US20160264963A1 - Compositions and Methods for Inhibiting Expression of Transthyretin - Google Patents
Compositions and Methods for Inhibiting Expression of Transthyretin Download PDFInfo
- Publication number
- US20160264963A1 US20160264963A1 US14/965,825 US201514965825A US2016264963A1 US 20160264963 A1 US20160264963 A1 US 20160264963A1 US 201514965825 A US201514965825 A US 201514965825A US 2016264963 A1 US2016264963 A1 US 2016264963A1
- Authority
- US
- United States
- Prior art keywords
- dsrna
- ttr
- nucleotide
- cell
- expression
- Prior art date
- Legal status (The legal status is an assumption and is not a legal conclusion. Google has not performed a legal analysis and makes no representation as to the accuracy of the status listed.)
- Abandoned
Links
- GPNTUZNYXBTWIP-HRJGGGCLSA-N CC(C)CCCC(C)[C@H]1CCC2C3CC=C4C[C@@H](OC(=O)CCCCCCC(=O)N5CC(O)C(CO)C5)CC[C@]4(C)C3CC[C@@]21C Chemical compound CC(C)CCCC(C)[C@H]1CCC2C3CC=C4C[C@@H](OC(=O)CCCCCCC(=O)N5CC(O)C(CO)C5)CC[C@]4(C)C3CC[C@@]21C GPNTUZNYXBTWIP-HRJGGGCLSA-N 0.000 description 1
- XOMKVEWRMKVHBB-UHFFFAOYSA-N CCCCCCC(=O)N(CCC(=O)OCC)CC(=O)OCC Chemical compound CCCCCCC(=O)N(CCC(=O)OCC)CC(=O)OCC XOMKVEWRMKVHBB-UHFFFAOYSA-N 0.000 description 1
- GIBBEDCVVDDQPR-UHFFFAOYSA-N CCCCCCCCCCCCCC(=O)CCN(CCC(=O)CCCCCCCCCCCCC)CCN(CCCCCN(CCC(=O)NCCCCCCCCCCCC)CCC(=O)NCCCCCCCCCCCC)CCC(=O)NCCCCCCCCCCCC Chemical compound CCCCCCCCCCCCCC(=O)CCN(CCC(=O)CCCCCCCCCCCCC)CCN(CCCCCN(CCC(=O)NCCCCCCCCCCCC)CCC(=O)NCCCCCCCCCCCC)CCC(=O)NCCCCCCCCCCCC GIBBEDCVVDDQPR-UHFFFAOYSA-N 0.000 description 1
- LITZZEARGGFGSF-NFYHXLRHSA-N CCOC(=O)C1CN(C(=O)CCCCCCC(=O)O[C@H]2CC[C@@]3(C)C(=CCC4C3CC[C@@]3(C)C4CC[C@@H]3C(C)CCCC(C)C)C2)CC1=O Chemical compound CCOC(=O)C1CN(C(=O)CCCCCCC(=O)O[C@H]2CC[C@@]3(C)C(=CCC4C3CC[C@@]3(C)C4CC[C@@H]3C(C)CCCC(C)C)C2)CC1=O LITZZEARGGFGSF-NFYHXLRHSA-N 0.000 description 1
- QAMKMTLIUBRFIQ-PZSQPVDFSA-N CCOC(=O)CCN(CC(=O)OCC)C(=O)CCCCCCC(=O)O[C@H]1CC[C@@]2(C)C(=CCC3C2CC[C@@]2(C)C3CC[C@@H]2C(C)CCCC(C)C)C1 Chemical compound CCOC(=O)CCN(CC(=O)OCC)C(=O)CCCCCCC(=O)O[C@H]1CC[C@@]2(C)C(=CCC3C2CC[C@@]2(C)C3CC[C@@H]2C(C)CCCC(C)C)C1 QAMKMTLIUBRFIQ-PZSQPVDFSA-N 0.000 description 1
- KZFYSKDXJHZWRX-UHFFFAOYSA-N CCOC(=O)CCN(CC(=O)OCC)C(=O)CCCCCN Chemical compound CCOC(=O)CCN(CC(=O)OCC)C(=O)CCCCCN KZFYSKDXJHZWRX-UHFFFAOYSA-N 0.000 description 1
- JHFQLFGNGSHVGQ-UHFFFAOYSA-N CCOC(=O)CCNCC(=O)OCC Chemical compound CCOC(=O)CCNCC(=O)OCC JHFQLFGNGSHVGQ-UHFFFAOYSA-N 0.000 description 1
- PXQJVRORWJWSEY-QSKHJHTASA-N CNC(=O)CCC(=O)OC1CN(C(=O)CCCCCNC(=O)OC2CC[C@@]3(C)C(=CCC4C3CC[C@@]3(C)C4CC[C@@H]3C(C)CCCC(C)C)C2)CC1COC(C1=CC=CC=C1)(C1=CC=C(CO)C=C1)C1=CC=C(OC)C=C1 Chemical compound CNC(=O)CCC(=O)OC1CN(C(=O)CCCCCNC(=O)OC2CC[C@@]3(C)C(=CCC4C3CC[C@@]3(C)C4CC[C@@H]3C(C)CCCC(C)C)C2)CC1COC(C1=CC=CC=C1)(C1=CC=C(CO)C=C1)C1=CC=C(OC)C=C1 PXQJVRORWJWSEY-QSKHJHTASA-N 0.000 description 1
- ABDXEEDSWZTFIT-JYSVCUGSSA-N COC1=CC=C(C(OCC2CN(C(=O)CCCCCCC(=O)O[C@H]3CC[C@@]4(C)C(=CCC5C4CC[C@@]4(C)C5CC[C@@H]4C(C)CCCC(C)C)C3)CC2O)(C2=CC=CC=C2)C2=CC=C(OC)C=C2)C=C1 Chemical compound COC1=CC=C(C(OCC2CN(C(=O)CCCCCCC(=O)O[C@H]3CC[C@@]4(C)C(=CCC5C4CC[C@@]4(C)C5CC[C@@H]4C(C)CCCC(C)C)C3)CC2O)(C2=CC=CC=C2)C2=CC=C(OC)C=C2)C=C1 ABDXEEDSWZTFIT-JYSVCUGSSA-N 0.000 description 1
- YRBRUGZLOMVVSL-IZALDNGSSA-N COC1=CC=C(C(OCC2CN(C(=O)CCCCCNC(=O)OC3CC[C@@]4(C)C(=CCC5C4CC[C@@]4(C)C5CC[C@@H]4C(C)CCCC(C)C)C3)CC2OC(=O)CCC(=O)O)(C2=CC=CC=C2)C2=CC=C(CO)C=C2)C=C1 Chemical compound COC1=CC=C(C(OCC2CN(C(=O)CCCCCNC(=O)OC3CC[C@@]4(C)C(=CCC5C4CC[C@@]4(C)C5CC[C@@H]4C(C)CCCC(C)C)C3)CC2OC(=O)CCC(=O)O)(C2=CC=CC=C2)C2=CC=C(CO)C=C2)C=C1 YRBRUGZLOMVVSL-IZALDNGSSA-N 0.000 description 1
Images
Classifications
-
- A—HUMAN NECESSITIES
- A61—MEDICAL OR VETERINARY SCIENCE; HYGIENE
- A61K—PREPARATIONS FOR MEDICAL, DENTAL OR TOILETRY PURPOSES
- A61K31/00—Medicinal preparations containing organic active ingredients
- A61K31/70—Carbohydrates; Sugars; Derivatives thereof
- A61K31/7088—Compounds having three or more nucleosides or nucleotides
- A61K31/713—Double-stranded nucleic acids or oligonucleotides
-
- C—CHEMISTRY; METALLURGY
- C12—BIOCHEMISTRY; BEER; SPIRITS; WINE; VINEGAR; MICROBIOLOGY; ENZYMOLOGY; MUTATION OR GENETIC ENGINEERING
- C12N—MICROORGANISMS OR ENZYMES; COMPOSITIONS THEREOF; PROPAGATING, PRESERVING, OR MAINTAINING MICROORGANISMS; MUTATION OR GENETIC ENGINEERING; CULTURE MEDIA
- C12N15/00—Mutation or genetic engineering; DNA or RNA concerning genetic engineering, vectors, e.g. plasmids, or their isolation, preparation or purification; Use of hosts therefor
- C12N15/09—Recombinant DNA-technology
- C12N15/11—DNA or RNA fragments; Modified forms thereof; Non-coding nucleic acids having a biological activity
- C12N15/113—Non-coding nucleic acids modulating the expression of genes, e.g. antisense oligonucleotides; Antisense DNA or RNA; Triplex- forming oligonucleotides; Catalytic nucleic acids, e.g. ribozymes; Nucleic acids used in co-suppression or gene silencing
-
- C—CHEMISTRY; METALLURGY
- C07—ORGANIC CHEMISTRY
- C07H—SUGARS; DERIVATIVES THEREOF; NUCLEOSIDES; NUCLEOTIDES; NUCLEIC ACIDS
- C07H21/00—Compounds containing two or more mononucleotide units having separate phosphate or polyphosphate groups linked by saccharide radicals of nucleoside groups, e.g. nucleic acids
- C07H21/02—Compounds containing two or more mononucleotide units having separate phosphate or polyphosphate groups linked by saccharide radicals of nucleoside groups, e.g. nucleic acids with ribosyl as saccharide radical
-
- A—HUMAN NECESSITIES
- A61—MEDICAL OR VETERINARY SCIENCE; HYGIENE
- A61K—PREPARATIONS FOR MEDICAL, DENTAL OR TOILETRY PURPOSES
- A61K31/00—Medicinal preparations containing organic active ingredients
- A61K31/70—Carbohydrates; Sugars; Derivatives thereof
- A61K31/7088—Compounds having three or more nucleosides or nucleotides
-
- A—HUMAN NECESSITIES
- A61—MEDICAL OR VETERINARY SCIENCE; HYGIENE
- A61K—PREPARATIONS FOR MEDICAL, DENTAL OR TOILETRY PURPOSES
- A61K9/00—Medicinal preparations characterised by special physical form
- A61K9/0012—Galenical forms characterised by the site of application
- A61K9/0019—Injectable compositions; Intramuscular, intravenous, arterial, subcutaneous administration; Compositions to be administered through the skin in an invasive manner
-
- A—HUMAN NECESSITIES
- A61—MEDICAL OR VETERINARY SCIENCE; HYGIENE
- A61K—PREPARATIONS FOR MEDICAL, DENTAL OR TOILETRY PURPOSES
- A61K9/00—Medicinal preparations characterised by special physical form
- A61K9/10—Dispersions; Emulsions
- A61K9/127—Synthetic bilayered vehicles, e.g. liposomes or liposomes with cholesterol as the only non-phosphatidyl surfactant
-
- A—HUMAN NECESSITIES
- A61—MEDICAL OR VETERINARY SCIENCE; HYGIENE
- A61P—SPECIFIC THERAPEUTIC ACTIVITY OF CHEMICAL COMPOUNDS OR MEDICINAL PREPARATIONS
- A61P1/00—Drugs for disorders of the alimentary tract or the digestive system
-
- A—HUMAN NECESSITIES
- A61—MEDICAL OR VETERINARY SCIENCE; HYGIENE
- A61P—SPECIFIC THERAPEUTIC ACTIVITY OF CHEMICAL COMPOUNDS OR MEDICINAL PREPARATIONS
- A61P1/00—Drugs for disorders of the alimentary tract or the digestive system
- A61P1/16—Drugs for disorders of the alimentary tract or the digestive system for liver or gallbladder disorders, e.g. hepatoprotective agents, cholagogues, litholytics
-
- A—HUMAN NECESSITIES
- A61—MEDICAL OR VETERINARY SCIENCE; HYGIENE
- A61P—SPECIFIC THERAPEUTIC ACTIVITY OF CHEMICAL COMPOUNDS OR MEDICINAL PREPARATIONS
- A61P13/00—Drugs for disorders of the urinary system
- A61P13/12—Drugs for disorders of the urinary system of the kidneys
-
- A—HUMAN NECESSITIES
- A61—MEDICAL OR VETERINARY SCIENCE; HYGIENE
- A61P—SPECIFIC THERAPEUTIC ACTIVITY OF CHEMICAL COMPOUNDS OR MEDICINAL PREPARATIONS
- A61P25/00—Drugs for disorders of the nervous system
-
- A—HUMAN NECESSITIES
- A61—MEDICAL OR VETERINARY SCIENCE; HYGIENE
- A61P—SPECIFIC THERAPEUTIC ACTIVITY OF CHEMICAL COMPOUNDS OR MEDICINAL PREPARATIONS
- A61P25/00—Drugs for disorders of the nervous system
- A61P25/28—Drugs for disorders of the nervous system for treating neurodegenerative disorders of the central nervous system, e.g. nootropic agents, cognition enhancers, drugs for treating Alzheimer's disease or other forms of dementia
-
- A—HUMAN NECESSITIES
- A61—MEDICAL OR VETERINARY SCIENCE; HYGIENE
- A61P—SPECIFIC THERAPEUTIC ACTIVITY OF CHEMICAL COMPOUNDS OR MEDICINAL PREPARATIONS
- A61P27/00—Drugs for disorders of the senses
- A61P27/02—Ophthalmic agents
-
- A—HUMAN NECESSITIES
- A61—MEDICAL OR VETERINARY SCIENCE; HYGIENE
- A61P—SPECIFIC THERAPEUTIC ACTIVITY OF CHEMICAL COMPOUNDS OR MEDICINAL PREPARATIONS
- A61P35/00—Antineoplastic agents
-
- A—HUMAN NECESSITIES
- A61—MEDICAL OR VETERINARY SCIENCE; HYGIENE
- A61P—SPECIFIC THERAPEUTIC ACTIVITY OF CHEMICAL COMPOUNDS OR MEDICINAL PREPARATIONS
- A61P43/00—Drugs for specific purposes, not provided for in groups A61P1/00-A61P41/00
-
- A—HUMAN NECESSITIES
- A61—MEDICAL OR VETERINARY SCIENCE; HYGIENE
- A61P—SPECIFIC THERAPEUTIC ACTIVITY OF CHEMICAL COMPOUNDS OR MEDICINAL PREPARATIONS
- A61P5/00—Drugs for disorders of the endocrine system
- A61P5/14—Drugs for disorders of the endocrine system of the thyroid hormones, e.g. T3, T4
-
- A—HUMAN NECESSITIES
- A61—MEDICAL OR VETERINARY SCIENCE; HYGIENE
- A61P—SPECIFIC THERAPEUTIC ACTIVITY OF CHEMICAL COMPOUNDS OR MEDICINAL PREPARATIONS
- A61P9/00—Drugs for disorders of the cardiovascular system
-
- C—CHEMISTRY; METALLURGY
- C07—ORGANIC CHEMISTRY
- C07F—ACYCLIC, CARBOCYCLIC OR HETEROCYCLIC COMPOUNDS CONTAINING ELEMENTS OTHER THAN CARBON, HYDROGEN, HALOGEN, OXYGEN, NITROGEN, SULFUR, SELENIUM OR TELLURIUM
- C07F9/00—Compounds containing elements of Groups 5 or 15 of the Periodic Table
- C07F9/02—Phosphorus compounds
- C07F9/547—Heterocyclic compounds, e.g. containing phosphorus as a ring hetero atom
- C07F9/6527—Heterocyclic compounds, e.g. containing phosphorus as a ring hetero atom having nitrogen and oxygen atoms as the only ring hetero atoms
- C07F9/6533—Six-membered rings
-
- C—CHEMISTRY; METALLURGY
- C07—ORGANIC CHEMISTRY
- C07H—SUGARS; DERIVATIVES THEREOF; NUCLEOSIDES; NUCLEOTIDES; NUCLEIC ACIDS
- C07H21/00—Compounds containing two or more mononucleotide units having separate phosphate or polyphosphate groups linked by saccharide radicals of nucleoside groups, e.g. nucleic acids
- C07H21/04—Compounds containing two or more mononucleotide units having separate phosphate or polyphosphate groups linked by saccharide radicals of nucleoside groups, e.g. nucleic acids with deoxyribosyl as saccharide radical
-
- C—CHEMISTRY; METALLURGY
- C12—BIOCHEMISTRY; BEER; SPIRITS; WINE; VINEGAR; MICROBIOLOGY; ENZYMOLOGY; MUTATION OR GENETIC ENGINEERING
- C12N—MICROORGANISMS OR ENZYMES; COMPOSITIONS THEREOF; PROPAGATING, PRESERVING, OR MAINTAINING MICROORGANISMS; MUTATION OR GENETIC ENGINEERING; CULTURE MEDIA
- C12N15/00—Mutation or genetic engineering; DNA or RNA concerning genetic engineering, vectors, e.g. plasmids, or their isolation, preparation or purification; Use of hosts therefor
- C12N15/09—Recombinant DNA-technology
- C12N15/11—DNA or RNA fragments; Modified forms thereof; Non-coding nucleic acids having a biological activity
- C12N15/111—General methods applicable to biologically active non-coding nucleic acids
-
- C—CHEMISTRY; METALLURGY
- C12—BIOCHEMISTRY; BEER; SPIRITS; WINE; VINEGAR; MICROBIOLOGY; ENZYMOLOGY; MUTATION OR GENETIC ENGINEERING
- C12N—MICROORGANISMS OR ENZYMES; COMPOSITIONS THEREOF; PROPAGATING, PRESERVING, OR MAINTAINING MICROORGANISMS; MUTATION OR GENETIC ENGINEERING; CULTURE MEDIA
- C12N2310/00—Structure or type of the nucleic acid
- C12N2310/10—Type of nucleic acid
- C12N2310/11—Antisense
-
- C—CHEMISTRY; METALLURGY
- C12—BIOCHEMISTRY; BEER; SPIRITS; WINE; VINEGAR; MICROBIOLOGY; ENZYMOLOGY; MUTATION OR GENETIC ENGINEERING
- C12N—MICROORGANISMS OR ENZYMES; COMPOSITIONS THEREOF; PROPAGATING, PRESERVING, OR MAINTAINING MICROORGANISMS; MUTATION OR GENETIC ENGINEERING; CULTURE MEDIA
- C12N2310/00—Structure or type of the nucleic acid
- C12N2310/10—Type of nucleic acid
- C12N2310/14—Type of nucleic acid interfering nucleic acids [NA]
-
- C—CHEMISTRY; METALLURGY
- C12—BIOCHEMISTRY; BEER; SPIRITS; WINE; VINEGAR; MICROBIOLOGY; ENZYMOLOGY; MUTATION OR GENETIC ENGINEERING
- C12N—MICROORGANISMS OR ENZYMES; COMPOSITIONS THEREOF; PROPAGATING, PRESERVING, OR MAINTAINING MICROORGANISMS; MUTATION OR GENETIC ENGINEERING; CULTURE MEDIA
- C12N2310/00—Structure or type of the nucleic acid
- C12N2310/30—Chemical structure
- C12N2310/31—Chemical structure of the backbone
- C12N2310/315—Phosphorothioates
-
- C—CHEMISTRY; METALLURGY
- C12—BIOCHEMISTRY; BEER; SPIRITS; WINE; VINEGAR; MICROBIOLOGY; ENZYMOLOGY; MUTATION OR GENETIC ENGINEERING
- C12N—MICROORGANISMS OR ENZYMES; COMPOSITIONS THEREOF; PROPAGATING, PRESERVING, OR MAINTAINING MICROORGANISMS; MUTATION OR GENETIC ENGINEERING; CULTURE MEDIA
- C12N2310/00—Structure or type of the nucleic acid
- C12N2310/30—Chemical structure
- C12N2310/32—Chemical structure of the sugar
- C12N2310/321—2'-O-R Modification
-
- C—CHEMISTRY; METALLURGY
- C12—BIOCHEMISTRY; BEER; SPIRITS; WINE; VINEGAR; MICROBIOLOGY; ENZYMOLOGY; MUTATION OR GENETIC ENGINEERING
- C12N—MICROORGANISMS OR ENZYMES; COMPOSITIONS THEREOF; PROPAGATING, PRESERVING, OR MAINTAINING MICROORGANISMS; MUTATION OR GENETIC ENGINEERING; CULTURE MEDIA
- C12N2310/00—Structure or type of the nucleic acid
- C12N2310/30—Chemical structure
- C12N2310/33—Chemical structure of the base
- C12N2310/335—Modified T or U
-
- C—CHEMISTRY; METALLURGY
- C12—BIOCHEMISTRY; BEER; SPIRITS; WINE; VINEGAR; MICROBIOLOGY; ENZYMOLOGY; MUTATION OR GENETIC ENGINEERING
- C12N—MICROORGANISMS OR ENZYMES; COMPOSITIONS THEREOF; PROPAGATING, PRESERVING, OR MAINTAINING MICROORGANISMS; MUTATION OR GENETIC ENGINEERING; CULTURE MEDIA
- C12N2310/00—Structure or type of the nucleic acid
- C12N2310/30—Chemical structure
- C12N2310/35—Nature of the modification
- C12N2310/351—Conjugate
- C12N2310/3515—Lipophilic moiety, e.g. cholesterol
-
- C—CHEMISTRY; METALLURGY
- C12—BIOCHEMISTRY; BEER; SPIRITS; WINE; VINEGAR; MICROBIOLOGY; ENZYMOLOGY; MUTATION OR GENETIC ENGINEERING
- C12N—MICROORGANISMS OR ENZYMES; COMPOSITIONS THEREOF; PROPAGATING, PRESERVING, OR MAINTAINING MICROORGANISMS; MUTATION OR GENETIC ENGINEERING; CULTURE MEDIA
- C12N2310/00—Structure or type of the nucleic acid
- C12N2310/30—Chemical structure
- C12N2310/35—Nature of the modification
- C12N2310/352—Nature of the modification linked to the nucleic acid via a carbon atom
- C12N2310/3521—Methyl
-
- C—CHEMISTRY; METALLURGY
- C12—BIOCHEMISTRY; BEER; SPIRITS; WINE; VINEGAR; MICROBIOLOGY; ENZYMOLOGY; MUTATION OR GENETIC ENGINEERING
- C12N—MICROORGANISMS OR ENZYMES; COMPOSITIONS THEREOF; PROPAGATING, PRESERVING, OR MAINTAINING MICROORGANISMS; MUTATION OR GENETIC ENGINEERING; CULTURE MEDIA
- C12N2320/00—Applications; Uses
- C12N2320/30—Special therapeutic applications
-
- C—CHEMISTRY; METALLURGY
- C12—BIOCHEMISTRY; BEER; SPIRITS; WINE; VINEGAR; MICROBIOLOGY; ENZYMOLOGY; MUTATION OR GENETIC ENGINEERING
- C12N—MICROORGANISMS OR ENZYMES; COMPOSITIONS THEREOF; PROPAGATING, PRESERVING, OR MAINTAINING MICROORGANISMS; MUTATION OR GENETIC ENGINEERING; CULTURE MEDIA
- C12N2320/00—Applications; Uses
- C12N2320/30—Special therapeutic applications
- C12N2320/32—Special delivery means, e.g. tissue-specific
Definitions
- the invention relates to a double-stranded ribonucleic acid (dsRNA) targeting a transthyretin (TTR) gene, and methods of using the dsRNA to inhibit expression of TTR.
- dsRNA double-stranded ribonucleic acid
- TTR transthyretin
- Transthyretin is a secreted thyroid hormone-binding protein. TTR binds and transports retinol binding protein (RBP)/Vitamin A, and serum thyroxine (T4) in plasma and cerebrospinal fluid.
- RBP retinol binding protein
- T4 serum thyroxine
- TTR normal-sequence TTR causes cardiac amyloidosis in people who are elderly and is termed senile systemic amyloidosis (SSA) (also called senile cardiac amyloidosis (SCA)). SSA often is accompanied by microscopic deposits in many other organs. TTR mutations accelerate the process of TTR amyloid formation and are the most important risk factor for the development of clinically significant TTR amyloidosis (also called ATTR (amyloidosis-transthyretin type)). More than 85 amyloidogenic TTR variants are known to cause systemic familial amyloidosis.
- the liver is the major site of TTR expression. Other significant sites of expression include the choroid plexus, retina and pancreas.
- TTR amyloidosis manifests in various forms. When the peripheral nervous system is affected more prominently, the disease is termed familial amyloidotic polyneuropathy (FAP). When the heart is primarily involved but the nervous system is not, the disease is called familial amyloidotic cardiomyopathy (FAC). A third major type of TTR amyloidosis is called leptomeningeal/CNS (Central Nervous System) amyloidosis.
- FAP familial amyloidotic polyneuropathy
- FAC familial amyloidotic cardiomyopathy
- CNS Central Nervous System
- Double-stranded RNA molecules have been shown to block gene expression in a highly conserved regulatory mechanism known as RNA interference (RNAi).
- RNAi RNA interference
- WO 99/32619 (Fire et al.) disclosed the use of a dsRNA of at least 25 nucleotides in length to inhibit the expression of genes in C. elegans .
- dsRNA has also been shown to degrade target RNA in other organisms, including plants (see, e.g., WO 99/53050, Waterhouse et al.; and WO 99/61631, Heifetz et al.), Drosophila (see, e.g., Yang, D., et al., Curr. Biol . (2000) 10:1191-1200), and mammals (see WO 00/44895, Limmer; and DE 101 00 586.5, Kreutzer et al.).
- U.S. 20070207974 discloses functional and hyperfunctional siRNAs.
- U.S. 20090082300 discloses antisense molecules directed against TTR.
- U.S. Pat. No. 7,250,496 discloses microRNAs directed against TTR.
- the invention provides a double-stranded ribonucleic acid (dsRNA) for inhibiting expression of transthyretin (TTR), wherein said dsRNA comprises a sense strand and an antisense strand, the antisense strand comprising a region complementary to a part of a mRNA encoding transthyretin (TTR), wherein said region of complementarity is less than 30 nucleotides in length and the antisense strand comprises 15 or more contiguous nucleotides of SEQ ID NO:170, SEQ ID NO:450, SEQ ID NO:730, or SEQ ID NO:1010.
- TTR transthyretin
- the sense strand comprises 15 or more contiguous nucleotides of SEQ ID NO:169, SEQ ID NO:449, SEQ ID NO:729, or SEQ ID NO:1009.
- the sense strand consists of SEQ ID NO:449 and the antisense strand consists of SEQ ID NO:450.
- the sense strand consists of SEQ ID NO:729 and the antisense strand consists of SEQ ID NO:730.
- the sense strand consists of SEQ ID NO:1009 and the antisense strand consists of SEQ ID NO:1010.
- the dsRNA comprises a sense strand selected from Tables 3A, 3B, 4, 6A, 6B, 7, and 16, and an antisense strand selected from Tables 3A, 3B, 4, 6A, 6B, 7, and 16.
- the region of complementarity between the antisense strand of the dsRNA and the mRNA encoding transthyretin is 19 nucleotides in length. In another embodiment, the region of complementary consists of SEQ ID NO:169. In other embodiments, each strand of the dsRNA is 19, 20, 21, 22, 23, or 24 nucleotides in length. In still another embodiment, each strand is 21 nucleotides in length.
- the dsRNA for inhibiting expression of transthyretin does not cleave a TTR mRNA between the adenine nucleotide at position 637 of SEQ ID NO:1331 and the guanine nucleotide at position 638 of SEQ ID NO:1331.
- the dsRNA cleaves a TTR mRNA between the guanine nucleotide at position 636 of SEQ ID NO:1331 and the adenine nucleotide at position 637 of SEQ ID NO:1331.
- the dsRNA anneals to a TTR mRNA between the guanine nucleotide at position 628 of SEQ ID NO:1331 and the uracil nucleotide at position 646 of SEQ ID NO: 1331.
- the invention provides dsRNA as described above for inhibiting expression of transthyretin wherein the dsRNA comprises one or more modified nucleotides.
- at least one modified nucleotide is chosen from the group consisting of: a 2′-O-methyl modified nucleotide, a nucleotide comprising a 5′-phosphorothioate group, and a terminal nucleotide linked to a cholesteryl derivative or dodecanoic acid bisdecylamide group.
- the modified nucleotide is chosen from the group of: a 2′-deoxy-2′-fluoro modified nucleotide, a 2′-deoxy-modified nucleotide, a locked nucleotide, an abasic nucleotide, 2′-amino-modified nucleotide, 2′-alkyl-modified nucleotide, morpholino nucleotide, a phosphoramidate, and a non-natural base comprising nucleotide.
- the dsRNA comprises at least one 2′-O-methyl modified nucleotide.
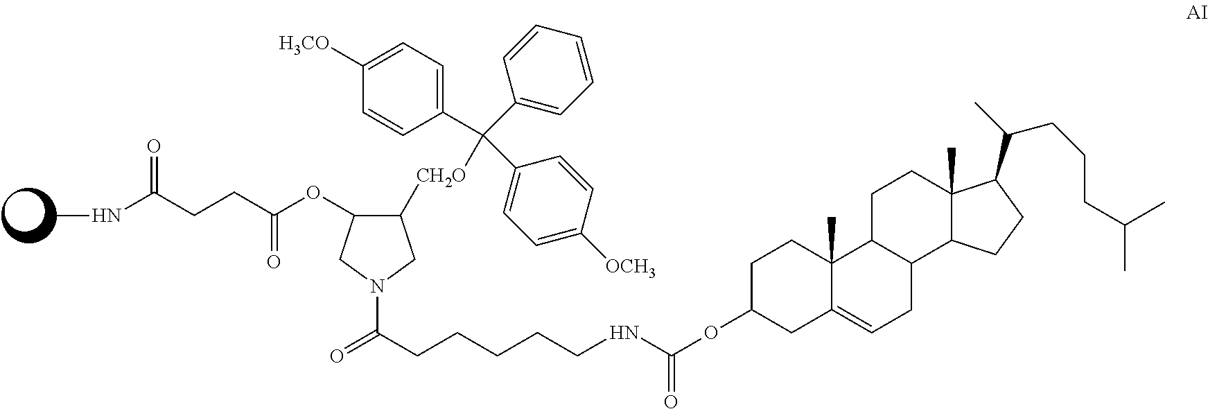
- a dsRNA as described above for inhibiting expression of transthyretin is conjugated to a ligand, or formulated in a lipid formulation.
- the lipid formulation may be a LNP formulation, a LNP01 formulation, a XTC-SNALP formulation, or a SNALP formulation.
- the XTC-SNALP formulation is as follows: using 2,2-Dilinoleyl-4-dimethylaminoethyl-[1,3]-dioxolane (XTC) with XTC/DPPC/Cholesterol/PEG-cDMA in a ratio of 57.1/7.1/34.4/1.4 and a lipid:siRNA ratio of about 7.
- the sense strand of the dsRNA consists of SEQ ID NO:1009 and the antisense strand consists of SEQ ID NO:1010, and the dsRNA is formulated in a XTC-SNALP formulation as follows: using 2,2-Dilinoleyl-4-dimethylaminoethyl-[1,3]-dioxolane (XTC) with a XTC/DPPC/Cholesterol/PEG-cDMA in a ratio of 57.1/7.1/34.4/1.4 and a lipid:siRNA ratio of about 7.
- XTC 2,2-Dilinoleyl-4-dimethylaminoethyl-[1,3]-dioxolane
- a dsRNA such as those described above can be formulated in a LNP09 formulation as follows: using XTC/DSPC/Chol/PEG 2000 -C14 in a ratio of 50/10/38.5/1.5 mol % and a lipid:siRNA ratio of about 11:1.
- the dsRNA is formulated in a LNP11 formulation as follows: using MC3/DSPC/Chol/PEG 2000 -C14 in a ratio of 50/10/38.5/1.5 mol % and a lipid:siRNA ratio of about 11:1.
- the dsRNA is formulated in a LNP09 formulation or a LNP11 formulation and reduces TTR mRNA levels by about 85 to 90% at a dose of 0.3 mg/kg, relative to a PBS control group. In yet another embodiment, the dsRNA is formulated in a LNP09 formulation or a LNP11 formulation and reduces TTR mRNA levels by about 50% at a dose of 0.1 mg/kg, relative to a PBS control group. In yet another embodiment, the dsRNA is formulated in a LNP09 formulation or a LNP11 formulation and reduces TTR protein levels in a dose-dependent manner relative to a PBS control group as measured by a western blot.
- the dsRNA is formulated in a SNALP formulation as follows: using DlinDMA with a DLinDMA/DPPC/Cholesterol/PEG2000-cDMA in a ratio of 57.1/7.1/34.4/1.4 and a lipid:siRNA ratio of about 7.
- the invention provides a dsRNA such as those described above for inhibiting expression of transthyretin, wherein administration of the dsRNA to a cell results in about 95% inhibition of TTR mRNA expression as measured by a real time PCR assay, wherein the cell is a HepG2 cell or a Hep3B cell, and wherein the concentration of the dsRNA is 10 nM. In related embodiments, administration of the dsRNA to a cell results in about 74% inhibition of TTR mRNA expression as measured by a branched DNA assay, wherein the cell is a HepG2 cell or a Hep3B cell, and wherein the concentration of the dsRNA is 10 nM.
- the dsRNA has an IC50 of less than 10 pM in a HepG2 cell, wherein the concentration of the dsRNA is 10 nM. In still other related embodiments, the dsRNA has an ED50 of about 1 mg/kg. In still other related embodiments, administration of the dsRNA reduces TTR mRNA by about 80% in cynomolgus monkey liver, wherein the concentration of the dsRNA is 3 mg/kg. In still other related embodiments, administration of the dsRNA does not result in immunostimulatory activity in human peripheral blood mononuclear cells (PBMCs) as measured by IFN-alpha and TNF-alpha ELISA assays.
- PBMCs peripheral blood mononuclear cells
- administration of the dsRNA reduces liver TTR mRNA levels by about 97% or serum TTR protein levels by about 90%, wherein the concentration of the dsRNA is 6 mg/kg. In still other related embodiments, administration of the dsRNA reduces liver TTR mRNA levels and/or serum TTR protein levels up to 22 days, wherein the concentration of the dsRNA is 6 mg/kg or 3 mg/kg. In still other related embodiments, the dsRNA suppresses serum TTR protein levels up to day 14 post-treatment when administered to a subject in need thereof at 1 mg/kg or 3 mg/kg.
- the dsRNA reduces TTR expression by 98.9% in a Hep3B cell at a concentration of 0.1 nM as measured by real-time PCR. In still other related embodiments, the dsRNA reduces TTR expression by 99.4% in a Hep3B cell at a concentration of 10 nM as measured by real-time PCR.
- the invention provides a double-stranded ribonucleic acid (dsRNA) for inhibiting expression of transthyretin (TTR), wherein said dsRNA comprises a sense strand and an antisense strand, the antisense strand comprising a region complementary to a part of a mRNA encoding transthyretin (TTR), wherein said region of complementarity is less than 30 nucleotides in length and wherein the dsRNA comprises a sense strand selected from Tables 3A, 3B, 4, 6A, 6B, 7, and 16, and an antisense strand selected from Tables 3A, 3B, 4, 6A, 6B, 7, and 16.
- TTR transthyretin
- the invention provides a double-stranded ribonucleic acid (dsRNA) for inhibiting expression of transthyretin (TTR), wherein said dsRNA comprises an antisense strand comprising a region complementary to 15-30 nucleotides of nucleotides 618-648 of SEQ ID NO: 1331 and wherein said antisense strand base pairs with the guanine at position 628 of SEQ ID NO:1331.
- dsRNA double-stranded ribonucleic acid
- TTR transthyretin
- the invention provides a cell containing any of the dsRNAs described in the Summary, above.
- the invention provides a vector comprising a nucleotide sequence that encodes at least one strand of any of the dsRNAs described in the Summary, above.
- the vector is in a cell.
- the invention provides a pharmaceutical composition for inhibiting expression of a TTR gene comprising any of the dsRNAs described in the Summary, above, and a pharmaceutically acceptable carrier.
- the invention provides a pharmaceutical composition for inhibiting expression of a TTR gene comprising a dsRNA and a SNALP formulation, wherein the dsRNA comprises an antisense strand which is less than 30 nucleotides in length and comprises 15 or more contiguous nucleotides of SEQ ID NO:170, SEQ ID NO:450, SEQ ID NO:730, or SEQ ID NO:1010, and wherein the SNALP formulation comprises DlinDMA, DPPC, Cholesterol and PEG2000-cDMA in a ratio of 57.1/7.1/34.4/1.4 respectively.
- the invention provides a method of inhibiting TTR expression in a cell, the method comprising: (a) contacting the cell with any of dsRNAs described in the Summary, above; and (b) maintaining the cell produced in step (a) for a time sufficient to obtain degradation of the mRNA transcript of a TTR gene, thereby inhibiting expression of the TTR gene in the cell.
- the invention provides a method of treating a disorder mediated by TTR expression comprising administering to a human in need of such treatment a therapeutically effective amount of any of the dsRNAs describe in the Summary, above.
- the dsRNA is administered to the human at about 0.01, 0.1, 0.5, 1.0, 2.5, or 5.0 mg/kg.
- the dsRNA is administered to the human at about 1.0 mg/kg.
- the human being treated has transthyretin amyloidosis, and/or a liver disorder.
- the human is further provided a liver transplant.
- administration of the dsRNA reduces TTR mRNA by about 80% in human liver, wherein the concentration of the dsRNA is 3 mg/kg. In yet another related embodiment, administration of the dsRNA does not result in immunostimulatory activity in the human as measured by IFN-alpha and TNF-alpha ELISA assays. In yet another related embodiment, administration of the dsRNA reduces liver TTR mRNA levels by about 97% or serum TTR protein levels by about 90%, wherein the concentration of the dsRNA is 6 mg/kg.
- administration of the dsRNA reduces liver TTR mRNA levels and/or serum TTR protein levels up to 22 days, wherein the concentration of the dsRNA is 6 mg/kg or 3 mg/kg.
- the dsRNA is formulated in a LNP09 formulation as follows: using XTC/DSPC/Chol/PEG 2000 -C14 in a ratio of 50/10/38.5/1.5 mol % and a lipid:siRNA ratio of about 11:1.
- the dsRNA is formulated in a LNP11 formulation as follows: using MC3/DSPC/Chol/PEG 2000 -C14 in a ratio of 50/10/38.5/1.5 mol % and a lipid:siRNA ratio of about 11:1.
- the dsRNA is formulated in a LNP09 formulation or a LNP11 formulation and reduces TTR mRNA levels by about 85 to 90% at a dose of 0.3 mg/kg, relative to a PBC control group.
- the dsRNA is formulated in a LNP09 formulation or a LNP11 formulation and reduces TTR mRNA levels by about 50% at a dose of 0.1 mg/kg, relative to a PBC control group.
- the dsRNA is formulated in a LNP09 formulation or a LNP11 formulation and reduces TTR protein levels in a dose-dependent manner relative to a PBC control group as measured by a western blot.
- administration of the dsRNA suppresses serum TTR protein levels up to day 14 post-treatment when administered to human at 1 mg/kg or 3 mg/kg.
- the dsRNA is formulated in a SNALP formulation as follows: using DlinDMA with a DLinDMA/DPPC/Cholesterol/PEG2000-cDMA in a ratio of 57.1/7.1/34.4/1.4 and a lipid:siRNA ratio of about 7.
- the invention provides the use of a dsRNA for treating a disorder mediated by TTR expression comprising administering to a human in need of such treatment a therapeutically effective amount of any of the dsRNAs described in the Summary, above.
- the dsRNA is administered to the human at about 0.01, 0.1, 0.5, 1.0, 2.5, or 5.0 mg/kg.
- the dsRNA is administered to the human at about 1.0 mg/kg.
- the human has transthyretin amyloidosis, and/or a liver disorder.
- the treated human is further provided a liver transplant.
- the invention provides the use of a dsRNA in a method for inhibiting TTR expression in a cell, wherein the method comprises (a) contacting the cell with a dsRNA described in the Summary, above; and (b) maintaining the cell produced in step (a) for a time sufficient to obtain degradation of the mRNA transcript of a TTR gene, thereby inhibiting expression of the TTR gene in the cell.
- FIG. 1 is a graph of TNFalpha and IFNalpha levels in cultured human PBMCs following transfection with TTR siRNAs.
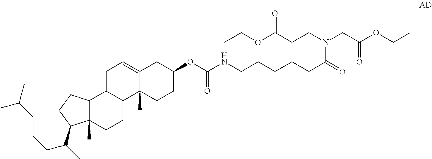
- FIGS. 2A and 2B are dose response curves for AD-18324 and AD-18328, respectively, in HepG2 cells.
- FIG. 3 is a dose response curve for AD-18246 in HepG2 cells.
- FIG. 4A and FIG. 4B show inhibition of liver mRNA and plasma protein levels, respectively, in transgenic H129-mTTR-KO/iNOS-KO/hTTR mice by an intravenous bolus administration of TTR-dsRNA (AD-18324, AD-18328 and AD-18246) formulated in LNP01.
- TTR-dsRNA AD-18324, AD-18328 and AD-18246
- FIG. 5 is a graph summarizing the measurements of TTR mRNA levels in livers of non-human primates following 15-minute intravenous infusion of TTR-dsRNA (AD-18324 and AD-18328) formulated in SNALP.
- FIG. 6A and FIG. 6B show inhibition of human V30M TTR liver mRNA and serum protein levels, respectively, in transgenic mice by an intravenous bolus administration of SNALP-18328.
- Group means were determined, normalized to the PBS control group, and then plotted. Error bars represent standard deviations. The percentage reduction of the group mean, relative to PBS, is indicated for the SNALP-1955 and SNALP-18328 groups. (*** p ⁇ 0.001, One-way ANOVA, with Dunn's post-hoc test).
- FIG. 7A and FIG. 7B show the durability of reduction of human V30M TTR liver mRNA and serum protein levels, respectively, in transgenic mice over 22 days following a single intravenous bolus administration of SNALP-18328.
- Group means were determined.
- TTR/GAPDH mRNA levels were normalized to day 0 levels and plotted.
- the percent reduction of normalized TTR mRNA levels relative to SNALP-1955 for each time point were calculated and are indicated for the SNALP-18328 groups. (*** p ⁇ 0.001, One-way ANOVA, with Dunn's post-hoc test).
- FIG. 8 shows the timecourse of TTR serum protein levels in non-human primates over 14 days following a single 15-minute intravenous infusion of SNALP-18328.
- FIG. 9 shows reduction of TTR-immunoreactivity in various tissues of human V30M TTR/HSF-1 knock-out mice following intravenous bolus administration of SNALP-18328.
- E esophagus
- S stomach
- I1 intestine/duodenum
- I4 intestine/colon
- N nerve
- D dorsal root ganglia.
- FIG. 10 shows the measurements of TTR mRNA levels in livers of non-human primates following 15-minute intravenous infusion of XTC-SNALP-18328.
- FIGS. 11A and 11B show the measurements of TTR mRNA and serum protein levels, respectively, in livers of non-human primates following 15-minute intravenous infusion of LNP09-18328 or LNP11-18328.
- FIG. 11C shows the timecourse of TTR serum protein levels over 28 days following a 15-minute intravenous infusion of 0.3 mg/kg LNP09-18328, as compared to the PBS control group.
- FIG. 12 shows the sequence of human TTR mRNA (Ref. Seq. NM_000371.3, SEQ ID NO:1331).
- FIGS. 13A and 13B are the sequences of human and rat TTR mRNA, respectively.
- FIG. 13A is the sequence of human TTR mRNA (Ref. Seq. NM_000371.2, SEQ ID NO:1329).
- FIG. 13B is the sequence of rat TTR mRNA (Ref. Seq. NM_012681.1, SEQ ID NO:1330).
- FIG. 14 shows the nucleotide alignment of NM_000371.3 (SEQ ID NO: 1331), NM_000371.2 (SEQ ID NO: 1329), and AD-18328 (SEQ ID NO: 1410).
- FIG. 15 illustrates symptoms and mutations in TTR associated with familial amyloidotic neuropathy, familial amyloidotic cardiomyopathy and CNS amyloidosis.
- FIG. 16 shows reduction of TTR mRNA levels in the liver with SNALP-18534 with different infusion durations.
- FIG. 17 shows the measurements of TTR mRNA levels in livers of rats following 15-minute intravenous infusion of LNP07-18534 or LNP08-18534.
- FIG. 18 shows in vivo inhibition of endogenous TTR mRNA levels in livers of Sprague-Dawley Rats following a 15-min IV infusion of LNP09-18534 or LNP11-18534.
- the invention provides dsRNAs and methods of using the dsRNAs for inhibiting the expression of a TTR gene in a cell or a mammal where the dsRNA targets a TTR gene.
- the invention also provides compositions and methods for treating pathological conditions and diseases, such as a TTR amyloidosis, in a mammal caused by the expression of a TTR gene.
- dsRNA directs the sequence-specific degradation of mRNA through a process known as RNA interference (RNAi).
- the dsRNAs of the compositions featured herein include an RNA strand (the antisense strand) having a region which is less than 30 nucleotides in length, generally 19-24 nucleotides in length, and is substantially complementary to at least part of an mRNA transcript of a TTR gene.
- the use of these dsRNAs enables the targeted degradation of mRNAs of genes that are implicated in pathologies associated with TTR expression in mammals. Very low dosages of TTR dsRNAs in particular can specifically and efficiently mediate RNAi, resulting in significant inhibition of expression of a TTR gene.
- dsRNAs targeting TTR can specifically and efficiently mediate RNAi, resulting in significant inhibition of expression of a TTR gene.
- methods and compositions including these dsRNAs are useful for treating pathological processes that can be mediated by down regulating TTR, such as in the treatment of a liver disorder or a TTR amyloidosis, e.g., FAP.
- a method of treating a disorder mediated by TTR expression includes administering to a human in need of such treatment a therapeutically effective amount of a dsRNA targeted to TTR.
- a dsRNA is administered to the human at about 0.01, 0.1, 0.5, 1.0, 2, 2.5, 3, 4, 5, 6, 7, 8, 9, 10, 11, 12, 13, 14, 15, 16, 17, 18, 19, 20, 21, 22, 23, 24, or 25 mg/kg.
- compositions containing dsRNAs to inhibit the expression of a TTR gene, as well as compositions and methods for treating diseases and disorders caused by the expression of this gene.
- the pharmaceutical compositions featured in the invention include a dsRNA having an antisense strand comprising a region of complementarity which is less than 30 nucleotides in length, generally 19-24 nucleotides in length, and is substantially complementary to at least part of an RNA transcript of a TTR gene, together with a pharmaceutically acceptable carrier.
- compositions featured in the invention also include a dsRNA having an antisense strand having a region of complementarity which is less than 30 nucleotides in length, generally 19-24 nucleotides in length, and is substantially complementary to at least part of an RNA transcript of a TTR gene.
- the sense strand of a dsRNA can include 15, 16, 17, 18, 19, 20, 21, or more contiguous nucleotides of SEQ ID NO:169, SEQ ID NO:449, SEQ ID NO:729, or SEQ ID NO:1009.
- the antisense strand of a dsRNA can include 15, 16, 17, 18, 19, 20, 21, or more contiguous nucleotides of SEQ ID NO:170, SEQ ID NO:450, SEQ ID NO:730, or SEQ ID NO:1010.
- the sense strand of a dsRNA can consist of SEQ ID NO:449 or fragments thereof and the antisense strand can consist of SEQ ID NO:450 or fragments thereof.
- the sense strand of a dsRNA can consist of SEQ ID NO:729 or fragments thereof and the antisense strand can consist of SEQ ID NO:730 or fragments thereof.
- the sense strand of a dsRNA can consist of SEQ ID NO:1009 or fragments thereof and the antisense strand can consist of SEQ ID NO:1010 or fragments thereof.
- a dsRNA can include at least 1, 2, 3, 4, 5, 6, 7, 8, 9, 10, or more modified nucleotides.
- a modified nucleotide can include a 2′-O-methyl modified nucleotide, a nucleotide comprising a 5′-phosphorothioate group, and/or a terminal nucleotide linked to a cholesteryl derivative or dodecanoic acid bisdecylamide group.
- a modified nucleotide can include a 2′-deoxy-2′-fluoro modified nucleotide, a 2′-deoxy-modified nucleotide, a locked nucleotide, an abasic nucleotide, 2′-amino-modified nucleotide, 2′-alkyl-modified nucleotide, morpholino nucleotide, a phosphoramidate, and/or a non-natural base comprising nucleotide.
- the region of complementary of a dsRNA is at least 10, 11, 12, 13, 14, 15, 16, 17, 18, 19, 20, 21, or more nucleotides in length. In an embodiment, the region of complementary includes 10, 11, 12, 13, 14, 15, 16, 17, 18, 19, 20, 21, or more contiguous nucleotides of SEQ ID NO:169.
- each strand of a dsRNA is 15, 16, 17, 18, 19, 20, 21, 22, 23, 24, 25, 26, 27, 28, 29, 30 or more nucleotides in length.
- the dsRNA includes a sense strand, or 10, 11, 12, 13, 14, 15, 16, 17, 18, 19, 20, or 21 nucleotide fragment thereof, selected from Tables 3A, 3B, 4, 6A, 6B, 7, and 16, and an antisense strand, or 10, 11, 12, 13, 14, 15, 16, 17, 18, 19, 20, or 21 nucleotide fragment thereof, selected from Tables 3A, 3B, 4, 6A, 6B, 7, and 16.
- administration of a dsRNA to a cell results in about 40%, 45%, 50%, 55%, 60%, 65%, 70%, 75%, 80%, 90%, 95% or more inhibition of TTR mRNA expression as measured by a real time PCR assay.
- administration of a dsRNA to a cell results in about 40% to 45%, 45% to 50%, 50% to 55%, 55% to 60%, 60% to 65%, 65% to 70%, 70% to 75%, 75% to 80%, 80% to 85%, 85% to 90%, 90% to 95% or more inhibition of TTR mRNA expression as measured by a real time PCR assay.
- administration of a dsRNA to a cell results in about 40%, 45%, 50%, 55%, 60%, 65%, 70%, 75%, 80%, 90%, 95% or more inhibition of TTR mRNA expression as measured by a branched DNA assay.
- administration of a dsRNA to a cell results in about 40% to 45%, 45% to 50%, 50% to 55%, 55% to 60%, 60% to 65%, 65% to 70%, 70% to 75%, 75% to 80%, 80% to 85%, 85% to 90%, 90% to 95% or more inhibition of TTR mRNA expression as measured by a branched DNA assay.
- a dsRNA has an IC50 of less than 0.01 pM, 0.1 pM, 1 pM, 5 pM, 10 pM, 100 pM, or 1000 pM. In an embodiment, a dsRNA has an ED50 of about 0.01, 0.1, 1, 5, or 10 mg/kg.
- administration of a dsRNA can reduce TTR mRNA by about 40%, 45%, 50%, 55%, 60%, 65%, 70%, 75%, 80%, 90%, 95% or more in cynomolgus monkeys.
- administration of a dsRNA reduces liver TTR mRNA levels by about 40%, 45%, 50%, 55%, 60%, 65%, 70%, 75%, 80%, 90%, 95% or more or serum TTR protein levels by about 40%, 45%, 50%, 55%, 60%, 65%, 70%, 75%, 80%, 90%, 95% or more.
- administration of a dsRNA reduces liver TTR mRNA levels and/or serum TTR protein levels up to 1, 2, 3, 4, 5, 6, 7, 8, 9, 10, 11, 12, 13, 14, 15, 16, 17, 18, 19, 20, 21, 22, 23, 24, 25, or more days.
- a dsRNA is formulated in a LNP formulation and reduces TTR mRNA levels by about 40%, 45%, 50%, 55%, 60%, 65%, 70%, 75%, 80%, 90%, 95% or more at a dose of 0.1, 0.2, 0.3, 0.4, 0.5, 0.6, 0.7, 0.8, 0.9, or 1 mg/kg, relative to a PBC control group.
- a dsRNA is formulated in a LNP formulation and reduces TTR protein levels about 40%, 45%, 50%, 55%, 60%, 65%, 70%, 75%, 80%, 90%, 95% or more relative to a PBC control group as measured by a western blot.
- a dsRNA suppresses serum TTR protein levels up to day 1, 2, 3, 4, 5, 6, 7, 8, 9, 10, 11, 12, 13, 14, 15, 16, 17, 18, 19, 20, 21, 22, 23, 24, or 25 post-treatment when administered to a subject in need thereof at 1, 2, 3, 4, 5, 6, 7, 8, 9, 10, 11, 12, 13, 14, 15, 16, 17, 18, 19, 20, 21, 22, 23, 24, or 25 mg/kg.
- compositions containing a TTR dsRNA and a pharmaceutically acceptable carrier methods of using the compositions to inhibit expression of a TTR gene, and methods of using the pharmaceutical compositions to treat diseases caused by expression of a TTR gene are featured in the invention.
- G,” “C,” “A” and “U” each generally stand for a nucleotide that contains guanine, cytosine, adenine, and uracil as a base, respectively.
- T and “dT” are used interchangeably herein and refer to a deoxyribonucleotide wherein the nucleobase is thymine, e.g., deoxyribothymine.
- ribonucleotide or “nucleotide” or “deoxyribonucleotide” can also refer to a modified nucleotide, as further detailed below, or a surrogate replacement moiety.
- guanine, cytosine, adenine, and uracil may be replaced by other moieties without substantially altering the base pairing properties of an oligonucleotide comprising a nucleotide bearing such replacement moiety.
- a nucleotide comprising inosine as its base may base pair with nucleotides containing adenine, cytosine, or uracil.
- nucleotides containing uracil, guanine, or adenine may be replaced in the nucleotide sequences of the invention by a nucleotide containing, for example, inosine. Sequences comprising such replacement moieties are embodiments of the invention.
- TTR transthyretin
- HsT2651 HsT2651
- PALB prealbumin
- TBPA transthyretin
- transthyretin prealbumin, amyloidosis type I.
- the sequence of a human TTR mRNA transcript can be found at NM_000371.
- the sequence of mouse TTR mRNA can be found at NM_013697.2
- the sequence of rat TTR mRNA can be found at NM_012681.1.
- target sequence refers to a contiguous portion of the nucleotide sequence of an mRNA molecule formed during the transcription of a TTR gene, including mRNA that is a product of RNA processing of a primary transcription product.
- strand comprising a sequence refers to an oligonucleotide comprising a chain of nucleotides that is described by the sequence referred to using the standard nucleotide nomenclature.
- the term “complementary,” when used to describe a first nucleotide sequence in relation to a second nucleotide sequence, refers to the ability of an oligonucleotide or polynucleotide comprising the first nucleotide sequence to hybridize and form a duplex structure under certain conditions with an oligonucleotide or polynucleotide comprising the second nucleotide sequence, as will be understood by the skilled person.
- Such conditions can, for example, be stringent conditions, where stringent conditions may include: 400 mM NaCl, 40 mM PIPES pH 6.4, 1 mM EDTA, 50° C. or 70° C. for 12-16 hours followed by washing.
- sequences can be referred to as “fully complementary” with respect to each other herein.
- first sequence is referred to as “substantially complementary” with respect to a second sequence herein
- the two sequences can be fully complementary, or they may form one or more, but generally not more than 4, 3 or 2 mismatched base pairs upon hybridization, while retaining the ability to hybridize under the conditions most relevant to their ultimate application.
- a dsRNA comprising one oligonucleotide 21 nucleotides in length and another oligonucleotide 23 nucleotides in length, wherein the longer oligonucleotide comprises a sequence of 21 nucleotides that is fully complementary to the shorter oligonucleotide, may yet be referred to as “fully complementary” for the purposes described herein.
- “Complementary” sequences may also include, or be formed entirely from, non-Watson-Crick base pairs and/or base pairs formed from non-natural and modified nucleotides, in as far as the above requirements with respect to their ability to hybridize are fulfilled.
- Such non-Watson-Crick base pairs includes, but not limited to, G:U Wobble or Hoogstein base pairing.
- a polynucleotide that is “substantially complementary to at least part of” a messenger RNA refers to a polynucleotide that is substantially complementary to a contiguous portion of the mRNA of interest (e.g., an mRNA encoding TTR) including a 5′ UTR, an open reading frame (ORF), or a 3′ UTR.
- mRNA messenger RNA
- a polynucleotide is complementary to at least a part of a TTR mRNA if the sequence is substantially complementary to a non-interrupted portion of an mRNA encoding TTR.
- double-stranded RNA refers to a complex of ribonucleic acid molecules, having a duplex structure comprising two anti-parallel and substantially complementary, as defined above, nucleic acid strands.
- dsRNA double-stranded RNA
- the majority of nucleotides of each strand are ribonucleotides, but as described in detail herein, each or both strands can also include at least one non-ribonucleotide, e.g., a deoxyribonucleotide and/or a modified nucleotide.
- dsRNA may include chemical modifications to ribonucleotides, including substantial modifications at multiple nucleotides and including all types of modifications disclosed herein or known in the art. Any such modifications, as used in an siRNA type molecule, are encompassed by “dsRNA” for the purposes of this specification and claims.
- the two strands forming the duplex structure may be different portions of one larger RNA molecule, or they may be separate RNA molecules. Where the two strands are part of one larger molecule, and therefore are connected by an uninterrupted chain of nucleotides between the 3′-end of one strand and the 5′-end of the respective other strand forming the duplex structure, the connecting RNA chain is referred to as a “hairpin loop.” Where the two strands are connected covalently by means other than an uninterrupted chain of nucleotides between the 3′-end of one strand and the 5′-end of the respective other strand forming the duplex structure, the connecting structure is referred to as a “linker.”
- the RNA strands may have the same or a different number of nucleotides.
- a dsRNA may comprise one or more nucleotide overhangs.
- siRNA is also used herein to refer to a dsRNA as described above.
- nucleotide overhang refers to the unpaired nucleotide or nucleotides that protrude from the duplex structure of a dsRNA when a 3′-end of one strand of the dsRNA extends beyond the 5′-end of the other strand, or vice versa.
- “Blunt” or “blunt end” means that there are no unpaired nucleotides at that end of the dsRNA, i.e., no nucleotide overhang.
- a “blunt ended” dsRNA is a dsRNA that is double-stranded over its entire length, i.e., no nucleotide overhang at either end of the molecule.
- antisense strand refers to the strand of a dsRNA which includes a region that is substantially complementary to a target sequence.
- region of complementarity refers to the region on the antisense strand that is substantially complementary to a sequence, for example a target sequence, as defined herein. Where the region of complementarity is not fully complementary to the target sequence, the mismatches are most tolerated in the terminal regions and, if present, are generally in a terminal region or regions, e.g., within 6, 5, 4, 3, or 2 nucleotides of the 5′ and/or 3′ terminus.
- sense strand refers to the strand of a dsRNA that includes a region that is substantially complementary to a region of the antisense strand.
- SNALP refers to a stable nucleic acid-lipid particle.
- a SNALP represents a vesicle of lipids coating a reduced aqueous interior comprising a nucleic acid such as a dsRNA or a plasmid from which a dsRNA is transcribed.
- SNALP are described, e.g., in U.S. Patent Application Publication Nos. 20060240093, 20070135372, and U.S. Ser. No. 61/045,228 filed on Apr. 15, 2008. These applications are hereby incorporated by reference.
- Introducing into a cell means facilitating uptake or absorption into the cell, as is understood by those skilled in the art. Absorption or uptake of dsRNA can occur through unaided diffusive or active cellular processes, or by auxiliary agents or devices. The meaning of this term is not limited to cells in vitro; a dsRNA may also be “introduced into a cell,” wherein the cell is part of a living organism. In such instance, introduction into the cell will include the delivery to the organism. For example, for in vivo delivery, dsRNA can be injected into a tissue site or administered systemically. In vitro introduction into a cell includes methods known in the art such as electroporation and lipofection. Further approaches are described herein or known in the art.
- the terms “silence,” “inhibit the expression of,” “down-regulate the expression of,” “suppress the expression of” and the like in as far as they refer to a TTR gene herein refer to the at least partial suppression of the expression of a TTR gene, as manifested by a reduction of the amount of mRNA which may be isolated from a first cell or group of cells in which a TTR gene is transcribed and which has or have been treated such that the expression of a TTR gene is inhibited, as compared to a second cell or group of cells substantially identical to the first cell or group of cells but which has or have not been so treated (control cells).
- the degree of inhibition is usually expressed in terms of
- the degree of inhibition may be given in terms of a reduction of a parameter that is functionally linked to TTR gene expression, e.g., the amount of protein encoded by a TTR gene which is secreted by a cell, or the number of cells displaying a certain phenotype, e.g., apoptosis.
- TTR gene silencing may be determined in any cell expressing the target, either constitutively or by genomic engineering, and by any appropriate assay.
- the assays provided in the Examples below shall serve as such reference.
- expression of a TTR gene is suppressed by at least about 5%, 10%, 15%, 20%, 25%, 30%, 35%, 40%, 45%, or 50% by administration of the double-stranded oligonucleotide featured in the invention.
- a TTR gene is suppressed by at least about 60%, 70%, or 80% by administration of the double-stranded oligonucleotide featured in the invention.
- a TTR gene is suppressed by at least about 85%, 90%, or 95% by administration of the double-stranded oligonucleotide featured in the invention.
- the terms “treat,” “treatment,” and the like refer to relief from or alleviation of pathological processes mediated by TTR expression.
- the terms “treat,” “treatment,” and the like mean to relieve or alleviate at least one symptom associated with such condition, or to slow or reverse the progression of such condition, such as the slowing the progression of a TTR amyloidosis, such as FAP.
- Symptoms of TTR amyloidosis include sensory neuropathy (e.g.
- autonomic neuropathy e.g., gastrointestinal dysfunction, such as gastric ulcer, or orthostatic hypotension
- motor neuropathy seizures, dementia, myelopathy, polyneuropathy, carpal tunnel syndrome, autonomic insufficiency, cardiomyopathy, vitreous opacities, renal insufficiency, nephropathy, substantially reduced mBMI (modified Body Mass Index), cranial nerve dysfunction, and corneal lattice dystrophy.
- the phrases “therapeutically effective amount” and “prophylactically effective amount” refer to an amount that provides a therapeutic benefit in the treatment, prevention, or management of pathological processes mediated by TTR expression or an overt symptom of pathological processes mediated by TTR expression.
- the specific amount that is therapeutically effective can be readily determined by an ordinary medical practitioner, and may vary depending on factors known in the art, such as, for example, the type of pathological processes mediated by TTR expression, the patient's history and age, the stage of pathological processes mediated by TTR expression, and the administration of other anti-pathological processes mediated by TTR expression agents.
- a “pharmaceutical composition” comprises a pharmacologically effective amount of a dsRNA and a pharmaceutically acceptable carrier.
- “pharmacologically effective amount,” “therapeutically effective amount” or simply “effective amount” refers to that amount of an RNA effective to produce the intended pharmacological, therapeutic or preventive result. For example, if a given clinical treatment is considered effective when there is at least a 25% reduction in a measurable parameter associated with a disease or disorder, a therapeutically effective amount of a drug for the treatment of that disease or disorder is the amount necessary to effect at least a 25% reduction in that parameter.
- a therapeutically effective amount of a dsRNA targeting TTR can reduce TTR serum levels by at least 25%.
- a therapeutically effective amount of a dsRNA targeting TTR can improve liver function or renal function by at least 25%.
- pharmaceutically acceptable carrier refers to a carrier for administration of a therapeutic agent.
- Such carriers include, but are not limited to, saline, buffered saline, dextrose, water, glycerol, ethanol, and combinations thereof.
- the term specifically excludes cell culture medium.
- pharmaceutically acceptable carriers include, but are not limited to pharmaceutically acceptable excipients such as inert diluents, disintegrating agents, binding agents, lubricating agents, sweetening agents, flavoring agents, coloring agents and preservatives.
- suitable inert diluents include sodium and calcium carbonate, sodium and calcium phosphate, and lactose, while corn starch and alginic acid are suitable disintegrating agents.
- Binding agents may include starch and gelatin, while the lubricating agent, if present, will generally be magnesium stearate, stearic acid or talc. If desired, the tablets may be coated with a material such as glyceryl monostearate or glyceryl distearate, to delay absorption in the gastrointestinal tract.
- a “transformed cell” is a cell into which a vector has been introduced from which a dsRNA molecule may be expressed.
- the invention provides double-stranded ribonucleic acid (dsRNA) molecules for inhibiting the expression of a TTR gene in a cell or mammal, e.g., in a human having a TTR amyloidosis, where the dsRNA includes an antisense strand having a region of complementarity which is complementary to at least a part of an mRNA formed in the expression of a TTR gene, and where the region of complementarity is less than 30 nucleotides in length, generally 19-24 nucleotides in length, and where said dsRNA, upon contact with a cell expressing said TTR gene, inhibits the expression of said TTR gene by at least 30% as assayed by, for example, a PCR or branched DNA (bDNA)-based method, or by a protein-based method, such as by Western blot.
- dsRNA double-stranded ribonucleic acid
- TTR gene expression of a TTR gene can be reduced by at least 30% when measured by an assay as described in the Examples below.
- expression of a TTR gene in cell culture such as in Hep3B cells, can be assayed by measuring TTR mRNA levels, such as by bDNA or TaqMan assay, or by measuring protein levels, such as by ELISA assay.
- the dsRNA of the invention can further include one or more single-stranded nucleotide overhangs.
- the dsRNA can be synthesized by standard methods known in the art as further discussed below, e.g., by use of an automated DNA synthesizer, such as are commercially available from, for example, Biosearch, Applied Biosystems, Inc.
- the dsRNA includes two RNA strands that are sufficiently complementary to hybridize to form a duplex structure.
- the antisense strand includes a region of complementarity that is substantially complementary, and generally fully complementary, to a target sequence, derived from the sequence of an mRNA formed during the expression of a TTR gene
- the other strand includes a region that is complementary to the antisense strand, such that the two strands hybridize and form a duplex structure when combined under suitable conditions.
- the duplex structure is between 15 and 30 or between 25 and 30, or between 18 and 25, or between 19 and 24, or between 19 and 21, or 19, 20, or 21 base pairs in length.
- the duplex is 19 base pairs in length.
- the duplex is 21 base pairs in length.
- the duplex lengths can be identical or can differ.
- Each strand of the dsRNA of invention is generally between 15 and 30, or between 18 and 25, or 18, 19, 20, 21, 22, 23, 24, or 25 nucleotides in length. In other embodiments, each is strand is 25-30 nucleotides in length.
- Each strand of the duplex can be the same length or of different lengths. When two different siRNAs are used in combination, the lengths of each strand of each siRNA can be identical or can differ.
- the dsRNA of the invention can include one or more single-stranded overhang(s) of one or more nucleotides.
- at least one end of the dsRNA has a single-stranded nucleotide overhang of 1 to 4, generally 1 or 2 nucleotides.
- the antisense strand of the dsRNA has 1-10 nucleotides overhangs each at the 3′ end and the 5′ end over the sense strand.
- the sense strand of the dsRNA has 1-10 nucleotides overhangs each at the 3′ end and the 5′ end over the antisense strand.
- a dsRNAs having at least one nucleotide overhang can have unexpectedly superior inhibitory properties than the blunt-ended counterpart.
- the presence of only one nucleotide overhang strengthens the interference activity of the dsRNA, without affecting its overall stability.
- a dsRNA having only one overhang has proven particularly stable and effective in vivo, as well as in a variety of cells, cell culture mediums, blood, and serum.
- the single-stranded overhang is located at the 3′-terminal end of the antisense strand or, alternatively, at the 3′-terminal end of the sense strand.
- the dsRNA can also have a blunt end, generally located at the 5′-end of the antisense strand.
- dsRNAs can have improved stability and inhibitory activity, thus allowing administration at low dosages, i.e., less than 5 mg/kg body weight of the recipient per day.
- the antisense strand of the dsRNA has a nucleotide overhang at the 3′-end, and the 5′-end is blunt.
- one or more of the nucleotides in the overhang is replaced with a nucleoside thiophosphate.
- a TTR gene is a human TTR gene.
- the sense strand of the dsRNA is one of the sense sequences from Tables 3A, 3B, 4, 6A, 6B, or 7, and the antisense strand is one of the antisense sequences of Tables 3A, 3B, 4, 6A, 6B, or 7.
- Alternative antisense agents that target elsewhere in the target sequence provided in Tables 3A, 3B, 4, 6A, 6B, or 7 can readily be determined using the target sequence and the flanking TTR sequence.
- dsRNAs having a duplex structure of between 20 and 23, but specifically 21, base pairs have been hailed as particularly effective in inducing RNA interference (Elbashir et al., EMBO 2001, 20:6877-6888).
- dsRNAs featured in the invention can include at least one strand of a length described herein.
- dsRNAs having one of the sequences of Tables 3A, 3B, 4, 6A, 6B, or 7 minus only a few nucleotides on one or both ends may be similarly effective as compared to the dsRNAs described above.
- dsRNAs having a partial sequence of at least 15, 16, 17, 18, 19, 20, or more contiguous nucleotides from one of the sequences of Tables 3, 4, 6 or 7, and differing in their ability to inhibit the expression of a TTR gene in an assay as described herein below by not more than 5, 10, 15, 20, 25, or 30% inhibition from a dsRNA comprising the full sequence are contemplated by the invention.
- dsRNAs that cleave within a desired TTR target sequence can readily be made using the corresponding TTR antisense sequence and a complementary sense sequence.
- the dsRNAs provided in Tables 3A, 3B, 4, 6A, 6B, or 7 identify a site in a TTR that is susceptible to RNAi based cleavage.
- the present invention further features dsRNAs that target within the sequence targeted by one of the agents of the present invention.
- a second dsRNA is said to target within the sequence of a first dsRNA if the second dsRNA cleaves the message anywhere within the mRNA that is complementary to the antisense strand of the first dsRNA.
- Such a second dsRNA will generally consist of at least 15 contiguous nucleotides from one of the sequences provided in Tables 3A, 3B, 4, 6A, 6B, or 7 coupled to additional nucleotide sequences taken from the region contiguous to the selected sequence in a TTR gene.
- the dsRNA featured in the invention can contain one or more mismatches to the target sequence. In one embodiment, the dsRNA featured in the invention contains no more than 3 mismatches. If the antisense strand of the dsRNA contains mismatches to a target sequence, it is preferable that the area of mismatch not be located in the center of the region of complementarity. If the antisense strand of the dsRNA contains mismatches to the target sequence, it is preferable that the mismatch be restricted to 5 nucleotides from either end, for example 5, 4, 3, 2, or 1 nucleotide from either the 5′ or 3′ end of the region of complementarity.
- the dsRNA generally does not contain any mismatch within the central 13 nucleotides.
- the methods described within the invention can be used to determine whether a dsRNA containing a mismatch to a target sequence is effective in inhibiting the expression of a TTR gene. Consideration of the efficacy of dsRNAs with mismatches in inhibiting expression of a TTR gene is important, especially if the particular region of complementarity in a TTR gene is known to have polymorphic sequence variation within the population.
- the dsRNA is chemically modified to enhance stability.
- the nucleic acids featured in the invention may be synthesized and/or modified by methods well established in the art, such as those described in “Current protocols in nucleic acid chemistry,” Beaucage, S. L. et al. (Eds.), John Wiley & Sons, Inc., New York, N.Y., USA, which is hereby incorporated herein by reference.
- Specific examples of dsRNA compounds useful in this invention include dsRNAs containing modified backbones or no natural internucleoside linkages.
- dsRNAs having modified backbones include those that retain a phosphorus atom in the backbone and those that do not have a phosphorus atom in the backbone.
- modified dsRNAs that do not have a phosphorus atom in their internucleoside backbone can also be considered to be oligonucleosides.
- Modified dsRNA backbones include, for example, phosphorothioates, chiral phosphorothioates, phosphorodithioates, phosphotriesters, aminoalkylphosphotriesters, methyl and other alkyl phosphonates including 3′-alkylene phosphonates and chiral phosphonates, phosphinates, phosphoramidates including 3′-amino phosphoramidate and aminoalkylphosphoramidates, thionophosphoramidates, thionoalkylphosphonates, thionoalkylphosphotriesters, and boranophosphates having normal 3′-5′ linkages, 2′-5′ linked analogs of these, and those) having inverted polarity wherein the adjacent pairs of nucleoside units are linked 3′-5′ to 5′-3′ or 2′-5′ to 5′-2′.
- Various salts, mixed salts and free acid forms are also included.
- Modified dsRNA backbones that do not include a phosphorus atom therein have backbones that are formed by short chain alkyl or cycloalkyl internucleoside linkages, mixed heteroatoms and alkyl or cycloalkyl internucleoside linkages, or ore or more short chain heteroatomic or heterocyclic internucleoside linkages.
- morpholino linkages formed in part from the sugar portion of a nucleoside
- siloxane backbones sulfide, sulfoxide and sulfone backbones
- formacetyl and thioformacetyl backbones methylene formacetyl and thioformacetyl backbones
- alkene containing backbones sulfamate backbones
- sulfonate and sulfonamide backbones amide backbones; and others having mixed N, O, S and CH 2 component parts.
- both the sugar and the internucleoside linkage, i.e., the backbone, of the nucleotide units are replaced with novel groups.
- the base units are maintained for hybridization with an appropriate nucleic acid target compound.
- a dsRNA mimetic that has been shown to have excellent hybridization properties, is referred to as a peptide nucleic acid (PNA).
- PNA peptide nucleic acid
- the sugar backbone of a dsRNA is replaced with an amide containing backbone, in particular an aminoethylglycine backbone.
- the nucleobases are retained and are bound directly or indirectly to aza nitrogen atoms of the amide portion of the backbone. Representative U.S.
- PNA compounds include, but are not limited to, U.S. Pat. Nos. 5,539,082; 5,714,331; and 5,719,262, each of which is herein incorporated by reference. Further teaching of PNA compounds can be found in Nielsen et al., Science, 1991, 254, 1497-1500.
- dsRNAs with phosphorothioate backbones and oligonucleosides with heteroatom backbones and in particular —CH 2 —NH—CH 2 —, —CH 2 —N(CH 3 )—O—CH 2 — [known as a methylene (methylimino) or MMI backbone], —CH 2 —O—N(CH 3 )—CH 2 —, —CH 2 —N(CH 3 )—N(CH 3 )—CH 2 — and —N(CH 3 )—CH 2 —CH 2 — [wherein the native phosphodiester backbone is represented as —O—P—O—CH 2 —] of the above-referenced U.S.
- Modified dsRNAs may also contain one or more substituted sugar moieties.
- Preferred dsRNAs comprise one of the following at the 2′ position: OH; F; O-, S-, or N-alkyl; O-, S-, or N-alkenyl; O-, S- or N-alkynyl; or O-alkyl-Co-alkyl, wherein the alkyl, alkenyl and alkynyl may be substituted or unsubstituted C 1 to C 10 alkyl or C 2 to C 10 alkenyl and alkynyl.
- dsRNAs comprise one of the following at the 2′ position: C 1 to C 10 lower alkyl, substituted lower alkyl, alkaryl, aralkyl, O-alkaryl or O-aralkyl, SH, SCH 3 , OCN, Cl, Br, CN, CF 3 , OCF 3 , SOCH 3 , SO 2 CH 3 , ONO 2 , NO 2 , N 3 , NH 2 , heterocycloalkyl, heterocycloalkaryl, aminoalkylamino, polyalkylamino, substituted silyl, an RNA cleaving group, a reporter group, an intercalator, a group for improving the pharmacokinetic properties of an dsRNA, or a group for improving the pharmacodynamic properties of an dsRNA, and other substituents having similar properties.
- a preferred modification includes 2′-methoxyethoxy (2′-O—CH 2 CH 2 OCH 3 , also known as 2′-O-(2-methoxyethyl) or 2′-MOE) (Martin et al., Helv. Chim. Acta, 1995, 78, 486-504) i.e., an alkoxy-alkoxy group.
- a further preferred modification includes 2′-dimethylaminooxyethoxy, i.e., a O(CH 2 ) 2 ON(CH 3 ) 2 group, also known as 2′-DMAOE, as described in examples herein below, and 2′-dimethylaminoethoxyethoxy (also known in the art as 2′-O-dimethylaminoethoxyethyl or 2′-DMAEOE), i.e., 2′-O—CH 2 —O—CH 2 —N(CH 2 ) 2 , also described in examples herein below.
- 2′-dimethylaminooxyethoxy i.e., a O(CH 2 ) 2 ON(CH 3 ) 2 group
- 2′-DMAOE also known as 2′-DMAOE
- 2′-dimethylaminoethoxyethoxy also known in the art as 2′-O-dimethylaminoethoxyethyl or 2′-DMAEOE
- modifications include 2′-methoxy (2′-OCH 3 ), 2′-aminopropoxy (2′-OCH 2 CH 2 CH 2 NH 2 ) and 2′-fluoro (2′-F). Similar modifications may also be made at other positions on the dsRNA, particularly the 3′ position of the sugar on the 3′ terminal nucleotide or in 2′-5′ linked dsRNAs and the 5′ position of 5′ terminal nucleotide. DsRNAs may also have sugar mimetics such as cyclobutyl moieties in place of the pentofuranosyl sugar. Representative U.S. patents that teach the preparation of such modified sugar structures include, but are not limited to, U.S. Pat. Nos.
- dsRNAs may also include nucleobase (often referred to in the art simply as “base”) modifications or substitutions.
- base include the purine bases adenine (A) and guanine (G), and the pyrimidine bases thymine (T), cytosine (C) and uracil (U).
- Modified nucleobases include other synthetic and natural nucleobases such as 5-methylcytosine (5-me-C), 5-hydroxymethyl cytosine, xanthine, hypoxanthine, 2-aminoadenine, 6-methyl and other alkyl derivatives of adenine and guanine, 2-propyl and other alkyl derivatives of adenine and guanine, 2-thiouracil, 2-thiothymine and 2-thiocytosine, 5-halouracil and cytosine, 5-propynyl uracil and cytosine, 6-azo uracil, cytosine and thymine, 5-uracil (pseudouracil), 4-thiouracil, 8-halo, 8-amino, 8-thiol, 8-thioalkyl, 8-hydroxyl anal other 8-substituted adenines and guanines, 5-halo, particularly 5-bromo, 5-trifluoromethyl and other 5-substi
- nucleobases include those disclosed in U.S. Pat. No. 3,687,808, those disclosed in The Concise Encyclopedia Of Polymer Science And Engineering, pages 858-859, Kroschwitz, J. L, ed. John Wiley & Sons, 1990, these disclosed by Englisch et al., Angewandte Chemie, International Edition, 1991, 30, 613, and those disclosed by Sanghvi, Y S., Chapter 15, DsRNA Research and Applications, pages 289-302, Crooke, S. T. and Lebleu, B., Ed., CRC Press, 1993. Certain of these nucleobases are particularly useful for increasing the binding affinity of the oligomeric compounds featured in the invention.
- 5-substituted pyrimidines include 5-substituted pyrimidines, 6-azapyrimidines and N-2, N-6 and 0-6 substituted purines, including 2-aminopropyladenine, 5-propynyluracil and 5-propynylcytosine.
- 5-methylcytosine substitutions have been shown to increase nucleic acid duplex stability by 0.6-1.2° C. (Sanghvi, Y. S., Crooke, S. T. and Lebleu, B., Eds., DsRNA Research and Applications, CRC Press, Boca Raton, 1993, pp. 276-278) and are exemplary base substitutions, even more particularly when combined with 2′-O-methoxyethyl sugar modifications.
