WO2011105506A1 - 環状アミン化合物および殺ダニ剤 - Google Patents
環状アミン化合物および殺ダニ剤 Download PDFInfo
- Publication number
- WO2011105506A1 WO2011105506A1 PCT/JP2011/054173 JP2011054173W WO2011105506A1 WO 2011105506 A1 WO2011105506 A1 WO 2011105506A1 JP 2011054173 W JP2011054173 W JP 2011054173W WO 2011105506 A1 WO2011105506 A1 WO 2011105506A1
- Authority
- WO
- WIPO (PCT)
- Prior art keywords
- group
- substituted
- unsubstituted
- alkoxy
- formula
- Prior art date
- Legal status (The legal status is an assumption and is not a legal conclusion. Google has not performed a legal analysis and makes no representation as to the accuracy of the status listed.)
- Ceased
Links
- 0 COCOC(C1)(CC1(*)*=C1)*1=C Chemical compound COCOC(C1)(CC1(*)*=C1)*1=C 0.000 description 3
Classifications
-
- C—CHEMISTRY; METALLURGY
- C07—ORGANIC CHEMISTRY
- C07D—HETEROCYCLIC COMPOUNDS
- C07D451/00—Heterocyclic compounds containing 8-azabicyclo [3.2.1] octane, 9-azabicyclo [3.3.1] nonane, or 3-oxa-9-azatricyclo [3.3.1.0<2,4>] nonane ring systems, e.g. tropane or granatane alkaloids, scopolamine; Cyclic acetals thereof
- C07D451/02—Heterocyclic compounds containing 8-azabicyclo [3.2.1] octane, 9-azabicyclo [3.3.1] nonane, or 3-oxa-9-azatricyclo [3.3.1.0<2,4>] nonane ring systems, e.g. tropane or granatane alkaloids, scopolamine; Cyclic acetals thereof containing not further condensed 8-azabicyclo [3.2.1] octane or 3-oxa-9-azatricyclo [3.3.1.0<2,4>] nonane ring systems, e.g. tropane; Cyclic acetals thereof
- C07D451/04—Heterocyclic compounds containing 8-azabicyclo [3.2.1] octane, 9-azabicyclo [3.3.1] nonane, or 3-oxa-9-azatricyclo [3.3.1.0<2,4>] nonane ring systems, e.g. tropane or granatane alkaloids, scopolamine; Cyclic acetals thereof containing not further condensed 8-azabicyclo [3.2.1] octane or 3-oxa-9-azatricyclo [3.3.1.0<2,4>] nonane ring systems, e.g. tropane; Cyclic acetals thereof with hetero atoms directly attached in position 3 of the 8-azabicyclo [3.2.1] octane or in position 7 of the 3-oxa-9-azatricyclo [3.3.1.0<2,4>] nonane ring system
- C07D451/06—Oxygen atoms
-
- A—HUMAN NECESSITIES
- A01—AGRICULTURE; FORESTRY; ANIMAL HUSBANDRY; HUNTING; TRAPPING; FISHING
- A01N—PRESERVATION OF BODIES OF HUMANS OR ANIMALS OR PLANTS OR PARTS THEREOF; BIOCIDES, e.g. AS DISINFECTANTS, AS PESTICIDES OR AS HERBICIDES; PEST REPELLANTS OR ATTRACTANTS; PLANT GROWTH REGULATORS
- A01N43/00—Biocides, pest repellants or attractants, or plant growth regulators containing heterocyclic compounds
- A01N43/34—Biocides, pest repellants or attractants, or plant growth regulators containing heterocyclic compounds having rings with one nitrogen atom as the only ring hetero atom
- A01N43/40—Biocides, pest repellants or attractants, or plant growth regulators containing heterocyclic compounds having rings with one nitrogen atom as the only ring hetero atom six-membered rings
- A01N43/42—Biocides, pest repellants or attractants, or plant growth regulators containing heterocyclic compounds having rings with one nitrogen atom as the only ring hetero atom six-membered rings condensed with carbocyclic rings
-
- A—HUMAN NECESSITIES
- A01—AGRICULTURE; FORESTRY; ANIMAL HUSBANDRY; HUNTING; TRAPPING; FISHING
- A01N—PRESERVATION OF BODIES OF HUMANS OR ANIMALS OR PLANTS OR PARTS THEREOF; BIOCIDES, e.g. AS DISINFECTANTS, AS PESTICIDES OR AS HERBICIDES; PEST REPELLANTS OR ATTRACTANTS; PLANT GROWTH REGULATORS
- A01N43/00—Biocides, pest repellants or attractants, or plant growth regulators containing heterocyclic compounds
- A01N43/48—Biocides, pest repellants or attractants, or plant growth regulators containing heterocyclic compounds having rings with two nitrogen atoms as the only ring hetero atoms
- A01N43/54—1,3-Diazines; Hydrogenated 1,3-diazines
-
- A—HUMAN NECESSITIES
- A01—AGRICULTURE; FORESTRY; ANIMAL HUSBANDRY; HUNTING; TRAPPING; FISHING
- A01N—PRESERVATION OF BODIES OF HUMANS OR ANIMALS OR PLANTS OR PARTS THEREOF; BIOCIDES, e.g. AS DISINFECTANTS, AS PESTICIDES OR AS HERBICIDES; PEST REPELLANTS OR ATTRACTANTS; PLANT GROWTH REGULATORS
- A01N43/00—Biocides, pest repellants or attractants, or plant growth regulators containing heterocyclic compounds
- A01N43/48—Biocides, pest repellants or attractants, or plant growth regulators containing heterocyclic compounds having rings with two nitrogen atoms as the only ring hetero atoms
- A01N43/56—1,2-Diazoles; Hydrogenated 1,2-diazoles
-
- A—HUMAN NECESSITIES
- A01—AGRICULTURE; FORESTRY; ANIMAL HUSBANDRY; HUNTING; TRAPPING; FISHING
- A01N—PRESERVATION OF BODIES OF HUMANS OR ANIMALS OR PLANTS OR PARTS THEREOF; BIOCIDES, e.g. AS DISINFECTANTS, AS PESTICIDES OR AS HERBICIDES; PEST REPELLANTS OR ATTRACTANTS; PLANT GROWTH REGULATORS
- A01N43/00—Biocides, pest repellants or attractants, or plant growth regulators containing heterocyclic compounds
- A01N43/48—Biocides, pest repellants or attractants, or plant growth regulators containing heterocyclic compounds having rings with two nitrogen atoms as the only ring hetero atoms
- A01N43/58—1,2-Diazines; Hydrogenated 1,2-diazines
-
- A—HUMAN NECESSITIES
- A01—AGRICULTURE; FORESTRY; ANIMAL HUSBANDRY; HUNTING; TRAPPING; FISHING
- A01N—PRESERVATION OF BODIES OF HUMANS OR ANIMALS OR PLANTS OR PARTS THEREOF; BIOCIDES, e.g. AS DISINFECTANTS, AS PESTICIDES OR AS HERBICIDES; PEST REPELLANTS OR ATTRACTANTS; PLANT GROWTH REGULATORS
- A01N43/00—Biocides, pest repellants or attractants, or plant growth regulators containing heterocyclic compounds
- A01N43/72—Biocides, pest repellants or attractants, or plant growth regulators containing heterocyclic compounds having rings with nitrogen atoms and oxygen or sulfur atoms as ring hetero atoms
- A01N43/80—Biocides, pest repellants or attractants, or plant growth regulators containing heterocyclic compounds having rings with nitrogen atoms and oxygen or sulfur atoms as ring hetero atoms five-membered rings with one nitrogen atom and either one oxygen atom or one sulfur atom in positions 1,2
-
- A—HUMAN NECESSITIES
- A01—AGRICULTURE; FORESTRY; ANIMAL HUSBANDRY; HUNTING; TRAPPING; FISHING
- A01N—PRESERVATION OF BODIES OF HUMANS OR ANIMALS OR PLANTS OR PARTS THEREOF; BIOCIDES, e.g. AS DISINFECTANTS, AS PESTICIDES OR AS HERBICIDES; PEST REPELLANTS OR ATTRACTANTS; PLANT GROWTH REGULATORS
- A01N43/00—Biocides, pest repellants or attractants, or plant growth regulators containing heterocyclic compounds
- A01N43/72—Biocides, pest repellants or attractants, or plant growth regulators containing heterocyclic compounds having rings with nitrogen atoms and oxygen or sulfur atoms as ring hetero atoms
- A01N43/88—Biocides, pest repellants or attractants, or plant growth regulators containing heterocyclic compounds having rings with nitrogen atoms and oxygen or sulfur atoms as ring hetero atoms six-membered rings with three ring hetero atoms
-
- A—HUMAN NECESSITIES
- A01—AGRICULTURE; FORESTRY; ANIMAL HUSBANDRY; HUNTING; TRAPPING; FISHING
- A01N—PRESERVATION OF BODIES OF HUMANS OR ANIMALS OR PLANTS OR PARTS THEREOF; BIOCIDES, e.g. AS DISINFECTANTS, AS PESTICIDES OR AS HERBICIDES; PEST REPELLANTS OR ATTRACTANTS; PLANT GROWTH REGULATORS
- A01N43/00—Biocides, pest repellants or attractants, or plant growth regulators containing heterocyclic compounds
- A01N43/90—Biocides, pest repellants or attractants, or plant growth regulators containing heterocyclic compounds having two or more relevant hetero rings, condensed among themselves or with a common carbocyclic ring system
-
- A—HUMAN NECESSITIES
- A61—MEDICAL OR VETERINARY SCIENCE; HYGIENE
- A61P—SPECIFIC THERAPEUTIC ACTIVITY OF CHEMICAL COMPOUNDS OR MEDICINAL PREPARATIONS
- A61P33/00—Antiparasitic agents
-
- A—HUMAN NECESSITIES
- A61—MEDICAL OR VETERINARY SCIENCE; HYGIENE
- A61P—SPECIFIC THERAPEUTIC ACTIVITY OF CHEMICAL COMPOUNDS OR MEDICINAL PREPARATIONS
- A61P33/00—Antiparasitic agents
- A61P33/10—Anthelmintics
-
- A—HUMAN NECESSITIES
- A61—MEDICAL OR VETERINARY SCIENCE; HYGIENE
- A61P—SPECIFIC THERAPEUTIC ACTIVITY OF CHEMICAL COMPOUNDS OR MEDICINAL PREPARATIONS
- A61P33/00—Antiparasitic agents
- A61P33/14—Ectoparasiticides, e.g. scabicides
-
- C—CHEMISTRY; METALLURGY
- C07—ORGANIC CHEMISTRY
- C07D—HETEROCYCLIC COMPOUNDS
- C07D491/00—Heterocyclic compounds containing in the condensed ring system both one or more rings having oxygen atoms as the only ring hetero atoms and one or more rings having nitrogen atoms as the only ring hetero atoms, not provided for by groups C07D451/00 - C07D459/00, C07D463/00, C07D477/00 or C07D489/00
- C07D491/02—Heterocyclic compounds containing in the condensed ring system both one or more rings having oxygen atoms as the only ring hetero atoms and one or more rings having nitrogen atoms as the only ring hetero atoms, not provided for by groups C07D451/00 - C07D459/00, C07D463/00, C07D477/00 or C07D489/00 in which the condensed system contains two hetero rings
- C07D491/04—Ortho-condensed systems
- C07D491/044—Ortho-condensed systems with only one oxygen atom as ring hetero atom in the oxygen-containing ring
- C07D491/052—Ortho-condensed systems with only one oxygen atom as ring hetero atom in the oxygen-containing ring the oxygen-containing ring being six-membered
Definitions
- the present invention relates to cyclic amine compounds and acaricides. More specifically, the present invention relates to a cyclic amine compound and an acaricide having excellent acaricidal activity, excellent characteristics and safety, and can be synthesized advantageously industrially.
- This application includes Japanese Patent Application No. 2010-039839 filed in Japan on February 25, 2010, Japanese Patent Application No. 2010-117392 filed in Japan on May 21, 2010, and October 4, 2010. Claim priority based on Japanese Patent Application No. 2010-224844 filed in Japan, the contents of which are incorporated herein.
- Patent Document 1 discloses a compound represented by the formula (A). This compound is stated to be effective as a serotonin 4 receptor stimulant. However, in the formula (A), no specific synthesis method and effect are described for a compound in which X is an oxygen atom, Y is an alkoxy group, and q is 0.
- Patent Document 2 discloses a compound represented by formula (B), a salt of a compound represented by formula (B), an N-oxide, a compound represented by formula (B), and the like as active ingredients.
- a pest control agent is disclosed.
- R 1 is a hydroxyl group, etc.
- m is 0 or an integer of 1 to 5
- R 2 is a halogen atom, etc.
- k is 0 or an integer of 1 to 4
- R 3 , R 31 , R 4 , R 41 , R 5 , R 51 , R 6 , R 61 and R 7 each independently represents a hydrogen atom or the like
- X represents an oxygen atom or the like
- n represents 0 or 1 .
- Patent Document 3 discloses an N-pyridylpiperidine compound represented by the formula (C). It is disclosed that the compound represented by the formula (C) has an acaricidal activity against mites and rust mites.
- R 1 represents a halogen atom, a C 1-4 haloalkyl group, a cyano group, a nitro group, or a C 1-4 alkoxycarbonyl group.
- R 2 , R 3 , R 4 , R 5 , R 6 , R 7 , R 8 and R 9 each represent a hydrogen atom or a C 1-4 alkyl group
- R 10 represents a hydrogen atom, etc.
- R 11 represents a halogen atom, etc.
- X represents an oxygen atom Or represents a sulfur atom
- m represents an integer of 1 to 4
- n represents an integer of 1 or 2.
- this invention makes it a subject to provide the novel cyclic amine compound and acaricide which have the outstanding acaricidal activity, are excellent in a characteristic and safety
- a cyclic amine compound having a specific structure or a salt thereof has excellent acaricidal activity and exhibits good characteristics and high safety. I found out that it could become a mite agent. Further, the inventors have found that a hydroxyamine compound having a specific structure or a salt thereof is suitable as an intermediate for synthesizing a cyclic amine compound having a specific structure or a salt thereof. The present invention has been completed based on these findings.
- the present invention includes the following.
- [1] A cyclic amine compound represented by the formula (I) or a salt thereof.
- Cy 1 and Cy 2 each independently represent a C6-10 aryl group or a heterocyclyl group.
- R 1a , R 1b , R 2a , R 2b , R 3a , R 3b , R 4a , R 4b , and R 5a each independently represent a hydrogen atom, or an unsubstituted or substituted group.
- R 1a and R 2a or R 3a and R 4a are taken together to represent a C1-6 alkyl group having An unsubstituted or substituted C3-6 alkylene group, an unsubstituted or substituted C3-6 alkenylene group, a group represented by the formula: —CH 2 OCH 2 —, a formula: —CH 2 SCH 2 — A group represented by the formula: —CH 2 C ( ⁇ O) CH 2 —, or a group represented by the formula: —CH 2 NR 6 CH 2 — (wherein R 6 represents a hydrogen atom An unsubstituted or substituted C1-6 alkyl group, an unsubstituted or substituted C1-7 acyl group, or an unsubstituted or substituted C1-6 alkoxycarbonyl group.
- R 10 , R 11 , R 20 , and R 21 each independently represents an unsubstituted or substituted C1-6 alkyl group, an unsubstituted or substituted C3-8 cyclo An alkyl group, an unsubstituted or substituted C2-6 alkenyl group, an unsubstituted or substituted C2-6 alkynyl group, a hydroxyl group, an oxo group, an unsubstituted or substituted C1-6 alkoxy group, Unsubstituted or substituted C3-8 cycloalkoxy group, unsubstituted or substituted C2-6 alkenyloxy group, unsubstituted or substituted C2-6 alkynyloxy group, carboxyl group, unsubstituted Or substituted or unsubstituted C1-7 acyl group, unsubstituted or substituted C1-6 alkoxycarbonyl group, unsubstituted or substituted C3-8 cyclo An alkyl group
- R 10 or R on Cy 1 11 is in each or one another or together with the linking atoms on Cy 1 may form a ring, R 20 or R 21 on Cy 2,, May form a ring within each other or with each other or with atoms bonded to each other on Cy 2 .
- M in the formula (I) represents the number of R 10 and is an integer of 0 to 5. When m is 2 or more, R 10 may be the same as or different from each other.
- N in the formula (I) represents the number of R 11 and is an integer of 0 to 5. When n is 2 or more, R 11 may be the same as or different from each other.
- P in the formula (I) represents the number of R 20 and is an integer of 0 to 5.
- R 20 When p is 2 or more, R 20 may be the same as or different from each other.
- R in the formula (I) represents the number of R 21 and is an integer of 0 to 5. When r is 2 or more, R 21 may be the same or different from each other.
- Y in the formula (I) represents an oxygen atom or a sulfur atom.
- Cy 1 is a phenyl group, pyrazolyl group, thiadiazolyl group, pyridyl group, pyrimidinyl group, or pyridazinyl group
- Cy 2 is a phenyl group, pyrazolyl group, thiadiazolyl group, pyridyl
- R 10 in the formula (I) is a C1-6 alkyl group, a C1-6 alkoxy C1-6 alkyl group, a C1-6 alkoxy C1-6 alkoxy C1-6 alkyl group, a C2-6 alkenyl group, a hydroxyl group C1-6 alkoxy group, C1-6 haloalkoxy group, C3-8 cycloalkoxy group, C2-6 alkenyloxy group, C2-6 haloalkenyloxy group, C2-6 alkynyloxy group, C2-6 haloalkynyloxy group C1-6 alkoxy C1-6 alkoxy group, C3-8 cycloalkyl C1-6 alkoxy group, cyano C1-6 alkoxy group, C1-7 acyl C1-6 alkoxy group, hydroxy C1-6 alkoxy group, C1-7 acyloxy Group, C1-6 alkoxycarbonyl group, C2-6 alkenyloxycarbonyl group, C2-6 alkynyloxycarbonyl Bonyl group,
- Cy 1 is a phenyl group
- R 1b , R 2b , R 3a , R 3b , R 4a , R 4b and R 5a are hydrogen atoms
- R 1a and R 2a are, together, an unsubstituted or substituted C3-6 alkylene group, an unsubstituted or substituted C3-6 alkenylene group, a formula: —CH 2 OCH 2 A group represented by —, a group represented by the formula: —CH 2 SCH 2 —, a group represented by the formula: —CH 2 C ( ⁇ O) CH 2 —, or a formula: —CH 2 NR 6 CH 2 A group represented by-wherein R 6 is a hydrogen atom, an unsubstituted or substituted C1-6 alkyl group, an unsubstituted or substituted C1-7 acyl group, or an unsubstituted or substituted group A C1-6 alkoxycarbonyl group having a group; Cy 2
- R 10 , m, R 11 , n and R 20 in the formula (II) have the same meaning as those in the formula (I).
- A represents an unsubstituted or substituted C3-6 alkylene group, an unsubstituted or substituted C3-6 alkenylene group, a group represented by the formula: —CH 2 OCH 2 —
- R 6 is a hydrogen atom, an unsubstituted or substituted C1-6 alkyl group, an unsubstituted or substituted C1-7 acyl group, or an unsubstituted or substituted C1-6 Represents an alkoxycarbonyl group.
- P ′ in the formula (II) represents the number of R 20 and is an integer of 0 to 4. When p ′ is 2 or more, R 20 may be the same as or different from each other.
- R 10 in the formula (II) is a C1-6 alkyl group, a C1-6 alkoxy C1-6 alkyl group, a C1-6 alkoxy C1-6 alkoxy C1-6 alkyl group, a C2-6 alkenyl group, a hydroxyl group C1-6 alkoxy group, C1-6 haloalkoxy group, C3-8 cycloalkoxy group, C2-6 alkenyloxy group, C2-6 haloalkenyloxy group, C2-6 alkynyloxy group, C2-6 haloalkynyloxy group C1-6 alkoxy C1-6 alkoxy group, C3-8 cycloalkyl C1-6 alkoxy group, cyano C1-6 alkoxy group, C1-7 acyl C1-6 alkoxy group, hydroxy C1-6 alkoxy group, C1-7 acyloxy Group, C1-6 alkoxycarbonyl group, C2-6 alkenyloxycarbonyl group, C2-6 alkynyloxycarbonyl Bonyl group
- a pest control agent comprising, as an active ingredient, at least one selected from the cyclic amine compound or a salt thereof according to any one of [1] to [6].
- An acaricide containing as an active ingredient at least one selected from the cyclic amine compounds or salts thereof according to any one of [1] to [6].
- Cy 1 in formula (III) represents a C6-10 aryl group or a heterocyclyl group.
- R ⁇ 1a> , R ⁇ 1b> , R ⁇ 2a> , R ⁇ 2b> , R ⁇ 3a> , R ⁇ 3b> , R ⁇ 4a> , R ⁇ 4b> and R ⁇ 5a > in formula (III) each independently represents a hydrogen atom, or an unsubstituted or substituted group.
- R 1a and R 2a or R 3a and R 4a together have an unsubstituted or substituted C3-6 alkylene group, an unsubstituted or substituted group.
- a C3-6 alkenylene group a group represented by the formula: —CH 2 OCH 2 —, a group represented by the formula: —CH 2 SCH 2 —, a formula: —CH 2 C ( ⁇ O) CH 2 — Or a group represented by the formula: —CH 2 NR 6 CH 2 — (wherein R 6 represents a hydrogen atom, an unsubstituted or substituted C1-6 alkyl group, an unsubstituted or substituted group, Having a C1-7 acyl group, or an unsubstituted or substituted C1-6 alkoxy group Forming a indicating the group.).
- R 10 and R 11 in formula (III) are each independently an unsubstituted or substituted C1-6 alkyl group, an unsubstituted or substituted C3-8 cycloalkyl group, an unsubstituted Or a substituted C2-6 alkenyl group, an unsubstituted or substituted C2-6 alkynyl group, a hydroxyl group, an oxo group, an unsubstituted or substituted C1-6 alkoxy group, an unsubstituted or substituted group Having a C3-8 cycloalkoxy group having, an unsubstituted or substituted C2-6 alkenyloxy group, an unsubstituted or substituted C2-6 alkynyloxy group, a carboxyl group, an unsubstituted or substituted group C1-7 acyl group, unsubstituted or substituted C1-6 alkoxycarbonyl group, unsubstituted or substituted C3-8 A cycloalky
- R 10 or R 11 on Cy 1 is in each or one another, or may form a ring together with the atoms connecting on Cy 1.
- M in the formula (III) represents the number of R 10 and is an integer of 0 to 5.
- R 10 may be the same as or different from each other.
- N in the formula (III) represents the number of R 11 and is an integer of 0 to 5.
- R 11 may be the same as or different from each other.
- Cy 1 is a phenyl group, a pyrazolyl group, a thiadiazolyl group, a pyridyl group, a pyrimidinyl group, or a pyridazinyl group.
- R 10 in the formula (III) is a C1-6 alkyl group, a C1-6 alkoxy C1-6 alkyl group, a C1-6 alkoxy C1-6 alkoxy C1-6 alkyl group, a C2-6 alkenyl group, a hydroxyl group C1-6 alkoxy group, C1-6 haloalkoxy group, C3-8 cycloalkoxy group, C2-6 alkenyloxy group, C2-6 haloalkenyloxy group, C2-6 alkynyloxy group, C2-6 haloalkynyloxy group C1-6 alkoxy C1-6 alkoxy group, C3-8 cycloalkyl C1-6 alkoxy group, cyano C1-6 alkoxy group, C1-7 acyl C1-6 alkoxy group, hydroxy C1-6 alkoxy group, C1-7 acyloxy Group, C1-6 alkoxycarbonyl group, C2-6 alkenyloxycarbonyl group, C2-6 alkynyloxy Carbonyl group, C1-6 alkyl
- the cyclic amine compound or salt thereof according to the present invention can effectively control mites that are harmful in terms of crops and hygiene.
- the cyclic amine compound or salt thereof according to the present invention can be easily synthesized.
- the cyclic amine compound according to the present invention is a compound represented by formula (I) or formula (II).
- the salt of the cyclic amine compound according to the present invention is a salt of the compound represented by formula (I) or formula (II).
- the term “unsubstituted” means only a group serving as a mother nucleus. When there is no description of “having a substituent” and only the name of the group serving as a mother nucleus is used, it means “unsubstituted” unless otherwise specified.
- the term “having a substituent” means that any hydrogen atom of a group serving as a mother nucleus is substituted with a group having the same or different structure from the mother nucleus.
- the number of substituents may be one, or two or more. Two or more substituents may be the same or different. Terms such as “C1-6” indicate that the group serving as the mother nucleus has 1 to 6 carbon atoms. This number of carbon atoms does not include the number of carbon atoms present in the substituent. For example, a butyl group having an ethoxy group as a substituent is classified as a C2 alkoxy C4 alkyl group.
- the “substituent” is not particularly limited as long as it is chemically acceptable and has the effects of the present invention.
- the group that can be a “substituent” include halogen atoms such as fluorine atom, chlorine atom, bromine atom, iodine atom; methyl group, ethyl group, n-propyl group, i-propyl group, n-butyl group, s-butyl C1-6 alkyl group such as a group, i-butyl group, t-butyl group, n-pentyl group, n-hexyl group; C3-8 such as cyclopropyl group, cyclobutyl group, cyclopentyl group, cyclohexyl group, cycloheptyl group A cycloalkyl group; a vinyl group, a 1-propenyl group, a 2-propenyl group, a 1-butenyl group, a 2-
- C1-6 alkoxy groups such as methoxy group, ethoxy group, n-propoxy group, i-propoxy group, n-butoxy group, s-butoxy group, i-butoxy group, t-butoxy group; vinyloxy group, allyloxy group, propenyl C2-6 alkenyloxy groups such as oxy and butenyloxy groups; C2-6 alkynyloxy groups such as ethynyloxy and propargyloxy groups; C6-10 aryl groups such as phenyl and naphthyl groups; phenoxy groups and 1-naphthoxy groups C7-10 aryloxy group such as benzyl group, phenethyl group, etc .; C7-11 aralkyloxy group such as benzyloxy group, phenethyloxy group; formyl group, acetyl group, propionyl group, benzoyl group, Such as cyclohexylcarbonyl group 1-7
- C1-6 alkylsulfinyl groups such as methylsulfinyl group, ethylsulfinyl group, t-butylsulfinyl group; C2-6 alkenylsulfinyl groups such as allylsulfinyl group; C2-6 alkynylsulfinyl groups such as propargylsulfinyl group; phenylsulfinyl group, etc.
- 5-membered heteroaryl groups such as pyrrolyl, furyl, thienyl, imidazolyl, pyrazolyl, oxazolyl, isoxazolyl, thiazolyl, isothiazolyl, triazolyl, oxadiazolyl, thiadiazolyl, tetrazolyl; pyridyl, pyrazinyl Groups, 6-membered heteroaryl groups such as pyrimidinyl group, pyridazinyl group, triazinyl group; saturated heterocyclyl groups such as aziridinyl group, epoxy group, pyrrolidinyl group, tetrahydrofuranyl group, piperidyl group, piperazinyl group, morpholinyl group; trimethylsilyl group, triethylsilyl And a tri-C1-6 alkyl-substituted silyl group such as a t-butyldimethylsilyl group;
- substituteduents may have another “substituent”.
- Cy 1 and Cy 2 in formula (I) each independently represent a C6-10 aryl group or a heterocyclyl group.
- the “C6-10 aryl group” in Cy 1 and Cy 2 may be monocyclic or polycyclic. In the polycyclic aryl group, as long as at least one ring is an aromatic ring, the remaining ring may be a saturated alicyclic ring, an unsaturated alicyclic ring, or an aromatic ring. Examples of the C6-10 aryl group include phenyl group, naphthyl group, azulenyl group, indenyl group, indanyl group, tetralinyl group and the like. Of these, the “C6-10 aryl group” in Cy 1 or Cy 2 is preferably a phenyl group.
- the “heterocyclyl group” in Cy 1 and Cy 2 includes 1 to 4 heteroatoms selected from a nitrogen atom, an oxygen atom and a sulfur atom as atoms constituting the ring.
- the heterocyclyl group may be monocyclic or polycyclic. Examples of the heterocyclyl group include a 5-membered heteroaryl group, a 6-membered heteroaryl group, a condensed heteroaryl group, a saturated heterocyclyl group, and a partially unsaturated heterocyclyl group.
- 5-membered heteroaryl groups include: pyrrolyl groups such as pyrrol-1-yl, pyrrol-2-yl, and pyrrol-3-yl; furyl groups such as furan-2-yl and furan-3-yl ; Thienyl groups such as thiophen-2-yl group and thiophen-3-yl group; imidazolyl groups such as imidazol-1-yl group, imidazol-2-yl group, imidazol-4-yl group and imidazol-5-yl group A pyrazolyl group such as a pyrazol-1-yl group, a pyrazol-3-yl group, a pyrazol-4-yl group, a pyrazol-5-yl group; an oxazol-2-yl group, an oxazol-4-yl group, an oxazole-5 -Oxazolyl groups such as yl groups; isoxazol-3-yl groups, isox
- the 6-membered heteroaryl group includes pyridyl groups such as pyridin-2-yl group, pyridin-3-yl group and pyridin-4-yl group; pyrazinyl groups such as pyrazin-2-yl group and pyrazin-3-yl group A pyrimidinyl group such as a pyrimidin-2-yl group, a pyrimidin-4-yl group and a pyrimidin-5-yl group; a pyridazinyl group such as a pyridazin-3-yl group and a pyridazin-4-yl group; a triazinyl group; It is done.
- Condensed heteroaryl groups include indol-1-yl, indol-2-yl, indol-3-yl, indol-4-yl, indol-5-yl, indol-6-yl, and indole -7-yl group; benzofuran-2-yl group, benzofuran-3-yl group, benzofuran-4-yl group, benzofuran-5-yl group, benzofuran-6-yl group, benzofuran-7-yl group; benzothiophene -2-yl group, benzothiophen-3-yl group, benzothiophen-4-yl group, benzothiophen-5-yl group, benzothiophen-6-yl group, benzothiophen-7-yl group; -Yl group, benzimidazol-2-yl group, benzimidazol-4-yl group, benzimidazol-5-i Group, benzoxazol-2-yl group,
- heterocyclyl groups include: aziridin-1-yl group, aziridin-2-yl group, epoxy group; pyrrolidin-1-yl group, pyrrolidin-2-yl group, pyrrolidin-3-yl group, tetrahydrofuran-2-yl Group, tetrahydrofuran-3-yl group; [1,3] dioxiran-2-yl group, [1,3] dioxiran-4-yl group; piperidin-1-yl group, piperidin-2-yl group, piperidin-3 -Yl group, piperidin-4-yl group, piperazin-1-yl group, piperazin-2-yl group, morpholin-2-yl group, morpholin-3-yl group, morpholin-4-yl group; Benzodioxol-4-yl group, 1,3-benzodioxol-5-yl group, 1,4-benzodioxan-5-yl group, 1,4-benzodio San
- the “heterocyclyl group” in Cy 1 or Cy 2 is preferably a 5-membered heteroaryl group or a 6-membered heteroaryl group, and more preferably a pyrazolyl group, a thiadiazolyl group, a pyridyl group, a pyrimidinyl group, or a pyridazinyl group. preferable.
- Cy 1 is preferably a phenyl group
- Cy 2 is preferably a pyridyl group.
- R 1a , R 1b , R 2a , R 2b , R 3a , R 3b , R 4a , R 4b and R 5a In the formula (I), R 1a , R 1b , R 2a , R 2b , R 3a , R 3b , R 4a , R 4b and R 5a (hereinafter, these may be referred to as R 1a etc.), respectively.
- R 1a and R 2a or R 3a and R 4a together have an unsubstituted or substituted group A C3-6 alkylene group, an unsubstituted or substituted C3-6 alkenylene group, a group represented by the formula: —CH 2 OCH 2 —, a group represented by the formula: —CH 2 SCH 2 —, a formula: A group represented by —CH 2 C ( ⁇ O) CH 2 — or a group represented by the formula: —CH 2 NR 6 CH 2 — (wherein R 6 represents a hydrogen atom, an unsubstituted or substituted group; Having a C1-6 alkyl group, an unsubstituted or substituted C1-7 acyl group, or unsubstituted or Represents a C1-6 alkoxycarbonyl group having a substituent.
- the “C1-6 alkyl group” in R 1a and the like may be linear or branched.
- Examples of the alkyl group include methyl group, ethyl group, n-propyl group, n-butyl group, n-pentyl group, n-hexyl group, i-propyl group, i-butyl group, s-butyl group and t-butyl group.
- Examples of the “substituted C1-6 alkyl group” in R 1a etc. include C3- 8 cycloalkyl C1-6 alkyl group; fluoromethyl group, chloromethyl group, bromomethyl group, difluoromethyl group, dichloromethyl group, dibromomethyl group, trifluoromethyl group, trichloromethyl group, tribromomethyl group, 2,2, 2-trifluoroethyl group, 2,2,2-trichloroethyl group, pentafluoroethyl group, 4-fluorobutyl group, 4-chlorobutyl group, 3,3,3-trifluoropropyl group, 2,2,2- Trifluoro-1-trifluoromethylethyl group, perfluorohexyl group, perchlor Hexyl group, perfluoro-lipped group, perchloropentyl group, 2,4,6-trichloro-hexyl group, hexafluoroisopropyl group, pen
- Hydroxy C1-6 alkyl groups such as hydroxymethyl group, 2-hydroxyethyl group; methoxymethyl group, ethoxymethyl group, methoxyethyl group, ethoxyethyl group, methoxy-n-propyl group, n-propoxymethyl group, i-propoxy group C1-6 alkoxy C1-6 alkyl groups such as a methyl group, i-propoxyethyl group, s-butoxymethyl group, t-butoxyethyl group; methoxymethoxymethyl group, 1-methoxyethoxymethyl group, 2-methoxyethoxymethyl group
- a C1-6 alkoxy C1-6 alkoxy C1-6 alkyl group such as 2- (1-methoxyethoxy) ethyl group, 2- (2-methoxyethoxy) ethyl group; dimethoxymethyl group, diethoxymethyl group, 2,2 -Dimethoxyethyl group, 1,2-dimethoxyethyl group, 3,3 Di
- Examples of the “C3-6 alkylene group” formed by R 1a and R 2a or R 3a and R 4a together include a trimethylene group, a tetramethylene group, and a propylene group. Of these, C3-4 alkylene groups are preferred.
- Examples of the “C3-6 alkenylene group” include a propenylene group and a 2-butenylene group. Of these, C3-4 alkenylene groups are preferred.
