US20160130567A1 - Messenger una molecules and uses thereof - Google Patents
Messenger una molecules and uses thereof Download PDFInfo
- Publication number
- US20160130567A1 US20160130567A1 US14/929,366 US201514929366A US2016130567A1 US 20160130567 A1 US20160130567 A1 US 20160130567A1 US 201514929366 A US201514929366 A US 201514929366A US 2016130567 A1 US2016130567 A1 US 2016130567A1
- Authority
- US
- United States
- Prior art keywords
- tilde over
- molecule
- muna
- human
- over
- Prior art date
- Legal status (The legal status is an assumption and is not a legal conclusion. Google has not performed a legal analysis and makes no representation as to the accuracy of the status listed.)
- Abandoned
Links
- 0 C.[1*]OCC(CO[2*])OC(C)C[3*] Chemical compound C.[1*]OCC(CO[2*])OC(C)C[3*] 0.000 description 4
- HXUAFWKRFDXXOB-QPJLITDASA-N COC[C@@H](COP(=O)(O)O)O[C@@H](CO)N1C=NC2=C1N=CN=C2N.COC[C@@H](COP(=O)(O)O)O[C@H](CO)N1C=NC2=C1N=CN=C2N Chemical compound COC[C@@H](COP(=O)(O)O)O[C@@H](CO)N1C=NC2=C1N=CN=C2N.COC[C@@H](COP(=O)(O)O)O[C@H](CO)N1C=NC2=C1N=CN=C2N HXUAFWKRFDXXOB-QPJLITDASA-N 0.000 description 1
- DPSQZLCAQCGJIZ-RCFOWYPGSA-N COC[C@@H](COP(=O)(O)O)O[C@H](CO)N1C=CC(=O)NC1=O.COC[C@@H](COP(=O)(O)O)O[C@H](CO)N1C=CC(N)=NC1=O.COC[C@@H](COP(=O)(O)O)O[C@H](CO)N1C=NC2=C1N=C(N)NC2=O.COC[C@@H](COP(=O)(O)O)O[C@H](CO)N1C=NC2=C1N=CN=C2N Chemical compound COC[C@@H](COP(=O)(O)O)O[C@H](CO)N1C=CC(=O)NC1=O.COC[C@@H](COP(=O)(O)O)O[C@H](CO)N1C=CC(N)=NC1=O.COC[C@@H](COP(=O)(O)O)O[C@H](CO)N1C=NC2=C1N=C(N)NC2=O.COC[C@@H](COP(=O)(O)O)O[C@H](CO)N1C=NC2=C1N=CN=C2N DPSQZLCAQCGJIZ-RCFOWYPGSA-N 0.000 description 1
Images
Classifications
-
- C—CHEMISTRY; METALLURGY
- C12—BIOCHEMISTRY; BEER; SPIRITS; WINE; VINEGAR; MICROBIOLOGY; ENZYMOLOGY; MUTATION OR GENETIC ENGINEERING
- C12N—MICROORGANISMS OR ENZYMES; COMPOSITIONS THEREOF; PROPAGATING, PRESERVING, OR MAINTAINING MICROORGANISMS; MUTATION OR GENETIC ENGINEERING; CULTURE MEDIA
- C12N9/00—Enzymes; Proenzymes; Compositions thereof; Processes for preparing, activating, inhibiting, separating or purifying enzymes
- C12N9/10—Transferases (2.)
- C12N9/1003—Transferases (2.) transferring one-carbon groups (2.1)
- C12N9/1018—Carboxy- and carbamoyl transferases (2.1.3)
-
- A—HUMAN NECESSITIES
- A61—MEDICAL OR VETERINARY SCIENCE; HYGIENE
- A61P—SPECIFIC THERAPEUTIC ACTIVITY OF CHEMICAL COMPOUNDS OR MEDICINAL PREPARATIONS
- A61P1/00—Drugs for disorders of the alimentary tract or the digestive system
- A61P1/16—Drugs for disorders of the alimentary tract or the digestive system for liver or gallbladder disorders, e.g. hepatoprotective agents, cholagogues, litholytics
-
- A—HUMAN NECESSITIES
- A61—MEDICAL OR VETERINARY SCIENCE; HYGIENE
- A61P—SPECIFIC THERAPEUTIC ACTIVITY OF CHEMICAL COMPOUNDS OR MEDICINAL PREPARATIONS
- A61P35/00—Antineoplastic agents
-
- A—HUMAN NECESSITIES
- A61—MEDICAL OR VETERINARY SCIENCE; HYGIENE
- A61P—SPECIFIC THERAPEUTIC ACTIVITY OF CHEMICAL COMPOUNDS OR MEDICINAL PREPARATIONS
- A61P37/00—Drugs for immunological or allergic disorders
- A61P37/02—Immunomodulators
- A61P37/04—Immunostimulants
-
- A—HUMAN NECESSITIES
- A61—MEDICAL OR VETERINARY SCIENCE; HYGIENE
- A61P—SPECIFIC THERAPEUTIC ACTIVITY OF CHEMICAL COMPOUNDS OR MEDICINAL PREPARATIONS
- A61P43/00—Drugs for specific purposes, not provided for in groups A61P1/00-A61P41/00
-
- C—CHEMISTRY; METALLURGY
- C07—ORGANIC CHEMISTRY
- C07K—PEPTIDES
- C07K14/00—Peptides having more than 20 amino acids; Gastrins; Somatostatins; Melanotropins; Derivatives thereof
- C07K14/005—Peptides having more than 20 amino acids; Gastrins; Somatostatins; Melanotropins; Derivatives thereof from viruses
-
- C—CHEMISTRY; METALLURGY
- C07—ORGANIC CHEMISTRY
- C07K—PEPTIDES
- C07K14/00—Peptides having more than 20 amino acids; Gastrins; Somatostatins; Melanotropins; Derivatives thereof
- C07K14/435—Peptides having more than 20 amino acids; Gastrins; Somatostatins; Melanotropins; Derivatives thereof from animals; from humans
- C07K14/44—Peptides having more than 20 amino acids; Gastrins; Somatostatins; Melanotropins; Derivatives thereof from animals; from humans from protozoa
- C07K14/445—Plasmodium
-
- C—CHEMISTRY; METALLURGY
- C07—ORGANIC CHEMISTRY
- C07K—PEPTIDES
- C07K14/00—Peptides having more than 20 amino acids; Gastrins; Somatostatins; Melanotropins; Derivatives thereof
- C07K14/435—Peptides having more than 20 amino acids; Gastrins; Somatostatins; Melanotropins; Derivatives thereof from animals; from humans
- C07K14/46—Peptides having more than 20 amino acids; Gastrins; Somatostatins; Melanotropins; Derivatives thereof from animals; from humans from vertebrates
- C07K14/463—Peptides having more than 20 amino acids; Gastrins; Somatostatins; Melanotropins; Derivatives thereof from animals; from humans from vertebrates from amphibians
-
- C—CHEMISTRY; METALLURGY
- C07—ORGANIC CHEMISTRY
- C07K—PEPTIDES
- C07K14/00—Peptides having more than 20 amino acids; Gastrins; Somatostatins; Melanotropins; Derivatives thereof
- C07K14/435—Peptides having more than 20 amino acids; Gastrins; Somatostatins; Melanotropins; Derivatives thereof from animals; from humans
- C07K14/46—Peptides having more than 20 amino acids; Gastrins; Somatostatins; Melanotropins; Derivatives thereof from animals; from humans from vertebrates
- C07K14/47—Peptides having more than 20 amino acids; Gastrins; Somatostatins; Melanotropins; Derivatives thereof from animals; from humans from vertebrates from mammals
-
- C—CHEMISTRY; METALLURGY
- C07—ORGANIC CHEMISTRY
- C07K—PEPTIDES
- C07K14/00—Peptides having more than 20 amino acids; Gastrins; Somatostatins; Melanotropins; Derivatives thereof
- C07K14/435—Peptides having more than 20 amino acids; Gastrins; Somatostatins; Melanotropins; Derivatives thereof from animals; from humans
- C07K14/46—Peptides having more than 20 amino acids; Gastrins; Somatostatins; Melanotropins; Derivatives thereof from animals; from humans from vertebrates
- C07K14/47—Peptides having more than 20 amino acids; Gastrins; Somatostatins; Melanotropins; Derivatives thereof from animals; from humans from vertebrates from mammals
- C07K14/4701—Peptides having more than 20 amino acids; Gastrins; Somatostatins; Melanotropins; Derivatives thereof from animals; from humans from vertebrates from mammals not used
- C07K14/4712—Cystic fibrosis
-
- C—CHEMISTRY; METALLURGY
- C07—ORGANIC CHEMISTRY
- C07K—PEPTIDES
- C07K14/00—Peptides having more than 20 amino acids; Gastrins; Somatostatins; Melanotropins; Derivatives thereof
- C07K14/435—Peptides having more than 20 amino acids; Gastrins; Somatostatins; Melanotropins; Derivatives thereof from animals; from humans
- C07K14/46—Peptides having more than 20 amino acids; Gastrins; Somatostatins; Melanotropins; Derivatives thereof from animals; from humans from vertebrates
- C07K14/47—Peptides having more than 20 amino acids; Gastrins; Somatostatins; Melanotropins; Derivatives thereof from animals; from humans from vertebrates from mammals
- C07K14/4701—Peptides having more than 20 amino acids; Gastrins; Somatostatins; Melanotropins; Derivatives thereof from animals; from humans from vertebrates from mammals not used
- C07K14/4717—Plasma globulins, lactoglobulin
-
- C—CHEMISTRY; METALLURGY
- C07—ORGANIC CHEMISTRY
- C07K—PEPTIDES
- C07K14/00—Peptides having more than 20 amino acids; Gastrins; Somatostatins; Melanotropins; Derivatives thereof
- C07K14/435—Peptides having more than 20 amino acids; Gastrins; Somatostatins; Melanotropins; Derivatives thereof from animals; from humans
- C07K14/475—Growth factors; Growth regulators
- C07K14/505—Erythropoietin [EPO]
-
- C—CHEMISTRY; METALLURGY
- C07—ORGANIC CHEMISTRY
- C07K—PEPTIDES
- C07K14/00—Peptides having more than 20 amino acids; Gastrins; Somatostatins; Melanotropins; Derivatives thereof
- C07K14/435—Peptides having more than 20 amino acids; Gastrins; Somatostatins; Melanotropins; Derivatives thereof from animals; from humans
- C07K14/52—Cytokines; Lymphokines; Interferons
- C07K14/524—Thrombopoietin, i.e. C-MPL ligand
-
- C—CHEMISTRY; METALLURGY
- C07—ORGANIC CHEMISTRY
- C07K—PEPTIDES
- C07K14/00—Peptides having more than 20 amino acids; Gastrins; Somatostatins; Melanotropins; Derivatives thereof
- C07K14/435—Peptides having more than 20 amino acids; Gastrins; Somatostatins; Melanotropins; Derivatives thereof from animals; from humans
- C07K14/575—Hormones
-
- C—CHEMISTRY; METALLURGY
- C07—ORGANIC CHEMISTRY
- C07K—PEPTIDES
- C07K14/00—Peptides having more than 20 amino acids; Gastrins; Somatostatins; Melanotropins; Derivatives thereof
- C07K14/435—Peptides having more than 20 amino acids; Gastrins; Somatostatins; Melanotropins; Derivatives thereof from animals; from humans
- C07K14/705—Receptors; Cell surface antigens; Cell surface determinants
-
- C—CHEMISTRY; METALLURGY
- C07—ORGANIC CHEMISTRY
- C07K—PEPTIDES
- C07K14/00—Peptides having more than 20 amino acids; Gastrins; Somatostatins; Melanotropins; Derivatives thereof
- C07K14/435—Peptides having more than 20 amino acids; Gastrins; Somatostatins; Melanotropins; Derivatives thereof from animals; from humans
- C07K14/745—Blood coagulation or fibrinolysis factors
-
- C—CHEMISTRY; METALLURGY
- C07—ORGANIC CHEMISTRY
- C07K—PEPTIDES
- C07K14/00—Peptides having more than 20 amino acids; Gastrins; Somatostatins; Melanotropins; Derivatives thereof
- C07K14/795—Porphyrin- or corrin-ring-containing peptides
- C07K14/805—Haemoglobins; Myoglobins
-
- C—CHEMISTRY; METALLURGY
- C07—ORGANIC CHEMISTRY
- C07K—PEPTIDES
- C07K14/00—Peptides having more than 20 amino acids; Gastrins; Somatostatins; Melanotropins; Derivatives thereof
- C07K14/81—Protease inhibitors
- C07K14/8107—Endopeptidase (E.C. 3.4.21-99) inhibitors
- C07K14/811—Serine protease (E.C. 3.4.21) inhibitors
- C07K14/8121—Serpins
- C07K14/8125—Alpha-1-antitrypsin
-
- C—CHEMISTRY; METALLURGY
- C12—BIOCHEMISTRY; BEER; SPIRITS; WINE; VINEGAR; MICROBIOLOGY; ENZYMOLOGY; MUTATION OR GENETIC ENGINEERING
- C12N—MICROORGANISMS OR ENZYMES; COMPOSITIONS THEREOF; PROPAGATING, PRESERVING, OR MAINTAINING MICROORGANISMS; MUTATION OR GENETIC ENGINEERING; CULTURE MEDIA
- C12N9/00—Enzymes; Proenzymes; Compositions thereof; Processes for preparing, activating, inhibiting, separating or purifying enzymes
- C12N9/0004—Oxidoreductases (1.)
- C12N9/0071—Oxidoreductases (1.) acting on paired donors with incorporation of molecular oxygen (1.14)
-
- C—CHEMISTRY; METALLURGY
- C12—BIOCHEMISTRY; BEER; SPIRITS; WINE; VINEGAR; MICROBIOLOGY; ENZYMOLOGY; MUTATION OR GENETIC ENGINEERING
- C12N—MICROORGANISMS OR ENZYMES; COMPOSITIONS THEREOF; PROPAGATING, PRESERVING, OR MAINTAINING MICROORGANISMS; MUTATION OR GENETIC ENGINEERING; CULTURE MEDIA
- C12N9/00—Enzymes; Proenzymes; Compositions thereof; Processes for preparing, activating, inhibiting, separating or purifying enzymes
- C12N9/10—Transferases (2.)
- C12N9/1048—Glycosyltransferases (2.4)
- C12N9/1051—Hexosyltransferases (2.4.1)
-
- C—CHEMISTRY; METALLURGY
- C12—BIOCHEMISTRY; BEER; SPIRITS; WINE; VINEGAR; MICROBIOLOGY; ENZYMOLOGY; MUTATION OR GENETIC ENGINEERING
- C12N—MICROORGANISMS OR ENZYMES; COMPOSITIONS THEREOF; PROPAGATING, PRESERVING, OR MAINTAINING MICROORGANISMS; MUTATION OR GENETIC ENGINEERING; CULTURE MEDIA
- C12N9/00—Enzymes; Proenzymes; Compositions thereof; Processes for preparing, activating, inhibiting, separating or purifying enzymes
- C12N9/10—Transferases (2.)
- C12N9/12—Transferases (2.) transferring phosphorus containing groups, e.g. kinases (2.7)
- C12N9/1205—Phosphotransferases with an alcohol group as acceptor (2.7.1), e.g. protein kinases
-
- C—CHEMISTRY; METALLURGY
- C12—BIOCHEMISTRY; BEER; SPIRITS; WINE; VINEGAR; MICROBIOLOGY; ENZYMOLOGY; MUTATION OR GENETIC ENGINEERING
- C12N—MICROORGANISMS OR ENZYMES; COMPOSITIONS THEREOF; PROPAGATING, PRESERVING, OR MAINTAINING MICROORGANISMS; MUTATION OR GENETIC ENGINEERING; CULTURE MEDIA
- C12N9/00—Enzymes; Proenzymes; Compositions thereof; Processes for preparing, activating, inhibiting, separating or purifying enzymes
- C12N9/14—Hydrolases (3)
- C12N9/24—Hydrolases (3) acting on glycosyl compounds (3.2)
- C12N9/2402—Hydrolases (3) acting on glycosyl compounds (3.2) hydrolysing O- and S- glycosyl compounds (3.2.1)
-
- C—CHEMISTRY; METALLURGY
- C12—BIOCHEMISTRY; BEER; SPIRITS; WINE; VINEGAR; MICROBIOLOGY; ENZYMOLOGY; MUTATION OR GENETIC ENGINEERING
- C12N—MICROORGANISMS OR ENZYMES; COMPOSITIONS THEREOF; PROPAGATING, PRESERVING, OR MAINTAINING MICROORGANISMS; MUTATION OR GENETIC ENGINEERING; CULTURE MEDIA
- C12N9/00—Enzymes; Proenzymes; Compositions thereof; Processes for preparing, activating, inhibiting, separating or purifying enzymes
- C12N9/14—Hydrolases (3)
- C12N9/24—Hydrolases (3) acting on glycosyl compounds (3.2)
- C12N9/2402—Hydrolases (3) acting on glycosyl compounds (3.2) hydrolysing O- and S- glycosyl compounds (3.2.1)
- C12N9/2405—Glucanases
- C12N9/2451—Glucanases acting on alpha-1,6-glucosidic bonds
-
- C—CHEMISTRY; METALLURGY
- C12—BIOCHEMISTRY; BEER; SPIRITS; WINE; VINEGAR; MICROBIOLOGY; ENZYMOLOGY; MUTATION OR GENETIC ENGINEERING
- C12N—MICROORGANISMS OR ENZYMES; COMPOSITIONS THEREOF; PROPAGATING, PRESERVING, OR MAINTAINING MICROORGANISMS; MUTATION OR GENETIC ENGINEERING; CULTURE MEDIA
- C12N9/00—Enzymes; Proenzymes; Compositions thereof; Processes for preparing, activating, inhibiting, separating or purifying enzymes
- C12N9/14—Hydrolases (3)
- C12N9/48—Hydrolases (3) acting on peptide bonds (3.4)
- C12N9/50—Proteinases, e.g. Endopeptidases (3.4.21-3.4.25)
- C12N9/64—Proteinases, e.g. Endopeptidases (3.4.21-3.4.25) derived from animal tissue
- C12N9/6421—Proteinases, e.g. Endopeptidases (3.4.21-3.4.25) derived from animal tissue from mammals
- C12N9/6424—Serine endopeptidases (3.4.21)
- C12N9/644—Coagulation factor IXa (3.4.21.22)
-
- C—CHEMISTRY; METALLURGY
- C12—BIOCHEMISTRY; BEER; SPIRITS; WINE; VINEGAR; MICROBIOLOGY; ENZYMOLOGY; MUTATION OR GENETIC ENGINEERING
- C12N—MICROORGANISMS OR ENZYMES; COMPOSITIONS THEREOF; PROPAGATING, PRESERVING, OR MAINTAINING MICROORGANISMS; MUTATION OR GENETIC ENGINEERING; CULTURE MEDIA
- C12N9/00—Enzymes; Proenzymes; Compositions thereof; Processes for preparing, activating, inhibiting, separating or purifying enzymes
- C12N9/88—Lyases (4.)
-
- C—CHEMISTRY; METALLURGY
- C12—BIOCHEMISTRY; BEER; SPIRITS; WINE; VINEGAR; MICROBIOLOGY; ENZYMOLOGY; MUTATION OR GENETIC ENGINEERING
- C12Y—ENZYMES
- C12Y114/00—Oxidoreductases acting on paired donors, with incorporation or reduction of molecular oxygen (1.14)
- C12Y114/16—Oxidoreductases acting on paired donors, with incorporation or reduction of molecular oxygen (1.14) with reduced pteridine as one donor, and incorporation of one atom of oxygen (1.14.16)
- C12Y114/16001—Phenylalanine 4-monooxygenase (1.14.16.1)
-
- C—CHEMISTRY; METALLURGY
- C12—BIOCHEMISTRY; BEER; SPIRITS; WINE; VINEGAR; MICROBIOLOGY; ENZYMOLOGY; MUTATION OR GENETIC ENGINEERING
- C12Y—ENZYMES
- C12Y201/00—Transferases transferring one-carbon groups (2.1)
- C12Y201/03—Carboxy- and carbamoyltransferases (2.1.3)
- C12Y201/03003—Ornithine carbamoyltransferase (2.1.3.3)
-
- C—CHEMISTRY; METALLURGY
- C12—BIOCHEMISTRY; BEER; SPIRITS; WINE; VINEGAR; MICROBIOLOGY; ENZYMOLOGY; MUTATION OR GENETIC ENGINEERING
- C12Y—ENZYMES
- C12Y204/00—Glycosyltransferases (2.4)
- C12Y204/01—Hexosyltransferases (2.4.1)
- C12Y204/01025—4-Alpha-glucanotransferase (2.4.1.25)
-
- C—CHEMISTRY; METALLURGY
- C12—BIOCHEMISTRY; BEER; SPIRITS; WINE; VINEGAR; MICROBIOLOGY; ENZYMOLOGY; MUTATION OR GENETIC ENGINEERING
- C12Y—ENZYMES
- C12Y207/00—Transferases transferring phosphorus-containing groups (2.7)
- C12Y207/01—Phosphotransferases with an alcohol group as acceptor (2.7.1)
- C12Y207/0104—Pyruvate kinase (2.7.1.40)
-
- C—CHEMISTRY; METALLURGY
- C12—BIOCHEMISTRY; BEER; SPIRITS; WINE; VINEGAR; MICROBIOLOGY; ENZYMOLOGY; MUTATION OR GENETIC ENGINEERING
- C12Y—ENZYMES
- C12Y302/00—Hydrolases acting on glycosyl compounds, i.e. glycosylases (3.2)
- C12Y302/01—Glycosidases, i.e. enzymes hydrolysing O- and S-glycosyl compounds (3.2.1)
- C12Y302/01033—Amylo-alpha-1,6-glucosidase (3.2.1.33)
-
- C—CHEMISTRY; METALLURGY
- C12—BIOCHEMISTRY; BEER; SPIRITS; WINE; VINEGAR; MICROBIOLOGY; ENZYMOLOGY; MUTATION OR GENETIC ENGINEERING
- C12Y—ENZYMES
- C12Y304/00—Hydrolases acting on peptide bonds, i.e. peptidases (3.4)
- C12Y304/21—Serine endopeptidases (3.4.21)
- C12Y304/21022—Coagulation factor IXa (3.4.21.22)
-
- C—CHEMISTRY; METALLURGY
- C12—BIOCHEMISTRY; BEER; SPIRITS; WINE; VINEGAR; MICROBIOLOGY; ENZYMOLOGY; MUTATION OR GENETIC ENGINEERING
- C12Y—ENZYMES
- C12Y403/00—Carbon-nitrogen lyases (4.3)
- C12Y403/02—Amidine-lyases (4.3.2)
- C12Y403/02001—Argininosuccinate lyase (4.3.2.1)
-
- A—HUMAN NECESSITIES
- A61—MEDICAL OR VETERINARY SCIENCE; HYGIENE
- A61K—PREPARATIONS FOR MEDICAL, DENTAL OR TOILETRY PURPOSES
- A61K39/00—Medicinal preparations containing antigens or antibodies
-
- A—HUMAN NECESSITIES
- A61—MEDICAL OR VETERINARY SCIENCE; HYGIENE
- A61K—PREPARATIONS FOR MEDICAL, DENTAL OR TOILETRY PURPOSES
- A61K48/00—Medicinal preparations containing genetic material which is inserted into cells of the living body to treat genetic diseases; Gene therapy
-
- C—CHEMISTRY; METALLURGY
- C12—BIOCHEMISTRY; BEER; SPIRITS; WINE; VINEGAR; MICROBIOLOGY; ENZYMOLOGY; MUTATION OR GENETIC ENGINEERING
- C12N—MICROORGANISMS OR ENZYMES; COMPOSITIONS THEREOF; PROPAGATING, PRESERVING, OR MAINTAINING MICROORGANISMS; MUTATION OR GENETIC ENGINEERING; CULTURE MEDIA
- C12N2740/00—Reverse transcribing RNA viruses
- C12N2740/00011—Details
- C12N2740/10011—Retroviridae
- C12N2740/16011—Human Immunodeficiency Virus, HIV
- C12N2740/16211—Human Immunodeficiency Virus, HIV concerning HIV gagpol
- C12N2740/16222—New viral proteins or individual genes, new structural or functional aspects of known viral proteins or genes
-
- C—CHEMISTRY; METALLURGY
- C12—BIOCHEMISTRY; BEER; SPIRITS; WINE; VINEGAR; MICROBIOLOGY; ENZYMOLOGY; MUTATION OR GENETIC ENGINEERING
- C12N—MICROORGANISMS OR ENZYMES; COMPOSITIONS THEREOF; PROPAGATING, PRESERVING, OR MAINTAINING MICROORGANISMS; MUTATION OR GENETIC ENGINEERING; CULTURE MEDIA
- C12N2840/00—Vectors comprising a special translation-regulating system
- C12N2840/10—Vectors comprising a special translation-regulating system regulates levels of translation
- C12N2840/105—Vectors comprising a special translation-regulating system regulates levels of translation enhancing translation
-
- C—CHEMISTRY; METALLURGY
- C12—BIOCHEMISTRY; BEER; SPIRITS; WINE; VINEGAR; MICROBIOLOGY; ENZYMOLOGY; MUTATION OR GENETIC ENGINEERING
- C12N—MICROORGANISMS OR ENZYMES; COMPOSITIONS THEREOF; PROPAGATING, PRESERVING, OR MAINTAINING MICROORGANISMS; MUTATION OR GENETIC ENGINEERING; CULTURE MEDIA
- C12N2840/00—Vectors comprising a special translation-regulating system
- C12N2840/60—Vectors comprising a special translation-regulating system from viruses
Definitions
- Synthetic mRNA can be designed with inherent translational activity for making an active protein, which could be used in various therapeutic strategies.
- the expression of protein involves a number of steps that are localized and/or regulated.
- plentiful RNase enzymes can degrade mRNA.
- use of a synthetic mRNA requires clinical formulation and delivery to cells. These steps of mRNA delivery, partitioning and dynamics increase the need for stability and longevity of the synthetic mRNA.
- mRNA transcripts incorporate a 5′ 7-methylguanosine cap and a 3′ polyA tail.
- PolyA binding proteins PABPs
- a 3′ polyA tail of at least about 20 nucleotides is needed to activate the mRNA for translation. Translational activity can decrease to low levels in the absence of either the 5′ cap or the 3′ polyA tail.
- mRNA degradation pathways actively clear out transcripts from the mRNA pool.
- the principle pathways for mRNA degradation involve deadenylation or trimming of the 3′ polyA tail by 3′-exoribonucleases and cleavage of the 5′-5′ triphosphate linkage that attaches the methylguanosine cap by a decapping complex.
- One way to increase mRNA longevity might be to increase 3′-nuclease resistance by incorporating nucleotide analogues or chemical modifications in either the phosphodiester backbone or the nucleotides, which are localized to the 3′ end to be compatible with enzymatic synthesis and efficient translation.
- a drawback of this approach is that it may not be possible to selectively incorporate such chemical modifications at 3′ termini, or to retain activity.
- translatable molecules that have increased specific activity and/or lifetime over native mRNA, to be used in methods and compositions for producing and delivering active peptides and proteins in medicines.
- This invention relates to the fields of molecular biology and genetics, as well as to biopharmaceuticals and therapeutics generated from translatable molecules. More particularly, this invention relates to methods, structures and compositions for molecules having translational activity for making active peptides or proteins in vivo.
- This invention provides methods and compositions for novel molecules having translational activity, which can be used to provide active peptides and proteins.
- the molecules of this invention can have functional cytoplasmic half-life for producing peptides and proteins.
- the peptides and proteins can be active for therapeutic modalities, as well as in vaccines and immunotherapies.
- the molecules of this invention can be translatable messenger molecules, which can have long half-life, particularly in the cytoplasm of a cell.
- the longer duration of the translatable messenger molecules of this invention can be significant for providing a translation product that is active for ameliorating, preventing or treating various diseases.
- the diseases can be associated with undesirable modulation of protein concentration, or undesirable activity of a protein.
- translatable molecules of this invention can be used in medicines, and for methods and compositions for producing and delivering active peptides and proteins.
- Embodiments of this disclosure provide a wide range of novel, translatable messenger molecules.
- the translatable messenger molecules can contain monomers that are unlocked nucleomonomers (UNA monomers).
- UNA monomers monomers that are unlocked nucleomonomers
- the long duration of translatable messenger UNA molecules (mUNA molecules) of this invention can be useful for providing an active peptide or protein translation product.
- the mUNA molecules of this invention can be used in medicines for ameliorating, preventing or treating disease.
- translatable mUNA molecules of this invention can be used to provide peptides or proteins in vitro, ex vivo, or in vivo.
- translatable mUNA molecules of this invention can provide high-efficiency expression of virtually any protein.
- the mUNA molecules of this invention have increased cytoplasmic half-life over a native, mature mRNA that provides the same peptide or protein.
- the mUNA structures and compositions of this invention can provide increased functional half-life with respect to native, mature mRNAs.
- a mUNA molecule of this invention can provide increased activity as a drug providing a peptide or protein product, as compared to a native, mature mRNA. In some embodiments, a mUNA molecule can reduce the expected dose level that would be required for efficacious therapy.
- Additional embodiments of this invention can provide vaccine compositions for immunization and immunotherapies using mUNA molecules.
- a mUNA molecule containing one or more UNA monomers, and containing nucleic acid monomers, wherein the mUNA molecule is translatable to express a polypeptide or protein.
- the molecule may have from 200 to 12,000 monomers, or from 200 to 4,000 monomers. In some embodiments, the molecule can have from 1 to 8,000 UNA monomers, or from 1 to 100 UNA monomers, or from 1 to 20 UNA monomers.
- a mUNA molecule can have one or more modified nucleic acid nucleotides, and/or one or more chemically-modified nucleic acid nucleotides.
- a mUNA molecule can contain a 5′ cap, a 5′ untranslated region of monomers, a coding region of monomers, a 3′ untranslated region of monomers, and a tail region of monomers.
- the molecule can contain a translation enhancer in a 5′ or 3′ untranslated region.
- the mUNA molecules of this invention can be translatable in vivo, or in vitro, or in a mammalian cell, or in a human in vivo.
- a translation product of a mUNA molecule can be an active peptide or protein.
- a translation product of a mUNA molecule is human EPO, human Factor IX, human alpha-1-antitrypsin, human CFTR, human ASL, human PAH, human NIS, or human hepcidin.
- a mUNA molecule in another aspect, can exhibit at least 2-fold, 3-fold, 5-fold, or 10-fold increased translation efficiency in vivo as compared to a native mRNA that encodes the same translation product.
- a mUNA molecule can have a cytoplasmic half-life in a cell at least 2-fold greater than a native mRNA of the cell that encodes the same translation product.
- Embodiments of this invention further contemplate therapeutic mUNA agents for a rare disease, a liver disease, or a cancer.
- a mUNA molecule can be an immunization agent or vaccine component for a rare disease, a liver disease, or a cancer.
- compositions containing a mUNA molecule and a pharmaceutically acceptable carrier and vaccine or immunization compositions containing a mUNA molecule.
- the carrier can be a nanoparticle or liposome.
- this invention provides methods for ameliorating, preventing or treating a disease or condition in a subject comprising administering to the subject a composition containing a mUNA molecule.
- the disease or condition can be a rare disease, liver disease, or cancer.
- this invention provides methods for producing a polypeptide or protein in vivo, by administering to a mammal a composition containing a mUNA molecule.
- the polypeptide or protein may be deficient in a disease or condition of a subject or mammal.
- the protein can be human EPO, human Factor IX, human alpha-1-antitrypsin, human CFTR, human ASL, human PAH, human NIS, or human hepcidin.
- This invention further provides methods for producing a polypeptide or protein in vitro, by transfecting a cell with a mUNA molecule.
- the polypeptide or protein can be deficient in a disease or condition of a subject or mammal.
- the protein can be human EPO, human Factor IX, human alpha-1-antitrypsin, human CFTR, human ASL, human PAH, human NIS, or human hepcidin.
- FIG. 1 shows the results of expressing human Factor IX (F9) in vivo using a translatable mUNA molecule of this invention, as compared to expression of a native mRNA of Factor IX.
- FIG. 1 shows that the translation efficiency of this mUNA molecule was doubled as compared to the native mRNA of F9.
- the mUNA molecule of this embodiment was translated in C57BL/c mouse to produce human F9.
- FIG. 2 shows the results of expressing human Factor IX (F9) in vitro using a translatable mUNA molecule of this invention, as compared to expression of a native mRNA of Factor IX.
- FIG. 2 shows that the translation efficiency of this mUNA molecule was increased by 5-fold after 48 hours, as compared to the native mRNA of F9.
- the mUNA molecule of this embodiment was traslated in mouse hepatocyte cell line Hepa1-6 to produce human F9.
- FIG. 3 shows the results of expressing human Erythropoietin (EPO) in vitro using a translatable mUNA molecule of this invention, as compared to expression of a native mRNA of human EPO.
- FIG. 3 shows that the translation efficiency of this mUNA molecule was increased nearly 3-fold after 48 hours, as compared to the native mRNA of EPO.
- the mUNA molecule of this embodiment was translated in mouse hepatocyte cell line Hepa1-6 to produce human EPO.
- FIG. 4 shows the results of expressing mouse Erythropoietin (EPO) in vitro using several translatable mUNA molecules of this invention, as compared to expression of a native mRNA of mouse EPO.
- FIG. 4 shows that the translation efficiencies of the mUNA molecules (#2, 3, 4, 5, 6, 7, 8, 9, 10 and 11) were increased by up to 10-fold after 72 hours, as compared to the native mRNA of EPO.
- the mUNA molecules of this embodiment were translated in mouse hepatocyte cell line Hepa1-6 to produce mouse EPO.
- FIG. 5 shows the results of expressing human alpha-1-antitrypsin in vivo using a translatable mUNA molecule of this invention, as compared to expression of a native mRNA of human alpha-1-antitrypsin.
- FIG. 5 shows that the translation efficiency of this mUNA molecule at 72 hrs was increased more than 3-fold as compared to the native mRNA of human alpha-1-antitrypsin.
- the mUNA molecule of this embodiment was translated in C57BL/c mouse to produce human alpha-1-antitrypsin.
- FIG. 6 shows the results of expressing human erythropoietin (EPO) in vivo using a translatable mUNA molecule of this invention, as compared to expression of a native mRNA of human EPO.
- FIG. 6 shows that the translation efficiency of this mUNA molecule at 72 hrs was increased more than 10-fold as compared to the native mRNA of human EPO.
- the mUNA molecule of this embodiment was translated in C57BL/c mouse to produce human EPO.
- FIG. 7 shows the primary structure of a functional mRNA transcript in the cytoplasm.
- the mRNA includes a 5′ methylguanosine cap, a protein coding sequence flanked by untranslated regions (UTRs), and a polyadenosine (polyA) tail bound by polyA binding proteins (PABPs).
- UTRs untranslated regions
- PABPs polyadenosine binding proteins
- FIG. 8 shows the 5′ cap and PABPs cooperatively interacting with proteins involved in translation to facilitate the recruitment and recycling of ribosome complexes.
- FIG. 9 shows the splint-mediated ligation scheme, in which an acceptor RNA with a 30-monomer stub polyA tail (A(30)) was ligated to a 30-monomer donor oligomer A(30).
- the splint-mediated ligation used a DNA oligomer splint which was complementary to the 3′ UTR sequence upstream of the stub polyA tail, and included a 60-monomer oligo(dT) 5′ heel (T(60)) to splint the ligation.
- the anchoring region of the splint was complementary to the UTR sequence to ensure that a 5′ dT 30 overhang was presented upon hybridization to the acceptor. This brings the donor oligomer into juxtaposition with the 3′ terminus of the stub tail, dramatically improving the kinetics of ligation.
- FIG. 10 shows experimental results of splint-mediated ligation of a donor oligomer to an acceptor.
- FIG. 10 shows the results of ligation using 2 ug of a 120-monomer acceptor with an A 30 stub tail that was ligated to a 5′-phosphorylated A 30 RNA donor oligomer using T4 RNA Ligase 2. The reaction was incubated overnight at 37° C. The ligation and a mock reaction done without enzyme were purified, treated with DNAse I for 1 hour to degrade and detach the splint oligomers, and re-purified in a volume of 30 uL. The ligation efficiency was nearly 100%. The absence of a size shift in the mock-reaction prep shows that the acceptor and donor were truly ligated and not simply held together by undigested splint oligomers.
- FIG. 11 shows the results of splint-mediated ligation using an acceptor RNA with a 30-monomer stub polyA tail (A(30)).
- the ligation reactions were performed with three different donor oligomer species: A(30), A(60), and A(120). Based on the gel shifts, the ligations have attained nearly 100% efficiency.
- FIG. 12 shows the results of one-hour splint-mediated ligations that were performed on nGFP-A 30 transcripts.
- the resulting ligation products were compared to untreated transcripts and native nGFP-A 60 IVT products.
- the native nGFP-A 60 and the ligated products were up-shifted on the gel relative to the untreated nGFP-A 30 transcripts and mock-ligated material, showing that the ligation yield was nearly 100%.
- FIG. 13 shows increased lifetime and translational activity for an nGFP-A 60 ligation product.
- nuclearized transcripts were transfected into fibroblasts, and a comparison of fluoresence signals was made for nGFP-A 30 , mock-ligated nGFP-A 30 , and an nGFP-A 60 ligation product ( FIG. 13 , left to right).
- the significantly higher fluorescence signal observed for the nGFP-A 60 ligation product shows that it has markedly increased translational activity.
- FIG. 14 shows the results of a ligation performed with a 100-monomer acceptor RNA that was treated for 3 hours at room temperature with T4 RNA Ligase 2 (truncated KQ mutant) using a 10 uM concentration of a polyA tail 30-monomer donor oligomer. 15% PEG 8000 was included in the reaction as a volume excluder to promote efficient ligation. The ligation reaction showed that a high molecular weight product was formed, having a size in between the 100-monomer acceptor RNA and a 180-monomer RNA transcript included as a size standard. These results show that the ligation reaction produced a predominant product having high molecular weight with nearly 100% ligation of the donor to the acceptor. Additional experiments with concentrations of the polyA tail at 10 uM, 20 uM, and 40 uM showed that from about 50% to about 100% of the acceptor RNA was ligated.
- This invention provides a range of novel agents and compositions to be used for therapeutic applications.
- the molecules and compositions of this invention can be used for ameliorating, preventing or treating various diseases associated with genomic functionalities.
- the molecules of this invention can be translatable messenger UNA molecules, which can have long half-life, particularly in the cytoplasm.
- the long duration mUNA molecules can be used for ameliorating, preventing or treating various diseases associated with undesirable modulation of protein concentration, or activity of a protein.
- the properties of the mUNA compounds of this invention arise according to their molecular structure, and the structure of the molecule in its entirety, as a whole, can provide significant benefits based on those properties.
- Embodiments of this invention can provide mUNA molecules having one or more properties that advantageously provide enhanced effectiveness in regulating protein expression or concentration, or modulating protein activity.
- the molecules and compositions of this invention can provide formulations for therapeutic agents for various diseases and conditions, which can provide clinical agents.
- This invention provides a range of mUNA molecules that are surprisingly translatable to provide active peptide or protein, in vitro and in vivo.
- the mUNA structures and compositions can have increased translational activity and cytoplasmic half-life.
- the mUNA structures and compositions can provide increased functional half-life in the cytoplasm of mammalian cells over native mRNA molecules.
- the inventive mUNA molecules can have increased half-life of activity with respect to a corresponding native mRNA.
- linker groups can be attached in a chain in the mUNA molecule.
- Each linker group can also be attached to a nucleobase.
- a linker group can be a monomer. Monomers can be attached to form a chain molecule. In a chain molecule of this invention, a linker group monomer can be attached at any point in the chain.
- linker group monomers can be attached in a chain molecule of this invention so that the linker group monomers reside near the ends of the chain, or at any position in the chain.
- a chain molecule can also be referred to as an oligomer.
- the linker groups of a chain molecule can each be attached to a nucleobase.
- the presence of nucleobases in the chain molecule can provide a sequence of nucleobases in the chain molecule.
- this invention provides oligomer mUNA molecules having chain structures that incorporate novel combinations of the linker group monomers, along with certain natural nucleotides, or non-natural nucleotides, or modified nucleotides, or chemically-modified nucleotides.
- the oligomer mUNA molecules of this invention can display a sequence of nucleobases, and can be designed to express a polypeptide or protein, in vitro, ex vivo, or in vivo.
- the expressed polypeptide or protein can have activity in various forms, including activity corresponding to protein expressed from natural mRNA, or activity corresponding to a negative or dominant negative protein.
- this invention can provide active mUNA oligomer molecules having a base sequence that corresponds to at least a fragment of a native nucleic acid molecule of a cell.
- the cell can be a eukaryotic cell, a mammalian cell, or a human cell.
- This invention provides structures, methods and compositions for oligomeric mUNA agents that incorporate the linker group monomers.
- the oligomeric molecules of this invention can be used as active agents in formulations for therapeutics.
- This invention provides a range of mUNA molecules that are useful for providing therapeutic effects because of their longevity of activity in providing an expressed peptide or protein.
- an active mUNA molecule can be structured as an oligomer composed of monomers.
- the oligomeric structures of this invention may contain one or more linker group monomers, along with certain nucleotides.
- An expressed peptide or protein can be modified or mutated as compared to a native variant, or can be a homolog or ortholog for enhanced expression in a eukaryotic cell.
- An active mUNA molecule can be human codon optimized. Methodologies for optimizing codons are known in the art.
- a mUNA molecule may contain a sequence of nucleobases, and can be designed to express a peptide or protein of any isoform, in part by having sufficient homology with a native polynucleotide sequence.
- a mUNA molecule can be from about 200 to about 12,000 monomers in length, or more. In certain embodiments, a mUNA molecule can be from 200 to 12,000 monomers in length, or 200 to 10,000 monomers, or 200 to 8,000 monomers, or 200 to 6000 monomers, or 200 to 5000 monomers, or 200 to 4000 monomers, or 200 to 3600 monomers, or 200 to 3200 monomers, or 200 to 3000 monomers, or 200 to 2800 monomers, or 200 to 2600 monomers, or 200 to 2400 monomers, or 200 to 2200 monomers, or 600 to 3200 monomers, or 600 to 3000 monomers, or 600 to 2600 monomers.
- a mUNA molecule can contain from 1 to about 8,000 UNA monomers. In certain embodiments, a mUNA molecule can contain from 1 to 8,000 UNA monomers, or 1 to 6,000 UNA monomers, or 1 to 4,000 UNA monomers, or 1 to 3,000 UNA monomers, or 1 to 2,000 UNA monomers, or 1 to 1,000 UNA monomers, or 1 to 500 UNA monomers, or 1 to 300 UNA monomers, or 1 to 200 UNA monomers, or 1 to 100 UNA monomers, or 1 to 50 UNA monomers, or 1 to 40 UNA monomers, or 1 to 30 UNA monomers, or 1 to 20 UNA monomers, or 1 to 10 UNA monomers, or 1 to 6 UNA monomers.
- a mUNA molecule can be from about 200 to about 12,000 bases in length, or more. In certain embodiments, a mUNA molecule can be from 200 to 12,000 bases in length, or 200 to 10,000 bases, or 200 to 8,000 bases, or 200 to 6000 bases, or 200 to 5000 bases, or 200 to 4000 bases, or 200 to 3600 bases, or 200 to 3200 bases, or 200 to 3000 bases, or 200 to 2800 bases, or 200 to 2600 bases, or 200 to 2400 bases, or 200 to 2200 bases, or 600 to 3200 bases, or 600 to 3000 bases, or 600 to 2600 bases.
- a mUNA molecule of this invention may comprise a 5′ cap, a 5′ untranslated region of monomers, a coding region of monomers, a 3′ untranslated region of monomers, and a tail region of monomers. Any of these regions of monomers may comprise one or more UNA monomers.
- a mUNA molecule of this invention may comprise a 5′ untranslated region of monomers containing one or more UNA monomers.
- a mUNA molecule of this invention may comprise a coding region of monomers containing one or more UNA monomers.
- a mUNA molecule of this invention may comprise a 3′ untranslated region of monomers containing one or more UNA monomers.
- a mUNA molecule of this invention may comprise a tail region of monomers containing one or more UNA monomers.
- a mUNA molecule of this invention may comprise a 5′ cap containing one or more UNA monomers.
- a mUNA molecule of this invention can be translatable, and may comprise regions of sequences or structures that are operable for translation in a cell, or which have the functionality of regions of an mRNA including, for example, a 5′ cap, a 5′ untranslated region, a coding region, a 3′ untranslated region, and a polyA tail.
- This invention further contemplates methods for delivering one or more vectors, or one or more mUNA molecules to a cell.
- one or more mUNA molecules can be delivered to a cell, in vitro, ex vivo, or in vivo. Viral and non-viral transfer methods as are known in the art can be used to introduce mUNA molecules in mammalian cells. mUNA molecules can be delivered with a pharmaceutically acceptable vehicle, or for example, encapsulated in a liposome.
- a peptide or protein expressed by a mUNA molecule can be any peptide or protein, endogenous or exogenous in nature with respect to a eukaryotic cell, and may be a synthetic or non-natural peptide or protein with activity or effect in the cell.
- mUNA structures and compositions of this invention can reduce the number and frequency of transfections required for cell-fate manipulation in culture as compared to utilizing native compositions.
- this invention provides increased activity for mUNA-based drugs as compared to utilizing native compositions, and can reduce the dose levels required for efficacious therapy.
- this invention provides increased activity for mUNA-based molecules, as compared to utilizing a native mRNA as active agent.
- this invention can provide mUNA molecules that may reduce the cellular innate immune response, as compared to that induced by a natural nucleic acid, peptide or protein.
- embodiments of this invention can provide increased efficacy for single-dose therapeutic modalities, including mUNA immunization and immunotherapies.
- This invention can provide synthetic mUNA molecules that are refractory to deadenylation as compared to native molecules.
- this invention can provide synthetic mUNA molecules with increased specific activity and longer functional half-life as compared to native molecules.
- the synthetic mUNA molecules of this invention can provide increased levels of ectopic protein expression.
- cellular-delivery can be at increased levels, and cytotoxic innate immune responses can be restrained so that higher levels of ectopic protein expression can be achieved.
- the mUNA molecules of this invention can have increased specific activity and longer functional half-life than mRNAs.
- a mUNA molecule may have a number of mutations from a native mRNA, or from a disease associated mRNA.
- this invention can provide mUNA molecules having cleavable delivery and targeting moieties attached at the 3′ end.
- the specific activity for a synthetic translatable molecule delivered by transfection can be viewed as the number of molecules of protein expressed per delivered transcript per unit time.
- translation efficiency refers to a measure of the production of a protein or polypeptide by translation of a messenger molecule in vitro or in vivo.
- This invention provides a range of mUNA molecules, which can contain one or more UNA monomers, and a number of nucleic acid monomers, wherein the mUNA molecule can be translated to express a polypeptide or protein.
- this invention includes a range of mUNA molecules, which contain one or more UNA monomers in one or more untranslated regions, and a number of nucleic acid monomers, wherein the mUNA molecule can be translated to express a polypeptide or protein.
- this invention includes a range of mUNA molecules, which contain one or more UNA monomers in a tail region or monomers, and a number of nucleic acid monomers, wherein the mUNA molecule can be translated to express a polypeptide or protein.
