme compositions and liquid cleaning compositions, and methods of the present invention comprises a protease as described herein.
"Proteases” (also called "peptidases”) and protease variants described herein have "protease activity” (also called "proteolytic activity” herein). This property is related to the hydrolytic activity of a protease (proteolysis, which means hydrolysis of peptide bonds linking amino acids together in a polypeptide chain) on protein containing substrates, e.g. casein, haemoglobin and BSA. Quantitatively, proteolytic activity is related to the rate of degradation of proteins by a protease or proteolytic enzyme in a defined course of time. The methods for analyzing proteolytic activity and thereby the effect of an inhibitor on the proteolytic activity are well-known in the literature (see e.g. Gupta et al. (2002), Appl. Microbiol. Biotechnol. 60: 381 -395).
For instance, proteolytic activity can be determined by using Succinyl-Ala-Ala-Pro-Phe-p-nitroanilide (Suc-AAPF- pNA, short AAPF; see e.g. DelMar et al. (1979), Analytical Biochem 99, 316-320) as substrate. pNA is cleaved from the substrate molecule by proteolytic cleavage, resulting in release of free pNA which has a yellow color that can be quantified by measuring the optical density at 405 nm (OD405).
"Variant” enzymes, as generally used herein, meaning not solely applicable to proteases, differ from "parent” enzymes by certain amino acid alterations, preferably amino acid substitutions at one or more amino acid positions. In describing the polypeptides and variants of the present invention, the abbreviations for single amino acids used are according to the accepted IUPAC single letter or three letter amino acid abbreviation.
"Amino acid alteration” as generally used herein refers to amino acid substitution, deletion, or insertion.
"Substitutions” are generally described herein by providing the original amino acid followed by the number of the position within the amino acid sequence followed by the amino acid, which substitutes the original amino acid. Substitutions can also be described by merely naming the resulting amino acid without specifying the initial amino acid at this position. Positions of substitutions can be described by merely providing the number of the position within the amino acid sequence.
"Deletions” are generally described herein by providing the original amino acid followed by the number of the position within the amino acid sequence followed by *.
"Insertions” are generally described herein by providing the original amino acid followed by the number of the position within the amino acid sequence followed by the original amino acid and the additional amino acid. Ways of introducing amino acid alterations, e.g., substitutions, into protein sequence are well known in the art.
Variant polynucleotide and variant polypeptide sequences may be generally defined herein by their sequence identity when compared to another sequence. Sequence identity is usually provided as "% sequence identity” or "% identity”. For calculation of sequence identities, in a first step a sequence alignment is produced. According to
this invention, a pairwise global alignment is produced, meaning that two sequences are aligned over their complete length. The alignment is usually produced by using a mathematical approach called alignment algorithm.
According to the invention, the alignment is generated by using the algorithm of Needleman and Wunsch (J. Mol. Biol. (1979) 48, p. 443-453). Preferably, the program "NEEDLE” (The European Molecular Biology Open Software Suite (EMBOSS)) is used for the purposes of the current invention, using the programs default parameter (polynucleotides: gap open=10.0, gap extend=0.5 and matrix=EDNAFULL; polypeptides: gap open=10.0, gap extend=0.5 and matrix=EBLOSUM62). After aligning the two sequences, an identity value is determined from the produced alignment in a second step. For this purpose, the %-identity is calculated by dividing the number of identical residues by the length of the alignment region, which is showing the respective sequence of the present invention over its complete length multiplied with 100: %-identity = (identical residues I length of the alignment region, which is showing the respective sequence of the present invention over its complete length) *100.
For calculating the percent identity of two polynucleotides the same applies as outlined above with some specifications. For polynucleotides encoding for a protein the pairwise alignment shall be made over the complete length of the coding region of the sequence of this invention from start to stop codon excluding introns. Introns present in the other sequence, to which the sequence of this invention is compared to shall also be removed for the pairwise alignment. After aligning the two polynucleotide sequences, an identity value is determined in a second step from the alignment produced. Percent identity is calculated by: %-identity = (identical residues I length of the alignment region, which is showing the sequence of the invention from start to stop codon excluding introns over its complete length) *100.
Herein, the exchange of one amino acid with a similar amino acid may be called "conservative amino acid substitution”. Similar amino acids according to the invention are defined as follows:
Amino acid A is similar to amino acids S
Amino acid D is similar to amino acids E; N
Amino acid E is similar to amino acids D; K; Q
Amino acid F is similar to amino acids W; Y
Amino acid H is similar to amino acids N; Y
Amino acid I is similar to amino acids L; M; V
Amino acid K is similar to amino acids E; Q; R
Amino acid L is similar to amino acids I; M; V
Amino acid M is similar to amino acids I; L; V
Amino acid N is similar to amino acids D; H; S
Amino acid Q is similar to amino acids E; K; R
Amino acid R is similar to amino acids K; Q
Amino acid S is similar to amino acids A; N; T
Amino acid T is similar to amino acids S
Amino acid V is similar to amino acids I; L; M
Amino acid W is similar to amino acids F; Y
Amino acid Y is similar to amino acids F; H; W
Amino acids can be classified according to the polarity of their amino acid side chain. Non-polar proteinogenic amino acids according to the invention are alanine, glycine, isoleucine, leucine, methionine, phenylalanine, proline, tryptophan, and valine.
"Enzyme properties” generally include herein, but are not limited to, catalytic activity, substrate/cofactor specificity, product specificity, stability in the course of time, thermostability, pH stability, and chemical stability. "Enzymatic activity” or "catalytic activity” generally means the catalytic effect exerted by an enzyme, expressed as units per milligram of enzyme (specific activity) or molecules of substrate transformed per minute per molecule of enzyme (molecular activity). Enzymatic activity can be specified by the enzymes actual function, e.g., protease exert proteolytic activity by catalyzing the hydrolytic cleavage of peptide bonds, lipases exert lipolytic activity by hydrolytic cleavage of ester bonds, amylase activity involves hydrolysis of glycosidic linkages in polysaccharides, mannanase activity involves hydrolysis of the internal glycoside bonds in the mannan backbone etc.
The term "enzyme stability” according to the current invention relates to the retention of enzymatic activity as a function of time during storage or operation. Retention of enzymatic activity as a function of time during storage is called "storage stability” and is preferred within the context of the invention. Storage-stability relating to hydrolase activity, preferably protease activity, amylase activity, mannanase activity, or cellulase activity, within a composition, preferably means that the residual hydrolytic activity after storage for up to 14 days or up to 3 months at elevated temperatures of about 37°C or 45°C is at least 50%, at least 55%, at least 60%, at least 65%, at least 70%, at least 75%, at least 80%, or at least 85% when compared to the hydrolytic activity of a sample stored at -80°C.
Suitable proteases according to the invention have at least 70%, more preferably at least 80%, more preferably at least 85%, most preferably at least 90% residual protease activity after storage for 28 days in a composition according to the invention at 45 °C.
Suitable proteases according to the invention have proteolytic activity, preferably when determined according to the essays described above, they exhibit at least 50%, at least 60%, at least 70%, at least 80%, at least 90%, at least 100%, at least 110%, at least 120%, at least 130%, at least 140%, or at least 150% of the proteolytic activity of the protease according to SEQ ID NO: 1 comprising a R101 E substitution (according to BPN' (SEQ ID NO: 2) numbering).
Proteases are members of class EC 3.4. Proteases include aminopeptidases (EC 3.4.11), dipeptidases (EC 3.4.13), dipeptidyl-peptidases and tripeptidyl-peptidases (EC 3.4.14), peptidyl-dipeptidases (EC 3.4.15), serine-type carboxypeptidases (EC 3.4.16), metallocarboxypeptidases (EC 3.4.17), cysteine-type carboxypeptidases (EC 3.4.18), omega peptidases (EC 3.4.19), serine endopeptidases (EC 3.4.21), cysteine endopeptidases (EC 3.4.22), aspartic endopeptidases (EC 3.4.23), metallo-endopeptidases (EC 3.4.24), threonine endopeptidases (EC 3.4.25), or endopeptidases of unknown catalytic mechanism (EC 3.4.99).
At least one protease may be selected from metal lo-endoproteases (EC 3.4.24). A metallopro-tease may for example be a thermolysin from, e.g., family M4 or another metalloprotease such as those from M5, M7 or M8 families. A metal loprotease may especially be derived from Bacillus amyloliquefaciens described in WO 07/044993A2, from Bacillus, Brevibacillus, Thermoactinomyces, Geobacillus, Paenibacillus, Lysinibacillus or
Streptomyces spp. described in WO 2014194032, WO 2014194054, and WO 2014194117, from Kribella alluminosa described in WO 2015193488, and from Streptomyces and Lysobacter described in WO 2016075078. More preferably, at least one protease may be selected from serine proteases (EC 3.4.21). Serine proteases or serine peptidases are characterized by having a serine in the catalytically active site, which forms a covalent adduct with the substrate during the catalytic reaction. A serine protease may be selected from the group consisting of chymotrypsin (e.g., EC 3.4.21.1), elastase (e.g., EC 3.4.21.36, EC 3.4.21.37, or EC 3.4.21.71), granzyme (e.g., EC 3.4.21 .78 or EC 3.4.21 .79), kalli krein (e.g., EC 3.4.21 .34, EC 3.4.21 .35, EC 3.4.21 .118, or EC 3.4.21 .119,) plasmin (e.g., EC 3.4.21.7), trypsin (e.g., EC 3.4.21.4), thrombin (e.g., EC 3.4.21.5), and subtilisin. Subtilisin is also known as subtilopeptidase, e.g., EC 3.4.21.62, the latter hereinafter also being referred to as "subtilisin”.
Subtilisins and chymotrypsin-related serine proteases both have a catalytic triad comprising aspartate, histidine and serine. In the subtilisin related proteases the relative order of these amino acids, reading from the amino to carboxy-terminus, is aspartate-histidine-serine. In contrast, in the chymotrypsin-related proteases the relative order is histidine-aspartate-serine. Thus, subtilisin herein refers to a serine protease having the catalytic triad of subtilisin related proteases. Examples include the subtilisins as described in WO 89/06276 and EP 0283075, WO 89/06279, WO 89/09830, WO 89/09819, WO 91/06637 and WO 91/02792.
Parent proteases of the subtilisin type (EC 3.4.21.62) and variants may be bacterial proteases. Said bacterial protease may derived from gram-positive bacteria such as a Bacillus, Clostridium, Enterococcus, Geobacillus, Lactobacillus, Lactococcus, Oceanobacillus, Staphylococcus, Streptococcus, or Streptomyces protease, or gramnegative bacteria such as a Campylobacter, Escherichia (e.g. E. coll), Flavobacterium, Fusobacterium, Helicobacter, llyobacter, Neisseria, Pseudomonas, Salmonella, or Ureaplasma protease. A review of this protein family is provided, for example, in "Subtilases: Subtilisin-like Proteases" by R. Siezen, pages 75-95 in "Subtilisin enzymes", edited by R. Bott and C. Betzel, New York, 1996.
In one aspect of the invention, the parent proteases and variants may be derived from Bacillus alcalophil us, Bacillus amyloliquefaciens, Bacillus brevis, Bacillus circulans, Bacillus clausii, Bacillus coagulans, Bacillus firmus, Bacillus gibsonii, Bacillus lautus, Bacillus lentus, Bacillus licheniformis, Bacillus megaterium, Bacillus pumilus, Bacillus sphaericus, Bacillus stearothermophilus, Bacillus subtilis, or Bacillus thuringiensis.
For the purpose of the invention, at least one protease may be selected from the following: subtilisin from Bacillus amyloliquefaciens BPN' (SEQ ID NO: 2 herein, described by Vasantha et al. (1984) J. Bacteriol. Volume 159, p. 811-819 and JA Wells et al. (1983) in Nucleic Acids Research, Volume 11 , p. 7911 -7925); subtilisin from Bacillus licheniformis (subtilisin Carlsberg; disclosed in EL Smith et al. (1968) in J. Biol Chem, Volume 243, pp. 2184-2191 , and Jacobs et al. (1985) in Nucl. Acids Res, Vol 13, p. 8913-8926); subtilisin PB92 (original sequence of the alkaline protease PB92 is described in EP 283075 A2); subtilisin 147 and/or 309 (Esperase®, Savinase®, respectively) as disclosed in WO 89/06279; subtilisin from Bacillus lentus as disclosed in WO 91/02792, such as from Bacillus lentus DSM 5483 or the variants of Bacillus lentus DSM 5483 as described in WO 95/23221 ; subtilisin from Bacillus alcalophilus (DSM 11233) disclosed in DE 10064983; subtilisin from Bacillus gibsonii (DSM 14391) as disclosed in WO 2003/054184; subtilisin from Bacillus sp. (DSM 14390) disclosed in WO 2003/056017; subtilisin from Bacillus sp. (DSM 14392) disclosed in WO 2003/055974; subtilisin from Bacillus gibsonii (DSM 14393) disclosed in WO
2003/054184; subtilisin having SEQ ID NO: 4 as described in WO 2005/063974; subtilisin having SEQ ID NO: 4 as described in WO 2005/103244; subtilisin having SEQ ID NO: 7 as described in WO 2005/103244; and subtilisin having SEQ ID NO: 2 as described in application DE 102005028295.4.
In one embodiment, component a. comprises at least subtilisin 309 (which might be called Savinase herein) as disclosed as sequence a) in Table I of WO 89/06279 or a variant thereof which is at least 80% similar and/or identical thereto and has proteolytic activity.
Examples of useful proteases in accordance with the present invention comprise the variants of subtilisin protease derived from SEQ ID NO: 22 as described in EP 1921147 (disclosed in SEQ ID NO: 1 herein, which is the sequence of mature alkaline protease from Bacillus lentus DSM 5483) with amino acid substitutions in one or more of the following positions: 3, 4, 9, 15, 24, 27, 33, 36, 57, 68, 76, 77, 87, 95, 96, 97, 98, 99, 100, 101 , 102, 103, 104, 106, 118, 120, 123, 128, 129, 130, 131 , 154, 160, 167, 170, 194, 195, 199, 205, 206, 217, 218, 222, 224, 232, 235, 236, 245, 248, 252 and 274 (according to the BPN' numbering), which have proteolytic activity. In one embodiment, such a protease is not mutated at positions Asp32, His64, and Ser221 (according to BPN' numbering).
In one embodiment, the protease of component a. has SEQ ID NO: 22 as described in EP 1921147 (SEQ ID NO: 1 herein), or a protease which is at least 80% identical thereto and has proteolytic activity. In one embodiment, said protease is characterized by having at least amino acid glutamic acid (E), or aspartic acid (D), or asparagine (N), or glutamine (Q), or alanine (A), or glycine (G), or serine (S) at position 101 (according to BPN' numbering) and has proteolytic activity. In one embodiment, said protease comprises one or more further substitutions: (a) threonine at position 3 (3T), (b) isoleucine at position 4 (4I), (c) alanine, threonine or arginine at position 63 (63A, 63T, or 63R), (d) aspartic acid or glutamic acid at position 156 (156D or 156E), (e) proline at position 194 (194P), (f) methionine at position 199 (199M), (g) isoleucine at position 205 (205I), (h) aspartic acid, glutamic acid or glycine at position 217 (217D, 217E or 217G), (I) combinations of two or more amino acids according to (a) to (h).
In one embodiment, the at least one protease of component a. is at least 80% identical to SEQ ID NO: 22 as described in EP 1921147 (SEQ ID NO: 1 herein) and is characterized by comprising one amino acid (according to (a)-(h) above) or combinations according to (I) above together with the amino acid 101 E, 101D, 101 N, 101 Q, 101A, 101 G, or 101 S (according to BPN' numbering, SEQ ID NO: 2 herein) and having proteolytic activity. In one embodiment, said protease is characterized by comprising the substitution (according to BPN' numbering) R101 E, or S3T + V4I + V205I, or R101 E and S3T, V4I, and V205I, or S3T + V4I + V199M + V205I + L217D, and having proteolytic activity.
In one embodiment, the at least one protease comprised in component a. is at least 80% identical to SEQ ID NO: 22 as described in EP 1921147 (SEQ ID NO: 1 herein) and has at least the substitutions S3T+V4I+R101 E+V205I or
S9R+A15T+V68A+N218D+Q245R and optionally at least one further substitution selected from S3T, V4I, D99S, R101 S, A103S and 1104V or
R101 E+S156D+L262E and optionally at least one further substitution selected from I 104T, H120D, Q137H, S141 H, R145H and S163G, all numberings according to the BPN' numbering (SEQ ID NO: 2 herein).
In one embodiment, the at least one protease comprised in component a. is a protease according to SEQ ID NO: 22 as described in EP 1921147 (SEQ ID NO: 1 herein) is characterized by comprising the substitutions (according to BPN' numbering) S3T + V4I + S9R + A15T + V68A + D99S + R101 S + A103S + 1104V + N218D and having proteolytic activity.
In one embodiment, the at least one protease comprised in component a. is a protease 80% identical to SEQ ID NO: 22 as described in EP 1921147 (SEQ ID NO: 1 herein) having the substitution R101 E (according to BPN' numbering, SEQ ID NO: 2 herein). In a preferred embodiment, the at least one protease comprised in component a. is a protease 82%, 84%, 85%, 86%, 88%, 90%, 92%, 94%, 95%, 96%, 98% or 99% but less than 100% identical to SEQ ID NO: 22 as described in EP 1921147 (SEQ ID NO: 1 herein) having the substitution R101 E (according to BPN' numbering, SEQ ID NO: 2 herein).
Most preferably, the at least one protease comprised in component a. is a protease identical to SEQ ID NO: 22 as described in EP 1921147 (SEQ ID NO: 1 herein) having the substitution R101 E according to BPN' numbering (SEQ ID NO: 2 herein).
According to the present invention, component a., in one embodiment, comprises a combination of at least two proteases, preferably selected from the group of serine endopeptidases (EC 3.4.21), more preferably selected from the group of subtilisin type proteases (EC 3.4.21 .62) - all as disclosed above.
At least one protease may be selected from those commercially available including but not limited to those sold under the trade names Alcalase®, Blaze®, Duralase™, Durazym™, Relase®, Relase® Ultra, Savinase®, Savinase® Ultra, Primase®, Polarzyme®, Kannase®, Liquanase®, Liquanase® Ultra, Ovozyme®, Coronase®, Coronase® Ultra, Neutrase®, Everlase® and Esperase® (Novozymes A/S), those sold under the tradename Maxatase®, Maxacai®, Maxapem®, Purafect®, Purafect® Prime, Purafect MA®, Purafect Ox®, Purafect OxP®, Puramax®, Properase®, FN2®, FN3®, FN4®, Excellase®, Eraser®, Ultimase®, Opticlean®, Effectenz®, Preferenz® and Optimase® (Danisco/DuPont), Axapem™ (Gist-Brocases N.V.), Bacillus lentus Alkaline Protease (BLAP; sequence shown in Figure 29 of US 5,352,604) and variants thereof and KAP (Bacillus alkalophilus subtilisin) from Kao Corporation.
Suitable proteases include also those, which are variants of the above-described proteases, which have proteolytic activity. In one embodiment protease variants include variants with at least 40 to 100% identity to the full-length polypeptide sequence of the parent enzyme as disclosed above. In one embodiment protease variants having proteolytic activity are at least 70%, at least 75%, at least 80%, at least 85%, at least 90%, at least 91 %, at least 92%, at least 93%, at least 94%, at least 95%, at least 96%, at least 97%, at least 98% or at least 99% identical to the full-length polypeptide sequence of the parent enzyme as disclosed above.
In another embodiment, the invention relates to protease variants comprising conservative substitutions not pertaining the functional domain of the respective protease.
In one embodiment, protease variants have proteolytic activity according to the present invention when said protease variants exhibit increased proteolytic activity when compared to the parent protease.
In one embodiment, the liquid composition of the invention is a liquid enzyme composition that comprises amounts of protease (component a.) in the range of about 0.05% to 10% by weight relative to the total weight of the liquid
composition, wherein the amount relates to 100% active enzyme. Preferably, the protease is comprised in amounts in the range of about 2% to about 12% by weight, about 2% to about 10% by weight, about 2% to about 8% by weight, about 2% to about 6% by weight, or more preferably of about 2% to about 5% by weight, all relative to the total weight of the liquid composition.
In one embodiment, the liquid composition of the invention is a liquid cleaning composition that comprises amounts of the protease (component a.) in the range of about 0.0005% to 0.1 % by weight relative to the total weight of the liquid composition, wherein the amount relates to 100% active enzyme. Preferably, the protease is comprised in amounts in the range of about 0.02% to 0.06% by weight, more preferably of about 0.02% to 0.05% by weight, all relative to the total weight of the liquid composition.
Component b.: Protease inhibitor
"Protease inhibitors” as used herein are compounds that slow down or halt enzymatic activity of proteases. Protease inhibitors frequently also stabilize the enzyme in its three-dimensional structure. Hence, protease inhibitors usually also act as protease stabilizers.
The protease inhibitor in the compositions of the present invention, including liquid enzyme compositions and liquid cleaning compositions, is a peptide aldehyde, or a salt or a derivative thereof, preferably the protease inhibitor in the composition of the present invention is a peptide aldehyde, a peptide aldehyde hydrosulfite adduct, or a combination thereof.
A "derivative” of a compound as used herein, e. g. a peptide aldehyde, is a compound that is derived from the compound by a chemical reaction, e. g. a peptide aldehyde hydrosulfite adduct.
A "salt” as used herein is a compound consisting of an assembly of positively charged cations and negatively charged anions resulting in a compound with no net electric charge.
In one embodiment, component b. comprises at least one peptide stabilizer, meaning peptide aldehyde herein. At least one peptide aldehyde is selected from di-, tri- or tetrapeptide aldehydes and aldehyde analogues (either of the form B1-BO-R wherein, R is H, CH3, CX3, CHX2, or CH2X (X=halogen), BO is a single amino acid residue (in one embodiment with an optionally substituted aliphatic or aromatic side chain) and B1 consists of one or more amino acid residues (in one embodiment one, two or three), optionally comprising an N-terminal protection group, or as described in WO 09/118375 and WO 98/13459, or a protease inhibitor of the protein type such as RASI, BASI, WASI (bifunctional alpha-amylase/subtilisin inhibitors of rice, barley and wheat) or CI2 or SSI).
In a preferred embodiment, the peptide aldehyde is a tripeptide aldehyde, preferably selected from a compound of formula (I) or a salt thereof or hydrosulfite adduct thereof:
R1 , R2, R3 and Z within formula (I) are defined as follows:
R1 is an amino acid side chain of an L or D amino acid selected from the group consisting of Gly, Ala, Vai, Leu, lie, Met, Pro, Phe, Trp, Ser, Thr, Asp, Gin, Tyr, Cys, Lys, Arg, His, Asn, Glu, m-tyrosine, 3,4-dihydroxyphenylalanine, Nva, or Nle. Preferably, R1 is an amino acid side chain of an L or D amino acid selected from the group consisting of Ala, Vai, Gly, Arg, Leu, Phe, lie, His or Thr. More preferably, R1 is an amino acid side chain of an L or D amino acid selected from the group consisting of Ala, Vai, Gly, Arg, Leu, lie or His.