- Examples of the group which can be a substituent include halogen atoms such as fluorine atom, chlorine atom, bromine atom and iodine atom; methyl group, ethyl group, n-propyl group, i-propyl group, n-butyl group, s-butyl group, C1-6 alkyl groups such as i-butyl group, t-butyl group, n-pentyl group, n-hexyl group; C3-6 cycloalkyl groups such as cyclopropyl group, cyclobutyl group, cyclopentyl group, cyclohexyl group; methoxy group , An ethoxy group, an n-propoxy group, an i-propoxy group, an n-butoxy group, an s-butoxy group, an i-butoxy group, a t-butoxy group, etc .; a hydroxyl group; a chloromethyl group, a
- R 6 represents a hydrogen atom, an unsubstituted or substituted C1-6 alkyl group, an unsubstituted or substituted C1-7 acyl group, or an unsubstituted group. Alternatively, it represents a C1-6 alkoxycarbonyl group having a substituent.
- R 6 as "unsubstituted or C1 ⁇ 6 alkyl group having a substituent" may include the same ones as those exemplified in the R 1a or the like.
- Examples of the “C1-7 acyl group” in R 6 include formyl group, acetyl group, propionyl group, benzoyl group, cyclohexylcarbonyl group and the like.
- Examples of the “C1-7 acyl group having a substituent” in R 6 include a chloroacetyl group, a trifluoroacetyl group, a trichloroacetyl group, and a 4-chlorobenzoyl group.
- Examples of the “C1-6 alkoxycarbonyl group” in R 6 include methoxycarbonyl group, ethoxycarbonyl group, n-propoxycarbonyl group, i-propoxycarbonyl group, n-butoxycarbonyl group, t-butoxycarbonyl group and the like. .
- Examples of the “substituted C1-6 alkoxycarbonyl group” in R 6 include a cyclopropylmethoxycarbonyl group, a cyclobutylmethoxycarbonyl group, a cyclopentylmethoxycarbonyl group, a cyclohexylmethoxycarbonyl group, a 2-methylcyclopropylmethoxycarbonyl group, C3-8 cycloalkyl C1-6 alkoxycarbonyl groups such as 2,3-dimethylcyclopropylmethoxycarbonyl group, 2-chlorocyclopropylmethoxycarbonyl group, 2-cyclopropylethoxycarbonyl group; fluoromethoxycarbonyl group, chloromethoxycarbonyl group , Bromomethoxycarbonyl group, difluoromethoxycarbonyl group, dichloromethoxycarbonyl group, dibromomethoxycarbonyl group, trifluoromethoxycarbonyl group , Trichloromethoxy
- R 10 R 11, R 20 , R 21
- R 10 , R 11 , R 20 , and R 21 R 10 etc.
- R 10 and R 11 are each independently unsubstituted.
- R 10 or R on Cy 1 11 is in each or one another or together with the linking atoms on Cy 1 may form a ring, R 20 or R 21 on Cy 2,, May form a ring within each other or with each other or with atoms bonded to each other on Cy 2 .
- n represents the number of R 10 and is an integer of 0 to 5, preferably 1.
- R 10 may be the same as or different from each other.
- n represents the number of R 11 and is an integer of 0 to 5, preferably 1.
- R 11 may be the same as or different from each other.
- p represents the number of R 20 and is an integer of 0 to 5, preferably 1.
- R 20 may be the same as or different from each other.
- r represents the number of R 21 and is an integer of 0 to 5, preferably 1.
- R 21 may be the same or different from each other.
- Examples of the “unsubstituted or substituted C1-6 alkyl group” in R 10 and the like include the same ones as exemplified in R 1a and the like. Further, the “unsubstituted or substituted C1-6 alkyl group” includes, in addition to those exemplified in the above R 1a etc., a chlorocyclohexyloxymethyl group, a bromocyclohexyloxymethyl group, a 2-methylcyclopropyloxymethyl group.
- Examples of the “C3-8 cycloalkyl group” in R 10 and the like include a cyclopropyl group, a cyclobutyl group, a cyclopentyl group, a cyclohexyl group, a cycloheptyl group, and the like.
- Examples of the “substituted C3-8 cycloalkyl group” in R 10 and the like include chlorocyclohexyl group, bromocyclohexyl group, 2-methylcyclopropyl group, 2,3-dimethylcyclopropyl group, spiro [2.2] penta -1-yl group, 1-methyl-spiro [2.2] pent-1-yl group, 1-hydroxymethylspiro [2.2] pent-1-yl group, 4,4-difluoro-spiro [2. 2] penta-1-yl group, bicyclopropyl-2-yl group and the like.
- Examples of the “C2-6 alkenyl group” in R 10 and the like include a vinyl group, a 1-propenyl group, a 2-propenyl group, a 1-butenyl group, a 2-butenyl group, a 3-butenyl group, and a 1-methyl-2-propenyl group.
- 2-methyl-2-propenyl group 1-pentenyl group, 2-pentenyl group, 3-pentenyl group, 4-pentenyl group, 1-methyl-2-butenyl group, 2-methyl-2-butenyl group, 1- Examples include a hexenyl group, a 2-hexenyl group, a 3-hexenyl group, a 4-hexenyl group, and a 5-hexenyl group.
- Examples of the “substituted C2-6 alkenyl group” in R 10 and the like include C2-6 haloalkenyl groups such as 2-chloro-1-propenyl group and 2-fluoro-1-butenyl group.
- Examples of the “C2-6 alkynyl group” in R 10 and the like include ethynyl group, 1-propynyl group, 2-propynyl group, 1-butynyl group, 2-butynyl group, 3-butynyl group, 1-methyl-2-propynyl group 2-methyl-3-butynyl group, 1-pentynyl group, 2-pentynyl group, 3-pentynyl group, 4-pentynyl group, 1-methyl-2-butynyl group, 2-methyl-3-pentynyl group, 1- Examples include a hexynyl group and a 1,1-dimethyl-2-butynyl group.
- Examples of the “substituted C2-6 alkynyl group” in R 10 and the like include C2 ⁇ 4 such as 4,4-dichloro-1-butynyl group, 4-fluoro-1-pentynyl group, 5-bromo-2-pentynyl group, etc. 6 haloalkynyl group; and the like.
- C1-6 alkoxy group in R 10 and the like, a methoxy group, an ethoxy group, an n-propoxy group, an i-propoxy group, an n-butoxy group, an i-butoxy group, an s-butoxy group, a t-butoxy group, Examples thereof include n-pentyloxy group, i-pentyloxy group, 2-methylbutoxy group, neopentyl group, n-hexyloxy group and the like. Of these alkoxy groups, C3-6 alkoxy groups are preferred.
- Examples of the “C1-6 alkoxy group having a substituent” in R 10 and the like include a fluoromethoxy group, a chloromethoxy group, a bromomethoxy group, a difluoromethoxy group, a dichloromethoxy group, a dibromomethoxy group, a trifluoromethoxy group, and a trichloromethoxy group.
- Tribromomethoxy group 2,2,2-trifluoroethoxy group, 2,2,2-trichloroethoxy group, pentafluoroethoxy group, 4-fluorobutoxy group, 3,3,3-trifluoropropoxy group, 2 , 2,2-trifluoro-1-trifluoromethylethoxy group, C1-6 haloalkoxy group such as perfluorohexyloxy group; hydroxy C1-6 alkoxy group such as 2-hydroxyethoxy group, 2-hydroxypropoxy group; Methoxymethoxy group, 1-methoxyethoxy group, 2- Toxiethoxy group, ethoxymethoxy group, 1-ethoxyethoxy group, 2-ethoxyethoxy group, 1-methoxy-n-propoxy group, 2-methoxy-n-propoxy group, 3-methoxy-n-propoxy group, etc.
- C7-11 aralkyloxy group C1-7 acyl C1-6 alkoxy group such as acetylmethoxy group, 2-acetylethoxy group; Cyanomethoxy group, 2- Cyano C1-6 alkoxy groups such as anoethoxy group; chlorocyclohexylmethoxy group, bromocyclohexylmethoxy group, 2-methylcyclopropylmethoxy group, 2,3-dimethylcyclopropylmethoxy group, spiro [2.2] pent-1-ylmethoxy 1-methyl-spiro [2.2] pent-1-ylmethoxy group, 1-hydroxymethylspiro [2.2] pent-1-ylmethoxy group, 4,4-difluoro-spiro [2.2] penta- And C3-8 cycloalkyl C1-6 alkoxy groups having a substituent such as 1-ylmethoxy group and bicyclopropyl-2-yl group methoxy.
- Examples of the “C3-8 cycloalkoxy group” in R 10 and the like include a cyclopropyloxy group, a cyclobutyloxy group, a cyclopentyloxy group, a cyclohexyloxy group, a cycloheptyloxy group, and the like.
- Examples of the “substituted C3-8 cycloalkyloxy group” in R 10 and the like include a chlorocyclohexyloxy group, a bromocyclohexyloxy group, a 2-methylcyclopropyloxy group, a 2,3-dimethylcyclopropyloxy group, a spiro [ 2.2] pent-1-yloxy group, 1-methyl-spiro [2.2] pent-1-yloxy group, 1-hydroxymethylspiro [2.2] pent-1-yloxy group, 4,4-difluoro -Spiro [2.2] pent-1-yloxy group, bicyclopropyl-2-yl group oxy and the like.
- Examples of the “C2-6 alkenyloxy group” in R 10 and the like include a vinyloxy group, 1-propenyloxy group, 2-propenyloxy group, 1-butenyloxy group, 2-butenyloxy group, 3-butenyloxy group, 1-methyl-2 -Propenyloxy group, 2-methyl-2-propenyloxy group, 1-pentenyloxy group, 2-pentenyloxy group, 1-methyl-2-butenyloxy group, 2-methyl-2-butenyloxy group, 3-methyl-2 -Butenyloxy group, 1-hexenyloxy group, 2-hexenyloxy group and the like.
- Examples of the “substituted C2-6 alkenyloxy group” in R 10 etc. include 2-chloro-1-propenyloxy group, 3,3-dichloro-2-propenyloxy group, 2-fluoro-1-butenyloxy group, etc. And a C2-6 haloalkenyloxy group.
- Examples of the “C2-6 alkynyloxy group” in R 10 and the like include ethynyloxy group, 1-propynyloxy group, 2-propynyloxy group, 1-butynyloxy group, 2-butynyloxy group, 3-butynyloxy group, 1-methyl- 2-propynyloxy group, 2-methyl-3-butynyloxy group, 1-pentynyloxy group, 2-pentynyloxy group, 1-methyl-2-butynyloxy group, 2-methyl-3-pentynyloxy group, 1 -Hexynyloxy group and the like.
- Examples of the “substituted C2-6 alkynyloxy group” in R 10 and the like include 4,4-dichloro-1-butynyloxy group, 4-fluoro-1-pentynyloxy group, 5-bromo-2-pentynyloxy group A C2-6 haloalkynyloxy group such as a group; and the like.
- Examples of the “C1-7 acyl group” in R 10 and the like include formyl group, acetyl group, propionyl group, benzoyl group and the like.
- Examples of the “substituted C1-7 acyl group” in R 10 and the like include halogen-substituted C1-7 acyl groups such as a chloroacetyl group, a trifluoroacetyl group, a trichloroacetyl group, and a 4-chlorobenzoyl group; .
- Examples of the “C1-6 alkoxycarbonyl group” in R 10 and the like include a methoxycarbonyl group, an ethoxycarbonyl group, an n-propoxycarbonyl group, an i-propoxycarbonyl group and the like.
- Examples of the “substituted C1-6 alkoxycarbonyl group” in R 10 and the like include a cyclopropylmethoxycarbonyl group, a cyclobutylmethoxycarbonyl group, a cyclopentylmethoxycarbonyl group, a cyclohexylmethoxycarbonyl group, a 2-methylcyclopropylmethoxycarbonyl group, C3-8 cycloalkyl C1-6 alkoxycarbonyl groups such as 2,3-dimethylcyclopropylmethoxycarbonyl group, 2-chlorocyclopropylmethoxycarbonyl group, 2-cyclopropylethoxycarbonyl group; fluoromethoxycarbonyl group, chloromethoxycarbonyl group , Bromomethoxycarbonyl group, difluoromethoxycarbonyl group, dichloromethoxycarbonyl group, dibromomethoxycarbonyl group, trifluoromethoxycarbonyl , Trichlorome
- Examples of the “C3-8 cycloalkyloxycarbonyl group” in R 10 and the like include a cyclopropyloxycarbonyl group, a cyclobutoxycarbonyl group and the like.
- Examples of the “C2-6 alkenyloxycarbonyl group” in R 10 and the like include ethenyloxycarbonyl group, 2-propenyloxycarbonyl group, 1-propenyloxycarbonyl group and the like.
- Examples of the “substituted C2-6 alkenyloxycarbonyl group” in R 10 and the like include 1-methyl-2-propenyloxycarbonyl group, 2-methyl-1-propenyloxycarbonyl group and the like.
- Examples of the “C2-6 alkynyloxycarbonyl group” in R 10 and the like include ethynyloxycarbonyl group, propargyloxycarbonyl group, 2-butynyloxycarbonyl group and the like.
- Examples of the “substituted C2-6 alkynyloxycarbonyl group” for R 10 and the like include a 1-methylpropargyloxycarbonyl group.
- Examples of the “C6-10 aryloxycarbonyl group” in R 10 and the like include a phenyloxycarbonyl group, a naphthoxycarbonyl group and the like.
- heterocyclyloxycarbonyl group examples include a pyridyloxycarbonyl group and a pyridazinyloxycarbonyl group.
- Examples of the “C1-7 acyloxy group” in R 10 and the like include formyloxy group, acetyloxy group, propionyloxy group and the like.
- Examples of the “substituted C1-7 acyloxy group” for R 10 and the like include halogen-substituted C1-7 acyloxy groups such as a chloroacetyloxy group, a trifluoroacetyloxy group, a trichloroacetyloxy group, and a 4-chlorobenzoyloxy group; Etc.
- Examples of the “C1-6 alkoxycarbonyloxy group” in R 10 and the like include a methoxycarbonyloxy group, an ethoxycarbonyloxy group, an i-propoxycarbonyloxy group and the like.
- Examples of the “C3-8 cycloalkyloxycarbonyloxy group” in R 10 and the like include a cyclopropyloxycarbonyloxy group, a cyclobutyloxycarbonyloxy group, a cyclopentyloxycarbonyloxy group, a cyclohexyloxycarbonyloxy group, and the like.
- C2-6 alkenyloxycarbonyloxy group in R 10 etc., vinyloxycarbonyloxy group, 1-propenyloxycarbonyloxy group, 2-propenyloxycarbonyloxy group, 1-butenyloxycarbonyloxy group, 2- Examples include butenyloxycarbonyloxy group, 3-butenyloxycarbonyloxy group, 1-methyl-2-propenyloxycarbonyloxy group and the like.
- Examples of the “C2-6 alkynyloxycarbonyloxy group” in R 10 etc. include ethynyloxycarbonyloxy group, 1-propynyloxycarbonyloxy group, 2-propynyloxycarbonyloxy group, 1-butynyloxycarbonyloxy group, 2- Examples include butynyloxycarbonyloxy group and 3-butynyloxycarbonyloxy group.
- C1-6 alkylaminocarbonyloxy group in R 10 etc. includes methylaminocarbonyloxy group, dimethylaminocarbonyloxy group, diethylaminocarbonyloxy group, i-propylaminocarbonyloxy group, i-butylaminocarbonyloxy group, etc. Can be mentioned.
- Examples of the “C3-8 cycloalkylaminocarbonyloxy group” in R 10 and the like include a cyclopropylaminocarbonyloxy group, a cyclobutylaminocarbonyloxy group, a cyclopentylaminocarbonyloxy group, a cyclohexylaminocarbonyloxy group and the like.
- Examples of the “C2-6 alkenylaminocarbonyloxy group” in R 10 and the like include vinylaminocarbonyloxy group, 1-propenylaminocarbonyloxy group, 2-propenylaminocarbonyloxy group, 1-butenylaminocarbonyloxy group and the like. It is done.
- Examples of the “C2-6 alkynylaminocarbonyloxy group” in R 10 etc. include ethynylaminocarbonyloxy group, 1-propynylaminocarbonyloxy group, 2-propynylaminocarbonyloxy group, 1-butynylaminocarbonyloxy group and the like. It is done.
- C6-10 arylaminocarbonyloxy group examples include an anilinocarbonyloxy group, naphthylaminocarbonyloxy group and the like.
- heterocyclylaminocarbonyloxy group examples include a pyridylaminocarbonyloxy group and a pyridazinylaminocarbonyloxy group.
- Examples of the “substituted aminooxy group” in R 10 and the like include C1-6 alkylaminooxy groups such as methylaminooxy group and ethylaminooxy group; C1-7 acyl such as formylaminooxy group and acetylaminooxy group Aminooxy group; and the like.
- C1-6 alkylideneaminooxy group in R 10 etc., methylideneaminooxy group, ethylideneaminooxy group, n-propylideneaminooxy group, i-propylideneaminooxy group, n-butylideneaminooxy group I-butylideneaminooxy group, s-butylideneaminooxy group and the like.
- Examples of the “C6-10 aryl group” in R 10 and the like can include the same groups as those exemplified in Cy 1 and the like.
- heterocyclyl group in R 10 and the like can include the same groups as those exemplified in Cy 1 and the like.
- Examples of the “C6-10 aryloxy group” in R 10 and the like include a phenoxy group and a naphthoxy group.
- heterocyclyloxy group examples include a pyridyloxy group and a pyridazinyloxy group.
- Examples of the “sulfonyloxy group having a substituent” in R 10 and the like include C1-6 alkylsulfonyloxy groups such as methylsulfonyloxy group and ethylsulfonyloxy group; trifluoromethylsulfonyloxy group, 2,2,2-trifluoro C1-6 haloalkylsulfonyloxy groups such as ethylsulfonyloxy group; C6-10 arylsulfonyloxy groups such as phenylsulfonyloxy group; and the like.
- Examples of the “C1-6 alkylamino group” in R 10 and the like include a methylamino group, a dimethylamino group, a diethylamino group, an i-butylamino group, and the like.
- Examples of the “C3-8 cycloalkylamino group” in R 10 and the like include a cyclopropylamino group, a cyclobutylamino group, a cyclopentylamino group, a cyclohexylamino group, and the like.
- Examples of the “C2-6 alkenylamino group” in R 10 and the like include a vinylamino group, 1-propenylamino group, 2-propenylamino group, 1-butenylamino group and the like.
- Examples of the “C2-6 alkynylamino group” in R 10 and the like include ethynylamino group, 1-propynylamino group, 2-propynylamino group, 1-butynylamino group and the like.
- Examples of the “C6-10 arylamino group” in R 10 and the like include an anilino group and a naphthylamino group.
- heterocyclylamino group examples include a pyridylamino group and a pyridazinylamino group.
- Examples of the “hydroxyamino group having a substituent” in R 10 and the like include C1-6 alkoxyamino groups such as methoxyamino group and ethoxyamino group; C1-7 acyloxyamino groups such as acetoxyamino group and propionyloxyamino group; Is mentioned.
- Examples of the “C1-7 acylamino group” in R 10 and the like include formylamino group, acetylamino group, propanoylamino group, butyrylamino group, i-propylcarbonylamino group, benzoylamino group and the like.
- Examples of the “C1-6 alkoxycarbonylamino group” in R 10 and the like include a methoxycarbonylamino group, an ethoxycarbonylamino group, an n-propoxycarbonylamino group, an i-propoxycarbonylamino group and the like.
- Examples of the “C2-6 alkenyloxycarbonylamino group” in R 10 etc. include vinylaminocarbonylamino group, 1-propenylaminocarbonylamino group, 2-propenylaminocarbonylamino group, 1-butenylaminocarbonylamino group and the like. It is done.
- Examples of the “C2-6 alkynyloxycarbonylamino group” in R 10 and the like include ethynylaminocarbonylamino group, 1-propynylaminocarbonylamino group, 2-propynylaminocarbonylamino group, 1-butynylaminocarbonylamino group and the like. It is done.
- C6-10 aryloxycarbonylamino group examples include an anilinocarbonylamino group, naphthylaminocarbonylamino group and the like.
- heterocyclyloxycarbonylamino group examples include a pyridylaminocarbonylamino group, a pyridazinylaminocarbonylamino group, and the like.
- Examples of the “sulfonylamino group having a substituent” in R 10 and the like include C1-6 alkylsulfonylamino groups such as methylsulfonyloxy group and ethylsulfonylamino group; trifluoromethylsulfonylamino group, 2,2,2-trifluoro C1-6 haloalkylsulfonylamino groups such as ethylsulfonylamino group; C6-10 arylsulfonylamino groups such as phenylsulfonylamino group; and the like.
- Examples of the “aminocarbonyl group having a substituent” in R 10 and the like include a dimethylaminocarbonyl group, a phenylaminocarbonyl group, an N-phenyl-N-methylaminocarbonyl group and the like.
- C1-6 alkylthio group examples include methylthio group, ethylthio group, n-propylthio group, i-propylthio group, n-butylthio group, i-butylthio group, s-butylthio group, t-butylthio group, etc. Is mentioned.
- Examples of the “C3-8 cycloalkylthio group” in R 10 and the like include a cyclopropylthio group, a cyclobutylthio group, a cyclopentylthio group, a cyclohexylthio group, a cycloheptylthio group, and the like.
- Examples of the “C2-6 alkenylthio group” in R 10 and the like include a vinylthio group, 1-propenylthio group, 2-propenylthio group, 1-butenylthio group, 2-butenylthio group, 3-butenylthio group and the like.
- Examples of the “C2-6 alkynylthio group” in R 10 and the like include ethynylthio group, 1-propynylthio group, 2-propynylthio group, 1-butynylthio group, 2-butynylthio group, 3-butynylthio group and the like.
- Examples of the “C6-10 arylthio group” in R 10 and the like include a phenylthio group and a naphthylthio group.
- heterocyclylthio group examples include a pyridylthio group and a pyridazinylthio group.
- Examples of the “(C1-6 alkyl) thiocarbonyl group” in R 10 and the like include a methyl (thiocarbonyl) group, an ethyl (thiocarbonyl) group, an n-propyl (thiocarbonyl) group, an i-propyl (thiocarbonyl) group, Examples include n-butyl (thiocarbonyl) group, i-butyl (thiocarbonyl) group, s-butyl (thiocarbonyl) group, t-butyl (thiocarbonyl) group and the like.
- (C1-6 alkoxy) thiocarbonyl group in R 10 and the like, a methoxy (thiocarbonyl) group, an ethoxy (thiocarbonyl) group, an n-propoxy (thiocarbonyl) group, an i-propoxy (thiocarbonyl) group, Examples thereof include an n-butoxy (thiocarbonyl) group, an i-butoxy (thiocarbonyl) group, an s-butoxy (thiocarbonyl) group, and a t-butoxy (thiocarbonyl) group.
- (C1-6 alkylthio) carbonyl group” in R 10 etc. (methylthio) carbonyl group, (ethylthio) carbonyl group, (n-propylthio) carbonyl group, (i-propylthio) carbonyl group, (n-butylthio) Examples include a carbonyl group, (i-butylthio) carbonyl group, (s-butylthio) carbonyl group, (t-butylthio) carbonyl group and the like.
- Examples of the “(C1-6 alkylthio) thiocarbonyl group” in R 10 etc. include (methylthio) thiocarbonyl group, (ethylthio) thiocarbonyl group, (n-propylthio) thiocarbonyl group, (i-propylthio) thiocarbonyl group, (N-Butylthio) thiocarbonyl group, (i-butylthio) thiocarbonyl group, (s-butylthio) thiocarbonyl group, (t-butylthio) thiocarbonyl group and the like.
- sulfinyl group having a substituent in R 10 and the like, a C1-6 alkylsulfinyl group such as a methylsulfinyl group and an ethylsulfinyl group; a trifluoromethylsulfinyl group, a 2,2,2-trifluoroethylsulfinyl group and the like C1-6 haloalkylsulfinyl groups; C6-10 arylsulfinyl groups such as phenylsulfinyl groups; and the like.
- Examples of the “sulfonyl group having a substituent” in R 10 and the like include C1-6 alkylsulfonyl groups such as methylsulfonyl group and ethylsulfonyl group; trifluoromethylsulfonyl group, 2,2,2-trifluoroethylsulfonyl group and the like C1-6 haloalkylsulfonyl groups; C6-10 arylsulfonyl groups such as phenylsulfonyl groups; C1-6 alkoxysulfonyl groups such as methoxysulfonyl groups and ethoxysulfonyl groups; and the like.
- tri-C1-6 alkyl-substituted silyl group examples include a trimethylsilyl group, a triethylsilyl group, a t-butyldimethylsilyl group and the like.
- Examples of the “tri C6-10 aryl-substituted silyl group” in R 10 and the like include a triphenylsilyl group.
- halogen atom examples include a chlorine atom, a bromine atom, a fluorine atom, and an iodine atom.
- R 10 or R on Cy 1 11 is in each or one another or together with the linking atoms on Cy 1 may form a ring, R 20 or R 21 on Cy 2,, May form a ring within each other or with each other or with atoms bonded to each other on Cy 2 .
- Rings that may be formed include aromatic hydrocarbon rings such as benzene rings; C5-7 cycloalkene rings such as cyclopentene rings, cyclohexene rings, and cycloheptene rings; furan rings, thiophene rings, pyrrole rings, imidazole rings, Aromatic 5- to 7-membered heterocycles such as pyrazole ring, thiazole ring, oxazole ring, isoxazole ring, pyridine ring, pyrazine ring, pyrimidine ring, pyridazine ring, azepine ring, diazepine ring; dihydro-2H-pyran ring, dihydro- And unsaturated 5- to 7-membered heterocycles such as 2H-thiopyran ring and tetrahydropyridine ring.
- Aromatic 5- to 7-membered heterocycles such as pyrazole ring, thiazole ring, o
- These rings may have a substituent on the ring.
- the group which can be a substituent include halogen atoms such as fluorine atom, chlorine atom, bromine atom and iodine atom; methyl group, ethyl group, n-propyl group, i-propyl group, n-butyl group, s-butyl group, C1-6 alkyl groups such as i-butyl group, t-butyl group, n-pentyl group, n-hexyl group; C3-6 cycloalkyl groups such as cyclopropyl group, cyclobutyl group, cyclopentyl group, cyclohexyl group; methoxy group , An ethoxy group, an n-propoxy group, an i-propoxy group, an n-butoxy group, an s-butoxy group, an i-butoxy group, a t-butoxy group, etc .; a
- R 10 represents a C1-6 alkyl group, a C1-6 alkoxy C1-6 alkyl group, a C1-6 alkoxy C1-6 alkoxy C1-6 alkyl group, a C2-6 alkenyl group, a hydroxyl group, a C1 ⁇ 6 alkoxy groups, C1-6 haloalkoxy groups, C3-8 cycloalkoxy groups, C2-6 alkenyloxy groups, C2-6 haloalkenyloxy groups, C2-6 alkynyloxy groups, C2-6 haloalkynyloxy groups, C1-6 6 alkoxy C1-6 alkoxy group, C3-8 cycloalkyl C1-6 alkoxy group, cyano C1-6 alkoxy group, C1-7 acyl C1-6 alkoxy group, hydroxy C1-6 alkoxy group, C1-7 acyloxy group, C1 -6 alkoxycarbonyl group, C2-6 alkenyloxycarbonyl group, C2-6 alkynyloxycal
- R 11 is preferably a cyano group, a halogen atom, a pentafluorosulfanyl group, a C1-6 haloalkyl group, a C2-6 haloalkenyl group, or a C2-6 haloalkynyl group.
- R 20 is preferably a cyano group, a halogen atom, a pentafluorosulfanyl group, a C1-6 haloalkyl group, a C2-6 haloalkenyl group, or a C2-6 haloalkynyl group.
- R 21 represents a C1-6 alkyl group, a C1-6 alkoxy C1-6 alkyl group, a C1-6 alkoxy C1-6 alkoxy C1-6 alkyl group, a hydroxyl group, a C1-6 alkoxy group, a C1-6 6 haloalkoxy groups, C2-6 haloalkenyloxy groups, C2-6 haloalkynyloxy groups, C1-6 alkoxy C1-6 alkoxy groups, C3-8 cycloalkyl C1-6 alkoxy groups, C1-6 alkoxycarbonyl groups, C2 -6 alkenyloxycarbonyl group, C2-6 alkynyloxycarbonyl group, C1-6 alkylideneaminooxy group, C1-6 alkoxycarbonylamino group, unsubstituted or substituted C7-11 aralkyl group, unsubstituted or substituted Preferably, it is a C7-11 aralkyloxy group having a group, or a nitro group
- Y in the formula (I) represents an oxygen atom or a sulfur atom.
- Cy 1 is a phenyl group
- Cy 2 is a pyridin-2-yl group
- R 1a and R 2a are an unsubstituted or substituted C3-6 alkylene group, an unsubstituted or substituted C3-6 alkenylene group, a combination thereof, :
- R 10 , m, R 11 , n and R 20 have the same meaning as those in the formula (I).
- P ′ in the formula (II) represents the number of R 20 and is an integer of 0 to 4.
- R 20 may be the same as or different from each other.
- A represents an unsubstituted or substituted C3-6 alkylene group, an unsubstituted or substituted C3-6 alkenylene group, a group represented by the formula: —CH 2 OCH 2 —
- R 6 is a hydrogen atom, an unsubstituted or substituted C1-6 alkyl group, an unsubstituted or substituted C1-7 acyl group, or an unsubstituted or substituted C1-6 Represents an alkoxycarbonyl group.
- the salt of the cyclic amine compound according to the present invention is not particularly limited as long as it is an agro-horticulturally acceptable salt.
- salts of inorganic acids such as hydrochloric acid and sulfuric acid
- salts of organic acids such as acetic acid and lactic acid
- salts of alkali metals such as lithium, sodium and potassium
- salts of alkaline earth metals such as calcium and magnesium
- salts of organic bases such as ammonia, triethylamine, tributylamine, pyridine and hydrazine.
- the salt of the cyclic amine compound according to the present invention can be obtained from the cyclic amine compound represented by the formula (I) or the formula (II) by a known method.
- the method for producing the cyclic amine compound or a salt thereof according to the present invention is not particularly limited. First, a method for producing a hydroxyamine compound according to the present invention when Y is an oxygen atom will be described. In the case where Y is an oxygen atom, a production method in which a compound represented by the following formula (3) is used as an intermediate is preferable.
- a secondary amine compound represented by the formula (1) (hereinafter sometimes referred to as “compound (1)”) is prepared.
- An aminoxyl compound represented by the formula (2) (hereinafter sometimes referred to as “compound (2)”) can be obtained by oxidizing the compound (1) with an appropriate oxidizing agent.
- the oxidation reaction method include anhydrous or hydrous alcohol such as methanol, ethanol, propanol, isopropanol, and the like, ethers such as dioxane and tetrahydrofuran (THF), acetonitrile, and the like in a suitable solvent such as hydrogen peroxide, Specific examples include a method in which an oxidizing agent such as sodium hypochlorite and an organic oxidizing agent is allowed to act, a method in which a tungstate-urea hydrogen peroxide complex is caused to act, and the like. Moreover, the method of blowing in gas containing active oxygen, such as oxygen or ozone, in a reaction mixture can be mentioned.
- active oxygen such as oxygen or ozone
- the compound (2) is reduced under appropriate conditions to convert the aminoxyl group into a hydroxyamino group.
- a hydroxyamine compound represented by the formula (3) (hereinafter sometimes referred to as “compound (3)”) is produced.
- compound (3) is reacted with heterocyclyl halide in the presence of a base.
- the heterocyclyloxyamine compound represented by Formula (4) can be obtained.
- R b represents a phenyl group having a substituent
- R a represents a heterocyclyl group having a substituent
- X represents a halogen atom.
- the compound (3) can also be obtained, for example, by the production method shown below.
- the compound (1) is N-alkylated with acrylonitrile to obtain an alkylamino compound represented by the formula (2 ′) (hereinafter sometimes referred to as “compound (2 ′)”).
- compound (2 ′) an alkylamino compound represented by the formula (2 ′)
- the compound (3) can be obtained by oxidizing with an appropriate oxidizing agent to form an N-oxide form in the system and carrying out a Cope elimination reaction. This reaction is described in Tetrahedron Letters 48 (2007) 1683-1686.
- the cyclic amine compound according to the present invention when Y is a sulfur atom can be obtained, for example, by the production method shown below.
- a sulfenyl compound represented by formula (5) (hereinafter sometimes referred to as “compound (5)”) is prepared (wherein R ′ represents a hydrogen atom or a benzyl group). This is reacted with sulfuryl chloride to obtain a sulfenyl chloride compound, and then the compound (1) is reacted in the presence of a base to obtain a heterocyclylthioxyamine compound represented by the formula (6). .
- a method for producing a sulfenyl chloride compound is described in Synthesis 1994; volume 1994 (1): 21-22 and the like.
- the hydroxyamine compound according to the present invention is a compound represented by the formula (III).
- the salt of the hydroxyamine compound according to the present invention is a salt of the compound represented by the formula (III).
- the compound represented by the formula (III) or a salt thereof is suitable as an intermediate for producing the compound represented by the formula (I) or the formula (II) or a salt thereof.
- R 1a and R 2a or R 3a and R 4a in formula (III) are an unsubstituted or substituted C3-6 alkylene group, an unsubstituted or substituted C3-6 alkenylene group, A group represented by CH 2 OCH 2 —, a group represented by the formula: —CH 2 SCH 2 —, a group represented by the formula: —CH 2 C ( ⁇ O) CH 2 —, or a formula: —CH 2 A group represented by NR 6 CH 2 — (wherein R 6 represents a hydrogen atom, an unsubstituted or substituted C1-6 alkyl group, an unsubstituted or substituted C1-7 acyl group, or an unsubstituted group; Represents a substituted or substituted C1-6 alkoxycarbonyl group.).
- Examples of the divalent organic group include the same groups as those in formula (I).
- Cy 1 is preferably a phenyl group, a pyrazolyl group, a thiadiazolyl group, a pyridyl group, a pyrimidinyl group, or a pyridazinyl group.