- dsRNAs of the invention involves chemically linking to the dsRNA one or more moieties or conjugates which enhance the activity, cellular distribution or cellular uptake of the dsRNA.
- moieties include but are not limited to lipid moieties such as a cholesterol moiety (Letsinger et al., Proc. Natl. Acid. Sci. USA, 1989, 86: 6553-6556), cholic acid (Manoharan et al., Biorg. Med. Chem. Let., 1994, 4:1053-1060), a thioether, e.g., beryl-S-tritylthiol (Manoharan et al., Ann. N.Y. Acad.
- Acids Res., 1990, 18:3777-3783 a polyamine or a polyethylene glycol chain (Manoharan et al., Nucleosides & Nucleotides, 1995, 14:969-973), or adamantane acetic acid (Manoharan et al., Tetrahedron Lett., 1995, 36:3651-3654), a palmityl moiety (Mishra et al., Biochim. Biophys. Acta, 1995, 1264:229-237), or an octadecylamine or hexylamino-carbonyloxycholesterol moiety (Crooke et al., J. Pharmacol. Exp. Ther., 1996, 277:923-937).
- dsRNA compounds which are chimeric compounds. “Chimeric” dsRNA compounds or “chimeras,” in the context of this invention, are dsRNA compounds, particularly dsRNAs, which contain two or more chemically distinct regions, each made up of at least one monomer unit, i.e., a nucleotide in the case of a dsRNA compound.
- dsRNAs typically contain at least one region wherein the dsRNA is modified so as to confer upon the dsRNA increased resistance to nuclease degradation, increased cellular uptake, and/or increased binding affinity for the target nucleic acid.
- An additional region of the dsRNA may serve as a substrate for enzymes capable of cleaving RNA:DNA or RNA:RNA hybrids.
- RNase H is a cellular endonuclease which cleaves the RNA strand of an RNA:DNA duplex. Activation of RNase H, therefore, results in cleavage of the RNA target, thereby greatly enhancing the efficiency of dsRNA inhibition of gene expression. Consequently, comparable results can often be obtained with shorter dsRNAs when chimeric dsRNAs are used, compared to phosphorothioate deoxydsRNAs hybridizing to the same target region.
- RNA target can be routinely detected by gel electrophoresis and, if necessary, associated nucleic acid hybridization techniques known in the art.
- the cleavage site on the target mRNA of a dsRNA can be determined using methods generally known to one of ordinary skill in the art, e.g., the 5′-RACE method described in Soutschek et al., Nature; 2004, Vol. 432, pp. 173-178 (which is herein incorporated by reference for all purposes).
- ALN-18328 was determined to cleave a TTR mRNA between the guanine nucleotide at position 636 of SEQ ID NO:1331 (NM_000371.3) and the adenine nucleotide at position 637 of SEQ ID NO:1331. In an embodiment, it was determined that ALN-18328 does not cleave a TTR mRNA between the adenine nucleotide at position 637 of SEQ ID NO:1331 and the guanine nucleotide at position 638 of SEQ ID NO:1331.
- the dsRNA may be modified by a non-ligand group.
- non-ligand molecules have been conjugated to dsRNAs in order to enhance the activity, cellular distribution or cellular uptake of the dsRNA, and procedures for performing such conjugations are available in the scientific literature.
- Such non-ligand moieties have included lipid moieties, such as cholesterol (Letsinger et al., Proc. Natl. Acad. Sci. USA, 1989, 86:6553), cholic acid (Manoharan et al., Bioorg. Med. Chem.
- a thioether e.g., hexyl-S-tritylthiol (Manoharan et al., Ann. N.Y. Acad. Sci., 1992, 660:306; Manoharan et al., Bioorg. Med. Chem. Let., 1993, 3:2765), a thiocholesterol (Oberhauser et al., Nucl.
- Acids Res., 1990, 18:3777 a polyamine or a polyethylene glycol chain (Manoharan et al., Nucleosides & Nucleotides, 1995, 14:969), or adamantane acetic acid (Manoharan et al., Tetrahedron Lett., 1995, 36:3651), a palmityl moiety (Mishra et al., Biochim. Biophys. Acta, 1995, 1264:229), or an octadecylamine or hexylamino-carbonyl-oxycholesterol moiety (Crooke et al., J. Pharmacol. Exp. Ther., 1996, 277:923).
- Typical conjugation protocols involve the synthesis of dsRNAs bearing an aminolinker at one or more positions of the sequence. The amino group is then reacted with the molecule being conjugated using appropriate coupling or activating reagents. The conjugation reaction may be performed either with the dsRNA still bound to the solid support or following cleavage of the dsRNA in solution phase. Purification of the dsRNA conjugate by HPLC typically affords the pure conjugate.
- TTR dsRNA molecules are expressed from transcription units inserted into DNA or RNA vectors (see, e.g., Couture, A, et al., TIG . (1996), 12:5-10; Skillern, A., et al., International PCT Publication No. WO 00/22113, Conrad, International PCT Publication No. WO 00/22114, and Conrad, U.S. Pat. No. 6,054,299).
- These transgenes can be introduced as a linear construct, a circular plasmid, or a viral vector, which can be incorporated and inherited as a transgene integrated into the host genome.
- the transgene can also be constructed to permit it to be inherited as an extrachromosomal plasmid (Gassmann, et al., Proc. Natl. Acad. Sci. USA (1995) 92:1292).
- a dsRNA can be transcribed by promoters on two separate expression vectors and co-transfected into a target cell.
- each individual strand of the dsRNA can be transcribed by promoters both of which are located on the same expression plasmid.
- a dsRNA is expressed as an inverted repeat joined by a linker polynucleotide sequence such that the dsRNA has a stem and loop structure.
- the recombinant dsRNA expression vectors are generally DNA plasmids or viral vectors.
- dsRNA expressing viral vectors can be constructed based on, but not limited to, adeno-associated virus (for a review, see Muzyczka, et al., Curr. Topics Micro. Immunol . (1992) 158:97-129)); adenovirus (see, for example, Berkner, et al., BioTechniques (1998) 6:616), Rosenfeld et al. (1991, Science 252:431-434), and Rosenfeld et al. (1992), Cell 68:143-155)); or alphavirus as well as others known in the art.
- adeno-associated virus for a review, see Muzyczka, et al., Curr. Topics Micro. Immunol . (1992) 158:97-129
- adenovirus see, for example, Berkner, et al., BioTechniques (
- Retroviruses have been used to introduce a variety of genes into many different cell types, including epithelial cells, in vitro and/or in vivo (see, e.g., Eglitis, et al., Science (1985) 230:1395-1398; Danos and Mulligan, Proc. Natl. Acad. Sci. USA (1998) 85:6460-6464; Wilson et al., 1988, Proc. NatI. Acad. Sci. USA 85:3014-3018; Armentano et al., 1990, Proc. NatI. Acad. Sci. USA 87:61416145; Huber et al., 1991, Proc. NatI. Acad. Sci.
- Recombinant retroviral vectors capable of transducing and expressing genes inserted into the genome of a cell can be produced by transfecting the recombinant retroviral genome into suitable packaging cell lines such as PA317 and Psi-CRIP (Comette et al., 1991, Human Gene Therapy 2:5-10; Cone et al., 1984, Proc. Natl. Acad. Sci. USA 81:6349).
- Recombinant adenoviral vectors can be used to infect a wide variety of cells and tissues in susceptible hosts (e.g., rat, hamster, dog, and chimpanzee) (Hsu et al., 1992, J. Infectious Disease, 166:769), and also have the advantage of not requiring mitotically active cells for infection.
- susceptible hosts e.g., rat, hamster, dog, and chimpanzee
- Any viral vector capable of accepting the coding sequences for the dsRNA molecule(s) to be expressed can be used, for example vectors derived from adenovirus (AV); adeno-associated virus (AAV); retroviruses (e.g., lentiviruses (LV), Rhabdoviruses, murine leukemia virus); herpes virus, and the like.
- AV adenovirus
- AAV adeno-associated virus
- retroviruses e.g., lentiviruses (LV), Rhabdoviruses, murine leukemia virus
- herpes virus and the like.
- the tropism of viral vectors can be modified by pseudotyping the vectors with envelope proteins or other surface antigens from other viruses, or by substituting different viral capsid proteins, as appropriate.
- lentiviral vectors featured in the invention can be pseudotyped with surface proteins from vesicular stomatitis virus (VSV), rabies, Ebola, Mokola, and the like.
- AAV vectors featured in the invention can be made to target different cells by engineering the vectors to express different capsid protein serotypes.
- an AAV vector expressing a serotype 2 capsid on a serotype 2 genome is called AAV 2/2.
- This serotype 2 capsid gene in the AAV 2/2 vector can be replaced by a serotype 5 capsid gene to produce an AAV 2/5 vector.
- AAV vectors which express different capsid protein serotypes are within the skill in the art; see, e.g., Rabinowitz J E et al. (2002), J Virol 76:791-801, the entire disclosure of which is herein incorporated by reference.
- Viral vectors can be derived from AV and AAV.
- the dsRNA featured in the invention is expressed as two separate, complementary single-stranded RNA molecules from a recombinant AAV vector having, for example, either the U6 or H1 RNA promoters, or the cytomegalovirus (CMV) promoter.
- CMV cytomegalovirus
- a suitable AV vector for expressing the dsRNA featured in the invention a method for constructing the recombinant AV vector, and a method for delivering the vector into target cells, are described in Xia H et al. (2002), Nat. Biotech. 20: 1006-1010.
- Suitable AAV vectors for expressing the dsRNA featured in the invention, methods for constructing the recombinant AV vector, and methods for delivering the vectors into target cells are described in Samulski R et al. (1987), J. Virol. 61: 3096-3101; Fisher K J et al. (1996), J. Virol, 70: 520-532; Samulski R et al. (1989), J. Virol. 63: 3822-3826; U.S. Pat. No. 5,252,479; U.S. Pat. No. 5,139,941; International Patent Application No. WO 94/13788; and International Patent Application No. WO 93/24641, the entire disclosures of which are herein incorporated by reference.
- the promoter driving dsRNA expression in either a DNA plasmid or viral vector featured in the invention may be a eukaryotic RNA polymerase I (e.g., ribosomal RNA promoter), RNA polymerase II (e.g., CMV early promoter or actin promoter or U1 snRNA promoter) or generally RNA polymerase III promoter (e.g., U6 snRNA or 7SK RNA promoter) or a prokaryotic promoter, for example the T7 promoter, provided the expression plasmid also encodes T7 RNA polymerase required for transcription from a T7 promoter.
- RNA polymerase I e.g., ribosomal RNA promoter
- RNA polymerase II e.g., CMV early promoter or actin promoter or U1 snRNA promoter
- RNA polymerase III promoter e.g., U6 snRNA or 7SK RNA promoter
- the promoter can also direct transgene expression to the pancreas (see, e.g., the insulin regulatory sequence for pancreas (Bucchini et al., 1986, Proc. Natl. Acad. Sci. USA 83:2511-2515)).
- expression of the transgene can be precisely regulated, for example, by using an inducible regulatory sequence and expression systems such as a regulatory sequence that is sensitive to certain physiological regulators, e.g., circulating glucose levels, or hormones (Docherty et al., 1994, FASEB J. 8:20-24).
- inducible expression systems suitable for the control of transgene expression in cells or in mammals include regulation by ecdysone, by estrogen, progesterone, tetracycline, chemical inducers of dimerization, and isopropyl-beta-D1-thiogalactopyranoside (EPTG).
- ETG isopropyl-beta-D1-thiogalactopyranoside
- recombinant vectors capable of expressing dsRNA molecules are delivered as described below, and persist in target cells.
- viral vectors can be used that provide for transient expression of dsRNA molecules.
- Such vectors can be repeatedly administered as necessary. Once expressed, the dsRNAs bind to target RNA and modulate its function or expression. Delivery of dsRNA expressing vectors can be systemic, such as by intravenous or intramuscular administration, by administration to target cells ex-planted from the patient followed by reintroduction into the patient, or by any other means that allows for introduction into a desired target cell.
- dsRNA expression DNA plasmids are typically transfected into target cells as a complex with cationic lipid carriers (e.g., Oligofectamine) or non-cationic lipid-based carriers (e.g., Transit-TKOTM).
- cationic lipid carriers e.g., Oligofectamine
- Transit-TKOTM non-cationic lipid-based carriers
- Multiple lipid transfections for dsRNA-mediated knockdowns targeting different regions of a single TTR gene or multiple TTR genes over a period of a week or more are also contemplated by the invention.
- Successful introduction of vectors into host cells can be monitored using various known methods. For example, transient transfection can be signaled with a reporter, such as a fluorescent marker, such as Green Fluorescent Protein (GFP). Stable transfection of cells ex vivo can be ensured using markers that provide the transfected cell with resistance to specific environmental factors (e.g., antibiotics and drugs), such as hygromycin B resistance.
- TTR specific dsRNA molecules can also be inserted into vectors and used as gene therapy vectors for human patients.
- Gene therapy vectors can be delivered to a subject by, for example, intravenous injection, local administration (see U.S. Pat. No. 5,328,470) or by stereotactic injection (see e.g., Chen et al. (1994) Proc. Natl. Acad. Sci. USA 91:3054-3057).
- the pharmaceutical preparation of the gene therapy vector can include the gene therapy vector in an acceptable diluent, or can include a slow release matrix in which the gene delivery vehicle is imbedded.
- the pharmaceutical preparation can include one or more cells which produce the gene delivery system.
- the invention provides pharmaceutical compositions containing a dsRNA, as described herein, and a pharmaceutically acceptable carrier.
- the pharmaceutical composition containing the dsRNA is useful for treating a disease or disorder associated with the expression or activity of a TTR gene, such as pathological processes mediated by TTR expression.
- Such pharmaceutical compositions are formulated based on the mode of delivery.
- IV intravenous
- compositions that are formulated for direct delivery into the brain parenchyma e.g., by infusion into the brain, such as by continuous pump infusion.
- compositions featured herein are administered in dosages sufficient to inhibit expression of TTR genes.
- a suitable dose of dsRNA will be in the range of 0.01 to 200.0 milligrams per kilogram body weight of the recipient per day, generally in the range of 1 to 50 mg per kilogram body weight per day.
- the dsRNA can be administered at 0.0059 mg/kg, 0.01 mg/kg, 0.0295 mg/kg, 0.05 mg/kg, 0.0590 mg/kg, 0.163 mg/kg, 0.2 mg/kg, 0.3 mg/kg, 0.4 mg/kg, 0.5 mg/kg, 0.543 mg/kg, 0.5900 mg/kg, 0.6 mg/kg, 0.7 mg/kg, 0.8 mg/kg, 0.9 mg/kg, 1 mg/kg, 1.1 mg/kg, 1.2 mg/kg, 1.3 mg/kg, 1.4 mg/kg, 1.5 mg/kg, 1.628 mg/kg, 2 mg/kg, 3 mg/kg, 5.0 mg/kg, 10 mg/kg, 20 mg/kg, 30 mg/kg, 40 mg/kg, or 50 mg/kg per single dose.
- the dosage is between 0.01 and 0.2 mg/kg.
- the dsRNA can be administered at a dose of 0.01 mg/kg, 0.02 mg/kg, 0.3 mg/kg, 0.04 mg/kg, 0.05 mg/kg, 0.06 mg/kg, 0.07 mg/kg 0.08 mg/kg 0.09 mg/kg, 0.10 mg/kg, 0.11 mg/kg, 0.12 mg/kg, 0.13 mg/kg, 0.14 mg/kg, 0.15 mg/kg, 0.16 mg/kg, 0.17 mg/kg, 0.18 mg/kg, 0.19 mg/kg, or 0.20 mg/kg.
- the dosage is between 0.005 mg/kg and 1.628 mg/kg.
- the dsRNA can be administered at a dose of 0.0059 mg/kg, 0.0295 mg/kg, 0.0590 mg/kg, 0.163 mg/kg, 0.543 mg/kg, 0.5900 mg/kg, or 1.628 mg/kg.
- the dosage is between 0.2 mg/kg and 1.5 mg/kg.
- the dsRNA can be administered at a dose of 0.2 mg/kg, 0.3 mg/kg, 0.4 mg/kg, 0.5 mg/kg, 0.6 mg/kg, 0.7 mg/kg, 0.8 mg/kg, 0.9 mg/kg, 1 mg/kg, 1.1 mg/kg, 1.2 mg/kg, 1.3 mg/kg, 1.4 mg/kg, or 1.5 mg/kg.
- the pharmaceutical composition may be administered once daily, or the dsRNA may be administered as two, three, or more sub-doses at appropriate intervals throughout the day or even using continuous infusion or delivery through a controlled release formulation. In that case, the dsRNA contained in each sub-dose must be correspondingly smaller in order to achieve the total daily dosage.
- the dosage unit can also be compounded for delivery over several days, e.g., using a conventional sustained release formulation which provides sustained release of the dsRNA over a several day period. Sustained release formulations are well known in the art and are particularly useful for delivery of agents at a particular site, such as could be used with the agents of the present invention. In this embodiment, the dosage unit contains a corresponding multiple of the daily dose.
- the effect of a single dose on TTR levels is long lasting, such that subsequent doses are administered at not more than 3, 4, or 5 day intervals, or at not more than 1, 2, 3, or 4 week intervals, or at not more than 5, 6, 7, 8, 9, or 10 week intervals.
- treatment of a subject with a therapeutically effective amount of a composition can include a single treatment or a series of treatments.
- Estimates of effective dosages and in vivo half-lives for the individual dsRNAs encompassed by the invention can be made using conventional methodologies or on the basis of in vivo testing using an appropriate animal model, as described elsewhere herein.
- a suitable mouse model is, for example, a mouse containing a plasmid expressing human TTR.
- Another suitable mouse model is a transgenic mouse carrying a transgene that expresses human TTR.
- the data obtained from cell culture assays and animal studies can be used in formulating a range of dosage for use in humans.
- the dosage of compositions featured in the invention lies generally within a range of circulating concentrations that include the ED50 with little or no toxicity.
- the dosage may vary within this range depending upon the dosage form employed and the route of administration utilized.
- the therapeutically effective dose can be estimated initially from cell culture assays.
- a dose may be formulated in animal models to achieve a circulating plasma concentration range of the compound or, when appropriate, of the polypeptide product of a target sequence (e.g., achieving a decreased concentration of the polypeptide) that includes the IC50 (i.e., the concentration of the test compound which achieves a half-maximal inhibition of symptoms) as determined in cell culture.
- a target sequence e.g., achieving a decreased concentration of the polypeptide
- the IC50 i.e., the concentration of the test compound which achieves a half-maximal inhibition of symptoms
- levels in plasma may be measured, for example, by high performance liquid chromatography.
- the dsRNAs featured in the invention can be administered in combination with other known agents effective in treatment of pathological processes mediated by target gene expression.
- the administering physician can adjust the amount and timing of dsRNA administration on the basis of results observed using standard measures of efficacy known in the art or described herein.
- the present invention also includes pharmaceutical compositions and formulations which include the dsRNA compounds featured in the invention.
- the pharmaceutical compositions of the present invention may be administered in a number of ways depending upon whether local or systemic treatment is desired and upon the area to be treated. Administration may be topical, pulmonary, e.g., by inhalation or insufflation of powders or aerosols, including by nebulizer; intratracheal, intranasal, epidermal and transdermal, oral or parenteral. Parenteral administration includes intravenous, intraarterial, subcutaneous, intraperitoneal or intramuscular injection or infusion; or intracranial, e.g., intraparenchymal, intrathecal or intraventricular, administration.
- the dsRNA can be delivered in a manner to target a particular tissue, such as the liver (e.g., the hepatocytes of the liver).
- a particular tissue such as the liver (e.g., the hepatocytes of the liver).
- the present invention includes pharmaceutical compositions that can be delivered by injection directly into the brain.
- the injection can be by stereotactic injection into a particular region of the brain (e.g., the substantia nigra, cortex, hippocampus, striatum, or globus pallidus), or the dsRNA can be delivered into multiple regions of the central nervous system (e.g., into multiple regions of the brain, and/or into the spinal cord).
- the dsRNA can also be delivered into diffuse regions of the brain (e.g., diffuse delivery to the cortex of the brain).
- a dsRNA targeting TTR can be delivered by way of a cannula or other delivery device having one end implanted in a tissue, e.g., the brain, e.g., the substantia nigra, cortex, hippocampus, striatum, corpus callosum or globus pallidus of the brain.
- the cannula can be connected to a reservoir of the dsRNA composition.
- the flow or delivery can be mediated by a pump, e.g., an osmotic pump or minipump, such as an Alzet pump (Durect, Cupertino, Calif.).
- a pump and reservoir are implanted in an area distant from the tissue, e.g., in the abdomen, and delivery is effected by a conduit leading from the pump or reservoir to the site of release.
- Infusion of the dsRNA composition into the brain can be over several hours or for several days, e.g., for 1, 2, 3, 5, or 7 days or more.
- Devices for delivery to the brain are described, for example, in U.S. Pat. Nos. 6,093,180, and 5,814,014.
- compositions and formulations for topical administration may include transdermal patches, ointments, lotions, creams, gels, drops, suppositories, sprays, liquids and powders.
- Conventional pharmaceutical carriers, aqueous, powder or oily bases, thickeners and the like may be necessary or desirable.
- Coated condoms, gloves and the like may also be useful.
- Suitable topical formulations include those in which the dsRNAs featured in the invention are in admixture with a topical delivery agent such as lipids, liposomes, fatty acids, fatty acid esters, steroids, chelating agents and surfactants.
- Suitable lipids and liposomes include neutral (e.g., dioleoylphosphatidyl DOPE ethanolamine, dimyristoylphosphatidyl choline DMPC, distearoylphosphatidyl choline) negative (e.g., dimyristoylphosphatidyl glycerol DMPG) and cationic (e.g., dioleoyltetramethylaminopropyl DOTAP and dioleoylphosphatidyl ethanolamine DOTMA).
- DsRNAs featured in the invention may be encapsulated within liposomes or may form complexes thereto, in particular to cationic liposomes.
- dsRNAs may be complexed to lipids, in particular to cationic lipids.
- Suitable fatty acids and esters include but are not limited to arachidonic acid, oleic acid, eicosanoic acid, lauric acid, caprylic acid, capric acid, myristic acid, palmitic acid, stearic acid, linoleic acid, linolenic acid, dicaprate, tricaprate, monoolein, dilaurin, glyceryl 1-monocaprate, 1-dodecylazacycloheptan-2-one, an acylcarnitine, an acylcholine, or a C 1-10 alkyl ester (e.g., isopropylmyristate IPM), monoglyceride, diglyceride or pharmaceutically acceptable salt thereof.
- Topical formulations are described in detail in U.S. Pat. No. 6,747,014, which is incorporated herein by reference.
- liposome means a vesicle composed of amphiphilic lipids arranged in a spherical bilayer or bilayers.
- Liposomes are unilamellar or multilamellar vesicles which have a membrane formed from a lipophilic material and an aqueous interior. The aqueous portion contains the composition to be delivered. Cationic liposomes possess the advantage of being able to fuse to the cell wall. Non-cationic liposomes, although not able to fuse as efficiently with the cell wall, are taken up by macrophages in vivo.
- lipid vesicles In order to cross intact mammalian skin, lipid vesicles must pass through a series of fine pores, each with a diameter less than 50 nm, under the influence of a suitable transdermal gradient. Therefore, it is desirable to use a liposome which is highly deformable and able to pass through such fine pores.
- liposomes obtained from natural phospholipids are biocompatible and biodegradable; liposomes can incorporate a wide range of water and lipid soluble drugs; liposomes can protect encapsulated drugs in their internal compartments from metabolism and degradation (Rosoff, in Pharmaceutical Dosage Forms, Lieberman, Rieger and Banker (Eds.), 1988, Marcel Dekker, Inc., New York, N.Y., volume 1, p. 245).
- Important considerations in the preparation of liposome formulations are the lipid surface charge, vesicle size and the aqueous volume of the liposomes.
- Liposomes are useful for the transfer and delivery of active ingredients to the site of action. Because the liposomal membrane is structurally similar to biological membranes, when liposomes are applied to a tissue, the liposomes start to merge with the cellular membranes and as the merging of the liposome and cell progresses, the liposomal contents are emptied into the cell where the active agent may act.
- Liposomes present several advantages over other formulations. Such advantages include reduced side-effects related to high systemic absorption of the administered drug, increased accumulation of the administered drug at the desired target, and the ability to administer a wide variety of drugs, both hydrophilic and hydrophobic, into the skin.
- liposomes to deliver agents including high-molecular weight DNA into the skin.
- Compounds including analgesics, antibodies, hormones and high-molecular weight DNAs have been administered to the skin. The majority of applications resulted in the targeting of the upper epidermis
- Liposomes fall into two broad classes. Cationic liposomes are positively charged liposomes which interact with the negatively charged DNA molecules to form a stable complex. The positively charged DNA/liposome complex binds to the negatively charged cell surface and is internalized in an endosome. Due to the acidic pH within the endosome, the liposomes are ruptured, releasing their contents into the cell cytoplasm (Wang et al., Biochem. Biophys. Res. Commun., 1987, 147, 980-985).
- Liposomes which are pH-sensitive or negatively-charged, entrap DNA rather than complex with it. Since both the DNA and the lipid are similarly charged, repulsion rather than complex formation occurs. Nevertheless, some DNA is entrapped within the aqueous interior of these liposomes. pH-sensitive liposomes have been used to deliver DNA encoding the thymidine kinase gene to cell monolayers in culture. Expression of the exogenous gene was detected in the target cells (Zhou et al., Journal of Controlled Release, 1992, 19, 269-274).
- liposomal composition includes phospholipids other than naturally-derived phosphatidylcholine.
- Neutral liposome compositions can be formed from dimyristoyl phosphatidylcholine (DMPC) or dipalmitoyl phosphatidylcholine (DPPC).
- Anionic liposome compositions generally are formed from dimyristoyl phosphatidylglycerol, while anionic fusogenic liposomes are formed primarily from dioleoyl phosphatidylethanolamine (DOPE).
- DOPE dioleoyl phosphatidylethanolamine
- Another type of liposomal composition is formed from phosphatidylcholine (PC) such as, for example, soybean PC, and egg PC.
- PC phosphatidylcholine
- Another type is formed from mixtures of phospholipid and/or phosphatidylcholine and/or cholesterol.
- Non-ionic liposomal systems have also been examined to determine their utility in the delivery of drugs to the skin, in particular systems comprising non-ionic surfactant and cholesterol.
- Non-ionic liposomal formulations comprising NovasomeTM I (glyceryl dilaurate/cholesterol/polyoxyethylene-10-stearyl ether) and NovasomeTM II (glyceryl distearate/cholesterol/polyoxyethylene-10-stearyl ether) were used to deliver cyclosporin-A into the dermis of mouse skin. Results indicated that such non-ionic liposomal systems were effective in facilitating the deposition of cyclosporin-A into different layers of the skin (Hu et al. S.T.P.Pharma. Sci., 1994, 4, 6, 466).
- Liposomes also include “sterically stabilized” liposomes, a term which, as used herein, refers to liposomes comprising one or more specialized lipids that, when incorporated into liposomes, result in enhanced circulation lifetimes relative to liposomes lacking such specialized lipids.
- sterically stabilized liposomes are those in which part of the vesicle-forming lipid portion of the liposome (A) comprises one or more glycolipids, such as monosialoganglioside G M1 , or (B) is derivatized with one or more hydrophilic polymers, such as a polyethylene glycol (PEG) moiety.
- PEG polyethylene glycol
- Liposomes comprising (1) sphingomyelin and (2) the ganglioside G M1 or a galactocerebroside sulfate ester.
- U.S. Pat. No. 5,543,152 discloses liposomes comprising sphingomyelin. Liposomes comprising 1,2-sn-dimyristoylphosphatidylcholine are disclosed in WO 97/13499 (Lim et al).
- liposomes comprising lipids derivatized with one or more hydrophilic polymers, and methods of preparation thereof, are known in the art.
- Sunamoto et al. (Bull. Chem. Soc. Jpn., 1980, 53, 2778) described liposomes comprising a nonionic detergent, 2C 1215G , that contains a PEG moiety.
- Illum et al. (FEBS Lett., 1984, 167, 79) noted that hydrophilic coating of polystyrene particles with polymeric glycols results in significantly enhanced blood half-lives.
- Synthetic phospholipids modified by the attachment of carboxylic groups of polyalkylene glycols (e.g., PEG) are described by Sears (U.S.
- Liposomes having covalently bound PEG moieties on their external surface are described in European Patent No. EP 0 445 131 B1 and WO 90/04384 to Fisher.
- Liposome compositions containing 1-20 mole percent of PE derivatized with PEG, and methods of use thereof, are described by Woodle et al. (U.S. Pat. Nos. 5,013,556 and 5,356,633) and Martin et al. (U.S. Pat. No. 5,213,804 and European Patent No. EP 0 496 813 B1).
- Liposomes comprising a number of other lipid-polymer conjugates are disclosed in WO 91/05545 and U.S. Pat. No.
- a number of liposomes comprising nucleic acids are known in the art.
- WO 96/40062 to Thierry et al. discloses methods for encapsulating high molecular weight nucleic acids in liposomes.
- U.S. Pat. No. 5,264,221 to Tagawa et al. discloses protein-bonded liposomes and asserts that the contents of such liposomes may include a dsRNA.
- U.S. Pat. No. 5,665,710 to Rahman et al. describes certain methods of encapsulating oligodeoxynucleotides in liposomes.
- WO 97/04787 to Love et al. discloses liposomes comprising dsRNAs targeted to the raf gene.
- Transfersomes are yet another type of liposomes, and are highly deformable lipid aggregates which are attractive candidates for drug delivery vehicles. Transfersomes may be described as lipid droplets which are so highly deformable that they are easily able to penetrate through pores which are smaller than the droplet. Transfersomes are adaptable to the environment in which they are used, e.g., they are self-optimizing (adaptive to the shape of pores in the skin), self-repairing, frequently reach their targets without fragmenting, and often self-loading. To make transfersomes it is possible to add surface edge-activators, usually surfactants, to a standard liposomal composition. Transfersomes have been used to deliver serum albumin to the skin. The transfersome-mediated delivery of serum albumin has been shown to be as effective as subcutaneous injection of a solution containing serum albumin.
- HLB hydrophile/lipophile balance
- Nonionic surfactants find wide application in pharmaceutical and cosmetic products and are usable over a wide range of pH values. In general their HLB values range from 2 to about 18 depending on their structure.
- Nonionic surfactants include nonionic esters such as ethylene glycol esters, propylene glycol esters, glyceryl esters, polyglyceryl esters, sorbitan esters, sucrose esters, and ethoxylated esters.
- Nonionic alkanolamides and ethers such as fatty alcohol ethoxylates, propoxylated alcohols, and ethoxylated/propoxylated block polymers are also included in this class.
- the polyoxyethylene surfactants are the most popular members of the nonionic surfactant class.
- Anionic surfactants include carboxylates such as soaps, acyl lactylates, acyl amides of amino acids, esters of sulfuric acid such as alkyl sulfates and ethoxylated alkyl sulfates, sulfonates such as alkyl benzene sulfonates, acyl isethionates, acyl taurates and sulfosuccinates, and phosphates.
- the most important members of the anionic surfactant class are the alkyl sulfates and the soaps.
- Cationic surfactants include quaternary ammonium salts and ethoxylated amines. The quaternary ammonium salts are the most used members of this class.
- amphoteric surfactants include acrylic acid derivatives, substituted alkylamides, N-alkylbetaines and phosphatides.
- a TTR dsRNA featured in the invention is fully encapsulated in the lipid formulation, e.g., to form a SPLP, pSPLP, SNALP, or other nucleic acid-lipid particle.
- SNALP refers to a stable nucleic acid-lipid particle, including SPLP.
- SPLP refers to a nucleic acid-lipid particle comprising plasmid DNA encapsulated within a lipid vesicle.
- SNALPs and SPLPs typically contain a cationic lipid, a non-cationic lipid, and a lipid that prevents aggregation of the particle (e.g., a PEG-lipid conjugate).
- SPLPs include “pSPLP,” which include an encapsulated condensing agent-nucleic acid complex as set forth in PCT Publication No. WO 00/03683.
- the particles of the present invention typically have a mean diameter of about 50 nm to about 150 nm, more typically about 60 nm to about 130 nm, more typically about 70 nm to about 110 nm, most typically about 70 nm to about 90 nm, and are substantially nontoxic.
- nucleic acids when present in the nucleic acid-lipid particles of the present invention are resistant in aqueous solution to degradation with a nuclease.
- Nucleic acid-lipid particles and their method of preparation are disclosed in, e.g., U.S. Pat. Nos. 5,976,567; 5,981,501; 6,534,484; 6,586,410; 6,815,432; and PCT Publication No. WO 96/40964.
- the lipid to drug ratio (mass/mass ratio) (e.g., lipid to dsRNA ratio) will be in the range of from about 1:1 to about 50:1, from about 1:1 to about 25:1, from about 3:1 to about 15:1, from about 4:1 to about 10:1, from about 5:1 to about 9:1, or about 6:1 to about 9:1.
- the cationic lipid may be, for example, N,N-dioleyl-N,N-dimethylammonium chloride (DODAC), N,N-distearyl-N,N-dimethylammonium bromide (DDAB), N-(I-(2,3-dioleoyloxy)propyl)-N,N,N-trimethylammonium chloride (DOTAP), N-(I-(2,3-dioleyloxy)propyl)-N,N,N-trimethylammonium chloride (DOTMA), N,N-dimethyl-2,3-dioleyloxy)propylamine (DODMA), 1,2-DiLinoleyloxy-N,N-dimethylaminopropane (DLinDMA), 1,2-Dilinolenyloxy-N,N-dimethylaminopropane (DLenDMA), 1,2-Dilinoleylcarbamoyloxy-3-dimethylamino
- the compound 2,2-Dilinoleyl-4-dimethylaminoethyl-[1,3]-dioxolane can be used to prepare lipid-siRNA nanoparticles. Synthesis of 2,2-Dilinoleyl-4-dimethylaminoethyl-[1,3]-dioxolane is described in U.S. provisional patent application No. 61/107,998 filed on Oct. 23, 2008, which is herein incorporated by reference.
- the lipid-siRNA particle includes 40% 2, 2-Dilinoleyl-4-dimethylaminoethyl-[1,3]-dioxolane: 10% DSPC: 40% Cholesterol: 10% PEG-C-DOMG (mole percent) with a particle size of 63.0 ⁇ 20 nm and a 0.027 siRNA/Lipid Ratio.
- the non-cationic lipid may be an anionic lipid or a neutral lipid including, but not limited to, distearoylphosphatidylcholine (DSPC), dioleoylphosphatidylcholine (DOPC), dipalmitoylphosphatidylcholine (DPPC), dioleoylphosphatidylglycerol (DOPG), dipalmitoylphosphatidylglycerol (DPPG), dioleoyl-phosphatidylethanolamine (DOPE), palmitoyloleoylphosphatidylcholine (POPC), palmitoyloleoylphosphatidylethanolamine (POPE), dioleoyl-phosphatidylethanolamine 4-(N-maleimidomethyl)-cyclohexane-1-carboxylate (DOPE-mal), dipalmitoyl phosphatidyl ethanolamine (DPPE), dimyristoylphosphoethanolamine (DMPE), distearoyl
- the conjugated lipid that inhibits aggregation of particles may be, for example, a polyethyleneglycol (PEG)-lipid including, without limitation, a PEG-diacylglycerol (DAG), a PEG-dialkyloxypropyl (DAA), a PEG-phospholipid, a PEG-ceramide (Cer), or a mixture thereof.
- the PEG-DAA conjugate may be, for example, a PEG-dilauryloxypropyl (Ci 2 ), a PEG-dimyristyloxypropyl (Ci 4 , a PEG-dipalmityloxypropyl (Ci 6 ), or a PEG-distearyloxypropyl (Ci 8 ).
- the conjugated lipid that prevents aggregation of particles may be from 0 mol % to about 20 mol % or about 2 mol % of the total lipid present in the particle.
- the nucleic acid-lipid particle further includes cholesterol at, e.g., about 10 mol % to about 60 mol % or about 48 mol % of the total lipid present in the particle.
- the lipidoid ND98.4HCl (MW 1487) (Formula 1), Cholesterol (Sigma-Aldrich), and PEG-Ceramide C16 (Avanti Polar Lipids) can be used to prepare lipid-siRNA nanoparticles (i.e., LNP01 particles).
- Stock solutions of each in ethanol can be prepared as follows: ND98, 133 mg/ml; Cholesterol, 25 mg/ml, PEG-Ceramide C16, 100 mg/ml.
- the ND98, Cholesterol, and PEG-Ceramide C16 stock solutions can then be combined in a, e.g., 42:48:10 molar ratio.
- the combined lipid solution can be mixed with aqueous siRNA (e.g., in sodium acetate pH 5) such that the final ethanol concentration is about 35-45% and the final sodium acetate concentration is about 100-300 mM.
- aqueous siRNA e.g., in sodium acetate pH 5
- Lipid-siRNA nanoparticles typically form spontaneously upon mixing.
- the resultant nanoparticle mixture can be extruded through a polycarbonate membrane (e.g., 100 nm cut-off) using, for example, a thermobarrel extruder, such as Lipex Extruder (Northern Lipids, Inc). In some cases, the extrusion step can be omitted.
- Ethanol removal and simultaneous buffer exchange can be accomplished by, for example, dialysis or tangential flow filtration.
- Buffer can be exchanged with, for example, phosphate buffered saline (PBS) at about pH 7, e.g., about pH 6.9, about pH 7.0, about pH 7.1, about pH 7.2, about pH 7.3, or about pH 7.4.
- PBS phosphate buffered saline
- LNP01 formulations are described, e.g., in International Application Publication No. WO 2008/042973, which is hereby incorporated by reference.
- lipid-siRNA formulations are as follows:
- LNP09 formulations and XTC comprising formulations are described, e.g., in U.S. Provisional Ser. No. 61/239,686, filed Sep. 3, 2009, which is hereby incorporated by reference.
- LNP11 formulations and MC3 comprising formulations are described, e.g., in U.S. Provisional Ser. No. 61/244,834, filed Sep. 22, 2009, which is hereby incorporated by reference.
- Formulations prepared by either the standard or extrusion-free method can be characterized in similar manners.
- formulations are typically characterized by visual inspection. They should be whitish translucent solutions free from aggregates or sediment. Particle size and particle size distribution of lipid-nanoparticles can be measured by light scattering using, for example, a Malvern Zetasizer Nano ZS (Malvern, USA). Particles should be about 20-300 nm, such as 40-100 nm in size. The particle size distribution should be unimodal.
- the total siRNA concentration in the formulation, as well as the entrapped fraction is estimated using a dye exclusion assay.
- a sample of the formulated siRNA can be incubated with an RNA-binding dye, such as Ribogreen (Molecular Probes) in the presence or absence of a formulation disrupting surfactant, e.g., 0.5% Triton-X100.
- a formulation disrupting surfactant e.g. 0.5% Triton-X100.
- the total siRNA in the formulation can be determined by the signal from the sample containing the surfactant, relative to a standard curve.
- the entrapped fraction is determined by subtracting the “free” siRNA content (as measured by the signal in the absence of surfactant) from the total siRNA content. Percent entrapped siRNA is typically >85%.
- the particle size is at least 30 nm, at least 40 nm, at least 50 nm, at least 60 nm, at least 70 nm, at least 80 nm, at least 90 nm, at least 100 nm, at least 110 nm, and at least 120 nm.
- the suitable range is typically about at least 50 nm to about at least 110 nm, about at least 60 nm to about at least 100 nm, or about at least 80 nm to about at least 90 nm.
- compositions and formulations for oral administration include powders or granules, microparticulates, nanoparticulates, suspensions or solutions in water or non-aqueous media, capsules, gel capsules, sachets, tablets or minitablets. Thickeners, flavoring agents, diluents, emulsifiers, dispersing aids or binders may be desirable.
- oral formulations are those in which dsRNAs featured in the invention are administered in conjunction with one or more penetration enhancers surfactants and chelators.
- Suitable surfactants include fatty acids and/or esters or salts thereof, bile acids and/or salts thereof.
- Suitable bile acids/salts include chenodeoxycholic acid (CDCA) and ursodeoxychenodeoxycholic acid (UDCA), cholic acid, dehydrocholic acid, deoxycholic acid, glucholic acid, glycholic acid, glycodeoxycholic acid, taurocholic acid, taurodeoxycholic acid, sodium tauro-24,25-dihydro-fusidate and sodium glycodihydrofusidate.
- DCA chenodeoxycholic acid
- UDCA ursodeoxychenodeoxycholic acid
- cholic acid dehydrocholic acid
- deoxycholic acid deoxycholic acid
- glucholic acid glycholic acid
- glycodeoxycholic acid taurocholic acid
- taurodeoxycholic acid sodium tauro-24,25-dihydro-fusidate and sodium glycodihydrofusidate.
- Suitable fatty acids include arachidonic acid, undecanoic acid, oleic acid, lauric acid, caprylic acid, capric acid, myristic acid, palmitic acid, stearic acid, linoleic acid, linolenic acid, dicaprate, tricaprate, monoolein, dilaurin, glyceryl 1-monocaprate, 1-dodecylazacycloheptan-2-one, an acylcarnitine, an acylcholine, or a monoglyceride, a diglyceride or a pharmaceutically acceptable salt thereof (e.g., sodium).
- arachidonic acid arachidonic acid, undecanoic acid, oleic acid, lauric acid, caprylic acid, capric acid, myristic acid, palmitic acid, stearic acid, linoleic acid, linolenic acid, dicaprate, tricaprate, monoolein, dilaurin, gly
- combinations of penetration enhancers are used, for example, fatty acids/salts in combination with bile acids/salts.
- One exemplary combination is the sodium salt of lauric acid, capric acid and UDCA.
- Further penetration enhancers include polyoxyethylene-9-lauryl ether, polyoxyethylene-20-cetyl ether.
- DsRNAs featured in the invention may be delivered orally, in granular form including sprayed dried particles, or complexed to form micro or nanoparticles.
- DsRNA complexing agents include poly-amino acids; polyimines; polyacrylates; polyalkylacrylates, polyoxethanes, polyalkylcyanoacrylates; cationized gelatins, albumins, starches, acrylates, polyethyleneglycols (PEG) and starches; polyalkylcyanoacrylates; DEAE-derivatized polyimines, pollulans, celluloses and starches.
- Suitable complexing agents include chitosan, N-trimethylchitosan, poly-L-lysine, polyhistidine, polyornithine, polyspermines, protamine, polyvinylpyridine, polythiodiethylaminomethylethylene P(TDAE), polyaminostyrene (e.g., p-amino), poly(methylcyanoacrylate), poly(ethylcyanoacrylate), poly(butylcyanoacrylate), poly(isobutylcyanoacrylate), poly(isohexylcynaoacrylate), DEAE-methacrylate, DEAE-hexylacrylate, DEAE-acrylamide, DEAE-albumin and DEAE-dextran, polymethylacrylate, polyhexylacrylate, poly(D,L-lactic acid), poly(DL-lactic-co-glycolic acid (PLGA), alginate, and polyethyleneglycol (PEG).
- TDAE polythiodiethylamino
- compositions and formulations for parenteral, intraparenchymal (into the brain), intrathecal, intraventricular or intrahepatic administration may include sterile aqueous solutions which may also contain buffers, diluents and other suitable additives such as, but not limited to, penetration enhancers, carrier compounds and other pharmaceutically acceptable carriers or excipients.
- compositions of the present invention include, but are not limited to, solutions, emulsions, and liposome-containing formulations. These compositions may be generated from a variety of components that include, but are not limited to, preformed liquids, self-emulsifying solids and self-emulsifying semisolids. Particularly preferred are formulations that target the liver when treating hepatic disorders such as hepatic carcinoma.
- the pharmaceutical formulations of the present invention may be prepared according to conventional techniques well known in the pharmaceutical industry. Such techniques include the step of bringing into association the active ingredients with the pharmaceutical carrier(s) or excipient(s). In general, the formulations are prepared by uniformly and intimately bringing into association the active ingredients with liquid carriers or finely divided solid carriers or both, and then, if necessary, shaping the product.
- compositions of the present invention may be formulated into any of many possible dosage forms such as, but not limited to, tablets, capsules, gel capsules, liquid syrups, soft gels, suppositories, and enemas.
- the compositions of the present invention may also be formulated as suspensions in aqueous, non-aqueous or mixed media.
- Aqueous suspensions may further contain substances which increase the viscosity of the suspension including, for example, sodium carboxymethylcellulose, sorbitol and/or dextran.
- the suspension may also contain stabilizers.
- compositions of the present invention may be prepared and formulated as emulsions.
- Emulsions are typically heterogeneous systems of one liquid dispersed in another in the form of droplets usually exceeding 0.1 ⁇ m in diameter (Idson, in Pharmaceutical Dosage Forms, Lieberman, Rieger and Banker (Eds.), 1988, Marcel Dekker, Inc., New York, N.Y., volume 1, p. 199; Rosoff, in Pharmaceutical Dosage Forms, Lieberman, Rieger and Banker (Eds.), 1988, Marcel Dekker, Inc., New York, N.Y., Volume 1, p.
- Emulsions are often biphasic systems comprising two immiscible liquid phases intimately mixed and dispersed with each other.
- emulsions may be of either the water-in-oil (w/o) or the oil-in-water (o/w) variety.
- Emulsions may contain additional components in addition to the dispersed phases, and the active drug which may be present as a solution in either the aqueous phase, oily phase or itself as a separate phase.
- compositions such as emulsifiers, stabilizers, dyes, and anti-oxidants may also be present in emulsions as needed.
- Pharmaceutical emulsions may also be multiple emulsions that are comprised of more than two phases such as, for example, in the case of oil-in-water-in-oil (o/w/o) and water-in-oil-in-water (w/o/w) emulsions.
- Such complex formulations often provide certain advantages that simple binary emulsions do not.
- Multiple emulsions in which individual oil droplets of an o/w emulsion enclose small water droplets constitute a w/o/w emulsion.
- a system of oil droplets enclosed in globules of water stabilized in an oily continuous phase provides an o/w/o emulsion.
- Emulsions are characterized by little or no thermodynamic stability. Often, the dispersed or discontinuous phase of the emulsion is well dispersed into the external or continuous phase and maintained in this form through the means of emulsifiers or the viscosity of the formulation.
- Either of the phases of the emulsion may be a semisolid or a solid, as is the case of emulsion-style ointment bases and creams.
- Other means of stabilizing emulsions entail the use of emulsifiers that may be incorporated into either phase of the emulsion.
- Emulsifiers may broadly be classified into four categories: synthetic surfactants, naturally occurring emulsifiers, absorption bases, and finely dispersed solids (Idson, in Pharmaceutical Dosage Forms, Lieberman, Rieger and Banker (Eds.), 1988, Marcel Dekker, Inc., New York, N.Y., volume 1, p. 199).
- Synthetic surfactants also known as surface active agents, have found wide applicability in the formulation of emulsions and have been reviewed in the literature (Rieger, in Pharmaceutical Dosage Forms, Lieberman, Rieger and Banker (Eds.), 1988, Marcel Dekker, Inc., New York, N.Y., volume 1, p. 285; Idson, in Pharmaceutical Dosage Forms, Lieberman, Rieger and Banker (Eds.), Marcel Dekker, Inc., New York, N.Y., 1988, volume 1, p. 199).
- Surfactants are typically amphiphilic and comprise a hydrophilic and a hydrophobic portion.
- HLB hydrophile/lipophile balance
- surfactants may be classified into different classes based on the nature of the hydrophilic group: nonionic, anionic, cationic and amphoteric (Rieger, in Pharmaceutical Dosage Forms, Lieberman, Rieger and Banker (Eds.), 1988, Marcel Dekker, Inc., New York, N.Y., volume 1, p. 285).
- Naturally occurring emulsifiers used in emulsion formulations include lanolin, beeswax, phosphatides, lecithin and acacia.
- Absorption bases possess hydrophilic properties such that they can soak up water to form w/o emulsions yet retain their semisolid consistencies, such as anhydrous lanolin and hydrophilic petrolatum. Finely divided solids have also been used as good emulsifiers especially in combination with surfactants and in viscous preparations.
- polar inorganic solids such as heavy metal hydroxides, nonswelling clays such as bentonite, attapulgite, hectorite, kaolin, montmorillonite, colloidal aluminum silicate and colloidal magnesium aluminum silicate, pigments and nonpolar solids such as carbon or glyceryl tristearate.
- non-emulsifying materials are also included in emulsion formulations and contribute to the properties of emulsions. These include fats, oils, waxes, fatty acids, fatty alcohols, fatty esters, humectants, hydrophilic colloids, preservatives and antioxidants (Block, in Pharmaceutical Dosage Forms, Lieberman, Rieger and Banker (Eds.), 1988, Marcel Dekker, Inc., New York, N.Y., volume 1, p. 335; Idson, in Pharmaceutical Dosage Forms, Lieberman, Rieger and Banker (Eds.), 1988, Marcel Dekker, Inc., New York, N.Y., volume 1, p. 199).
- Hydrophilic colloids or hydrocolloids include naturally occurring gums and synthetic polymers such as polysaccharides (for example, acacia, agar, alginic acid, carrageenan, guar gum, karaya gum, and tragacanth), cellulose derivatives (for example, carboxymethylcellulose and carboxypropylcellulose), and synthetic polymers (for example, carbomers, cellulose ethers, and carboxyvinyl polymers). These disperse or swell in water to form colloidal solutions that stabilize emulsions by forming strong interfacial films around the dispersed-phase droplets and by increasing the viscosity of the external phase.
- polysaccharides for example, acacia, agar, alginic acid, carrageenan, guar gum, karaya gum, and tragacanth
- cellulose derivatives for example, carboxymethylcellulose and carboxypropylcellulose
- synthetic polymers for example, carbomers, cellulose ethers, and
- emulsions often contain a number of ingredients such as carbohydrates, proteins, sterols and phosphatides that may readily support the growth of microbes, these formulations often incorporate preservatives.
- preservatives included in emulsion formulations include methyl paraben, propyl paraben, quaternary ammonium salts, benzalkonium chloride, esters of p-hydroxybenzoic acid, and boric acid.
- Antioxidants are also commonly added to emulsion formulations to prevent deterioration of the formulation.
- Antioxidants used may be free radical scavengers such as tocopherols, alkyl gallates, butylated hydroxyanisole, butylated hydroxytoluene, or reducing agents such as ascorbic acid and sodium metabisulfite, and antioxidant synergists such as citric acid, tartaric acid, and lecithin.
- free radical scavengers such as tocopherols, alkyl gallates, butylated hydroxyanisole, butylated hydroxytoluene, or reducing agents such as ascorbic acid and sodium metabisulfite
- antioxidant synergists such as citric acid, tartaric acid, and lecithin.
- Emulsion formulations for oral delivery have been very widely used because of ease of formulation, as well as efficacy from an absorption and bioavailability standpoint (Rosoff, in Pharmaceutical Dosage Forms, Lieberman, Rieger and Banker (Eds.), 1988, Marcel Dekker, Inc., New York, N.Y., volume 1, p.
- the compositions of dsRNAs and nucleic acids are formulated as microemulsions.
- a microemulsion may be defined as a system of water, oil and amphiphile which is a single optically isotropic and thermodynamically stable liquid solution (Rosoff, in Pharmaceutical Dosage Forms, Lieberman, Rieger and Banker (Eds.), 1988, Marcel Dekker, Inc., New York, N.Y., volume 1, p. 245).
- microemulsions are systems that are prepared by first dispersing an oil in an aqueous surfactant solution and then adding a sufficient amount of a fourth component, generally an intermediate chain-length alcohol to form a transparent system.
- microemulsions have also been described as thermodynamically stable, isotropically clear dispersions of two immiscible liquids that are stabilized by interfacial films of surface-active molecules (Leung and Shah, in: Controlled Release of Drugs: Polymers and Aggregate Systems, Rosoff, M., Ed., 1989, VCH Publishers, New York, pages 185-215).
- Microemulsions commonly are prepared via a combination of three to five components that include oil, water, surfactant, cosurfactant and electrolyte.
- microemulsion is of the water-in-oil (w/o) or an oil-in-water (o/w) type is dependent on the properties of the oil and surfactant used and on the structure and geometric packing of the polar heads and hydrocarbon tails of the surfactant molecules (Schott, in Remington's Pharmaceutical Sciences, Mack Publishing Co., Easton, Pa., 1985, p. 271).
- microemulsions offer the advantage of solubilizing water-insoluble drugs in a formulation of thermodynamically stable droplets that are formed spontaneously.
- Surfactants used in the preparation of microemulsions include, but are not limited to, ionic surfactants, non-ionic surfactants, Brij 96, polyoxyethylene oleyl ethers, polyglycerol fatty acid esters, tetraglycerol monolaurate (ML310), tetraglycerol monooleate (MO310), hexaglycerol monooleate (PO310), hexaglycerol pentaoleate (PO500), decaglycerol monocaprate (MCA750), decaglycerol monooleate (MO750), decaglycerol sequioleate (SO750), decaglycerol decaoleate (DAO750), alone or in combination with cosurfactants.
- ionic surfactants non-ionic surfactants
- Brij 96 polyoxyethylene oleyl ethers
- polyglycerol fatty acid esters tetraglycerol monolaurate (ML310),
- the cosurfactant usually a short-chain alcohol such as ethanol, 1-propanol, and 1-butanol, serves to increase the interfacial fluidity by penetrating into the surfactant film and consequently creating a disordered film because of the void space generated among surfactant molecules.
- Microemulsions may, however, be prepared without the use of cosurfactants and alcohol-free self-emulsifying microemulsion systems are known in the art.
- the aqueous phase may typically be, but is not limited to, water, an aqueous solution of the drug, glycerol, PEG300, PEG400, polyglycerols, propylene glycols, and derivatives of ethylene glycol.
- the oil phase may include, but is not limited to, materials such as Captex 300, Captex 355, Capmul MCM, fatty acid esters, medium chain (C8-C12) mono, di, and tri-glycerides, polyoxyethylated glyceryl fatty acid esters, fatty alcohols, polyglycolized glycerides, saturated polyglycolized C8-C10 glycerides, vegetable oils and silicone oil.
- materials such as Captex 300, Captex 355, Capmul MCM, fatty acid esters, medium chain (C8-C12) mono, di, and tri-glycerides, polyoxyethylated glyceryl fatty acid esters, fatty alcohols, polyglycolized glycerides, saturated polyglycolized C8-C10 glycerides, vegetable oils and silicone oil.
- Microemulsions are particularly of interest from the standpoint of drug solubilization and the enhanced absorption of drugs.
- Lipid based microemulsions both o/w and w/o have been proposed to enhance the oral bioavailability of drugs, including peptides (Constantinides et al., Pharmaceutical Research, 1994, 11, 1385-1390; Ritschel, Meth. Find. Exp. Clin. Pharmacol., 1993, 13, 205).
- Microemulsions afford advantages of improved drug solubilization, protection of drug from enzymatic hydrolysis, possible enhancement of drug absorption due to surfactant-induced alterations in membrane fluidity and permeability, ease of preparation, ease of oral administration over solid dosage forms, improved clinical potency, and decreased toxicity (Constantinides et al., Pharmaceutical Research, 1994, 11, 1385; Ho et al., J. Pharm. Sci., 1996, 85, 138-143). Often microemulsions may form spontaneously when their components are brought together at ambient temperature. This may be particularly advantageous when formulating thermolabile drugs, peptides or dsRNAs. Microemulsions have also been effective in the transdermal delivery of active components in both cosmetic and pharmaceutical applications.
- microemulsion compositions and formulations of the present invention will facilitate the increased systemic absorption of dsRNAs and nucleic acids from the gastrointestinal tract, as well as improve the local cellular uptake of dsRNAs and nucleic acids.
- Microemulsions of the present invention may also contain additional components and additives such as sorbitan monostearate (Grill 3), Labrasol, and penetration enhancers to improve the properties of the formulation and to enhance the absorption of the dsRNAs and nucleic acids of the present invention.
- Penetration enhancers used in the microemulsions of the present invention may be classified as belonging to one of five broad categories—surfactants, fatty acids, bile salts, chelating agents, and non-chelating non-surfactants (Lee et al., Critical Reviews in Therapeutic Drug Carrier Systems, 1991, p. 92). Each of these classes has been discussed above.
- the present invention employs various penetration enhancers to effect the efficient delivery of nucleic acids, particularly dsRNAs, to the skin of animals.
- nucleic acids particularly dsRNAs
- Most drugs are present in solution in both ionized and nonionized forms. However, usually only lipid soluble or lipophilic drugs readily cross cell membranes. It has been discovered that even non-lipophilic drugs may cross cell membranes if the membrane to be crossed is treated with a penetration enhancer. In addition to aiding the diffusion of non-lipophilic drugs across cell membranes, penetration enhancers also enhance the permeability of lipophilic drugs.
- Penetration enhancers may be classified as belonging to one of five broad categories, i.e., surfactants, fatty acids, bile salts, chelating agents, and non-chelating non-surfactants (Lee et al., Critical Reviews in Therapeutic Drug Carrier Systems, 1991, p. 92). Each of the above mentioned classes of penetration enhancers are described below in greater detail.
- surfactants are chemical entities which, when dissolved in an aqueous solution, reduce the surface tension of the solution or the interfacial tension between the aqueous solution and another liquid, with the result that absorption of dsRNAs through the mucosa is enhanced.
- these penetration enhancers include, for example, sodium lauryl sulfate, polyoxyethylene-9-lauryl ether and polyoxyethylene-20-cetyl ether) (Lee et al., Critical Reviews in Therapeutic Drug Carrier Systems, 1991, p. 92); and perfluorochemical emulsions, such as FC-43. Takahashi et al., J. Pharm. Pharmacol., 1988, 40, 252).
- Fatty acids Various fatty acids and their derivatives which act as penetration enhancers include, for example, oleic acid, lauric acid, capric acid (n-decanoic acid), myristic acid, palmitic acid, stearic acid, linoleic acid, linolenic acid, dicaprate, tricaprate, monoolein (1-monooleoyl-rac-glycerol), dilaurin, caprylic acid, arachidonic acid, glycerol 1-monocaprate, 1-dodecylazacycloheptan-2-one, acylcarnitines, acylcholines, C.sub.1-10 alkyl esters thereof (e.g., methyl, isopropyl and t-butyl), and mono- and di-glycerides thereof (i.e., oleate, laurate, caprate, myristate, palmitate, stearate, linoleate, etc.) (Le
- Bile salts The physiological role of bile includes the facilitation of dispersion and absorption of lipids and fat-soluble vitamins (Brunton, Chapter 38 in: Goodman & Gilman's The Pharmacological Basis of Therapeutics, 9th Ed., Hardman et al. Eds., McGraw-Hill, New York, 1996, pp. 934-935).
- bile salts includes any of the naturally occurring components of bile as well as any of their synthetic derivatives.
- Suitable bile salts include, for example, cholic acid (or its pharmaceutically acceptable sodium salt, sodium cholate), dehydrocholic acid (sodium dehydrocholate), deoxycholic acid (sodium deoxycholate), glucholic acid (sodium glucholate), glycholic acid (sodium glycocholate), glycodeoxycholic acid (sodium glycodeoxycholate), taurocholic acid (sodium taurocholate), taurodeoxycholic acid (sodium taurodeoxycholate), chenodeoxycholic acid (sodium chenodeoxycholate), ursodeoxycholic acid (UDCA), sodium tauro-24,25-dihydro-fusidate (STDHF), sodium glycodihydrofusidate and polyoxyethylene-9-lauryl ether (POE) (Lee et al., Critical Reviews in Therapeutic Drug Carrier Systems, 1991, page 92; Swinyard, Chapter 39 In: Remington's Pharmaceutical Sciences, 18th
- Chelating agents can be defined as compounds that remove metallic ions from solution by forming complexes therewith, with the result that absorption of dsRNAs through the mucosa is enhanced.
- chelating agents have the added advantage of also serving as DNase inhibitors, as most characterized DNA nucleases require a divalent metal ion for catalysis and are thus inhibited by chelating agents (Jarrett, J. Chromatogr., 1993, 618, 315-339).
- Suitable chelating agents include but are not limited to disodium ethylenediaminetetraacetate (EDTA), citric acid, salicylates (e.g., sodium salicylate, 5-methoxysalicylate and homovanilate), N-acyl derivatives of collagen, laureth-9 and N-amino acyl derivatives of beta-diketones (enamines)(Lee et al., Critical Reviews in Therapeutic Drug Carrier Systems, 1991, page 92; Muranishi, Critical Reviews in Therapeutic Drug Carrier Systems, 1990, 7, 1-33; Buur et al., J. Control Rel., 1990, 14, 43-51).
- EDTA disodium ethylenediaminetetraacetate
- citric acid e.g., citric acid
- salicylates e.g., sodium salicylate, 5-methoxysalicylate and homovanilate
- N-acyl derivatives of collagen e.g., laureth-9 and N-amino acyl derivatives of
- Non-chelating non-surfactants As used herein, non-chelating non-surfactant penetration enhancing compounds can be defined as compounds that demonstrate insignificant activity as chelating agents or as surfactants but that nonetheless enhance absorption of dsRNAs through the alimentary mucosa (Muranishi, Critical Reviews in Therapeutic Drug Carrier Systems, 1990, 7, 1-33).
- This class of penetration enhancers include, for example, unsaturated cyclic ureas, 1-alkyl- and 1-alkenylazacyclo-alkanone derivatives (Lee et al., Critical Reviews in Therapeutic Drug Carrier Systems, 1991, page 92); and non-steroidal anti-inflammatory agents such as diclofenac sodium, indomethacin and phenylbutazone (Yamashita et al., J. Pharm. Pharmacol., 1987, 39, 621-626).
- compositions of the present invention also incorporate carrier compounds in the formulation.
- carrier compound or “carrier” can refer to a nucleic acid, or analog thereof, which is inert (i.e., does not possess biological activity per se) but is recognized as a nucleic acid by in vivo processes that reduce the bioavailability of a nucleic acid having biological activity by, for example, degrading the biologically active nucleic acid or promoting its removal from circulation.
- a nucleic acid and a carrier compound can result in a substantial reduction of the amount of nucleic acid recovered in the liver, kidney or other extracirculatory reservoirs, presumably due to competition between the carrier compound and the nucleic acid for a common receptor.
- the recovery of a partially phosphorothioate dsRNA in hepatic tissue can be reduced when it is coadministered with polyinosinic acid, dextran sulfate, polycytidic acid or 4-acetamido-4′isothiocyano-stilbene-2,2′-disulfonic acid (Miyao et al., DsRNA Res. Dev., 1995, 5, 115-121; Takakura et al., DsRNA & Nucl. Acid Drug Dev., 1996, 6, 177-183.
- a “pharmaceutical carrier” or “excipient” is a pharmaceutically acceptable solvent, suspending agent or any other pharmacologically inert vehicle for delivering one or more nucleic acids to an animal.
- the excipient may be liquid or solid and is selected, with the planned manner of administration in mind, so as to provide for the desired bulk, consistency, etc., when combined with a nucleic acid and the other components of a given pharmaceutical composition.
- Typical pharmaceutical carriers include, but are not limited to, binding agents (e.g., pregelatinized maize starch, polyvinylpyrrolidone or hydroxypropyl methylcellulose, etc.); fillers (e.g., lactose and other sugars, microcrystalline cellulose, pectin, gelatin, calcium sulfate, ethyl cellulose, polyacrylates or calcium hydrogen phosphate, etc.); lubricants (e.g., magnesium stearate, talc, silica, colloidal silicon dioxide, stearic acid, metallic stearates, hydrogenated vegetable oils, corn starch, polyethylene glycols, sodium benzoate, sodium acetate, etc.); disintegrants (e.g., starch, sodium starch glycolate, etc.); and wetting agents (e.g., sodium lauryl sulphate, etc).
- binding agents e.g., pregelatinized maize starch, polyvinylpyrrolidone or hydroxypropy
- compositions of the present invention can also be used to formulate the compositions of the present invention.
- suitable pharmaceutically acceptable carriers include, but are not limited to, water, salt solutions, alcohols, polyethylene glycols, gelatin, lactose, amylose, magnesium stearate, talc, silicic acid, viscous paraffin, hydroxymethylcellulose, polyvinylpyrrolidone and the like.
- Formulations for topical administration of nucleic acids may include sterile and non-sterile aqueous solutions, non-aqueous solutions in common solvents such as alcohols, or solutions of the nucleic acids in liquid or solid oil bases.
- the solutions may also contain buffers, diluents and other suitable additives.
- Pharmaceutically acceptable organic or inorganic excipients suitable for non-parenteral administration which do not deleteriously react with nucleic acids can be used.
- Suitable pharmaceutically acceptable excipients include, but are not limited to, water, salt solutions, alcohol, polyethylene glycols, gelatin, lactose, amylose, magnesium stearate, talc, silicic acid, viscous paraffin, hydroxymethylcellulose, polyvinylpyrrolidone and the like.
- compositions of the present invention may additionally contain other adjunct components conventionally found in pharmaceutical compositions, at their art-established usage levels.
- the compositions may contain additional, compatible, pharmaceutically-active materials such as, for example, antipruritics, astringents, local anesthetics or anti-inflammatory agents, or may contain additional materials useful in physically formulating various dosage forms of the compositions of the present invention, such as dyes, flavoring agents, preservatives, antioxidants, opacifiers, thickening agents and stabilizers.
- additional materials useful in physically formulating various dosage forms of the compositions of the present invention such as dyes, flavoring agents, preservatives, antioxidants, opacifiers, thickening agents and stabilizers.
- such materials when added, should not unduly interfere with the biological activities of the components of the compositions of the present invention.
- the formulations can be sterilized and, if desired, mixed with auxiliary agents, e.g., lubricants, preservatives, stabilizers, wetting agents, emulsifiers, salts for influencing osmotic pressure, buffers, colorings, flavorings and/or aromatic substances and the like which do not deleteriously interact with the nucleic acid(s) of the formulation.
- auxiliary agents e.g., lubricants, preservatives, stabilizers, wetting agents, emulsifiers, salts for influencing osmotic pressure, buffers, colorings, flavorings and/or aromatic substances and the like which do not deleteriously interact with the nucleic acid(s) of the formulation.
- Aqueous suspensions may contain substances which increase the viscosity of the suspension including, for example, sodium carboxymethylcellulose, sorbitol and/or dextran.
- the suspension may also contain stabilizers.
- compositions featured in the invention include (a) one or more dsRNA compounds and (b) one or more anti-cytokine biologic agents which function by a non-RNAi mechanism.
- biologics include, biologics that target IL1 ⁇ (e.g., anakinra), IL6 (tocilizumab), or TNF (etanercept, infliximab, adlimumab, or certolizumab).
- Toxicity and therapeutic efficacy of such compounds can be determined by standard pharmaceutical procedures in cell cultures or experimental animals, e.g., for determining the LD50 (the dose lethal to 50% of the population) and the ED50 (the dose therapeutically effective in 50% of the population).
- the dose ratio between toxic and therapeutic effects is the therapeutic index and it can be expressed as the ratio LD50/ED50.
- Compounds that exhibit high therapeutic indices are preferred.
- the data obtained from cell culture assays and animal studies can be used in formulating a range of dosage for use in humans.
- the dosage of compositions featured in the invention lies generally within a range of circulating concentrations that include the ED50 with little or no toxicity.
- the dosage may vary within this range depending upon the dosage form employed and the route of administration utilized.
- the therapeutically effective dose can be estimated initially from cell culture assays.
- a dose may be formulated in animal models to achieve a circulating plasma concentration range of the compound or, when appropriate, of the polypeptide product of a target sequence (e.g., achieving a decreased concentration of the polypeptide) that includes the IC50 (i.e., the concentration of the test compound which achieves a half-maximal inhibition of symptoms) as determined in cell culture.
- a target sequence e.g., achieving a decreased concentration of the polypeptide
- the IC50 i.e., the concentration of the test compound which achieves a half-maximal inhibition of symptoms
- levels in plasma may be measured, for example, by high performance liquid chromatography.
- the dsRNAs featured in the invention can be administered in combination with other known agents effective in treatment of pathological processes mediated by TTR expression.
- the administering physician can adjust the amount and timing of dsRNA administration on the basis of results observed using standard measures of efficacy known in the art or described herein.
- the invention relates in particular to the use of a dsRNA targeting TTR and compositions containing at least one such dsRNA for the treatment of a TTR-mediated disorder or disease.
- a dsRNA targeting a TTR gene can be useful for the treatment of a TTR amyloidosis, such as familial amyloidotic polyneuropathy (FAP), familial amyloidotic cardiomyopathy (FAC), leptomeningeal/CNS amyloidosis, amyloidosis VII form (also known as leptomeningeal or meningocerebrovascular amyloidosis), hyperthyroxinemia, and cardiac amyloidosis (also called senile systemic amyloidosis (SSA) and senile cardiac amyloidosis (SCA)).
- FAP familial amyloidotic polyneuropathy
- FAC familial amyloidotic cardiomyopathy
- FAC familial amyloidotic cardiomyopathy
- FIG. 15 illustrates symptoms and mutations in TTR associated with familial amyloidotic neuropathy, familial amyloidotic cardiomyopathy and CNS amyloidosis.
- the invention includes compositions and methods for treatment of these diseases and symptoms, and directed to these mutant versions of TTR.
- a dsRNA targeting a TTR gene is also used for treatment of symptoms and disorders, such as TTR amyloidosis.
- Symptoms associated with such amyloidosis include, e.g., seizures, dementia, myelopathy, polyneuropathy, carpal tunnel syndrome, autonomic insufficiency, cardiomyopathy, gastrointestinal dysfunction (e.g., gastric ulcers, diarrhea, constipation, malabsorption), weight loss, hepatomegaly, lymphadenopathy, goiter, vitreous opacities, renal insufficiency (including proteinuria and kidney failure), nephropathy, cranial nerve dysfunction, corneal lattice dystrophy, and congestive heart failure with generalized weakness and difficulties breathing from fluid retention.
- a composition according to the invention or a pharmaceutical composition prepared therefrom can enhance the quality of life.
- the invention further relates to the use of a dsRNA or a pharmaceutical composition thereof, e.g., for treating a TTR amyloidosis, in combination with other pharmaceuticals and/or other therapeutic methods, e.g., with known pharmaceuticals and/or known therapeutic methods, such as, for example, those which are currently employed for treating these disorders.
- a dsRNA targeting TTR can be administered in combination with a liver transplant.
- a dsRNA targeting TTR can be administered in combination with a pharmaceutical or therapeutic method for treating a symptom of a TTR disease, such as diuretics, ACE (angiotensin converting enzyme) inhibitors, angiotensin receptor blockers (ARBs), or dialysis, e.g., for management of renal function.
- a pharmaceutical or therapeutic method for treating a symptom of a TTR disease such as diuretics, ACE (angiotensin converting enzyme) inhibitors, angiotensin receptor blockers (ARBs), or dialysis, e.g., for management of renal function.
- the dsRNA and an additional therapeutic agent can be administered in the same combination, e.g., parenterally, or the additional therapeutic agent can be administered as part of a separate composition or by another method described herein.
- the invention features a method of administering a dsRNA targeting TTR to a patient having a disease or disorder mediated by TTR expression, such as a TTR amyloidosis, e.g., FAP.
- Administration of the dsRNA can stabilize and improve peripheral neurological function, for example, in a patient with FAP.
- Patients can be administered a therapeutic amount of dsRNA, such as 0.1 mg/kg, 0.2 mg/kg, 0.5 mg/kg, 1.0 mg/kg, 1.5 mg/kg, 2.0 mg/kg, or 2.5 mg/kg dsRNA.
- the dsRNA can be administered by intravenous infusion over a period of time, such as over a 5 minute, 10 minute, 15 minute, 20 minute, 25 minute, 60 minute, 120 minute or 180 minute period.
- the administration is repeated, for example, on a regular basis, such as biweekly (i.e., every two weeks) for one month, two months, three months, four months or longer.
- the treatments can be administered on a less frequent basis. For example, after administration biweekly for three months, administration can be repeated once per month, for six months or a year or longer.
- Administration of the dsRNA can reduce TTR levels in the blood or urine of the patient by at least 20%, 25%, 30%, 40%, 50%, 60%, 70%, 80% or 90% or more.
- a smaller dose such as a dose that is 5% of the full dose
- adverse effects such as an allergic reaction or a change in liver function.
- a low incidence of LFT (Liver Function Test) change e.g., a 10-20% incidence of LFT
- ALT alanine aminotransferase
- AST aspartate aminotransferase
- TTR-associated diseases and disorders are hereditary. Therefore, a patient in need of a TTR dsRNA can be identified by taking a family history.
- a healthcare provider such as a doctor, nurse, or family member, can take a family history before prescribing or administering a TTR dsRNA.
- a DNA test may also be performed on the patient to identify a mutation in the TTR gene, before a TTR dsRNA is administered to the patient.
- the patient may have a biopsy performed before receiving a TTR dsRNA.
- the biopsy can be, for example, on a tissue, such as the gastric mucosa, peripheral nerve, skin, abdominal fat, liver, or kidney, and the biopsy may reveal amyloid plaques, which are indicative of a TTR-mediated disorder.
- the patient is administered a TTR dsRNA.
- the invention provides a method for inhibiting the expression of a TTR gene in a mammal.
- the method includes administering a composition featured in the invention to the mammal such that expression of the target TTR gene is silenced.
- the composition may be administered by any means known in the art including, but not limited to oral or parenteral routes, including intracranial (e.g., intraventricular, intraparenchymal and intrathecal), intravenous, intramuscular, subcutaneous, transdermal, airway (aerosol), nasal, rectal, and topical (including buccal and sublingual) administration.
- intracranial e.g
- such reagent may be obtained from any supplier of reagents for molecular biology at a quality/purity standard for application in molecular biology.
- RNAs Single-stranded RNAs were produced by solid phase synthesis on a scale of 1 ⁇ mole using an Expedite 8909 synthesizer (Applied Biosystems, Appleratechnik GmbH, Darmstadt, Germany) and controlled pore glass (CPG, 500 ⁇ , Proligo Biochemie GmbH, Hamburg, Germany) as solid support.
- RNA and RNA containing 2′-O-methyl nucleotides were generated by solid phase synthesis employing the corresponding phosphoramidites and 2′-O-methyl phosphoramidites, respectively (Proligo Biochemie GmbH, Hamburg, Germany).
- RNA synthesis For the synthesis of 3′-cholesterol-conjugated siRNAs (herein referred to as -Chol-3′), an appropriately modified solid support was used for RNA synthesis.
- the modified solid support was prepared as follows:
- Fmoc-6-amino-hexanoic acid (9.12 g, 25.83 mmol) was dissolved in dichloromethane (50 mL) and cooled with ice.
- Diisopropylcarbodiimde (3.25 g, 3.99 mL, 25.83 mmol) was added to the solution at 0° C. It was then followed by the addition of Diethyl-azabutane-1,4-dicarboxylate (5 g, 24.6 mmol) and dimethylamino pyridine (0.305 g, 2.5 mmol). The solution was brought to room temperature and stirred further for 6 h. Completion of the reaction was ascertained by TLC.
- Potassium t-butoxide (1.1 g, 9.8 mmol) was slurried in 30 mL of dry toluene. The mixture was cooled to 0° C. on ice and 5 g (6.6 mmol) of diester AD was added slowly with stirring within 20 mins. The temperature was kept below 5° C. during the addition. The stirring was continued for 30 mins at 0° C.
- Diol AF (1.25 gm 1.994 mmol) was dried by evaporating with pyridine (2 ⁇ 5 mL) in vacuo.
- the reaction was carried out at room temperature overnight.
- the reaction was quenched by the addition of methanol.
- the reaction mixture was concentrated under vacuum and to the residue dichloromethane (50 mL) was added.
- the organic layer was washed with 1M aqueous sodium bicarbonate.
- the organic layer was dried over anhydrous sodium sulfate, filtered and concentrated.
- the residual pyridine was removed by evaporating with toluene.
- nucleotide monomers used in nucleic acid sequence representation. It will be understood that these monomers, when present in an oligonucleotide, are mutually linked by 5′-3′-phosphodiester bonds.
- Nucleotide(s) A adenosine-3′-phosphate C cytidine-3′-phosphate G guanosine-3′-phosphate T 5-methyluridine-3′-phosphate U uridine-3′-phosphate N any nucleotide (G, A, C, or T) a 2′-O-methyladenosine-3′-phosphate c 2′-O-methylcytidine-3′-phosphate g 2′-O-methylguanosine-3′-phosphate u 2′-O-methyluridine-3′-phosphate dT 2′-deoxythymidine-3′-phosphate sT; sdT 2′-deoxy-thymidine-5′phosphate-phosphorothio
- siRNA design was carried out to identify siRNAs targeting the gene transthyretin from human (symbol TTR) and rat (symbol Ttr).
- the design used the TTR transcripts NM_000371.2 (SEQ ID NO:1329) (human) and NM_012681.1 (SEQ ID NO:1330) (rat) from the NCBI Refseq collection.
- the siRNA duplexes were designed with 100% identity to their respective TTR genes.
- the predicted specificity of all possible 19mers was determined for each sequence.
- the TTR siRNAs were used in a comprehensive search against the human and rat transcriptomes (defined as the set of NM — and XM — records within the NCBI Refseq set) using the FASTA algorithm.
- the Python script ‘offtargetFasta.py’ was then used to parse the alignments and generate a score based on the position and number of mismatches between the siRNA and any potential ‘off-target’ transcript.
- the off-target score is weighted to emphasize differences in the ‘seed’ region of siRNAs, in positions 2-9 from the 5′ end of the molecule.
- the off-target score is calculated as follows: mismatches between the oligo and the transcript are given penalties.
- a mismatch in the seed region in positions 2-9 of the oligo is given a penalty of 2.8; mismatches in the putative cleavage sites 10 and 11 are given a penalty of 1.2, and mismatches in positions 12-19 a penalty of 1. Mismatches in position 1 are not considered.
- the off-target score for each oligo-transcript pair is then calculated by summing the mismatch penalties. The lowest off-target score from all the oligo-transcript pairs is then determined and used in subsequent sorting of oligos. Both siRNA strands were assigned to a category of specificity according to the calculated scores: a score above 3 qualifies as highly specific, equal to 3 as specific, and between 2.2 and 2.8 as moderately specific. In picking which oligos to synthesize, off-target scores of the antisense strand were sorted from high to low, and the 144 best (lowest off-target score) oligo pairs from human, and the best 26 pairs from rat were selected.
- a total of 140 sense and 140 antisense human TTR derived siRNA oligos were synthesized and formed into duplexes.
- a total of 26 sense and 26 antisense rat TTR derived siRNA oligos were synthesized and formed into duplexes. Duplexes included The oligos are presented in Tables 2-4 (human TTR) and Tables 5-7 (rat TTR).
- TTR sequences were synthesized on MerMade 192 synthesizer at 1 ⁇ mol scale. For all the sequences in the list, ‘endolight’ chemistry was applied as detailed below.
- TTR sequences used solid supported oligonucleotide synthesis using phosphoramidite chemistry.
- the synthesis of the above sequences was performed at 1 um scale in 96 well plates.
- the amidite solutions were prepared at 0.1M concentration and ethyl thio tetrazole (0.6M in Acetonitrile) was used as activator.