R2 is an amino acid side chain of an L or D amino acid selected from the group consisting of Gly, Ala, Vai, Leu, lie, Met, Pro, Phe, Trp, Ser, Thr, Asp, Gin, Tyr, Cys, Lys, Arg, His, Asn, Glu, m-tyrosine, 3,4-dihydroxyphenylalanine, Nva, or Nle. Preferably, R2 is an amino acid side chain of an L or D amino acid selected from the group consisting of Ala, Cys, Gly, Pro, Ser, Thr, Vai, Nva or Nle. More preferably, R2 is an amino acid side chain of an L or D amino acid selected from the group consisting of Ala, Gly, Pro or Vai.
R3 is an amino acid side chain of an L or D amino acid selected from the group consisting of Tyr, m-tyrosine, 3,4- dihydroxyphenylalanine, Phe, Vai, Ala, Met, Nva, Leu, lie or Nle or other non-natural amino acids carrying alkyl groups. Preferably, R3 is an amino acid side chain of an L or D amino acid selected from the group consisting of Tyr, Phe, Vai, Ala or Leu.
R1 and R2 may be amino acid side chains of non-polar L or D amino acids which herein include amino acids comprising aliphatic or aromatic R groups. Non-polar amino acids herein specifically include Gly, Ala, Vai, Leu, lie, Met, Pro, Phe and Trp.
In one embodiment, R1 and R2 are amino acid side chains of non-polar amino acids, preferably independently from each other selected from an L or D-amino acid residue of Ala, Vai, Gly and Leu and R3 is an amino acid side chain of an L or D amino acid selected from the group consisting of Tyr, Phe, Vai, Ala or Leu.
In one embodiment, R1 is an amino acid side chain of an L or D-amino acid residue of Gly or Vai, R2 is an amino acid side chain of an L or D-amino acid residue of Ala, and R3 is an amino acid side chain of an L or D-amino acid residue of Tyr, Ala, or Leu.
In one embodiment, at least two of R1 , R2 and R3 are amino acid side chains of non-polar amino acid residues, preferably independently from each other selected from an L or D-amino acid residue of Ala, Vai, Gly and Leu.
In a preferred embodiment, R1 , R2 and R3 are amino acid side chains of non-polar amino acid residues.
In one embodiment, R1 is an amino acid side chain of an L or D-amino acid residue of Vai, R2 is an amino acid side chain of an L or D-amino acid residue of Ala, and R3 is an amino acid side chain of an L or D-amino acid residue of Leu.
The more non-polar amino acids are comprised in the peptide aldehyde, the more challenges exist to solubilize the peptide stabilizer in water and/or water-miscible solvents.
Z in formula (I) selected from hydrogen, an N-terminal protection group, and one or more amino acid residues optionally comprising an N-terminal protection group. Preferably, Z is an N-terminal protection group.
If Z is an N-terminal protection group, the N-terminal protection group is preferably a small aliphatic group, e.g., formyl, acetyl, fluorenylmethyloxycarbonyl (Fmoc), tert-butyloxycarbonyl (Boc), methoxycarbonyl (Moc), methoxyacetyl (Mac), methyl carbamate or a methylamino carbonyl/methyl urea group. In the case of a tripeptide,
the N-terminal protection group is preferably a bulky aromatic group such as benzoyl (Bz), benzyloxycarbonyl (Cbz), p-methoxybenzyl carbonyl (MOZ), benzyl (Bn), p-methoxybenzyl (PMB) or p-methoxyphenyl (PMP).
Further suitable N-terminal protection groups are described in Greene's Protective Groups in Organic Synthesis, Fifth Edition by Peter G. M. Wuts, published in 2014 by John Wiley & Sons, Inc and in Isidro-Llobet et al., Amino Acid-Protecting Groups, Chem. Rev. 2009 109(6), 2455-2504.
In a preferred embodiment, the compositions of the invention comprise at least one peptide aldehyde (component b.) selected from compounds according to formula (I), wherein
R1 is an amino acid side chain of an L or D-amino acid residue of Vai, R2 is an amino acid side chain of an L or D- amino acid residue of Ala, and R3 is an amino acid side chain of an L or D-amino acid residue of Leu and the N-terminal protection group Z is selected from benzyloxycarbonyl (Cbz), p-methoxybenzyl carbonyl (MOZ), benzyl (Bn), benzoyl (Bz), p-methoxybenzyl (PMB), p-methoxyphenyl (PMP), formyl, acetyl (Ac), methyloxy, alkoxycarbonyl, methoxycarbonyl, fluorenylmethyloxycarbonyl (Fmoc), or tert-butyloxycarbonyl (Boc). This compound is referred to as Z-VAL-H herein.
In a more preferred embodiment, at least one peptide aldehyde is selected from compounds according to formula (I), wherein
R1 is an amino acid side chain of an L or D-amino acid residue of Vai, R2 is an amino acid side chain of an L or D- amino acid residue of Ala, and R3 is an amino acid side chain of an L or D-amino acid residue of Leu and the N-terminal protection group Z of the peptide aldehyde is benzyloxycarbonyl (Cbz). This compound is referred to as Cbz-VAL-H herein, wherein -H represents the aldehyde group.
In one embodiment, the liquid composition of the invention is a liquid enzyme composition that comprises amounts of the peptide aldehyde (component b.) in the range of about 0.05% to 0.8% by weight relative to the total weight of the liquid composition, wherein the amount relates to 100% active content. Preferably, the peptide aldehyde is comprised in amounts in the range of about 0.05% to about 0.6% by weight, of about 0.05% to about 0.5% by weight, of about 0.05% to about 0.4%, of about 0.05% to about 0.25%, of about 0.15% to about 0.2% or of about 0.1 % to about 0.25% by weight, all relative to the total weight of the liquid composition.
In one embodiment, the liquid composition of the invention is a liquid cleaning composition that comprises amounts of the peptide aldehyde (component b.) in the range of about 0.00005% to 0.06% by weight relative to the total weight of the liquid composition, wherein the amount relates to 100% active content. Preferably, the peptide aldehyde is comprised in amounts in the range of about 0.00005% to 0.04% by weight, of about 0.00005% to 0.004% by weight, of about 0.0005% to 0.004%, or of about 0.001 % to 0.003% by weight, all relative to the total weight of the liquid composition.
Component c.: Solubilizing agents according to the invention
Component c. comprises at least on solubilizing agent selected from the group consisting of
I. neopentyl glycol ii. gamma-valerolactone, and
iii. diethylene glycol.
Neopentyl glycol
In one embodiment, component c. comprises neopentyl glycol (NPG; IUPAC name: 2,2-dimethylpropane-l ,3-diol, sometimes also referred to as 2,2-dimethyl-1 ,3-propanediol), having the formula (II):
In one embodiment, the liquid composition of the invention comprises amounts of neopentyl glycol as component c. ranging from about 0.01% to 25%.
In one embodiment, the liquid composition of the invention is a liquid enzyme composition that comprises amounts of neopentyl glycol as component c. ranging from about 5% to 25% by weight, preferably from about 10% to 20% by weight. For example, the total amount of neopentyl glycol as component c. in the liquid enzyme composition of the invention may be at least 5% by weight, at least 6% by weight, at least 7% by weight, at least 8% by weight, at least 9% by weight, or at least 10% by weight. The total amount of neopentyl glycol as component c. in the liquid enzyme composition may not be more than 25% by weight, not more than 24% by weight, not more than 23% by weight, not more than 22% by weight, not more than 21% by weight, not more than 20% by weight, not more than 19% by weight, not more than 18% by weight, not more than 17% by weight, not more than 16% by weight, not more than 15% by weight, not more than 14% by weight, not more than 13% by weight, or not more than 12% by weight.
In another embodiment, the liquid composition of the invention is a liquid cleaning composition that comprises amounts of neopentyl glycol as component c. ranging from about 0.01% to 1% by weight, preferably from about 0.05% to 0.2% by weight. For example, the total amount of neopentyl glycol as component c. in the liquid cleaning composition of the invention may be at least 0.01% by weight, at least 0.02% by weight, at least 0.03% by weight, at least 0.04% by weight, or at least 0.05% by weight. The total amount of neopentyl glycol as component c. in the liquid cleaning composition may not be more than 1% by weight, not more than 0.8% by weight, not more than 0.6% by weight, not more than 0.4% by weight, not more than 0.2% by weight, or not more than 0.15% by weight.
Gamma-valerolactone
In another embodiment, component c. comprises gamma-valerolactone (GVL; IUPAC name: 5-methyloxolan-2- one, sometimes also referred to as y-valerolactone, 5-methyldihydrofuran-2(3H)-one, 4-pentanolide, 4- valerolactone, 4-pentalactone, 4-hydroxypentanoic acid lactone), having the formula (III):
In one embodiment, the liquid composition of the invention comprises amounts of gamma-valerolactone as component c. ranging from about 0.005% to 10%.
In one embodiment, the liquid composition of the invention is a liquid enzyme composition that comprises amounts of gamma-valerolactone as component c. ranging from about 1% to 10% by weight, preferably from about 2% to 8% by weight, more preferably from about 2% to 5% by weight. For example, the total amount of gamma- valerolactone as component c. in the liquid enzyme compositions of the invention may be at least 1% by weight, at least 2% by weight, at least 3% by weight, at least 4% by weight, or at least 4.5% by weight. The total amount of gamma-valerolactone as component c. in the liquid enzyme compositions of the invention may not be more than 10% by weight, not more than 9% by weight, not more than 8% by weight, not more than 7% by weight, not more than 6% by weight, not more than 5.5% by weight or not more than 5% by weight, all relative to the total weight of the liquid composition.
In another embodiment, the liquid composition of the invention is a liquid cleaning composition that comprises amounts of gamma-valerolacone as component c. ranging from about 0.005% to 0.5% by weight, preferably from about 0.01% to 0.1% by weight. For example, the total amount of gamma-valerolactone as component c. in the liquid cleaning composition of the invention may be at least 0.005% by weight, at least 0.01% by weight, at least 0.02% by weight, at least 0.03% by weight, at least 0.04% by weight, or at least 0.05% by weight. The total amount of gamma-valerolactone as component c. in the liquid cleaning composition may not be more than 0.5% by weight, not more than 0.4% by weight, not more than 0.3% by weight, not more than 0.2% by weight, not more than 0.15% by weight, or not more than 0.1% by weight.
Diethylene glycol
In another embodiment, component c. comprises diethylene glycol (DEG; IUPAC name: 2, 2' -oxydiethanol, sometimes also referred to as 2,2'-oxybis(ethan-1-ol), 2-(2-hydroxyethoxy)ethan-1-ol, ethylene diglycol, diglycol, 2,2'-oxybisethanol, 2,2'-oxydiethanol, 3-oxa-1,5-pentanediol, dihydroxy diethyl ether, digenos, digol), having the formula (IV):
(IV).
In one embodiment, the liquid composition of the invention comprises amounts of diethylene glycol as component c. ranging from about 0.01% to 15%.
In one embodiment, the liquid composition of the invention is a liquid enzyme composition that comprises amounts of diethylene glycol as component c. ranging from about 5% to about 15% by weight, preferably from about 8% to about 12% by weight. For example, the total amount of diethylene glycol as component c. in the liquid enzyme compositions of the invention may be at least 5% by weight, at least 6% by weight, at least 7% by weight, at least 8% by weight, at least 9% by weight, at least 9.5% by weight, or at least 10% by weight, all relative to the total weight of the liquid composition.
The total amount of diethylene glycol as component c. in the liquid enzyme compositions of the invention may not be more than 15% by weight, not more than 14% by weight, not more than 13% by weight, not more than 12% by weight, not more than 11 % by weight, or not more than 10.5% by weight all relative to the total weight of the liquid composition.
In another embodiment, the liquid composition of the invention is a liquid cleaning composition that comprises amounts of diethylene glycol as component c. ranging from about 0.01 % to 1 % by weight, preferably from about 0.05% to 0.2% by weight. For example, the total amount of diethylene glycol as component c. in the liquid cleaning composition of the invention may be at least 0.01 % by weight, at least 0.02% by weight, at least 0.03% by weight, at least 0.04% by weight, or at least 0.05% by weight. The total amount of neopentyl glycol as component c. in the liquid cleaning composition may not be more than 1 % by weight, not more than 0.8% by weight, not more than 0.6% by weight, not more than 0.4% by weight, not more than 0.2% by weight, or not more than 0.15% by weight.
Further components
The composition according to the invention, including liquid enzyme compositions and liquid cleaning compositions, may comprise further components.
Solvents
In the case that the compositions, including the liquid enzyme compositions and the liquid cleaning compositions, according to the invention are provided in a liquid form, they contain preferably water as the main solvent. Nonaqueous solvents can also or additionally be used. Suitable non-aqueous solvents encompass mono- or polyhydric alcohols, alkanolamines or glycol ethers, provided they are miscible with water in the specified concentration range. The solvents are preferably selected from ethanol, n-propanol, iso-propanol, butanols, glycol, propanediol, butanediol, glycerol, diglycol, propyl diglycol, butyl diglycol, hexylene glycol, ethylene glycol methyl ether, ethylene glycol ethyl ether, ethylene glycol propyl ether, ethylene glycol mono-n-butyl ether, diethylene glycol methyl ether, diethylene glycol ethyl ether, propylene glycol methyl ether, propylene glycol ethyl ether, propylene glycol propyl ether, dipropylene glycol monomethyl ether, dipropylene glycol monoethyl ether, diisopropylene glycol monomethyl ether, diisopropylene glycol monoethyl ether, methoxytriglycol, ethoxytriglycol, butoxytriglycol, 1 -butoxyethoxy -2- propanol, 3-methyl-3-methoxybutanol, propylene glycol t-butyl ether, di-n-octyl ether and mixtures of these solvents.
It is however preferable for the composition to contain at least one polyol as additional non-aqueous solvent. The polyol can in particular encompass glycerol, 1,2 propanediol (mono propylene glycol, MPG), 1 ,3-propanediol, ethylene glycol, and/or dipropylene glycol. The composition preferably contains a solvent mixture of glycerol and MPG.
In one embodiment, the composition according to the invention comprises MPG as additional solvent. In one embodiment, the liquid composition of the invention is a liquid enzyme composition that comprises amounts of MPG as additional solvent ranging from about 1 % to about 35% by weight, preferably from about 5% to about 30% by
weight. For example, the total amount of MPG in the liquid enzyme composition of the invention may be at least 1 % by weight, at least 2% by weight, at least 4% by weight, at least 5% by weight, at least 6% by weight, at least 8% by weight, or at least 9% by weight. The total amount of MPG in the liquid enzyme composition may not be more than 40% by weight, not more than 35% by weight, not more than 30% by weight, not more than 28% by weight, not more than 26% by weight, not more than 24% by weight, not more than 22% by weight, not more than 20% by weight, not more than 18% by weight, not more than 16% by weight, not more than 14% by weight, not more than 12% by weight, or not more than 10% by weight.
In another embodiment, the liquid composition of the invention is a liquid cleaning composition that comprises amounts of MPG as additional solvent ranging from about 0.01 % to about 3% by weight, preferably from about 0.05 to about 1 % by weight, more preferably from about 0.05 to about 0.5% by weight.
In one embodiment, the composition according to the invention comprises glycerol as additional solvent. In one embodiment, the liquid composition of the invention is a liquid enzyme composition that comprises amounts of glycerol as additional solvent ranging from about 10% to about 50% by weight, preferably from about 15% to about 45% by weight.
For example, the total amount of glycerol in the liquid enzyme composition of the invention may be at least 10% by weight, at least 12% by weight, at least 14% by weight, at least 15% by weight, at least 16% by weight, at least 18% by weight, or at least 19% by weight. The total amount of glycerol in the liquid enzyme composition may not be more than 45% by weight, not more than 42% by weight, not more than 40% by weight, not more than 38% by weight, not more than 36% by weight, not more than 34% by weight, not more than 32% by weight, not more than 30% by weight, not more than 28% by weight, not more than 26% by weight, not more than 24% by weight, not more than 22% by weight, or not more than 20% by weight.
In another embodiment, the liquid composition of the invention is a liquid cleaning composition that comprises amounts of glycerol as additional solvent ranging from about 0.01 % to about 5% by weight, preferably from about 0.05 to about 1 % by weight, more preferably from about 0.05 to about 0.5% by weight.
Preservatives
In one embodiment, the cleaning composition comprises at least one preservative.
A preservative is an antimicrobial agent which may be added to aqueous products and compositions to maintain the original performance, characteristics and integrity of the products and compositions by killing contaminating microorganisms or inhibiting their growth. An antimicrobial agent is a chemical compound that kills microorganisms or inhibits their growth or reproduction. Microorganisms can be bacteria, yeasts or molds.
The composition may contain one or more antimicrobial agents and/or preservatives as listed in patent WO2021/115912 A1 ("Formulations comprising a hydrophobically modified polyethylene-imine and one or more enzymes”) on pages 35 to 39.
Especially of interest for the cleaning compositions and fabric and home care products and specifically in laundry formulations are any of the following antimicrobial agents and/or preservatives:
4,4'-dichloro 2-hydroxydiphenyl ether (further names: 5-chloro-2-(4-chlorophenoxy) phenol, Diclosan, DCPP), Tinosan® HP 100 (30wt.% of DCPP in 1 ,2-propylene glycol); 2-phenoxyethanol (further names: phenoxyethanol, methylphenylglycol, phenoxetol, ethylene glycol phenyl ether, ethylene glycol monophenyl ether, 2-(phenoxy) ethanol, 2-phenoxy-1 -ethanol); 2-bromo-2-nitropropane-1,3-diol (further names: 2-bromo-2-nitro-1,3-propanediol, bronopol); glutaraldehyde (further names: 1 -5-pentandial, pentane-1 , 5-dial, glutaral, glutardialdehyde); glyoxal (further names: ethandial, oxylaldehyde, 1 ,2-ethandial); 5-bromo-5-nitro-1 ,3-dioxane (further names: 5-bromo-5- nitro-m-dioxane, Bronidox ®); ghenoxypropanol (further names: propylene glycol phenyl ether, phenoxyisopropanol 1-phenoxy-2-propanol, 2-phenoxy-1 -propanol); glucoprotamine (chemical description: reaction product of glutamic acid and alkylpropylenediamine, further names: Glucoprotamine 50); cyclohexyl hydroxyl diazenium-1 -oxide, potassium salt (further names: N-cyclohexyl-diazenium dioxide, potassium HDO, xyligene); formic acid (further names: methanoic acid, Protectol® FM, Protectol® FM 75, Protectol® FM 85, Protectol® FM 99, Lutensol® FM) and its salts, e.g. sodium formiate); tetrahydro-3, 5-dimethyl-1 , 3, 5-thiadia-zine-2-thione (further names: 3,5- dimethyl-1 ,3-5-thiadiazinane-2-thione, dazomet; 2,4-dichlorobenzyl alcohol (further names: dichlorobenzyl alcohol, 2,4-dichloro-benzenemethanol, (2,4-dichloro-phenyl)-methanol, DCBA); 1 -propanol (further names: n-propanol, propan-1 -ol, n-propyl alcohol; 1 ,3,5-tris-(2-hydroxyethyl)-hexahydro-1 ,3,5-triazin (further names: hexyhydrotriazine, tris(hy d roethy l)-hexy hydrotri azi n, hexyhydro-1 , 3-5-tris(2-hydroxyethy l)-s-tri azi ne, 2, 2', 2"-(hexahydro- 1 , 3, 5-tri azi ne- 1 ,3,5- triyl)triethanol; 2-butyl-benzo[d]isothiazol-3-one ("BBIT”); 2-methyl-2H-isothiazol-3-one ("MIT””); 2-octyl-2H- isothiazol-3-one (“OIT”); 5-chloro-2-methyl-2H-isothiazol-3-one (“CIT” or “CMIT”); mixture of 5-chloro-2-methyl-2H- isothiazol-3-one ("CMIT”) and 2-methyl-2H-isothiazol-3-one ("MIT”) (Mixture of CMIT/MIT); 1 ,2-benzisothiazol- 3(2H)-one ("BIT”); hexa-2,4-dienoic acid (trivial name "sorbic acid”) and its salts, e.g., calcium sorbate, sodium sorbate; potassium (E,E)-hexa-2,4-dienoate (potassium sorbate); lactic acid and its salts; L-(+)-lactic acid; especially sodium lactate; benzoic acid and salts of benzoic acid, e.g., sodium benzoate, ammonium benzoate, calcium benzoate, magnesium benzoate, MEA-benzoate, potassium benzoate; salicylic acid and its salts, e.g., calcium salicylate, magnesium salicylate, MEA salicylate, sodium salicylate, potassium salicylate, TEA salicylate; benzalkonium chloride, benzalkonium bromide, benzalkonium saccharinate; didecyldimethylammonium chloride ("DDAC”); N-(3-aminopropyl)-N-dodecylpropane-1 ,3-diamine ("Diamine"); peracetic acid; hydrogen peroxide.
At least one antimicrobial agent or preservative may be added to the inventive composition in a concentration of 0.001 to 10% relative to the total weight of the composition.
Preferably, the composition contains 2-phenoxyethanol in a concentration of 0.1 to 2%, preferably <0.9%, or 4,4'- dichloro 2-hydroxydiphenyl ether (DCPP) in a concentration of 0.005 to 0.6%.
In one embodiment, the composition of the invention, e.g. a liquid enzyme composition, comprises 0.8-1% 2- phenoxyethanol.
The invention also encompasses a method of preserving an aqueous composition according to the invention against microbial contamination or growth, which method comprises addition of at least one antimicrobial agent or preservative, preferably 2-phenoxyethanol.
The invention also encompasses a method of providing an antimicrobial effect on textiles after treatment with a solid laundry detergent (e.g. powders, granulates, capsules, tablets, bars etc.), a liquid laundry detergent, a softener or an after-rinse containing 4, 4' -dichloro 2-hydroxy-diphenyl ether (DCPP).
In a preferred embodiment, the compositions of the invention, e.g. a liquid enzyme composition, is essentially devoid of 2-phenoxyethanol.
Further enzymes
The compositions of the present invention, including the liquid enzyme compositions and the liquid cleaning compositions, may comprise at least one further enzyme in addition to the protease as described herein. Preferably, the at least one further enzyme is a detergent enzyme. In one embodiment, the further enzyme is classified as an oxidoreductase (EC 1), a transferase (EC 2), a hydrolase (EC 3), a lyase (EC 4), an isomerase (EC 5), or a Ligase (EC 6) (EC-numbering according to Enzyme Nomenclature, Recommendations (1992) of the Nomenclature Committee of the International Union of Biochemistry and Molecular Biology including its supplements published 1993-1999).