- R 10 in the formula (III) is a C1-6 alkyl group, C1-6 alkoxy C1-6 alkyl group, C1-6 alkoxy C1-6 alkoxy C1-6 alkyl group, C2-6 alkenyl group, hydroxyl group, C1-6 6 alkoxy groups, C1-6 haloalkoxy groups, C3-8 cycloalkoxy groups, C2-6 alkenyloxy groups, C2-6 haloalkenyloxy groups, C2-6 alkynyloxy groups, C2-6 haloalkynyloxy groups, C1-6 6 alkoxy C1-6 alkoxy group, C3-8 cycloalkyl C1-6 alkoxy group, cyano C1-6 alkoxy group, C1-7 acyl C1-6 alkoxy group, hydroxy C1-6 alkoxy group, C1-7 acyloxy group, C1 -6 alkoxycarbonyl group, C2-6 alkenyloxycarbonyl group, C2-6 alkynyloxycarbonyl Group, C1-6 alkoxycarbony
- R 11 in formula (III) is preferably a cyano group, a halogen atom, a pentafluorosulfanyl group, a C1-6 haloalkyl group, a C2-6 haloalkenyl group, or a C2-6 haloalkynyl group.
- the salt of the hydroxyamine compound according to the present invention is not particularly limited as long as it does not inhibit the reaction with the heterocyclyl halide in the presence of a base.
- alkali metal salts such as lithium salt, sodium salt, potassium salt and the like can be mentioned.
- the salt of the hydroxyamine compound according to the present invention can be obtained from the hydroxyamine compound represented by the formula (III) by a known method.
- the cyclic amine compound of the present invention or a salt thereof has an effect of killing insects, larvae, larvae, and ovulation, etc., and therefore pests, mites, sanitary pests, storage pests, clothing pests, house pests attached to crops. It can be used to control pests such as. Typical examples are as follows.
- Lepidopterous pests for example, Spodoptera litura, Coleoptera, Tamanayaga, Aomushi, Tamanaginuwaba, Koga, Chanoko Kakumon Hamaki, Chahamaki, Momosinkiga, Nashihime Shinkii, Citrus Harmiga, Chanohosoga, Giant Pomera , Sugimadama, Heliotis, Helicoberpa, Agrotis, Iga, Kodlinga, Cottontail, etc.
- Hemiptera pests for example, peach aphid, cotton aphid, phantom aphid, wheat beetle aphid, hosohelamushi, aokusamemushi, agarine aphid, staghorn aphid, onitsu whitefly, tobacco whitefly, silver leaf whitefly, silver leaf whitefly, Gunby beetle, brown planthopper, Japanese brown planthopper, white-spotted planthopper, leafhopper, etc.
- Coleopterous pests for example, Kisodemi beetle, cucumber beetle, Colorado potato beetle, rice weevil, weevil, azuki beetle, beetle, scallop, diablotica, tobacco, scallop, slatinus, pine moth, Cotton weevil, etc.
- Diptera pests for example, house flies, giant black flies, sentinic flies, fruit flies, citrus flies, sand flies, rice leaf flies, Drosophila melanogaster, sand flies, Spodoptera cabbage, Aedes aegypti, Aedes albopictus, etc.
- Thrips-like pests such as Thrips thrips, Thrips thrips, Hymenopteran pests, for example, Himeari, Kirosuzubee, Bee, etc.
- Straight-eyed pests such as grasshopper, German cockroach, American cockroach, black cockroach, etc.
- Termite pests such as termites, Yamato termites, Lepidoptera pests, for example, human fleas, cat fleas, etc., lice eye pests, for example, human lice,
- Plant parasitic nematodes for example, sweet potato nematodes, nestle nematodes, soybean cyst nematodes, rice nesting nematodes, pine wood nematodes and the like, and ticks.
- the cyclic amine compound or a salt thereof of the present invention is particularly useful as an active ingredient of an acaricide because of its excellent control effect on mites.
- Mites belonging to the family Tetranychidae Brevipalpus lewisi, Brevipalpus obovatus, Southern spider mite (Brevipalpus phoenicis), Clover spider mite (Bryobia praetiosa), Fowl spider spider mite (Bryobia rubrioculus) Dolichotetranychus floridanus, Eotetranychus boreus, Eotetranychus geniculatus, Eotetranychus pruni, Eotetranychus sexmanaculatus, Eotetranychus sexmanaculatus, Eotetranychus sexmanacus Crimson spider mite (Oligonychus ilicis), larch spider mite (Oligonychus karamatus), rice spider mite (Oligonychus shinkajii), citrus spider mite (Panonychus citri), staghorn spider
- Mites belonging to the family Eriophyidae (Acaphylla theavagrans), carnation rust mites (Aceria paradianthi), tulip rust mites (Aceria tulipae), tomato rust mites (Aculops lycopersici), citrus ticks (Aculops pelekf)) , Apple rustic mites (Aculus Louendali), tea spider mites (Calacarus carinatus), grape rust mites (Calepitrimerus vitis), grape clam mites (Colomerus vitis), prickly ticks (Epitrimerus pyri), swordfish tick (Eriophesen physis)
- the cyclic amine compound or a salt thereof of the present invention is a particularly safe compound with little phytotoxicity, low toxicity to fish and warm-blooded animals.
- the acaricide of this invention contains at least 1 sort (s) chosen from the cyclic amine compound or its salt represented by Formula (I) or Formula (II) as an active ingredient.
- the cyclic amine compound represented by the formula (I) or the formula (II) or a salt thereof can be used alone or in combination of two or more.
- the acaricide of the present invention may contain only the cyclic amine compound represented by the formula (I) or the formula (II) or a salt thereof, but it is a solid carrier, liquid carrier, gaseous carrier.
- the acaricide of the present invention may be obtained by impregnating a substrate such as a porous ceramic plate or a nonwoven fabric with a cyclic amine compound represented by the formula (I) or the formula (II) or a salt thereof. Furthermore, a surfactant and other auxiliary agents may be added as necessary.
- the acaricide according to the present invention is in a form that can be taken by general agricultural chemicals, that is, wettable powder, granule, powder, emulsion, aqueous solvent, suspension, granular wettable powder, flowable, aerosol, fumes, heating It can be formulated in the form of transpiration agent, smoke agent, poison bait, microcapsule and the like.
- Additives and carriers used in solid preparations include vegetable powders such as soybean grains and wheat flour; mineral fine powders such as diatomaceous earth, apatite, gypsum, talc, bentonite, pyrophyllite, clay; benzoic acid Examples thereof include organic and inorganic compounds such as soda, urea, and sodium sulfate.
- Solvents used in liquid preparations include petroleum fractions such as kerosene, xylene and solvent naphtha; cyclohexane, cyclohexanone, dimethylformamide, dimethyl sulfoxide, alcohol, acetone, methyl isobutyl ketone, mineral oil, vegetable oil, water, etc. Is mentioned.
- Examples of the gaseous carrier used in formulating a propellant include butane gas, LPG, dimethyl ether, carbon dioxide gas and the like.
- a surfactant can be added so that a uniform and stable form can be obtained in the formulation.
- Non-ionic surfactants such as alkyl ethers added with polyoxyethylene, higher fatty acid esters added with polyoxyethylene, sorbitan higher fatty acid esters added with polyoxyethylene, and tristyryl phenyl ether added with polyoxyethylene
- Surfactants sulfates of alkylphenyl ethers with addition of polyoxyethylene, alkylnaphthalene sulfonates, polycarboxylates, lignin sulfonates, formaldehyde condensates of alkyl naphthalene sulfonates, isobutylene-maleic anhydride And the like.
- the content of the cyclic amine compound of the present invention or a salt thereof in the preparation is preferably 0.01 to 90% by weight, preferably 0.05 to 85%. It is more preferable to make it weight%.
- Agricultural acaricide supplied in the form of wettable powder, emulsion, suspension, flowable, aqueous solvent or granular wettable powder is diluted with water to a predetermined concentration to obtain a solution, suspension or It can be applied to plants or soil as an emulsion.
- the acaricide for agriculture supplied with the form of a powder agent and a granule can be sprayed on a plant or soil as it is.
- the acaricide for epidemics supplied in the form of emulsion, wettable powder, flowable agent and the like can be applied after diluting to a predetermined concentration with water.
- seat can be used as it is.
- the cyclic amine compound of the present invention per 1 kg of the host animal, It can be used in an amount of 0.01 to 1000 mg.
- the acaricide for controlling animal parasitic mites can be applied by a known veterinary technique.
- animals such as tablets, capsules, soaking solutions, feed mixing, suppositories, injections (intramuscular, subcutaneous, intravenous, intraperitoneal, etc.)
- administration by spraying, pour-on, dropping (spot-on), etc. with oily or aqueous solutions
- the acaricide of the present invention can be used in combination with fungicides, other insecticides / acaricides, nematicides, soil insecticides, plant regulators, synergists, fertilizers, soil improvers, animal feeds, etc. You may use together. Representative examples of fungicides, other insecticides / acaricides, nematicides, soil pesticides and plant growth regulators that can be used in combination with the compounds of the present invention are shown below.
- Fungicide 1) benzimidazole series: benomyl, carbendazim, fuberidazole, thiabendazole, thiophanate methyl, etc .; 2) Dicarboximide type: Clozolinate, iprodione, procymidone, vinclozolin, etc .; 3) DMI-bactericidal system: imazalyl, oxpoconazole, pefazoate, prochloraz, triflumizole, triphorin, pyrifenox, phenarimol, nuarimol, azaconazole, viteltanol, bromuconazole, cyproconazole, difenoconazole, diniconazole, epoxy Conazole, fenbuconazole, fluquinconazole, flusilazole, flutriaol, hexaconazole, imibenconazole, ipconazole, metconazole, microbutanyl, penconazole, prop
- Insecticides, acaricides, nematicides, soil insecticides 1) Organic (thio) phosphates: acephate, azamethiphos, azinephosmethyl, chlorpyrifos, chlorpyrifosmethyl, chlorfenvinphos, diazinon, dichlorvos, dicrotophos, dimethoate, disulfotone, ethion, EPN, phenamiphos, fenitrothion, fenthion, isoxathione, metathione, metaxamide, , Methidathion, methylparathion, mevinphos, monocrotophos, oxydemetonmethyl, paraoxon, parathion, phentoate, hosalon, phosmet, phosphamidone, folate, oxime, pirimiphosmethyl, propenophos, prothiophos, sulfophos, tetrachlorbinphos, terbufos
- Nicotine receptor agonist / antagonist compounds acetamiprid, clothianidin, dinotefuran, imidacloprid, nitenpyram, thiacloprid, thiamethoxam, etc .
- GABA antagonist compounds acetoprole, endosulfan, ethipyrrole, fipronil, vaniliprole, pyrafluprolol, pyriprol and the like
- Macrocyclic lactone insecticides abamectin, emamectin, milbemectin, lepimectin, spinosad; ivermectin, etc .
- METI I compounds phenazaquin, pyridaben, tebufenpyrad, tolfenpyrad, flufenerim and the like
- METI II and III compounds acequinosyl, fluacyprim, hydramethylnon, etc .
- Plant growth regulator Abscisic acid, indole butyric acid, uniconazole, etiquelozate, etephone, cloxiphonac, chlormecote, chlorella extract, calcium peroxide, cyanamide, dichlorprop, gibberellin, daminozide, decyl alcohol, trinexapac ethyl, mepicoat chloride, pack Lobutrazole, paraffin wax, piperonyl butoxide, pyraflufenethyl, flurprimidol, prohydrojasmon, prohexadione calcium salt, benzylaminopurine, pendimethalin, forchlorphenuron, potassium maleate hydrazide, 1-naphthyl Acetamide, 4-CPA, MCPB, choline, oxyquinoline sulfate, ethiclozate, butorualine, 1-methylcyclopropene, abiglycine hydrochloride and the like;
- the compound (5b) was diluted with chloroform and treated with an ascorbic acid aqueous solution to obtain a crude compound (e-1).
- a tetrahydrofuran (4 ml) solution of the crude compound (e-1) (0.37 g) and 2-chloro-5- (trifluoromethyl) pyridine (0.18 g) was added at 0 ° C. under a nitrogen atmosphere.
- T-butoxypotassium (1M tetrahydrofuran, 1.11 ml) was added, and the mixture was warmed to room temperature and stirred for 2 hours.
- the mixture was poured into water and extracted with ethyl acetate.
- the organic layer was washed with water, dried over anhydrous magnesium sulfate, filtered and then concentrated under reduced pressure.
- the residue was purified by column chromatography to obtain the title compound H-1 (0.27 g).
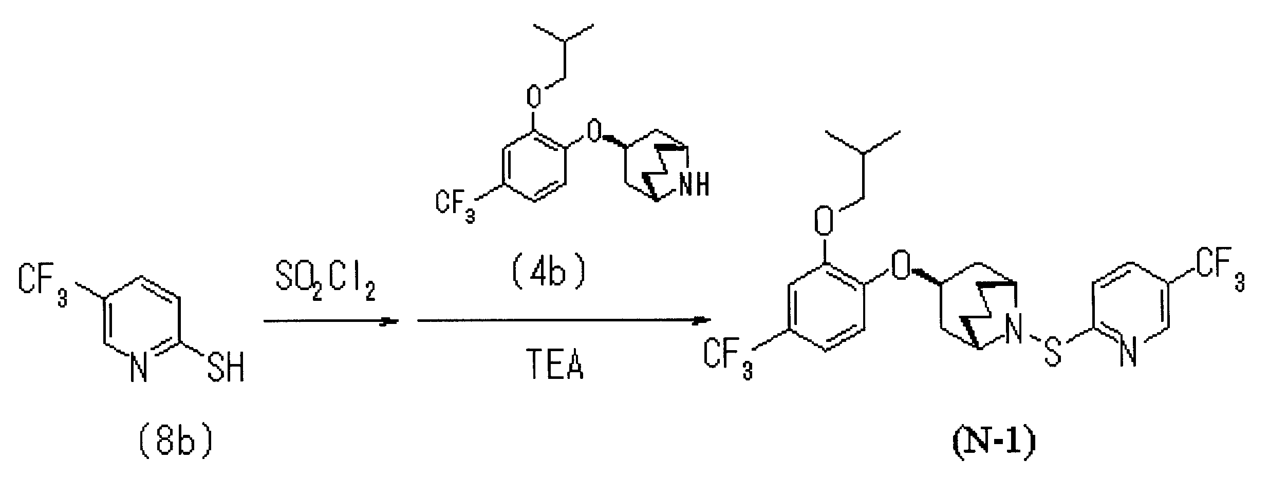
- a methylene chloride (10 ml) solution of the compound (8b) (0.55 g) that can be produced by a known method was cooled to 0 ° C. in a nitrogen atmosphere, and sulfuryl chloride (0.46 g) was added. The mixture was stirred for 1 hour and then concentrated under reduced pressure. A solution obtained by diluting the residue with methylene chloride (10 ml) was slowly added dropwise to a solution of the crude compound (4b) (1.0 g) and triethylamine (0.34 g) in methylene chloride (10 ml) under ice-cooling to room temperature. The mixture was returned and stirred overnight. The mixture was poured into water and extracted with chloroform.
- 1,2-Diphenylhydrazine (0.14 g) was added to a THF (5 ml) solution of the compound (7c) (0.38 g) at room temperature, and the mixture was stirred for 30 minutes.
- 60% sodium hydride (0.06 g) was added to the mixture and stirred for 10 minutes, and then a solution of isopropyl 2-fluoro-5- (trifluoromethyl) benzoate (0.314 g) in THF (5 ml) was added and stirred for 1 hour. did.
- the mixture was poured into water and extracted with ethyl acetate. The organic layer was washed with water, dried over anhydrous magnesium sulfate, filtered, and concentrated under reduced pressure. The residue was purified by column chromatography to obtain the title compound (Compound No. (K-12)) (0.27 g, Viscous oil).
- Meta-chloroperbenzoic acid (70% purity, 1.2 g) and potassium carbonate (0.78 g) were added to a solution of compound (13) (1.5 g) in methylene chloride (30 ml) at room temperature, and the mixture was stirred for 2 hours. did.
- anhydrous magnesium sulfate (10 g) was added to the mixture was added anhydrous magnesium sulfate (10 g), filtered, and the solvent was concentrated under reduced pressure.
- the residue was diluted with methylene chloride, washed with an ascorbic acid aqueous solution, followed by water, dried over anhydrous magnesium sulfate, filtered, and concentrated under reduced pressure.
- the residue was purified by column chromatography to obtain (e-14) (1.35 g).
- Bromotrimethylsilane (0.302 g) was slowly added to a solution of compound (H-51) (0.25 g) in methylene chloride (5 ml) at ⁇ 30 ° C. in a nitrogen atmosphere. The mixture was stirred at ⁇ 30 ° C. for 1 hour and warmed to 0 ° C. over 2 hours. The mixture was poured into cold water and extracted with ethyl acetate. The organic layer was washed with water, dried over anhydrous magnesium sulfate, filtered, and concentrated under reduced pressure. The residue was purified by column chromatography to obtain compound (H-53) (0.13 g, mp 141-144 ° C).
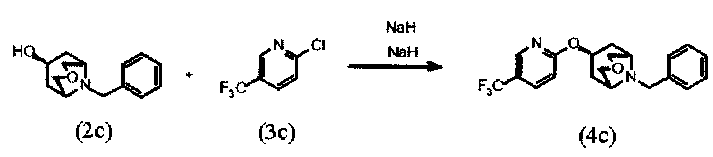
- Tables 1 to 5 show the cyclic amine compounds according to the present invention which can be obtained by the same method as the above production method.
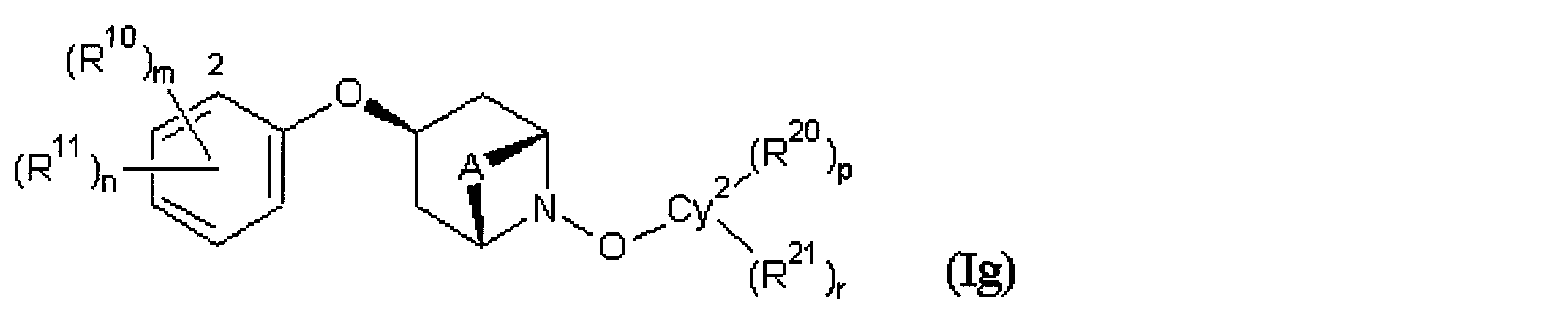
- (R 10 ) m , (R 11 ) n , A, (R 21 ) r , and Cy 2- (R 20 ) p are those in the cyclic amine compound represented by the formula (Ig). Each substituent is shown.
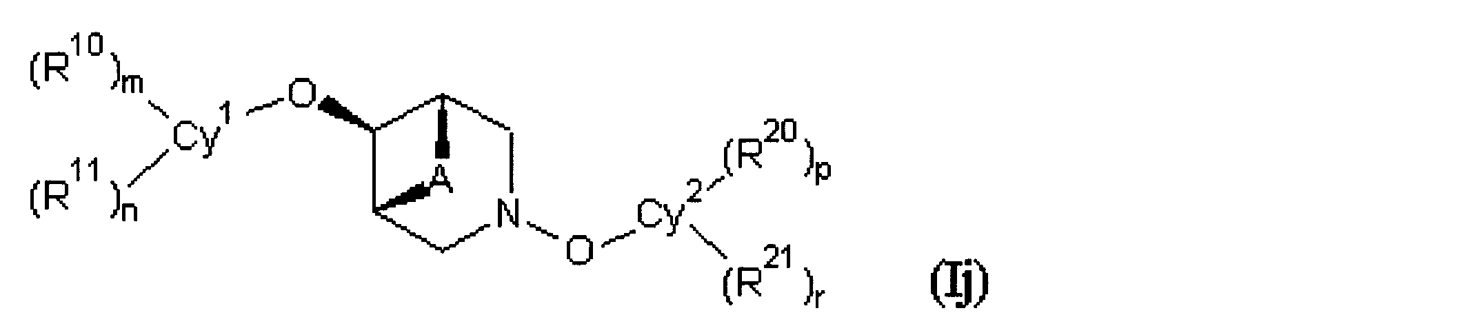
- (R 10 ) m , (R 11 ) n , A, (R 21 ) r , and Cy 2- (R 20 ) p are each substitution in the cyclic amine compound represented by the formula (Ih) Indicates the group.
- Et is an ethyl group
- Me is a methyl group
- n Bu is an n-butyl group
- i Bu is an i-butyl group
- s Bu is an s-butyl group
- t Bu is a t-butyl group
- n Pen is n-pentyl.
- N Hex represents an n-hexyl group
- c Pr represents a cyclopropyl group
- c Bu represents a cyclobutyl group
- c Pen represents a cyclopentyl group
- c Hex represents a cyclohexyl group.
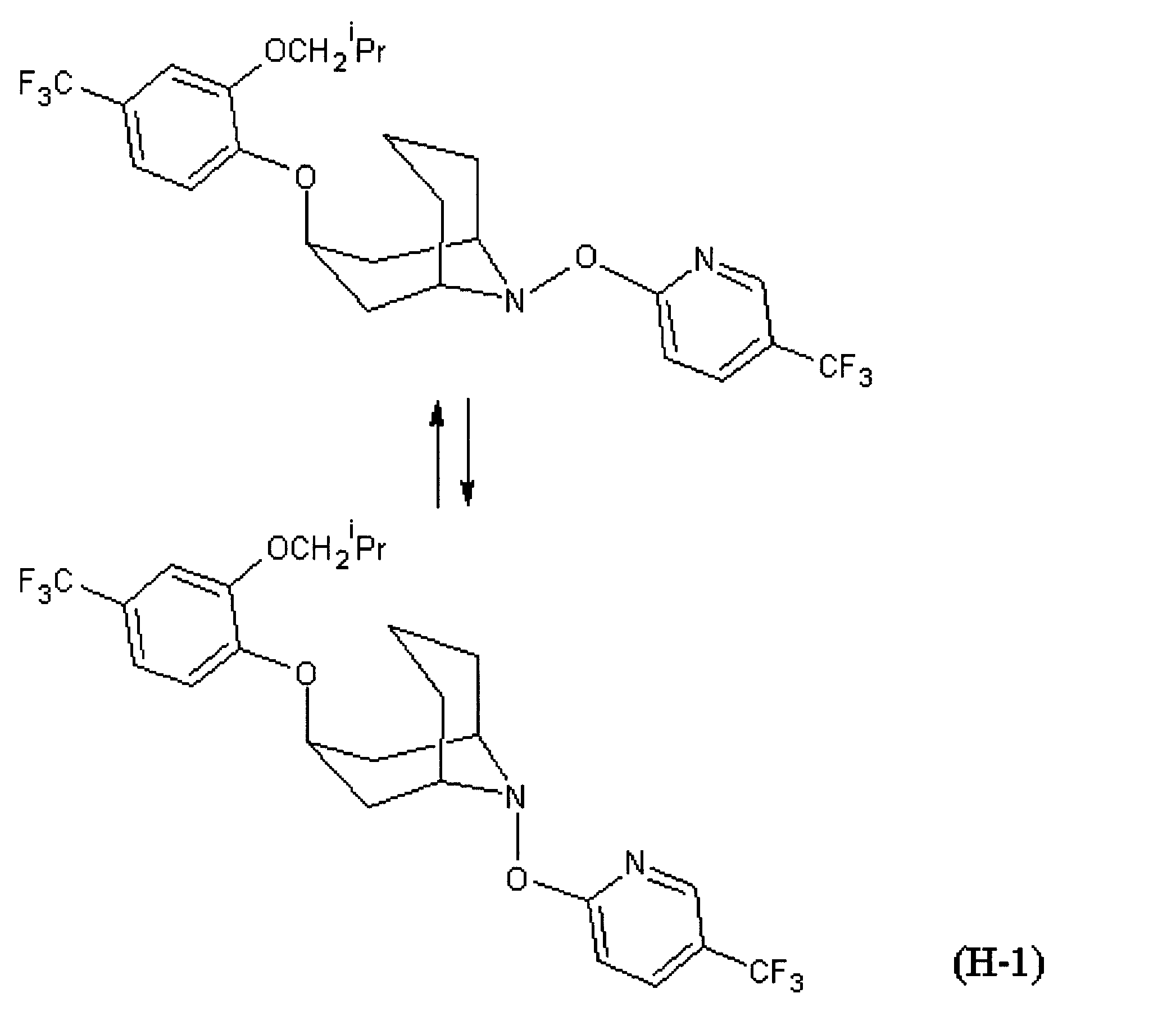
- Compound H-1 vis; 1 H-NMR (CDCl 3 , ⁇ ppm, measurement temperature 25 ° C.) 8.49 (s, 1H), 7.90-7.86 (m, 1H), 7.39 (d, 0.8H), 7.26 (d , 0.2H), 7.15 (d, 1H), 7.08 (s, 1H), 6.91 (d, 1H), 4.91-4.89 (m, 0.8H), 4.65 (m, 0.2H), 3.78 (d, 2H) , 3.59 (brs, 2H), 2.76-2.30 (m, 3H), 2.16-2.04 (m, 3H), 1.83-1.67 (m, 4H), 1.41-1.37 (m, 1H), 1.07 (d-like, 6H)
- Compound H-1 is a compound having a short distance between the 7-position methylene and the 9-position pyridyloxy of the 9-azabicyclo [3.3.1] nonane ring as shown in the following formula: Presumed as a mixture
- Compound K-8 vis; 1 H-NMR (CDCl 3 , ⁇ ppm, measurement temperature 21.0 ° C.) 8.44 (d, 1H), 8.04 (d, 1H), 7.79-7.63 (m, 3H), 6.81 (d, 1H), 5.78 (m, 0.7H), 5.50 (m, 0.3H), 5.32-5.24 (m, 1H), 3.57 (brs, 2H), 2.78-2.68 (m, 2H), 2.42-1.90 (m, 4H), 1.77-1.60 (m, 2H), 1.45-1.26 (m, 8H)
- Tables 15 to 20 show examples of hydroxyamine compounds suitable as intermediates for producing the cyclic amine compounds according to the present invention. These hydroxyamine compounds are substances produced in the middle of steps in the same method as the production method shown in the examples.
- (R 10 ) m , (R 11 ) n and A in Table 7 represent each substituent in the hydroxyamine compound represented by the formula (IIId).
- (R 10 ) m , (R 11 ) n and A in Table 8 represent each substituent in the hydroxyamine compound represented by the formula (IIIe).
- Examples of preparations of the acaricide of the present invention are shown in a few, but the additives and addition ratios are not limited to these examples, and can be varied in a wide range.
- the part in a formulation example shows a weight part.
- Formulation Example 1 wettable powder Compound of the present invention 40 parts Diatomaceous earth 53 parts Higher alcohol sulfate 4 parts Alkyl naphthalene sulfonate 3 parts The above is uniformly mixed and finely pulverized to obtain a wettable powder of 40% active ingredient. Obtained.
- Emulsion Compound of the present invention 30 parts Xylene 33 parts Dimethylformamide 30 parts Polyoxyethylene alkylallyl ether 7 parts The above components were mixed and dissolved to obtain an emulsion containing 30% active ingredient.
- test examples show that the cyclic amine compound of the present invention or a salt thereof is useful as an active ingredient of an acaricide.
- Test Example 1 Efficacy Test for Spider Mite Seventeen female spider mites that are resistant to organophosphates were inoculated on the first true leaf 7 to 10 days after germination of green beans seeded in a 3-inch pot. Next, an emulsion having the formulation shown in Formulation Example 2 was prepared. This emulsion was diluted with water to a compound concentration of 125 ppm, and the diluted solution was sprayed on the kidney beans. The green beans were placed in a thermostatic chamber at a temperature of 25 ° C. and a humidity of 65%. The insecticidal rate was investigated 3 days after spraying. The test was performed in duplicate.
- any compound had an insecticidal rate of 80% or more when diluted to a concentration of 125 ppm.
- Compound No. H-81 had an insecticidal rate of 80% or more when diluted to a concentration of 8 ppm.
- Test Example 2 Efficacy test against citrus spider mite
- Ten miticide-resistant citrus spider mite females were inoculated on citrus leaves placed in a petri dish.
- an emulsion having the formulation shown in Formulation Example 2 was prepared. This emulsion was diluted with water so that the concentration of the compound was 125 ppm, and the diluted solution was sprayed on the mandarin orange using a rotary spray tower. The mandarin orange was placed in a constant temperature room at a temperature of 25 ° C. and a humidity of 65%. The insecticidal rate was investigated 3 days after spraying.
- Test Example 3 Ovicidality test on nymph spider mite Eggs of adult nymph mite were inoculated on kidney beans placed in a petri dish and allowed to lay eggs for one day. Next, an emulsion having the formulation shown in Formulation Example 2 was prepared. This emulsion was diluted with water to a compound concentration of 125 ppm, and the diluted solution was sprayed on the kidney beans using a rotary spray tower. The kidney beans were placed in a thermostatic chamber at a temperature of 25 ° C. and a humidity of 65%. The egg killing rate was determined by investigating whether eggs laid 7 days after spraying could hatch. The above test was carried out on emulsions containing the cyclic amine compounds of Compound Nos. H-1, H-2, H-29, H-43, H-54, H-56 and H-73, respectively. As a result, all the compounds had an egg-killing rate of 80% or more when diluted to a concentration of 125 ppm.
- Test Example 4 Ovicidal power test on citrus red mite eggs An adult mandarin mite mite was inoculated on mandarin orange leaves placed in a petri dish and allowed to lay eggs for 1 day. Next, an emulsion having the formulation shown in Formulation Example 2 was prepared. This emulsion was diluted with water so that the concentration of the compound was 125 ppm, and the diluted solution was sprayed on the citrus leaves using a rotary spray tower. The tangerine leaf was placed in a constant temperature room at a temperature of 25 ° C. and a humidity of 65%. The egg killing rate was determined by investigating whether eggs laid 7 days after spraying could hatch. The above tests were conducted on emulsions containing the cyclic amine compounds of Compound Nos. H-1, H-2, H-29, H-43, H-54, H-56, and H-73, respectively. As a result, all the compounds had an egg-killing rate of 80% or more when diluted to a concentration of 125 ppm
- Test Example 5 Insecticidal test against ticklet tick
- the compound of the present invention was diluted in acetone to prepare a 400 ppm chemical solution. After 118 ⁇ L of the chemical solution was applied to the inner surface of a 20 mL glass vial, acetone was volatilized to form a thin film of the compound of the present invention on the inner surface of the glass vial. Since the inner surface of the glass vial used is 47 cm 2 , the treatment dose is 1 ⁇ g / cm 2 . Eight juvenile ticks (Haemaphysalis longicornis) were placed in this, covered, and housed in a constant temperature room at 25 ° C. The number of dead insects after 5 days was investigated, and the death rate was calculated from the following formula.
- Mortality rate (%) (Number of dead insects / number of released insects) x 100 As a result, among the compounds tested, the following compounds showed a death rate of 80% or more. Compound numbers: H-5, H-29, H-43, H-55, H-63, H-73, H-83, H-90, J-42, K-38, K-39
- the cyclic amine compound of the present invention or a salt thereof shows an excellent killing action against mites.