- the synthesized sequences were cleaved and deprotected in 96 well plates, using methylamine in the first step and triethylamine.3HF in the second step.
- the crude sequences thus obtained were precipitated using acetone: ethanol mix and the pellet were re-suspended in 0.5M sodium acetate buffer.
- Samples from each sequence were analyzed by LC-MS and the resulting mass data confirmed the identity of the sequences.
- a selected set of samples were also analyzed by IEX chromatography.
- the next step in the process was purification. All sequences were purified on an AKTA explorer purification system using Source 15Q column. A single peak corresponding to the full length sequence was collected in the eluent and was subsequently analyzed for purity by ion exchange chromatography.
- the purified sequences were desalted on a Sephadex G25 column using AKTA purifier.
- the desalted TTR sequences were analyzed for concentration and purity.
- the single strands were then annealed to form TTR-dsRNA.
- Human TTR targeting dsRNAs (Table 2) were assayed for inhibition of endogenous TTR expression in HepG2 and Hep3B cells, using qPCR (real time PCR) and bDNA (branched DNA) assays to quantify TTR mRNA.
- Rodent TTR targeting dsRNA (Table 5) were synthesized and assayed for inhibition of endogenous TTR expression using bDNA assays in H.4.II.E cells. Results from single dose assays were used to select a subset of TTR dsRNA duplexes for dose response experiments to calculate IC50's. IC50 results were used to select TTR dsRNAs for further testing.
- HepG2, Hep3B and H.4.II.E cells were grown to near confluence at 37° C. in an atmosphere of 5% CO 2 in Dulbecco's modified Eagle's medium (ATCC) supplemented with 10% FBS, streptomycin, and glutamine (ATCC) before being released from the plate by trypsinization.
- H.4.II.E cells were also grown in Earle's minimal essential medium.
- Reverse transfection was carried out by adding 5 ⁇ l of Opti-MEM to 5 ⁇ l of siRNA duplexes per well into a 96-well plate along with 10 ⁇ l of Opti-MEM plus 0.2 ⁇ l of Lipofectamine RNAiMax per well (Invitrogen, Carlsbad Calif. cat #13778-150) and incubated at room temperature for 15 minutes. 80 ⁇ l of complete growth media without antibiotics containing 4 ⁇ 10 4 (HepG2), 2 ⁇ 10 4 (Hep3B) or 2 ⁇ 10 4 (H.4.II.E) cells were then added. Cells were incubated for 24 hours prior to RNA purification. Single dose experiments were performed at 10 nM final duplex concentration and dose response experiments were done with 10, 1, 0.5, 0.1, 0.05, 0.01, 0.005, 0.001, 0.0005, 0.0001, 0.00005, 0.00001 nM.
- Cells were harvested and lysed in 140 ⁇ l of Lysis/Binding Solution then mixed for 1 minute at 850 rpm using and Eppendorf Thermomixer (the mixing speed was the same throughout the process). Twenty micro liters of magnetic beads were added into cell-lysate and mixed for 5 minutes. Magnetic beads were captured using magnetic stand and the supernatant was removed without disturbing the beads. After removing supernatant, magnetic beads were washed with Wash Solution 1 (isopropanol added) and mixed for 1 minute. Beads were captured again and supernatant removed. Beads were then washed with 150 ⁇ l Wash Solution 2 (Ethanol added), captured and supernatant was removed.
- Wash Solution 1 isopropanol added
- RNA Rebinding Solution 50 ⁇ l of DNase mixture (MagMax turbo DNase Buffer and Turbo DNase) was then added to the beads and they were mixed for 10 to 15 minutes. After mixing, 100 ⁇ l of RNA Rebinding Solution was added and mixed for 3 minutes. Supernatant was removed and magnetic beads were washed again with 150 ⁇ l Wash Solution 2 and mixed for 1 minute and supernatant was removed completely. The magnetic beads were mixed for 2 minutes to dry before RNA it was eluted with 50 ⁇ l of water.
- DNase mixture MagMax turbo DNase Buffer and Turbo DNase
- RNA samples were added into 10 ⁇ l total RNA.
- cDNA was generated using a Bio-Rad C-1000 or S-1000 thermal cycler (Hercules, Calif.) through the following steps: 25° C. 10 min, 37° C. 120 min, 85° C. 5 sec, 4° C. hold.
- Real time data were analyzed using the ⁇ Ct method and normalized to assays performed from cells transfected with 10 nM BlockIT fluorescent Oligo (Invitrogen Cat #2013) or 10 nM AD-1955 (a control duplex that targets the non-mammalian luciferase gene) to calculate fold change.
- 10 nM BlockIT fluorescent Oligo Invitrogen Cat #2013
- 10 nM AD-1955 a control duplex that targets the non-mammalian luciferase gene
- H.4.II.E cells were transfected with 10 nM siRNA. After removing media, H.4.II.E were lysed in 100 ⁇ l of Diluted Lysis Mixture (a mixture of 1 volume of Lysis mixture, 2 volume of nuclease-free water and 10 ul of Proteinase-K per ml for the final concentration of 20 mg/ml) then incubated at 65° C. for 35 minutes. Then, 80 ⁇ l of Working Probe Set (a mixture of TTR or GAPDH probe) and 20 ⁇ l of cell-lysate were added into the Capture Plate. Capture Plates were incubated at 53° C. ⁇ 1° C. overnight (approximately 16-20 hrs).
- Diluted Lysis Mixture a mixture of 1 volume of Lysis mixture, 2 volume of nuclease-free water and 10 ul of Proteinase-K per ml for the final concentration of 20 mg/ml
- Working Probe Set a mixture of TTR or
- Capture Plates were washed 3 times with 1 ⁇ Wash Buffer (a mixture of nuclease-free water, Buffer Component 1 and Wash Buffer Component 2), then dried by centrifuging for 1 minute at 1000 rpm. 100 ⁇ l of Amplifier Working Reagent was added into the Capture Plate, which was then sealed and incubated for 1 hour at 46° C. ⁇ 1° C. Wash and dry steps were repeated after 1 hour of incubation and 100 ⁇ l of Label Solution Reagent was added. The plate was then washed, dried and 100 ⁇ l Substrate (a mixture of Lithium Lauryl Sulfate and Substrate solution) was added. Capture Plates were placed in the incubator for 30 minutes at 46° C. ⁇ 1° C. Capture Plates were then removed from the incubator and incubated at room temperature for 30 minutes. Finally, the Capture Plates were read using the Victor Luminometer (Perkin Elmer, Waltham, Mass.).
- the Capture Plates were washed 3 times with 1 ⁇ Wash Buffer (nuclease-free water, Buffer Component 1 and Wash Buffer Component 2), then dried by centrifuging for 1 minute at 240 g.
- 100 ⁇ l of pre-Amplifier Working Reagent was added to the Capture Plates, which were sealed with aluminum foil and incubated for 1 hour at 55° C. ⁇ 1° C. Following a 1 hour incubation, the wash step was repeated, then 100 ⁇ l Amplifier Working Reagent was added. After 1 hour, the wash and dry steps were repeated, and 100 ⁇ l Label Probe was added. Capture plates were incubated 50° C. ⁇ 1° C. for 1 hour.
- Capture Plates were read using the SpectraMax Luminometer (Molecular Devices, Sunnyvale, Calif.) following 5 to 15 minutes incubation.
- bDNA data were analyzed by (i) subtracting the average background from each triplicate sample, (ii) averaging the resultant triplicate GAPDH (control probe) and TTR (experimental probe) values, and then (iii) taking the ratio: (experimental probe-background)/(control probe-background).
- TTR siRNAs TTR-dsRNAs
- the dose response data used to identify the IC50 for 5 TTR-dsRNAs are presented in detail below in Table 9. All 5 siRNAs were determined to have pM IC50s.
- the IC50 data for dsRNAs in Table 8 is a summary of the data presented in Table 9 below.
- TTR siRNAs rodent specific TTR-dsRNAs
- Table 10 A summary of the single dose results for rodent specific TTR-dsRNAs (TTR siRNAs) are presented below in Table 10. Single dose results are expressed as % TTR mRNA relative to control, assayed in rat H.4.II.E cells, after transfection of rodent specific TTR siRNAs at 10 nM. These results show that some rodent specific TTR siRNAs are effective in suppressing endogenous rat TTR mRNA in vitro.
- TTR siRNAs were assayed in vitro for induction of TNF- ⁇ and IFN- ⁇ secretion.
- Human PBMC were isolated from freshly collected buffy coats obtained from healthy donors (Research Blood Components, Inc., Boston, Mass.) by a standard Ficoll-Hypaque density centrifugation. Freshly isolated cells (1 ⁇ 10 5 /well/100 ⁇ l) were seeded in 96-well plates and cultured in RPMI 1640 GlutaMax medium (Invitrogen) supplemented with 10% heat-inactivated fetal bovine serum and 1% antibiotic/antimycotic (Invitrogen).
- siRNAs were transfected into PBMC using DOTAP transfection reagent (Roche Applied Science). The DOTAP was first diluted in Opti-MEM (Invitrogen) for 5 minutes before mixing with an equal volume of Opti-MEM containing the siRNA. siRNA/DOTAP complexes were incubated as specified by the manufacturer's instructions and subsequently added to PBMC (50 ⁇ l/well) which were then cultured for 24 hours. Positive and negative control siRNAs were included in all assays. AD-5048 was used as a positive control siRNA.
- AD-5048 corresponds to a sequence that targets human Apolipoprotein B (Soutschek et al., 2004) and elicits secretion of both IFN- ⁇ and TNF- ⁇ in this assay.
- AD-1955 which does not elicit IFN- ⁇ and TNF- ⁇ secretion in this assay, was used as a negative control siRNA. All siRNAs were used at a final concentration of 133 nM. The ratio of RNA to transfection reagent was 16.5 pmoles per ⁇ g of DOTAP.
- Cytokines were detected and quantified in culture supernatants with a commercially available ELISA kit for IFN- ⁇ (BMS216INST) and TNF- ⁇ (BMS223INST), both from Bender MedSystems (Vienna, Austria). TTR siRNA cytokine induction is expressed as percent IFN- ⁇ or TNF- ⁇ produced relative to the positive control siRNA AD-5048.
- TTR siRNAs IFN- ⁇ and TNF- ⁇ stimulation results for a number of TTR siRNAs are presented in FIG. 1 (mean of quadruplicate wells ⁇ SD) and below in Table 11 (percentage compared with AD-5048). None of the TTR siRNAs evaluated induced significant TNF- ⁇ or IFN- ⁇ secretion by cultured human PBMCs.
- TTR siRNAs The five lead TTR targeting dsRNAs (TTR siRNAs) were selected based on IC50s in the pM range in the human hepatocyte cell lines HepG2 and Hep3B, and the absence of immunostimulatory activity. Duplexes without any mismatches are more likely to achieve significant knockdown of the target transcript than duplexes with mismatches between the oligo and the mRNA. To better enable interpretation of cross-species toxicology data and to have the broadest applicability to human patients, duplexes that have 100% identity in orthologous genes from rat, cynomolgus monkey and human, and that do not target regions with known polymorphisms are generally preferred.
- the five lead compounds were selected based on IC50 in hepatocyte cell lines in the pM range, the absence of immunostimulatory activity, specificity to the human TTR transcripts, and absence of known polymorphisms (mutations) in the region of the mRNA targeted by the duplex.
- TTR no 19 base oligos were found with complete identity in human, rat and cynomolgus monkey.
- Table 12 also includes information on known TTR mutations in the region targeted by the duplex and cross-species reactivity.
- FIG. 2A and FIG. 2B show the dose responses in HepG2 cells after transfection with AD-18324 ( FIG. 2A ) or AD-18328 ( FIG. 2B ) where the doses are expressed in nM on the x-axis and the responses are expressed as fraction TTR mRNA remaining relative to control, on the y-axis.
- the IC50s of AD-18324 and AD-18328 were determined to be 2 pM and 3 pM, respectively.
- the TTR target sites for both lead dsRNA candidates are in the 3′ untranslated region of the TTR mRNA, in a region where there are no reported mutations in the literature.
- AD-18324 s A-32337 509 GGAuuucAuGuAAccAAGAdTdT 1001 AD-18324 as A-32338 527 UCUUGGUuAcAUGAAAUCCdTdT 1002 AD-18328 s A-32345 518 GuAAccAAGAGuAuuccAudTdT 1009 AD-18328 as A-32346 536 AUGGAAuACUCUUGGUuACdTdT 1010
- AD-18246 a rodent cross-reactive TTR dsRNA, AD-18246, was chosen for further evaluation in vivo.
- AD-18246 targets a sequence beginning at position 88 of the open reading frame, where there are three mutations reported in the literature.
- a dose response curve for AD-18246 in HepG2 cells is shown in FIG. 3 .
- AD-18246 is substantially less potent than AD-18324 and AD-18328; the IC50 of AD-18246 was determined to be 265 pM.
- AD-18324, AD-18328, and AD-18246 were administered to transgenic mice after formulation in LNP01.
- 3-5 month old H129-mTTR-KO/iNOS-KO/hTTR transgenic mice (mouse transthyretin knock-out/inducible nitric oxide synthase knock-out/human transthyretin transgenic) were intravenously (IV) administered 200 ⁇ l of LNP01-formulated transthyretin-specific siRNA (AD-18324, AD-18328, or AD-18246), LNP01-formulated control siRNA targeting the non-mammalian luciferase gene (AD-1955) or PBS via the tail vein at concentrations of 1.0 mg/kg, 3.0 mg/kg, or 6.0 mg/kg for siRNAs AD-18324 and AD-18328, 3.0 mg/kg for siRNA AD-18246, and 6.0 mg/kg for siRNA AD-1955.
- LNP01 is a lipidoid formulation comprised of ND98, Choleste
- mice were anesthetized with 200 ⁇ l of ketamine, and then exsanguinated by severing the right caudal artery.
- Whole blood was isolated and plasma was isolated and stored at ⁇ 80° C. until assaying.
- Liver tissue was collected, flash-frozen and stored at ⁇ 80° C. until processing.
- Efficacy of treatment was evaluated by (i) measurement of TTR mRNA in liver at 48 hours post-dose, and (ii) measurement of TTR protein in plasma at prebleed and at 48 hours post-dose.
- TTR liver mRNA levels were assayed utilizing the Branched DNA assays-QuantiGene 2.0 (Panomics cat #: QS0011). Briefly, mouse liver samples were ground and tissue lysates were prepared. Liver lysis mixture (a mixture of 1 volume of lysis mixture, 2 volume of nuclease-free water and 10 ul of Proteinase-K/ml for a final concentration of 20 mg/ml) was incubated at 65° C. for 35 minutes.
- Wash Buffer Component 2 100 ⁇ l of pre-Amplifier Working Reagent was added into the Capture Plate, which was sealed with aluminum foil and incubated for 1 hour at 55° C. ⁇ 1° C. Following 1 hour incubation, the wash step was repeated, then 100 ⁇ l of Amplifier Working Reagent was added. After 1 hour, the wash and dry steps were repeated, and 100 ⁇ l of Label Probe was added. Capture plates were incubated 50° C. ⁇ 1° C. for 1 hour. The plate was then washed with 1 ⁇ Wash Buffer, dried and 100 ⁇ l Substrate was added into the Capture Plate.
- Capture Plates were read using the SpectraMax Luminometer following a 5 to 15 minute incubation. bDNA data were analyzed by subtracting the average background from each triplicate sample, averaging the resultant triplicate GAPDH (control probe) and TTR (experimental probe) values, and then computing the ratio: (experimental probe-background)/(control probe-background).
- TTR plasma levels were assayed utilizing the commercially available kit “AssayMax Human Prealbumin ELISA Kit” (AssayPro, St. Charles, Mo., Catalog # EP3010-1) according to manufacturer's guidelines. Briefly, mouse plasma was diluted 1:10,000 in 1 ⁇ mix diluents and added to pre-coated plates along with kit standards, and incubated for 2 hours at room temperature followed by 5 ⁇ washes with kit wash buffer. Fifty microliters of biotinylated prealbumin antibody was added to each well and incubated for 1 hr at room temperature, followed by 5 ⁇ washes with wash buffer.
- LNP01-18324 and LNP01-18328 were found to reduce liver TTR mRNA ( FIG. 4A ) and plasma TTR protein ( FIG. 4B ) levels in a dose-dependent manner with IV bolus administration.
- the mRNA ED50 of LNP01-18328 was determined to be ⁇ 1 mg/kg whereas the ED50 of LNP01-18324 was determined to be ⁇ 2 mg/kg.
- the effects of LNP01-18324 and LNP01-18328 were specific, because the control, LNP01-1955 at 6 mg/kg, did not significantly affect liver TTR mRNA levels, as compared with the PBS group.
- LNP01-18324 and LNP01-18328 reduced plasma TTR protein levels relative to the PBS group, with potencies that were similar to those on TTR mRNA levels.
- LNP01-18246 reduced liver TTR mRNA levels to a lessor extent than 3 mg/kg LNP01-18324 or LNP01-18328.
- TTR siRNAs AD-18324 and AD-18328 were formulated in SNALP and administered by 15-minute IV infusion.
- Cynomolgus monkeys Macaca fascicularis ) (2 to 5 kg, 3 animals per group) were administered 15-minute IV infusions of SNALP-18324 (0.3, 1.0 or 3.0 mg/kg), SNALP-18328 (0.3, 1 or 3 mg/kg), or SNALP-1955 (3 mg/kg, with negative control siRNA AD-1955 which targets the non-mammalian gene luciferase).
- TTR mRNA levels in the liver were assayed utilizing a custom designed Branched DNA assay, utilizing the QuantiGene 1.0 technology. Briefly, monkey liver samples were ground and tissue lysates were prepared. Liver lysis mixture (1 volume lysis mixture, 2 volume nuclease-free water, and 10 ⁇ l of Proteinase-K/ml for a final concentration of 20 mg/ml) was incubated at 65° C. for 35 minutes. 20 ⁇ l Working Probe Set (TTR probe for gene target and GAPDH for endogenous control) and 80 ⁇ l tissue-lysate were then added into the Capture Plate. Capture Plates were incubated at 55° C. ⁇ 1° C. (approx. 16-20 hrs).
- the Capture Plates were washed three times with 1 ⁇ Wash Buffer (nuclease-free water, Buffer Component 1 and Wash Buffer Component 2), then dried by centrifuging for 1 minute at 240 g.
- 100 ⁇ l of pre-Amplifier Working Reagent was added into the Capture Plate, which was sealed with aluminum foil and incubated for 1 hour at 55° C. ⁇ 1° C. Following a 1-hour incubation, the wash step was repeated, and then 100 ⁇ l Amplifier Working Reagent was added. After 1 hour, the wash and dry steps were repeated, and 100 ⁇ l Label Probe was added. Capture plates were incubated 50° C. ⁇ 1° C. for 1 hour.
- Capture Plates were read using the SpectraMax Luminometer following a 5 to 15 minute incubation. bDNA data were analyzed by (i) subtracting the average background from each triplicate sample, (ii) averaging the resultant GAPDH (control probe) and TTR (experimental probe) values, and then (iii) taking the ratio: (experimental probe-background)/(control probe-background).
- SNALP-18324 and SNALP-18328 reduced TTR mRNA levels in the liver in a dose-dependent manner, compared to the negative control SNALP-1955.
- the mRNA ED50s of SNALP-18328 and SNALP-18324 were determined to be ⁇ 0.3 and ⁇ 1 mg/kg, respectively.
- V30M mutant TTR mRNA in the liver and mutant (V30M) TTR protein in the serum
- AD-18328 was formulated in SNALP and administered by IV bolus to V30M hTTR transgenic mice.
- 8 to 12-week old V30M hTTR transgenic mice (5 animals/group) were intravenously (IV) administered 200 ⁇ l SNALP-18328 (0.03, 0.3 or 3 mg/kg), SNALP-1955 (3 mg/kg, with negative control siRNA AD-1955 which targets the non-mammalian gene luciferase), or PBS.
- mice used were the Mus musculus strain H129-hTTR KO from Institute of Molecular and Cellular Biology, Porto, Portugal. Briefly, hTTR H129 transgenic mice were crossed with a H129 endogenous TTR KO mice (null mice to generate the H129-hTTR transgenic mice, in a null mouse TTR background (Maeda, S., (2003), Use of genetically altered mice to study the role of serum amyloid P component in amyloid deposition. Amyloid Suppl. 1, 17-20.).
- mice in all five treatment groups were given a lethal dose of ketamine/xylazine. Serum samples were collected and stored at ⁇ 80° C. until analysis. Liver tissue was collected, flash-frozen and stored at ⁇ 80° C. until processing.
- TTR mRNA quantitation frozen liver tissue was ground into powder, and lysates were prepared. TTR mRNA levels relative to those of GAPDH mRNA were determined in the lysates by using a branched DNA assay (QuantiGene Reagent System, Panomics, Fremont, Calif.). Briefly, the QuantiGene assay (Genospectra) was used to quantify mRNA levels in tissue sample lysates according to the manufacturer's instructions. The mean level of TTR mRNA was normalized to the mean level of GAPDH mRNA for each sample. Group means of the normalized values were then further normalized to the mean value for the PBS treated group, to obtain the relative level of TTR mRNA expression.
- FIG. 6A and FIG. 6B The results are shown in FIG. 6A and FIG. 6B for liver mRNA and serum protein, respectively.
- SNALP-18328 treated V30M hTTR transgenic mice had a dose-dependent and significant decrease in liver TTR mRNA levels relative to the PBS control group, reaching a maximum reduction of 97% (p ⁇ 0.001) at 3 mg/kg SNALP-18328, and a 50% reduction (ED50) at ⁇ 0.15 mg/kg SNALP-18328.
- Serum TTR protein was also suppressed in a dose-dependent manner, with a maximum reduction of serum TTR protein of 99% (p ⁇ 0.01) (relative to pre-dose levels) at 3 mg/kg SNALP-18328, consistent with the reduction in TTR mRNA levels.
- SNALP-1955 at 3 mg/kg did not have a statistically significant effect on either TTR mRNA or protein levels, compared to PBS.
- AD-18328 was formulated in SNALP and administered by IV bolus to V30M hTTR transgenic mice.
- liver TTR mRNA levels and serum TTR protein levels were quantified.
- 8- to 12-week old V30M hTTR transgenic mice (4 animals/group) were intravenously (IV) administered 200 ⁇ l SNALP-18328 (1 mg/kg) or SNALP-1955 (1 mg/kg, with negative control siRNA AD-1955 which targets the non-mammalian gene luciferase).
- Mice used were Mus musculus strain H129-hTTR KO from Institute of Molecular and Cellular Biology, Porto, Portugal.
- hTTR H129 transgenic mice were crossed with a H129 endogenous TTR KO mice (null mice to generate the H129-hTTR transgenic mice, in a null mouse TTR background (Maeda, S., (2003), Use of genetically altered mice to study the role of serum amyloid P component in amyloid deposition. Amyloid Suppl. 1, 17-20). Days 3, 8, 15, or 22 post-dose, animals in both treatment groups were given a lethal dose of ketamine/xylazine. Serum samples were collected and stored at ⁇ 80° C. until analysis. Liver tissue was collected, flash-frozen and stored at ⁇ 80° C. until processing.
- TTR mRNA quantitation frozen liver tissue was ground into powder, and lysates were prepared. TTR mRNA levels relative to those of GAPDH mRNA were determined in the lysates by using a branched DNA assay (QuantiGene Reagent System, Panomics, Fremont, Calif.). Briefly, the QuantiGene assay (Genospectra) was used to quantify mRNA levels in tissue sample lysates according to the manufacturer's instructions. The mean level of TTR mRNA was normalized to the mean level of GAPDH mRNA for each sample. Group means of the normalized values were then further normalized to the mean value for the PBS treated group, to obtain the relative level of TTR mRNA expression.
- FIG. 7A and FIG. 7B The results are shown in FIG. 7A and FIG. 7B for liver mRNA and serum protein, respectively.
- a single IV bolus administration of SNALP-18328 in the hTTR V30M transgenic mouse resulted in durable inhibition of TTR mRNA levels in the liver and TTR protein levels in the serum.
- a single IV administration of SNALP-18328 at 1 mg/kg significantly reduced relative TTR mRNA levels on Days 3, 8, 15 and 22 post-dose by 96% (p ⁇ 0.001), 90% (p ⁇ 0.001), 82% (p ⁇ 0.001) and 73% (p ⁇ 0.001), respectively, and did not return to baseline levels at termination of the study (Day 22 post-dose).
- TTR protein levels also decreased with a maximum reduction of serum TTR of 97% (p ⁇ 0.001) (relative to SNALP-1955) at Day 3 post-dose. At Days 8, 15, and 22 post-dose, TTR protein levels were suppressed by 72% (p ⁇ 0.05), 32% (p ⁇ 0.05), and 40% (p ⁇ 0.001), respectively, relative to SNALP-1955.
- AD-18328 was formulated in SNALP and administered by IV infusion to non-human primates. At various timepoints post-dose, serum TTR protein levels were quantified.
- serum samples were collected and stored at ⁇ 80° C. until analysis.
- the blot was probed first with primary antibodies (goat anti-TTR from Santa Cruz (Santa Cruz, Calif.) at a dilution of 1:1000 diluted in LiCOR blocking buffer/PBS on a rocker for 1 hr at room temperature. Blots were washed 4 ⁇ with PBS+0.2% Tween 20 (10 minutes per wash). The fluorescent labeled secondary antibodies (anti-goat 680 nm from Invitrogen (Carlsbad, Calif.) were added at a dilution of 1:10,000 in LiCOR blocking buffer/PBS and the blot was incubated for 1 hour at room temperature.
- primary antibodies goat anti-TTR from Santa Cruz (Santa Cruz, Calif.) at a dilution of 1:1000 diluted in LiCOR blocking buffer/PBS on a rocker for 1 hr at room temperature. Blots were washed 4 ⁇ with PBS+0.2% Tween 20 (10 minutes per wash).
- the fluorescent labeled secondary antibodies (anti-goat 6
- TTR monomer migrates at 15 kDa.
- Serum TTR protein levels showed a dose-dependent reduction with 1 or 3 mg/kg SNALP-18328, as compared to pre-dose (Day 0) levels.
- the duration of suppression, following a single IV administration of SNALP-18328 is at least 14 days after 1 or 3 mg/kg SNALP-18328 treatment.
- hTTR V30M/HSF-1 knock-out mice were evaluated with immunohistochemical staining for TTR.
- Two-month old hTTR V30M/HSF-1 knock-out mice (Maeda, S., (2003), Use of genetically altered mice to study the role of serum amyloid P component in amyloid deposition. Amyloid Suppl.
- 1, 17-20 were administered an IV bolus of 3 mg/kg SNALP-18328 (12 animals), 3 mg/kg SNALP-1955 (with negative control siRNA AD-1955 which targets the non-mammalian gene luciferase, 4 animals), or PBS (4 animals) once every two weeks for a total of four doses on days 0, 14, 28, and 42.
- TTR liver mRNA levels and TTR-immunoreactivity in multiple peripheral tissues were evaluated at 8 weeks post-first dose on day 56.
- mice were anesthetised with 1 mg/kg medetomidine, and given a lethal dose of ketamine. Tissues and organs of interest were collected. For immunohistochemistry, esophagus (E), stomach (S), intestine (duodenum (I1) and colon (I4)), nerve (N) and dorsal root ganglia (D) were fixed in neutral buffered formalin and embedded in paraffin. For TTR detection, rabbit anti-human TTR primary antibody (1:1000, DAKO, Denmark), and anti-rabbit biotin-conjugated secondary antibody (1:20 Sigma, USA) were followed by extravidin labelling (1:20, Sigma, USA) in order to stain for the TTR protein.
- the reaction was developed with 3-amino-9-ethyl carbaxole, AEC (Sigma, USA).
- Semi-quantitative analysis of immunohistochemical slides was performed using Scion image quant program that measures the area occupied by the substrate reaction color and normalizes this value to the total image area. Mean values of % occupied area are displayed with the corresponding standard deviation. Each animal tissue was evaluated in four different areas.
- TTR siRNA AD-18328 was formulated in XTC-SNALP (XTC-SNALP-18328) and administered by 15-minute IV infusion, and liver TTR mRNA was quantified.
- Cynomolgus monkeys ( Macaca fascicularis ) were administered 15-minute IV infusions of XTC-SNALP-18328 (0.03, 0.1, 0.3 or 1 mg/kg) or XTC-SNALP-1955 (1 mg/kg, with negative control siRNA AD-1955 which targets the non-mammalian gene luciferase).
- XTC-SNALP-18328 reduced TTR mRNA levels in the liver in a dose-dependent manner, compared to the negative control XTC-SNALP-1955.
- the mRNA ED50 was determined to be ⁇ 0.1 mg/kg XTC-SNALP-18328.
- TTR siRNA AD-18328 was formulated in LNP09 (LNP09-18328) or LNP11 (LNP11-18328), and administered by 15-minute IV infusion, and liver TTR mRNA and serum TTR protein levels were assayed.
- Cynomolgus monkeys ( Macaca fascicularis ) were administered 15-minute IV infusions of LNP09-18328 (0.03, 0.1, or 0.3 mg/kg), LNP11-18328 (0.03, 0.1, or 0.3 mg/kg), or PBS.
- Liver biopsy samples were collected at 48 hrs post-dosing, flash-frozen, and stored at ⁇ 80° C. until processing. Serum was collected before dosing (pre-bleed), and on Days 1, 2, 4, 7, 14, 21 and 28 post-dosing and stored at ⁇ 80° C. until processing. Methods used for TTR mRNA quantitation in liver tissue and serum TTR protein evaluation were similar to those described in Examples 5 and 8 above.
- FIG. 11A shows a dose-dependent decrease in TTR mRNA levels in the liver, reaching a maximum reduction at 0.3 mg/kg of ⁇ 85% (LNP09-18328) and ⁇ 90% (LNP11-18328) mRNA relative to the PBS control.
- the mRNA ED50 was determined to be ⁇ 0.02 mg/kg for both LNP09-18328 and LNP11-18328.
- serum samples also exhibited a dose-dependent reduction of TTR protein for 0.1 and 0.3 mg/kg LNP09-18328 and LNP11-18328, compared to PBS control levels.
- FIG. 11C shows a decrease in TTR protein levels with a 0.3 mg/kg dose of LNP09-18328 that persisted over at least 28 days post-dosing, as compared to the PBS control group and as compared with the pre-bleed samples.
- LNP09-18328 and LNP11-18328 are effective in suppressing wild-type TTR mRNA in non-human primate liver and wild-type TTR protein in the circulation, when administered by IV infusion. Furthermore, the suppression with LN09-18328 is durable, persisting for at least 28 days following the IV infusion.
- TTR duplexes A set of TTR duplexes (“tiled duplexes”) were designed that targeted the TTR gene near the target region of AD-18328, which targets the human TTR gene starting at nucleotide 628 of NM_000371.3.
- the numbering representing the position of the 5′ base of an siRNA on the transcript is based on NM_000371.3 ( FIG. 12 ; SEQ ID NO:1331).
- the numbering for siRNA targeting human siRNA was based on NM_000371.2 ( FIG. 13A ).
- NM_000371.3 extends the sequence of the 5′ UTR by 110 bases compared to NM_000371.2, as shown in FIG. 14 .
- the starting position of AD-18328 is 628 on NM_000371.3 and 518 on NM_000371.2 ( FIG. 14 ).
- TTR tiled sequences were synthesized on MerMade 192 synthesizer at lumol scale. For all the sequences in the list, ‘endolight’ chemistry was applied as detailed below.
- TTR sequences used solid supported oligonucleotide synthesis using phosphoramidite chemistry.
- the synthesis of the sequences was performed at 1 um scale in 96 well plates.
- the amidite solutions were prepared at 0.1M concentration and ethyl thio tetrazole (0.6M in Acetonitrile) was used as activator.
- the synthesized sequences were cleaved and deprotected in 96 well plates, using methylamine in the first step and fluoride reagent in the second step.
- the crude sequences were precipitated using acetone:ethanol (80:20) mix and the pellet were re-suspended in 0.2M sodium acetate buffer.
- Samples from each sequence were analyzed by LC-MS to confirm the identity, UV for quantification and a selected set of samples by IEX chromatography to determine purity.
- TTR tiled sequences were purified on AKTA explorer purification system using Source 15Q column. A column temperature of 65 C was maintained during purification. Sample injection and collection was performed in 96 well (1.8 mL-deep well) plates. A single peak corresponding to the full length sequence was collected in the eluent. The purified sequences were desalted on a Sephadex G25 column using AKTA purifier. The desalted TTR sequences were analyzed for concentration (by UV measurement at A260) and purity (by ion exchange HPLC). The single strands were then submitted for annealing.
- Tiled TTR duplexes were assayed in Hep3B cells for inhibition of endogenous TTR expression using real time PCR assays.
- Hep3B cells (ATCC, Manassas, Va.) were grown to near confluence at 37° C. in an atmosphere of 5% CO 2 in Eagle's Minimum Essential Medium (EMEM, ATCC) supplemented with 10% FBS, streptomycin, and glutamine (ATCC) before being released from the plate by trypsinization.
- EMEM Eagle's Minimum Essential Medium
- FBS FBS
- streptomycin STYPE
- glutamine ATCC
- Reverse transfection was carried out by adding 5 ⁇ l of Opti-MEM to 5 ⁇ l of each siRNA in individual wells of a 96-well plate. To this 10 ⁇ l of Opti-MEM plus 0.2 ⁇ l of Lipofectamine RNAiMax was added per well (Invitrogen, Carlsbad Calif.
- RNA isolation using MagMAX-96 Total RNA Isolation Kit (Applied Biosystems, Foster City Calif., part #: AM1830): Cells were harvested and lysed in 140 ⁇ l of Lysis/Binding Solution then mixed for 1 minute at 850 rpm using and Eppendorf Thermomixer (the mixing speed was the same throughout the process). Twenty micro liters of magnetic beads and Lysis/Binding Enhancer mixture were added into cell-lysate and mixed for 5 minutes. Magnetic beads were captured using magnetic stand and the supernatant was removed without disturbing the beads. After removing supernatant, magnetic beads were washed with Wash Solution 1 (isopropanol added) and mixed for 1 minute.
- RNA Rebinding Solution 100 ⁇ l was added and mixed for 3 minutes.
- Supernatant was removed and magnetic beads were washed again with 150 ⁇ l Wash Solution 2 and mixed for 1 minute and supernatant was removed completely. The magnetic beads were mixed for 2 minutes to dry before RNA was eluted with 50 ⁇ l of water.
- cDNA synthesis using ABI High capacity cDNA reverse transcription kit (Applied Biosystems, Foster City, Calif., Cat #4368813): A master mix of 2 ⁇ l 10 ⁇ Buffer, 0.8 ⁇ l 25 ⁇ dNTPs, 2 ⁇ l Random primers, 1 ⁇ l Reverse Transcriptase, 1 ⁇ l RNase inhibitor and 3.2 ⁇ l of H2O per reaction were added into 10 ⁇ l total RNA.
- cDNA was generated using a Bio-Rad C-1000 or S-1000 thermal cycler (Hercules, Calif.) through the following steps: 25° C. 10 min, 37° C. 120 min, 85° C. 5 sec, 4° C. hold.
- Real time PCR 2 ⁇ l of cDNA were added to a master mix containing 0.5 ⁇ l GAPDH TaqMan Probe (Applied Biosystems Cat #4326317E), 0.5 ⁇ l TTR TaqMan probe (Applied Biosystems cat #HS00174914 M1) and 10 ⁇ l Roche Probes Master Mix (Roche Cat #04887301001) per well in a LightCycler 480 384 well plate (Roche cat #0472974001).
- Real time PCR was done in a LightCycler 480 Real Time PCR machine (Roche). Each duplex was tested in two independent transfections and each transfection was assayed in duplicate.
- TTR-dsRNAs targeting TTR near the target of AD-18328, reduced TTR mRNA by at least 70% when transfected into Hep3B cells at 0.1 nM.
- SNALP-18534 is comprised of an siRNA targeting rodent TTR mRNA (AD-18534), formulated in stable nucleic acid lipid particles (SNALP) for delivery to target tissues.
- the SNALP formulation (lipid particle) consists of a novel aminolipid (DLinDMA), a PEGylated lipid (mPEG2000-C-DMA), a neutral lipid (DPPC) and cholesterol.
- the ratio of lipid:nucleic acid in the SNALP formulation is approximately 5.8:1 (w:w).
- SNALP-1955 contains an siRNA targeting the non-mammalian luciferase mRNA, is formulated with the identical lipid particle as SNALP-18534, and serves as a non-pharmacologically active control. Dose levels are expressed as mg/kg based on the weight of siRNA content.
- the study was comprised of 9 groups of Sprague-Dawley rats (4 males/group). The animals were allowed to have at least a 2 day acclimation period before the study and all animals were 7 weeks old at the initiation of dosing. The dose administered was calculated based upon body weight data collected prior to dosing on Day 1.
- the test and control articles were administered as a single 15-minute, 1-hour, 2-hour, or 3-hour IV infusion via the tail vein using a 24G 3 ⁇ 4′′ cannula sealed with a Baxter Injection Site septum connected via 27G Terumo butterfly needle to a Baxter AS40A Syringe Pump.
- Rats were divided into nine treatment groups and administered a single IV infusion of SNALP-18534, SNALP-1955, or PBS as shown in Table 16:
- mice On Day 0, animals were anesthetized by isofluorane inhalation and pre-dosing blood samples were collected into serum separator tubes by retro-orbital bleed. The blood samples were allowed to clot at room temperature for approximately 30 minutes prior to centrifugation at 4° C. Serum samples were then stored at ⁇ 80° C. until analysis was performed. On Day 3, animals in all nine treatment groups were given a lethal dose of ketamine/xylazine. Blood was collected via caudal vena cava into serum separation tubes, and then allowed to clot at room temperature for approximately 30 minutes prior to centrifugation at 4° C. Serum samples were stored at ⁇ 80° C. until analysis was performed. Liver tissue was harvested and snap frozen on dry ice. Frozen liver tissue was ground and tissue lysates were prepared for liver mRNA quantitation.
- TTR mRNA levels relative to those of GAPDH mRNA were determined in the lysates by using a branched DNA assay (QuantiGene Reagent System, Panomics, Fremont, Calif.). Briefly, the QuantiGene assay (Genospectra) was used to quantify mRNA levels in tissue sample lysates according to the manufacturer's instructions. The mean level of TTR mRNA was normalized to the mean level of GAPDH mRNA for each sample.
- group mean values for SNALP-1955 and SNALP-18534 treated groups with 15-minute, 1 hour and 2 hour infusion durations were then normalized to the mean value for the PBS treated group with 15-minute infusion whereas group mean values for SNALP-1955 and SNALP-18534 treated groups with 3 hour infusion duration were then normalized to the mean value for the PBS treated group with 3 hour infusion duration.
- a single IV infusion of 1 mg/kg SNALP-18534 with different infusion durations of 15 minutes to 3 hours results in comparable inhibition of liver TTR mRNA levels measured two days after dosing.
- a single IV infusion of 1 mg/kg SNALP-18534 also showed durable TTR downregulation over 29 days following a single 15 minute IV infusion, as compared to SNALP-1955 control (data not shown).
- SNALP-18534 Compared to the PBS-treated group, a single 15-minute, 1-hour, 2-hour, or 3-hour IV infusion of SNALP-18534 at 1 mg/kg significantly reduced relative TTR mRNA expression levels by 94% (p ⁇ 0.001), 94% (p ⁇ 0.001), 92% (p ⁇ 0.001) and 93% (p ⁇ 0.001), respectively. Specificity of SNALP-18534 activity is demonstrated by lack of significant target inhibition by SNALP-1955 administration via 1-hour, 2-hour, or 3-hour IV infusion at the same dose level.
- LNP07 and LNP08 were formulated in LNP07 (LNP07-18534) or LNP08 (LNP08-18534), and administered by 15-minute IV infusion, and liver TTR mRNA was quantified.
- Sprague-Dawley rats (4 animals per group) were administered 15-minute IV infusions of LNP07-18534 (0.03, 0.1, 0.3 or 1 mg/kg), LNP08-18534 (0.01, 0.03 or 0.1 mg/kg), or LNP07-1955 (1 mg/kg) or LNP08-1955 (0.1 mg/kg) containing the negative control siRNA AD-1955 which targets the non-mammalian gene luciferase. Forty-eight hours later, animals were euthanized and liver tissue was collected, flash-frozen and stored at ⁇ 80° C. until processing.
- TTR mRNA quantitation frozen liver tissue was ground into powder, and lysates were prepared. TTR mRNA levels relative to those of GAPDH mRNA were determined in the lysates by using a branched DNA assay (QuantiGene Reagent System, Panomics, Fremont, Calif.). Briefly, the QuantiGene assay (Genospectra) was used to quantify mRNA levels in tissue sample lysates according to the manufacturer's instructions. The mean level of TTR mRNA was normalized to the mean level of GAPDH mRNA for each sample. Group means of the normalized values were then further normalized to the mean value for the PBS treated group, to obtain the relative level of TTR mRNA expression.
- LNP07-18534 reduced TTR mRNA levels in the liver in a dose-dependent manner, with 94% suppression of TTR mRNA at 1 mg/kg. The effect was specific, since the negative control LNP07-1955 at 1 mg/kg did not significantly affect TTR mRNA levels compared to the PBS control.
- the mRNA ED50 was determined to be ⁇ 0.05 mg/kg LNP07-18534.
- LNP08-18534 reduced TTR mRNA levels in the liver in a dose-dependent manner, with 86% suppression of TTR mRNA at 0.1 mg/kg. The effect was specific, since the negative control LNP08-1955 at 0.1 mg/kg did not significantly affect TTR mRNA levels compared to the PBS control.
- the mRNA ED50 was determined to be ⁇ 0.02 mg/kg LNP08-18534.
- LNP07-18534 and LNP08-18534 are effective in suppressing wild-type TTR mRNA in the rat liver when administered by IV infusion, and that LNP07 and LNP08 are effective formulations for delivering siRNA to the liver.
- LNP lipid nanoparticle
- LNP11 formulation: (MC3/DSPC/Chol/PEG 2000 -C14) 50/10/38.5/1.5 mol %; Lipid:siRNA ⁇ 11.1
- Tissue collection and RNA isolation On Day 3, animals in all treatment groups were given a lethal dose of ketamine/xylazine. Blood was collected via caudal vena cava into serum separation tubes, and then allowed to clot at room temperature for approximately 30 minutes prior to centrifugation at 4° C. Serum samples were stored at ⁇ 80° C. until for future analysis. Liver tissues were harvested and snap frozen on dry ice. Frozen liver tissue was ground and tissue lysates were prepared for liver mRNA quantitation.
- TTR mRNA Quantitation TTR mRNA levels relative to those of GAPDH mRNA were determined in the lysates by using a branched DNA assay (QuantiGene Reagent System, Panomics, Fremont, Calif.). Briefly, the QuantiGene assay (Genospectra) was used to quantify mRNA levels in tissue sample lysates according to the manufacturer's instructions. The mean level of TTR mRNA was normalized to the mean level of GAPDH mRNA for each sample. Group mean values were then normalized to the mean value for the PBS treated group, to obtain the relative level of TTR mRNA expression.
- LNP09-18534 and LNP11-18534 treated animals had a significant dose-dependent decrease in TTR mRNA levels in the liver, reaching maximum reduction of ⁇ 90% mRNA reduction for both LNP09 and LNP11 formulated groups, relative to PBC control group at 0.3 mg/kg, and a dose achieving 50% reduction (ED 50 ) of ⁇ 0.03 mg/kg for LNP11-18534 and ⁇ 0.1 mg/kg for LNP09-18534.
- a human subject is treated with a dsRNA targeted to a TTR gene to inhibit expression of the TTR gene to treat a condition.
- a subject in need of treatment is selected or identified.
- the subject can have a liver disorder, transthyretin amyloidosis, and/or a transplanted liver.
- the identification of the subject can occur in a clinical setting, or elsewhere, e.g., in the subject's home through the subject's own use of a self-testing kit.
- a suitable first dose of an anti-TTR siRNA is administered to the subject.
- the dsRNA is formulated as described herein.
- the subject's condition is evaluated, e.g., by measuring liver function. This measurement can be accompanied by a measurement of TTR expression in said subject, and/or the products of the successful siRNA-targeting of TTR mRNA. Other relevant criteria can also be measured.
- the number and strength of doses are adjusted according to the subject's needs.
- the subject's tumor growth rate is lowered relative to the rate existing prior to the treatment, or relative to the rate measured in a similarly afflicted but untreated subject.
Landscapes
- Health & Medical Sciences (AREA)
- Life Sciences & Earth Sciences (AREA)
- Chemical & Material Sciences (AREA)
- Engineering & Computer Science (AREA)
- Organic Chemistry (AREA)
- General Health & Medical Sciences (AREA)
- Genetics & Genomics (AREA)
- Bioinformatics & Cheminformatics (AREA)
- Biomedical Technology (AREA)
- Molecular Biology (AREA)
- Veterinary Medicine (AREA)
- Medicinal Chemistry (AREA)
- Animal Behavior & Ethology (AREA)
- Pharmacology & Pharmacy (AREA)
- Public Health (AREA)
- Biochemistry (AREA)
- Biotechnology (AREA)
- Chemical Kinetics & Catalysis (AREA)
- General Chemical & Material Sciences (AREA)
- Nuclear Medicine, Radiotherapy & Molecular Imaging (AREA)
- Zoology (AREA)
- Wood Science & Technology (AREA)
- General Engineering & Computer Science (AREA)
- Microbiology (AREA)
- Biophysics (AREA)
- Physics & Mathematics (AREA)
- Plant Pathology (AREA)
- Epidemiology (AREA)
- Neurosurgery (AREA)
- Neurology (AREA)
- Dermatology (AREA)
- Cardiology (AREA)
- Ophthalmology & Optometry (AREA)
- Endocrinology (AREA)
- Diabetes (AREA)
- Gastroenterology & Hepatology (AREA)
- Urology & Nephrology (AREA)
- Heart & Thoracic Surgery (AREA)
- Hospice & Palliative Care (AREA)
- Psychiatry (AREA)
Abstract
The invention relates to a double-stranded ribonucleic acid (dsRNA) targeting a transthyretin (TTR) gene, and methods of using the dsRNA to inhibit expression of TTR.
Description
- This application is a continuation of U.S. patent application Ser. No. 14/220,829, filed Mar. 20, 2014, now allowed, which is a continuation of U.S. patent application Ser. No. 13/410,262, filed Mar. 1, 2012, now U.S. Pat. No. 8,741,866, issued Jun. 3, 2014, which is a continuation of U.S. patent application Ser. No. 12/582,669, filed Oct. 20, 2009, now U.S. Pat. No. 8,168,775, issued May 1, 2012, which claims the benefit of U.S. Provisional Application No. 61/106,956, filed Oct. 20, 2008; U.S. Provisional Application No. 61/115,738, filed Nov. 18, 2008; U.S. Provisional Application No. 61/156,670, filed Mar. 2, 2009; U.S. Provisional Application No. 61/185,545, filed Jun. 9, 2009; U.S. Provisional Application No. 61/242,783, filed Sep. 15, 2009; and U.S. Provisional Application No. 61/244,794, filed Sep. 22, 2009, all of which are incorporated herein by reference, in their entirety, for all purposes.
- The invention relates to a double-stranded ribonucleic acid (dsRNA) targeting a transthyretin (TTR) gene, and methods of using the dsRNA to inhibit expression of TTR.
- The instant application contains a Sequence Listing which has been submitted via EFS-Web and is hereby incorporated by reference in its entirety. Said ASCII copy, created on Nov. 13, 2015, is named 32617_US_sequencelisting.txt, and is 323,584 bytes in size.
- Transthyretin (TTR) is a secreted thyroid hormone-binding protein. TTR binds and transports retinol binding protein (RBP)/Vitamin A, and serum thyroxine (T4) in plasma and cerebrospinal fluid.
- Both normal-sequence TTR and variant-sequence TTR cause amyloidosis. Normal-sequence TTR causes cardiac amyloidosis in people who are elderly and is termed senile systemic amyloidosis (SSA) (also called senile cardiac amyloidosis (SCA)). SSA often is accompanied by microscopic deposits in many other organs. TTR mutations accelerate the process of TTR amyloid formation and are the most important risk factor for the development of clinically significant TTR amyloidosis (also called ATTR (amyloidosis-transthyretin type)). More than 85 amyloidogenic TTR variants are known to cause systemic familial amyloidosis. The liver is the major site of TTR expression. Other significant sites of expression include the choroid plexus, retina and pancreas.
- TTR amyloidosis manifests in various forms. When the peripheral nervous system is affected more prominently, the disease is termed familial amyloidotic polyneuropathy (FAP). When the heart is primarily involved but the nervous system is not, the disease is called familial amyloidotic cardiomyopathy (FAC). A third major type of TTR amyloidosis is called leptomeningeal/CNS (Central Nervous System) amyloidosis.
- Double-stranded RNA molecules (dsRNA) have been shown to block gene expression in a highly conserved regulatory mechanism known as RNA interference (RNAi). WO 99/32619 (Fire et al.) disclosed the use of a dsRNA of at least 25 nucleotides in length to inhibit the expression of genes in C. elegans. dsRNA has also been shown to degrade target RNA in other organisms, including plants (see, e.g., WO 99/53050, Waterhouse et al.; and WO 99/61631, Heifetz et al.), Drosophila (see, e.g., Yang, D., et al., Curr. Biol. (2000) 10:1191-1200), and mammals (see WO 00/44895, Limmer; and DE 101 00 586.5, Kreutzer et al.).
- U.S. 20070207974 discloses functional and hyperfunctional siRNAs. U.S. 20090082300 discloses antisense molecules directed against TTR. U.S. Pat. No. 7,250,496 discloses microRNAs directed against TTR.
- In one embodiment, the invention provides a double-stranded ribonucleic acid (dsRNA) for inhibiting expression of transthyretin (TTR), wherein said dsRNA comprises a sense strand and an antisense strand, the antisense strand comprising a region complementary to a part of a mRNA encoding transthyretin (TTR), wherein said region of complementarity is less than 30 nucleotides in length and the antisense strand comprises 15 or more contiguous nucleotides of SEQ ID NO:170, SEQ ID NO:450, SEQ ID NO:730, or SEQ ID NO:1010. In a related embodiment, the sense strand comprises 15 or more contiguous nucleotides of SEQ ID NO:169, SEQ ID NO:449, SEQ ID NO:729, or SEQ ID NO:1009. In yet another related embodiment, the sense strand consists of SEQ ID NO:449 and the antisense strand consists of SEQ ID NO:450. In yet another related embodiment, the sense strand consists of SEQ ID NO:729 and the antisense strand consists of SEQ ID NO:730. In still another related embodiment, the sense strand consists of SEQ ID NO:1009 and the antisense strand consists of SEQ ID NO:1010. In yet another related embodiment, the dsRNA comprises a sense strand selected from Tables 3A, 3B, 4, 6A, 6B, 7, and 16, and an antisense strand selected from Tables 3A, 3B, 4, 6A, 6B, 7, and 16.
- In certain embodiments, the region of complementarity between the antisense strand of the dsRNA and the mRNA encoding transthyretin is 19 nucleotides in length. In another embodiment, the region of complementary consists of SEQ ID NO:169. In other embodiments, each strand of the dsRNA is 19, 20, 21, 22, 23, or 24 nucleotides in length. In still another embodiment, each strand is 21 nucleotides in length.
- In certain embodiments, the dsRNA for inhibiting expression of transthyretin does not cleave a TTR mRNA between the adenine nucleotide at position 637 of SEQ ID NO:1331 and the guanine nucleotide at
position 638 of SEQ ID NO:1331. In other embodiments, the dsRNA cleaves a TTR mRNA between the guanine nucleotide at position 636 of SEQ ID NO:1331 and the adenine nucleotide at position 637 of SEQ ID NO:1331. In certain embodiments, the dsRNA anneals to a TTR mRNA between the guanine nucleotide atposition 628 of SEQ ID NO:1331 and the uracil nucleotide at position 646 of SEQ ID NO: 1331. - In still other related embodiments, the invention provides dsRNA as described above for inhibiting expression of transthyretin wherein the dsRNA comprises one or more modified nucleotides. In related embodiments, at least one modified nucleotide (or nucleotides) is chosen from the group consisting of: a 2′-O-methyl modified nucleotide, a nucleotide comprising a 5′-phosphorothioate group, and a terminal nucleotide linked to a cholesteryl derivative or dodecanoic acid bisdecylamide group. In another related embodiment, the modified nucleotide is chosen from the group of: a 2′-deoxy-2′-fluoro modified nucleotide, a 2′-deoxy-modified nucleotide, a locked nucleotide, an abasic nucleotide, 2′-amino-modified nucleotide, 2′-alkyl-modified nucleotide, morpholino nucleotide, a phosphoramidate, and a non-natural base comprising nucleotide. In certain embodiments, the dsRNA comprises at least one 2′-O-methyl modified nucleotide.
- In other embodiments, a dsRNA as described above for inhibiting expression of transthyretin is conjugated to a ligand, or formulated in a lipid formulation. In certain embodiments, the lipid formulation may be a LNP formulation, a LNP01 formulation, a XTC-SNALP formulation, or a SNALP formulation. In related embodiments, the XTC-SNALP formulation is as follows: using 2,2-Dilinoleyl-4-dimethylaminoethyl-[1,3]-dioxolane (XTC) with XTC/DPPC/Cholesterol/PEG-cDMA in a ratio of 57.1/7.1/34.4/1.4 and a lipid:siRNA ratio of about 7. In still other related embodiments, the sense strand of the dsRNA consists of SEQ ID NO:1009 and the antisense strand consists of SEQ ID NO:1010, and the dsRNA is formulated in a XTC-SNALP formulation as follows: using 2,2-Dilinoleyl-4-dimethylaminoethyl-[1,3]-dioxolane (XTC) with a XTC/DPPC/Cholesterol/PEG-cDMA in a ratio of 57.1/7.1/34.4/1.4 and a lipid:siRNA ratio of about 7. Alternatively, a dsRNA such as those described above can be formulated in a LNP09 formulation as follows: using XTC/DSPC/Chol/PEG2000-C14 in a ratio of 50/10/38.5/1.5 mol % and a lipid:siRNA ratio of about 11:1. In another variation, the dsRNA is formulated in a LNP11 formulation as follows: using MC3/DSPC/Chol/PEG2000-C14 in a ratio of 50/10/38.5/1.5 mol % and a lipid:siRNA ratio of about 11:1. In still another embodiment, the dsRNA is formulated in a LNP09 formulation or a LNP11 formulation and reduces TTR mRNA levels by about 85 to 90% at a dose of 0.3 mg/kg, relative to a PBS control group. In yet another embodiment, the dsRNA is formulated in a LNP09 formulation or a LNP11 formulation and reduces TTR mRNA levels by about 50% at a dose of 0.1 mg/kg, relative to a PBS control group. In yet another embodiment, the dsRNA is formulated in a LNP09 formulation or a LNP11 formulation and reduces TTR protein levels in a dose-dependent manner relative to a PBS control group as measured by a western blot. In yet another embodiment, the dsRNA is formulated in a SNALP formulation as follows: using DlinDMA with a DLinDMA/DPPC/Cholesterol/PEG2000-cDMA in a ratio of 57.1/7.1/34.4/1.4 and a lipid:siRNA ratio of about 7.
- In certain embodiments, the invention provides a dsRNA such as those described above for inhibiting expression of transthyretin, wherein administration of the dsRNA to a cell results in about 95% inhibition of TTR mRNA expression as measured by a real time PCR assay, wherein the cell is a HepG2 cell or a Hep3B cell, and wherein the concentration of the dsRNA is 10 nM. In related embodiments, administration of the dsRNA to a cell results in about 74% inhibition of TTR mRNA expression as measured by a branched DNA assay, wherein the cell is a HepG2 cell or a Hep3B cell, and wherein the concentration of the dsRNA is 10 nM. In other related embodiments, the dsRNA has an IC50 of less than 10 pM in a HepG2 cell, wherein the concentration of the dsRNA is 10 nM. In still other related embodiments, the dsRNA has an ED50 of about 1 mg/kg. In still other related embodiments, administration of the dsRNA reduces TTR mRNA by about 80% in cynomolgus monkey liver, wherein the concentration of the dsRNA is 3 mg/kg. In still other related embodiments, administration of the dsRNA does not result in immunostimulatory activity in human peripheral blood mononuclear cells (PBMCs) as measured by IFN-alpha and TNF-alpha ELISA assays. In still other related embodiments, administration of the dsRNA reduces liver TTR mRNA levels by about 97% or serum TTR protein levels by about 90%, wherein the concentration of the dsRNA is 6 mg/kg. In still other related embodiments, administration of the dsRNA reduces liver TTR mRNA levels and/or serum TTR protein levels up to 22 days, wherein the concentration of the dsRNA is 6 mg/kg or 3 mg/kg. In still other related embodiments, the dsRNA suppresses serum TTR protein levels up to
day 14 post-treatment when administered to a subject in need thereof at 1 mg/kg or 3 mg/kg. In still other related embodiments, the dsRNA reduces TTR expression by 98.9% in a Hep3B cell at a concentration of 0.1 nM as measured by real-time PCR. In still other related embodiments, the dsRNA reduces TTR expression by 99.4% in a Hep3B cell at a concentration of 10 nM as measured by real-time PCR. - In other embodiments, the invention provides a double-stranded ribonucleic acid (dsRNA) for inhibiting expression of transthyretin (TTR), wherein said dsRNA comprises a sense strand and an antisense strand, the antisense strand comprising a region complementary to a part of a mRNA encoding transthyretin (TTR), wherein said region of complementarity is less than 30 nucleotides in length and wherein the dsRNA comprises a sense strand selected from Tables 3A, 3B, 4, 6A, 6B, 7, and 16, and an antisense strand selected from Tables 3A, 3B, 4, 6A, 6B, 7, and 16.
- In another embodiment, the invention provides a double-stranded ribonucleic acid (dsRNA) for inhibiting expression of transthyretin (TTR), wherein said dsRNA comprises an antisense strand comprising a region complementary to 15-30 nucleotides of nucleotides 618-648 of SEQ ID NO: 1331 and wherein said antisense strand base pairs with the guanine at
position 628 of SEQ ID NO:1331. - In certain embodiments, the invention provides a cell containing any of the dsRNAs described in the Summary, above. In certain other embodiments, the invention provides a vector comprising a nucleotide sequence that encodes at least one strand of any of the dsRNAs described in the Summary, above. In certain embodiments, the vector is in a cell.
- In other embodiments, the invention provides a pharmaceutical composition for inhibiting expression of a TTR gene comprising any of the dsRNAs described in the Summary, above, and a pharmaceutically acceptable carrier. In related embodiments, the invention provides a pharmaceutical composition for inhibiting expression of a TTR gene comprising a dsRNA and a SNALP formulation, wherein the dsRNA comprises an antisense strand which is less than 30 nucleotides in length and comprises 15 or more contiguous nucleotides of SEQ ID NO:170, SEQ ID NO:450, SEQ ID NO:730, or SEQ ID NO:1010, and wherein the SNALP formulation comprises DlinDMA, DPPC, Cholesterol and PEG2000-cDMA in a ratio of 57.1/7.1/34.4/1.4 respectively.
- In yet another embodiment, the invention provides a method of inhibiting TTR expression in a cell, the method comprising: (a) contacting the cell with any of dsRNAs described in the Summary, above; and (b) maintaining the cell produced in step (a) for a time sufficient to obtain degradation of the mRNA transcript of a TTR gene, thereby inhibiting expression of the TTR gene in the cell.
- In yet another embodiment, the invention provides a method of treating a disorder mediated by TTR expression comprising administering to a human in need of such treatment a therapeutically effective amount of any of the dsRNAs describe in the Summary, above. In related embodiments, the dsRNA is administered to the human at about 0.01, 0.1, 0.5, 1.0, 2.5, or 5.0 mg/kg. In yet another related embodiment, the dsRNA is administered to the human at about 1.0 mg/kg. In yet another related embodiment, the human being treated has transthyretin amyloidosis, and/or a liver disorder. In a related embodiment, the human is further provided a liver transplant. In yet another embodiment, administration of the dsRNA reduces TTR mRNA by about 80% in human liver, wherein the concentration of the dsRNA is 3 mg/kg. In yet another related embodiment, administration of the dsRNA does not result in immunostimulatory activity in the human as measured by IFN-alpha and TNF-alpha ELISA assays. In yet another related embodiment, administration of the dsRNA reduces liver TTR mRNA levels by about 97% or serum TTR protein levels by about 90%, wherein the concentration of the dsRNA is 6 mg/kg. In yet another related embodiment, administration of the dsRNA reduces liver TTR mRNA levels and/or serum TTR protein levels up to 22 days, wherein the concentration of the dsRNA is 6 mg/kg or 3 mg/kg. In yet another related embodiment, the dsRNA is formulated in a LNP09 formulation as follows: using XTC/DSPC/Chol/PEG2000-C14 in a ratio of 50/10/38.5/1.5 mol % and a lipid:siRNA ratio of about 11:1. In yet another related embodiment, the dsRNA is formulated in a LNP11 formulation as follows: using MC3/DSPC/Chol/PEG2000-C14 in a ratio of 50/10/38.5/1.5 mol % and a lipid:siRNA ratio of about 11:1. In yet another related embodiment, the dsRNA is formulated in a LNP09 formulation or a LNP11 formulation and reduces TTR mRNA levels by about 85 to 90% at a dose of 0.3 mg/kg, relative to a PBC control group. In yet another related embodiment, the dsRNA is formulated in a LNP09 formulation or a LNP11 formulation and reduces TTR mRNA levels by about 50% at a dose of 0.1 mg/kg, relative to a PBC control group. In still another related embodiment, the dsRNA is formulated in a LNP09 formulation or a LNP11 formulation and reduces TTR protein levels in a dose-dependent manner relative to a PBC control group as measured by a western blot. In still another related embodiment, administration of the dsRNA suppresses serum TTR protein levels up to
day 14 post-treatment when administered to human at 1 mg/kg or 3 mg/kg. In still another related embodiment, the dsRNA is formulated in a SNALP formulation as follows: using DlinDMA with a DLinDMA/DPPC/Cholesterol/PEG2000-cDMA in a ratio of 57.1/7.1/34.4/1.4 and a lipid:siRNA ratio of about 7. - In another embodiment, the invention provides the use of a dsRNA for treating a disorder mediated by TTR expression comprising administering to a human in need of such treatment a therapeutically effective amount of any of the dsRNAs described in the Summary, above. In related embodiments, the dsRNA is administered to the human at about 0.01, 0.1, 0.5, 1.0, 2.5, or 5.0 mg/kg. In a particular related embodiment, the dsRNA is administered to the human at about 1.0 mg/kg. In another related embodiment, the human has transthyretin amyloidosis, and/or a liver disorder. In yet another embodiment of the use provided by the invention, the treated human is further provided a liver transplant.
- In yet another embodiment, the invention provides the use of a dsRNA in a method for inhibiting TTR expression in a cell, wherein the method comprises (a) contacting the cell with a dsRNA described in the Summary, above; and (b) maintaining the cell produced in step (a) for a time sufficient to obtain degradation of the mRNA transcript of a TTR gene, thereby inhibiting expression of the TTR gene in the cell.
- The details of one or more embodiments of the invention are set forth in the description below. Other features, objects, and advantages of the invention will be apparent from the description and the drawings, and from the claims.
-
FIG. 1 is a graph of TNFalpha and IFNalpha levels in cultured human PBMCs following transfection with TTR siRNAs. -
FIGS. 2A and 2B are dose response curves for AD-18324 and AD-18328, respectively, in HepG2 cells. -
FIG. 3 is a dose response curve for AD-18246 in HepG2 cells. -
FIG. 4A andFIG. 4B show inhibition of liver mRNA and plasma protein levels, respectively, in transgenic H129-mTTR-KO/iNOS-KO/hTTR mice by an intravenous bolus administration of TTR-dsRNA (AD-18324, AD-18328 and AD-18246) formulated in LNP01. -
FIG. 5 is a graph summarizing the measurements of TTR mRNA levels in livers of non-human primates following 15-minute intravenous infusion of TTR-dsRNA (AD-18324 and AD-18328) formulated in SNALP. -
FIG. 6A andFIG. 6B show inhibition of human V30M TTR liver mRNA and serum protein levels, respectively, in transgenic mice by an intravenous bolus administration of SNALP-18328. Group means were determined, normalized to the PBS control group, and then plotted. Error bars represent standard deviations. The percentage reduction of the group mean, relative to PBS, is indicated for the SNALP-1955 and SNALP-18328 groups. (*** p<0.001, One-way ANOVA, with Dunn's post-hoc test). -
FIG. 7A andFIG. 7B show the durability of reduction of human V30M TTR liver mRNA and serum protein levels, respectively, in transgenic mice over 22 days following a single intravenous bolus administration of SNALP-18328. Group means were determined. TTR/GAPDH mRNA levels were normalized today 0 levels and plotted. The percent reduction of normalized TTR mRNA levels relative to SNALP-1955 for each time point were calculated and are indicated for the SNALP-18328 groups. (*** p<0.001, One-way ANOVA, with Dunn's post-hoc test). -
FIG. 8 shows the timecourse of TTR serum protein levels in non-human primates over 14 days following a single 15-minute intravenous infusion of SNALP-18328. -
FIG. 9 shows reduction of TTR-immunoreactivity in various tissues of human V30M TTR/HSF-1 knock-out mice following intravenous bolus administration of SNALP-18328. E, esophagus; S, stomach; I1, intestine/duodenum; I4, intestine/colon; N, nerve; D, dorsal root ganglia. -
FIG. 10 shows the measurements of TTR mRNA levels in livers of non-human primates following 15-minute intravenous infusion of XTC-SNALP-18328. -
FIGS. 11A and 11B show the measurements of TTR mRNA and serum protein levels, respectively, in livers of non-human primates following 15-minute intravenous infusion of LNP09-18328 or LNP11-18328.FIG. 11C shows the timecourse of TTR serum protein levels over 28 days following a 15-minute intravenous infusion of 0.3 mg/kg LNP09-18328, as compared to the PBS control group. -
FIG. 12 shows the sequence of human TTR mRNA (Ref. Seq. NM_000371.3, SEQ ID NO:1331). -
FIGS. 13A and 13B are the sequences of human and rat TTR mRNA, respectively.FIG. 13A is the sequence of human TTR mRNA (Ref. Seq. NM_000371.2, SEQ ID NO:1329).FIG. 13B is the sequence of rat TTR mRNA (Ref. Seq. NM_012681.1, SEQ ID NO:1330). -
FIG. 14 shows the nucleotide alignment of NM_000371.3 (SEQ ID NO: 1331), NM_000371.2 (SEQ ID NO: 1329), and AD-18328 (SEQ ID NO: 1410). -
FIG. 15 illustrates symptoms and mutations in TTR associated with familial amyloidotic neuropathy, familial amyloidotic cardiomyopathy and CNS amyloidosis. -
FIG. 16 shows reduction of TTR mRNA levels in the liver with SNALP-18534 with different infusion durations. Groups of animals (n=4/group) were administered 1 mg/kg SNALP-18534 via a 15-minute, or 1, 2, or 3 hour infusion. Forty-eight hours later, rats were euthanized and livers harvested. TTR and GAPDH mRNA levels were measured from liver lysates using the Quantigene bDNA assay. The ratio of TTR to GAPDH mRNA levels was calculated for each animal. Group means were determined and normalized to a PBS control group, and then plotted. Error bars represent standard deviations. (*** p<0.001, One-way ANOVA with Bonferroni post-hoc test, relative to PBS). -
FIG. 17 shows the measurements of TTR mRNA levels in livers of rats following 15-minute intravenous infusion of LNP07-18534 or LNP08-18534. -
FIG. 18 shows in vivo inhibition of endogenous TTR mRNA levels in livers of Sprague-Dawley Rats following a 15-min IV infusion of LNP09-18534 or LNP11-18534. Groups of animals (n=4/group) were intravenously administered 0.01, 0.03, 0.1, or 0.3 mg/kg LNP09-18534, LNP-11-18534; or PBS via a 15-minute infusion. Forty-eight hours later, animals were euthanized and livers harvested. TTR and GAPDH mRNA levels were measured from liver biopsy lysates using the Quantigene bDNA assay. The ratio of TTR to GAPDH mRNA levels was calculated for each animal. Group means were determined, normalized to the PBS control group, and then plotted. Error bars represent standard deviations. - The invention provides dsRNAs and methods of using the dsRNAs for inhibiting the expression of a TTR gene in a cell or a mammal where the dsRNA targets a TTR gene. The invention also provides compositions and methods for treating pathological conditions and diseases, such as a TTR amyloidosis, in a mammal caused by the expression of a TTR gene. dsRNA directs the sequence-specific degradation of mRNA through a process known as RNA interference (RNAi).
- The dsRNAs of the compositions featured herein include an RNA strand (the antisense strand) having a region which is less than 30 nucleotides in length, generally 19-24 nucleotides in length, and is substantially complementary to at least part of an mRNA transcript of a TTR gene. The use of these dsRNAs enables the targeted degradation of mRNAs of genes that are implicated in pathologies associated with TTR expression in mammals. Very low dosages of TTR dsRNAs in particular can specifically and efficiently mediate RNAi, resulting in significant inhibition of expression of a TTR gene. Using cell-based assays, the present inventors have demonstrated that dsRNAs targeting TTR can specifically and efficiently mediate RNAi, resulting in significant inhibition of expression of a TTR gene. Thus, methods and compositions including these dsRNAs are useful for treating pathological processes that can be mediated by down regulating TTR, such as in the treatment of a liver disorder or a TTR amyloidosis, e.g., FAP.
- The methods and compositions containing a TTR dsRNA are useful for treating pathological processes mediated by TTR expression, such as a TTR amyloidosis. In an embodiment, a method of treating a disorder mediated by TTR expression includes administering to a human in need of such treatment a therapeutically effective amount of a dsRNA targeted to TTR. In an embodiment, a dsRNA is administered to the human at about 0.01, 0.1, 0.5, 1.0, 2, 2.5, 3, 4, 5, 6, 7, 8, 9, 10, 11, 12, 13, 14, 15, 16, 17, 18, 19, 20, 21, 22, 23, 24, or 25 mg/kg.
- The following detailed description discloses how to make and use the compositions containing dsRNAs to inhibit the expression of a TTR gene, as well as compositions and methods for treating diseases and disorders caused by the expression of this gene. The pharmaceutical compositions featured in the invention include a dsRNA having an antisense strand comprising a region of complementarity which is less than 30 nucleotides in length, generally 19-24 nucleotides in length, and is substantially complementary to at least part of an RNA transcript of a TTR gene, together with a pharmaceutically acceptable carrier. The compositions featured in the invention also include a dsRNA having an antisense strand having a region of complementarity which is less than 30 nucleotides in length, generally 19-24 nucleotides in length, and is substantially complementary to at least part of an RNA transcript of a TTR gene.
- The sense strand of a dsRNA can include 15, 16, 17, 18, 19, 20, 21, or more contiguous nucleotides of SEQ ID NO:169, SEQ ID NO:449, SEQ ID NO:729, or SEQ ID NO:1009. The antisense strand of a dsRNA can include 15, 16, 17, 18, 19, 20, 21, or more contiguous nucleotides of SEQ ID NO:170, SEQ ID NO:450, SEQ ID NO:730, or SEQ ID NO:1010. In an embodiment, the sense strand of a dsRNA can consist of SEQ ID NO:449 or fragments thereof and the antisense strand can consist of SEQ ID NO:450 or fragments thereof. In an embodiment, the sense strand of a dsRNA can consist of SEQ ID NO:729 or fragments thereof and the antisense strand can consist of SEQ ID NO:730 or fragments thereof. In an embodiment, the sense strand of a dsRNA can consist of SEQ ID NO:1009 or fragments thereof and the antisense strand can consist of SEQ ID NO:1010 or fragments thereof.
- In an embodiment, a dsRNA can include at least 1, 2, 3, 4, 5, 6, 7, 8, 9, 10, or more modified nucleotides. In an embodiment, a modified nucleotide can include a 2′-O-methyl modified nucleotide, a nucleotide comprising a 5′-phosphorothioate group, and/or a terminal nucleotide linked to a cholesteryl derivative or dodecanoic acid bisdecylamide group. In an embodiment, a modified nucleotide can include a 2′-deoxy-2′-fluoro modified nucleotide, a 2′-deoxy-modified nucleotide, a locked nucleotide, an abasic nucleotide, 2′-amino-modified nucleotide, 2′-alkyl-modified nucleotide, morpholino nucleotide, a phosphoramidate, and/or a non-natural base comprising nucleotide.
- In an embodiment, the region of complementary of a dsRNA is at least 10, 11, 12, 13, 14, 15, 16, 17, 18, 19, 20, 21, or more nucleotides in length. In an embodiment, the region of complementary includes 10, 11, 12, 13, 14, 15, 16, 17, 18, 19, 20, 21, or more contiguous nucleotides of SEQ ID NO:169.
- In an embodiment, each strand of a dsRNA is 15, 16, 17, 18, 19, 20, 21, 22, 23, 24, 25, 26, 27, 28, 29, 30 or more nucleotides in length. In an embodiment, the dsRNA includes a sense strand, or 10, 11, 12, 13, 14, 15, 16, 17, 18, 19, 20, or 21 nucleotide fragment thereof, selected from Tables 3A, 3B, 4, 6A, 6B, 7, and 16, and an antisense strand, or 10, 11, 12, 13, 14, 15, 16, 17, 18, 19, 20, or 21 nucleotide fragment thereof, selected from Tables 3A, 3B, 4, 6A, 6B, 7, and 16.
- In an embodiment, administration of a dsRNA to a cell results in about 40%, 45%, 50%, 55%, 60%, 65%, 70%, 75%, 80%, 90%, 95% or more inhibition of TTR mRNA expression as measured by a real time PCR assay. In an embodiment, administration of a dsRNA to a cell results in about 40% to 45%, 45% to 50%, 50% to 55%, 55% to 60%, 60% to 65%, 65% to 70%, 70% to 75%, 75% to 80%, 80% to 85%, 85% to 90%, 90% to 95% or more inhibition of TTR mRNA expression as measured by a real time PCR assay. In an embodiment, administration of a dsRNA to a cell results in about 40%, 45%, 50%, 55%, 60%, 65%, 70%, 75%, 80%, 90%, 95% or more inhibition of TTR mRNA expression as measured by a branched DNA assay. In an embodiment, administration of a dsRNA to a cell results in about 40% to 45%, 45% to 50%, 50% to 55%, 55% to 60%, 60% to 65%, 65% to 70%, 70% to 75%, 75% to 80%, 80% to 85%, 85% to 90%, 90% to 95% or more inhibition of TTR mRNA expression as measured by a branched DNA assay.
- In an embodiment, a dsRNA has an IC50 of less than 0.01 pM, 0.1 pM, 1 pM, 5 pM, 10 pM, 100 pM, or 1000 pM. In an embodiment, a dsRNA has an ED50 of about 0.01, 0.1, 1, 5, or 10 mg/kg.
- In an embodiment, administration of a dsRNA can reduce TTR mRNA by about 40%, 45%, 50%, 55%, 60%, 65%, 70%, 75%, 80%, 90%, 95% or more in cynomolgus monkeys. In an embodiment, administration of a dsRNA reduces liver TTR mRNA levels by about 40%, 45%, 50%, 55%, 60%, 65%, 70%, 75%, 80%, 90%, 95% or more or serum TTR protein levels by about 40%, 45%, 50%, 55%, 60%, 65%, 70%, 75%, 80%, 90%, 95% or more. In an embodiment, administration of a dsRNA reduces liver TTR mRNA levels and/or serum TTR protein levels up to 1, 2, 3, 4, 5, 6, 7, 8, 9, 10, 11, 12, 13, 14, 15, 16, 17, 18, 19, 20, 21, 22, 23, 24, 25, or more days.
- In an embodiment, a dsRNA is formulated in a LNP formulation and reduces TTR mRNA levels by about 40%, 45%, 50%, 55%, 60%, 65%, 70%, 75%, 80%, 90%, 95% or more at a dose of 0.1, 0.2, 0.3, 0.4, 0.5, 0.6, 0.7, 0.8, 0.9, or 1 mg/kg, relative to a PBC control group. In an embodiment, a dsRNA is formulated in a LNP formulation and reduces TTR protein levels about 40%, 45%, 50%, 55%, 60%, 65%, 70%, 75%, 80%, 90%, 95% or more relative to a PBC control group as measured by a western blot. In an embodiment, a dsRNA suppresses serum TTR protein levels up to
1, 2, 3, 4, 5, 6, 7, 8, 9, 10, 11, 12, 13, 14, 15, 16, 17, 18, 19, 20, 21, 22, 23, 24, or 25 post-treatment when administered to a subject in need thereof at 1, 2, 3, 4, 5, 6, 7, 8, 9, 10, 11, 12, 13, 14, 15, 16, 17, 18, 19, 20, 21, 22, 23, 24, or 25 mg/kg.day - Accordingly, in some aspects, pharmaceutical compositions containing a TTR dsRNA and a pharmaceutically acceptable carrier, methods of using the compositions to inhibit expression of a TTR gene, and methods of using the pharmaceutical compositions to treat diseases caused by expression of a TTR gene are featured in the invention.
- For convenience, the meaning of certain terms and phrases used in the specification, examples, and appended claims, are provided below. If there is an apparent discrepancy between the usage of a term in other parts of this specification and its definition provided in this section, the definition in this section shall prevail.
- “G,” “C,” “A” and “U” each generally stand for a nucleotide that contains guanine, cytosine, adenine, and uracil as a base, respectively. “T” and “dT” are used interchangeably herein and refer to a deoxyribonucleotide wherein the nucleobase is thymine, e.g., deoxyribothymine. However, it will be understood that the term “ribonucleotide” or “nucleotide” or “deoxyribonucleotide” can also refer to a modified nucleotide, as further detailed below, or a surrogate replacement moiety. The skilled person is well aware that guanine, cytosine, adenine, and uracil may be replaced by other moieties without substantially altering the base pairing properties of an oligonucleotide comprising a nucleotide bearing such replacement moiety. For example, without limitation, a nucleotide comprising inosine as its base may base pair with nucleotides containing adenine, cytosine, or uracil. Hence, nucleotides containing uracil, guanine, or adenine may be replaced in the nucleotide sequences of the invention by a nucleotide containing, for example, inosine. Sequences comprising such replacement moieties are embodiments of the invention.
- As used herein, “transthyretin” (“TTR”) refers to a gene in a cell. TTR is also known as ATTR, HsT2651, PALB, prealbumin, TBPA, and transthyretin (prealbumin, amyloidosis type I). The sequence of a human TTR mRNA transcript can be found at NM_000371. The sequence of mouse TTR mRNA can be found at NM_013697.2, and the sequence of rat TTR mRNA can be found at NM_012681.1.
- As used herein, “target sequence” refers to a contiguous portion of the nucleotide sequence of an mRNA molecule formed during the transcription of a TTR gene, including mRNA that is a product of RNA processing of a primary transcription product.
- As used herein, the term “strand comprising a sequence” refers to an oligonucleotide comprising a chain of nucleotides that is described by the sequence referred to using the standard nucleotide nomenclature.