- a mUNA molecule can contain a modified 5′ cap.
- a mUNA molecule can contain one ore more UNA monomers in a 5′ cap.
- a mUNA molecule can contain a translation enhancing 5′ untranslated region of monomers.
- a mUNA molecule can contain one or more UNA monomers in a 5′ untranslated region.
- a mUNA molecule can contain a translation enhancing 3′ untranslated region of monomers.
- a mUNA molecule can contain one or more UNA monomers in a 3′ untranslated region of monomers.
- a mUNA molecule can contain one or more UNA monomers in a tail region of monomers.
- a mUNA molecule can contain one or more UNA monomers in a polyA tail.
- a mUNA molecule in another aspect, can exhibit at least 2-fold, 3-fold, 5-fold, or 10-fold increased translation efficiency in vivo as compared to a native mRNA that encodes the same translation product.
- a mUNA molecule can produce at least 2-fold, 3-fold, 5-fold, or 10-fold increased polypeptide or protein in vivo as compared to a native mRNA that encodes the same polypeptide or protein.
- this invention provides methods for treating a rare disease or condition in a subject by administering to the subject a composition containing a mUNA molecule.
- this invention provides methods for treating a liver disease or condition in a subject by administering to the subject a composition containing a mUNA molecule.
- a mUNA molecule of this invention may be used for ameliorating, preventing or treating a disease through enzyme modulation or replacement.
- a mUNA molecule of this invention can be administered to regulate, modulate, increase, or decrease the concentration or effectiveness of a natural enzyme in a subject.
- the enzyme can be an unmodified, natural enzyme for which the patient has an abnormal quantity.
- a mUNA molecule can be delivered to cells or subjects, and translated to supply increased levels of the natural enzyme.
- a mUNA molecule of this invention may be used for ameliorating, preventing or treating a disease through modulation or introduction of a peptide or protein.
- a mUNA molecule of this invention can be administered to regulate, modulate, increase, or decrease the concentration or effectiveness of a peptide or protein in a subject, where the peptide or protein is non-natural or mutated, as compared to a native peptide or protein.
- the peptide or protein can be a modified, non-natural, exogenous, or synthetic peptide or protein, which has a pharmacological effect in a subject.
- a mUNA molecule can be delivered to cells or subjects, and translated to supply a concentration of the peptide or protein.
- diseases for enzyme modulation include lysosomal diseases, for example, Gaucher disease, Fabry disease, Mucopolysaccharidoses (MPS) and related diseases including MPS I, MPS II (Hunter syndrome), and MPS VI, as well as Glycogen storage disease type II.
- lysosomal diseases for example, Gaucher disease, Fabry disease, Mucopolysaccharidoses (MPS) and related diseases including MPS I, MPS II (Hunter syndrome), and MPS VI, as well as Glycogen storage disease type II.
- diseases for enzyme modulation include hematologic diseases, for example, sickle-cell disease, thalassemia, methemoglobinemia, anemia due to deficiency of hemoglobin or B 12 intrinsic factor, spherocytosis, glucose-6-phosphate dehydrogenase deficiency, and pyruvate kinase deficiency.
- hematologic diseases for example, sickle-cell disease, thalassemia, methemoglobinemia, anemia due to deficiency of hemoglobin or B 12 intrinsic factor, spherocytosis, glucose-6-phosphate dehydrogenase deficiency, and pyruvate kinase deficiency.
- diseases for enzyme modulation include hemophilia, Von Willebrand disease, Protein S deficiency, age-related macular degeneration, trinucleotide repeat disorders, muscular dystrophy, insertion mutation diseases, DNA repair-deficiency disorders, and deletion mutation diseases.
- Examples of diseases and/or conditions for which the mUNA molecules of this invention can be translatable to provide an active agent include those in Table 1.
- DEND Syndrome Generally severe form of neonatal diabetes mellitus characterized by a t
- Glycerol Kinase Deficiency X-linked recessive enzyme defect that is heterozygous in nature, responsible gene in a region containing genes in which deletions can cause DMD and adrenal hypoplasia congenita Glycogen Storage Disease type 9 Caused by the inability to break down glycogen.
- the different forms of the condition can affect glycogen breakdown in liver cells, muscle cells or both gm1 gangliosidosis Autosomal recessive lysosomal storage disease characterized by accumulation of ganglioside substrates in lysosomes Hereditary spherocytosis Affects red blood cells, shortage of red blood cells, yellowing of the eyes and skin, and an enlarged spleen Hidradenitis Suppurativa Stage III Disorder of the terminal follicular epithelium in the apocrine gland-bearing skin, frequently causing keloids, contractures, and immobility.
- Stage III is defined as multiple lesions, with more extensive sinus tracts and scarring Horizonatal Gaze Palsy with Disorder that affects vision and also causes an abnormal Progressive Scoliosis curvature of the spine IMAGe syndrome
- the combination of intrauterine growth restriction, metaphyseal dysplasia, adrenal hypoplasia congenita, and genital anomalies (only about 20 cases reported in the medical literature) Isodicentric 15 Chromosome abnormality in which a child is born with extra genetic material from chromosome 15 isolated hemihyperplasia
- One side of the body grows more than other, causing asymmetry
- Juvenile Xanthogranuloma Usually benign and self-limiting.
- liver cells are less able to secrete a digestive fluid called bile.
- the buildup of bile in liver cells causes liver disease in affected individuals Pseudohypoparathyroidism type 1a Characterized by renal resistance to parathyroid hormone, resulting in hypocalcemia, hyperphosphatemia, and elevated PTH; resistance to other hormones including thydroid stimulating hormone, gonadotropins and growth- hormone-releasing hormone PTEN Hamartoma Tumor
- the gene was identified as a tumor suppressor that is Syndrome mutated in a large number of cancers at high frequency Schnitzler syndrome Characterised by chronic hives and periodic fever, bone pain and joint pain (sometimes with joint inflammation), weight loss, malaise, fatigue, swollen lymph glands and enlarged spleen and liver Scleroderma Chronic hardening and tightening of the skin and connective tissues
- Semi Lobar Holoprosencephany Holoprosencephany: birth defect of the brain, which often can also affect facial features, including closely spaced eyes, small head size, and sometimes clefts of the lip and roof of the mouth.
- Semilobar holoprosencephaly is a subtype of holoprosencephaly characterised by an incomplete forebrain division Sjogren's Syndrome Immune system disorder characterized by dry eyes and dry mouth Specific Antibody Deficiency Immune Disease SYNGAP 1 A ras GTPase-activating protein that is critical for the development of cognition and proper synapse function Trigeminal Trophic Syndrome This is the wing of tissue at the end of the nose above the nostril.
- Trigeminal trophic syndrome is due to damage to the trigeminal nerve Undiffentiated Connective Tissue Systemic autoimmune disease Disease X-linked hypophosphatemia X-linked dominant form of rickets (or osteomalacia) that differs from most cases of rickets in that ingestion of vitamin D is relatively ineffective. It can cause bone deformity including short stature and genu varum
- the mUNA molecules of this invention can be translatable to provide an active protein.
- a translatable mUNA molecule can provide an active mRNA immunization agent, or an mRNA vaccine component.
- a mUNA vaccine of this disclosure can advantageously provide a safe and efficacious genetic vaccine by inducing an immune response having both cellular and humoral components.
- protein can be expressed using a mUNA vaccine of this invention.
- a mUNA vaccine can advantageously provide protein synthesis in the cytoplasm.
- a mUNA vaccine of this invention can provide internalization, release and transport of an exogenous mRNA in the cytoplasm.
- a mUNA vaccine of this invention can encode for a protein antigen that can be translated by host cells.
- some mUNA vaccines of this disclosure can encode for tumor antigens, viral antigens, or allergens.
- Modalities for administering a mUNA vaccine of this invention can include intravenous, intranodal, intradermal, subcutaneous and intrasplenic.
- Embodiments of this invention further provide mUNA vaccines having increased half-life of translation, which can be used to reduce the necessary dose and exposure to antigen, and reduce the risk of inducing tolerance.
- a mUNA vaccine of this invention can provide an immunological effect without the risk of integration of a component into the genome, and may reduce the risk of mutagenesis as compared to other genetic vaccines.
- Additional embodiments of this disclosure include mUNA molecules having translational activity, where the translational activity can be described by a cytoplasmic half-life in a mammalian cell.
- the half-life can be determined by the time required for 50% of the mUNA molecule to be degraded in the cell.
- a translatable mUNA molecule of this invention can be a precursor of an active molecule, which can be used in the treatment of a condition or disease in a subject.
- a translatable mUNA molecule of this invention can be a pharmacologically active molecule having increased half-life in the cytoplasm of mammalian cells.
- mUNA molecules of this invention include a mUNA molecule that provides an mRNA encoding HIV-1 gag antigen, a mUNA molecule that provides an mRNA encoding antigens overexpressed in lung cancers, a mUNA molecule that provides an mRNA encoding malarial P. falciparum reticulocyte-binding protein homologue 5 (PfRHS), and a mUNA molecule that provides an mRNA encoding malarial Plasmodium falciparum PfSEA-1, a 244 KD malaria antigen expressed in schizont-infected RBCs.
- PfRHS malarial P. falciparum reticulocyte-binding protein homologue 5
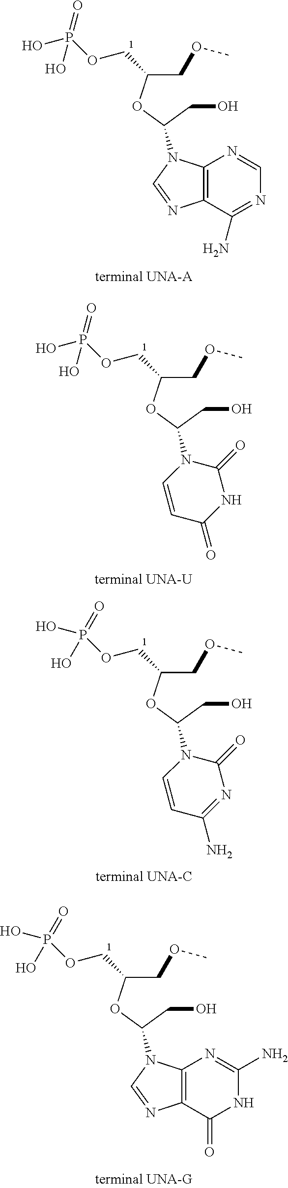
- linker group monomers can be unlocked nucleomonomers (UNA monomers), which are small organic molecules based on a propane-1,2,3-tri-yl-trisoxy structure as shown below:
- UNA monomers unlocked nucleomonomers
- R 1 and R 2 are H, and R 1 and R 2 can be phosphodiester linkages
- Base can be a nucleobase
- R 3 is a functional group described below.
- the UNA monomer main atoms can be drawn in IUPAC notation as follows:
- nucleobase examples include uracil, thymine, cytosine, 5-methylcytosine, adenine, guanine, inosine, and natural and non-natural nucleobase analogues.
- nucleobase examples include pseudouracil, 1-methylpseudouracil, and 5-methoxyuracil.
- a UNA monomer which is not a nucleotide, can be an internal linker monomer in an oligomer.
- An internal UNA monomer in an oligomer is flanked by other monomers on both sides.
- a UNA monomer can participate in base pairing when the oligomer forms a complex or duplex, for example, and there are other monomers with nucleobases in the complex or duplex.
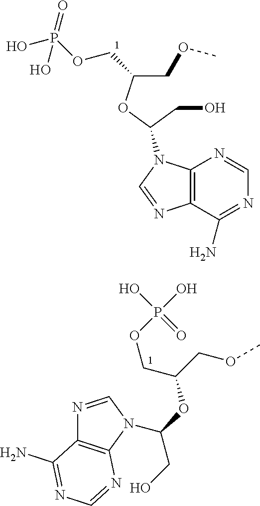
- a UNA monomer can be a terminal monomer of an oligomer, where the UNA monomer is attached to only one monomer at either the propane-1-yl position or the propane-3-yl position. Because the UNA monomers are flexible organic structures, unlike nucleotides, the terminal UNA monomer can be a flexible terminator for the oligomer.
- a UNA monomer can be a flexible molecule
- a UNA monomer as a terminal monomer can assume widely differing conformations.
- An example of an energy minimized UNA monomer conformation as a terminal monomer attached at the propane-3-yl position is shown below.
- the structure of the UNA monomer allows it to be attached to naturally-occurring nucleotides.
- a UNA oligomer can be a chain composed of UNA monomers, as well as various nucleotides that may be based on naturally-occurring nucleosides.
- the functional group R 3 of a UNA monomer can be —OR 4 , —SR 4 , —NR 4 2 , —NH(C ⁇ O)R 4 , morpholino, morpholin-1-yl, piperazin-1-yl, or 4-alkanoyl-piperazin-1-yl, where R 4 is the same or different for each occurrence, and can be H, alkyl, a cholesterol, a lipid molecule, a polyamine, an amino acid, or a polypeptide.
- the UNA monomers are organic molecules. UNA monomers are not nucleic acid monomers or nucleotides, nor are they naturally-occurring nucleosides or modified naturally-occurring nucleosides.
- a UNA oligomer of this invention is a synthetic chain molecule.
- a UNA monomer can be UNA-A (designated ⁇ ), UNA-U (designated ⁇ ), UNA-C (designated ⁇ hacek over (C) ⁇ ) and UNA-G (designated ⁇ hacek over (G) ⁇ ).
- Designations that may be used herein include mA, mG, mC, and mU, which refer to the 2′-O-Methyl modified ribonucleotides.
- Designations that may be used herein include dT, which refers to a 2′-deoxy T nucleotide.
- the symbol X represents a UNA monomer.
- the UNA monomers of the mUNA oligomer can have any base attached that would be complementary to the monomer with which it is paired in the nucleic acid molecule.
- N can represent any natural nucleotide monomer, or any modified nucleotide monomer.
- an N monomer of the mUNA oligomer can have any base attached that would be complementary to the monomer with which it is paired in the nucleic acid molecule.
- the symbol Q represents a non-natural, modified, or chemically-modified nucleotide monomer.
- a Q monomer of the mUNA oligomer can have any base attached that would be complementary to the monomer with which it is paired in the nucleic acid molecule.
- nucleic acid monomers include non-natural, modified, and chemically-modified nucleotides, including any such nucleotides known in the art.
- non-natural, modified, and chemically-modified nucleotide monomers include any such nucleotides known in the art, for example, 2′-O-methyl ribonucleotides, 2′-O-methyl purine nucleotides, 2′-deoxy-2′-fluoro ribonucleotides, 2′-deoxy-2′-fluoro pyrimidine nucleotides, 2′-deoxy ribonucleotides, 2′-deoxy purine nucleotides, universal base nucleotides, 5-C-methyl-nucleotides, and inverted deoxyabasic monomer residues.
- non-natural, modified, and chemically-modified nucleotide monomers include 3′-end stabilized nucleotides, 3′-glyceryl nucleotides, 3′-inverted abasic nucleotides, and 3′-inverted thymidine.
- Non-natural, modified, and chemically-modified nucleotide monomers include locked nucleic acid nucleotides (LNA), 2′-O,4′-C-methylene-(D-ribofuranosyl) nucleotides, 2′-methoxyethoxy (MOE) nucleotides, 2′-methyl-thio-ethyl, 2′-deoxy-2′-fluoro nucleotides, and 2′-O-methyl nucleotides.
- LNA locked nucleic acid nucleotides
- MOE 2′-methoxyethoxy
- non-natural, modified, and chemically-modified nucleotide monomers examples include 2′, 4′-Constrained 2′-O-Methoxyethyl (cMOE) and 2′-O-Ethyl (cEt) Modified DNAs.
- cMOE 2′, 4′-Constrained 2′-O-Methoxyethyl
- cEt 2′-O-Ethyl
- non-natural, modified, and chemically-modified nucleotide monomers examples include 2′-amino nucleotides, 2′-O-amino nucleotides, 2′-C-allyl nucleotides, and 2′-O-allyl nucleotides.
- non-natural, modified, and chemically-modified nucleotide monomers include N 6 -methyladenosine nucleotides.
- nucleotide monomers examples include nucleotide monomers with modified bases 5-(3-amino)propyluridine, 5-(2-mercapto)ethyluridine, 5-bromouridine; 8-bromoguanosine, or 7-deazaadenosine.
- non-natural, modified, and chemically-modified nucleotide monomers include 2′-O-aminopropyl substituted nucleotides.
- non-natural, modified, and chemically-modified nucleotide monomers include replacing the 2′-OH group of a nucleotide with a 2′-R, a 2′-OR, a 2′-halogen, a 2′-SR, or a 2′-amino, where R can be H, alkyl, alkenyl, or alkynyl.
- nucleotide monomers examples include pseudouridine (psi-Uridine) and 1-methylpseudouridine.
- modified nucleotides are given in Saenger, Principles of Nucleic Acid Structure, Springer-Verlag, 1984.
- aspects of this invention provide structures and compositions for mUNA molecules that are oligomeric compounds.
- the mUNA compounds can be active agents for pharmaceutical compositions.
- An oligomeric mUNA agent of this invention may contain one or more UNA monomers. Oligomeric molecules of this invention can be used as active agents in formulations for supplying peptide and protein therapeutics.
- this invention provides oligomeric mUNA compounds having a structure that incorporates novel combinations of UNA monomers with certain natural nucleotides, non-natural nucleotides, modified nucleotides, or chemically-modified nucleotides.
- Oligomeric mUNA compounds of this invention can have a length of from about 200 to about 12,000 bases in length. Oligomeric mUNA compounds of this invention can have a length of about 1800, or about 1900, or about 2000, or about 2100, or about 2200, or about 2300, or about 2400, or about 2500 bases.
- the oligomeric mUNA compounds of this invention can be pharmacologically active molecules.
- a mUNA molecule can be used as an active pharmaceutical ingredient for generating a peptide or protein active agent in vitro, in vivo, or ex vivo.
- a mUNA molecule of this invention can have the structure of Formula I
- L 1 is a linkage, n is from 200 to 12,000, and for each occurrence L 2 is a UNA linker group having the formula —C 1 —C 2 —C 3 —, where R is attached to C 2 and has the formula —OCH(CH 2 R 3 )R 5 , where R 3 is —OR 4 , —SR 4 , —NR 4 2 , —NH(C ⁇ O)R 4 , morpholino, morpholin-1-yl, piperazin-1-yl, or 4-alkanoyl-piperazin-1-yl, where R 4 is the same or different for each occurrence and is H, alkyl, a cholesterol, a lipid molecule, a polyamine, an amino acid, or a polypeptide, and where R 5 is a nucleobase, or L 2 (R) is a sugar such as a ribose and R is a nucleobase, or L 2 is a modified sugar such as a modified ribos
- the base sequence of a mUNA molecule can be any sequence of nucleobases.
- a mUNA molecule of this invention can have any number of phosphorothioate intermonomer linkages in any intermonomer location.
- any one or more of the intermonomer linkages of a mUNA molecule can be a phosphodiester, a phosphorothioate including dithioates, a chiral phosphorothioate, and other chemically modified forms.
- the terminal position When a mUNA molecule terminates in a UNA monomer, the terminal position has a 1-end, or the terminal position has a 3-end, according to the positional numbering shown above.
- a mUNA molecule of this invention can incorporate a region that enhances the translational efficiency of the mUNA molecule.
- translational enhancer regions as known in the art can be incorporated into the structure of a mUNA molecule to increase peptide or protein yields.
- a mUNA molecule containing a translation enhancer region can provide increased production of peptide or protein.
- a translation enhancer region can comprise, or be located in a 5′ or 3′ untranslated region of a mUNA molecule.
- translation enhancer regions include naturally-occurring enhancer regions from TEV 5′UTR and Xenopus beta-globin 3′UTR.
- a mUNA molecule can be designed to express a target peptide or protein.
- the target peptide or protein can be associated with a condition or disease in a subject.
- the base sequence of a mUNA molecule can include a portion that is identical to at least an effective portion or domain of a base sequence of an mRNA, where an effective portion is sufficient to impart a therapeutic activity to a translation product of the mUNA molecule.
- this invention provides active mUNA oligomer molecules having a base sequence identical to at least a fragment of a native nucleic acid molecule of a cell.
- the base sequence of a mUNA molecule can include a portion that is identical to a base sequence of an mRNA, except for one or more base mutations.
- the number of mutations for the mUNA molecule should not exceed an amount that would produce a translation product of the mUNA molecule having substantially less activity than the mRNA.
- the oligomer mUNA molecules of this invention can display a sequence of nucleobases, and can be designed to express a peptide or protein, in vitro, ex vivo, or in vivo.
- the expressed peptide or protein can have activity in various forms, including activity corresponding to protein expressed from a native or natural mRNA.
- a mUNA molecule of this invention may have a chain length of about 400 to 15,000 monomers, where any monomer that is not a UNA monomer can be a Q monomer.
- a mUNA molecule of this invention may have a 5′-end capped with various groups and their analogues as are known in the art.
- the 5′ cap may be a m7GpppGm cap.
- the 5′ cap may be an ARCA cap (3′-OMe-m7G(5′)pppG).
- the 5′ cap may be an mCAP (m7G(5′)ppp(5′)G, N 7 -Methyl-Guanosine-5′-Triphosphate-5′-Guanosine).
- the 5′ cap may be resistant to hydrolysis.
- the mUNA molecules of this invention can be structured to provide peptides or proteins that are nominally expressed by any portion of a genome. Examples of genes for which a mUNA molecule can be used to express the corresponding peptide or protein are set forth below.
- genes for which a mUNA molecule can be used to express the corresponding peptide or protein include: Neoplasia, PTEN; ATM; ATR; EGFR; ERBB2; ERBB3; ERBB4; Notch1; Notch2; Notch3; Notch4; AKT; AKT2; AKT3; HIF; HIF1a; HIF3a; Met; HRG; Bc12; PPAR alpha; PPAR gamma; WT1 (Wilms Tumor); FGF Receptor Family members (5 members: 1, 2, 3, 4, 5); CDKN2a; APC; RB (retinoblastoma); MEN1; VHL; BRCA1; BRCA2; AR (Androgen Receptor); TSG101; IGF; IGF Receptor; Igf1 (4 variants); Igf2 (3 variants); Igf 1 Receptor; Igf 2 Receptor; Bax; Bc12; caspases family (9 members: 1,
- genes for which a mUNA molecule can be used to express the corresponding peptide or protein include: Age-related Macular Degeneration, Schizophrenia, Aber; Cc12; Cc2; cp (ceruloplasmin); Timp3; cathepsinD; Vldlr; Ccr2 Neuregulin1 (Nrg 1); Erb4 (receptor for Neuregulin); Complexin1 (Cplx1); Tph1 Tryptophan hydroxylase; Tph2 Tryptophan hydroxylase 2; Neurexin 1; GSK3; GSK3a; GSK3b.
- genes for which a mUNA molecule can be used to express the corresponding peptide or protein include: 5-HTT (Slc6a4); COMT; DRD (Drd1a); SLC6A3; DAOA; DTNBP1; Dao (Dao1).
- genes for which a mUNA molecule can be used to express the corresponding peptide or protein include: Trinucleotide Repeat Disorders, HTT (Huntington's Dx); SBMA/SMAX1/AR (Kennedy's Dx); FXN/X25 (Friedrich's Ataxia); ATX3 (Machado-Joseph's Dx); ATXN1 and ATXN2 (spinocerebellar ataxias); DMPK (myotonic dystrophy); Atrophin-1 and Atn 1 (DRPLA Dx); CBP (Creb-BP-global instability); VLDLR (Alzheimer's); Atxn7; Atxn10.
- genes for which a mUNA molecule can be used to express the corresponding peptide or protein include: Fragile X Syndrome, FMR2; FXR1; FXR2; mGLUR5.
- genes for which a mUNA molecule can be used to express the corresponding peptide or protein include: Secretase Related Disorders, APH-1 (alpha and beta); Presenilin (Psen1); nicastrin (Ncstn); PEN-2.
- genes for which a mUNA molecule can be used to express the corresponding peptide or protein include: Nos1.
- genes for which a mUNA molecule can be used to express the corresponding peptide or protein include: Parp1.
- genes for which a mUNA molecule can be used to express the corresponding peptide or protein include: Nat1; Nat2.
- genes for which a mUNA molecule can be used to express the corresponding peptide or protein include: Prion-related disorders, Prp.
- genes for which a mUNA molecule can be used to express the corresponding peptide or protein include: ALS disease, SOD1; ALS2; STEX; FUS; TARDBP; VEGF (VEGF-a; VEGF-b; VEGF-c).
- genes for which a mUNA molecule can be used to express the corresponding peptide or protein include: Drug addiction, Prkce (alcohol); Drd2; Drd4; ABAT (alcohol); GRIA2; Grm5; Grin1; Htr1b; Grin2a; Drd3; Pdyn; Gria1 (alcohol).
- genes for which a mUNA molecule can be used to express the corresponding peptide or protein include: Autism, Mecp2; BZRAP1; MDGA2; Sema5A; Neurexin 1; Fragile X (FMR2 (AFF2); FXR1; FXR2; Mglur5).
- genes for which a mUNA molecule can be used to express the corresponding peptide or protein include: Alzheimer's Disease, E1; CHIP; UCH; UBB; Tau; LRP; PICALM; Clusterin; PS1; SORL1; CR1; Vld1r; Uba1; Uba3; CHIP28 (Aqp1, Aquaporin 1); Uch11; Uch13; APP.
- genes for which a mUNA molecule can be used to express the corresponding peptide or protein include: Inflammation, 1L-10; IL-1 (1L-1a; IL-1b); 1L-13; IL-17 (IL-17a (CTLA8); IL-17b; IL-17c; IL-17d; IL-17f); II-23; Cx3er1; ptpn22; TNFa; NOD2/CARD15 for IBD; IL-6; 1L-12 (1L-12a; 1L-12b); CTLA4; Cx3cl1.
- genes for which a mUNA molecule can be used to express the corresponding peptide or protein include: Parkinson's Disease, x-Synuclein; DJ-1; LRRK2; Parkin; PINK1.
- genes for which a mUNA molecule can be used to express the corresponding peptide or protein include: Blood and coagulation diseases and disorders, Anemia (CDAN1, CDA1, RPS19, DBA, PKLR, PK1, NT5C3, UMPH1, PSN1, RHAG, RH50A, NRAMP2, SPTB, ALAS2, ANH1, ASB, ABCB7, ABC7, ASAT); Bare lymphocyte syndrome (TAPBP, TPSN, TAP2, ABCB3, PSF2, RING11, MHC2TA, C2TA, RFX5, RFXAP, RFX5), Bleeding disorders (TBXA2R, P2RX1, P2X1); Factor H and factor H-like 1 (HF1, CFH, HUS); Factor V and factor VIII (MCFD2); Factor VII deficiency (F7); Factor X deficiency (F10); Factor XI deficiency (F11); Factor XII deficiency
- genes for which a mUNA molecule can be used to express the corresponding peptide or protein include: Cell dysregulation and oncology diseases and disorders, B-cell non-Hodgkin lymphoma (BCL7A, BCL7); Leukemia (TAL1 TCL5, SCL, TAL2, FLT3, NBS1, NBS, ZNFN1A1, IK1, LYF1, HOXD4, HOX4B, BCR, CML, PHL, ALL, ARNT, KRAS2, RASK2, GMPS, AF10, ARHGEF12, LARG, KIAA0382, CALM, CLTH, CEBPA, CEBP, CHIC2, BTL, FLT3, KIT, PBT, LPP, NPM1, NUP214, D9S46E, CAN, CAIN, RUNX1, CBFA2, AML1, WHSC1L1, NSD3, FLT3, AF1Q, NPM1, NUMA1, ZNF145, PLZF, PML, MYL,
- genes for which a mUNA molecule can be used to express the corresponding peptide or protein include: Inflammation and immune related diseases and disorders, AIDS (KIR3DL1, NKAT3, NKB1, AMB11, KIR3DS1, IFNG, CXCL12, SDF1); Autoimmune lymphoproliferative syndrome (TNFRSF6, APT1, FAS, CD95, ALPS1A); Combined immuno-deficiency, (IL2RG, SCIDX1, SCIDX, IMD4); HIV-1 (CCL5, SCYA5, D17S136E, TCP228), HIV susceptibility or infection (IL10, CSIF, CMKBR2, CCR2, CMKBR5, CCCKR5 (CCR5)); Immuno-deficiencies (CD3E, CD3G, AICDA, AID, HIGM2, TNFRSF5, CD40, UNG, DGU, HIGM4, TNFSF5, CD40LG, HIGM1, IGM, FOXP3, IPEX
- genes for which a mUNA molecule can be used to express the corresponding peptide or protein include: Metabolic, liver, kidney and protein diseases and disorders, Amyloid neuropathy (TTR, PALB); Amyloidosis (APOA1, APP, AAA, CVAP, AD1, GSN, FGA, LYZ, TTR, PALB); Cirrhosis (KRT18, KRT8, CIRH1A, NAIC, TEX292, KIAA1988); Cystic fibrosis (CFTR, BG213071, ABCC7, CF, MRP7); Glycogen storage diseases (SLC2A2, GLUT2, G6PC, G6PT, G6PT1, GAA, LAMP2, LAMPB, AGL, GDE, GBE1, GYS2, PYGL, PFKM); Hepatic adenoma, 142330 (TCF1, HNF1A, MODY3), Hepatic failure, early onset, and neurologic disorder (SCOD1, SCO1), Hepatic
- genes for which a mUNA molecule can be used to express the corresponding peptide or protein include: Lipoprotein lipase, APOA1, APOC3 and APOA4.
- genes for which a mUNA molecule can be used to express the corresponding peptide or protein include: Muscular/skeletal diseases and disorders, Becker muscular dystrophy (DMD, BMD, MYF6), Duchenne Muscular Dystrophy (DMD, BMD); Emery-Dreifuss muscular dystrophy (LMNA, LMN1, EMD2, FPLD, CMD1A, HGPS, LGMD1B, LMNA, LMN1, EMD2, FPLD, CMD1A); Facio-scapulohumeral muscular dystrophy (FSHMD1A, FSHD1A); Muscular dystrophy (FKRP, MDC1C, LGMD2I, LAMA2, LAMM, LARGE, KIAA0609, MDC1D, FCMD, TTID, MYOT, CAPN3, CANP3, DYSF, LGMD2B, SGCG, LGMD2C, DMDA1, SCG3, SGCA, ADL, DAG2, LGMD2
- genes for which a mUNA molecule can be used to express the corresponding peptide or protein include: Neurological and neuronal diseases and disorders, ALS (SOD1, ALS2, STEX, FUS, TARDBP, VEGF (VEGF-a, VEGF-b, VEGF-c); Alzheimer's Disease (APP, AAA, CVAP, AD1, APOE, AD2, PSEN2, AD4, STM2, APBB2, FE65L1, NOS3, PLAU, URK, ACE, DCP1, ACE1, MPO, PACIP1, PAXIP1L, PTIP, A2M, BLMH, BMH, PSEN1, AD3); Autism (Mecp2, BZRAP1, MDGA2, Sema5A, Neurexin 1, GLO1, MECP2, RTT, PPMX, MRX16, MRX79, NLGN3, NLGN4, KIAA1260, AUTSX2); Fragile X Syndrome (FMR2, FXR1, FXR1,
- genes for which a mUNA molecule can be used to express the corresponding peptide or protein include: Occular diseases and disorders, Age-related macular degeneration (Aber, Cc12, Cc2, cp (ceruloplasmin), Timp3, cathepsinD, Vldlr, Ccr2); Cataract (CRYAA, CRYA1, CRYBB2, CRYB2, PITX3, BFSP2, CP49, CP47, CRYAA, CRYA1, PAX6, AN2, MGDA, CRYBA1, CRYB1, CRYGC, CRYG3, CCL, LIM2, MP19, CRYGD, CRYG4, BFSP2, CP49, CP47, HSF4, CTM, HSF4, CTM, MIP, AQP0, CRYAB, CRYA2, CTPP2, CRYBB1, CRYGD, CRYG4, CRYBB2, CRYB2, CRYGC, CRYG3, CCL, CRYAA, CRYA1, GJA
- genes for which a mUNA molecule can be used to express the corresponding peptide or protein include: Epilepsy, myoclonic, EPM2A, MELF, EPM2 Lafora type, 254780 Epilepsy, myoclonic, NHLRC1, EPM2A, EPM2B Lafora type, 254780.
- genes for which a mUNA molecule can be used to express the corresponding peptide or protein include: Duchenne muscular DMD, BMD dystrophy, 310200 (3) AIDS, delayed/rapid KIR3DL1, NKAT3, NKB1, AMB11, KIR3DS1 progression to (3).
- genes for which a mUNA molecule can be used to express the corresponding peptide or protein include: AIDS, delayed/rapid KIR3DL1, NKAT3, NKB1, AMB11, KIR3DS1 progression to (3) AIDS, rapid IFNG progression to, 609423 (3) AIDS, resistance to CXCL12, SDF1 (3).
- genes for which a mUNA molecule can be used to express the corresponding peptide or protein include: Alpha-1-Antitrypsin Deficiency, SERPINA1 [serpin peptidase inhibitor, clade A (alpha-1 antiproteinase, antitrypsin), member 1]; SERPINA2 [serpin peptidase inhibitor, clade A (alpha-1 antiproteinase, antitrypsin), member 2]; SERPINA3 [serpin peptidase inhibitor, clade A (alpha-1 antiproteinase, antitrypsin), member 3]; SERPINA5 [serpin peptidase inhibitor, clade A (alpha-1 antiproteinase, antitrypsin), member 5]; SERPINA6 [serpin peptidase inhibitor, clade A (alpha-1 antiproteinase, antitrypsin), member 6]; SERPINA7 [serpin peptidase inhibitor, clade A (
- genes for which a mUNA molecule can be used to express the corresponding peptide or protein include: PI3K/AKT Signaling, PRKCE; ITGAM; ITGA5; IRAK1; PRKAA2; EIF2AK2; PTEN; EIF4E; PRKCZ; GRK6; MAPK1; TSC1; PLK1; AKT2; IKBKB; PIK3CA; CDK8; CDKN1B; NFKB2; BCL2; PIK3CB; PPP2R1A; MAPK8; BCL2L1; MAPK3; TSC2; ITGA1; KRAS; EIF4EBP1; RELA; PRKCD; NOS3; PRKAA1; MAPK9; CDK2; PPP2CA; PIM1; ITGB7; YWHAZ; ILK; TP53; RAF1.; IKBKG; RELB; DYRK1A; CDKN1A; ITGB1; MAP2
- genes for which a mUNA molecule can be used to express the corresponding peptide or protein include: ERK/MAPK Signaling, PRKCE; ITGAM; ITGA5; HSPB1; IRAK1; PRKAA2; EIF2AK2; RAC1; RAP1A; TLN1; EIF4E; ELK1; GRK6; MAPK1; RAC2; PLK1; AKT2; PIK3CA; CDK8; CREB1; PRKCI; PTK2; FOS; RPS6KA4; PIK3CB; PPP2R1A; PIK3C3; MAPK8; MAPK3; ITGA1; ETS1; KRAS; MYCN; EIF4EBP1; PPARG; PRKCD; PRKAA1; MAPK9; SRC; CDK2; PPP2CA; PIM1; PIK3C2A; ITGB7; YWHAZ; PPP1CC; KSR
- genes for which a mUNA molecule can be used to express the corresponding peptide or protein include: Serine/Threonine-Protein Kinase, CDK16; PCTK1; CDK5R1.
- genes for which a mUNA molecule can be used to express the corresponding peptide or protein include: Glucocorticoid Receptor Signaling, RAC1; TAF4B; EP300; SMAD2; TRAF6; PCAF; ELK1; MAPK1; SMAD3; AKT2; IKBKB; NCOR2; UBE2I; PIK3CA; CREB1; FOS; HSPA5; NFKB2; BCL2; MAP3K14; STAT5B; PIK3CB; PIK3C3; MAPK8; BCL2L1; MAPK3; TSC22D3; MAPK10; NRIP1; KRAS; MAPK13; RELA; STAT5A; MAPK9; NOS2A; PBX1; NR3C1; PIK3C2A; CDKN1C; TRAF2; SERPINE1; NCOA3; MAPK14; TNF; RAF1; IKBKG;
- genes for which a mUNA molecule can be used to express the corresponding peptide or protein include: Axonal Guidance Signaling, PRKCE; ITGAM; ROCK1; ITGA5; CXCR4; ADAM12; IGF1; RAC1; RAP1A; E1F4E; PRKCZ; NRP1; NTRK2; ARHGEF7; SMO; ROCK2; MAPK1; PGF; RAC2; PTPN11; GNAS; AKT2; PIK3CA; ERBB2; PRKC1; PTK2; CFL1; GNAQ; PIK3CB; CXCL12; PIK3C3; WNT11; PRKD1; GNB2L1; ABL1; MAPK3; ITGA1; KRAS; RHOA; PRKCD; PIK3C2A; ITGB7; GLI2; PXN; VASP; RAF1; FYN; ITGB1; MAP2K2; PA
- genes for which a mUNA molecule can be used to express the corresponding peptide or protein include: Ephrin Receptor Signaling, PRKCE; ITGAM; ROCK1; ITGA5; CXCR4; IRAK1; PRKAA2; EIF2AK2; RAC1; RAP1A; GRK6; ROCK2; MAPK1; PGF; RAC2; PTPN11; GNAS; PLK1; AKT2; DOK1; CDK8; CREB1; PTK2; CFL1; GNAQ; MAP3K14; CXCL12; MAPK8; GNB2L1; ABL1; MAPK3; ITGA1; KRAS; RHOA; PRKCD; PRKAA1; MAPK9; SRC; CDK2; PIM1; ITGB7; PXN; RAF1; FYN; DYRK1A; ITGB1; MAP2K2; PAK4, AKT1; JAK2; STAT
- genes for which a mUNA molecule can be used to express the corresponding peptide or protein include: Actin Cytoskeleton Signaling, ACTN4; PRKCE; ITGAM; ROCK1; ITGA5; IRAK1; PRKAA2; EIF2AK2; RAC1; INS; ARHGEF7; GRK6; ROCK2; MAPK1; RAC2; PLK1; AKT2; PIK3CA; CDK8; PTK2; CFL1; PIK3CB; MYH9; DIAPH1; PIK3C3; MAPK8; F2R; MAPK3; SLC9A1; ITGA1; KRAS; RHOA; PRKCD; PRKAA1; MAPK9; CDK2; PIM1; PIK3C2A; ITGB7; PPP1CC; PXN; VIL2; RAF1; GSN; DYRK1A; ITGB1; MAP2K2; PAK
- genes for which a mUNA molecule can be used to express the corresponding peptide or protein include: Huntington's Disease Signaling, PRKCE; IGF1; EP300; RCOR1.; PRKCZ; HDAC4; TGM2; MAPK1; CAPNS1; AKT2; EGFR; NCOR2; SP1; CAPN2; PIK3CA; HDAC5; CREB1; PRKC1; HSPA5; REST; GNAQ; PIK3CB; PIK3C3; MAPK8; IGF1R; PRKD1; GNB2L1; BCL2L1; CAPN1; MAPK3; CASP8; HDAC2; HDAC7A; PRKCD; HDAC11; MAPK9; HDAC9; PIK3C2A; HDAC3; TP53; CASP9; CREBBP; AKT1; PIK3R1; PDPK1; CASP1; APAF1; FRAP1; C
- genes for which a mUNA molecule can be used to express the corresponding peptide or protein include: Apoptosis Signaling, PRKCE; ROCK1; BID; IRAK1; PRKAA2; EIF2AK2; BAK1; BIRC4; GRK6; MAPK1; CAPNS1; PLK1; AKT2; IKBKB; CAPN2; CDK8; FAS; NFKB2; BCL2; MAP3K14; MAPK8; BCL2L1; CAPN1; MAPK3; CASP8; KRAS; RELA; PRKCD; PRKAA1; MAPK9; CDK2; PIM1; TP53; TNF; RAF1; IKBKG; RELB; CASP9; DYRK1A; MAP2K2; CHUK; APAF1; MAP2K1; NFKB1; PAK3; LMNA; CASP2; BIRC2; TTK; CSNK1A1;
- genes for which a mUNA molecule can be used to express the corresponding peptide or protein include: B Cell Receptor Signaling, RAC1; PTEN; LYN; ELK1; MAPK1; RAC2; PTPN11; AKT2; IKBKB; PIK3CA; CREB1; SYK; NFKB2; CAMK2A; MAP3K14; PIK3CB; PIK3C3; MAPK8; BCL2L1; ABL1; MAPK3; ETS1; KRAS; MAPK13; RELA; PTPN6; MAPK9; EGR1; PIK3C2A; BTK; MAPK14; RAF1; IKBKG; RELB; MAP3K7; MAP2K2; AKT1; PIK3R1; CHUK; MAP2K1; NFKB1; CDC42; GSK3A; FRAP1; BCL6; BCL10; JUN; GSK3A
- genes for which a mUNA molecule can be used to express the corresponding peptide or protein include: Leukocyte Extravasation Signaling, ACTN4; CD44; PRKCE; ITGAM; ROCK1; CXCR4; CYBA; RAC1; RAP1A; PRKCZ; ROCK2; RAC2; PTPN11; MMP14; PIK3CA; PRKCI; PTK2; PIK3CB; CXCL12; PIK3C3; MAPK8; PRKD1; ABL1; MAPK10; CYBB; MAPK13; RHOA; PRKCD; MAPK9; SRC; PIK3C2A; BTK; MAPK14; NOX1; PXN; VIL2; VASP; ITGB1; MAP2K2; CTNND1; PIK3R1; CTNNB1; CLDN1; CDC42; F11R; ITK; CRKL; VAV3; CTTN; PRK
- genes for which a mUNA molecule can be used to express the corresponding peptide or protein include: Integrin Signaling, ACTN4; ITGAM; ROCK1; ITGA5; RAC1; PTEN; RAP1A; TLN1; ARHGEF7; MAPK1; RAC2; CAPNS1; AKT2; CAPN2; P1K3CA; PTK2; PIK3CB; PIK3C3; MAPK8; CAV1; CAPN1; ABL1; MAPK3; ITGA1; KRAS; RHOA; SRC; PIK3C2A; ITGB7; PPP1CC; ILK; PXN; VASP; RAF1; FYN; ITGB1; MAP2K2; PAK4; AKT1; PIK3R1; TNK2; MAP2K1; PAK3; ITGB3; CDC42; RND3; ITGA2; CRKL; BRAF; GSK3B; A
- genes for which a mUNA molecule can be used to express the corresponding peptide or protein include: Acute Phase Response Signaling, IRAK1; SOD2; MYD88; TRAF6; ELK1; MAPK1; PTPN11; AKT2; IKBKB; PIK3CA; FOS; NFKB2; MAP3K14; PIK3CB; MAPK8; RIPK1; MAPK3; IL6ST; KRAS; MAPK13; IL6R; RELA; SOCS1; MAPK9; FTL; NR3C1; TRAF2; SERPINE1; MAPK14; TNF; RAF1; PDK1; IKBKG; RELB; MAP3K7; MAP2K2; AKT1; JAK2; PIK3R1; CHUK; STAT3; MAP2K1; NFKB1; FRAP1; CEBPB; JUN; AKT3; IL1R1; IL6.
- genes for which a mUNA molecule can be used to express the corresponding peptide or protein include: PTEN Signaling, ITGAM; ITGA5; RAC1; PTEN; PRKCZ; BCL2L11; MAPK1; RAC2; AKT2; EGFR; IKBKB; CBL; PIK3CA; CDKN1B; PTK2; NFKB2; BCL2; PIK3CB; BCL2L1; MAPK3; ITGA1; KRAS; ITGB7; ILK; PDGFRB; INSR; RAF1; IKBKG; CASP9; CDKN1A; ITGB1; MAP2K2; AKT1; PIK3R1; CHUK; PDGFRA; PDPK1; MAP2K1; NFKB1; ITGB3; CDC42; CCND1; GSK3A; ITGA2; GSK3B; AKT3; FOXO1; CASP3; RPS6KB1.
- genes for which a mUNA molecule can be used to express the corresponding peptide or protein include: p53 Signaling, PTEN; EP300; BBC3; PCAF; FASN; BRCA1; GADD45A; BIRC5; AKT2; PIK3CA; CHEK1; TP53INP1; BCL2; PIK3CB; PIK3C3; MAPK8; THBS1; ATR; BCL2L1; E2F1; PMAIP1; CHEK2; TNFRSF10B; TP73; RBI; HDAC9; CDK2; PIK3C2A; MAPK14; TP53; LRDD; CDKN1A; HIPK2; AKT1; RIK3R1; RRM2B; APAF1; CTNNB1; SIRT1; CCND1; PRKDC; ATM; SFN; CDKN2A; JUN; SNAI2; GSK3B; BAX; A
- genes for which a mUNA molecule can be used to express the corresponding peptide or protein include: Aryl Hydrocarbon Receptor Signaling, HSPB1; EP300; FASN; TGM2; RXRA; MAPK1; NQO1; NCOR2; SP1; ARNT; CDKN1B; FOS; CHEK1; SMARCA4; NFKB2; MAPK8; ALDH1A1; ATR; E2F1; MAPK3; NRIP1; CHEK2; RELA; TP73; GSTP1; RB1; SRC; CDK2; AHR; NFE2L2; NCOA3; TP53; TNF; CDKN1A; NCOA2; APAF1; NFKB1; CCND1; ATM; ESR1; CDKN2A; MYC; JUN; ESR2; BAX; IL6; CYP1B1; HSP90AA1.
- genes for which a mUNA molecule can be used to express the corresponding peptide or protein include: Xenobiotic Metabolism Signaling, PRKCE; EP300; PRKCZ; RXRA; MAPK1; NQO1; NCOR2; PIK3CA; ARNT; PRKCI; NFKB2; CAMK2A; PIK3CB; PPP2R1A; PIK3C3; MAPK8; PRKD1; ALDH1A1; MAPK3; NRIP1; KRAS; MAPK13; PRKCD; GSTP1; MAPK9; NOS2A; ABCB1; AHR; PPP2CA; FTL; NFE2L2; PIK3C2A; PPARGC1A; MAPK14; TNF; RAF1; CREBBP; MAP2K2; PIK3R1; PPP2R5C; MAP2K1; NFKB1; KEAP1; PRKCA; EIF2
- genes for which a mUNA molecule can be used to express the corresponding peptide or protein include: SAPK/JNK Signaling, PRKCE; IRAK1; PRKAA2; EIF2AK2; RAC1; ELK1; GRK6; MAPK1; GADD45A; RAC2; PLK1; AKT2; PIK3CA; FADD; CDK8; PIK3CB; PIK3C3; MAPK8; RIPK1; GNB2L1; IRS1; MAPK3; MAPK10; DAXX; KRAS; PRKCD; PRKAA1; MAPK9; CDK2; PIM1; PIK3C2A; TRAF2; TP53; LCK; MAP3K7; DYRK1A; MAP2K2; PIK3R1; MAP2K1; PAK3; CDC42; JUN; TTK; CSNK1A1; CRKL; BRAF; SG
- genes for which a mUNA molecule can be used to express the corresponding peptide or protein include: PPAr/RXR Signaling, PRKAA2; EP300; INS; SMAD2; TRAF6; PPARA; FASN; RXRA; MAPK1; SMAD3; GNAS; IKBKB; NCOR2; ABCA1; GNAQ; NFKB2; MAP3K14; STAT5B; MAPK8; IRS1; MAPK3; KRAS; RELA; PRKAA1; PPARGC1A; NCOA3; MAPK14; INSR; RAF1; IKBKG; RELB; MAP3K7; CREBBP; MAP2K2; JAK2; CHUK; MAP2K1; NFKB1; TGFBR1; SMAD4; JUN; IL1R1; PRKCA; IL6; HSP90AA1; ADIPOQ.