- the cyclic amine compound or salt thereof according to the present invention can effectively control mites that are harmful in terms of crops and hygiene. Moreover, when the hydroxyamine compound or its salt which concerns on this invention is used, the cyclic amine compound or its salt which concerns on this invention can be synthesize
Landscapes
- Life Sciences & Earth Sciences (AREA)
- Health & Medical Sciences (AREA)
- Organic Chemistry (AREA)
- Chemical & Material Sciences (AREA)
- General Health & Medical Sciences (AREA)
- Environmental Sciences (AREA)
- Agronomy & Crop Science (AREA)
- Zoology (AREA)
- Wood Science & Technology (AREA)
- Dentistry (AREA)
- Engineering & Computer Science (AREA)
- Plant Pathology (AREA)
- Pest Control & Pesticides (AREA)
- Veterinary Medicine (AREA)
- Animal Behavior & Ethology (AREA)
- Tropical Medicine & Parasitology (AREA)
- Medicinal Chemistry (AREA)
- Chemical Kinetics & Catalysis (AREA)
- Pharmacology & Pharmacy (AREA)
- General Chemical & Material Sciences (AREA)
- Nuclear Medicine, Radiotherapy & Molecular Imaging (AREA)
- Public Health (AREA)
- Agricultural Chemicals And Associated Chemicals (AREA)
- Pharmaceuticals Containing Other Organic And Inorganic Compounds (AREA)
- Plural Heterocyclic Compounds (AREA)
- Nitrogen Condensed Heterocyclic Rings (AREA)
- Heterocyclic Carbon Compounds Containing A Hetero Ring Having Oxygen Or Sulfur (AREA)
- Nitrogen And Oxygen Or Sulfur-Condensed Heterocyclic Ring Systems (AREA)
- Organic Low-Molecular-Weight Compounds And Preparation Thereof (AREA)
Abstract
Description
本願は、2010年2月25日に日本国に出願された特願2010-039839号、2010年5月21日に日本国に出願された特願2010-117392号、2010年10月4日に日本国に出願された特願2010-224844号に基づき優先権を主張し、その内容をここに援用する。
そこで、本発明は、優れた殺ダニ活性を有し、特性と安全性に優れ、且つ工業的に有利に合成できる、新規な環状アミン化合物および殺ダニ剤を提供することを課題とする。
また、本発明は、前記殺ダニ剤の有効成分としての環状アミン化合物の合成に好適なヒドロキシアミン化合物を提供することを課題とする。
本発明は、これらの知見に基づいて完成するに至ったものである。
〔1〕 式(I)で表される環状アミン化合物またはその塩。
式(I)中、R1a、R1b、R2a、R2b、R3a、R3b、R4a、R4b、およびR5aは、それぞれ独立に、水素原子、または無置換の若しくは置換基を有するC1~6アルキル基を示し、且つR1aとR2aまたはR3aとR4aは、一緒になって、
無置換の若しくは置換基を有するC3~6アルキレン基、無置換の若しくは置換基を有するC3~6アルケニレン基、式:-CH2OCH2-で表される基、式:-CH2SCH2-で表される基、式:-CH2C(=O)CH2-で表される基、または式:-CH2NR6CH2-で表される基 (ただし、R6は、水素原子、無置換の若しくは置換基を有するC1~6アルキル基、無置換の若しくは置換基を有するC1~7アシル基、または無置換の若しくは置換基を有するC1~6アルコキシカルボニル基を示す。)を形成している。
式(I)中、R10、R11、R20、およびR21は、それぞれ独立に、無置換の若しくは置換基を有するC1~6アルキル基、無置換の若しくは置換基を有するC3~8シクロアルキル基、無置換の若しくは置換基を有するC2~6アルケニル基、無置換の若しくは置換基を有するC2~6アルキニル基、水酸基、オキソ基、無置換の若しくは置換基を有するC1~6アルコキシ基、無置換の若しくは置換基を有するC3~8シクロアルコキシ基、無置換の若しくは置換基を有するC2~6アルケニルオキシ基、無置換の若しくは置換基を有するC2~6アルキニルオキシ基、カルボキシル基、無置換の若しくは置換基を有するC1~7アシル基、無置換の若しくは置換基を有するC1~6アルコキシカルボニル基、無置換の若しくは置換基を有するC3~8シクロアルキルオキシカルボニル基、無置換の若しくは置換基を有するC2~6アルケニルオキシカルボニル基、無置換の若しくは置換基を有するC2~6アルキニルオキシカルボニル基、無置換の若しくは置換基を有するC6~10アリールオキシカルボニル基、無置換の若しくは置換基を有するヘテロシクリルオキシカルボニル基、無置換の若しくは置換基を有するC1~7アシルオキシ基、無置換の若しくは置換基を有するC1~6アルコキシカルボニルオキシ基、無置換の若しくは置換基を有するC3~8シクロアルキルオキシカルボニルオキシ基、無置換の若しくは置換基を有するC2~6アルケニルオキシカルボニルオキシ基、無置換の若しくは置換基を有するC2~6アルキニルオキシカルボニルオキシ基、無置換の若しくは置換基を有するC1~6アルキルアミノカルボニルオキシ基、無置換の若しくは置換基を有するC3~8シクロアルキルアミノカルボニルオキシ基、無置換の若しくは置換基を有するC2~6アルケニルアミノカルボニルオキシ基、無置換の若しくは置換基を有するC2~6アルキニルアミノカルボニルオキシ基、無置換の若しくは置換基を有するC6~10アリールアミノカルボニルオキシ基、無置換の若しくは置換基を有するヘテロシクリルアミノカルボニルオキシ基、無置換の若しくは置換基を有するアミノオキシ基、無置換の若しくは置換基を有するC1~6アルキリデンアミノオキシ基、無置換の若しくは置換基を有するC6~10アリール基、無置換の若しくは置換基を有するヘテロシクリル基、無置換の若しくは置換基を有するC6~10アリールオキシ基、無置換の若しくは置換基を有するヘテロシクリルオキシ基、置換基を有するスルホニルオキシ基、アミノ基、無置換の若しくは置換基を有するC1~6アルキルアミノ基、無置換の若しくは置換基を有するC3~8シクロアルキルアミノ基、無置換の若しくは置換基を有するC2~6アルケニルアミノ基、無置換の若しくは置換基を有するC2~6アルキニルアミノ基、無置換の若しくは置換基を有するC6~10アリールアミノ基、無置換の若しくは置換基を有するヘテロシクリルアミノ基、無置換の若しくは置換基を有するヒドロキシアミノ基、無置換の若しくは置換基を有するC1~7アシルアミノ基、無置換の若しくは置換基を有するC1~6アルコキシカルボニルアミノ基、無置換の若しくは置換基を有するC2~6アルケニルオキシカルボニルアミノ基、無置換の若しくは置換基を有するC2~6アルキニルオキシカルボニルアミノ基、無置換の若しくは置換基を有するC6~10アリールオキシカルボニルアミノ基、無置換の若しくは置換基を有するヘテロシクリルオキシカルボニルアミノ基、置換基を有するスルホニルアミノ基、無置換の若しくは置換基を有するアミノカルボニル基、メルカプト基、無置換の若しくは置換基を有するC1~6アルキルチオ基、無置換の若しくは置換基を有するC3~8シクロアルキルチオ基、無置換の若しくは置換基を有するC2~6アルケニルチオ基、無置換の若しくは置換基を有するC2~6アルキニルチオ基、無置換の若しくは置換基を有するC6~10アリールチオ基、無置換の若しくは置換基を有するヘテロシクリルチオ基、(無置換の若しくは置換基を有するC1~6アルキル)チオカルボニル基、(無置換の若しくは置換基を有するC1~6アルコキシ)チオカルボニル基、(無置換の若しくは置換基を有するC1~6アルキルチオ)カルボニル基、(無置換の若しくは置換基を有するC1~6アルキルチオ)チオカルボニル基、置換基を有するスルフィニル基、置換基を有するスルホニル基、ペンタフルオロスルファニル基、トリC1~6アルキル置換シリル基、トリC6~10アリール置換シリル基、シアノ基、ニトロ基、またはハロゲン原子を示す。
Cy1上のR10またはR11は、それぞれの中で、または相互に、またはCy1上で結合する原子と一緒になって環を形成してもよく、Cy2上のR20またはR21は、それぞれの中で、または相互に、またはCy2上で結合する原子と一緒になって環を形成してもよい。
式(I)中のmはR10の数を示し且つ0~5のいずれかの整数である。mが2以上のとき、R10同士は互いに同一でも異なっていてもよい。
式(I)中のnはR11の数を示し且つ0~5のいずれかの整数である。nが2以上のとき、R11同士は互いに同一でも異なっていてもよい。
式(I)中のpはR20の数を示し且つ0~5のいずれかの整数である。pが2以上のとき、R20同士は互いに同一でも異なっていてもよい。
式(I)中のrはR21の数を示し且つ0~5のいずれかの整数である。rが2以上のとき、R21同士は互いに同一でも異なっていてもよい。
式(I)中のYは、酸素原子または硫黄原子を示す。
式(I)中のR11が、シアノ基、ハロゲン原子、ペンタフルオロスルファニル基、C1~6ハロアルキル基、C2~6ハロアルケニル基、またはC2~6ハロアルキニル基であって、
式(I)中のR20が、シアノ基、ハロゲン原子、ペンタフルオロスルファニル基、C1~6ハロアルキル基、C2~6ハロアルケニル基、またはC2~6ハロアルキニル基であって、且つ
式(I)中のR21が、C1~6アルキル基、C1~6アルコキシC1~6アルキル基、C1~6アルコキシC1~6アルコキシC1~6アルキル基、水酸基、C1~6アルコキシ基、C1~6ハロアルコキシ基、C2~6ハロアルケニルオキシ基、C2~6ハロアルキニルオキシ基、C1~6アルコキシC1~6アルコキシ基、C3~8シクロアルキルC1~6アルコキシ基、C1~6アルコキシカルボニル基、C2~6アルケニルオキシカルボニル基、C2~6アルキニルオキシカルボニル基、C1~6アルキリデンアミノオキシ基、C1~6アルコキシカルボニルアミノ基、無置換の若しくは置換基を有するC7~11アラルキル基、無置換の若しくは置換基を有するC7~11アラルキルオキシ基、またはニトロ基である、前記〔1〕または〔2〕に記載の環状アミン化合物またはその塩。
Cy1がフェニル基であり;
R1b、R2b、R3a、R3b、R4a、R4bおよびR5aが水素原子であり;
R1aとR2aは、それらが一緒になってなる、無置換の若しくは置換基を有するC3~6アルキレン基、無置換の若しくは置換基を有するC3~6アルケニレン基、式:-CH2OCH2-で表される基、式:-CH2SCH2-で表される基、式:-CH2C(=O)CH2-で表される基、または式:-CH2NR6CH2-で表される基 (ただし、R6は、水素原子、無置換の若しくは置換基を有するC1~6アルキル基、無置換の若しくは置換基を有するC1~7アシル基、または無置換の若しくは置換基を有するC1~6アルコキシカルボニル基を示す。)であり;
Cy2がピリジン-2-イル基であり;
Yは酸素原子であり;
rはゼロであり;且つ
pは0~4のいずれかの整数である、前記〔1〕~〔3〕のいずれか1項に記載の環状アミン化合物またはその塩、
〔5〕 すなわち、式(II)で表される環状アミン化合物またはその塩。
式(II)中のAは、無置換の若しくは置換基を有するC3~6アルキレン基、無置換の若しくは置換基を有するC3~6アルケニレン基、式:-CH2OCH2-で表される基、式:-CH2SCH2-で表される基、式:-CH2C(=O)CH2-で表される基、または式:-CH2NR6CH2-で表される基 (ただし、R6は、水素原子、無置換の若しくは置換基を有するC1~6アルキル基、無置換の若しくは置換基を有するC1~7アシル基、または無置換の若しくは置換基を有するC1~6アルコキシカルボニル基を示す。)を示す。
式(II)中のp’は、R20の数を示し且つ0~4のいずれかの整数である。p’が2以上のとき、R20同士は互いに同一でも異なっていてもよい。
式(II)中のR11が、シアノ基、ハロゲン原子、ペンタフルオロスルファニル基、C1~6ハロアルキル基、C2~6ハロアルケニル基、またはC2~6ハロアルキニル基であって、且つ
式(II)中のR20が、シアノ基、ハロゲン原子、ペンタフルオロスルファニル基、C1~6ハロアルキル基、C2~6ハロアルケニル基、またはC2~6ハロアルキニル基である、前記〔5〕に記載の環状アミン化合物またはその塩。
〔8〕 前記〔1〕~〔6〕のいずれか一項に記載の環状アミン化合物またはその塩から選ばれる少なくとも1種を有効成分として含有する殺ダニ剤。
式(III)中のR1a、R1b、R2a、R2b、R3a、R3b、R4a、R4b、およびR5aは、それぞれ独立に、水素原子、または無置換の若しくは置換基を有するC1~6アルキル基を示し、且つ R1aとR2aまたはR3aとR4aは、一緒になって、無置換の若しくは置換基を有するC3~6アルキレン基、無置換の若しくは置換基を有するC3~6アルケニレン基、式:-CH2OCH2-で表される基、式:-CH2SCH2-で表される基、式:-CH2C(=O)CH2-で表される基、または式:-CH2NR6CH2-で表される基 (ただし、R6は、水素原子、無置換の若しくは置換基を有するC1~6アルキル基、無置換の若しくは置換基を有するC1~7アシル基、または無置換の若しくは置換基を有するC1~6アルコキシカルボニル基を示す。)を形成している。
式(III)中のR10、およびR11は、それぞれ独立に、無置換の若しくは置換基を有するC1~6アルキル基、無置換の若しくは置換基を有するC3~8シクロアルキル基、無置換の若しくは置換基を有するC2~6アルケニル基、無置換の若しくは置換基を有するC2~6アルキニル基、水酸基、オキソ基、無置換の若しくは置換基を有するC1~6アルコキシ基、無置換の若しくは置換基を有するC3~8シクロアルコキシ基、無置換の若しくは置換基を有するC2~6アルケニルオキシ基、無置換の若しくは置換基を有するC2~6アルキニルオキシ基、カルボキシル基、無置換の若しくは置換基を有するC1~7アシル基、無置換の若しくは置換基を有するC1~6アルコキシカルボニル基、無置換の若しくは置換基を有するC3~8シクロアルキルオキシカルボニル基、無置換の若しくは置換基を有するC2~6アルケニルオキシカルボニル基、無置換の若しくは置換基を有するC2~6アルキニルオキシカルボニル基、無置換の若しくは置換基を有するC6~10アリールオキシカルボニル基、無置換の若しくは置換基を有するヘテロシクリルオキシカルボニル基、無置換の若しくは置換基を有するC1~7アシルオキシ基、無置換の若しくは置換基を有するC1~6アルコキシカルボニルオキシ基、無置換の若しくは置換基を有するC3~8シクロアルキルオキシカルボニルオキシ基、無置換の若しくは置換基を有するC2~6アルケニルオキシカルボニルオキシ基、無置換の若しくは置換基を有するC2~6アルキニルオキシカルボニルオキシ基、無置換の若しくは置換基を有するC1~6アルキルアミノカルボニルオキシ基、無置換の若しくは置換基を有するC3~8シクロアルキルアミノカルボニルオキシ基、無置換の若しくは置換基を有するC2~6アルケニルアミノカルボニルオキシ基、無置換の若しくは置換基を有するC2~6アルキニルアミノカルボニルオキシ基、無置換の若しくは置換基を有するC6~10アリールアミノカルボニルオキシ基、無置換の若しくは置換基を有するヘテロシクリルアミノカルボニルオキシ基、無置換の若しくは置換基を有するアミノオキシ基、無置換の若しくは置換基を有するC1~6アルキリデンアミノオキシ基、無置換の若しくは置換基を有するC6~10アリール基、無置換の若しくは置換基を有するヘテロシクリル基、無置換の若しくは置換基を有するC6~10アリールオキシ基、無置換の若しくは置換基を有するヘテロシクリルオキシ基、置換基を有するスルホニルオキシ基、アミノ基、無置換の若しくは置換基を有するC1~6アルキルアミノ基、無置換の若しくは置換基を有するC3~8シクロアルキルアミノ基、無置換の若しくは置換基を有するC2~6アルケニルアミノ基、無置換の若しくは置換基を有するC2~6アルキニルアミノ基、無置換の若しくは置換基を有するC6~10アリールアミノ基、無置換の若しくは置換基を有するヘテロシクリルアミノ基、無置換の若しくは置換基を有するヒドロキシアミノ基、無置換の若しくは置換基を有するC1~7アシルアミノ基、無置換の若しくは置換基を有するC1~6アルコキシカルボニルアミノ基、無置換の若しくは置換基を有するC2~6アルケニルオキシカルボニルアミノ基、無置換の若しくは置換基を有するC2~6アルキニルオキシカルボニルアミノ基、無置換の若しくは置換基を有するC6~10アリールオキシカルボニルアミノ基、無置換の若しくは置換基を有するヘテロシクリルオキシカルボニルアミノ基、置換基を有するスルホニルアミノ基、無置換の若しくは置換基を有するアミノカルボニル基、メルカプト基、無置換の若しくは置換基を有するC1~6アルキルチオ基、無置換の若しくは置換基を有するC3~8シクロアルキルチオ基、無置換の若しくは置換基を有するC2~6アルケニルチオ基、無置換の若しくは置換基を有するC2~6アルキニルチオ基、無置換の若しくは置換基を有するC6~10アリールチオ基、無置換の若しくは置換基を有するヘテロシクリルチオ基、(無置換の若しくは置換基を有するC1~6アルキル)チオカルボニル基、(無置換の若しくは置換基を有するC1~6アルコキシ)チオカルボニル基、(無置換の若しくは置換基を有するC1~6アルキルチオ)カルボニル基、(無置換の若しくは置換基を有するC1~6アルキルチオ)チオカルボニル基、置換基を有するスルフィニル基、置換基を有するスルホニル基、ペンタフルオロスルファニル基、トリC1~6アルキル置換シリル基、トリC6~10アリール置換シリル基、シアノ基、ニトロ基、またはハロゲン原子を示す。
Cy1上のR10またはR11は、それぞれの中で、または相互に、またはCy1上で結合する原子と一緒になって環を形成してもよい。
式(III)中のmはR10の数を示し且つ0~5のいずれかの整数である。mが2以上のとき、R10同士は互いに同一でも異なっていてもよい。
式(III)中のnはR11の数を示し且つ0~5のいずれかの整数である。nが2以上のとき、R11同士は互いに同一でも異なっていてもよい。
式(III)中のR11が、シアノ基、ハロゲン原子、ペンタフルオロスルファニル基、C1~6ハロアルキル基、C2~6ハロアルケニル基、またはC2~6ハロアルキニル基である、前記〔9〕または〔10〕に記載のヒドロキシアミン化合物またはその塩。
本発明に係るヒドロキシアミン化合物またはその塩を用いると、本発明に係る環状アミン化合物またはその塩を容易に合成することができる。
本発明に係る環状アミン化合物は、式(I)または式(II)で表される化合物である。また本発明に係る環状アミン化合物の塩は、式(I)または式(II)で表される化合物の塩である。
一方、「置換基を有する」の用語は、母核となる基のいずれかの水素原子が、母核と同一又は異なる構造の基で置換されていることを意味する。置換基は1つであってもよいし、2つ以上であってもよい。2つ以上の置換基は同一であってもよいし、異なるものであってもよい。
「C1~6」などの用語は、母核となる基の炭素原子数が1~6個などであることを表している。この炭素原子数には、置換基の中に在る炭素原子の数を含まない。例えば、置換基としてエトキシ基を有するブチル基は、C2アルコキシC4アルキル基に分類する。
「置換基」となり得る基としては、 フッ素原子、塩素原子、臭素原子、ヨウ素原子などのハロゲン原子; メチル基、エチル基、n-プロピル基、i-プロピル基、n-ブチル基、s-ブチル基、i-ブチル基、t-ブチル基、n-ペンチル基、n-ヘキシル基などのC1~6アルキル基; シクロプロピル基、シクロブチル基、シクロペンチル基、シクロヘキシル基、シクロヘプチル基などのC3~8シクロアルキル基; ビニル基、1-プロペニル基、2-プロペニル基、1-ブテニル基、2-ブテニル基、3-ブテニル基、1-メチル-2-プロペニル基、2-メチル-2-プロペニル基、1-ペンテニル基、2-ペンテニル基、3-ペンテニル基、4-ペンテニル基、1-メチル-2-ブテニル基、2-メチル-2-ブテニル基、1-ヘキセニル基、2-ヘキセニル基、3-ヘキセニル基、4-ヘキセニル基、5-ヘキセニル基などのC2~6アルケニル基; 2-シクロプロペニル基、2-シクロペンテニル基、3-シクロヘキセニル基、4-シクロオクテニル基などのC3~8シクロアルケニル基; エチニル基、1-プロピニル基、2-プロピニル基、1-ブチニル基、2-ブチニル基、3-ブチニル基、1-メチル-2-プロピニル基、2-メチル-3-ブチニル基、1-ペンチニル基、2-ペンチニル基、3-ペンチニル基、4-ペンチニル基、1-メチル-2-ブチニル基、2-メチル-3-ペンチニル基、1-ヘキシニル基、1,1-ジメチル-2-ブチニル基などのC2~6アルキニル基;
式(I)中のCy1およびCy2は、それぞれ独立に、C6~10アリール基、またはヘテロシクリル基を示す。
ヘテロシクリル基としては、5員ヘテロアリール基、6員ヘテロアリール基、縮合ヘテロアリール基、飽和ヘテロシクリル基、部分不飽和ヘテロシクリル基などが挙げられる。
本発明に係る環状アミン化合物においては、Cy1がフェニル基であることが好ましく、Cy2がピリジル基であることが好ましい。
式(I)中、R1a、R1b、R2a、R2b、R3a、R3b、R4a、R4bおよびR5a(以下、これらをR1a等と呼ぶことがある。)は、それぞれ独立に、水素原子、または無置換の若しくは置換基を有するC1~6アルキル基を示し、且つ R1aとR2aまたはR3aとR4aは、一緒になって、無置換の若しくは置換基を有するC3~6アルキレン基、無置換の若しくは置換基を有するC3~6アルケニレン基、式:-CH2OCH2-で表される基、式:-CH2SCH2-で表される基、式:-CH2C(=O)CH2-で表される基、または式:-CH2NR6CH2-で表される基 (ただし、R6は、水素原子、無置換の若しくは置換基を有するC1~6アルキル基、無置換の若しくは置換基を有するC1~7アシル基、または無置換の若しくは置換基を有するC1~6アルコキシカルボニル基を示す。)を形成している。なお、R1aとR2aまたはR3aとR4aが一緒になって形成する基を、「架橋部分」ということがある。
また、「C3~6アルケニレン基」としては、プロペニレン基、2-ブテニレン基などが挙げられる。これらのうち、C3~4アルケニレン基が好ましい。
置換基となり得る基としては、 フッ素原子、塩素原子、臭素原子、ヨウ素原子などのハロゲン原子; メチル基、エチル基、n-プロピル基、i-プロピル基、n-ブチル基、s-ブチル基、i-ブチル基、t-ブチル基、n-ペンチル基、n-ヘキシル基などのC1~6アルキル基; シクロプロピル基、シクロブチル基、シクロペンチル基、シクロヘキシル基などのC3~6シクロアルキル基; メトキシ基、エトキシ基、n-プロポキシ基、i-プロポキシ基、n-ブトキシ基、s-ブトキシ基、i-ブトキシ基、t-ブトキシ基などのC1~6アルコキシ基; 水酸基; クロロメチル基、クロロエチル基、トリフルオロメチル基、1,2-ジクロロ-n-プロピル基、1-フルオロ-n-ブチル基、パーフルオロ-n-ペンチル基などのC1~6ハロアルキル基;などを挙げることができる。
R6における、「無置換の若しくは置換基を有するC1~6アルキル基」としては、前記R1a等において例示したそれと同じものを挙げることができる。
R6における、「C1~7アシル基」としては、ホルミル基、アセチル基、プロピオニル基、ベンゾイル基、シクロヘキシルカルボニル基などが挙げられる。
R6における、「置換基を有するC1~7アシル基」としては、クロロアセチル基、トリフルオロアセチル基、トリクロロアセチル基、4-クロロベンゾイル基などが挙げられる。
R6における、「置換基を有するC1~6アルコキシカルボニル基」としては、 シクロプロピルメトキシカルボニル基、シクロブチルメトキシカルボニル基、シクロペンチルメトキシカルボニル基、シクロヘキシルメトキシカルボニル基、2-メチルシクロプロピルメトキシカルボニル基、2,3-ジメチルシクロプロピルメトキシカルボニル基、2-クロロシクロプロピルメトキシカルボニル基、2-シクロプロピルエトキシカルボニル基などのC3~8シクロアルキルC1~6アルコキシカルボニル基; フルオロメトキシカルボニル基、クロロメトキシカルボニル基、ブロモメトキシカルボニル基、ジフルオロメトキシカルボニル基、ジクロロメトキシカルボニル基、ジブロモメトキシカルボニル基、トリフルオロメトキシカルボニル基、トリクロロメトキシカルボニル基、トリブロモメトキシカルボニル基、2,2,2-トリフルオロエトキシカルボニル基、2,2,2-トリクロロエトキシカルボニル基、ペンタフルオロエトキシカルボニル基、4-フルオロブトキシカルボニル基、3,3,3-トリフルオロプロポキシカルボニル基、2,2,2-トリフルオロ-1-トリフルオロメチルエトキシカルボニル基、パーフルオロヘキシルオキシカルボニル基などのC1~6ハロアルコキシカルボニル基;などが挙げられる。
式(I)中のR10、R11、R20、およびR21(以下、これらを、R10等と呼びことがある。)は、 R10、およびR11は、それぞれ独立に、無置換の若しくは置換基を有するC1~6アルキル基、無置換の若しくは置換基を有するC3~8シクロアルキル基、無置換の若しくは置換基を有するC2~6アルケニル基、無置換の若しくは置換基を有するC2~6アルキニル基、水酸基、オキソ基、無置換の若しくは置換基を有するC1~6アルコキシ基、無置換の若しくは置換基を有するC3~8シクロアルコキシ基、無置換の若しくは置換基を有するC2~6アルケニルオキシ基、無置換の若しくは置換基を有するC2~6アルキニルオキシ基、カルボキシル基、無置換の若しくは置換基を有するC1~7アシル基、無置換の若しくは置換基を有するC1~6アルコキシカルボニル基、無置換の若しくは置換基を有するC3~8シクロアルキルオキシカルボニル基、無置換の若しくは置換基を有するC2~6アルケニルオキシカルボニル基、無置換の若しくは置換基を有するC2~6アルキニルオキシカルボニル基、無置換の若しくは置換基を有するC6~10アリールオキシカルボニル基、無置換の若しくは置換基を有するヘテロシクリルオキシカルボニル基、無置換の若しくは置換基を有するC1~7アシルオキシ基、無置換の若しくは置換基を有するC1~6アルコキシカルボニルオキシ基、無置換の若しくは置換基を有するC3~8シクロアルキルオキシカルボニルオキシ基、無置換の若しくは置換基を有するC2~6アルケニルオキシカルボニルオキシ基、無置換の若しくは置換基を有するC2~6アルキニルオキシカルボニルオキシ基、無置換の若しくは置換基を有するC1~6アルキルアミノカルボニルオキシ基、無置換の若しくは置換基を有するC3~8シクロアルキルアミノカルボニルオキシ基、無置換の若しくは置換基を有するC2~6アルケニルアミノカルボニルオキシ基、無置換の若しくは置換基を有するC2~6アルキニルアミノカルボニルオキシ基、無置換の若しくは置換基を有するC6~10アリールアミノカルボニルオキシ基、無置換の若しくは置換基を有するヘテロシクリルアミノカルボニルオキシ基、無置換の若しくは置換基を有するアミノオキシ基、無置換の若しくは置換基を有するC1~6アルキリデンアミノオキシ基、無置換の若しくは置換基を有するC6~10アリール基、無置換の若しくは置換基を有するヘテロシクリル基、無置換の若しくは置換基を有するC6~10アリールオキシ基、無置換の若しくは置換基を有するヘテロシクリルオキシ基、置換基を有するスルホニルオキシ基、アミノ基、無置換の若しくは置換基を有するC1~6アルキルアミノ基、無置換の若しくは置換基を有するC3~8シクロアルキルアミノ基、無置換の若しくは置換基を有するC2~6アルケニルアミノ基、無置換の若しくは置換基を有するC2~6アルキニルアミノ基、無置換の若しくは置換基を有するC6~10アリールアミノ基、無置換の若しくは置換基を有するヘテロシクリルアミノ基、無置換の若しくは置換基を有するヒドロキシアミノ基、無置換の若しくは置換基を有するC1~7アシルアミノ基、無置換の若しくは置換基を有するC1~6アルコキシカルボニルアミノ基、無置換の若しくは置換基を有するC2~6アルケニルオキシカルボニルアミノ基、無置換の若しくは置換基を有するC2~6アルキニルオキシカルボニルアミノ基、無置換の若しくは置換基を有するC6~10アリールオキシカルボニルアミノ基、無置換の若しくは置換基を有するヘテロシクリルオキシカルボニルアミノ基、置換基を有するスルホニルアミノ基、無置換の若しくは置換基を有するアミノカルボニル基、メルカプト基、無置換の若しくは置換基を有するC1~6アルキルチオ基、無置換の若しくは置換基を有するC3~8シクロアルキルチオ基、無置換の若しくは置換基を有するC2~6アルケニルチオ基、無置換の若しくは置換基を有するC2~6アルキニルチオ基、無置換の若しくは置換基を有するC6~10アリールチオ基、無置換の若しくは置換基を有するヘテロシクリルチオ基、(無置換の若しくは置換基を有するC1~6アルキル)チオカルボニル基、(無置換の若しくは置換基を有するC1~6アルコキシ)チオカルボニル基、(無置換の若しくは置換基を有するC1~6アルキルチオ)カルボニル基、(無置換の若しくは置換基を有するC1~6アルキルチオ)チオカルボニル基、置換基を有するスルフィニル基、置換基を有するスルホニル基、ペンタフルオロスルファニル基、トリC1~6アルキル置換シリル基、トリC6~10アリール置換シリル基、シアノ基、ニトロ基、またはハロゲン原子を示す。
Cy1上のR10またはR11は、それぞれの中で、または相互に、またはCy1上で結合する原子と一緒になって環を形成してもよく、Cy2上のR20またはR21は、それぞれの中で、または相互に、またはCy2上で結合する原子と一緒になって環を形成してもよい。
nは、R11の数を示し且つ0~5のいずれかの整数、好ましくは1である。nが2以上のとき、R11同士は互いに同一でも異なっていてもよい。
rは、R21の数を示し且つ0~5のいずれかの整数、好ましくは1である。rが2以上のとき、R21同士は互いに同一でも異なっていてもよい。
さらに「無置換の若しくは置換基を有するC1~6アルキル基」としては、前記R1a等において例示したもの以外にも、クロロシクロヘキシルオキシメチル基、ブロモシクロヘキシルオキシメチル基、2-メチルシクロプロピルオキシメチル基、2,3-ジメチルシクロプロピルオキシメチル基、スピロ[2.2]ペンタ-1-イルオキシメチル基、1-メチル-スピロ[2.2]ペンタ-1-イルオキシメチル基、1-ヒドロキシメチルスピロ[2.2]ペンタ-1-イルオキシメチル基、4,4-ジフルオロ-スピロ[2.2]ペンタ-1-イルオキシメチル基、ビシクロプロピル-2-イル基オキシメチル基などの置換基を有するC3~8シクロアルコキシC1~6アルキル基; クロロシクロヘキシルメトキシメチル基、ブロモシクロヘキシルメトキシメチル基、2-メチルシクロプロピルメトキシメチル基、2,3-ジメチルシクロプロピルメトキシメチル基、スピロ[2.2]ペンタ-1-イルメトキシメチル基、1-メチル-スピロ[2.2]ペンタ-1-イルメトキシメチル基、1-ヒドロキシメチルスピロ[2.2]ペンタ-1-イルメトキシメチル基、4,4-ジフルオロ-スピロ[2.2]ペンタ-1-イルメトキシメチル基、ビシクロプロピル-2-イル基メトキシメチル基などの置換基を有するC3~8シクロアルキルC1~6アルコキシC1~6アルキル基; などが挙げられる。
R10等における「置換基を有するC3~8シクロアルキル基」としては、クロロシクロヘキシル基、ブロモシクロヘキシル基、2-メチルシクロプロピル基、2,3-ジメチルシクロプロピル基、スピロ[2.2]ペンタ-1-イル基、1-メチル-スピロ[2.2]ペンタ-1-イル基、1-ヒドロキシメチルスピロ[2.2]ペンタ-1-イル基、4,4-ジフルオロ-スピロ[2.2]ペンタ-1-イル基、ビシクロプロピル-2-イル基などが挙げられる。
R10等における「置換基を有するC2~6アルケニル基」としては、2-クロロ-1-プロペニル基、2-フルオロ-1-ブテニル基などのC2~6ハロアルケニル基;などが挙げられる。
R10等における「置換基を有するC2~6アルキニル基」としては、4,4-ジクロロ-1-ブチニル基、4-フルオロ-1-ペンチニル基、5-ブロモ-2-ペンチニル基などのC2~6ハロアルキニル基;などが挙げられる。
R10等における「置換基を有するC1~6アルコキシ基」としては、 フルオロメトキシ基、クロロメトキシ基、ブロモメトキシ基、ジフルオロメトキシ基、ジクロロメトキシ基、ジブロモメトキシ基、トリフルオロメトキシ基、トリクロロメトキシ基、トリブロモメトキシ基、2,2,2-トリフルオロエトキシ基、2,2,2-トリクロロエトキシ基、ペンタフルオロエトキシ基、4-フルオロブトキシ基、3,3,3-トリフルオロプロポキシ基、2,2,2-トリフルオロ-1-トリフルオロメチルエトキシ基、パーフルオロヘキシルオキシ基などのC1~6ハロアルコキシ基; 2-ヒドロキシエトキシ基、2-ヒドロキシプロポキシ基などのヒドロキシC1~6アルコキシ基; メトキシメトキシ基、1-メトキシエトキシ基、2-メトキシエトキシ基、エトキシメトキシ基、1-エトキシエトキシ基、2-エトキシエトキシ基、1-メトキシ-n-プロポキシ基、2-メトキシ-n-プロポキシ基、3-メトキシ-n-プロポキシ基などのC1~6アルコキシC1~6アルコキシ基; シクロプロピルメトキシ基、シクロブチルメトキシ基、シクロペンチルメトキシ基、シクロヘキシルメトキシ基、2-メチルシクロプロピルメトキシ基、2,3-ジメチルシクロプロピルメトキシ基、2-シクロプロピルエトキシ基などのC3~8シクロアルキルC1~6アルコキシ基;ベンジルオキシ基、フェネチルオキシ基などのC7~11アラルキルオキシ基; アセチルメトキシ基、2-アセチルエトキシ基などのC1~7アシルC1~6アルコキシ基; シアノメトキシ基、2-シアノエトキシ基などのシアノC1~6アルコキシ基; クロロシクロヘキシルメトキシ基、ブロモシクロヘキシルメトキシ基、2-メチルシクロプロピルメトキシ基、2,3-ジメチルシクロプロピルメトキシ基、スピロ[2.2]ペンタ-1-イルメトキシ基、1-メチル-スピロ[2.2]ペンタ-1-イルメトキシ基、1-ヒドロキシメチルスピロ[2.2]ペンタ-1-イルメトキシ基、4,4-ジフルオロ-スピロ[2.2]ペンタ-1-イルメトキシ基、ビシクロプロピル-2-イル基メトキシなどの置換基を有するC3~8シクロアルキルC1~6アルコキシ基;などが挙げられる。
R10等における「置換基を有するC3~8シクロアルキルオキシ基」としては、クロロシクロヘキシルオキシ基、ブロモシクロヘキシルオキシ基、2-メチルシクロプロピルオキシ基、2,3-ジメチルシクロプロピルオキシ基、スピロ[2.2]ペンタ-1-イルオキシ基、1-メチル-スピロ[2.2]ペンタ-1-イルオキシ基、1-ヒドロキシメチルスピロ[2.2]ペンタ-1-イルオキシ基、4,4-ジフルオロ-スピロ[2.2]ペンタ-1-イルオキシ基、ビシクロプロピル-2-イル基オキシなどが挙げられる。
R10等における「置換基を有するC2~6アルケニルオキシ基」としては、2-クロロ-1-プロペニルオキシ基、3,3-ジクロロ-2-プロペニルオキシ基、2-フルオロ-1-ブテニルオキシ基などのC2~6ハロアルケニルオキシ基;などが挙げられる。
R10等における「置換基を有するC2~6アルキニルオキシ基」としては、4,4-ジクロロ-1-ブチニルオキシ基、4-フルオロ-1-ペンチニルオキシ基、5-ブロモ-2-ペンチニルオキシ基などのC2~6ハロアルキニルオキシ基;などが挙げられる。
R10等における「置換基を有するC1~7アシル基」としては、クロロアセチル基、トリフルオロアセチル基、トリクロロアセチル基、4-クロロベンゾイル基などのハロゲン置換C1~7アシル基;などが挙げられる。
R10等における「置換基を有するC1~6アルコキシカルボニル基」としては、 シクロプロピルメトキシカルボニル基、シクロブチルメトキシカルボニル基、シクロペンチルメトキシカルボニル基、シクロヘキシルメトキシカルボニル基、2-メチルシクロプロピルメトキシカルボニル基、2,3-ジメチルシクロプロピルメトキシカルボニル基、2-クロロシクロプロピルメトキシカルボニル基、2-シクロプロピルエトキシカルボニル基などのC3~8シクロアルキルC1~6アルコキシカルボニル基; フルオロメトキシカルボニル基、クロロメトキシカルボニル基、ブロモメトキシカルボニル基、ジフルオロメトキシカルボニル基、ジクロロメトキシカルボニル基、ジブロモメトキシカルボニル基、トリフルオロメトキシカルボニル基、トリクロロメトキシカルボニル基、トリブロモメトキシカルボニル基、2,2,2-トリフルオロエトキシカルボニル基、2,2,2-トリクロロエトキシカルボニル基、ペンタフルオロエトキシカルボニル基、4-フルオロブトキシカルボニル基、3,3,3-トリフルオロプロポキシカルボニル基、2,2,2-トリフルオロ-1-トリフルオロメチルエトキシカルボニル基、パーフルオロヘキシルオキシカルボニル基などのC1~6ハロアルコキシカルボニル基;ベンジルオキシカルボニル基、1-フェニルエトキシカルボニル基などのC6~10ありリールC1~6アルキルオキシカルボニル基;テトラヒドロフラン-2-イルメトキシカルボニル基、ピラゾリルメトキシカルボニル基、チアジアゾリルメトキシカルボニル基、ピリジルメトキシカルボニル基、ピリミジニルメトキシカルボニル基、ピリダジニルメトキシカルボニル基などのヘテロシクリルC1~6アルコキシカルボニル基;などが挙げられる。
R10等における「置換基を有するC2~6アルケニルオキシカルボニル基」としては、1-メチル-2-プロペニルオキシカルボニル基、2-メチル-1-プロペニルオキシカルボニル基などが挙げられる。
R10等における「置換基を有するC2~6アルキニルオキシカルボニル基」としては、1-メチルプロパルギルオキシカルボニル基などが挙げられる。
R10等における「置換基を有するC1~7アシルオキシ基」としては、クロロアセチルオキシ基、トリフルオロアセチルオキシ基、トリクロロアセチルオキシ基、4-クロロベンゾイルオキシ基などのハロゲン置換C1~7アシルオキシ基;などが挙げられる。
形成してもよい環としては、ベンゼン環などの芳香族炭化水素環; シクロペンテン環、シクロヘキセン環、シクロヘプテン環などのC5~7シクロアルケン環; フラン環、チオフェン環、ピロ-ル環、イミダゾール環、ピラゾール環、チアゾール環、オキサゾール環、イソオキサゾール環、ピリジン環、ピラジン環、ピリミジン環、ピリダジン環、アゼピン環、ジアゼピン環などの芳香族5~7員ヘテロ環; ジヒドロ-2H-ピラン環、ジヒドロ-2H-チオピラン環、テトラヒドロピリジン環などの不飽和5~7員ヘテロ環;などが挙げられる。
これらの環は、環上に置換基を有していてもよい。
置換基となり得る基としては、 フッ素原子、塩素原子、臭素原子、ヨウ素原子などのハロゲン原子; メチル基、エチル基、n-プロピル基、i-プロピル基、n-ブチル基、s-ブチル基、i-ブチル基、t-ブチル基、n-ペンチル基、n-ヘキシル基などのC1~6アルキル基; シクロプロピル基、シクロブチル基、シクロペンチル基、シクロヘキシル基などのC3~6シクロアルキル基; メトキシ基、エトキシ基、n-プロポキシ基、i-プロポキシ基、n-ブトキシ基、s-ブトキシ基、i-ブトキシ基、t-ブトキシ基などのC1~6アルコキシ基; 水酸基; クロロメチル基、クロロエチル基、トリフルオロメチル基、1,2-ジクロロ-n-プロピル基、1-フルオロ-n-ブチル基、パーフルオロ-n-ペンチル基などのC1~6ハロアルキル基;などを挙げることができる。
式(I)において、R11は、シアノ基、ハロゲン原子、ペンタフルオロスルファニル基、C1~6ハロアルキル基、C2~6ハロアルケニル基、またはC2~6ハロアルキニル基であることが好ましい。
式(I)において、R21は、C1~6アルキル基、C1~6アルコキシC1~6アルキル基、C1~6アルコキシC1~6アルコキシC1~6アルキル基、水酸基、C1~6アルコキシ基、C1~6ハロアルコキシ基、C2~6ハロアルケニルオキシ基、C2~6ハロアルキニルオキシ基、C1~6アルコキシC1~6アルコキシ基、C3~8シクロアルキルC1~6アルコキシ基、C1~6アルコキシカルボニル基、C2~6アルケニルオキシカルボニル基、C2~6アルキニルオキシカルボニル基、C1~6アルキリデンアミノオキシ基、C1~6アルコキシカルボニルアミノ基、無置換の若しくは置換基を有するC7~11アラルキル基、無置換の若しくは置換基を有するC7~11アラルキルオキシ基、またはニトロ基であることが好ましい。
本発明に係る環状アミン化合物の塩は、農園芸学的に許容される塩であれば、特に制限されない。例えば、塩酸、硫酸などの無機酸の塩;酢酸、乳酸などの有機酸の塩;リチウム、ナトリウム、カリウムなどのアルカリ金属の塩;カルシウム、マグネシウムなどのアルカリ土類金属の塩;鉄、銅などの遷移金属の塩;アンモニア、トリエチルアミン、トリブチルアミン、ピリジン、ヒドラジンなどの有機塩基の塩などが挙げられる。本発明に係る環状アミン化合物の塩は、式(I)または式(II)で表わされる環状アミン化合物から、公知の手法によって得ることができる。
本発明に係る環状アミン化合物またはその塩の製造方法は、特に制限されない。
まず、Yが酸素原子である場合の本発明に係るヒドロキシアミン化合物の製法を説明する。Yが酸素原子である場合、下記の式(3)で表される化合物を中間体として経る製造方法が好ましい。
該還元反応に引き続き、化合物(3)にヘテロシクリルハライドを塩基の存在下で反応させる。これによって、式(4)で表されるヘテロシクリルオキシアミン化合物を得ることができる。この反応は米国特許5286865号公報などに記載されている。
なお、上記式(1)~(4)中、Rbは置換基を有するフェニル基を示し、Raは置換基を有するヘテロシクリル基を示し、Xはハロゲン原子を示す。
本発明に係るヒドロキシアミン化合物は、式(III)で表わされる化合物である。また本発明に係るヒドロキシアミン化合物の塩は、式(III)で表される化合物の塩である。式(III)で表わされる化合物またはその塩は、式(I)または式(II)で表される化合物またはその塩の製造中間体として好適である。
式(III)中のR1aとR2aまたはR3aとR4aは、無置換の若しくは置換基を有するC3~6アルキレン基、無置換の若しくは置換基を有するC3~6アルケニレン基、式:-CH2OCH2-で表される基、式:-CH2SCH2-で表される基、式:-CH2C(=O)CH2-で表される基、または式:-CH2NR6CH2-で表される基 (ただし、R6は、水素原子、無置換の若しくは置換基を有するC1~6アルキル基、無置換の若しくは置換基を有するC1~7アシル基、または無置換の若しくは置換基を有するC1~6アルコキシカルボニル基を示す。)を形成している。当該2価の有機基としては、式(I)におけるものと同じものを挙げることができる。
式(III)中のR11は、シアノ基、ハロゲン原子、ペンタフルオロスルファニル基、C1~6ハロアルキル基、C2~6ハロアルケニル基、またはC2~6ハロアルキニル基であることが好ましい。
その代表例として、下記のものが挙げられる。
鱗翅目害虫、例えば、ハスモンヨトウ、ヨトウガ、タマナヤガ、アオムシ、タマナギンウワバ、コナガ、チャノコカクモンハマキ、チャハマキ、モモシンクイガ、ナシヒメシンクイ、ミカンハモグリガ、チャノホソガ、キンモンホソガ、マイマイガ、チャドクガ、ニカメイガ、コブノメイガ、ヨーロピアンコーンボーラー、アメリカシロヒトリ、スジマダラメイガ、ヘリオティス属、ヘリコベルパ属、アグロティス属、イガ、コドリンガ、ワタアカミムシ等、