In a preferred embodiment, the further enzyme is a hydrolase (EC 3), in one embodiment the further enzyme is a glycosidase (EC 3.2) or a peptidase (EC 3.4). In one embodiment, the further enzyme is selected from the group consisting of an amylase (in particular an alpha-amylase (EC 3.2.1.1)), a cellulase (EC 3.2.1.4), a lactase (EC 3.2.1.108), a mannanase (EC 3.2.1.25), a lipase (EC3.1.1.3), a phytase (EC 3.1.3.8), a nuclease (EC 3.1.11 to EC 3.1.31), and a protease. In more preferred embodiment, the further enzyme is selected from the group consisting of oxidoreductases, transferases, hydrolases, lyases, isomerases, ligases, aminopeptidases, amylases, asparaginases, carbohydrases, carboxypeptidases, catalases, cellulases, chitinases, cutinases, cyclodextrin glycosyltransferases, deoxyribonucleases, esterases, alpha-galactosidases, betagalactosidases, glucoamylases, alpha-glucosidases, beta-glucosidases, hyaluronic acid synthases, invertases, laccases, lipases, mannanases, mannosidases, mutanases, oxidases, pectinolytic enzymes, peroxidases, phytases, polyphenoloxidases, proteases, ribonucleases, transglutaminases, dispersins, and orxylanases. In particular, the further enzyme is selected from the group consisting of mannanases, amylases, cellulases, lipases, dispersins, and DNases. Preferably, the further enzyme is selected from the group consisting of mannanases, amylases, and cellulases.
In a preferred embodiment, the further enzyme is a mannanase.
Mannanases
In one embodiment, the compositions of the present invention, including the liquid enzyme compositions and the liquid cleaning compositions, comprise a mannanase. "Mannanases” as described herein are enzymes selected from the group of mannan degrading enzymes that according to the invention have "mannanase activity”. The mannanase may be selected from p-mannosidase (EC 3.2.1.25), endo-1 ,4-p-mannosidase (EC 3.2.1.78), and 1,4- p-mannobiosidase (EC 3.2.1.100). Preferably, the mannanase is selected from the group of endo-1,4-p- mannosidase (EC 3.2.1.78), a group of enzymes which may be called endo-p-1 ,4-D-mannanase, p-mannanase, or
mannanase herein. Endo-1 , 4-mannanases randomly hydrolyze the 1 ,4-linkages within the mannan backbone releasing manno-oligosaccharides (MOS).
Mannanase activity may be determined by assays for measurement of mannanase activity, which are known to those skilled in the art. For instance, a mannanase to be tested may be applied to 4 mm diameter holes punched out in agar plates comprising 0.2% AZCL galactomannan (carob), i.e. a substrate for the assay of endo-1 ,4-beta- D-mannanase. Carob is e.g. available as l-AZGMA from the company Megazyme. Mannan degrading activity may be tested in a liquid assay using carob galactomannan dyed with Remazol Brilliant Blue as described in McCleary, B. V.10 (1978). Carbohydrate Research, 67(1), 213-221. Another method for testing mannan degrading activity uses the detection of reducing sugars when incubating a mannanase with a substrate such as guar gum or locust bean gum - for reference see Miller, G. L. Use of Dinitrosalicylic Acid Reagent for Determination of Reducing Sugars. Analytical Chemistry 1959; 31 : 426-428.
Suitable mannanases according to the invention have mannanase activity, preferably when determined according to the essays described above, they exhibit at least 50%, at least 60%, at least 70%, at least 80%, at least 90%, at least 100%, at least 110%, at least 120%, at least 130%, at least 140%, or at least 150% of the mannanase activity of the mannanase variant comprising or consisting of SEC ID NO: 3 with the amino acid substitutions G59V, N66D, A89H, E234Q, W259M, N282Y, T318N, E319G, and S322G according to the numbering of SEC ID NO: 3. In one embodiment, the mannanase comprised in the composition of the invention may be selected from alkaline mannanase of Family 5 or 26 (i.e., GH5 or GH26). The term "alkaline mannanase” is meant to encompass mannanases having an enzymatic activity of at least 40% of its maximum activity at a given pH ranging from 7 to 12, preferably 7.5 to 10.5.
In another embodiment, the mannanase comprised in the composition of the invention may be selected from mannanases originating from Bacillus organisms, such as described in JP-0304706 [beta-mannanase from Bacillus sp.], JP-63056289 [alkaline, thermostable beta-mannanase], JP-63036774 [Bacillus microorganism FERM P-8856 producing beta-mannanase and beta-mannosidase at an alkaline pH], JP-08051975 [alkaline beta-mannanases from alkalophilic Bacillus sp. AM-001], WO 97/11164 [mannanase from Bacillus amyloliquefaciens], WO 91/18974 [mannanase active at an extreme pH and temperature], WO 97/11164 [mannanase from Bacillus amyloliquefaciens], WO 2014/100018 [endo-(3-mannanase1 cloned from a Bacillus circulans or Bacillus lentus strain CMG1240 (Blemanl ; see US 5,476,775)]. Suitable mannanases are described in WO 99/064619], The mannanase comprised in the composition of the invention may be selected from mannanases originating from Trichoderma organisms, such as disclosed in WO 93/24622. The mannanase comprised in the composition of the invention maybe a sequence disclosed in W02005003319 as SEQ ID NO: 388.
Suitable mannanases include also those, which are variants of the above described mannanases which have mannan degrading activity.
In one embodiment, the mannanase of the present invention is a mannanase that comprises an amino acid sequence which is at least 65% identical to SEQ ID NO: 3.
In one embodiment, the mannanase is a variant of a parent mannanase, wherein the mannanase variant comprises one or more amino acid substitutions at positions selected from the group consisting of 59, 66, 89, 234, 259, 282,
318, 319, and 322, according to the numbering of SEQ ID NO: 3, and an amino acid sequence which is at least 65%, preferably at least 70%, at least 75%, at least 80%, at least 85%, at least 90%, at least 91 %, at least 92%, at least 93%, at least 94%, at least 95%, at least 96%, at least 97%, or even more preferably at least 98% but less than 100% identical SEQ ID NO: 3.
In another embodiment, the mannanase is a variant of a parent mannanase that comprises at least one, at least two, at least three, at least four, at least five, at least six, at least seven, at least eight or all amino acid substitutions selected from the group consisting of X59V, X66D, X89H, X234Q, X259M, X282Y, X318N, X319G, and X322G according to the numbering of SEQ ID NO: 3 and an amino acid sequence which is at least 65%, preferably at least 70%, at least 75%, at least 80%, at least 85%, at least 90%, at least 91 %, at least 92%, at least 93%, at least 94%, at least 95%, at least 96%, at least 97%, or even more preferably at least 98% but less than 100% identical SEQ ID NO: 3.
In another embodiment, the mannanase is a variant of a parent mannanase comprising or consisting of SEQ ID NO: 3 with the amino acid substitutions Q59V, N66D, A89H, E234Q, W259M, N282Y, T318N, E319G, and S322G according to the numbering of SEQ ID NO: 3 and optionally additionally comprises one or more, preferably 1 -10, more preferably 1-5 conservative amino acid substitutions.
In one embodiment mannanase variants include variants with at least 40 to 100% similarity and/or identity when compared to the full-length polypeptide sequence of the parent enzyme as disclosed above. In one embodiment mannanase variants having mannan degrading activity are at least 70%, at least 75%, at least 80%, at least 85%, at least 90%, at least 91 %, at least 92%, at least 93%, at least 94%, at least 95%, at least 96%, at least 97%, at least 98% or at least 99% similar and/or identical to the full-length polypeptide sequence of the parent enzyme as disclosed above.
In one embodiment, mannanase variants have mannan degrading activity according to the pre-sent invention when said mannanase variants exhibit at least 20%, at least 25%, at least 30%, at least 35%, at least 40%, at least 45%, at least 50%, at least 55%, at least 60%, at least 65%, at least 70%, at least 75%, at least 80%, at least 85%, at least 90%, at least 95%, or 100% of the mannan degrading activity of the respective parent mannanase.
At least one mannanase may be selected from a commercially available mannanase such as Mannaway® (Novozymes A/S).
Amylase
In one embodiment, the compositions of the present invention, including liquid enzyme compositions and liquid cleaning compositions, comprise an amylase.
"Amylases” according to the invention (alpha and/or beta) include amylases of bacterial or fungal origin (EC 3.2.1.1 and 3.2.1.2, respectively), preferably selected from the group of alpha-amylases (EC 3.2.1.1). Chemically modified or protein engineered variants are included.
Amylases according to the invention have "amylolytic activity” or "amylase activity” involving (en-do)hydrolysis of glucosidic linkages in polysaccharides. Alpha-amylase activity may be determined by assays for measurement of alpha-amylase activity which are known to those skilled in the art. Alpha-amylase activity can for example be
determined by a method employing Phadebas tablets as substrate (Phadebas Amylase Test, supplied by Magle Life Science). Starch is hydrolyzed by the alpha-amylase giving soluble blue fragments. The absorbance of the resulting blue solution, measured spectrophotometrically at 620 nm, is a function of the alpha-amylase activity. The measured absorbance is directly proportional to the specific activity (activity/mg of pure alpha-amylase protein) of the alpha-amylase in question under the given set of conditions.
Alpha-amylase activity can also be determined by a method employing the ethyliden-4-nitrophenyl-alpha-D- maltoheptaosid (EPS). D-maltoheptaoside is a blocked oligosaccharide, which can be cleaved by an endo-amylase. Following the cleavage, the alpha-glucosidase included in the kit digests the substrate to liberate a free PNP molecule, which has a yellow color and thus can be measured by visible spectrophotometry at 405nm. Kits containing EPS substrate and alpha-glucosidase are manufactured by Roche Costum Biotech (cat. No. 10880078103). The slope of the time dependent absorption-curve is directly proportional to the specific activity (activity per mg enzyme) of the alpha-amylase in question under the given set of conditions.
Amylolytic activity may be provided in units per gram enzyme. For example, 1 unit alpha-amylase may liberate 1.0 mg of maltose from starch in 3 min at pH 6.9 at 20°C.
Suitable amylases according to the invention have amylase activity, preferably when determined according to the essays described above, they exhibit at least 50%, at least 60%, at least 70%, at least 80%, at least 90%, at least 100%, at least 110%, at least 120%, at least 130%, at least 140%, or at least 150% of the amylase activity of the amylase according to SEQ ID NO: 4, having the amino acid substitutions N25H, G4Q, R176K, G186E, T251 E, L405M, and Y482W according to the numbering of SEQ ID NO: 5.
Suitable amylases according to the invention have at least 40% residual activity after storage for 3 months at 45 °C in compositions according to the invention including liquid enzyme and liquid detergent compositions.
In one aspect of the present invention, at least one amylase is selected from:
• amylases from Bacillus licheniformis having SEQ ID NO: 2 as described in WO 95/10603. Suitable variants, which have amylolytic activity, are described in WO 95/10603 comprising one or more substitutions in the following positions: 15, 23, 105, 106, 124, 128, 133, 154, 156, 178, 179, 181 , 188, 190, 197, 201 , 202, 207, 208, 209, 211 , 243, 264, 304, 305, 391 , 408, and 444 Variants are described in WO 94/02597, WO 94/018314, WO 97/043424 and SEQ ID NO: 4 of WO 99/019467.
• amylases from B. stearothermophilus having SEQ ID NO: 6 as disclosed in WO 02/10355 or an amylase, which optionally has a C-terminal truncation in comparison to the wildtype sequence. Suitable variants of SEQ ID NO: 6 include those comprising a deletion in positions 181 and/or 182 and/or a substitution in position 193.
• amylases from Bacillus sp.707 having SEQ ID NO: 6 as disclosed in WO 99/19467. Preferred variants of SEQ NO: 6 are those having a substitution, a deletion or an insertion in one or more of the following positions: R181 , G182, H183, G184, N195, 1206, E212, E216 and K269.
• amylases from Bacillus halmapalus having SEQ ID NO: 2 or SEQ ID NO: 7 as described in WO 96/23872, also described herein as SP-722. Preferred variants are described in WO 97/3296, WO 99/194671 and WO 2013/001078.
• amylases from Bacillus sp. DSM 12649 having SEQ ID NO: 4 as disclosed in WO 00/22103.
• amylases from Bacillus strain TS-23 having SEQ ID NO: 2 as disclosed in WO 2009/061380.
• amylases from Cytophaga sp. having SEQ ID NO: 1 as disclosed in WO 2013/184577.
• amylases from Bacillus megaterium DSM 90 having SEQ ID NO: 1 as disclosed in WO 2010/104675.
• amylases from Bacillus sp. comprising amino acids 1 to 485 of SEQ ID NO: 2 as described in WO 00/60060.
• amylases from Bacillus amyloliquefaciens or variants thereof, preferably selected from amylases according to SEQ ID NO: 3 as described in WO 2016/092009.
• amylases having SEQ ID NO: 12 as described in WO 2006/002643 or amylase variants comprising the substitutions Y295F and M202LITV within said SEQ ID NO: 12.
• amylases having SEQ ID NO: 6 as described in WO 2011/098531 or amylase variants comprising a substitution at one or more positions selected from the group consisting of 193 [G,A,S,T or M], 195 [F, W, Y, L, I or V], 197 [F, W,Y,L, I or V], 198 [Q or N], 200 [F, W, Y,L, I or V], 203 [F, W, Y,L, I or V], 206 [F,W,Y,N,L,I,V,H,Q,D or E], 210 [F,W,Y,L,I or V], 212 [F,W,Y,L,I or V], 213 [G,A,S,T or M] and 243 [F, W,Y,L, I or V] within said SEQ ID NO: 6.
• amylases having SEQ ID NO: 1 as described in WO 2013/001078 or amylase variants comprising an alteration at two or more (several) positions corresponding to positions G304, W140, W189, D134, E260, F262, W284, W347, W439, W469, G476, and G477 within said SEQ ID NO: 1.
• amylases having SEQ ID NO: 2 as described in WO 2013/001087 or amylase variants comprising a deletion of positions 181 +182, or 182+183, or 183+184, within said SEQ ID NO: 2, optionally comprising one or two or more modifications in any of positions corresponding to W140, W159, W167, Q169, W189, E194, N260, F262, W284, F289, G304, G305, R320, W347, W439, W469, G476 and G477 within said SEQ ID NO: 2.
• amylases which are hybrid alpha-amylases from above mentioned amylases as for example as described in WO 2006/066594.
• hybrid amylases according to WO 2014/183920 with A and B domains having at least 90% identity to SEQ ID NO: 2 of WO 2014/183920 and a C domain having at least 90% identity to SEQ ID NO: 6 of WO 2014/183920, wherein the hybrid amylase has amylolytic activity; preferably the hybrid alpha-amylase is at least 95% identical to SEQ ID NO: 23 of WO 2014/183920, having amylolytic activity.
• hybrid amylase according to WO 2014/183921 with A and B domains having at least 75% identity to SEQ ID NO: 2, SEQ ID NO: 15, SEQ ID NO: 20, SEQ ID NO: 23, SEQ ID NO: 29, SEQ ID NO: 26, SEQ ID NO: 32, or SEQ ID NO: 39 as disclosed in WO 2014/183921 and a C domain having at least 90% identity to SEQ ID NO: 6 of WO 2014/183921, wherein the hybrid amylase has amylolytic activity; preferably, the hybrid alpha-amylase is at least 95% identical to SEQ ID NO: 30 as disclosed in WO 2014/183921 , having amylolytic activity.
In one embodiment, the amylase is a sequence having at least 80%, preferably at least 85%, more preferably at least 90%, more preferably at least 95%, even more preferably at least 98% sequence identity to SEQ ID NO: 4, having amylolytic activity. In one embodiment, said amylase is characterized by comprising the substitution N25H, G4Q, R176K, G186E, T251 E, L405M, and Y482W according to the numbering of SEQ ID NO: 5.
In a preferred embodiment, the amylase is a sequence according to SEQ ID NO: 4 comprising the substitutions N25H, G4Q, R176K, G186E, T251 E, L405M, and Y482W according to the numbering of SEQ ID NO: 5.
Suitable amylases also include those, which are variants of the above-described amylases, which have amylolytic activity. In one embodiment amylase variants include variants with at least 40 to 100% identity when compared to the full-length polypeptide sequence of the parent enzyme as disclosed above. In one embodiment amylase variants having amylolytic activity are at least 70%, at least 75%, at least 80%, at least 85%, at least 90%, at least 91 %, at least 92%, at least 93%, at least 94%, at least 95%, at least 96%, at least 97%, at least 98% or at least 99% identical to the full-length polypeptide sequence of the parent enzyme as disclosed above.
In another embodiment, the invention relates to amylase variants comprising conservative substitutions not pertaining the functional domain of the respective amylase. Amylase variants of this embodiment having amylolytic activity may be at least 70%, at least 75%, at least 80%, at least 85%, at least 90%, at least 91%, at least 92%, at least 93%, at least 94%, at least 95%, at least 96%, at least 97%, at least 98% or at least 99% similar to the full- length polypeptide sequence of the parent enzyme.
In one embodiment, amylase variants have amylolytic activity according to the present invention when said amylase variants exhibit increased amylolytic activity when compared to the parent amylase.
In one embodiment, amylase variants have amylolytic activity according to the present invention when said amylase variants exhibit increased amylolytic activity when compared to the parent cellulase.
In one embodiment, amylase variants have amylolytic activity according to the present invention when said amylase variants exhibit at least 20%, at least 25%, at least 30%, at least 35%, at least 40%, at least 45%, at least 50%, at least 55%, at least 60%, at least 65%, at least 70%, at least 75%, at least 80%, at least 85%, at least 90%, at least 95%, or 100% of the amylolytic activity of the respective parent amylase.
In one embodiment, at least one amylase is selected from commercially available amylases which include but are not limited to products sold under the trade names Duramyl™, Termamyl™, Fungamyl™, Stainzyme™, Stainzyme Plus™, Natalase™, Liquozyme X and BAN™, Amplify™, Amplify Prime™ (from Novozymes A/S), and Rapidase™, Purastar™, PoweraseTM, Effectenz™ (MIOO from DuPont), Preferenz™ (S1000, S110 and F1000; from DuPont), PrimaGreen™ (ALL; DuPont), Optisize™ (DuPont).
Cellulase
In one embodiment, the compositions of the present invention, including liquid enzyme compositions and liquid cleaning compositions, comprise a cellulase. Cellulases according to the invention have cellulase activity and include those of bacterial or fungal origin.
"Cellulases", "cellulase enzymes” or "cellulolytic enzymes” according to the invention are enzymes involved in hydrolysis of cellulose. Assays for measurement of "cellulase activity” or "cellulolytic activity” are known to those skilled in the art. For example, cellulolytic activity may be determined using a calorimetric assay, where the cellulase hydrolyses carboxymethyl cellulose to reducing carboxyd rates, which can be determined calorimetrically via the ferricyanide reaction according to Hoffman, W. S., J. Biol. Chem. 120, 51 (1937).
Suitable cellulases according to the invention have at least 50% residual activity after 14-day storage at 45°C in compositions according to the invention, e.g. liquid enzyme and liquid detergent compositions, including a protease and celullase blend.
Cellulolytic activity may be provided in units per gram enzyme. For example, 1 unit may liberate 1.0 pmole of glucose from cellulose in one hour at pH 5.0 at 37°C (2 hour incubation time).
At least one cellulase comprised in the composition of the invention may be selected from cellobiohydrolase (1,4- P-D-glucan cellobiohydrolase, EC 3.2.1.91), endo-ss-1 ,4-glucanase (EC 3.2.1.4) and ss-glucosidase (EC 3.2.1.21). Endoglucanases of EC class 3.2.1.4 may be named endoglucanase, endo-1 ,4-ss-D-glucan 4-glucano hydrolase, endo-1 ,4-beta-glucanase, carboxymethyl cellulase, and beta-1 , 4-glucanase.
Endoglucanases may be classified by amino acid sequence similarities (Henrissat, B. Accessed at UniProt 10/26/2011) under family 5 containing more than 20 endoglucanases of EC 3.2.1.4. Reference is also made to T.-M. Enveri, "Microbial Cellulases" in W.M. Fogarty, Microbial Enzymes and Biotechnology, Applied Science Publishers, p. 183-224 (1983); Methods in Enzymology, (1988) Vol. 160, p. 200-391 (edited by Wood, W.A. and Kellogg, S.T.); Beguin, P., "Molecular Biology of Cellulose Degradation", Annu. Rev. Microbiol. (1990), Vol. 44, pp. 219248; Begun, P. and Aubert, J-P., "The biological degradation of cellulose", FEMS Microbiology Reviews 13 (1994) p.25-58; Henrissat, B., "Cellulases and their interaction with cellulose", Cellulose (1994), Vol. 1 , pp. 169-196.
Preferably, at least one cellulase comprised in the composition of the invention is selected of the glycosyl hydrolase family 7 (GH7, pfam00840), preferably selected from endoglucanases (EC 3.2.1.4).
In one embodiment, at least one cellulase comprised in the composition of the invention is selected from cellulases comprising a cellulose binding domain. In one embodiment, at least one cellulase is selected from cellulases comprising a catalytic domain only, meaning that the cellulase lacks cellulose binding domain.
In one embodiment, the composition of the invention comprises at least one endoglucanase of EC class 3.2.1.4 originating from
• Bacillus, such as Bacillus sp. CBS 670.93 and CBS 669.93
• Melanocarpus, such as Melanocarpus albomyces as disclosed in WO 97/14804
• Clostridium, e.g. Clostridium thermocellum
• Humicola, such as Humicola insolens (DSM1800) as disclosed in EP 0495257, EP 0531315, EP 0531372, US 4435307, US 5648263, US 5776757, WO 89/09259, WO 91/17244, WO 94/07998 (sequence displayed in figure 1 "43kd human variants thereof), WO 95/24471 , WO 96/11262 and WO 98/12307.
• Fusarium, such as Fusarium oxysporum e.g. strain J79 (DSM2672) as disclosed in EP 0495257, EP 0531315, EP 0531372, US 5648263, US 5776757, WO 89/09259, WO 91/17244, WO 95/24471 and WO 96/11262
• Thielavia, such as Thielavia terrestris or Myceliophthora thermophila strain CBS 11765 as disclosed in EP 0531315, US 5648263, US 5776757, WO 89/09259, WO 91/17244, WO 95/24471 , WO 96/11262, WO 96/29397 (SEQ ID NO: 9 and variants thereof), and WO 98/12307.
• Trichoderma, such as Trichoderma reesei, Trichoderma longibrachiatum or Trichoderma harzianum as disclosed in EP 1305432, EP 1240525, WO 92/06165, WO 94/21801 , WO 94/26880, WO 95/02043, WO 95/24471 and WO 02/099091.
• Aspergillus, such as Aspergillus aculeatus as disclosed in WO 93/17244
• Erwinia, such as Erwinia chrysanthermi as described by M. H. Boyer et. al. in European Journal of Biochemistry, vol. 162, page 311 -316 (1987).
• Acremonium such as Acremonium sp., Acremoniu persicinum, Acremonium acremonium, Acremonium brachypenium, Acremonum dichromosporum, Acremonium obclavatum, Acremonium pinkertoniae, Acremonium roseogriseum, Acremonium incoloratum, and Acremonium furatum as disclosed in WO 96/11262 and WO 96/29397 (SEQ ID NO: 5 and variants thereof).
• Cellvibrio such as Cellvibrio mixtus DSM 11683, Cellvibrio mixtus DSM 11684, Cellvibrio mixtus DSM 11685, Cellvibrio mixtus ACM 2601 , Cellvibrio mixtus DSM 1523, and Cellvibrio gilvus DSM 11686, as disclosed in WO 98/08940.
• Cephalosporium, such as Cephalosporium sp. RYM-202 as disclosed in WO 96/11262.