- As used herein, and unless otherwise indicated, the term “complementary,” when used to describe a first nucleotide sequence in relation to a second nucleotide sequence, refers to the ability of an oligonucleotide or polynucleotide comprising the first nucleotide sequence to hybridize and form a duplex structure under certain conditions with an oligonucleotide or polynucleotide comprising the second nucleotide sequence, as will be understood by the skilled person. Such conditions can, for example, be stringent conditions, where stringent conditions may include: 400 mM NaCl, 40 mM PIPES pH 6.4, 1 mM EDTA, 50° C. or 70° C. for 12-16 hours followed by washing. Other conditions, such as physiologically relevant conditions as may be encountered inside an organism, can apply. The skilled person will be able to determine the set of conditions most appropriate for a test of complementarity of two sequences in accordance with the ultimate application of the hybridized nucleotides.
- This includes base-pairing of the oligonucleotide or polynucleotide comprising the first nucleotide sequence to the oligonucleotide or polynucleotide comprising the second nucleotide sequence over the entire length of the first and second nucleotide sequence. Such sequences can be referred to as “fully complementary” with respect to each other herein. However, where a first sequence is referred to as “substantially complementary” with respect to a second sequence herein, the two sequences can be fully complementary, or they may form one or more, but generally not more than 4, 3 or 2 mismatched base pairs upon hybridization, while retaining the ability to hybridize under the conditions most relevant to their ultimate application. However, where two oligonucleotides are designed to form, upon hybridization, one or more single stranded overhangs, such overhangs shall not be regarded as mismatches with regard to the determination of complementarity. For example, a dsRNA comprising one
oligonucleotide 21 nucleotides in length and another oligonucleotide 23 nucleotides in length, wherein the longer oligonucleotide comprises a sequence of 21 nucleotides that is fully complementary to the shorter oligonucleotide, may yet be referred to as “fully complementary” for the purposes described herein. - “Complementary” sequences, as used herein, may also include, or be formed entirely from, non-Watson-Crick base pairs and/or base pairs formed from non-natural and modified nucleotides, in as far as the above requirements with respect to their ability to hybridize are fulfilled. Such non-Watson-Crick base pairs includes, but not limited to, G:U Wobble or Hoogstein base pairing.
- The terms “complementary,” “fully complementary” and “substantially complementary” herein may be used with respect to the base matching between the sense strand and the antisense strand of a dsRNA, or between the antisense strand of a dsRNA and a target sequence, as will be understood from the context of their use.
- As used herein, a polynucleotide that is “substantially complementary to at least part of” a messenger RNA (mRNA) refers to a polynucleotide that is substantially complementary to a contiguous portion of the mRNA of interest (e.g., an mRNA encoding TTR) including a 5′ UTR, an open reading frame (ORF), or a 3′ UTR. For example, a polynucleotide is complementary to at least a part of a TTR mRNA if the sequence is substantially complementary to a non-interrupted portion of an mRNA encoding TTR.
- The term “double-stranded RNA” or “dsRNA,” as used herein, refers to a complex of ribonucleic acid molecules, having a duplex structure comprising two anti-parallel and substantially complementary, as defined above, nucleic acid strands. In general, the majority of nucleotides of each strand are ribonucleotides, but as described in detail herein, each or both strands can also include at least one non-ribonucleotide, e.g., a deoxyribonucleotide and/or a modified nucleotide. In addition, as used in this specification, “dsRNA” may include chemical modifications to ribonucleotides, including substantial modifications at multiple nucleotides and including all types of modifications disclosed herein or known in the art. Any such modifications, as used in an siRNA type molecule, are encompassed by “dsRNA” for the purposes of this specification and claims.
- The two strands forming the duplex structure may be different portions of one larger RNA molecule, or they may be separate RNA molecules. Where the two strands are part of one larger molecule, and therefore are connected by an uninterrupted chain of nucleotides between the 3′-end of one strand and the 5′-end of the respective other strand forming the duplex structure, the connecting RNA chain is referred to as a “hairpin loop.” Where the two strands are connected covalently by means other than an uninterrupted chain of nucleotides between the 3′-end of one strand and the 5′-end of the respective other strand forming the duplex structure, the connecting structure is referred to as a “linker.” The RNA strands may have the same or a different number of nucleotides. The maximum number of base pairs is the number of nucleotides in the shortest strand of the dsRNA minus any overhangs that are present in the duplex. In addition to the duplex structure, a dsRNA may comprise one or more nucleotide overhangs. The term “siRNA” is also used herein to refer to a dsRNA as described above.
- As used herein, a “nucleotide overhang” refers to the unpaired nucleotide or nucleotides that protrude from the duplex structure of a dsRNA when a 3′-end of one strand of the dsRNA extends beyond the 5′-end of the other strand, or vice versa. “Blunt” or “blunt end” means that there are no unpaired nucleotides at that end of the dsRNA, i.e., no nucleotide overhang. A “blunt ended” dsRNA is a dsRNA that is double-stranded over its entire length, i.e., no nucleotide overhang at either end of the molecule.
- The term “antisense strand” refers to the strand of a dsRNA which includes a region that is substantially complementary to a target sequence. As used herein, the term “region of complementarity” refers to the region on the antisense strand that is substantially complementary to a sequence, for example a target sequence, as defined herein. Where the region of complementarity is not fully complementary to the target sequence, the mismatches are most tolerated in the terminal regions and, if present, are generally in a terminal region or regions, e.g., within 6, 5, 4, 3, or 2 nucleotides of the 5′ and/or 3′ terminus.
- The term “sense strand,” as used herein, refers to the strand of a dsRNA that includes a region that is substantially complementary to a region of the antisense strand.
- As used herein, the term “SNALP” refers to a stable nucleic acid-lipid particle. A SNALP represents a vesicle of lipids coating a reduced aqueous interior comprising a nucleic acid such as a dsRNA or a plasmid from which a dsRNA is transcribed. SNALP are described, e.g., in U.S. Patent Application Publication Nos. 20060240093, 20070135372, and U.S. Ser. No. 61/045,228 filed on Apr. 15, 2008. These applications are hereby incorporated by reference.
- “Introducing into a cell,” when referring to a dsRNA, means facilitating uptake or absorption into the cell, as is understood by those skilled in the art. Absorption or uptake of dsRNA can occur through unaided diffusive or active cellular processes, or by auxiliary agents or devices. The meaning of this term is not limited to cells in vitro; a dsRNA may also be “introduced into a cell,” wherein the cell is part of a living organism. In such instance, introduction into the cell will include the delivery to the organism. For example, for in vivo delivery, dsRNA can be injected into a tissue site or administered systemically. In vitro introduction into a cell includes methods known in the art such as electroporation and lipofection. Further approaches are described herein or known in the art.
- The terms “silence,” “inhibit the expression of,” “down-regulate the expression of,” “suppress the expression of” and the like in as far as they refer to a TTR gene, herein refer to the at least partial suppression of the expression of a TTR gene, as manifested by a reduction of the amount of mRNA which may be isolated from a first cell or group of cells in which a TTR gene is transcribed and which has or have been treated such that the expression of a TTR gene is inhibited, as compared to a second cell or group of cells substantially identical to the first cell or group of cells but which has or have not been so treated (control cells). The degree of inhibition is usually expressed in terms of
-
- Alternatively, the degree of inhibition may be given in terms of a reduction of a parameter that is functionally linked to TTR gene expression, e.g., the amount of protein encoded by a TTR gene which is secreted by a cell, or the number of cells displaying a certain phenotype, e.g., apoptosis. In principle, TTR gene silencing may be determined in any cell expressing the target, either constitutively or by genomic engineering, and by any appropriate assay. However, when a reference is needed in order to determine whether a given dsRNA inhibits the expression of a TTR gene by a certain degree and therefore is encompassed by the instant invention, the assays provided in the Examples below shall serve as such reference.
- For example, in certain instances, expression of a TTR gene is suppressed by at least about 5%, 10%, 15%, 20%, 25%, 30%, 35%, 40%, 45%, or 50% by administration of the double-stranded oligonucleotide featured in the invention. In some embodiments, a TTR gene is suppressed by at least about 60%, 70%, or 80% by administration of the double-stranded oligonucleotide featured in the invention. In some embodiments, a TTR gene is suppressed by at least about 85%, 90%, or 95% by administration of the double-stranded oligonucleotide featured in the invention.
- As used herein in the context of TTR expression, the terms “treat,” “treatment,” and the like, refer to relief from or alleviation of pathological processes mediated by TTR expression. In the context of the present invention insofar as it relates to any of the other conditions recited herein below (other than pathological processes mediated by TTR expression), the terms “treat,” “treatment,” and the like mean to relieve or alleviate at least one symptom associated with such condition, or to slow or reverse the progression of such condition, such as the slowing the progression of a TTR amyloidosis, such as FAP. Symptoms of TTR amyloidosis include sensory neuropathy (e.g. paresthesia, hypesthesia in distal limbs), autonomic neuropathy (e.g., gastrointestinal dysfunction, such as gastric ulcer, or orthostatic hypotension), motor neuropathy, seizures, dementia, myelopathy, polyneuropathy, carpal tunnel syndrome, autonomic insufficiency, cardiomyopathy, vitreous opacities, renal insufficiency, nephropathy, substantially reduced mBMI (modified Body Mass Index), cranial nerve dysfunction, and corneal lattice dystrophy.
- As used herein, the phrases “therapeutically effective amount” and “prophylactically effective amount” refer to an amount that provides a therapeutic benefit in the treatment, prevention, or management of pathological processes mediated by TTR expression or an overt symptom of pathological processes mediated by TTR expression. The specific amount that is therapeutically effective can be readily determined by an ordinary medical practitioner, and may vary depending on factors known in the art, such as, for example, the type of pathological processes mediated by TTR expression, the patient's history and age, the stage of pathological processes mediated by TTR expression, and the administration of other anti-pathological processes mediated by TTR expression agents.
- As used herein, a “pharmaceutical composition” comprises a pharmacologically effective amount of a dsRNA and a pharmaceutically acceptable carrier. As used herein, “pharmacologically effective amount,” “therapeutically effective amount” or simply “effective amount” refers to that amount of an RNA effective to produce the intended pharmacological, therapeutic or preventive result. For example, if a given clinical treatment is considered effective when there is at least a 25% reduction in a measurable parameter associated with a disease or disorder, a therapeutically effective amount of a drug for the treatment of that disease or disorder is the amount necessary to effect at least a 25% reduction in that parameter. For example, a therapeutically effective amount of a dsRNA targeting TTR can reduce TTR serum levels by at least 25%. In another example, a therapeutically effective amount of a dsRNA targeting TTR can improve liver function or renal function by at least 25%.
- The term “pharmaceutically acceptable carrier” refers to a carrier for administration of a therapeutic agent. Such carriers include, but are not limited to, saline, buffered saline, dextrose, water, glycerol, ethanol, and combinations thereof. The term specifically excludes cell culture medium. For drugs administered orally, pharmaceutically acceptable carriers include, but are not limited to pharmaceutically acceptable excipients such as inert diluents, disintegrating agents, binding agents, lubricating agents, sweetening agents, flavoring agents, coloring agents and preservatives. Suitable inert diluents include sodium and calcium carbonate, sodium and calcium phosphate, and lactose, while corn starch and alginic acid are suitable disintegrating agents. Binding agents may include starch and gelatin, while the lubricating agent, if present, will generally be magnesium stearate, stearic acid or talc. If desired, the tablets may be coated with a material such as glyceryl monostearate or glyceryl distearate, to delay absorption in the gastrointestinal tract.
- As used herein, a “transformed cell” is a cell into which a vector has been introduced from which a dsRNA molecule may be expressed.
- As described in more detail herein, the invention provides double-stranded ribonucleic acid (dsRNA) molecules for inhibiting the expression of a TTR gene in a cell or mammal, e.g., in a human having a TTR amyloidosis, where the dsRNA includes an antisense strand having a region of complementarity which is complementary to at least a part of an mRNA formed in the expression of a TTR gene, and where the region of complementarity is less than 30 nucleotides in length, generally 19-24 nucleotides in length, and where said dsRNA, upon contact with a cell expressing said TTR gene, inhibits the expression of said TTR gene by at least 30% as assayed by, for example, a PCR or branched DNA (bDNA)-based method, or by a protein-based method, such as by Western blot. Expression of a TTR gene can be reduced by at least 30% when measured by an assay as described in the Examples below. For example, expression of a TTR gene in cell culture, such as in Hep3B cells, can be assayed by measuring TTR mRNA levels, such as by bDNA or TaqMan assay, or by measuring protein levels, such as by ELISA assay. The dsRNA of the invention can further include one or more single-stranded nucleotide overhangs.
- The dsRNA can be synthesized by standard methods known in the art as further discussed below, e.g., by use of an automated DNA synthesizer, such as are commercially available from, for example, Biosearch, Applied Biosystems, Inc. The dsRNA includes two RNA strands that are sufficiently complementary to hybridize to form a duplex structure. One strand of the dsRNA (the antisense strand) includes a region of complementarity that is substantially complementary, and generally fully complementary, to a target sequence, derived from the sequence of an mRNA formed during the expression of a TTR gene, the other strand (the sense strand) includes a region that is complementary to the antisense strand, such that the two strands hybridize and form a duplex structure when combined under suitable conditions. Generally, the duplex structure is between 15 and 30 or between 25 and 30, or between 18 and 25, or between 19 and 24, or between 19 and 21, or 19, 20, or 21 base pairs in length. In one embodiment the duplex is 19 base pairs in length. In another embodiment the duplex is 21 base pairs in length. When two different siRNAs are used in combination, the duplex lengths can be identical or can differ.
- Each strand of the dsRNA of invention is generally between 15 and 30, or between 18 and 25, or 18, 19, 20, 21, 22, 23, 24, or 25 nucleotides in length. In other embodiments, each is strand is 25-30 nucleotides in length. Each strand of the duplex can be the same length or of different lengths. When two different siRNAs are used in combination, the lengths of each strand of each siRNA can be identical or can differ.
- The dsRNA of the invention can include one or more single-stranded overhang(s) of one or more nucleotides. In one embodiment, at least one end of the dsRNA has a single-stranded nucleotide overhang of 1 to 4, generally 1 or 2 nucleotides. In another embodiment, the antisense strand of the dsRNA has 1-10 nucleotides overhangs each at the 3′ end and the 5′ end over the sense strand. In further embodiments, the sense strand of the dsRNA has 1-10 nucleotides overhangs each at the 3′ end and the 5′ end over the antisense strand.
- A dsRNAs having at least one nucleotide overhang can have unexpectedly superior inhibitory properties than the blunt-ended counterpart. In some embodiments the presence of only one nucleotide overhang strengthens the interference activity of the dsRNA, without affecting its overall stability. A dsRNA having only one overhang has proven particularly stable and effective in vivo, as well as in a variety of cells, cell culture mediums, blood, and serum. Generally, the single-stranded overhang is located at the 3′-terminal end of the antisense strand or, alternatively, at the 3′-terminal end of the sense strand. The dsRNA can also have a blunt end, generally located at the 5′-end of the antisense strand. Such dsRNAs can have improved stability and inhibitory activity, thus allowing administration at low dosages, i.e., less than 5 mg/kg body weight of the recipient per day. Generally, the antisense strand of the dsRNA has a nucleotide overhang at the 3′-end, and the 5′-end is blunt. In another embodiment, one or more of the nucleotides in the overhang is replaced with a nucleoside thiophosphate.
- In one embodiment, a TTR gene is a human TTR gene. In specific embodiments, the sense strand of the dsRNA is one of the sense sequences from Tables 3A, 3B, 4, 6A, 6B, or 7, and the antisense strand is one of the antisense sequences of Tables 3A, 3B, 4, 6A, 6B, or 7. Alternative antisense agents that target elsewhere in the target sequence provided in Tables 3A, 3B, 4, 6A, 6B, or 7 can readily be determined using the target sequence and the flanking TTR sequence.
- The skilled person is well aware that dsRNAs having a duplex structure of between 20 and 23, but specifically 21, base pairs have been hailed as particularly effective in inducing RNA interference (Elbashir et al., EMBO 2001, 20:6877-6888). However, others have found that shorter or longer dsRNAs can be effective as well. In the embodiments described above, by virtue of the nature of the oligonucleotide sequences provided in Tables 3A, 3B, 4, 6A, 6B, and 7, the dsRNAs featured in the invention can include at least one strand of a length described herein. It can be reasonably expected that shorter dsRNAs having one of the sequences of Tables 3A, 3B, 4, 6A, 6B, or 7 minus only a few nucleotides on one or both ends may be similarly effective as compared to the dsRNAs described above. Hence, dsRNAs having a partial sequence of at least 15, 16, 17, 18, 19, 20, or more contiguous nucleotides from one of the sequences of Tables 3, 4, 6 or 7, and differing in their ability to inhibit the expression of a TTR gene in an assay as described herein below by not more than 5, 10, 15, 20, 25, or 30% inhibition from a dsRNA comprising the full sequence, are contemplated by the invention. Further, dsRNAs that cleave within a desired TTR target sequence can readily be made using the corresponding TTR antisense sequence and a complementary sense sequence.
- In addition, the dsRNAs provided in Tables 3A, 3B, 4, 6A, 6B, or 7 identify a site in a TTR that is susceptible to RNAi based cleavage. As such, the present invention further features dsRNAs that target within the sequence targeted by one of the agents of the present invention. As used herein, a second dsRNA is said to target within the sequence of a first dsRNA if the second dsRNA cleaves the message anywhere within the mRNA that is complementary to the antisense strand of the first dsRNA. Such a second dsRNA will generally consist of at least 15 contiguous nucleotides from one of the sequences provided in Tables 3A, 3B, 4, 6A, 6B, or 7 coupled to additional nucleotide sequences taken from the region contiguous to the selected sequence in a TTR gene.
- The dsRNA featured in the invention can contain one or more mismatches to the target sequence. In one embodiment, the dsRNA featured in the invention contains no more than 3 mismatches. If the antisense strand of the dsRNA contains mismatches to a target sequence, it is preferable that the area of mismatch not be located in the center of the region of complementarity. If the antisense strand of the dsRNA contains mismatches to the target sequence, it is preferable that the mismatch be restricted to 5 nucleotides from either end, for example 5, 4, 3, 2, or 1 nucleotide from either the 5′ or 3′ end of the region of complementarity. For example, for a 23 nucleotide dsRNA strand which is complementary to a region of a TTR gene, the dsRNA generally does not contain any mismatch within the central 13 nucleotides. The methods described within the invention can be used to determine whether a dsRNA containing a mismatch to a target sequence is effective in inhibiting the expression of a TTR gene. Consideration of the efficacy of dsRNAs with mismatches in inhibiting expression of a TTR gene is important, especially if the particular region of complementarity in a TTR gene is known to have polymorphic sequence variation within the population.
- Modifications
- In yet another embodiment, the dsRNA is chemically modified to enhance stability. The nucleic acids featured in the invention may be synthesized and/or modified by methods well established in the art, such as those described in “Current protocols in nucleic acid chemistry,” Beaucage, S. L. et al. (Eds.), John Wiley & Sons, Inc., New York, N.Y., USA, which is hereby incorporated herein by reference. Specific examples of dsRNA compounds useful in this invention include dsRNAs containing modified backbones or no natural internucleoside linkages. As defined in this specification, dsRNAs having modified backbones include those that retain a phosphorus atom in the backbone and those that do not have a phosphorus atom in the backbone. For the purposes of this specification, and as sometimes referenced in the art, modified dsRNAs that do not have a phosphorus atom in their internucleoside backbone can also be considered to be oligonucleosides.
- Modified dsRNA backbones include, for example, phosphorothioates, chiral phosphorothioates, phosphorodithioates, phosphotriesters, aminoalkylphosphotriesters, methyl and other alkyl phosphonates including 3′-alkylene phosphonates and chiral phosphonates, phosphinates, phosphoramidates including 3′-amino phosphoramidate and aminoalkylphosphoramidates, thionophosphoramidates, thionoalkylphosphonates, thionoalkylphosphotriesters, and boranophosphates having normal 3′-5′ linkages, 2′-5′ linked analogs of these, and those) having inverted polarity wherein the adjacent pairs of nucleoside units are linked 3′-5′ to 5′-3′ or 2′-5′ to 5′-2′. Various salts, mixed salts and free acid forms are also included.
- Representative U.S. patents that teach the preparation of the above phosphorus-containing linkages include, but are not limited to, U.S. Pat. Nos. 3,687,808; 4,469,863; 4,476,301; 5,023,243; 5,177,195; 5,188,897; 5,264,423; 5,276,019; 5,278,302; 5,286,717; 5,321,131; 5,399,676; 5,405,939; 5,453,496; 5,455,233; 5,466,677; 5,476,925; 5,519,126; 5,536,821; 5,541,316; 5,550,111; 5,563,253; 5,571,799; 5,587,361; and 5,625,050, each of which is herein incorporated by reference
- Modified dsRNA backbones that do not include a phosphorus atom therein have backbones that are formed by short chain alkyl or cycloalkyl internucleoside linkages, mixed heteroatoms and alkyl or cycloalkyl internucleoside linkages, or ore or more short chain heteroatomic or heterocyclic internucleoside linkages. These include those having morpholino linkages (formed in part from the sugar portion of a nucleoside); siloxane backbones; sulfide, sulfoxide and sulfone backbones; formacetyl and thioformacetyl backbones; methylene formacetyl and thioformacetyl backbones; alkene containing backbones; sulfamate backbones; methyleneimino and methylenehydrazino backbones; sulfonate and sulfonamide backbones; amide backbones; and others having mixed N, O, S and CH2 component parts.
- Representative U.S. patents that teach the preparation of the above oligonucleosides include, but are not limited to, U.S. Pat. Nos. 5,034,506; 5,166,315; 5,185,444; 5,214,134; 5,216,141; 5,235,033; 5,64,562; 5,264,564; 5,405,938; 5,434,257; 5,466,677; 5,470,967; 5,489,677; 5,541,307; 5,561,225; 5,596,086; 5,602,240; 5,608,046; 5,610,289; 5,618,704; 5,623,070; 5,663,312; 5,633,360; 5,677,437; and, 5,677,439, each of which is herein incorporated by reference.
- In other suitable dsRNA mimetics, both the sugar and the internucleoside linkage, i.e., the backbone, of the nucleotide units are replaced with novel groups. The base units are maintained for hybridization with an appropriate nucleic acid target compound. One such oligomeric compound, a dsRNA mimetic that has been shown to have excellent hybridization properties, is referred to as a peptide nucleic acid (PNA). In PNA compounds, the sugar backbone of a dsRNA is replaced with an amide containing backbone, in particular an aminoethylglycine backbone. The nucleobases are retained and are bound directly or indirectly to aza nitrogen atoms of the amide portion of the backbone. Representative U.S. patents that teach the preparation of PNA compounds include, but are not limited to, U.S. Pat. Nos. 5,539,082; 5,714,331; and 5,719,262, each of which is herein incorporated by reference. Further teaching of PNA compounds can be found in Nielsen et al., Science, 1991, 254, 1497-1500.
- Other embodiments of the invention are dsRNAs with phosphorothioate backbones and oligonucleosides with heteroatom backbones, and in particular —CH2—NH—CH2—, —CH2—N(CH3)—O—CH2— [known as a methylene (methylimino) or MMI backbone], —CH2—O—N(CH3)—CH2—, —CH2—N(CH3)—N(CH3)—CH2— and —N(CH3)—CH2—CH2— [wherein the native phosphodiester backbone is represented as —O—P—O—CH2—] of the above-referenced U.S. Pat. No. 5,489,677, and the amide backbones of the above-referenced U.S. Pat. No. 5,602,240. Also preferred are dsRNAs having morpholino backbone structures of the above-referenced U.S. Pat. No. 5,034,506.
- Modified dsRNAs may also contain one or more substituted sugar moieties. Preferred dsRNAs comprise one of the following at the 2′ position: OH; F; O-, S-, or N-alkyl; O-, S-, or N-alkenyl; O-, S- or N-alkynyl; or O-alkyl-Co-alkyl, wherein the alkyl, alkenyl and alkynyl may be substituted or unsubstituted C1 to C10 alkyl or C2 to C10 alkenyl and alkynyl. Particularly preferred are O[(CH2)nO]mCH3, O(CH2)—OCH3, O(CH2)nNH2, O(CH2)nCH3, O(CH2)nONH2, and O(CH2)nON[(CH2)nCH3)]2, where n and m are from 1 to about 10. Other preferred dsRNAs comprise one of the following at the 2′ position: C1 to C10 lower alkyl, substituted lower alkyl, alkaryl, aralkyl, O-alkaryl or O-aralkyl, SH, SCH3, OCN, Cl, Br, CN, CF3, OCF3, SOCH3, SO2CH3, ONO2, NO2, N3, NH2, heterocycloalkyl, heterocycloalkaryl, aminoalkylamino, polyalkylamino, substituted silyl, an RNA cleaving group, a reporter group, an intercalator, a group for improving the pharmacokinetic properties of an dsRNA, or a group for improving the pharmacodynamic properties of an dsRNA, and other substituents having similar properties. A preferred modification includes 2′-methoxyethoxy (2′-O—CH2CH2OCH3, also known as 2′-O-(2-methoxyethyl) or 2′-MOE) (Martin et al., Helv. Chim. Acta, 1995, 78, 486-504) i.e., an alkoxy-alkoxy group. A further preferred modification includes 2′-dimethylaminooxyethoxy, i.e., a O(CH2)2ON(CH3)2 group, also known as 2′-DMAOE, as described in examples herein below, and 2′-dimethylaminoethoxyethoxy (also known in the art as 2′-O-dimethylaminoethoxyethyl or 2′-DMAEOE), i.e., 2′-O—CH2—O—CH2—N(CH2)2, also described in examples herein below.
- Other preferred modifications include 2′-methoxy (2′-OCH3), 2′-aminopropoxy (2′-OCH2CH2CH2NH2) and 2′-fluoro (2′-F). Similar modifications may also be made at other positions on the dsRNA, particularly the 3′ position of the sugar on the 3′ terminal nucleotide or in 2′-5′ linked dsRNAs and the 5′ position of 5′ terminal nucleotide. DsRNAs may also have sugar mimetics such as cyclobutyl moieties in place of the pentofuranosyl sugar. Representative U.S. patents that teach the preparation of such modified sugar structures include, but are not limited to, U.S. Pat. Nos. 4,981,957; 5,118,800; 5,319,080; 5,359,044; 5,393,878; 5,446,137; 5,466,786; 5,514,785; 5,519,134; 5,567,811; 5,576,427; 5,591,722; 5,597,909; 5,610,300; 5,627,053; 5,639,873; 5,646,265; 5,658,873; 5,670,633; and 5,700,920, certain of which are commonly owned with the instant application, and each of which is herein incorporated by reference in its entirety.
- dsRNAs may also include nucleobase (often referred to in the art simply as “base”) modifications or substitutions. As used herein, “unmodified” or “natural” nucleobases include the purine bases adenine (A) and guanine (G), and the pyrimidine bases thymine (T), cytosine (C) and uracil (U). Modified nucleobases include other synthetic and natural nucleobases such as 5-methylcytosine (5-me-C), 5-hydroxymethyl cytosine, xanthine, hypoxanthine, 2-aminoadenine, 6-methyl and other alkyl derivatives of adenine and guanine, 2-propyl and other alkyl derivatives of adenine and guanine, 2-thiouracil, 2-thiothymine and 2-thiocytosine, 5-halouracil and cytosine, 5-propynyl uracil and cytosine, 6-azo uracil, cytosine and thymine, 5-uracil (pseudouracil), 4-thiouracil, 8-halo, 8-amino, 8-thiol, 8-thioalkyl, 8-hydroxyl anal other 8-substituted adenines and guanines, 5-halo, particularly 5-bromo, 5-trifluoromethyl and other 5-substituted uracils and cytosines, 7-methylguanine and 7-methyladenine, 8-azaguanine and 8-azaadenine, 7-deazaguanine and 7-daazaadenine and 3-deazaguanine and 3-deazaadenine. Further nucleobases include those disclosed in U.S. Pat. No. 3,687,808, those disclosed in The Concise Encyclopedia Of Polymer Science And Engineering, pages 858-859, Kroschwitz, J. L, ed. John Wiley & Sons, 1990, these disclosed by Englisch et al., Angewandte Chemie, International Edition, 1991, 30, 613, and those disclosed by Sanghvi, Y S.,
Chapter 15, DsRNA Research and Applications, pages 289-302, Crooke, S. T. and Lebleu, B., Ed., CRC Press, 1993. Certain of these nucleobases are particularly useful for increasing the binding affinity of the oligomeric compounds featured in the invention. These include 5-substituted pyrimidines, 6-azapyrimidines and N-2, N-6 and 0-6 substituted purines, including 2-aminopropyladenine, 5-propynyluracil and 5-propynylcytosine. 5-methylcytosine substitutions have been shown to increase nucleic acid duplex stability by 0.6-1.2° C. (Sanghvi, Y. S., Crooke, S. T. and Lebleu, B., Eds., DsRNA Research and Applications, CRC Press, Boca Raton, 1993, pp. 276-278) and are exemplary base substitutions, even more particularly when combined with 2′-O-methoxyethyl sugar modifications. - Representative U.S. patents that teach the preparation of certain of the above noted modified nucleobases as well as other modified nucleobases include, but are not limited to, the above noted U.S. Pat. No. 3,687,808, as well as U.S. Pat. Nos. 4,845,205; 5,130,30; 5,134,066; 5,175,273; 5,367,066; 5,432,272; 5,457,187; 5,459,255; 5,484,908; 5,502,177; 5,525,711; 5,552,540; 5,587,469; 5,594,121, 5,596,091; 5,614,617; and 5,681,941, each of which is herein incorporated by reference, and U.S. Pat. No. 5,750,692, also herein incorporated by reference.
- Conjugates
- Another modification of the dsRNAs of the invention involves chemically linking to the dsRNA one or more moieties or conjugates which enhance the activity, cellular distribution or cellular uptake of the dsRNA. Such moieties include but are not limited to lipid moieties such as a cholesterol moiety (Letsinger et al., Proc. Natl. Acid. Sci. USA, 1989, 86: 6553-6556), cholic acid (Manoharan et al., Biorg. Med. Chem. Let., 1994, 4:1053-1060), a thioether, e.g., beryl-S-tritylthiol (Manoharan et al., Ann. N.Y. Acad. Sci., 1992, 660:306-309; Manoharan et al., Biorg. Med. Chem. Let., 1993, 3:2765-2770), a thiocholesterol (Oberhauser et al., Nucl. Acids Res., 1992, 20:533-538), an aliphatic chain, e.g., dodecandiol or undecyl residues (Saison-Behmoaras et al., EMBO J, 1991, 10:1111-1118; Kabanov et al., FEBS Lett., 1990, 259:327-330; Svinarchuk et al., Biochimie, 1993, 75:49-54), a phospholipid, e.g., di-hexadecyl-rac-glycerol or triethyl-
ammonium 1,2-di-O-hexadecyl-rac-glycero-3-Hphosphonate (Manoharan et al., Tetrahedron Lett., 1995, 36:3651-3654; Shea et al., Nucl. Acids Res., 1990, 18:3777-3783), a polyamine or a polyethylene glycol chain (Manoharan et al., Nucleosides & Nucleotides, 1995, 14:969-973), or adamantane acetic acid (Manoharan et al., Tetrahedron Lett., 1995, 36:3651-3654), a palmityl moiety (Mishra et al., Biochim. Biophys. Acta, 1995, 1264:229-237), or an octadecylamine or hexylamino-carbonyloxycholesterol moiety (Crooke et al., J. Pharmacol. Exp. Ther., 1996, 277:923-937). - Representative U.S. patents that teach the preparation of such dsRNA conjugates include, but are not limited to, U.S. Pat. Nos. 4,828,979; 4,948,882; 5,218,105; 5,525,465; 5,541,313; 5,545,730; 5,552,538; 5,578,717, 5,580,731; 5,591,584; 5,109,124; 5,118,802; 5,138,045; 5,414,077; 5,486,603; 5,512,439; 5,578,718; 5,608,046; 4,587,044; 4,605,735; 4,667,025; 4,762,779; 4,789,737; 4,824,941; 4,835,263; 4,876,335; 4,904,582; 4,958,013; 5,082,830; 5,112,963; 5,214,136; 5,082,830; 5,112,963; 5,214,136; 5,245,022; 5,254,469; 5,258,506; 5,262,536; 5,272,250; 5,292,873; 5,317,098; 5,371,241, 5,391,723; 5,416,203, 5,451,463; 5,510,475; 5,512,667; 5,514,785; 5,565,552; 5,567,810; 5,574,142; 5,585,481; 5,587,371; 5,595,726; 5,597,696; 5,599,923; 5,599,928 and 5,688,941, each of which is herein incorporated by reference.
- It is not necessary for all positions in a given compound to be uniformly modified, and in fact more than one of the aforementioned modifications may be incorporated in a single compound or even at a single nucleoside within a dsRNA. The present invention also includes dsRNA compounds which are chimeric compounds. “Chimeric” dsRNA compounds or “chimeras,” in the context of this invention, are dsRNA compounds, particularly dsRNAs, which contain two or more chemically distinct regions, each made up of at least one monomer unit, i.e., a nucleotide in the case of a dsRNA compound. These dsRNAs typically contain at least one region wherein the dsRNA is modified so as to confer upon the dsRNA increased resistance to nuclease degradation, increased cellular uptake, and/or increased binding affinity for the target nucleic acid. An additional region of the dsRNA may serve as a substrate for enzymes capable of cleaving RNA:DNA or RNA:RNA hybrids. By way of example, RNase H is a cellular endonuclease which cleaves the RNA strand of an RNA:DNA duplex. Activation of RNase H, therefore, results in cleavage of the RNA target, thereby greatly enhancing the efficiency of dsRNA inhibition of gene expression. Consequently, comparable results can often be obtained with shorter dsRNAs when chimeric dsRNAs are used, compared to phosphorothioate deoxydsRNAs hybridizing to the same target region.
- Cleavage of the RNA target can be routinely detected by gel electrophoresis and, if necessary, associated nucleic acid hybridization techniques known in the art. The cleavage site on the target mRNA of a dsRNA can be determined using methods generally known to one of ordinary skill in the art, e.g., the 5′-RACE method described in Soutschek et al., Nature; 2004, Vol. 432, pp. 173-178 (which is herein incorporated by reference for all purposes). In an embodiment, using the 5′-RACE method described by Soutschek et al., ALN-18328 was determined to cleave a TTR mRNA between the guanine nucleotide at position 636 of SEQ ID NO:1331 (NM_000371.3) and the adenine nucleotide at position 637 of SEQ ID NO:1331. In an embodiment, it was determined that ALN-18328 does not cleave a TTR mRNA between the adenine nucleotide at position 637 of SEQ ID NO:1331 and the guanine nucleotide at
position 638 of SEQ ID NO:1331. - In certain instances, the dsRNA may be modified by a non-ligand group. A number of non-ligand molecules have been conjugated to dsRNAs in order to enhance the activity, cellular distribution or cellular uptake of the dsRNA, and procedures for performing such conjugations are available in the scientific literature. Such non-ligand moieties have included lipid moieties, such as cholesterol (Letsinger et al., Proc. Natl. Acad. Sci. USA, 1989, 86:6553), cholic acid (Manoharan et al., Bioorg. Med. Chem. Lett., 1994, 4:1053), a thioether, e.g., hexyl-S-tritylthiol (Manoharan et al., Ann. N.Y. Acad. Sci., 1992, 660:306; Manoharan et al., Bioorg. Med. Chem. Let., 1993, 3:2765), a thiocholesterol (Oberhauser et al., Nucl. Acids Res., 1992, 20:533), an aliphatic chain, e.g., dodecandiol or undecyl residues (Saison-Behmoaras et al., EMBO J., 1991, 10:111; Kabanov et al., FEBS Lett., 1990, 259:327; Svinarchuk et al., Biochimie, 1993, 75:49), a phospholipid, e.g., di-hexadecyl-rac-glycerol or
triethylammonium 1,2-di-O-hexadecyl-rac-glycero-3-H-phosphonate (Manoharan et al., Tetrahedron Lett., 1995, 36:3651; Shea et al., Nucl. Acids Res., 1990, 18:3777), a polyamine or a polyethylene glycol chain (Manoharan et al., Nucleosides & Nucleotides, 1995, 14:969), or adamantane acetic acid (Manoharan et al., Tetrahedron Lett., 1995, 36:3651), a palmityl moiety (Mishra et al., Biochim. Biophys. Acta, 1995, 1264:229), or an octadecylamine or hexylamino-carbonyl-oxycholesterol moiety (Crooke et al., J. Pharmacol. Exp. Ther., 1996, 277:923). Representative United States patents that teach the preparation of such dsRNA conjugates have been listed above. Typical conjugation protocols involve the synthesis of dsRNAs bearing an aminolinker at one or more positions of the sequence. The amino group is then reacted with the molecule being conjugated using appropriate coupling or activating reagents. The conjugation reaction may be performed either with the dsRNA still bound to the solid support or following cleavage of the dsRNA in solution phase. Purification of the dsRNA conjugate by HPLC typically affords the pure conjugate. - Vector Encoded dsRNAs
- In another aspect, TTR dsRNA molecules are expressed from transcription units inserted into DNA or RNA vectors (see, e.g., Couture, A, et al., TIG. (1996), 12:5-10; Skillern, A., et al., International PCT Publication No. WO 00/22113, Conrad, International PCT Publication No. WO 00/22114, and Conrad, U.S. Pat. No. 6,054,299). These transgenes can be introduced as a linear construct, a circular plasmid, or a viral vector, which can be incorporated and inherited as a transgene integrated into the host genome. The transgene can also be constructed to permit it to be inherited as an extrachromosomal plasmid (Gassmann, et al., Proc. Natl. Acad. Sci. USA (1995) 92:1292).
- The individual strands of a dsRNA can be transcribed by promoters on two separate expression vectors and co-transfected into a target cell. Alternatively each individual strand of the dsRNA can be transcribed by promoters both of which are located on the same expression plasmid. In one embodiment, a dsRNA is expressed as an inverted repeat joined by a linker polynucleotide sequence such that the dsRNA has a stem and loop structure.
- The recombinant dsRNA expression vectors are generally DNA plasmids or viral vectors. dsRNA expressing viral vectors can be constructed based on, but not limited to, adeno-associated virus (for a review, see Muzyczka, et al., Curr. Topics Micro. Immunol. (1992) 158:97-129)); adenovirus (see, for example, Berkner, et al., BioTechniques (1998) 6:616), Rosenfeld et al. (1991, Science 252:431-434), and Rosenfeld et al. (1992), Cell 68:143-155)); or alphavirus as well as others known in the art. Retroviruses have been used to introduce a variety of genes into many different cell types, including epithelial cells, in vitro and/or in vivo (see, e.g., Eglitis, et al., Science (1985) 230:1395-1398; Danos and Mulligan, Proc. Natl. Acad. Sci. USA (1998) 85:6460-6464; Wilson et al., 1988, Proc. NatI. Acad. Sci. USA 85:3014-3018; Armentano et al., 1990, Proc. NatI. Acad. Sci. USA 87:61416145; Huber et al., 1991, Proc. NatI. Acad. Sci. USA 88:8039-8043; Ferry et al., 1991, Proc. NatI. Acad. Sci. USA 88:8377-8381; Chowdhury et al., 1991, Science 254:1802-1805; van Beusechem. et al., 1992, Proc. Natl. Acad. Sci. USA 89:7640-19; Kay et al., 1992, Human Gene Therapy 3:641-647; Dai et al., 1992, Proc. Natl. Acad. Sci. USA 89:10892-10895; Hwu et al., 1993, J. Immunol. 150:4104-4115; U.S. Pat. No. 4,868,116; U.S. Pat. No. 4,980,286; PCT Application WO 89/07136; PCT Application WO 89/02468; PCT Application WO 89/05345; and PCT Application WO 92/07573). Recombinant retroviral vectors capable of transducing and expressing genes inserted into the genome of a cell can be produced by transfecting the recombinant retroviral genome into suitable packaging cell lines such as PA317 and Psi-CRIP (Comette et al., 1991, Human Gene Therapy 2:5-10; Cone et al., 1984, Proc. Natl. Acad. Sci. USA 81:6349). Recombinant adenoviral vectors can be used to infect a wide variety of cells and tissues in susceptible hosts (e.g., rat, hamster, dog, and chimpanzee) (Hsu et al., 1992, J. Infectious Disease, 166:769), and also have the advantage of not requiring mitotically active cells for infection.
- Any viral vector capable of accepting the coding sequences for the dsRNA molecule(s) to be expressed can be used, for example vectors derived from adenovirus (AV); adeno-associated virus (AAV); retroviruses (e.g., lentiviruses (LV), Rhabdoviruses, murine leukemia virus); herpes virus, and the like. The tropism of viral vectors can be modified by pseudotyping the vectors with envelope proteins or other surface antigens from other viruses, or by substituting different viral capsid proteins, as appropriate.
- For example, lentiviral vectors featured in the invention can be pseudotyped with surface proteins from vesicular stomatitis virus (VSV), rabies, Ebola, Mokola, and the like. AAV vectors featured in the invention can be made to target different cells by engineering the vectors to express different capsid protein serotypes. For example, an AAV vector expressing a
serotype 2 capsid on aserotype 2 genome is calledAAV 2/2. Thisserotype 2 capsid gene in theAAV 2/2 vector can be replaced by aserotype 5 capsid gene to produce anAAV 2/5 vector. Techniques for constructing AAV vectors which express different capsid protein serotypes are within the skill in the art; see, e.g., Rabinowitz J E et al. (2002), J Virol 76:791-801, the entire disclosure of which is herein incorporated by reference. - Selection of recombinant viral vectors suitable for use in the invention, methods for inserting nucleic acid sequences for expressing the dsRNA into the vector, and methods of delivering the viral vector to the cells of interest are within the skill in the art. See, for example, Dornburg R (1995), Gene Therap. 2: 301-310; Eglitis M A (1988), Biotechniques 6: 608-614; Miller A D (1990), Hum Gene Therap. 1: 5-14; Anderson W F (1998), Nature 392: 25-30; and Rubinson D A et al., Nat. Genet. 33: 401-406, the entire disclosures of which are herein incorporated by reference.
- Viral vectors can be derived from AV and AAV. In one embodiment, the dsRNA featured in the invention is expressed as two separate, complementary single-stranded RNA molecules from a recombinant AAV vector having, for example, either the U6 or H1 RNA promoters, or the cytomegalovirus (CMV) promoter.
- A suitable AV vector for expressing the dsRNA featured in the invention, a method for constructing the recombinant AV vector, and a method for delivering the vector into target cells, are described in Xia H et al. (2002), Nat. Biotech. 20: 1006-1010.
- Suitable AAV vectors for expressing the dsRNA featured in the invention, methods for constructing the recombinant AV vector, and methods for delivering the vectors into target cells are described in Samulski R et al. (1987), J. Virol. 61: 3096-3101; Fisher K J et al. (1996), J. Virol, 70: 520-532; Samulski R et al. (1989), J. Virol. 63: 3822-3826; U.S. Pat. No. 5,252,479; U.S. Pat. No. 5,139,941; International Patent Application No. WO 94/13788; and International Patent Application No. WO 93/24641, the entire disclosures of which are herein incorporated by reference.
- The promoter driving dsRNA expression in either a DNA plasmid or viral vector featured in the invention may be a eukaryotic RNA polymerase I (e.g., ribosomal RNA promoter), RNA polymerase II (e.g., CMV early promoter or actin promoter or U1 snRNA promoter) or generally RNA polymerase III promoter (e.g., U6 snRNA or 7SK RNA promoter) or a prokaryotic promoter, for example the T7 promoter, provided the expression plasmid also encodes T7 RNA polymerase required for transcription from a T7 promoter. The promoter can also direct transgene expression to the pancreas (see, e.g., the insulin regulatory sequence for pancreas (Bucchini et al., 1986, Proc. Natl. Acad. Sci. USA 83:2511-2515)).
- In addition, expression of the transgene can be precisely regulated, for example, by using an inducible regulatory sequence and expression systems such as a regulatory sequence that is sensitive to certain physiological regulators, e.g., circulating glucose levels, or hormones (Docherty et al., 1994, FASEB J. 8:20-24). Such inducible expression systems, suitable for the control of transgene expression in cells or in mammals include regulation by ecdysone, by estrogen, progesterone, tetracycline, chemical inducers of dimerization, and isopropyl-beta-D1-thiogalactopyranoside (EPTG). A person skilled in the art would be able to choose the appropriate regulatory/promoter sequence based on the intended use of the dsRNA transgene.
- Generally, recombinant vectors capable of expressing dsRNA molecules are delivered as described below, and persist in target cells. Alternatively, viral vectors can be used that provide for transient expression of dsRNA molecules. Such vectors can be repeatedly administered as necessary. Once expressed, the dsRNAs bind to target RNA and modulate its function or expression. Delivery of dsRNA expressing vectors can be systemic, such as by intravenous or intramuscular administration, by administration to target cells ex-planted from the patient followed by reintroduction into the patient, or by any other means that allows for introduction into a desired target cell.
- dsRNA expression DNA plasmids are typically transfected into target cells as a complex with cationic lipid carriers (e.g., Oligofectamine) or non-cationic lipid-based carriers (e.g., Transit-TKO™). Multiple lipid transfections for dsRNA-mediated knockdowns targeting different regions of a single TTR gene or multiple TTR genes over a period of a week or more are also contemplated by the invention. Successful introduction of vectors into host cells can be monitored using various known methods. For example, transient transfection can be signaled with a reporter, such as a fluorescent marker, such as Green Fluorescent Protein (GFP). Stable transfection of cells ex vivo can be ensured using markers that provide the transfected cell with resistance to specific environmental factors (e.g., antibiotics and drugs), such as hygromycin B resistance.
- TTR specific dsRNA molecules can also be inserted into vectors and used as gene therapy vectors for human patients. Gene therapy vectors can be delivered to a subject by, for example, intravenous injection, local administration (see U.S. Pat. No. 5,328,470) or by stereotactic injection (see e.g., Chen et al. (1994) Proc. Natl. Acad. Sci. USA 91:3054-3057). The pharmaceutical preparation of the gene therapy vector can include the gene therapy vector in an acceptable diluent, or can include a slow release matrix in which the gene delivery vehicle is imbedded. Alternatively, where the complete gene delivery vector can be produced intact from recombinant cells, e.g., retroviral vectors, the pharmaceutical preparation can include one or more cells which produce the gene delivery system.
- In one embodiment, the invention provides pharmaceutical compositions containing a dsRNA, as described herein, and a pharmaceutically acceptable carrier. The pharmaceutical composition containing the dsRNA is useful for treating a disease or disorder associated with the expression or activity of a TTR gene, such as pathological processes mediated by TTR expression. Such pharmaceutical compositions are formulated based on the mode of delivery. One example is compositions that are formulated for systemic administration via parenteral delivery, e.g., by intravenous (IV) delivery. Another example is compositions that are formulated for direct delivery into the brain parenchyma, e.g., by infusion into the brain, such as by continuous pump infusion.
- The pharmaceutical compositions featured herein are administered in dosages sufficient to inhibit expression of TTR genes.
- In general, a suitable dose of dsRNA will be in the range of 0.01 to 200.0 milligrams per kilogram body weight of the recipient per day, generally in the range of 1 to 50 mg per kilogram body weight per day. For example, the dsRNA can be administered at 0.0059 mg/kg, 0.01 mg/kg, 0.0295 mg/kg, 0.05 mg/kg, 0.0590 mg/kg, 0.163 mg/kg, 0.2 mg/kg, 0.3 mg/kg, 0.4 mg/kg, 0.5 mg/kg, 0.543 mg/kg, 0.5900 mg/kg, 0.6 mg/kg, 0.7 mg/kg, 0.8 mg/kg, 0.9 mg/kg, 1 mg/kg, 1.1 mg/kg, 1.2 mg/kg, 1.3 mg/kg, 1.4 mg/kg, 1.5 mg/kg, 1.628 mg/kg, 2 mg/kg, 3 mg/kg, 5.0 mg/kg, 10 mg/kg, 20 mg/kg, 30 mg/kg, 40 mg/kg, or 50 mg/kg per single dose.
- In one embodiment, the dosage is between 0.01 and 0.2 mg/kg. For example, the dsRNA can be administered at a dose of 0.01 mg/kg, 0.02 mg/kg, 0.3 mg/kg, 0.04 mg/kg, 0.05 mg/kg, 0.06 mg/kg, 0.07 mg/kg 0.08 mg/kg 0.09 mg/kg, 0.10 mg/kg, 0.11 mg/kg, 0.12 mg/kg, 0.13 mg/kg, 0.14 mg/kg, 0.15 mg/kg, 0.16 mg/kg, 0.17 mg/kg, 0.18 mg/kg, 0.19 mg/kg, or 0.20 mg/kg.
- In one embodiment, the dosage is between 0.005 mg/kg and 1.628 mg/kg. For example, the dsRNA can be administered at a dose of 0.0059 mg/kg, 0.0295 mg/kg, 0.0590 mg/kg, 0.163 mg/kg, 0.543 mg/kg, 0.5900 mg/kg, or 1.628 mg/kg.
- In one embodiment, the dosage is between 0.2 mg/kg and 1.5 mg/kg. For example, the dsRNA can be administered at a dose of 0.2 mg/kg, 0.3 mg/kg, 0.4 mg/kg, 0.5 mg/kg, 0.6 mg/kg, 0.7 mg/kg, 0.8 mg/kg, 0.9 mg/kg, 1 mg/kg, 1.1 mg/kg, 1.2 mg/kg, 1.3 mg/kg, 1.4 mg/kg, or 1.5 mg/kg.
- The pharmaceutical composition may be administered once daily, or the dsRNA may be administered as two, three, or more sub-doses at appropriate intervals throughout the day or even using continuous infusion or delivery through a controlled release formulation. In that case, the dsRNA contained in each sub-dose must be correspondingly smaller in order to achieve the total daily dosage. The dosage unit can also be compounded for delivery over several days, e.g., using a conventional sustained release formulation which provides sustained release of the dsRNA over a several day period. Sustained release formulations are well known in the art and are particularly useful for delivery of agents at a particular site, such as could be used with the agents of the present invention. In this embodiment, the dosage unit contains a corresponding multiple of the daily dose.
- The effect of a single dose on TTR levels is long lasting, such that subsequent doses are administered at not more than 3, 4, or 5 day intervals, or at not more than 1, 2, 3, or 4 week intervals, or at not more than 5, 6, 7, 8, 9, or 10 week intervals.
- The skilled artisan will appreciate that certain factors may influence the dosage and timing required to effectively treat a subject, including but not limited to the severity of the disease or disorder, previous treatments, the general health and/or age of the subject, and other diseases present. Moreover, treatment of a subject with a therapeutically effective amount of a composition can include a single treatment or a series of treatments. Estimates of effective dosages and in vivo half-lives for the individual dsRNAs encompassed by the invention can be made using conventional methodologies or on the basis of in vivo testing using an appropriate animal model, as described elsewhere herein.
- Advances in mouse genetics have generated a number of mouse models for the study of various human diseases, such as pathological processes mediated by TTR expression. Such models are used for in vivo testing of dsRNA, as well as for determining a therapeutically effective dose. A suitable mouse model is, for example, a mouse containing a plasmid expressing human TTR. Another suitable mouse model is a transgenic mouse carrying a transgene that expresses human TTR.
- The data obtained from cell culture assays and animal studies can be used in formulating a range of dosage for use in humans. The dosage of compositions featured in the invention lies generally within a range of circulating concentrations that include the ED50 with little or no toxicity. The dosage may vary within this range depending upon the dosage form employed and the route of administration utilized. For any compound used in the methods featured in the invention, the therapeutically effective dose can be estimated initially from cell culture assays. A dose may be formulated in animal models to achieve a circulating plasma concentration range of the compound or, when appropriate, of the polypeptide product of a target sequence (e.g., achieving a decreased concentration of the polypeptide) that includes the IC50 (i.e., the concentration of the test compound which achieves a half-maximal inhibition of symptoms) as determined in cell culture. Such information can be used to more accurately determine useful doses in humans. Levels in plasma may be measured, for example, by high performance liquid chromatography.
- The dsRNAs featured in the invention can be administered in combination with other known agents effective in treatment of pathological processes mediated by target gene expression. In any event, the administering physician can adjust the amount and timing of dsRNA administration on the basis of results observed using standard measures of efficacy known in the art or described herein.
- Administration
- The present invention also includes pharmaceutical compositions and formulations which include the dsRNA compounds featured in the invention. The pharmaceutical compositions of the present invention may be administered in a number of ways depending upon whether local or systemic treatment is desired and upon the area to be treated. Administration may be topical, pulmonary, e.g., by inhalation or insufflation of powders or aerosols, including by nebulizer; intratracheal, intranasal, epidermal and transdermal, oral or parenteral. Parenteral administration includes intravenous, intraarterial, subcutaneous, intraperitoneal or intramuscular injection or infusion; or intracranial, e.g., intraparenchymal, intrathecal or intraventricular, administration.
- The dsRNA can be delivered in a manner to target a particular tissue, such as the liver (e.g., the hepatocytes of the liver).
- The present invention includes pharmaceutical compositions that can be delivered by injection directly into the brain. The injection can be by stereotactic injection into a particular region of the brain (e.g., the substantia nigra, cortex, hippocampus, striatum, or globus pallidus), or the dsRNA can be delivered into multiple regions of the central nervous system (e.g., into multiple regions of the brain, and/or into the spinal cord). The dsRNA can also be delivered into diffuse regions of the brain (e.g., diffuse delivery to the cortex of the brain).
- In one embodiment, a dsRNA targeting TTR can be delivered by way of a cannula or other delivery device having one end implanted in a tissue, e.g., the brain, e.g., the substantia nigra, cortex, hippocampus, striatum, corpus callosum or globus pallidus of the brain. The cannula can be connected to a reservoir of the dsRNA composition. The flow or delivery can be mediated by a pump, e.g., an osmotic pump or minipump, such as an Alzet pump (Durect, Cupertino, Calif.). In one embodiment, a pump and reservoir are implanted in an area distant from the tissue, e.g., in the abdomen, and delivery is effected by a conduit leading from the pump or reservoir to the site of release. Infusion of the dsRNA composition into the brain can be over several hours or for several days, e.g., for 1, 2, 3, 5, or 7 days or more. Devices for delivery to the brain are described, for example, in U.S. Pat. Nos. 6,093,180, and 5,814,014.
- Pharmaceutical compositions and formulations for topical administration may include transdermal patches, ointments, lotions, creams, gels, drops, suppositories, sprays, liquids and powders. Conventional pharmaceutical carriers, aqueous, powder or oily bases, thickeners and the like may be necessary or desirable. Coated condoms, gloves and the like may also be useful. Suitable topical formulations include those in which the dsRNAs featured in the invention are in admixture with a topical delivery agent such as lipids, liposomes, fatty acids, fatty acid esters, steroids, chelating agents and surfactants. Suitable lipids and liposomes include neutral (e.g., dioleoylphosphatidyl DOPE ethanolamine, dimyristoylphosphatidyl choline DMPC, distearoylphosphatidyl choline) negative (e.g., dimyristoylphosphatidyl glycerol DMPG) and cationic (e.g., dioleoyltetramethylaminopropyl DOTAP and dioleoylphosphatidyl ethanolamine DOTMA). DsRNAs featured in the invention may be encapsulated within liposomes or may form complexes thereto, in particular to cationic liposomes. Alternatively, dsRNAs may be complexed to lipids, in particular to cationic lipids. Suitable fatty acids and esters include but are not limited to arachidonic acid, oleic acid, eicosanoic acid, lauric acid, caprylic acid, capric acid, myristic acid, palmitic acid, stearic acid, linoleic acid, linolenic acid, dicaprate, tricaprate, monoolein, dilaurin, glyceryl 1-monocaprate, 1-dodecylazacycloheptan-2-one, an acylcarnitine, an acylcholine, or a C1-10 alkyl ester (e.g., isopropylmyristate IPM), monoglyceride, diglyceride or pharmaceutically acceptable salt thereof. Topical formulations are described in detail in U.S. Pat. No. 6,747,014, which is incorporated herein by reference.
- Liposomal Formulations
- There are many organized surfactant structures besides microemulsions that have been studied and used for the formulation of drugs. These include monolayers, micelles, bilayers and vesicles. Vesicles, such as liposomes, have attracted great interest because of their specificity and the duration of action they offer from the standpoint of drug delivery. As used in the present invention, the term “liposome” means a vesicle composed of amphiphilic lipids arranged in a spherical bilayer or bilayers.
- Liposomes are unilamellar or multilamellar vesicles which have a membrane formed from a lipophilic material and an aqueous interior. The aqueous portion contains the composition to be delivered. Cationic liposomes possess the advantage of being able to fuse to the cell wall. Non-cationic liposomes, although not able to fuse as efficiently with the cell wall, are taken up by macrophages in vivo.
- In order to cross intact mammalian skin, lipid vesicles must pass through a series of fine pores, each with a diameter less than 50 nm, under the influence of a suitable transdermal gradient. Therefore, it is desirable to use a liposome which is highly deformable and able to pass through such fine pores.
- Further advantages of liposomes include; liposomes obtained from natural phospholipids are biocompatible and biodegradable; liposomes can incorporate a wide range of water and lipid soluble drugs; liposomes can protect encapsulated drugs in their internal compartments from metabolism and degradation (Rosoff, in Pharmaceutical Dosage Forms, Lieberman, Rieger and Banker (Eds.), 1988, Marcel Dekker, Inc., New York, N.Y.,
volume 1, p. 245). Important considerations in the preparation of liposome formulations are the lipid surface charge, vesicle size and the aqueous volume of the liposomes. - Liposomes are useful for the transfer and delivery of active ingredients to the site of action. Because the liposomal membrane is structurally similar to biological membranes, when liposomes are applied to a tissue, the liposomes start to merge with the cellular membranes and as the merging of the liposome and cell progresses, the liposomal contents are emptied into the cell where the active agent may act.
- Liposomal formulations have been the focus of extensive investigation as the mode of delivery for many drugs. There is growing evidence that for topical administration, liposomes present several advantages over other formulations. Such advantages include reduced side-effects related to high systemic absorption of the administered drug, increased accumulation of the administered drug at the desired target, and the ability to administer a wide variety of drugs, both hydrophilic and hydrophobic, into the skin.
- Several reports have detailed the ability of liposomes to deliver agents including high-molecular weight DNA into the skin. Compounds including analgesics, antibodies, hormones and high-molecular weight DNAs have been administered to the skin. The majority of applications resulted in the targeting of the upper epidermis
- Liposomes fall into two broad classes. Cationic liposomes are positively charged liposomes which interact with the negatively charged DNA molecules to form a stable complex. The positively charged DNA/liposome complex binds to the negatively charged cell surface and is internalized in an endosome. Due to the acidic pH within the endosome, the liposomes are ruptured, releasing their contents into the cell cytoplasm (Wang et al., Biochem. Biophys. Res. Commun., 1987, 147, 980-985).
- Liposomes which are pH-sensitive or negatively-charged, entrap DNA rather than complex with it. Since both the DNA and the lipid are similarly charged, repulsion rather than complex formation occurs. Nevertheless, some DNA is entrapped within the aqueous interior of these liposomes. pH-sensitive liposomes have been used to deliver DNA encoding the thymidine kinase gene to cell monolayers in culture. Expression of the exogenous gene was detected in the target cells (Zhou et al., Journal of Controlled Release, 1992, 19, 269-274).
- One major type of liposomal composition includes phospholipids other than naturally-derived phosphatidylcholine. Neutral liposome compositions, for example, can be formed from dimyristoyl phosphatidylcholine (DMPC) or dipalmitoyl phosphatidylcholine (DPPC). Anionic liposome compositions generally are formed from dimyristoyl phosphatidylglycerol, while anionic fusogenic liposomes are formed primarily from dioleoyl phosphatidylethanolamine (DOPE). Another type of liposomal composition is formed from phosphatidylcholine (PC) such as, for example, soybean PC, and egg PC. Another type is formed from mixtures of phospholipid and/or phosphatidylcholine and/or cholesterol.
- Several studies have assessed the topical delivery of liposomal drug formulations to the skin. Application of liposomes containing interferon to guinea pig skin resulted in a reduction of skin herpes sores while delivery of interferon via other means (e.g., as a solution or as an emulsion) were ineffective (Weiner et al., Journal of Drug Targeting, 1992, 2, 405-410). Further, an additional study tested the efficacy of interferon administered as part of a liposomal formulation to the administration of interferon using an aqueous system, and concluded that the liposomal formulation was superior to aqueous administration (du Plessis et al., Antiviral Research, 1992, 18, 259-265).
- Non-ionic liposomal systems have also been examined to determine their utility in the delivery of drugs to the skin, in particular systems comprising non-ionic surfactant and cholesterol. Non-ionic liposomal formulations comprising Novasome™ I (glyceryl dilaurate/cholesterol/polyoxyethylene-10-stearyl ether) and Novasome™ II (glyceryl distearate/cholesterol/polyoxyethylene-10-stearyl ether) were used to deliver cyclosporin-A into the dermis of mouse skin. Results indicated that such non-ionic liposomal systems were effective in facilitating the deposition of cyclosporin-A into different layers of the skin (Hu et al. S.T.P.Pharma. Sci., 1994, 4, 6, 466).
- Liposomes also include “sterically stabilized” liposomes, a term which, as used herein, refers to liposomes comprising one or more specialized lipids that, when incorporated into liposomes, result in enhanced circulation lifetimes relative to liposomes lacking such specialized lipids. Examples of sterically stabilized liposomes are those in which part of the vesicle-forming lipid portion of the liposome (A) comprises one or more glycolipids, such as monosialoganglioside GM1, or (B) is derivatized with one or more hydrophilic polymers, such as a polyethylene glycol (PEG) moiety. While not wishing to be bound by any particular theory, it is thought in the art that, at least for sterically stabilized liposomes containing gangliosides, sphingomyelin, or PEG-derivatized lipids, the enhanced circulation half-life of these sterically stabilized liposomes derives from a reduced uptake into cells of the reticuloendothelial system (RES) (Allen et al., FEBS Letters, 1987, 223, 42; Wu et al., Cancer Research, 1993, 53, 3765).
- Various liposomes comprising one or more glycolipids are known in the art. Papahadjopoulos et al. (Ann. N.Y. Acad. Sci., 1987, 507, 64) reported the ability of monosialoganglioside GM1, galactocerebroside sulfate and phosphatidylinositol to improve blood half-lives of liposomes. These findings were expounded upon by Gabizon et al. (Proc. Natl. Acad. Sci. U.S.A., 1988, 85, 6949). U.S. Pat. No. 4,837,028 and WO 88/04924, both to Allen et al., disclose liposomes comprising (1) sphingomyelin and (2) the ganglioside GM1 or a galactocerebroside sulfate ester. U.S. Pat. No. 5,543,152 (Webb et al.) discloses liposomes comprising sphingomyelin. Liposomes comprising 1,2-sn-dimyristoylphosphatidylcholine are disclosed in WO 97/13499 (Lim et al).
- Many liposomes comprising lipids derivatized with one or more hydrophilic polymers, and methods of preparation thereof, are known in the art. Sunamoto et al. (Bull. Chem. Soc. Jpn., 1980, 53, 2778) described liposomes comprising a nonionic detergent, 2C1215G, that contains a PEG moiety. Illum et al. (FEBS Lett., 1984, 167, 79) noted that hydrophilic coating of polystyrene particles with polymeric glycols results in significantly enhanced blood half-lives. Synthetic phospholipids modified by the attachment of carboxylic groups of polyalkylene glycols (e.g., PEG) are described by Sears (U.S. Pat. Nos. 4,426,330 and 4,534,899). Klibanov et al. (FEBS Lett., 1990, 268, 235) described experiments demonstrating that liposomes comprising phosphatidylethanolamine (PE) derivatized with PEG or PEG stearate have significant increases in blood circulation half-lives. Blume et al. (Biochimica et Biophysica Acta, 1990, 1029, 91) extended such observations to other PEG-derivatized phospholipids, e.g., DSPE-PEG, formed from the combination of distearoylphosphatidylethanolamine (DSPE) and PEG. Liposomes having covalently bound PEG moieties on their external surface are described in European Patent No.
EP 0 445 131 B1 and WO 90/04384 to Fisher. Liposome compositions containing 1-20 mole percent of PE derivatized with PEG, and methods of use thereof, are described by Woodle et al. (U.S. Pat. Nos. 5,013,556 and 5,356,633) and Martin et al. (U.S. Pat. No. 5,213,804 and European Patent No.EP 0 496 813 B1). Liposomes comprising a number of other lipid-polymer conjugates are disclosed in WO 91/05545 and U.S. Pat. No. 5,225,212 (both to Martin et al.) and in WO 94/20073 (Zalipsky et al.) Liposomes comprising PEG-modified ceramide lipids are described in WO 96/10391 (Choi et al). U.S. Pat. No. 5,540,935 (Miyazaki et al.) and U.S. Pat. No. 5,556,948 (Tagawa et al.) describe PEG-containing liposomes that can be further derivatized with functional moieties on their surfaces. - A number of liposomes comprising nucleic acids are known in the art. WO 96/40062 to Thierry et al. discloses methods for encapsulating high molecular weight nucleic acids in liposomes. U.S. Pat. No. 5,264,221 to Tagawa et al. discloses protein-bonded liposomes and asserts that the contents of such liposomes may include a dsRNA. U.S. Pat. No. 5,665,710 to Rahman et al. describes certain methods of encapsulating oligodeoxynucleotides in liposomes. WO 97/04787 to Love et al. discloses liposomes comprising dsRNAs targeted to the raf gene.
- Transfersomes are yet another type of liposomes, and are highly deformable lipid aggregates which are attractive candidates for drug delivery vehicles. Transfersomes may be described as lipid droplets which are so highly deformable that they are easily able to penetrate through pores which are smaller than the droplet. Transfersomes are adaptable to the environment in which they are used, e.g., they are self-optimizing (adaptive to the shape of pores in the skin), self-repairing, frequently reach their targets without fragmenting, and often self-loading. To make transfersomes it is possible to add surface edge-activators, usually surfactants, to a standard liposomal composition. Transfersomes have been used to deliver serum albumin to the skin. The transfersome-mediated delivery of serum albumin has been shown to be as effective as subcutaneous injection of a solution containing serum albumin.
- Surfactants find wide application in formulations such as emulsions (including microemulsions) and liposomes. The most common way of classifying and ranking the properties of the many different types of surfactants, both natural and synthetic, is by the use of the hydrophile/lipophile balance (HLB). The nature of the hydrophilic group (also known as the “head”) provides the most useful means for categorizing the different surfactants used in formulations (Rieger, in Pharmaceutical Dosage Forms, Marcel Dekker, Inc., New York, N.Y., 1988, p. 285).
- If the surfactant molecule is not ionized, it is classified as a nonionic surfactant. Nonionic surfactants find wide application in pharmaceutical and cosmetic products and are usable over a wide range of pH values. In general their HLB values range from 2 to about 18 depending on their structure. Nonionic surfactants include nonionic esters such as ethylene glycol esters, propylene glycol esters, glyceryl esters, polyglyceryl esters, sorbitan esters, sucrose esters, and ethoxylated esters. Nonionic alkanolamides and ethers such as fatty alcohol ethoxylates, propoxylated alcohols, and ethoxylated/propoxylated block polymers are also included in this class. The polyoxyethylene surfactants are the most popular members of the nonionic surfactant class.
- If the surfactant molecule carries a negative charge when it is dissolved or dispersed in water, the surfactant is classified as anionic. Anionic surfactants include carboxylates such as soaps, acyl lactylates, acyl amides of amino acids, esters of sulfuric acid such as alkyl sulfates and ethoxylated alkyl sulfates, sulfonates such as alkyl benzene sulfonates, acyl isethionates, acyl taurates and sulfosuccinates, and phosphates. The most important members of the anionic surfactant class are the alkyl sulfates and the soaps.
- If the surfactant molecule carries a positive charge when it is dissolved or dispersed in water, the surfactant is classified as cationic. Cationic surfactants include quaternary ammonium salts and ethoxylated amines. The quaternary ammonium salts are the most used members of this class.
- If the surfactant molecule has the ability to carry either a positive or negative charge, the surfactant is classified as amphoteric. Amphoteric surfactants include acrylic acid derivatives, substituted alkylamides, N-alkylbetaines and phosphatides.
- The use of surfactants in drug products, formulations and in emulsions has been reviewed (Rieger, in Pharmaceutical Dosage Forms, Marcel Dekker, Inc., New York, N.Y., 1988, p. 285).
- Nucleic Acid Lipid Particles
- In one embodiment, a TTR dsRNA featured in the invention is fully encapsulated in the lipid formulation, e.g., to form a SPLP, pSPLP, SNALP, or other nucleic acid-lipid particle. As used herein, the term “SNALP” refers to a stable nucleic acid-lipid particle, including SPLP. As used herein, the term “SPLP” refers to a nucleic acid-lipid particle comprising plasmid DNA encapsulated within a lipid vesicle. SNALPs and SPLPs typically contain a cationic lipid, a non-cationic lipid, and a lipid that prevents aggregation of the particle (e.g., a PEG-lipid conjugate). SNALPs and SPLPs are extremely useful for systemic applications, as they exhibit extended circulation lifetimes following intravenous (i.v.) injection and accumulate at distal sites (e.g., sites physically separated from the administration site). SPLPs include “pSPLP,” which include an encapsulated condensing agent-nucleic acid complex as set forth in PCT Publication No. WO 00/03683. The particles of the present invention typically have a mean diameter of about 50 nm to about 150 nm, more typically about 60 nm to about 130 nm, more typically about 70 nm to about 110 nm, most typically about 70 nm to about 90 nm, and are substantially nontoxic. In addition, the nucleic acids when present in the nucleic acid-lipid particles of the present invention are resistant in aqueous solution to degradation with a nuclease. Nucleic acid-lipid particles and their method of preparation are disclosed in, e.g., U.S. Pat. Nos. 5,976,567; 5,981,501; 6,534,484; 6,586,410; 6,815,432; and PCT Publication No. WO 96/40964. In one embodiment, the lipid to drug ratio (mass/mass ratio) (e.g., lipid to dsRNA ratio) will be in the range of from about 1:1 to about 50:1, from about 1:1 to about 25:1, from about 3:1 to about 15:1, from about 4:1 to about 10:1, from about 5:1 to about 9:1, or about 6:1 to about 9:1.
- The cationic lipid may be, for example, N,N-dioleyl-N,N-dimethylammonium chloride (DODAC), N,N-distearyl-N,N-dimethylammonium bromide (DDAB), N-(I-(2,3-dioleoyloxy)propyl)-N,N,N-trimethylammonium chloride (DOTAP), N-(I-(2,3-dioleyloxy)propyl)-N,N,N-trimethylammonium chloride (DOTMA), N,N-dimethyl-2,3-dioleyloxy)propylamine (DODMA), 1,2-DiLinoleyloxy-N,N-dimethylaminopropane (DLinDMA), 1,2-Dilinolenyloxy-N,N-dimethylaminopropane (DLenDMA), 1,2-Dilinoleylcarbamoyloxy-3-dimethylaminopropane (DLin-C-DAP), 1,2-Dilinoleyoxy-3-(dimethylamino)acetoxypropane (DLin-DAC), 1,2-Dilinoleyoxy-3-morpholinopropane (DLin-MA), 1,2-Dilinoleoyl-3-dimethylaminopropane (DLinDAP), 1,2-Dilinoleylthio-3-dimethylaminopropane (DLin-S-DMA), 1-Linoleoyl-2-linoleyloxy-3-dimethylaminopropane (DLin-2-DMAP), 1,2-Dilinoleyloxy-3-trimethylaminopropane chloride salt (DLin-TMA.Cl), 1,2-Dilinoleoyl-3-trimethylaminopropane chloride salt (DLin-TAP.Cl), 1,2-Dilinoleyloxy-3-(N-methylpiperazino)propane (DLin-MPZ), or 3-(N,N-Dilinoleylamino)-1,2-propanediol (DLinAP), 3-(N,N-Dioleylamino)-1,2-propanedio (DOAP), 1,2-Dilinoleyloxo-3-(2-N,N-dimethylamino)ethoxypropane (DLin-EG-DMA), 1,2-Dilinolenyloxy-N,N-dimethylaminopropane (DLinDMA), 2,2-Dilinoleyl-4-dimethylaminomethyl-[1,3]-dioxolane (DLin-K-DMA) or analogs thereof, (3aR,5s,6aS)-N,N-dimethyl-2,2-di((9Z,12Z)-octadeca-9,12-dienyl)tetrahydro-3aH-cyclopenta[d][1,3]dioxol-5-amine (ALN100), (6Z,9Z,28Z,31Z)-heptatriaconta-6,9,28,31-tetraen-19-yl 4-(dimethylamino)butanoate (MC3), 1,1′-(2-(4-(2-((2-(bis(2-hydroxydodecyl)amino)ethyl)(2-hydroxydodecyl)amino)ethyl)piperazin-1-yl)ethylazanediyl)didodecan-2-ol (Tech G1), or a mixture thereof. The cationic lipid may comprise from about 20 mol % to about 50 mol % or about 40 mol % of the total lipid present in the particle.
- In another embodiment, the
compound 2,2-Dilinoleyl-4-dimethylaminoethyl-[1,3]-dioxolane can be used to prepare lipid-siRNA nanoparticles. Synthesis of 2,2-Dilinoleyl-4-dimethylaminoethyl-[1,3]-dioxolane is described in U.S. provisional patent application No. 61/107,998 filed on Oct. 23, 2008, which is herein incorporated by reference. - In one embodiment, the lipid-siRNA particle includes 40% 2, 2-Dilinoleyl-4-dimethylaminoethyl-[1,3]-dioxolane: 10% DSPC: 40% Cholesterol: 10% PEG-C-DOMG (mole percent) with a particle size of 63.0±20 nm and a 0.027 siRNA/Lipid Ratio.
- The non-cationic lipid may be an anionic lipid or a neutral lipid including, but not limited to, distearoylphosphatidylcholine (DSPC), dioleoylphosphatidylcholine (DOPC), dipalmitoylphosphatidylcholine (DPPC), dioleoylphosphatidylglycerol (DOPG), dipalmitoylphosphatidylglycerol (DPPG), dioleoyl-phosphatidylethanolamine (DOPE), palmitoyloleoylphosphatidylcholine (POPC), palmitoyloleoylphosphatidylethanolamine (POPE), dioleoyl-phosphatidylethanolamine 4-(N-maleimidomethyl)-cyclohexane-1-carboxylate (DOPE-mal), dipalmitoyl phosphatidyl ethanolamine (DPPE), dimyristoylphosphoethanolamine (DMPE), distearoyl-phosphatidyl-ethanolamine (DSPE), 16-O-monomethyl PE, 16-O-dimethyl PE, 18-1-trans PE, 1-stearoyl-2-oleoyl-phosphatidyethanolamine (SOPE), cholesterol, or a mixture thereof. The non-cationic lipid may be from about 5 mol % to about 90 mol %, about 10 mol %, or about 58 mol % if cholesterol is included, of the total lipid present in the particle.
- The conjugated lipid that inhibits aggregation of particles may be, for example, a polyethyleneglycol (PEG)-lipid including, without limitation, a PEG-diacylglycerol (DAG), a PEG-dialkyloxypropyl (DAA), a PEG-phospholipid, a PEG-ceramide (Cer), or a mixture thereof. The PEG-DAA conjugate may be, for example, a PEG-dilauryloxypropyl (Ci2), a PEG-dimyristyloxypropyl (Ci4, a PEG-dipalmityloxypropyl (Ci6), or a PEG-distearyloxypropyl (Ci8). The conjugated lipid that prevents aggregation of particles may be from 0 mol % to about 20 mol % or about 2 mol % of the total lipid present in the particle.
- In some embodiments, the nucleic acid-lipid particle further includes cholesterol at, e.g., about 10 mol % to about 60 mol % or about 48 mol % of the total lipid present in the particle.
- LNP01
- In one embodiment, the lipidoid ND98.4HCl (MW 1487) (Formula 1), Cholesterol (Sigma-Aldrich), and PEG-Ceramide C16 (Avanti Polar Lipids) can be used to prepare lipid-siRNA nanoparticles (i.e., LNP01 particles). Stock solutions of each in ethanol can be prepared as follows: ND98, 133 mg/ml; Cholesterol, 25 mg/ml, PEG-Ceramide C16, 100 mg/ml. The ND98, Cholesterol, and PEG-Ceramide C16 stock solutions can then be combined in a, e.g., 42:48:10 molar ratio. The combined lipid solution can be mixed with aqueous siRNA (e.g., in sodium acetate pH 5) such that the final ethanol concentration is about 35-45% and the final sodium acetate concentration is about 100-300 mM. Lipid-siRNA nanoparticles typically form spontaneously upon mixing. Depending on the desired particle size distribution, the resultant nanoparticle mixture can be extruded through a polycarbonate membrane (e.g., 100 nm cut-off) using, for example, a thermobarrel extruder, such as Lipex Extruder (Northern Lipids, Inc). In some cases, the extrusion step can be omitted. Ethanol removal and simultaneous buffer exchange can be accomplished by, for example, dialysis or tangential flow filtration. Buffer can be exchanged with, for example, phosphate buffered saline (PBS) at about
pH 7, e.g., about pH 6.9, about pH 7.0, about pH 7.1, about pH 7.2, about pH 7.3, or about pH 7.4. - LNP01 formulations are described, e.g., in International Application Publication No. WO 2008/042973, which is hereby incorporated by reference.