半翅目害虫、例えば、モモアカアブラムシ、ワタアブラムシ、ニセダイコンアブラムシ、ムギクビレアブラムシ、ホソヘリカメムシ、アオクサカメムシ、ヤノネカイガラムシ、クワコナカイガラムシ、オンシツコナジラミ、タバココナジラミ、シルバーリーフコナジラミ、ナシキジラミ、ナシグンバイムシ、トビイロウンカ、ヒメトビウンカ、セジロウンカ、ツマグロヨコバイ等、
甲虫目害虫、例えば、キスジノミハムシ、ウリハムシ、コロラドハムシ、イネミズゾウムシ、コクゾウムシ、アズキゾウムシ、マメコガネ、ヒメコガネ、ジアブロティカ属、タバコシバンムシ、ヒラタキクイムシ、マツノマダラカミキリ、ゴマダラカミキリ、アグリオティス属、ニジュウヤホシテントウ、コクヌスト、ワタミゾウムシ等、
双翅目害虫、例えば、イエバエ、オオクロバエ、センチニクバエ、ウリミバエ、ミカンコミバエ、タネバエ、イネハモグリバエ、キイロショウジョウバエ、サシバエ、コガタアカイエカ、ネッタイシマカ、シナハマダラカ等、
アザミウマ目害虫、例えば、ミナミキイロアザミウマ、チャノキイロアザミウマ等、
膜翅目害虫、例えば、イエヒメアリ、キイロスズメバチ、カブラハバチ等、
直翅目害虫、例えば、トノサマバッタ、チャバネゴキブリ、ワモンゴキブリ、クロゴキブリ等、
シロアリ目害虫、例えば、イエシロアリ、ヤマトシロアリ等、
隠翅目害虫、例えば、ヒトノミ、ネコノミ等、シラミ目害虫、例えば、ヒトジラミ等、
植物寄生性線虫類、例えば、サツマイモネコブセンチュウ、ネグサレセンチュウ、ダイズシストセンチュウ、イネシンガレセンチュウ、マツノザイセンチュウ等、そして、ダニ類である。
その中でも、本発明の環状アミン化合物またはその塩は、特にダニ類に対する防除効果に優れるので、殺ダニ剤の有効成分として有用である。
ハダニ科(Tetranychidae)に属するダニ:ブドウヒメハダニ(Brevipalpus lewisi)、チャノヒメハダニ(Brevipalpus obovatus)、ミナミヒメハダニ(Brevipalpus phoenicis)、クローバーハダニ(Bryobia praetiosa)、ニセクローバーハダニ(Bryobia rubrioculus)、パイナップルヒメハダニ(Dolichotetranychus floridanus)、アンズハダニ(Eotetranychus boreus)、ミチノクハダニ(Eotetranychus geniculatus)、クリハダニ(Eotetranychus pruni)、コウノシロハダニ(Eotetranychus sexmanaculatus)、スミスハダニ(Eotetranychus smithi)、クルミハダニ(Eotetranychus uncatus)、スギノハダニ(Oligonychus hondoensis)、チビコブハダニ(Oligonychus ilicis)、カラマツハダニ(Oligonychus karamatus)、イネハダニ(Oligonychus shinkajii)、ミカンハダニ(Panonychus citri)、クワオオハダニ(Panonychus mori)、リンゴハダニ(Panonychus ulmi)、カキヒメハダニ(Tenuipalpus zhizhilashviliae)、ニセナミハダニ(Tetranychus cinnabarinus)、カンザワハダニ(Tetranychus kanzawai)、ナミハダニ(Tetranychus urticae)、オウトウハダニ(Tetranychus viennensis)、ナミケナガハダニ(Tuckerella pavoniformis)など;
ホコリダニ科(Tarsonemidae)に属するダニ:シクラメンホコリダニ(Phytonemus pallidus)、チャノホコリダニ(Polyphagotarsonemus latus)、スジブトホコリダニ(Tarsonemus bilobatus)、アシボソホコリダニ(Tarsonemus waitei)など;
ハシリダニ科(Eupodidae)に属するダニ:ハクサイダニ(Penthaleus erythrocephalus)、ムギダニ(Penthaleus major)など;
マダニ科(Ixodidae)に属するダニ:フタトゲチマダニ(Haemaphyxalislongicornis)、ヤマトチマダニ(Haemaphysalis japonica)、オウシマダニ(Boophilus microplus)、アミメカクマダニ(Dermacentor recticulatus)、タイワンカクマダニ(Dermacentor taiwanensis)、キチマダニ(Haemaphysalis flava)、ヤマトマダニ(Ixodes ovatus)、シュルツェマダニ(Ixodes persulcatus)、アミノカクマダニ(Dermacentor reticulatus)など
を挙げることができる。
本発明の環状アミン化合物またはその塩は、薬害が少なく、魚類や温血動物への毒性が低く、特に安全性の高い化合物である。
本発明の殺ダニ剤は、式(I)、または式(II)で表わされる環状アミン化合物またはその塩から選ばれる少なくとも1種を有効成分として含有するものである。本発明の殺ダニ剤では、式(I)、または式(II)で表わされる環状アミン化合物またはその塩を1種単独でまたは2種以上を組み合わせて含有することができる。
また、本発明の殺ダニ剤は、式(I)、または式(II)で表わされる環状アミン化合物またはその塩のみを含有するものであってもよいが、固体担体、液体担体、ガス状担体などの担体を含有していてもよい。また、本発明の殺ダニ剤は、式(I)、または式(II)で表わされる環状アミン化合物またはその塩を多孔セラミック板や不織布などの基材に含浸させたものであってもよい。さらに、必要に応じて界面活性剤、その他の補助剤を添加したものであってもよい。
本発明に係る殺ダニ剤は、一般の農薬のとり得る形態、即ち、水和剤、粒剤、粉剤、乳剤、水溶剤、懸濁剤、顆粒水和剤、フロアブル、エアゾール、煙霧剤、加熱蒸散剤、燻煙剤、毒餌、マイクロカプセルなどの形態に製剤化することができる。
液体製剤にする際に使用される溶剤としては、ケロシン、キシレンおよびソルベントナフサなどの石油留分;シクロヘキサン、シクロヘキサノン、ジメチルホルムアミド、ジメチルスルホキシド、アルコール、アセトン、メチルイソブチルケトン、鉱物油、植物油、水などが挙げられる。
噴射剤に製剤化する際に使用されるガス状担体としては、ブタンガス、LPG、ジメチルエーテル、炭酸ガスなどが挙げられる。
製剤化において均一かつ安定な形態をとり得るようにするために界面活性剤を添加することができる。界面活性剤としては、ポリオキシエチレンが付加したアルキルエーテル、ポリオキシエチレンが付加した高級脂肪酸エステル、ポリオキシエチレンが付加したソルビタン高級脂肪酸エステル、ポリオキシエチレンが付加したトリスチリルフェニルエーテルなどの非イオン性界面活性剤、ポリオキシエチレンが付加したアルキルフェニルエーテルの硫酸エステル塩、アルキルナフタレンスルホン酸塩、ポリカルボン酸塩、リグニンスルホン酸塩、アルキルナフタレンスルホン酸塩のホルムアルデヒド縮合物、イソブチレン-無水マレイン酸の共重合物などが挙げられる。
水和剤、乳剤、懸濁剤、フロアブル剤、水溶剤または顆粒水和剤の形態で供給された農業用殺ダニ剤は、水で所定の濃度に希釈して、溶解液、懸濁液あるいは乳濁液にして植物或いは土壌に散布することができる。また、粉剤・粒剤の形態で供給された農業用殺ダニ剤は、そのまま植物或いは土壌に散布することができる。
動物寄生ダニ防除用殺ダニ剤は、公知の獣医学的な手法で施用することができる。その方法として、例えば、全身的抑制(systemic control)を目的とする場合には、錠剤、カプセル、浸漬液、飼料混入、坐薬、注射(筋肉内、皮下、静脈内、腹腔内など)などにより動物に投与する方法などが挙げられ、非全身的抑制(non-systemic control)を目的とする場合は、油性または水性液剤を噴霧、注ぎかけ(pour-on)、滴下(spot-on)などにより投与する方法、樹脂に殺ダニ剤を練り込み、該混練物を首輪、耳札などの適当な形状に成形し、それを動物に装着する方法などが挙げられる。
本発明化合物と混合して使用できる殺菌剤、他の殺虫・殺ダニ剤、殺線虫剤、殺土壌害虫剤、植物生長調節剤の代表例を以下に示す。
1)ベンゾイミダゾール系:ベノミル、カルベンダジム、フベリダゾール、チアベンダゾール、チオファネート メチルなど;
2)ジカルボキシイミド系:クロゾリネート、イプロジオン、プロシミドン、ビンクロゾリンなど;
3)DMI-殺菌剤系:イマザリル、オキスポコナゾール、ペフラゾエート、プロクロラズ、トリフルミゾール、トリホリン、ピリフェノックス、フェナリモル、ヌアリモル、アザコナゾール、ビテルタノール、ブロムコナゾール、シプロコナゾール、ジフェノコナゾール、ジニコナゾール、エポキシコナゾール、フェンブコナゾール、フルキンコナゾール、フルシラゾール、フルトリアホル、ヘキサコナゾール、イミベンコナゾール、イプコナゾール、メトコナゾール、ミクロブタニル、ペンコナゾール、プロピコナゾール、プロチオコナゾール、シメコナゾール、テブコナゾール、テトラコナゾール、トリアジメホン、トリアジメノール、トリチコナゾール、エタコナゾール、ファーコナゾールシスなど;
4)フェニルアミド系:ベナラキシル、フララキシル、メタラキシル、メタラキシル-M、オキサジキシル、オフラセなど;
5)アミン系:アルジモルフ、ドデモルフ、フェンプロピモルフ、トリデモルフ、フェンプロピジン、ピペラリン、スピロキサミンなど;
6)ホスホロチオレート系:EDDP、イプロベンホス、ピラゾホスなど;
7)ジチオラン系:イソプロチオランなど;
8)カルボキサミド:ベノダニル、ボスカリド、カルボキシン、フェンフラン、フルトラニル、フラメトピル、メプロニル、オキシカルボキシン、ペンチオピラド、チフルザミドなど;
9)ヒドロキシ-(2-アミノ) ピリミジン系:ブピリメート、ジメチリモル、エチリモルなど;
10)AP殺菌剤 (アニリノピリミジン)系:シプロジニル、メパニピリム、ピリメタニルなど;
11)N-フェニルカーバメート系:ジエトフェンカルブなど;
12)QoI-殺菌剤 (Qo阻害剤)系:アゾキシストロビン、ピコキシストロビン、ピラクロストロビン、クレソキシム-メチル、トリフロキシストロビン、ジモキシストロビン、メトミノストロビン、オリザストロビン、ファモキサドン、フルオキサストロビン、フェンアミドン、メトミノフェンなど;
13)PP殺菌剤 (フェニルピロール)系:フェンピコニル、フルジオキソニルなど;
14)キノリン系:キノキシフェンなど;
15)AH殺菌剤 (芳香族炭化水素)系:ビフェニル、クロロネブ、ジクロラン、キントゼン、テクナゼン、トルクトフォス-メチルなど;
16)MBI-R系:フサライド、ピロキロン、トリシクラゾールなど;
17)MBI-D系:カルプロパミド、ジクロシメット、フェノキサニルなど;
18)SBI剤:フェンヘキサミド、ピリブチカルブ、タービナフィンなど;
19)フェニルウレア:ペンシクロンなど;
20)QiI-殺菌剤 (Qi阻害剤):シアゾファミドなど;
22)エノピランウロン系:ブラストサイジン、ミルディオマイシンなど;
23)へキソピラノシル系:カスガマイシンなど;
24)グルコピラノシル系:ストレプトマイシン、バリダマイシンなど;
25)シアノアセトアミド系:シモキサニルなど;
26)カーバメート系:イドカルブ、プロパモカルブ、プロチオカルブ、ポリカーバメートなど;
27)脱共役剤:ビナパクリル、ジノカップ、フェリムゾン、フルアジナムなど;
28)有機スズ化合物:酢酸トリフェニルスズ、塩化トリフェニルスズ、水酸化トリフェニルスズなど;
29)リン酸エステル:亜リン酸、トルクロホスメチル、ホセチルなど;
30)フタルアミド酸系:テクロフタラムなど;
31)ベンゾトリアジン系:トリアゾキシドなど;
32)ベンゼンスルフォナミド系:フルスルファミドなど;
33)ピリダジノン:ジクロメジンなど;
34)CAA 殺菌剤 (カルボン酸アミド)系:ジメトモルフ、フルモルフ、ベンチアバリカルブ、イプロバリカルブ、マンジプロパミドなど;
35)テトラサイクリン:オキシテトラサイクリンなど;
36)チオカーバメート系:メタスルホカルブなど;
37)その他の化合物:エトリジアゾール、ポリオキシン、オキソリニック酸、ヒドロキシイソキサゾール、オクチノリン、シルチオファム、ジフルメトリム、アシベンゾラルSメチル、プロベナゾール、チアジニル、エタボキサム、シフルフェナミド、プロキナジド、メトラフェノン、フルオピコリド、水酸化第二銅、有機銅、硫黄、ファーバム、マンゼブ、マンネブ、メチラム、プロピネブ、チウラム、ジネブ、ジラム、キャプタン、カプタホール、フォルペット、クロロタロニル、ジクロフルアニド、トリルフルアニド、ドジン、グアザチン、イミノクタジン酢酸塩、イミノクタジンドデシルベンゼンスルホン酸塩、アニラジン、ジチアノン、クロロピクリン、ダゾメット、メタムナトリウム塩、キノメチオネート、シプロフラム、シルチオファム、アグロバクテリウム、フルオロイミド)など;
1)有機(チオ)ホスフェート系:アセフェート、アザメチホス、アジンホスメチル、クロルピリホス、クロルピリホスメチル、クロルフェンビンホス、ダイアジノン、ジクロルボス、ジクロトホス、ジメトエート、ジスルホトン、エチオン、EPN、フェナミホス、フェニトロチオン、フェンチオン、イソキサチオン、マラソン、メタミドホス、メチダチオン、メチルパラチオン、メビンホス、モノクロトホス、オキシデメトンメチル、パラオキソン、パラチオン、フェントエート、ホサロン、ホスメット、ホスファミドン、ホレート、ホキシム、ピリミホスメチル、プロフェノホス、プロチオホス、スルプロホス、テトラクロルビンホス、テルブホス、トリアゾホス、トリクロルホン、ホスチアゼート、ホスホカルブ、カズサホス、ジスルホトン、デメトン-S-メチル、BRP、CYAP、エトプロホス、キナルホス、ジメチルビンホス、バミドチオン、ピラクロホスなど;
3)ピレトロイド系:アレスリン、ビフェントリン、シフルトリン、シハロトリン、シフェノトリン、シペルメトリン、アルファシペルメトリン、ベータシペルメトリン、ゼータシペルメトリン、デルタメトリン、エスフェンバレレート、エトフェンプロックス、フェンプロパトリン、フェンバレレート、イミプロトリン、ラムダシハロトリン、ペルメトリン、プラレトリン、ピレトリンIおよびII、レスメトリン、シラフルオフェン、タウフルバリネート、テフルトリン、テトラメトリン、トラロメトリン、トランスフルトリン、プロフルトリン、ジメフルトリン、アクリナトリン、シクロプロトリン、ハルフェンプロックス、フルシトリネートなど;
a)キチン合成阻害剤:クロルフルアズロン、ジフルベンズロン、フルシクロクスロン、フルフェノクスロン、ヘキサフルムロン、ルフェヌロン、ノバルロン、テフルベンズロン、トリフルムロン; ビストリフルロン、ノビフルムロン、ブプロフェジン、ジオフェノラン、ヘキシチアゾクス、エトキサゾール、クロフェンタジンなど;
b)エクジソンアンタゴニスト:ハロフェノジド、メトキシフェノジド、テブフェノジド、アザジラクチン; クロマフェノジドなど;
c)幼若ホルモン様物質: ピリプロキシフェン、メトプレン、フェノキシカルブ;
d)脂質生合成阻害剤:スピロジクロフェン、スピロメシフェン、スピロテトラマトなど;
6)GABAアンタゴニスト化合物:アセトプロール、エンドスルファン、エチピロール、フィプロニル、バニリプロール、ピラフルプロール、ピリプロールなど;
7)大環状ラクトン殺虫剤:アバメクチン、エマメクチン、ミルベメクチン、レピメクチン、スピノサド; イベルメクチンなど;
8)METI I化合物:フェナザキン、ピリダベン、テブフェンピラド、トルフェンピラド、フルフェネリムなど;
9)METI IIおよびIII化合物:アセキノシル、フルアシプリム、ヒドラメチルノンなど;
10)脱共役剤化合物:クロルフェナピルなど;
11)酸化的リン酸化阻害剤化合物:シヘキサチン、ジアフェンチウロン、フェンブタチンオキシド、プロパルギットなど;
12)脱皮かく乱化合物:シロマジンなど;
13)混合機能オキシダーゼ阻害剤化合物:ピペロニルブトキシドなど;
14)ナトリウムチャネル遮断剤化合物:インドキサカルブ、メタフルミゾン;
15)微生物農薬:BT剤、昆虫病原ウイルス剤、昆虫病原糸状菌剤、線虫病原糸状菌剤など;
16)その他のもの:ベンクロチアズ、ビフェナゼート、カルタップ、フロニカミド、ピリダリル、ピメトロジン、硫黄、チオシクラム、フルベンジアミド、シエノピラフェン、フルピラゾホス、シフルメトフェン、アミドフルメット、ベンスルタップ、ジコホル、テトラジホン、フェンピロキシメート、アミトラズ、クロルジメホルム、トリアザメイト、ピメトロジン、ピリミジフェン、1,3-ジクロロプロペン、クロフェンテジン、フルアクリピリム、ロテノン、DCIP、フェニソブロモレート、ベンゾメート、メタアルデヒド、クロラントラニリプロールスピネトラム、ピリフルキナゾンなど;
アブシジン酸、インドール酪酸、ウニコナゾール、エチクロゼート、エテホン、クロキシホナック、クロルメコート、クロレラ抽出液、過酸化カルシウム、シアナミド、ジクロルプロップ、ジベレリン、ダミノジッド、デシルアルコール、トリネキサパックエチル、メピコートクロリド、パクロブトラゾール、パラフィンワックス、ピペロニルブトキシド、ピラフルフェンエチル、フルルプリミドール、プロヒドロジャスモン、プロヘキサジオンカルシウム塩、ベンジルアミノプリン、ペンディメタリン、ホルクロルフェニュロン、マレイン酸ヒドラジドカリウム、1-ナフチルアセトアミド、4-CPA、MCPB、コリン、硫酸オキシキノリン、エチクロゼート、ブトルアリン、1-メチルシクロプロペン、アビグリシン塩酸塩など;
3-endo-[2-i-ブトキシ-4-(トリフルオロメチル)フェノキシ]-9-[5-(トリフルオロメチル)-2-ピリジルオキシ]-9-アザビシクロ[3.3.1]ノナン (化合物番号H-1)の製造
化合物(1b)(1.35g)と4-フルオロ-3-i-ブトキシベンゾトリフルオリド(化合物(2b))(1.38g)とのN,N-ジメチルホルムアミド(14ml)溶液を90℃に昇温し、次いで60%水素化ナトリウム(0.35g)を加え、2時間撹拌した。該混合物を室温まで冷やした後、水に注いで、酢酸エチルで抽出した。有機層を水で洗浄し、無水硫酸マグネシウムで乾燥させ、ろ過し、次いで減圧濃縮した。残査をカラムクロマトグラフィーにより精製し、化合物(3b)(2.04g)を得た。
3-endo-[2-i-ブトキシ-4-(トリフルオロメチル)フェノキシ]-9-ヒドロキシ-9-アザビシクロ[3.3.1]ノナン (化合物番号e-1)の製造
化合物(7b)(30.4g)の塩化メチレン(600ml)溶液に、室温下、炭酸カリウム(15.5g)とメタクロロ過安息香酸(70%純度、23.71g)を加えて、混合物を4時間撹拌した。混合物に無水硫酸マグネシウム(10g)を加えて、ろ過し溶媒を減圧濃縮した。残査を酢酸エチルで希釈しアスコルビン酸水溶液、続いて水で洗浄し、無水硫酸マグネシウムで乾燥後、ろ過し、減圧濃縮した。残査にヘキサンを加えることにより固化させて粗製の化合物(e-1)(17.79g)を得た。さらにその母液をカラムクロマトグラフィーにより精製し、結晶の化合物(e-1)(8.12g、融点112-115℃)を得た。
3-endo-[2-i-ブトキシ-4-(トリフルオロメチル)フェノキシ]-9-[5-(トリフルオロメチル)-2-ピリジルチオ]-9-アザビシクロ[3.3.1]ノナン (化合物番号N-1)の製造
3-オキサ-7-endo-[5-(トリフルオロメチル)-2-ピリジルオキシ]-9-[2-イソプロポキシカルボニル-4-(トリフルオロメチル)フェノキシ]-9-アザビシクロ[3.3.1]ノナン (化合物番号(K-12))の製造
化合物(6c):mp. 87-90℃
1H-NMR(CDCl3, δppm) 8.41(s, 1H), 7.73(d, 1H), 6.81(d, 1H), 5.47-5.40(m, 1H), 3.87(d, 2H), 3.60(d, 2H), 2.98(t, 2H), 2.84(d, 2H), 2.50-2.42(m, 4H), 1.87(d, 1H), 1.82(d, 1H)
1H-NMR(CDCl3, δppm, 測定温度21.2℃) 8.43(s, 1H), 7.73(d, 1H), 6.80(d, 1H), 5.68-5.61(m, 0.7H), 5.39-5.36(m, 0.3H), 4.38(d, 0.5H), 3.79(s, 3H), 3.37(d, 0.5H), 3.24(d, 1.5H), 3.11(d, 0.5H), 2.75-2.53(m, 2H), 2.17-2.05(brd, 0.5H), 1.78-1.72(d,d, 1.5H)
3-endo-[2-ブトキシ-4-(トリフルオロメチル)フェノキシ]-9-[5-(トリフルオロメチル)-2-ピリジルオキシ]-9-アザビシクロ[3.3.1]ノナン (化合物番号(H-54))の製造
3-endo-[2-フェニル-4-(トリフルオロメチル)フェノキシ]-9-[5-(トリフルオロメチル)-2-ピリジルオキシ]-9-アザビシクロ[3.3.1]ノナン (化合物番号(H-85))の製造
なお、表1中の(R10)m、(R11)n、A、(R21)r、およびCy2-(R20)pは、式(Ig)で表される環状アミン化合物中の各置換基を示している。
表2中の(R10)m、(R11)n、A、(R21)r、およびCy2-(R20)pは、式(Ih)で表される環状アミン化合物中の各置換基を示している。
表3中の(R10)m、(R11)n、A、(R21)r、Cy1、Cy2、および(R20)pは、式(Ii)で表される環状アミン化合物中の各置換基を示している。
表4中の(R10)m、(R11)n、A、(R21)r、Cy1、Cy2、および(R20)pは、式(Ij)で表される環状アミン化合物中の各置換基を示している。
表5中の(R10)m、(R11)n、A、(R21)r、Cy1、Cy2、および(R20)pは、式(Ik)で表される環状アミン化合物中の各置換基を示している。
表6中の(R10)m、(R11)n、A、(R21)r、Cy1、Cy2、および(R20)pは、式(Il)で表される環状アミン化合物中の各置換基を示している。
なお、表1~6において、置換基の前に付された数値は置換位置を示している。また、Etはエチル基、Meはメチル基、nBuはn-ブチル基、iBuはi-ブチル基、sBuはs-ブチル基、tBuはt-ブチル基、nPenはn-ペンチル基、nHexはn-ヘキシル基、cPrはシクロプロピル基、cBuはシクロブチル基、cPenはシクロペンチル基、cHexはシクロヘキシル基、をそれぞれ示している。
なお、化合物H-1は、下式のような、9-アザビシクロ[3.3.1]ノナン環の7位のメチレンと9位のピリジルオキシとの間の距離が近い化合物と、それが遠い化合物との2種の配座異性の混合物と推定される。
表7中の(R10)m、(R11)n、およびAは、式(IIId)で表されるヒドロキシアミン化合物中の各置換基を示している。
表8中の(R10)m、(R11)n、およびAは、式(IIIe)で表されるヒドロキシアミン化合物中の各置換基を示している。
本発明化合物 40部
珪藻土 53部
高級アルコール硫酸エステル 4部
アルキルナフタレンスルホン酸塩 3部
以上を均一に混合して微細に粉砕して、有効成分40%の水和剤を得た。
本発明化合物 30部
キシレン 33部
ジメチルホルムアミド 30部
ポリオキシエチレンアルキルアリルエーテル 7部
以上を混合溶解して、有効成分30%の乳剤を得た。
3寸鉢に播種したインゲンの発芽後7~10日を経過した第1本葉上に、有機リン剤抵抗性のナミハダニ雌成虫を17頭接種した。次いで、前記製剤実施例2に示された処方の乳剤を調製した。この乳剤を化合物の濃度125ppmになるように水で希釈し、その希釈液を前記インゲンに散布した。該インゲンを、温度25℃、湿度65%の恒温室内に置いた。散布から3日経過後に殺成虫率を調査した。試験は2反復で行った。
化合物番号:H-1、H-2、H-5、H-29、H-41、H-42、H-43、H-51、H-52、H-54、H-55、H-56、H-57、H-58、H-59、H-60、H-61、H-62、H-63、H-64、H-65、H-66、H-67、H-68、H-70、H-71、H-72、H-73、H-74、H-75、H-79、H-80、H-82、H-83、H-84、H-85、H-86、H-87、H―89、H-90、K-8、K-12、K-38、およびK-39の環状アミン化合物をそれぞれ含有する乳剤について、上記試験を行った。その結果、いずれの化合物も、濃度125ppmに希釈した場合における殺虫率が、80%以上であった。
また、化合物番号H-81は、濃度8ppmに希釈した場合における殺虫率が、80%以上であった。
シャーレに入れたミカン葉上に、殺ダニ剤抵抗性のミカンハダニ雌成虫を10頭接種した。次いで前記製剤実施例2に示された処方の乳剤を調製した。この乳剤を化合物の濃度125ppmになるように水で希釈し、その希釈液を回転散布塔にて前記ミカンに散布した。該ミカンを、温度25℃、湿度65%の恒温室内に置いた。散布から3日経過後に殺成虫率を調査した。
化合物番号:H-1、H-2、H-5、H-29、H-41、H-42、H-43、H-51、H-55、H-57、H-58、H-62、H-64、H-66、H-69、H-72、H-73、H-74、H-75、H-81、H-82、H-83、H-84、H-85、H-87、H-89、H-90、K-8、K-12、K-38、およびK-39の環状アミン化合物をそれぞれ含有する乳剤について、上記試験を行った。その結果、いずれの化合物も、濃度125ppmに希釈した場合における殺虫率が、80%以上であった。
また、化合物番号H-54、H-56、H-59、H-60、H-61、H-63、H-68、H-70、およびH-80は、濃度31ppmに希釈した場合における殺虫率が、80%以上であった。
シャーレに入れたインゲン葉上に、ナミハダニ雌成虫を接種し、1日間産卵させた。次いで前記製剤実施例2に示された処方の乳剤を調製した。この乳剤を化合物の濃度125ppmになるように水で希釈し、その希釈液を回転散布塔にて前記インゲン葉に散布した。該インゲン葉を、温度25℃、湿度65%の恒温室内に置いた。散布から7日後に産付された卵が孵化し得たか否かを調査し殺卵率を求めた。
化合物番号:H-1、H-2、H-29、H-43、H-54、H-56、およびH-73の環状アミン化合物をそれぞれ含有する乳剤について、上記試験を行った。その結果、いずれの化合物も、濃度125ppmに希釈した場合における殺卵率が、80%以上であった。
シャーレに入れたミカン葉上に、ミカンハダニ雌成虫を接種し、1日間産卵させた。次いで前記製剤実施例2に示された処方の乳剤を調製した。この乳剤を化合物の濃度125ppmになるように水で希釈し、その希釈液を回転散布塔にて前記ミカン葉に散布した。該ミカン葉を、温度25℃、湿度65%の恒温室内に置いた。散布から7日後に産付された卵が孵化し得たか否かを調査し殺卵率を求めた。
化合物番号H-1、H-2、H-29、H-43、H-54、H-56、およびH-73の環状アミン化合物をそれぞれ含有する乳剤について、上記試験を行った。その結果、いずれの化合物も、濃度125ppmに希釈した場合における殺卵率が、80%以上であった。
本発明化合物をアセトンに希釈して、400 ppm濃度の薬液を調製した。薬液118 μLを20 mL容のガラスバイアル内面に塗布した後、アセトンを揮発させて本発明化合物の薄膜をガラスバイアル内面に作成した。用いたガラスバイアルの内面は47 cm2なので、処理薬量は1 μg/cm2となる。これにフタトゲチマダニ(Haemaphysalis longicornis)の幼ダニ8頭を入れ、蓋をして25℃恒温室に収容した。5日後の死虫数を調査し、下記の計算式から死虫率を計算した。
死虫率(%)=(死虫数/放虫数)×100
その結果、供試した化合物の内、下記の化合物が80%以上の死虫率を示した。
化合物番号:H-5、H-29、H-43、H-55、H-63、H-73、H-83、H-90、J-42、K-38、K-39
本発明化合物をアセトンに希釈して、400 ppm濃度の薬液を調製した。薬液118 μLを20 mL容のガラスバイアル内面に塗布した後、アセトンを揮発させて本発明化合物の薄膜をガラスバイアル内面に作成した。用いたガラスバイアルの内面は47 cm2なので、処理薬量は1 μg/cm2となる。これにネコノミ(Cat flea)幼虫8頭を入れ、蓋をして25℃恒温室に収容した。1日後の死虫数を調査し、下記の計算式から死虫率を計算した。
死虫率(%)=(死虫数/放虫数)×100
その結果、供試した化合物の内、下記の化合物が80%以上の死虫率を示した。
化合物番号:H-73、K-38、K-39
また、本発明に係るヒドロキシアミン化合物またはその塩を用いると、本発明に係る環状アミン化合物またはその塩を容易に合成することができる、産業上有用である。
Claims (9)
- 〔式(I)中、
Cy1およびCy2は、それぞれ独立に、C6~10アリール基、またはヘテロシクリル基を示す。
R1a、R1b、R2a、R2b、R3a、R3b、R4a、R4b、およびR5aは、それぞれ独立に、水素原子、または無置換の若しくは置換基を有するC1~6アルキル基を示し、
且つ R1aとR2aまたはR3aとR4aは、一緒になって、
無置換の若しくは置換基を有するC3~6アルキレン基、
無置換の若しくは置換基を有するC3~6アルケニレン基、
式:-CH2OCH2-で表される基、
式:-CH2SCH2-で表される基、
式:-CH2C(=O)CH2-で表される基、
または式:-CH2NR6CH2-で表される基
(ただし、R6は、水素原子、
無置換の若しくは置換基を有するC1~6アルキル基、
無置換の若しくは置換基を有するC1~7アシル基、
または無置換の若しくは置換基を有するC1~6アルコキシカルボニル基を示す。)を形成している。
R10、R11、R20、およびR21は、それぞれ独立に、
無置換の若しくは置換基を有するC1~6アルキル基、
無置換の若しくは置換基を有するC3~8シクロアルキル基、
無置換の若しくは置換基を有するC2~6アルケニル基、
無置換の若しくは置換基を有するC2~6アルキニル基、
水酸基、
オキソ基、
無置換の若しくは置換基を有するC1~6アルコキシ基、
無置換の若しくは置換基を有するC3~8シクロアルコキシ基、
無置換の若しくは置換基を有するC2~6アルケニルオキシ基、
無置換の若しくは置換基を有するC2~6アルキニルオキシ基、
カルボキシル基、
無置換の若しくは置換基を有するC1~7アシル基、
無置換の若しくは置換基を有するC1~6アルコキシカルボニル基、
無置換の若しくは置換基を有するC3~8シクロアルキルオキシカルボニル基、
無置換の若しくは置換基を有するC2~6アルケニルオキシカルボニル基、
無置換の若しくは置換基を有するC2~6アルキニルオキシカルボニル基、
無置換の若しくは置換基を有するC6~10アリールオキシカルボニル基、
無置換の若しくは置換基を有するヘテロシクリルオキシカルボニル基、
無置換の若しくは置換基を有するC1~7アシルオキシ基、
無置換の若しくは置換基を有するC1~6アルコキシカルボニルオキシ基、
無置換の若しくは置換基を有するC3~8シクロアルキルオキシカルボニルオキシ基、
無置換の若しくは置換基を有するC2~6アルケニルオキシカルボニルオキシ基、
無置換の若しくは置換基を有するC2~6アルキニルオキシカルボニルオキシ基、
無置換の若しくは置換基を有するC1~6アルキルアミノカルボニルオキシ基、
無置換の若しくは置換基を有するC3~8シクロアルキルアミノカルボニルオキシ基、
無置換の若しくは置換基を有するC2~6アルケニルアミノカルボニルオキシ基、
無置換の若しくは置換基を有するC2~6アルキニルアミノカルボニルオキシ基、
無置換の若しくは置換基を有するC6~10アリールアミノカルボニルオキシ基、
無置換の若しくは置換基を有するヘテロシクリルアミノカルボニルオキシ基、
無置換の若しくは置換基を有するアミノオキシ基、
無置換の若しくは置換基を有するC1~6アルキリデンアミノオキシ基、
無置換の若しくは置換基を有するC6~10アリール基、
無置換の若しくは置換基を有するヘテロシクリル基、
無置換の若しくは置換基を有するC6~10アリールオキシ基、
無置換の若しくは置換基を有するヘテロシクリルオキシ基、
置換基を有するスルホニルオキシ基、
アミノ基、
無置換の若しくは置換基を有するC1~6アルキルアミノ基、
無置換の若しくは置換基を有するC3~8シクロアルキルアミノ基、
無置換の若しくは置換基を有するC2~6アルケニルアミノ基、
無置換の若しくは置換基を有するC2~6アルキニルアミノ基、
無置換の若しくは置換基を有するC6~10アリールアミノ基、
無置換の若しくは置換基を有するヘテロシクリルアミノ基、
無置換の若しくは置換基を有するヒドロキシアミノ基、
無置換の若しくは置換基を有するC1~7アシルアミノ基、
無置換の若しくは置換基を有するC1~6アルコキシカルボニルアミノ基、
無置換の若しくは置換基を有するC2~6アルケニルオキシカルボニルアミノ基、
無置換の若しくは置換基を有するC2~6アルキニルオキシカルボニルアミノ基、
無置換の若しくは置換基を有するC6~10アリールオキシカルボニルアミノ基、
無置換の若しくは置換基を有するヘテロシクリルオキシカルボニルアミノ基、
置換基を有するスルホニルアミノ基、
無置換の若しくは置換基を有するアミノカルボニル基、
メルカプト基、
無置換の若しくは置換基を有するC1~6アルキルチオ基、
無置換の若しくは置換基を有するC3~8シクロアルキルチオ基、
無置換の若しくは置換基を有するC2~6アルケニルチオ基、
無置換の若しくは置換基を有するC2~6アルキニルチオ基、
無置換の若しくは置換基を有するC6~10アリールチオ基、
無置換の若しくは置換基を有するヘテロシクリルチオ基、
(無置換の若しくは置換基を有するC1~6アルキル)チオカルボニル基、
(無置換の若しくは置換基を有するC1~6アルコキシ)チオカルボニル基、
(無置換の若しくは置換基を有するC1~6アルキルチオ)カルボニル基、
(無置換の若しくは置換基を有するC1~6アルキルチオ)チオカルボニル基、
置換基を有するスルフィニル基、
置換基を有するスルホニル基、
ペンタフルオロスルファニル基
トリC1~6アルキル置換シリル基、
トリC6~10アリール置換シリル基、
シアノ基、
ニトロ基、
またはハロゲン原子を示す。
Cy1上のR10またはR11は、それぞれの中で、または相互に、またはCy1上で結合する原子と一緒になって環を形成してもよく、Cy2上のR20またはR21は、それぞれの中で、または相互に、またはCy2上で結合する原子と一緒になって環を形成してもよい。
mはR10の数を示し且つ0~5のいずれかの整数である。mが2以上のとき、R10同士は互いに同一でも異なっていてもよい。
nはR11の数を示し且つ0~5のいずれかの整数である。nが2以上のとき、R11同士は互いに同一でも異なっていてもよい。
pはR20の数を示し且つ0~5のいずれかの整数である。pが2以上のとき、R20同士は互いに同一でも異なっていてもよい。
rはR21の数を示し且つ0~5のいずれかの整数である。rが2以上のとき、R21同士は互いに同一でも異なっていてもよい。
Yは、酸素原子または硫黄原子を示す。〕で表される環状アミン化合物またはその塩。 - 式(I)中、Cy1が、フェニル基、ピラゾリル基、チアジアゾリル基、ピリジル基、ピリミジニル基、またはピリダジニル基であって、且つCy2が、フェニル基、ピラゾリル基、チアジアゾリル基、ピリジル基、ピリミジニル基、またはピリダジニル基である、請求項1に記載の環状アミン化合物またはその塩。
- 式(I)中、
R10が、
C1~6アルキル基、C1~6アルコキシC1~6アルキル基、C1~6アルコキシC1~6アルコキシC1~6アルキル基、C2~6アルケニル基、水酸基、C1~6アルコキシ基、C1~6ハロアルコキシ基、C3~8シクロアルコキシ基、C2~6アルケニルオキシ基、C2~6ハロアルケニルオキシ基、C2~6アルキニルオキシ基、C2~6ハロアルキニルオキシ基、C1~6アルコキシC1~6アルコキシ基、C3~8シクロアルキルC1~6アルコキシ基、シアノC1~6アルコキシ基、C1~7アシルC1~6アルコキシ基、ヒドロキシC1~6アルコキシ基、C1~7アシルオキシ基、C1~6アルコキシカルボニル基、C2~6アルケニルオキシカルボニル基、C2~6アルキニルオキシカルボニル基、C1~6アルコキシカルボニルオキシ基、C1~6アルキルアミノカルボニルオキシ基、C6~10アリール基、ヘテロシクリル基、C1~6ハロアルキルスルホニルオキシ基、C1~6アルキリデンアミノオキシ基、C1~6アルコキシカルボニルアミノ基、無置換の若しくは置換基を有するC7~11アラルキル基、無置換の若しくは置換基を有するC7~11アラルキルオキシ基、C1~6アルキルチオ基、またはニトロ基であって、
R11が、シアノ基、ハロゲン原子、ペンタフルオロスルファニル基、C1~6ハロアルキル基、C2~6ハロアルケニル基、またはC2~6ハロアルキニル基であって、
R20が、シアノ基、ハロゲン原子、ペンタフルオロスルファニル基、C1~6ハロアルキル基、C2~6ハロアルケニル基、またはC2~6ハロアルキニル基であって、且つ
R21が、C1~6アルキル基、C1~6アルコキシC1~6アルキル基、C1~6アルコキシC1~6アルコキシC1~6アルキル基、水酸基、C1~6アルコキシ基、C1~6ハロアルコキシ基、C2~6ハロアルケニルオキシ基、C2~6ハロアルキニルオキシ基、C1~6アルコキシC1~6アルコキシ基、C3~8シクロアルキルC1~6アルコキシ基、C1~6アルコキシカルボニル基、C2~6アルケニルオキシカルボニル基、C2~6アルキニルオキシカルボニル基、C1~6アルキリデンアミノオキシ基、C1~6アルコキシカルボニルアミノ基、無置換の若しくは置換基を有するC7~11アラルキル基、無置換の若しくは置換基を有するC7~11アラルキルオキシ基、またはニトロ基である、
請求項1または2に記載の環状アミン化合物またはその塩。 - 式(I)中、
Cy1がフェニル基であり;
R1b、R2b、R3a、R3b、R4a、R4bおよびR5aが水素原子であり;
R1aとR2aは、それらが一緒になってなる、無置換の若しくは置換基を有するC3~6アルキレン基、無置換の若しくは置換基を有するC3~6アルケニレン基、式:-CH2OCH2-で表される基、式:-CH2SCH2-で表される基、式:-CH2C(=O)CH2-で表される基、または式:-CH2NR6CH2-で表される基 (ただし、R6は、水素原子、無置換の若しくは置換基を有するC1~6アルキル基、無置換の若しくは置換基を有するC1~7アシル基、または無置換の若しくは置換基を有するC1~6アルコキシカルボニル基を示す。)であり;
Cy2がピリジン-2-イル基であり;
Yは酸素原子であり;
rはゼロであり;且つ
pは0~4のいずれかの整数である、請求項1~3のいずれか1項に記載の環状アミン化合物またはその塩。 - 請求項1~4のいずれか一項に記載の環状アミン化合物またはその塩から選ばれる少なくとも1種を有効成分として含有する有害生物防除剤。
- 請求項1~4のいずれか一項に記載の環状アミン化合物またはその塩から選ばれる少なくとも1種を有効成分として含有する殺ダニ剤。
- 〔式(III)中、
Cy1は、C6~10アリール基、またはヘテロシクリル基を示す。
R1a、R1b、R2a、R2b、R3a、R3b、R4a、R4b、およびR5aは、それぞれ独立に、水素原子、または無置換の若しくは置換基を有するC1~6アルキル基を示し、且つ R1aとR2aまたはR3aとR4aは、一緒になって、無置換の若しくは置換基を有するC3~6アルキレン基、無置換の若しくは置換基を有するC3~6アルケニレン基、式:-CH2OCH2-で表される基、式:-CH2SCH2-で表される基、式:-CH2C(=O)CH2-で表される基、または式:-CH2NR6CH2-で表される基 (ただし、R6は、水素原子、無置換の若しくは置換基を有するC1~6アルキル基、無置換の若しくは置換基を有するC1~7アシル基、または無置換の若しくは置換基を有するC1~6アルコキシカルボニル基を示す。)を形成している。
R10、およびR11は、それぞれ独立に、
無置換の若しくは置換基を有するC1~6アルキル基、
無置換の若しくは置換基を有するC3~8シクロアルキル基、
無置換の若しくは置換基を有するC2~6アルケニル基、
無置換の若しくは置換基を有するC2~6アルキニル基、
水酸基、
オキソ基、
無置換の若しくは置換基を有するC1~6アルコキシ基、
無置換の若しくは置換基を有するC3~8シクロアルコキシ基、
無置換の若しくは置換基を有するC2~6アルケニルオキシ基、
無置換の若しくは置換基を有するC2~6アルキニルオキシ基、
カルボキシル基、
無置換の若しくは置換基を有するC1~7アシル基、
無置換の若しくは置換基を有するC1~6アルコキシカルボニル基、
無置換の若しくは置換基を有するC3~8シクロアルキルオキシカルボニル基、
無置換の若しくは置換基を有するC2~6アルケニルオキシカルボニル基、
無置換の若しくは置換基を有するC2~6アルキニルオキシカルボニル基、
無置換の若しくは置換基を有するC6~10アリールオキシカルボニル基、
無置換の若しくは置換基を有するヘテロシクリルオキシカルボニル基、
無置換の若しくは置換基を有するC1~7アシルオキシ基、
無置換の若しくは置換基を有するC1~6アルコキシカルボニルオキシ基、
無置換の若しくは置換基を有するC3~8シクロアルキルオキシカルボニルオキシ基、
無置換の若しくは置換基を有するC2~6アルケニルオキシカルボニルオキシ基、
無置換の若しくは置換基を有するC2~6アルキニルオキシカルボニルオキシ基、
無置換の若しくは置換基を有するC1~6アルキルアミノカルボニルオキシ基、
無置換の若しくは置換基を有するC3~8シクロアルキルアミノカルボニルオキシ基、
無置換の若しくは置換基を有するC2~6アルケニルアミノカルボニルオキシ基、
無置換の若しくは置換基を有するC2~6アルキニルアミノカルボニルオキシ基、
無置換の若しくは置換基を有するC6~10アリールアミノカルボニルオキシ基、
無置換の若しくは置換基を有するヘテロシクリルアミノカルボニルオキシ基、
無置換の若しくは置換基を有するアミノオキシ基、
無置換の若しくは置換基を有するC1~6アルキリデンアミノオキシ基、
無置換の若しくは置換基を有するC6~10アリール基、
無置換の若しくは置換基を有するヘテロシクリル基、
無置換の若しくは置換基を有するC6~10アリールオキシ基、
無置換の若しくは置換基を有するヘテロシクリルオキシ基、
置換基を有するスルホニルオキシ基、
アミノ基、
無置換の若しくは置換基を有するC1~6アルキルアミノ基、
無置換の若しくは置換基を有するC3~8シクロアルキルアミノ基、
無置換の若しくは置換基を有するC2~6アルケニルアミノ基、
無置換の若しくは置換基を有するC2~6アルキニルアミノ基、
無置換の若しくは置換基を有するC6~10アリールアミノ基、
無置換の若しくは置換基を有するヘテロシクリルアミノ基、
無置換の若しくは置換基を有するヒドロキシアミノ基、
無置換の若しくは置換基を有するC1~7アシルアミノ基、
無置換の若しくは置換基を有するC1~6アルコキシカルボニルアミノ基、
無置換の若しくは置換基を有するC2~6アルケニルオキシカルボニルアミノ基、
無置換の若しくは置換基を有するC2~6アルキニルオキシカルボニルアミノ基、
無置換の若しくは置換基を有するC6~10アリールオキシカルボニルアミノ基、
無置換の若しくは置換基を有するヘテロシクリルオキシカルボニルアミノ基、
置換基を有するスルホニルアミノ基、
無置換の若しくは置換基を有するアミノカルボニル基、
メルカプト基、
無置換の若しくは置換基を有するC1~6アルキルチオ基、
無置換の若しくは置換基を有するC3~8シクロアルキルチオ基、
無置換の若しくは置換基を有するC2~6アルケニルチオ基、
無置換の若しくは置換基を有するC2~6アルキニルチオ基、
無置換の若しくは置換基を有するC6~10アリールチオ基、
無置換の若しくは置換基を有するヘテロシクリルチオ基、
(無置換の若しくは置換基を有するC1~6アルキル)チオカルボニル基、
(無置換の若しくは置換基を有するC1~6アルコキシ)チオカルボニル基、
(無置換の若しくは置換基を有するC1~6アルキルチオ)カルボニル基、
(無置換の若しくは置換基を有するC1~6アルキルチオ)チオカルボニル基、
置換基を有するスルフィニル基、
置換基を有するスルホニル基、
ペンタフルオロスルファニル基
トリC1~6アルキル置換シリル基、
トリC6~10アリール置換シリル基、
シアノ基、
ニトロ基、
またはハロゲン原子を示す。
Cy1上のR10またはR11は、それぞれの中で、または相互に、またはCy1上で結合する原子と一緒になって環を形成してもよい。
mはR10の数を示し且つ0~5のいずれかの整数である。mが2以上のとき、R10同士は互いに同一でも異なっていてもよい。
nはR11の数を示し且つ0~5のいずれかの整数である。nが2以上のとき、R11同士は互いに同一でも異なっていてもよい。〕
で表されるヒドロキシアミン化合物またはその塩。 - 式(III)中、Cy1が、フェニル基、ピラゾリル基、チアジアゾリル基、ピリジル基、ピリミジニル基、またはピリダジニル基である、請求項7に記載のヒドロキシアミン化合物またその塩。