Suitable cellulases include also those, which are variants of the above described cellulases which have cellulolytic activity. In one embodiment cellulase variants include variants with at least 40 to 100% identity when compared to the full length polypeptide sequence of the parent enzyme as disclosed above. In one embodiment cellulase variants having cellulolytic activity are at least 70%, at least 75%, at least 80%, at least 85%, at least 90%, at least 91 %, at least 92%, at least 93%, at least 94%, at least 95%, at least 96%, at least 97%, at least 98% or at least 99% similar and/or identical to the full length polypeptide sequence of the parent enzyme as disclosed above. In one embodiment, the composition of the invention comprises a Humicola insolens DSM 1800 cellulase complex having endoglucanase, cellobiohydrolase and beta-glucosidase activity.
In one embodiment, the cellulase is a sequence having at least 80%, preferably 85%, more preferably 90%, more preferably 92%, more preferably 95%, more preferably 96% more preferably 98%, more preferably 99%, or 100% sequence identity to SEQ ID NO: 6, having cellulase activity.
In one embodiment, the composition of the invention comprises at least one Humicola insolens DSM 1800 endoglucanase (EC 3.2.1.4) having the amino acid sequence disclosed in Fig. 14A-E of WO 91/17244, preferably amino acids 20-434 according said sequence, more preferably having one or more substitutions at positions selected from 182, 223, and 231 , most preferably selected from P182S, A223V, and A231V. In one embodiment, the endoglucanase is at least 80% similar and/or identical to a polypeptide according to SEQ ID NO: 2 of WO 95/02675.
In one embodiment, the composition of the invention comprises at least a Bacillus sp. Cellulase (EC 3.2.1.4) selected from a polypeptide at least 80% similar and/or identical to the amino acid sequence of position 1 to position 773 of SEQ ID NO: 2 of WO 2004/053039 or a catalytically active fragment thereof.
In one embodiment, the composition of the invention comprises at least a Thielavia terrestris cellulase (EC 3.2.1.4) having a polypeptide at least 80% similar and/or identical to the amino acid sequence of position 1 to position 299 of SEQ ID NO: 4 of WO 2004/053039 or a catalytically active fragment thereof.
In one embodiment, cellulase variants have cellulolytic activity according to the present invention when said cellulase variants exhibit increased cellulolytic activity when compared to the parent cellulase.
In one embodiment, cellulase variants have cellulolytic activity according to the present invention when said cellulase variants exhibit at least 20%, at least 25%, at least 30%, at least 35%, at least 40%, at least 45%, at least 50%, at least 55%, at least 60%, at least 65%, at least 70%, at least 75%, at least 80%, at least 85%, at least 90%, at least 95%, or 100% of the cellulolytic activity of the respective parent cellulase.
At least one cellulase may be selected from Renozyme®, Celluzyme®, Celluclean®, Endolase® and Carezyme® (Novozymes A/S), Clazinase™, and Puradax HA™ (Genencor Int. Inc.), and KAC-500(B)™ (Kao Corporation). At least one peroxidases may be selected from Guardzyme™ (Novozymes A/S).
Enzyme blends
In one embodiment, the compositions of the present invention, including liquid enzyme compositions and liquid cleaning compositions, comprise enzyme blends of enzymes as described herein (meaning a combination of different enzymes).
In one embodiment such blends are blends of two enzymes, e.g. protease and mannanase, protease and amylase, or protease and cellulase.
In another embodiment such blends are blends of three enzymes, e.g. protease, mannanase and amylase, or protease, amylase and cellulase or protease, mannanase and cellulase.
In a further embodiment such blends are blends of four enzymes, e.g. protease, mannanase, amylase and cellulase.
In another embodiment such blends are blends of more than four enzymes including any enzyme combination of any enzymes as described herein.
Furthermore, compositions according to the invention, including liquid enzyme compositions and liquid cleaning compositions, can comprise additional components such as buffer, preservative, dyestuff or fragrance.
Liquid enzyme compositions
In one aspect, the invention relates to liquid enzyme compositions, characterized by a concentration of the protease of 0.05-12%, 0.05-10%, preferably 2-6%, a concentration of the protease inhibitor of 0.05-0.4%, preferably 0.1 - 0.25%, and a concentration of the at least on solubilizing agent, selected from the group consisting of, of: i. neopentyl glycol: 5-25%, preferably 8-12%,
II. gamma-valerolactone: 1 -6%, preferably 4.5-5.5%, and/or ill. diethylene glycol: 8-12%, preferably 9.5-10.5%.
In one embodiment, the liquid enzyme composition is essentially devoid of anionic surfactants, builders, polymers, alkalis, bleaching systems, fluorescent whitening agents, suds suppressors and stabilizers, hydrotropes, and/or corrosion inhibitors. Preferably, the liquid enzyme composition is essentially devoid of anionic surfactants and builders.
In one embodiment, the liquid enzyme composition according to the invention comprises components supporting enzyme stability, such as e.g. calcium chloride dihydrate (CaCl2*2H2O), preferably 0.1 -0.5% by weight.
In one embodiment, the liquid enzyme composition according to the invention comprises "further components” as described herein. In a preferred embodiment, the composition contains further solvents.
In a further embodiment, the liquid enzyme composition comprises monopropylene glycol (MPG) as additional solvent.
In one embodiment, the liquid composition of the invention is a liquid enzyme composition that comprises amounts of MPG as additional solvent ranging from about 1% to about 35% by weight, preferably from about 5% to about 30% by weight. For example, the total amount of MPG in the liquid enzyme composition of the invention may be at least 1% by weight, at least 2% by weight, at least 4% by weight, at least 5% by weight, at least 6% by weight, at least 8% by weight, or at least 9% by weight. The total amount of MPG in the liquid enzyme composition may not be more than 40% by weight, not more than 35% by weight, not more than 30% by weight, not more than 28% by weight, not more than 26% by weight, not more than 24% by weight, not more than 22% by weight, not more than 20% by weight, not more than 18% by weight, not more than 16% by weight, not more than 14% by weight, not more than 12% by weight, or not more than 10% by weight.
In a further embodiment, the liquid enzyme composition comprises glycerol as additional solvent. In one embodiment, the liquid composition of the invention is a liquid enzyme composition that comprises amounts of glycerol as additional solvent ranging from about 10% to about 50% by weight, preferably from about 15% to about 45% by weight.
For example, the total amount of glycerol in the liquid enzyme composition of the invention may be at least 10% by weight, at least 12% by weight, at least 14% by weight, at least 15% by weight, at least 16% by weight, at least 18% by weight, or at least 19% by weight. The total amount of glycerol in the liquid enzyme composition may not be more than 45% by weight, not more than 42% by weight, not more than 40% by weight, not more than 38% by weight, not more than 36% by weight, not more than 34% by weight, not more than 32% by weight, not more than 30% by weight, not more than 28% by weight, not more than 26% by weight, not more than 24% by weight, not more than 22% by weight, or not more than 20% by weight.
Preferably, the liquid enzyme composition contains a solvent mixture of glycerol and MPG.
In one embodiment, the liquid enzyme compositions according to the invention comprise specific ratios of component c. and the additional solvents as described herein.
In a further embodiment, the liquid enzyme composition according to the invention comprises different amounts of and different ratios of component c., MPG and glycerol, for example those listed in tables 1 and 2 below (by weight means relative to the total weight of the liquid composition):
Table 1 : Example formulations of component c., MPG and glycerol in amounts % by weight
Table 2: Ratios of component c., MPG and glycerol in compositions according to the invention
In a preferred embodiment, the liquid enzyme composition comprises neopentyl glycol as component c. and MPG and glycerol as additional components. Preferably, neopentyl glycol, MPG and glycerol are formulated according to formulation a:
Formulation a: neopentyl glycol:MPG:glycerol in ratios of 1 :<3:<6, or 1 :<3:<5, or 1 :<3:<4, or 1 :<3:<3.5 wherein the total amount of neopentyl glycol, MPG and glycerol in % by weight contained in formulation a is set to be more than 45%, preferably at least 48%, most preferably at least 50% and optionally at most 70%, preferably at most 65%, more preferably at most 60%, most preferably at most 55%.
In another embodiment, the liquid enzyme composition comprises gamma-valerolactone as component c. and MPG and glycerol as additional components. Preferably, gamma-valerolactone, MPG and glycerol are formulated according to formulation b:
Formulation b: gamma-valerolactone:glycerol in a ratio of 1 :<35, preferably 1 :<30, more preferably 1 :<25, even more preferably 1 :<20 or most preferred 1 :<18 wherein the total amount of gamma-valerolactone, MPG and glycerol in % by weight contained in formulation b is set to be at least 50% and optionally at most 70%.
In another embodiment, the liquid enzyme composition comprises diethylene glycol as component c. and MPG and glycerol as additional components. Preferably, diethylene glycol, MPG and/or glycerol are formulated according to formulation c:
Formulation c: diethylene glycol: MPG:glycerol in a ratio of 1 :2:2 optionally wherein the total amount of diethylene glycol, MPG and glycerol in % by weight contained in formulation c is set to be at least 50% and optionally at most 70%, preferably at most 65%, more preferably at most 60%, most preferably at most 55%.
In one embodiment, the liquid enzyme composition comprises a preservative as described herein. In a preferred embodiment, the liquid enzyme composition comprises 0.1 to 2%, preferably 0.8-1 % 2-phenoxythanol.
In one embodiment, the liquid enzyme composition is essentially devoid of preservatives as described herein.
In one embodiment, the liquid enzyme composition comprises at least one further enzyme, I. e. an enzyme blend as described herein.
In a preferred embodiment, the liquid enzyme composition additionally comprises a mannanase as described herein. Preferably, the mannanase is comprised in a concentration range of 0.01 to 0.5%, more preferably 0.05 to 0.15%.
In another embodiment, the liquid enzyme composition additionally comprises an amylase as described herein. Preferably, the amylase is comprised in a concentration range of 0.1 to 3%, more preferably 0.3 to 1 .0%.
In another embodiment, the liquid enzyme composition additionally comprises a cellulase as described herein. Preferably, the cellulase is comprised in a concentration range of 0.05 to 1 .0%, more preferably 0.1 to 0.6%.
In a further embodiment, the liquid enzyme composition comprises at least two further enzymes, i.e. an enzyme blend as described herein.
In one embodiment, the invention relates to liquid enzyme compositions, characterized by a concentration of the protease of O.05-12%, 0.05-10%, preferably 2-6%, a concentration of the protease inhibitor of 0.05-0.4%, preferably 0.15-0.25%, and a concentration of neopentyl glycol of 5-25%, preferably 8-16%, most preferably 8-12%, wherein the composition additionally comprises 5-30% MPG, preferably 8-20% MPG, more preferably 8-12% MPG and 10-40% glycerol, preferably 20-35% glycerol, more preferably 28-32% glycerol, and wherein the composition optionally additionally comprises an amylase and/or cellulase and/or mannanase, and wherein the composition optionally additionally comprises 0.1 -0.5% CaCI2, and optionally wherein the pH of the composition is set to 6.
In another embodiment, the invention relates to liquid enzyme compositions, characterized by a concentration of the protease of 0.05-12%, 0.05-10%, preferably 2-6%, a concentration of the protease inhibitor of 0.05-0.4%, preferably 0.1 -0.25%, and a concentration of neopentyl glycol of 5-25%, preferably 8-16%, most preferably 8-12%, wherein the composition additionally comprises 10-40% MPG, preferably 20-35% MPG, more preferably 28-34% MPG and 10-40% glycerol, preferably 12-30% glycerol, more preferably 14-20% glycerol and wherein the composition optionally additionally comprises an amylase and/or cellulase and/or mannanase, and wherein the composition optionally additionally comprises 0.1 -0.5% CaCI2, and optionally wherein the pH of the composition is set to 6.
In another embodiment, the invention relates to liquid enzyme compositions, characterized by a concentration of the protease of 0.05-12%, 0.05-10%, preferably 2-6%, a concentration of the protease inhibitor of 0.05-0.4%, preferably 0.1 -0.25%, and a concentration of neopentyl glycol of 5-25%, preferably 8-16%, more preferably 8-12%, wherein the composition additionally comprises 10-30% MPG, preferably 15-25% MPG, more preferably 18-22% MPG and 10-40% glycerol, preferably 15-30% glycerol, more preferably 18-22% glycerol, and wherein the composition optionally additionally comprises an amylase and/or cellulase and/or mannanase, and wherein the composition optionally additionally comprises 0.1 -0.5% CaCI2, and optionally wherein the pH of the composition is set to 6.
In another embodiment, the invention relates to liquid enzyme compositions, characterized by a concentration of the protease of 0.05-12%, 0.05-10%, preferably 2-6%, a concentration of the protease inhibitor of 0.05-0.4%, preferably 0.1 -0.25%, and a concentration of gamma-valerolactone of 1 -15%, preferably 2-10%, more preferably 2-6%, wherein the composition additionally comprises 2-25% MPG, preferably 2-15% MPG, more preferably 4-8% MPG and 30-50% glycerol, preferably 35-48% glycerol, more preferably 40-45% glycerol and wherein the composition optionally additionally comprises an amylase and/or cellulase and/or mannanase, and wherein the composition optionally additionally comprises 0.1 -0.5% CaCI2, and optionally wherein the pH of the composition is set to 6.
The invention also relates to a method for preparation of a liquid enzyme composition according to the invention, comprising the steps of mixing at least components a. and b. and at least one of c. - all as disclosed herein - in one or more steps in any order.
The invention also relates to a method for preparation of a liquid enzyme composition according to the invention, comprising the steps of mixing the solubilizing agent (component c.) with MPG in a first step and subsequently adding the protease inhibitor (component b.), the protease (component a.), glycerol and optionally additional enzymes.
The invention also relates to a method for preparation of a liquid enzyme composition according to the invention, comprising the steps of mixing the protease inhibitor (component b.) and a solubilizing agent (component c.) optionally with MPG in a first step and subsequently adding the protease (component a.), glycerol and optionally additional enzymes.
The invention also relates to a method for stabilizing and solubilizing a protease and protease inhibitor in a liquid enzyme composition, wherein the method comprises bringing together the protease (component a.), protease inhibitor (component b.) and a solubilizing agent (component c.) selected from the group consisting of:
I. neopentyl glycol, ii. gamma-valerolactone, and ill. diethylene glycol.
The invention also relates to the use of component c. as described herein for the solubilization of a protease inhibitor (component b.) as described herein.
Liquid cleaning compositions
In one aspect, the invention relates to compositions comprising a. at least one protease and b. a protease inhibitor and c. at least one solubilizing agent selected from the group consisting of:
I. neopentyl glycol, ii. gamma-valerolactone, and ill. diethylene glycol, wherein the composition is a liquid cleaning composition additionally comprising at least one detergent component. "Cleaning composition”, "detergent composition” or "detergent” means compositions designated for cleaning soiled material, such as textiles or dishware. Cleaning compositions according to the invention include compositions for different applications such as laundry and hard surface cleaning.
The compositions of the invention can for example be used in detergents, in hard surface cleaning compositions, in cosmetic and pharmaceutical formulations, in crop protection formulations, in coating agents, in adhesives, in leather treatment agents, in formulations for the textile industry, in fiber processing, in metal processing, in the food or feed industry, in water treatments, in the paper industry, or for fermentation or mineral processing. Therefore,
the present invention also includes detergents, cleaning agents, wetting agents, coating agents, adhesives, leather treatment or textile treatment agents, or cosmetic, pharmaceutical, or crop protection formulations.
The term "detergent component” is defined herein to mean a type of chemical, which can be used in detergent compositions. Typical detergent components are surfactants and builders.
The term "effective amount of a detergent component” includes amounts of certain components to provide effective stain removal and/or effective cleaning conditions (e. g. pH, temperature, water hardness, quantity of foaming), amounts of certain components to effectively provide optical benefits (e. g. optical brightening, dye transfer inhibition, color care), and amounts of certain components to effectively aid the processing (maintain physical characteristics during processing, storage and use; e.g. rheology modifiers, hydrotropes, desiccants).
The term "textile” means any textile material including yarns (thread made of natural or synthetic fibers used for knitting or weaving), yarn intermediates, fibers, non-woven materials, natural materials, synthetic materials, as well as fabrics made of these materials such as garments, cloths, and other articles. The terms "fabric” (a textile made by weaving, knitting or felting fibers) or "garment” (any article of clothing made of textile) as used herein, mean to include the broader term textile as well.
The term "hard surface cleaning” relates to both household hard surface cleaning and industrial hard surface cleaning and means the process of treating hard surfaces with a solution containing a cleaning composition of the present invention. Hard surfaces may include any hard surfaces in a household or industry, such as floors, furnishing, walls, sanitary ceramics, glass, metallic surfaces including medical devices, cutlery, and dishes (also called "dishware”). A particular form of hard surface cleaning is dishwashing, including manual dish washing (MDW) or automatic dishwashing (ADW).
The term "dish wash” refers to all forms of washing dishes or dishware, e. g. by hand or automatic dish washing. Washing dishware includes, but is not limited to, the cleaning of all forms of crockery such as plates, cups, glasses, bowls, all forms of cutlery such as spoons, knives, forks and serving utensils as well as ceramics, plastics such as melamine, metals, china, glass, and acrylics.
In the field of detergency, usually the term "stains” is used with reference to laundry, e.g., cleaning for textiles, fabric, or fibers, whereas the term "soils” is usually used with reference to hard surface cleaning, e.g., cleaning of dishes and cutlery. However, herein the terms "stain” and "soil” are used interchangeably.
Detergent components vary in type and/or amount in a cleaning composition, e.g. a detergent formulation, depending on the desired application such as laundering white textiles, colored textiles, and wool. The component(s) chosen further depend on physical form of a cleaning composition, e.g. a detergent formulation (liquid, solid, gel, provided in pouches or as a tablet, etc). The component(s) chosen e.g. for laundering formulations further depend on regional conventions which themselves are related to aspects like washing temperatures used, mechanics of laundry machine (vertical vs. horizontal axis machines), water consumption per wash cycle etc. and geographical characteristics like average hardness of water.
Individual detergent components and usage in cleaning compositions, e.g. detergent formulations, are known to those skilled in the art. Suitable detergent components comprise inter alia surfactants, builders, polymers, alkalis, bleaching systems, fluorescent whitening agents, suds suppressors and stabilizers, hydrotropes, and corrosion
inhibitors. Further examples are described e.g. in "complete Technology Book on Detergents with Formulations (Detergent Cake, Dishwashing Detergents, Liquid & Paste Detergents, Enzyme Detergents, Cleaning Powder & Spray Dried Washing Powder)”, Engineers India Research Institute (EIRI), 6th edition (2015). Another reference book for those skilled in the art may be "Detergent Formulations Encyclopedia”, Solverchem Publications, 2016. Preferably one or more of the detergent components, preferably the surfactant and/or the builder, is bio-degradable and/or bio-based.
It is understood that the detergent components are in addition to the components comprised in the compositions of the invention. If a component comprised in the liquid compositions of the invention is also a detergent component, it might be that its concentrations need to be adjusted for the component to be effective for the purpose desired in the cleaning composition, e.g. detergent formulation.
Detergent components may have more than one function in the final application of a cleaning composition, e.g. a detergent formulation, therefore any detergent component mentioned in the context of a specific function herein, may also have another function in the final application of a cleaning composition, e.g. a detergent formulation. The function of a specific detergent component in the final application of a cleaning composition, e.g. a detergent formulation usually depends on its amount within the detergent formulation, i.e. the effective amount of a detergent component.
In one embodiment, a cleaning composition, e.g. a detergent formulation, is a formulation of more than two detergent components, wherein at least one component is effective in stain-removal, at least one component is effective in providing the optimal cleaning conditions, and at least one component is effective in maintaining the physical characteristics of the cleaning composition.
Cleaning compositions of the invention can be liquid or solid, preferably they are liquid. In one embodiment, at least a part of the cleaning composition of the invention is provided as a liquid. Depending on whether a water-soluble package is enclosing the liquid cleaning composition, e.g. detergent formulation, the liquid cleaning composition, e.g. detergent formulation comprises water or is essentially free from water.
In one embodiment, liquid cleaning compositions comprise enzyme blends as described herein.
Cleaning compositions according to the invention comprise at least one compound selected from surfactants, builders, polymers, fragrances and dyestuffs.
In one embodiment, the cleaning compositions of the invention comprise at least one surfactant selected from anionic surfactants, non-ionic surfactants, amphoteric surfactants, and cationic surfactants.
"Surfactant" (synonymously used herein with "surface active agent”) means an organic chemical that, when added to a liquid, changes the properties of that liquid at an interface. According to its ionic charge, a surfactant is called non-ionic, anionic, cationic, or amphoteric.
The cleaning compositions, e.g. detergent formulations, in one embodiment, comprise 2% to 30% by weight of anionic surfactants and/or 2% to 30% by weight of non-ionic surfactants, all relative to the total weight of the cleaning compositions, e.g. detergent formulation. Usually, laundry detergents comprise higher amounts of surfactants than detergents for automated dish washing.
In one embodiment, the cleaning compositions, e.g. detergent formulations of the invention comprise at least one non-ionic surfactant selected from alkoxylated alcohols, di- and multiblock copolymers of ethylene oxide and propylene oxide and reaction products of sorbitan with ethylene oxide or propylene oxide, alkyl polyglycosides (APG), hydroxyalkyl mixed ethers and amine oxides.
In one embodiment, the cleaning compositions, e.g. detergent formulations, of the invention comprise at least one anionic surfactant selected from alkali metal and ammonium salts of Cs-Cis-alkyl sulfates, of Cs-C -fatty alcohol polyether sulfates, of sulfuric acid half-esters of ethoxylated C4-Ci2-alkylphenols (ethoxylation: 1 to 50 mol of ethylene oxide/mol), C12-C18 sulfo fatty acid alkyl esters, for example of C12-C18 sulfo fatty acid methyl esters, furthermore of Ci2-Ci8-alkylsulfonic acids and of Cio-Cis-alkylarylsulfonic acids. Preference is given to the alkali metal salts of the aforementioned compounds, particularly preferably the sodium salts. Non-limiting examples of further suitable anionic surfactants include branched alkylbenzenesulfonates (BABS), phenylalkanesulfonates, alpha-olefinsulfonates (AOS), olefin sulfonates, alkene sulfonates, alkane-2,3-diylbis(sulfates), hydroxyalkanesulfonates and disulfonates, secondary alkanesulfonates (SAS), paraffin sulfonates (PS), sulfonated fatty acid glycerol esters, alkyl- or alkenylsuccinic acid, fatty acid derivatives of amino acids, diesters and monoesters of sulfo-succinic acid.
In one embodiment, the cleaning compositions, e.g. detergent formulations of the invention comprise at least one anionic surfactant of general formula (AS-I):
(AS-I)
Wherein in formula (AS-I) the following applies:
R1 is selected from Ci-C23-alkyl (such as 1-, 2-, 3-, 4- Ci-C23-alkyl) and C2-C23-alkenyl, wherein alkyl and/or alkenyl are linear (straight-chain; n-) or branched, and wherein 2-, 3-, or 4-alkyl; examples are n-CzHis, n- C9H19, n-CnH23, n-Ci3H27, n-CisHsi, n-CizFhe, i-CgH , i-Cigfe.
R2 is selected from H, Ci-Cgo-alkyl and Cg-Cgo-alkenyl, wherein alkyl and/or alkenyl are linear (straightchain; n-) or branched.