- genes for which a mUNA molecule can be used to express the corresponding peptide or protein include: NF-KB Signaling, IRAK1; EIF2AK2; EP300; INS; MYD8; PRKCZ: TRAF6; TBK1; AKT2; EGFR; IKBKB; PIK3CA; BTRC; NFKB2; MAP3K14; PIK3CB; PIK3C3; MAPK8; RIPK1; HDAC2; KRAS; RELA; PIK3C2A; TRAF2; TLR4: PDGFRB; TNF; INSR; LCK; IKBKG; RELB; MAP3K7; CREBBP; AKT1; PIK3R1; CHUK; PDGFRA; NFKB1; TLR2; BCL10; GSK3B; AKT3; TNFAIP3; IL1R1.
- genes for which a mUNA molecule can be used to express the corresponding peptide or protein include: Neuregulin Signaling, ERBB4; PRKCE; ITGAM; ITGA5: PTEN; PRKCZ; ELK1; MAPK1; PTPN11; AKT2; EGFR; ERBB2; PRKCI; CDKN1B; STAT5B; PRKD1; MAPK3; ITGA1; KRAS; PRKCD; STAT5A; SRC; ITGB7; RAF1; ITGB1; MAP2K2; ADAM17; AKT1; PIK3R1; PDPK1; MAP2K1; ITGB3; EREG; FRAP1; PSEN1; ITGA2; MYC; NRG1; CRKL; AKT3; PRKCA; HSP90AA1; RPS6KB1.
- genes for which a mUNA molecule can be used to express the corresponding peptide or protein include: Wnt & Beta catenin Signaling, CD44; EP300; LRP6; DVL3; CSNK1E; GJA1; SMO; AKT2; PIN1; CDH1; BTRC; GNAQ; MARK2; PPP2R1A; WNT11; SRC; DKK1; PPP2CA; SOX6; SFRP2: ILK; LEF1; SOX9; TP53; MAP3K7; CREBBP; TCF7L2; AKT1; PPP2R5C; WNT5A; LRP5; CTNNB1; TGFBR1; CCND1; GSK3A; DVL1; APC; CDKN2A; MYC; CSNK1A1; GSK3B; AKT3; SOX2.
- genes for which a mUNA molecule can be used to express the corresponding peptide or protein include: Insulin Receptor Signaling, PTEN; INS; EIF4E; PTPN1; PRKCZ; MAPK1; TSC1; PTPN11; AKT2; CBL; PIK3CA; PRKCI; PIK3CB; PIK3C3; MAPK8; IRS1; MAPK3; TSC2; KRAS; EIF4EBP1; SLC2A4; PIK3C2A; PPP1CC; INSR; RAF1; FYN; MAP2K2; JAK1; AKT1; JAK2; PIK3R1; PDPK1; MAP2K1; GSK3A; FRAP1; CRKL; GSK3B; AKT3; FOXO1; SGK; RPS6KB1.
- genes for which a mUNA molecule can be used to express the corresponding peptide or protein include: IL-6 Signaling, HSPB1; TRAF6; MAPKAPK2; ELK1; MAPK1; PTPN11; IKBKB; FOS; NFKB2: MAP3K14; MAPK8; MAPK3; MAPK10; IL6ST; KRAS; MAPK13; IL6R; RELA; SOCS1; MAPK9; ABCB1; TRAF2; MAPK14; TNF; RAF1; IKBKG; RELB; MAP3K7; MAP2K2; IL8; JAK2; CHUK; STAT3; MAP2K1; NFKB1; CEBPB; JUN; IL1R1; SRF; IL6.
- IL-6 Signaling HSPB1; TRAF6; MAPKAPK2; ELK1; MAPK1; PTPN11; IKBKB; FOS; NFKB2: MAP3K
- genes for which a mUNA molecule can be used to express the corresponding peptide or protein include: Hepatic Cholestasis, PRKCE; IRAK1; INS; MYD8; PRKCZ; TRAF6; PPARA; RXRA; IKBKB; PRKCI; NFKB2; MAP3K14; MAPK8; PRKD1; MAPK10; RELA; PRKCD; MAPK9; ABCB1; TRAF2; TLR4; TNF; INSR; IKBKG; RELB; MAP3K7; IL8; CHUK; NR1H2; TJP2; NFKB1; ESR1; SREBF1; FGFR4; JUN; IL1R1; PRKCA; IL6.
- genes for which a mUNA molecule can be used to express the corresponding peptide or protein include: IGF-1 Signaling, IGF1; PRKCZ; ELK1; MAPK1; PTPN11; NEDD4; AKT2; PIK3CA; PRKC1; PTK2; FOS; PIK3CB; PIK3C3; MAPK8; 1GF1R; IRS1; MAPK3; IGFBP7; KRAS; PIK3C2A; YWHAZ; PXN; RAF1; CASP9; MAP2K2; AKT1; PIK3R1; PDPK1; MAP2K1; IGFBP2; SFN; JUN; CYR61; AKT3; FOXO1; SRF; CTGF; RPS6KB1.
- genes for which a mUNA molecule can be used to express the corresponding peptide or protein include: NRF2-mediated Oxidative Stress Response, PRKCE; EP300; SOD2; PRKCZ; MAPK1; SQSTM1; NQO1; PIK3CA; PRKC1; FOS; PIK3CB; P1K3C3; MAPK8; PRKD1; MAPK3; KRAS; PRKCD; GSTP1; MAPK9; FTL; NFE2L2; PIK3C2A; MAPK14; RAF1; MAP3K7; CREBBP; MAP2K2; AKT1; PIK3R1; MAP2K1; PPIB; JUN; KEAP1; GSK3B; ATF4; PRKCA; EIF2AK3; HSP90AA1.
- genes for which a mUNA molecule can be used to express the corresponding peptide or protein include: Hepatic, Fibrosis/Hepatic Stellate Cell Activation, EDN1; IGF1; KDR; FLT1; SMAD2; FGFR1; MET; PGF; SMAD3; EGFR; FAS; CSF1; NFKB2; BCL2; MYH9; IGF1R; IL6R; RELA; TLR4; PDGFRB; TNF; RELB; IL8; PDGFRA; NFKB1; TGFBR1; SMAD4; VEGFA; BAX; IL1R1; CCL2; HGF; MMP1; STAT1; IL6; CTGF; MMP9.
- genes for which a mUNA molecule can be used to express the corresponding peptide or protein include: PPAR Signaling, EP300; INS; TRAF6; PPARA; RXRA; MAPK1; IKBKB; NCOR2; FOS; NFKB2; MAP3K14; STAT5B; MAPK3; NRIP1; KRAS; PPARG; RELA; STAT5A; TRAF2; PPARGC1A; PDGFRB; TNF; INSR; RAF1; IKBKG; RELB; MAP3K7; CREBBP; MAP2K2; CHUK; PDGFRA; MAP2K1; NFKB1; JUN; IL1R1; HSP90AA1.
- genes for which a mUNA molecule can be used to express the corresponding peptide or protein include: Fc Epsilon RI Signaling, PRKCE; RAC1; PRKCZ; LYN; MAPK1; RAC2; PTPN11; AKT2; PIK3CA; SYK; PRKCI; PIK3CB; PIK3C3; MAPK8; PRKD1; MAPK3; MAPK10; KRAS; MAPK13; PRKCD; MAPK9; PIK3C2A; BTK; MAPK14; TNF; RAF1; FYN; MAP2K2; AKT1; PIK3R1; PDPK1; MAP2K1; AKT3; VAV3; PRKCA.
- genes for which a mUNA molecule can be used to express the corresponding peptide or protein include: G-Protein Coupled Receptor Signaling, PRKCE; RAP1A; RGS16; MAPK1; GNAS; AKT2; IKBKB; PIK3CA; CREB1; GNAQ; NFKB2; CAMK2A; PIK3CB; PIK3C3; MAPK3; KRAS; RELA; SRC; PIK3C2A; RAF1; IKBKG; RELB; FYN; MAP2K2; AKT1; PIK3R1; CHUK; PDPK1; STAT3; MAP2K1; NFKB1; BRAF; ATF4; AKT3; PRKCA.
- PRKCE G-Protein Coupled Receptor Signaling
- genes for which a mUNA molecule can be used to express the corresponding peptide or protein include: Inositol Phosphate Metabolism, PRKCE; IRAK1; PRKAA2; EIF2AK2; PTEN; GRK6; MAPK1; PLK1; AKT2; PIK3CA; CDK8; PIK3CB; PIK3C3; MAPK8; MAPK3; PRKCD; PRKAA1; MAPK9; CDK2; PIM1; PIK3C2A; DYRK1A; MAP2K2; PIP5K1A; PIK3R1; MAP2K1; PAK3; ATM; TTK; CSNK1A1; BRAF; SGK.
- genes for which a mUNA molecule can be used to express the corresponding peptide or protein include: PDGF Signaling, EIF2AK2; ELK1; ABL2; MAPK1; PIK3CA; FOS; PIK3CB;PIK3C3; MAPK8; CAV1; ABL1; MAPK3; KRAS; SRC; PIK3C2A; PDGFRB; RAF1; MAP2K2; JAK1; JAK2; PIK3R1; PDGFRA; STAT3; SPHK1; MAP2K1; MYC; JUN; CRKL; PRKCA; SRF; STAT1; SPHK2.
- genes for which a mUNA molecule can be used to express the corresponding peptide or protein include: VEGF Signaling, ACTN4; ROCK1; KDR; FLT1; ROCK2; MAPK1; PGF; AKT2; PIK3CA; ARNT; PTK2; BCL2; PIK3CB; PIK3C3; BCL2L1; MAPK3; KRAS; HIF1A; NOS3; PIK3C2A; PXN; RAF1; MAP2K2; ELAVL1; AKT1; PIK3R1; MAP2K1; SFN; VEGFA; AKT3; FOXO1; PRKCA.
- genes for which a mUNA molecule can be used to express the corresponding peptide or protein include: Natural Killer Cell Signaling, PRKCE; RAC1; PRKCZ; MAPK1; RAC2; PTPN11; KIR2DL3; AKT2; PIK3CA; SYK; PRKCI; PIK3CB; PIK3C3; PRKD1; MAPK3; KRAS; PRKCD; PTPN6; PIK3C2A; LCK; RAF1; FYN; MAP2K2; PAK4; AKT1; PIK3R1; MAP2K1; PAK3; AKT3; VAV3; PRKCA.
- genes for which a mUNA molecule can be used to express the corresponding peptide or protein include: Cell Cycle: G1/S Checkpoint Regulation, HDAC4; SMAD3; SUV39H1; HDAC5; CDKN1B; BTRC; ATR; ABL1; E2F1; HDAC2; HDAC7A; RB1; HDAC11; HDAC9; CDK2; E2F2; HDAC3; TP53; CDKN1A; CCND1; E2F4; ATM; RBL2; SMAD4; CDKN2A; MYC; NRG1; GSK3B; RBL1; HDAC 6 .
- genes for which a mUNA molecule can be used to express the corresponding peptide or protein include: T Cell Receptor Signaling, RAC1; ELK1; MAPK1; IKBKB; CBL; PIK3CA; FOS; NFKB2; PIK3CB; PIK3C3; MAPK8; MAPK3; KRAS; RELA, PIK3C2A; BTK; LCK; RAF1; IKBKG; RELB, FYN; MAP2K2; PIK3R1; CHUK; MAP2K1; NFKB1; ITK; BCL10; JUN; VAV3.
- genes for which a mUNA molecule can be used to express the corresponding peptide or protein include: Death Receptor Signaling, CRADD; HSPB1; BID; BIRC4; TBK1; IKBKB; FADD; FAS; NFKB2; BCL2; MAP3K14; MAPK8; RIPK1; CASP8; DAXX; TNFRSF10B; RELA; TRAF2; TNF; IKBKG; RELB; CASP9; CHUK; APAF1; NFKB1; CASP2; BIRC2; CASP3; BIRC3.
- genes for which a mUNA molecule can be used to express the corresponding peptide or protein include: FGF Signaling RAC1; FGFR1; MET; MAPKAPK2; MAPK1; PTPN11; AKT2; PIK3CA; CREB1; PIK3CB; PIK3C3; MAPK8; MAPK3; MAPK13; PTPN6; PIK3C2A; MAPK14; RAF1; AKT1; PIK3R1; STAT3; MAP2K1; FGFR4; CRKL; ATF4; AKT3; PRKCA; HGF.
- genes for which a mUNA molecule can be used to express the corresponding peptide or protein include: GM-CSF Signaling, LYN; ELK1; MAPK1; PTPN11; AKT2; PIK3CA; CAMK2A; STAT5B; PIK3CB; PIK3C3; GNB2L1; BCL2L1; MAPK3; ETS1; KRAS; RUNX1; PIM1; PIK3C2A; RAF1; MAP2K2; AKT1; JAK2; PIK3R1; STAT3; MAP2K1; CCND1; AKT3; STAT1.
- genes for which a mUNA molecule can be used to express the corresponding peptide or protein include: Amyotrophic Lateral Sclerosis Signaling, BID; IGF1; RAC1; BIRC4; PGF; CAPNS1; CAPN2; PIK3CA; BCL2; PIK3CB; PIK3C3; BCL2L1; CAPN1; PIK3C2A; TP53; CASP9; PIK3R1; RAB5A; CASP1; APAF1; VEGFA; BIRC2; BAX; AKT3; CASP3; BIRC3.
- genes for which a mUNA molecule can be used to express the corresponding peptide or protein include: JAK/Stat Signaling, PTPN1; MAPK1; PTPN11; AKT2; PIK3CA; STAT5B; PIK3CB; PIK3C3; MAPK3; KRAS; SOCS1; STAT5A; PTPN6; PIK3C2A; RAF1; CDKN1A; MAP2K2; JAK1; AKT1; JAK2; PIK3R1; STAT3; MAP2K1; FRAP1; AKT3; STAT1.
- genes for which a mUNA molecule can be used to express the corresponding peptide or protein include: Nicotinate and Nicotinamide Metabolism, PRKCE; IRAK1; PRKAA2; EIF2AK2; GRK6; MAPK1; PLK1; AKT2; CDK8; MAPK8; MAPK3; PRKCD; PRKAA1; PBEF1; MAPK9; CDK2; PIM1; DYRK1A; MAP2K2; MAP2K1; PAK3; NT5E; TTK; CSNK1A1; BRAF; SGK.
- genes for which a mUNA molecule can be used to express the corresponding peptide or protein include: Chemokine Signaling, CXCR4; ROCK2; MAPK1; PTK2; FOS; CFL1; GNAQ; CAMK2A; CXCL 1 2; MAPK8; MAPK3; KRAS; MAPK13; RHOA; CCR3; SRC; PPP1CC; MAPK14; NOXI; RAF1; MAP2K2; MAP2K1; JUN; CCL2; PRKCA.
- genes for which a mUNA molecule can be used to express the corresponding peptide or protein include: IL-2 Signaling, ELK1; MAPK1; PTPN11; AKT2; PIK3CA; SYK; FOS; STAT5B; PIK3CB; PIK3C3; MAPK8; MAPK3; KRAS; SOCS1; STAT5A; PIK3C2A: LCK; RAF1; MAP2K2; JAK1; AKT1; PIK3R1; MAP2K1; JUN; AKT3.
- genes for which a mUNA molecule can be used to express the corresponding peptide or protein include: Synaptic Long Term Depression, PRKCE; IGF1; PRKCZ; PRDX6; LYN; MAPK1; GNAS; PRKC1; GNAQ; PPP2R1A; IGF1R; PRKID1; MAPK3; KRAS; GRN; PRKCD; NOS3; NOS2A; PPP2CA; YWHAZ; RAF1; MAP2K2; PPP2R5C; MAP2K1; PRKCA.
- genes for which a mUNA molecule can be used to express the corresponding peptide or protein include: Estrogen Receptor Signaling, TAF4B; EP300; CARM1; PCAF; MAPK1; NCOR2; SMARCA4; MAPK3; NRIP1; KRAS; SRC; NR3C1; HDAC3; PPARGC1A; RBM9; NCOA3; RAF1; CREBBP; MAP2K2; NCOA2; MAP2K1; PRKDC; ESR1; ESR2.
- genes for which a mUNA molecule can be used to express the corresponding peptide or protein include: Protein Ubiquitination Pathway, TRAF6; SMURF1; BIRC4; BRCA1; UCHL1; NEDD4; CBL; UBE2I; BTRC; HSPA5; USP7; USP10; FBXW7; USP9X; STUB1; USP 2 2; B2M; BIRC2; PARK2; USPS; USP1; VHL; HSP90AA1; BIRC3.
- genes for which a mUNA molecule can be used to express the corresponding peptide or protein include: IL-10 Signaling, TRAF6; CCR1; ELK1; IKBKB; SP1; FOS; NFKB2; MAP3K14; MAPK8; MAPK13; RELA; MAPK14; TNF; IKBKG; RELB; MAP3K7; JAK1; CHUK; STAT3; NFKB1; JUN; IL1R1; IL6.
- genes for which a mUNA molecule can be used to express the corresponding peptide or protein include: VDR/RXR Activation, PRKCE; EP300; PRKCZ; RXRA; GADD 4 5A; HEST; NCOR2; SP1; PRKC1; CDKN1B; PRKD1; PRKCD; RUNX2; KLF4; YY1; NCOA3; CDKN1A; NCOA2; SPP1; LRP5; CEBPB; FOXO1; PRKCA.
- genes for which a mUNA molecule can be used to express the corresponding peptide or protein include: TGF-beta Signaling, EP300; SMAD2; SMURF1; MAPK1; SMAD3; SMAD1; FOS; MAPK8; MAPK3; KRAS; MAPK9; RUNX2; SERPINE1; RAF1; MAP3K7; CREBBP; MAP2K2; MAP2K1; TGFBR1; SMAD4; JUN; SMAD5.
- genes for which a mUNA molecule can be used to express the corresponding peptide or protein include: Toll-like Receptor Signaling, IRAK1; EIF2AK2; MYD8; TRAF6; PPARA; ELK1; IKBKB; FOS; NFKB2; MAP3K14; MAPK8; MAPK13; RELA; TLR4; MAPK14; IKBKG; RELB; MAP3K7; CHUK; NFKB1; TLR2; JUN.
- genes for which a mUNA molecule can be used to express the corresponding peptide or protein include: p38 MAPK Signaling, HSPB1; IRAK1; TRAF6; MAPKAPK2; ELK1; FADD; FAS; CREB1; DDIT3; RPS6KA4; DAXX; MAPK13; TRAF2; MAPK14; TNF; MAP3K7; TGFBR1; MYC; ATF4; IL1R1; SRF; STAT 1.
- genes for which a mUNA molecule can be used to express the corresponding peptide or protein include: Neurotrophin/TRK Signaling, NTRK2; MAPK1; PTPN11; PIK3CA; CREB1; FOS; PIK3CB; PIK3C3; MAPK8; MAPK3; KRAS; PIK3C2A; RAF1; MAP2K2; AKT1; PIK3R1; PDPK1; MAP2K1; CDC42; JUN; ATF4.
- genes for which a mUNA molecule can be used to express the corresponding peptide or protein include: FXR/RXR Activation, INS; PPARA; FASN; RXRA; AKT2; SDC1; MAPK8; APOB; MAPK10; PPARG; MTTP; MAPK9; PPARGC1A; TNF; CREBBP; AKT1; SREBF1; FGFR4; AKT3; FOXO1.
- genes for which a mUNA molecule can be used to express the corresponding peptide or protein include: Synaptic Long Term Potentiation, PRKCE; RAP1A; EP300; PRKCZ; MAPK1; CREB1; PRKC1; GNAQ; CAMK2A; PRKD1; MAPK3; KRAS; PRKCD; PPP1CC; RAF1; CREBBP; MAP2K2; MAP2K1; ATF4; PRKCA.
- genes for which a mUNA molecule can be used to express the corresponding peptide or protein include: Calcium Signaling, RAP1A; EP300; HDAC4; MAPK1; HDAC5; CREB1; CAMK2A; MYH9; MAPK3; HDAC2; HDAC7A; HDAC11; HDAC9; HDAC3; CREBBP; CALR; CAMKK2; ATF4; HDAC6.
- genes for which a mUNA molecule can be used to express the corresponding peptide or protein include: EGF Signaling, ELK1; MAPK1; EGFR; PIK3CA; FOS; PIK3CB; PIK3C3; MAPK8; MAPK3; PIK3C2A; RAF1; JAK1; PIK3R1; STAT3; MAP2K1; JUN; PRKCA; SRF; STAT1.
- genes for which a mUNA molecule can be used to express the corresponding peptide or protein include: Hypoxia Signaling in the Cardiovascular System, EDN1; PTEN; EP300; NQO1; UBE 2 1; CREB1; ARNT; HIF1A; SLC2A4; NOS3; TP53; LDHA; AKT1; ATM; VEGFA; JUN; ATF4; VHL; HSP90AA1.
- genes for which a mUNA molecule can be used to express the corresponding peptide or protein include: LPS/IL-1 Mediated Inhibition of RXR Function, IRAK1; MYD88; TRAF6; PPARA; RXRA; ABCA1, MAPK8; ALDH1A1; GSTP1; MAPK9; ABCB1; TRAF2; TLR4; TNF; MAP3K7; NR1H2; SREBF1; JUN; IL1R1.
- genes for which a mUNA molecule can be used to express the corresponding peptide or protein include: LXR/RXR Activation, FASN; RXRA; NCOR2; ABCA1; NFKB2; IRF3; RELA; NOS2A; TLR4; TNF; RELB; LDLR; NR1H2; NFKB1; SREBF1; IL1R1; CCL2; IL6; MMP9.
- genes for which a mUNA molecule can be used to express the corresponding peptide or protein include: Amyloid Processing, PRKCE; CSNK11E; MAPK1; CAPNS1; AKT2; CAPN2; CAPN1; MAPK3; MAPK13; MAPT; MAPK14; AKT1; PSEN1; CSNK1A1; GSK3B; AKT3; APP.
- genes for which a mUNA molecule can be used to express the corresponding peptide or protein include: IL-4 Signaling, AKT2; PIK3CA; PIK3CB; PIK3C3; IRS1; KRAS; SOCS1; PTPN6; NR3C1; PIK3C2A; JAK1; AKT1; JAK2; PIK3R1; FRAP1; AKT3; RPS6KB1.
- genes for which a mUNA molecule can be used to express the corresponding peptide or protein include: Cell Cycle: G2/M DNA Damage Checkpoint Regulation, EP300; PCAF; BRCA1; GADD45A; PLK1; BTRC; CHEK1; ATR; CHEK2; YWHAZ; TP53; CDKN1A; PRKDC; ATM; SFN; CDKN2A.
- genes for which a mUNA molecule can be used to express the corresponding peptide or protein include: Nitric Oxide Signaling in the Cardiovascular System, KDR; FLT1; PGF; AKT2; PIK3CA; PIK3CB; PIK3C3; CAV1; PRKCD; NOS3; PIK3C2A; AKT1; PIK3R1; VEGFA; AKT3; HSP90AA1.
- genes for which a mUNA molecule can be used to express the corresponding peptide or protein include: Purine Metabolism NME2; SMARCA4; MYH9; RRM2; ADAR; EIF2AK4; PKM2; ENTPD1; RAD51; RRM2B; TJP2; RAD51C; NT5E; POLD1; NME1.
- genes for which a mUNA molecule can be used to express the corresponding peptide or protein include: cAMP-mediated Signaling, RAP1A; MAPK1; GNAS; CREB1; CAMK2A; MAPK3; SRC; RAF1; MAP2K2; STAT3; MAP2K1; BRAF; ATF4.
- genes for which a mUNA molecule can be used to express the corresponding peptide or protein include: Mitochondrial Dysfunction Notch Signaling, SOD2; MAPK8; CASP8; MAPK10; MAPK9; CASP9; PARK7; PSEN1; PARK2; APP; CASP3 HES1; JAG1; NUMB; NOTCH4; ADAM17; NOTCH2; PSEN1; NOTCH3; NOTCH1; DLL4.
- genes for which a mUNA molecule can be used to express the corresponding peptide or protein include: Endoplasmic Reticulum Stress Pathway, HSPA5; MAPK8; XBP1; TRAF2; ATF6; CASP9; ATF4; EIF2AK3; CASP3.
- genes for which a mUNA molecule can be used to express the corresponding peptide or protein include: Pyrimidine Metabolism, NME2; AICDA; RRM2; EIF2AK4; ENTPD1; RRM2B; NT5E; POLD1; NME1.
- genes for which a mUNA molecule can be used to express the corresponding peptide or protein include: Parkinson's Signaling, UCHL1; MAPK8; MAPK13; MAPK14; CASP9; PARK7; PARK2; CASP3.
- genes for which a mUNA molecule can be used to express the corresponding peptide or protein include: Cardiac & Beta Adrenergic Signaling, GNAS; GNAQ; PPP2R1A; GNB2L1; PPP2CA; PPP1CC; PPP2R5C.
- genes for which a mUNA molecule can be used to express the corresponding peptide or protein include: Glycolysis/Gluco-neogenesis, HK2; GCK; GPI; ALDH1A1; PKM2; LDHA; HK1.
- genes for which a mUNA molecule can be used to express the corresponding peptide or protein include: Interferon Signaling, IRF1; SOCS1; JAK1; JAK2; IFITM1; STAT1; IFIT3.
- genes for which a mUNA molecule can be used to express the corresponding peptide or protein include: Sonic Hedgehog Signaling, ARRB2; SMO; GLI2; DYRK1A; GLI1; GSK3B; DYRKIB.
- genes for which a mUNA molecule can be used to express the corresponding peptide or protein include: Glycerophospholipid Metabolism, PLD1; GRN; GPAM; YWHAZ; SPHK1; SPHK2.
- genes for which a mUNA molecule can be used to express the corresponding peptide or protein include: Phospholipid Degradation, PRDX6; PLD1; GRN; YWHAZ; SPHK1; SPHK2.
- genes for which a mUNA molecule can be used to express the corresponding peptide or protein include: Tryptophan Metabolism, SIAH2; PRMT5; NEDD4; ALDH1A1; CYP1B1; SIAH1.
- genes for which a mUNA molecule can be used to express the corresponding peptide or protein include: Lysine Degradation, SUV39H1; EHMT2; NSD1; SETD7; PPP2R5C.
- genes for which a mUNA molecule can be used to express the corresponding peptide or protein include: Nucleotide Excision, ERCC5; ERCC4; XPA; XPC; ERCC1.
- genes for which a mUNA molecule can be used to express the corresponding peptide or protein include: Repair Pathway Starch and Sucrose Metabolism, UCHL1; HK2; GCK; GPI; HK1.
- genes for which a mUNA molecule can be used to express the corresponding peptide or protein include: Aminosugars Metabolism, NQO1; HK2; GCK; HK1.
- genes for which a mUNA molecule can be used to express the corresponding peptide or protein include: Arachidonic Acid Metabolism, PRDX6; GRN; YWHAZ; CYP1B1.
- genes for which a mUNA molecule can be used to express the corresponding peptide or protein include: Circadian Rhythm Signaling, CSNK1E; CREB1; ATF4; NR1D1.
- genes for which a mUNA molecule can be used to express the corresponding peptide or protein include: Coagulation System, BDKRB1; F2R; SERPINE1; F3.
- genes for which a mUNA molecule can be used to express the corresponding peptide or protein include: Dopamine Receptor Signaling, PPP2R1A; PPP2CA; PPP1CC; PPP2R5C.
- genes for which a mUNA molecule can be used to express the corresponding peptide or protein include: Glutathione Metabolism, IDH2; GSTP1; ANPEP; IDH1.
- genes for which a mUNA molecule can be used to express the corresponding peptide or protein include: Glycerolipid Metabolism, ALDH1A1; GPAM; SPHK1; SPHK2.
- genes for which a mUNA molecule can be used to express the corresponding peptide or protein include: Linoleic Acid Metabolism, PRDX6; GRN; YWHAZ; CYP1B1.
- genes for which a mUNA molecule can be used to express the corresponding peptide or protein include: Methionine Metabolism, DNMT1; DNMT3B; AHCY; DNMT3A.
- genes for which a mUNA molecule can be used to express the corresponding peptide or protein include: Pyruvate Metabolism, GLO1; ALDH1A1; PKM2; LDHA.
- genes for which a mUNA molecule can be used to express the corresponding peptide or protein include: Arginine and Proline Metabolism, ALDH1A1; NOS3; NOS2A.
- genes for which a mUNA molecule can be used to express the corresponding peptide or protein include: Eicosanoid Signaling, PRDX6; GRN; YWHAZ.
- genes for which a mUNA molecule can be used to express the corresponding peptide or protein include: Fructose and Mannose Metabolism, HK2; GCK; HK1.
- genes for which a mUNA molecule can be used to express the corresponding peptide or protein include: Galactose Metabolism, HK2; GCK; HK1.
- genes for which a mUNA molecule can be used to express the corresponding peptide or protein include: Stilbene, Coumarine and Lignin Biosynthesis, PRDX6; PRDX1; TYR.
- genes for which a mUNA molecule can be used to express the corresponding peptide or protein include: Antigen Presentation Pathway, CALR; B2M.
- genes for which a mUNA molecule can be used to express the corresponding peptide or protein include: Biosynthesis of Steroids, NQO1; DHCR7.
- genes for which a mUNA molecule can be used to express the corresponding peptide or protein include: Butanoate Metabolism, ALDH1A1; NLGN1.
- genes for which a mUNA molecule can be used to express the corresponding peptide or protein include: Citrate Cycle, IDH2; IDH1.
- genes for which a mUNA molecule can be used to express the corresponding peptide or protein include: Fatty Acid Metabolism, ALDH1A1; CYP1B1.
- genes for which a mUNA molecule can be used to express the corresponding peptide or protein include: Glycerophospholipid Metabolism, PRDX6; CHKA.
- genes for which a mUNA molecule can be used to express the corresponding peptide or protein include: Histidine Metabolism, PRMT5; ALDH1A1.
- genes for which a mUNA molecule can be used to express the corresponding peptide or protein include: Inositol Metabolism, ERO1L; APEX1.
- genes for which a mUNA molecule can be used to express the corresponding peptide or protein include: Metabolism of Xenobiotics by Cytochrome p450, GSTP1; CYP1B1.
- genes for which a mUNA molecule can be used to express the corresponding peptide or protein include: Methane Metabolism, PRDX6; PRDX1.
- genes for which a mUNA molecule can be used to express the corresponding peptide or protein include: Phenylalanine Metabolism, PRDX6; PRDX1.
- genes for which a mUNA molecule can be used to express the corresponding peptide or protein include: Propanoate Metabolism, ALDH1A1; LDHA.
- genes for which a mUNA molecule can be used to express the corresponding peptide or protein include: Selenoamino Acid Metabolism, PRMT5; AHCY.
- genes for which a mUNA molecule can be used to express the corresponding peptide or protein include: Sphingolipid Metabolism, SPHK1; SPHK2.
- genes for which a mUNA molecule can be used to express the corresponding peptide or protein include: Aminophosphonate Metabolism, PRMT5.
- genes for which a mUNA molecule can be used to express the corresponding peptide or protein include: Androgen and Estrogen Metabolism, PRMT5.
- genes for which a mUNA molecule can be used to express the corresponding peptide or protein include: Ascorbate and Aldarate Metabolism, ALDH1A1.
- genes for which a mUNA molecule can be used to express the corresponding peptide or protein include: Bile Acid Biosynthesis, ALDH1A1.
- genes for which a mUNA molecule can be used to express the corresponding peptide or protein include: Cysteine Metabolism, LDHA.
- genes for which a mUNA molecule can be used to express the corresponding peptide or protein include: Fatty Acid Biosynthesis, FASN.
- genes for which a mUNA molecule can be used to express the corresponding peptide or protein include: Glutamate Receptor Signaling, GNB2L1.
- genes and/or polynucleotides that can be edited with the guide molecules of this invention include: NRF2-mediated Oxidative Stress Response, PRDX1.
- genes for which a mUNA molecule can be used to express the corresponding peptide or protein include: Pentose Phosphate Pathway, GPI.
- genes for which a mUNA molecule can be used to express the corresponding peptide or protein include: Pentose and Glucuronate Interconversions, UCHL1.
- genes for which a mUNA molecule can be used to express the corresponding peptide or protein include: Retinol Metabolism, ALDH1A1.
- genes for which a mUNA molecule can be used to express the corresponding peptide or protein include: Riboflavin Metabolism, TYR.
- genes for which a mUNA molecule can be used to express the corresponding peptide or protein include: Tyrosine Metabolism, PRMT5, TYR.
- genes for which a mUNA molecule can be used to express the corresponding peptide or protein include: Ubiquinone Biosynthesis, PRMT5.
- genes for which a mUNA molecule can be used to express the corresponding peptide or protein include: Valine, Leucine and Isoleucine Degradation, ALDH1A1.
- genes for which a mUNA molecule can be used to express the corresponding peptide or protein include: Glycine, Serine and Threonine Metabolism, CHKA.
- genes for which a mUNA molecule can be used to express the corresponding peptide or protein include: Lysine Degradation, ALDH1A1.
- genes for which a mUNA molecule can be used to express the corresponding peptide or protein include: Pain/Taste, TRPM5; TRPA1.
- genes for which a mUNA molecule can be used to express the corresponding peptide or protein include: Pain, TRPM7; TRPC5; TRPC6; TRPC1; Cnr1; cnr2; Grk2; Trpa1; Pomc; Cgrp; Crf; Pka; Era; Nr2b; TRPM5; Prkaca; Prkacb; Prkar1a; Prkar2a.
- genes for which a mUNA molecule can be used to express the corresponding peptide or protein include: Mitochondrial Function, AIF; CytC; SMAC (Diablo); Aifm-1; Aifm-2.
- genes for which a mUNA molecule can be used to express the corresponding peptide or protein include: Developmental Neurology, BMP-4; Chordin (Chrd); Noggin (Nog); WNT (Wnt2; Wnt2b; Wnt3a; Wnt4; Wnt5a; Wnt6; Wnt7b; Wnt8b; Wnt9a; Wnt9b; Wnt10a; Wnt10b; Wnt16); beta-catenin; Dick-1; Frizzled related proteins; Otx-2; Gbx2; FGF-8; Reelin; Dab1; unc-86 (Pou4f1 or Brn3a); Numb; Reln.
- this invention provides methods for synthesis of mUNA messenger UNA oligomer molecules.
- mUNA oligomer molecules of this invention can be synthesized and isolated using methods disclosed herein, as well as any pertinent techniques known in the art.
- nucleic acids Some methods for preparing nucleic acids are given in, for example, Merino, Chemical Synthesis of Nucleoside Analogues, (2013); Gait, Oligonucleotide synthesis: a practical approach (1984); Herdewijn, Oligonucleotide Synthesis, Methods in Molecular Biology, Vol. 288 (2005).
- a ligase can be used to link a synthetic oligomer to the 3′ end of an RNA molecule or an RNA transcript to form a mUNA molecule.
- the synthetic oligomer that is ligated to the 3′ end can provide the functionality of a polyA tail, and advantageously provide resistance to its removal by 3′-exoribonucleases.
- the ligated product mUNA molecule can have increased specific activity and provide increased levels of ectopic protein expression.
- ligated product mUNA molecules of this invention can be made with an RNA transcript that has native specificity.
- the ligated product can be a synthetic molecule that retains the structure of the RNA transcript at the 5′ end to ensure compatibility with the native specificity.
- ligated product mUNA molecules of this invention can be made with an exogenous RNA transcript or non-natural RNA.
- the ligated product can be a synthetic molecule that retains the structure of the RNA.
- the canonical mRNA degradation pathway in cells includes the steps: (i) the polyA tail is gradually cut back to a stub by 3′ exonucleases, shutting down the looping interaction required for efficient translation and leaving the cap open to attack; (ii) decapping complexes remove the 5′ cap; (iii) the unprotected and translationally incompetent residuum of the transcript is degraded by 5′ and 3′ exonuclease activity.
- Embodiments of this invention involve new mUNA structures which can have increased translational activity over a native transcript.
- the mUNA molecules can prevent exonucleases from trimming back the polyA tail in the process of de-adenylation.
- Embodiments of this invention provide structures, compositions and methods for translatable mUNA molecules.
- Embodiments of this invention can provide translatable mUNA molecules containing one or more UNA monomers and having increased functional half-life.
- ligation of a synthetic oligomer to the 3′ end of an mRNA transcript can surprisingly be accomplished with high conversion of the mRNA transcript to the ligation product.
- the ligase can catalyze the joining of the 3′-hydroxyl terminus of the RNA transcript to a synthetic oligomer bearing a 5′ monophosphate group.
- the 3′ end of the synthetic oligomer can be blocked to prevent circularization and concatemerization, while the presence of a triphosphate or cap moiety at the 5′ terminus of the mRNA transcript can prevent its entry into undesired side reactions.
- the yield of conversion of the mRNA transcript to the ligation product mUNA molecule can be from 70% to 100%. In some embodiments, the yield of conversion of the mRNA transcript to the ligation product can be 70%, 80%, 90%, 95%, 99%, or 100%.
- polyA tail and polyA oligomer refer to an oligomer of monomers, wherein the monomers can include nucleotides based on adenine, UNA monomers, naturally-occurring nucelotides, modified nucleotides, or nucleotide analogues.
- a modified nucleotide can be base-modified, sugar-modified, or linkage modified.
- Embodiments of this invention can employ splint ligation to synthesize mUNA molecules.
- ligation of a tail oligomer to the 3′ end of an RNA molecule can surprisingly be accomplished with high conversion of the RNA molecule to the ligation product by using a DNA splint oligomer.
- Splint ligation of specific RNA molecules can be done with a DNA ligase and a bridging DNA splint oligomer that is complementary to the RNAs.
- a molecule to which a tail oligomer is added can be referred to as an acceptor oligomer, and a tail oligomer to be ligated to an acceptor oligomer can be referred to as a donor oligomer.
- a donor oligomer of this invention may contain one or more UNA monomers.
- a donor oligomer may be composed of UNA monomers and adenylate nucleotides.
- a donor oligomer of this invention may include any number of UNA monomers within its total length.
- An acceptor oligomer of this invention can be a RNA of any length, an mRNA, or a mammalian gene transcript.
- ligation of a donor oligomer of any length to the 3′ end of an acceptor RNA molecule can surprisingly be accomplished with high conversion to the ligation product mUNA molecule by using a DNA splint oligomer.
- a DNA splint oligomer can hybridize to the end of an mRNA having a short polyA tail, anchored in a specific position based on a region complementary to the end of the mRNA's 3′ UTR.
- the polyA tail can be about 30 monomers or less in length.
- the DNA splint oligomer can incorporate a poly(dT) tail that overhangs beyond the native polyA tail of the mRNA transcript. The poly(dT) tail can bring a polyA oligomer into position for efficient ligation to the synthetic mRNA.
- Embodiments of this invention can employ splint ligation to introduce UNA monomers, modified nucleotides, or nucleotide analogues into RNA molecules.
- the DNA ligase in splint ligation can be used to join RNA molecules in an RNA:DNA hybrid.
- the donor can be from 2 to 120 monomers in length, or from 3 to 120 monomers, or from 4 to 120 monomers, or from 5 to 120 monomers, or from 6 to 120 monomers, or longer.
- the splint oligomer can be removed from the ligation product using a DNAse treatment, which can be required post-IVT to remove the DNA template for transcription.
- a wild-type T4 RNA ligase can be used to join the 3′ hydroxyl terminus of an RNA transcript to a tail oligomer bearing a 5′ monophosphate group.
- a KQ mutant variant of T4 RNA Ligase 2 which requires a pre-adenylated donor, was used to join the 3′ hydroxyl terminus of an RNA transcript to a pre-adenylated tail oligomer.
- a preponderance of the tail can advantageously be incorporated co-transcriptionally in the IVT synthetic RNA transcript, and the donor oligomer can be correspondingly shortened.
- a 3′-exonuclease treatment can be used to remove the unligated fraction of the product of the ligation reaction.
- a 3′-exonuclease include Exonuclease T, Ribonuclease R, and analogs thereof.
- Ribonuclease R can be used with high processivity, and the ligation can be insensitive to sequence content and variations, as well as secondary structure.
- the 100% bulk ligation of a tail oligomer to the 3′ end of an RNA has been achieved.
- Donor oligomers of this invention for ligation to the 3′ end of an mRNA may be from 2 to 120 monomers in length, or from 3 to 120 monomers in length, or from 4 to 120 monomers in length, or from 5 to 120 monomers in length, or longer.
- a donor oligomer may have a 3′-terminal modification to block circularization or oligimerization of the synthetic oligomer in ligation reactions.
- a 3′-terminal modification include a 3′-terminal C3 spacer.
- a donor oligomer of this invention may contain one or more UNA monomers.
- a donor oligomer can include one or more nucleic acid monomers that are naturally-occurring nucleotides, modified naturally-occurring nucleotides, or non-naturally-occurring nucleotides.
- a donor oligomer can include a nucleic acid monomer that is base-modified, sugar-modified, or linkage modified.
- this invention provides pharmaceutical compositions containing a mUNA oligomeric compound and a pharmaceutically acceptable carrier.
- a pharmaceutical composition can be capable of local or systemic administration.
- a pharmaceutical composition can be capable of any modality of administration.
- the administration can be intravenous, subcutaneous, pulmonary, intramuscular, intraperitoneal, dermal, oral, or nasal administration.
- Embodiments of this invention include pharmaceutical compositions containing an oligomeric compound in a lipid formulation.
- a pharmaceutical composition may comprise one or more lipids selected from cationic lipids, anionic lipids, sterols, pegylated lipids, and any combination of the foregoing.
- a pharmaceutical composition can be substantially free of liposomes.
- a pharmaceutical composition can include liposomes or nanoparticles.
- lipids and lipid compositions for delivery of an active molecule of this invention are given in WO/2015/074085, which is hereby incorporated by reference in its entirety.
- a pharmaceutical composition can contain an oligomeric compound within a viral or bacterial vector.
- a pharmaceutical composition of this disclosure may include carriers, diluents or excipients as are known in the art. Examples of pharmaceutical compositions and methods are described, for example, in Remington's Pharmaceutical Sciences, Mack Publishing Co. (A. R. Gennaro ed. 1985), and Remington, The Science and Practice of Pharmacy, 21st Edition (2005).
- excipients for a pharmaceutical composition include antioxidants, suspending agents, dispersing agents, preservatives, buffering agents, tonicity agents, and surfactants.
- An effective dose of an agent or pharmaceutical formulation of this invention can be an amount that is sufficient to cause translation of a mUNA molecule in a cell.
- a therapeutically effective dose can be an amount of an agent or formulation that is sufficient to cause a therapeutic effect.
- a therapeutically effective dose can be administered in one or more separate administrations, and by different routes.
- a therapeutically effective dose, upon administration, can result in serum levels of an active agent of 1-1000 pg/ml, or 1-1000 ng/ml, or 1-1000 ⁇ g/ml, or more.
- a therapeutically effective dose of an active agent in vivo can be a dose of 0.001-0.01 mg/kg body weight, or 0.01-0.1 mg/kg, or 0.1-1 mg/kg, or 1-10 mg/kg, or 10-100 mg/kg.
- a therapeutically effective dose of an active agent in vivo can be a dose of 0.001 mg/kg body weight, or 0.01 mg/kg, or 0.1 mg/kg, or 1 mg/kg, or 2 mg/kg, or 3 mg/kg, or 4 mg/kg, or 5 mg/kg, or more.
- a subject can be an animal, or a human subject or patient.
- the comparative mUNA and mRNA molecules in the examples below were synthesized with the 5′ cap being a m7GpppGm cap. Unless otherwise specified, the mUNA molecules in the examples below contained a 5′-UTR of TEV, and a 3′ UTR of xenopus beta-globin.
- a translatable mUNA molecule was made and used for expressing human Factor IX (FT9) in vivo with advantageously increased efficiency of translation, as compared to the mRNA of Factor IX.
- the translatable mUNA molecule expressing human Factor IX in vivo exhibited activity suitable for use in methods for ameliorating or treating hemophilia B.
- the translatable mUNA molecule comprised a 5′ cap (m7GpppGm), a 5′ UTR of TEV, a F9 CDS, a 3′UTR of xenopus beta-globin, and a tail region.
- the translation efficiency of this mUNA molecule is shown in FIG. 1 , as compared to the mRNA of F9.
- the mUNA molecule of this embodiment was translated in C57BL/c mouse to produce human F9.
- FIG. 1 shows that the translation efficiency of this mUNA molecule was advantageously and surprisingly increased as compared to the mRNA of F9. In particular, after 55 hours, the translation efficiency of this mUNA molecule was increased by more than 2-fold (827/388) as compared to the mRNA of F9.
- the translatable mUNA molecule of Example 1 (SEQ ID NO: 1) was made and used for expressing human Factor IX (F9) in vitro with advantageously increased efficiency of translation, as compared to the mRNA of Factor IX.
- the translatable mUNA molecule expressing human Factor IX exhibited activity suitable for use in methods for ameliorating or treating hemophilia B.
- the mUNA molecule of this embodiment was traslated in mouse hepatocyte cell line Hepa1-6 to produce human F9.
- FIG. 2 shows that the translation efficiency of this mUNA molecule was advantageously and surprisingly increased as compared to the mRNA of F9. In particular, after 48 hours, the translation efficiency of this mUNA molecule was increased by 5-fold (91/16) as compared to the mRNA of F9.
- a translatable mUNA molecule was made and used for expressing human Erythropoietin (EPO) in vitro with advantageously increased efficiency of translation, as compared to the mRNA of EPO.
- the translatable mUNA molecule expressing human EPO exhibited activity suitable for use in methods for ameliorating or treating certain anemias, inflammatory bowel disease, and/or certain myelodysplasias.
- the translatable mUNA molecule comprised a 5′ cap (m7GpppGm), a 5′ UTR of TEV, a human EPO CDS, a 3′UTR of xenopus beta-globin, and a tail region.
- the translation efficiency of this mUNA molecule is shown in FIG. 3 , as compared to the mRNA of EPO.
- the mUNA molecule of this embodiment was translated in mouse hepatocyte cell line Hepa1-6 to produce human EPO.
- FIG. 3 shows that the translation efficiency of this mUNA molecule was advantageously and surprisingly increased as compared to the mRNA of F9. In particular, after 48 hours, the translation efficiency of this mUNA molecule was more than doubled (4500/1784) as compared to the mRNA of EPO.
- translatable mUNA molecules were made and used for expressing mouse Erythropoietin (EPO) in vitro with advantageously increased efficiency of translation, as compared to the mRNA of EPO.
- the translatable mUNA molecules each comprised a 5′ cap (m7GpppGm), a 5′ UTR of TEV, a mouse EPO CDS, a 3′UTR of xenopus beta-globin, and a tail region.
- the mUNA molecules of this embodiment were translated in mouse hepatocyte cell line Hepa1-6 to produce mouse EPO.