- 式(III)中、
R10が、C1~6アルキル基、C1~6アルコキシC1~6アルキル基、C1~6アルコキシC1~6アルコキシC1~6アルキル基、C2~6アルケニル基、水酸基、C1~6アルコキシ基、C1~6ハロアルコキシ基、C3~8シクロアルコキシ基、C2~6アルケニルオキシ基、C2~6ハロアルケニルオキシ基、C2~6アルキニルオキシ基、C2~6ハロアルキニルオキシ基、C1~6アルコキシC1~6アルコキシ基、C3~8シクロアルキルC1~6アルコキシ基、シアノC1~6アルコキシ基、C1~7アシルC1~6アルコキシ基、ヒドロキシC1~6アルコキシ基、C1~7アシルオキシ基、C1~6アルコキシカルボニル基、C2~6アルケニルオキシカルボニル基、C2~6アルキニルオキシカルボニル基、C1~6アルコキシカルボニルオキシ基、C1~6アルキルアミノカルボニルオキシ基、C6~10アリール基、ヘテロシクリル基、C1~6ハロアルキルスルホニルオキシ基、C1~6アルキリデンアミノオキシ基、C1~6アルコキシカルボニルアミノ基、無置換の若しくは置換基を有するC7~11アラルキル基、無置換の若しくは置換基を有するC7~11アラルキルオキシ基、C1~6アルキルチオ基、またはニトロ基であって、且つ
R11が、シアノ基、ハロゲン原子、ペンタフルオロスルファニル基、C1~6ハロアルキル基、C2~6ハロアルケニル基、またはC2~6ハロアルキニル基である、請求項7または8に記載のヒドロキシアミン化合物またはその塩。
Priority Applications (27)
| Application Number | Priority Date | Filing Date | Title |
|---|---|---|---|
| BR112012020986-8A BR112012020986B1 (pt) | 2010-02-25 | 2011-02-24 | Composto de amina cíclica ou sal do mesmo, agente para controle de praga e acaricida |
| MYPI2012700533A MY188913A (en) | 2010-02-25 | 2011-02-24 | Cyclic amine compound and acaricide |
| SG2012055711A SG182761A1 (en) | 2010-02-25 | 2011-02-24 | Cyclic amine compound and acaricide |
| DK11747466.8T DK2540719T3 (en) | 2010-02-25 | 2011-02-24 | Cyclic amine compound and acaricide |
| AU2011221128A AU2011221128B2 (en) | 2010-02-25 | 2011-02-24 | Cyclic amine compound and acaricide |
| SI201130665T SI2540719T1 (sl) | 2010-02-25 | 2011-02-24 | Ciklična aminska spojina in akaricid |
| KR1020127021675A KR101431357B1 (ko) | 2010-02-25 | 2011-02-24 | 고리형 아민 화합물 및 살진드기제 |
| MA35164A MA34016B1 (fr) | 2010-02-25 | 2011-02-24 | Composé amine cyclique et acaricide |
| HRP20151353TT HRP20151353T1 (hr) | 2010-02-25 | 2011-02-24 | Spoj cikliäśkog amina i akaricid uz to |
| US13/261,398 US8980912B2 (en) | 2010-02-25 | 2011-02-24 | Cyclic amine compound and acaricide |
| EA201201033A EA022807B1 (ru) | 2010-02-25 | 2011-02-24 | Циклический амин и акарицид |
| PH1/2012/501612A PH12012501612A1 (en) | 2010-02-25 | 2011-02-24 | Cyclic amine compound and acaricide |
| NZ601489A NZ601489A (en) | 2010-02-25 | 2011-02-24 | Cyclic amine compound and acaricide |
| EP11747466.8A EP2540719B1 (en) | 2010-02-25 | 2011-02-24 | Cyclic amine compound and acaricide |
| PL11747466T PL2540719T3 (pl) | 2010-02-25 | 2011-02-24 | Aminowy związek cykliczny i akarycyd |
| CN201180010119.1A CN102770430B (zh) | 2010-02-25 | 2011-02-24 | 环状胺化合物和杀螨剂 |
| JP2012501857A JP5486674B2 (ja) | 2010-02-25 | 2011-02-24 | 環状アミン化合物および殺ダニ剤 |
| MEP-2015-183A ME02298B (me) | 2010-02-25 | 2011-02-24 | JEDINJENJE CIKLIČNOG AMINA l AKARICID |
| UAA201209388A UA104076C2 (en) | 2010-02-25 | 2011-02-24 | Cyclic amine and acaricide |
| MX2012009681A MX2012009681A (es) | 2010-02-25 | 2011-02-24 | Compuesto de amina ciclica y acaricida. |
| AP2012006424A AP3214A (en) | 2010-02-25 | 2011-02-24 | Cyclic amine compound and acaricide |
| CA2789645A CA2789645C (en) | 2010-02-25 | 2011-02-24 | Cyclic amine compound and acaricide |
| RS20150720A RS54353B1 (sr) | 2010-02-25 | 2011-02-24 | Jedinjenje cikličnog amina i akaricid |
| ES11747466.8T ES2555163T3 (es) | 2010-02-25 | 2011-02-24 | Compuesto de amina cíclico y acaricida |
| IL221208A IL221208A0 (en) | 2010-02-25 | 2012-07-31 | Cyclic amine compound and acaricide |
| ZA2012/05767A ZA201205767B (en) | 2010-02-25 | 2012-07-31 | Cyclic amine compoud and acaricide |
| TNP2012000420A TN2012000420A1 (en) | 2010-02-25 | 2012-08-16 | Cyclic amine compound and acaricide |
Applications Claiming Priority (6)
| Application Number | Priority Date | Filing Date | Title |
|---|---|---|---|
| JP2010-039839 | 2010-02-25 | ||
| JP2010039839 | 2010-02-25 | ||
| JP2010-117392 | 2010-05-21 | ||
| JP2010117392 | 2010-05-21 | ||
| JP2010-224844 | 2010-10-04 | ||
| JP2010224844 | 2010-10-04 |
Publications (1)
| Publication Number | Publication Date |
|---|---|
| WO2011105506A1 true WO2011105506A1 (ja) | 2011-09-01 |
Family
ID=44506908
Family Applications (1)
| Application Number | Title | Priority Date | Filing Date |
|---|---|---|---|
| PCT/JP2011/054173 Ceased WO2011105506A1 (ja) | 2010-02-25 | 2011-02-24 | 環状アミン化合物および殺ダニ剤 |
Country Status (32)
| Country | Link |
|---|---|
| US (1) | US8980912B2 (ja) |
| EP (1) | EP2540719B1 (ja) |
| JP (1) | JP5486674B2 (ja) |
| KR (1) | KR101431357B1 (ja) |
| CN (1) | CN102770430B (ja) |
| AP (1) | AP3214A (ja) |
| AR (1) | AR081721A1 (ja) |
| AU (1) | AU2011221128B2 (ja) |
| BR (1) | BR112012020986B1 (ja) |
| CA (1) | CA2789645C (ja) |
| CY (1) | CY1117062T1 (ja) |
| DK (1) | DK2540719T3 (ja) |
| EA (1) | EA022807B1 (ja) |
| ES (1) | ES2555163T3 (ja) |
| HR (1) | HRP20151353T1 (ja) |
| HU (1) | HUE026851T2 (ja) |
| IL (1) | IL221208A0 (ja) |
| MA (1) | MA34016B1 (ja) |
| ME (1) | ME02298B (ja) |
| MX (1) | MX2012009681A (ja) |
| MY (1) | MY188913A (ja) |
| NZ (1) | NZ601489A (ja) |
| PH (1) | PH12012501612A1 (ja) |
| PL (1) | PL2540719T3 (ja) |
| PT (1) | PT2540719E (ja) |
| RS (1) | RS54353B1 (ja) |
| SG (1) | SG182761A1 (ja) |
| SI (1) | SI2540719T1 (ja) |
| TN (1) | TN2012000420A1 (ja) |
| TW (1) | TWI468408B (ja) |
| WO (1) | WO2011105506A1 (ja) |
| ZA (1) | ZA201205767B (ja) |
Cited By (152)
| Publication number | Priority date | Publication date | Assignee | Title |
|---|---|---|---|---|
| JP2013047203A (ja) * | 2011-06-16 | 2013-03-07 | Nippon Soda Co Ltd | 環状アミン化合物および有害生物防除剤 |
| JP2013170128A (ja) * | 2012-02-17 | 2013-09-02 | Nippon Soda Co Ltd | N−オキシル環状アミン化合物 |
| JP2013241352A (ja) * | 2012-05-18 | 2013-12-05 | Nippon Soda Co Ltd | 有害生物防除剤組成物および有害生物防除方法 |
| WO2017018409A1 (ja) * | 2015-07-28 | 2017-02-02 | 日本曹達株式会社 | ピリジン-2-イルピリジニウム化合物およびその使用方法 |
| WO2017090746A1 (ja) | 2015-11-25 | 2017-06-01 | 宇部興産株式会社 | ペンタフルオロスルファニルピリジン |
| KR20170102993A (ko) | 2015-02-17 | 2017-09-12 | 닛뽕소다 가부시키가이샤 | 농약 조성물 |
| WO2017195734A1 (ja) * | 2016-05-11 | 2017-11-16 | 日本曹達株式会社 | 有害生物防除方法、ならびに有害生物防除用薬剤組成物および有害生物防除剤セット |
| WO2018011056A1 (en) | 2016-07-12 | 2018-01-18 | Basf Agrochemical Products B.V. | Pesticidally active mixtures |
| EP3284739A1 (de) | 2017-07-19 | 2018-02-21 | Bayer CropScience Aktiengesellschaft | Substituierte (het)arylverbindungen als schädlingsbekämpfungsmittel |
| WO2018087036A1 (en) | 2016-11-11 | 2018-05-17 | Bayer Animal Health Gmbh | New anthelmintic quinoline-3-carboxamide derivatives |
| WO2018108791A1 (en) | 2016-12-16 | 2018-06-21 | Bayer Cropscience Aktiengesellschaft | Thiadiazole derivatives as pesticides |
| WO2018177970A1 (en) | 2017-03-31 | 2018-10-04 | Basf Se | Process for preparing chiral 2,3-dihydrothiazolo[3,2-a]pyrimidin-4-ium compounds |
| WO2018197466A1 (en) | 2017-04-26 | 2018-11-01 | Basf Se | Substituted succinimide derivatives as pesticides |
| WO2018197692A1 (en) | 2017-04-27 | 2018-11-01 | Bayer Aktiengesellschaft | Heteroarylphenylaminoquinolines and analogues |
| WO2018202715A1 (en) | 2017-05-03 | 2018-11-08 | Bayer Aktiengesellschaft | Trisubstitutedsilylbenzylbenzimidazoles and analogues |
| WO2018202706A1 (en) | 2017-05-03 | 2018-11-08 | Bayer Aktiengesellschaft | Trisubstitutedsilylheteroaryloxyquinolines and analogues |
| WO2018202712A1 (en) | 2017-05-03 | 2018-11-08 | Bayer Aktiengesellschaft | Trisubstitutedsilylmethylphenoxyquinolines and analogues |
| WO2019002132A1 (en) | 2017-06-30 | 2019-01-03 | Bayer Animal Health Gmbh | NEW AZAQUINOLINE DERIVATIVES |
| WO2019025341A1 (en) | 2017-08-04 | 2019-02-07 | Bayer Animal Health Gmbh | QUINOLINE DERIVATIVES FOR THE TREATMENT OF INFECTIONS BY HELMINTHES |
| WO2019035881A1 (en) | 2017-08-17 | 2019-02-21 | Bayer Cropscience Lp | DISPERSIBLE COMPOSITIONS IN LIQUID FERTILIZER AND ASSOCIATED METHODS |
| WO2019038195A1 (de) | 2017-08-22 | 2019-02-28 | Bayer Aktiengesellschaft | Heterocyclen-derivate als schädlingsbekämpfungsmittel |
| WO2019043183A1 (en) | 2017-08-31 | 2019-03-07 | Basf Se | METHOD FOR CONTROLLING PESTS OF RICE IN RICE |
| EP3453706A1 (en) | 2017-09-08 | 2019-03-13 | Basf Se | Pesticidal imidazole compounds |
| WO2019068572A1 (de) | 2017-10-04 | 2019-04-11 | Bayer Aktiengesellschaft | Heterocyclen-derivate als schädlingsbekämpfungsmittel |
| WO2019072906A1 (en) | 2017-10-13 | 2019-04-18 | Basf Se | IMIDAZOLIDINE PYRIMIDINIUM COMPOUNDS FOR CONTROL OF HARMFUL ANIMALS |
| EP3473100A1 (en) | 2017-10-18 | 2019-04-24 | Bayer Aktiengesellschaft | Active compound combinations having insecticidal/acaricidal properties |
| WO2019076751A1 (en) | 2017-10-18 | 2019-04-25 | Bayer Aktiengesellschaft | COMBINATIONS OF ACTIVE COMPOUNDS HAVING INSECTICIDAL / ACARICIDE PROPERTIES |
| WO2019076750A1 (en) | 2017-10-18 | 2019-04-25 | Bayer Aktiengesellschaft | COMBINATIONS OF ACTIVE COMPOUNDS HAVING INSECTICIDE PROPERTIES7ACARICIDES |
| WO2019076754A1 (en) | 2017-10-18 | 2019-04-25 | Bayer Aktiengesellschaft | COMBINATIONS OF ACTIVE COMPOUNDS HAVING INSECTICIDAL / ACARICIDE PROPERTIES |
| WO2019076752A1 (en) | 2017-10-18 | 2019-04-25 | Bayer Aktiengesellschaft | COMBINATIONS OF ACTIVE COMPOUNDS AYNT INSECTICIDE / ACARICIDE PROPERTIES |
| WO2019076749A1 (en) | 2017-10-18 | 2019-04-25 | Bayer Aktiengesellschaft | COMBINATIONS OF ACTIVE COMPOUNDS HAVING INSECTICIDAL / ACARICIDE PROPERTIES |
| WO2019087796A1 (ja) | 2017-10-30 | 2019-05-09 | 日本曹達株式会社 | 農薬乳剤組成物 |
| WO2019092086A1 (en) | 2017-11-13 | 2019-05-16 | Bayer Aktiengesellschaft | Tetrazolylpropyl derivatives and their use as fungicides |
| WO2019105875A1 (en) | 2017-11-28 | 2019-06-06 | Bayer Aktiengesellschaft | Heterocyclic compounds as pesticides |
| WO2019122319A1 (en) | 2017-12-21 | 2019-06-27 | Bayer Aktiengesellschaft | Trisubstitutedsilylmethylheteroaryloxyquinolines and analogues |
| WO2019121143A1 (en) | 2017-12-20 | 2019-06-27 | Basf Se | Substituted cyclopropyl derivatives |
| WO2019137995A1 (en) | 2018-01-11 | 2019-07-18 | Basf Se | Novel pyridazine compounds for controlling invertebrate pests |
| WO2019145140A1 (en) | 2018-01-09 | 2019-08-01 | Basf Se | Silylethynyl hetaryl compounds as nitrification inhibitors |
| WO2019155066A1 (en) | 2018-02-12 | 2019-08-15 | Bayer Aktiengesellschaft | Fungicidal oxadiazoles |
| WO2019162228A1 (en) | 2018-02-21 | 2019-08-29 | Bayer Aktiengesellschaft | 1-(5-substituted imidazol-1-yl)but-3-en derivatives and their use as fungicides |
| WO2019162174A1 (de) | 2018-02-21 | 2019-08-29 | Bayer Aktiengesellschaft | Kondensierte bicyclische heterocyclen-derivate als schädlingsbekämpfungsmittel |
| WO2019166561A1 (en) | 2018-02-28 | 2019-09-06 | Basf Se | Use of alkoxypyrazoles as nitrification inhibitors |
| WO2019166558A1 (en) | 2018-02-28 | 2019-09-06 | Basf Se | Use of pyrazole propargyl ethers as nitrification inhibitors |
| WO2019166560A1 (en) | 2018-02-28 | 2019-09-06 | Basf Se | Use of n-functionalized alkoxy pyrazole compounds as nitrification inhibitors |
| WO2019175712A1 (en) | 2018-03-14 | 2019-09-19 | Basf Corporation | New uses for catechol molecules as inhibitors to glutathione s-transferase metabolic pathways |
| WO2019176676A1 (ja) * | 2018-03-13 | 2019-09-19 | 日本曹達株式会社 | 有害生物防除方法および有害生物防除剤組成物 |
| WO2019175713A1 (en) | 2018-03-14 | 2019-09-19 | Basf Corporation | New catechol molecules and their use as inhibitors to p450 related metabolic pathways |
| WO2019175046A1 (de) | 2018-03-12 | 2019-09-19 | Bayer Aktiengesellschaft | Kondensierte bicyclische heterocyclen-derivate als schädlingsbekämpfungsmittel |
| WO2019197615A1 (de) | 2018-04-13 | 2019-10-17 | Bayer Aktiengesellschaft | Wirkstoffkombinationen mit fungiziden, insektiziden und akariziden eigenschaften |
| WO2019197623A1 (de) | 2018-04-13 | 2019-10-17 | Bayer Aktiengesellschaft | Wirkstoffkombinationen mit insektiziden, nematiziden und akariziden eigenschaften |
| WO2019197371A1 (en) | 2018-04-10 | 2019-10-17 | Bayer Aktiengesellschaft | Oxadiazoline derivatives |
| WO2019202077A1 (en) | 2018-04-20 | 2019-10-24 | Bayer Aktiengesellschaft | Heteroaryl-triazole and heteroaryl-tetrazole compounds as pesticides |
| WO2019201835A1 (en) | 2018-04-17 | 2019-10-24 | Bayer Aktiengesellschaft | Heteroaryl-triazole and heteroaryl-tetrazole compounds as pesticides |
| WO2019201921A1 (de) | 2018-04-20 | 2019-10-24 | Bayer Aktiengesellschaft | Heterocyclen-derivate als schädlingsbekämpfungsmittel |
| WO2019215182A1 (en) | 2018-05-09 | 2019-11-14 | Bayer Animal Health Gmbh | New quinoline derivatives |
| WO2019219529A1 (en) | 2018-05-15 | 2019-11-21 | Basf Se | Mixtures comprising benzpyrimoxan and oxazosulfyl and uses and methods of applying them |
| WO2019224092A1 (en) | 2018-05-22 | 2019-11-28 | Basf Se | Pesticidally active c15-derivatives of ginkgolides |
| WO2019224143A1 (de) | 2018-05-24 | 2019-11-28 | Bayer Aktiengesellschaft | Wirkstoffkombinationen mit insektiziden, nematiziden und akariziden eigenschaften |
| WO2020002472A1 (en) | 2018-06-28 | 2020-01-02 | Basf Se | Use of alkynylthiophenes as nitrification inhibitors |
| WO2020005678A1 (en) | 2018-06-25 | 2020-01-02 | Bayer Cropscience Lp | Seed treatment method |
| WO2020007905A1 (en) | 2018-07-05 | 2020-01-09 | Bayer Aktiengesellschaft | Substituted thiophenecarboxamides and analogues as antibacterials agents |
| WO2020020765A1 (en) | 2018-07-23 | 2020-01-30 | Basf Se | Use of a substituted thiazolidine compound as nitrification inhibitor |
| WO2020020816A1 (en) | 2018-07-26 | 2020-01-30 | Bayer Aktiengesellschaft | Novel triazole derivatives |
| WO2020020813A1 (en) | 2018-07-25 | 2020-01-30 | Bayer Aktiengesellschaft | Fungicidal active compound combinations |
| WO2020020777A1 (en) | 2018-07-23 | 2020-01-30 | Basf Se | Use of substituted 2-thiazolines as nitrification inhibitors |
| EP3613736A1 (en) | 2018-08-22 | 2020-02-26 | Basf Se | Substituted glutarimide derivatives |
| EP3620052A1 (en) | 2018-12-12 | 2020-03-11 | Bayer Aktiengesellschaft | Use of phenoxypyridinyl-substituted (1h-1,2,4-triazol-1-yl)alcohols for controlling fungicidal diseases in maize |
| WO2020053282A1 (de) | 2018-09-13 | 2020-03-19 | Bayer Aktiengesellschaft | Heterocyclen-derivate als schädlingsbekämpfungsmittel |
| WO2020057939A1 (en) | 2018-09-17 | 2020-03-26 | Bayer Aktiengesellschaft | Use of the fungicide isoflucypram for controlling claviceps purpurea and reducing sclerotia in cereals |
| EP3628157A1 (en) | 2018-09-28 | 2020-04-01 | Basf Se | Method of controlling insecticide resistant insects and virus transmission to plants |
| EP3628156A1 (en) | 2018-09-28 | 2020-04-01 | Basf Se | Method for controlling pests of sugarcane, citrus, rapeseed, and potato plants |
| EP3628158A1 (en) | 2018-09-28 | 2020-04-01 | Basf Se | Pesticidal mixture comprising a mesoionic compound and a biopesticide |
| WO2020064492A1 (en) | 2018-09-28 | 2020-04-02 | Basf Se | Method of controlling pests by seed treatment application of a mesoionic compound or mixture thereof |
| WO2020070050A1 (en) | 2018-10-01 | 2020-04-09 | Bayer Aktiengesellschaft | Fungicidal 5-substituted imidazol-1-yl carbinol derivatives |
| WO2020079173A1 (en) | 2018-10-18 | 2020-04-23 | Bayer Aktiengesellschaft | Pyridylphenylaminoquinolines and analogues |
| WO2020079167A1 (en) | 2018-10-18 | 2020-04-23 | Bayer Aktiengesellschaft | Heteroarylaminoquinolines and analogues |
| WO2020079232A1 (en) | 2018-10-20 | 2020-04-23 | Bayer Aktiengesellschaft | Oxetanylphenoxyquinolines and analogues |
| EP3643705A1 (en) | 2018-10-24 | 2020-04-29 | Basf Se | Pesticidal compounds |
| EP3643711A1 (en) | 2018-10-24 | 2020-04-29 | Bayer Animal Health GmbH | New anthelmintic compounds |
| WO2020109391A1 (en) | 2018-11-28 | 2020-06-04 | Bayer Aktiengesellschaft | Pyridazine (thio)amides as fungicidal compounds |
| EP3669652A1 (en) | 2018-12-21 | 2020-06-24 | Bayer AG | Active compound combination |
| WO2020127974A1 (en) | 2018-12-21 | 2020-06-25 | Bayer Aktiengesellschaft | 1,3,4-oxadiazoles and their derivatives as new antifungal agents |
| WO2020126980A1 (en) | 2018-12-18 | 2020-06-25 | Bayer Aktiengesellschaft | Active compound combinations having insecticidal/acaricidal properties |
| WO2020127780A1 (en) | 2018-12-20 | 2020-06-25 | Bayer Aktiengesellschaft | Heterocyclyl pyridazine as fungicidal compounds |
| EP3679791A1 (en) | 2019-01-08 | 2020-07-15 | Bayer AG | Active compound combinations |
| EP3679789A1 (en) | 2019-01-08 | 2020-07-15 | Bayer AG | Active compound combinations |
| EP3679790A1 (en) | 2019-01-08 | 2020-07-15 | Bayer AG | Active compound combinations |
| EP3679792A1 (en) | 2019-01-08 | 2020-07-15 | Bayer AG | Active compound combinations |
| EP3679793A1 (en) | 2019-01-08 | 2020-07-15 | Bayer AG | Active compound combinations |
| EP3696177A1 (en) | 2019-02-12 | 2020-08-19 | Basf Se | Heterocyclic compounds for the control of invertebrate pests |
| WO2020178067A1 (en) | 2019-03-01 | 2020-09-10 | Bayer Aktiengesellschaft | Active compound combinations having insecticidal/acaricidal properties |
| WO2020178307A1 (en) | 2019-03-05 | 2020-09-10 | Bayer Aktiengesellschaft | Active compound combination |
| EP3708565A1 (en) | 2020-03-04 | 2020-09-16 | Bayer AG | Pyrimidinyloxyphenylamidines and the use thereof as fungicides |
| WO2020182929A1 (en) | 2019-03-13 | 2020-09-17 | Bayer Aktiengesellschaft | Substituted ureas and derivatives as new antifungal agents |
| WO2020187656A1 (en) | 2019-03-15 | 2020-09-24 | Bayer Aktiengesellschaft | Active compound combinations having insecticidal/acaricidal properties |
| WO2020231751A1 (en) | 2019-05-10 | 2020-11-19 | Bayer Cropscience Lp | Active compound combinations |
| WO2020239517A1 (en) | 2019-05-29 | 2020-12-03 | Basf Se | Mesoionic imidazolium compounds and derivatives for combating animal pests |
| WO2020254494A1 (en) | 2019-06-21 | 2020-12-24 | Bayer Aktiengesellschaft | Fungicidal oxadiazoles |
| WO2020254486A1 (en) | 2019-06-21 | 2020-12-24 | Bayer Aktiengesellschaft | Hydroxyisoxazolines and derivatives thereof |
| WO2020254489A1 (en) | 2019-06-21 | 2020-12-24 | Bayer Aktiengesellschaft | Benzylphenyl hydroxyisoxazolines and analogues as new antifungal agents |
| WO2020254490A1 (en) | 2019-06-21 | 2020-12-24 | Bayer Aktiengesellschaft | Phenoxyphenyl hydroxyisoxazolines and analogues as new antifungal agents |
| WO2020254493A1 (en) | 2019-06-21 | 2020-12-24 | Bayer Aktiengesellschaft | Thienylhydroxyisoxazolines and derivatives thereof |
| WO2020254488A1 (en) | 2019-06-21 | 2020-12-24 | Bayer Aktiengesellschaft | Hydroxyisoxazolines and use thereof as fungicides |
| WO2020254492A1 (en) | 2019-06-21 | 2020-12-24 | Bayer Aktiengesellschaft | Hydroxyisoxazolines and derivatives thereof |
| WO2020254487A1 (en) | 2019-06-21 | 2020-12-24 | Bayer Aktiengesellschaft | Hydroxyisoxazolines and derivatives thereof |
| WO2021001331A1 (en) | 2019-07-03 | 2021-01-07 | Bayer Aktiengesellschaft | Substituted thiophene carboxamides and derivatives thereof as microbicides |
| EP3766879A1 (en) | 2019-07-19 | 2021-01-20 | Basf Se | Pesticidal pyrazole derivatives |
| EP3769623A1 (en) | 2019-07-22 | 2021-01-27 | Basf Se | Mesoionic imidazolium compounds and derivatives for combating animal pests |
| WO2021018839A1 (en) | 2019-07-30 | 2021-02-04 | Bayer Animal Health Gmbh | Isoquinoline derivatives and their use for the treatment of parasitic infections |
| CN112889836A (zh) * | 2020-01-11 | 2021-06-04 | 青岛海利尔生物科技有限公司 | 一种含有Acynonapyr的杀螨组合物 |
| WO2021122986A1 (en) | 2019-12-20 | 2021-06-24 | Bayer Aktiengesellschaft | Thienyloxazolones and analogues |
| WO2021123051A1 (en) | 2019-12-20 | 2021-06-24 | Bayer Aktiengesellschaft | Substituted thiophene carboxamides, thiophene carboxylic acids and derivatives thereof |
| WO2021204930A1 (en) | 2020-04-09 | 2021-10-14 | Bayer Animal Health Gmbh | Substituted condensed azines as anthelmintic compounds |
| WO2021209363A1 (en) | 2020-04-16 | 2021-10-21 | Bayer Aktiengesellschaft | Active compound combinations and fungicide compositions comprising those |
| WO2021209368A1 (en) | 2020-04-16 | 2021-10-21 | Bayer Aktiengesellschaft | Active compound combinations and fungicide compositions comprising those |
| WO2021209366A1 (en) | 2020-04-16 | 2021-10-21 | Bayer Aktiengesellschaft | Active compound combinations and fungicide compositions comprising those |