- Additional exemplary lipid-siRNA formulations are as follows:
-
cationic lipid/non-cationic lipid/cholesterol/PEG-lipid conjugate Cationic Lipid Lipid:siRNA ratio Process SNALP 1,2-Dilinolenyloxy-N,N- DLinDMA/DPPC/Cholesterol/PEG-cDMA dimethylaminopropane (DLinDMA) (57.1/7.1/34.4/1.4) lipid:siRNA~7:1 SNALP-XTC 2,2-Dilinoleyl-4-dimethylaminoethyl-[1,3]- XTC/DPPC/Cholesterol/PEG-cDMA dioxolane (XTC) 57.1/7.1/34.4/1.4 lipid:siRNA~7:1 LNP05 2,2-Dilinoleyl-4-dimethylaminoethyl-[1,3]- XTC/DSPC/Cholesterol/PEG-DMG Extrusion dioxolane (XTC) 57.5/7.5/31.5/3.5 lipid:siRNA~6:1 LNP06 2,2-Dilinoleyl-4-dimethylaminoethyl-[1,3]- XTC/DSPC/Cholesterol/PEG-DMG Extrusion dioxolane (XTC) 57.5/7.5/31.5/3.5 lipid:siRNA~11:1 LNP07 2,2-Dilinoleyl-4-dimethylaminoethyl-[1,3]- XTC/DSPC/Cholesterol/PEG-DMG In-line dioxolane (XTC) 60/7.5/31/1.5, mixing lipid:siRNA~6:1 LNP08 2,2-Dilinoleyl-4-dimethylaminoethyl-[1,3]- XTC/DSPC/Cholesterol/PEG-DMG In-line dioxolane (XTC) 60/7.5/31/1.5, mixing lipid:siRNA~11:1 LNP09 2,2-Dilinoleyl-4-dimethylaminoethyl-[1,3]- XTC/DSPC/Cholesterol/PEG-DMG In-line dioxolane (XTC) 50/10/38.5/1.5 mixing Lipid:siRNA 10:1 LNP10 (3aR,5s,6aS)-N,N-dimethyl-2,2-di((9Z,12Z)- ALN100/DSPC/Cholesterol/PEG-DMG In-line octadeca-9,12-dienyl)tetrahydro-3aH- 50/10/38.5/1.5 mixing cyclopenta[d][1,3]dioxol-5-amine (ALN100) Lipid:siRNA 10:1 LNP11 (6Z,9Z,28Z,31Z)-heptatriaconta-6,9,28,31- MC-3/DSPC/Cholesterol/PEG-DMG In-line tetraen-19-yl 4-(dimethylamino)butanoate 50/10/38.5/1.5 mixing (MC3) Lipid:siRNA 10:1 LNP12 1,1′-(2-(4-(2-((2-(bis(2- Tech G1/DSPC/Cholesterol/PEG-DMG In-line hydroxydodecyl)amino)ethyl)(2- 50/10/38.5/1.5 mixing hydroxydodecyl)amino)ethyl)piperazin-1- Lipid:siRNA 10:1 yl)ethylazanediyl)didodecan-2-ol (Tech G1) - LNP09 formulations and XTC comprising formulations are described, e.g., in U.S. Provisional Ser. No. 61/239,686, filed Sep. 3, 2009, which is hereby incorporated by reference. LNP11 formulations and MC3 comprising formulations are described, e.g., in U.S. Provisional Ser. No. 61/244,834, filed Sep. 22, 2009, which is hereby incorporated by reference.
- Formulations prepared by either the standard or extrusion-free method can be characterized in similar manners. For example, formulations are typically characterized by visual inspection. They should be whitish translucent solutions free from aggregates or sediment. Particle size and particle size distribution of lipid-nanoparticles can be measured by light scattering using, for example, a Malvern Zetasizer Nano ZS (Malvern, USA). Particles should be about 20-300 nm, such as 40-100 nm in size. The particle size distribution should be unimodal. The total siRNA concentration in the formulation, as well as the entrapped fraction, is estimated using a dye exclusion assay. A sample of the formulated siRNA can be incubated with an RNA-binding dye, such as Ribogreen (Molecular Probes) in the presence or absence of a formulation disrupting surfactant, e.g., 0.5% Triton-X100. The total siRNA in the formulation can be determined by the signal from the sample containing the surfactant, relative to a standard curve. The entrapped fraction is determined by subtracting the “free” siRNA content (as measured by the signal in the absence of surfactant) from the total siRNA content. Percent entrapped siRNA is typically >85%. For SNALP formulation, the particle size is at least 30 nm, at least 40 nm, at least 50 nm, at least 60 nm, at least 70 nm, at least 80 nm, at least 90 nm, at least 100 nm, at least 110 nm, and at least 120 nm. The suitable range is typically about at least 50 nm to about at least 110 nm, about at least 60 nm to about at least 100 nm, or about at least 80 nm to about at least 90 nm.
- Compositions and formulations for oral administration include powders or granules, microparticulates, nanoparticulates, suspensions or solutions in water or non-aqueous media, capsules, gel capsules, sachets, tablets or minitablets. Thickeners, flavoring agents, diluents, emulsifiers, dispersing aids or binders may be desirable. In some embodiments, oral formulations are those in which dsRNAs featured in the invention are administered in conjunction with one or more penetration enhancers surfactants and chelators. Suitable surfactants include fatty acids and/or esters or salts thereof, bile acids and/or salts thereof. Suitable bile acids/salts include chenodeoxycholic acid (CDCA) and ursodeoxychenodeoxycholic acid (UDCA), cholic acid, dehydrocholic acid, deoxycholic acid, glucholic acid, glycholic acid, glycodeoxycholic acid, taurocholic acid, taurodeoxycholic acid, sodium tauro-24,25-dihydro-fusidate and sodium glycodihydrofusidate. Suitable fatty acids include arachidonic acid, undecanoic acid, oleic acid, lauric acid, caprylic acid, capric acid, myristic acid, palmitic acid, stearic acid, linoleic acid, linolenic acid, dicaprate, tricaprate, monoolein, dilaurin, glyceryl 1-monocaprate, 1-dodecylazacycloheptan-2-one, an acylcarnitine, an acylcholine, or a monoglyceride, a diglyceride or a pharmaceutically acceptable salt thereof (e.g., sodium). In some embodiments, combinations of penetration enhancers are used, for example, fatty acids/salts in combination with bile acids/salts. One exemplary combination is the sodium salt of lauric acid, capric acid and UDCA. Further penetration enhancers include polyoxyethylene-9-lauryl ether, polyoxyethylene-20-cetyl ether. DsRNAs featured in the invention may be delivered orally, in granular form including sprayed dried particles, or complexed to form micro or nanoparticles. DsRNA complexing agents include poly-amino acids; polyimines; polyacrylates; polyalkylacrylates, polyoxethanes, polyalkylcyanoacrylates; cationized gelatins, albumins, starches, acrylates, polyethyleneglycols (PEG) and starches; polyalkylcyanoacrylates; DEAE-derivatized polyimines, pollulans, celluloses and starches. Suitable complexing agents include chitosan, N-trimethylchitosan, poly-L-lysine, polyhistidine, polyornithine, polyspermines, protamine, polyvinylpyridine, polythiodiethylaminomethylethylene P(TDAE), polyaminostyrene (e.g., p-amino), poly(methylcyanoacrylate), poly(ethylcyanoacrylate), poly(butylcyanoacrylate), poly(isobutylcyanoacrylate), poly(isohexylcynaoacrylate), DEAE-methacrylate, DEAE-hexylacrylate, DEAE-acrylamide, DEAE-albumin and DEAE-dextran, polymethylacrylate, polyhexylacrylate, poly(D,L-lactic acid), poly(DL-lactic-co-glycolic acid (PLGA), alginate, and polyethyleneglycol (PEG). Oral formulations for dsRNAs and their preparation are described in detail in U.S. Pat. No. 6,887,906, US Publn. No. 20030027780, and U.S. Pat. No. 6,747,014, each of which is incorporated herein by reference.
- Compositions and formulations for parenteral, intraparenchymal (into the brain), intrathecal, intraventricular or intrahepatic administration may include sterile aqueous solutions which may also contain buffers, diluents and other suitable additives such as, but not limited to, penetration enhancers, carrier compounds and other pharmaceutically acceptable carriers or excipients.
- Pharmaceutical compositions of the present invention include, but are not limited to, solutions, emulsions, and liposome-containing formulations. These compositions may be generated from a variety of components that include, but are not limited to, preformed liquids, self-emulsifying solids and self-emulsifying semisolids. Particularly preferred are formulations that target the liver when treating hepatic disorders such as hepatic carcinoma.
- The pharmaceutical formulations of the present invention, which may conveniently be presented in unit dosage form, may be prepared according to conventional techniques well known in the pharmaceutical industry. Such techniques include the step of bringing into association the active ingredients with the pharmaceutical carrier(s) or excipient(s). In general, the formulations are prepared by uniformly and intimately bringing into association the active ingredients with liquid carriers or finely divided solid carriers or both, and then, if necessary, shaping the product.
- The compositions of the present invention may be formulated into any of many possible dosage forms such as, but not limited to, tablets, capsules, gel capsules, liquid syrups, soft gels, suppositories, and enemas. The compositions of the present invention may also be formulated as suspensions in aqueous, non-aqueous or mixed media. Aqueous suspensions may further contain substances which increase the viscosity of the suspension including, for example, sodium carboxymethylcellulose, sorbitol and/or dextran. The suspension may also contain stabilizers.
- Emulsions
- The compositions of the present invention may be prepared and formulated as emulsions. Emulsions are typically heterogeneous systems of one liquid dispersed in another in the form of droplets usually exceeding 0.1 μm in diameter (Idson, in Pharmaceutical Dosage Forms, Lieberman, Rieger and Banker (Eds.), 1988, Marcel Dekker, Inc., New York, N.Y.,
volume 1, p. 199; Rosoff, in Pharmaceutical Dosage Forms, Lieberman, Rieger and Banker (Eds.), 1988, Marcel Dekker, Inc., New York, N.Y.,Volume 1, p. 245; Block in Pharmaceutical Dosage Forms, Lieberman, Rieger and Banker (Eds.), 1988, Marcel Dekker, Inc., New York, N.Y.,volume 2, p. 335; Higuchi et al., in Remington's Pharmaceutical Sciences, Mack Publishing Co., Easton, Pa., 1985, p. 301). Emulsions are often biphasic systems comprising two immiscible liquid phases intimately mixed and dispersed with each other. In general, emulsions may be of either the water-in-oil (w/o) or the oil-in-water (o/w) variety. When an aqueous phase is finely divided into and dispersed as minute droplets into a bulk oily phase, the resulting composition is called a water-in-oil (w/o) emulsion. Alternatively, when an oily phase is finely divided into and dispersed as minute droplets into a bulk aqueous phase, the resulting composition is called an oil-in-water (o/w) emulsion. Emulsions may contain additional components in addition to the dispersed phases, and the active drug which may be present as a solution in either the aqueous phase, oily phase or itself as a separate phase. Pharmaceutical excipients such as emulsifiers, stabilizers, dyes, and anti-oxidants may also be present in emulsions as needed. Pharmaceutical emulsions may also be multiple emulsions that are comprised of more than two phases such as, for example, in the case of oil-in-water-in-oil (o/w/o) and water-in-oil-in-water (w/o/w) emulsions. Such complex formulations often provide certain advantages that simple binary emulsions do not. Multiple emulsions in which individual oil droplets of an o/w emulsion enclose small water droplets constitute a w/o/w emulsion. Likewise a system of oil droplets enclosed in globules of water stabilized in an oily continuous phase provides an o/w/o emulsion. - Emulsions are characterized by little or no thermodynamic stability. Often, the dispersed or discontinuous phase of the emulsion is well dispersed into the external or continuous phase and maintained in this form through the means of emulsifiers or the viscosity of the formulation.
- Either of the phases of the emulsion may be a semisolid or a solid, as is the case of emulsion-style ointment bases and creams. Other means of stabilizing emulsions entail the use of emulsifiers that may be incorporated into either phase of the emulsion. Emulsifiers may broadly be classified into four categories: synthetic surfactants, naturally occurring emulsifiers, absorption bases, and finely dispersed solids (Idson, in Pharmaceutical Dosage Forms, Lieberman, Rieger and Banker (Eds.), 1988, Marcel Dekker, Inc., New York, N.Y.,
volume 1, p. 199). - Synthetic surfactants, also known as surface active agents, have found wide applicability in the formulation of emulsions and have been reviewed in the literature (Rieger, in Pharmaceutical Dosage Forms, Lieberman, Rieger and Banker (Eds.), 1988, Marcel Dekker, Inc., New York, N.Y.,
volume 1, p. 285; Idson, in Pharmaceutical Dosage Forms, Lieberman, Rieger and Banker (Eds.), Marcel Dekker, Inc., New York, N.Y., 1988,volume 1, p. 199). Surfactants are typically amphiphilic and comprise a hydrophilic and a hydrophobic portion. The ratio of the hydrophilic to the hydrophobic nature of the surfactant has been termed the hydrophile/lipophile balance (HLB) and is a valuable tool in categorizing and selecting surfactants in the preparation of formulations. Surfactants may be classified into different classes based on the nature of the hydrophilic group: nonionic, anionic, cationic and amphoteric (Rieger, in Pharmaceutical Dosage Forms, Lieberman, Rieger and Banker (Eds.), 1988, Marcel Dekker, Inc., New York, N.Y.,volume 1, p. 285). - Naturally occurring emulsifiers used in emulsion formulations include lanolin, beeswax, phosphatides, lecithin and acacia. Absorption bases possess hydrophilic properties such that they can soak up water to form w/o emulsions yet retain their semisolid consistencies, such as anhydrous lanolin and hydrophilic petrolatum. Finely divided solids have also been used as good emulsifiers especially in combination with surfactants and in viscous preparations. These include polar inorganic solids, such as heavy metal hydroxides, nonswelling clays such as bentonite, attapulgite, hectorite, kaolin, montmorillonite, colloidal aluminum silicate and colloidal magnesium aluminum silicate, pigments and nonpolar solids such as carbon or glyceryl tristearate.
- A large variety of non-emulsifying materials are also included in emulsion formulations and contribute to the properties of emulsions. These include fats, oils, waxes, fatty acids, fatty alcohols, fatty esters, humectants, hydrophilic colloids, preservatives and antioxidants (Block, in Pharmaceutical Dosage Forms, Lieberman, Rieger and Banker (Eds.), 1988, Marcel Dekker, Inc., New York, N.Y.,
volume 1, p. 335; Idson, in Pharmaceutical Dosage Forms, Lieberman, Rieger and Banker (Eds.), 1988, Marcel Dekker, Inc., New York, N.Y.,volume 1, p. 199). - Hydrophilic colloids or hydrocolloids include naturally occurring gums and synthetic polymers such as polysaccharides (for example, acacia, agar, alginic acid, carrageenan, guar gum, karaya gum, and tragacanth), cellulose derivatives (for example, carboxymethylcellulose and carboxypropylcellulose), and synthetic polymers (for example, carbomers, cellulose ethers, and carboxyvinyl polymers). These disperse or swell in water to form colloidal solutions that stabilize emulsions by forming strong interfacial films around the dispersed-phase droplets and by increasing the viscosity of the external phase.
- Since emulsions often contain a number of ingredients such as carbohydrates, proteins, sterols and phosphatides that may readily support the growth of microbes, these formulations often incorporate preservatives. Commonly used preservatives included in emulsion formulations include methyl paraben, propyl paraben, quaternary ammonium salts, benzalkonium chloride, esters of p-hydroxybenzoic acid, and boric acid. Antioxidants are also commonly added to emulsion formulations to prevent deterioration of the formulation. Antioxidants used may be free radical scavengers such as tocopherols, alkyl gallates, butylated hydroxyanisole, butylated hydroxytoluene, or reducing agents such as ascorbic acid and sodium metabisulfite, and antioxidant synergists such as citric acid, tartaric acid, and lecithin.
- The application of emulsion formulations via dermatological, oral and parenteral routes and methods for their manufacture have been reviewed in the literature (Idson, in Pharmaceutical Dosage Forms, Lieberman, Rieger and Banker (Eds.), 1988, Marcel Dekker, Inc., New York, N.Y.,
volume 1, p. 199). Emulsion formulations for oral delivery have been very widely used because of ease of formulation, as well as efficacy from an absorption and bioavailability standpoint (Rosoff, in Pharmaceutical Dosage Forms, Lieberman, Rieger and Banker (Eds.), 1988, Marcel Dekker, Inc., New York, N.Y.,volume 1, p. 245; Idson, in Pharmaceutical Dosage Forms, Lieberman, Rieger and Banker (Eds.), 1988, Marcel Dekker, Inc., New York, N.Y.,volume 1, p. 199). Mineral-oil base laxatives, oil-soluble vitamins and high fat nutritive preparations are among the materials that have commonly been administered orally as o/w emulsions. - In one embodiment of the present invention, the compositions of dsRNAs and nucleic acids are formulated as microemulsions. A microemulsion may be defined as a system of water, oil and amphiphile which is a single optically isotropic and thermodynamically stable liquid solution (Rosoff, in Pharmaceutical Dosage Forms, Lieberman, Rieger and Banker (Eds.), 1988, Marcel Dekker, Inc., New York, N.Y.,
volume 1, p. 245). Typically microemulsions are systems that are prepared by first dispersing an oil in an aqueous surfactant solution and then adding a sufficient amount of a fourth component, generally an intermediate chain-length alcohol to form a transparent system. Therefore, microemulsions have also been described as thermodynamically stable, isotropically clear dispersions of two immiscible liquids that are stabilized by interfacial films of surface-active molecules (Leung and Shah, in: Controlled Release of Drugs: Polymers and Aggregate Systems, Rosoff, M., Ed., 1989, VCH Publishers, New York, pages 185-215). Microemulsions commonly are prepared via a combination of three to five components that include oil, water, surfactant, cosurfactant and electrolyte. Whether the microemulsion is of the water-in-oil (w/o) or an oil-in-water (o/w) type is dependent on the properties of the oil and surfactant used and on the structure and geometric packing of the polar heads and hydrocarbon tails of the surfactant molecules (Schott, in Remington's Pharmaceutical Sciences, Mack Publishing Co., Easton, Pa., 1985, p. 271). - The phenomenological approach utilizing phase diagrams has been extensively studied and has yielded a comprehensive knowledge, to one skilled in the art, of how to formulate microemulsions (Rosoff, in Pharmaceutical Dosage Forms, Lieberman, Rieger and Banker (Eds.), 1988, Marcel Dekker, Inc., New York, N.Y.,
volume 1, p. 245; Block, in Pharmaceutical Dosage Forms, Lieberman, Rieger and Banker (Eds.), 1988, Marcel Dekker, Inc., New York, N.Y.,volume 1, p. 335). Compared to conventional emulsions, microemulsions offer the advantage of solubilizing water-insoluble drugs in a formulation of thermodynamically stable droplets that are formed spontaneously. - Surfactants used in the preparation of microemulsions include, but are not limited to, ionic surfactants, non-ionic surfactants,
Brij 96, polyoxyethylene oleyl ethers, polyglycerol fatty acid esters, tetraglycerol monolaurate (ML310), tetraglycerol monooleate (MO310), hexaglycerol monooleate (PO310), hexaglycerol pentaoleate (PO500), decaglycerol monocaprate (MCA750), decaglycerol monooleate (MO750), decaglycerol sequioleate (SO750), decaglycerol decaoleate (DAO750), alone or in combination with cosurfactants. The cosurfactant, usually a short-chain alcohol such as ethanol, 1-propanol, and 1-butanol, serves to increase the interfacial fluidity by penetrating into the surfactant film and consequently creating a disordered film because of the void space generated among surfactant molecules. Microemulsions may, however, be prepared without the use of cosurfactants and alcohol-free self-emulsifying microemulsion systems are known in the art. The aqueous phase may typically be, but is not limited to, water, an aqueous solution of the drug, glycerol, PEG300, PEG400, polyglycerols, propylene glycols, and derivatives of ethylene glycol. The oil phase may include, but is not limited to, materials such asCaptex 300, Captex 355, Capmul MCM, fatty acid esters, medium chain (C8-C12) mono, di, and tri-glycerides, polyoxyethylated glyceryl fatty acid esters, fatty alcohols, polyglycolized glycerides, saturated polyglycolized C8-C10 glycerides, vegetable oils and silicone oil. - Microemulsions are particularly of interest from the standpoint of drug solubilization and the enhanced absorption of drugs. Lipid based microemulsions (both o/w and w/o) have been proposed to enhance the oral bioavailability of drugs, including peptides (Constantinides et al., Pharmaceutical Research, 1994, 11, 1385-1390; Ritschel, Meth. Find. Exp. Clin. Pharmacol., 1993, 13, 205). Microemulsions afford advantages of improved drug solubilization, protection of drug from enzymatic hydrolysis, possible enhancement of drug absorption due to surfactant-induced alterations in membrane fluidity and permeability, ease of preparation, ease of oral administration over solid dosage forms, improved clinical potency, and decreased toxicity (Constantinides et al., Pharmaceutical Research, 1994, 11, 1385; Ho et al., J. Pharm. Sci., 1996, 85, 138-143). Often microemulsions may form spontaneously when their components are brought together at ambient temperature. This may be particularly advantageous when formulating thermolabile drugs, peptides or dsRNAs. Microemulsions have also been effective in the transdermal delivery of active components in both cosmetic and pharmaceutical applications. It is expected that the microemulsion compositions and formulations of the present invention will facilitate the increased systemic absorption of dsRNAs and nucleic acids from the gastrointestinal tract, as well as improve the local cellular uptake of dsRNAs and nucleic acids.
- Microemulsions of the present invention may also contain additional components and additives such as sorbitan monostearate (Grill 3), Labrasol, and penetration enhancers to improve the properties of the formulation and to enhance the absorption of the dsRNAs and nucleic acids of the present invention. Penetration enhancers used in the microemulsions of the present invention may be classified as belonging to one of five broad categories—surfactants, fatty acids, bile salts, chelating agents, and non-chelating non-surfactants (Lee et al., Critical Reviews in Therapeutic Drug Carrier Systems, 1991, p. 92). Each of these classes has been discussed above.
- Penetration Enhancers
- In one embodiment, the present invention employs various penetration enhancers to effect the efficient delivery of nucleic acids, particularly dsRNAs, to the skin of animals. Most drugs are present in solution in both ionized and nonionized forms. However, usually only lipid soluble or lipophilic drugs readily cross cell membranes. It has been discovered that even non-lipophilic drugs may cross cell membranes if the membrane to be crossed is treated with a penetration enhancer. In addition to aiding the diffusion of non-lipophilic drugs across cell membranes, penetration enhancers also enhance the permeability of lipophilic drugs.
- Penetration enhancers may be classified as belonging to one of five broad categories, i.e., surfactants, fatty acids, bile salts, chelating agents, and non-chelating non-surfactants (Lee et al., Critical Reviews in Therapeutic Drug Carrier Systems, 1991, p. 92). Each of the above mentioned classes of penetration enhancers are described below in greater detail.
- Surfactants: In connection with the present invention, surfactants (or “surface-active agents”) are chemical entities which, when dissolved in an aqueous solution, reduce the surface tension of the solution or the interfacial tension between the aqueous solution and another liquid, with the result that absorption of dsRNAs through the mucosa is enhanced. In addition to bile salts and fatty acids, these penetration enhancers include, for example, sodium lauryl sulfate, polyoxyethylene-9-lauryl ether and polyoxyethylene-20-cetyl ether) (Lee et al., Critical Reviews in Therapeutic Drug Carrier Systems, 1991, p. 92); and perfluorochemical emulsions, such as FC-43. Takahashi et al., J. Pharm. Pharmacol., 1988, 40, 252).
- Fatty acids: Various fatty acids and their derivatives which act as penetration enhancers include, for example, oleic acid, lauric acid, capric acid (n-decanoic acid), myristic acid, palmitic acid, stearic acid, linoleic acid, linolenic acid, dicaprate, tricaprate, monoolein (1-monooleoyl-rac-glycerol), dilaurin, caprylic acid, arachidonic acid, glycerol 1-monocaprate, 1-dodecylazacycloheptan-2-one, acylcarnitines, acylcholines, C.sub.1-10 alkyl esters thereof (e.g., methyl, isopropyl and t-butyl), and mono- and di-glycerides thereof (i.e., oleate, laurate, caprate, myristate, palmitate, stearate, linoleate, etc.) (Lee et al., Critical Reviews in Therapeutic Drug Carrier Systems, 1991, p. 92; Muranishi, Critical Reviews in Therapeutic Drug Carrier Systems, 1990, 7, 1-33; El Hariri et al., J. Pharm. Pharmacol., 1992, 44, 651-654).
- Bile salts: The physiological role of bile includes the facilitation of dispersion and absorption of lipids and fat-soluble vitamins (Brunton, Chapter 38 in: Goodman & Gilman's The Pharmacological Basis of Therapeutics, 9th Ed., Hardman et al. Eds., McGraw-Hill, New York, 1996, pp. 934-935). Various natural bile salts, and their synthetic derivatives, act as penetration enhancers. Thus the term “bile salts” includes any of the naturally occurring components of bile as well as any of their synthetic derivatives. Suitable bile salts include, for example, cholic acid (or its pharmaceutically acceptable sodium salt, sodium cholate), dehydrocholic acid (sodium dehydrocholate), deoxycholic acid (sodium deoxycholate), glucholic acid (sodium glucholate), glycholic acid (sodium glycocholate), glycodeoxycholic acid (sodium glycodeoxycholate), taurocholic acid (sodium taurocholate), taurodeoxycholic acid (sodium taurodeoxycholate), chenodeoxycholic acid (sodium chenodeoxycholate), ursodeoxycholic acid (UDCA), sodium tauro-24,25-dihydro-fusidate (STDHF), sodium glycodihydrofusidate and polyoxyethylene-9-lauryl ether (POE) (Lee et al., Critical Reviews in Therapeutic Drug Carrier Systems, 1991, page 92; Swinyard, Chapter 39 In: Remington's Pharmaceutical Sciences, 18th Ed., Gennaro, ed., Mack Publishing Co., Easton, Pa., 1990, pages 782-783; Muranishi, Critical Reviews in Therapeutic Drug Carrier Systems, 1990, 7, 1-33; Yamamoto et al., J. Pharm. Exp. Ther., 1992, 263, 25; Yamashita et al., J. Pharm. Sci., 1990, 79, 579-583).
- Chelating Agents: Chelating agents, as used in connection with the present invention, can be defined as compounds that remove metallic ions from solution by forming complexes therewith, with the result that absorption of dsRNAs through the mucosa is enhanced. With regards to their use as penetration enhancers in the present invention, chelating agents have the added advantage of also serving as DNase inhibitors, as most characterized DNA nucleases require a divalent metal ion for catalysis and are thus inhibited by chelating agents (Jarrett, J. Chromatogr., 1993, 618, 315-339). Suitable chelating agents include but are not limited to disodium ethylenediaminetetraacetate (EDTA), citric acid, salicylates (e.g., sodium salicylate, 5-methoxysalicylate and homovanilate), N-acyl derivatives of collagen, laureth-9 and N-amino acyl derivatives of beta-diketones (enamines)(Lee et al., Critical Reviews in Therapeutic Drug Carrier Systems, 1991, page 92; Muranishi, Critical Reviews in Therapeutic Drug Carrier Systems, 1990, 7, 1-33; Buur et al., J. Control Rel., 1990, 14, 43-51).
- Non-chelating non-surfactants: As used herein, non-chelating non-surfactant penetration enhancing compounds can be defined as compounds that demonstrate insignificant activity as chelating agents or as surfactants but that nonetheless enhance absorption of dsRNAs through the alimentary mucosa (Muranishi, Critical Reviews in Therapeutic Drug Carrier Systems, 1990, 7, 1-33). This class of penetration enhancers include, for example, unsaturated cyclic ureas, 1-alkyl- and 1-alkenylazacyclo-alkanone derivatives (Lee et al., Critical Reviews in Therapeutic Drug Carrier Systems, 1991, page 92); and non-steroidal anti-inflammatory agents such as diclofenac sodium, indomethacin and phenylbutazone (Yamashita et al., J. Pharm. Pharmacol., 1987, 39, 621-626).
- Carriers
- Certain compositions of the present invention also incorporate carrier compounds in the formulation. As used herein, “carrier compound” or “carrier” can refer to a nucleic acid, or analog thereof, which is inert (i.e., does not possess biological activity per se) but is recognized as a nucleic acid by in vivo processes that reduce the bioavailability of a nucleic acid having biological activity by, for example, degrading the biologically active nucleic acid or promoting its removal from circulation. The coadministration of a nucleic acid and a carrier compound, typically with an excess of the latter substance, can result in a substantial reduction of the amount of nucleic acid recovered in the liver, kidney or other extracirculatory reservoirs, presumably due to competition between the carrier compound and the nucleic acid for a common receptor. For example, the recovery of a partially phosphorothioate dsRNA in hepatic tissue can be reduced when it is coadministered with polyinosinic acid, dextran sulfate, polycytidic acid or 4-acetamido-4′isothiocyano-stilbene-2,2′-disulfonic acid (Miyao et al., DsRNA Res. Dev., 1995, 5, 115-121; Takakura et al., DsRNA & Nucl. Acid Drug Dev., 1996, 6, 177-183.
- Excipients
- In contrast to a carrier compound, a “pharmaceutical carrier” or “excipient” is a pharmaceutically acceptable solvent, suspending agent or any other pharmacologically inert vehicle for delivering one or more nucleic acids to an animal. The excipient may be liquid or solid and is selected, with the planned manner of administration in mind, so as to provide for the desired bulk, consistency, etc., when combined with a nucleic acid and the other components of a given pharmaceutical composition. Typical pharmaceutical carriers include, but are not limited to, binding agents (e.g., pregelatinized maize starch, polyvinylpyrrolidone or hydroxypropyl methylcellulose, etc.); fillers (e.g., lactose and other sugars, microcrystalline cellulose, pectin, gelatin, calcium sulfate, ethyl cellulose, polyacrylates or calcium hydrogen phosphate, etc.); lubricants (e.g., magnesium stearate, talc, silica, colloidal silicon dioxide, stearic acid, metallic stearates, hydrogenated vegetable oils, corn starch, polyethylene glycols, sodium benzoate, sodium acetate, etc.); disintegrants (e.g., starch, sodium starch glycolate, etc.); and wetting agents (e.g., sodium lauryl sulphate, etc).
- Pharmaceutically acceptable organic or inorganic excipients suitable for non-parenteral administration which do not deleteriously react with nucleic acids can also be used to formulate the compositions of the present invention. Suitable pharmaceutically acceptable carriers include, but are not limited to, water, salt solutions, alcohols, polyethylene glycols, gelatin, lactose, amylose, magnesium stearate, talc, silicic acid, viscous paraffin, hydroxymethylcellulose, polyvinylpyrrolidone and the like.
- Formulations for topical administration of nucleic acids may include sterile and non-sterile aqueous solutions, non-aqueous solutions in common solvents such as alcohols, or solutions of the nucleic acids in liquid or solid oil bases. The solutions may also contain buffers, diluents and other suitable additives. Pharmaceutically acceptable organic or inorganic excipients suitable for non-parenteral administration which do not deleteriously react with nucleic acids can be used.
- Suitable pharmaceutically acceptable excipients include, but are not limited to, water, salt solutions, alcohol, polyethylene glycols, gelatin, lactose, amylose, magnesium stearate, talc, silicic acid, viscous paraffin, hydroxymethylcellulose, polyvinylpyrrolidone and the like.
- Other Components
- The compositions of the present invention may additionally contain other adjunct components conventionally found in pharmaceutical compositions, at their art-established usage levels. Thus, for example, the compositions may contain additional, compatible, pharmaceutically-active materials such as, for example, antipruritics, astringents, local anesthetics or anti-inflammatory agents, or may contain additional materials useful in physically formulating various dosage forms of the compositions of the present invention, such as dyes, flavoring agents, preservatives, antioxidants, opacifiers, thickening agents and stabilizers. However, such materials, when added, should not unduly interfere with the biological activities of the components of the compositions of the present invention. The formulations can be sterilized and, if desired, mixed with auxiliary agents, e.g., lubricants, preservatives, stabilizers, wetting agents, emulsifiers, salts for influencing osmotic pressure, buffers, colorings, flavorings and/or aromatic substances and the like which do not deleteriously interact with the nucleic acid(s) of the formulation.
- Aqueous suspensions may contain substances which increase the viscosity of the suspension including, for example, sodium carboxymethylcellulose, sorbitol and/or dextran. The suspension may also contain stabilizers.
- In some embodiments, pharmaceutical compositions featured in the invention include (a) one or more dsRNA compounds and (b) one or more anti-cytokine biologic agents which function by a non-RNAi mechanism. Examples of such biologics include, biologics that target IL1β (e.g., anakinra), IL6 (tocilizumab), or TNF (etanercept, infliximab, adlimumab, or certolizumab).
- Toxicity and therapeutic efficacy of such compounds can be determined by standard pharmaceutical procedures in cell cultures or experimental animals, e.g., for determining the LD50 (the dose lethal to 50% of the population) and the ED50 (the dose therapeutically effective in 50% of the population). The dose ratio between toxic and therapeutic effects is the therapeutic index and it can be expressed as the ratio LD50/ED50. Compounds that exhibit high therapeutic indices are preferred.
- The data obtained from cell culture assays and animal studies can be used in formulating a range of dosage for use in humans. The dosage of compositions featured in the invention lies generally within a range of circulating concentrations that include the ED50 with little or no toxicity. The dosage may vary within this range depending upon the dosage form employed and the route of administration utilized. For any compound used in the methods featured in the invention, the therapeutically effective dose can be estimated initially from cell culture assays. A dose may be formulated in animal models to achieve a circulating plasma concentration range of the compound or, when appropriate, of the polypeptide product of a target sequence (e.g., achieving a decreased concentration of the polypeptide) that includes the IC50 (i.e., the concentration of the test compound which achieves a half-maximal inhibition of symptoms) as determined in cell culture. Such information can be used to more accurately determine useful doses in humans. Levels in plasma may be measured, for example, by high performance liquid chromatography.
- In addition to their administration, as discussed above, the dsRNAs featured in the invention can be administered in combination with other known agents effective in treatment of pathological processes mediated by TTR expression. In any event, the administering physician can adjust the amount and timing of dsRNA administration on the basis of results observed using standard measures of efficacy known in the art or described herein.
- Methods for Treating Diseases Caused by Expression of a TTR Gene
- The invention relates in particular to the use of a dsRNA targeting TTR and compositions containing at least one such dsRNA for the treatment of a TTR-mediated disorder or disease. For example, a dsRNA targeting a TTR gene can be useful for the treatment of a TTR amyloidosis, such as familial amyloidotic polyneuropathy (FAP), familial amyloidotic cardiomyopathy (FAC), leptomeningeal/CNS amyloidosis, amyloidosis VII form (also known as leptomeningeal or meningocerebrovascular amyloidosis), hyperthyroxinemia, and cardiac amyloidosis (also called senile systemic amyloidosis (SSA) and senile cardiac amyloidosis (SCA)).
-
FIG. 15 illustrates symptoms and mutations in TTR associated with familial amyloidotic neuropathy, familial amyloidotic cardiomyopathy and CNS amyloidosis. The invention includes compositions and methods for treatment of these diseases and symptoms, and directed to these mutant versions of TTR. - A dsRNA targeting a TTR gene is also used for treatment of symptoms and disorders, such as TTR amyloidosis. Symptoms associated with such amyloidosis include, e.g., seizures, dementia, myelopathy, polyneuropathy, carpal tunnel syndrome, autonomic insufficiency, cardiomyopathy, gastrointestinal dysfunction (e.g., gastric ulcers, diarrhea, constipation, malabsorption), weight loss, hepatomegaly, lymphadenopathy, goiter, vitreous opacities, renal insufficiency (including proteinuria and kidney failure), nephropathy, cranial nerve dysfunction, corneal lattice dystrophy, and congestive heart failure with generalized weakness and difficulties breathing from fluid retention.
- Owing to the inhibitory effects on TTR expression, a composition according to the invention or a pharmaceutical composition prepared therefrom can enhance the quality of life.
- The invention further relates to the use of a dsRNA or a pharmaceutical composition thereof, e.g., for treating a TTR amyloidosis, in combination with other pharmaceuticals and/or other therapeutic methods, e.g., with known pharmaceuticals and/or known therapeutic methods, such as, for example, those which are currently employed for treating these disorders. In one example, a dsRNA targeting TTR can be administered in combination with a liver transplant. In other examples, a dsRNA targeting TTR can be administered in combination with a pharmaceutical or therapeutic method for treating a symptom of a TTR disease, such as diuretics, ACE (angiotensin converting enzyme) inhibitors, angiotensin receptor blockers (ARBs), or dialysis, e.g., for management of renal function.
- The dsRNA and an additional therapeutic agent can be administered in the same combination, e.g., parenterally, or the additional therapeutic agent can be administered as part of a separate composition or by another method described herein.
- The invention features a method of administering a dsRNA targeting TTR to a patient having a disease or disorder mediated by TTR expression, such as a TTR amyloidosis, e.g., FAP. Administration of the dsRNA can stabilize and improve peripheral neurological function, for example, in a patient with FAP. Patients can be administered a therapeutic amount of dsRNA, such as 0.1 mg/kg, 0.2 mg/kg, 0.5 mg/kg, 1.0 mg/kg, 1.5 mg/kg, 2.0 mg/kg, or 2.5 mg/kg dsRNA. The dsRNA can be administered by intravenous infusion over a period of time, such as over a 5 minute, 10 minute, 15 minute, 20 minute, 25 minute, 60 minute, 120 minute or 180 minute period. The administration is repeated, for example, on a regular basis, such as biweekly (i.e., every two weeks) for one month, two months, three months, four months or longer. After an initial treatment regimen, the treatments can be administered on a less frequent basis. For example, after administration biweekly for three months, administration can be repeated once per month, for six months or a year or longer. Administration of the dsRNA can reduce TTR levels in the blood or urine of the patient by at least 20%, 25%, 30%, 40%, 50%, 60%, 70%, 80% or 90% or more.
- Before administration of a full dose of the dsRNA, patients can be administered a smaller dose, such as a dose that is 5% of the full dose, and monitored for adverse effects, such as an allergic reaction or a change in liver function. For example, in patients monitored for changes in liver function, a low incidence of LFT (Liver Function Test) change (e.g., a 10-20% incidence of LFT) is acceptable (e.g., a reversible, 3-fold increase in ALT (alanine aminotransferase) and/or AST (aspartate aminotransferase) levels).
- Many TTR-associated diseases and disorders are hereditary. Therefore, a patient in need of a TTR dsRNA can be identified by taking a family history. A healthcare provider, such as a doctor, nurse, or family member, can take a family history before prescribing or administering a TTR dsRNA. A DNA test may also be performed on the patient to identify a mutation in the TTR gene, before a TTR dsRNA is administered to the patient.
- The patient may have a biopsy performed before receiving a TTR dsRNA. The biopsy can be, for example, on a tissue, such as the gastric mucosa, peripheral nerve, skin, abdominal fat, liver, or kidney, and the biopsy may reveal amyloid plaques, which are indicative of a TTR-mediated disorder. Upon the identification of amyloid plaques, the patient is administered a TTR dsRNA.
- Methods for Inhibiting Expression of a TTR Gene
- In yet another aspect, the invention provides a method for inhibiting the expression of a TTR gene in a mammal. The method includes administering a composition featured in the invention to the mammal such that expression of the target TTR gene is silenced.
- When the organism to be treated is a mammal such as a human, the composition may be administered by any means known in the art including, but not limited to oral or parenteral routes, including intracranial (e.g., intraventricular, intraparenchymal and intrathecal), intravenous, intramuscular, subcutaneous, transdermal, airway (aerosol), nasal, rectal, and topical (including buccal and sublingual) administration. In certain embodiments, the compositions are administered by intravenous infusion or injection.
- Unless otherwise defined, all technical and scientific terms used herein have the same meaning as commonly understood by one of ordinary skill in the art to which this invention belongs. Although methods and materials similar or equivalent to those described herein can be used in the practice or testing of the dsRNAs and methods featured in the invention, suitable methods and materials are described below. All publications, patent applications, patents, and other references mentioned herein are incorporated by reference in their entirety. In case of conflict, the present specification, including definitions, will control. In addition, the materials, methods, and examples are illustrative only and not intended to be limiting.
- Source of Reagents
- Where the source of a reagent is not specifically given herein, such reagent may be obtained from any supplier of reagents for molecular biology at a quality/purity standard for application in molecular biology.
- siRNA Synthesis
- Single-stranded RNAs were produced by solid phase synthesis on a scale of 1 μmole using an Expedite 8909 synthesizer (Applied Biosystems, Applera Deutschland GmbH, Darmstadt, Germany) and controlled pore glass (CPG, 500 Å, Proligo Biochemie GmbH, Hamburg, Germany) as solid support. RNA and RNA containing 2′-O-methyl nucleotides were generated by solid phase synthesis employing the corresponding phosphoramidites and 2′-O-methyl phosphoramidites, respectively (Proligo Biochemie GmbH, Hamburg, Germany). These building blocks were incorporated at selected sites within the sequence of the oligoribonucleotide chain using standard nucleoside phosphoramidite chemistry such as described in Current protocols in nucleic acid chemistry, Beaucage, S. L. et al. (Edrs.), John Wiley & Sons, Inc., New York, N.Y., USA. Phosphorothioate linkages were introduced by replacement of the iodine oxidizer solution with a solution of the Beaucage reagent (Chruachem Ltd, Glasgow, UK) in acetonitrile (1%). Further ancillary reagents were obtained from Mallinckrodt Baker (Griesheim, Germany).
- Deprotection and purification of the crude oligoribonucleotides by anion exchange HPLC were carried out according to established procedures. Yields and concentrations were determined by UV absorption of a solution of the respective RNA at a wavelength of 260 nm using a spectral photometer (DU 640B, Beckman Coulter GmbH, Unterschleiβheim, Germany). Double stranded RNA was generated by mixing an equimolar solution of complementary strands in annealing buffer (20 mM sodium phosphate, pH 6.8; 100 mM sodium chloride), heated in a water bath at 85-90° C. for 3 minutes and cooled to room temperature over a period of 3-4 hours. The annealed RNA solution was stored at −20° C. until use.
- For the synthesis of 3′-cholesterol-conjugated siRNAs (herein referred to as -Chol-3′), an appropriately modified solid support was used for RNA synthesis. The modified solid support was prepared as follows:
-
- A 4.7 M aqueous solution of sodium hydroxide (50 mL) was added into a stirred, ice-cooled solution of ethyl glycinate hydrochloride (32.19 g, 0.23 mole) in water (50 mL). Then, ethyl acrylate (23.1 g, 0.23 mole) was added and the mixture was stirred at room temperature until completion of the reaction was ascertained by TLC. After 19 h the solution was partitioned with dichloromethane (3×100 mL). The organic layer was dried with anhydrous sodium sulfate, filtered and evaporated. The residue was distilled to afford AA (28.8 g, 61%).
-
- Fmoc-6-amino-hexanoic acid (9.12 g, 25.83 mmol) was dissolved in dichloromethane (50 mL) and cooled with ice. Diisopropylcarbodiimde (3.25 g, 3.99 mL, 25.83 mmol) was added to the solution at 0° C. It was then followed by the addition of Diethyl-azabutane-1,4-dicarboxylate (5 g, 24.6 mmol) and dimethylamino pyridine (0.305 g, 2.5 mmol). The solution was brought to room temperature and stirred further for 6 h. Completion of the reaction was ascertained by TLC. The reaction mixture was concentrated under vacuum and ethyl acetate was added to precipitate diisopropyl urea. The suspension was filtered. The filtrate was washed with 5% aqueous hydrochloric acid, 5% sodium bicarbonate and water. The combined organic layer was dried over sodium sulfate and concentrated to give the crude product which was purified by column chromatography (50% EtOAC/Hexanes) to yield 11.87 g (88%) of AB.
-
- 3-{Ethoxycarbonylmethyl-[6-(9H-fluoren-9-ylmethoxycarbonylamino)-hexanoyl]-amino}-propionic acid ethyl ester AB (11.5 g, 21.3 mmol) was dissolved in 20% piperidine in dimethylformamide at 0° C. The solution was continued stirring for 1 h. The reaction mixture was concentrated under vacuum, water was added to the residue, and the product was extracted with ethyl acetate. The crude product was purified by conversion into its hydrochloride salt.
-
- The hydrochloride salt of 3-[(6-Amino-hexanoyl)-ethoxycarbonylmethyl-amino]-propionic acid ethyl ester AC (4.7 g, 14.8 mmol) was taken up in dichloromethane. The suspension was cooled to 0° C. on ice. To the suspension diisopropylethylamine (3.87 g, 5.2 mL, 30 mmol) was added. To the resulting solution cholesteryl chloroformate (6.675 g, 14.8 mmol) was added. The reaction mixture was stirred overnight. The reaction mixture was diluted with dichloromethane and washed with 10% hydrochloric acid. The product was purified by flash chromatography (10.3 g, 92%).
-
- Potassium t-butoxide (1.1 g, 9.8 mmol) was slurried in 30 mL of dry toluene. The mixture was cooled to 0° C. on ice and 5 g (6.6 mmol) of diester AD was added slowly with stirring within 20 mins. The temperature was kept below 5° C. during the addition. The stirring was continued for 30 mins at 0° C. and 1 mL of glacial acetic acid was added, immediately followed by 4 g of NaH2PO4.H2O in 40 mL of water The resultant mixture was extracted twice with 100 mL of dichloromethane each and the combined organic extracts were washed twice with 10 mL of phosphate buffer each, dried, and evaporated to dryness. The residue was dissolved in 60 mL of toluene, cooled to 0° C. and extracted with three 50 mL portions of cold pH 9.5 carbonate buffer. The aqueous extracts were adjusted to
pH 3 with phosphoric acid, and extracted with five 40 mL portions of chloroform which were combined, dried and evaporated to dryness. The residue was purified by column chromatography using 25% ethylacetate/hexane to afford 1.9 g of b-ketoester (39%). -
- Methanol (2 mL) was added dropwise over a period of 1 h to a refluxing mixture of b-ketoester AE (1.5 g, 2.2 mmol) and sodium borohydride (0.226 g, 6 mmol) in tetrahydrofuran (10 mL). Stirring was continued at reflux temperature for 1 h. After cooling to room temperature, 1 N HCl (12.5 mL) was added, the mixture was extracted with ethylacetate (3×40 mL). The combined ethylacetate layer was dried over anhydrous sodium sulfate and concentrated under vacuum to yield the product which was purified by column chromatography (10% MeOH/CHCl3) (89%).
-
- Diol AF (1.25 gm 1.994 mmol) was dried by evaporating with pyridine (2×5 mL) in vacuo. Anhydrous pyridine (10 mL) and 4,4′-dimethoxytritylchloride (0.724 g, 2.13 mmol) were added with stirring. The reaction was carried out at room temperature overnight. The reaction was quenched by the addition of methanol. The reaction mixture was concentrated under vacuum and to the residue dichloromethane (50 mL) was added. The organic layer was washed with 1M aqueous sodium bicarbonate. The organic layer was dried over anhydrous sodium sulfate, filtered and concentrated. The residual pyridine was removed by evaporating with toluene. The crude product was purified by column chromatography (2% MeOH/Chloroform, Rf=0.5 in 5% MeOH/CHCl3) (1.75 g, 95%).
-
- Compound AG (1.0 g, 1.05 mmol) was mixed with succinic anhydride (0.150 g, 1.5 mmol) and DMAP (0.073 g, 0.6 mmol) and dried in a vacuum at 40° C. overnight. The mixture was dissolved in anhydrous dichloroethane (3 mL), triethylamine (0.318 g, 0.440 mL, 3.15 mmol) was added and the solution was stirred at room temperature under argon atmosphere for 16 h. It was then diluted with dichloromethane (40 mL) and washed with ice cold aqueous citric acid (5 wt %, 30 mL) and water (2×20 mL). The organic phase was dried over anhydrous sodium sulfate and concentrated to dryness. The residue was used as such for the next step.
-
- Succinate AH (0.254 g, 0.242 mmol) was dissolved in a mixture of dichloromethane/acetonitrile (3:2, 3 mL). To that solution DMAP (0.0296 g, 0.242 mmol) in acetonitrile (1.25 mL), 2,2′-Dithio-bis(5-nitropyridine) (0.075 g, 0.242 mmol) in acetonitrile/dichloroethane (3:1, 1.25 mL) were added successively. To the resulting solution triphenylphosphine (0.064 g, 0.242 mmol) in acetonitrile (0.6 ml) was added. The reaction mixture turned bright orange in color. The solution was agitated briefly using a wrist-action shaker (5 mins). Long chain alkyl amine-CPG (LCAA-CPG) (1.5 g, 61 mM) was added. The suspension was agitated for 2 h. The CPG was filtered through a sintered funnel and washed with acetonitrile, dichloromethane and ether successively. Unreacted amino groups were masked using acetic anhydride/pyridine. The achieved loading of the CPG was measured by taking UV measurement (37 mM/g).
- The synthesis of siRNAs bearing a 5′-12-dodecanoic acid bisdecylamide group (herein referred to as “5′-C32-”) or a 5′-cholesteryl derivative group (herein referred to as “5′-Chol-”) was performed as described in WO 2004/065601, except that, for the cholesteryl derivative, the oxidation step was performed using the Beaucage reagent in order to introduce a phosphorothioate linkage at the 5′-end of the nucleic acid oligomer.
- Nucleic acid sequences are represented below using standard nomenclature, and specifically the abbreviations of Table 1.
-
TABLE 1 Abbreviations of nucleotide monomers used in nucleic acid sequence representation. It will be understood that these monomers, when present in an oligonucleotide, are mutually linked by 5′-3′-phosphodiester bonds. Abbreviation Nucleotide(s) A adenosine-3′-phosphate C cytidine-3′-phosphate G guanosine-3′-phosphate T 5-methyluridine-3′-phosphate U uridine-3′-phosphate N any nucleotide (G, A, C, or T) a 2′-O-methyladenosine-3′- phosphate c 2′-O-methylcytidine-3′- phosphate g 2′-O-methylguanosine-3′- phosphate u 2′-O-methyluridine-3′- phosphate dT 2′-deoxythymidine-3′-phosphate sT; sdT 2′-deoxy-thymidine-5′phosphate-phosphorothioate - Transcripts
- siRNA design was carried out to identify siRNAs targeting the gene transthyretin from human (symbol TTR) and rat (symbol Ttr). The design used the TTR transcripts NM_000371.2 (SEQ ID NO:1329) (human) and NM_012681.1 (SEQ ID NO:1330) (rat) from the NCBI Refseq collection. The siRNA duplexes were designed with 100% identity to their respective TTR genes.
- siRNA Design and Specificity Prediction
- The predicted specificity of all possible 19mers was determined for each sequence. The TTR siRNAs were used in a comprehensive search against the human and rat transcriptomes (defined as the set of NM— and XM— records within the NCBI Refseq set) using the FASTA algorithm. The Python script ‘offtargetFasta.py’ was then used to parse the alignments and generate a score based on the position and number of mismatches between the siRNA and any potential ‘off-target’ transcript. The off-target score is weighted to emphasize differences in the ‘seed’ region of siRNAs, in positions 2-9 from the 5′ end of the molecule. The off-target score is calculated as follows: mismatches between the oligo and the transcript are given penalties. A mismatch in the seed region in positions 2-9 of the oligo is given a penalty of 2.8; mismatches in the
10 and 11 are given a penalty of 1.2, and mismatches in positions 12-19 a penalty of 1. Mismatches inputative cleavage sites position 1 are not considered. The off-target score for each oligo-transcript pair is then calculated by summing the mismatch penalties. The lowest off-target score from all the oligo-transcript pairs is then determined and used in subsequent sorting of oligos. Both siRNA strands were assigned to a category of specificity according to the calculated scores: a score above 3 qualifies as highly specific, equal to 3 as specific, and between 2.2 and 2.8 as moderately specific. In picking which oligos to synthesize, off-target scores of the antisense strand were sorted from high to low, and the 144 best (lowest off-target score) oligo pairs from human, and the best 26 pairs from rat were selected. - siRNA Sequence Selection
- A total of 140 sense and 140 antisense human TTR derived siRNA oligos were synthesized and formed into duplexes. A total of 26 sense and 26 antisense rat TTR derived siRNA oligos were synthesized and formed into duplexes. Duplexes included The oligos are presented in Tables 2-4 (human TTR) and Tables 5-7 (rat TTR).
-
TABLE 2 Identification numbers for human TTR dsRNAs See Table 4 for sequences and modifications of oligos. Duplex # Sense Oligo # Antisense Oligo # AD-18243 A-32153 A-32154 AD-18244 A-32155 A-32156 AD-18245 A-32157 A-32158 AD-18246 A-32159 A-32160 AD-18247 A-32163 A-32164 AD-18248 A-32165 A-32166 AD-18249 A-32167 A-32168 AD-18250 A-32169 A-32170 AD-18251 A-32171 A-32172 AD-18252 A-32175 A-32176 AD-18253 A-32177 A-32178 AD-18254 A-32179 A-32180 AD-18255 A-32181 A-32182 AD-18256 A-32183 A-32184 AD-18257 A-32187 A-32188 AD-18258 A-32189 A-32190 AD-18259 A-32191 A-32192 AD-18260 A-32193 A-32194 AD-18261 A-32195 A-32196 AD-18262 A-32199 A-32200 AD-18263 A-32201 A-32202 AD-18264 A-32203 A-32204 AD-18265 A-32205 A-32206 AD-18266 A-32207 A-32208 AD-18267 A-32211 A-32212 AD-18268 A-32213 A-32214 AD-18269 A-32215 A-32216 AD-18270 A-32217 A-32218 AD-18271 A-32219 A-32220 AD-18272 A-32221 A-32222 AD-18273 A-32223 A-32224 AD-18274 A-32225 A-32226 AD-18275 A-32227 A-32228 AD-18276 A-32229 A-32230 AD-18277 A-32231 A-32232 AD-18278 A-32233 A-32234 AD-18279 A-32235 A-32236 AD-18280 A-32237 A-32238 AD-18281 A-32239 A-32240 AD-18282 A-32241 A-32242 AD-18283 A-32243 A-32244 AD-18284 A-32247 A-32248 AD-18285 A-32249 A-32250 AD-18286 A-32251 A-32252 AD-18287 A-32253 A-32254 AD-18288 A-32255 A-32256 AD-18289 A-32259 A-32260 AD-18290 A-32261 A-32262 AD-18291 A-32263 A-32264 AD-18292 A-32265 A-32266 AD-18293 A-32267 A-32268 AD-18294 A-32269 A-32270 AD-18295 A-32271 A-32272 AD-18296 A-32273 A-32274 AD-18297 A-32275 A-32276 AD-18298 A-32277 A-32278 AD-18299 A-32279 A-32280 AD-18300 A-32281 A-32282 AD-18301 A-32283 A-32284 AD-18302 A-32285 A-32286 AD-18303 A-32287 A-32288 AD-18304 A-32289 A-32290 AD-18305 A-32291 A-32292 AD-18306 A-32295 A-32296 AD-18307 A-32297 A-32298 AD-18308 A-32299 A-32300 AD-18309 A-32301 A-32302 AD-18310 A-32303 A-32304 AD-18311 A-32307 A-32308 AD-18312 A-32309 A-32310 AD-18313 A-32311 A-32312 AD-18314 A-32313 A-32314 AD-18315 A-32315 A-32316 AD-18316 A-32319 A-32320 AD-18317 A-32321 A-32322 AD-18318 A-32323 A-32324 AD-18319 A-32325 A-32326 AD-18320 A-32327 A-32328 AD-18321 A-32331 A-32332 AD-18322 A-32333 A-32334 AD-18323 A-32335 A-32336 AD-18324 A-32337 A-32338 AD-18325 A-32339 A-32340 AD-18326 A-32341 A-32342 AD-18327 A-32343 A-32344 AD-18328 A-32345 A-32346 AD-18329 A-32347 A-32348 AD-18330 A-32349 A-32350 AD-18331 A-32351 A-32352 AD-18332 A-32353 A-32354 AD-18333 A-32355 A-32356 AD-18334 A-32357 A-32358 AD-18335 A-32359 A-32360 AD-18336 A-32363 A-32364 AD-18337 A-32367 A-32368 AD-18338 A-32369 A-32370 AD-18339 A-32371 A-32372 AD-18340 A-32373 A-32374 AD-18341 A-32375 A-32376 AD-18342 A-32379 A-32380 AD-18343 A-32381 A-32382 AD-18344 A-32383 A-32384 AD-18345 A-32385 A-32386 AD-18346 A-32387 A-32388 AD-18347 A-32391 A-32392 AD-18348 A-32393 A-32394 AD-18349 A-32395 A-32396 AD-18350 A-32397 A-32398 AD-18351 A-32399 A-32400 AD-18352 A-32401 A-32402 AD-18353 A-32403 A-32404 AD-18354 A-32405 A-32406 AD-18355 A-32407 A-32408 AD-18356 A-32409 A-32410 AD-18357 A-32411 A-32412 AD-18358 A-32415 A-32416 AD-18359 A-32417 A-32418 AD-18360 A-32419 A-32420 AD-18361 A-32421 A-32422 AD-18362 A-32423 A-32424 AD-18363 A-32427 A-32428 AD-18364 A-32429 A-32430 AD-18446 A-32161 A-32162 AD-18447 A-32173 A-32174 AD-18448 A-32185 A-32186 AD-18449 A-32197 A-32198 AD-18450 A-32209 A-32210 AD-18451 A-32245 A-32246 AD-18452 A-32257 A-32258 AD-18453 A-32293 A-32294 AD-18454 A-32305 A-32306 AD-18455 A-32317 A-32318 AD-18456 A-32329 A-32330 AD-18457 A-32361 A-32362 AD-18458 A-32365 A-32366 AD-18459 A-32377 A-32378 AD-18460 A-32389 A-32390 AD-18461 A-32401 A-32402 AD-18462 A-32413 A-32414 AD-18463 A-32425 A-32426 -