- FIG. 4 shows that the translation efficiency of the mUNA molecules (#2, 3, 4, 5, 6, 7, 8, 9, 10 and 11) was advantageously and surprisingly increased as compared to the mRNA of EPO (#1).
- the translation efficiency of the mUNA molecules was increased by up to 8-fold (0.203/0.025) as compared to the mRNA of EPO, and the translation efficiency of every mUNA molecule (#2, 3, 4, 5, 6, 7, 8, 9, 10 and 11) was increased as compared to the mRNA of EPO (#1).
- a translatable mUNA molecule was made and used for expressing human alpha-1-Antitrypsin in vivo with advantageously increased efficiency of translation, as compared to the mRNA of human alpha-1-Antitrypsin.
- the translatable mUNA molecule expressing human alpha-1-Antitrypsin exhibited activity suitable for use in methods for ameliorating or treating alpha-1-Antitrypsin deficiency.
- the translatable mUNA molecule comprised a 5′ cap (m7GpppGm), a 5′ UTR of TEV, a human alpha-1-Antitrypsin CDS, a 3′UTR of xenopus beta-globin, and a tail region.
- the translation efficiency of this mUNA molecule is shown in FIG. 5 , as compared to the mRNA of human alpha-1-Antitrypsin.
- the mUNA molecule of this embodiment was translated in C57BL/c mouse to produce human alpha-1-Antitrypsin.
- FIG. 5 shows that the translation efficiency of this mUNA molecule was advantageously and surprisingly increased as compared to the mRNA of human alpha-1-Antitrypsin. In particular, after 72 hours, the translation efficiency of this mUNA molecule was increased by more than 3-fold (87.8/25.4) as compared to the mRNA of human alpha-1-Antitrypsin.
- a translatable mUNA molecule was made and used for expressing human Erythropoietin (EPO) in vivo with advantageously increased efficiency of translation, as compared to the mRNA of EPO.
- the translatable mUNA molecule expressing human EPO exhibited activity suitable for use in methods for ameliorating or treating certain anemias, inflammatory bowel disease, and/or certain myelodysplasias.
- the translatable mUNA molecule comprised a 5′ cap (m7GpppGm), a 5′ UTR of TEV, a human EPO CDS, a 3′UTR of xenopus beta-globin, and a tail region.
- the translation efficiency of this mUNA molecule is shown in FIG. 6 , as compared to the mRNA of EPO.
- the mUNA molecule of this embodiment was translated in C57BL/c mouse to produce human EPO.
- FIG. 6 shows that the translation efficiency of this mUNA molecule was advantageously and surprisingly increased as compared to the mRNA of EPO. In particular, after 72 hours, the translation efficiency of this mUNA molecule was increased by more than 10-fold (1517/143) as compared to the mRNA of EPO.
- a translatable mUNA molecule is made for use in expressing human CFTR in vivo.
- the translatable mUNA molecule expressing human CFTR in vivo is suitable for use in methods for ameliorating or treating cystic fibrosis.
- the translatable mUNA molecule comprises a 5′ cap (m7GpppGm), a 5′ UTR of TEV, a CFTR CDS, a 3′UTR of xenopus beta-globin, and a tail region shown in Example 4.
- Human CFTR is accession NM_000492.3.
- a translatable mUNA molecule is made for use in expressing human argininosuccinate lyase (ASL) in vivo.
- the translatable mUNA molecule expressing human ASL in vivo is suitable for use in methods for ameliorating or treating ASL deficiency.
- the translatable mUNA molecule comprises a 5′ cap (m7GpppGm), a 5′ UTR of TEV, a ASL CDS, a 3′UTR of xenopus beta-globin, and a tail region shown in Example 4.
- Human ASL is accession NM_001024943.1.
- a translatable mUNA molecule is made for use in expressing human Phenylalanine-4-hydroxylase (PAH) in vivo.
- the translatable mUNA molecule expressing human PAH in vivo is suitable for use in methods for ameliorating or treating Phenylketonuria (PKU).
- the translatable mUNA molecule comprises a 5′ cap (m7GpppGm), a 5′ UTR of TEV, a PAH CDS, a 3′UTR of xenopus beta-globin, and a tail region shown in Example 4.
- Human PAH is accession NM_000277.1.
- a translatable mUNA molecule is made for use in expressing human Sodium/iodide cotransporter (NIS) in vivo.
- the translatable mUNA molecule expressing human NIS in vivo is suitable for use in methods for ameliorating or treating thyroid disease.
- the translatable mUNA molecule comprises a 5′ cap (m7GpppGm), a 5′ UTR of TEV, a NIS CDS, a 3′UTR of xenopus beta-globin, and a tail region shown in Example 4.
- Human NIS is accession BC105047.
- a translatable mUNA molecule is made for use in expressing human Sodium/iodide cotransporter (NIS) in vivo.
- the translatable mUNA molecule expressing human NIS in vivo is suitable for use in methods for ameliorating or treating thyroid disease.
- the translatable mUNA molecule comprises a 5′ cap (m7GpppGm), a 5′ UTR of TEV, a NIS CDS, a 3′UTR of xenopus beta-globin, and a tail region shown in Example 4.
- Human NIS is accession BC105047.
- a translatable mUNA molecule is made for use in expressing human Hepcidin in vivo.
- the translatable mUNA molecule expressing human Hepcidin in vivo is suitable for use in methods for ameliorating or treating iron deficiency disease.
- the translatable mUNA molecule comprises a 5′ cap (m7GpppGm), a 5′ UTR of TEV, a Hepcidin CDS, a 3′UTR of xenopus beta-globin, and a tail region shown in Example 4.
- Human Hepcidin is accession NM_021175.3.
- Factor IX (F9) is associated with hemophilia B.
- the base sequences shown below are the portion of the mUNA molecule that may correspond in functionality to the open reading frame of the native mRNA of human Factor IX.
- the complete mUNA molecule comprises a 5′ cap (m7GpppGm), and a 5′-UTR upstream of the sequence below, and a 3′ UTR and polyA tail (SEQ ID Nos: 4 to 12) downstream of the sequence below, each of which corresponds to the structure of the native mRNA of human Factor IX.
- Human Factor IX is accession NM_000133.3.
- SEQ ID NO: 15 AU ⁇ circumflex over ( G ) ⁇ CAGCGCGUGAACAUGAUCAUGGCAGAAUC ⁇ tilde over ( A ) ⁇ CCAGGCCUCAUCACCA UCUGCCUUUUAGG ⁇ tilde over ( A ) ⁇ UAUCUACUCAGUGCUGAAUGUACAGUUUU ⁇ tilde over ( U ) ⁇ CUUGA UCAUGAAAACGCCAACAAAAUUCU ⁇ circumflex over ( G ) ⁇ AAUCGGCCAAAGAGGUAUAAUUCA GGUAA ⁇ tilde over ( A ) ⁇ UUGGAAGAGUUUGUUCAAGGGAACCUUGA ⁇ circumflex over ( G ) ⁇ AGAGAAUGUAUGG AAGAAAAGUGUAGUUU ⁇ tilde over ( U ) ⁇ GAAGAAGCACGAGAAGUUUUGAAAACAC ⁇ tilde over ( U ) ⁇ GA AAGAACAACUGAAUUU
- Alpha-1-Antitrypsin is associated with alpha-1-Antitrypsin deficiency disease, cystic fibrosis, interstitial lung disease, and pulmonary arterial hypertension.
- the base sequences shown below are the portion of the mUNA molecule that may correspond in functionality to the open reading frame of the native mRNA of alpha-1-Antitrypsin.
- the complete mUNA molecule comprises a 5′ cap (m7GpppGm), and a 5′-UTR upstream of the sequence below, and a 3′ UTR and polyA tail (SEQ ID Nos: 4 to 12) downstream of the sequence below, each of which corresponds to the structure of the native mRNA of alpha-1-Antitrypsin.
- Alpha-1-Antitrypsin is associated with alpha-1-Antitrypsin deficiency disease, cystic fibrosis, interstitial lung disease, and pulmonary arterial hypertension.
- the base sequences shown below are the portion of the mUNA molecule that may correspond in functionality to the 5′-UTR of the native mRNA of alpha-1-Antitrypsin.
- the complete mUNA molecule comprises a 5′ cap (m7GpppGm) upstream of the sequence below, and coding region (CDS) for human alpha-1-Antitrypsin, a 3′ UTR and polyA tail (SEQ ID Nos: 4 to 12) downstream of the sequence below, each of which corresponds to the structure of the native mRNA of alpha-1-Antitrypsin.
- Erythropoietin is available as a commercial drug and is indicated for anemia resulting from chronic kidney disease, inflammatory bowel disease including Crohn's disease and ulcer colitis, and myelodysplasia from the treatment of cancer with chemotherapy or radiation.
- the base sequences shown below are the portion of the mUNA molecule that may correspond in functionality to the open reading frame of the native mRNA of human Erythropoietin.
- the complete mUNA molecule comprises a 5′ cap (m7GpppGm), and a 5′-UTR upstream of the sequence below, and a 3′ UTR and polyA tail (SEQ ID Nos: 4 to 12) downstream of the sequence below, each of which corresponds to the structure of the native mRNA of human Erythropoietin.
- Ornithine transcarbamylase is associated with Ornithine transcarbamylase deficiency.
- the base sequences shown below are the portion of the mUNA molecule that may correspond in functionality to the open reading frame of the native mRNA of human Ornithine transcarbamylase.
- the complete mUNA molecule comprises a 5′ cap (m7GpppGm), and a 5′-UTR upstream of the sequence below, and a 3′ UTR and polyA tail (SEQ ID Nos: 4 to 12) downstream of the sequence below, each of which corresponds to the structure of the native mRNA of human Ornithine transcarbamylase.
- Beta-globin may be associated with sickle-cell disease, beta thalassemia, and genetic resistance to malaria.
- the base sequences shown below are the portion of the mUNA molecule that may correspond in functionality to the 3′-UTR of the native mRNA of human beta-globin.
- the complete mUNA molecule comprises a 5′ cap (m7GpppGm), 5′-UTR, and coding region (CDS) for human beta-globin upstream of the sequence below, and a polyA tail (SEQ ID Nos: 4 to 12) downstream of the sequence below, each of which corresponds to the structure of the native mRNA of human beta-globin.
- the base sequences shown below are the portion of the mUNA molecule that may correspond in functionality to the 3′-UTR of Xenopus beta-globin.
- the complete mUNA molecule comprises a 5′ cap (m7GpppGm), 5′-UTR, and coding region (CDS) upstream of the sequence below, and a polyA tail (SEQ ID Nos: 4 to 12) downstream of the sequence below, each of which corresponds to the structure of a native human mRNA.
- CDS coding region
- Xenopus beta-globin is accession NM_001096347.1.
- SEQ ID NO: 142 C ⁇ tilde over ( U ) ⁇ AGUGACUGACUAGGAUCUGGUUACCACUAAACCAGCCUCAAGAACACC CGAAUGGAGUCUCUAAGCUACAUAAUACCAACUUACACUUACAAAAUGUU GUCCCCCAAAAUGUAGCCAUUCGUAUCUGCUCCUAAUAAAAAGAAAGUUU CUUCAC ⁇ tilde over ( A ) ⁇ U
- SEQ ID NO: 143 C ⁇ tilde over ( U ) ⁇ tilde over ( A ) ⁇ circumflex over ( G ) ⁇ UGACUGACUAGGAUCUGGUUACCACUAAACCAGCCUCAAGAACACC CGAAUGGAGUCUCUAAGCUACAUAAUACCAACUUACACUUACAAAAUGUU GUCCCAAAAUGUAGCCAUUCGUAUCUGCUCCUAAUAAAAAGAAAGUUU CUUC ⁇ tilde over ( A
- Thrombopoietin is associated with liver and kidney disease.
- the base sequences shown below are the portion of the mUNA molecule that may correspond in functionality to the open reading frame of the native mRNA of human Thrombopoietin.
- the complete mUNA molecule comprises a 5′ cap (m7GpppGm), and a 5′-UTR upstream of the sequence below, and a 3′ UTR and polyA tail (SEQ ID Nos: 4 to 12) downstream of the sequence below, each of which corresponds to the structure of the native mRNA of human Thrombopoietin.
- mUNA molecules for use in expressing human amylo-alpha-1, 6-glucosidase, 4-alpha-glucanotransferase (AGL) are shown.
- AGL is associated with glycogen storage disease.
- the base sequences shown below are the portion of the mUNA molecule that may correspond in functionality to the open reading frame of the native mRNA of human AGL.
- the complete mUNA molecule comprises a 5′ cap (m7GpppGm), and a 5′-UTR upstream of the sequence below, and a 3′ UTR and polyA tail (SEQ ID Nos: 4 to 12) downstream of the sequence below, each of which corresponds to the structure of the native mRNA of human AGL.
- Human protein S (alpha) is associated with Protein S deficiency, thrombosis, and arterial occlusive disease.
- the base sequences shown below are the portion of the mUNA molecule that may correspond in functionality to the open reading frame of the native mRNA of human protein S (alpha).
- the complete mUNA molecule comprises a 5′ cap (m7GpppGm), and a 5′-UTR upstream of the sequence below, and a 3′ UTR and polyA tail (SEQ ID Nos: 4 to 12) downstream of the sequence below, each of which corresponds to the structure of the native mRNA of human protein S (alpha).
- Human protein S is accession NM_001314077.1.
- SEQ ID NO: 152 A ⁇ tilde over ( U ) ⁇ circumflex over ( G ) ⁇ tilde over ( A ) ⁇ GGGUCCUGGGUGGGCGCUGCGGGGCGCUGCUGGCGUGUCUCCUC CUAGUGCUUCCCGUCUCAGAGGCAAACUUUUGUUUAUAUUUUAGAAAUG AUUUUAUAUACAACCGUGCAUGCAUUUCUGUAUUGGUCGGCUUAUCUGG AUGCAAUCUUUUUCUAUUCUAUAUGCUUUUUGAAAGCAACAGGCUUCA CAAGUCCUGGUUAGGAAGCGUCGUGCAAAUUCUUUACUUGAAGAAACCA AACAGGGUAAUCUUGAAAGAGAAUGCAUCGAAGAACUGUGCAAUAAAGA AGAAGCCAGGGAGGUCUUUGAAAAUGACCCGGAAACGGAUUAUUUUUAU CCAAAAUACUUAGUUUGUGUUGU
- PKLR Human Pyruvate Kinase, Liver and RBC
- PKLR liver and RBC
- PKLR Human pyruvate kinase, liver and RBC
- the base sequences shown below are the portion of the mUNA molecule that may correspond in functionality to the open reading frame of the native mRNA of human pyruvate kinase, liver and RBC (PKLR).
- the complete mUNA molecule comprises a 5′ cap (m7GpppGm), and a 5′-UTR upstream of the sequence below, and a 3′ UTR and polyA tail (SEQ ID Nos: 4 to 12) downstream of the sequence below, each of which corresponds to the structure of the native mRNA of human pyruvate kinase, liver and RBC (PKLR).
- Human phenylalanine hydroxylase is associated with phenylketonuria.
- the base sequences shown below are the portion of the mUNA molecule that may correspond in functionality to the open reading frame of the native mRNA of human phenylalanine hydroxylase.
- the complete mUNA molecule comprises a 5′ cap (m7GpppGm), and a 5′-UTR upstream of the sequence below, and a 3′ UTR and polyA tail (SEQ ID NOs: 4 to 12) downstream of the sequence below, each of which corresponds to the structure of the native mRNA of human phenylalanine hydroxylase.
- Human phenylalanine hydroxylase is accession NM_000277.1.
- SEQ ID NO: 156 A ⁇ tilde over ( U ) ⁇ circumflex over ( G ) ⁇ tilde over ( U ) ⁇ CCACUGCGGUCCUGGAAAACCCAGGCUUGGGCAGGAAACUCUCUCUGACUUUGGACA GGAAACAAGCUAUAUUGAAGACAACUGCAAUCAAAAUGGUGCCAUAUCACUGAUCUUCU CACUCAAAGAAGAAGUUGGUGCAUUGGCCAAAGUAUUGCGCUUAUUUGAGGAGAAUGAU GUAAACCUGACCCACAUUGAAUCUAGACCUUCUCGUUUAAAGAAAGAUGAGUAUGAAUU UUUCACCCAUUUGGAUAAACGUAGCCUGCCUGCUCUGACAAACAUCAUCAAGAUCUUGA GGCAUGACAUUGGUGCCACUGUCCUGACAAACAUCAUCAAGAUCUUGA GGCAUGACAUUGGUGCCACUGUCCUGACAAACA
- the 5′-UTR of tobacco etch virus is as follows:
- the base sequences shown below are the portion of the mUNA molecule that may correspond in functionality to the 5′-UTR of tobacco etch virus (TEV).
- the complete mUNA molecule comprises a 5′ cap upstream of the sequence below (m7GpppGm), and a coding region (CDS) of a protein of interest, a 3′-UTR, and a polyA tail (SEQ ID Nos: 4 to 12) downstream of the sequence below, each of which corresponds to the structure of any native human mRNA.
- the translation enhancer is placed upstream of the AUG translation start site, and the enhancer region is not translated into the therapeutic protein.
- nGFP transcript having a polyA tail of 30 monomers in length is ligated to a donor poly ⁇ tail of 30 UNA Monomers in length to give an UNA-nGFP mRNA product having a polyA 30 ⁇ 30 tail of 60 monomers in length.
- the UNA-nGFP has an increased lifetime and markedly increased translational activity in fibroblasts.
- An mRNA encoding HIV-1 gag antigen having a polyA tail of 30 monomers in length is ligated to a donor poly ⁇ tail of 20 UNA Monomers in length to give an UNA-HIV-1 gag antigen mRNA product having a polyA 30 ⁇ 20 tail of 50 monomers in length.
- the UNA-HIV-1 gag antigen mRNA has an increased lifetime and markedly increased translational activity in fibroblasts.
- An mRNA encoding antigens overexpressed in lung cancers having a polyA tail of 30 monomers in length is ligated to a donor poly ⁇ tail of 10 UNA Monomers in length to give an UNA-mRNA product having a polyA 30 ⁇ 10 tail of 40 monomers in length.
- the UNA-mRNA has an increased lifetime and markedly increased translational activity in fibroblasts.
- An mRNA encoding malarial P. falciparum reticulocyte-binding protein homologue 5 (PfRH5) having a polyA tail of 30 monomers in length is ligated to a donor poly ⁇ tail of 10 UNA Monomers in length to give an UNA-mRNA product having a polyA 30 ⁇ 10 tail of 40 monomers in length.
- the UNA-mRNA has an increased lifetime and markedly increased translational activity in fibroblasts.
- the UNA-mRNA is found to induce an antibody response in an animal model.
- An mRNA encoding malarial Plasmodium falciparum PfSEA-1, a 244 KD malaria antigen expressed in schizont-infected RBCs, having a polyA tail of 30 monomers in length is ligated to a donor poly ⁇ tail of 10 UNA Monomers in length to give an UNA-mRNA product having a polyA 30 ⁇ 10 tail of 40 monomers in length.
- the UNA-mRNA has an increased lifetime and markedly increased translational activity in fibroblasts.
- the UNA-mRNA is found to induce an antibody response in an animal model.
- FIG. 7 shows the primary structure of a functional mRNA transcript in the cytoplasm.
- the mRNA includes a 5′ methylguanosine cap, a protein coding sequence flanked by untranslated regions (UTRs), and a polyadenosine (polyA) tail bound by polyA binding proteins (PABPs).
- UTRs untranslated regions
- PABPs polyadenosine binding proteins
- FIG. 8 shows the 5′ cap and PABPs cooperatively interacting with proteins involved in translation to facilitate the recruitment and recycling of ribosome complexes.
- DNA splint oligomers were made for splint-mediated ligation of of a donor oligomer to an acceptor RNA. As shown in the scheme of FIG. 8 , a short mRNA acceptor oligomer and a 5′-monophosphate-bearing polyA donor oligomer can be ligated in the presence of a DNA splint oligomer.
- FIG. 9 shows the splint-mediated ligation scheme, in which an acceptor RNA with a 30-monomer stub polyA tail (A(30)) was ligated to a 30-monomer donor oligomer (A(30)).
- the splint-mediated ligation used a DNA oligomer splint which was complementary to the 3′ UTR sequence upstream of the stub polyA tail, and included a 60-monomer oligo(dT) 5′ heel (T(60)) to splint the ligation.
- the anchoring region of the splint was complementary to the UTR sequence to ensure that a 5′ dT 30 overhang was presented upon hybridization to the acceptor. This brings the donor oligomer into juxtaposition with the 3′ terminus of the stub tail, dramatically improving the kinetics of ligation.
- FIG. 10 shows the results of ligation using 2 ug of a 120-monomer acceptor with an A 30 stub tail that was ligated to a 5′-phosphorylated A 30 RNA donor oligomer using T4 RNA Ligase 2.
- the reaction was incubated overnight at 37° C.
- the ligation and a mock reaction done without enzyme were purified, treated with DNAse I for 1 hour to degrade and detach the splint oligomers, and re-purified in a volume of 30 uL.
- the ligation efficiency was nearly 100%.
- the absence of a size shift in the mock-reaction prep shows that the acceptor and donor were truly ligated and not simply held together by undigested splint oligomers.
- FIG. 11 shows the results of splint-mediated ligation using an acceptor RNA with a 30-monomer stub polyA tail (A(30)).
- the ligation reactions were performed with three different donor oligomer species: A(30), A(60), and A(120). Based on the gel shifts, the ligations attained nearly 100% efficiency.
- a protocol used for a 100 ul splint-mediated ligation reaction included the following materials, reagents, and steps.
- RNA Repurify the RNA using RNeasy spin columns, eluting in water or TE pH 7.0.
- the splint oligomer sequence includes an anchor that is specific to the 3′ UTR used for making mRNA.
- FIG. 12 shows the results of one-hour splint-mediated ligations that were performed on nGFP-A 30 transcripts. The resulting ligation products were compared to untreated transcripts and native nGFP-A 60 IVT products. The native nGFP-A 60 and the ligated products were up-shifted on the gel relative to the untreated nGFP-A 30 transcripts and mock-ligated material.
- a UNA-PolyA UNA Oligomer donor was made having the following structure:
- nGFP transcript with a polyA tail of 30-monomers in length was ligated to a donor polyA tail of 30-monomers in length to give an mRNA product having a polyA tail of 60-monomers in length (A 60 -bearing ligation product) by splint-mediated ligation.
- FIG. 13 shows increased lifetime and translational activity for the nGFP-A 60 ligation product.
- nuclearized transcripts were transfected into fibroblasts for comparison of nGFP-A 30 , mock-ligated nGFP-A 30 , and an nGFP-A 60 ligation product ( FIG. 13 , left to right).
- the significantly higher fluorescence signal observed for the nGFP-A 60 ligation product shows that it has markedly increased translational activity.
- a wild-type T4 RNA ligase was used to ligate a donor 5′ phosphorylated oligomer to a short IVT transcript.
- Short synthetic RNAs were generated by IVT, and the outcome of ligation reactions was evaluated on high-resolution 4% agarose gels. The increase in transcript size from ligation of a synthetic oligomer 30 monomers in length to a full-sized mRNA of 1-2 Kb is too small to clearly visualize on a gel.
- short synthetic RNAs of 100-180 monomers were generated by IVT.
- the 3′ terminal sequence of these short synthetic RNAs was identical to that in the 3′ UTRs of synthetic mRNAs.
- a synthetic oligomer having an adenylated 5′ end was prepared.
- the adenylated 5′ end normally formed as a catalytic intermediate by the ligase, pre-activated the synthetic oligomer for ligation.
- Use of the pre-adenylated synthetic oligomer obviated the need for ATP in the reactions, and allowed the use of a mutant ligase that was active exclusively on adenylated substrates.
- Pre-adenylation of the synthetic oligomer increased ligation efficiency and minimized side-product formation.
- a KQ mutant variant of T4 RNA Ligase 2 was used to ligate a pre-adenylated donor oligomer to a short IVT transcript.
- FIG. 14 shows the results of a ligation performed with a 100-monomer acceptor RNA that was treated for 3 hours at room temperature with T4 RNA Ligase 2 (truncated KQ mutant) using a 10 uM concentration of a polyA tail 30-monomer donor oligomer. 15% PEG 8000 was included in the reaction as a volume excluder to promote efficient ligation. The ligation reaction showed that a high molecular weight product was formed, having a size in between the 100-monomer acceptor RNA and a 180-monomer RNA transcript included as a size standard. These results show that the ligation reaction produced a predominant product having high molecular weight with nearly 100% ligation of the donor to the acceptor. Additional experiments performed with concentrations of the polyA tail at 10 uM, 20 uM , and 40 uM showed that at least half of the acceptor RNA was ligated in all cases.
Landscapes
- Health & Medical Sciences (AREA)
- Chemical & Material Sciences (AREA)
- Life Sciences & Earth Sciences (AREA)
- Organic Chemistry (AREA)
- Genetics & Genomics (AREA)
- Zoology (AREA)
- General Health & Medical Sciences (AREA)
- Biochemistry (AREA)
- Engineering & Computer Science (AREA)
- Bioinformatics & Cheminformatics (AREA)
- Wood Science & Technology (AREA)
- Medicinal Chemistry (AREA)
- Molecular Biology (AREA)
- General Engineering & Computer Science (AREA)
- Gastroenterology & Hepatology (AREA)
- Biophysics (AREA)
- Proteomics, Peptides & Aminoacids (AREA)
- Toxicology (AREA)
- Biomedical Technology (AREA)
- Microbiology (AREA)
- Biotechnology (AREA)
- Immunology (AREA)
- Nuclear Medicine, Radiotherapy & Molecular Imaging (AREA)
- General Chemical & Material Sciences (AREA)
- Public Health (AREA)
- Chemical Kinetics & Catalysis (AREA)
- Pharmacology & Pharmacy (AREA)
- Animal Behavior & Ethology (AREA)
- Veterinary Medicine (AREA)
- Cell Biology (AREA)
- Tropical Medicine & Parasitology (AREA)
- Endocrinology (AREA)
- Hematology (AREA)
- Pulmonology (AREA)
- Medicines That Contain Protein Lipid Enzymes And Other Medicines (AREA)
- Pharmaceuticals Containing Other Organic And Inorganic Compounds (AREA)
- Medicines Containing Antibodies Or Antigens For Use As Internal Diagnostic Agents (AREA)
- Medicinal Preparation (AREA)
- Enzymes And Modification Thereof (AREA)
- Preparation Of Compounds By Using Micro-Organisms (AREA)
Abstract
This invention provides a range of translatable messenger UNA (mUNA) molecules. The mUNA molecules can be translated in vitro and in vivo to provide an active polypeptide or protein, or to provide an immunization agent or vaccine component. The mUNA molecules can be used as an active agent to express an active polypeptide or protein in cells or subjects. Among other things, the mUNA molecules are useful in methods for treating rare diseases.
Description
- It has long been difficult to utilize messenger RNA molecules in medicines. Synthetic mRNA can be designed with inherent translational activity for making an active protein, which could be used in various therapeutic strategies. However, the expression of protein involves a number of steps that are localized and/or regulated. Further, plentiful RNase enzymes can degrade mRNA. Moreover, use of a synthetic mRNA requires clinical formulation and delivery to cells. These steps of mRNA delivery, partitioning and dynamics increase the need for stability and longevity of the synthetic mRNA.
- For efficient translation, natural mRNA transcripts incorporate a 5′ 7-methylguanosine cap and a 3′ polyA tail. PolyA binding proteins (PABPs) bind to the tail and cooperate with the 5′ cap via looping interactions to recruit the machinery of translation. A 3′ polyA tail of at least about 20 nucleotides is needed to activate the mRNA for translation. Translational activity can decrease to low levels in the absence of either the 5′ cap or the 3′ polyA tail.
- One drawback in using mRNA molecules in medicines is that the lifetime of the molecule in the cytoplasm of mammalian cells is relatively short. In general, ubiquitous mRNA degradation pathways actively clear out transcripts from the mRNA pool. The principle pathways for mRNA degradation involve deadenylation or trimming of the 3′ polyA tail by 3′-exoribonucleases and cleavage of the 5′-5′ triphosphate linkage that attaches the methylguanosine cap by a decapping complex.
- One way to increase mRNA longevity might be to increase 3′-nuclease resistance by incorporating nucleotide analogues or chemical modifications in either the phosphodiester backbone or the nucleotides, which are localized to the 3′ end to be compatible with enzymatic synthesis and efficient translation. A drawback of this approach is that it may not be possible to selectively incorporate such chemical modifications at 3′ termini, or to retain activity.
- There is an urgent need for molecules, structures and compositions having specific translational activity to provide active peptides and proteins, both in vitro and in vivo. Such new molecules having functional cytoplasmic half-life for producing active peptides and proteins can yield new drug molecules, therapeutic modalities, vaccines, and immunotherapies.
- What is needed are translatable molecules that have increased specific activity and/or lifetime over native mRNA, to be used in methods and compositions for producing and delivering active peptides and proteins in medicines.
- This invention relates to the fields of molecular biology and genetics, as well as to biopharmaceuticals and therapeutics generated from translatable molecules. More particularly, this invention relates to methods, structures and compositions for molecules having translational activity for making active peptides or proteins in vivo.
- This invention provides methods and compositions for novel molecules having translational activity, which can be used to provide active peptides and proteins.
- The molecules of this invention can have functional cytoplasmic half-life for producing peptides and proteins. The peptides and proteins can be active for therapeutic modalities, as well as in vaccines and immunotherapies.
- The molecules of this invention can be translatable messenger molecules, which can have long half-life, particularly in the cytoplasm of a cell. The longer duration of the translatable messenger molecules of this invention can be significant for providing a translation product that is active for ameliorating, preventing or treating various diseases. The diseases can be associated with undesirable modulation of protein concentration, or undesirable activity of a protein.
- This disclosure provides a range of structures for translatable molecules that have increased specific activity and/or lifetime over native mRNA. The translatable molecules of this invention can be used in medicines, and for methods and compositions for producing and delivering active peptides and proteins.
- Embodiments of this disclosure provide a wide range of novel, translatable messenger molecules. The translatable messenger molecules can contain monomers that are unlocked nucleomonomers (UNA monomers). The long duration of translatable messenger UNA molecules (mUNA molecules) of this invention can be useful for providing an active peptide or protein translation product. The mUNA molecules of this invention can be used in medicines for ameliorating, preventing or treating disease.
- The translatable mUNA molecules of this invention can be used to provide peptides or proteins in vitro, ex vivo, or in vivo.
- The translatable mUNA molecules of this invention can provide high-efficiency expression of virtually any protein.
- In some embodiments, the mUNA molecules of this invention have increased cytoplasmic half-life over a native, mature mRNA that provides the same peptide or protein. The mUNA structures and compositions of this invention can provide increased functional half-life with respect to native, mature mRNAs.
- In further aspects, a mUNA molecule of this invention can provide increased activity as a drug providing a peptide or protein product, as compared to a native, mature mRNA. In some embodiments, a mUNA molecule can reduce the expected dose level that would be required for efficacious therapy.
- Additional embodiments of this invention can provide vaccine compositions for immunization and immunotherapies using mUNA molecules.
- Embodiments of this invention include the following:
- A mUNA molecule, containing one or more UNA monomers, and containing nucleic acid monomers, wherein the mUNA molecule is translatable to express a polypeptide or protein. The molecule may have from 200 to 12,000 monomers, or from 200 to 4,000 monomers. In some embodiments, the molecule can have from 1 to 8,000 UNA monomers, or from 1 to 100 UNA monomers, or from 1 to 20 UNA monomers.
- A mUNA molecule can have one or more modified nucleic acid nucleotides, and/or one or more chemically-modified nucleic acid nucleotides.
- In some embodiments, a mUNA molecule can contain a 5′ cap, a 5′ untranslated region of monomers, a coding region of monomers, a 3′ untranslated region of monomers, and a tail region of monomers. In certain embodiments, the molecule can contain a translation enhancer in a 5′ or 3′ untranslated region.
- The mUNA molecules of this invention can be translatable in vivo, or in vitro, or in a mammalian cell, or in a human in vivo. In some embodiments, a translation product of a mUNA molecule can be an active peptide or protein.
- In certain embodiments, a translation product of a mUNA molecule is human EPO, human Factor IX, human alpha-1-antitrypsin, human CFTR, human ASL, human PAH, human NIS, or human hepcidin.
- In another aspect, a mUNA molecule can exhibit at least 2-fold, 3-fold, 5-fold, or 10-fold increased translation efficiency in vivo as compared to a native mRNA that encodes the same translation product.
- In certain embodiments, a mUNA molecule can have a cytoplasmic half-life in a cell at least 2-fold greater than a native mRNA of the cell that encodes the same translation product.
- Embodiments of this invention further contemplate therapeutic mUNA agents for a rare disease, a liver disease, or a cancer. A mUNA molecule can be an immunization agent or vaccine component for a rare disease, a liver disease, or a cancer.
- This invention further provides compositions containing a mUNA molecule and a pharmaceutically acceptable carrier, and vaccine or immunization compositions containing a mUNA molecule. The carrier can be a nanoparticle or liposome.
- In additional embodiments, this invention provides methods for ameliorating, preventing or treating a disease or condition in a subject comprising administering to the subject a composition containing a mUNA molecule. The disease or condition can be a rare disease, liver disease, or cancer.
- In certain embodiments, this invention provides methods for producing a polypeptide or protein in vivo, by administering to a mammal a composition containing a mUNA molecule. The polypeptide or protein may be deficient in a disease or condition of a subject or mammal. The protein can be human EPO, human Factor IX, human alpha-1-antitrypsin, human CFTR, human ASL, human PAH, human NIS, or human hepcidin.
- This invention further provides methods for producing a polypeptide or protein in vitro, by transfecting a cell with a mUNA molecule. The polypeptide or protein can be deficient in a disease or condition of a subject or mammal. The protein can be human EPO, human Factor IX, human alpha-1-antitrypsin, human CFTR, human ASL, human PAH, human NIS, or human hepcidin.
-
FIG. 1 shows the results of expressing human Factor IX (F9) in vivo using a translatable mUNA molecule of this invention, as compared to expression of a native mRNA of Factor IX.FIG. 1 shows that the translation efficiency of this mUNA molecule was doubled as compared to the native mRNA of F9. The mUNA molecule of this embodiment was translated in C57BL/c mouse to produce human F9. -
FIG. 2 shows the results of expressing human Factor IX (F9) in vitro using a translatable mUNA molecule of this invention, as compared to expression of a native mRNA of Factor IX.FIG. 2 shows that the translation efficiency of this mUNA molecule was increased by 5-fold after 48 hours, as compared to the native mRNA of F9. The mUNA molecule of this embodiment was traslated in mouse hepatocyte cell line Hepa1-6 to produce human F9. -
FIG. 3 shows the results of expressing human Erythropoietin (EPO) in vitro using a translatable mUNA molecule of this invention, as compared to expression of a native mRNA of human EPO.FIG. 3 shows that the translation efficiency of this mUNA molecule was increased nearly 3-fold after 48 hours, as compared to the native mRNA of EPO. The mUNA molecule of this embodiment was translated in mouse hepatocyte cell line Hepa1-6 to produce human EPO. -
FIG. 4 shows the results of expressing mouse Erythropoietin (EPO) in vitro using several translatable mUNA molecules of this invention, as compared to expression of a native mRNA of mouse EPO.FIG. 4 shows that the translation efficiencies of the mUNA molecules (#2, 3, 4, 5, 6, 7, 8, 9, 10 and 11) were increased by up to 10-fold after 72 hours, as compared to the native mRNA of EPO. The mUNA molecules of this embodiment were translated in mouse hepatocyte cell line Hepa1-6 to produce mouse EPO. -
FIG. 5 shows the results of expressing human alpha-1-antitrypsin in vivo using a translatable mUNA molecule of this invention, as compared to expression of a native mRNA of human alpha-1-antitrypsin.FIG. 5 shows that the translation efficiency of this mUNA molecule at 72 hrs was increased more than 3-fold as compared to the native mRNA of human alpha-1-antitrypsin. The mUNA molecule of this embodiment was translated in C57BL/c mouse to produce human alpha-1-antitrypsin. -
FIG. 6 shows the results of expressing human erythropoietin (EPO) in vivo using a translatable mUNA molecule of this invention, as compared to expression of a native mRNA of human EPO.FIG. 6 shows that the translation efficiency of this mUNA molecule at 72 hrs was increased more than 10-fold as compared to the native mRNA of human EPO. The mUNA molecule of this embodiment was translated in C57BL/c mouse to produce human EPO. -
FIG. 7 shows the primary structure of a functional mRNA transcript in the cytoplasm. The mRNA includes a 5′ methylguanosine cap, a protein coding sequence flanked by untranslated regions (UTRs), and a polyadenosine (polyA) tail bound by polyA binding proteins (PABPs). -
FIG. 8 shows the 5′ cap and PABPs cooperatively interacting with proteins involved in translation to facilitate the recruitment and recycling of ribosome complexes. -
FIG. 9 shows the splint-mediated ligation scheme, in which an acceptor RNA with a 30-monomer stub polyA tail (A(30)) was ligated to a 30-monomer donor oligomer A(30). The splint-mediated ligation used a DNA oligomer splint which was complementary to the 3′ UTR sequence upstream of the stub polyA tail, and included a 60-monomer oligo(dT) 5′ heel (T(60)) to splint the ligation. The anchoring region of the splint was complementary to the UTR sequence to ensure that a 5′ dT30 overhang was presented upon hybridization to the acceptor. This brings the donor oligomer into juxtaposition with the 3′ terminus of the stub tail, dramatically improving the kinetics of ligation. -
FIG. 10 shows experimental results of splint-mediated ligation of a donor oligomer to an acceptor.FIG. 10 shows the results of ligation using 2 ug of a 120-monomer acceptor with an A30 stub tail that was ligated to a 5′-phosphorylated A30 RNA donor oligomer usingT4 RNA Ligase 2. The reaction was incubated overnight at 37° C. The ligation and a mock reaction done without enzyme were purified, treated with DNAse I for 1 hour to degrade and detach the splint oligomers, and re-purified in a volume of 30 uL. The ligation efficiency was nearly 100%. The absence of a size shift in the mock-reaction prep shows that the acceptor and donor were truly ligated and not simply held together by undigested splint oligomers. -
FIG. 11 shows the results of splint-mediated ligation using an acceptor RNA with a 30-monomer stub polyA tail (A(30)). The ligation reactions were performed with three different donor oligomer species: A(30), A(60), and A(120). Based on the gel shifts, the ligations have attained nearly 100% efficiency. -
FIG. 12 shows the results of one-hour splint-mediated ligations that were performed on nGFP-A30 transcripts. The resulting ligation products were compared to untreated transcripts and native nGFP-A60 IVT products. The native nGFP-A60 and the ligated products were up-shifted on the gel relative to the untreated nGFP-A30 transcripts and mock-ligated material, showing that the ligation yield was nearly 100%. -
FIG. 13 shows increased lifetime and translational activity for an nGFP-A60 ligation product. InFIG. 13 , nuclearized transcripts were transfected into fibroblasts, and a comparison of fluoresence signals was made for nGFP-A30, mock-ligated nGFP-A30, and an nGFP-A60 ligation product (FIG. 13 , left to right). The significantly higher fluorescence signal observed for the nGFP-A60 ligation product shows that it has markedly increased translational activity. -
FIG. 14 shows the results of a ligation performed with a 100-monomer acceptor RNA that was treated for 3 hours at room temperature with T4 RNA Ligase 2 (truncated KQ mutant) using a 10 uM concentration of a polyA tail 30-monomer donor oligomer. 15% PEG 8000 was included in the reaction as a volume excluder to promote efficient ligation. The ligation reaction showed that a high molecular weight product was formed, having a size in between the 100-monomer acceptor RNA and a 180-monomer RNA transcript included as a size standard. These results show that the ligation reaction produced a predominant product having high molecular weight with nearly 100% ligation of the donor to the acceptor. Additional experiments with concentrations of the polyA tail at 10 uM, 20 uM, and 40 uM showed that from about 50% to about 100% of the acceptor RNA was ligated. - This invention provides a range of novel agents and compositions to be used for therapeutic applications. The molecules and compositions of this invention can be used for ameliorating, preventing or treating various diseases associated with genomic functionalities.
- The molecules of this invention can be translatable messenger UNA molecules, which can have long half-life, particularly in the cytoplasm. The long duration mUNA molecules (mUNA molecules) can be used for ameliorating, preventing or treating various diseases associated with undesirable modulation of protein concentration, or activity of a protein.
- The properties of the mUNA compounds of this invention arise according to their molecular structure, and the structure of the molecule in its entirety, as a whole, can provide significant benefits based on those properties. Embodiments of this invention can provide mUNA molecules having one or more properties that advantageously provide enhanced effectiveness in regulating protein expression or concentration, or modulating protein activity. The molecules and compositions of this invention can provide formulations for therapeutic agents for various diseases and conditions, which can provide clinical agents.
- This invention provides a range of mUNA molecules that are surprisingly translatable to provide active peptide or protein, in vitro and in vivo.
- The mUNA structures and compositions can have increased translational activity and cytoplasmic half-life. In these embodiments, the mUNA structures and compositions can provide increased functional half-life in the cytoplasm of mammalian cells over native mRNA molecules. The inventive mUNA molecules can have increased half-life of activity with respect to a corresponding native mRNA.
- A wide range of novel mUNA molecules are provided herein, each of which can incorporate specialized linker groups. The linker groups can be attached in a chain in the mUNA molecule. Each linker group can also be attached to a nucleobase.
- In some aspects, a linker group can be a monomer. Monomers can be attached to form a chain molecule. In a chain molecule of this invention, a linker group monomer can be attached at any point in the chain.
- In certain aspects, linker group monomers can be attached in a chain molecule of this invention so that the linker group monomers reside near the ends of the chain, or at any position in the chain.
- As used herein, a chain molecule can also be referred to as an oligomer.
- In further aspects, the linker groups of a chain molecule can each be attached to a nucleobase. The presence of nucleobases in the chain molecule can provide a sequence of nucleobases in the chain molecule.
- In certain embodiments, this invention provides oligomer mUNA molecules having chain structures that incorporate novel combinations of the linker group monomers, along with certain natural nucleotides, or non-natural nucleotides, or modified nucleotides, or chemically-modified nucleotides.
- The oligomer mUNA molecules of this invention can display a sequence of nucleobases, and can be designed to express a polypeptide or protein, in vitro, ex vivo, or in vivo. The expressed polypeptide or protein can have activity in various forms, including activity corresponding to protein expressed from natural mRNA, or activity corresponding to a negative or dominant negative protein.
- In some aspects, this invention can provide active mUNA oligomer molecules having a base sequence that corresponds to at least a fragment of a native nucleic acid molecule of a cell.
- In some embodiments, the cell can be a eukaryotic cell, a mammalian cell, or a human cell.
- This invention provides structures, methods and compositions for oligomeric mUNA agents that incorporate the linker group monomers. The oligomeric molecules of this invention can be used as active agents in formulations for therapeutics.
- This invention provides a range of mUNA molecules that are useful for providing therapeutic effects because of their longevity of activity in providing an expressed peptide or protein.
- In certain embodiments, an active mUNA molecule can be structured as an oligomer composed of monomers. The oligomeric structures of this invention may contain one or more linker group monomers, along with certain nucleotides.
- An expressed peptide or protein can be modified or mutated as compared to a native variant, or can be a homolog or ortholog for enhanced expression in a eukaryotic cell. An active mUNA molecule can be human codon optimized. Methodologies for optimizing codons are known in the art.
- In certain embodiments, a mUNA molecule may contain a sequence of nucleobases, and can be designed to express a peptide or protein of any isoform, in part by having sufficient homology with a native polynucleotide sequence.
- In some embodiments, a mUNA molecule can be from about 200 to about 12,000 monomers in length, or more. In certain embodiments, a mUNA molecule can be from 200 to 12,000 monomers in length, or 200 to 10,000 monomers, or 200 to 8,000 monomers, or 200 to 6000 monomers, or 200 to 5000 monomers, or 200 to 4000 monomers, or 200 to 3600 monomers, or 200 to 3200 monomers, or 200 to 3000 monomers, or 200 to 2800 monomers, or 200 to 2600 monomers, or 200 to 2400 monomers, or 200 to 2200 monomers, or 600 to 3200 monomers, or 600 to 3000 monomers, or 600 to 2600 monomers.
- In some embodiments, a mUNA molecule can contain from 1 to about 8,000 UNA monomers. In certain embodiments, a mUNA molecule can contain from 1 to 8,000 UNA monomers, or 1 to 6,000 UNA monomers, or 1 to 4,000 UNA monomers, or 1 to 3,000 UNA monomers, or 1 to 2,000 UNA monomers, or 1 to 1,000 UNA monomers, or 1 to 500 UNA monomers, or 1 to 300 UNA monomers, or 1 to 200 UNA monomers, or 1 to 100 UNA monomers, or 1 to 50 UNA monomers, or 1 to 40 UNA monomers, or 1 to 30 UNA monomers, or 1 to 20 UNA monomers, or 1 to 10 UNA monomers, or 1 to 6 UNA monomers.
- In some embodiments, a mUNA molecule can be from about 200 to about 12,000 bases in length, or more. In certain embodiments, a mUNA molecule can be from 200 to 12,000 bases in length, or 200 to 10,000 bases, or 200 to 8,000 bases, or 200 to 6000 bases, or 200 to 5000 bases, or 200 to 4000 bases, or 200 to 3600 bases, or 200 to 3200 bases, or 200 to 3000 bases, or 200 to 2800 bases, or 200 to 2600 bases, or 200 to 2400 bases, or 200 to 2200 bases, or 600 to 3200 bases, or 600 to 3000 bases, or 600 to 2600 bases.
- A mUNA molecule of this invention may comprise a 5′ cap, a 5′ untranslated region of monomers, a coding region of monomers, a 3′ untranslated region of monomers, and a tail region of monomers. Any of these regions of monomers may comprise one or more UNA monomers.
- A mUNA molecule of this invention may comprise a 5′ untranslated region of monomers containing one or more UNA monomers.
- A mUNA molecule of this invention may comprise a coding region of monomers containing one or more UNA monomers.
- A mUNA molecule of this invention may comprise a 3′ untranslated region of monomers containing one or more UNA monomers.
- A mUNA molecule of this invention may comprise a tail region of monomers containing one or more UNA monomers.
- A mUNA molecule of this invention may comprise a 5′ cap containing one or more UNA monomers.
- A mUNA molecule of this invention can be translatable, and may comprise regions of sequences or structures that are operable for translation in a cell, or which have the functionality of regions of an mRNA including, for example, a 5′ cap, a 5′ untranslated region, a coding region, a 3′ untranslated region, and a polyA tail.
- This invention further contemplates methods for delivering one or more vectors, or one or more mUNA molecules to a cell.
- In some embodiments, one or more mUNA molecules can be delivered to a cell, in vitro, ex vivo, or in vivo. Viral and non-viral transfer methods as are known in the art can be used to introduce mUNA molecules in mammalian cells. mUNA molecules can be delivered with a pharmaceutically acceptable vehicle, or for example, encapsulated in a liposome.
- A peptide or protein expressed by a mUNA molecule can be any peptide or protein, endogenous or exogenous in nature with respect to a eukaryotic cell, and may be a synthetic or non-natural peptide or protein with activity or effect in the cell.
- In some embodiments, mUNA structures and compositions of this invention can reduce the number and frequency of transfections required for cell-fate manipulation in culture as compared to utilizing native compositions.