R3 and R4, each independently selected from Ci-Ci6-alkyl, wherein alkyl is linear (straight-chain; n-) or branched; examples are methyl, ethyl, n-propyl, isopropyl, n-butyl, isobutyl, sec-butyl, tert-butyl, n-pentyl, isopentyl, sec-pentyl, neopentyl, 1 ,2-dimethylpropyl, isoamyl, n-hexyl, isohexyl, sec-hexyl, n-heptyl, n- octyl, 2-ethylhexyl, n-nonyl, n-decyl, isodecyl.
A’ is selected from -RCOQ-, -SOr and RSOr, wherein R is selected from linear (straight-chain; n-) or branched Ci-Cs-alkyl, wherein alkyl for example is methyl, ethyl, n-propyl, isopropyl, n-butyl, isobutyl, secbutyl, tert-butyl, n-pentyl, isopentyl, sec-pentyl, neopentyl, 1 ,2-dimethylpropyl, isoamyl, n-hexyl, isohexyl, sec-hexyl, n-heptyl, n-octyl, 2-ethylhexyl, or any other isomer of Ci-Cs-hydroxyalkyl and C1-C4- hydroxyalkyl is selected from hydroxymethyl, 1 -hydroxyethyl, 2-hydroxyethyl, 1- hydroxypropyl, 2-
hydroxypropyl, 3- hydroxypropyl, or any branched isomer of Cs-hydroxyalkyl, 1 -hydroxybutyl, 2- hydroxybutyl, 3- hydroxybutyl, 4- hydroxybutyl, or any branched isomer or C4-hydroxyalkyl. Compounds might be called (fatty) alcohol/alky I (ethoxy/ether) sulfates [(F)A(E)S] when A- is SOy, (fatty) alcohol/alkyl (ethoxy/ether) carboxylate [(F)A(E)C] when A- is -RCOO-.
M+ is selected from H and salt forming cations. Salt forming cations usually are monovalent or multivalent; hence M+equals 1/v Mv+. Examples include but are not limited to sodium, potassium, magnesium, calcium, ammonium, and the ammonium salt of mono-, di, and triethanolamine.
The integers of the general formula (AS-I) are defined as follows: m is in the range of zero to 200, preferably 1 -80, more preferably 3-20; n and o, each independently in the range of zero to 100; n preferably is in the range of 1 to 10, more preferably 1 to 6; o preferably is in the range of 1 to 50, more preferably 4 to 25.
The sum of m, n and o is at least one, preferably the sum of m, n and o is in the range of 5 to 100, more preferably in the range of from 9 to 50.
Anionic surfactants of the general formula (AS-I) can be of any structure, block copolymers or random copolymers. In a preferred embodiment, the cleaning compositions, e.g. detergent formulations of the invention comprise at least one anionic surfactant according to formula (AS-I), wherein R1 is Ce-Cis-alkyl, R2 is H, A’ is SOr, m is 2-30, and n and o are 0. M+ preferably is sodium, potassium, magnesium, calcium, ammonium, and the ammonium salt of mono-, di, and triethanolamine. Such compounds may be called alcohol ethoxy sulphates (AES) herein.
In a preferred embodiment, the cleaning compositions, e.g. detergent formulations of the invention comprise at least one anionic surfactant according to formula (AS-I), wherein R1 is n-CuFte, R2 is H, A- is SOy, m, n and o being 0. M+ preferably is NI . Such compounds may be called ammonium lauryl sulfate (ALS) herein. In a preferred embodiment, the cleaning compositions, e.g. detergent formulations of the invention comprise at least one anionic surfactant according to formula (AS-I), wherein R1 is n-CuFte, R2 is selected from H, A- is SOy, m being 2-5, preferably 3, and n and o being 0. M+ preferably is Na+. Such compounds may be called laurylethersulfates (LES) herein, preferably sodium laurylethersulfates (SLES).
The cleaning compositions, e.g. detergent formulations, in one embodiment, comprise at least two anionic surfactants, selected from compounds of general formula (AS-I), wherein one of said anionic surfactants is characterized in R1 being Cn, R2 being H, m being 2, n and o = 0, A’ being SOr, M+ being Na+ and the other surfactant is characterized in R1 being C13, R2 being H, m being 2, n and 0 = 0, A- being SOy, M+ being Na+. Typically, laundry detergent formulations comprise compounds according to formula AS-I.
In one embodiment, the cleaning compositions, e.g. detergent formulations comprise at least one anionic surfactant selected from compounds of general formula (AS-II):
(AS-II) wherein R1 in formula (AS-II) is C10-C13 alkyl. Cleaning compositions, e.g. detergent formulations of the invention, in one embodiment, comprise salts of compounds according to formula (AS-II), preferably sodium salts.
In a preferred embodiment, the cleaning compositions, e.g. detergent formulations of the invention comprise at least two anionic surfactants, selected from compounds of general formula (AS-II), wherein one of said anionic surfactants is characterized in R1 being C10, and the other surfactant is characterized in R1 being C13. Compounds like this may be called LAS (linear alkylbenzene sulfonates) herein.
Typically, laundry detergent formulations comprise compounds according to formula AS-II.
In one embodiment, cleaning compositions, e.g. detergent formulations comprise at least one anionic surfactant selected from AS-I and AS-II and at least one soap. In one embodiment, soaps are selected from salts (M+) of saturated and unsaturated C12-C18 fatty acids, such as lauric acid, myristic acid, palmitic acid, stearic acid, behenic acid, oleic acid, (hydrated) erucic acid. M+ is selected from salt forming cations. Salt forming cations may be monovalent or multivalent; hence M+ equals 1/v Mv+. Examples include but are not limited to sodium, potassium, magnesium, calcium, ammonium, and the ammonium salt of mono-, di, and triethanolamine. Further non-limiting examples of suitable soaps include soap mixtures derived from natural fatty acids such as tallow, coconut oil, palm kernel oil, laurel oil, olive oil, or canola oil. Such soap mixtures comprise soaps of lauric acid and/or myristic acid and/or palmitic acid and/or stearic acid and/or oleic acid and/or linoleic acid in different amounts, depending on the natural fatty acids from which the soaps are derived.
In one embodiment, the cleaning compositions, e.g. detergent formulations of the invention comprise at least one non-ionic surfactant of the general formula (NIS-I):
wherein in formula (NIS-I) the following applies:
R1 is selected from C1-C23 alkyl and C2-C23 alkenyl, wherein alkyl and/or alkenyl are linear (straight-chain; n-) or branched; examples are n-CzHis, n-CgHig, n-CnFte, n-Ci3H27, n-CisHsi, n-CizHgs, i-CgHig, i-Ci2H25.
R2 is selected from H, C1-C20 alkyl and C2-C20 alkenyl, wherein alkyl and/or alkenyl are linear (straightchain; n-) or branched.
R3 and R4, each independently selected from C1-C16 alkyl, wherein alkyl is linear (straight-chain; n-) or branched; examples are methyl, ethyl, n-propyl, isopropyl, n-butyl, isobutyl, sec-butyl, tert-butyl, n-pentyl, isopentyl, sec-pentyl, neopentyl, 1 ,2-dimethylpropyl, isoamyl, n-hexyl, isohexyl, sec-hexyl, n-heptyl, n- octyl, 2 -ethylhexyl, n-nonyl, n-decyl, isodecyl.
R5 is selected from H and C1-C18 alkyl, wherein alkyl is linear (straight-chain; n-) or branched.
The integers of the general formula (NIS-I) are defined as follows: m is in the range of zero to 200, preferably 1 -80, more preferably 3-20; n and 0, each independently in the range of zero to 100; n preferably is in the range of 1 to 10, more preferably 1 to 6; 0 preferably is in the range of 1 to 50, more preferably 4 to 25.
The sum of m, n and 0 is at least one, preferably the sum of m, n and 0 is in the range of 5 to 100, more preferably in the range of from 9 to 50.
The non-ionic surfactants of the general formula (NIS-I) can be of any structure, is it block or random structure, and is not limited to the displayed sequence of formula (NIS-I).
In a preferred embodiment, the cleaning compositions, e.g. detergent formulations comprise at least one non-ionic surfactant selected from compounds of general formula (NIS-I), wherein said non-ionic surfactant is characterized in R1 being n-Ci3H27, R2 and R5 being H, m being 3-20, n and 0 = 0.
In a preferred embodiment, the cleaning compositions, e.g. detergent formulations comprise at least one non-ionic surfactant selected from compounds of general formula (NIS-I), wherein said non-ionic surfactant is characterized in R1 being linear or branched C10 alkyl, R2 and R5 being H, m being 3-14, n and 0 = 0.
In a preferred embodiment, the cleaning compositions, e.g. detergent formulations comprise at least two non-ionic surfactants, selected from compounds of general formula (NIS-I), wherein one of said non-ionic surfactants is characterized in R1 being n-CisHsi, R2 and R5 being H, m being 11-80, n and 0 = 0, and the other surfactant is characterized in R1 being n-C H35, R2 and R5 being H, m being 11 -80, n and 0 = 0.
In a preferred embodiment, the cleaning compositions, e.g. detergent formulations comprise at least two non-ionic surfactants, selected from compounds of general formula (NIS-I), wherein one of said non-ionic surfactants is characterized in R1 being n-Ci2H25, R2 and R5 being H, m being 3-30, preferably 7, n and 0 = 0, and the other surfactant is characterized in R1 being n-Ci4H29, R2 and R5 being H, m being 3-30, preferably 7, n and 0 = 0.
In a preferred embodiment, the cleaning compositions, e.g. detergent formulations comprise at least two non-ionic surfactants, selected from compounds of general formula (NIS-I), wherein one of said non-ionic surfactants is characterized in R1 being n-CnH23, R2 and R5 being H, m being 4-10, n and 0 = 0, and the other surfactant is characterized in R1 selected from n-Cnffe and n-CizHss, R2 and R5 being H, m being 4-10, n and 0 = 0.
In a preferred embodiment, the cleaning compositions, e.g. detergent formulations comprise at least two non-ionic surfactants, selected from compounds of general formula (NIS-I), wherein one of said non-ionic surfactants is
characterized in R1 being n-CgH , R2 and R5 being H, m being 5-7, n and o = 0, and the other surfactant is characterized in R1 being n-CizH35, R2 and R5 being H, m being 5-7, n and o = 0.
In a preferred embodiment, the cleaning compositions, e.g. detergent formulations comprise at least two non-ionic surfactants, selected from compounds of general formula (NIS-I), wherein one of said non-ionic surfactants is characterized in R1 being n-CnH23, R5 being H, m is 7, n and o = 0, and the other surfactant is characterized in R1 being C13H27, R5 being H, m being 7, n and 0 = 0.
In one embodiment, the cleaning compositions, e.g. detergent formulations of the invention comprise at least one non-ionic surfactant of the general formula (NIS-I I):
(NIS-II) wherein in formula (NIS-II) the following applies:
- AO being identical or different alkylene oxides, selected from CH2-CH2-O, (CH2)3-O,
(CH2)4-O, CH2CH(CH3)-O, CH(CH3)-CH2-O- and CH2CH(n-C3H7)-O.
- R1 is selected from linear (straight-chain; n-) or branched C4-C3o-alkyl, and from straight-chain or branched
C4-C3o-alkylene with at least one C-C double bond. R1 preferably is selected from straight-chain or branched C^Cso-alkyl, n-C^Cso-alkyl, n-C7-Ci5 alkyl, or n-Cio-Ci2-alkyl.
- R2 is selected from linear (straight-chain; n-) or branched Ci-Cso-alkyl, and from straight-chain or branched
C2-C3o-alkylene with at least one C-C double bond. R2 preferably is selected from straight-chain or branched C6-C2o-alkyl, preferably straight-chain or branched C8-Ci2-alkyl, more preferably straight-chain or branched Cio-Ci2-alkyl.
- The integer x of the general formula (NIS-II) preferably is a number in the range of 5 to 70, 10 to 60, 15 to
50, or 20 to 40.
In a preferred embodiment, the cleaning compositions, e.g. detergent formulations of the invention comprise at least one non-ionic surfactant according to formula (NIS-II), wherein R1 is n-C3-Ci7 alkyl, R2 is linear or branched C8-Ci4 alkyl. Preferably AO is selected from -(CH2CH2O)X2-(CH2CH(CH3)-O)X3, -(CH2CH2O)X2-(CH(CH3)CH2-O)X3, and -(CH2CH2O)X4, wherein x2 and x4 is a number in the range of 15-50 and x3 is a number in the range of 1 to 15.
In a preferred embodiment, the cleaning compositions, e.g. detergent formulations of the invention comprise at least one non-ionic surfactant according to formula (NIS-II), wherein R1 is n-Cs alkyl, R2 is branched On alkyl, AO is CH2-CH2-O, and x is 22.
In a preferred embodiment, the cleaning compositions, e.g. detergent formulations of the invention comprise at least one non-ionic surfactant according to formula (NIS-II), wherein R1 is n-Cs alkyl, R2 is n-Cs-Cw alkyl, AO is CH2-CH2-O, and x is 40.
In a preferred embodiment, the cleaning compositions, e.g. detergent formulations of the invention comprise at
least one non-ionic surfactant according to formula (NIS-II), wherein R1 is n-Cs alkyl, R2 is n-Cw alkyl, AO is selected from -(CH2CH2O)X2-(CH2CH(CH3)-O)X3, -(CH2CH2O)X2-(CH(CH3)CH2-O)X3, wherein x2 is 22 and x3 is 1.
In one embodiment, cleaning compositions, e.g. detergent formulations comprising at least one non-ionic surfactant according to formula (NIS-II), preferably those as disclosed above, are automated dishwashing detergents. Preferably, the automated dishwashing detergents comprise at least one compound according to formula (NIS-II) in the range of about 0.3% to 10% by weight, in the range of about 0.5% to 5% by weight, or in the range of about 1 % to 3%, all relative to the total weight of a cleaning composition. In one embodiment, at least one non-ionic surfactant is a compound according to formula (NIS-II), wherein R1 is n-Cs alkyl, R2 is branched Cn alkyl, AO is CH2-CH2-O, and x is 22.
In one embodiment, the cleaning compositions, e.g. detergent formulations of the invention comprise at least one amphoteric surfactant according to general formula (AMS-I), which might be called modified amino acids (proteinogenic as well as non-proteinogenic):
(AMS-I)
The variables in general formula (AMS-I) are defined as follows:
R8 is selected from H, C1-C4 alkyl, C2-C4 alkenyl, wherein alkyl and/or are linear (straight-chain; n-) or branched.
R9 is selected from C1-C22- alkyl, C2-C22- alkenyl, Cio-C22 alkylcarbonyl, and C10-C22 alkenylcarbonyl.
- R10 is selected from H, methyl, -(CH2)3NHC(NH)NH2, -CH2C(O)NH2, -CH2C(O)OH, -(CH2)2C(O)NH2, - (CH2)2C(O)OH, (imidazole-4-yl)-methyl, -CH(CH3)C2H5, -CH2CH(CH3)2, -(CH2)4NH2, benzyl, hydroxymethyl, -CH(OH)CH3, (indole-3-yl)-methyl, (4-hydroxy-phenyl)-methyl, isopropyl, -(CH2)2SCH3, and -CH2SH.
Rx is selected from H and Ci-C4-alkyl.
In one embodiment, the cleaning compositions, e.g. detergent formulations of the invention comprise at least one amphoteric surfactant of general formulae (AMS-lla), (AMS-llb), or (AMS-llc), which might be called betaines and/or sulfobetaines:
(AMS-llc)
The variables in general formulae (AMS-lla), (AMS-llb) and (AMS-llc) are defined as follows:
R11 is selected from linear (straight-chain; n-) or branched C7-C22 alkyl and linear (straight-chain; n-) or branched C7-C22 alkenyl.
R12 are each independently selected from linear (straight-chain; n-) C1-C4 alkyl.
R13 is selected from C1-C5 alkyl and hydroxy C1-C5 alkyl; for example 2-hydroxypropyl.
A’ is selected from carboxylate and sulfonate.
The integer r in general formulae (AMS-lla), (AMS-llb), and (AMS-llc) is in the range of 2 to 6.
In one embodiment, the cleaning compositions, e.g. detergent formulations of the invention comprise at least one amphoteric surfactant of general formula (AMS-III), which might be called alkyl-amphocarboxylates:
(AMS-III)
The variables in general formula (AMS-III) are defined as follows:
R11 is selected from C7-C22 alkyl and C7-C22 alkenyl, wherein alkyl and/or alkenyl are linear (straight-chain; n-) or branched, preferably linear.
- R14 is selected from -CH2C(O)O-M+, -CH2CH2C(O)O-M+ and -CH2CH(OH)CH2SO3-M+.
R15 is selected from H and -CH2C(O)O-
The integer r in general formula (AMS-III) is in the range of 2 to 6.
Non-limiting examples of further suitable alkyl-amphocarboxylates include sodium cocoamphoacetate, sodium lauroamphoacetate, sodium capryloamphoacetate, disodium cocoamphodiacetate, disodium lauroamphodiacetate, disodium caprylamphodiacetate, disodium capryloamphodiacetate, disodium cocoamphodipropionate, disodium lauroamphodipropionate, disodium caprylamphodipropionate, and disodium capryloamphodipropionate.
In one embodiment, the cleaning compositions, e.g. detergent formulations of the invention comprise at least one amphoteric surfactant according to general formula (AMS-IV), which might be called amine oxides (AO):
(AMS-IV)
The variables in general formula (AMS-IV) are defined as follows:
R16 is selected from Cs-Cis alkyl, hydroxy Cs-C alkyl, acylamidopropoyl and Cs-C alkyl phenyl group; wherein alkyl and/or alkenyl are linear (straight-chain; n-) or branched.
R17 is selected from C2-C3 alkylene, hydroxy C2-C3 alkylene, and mixtures thereof.
R18: each residue can be independently selected from C1-C3 alkyl and hydroxy C1-C3; R15 groups can be attached to each other, e.g., through an oxygen or nitrogen atom, to form a ring structure.
The integer x in general formula (AMS-IV) is in the range of 0 to 5, preferably from 0 to 3, most preferably 0.
Non-limiting examples of further suitable amine oxides include C10-C18 alkyl dimethyl amine oxides and Cs-Cis alkoxy ethyl dihydroxyethyl amine oxides. Examples of such materials include dimethyloctyl amine oxide, diethyldecyl amine oxide, bis-(2-hydroxyethyl)dodecyl amine oxide, dimethyldodecylamine oxide, dipropyltetradecyl amine oxide, methylethylhexadecyl amine oxide, dodecylamidopropyl dimethyl amine oxide, cetyl dimethyl amine oxide, stearyl dimethyl amine oxide, tallow dimethyl amine oxide and dimethyl-2- hydroxyoctadecyl amine oxide.
A further example of a suitable amine oxide is cocamidylpropyl dimethylaminoxide, sometimes also called cocamidopropylamine oxide.
Mixtures of two or more different amphoteric surfactants, in one embodiment, are comprised in cleaning compositions, e.g. detergent formulations according to the present invention. Usually, manual dishwashing detergents comprise at least one amphoteric surfactant.
In one embodiment, liquid cleaning compositions according to the invention comprise at least one amphoteric surfactant, wherein the total amount of amphoteric surfactant preferably is in the range from 0.01 % to 10%, in the range from 0.1 to 5%, or in the range from 0.5 to 1 % by weight, all relative to the total weight of the cleaning composition, e.g. detergent formulation. Preferably, at least one amphoteric surfactant is selected from compound according to formulae AMS-lla, AMS-llb, AMS-llc and AMS-IV.
In one embodiment, cleaning compositions, e.g. detergent formulations, of the invention comprise one or more complexing agents (chelating agents, sequestrating agents), precipitating agents, and/or ion exchange compounds, which usually form water-soluble complexes with calcium and magnesium. Such compounds are called "builders” or "building agents” herein, without meaning to limit such compounds to this function in the final application of a cleaning composition, e.g. detergent formulation. Non-phosphate-based builders according to the invention include
sodium gluconate, citrate(s), silicate(s), carbonate(s), phosphonate(s), amino carboxylate(s), polycarboxylate(s), polysulfonate(s), and polyphosphonate(s).
In a preferred embodiment, cleaning compositions, e.g. detergent formulations, of the invention comprise one or more citrates. The term “citrate(s)” includes the mono- and the dialkali metal salts and in particular the mono- and preferably the trisodium salt of citric acid, ammonium or substituted ammonium salts of citric acid as well as citric acid as such. Citrate can be used as the anhydrous compound or as the hydrate, for example as sodium citrate dihydrate. The citric acid, in one embodiment, is provided as a mixture with formiate, e.g. Na-citrate:Na- formiate=9:1.
The cleaning compositions, e.g. detergent formulations, of the invention, in one embodiment, comprise at least one phosphonate preferably selected from derivatives of polyphosphonic acids such as of diphosphonic acid such as sodium salt of HEDP, derivatives of aminopolyphosphonic acid such as aminoalkylene phosphonic acids such as DTPMP. Said phosphonates preferably are comprised in amounts in the range of 0.1 % to 5.0% by weight, in the range of 0.5% to 3.0% by weight, or in the range of 1.0% to 2.0% by weight, all relative to the total weight of the cleaning composition.
Cleaning compositions of the invention may comprise one or more amino carboxylates. Non-limiting examples of suitable "amino carboxylates” include, but are not limited to: diethanol glycine (DEG), dimethylglycine (DMG), nitrilitriacetic acid (NTA), N-hydroxyethylaminodiacetic acid, eth-ylenediaminetetraacetic acid (EDTA), N- (2hydroxyethyl)iminodiacetic acid (HEIDA), hydroxyeth-ylenediaminetriacetic acid, N-hydroxyethyl- ethylenediaminetriacetic acid (HEDTA), hydroxyeth-ylenediaminetetraacetic acid, diethylenetriaminepentaacetic acid (DTPA), and methylglycinedi-acetic acid (MGDA), glutamic acid-diacetic acid (GLDA), iminodisuccinic acid (IDS), hydroxyimi-nodisuccinic acid, ethylenediaminedisuccinic acid (EDDS), aspartic acid-diacetic acid, and alkali metal salts or ammonium salts thereof. The above cited abbreviations, in particular MGDA, GLDA, and EDDS, always include the acid as such and the salt thereof. Further suitable are aspartic acid-N-monoacetic acid (ASMA), aspartic acid-N, N-diacetic acid (ASDA), aspartic acid-N-monopropionic acid (ASMP), N-(2-sulfomethyl) aspartic acid (SMAS), N-(2-sulfoethyl) aspartic acid (SEAS), N-(2-sulfomethyl) glutamic acid (SMGL), N-(2-sulfoethyl) glutamic acid (SEGL), N-methyliminodiacetic acid (MIDA), alpha-alanine-N, N-diacetic acid (alpha-ALDA), serine- N, N-diacetic acid (SEDA), isoserine-N, N-diacetic acid (ISDA), phenylalanine-N, N-diacetic acid (PHDA), anthranilic acid-N, N-diacetic acid (ANDA), sulfanilic acid-N, N-diacetic acid (SLDA), taurine-N, N-diacetic acid (TUDA) and sulfomethyl-N, N-diacetic acid (SMDA) and alkali metal salts or ammonium salts thereof. The term "ammonium salts” as used in in this context refers to salts with at least one cation that bears a nitrogen atom that is permanently or temporarily quaternized. Examples of cations that bear at least one nitrogen atom that is permanently quaternized include tetramethylammonium, tetraethylammonium, dimethyldiethyl ammonium, and n-C10-C20-alkyl tri-methyl ammonium. Examples of cations that bear at least one nitrogen atom that is temporarily quaternized include protonated amines and ammonia, such as monomethyl ammonium, dimethyl ammonium, trimethyl ammonium, monoethyl ammonium, diethyl ammonium, triethyl ammonium, n-C10-C20-alkyl dimethyl ammonium 2-hydroxyethylammonium, bis(2-hydroxyethyl) ammonium, tris(2-hydroxyethyl)ammonium, N-methyl 2- hydroxyethyl ammonium, N,N-dimethyl-2-hydroxyethylammonium, and especially NH4+. Said amino carboxylates
preferably are comprised in amounts in the range of 0% to 30.0% by weight, in the range of 0.5% to 25.0% by weight, in the range of 1 % to 20% by weight, in the range of 2% to 15%, in the range of 2.5% to 10% by weight, in the range of 3% to 8% by weight, or in the range of 2.5 to 5% by weight, all relative to the total weight of the cleaning composition.