TABLE 3A Sense and antisense strand sequences of human TTR dsRNAs Strand: s = sense; as = antisense; Position: position of 5′ base on transcript (NM_000371.2, SEQ ID NO: 1329) SEQ Sequence with 3′ SEQ Sequence ID dinucleotide overhang ID Strand Position (5′ to 3′) NO: (5′ to 3′) NO: S 100 CCGGUGAAUCCAAGUGUCC 1 CCGGUGAAUCCAAGUGUCCNN 281 as 118 GGACACUUGGAUUCACCGG 2 GGACACUUGGAUUCACCGGNN 282 S 11 ACUCAUUCUUGGCAGGAUG 3 ACUCAUUCUUGGCAGGAUGNN 283 as 29 CAUCCUGCCAAGAAUGAGU 4 CAUCCUGCCAAGAAUGAGUNN 284 S 111 AAGUGUCCUCUGAUGGUCA 5 AAGUGUCCUCUGAUGGUCANN 285 as 129 UGACCAUCAGAGGACACUU 6 UGACCAUCAGAGGACACUUNN 286 S 13 UCAUUCUUGGCAGGAUGGC 7 UCAUUCUUGGCAGGAUGGCNN 287 as 31 GCCAUCCUGCCAAGAAUGA 8 GCCAUCCUGCCAAGAAUGANN 288 s 130 AAGUUCUAGAUGCUGUCCG 9 AAGUUCUAGAUGCUGUCCGNN 289 as 148 CGGACAGCAUCUAGAACUU 10 CGGACAGCAUCUAGAACUUNN 290 s 132 GUUCUAGAUGCUGUCCGAG 11 GUUCUAGAUGCUGUCCGAGNN 291 as 150 CUCGGACAGCAUCUAGAAC 12 CUCGGACAGCAUCUAGAACNN 292 s 135 CUAGAUGCUGUCCGAGGCA 13 CUAGAUGCUGUCCGAGGCANN 293 as 153 UGCCUCGGACAGCAUCUAG 14 UGCCUCGGACAGCAUCUAGNN 294 s 138 GAUGCUGUCCGAGGCAGUC 15 GAUGCUGUCCGAGGCAGUCNN 295 as 156 GACUGCCUCGGACAGCAUC 16 GACUGCCUCGGACAGCAUCNN 296 s 14 CAUUCUUGGCAGGAUGGCU 17 CAUUCUUGGCAGGAUGGCUNN 297 as 32 AGCCAUCCUGCCAAGAAUG 18 AGCCAUCCUGCCAAGAAUGNN 298 s 140 UGCUGUCCGAGGCAGUCCU 19 UGCUGUCCGAGGCAGUCCUNN 299 as 158 AGGACUGCCUCGGACAGCA 20 AGGACUGCCUCGGACAGCANN 300 s 146 CCGAGGCAGUCCUGCCAUC 21 CCGAGGCAGUCCUGCCAUCNN 301 as 164 GAUGGCAGGACUGCCUCGG 22 GAUGGCAGGACUGCCUCGGNN 302 s 152 CAGUCCUGCCAUCAAUGUG 23 CAGUCCUGCCAUCAAUGUGNN 303 as 170 CACAUUGAUGGCAGGACUG 24 CACAUUGAUGGCAGGACUGNN 304 a 164 CAAUGUGGCCGUGCAUGUG 25 CAAUGUGGCCGUGCAUGUGNN 305 as 182 CACAUGCACGGCCACAUUG 26 CACAUGCACGGCCACAUUGNN 306 a 178 AUGUGUUCAGAAAGGCUGC 27 AUGUGUUCAGAAAGGCUGCNN 307 as 196 GCAGCCUUUCUGAACACAU 28 GCAGCCUUUCUGAACACAUNN 308 s 2 CAGAAGUCCACUCAUUCUU 29 CAGAAGUCCACUCAUUCUUNN 309 as 20 AAGAAUGAGUGGACUUCUG 30 AAGAAUGAGUGGACUUCUGNN 310 s 21 GGCAGGAUGGCUUCUCAUC 31 GGCAGGAUGGCUUCUCAUCNN 311 as 39 GAUGAGAAGCCAUCCUGCC 32 GAUGAGAAGCCAUCCUGCCNN 312 s 210 GAGCCAUUUGCCUCUGGGA 33 GAGCCAUUUGCCUCUGGGANN 313 as 228 UCCCAGAGGCAAAUGGCUC 34 UCCCAGAGGCAAAUGGCUCNN 314 s 23 CAGGAUGGCUUCUCAUCGU 35 CAGGAUGGCUUCUCAUCGUNN 315 as 41 ACGAUGAGAAGCCAUCCUG 36 ACGAUGAGAAGCCAUCCUGNN 316 s 24 AGGAUGGCUUCUCAUCGUC 37 AGGAUGGCUUCUCAUCGUCNN 317 as 42 GACGAUGAGAAGCCAUCCU 38 GACGAUGAGAAGCCAUCCUNN 318 s 245 AGAGCUGCAUGGGCUCACA 39 AGAGCUGCAUGGGCUCACANN 319 as 263 UGUGAGCCCAUGCAGCUCU 40 UGUGAGCCCAUGCAGCUCUNN 320 s 248 GCUGCAUGGGCUCACAACU 41 GCUGCAUGGGCUCACAACUNN 321 as 266 AGUUGUGAGCCCAUGCAGC 42 AGUUGUGAGCCCAUGCAGCNN 322 s 25 GGAUGGCUUCUCAUCGUCU 43 GGAUGGCUUCUCAUCGUCUNN 323 as 43 AGACGAUGAGAAGCCAUCC 44 AGACGAUGAGAAGCCAUCCNN 324 s 251 GCAUGGGCUCACAACUGAG 45 GCAUGGGCUCACAACUGAGNN 325 as 269 CUCAGUUGUGAGCCCAUGC 46 CUCAGUUGUGAGCCCAUGCNN 326 s 253 AUGGGCUCACAACUGAGGA 47 AUGGGCUCACAACUGAGGANN 327 as 271 UCCUCAGUUGUGAGCCCAU 48 UCCUCAGUUGUGAGCCCAUNN 328 s 254 UGGGCUCACAACUGAGGAG 49 UGGGCUCACAACUGAGGAGNN 329 as 272 CUCCUCAGUUGUGAGCCCA 50 CUCCUCAGUUGUGAGCCCANN 330 s 270 GAGGAAUUUGUAGAAGGGA 51 GAGGAAUUUGUAGAAGGGANN 331 as 288 UCCCUUCUACAAAUUCCUC 52 UCCCUUCUACAAAUUCCUCNN 332 s 276 UUUGUAGAAGGGAUAUACA 53 UUUGUAGAAGGGAUAUACANN 333 as 294 UGUAUAUCCCUUCUACAAA 54 UGUAUAUCCCUUCUACAAANN 334 s 277 UUGUAGAAGGGAUAUACAA 55 UUGUAGAAGGGAUAUACAANN 335 as 295 UUGUAUAUCCCUUCUACAA 56 UUGUAUAUCCCUUCUACAANN 336 s 278 UGUAGAAGGGAUAUACAAA 57 UGUAGAAGGGAUAUACAAANN 337 as 296 UUUGUAUAUCCCUUCUACA 58 UUUGUAUAUCCCUUCUACANN 338 s 281 AGAAGGGAUAUACAAAGUG 59 AGAAGGGAUAUACAAAGUGNN 339 as 299 CACUUUGUAUAUCCCUUCU 60 CACUUUGUAUAUCCCUUCUNN 340 s 295 AAGUGGAAAUAGACACCAA 61 AAGUGGAAAUAGACACCAANN 341 as 313 UUGGUGUCUAUUUCCACUU 62 UUGGUGUCUAUUUCCACUUNN 342 s 299 GGAAAUAGACACCAAAUCU 63 GGAAAUAGACACCAAAUCUNN 343 as 317 AGAUUUGGUGUCUAUUUCC 64 AGAUUUGGUGUCUAUUUCCNN 344 s 300 GAAAUAGACACCAAAUCUU 65 GAAAUAGACACCAAAUCUUNN 345 as 318 AAGAUUUGGUGUCUAUUUC 66 AAGAUUUGGUGUCUAUUUCNN 346 s 303 AUAGACACCAAAUCUUACU 67 AUAGACACCAAAUCUUACUNN 347 as 321 AGUAAGAUUUGGUGUCUAU 68 AGUAAGAUUUGGUGUCUAUNN 348 s 304 UAGACACCAAAUCUUACUG 69 UAGACACCAAAUCUUACUGNN 349 as 322 CAGUAAGAUUUGGUGUCUA 70 CAGUAAGAUUUGGUGUCUANN 350 s 305 AGACACCAAAUCUUACUGG 71 AGACACCAAAUCUUACUGGNN 351 as 323 CCAGUAAGAUUUGGUGUCU 72 CCAGUAAGAUUUGGUGUCUNN 352 s 317 UUACUGGAAGGCACUUGGC 73 UUACUGGAAGGCACUUGGCNN 353 as 335 GCCAAGUGCCUUCCAGUAA 74 GCCAAGUGCCUUCCAGUAANN 354 s 32 UUCUCAUCGUCUGCUCCUC 75 UUCUCAUCGUCUGCUCCUCNN 355 as 50 GAGGAGCAGACGAUGAGAA 76 GAGGAGCAGACGAUGAGAANN 356 s 322 GGAAGGCACUUGGCAUCUC 77 GGAAGGCACUUGGCAUCUCNN 357 as 340 GAGAUGCCAAGUGCCUUCC 78 GAGAUGCCAAGUGCCUUCCNN 358 s 326 GGCACUUGGCAUCUCCCCA 79 GGCACUUGGCAUCUCCCCANN 359 as 344 UGGGGAGAUGCCAAGUGCC 80 UGGGGAGAUGCCAAGUGCCNN 360 s 333 GGCAUCUCCCCAUUCCAUG 81 GGCAUCUCCCCAUUCCAUGNN 361 as 351 AUGGAAUGGGGAGAUGCCTT 82 AUGGAAUGGGGAGAUGCCTTNN 362 s 334 GCAUCUCCCCAUUCCAUGA 83 GCAUCUCCCCAUUCCAUGANN 363 as 352 UCAUGGAAUGGGGAGAUGC 84 UCAUGGAAUGGGGAGAUGCNN 364 s 335 CAUCUCCCCAUUCCAUGAG 85 CAUCUCCCCAUUCCAUGAGNN 365 as 353 CUCAUGGAAUGGGGAGAUG 86 CUCAUGGAAUGGGGAGAUGNN 366 s 336 AUCUCCCCAUUCCAUGAGC 87 AUCUCCCCAUUCCAUGAGCNN 367 as 354 GCUCAUGGAAUGGGGAGAU 88 GCUCAUGGAAUGGGGAGAUNN 368 s 338 CUCCCCAUUCCAUGAGCAU 89 CUCCCCAUUCCAUGAGCAUNN 369 as 356 AUGCUCAUGGAAUGGGGAG 90 AUGCUCAUGGAAUGGGGAGNN 370 s 341 CCCAUUCCAUGAGCAUGCA 91 CCCAUUCCAUGAGCAUGCANN 371 as 359 UGCAUGCUCAUGGAAUGGG 92 UGCAUGCUCAUGGAAUGGGNN 372 s 347 CCAUGAGCAUGCAGAGGUG 93 CCAUGAGCAUGCAGAGGUGNN 373 as 365 CACCUCUGCAUGCUCAUGG 94 CACCUCUGCAUGCUCAUGGNN 374 s 352 AGCAUGCAGAGGUGGUAUU 95 AGCAUGCAGAGGUGGUAUUNN 375 as 370 AAUACCACCUCUGCAUGCU 96 AAUACCACCUCUGCAUGCUNN 376 s 354 CAUGCAGAGGUGGUAUUCA 97 CAUGCAGAGGUGGUAUUCANN 377 as 372 UGAAUACCACCUCUGCAUG 98 UGAAUACCACCUCUGCAUGNN 378 s 355 AUGCAGAGGUGGUAUUCAC 99 AUGCAGAGGUGGUAUUCACNN 379 as 373 GUGAAUACCACCUCUGCAU 100 GUGAAUACCACCUCUGCAUNN 380 s 362 GGUGGUAUUCACAGCCAAC 101 GGUGGUAUUCACAGCCAACNN 381 as 380 GUUGGCUGUGAAUACCACC 102 GUUGGCUGUGAAUACCACCNN 382 s 363 GUGGUAUUCACAGCCAACG 103 GUGGUAUUCACAGCCAACGNN 383 as 381 CGUUGGCUGUGAAUACCAC 104 CGUUGGCUGUGAAUACCACNN 384 s 364 UGGUAUUCACAGCCAACGA 105 UGGUAUUCACAGCCAACGANN 385 as 382 UCGUUGGCUGUGAAUACCA 106 UCGUUGGCUGUGAAUACCANN 386 s 365 GGUAUUCACAGCCAACGAC 107 GGUAUUCACAGCCAACGACNN 387 as 383 GUCGUUGGCUGUGAAUACC 108 GUCGUUGGCUGUGAAUACCNN 388 s 366 GUAUUCACAGCCAACGACU 109 GUAUUCACAGCCAACGACUNN 389 as 384 AGUCGUUGGCUGUGAAUAC 110 AGUCGUUGGCUGUGAAUACNN 390 s 367 UAUUCACAGCCAACGACUC 111 UAUUCACAGCCAACGACUCNN 391 as 385 GAGUCGUUGGCUGUGAAUA 112 GAGUCGUUGGCUGUGAAUANN 392 s 370 UCACAGCCAACGACUCCGG 113 UCACAGCCAACGACUCCGGNN 393 as 388 CCGGAGUCGUUGGCUGUGA 114 CCGGAGUCGUUGGCUGUGANN 394 s 390 CCCCGCCGCUACACCAUUG 115 CCCCGCCGCUACACCAUUGNN 395 as 408 CAAUGGUGUAGCGGCGGGG 116 CAAUGGUGUAGCGGCGGGGNN 396 s 4 GAAGUCCACUCAUUCUUGG 117 GAAGUCCACUCAUUCUUGGNN 397 as 22 CCAAGAAUGAGUGGACUUC 118 CCAAGAAUGAGUGGACUUCNN 398 s 412 CCCUGCUGAGCCCCUACUC 119 CCCUGCUGAGCCCCUACUCNN 399 as 430 GAGUAGGGGCUCAGCAGGG 120 GAGUAGGGGCUCAGCAGGGNN 400 s 417 CUGAGCCCCUACUCCUAUU 121 CUGAGCCCCUACUCCUAUUNN 401 as 435 AAUAGGAGUAGGGGCUCAG 122 AAUAGGAGUAGGGGCUCAGNN 402 s 418 UGAGCCCCUACUCCUAUUC 123 UGAGCCCCUACUCCUAUUCNN 403 as 436 GAAUAGGAGUAGGGGCUCA 124 GAAUAGGAGUAGGGGCUCANN 404 s 422 CCCCUACUCCUAUUCCACC 125 CCCCUACUCCUAUUCCACCNN 405 as 440 GGUGGAAUAGGAGUAGGGG 126 GGUGGAAUAGGAGUAGGGGNN 406 s 425 CUACUCCUAUUCCACCACG 127 CUACUCCUAUUCCACCACGNN 407 as 443 CGUGGUGGAAUAGGAGUAG 128 CGUGGUGGAAUAGGAGUAGNN 408 s 426 UACUCCUAUUCCACCACGG 129 UACUCCUAUUCCACCACGGNN 409 as 444 CCGUGGUGGAAUAGGAGUA 130 CCGUGGUGGAAUAGGAGUANN 410 s 427 ACUCCUAUUCCACCACGGC 131 ACUCCUAUUCCACCACGGCNN 411 as 445 GCCGUGGUGGAAUAGGAGU 132 GCCGUGGUGGAAUAGGAGUNN 412 s 429 UCCUAUUCCACCACGGCUG 133 UCCUAUUCCACCACGGCUGNN 413 as 447 CAGCCGUGGUGGAAUAGGA 134 CAGCCGUGGUGGAAUAGGANN 414 s 432 UAUUCCACCACGGCUGUCG 135 UAUUCCACCACGGCUGUCGNN 415 as 450 CGACAGCCGUGGUGGAAUA 136 CGACAGCCGUGGUGGAAUANN 416 s 433 AUUCCACCACGGCUGUCGU 137 AUUCCACCACGGCUGUCGUNN 417 as 451 ACGACAGCCGUGGUGGAAU 138 ACGACAGCCGUGGUGGAAUNN 418 s 437 CACCACGGCUGUCGUCACC 139 CACCACGGCUGUCGUCACCNN 419 as 455 GGUGACGACAGCCGUGGUG 140 GGUGACGACAGCCGUGGUGNN 420 s 438 ACCACGGCUGUCGUCACCA 141 ACCACGGCUGUCGUCACCANN 421 as 456 UGGUGACGACAGCCGUGGU 142 UGGUGACGACAGCCGUGGUNN 422 s 439 CCACGGCUGUCGUCACCAA 143 CCACGGCUGUCGUCACCAANN 423 as 457 UUGGUGACGACAGCCGUGG 144 UUGGUGACGACAGCCGUGGNN 424 s 441 ACGGCUGUCGUCACCAAUC 145 ACGGCUGUCGUCACCAAUCNN 425 as 459 GAUUGGUGACGACAGCCGU 146 GAUUGGUGACGACAGCCGUNN 426 s 442 CGGCUGUCGUCACCAAUCC 147 CGGCUGUCGUCACCAAUCCNN 427 as 460 GGAUUGGUGACGACAGCCG 148 GGAUUGGUGACGACAGCCGNN 428 s 449 CGUCACCAAUCCCAAGGAA 149 CGUCACCAAUCCCAAGGAANN 429 as 467 UUCCUUGGGAUUGGUGACG 150 UUCCUUGGGAUUGGUGACGNN 430 s 455 CAAUCCCAAGGAAUGAGGG 151 CAAUCCCAAGGAAUGAGGGNN 431 as 473 CCCUCAUUCCUUGGGAUUG 152 CCCUCAUUCCUUGGGAUUGNN 432 s 491 CCUGAAGGACGAGGGAUGG 153 CCUGAAGGACGAGGGAUGGNN 433 as 509 CCAUCCCUCGUCCUUCAGG 154 CCAUCCCUCGUCCUUCAGGNN 434 s 497 GGACGAGGGAUGGGAUUUC 155 GGACGAGGGAUGGGAUUUCNN 435 as 515 GAAAUCCCAUCCCUCGUCC 156 GAAAUCCCAUCCCUCGUCCNN 436 s 5 AAGUCCACUCAUUCUUGGC 157 AAGUCCACUCAUUCUUGGCNN 437 as 23 GCCAAGAAUGAGUGGACUU 158 GCCAAGAAUGAGUGGACUUNN 438 s 508 GGGAUUUCAUGUAACCAAG 159 GGGAUUUCAUGUAACCAAGNN 439 as 526 CUUGGUUACAUGAAAUCCC 160 CUUGGUUACAUGAAAUCCCNN 440 s 509 GGAUUUCAUGUAACCAAGA 161 GGAUUUCAUGUAACCAAGANN 441 as 527 UCUUGGUUACAUGAAAUCC 162 UCUUGGUUACAUGAAAUCCNN 442 s 514 UCAUGUAACCAAGAGUAUU 163 UCAUGUAACCAAGAGUAUUNN 443 as 532 AAUACUCUUGGUUACAUGA 164 AAUACUCUUGGUUACAUGANN 444 s 516 AUGUAACCAAGAGUAUUCC 165 AUGUAACCAAGAGUAUUCCNN 445 as 534 GGAAUACUCUUGGUUACAU 166 GGAAUACUCUUGGUUACAUNN 446 s 517 UGUAACCAAGAGUAUUCCA 167 UGUAACCAAGAGUAUUCCANN 447 as 535 UGGAAUACUCUUGGUUACA 168 UGGAAUACUCUUGGUUACANN 448 s 518 GUAACCAAGAGUAUUCCAU 169 GUAACCAAGAGUAUUCCAUNN 449 as 536 AUGGAAUACUCUUGGUUAC 170 AUGGAAUACUCUUGGUUACNN 450 s 54 UGCCUUGCUGGACUGGUAU 171 UGCCUUGCUGGACUGGUAUNN 451 as 72 AUACCAGUCCAGCAAGGCA 172 AUACCAGUCCAGCAAGGCANN 452 s 543 UAAAGCAGUGUUUUCACCU 173 UAAAGCAGUGUUUUCACCUNN 453 as 561 AGGUGAAAACACUGCUUUA 174 AGGUGAAAACACUGCUUUANN 454 s 55 GCCUUGCUGGACUGGUAUU 175 GCCUUGCUGGACUGGUAUUNN 455 as 73 AAUACCAGUCCAGCAAGGC 176 AAUACCAGUCCAGCAAGGCNN 456 s 551 UGUUUUCACCUCAUAUGCU 177 UGUUUUCACCUCAUAUGCUNN 457 as 569 AGCAUAUGAGGUGAAAACA 178 AGCAUAUGAGGUGAAAACANN 458 s 552 GUUUUCACCUCAUAUGCUA 179 GUUUUCACCUCAUAUGCUANN 459 as 570 UAGCAUAUGAGGUGAAAAC 180 UAGCAUAUGAGGUGAAAACNN 460 s 553 UUUUCACCUCAUAUGCUAU 181 UUUUCACCUCAUAUGCUAUNN 461 as 571 AUAGCAUAUGAGGUGAAAA 182 AUAGCAUAUGAGGUGAAAANN 462 s 555 UUCACCUCAUAUGCUAUGU 183 UUCACCUCAUAUGCUAUGUNN 463 as 573 ACAUAGCAUAUGAGGUGAA 184 ACAUAGCAUAUGAGGUGAANN 464 s 557 CACCUCAUAUGCUAUGUUA 185 CACCUCAUAUGCUAUGUUANN 465 as 575 UAACAUAGCAUAUGAGGUG 186 UAACAUAGCAUAUGAGGUGNN 466 s 56 CCUUGCUGGACUGGUAUUU 187 CCUUGCUGGACUGGUAUUUNN 467 as 74 AAAUACCAGUCCAGCAAGG 188 AAAUACCAGUCCAGCAAGGNN 468 s 563 AUAUGCUAUGUUAGAAGUC 189 AUAUGCUAUGUUAGAAGUCNN 469 as 581 GACUUCUAACAUAGCAUAU 190 GACUUCUAACAUAGCAUAUNN 470 s 564 UAUGCUAUGUUAGAAGUCC 191 UAUGCUAUGUUAGAAGUCCNN 471 as 582 GGACUUCUAACAUAGCAUA 192 GGACUUCUAACAUAGCAUANN 472 s 566 UGCUAUGUUAGAAGUCCAG 193 UGCUAUGUUAGAAGUCCAGNN 473 as 584 CUGGACUUCUAACAUAGCA 194 CUGGACUUCUAACAUAGCANN 474 s 57 CUUGCUGGACUGGUAUUUG 195 CUUGCUGGACUGGUAUUUGNN 475 as 75 CAAAUACCAGUCCAGCAAG 196 CAAAUACCAGUCCAGCAAGNN 476 s 578 AGUCCAGGCAGAGACAAUA 197 AGUCCAGGCAGAGACAAUANN 477 as 596 AUUGUCUCUGCCUGGACUTT 198 AUUGUCUCUGCCUGGACUTTNN 478 s 580 UCCAGGCAGAGACAAUAAA 199 UCCAGGCAGAGACAAUAAANN 479 as 598 UUUAUUGUCUCUGCCUGGA 200 UUUAUUGUCUCUGCCUGGANN 480 s 607 GUGAAAGGCACUUUUCAUU 201 GUGAAAGGCACUUUUCAUUNN 481 as 625 AAUGAAAAGUGCCUUUCAC 202 AAUGAAAAGUGCCUUUCACNN 482 s 62 UGGACUGGUAUUUGUGUCU 203 UGGACUGGUAUUUGUGUCUNN 483 as 80 AGACACAAAUACCAGUCCA 204 AGACACAAAUACCAGUCCANN 484 s 77 GUCUGAGGCUGGCCCUACG 205 GUCUGAGGCUGGCCCUACGNN 485 as 95 CGUAGGGCCAGCCUCAGAC 206 CGUAGGGCCAGCCUCAGACNN 486 s 79 CUGAGGCUGGCCCUACGGG 207 CUGAGGCUGGCCCUACGGGNN 487 as 97 CCCGUAGGGCCAGCCUCAG 208 CCCGUAGGGCCAGCCUCAGNN 488 s 81 GAGGCUGGCCCUACGGGCA 209 GAGGCUGGCCCUACGGGCANN 489 as 99 UGCCCGUAGGGCCAGCCUC 210 UGCCCGUAGGGCCAGCCUCNN 490 s 82 AGGCUGGCCCUACGGGCAC 211 AGGCUGGCCCUACGGGCACNN 491 as 100 GUGCCCGUAGGGCCAGCCU 212 GUGCCCGUAGGGCCAGCCUNN 492 s 84 GCUGGCCCUACGGGCACCG 213 GCUGGCCCUACGGGCACCGNN 493 as 102 CGGUGCCCGUAGGGCCAGC 214 CGGUGCCCGUAGGGCCAGCNN 494 s 85 CUGGCCCUACGGGCACCGG 215 CUGGCCCUACGGGCACCGGNN 495 as 103 CCGGUGCCCGUAGGGCCAG 216 CCGGUGCCCGUAGGGCCAGNN 496 s 87 GGCCCUACGGGCACCGGUG 217 GGCCCUACGGGCACCGGUGNN 497 as 105 CACCGGUGCCCGUAGGGCC 218 CACCGGUGCCCGUAGGGCCNN 498 s 9 CCACUCAUUCUUGGCAGGA 219 CCACUCAUUCUUGGCAGGANN 499 as 27 UCCUGCCAAGAAUGAGUGG 220 UCCUGCCAAGAAUGAGUGGNN 500 s 90 CCUACGGGCACCGGUGAAU 221 CCUACGGGCACCGGUGAAUNN 501 as 108 AUUCACCGGUGCCCGUAGG 222 AUUCACCGGUGCCCGUAGGNN 502 s 91 CUACGGGCACCGGUGAAUC 223 CUACGGGCACCGGUGAAUCNN 503 as 109 GAUUCACCGGUGCCCGUAG 224 GAUUCACCGGUGCCCGUAGNN 504 s 92 UACGGGCACCGGUGAAUCC 225 UACGGGCACCGGUGAAUCCNN 505 as 110 GGAUUCACCGGUGCCCGUA 226 GGAUUCACCGGUGCCCGUANN 506 s 93 ACGGGCACCGGUGAAUCCA 227 ACGGGCACCGGUGAAUCCANN 507 as 111 UGGAUUCACCGGUGCCCGU 228 UGGAUUCACCGGUGCCCGUNN 508 s 97 GCACCGGUGAAUCCAAGUG 229 GCACCGGUGAAUCCAAGUGNN 509 as 115 CACUUGGAUUCACCGGUGC 230 CACUUGGAUUCACCGGUGCNN 510 s 98 CACCGGUGAAUCCAAGUGU 231 CACCGGUGAAUCCAAGUGUNN 511 as 116 ACACUUGGAUUCACCGGUG 232 ACACUUGGAUUCACCGGUGNN 512 s 167 UGUGGCCAUGCAUGUGUUC 233 UGUGGCCAUGCAUGUGUUCNN 513 as 185 GAACACAUGCAUGGCCACA 234 GAACACAUGCAUGGCCACANN 514 s 168 GUGGCCAUGCAUGUGUUCA 235 GUGGCCAUGCAUGUGUUCANN 515 as 186 UGAACACAUGCAUGGCCAC 236 UGAACACAUGCAUGGCCACNN 516 s 171 GCCAUGCAUGUGUUCAGAA 237 GCCAUGCAUGUGUUCAGAANN 517 as 189 UUCUGAACACAUGCAUGGC 238 UUCUGAACACAUGCAUGGCNN 518 s 432 UAUUCCACCACGGCUGUCA 239 UAUUCCACCACGGCUGUCANN 519 as 449 UGACAGCCGUGGUGGAAUA 240 UGACAGCCGUGGUGGAAUANN 520 s 447 GUCAUCACCAAUCCCAAGG 241 GUCAUCACCAAUCCCAAGGNN 521 as 465 CCUUGGGAUUGGUGAUGAC 242 CCUUGGGAUUGGUGAUGACNN 522 s 115 GUCCUCUGAUGGUCAAAGU 243 GUCCUCUGAUGGUCAAAGUNN 523 as 133 ACUUUGACCAUCAGAGGAC 244 ACUUUGACCAUCAGAGGACNN 524 s 122 GAUGGUCAAAGUUCUAGAU 245 GAUGGUCAAAGUUCUAGAUNN 525 as 140 AUCUAGAACUUUGACCAUC 246 AUCUAGAACUUUGACCAUCNN 526 s 139 AUGCUGUCCGAGGCAGUCC 247 AUGCUGUCCGAGGCAGUCCNN 527 as 157 GGACUGCCUCGGACAGCAU 248 GGACUGCCUCGGACAGCAUNN 528 s 172 CCGUGCAUGUGUUCAGAAA 249 CCGUGCAUGUGUUCAGAAANN 529 as 190 UUUCUGAACACAUGCACGG 250 UUUCUGAACACAUGCACGGNN 530 s 238 AGUCUGGAGAGCUGCAUGG 251 AGUCUGGAGAGCUGCAUGGNN 531 as 256 CCAUGCAGCUCUCCAGACU 252 CCAUGCAGCUCUCCAGACUNN 532 s 252 CAUGGGCUCACAACUGAGG 253 CAUGGGCUCACAACUGAGGNN 533 as 270 CCUCAGUUGUGAGCCCAUG 254 CCUCAGUUGUGAGCCCAUGNN 534 s 33 UCUCAUCGUCUGCUCCUCC 255 UCUCAUCGUCUGCUCCUCCNN 535 as 51 GGAGGAGCAGACGAUGAGA 256 GGAGGAGCAGACGAUGAGANN 536 s 340 CCCCAUUCCAUGAGCAUGC 257 CCCCAUUCCAUGAGCAUGCNN 537 as 358 GCAUGCUCAUGGAAUGGGG 258 GCAUGCUCAUGGAAUGGGGNN 538 s 421 GCCCCUACUCCUAUUCCAC 259 GCCCCUACUCCUAUUCCACNN 539 as 439 GUGGAAUAGGAGUAGGGGC 260 GUGGAAUAGGAGUAGGGGCNN 540 s 431 CUAUUCCACCACGGCUGUC 261 CUAUUCCACCACGGCUGUCNN 541 as 449 GACAGCCGUGGUGGAAUAG 262 GACAGCCGUGGUGGAAUAGNN 542 s 440 CACGGCUGUCGUCACCAAU 263 CACGGCUGUCGUCACCAAUNN 543 as 458 AUUGGUGACGACAGCCGUG 264 AUUGGUGACGACAGCCGUGNN 544 s 496 AGGACGAGGGAUGGGAUUU 265 AGGACGAGGGAUGGGAUUUNN 545 as 514 AAAUCCCAUCCCUCGUCCU 266 AAAUCCCAUCCCUCGUCCUNN 546 s 556 UCACCUCAUAUGCUAUGUU 267 UCACCUCAUAUGCUAUGUUNN 547 as 574 AACAUAGCAUAUGAGGUGA 268 AACAUAGCAUAUGAGGUGANN 548 s 559 CCUCAUAUGCUAUGUUAGA 269 CCUCAUAUGCUAUGUUAGANN 549 as 577 UCUAACAUAGCAUAUGAGG 270 UCUAACAUAGCAUAUGAGGNN 550 s 570 AUGUUAGAAGUCCAGGCAG 271 AUGUUAGAAGUCCAGGCAGNN 551 as 588 CUGCCUGGACUUCUAACAU 272 CUGCCUGGACUUCUAACAUNN 552 s 78 UCUGAGGCUGGCCCUACGG 273 UCUGAGGCUGGCCCUACGGNN 553 as 96 CCGUAGGGCCAGCCUCAGA 274 CCGUAGGGCCAGCCUCAGANN 554 s 87 GGCCCUACGGGCACCGGUG 275 GGCCCUACGGGCACCGGUGNN 555 as 105 CACCGGUGCCCGUAGGGCC 276 CACCGGUGCCCGUAGGGCCNN 556 s 95 GGGCACCGGUGAAUCCAAG 277 GGGCACCGGUGAAUCCAAGNN 557 as 113 CUUGGAUUCACCGGUGCCC 278 CUUGGAUUCACCGGUGCCCNN 558 s 167 CCAUGCAUGUGUUCAGAAA 279 CCAUGCAUGUGUUCAGAAANN 559 as 185 UUUCUGAACACAUGCAUGG 280 UUUCUGAACACAUGCAUGGNN 560 -
TABLE 3B Sense and antisense strand sequences of human TTR dsRNAs Sequence with SEQ 3′deoxythimidine overhang ID Strand Position (5′ to 3′) NO: s 100 CCGGUGAAUCCAAGUGUCCdTdT 561 as 118 GGACACUUGGAUUCACCGGdTdT 562 s 11 ACUCAUUCUUGGCAGGAUGdTdT 563 as 29 CAUCCUGCCAAGAAUGAGUdTdT 564 s 111 AAGUGUCCUCUGAUGGUCAdTdT 565 as 129 UGACCAUCAGAGGACACUUdTdT 566 s 13 UCAUUCUUGGCAGGAUGGCdTdT 567 as 31 GCCAUCCUGCCAAGAAUGAdTdT 568 s 130 AAGUUCUAGAUGCUGUCCGdTdT 569 as 148 CGGACAGCAUCUAGAACUUdTdT 570 s 132 GUUCUAGAUGCUGUCCGAGdTdT 571 as 150 CUCGGACAGCAUCUAGAACdTdT 572 s 135 CUAGAUGCUGUCCGAGGCAdTdT 573 as 153 UGCCUCGGACAGCAUCUAGdTdT 574 s 138 GAUGCUGUCCGAGGCAGUCdTdT 575 as 156 GACUGCCUCGGACAGCAUCdTdT 576 s 14 CAUUCUUGGCAGGAUGGCUdTdT 577 as 32 AGCCAUCCUGCCAAGAAUGdTdT 578 s 140 UGCUGUCCGAGGCAGUCCUdTdT 579 as 158 AGGACUGCCUCGGACAGCAdTdT 580 s 146 CCGAGGCAGUCCUGCCAUCdTdT 581 as 164 GAUGGCAGGACUGCCUCGGdTdT 582 s 152 CAGUCCUGCCAUCAAUGUGdTdT 583 as 170 CACAUUGAUGGCAGGACUGdTdT 584 s 164 CAAUGUGGCCGUGCAUGUGdTdT 585 as 182 CACAUGCACGGCCACAUUGdTdT 586 s 178 AUGUGUUCAGAAAGGCUGCdTdT 587 as 196 GCAGCCUUUCUGAACACAUdTdT 588 s 2 CAGAAGUCCACUCAUUCUUdTdT 589 as 20 AAGAAUGAGUGGACUUCUGdTdT 590 s 21 GGCAGGAUGGCUUCUCAUCdTdT 591 as 39 GAUGAGAAGCCAUCCUGCCdTdT 592 s 210 GAGCCAUUUGCCUCUGGGAdTdT 593 as 228 UCCCAGAGGCAAAUGGCUCdTdT 594 s 23 CAGGAUGGCUUCUCAUCGUdTdT 595 as 41 ACGAUGAGAAGCCAUCCUGdTdT 596 s 24 AGGAUGGCUUCUCAUCGUCdTdT 597 as 42 GACGAUGAGAAGCCAUCCUdTdT 598 s 245 AGAGCUGCAUGGGCUCACAdTdT 599 as 263 UGUGAGCCCAUGCAGCUCUdTdT 600 s 248 GCUGCAUGGGCUCACAACUdTdT 601 as 266 AGUUGUGAGCCCAUGCAGCdTdT 602 s 25 GGAUGGCUUCUCAUCGUCUdTdT 603 as 43 AGACGAUGAGAAGCCAUCCdTdT 604 s 251 GCAUGGGCUCACAACUGAGdTdT 605 as 269 CUCAGUUGUGAGCCCAUGCdTdT 606 s 253 AUGGGCUCACAACUGAGGAdTdT 607 as 271 UCCUCAGUUGUGAGCCCAUdTdT 608 s 254 UGGGCUCACAACUGAGGAGdTdT 609 as 272 CUCCUCAGUUGUGAGCCCAdTdT 610 s 270 GAGGAAUUUGUAGAAGGGAdTdT 611 as 288 UCCCUUCUACAAAUUCCUCdTdT 612 s 276 UUUGUAGAAGGGAUAUACAdTdT 613 as 294 UGUAUAUCCCUUCUACAAAdTdT 614 s 277 UUGUAGAAGGGAUAUACAAdTdT 615 as 295 UUGUAUAUCCCUUCUACAAdTdT 616 s 278 UGUAGAAGGGAUAUACAAAdTdT 617 as 296 UUUGUAUAUCCCUUCUACAdTdT 618 s 281 AGAAGGGAUAUACAAAGUGdTdT 619 as 299 CACUUUGUAUAUCCCUUCUdTdT 620 s 295 AAGUGGAAAUAGACACCAAdTdT 621 as 313 UUGGUGUCUAUUUCCACUUdTdT 622 s 299 GGAAAUAGACACCAAAUCUdTdT 623 as 317 AGAUUUGGUGUCUAUUUCCdTdT 624 s 300 GAAAUAGACACCAAAUCUUdTdT 625 as 318 AAGAUUUGGUGUCUAUUUCdTdT 626 s 303 AUAGACACCAAAUCUUACUdTdT 627 as 321 AGUAAGAUUUGGUGUCUAUdTdT 628 s 304 UAGACACCAAAUCUUACUGdTdT 629 as 322 CAGUAAGAUUUGGUGUCUAdTdT 630 s 305 AGACACCAAAUCUUACUGGdTdT 631 as 323 CCAGUAAGAUUUGGUGUCUdTdT 632 s 317 UUACUGGAAGGCACUUGGCdTdT 633 as 335 GCCAAGUGCCUUCCAGUAAdTdT 634 s 32 UUCUCAUCGUCUGCUCCUCdTdT 635 as 50 GAGGAGCAGACGAUGAGAAdTdT 636 s 322 GGAAGGCACUUGGCAUCUCdTdT 637 as 340 GAGAUGCCAAGUGCCUUCCdTdT 638 s 326 GGCACUUGGCAUCUCCCCAdTdT 639 as 344 UGGGGAGAUGCCAAGUGCCdTdT 640 s 333 GGCAUCUCCCCAUUCCAUGdTdT 641 as 351 AUGGAAUGGGGAGAUGCCTTdTdT 642 s 334 GCAUCUCCCCAUUCCAUGAdTdT 643 as 352 UCAUGGAAUGGGGAGAUGCdTdT 644 s 335 CAUCUCCCCAUUCCAUGAGdTdT 645 as 353 CUCAUGGAAUGGGGAGAUGdTdT 646 s 336 AUCUCCCCAUUCCAUGAGCdTdT 647 as 354 GCUCAUGGAAUGGGGAGAUdTdT 648 s 338 CUCCCCAUUCCAUGAGCAUdTdT 649 as 356 AUGCUCAUGGAAUGGGGAGdTdT 650 s 341 CCCAUUCCAUGAGCAUGCAdTdT 651 as 359 UGCAUGCUCAUGGAAUGGGdTdT 652 s 347 CCAUGAGCAUGCAGAGGUGdTdT 653 as 365 CACCUCUGCAUGCUCAUGGdTdT 654 s 352 AGCAUGCAGAGGUGGUAUUdTdT 655 as 370 AAUACCACCUCUGCAUGCUdTdT 656 s 354 CAUGCAGAGGUGGUAUUCAdTdT 657 as 372 UGAAUACCACCUCUGCAUGdTdT 658 s 355 AUGCAGAGGUGGUAUUCACdTdT 659 as 373 GUGAAUACCACCUCUGCAUdTdT 660 s 362 GGUGGUAUUCACAGCCAACdTdT 661 as 380 GUUGGCUGUGAAUACCACCdTdT 662 s 363 GUGGUAUUCACAGCCAACGdTdT 663 as 381 CGUUGGCUGUGAAUACCACdTdT 664 s 364 UGGUAUUCACAGCCAACGAdTdT 665 as 382 UCGUUGGCUGUGAAUACCAdTdT 666 s 365 GGUAUUCACAGCCAACGACdTdT 667 as 383 GUCGUUGGCUGUGAAUACCdTdT 668 s 366 GUAUUCACAGCCAACGACUdTdT 669 as 384 AGUCGUUGGCUGUGAAUACdTdT 670 s 367 UAUUCACAGCCAACGACUCdTdT 671 as 385 GAGUCGUUGGCUGUGAAUAdTdT 672 s 370 UCACAGCCAACGACUCCGGdTdT 673 as 388 CCGGAGUCGUUGGCUGUGAdTdT 674 s 390 CCCCGCCGCUACACCAUUGdTdT 675 as 408 CAAUGGUGUAGCGGCGGGGdTdT 676 s 4 GAAGUCCACUCAUUCUUGGdTdT 677 as 22 CCAAGAAUGAGUGGACUUCdTdT 678 s 412 CCCUGCUGAGCCCCUACUCdTdT 679 as 430 GAGUAGGGGCUCAGCAGGGdTdT 680 s 417 CUGAGCCCCUACUCCUAUUdTdT 681 as 435 AAUAGGAGUAGGGGCUCAGdTdT 682 s 418 UGAGCCCCUACUCCUAUUCdTdT 683 as 436 GAAUAGGAGUAGGGGCUCAdTdT 684 s 422 CCCCUACUCCUAUUCCACCdTdT 685 as 440 GGUGGAAUAGGAGUAGGGGdTdT 686 s 425 CUACUCCUAUUCCACCACGdTdT 687 as 443 CGUGGUGGAAUAGGAGUAGdTdT 688 s 426 UACUCCUAUUCCACCACGGdTdT 689 as 444 CCGUGGUGGAAUAGGAGUAdTdT 690 s 427 ACUCCUAUUCCACCACGGCdTdT 691 as 445 GCCGUGGUGGAAUAGGAGUdTdT 692 s 429 UCCUAUUCCACCACGGCUGdTdT 693 as 447 CAGCCGUGGUGGAAUAGGAdTdT 694 s 432 UAUUCCACCACGGCUGUCGdTdT 695 as 450 CGACAGCCGUGGUGGAAUAdTdT 696 s 433 AUUCCACCACGGCUGUCGUdTdT 697 as 451 ACGACAGCCGUGGUGGAAUdTdT 698 s 437 CACCACGGCUGUCGUCACCdTdT 699 as 455 GGUGACGACAGCCGUGGUGdTdT 700 s 438 ACCACGGCUGUCGUCACCAdTdT 701 as 456 UGGUGACGACAGCCGUGGUdTdT 702 s 439 CCACGGCUGUCGUCACCAAdTdT 703 as 457 UUGGUGACGACAGCCGUGGdTdT 704 s 441 ACGGCUGUCGUCACCAAUCdTdT 705 as 459 GAUUGGUGACGACAGCCGUdTdT 706 s 442 CGGCUGUCGUCACCAAUCCdTdT 707 as 460 GGAUUGGUGACGACAGCCGdTdT 708 s 449 CGUCACCAAUCCCAAGGAAdTdT 709 as 467 UUCCUUGGGAUUGGUGACGdTdT 710 s 455 CAAUCCCAAGGAAUGAGGGdTdT 711 as 473 CCCUCAUUCCUUGGGAUUGdTdT 712 s 491 CCUGAAGGACGAGGGAUGGdTdT 713 as 509 CCAUCCCUCGUCCUUCAGGdTdT 714 s 497 GGACGAGGGAUGGGAUUUCdTdT 715 as 515 GAAAUCCCAUCCCUCGUCCdTdT 716 s 5 AAGUCCACUCAUUCUUGGCdTdT 717 as 23 GCCAAGAAUGAGUGGACUUdTdT 718 s 508 GGGAUUUCAUGUAACCAAGdTdT 719 as 526 CUUGGUUACAUGAAAUCCCdTdT 720 s 509 GGAUUUCAUGUAACCAAGAdTdT 721 as 527 UCUUGGUUACAUGAAAUCCdTdT 722 s 514 UCAUGUAACCAAGAGUAUUdTdT 723 as 532 AAUACUCUUGGUUACAUGAdTdT 724 s 516 AUGUAACCAAGAGUAUUCCdTdT 725 as 534 GGAAUACUCUUGGUUACAUdTdT 726 s 517 UGUAACCAAGAGUAUUCCAdTdT 727 as 535 UGGAAUACUCUUGGUUACAdTdT 728 s 518 GUAACCAAGAGUAUUCCAUdTdT 729 as 536 AUGGAAUACUCUUGGUUACdTdT 730 s 54 UGCCUUGCUGGACUGGUAUdTdT 731 as 72 AUACCAGUCCAGCAAGGCAdTdT 732 s 543 UAAAGCAGUGUUUUCACCUdTdT 733 as 561 AGGUGAAAACACUGCUUUAdTdT 734 s 55 GCCUUGCUGGACUGGUAUUdTdT 735 as 73 AAUACCAGUCCAGCAAGGCdTdT 736 s 551 UGUUUUCACCUCAUAUGCUdTdT 737 as 569 AGCAUAUGAGGUGAAAACAdTdT 738 s 552 GUUUUCACCUCAUAUGCUAdTdT 739 as 570 UAGCAUAUGAGGUGAAAACdTdT 740 s 553 UUUUCACCUCAUAUGCUAUdTdT 741 as 571 AUAGCAUAUGAGGUGAAAAdTdT 742 s 555 UUCACCUCAUAUGCUAUGUdTdT 743 as 573 ACAUAGCAUAUGAGGUGAAdTdT 744 s 557 CACCUCAUAUGCUAUGUUAdTdT 745 as 575 UAACAUAGCAUAUGAGGUGdTdT 746 s 56 CCUUGCUGGACUGGUAUUUdTdT 747 as 74 AAAUACCAGUCCAGCAAGGdTdT 748 s 563 AUAUGCUAUGUUAGAAGUCdTdT 749 as 581 GACUUCUAACAUAGCAUAUdTdT 750 s 564 UAUGCUAUGUUAGAAGUCCdTdT 751 as 582 GGACUUCUAACAUAGCAUAdTdT 752 s 566 UGCUAUGUUAGAAGUCCAGdTdT 753 as 584 CUGGACUUCUAACAUAGCAdTdT 754 s 57 CUUGCUGGACUGGUAUUUGdTdT 755 as 75 CAAAUACCAGUCCAGCAAGdTdT 756 s 578 AGUCCAGGCAGAGACAAUAdTdT 757 as 596 AUUGUCUCUGCCUGGACUTTdTdT 758 s 580 UCCAGGCAGAGACAAUAAAdTdT 759 as 598 UUUAUUGUCUCUGCCUGGAdTdT 760 s 607 GUGAAAGGCACUUUUCAUUdTdT 761 as 625 AAUGAAAAGUGCCUUUCACdTdT 762 s 62 UGGACUGGUAUUUGUGUCUdTdT 763 as 80 AGACACAAAUACCAGUCCAdTdT 764 s 77 GUCUGAGGCUGGCCCUACGdTdT 765 as 95 CGUAGGGCCAGCCUCAGACdTdT 766 s 79 CUGAGGCUGGCCCUACGGGdTdT 767 as 97 CCCGUAGGGCCAGCCUCAGdTdT 768 s 81 GAGGCUGGCCCUACGGGCAdTdT 769 as 99 UGCCCGUAGGGCCAGCCUCdTdT 770 s 82 AGGCUGGCCCUACGGGCACdTdT 771 as 100 GUGCCCGUAGGGCCAGCCUdTdT 772 s 84 GCUGGCCCUACGGGCACCGdTdT 773 as 102 CGGUGCCCGUAGGGCCAGCdTdT 774 s 85 CUGGCCCUACGGGCACCGGdTdT 775 as 103 CCGGUGCCCGUAGGGCCAGdTdT 776 s 87 GGCCCUACGGGCACCGGUGdTdT 777 as 105 CACCGGUGCCCGUAGGGCCdTdT 778 s 9 CCACUCAUUCUUGGCAGGAdTdT 779 as 27 UCCUGCCAAGAAUGAGUGGdTdT 780 s 90 CCUACGGGCACCGGUGAAUdTdT 781 as 108 AUUCACCGGUGCCCGUAGGdTdT 782 s 91 CUACGGGCACCGGUGAAUCdTdT 783 as 109 GAUUCACCGGUGCCCGUAGdTdT 784 s 92 UACGGGCACCGGUGAAUCCdTdT 785 as 110 GGAUUCACCGGUGCCCGUAdTdT 786 s 93 ACGGGCACCGGUGAAUCCAdTdT 787 as 111 UGGAUUCACCGGUGCCCGUdTdT 788 s 97 GCACCGGUGAAUCCAAGUGdTdT 789 as 115 CACUUGGAUUCACCGGUGCdTdT 790 s 98 CACCGGUGAAUCCAAGUGUdTdT 791 as 116 ACACUUGGAUUCACCGGUGdTdT 792 s 167 UGUGGCCAUGCAUGUGUUCdTdT 793 as 185 GAACACAUGCAUGGCCACAdTdT 794 s 168 GUGGCCAUGCAUGUGUUCAdTdT 795 as 186 UGAACACAUGCAUGGCCACdTdT 796 s 171 GCCAUGCAUGUGUUCAGAAdTdT 797 as 189 UUCUGAACACAUGCAUGGCdTdT 798 s 432 UAUUCCACCACGGCUGUCAdTdT 799 as 449 UGACAGCCGUGGUGGAAUAdTdT 800 s 447 GUCAUCACCAAUCCCAAGGdTdT 801 as 465 CCUUGGGAUUGGUGAUGACdTdT 802 s 115 GUCCUCUGAUGGUCAAAGUdTdT 803 as 133 ACUUUGACCAUCAGAGGACdTdT 804 s 122 GAUGGUCAAAGUUCUAGAUdTdT 805 as 140 AUCUAGAACUUUGACCAUCdTdT 806 s 139 AUGCUGUCCGAGGCAGUCCdTdT 807 as 157 GGACUGCCUCGGACAGCAUdTdT 808 s 172 CCGUGCAUGUGUUCAGAAAdTdT 809 as 190 UUUCUGAACACAUGCACGGdTdT 810 s 238 AGUCUGGAGAGCUGCAUGGdTdT 811 as 256 CCAUGCAGCUCUCCAGACUdTdT 812 s 252 CAUGGGCUCACAACUGAGGdTdT 813 as 270 CCUCAGUUGUGAGCCCAUGdTdT 814 s 33 UCUCAUCGUCUGCUCCUCCdTdT 815 as 51 GGAGGAGCAGACGAUGAGAdTdT 816 s 340 CCCCAUUCCAUGAGCAUGCdTdT 817 as 358 GCAUGCUCAUGGAAUGGGGdTdT 818 s 421 GCCCCUACUCCUAUUCCACdTdT 819 as 439 GUGGAAUAGGAGUAGGGGCdTdT 820 s 431 CUAUUCCACCACGGCUGUCdTdT 821 as 449 GACAGCCGUGGUGGAAUAGdTdT 822 s 440 CACGGCUGUCGUCACCAAUdTdT 823 as 458 AUUGGUGACGACAGCCGUGdTdT 824 s 496 AGGACGAGGGAUGGGAUUUdTdT 825 as 514 AAAUCCCAUCCCUCGUCCUdTdT 826 s 556 UCACCUCAUAUGCUAUGUUdTdT 827 as 574 AACAUAGCAUAUGAGGUGAdTdT 828 s 559 CCUCAUAUGCUAUGUUAGAdTdT 829 as 577 UCUAACAUAGCAUAUGAGGdTdT 830 s 570 AUGUUAGAAGUCCAGGCAGdTdT 831 as 588 CUGCCUGGACUUCUAACAUdTdT 832 s 78 UCUGAGGCUGGCCCUACGGdTdT 833 as 96 CCGUAGGGCCAGCCUCAGAdTdT 834 s 87 GGCCCUACGGGCACCGGUGdTdT 835 as 105 CACCGGUGCCCGUAGGGCCdTdT 836 s 95 GGGCACCGGUGAAUCCAAGdTdT 837 as 113 CUUGGAUUCACCGGUGCCCdTdT 838 s 167 CCAUGCAUGUGUUCAGAAAdTdT 839 as 185 UUUCUGAACACAUGCAUGGdTdT 840 Strand: s = sense; as = antisense; Position: position of 5′ base on transcript (NM_000371.2, SEQ ID NO: 1329) -
TABLE 4 Chemically modified sense and antisense strand sequences of human TTR dsRNAs SEQ ID Strand Oligo # Position Sequence(5′ to 3′) NO: s A-32153 100 ccGGuGAAuccAAGuGuccdTdT 841 as A-32154 118 GGAcACUUGGAUUcACCGGdTdT 842 s A-32155 11 AcucAuucuuGGcAGGAuGdTdT 843 as A-32156 29 cAUCCUGCcAAGAAUGAGUdTdT 844 s A-32157 111 AAGuGuccucuGAuGGucAdTdT 845 as A-32158 129 UGACcAUcAGAGGAcACUUdTdT 846 s A-32163 13 ucAuucuuGGcAGGAuGGcdTdT 847 as A-32164 31 GCcAUCCUGCcAAGAAUGAdTdT 848 s A-32165 130 AAGuucuAGAuGcuGuccGdTdT 849 as A-32166 148 CGGAcAGcAUCuAGAACUUdTdT 850 s A-32167 132 GuucuAGAuGcuGuccGAGdTdT 851 as A-32168 150 CUCGGAcAGcAUCuAGAACdTdT 852 s A-32169 135 cuAGAuGcuGuccGAGGcAdTdT 853 as A-32170 153 UGCCUCGGAcAGcAUCuAGdTdT 854 s A-32171 138 GAuGcuGuccGAGGcAGucdTdT 855 as A-32172 156 GACUGCCUCGGAcAGcAUCdTdT 856 s A-32175 14 cAuucuuGGcAGGAuGGcudTdT 857 as A-32176 32 AGCcAUCCUGCcAAGAAUGdTdT 858 s A-32177 140 uGcuGuccGAGGcAGuccudTdT 859 as A-32178 158 AGGACUGCCUCGGAcAGcAdTdT 860 s A-32179 146 ccGAGGcAGuccuGccAucdTdT 861 as A-32180 164 GAUGGcAGGACUGCCUCGGdTdT 862 s A-32181 152 cAGuccuGccAucAAuGuGdTdT 863 as A-32182 170 cAcAUUGAUGGcAGGACUGdTdT 864 s A-32183 164 cAAuGuGGccGuGcAuGuGdTdT 865 as A-32184 182 cAcAUGcACGGCcAcAUUGdTdT 866 s A-32187 178 AuGuGuucAGAAAGGcuGcdTdT 867 as A-32188 196 GcAGCCUUUCUGAAcAcAUdTdT 868 s A-32189 2 cAGAAGuccAcucAuucuudTdT 869 as A-32190 20 AAGAAUGAGUGGACUUCUGdTdT 870 s A-32191 21 GGcAGGAuGGcuucucAucdTdT 871 as A-32192 39 GAUGAGAAGCcAUCCUGCCdTdT 872 s A-32193 210 GAGccAuuuGccucuGGGAdTdT 873 as A-32194 228 UCCcAGAGGcAAAUGGCUCdTdT 874 s A-32195 23 cAGGAuGGcuucucAucGudTdT 875 as A-32196 41 ACGAUGAGAAGCcAUCCUGdTdT 876 s A-32199 24 AGGAuGGcuucucAucGucdTdT 877 as A-32200 42 GACGAUGAGAAGCcAUCCUdTdT 878 s A-32201 245 AGAGcuGcAuGGGcucAcAdTdT 879 as A-32202 263 UGUGAGCCcAUGcAGCUCUdTdT 880 s A-32203 248 GcuGcAuGGGcucAcAAcudTdT 881 as A-32204 266 AGUUGUGAGCCcAUGcAGCdTdT 882 s A-32205 25 GGAuGGcuucucAucGucudTdT 883 as A-32206 43 AGACGAUGAGAAGCcAUCCdTdT 884 s A-32207 251 GcAuGGGcucAcAAcuGAGdTdT 885 as A-32208 269 CUcAGUUGUGAGCCcAUGCdTdT 886 s A-32211 253 AuGGGcucAcAAcuGAGGAdTdT 887 as A-32212 271 UCCUcAGUUGUGAGCCcAUdTdT 888 s A-32213 254 uGGGcucAcAAcuGAGGAGdTdT 889 as A-32214 272 CUCCUcAGUUGUGAGCCcAdTdT 890 s A-32215 270 GAGGAAuuuGuAGAAGGGAdTdT 891 as A-32216 288 UCCCUUCuAcAAAUUCCUCdTdT 892 s A-32217 276 uuuGuAGAAGGGAuAuAcAdTdT 893 as A-32218 294 UGuAuAUCCCUUCuAcAAAdTdT 894 s A-32219 277 uuGuAGAAGGGAuAuAcAAdTdT 895 as A-32220 295 UUGuAuAUCCCUUCuAcAAdTdT 896 s A-32221 278 uGuAGAAGGGAuAuAcAAAdTdT 897 as A-32222 296 UUUGuAuAUCCCUUCuAcAdTdT 898 s A-32223 281 AGAAGGGAuAuAcAAAGuGdTdT 899 as A-32224 299 cACUUUGuAuAUCCCUUCUdTdT 900 s A-32225 295 AAGuGGAAAuAGAcAccAAdTdT 901 as A-32226 313 UUGGUGUCuAUUUCcACUUdTdT 902 s A-32227 299 GGAAAuAGAcAccAAAucudTdT 903 as A-32228 317 AGAUUUGGUGUCuAUUUCCdTdT 904 s A-32229 300 GAAAuAGAcAccAAAucuudTdT 905 as A-32230 318 AAGAUUUGGUGUCuAUUUCdTdT 906 s A-32231 303 AuAGAcAccAAAucuuAcudTdT 907 as A-32232 321 AGuAAGAUUUGGUGUCuAUdTdT 908 s A-32233 304 uAGAcAccAAAucuuAcuGdTdT 909 as A-32234 322 cAGuAAGAUUUGGUGUCuAdTdT 910 s A-32235 305 AGAcAccAAAucuuAcuGGdTdT 911 as A-32236 323 CcAGuAAGAUUUGGUGUCUdTdT 912 s A-32237 317 uuAcuGGAAGGcAcuuGGcdTdT 913 as A-32238 335 GCcAAGUGCCUUCcAGuAAdTdT 914 s A-32239 32 uucucAucGucuGcuccucdTdT 915 as A-32240 50 GAGGAGcAGACGAUGAGAAdTdT 916 s A-32241 322 GGAAGGcAcuuGGcAucucdTdT 917 as A-32242 340 GAGAUGCcAAGUGCCUUCCdTdT 918 s A-32243 326 GGcAcuuGGcAucuccccAdTdT 919 as A-32244 344 UGGGGAGAUGCcAAGUGCCdTdT 920 s A-32247 333 GGcAucuccccAuuccAuGdTdT 921 as A-32248 351 cAUGGAAUGGGGAGAUGCCdTdT 922 s A-32249 334 GcAucuccccAuuccAuGAdTdT 923 as A-32250 352 UcAUGGAAUGGGGAGAUGCdTdT 924 s A-32251 335 cAucuccccAuuccAuGAGdTdT 925 as A-32252 353 CUcAUGGAAUGGGGAGAUGdTdT 926 s A-32253 336 AucuccccAuuccAuGAGcdTdT 927 as A-32254 354 GCUcAUGGAAUGGGGAGAUdTdT 928 s A-32255 338 cuccccAuuccAuGAGcAudTdT 929 as A-32256 356 AUGCUcAUGGAAUGGGGAGdTdT 930 s A-32259 341 cccAuuccAuGAGcAuGcAdTdT 931 as A-32260 359 UGcAUGCUcAUGGAAUGGGdTdT 932 s A-32261 347 ccAuGAGcAuGcAGAGGuGdTdT 933 as A-32262 365 cACCUCUGcAUGCUcAUGGdTdT 934 s A-32263 352 AGcAuGcAGAGGuGGuAuudTdT 935 as A-32264 370 AAuACcACCUCUGcAUGCUdTdT 936 s A-32265 354 cAuGcAGAGGuGGuAuucAdTdT 937 as A-32266 372 UGAAuACcACCUCUGcAUGdTdT 938 s A-32267 355 AuGcAGAGGuGGuAuucAcdTdT 939 as A-32268 373 GUGAAuACcACCUCUGcAUdTdT 940 s A-32269 362 GGuGGuAuucAcAGccAAcdTdT 941 as A-32270 380 GUUGGCUGUGAAuACcACCdTdT 942 s A-32271 363 GuGGuAuucAcAGccAAcGdTdT 943 as A-32272 381 CGUUGGCUGUGAAuACcACdTdT 944 s A-32273 364 uGGuAuucAcAGccAAcGAdTdT 945 as A-32274 382 UCGUUGGCUGUGAAuACcAdTdT 946 s A-32275 365 GGuAuucAcAGccAAcGAcdTdT 947 as A-32276 383 GUCGUUGGCUGUGAAuACCdTdT 948 s A-32277 366 GuAuucAcAGccAAcGAcudTdT 949 as A-32278 384 AGUCGUUGGCUGUGAAuACdTdT 950 s A-32279 367 uAuucAcAGccAAcGAcucdTdT 951 as A-32280 385 GAGUCGUUGGCUGUGAAuAdTdT 952 s A-32281 370 ucAcAGccAAcGAcuccGGdTdT 953 as A-32282 388 CCGGAGUCGUUGGCUGUGAdTdT 954 s A-32283 390 ccccGccGcuAcAccAuuGdTdT 955 as A-32284 408 cAAUGGUGuAGCGGCGGGGdTdT 956 s A-32285 4 GAAGuccAcucAuucuuGGdTdT 957 as A-32286 22 CcAAGAAUGAGUGGACUUCdTdT 958 s A-32287 412 cccuGcuGAGccccuAcucdTdT 959 as A-32288 430 GAGuAGGGGCUcAGcAGGGdTdT 960 s A-32289 417 cuGAGccccuAcuccuAuudTdT 961 as A-32290 435 AAuAGGAGuAGGGGCUcAGdTdT 962 s A-32291 418 uGAGccccuAcuccuAuucdTdT 963 as A-32292 436 GAAuAGGAGuAGGGGCUcAdTdT 964 s A-32295 422 ccccuAcuccuAuuccAccdTdT 965 as A-32296 440 GGUGGAAuAGGAGuAGGGGdTdT 966 s A-32297 425 cuAcuccuAuuccAccAcGdTdT 967 as A-32298 443 CGUGGUGGAAuAGGAGuAGdTdT 968 s A-32299 426 uAcuccuAuuccAccAcGGdTdT 969 as A-32300 444 CCGUGGUGGAAuAGGAGuAdTdT 970 s A-32301 427 AcuccuAuuccAccAcGGcdTdT 971 as A-32302 445 GCCGUGGUGGAAuAGGAGUdTdT 972 s A-32303 429 uccuAuuccAccAcGGcuGdTdT 973 as A-32304 447 cAGCCGUGGUGGAAuAGGAdTdT 974 s A-32307 432 uAuuccAccAcGGcuGucGdTdT 975 as A-32308 450 CGAcAGCCGUGGUGGAAuAdTdT 976 s A-32309 433 AuuccAccAcGGcuGucGudTdT 977 as A-32310 451 ACGAcAGCCGUGGUGGAAUdTdT 978 s A-32311 437 cAccAcGGcuGucGucAccdTdT 979 as A-32312 455 GGUGACGAcAGCCGUGGUGdTdT 980 s A-32313 438 AccAcGGcuGucGucAccAdTdT 981 as A-32314 456 UGGUGACGAcAGCCGUGGUdTdT 982 s A-32315 439 ccAcGGcuGucGucAccAAdTdT 983 as A-32316 457 UUGGUGACGAcAGCCGUGGdTdT 984 s A-32319 441 AcGGcuGucGucAccAAucdTdT 985 as A-32320 459 GAUUGGUGACGAcAGCCGUdTdT 986 s A-32321 442 cGGcuGucGucAccAAuccdTdT 987 as A-32322 460 GGAUUGGUGACGAcAGCCGdTdT 988 s A-32323 449 cGucAccAAucccAAGGAAdTdT 989 as A-32324 467 UUCCUUGGGAUUGGUGACGdTdT 990 s A-32325 455 cAAucccAAGGAAuGAGGGdTdT 991 as A-32326 473 CCCUcAUUCCUUGGGAUUGdTdT 992 s A-32327 491 ccuGAAGGAcGAGGGAuGGdTdT 993 as A-32328 509 CcAUCCCUCGUCCUUcAGGdTdT 994 s A-32331 497 GGAcGAGGGAuGGGAuuucdTdT 995 as A-32332 515 GAAAUCCcAUCCCUCGUCCdTdT 996 s A-32333 5 AAGuccAcucAuucuuGGcdTdT 997 as A-32334 23 GCcAAGAAUGAGUGGACUUdTdT 998 s A-32335 508 GGGAuuucAuGuAAccAAGdTdT 999 as A-32336 526 CUUGGUuAcAUGAAAUCCCdTdT 1000 s A-32337 509 GGAuuucAuGuAAccAAGAdTdT 1001 as A-32338 527 UCUUGGUuAcAUGAAAUCCdTdT 1002 s A-32339 514 ucAuGuAAccAAGAGuAuudTdT 1003 as A-32340 532 AAuACUCUUGGUuAcAUGAdTdT 1004 s A-32341 516 AuGuAAccAAGAGuAuuccdTdT 1005 as A-32342 534 GGAAuACUCUUGGUuAcAUdTdT 1006 s A-32343 517 uGuAAccAAGAGuAuuccAdTdT 1007 as A-32344 535 UGGAAuACUCUUGGUuAcAdTdT 1008 s A-32345 518 GuAAccAAGAGuAuuccAudTdT 1009 as A-32346 536 AUGGAAuACUCUUGGUuACdTdT 1010 s A-32347 54 uGccuuGcuGGAcuGGuAudTdT 1011 as A-32348 72 AuACcAGUCcAGcAAGGcAdTdT 1012 s A-32349 543 uAAAGcAGuGuuuucAccudTdT 1013 as A-32350 561 AGGUGAAAAcACUGCUUuAdTdT 1014 s A-32351 55 GccuuGcuGGAcuGGuAuudTdT 1015 as A-32352 73 AAuACcAGUCcAGcAAGGCdTdT 1016 s A-32353 551 uGuuuucAccucAuAuGcudTdT 1017 as A-32354 569 AGcAuAUGAGGUGAAAAcAdTdT 1018 s A-32355 552 GuuuucAccucAuAuGcuAdTdT 1019 as A-32356 570 uAGcAuAUGAGGUGAAAACdTdT 1020 s A-32357 553 uuuucAccucAuAuGcuAudTdT 1021 as A-32358 571 AuAGcAuAUGAGGUGAAAAdTdT 1022 s A-32359 555 uucAccucAuAuGcuAuGudTdT 1023 as A-32360 573 AcAuAGcAuAUGAGGUGAAdTdT 1024 s A-32363 557 cAccucAuAuGcuAuGuuAdTdT 1025 as A-32364 575 uAAcAuAGcAuAUGAGGUGdTdT 1026 s A-32367 56 ccuuGcuGGAcuGGuAuuudTdT 1027 as A-32368 74 AAAuACcAGUCcAGcAAGGdTdT 1028 s A-32369 563 AuAuGcuAuGuuAGAAGucdTdT 1029 as A-32370 581 GACUUCuAAcAuAGcAuAUdTdT 1030 s A-32371 564 uAuGcuAuGuuAGAAGuccdTdT 1031 as A-32372 582 GGACUUCuAAcAuAGcAuAdTdT 1032 s A-32373 566 uGcuAuGuuAGAAGuccAGdTdT 1033 as A-32374 584 CUGGACUUCuAAcAuAGcAdTdT 1034 s A-32375 57 cuuGcuGGAcuGGuAuuuGdTdT 1035 as A-32376 75 cAAAuACcAGUCcAGcAAGdTdT 1036 s A-32379 578 AGuccAGGcAGAGAcAAuAdTdT 1037 as A-32380 596 uAUUGUCUCUGCCUGGACUdTdT 1038 s A-32381 580 uccAGGcAGAGAcAAuAAAdTdT 1039 as A-32382 598 UUuAUUGUCUCUGCCUGGAdTdT 1040 s A-32383 607 GuGAAAGGcAcuuuucAuudTdT 1041 as A-32384 625 AAUGAAAAGUGCCUUUcACdTdT 1042 s A-32385 62 uGGAcuGGuAuuuGuGucudTdT 1043 as A-32386 80 AGAcAcAAAuACcAGUCcAdTdT 1044 s A-32387 77 GucuGAGGcuGGcccuAcGdTdT 1045 as A-32388 95 CGuAGGGCcAGCCUcAGACdTdT 1046 s A-32391 79 cuGAGGcuGGcccuAcGGGdTdT 1047 as A-32392 97 CCCGuAGGGCcAGCCUcAGdTdT 1048 s A-32393 81 GAGGcuGGcccuAcGGGcAdTdT 1049 as A-32394 99 UGCCCGuAGGGCcAGCCUCdTdT 1050 s A-32395 82 AGGcuGGcccuAcGGGcAcdTdT 1051 as A-32396 100 GUGCCCGuAGGGCcAGCCUdTdT 1052 s A-32397 84 GcuGGcccuAcGGGcAccGdTdT 1053 as A-32398 102 CGGUGCCCGuAGGGCcAGCdTdT 1054 s A-32399 85 cuGGcccuAcGGGcAccGGdTdT 1055 as A-32400 103 CCGGUGCCCGuAGGGCcAGdTdT 1056 s A-32401 87 GGcccuAcGGGcAccGGuGdTdT 1057 as A-32402 105 cACCGGUGCCCGuAGGGCCdTdT 1058 s A-32403 9 ccAcucAuucuuGGcAGGAdTdT 1059 as A-32404 27 UCCUGCcAAGAAUGAGUGGdTdT 1060 s A-32405 90 ccuAcGGGcAccGGuGAAudTdT 1061 as A-32406 108 AUUcACCGGUGCCCGuAGGdTdT 1062 s A-32407 91 cuAcGGGcAccGGuGAAucdTdT 1063 as A-32408 109 GAUUcACCGGUGCCCGuAGdTdT 1064 s A-32409 92 uAcGGGcAccGGuGAAuccdTdT 1065 as A-32410 110 GGAUUcACCGGUGCCCGuAdTdT 1066 s A-32411 93 AcGGGcAccGGuGAAuccAdTdT 1067 as A-32412 111 UGGAUUcACCGGUGCCCGUdTdT 1068 s A-32415 97 GcAccGGuGAAuccAAGuGdTdT 1069 as A-32416 115 cACUUGGAUUcACCGGUGCdTdT 1070 s A-32417 98 cAccGGuGAAuccAAGuGudTdT 1071 as A-32418 116 AcACUUGGAUUcACCGGUGdTdT 1072 s A-32419 167 uGuGGccAuGcAuGuGuucdTdT 1073 as A-32420 185 GAAcAcAUGcAUGGCcAcAdTdT 1074 s A-32421 168 GuGGccAuGcAuGuGuucAdTdT 1075 as A-32422 186 UGAAcAcAUGcAUGGCcACdTdT 1076 s A-32423 171 GccAuGcAuGuGuucAGAAdTdT 1077 as A-32424 189 UUCUGAAcAcAUGcAUGGCdTdT 1078 s A-32427 432 uAuuccAccAcGGcuGucAdTdT 1079 as A-32428 449 UGAcAGCCGUGGUGGAAuAdTdT 1080 s A-32429 447 GucAucAccAAucccAAGGdTdT 1081 as A-32430 465 CCUUGGGAUUGGUGAUGACdTdT 1082 s A-32159 115 GuccucuGAuGGucAAAGudTdT 1083 as A-32160 133 ACUUUGACcAUcAGAGGACdTdT 1084 s A-32161 122 GAuGGucAAAGuucuAGAudTdT 1085 as A-32162 140 AUCuAGAACUUUGACcAUCdTdT 1086 s A-32173 139 AuGcuGuccGAGGcAGuccdTdT 1087 as A-32174 157 GGACUGCCUCGGAcAGcAUdTdT 1088 s A-32185 172 ccGuGcAuGuGuucAGAAAdTdT 1089 as A-32186 190 UUUCUGAAcAcAUGcACGGdTdT 1090 s A-32197 238 AGucuGGAGAGcuGcAuGGdTdT 1091 as A-32198 256 CcAUGcAGCUCUCcAGACUdTdT 1092 s A-32209 252 cAuGGGcucAcAAcuGAGGdTdT 1093 as A-32210 270 CCUcAGUUGUGAGCCcAUGdTdT 1094 s A-32245 33 ucucAucGucuGcuccuccdTdT 1095 as A-32246 51 GGAGGAGcAGACGAUGAGAdTdT 1096 s A-32257 340 ccccAuuccAuGAGcAuGcdTdT 1097 as A-32258 358 GcAUGCUcAUGGAAUGGGGdTdT 1098 s A-32293 421 GccccuAcuccuAuuccAcdTdT 1099 as A-32294 439 GUGGAAuAGGAGuAGGGGCdTdT 1100 s A-32305 431 cuAuuccAccAcGGcuGucdTdT 1101 as A-32306 449 GAcAGCCGUGGUGGAAuAGdTdT 1102 s A-32317 440 cAcGGcuGucGucAccAAudTdT 1103 as A-32318 458 AUUGGUGACGAcAGCCGUGdTdT 1104 s A-32329 496 AGGAcGAGGGAuGGGAuuudTdT 1105 as A-32330 514 AAAUCCcAUCCCUCGUCCUdTdT 1106 s A-32361 556 ucAccucAuAuGcuAuGuudTdT 1107 as A-32362 574 AAcAuAGcAuAUGAGGUGAdTdT 1108 s A-32365 559 ccucAuAuGcuAuGuuAGAdTdT 1109 as A-32366 577 UCuAAcAuAGcAuAUGAGGdTdT 1110 s A-32377 570 AuGuuAGAAGuccAGGcAGdTdT 1111 as A-32378 588 CUGCCUGGACUUCuAAcAUdTdT 1112 s A-32389 78 ucuGAGGcuGGcccuAcGGdTdT 1113 as A-32390 96 CCGuAGGGCcAGCCUcAGAdTdT 1114 s A-32401 87 GGcccuAcGGGcAccGGuGdTdT 1115 as A-32402 105 cACCGGUGCCCGuAGGGCCdTdT 1116 s A-32413 95 GGGcAccGGuGAAuccAAGdTdT 1117 as A-32414 113 CUUGGAUUcACCGGUGCCCdTdT 1118 s A-32425 167 ccAuGcAuGuGuucAGAAAdTdT 1119 as A-32426 185 UUUCUGAAcAcAUGcAUGGdTdT 1120 See Table 2 for duplex #. Strand: s = sense; as = antisense; Position: position of 5′ base on transcript(NM_000371.2, SEQ ID NO: 1329) -
TABLE 5 Identification numbers for rat TTR dsRNAs See Table 7 for sequences. Duplex # Sense Oligo # Antisense Oligo # AD-18529 A-32745 A-32746 AD-18530 A-32747 A-32748 AD-18531 A-32749 A-32750 AD-18532 A-32751 A-32752 AD-18533 A-32753 A-32754 AD-18534 A-32755 A-32756 AD-18535 A-32757 A-32758 AD-18536 A-32759 A-32760 AD-18537 A-32761 A-32762 AD-18538 A-32763 A-32764 AD-18539 A-32159 A-32160 AD-18540 A-32765 A-32766 AD-18541 A-32767 A-32768 AD-18542 A-32769 A-32770 AD-18543 A-32771 A-32772 AD-18544 A-32773 A-32774 AD-18545 A-32775 A-32776 AD-18546 A-32777 A-32778 AD-18547 A-32779 A-32780 AD-18548 A-32781 A-32782 AD-18549 A-32783 A-32784 AD-18550 A-32785 A-32786 AD-18551 A-32787 A-32788 AD-18552 A-32791 A-32792 AD-18553 A-32793 A-32794 AD-18554 A-32795 A-32796 -
TABLE 6A Sense and antisense strand sequences for rat TTR dsRNAs SEQ Sequence with 3′ SEQ ID dinucleotide overhang ID Strand Position Sequence (5′ to 3′) NO: (5′ to 3′) NO: s 115 GUCCUCUGAUGGUCAAAGU 1121 GUCCUCUGAUGGUCAAAGUNN 1173 as 133 ACUUUGACCAUCAGAGGAC 1122 ACUUUGACCAUCAGAGGACNN 1174 s 537 UUCUUGCUCUAUAAACCGU 1123 UUCUUGCUCUAUAAACCGUNN 1175 as 555 ACGGUUUAUAGAGCAAGAA 1124 ACGGUUUAUAGAGCAAGAANN 1176 s 543 CUCUAUAAACCGUGUUAGC 1125 CUCUAUAAACCGUGUUAGCNN 1177 as 561 GCUAACACGGUUUAUAGAG 1126 GCUAACACGGUUUAUAGAGNN 1178 s 392 UCGCCACUACACCAUCGCA 1127 UCGCCACUACACCAUCGCANN 1179 as 410 UGCGAUGGUGUAGUGGCGA 1128 UGCGAUGGUGUAGUGGCGANN 1180 s 538 UCUUGCUCUAUAAACCGUG 1129 UCUUGCUCUAUAAACCGUGNN 1181 as 556 CACGGUUUAUAGAGCAAGA 1130 CACGGUUUAUAGAGCAAGANN 1182 s 541 UGCUCUAUAAACCGUGUUA 1131 UGCUCUAUAAACCGUGUUANN 1183 as 559 UAACACGGUUUAUAGAGCA 1132 UAACACGGUUUAUAGAGCANN 1184 s 532 CAGUGUUCUUGCUCUAUAA 1133 CAGUGUUCUUGCUCUAUAANN 1185 as 550 UUAUAGAGCAAGAACACUG 1134 UUAUAGAGCAAGAACACUGNN 1186 s 542 GCUCUAUAAACCGUGUUAG 1135 GCUCUAUAAACCGUGUUAGNN 1187 as 560 CUAACACGGUUUAUAGAGC 1136 CUAACACGGUUUAUAGAGCNN 1188 s 134 CCUGGAUGCUGUCCGAGGC 1137 CCUGGAUGCUGUCCGAGGCNN 1189 as 152 GCCUCGGACAGCAUCCAGG 1138 GCCUCGGACAGCAUCCAGGNN 1190 s 119 UCUGAUGGUCAAAGUCCUG 1139 UCUGAUGGUCAAAGUCCUGNN 1191 as 137 CAGGACUUUGACCAUCAGA 1140 CAGGACUUUGACCAUCAGANN 1192 s 241 CUGGAGAGCUGCACGGGCU 1141 CUGGAGAGCUGCACGGGCUNN 1193 as 259 AGCCCGUGCAGCUCUCCAG 1142 AGCCCGUGCAGCUCUCCAGNN 1194 s 544 UCUAUAAACCGUGUUAGCA 1143 UCUAUAAACCGUGUUAGCANN 1195 as 562 UGCUAACACGGUUUAUAGA 1144 UGCUAACACGGUUUAUAGANN 1196 s 530 AACAGUGUUCUUGCUCUAU 1145 AACAGUGUUCUUGCUCUAUNN 1197 as 548 AUAGAGCAAGAACACUGUU 1146 AUAGAGCAAGAACACUGUUNN 1198 s 118 CUCUGAUGGUCAAAGUCCU 1147 CUCUGAUGGUCAAAGUCCUNN 1199 as 136 AGGACUUUGACCAUCAGAG 1148 AGGACUUUGACCAUCAGAGNN 1200 s 140 UGCUGUCCGAGGCAGCCCU 1149 UGCUGUCCGAGGCAGCCCUNN 1201 as 158 AGGGCUGCCUCGGACAGCA 1150 AGGGCUGCCUCGGACAGCANN 1202 s 239 GUCUGGAGAGCUGCACGGG 1151 GUCUGGAGAGCUGCACGGGNN 1203 as 257 CCCGUGCAGCUCUCCAGAC 1152 CCCGUGCAGCUCUCCAGACNN 1204 s 531 ACAGUGUUCUUGCUCUAUA 1153 ACAGUGUUCUUGCUCUAUANN 1205 as 549 UAUAGAGCAAGAACACUGU 1154 UAUAGAGCAAGAACACUGUNN 1206 s 117 CCUCUGAUGGUCAAAGUCC 1155 CCUCUGAUGGUCAAAGUCCNN 1207 as 135 GGACUUUGACCAUCAGAGG 1156 GGACUUUGACCAUCAGAGGNN 1208 s 131 AGUCCUGGAUGCUGUCCGA 1157 AGUCCUGGAUGCUGUCCGANN 1209 as 149 UCGGACAGCAUCCAGGACU 1158 UCGGACAGCAUCCAGGACUNN 1210 s 217 UUGCCUCUGGGAAGACCGC 1159 UUGCCUCUGGGAAGACCGCNN 1211 as 235 GCGGUCUUCCCAGAGGCAA 1160 GCGGUCUUCCCAGAGGCAANN 1212 s 242 UGGAGAGCUGCACGGGCUC 1161 UGGAGAGCUGCACGGGCUCNN 1213 as 260 GAGCCCGUGCAGCUCUCCA 1162 GAGCCCGUGCAGCUCUCCANN 1214 s 244 GAGAGCUGCACGGGCUCAC 1163 GAGAGCUGCACGGGCUCACNN 1215 as 262 GUGAGCCCGUGCAGCUCUC 1164 GUGAGCCCGUGCAGCUCUCNN 1216 s 246 GAGCUGCACGGGCUCACCA 1165 GAGCUGCACGGGCUCACCANN 1217 as 264 UGGUGAGCCCGUGCAGCUC 1166 UGGUGAGCCCGUGCAGCUCNN 1218 s 399 UACACCAUCGCAGCCCUGC 1167 UACACCAUCGCAGCCCUGCNN 1219 as 417 GCAGGGCUGCGAUGGUGUA 1168 GCAGGGCUGCGAUGGUGUANN 1220 s 132 GUCCUGGAUGCUGUCCGAG 1169 GUCCUGGAUGCUGUCCGAGNN 1221 as 150 CUCGGACAGCAUCCAGGAC 1170 CUCGGACAGCAUCCAGGACNN 1222 s 245 AGAGCUGCACGGGCUCACC 1171 AGAGCUGCACGGGCUCACCNN 1223 as 263 GGUGAGCCCGUGCAGCUCU 1172 GGUGAGCCCGUGCAGCUCUNN 1224 Strand: s = sense; as = antisense; Position: position of 5′ base on transcript (NM_012681.1, SEQ ID NO: 1330) -
TABLE 6B Sense and antisense strand sequences for rat TTR dsRNAs Sequence with 3′deoxythimidine SEQ overhang ID Strand Position (5′ to 3′) NO: s 115 GUCCUCUGAUGGUCAAAGUdTdT 1225 as 133 ACUUUGACCAUCAGAGGACdTdT 1226 s 537 UUCUUGCUCUAUAAACCGUdTdT 1227 as 555 ACGGUUUAUAGAGCAAGAAdTdT 1228 s 543 CUCUAUAAACCGUGUUAGCdTdT 1229 as 561 GCUAACACGGUUUAUAGAGdTdT 1230 s 392 UCGCCACUACACCAUCGCAdTdT 1231 as 410 UGCGAUGGUGUAGUGGCGAdTdT 1232 s 538 UCUUGCUCUAUAAACCGUGdTdT 1233 as 556 CACGGUUUAUAGAGCAAGAdTdT 1234 s 541 UGCUCUAUAAACCGUGUUAdTdT 1235 as 559 UAACACGGUUUAUAGAGCAdTdT 1236 s 532 CAGUGUUCUUGCUCUAUAAdTdT 1237 as 550 UUAUAGAGCAAGAACACUGdTdT 1238 s 542 GCUCUAUAAACCGUGUUAGdTdT 1239 as 560 CUAACACGGUUUAUAGAGCdTdT 1240 s 134 CCUGGAUGCUGUCCGAGGCdTdT 1241 as 152 GCCUCGGACAGCAUCCAGGdTdT 1242 s 119 UCUGAUGGUCAAAGUCCUGdTdT 1243 as 137 CAGGACUUUGACCAUCAGAdTdT 1244 s 241 CUGGAGAGCUGCACGGGCUdTdT 1245 as 259 AGCCCGUGCAGCUCUCCAGdTdT 1246 s 544 UCUAUAAACCGUGUUAGCAdTdT 1247 as 562 UGCUAACACGGUUUAUAGAdTdT 1248 s 530 AACAGUGUUCUUGCUCUAUdTdT 1249 as 548 AUAGAGCAAGAACACUGUUdTdT 1250 s 118 CUCUGAUGGUCAAAGUCCUdTdT 1251 as 136 AGGACUUUGACCAUCAGAGdTdT 1252 s 140 UGCUGUCCGAGGCAGCCCUdTdT 1253 as 158 AGGGCUGCCUCGGACAGCAdTdT 1254 s 239 GUCUGGAGAGCUGCACGGGdTdT 1255 as 257 CCCGUGCAGCUCUCCAGACdTdT 1256 s 531 ACAGUGUUCUUGCUCUAUAdTdT 1257 as 549 UAUAGAGCAAGAACACUGUdTdT 1258 s 117 CCUCUGAUGGUCAAAGUCCdTdT 1259 as 135 GGACUUUGACCAUCAGAGGdTdT 1260 s 131 AGUCCUGGAUGCUGUCCGAdTdT 1261 as 149 UCGGACAGCAUCCAGGACUdTdT 1262 s 217 UUGCCUCUGGGAAGACCGCdTdT 1263 as 235 GCGGUCUUCCCAGAGGCAAdTdT 1264 s 242 UGGAGAGCUGCACGGGCUCdTdT 1265 as 260 GAGCCCGUGCAGCUCUCCAdTdT 1266 s 244 GAGAGCUGCACGGGCUCACdTdT 1267 as 262 GUGAGCCCGUGCAGCUCUCdTdT 1268 s 246 GAGCUGCACGGGCUCACCAdTdT 1269 as 264 UGGUGAGCCCGUGCAGCUCdTdT 1270 s 399 UACACCAUCGCAGCCCUGCdTdT 1271 as 417 GCAGGGCUGCGAUGGUGUAdTdT 1272 s 132 GUCCUGGAUGCUGUCCGAGdTdT 1273 as 150 CUCGGACAGCAUCCAGGACdTdT 1274 s 245 AGAGCUGCACGGGCUCACCdTdT 1275 as 263 GGUGAGCCCGUGCAGCUCUdTdT 1276 Strand: s = sense; as = antisense; Position: position of 5′ base on transcript (NM_012681.1, SEQ ID NO: 1330) -
TABLE 7 Chemically modified sense and antisense strand sequences for rat TTR dsRNAs SEQ ID Strand Oligo # Position Sequence (5′ to 3′) NO: s A-32159 115 GuccucuGAuGGucAAAGudTdT 1277 as A-32160 133 ACUUUGACcAUcAGAGGACdTdT 1278 s A-32745 537 uucuuGcucuAuAAAccGudTdT 1279 as A-32746 555 ACGGUUuAuAGAGcAAGAAdTdT 1280 s A-32747 543 cucuAuAAAccGuGuuAGcdTdT 1281 as A-32748 561 GCuAAcACGGUUuAuAGAGdTdT 1282 s A-32749 392 ucGccAcuAcAccAucGcAdTdT 1283 as A-32750 410 UGCGAUGGUGuAGUGGCGAdTdT 1284 s A-32751 538 ucuuGcucuAuAAAccGuGdTdT 1285 as A-32752 556 cACGGUUuAuAGAGcAAGAdTdT 1286 s A-32753 541 uGcucuAuAAAccGuGuuAdTdT 1287 as A-32754 559 uAAcACGGUUuAuAGAGcAdTdT 1288 s A-32755 532 cAGuGuucuuGcucuAuAAdTdT 1289 as A-32756 550 UuAuAGAGcAAGAAcACUGdTdT 1290 s A-32757 542 GcucuAuAAAccGuGuuAGdTdT 1291 as A-32758 560 CuAAcACGGUUuAuAGAGCdTdT 1292 s A-32759 134 ccuGGAuGcuGuccGAGGcdTdT 1293 as A-32760 152 GCCUCGGAcAGcAUCcAGGdTdT 1294 s A-32761 119 ucuGAuGGucAAAGuccuGdTdT 1295 as A-32762 137 cAGGACUUUGACcAUcAGAdTdT 1296 s A-32763 241 cuGGAGAGcuGcAcGGGcudTdT 1297 as A-32764 259 AGCCCGUGcAGCUCUCcAGdTdT 1298 s A-32765 544 ucuAuAAAccGuGuuAGcAdTdT 1299 as A-32766 562 UGCuAAcACGGUUuAuAGAdTdT 1300 s A-32767 530 AAcAGuGuucuuGcucuAudTdT 1301 as A-32768 548 AuAGAGcAAGAAcACUGUUdTdT 1302 s A-32769 118 cucuGAuGGucAAAGuccudTdT 1303 as A-32770 136 AGGACUUUGACcAUcAGAGdTdT 1304 s A-32771 140 uGcuGuccGAGGcAGcccudTdT 1305 as A-32772 158 AGGGCUGCCUCGGAcAGcAdTdT 1306 s A-32773 239 GucuGGAGAGcuGcAcGGGdTdT 1307 as A-32774 257 CCCGUGcAGCUCUCcAGACdTdT 1308 s A-32775 531 AcAGuGuucuuGcucuAuAdTdT 1309 as A-32776 549 uAuAGAGcAAGAAcACUGUdTdT 1310 s A-32777 117 ccucuGAuGGucAAAGuccdTdT 1311 as A-32778 135 GGACUUUGACcAUcAGAGGdTdT 1312 s A-32779 131 AGuccuGGAuGcuGuccGAdTdT 1313 as A-32780 149 UCGGAcAGcAUCcAGGACUdTdT 1314 s A-32781 217 uuGccucuGGGAAGAccGcdTdT 1315 as A-32782 235 GCGGUCUUCCcAGAGGcAAdTdT 1316 s A-32783 242 uGGAGAGcuGcAcGGGcucdTdT 1317 as A-32784 260 GAGCCCGUGcAGCUCUCcAdTdT 1318 s A-32785 244 GAGAGcuGcAcGGGcucAcdTdT 1319 as A-32786 262 GUGAGCCCGUGcAGCUCUCdTdT 1320 s A-32787 246 GAGcuGcAcGGGcucAccAdTdT 1321 as A-32788 264 UGGUGAGCCCGUGcAGCUCdTdT 1322 s A-32791 399 uAcAccAucGcAGcccuGcdTdT 1323 as A-32792 417 GcAGGGCUGCGAUGGUGuAdTdT 1324 s A-32793 132 GuccuGGAuGcuGuccGAGdTdT 1325 as A-32794 150 CUCGGAcAGcAUCcAGGACdTdT 1326 s A-32795 245 AGAGcuGcAcGGGcucAccdTdT 1327 as A-32796 263 GGUGAGCCCGUGcAGCUCUdTdT 1328 See Table 5 for duplex # (dsRNA name). Strand: s = sense; as = antisense; Position: position of 5′ base on transcript(NM_012681.1, SEQ ID NO: 1330) - Synthesis of TTR Sequences
- TTR sequences were synthesized on MerMade 192 synthesizer at 1 μmol scale. For all the sequences in the list, ‘endolight’ chemistry was applied as detailed below.
-
- All pyrimidines (cytosine and uridine) in the sense strand were replaced with corresponding 2′-O-Methyl bases (2′ 0-Methyl C and 2′-O-Methyl U)
- In the antisense strand, pyrimidines adjacent to (towards 5′ position) ribo A nucleoside were replaced with their corresponding 2-O-Methyl nucleosides
- A two base dTdT extension at 3′ end of both sense and antisense sequences was introduced
- The sequence file was converted to a text file to make it compatible for loading in the MerMade 192 synthesis software
- The synthesis of TTR sequences used solid supported oligonucleotide synthesis using phosphoramidite chemistry. The synthesis of the above sequences was performed at 1 um scale in 96 well plates. The amidite solutions were prepared at 0.1M concentration and ethyl thio tetrazole (0.6M in Acetonitrile) was used as activator.
- The synthesized sequences were cleaved and deprotected in 96 well plates, using methylamine in the first step and triethylamine.3HF in the second step. The crude sequences thus obtained were precipitated using acetone: ethanol mix and the pellet were re-suspended in 0.5M sodium acetate buffer. Samples from each sequence were analyzed by LC-MS and the resulting mass data confirmed the identity of the sequences. A selected set of samples were also analyzed by IEX chromatography.
- The next step in the process was purification. All sequences were purified on an AKTA explorer purification system using Source 15Q column. A single peak corresponding to the full length sequence was collected in the eluent and was subsequently analyzed for purity by ion exchange chromatography.
- The purified sequences were desalted on a Sephadex G25 column using AKTA purifier. The desalted TTR sequences were analyzed for concentration and purity. The single strands were then annealed to form TTR-dsRNA.
- Human TTR targeting dsRNAs (Table 2) were assayed for inhibition of endogenous TTR expression in HepG2 and Hep3B cells, using qPCR (real time PCR) and bDNA (branched DNA) assays to quantify TTR mRNA. Rodent TTR targeting dsRNA (Table 5) were synthesized and assayed for inhibition of endogenous TTR expression using bDNA assays in H.4.II.E cells. Results from single dose assays were used to select a subset of TTR dsRNA duplexes for dose response experiments to calculate IC50's. IC50 results were used to select TTR dsRNAs for further testing.
- Cell Culture and Transfections:
- The hepatocyte cell lines HepG2, Hep3B and H.4.II.E cells (ATCC, Manassas, Va.) were grown to near confluence at 37° C. in an atmosphere of 5% CO2 in Dulbecco's modified Eagle's medium (ATCC) supplemented with 10% FBS, streptomycin, and glutamine (ATCC) before being released from the plate by trypsinization. H.4.II.E cells were also grown in Earle's minimal essential medium. Reverse transfection was carried out by adding 5 μl of Opti-MEM to 5 μl of siRNA duplexes per well into a 96-well plate along with 10 μl of Opti-MEM plus 0.2 μl of Lipofectamine RNAiMax per well (Invitrogen, Carlsbad Calif. cat #13778-150) and incubated at room temperature for 15 minutes. 80 μl of complete growth media without antibiotics containing 4×104 (HepG2), 2×104 (Hep3B) or 2×104 (H.4.II.E) cells were then added. Cells were incubated for 24 hours prior to RNA purification. Single dose experiments were performed at 10 nM final duplex concentration and dose response experiments were done with 10, 1, 0.5, 0.1, 0.05, 0.01, 0.005, 0.001, 0.0005, 0.0001, 0.00005, 0.00001 nM.
- Total RNA Isolation Using MagMAX-96 Total RNA Isolation Kit (Applied Biosystems, Foster City Calif., Part #: AM1830):
- Cells were harvested and lysed in 140 μl of Lysis/Binding Solution then mixed for 1 minute at 850 rpm using and Eppendorf Thermomixer (the mixing speed was the same throughout the process). Twenty micro liters of magnetic beads were added into cell-lysate and mixed for 5 minutes. Magnetic beads were captured using magnetic stand and the supernatant was removed without disturbing the beads. After removing supernatant, magnetic beads were washed with Wash Solution 1 (isopropanol added) and mixed for 1 minute. Beads were captured again and supernatant removed. Beads were then washed with 150 μl Wash Solution 2 (Ethanol added), captured and supernatant was removed. 50 μl of DNase mixture (MagMax turbo DNase Buffer and Turbo DNase) was then added to the beads and they were mixed for 10 to 15 minutes. After mixing, 100 μl of RNA Rebinding Solution was added and mixed for 3 minutes. Supernatant was removed and magnetic beads were washed again with 150
μl Wash Solution 2 and mixed for 1 minute and supernatant was removed completely. The magnetic beads were mixed for 2 minutes to dry before RNA it was eluted with 50 μl of water. - cDNA Synthesis Using ABI High Capacity cDNA Reverse Transcription Kit (Applied Biosystems, Foster City, Calif., Cat #4368813):
- A master mix of 2
μl 10× Buffer, 0.8μl 25× dNTPs, 2 μl Random primers, 1 μl Reverse Transcriptase, 1 μl RNase inhibitor and 3.2 μl of H2O per reaction were added into 10 μl total RNA. cDNA was generated using a Bio-Rad C-1000 or S-1000 thermal cycler (Hercules, Calif.) through the following steps: 25° C. 10 min, 37° C. 120 min, 85° C. 5 sec, 4° C. hold. - Real time PCR:
- 2 μl of cDNA was added to a master mix of 1 μl 18S TaqMan Probe (Applied Biosystems Cat #4319413E), lμl TTR TaqMan probe (Applied Biosystems cat # HS00174914 M1) and 10 μl TaqMan Universal PCR Master Mix (Applied Biosystems Cat #4324018) per well in a MicroAmp Optical 96 well plate (Applied Biosystems cat #4326659). Real time PCR was done in an ABI 7000 Prism or an ABI 7900HT Real Time PCR system (Applied Biosystems) using the ΔΔ Ct(RQ) assay. All reactions were done in triplicate.
- Real time data were analyzed using the ΔΔ Ct method and normalized to assays performed from cells transfected with 10 nM BlockIT fluorescent Oligo (Invitrogen Cat #2013) or 10 nM AD-1955 (a control duplex that targets the non-mammalian luciferase gene) to calculate fold change.
- Branched DNA Assays—QuantiGene 1.0 (Panomics, Fremont, Calif. Cat #: QG0004)—Used to Screen Rodent Specific Duplexes
- H.4.II.E cells (ATCC) were transfected with 10 nM siRNA. After removing media, H.4.II.E were lysed in 100 μl of Diluted Lysis Mixture (a mixture of 1 volume of Lysis mixture, 2 volume of nuclease-free water and 10 ul of Proteinase-K per ml for the final concentration of 20 mg/ml) then incubated at 65° C. for 35 minutes. Then, 80 μl of Working Probe Set (a mixture of TTR or GAPDH probe) and 20 μl of cell-lysate were added into the Capture Plate. Capture Plates were incubated at 53° C.±1° C. overnight (approximately 16-20 hrs). Capture Plates were washed 3 times with 1× Wash Buffer (a mixture of nuclease-free water,
Buffer Component 1 and Wash Buffer Component 2), then dried by centrifuging for 1 minute at 1000 rpm. 100 μl of Amplifier Working Reagent was added into the Capture Plate, which was then sealed and incubated for 1 hour at 46° C.±1° C. Wash and dry steps were repeated after 1 hour of incubation and 100 μl of Label Solution Reagent was added. The plate was then washed, dried and 100 μl Substrate (a mixture of Lithium Lauryl Sulfate and Substrate solution) was added. Capture Plates were placed in the incubator for 30 minutes at 46° C.±1° C. Capture Plates were then removed from the incubator and incubated at room temperature for 30 minutes. Finally, the Capture Plates were read using the Victor Luminometer (Perkin Elmer, Waltham, Mass.). - Branched DNA Assays—QuantiGene 2.0 (Panomics Cat #: QS0011): Used to Screen all Other Duplexes
- After a 24 hour incubation at the dose or doses stated, media was removed and cells were lysed in 10 ul Lysis Mixture (1 volume lysis mixture, 2 volumes nuclease-free water and 10 μl of Proteinase-K/ml for a final concentration of 20 mg/ml) then incubated at 65° C. for 35 minutes. 20 μl Working Probe Set (TTR probe for gene target and GAPDH for endogenous control) and 80 μl of cell-lysate were then added to the Capture Plates. Capture Plates were incubated at 55° C.±1° C. (approx. 16-20 hrs). The next day, the Capture Plates were washed 3 times with 1× Wash Buffer (nuclease-free water,
Buffer Component 1 and Wash Buffer Component 2), then dried by centrifuging for 1 minute at 240 g. 100 μl of pre-Amplifier Working Reagent was added to the Capture Plates, which were sealed with aluminum foil and incubated for 1 hour at 55° C.±1° C. Following a 1 hour incubation, the wash step was repeated, then 100 μl Amplifier Working Reagent was added. After 1 hour, the wash and dry steps were repeated, and 100 μl Label Probe was added. Capture plates were incubated 50° C.±1° C. for 1 hour. The plates were then washed with 1× Wash Buffer and dried, and then 100 μl Substrate was added to the Capture Plates. Capture Plates were read using the SpectraMax Luminometer (Molecular Devices, Sunnyvale, Calif.) following 5 to 15 minutes incubation. - bDNA Data Analysis:
- bDNA data were analyzed by (i) subtracting the average background from each triplicate sample, (ii) averaging the resultant triplicate GAPDH (control probe) and TTR (experimental probe) values, and then (iii) taking the ratio: (experimental probe-background)/(control probe-background).
- Results
- A summary of the single dose and IC50 results for TTR-dsRNAs (TTR siRNAs) are presented below in Table 8. Single dose results are expressed as % TTR mRNA relative to control, assayed in HepG2 cells. IC50s were determined in HepG2 and/or Hep3B cells, as indicated.