- In additional aspects, this invention provides increased activity for mUNA-based drugs as compared to utilizing native compositions, and can reduce the dose levels required for efficacious therapy.
- In further aspects, this invention provides increased activity for mUNA-based molecules, as compared to utilizing a native mRNA as active agent.
- In some aspects, this invention can provide mUNA molecules that may reduce the cellular innate immune response, as compared to that induced by a natural nucleic acid, peptide or protein.
- In further aspects, embodiments of this invention can provide increased efficacy for single-dose therapeutic modalities, including mUNA immunization and immunotherapies.
- This invention can provide synthetic mUNA molecules that are refractory to deadenylation as compared to native molecules.
- In certain embodiments, this invention can provide synthetic mUNA molecules with increased specific activity and longer functional half-life as compared to native molecules. The synthetic mUNA molecules of this invention can provide increased levels of ectopic protein expression. When using a mUNA molecule as a vector, cellular-delivery can be at increased levels, and cytotoxic innate immune responses can be restrained so that higher levels of ectopic protein expression can be achieved. The mUNA molecules of this invention can have increased specific activity and longer functional half-life than mRNAs.
- In certain aspects, a mUNA molecule may have a number of mutations from a native mRNA, or from a disease associated mRNA.
- In further embodiments, this invention can provide mUNA molecules having cleavable delivery and targeting moieties attached at the 3′ end.
- In general, the specific activity for a synthetic translatable molecule delivered by transfection can be viewed as the number of molecules of protein expressed per delivered transcript per unit time.
- As used herein, translation efficiency refers to a measure of the production of a protein or polypeptide by translation of a messenger molecule in vitro or in vivo.
- This invention provides a range of mUNA molecules, which can contain one or more UNA monomers, and a number of nucleic acid monomers, wherein the mUNA molecule can be translated to express a polypeptide or protein.
- In some embodiments, this invention includes a range of mUNA molecules, which contain one or more UNA monomers in one or more untranslated regions, and a number of nucleic acid monomers, wherein the mUNA molecule can be translated to express a polypeptide or protein.
- In some embodiments, this invention includes a range of mUNA molecules, which contain one or more UNA monomers in a tail region or monomers, and a number of nucleic acid monomers, wherein the mUNA molecule can be translated to express a polypeptide or protein.
- In some embodiments, a mUNA molecule can contain a modified 5′ cap.
- In some embodiments, a mUNA molecule can contain one ore more UNA monomers in a 5′ cap.
- In further embodiments, a mUNA molecule can contain a translation enhancing 5′ untranslated region of monomers.
- In further embodiments, a mUNA molecule can contain one or more UNA monomers in a 5′ untranslated region.
- In additional embodiments, a mUNA molecule can contain a translation enhancing 3′ untranslated region of monomers.
- In additional embodiments, a mUNA molecule can contain one or more UNA monomers in a 3′ untranslated region of monomers.
- In additional embodiments, a mUNA molecule can contain one or more UNA monomers in a tail region of monomers.
- In additional embodiments, a mUNA molecule can contain one or more UNA monomers in a polyA tail.
- In another aspect, a mUNA molecule can exhibit at least 2-fold, 3-fold, 5-fold, or 10-fold increased translation efficiency in vivo as compared to a native mRNA that encodes the same translation product.
- In another aspect, a mUNA molecule can produce at least 2-fold, 3-fold, 5-fold, or 10-fold increased polypeptide or protein in vivo as compared to a native mRNA that encodes the same polypeptide or protein.
- In additional embodiments, this invention provides methods for treating a rare disease or condition in a subject by administering to the subject a composition containing a mUNA molecule.
- In additional embodiments, this invention provides methods for treating a liver disease or condition in a subject by administering to the subject a composition containing a mUNA molecule.
- Modalities for Peptides and Proteins
- A mUNA molecule of this invention may be used for ameliorating, preventing or treating a disease through enzyme modulation or replacement. In these embodiments, a mUNA molecule of this invention can be administered to regulate, modulate, increase, or decrease the concentration or effectiveness of a natural enzyme in a subject.
- In some aspects, the enzyme can be an unmodified, natural enzyme for which the patient has an abnormal quantity.
- In some embodiments, a mUNA molecule can be delivered to cells or subjects, and translated to supply increased levels of the natural enzyme.
- A mUNA molecule of this invention may be used for ameliorating, preventing or treating a disease through modulation or introduction of a peptide or protein. In these embodiments, a mUNA molecule of this invention can be administered to regulate, modulate, increase, or decrease the concentration or effectiveness of a peptide or protein in a subject, where the peptide or protein is non-natural or mutated, as compared to a native peptide or protein.
- In some aspects, the peptide or protein can be a modified, non-natural, exogenous, or synthetic peptide or protein, which has a pharmacological effect in a subject.
- In some embodiments, a mUNA molecule can be delivered to cells or subjects, and translated to supply a concentration of the peptide or protein.
- Examples of diseases for enzyme modulation include lysosomal diseases, for example, Gaucher disease, Fabry disease, Mucopolysaccharidoses (MPS) and related diseases including MPS I, MPS II (Hunter syndrome), and MPS VI, as well as Glycogen storage disease type II.
- Examples of diseases for enzyme modulation include hematologic diseases, for example, sickle-cell disease, thalassemia, methemoglobinemia, anemia due to deficiency of hemoglobin or B12 intrinsic factor, spherocytosis, glucose-6-phosphate dehydrogenase deficiency, and pyruvate kinase deficiency.
- Examples of diseases for enzyme modulation include hemophilia, Von Willebrand disease, Protein S deficiency, age-related macular degeneration, trinucleotide repeat disorders, muscular dystrophy, insertion mutation diseases, DNA repair-deficiency disorders, and deletion mutation diseases.
- Rare Diseases
- Examples of diseases and/or conditions for which the mUNA molecules of this invention can be translatable to provide an active agent include those in Table 1.
-
TABLE 1 Rare diseases RARE DISEASE DEFICIENCY Aminoacylase 1 deficiency Aminoacylase 1 Apo A-I deficiency Apo A-I Carbamoyl phosphate synthetase 1 Carbamoyl phosphate synthetase 1 deficiency Ornithine transcarbamylase Ornithine transcarbamylase deficiency Plasminogen activator inhibitor Plasminogen activator inhibitor type 1 type 1 deficiency Flaujeac factor deficiency Flaujeac factor (High-molecular-weight kininogen) High-molecular-weight kininogen High-molecular-weight kininogen (Flaujeac factor) deficiency congenital PEPCK 1 deficiency PEPCK 1 Pyruvate kinase deficiency liver Pyruvate kinase liver type type Alpha 1-antitrypsin deficiency Alpha 1-antitrypsin Anti-plasmin deficiency congenital Anti-plasmin Apolipoprotein C 2I deficiency Apolipoprotein C 2I Butyrylcholinesterase deficiency Butyrylcholinesterase Complement component 2 Complement component 2 deficiency Complement component 8 Complement component 8 type 2 deficiency type 2 Congenital antithrombin Antithrombin deficiency type 1 Congenital antithrombin Antithrombin, type 2 deficiency type 2 Congenital antithrombin Antithrombin, type 3 deficiency type 3 Cortisone reductase deficiency 1 Cortisone reductase Factor VII deficiency Factor VII Factor X deficiency Factor X Factor XI deficiency Factor XI Factor XII deficiency Factor XII Factor XIII deficiency Factor XIII Fibrinogen deficiency congenital Fibrinogen Fructose-1 6-bisphosphatase Fructose-1 6-bisphosphatase deficiency Gamma aminobutyric acid Gamma aminobutyric acid transaminase transaminase deficiency Gamma-cystathionase deficiency Gamma-cystathionase Glut2 deficiency Glut2 GTP cyclohydrolase I deficiency GTP cyclohydrolase I Isolated growth hormone Isolated growth hormone type 1B deficiency type 1B Molybdenum cofactor deficiency Molybdenum cofactor Prekallikrein deficiency congenital Prekallikrein Proconvertin deficiency congenital Proconvertin Protein S deficiency Protein S Pseudocholinesterase deficiency Pseudocholinesterase Stuart factor deficiency congenital Stuart factor Tetrahydrobiopterin deficiency Tetrahydrobiopterin Type 1 plasminogen deficiency Plasminogen Urocanase deficiency Urocanase Chondrodysplasia punctata with Chondrodysplasia punctata with steroid sulfatase/X- steroid sulfatase deficiency linked chondrodysplasia punctata 1 Homocystinuria due to CBS CBS deficiency Guanidinoacetate Guanidinoacetate methyltransferase methyltransferase deficiency Pulmonary surfactant protein B Pulmonary surfactant protein B deficiency Aminoacylase 1 deficiency Aminoacylase 1 Acid Sphingomyelinase Enzyme found in lysosomes, responsible for conversion of Deficiency lipid sphingomyelin into lipid ceramide Adenylosuccinate Lyase Neurological disorder, brain dysfunction (encephalopathy) Deficiency and to delayed development of mental and movement abilities, autistic behaviors and seizures Aggressive Angiomyxoma Myxoid tumor involving the blood vessels, may be a non- metastasizing benign tumor Albrights Hereditary Inherited in an autosomal dominant pattern, lack of Osteodystrophy responsiveness to parathyroid hormone, low serum calcium, high serum phosphate Carney Stratakis Syndrome Very rare syndrome characterized by gastrointestinal stromal tumors and paragangliomas. Carney Triad Syndrome Characterized by the coexistence of 3 types of neoplasms, mainly in young women, including gastric gastrointestinal stromal tumor, pulmonary chondroma, and extra-adrenal paraganglioma CDKL5 Mutation Results in severe neurodevelopmental impairment and early onset, difficult to control seizures CLOVES Syndrome Complex vascular anomalies: Congenital, Lipomatous Overgrowth, Vascular malformations, Epidermal nevi and Scoliosis/Skeletal/Spinal anomalies Cockayne Syndrome Characterized by short stature and an appearance of premature aging, failure to gain weight, abnormally small head size, and impaired development of the nervous system Congenital Disorder of Rare inborn errors of metabolism involving deficient or Glycosylation type 1R defective glycosylation Cowden Syndrome Characterized by multiple noncancerous, tumor-like growths called hamartomas and an increased risk of developing certain cancers DEND Syndrome Generally severe form of neonatal diabetes mellitus characterized by a triad of developmental delay, epilepsy, and neonatal diabetes Dercum's Disease Characterized by multiple, and painful lipomas. These lipomas mainly occur on the trunk, the upper arms and upper legs Febrile Infection-Related Epilepsy Explosive-onset, potentially fatal acute epileptic Syndrome encephalopathy, develops in previously healthy children and adolescents following the onset of a non-specific febrile illness Fibular Aplasia Tibial Campomelia Unknown genetic basis and inheritance with variable Oligosyndactyly Syndrome expressivity and penetrance Food Protein-Induced Enterocolitis A non-IgE mediated immune reaction in the gastrointestinal Syndrome system to one or more specific foods, commonly characterized by profuse vomiting and diarrhea Foreign Body Giant Cell Reactive Collection of fused macrophages which are generated in Tissue Disease response to the presence of a large foreign body; particularly evident with implants that cause the body chronic inflammation and foreign body response Galloway-Mowat Physical features may include an unusually small head and additional abnormalities of the head and facial area; damage to clusters of capillaries in the kidneys resulting in abnormal kidney function; and, in many cases, protrusion of part of the stomach through an abnormal opening in the diaphragm Gitelman syndrome Autosomal recessive kidney disorder characterized by hypokalemic metabolic alkalosis with hypocalciuria, and hypomagnesemia. Glycerol Kinase Deficiency X-linked recessive enzyme defect that is heterozygous in nature, responsible gene in a region containing genes in which deletions can cause DMD and adrenal hypoplasia congenita Glycogen Storage Disease type 9Caused by the inability to break down glycogen. The different forms of the condition can affect glycogen breakdown in liver cells, muscle cells or both gm1 gangliosidosis Autosomal recessive lysosomal storage disease characterized by accumulation of ganglioside substrates in lysosomes Hereditary spherocytosis Affects red blood cells, shortage of red blood cells, yellowing of the eyes and skin, and an enlarged spleen Hidradenitis Suppurativa Stage III Disorder of the terminal follicular epithelium in the apocrine gland-bearing skin, frequently causing keloids, contractures, and immobility. Stage III is defined as multiple lesions, with more extensive sinus tracts and scarring Horizonatal Gaze Palsy with Disorder that affects vision and also causes an abnormal Progressive Scoliosis curvature of the spine IMAGe syndrome The combination of intrauterine growth restriction, metaphyseal dysplasia, adrenal hypoplasia congenita, and genital anomalies (only about 20 cases reported in the medical literature) Isodicentric 15 Chromosome abnormality in which a child is born with extra genetic material from chromosome 15 isolated hemihyperplasia One side of the body grows more than other, causing asymmetry Juvenile Xanthogranuloma Usually benign and self-limiting. It occurs most often in the skin of the head, neck, and trunk but can also occur in the arms, legs, feet, and buttocks Kasabach-Merritt Syndrome A vascular tumor leads to decreased platelet counts and sometimes other bleeding problems Kniest Dysplasia Disorder of bone growth characterized by short stature (dwarfism) with other skeletal abnormalities and problems with vision and hearing Koolen de-Vries Syndrome Disorder characterized by developmental delay and mild to moderate intellectual disability. They usually have weak muscle tone in childhood. About half have recurrent seizures Lennox-Gastaut syndrome Type of epilepsy with multiple different types of seizures, particularly tonic (stiffening) and atonic (drop) seizures. Intellectual development is usually, but not always, impaired Lymphangiomatosis Congenital and can affect any of the body's systems except the central nervous system (including the brain) Lymphangiomiomytosis Can occur either sporadically or in association with the tuberous sclerosis complex (TSC) and is often considered a forme fruste of TSC MASA Syndrome X-linked recessive neurological disorder Mast Cell Activation disorder Condition with signs and symptoms involving the skin, gastrointestinal, cardiovascular, respiratory, and neurologic systems Mecp2 Duplication Syndrome Genetic neurodevelopmental disorder characterized by low muscle tone, potentially severe intellectual disability, developmental delays, recurrent respiratory infections, speech abnormalities, seizures, and progressive spasticity Mucha Habermann Skin disorder Neonatal Hemochromatosis Severe liver disease of fetal or perinatal onset, associated with deposition of stainable iron in extrahepatic sites, disordered iron handling due to injury to the perinatal liver, as a form of fulminant hepatic failure N-glycanase deficiency The encoded enzyme may play a role in the proteasome- mediated degradation of misfolded glycoproteins Opsoclonus Myoclonus Syndrome Neurological disorder of unknown causes which appears to be the result of an autoimmune process involving the nervous system Persistent genital arousal disorder Results in a spontaneous, persistent, and uncontrollable genital arousal, with or without orgasm or genital engorgement, unrelated to any feelings of sexual desire Pompe Disease Inherited disorder caused by the buildup of glycogen in the body's cells. The accumulation of glycogen in certain organs and tissues, especially muscles, impairs their ability to function normally Progressive Familial Intrahepatic Disorder that causes progressive liver disease, which Cholestasis typically leads to liver failure. In people with PFIC, liver cells are less able to secrete a digestive fluid called bile. The buildup of bile in liver cells causes liver disease in affected individuals Pseudohypoparathyroidism type 1a Characterized by renal resistance to parathyroid hormone, resulting in hypocalcemia, hyperphosphatemia, and elevated PTH; resistance to other hormones including thydroid stimulating hormone, gonadotropins and growth- hormone-releasing hormone PTEN Hamartoma Tumor The gene was identified as a tumor suppressor that is Syndrome mutated in a large number of cancers at high frequency Schnitzler syndrome Characterised by chronic hives and periodic fever, bone pain and joint pain (sometimes with joint inflammation), weight loss, malaise, fatigue, swollen lymph glands and enlarged spleen and liver Scleroderma Chronic hardening and tightening of the skin and connective tissues Semi Lobar Holoprosencephany Holoprosencephany: birth defect of the brain, which often can also affect facial features, including closely spaced eyes, small head size, and sometimes clefts of the lip and roof of the mouth. Semilobar holoprosencephaly is a subtype of holoprosencephaly characterised by an incomplete forebrain division Sjogren's Syndrome Immune system disorder characterized by dry eyes and dry mouth Specific Antibody Deficiency Immune Disease SYNGAP 1 A ras GTPase-activating protein that is critical for the development of cognition and proper synapse function Trigeminal Trophic Syndrome This is the wing of tissue at the end of the nose above the nostril. Trigeminal trophic syndrome is due to damage to the trigeminal nerve Undiffentiated Connective Tissue Systemic autoimmune disease Disease X-linked hypophosphatemia X-linked dominant form of rickets (or osteomalacia) that differs from most cases of rickets in that ingestion of vitamin D is relatively ineffective. It can cause bone deformity including short stature and genu varum - Modalities for Immune Modulation
- The mUNA molecules of this invention can be translatable to provide an active protein. In certain embodiments, a translatable mUNA molecule can provide an active mRNA immunization agent, or an mRNA vaccine component.
- A mUNA vaccine of this disclosure can advantageously provide a safe and efficacious genetic vaccine by inducing an immune response having both cellular and humoral components. In general, protein can be expressed using a mUNA vaccine of this invention.
- In some embodiments, a mUNA vaccine can advantageously provide protein synthesis in the cytoplasm. In certain embodiments, a mUNA vaccine of this invention can provide internalization, release and transport of an exogenous mRNA in the cytoplasm.
- In certain aspects, a mUNA vaccine of this invention can encode for a protein antigen that can be translated by host cells.
- In further aspects, some mUNA vaccines of this disclosure can encode for tumor antigens, viral antigens, or allergens.
- Modalities for administering a mUNA vaccine of this invention can include intravenous, intranodal, intradermal, subcutaneous and intrasplenic.
- Embodiments of this invention further provide mUNA vaccines having increased half-life of translation, which can be used to reduce the necessary dose and exposure to antigen, and reduce the risk of inducing tolerance.
- A mUNA vaccine of this invention can provide an immunological effect without the risk of integration of a component into the genome, and may reduce the risk of mutagenesis as compared to other genetic vaccines.
- Additional embodiments of this disclosure include mUNA molecules having translational activity, where the translational activity can be described by a cytoplasmic half-life in a mammalian cell. The half-life can be determined by the time required for 50% of the mUNA molecule to be degraded in the cell.
- A translatable mUNA molecule of this invention can be a precursor of an active molecule, which can be used in the treatment of a condition or disease in a subject.
- In some embodiments, a translatable mUNA molecule of this invention can be a pharmacologically active molecule having increased half-life in the cytoplasm of mammalian cells.
- Examples of mUNA molecules of this invention include a mUNA molecule that provides an mRNA encoding HIV-1 gag antigen, a mUNA molecule that provides an mRNA encoding antigens overexpressed in lung cancers, a mUNA molecule that provides an mRNA encoding malarial P. falciparum reticulocyte-binding protein homologue 5 (PfRHS), and a mUNA molecule that provides an mRNA encoding malarial Plasmodium falciparum PfSEA-1, a 244 KD malaria antigen expressed in schizont-infected RBCs.
- UNA Monomers and Oligomers
- In some embodiments, linker group monomers can be unlocked nucleomonomers (UNA monomers), which are small organic molecules based on a propane-1,2,3-tri-yl-trisoxy structure as shown below:
- where R1 and R2 are H, and R1 and R2 can be phosphodiester linkages, Base can be a nucleobase, and R3 is a functional group described below.
- In another view, the UNA monomer main atoms can be drawn in IUPAC notation as follows:
- where the direction of progress of the oligomer chain is from the 1-end to the 3-end of the propane residue.
- Examples of a nucleobase include uracil, thymine, cytosine, 5-methylcytosine, adenine, guanine, inosine, and natural and non-natural nucleobase analogues.
- Examples of a nucleobase include pseudouracil, 1-methylpseudouracil, and 5-methoxyuracil.
- In general, a UNA monomer, which is not a nucleotide, can be an internal linker monomer in an oligomer. An internal UNA monomer in an oligomer is flanked by other monomers on both sides.
- A UNA monomer can participate in base pairing when the oligomer forms a complex or duplex, for example, and there are other monomers with nucleobases in the complex or duplex.
- Examples of UNA monomer as internal monomers flanked at both the propane-1-yl position and the propane-3-yl position, where R3 is —OH, are shown below.
- A UNA monomer can be a terminal monomer of an oligomer, where the UNA monomer is attached to only one monomer at either the propane-1-yl position or the propane-3-yl position. Because the UNA monomers are flexible organic structures, unlike nucleotides, the terminal UNA monomer can be a flexible terminator for the oligomer.
- Examples of a UNA monomer as a terminal monomer attached at the propane-3-yl position are shown below.
- Because a UNA monomer can be a flexible molecule, a UNA monomer as a terminal monomer can assume widely differing conformations. An example of an energy minimized UNA monomer conformation as a terminal monomer attached at the propane-3-yl position is shown below.
- UNA-A terminal forms: the dashed bond shows the propane-3-yl attachment
- Among other things, the structure of the UNA monomer allows it to be attached to naturally-occurring nucleotides.
- A UNA oligomer can be a chain composed of UNA monomers, as well as various nucleotides that may be based on naturally-occurring nucleosides.
- In some embodiments, the functional group R3 of a UNA monomer can be —OR4, —SR4, —NR4 2, —NH(C═O)R4, morpholino, morpholin-1-yl, piperazin-1-yl, or 4-alkanoyl-piperazin-1-yl, where R4 is the same or different for each occurrence, and can be H, alkyl, a cholesterol, a lipid molecule, a polyamine, an amino acid, or a polypeptide.
- The UNA monomers are organic molecules. UNA monomers are not nucleic acid monomers or nucleotides, nor are they naturally-occurring nucleosides or modified naturally-occurring nucleosides.
- A UNA oligomer of this invention is a synthetic chain molecule.
- In some embodiments, as shown above, a UNA monomer can be UNA-A (designated Ã), UNA-U (designated Ũ), UNA-C (designated {hacek over (C)}) and UNA-G (designated {hacek over (G)}).
- Designations that may be used herein include mA, mG, mC, and mU, which refer to the 2′-O-Methyl modified ribonucleotides.
- Designations that may be used herein include dT, which refers to a 2′-deoxy T nucleotide.
- Additional Monomers for Oligomers
- As used herein, in the context of oligomer sequences, the symbol X represents a UNA monomer. When a mUNA oligomer is complexed or duplexed with a nucleic acid molecule, the UNA monomers of the mUNA oligomer can have any base attached that would be complementary to the monomer with which it is paired in the nucleic acid molecule.
- As used herein, in the context of oligomer sequences, the symbol N can represent any natural nucleotide monomer, or any modified nucleotide monomer. When a mUNA oligomer is complexed or duplexed with a nucleic acid molecule, an N monomer of the mUNA oligomer can have any base attached that would be complementary to the monomer with which it is paired in the nucleic acid molecule.
- As used herein, in the context of oligomer sequences, the symbol Q represents a non-natural, modified, or chemically-modified nucleotide monomer. When a mUNA oligomer is complexed or duplexed with a nucleic acid molecule, a Q monomer of the mUNA oligomer can have any base attached that would be complementary to the monomer with which it is paired in the nucleic acid molecule.
- Examples of nucleic acid monomers include non-natural, modified, and chemically-modified nucleotides, including any such nucleotides known in the art.
- Examples of non-natural, modified, and chemically-modified nucleotide monomers include any such nucleotides known in the art, for example, 2′-O-methyl ribonucleotides, 2′-O-methyl purine nucleotides, 2′-deoxy-2′-fluoro ribonucleotides, 2′-deoxy-2′-fluoro pyrimidine nucleotides, 2′-deoxy ribonucleotides, 2′-deoxy purine nucleotides, universal base nucleotides, 5-C-methyl-nucleotides, and inverted deoxyabasic monomer residues.
- Examples of non-natural, modified, and chemically-modified nucleotide monomers include 3′-end stabilized nucleotides, 3′-glyceryl nucleotides, 3′-inverted abasic nucleotides, and 3′-inverted thymidine.
- Examples of non-natural, modified, and chemically-modified nucleotide monomers include locked nucleic acid nucleotides (LNA), 2′-O,4′-C-methylene-(D-ribofuranosyl) nucleotides, 2′-methoxyethoxy (MOE) nucleotides, 2′-methyl-thio-ethyl, 2′-deoxy-2′-fluoro nucleotides, and 2′-O-methyl nucleotides.
- Examples of non-natural, modified, and chemically-modified nucleotide monomers include 2′, 4′-Constrained 2′-O-Methoxyethyl (cMOE) and 2′-O-Ethyl (cEt) Modified DNAs.
- Examples of non-natural, modified, and chemically-modified nucleotide monomers include 2′-amino nucleotides, 2′-O-amino nucleotides, 2′-C-allyl nucleotides, and 2′-O-allyl nucleotides.
- Examples of non-natural, modified, and chemically-modified nucleotide monomers include N6-methyladenosine nucleotides.
- Examples of non-natural, modified, and chemically-modified nucleotide monomers include nucleotide monomers with modified bases 5-(3-amino)propyluridine, 5-(2-mercapto)ethyluridine, 5-bromouridine; 8-bromoguanosine, or 7-deazaadenosine.
- Examples of non-natural, modified, and chemically-modified nucleotide monomers include 2′-O-aminopropyl substituted nucleotides.
- Examples of non-natural, modified, and chemically-modified nucleotide monomers include replacing the 2′-OH group of a nucleotide with a 2′-R, a 2′-OR, a 2′-halogen, a 2′-SR, or a 2′-amino, where R can be H, alkyl, alkenyl, or alkynyl.
- Examples of nucleotide monomers include pseudouridine (psi-Uridine) and 1-methylpseudouridine.
- Some examples of modified nucleotides are given in Saenger, Principles of Nucleic Acid Structure, Springer-Verlag, 1984.
- mUNA Compounds
- Aspects of this invention provide structures and compositions for mUNA molecules that are oligomeric compounds. The mUNA compounds can be active agents for pharmaceutical compositions.
- An oligomeric mUNA agent of this invention may contain one or more UNA monomers. Oligomeric molecules of this invention can be used as active agents in formulations for supplying peptide and protein therapeutics.
- In some embodiments, this invention provides oligomeric mUNA compounds having a structure that incorporates novel combinations of UNA monomers with certain natural nucleotides, non-natural nucleotides, modified nucleotides, or chemically-modified nucleotides.
- Oligomeric mUNA compounds of this invention can have a length of from about 200 to about 12,000 bases in length. Oligomeric mUNA compounds of this invention can have a length of about 1800, or about 1900, or about 2000, or about 2100, or about 2200, or about 2300, or about 2400, or about 2500 bases.
- In further aspects, the oligomeric mUNA compounds of this invention can be pharmacologically active molecules. A mUNA molecule can be used as an active pharmaceutical ingredient for generating a peptide or protein active agent in vitro, in vivo, or ex vivo.
- A mUNA molecule of this invention can have the structure of Formula I
- wherein L1 is a linkage, n is from 200 to 12,000, and for each occurrence L2 is a UNA linker group having the formula —C1—C2—C3—, where R is attached to C2 and has the formula —OCH(CH2R3)R5, where R3 is —OR4, —SR4, —NR4 2, —NH(C═O)R4, morpholino, morpholin-1-yl, piperazin-1-yl, or 4-alkanoyl-piperazin-1-yl, where R4 is the same or different for each occurrence and is H, alkyl, a cholesterol, a lipid molecule, a polyamine, an amino acid, or a polypeptide, and where R5 is a nucleobase, or L2(R) is a sugar such as a ribose and R is a nucleobase, or L2 is a modified sugar such as a modified ribose and R is a nucleobase. In certain embodiments, a nucleobase can be a modified nucleobase. L1 can be a phosphodiester linkage.
- The base sequence of a mUNA molecule can be any sequence of nucleobases.
- In some aspects, a mUNA molecule of this invention can have any number of phosphorothioate intermonomer linkages in any intermonomer location.
- In some embodiments, any one or more of the intermonomer linkages of a mUNA molecule can be a phosphodiester, a phosphorothioate including dithioates, a chiral phosphorothioate, and other chemically modified forms.
- When a mUNA molecule terminates in a UNA monomer, the terminal position has a 1-end, or the terminal position has a 3-end, according to the positional numbering shown above.
- mUNA Molecules with Enhanced Translation
- A mUNA molecule of this invention can incorporate a region that enhances the translational efficiency of the mUNA molecule.
- In general, translational enhancer regions as known in the art can be incorporated into the structure of a mUNA molecule to increase peptide or protein yields.
- A mUNA molecule containing a translation enhancer region can provide increased production of peptide or protein.
- In some embodiments, a translation enhancer region can comprise, or be located in a 5′ or 3′ untranslated region of a mUNA molecule.
- Examples of translation enhancer regions include naturally-occurring enhancer regions from
TEV 5′UTR and Xenopus beta-globin 3′UTR. - mUNA Molecular Structure and Sequences
- A mUNA molecule can be designed to express a target peptide or protein. In some embodiments, the target peptide or protein can be associated with a condition or disease in a subject.
- In some aspects, the base sequence of a mUNA molecule can include a portion that is identical to at least an effective portion or domain of a base sequence of an mRNA, where an effective portion is sufficient to impart a therapeutic activity to a translation product of the mUNA molecule.
- In some aspects, this invention provides active mUNA oligomer molecules having a base sequence identical to at least a fragment of a native nucleic acid molecule of a cell.
- In certain embodiments, the base sequence of a mUNA molecule can include a portion that is identical to a base sequence of an mRNA, except for one or more base mutations. The number of mutations for the mUNA molecule should not exceed an amount that would produce a translation product of the mUNA molecule having substantially less activity than the mRNA.
- The oligomer mUNA molecules of this invention can display a sequence of nucleobases, and can be designed to express a peptide or protein, in vitro, ex vivo, or in vivo. The expressed peptide or protein can have activity in various forms, including activity corresponding to protein expressed from a native or natural mRNA.
- In some embodiments, a mUNA molecule of this invention may have a chain length of about 400 to 15,000 monomers, where any monomer that is not a UNA monomer can be a Q monomer.
- mUNA Molecular Cap Structure
- A mUNA molecule of this invention may have a 5′-end capped with various groups and their analogues as are known in the art. The 5′ cap may be a m7GpppGm cap. The 5′ cap may be an ARCA cap (3′-OMe-m7G(5′)pppG). The 5′ cap may be an mCAP (m7G(5′)ppp(5′)G, N7-Methyl-Guanosine-5′-Triphosphate-5′-Guanosine). The 5′ cap may be resistant to hydrolysis.
- Some examples of 5′ cap structures are given in WO2015/051169A2.
- Genetic Basis for mUNA Molecules
- In some embodiments, the mUNA molecules of this invention can be structured to provide peptides or proteins that are nominally expressed by any portion of a genome. Examples of genes for which a mUNA molecule can be used to express the corresponding peptide or protein are set forth below.
- Examples of genes for which a mUNA molecule can be used to express the corresponding peptide or protein include: Neoplasia, PTEN; ATM; ATR; EGFR; ERBB2; ERBB3; ERBB4; Notch1; Notch2; Notch3; Notch4; AKT; AKT2; AKT3; HIF; HIF1a; HIF3a; Met; HRG; Bc12; PPAR alpha; PPAR gamma; WT1 (Wilms Tumor); FGF Receptor Family members (5 members: 1, 2, 3, 4, 5); CDKN2a; APC; RB (retinoblastoma); MEN1; VHL; BRCA1; BRCA2; AR (Androgen Receptor); TSG101; IGF; IGF Receptor; Igf1 (4 variants); Igf2 (3 variants);
Igf 1 Receptor;Igf 2 Receptor; Bax; Bc12; caspases family (9 members: 1, 2, 3, 4, 6, 7, 8, 9, 12); Kras; Apc. - Examples of genes for which a mUNA molecule can be used to express the corresponding peptide or protein include: Age-related Macular Degeneration, Schizophrenia, Aber; Cc12; Cc2; cp (ceruloplasmin); Timp3; cathepsinD; Vldlr; Ccr2 Neuregulin1 (Nrg 1); Erb4 (receptor for Neuregulin); Complexin1 (Cplx1); Tph1 Tryptophan hydroxylase;
Tph2 Tryptophan hydroxylase 2;Neurexin 1; GSK3; GSK3a; GSK3b. - Examples of genes for which a mUNA molecule can be used to express the corresponding peptide or protein include: 5-HTT (Slc6a4); COMT; DRD (Drd1a); SLC6A3; DAOA; DTNBP1; Dao (Dao1).
- Examples of genes for which a mUNA molecule can be used to express the corresponding peptide or protein include: Trinucleotide Repeat Disorders, HTT (Huntington's Dx); SBMA/SMAX1/AR (Kennedy's Dx); FXN/X25 (Friedrich's Ataxia); ATX3 (Machado-Joseph's Dx); ATXN1 and ATXN2 (spinocerebellar ataxias); DMPK (myotonic dystrophy); Atrophin-1 and Atn 1 (DRPLA Dx); CBP (Creb-BP-global instability); VLDLR (Alzheimer's); Atxn7; Atxn10.
- Examples of genes for which a mUNA molecule can be used to express the corresponding peptide or protein include: Fragile X Syndrome, FMR2; FXR1; FXR2; mGLUR5.
- Examples of genes for which a mUNA molecule can be used to express the corresponding peptide or protein include: Secretase Related Disorders, APH-1 (alpha and beta); Presenilin (Psen1); nicastrin (Ncstn); PEN-2.
- Examples of genes for which a mUNA molecule can be used to express the corresponding peptide or protein include: Nos1.
- Examples of genes for which a mUNA molecule can be used to express the corresponding peptide or protein include: Parp1.
- Examples of genes for which a mUNA molecule can be used to express the corresponding peptide or protein include: Nat1; Nat2.
- Examples of genes for which a mUNA molecule can be used to express the corresponding peptide or protein include: Prion-related disorders, Prp.
- Examples of genes for which a mUNA molecule can be used to express the corresponding peptide or protein include: ALS disease, SOD1; ALS2; STEX; FUS; TARDBP; VEGF (VEGF-a; VEGF-b; VEGF-c).
- Examples of genes for which a mUNA molecule can be used to express the corresponding peptide or protein include: Drug addiction, Prkce (alcohol); Drd2; Drd4; ABAT (alcohol); GRIA2; Grm5; Grin1; Htr1b; Grin2a; Drd3; Pdyn; Gria1 (alcohol).
- Examples of genes for which a mUNA molecule can be used to express the corresponding peptide or protein include: Autism, Mecp2; BZRAP1; MDGA2; Sema5A;
Neurexin 1; Fragile X (FMR2 (AFF2); FXR1; FXR2; Mglur5). - Examples of genes for which a mUNA molecule can be used to express the corresponding peptide or protein include: Alzheimer's Disease, E1; CHIP; UCH; UBB; Tau; LRP; PICALM; Clusterin; PS1; SORL1; CR1; Vld1r; Uba1; Uba3; CHIP28 (Aqp1, Aquaporin 1); Uch11; Uch13; APP.
- Examples of genes for which a mUNA molecule can be used to express the corresponding peptide or protein include: Inflammation, 1L-10; IL-1 (1L-1a; IL-1b); 1L-13; IL-17 (IL-17a (CTLA8); IL-17b; IL-17c; IL-17d; IL-17f); II-23; Cx3er1; ptpn22; TNFa; NOD2/CARD15 for IBD; IL-6; 1L-12 (1L-12a; 1L-12b); CTLA4; Cx3cl1.
- Examples of genes for which a mUNA molecule can be used to express the corresponding peptide or protein include: Parkinson's Disease, x-Synuclein; DJ-1; LRRK2; Parkin; PINK1.
- Examples of genes for which a mUNA molecule can be used to express the corresponding peptide or protein include: Blood and coagulation diseases and disorders, Anemia (CDAN1, CDA1, RPS19, DBA, PKLR, PK1, NT5C3, UMPH1, PSN1, RHAG, RH50A, NRAMP2, SPTB, ALAS2, ANH1, ASB, ABCB7, ABC7, ASAT); Bare lymphocyte syndrome (TAPBP, TPSN, TAP2, ABCB3, PSF2, RING11, MHC2TA, C2TA, RFX5, RFXAP, RFX5), Bleeding disorders (TBXA2R, P2RX1, P2X1); Factor H and factor H-like 1 (HF1, CFH, HUS); Factor V and factor VIII (MCFD2); Factor VII deficiency (F7); Factor X deficiency (F10); Factor XI deficiency (F11); Factor XII deficiency (F12, HAF); Factor XIIIA deficiency (F13A1, F13A); Factor XIIIB deficiency (F13B); Fanconi anemia (FANCA, FACA, FA1, FA, FAA, FAAP95, FAAP90, FLJ34064, FANCB, FANCC, FACC, BRCA2, FANCD1, FANCD2, FANCD, FACD, FAD, FANCE, FACE, FANCF, XRCC9, FANCG, BRIP1, BACH1, FANCJ, PHF9, FANCL, FANCM, KIAA1596); Hemophagocytic lymphohistiocytosis disorders (PRF1, HPLH2, UNC13D, MUNC13-4, HPLH3, HLH3, FHL3); Hemophilia A (F8, F8C, HEMA); Hemophilia B (F9 Factor IX, HEMB), Hemorrhagic disorders (PI, ATT, F5); Leukocyde deficiencies and disorders (ITGB2, CD18, LCAMB, LAD, EIF2B1, EIF2BA, EIF2B2, EIF2B3, EIF2B5, LVWM, CACH, CLE, EIF2B4); Sickle cell anemia (HBB); Thalassemia (HBA2, HBB, HBD, LCRB, HBA1).
- Examples of genes for which a mUNA molecule can be used to express the corresponding peptide or protein include: Cell dysregulation and oncology diseases and disorders, B-cell non-Hodgkin lymphoma (BCL7A, BCL7); Leukemia (TAL1 TCL5, SCL, TAL2, FLT3, NBS1, NBS, ZNFN1A1, IK1, LYF1, HOXD4, HOX4B, BCR, CML, PHL, ALL, ARNT, KRAS2, RASK2, GMPS, AF10, ARHGEF12, LARG, KIAA0382, CALM, CLTH, CEBPA, CEBP, CHIC2, BTL, FLT3, KIT, PBT, LPP, NPM1, NUP214, D9S46E, CAN, CAIN, RUNX1, CBFA2, AML1, WHSC1L1, NSD3, FLT3, AF1Q, NPM1, NUMA1, ZNF145, PLZF, PML, MYL, STAT5B, AF10, CALM, CLTH, ARL11, ARLTS1, P2RX7, P2X7, BCR, CML, PHL, ALL, GRAF, NF1, VRNF, WSS, NFNS, PTPN11, PTP2C, SHP2, NS1, BCL2, CCND1, PRAD1, BCL1, TCRA, GATA1, GF1, ERYF1, NFE1, ABL1, NQO1, DIA4, NMOR1, NUP214, D9S46E, CAN, CAIN).
- Examples of genes for which a mUNA molecule can be used to express the corresponding peptide or protein include: Inflammation and immune related diseases and disorders, AIDS (KIR3DL1, NKAT3, NKB1, AMB11, KIR3DS1, IFNG, CXCL12, SDF1); Autoimmune lymphoproliferative syndrome (TNFRSF6, APT1, FAS, CD95, ALPS1A); Combined immuno-deficiency, (IL2RG, SCIDX1, SCIDX, IMD4); HIV-1 (CCL5, SCYA5, D17S136E, TCP228), HIV susceptibility or infection (IL10, CSIF, CMKBR2, CCR2, CMKBR5, CCCKR5 (CCR5)); Immuno-deficiencies (CD3E, CD3G, AICDA, AID, HIGM2, TNFRSF5, CD40, UNG, DGU, HIGM4, TNFSF5, CD40LG, HIGM1, IGM, FOXP3, IPEX, AIID, XPID, PIDX, TNFRSF14B, TACI); Inflammation (IL-10, IL-1 (IL-1a, IL-1b), IL-13, IL-17 (IL-17a (CTLA8), IL-17b, IL-17c, IL-17d, IL-17f, II-23, Cx3cr1, ptpn22, TNFa, NOD2/CARD15 for IBD, IL-6, IL-12 (IL-12a, IL-12b), CTLA4, Cx3c11); Severe combined immunodeficiencies (SCIDs) (JAK3, JAKL, DCLRE1C, ARTEMIS, SCIDA, RAG1, RAG2, ADA, PTPRC, CD45, LCA, IL7R, CD3D, T3D, IL2RG, SCIDX1, SCIDX, IMD4).
- Examples of genes for which a mUNA molecule can be used to express the corresponding peptide or protein include: Metabolic, liver, kidney and protein diseases and disorders, Amyloid neuropathy (TTR, PALB); Amyloidosis (APOA1, APP, AAA, CVAP, AD1, GSN, FGA, LYZ, TTR, PALB); Cirrhosis (KRT18, KRT8, CIRH1A, NAIC, TEX292, KIAA1988); Cystic fibrosis (CFTR, BG213071, ABCC7, CF, MRP7); Glycogen storage diseases (SLC2A2, GLUT2, G6PC, G6PT, G6PT1, GAA, LAMP2, LAMPB, AGL, GDE, GBE1, GYS2, PYGL, PFKM); Hepatic adenoma, 142330 (TCF1, HNF1A, MODY3), Hepatic failure, early onset, and neurologic disorder (SCOD1, SCO1), Hepatic lipase deficiency (LIPC), Hepato-blastoma, cancer and carcinomas (CTNNB1, PDGFRL, PDGRL, PRLTS, AXIN1, AXIN, CTNNB1, TP53, P53, LFS1, IGF2R, MPRI, MET, CASP8, MCH5; Medullary cystic kidney disease (UMOD, HNFJ, FJHN, MCKD2, ADMCKD2); Phenylketonuria (PAH, PKU1, QDPR, DHPR, PTS); Polycystic kidney and hepatic disease (FCYT, PKHD1, ARPKD, PKD1, PKD2, PKD4, PKDTS, PRKCSH, G19P1, PCLD, SEC63).
- Examples of genes for which a mUNA molecule can be used to express the corresponding peptide or protein include: Lipoprotein lipase, APOA1, APOC3 and APOA4.
- Examples of genes for which a mUNA molecule can be used to express the corresponding peptide or protein include: Muscular/skeletal diseases and disorders, Becker muscular dystrophy (DMD, BMD, MYF6), Duchenne Muscular Dystrophy (DMD, BMD); Emery-Dreifuss muscular dystrophy (LMNA, LMN1, EMD2, FPLD, CMD1A, HGPS, LGMD1B, LMNA, LMN1, EMD2, FPLD, CMD1A); Facio-scapulohumeral muscular dystrophy (FSHMD1A, FSHD1A); Muscular dystrophy (FKRP, MDC1C, LGMD2I, LAMA2, LAMM, LARGE, KIAA0609, MDC1D, FCMD, TTID, MYOT, CAPN3, CANP3, DYSF, LGMD2B, SGCG, LGMD2C, DMDA1, SCG3, SGCA, ADL, DAG2, LGMD2D, DMDA2, SGCB, LGMD2E, SGCD, SGD, LGMD2F, CMD1L, TCAP, LGMD2G, CMD1N, TRIM32, HT2A, LGMD2H, FKRP, MDC1C, LGMD2I, TTN, CMD1G, TMD, LGMD2J, POMT1, CAV3, LGMD1C, SEPN1, SELN, RSMD1, PLEC1, PLTN, EBS1); Osteopetrosis (LRP5, BMND1, LRP7, LR3, OPPG, VBCH2, CLCN7, CLC7, OPTA2, OSTM1, GL, TCIRG1, TIRC7, OC116, OPTB1); Muscular atrophy (VAPB, VAPC, ALS8, SMN1, SMA1, SMA2, SMA3, SMA4, BSCL2, SPG17, GARS, SMAD1, CMT2D, HEXB, IGHMBP2, SMUBP2, CATF1, SMARD1).
- Examples of genes for which a mUNA molecule can be used to express the corresponding peptide or protein include: Neurological and neuronal diseases and disorders, ALS (SOD1, ALS2, STEX, FUS, TARDBP, VEGF (VEGF-a, VEGF-b, VEGF-c); Alzheimer's Disease (APP, AAA, CVAP, AD1, APOE, AD2, PSEN2, AD4, STM2, APBB2, FE65L1, NOS3, PLAU, URK, ACE, DCP1, ACE1, MPO, PACIP1, PAXIP1L, PTIP, A2M, BLMH, BMH, PSEN1, AD3); Autism (Mecp2, BZRAP1, MDGA2, Sema5A, Neurexin 1, GLO1, MECP2, RTT, PPMX, MRX16, MRX79, NLGN3, NLGN4, KIAA1260, AUTSX2); Fragile X Syndrome (FMR2, FXR1, FXR2, mGLUR5); Huntington's disease and disease like disorders (HD, IT15, PRNP, PRIP, JPH3, JP3, HDL2, TBP, SCA17); Parkinson disease (NR4A2, NURR1, NOT, TINUR, SNCAIP, TBP, SCA17, SNCA, NACP, PARK1, PARK4, DJ1, PARK7, LRRK2, PARK8, PINK1, PARK6, UCHL1, PARK5, SNCA, NACP, PARK1, PARK4, PRKN, PARK2, PDJ, DBH, NDUFV2); Rett syndrome (MECP2, RTT, PPMX, MRX16, MRX79, CDKL5, STK9, MECP2, RTT, PPMX, MRX16, MRX79, x-Synuclein, DJ-1); Schizo-phrenia (Neuregulin1 (Nrg1), Erb4 (receptor for Neuregulin), Complexin1 (Cplx1), Tph1 Trypto-phan hydroxylase, Tph2, Tryptophan hydroxylase 2, Neurexin 1, GSK3, GSK3a, GSK3b, 5-HTT (S1c6a4), COMT, DRD (Drd1a), SLC6A3, DAOA, DTNBP1, Dao (Dao1)); Secretase Related Dis-orders (APH-1 (alpha and beta), Presenilin (Psen1), nicastrin, (Ncstn), PEN-2, Nos1, Parp1, Nat1, Nat2); Trinucleotide Repeat Disorders (HTT (Huntington's Dx), SBMA/SMAX1/AR (Kennedy's Dx), FXN/X25 (Friedrich's Ataxia), ATX3 (Machado-Joseph's Dx), ATXN1 and ATXN2 (spinocerebellar ataxias), DMPK (myotonic dystrophy), Atrophin-1 and Atn1 (DRPLA Dx), CBP (Creb-BP—global instability), VLDLR (Alzheimer's), Atxn7, Atxn10).