In one embodiment of the present invention, the compositions according to the invention are free from phosphates and polyphosphates, with hydrogenphosphates being subsumed, for example free from trisodiumphosphate, pentasodiumtripolyphosphate and hexasodiummetaphosphate. In connection with phosphates and polyphosphates, in the context of the present invention, "free from” is to be understood as meaning that the content of phosphate and polyphosphate is in total in the range from 10 ppm to 0.2% by weight, determined by gravimetry and relative to the total weight of the cleaning composition.
In one embodiment, the composition of the present invention is a liquid cleaning composition additionally comprising at least one detergent component, wherein the detergent component is a compound selected from an anionic surfactant and a builder, wherein the anionic surfactant is preferably selected from linear alkylbenzene sulphonate (LAS) or alcohol ethoxy sulphates (AES) and wherein the builder preferably is a non-phosphate based builder, preferably selected from citrates, phosphonates and amino carboxylates.
In one embodiment of the present invention, liquid cleaning compositions, e.g. detergent formulations, comprise one or more viscosity modifiers. Depending on the viscosity desired, liquid cleaning compositions, e.g. detergent formulations of the invention usually comprise one or more rheology modifiers, which are also known as thickeners in the art. In one embodiment, the cleaning composition, e.g. detergent formulation of the invention comprises at least one naturally derived polymeric structurants, preferably selected from polysaccharide derivatives such as xanthan gum in amounts in the range of 0.1 % to about 5% by weight, or even from about 0.2% to about 0.5% by weight, relative to the total weight of the cleaning composition.
In one embodiment, liquid cleaning compositions, e.g. detergent formulations, of the invention are free from bleaches, for example free from inorganic peroxide compounds or chlorine bleaches such as sodium hypochlorite, meaning that liquid cleaning compositions, e.g. detergent formulations according to the invention comprise in total 0.8%, 0.5%, 0.1 % or 0.01 % by weight or less of inorganic peroxide compound and chlorine bleach, relative in each case on total weight of the liquid cleaning composition.
The liquid cleaning compositions of the invention are preferably selected from liquid laundry detergents, liquid manual dishwashing detergents and liquid automated dishwashing detergents.
In one embodiment, the liquid enzyme compositions as described herein are added to the liquid cleaning compositions.
The addition of the liquid enzyme compositions of the invention to a liquid cleaning composition, preferably a liquid detergent formulation, usually occurs in a weight ratio liquid composition:detergent formulation of about 1 :1000, 1 :500, 1 :100, 1 :50, 1 :30, 1 :25, 1 :20, or 1 : 10.
Components a. and b. and c., further components and detergent component(s) are such that their amounts in the liquid cleaning compositions comply with their ratios, amounts and total amounts as defined above in the chapters on the individual components or the chapter on the liquid enzyme composition, and thus the cleaning composition comprises those components in such amounts and ratios which result from the use of such liquid composition in such a cleaning composition, e.g. detergent formulation.
Therefore, in one embodiment, the liquid cleaning composition is characterized by a concentration of the protease of 0.0005-0.1%, preferably 0.02-0.06%, a concentration of the protease inhibitor of 0.00005-0.06%, preferably 0.0005-0.004%, and a concentration of the solubilizing agent of:
I. neopentyl glycol: 0.01-1%, preferably 0.05-0.2% ii. gamma-valerolactone: 0.005-0.5%, preferably 0.01-0.1%, and/or ill. diethylene glycol: 0.01-1%, preferably 0.05-0.2%
The invention also relates to a method for preparation of a cleaning composition of the invention, comprising the steps of mixing at least components a. and b. and at least one of c. - all as disclosed herein - with at least one detergent component in one or more steps in any order.
In one embodiment, the method of preparation of a cleaning composition comprises the steps of mixing the liquid enzyme composition of the invention with at least one detergent component in one or more steps in any order.
The invention in one aspect relates to the use of the liquid enzyme compositions of the invention as a detergent component for the cleaning compositions such as l&l and homecare formulations for laundry and hard surface cleaning.
The invention also relates to a method for cleaning a soiled textile or dishware, wherein the method comprises providing a solid textile or dishware and bringing the soiled fabric or dishware in contact with a liquid cleaning composition according as described herein.
Aspects and preferred embodiments
Particularly preferred herein is:
1 . A composition comprising: a. at least one protease and b. a protease inhibitor and c. at least one solubilizing agent selected from the group consisting of:
I. neopentyl glycol, ii. gamma-valerolactone, and ill. diethylene glycol.
2. A composition comprising: b. a protease inhibitor and c. at least one solubilizing agent selected from the group consisting of:
I. neopentyl glycol, ii. gamma-valerolactone, and
iii. diethylene glycol. A composition according to any of embodiments 1 or 2, wherein the composition is liquid. The composition according to any of embodiments 1 to 3, wherein the solubilizing agent is neopentyl glycol. The composition according to embodiment 4, wherein the concentration of neopentyl glycol is 0.01 % to 25%. The composition according to any of embodiments 1 to 3, wherein the solubilizing agent is gammavalerolactone. The composition according to embodiment 6, wherein the concentration of gamma-valerolactone is 0.005% to 10%. The composition according to any of embodiments 1 to 3, wherein the solubilizing agent is diethylene glycol. The composition according to embodiment 8, wherein the concentration of diethylene glycol is 0.01% to 15%. The composition according to any of the previous embodiments, wherein the protease inhibitor is selected from the group consisting of peptide aldehydes, salts or derivates thereof, preferably peptide aldehydes or peptide aldehyde hydrosulfite adducts and combinations thereof, more preferably a peptide aldehyde or peptide aldehyde hydrosulfite adduct comprising non-polar amino acid side chains. The composition according to embodiment 10, wherein the protease inhibitor is a peptide aldehyde, salt, or hydrosulfite adduct thereof, preferably a tripeptide aldehyde. The composition according to embodiment 11, wherein the protease inhibitor is a compound according to formula (I)
wherein
R1, R2, R3 are amino acid side chains of non-polar amino acids, and
Z is an N-terminal protection group, preferably selected from benzyloxycarbonyl (Cbz), p-methoxybenzyl carbonyl (MOZ), benzyl (Bn), benzoyl (Bz), p-methoxybenzyl (PMB), p-methoxyphenyl (PMP), formyl, acetyl (Ac), methyloxy, alkoxycarbonyl, methoxycarbonyl, fluorenylmethyloxycarbonyl (Fmoc), and tertbutyloxycarbonyl (Boc). The composition according to embodiment 12, wherein R1, R2 and R3 are amino acid side chains selected from the group consisting of Gly, Ala, Vai, Leu, lie, Met, Pro, Phe and Trp. The composition according to embodiment 13, wherein R1 is an amino acid side chain of Vai, R2 is an amino acid side chain of Ala, and R3 is an amino acid side chain of Leu.
The composition according to embodiment 14, wherein the protease inhibitor is Z-VAL-H. The composition according to any of embodiments 14 or 15, wherein Z is benzyloxycarbonyl (Cbz). The composition according to any of embodiments 1 and 3 to 16, wherein the at least one protease comprised in component a. is a protease 80% identical to SEQ ID NO: 1 having the substitution R101 E according to the numbering of SEQ ID NO: 2. The composition according to embodiment 17, wherein the at least one protease comprised in component a. is a protease 82%, 84%, 85%, 86%, 88%, 90%, 92%, 94%, 95%, 96%, 98% or 99% but less than 100% identical to SEQ ID NO: 1 having the substitution R101 E according to the numbering of SEQ ID NO: 2. The composition according to embodiment 18, wherein the at least one protease comprised in component a. is a protease identical to SEQ ID NO: 1 having the substitution R101 E according to the numbering of SEQ ID NO: 2. The composition according to any of embodiments 1 and 3 to 19, additionally comprising at least one further enzyme. The composition according to embodiment 20, wherein the at least one further enzyme is selected from amylases, mannanases, cellulases, esterases, lipases, pectinases, pectate lyases, xylanases, DNases, nucleases, dispersins, oxidoreductases, peroxidases, oxygenases, glycosidases, glucoamylases, xanthan lyases, and additional proteases, preferably amylases, mannanases, cellulases. The composition according to embodiment 21 , wherein the at least one further enzyme is an amylase. The composition according to embodiment 21 , wherein the at least one further enzyme is a cellulase. The composition according to embodiment 21 , wherein the at least one further enzyme is a mannanase. The composition according to embodiment 21, wherein the composition comprises an amylase and a cellulase. The composition according to any of the preceding embodiments, wherein the composition further comprises glycerol and/or further comprises MPG. The composition according to embodiment 26, wherein the composition further comprises glycerol. The composition according to embodiment 27, wherein the composition comprises 0.01 % to 50% glycerol. The composition according to embodiment 26, wherein the composition further comprises MPG. The composition according to embodiment 29, wherein the composition comprises 0.01 % to 35% MPG. The composition according to embodiment 26, wherein the composition comprises glycerol and MPG. The composition according to any of embodiments 1 and 3 to 31 , wherein the composition is a liquid enzyme composition, wherein the concentration of the protease is 0.05-12%, 0.05-10%, preferably 2-6%, the concentration of the protease inhibitor is 0.05-0.4%, preferably 0.1-0.25%, and the concentration of the solubilizing agent is:
I. neopentyl glycol: 5-25%, preferably 8-12%, ii. gamma-valerolactone: 1 -6%, preferably 4.5-5.5%, and/or ill. diethylene glycol: 8-12%, preferably 9.5-10.5%.
The liquid enzyme composition according to embodiment 32, wherein the liquid enzyme composition is essentially devoid of anionic surfactants, builders, polymers, alkaline bleaching systems, fluorescent whitening agents, suds suppressors and stabilizers, hydrotropes, preservatives and/or corrosion inhibitors. The liquid enzyme composition according to embodiment 33, wherein the composition is essentially devoid of preservatives. The liquid enzyme composition according to any of embodiments 33 or 34, wherein the liquid enzyme composition is essentially devoid of anionic surfactants and builders. The liquid enzyme composition according to any of embodiments 32 to 35, wherein the composition additionally comprises calcium chloride dihydrate, preferably 0.1 -0.5% by weight, more preferably 0.2%- 0.4% by weight. The liquid enzyme composition according to any of embodiments 32 to 36, wherein the pH of the composition is set to 6. The liquid enzyme composition according to any of embodiments 32 to 37, wherein the composition further comprises glycerol and/or further comprises MPG. The liquid enzyme composition according to embodiment 38, wherein the composition comprises glycerol and MPG. The liquid enzyme composition according to any of embodiments 38 or 39, wherein the composition comprises glycerol from about 10% to 50% by weight, preferably from about 15% to 45% by weight. The liquid enzyme composition according to any of embodiments 38 or 39, wherein the composition comprises MPG from about 1% to 35% by weight, preferably from about 5% to 30% by weight. The liquid enzyme composition according to embodiment 39, wherein the composition comprises neopentyl glycol: MPG:glycerol in ratios of 1 :<3:<6, or 1 :<3:<5, or 1 :<3:<4, or 1 :<3:<3.5, preferably 1 :<3:<4 or 1 : <3: <3.5, most preferably 1 :<3:<3.5, wherein the total amount of neopentyl glycol, MPG and glycerol in % by weight contained in the composition is set to be more than 45%, preferably at least 48%, most preferably at least 50% and optionally at most 70%. The liquid enzyme composition according to embodiment 39, wherein the composition comprises gamma- valerolactone:glycerol in a ratio of 1 :<35, preferably 1 :<30, more preferably 1 :<25, even more preferably 1 :<20 or most preferred 1 :<18, wherein the total amount of gamma-valerolactone, MPG and glycerol in % by weight contained in the composition is set to be at least 50% and optionally at most 70%. The liquid enzyme composition according to embodiment 39, wherein the composition comprises diethylene glycol: MPG:glycerol in a ratio of 1 :2:2. The liquid enzyme composition according to embodiment 44, wherein the total amount of diethylene glycol, MPG and glycerol in % by weight contained in the composition is set to be at least 50% and optionally at most 70%. The liquid enzyme composition according to any of embodiments 32 to 45, wherein the composition comprises a. 0.05-12%, 0.05-10%, preferably 2% to 6% by weight protease,
b. 0.05-0.4%, preferably 0.1 % to 0.25% by weight protease inhibitor, c. 5-25%, preferably 8-16%, most preferably 8-12% neopentyl glycol, d. 10-40%, preferably 20-35%, more preferably 28-32% glycerol, e. 5-30%, preferably 8-20%, more preferably 8-12% MPG, and f. 0.1 -0.5% CaCI2*2H2O wherein optionally the pH of the composition is set to 6. The liquid enzyme composition according to any of embodiments 32 to 45, wherein the composition comprises: a. 0.05-12%, 0.05-10%, preferably 2% to 6% by weight protease, b. 0.05-0.4%, preferably 0.1 % to 0.25% by weight protease inhibitor, c. 5-25%, preferably 8-16%, most preferably 8-12% by weight neopentyl glycol, d. 10-40%, preferably 12-30%, more preferably 14-20% glycerol, e. 10-40%, preferably 20-35%, more preferably 28-34% MPG, and f. 0.1 -0.5% CaCI2*2H2O wherein optionally the pH of the composition is set to 6.
The liquid enzyme composition according to any of embodiments 32 to 45, wherein the composition comprises: a. 0.05-12%, 0.05-10%, preferably 2-6% by weight protease, b. 0.05-0.4%, preferably 0.1 -0.25% by weight protease inhibitor, c. 5-25%, preferably 8-16%, more preferably 8-12% by weight neopentyl glycol, d. 10-40%, preferably 15-30%, more preferably 18-22% glycerol, e. 10-30%, preferably 15-25%, more preferably 18-22% MPG, and f. 0.1 -0.5% CaCI2*2H2O wherein optionally the pH of the composition is set to 6. The liquid enzyme composition according to any of embodiments 32 to 45, wherein the composition comprises: a. 0.05-12%, 0.05-10%, preferably 2-6% by weight protease, b. 0.05-0.4%, preferably 0.1 -0.25% by weight protease inhibitor, c. 1-15%, preferably 2-10%, more preferably 2-6% by weight gamma-valerolactone, d. 30-50%, preferably 35-48%, more preferably 40-45% glycerol, e. 2-25%, preferably 2-15%, more preferably 4-8% MPG, and f. 0.1 -0.5% CaCI2*2H2O wherein optionally the pH of the composition is set to 6. The liquid enzyme composition according to any of embodiments 46 to 49, wherein the composition additionally comprises 0.1-2% amylase. The composition according any of embodiments 46 to 50, wherein the composition additionally comprises 0.1-1% cellulase.
The composition according to any of embodiments 1 and 3 to 31 , wherein the composition is a liquid cleaning composition additionally comprising at least one detergent component. The liquid cleaning composition according to embodiment 52, wherein the detergent component is a compound selected from an anionic surfactant and a builder, wherein the anionic surfactant is preferably selected from linear alkylbenzene sulphonate (LAS) or alcohol ethoxy sulphates (AES) and wherein the builder preferably is a non-phosphate-based builder, preferably selected from citrates, phosphonates and amino carboxylates. The liquid cleaning composition according to any of embodiments 52 or 53, wherein the concentration of the protease is 0.0005-0.1 %, preferably 0.02-0.06%, the concentration of the protease inhibitor is 0.00005- 0.06%, preferably 0.0005-0.004%, and the concentration of the solubilizing agent is:
I. neopentyl glycol: 0.01 -1 %, preferably 0.05-0.2%
II. gamma-valerolactone: 0.005-0.5%, preferably 0.01-0.1 %, and/or ill. diethylene glycol: 0.01-1 %, preferably 0.05-0.2%. The composition according to any of embodiments 1 to 33 or 35 to 54, wherein the composition further comprises 2-phenoxyethanol, preferably in an amount ranging from 2 ppm to 5%, more preferably 0.1 to 2% by weight of the composition. A method for cleaning a soiled textile or dishware, wherein the method comprises providing a soiled textile or dishware and bringing the soiled fabric or dishware in contact with a liquid cleaning composition according to any of embodiments 52 to 55. A method for stabilizing and solubilizing a protease and a protease inhibitor in a liquid enzyme composition, wherein the method comprises bringing together the protease, protease inhibitor and a solubilizing agent selected from the group consisting of:
I. neopentyl glycol, ii. gamma-valerolactone, and ill. diethylene glycol.
Examples
Example 1 : Protease inhibitor solubility test
The solubility of the protease inhibitor Cbz-VAL-H (0.1%) in different solubilizing agents was tested using the following conditions:
1. Condition 1 (C1): 100% solubilizing agent*
2. Condition 2 (C2): 50% solubilizing agent, 50% water
3. Condition 3 (C3): 40% solubilizing agent, 10% glycerol, 50% water
4. Condition 4 (C4): 10% solubilizing agent, 40% glycerol, 50% water
*ln case the solubilizing agent was present as solid material (EC, NPG and sorbitol), the solubilizing agent was tested as 70% solution in water
For the solubility test, the stabilizer was dissolved in the respective solubilizing agent followed by subsequent addition of glycerol and water. The resulting solution was visually inspected to a) see if the dilution with glycerol and water led to precipitation of the inhibitor and b) to see if the inhibitor was completely soluble, meaning whether the solid material dissolved without leaving any residue within 24 h. The results are displayed in table 3.
*so id material
All solubilizing agents that showed solubilization of Cbz-VAL-H under all conditions - namely Agnique AMD 10, Agnique AMD 810, cumene sulfonate, delta-valerolactone (DVL), diethylene glycol (DEG), ethanol, L-(-)-ethyl lactate, gamma-valerolactone (GVL), isopropyl alcohol (IPA), neopentyl glycol (NPG), and 1 -propanol - were further analyzed to test their effect on enzyme storage stability.
Example 2: Enzyme activity after storage (storage stability) in different solubilizing agents
Enzyme stability was tested by determining enzyme activity after storage of the enzyme in different aqueous formulations containing the respective solubilizing agent over a course of 14 days. The reference formulation was 50% glycerol aqueous solution. The results are displayed in tables 4 and 5.
1 . Protease
The protease according SEQ ID NO: 1 having the substitution R101 E according to the numbering of SEQ ID NO: 2 (abbreviated as P herein, 2.5% active enzyme) was stored for 14 days in the respective solubilizing agent at pH 6 at 45°C without inhibitor. The protease has been used as a pre-formulated concentrate (11 % (w/w) P in 20% (w/w) MPG). The activity after storage was determined with a standard assay using dimethyl-casein (DMC, 0.3% (w/v)) as substrate. The release of free amino groups of DMC by proteolytic cleavage was detected using 2,4,6- trinitrobenzenesulfonic acid (TNBS, 0.2% (w/v)), measuring CD at 405 nm. The assay is performed at 50 °C in 0.1 M N-cyclohexyl-2-aminoethanesulfonic acid (CHES) buffer with 10 mM CaCl2*2H2O and 0.2% (w/v) Brij-35 (pH=9.5).
2. Cellulase:
The cellulase according to SEC ID NO: 6 (abbreviated as C herein, 0.3% active enzyme) was stored for 14 days in the respective solubilizing agent at pH 6 at 45°C without inhibitor. The cellulase has been used as a pre-formulated concentrate (10% (w/w) C in 30% (w/w) glycerol).
The activity after storage was determined with a standard assay using 4-nitrophenyl-p-D-lactopyranoside (pNPL) as substrate. 4-ni trophenol (pNP, yellow color) is cleaved from the substrate molecule by enzymatic cleavage. pNP can be quantified by measuring the OD at 405 nm.
3. Amylase
The amylase according SEQ ID NO: 4 comprising the substitutions N25H, G4Q, R176K, G186E, T251 E, L405M, and Y482W according to the numbering of SEQ ID NO: 5 (abbreviated as A herein, 0.4% active enzyme) was stored for 14 days in the respective solubilizing agent at pH 6 at 45°C without inhibitor. The amylase has been used as pre-formulated concentrate (3% (w/w) A in 40% (w/w) glycerol).
The activity after storage was determined with a standard assay using ethylidene-4-nitrophenoyl-o-D- maltoheptasoide (EPS) as substrate and o-glucosidase as second enzyme. Upon cleavage of the glucose chain by the amylase, the o-glucosidase present in excess can hydrolyze and release 4-nitrophenol (pNP). The resulting yellow color can be quantified by measuring the OD at 405 nm.
4. Mannanase:
The mannanase according to SEQ ID NO: 3 comprising the amino acid substitutions Q59V, N66D, A89H, E234Q, W259M, N282Y, T318N, E319G, and S322G according to the numbering of SEQ ID NO: 3 (abbreviated as M herein, 0,05% active enzyme) was stored for 14 days in the respective solubilizing agent at pH 6 at 37°C without inhibitor. The mannanase has been used as a pre-formulated concentrate (2% (w/w) M in 30% (w/w) glycerol).
The activity after storage was determined with a standard assay using azurine-crosslinked (AZCL) galactomannan as substrate. Azurin (blue color) is cleaved from the substrate molecule by enzymatic cleavage. Azurin can be quantified by measuring the OD at 590 nm.
Table 4: Enzyme activity (protease P, cellulase C, amylase A) after storage in aqueous compositions comprising different solubilizing agents in comparison to storage in 50% glycerol aqueous solution.
* DEG was tested in different formulations: 10% DEG, 40% glycerol; 20% DEG, 30% glycerol; 30% DEG, 20% glycerol; 40% DEG, 10% glycerol; 50% DEG. All formulations gave the same effect (stabilizing or neutral) in comparison to 50% glycerol.
Table 5: Mannanase activity (mannanase M) after storage in aqueous compositions comprising different solubilizing agents in comparison to storage in 50% glycerol aqueous solution.
The solubilizing agents DEG, GVL and NPG overall showed a stabilizing effect on different enzymes and were considered suitable solubilizing agents.
Example 3: Solubility of Cbz-VAL-H in different formulations comprising a combination of the respective solubilizing agent, glycerol, and MPG
The solubility of the protease inhibitor Cbz-VAL-H in different aqueous formulations including the respective suitable solubilizing agent, glycerol and monopropylene glycol (MPG) was analyzed. The inhibitor was first dissolved in a mixture of the respective solubilizing agent and MPG (NPG/MPG, GVL/MPG or DEG/MPG). Glycerol and water were added subsequently.