| WO2021209490A1 (en) | 2020-04-16 | 2021-10-21 | Bayer Aktiengesellschaft | Cyclaminephenylaminoquinolines as fungicides |
| WO2021209364A1 (en) | 2020-04-16 | 2021-10-21 | Bayer Aktiengesellschaft | Active compound combinations and fungicide compositions comprising those |
| WO2021209365A1 (en) | 2020-04-16 | 2021-10-21 | Bayer Aktiengesellschaft | Active compound combinations and fungicide compositions comprising those |
| WO2021224220A1 (en) | 2020-05-06 | 2021-11-11 | Bayer Aktiengesellschaft | Pyridine (thio)amides as fungicidal compounds |
| WO2021228734A1 (en) | 2020-05-12 | 2021-11-18 | Bayer Aktiengesellschaft | Triazine and pyrimidine (thio)amides as fungicidal compounds |
| WO2021233861A1 (en) | 2020-05-19 | 2021-11-25 | Bayer Aktiengesellschaft | Azabicyclic(thio)amides as fungicidal compounds |
| EP3915971A1 (en) | 2020-12-16 | 2021-12-01 | Bayer Aktiengesellschaft | Phenyl-s(o)n-phenylamidines and the use thereof as fungicides |
| EP3915371A1 (en) | 2020-11-04 | 2021-12-01 | Bayer AG | Active compound combinations and fungicide compositions comprising those |
| WO2021245087A1 (en) | 2020-06-04 | 2021-12-09 | Bayer Aktiengesellschaft | Heterocyclyl pyrimidines and triazines as novel fungicides |
| WO2021249995A1 (en) | 2020-06-10 | 2021-12-16 | Bayer Aktiengesellschaft | Azabicyclyl-substituted heterocycles as fungicides |
| WO2021255089A1 (en) | 2020-06-19 | 2021-12-23 | Bayer Aktiengesellschaft | 1,3,4-oxadiazole pyrimidines and 1,3,4-oxadiazole pyridines as fungicides |
| WO2021255170A1 (en) | 2020-06-19 | 2021-12-23 | Bayer Aktiengesellschaft | 1,3,4-oxadiazole pyrimidines as fungicides |
| WO2021255169A1 (en) | 2020-06-19 | 2021-12-23 | Bayer Aktiengesellschaft | 1,3,4-oxadiazole pyrimidines as fungicides |
| WO2021255091A1 (en) | 2020-06-19 | 2021-12-23 | Bayer Aktiengesellschaft | 1,3,4-oxadiazoles and their derivatives as fungicides |
| WO2021255071A1 (en) | 2020-06-18 | 2021-12-23 | Bayer Aktiengesellschaft | 3-(pyridazin-4-yl)-5,6-dihydro-4h-1,2,4-oxadiazine derivatives as fungicides for crop protection |
| WO2022058327A1 (en) | 2020-09-15 | 2022-03-24 | Bayer Aktiengesellschaft | Substituted ureas and derivatives as new antifungal agents |
| WO2022129190A1 (en) | 2020-12-18 | 2022-06-23 | Bayer Aktiengesellschaft | (hetero)aryl substituted 1,2,4-oxadiazoles as fungicides |
| WO2022129196A1 (en) | 2020-12-18 | 2022-06-23 | Bayer Aktiengesellschaft | Heterobicycle substituted 1,2,4-oxadiazoles as fungicides |
| WO2022129188A1 (en) | 2020-12-18 | 2022-06-23 | Bayer Aktiengesellschaft | 1,2,4-oxadiazol-3-yl pyrimidines as fungicides |
| WO2022167488A1 (en) | 2021-02-02 | 2022-08-11 | Basf Se | Synergistic action of dcd and alkoxypyrazoles as nitrification inhibitors |
| WO2022200364A1 (en) | 2021-03-25 | 2022-09-29 | Syngenta Crop Protection Ag | Insect, acarina and nematode pest control |
| WO2022243523A1 (en) | 2021-05-21 | 2022-11-24 | Basf Se | Use of an n-functionalized alkoxy pyrazole compound as nitrification inhibitor |
| WO2022243521A1 (en) | 2021-05-21 | 2022-11-24 | Basf Se | Use of ethynylpyridine compounds as nitrification inhibitors |
| WO2022268810A1 (en) | 2021-06-21 | 2022-12-29 | Basf Se | Metal-organic frameworks with pyrazole-based building blocks |
| EP4148052A1 (en) | 2021-09-09 | 2023-03-15 | Bayer Animal Health GmbH | New quinoline derivatives |
| WO2023046853A1 (en) | 2021-09-23 | 2023-03-30 | Syngenta Crop Protection Ag | Insect, acarina and nematode pest control |
| WO2023205602A1 (en) | 2022-04-18 | 2023-10-26 | Basf Corporation | High-load agricultural formulations and methods of making same |
| WO2023203038A1 (en) | 2022-04-19 | 2023-10-26 | Syngenta Crop Protection Ag | Insect, acarina and nematode pest control |
| WO2023203066A1 (en) | 2022-04-21 | 2023-10-26 | Basf Se | Synergistic action as nitrification inhibitors of dcd oligomers with alkoxypyrazole and its oligomers |
| WO2024028243A1 (en) | 2022-08-02 | 2024-02-08 | Basf Se | Pyrazolo pesticidal compounds |
| WO2024213752A1 (en) | 2023-04-14 | 2024-10-17 | Elanco Animal Health Gmbh | Long-term prevention and/or treatment of a disease by slo-1 inhibitors |
| WO2025031668A1 (en) | 2023-08-09 | 2025-02-13 | Bayer Aktiengesellschaft | Azaheterobiaryl-substituted 4,5-dihydro-1h-2,4,5-oxadiazines as novel fungicides |
| WO2025032038A1 (en) | 2023-08-09 | 2025-02-13 | Bayer Aktiengesellschaft | Pyridazin-4-yloxadiazines as novel fungicides |
| WO2025078128A1 (en) | 2023-10-11 | 2025-04-17 | Bayer Aktiengesellschaft | Pyridazin-3-one-4-yloxadiazines as novel fungicides |
| JPWO2025105320A1 (ja) * | 2023-11-13 | 2025-05-22 | ||
| WO2025168620A1 (en) | 2024-02-07 | 2025-08-14 | Bayer Aktiengesellschaft | Heteroaryl-substituted 4,5-dihydro-1h-2,4,5-oxadiazines as novel fungicides |
Families Citing this family (5)
| Publication number | Priority date | Publication date | Assignee | Title |
|---|---|---|---|---|
| CN109964940A (zh) * | 2018-11-14 | 2019-07-05 | 东莞东阳光科研发有限公司 | 一种杀螨组合物及其制剂、杀螨组合物和制剂的应用 |
| CN109964948A (zh) * | 2019-05-05 | 2019-07-05 | 湖南速博生物技术有限公司 | 一种杀虫组合物 |
| CN110547299A (zh) * | 2019-09-02 | 2019-12-10 | 陕西上格之路生物科学有限公司 | 一种含有Acynonapyr的杀螨组合物、制剂剂型及应用 |
| CN110637824A (zh) * | 2019-10-09 | 2020-01-03 | 陕西上格之路生物科学有限公司 | 一种含有Acynonapyr的杀螨组合物、制剂剂型及其应用 |
| CN119949323A (zh) * | 2021-04-30 | 2025-05-09 | 江苏龙灯化学有限公司 | 一种杀螨组合物 |
Citations (12)
| Publication number | Priority date | Publication date | Assignee | Title |
|---|---|---|---|---|
| US5286865A (en) | 1989-03-21 | 1994-02-15 | Ciba-Geigy Corporation | Non-migrating 1-hydrocarbyloxy hindered amine derivatives as polymer stabilizers |
| JPH0834784A (ja) | 1994-05-18 | 1996-02-06 | Taisho Pharmaceut Co Ltd | キノリンカルボン酸誘導体 |
| WO2005095380A1 (ja) | 2004-03-31 | 2005-10-13 | Nippon Soda Co., Ltd. | 環状アミン化合物および有害生物防除剤 |
| WO2007022502A2 (en) | 2005-08-19 | 2007-02-22 | Elan Pharmaceuticals, Inc. | Bridged n-cyclic sulfonamido inhibitors of gamma secretase |
| WO2007039563A1 (en) | 2005-09-30 | 2007-04-12 | N.V. Organon | 9-azabicyclo [3 . 3 . 1] nonane derivatives as monoamine reuptake inhibitors |
| WO2007040282A1 (ja) * | 2005-10-06 | 2007-04-12 | Nippon Soda Co., Ltd. | 架橋環状アミン化合物および有害生物防除剤 |
| WO2008026658A1 (ja) | 2006-09-01 | 2008-03-06 | Otsuka Chemical Co., Ltd. | N-ピリジルピペリジン化合物、その製造方法及び有害生物防除剤 |
| WO2008126795A1 (ja) * | 2007-04-06 | 2008-10-23 | Nippon Soda Co., Ltd. | 有害生物防除剤組成物及び有害生物防除方法 |
| WO2009023180A1 (en) * | 2007-08-15 | 2009-02-19 | Schering Corporation | SUBSTITUTED BICYCLIC PIPERIDINYL-AND PIPERAZINYL- SULFONAMIDES USEFUL TO INHIBIT 11β-HYDROXYSTEROID DEHYDROGENASE TYPE-1 |
| JP2010039839A (ja) | 2008-08-06 | 2010-02-18 | Ihi Corp | 移動ロボット及び移動ロボットの走行速度制御方法 |
| JP2010117392A (ja) | 2008-11-11 | 2010-05-27 | Ricoh Co Ltd | 画像形成装置 |
| JP2010224844A (ja) | 2009-03-24 | 2010-10-07 | Nohmi Bosai Ltd | 警報器 |
Family Cites Families (18)
| Publication number | Priority date | Publication date | Assignee | Title |
|---|---|---|---|---|
| US2970144A (en) * | 1957-12-11 | 1961-01-31 | Smith Kline French Lab | Esters of 9-alkyl-3-oxa and 3-thia-9-azabicyclo [3. 3. 1]-nonan-7-ol |
| US4808645A (en) | 1985-04-29 | 1989-02-28 | Ciba-Geigy Corporation | 6-(1-hydro-2,2,6,6-tetraalkyl-piperidine-4-oxy)dibenzodioxaphosphepin and dioxaphosphocin process stabilizers |
| DE3670085D1 (de) * | 1985-04-29 | 1990-05-10 | Ciba Geigy Ag | 2-(1-hydroxy-2,2,6,6-tetraalkyl-piperidin-4-yloxy)-dibenzodioxaphosphepine und dibenzodioxaphosphocine. |
| JPH0747585B2 (ja) * | 1990-05-11 | 1995-05-24 | 三共株式会社 | イソオキサゾール誘導体 |
| KR100193146B1 (ko) | 1990-07-20 | 1999-06-15 | 월터 클리웨인, 한스-피터 위트린 | 안정화된 단량체 조성물 |
| US5187166A (en) * | 1990-07-31 | 1993-02-16 | Nisshin Flour Milling Co., Ltd. | Azabicyclo derivatives and their use as antiemetics |
| US5216156A (en) | 1992-05-05 | 1993-06-01 | Ciba-Geigy Corporation | Non-migrating 1-hydrocarbyloxy-2,2,6,6-tetramethylpiperidine 1,3,5-triazine derivatives |
| IL109104A (en) | 1993-03-26 | 1998-08-16 | Shell Int Research | History of pyridine from wool - 2,6 Preparation and use as herbicides containing them |
| AU5020400A (en) | 1999-05-20 | 2000-12-12 | E.I. Du Pont De Nemours And Company | Heteroaryloxypyrimidine insecticides and acaricides |
| ES2266618T3 (es) | 2001-08-23 | 2007-03-01 | Bayer Cropscience S.A. | Propargilaminas substituidas. |
| JP4409944B2 (ja) | 2001-09-28 | 2010-02-03 | クミアイ化学工業株式会社 | ジフルオロアルケン誘導体、それを含有する有害生物防除剤及びその製造中間体 |
| UA86328C2 (uk) * | 2005-10-06 | 2009-04-10 | Ниппон Сода Ко., Лтд. | Циклічні амінові сполуки, засіб для боротьби зі шкідниками |
| US20080200405A1 (en) * | 2007-02-16 | 2008-08-21 | Ghanshyam Patil | Drug Resistance Reversal In Neoplastic Disease |
| AU2008218783A1 (en) | 2007-02-22 | 2008-08-28 | Colby Pharmaceutical Company | Hydroxylamine compounds and methods of their use |
| WO2009028563A1 (ja) | 2007-08-30 | 2009-03-05 | Nippon Soda Co., Ltd. | シス-3-置換-3-アザビシクロ[3.2.1]オクタン-8-オール誘導体の製造方法 |
| MX2010004450A (es) * | 2007-10-22 | 2010-05-05 | Schering Corp | Derivados heterociclo biciclicos y su uso como moduladores de la actividad de gpr119. |
| US8349923B2 (en) * | 2007-12-21 | 2013-01-08 | Basf Se | Flame retardant compositions comprising sterically hindered amines |
| TWI471095B (zh) | 2009-12-21 | 2015-02-01 | Nippon Soda Co | 環胺化合物及殺蟎劑 |
-
2011
- 2011-02-23 AR ARP110100548A patent/AR081721A1/es active IP Right Grant
- 2011-02-24 JP JP2012501857A patent/JP5486674B2/ja active Active
- 2011-02-24 HR HRP20151353TT patent/HRP20151353T1/hr unknown
- 2011-02-24 AU AU2011221128A patent/AU2011221128B2/en active Active
- 2011-02-24 KR KR1020127021675A patent/KR101431357B1/ko active Active
- 2011-02-24 ME MEP-2015-183A patent/ME02298B/me unknown
- 2011-02-24 CN CN201180010119.1A patent/CN102770430B/zh active Active
- 2011-02-24 MY MYPI2012700533A patent/MY188913A/en unknown
- 2011-02-24 EP EP11747466.8A patent/EP2540719B1/en active Active
- 2011-02-24 WO PCT/JP2011/054173 patent/WO2011105506A1/ja not_active Ceased
- 2011-02-24 PT PT117474668T patent/PT2540719E/pt unknown
- 2011-02-24 NZ NZ601489A patent/NZ601489A/en unknown
- 2011-02-24 TW TW100106336A patent/TWI468408B/zh active
- 2011-02-24 DK DK11747466.8T patent/DK2540719T3/en active
- 2011-02-24 ES ES11747466.8T patent/ES2555163T3/es active Active
- 2011-02-24 EA EA201201033A patent/EA022807B1/ru not_active IP Right Cessation
- 2011-02-24 CA CA2789645A patent/CA2789645C/en active Active
- 2011-02-24 SI SI201130665T patent/SI2540719T1/sl unknown
- 2011-02-24 PL PL11747466T patent/PL2540719T3/pl unknown
- 2011-02-24 RS RS20150720A patent/RS54353B1/sr unknown
- 2011-02-24 MA MA35164A patent/MA34016B1/fr unknown
- 2011-02-24 MX MX2012009681A patent/MX2012009681A/es active IP Right Grant
- 2011-02-24 PH PH1/2012/501612A patent/PH12012501612A1/en unknown
- 2011-02-24 BR BR112012020986-8A patent/BR112012020986B1/pt active IP Right Grant
- 2011-02-24 SG SG2012055711A patent/SG182761A1/en unknown
- 2011-02-24 US US13/261,398 patent/US8980912B2/en active Active
- 2011-02-24 HU HUE11747466A patent/HUE026851T2/en unknown
- 2011-02-24 AP AP2012006424A patent/AP3214A/xx active
-
2012
- 2012-07-31 ZA ZA2012/05767A patent/ZA201205767B/en unknown
- 2012-07-31 IL IL221208A patent/IL221208A0/en active IP Right Grant
- 2012-08-16 TN TNP2012000420A patent/TN2012000420A1/en unknown
-
2015
- 2015-11-05 CY CY20151100987T patent/CY1117062T1/el unknown
Patent Citations (12)
| Publication number | Priority date | Publication date | Assignee | Title |
|---|---|---|---|---|
| US5286865A (en) | 1989-03-21 | 1994-02-15 | Ciba-Geigy Corporation | Non-migrating 1-hydrocarbyloxy hindered amine derivatives as polymer stabilizers |
| JPH0834784A (ja) | 1994-05-18 | 1996-02-06 | Taisho Pharmaceut Co Ltd | キノリンカルボン酸誘導体 |
| WO2005095380A1 (ja) | 2004-03-31 | 2005-10-13 | Nippon Soda Co., Ltd. | 環状アミン化合物および有害生物防除剤 |
| WO2007022502A2 (en) | 2005-08-19 | 2007-02-22 | Elan Pharmaceuticals, Inc. | Bridged n-cyclic sulfonamido inhibitors of gamma secretase |
| WO2007039563A1 (en) | 2005-09-30 | 2007-04-12 | N.V. Organon | 9-azabicyclo [3 . 3 . 1] nonane derivatives as monoamine reuptake inhibitors |
| WO2007040282A1 (ja) * | 2005-10-06 | 2007-04-12 | Nippon Soda Co., Ltd. | 架橋環状アミン化合物および有害生物防除剤 |
| WO2008026658A1 (ja) | 2006-09-01 | 2008-03-06 | Otsuka Chemical Co., Ltd. | N-ピリジルピペリジン化合物、その製造方法及び有害生物防除剤 |
| WO2008126795A1 (ja) * | 2007-04-06 | 2008-10-23 | Nippon Soda Co., Ltd. | 有害生物防除剤組成物及び有害生物防除方法 |
| WO2009023180A1 (en) * | 2007-08-15 | 2009-02-19 | Schering Corporation | SUBSTITUTED BICYCLIC PIPERIDINYL-AND PIPERAZINYL- SULFONAMIDES USEFUL TO INHIBIT 11β-HYDROXYSTEROID DEHYDROGENASE TYPE-1 |
| JP2010039839A (ja) | 2008-08-06 | 2010-02-18 | Ihi Corp | 移動ロボット及び移動ロボットの走行速度制御方法 |
| JP2010117392A (ja) | 2008-11-11 | 2010-05-27 | Ricoh Co Ltd | 画像形成装置 |
| JP2010224844A (ja) | 2009-03-24 | 2010-10-07 | Nohmi Bosai Ltd | 警報器 |
Non-Patent Citations (3)
| Title |
|---|
| See also references of EP2540719A4 |
| SYNTHESIS, vol. 1994, no. 1, 1994, pages 21 - 22 |
| TETRAHEDRON LETTERS, vol. 48, 2007, pages 1683 - 1686 |
Cited By (184)
| Publication number | Priority date | Publication date | Assignee | Title |
|---|---|---|---|---|
| JP2013047203A (ja) * | 2011-06-16 | 2013-03-07 | Nippon Soda Co Ltd | 環状アミン化合物および有害生物防除剤 |
| JP2013170128A (ja) * | 2012-02-17 | 2013-09-02 | Nippon Soda Co Ltd | N−オキシル環状アミン化合物 |
| JP2013241352A (ja) * | 2012-05-18 | 2013-12-05 | Nippon Soda Co Ltd | 有害生物防除剤組成物および有害生物防除方法 |
| JPWO2016133011A1 (ja) * | 2015-02-17 | 2017-10-26 | 日本曹達株式会社 | 農薬組成物 |
| US10492495B2 (en) | 2015-02-17 | 2019-12-03 | Nippon Soda Co., Ltd. | Agrochemical composition |
| KR20170102993A (ko) | 2015-02-17 | 2017-09-12 | 닛뽕소다 가부시키가이샤 | 농약 조성물 |
| WO2017018409A1 (ja) * | 2015-07-28 | 2017-02-02 | 日本曹達株式会社 | ピリジン-2-イルピリジニウム化合物およびその使用方法 |
| JPWO2017018409A1 (ja) * | 2015-07-28 | 2018-01-11 | 日本曹達株式会社 | ピリジン−2−イルピリジニウム化合物およびその使用方法 |
| KR20180014823A (ko) | 2015-07-28 | 2018-02-09 | 닛뽕소다 가부시키가이샤 | 피리딘-2-일피리디늄 화합물 및 그 사용 방법 |
| US10618882B2 (en) | 2015-07-28 | 2020-04-14 | Nippon Soda Co., Ltd. | Pyridine-2-yl pyridinium compound and method of using same |
| WO2017090746A1 (ja) | 2015-11-25 | 2017-06-01 | 宇部興産株式会社 | ペンタフルオロスルファニルピリジン |
| JPWO2017090746A1 (ja) * | 2015-11-25 | 2018-09-06 | 宇部興産株式会社 | ペンタフルオロスルファニルピリジン |
| US10676439B2 (en) | 2015-11-25 | 2020-06-09 | Ube Industries, Ltd. | Pentafluorosulfanyl pyridine |
| WO2017195734A1 (ja) * | 2016-05-11 | 2017-11-16 | 日本曹達株式会社 | 有害生物防除方法、ならびに有害生物防除用薬剤組成物および有害生物防除剤セット |
| WO2018011056A1 (en) | 2016-07-12 | 2018-01-18 | Basf Agrochemical Products B.V. | Pesticidally active mixtures |
| US11330820B2 (en) | 2016-07-12 | 2022-05-17 | Basf Se | Pesticidally active mixtures |
| US10889573B2 (en) | 2016-11-11 | 2021-01-12 | Bayer Animal Health Gmbh | Anthelmintic quinoline-3-carboxamide derivatives |
| US11505545B2 (en) | 2016-11-11 | 2022-11-22 | Bayer Animal Health Gmbh | Anthelmintic quinoline-3-carboxamide derivatives |
| WO2018087036A1 (en) | 2016-11-11 | 2018-05-17 | Bayer Animal Health Gmbh | New anthelmintic quinoline-3-carboxamide derivatives |
| WO2018108791A1 (en) | 2016-12-16 | 2018-06-21 | Bayer Cropscience Aktiengesellschaft | Thiadiazole derivatives as pesticides |
| EP3978504A1 (en) | 2017-03-31 | 2022-04-06 | Basf Se | Chiral 2,3-dihydrothiazolo[3,2-a]pyrimidine derivatives for combating animal pests |
| WO2018177970A1 (en) | 2017-03-31 | 2018-10-04 | Basf Se | Process for preparing chiral 2,3-dihydrothiazolo[3,2-a]pyrimidin-4-ium compounds |
| WO2018197466A1 (en) | 2017-04-26 | 2018-11-01 | Basf Se | Substituted succinimide derivatives as pesticides |
| WO2018197692A1 (en) | 2017-04-27 | 2018-11-01 | Bayer Aktiengesellschaft | Heteroarylphenylaminoquinolines and analogues |
| WO2018202706A1 (en) | 2017-05-03 | 2018-11-08 | Bayer Aktiengesellschaft | Trisubstitutedsilylheteroaryloxyquinolines and analogues |
| WO2018202712A1 (en) | 2017-05-03 | 2018-11-08 | Bayer Aktiengesellschaft | Trisubstitutedsilylmethylphenoxyquinolines and analogues |
| WO2018202715A1 (en) | 2017-05-03 | 2018-11-08 | Bayer Aktiengesellschaft | Trisubstitutedsilylbenzylbenzimidazoles and analogues |
| WO2019002132A1 (en) | 2017-06-30 | 2019-01-03 | Bayer Animal Health Gmbh | NEW AZAQUINOLINE DERIVATIVES |
| EP3284739A1 (de) | 2017-07-19 | 2018-02-21 | Bayer CropScience Aktiengesellschaft | Substituierte (het)arylverbindungen als schädlingsbekämpfungsmittel |
| WO2019025341A1 (en) | 2017-08-04 | 2019-02-07 | Bayer Animal Health Gmbh | QUINOLINE DERIVATIVES FOR THE TREATMENT OF INFECTIONS BY HELMINTHES |
| WO2019035881A1 (en) | 2017-08-17 | 2019-02-21 | Bayer Cropscience Lp | DISPERSIBLE COMPOSITIONS IN LIQUID FERTILIZER AND ASSOCIATED METHODS |
| WO2019038195A1 (de) | 2017-08-22 | 2019-02-28 | Bayer Aktiengesellschaft | Heterocyclen-derivate als schädlingsbekämpfungsmittel |
| WO2019043183A1 (en) | 2017-08-31 | 2019-03-07 | Basf Se | METHOD FOR CONTROLLING PESTS OF RICE IN RICE |
| WO2019042932A1 (en) | 2017-08-31 | 2019-03-07 | Basf Se | METHOD FOR CONTROLLING RICE PARASITES IN RICE |
| EP3453706A1 (en) | 2017-09-08 | 2019-03-13 | Basf Se | Pesticidal imidazole compounds |
| WO2019068572A1 (de) | 2017-10-04 | 2019-04-11 | Bayer Aktiengesellschaft | Heterocyclen-derivate als schädlingsbekämpfungsmittel |
| WO2019072906A1 (en) | 2017-10-13 | 2019-04-18 | Basf Se | IMIDAZOLIDINE PYRIMIDINIUM COMPOUNDS FOR CONTROL OF HARMFUL ANIMALS |
| EP3473100A1 (en) | 2017-10-18 | 2019-04-24 | Bayer Aktiengesellschaft | Active compound combinations having insecticidal/acaricidal properties |
| WO2019076749A1 (en) | 2017-10-18 | 2019-04-25 | Bayer Aktiengesellschaft | COMBINATIONS OF ACTIVE COMPOUNDS HAVING INSECTICIDAL / ACARICIDE PROPERTIES |
| WO2019076752A1 (en) | 2017-10-18 | 2019-04-25 | Bayer Aktiengesellschaft | COMBINATIONS OF ACTIVE COMPOUNDS AYNT INSECTICIDE / ACARICIDE PROPERTIES |
| WO2019076754A1 (en) | 2017-10-18 | 2019-04-25 | Bayer Aktiengesellschaft | COMBINATIONS OF ACTIVE COMPOUNDS HAVING INSECTICIDAL / ACARICIDE PROPERTIES |
| WO2019076751A1 (en) | 2017-10-18 | 2019-04-25 | Bayer Aktiengesellschaft | COMBINATIONS OF ACTIVE COMPOUNDS HAVING INSECTICIDAL / ACARICIDE PROPERTIES |
| WO2019076750A1 (en) | 2017-10-18 | 2019-04-25 | Bayer Aktiengesellschaft | COMBINATIONS OF ACTIVE COMPOUNDS HAVING INSECTICIDE PROPERTIES7ACARICIDES |
| WO2019087796A1 (ja) | 2017-10-30 | 2019-05-09 | 日本曹達株式会社 | 農薬乳剤組成物 |
| WO2019092086A1 (en) | 2017-11-13 | 2019-05-16 | Bayer Aktiengesellschaft | Tetrazolylpropyl derivatives and their use as fungicides |
| WO2019105875A1 (en) | 2017-11-28 | 2019-06-06 | Bayer Aktiengesellschaft | Heterocyclic compounds as pesticides |
| WO2019121143A1 (en) | 2017-12-20 | 2019-06-27 | Basf Se | Substituted cyclopropyl derivatives |
| WO2019122319A1 (en) | 2017-12-21 | 2019-06-27 | Bayer Aktiengesellschaft | Trisubstitutedsilylmethylheteroaryloxyquinolines and analogues |
| WO2019145140A1 (en) | 2018-01-09 | 2019-08-01 | Basf Se | Silylethynyl hetaryl compounds as nitrification inhibitors |
| WO2019137995A1 (en) | 2018-01-11 | 2019-07-18 | Basf Se | Novel pyridazine compounds for controlling invertebrate pests |
| WO2019155066A1 (en) | 2018-02-12 | 2019-08-15 | Bayer Aktiengesellschaft | Fungicidal oxadiazoles |
| WO2019162174A1 (de) | 2018-02-21 | 2019-08-29 | Bayer Aktiengesellschaft | Kondensierte bicyclische heterocyclen-derivate als schädlingsbekämpfungsmittel |
| WO2019162228A1 (en) | 2018-02-21 | 2019-08-29 | Bayer Aktiengesellschaft | 1-(5-substituted imidazol-1-yl)but-3-en derivatives and their use as fungicides |
| WO2019166560A1 (en) | 2018-02-28 | 2019-09-06 | Basf Se | Use of n-functionalized alkoxy pyrazole compounds as nitrification inhibitors |
| WO2019166558A1 (en) | 2018-02-28 | 2019-09-06 | Basf Se | Use of pyrazole propargyl ethers as nitrification inhibitors |
| WO2019166561A1 (en) | 2018-02-28 | 2019-09-06 | Basf Se | Use of alkoxypyrazoles as nitrification inhibitors |
| WO2019175045A1 (de) | 2018-03-12 | 2019-09-19 | Bayer Aktiengesellschaft | Kondensierte bicyclische heterocyclen-derivate als schädlingsbekämpfungsmittel |