- Examples of genes for which a mUNA molecule can be used to express the corresponding peptide or protein include: Occular diseases and disorders, Age-related macular degeneration (Aber, Cc12, Cc2, cp (ceruloplasmin), Timp3, cathepsinD, Vldlr, Ccr2); Cataract (CRYAA, CRYA1, CRYBB2, CRYB2, PITX3, BFSP2, CP49, CP47, CRYAA, CRYA1, PAX6, AN2, MGDA, CRYBA1, CRYB1, CRYGC, CRYG3, CCL, LIM2, MP19, CRYGD, CRYG4, BFSP2, CP49, CP47, HSF4, CTM, HSF4, CTM, MIP, AQP0, CRYAB, CRYA2, CTPP2, CRYBB1, CRYGD, CRYG4, CRYBB2, CRYB2, CRYGC, CRYG3, CCL, CRYAA, CRYA1, GJA8, CX50, CAE1, GJA3, CX46, CZP3, CAE3, CCM1, CAM, KRIT1); Corneal clouding and dystrophy (APOA1, TGFBI, CSD2, CDGG1, CSD, BIGH3, CDG2, TACSTD2, TROP2, M1S1, VSX1, RINX, PPCD, PPD, KTCN, COL8A2, FECD, PPCD2, PIP5K3, CFD); Cornea plana congenital (KERA, CNA2); Glaucoma (MYOC, TIGR, GLC1A, JOAG, GPOA, OPTN, GLC1E, FIP2, HYPL, NRP, CYP1B1, GLC3A, OPA1, NTG, NPG, CYP1B1, GLC3A); Leber congenital amaurosis (CRB1, RP12, CRX, CORD2, CRD, RPGRIP1, LCA6, CORD9, RPE65, RP20, AIPL1, LCA4, GUCY2D, GUC2D, LCA1, CORD6, RDH12, LCA3); Macular dystrophy (ELOVL4, ADMD, STGD2, STGD3, RDS, RP7, PRPH2, PRPH, AVMD, AOFMD, VMD2).
- Examples of genes for which a mUNA molecule can be used to express the corresponding peptide or protein include: Epilepsy, myoclonic, EPM2A, MELF, EPM2 Lafora type, 254780 Epilepsy, myoclonic, NHLRC1, EPM2A, EPM2B Lafora type, 254780.
- Examples of genes for which a mUNA molecule can be used to express the corresponding peptide or protein include: Duchenne muscular DMD, BMD dystrophy, 310200 (3) AIDS, delayed/rapid KIR3DL1, NKAT3, NKB1, AMB11, KIR3DS1 progression to (3).
- Examples of genes for which a mUNA molecule can be used to express the corresponding peptide or protein include: AIDS, delayed/rapid KIR3DL1, NKAT3, NKB1, AMB11, KIR3DS1 progression to (3) AIDS, rapid IFNG progression to, 609423 (3) AIDS, resistance to CXCL12, SDF1 (3).
- Examples of genes for which a mUNA molecule can be used to express the corresponding peptide or protein include: Alpha-1-Antitrypsin Deficiency, SERPINA1 [serpin peptidase inhibitor, clade A (alpha-1 antiproteinase, antitrypsin), member 1]; SERPINA2 [serpin peptidase inhibitor, clade A (alpha-1 antiproteinase, antitrypsin), member 2]; SERPINA3 [serpin peptidase inhibitor, clade A (alpha-1 antiproteinase, antitrypsin), member 3]; SERPINA5 [serpin peptidase inhibitor, clade A (alpha-1 antiproteinase, antitrypsin), member 5]; SERPINA6 [serpin peptidase inhibitor, clade A (alpha-1 antiproteinase, antitrypsin), member 6]; SERPINA7 [serpin peptidase inhibitor, clade A (alpha-1 antiproteinase, antitrypsin), member 7];” AND “SERPLNA6 (serpin peptidase inhibitor, clade A (alpha-1 antiproteinase, antitrypsin), member 6).
- Examples of genes for which a mUNA molecule can be used to express the corresponding peptide or protein include: PI3K/AKT Signaling, PRKCE; ITGAM; ITGA5; IRAK1; PRKAA2; EIF2AK2; PTEN; EIF4E; PRKCZ; GRK6; MAPK1; TSC1; PLK1; AKT2; IKBKB; PIK3CA; CDK8; CDKN1B; NFKB2; BCL2; PIK3CB; PPP2R1A; MAPK8; BCL2L1; MAPK3; TSC2; ITGA1; KRAS; EIF4EBP1; RELA; PRKCD; NOS3; PRKAA1; MAPK9; CDK2; PPP2CA; PIM1; ITGB7; YWHAZ; ILK; TP53; RAF1.; IKBKG; RELB; DYRK1A; CDKN1A; ITGB1; MAP2K2; JAK1; AKT1; JAK2; PIK3R1; CHUK; PDPK1; PPP2R5C; CTNNB1.; MAP2K1; NFKB1; PAK3; ITGB3; CCND1; GSK3A; FRAP1; SFN; ITGA2; TTK; CSNK1A1; BRAF; GSK3B; AKT3; FOXO1; SGK; HSP90AA1; RPS6KB1.
- Examples of genes for which a mUNA molecule can be used to express the corresponding peptide or protein include: ERK/MAPK Signaling, PRKCE; ITGAM; ITGA5; HSPB1; IRAK1; PRKAA2; EIF2AK2; RAC1; RAP1A; TLN1; EIF4E; ELK1; GRK6; MAPK1; RAC2; PLK1; AKT2; PIK3CA; CDK8; CREB1; PRKCI; PTK2; FOS; RPS6KA4; PIK3CB; PPP2R1A; PIK3C3; MAPK8; MAPK3; ITGA1; ETS1; KRAS; MYCN; EIF4EBP1; PPARG; PRKCD; PRKAA1; MAPK9; SRC; CDK2; PPP2CA; PIM1; PIK3C2A; ITGB7; YWHAZ; PPP1CC; KSR1; PXN; RAF1; FYN; DYRK1A; ITGB1; MAP2K2; PAK4; PIK3R1; STAT3; PPP2R5C; MAP2K1; PAK3; ITGB3; ESR1; ITGA2; MYC; TTK; CSNK1A1; CRKL; BRAF; ATF4; PRKCA; SRF; STAT1; SGK.
- Examples of genes for which a mUNA molecule can be used to express the corresponding peptide or protein include: Serine/Threonine-Protein Kinase, CDK16; PCTK1; CDK5R1.
- Examples of genes for which a mUNA molecule can be used to express the corresponding peptide or protein include: Glucocorticoid Receptor Signaling, RAC1; TAF4B; EP300; SMAD2; TRAF6; PCAF; ELK1; MAPK1; SMAD3; AKT2; IKBKB; NCOR2; UBE2I; PIK3CA; CREB1; FOS; HSPA5; NFKB2; BCL2; MAP3K14; STAT5B; PIK3CB; PIK3C3; MAPK8; BCL2L1; MAPK3; TSC22D3; MAPK10; NRIP1; KRAS; MAPK13; RELA; STAT5A; MAPK9; NOS2A; PBX1; NR3C1; PIK3C2A; CDKN1C; TRAF2; SERPINE1; NCOA3; MAPK14; TNF; RAF1; IKBKG; MAP3K7; CREBBP; CDKN1A; MAP2K2; JAK1; IL8; NCOA2; AKT1; JAK2; PIK3R1; CHUK; STAT3; MAP2K1; NFKB1; TGFBR1; ESR1; SMAD4; CEBPB; JUN; AR; AKT3; CCL2; MMP1; STAT1; IL6; HSP90AA1.
- Examples of genes for which a mUNA molecule can be used to express the corresponding peptide or protein include: Axonal Guidance Signaling, PRKCE; ITGAM; ROCK1; ITGA5; CXCR4; ADAM12; IGF1; RAC1; RAP1A; E1F4E; PRKCZ; NRP1; NTRK2; ARHGEF7; SMO; ROCK2; MAPK1; PGF; RAC2; PTPN11; GNAS; AKT2; PIK3CA; ERBB2; PRKC1; PTK2; CFL1; GNAQ; PIK3CB; CXCL12; PIK3C3; WNT11; PRKD1; GNB2L1; ABL1; MAPK3; ITGA1; KRAS; RHOA; PRKCD; PIK3C2A; ITGB7; GLI2; PXN; VASP; RAF1; FYN; ITGB1; MAP2K2; PAK4; ADAM17; AKT1; PIK3R1; GLI1; WNT5A; ADAM10; MAP2K1; PAK3; ITGB3; CDC42; VEGFA; ITGA2; EPHA8; CRKL; RND1; GSK3B; AKT3; PRKCA.
- Examples of genes for which a mUNA molecule can be used to express the corresponding peptide or protein include: Ephrin Receptor Signaling, PRKCE; ITGAM; ROCK1; ITGA5; CXCR4; IRAK1; PRKAA2; EIF2AK2; RAC1; RAP1A; GRK6; ROCK2; MAPK1; PGF; RAC2; PTPN11; GNAS; PLK1; AKT2; DOK1; CDK8; CREB1; PTK2; CFL1; GNAQ; MAP3K14; CXCL12; MAPK8; GNB2L1; ABL1; MAPK3; ITGA1; KRAS; RHOA; PRKCD; PRKAA1; MAPK9; SRC; CDK2; PIM1; ITGB7; PXN; RAF1; FYN; DYRK1A; ITGB1; MAP2K2; PAK4, AKT1; JAK2; STAT3; ADAM10; MAP2K1; PAK3; ITGB3; CDC42; VEGFA; ITGA2; EPHA8; TTK; CSNK1A1; CRKL; BRAF; PTPN13; ATF4; AKT3; SGK.
- Examples of genes for which a mUNA molecule can be used to express the corresponding peptide or protein include: Actin Cytoskeleton Signaling, ACTN4; PRKCE; ITGAM; ROCK1; ITGA5; IRAK1; PRKAA2; EIF2AK2; RAC1; INS; ARHGEF7; GRK6; ROCK2; MAPK1; RAC2; PLK1; AKT2; PIK3CA; CDK8; PTK2; CFL1; PIK3CB; MYH9; DIAPH1; PIK3C3; MAPK8; F2R; MAPK3; SLC9A1; ITGA1; KRAS; RHOA; PRKCD; PRKAA1; MAPK9; CDK2; PIM1; PIK3C2A; ITGB7; PPP1CC; PXN; VIL2; RAF1; GSN; DYRK1A; ITGB1; MAP2K2; PAK4; PIP5K1A; PIK3R1; MAP2K1; PAK3; ITGB3; CDC42; APC; ITGA2; TTK; CSNK1A1; CRKL; BRAF; VAV3; SGK.
- Examples of genes for which a mUNA molecule can be used to express the corresponding peptide or protein include: Huntington's Disease Signaling, PRKCE; IGF1; EP300; RCOR1.; PRKCZ; HDAC4; TGM2; MAPK1; CAPNS1; AKT2; EGFR; NCOR2; SP1; CAPN2; PIK3CA; HDAC5; CREB1; PRKC1; HSPA5; REST; GNAQ; PIK3CB; PIK3C3; MAPK8; IGF1R; PRKD1; GNB2L1; BCL2L1; CAPN1; MAPK3; CASP8; HDAC2; HDAC7A; PRKCD; HDAC11; MAPK9; HDAC9; PIK3C2A; HDAC3; TP53; CASP9; CREBBP; AKT1; PIK3R1; PDPK1; CASP1; APAF1; FRAP1; CASP2; JUN; BAX; ATF4; AKT3; PRKCA; CLTC; SGK; HDAC6; CASP3.
- Examples of genes for which a mUNA molecule can be used to express the corresponding peptide or protein include: Apoptosis Signaling, PRKCE; ROCK1; BID; IRAK1; PRKAA2; EIF2AK2; BAK1; BIRC4; GRK6; MAPK1; CAPNS1; PLK1; AKT2; IKBKB; CAPN2; CDK8; FAS; NFKB2; BCL2; MAP3K14; MAPK8; BCL2L1; CAPN1; MAPK3; CASP8; KRAS; RELA; PRKCD; PRKAA1; MAPK9; CDK2; PIM1; TP53; TNF; RAF1; IKBKG; RELB; CASP9; DYRK1A; MAP2K2; CHUK; APAF1; MAP2K1; NFKB1; PAK3; LMNA; CASP2; BIRC2; TTK; CSNK1A1; BRAF; BAX; PRKCA; SGK; CASP3; BIRC3; PARP1.
- Examples of genes for which a mUNA molecule can be used to express the corresponding peptide or protein include: B Cell Receptor Signaling, RAC1; PTEN; LYN; ELK1; MAPK1; RAC2; PTPN11; AKT2; IKBKB; PIK3CA; CREB1; SYK; NFKB2; CAMK2A; MAP3K14; PIK3CB; PIK3C3; MAPK8; BCL2L1; ABL1; MAPK3; ETS1; KRAS; MAPK13; RELA; PTPN6; MAPK9; EGR1; PIK3C2A; BTK; MAPK14; RAF1; IKBKG; RELB; MAP3K7; MAP2K2; AKT1; PIK3R1; CHUK; MAP2K1; NFKB1; CDC42; GSK3A; FRAP1; BCL6; BCL10; JUN; GSK3B; ATF4; AKT3; VAV3; RPS6KB1.
- Examples of genes for which a mUNA molecule can be used to express the corresponding peptide or protein include: Leukocyte Extravasation Signaling, ACTN4; CD44; PRKCE; ITGAM; ROCK1; CXCR4; CYBA; RAC1; RAP1A; PRKCZ; ROCK2; RAC2; PTPN11; MMP14; PIK3CA; PRKCI; PTK2; PIK3CB; CXCL12; PIK3C3; MAPK8; PRKD1; ABL1; MAPK10; CYBB; MAPK13; RHOA; PRKCD; MAPK9; SRC; PIK3C2A; BTK; MAPK14; NOX1; PXN; VIL2; VASP; ITGB1; MAP2K2; CTNND1; PIK3R1; CTNNB1; CLDN1; CDC42; F11R; ITK; CRKL; VAV3; CTTN; PRKCA; MMP1; MMP9.
- Examples of genes for which a mUNA molecule can be used to express the corresponding peptide or protein include: Integrin Signaling, ACTN4; ITGAM; ROCK1; ITGA5; RAC1; PTEN; RAP1A; TLN1; ARHGEF7; MAPK1; RAC2; CAPNS1; AKT2; CAPN2; P1K3CA; PTK2; PIK3CB; PIK3C3; MAPK8; CAV1; CAPN1; ABL1; MAPK3; ITGA1; KRAS; RHOA; SRC; PIK3C2A; ITGB7; PPP1CC; ILK; PXN; VASP; RAF1; FYN; ITGB1; MAP2K2; PAK4; AKT1; PIK3R1; TNK2; MAP2K1; PAK3; ITGB3; CDC42; RND3; ITGA2; CRKL; BRAF; GSK3B; AKT3.
- Examples of genes for which a mUNA molecule can be used to express the corresponding peptide or protein include: Acute Phase Response Signaling, IRAK1; SOD2; MYD88; TRAF6; ELK1; MAPK1; PTPN11; AKT2; IKBKB; PIK3CA; FOS; NFKB2; MAP3K14; PIK3CB; MAPK8; RIPK1; MAPK3; IL6ST; KRAS; MAPK13; IL6R; RELA; SOCS1; MAPK9; FTL; NR3C1; TRAF2; SERPINE1; MAPK14; TNF; RAF1; PDK1; IKBKG; RELB; MAP3K7; MAP2K2; AKT1; JAK2; PIK3R1; CHUK; STAT3; MAP2K1; NFKB1; FRAP1; CEBPB; JUN; AKT3; IL1R1; IL6.
- Examples of genes for which a mUNA molecule can be used to express the corresponding peptide or protein include: PTEN Signaling, ITGAM; ITGA5; RAC1; PTEN; PRKCZ; BCL2L11; MAPK1; RAC2; AKT2; EGFR; IKBKB; CBL; PIK3CA; CDKN1B; PTK2; NFKB2; BCL2; PIK3CB; BCL2L1; MAPK3; ITGA1; KRAS; ITGB7; ILK; PDGFRB; INSR; RAF1; IKBKG; CASP9; CDKN1A; ITGB1; MAP2K2; AKT1; PIK3R1; CHUK; PDGFRA; PDPK1; MAP2K1; NFKB1; ITGB3; CDC42; CCND1; GSK3A; ITGA2; GSK3B; AKT3; FOXO1; CASP3; RPS6KB1.
- Examples of genes for which a mUNA molecule can be used to express the corresponding peptide or protein include: p53 Signaling, PTEN; EP300; BBC3; PCAF; FASN; BRCA1; GADD45A; BIRC5; AKT2; PIK3CA; CHEK1; TP53INP1; BCL2; PIK3CB; PIK3C3; MAPK8; THBS1; ATR; BCL2L1; E2F1; PMAIP1; CHEK2; TNFRSF10B; TP73; RBI; HDAC9; CDK2; PIK3C2A; MAPK14; TP53; LRDD; CDKN1A; HIPK2; AKT1; RIK3R1; RRM2B; APAF1; CTNNB1; SIRT1; CCND1; PRKDC; ATM; SFN; CDKN2A; JUN; SNAI2; GSK3B; BAX; AKT3.
- Examples of genes for which a mUNA molecule can be used to express the corresponding peptide or protein include: Aryl Hydrocarbon Receptor Signaling, HSPB1; EP300; FASN; TGM2; RXRA; MAPK1; NQO1; NCOR2; SP1; ARNT; CDKN1B; FOS; CHEK1; SMARCA4; NFKB2; MAPK8; ALDH1A1; ATR; E2F1; MAPK3; NRIP1; CHEK2; RELA; TP73; GSTP1; RB1; SRC; CDK2; AHR; NFE2L2; NCOA3; TP53; TNF; CDKN1A; NCOA2; APAF1; NFKB1; CCND1; ATM; ESR1; CDKN2A; MYC; JUN; ESR2; BAX; IL6; CYP1B1; HSP90AA1.
- Examples of genes for which a mUNA molecule can be used to express the corresponding peptide or protein include: Xenobiotic Metabolism Signaling, PRKCE; EP300; PRKCZ; RXRA; MAPK1; NQO1; NCOR2; PIK3CA; ARNT; PRKCI; NFKB2; CAMK2A; PIK3CB; PPP2R1A; PIK3C3; MAPK8; PRKD1; ALDH1A1; MAPK3; NRIP1; KRAS; MAPK13; PRKCD; GSTP1; MAPK9; NOS2A; ABCB1; AHR; PPP2CA; FTL; NFE2L2; PIK3C2A; PPARGC1A; MAPK14; TNF; RAF1; CREBBP; MAP2K2; PIK3R1; PPP2R5C; MAP2K1; NFKB1; KEAP1; PRKCA; EIF2AK3; IL6; CYP1B1; HSP90AA1.
- Examples of genes for which a mUNA molecule can be used to express the corresponding peptide or protein include: SAPK/JNK Signaling, PRKCE; IRAK1; PRKAA2; EIF2AK2; RAC1; ELK1; GRK6; MAPK1; GADD45A; RAC2; PLK1; AKT2; PIK3CA; FADD; CDK8; PIK3CB; PIK3C3; MAPK8; RIPK1; GNB2L1; IRS1; MAPK3; MAPK10; DAXX; KRAS; PRKCD; PRKAA1; MAPK9; CDK2; PIM1; PIK3C2A; TRAF2; TP53; LCK; MAP3K7; DYRK1A; MAP2K2; PIK3R1; MAP2K1; PAK3; CDC42; JUN; TTK; CSNK1A1; CRKL; BRAF; SGK.
- Examples of genes for which a mUNA molecule can be used to express the corresponding peptide or protein include: PPAr/RXR Signaling, PRKAA2; EP300; INS; SMAD2; TRAF6; PPARA; FASN; RXRA; MAPK1; SMAD3; GNAS; IKBKB; NCOR2; ABCA1; GNAQ; NFKB2; MAP3K14; STAT5B; MAPK8; IRS1; MAPK3; KRAS; RELA; PRKAA1; PPARGC1A; NCOA3; MAPK14; INSR; RAF1; IKBKG; RELB; MAP3K7; CREBBP; MAP2K2; JAK2; CHUK; MAP2K1; NFKB1; TGFBR1; SMAD4; JUN; IL1R1; PRKCA; IL6; HSP90AA1; ADIPOQ.
- Examples of genes for which a mUNA molecule can be used to express the corresponding peptide or protein include: NF-KB Signaling, IRAK1; EIF2AK2; EP300; INS; MYD8; PRKCZ: TRAF6; TBK1; AKT2; EGFR; IKBKB; PIK3CA; BTRC; NFKB2; MAP3K14; PIK3CB; PIK3C3; MAPK8; RIPK1; HDAC2; KRAS; RELA; PIK3C2A; TRAF2; TLR4: PDGFRB; TNF; INSR; LCK; IKBKG; RELB; MAP3K7; CREBBP; AKT1; PIK3R1; CHUK; PDGFRA; NFKB1; TLR2; BCL10; GSK3B; AKT3; TNFAIP3; IL1R1.
- Examples of genes for which a mUNA molecule can be used to express the corresponding peptide or protein include: Neuregulin Signaling, ERBB4; PRKCE; ITGAM; ITGA5: PTEN; PRKCZ; ELK1; MAPK1; PTPN11; AKT2; EGFR; ERBB2; PRKCI; CDKN1B; STAT5B; PRKD1; MAPK3; ITGA1; KRAS; PRKCD; STAT5A; SRC; ITGB7; RAF1; ITGB1; MAP2K2; ADAM17; AKT1; PIK3R1; PDPK1; MAP2K1; ITGB3; EREG; FRAP1; PSEN1; ITGA2; MYC; NRG1; CRKL; AKT3; PRKCA; HSP90AA1; RPS6KB1.
- Examples of genes for which a mUNA molecule can be used to express the corresponding peptide or protein include: Wnt & Beta catenin Signaling, CD44; EP300; LRP6; DVL3; CSNK1E; GJA1; SMO; AKT2; PIN1; CDH1; BTRC; GNAQ; MARK2; PPP2R1A; WNT11; SRC; DKK1; PPP2CA; SOX6; SFRP2: ILK; LEF1; SOX9; TP53; MAP3K7; CREBBP; TCF7L2; AKT1; PPP2R5C; WNT5A; LRP5; CTNNB1; TGFBR1; CCND1; GSK3A; DVL1; APC; CDKN2A; MYC; CSNK1A1; GSK3B; AKT3; SOX2.
- Examples of genes for which a mUNA molecule can be used to express the corresponding peptide or protein include: Insulin Receptor Signaling, PTEN; INS; EIF4E; PTPN1; PRKCZ; MAPK1; TSC1; PTPN11; AKT2; CBL; PIK3CA; PRKCI; PIK3CB; PIK3C3; MAPK8; IRS1; MAPK3; TSC2; KRAS; EIF4EBP1; SLC2A4; PIK3C2A; PPP1CC; INSR; RAF1; FYN; MAP2K2; JAK1; AKT1; JAK2; PIK3R1; PDPK1; MAP2K1; GSK3A; FRAP1; CRKL; GSK3B; AKT3; FOXO1; SGK; RPS6KB1.
- Examples of genes for which a mUNA molecule can be used to express the corresponding peptide or protein include: IL-6 Signaling, HSPB1; TRAF6; MAPKAPK2; ELK1; MAPK1; PTPN11; IKBKB; FOS; NFKB2: MAP3K14; MAPK8; MAPK3; MAPK10; IL6ST; KRAS; MAPK13; IL6R; RELA; SOCS1; MAPK9; ABCB1; TRAF2; MAPK14; TNF; RAF1; IKBKG; RELB; MAP3K7; MAP2K2; IL8; JAK2; CHUK; STAT3; MAP2K1; NFKB1; CEBPB; JUN; IL1R1; SRF; IL6.
- Examples of genes for which a mUNA molecule can be used to express the corresponding peptide or protein include: Hepatic Cholestasis, PRKCE; IRAK1; INS; MYD8; PRKCZ; TRAF6; PPARA; RXRA; IKBKB; PRKCI; NFKB2; MAP3K14; MAPK8; PRKD1; MAPK10; RELA; PRKCD; MAPK9; ABCB1; TRAF2; TLR4; TNF; INSR; IKBKG; RELB; MAP3K7; IL8; CHUK; NR1H2; TJP2; NFKB1; ESR1; SREBF1; FGFR4; JUN; IL1R1; PRKCA; IL6.
- Examples of genes for which a mUNA molecule can be used to express the corresponding peptide or protein include: IGF-1 Signaling, IGF1; PRKCZ; ELK1; MAPK1; PTPN11; NEDD4; AKT2; PIK3CA; PRKC1; PTK2; FOS; PIK3CB; PIK3C3; MAPK8; 1GF1R; IRS1; MAPK3; IGFBP7; KRAS; PIK3C2A; YWHAZ; PXN; RAF1; CASP9; MAP2K2; AKT1; PIK3R1; PDPK1; MAP2K1; IGFBP2; SFN; JUN; CYR61; AKT3; FOXO1; SRF; CTGF; RPS6KB1.
- Examples of genes for which a mUNA molecule can be used to express the corresponding peptide or protein include: NRF2-mediated Oxidative Stress Response, PRKCE; EP300; SOD2; PRKCZ; MAPK1; SQSTM1; NQO1; PIK3CA; PRKC1; FOS; PIK3CB; P1K3C3; MAPK8; PRKD1; MAPK3; KRAS; PRKCD; GSTP1; MAPK9; FTL; NFE2L2; PIK3C2A; MAPK14; RAF1; MAP3K7; CREBBP; MAP2K2; AKT1; PIK3R1; MAP2K1; PPIB; JUN; KEAP1; GSK3B; ATF4; PRKCA; EIF2AK3; HSP90AA1.
- Examples of genes for which a mUNA molecule can be used to express the corresponding peptide or protein include: Hepatic, Fibrosis/Hepatic Stellate Cell Activation, EDN1; IGF1; KDR; FLT1; SMAD2; FGFR1; MET; PGF; SMAD3; EGFR; FAS; CSF1; NFKB2; BCL2; MYH9; IGF1R; IL6R; RELA; TLR4; PDGFRB; TNF; RELB; IL8; PDGFRA; NFKB1; TGFBR1; SMAD4; VEGFA; BAX; IL1R1; CCL2; HGF; MMP1; STAT1; IL6; CTGF; MMP9.
- Examples of genes for which a mUNA molecule can be used to express the corresponding peptide or protein include: PPAR Signaling, EP300; INS; TRAF6; PPARA; RXRA; MAPK1; IKBKB; NCOR2; FOS; NFKB2; MAP3K14; STAT5B; MAPK3; NRIP1; KRAS; PPARG; RELA; STAT5A; TRAF2; PPARGC1A; PDGFRB; TNF; INSR; RAF1; IKBKG; RELB; MAP3K7; CREBBP; MAP2K2; CHUK; PDGFRA; MAP2K1; NFKB1; JUN; IL1R1; HSP90AA1.
- Examples of genes for which a mUNA molecule can be used to express the corresponding peptide or protein include: Fc Epsilon RI Signaling, PRKCE; RAC1; PRKCZ; LYN; MAPK1; RAC2; PTPN11; AKT2; PIK3CA; SYK; PRKCI; PIK3CB; PIK3C3; MAPK8; PRKD1; MAPK3; MAPK10; KRAS; MAPK13; PRKCD; MAPK9; PIK3C2A; BTK; MAPK14; TNF; RAF1; FYN; MAP2K2; AKT1; PIK3R1; PDPK1; MAP2K1; AKT3; VAV3; PRKCA.
- Examples of genes for which a mUNA molecule can be used to express the corresponding peptide or protein include: G-Protein Coupled Receptor Signaling, PRKCE; RAP1A; RGS16; MAPK1; GNAS; AKT2; IKBKB; PIK3CA; CREB1; GNAQ; NFKB2; CAMK2A; PIK3CB; PIK3C3; MAPK3; KRAS; RELA; SRC; PIK3C2A; RAF1; IKBKG; RELB; FYN; MAP2K2; AKT1; PIK3R1; CHUK; PDPK1; STAT3; MAP2K1; NFKB1; BRAF; ATF4; AKT3; PRKCA.
- Examples of genes for which a mUNA molecule can be used to express the corresponding peptide or protein include: Inositol Phosphate Metabolism, PRKCE; IRAK1; PRKAA2; EIF2AK2; PTEN; GRK6; MAPK1; PLK1; AKT2; PIK3CA; CDK8; PIK3CB; PIK3C3; MAPK8; MAPK3; PRKCD; PRKAA1; MAPK9; CDK2; PIM1; PIK3C2A; DYRK1A; MAP2K2; PIP5K1A; PIK3R1; MAP2K1; PAK3; ATM; TTK; CSNK1A1; BRAF; SGK.
- Examples of genes for which a mUNA molecule can be used to express the corresponding peptide or protein include: PDGF Signaling, EIF2AK2; ELK1; ABL2; MAPK1; PIK3CA; FOS; PIK3CB;PIK3C3; MAPK8; CAV1; ABL1; MAPK3; KRAS; SRC; PIK3C2A; PDGFRB; RAF1; MAP2K2; JAK1; JAK2; PIK3R1; PDGFRA; STAT3; SPHK1; MAP2K1; MYC; JUN; CRKL; PRKCA; SRF; STAT1; SPHK2.
- Examples of genes for which a mUNA molecule can be used to express the corresponding peptide or protein include: VEGF Signaling, ACTN4; ROCK1; KDR; FLT1; ROCK2; MAPK1; PGF; AKT2; PIK3CA; ARNT; PTK2; BCL2; PIK3CB; PIK3C3; BCL2L1; MAPK3; KRAS; HIF1A; NOS3; PIK3C2A; PXN; RAF1; MAP2K2; ELAVL1; AKT1; PIK3R1; MAP2K1; SFN; VEGFA; AKT3; FOXO1; PRKCA.
- Examples of genes for which a mUNA molecule can be used to express the corresponding peptide or protein include: Natural Killer Cell Signaling, PRKCE; RAC1; PRKCZ; MAPK1; RAC2; PTPN11; KIR2DL3; AKT2; PIK3CA; SYK; PRKCI; PIK3CB; PIK3C3; PRKD1; MAPK3; KRAS; PRKCD; PTPN6; PIK3C2A; LCK; RAF1; FYN; MAP2K2; PAK4; AKT1; PIK3R1; MAP2K1; PAK3; AKT3; VAV3; PRKCA.
- Examples of genes for which a mUNA molecule can be used to express the corresponding peptide or protein include: Cell Cycle: G1/S Checkpoint Regulation, HDAC4; SMAD3; SUV39H1; HDAC5; CDKN1B; BTRC; ATR; ABL1; E2F1; HDAC2; HDAC7A; RB1; HDAC11; HDAC9; CDK2; E2F2; HDAC3; TP53; CDKN1A; CCND1; E2F4; ATM; RBL2; SMAD4; CDKN2A; MYC; NRG1; GSK3B; RBL1; HDAC6.
- Examples of genes for which a mUNA molecule can be used to express the corresponding peptide or protein include: T Cell Receptor Signaling, RAC1; ELK1; MAPK1; IKBKB; CBL; PIK3CA; FOS; NFKB2; PIK3CB; PIK3C3; MAPK8; MAPK3; KRAS; RELA, PIK3C2A; BTK; LCK; RAF1; IKBKG; RELB, FYN; MAP2K2; PIK3R1; CHUK; MAP2K1; NFKB1; ITK; BCL10; JUN; VAV3.
- Examples of genes for which a mUNA molecule can be used to express the corresponding peptide or protein include: Death Receptor Signaling, CRADD; HSPB1; BID; BIRC4; TBK1; IKBKB; FADD; FAS; NFKB2; BCL2; MAP3K14; MAPK8; RIPK1; CASP8; DAXX; TNFRSF10B; RELA; TRAF2; TNF; IKBKG; RELB; CASP9; CHUK; APAF1; NFKB1; CASP2; BIRC2; CASP3; BIRC3.
- Examples of genes for which a mUNA molecule can be used to express the corresponding peptide or protein include: FGF Signaling RAC1; FGFR1; MET; MAPKAPK2; MAPK1; PTPN11; AKT2; PIK3CA; CREB1; PIK3CB; PIK3C3; MAPK8; MAPK3; MAPK13; PTPN6; PIK3C2A; MAPK14; RAF1; AKT1; PIK3R1; STAT3; MAP2K1; FGFR4; CRKL; ATF4; AKT3; PRKCA; HGF.
- Examples of genes for which a mUNA molecule can be used to express the corresponding peptide or protein include: GM-CSF Signaling, LYN; ELK1; MAPK1; PTPN11; AKT2; PIK3CA; CAMK2A; STAT5B; PIK3CB; PIK3C3; GNB2L1; BCL2L1; MAPK3; ETS1; KRAS; RUNX1; PIM1; PIK3C2A; RAF1; MAP2K2; AKT1; JAK2; PIK3R1; STAT3; MAP2K1; CCND1; AKT3; STAT1.
- Examples of genes for which a mUNA molecule can be used to express the corresponding peptide or protein include: Amyotrophic Lateral Sclerosis Signaling, BID; IGF1; RAC1; BIRC4; PGF; CAPNS1; CAPN2; PIK3CA; BCL2; PIK3CB; PIK3C3; BCL2L1; CAPN1; PIK3C2A; TP53; CASP9; PIK3R1; RAB5A; CASP1; APAF1; VEGFA; BIRC2; BAX; AKT3; CASP3; BIRC3.
- Examples of genes for which a mUNA molecule can be used to express the corresponding peptide or protein include: JAK/Stat Signaling, PTPN1; MAPK1; PTPN11; AKT2; PIK3CA; STAT5B; PIK3CB; PIK3C3; MAPK3; KRAS; SOCS1; STAT5A; PTPN6; PIK3C2A; RAF1; CDKN1A; MAP2K2; JAK1; AKT1; JAK2; PIK3R1; STAT3; MAP2K1; FRAP1; AKT3; STAT1.
- Examples of genes for which a mUNA molecule can be used to express the corresponding peptide or protein include: Nicotinate and Nicotinamide Metabolism, PRKCE; IRAK1; PRKAA2; EIF2AK2; GRK6; MAPK1; PLK1; AKT2; CDK8; MAPK8; MAPK3; PRKCD; PRKAA1; PBEF1; MAPK9; CDK2; PIM1; DYRK1A; MAP2K2; MAP2K1; PAK3; NT5E; TTK; CSNK1A1; BRAF; SGK.
- Examples of genes for which a mUNA molecule can be used to express the corresponding peptide or protein include: Chemokine Signaling, CXCR4; ROCK2; MAPK1; PTK2; FOS; CFL1; GNAQ; CAMK2A; CXCL12; MAPK8; MAPK3; KRAS; MAPK13; RHOA; CCR3; SRC; PPP1CC; MAPK14; NOXI; RAF1; MAP2K2; MAP2K1; JUN; CCL2; PRKCA.
- Examples of genes for which a mUNA molecule can be used to express the corresponding peptide or protein include: IL-2 Signaling, ELK1; MAPK1; PTPN11; AKT2; PIK3CA; SYK; FOS; STAT5B; PIK3CB; PIK3C3; MAPK8; MAPK3; KRAS; SOCS1; STAT5A; PIK3C2A: LCK; RAF1; MAP2K2; JAK1; AKT1; PIK3R1; MAP2K1; JUN; AKT3.
- Examples of genes for which a mUNA molecule can be used to express the corresponding peptide or protein include: Synaptic Long Term Depression, PRKCE; IGF1; PRKCZ; PRDX6; LYN; MAPK1; GNAS; PRKC1; GNAQ; PPP2R1A; IGF1R; PRKID1; MAPK3; KRAS; GRN; PRKCD; NOS3; NOS2A; PPP2CA; YWHAZ; RAF1; MAP2K2; PPP2R5C; MAP2K1; PRKCA.
- Examples of genes for which a mUNA molecule can be used to express the corresponding peptide or protein include: Estrogen Receptor Signaling, TAF4B; EP300; CARM1; PCAF; MAPK1; NCOR2; SMARCA4; MAPK3; NRIP1; KRAS; SRC; NR3C1; HDAC3; PPARGC1A; RBM9; NCOA3; RAF1; CREBBP; MAP2K2; NCOA2; MAP2K1; PRKDC; ESR1; ESR2.
- Examples of genes for which a mUNA molecule can be used to express the corresponding peptide or protein include: Protein Ubiquitination Pathway, TRAF6; SMURF1; BIRC4; BRCA1; UCHL1; NEDD4; CBL; UBE2I; BTRC; HSPA5; USP7; USP10; FBXW7; USP9X; STUB1; USP22; B2M; BIRC2; PARK2; USPS; USP1; VHL; HSP90AA1; BIRC3.
- Examples of genes for which a mUNA molecule can be used to express the corresponding peptide or protein include: IL-10 Signaling, TRAF6; CCR1; ELK1; IKBKB; SP1; FOS; NFKB2; MAP3K14; MAPK8; MAPK13; RELA; MAPK14; TNF; IKBKG; RELB; MAP3K7; JAK1; CHUK; STAT3; NFKB1; JUN; IL1R1; IL6.
- Examples of genes for which a mUNA molecule can be used to express the corresponding peptide or protein include: VDR/RXR Activation, PRKCE; EP300; PRKCZ; RXRA; GADD45A; HEST; NCOR2; SP1; PRKC1; CDKN1B; PRKD1; PRKCD; RUNX2; KLF4; YY1; NCOA3; CDKN1A; NCOA2; SPP1; LRP5; CEBPB; FOXO1; PRKCA.
- Examples of genes for which a mUNA molecule can be used to express the corresponding peptide or protein include: TGF-beta Signaling, EP300; SMAD2; SMURF1; MAPK1; SMAD3; SMAD1; FOS; MAPK8; MAPK3; KRAS; MAPK9; RUNX2; SERPINE1; RAF1; MAP3K7; CREBBP; MAP2K2; MAP2K1; TGFBR1; SMAD4; JUN; SMAD5.
- Examples of genes for which a mUNA molecule can be used to express the corresponding peptide or protein include: Toll-like Receptor Signaling, IRAK1; EIF2AK2; MYD8; TRAF6; PPARA; ELK1; IKBKB; FOS; NFKB2; MAP3K14; MAPK8; MAPK13; RELA; TLR4; MAPK14; IKBKG; RELB; MAP3K7; CHUK; NFKB1; TLR2; JUN.
- Examples of genes for which a mUNA molecule can be used to express the corresponding peptide or protein include: p38 MAPK Signaling, HSPB1; IRAK1; TRAF6; MAPKAPK2; ELK1; FADD; FAS; CREB1; DDIT3; RPS6KA4; DAXX; MAPK13; TRAF2; MAPK14; TNF; MAP3K7; TGFBR1; MYC; ATF4; IL1R1; SRF;
STAT 1. - Examples of genes for which a mUNA molecule can be used to express the corresponding peptide or protein include: Neurotrophin/TRK Signaling, NTRK2; MAPK1; PTPN11; PIK3CA; CREB1; FOS; PIK3CB; PIK3C3; MAPK8; MAPK3; KRAS; PIK3C2A; RAF1; MAP2K2; AKT1; PIK3R1; PDPK1; MAP2K1; CDC42; JUN; ATF4.
- Examples of genes for which a mUNA molecule can be used to express the corresponding peptide or protein include: FXR/RXR Activation, INS; PPARA; FASN; RXRA; AKT2; SDC1; MAPK8; APOB; MAPK10; PPARG; MTTP; MAPK9; PPARGC1A; TNF; CREBBP; AKT1; SREBF1; FGFR4; AKT3; FOXO1.
- Examples of genes for which a mUNA molecule can be used to express the corresponding peptide or protein include: Synaptic Long Term Potentiation, PRKCE; RAP1A; EP300; PRKCZ; MAPK1; CREB1; PRKC1; GNAQ; CAMK2A; PRKD1; MAPK3; KRAS; PRKCD; PPP1CC; RAF1; CREBBP; MAP2K2; MAP2K1; ATF4; PRKCA.
- Examples of genes for which a mUNA molecule can be used to express the corresponding peptide or protein include: Calcium Signaling, RAP1A; EP300; HDAC4; MAPK1; HDAC5; CREB1; CAMK2A; MYH9; MAPK3; HDAC2; HDAC7A; HDAC11; HDAC9; HDAC3; CREBBP; CALR; CAMKK2; ATF4; HDAC6.
- Examples of genes for which a mUNA molecule can be used to express the corresponding peptide or protein include: EGF Signaling, ELK1; MAPK1; EGFR; PIK3CA; FOS; PIK3CB; PIK3C3; MAPK8; MAPK3; PIK3C2A; RAF1; JAK1; PIK3R1; STAT3; MAP2K1; JUN; PRKCA; SRF; STAT1.
- Examples of genes for which a mUNA molecule can be used to express the corresponding peptide or protein include: Hypoxia Signaling in the Cardiovascular System, EDN1; PTEN; EP300; NQO1; UBE21; CREB1; ARNT; HIF1A; SLC2A4; NOS3; TP53; LDHA; AKT1; ATM; VEGFA; JUN; ATF4; VHL; HSP90AA1.
- Examples of genes for which a mUNA molecule can be used to express the corresponding peptide or protein include: LPS/IL-1 Mediated Inhibition of RXR Function, IRAK1; MYD88; TRAF6; PPARA; RXRA; ABCA1, MAPK8; ALDH1A1; GSTP1; MAPK9; ABCB1; TRAF2; TLR4; TNF; MAP3K7; NR1H2; SREBF1; JUN; IL1R1.
- Examples of genes for which a mUNA molecule can be used to express the corresponding peptide or protein include: LXR/RXR Activation, FASN; RXRA; NCOR2; ABCA1; NFKB2; IRF3; RELA; NOS2A; TLR4; TNF; RELB; LDLR; NR1H2; NFKB1; SREBF1; IL1R1; CCL2; IL6; MMP9.
- Examples of genes for which a mUNA molecule can be used to express the corresponding peptide or protein include: Amyloid Processing, PRKCE; CSNK11E; MAPK1; CAPNS1; AKT2; CAPN2; CAPN1; MAPK3; MAPK13; MAPT; MAPK14; AKT1; PSEN1; CSNK1A1; GSK3B; AKT3; APP.
- Examples of genes for which a mUNA molecule can be used to express the corresponding peptide or protein include: IL-4 Signaling, AKT2; PIK3CA; PIK3CB; PIK3C3; IRS1; KRAS; SOCS1; PTPN6; NR3C1; PIK3C2A; JAK1; AKT1; JAK2; PIK3R1; FRAP1; AKT3; RPS6KB1.
- Examples of genes for which a mUNA molecule can be used to express the corresponding peptide or protein include: Cell Cycle: G2/M DNA Damage Checkpoint Regulation, EP300; PCAF; BRCA1; GADD45A; PLK1; BTRC; CHEK1; ATR; CHEK2; YWHAZ; TP53; CDKN1A; PRKDC; ATM; SFN; CDKN2A.
- Examples of genes for which a mUNA molecule can be used to express the corresponding peptide or protein include: Nitric Oxide Signaling in the Cardiovascular System, KDR; FLT1; PGF; AKT2; PIK3CA; PIK3CB; PIK3C3; CAV1; PRKCD; NOS3; PIK3C2A; AKT1; PIK3R1; VEGFA; AKT3; HSP90AA1.
- Examples of genes for which a mUNA molecule can be used to express the corresponding peptide or protein include: Purine Metabolism NME2; SMARCA4; MYH9; RRM2; ADAR; EIF2AK4; PKM2; ENTPD1; RAD51; RRM2B; TJP2; RAD51C; NT5E; POLD1; NME1.
- Examples of genes for which a mUNA molecule can be used to express the corresponding peptide or protein include: cAMP-mediated Signaling, RAP1A; MAPK1; GNAS; CREB1; CAMK2A; MAPK3; SRC; RAF1; MAP2K2; STAT3; MAP2K1; BRAF; ATF4.
- Examples of genes for which a mUNA molecule can be used to express the corresponding peptide or protein include: Mitochondrial Dysfunction Notch Signaling, SOD2; MAPK8; CASP8; MAPK10; MAPK9; CASP9; PARK7; PSEN1; PARK2; APP; CASP3 HES1; JAG1; NUMB; NOTCH4; ADAM17; NOTCH2; PSEN1; NOTCH3; NOTCH1; DLL4.
- Examples of genes for which a mUNA molecule can be used to express the corresponding peptide or protein include: Endoplasmic Reticulum Stress Pathway, HSPA5; MAPK8; XBP1; TRAF2; ATF6; CASP9; ATF4; EIF2AK3; CASP3.
- Examples of genes for which a mUNA molecule can be used to express the corresponding peptide or protein include: Pyrimidine Metabolism, NME2; AICDA; RRM2; EIF2AK4; ENTPD1; RRM2B; NT5E; POLD1; NME1.
- Examples of genes for which a mUNA molecule can be used to express the corresponding peptide or protein include: Parkinson's Signaling, UCHL1; MAPK8; MAPK13; MAPK14; CASP9; PARK7; PARK2; CASP3.
- Examples of genes for which a mUNA molecule can be used to express the corresponding peptide or protein include: Cardiac & Beta Adrenergic Signaling, GNAS; GNAQ; PPP2R1A; GNB2L1; PPP2CA; PPP1CC; PPP2R5C.
- Examples of genes for which a mUNA molecule can be used to express the corresponding peptide or protein include: Glycolysis/Gluco-neogenesis, HK2; GCK; GPI; ALDH1A1; PKM2; LDHA; HK1.
- Examples of genes for which a mUNA molecule can be used to express the corresponding peptide or protein include: Interferon Signaling, IRF1; SOCS1; JAK1; JAK2; IFITM1; STAT1; IFIT3.
- Examples of genes for which a mUNA molecule can be used to express the corresponding peptide or protein include: Sonic Hedgehog Signaling, ARRB2; SMO; GLI2; DYRK1A; GLI1; GSK3B; DYRKIB.
- Examples of genes for which a mUNA molecule can be used to express the corresponding peptide or protein include: Glycerophospholipid Metabolism, PLD1; GRN; GPAM; YWHAZ; SPHK1; SPHK2.
- Examples of genes for which a mUNA molecule can be used to express the corresponding peptide or protein include: Phospholipid Degradation, PRDX6; PLD1; GRN; YWHAZ; SPHK1; SPHK2.
- Examples of genes for which a mUNA molecule can be used to express the corresponding peptide or protein include: Tryptophan Metabolism, SIAH2; PRMT5; NEDD4; ALDH1A1; CYP1B1; SIAH1.
- Examples of genes for which a mUNA molecule can be used to express the corresponding peptide or protein include: Lysine Degradation, SUV39H1; EHMT2; NSD1; SETD7; PPP2R5C.
- Examples of genes for which a mUNA molecule can be used to express the corresponding peptide or protein include: Nucleotide Excision, ERCC5; ERCC4; XPA; XPC; ERCC1.
- Examples of genes for which a mUNA molecule can be used to express the corresponding peptide or protein include: Repair Pathway Starch and Sucrose Metabolism, UCHL1; HK2; GCK; GPI; HK1.
- Examples of genes for which a mUNA molecule can be used to express the corresponding peptide or protein include: Aminosugars Metabolism, NQO1; HK2; GCK; HK1.
- Examples of genes for which a mUNA molecule can be used to express the corresponding peptide or protein include: Arachidonic Acid Metabolism, PRDX6; GRN; YWHAZ; CYP1B1.
- Examples of genes for which a mUNA molecule can be used to express the corresponding peptide or protein include: Circadian Rhythm Signaling, CSNK1E; CREB1; ATF4; NR1D1.
- Examples of genes for which a mUNA molecule can be used to express the corresponding peptide or protein include: Coagulation System, BDKRB1; F2R; SERPINE1; F3.
- Examples of genes for which a mUNA molecule can be used to express the corresponding peptide or protein include: Dopamine Receptor Signaling, PPP2R1A; PPP2CA; PPP1CC; PPP2R5C.
- Examples of genes for which a mUNA molecule can be used to express the corresponding peptide or protein include: Glutathione Metabolism, IDH2; GSTP1; ANPEP; IDH1.
- Examples of genes for which a mUNA molecule can be used to express the corresponding peptide or protein include: Glycerolipid Metabolism, ALDH1A1; GPAM; SPHK1; SPHK2.