The resulting solution was visually inspected to a) see if the dilution with glycerol and water led to precipitation of the inhibitor and b) to see if the inhibitor was completely soluble, meaning whether the solid material dissolved without leaving any residue within 24 h.
The results are displayed in tables 6, 7 and 8.
1) Diethylene glycol
2) Gamma-valerolacton
Table 7: Solubility of protease inhibitor Cbz-VAL-H in different formulations containing gamma- valerolacton
3) Neopentyl glycol
Table 8: Solubility of protease inhibitor Cbz-VAL-H in different formulations containing neopentyl glycol
Example 4: Storage stability of protease and Cbz-VAL-H in suitable formulations comprising a combination of the respective solubilizing agent, glycerol, and MPG
Protease storage stability was tested by determining enzyme activity after storage of the enzyme together with Cbz- VAL-H in different aqueous formulations containing the respective solubilizing agent, glycerol and MPG. Enzyme activity was determined according to example 2.
Preformulated protease concentrate formulations (see Example 2 for description) were formulated with water, glycerol, MPG and the four solubilizing agents to be compared (DEG, NPG, GVL, HDO (as control)). Enzyme concentrations were set to 2.5-3% w/w active protease P. The concentration of the protease inhibitor Cbz-VAL-H was set to 0.15% w/w. The compositions additionally contain 0.3% w/w CaCl2*2H2O. The solutions were stored in closed vessels at -80 °C or at 45 °C for 14 or 28 days. Enzyme activity after storage was measured and the residual
activity was normalized to the activity of the -80 °C samples. Formulations containing hexane diol (HDO) were used as comparison. The results are displayed in table 9.
Table 9: Residual activity of protease P after storge for 14 or 28 days. All percentages are given in w/w.
Example 5: Storage stability of enzymes in blends after storage in suitable formulations comprising a combination of the respective solubilizing agent, Cbz-VAL-H, glycerol, and MPG
Enzyme storage stability in blends was tested by determining enzyme activity after storage of the enzymes together with Cbz-VAL-H in different aqueous formulations containing the respective solubilizing agent, glycerol and MPG. Enzyme activity was determined according to example 2.
1) Protease/cellulase blend in formulations comprising DEG, NPG, or GVL as solubilizing agent Preformulated enzyme concentrate formulations (Protease P, Cellulase C - see Example 2 for description) were formulated with water, glycerol, MPG and the three solubilizing agents to be compared (DEG, NPG, GVL). Enzyme concentrations were set to 2-2.5% w/w active protease P and 0.3-0.6% w/w active cellulase C. The concentration of the protease inhibitor Cbz-VAL-H was set to 0.15% w/w. All compositions additionally contain 0.3% w/w CaCl2*2H2O. The pH value was adjusted to 6.0. The solutions were stored in closed vessels at -80 °C or at 45 °C for 14 days. Enzyme activity after storage was measured and the residual activity was normalized to the activity of
the -80 °C samples. Formulations containing hexane diol (HDO) were used as comparison. The results are displayed in table 10.
Table 10: Residual activity of protease P and cellulase C after 14 days storage. All percentages are given in w/w.
The results show that the blends containing DEG, GVL and NPG show a superior enzyme storage stability.
2) Protease/amylase blend in formulations containing GVL or NPG
Preformulated enzyme concentrate formulations (protease P, amylase A, see Example 2 for description) were formulated with water, glycerol, MPG and the two solubilizing agents to be compared (NPG, GVL). Enzyme concentrations were set to 2.5-5% w/w active protease P and 0.3-1% w/w active amylase A. The concentration of the protease inhibitor Cbz-VAL-H was set to 0.15% w/w. All compositions additionally contain 0.3% w/w CaCl2*2H2O. The pH value was adjusted to 6.0. The solutions were stored in closed vessels at -80 °C and 45 °C for 14 days or 3 months. Enzyme activity after storage was measured and the residual activity was normalized to the activity of the -80 °C samples. Formulations containing hexane diol (HDO) were used as comparison. After 14 days, no significant reduction in activity was detected (results not displayed). The results of the 3-month storage experiment are displayed in table 11 .
Table 11 : Residual activity of protease P and amylase A after three months storage. All percentages are given in w/w.
The results show that the blends containing DEG, GVL and NPG show a superior enzyme storage stability.
3) Protease/amylase/cellulase blend in formulations comprising GVL or NPG
Preformulated enzyme concentrate formulations (protease P, amylase A, cellulase C, see Example 2 for description) were formulated with water, glycerol, MPG and the two solubilizing agents to be compared (NPG, GVL). Enzyme concentrations were set to 1 .8-4.5 active w/w protease P, 0.3-1 .0% w/w active amylase A and 0.2- 0.6 % w/w active cellulase C. The concentration of the protease inhibitor Cbz-VAL-H was set to 0.15% w/w. All compositions additionally contain 0.3% w/w CaCl2*2H2O. The pH value was adjusted to 6.0. The solutions were stored in closed vessels at -80 °C and 37 °C for 14 days or 3 months. Enzyme activity was measured in the stored samples and the residual activity is normalized to the activity of the -80 °C samples. Formulations containing hexane diol (HDO) were used as comparison. The results are displayed in table 12.
Table 12: Residual activity of cellulase C, amylase A and protease P after 14 days or 3 months storage. All percentages are given in w/w.
It is further noted that aqueous formulations containing 10% w/w NPG, 10% w/w MPG, 30% w/w glycerol, 0.3% w/w CaCl2*2H20, 0.15% w/w Cbz-VAL-H, 1 .8% active w/w protease, 0.3% w/w active amylase and 0.6% w/w active cellulase that were stored for 14 days at 45°C showed 79% residual cellulase activity, whereas formulations containing 10% w/w NPG, 20% w/w MPG, 20% w/w glycerol, 0.3% w/w CaCl2*2H2O, 0.15% w/w Cbz-VAL-H 2.5% w/w active protease, 1 % w/w active amylase and 0.2% w/w active cellulase that were stored for 14 days at 45°C showed 60% residual celullase activity. In comparison, formulations containing 5% w/w HDO, 45% w/w MPG, 10% w/w glycerol, 0.3% w/w CaCl2*2H2O, 0.15% w/w Cbz-VAL-H, 1 .8% w/w active protease, 0.3% w/w active amylase and 0.6% w/w active cellulase that were stored for 14 days at 45°C showed 0% residual cellulase activity.
The results show that the blends containing NPG, GVL or DEG as solubilizing agent overall show a superior enzyme storage stability.
Claims
1 . A composition comprising a. at least one protease and b. a protease inhibitor and c. at least one solubilizing agent selected from the group consisting of:
I. neopentyl glycol,
II. gamma-valerolactone, and ill. diethylene glycol.
2. The composition according to claim 1, wherein the protease inhibitor is selected from the group consisting of peptide aldehydes, salts or derivates thereof, preferably peptide aldehydes or peptide aldehyde hydrosulfite adducts and combinations thereof, more preferably a peptide aldehyde or peptide aldehyde hydrosulfite adduct comprising non-polar amino acid side chains.
3. The composition according to claim 2, wherein the protease inhibitor is a peptide aldehyde, salt or hydrosulfite adduct thereof, preferably a tripeptide aldehyde, more preferably a compound according to formula (I)
wherein
R1, R2, R3 are amino acid side chains of non-polar amino acids, and
Z is an N-terminal protection group, preferably selected from benzyloxycarbonyl (Cbz), p-methoxybenzyl carbonyl (MOZ), benzyl (Bn), benzoyl (Bz), p-methoxybenzyl (PMB), p-methoxyphenyl (PMP), formyl, acetyl (Ac), methyloxy, alkoxycarbonyl, methoxycarbonyl, fluorenylmethyloxycarbonyl (Fmoc), and tertbutyloxycarbonyl (Boc).
4. The composition according to any of the preceding claims, wherein the protease inhibitor is Z-VAL-H.
5. The composition according to any of the preceding claims additionally comprising at least one further enzyme.
6. The composition according to claim 5, wherein the at least one further enzyme is selected from amylases, mannanases, cellulases, esterases, lipases, pectinases, pectate lyases, xylanases, DNases, nucleases, dispersins, oxidoreductases, peroxidases, oxygenases, glycosidases, glucoamylases, xanthan lyases, and additional proteases, preferably amylases, mannanases, and cellulases.
7. The composition according any of the preceding claims, wherein the composition further comprises glycerol and/or further comprises monopropylene glycol (MPG).
8. The composition according to any of the preceding claims, wherein the solubilizing agent is
I. neopentyl glycol
II. gamma-valerolacton, or ill. diethylene glycol.
9. The composition according to claim 8 alternative I., wherein the at least one further enzyme is a mannanase.
10. The composition according to any of the preceding claims, wherein the composition is a liquid enzyme composition, wherein the concentration of the protease is 0.05-10%, preferably 2-6%, the concentration of the protease inhibitor is 0.05-0.4%, preferably 0.1-0.25%, and the concentration of the solubilizing agent is:
I. neopentyl glycol: 5-25%, preferably 8-12%,
II. gamma-valerolactone: 1-6%, preferably 4.5-5.5%, and/or ill. diethylene glycol: 8-12%, preferably 9.5-10.5%.
11. The liquid enzyme composition according to claim 10, wherein the liquid enzyme composition is essentially devoid of anionic surfactants and builders.
12. A method for stabilizing and solubilizing a protease and a protease inhibitor in a liquid enzyme composition, wherein the method comprises bringing together the protease, protease inhibitor and a solubilizing agent selected from the group consisting of:
I. neopentyl glycol, ii. gamma-valerolactone, and ill. diethylene glycol.
13. The composition according to any of claims 1 to 9, wherein the composition is a liquid cleaning composition additionally comprising at least one detergent component.
14. The liquid cleaning composition according to claim 13, wherein the detergent component is a compound selected from an anionic surfactant and a builder, wherein the anionic surfactant is preferably selected from linear alkylbenzene sulphonate (LAS) or alcohol ethoxy sulphates (AES) and wherein the builder preferably is a non-phosphate based builder, preferably selected from citrates, phosphonates and amino carboxylates.
15. The liquid cleaning composition according to claims 13 or 14, wherein the concentration of the protease is 0.0005-0.1 %, preferably 0.02-0.06%, the concentration of the protease inhibitor is 0.00005-0.06%, preferably 0.0005-0.004%, and the concentration of the solubilizing agent is: iv. neopentyl glycol: 0.01 -1 %, preferably 0.05-0.2% v. gamma-valerolactone: 0.005-0.5%, preferably 0.01-0.1 %, and/or vi. diethylene glycol: 0.01-1 %, preferably 0.05-0.2%.
16. A method for cleaning a soiled textile or dishware, wherein the method comprises providing a soiled textile or dishware and bringing the soiled fabric or dishware in contact with a liquid cleaning composition according to any of claims 13 to 15.
17. A composition according to any of claims 1 to 11 or 13 to 15 further comprising 2-phenoxyethanol, preferably in an amount ranging from 2 ppm to 5% by weight, more preferably 0.1 to 2% by weight of the composition.
Applications Claiming Priority (2)
| Application Number | Priority Date | Filing Date | Title |
|---|---|---|---|
| EP23207476 | 2023-11-02 | ||
| EP23207476.5 | 2023-11-02 |
Publications (1)
| Publication Number | Publication Date |
|---|---|
| WO2025093368A1 true WO2025093368A1 (en) | 2025-05-08 |
Family
ID=88690422
Family Applications (1)
| Application Number | Title | Priority Date | Filing Date |
|---|---|---|---|
| PCT/EP2024/079772 Pending WO2025093368A1 (en) | 2023-11-02 | 2024-10-22 | Enzyme stabilization in compositions containing a protease inhibitor |
Country Status (1)
| Country | Link |
|---|---|
| WO (1) | WO2025093368A1 (en) |
Citations (85)
| Publication number | Priority date | Publication date | Assignee | Title |
|---|---|---|---|---|
| US4435307A (en) | 1980-04-30 | 1984-03-06 | Novo Industri A/S | Detergent cellulase |
| JPS6336774B2 (en) | 1979-05-25 | 1988-07-21 | Tokyo Shibaura Electric Co | |
| EP0283075A2 (en) | 1987-02-27 | 1988-09-21 | Gist-Brocades N.V. | Molecular cloning and expression of genes encoding proteolytic enzymes |
| JPS6356289B2 (en) | 1979-11-15 | 1988-11-08 | Kansai Denryoku Kk | |
| WO1989006279A1 (en) | 1988-01-07 | 1989-07-13 | Novo-Nordisk A/S | Mutated subtilisin genes |
| WO1989006276A2 (en) | 1988-01-08 | 1989-07-13 | Dpz Deutsches Primatenzentrum Gesellschaft Mbh | Hiv-2-type retroviruses of primates, vaccines, diagnostic and pharmaceutical compositions |
| WO1989009259A1 (en) | 1988-03-24 | 1989-10-05 | Novo-Nordisk A/S | A cellulase preparation |
| WO1989009819A1 (en) | 1988-04-12 | 1989-10-19 | Genex Corporation | Combining mutations for stabilization of subtilisin |
| WO1989009830A1 (en) | 1988-04-12 | 1989-10-19 | Genex Corporation | Subtilisin mutations |
| JPH034706A (en) | 1989-05-31 | 1991-01-10 | Kubota Corp | Preparation of artificial seed |
| WO1991002792A1 (en) | 1989-08-25 | 1991-03-07 | Henkel Research Corporation | Alkaline proteolytic enzyme and method of production |
| WO1991006637A1 (en) | 1989-10-31 | 1991-05-16 | Genencor International, Inc. | Subtilisin mutants |
| WO1991017244A1 (en) | 1990-05-09 | 1991-11-14 | Novo Nordisk A/S | An enzyme capable of degrading cellulose or hemicellulose |
| WO1991018974A1 (en) | 1990-05-29 | 1991-12-12 | Chemgen Corporation | HEMICELLULASE ACTIVE AT EXTREMES OF pH AND TEMPERATURE AND THE MEANS FOR THE PRODUCTION THEREOF |
| WO1992006165A1 (en) | 1991-06-11 | 1992-04-16 | Genencor International, Inc. | Detergent compositions containing cellulase compositions deficient in cbh i type components |
| EP0495257A1 (en) | 1991-01-16 | 1992-07-22 | The Procter & Gamble Company | Compact detergent compositions with high activity cellulase |
| EP0531372A1 (en) | 1990-05-09 | 1993-03-17 | Novo Nordisk As | PREPARATION OF CELLULASE COMPRISING AN ENDOGLUCANASE ENZYME. |
| WO1993017244A1 (en) | 1992-02-28 | 1993-09-02 | Institut Teplofiziki | Jet-type vacuum pump |
| WO1993024622A1 (en) | 1992-05-22 | 1993-12-09 | Alko Ltd. | Mannanase enzymes, genes coding for them, methods for isolating the genes, and methods for bleaching lignocellulosic pulps |
| WO1994002597A1 (en) | 1992-07-23 | 1994-02-03 | Novo Nordisk A/S | MUTANT α-AMYLASE, DETERGENT, DISH WASHING AGENT, AND LIQUEFACTION AGENT |
| WO1994007998A1 (en) | 1992-10-06 | 1994-04-14 | Novo Nordisk A/S | Cellulase variants |
| WO1994018314A1 (en) | 1993-02-11 | 1994-08-18 | Genencor International, Inc. | Oxidatively stable alpha-amylase |
| WO1994021801A2 (en) | 1993-03-17 | 1994-09-29 | Genencor International, Inc. | Purification and molecular cloning of eg iii cellulase |
| WO1994026880A1 (en) | 1993-05-10 | 1994-11-24 | Gist-Brocades N.V. | Combined action of endoglucanases and cellobiohydrolases |
| WO1995002043A1 (en) | 1993-07-06 | 1995-01-19 | Novo Nordisk A/S | DNA ENCODING AN ENZYME WITH ENDOGLUCANASE ACTIVITY FROM $i(TRICHODERMA HARZIANUM) |
| WO1995002675A1 (en) | 1993-07-12 | 1995-01-26 | Novo Nordisk A/S | A detergent composition comprising two cellulase components |
| WO1995010603A1 (en) | 1993-10-08 | 1995-04-20 | Novo Nordisk A/S | Amylase variants |
| WO1995023221A1 (en) | 1994-02-24 | 1995-08-31 | Cognis, Inc. | Improved enzymes and detergents containing them |
| WO1995024471A1 (en) | 1994-03-08 | 1995-09-14 | Novo Nordisk A/S | Novel alkaline cellulases |
| JPH0851975A (en) | 1991-10-09 | 1996-02-27 | Res Dev Corp Of Japan | Novel β-mannanase and method for producing the same |
| WO1996011262A1 (en) | 1994-10-06 | 1996-04-18 | Novo Nordisk A/S | An enzyme and enzyme preparation with endoglucanase activity |
| WO1996023872A1 (en) | 1995-02-02 | 1996-08-08 | Stichting Centraal Laboratorium Van De Bloedtransfusiedienst Van Het Nederlandse Rode Kruis | Enrichment of hematopoietic stem cells from blood or bone marrow |
| WO1996029397A1 (en) | 1995-03-17 | 1996-09-26 | Novo Nordisk A/S | Novel endoglucanases |
| WO1997003296A1 (en) | 1995-07-08 | 1997-01-30 | Hohmann Joerg | Device for measuring the extension of a threaded bolt or screw |
| WO1997011164A1 (en) | 1995-09-20 | 1997-03-27 | Genencor International, Inc. | Purified mannanase from bacillus amyloliquefaciens and method of preparation |
| WO1997014804A1 (en) | 1995-10-17 | 1997-04-24 | Röhn Enzyme Finland OY | Cellulases, the genes encoding them and uses thereof |
| US5648263A (en) | 1988-03-24 | 1997-07-15 | Novo Nordisk A/S | Methods for reducing the harshness of a cotton-containing fabric |
| WO1997043424A1 (en) | 1996-05-14 | 1997-11-20 | Genencor International, Inc. | MODIFIED α-AMYLASES HAVING ALTERED CALCIUM BINDING PROPERTIES |
| WO1998008940A1 (en) | 1996-08-26 | 1998-03-05 | Novo Nordisk A/S | A novel endoglucanase |
| WO1998012307A1 (en) | 1996-09-17 | 1998-03-26 | Novo Nordisk A/S | Cellulase variants |
| WO1998013459A1 (en) | 1996-09-24 | 1998-04-02 | The Procter & Gamble Company | Liquid detergents containing proteolytic enzyme, peptide aldehyde and calcium ions |
| WO1999019467A1 (en) | 1997-10-13 | 1999-04-22 | Novo Nordisk A/S | α-AMYLASE MUTANTS |
| WO1999064619A2 (en) | 1998-06-10 | 1999-12-16 | Novozymes A/S | Novel mannanases |
| WO2000022103A1 (en) | 1998-10-13 | 2000-04-20 | Novozymes A/S | A modified polypeptide with reduced immune response |
| US6121165A (en) | 1997-07-31 | 2000-09-19 | The Procter & Gamble Company | Wet-like cleaning articles |
| WO2000060060A2 (en) | 1999-03-31 | 2000-10-12 | Novozymes A/S | Polypeptides having alkaline alpha-amylase activity and nucleic acids encoding same |
| WO2002010355A2 (en) | 2000-08-01 | 2002-02-07 | Novozymes A/S | Alpha-amylase mutants with altered stability |
| DE10064983A1 (en) | 2000-12-23 | 2002-07-18 | Henkel Kgaa | New subtilisin protease from Bacillus alcalophilus, useful e.g. in washing and cleaning compositions, comprises at positions 230, 256 and 259 amino acids Val, Gly and Asn |
| EP1240525A2 (en) | 1999-12-23 | 2002-09-18 | PHARMACIA & UPJOHN COMPANY | Sodium channels as targets for amyloid beta |
| WO2002099091A2 (en) | 2001-06-06 | 2002-12-12 | Novozymes A/S | Endo-beta-1,4-glucanase from bacillus |
| EP1305432A2 (en) | 2000-08-04 | 2003-05-02 | Genencor International, Inc. | Mutant trichoderma reesei egiii cellulases, dna encoding such egiii compositions and methods for obtaining same |
| WO2003054184A1 (en) | 2001-12-20 | 2003-07-03 | Henkel Kommanditgesellschaft Auf Aktien | Novel alkali protease formed by bacillus gibsonii (dsm 14393) and washing and cleaning agents containing said novel alkali protease |
| WO2003055974A2 (en) | 2001-12-22 | 2003-07-10 | Henkel Kommanditgesellschaft Auf Aktien | Novel alkaline protease from bacillus sp. (dsm 14392) and washing and cleaning products comprising said novel alkaline protease |
| WO2003056017A2 (en) | 2001-12-22 | 2003-07-10 | Henkel Kommanditgesellschaft Auf Aktien | Alkaline protease from bacillus sp. (dsm 14390) and washing and cleaning products comprising said alkaline protease |
| WO2004053039A2 (en) | 2002-12-11 | 2004-06-24 | Novozymes A/S | Detergent composition comprising endo-glucanase |
| WO2005003319A2 (en) | 2003-07-02 | 2005-01-13 | Diversa Corporation | Glucanases, nucleic acids encoding them and methods for making and using them |
| WO2005063974A1 (en) | 2003-12-23 | 2005-07-14 | Henkel Kommanditgesellschaft Auf Aktien | Novel alkaline protease and washing and cleaning products containing said novel alkaline protease |