-
TABLE 8 Single dose and IC50 results of in vitro screens of TTR siRNAs Single Dose at 10 nM % relative to control IC50 (nM) HepG2 HepG2 Hep3B Duplex # qPCR bDNA qPCR bDNA qPCR bDNA AD-18243 50.35 141.53 ND ND ND ND AD-18244 64.26 158.55 ND ND ND ND AD-18245 56.89 107.22 ND ND ND ND AD-18246 10.53 32.51* 0.265 0.086 ND ND AD-18247 125.56 69.57 ND ND ND ND AD-18248 127.78 66.97 ND ND ND ND AD-18249 48.77 48.76 ND ND ND ND AD-18250 96.94 86.42 ND ND ND ND AD-18251 170.41 129.15 ND ND ND ND AD-18252 73.52 81.90 ND ND ND ND AD-18253 25.25 61.25 ND ND ND ND AD-18254 95.13 103.96 ND ND ND ND AD-18255 119.46 ND ND ND ND ND AD-18256 42.64 95.67 ND ND ND ND AD-18257 146.25 141.75 ND ND ND ND AD-18258 10.20 13.41* 0.007 0.005 0.004 0.005 AD-18259 9.30 20.91* 0.102 0.005 ND ND AD-18260 125.37 81.36 ND ND ND ND AD-18261 14.27 19.40* 0.21 ND ND ND AD-18262 84.95 104.05 ND ND ND ND AD-18263 16.32 23.25* 0.11 ND ND ND AD-18264 104.18 83.69 ND ND ND ND AD-18265 41.62 64.87 ND ND ND ND AD-18266 39.98 110.53 ND ND ND ND AD-18267 149.64 ND ND ND ND ND AD-18268 152.93 174.04 ND ND ND ND AD-18269 37.27 92.28 ND ND ND ND AD-18270 99.44 164.75 ND ND ND ND AD-18271 18.89 28.33* 0.503 0.004 ND ND AD-18272 128.32 132.58 ND ND ND ND AD-18273 115.78 201.95 ND ND ND ND AD-18274 8.97 20.04* 0.009 0.176 0.036 0.012 AD-18275 4.09 22.25* 0.026 0.118 ND ND AD-18276 19.73 45.22* 0.198 0.677 ND ND AD-18277 10.55 26.31* 0.121 0.426 ND ND AD-18278 108.86 116.26 ND ND ND ND AD-18279 66.59 ND ND ND ND ND AD-18280 103.26 170.52 ND ND ND ND AD-18281 87.98 123.88 ND ND ND ND AD-18282 82.47 140.32 ND ND ND ND AD-18283 106.54 182.78 ND ND ND ND AD-18284 106.93 151.78 ND ND ND ND AD-18285 26.58 60.05* ND 0.089 ND ND AD-18286 109.95 173.66 ND ND ND ND AD-18287 54.23 155.45 ND ND ND ND AD-18288 73.52 174.09 ND ND ND ND AD-18289 103.36 174.76 ND ND ND ND AD-18290 17.06 52.04* 1.253 0.181 ND ND AD-18291 7.71 169.29* 1.304 0.019 ND ND AD-18292 7.51 210.03* 0.604 0.005 ND ND AD-18293 3.61 62.53* 0.078 0.003 ND ND AD-18294 111.53 107.56 ND ND ND ND AD-18295 115.88 105.37 ND ND ND ND AD-18296 57.03 38.03 ND ND ND ND AD-18297 87.69 73.87 ND ND ND ND AD-18298 10.39 7.25* 0.455 0.008 ND ND AD-18299 18.79 18.06* 0.895 0.014 ND ND AD-18300 108.70 ND ND ND ND ND AD-18301 114.22 70.50 ND ND ND ND AD-18302 116.19 122.40 ND ND ND ND AD-18303 124.89 ND ND ND ND ND AD-18304 132.99 89.54 ND ND ND ND AD-18305 153.10 ND ND ND ND ND AD-18306 159.22 ND ND ND ND ND AD-18307 116.83 84.57 ND ND ND ND AD-18308 156.72 87.80 ND ND ND ND AD-18309 113.22 101.97 ND ND ND ND AD-18310 132.33 ND ND ND ND ND AD-18311 161.68 92.92 ND ND ND ND AD-18312 103.01 71.17 ND ND ND ND AD-18313 120.65 53.26 ND ND ND ND AD-18314 116.33 ND ND ND ND ND AD-18315 115.13 ND ND ND ND ND AD-18316 118.73 122.34 ND ND ND ND AD-18317 114.03 121.10 ND ND ND ND AD-18318 80.85 122.57 ND ND ND ND AD-18319 119.14 148.87 ND ND ND ND AD-18320 22.86 55.43* ND 0.023 0.403 ND AD-18321 6.44 31.56* 0.001 0.033 ND ND AD-18322 54.21 100.46 ND ND ND ND AD-18323 6.37 28.71* 0.005 0.023 ND ND AD-18324 2.53 15.98* 0.002 0.006 0.005 0.014 AD-18325 2.52 11.96* 0.001 0.016 ND ND AD-18326 18.34 43.16* 0.025 0.186 ND ND AD-18327 18.28 13.90* 0.044 0.215 ND ND AD-18328 4.53 26.04* 0.003 0.004 0.006 0.006 AD-18329 96.93 131.54 ND ND ND ND AD-18330 11.80 45.18* 0.0004 0.01 0.02 ND AD-18331 117.77 163.07 ND ND ND ND AD-18332 11.53 35.09* 0.001 0.076 0.065 ND AD-18333 12.24 46.94* 0.001 0.115 0.075 ND AD-18334 16.27 55.28* 0.0004 0.181 1.071 ND AD-18335 53.52 112.80 ND ND ND ND AD-18336 6.39 33.00* 0.001 0.112 0.081 ND AD-18337 51.77 105.33 ND ND ND ND AD-18338 48.21 102.86 ND ND ND ND AD-18339 6.48 26.56* 0.004 0.002 0.018 0.029 AD-18340 4.53 30.76* 0.002 0.002 ND ND AD-18341 31.27 100.41 ND ND ND ND AD-18342 7.60 42.89* ND 0.016 0.076 ND AD-18343 3.42 17.45* ND 0.001 ND ND AD-18344 75.08 134.31 ND ND ND ND AD-18345 13.62 42.75* 0.002 0.013 ND ND AD-18346 59.25 121.10 ND ND ND ND AD-18347 91.23 139.54 ND ND ND ND AD-18348 89.95 159.29 ND ND ND ND AD-18349 108.01 144.96 ND ND ND ND AD-18350 123.65 125.87 ND ND ND ND AD-18351 108.36 104.02 ND ND ND ND AD-18352 87.82 128.72 ND ND ND ND AD-18353 14.40 65.77 0.012 0.027 ND ND AD-18354 99.27 123.53 ND ND ND ND AD-18355 135.04 150.88 ND ND ND ND AD-18356 100.76 178.96 ND ND ND ND AD-18357 125.30 162.85 ND ND ND ND AD-18358 103.15 136.01 ND ND ND ND AD-18359 34.74 140.48 ND ND ND ND AD-18360 103.86 146.86 ND ND ND ND AD-18361 105.74 152.74 ND ND ND ND AD-18362 106.96 188.22 ND ND ND ND AD-18363 124.22 58.46 ND ND ND ND AD-18364 113.75 66.87 ND ND ND ND AD-18446 29.73 13.30 ND ND ND ND AD-18447 109.74 53.63 ND ND ND ND AD-18448 22.96 8.81 ND ND ND ND AD-18449 112.59 50.11 ND ND ND ND AD-18450 89.41 34.89 ND ND ND ND AD-18451 74.35 23.88 ND ND ND ND AD-18452 125.25 54.86 ND ND ND ND AD-18453 126.98 56.31 ND ND ND ND AD-18454 113.88 52.48 ND ND ND ND AD-18455 163.00 48.89 ND ND ND ND AD-18456 15.70 10.52 ND ND ND ND AD-18457 12.86 8.22 ND ND ND ND AD-18458 13.00 7.00 ND ND ND ND AD-18459 14.41 10.72 ND ND ND ND AD-18460 121.16 74.87 ND ND ND ND AD-18461 100.53 71.87 ND ND ND ND AD-18462 47.75 29.35 ND ND ND ND AD-18463 58.98 44.79 ND ND ND ND ND: no data; *indicates result that represents average of two experiments. - The dose response data used to identify the IC50 for 5 TTR-dsRNAs (AD-18258, AD-18274, AD-18324, AD-18328, and AD-18339), are presented in detail below in Table 9. All 5 siRNAs were determined to have pM IC50s. The IC50 data for dsRNAs in Table 8 is a summary of the data presented in Table 9 below.
-
TABLE 9 Dose response data for 5 TTR-dsRNAs % inhibition relative to control AD-1955 Detection Dose of duplex (nM) IC50 Cell type method 10 1 0.5 0.1 0.05 0.01 0.005 0.001 0.0005 0.0001 0.00005 0.00001 (nM) Duplex AD-18258 HepG2 qPCR 14.4 14.1 16.2 23.9 27.26 40.19 68.46 78.1 74.48 104.37 98.28 113.68 0.007 HepG2 bDNA 14.3 14.5 11.1 12.8 18.82 19.77 51.21 56.03 63.63 58.35 43.64 51.05 0.005 Hep3B qPCR 11.9 8.62 12.4 16.4 28.35 30.49 58.36 54.57 81.26 89.43 81.85 101.87 0.004 Hep3B bDNA 7.65 7.5 11.3 12.6 28.85 27.89 64.57 73.48 72.03 91.44 86.71 89.31 0.005 Duplex AD-18274 HepG2 qPCR 6.68 8.45 11.7 24.2 42.08 49.89 56.95 62.99 64.47 54.92 67.39 72.67 0.009 HepG2 bDNA 27.5 69 25.2 34.2 73.03 103.4 121.57 97.31 154.93 156.7 Nd 152.25 0.176 Hep3B qPCR 7.58 17 15.6 43.9 42.22 60.55 78.8 77.81 79.97 85.84 86.13 83.99 0.036 Hep3B bDNA 3.77 4.92 7.51 15 35.21 51.66 72.45 70.12 78.31 77.52 90.72 83.01 0.012 Duplex AD-18324 HepG2 qPCR 2.07 2.27 2.74 6.36 8.18 15.23 28.82 52.79 90.86 94.72 116.07 98.97 0.002 HepG2 bDNA 14.5 7.88 11.8 15.9 17.2 46.44 40.4 91.86 0 95.57 0 52.15 0.006 Hep3B qPCR 2.07 3.48 5.76 16.2 18.73 44.54 49.77 68.88 63.48 76.61 74.7 77.83 0.005 Hep3B bDNA 3.48 3.8 5.15 15.2 30.84 55.36 74.75 99.39 88.89 110.83 96.55 110.26 0.014 Duplex AD-18328 HepG2 qPCR 5.85 3.97 3.32 5.62 8 16.75 55.01 39.76 122.41 102.37 114.02 124.09 0.003 HepG2 bDNA 12.3 10.7 10.7 11.9 20.06 25 69.52 57.29 112.28 98.14 142.26 148.92 0.004 Hep3B qPCR 3.17 5.52 11.7 13.8 27.68 39.58 61.21 61.87 90.51 87.56 106.03 108.72 0.006 Hep3B bDNA 3.08 3.66 4.19 7.25 21.05 22.1 73.74 63.19 105.55 96.27 105.97 96.46 0.006 Duplex AD-18339 HepG2 qPCR 6.27 7.28 Nd 11 15.25 38.69 38.78 71.7 84.09 62.2 75.61 85.46 0.004 HepG2 bDNA 15.1 8.14 5.13 6.89 12.17 32.14 42.98 64.01 60.76 79.95 81.97 95.43 0.002 Hep3B qPCR 8.3 9.47 13.2 34.5 44.54 77.38 81.04 81.41 93.95 81.04 75.61 78.28 0.018 Hep3B bDNA 10.5 9.43 11.7 27.1 44.88 72.32 79.88 79.6 87.46 96.53 95.13 89.88 0.029 - A summary of the single dose results for rodent specific TTR-dsRNAs (TTR siRNAs) are presented below in Table 10. Single dose results are expressed as % TTR mRNA relative to control, assayed in rat H.4.II.E cells, after transfection of rodent specific TTR siRNAs at 10 nM. These results show that some rodent specific TTR siRNAs are effective in suppressing endogenous rat TTR mRNA in vitro.
-
TABLE 10 Single dose results of in vitro screen of rodent specific TTR-dsRNAs (TTR siRNAs) % Relative to Duplex # control at 10 nM AD-18529 19.83 AD-18530 44.49 AD-18531 6.01 AD-18532 24.06 AD-18533 37.78 AD-18534 8.19 AD-18535 10.18 AD-18536 16.13 AD-18537 15.88 AD-18538 19.93 AD-18539 49.24 AD-18540 2.99 AD-18541 1.32 AD-18542 6.3 AD-18543 16.46 AD-18544 17.55 AD-18545 3.53 AD-18546 2.75 AD-18547 7.01 AD-18548 5.02 AD-18549 1.61 AD-18550 9.58 AD-18551 7.74 AD-18552 3.74 AD-18553 50.39 AD-18554 111.06 - To evaluate potential for immunostimulation, TTR siRNAs were assayed in vitro for induction of TNF-α and IFN-α secretion.
- Human PBMC were isolated from freshly collected buffy coats obtained from healthy donors (Research Blood Components, Inc., Boston, Mass.) by a standard Ficoll-Hypaque density centrifugation. Freshly isolated cells (1×105/well/100 μl) were seeded in 96-well plates and cultured in RPMI 1640 GlutaMax medium (Invitrogen) supplemented with 10% heat-inactivated fetal bovine serum and 1% antibiotic/antimycotic (Invitrogen).
- siRNAs were transfected into PBMC using DOTAP transfection reagent (Roche Applied Science). The DOTAP was first diluted in Opti-MEM (Invitrogen) for 5 minutes before mixing with an equal volume of Opti-MEM containing the siRNA. siRNA/DOTAP complexes were incubated as specified by the manufacturer's instructions and subsequently added to PBMC (50 μl/well) which were then cultured for 24 hours. Positive and negative control siRNAs were included in all assays. AD-5048 was used as a positive control siRNA. AD-5048 corresponds to a sequence that targets human Apolipoprotein B (Soutschek et al., 2004) and elicits secretion of both IFN-α and TNF-α in this assay. AD-1955, which does not elicit IFN-α and TNF-α secretion in this assay, was used as a negative control siRNA. All siRNAs were used at a final concentration of 133 nM. The ratio of RNA to transfection reagent was 16.5 pmoles per μg of DOTAP.
- Cytokines were detected and quantified in culture supernatants with a commercially available ELISA kit for IFN-α (BMS216INST) and TNF-α (BMS223INST), both from Bender MedSystems (Vienna, Austria). TTR siRNA cytokine induction is expressed as percent IFN-α or TNF-α produced relative to the positive control siRNA AD-5048.
- IFN-α and TNF-α stimulation results for a number of TTR siRNAs are presented in
FIG. 1 (mean of quadruplicate wells±SD) and below in Table 11 (percentage compared with AD-5048). None of the TTR siRNAs evaluated induced significant TNF-α or IFN-α secretion by cultured human PBMCs. -
TABLE 11 IFN-α and TNF-α stimulation results for TTR siRNAs IFN-α (% of TNF-α (% of Duplex # AD-5048) AD-5048) AD-18246 0 4 AD-18258 0 0 AD-18259 0 0 AD-18261 0 0 AD-18263 0 0 AD-18271 0 0 AD-18274 2 1 AD-18275 0 0 AD-18276 0 0 AD-18277 0 0 AD-18285 0 0 AD-18290 0 0 AD-18291 0 0 AD-18292 0 0 AD-18293 0 0 AD-18298 0 0 AD-18299 0 0 AD-18320 0 0 AD-18321 0 0 AD-18323 0 0 AD-18324 0 0 AD-18325 0 0 AD-18326 0 0 AD-18327 0 0 AD-18328 0 0 AD-18330 0 0 AD-18332 1 0 AD-18333 0 1 AD-18334 0 1 AD-18336 1 0 AD-18339 0 0 AD-18340 0 0 AD-18342 0 0 AD-18343 0 0 AD-18345 0 0 AD-18353 0 0 AD-18448 0 0 AD-18456 0 0 AD-18457 0 0 AD-18458 0 0 AD-18459 0 0 - The five lead TTR targeting dsRNAs (TTR siRNAs) were selected based on IC50s in the pM range in the human hepatocyte cell lines HepG2 and Hep3B, and the absence of immunostimulatory activity. Duplexes without any mismatches are more likely to achieve significant knockdown of the target transcript than duplexes with mismatches between the oligo and the mRNA. To better enable interpretation of cross-species toxicology data and to have the broadest applicability to human patients, duplexes that have 100% identity in orthologous genes from rat, cynomolgus monkey and human, and that do not target regions with known polymorphisms are generally preferred. The five lead compounds were selected based on IC50 in hepatocyte cell lines in the pM range, the absence of immunostimulatory activity, specificity to the human TTR transcripts, and absence of known polymorphisms (mutations) in the region of the mRNA targeted by the duplex. In the case of TTR, no 19 base oligos were found with complete identity in human, rat and cynomolgus monkey. A summary of these data are presented in Table 12, which also includes information on known TTR mutations in the region targeted by the duplex and cross-species reactivity.
-
TABLE 12 Summary of data for five most potent TTR dsRNAs. IC50 IC50 (qPCR): (bDNA): Mutations not Duplex # nM HepG2 nM HepG2 IFNa/TNFa covered Cross-species reactivity AD-18258 0.007 0.005 Negative None Cyno: 1 mismatch @ position (non-coding 14 A to G region) Rat: no homology at any position AD-18274 0.009 0.176 Negative Lys70Asn; Cyno: no mismatch Val71Ala; Rat: no homology at any position Ile73Val; Asp74His AD-18324 0.002 0.006 Negative None Cyno: no mismatch (non-coding Rat: no homology at any position region) AD-18328 0.003 0.004 Negative None Cyno: no mismatch (non-coding Rat: 7 mismatches region) AD-18339 0.004 0.002 Negative None None (non-coding region) - Two TTR siRNAs, AD-18324 and AD-18328, were chosen for in vivo evaluation. These duplexes exhibited potent dose-dependent silencing in vitro in hepatocyte cell lines (e.g. HepG2).
FIG. 2A andFIG. 2B show the dose responses in HepG2 cells after transfection with AD-18324 (FIG. 2A ) or AD-18328 (FIG. 2B ) where the doses are expressed in nM on the x-axis and the responses are expressed as fraction TTR mRNA remaining relative to control, on the y-axis. In HepG2 cells, the IC50s of AD-18324 and AD-18328 were determined to be 2 pM and 3 pM, respectively. The TTR target sites for both lead dsRNA candidates are in the 3′ untranslated region of the TTR mRNA, in a region where there are no reported mutations in the literature. - The sequences of each strand of the two lead candidates are reproduced below from the Tables. Strand: s=sense; as=antisense; Position: position of 5′ base on transcript NM_000371.2.
-
SEQ ID Duplex # Strand Oligo # Position* Sequence 5′ to 3′NO: AD-18324 s A-32337 509 GGAuuucAuGuAAccAAGAdTdT 1001 AD-18324 as A-32338 527 UCUUGGUuAcAUGAAAUCCdTdT 1002 AD-18328 s A-32345 518 GuAAccAAGAGuAuuccAudTdT 1009 AD-18328 as A-32346 536 AUGGAAuACUCUUGGUuACdTdT 1010 - In addition, a rodent cross-reactive TTR dsRNA, AD-18246, was chosen for further evaluation in vivo. AD-18246 targets a sequence beginning at
position 88 of the open reading frame, where there are three mutations reported in the literature. A dose response curve for AD-18246 in HepG2 cells is shown inFIG. 3 . AD-18246 is substantially less potent than AD-18324 and AD-18328; the IC50 of AD-18246 was determined to be 265 pM. - AD-18324, AD-18328, and AD-18246 were administered to transgenic mice after formulation in LNP01. 3-5 month old H129-mTTR-KO/iNOS-KO/hTTR transgenic mice (mouse transthyretin knock-out/inducible nitric oxide synthase knock-out/human transthyretin transgenic) were intravenously (IV) administered 200 μl of LNP01-formulated transthyretin-specific siRNA (AD-18324, AD-18328, or AD-18246), LNP01-formulated control siRNA targeting the non-mammalian luciferase gene (AD-1955) or PBS via the tail vein at concentrations of 1.0 mg/kg, 3.0 mg/kg, or 6.0 mg/kg for siRNAs AD-18324 and AD-18328, 3.0 mg/kg for siRNA AD-18246, and 6.0 mg/kg for siRNA AD-1955. LNP01 is a lipidoid formulation comprised of ND98, Cholesterol, and PEG-Ceramide C16.
- After approximately forty-hours, mice were anesthetized with 200 μl of ketamine, and then exsanguinated by severing the right caudal artery. Whole blood was isolated and plasma was isolated and stored at −80° C. until assaying. Liver tissue was collected, flash-frozen and stored at −80° C. until processing.
- Efficacy of treatment was evaluated by (i) measurement of TTR mRNA in liver at 48 hours post-dose, and (ii) measurement of TTR protein in plasma at prebleed and at 48 hours post-dose. TTR liver mRNA levels were assayed utilizing the Branched DNA assays-QuantiGene 2.0 (Panomics cat #: QS0011). Briefly, mouse liver samples were ground and tissue lysates were prepared. Liver lysis mixture (a mixture of 1 volume of lysis mixture, 2 volume of nuclease-free water and 10 ul of Proteinase-K/ml for a final concentration of 20 mg/ml) was incubated at 65° C. for 35 minutes. 20 μl of Working Probe Set (TTR probe for gene target and GAPDH for endogenous control) and 80 μl of tissue-lysate were then added into the Capture Plate. Capture Plates were incubated at 55° C.±1° C. (aprx. 16-20 hrs). The next day, the Capture Plate were washed 3 times with 1× Wash Buffer (nuclease-free water,
Buffer Component 1 and - Wash Buffer Component 2), then dried by centrifuging for 1 minute at 240 g. 100 μl of pre-Amplifier Working Reagent was added into the Capture Plate, which was sealed with aluminum foil and incubated for 1 hour at 55° C.±1° C. Following 1 hour incubation, the wash step was repeated, then 100 μl of Amplifier Working Reagent was added. After 1 hour, the wash and dry steps were repeated, and 100 μl of Label Probe was added. Capture plates were incubated 50° C.±1° C. for 1 hour. The plate was then washed with 1× Wash Buffer, dried and 100 μl Substrate was added into the Capture Plate. Capture Plates were read using the SpectraMax Luminometer following a 5 to 15 minute incubation. bDNA data were analyzed by subtracting the average background from each triplicate sample, averaging the resultant triplicate GAPDH (control probe) and TTR (experimental probe) values, and then computing the ratio: (experimental probe-background)/(control probe-background).
- TTR plasma levels were assayed utilizing the commercially available kit “AssayMax Human Prealbumin ELISA Kit” (AssayPro, St. Charles, Mo., Catalog # EP3010-1) according to manufacturer's guidelines. Briefly, mouse plasma was diluted 1:10,000 in 1× mix diluents and added to pre-coated plates along with kit standards, and incubated for 2 hours at room temperature followed by 5× washes with kit wash buffer. Fifty microliters of biotinylated prealbumin antibody was added to each well and incubated for 1 hr at room temperature, followed by 5× washes with wash buffer. Fifty microliters of streptavidin-peroxidase conjugate was added to each well and plates were incubated for 30 minutes at room temperature followed by washing as previously described. The reaction was developed by the addition of 50 μl/well of chromogen substrate and incubation for 10 minutes at room temperature with stopping of reaction by the addition of 50 μl/well of stop solution. Absorbance at 450 nm was read on a Versamax microplate reader (Molecular Devices, Sunnyvale, Calif.) and data were analyzed utilizing the Softmax 4.6 software package (Molecular Devices).
- LNP01-18324 and LNP01-18328 were found to reduce liver TTR mRNA (
FIG. 4A ) and plasma TTR protein (FIG. 4B ) levels in a dose-dependent manner with IV bolus administration. The mRNA ED50 of LNP01-18328 was determined to be ˜1 mg/kg whereas the ED50 of LNP01-18324 was determined to be ˜2 mg/kg. The effects of LNP01-18324 and LNP01-18328 were specific, because the control, LNP01-1955 at 6 mg/kg, did not significantly affect liver TTR mRNA levels, as compared with the PBS group. LNP01-18324 and LNP01-18328 reduced plasma TTR protein levels relative to the PBS group, with potencies that were similar to those on TTR mRNA levels. At 3 mg/kg, LNP01-18246 reduced liver TTR mRNA levels to a lessor extent than 3 mg/kg LNP01-18324 or LNP01-18328. - These results demonstrate that LNP01-18324 and LNP01-18328, administered by IV bolus, substantially reduce human TTR mRNA expressed by the transgenic mouse liver, which results in reduction of human TTR protein in the circulation.
- To evaluate the efficacy of TTR siRNAs AD-18324 and AD-18328 in non-human primates on liver TTR mRNA levels, the siRNAs were formulated in SNALP and administered by 15-minute IV infusion. Cynomolgus monkeys (Macaca fascicularis) (2 to 5 kg, 3 animals per group) were administered 15-minute IV infusions of SNALP-18324 (0.3, 1.0 or 3.0 mg/kg), SNALP-18328 (0.3, 1 or 3 mg/kg), or SNALP-1955 (3 mg/kg, with negative control siRNA AD-1955 which targets the non-mammalian gene luciferase). At forty-eight hours post-dosing, monkeys were anesthetized with sodium pentobarbital and exsanguinated. Liver tissue for TTR mRNA determination was collected, flash-frozen, and stored at −80° C. until processing.
- TTR mRNA levels in the liver were assayed utilizing a custom designed Branched DNA assay, utilizing the QuantiGene 1.0 technology. Briefly, monkey liver samples were ground and tissue lysates were prepared. Liver lysis mixture (1 volume lysis mixture, 2 volume nuclease-free water, and 10 μl of Proteinase-K/ml for a final concentration of 20 mg/ml) was incubated at 65° C. for 35 minutes. 20 μl Working Probe Set (TTR probe for gene target and GAPDH for endogenous control) and 80 μl tissue-lysate were then added into the Capture Plate. Capture Plates were incubated at 55° C.±1° C. (approx. 16-20 hrs). The next day, the Capture Plates were washed three times with 1× Wash Buffer (nuclease-free water,
Buffer Component 1 and Wash Buffer Component 2), then dried by centrifuging for 1 minute at 240 g. 100 μl of pre-Amplifier Working Reagent was added into the Capture Plate, which was sealed with aluminum foil and incubated for 1 hour at 55° C.±1° C. Following a 1-hour incubation, the wash step was repeated, and then 100 μl Amplifier Working Reagent was added. After 1 hour, the wash and dry steps were repeated, and 100 μl Label Probe was added. Capture plates were incubated 50° C.±1° C. for 1 hour. The plates were then washed with 1× Wash Buffer and dried, and then 100 μl Substrate was added into the Capture Plate. Capture Plates were read using the SpectraMax Luminometer following a 5 to 15 minute incubation. bDNA data were analyzed by (i) subtracting the average background from each triplicate sample, (ii) averaging the resultant GAPDH (control probe) and TTR (experimental probe) values, and then (iii) taking the ratio: (experimental probe-background)/(control probe-background). - The results are shown in
FIG. 5 . SNALP-18324 and SNALP-18328 reduced TTR mRNA levels in the liver in a dose-dependent manner, compared to the negative control SNALP-1955. The mRNA ED50s of SNALP-18328 and SNALP-18324 were determined to be ˜0.3 and ˜1 mg/kg, respectively. - These results demonstrate that SNALP-18324 and SNALP-18328 are effective in suppressing wild-type TTR mRNA in non-human primate liver when administered by IV infusion.
- To evaluate the efficacy of TTR siRNA AD-18328 on mutant (V30M) TTR mRNA in the liver and mutant (V30M) TTR protein in the serum, AD-18328 was formulated in SNALP and administered by IV bolus to V30M hTTR transgenic mice. 8 to 12-week old V30M hTTR transgenic mice (5 animals/group) were intravenously (IV) administered 200 μl SNALP-18328 (0.03, 0.3 or 3 mg/kg), SNALP-1955 (3 mg/kg, with negative control siRNA AD-1955 which targets the non-mammalian gene luciferase), or PBS. Mice used were the Mus musculus strain H129-hTTR KO from Institute of Molecular and Cellular Biology, Porto, Portugal. Briefly, hTTR H129 transgenic mice were crossed with a H129 endogenous TTR KO mice (null mice to generate the H129-hTTR transgenic mice, in a null mouse TTR background (Maeda, S., (2003), Use of genetically altered mice to study the role of serum amyloid P component in amyloid deposition. Amyloid Suppl. 1, 17-20.).
- At 48 hrs post-injection, animals in all five treatment groups were given a lethal dose of ketamine/xylazine. Serum samples were collected and stored at −80° C. until analysis. Liver tissue was collected, flash-frozen and stored at −80° C. until processing.
- For TTR mRNA quantitation, frozen liver tissue was ground into powder, and lysates were prepared. TTR mRNA levels relative to those of GAPDH mRNA were determined in the lysates by using a branched DNA assay (QuantiGene Reagent System, Panomics, Fremont, Calif.). Briefly, the QuantiGene assay (Genospectra) was used to quantify mRNA levels in tissue sample lysates according to the manufacturer's instructions. The mean level of TTR mRNA was normalized to the mean level of GAPDH mRNA for each sample. Group means of the normalized values were then further normalized to the mean value for the PBS treated group, to obtain the relative level of TTR mRNA expression.
- For TTR protein quantitation, serum was assayed using the AssayPro (St. Charles, Mo.) Assaymax PreAlbumin ELISA Kit according to the manufacturer's protocol.
- The results are shown in
FIG. 6A andFIG. 6B for liver mRNA and serum protein, respectively. SNALP-18328 treated V30M hTTR transgenic mice had a dose-dependent and significant decrease in liver TTR mRNA levels relative to the PBS control group, reaching a maximum reduction of 97% (p<0.001) at 3 mg/kg SNALP-18328, and a 50% reduction (ED50) at ˜0.15 mg/kg SNALP-18328. Serum TTR protein was also suppressed in a dose-dependent manner, with a maximum reduction of serum TTR protein of 99% (p<0.01) (relative to pre-dose levels) at 3 mg/kg SNALP-18328, consistent with the reduction in TTR mRNA levels. SNALP-1955 at 3 mg/kg did not have a statistically significant effect on either TTR mRNA or protein levels, compared to PBS. - These results demonstrate that SNALP-18328, when administered IV, is active in suppressing mutant V30M TTR mRNA in the transgenic mouse liver, which results in reduction of mutant V30M TTR protein in the circulation.
- To evaluate the durability of TTR mRNA and protein suppression by SNALP-18328, AD-18328 was formulated in SNALP and administered by IV bolus to V30M hTTR transgenic mice. At various timepoints post-dose, liver TTR mRNA levels and serum TTR protein levels were quantified. 8- to 12-week old V30M hTTR transgenic mice (4 animals/group) were intravenously (IV) administered 200 μl SNALP-18328 (1 mg/kg) or SNALP-1955 (1 mg/kg, with negative control siRNA AD-1955 which targets the non-mammalian gene luciferase). Mice used were Mus musculus strain H129-hTTR KO from Institute of Molecular and Cellular Biology, Porto, Portugal. Briefly, hTTR H129 transgenic mice were crossed with a H129 endogenous TTR KO mice (null mice to generate the H129-hTTR transgenic mice, in a null mouse TTR background (Maeda, S., (2003), Use of genetically altered mice to study the role of serum amyloid P component in amyloid deposition. Amyloid Suppl. 1, 17-20).
3, 8, 15, or 22 post-dose, animals in both treatment groups were given a lethal dose of ketamine/xylazine. Serum samples were collected and stored at −80° C. until analysis. Liver tissue was collected, flash-frozen and stored at −80° C. until processing.Days - For TTR mRNA quantitation, frozen liver tissue was ground into powder, and lysates were prepared. TTR mRNA levels relative to those of GAPDH mRNA were determined in the lysates by using a branched DNA assay (QuantiGene Reagent System, Panomics, Fremont, Calif.). Briefly, the QuantiGene assay (Genospectra) was used to quantify mRNA levels in tissue sample lysates according to the manufacturer's instructions. The mean level of TTR mRNA was normalized to the mean level of GAPDH mRNA for each sample. Group means of the normalized values were then further normalized to the mean value for the PBS treated group, to obtain the relative level of TTR mRNA expression.
- For TTR protein quantitation, serum was assayed using the AssayPro (St. Charles, Mo.) Assaymax PreAlbumin ELISA Kit according to the manufacturer's protocol.
- The results are shown in
FIG. 7A andFIG. 7B for liver mRNA and serum protein, respectively. A single IV bolus administration of SNALP-18328 in the hTTR V30M transgenic mouse resulted in durable inhibition of TTR mRNA levels in the liver and TTR protein levels in the serum. Compared to the control group (1 mg/ml SNALP-1955), a single IV administration of SNALP-18328 at 1 mg/kg significantly reduced relative TTR mRNA levels on 3, 8, 15 and 22 post-dose by 96% (p<0.001), 90% (p<0.001), 82% (p<0.001) and 73% (p<0.001), respectively, and did not return to baseline levels at termination of the study (Days Day 22 post-dose). Protein levels also decreased with a maximum reduction of serum TTR of 97% (p<0.001) (relative to SNALP-1955) atDay 3 post-dose. At 8, 15, and 22 post-dose, TTR protein levels were suppressed by 72% (p<0.05), 32% (p<0.05), and 40% (p<0.001), respectively, relative to SNALP-1955.Days - These results demonstrate that a single IV administration of SNALP-18328 produces durable suppression of target liver mRNA and serum protein levels in the V30M hTTR transgenic mouse, with significant reductions of both liver TTR mRNA and serum TTR protein at 22 days post-dose.
- To evaluate the durability of serum TTR protein suppression by SNALP-18328, AD-18328 was formulated in SNALP and administered by IV infusion to non-human primates. At various timepoints post-dose, serum TTR protein levels were quantified.
- Cynomolgus monkeys (Macaca fascicularis) (n=5 animals/group for SNALP-18328 groups and n=3 animals/group for SNALP-1955 and PBS groups) were administered a 15-minute IV infusion of SNALP-18328 (0.3, 1 or 3 mg/kg), SNALP-1955 (3 mg/kg) with negative control siRNA AD-1955 which targets the non-mammalian gene luciferase), or PBS. At
0, 1, 2, 3, 4, 5, 7, 10, and 14 of the dosing phase, serum samples were collected and stored at −80° C. until analysis.Days - Western blot analysis was used to evaluate TTR protein levels in serum samples. Serum samples from each group were pooled and diluted 1:1 with Laemmli sample buffer (β-mercaptoethanol was added at a 1:20 dilution). The samples were heated at 95° C. for 10 minutes. 12.5 μl of each sample was loaded in each lane of a 10-20% Criterion (Biorad, Hercules, Calif.) prep gel and separated by SDS-PAGE at 120V for 1.5 hrs, then transferred to a nitrocellulose membrane using a semi-dry system at 15V for 1 hour. The membrane was blocked overnight at 4° C. in LiCOR (Lincoln, Nebr.) blocking buffer diluted 1:1 with 1×PBS. The blot was probed first with primary antibodies (goat anti-TTR from Santa Cruz (Santa Cruz, Calif.) at a dilution of 1:1000 diluted in LiCOR blocking buffer/PBS on a rocker for 1 hr at room temperature. Blots were washed 4× with PBS+0.2% Tween 20 (10 minutes per wash). The fluorescent labeled secondary antibodies (anti-goat 680 nm from Invitrogen (Carlsbad, Calif.) were added at a dilution of 1:10,000 in LiCOR blocking buffer/PBS and the blot was incubated for 1 hour at room temperature. After incubation, blots were washed 4× with PBS+0.2
% Tween 20 followed by one wash with 1×PBS. The Li-COR's Odyssey Infrared Imaging System was used to detect the protein bands. TTR monomer migrates at 15 kDa. - The results are shown in
FIG. 8 . Serum TTR protein levels showed a dose-dependent reduction with 1 or 3 mg/kg SNALP-18328, as compared to pre-dose (Day 0) levels. The duration of suppression, following a single IV administration of SNALP-18328 is at least 14 days after 1 or 3 mg/kg SNALP-18328 treatment. - These results demonstrate that a single IV administration of SNALP-18328 produces durable suppression of TTR protein in the circulation in the non-human primate (Macaca fascicularis), with significant reduction of TTR protein at 14 days post-dose.
- To evaluate the efficacy of SNALP-18328 in reducing TTR in peripheral tissues, hTTR V30M/HSF-1 knock-out mice were evaluated with immunohistochemical staining for TTR. Two-month old hTTR V30M/HSF-1 knock-out mice (Maeda, S., (2003), Use of genetically altered mice to study the role of serum amyloid P component in amyloid deposition. Amyloid Suppl. 1, 17-20) were administered an IV bolus of 3 mg/kg SNALP-18328 (12 animals), 3 mg/kg SNALP-1955 (with negative control siRNA AD-1955 which targets the non-mammalian gene luciferase, 4 animals), or PBS (4 animals) once every two weeks for a total of four doses on
0, 14, 28, and 42. TTR liver mRNA levels and TTR-immunoreactivity in multiple peripheral tissues were evaluated at 8 weeks post-first dose on day 56.days - Mice were anesthetised with 1 mg/kg medetomidine, and given a lethal dose of ketamine. Tissues and organs of interest were collected. For immunohistochemistry, esophagus (E), stomach (S), intestine (duodenum (I1) and colon (I4)), nerve (N) and dorsal root ganglia (D) were fixed in neutral buffered formalin and embedded in paraffin. For TTR detection, rabbit anti-human TTR primary antibody (1:1000, DAKO, Denmark), and anti-rabbit biotin-conjugated secondary antibody (1:20 Sigma, USA) were followed by extravidin labelling (1:20, Sigma, USA) in order to stain for the TTR protein. The reaction was developed with 3-amino-9-ethyl carbaxole, AEC (Sigma, USA). Semi-quantitative analysis of immunohistochemical slides was performed using Scion image quant program that measures the area occupied by the substrate reaction color and normalizes this value to the total image area. Mean values of % occupied area are displayed with the corresponding standard deviation. Each animal tissue was evaluated in four different areas. The presence of human TTR in parasympathetic ganglia of the stomach and intestine was studied by double immunofluorescent staining with rabbit anti-human TTR (1:1000, DAKO, Denmark) and mouse anti-PGP9.5 (1:40, Serotec, USA) as the primary antibodies; secondary antibodies were, respectively: anti-rabbit Alexa Fluor 488 (Molecular probes, UK) and goat anti-mouse Alexa Fluor 568 (Molecular probes, UK). Slides were mounted with vectashield (Vector) and visualized in a Zeiss Cell Observer System microscope (Carl Zeiss, Germany) equipped with filters for FITC and rhodamine.
- The results are graphed in
FIG. 9 . In contrast with PBS and SNALP-1955 treated animals, SNALP-18328 treated animals had a significant reduction of TTR-immunoreactivity in all tissues examined (esophagus (E), stomach (S), intestine (duodenum (I1) and colon (I4)), nerve (N) and dorsal root ganglia (D). - These results demonstrate that SNALP-18328 administration to hTTR V30M/HSF-1 knock-out mice causes a significant reduction of TTR protein in peripheral tissues and organs, including esophagus, stomach, intestine (duodenum and colon), nerve, and dorsal root ganglion.
- To evaluate the efficacy of the novel lipid nanoparticle formulation XTC-SNALP for delivery of siRNA in non-human primate, TTR siRNA AD-18328 was formulated in XTC-SNALP (XTC-SNALP-18328) and administered by 15-minute IV infusion, and liver TTR mRNA was quantified. Cynomolgus monkeys (Macaca fascicularis) were administered 15-minute IV infusions of XTC-SNALP-18328 (0.03, 0.1, 0.3 or 1 mg/kg) or XTC-SNALP-1955 (1 mg/kg, with negative control siRNA AD-1955 which targets the non-mammalian gene luciferase). At forty-eight hours post-dosing, monkeys were anesthetized with sodium pentobarbital and exsanguinated. Liver tissue for TTR mRNA determination was collected, flash-frozen, and stored at −80° C. until processing. Methods used for TTR mRNA quantitation in liver tissue were similar to those described in Example 5 above.
- The results are shown in
FIG. 10 . XTC-SNALP-18328 reduced TTR mRNA levels in the liver in a dose-dependent manner, compared to the negative control XTC-SNALP-1955. The mRNA ED50 was determined to be ˜0.1 mg/kg XTC-SNALP-18328. - These results demonstrate that XTC-SNALP-18328 is effective in suppressing wild-type TTR mRNA in non-human primate liver when administered by IV infusion.
- To evaluate the efficacy of two novel lipid nanoparticle formulations, LNP09 and LNP11, for delivery of siRNA in non-human primate, TTR siRNA AD-18328 was formulated in LNP09 (LNP09-18328) or LNP11 (LNP11-18328), and administered by 15-minute IV infusion, and liver TTR mRNA and serum TTR protein levels were assayed. Cynomolgus monkeys (Macaca fascicularis) were administered 15-minute IV infusions of LNP09-18328 (0.03, 0.1, or 0.3 mg/kg), LNP11-18328 (0.03, 0.1, or 0.3 mg/kg), or PBS. Liver biopsy samples were collected at 48 hrs post-dosing, flash-frozen, and stored at −80° C. until processing. Serum was collected before dosing (pre-bleed), and on
1, 2, 4, 7, 14, 21 and 28 post-dosing and stored at −80° C. until processing. Methods used for TTR mRNA quantitation in liver tissue and serum TTR protein evaluation were similar to those described in Examples 5 and 8 above.Days - The results are shown in
FIG. 11A for mRNA, and inFIG. 11B andFIG. 11C for protein. LNP09-18328 and LNP11-18328 treated animals showed a dose-dependent decrease in TTR mRNA levels in the liver, reaching a maximum reduction at 0.3 mg/kg of ˜85% (LNP09-18328) and ˜90% (LNP11-18328) mRNA relative to the PBS control. The mRNA ED50 was determined to be ˜0.02 mg/kg for both LNP09-18328 and LNP11-18328. AtDay 7 post-dosing, serum samples also exhibited a dose-dependent reduction of TTR protein for 0.1 and 0.3 mg/kg LNP09-18328 and LNP11-18328, compared to PBS control levels.FIG. 11C shows a decrease in TTR protein levels with a 0.3 mg/kg dose of LNP09-18328 that persisted over at least 28 days post-dosing, as compared to the PBS control group and as compared with the pre-bleed samples. - These results demonstrate that LNP09-18328 and LNP11-18328 are effective in suppressing wild-type TTR mRNA in non-human primate liver and wild-type TTR protein in the circulation, when administered by IV infusion. Furthermore, the suppression with LN09-18328 is durable, persisting for at least 28 days following the IV infusion.
- A set of TTR duplexes (“tiled duplexes”) were designed that targeted the TTR gene near the target region of AD-18328, which targets the human TTR gene starting at
nucleotide 628 of NM_000371.3. - In the examples below, the numbering representing the position of the 5′ base of an siRNA on the transcript is based on NM_000371.3 (
FIG. 12 ; SEQ ID NO:1331). In the examples shown above, the numbering for siRNA targeting human siRNA was based on NM_000371.2 (FIG. 13A ). NM_000371.3 extends the sequence of the 5′ UTR by 110 bases compared to NM_000371.2, as shown inFIG. 14 . Thus, as an example, the starting position of AD-18328 is 628 on NM_000371.3 and 518 on NM_000371.2 (FIG. 14 ). - TTR tiled sequences were synthesized on MerMade 192 synthesizer at lumol scale. For all the sequences in the list, ‘endolight’ chemistry was applied as detailed below.
-
- All pyrimidines (cytosine and uridine) in the sense strand contained 2′-O-Methyl bases (2′ 0-Methyl C and 2′-O-Methyl U)
- In the antisense strand, pyrimidines adjacent to (towards 5′ position) ribo A nucleoside were replaced with their corresponding 2-O-Methyl nucleosides
- A two base dTdT extension at 3′ end of both sense and anti sense sequences was introduced
- The sequence file was converted to a text file to make it compatible for loading in the MerMade 192 synthesis software
- Synthesis, Cleavage and Deprotection:
- The synthesis of TTR sequences used solid supported oligonucleotide synthesis using phosphoramidite chemistry. The synthesis of the sequences was performed at 1 um scale in 96 well plates. The amidite solutions were prepared at 0.1M concentration and ethyl thio tetrazole (0.6M in Acetonitrile) was used as activator. The synthesized sequences were cleaved and deprotected in 96 well plates, using methylamine in the first step and fluoride reagent in the second step. The crude sequences were precipitated using acetone:ethanol (80:20) mix and the pellet were re-suspended in 0.2M sodium acetate buffer. Samples from each sequence were analyzed by LC-MS to confirm the identity, UV for quantification and a selected set of samples by IEX chromatography to determine purity.
- Purification and Desalting:
- TTR tiled sequences were purified on AKTA explorer purification system using Source 15Q column. A column temperature of 65 C was maintained during purification. Sample injection and collection was performed in 96 well (1.8 mL-deep well) plates. A single peak corresponding to the full length sequence was collected in the eluent. The purified sequences were desalted on a Sephadex G25 column using AKTA purifier. The desalted TTR sequences were analyzed for concentration (by UV measurement at A260) and purity (by ion exchange HPLC). The single strands were then submitted for annealing.
- TTR Single Strands and Duplexes:
- A detailed list of TTR tiled duplexes and corresponding single strands (sense and antisense) are shown in the table below (Table 13).
-
TABLE 13 TTR tiled duplexes and corresponding single strands Duplex # Position Oligo # Strand Sequence (5′ to 3″) SEQ ID NO: AD-18323 618 A-32335 S GGGAuuucAuGuAAccAAGdTdT 1332 A-32336 AS CUUGGUuAcAUGAAAUCCCdTdT 1333 AD-18324 619 A-32337 S GGAuuucAuGuAAccAAGAdTdT 1334 A-32338 AS UCUUGGUuAcAUGAAAUCCdTdT 1335 AD-23000 620 A-42927 S GAuuucAuGuAAccAAGAGdTdT 1336 A-42928 AS CUCUUGGUuAcAUGAAAUCdTdT 1337 AD-23001 621 A-42929 S AuuucAuGuAAccAAGAGudTdT 1338 A-42930 AS ACUCUUGGUuAcAUGAAAUdTdT 1339 AD-23002 622 A-42931 S uuucAuGuAAccAAGAGuAdTdT 1340 A-42932 AS uACUCUUGGUuAcAUGAAAdTdT 1341 AD-23003 623 A-42933 S uucAuGuAAccAAGAGuAudTdT 1342 A-42934 AS AuACUCUUGGUuAcAUGAAdTdT 1343 AD-18325 624 A-32339 S ucAuGuAAccAAGAGuAuudTdT 1344 A-32340 AS AAuACUCUUGGUuAcAUGAdTdT 1345 AD-23004 625 A-42935 S cAuGuAAccAAGAGuAuucdTdT 1346 A-42936 AS GAAuACUCUUGGUuAcAUGdTdT 1347 AD-18326 626 A-32341 S AuGuAAccAAGAGuAuuccdTdT 1348 A-32342 AS GGAAuACUCUUGGUuAcAUdTdT 1349 AD-18327 627 A-32343 S uGuAAccAAGAGuAuuccAdTdT 1350 A-32344 AS UGGAAuACUCUUGGUuAcAdTdT 1351 AD-23005 628 A-42937 S uAAccAAGAGuAuuccAuudTdT 1352 A-42938 AS AAUGGAAuACUCUUGGUuAdTdT 1353 AD-23006 629 A-42939 S AAccAAGAGuAuuccAuuudTdT 1354 A-42940 AS AAAUGGAAuACUCUUGGUUdTdT 1355 AD-23007 631 A-42941 S AccAAGAGuAuuccAuuuudTdT 1356 A-42942 AS AAAAUGGAAuACUCUUGGUdTdT 1357 AD-23008 632 A-42943 S ccAAGAGuAuuccAuuuuudTdT 1358 A-42944 AS AAAAAUGGAAuACUCUUGGdTdT 1359 AD-23009 633 A-42945 S cAAGAGuAuuccAuuuuuAdTdT 1360 A-42946 AS uAAAAAUGGAAuACUCUUGdTdT 1361 AD-23010 634 A-42947 S AAGAGuAuuccAuuuuuAcdTdT 1362 A-42948 AS GuAAAAAUGGAAuACUCUUdTdT 1363 AD-23011 635 A-42949 S AGAGuAuuccAuuuuuAcudTdT 1364 A-42950 AS AGuAAAAAUGGAAuACUCUdTdT 1365 AD-23012 636 A-42951 S GAGuAuuccAuuuuuAcuAdTdT 1366 A-42952 AS uAGuAAAAAUGGAAuACUCdTdT 1367 AD-23013 637 A-42953 S AGuAuuccAuuuuuAcuAAdTdT 1368 A-42954 AS UuAGuAAAAAUGGAAuACUdTdT 1369 AD-23014 638 A-42955 S GuAuuccAuuuuuAcuAAAdTdT 1370 A-42956 AS UUuAGuAAAAAUGGAAuACdTdT 1371 AD-23015 639 A-42957 S uAuuccAuuuuuAcuAAAGdTdT 1372 A-42958 AS CUUuAGuAAAAAUGGAAuAdTdT 1373 AD-23016 640 A-42959 S AuuccAuuuuuAcuAAAGcdTdT 1374 A-42960 AS GCUUuAGuAAAAAUGGAAUdTdT 1375 AD-23017 641 A-42961 S uuccAuuuuuAcuAAAGcAdTdT 1376 A-42962 AS UGCUUuAGuAAAAAUGGAAdTdT 1377 AD-23018 642 A-42963 S uccAuuuuuAcuAAAGcAGdTdT 1378 A-42964 AS CUGCUUuAGuAAAAAUGGAdTdT 1379 AD-23019 643 A-42965 S ccAuuuuuAcuAAAGcAGudTdT 1380 A-42966 AS ACUGCUUuAGuAAAAAUGGdTdT 1381 AD-23020 644 A-42967 S cAuuuuuAcuAAAGcAGuGdTdT 1382 A-42968 AS cACUGCUUuAGuAAAAAUGdTdT 1383 AD-23021 645 A-42969 S AuuuuuAcuAAAGcAGuGudTdT 1384 A-42970 AS AcACUGCUUuAGuAAAAAUdTdT 1385 AD-23022 646 A-42971 S uuuuuAcuAAAGcAGuGuudTdT 1386 A-42972 AS AAcACUGCUUuAGuAAAAAdTdT 1387 AD-23023 647 A-42973 S uuuuAcuAAAGcAGuGuuudTdT 1388 A-42974 AS AAAcACUGCUUuAGuAAAAdTdT 1389 AD-23024 648 A-42975 S uuuAcuAAAGcAGuGuuuudTdT 1390 A-42976 AS AAAAcACUGCUUuAGuAAAdTdT 1391 AD-23025 649 A-42977 S uuAcuAAAGcAGuGuuuucdTdT 1392 A-42978 AS GAAAAcACUGCUUuAGuAAdTdT 1393 AD-23026 650 A-42979 S uAcuAAAGcAGuGuuuucAdTdT 1394 A-42980 AS UGAAAAcACUGCUUuAGuAdTdT 1395 AD-23027 651 A-42981 S AcuAAAGcAGuGuuuucAcdTdT 1396 A-42982 AS GUGAAAAcACUGCUUuAGUdTdT 1397 AD-23028 652 A-42983 S cuAAAGcAGuGuuuucAccdTdT 1398 A-42984 AS GGUGAAAAcACUGCUUuAGdTdT 1399 AD-18330 653 A-32349 S uAAAGcAGuGuuuucAccudTdT 1400 A-32350 AS AGGUGAAAAcACUGCUUuAdTdT 1401 AD-23029 654 A-42985 S AAAGcAGuGuuuucAccucdTdT 1402 A-42986 AS GAGGUGAAAAcACUGCUUUdTdT 1403 AD-23030 655 A-42987 S AAGcAGuGuuuucAccucAdTdT 1404 A-42988 AS UGAGGUGAAAAcACUGCUUdTdT 1405 AD-23031 656 A-42989 S AGcAGuGuuuucAccucAudTdT 1406 A-42990 AS AUGAGGUGAAAAcACUGCUdTdT 1407 AD-18328 628 A-32345 S GuAAccAAGAGuAuuccAudTdT 1408 A-32346 AS AUGGAAuACUCUUGGUuACdTdT 1409 Strand: s = sense; as = antisense; Position: position of 5′ base on transcript (NM_000371.3, SEQ ID NO: 1331). - Tiled TTR duplexes were assayed in Hep3B cells for inhibition of endogenous TTR expression using real time PCR assays.
- Cell culture and transfection: Hep3B cells (ATCC, Manassas, Va.) were grown to near confluence at 37° C. in an atmosphere of 5% CO2 in Eagle's Minimum Essential Medium (EMEM, ATCC) supplemented with 10% FBS, streptomycin, and glutamine (ATCC) before being released from the plate by trypsinization. Reverse transfection was carried out by adding 5 μl of Opti-MEM to 5 μl of each siRNA in individual wells of a 96-well plate. To this 10 μl of Opti-MEM plus 0.2 μl of Lipofectamine RNAiMax was added per well (Invitrogen, Carlsbad Calif. cat #13778-150) and the mixture was incubated at room temperature for 15 minutes. 80 μl of complete growth media described above, but without antibiotic containing 2.0×104 Hep3B cells were then added. Cells were incubated for 24 hours prior to RNA purification. Experiments were performed at 0.1 or 10 nM final duplex concentration.
- Total RNA isolation using MagMAX-96 Total RNA Isolation Kit (Applied Biosystems, Foster City Calif., part #: AM1830): Cells were harvested and lysed in 140 μl of Lysis/Binding Solution then mixed for 1 minute at 850 rpm using and Eppendorf Thermomixer (the mixing speed was the same throughout the process). Twenty micro liters of magnetic beads and Lysis/Binding Enhancer mixture were added into cell-lysate and mixed for 5 minutes. Magnetic beads were captured using magnetic stand and the supernatant was removed without disturbing the beads. After removing supernatant, magnetic beads were washed with Wash Solution 1 (isopropanol added) and mixed for 1 minute. Beads were capture again and supernatant removed. Beads were then washed with 150 μl Wash Solution 2 (Ethanol added), captured and supernatant was removed. 50 μl of DNase mixture (MagMax turbo DNase Buffer and Turbo DNase) was then added to the beads and they were mixed for 10 to 15 minutes. After mixing, 100 μl of RNA Rebinding Solution was added and mixed for 3 minutes. Supernatant was removed and magnetic beads were washed again with 150 μl Wash
Solution 2 and mixed for 1 minute and supernatant was removed completely. The magnetic beads were mixed for 2 minutes to dry before RNA was eluted with 50 μl of water. - cDNA synthesis using ABI High capacity cDNA reverse transcription kit (Applied Biosystems, Foster City, Calif., Cat #4368813): A master mix of 2
μl 10× Buffer, 0.8 μl 25× dNTPs, 2 μl Random primers, 1 μl Reverse Transcriptase, 1 μl RNase inhibitor and 3.2 μl of H2O per reaction were added into 10 μl total RNA. cDNA was generated using a Bio-Rad C-1000 or S-1000 thermal cycler (Hercules, Calif.) through the following steps: 25° C. 10 min, 37° C. 120 min, 85° C. 5 sec, 4° C. hold. - Real time PCR: 2 μl of cDNA were added to a master mix containing 0.5 μl GAPDH TaqMan Probe (Applied Biosystems Cat #4326317E), 0.5 μl TTR TaqMan probe (Applied Biosystems cat #HS00174914 M1) and 10 μl Roche Probes Master Mix (Roche Cat #04887301001) per well in a
LightCycler 480 384 well plate (Roche cat #0472974001). Real time PCR was done in aLightCycler 480 Real Time PCR machine (Roche). Each duplex was tested in two independent transfections and each transfection was assayed in duplicate. - Real time data were analyzed using the ΔΔCt method. Each sample was normalized to GAPDH expression and knockdown was assessed relative to cells transfected with the non-targeting duplex AD-1955. Table 14 shows the knockdown of TTR using the siRNAs. Data are expressed as the percent of message remaining relative to cells targeted with AD-1955.
- Many but not all tiled TTR-dsRNAs, targeting TTR near the target of AD-18328, reduced TTR mRNA by at least 70% when transfected into Hep3B cells at 0.1 nM.
-
TABLE 14 Inhibition of TTR by tiled dsRNA targeting TTR near target of AD-18328. % message % message remaining % SD remaining % SD Duplex # 0.1 nM 0.1 nM 10 nM 10 nM AD-18323 6.7 1.90 1.7 0.02 AD-18324 1.8 0.58 0.9 0.10 AD-23000 5.5 0.93 2.1 0.87 AD-23001 15.2 4.89 4.9 1.74 AD-23002 3.1 1.12 1.4 0.55 AD-23003 17.3 3.13 1.7 0.06 AD-18325 1.5 0.27 1.4 0.66 AD-23004 9.0 0.15 10.5 0.96 AD-18326 22.0 1.85 7.6 0.78 AD-18327 11.6 2.64 9.6 1.67 AD-18328 1.1 0.70 0.6 0.16 AD-23005 0.8 0.31 0.6 0.21 AD-23006 1.5 0.46 1.2 0.43 AD-23007 2.4 0.91 1.9 0.46 AD-23008 0.6 0.10 0.8 0.26 AD-23009 1.0 0.13 0.9 0.22 AD-23010 60.1 15.66 66.2 22.71 AD-23011 56.5 16.99 53.6 4.70 AD-23012 7.7 2.36 7.7 3.25 AD-23013 7.0 0.64 8.0 1.06 AD-23014 0.7 0.01 0.6 0.10 AD-23015 15.4 0.25 16.5 7.07 AD-23016 27.1 0.37 6.7 1.80 AD-23017 4.5 1.26 1.4 0.40 AD-23018 44.6 9.45 7.5 1.09 AD-23019 2.2 0.68 0.8 0.10 AD-23020 52.7 6.45 29.7 1.17 AD-23021 95.4 16.16 45.0 3.00 AD-23022 70.1 3.01 60.8 12.11 AD-23023 2.7 1.12 1.8 0.07 AD-23024 1.7 0.30 1.8 0.33 AD-23025 64.2 13.21 10.5 1.34 AD-23026 1.9 0.15 1.9 0.78 AD-23027 2.5 0.21 1.6 0.49 AD-23028 6.7 4.41 1.2 0.50 AD-18330 6.0 0.56 5.7 1.15 AD-23029 4.5 0.47 1.6 0.10 AD-23030 3.9 0.25 3.3 0.84 AD-23031 3.4 0.78 1.7 0.02 - Objectives
- To determine the effect of infusion duration on efficacy of a single IV infusion of
- SNALP-18534 on liver TTR mRNA levels in Sprague-Dawley rats.
-
TABLE 15 Abbreviations and definitions used SNALP-18534 Rodent transthyretin specific siRNA formulated in SNALP SNALP-1955 Non-mammalian luciferase specific siRNA formulated in SNALP - The sequences of the sense and antisense strands of AD-18534 are reproduced below from the tables above:
-
SEQ ID Strand Oligo # Position Sequence 5′ to 3′ NO: s A-32755 532 cAGuGuucuuGcucuAuAAdTdT 1289 as A-32756 550 UuAuAGAGcAAGAAcACUGdTdT 1290 - Study Materials
- Test Article(s)
- SNALP-18534 is comprised of an siRNA targeting rodent TTR mRNA (AD-18534), formulated in stable nucleic acid lipid particles (SNALP) for delivery to target tissues. The SNALP formulation (lipid particle) consists of a novel aminolipid (DLinDMA), a PEGylated lipid (mPEG2000-C-DMA), a neutral lipid (DPPC) and cholesterol. The ratio of lipid:nucleic acid in the SNALP formulation is approximately 5.8:1 (w:w). SNALP-1955 contains an siRNA targeting the non-mammalian luciferase mRNA, is formulated with the identical lipid particle as SNALP-18534, and serves as a non-pharmacologically active control. Dose levels are expressed as mg/kg based on the weight of siRNA content.
- Study Design & Procedures
- Animals and Test Article Administration:
- The study was comprised of 9 groups of Sprague-Dawley rats (4 males/group). The animals were allowed to have at least a 2 day acclimation period before the study and all animals were 7 weeks old at the initiation of dosing. The dose administered was calculated based upon body weight data collected prior to dosing on
Day 1. The test and control articles were administered as a single 15-minute, 1-hour, 2-hour, or 3-hour IV infusion via the tail vein using a 24G ¾″ cannula sealed with a Baxter Injection Site septum connected via 27G Terumo butterfly needle to a Baxter AS40A Syringe Pump. The dose volume was 3 ml/kg, the infusion rate was 12 ml/kg/hr, and animals were freely moving in the cages during dosing. Rats were divided into nine treatment groups and administered a single IV infusion of SNALP-18534, SNALP-1955, or PBS as shown in Table 16: -
TABLE 16 Test Animal Dosage Groups Group N Test Article Infusion Duration Dose A 4 PBS 15 minute — B 4 PBS 3 hour — C 4 SNALP-1955 1 hour 1 mg/ kg D 4 SNALP-1955 2 hour 1 mg/ kg E 4 SNALP-1955 3 hour 1 mg/ kg F 4 SNALP-18534 15 minute 1 mg/ kg G 4 SNALP-18534 1 hour 1 mg/ kg H 4 SNALP-18534 2 hour 1 mg/kg I 4 SNALP-18534 3 hour 1 mg/kg - Tissue Collection and RNA Isolation:
- On
Day 0, animals were anesthetized by isofluorane inhalation and pre-dosing blood samples were collected into serum separator tubes by retro-orbital bleed. The blood samples were allowed to clot at room temperature for approximately 30 minutes prior to centrifugation at 4° C. Serum samples were then stored at −80° C. until analysis was performed. OnDay 3, animals in all nine treatment groups were given a lethal dose of ketamine/xylazine. Blood was collected via caudal vena cava into serum separation tubes, and then allowed to clot at room temperature for approximately 30 minutes prior to centrifugation at 4° C. Serum samples were stored at −80° C. until analysis was performed. Liver tissue was harvested and snap frozen on dry ice. Frozen liver tissue was ground and tissue lysates were prepared for liver mRNA quantitation. - TTR mRNA Quantitation:
- TTR mRNA levels relative to those of GAPDH mRNA were determined in the lysates by using a branched DNA assay (QuantiGene Reagent System, Panomics, Fremont, Calif.). Briefly, the QuantiGene assay (Genospectra) was used to quantify mRNA levels in tissue sample lysates according to the manufacturer's instructions. The mean level of TTR mRNA was normalized to the mean level of GAPDH mRNA for each sample.
- To obtain the relative level of TTR mRNA expression, group mean values for SNALP-1955 and SNALP-18534 treated groups with 15-minute, 1 hour and 2 hour infusion durations were then normalized to the mean value for the PBS treated group with 15-minute infusion whereas group mean values for SNALP-1955 and SNALP-18534 treated groups with 3 hour infusion duration were then normalized to the mean value for the PBS treated group with 3 hour infusion duration.
- Results
- As shown in
FIG. 16 , a single IV infusion of 1 mg/kg SNALP-18534 with different infusion durations of 15 minutes to 3 hours results in comparable inhibition of liver TTR mRNA levels measured two days after dosing. A single IV infusion of 1 mg/kg SNALP-18534 also showed durable TTR downregulation over 29 days following a single 15 minute IV infusion, as compared to SNALP-1955 control (data not shown). Compared to the PBS-treated group, a single 15-minute, 1-hour, 2-hour, or 3-hour IV infusion of SNALP-18534 at 1 mg/kg significantly reduced relative TTR mRNA expression levels by 94% (p<0.001), 94% (p<0.001), 92% (p<0.001) and 93% (p<0.001), respectively. Specificity of SNALP-18534 activity is demonstrated by lack of significant target inhibition by SNALP-1955 administration via 1-hour, 2-hour, or 3-hour IV infusion at the same dose level. - Conclusions
- This study demonstrates that varying the infusion duration from 15 minutes to up to 3 hours does not affect the efficacy of a single IV administration of 1 mg/kg SNALP-18534 in rats, as assessed by reduction of TTR mRNA levels in the liver.
- To evaluate the efficacy of 2 novel lipid nanoparticle formulations, LNP07 and LNP08, for delivery of siRNA in the rat, the rodent-specific TTR siRNA, AD-18534, was formulated in LNP07 (LNP07-18534) or LNP08 (LNP08-18534), and administered by 15-minute IV infusion, and liver TTR mRNA was quantified. Sprague-Dawley rats (4 animals per group) were administered 15-minute IV infusions of LNP07-18534 (0.03, 0.1, 0.3 or 1 mg/kg), LNP08-18534 (0.01, 0.03 or 0.1 mg/kg), or LNP07-1955 (1 mg/kg) or LNP08-1955 (0.1 mg/kg) containing the negative control siRNA AD-1955 which targets the non-mammalian gene luciferase. Forty-eight hours later, animals were euthanized and liver tissue was collected, flash-frozen and stored at −80° C. until processing.
- For TTR mRNA quantitation, frozen liver tissue was ground into powder, and lysates were prepared. TTR mRNA levels relative to those of GAPDH mRNA were determined in the lysates by using a branched DNA assay (QuantiGene Reagent System, Panomics, Fremont, Calif.). Briefly, the QuantiGene assay (Genospectra) was used to quantify mRNA levels in tissue sample lysates according to the manufacturer's instructions. The mean level of TTR mRNA was normalized to the mean level of GAPDH mRNA for each sample. Group means of the normalized values were then further normalized to the mean value for the PBS treated group, to obtain the relative level of TTR mRNA expression.
- The results are shown in
FIG. 17 . LNP07-18534 reduced TTR mRNA levels in the liver in a dose-dependent manner, with 94% suppression of TTR mRNA at 1 mg/kg. The effect was specific, since the negative control LNP07-1955 at 1 mg/kg did not significantly affect TTR mRNA levels compared to the PBS control. The mRNA ED50 was determined to be ˜0.05 mg/kg LNP07-18534. LNP08-18534 reduced TTR mRNA levels in the liver in a dose-dependent manner, with 86% suppression of TTR mRNA at 0.1 mg/kg. The effect was specific, since the negative control LNP08-1955 at 0.1 mg/kg did not significantly affect TTR mRNA levels compared to the PBS control. The mRNA ED50 was determined to be ˜0.02 mg/kg LNP08-18534. - These results demonstrate that LNP07-18534 and LNP08-18534 are effective in suppressing wild-type TTR mRNA in the rat liver when administered by IV infusion, and that LNP07 and LNP08 are effective formulations for delivering siRNA to the liver.
- Objective:
- To evaluate the efficacy of two novel lipid nanoparticle (LNP) formulations for delivery of the rodent TTR-specific siRNA, AD-18534 in the Sprague-Dawley rat for reducing endogenous (wild type) liver TTR mRNA levels. Rats were intravenously dosed via a 15 minute infusion with either 0.01, 0.03, 0.1, or 0.3 mg/kg LNP09-18534, LNP11-18534, or phosphate buffered saline (PBS) and TTR liver mRNA levels were assayed at 48 hrs post-treatment.
- Material and Methods:
- LNP09 formulation: (XTC/DSPC/Chol/PEG2000-C14)=50/10/38.5/1.5 mol %; Lipid:siRNA˜11:1. LNP11 formulation: (MC3/DSPC/Chol/PEG2000-C14)=50/10/38.5/1.5 mol %; Lipid:siRNA˜11.1
- Tissue collection and RNA isolation: On
Day 3, animals in all treatment groups were given a lethal dose of ketamine/xylazine. Blood was collected via caudal vena cava into serum separation tubes, and then allowed to clot at room temperature for approximately 30 minutes prior to centrifugation at 4° C. Serum samples were stored at −80° C. until for future analysis. Liver tissues were harvested and snap frozen on dry ice. Frozen liver tissue was ground and tissue lysates were prepared for liver mRNA quantitation. - TTR mRNA Quantitation: TTR mRNA levels relative to those of GAPDH mRNA were determined in the lysates by using a branched DNA assay (QuantiGene Reagent System, Panomics, Fremont, Calif.). Briefly, the QuantiGene assay (Genospectra) was used to quantify mRNA levels in tissue sample lysates according to the manufacturer's instructions. The mean level of TTR mRNA was normalized to the mean level of GAPDH mRNA for each sample. Group mean values were then normalized to the mean value for the PBS treated group, to obtain the relative level of TTR mRNA expression.
- Results:
- As shown in
FIG. 18 , in contrast with PBS treated animals, LNP09-18534 and LNP11-18534 treated animals had a significant dose-dependent decrease in TTR mRNA levels in the liver, reaching maximum reduction of ˜90% mRNA reduction for both LNP09 and LNP11 formulated groups, relative to PBC control group at 0.3 mg/kg, and a dose achieving 50% reduction (ED50) of <0.03 mg/kg for LNP11-18534 and <0.1 mg/kg for LNP09-18534. - Conclusions
- This study demonstrates that a single 15 minute IV infusion of LNP09-18534 or LNP11-18534 in Sprague-Dawley rats results in a dose-dependent reduction of liver TTR mRNA. These data demonstrate the efficacy of LNP09-18328 and LNP11-18328 in reducing endogenously expressed (wild type) TTR mRNA with ED50 levels of <0.03 and <0.1 mg/kg for LNP11-18534 and LNP09-18534, respectively.
- A human subject is treated with a dsRNA targeted to a TTR gene to inhibit expression of the TTR gene to treat a condition.
- A subject in need of treatment is selected or identified. The subject can have a liver disorder, transthyretin amyloidosis, and/or a transplanted liver.
- The identification of the subject can occur in a clinical setting, or elsewhere, e.g., in the subject's home through the subject's own use of a self-testing kit.
- At time zero, a suitable first dose of an anti-TTR siRNA is administered to the subject. The dsRNA is formulated as described herein. After a period of time following the first dose, e.g., 7 days, 14 days, and 21 days, the subject's condition is evaluated, e.g., by measuring liver function. This measurement can be accompanied by a measurement of TTR expression in said subject, and/or the products of the successful siRNA-targeting of TTR mRNA. Other relevant criteria can also be measured. The number and strength of doses are adjusted according to the subject's needs.
- After treatment, the subject's tumor growth rate is lowered relative to the rate existing prior to the treatment, or relative to the rate measured in a similarly afflicted but untreated subject.
Claims (16)
1. A double-stranded ribonucleic acid (dsRNA) for inhibiting expression of transthyretin (TTR), wherein the dsRNA comprises a sense strand and an antisense strand, the antisense strand comprising a region complementary to a part of a mRNA encoding transthyretin (TTR), wherein the region of complementarity is less than 30 nucleotides in length and the antisense strand comprises 15 or more contiguous nucleotides of an antisense strand selected from Tables 3A, 3B, 4, 6A, 6B, 7, and 16 or SEQ ID NO:170, SEQ ID NO:450, SEQ ID NO:730, or SEQ ID NO:1010.
2. The dsRNA of claim 1 , wherein the region of complementarity is 19 nucleotides in length.
3. The dsRNA of claim 1 , wherein each strand of the dsRNA is 19, 20, 21, 22, 23, or 24 nucleotides in length.
4. The dsRNA of claim 1 , wherein the dsRNA comprises at least one modified nucleotide.
5. The dsRNA of claim 1 , wherein the dsRNA comprises at least one modified nucleotide selected from the group consisting of: a 2′-O-methyl modified nucleotide, a nucleotide comprising a 5′-phosphorothioate group, a terminal nucleotide linked to a cholesteryl derivative or dodecanoic acid bisdecylamide group, a 2′-deoxy-2′-fluoro modified nucleotide, a 2′-deoxy-modified nucleotide, a locked nucleotide, an abasic nucleotide, a 2′-amino-modified nucleotide, a 2′-alkyl-modified nucleotide, a morpholino nucleotide, a phosphoramidate, and a non-natural base comprising nucleotide.
6. The dsRNA of claim 1 , wherein the dsRNA is conjugated to a ligand.
7. The dsRNA of claim 1 , wherein the dsRNA is formulated in a lipid formulation.
8. The dsRNA of claim 1 , wherein administration of the dsRNA to a cell results in about 95% inhibition of TTR mRNA expression as measured by a real time PCR assay, wherein the cell is a HepG2 cell or a Hep3B cell, and wherein the concentration of the dsRNA is 10 nM.
9. The dsRNA of claim 1 , wherein the dsRNA has an IC50 of less than 10 pM in a HepG2 cell, and wherein the concentration of the dsRNA is 10 nM.
10. The dsRNA of claim 1 , wherein the dsRNA has an ED50 of about 1 mg/kg.
11. The dsRNA of claim 1 , wherein administration of the dsRNA does not result in immunostimulatory activity in human peripheral blood mononuclear cells (PBMCs) as measured by IFN-alpha and TNF-alpha ELISA assays.
12. A cell containing the dsRNA of claim 1 .
13. A pharmaceutical composition for inhibiting expression of a TTR gene comprising the dsRNA of claim 1 and a pharmaceutically acceptable carrier.
14. A method of inhibiting TTR expression in a cell, the method comprising:
(a) contacting the cell with the dsRNA of claim 1 ; and
(b) maintaining the cell produced in step (a) for a time sufficient to obtain degradation of the mRNA transcript of a TTR gene, thereby inhibiting expression of the TTR gene in the cell.
15. A method of treating a disorder mediated by TTR expression comprising administering to a human in need of such treatment a therapeutically effective amount of the dsRNA of claim 1 .
16. The method of claim 15 , wherein the human has transthyretin amyloidosis, a liver disorder, or is further provided a liver transplant.