- Examples of genes for which a mUNA molecule can be used to express the corresponding peptide or protein include: Linoleic Acid Metabolism, PRDX6; GRN; YWHAZ; CYP1B1.
- Examples of genes for which a mUNA molecule can be used to express the corresponding peptide or protein include: Methionine Metabolism, DNMT1; DNMT3B; AHCY; DNMT3A.
- Examples of genes for which a mUNA molecule can be used to express the corresponding peptide or protein include: Pyruvate Metabolism, GLO1; ALDH1A1; PKM2; LDHA.
- Examples of genes for which a mUNA molecule can be used to express the corresponding peptide or protein include: Arginine and Proline Metabolism, ALDH1A1; NOS3; NOS2A.
- Examples of genes for which a mUNA molecule can be used to express the corresponding peptide or protein include: Eicosanoid Signaling, PRDX6; GRN; YWHAZ.
- Examples of genes for which a mUNA molecule can be used to express the corresponding peptide or protein include: Fructose and Mannose Metabolism, HK2; GCK; HK1.
- Examples of genes for which a mUNA molecule can be used to express the corresponding peptide or protein include: Galactose Metabolism, HK2; GCK; HK1.
- Examples of genes for which a mUNA molecule can be used to express the corresponding peptide or protein include: Stilbene, Coumarine and Lignin Biosynthesis, PRDX6; PRDX1; TYR.
- Examples of genes for which a mUNA molecule can be used to express the corresponding peptide or protein include: Antigen Presentation Pathway, CALR; B2M.
- Examples of genes for which a mUNA molecule can be used to express the corresponding peptide or protein include: Biosynthesis of Steroids, NQO1; DHCR7.
- Examples of genes for which a mUNA molecule can be used to express the corresponding peptide or protein include: Butanoate Metabolism, ALDH1A1; NLGN1.
- Examples of genes for which a mUNA molecule can be used to express the corresponding peptide or protein include: Citrate Cycle, IDH2; IDH1.
- Examples of genes for which a mUNA molecule can be used to express the corresponding peptide or protein include: Fatty Acid Metabolism, ALDH1A1; CYP1B1.
- Examples of genes for which a mUNA molecule can be used to express the corresponding peptide or protein include: Glycerophospholipid Metabolism, PRDX6; CHKA.
- Examples of genes for which a mUNA molecule can be used to express the corresponding peptide or protein include: Histidine Metabolism, PRMT5; ALDH1A1.
- Examples of genes for which a mUNA molecule can be used to express the corresponding peptide or protein include: Inositol Metabolism, ERO1L; APEX1.
- Examples of genes for which a mUNA molecule can be used to express the corresponding peptide or protein include: Metabolism of Xenobiotics by Cytochrome p450, GSTP1; CYP1B1.
- Examples of genes for which a mUNA molecule can be used to express the corresponding peptide or protein include: Methane Metabolism, PRDX6; PRDX1.
- Examples of genes for which a mUNA molecule can be used to express the corresponding peptide or protein include: Phenylalanine Metabolism, PRDX6; PRDX1.
- Examples of genes for which a mUNA molecule can be used to express the corresponding peptide or protein include: Propanoate Metabolism, ALDH1A1; LDHA.
- Examples of genes for which a mUNA molecule can be used to express the corresponding peptide or protein include: Selenoamino Acid Metabolism, PRMT5; AHCY.
- Examples of genes for which a mUNA molecule can be used to express the corresponding peptide or protein include: Sphingolipid Metabolism, SPHK1; SPHK2.
- Examples of genes for which a mUNA molecule can be used to express the corresponding peptide or protein include: Aminophosphonate Metabolism, PRMT5.
- Examples of genes for which a mUNA molecule can be used to express the corresponding peptide or protein include: Androgen and Estrogen Metabolism, PRMT5.
- Examples of genes for which a mUNA molecule can be used to express the corresponding peptide or protein include: Ascorbate and Aldarate Metabolism, ALDH1A1.
- Examples of genes for which a mUNA molecule can be used to express the corresponding peptide or protein include: Bile Acid Biosynthesis, ALDH1A1.
- Examples of genes for which a mUNA molecule can be used to express the corresponding peptide or protein include: Cysteine Metabolism, LDHA.
- Examples of genes for which a mUNA molecule can be used to express the corresponding peptide or protein include: Fatty Acid Biosynthesis, FASN.
- Examples of genes for which a mUNA molecule can be used to express the corresponding peptide or protein include: Glutamate Receptor Signaling, GNB2L1.
- Examples of genes and/or polynucleotides that can be edited with the guide molecules of this invention include: NRF2-mediated Oxidative Stress Response, PRDX1.
- Examples of genes for which a mUNA molecule can be used to express the corresponding peptide or protein include: Pentose Phosphate Pathway, GPI.
- Examples of genes for which a mUNA molecule can be used to express the corresponding peptide or protein include: Pentose and Glucuronate Interconversions, UCHL1.
- Examples of genes for which a mUNA molecule can be used to express the corresponding peptide or protein include: Retinol Metabolism, ALDH1A1.
- Examples of genes for which a mUNA molecule can be used to express the corresponding peptide or protein include: Riboflavin Metabolism, TYR.
- Examples of genes for which a mUNA molecule can be used to express the corresponding peptide or protein include: Tyrosine Metabolism, PRMT5, TYR.
- Examples of genes for which a mUNA molecule can be used to express the corresponding peptide or protein include: Ubiquinone Biosynthesis, PRMT5.
- Examples of genes for which a mUNA molecule can be used to express the corresponding peptide or protein include: Valine, Leucine and Isoleucine Degradation, ALDH1A1.
- Examples of genes for which a mUNA molecule can be used to express the corresponding peptide or protein include: Glycine, Serine and Threonine Metabolism, CHKA.
- Examples of genes for which a mUNA molecule can be used to express the corresponding peptide or protein include: Lysine Degradation, ALDH1A1.
- Examples of genes for which a mUNA molecule can be used to express the corresponding peptide or protein include: Pain/Taste, TRPM5; TRPA1.
- Examples of genes for which a mUNA molecule can be used to express the corresponding peptide or protein include: Pain, TRPM7; TRPC5; TRPC6; TRPC1; Cnr1; cnr2; Grk2; Trpa1; Pomc; Cgrp; Crf; Pka; Era; Nr2b; TRPM5; Prkaca; Prkacb; Prkar1a; Prkar2a.
- Examples of genes for which a mUNA molecule can be used to express the corresponding peptide or protein include: Mitochondrial Function, AIF; CytC; SMAC (Diablo); Aifm-1; Aifm-2.
- Examples of genes for which a mUNA molecule can be used to express the corresponding peptide or protein include: Developmental Neurology, BMP-4; Chordin (Chrd); Noggin (Nog); WNT (Wnt2; Wnt2b; Wnt3a; Wnt4; Wnt5a; Wnt6; Wnt7b; Wnt8b; Wnt9a; Wnt9b; Wnt10a; Wnt10b; Wnt16); beta-catenin; Dick-1; Frizzled related proteins; Otx-2; Gbx2; FGF-8; Reelin; Dab1; unc-86 (Pou4f1 or Brn3a); Numb; Reln.
- mUNA Methods
- In various aspects, this invention provides methods for synthesis of mUNA messenger UNA oligomer molecules.
- mUNA oligomer molecules of this invention can be synthesized and isolated using methods disclosed herein, as well as any pertinent techniques known in the art.
- Some methods for preparing nucleic acids are given in, for example, Merino, Chemical Synthesis of Nucleoside Analogues, (2013); Gait, Oligonucleotide synthesis: a practical approach (1984); Herdewijn, Oligonucleotide Synthesis, Methods in Molecular Biology, Vol. 288 (2005).
- In some embodiments, a ligase can be used to link a synthetic oligomer to the 3′ end of an RNA molecule or an RNA transcript to form a mUNA molecule. The synthetic oligomer that is ligated to the 3′ end can provide the functionality of a polyA tail, and advantageously provide resistance to its removal by 3′-exoribonucleases. The ligated product mUNA molecule can have increased specific activity and provide increased levels of ectopic protein expression.
- In certain embodiments, ligated product mUNA molecules of this invention can be made with an RNA transcript that has native specificity. The ligated product can be a synthetic molecule that retains the structure of the RNA transcript at the 5′ end to ensure compatibility with the native specificity.
- In further embodiments, ligated product mUNA molecules of this invention can be made with an exogenous RNA transcript or non-natural RNA. The ligated product can be a synthetic molecule that retains the structure of the RNA.
- In general, the canonical mRNA degradation pathway in cells includes the steps: (i) the polyA tail is gradually cut back to a stub by 3′ exonucleases, shutting down the looping interaction required for efficient translation and leaving the cap open to attack; (ii) decapping complexes remove the 5′ cap; (iii) the unprotected and translationally incompetent residuum of the transcript is degraded by 5′ and 3′ exonuclease activity.
- Embodiments of this invention involve new mUNA structures which can have increased translational activity over a native transcript. The mUNA molecules can prevent exonucleases from trimming back the polyA tail in the process of de-adenylation.
- Embodiments of this invention provide structures, compositions and methods for translatable mUNA molecules. Embodiments of this invention can provide translatable mUNA molecules containing one or more UNA monomers and having increased functional half-life.
- It has been found that ligation of a synthetic oligomer to the 3′ end of an mRNA transcript can surprisingly be accomplished with high conversion of the mRNA transcript to the ligation product. The ligase can catalyze the joining of the 3′-hydroxyl terminus of the RNA transcript to a synthetic oligomer bearing a 5′ monophosphate group. The 3′ end of the synthetic oligomer can be blocked to prevent circularization and concatemerization, while the presence of a triphosphate or cap moiety at the 5′ terminus of the mRNA transcript can prevent its entry into undesired side reactions.
- In some embodiments, the yield of conversion of the mRNA transcript to the ligation product mUNA molecule can be from 70% to 100%. In some embodiments, the yield of conversion of the mRNA transcript to the ligation product can be 70%, 80%, 90%, 95%, 99%, or 100%.
- As used herein, the terms polyA tail and polyA oligomer refer to an oligomer of monomers, wherein the monomers can include nucleotides based on adenine, UNA monomers, naturally-occurring nucelotides, modified nucleotides, or nucleotide analogues.
- A modified nucleotide can be base-modified, sugar-modified, or linkage modified.
- Splint Ligation Methods
- Embodiments of this invention can employ splint ligation to synthesize mUNA molecules.
- In some aspects, ligation of a tail oligomer to the 3′ end of an RNA molecule can surprisingly be accomplished with high conversion of the RNA molecule to the ligation product by using a DNA splint oligomer. Splint ligation of specific RNA molecules can be done with a DNA ligase and a bridging DNA splint oligomer that is complementary to the RNAs.
- As used herein, a molecule to which a tail oligomer is added can be referred to as an acceptor oligomer, and a tail oligomer to be ligated to an acceptor oligomer can be referred to as a donor oligomer.
- A donor oligomer of this invention may contain one or more UNA monomers. In some embodiments, a donor oligomer may be composed of UNA monomers and adenylate nucleotides.
- A donor oligomer of this invention may include any number of UNA monomers within its total length.
- An acceptor oligomer of this invention can be a RNA of any length, an mRNA, or a mammalian gene transcript.
- In some aspects, ligation of a donor oligomer of any length to the 3′ end of an acceptor RNA molecule can surprisingly be accomplished with high conversion to the ligation product mUNA molecule by using a DNA splint oligomer.
- In certain embodiments, a DNA splint oligomer can hybridize to the end of an mRNA having a short polyA tail, anchored in a specific position based on a region complementary to the end of the mRNA's 3′ UTR. The polyA tail can be about 30 monomers or less in length. The DNA splint oligomer can incorporate a poly(dT) tail that overhangs beyond the native polyA tail of the mRNA transcript. The poly(dT) tail can bring a polyA oligomer into position for efficient ligation to the synthetic mRNA.
- Embodiments of this invention can employ splint ligation to introduce UNA monomers, modified nucleotides, or nucleotide analogues into RNA molecules.
- In certain embodiments, in splint ligation the DNA ligase can be used to join RNA molecules in an RNA:DNA hybrid.
- In some embodiments, the donor can be from 2 to 120 monomers in length, or from 3 to 120 monomers, or from 4 to 120 monomers, or from 5 to 120 monomers, or from 6 to 120 monomers, or longer.
- The splint oligomer can be removed from the ligation product using a DNAse treatment, which can be required post-IVT to remove the DNA template for transcription.
- Cohesive End Ligation
- In some embodiments, a wild-type T4 RNA ligase can be used to join the 3′ hydroxyl terminus of an RNA transcript to a tail oligomer bearing a 5′ monophosphate group.
- In further embodiments, a KQ mutant variant of
T4 RNA Ligase 2, which requires a pre-adenylated donor, was used to join the 3′ hydroxyl terminus of an RNA transcript to a pre-adenylated tail oligomer. - In these embodiments, a preponderance of the tail can advantageously be incorporated co-transcriptionally in the IVT synthetic RNA transcript, and the donor oligomer can be correspondingly shortened.
- Post-Ligation Treatment
- In some aspects, a 3′-exonuclease treatment can be used to remove the unligated fraction of the product of the ligation reaction. Examples of a 3′-exonuclease include Exonuclease T, Ribonuclease R, and analogs thereof.
- In certain embodiments, Ribonuclease R can be used with high processivity, and the ligation can be insensitive to sequence content and variations, as well as secondary structure.
- Tail Oligomers
- In some embodiments, the 100% bulk ligation of a tail oligomer to the 3′ end of an RNA has been achieved.
- Donor oligomers of this invention for ligation to the 3′ end of an mRNA may be from 2 to 120 monomers in length, or from 3 to 120 monomers in length, or from 4 to 120 monomers in length, or from 5 to 120 monomers in length, or longer.
- In further embodiments, a donor oligomer may have a 3′-terminal modification to block circularization or oligimerization of the synthetic oligomer in ligation reactions. Examples of a 3′-terminal modification include a 3′-terminal C3 spacer.
- A donor oligomer of this invention may contain one or more UNA monomers.
- A donor oligomer can include one or more nucleic acid monomers that are naturally-occurring nucleotides, modified naturally-occurring nucleotides, or non-naturally-occurring nucleotides.
- A donor oligomer can include a nucleic acid monomer that is base-modified, sugar-modified, or linkage modified.
- Pharmaceutical Compositions
- In some aspects, this invention provides pharmaceutical compositions containing a mUNA oligomeric compound and a pharmaceutically acceptable carrier.
- A pharmaceutical composition can be capable of local or systemic administration. In some aspects, a pharmaceutical composition can be capable of any modality of administration. In certain aspects, the administration can be intravenous, subcutaneous, pulmonary, intramuscular, intraperitoneal, dermal, oral, or nasal administration.
- Embodiments of this invention include pharmaceutical compositions containing an oligomeric compound in a lipid formulation.
- In some embodiments, a pharmaceutical composition may comprise one or more lipids selected from cationic lipids, anionic lipids, sterols, pegylated lipids, and any combination of the foregoing.
- In certain embodiments, a pharmaceutical composition can be substantially free of liposomes.
- In further embodiments, a pharmaceutical composition can include liposomes or nanoparticles.
- Some examples of lipids and lipid compositions for delivery of an active molecule of this invention are given in WO/2015/074085, which is hereby incorporated by reference in its entirety.
- In additional embodiments, a pharmaceutical composition can contain an oligomeric compound within a viral or bacterial vector.
- A pharmaceutical composition of this disclosure may include carriers, diluents or excipients as are known in the art. Examples of pharmaceutical compositions and methods are described, for example, in Remington's Pharmaceutical Sciences, Mack Publishing Co. (A. R. Gennaro ed. 1985), and Remington, The Science and Practice of Pharmacy, 21st Edition (2005).
- Examples of excipients for a pharmaceutical composition include antioxidants, suspending agents, dispersing agents, preservatives, buffering agents, tonicity agents, and surfactants.
- An effective dose of an agent or pharmaceutical formulation of this invention can be an amount that is sufficient to cause translation of a mUNA molecule in a cell.
- A therapeutically effective dose can be an amount of an agent or formulation that is sufficient to cause a therapeutic effect. A therapeutically effective dose can be administered in one or more separate administrations, and by different routes.
- A therapeutically effective dose, upon administration, can result in serum levels of an active agent of 1-1000 pg/ml, or 1-1000 ng/ml, or 1-1000 μg/ml, or more.
- A therapeutically effective dose of an active agent in vivo can be a dose of 0.001-0.01 mg/kg body weight, or 0.01-0.1 mg/kg, or 0.1-1 mg/kg, or 1-10 mg/kg, or 10-100 mg/kg.
- A therapeutically effective dose of an active agent in vivo can be a dose of 0.001 mg/kg body weight, or 0.01 mg/kg, or 0.1 mg/kg, or 1 mg/kg, or 2 mg/kg, or 3 mg/kg, or 4 mg/kg, or 5 mg/kg, or more.
- A subject can be an animal, or a human subject or patient.
- Base sequences show herein are from left to right, 5′ to 3′, unless stated otherwise.
- For the examples below, the mUNA transfection protocol in vitro was as follows:
-
- 1Plate mouse hepatocyte Hepa1-6
cells 5000 cells per well in 96 well plate at least 8 hours before transfection. - 2 Replace 90 uL DMEM medium containing 10% FBS and Non-essential amino acid) adding 90 uL into each well of 96 well plate immediately before beginning the transfection experiment.
- 3 Prepare Messenger Max transfection reagent (Life Technologies) mUNA complex according to manufacturer's instruction.
- 4 Transfer 10 uL of the complex into a well containing the cells in the 96-well plate.
- 5 Collect the medium after desired time points and add 100 uL fresh medium into each well. Medium will be kept at −80° C. until ELISA assay is performed using the standard manufacturer protocol.
- 1Plate mouse hepatocyte Hepa1-6
- For the examples below, the mUNA transfection protocol in vivo was as follows:
-
- 1 The mUNA is formulated with Lipid nanoparticle (LNP).
- 2 Inject the LNP-formulated mUNA (1 mg/kg mUNA) into BL57BL/c mice (4-6 week-old) via standard i.v. injection in the lateral tail vein.
- 3 Collect approximately 50 uL of blood in a Heparin-coated microcentrifuge tube.
- 4 Centrifuge at 3,000×g for 10 minutes at 4° C.
- 5 Transfer the supernatant (plasma) into a fresh microcentrifuge tube. Plasma will be kept at −80° C. until ELISA assay is performed using the standard manufacturer protocol.
- All of the comparative mUNA and mRNA molecules in the examples below were synthesized with the 5′ cap being a m7GpppGm cap. Unless otherwise specified, the mUNA molecules in the examples below contained a 5′-UTR of TEV, and a 3′ UTR of xenopus beta-globin.
- In this example, a translatable mUNA molecule was made and used for expressing human Factor IX (FT9) in vivo with advantageously increased efficiency of translation, as compared to the mRNA of Factor IX. The translatable mUNA molecule expressing human Factor IX in vivo exhibited activity suitable for use in methods for ameliorating or treating hemophilia B. In this embodiment, the translatable mUNA molecule comprised a 5′ cap (m7GpppGm), a 5′ UTR of TEV, a F9 CDS, a 3′UTR of xenopus beta-globin, and a tail region.
- The translation efficiency of this mUNA molecule is shown in
FIG. 1 , as compared to the mRNA of F9. - The mUNA molecule of this embodiment was translated in C57BL/c mouse to produce human F9.
-
FIG. 1 shows that the translation efficiency of this mUNA molecule was advantageously and surprisingly increased as compared to the mRNA of F9. In particular, after 55 hours, the translation efficiency of this mUNA molecule was increased by more than 2-fold (827/388) as compared to the mRNA of F9. - Details of the base structure of this translatable mUNA molecule are as follows:
-
(SEQ ID NO: 1) (m7GpppGm)GGGAAACAUAAGUCAACACAACAUAUACAAAACAAACGAA UCUCAAGCAAUCAAGCAUUCUACUUCUAUUGCAGCAAUUUAAAUCAUUUC UUUUAAAGCAAAAGCAAUUUUCUGAAAAUUUUCACCAUUUACGAACGAUA GCCAUGGCCCAGCGCGUGAACAUGAUCAUGGCAGAAUCACCAGGCCUCAU CACCAUCUGCCUUUUAGGAUAUCUACUCAGUGCUGAAUGUACAGUUUUUC UUGAUCAUGAAAACGCCAACAAAAUUCUGAAUCGGCCAAAGAGGUAUAAU UCAGGUAAAUUGGAAGAGUUUGUUCAAGGGAACCUUGAGAGAGAAUGUAU GGAAGAAAAGUGUAGUUUUGAAGAAGCACGAGAAGUUUUUGAAAACACUG AAAGAACAACUGAAUUUUGGAAGCAGUAUGUUGAUGGAGAUCAGUGUGAG UCCAAUCCAUGUUUAAAUGGCGGCAGUUGCAAGGAUGACAUUAAUUCCUA UGAAUGUUGGUGUCCCUUUGGAUUUGAAGGAAAGAACUGUGAAUUAGAUG UAACAUGUAACAUUAAGAAUGGCAGAUGCGAGCAGUUUUGUAAAAAUAGU GCUGAUAACAAGGUGGUUUGCUCCUGUACUGAGGGAUAUCGACUUGCAGA AAACCAGAAGUCCUGUGAACCAGCAGUGCCAUUUCCAUGUGGAAGAGUUU CUGUUUCACAAACUUCUAAGCUCACCCGUGCUGAGACUGUUUUUCCUGAU GUGGACUAUGUAAAUUCUACUGAAGCUGAAACCAUUUUGGAUAACAUCAC UCAAAGCACCCAAUCAUUUAAUGACUUCACUCGGGUUGUUGGUGGAGAAG AUGCCAAACCAGGUCAAUUCCCUUGGCAGGUUGUUUUGAAUGGUAAAGUU GAUGCAUUCUGUGGAGGCUCUAUCGUUAAUGAAAAAUGGAUUGUAACUGC UGCCCACUGUGUUGAAACUGGUGUUAAAAUUACAGUUGUCGCAGGUGAAC AUAAUAUUGAGGAGACAGAACAUACAGAGCAAAAGCGAAAUGUGAUUCGA AUUAUUCCUCACCACAACUACAAUGCAGCUAUUAAUAAGUACAACCAUGA CAUUGCCCUUCUGGAACUGGACGAACCCUUAGUGCUAAACAGCUACGUUA CACCUAUUUGCAUUGCUGACAAGGAAUACACGAACAUCUUCCUCAAAUUU GGAUCUGGCUAUGUAAGUGGCUGGGGAAGAGUCUUCCACAAAGGGAGAUC AGCUUUAGUUCUUCAGUACCUUAGAGUUCCACUUGUUGACCGAGCCACAU GUCUUCGAUCUACAAAGUUCACCAUCUAUAACAACAUGUUCUGUGCUGGC UUCCAUGAAGGAGGUAGAGAUUCAUGUCAAGGAGAUAGUGGGGGACCCCA UGUUACUGAAGUGGAAGGGACCAGUUUCUUAACUGGAAUUAUUAGCUGGG GUGAAGAGUGUGCAAUGAAAGGCAAAUAUGGAAUAUAUACCAAGGUAUCC CGGUAUGUCAACUGGAUUAAGGAAAAAACAAAGCUCACUUGACUAGUGAC UGACUAGGAUCUGGUUACCACUAAACCAGCCUCAAGAACACCCGAAUGGA GUCUCUAAGCUACAUAAUACCAACUUACACUUACAAAAUGUUGUCCCCCA AAAUGUAGCCAUUCGUAUCUGCUCCUAAUAAAAAGAAAGUUUCUUCACAU AAAAAAAAAAAAAAAAAAAAAAAAAAAAAAAAAAAAAAAAAAAAAAAAAA AAAAAAÃÃAA - In this example, the translatable mUNA molecule of Example 1 (SEQ ID NO: 1) was made and used for expressing human Factor IX (F9) in vitro with advantageously increased efficiency of translation, as compared to the mRNA of Factor IX. The translatable mUNA molecule expressing human Factor IX exhibited activity suitable for use in methods for ameliorating or treating hemophilia B.
- The translation efficiency of this mUNA molecule (SEQ ID NO: 1) is shown in
FIG. 2 , as compared to the mRNA of F9. - The mUNA molecule of this embodiment was traslated in mouse hepatocyte cell line Hepa1-6 to produce human F9.
-
FIG. 2 shows that the translation efficiency of this mUNA molecule was advantageously and surprisingly increased as compared to the mRNA of F9. In particular, after 48 hours, the translation efficiency of this mUNA molecule was increased by 5-fold (91/16) as compared to the mRNA of F9. - In this example, a translatable mUNA molecule was made and used for expressing human Erythropoietin (EPO) in vitro with advantageously increased efficiency of translation, as compared to the mRNA of EPO. The translatable mUNA molecule expressing human EPO exhibited activity suitable for use in methods for ameliorating or treating certain anemias, inflammatory bowel disease, and/or certain myelodysplasias. In this embodiment, the translatable mUNA molecule comprised a 5′ cap (m7GpppGm), a 5′ UTR of TEV, a human EPO CDS, a 3′UTR of xenopus beta-globin, and a tail region.
- The translation efficiency of this mUNA molecule is shown in
FIG. 3 , as compared to the mRNA of EPO. - The mUNA molecule of this embodiment was translated in mouse hepatocyte cell line Hepa1-6 to produce human EPO.
-
FIG. 3 shows that the translation efficiency of this mUNA molecule was advantageously and surprisingly increased as compared to the mRNA of F9. In particular, after 48 hours, the translation efficiency of this mUNA molecule was more than doubled (4500/1784) as compared to the mRNA of EPO. - Details of the base structure of this translatable mUNA molecule are as follows:
-
(SEQ ID NO: 2) (m7GpppGm)GGGAAACAUAAGUCAACACAACAUAUACAAAACAAACGAA UCUCAAGCAAUCAAGCAUUCUACUUCUAUUGCAGCAAUUUAAAUCAUUUC UUUUAAAGCAAAAGCAAUUUUCUGAAAAUUUUCACCAUUUACGAACGAUA GCCAUGGGGGUGCACGAAUGUCCUGCCUGGCUGUGGCUUCUCCUGUCCCU GCUGUCGCUCCCUCUGGGCCUCCCAGUCCUGGGCGCCCCACCACGCCUCA UCUGUGACAGCCGAGUCCUGGAGAGGUACCUCUUGGAGGCCAAGGAGGCC GAGAAUAUCACGACGGGCUGUGCUGAACACUGCAGCUUGAAUGAGAAUAU CACUGUCCCAGACACCAAAGUUAAUUUCUAUGCCUGGAAGAGGAUGGAGG UCGGGCAGCAGGCCGUAGAAGUCUGGCAGGGCCUGGCCCUGCUGUCGGAA GCUGUCCUGCGGGGCCAGGCCCUGUUGGUCAACUCUUCCCAGCCGUGGGA GCCCCUGCAGCUGCAUGUGGAUAAAGCCGUCAGUGGCCUUCGCAGCCUCA CCACUCUGCUUCGGGCUCUGGGAGCCCAGAAGGAAGCCAUCUCCCCUCCA GAUGCGGCCUCAGCUGCUCCACUCCGAACAAUCACUGCUGACACUUUCCG CAAACUCUUCCGAGUCUACUCCAAUUUCCUCCGGGGAAAGCUGAAGCUGU ACACAGGGGAGGCCUGCAGGACAGGGGACAGAUGACUAGUGACUGACUAG GAUCUGGUUACCACUAAACCAGCCUCAAGAACACCCGAAUGGAGUCUCUA AGCUACAUAAUACCAACUUACACUUACAAAAUGUUGUCCCCCAAAAUGUA GCCAUUCGUAUCUGCUCCUAAUAAAAAGAAAGUUUCUUCACAUAAAAAAA AAAAAAAAAAAAAAAAAAAAAAAAAAAAAAAAAAAAAAAAAAAAAAAAAÃ ÃAA - In this example, several translatable mUNA molecules were made and used for expressing mouse Erythropoietin (EPO) in vitro with advantageously increased efficiency of translation, as compared to the mRNA of EPO. In this embodiment, the translatable mUNA molecules each comprised a 5′ cap (m7GpppGm), a 5′ UTR of TEV, a mouse EPO CDS, a 3′UTR of xenopus beta-globin, and a tail region.
- The translation efficiency of these mUNA molecules (#2, 3, 4, 5, 6, 7, 8, 9, 10 and 11) are shown in
FIG. 4 , as compared to the mRNA of EPO (#1). - The mUNA molecules of this embodiment were translated in mouse hepatocyte cell line Hepa1-6 to produce mouse EPO.
-
FIG. 4 shows that the translation efficiency of the mUNA molecules (#2, 3, 4, 5, 6, 7, 8, 9, 10 and 11) was advantageously and surprisingly increased as compared to the mRNA of EPO (#1). In particular, after 72 hours, the translation efficiency of the mUNA molecules was increased by up to 8-fold (0.203/0.025) as compared to the mRNA of EPO, and the translation efficiency of every mUNA molecule (#2, 3, 4, 5, 6, 7, 8, 9, 10 and 11) was increased as compared to the mRNA of EPO (#1). - Details of the base structure of the translatable
mUNA molecule # 2 are as follows: -
(SEQ ID NO: 3) (m7GpppGm)GGGAAACAUAAGUCAACACAACAUAUACAAAACAAACGAA UCUCAAGCAAUCAAGCAUUCUACUUCUAUUGCAGCAAUUUAAAUCAUUUC UUUUAAAGCAAAAGCAAUUUUCUGAAAAUUUUCACCAUUUACGAACGAUA GCCAUGGGGGUGCCCGAACGUCCCACCCUGCUGCUUUUACUCUCCUUGCU ACUGAUUCCUCUGGGCCUCCCAGUCCUCUGUGCUCCCCCACGCCUCAUCU GCGACAGUCGAGUUCUGGAGAGGUACAUCUUAGAGGCCAAGGAGGCAGAA AAUGUCACGAUGGGUUGUGCAGAAGGUCCCAGACUGAGUGAAAAUAUUAC AGUCCCAGAUACCAAAGUCAACUUCUAUGCUUGGAAAAGAAUGGAGGUGG AAGAACAGGCCAUAGAAGUUUGGCAAGGCCUGUCCCUGCUCUCAGAAGCC AUCCUGCAGGCCCAGGCCCUGCUAGCCAAUUCCUCCCAGCCACCAGAGAC CCUUCAGCUUCAUAUAGACAAAGCCAUCAGUGGUCUACGUAGCCUCACUU CACUGCUUCGGGUACUGGGAGCUCAGAAGGAAUUGAUGUCGCCUCCAGAU ACCACCCCACCUGCUCCACUCCGAACACUCACAGUGGAUACUUUCUGCAA GCUCUUCCGGGUCUACGCCAACUUCCUCCGGGGGAAACUGAAGCUGUACA CGGGAGAGGUCUGCAGGAGAGGGGACAGGTGACUAGUGACUGACUAGGAU CUGGUUACCACUAAACCAGCCUCAAGAACACCCGAAUGGAGUCUCUAAGC UACAUAAUACCAACUUACACUUACAAAAUGUUGUCCCCCAAAAUGUAGCC AUUCGUAUCUGCUCCUAAUAAAAAGAAAGUUUCUUCACAUAAAAAAAAAA AAAAAAAAAAAAAAAAAAAAAAAAAAAAAAAAAAAAAAAAAAAAAAAA{tilde over (ÃA)} - Details of the base structure of the translatable
mUNA molecules # 3 through #11 that were made are the same asmolecule # 2, except that the 3′ terminal tail regions, the last 40 monomers are as follows: -
mUNA molecule #3 (SEQ ID NO: 4) AAAAAAAAAAAAAAAAAAAAAAAAAAAAAA AAAAAAAAAAAAAAAAAAAAAAAAAAÃÃAA mUNA molecule #4 (SEQ ID NO: 5) AAAAAAAAAAAAAAAAAAAAAAAAAAAAAA AAAAAAAAAAAAAAAAAAAAAAAAÃÃAAAA mUNA molecule #5 (SEQ ID NO: 6) AAAAAAAAAAAAAAAAAAAAAAAAAAAAAA AAAAAAAAAAAAAAAAAAAAAAÃÃAAAAAA mUNA molecule #6 (SEQ ID NO: 7) AAAAAAAAAAAAAAAAAAAAAAAAAAAAAA AAAAAAAAAAAAAAAAAAAAÃÃAAAAAAAA mUNA molecule #7 (SEQ ID NO: 8) AAAAAAAAAAAAAAAAAAAAAAAAAAAAAA AAAAAAAAAAAAAAAAAAÃÃAAAAAAAAAA mUNA molecule #8 (SEQ ID NO: 9) AAAAAAAAAAAAAAAAAAAAAAAAAAAAAA AAAAAAAAAAAAAAAAÃÃAAAAAAAAAAAA mUNA molecule #9 (SEQ ID NO: 10) AAAAAAAAAAAAAAAAAAAAAAAAAAAAAA AAAAAAAAAAAAAAÃÃAAAAAAAAAAAAAA mUNA molecule #10 (SEQ ID NO: 11) AAAAAAAAAAAAAAAAAAAAAAAAAAAAAA AAAAAAAAAAAAÃÃAAAAAAAAAAAAAAAA mUNA molecule #11 (SEQ ID NO: 12) AAAAAAAAAAAAAAAAAAAAAAAAAAAAAA AAAAAAAAAAÃÃAAAAAAAAAAAAAAAAAA - In this example, a translatable mUNA molecule was made and used for expressing human alpha-1-Antitrypsin in vivo with advantageously increased efficiency of translation, as compared to the mRNA of human alpha-1-Antitrypsin. The translatable mUNA molecule expressing human alpha-1-Antitrypsin exhibited activity suitable for use in methods for ameliorating or treating alpha-1-Antitrypsin deficiency. In this embodiment, the translatable mUNA molecule comprised a 5′ cap (m7GpppGm), a 5′ UTR of TEV, a human alpha-1-Antitrypsin CDS, a 3′UTR of xenopus beta-globin, and a tail region.
- The translation efficiency of this mUNA molecule is shown in
FIG. 5 , as compared to the mRNA of human alpha-1-Antitrypsin. - The mUNA molecule of this embodiment was translated in C57BL/c mouse to produce human alpha-1-Antitrypsin.
-
FIG. 5 shows that the translation efficiency of this mUNA molecule was advantageously and surprisingly increased as compared to the mRNA of human alpha-1-Antitrypsin. In particular, after 72 hours, the translation efficiency of this mUNA molecule was increased by more than 3-fold (87.8/25.4) as compared to the mRNA of human alpha-1-Antitrypsin. - Details of the base structure of this translatable mUNA molecule were as follows:
-
(SEQ ID NO: 13) (m7GpppGm)GGGAAACAUAAGUCAACACAACAUAUACAAAACAAACGAA UCUCAAGCAAUCAAGCAUUCUACUUCUAUUGCAGCAAUUUAAAUCAUUUC UUUUAAAGCAAAAGCAAUUUUCUGAAAAUUUUCACCAUUUACGAACGAUA GCCAUGCCGUCUUCUGUCUCGUGGGGCAUCCUCCUGCUGGCAGGCCUGUG CUGCCUGGUCCCUGUCUCCCUGGCUGAGGAUCCCCAGGGAGAUGCUGCCC AGAAGACAGAUACAUCCCACCAUGAUCAGGAUCACCCAACCUUCAACAAG AUCACCCCCAACCUGGCUGAGUUCGCCUUCAGCCUAUACCGCCAGCUGGC ACACCAGUCCAACAGCACCAAUAUCUUCUUCUCCCCAGUGAGCAUCGCUA CAGCCUUUGCAAUGCUCUCCCUGGGGACCAAGGCUGACACUCACGAUGAA AUCCUGGAGGGCCUGAAUUUCAACCUCACGGAGAUUCCGGAGGCUCAGAU CCAUGAAGGCUUCCAGGAACUCCUCCGUACCCUCAACCAGCCAGACAGCC AGCUCCAGCUGACCACCGGCAAUGGCCUGUUCCUCAGCGAGGGCCUGAAG CUAGUGGAUAAGUUUUUGGAGGAUGUUAAAAAGUUGUACCACUCAGAAGC CUUCACUGUCAACUUCGGGGACACCGAAGAGGCCAAGAAACAGAUCAACG AUUACGUGGAGAAGGGUACUCAAGGGAAAAUUGUGGAUUUGGUCAAGGAG CUUGACAGAGACACAGUUUUUGCUCUGGUGAAUUACAUCUUCUUUAAAGG CAAAUGGGAGAGACCCUUUGAAGUCAAGGACACCGAGGAAGAGGACUUCC ACGUGGACCAGGUGACCACCGUGAAGGUGCCUAUGAUGAAGCGUUUAGGC AUGUUUAACAUCCAGCACUGUAAGAAGCUGUCCAGCUGGGUGCUGCUGAU GAAAUACCUGGGCAAUGCCACCGCCAUCUUCUUCCUGCCUGAUGAGGGGA AACUACAGCACCUGGAAAAUGAACUCACCCACGAUAUCAUCACCAAGUUC CUGGAAAAUGAAGACAGAAGGUCUGCCAGCUUACAUUUACCCAAACUGUC CAUUACUGGAACCUAUGAUCUGAAGAGCGUCCUGGGUCAACUGGGCAUCA CUAAGGUCUUCAGCAAUGGGGCUGACCUCUCCGGGGUCACAGAGGAGGCA CCCCUGAAGCUCUCCAAGGCCGUGCAUAAGGCUGUGCUGACCAUCGACGA GAAAGGGACUGAAGCUGCUGGGGCCAUGUUUUUAGAGGCCAUACCCAUGU CUAUCCCCCCCGAGGUCAAGUUCAACAAACCCUUUGUCUUCUUAAUGAUU GAACAAAAUACCAAGUCUCCCCUCUUCAUGGGAAAAGUGGUGAAUCCCAC CCAAAAAUAACUAGUGACUGACUAGGAUCUGGUUACCACUAAACCAGCCU CAAGAACACCCGAAUGGAGUCUCUAAGCUACAUAAUACCAACUUACACUU ACAAAAUGUUGUCCCCCAAAAUGUAGCCAUUCGUAUCUGCUCCUAAUAAA AAGAAAGUUUCUUCACAUAAAAAAAAAAAAAAAAAAAAAAAAAAAAAAAA AAAAAAAAAAAAAAAAAAAAAAÃÃAAAA - In this example, a translatable mUNA molecule was made and used for expressing human Erythropoietin (EPO) in vivo with advantageously increased efficiency of translation, as compared to the mRNA of EPO. The translatable mUNA molecule expressing human EPO exhibited activity suitable for use in methods for ameliorating or treating certain anemias, inflammatory bowel disease, and/or certain myelodysplasias. In this embodiment, the translatable mUNA molecule comprised a 5′ cap (m7GpppGm), a 5′ UTR of TEV, a human EPO CDS, a 3′UTR of xenopus beta-globin, and a tail region.
- The translation efficiency of this mUNA molecule is shown in
FIG. 6 , as compared to the mRNA of EPO. - The mUNA molecule of this embodiment was translated in C57BL/c mouse to produce human EPO.
-
FIG. 6 shows that the translation efficiency of this mUNA molecule was advantageously and surprisingly increased as compared to the mRNA of EPO. In particular, after 72 hours, the translation efficiency of this mUNA molecule was increased by more than 10-fold (1517/143) as compared to the mRNA of EPO. - Details of the base structure of this translatable mUNA molecule were as follows:
-
(SEQ ID NO: 14) (m7GpppGm)GGGAAACAUAAGUCAACACAACAUAUACAAAACAAACGA AUCUCAAGCAAUCAAGCAUUCUACUUCUAUUGCAGCAAUUUAAAUCAUU UCUUUUAAAGCAAAAGCAAUUUUCUGAAAAUUUUCACCAUUUACGAACG AUAGCCAUGGGGGUGCACGAAUGUCCUGCCUGGCUGUGGCUUCUCCUGU CCCUGCUGUCGCUCCCUCUGGGCCUCCCAGUCCUGGGCGCCCCACCACG CCUCAUCUGUGACAGCCGAGUCCUGGAGAGGUACCUCUUGGAGGCCAAG GAGGCCGAGAAUAUCACGACGGGCUGUGCUGAACACUGCAGCUUGAAUG AGAAUAUCACUGUCCCAGACACCAAAGUUAAUUUCUAUGCCUGGAAGAG GAUGGAGGUCGGGCAGCAGGCCGUAGAAGUCUGGCAGGGCCUGGCCCUG CUGUCGGAAGCUGUCCUGCGGGGCCAGGCCCUGUUGGUCAACUCUUCCC AGCCGUGGGAGCCCCUGCAGCUGCAUGUGGAUAAAGCCGUCAGUGGCCU UCGCAGCCUCACCACUCUGCUUCGGGCUCUGGGAGCCCAGAAGGAAGCC AUCUCCCCUCCAGAUGCGGCCUCAGCUGCUCCACUCCGAACAAUCACUG CUGACACUUUCCGCAAACUCUUCCGAGUCUACUCCAAUUUCCUCCGGGG AAAGCUGAAGCUGUACACAGGGGAGGCCUGCAGGACAGGGGACAGAUGA CUAGUGACUGACUAGGAUCUGGUUACCACUAAACCAGCCUCAAGAACAC CCGAAUGGAGUCUCUAAGCUACAUAAUACCAACUUACACUUACAAAAUG UUGUCCCCCAAAAUGUAGCCAUUCGUAUCUGCUCCUAAUAAAAAGAAAG UUUCUUCACAUAAAAAAAAAAAAAAAAAAAAAAAAAAAAAAAAAAAAAA AAAAAAAAAAAAAAAAÃÃAAAA - In this example, a translatable mUNA molecule is made for use in expressing human CFTR in vivo. The translatable mUNA molecule expressing human CFTR in vivo is suitable for use in methods for ameliorating or treating cystic fibrosis. In this embodiment, the translatable mUNA molecule comprises a 5′ cap (m7GpppGm), a 5′ UTR of TEV, a CFTR CDS, a 3′UTR of xenopus beta-globin, and a tail region shown in Example 4.
- Human CFTR is accession NM_000492.3.
- In this example, a translatable mUNA molecule is made for use in expressing human argininosuccinate lyase (ASL) in vivo. The translatable mUNA molecule expressing human ASL in vivo is suitable for use in methods for ameliorating or treating ASL deficiency. In this embodiment, the translatable mUNA molecule comprises a 5′ cap (m7GpppGm), a 5′ UTR of TEV, a ASL CDS, a 3′UTR of xenopus beta-globin, and a tail region shown in Example 4.
- Human ASL is accession NM_001024943.1.
- In this example, a translatable mUNA molecule is made for use in expressing human Phenylalanine-4-hydroxylase (PAH) in vivo. The translatable mUNA molecule expressing human PAH in vivo is suitable for use in methods for ameliorating or treating Phenylketonuria (PKU). In this embodiment, the translatable mUNA molecule comprises a 5′ cap (m7GpppGm), a 5′ UTR of TEV, a PAH CDS, a 3′UTR of xenopus beta-globin, and a tail region shown in Example 4.
- Human PAH is accession NM_000277.1.
- In this example, a translatable mUNA molecule is made for use in expressing human Sodium/iodide cotransporter (NIS) in vivo. The translatable mUNA molecule expressing human NIS in vivo is suitable for use in methods for ameliorating or treating thyroid disease. In this embodiment, the translatable mUNA molecule comprises a 5′ cap (m7GpppGm), a 5′ UTR of TEV, a NIS CDS, a 3′UTR of xenopus beta-globin, and a tail region shown in Example 4.
- Human NIS is accession BC105047.
- In this example, a translatable mUNA molecule is made for use in expressing human Sodium/iodide cotransporter (NIS) in vivo. The translatable mUNA molecule expressing human NIS in vivo is suitable for use in methods for ameliorating or treating thyroid disease. In this embodiment, the translatable mUNA molecule comprises a 5′ cap (m7GpppGm), a 5′ UTR of TEV, a NIS CDS, a 3′UTR of xenopus beta-globin, and a tail region shown in Example 4.
- Human NIS is accession BC105047.
- In this example, a translatable mUNA molecule is made for use in expressing human Hepcidin in vivo. The translatable mUNA molecule expressing human Hepcidin in vivo is suitable for use in methods for ameliorating or treating iron deficiency disease. In this embodiment, the translatable mUNA molecule comprises a 5′ cap (m7GpppGm), a 5′ UTR of TEV, a Hepcidin CDS, a 3′UTR of xenopus beta-globin, and a tail region shown in Example 4.
- Human Hepcidin is accession NM_021175.3.
- In this example, the structures of mUNA molecules for use in expressing Factor IX are shown.
- Factor IX (F9) is associated with hemophilia B.
- The base sequences shown below are the portion of the mUNA molecule that may correspond in functionality to the open reading frame of the native mRNA of human Factor IX. The complete mUNA molecule comprises a 5′ cap (m7GpppGm), and a 5′-UTR upstream of the sequence below, and a 3′ UTR and polyA tail (SEQ ID Nos: 4 to 12) downstream of the sequence below, each of which corresponds to the structure of the native mRNA of human Factor IX.