| WO2019175046A1 (de) | 2018-03-12 | 2019-09-19 | Bayer Aktiengesellschaft | Kondensierte bicyclische heterocyclen-derivate als schädlingsbekämpfungsmittel |
| JPWO2019176676A1 (ja) * | 2018-03-13 | 2021-02-25 | 日本曹達株式会社 | 有害生物防除方法および有害生物防除剤組成物 |
| WO2019176676A1 (ja) * | 2018-03-13 | 2019-09-19 | 日本曹達株式会社 | 有害生物防除方法および有害生物防除剤組成物 |
| JP7227957B2 (ja) | 2018-03-13 | 2023-02-22 | 日本曹達株式会社 | 有害生物防除方法および有害生物防除剤組成物 |
| WO2019175712A1 (en) | 2018-03-14 | 2019-09-19 | Basf Corporation | New uses for catechol molecules as inhibitors to glutathione s-transferase metabolic pathways |
| WO2019175713A1 (en) | 2018-03-14 | 2019-09-19 | Basf Corporation | New catechol molecules and their use as inhibitors to p450 related metabolic pathways |
| WO2019197371A1 (en) | 2018-04-10 | 2019-10-17 | Bayer Aktiengesellschaft | Oxadiazoline derivatives |
| EP4670505A2 (de) | 2018-04-13 | 2025-12-31 | Bayer Aktiengesellschaft | Wirkstoffkombinationen mit insektiziden, nematiziden und akariziden eigenschaften |
| WO2019197623A1 (de) | 2018-04-13 | 2019-10-17 | Bayer Aktiengesellschaft | Wirkstoffkombinationen mit insektiziden, nematiziden und akariziden eigenschaften |
| WO2019197615A1 (de) | 2018-04-13 | 2019-10-17 | Bayer Aktiengesellschaft | Wirkstoffkombinationen mit fungiziden, insektiziden und akariziden eigenschaften |
| WO2019201835A1 (en) | 2018-04-17 | 2019-10-24 | Bayer Aktiengesellschaft | Heteroaryl-triazole and heteroaryl-tetrazole compounds as pesticides |
| EP4039682A1 (en) | 2018-04-17 | 2022-08-10 | Bayer Aktiengesellschaft | Novel heteroaryl-triazole and heteroaryl-tetrazole compounds as pesticides |
| WO2019202077A1 (en) | 2018-04-20 | 2019-10-24 | Bayer Aktiengesellschaft | Heteroaryl-triazole and heteroaryl-tetrazole compounds as pesticides |
| WO2019201921A1 (de) | 2018-04-20 | 2019-10-24 | Bayer Aktiengesellschaft | Heterocyclen-derivate als schädlingsbekämpfungsmittel |
| WO2019215182A1 (en) | 2018-05-09 | 2019-11-14 | Bayer Animal Health Gmbh | New quinoline derivatives |
| WO2019219529A1 (en) | 2018-05-15 | 2019-11-21 | Basf Se | Mixtures comprising benzpyrimoxan and oxazosulfyl and uses and methods of applying them |
| WO2019224092A1 (en) | 2018-05-22 | 2019-11-28 | Basf Se | Pesticidally active c15-derivatives of ginkgolides |
| WO2019224143A1 (de) | 2018-05-24 | 2019-11-28 | Bayer Aktiengesellschaft | Wirkstoffkombinationen mit insektiziden, nematiziden und akariziden eigenschaften |
| WO2020005678A1 (en) | 2018-06-25 | 2020-01-02 | Bayer Cropscience Lp | Seed treatment method |
| WO2020002472A1 (en) | 2018-06-28 | 2020-01-02 | Basf Se | Use of alkynylthiophenes as nitrification inhibitors |
| WO2020007902A1 (en) | 2018-07-05 | 2020-01-09 | Bayer Aktiengesellschaft | Substituted thiophenecarboxamides and analogues as antibacterials agents |
| WO2020007905A1 (en) | 2018-07-05 | 2020-01-09 | Bayer Aktiengesellschaft | Substituted thiophenecarboxamides and analogues as antibacterials agents |
| US12516037B2 (en) | 2018-07-05 | 2026-01-06 | Bayer Aktiengesellschaft | Substituted thiophenecarboxamides and analogues as antibacterials agents |
| WO2020007904A1 (en) | 2018-07-05 | 2020-01-09 | Bayer Aktiengesellschaft | Substituted thiophenecarboxamides and analogues as antibacterials agents |
| US11884643B2 (en) | 2018-07-05 | 2024-01-30 | Bayer Aktiengesellschaft | Substituted thiophenecarboxamides and analogues as antibacterials agents |
| US11952359B2 (en) | 2018-07-05 | 2024-04-09 | Bayer Aktiengesellschaft | Substituted thiophenecarboxamides and analogues as antibacterials agents |
| WO2020020765A1 (en) | 2018-07-23 | 2020-01-30 | Basf Se | Use of a substituted thiazolidine compound as nitrification inhibitor |
| WO2020020777A1 (en) | 2018-07-23 | 2020-01-30 | Basf Se | Use of substituted 2-thiazolines as nitrification inhibitors |
| WO2020020813A1 (en) | 2018-07-25 | 2020-01-30 | Bayer Aktiengesellschaft | Fungicidal active compound combinations |
| WO2020020816A1 (en) | 2018-07-26 | 2020-01-30 | Bayer Aktiengesellschaft | Novel triazole derivatives |
| EP3613736A1 (en) | 2018-08-22 | 2020-02-26 | Basf Se | Substituted glutarimide derivatives |
| WO2020053282A1 (de) | 2018-09-13 | 2020-03-19 | Bayer Aktiengesellschaft | Heterocyclen-derivate als schädlingsbekämpfungsmittel |
| WO2020057939A1 (en) | 2018-09-17 | 2020-03-26 | Bayer Aktiengesellschaft | Use of the fungicide isoflucypram for controlling claviceps purpurea and reducing sclerotia in cereals |
| EP3628157A1 (en) | 2018-09-28 | 2020-04-01 | Basf Se | Method of controlling insecticide resistant insects and virus transmission to plants |
| WO2020064492A1 (en) | 2018-09-28 | 2020-04-02 | Basf Se | Method of controlling pests by seed treatment application of a mesoionic compound or mixture thereof |
| WO2020064480A1 (en) | 2018-09-28 | 2020-04-02 | Basf Se | Pesticidal mixture comprising a mesoionic compound and a biopesticide |
| WO2020064408A1 (en) | 2018-09-28 | 2020-04-02 | Basf Se | Method of controlling insecticide resistant insects and virus transmission to plants |
| EP3628158A1 (en) | 2018-09-28 | 2020-04-01 | Basf Se | Pesticidal mixture comprising a mesoionic compound and a biopesticide |
| EP3628156A1 (en) | 2018-09-28 | 2020-04-01 | Basf Se | Method for controlling pests of sugarcane, citrus, rapeseed, and potato plants |
| WO2020070050A1 (en) | 2018-10-01 | 2020-04-09 | Bayer Aktiengesellschaft | Fungicidal 5-substituted imidazol-1-yl carbinol derivatives |
| WO2020079167A1 (en) | 2018-10-18 | 2020-04-23 | Bayer Aktiengesellschaft | Heteroarylaminoquinolines and analogues |
| WO2020079173A1 (en) | 2018-10-18 | 2020-04-23 | Bayer Aktiengesellschaft | Pyridylphenylaminoquinolines and analogues |
| WO2020079232A1 (en) | 2018-10-20 | 2020-04-23 | Bayer Aktiengesellschaft | Oxetanylphenoxyquinolines and analogues |
| WO2020083971A2 (en) | 2018-10-24 | 2020-04-30 | Bayer Animal Health Gmbh | New anthelmintic compounds |
| US12435068B2 (en) | 2018-10-24 | 2025-10-07 | Elanco Animal Health Gmbh | Anthelmintic compounds |
| EP3643705A1 (en) | 2018-10-24 | 2020-04-29 | Basf Se | Pesticidal compounds |
| WO2020083733A1 (en) | 2018-10-24 | 2020-04-30 | Basf Se | Pesticidal compounds |
| EP3643711A1 (en) | 2018-10-24 | 2020-04-29 | Bayer Animal Health GmbH | New anthelmintic compounds |
| WO2020109391A1 (en) | 2018-11-28 | 2020-06-04 | Bayer Aktiengesellschaft | Pyridazine (thio)amides as fungicidal compounds |
| EP3620052A1 (en) | 2018-12-12 | 2020-03-11 | Bayer Aktiengesellschaft | Use of phenoxypyridinyl-substituted (1h-1,2,4-triazol-1-yl)alcohols for controlling fungicidal diseases in maize |
| WO2020126980A1 (en) | 2018-12-18 | 2020-06-25 | Bayer Aktiengesellschaft | Active compound combinations having insecticidal/acaricidal properties |
| WO2020127780A1 (en) | 2018-12-20 | 2020-06-25 | Bayer Aktiengesellschaft | Heterocyclyl pyridazine as fungicidal compounds |
| EP3669652A1 (en) | 2018-12-21 | 2020-06-24 | Bayer AG | Active compound combination |
| WO2020127974A1 (en) | 2018-12-21 | 2020-06-25 | Bayer Aktiengesellschaft | 1,3,4-oxadiazoles and their derivatives as new antifungal agents |
| EP3679789A1 (en) | 2019-01-08 | 2020-07-15 | Bayer AG | Active compound combinations |
| EP3679790A1 (en) | 2019-01-08 | 2020-07-15 | Bayer AG | Active compound combinations |
| EP3679791A1 (en) | 2019-01-08 | 2020-07-15 | Bayer AG | Active compound combinations |
| EP3679793A1 (en) | 2019-01-08 | 2020-07-15 | Bayer AG | Active compound combinations |
| EP3679792A1 (en) | 2019-01-08 | 2020-07-15 | Bayer AG | Active compound combinations |
| EP3696177A1 (en) | 2019-02-12 | 2020-08-19 | Basf Se | Heterocyclic compounds for the control of invertebrate pests |
| WO2020178067A1 (en) | 2019-03-01 | 2020-09-10 | Bayer Aktiengesellschaft | Active compound combinations having insecticidal/acaricidal properties |
| WO2020178307A1 (en) | 2019-03-05 | 2020-09-10 | Bayer Aktiengesellschaft | Active compound combination |
| WO2020182929A1 (en) | 2019-03-13 | 2020-09-17 | Bayer Aktiengesellschaft | Substituted ureas and derivatives as new antifungal agents |
| WO2020187656A1 (en) | 2019-03-15 | 2020-09-24 | Bayer Aktiengesellschaft | Active compound combinations having insecticidal/acaricidal properties |
| WO2020231751A1 (en) | 2019-05-10 | 2020-11-19 | Bayer Cropscience Lp | Active compound combinations |
| WO2020239517A1 (en) | 2019-05-29 | 2020-12-03 | Basf Se | Mesoionic imidazolium compounds and derivatives for combating animal pests |
| WO2020254488A1 (en) | 2019-06-21 | 2020-12-24 | Bayer Aktiengesellschaft | Hydroxyisoxazolines and use thereof as fungicides |
| WO2020254487A1 (en) | 2019-06-21 | 2020-12-24 | Bayer Aktiengesellschaft | Hydroxyisoxazolines and derivatives thereof |
| WO2020254492A1 (en) | 2019-06-21 | 2020-12-24 | Bayer Aktiengesellschaft | Hydroxyisoxazolines and derivatives thereof |
| WO2020254493A1 (en) | 2019-06-21 | 2020-12-24 | Bayer Aktiengesellschaft | Thienylhydroxyisoxazolines and derivatives thereof |
| WO2020254490A1 (en) | 2019-06-21 | 2020-12-24 | Bayer Aktiengesellschaft | Phenoxyphenyl hydroxyisoxazolines and analogues as new antifungal agents |
| WO2020254489A1 (en) | 2019-06-21 | 2020-12-24 | Bayer Aktiengesellschaft | Benzylphenyl hydroxyisoxazolines and analogues as new antifungal agents |
| WO2020254486A1 (en) | 2019-06-21 | 2020-12-24 | Bayer Aktiengesellschaft | Hydroxyisoxazolines and derivatives thereof |
| WO2020254494A1 (en) | 2019-06-21 | 2020-12-24 | Bayer Aktiengesellschaft | Fungicidal oxadiazoles |
| WO2021001331A1 (en) | 2019-07-03 | 2021-01-07 | Bayer Aktiengesellschaft | Substituted thiophene carboxamides and derivatives thereof as microbicides |
| WO2021013561A1 (en) | 2019-07-19 | 2021-01-28 | Basf Se | Pesticidal pyrazole and triazole derivatives |
| EP3766879A1 (en) | 2019-07-19 | 2021-01-20 | Basf Se | Pesticidal pyrazole derivatives |
| EP3769623A1 (en) | 2019-07-22 | 2021-01-27 | Basf Se | Mesoionic imidazolium compounds and derivatives for combating animal pests |
| WO2021018839A1 (en) | 2019-07-30 | 2021-02-04 | Bayer Animal Health Gmbh | Isoquinoline derivatives and their use for the treatment of parasitic infections |
| WO2021123051A1 (en) | 2019-12-20 | 2021-06-24 | Bayer Aktiengesellschaft | Substituted thiophene carboxamides, thiophene carboxylic acids and derivatives thereof |
| WO2021122986A1 (en) | 2019-12-20 | 2021-06-24 | Bayer Aktiengesellschaft | Thienyloxazolones and analogues |
| CN112889836B (zh) * | 2020-01-11 | 2021-12-14 | 青岛凯源祥化工有限公司 | 一种含有Acynonapyr的杀螨组合物 |
| CN112889836A (zh) * | 2020-01-11 | 2021-06-04 | 青岛海利尔生物科技有限公司 | 一种含有Acynonapyr的杀螨组合物 |
| EP3708565A1 (en) | 2020-03-04 | 2020-09-16 | Bayer AG | Pyrimidinyloxyphenylamidines and the use thereof as fungicides |
| WO2021204930A1 (en) | 2020-04-09 | 2021-10-14 | Bayer Animal Health Gmbh | Substituted condensed azines as anthelmintic compounds |
| WO2021209365A1 (en) | 2020-04-16 | 2021-10-21 | Bayer Aktiengesellschaft | Active compound combinations and fungicide compositions comprising those |
| WO2021209364A1 (en) | 2020-04-16 | 2021-10-21 | Bayer Aktiengesellschaft | Active compound combinations and fungicide compositions comprising those |
| WO2021209490A1 (en) | 2020-04-16 | 2021-10-21 | Bayer Aktiengesellschaft | Cyclaminephenylaminoquinolines as fungicides |
| WO2021209363A1 (en) | 2020-04-16 | 2021-10-21 | Bayer Aktiengesellschaft | Active compound combinations and fungicide compositions comprising those |
| WO2021209368A1 (en) | 2020-04-16 | 2021-10-21 | Bayer Aktiengesellschaft | Active compound combinations and fungicide compositions comprising those |
| WO2021209366A1 (en) | 2020-04-16 | 2021-10-21 | Bayer Aktiengesellschaft | Active compound combinations and fungicide compositions comprising those |
| WO2021224220A1 (en) | 2020-05-06 | 2021-11-11 | Bayer Aktiengesellschaft | Pyridine (thio)amides as fungicidal compounds |
| WO2021228734A1 (en) | 2020-05-12 | 2021-11-18 | Bayer Aktiengesellschaft | Triazine and pyrimidine (thio)amides as fungicidal compounds |
| WO2021233861A1 (en) | 2020-05-19 | 2021-11-25 | Bayer Aktiengesellschaft | Azabicyclic(thio)amides as fungicidal compounds |
| WO2021245087A1 (en) | 2020-06-04 | 2021-12-09 | Bayer Aktiengesellschaft | Heterocyclyl pyrimidines and triazines as novel fungicides |
| WO2021249995A1 (en) | 2020-06-10 | 2021-12-16 | Bayer Aktiengesellschaft | Azabicyclyl-substituted heterocycles as fungicides |
| WO2021255071A1 (en) | 2020-06-18 | 2021-12-23 | Bayer Aktiengesellschaft | 3-(pyridazin-4-yl)-5,6-dihydro-4h-1,2,4-oxadiazine derivatives as fungicides for crop protection |
| WO2021255091A1 (en) | 2020-06-19 | 2021-12-23 | Bayer Aktiengesellschaft | 1,3,4-oxadiazoles and their derivatives as fungicides |
| WO2021255169A1 (en) | 2020-06-19 | 2021-12-23 | Bayer Aktiengesellschaft | 1,3,4-oxadiazole pyrimidines as fungicides |
| WO2021255170A1 (en) | 2020-06-19 | 2021-12-23 | Bayer Aktiengesellschaft | 1,3,4-oxadiazole pyrimidines as fungicides |
| WO2021255089A1 (en) | 2020-06-19 | 2021-12-23 | Bayer Aktiengesellschaft | 1,3,4-oxadiazole pyrimidines and 1,3,4-oxadiazole pyridines as fungicides |
| WO2022058327A1 (en) | 2020-09-15 | 2022-03-24 | Bayer Aktiengesellschaft | Substituted ureas and derivatives as new antifungal agents |
| EP3915371A1 (en) | 2020-11-04 | 2021-12-01 | Bayer AG | Active compound combinations and fungicide compositions comprising those |
| EP3915971A1 (en) | 2020-12-16 | 2021-12-01 | Bayer Aktiengesellschaft | Phenyl-s(o)n-phenylamidines and the use thereof as fungicides |
| WO2022129188A1 (en) | 2020-12-18 | 2022-06-23 | Bayer Aktiengesellschaft | 1,2,4-oxadiazol-3-yl pyrimidines as fungicides |
| WO2022129190A1 (en) | 2020-12-18 | 2022-06-23 | Bayer Aktiengesellschaft | (hetero)aryl substituted 1,2,4-oxadiazoles as fungicides |
| WO2022129196A1 (en) | 2020-12-18 | 2022-06-23 | Bayer Aktiengesellschaft | Heterobicycle substituted 1,2,4-oxadiazoles as fungicides |
| WO2022167488A1 (en) | 2021-02-02 | 2022-08-11 | Basf Se | Synergistic action of dcd and alkoxypyrazoles as nitrification inhibitors |
| WO2022200364A1 (en) | 2021-03-25 | 2022-09-29 | Syngenta Crop Protection Ag | Insect, acarina and nematode pest control |
| WO2022243521A1 (en) | 2021-05-21 | 2022-11-24 | Basf Se | Use of ethynylpyridine compounds as nitrification inhibitors |
| WO2022243523A1 (en) | 2021-05-21 | 2022-11-24 | Basf Se | Use of an n-functionalized alkoxy pyrazole compound as nitrification inhibitor |
| WO2022268810A1 (en) | 2021-06-21 | 2022-12-29 | Basf Se | Metal-organic frameworks with pyrazole-based building blocks |
| EP4148052A1 (en) | 2021-09-09 | 2023-03-15 | Bayer Animal Health GmbH | New quinoline derivatives |
| WO2023036821A1 (en) | 2021-09-09 | 2023-03-16 | Bayer Animal Health Gmbh | New quinoline derivatives |
| WO2023046853A1 (en) | 2021-09-23 | 2023-03-30 | Syngenta Crop Protection Ag | Insect, acarina and nematode pest control |
| WO2023205602A1 (en) | 2022-04-18 | 2023-10-26 | Basf Corporation | High-load agricultural formulations and methods of making same |
| WO2023203038A1 (en) | 2022-04-19 | 2023-10-26 | Syngenta Crop Protection Ag | Insect, acarina and nematode pest control |
| WO2023203066A1 (en) | 2022-04-21 | 2023-10-26 | Basf Se | Synergistic action as nitrification inhibitors of dcd oligomers with alkoxypyrazole and its oligomers |
| WO2024028243A1 (en) | 2022-08-02 | 2024-02-08 | Basf Se | Pyrazolo pesticidal compounds |
| WO2024213752A1 (en) | 2023-04-14 | 2024-10-17 | Elanco Animal Health Gmbh | Long-term prevention and/or treatment of a disease by slo-1 inhibitors |
| WO2025031668A1 (en) | 2023-08-09 | 2025-02-13 | Bayer Aktiengesellschaft | Azaheterobiaryl-substituted 4,5-dihydro-1h-2,4,5-oxadiazines as novel fungicides |
| WO2025032038A1 (en) | 2023-08-09 | 2025-02-13 | Bayer Aktiengesellschaft | Pyridazin-4-yloxadiazines as novel fungicides |
| WO2025078128A1 (en) | 2023-10-11 | 2025-04-17 | Bayer Aktiengesellschaft | Pyridazin-3-one-4-yloxadiazines as novel fungicides |
| JPWO2025105320A1 (ja) * | 2023-11-13 | 2025-05-22 | ||
| WO2025105320A1 (ja) * | 2023-11-13 | 2025-05-22 | 日本曹達株式会社 | 有害生物防除剤組成物および有害生物の防除方法 |
| JP7772973B2 (ja) | 2023-11-13 | 2025-11-18 | 日本曹達株式会社 | 有害生物防除剤組成物および有害生物の防除方法 |
| WO2025168620A1 (en) | 2024-02-07 | 2025-08-14 | Bayer Aktiengesellschaft | Heteroaryl-substituted 4,5-dihydro-1h-2,4,5-oxadiazines as novel fungicides |
Also Published As
Similar Documents
| Publication | Publication Date | Title |
|---|---|---|
| JP5486674B2 (ja) | 環状アミン化合物および殺ダニ剤 | |
| JP5562354B2 (ja) | 環状アミン化合物および殺ダニ剤 | |
| DK2522658T3 (en) | NITROGEN-CONTAINING HETEROCYCLIC COMPOUNDS AND AGRICULTURAL / Horticulture Bactericidal Agents | |
| JP5442021B2 (ja) | 含窒素ヘテロ環化合物およびその塩ならびに農園芸用殺菌剤 | |
| JP5254436B2 (ja) | 含窒素複素環化合物及び農園芸用殺菌剤 | |
| JP5775574B2 (ja) | 含窒素ヘテロ環化合物および農園芸用殺菌剤 | |
| JP5729889B2 (ja) | 含窒素ヘテロ環化合物および農園芸用殺菌剤 | |
| JP2012180339A (ja) | イソオキサゾリン化合物および有害生物防除剤 | |
| WO2010137302A1 (ja) | 含窒素ヘテロアリール誘導体および農園芸用殺菌剤 | |
| JP6277501B2 (ja) | ピリジン化合物および農園芸用殺菌剤 | |
| JP5753583B2 (ja) | 含窒素ヘテロ環化合物および農園芸用殺菌剤 | |
| JP5767099B2 (ja) | 環状アミン化合物および有害生物防除剤 | |
| JP2012092091A (ja) | アセタール化合物誘導体および有害生物防除剤 | |
| JP2014125441A (ja) | 含窒素ヘテロ環化合物および農園芸用殺菌剤 | |
| JP2011162472A (ja) | 含窒素ヘテロ環化合物またはその塩、ならびに農園芸用殺菌剤 | |
| WO2015147022A1 (ja) | イソオキサゾリン-5-カルボキサミド化合物および有害生物防除剤 |
Legal Events
| Date | Code | Title | Description |
|---|---|---|---|
| WWE | Wipo information: entry into national phase |
Ref document number: 201180010119.1 Country of ref document: CN |
|
| 121 | Ep: the epo has been informed by wipo that ep was designated in this application |
Ref document number: 11747466 Country of ref document: EP Kind code of ref document: A1 |
|
| WWE | Wipo information: entry into national phase |
Ref document number: 2012501857 Country of ref document: JP |
|
| WWE | Wipo information: entry into national phase |
Ref document number: 2011747466 Country of ref document: EP |
|
| WWE | Wipo information: entry into national phase |
Ref document number: 2011221128 Country of ref document: AU |
|
| WWE | Wipo information: entry into national phase |
Ref document number: 6948/CHENP/2012 Country of ref document: IN |
|
| WWE | Wipo information: entry into national phase |
Ref document number: 13261398 Country of ref document: US Ref document number: 12012501612 Country of ref document: PH |
|
| ENP | Entry into the national phase |
Ref document number: 2789645 Country of ref document: CA |
|
| WWE | Wipo information: entry into national phase |
Ref document number: DZP2012000592 Country of ref document: DZ |
|
| ENP | Entry into the national phase |
Ref document number: 20127021675 Country of ref document: KR Kind code of ref document: A |
|
| WWE | Wipo information: entry into national phase |
Ref document number: A201209388 Country of ref document: UA Ref document number: 201201033 Country of ref document: EA |
|
| WWE | Wipo information: entry into national phase |
Ref document number: 12141194 Country of ref document: CO Ref document number: MX/A/2012/009681 Country of ref document: MX |
|
| ENP | Entry into the national phase |
Ref document number: 2011221128 Country of ref document: AU Date of ref document: 20110224 Kind code of ref document: A |
|
| WWE | Wipo information: entry into national phase |
Ref document number: 1201004212 Country of ref document: TH |
|
| NENP | Non-entry into the national phase |
Ref country code: DE |
|
| REG | Reference to national code |
Ref country code: BR Ref legal event code: B01A Ref document number: 112012020986 Country of ref document: BR |
|
| WWE | Wipo information: entry into national phase |
Ref document number: P-2015/0720 Country of ref document: RS |
|
| ENP | Entry into the national phase |
Ref document number: 112012020986 Country of ref document: BR Kind code of ref document: A2 Effective date: 20120821 |





























































