Priority Applications (6)
| Application Number | Priority Date | Filing Date | Title |
|---|---|---|---|
| US14/965,825 US20160264963A1 (en) | 2008-10-20 | 2015-12-10 | Compositions and Methods for Inhibiting Expression of Transthyretin |
| US15/380,571 US10240152B2 (en) | 2008-10-20 | 2016-12-15 | Compositions and methods for inhibiting expression of transthyretin |
| US16/276,541 US20190309293A1 (en) | 2008-10-20 | 2019-02-14 | Compositions and Methods for Inhibiting Expression of Transthyretin |
| US16/751,026 US20200283766A1 (en) | 2008-10-20 | 2020-01-23 | Compositions and Methods for Inhibiting Expression of Transthyretin |
| US17/721,704 US12227744B2 (en) | 2008-10-20 | 2022-04-15 | Compositions and methods for inhibiting expression of transthyretin |
| US19/013,039 US20250376682A1 (en) | 2008-10-20 | 2025-01-08 | Compositions and methods for inhibiting expression of transthyretin |
Applications Claiming Priority (10)
| Application Number | Priority Date | Filing Date | Title |
|---|---|---|---|
| US10695608P | 2008-10-20 | 2008-10-20 | |
| US11573808P | 2008-11-18 | 2008-11-18 | |
| US15667009P | 2009-03-02 | 2009-03-02 | |
| US18554509P | 2009-06-09 | 2009-06-09 | |
| US24278309P | 2009-09-15 | 2009-09-15 | |
| US24479409P | 2009-09-22 | 2009-09-22 | |
| US12/582,669 US8168775B2 (en) | 2008-10-20 | 2009-10-20 | Compositions and methods for inhibiting expression of transthyretin |
| US13/410,262 US8741866B2 (en) | 2008-10-20 | 2012-03-01 | Compositions and methods for inhibiting expression of transthyretin |
| US14/220,829 US9234196B2 (en) | 2008-10-20 | 2014-03-20 | Compositions and methods for inhibiting expression of transthyretin |
| US14/965,825 US20160264963A1 (en) | 2008-10-20 | 2015-12-10 | Compositions and Methods for Inhibiting Expression of Transthyretin |
Related Parent Applications (1)
| Application Number | Title | Priority Date | Filing Date |
|---|---|---|---|
| US14/220,829 Continuation US9234196B2 (en) | 2008-10-20 | 2014-03-20 | Compositions and methods for inhibiting expression of transthyretin |
Related Child Applications (1)
| Application Number | Title | Priority Date | Filing Date |
|---|---|---|---|
| US15/380,571 Continuation US10240152B2 (en) | 2008-10-20 | 2016-12-15 | Compositions and methods for inhibiting expression of transthyretin |
Publications (1)
| Publication Number | Publication Date |
|---|---|
| US20160264963A1 true US20160264963A1 (en) | 2016-09-15 |
Family
ID=42062316
Family Applications (9)
| Application Number | Title | Priority Date | Filing Date |
|---|---|---|---|
| US12/582,669 Active 2032-08-10 US8168775B2 (en) | 2008-10-20 | 2009-10-20 | Compositions and methods for inhibiting expression of transthyretin |
| US13/410,262 Active US8741866B2 (en) | 2008-10-20 | 2012-03-01 | Compositions and methods for inhibiting expression of transthyretin |
| US14/220,829 Active US9234196B2 (en) | 2008-10-20 | 2014-03-20 | Compositions and methods for inhibiting expression of transthyretin |
| US14/965,825 Abandoned US20160264963A1 (en) | 2008-10-20 | 2015-12-10 | Compositions and Methods for Inhibiting Expression of Transthyretin |
| US15/380,571 Active US10240152B2 (en) | 2008-10-20 | 2016-12-15 | Compositions and methods for inhibiting expression of transthyretin |
| US16/276,541 Abandoned US20190309293A1 (en) | 2008-10-20 | 2019-02-14 | Compositions and Methods for Inhibiting Expression of Transthyretin |
| US16/751,026 Abandoned US20200283766A1 (en) | 2008-10-20 | 2020-01-23 | Compositions and Methods for Inhibiting Expression of Transthyretin |
| US17/721,704 Active US12227744B2 (en) | 2008-10-20 | 2022-04-15 | Compositions and methods for inhibiting expression of transthyretin |
| US19/013,039 Pending US20250376682A1 (en) | 2008-10-20 | 2025-01-08 | Compositions and methods for inhibiting expression of transthyretin |
Family Applications Before (3)
| Application Number | Title | Priority Date | Filing Date |
|---|---|---|---|
| US12/582,669 Active 2032-08-10 US8168775B2 (en) | 2008-10-20 | 2009-10-20 | Compositions and methods for inhibiting expression of transthyretin |
| US13/410,262 Active US8741866B2 (en) | 2008-10-20 | 2012-03-01 | Compositions and methods for inhibiting expression of transthyretin |
| US14/220,829 Active US9234196B2 (en) | 2008-10-20 | 2014-03-20 | Compositions and methods for inhibiting expression of transthyretin |
Family Applications After (5)
| Application Number | Title | Priority Date | Filing Date |
|---|---|---|---|
| US15/380,571 Active US10240152B2 (en) | 2008-10-20 | 2016-12-15 | Compositions and methods for inhibiting expression of transthyretin |
| US16/276,541 Abandoned US20190309293A1 (en) | 2008-10-20 | 2019-02-14 | Compositions and Methods for Inhibiting Expression of Transthyretin |
| US16/751,026 Abandoned US20200283766A1 (en) | 2008-10-20 | 2020-01-23 | Compositions and Methods for Inhibiting Expression of Transthyretin |
| US17/721,704 Active US12227744B2 (en) | 2008-10-20 | 2022-04-15 | Compositions and methods for inhibiting expression of transthyretin |
| US19/013,039 Pending US20250376682A1 (en) | 2008-10-20 | 2025-01-08 | Compositions and methods for inhibiting expression of transthyretin |
Country Status (27)
| Country | Link |
|---|---|
| US (9) | US8168775B2 (en) |
| EP (4) | EP2344639B1 (en) |
| JP (7) | JP5791505B2 (en) |
| KR (6) | KR101624869B1 (en) |
| CN (3) | CN103937793B (en) |
| AU (1) | AU2009307677C1 (en) |
| CA (3) | CA3222620A1 (en) |
| CY (3) | CY1116944T1 (en) |
| DK (2) | DK2937418T3 (en) |
| EA (3) | EA029762B1 (en) |
| ES (2) | ES2543004T3 (en) |
| HR (2) | HRP20150796T1 (en) |
| HU (3) | HUE026604T2 (en) |
| IL (5) | IL302142B2 (en) |
| LT (2) | LT2937418T (en) |
| LU (1) | LUC00098I2 (en) |
| MX (4) | MX360460B (en) |
| NL (1) | NL300965I2 (en) |
| NO (2) | NO2937418T3 (en) |
| NZ (2) | NZ602404A (en) |
| PL (2) | PL2937418T3 (en) |
| PT (2) | PT2937418T (en) |
| SG (3) | SG10201912276XA (en) |
| SI (2) | SI2344639T1 (en) |
| SM (2) | SMT201800027T1 (en) |
| WO (1) | WO2010048228A2 (en) |
| ZA (1) | ZA201102876B (en) |
Cited By (5)
| Publication number | Priority date | Publication date | Assignee | Title |
|---|---|---|---|---|
| US10060921B2 (en) | 2014-08-29 | 2018-08-28 | Alnylam Pharmaceuticals, Inc. | Methods of treating transthyretin (TTR) mediated amyloidosis |
| US11806360B2 (en) | 2017-09-19 | 2023-11-07 | Alnylam Pharmaceuticals, Inc. | Compositions and methods for treating transthyretin (TTR) mediated amyloidosis |
| US11959081B2 (en) | 2021-08-03 | 2024-04-16 | Alnylam Pharmaceuticals, Inc. | Transthyretin (TTR) iRNA compositions and methods of use thereof |
| US12049628B2 (en) | 2015-07-31 | 2024-07-30 | Alnylam Pharmaceuticals, Inc. | Transthyretin (TTR) iRNA compositions and methods of use thereof for treating or preventing TTR-associated diseases |
| US12227744B2 (en) | 2008-10-20 | 2025-02-18 | Alnylam Pharmaceuticals, Inc. | Compositions and methods for inhibiting expression of transthyretin |
Families Citing this family (130)
| Publication number | Priority date | Publication date | Assignee | Title |
|---|---|---|---|---|
| US9228186B2 (en) | 2002-11-14 | 2016-01-05 | Thermo Fisher Scientific Inc. | Methods and compositions for selecting siRNA of improved functionality |
| US20050244869A1 (en) * | 2004-04-05 | 2005-11-03 | Brown-Driver Vickie L | Modulation of transthyretin expression |
| EP2194128B1 (en) | 2006-05-11 | 2012-08-01 | Alnylam Pharmaceuticals Inc. | Compositions and methods for inhibiting expression of the PCSK9 gene |
| AU2009238175C1 (en) | 2008-04-15 | 2023-11-30 | Arbutus Biopharma Corporation | Novel lipid formulations for nucleic acid delivery |
| CN111909020A (en) | 2008-11-10 | 2020-11-10 | 阿布特斯生物制药公司 | Lipids and compositions for delivery of therapeutic agents |
| AU2009324534B2 (en) | 2008-12-10 | 2015-07-30 | Alnylam Pharmaceuticals, Inc. | GNAQ targeted dsRNA compositions and methods for inhibiting expression |
| US20120101148A1 (en) * | 2009-01-29 | 2012-04-26 | Alnylam Pharmaceuticals, Inc. | lipid formulation |
| CA2764609C (en) * | 2009-06-10 | 2018-10-02 | Alnylam Pharmaceuticals, Inc. | Improved cationic lipid of formula i |
| CN102458366B (en) * | 2009-06-15 | 2015-02-11 | 阿尔尼拉姆医药品有限公司 | Lipid-formulated DSRNA targeting the PCSK9 gene |
| WO2010147992A1 (en) | 2009-06-15 | 2010-12-23 | Alnylam Pharmaceuticals, Inc. | Methods for increasing efficacy of lipid formulated sirna |
| EP2449114B9 (en) | 2009-07-01 | 2017-04-19 | Protiva Biotherapeutics Inc. | Novel lipid formulations for delivery of therapeutic agents to solid tumors |
| WO2011020023A2 (en) * | 2009-08-14 | 2011-02-17 | Alnylam Pharmaceuticals, Inc. | Lipid formulated compositions and methods for inhibiting expression of a gene from the ebola virus |
| US9101643B2 (en) | 2009-11-03 | 2015-08-11 | Alnylam Pharmaceuticals, Inc. | Lipid formulated compositions and methods for inhibiting expression of transthyretin (TTR) |
| US20230340473A1 (en) * | 2010-03-29 | 2023-10-26 | Alnylam Pharmaceuticals, Inc. | Sirna therapy for transthyretin (ttr) related ocular amyloidosis |
| ES2893199T3 (en) * | 2010-03-29 | 2022-02-08 | Alnylam Pharmaceuticals Inc | dsRNA therapy for transthyretin (TTR)-related ocular amyloidosis |
| KR20180026798A (en) | 2010-04-29 | 2018-03-13 | 아이오니스 파마수티컬즈, 인코포레이티드 | Modulation of transthyretin expression |
| WO2011141705A1 (en) * | 2010-05-12 | 2011-11-17 | Protiva Biotherapeutics, Inc. | Novel cationic lipids and methods of use thereof |
| WO2011153323A2 (en) * | 2010-06-02 | 2011-12-08 | Alnylam Pharmaceuticals, Inc. | Compositions and methods directed to treating liver fibrosis |
| US9006417B2 (en) | 2010-06-30 | 2015-04-14 | Protiva Biotherapeutics, Inc. | Non-liposomal systems for nucleic acid delivery |
| US9029590B2 (en) * | 2010-10-21 | 2015-05-12 | Sirna Therapeutics, Inc. | Low molecular weight cationic lipids for oligonucleotide delivery |
| WO2012068176A1 (en) | 2010-11-15 | 2012-05-24 | Life Technologies Corporation | Amine-containing transfection reagents and methods for making and using same |
| WO2012079046A2 (en) * | 2010-12-10 | 2012-06-14 | Alnylam Pharmaceuticals, Inc. | Compositions and methods for inhibiting expression of klf-1 and bcl11a genes |
| EP2525223A1 (en) * | 2011-05-19 | 2012-11-21 | Universiteit Maastricht | In vitro method for predicting in vivo genotoxicity of chemical compounds. |
| AU2012272908A1 (en) * | 2011-06-21 | 2013-12-19 | Alnylam Pharmaceuticals, Inc. | Assays and methods for determining activity of a therapeutic agent in a subject |
| CN120555426A (en) | 2011-06-21 | 2025-08-29 | 阿尔尼拉姆医药品有限公司 | Angiopoietin-like 3 (ANGPTL3) iRNA compositions and methods of use thereof |
| WO2012177921A2 (en) * | 2011-06-21 | 2012-12-27 | Alnylam Pharmaceuticals, Inc | Compositions and methods for inhibiting hepcidin antimicrobial peptide (hamp) or hamp-related gene expression |
| RU2678807C2 (en) * | 2011-11-18 | 2019-02-01 | Элнилэм Фармасьютикалз, Инк. | Rnai agents, compositions and methods for use thereof for treating transthyretin (ttr) associated diseases |
| ES2921724T1 (en) | 2011-12-07 | 2022-08-31 | Alnylam Pharmaceuticals Inc | Biodegradable lipids for the administration of active agents |
| US9035039B2 (en) * | 2011-12-22 | 2015-05-19 | Protiva Biotherapeutics, Inc. | Compositions and methods for silencing SMAD4 |
| DK2922554T3 (en) | 2012-11-26 | 2022-05-23 | Modernatx Inc | Terminalt modificeret rna |
| SMT201800039T1 (en) | 2012-12-05 | 2018-03-08 | Alnylam Pharmaceuticals Inc | Pcsk9 irna compositions and methods of use thereof |
| SG10201707569YA (en) | 2012-12-12 | 2017-10-30 | Broad Inst Inc | Delivery, Engineering and Optimization of Systems, Methods and Compositions for Sequence Manipulation and Therapeutic Applications |
| EP2931899A1 (en) | 2012-12-12 | 2015-10-21 | The Broad Institute, Inc. | Functional genomics using crispr-cas systems, compositions, methods, knock out libraries and applications thereof |
| AU2013374345A1 (en) | 2013-01-17 | 2015-08-06 | Moderna Therapeutics, Inc. | Signal-sensor polynucleotides for the alteration of cellular phenotypes |
| WO2014124334A2 (en) | 2013-02-08 | 2014-08-14 | Misfolding Diagnostics, Inc. | Transthyretin antibodies and uses thereof |
| CN115261411A (en) | 2013-04-04 | 2022-11-01 | 哈佛学院校长同事会 | Therapeutic uses of genome editing with CRISPR/Cas systems |
| DK2991656T3 (en) | 2013-05-01 | 2020-03-23 | Ionis Pharmaceuticals Inc | COMPOSITIONS AND PROCEDURES FOR MODULATING APOLIPOPROTEIN C-III EXPRESSION |
| JP6738728B2 (en) * | 2013-06-17 | 2020-08-19 | ザ・ブロード・インスティテュート・インコーポレイテッド | Delivery and use of CRISPR-Cas systems, vectors and compositions for liver targeting and therapy |
| WO2014204727A1 (en) | 2013-06-17 | 2014-12-24 | The Broad Institute Inc. | Functional genomics using crispr-cas systems, compositions methods, screens and applications thereof |
| WO2015006498A2 (en) | 2013-07-09 | 2015-01-15 | President And Fellows Of Harvard College | Therapeutic uses of genome editing with crispr/cas systems |
| TW201610151A (en) * | 2013-09-23 | 2016-03-16 | 阿尼拉製藥公司 | Methods for treating or preventing transthyretin (TTR) associated diseases |
| CA2925107A1 (en) * | 2013-10-02 | 2015-04-09 | Alnylam Pharmaceuticals, Inc. | Compositions and methods for inhibiting expression of the lect2 gene |
| WO2015085158A1 (en) * | 2013-12-06 | 2015-06-11 | Dicerna Pharmaceuticals, Inc. | Methods and compositions for the specific inhibition of transthyretin (ttr) by double-stranded rna |
| WO2015089473A1 (en) | 2013-12-12 | 2015-06-18 | The Broad Institute Inc. | Engineering of systems, methods and optimized guide compositions with new architectures for sequence manipulation |
| JP2017527256A (en) | 2013-12-12 | 2017-09-21 | ザ・ブロード・インスティテュート・インコーポレイテッド | Delivery, use and therapeutic applications of CRISPR-Cas systems and compositions for HBV and viral diseases and disorders |
| JP6793547B2 (en) | 2013-12-12 | 2020-12-02 | ザ・ブロード・インスティテュート・インコーポレイテッド | Optimization Function Systems, methods and compositions for sequence manipulation with the CRISPR-Cas system |
| MX2016007325A (en) | 2013-12-12 | 2017-07-19 | Broad Inst Inc | Compositions and methods of use of crispr-cas systems in nucleotide repeat disorders. |
| JP6771387B2 (en) * | 2014-03-25 | 2020-10-21 | アークトゥラス・セラピューティクス・インコーポレイテッドArcturus Therapeutics,Inc. | Transthyretin allele-selective UNA oligomer for gene silencing |
| CN106460025A (en) | 2014-03-25 | 2017-02-22 | 阿克丘勒斯治疗公司 | UNA oligomers with reduced off-target effects in gene silencing |
| US9856475B2 (en) | 2014-03-25 | 2018-01-02 | Arcturus Therapeutics, Inc. | Formulations for treating amyloidosis |
| DK3137596T3 (en) | 2014-05-01 | 2019-09-02 | Ionis Pharmaceuticals Inc | COMPOSITIONS AND PROCEDURES FOR MODULATION OF COMPLEMENT FACTOR B EXPRESSION |
| US12180263B2 (en) | 2014-11-06 | 2024-12-31 | President And Fellows Of Harvard College | Cells lacking B2M surface expression and methods for allogeneic administration of such cells |
| EP3237615B2 (en) | 2014-12-24 | 2023-07-26 | The Broad Institute, Inc. | Crispr having or associated with destabilization domains |
| WO2016161299A1 (en) | 2015-04-01 | 2016-10-06 | Arcturus Therapeutics, Inc. | Therapeutic una oligomers and uses thereof |
| WO2016164746A1 (en) | 2015-04-08 | 2016-10-13 | Alnylam Pharmaceuticals, Inc. | Compositions and methods for inhibiting expression of the lect2 gene |
| KR20250005546A (en) | 2015-04-13 | 2025-01-09 | 알닐람 파마슈티칼스 인코포레이티드 | Angiopoietin-like 3 (angptl3) irna compositions and methods of use thereof |
| CA2988854A1 (en) | 2015-05-08 | 2016-11-17 | President And Fellows Of Harvard College | Universal donor stem cells and related methods |
| CA2989830A1 (en) | 2015-06-18 | 2016-12-22 | The Broad Institute, Inc. | Crispr enzyme mutations reducing off-target effects |
| WO2016205759A1 (en) | 2015-06-18 | 2016-12-22 | The Broad Institute Inc. | Engineering and optimization of systems, methods, enzymes and guide scaffolds of cas9 orthologs and variants for sequence manipulation |
| WO2017015671A1 (en) * | 2015-07-23 | 2017-01-26 | Arcturus Therapeutics, Inc. | Compositions for treating amyloidosis |
| CA3011946A1 (en) | 2016-03-07 | 2017-09-14 | Arrowhead Pharmaceuticals, Inc. | Targeting ligands for therapeutic compounds |
| KR102403408B1 (en) | 2016-09-02 | 2022-05-30 | 애로우헤드 파마슈티컬스 인코포레이티드 | targeting ligand |
| WO2018067900A1 (en) | 2016-10-06 | 2018-04-12 | Ionis Pharmaceuticals, Inc. | Method of conjugating oligomeric compounds |
| US20180193270A1 (en) | 2016-11-29 | 2018-07-12 | PureTech Health LLC | Exosomes for delivery of therapeutic agents |
| CN116730921A (en) | 2017-02-17 | 2023-09-12 | 文涵治疗有限公司 | Preparation method of AG-10, its intermediates and salts thereof |
| EP3585162B1 (en) | 2017-09-29 | 2023-08-30 | Regeneron Pharmaceuticals, Inc. | Rodents comprising a humanized ttr locus and methods of use |
| MX2020003608A (en) | 2017-09-29 | 2020-09-25 | Intellia Therapeutics Inc | Compositions and methods for ttr gene editing and treating attr amyloidosis. |
| SG11202009073WA (en) * | 2018-03-23 | 2020-10-29 | Eidos Therapeutics Inc | Methods of treating ttr amyloidosis using ag10 |
| EP3836920B1 (en) | 2018-08-17 | 2025-10-01 | Eidos Therapeutics, Inc. | Formulations of ag10 |
| KR20210093232A (en) | 2018-10-09 | 2021-07-27 | 더 유니버시티 오브 브리티시 콜롬비아 | Compositions and systems and related methods comprising transfection competent vesicles free of organic solvent and detergent |
| WO2020128816A2 (en) | 2018-12-20 | 2020-06-25 | Pfizer Inc. | Pharmaceutical compositions and methods comprising a combination of a benzoxazole transthyretin stabilizer and an additional therapeutic agent |
| JP7610339B2 (en) | 2019-06-04 | 2025-01-08 | リジェネロン・ファーマシューティカルズ・インコーポレイテッド | Non-human animals containing a humanized TTR locus with a beta slip mutation and methods of use |
| CA3147875A1 (en) | 2019-07-19 | 2021-01-28 | Flagship Pioneering Innovations Vi, Llc | Recombinase compositions and methods of use |
| EP4022062A1 (en) | 2019-08-30 | 2022-07-06 | Alnylam Pharmaceuticals, Inc. | Neurofilament light chain (nfl) as a biomarker for transthyretin amyloidosis polyneuropathy |
| US12378560B2 (en) | 2019-10-29 | 2025-08-05 | Northwestern University | Sequence multiplicity within spherical nucleic acids |
| CA3160329A1 (en) * | 2019-11-06 | 2021-05-14 | Alnylam Pharmaceuticals, Inc. | Extrahepatic delivery |
| AU2021230546A1 (en) | 2020-03-04 | 2022-10-13 | Flagship Pioneering Innovations Vi, Llc | Methods and compositions for modulating a genome |
| KR20220152270A (en) | 2020-03-06 | 2022-11-15 | 알닐람 파마슈티칼스 인코포레이티드 | Compositions and methods for inhibiting the expression of transthyretin (TTR) |
| MX2022014607A (en) | 2020-05-20 | 2023-03-15 | Flagship Pioneering Innovations Vi Llc | Immunogenic compositions and uses thereof. |
| IL298362A (en) | 2020-05-20 | 2023-01-01 | Flagship Pioneering Innovations Vi Llc | Corona virus antigen compositions and their uses |
| WO2021243301A2 (en) | 2020-05-29 | 2021-12-02 | Flagship Pioneering Innovations Vi, Llc. | Trem compositions and methods relating thereto |
| AU2021278984A1 (en) | 2020-05-29 | 2022-11-17 | Flagship Pioneering Innovations Vi, Llc | Trem compositions and methods relating thereto |
| TW202218669A (en) | 2020-09-03 | 2022-05-16 | 美商旗艦先鋒創新有限責任公司 | Immunogenic compositions and uses thereof |
| MX2023006056A (en) | 2020-11-25 | 2023-06-06 | Akagera Medicines Inc | Lipid nanoparticles for delivery of nucleic acids, and related methods of use. |
| WO2022112919A1 (en) | 2020-11-25 | 2022-06-02 | Pfizer Inc. | (aza)benzothiazolyl substituted pyrazole compounds |
| US20240175020A1 (en) | 2020-12-23 | 2024-05-30 | Flagship Pioneering Innovations Vi, Llc | Compositions of modified trems and uses thereof |
| WO2022178411A1 (en) * | 2021-02-22 | 2022-08-25 | Alnylam Pharmaceuticals, Inc. | Folliculin irna compositions and methods thereof |
| IL305442A (en) | 2021-03-04 | 2023-10-01 | Alnylam Pharmaceuticals Inc | Angiopoietin-like3 (angptl3) irna compositions and method of use thereof |
| JP2024512669A (en) | 2021-03-31 | 2024-03-19 | フラグシップ パイオニアリング イノベーションズ ブイ,インコーポレーテッド | Tanotransmission polypeptides and their use in the treatment of cancer |
| WO2022235537A1 (en) | 2021-05-03 | 2022-11-10 | Alnylam Pharmaceuticals, Inc. | Compositions and methods for treating transthyretin (ttr) mediated amyloidosis |
| EP4351541A2 (en) | 2021-06-08 | 2024-04-17 | Alnylam Pharmaceuticals, Inc. | Compositions and methods for treating or preventing stargardt's disease and/or retinal binding protein 4 (rbp4)-associated disorders |
| WO2023009547A1 (en) | 2021-07-26 | 2023-02-02 | Flagship Pioneering Innovations Vi, Llc | Trem compositions and uses thereof |
| MX2024002927A (en) | 2021-09-08 | 2024-05-29 | Flagship Pioneering Innovations Vi Llc | Methods and compositions for modulating a genome. |
| EP4271818B1 (en) | 2021-09-17 | 2024-07-31 | Flagship Pioneering Innovations VI, LLC | Compositions and methods for producing circular polyribonucleotides |
| AU2022370530A1 (en) | 2021-10-18 | 2024-05-02 | Flagship Pioneering Innovations Vi, Llc | Compositions and methods for purifying polyribonucleotides |
| CN114058636A (en) * | 2021-11-16 | 2022-02-18 | 大连润生康泰医学检验实验室有限公司 | Method for cloning, expressing and purifying transthyretin gene |
| EP4436598A2 (en) | 2021-11-24 | 2024-10-02 | Flagship Pioneering Innovations VI, LLC | Immunogenic compositions and their uses |
| IL313004A (en) | 2021-11-24 | 2024-07-01 | Flagship Pioneering Innovations Vi Llc | Immunogen compositions of the corona virus and their uses |
| AU2022397292A1 (en) | 2021-11-24 | 2024-05-30 | Flagship Pioneering Innovations Vi, Llc | Varicella-zoster virus immunogen compositions and their uses |
| EP4453201A1 (en) | 2021-12-22 | 2024-10-30 | Flagship Pioneering Innovations VI, LLC | Compositions and methods for purifying polyribonucleotides |
| JP2025500358A (en) | 2021-12-23 | 2025-01-09 | フラッグシップ パイオニアリング イノベーションズ シックス,エルエルシー | Circular polyribonucleotides encoding antifusogenic polypeptides |
| WO2023196634A2 (en) | 2022-04-08 | 2023-10-12 | Flagship Pioneering Innovations Vii, Llc | Vaccines and related methods |
| WO2023220083A1 (en) | 2022-05-09 | 2023-11-16 | Flagship Pioneering Innovations Vi, Llc | Trem compositions and methods of use for treating proliferative disorders |
| EP4522753A2 (en) | 2022-05-13 | 2025-03-19 | Flagship Pioneering Innovations VII, LLC | Double stranded dna compositions and related methods |
| KR20250031230A (en) | 2022-05-25 | 2025-03-06 | 아카제라 메디신즈, 인크. | Lipid nanoparticles for nucleic acid delivery and methods of using the same |
| EP4544043A1 (en) | 2022-06-22 | 2025-04-30 | Flagship Pioneering Innovations VI, LLC | Compositions of modified trems and uses thereof |
| IL318711A (en) | 2022-08-01 | 2025-03-01 | Flagship Pioneering Innovations Vii Llc | Immunomodulatory proteins and related methods |
| EP4569112A1 (en) | 2022-08-12 | 2025-06-18 | Remix Therapeutics Inc. | Methods and compositions for modulating splicing at alternative splice sites |
| WO2024077191A1 (en) | 2022-10-05 | 2024-04-11 | Flagship Pioneering Innovations V, Inc. | Nucleic acid molecules encoding trif and additionalpolypeptides and their use in treating cancer |
| CN120513299A (en) | 2022-10-31 | 2025-08-19 | 旗舰创业创新第六有限责任公司 | Compositions and methods for purifying polyribonucleotides |
| WO2024098061A2 (en) | 2022-11-04 | 2024-05-10 | Genkardia Inc. | Oligonucleotide-based therapeutics targeting cyclin d2 for the treatment of heart failure |
| CN120435298A (en) | 2022-11-08 | 2025-08-05 | 旗舰创业创新第六有限责任公司 | Compositions and methods for producing cyclic polyribonucleotides |
| EP4619524A1 (en) | 2022-11-18 | 2025-09-24 | Genkardia Inc. | Methods and compositions for preventing, treating, or reversing cardiac diastolic dysfunction |
| WO2024129874A1 (en) * | 2022-12-13 | 2024-06-20 | Sirnaomics, Inc. | Products and compositions |
| TW202430215A (en) | 2022-12-14 | 2024-08-01 | 美商旗艦先鋒創新有限責任(Vii)公司 | Compositions and methods for delivery of therapeutic agents to bone |
| US20240238473A1 (en) | 2023-01-09 | 2024-07-18 | Beth Israel Deaconess Medical Center, Inc. | Recombinant nucleic acid molecules and their use in wound healing |
| WO2024151687A1 (en) | 2023-01-09 | 2024-07-18 | Flagship Pioneering Innovations V, Inc. | Genetic switches and their use in treating cancer |
| US20240252520A1 (en) | 2023-01-09 | 2024-08-01 | Beth Israel Deaconess Medical Center, Inc. | Therapeutic agents and their use for treating chronic wounds |
| IL322468A (en) | 2023-02-13 | 2025-09-01 | Flagship Pioneering Innovations Vii Llc | Cleavable linker-containing ionizable lipids and lipid carriers for therapeutic compositions |
| KR20250153220A (en) | 2023-02-17 | 2025-10-24 | 플래그쉽 파이어니어링 이노베이션스 Vii, 엘엘씨 | DNA composition containing a modified cytosine |
| WO2024173828A1 (en) | 2023-02-17 | 2024-08-22 | Flagship Pioneering Innovations Vii, Llc | Dna compositions comprising modified uracil |
| CN121358494A (en) | 2023-03-15 | 2026-01-16 | 旗舰创业创新第六有限责任公司 | Immunogenic compositions and their uses |
| AU2024235803A1 (en) | 2023-03-15 | 2025-09-25 | Flagship Pioneering Innovations Vi, Llc | Compositions comprising polyribonucleotides and uses thereof |
| CN121219411A (en) | 2023-04-12 | 2025-12-26 | 旗舰先锋创新Vi有限责任公司 | TREM used for the correction of missense mutations |
| WO2025006684A1 (en) | 2023-06-28 | 2025-01-02 | Flagship Pioneering Innovations Vi, Llc | Circular polyribonucleotides encoding antifusogenic polypeptides |
| WO2025042786A1 (en) | 2023-08-18 | 2025-02-27 | Flagship Pioneering Innovations Vi, Llc | Compositions comprising circular polyribonucleotides and uses thereof |
| WO2025064475A2 (en) | 2023-09-18 | 2025-03-27 | Flagship Pioneering Innovations Vii, Llc | Ionizable lipidoid compositions and therapeutic uses thereof |
| WO2025098117A1 (en) * | 2023-11-06 | 2025-05-15 | 成都倍特药业股份有限公司 | Rnai reagent and composition for inhibiting expression of transthyretin (ttr), and use |
| US20250162981A1 (en) | 2023-11-14 | 2025-05-22 | Flagship Pioneering Innovations Vii, Llc | Ionizable lipidoid compositions and therapeutic uses thereof |
| WO2025210133A1 (en) | 2024-04-03 | 2025-10-09 | Deep Piction Gmbh | Hybrid lipid nanoparticles for targeted delivery |
Family Cites Families (256)
| Publication number | Priority date | Publication date | Assignee | Title |
|---|---|---|---|---|
| US513030A (en) | 1894-01-16 | Machine for waxing or coating paper | ||
| US564562A (en) | 1896-07-21 | Joseph p | ||
| US3687808A (en) | 1969-08-14 | 1972-08-29 | Univ Leland Stanford Junior | Synthetic polynucleotides |
| US4522808A (en) | 1980-08-15 | 1985-06-11 | Societe Anonyme Dite: L'oreal | Anti-sunburn compositions containing 2-phenyl-indole derivatives |
| US4469863A (en) | 1980-11-12 | 1984-09-04 | Ts O Paul O P | Nonionic nucleic acid alkyl and aryl phosphonates and processes for manufacture and use thereof |
| US4426330A (en) | 1981-07-20 | 1984-01-17 | Lipid Specialties, Inc. | Synthetic phospholipid compounds |
| US4534899A (en) | 1981-07-20 | 1985-08-13 | Lipid Specialties, Inc. | Synthetic phospholipid compounds |
| US5023243A (en) | 1981-10-23 | 1991-06-11 | Molecular Biosystems, Inc. | Oligonucleotide therapeutic agent and method of making same |
| US4476301A (en) | 1982-04-29 | 1984-10-09 | Centre National De La Recherche Scientifique | Oligonucleotides, a process for preparing the same and their application as mediators of the action of interferon |
| JPS5927900A (en) | 1982-08-09 | 1984-02-14 | Wakunaga Seiyaku Kk | Oligonucleotide derivative and its preparation |
| FR2540122B1 (en) | 1983-01-27 | 1985-11-29 | Centre Nat Rech Scient | NOVEL COMPOUNDS COMPRISING A SEQUENCE OF OLIGONUCLEOTIDE LINKED TO AN INTERCALATION AGENT, THEIR SYNTHESIS PROCESS AND THEIR APPLICATION |
| US4605735A (en) | 1983-02-14 | 1986-08-12 | Wakunaga Seiyaku Kabushiki Kaisha | Oligonucleotide derivatives |
| US4948882A (en) | 1983-02-22 | 1990-08-14 | Syngene, Inc. | Single-stranded labelled oligonucleotides, reactive monomers and methods of synthesis |
| US4824941A (en) | 1983-03-10 | 1989-04-25 | Julian Gordon | Specific antibody to the native form of 2'5'-oligonucleotides, the method of preparation and the use as reagents in immunoassays or for binding 2'5'-oligonucleotides in biological systems |
| US4587044A (en) | 1983-09-01 | 1986-05-06 | The Johns Hopkins University | Linkage of proteins to nucleic acids |
| US5118800A (en) | 1983-12-20 | 1992-06-02 | California Institute Of Technology | Oligonucleotides possessing a primary amino group in the terminal nucleotide |
| US5118802A (en) | 1983-12-20 | 1992-06-02 | California Institute Of Technology | DNA-reporter conjugates linked via the 2' or 5'-primary amino group of the 5'-terminal nucleoside |
| US5550111A (en) | 1984-07-11 | 1996-08-27 | Temple University-Of The Commonwealth System Of Higher Education | Dual action 2',5'-oligoadenylate antiviral derivatives and uses thereof |
| FR2567892B1 (en) | 1984-07-19 | 1989-02-17 | Centre Nat Rech Scient | NOVEL OLIGONUCLEOTIDES, THEIR PREPARATION PROCESS AND THEIR APPLICATIONS AS MEDIATORS IN DEVELOPING THE EFFECTS OF INTERFERONS |
| US5367066A (en) | 1984-10-16 | 1994-11-22 | Chiron Corporation | Oligonucleotides with selectably cleavable and/or abasic sites |
| US5430136A (en) | 1984-10-16 | 1995-07-04 | Chiron Corporation | Oligonucleotides having selectably cleavable and/or abasic sites |
| US5258506A (en) | 1984-10-16 | 1993-11-02 | Chiron Corporation | Photolabile reagents for incorporation into oligonucleotide chains |
| US4828979A (en) | 1984-11-08 | 1989-05-09 | Life Technologies, Inc. | Nucleotide analogs for nucleic acid labeling and detection |
| FR2575751B1 (en) | 1985-01-08 | 1987-04-03 | Pasteur Institut | NOVEL ADENOSINE DERIVATIVE NUCLEOSIDES, THEIR PREPARATION AND THEIR BIOLOGICAL APPLICATIONS |
| US5235033A (en) | 1985-03-15 | 1993-08-10 | Anti-Gene Development Group | Alpha-morpholino ribonucleoside derivatives and polymers thereof |
| US5034506A (en) | 1985-03-15 | 1991-07-23 | Anti-Gene Development Group | Uncharged morpholino-based polymers having achiral intersubunit linkages |
| US5166315A (en) | 1989-12-20 | 1992-11-24 | Anti-Gene Development Group | Sequence-specific binding polymers for duplex nucleic acids |
| US5185444A (en) | 1985-03-15 | 1993-02-09 | Anti-Gene Deveopment Group | Uncharged morpolino-based polymers having phosphorous containing chiral intersubunit linkages |
| US5405938A (en) | 1989-12-20 | 1995-04-11 | Anti-Gene Development Group | Sequence-specific binding polymers for duplex nucleic acids |
| US4762779A (en) | 1985-06-13 | 1988-08-09 | Amgen Inc. | Compositions and methods for functionalizing nucleic acids |
| US4980286A (en) | 1985-07-05 | 1990-12-25 | Whitehead Institute For Biomedical Research | In vivo introduction and expression of foreign genetic material in epithelial cells |
| WO1987000201A1 (en) | 1985-07-05 | 1987-01-15 | Whitehead Institute For Biomedical Research | Epithelial cells expressing foreign genetic material |
| US5139941A (en) | 1985-10-31 | 1992-08-18 | University Of Florida Research Foundation, Inc. | AAV transduction vectors |
| US5317098A (en) | 1986-03-17 | 1994-05-31 | Hiroaki Shizuya | Non-radioisotope tagging of fragments |
| JPS638396A (en) | 1986-06-30 | 1988-01-14 | Wakunaga Pharmaceut Co Ltd | Poly-labeled oligonucleotide derivative |
| US4837028A (en) | 1986-12-24 | 1989-06-06 | Liposome Technology, Inc. | Liposomes with enhanced circulation time |
| US4920016A (en) | 1986-12-24 | 1990-04-24 | Linear Technology, Inc. | Liposomes with enhanced circulation time |
| US5264423A (en) | 1987-03-25 | 1993-11-23 | The United States Of America As Represented By The Department Of Health And Human Services | Inhibitors for replication of retroviruses and for the expression of oncogene products |
| US5276019A (en) | 1987-03-25 | 1994-01-04 | The United States Of America As Represented By The Department Of Health And Human Services | Inhibitors for replication of retroviruses and for the expression of oncogene products |
| US4904582A (en) | 1987-06-11 | 1990-02-27 | Synthetic Genetics | Novel amphiphilic nucleic acid conjugates |
| EP0366685B1 (en) | 1987-06-24 | 1994-10-19 | Howard Florey Institute Of Experimental Physiology And Medicine | Nucleoside derivatives |
| JP3015383B2 (en) | 1987-09-11 | 2000-03-06 | ホワイトヘツド・インスチチユート・フオー・バイオメデイカル・リサーチ | Transduced fibroblasts and their use |
| US5585481A (en) | 1987-09-21 | 1996-12-17 | Gen-Probe Incorporated | Linking reagents for nucleotide probes |
| US5188897A (en) | 1987-10-22 | 1993-02-23 | Temple University Of The Commonwealth System Of Higher Education | Encapsulated 2',5'-phosphorothioate oligoadenylates |
| US4924624A (en) | 1987-10-22 | 1990-05-15 | Temple University-Of The Commonwealth System Of Higher Education | 2,',5'-phosphorothioate oligoadenylates and plant antiviral uses thereof |
| US5525465A (en) | 1987-10-28 | 1996-06-11 | Howard Florey Institute Of Experimental Physiology And Medicine | Oligonucleotide-polyamide conjugates and methods of production and applications of the same |
| DE3738460A1 (en) | 1987-11-12 | 1989-05-24 | Max Planck Gesellschaft | MODIFIED OLIGONUCLEOTIDS |
| JP2914692B2 (en) | 1987-12-11 | 1999-07-05 | ホワイトヘツド・インスチチユート・フオー・バイオメデイカル・リサーチ | Endothelial cell genetic modification |
| EP0732397A3 (en) | 1988-02-05 | 1996-10-23 | Whitehead Institute For Biomedical Research | Modified hepatocytes and uses therefor |
| US5082830A (en) | 1988-02-26 | 1992-01-21 | Enzo Biochem, Inc. | End labeled nucleotide probe |
| EP0406309A4 (en) | 1988-03-25 | 1992-08-19 | The University Of Virginia Alumni Patents Foundation | Oligonucleotide n-alkylphosphoramidates |
| US5278302A (en) | 1988-05-26 | 1994-01-11 | University Patents, Inc. | Polynucleotide phosphorodithioates |
| US5109124A (en) | 1988-06-01 | 1992-04-28 | Biogen, Inc. | Nucleic acid probe linked to a label having a terminal cysteine |
| US5216141A (en) | 1988-06-06 | 1993-06-01 | Benner Steven A | Oligonucleotide analogs containing sulfur linkages |
| US5175273A (en) | 1988-07-01 | 1992-12-29 | Genentech, Inc. | Nucleic acid intercalating agents |
| US5262536A (en) | 1988-09-15 | 1993-11-16 | E. I. Du Pont De Nemours And Company | Reagents for the preparation of 5'-tagged oligonucleotides |
| GB8824593D0 (en) | 1988-10-20 | 1988-11-23 | Royal Free Hosp School Med | Liposomes |
| US5512439A (en) | 1988-11-21 | 1996-04-30 | Dynal As | Oligonucleotide-linked magnetic particles and uses thereof |
| US5599923A (en) | 1989-03-06 | 1997-02-04 | Board Of Regents, University Of Tx | Texaphyrin metal complexes having improved functionalization |
| US5457183A (en) | 1989-03-06 | 1995-10-10 | Board Of Regents, The University Of Texas System | Hydroxylated texaphyrins |
| US5328470A (en) | 1989-03-31 | 1994-07-12 | The Regents Of The University Of Michigan | Treatment of diseases by site-specific instillation of cells or site-specific transformation of cells and kits therefor |
| US5391723A (en) | 1989-05-31 | 1995-02-21 | Neorx Corporation | Oligonucleotide conjugates |
| US4958013A (en) | 1989-06-06 | 1990-09-18 | Northwestern University | Cholesteryl modified oligonucleotides |
| US5451463A (en) | 1989-08-28 | 1995-09-19 | Clontech Laboratories, Inc. | Non-nucleoside 1,3-diol reagents for labeling synthetic oligonucleotides |
| US5134066A (en) | 1989-08-29 | 1992-07-28 | Monsanto Company | Improved probes using nucleosides containing 3-dezauracil analogs |
| US5254469A (en) | 1989-09-12 | 1993-10-19 | Eastman Kodak Company | Oligonucleotide-enzyme conjugate that can be used as a probe in hybridization assays and polymerase chain reaction procedures |
| US5591722A (en) | 1989-09-15 | 1997-01-07 | Southern Research Institute | 2'-deoxy-4'-thioribonucleosides and their antiviral activity |
| US5356633A (en) | 1989-10-20 | 1994-10-18 | Liposome Technology, Inc. | Method of treatment of inflamed tissues |
| US5225212A (en) | 1989-10-20 | 1993-07-06 | Liposome Technology, Inc. | Microreservoir liposome composition and method |
| US5013556A (en) | 1989-10-20 | 1991-05-07 | Liposome Technology, Inc. | Liposomes with enhanced circulation time |
| US5399676A (en) | 1989-10-23 | 1995-03-21 | Gilead Sciences | Oligonucleotides with inverted polarity |
| US5264564A (en) | 1989-10-24 | 1993-11-23 | Gilead Sciences | Oligonucleotide analogs with novel linkages |
| EP0942000B1 (en) | 1989-10-24 | 2004-06-23 | Isis Pharmaceuticals, Inc. | 2'-Modified oligonucleotides |
| US5292873A (en) | 1989-11-29 | 1994-03-08 | The Research Foundation Of State University Of New York | Nucleic acids labeled with naphthoquinone probe |
| US5177198A (en) | 1989-11-30 | 1993-01-05 | University Of N.C. At Chapel Hill | Process for preparing oligoribonucleoside and oligodeoxyribonucleoside boranophosphates |
| US5486603A (en) | 1990-01-08 | 1996-01-23 | Gilead Sciences, Inc. | Oligonucleotide having enhanced binding affinity |
| US5646265A (en) | 1990-01-11 | 1997-07-08 | Isis Pharmceuticals, Inc. | Process for the preparation of 2'-O-alkyl purine phosphoramidites |
| US5681941A (en) | 1990-01-11 | 1997-10-28 | Isis Pharmaceuticals, Inc. | Substituted purines and oligonucleotide cross-linking |
| US5670633A (en) | 1990-01-11 | 1997-09-23 | Isis Pharmaceuticals, Inc. | Sugar modified oligonucleotides that detect and modulate gene expression |
| US5578718A (en) | 1990-01-11 | 1996-11-26 | Isis Pharmaceuticals, Inc. | Thiol-derivatized nucleosides |
| US5587470A (en) | 1990-01-11 | 1996-12-24 | Isis Pharmaceuticals, Inc. | 3-deazapurines |
| US5459255A (en) | 1990-01-11 | 1995-10-17 | Isis Pharmaceuticals, Inc. | N-2 substituted purines |
| US5587361A (en) | 1991-10-15 | 1996-12-24 | Isis Pharmaceuticals, Inc. | Oligonucleotides having phosphorothioate linkages of high chiral purity |
| US5214136A (en) | 1990-02-20 | 1993-05-25 | Gilead Sciences, Inc. | Anthraquinone-derivatives oligonucleotides |
| AU7579991A (en) | 1990-02-20 | 1991-09-18 | Gilead Sciences, Inc. | Pseudonucleosides and pseudonucleotides and their polymers |
| US5321131A (en) | 1990-03-08 | 1994-06-14 | Hybridon, Inc. | Site-specific functionalization of oligodeoxynucleotides for non-radioactive labelling |
| US5470967A (en) | 1990-04-10 | 1995-11-28 | The Dupont Merck Pharmaceutical Company | Oligonucleotide analogs with sulfamate linkages |
| US5665710A (en) | 1990-04-30 | 1997-09-09 | Georgetown University | Method of making liposomal oligodeoxynucleotide compositions |
| GB9009980D0 (en) | 1990-05-03 | 1990-06-27 | Amersham Int Plc | Phosphoramidite derivatives,their preparation and the use thereof in the incorporation of reporter groups on synthetic oligonucleotides |
| DK0455905T3 (en) | 1990-05-11 | 1998-12-07 | Microprobe Corp | Dipsticks for nucleic acid hybridization assays and method for covalent immobilization of oligonucleotides |
| US5218105A (en) | 1990-07-27 | 1993-06-08 | Isis Pharmaceuticals | Polyamine conjugated oligonucleotides |
| US5602240A (en) | 1990-07-27 | 1997-02-11 | Ciba Geigy Ag. | Backbone modified oligonucleotide analogs |
| US5541307A (en) | 1990-07-27 | 1996-07-30 | Isis Pharmaceuticals, Inc. | Backbone modified oligonucleotide analogs and solid phase synthesis thereof |
| US5623070A (en) | 1990-07-27 | 1997-04-22 | Isis Pharmaceuticals, Inc. | Heteroatomic oligonucleoside linkages |
| US5608046A (en) | 1990-07-27 | 1997-03-04 | Isis Pharmaceuticals, Inc. | Conjugated 4'-desmethyl nucleoside analog compounds |
| CA2088258C (en) | 1990-07-27 | 2004-09-14 | Phillip Dan Cook | Nuclease resistant, pyrimidine modified oligonucleotides that detect and modulate gene expression |
| US5618704A (en) | 1990-07-27 | 1997-04-08 | Isis Pharmacueticals, Inc. | Backbone-modified oligonucleotide analogs and preparation thereof through radical coupling |
| US5677437A (en) | 1990-07-27 | 1997-10-14 | Isis Pharmaceuticals, Inc. | Heteroatomic oligonucleoside linkages |
| US5610289A (en) | 1990-07-27 | 1997-03-11 | Isis Pharmaceuticals, Inc. | Backbone modified oligonucleotide analogues |
| US5489677A (en) | 1990-07-27 | 1996-02-06 | Isis Pharmaceuticals, Inc. | Oligonucleoside linkages containing adjacent oxygen and nitrogen atoms |
| US5138045A (en) | 1990-07-27 | 1992-08-11 | Isis Pharmaceuticals | Polyamine conjugated oligonucleotides |
| US5688941A (en) | 1990-07-27 | 1997-11-18 | Isis Pharmaceuticals, Inc. | Methods of making conjugated 4' desmethyl nucleoside analog compounds |
| US5245022A (en) | 1990-08-03 | 1993-09-14 | Sterling Drug, Inc. | Exonuclease resistant terminally substituted oligonucleotides |
| DK0541722T3 (en) | 1990-08-03 | 1996-04-22 | Sterling Winthrop Inc | Compounds and Methods for Inhibiting Gene Expression |
| US5512667A (en) | 1990-08-28 | 1996-04-30 | Reed; Michael W. | Trifunctional intermediates for preparing 3'-tailed oligonucleotides |
| US5214134A (en) | 1990-09-12 | 1993-05-25 | Sterling Winthrop Inc. | Process of linking nucleosides with a siloxane bridge |
| US5561225A (en) | 1990-09-19 | 1996-10-01 | Southern Research Institute | Polynucleotide analogs containing sulfonate and sulfonamide internucleoside linkages |
| EP0549686A4 (en) | 1990-09-20 | 1995-01-18 | Gilead Sciences Inc | Modified internucleoside linkages |
| US5432272A (en) | 1990-10-09 | 1995-07-11 | Benner; Steven A. | Method for incorporating into a DNA or RNA oligonucleotide using nucleotides bearing heterocyclic bases |
| DE69128893T2 (en) | 1990-10-31 | 1998-09-10 | Brigham & Womens Hospital | GENETIC MODIFICATION OF ENDOTHEL CELLS |
| ATE198598T1 (en) | 1990-11-08 | 2001-01-15 | Hybridon Inc | CONNECTION OF MULTIPLE REPORTER GROUPS ON SYNTHETIC OLIGONUCLEOTIDES |
| GB9100304D0 (en) | 1991-01-08 | 1991-02-20 | Ici Plc | Compound |
| JP3220180B2 (en) | 1991-05-23 | 2001-10-22 | 三菱化学株式会社 | Drug-containing protein-bound liposomes |
| US5719262A (en) | 1993-11-22 | 1998-02-17 | Buchardt, Deceased; Ole | Peptide nucleic acids having amino acid side chains |
| US5539082A (en) | 1993-04-26 | 1996-07-23 | Nielsen; Peter E. | Peptide nucleic acids |
| US5714331A (en) | 1991-05-24 | 1998-02-03 | Buchardt, Deceased; Ole | Peptide nucleic acids having enhanced binding affinity, sequence specificity and solubility |
| US5371241A (en) | 1991-07-19 | 1994-12-06 | Pharmacia P-L Biochemicals Inc. | Fluorescein labelled phosphoramidites |
| US5571799A (en) | 1991-08-12 | 1996-11-05 | Basco, Ltd. | (2'-5') oligoadenylate analogues useful as inhibitors of host-v5.-graft response |
| ES2103918T3 (en) | 1991-10-17 | 1997-10-01 | Ciba Geigy Ag | BICYCLE NUCLEOSIDES, OLIGONUCLEOTIDES, PROCEDURE FOR THEIR OBTAINING AND INTERMEDIATE PRODUCTS. |
| US5594121A (en) | 1991-11-07 | 1997-01-14 | Gilead Sciences, Inc. | Enhanced triple-helix and double-helix formation with oligomers containing modified purines |
| US5252479A (en) | 1991-11-08 | 1993-10-12 | Research Corporation Technologies, Inc. | Safe vector for gene therapy |
| US5484908A (en) | 1991-11-26 | 1996-01-16 | Gilead Sciences, Inc. | Oligonucleotides containing 5-propynyl pyrimidines |
| US5359044A (en) | 1991-12-13 | 1994-10-25 | Isis Pharmaceuticals | Cyclobutyl oligonucleotide surrogates |
| US5565552A (en) | 1992-01-21 | 1996-10-15 | Pharmacyclics, Inc. | Method of expanded porphyrin-oligonucleotide conjugate synthesis |
| US5595726A (en) | 1992-01-21 | 1997-01-21 | Pharmacyclics, Inc. | Chromophore probe for detection of nucleic acid |
| FR2687679B1 (en) | 1992-02-05 | 1994-10-28 | Centre Nat Rech Scient | OLIGOTHIONUCLEOTIDES. |
| DE4203923A1 (en) | 1992-02-11 | 1993-08-12 | Henkel Kgaa | METHOD FOR PRODUCING POLYCARBOXYLATES ON A POLYSACCHARIDE BASE |
| US5633360A (en) | 1992-04-14 | 1997-05-27 | Gilead Sciences, Inc. | Oligonucleotide analogs capable of passive cell membrane permeation |
| US5434257A (en) | 1992-06-01 | 1995-07-18 | Gilead Sciences, Inc. | Binding compentent oligomers containing unsaturated 3',5' and 2',5' linkages |
| US5587308A (en) | 1992-06-02 | 1996-12-24 | The United States Of America As Represented By The Department Of Health & Human Services | Modified adeno-associated virus vector capable of expression from a novel promoter |
| EP0577558A2 (en) | 1992-07-01 | 1994-01-05 | Ciba-Geigy Ag | Carbocyclic nucleosides having bicyclic rings, oligonucleotides therefrom, process for their preparation, their use and intermediates |
| US5272250A (en) | 1992-07-10 | 1993-12-21 | Spielvogel Bernard F | Boronated phosphoramidate compounds |
| US5478745A (en) | 1992-12-04 | 1995-12-26 | University Of Pittsburgh | Recombinant viral vector system |
| US5574142A (en) | 1992-12-15 | 1996-11-12 | Microprobe Corporation | Peptide linkers for improved oligonucleotide delivery |
| JP3351476B2 (en) | 1993-01-22 | 2002-11-25 | 三菱化学株式会社 | Phospholipid derivatives and liposomes containing the same |
| US5476925A (en) | 1993-02-01 | 1995-12-19 | Northwestern University | Oligodeoxyribonucleotides including 3'-aminonucleoside-phosphoramidate linkages and terminal 3'-amino groups |
| US5395619A (en) | 1993-03-03 | 1995-03-07 | Liposome Technology, Inc. | Lipid-polymer conjugates and liposomes |
| GB9304618D0 (en) | 1993-03-06 | 1993-04-21 | Ciba Geigy Ag | Chemical compounds |
| CA2159631A1 (en) | 1993-03-30 | 1994-10-13 | Sanofi | Acyclic nucleoside analogs and oligonucleotide sequences containing them |
| CA2159629A1 (en) | 1993-03-31 | 1994-10-13 | Sanofi | Oligonucleotides with amide linkages replacing phosphodiester linkages |
| DE4311944A1 (en) | 1993-04-10 | 1994-10-13 | Degussa | Coated sodium percarbonate particles, process for their preparation and detergent, cleaning and bleaching compositions containing them |
| US5502177A (en) | 1993-09-17 | 1996-03-26 | Gilead Sciences, Inc. | Pyrimidine derivatives for labeled binding partners |
| US5540935A (en) | 1993-12-06 | 1996-07-30 | Nof Corporation | Reactive vesicle and functional substance-fixed vesicle |
| US5457187A (en) | 1993-12-08 | 1995-10-10 | Board Of Regents University Of Nebraska | Oligonucleotides containing 5-fluorouracil |
| US5446137B1 (en) | 1993-12-09 | 1998-10-06 | Behringwerke Ag | Oligonucleotides containing 4'-substituted nucleotides |
| US5519134A (en) | 1994-01-11 | 1996-05-21 | Isis Pharmaceuticals, Inc. | Pyrrolidine-containing monomers and oligomers |
| US5596091A (en) | 1994-03-18 | 1997-01-21 | The Regents Of The University Of California | Antisense oligonucleotides comprising 5-aminoalkyl pyrimidine nucleotides |
| US5627053A (en) | 1994-03-29 | 1997-05-06 | Ribozyme Pharmaceuticals, Inc. | 2'deoxy-2'-alkylnucleotide containing nucleic acid |
| US5625050A (en) | 1994-03-31 | 1997-04-29 | Amgen Inc. | Modified oligonucleotides and intermediates useful in nucleic acid therapeutics |
| WO2000022114A1 (en) | 1998-10-09 | 2000-04-20 | Ingene, Inc. | PRODUCTION OF ssDNA $i(IN VIVO) |
| US6054299A (en) | 1994-04-29 | 2000-04-25 | Conrad; Charles A. | Stem-loop cloning vector and method |
| US5525711A (en) | 1994-05-18 | 1996-06-11 | The United States Of America As Represented By The Secretary Of The Department Of Health And Human Services | Pteridine nucleotide analogs as fluorescent DNA probes |
| US5543152A (en) | 1994-06-20 | 1996-08-06 | Inex Pharmaceuticals Corporation | Sphingosomes for enhanced drug delivery |
| US5597696A (en) | 1994-07-18 | 1997-01-28 | Becton Dickinson And Company | Covalent cyanine dye oligonucleotide conjugates |
| US5580731A (en) | 1994-08-25 | 1996-12-03 | Chiron Corporation | N-4 modified pyrimidine deoxynucleotides and oligonucleotide probes synthesized therewith |
| US5597909A (en) | 1994-08-25 | 1997-01-28 | Chiron Corporation | Polynucleotide reagents containing modified deoxyribose moieties, and associated methods of synthesis and use |
| US5820873A (en) | 1994-09-30 | 1998-10-13 | The University Of British Columbia | Polyethylene glycol modified ceramide lipids and liposome uses thereof |
| AU5545596A (en) | 1995-04-28 | 1996-11-18 | Medtronic, Inc. | Intraparenchymal infusion catheter system |
| US20030027216A1 (en) | 2001-07-02 | 2003-02-06 | Kiernan Urban A. | Analysis of proteins from biological fluids using mass spectrometric immunoassay |
| US5981501A (en) | 1995-06-07 | 1999-11-09 | Inex Pharmaceuticals Corp. | Methods for encapsulating plasmids in lipid bilayers |
| US7422902B1 (en) | 1995-06-07 | 2008-09-09 | The University Of British Columbia | Lipid-nucleic acid particles prepared via a hydrophobic lipid-nucleic acid complex intermediate and use for gene transfer |
| US5756122A (en) | 1995-06-07 | 1998-05-26 | Georgetown University | Liposomally encapsulated nucleic acids having high entrapment efficiencies, method of manufacturer and use thereof for transfection of targeted cells |
| JP4335310B2 (en) | 1995-06-07 | 2009-09-30 | ザ ユニバーシティ オブ ブリティッシュ コロンビア | Lipid-nucleic acid particles prepared through hydrophobic lipid-nucleic acid complex intermediates and use for gene transfer |
| CA2227989A1 (en) | 1995-08-01 | 1997-02-13 | Karen Ophelia Hamilton | Liposomal oligonucleotide compositions |
| US5858397A (en) | 1995-10-11 | 1999-01-12 | University Of British Columbia | Liposomal formulations of mitoxantrone |
| US5735814A (en) | 1996-04-30 | 1998-04-07 | Medtronic, Inc. | Techniques of treating neurodegenerative disorders by brain infusion |
| WO2005121371A2 (en) | 2004-06-03 | 2005-12-22 | Isis Pharmaceuticals, Inc. | Double strand compositions comprising differentially modified strands for use in gene modulation |
| CA2294988C (en) | 1997-07-01 | 2015-11-24 | Isis Pharmaceuticals Inc. | Compositions and methods for the delivery of oligonucleotides via the alimentary canal |
| US6506559B1 (en) | 1997-12-23 | 2003-01-14 | Carnegie Institute Of Washington | Genetic inhibition by double-stranded RNA |
| JP5015373B2 (en) | 1998-04-08 | 2012-08-29 | コモンウェルス サイエンティフィック アンド インダストリアル リサーチ オーガニゼイション | Methods and means for obtaining an improved phenotype |
| AR020078A1 (en) | 1998-05-26 | 2002-04-10 | Syngenta Participations Ag | METHOD FOR CHANGING THE EXPRESSION OF AN OBJECTIVE GENE IN A PLANT CELL |
| EP1096921B1 (en) | 1998-07-20 | 2003-04-16 | Protiva Biotherapeutics Inc. | Liposomal encapsulated nucleic acid-complexes |
| EP1117776A1 (en) | 1998-10-09 | 2001-07-25 | Ingene, Inc. | ENZYMATIC SYNTHESIS OF ssDNA |
| DE19956568A1 (en) | 1999-01-30 | 2000-08-17 | Roland Kreutzer | Method and medicament for inhibiting the expression of a given gene |
| WO2000050050A1 (en) | 1999-02-23 | 2000-08-31 | Isis Pharmaceuticals, Inc. | Multiparticulate formulation |
| DE10100586C1 (en) | 2001-01-09 | 2002-04-11 | Ribopharma Ag | Inhibiting gene expression in cells, useful for e.g. treating tumors, by introducing double-stranded complementary oligoRNA having unpaired terminal bases |
| WO2001057064A2 (en) | 2000-02-07 | 2001-08-09 | Roche Diagnostics Corporation | Cationic amphiphiles for use in nucleic acid transfection |
| US20030072794A1 (en) | 2000-06-09 | 2003-04-17 | Teni Boulikas | Encapsulation of plasmid DNA (lipogenes™) and therapeutic agents with nuclear localization signal/fusogenic peptide conjugates into targeted liposome complexes |
| IL155991A0 (en) | 2000-12-01 | 2003-12-23 | Max Planck Gesellschaft | Rna interference mediating small rna molecules |
| US20020160394A1 (en) | 2001-01-24 | 2002-10-31 | Bayer Corporation | Regulation of transthyretin to treat obesity |
| EP1386004A4 (en) | 2001-04-05 | 2005-02-16 | Ribozyme Pharm Inc | Modulation of gene expression associated with inflammation proliferation and neurite outgrowth, using nucleic acid based technologies |
| US20030170891A1 (en) | 2001-06-06 | 2003-09-11 | Mcswiggen James A. | RNA interference mediated inhibition of epidermal growth factor receptor gene expression using short interfering nucleic acid (siNA) |
| AU2002318396A1 (en) | 2001-06-21 | 2003-01-08 | The Cleveland Clinic Foundation | Homocysteinylated transthyretin |
| US20030191056A1 (en) | 2002-04-04 | 2003-10-09 | Kenneth Walker | Use of transthyretin peptide/protein fusions to increase the serum half-life of pharmacologically active peptides/proteins |
| BRPI0313202A8 (en) | 2002-08-05 | 2016-08-16 | Atugen Ag | ADDITIONAL WAYS TO INTERFERE WITH RNA MOLECULES |
| US7956176B2 (en) | 2002-09-05 | 2011-06-07 | Sirna Therapeutics, Inc. | RNA interference mediated inhibition of gene expression using chemically modified short interfering nucleic acid (siNA) |
| WO2004042072A2 (en) | 2002-11-01 | 2004-05-21 | The Regents Of The University Of Colorado, A Body Corporate | Quantitative analysis of protein isoforms using matrix-assisted laser desorption/ionization time of flight mass spectrometry |
| EP2305813A3 (en) * | 2002-11-14 | 2012-03-28 | Dharmacon, Inc. | Fuctional and hyperfunctional sirna |
| US9228186B2 (en) | 2002-11-14 | 2016-01-05 | Thermo Fisher Scientific Inc. | Methods and compositions for selecting siRNA of improved functionality |
| US7250496B2 (en) | 2002-11-14 | 2007-07-31 | Rosetta Genomics Ltd. | Bioinformatically detectable group of novel regulatory genes and uses thereof |
| DE10302421A1 (en) | 2003-01-21 | 2004-07-29 | Ribopharma Ag | New double-stranded interfering RNA, useful for inhibiting hepatitis C virus, has one strand linked to a lipophilic group to improve activity and eliminate the need for transfection auxiliaries |
| US8110674B2 (en) | 2003-03-07 | 2012-02-07 | Alnylam Pharmaceuticals, Inc. | Therapeutic compositions |
| EP1608735A4 (en) | 2003-04-03 | 2008-11-05 | Alnylam Pharmaceuticals | Irna conjugates |
| CN101291653B (en) | 2003-07-16 | 2012-06-27 | 普洛体维生物治疗公司 | lipid-encapsulated interfering RNA |
| US20050244869A1 (en) * | 2004-04-05 | 2005-11-03 | Brown-Driver Vickie L | Modulation of transthyretin expression |
| WO2005120152A2 (en) | 2004-06-07 | 2005-12-22 | Protiva Biotherapeutics, Inc. | Cationic lipids and methods of use |
| EP1766035B1 (en) | 2004-06-07 | 2011-12-07 | Protiva Biotherapeutics Inc. | Lipid encapsulated interfering rna |
| US7838561B2 (en) | 2004-06-14 | 2010-11-23 | Wisconsin Alumni Research Foundation | Method for preventing or treating cardiac hypertrophy |
| ES2246715B1 (en) * | 2004-08-04 | 2007-05-01 | Consejo Superior Investig. Cientificas | ANIMAL MODEL OF NEURODEGENERATIVE DISEASES, PROCEDURE OF OBTAINING AND APPLICATIONS. |
| CN101189343B (en) * | 2004-08-23 | 2011-11-16 | 阿尔尼拉姆药物公司 | Multiple rna polymerase iii promoter expression constructs |
| EP2289500A1 (en) | 2004-12-08 | 2011-03-02 | ReVision Therapeutics, Inc. | Retinol binding protein and transthyretin modulators for treating hypertosis, Alzheimer's disease or idiopathic intracranial hypertension |
| CA2597724A1 (en) | 2005-02-14 | 2007-08-02 | Sirna Therapeutics, Inc. | Cationic lipids and formulated molecular compositions containing them |
| TWI335352B (en) | 2005-03-31 | 2011-01-01 | Calando Pharmaceuticals Inc | Inhibitors of ribonucleotide reductase subunit 2 and uses thereof |
| US7915230B2 (en) | 2005-05-17 | 2011-03-29 | Molecular Transfer, Inc. | Reagents for transfection of eukaryotic cells |
| WO2007008652A2 (en) * | 2005-07-08 | 2007-01-18 | The University Of North Carolina At Chapel Hill | Methods and compositions directed to dj-1 as regulator of the anti-oxidant transcription factor nrf2 |
| US9005654B2 (en) | 2005-07-27 | 2015-04-14 | Protiva Biotherapeutics, Inc. | Systems and methods for manufacturing liposomes |
| CN101346393B (en) | 2005-11-02 | 2015-07-22 | 普洛体维生物治疗公司 | Modified siRNA molecules and uses thereof |
| CA2873833A1 (en) | 2006-03-31 | 2007-10-11 | Alnylam Pharmaceuticals, Inc. | Compositions and methods for inhibiting expression of eg5 gene |
| US8598333B2 (en) | 2006-05-26 | 2013-12-03 | Alnylam Pharmaceuticals, Inc. | SiRNA silencing of genes expressed in cancer |
| AU2007303205A1 (en) | 2006-10-03 | 2008-04-10 | Tekmira Pharmaceuticals Corporation | Lipid containing formulations |
| GB0704764D0 (en) | 2007-03-12 | 2007-04-18 | Electrophoretics Ltd | Isobarically labelled reagents and methods of their use |
| US20110046206A1 (en) | 2007-06-22 | 2011-02-24 | Isis Pharmaceuticals, Inc. | Double strand compositions comprising differentially modified strands for use in gene modulation |
| JP5635412B2 (en) | 2007-12-04 | 2014-12-03 | アルニラム ファーマスーティカルズ インコーポレイテッドAlnylam Pharmaceuticals, Inc. | Targeted lipid |
| EP2238251B1 (en) | 2007-12-27 | 2015-02-11 | Protiva Biotherapeutics Inc. | Silencing of polo-like kinase expression using interfering rna |
| EP3100718B1 (en) | 2008-01-02 | 2019-11-27 | Arbutus Biopharma Corporation | Improved compositions and methods for the delivery of nucleic acids |
| MX2010008394A (en) | 2008-01-31 | 2010-11-12 | Alnylam Pharmaceuticals Inc | Optimized methods for delivery of dsrna targeting the pcsk9 gene. |
| US20100323381A1 (en) | 2008-02-08 | 2010-12-23 | Bergen Iii Harold R | Classifying amyloidosis |
| AU2009238175C1 (en) | 2008-04-15 | 2023-11-30 | Arbutus Biopharma Corporation | Novel lipid formulations for nucleic acid delivery |
| TWI455944B (en) | 2008-07-01 | 2014-10-11 | Daiichi Sankyo Co Ltd | Double-stranded polynucleotides |
| US20110237646A1 (en) | 2008-08-07 | 2011-09-29 | Isis Pharmaceuticals, Inc. | Modulation of transthyretin expression for the treatment of cns related disorders |
| EP2350043B9 (en) | 2008-10-09 | 2014-08-20 | TEKMIRA Pharmaceuticals Corporation | Improved amino lipids and methods for the delivery of nucleic acids |
| CA3222620A1 (en) | 2008-10-20 | 2010-04-29 | Alnylam Pharmaceuticals, Inc. | Compositions and methods for inhibiting expression of transthyretin |
| MX353900B (en) | 2008-11-07 | 2018-02-01 | Massachusetts Inst Technology | Aminoalcohol lipidoids and uses thereof. |
| CN111909020A (en) | 2008-11-10 | 2020-11-10 | 阿布特斯生物制药公司 | Lipids and compositions for delivery of therapeutic agents |
| WO2010078536A1 (en) | 2009-01-05 | 2010-07-08 | Rxi Pharmaceuticals Corporation | Inhibition of pcsk9 through rnai |
| US20120101148A1 (en) | 2009-01-29 | 2012-04-26 | Alnylam Pharmaceuticals, Inc. | lipid formulation |
| KR20240015723A (en) | 2009-05-05 | 2024-02-05 | 알닐람 파마슈티칼스 인코포레이티드 | Lipid compositions |
| CA2764609C (en) | 2009-06-10 | 2018-10-02 | Alnylam Pharmaceuticals, Inc. | Improved cationic lipid of formula i |
| WO2010147992A1 (en) | 2009-06-15 | 2010-12-23 | Alnylam Pharmaceuticals, Inc. | Methods for increasing efficacy of lipid formulated sirna |
| CN102458366B (en) | 2009-06-15 | 2015-02-11 | 阿尔尼拉姆医药品有限公司 | Lipid-formulated DSRNA targeting the PCSK9 gene |
| US9101643B2 (en) | 2009-11-03 | 2015-08-11 | Alnylam Pharmaceuticals, Inc. | Lipid formulated compositions and methods for inhibiting expression of transthyretin (TTR) |
| ES2893199T3 (en) | 2010-03-29 | 2022-02-08 | Alnylam Pharmaceuticals Inc | dsRNA therapy for transthyretin (TTR)-related ocular amyloidosis |
| KR20180026798A (en) | 2010-04-29 | 2018-03-13 | 아이오니스 파마수티컬즈, 인코포레이티드 | Modulation of transthyretin expression |
| AU2011302152B2 (en) | 2010-09-15 | 2015-06-11 | Alnylam Pharmaceuticals, Inc. | Modified iRNA agents |
| WO2012058210A1 (en) | 2010-10-29 | 2012-05-03 | Merck Sharp & Dohme Corp. | RNA INTERFERENCE MEDIATED INHIBITION OF GENE EXPRESSION USING SHORT INTERFERING NUCLEIC ACIDS (siNA) |
| US9339513B2 (en) | 2010-11-09 | 2016-05-17 | Alnylam Pharmaceuticals, Inc. | Lipid formulated compositions and methods for inhibiting expression of Eg5 and VEGF genes |
| AU2012272908A1 (en) | 2011-06-21 | 2013-12-19 | Alnylam Pharmaceuticals, Inc. | Assays and methods for determining activity of a therapeutic agent in a subject |
| LT3366775T (en) | 2011-11-18 | 2022-08-10 | Alnylam Pharmaceuticals, Inc. | Modified rnai agents |
| RU2678807C2 (en) | 2011-11-18 | 2019-02-01 | Элнилэм Фармасьютикалз, Инк. | Rnai agents, compositions and methods for use thereof for treating transthyretin (ttr) associated diseases |
| EP2880162B1 (en) | 2012-08-03 | 2017-07-05 | Alnylam Pharmaceuticals, Inc. | Modified rnai agents |
| TW201610151A (en) | 2013-09-23 | 2016-03-16 | 阿尼拉製藥公司 | Methods for treating or preventing transthyretin (TTR) associated diseases |
| WO2015085158A1 (en) | 2013-12-06 | 2015-06-11 | Dicerna Pharmaceuticals, Inc. | Methods and compositions for the specific inhibition of transthyretin (ttr) by double-stranded rna |
| KR102005337B1 (en) * | 2014-01-09 | 2019-07-30 | 에스케이하이닉스 주식회사 | Voltage converter |
| IL316808A (en) | 2014-08-20 | 2025-01-01 | Alnylam Pharmaceuticals Inc | Modified double-stranded rna agents and uses thereof |
| US10060921B2 (en) | 2014-08-29 | 2018-08-28 | Alnylam Pharmaceuticals, Inc. | Methods of treating transthyretin (TTR) mediated amyloidosis |
| JP6896703B2 (en) | 2015-07-31 | 2021-06-30 | アルナイラム ファーマシューティカルズ, インコーポレイテッドAlnylam Pharmaceuticals, Inc. | Transthyretin (TTR) iRNA composition for treating or preventing TTR-related diseases and how to use it |
| KR20190098181A (en) | 2016-12-16 | 2019-08-21 | 알닐람 파마슈티칼스 인코포레이티드 | How to Treat or Prevent TTR-Related Diseases Using Transthyretin (TTR) iRNA Compositions |
| US11806360B2 (en) | 2017-09-19 | 2023-11-07 | Alnylam Pharmaceuticals, Inc. | Compositions and methods for treating transthyretin (TTR) mediated amyloidosis |
| US10799808B2 (en) | 2018-09-13 | 2020-10-13 | Nina Davis | Interactive storytelling kit |
| AU2019350765A1 (en) | 2018-09-28 | 2021-05-27 | Alnylam Pharmaceuticals, Inc. | Transthyretin (TTR) iRNA compositions and methods of use thereof for treating or preventing TTR-associated ocular diseases |
| EP4022062A1 (en) | 2019-08-30 | 2022-07-06 | Alnylam Pharmaceuticals, Inc. | Neurofilament light chain (nfl) as a biomarker for transthyretin amyloidosis polyneuropathy |
| EP4055165A1 (en) | 2019-11-06 | 2022-09-14 | Alnylam Pharmaceuticals, Inc. | Transthyretin (ttr) irna compositions and methods of use thereof for treating or preventing ttr-associated ocular diseases |
| KR20220152270A (en) | 2020-03-06 | 2022-11-15 | 알닐람 파마슈티칼스 인코포레이티드 | Compositions and methods for inhibiting the expression of transthyretin (TTR) |
| WO2022235537A1 (en) | 2021-05-03 | 2022-11-10 | Alnylam Pharmaceuticals, Inc. | Compositions and methods for treating transthyretin (ttr) mediated amyloidosis |
| EP4351541A2 (en) | 2021-06-08 | 2024-04-17 | Alnylam Pharmaceuticals, Inc. | Compositions and methods for treating or preventing stargardt's disease and/or retinal binding protein 4 (rbp4)-associated disorders |
| CN117795074A (en) | 2021-08-03 | 2024-03-29 | 阿尔尼拉姆医药品有限公司 | Transthyretin (TTR) iRNA compositions and methods of use |
-
2009
- 2009-10-20 CA CA3222620A patent/CA3222620A1/en active Pending
- 2009-10-20 EP EP09810834.3A patent/EP2344639B1/en active Active
- 2009-10-20 JP JP2011533279A patent/JP5791505B2/en active Active
- 2009-10-20 PT PT151514528T patent/PT2937418T/en unknown
- 2009-10-20 EP EP15151452.8A patent/EP2937418B1/en active Active
- 2009-10-20 AU AU2009307677A patent/AU2009307677C1/en active Active
- 2009-10-20 MX MX2016002209A patent/MX360460B/en unknown
- 2009-10-20 SG SG10201912276XA patent/SG10201912276XA/en unknown
- 2009-10-20 EP EP17196203.8A patent/EP3354733B1/en active Active
- 2009-10-20 MX MX2013008747A patent/MX344354B/en unknown
- 2009-10-20 PL PL15151452T patent/PL2937418T3/en unknown
- 2009-10-20 NO NO15151452A patent/NO2937418T3/no unknown
- 2009-10-20 IL IL302142A patent/IL302142B2/en unknown
- 2009-10-20 IL IL281434A patent/IL281434B2/en unknown
- 2009-10-20 SG SG10201703242XA patent/SG10201703242XA/en unknown
- 2009-10-20 SG SG10201809460SA patent/SG10201809460SA/en unknown
- 2009-10-20 KR KR1020117011350A patent/KR101624869B1/en active Active
- 2009-10-20 HU HUE09810834A patent/HUE026604T2/en unknown
- 2009-10-20 LT LTEP15151452.8T patent/LT2937418T/en unknown
- 2009-10-20 SI SI200931233T patent/SI2344639T1/en unknown
- 2009-10-20 SI SI200931786T patent/SI2937418T1/en unknown
- 2009-10-20 CN CN201410053075.6A patent/CN103937793B/en active Active
- 2009-10-20 KR KR1020197029029A patent/KR102354558B1/en active Active
- 2009-10-20 NZ NZ602404A patent/NZ602404A/en unknown
- 2009-10-20 CN CN201710064263.2A patent/CN106834291B/en active Active
- 2009-10-20 HU HUE15151452A patent/HUE037875T2/en unknown
- 2009-10-20 DK DK15151452.8T patent/DK2937418T3/en active
- 2009-10-20 KR KR1020147037079A patent/KR101635436B1/en active Active
- 2009-10-20 PT PT98108343T patent/PT2344639E/en unknown
- 2009-10-20 CA CA3018487A patent/CA3018487A1/en not_active Abandoned
- 2009-10-20 KR KR1020167017103A patent/KR20160079921A/en not_active Ceased
- 2009-10-20 EA EA201400170A patent/EA029762B1/en unknown
- 2009-10-20 US US12/582,669 patent/US8168775B2/en active Active
- 2009-10-20 EP EP20212364.2A patent/EP3848461A1/en active Pending
- 2009-10-20 IL IL310600A patent/IL310600A/en unknown
- 2009-10-20 NZ NZ592867A patent/NZ592867A/en unknown
- 2009-10-20 ES ES09810834.3T patent/ES2543004T3/en active Active
- 2009-10-20 DK DK09810834.3T patent/DK2344639T3/en active
- 2009-10-20 CN CN200980141740.4A patent/CN102186978B/en active Active
- 2009-10-20 EA EA201792626A patent/EA036772B1/en unknown
- 2009-10-20 KR KR1020187004090A patent/KR102031027B1/en active Active
- 2009-10-20 WO PCT/US2009/061381 patent/WO2010048228A2/en not_active Ceased
- 2009-10-20 EA EA201170591A patent/EA020312B1/en unknown
- 2009-10-20 CA CA2739895A patent/CA2739895C/en active Active
- 2009-10-20 MX MX2011004268A patent/MX2011004268A/en active IP Right Grant
- 2009-10-20 SM SM20180027T patent/SMT201800027T1/en unknown
- 2009-10-20 HR HRP20150796TT patent/HRP20150796T1/en unknown
- 2009-10-20 ES ES15151452.8T patent/ES2656516T3/en active Active
- 2009-10-20 KR KR1020227001684A patent/KR102578331B1/en active Active
- 2009-10-20 PL PL09810834T patent/PL2344639T3/en unknown
-
2011
- 2011-04-17 IL IL212428A patent/IL212428A0/en active IP Right Grant
- 2011-04-18 ZA ZA2011/02876A patent/ZA201102876B/en unknown
- 2011-04-20 MX MX2018013398A patent/MX2018013398A/en unknown
-
2012
- 2012-03-01 US US13/410,262 patent/US8741866B2/en active Active
-
2014
- 2014-03-20 US US14/220,829 patent/US9234196B2/en active Active
- 2014-10-21 JP JP2014214774A patent/JP2015062420A/en active Pending
-
2015
- 2015-07-21 CY CY20151100644T patent/CY1116944T1/en unknown
- 2015-07-23 SM SM201500176T patent/SMT201500176B/en unknown
- 2015-12-10 US US14/965,825 patent/US20160264963A1/en not_active Abandoned
- 2015-12-17 IL IL243178A patent/IL243178B/en active IP Right Grant
-
2016
- 2016-12-15 US US15/380,571 patent/US10240152B2/en active Active
-
2017
- 2017-07-06 JP JP2017132506A patent/JP6371446B2/en active Active
-
2018
- 2018-01-17 HR HRP20180093TT patent/HRP20180093T1/en unknown
- 2018-01-18 CY CY20181100068T patent/CY1120174T1/en unknown
- 2018-07-12 JP JP2018132510A patent/JP6553780B2/en active Active
-
2019
- 2019-01-28 LU LU00098C patent/LUC00098I2/fr unknown
- 2019-01-29 NO NO2019004C patent/NO2019004I1/en unknown
- 2019-01-30 NL NL300965C patent/NL300965I2/en unknown
- 2019-01-31 HU HUS1900004C patent/HUS1900004I1/en unknown
- 2019-01-31 LT LTPA2019501C patent/LTC2937418I2/en unknown
- 2019-02-11 CY CY2019005C patent/CY2019005I1/en unknown
- 2019-02-14 US US16/276,541 patent/US20190309293A1/en not_active Abandoned
- 2019-07-04 JP JP2019125381A patent/JP2019205442A/en active Pending
-
2020
- 2020-01-23 US US16/751,026 patent/US20200283766A1/en not_active Abandoned
-
2022
- 2022-04-15 US US17/721,704 patent/US12227744B2/en active Active
- 2022-06-30 JP JP2022106180A patent/JP7500658B2/en active Active
-
2024
- 2024-06-05 JP JP2024091123A patent/JP7806130B2/en active Active
-
2025
- 2025-01-08 US US19/013,039 patent/US20250376682A1/en active Pending
Cited By (6)
| Publication number | Priority date | Publication date | Assignee | Title |
|---|---|---|---|---|
| US12227744B2 (en) | 2008-10-20 | 2025-02-18 | Alnylam Pharmaceuticals, Inc. | Compositions and methods for inhibiting expression of transthyretin |
| US10060921B2 (en) | 2014-08-29 | 2018-08-28 | Alnylam Pharmaceuticals, Inc. | Methods of treating transthyretin (TTR) mediated amyloidosis |
| US11079379B2 (en) | 2014-08-29 | 2021-08-03 | Alnylam Pharmaceuticals, Inc. | Methods of treating transthyretin (TTR) mediated amyloidosis |
| US12049628B2 (en) | 2015-07-31 | 2024-07-30 | Alnylam Pharmaceuticals, Inc. | Transthyretin (TTR) iRNA compositions and methods of use thereof for treating or preventing TTR-associated diseases |
| US11806360B2 (en) | 2017-09-19 | 2023-11-07 | Alnylam Pharmaceuticals, Inc. | Compositions and methods for treating transthyretin (TTR) mediated amyloidosis |
| US11959081B2 (en) | 2021-08-03 | 2024-04-16 | Alnylam Pharmaceuticals, Inc. | Transthyretin (TTR) iRNA compositions and methods of use thereof |
Also Published As
Similar Documents
| Publication | Publication Date | Title |
|---|---|---|
| US12227744B2 (en) | Compositions and methods for inhibiting expression of transthyretin | |
| US20200199592A1 (en) | siRNA Therapy for Transthyretin (TTR) Related Ocular Amyloidosis | |
| US9101643B2 (en) | Lipid formulated compositions and methods for inhibiting expression of transthyretin (TTR) | |
| US20230340473A1 (en) | Sirna therapy for transthyretin (ttr) related ocular amyloidosis | |
| AU2015249072B2 (en) | Compositions and methods for inhibiting expression of transthyretin | |
| HK1258859B (en) | Compositions and methods for inhibiting expression of transthyretin | |
| HK1256460B (en) | Dsrna therapy for transthyretin (ttr) related ocular amyloidosis | |
| HK1216652B (en) | Compositions and methods for inhibiting expression of transthyretin | |
| HK1156348B (en) | Compositions and methods for inhibiting expression of transthyretin | |
| HK1180227B (en) | Sirna therapy for transthyretin (ttr) related ocular amyloidosis |
Legal Events
| Date | Code | Title | Description |
|---|---|---|---|
| AS | Assignment |
Owner name: ALNYLAM PHARMACEUTICALS, INC., MASSACHUSETTS Free format text: ASSIGNMENT OF ASSIGNORS INTEREST;ASSIGNORS:SAH, DINAH WEN-YEE;HINKLE, GREGORY;ALVAREZ, RENE;AND OTHERS;SIGNING DATES FROM 20091209 TO 20091217;REEL/FRAME:037936/0854 |
|
| STCB | Information on status: application discontinuation |
Free format text: ABANDONED -- FAILURE TO RESPOND TO AN OFFICE ACTION |