| WO2005103244A1 (en) | 2004-04-23 | 2005-11-03 | Henkel Kommanditgesellschaft Auf Aktien | Novel alkaline proteases, and detergents and cleaners containing the same |
| WO2006002643A2 (en) | 2004-07-05 | 2006-01-12 | Novozymes A/S | Alpha-amylase variants with altered properties |
| WO2006066594A2 (en) | 2004-12-23 | 2006-06-29 | Novozymes A/S | Alpha-amylase variants |
| WO2007044993A2 (en) | 2005-10-12 | 2007-04-19 | Genencor International, Inc. | Use and production of storage-stable neutral metalloprotease |
| WO2009061380A2 (en) | 2007-11-05 | 2009-05-14 | Danisco Us Inc., Genencor Division | VARIANTS OF BACILLUS sp. TS-23 ALPHA-AMYLASE WITH ALTERED PROPERTIES |
| WO2009118375A2 (en) | 2008-03-26 | 2009-10-01 | Novozymes A/S | Stabilized liquid enzyme compositions |
| WO2010104675A1 (en) | 2009-03-10 | 2010-09-16 | Danisco Us Inc. | Bacillus megaterium strain dsm90-related alpha-amylases, and methods of use, thereof |
| WO2011098531A1 (en) | 2010-02-10 | 2011-08-18 | Novozymes A/S | Variants and compositions comprising variants with high stability in presence of a chelating agent |
| WO2013001087A2 (en) | 2011-06-30 | 2013-01-03 | Novozymes A/S | Method for screening alpha-amylases |
| WO2013001078A1 (en) | 2011-06-30 | 2013-01-03 | Novozymes A/S | Alpha-amylase variants |
| WO2013004636A1 (en) | 2011-07-01 | 2013-01-10 | Novozymes A/S | Stabilized subtilisin composition |
| US20130025073A1 (en) * | 2011-07-25 | 2013-01-31 | Philip Frank Souter | Detergent compositions |
| WO2013184577A1 (en) | 2012-06-08 | 2013-12-12 | Danisco Us Inc. | Alpha-amylase variants derived from the alpha amylase of cytophaga sp.amylase|(cspamy2). |
| WO2014100018A1 (en) | 2012-12-19 | 2014-06-26 | Danisco Us Inc. | Novel mannanase, compositions and methods of use thereof |
| WO2014183920A1 (en) | 2013-05-17 | 2014-11-20 | Novozymes A/S | Polypeptides having alpha amylase activity |
| WO2014183921A1 (en) | 2013-05-17 | 2014-11-20 | Novozymes A/S | Polypeptides having alpha amylase activity |
| WO2014194032A1 (en) | 2013-05-29 | 2014-12-04 | Danisco Us Inc. | Novel metalloproteases |
| WO2014194054A1 (en) | 2013-05-29 | 2014-12-04 | Danisco Us Inc. | Novel metalloproteases |
| WO2014194117A2 (en) | 2013-05-29 | 2014-12-04 | Danisco Us Inc. | Novel metalloproteases |
| WO2015193488A1 (en) | 2014-06-20 | 2015-12-23 | Novozymes A/S | Metalloprotease from kribbella aluminosa and detergent compositions comprising the metalloprotease |
| WO2016075078A2 (en) | 2014-11-10 | 2016-05-19 | Novozymes A/S | Metalloproteases and uses thereof |
| WO2016092009A1 (en) | 2014-12-10 | 2016-06-16 | Henkel Ag & Co. Kgaa | Solid detergents and cleaning agents with amylase |
| EP3677676A1 (en) * | 2019-01-03 | 2020-07-08 | Basf Se | Compounds stabilizing amylases in liquids |
| US20210009927A1 (en) * | 2018-04-17 | 2021-01-14 | Novozymes A/S | Polypeptides Comprising Carbohydrate Binding Activity in Detergent Compositions And Their use in Reducing Wrinkles in Textile or Fabrics |
| WO2021115912A1 (en) | 2019-12-09 | 2021-06-17 | Basf Se | Formulations comprising a hydrophobically modified polyethyleneimine and one or more enzymes |
| WO2022063698A1 (en) | 2020-09-22 | 2022-03-31 | Basf Se | Liquid composition comprising peptide aldehyde |
| US20220333039A1 (en) * | 2019-12-23 | 2022-10-20 | The Procter & Gamble Company | Compositions comprising enzymes |
| CN116574565A (en) * | 2023-04-24 | 2023-08-11 | 大连奥首科技有限公司 | A kind of flux cleaning agent for chip packaging, its preparation method and application |
-
2024
- 2024-10-22 WO PCT/EP2024/079772 patent/WO2025093368A1/en active Pending
Patent Citations (90)
| Publication number | Priority date | Publication date | Assignee | Title |
|---|---|---|---|---|
| JPS6336774B2 (en) | 1979-05-25 | 1988-07-21 | Tokyo Shibaura Electric Co | |
| JPS6356289B2 (en) | 1979-11-15 | 1988-11-08 | Kansai Denryoku Kk | |
| US4435307A (en) | 1980-04-30 | 1984-03-06 | Novo Industri A/S | Detergent cellulase |
| EP0283075A2 (en) | 1987-02-27 | 1988-09-21 | Gist-Brocades N.V. | Molecular cloning and expression of genes encoding proteolytic enzymes |
| WO1989006279A1 (en) | 1988-01-07 | 1989-07-13 | Novo-Nordisk A/S | Mutated subtilisin genes |
| WO1989006276A2 (en) | 1988-01-08 | 1989-07-13 | Dpz Deutsches Primatenzentrum Gesellschaft Mbh | Hiv-2-type retroviruses of primates, vaccines, diagnostic and pharmaceutical compositions |
| WO1989009259A1 (en) | 1988-03-24 | 1989-10-05 | Novo-Nordisk A/S | A cellulase preparation |
| US5648263A (en) | 1988-03-24 | 1997-07-15 | Novo Nordisk A/S | Methods for reducing the harshness of a cotton-containing fabric |
| US5776757A (en) | 1988-03-24 | 1998-07-07 | Novo Nordisk A/S | Fungal cellulase composition containing alkaline CMC-endoglucanase and essentially no cellobiohydrolase and method of making thereof |
| WO1989009819A1 (en) | 1988-04-12 | 1989-10-19 | Genex Corporation | Combining mutations for stabilization of subtilisin |
| WO1989009830A1 (en) | 1988-04-12 | 1989-10-19 | Genex Corporation | Subtilisin mutations |
| JPH034706A (en) | 1989-05-31 | 1991-01-10 | Kubota Corp | Preparation of artificial seed |
| WO1991002792A1 (en) | 1989-08-25 | 1991-03-07 | Henkel Research Corporation | Alkaline proteolytic enzyme and method of production |
| US5352604A (en) | 1989-08-25 | 1994-10-04 | Henkel Research Corporation | Alkaline proteolytic enzyme and method of production |
| WO1991006637A1 (en) | 1989-10-31 | 1991-05-16 | Genencor International, Inc. | Subtilisin mutants |
| WO1991017244A1 (en) | 1990-05-09 | 1991-11-14 | Novo Nordisk A/S | An enzyme capable of degrading cellulose or hemicellulose |
| EP0531372A1 (en) | 1990-05-09 | 1993-03-17 | Novo Nordisk As | PREPARATION OF CELLULASE COMPRISING AN ENDOGLUCANASE ENZYME. |
| EP0531315A1 (en) | 1990-05-09 | 1993-03-17 | Novo Nordisk As | ENZYME CAPABLE OF DEGRADING CELLULOSE OR HEMICELLULOSE. |
| WO1991018974A1 (en) | 1990-05-29 | 1991-12-12 | Chemgen Corporation | HEMICELLULASE ACTIVE AT EXTREMES OF pH AND TEMPERATURE AND THE MEANS FOR THE PRODUCTION THEREOF |
| US5476775A (en) | 1990-05-29 | 1995-12-19 | Chemgen Corporation | Hemicellulase active at PH and temperature extremes |
| EP0495257A1 (en) | 1991-01-16 | 1992-07-22 | The Procter & Gamble Company | Compact detergent compositions with high activity cellulase |
| WO1992006165A1 (en) | 1991-06-11 | 1992-04-16 | Genencor International, Inc. | Detergent compositions containing cellulase compositions deficient in cbh i type components |
| JPH0851975A (en) | 1991-10-09 | 1996-02-27 | Res Dev Corp Of Japan | Novel β-mannanase and method for producing the same |
| WO1993017244A1 (en) | 1992-02-28 | 1993-09-02 | Institut Teplofiziki | Jet-type vacuum pump |
| WO1993024622A1 (en) | 1992-05-22 | 1993-12-09 | Alko Ltd. | Mannanase enzymes, genes coding for them, methods for isolating the genes, and methods for bleaching lignocellulosic pulps |
| WO1994002597A1 (en) | 1992-07-23 | 1994-02-03 | Novo Nordisk A/S | MUTANT α-AMYLASE, DETERGENT, DISH WASHING AGENT, AND LIQUEFACTION AGENT |
| WO1994007998A1 (en) | 1992-10-06 | 1994-04-14 | Novo Nordisk A/S | Cellulase variants |
| WO1994018314A1 (en) | 1993-02-11 | 1994-08-18 | Genencor International, Inc. | Oxidatively stable alpha-amylase |
| WO1994021801A2 (en) | 1993-03-17 | 1994-09-29 | Genencor International, Inc. | Purification and molecular cloning of eg iii cellulase |
| WO1994026880A1 (en) | 1993-05-10 | 1994-11-24 | Gist-Brocades N.V. | Combined action of endoglucanases and cellobiohydrolases |
| WO1995002043A1 (en) | 1993-07-06 | 1995-01-19 | Novo Nordisk A/S | DNA ENCODING AN ENZYME WITH ENDOGLUCANASE ACTIVITY FROM $i(TRICHODERMA HARZIANUM) |
| WO1995002675A1 (en) | 1993-07-12 | 1995-01-26 | Novo Nordisk A/S | A detergent composition comprising two cellulase components |
| WO1995010603A1 (en) | 1993-10-08 | 1995-04-20 | Novo Nordisk A/S | Amylase variants |
| WO1995023221A1 (en) | 1994-02-24 | 1995-08-31 | Cognis, Inc. | Improved enzymes and detergents containing them |
| EP1921147A2 (en) | 1994-02-24 | 2008-05-14 | Henkel Kommanditgesellschaft auf Aktien | Improved enzymes and detergents containing them |
| WO1995024471A1 (en) | 1994-03-08 | 1995-09-14 | Novo Nordisk A/S | Novel alkaline cellulases |
| WO1996011262A1 (en) | 1994-10-06 | 1996-04-18 | Novo Nordisk A/S | An enzyme and enzyme preparation with endoglucanase activity |
| WO1996023872A1 (en) | 1995-02-02 | 1996-08-08 | Stichting Centraal Laboratorium Van De Bloedtransfusiedienst Van Het Nederlandse Rode Kruis | Enrichment of hematopoietic stem cells from blood or bone marrow |
| WO1996029397A1 (en) | 1995-03-17 | 1996-09-26 | Novo Nordisk A/S | Novel endoglucanases |
| WO1997003296A1 (en) | 1995-07-08 | 1997-01-30 | Hohmann Joerg | Device for measuring the extension of a threaded bolt or screw |
| WO1997011164A1 (en) | 1995-09-20 | 1997-03-27 | Genencor International, Inc. | Purified mannanase from bacillus amyloliquefaciens and method of preparation |
| WO1997014804A1 (en) | 1995-10-17 | 1997-04-24 | Röhn Enzyme Finland OY | Cellulases, the genes encoding them and uses thereof |
| WO1997043424A1 (en) | 1996-05-14 | 1997-11-20 | Genencor International, Inc. | MODIFIED α-AMYLASES HAVING ALTERED CALCIUM BINDING PROPERTIES |
| WO1998008940A1 (en) | 1996-08-26 | 1998-03-05 | Novo Nordisk A/S | A novel endoglucanase |
| WO1998012307A1 (en) | 1996-09-17 | 1998-03-26 | Novo Nordisk A/S | Cellulase variants |
| WO1998013459A1 (en) | 1996-09-24 | 1998-04-02 | The Procter & Gamble Company | Liquid detergents containing proteolytic enzyme, peptide aldehyde and calcium ions |
| US6121165A (en) | 1997-07-31 | 2000-09-19 | The Procter & Gamble Company | Wet-like cleaning articles |
| WO1999019467A1 (en) | 1997-10-13 | 1999-04-22 | Novo Nordisk A/S | α-AMYLASE MUTANTS |
| WO1999064619A2 (en) | 1998-06-10 | 1999-12-16 | Novozymes A/S | Novel mannanases |
| WO2000022103A1 (en) | 1998-10-13 | 2000-04-20 | Novozymes A/S | A modified polypeptide with reduced immune response |
| WO2000060060A2 (en) | 1999-03-31 | 2000-10-12 | Novozymes A/S | Polypeptides having alkaline alpha-amylase activity and nucleic acids encoding same |
| EP1240525A2 (en) | 1999-12-23 | 2002-09-18 | PHARMACIA & UPJOHN COMPANY | Sodium channels as targets for amyloid beta |
| WO2002010355A2 (en) | 2000-08-01 | 2002-02-07 | Novozymes A/S | Alpha-amylase mutants with altered stability |
| EP1305432A2 (en) | 2000-08-04 | 2003-05-02 | Genencor International, Inc. | Mutant trichoderma reesei egiii cellulases, dna encoding such egiii compositions and methods for obtaining same |
| DE10064983A1 (en) | 2000-12-23 | 2002-07-18 | Henkel Kgaa | New subtilisin protease from Bacillus alcalophilus, useful e.g. in washing and cleaning compositions, comprises at positions 230, 256 and 259 amino acids Val, Gly and Asn |
| WO2002099091A2 (en) | 2001-06-06 | 2002-12-12 | Novozymes A/S | Endo-beta-1,4-glucanase from bacillus |
| WO2003054184A1 (en) | 2001-12-20 | 2003-07-03 | Henkel Kommanditgesellschaft Auf Aktien | Novel alkali protease formed by bacillus gibsonii (dsm 14393) and washing and cleaning agents containing said novel alkali protease |
| WO2003055974A2 (en) | 2001-12-22 | 2003-07-10 | Henkel Kommanditgesellschaft Auf Aktien | Novel alkaline protease from bacillus sp. (dsm 14392) and washing and cleaning products comprising said novel alkaline protease |
| WO2003056017A2 (en) | 2001-12-22 | 2003-07-10 | Henkel Kommanditgesellschaft Auf Aktien | Alkaline protease from bacillus sp. (dsm 14390) and washing and cleaning products comprising said alkaline protease |
| WO2004053039A2 (en) | 2002-12-11 | 2004-06-24 | Novozymes A/S | Detergent composition comprising endo-glucanase |
| WO2005003319A2 (en) | 2003-07-02 | 2005-01-13 | Diversa Corporation | Glucanases, nucleic acids encoding them and methods for making and using them |
| WO2005063974A1 (en) | 2003-12-23 | 2005-07-14 | Henkel Kommanditgesellschaft Auf Aktien | Novel alkaline protease and washing and cleaning products containing said novel alkaline protease |
| WO2005103244A1 (en) | 2004-04-23 | 2005-11-03 | Henkel Kommanditgesellschaft Auf Aktien | Novel alkaline proteases, and detergents and cleaners containing the same |
| WO2006002643A2 (en) | 2004-07-05 | 2006-01-12 | Novozymes A/S | Alpha-amylase variants with altered properties |
| WO2006066594A2 (en) | 2004-12-23 | 2006-06-29 | Novozymes A/S | Alpha-amylase variants |
| WO2007044993A2 (en) | 2005-10-12 | 2007-04-19 | Genencor International, Inc. | Use and production of storage-stable neutral metalloprotease |
| WO2009061380A2 (en) | 2007-11-05 | 2009-05-14 | Danisco Us Inc., Genencor Division | VARIANTS OF BACILLUS sp. TS-23 ALPHA-AMYLASE WITH ALTERED PROPERTIES |
| WO2009118375A2 (en) | 2008-03-26 | 2009-10-01 | Novozymes A/S | Stabilized liquid enzyme compositions |
| WO2010104675A1 (en) | 2009-03-10 | 2010-09-16 | Danisco Us Inc. | Bacillus megaterium strain dsm90-related alpha-amylases, and methods of use, thereof |
| WO2011098531A1 (en) | 2010-02-10 | 2011-08-18 | Novozymes A/S | Variants and compositions comprising variants with high stability in presence of a chelating agent |
| WO2013001087A2 (en) | 2011-06-30 | 2013-01-03 | Novozymes A/S | Method for screening alpha-amylases |
| WO2013001078A1 (en) | 2011-06-30 | 2013-01-03 | Novozymes A/S | Alpha-amylase variants |
| WO2013004636A1 (en) | 2011-07-01 | 2013-01-10 | Novozymes A/S | Stabilized subtilisin composition |
| US20130025073A1 (en) * | 2011-07-25 | 2013-01-31 | Philip Frank Souter | Detergent compositions |
| WO2013184577A1 (en) | 2012-06-08 | 2013-12-12 | Danisco Us Inc. | Alpha-amylase variants derived from the alpha amylase of cytophaga sp.amylase|(cspamy2). |
| WO2014100018A1 (en) | 2012-12-19 | 2014-06-26 | Danisco Us Inc. | Novel mannanase, compositions and methods of use thereof |
| WO2014183920A1 (en) | 2013-05-17 | 2014-11-20 | Novozymes A/S | Polypeptides having alpha amylase activity |
| WO2014183921A1 (en) | 2013-05-17 | 2014-11-20 | Novozymes A/S | Polypeptides having alpha amylase activity |
| WO2014194054A1 (en) | 2013-05-29 | 2014-12-04 | Danisco Us Inc. | Novel metalloproteases |
| WO2014194032A1 (en) | 2013-05-29 | 2014-12-04 | Danisco Us Inc. | Novel metalloproteases |
| WO2014194117A2 (en) | 2013-05-29 | 2014-12-04 | Danisco Us Inc. | Novel metalloproteases |
| WO2015193488A1 (en) | 2014-06-20 | 2015-12-23 | Novozymes A/S | Metalloprotease from kribbella aluminosa and detergent compositions comprising the metalloprotease |
| WO2016075078A2 (en) | 2014-11-10 | 2016-05-19 | Novozymes A/S | Metalloproteases and uses thereof |
| WO2016092009A1 (en) | 2014-12-10 | 2016-06-16 | Henkel Ag & Co. Kgaa | Solid detergents and cleaning agents with amylase |
| US20210009927A1 (en) * | 2018-04-17 | 2021-01-14 | Novozymes A/S | Polypeptides Comprising Carbohydrate Binding Activity in Detergent Compositions And Their use in Reducing Wrinkles in Textile or Fabrics |
| EP3677676A1 (en) * | 2019-01-03 | 2020-07-08 | Basf Se | Compounds stabilizing amylases in liquids |
| WO2021115912A1 (en) | 2019-12-09 | 2021-06-17 | Basf Se | Formulations comprising a hydrophobically modified polyethyleneimine and one or more enzymes |
| US20220333039A1 (en) * | 2019-12-23 | 2022-10-20 | The Procter & Gamble Company | Compositions comprising enzymes |
| WO2022063698A1 (en) | 2020-09-22 | 2022-03-31 | Basf Se | Liquid composition comprising peptide aldehyde |
| CN116574565A (en) * | 2023-04-24 | 2023-08-11 | 大连奥首科技有限公司 | A kind of flux cleaning agent for chip packaging, its preparation method and application |
Non-Patent Citations (23)
| Title |
|---|
| "Detergent Cake, Dishwashing Detergents, Liquid & Paste Detergents, Enzyme Detergents, Cleaning Powder & Spray Dried Washing Powder", 2015, ENGINEERS INDIA RESEARCH INSTITUTE (EIRI |
| "Detergent Formulations Encyclopedia", 2016, SOLVERCHEM PUBLICATIONS |
| "Enzyme Nomenclature, Recommendations", 1992, article "Nomenclature Committee of the International Union of Biochemistry and Molecular Biology" |
| "Methods in Enzymology", vol. 160, 1988, pages: 200 - 391 |
| "UniProt", Database accession no. 10/26/2011 |
| BÉGUIN, P.: "Molecular Biology of Cellulose Degradation", ANNU. REV. MICROBIOL., vol. 44, 1990, pages 219248 |
| BEGUN, P.AUBERT, J-P.: "The biological degradation of cellulose", FEMS MICROBIOLOGY REVIEWS, vol. 13, 1994, pages 25 - 58 |
| DELMAR ET AL., ANALYTICAL BIOCHEM, vol. 99, 1979, pages 316 - 320 |
| EL SMITH ET AL., J. BIOL CHEM, vol. 243, 1968, pages 2184 - 2191 |
| GUPTA ET AL., APPL. MICROBIOL. BIOTECHNOL., vol. 60, 2002, pages 381 - 395 |
| HENRISSAT, B.: "Cellulases and their interaction with cellulose", CELLULOSE, vol. 1, 1994, pages 169 - 196, XP009062749, DOI: 10.1007/BF00813506 |
| HOFFMAN, W. S., J. BIOL. CHEM., vol. 120, 1937, pages 51 |
| ISIDRO-LLOBET ET AL.: "Amino Acid-Protecting Groups", CHEM. REV., vol. 109, no. 6, 2009, pages 2455 - 2504, XP055559012, DOI: 10.1021/cr800323s |
| JA WELLS ET AL., NUCLEIC ACIDS RESEARCH, vol. 11, 1983, pages 7911 - 7925 |
| JACOBS ET AL., NUCL. ACIDS RES, vol. 13, 1985, pages 8913 - 8926 |
| M. H. BOYER, BIOCHEMISTRY, vol. 162, 1987, pages 311 - 316 |
| MCCLEARY, B. V., CARBOHYDRATE RESEARCH, vol. 67, no. 1, 1978, pages 213 - 221 |
| MILLER, G. L.: "Use of Dinitrosalicylic Acid Reagent for Determination of Reducing Sugars", ANALYTICAL CHEMISTRY, vol. 31, 1959, pages 426 - 428 |
| NEEDLEMANWUNSCH, J. MOL. BIOL., vol. 48, 1979, pages 443 - 453 |
| PETER G. M. WUTS: "Greene's Protective Groups in Organic Synthesis", 2014, JOHN WILEY & SONS, INC |
| R. SIEZEN: "Subtilisin enzymes", 1996, article "Subtilases: Subtilisin-like Proteases", pages: 75 - 95 |
| T.-M. ENVERIW.M. FOGARTY: "Microbial Enzymes and Biotechnology", 1983, APPLIED SCIENCE PUBLISHERS, article "Microbial Cellulases", pages: 183 - 224 |
| VASANTHA ET AL., J. BACTERIOL., vol. 159, 1984, pages 811 - 819 |
Similar Documents
| Publication | Publication Date | Title |
|---|---|---|
| US11214777B2 (en) | Method for using lipase enzymes for cleaning | |
| US11732250B2 (en) | Lipase enzymes | |
| CA3043443A1 (en) | Stabilization of enzymes in compositions | |
| WO2021074430A1 (en) | Storage-stable hydrolase containing liquids | |
| EP4612287A1 (en) | Polypeptides having protease activity for use in detergent compositions | |
| US20210395651A1 (en) | Compounds stabilizing hydrolases in liquids | |
| WO2024094733A1 (en) | Polypeptides having protease activity for use in detergent compositions | |
| WO2022063699A1 (en) | Improved combination of protease and protease inhibitor with secondary enzyme | |
| US20220112479A1 (en) | Compounds stabilizing amylases in liquids | |
| CN112840021A (en) | Compounds for stabilizing hydrolases in liquids | |
| WO2025093368A1 (en) | Enzyme stabilization in compositions containing a protease inhibitor | |
| WO2022063698A1 (en) | Liquid composition comprising peptide aldehyde | |
| US20210115422A1 (en) | Amylase enzymes | |
| EP3677676A1 (en) | Compounds stabilizing amylases in liquids | |
| WO2025202374A1 (en) | Polypeptides having protease activity for use in detergent compositions | |
| EP4624572A1 (en) | Polypeptides having protease activity for use in detergent compositions | |
| WO2025202372A1 (en) | Polypeptides having protease activity for use in detergent compositions | |
| WO2025202379A1 (en) | Polypeptides having protease activity for use in detergent compositions | |
| WO2025202369A1 (en) | Polypeptides having protease activity for use in detergent compositions | |
| EP4389864A1 (en) | Cutinases | |
| WO2025202370A1 (en) | Polypeptides having protease activity for use in detergent compositions |
Legal Events
| Date | Code | Title | Description |
|---|---|---|---|
| 121 | Ep: the epo has been informed by wipo that ep was designated in this application |
Ref document number: 24793818 Country of ref document: EP Kind code of ref document: A1 |





