-
Human Factor IX is accession NM_000133.3. (SEQ ID NO: 15) AU{circumflex over (G)}CAGCGCGUGAACAUGAUCAUGGCAGAAUC{tilde over (A)}CCAGGCCUCAUCACCA UCUGCCUUUUAGG{tilde over (A)}UAUCUACUCAGUGCUGAAUGUACAGUUUU{tilde over (U)}CUUGA UCAUGAAAACGCCAACAAAAUUCU{circumflex over (G)}AAUCGGCCAAAGAGGUAUAAUUCA GGUAA{tilde over (A)}UUGGAAGAGUUUGUUCAAGGGAACCUUGA{circumflex over (G)}AGAGAAUGUAUGG AAGAAAAGUGUAGUUU{tilde over (U)}GAAGAAGCACGAGAAGUUUUUGAAAACAC{tilde over (U)}GA AAGAACAACUGAAUUUUGGAAGCAGUA{tilde over (U)}GUUGAUGGAGAUCAGUGUGAG UCCAAUCC{tilde over (A)}UGUUUAAAUGGCGGCAGUUGCAAGGAUGA{circumflex over (C)}AUUAAUUCCU AUGAAUGUUGGUGUCCCUU{tilde over (U)}GGAUUUGAAGGAAAGAACUGUGAAUUAGA {tilde over (U)}GUAACAUGUAACAUUAAGAAUGGCAGAUG{circumflex over (C)}GAGCAGUUUUGUAAAAAU AGUGCUGAUAA{circumflex over (C)}AAGGUGGUUUGCUCCUGUACUGAGGGAUA{tilde over (U)}CGACUUG CAGAAAACCAGAAGUCCUGUGA{tilde over (A)}CCAGCAGUGCCAUUUCCAUGUGGAAG AGU{tilde over (U)}UCUGUUUCACAAACUUCUAAGCUCACCCG{tilde over (U)}GCUGAGACUGUUUUU CCUGAUGUGGACUA{tilde over (U)}GUAAAUUCUACUGAAGCUGAAACCAUUUUG{circumflex over (G)}AUA ACAUCACUCAAAGCACCCAAUCAUU{tilde over (U)}AAUGACUUCACUCGGGUUGUUGG UGGAGA{tilde over (A)}GAUGCCAAACCAGGUCAAUUCCCUUGGCA{circumflex over (G)}GUUGUUUUGAAU GGUAAAGUUGAUGCAUU{circumflex over (C)}UGUGGAGGCUCUAUCGUUAAUGAAAAAUG{circumflex over (G)}A UUGUAACUGCUGCCCACUGUGUUGAAAC{tilde over (U)}GGUGUUAAAAUUACAGUUGU CGCAGGUGA{tilde over (A)}CAUAAUAUUGAGGAGACAGAACAUACAGA{circumflex over (G)}CAAAAGCGA AAUGUGAUUCGAAUUAUUCC{tilde over (U)}CACCACAACUACAAUGCAGCUAUUAAUA A{circumflex over (G)}UACAACCAUGACAUUGCCCUUCUGGAACU{circumflex over (G)}GACGAACCCUUAGUGCU AAACAGCUACGU{tilde over (U)}ACACCUAUUUGCAUUGCUGACAAGGAAUA{circumflex over (C)}ACGAAC AUCUUCCUCAAAUUUGGAUCUGG{circumflex over (C)}UAUGUAAGUGGCUGGGGAAGAGUCU UCCA{circumflex over (C)}AAAGGGAGAUCAGCUUUAGUUCUUCAGUA{circumflex over (C)}CUUAGAGUUCCACU UGUUGACCGAGCCAC{tilde over (A)}UGUCUUCGAUCUACAAAGUUCACCAUCUA{tilde over (U)}AAC AACAUGUUCUGUGCUGGCUUCCAUGA{tilde over (A)}GGAGGUAGAGAUUCAUGUCAAG GAGAUAG{tilde over (U)}GGGGGACCCCAUGUUACUGAAGUGGAAGG{circumflex over (G)}ACCAGUUUCUU AACUGGAAUUAUUAGCUG{circumflex over (G)}GGUGAAGAGUGUGCAAUGAAAGGCAAAUA{tilde over (U)} GGAAUAUAUACCAAGGUAUCCCGGUAUGU{circumflex over (C)}AACUGGAUUAAGGAAAAAA CAAAGCUCAC{tilde over (U)}UAA (SEQ ID NO: 16) A{tilde over (U)}{circumflex over (G)}{circumflex over (C)}AGCGCGUGAACAUGAUCAUGGCAGAAUCACCAGGCCUCAUCACCA UCUGCCUUUUAGGAUAUCUACUCAGUGCUGAAUGUACAGUUUUUCUUGA UCAUGAAAACGCCAACAAAAUUCUGAAUCGGCCAAAGAGGUAUAAUUCA GGUAAAUUGGAAGAGUUUGUUCAAGGGAACCUUGAGAGAGAAUGUAUGG AAGAAAAGUGUAGUUUUGAAGAAGCACGAGAAGUUUUUGAAAACACUGA AAGAACAACUGAAUUUUGGAAGCAGUAUGUUGAUGGAGAUCAGUGUGAG UCCAAUCCAUGUUUAAAUGGCGGCAGUUGCAAGGAUGACAUUAAUUCCU AUGAAUGUUGGUGUCCCUUUGGAUUUGAAGGAAAGAACUGUGAAUUAGA UGUAACAUGUAACAUUAAGAAUGGCAGAUGCGAGCAGUUUUGUAAAAAU AGUGCUGAUAACAAGGUGGUUUGCUCCUGUACUGAGGGAUAUCGACUUG CAGAAAACCAGAAGUCCUGUGAACCAGCAGUGCCAUUUCCAUGUGGAAG AGUUUCUGUUUCACAAACUUCUAAGCUCACCCGUGCUGAGACUGUUUUU CCUGAUGUGGACUAUGUAAAUUCUACUGAAGCUGAAACCAUUUUGGAUA CACAUCACUCAAAGCACCCAAUCAUUUAAUGACUUCACUCGGGUUGUUG GUGGAGAAGAUGCCAAACCAGGUCAAUUCCCUUGGCAGGUUGUUUUGAA UGGUAAAGUUGAUGCAUUCUGUGGAGGCUCUAUGUUAAUGAAAAAUGGA UUGUAACUGCUGCCCACUGUGUUGAAACUGGUGUUAAAAUUACAGUUGU CGCAGGUGAACAUAAUAUUGAGGAGACAGAACAUACAGAGCAAAAGCGA AAUGUGAUUCGAAUUAUUCCUCACCACAACUACAAUGCAGCUAUUAAUA AGUACAACCAUGACAUUGCCCUUCUGGAACUGGACGAACCCUUAGUGCU AAACAGCUACGUUACACCUAUUUGCAUUGCUGACAAGGAAUACACGAAC AUCUUCCUCAAAUUUGGAUCUGGCUAUGUAAGUGGCUGGGGAAGAGUCU UCCACAAAGGGAGAUCAGCUUUAGUUCUUCAGUACCUUAGAGUUCCACU UGUUGACCGAGCCACAUGUCUUCGAUCUACAAAGUUCACCAUCUAUAAC AACAUGUUCUGUGCUGGCUUCCAUGAAGGAGGUAGAGAUUCAUGUCAAG GAGAUAGUGGGGGACCCCAUGUUACUGAAGUGGAAGGGACCAGUUUCUU AACUGGAAUUAUUAGCUGGGGUGAAGAGUGUGCAAUGAAAGGCAAAUAU GGAAUAUAUACCAAGGUAUCCCGGUAUGUCAACUGGAUUAAGGAAAAAA CAAAGCUCAC{tilde over (U)}{tilde over (U)}{tilde over (A)}A (SEQ ID NO: 17) A{tilde over (U)}GCAGCGCG{tilde over (U)}GAACA{tilde over (U)}GA{tilde over (U)}CAGGCAGAA{tilde over (U)}CACCAGGCC{tilde over (U)}CA{tilde over (U)}CACCA{tilde over (U)} C{tilde over (U)}GCC{tilde over (U)}{tilde over (U)}{tilde over (U)}{tilde over (U)}AGGA{tilde over (U)}A{tilde over (U)}C{tilde over (U)}AC{tilde over (U)}CAG{tilde over (U)}GC{tilde over (U)}GAA{tilde over (U)}G{tilde over (U)}ACAG{tilde over (U)}{tilde over (U)}{tilde over (U)}{tilde over (U)}{tilde over (U)}C{tilde over (U)}{tilde over (U)}GA{tilde over (U)} CA{tilde over (U)}GAAAACGCCAACAAAA{tilde over (U)}{tilde over (U)}C{tilde over (U)}GAA{tilde over (U)}CGGCCAAAGAGG{tilde over (U)}A{tilde over (U)}AA{tilde over (U)}{tilde over (U)}CAG G{tilde over (U)}AAA{tilde over (U)}{tilde over (U)}GGAAGAG{tilde over (U)}{tilde over (U)}{tilde over (U)}G{tilde over (U)}{tilde over (U)}CAAGGGAACC{tilde over (U)}{tilde over (U)}GAGAGAGAA{tilde over (U)}G{tilde over (U)}A{tilde over (U)}GGA AGAAAAG{tilde over (U)}G{tilde over (U)}AG{tilde over (U)}{tilde over (U)}{tilde over (U)}{tilde over (U)}GAAGAAGCACGAGAAG{tilde over (U)}{tilde over (U)}{tilde over (U)}{tilde over (U)}{tilde over (U)}GAAAACAC{tilde over (U)}GAA AGAACAAC{tilde over (U)}GAA{tilde over (U)}{tilde over (U)}{tilde over (U)}{tilde over (U)}GGAAGCAG{tilde over (U)}A{tilde over (U)}G{tilde over (U)}{tilde over (U)}GA{tilde over (U)}GGAGA{tilde over (U)}CAG{tilde over (U)}G{tilde over (U)}GAG{tilde over (U)} CCAA{tilde over (U)}CCA{tilde over (U)}G{tilde over (U)}{tilde over (U)}{tilde over (U)}AAA{tilde over (U)}GGCGGCAG{tilde over (U)}{tilde over (U)}GCAAGGA{tilde over (U)}GACA{tilde over (U)}{tilde over (U)}AA{tilde over (U)}{tilde over (U)}CC{tilde over (U)}A {tilde over (U)}GAA{tilde over (U)}G{tilde over (U)}{tilde over (U)}GG{tilde over (U)}G{tilde over (U)}CCC{tilde over (U)}{tilde over (U)}{tilde over (U)}GGA{tilde over (U)}{tilde over (U)}{tilde over (U)}GAAGGAAAGAAC{tilde over (U)}G{tilde over (U)}GAA{tilde over (U)}{tilde over (U)}AGA{tilde over (U)} G{tilde over (U)}AACA{tilde over (U)}G{tilde over (U)}AACA{tilde over (U)}{tilde over (U)}AAGAA{tilde over (U)}GGCAGA{tilde over (U)}GCGAGCAG{tilde over (U)}{tilde over (U)}{tilde over (U)}{tilde over (U)}G{tilde over (U)}AAAAA{tilde over (U)}A G{tilde over (U)}GC{tilde over (U)}GA{tilde over (U)}AACAAGG{tilde over (U)}GG{tilde over (U)}{tilde over (U)}{tilde over (U)}GC{tilde over (U)}CC{tilde over (U)}G{tilde over (U)}AC{tilde over (U)}GAGGGA{tilde over (U)}A{tilde over (U)}CGAC{tilde over (U)}{tilde over (U)}GC AGAAAACCAGAAG{tilde over (U)}CC{tilde over (U)}G{tilde over (U)}GAACCAGCAG{tilde over (U)}GCCA{tilde over (U)}{tilde over (U)}{tilde over (U)}CCA{tilde over (U)}G{tilde over (U)}GGAAGA G{tilde over (U)}{tilde over (U)}{tilde over (U)}C{tilde over (U)}G{tilde over (U)}{tilde over (U)}{tilde over (U)}CACAAAC{tilde over (U)}{tilde over (U)}C{tilde over (U)}AAGC{tilde over (U)}CACCCG{tilde over (U)}GC{tilde over (U)}GAGAC{tilde over (U)}G{tilde over (U)}{tilde over (U)}{tilde over (U)}{tilde over (U)}{tilde over (U)}C C{tilde over (U)}GA{tilde over (U)}G{tilde over (U)}GGAC{tilde over (U)}A{tilde over (U)}G{tilde over (U)}AAA{tilde over (U)}{tilde over (U)}C{tilde over (U)}AC{tilde over (U)}GAAGC{tilde over (U)}GAAACCA{tilde over (U)}{tilde over (U)}{tilde over (U)}{tilde over (U)}GGA{tilde over (U)}AA CA{tilde over (U)}CAC{tilde over (U)}CAAAGCACCCAA{tilde over (U)}CA{tilde over (U)}{tilde over (U)}{tilde over (U)}AA{tilde over (U)}GAC{tilde over (U)}{tilde over (U)}CAC{tilde over (U)}CGGG{tilde over (U)}{tilde over (U)}G{tilde over (U)}{tilde over (U)}GG{tilde over (U)} GGAGAAGA{tilde over (U)}GCCAAACCAGG{tilde over (U)}CAA{tilde over (U)}{tilde over (U)}CCC{tilde over (U)}{tilde over (U)}GGCAGG{tilde over (U)}{tilde over (U)}G{tilde over (U)}{tilde over (U)}{tilde over (U)}{tilde over (U)}GAA{tilde over (U)}G G{tilde over (U)}AAAG{tilde over (U)}{tilde over (U)}GA{tilde over (U)}GCA{tilde over (U)}{tilde over (U)}C{tilde over (U)}G{tilde over (U)}GGAGGC{tilde over (U)}C{tilde over (U)}A{tilde over (U)}CG{tilde over (U)}{tilde over (U)}AA{tilde over (U)}GAAAAA{tilde over (U)}GGA{tilde over (U)} {tilde over (U)}G{tilde over (U)}AAC{tilde over (U)}GC{tilde over (U)}GCCCAC{tilde over (U)}G{tilde over (U)}G{tilde over (U)}{tilde over (U)}GAAAC{tilde over (U)}GG{tilde over (U)}G{tilde over (U)}{tilde over (U)}AAAA{tilde over (U)}{tilde over (U)}ACAG{tilde over (U)}{tilde over (U)}G{tilde over (U)}C GCAGG{tilde over (U)}GAACA{tilde over (U)}AA{tilde over (U)}A{tilde over (U)}{tilde over (U)}GAGGAGACAGAACA{tilde over (U)}ACAGAGCAAAAGCGAA A{tilde over (U)}G{tilde over (U)}GA{tilde over (U)}{tilde over (U)}CGAA{tilde over (U)}{tilde over (U)}A{tilde over (U)}{tilde over (U)}CC{tilde over (U)}CACCACAAC{tilde over (U)}ACAA{tilde over (U)}GCAGC{tilde over (U)}A{tilde over (U)}{tilde over (U)}AA{tilde over (U)}AA G{tilde over (U)}ACAACCA{tilde over (U)}GACA{tilde over (U)}{tilde over (U)}GCCC{tilde over (U)}{tilde over (U)}C{tilde over (U)}GGAAC{tilde over (U)}GGACGAACCC{tilde over (U)}{tilde over (U)}AG{tilde over (U)}GC{tilde over (U)}A AACAGC{tilde over (U)}ACG{tilde over (U)}{tilde over (U)}ACACC{tilde over (U)}A{tilde over (U)}{tilde over (U)}{tilde over (U)}GCA{tilde over (U)}{tilde over (U)}GC{tilde over (U)}GACAAGGAA{tilde over (U)}ACACGAACA {tilde over (U)}C{tilde over (U)}{tilde over (U)}CC{tilde over (U)}CAAA{tilde over (U)}{tilde over (U)}{tilde over (U)}GGA{tilde over (U)}C{tilde over (U)}GGC{tilde over (U)}A{tilde over (U)}G{tilde over (U)}AAG{tilde over (U)}GGC{tilde over (U)}GGGGAAGAG{tilde over (U)}C{tilde over (U)}{tilde over (U)} CCACAAAGGGAGA{tilde over (U)}CAGC{tilde over (U)}{tilde over (U)}{tilde over (U)}AG{tilde over (U)}{tilde over (U)}C{tilde over (U)}{tilde over (U)}CAG{tilde over (U)}ACC{tilde over (U)}{tilde over (U)}AGAG{tilde over (U)}{tilde over (U)}CCAC{tilde over (U)}{tilde over (U)} G{tilde over (U)}{tilde over (U)}GACCGAGCCACA{tilde over (U)}G{tilde over (U)}C{tilde over (U)}{tilde over (U)}CGA{tilde over (U)}C{tilde over (U)}ACAAAG{tilde over (U)}{tilde over (U)}CACCA{tilde over (U)}C{tilde over (U)}A{tilde over (U)}AACA ACA{tilde over (U)}G{tilde over (U)}{tilde over (U)}C{tilde over (U)}G{tilde over (U)}GC{tilde over (U)}GGC{tilde over (U)}{tilde over (U)}CCA{tilde over (U)}GAAGGAGG{tilde over (U)}AGAGA{tilde over (U)}{tilde over (U)}CA{tilde over (U)}G{tilde over (U)}CAAGG AGA{tilde over (U)}AG{tilde over (U)}GGGGGACCCCA{tilde over (U)}G{tilde over (U)}{tilde over (U)}AC{tilde over (U)}GAAG{tilde over (U)}GGAAGGGACCAG{tilde over (U)}{tilde over (U)}{tilde over (U)}C{tilde over (U)}{tilde over (U)}A AC{tilde over (U)}GGAA{tilde over (U)}{tilde over (U)}A{tilde over (U)}{tilde over (U)}AGC{tilde over (U)}GGGG{tilde over (U)}GAAGAG{tilde over (U)}G{tilde over (U)}GCAA{tilde over (U)}GAAAGGCAAA{tilde over (U)}A{tilde over (U)}G GAA{tilde over (U)}A{tilde over (U)}A{tilde over (U)}ACCAAGG{tilde over (U)}A{tilde over (U)}CCCGG{tilde over (U)}A{tilde over (U)}G{tilde over (U)}CAAC{tilde over (U)}GGA{tilde over (U)}{tilde over (U)}AAGGAAAAAAC AAAGC{tilde over (U)}CAC{tilde over (U)}{tilde over (U)}AA - In this example, the structures of mUNA molecules for use in expressing alpha-1-Antitrypsin are shown.
- Alpha-1-Antitrypsin is associated with alpha-1-Antitrypsin deficiency disease, cystic fibrosis, interstitial lung disease, and pulmonary arterial hypertension.
- The base sequences shown below are the portion of the mUNA molecule that may correspond in functionality to the open reading frame of the native mRNA of alpha-1-Antitrypsin. The complete mUNA molecule comprises a 5′ cap (m7GpppGm), and a 5′-UTR upstream of the sequence below, and a 3′ UTR and polyA tail (SEQ ID Nos: 4 to 12) downstream of the sequence below, each of which corresponds to the structure of the native mRNA of alpha-1-Antitrypsin.
-
Human alpha-1-antitrypsin mRNA is accession NM_000295.4. (SEQ ID NO: 18) AU{circumflex over (G)}CCGUCUUCUGUCUCGUGGGGCAUCCUCCU{circumflex over (G)}CUGGCAGGCCUGUGCU GCCUGGUCCCUGU{circumflex over (C)}UCCCUGGCUGAGGAUCCCCAGGGAGAUGC{tilde over (U)}GCCCA GAAGACAGAUACAUCCCACCAUGA{tilde over (U)}CAGGAUCACCCAACCUUCAACAAG AUCA{circumflex over (C)}CCCCAACCUGGCUGAGUUCGCCUUCAGCCU{tilde over (A)}UACCGCCAGCUGG CACACCAGUCCAACAG{circumflex over (C)}ACCAAUAUCUUCUUCUCCCCAGUGAGCAU{circumflex over (C)}GC UACAGCCUUUGCAAUGCUCUCCCUGGG{circumflex over (G)}ACCAAGGCUGACACUCACGAU GAAAUCCU{circumflex over (G)}GAGGGCCUGAAUUUCAACCUCACGGAGAU{tilde over (U)}CCGGAGGCUC AGAUCCAUGAAGGCUUCCA{circumflex over (G)}GAACUCCUCCGUACCCUCAACCAGCCAGA {circumflex over (C)}AGCCAGCUCCAGCUGACCACCGGCAAUGG{circumflex over (C)}CUGUUCCUCAGCGAGGGC CUGAAGCUAGU{circumflex over (G)}GAUAAGUUUUUGGAGGAUGUUAAAAAGUU{circumflex over (G)}UACCACU CAGAAGCCUUCACUGUCAACUU{circumflex over (C)}GGGGACACCGAAGAGGCCAAGAAACA GAU{circumflex over (C)}AACGAUUACGUGGAGAAGGGUACUCAAGG{circumflex over (G)}AAAAUUGUGGAUUUG GUCAAGGAGCUUGA{circumflex over (C)}AGAGACACAGUUUUUGCUCUGGUGAAUUA{circumflex over (C)}AUCU UCUUUAAAGGCAAAUGGGAGAGACC{circumflex over (C)}UUUGAAGUCAAGGACACCGAGGA AGAGGA{circumflex over (C)}UUCCACGUGGACCAGGUGACCACCGUGAA{circumflex over (G)}GUGCCUAUGAUG AAGCGUUUAGGCAUGUU{tilde over (U)}AACAUCCAGCACUGUAAGAAGCUGUCCAG{circumflex over (C)}U GGGUGCUGCUGAUGAAAUACCUGGGCAA{tilde over (U)}GCCACCGCCAUCUUCUUCCU GCCUGAUGA{circumflex over (G)}GGGAAACUACAGCACCUGGAAAAUGAACU{circumflex over (C)}ACCCACGAU AUCAUCACCAAGUUCCUGGA{tilde over (A)}AAUGAAGACAGAAGGUCUGCCAGCUUAC A{tilde over (U)}UUACCCAAACUGUCCAUUACUGGAACCUA{tilde over (U)}GAUCUGAAGAGCGUCCU GGGUCAACUGGG{circumflex over (C)}AUCACUAAGGUCUUCAGCAAUGGGGCUGA{circumflex over (C)}CUCUCC GGGGUCACAGAGGAGGCACCCCU{circumflex over (G)}AAGCUCUCCAAGGCCGUGCAUAAGG CUGU{circumflex over (G)}CUGACCAUCGACGAGAAAGGGACUGAAGC{tilde over (U)}GCUGGGGCCAUGUU UUUAGAGGCCAUACC{circumflex over (C)}AUGUCUAUCCCCCCCGAGGUCAAGUUCAA{circumflex over (C)}AAA CCCUUUGUCUUCUUAAUGAUUGAACA{tilde over (A)}AAUACCAAGUCUCCCCUCUUCA UGGGAAA{tilde over (A)}GUGGUGAAUCCCACCCAAAAAU{tilde over (A)}A (SEQ ID NO: 19) A{tilde over (U)}{circumflex over (G)}{circumflex over (C)}CGUCUUCUGUCUCGUGGGGCAUCCUCCUGCUGGCAGGCCUGUGCU GCCUGGUCCCUGUCUCCCUGGCUGAGGAUCCCCAGGGAGAUGCUGCCCA GAAGACAGAUACAUCCCACCAUGAUCAGGAUCACCCAACCUUCAACAAG AUCACCCCCAACCUGGCUGAGUUCGCCUUCAGCCUAUACCGCCAGCUGG CACACCAGUCCAACAGCACCAAUAUCUUCUUCUCCCCAGUGAGCAUCGC UACAGCCUUUGCAAUGCUCUCCCUGGGGACCAAGGCUGACACUCACGAU GAAAUCCUGGAGGGCCUGAAUUUCAACCUCACGGAGAUUCCGGAGGCUC AGAUCCAUGAAGGCUUCCAGGAACUCCUCCGUACCCUCAACCAGCCAGA CAGCCAGCUCCAGCUGACCACCGGCAAUGGCCUGUUCCUCAGCGAGGGC CUGAAGCUAGUGGAUAAGUUUUUGGAGGAUGUUAAAAAGUUGUACCACU CAGAAGCCUUCACUGUCAACUUCGGGGACACCGAAGAGGCCAAGAAACA GAUCAACGAUUACGUGGAGAAGGGUACUCAAGGGAAAAUUGUGGAUUUG GUCAAGGAGCUUGACAGAGACACAGUUUUUGCUCUGGUGAAUUACAUCU UCUUUAAAGGCAAAUGGGAGAGACCCUUUGAAGUCAAGGACACCGAGGA AGAGGACUUCCACGUGGACCAGGUGACCACCGUGAAGGUGCCUAUGAUG AAGCGUUUAGGCAUGUUUAACAUCCAGCACUGUAAGAAGCUGUCCAGCU GGGUGCUGCUGAUGAAAUACCUGGGCAAUGCCACCGCCAUCUUCUUCCU GCCUGAUGAGGGGAAACUACAGCACCUGGAAAAUGAACUCACCCACGAU AUCAUCACCAAGUUCCUGGAAAAUGAAGACAGAAGGUCUGCCAGCUUAC AUUUACCCAAACUGUCCAUUACUGGAACCUAUGAUCUGAAGAGCGUCCU GGGUCAACUGGGCAUCACUAAGGUCUUCAGCAAUGGGGCUGACCUCUCC GGGGUCACAGAGGAGGCACCCCUGAAGCUCUCCAAGGCCGUGCAUAAGG CUGUGCUGACCAUCGACGAGAAAGGGACUGAAGCUGCUGGGGCCAUGUU UUUAGAGGCCAUACCCAUGUCUAUCCCCCCCGAGGUCAAGUUCAACAAA CCCUUUGUCUUCUUAAUGAUUGAACAAAAUACCAAGUCUCCCCUCUUCA UGGGAAAAGUGGUGAAUCCCACCCAAAA{tilde over (A)}{tilde over (U)}{tilde over (A)}A (SEQ ID NO: 20) A{tilde over (U)}GCCG{tilde over (U)}C{tilde over (U)}{tilde over (U)}C{tilde over (U)}G{tilde over (U)}C{tilde over (U)}CG{tilde over (U)}GGGGCA{tilde over (U)}CC{tilde over (U)}CC{tilde over (U)}GC{tilde over (U)}GGCAGGCC{tilde over (U)}G{tilde over (U)}GC{tilde over (U)} GCC{tilde over (U)}GG{tilde over (U)}CCC{tilde over (U)}G{tilde over (U)}C{tilde over (U)}CCC{tilde over (U)}GGC{tilde over (U)}GAGGA{tilde over (U)}CCCCAGGGAGA{tilde over (U)}GC{tilde over (U)}GCCCA GAAGACAGA{tilde over (U)}ACA{tilde over (U)}CCCACCA{tilde over (U)}GA{tilde over (U)}CAGGA{tilde over (U)}CACCCAACC{tilde over (U)}{tilde over (U)}CAACAAG A{tilde over (U)}CACCCCCAACC{tilde over (U)}GGC{tilde over (U)}GAG{tilde over (U)}{tilde over (U)}CGCC{tilde over (U)}{tilde over (U)}CAGCC{tilde over (U)}A{tilde over (U)}ACCGCCAGC{tilde over (U)}GG CACACCAG{tilde over (U)}CCAACAGCACCAA{tilde over (U)}A{tilde over (U)}C{tilde over (U)}{tilde over (U)}C{tilde over (U)}{tilde over (U)}C{tilde over (U)}CCCCAG{tilde over (U)}GAGCA{tilde over (U)}CGC {tilde over (U)}ACAGCC{tilde over (U)}{tilde over (U)}{tilde over (U)}GCAA{tilde over (U)}GC{tilde over (U)}C{tilde over (U)}CCC{tilde over (U)}GGGGACCAAGGC{tilde over (U)}GACAC{tilde over (U)}CACGA{tilde over (U)} GAAA{tilde over (U)}CC{tilde over (U)}GGAGGGCC{tilde over (U)}GAA{tilde over (U)}{tilde over (U)}{tilde over (U)}CAACC{tilde over (U)}CACGGAGA{tilde over (U)}{tilde over (U)}CCGGAGGC{tilde over (U)}C AGA{tilde over (U)}CCA{tilde over (U)}GAAGGC{tilde over (U)}{tilde over (U)}CCAGGAAC{tilde over (U)}CC{tilde over (U)}CCG{tilde over (U)}ACCC{tilde over (U)}CAACCAGCCAGA CAGCCAGC{tilde over (U)}CCAGC{tilde over (U)}GACCACCGGCAA{tilde over (U)}GGCC{tilde over (U)}G{tilde over (U)}{tilde over (U)}CC{tilde over (U)}CAGCGAGGGC C{tilde over (U)}GAAGC{tilde over (U)}AG{tilde over (U)}GGA{tilde over (U)}AAG{tilde over (U)}{tilde over (U)}{tilde over (U)}{tilde over (U)}{tilde over (U)}GGAGGA{tilde over (U)}G{tilde over (U)}{tilde over (U)}AAAAAG{tilde over (U)}{tilde over (U)}G{tilde over (U)}ACCAC{tilde over (U)} CAGAAGCC{tilde over (U)}{tilde over (U)}CAC{tilde over (U)}G{tilde over (U)}CAAC{tilde over (U)}{tilde over (U)}CGGGGACACCGAAGAGGCCAAGAAACA GA{tilde over (U)}CAACGA{tilde over (U)}{tilde over (U)}ACG{tilde over (U)}GGAGAAGGG{tilde over (U)}AC{tilde over (U)}CAAGGGAAAA{tilde over (U)}{tilde over (U)}G{tilde over (U)}GGA{tilde over (U)}{tilde over (U)}{tilde over (U)}G G{tilde over (U)}CAAGGAGC{tilde over (U)}{tilde over (U)}GACAGAGACACAG{tilde over (U)}{tilde over (U)}{tilde over (U)}{tilde over (U)}{tilde over (U)}GC{tilde over (U)}C{tilde over (U)}GG{tilde over (U)}GAA{tilde over (U)}{tilde over (U)}ACA{tilde over (U)}C{tilde over (U)} {tilde over (U)}C{tilde over (U)}{tilde over (U)}{tilde over (U)}AAAGGCAAA{tilde over (U)}GGGAGAGACCC{tilde over (U)}{tilde over (U)}{tilde over (U)}GAAG{tilde over (U)}CAAGGACACCGAGGA AGAGGAC{tilde over (U)}{tilde over (U)}CCACG{tilde over (U)}GGACCAGG{tilde over (U)}GACCACCG{tilde over (U)}GAAGG{tilde over (U)}GCC{tilde over (U)}A{tilde over (U)}GA{tilde over (U)}G AAGCG{tilde over (U)}{tilde over (U)}{tilde over (U)}AGGCA{tilde over (U)}G{tilde over (U)}{tilde over (U)}{tilde over (U)}AACA{tilde over (U)}CCAGCAC{tilde over (U)}G{tilde over (U)}AAGAAGC{tilde over (U)}G{tilde over (U)}CCAGC{tilde over (U)} GGG{tilde over (U)}GC{tilde over (U)}GC{tilde over (U)}GA{tilde over (U)}GAAA{tilde over (U)}ACC{tilde over (U)}GGGCAA{tilde over (U)}GCCACCGCCA{tilde over (U)}C{tilde over (U)}{tilde over (U)}C{tilde over (U)}{tilde over (U)}CC{tilde over (U)} GCC{tilde over (U)}GA{tilde over (U)}GAGGGGAAAC{tilde over (U)}ACAGCACC{tilde over (U)}GGAAAA{tilde over (U)}GAAC{tilde over (U)}CACCCACGA{tilde over (U)} A{tilde over (U)}CA{tilde over (U)}CACCAAG{tilde over (U)}{tilde over (U)}CC{tilde over (U)}GGAAAA{tilde over (U)}GAAGACAGAAGG{tilde over (U)}C{tilde over (U)}GCCAGC{tilde over (U)}{tilde over (U)}AC A{tilde over (U)}{tilde over (U)}{tilde over (U)}ACCCAAAC{tilde over (U)}G{tilde over (U)}CCA{tilde over (U)}{tilde over (U)}AC{tilde over (U)}GGAACC{tilde over (U)}A{tilde over (U)}GA{tilde over (U)}C{tilde over (U)}GAAGAGCG{tilde over (U)}CC{tilde over (U)} GGG{tilde over (U)}CAAC{tilde over (U)}GGGCA{tilde over (U)}CAC{tilde over (U)}AAGG{tilde over (U)}C{tilde over (U)}{tilde over (U)}CAGCAA{tilde over (U)}GGGGC{tilde over (U)}GACC{tilde over (U)}C{tilde over (U)}CC GGGG{tilde over (U)}CACAGAGGAGGCACCCC{tilde over (U)}GAAGC{tilde over (U)}C{tilde over (U)}CCAAGGCCG{tilde over (U)}GCA{tilde over (U)}AAGG C{tilde over (U)}G{tilde over (U)}GC{tilde over (U)}GACCA{tilde over (U)}CGACGAGAAAGGGAC{tilde over (U)}GAAGC{tilde over (U)}GC{tilde over (U)}GGGGCCA{tilde over (U)}G{tilde over (U)}{tilde over (U)} {tilde over (U)}{tilde over (U)}{tilde over (U)}AGAGGCCA{tilde over (U)}ACCCA{tilde over (U)}G{tilde over (U)}C{tilde over (U)}A{tilde over (U)}CCCCCCCGAGG{tilde over (U)}CAAG{tilde over (U)}{tilde over (U)}CAACAAA CCC{tilde over (U)}{tilde over (U)}{tilde over (U)}G{tilde over (U)}C{tilde over (U)}{tilde over (U)}C{tilde over (U)}{tilde over (U)}AA{tilde over (U)}GA{tilde over (U)}{tilde over (U)}GAACAAAA{tilde over (U)}ACCAAG{tilde over (U)}C{tilde over (U)}CCCC{tilde over (U)}C{tilde over (U)}{tilde over (U)}CA {tilde over (U)}GGGAAAAG{tilde over (U)}GG{tilde over (U)}GAA{tilde over (U)}CCCACCCAAAAA{tilde over (U)}AA - In this example, the structures of mUNA molecules for use in expressing alpha-1-Antitrypsin are shown.
- Alpha-1-Antitrypsin is associated with alpha-1-Antitrypsin deficiency disease, cystic fibrosis, interstitial lung disease, and pulmonary arterial hypertension.
- The base sequences shown below are the portion of the mUNA molecule that may correspond in functionality to the 5′-UTR of the native mRNA of alpha-1-Antitrypsin. The complete mUNA molecule comprises a 5′ cap (m7GpppGm) upstream of the sequence below, and coding region (CDS) for human alpha-1-Antitrypsin, a 3′ UTR and polyA tail (SEQ ID Nos: 4 to 12) downstream of the sequence below, each of which corresponds to the structure of the native mRNA of alpha-1-Antitrypsin.
-
Human alpha-1-antitrypsin mRNA is accession NM_000295.4. (SEQ ID NO: 21) GGCACCACCACUGACCUGGGACAGUGAAUCGACAGCCGACC (SEQ ID NO: 22) GGCACCACCACUGACCUGGGACAGUGAAUCGACAGCCGA{circumflex over (C)}{circumflex over (C)} (SEQ ID NO: 23) GGCACCACCACUGACCUGGGACAGUGAAUCGACAGCC{circumflex over (G)}{tilde over (A)}CC (SEQ ID NO: 24) GGCACCACCACUGACCUGGGACAGUGAAUCGACAG{circumflex over (C)}{circumflex over (C)}GACC (SEQ ID NO: 25) GGCACCACCACUGACCUGGGACAGUGAAUCGAC{tilde over (A)}{circumflex over (G)}CCGACC (SEQ ID NO: 26) GGCACCACCACUGACCUGGGACAGUGAAUCG{tilde over (A)}{circumflex over (C)}AGCCGACC (SEQ ID NO: 27) GGCACCACCACUGACCUGGGACAGUGAAU{circumflex over (C)}{circumflex over (G)}ACAGCCGACC (SEQ ID NO: 28) GGCACCACCACUGACCUGGGACAGUGA{tilde over (A)}{tilde over (U)}CGACAGCCGACC (SEQ ID NO: 29) GGCACCACCACUGACCUGGGACAGU{circumflex over (G)}{tilde over (A)}AUCGACAGCCGACC (SEQ ID NO: 30) GGCACCACCACUGACCUGGGACA{circumflex over (G)}{tilde over (U)}GAAUCGACAGCCGACC (SEQ ID NO: 31) GGCACCACCACUGACCUGGGA{circumflex over (C)}{tilde over (A)}GUGAAUCGACAGCCGACC (SEQ ID NO: 32) GGCACCACCACUGACCUGG{circumflex over (G)}{tilde over (A)}CAGUGAAUCGACAGCCGACC (SEQ ID NO: 33) GGCACCACCACUGACCU{circumflex over (G)}{circumflex over (G)}GACAGUGAAUCGACAGCCGACC (SEQ ID NO: 34) GGCACCACCACUGAC{circumflex over (C)}{tilde over (U)}GGGACAGUGAAUCGACAGCCGACC (SEQ ID NO: 35) GGCACCACCACUG{tilde over (A)}{circumflex over (C)}UGGGACAGUGAAUCGACAGCCGACC (SEQ ID NO: 36) GGCACCACCAC{tilde over (U)}{circumflex over (G)}ACCUGGGACAGUGAAUCGACAGCCGACC (SEQ ID NO: 37) GGCACCACC{tilde over (A)}{circumflex over (C)}CUGACCUGGGACAGUGAAUCGACAGCCGACC (SEQ ID NO: 38) GGCACCA{circumflex over (C)}{circumflex over (C)}ACUGACCUGGGACAGUGAAUCGACAGCCGACC (SEQ ID NO: 39) GGCAC{circumflex over (C)}{tilde over (A)}CCACUGACCUGGGACAGUGAAUCGACAGCCGACC (SEQ ID NO: 40) GGC{tilde over (A)}{circumflex over (C)}CACCACUGACCUGGGACAGUGAAUCGACAGCCGACC (SEQ ID NO: 41) G{circumflex over (G)}{circumflex over (C)}ACCACCACUGACCUGGGACAGUGAAUCGACAGCCGACC (SEQ ID NO: 42) GGCACCACCACUGACCUGGGACAGUGAAUCGACAGCCG{tilde over (A)}C{circumflex over (C)} (SEQ ID NO: 43) GGCACCACCACUGACCUGGGACAGUGAAUCGACAGCC{circumflex over (G)}AC{circumflex over (C)} (SEQ ID NO: 44) GGCACCACCACUGACCUGGGACAGUGAAUCGACAGC{circumflex over (C)}AC{circumflex over (C)} (SEQ ID NO: 45) GGCACCACCACUGACCUGGGACAGUGAAUCGACAG{circumflex over (C)}CGAC{circumflex over (C)} (SEQ ID NO: 46) GGCACCACCACUGACCUGGGACAGUGAAUCGACA{circumflex over (G)}CCGAC{circumflex over (C)} (SEQ ID NO: 47) GGCACCACCACUGACCUGGGACAGUGAAUCGAC{tilde over (A)}GCCGAC{circumflex over (C)} (SEQ ID NO: 48) GGCACCACCACUGACCUGGGACAGUGAAUCGA{circumflex over (C)}AGCCGAC{circumflex over (C)} (SEQ ID NO: 49) GGCACCACCACUGACCUGGGACAGUGAAUCG{tilde over (A)}CAGCCGAC{circumflex over (C)} (SEQ ID NO: 50) GGCACCACCACUGACCUGGGACAGUGAAUC{circumflex over (G)}ACAGCCGAC{circumflex over (C)} (SEQ ID NO: 51) GGCACCACCACUGACCUGGGACAGUGAAU{circumflex over (C)}GACAGCCGAC{circumflex over (C)} (SEQ ID NO: 52) GGCACCACCACUGACCUGGGACAGUGAA{tilde over (U)}CGACAGCCGAC{circumflex over (C)} (SEQ ID NO: 53) GGCACCACCACUGACCUGGGACAGUGA{tilde over (A)}UCGACAGCCGAC{circumflex over (C)} (SEQ ID NO: 54) GGCACCACCACUGACCUGGGACAGUG{tilde over (A)}AUCGACAGCCGAC{circumflex over (C)} (SEQ ID NO: 55) GGCACCACCACUGACCUGGGACAGU{circumflex over (G)}AAUCGACAGCCGAC{circumflex over (C)} (SEQ ID NO: 56) GGCACCACCACUGACCUGGGACAG{tilde over (U)}GAAUCGACAGCCGAC{circumflex over (C)} (SEQ ID NO: 57) GGCACCACCACUGACCUGGGACA{circumflex over (G)}UGAAUCGACAGCCGAC{circumflex over (C)} (SEQ ID NO: 58) GGCACCACCACUGACCUGGGAC{tilde over (A)}GUGAAUCGACAGCCGAC{circumflex over (C)} (SEQ ID NO: 59) GGCACCACCACUGACCUGGGA{circumflex over (C)}AGUGAAUCGACAGCCGAC{circumflex over (C)} (SEQ ID NO: 60) GGCACCACCACUGACCUGGG{tilde over (A)}CAGUGAAUCGACAGCCGAC{circumflex over (C)} (SEQ ID NO: 61) GGCACCACCACUGACCUGG{circumflex over (G)}ACAGUGAAUCGACAGCCGAC{circumflex over (C)} (SEQ ID NO: 62) GGCACCACCACUGACCUG{circumflex over (G)}GACAGUGAAUCGACAGCCGAC{circumflex over (C)} (SEQ ID NO: 63) GGCACCACCACUGACCU{circumflex over (G)}GGACAGUGAAUCGACAGCCGAC{circumflex over (C)} (SEQ ID NO: 64) GGCACCACCACUGACC{tilde over (U)}GGGACAGUGAAUCGACAGCCGAC{circumflex over (C)} (SEQ ID NO: 65) GGCACCACCACUGAC{circumflex over (C)}UGGGACAGUGAAUCGACAGCCGAC{circumflex over (C)} (SEQ ID NO: 66) GGCACCACCACUGA{circumflex over (C)}UUGGGACAGUGAAUCGACAGCCGAC{circumflex over (C)} (SEQ ID NO: 67) GGCACCACCACUG{tilde over (A)}CCUGGGACAGUGAAUCGACAGCCGAC{circumflex over (C)} (SEQ ID NO: 68) GGCACCACCACU{circumflex over (G)}ACCUGGGACAGUGAAUCGACAGCCGAC{circumflex over (C)} (SEQ ID NO: 69) GGCACCACCAC{tilde over (U)}GACCUGGGACAGUGAAUCGACAGCCGAC{circumflex over (C)} (SEQ ID NO: 70) GGCACCACCA{circumflex over (C)}UGACCUGGGACAGUGAAUCGACAGCCGAC{circumflex over (C)} (SEQ ID NO: 71) GGCACCACC{tilde over (A)}CUGACCUGGGACAGUGAAUCGACAGCCGAC{circumflex over (C)} (SEQ ID NO: 72) GGCACCAC{circumflex over (C)}ACUGACCUGGGACAGUGAAUCGACAGCCGAC{circumflex over (C)} (SEQ ID NO: 73) GGCACCA{circumflex over (C)}CACUGACCUGGGACAGUGAAUCGACAGCCGAC{circumflex over (C)} (SEQ ID NO: 74) GGCACC{tilde over (A)}CCACUGACCUGGGACAGUGAAUCGACAGCCGAC{circumflex over (C)} (SEQ ID NO: 75) GGCAC{circumflex over (C)}ACCACUGACCUGGGACAGUGAAUCGACAGCCGAC{circumflex over (C)} (SEQ ID NO: 76) GGCA{circumflex over (C)}CACCACUGACCUGGGACAGUGAAUCGACAGCCGAC{circumflex over (C)} (SEQ ID NO: 77) GGC{tilde over (A)}CCACCACUGACCUGGGACAGUGAAUCGACAGCCGAC{circumflex over (C)} (SEQ ID NO: 78) GG{circumflex over (C)}ACCACCACUGACCUGGGACAGUGAAUCGACAGCCGAC{circumflex over (C)} (SEQ ID NO: 79) G{circumflex over (G)}CACCACCACUGACCUGGGACAGUGAAUCGACAGCCGAC{circumflex over (C)} (SEQ ID NO: 80) GGCACCACCACUGACCUGGGACAGUGAAUCGACAGCCG{tilde over (A)}{circumflex over (C)}{circumflex over (C)} (SEQ ID NO: 81) GGCACCACCACUGACCUGGGACAGUGAAUCGACAG{circumflex over (C)}{circumflex over (C)}{circumflex over (G)}ACC (SEQ ID NO: 82) GGCACCACCACUGACCUGGGACAGUGAAUCGA{circumflex over (C)}{tilde over (A)}{circumflex over (G)}CCGACC (SEQ ID NO: 83) GGCACCACCACUGACCUGGGACAGUGAAUCGACAGC{circumflex over (C)}{circumflex over (G)}{tilde over (A)}CC (SEQ ID NO: 84) GGCACCACCACUGACCUGGGACAGUG{tilde over (A)}{tilde over (A)}{tilde over (U)}CGACAGCCGACC (SEQ ID NO: 85) GGCACCACCACUGACCUGGGACA{circumflex over (G)}{tilde over (U)}{circumflex over (G)}AAUCGACAGCCGACC (SEQ ID NO: 86) GGCACCACCACUGACCUGGG{tilde over (U)}{circumflex over (C)}{tilde over (A)}GUGAAUCGACAGCCGACC (SEQ ID NO: 87) GGCACCACCACUGACCU{circumflex over (G)}{circumflex over (G)}{circumflex over (G)}ACAGUGAAUCGACAGCCGACC (SEQ ID NO: 88) GGCACCACCACUGA{circumflex over (C)}{circumflex over (C)}{tilde over (U)}GGGACAGUGAAUCGACAGCCGACC (SEQ ID NO: 89) GGCACCACCAC{tilde over (U)}{circumflex over (G)}{tilde over (A)}CCUGGGACAGUGAAUCGACAGCCGACC (SEQ ID NO: 90) GGCACCAC{circumflex over (C)}{tilde over (A)}{circumflex over (C)}UGACCUGGGACAGUGAAUCGACAGCCGACC (SEQ ID NO: 91) GGCAC{circumflex over (C)}{tilde over (A)}{circumflex over (C)}CACUGACCUGGGACAGUGAAUCGACAGCCGACC (SEQ ID NO: 92) GG{circumflex over (C)}{tilde over (A)}{circumflex over (C)}CACCACUGACCUGGGACAGUGAAUCGACAGCCGACC (SEQ ID NO: 93) G{circumflex over (G)}CACCACCACUGACCUGGGACAGUGAAUCGACAGCCG{tilde over (A)}C{circumflex over (C)} (SEQ ID NO: 94) G{circumflex over (G)}CACCACCACUGACCUGGGACAGUGAAUCGACAGCC{circumflex over (G)}AC{circumflex over (C)} (SEQ ID NO: 95) G{circumflex over (G)}CACCACCACUGACCUGGGACAGUGAAUCGACAGC{circumflex over (C)}GAC{circumflex over (C)} (SEQ ID NO: 96) G{circumflex over (G)}CACCACCACUGACCUGGGACAGUGAAUCGACAG{circumflex over (C)}CGAC{circumflex over (C)} (SEQ ID NO: 97) G{circumflex over (G)}CACCACCACUGACCUGGGACAGUGAAUCGACA{circumflex over (G)}CCGAC{circumflex over (C)} (SEQ ID NO: 98) G{circumflex over (G)}CACCACCACUGACCUGGGACAGUGAAUCG{tilde over (A)}CAGCCGAC{circumflex over (C)} (SEQ ID NO: 99) G{circumflex over (G)}CACCACCACUGACCUGGGACAGUGAAUCGA{circumflex over (C)}AGCCGAC{circumflex over (C)} (SEQ ID NO: 100) G{circumflex over (G)}CACCACCACUGACCUGGGACAGUGAAUCG{tilde over (A)}CAGCCGAC{circumflex over (C)} (SEQ ID NO: 101) G{circumflex over (G)}CACCACCACUGACCUGGGACAGUGAAUC{circumflex over (G)}ACAGCCGAC{circumflex over (C)} (SEQ ID NO: 102) G{circumflex over (G)}CACCACCACUGACCUGGGACAGUGAAU{circumflex over (C)}GACAGCCGAC{circumflex over (C)} (SEQ ID NO: 103) G{circumflex over (G)}CACCACCACUGACCUGGGACAGUGAA{tilde over (U)}CGACAGCCGAC{circumflex over (C)} (SEQ ID NO: 104) G{circumflex over (G)}CACCACCACUGACCUGGGACAGUGA{tilde over (A)}UCGACAGCCGAC{circumflex over (C)} (SEQ ID NO: 105) G{circumflex over (G)}CACCACCACUGACCUGGGACAGUG{tilde over (A)}AUCGACAGCCGAC{circumflex over (C)} (SEQ ID NO: 106) G{circumflex over (G)}CACCACCACUGACCUGGGACAGU{circumflex over (G)}AAUCGACAGCCGAC{circumflex over (C)} (SEQ ID NO: 107) G{circumflex over (G)}CACCACCACUGACCUGGGACAG{tilde over (U)}GAAUCGACAGCCGAC{circumflex over (C)} (SEQ ID NO: 108) G{circumflex over (G)}CACCACCACUGACCUGGGACA{circumflex over (G)}UGAAUCGACAGCCGAC{circumflex over (C)} (SEQ ID NO: 109) G{circumflex over (G)}CACCACCACUGACCUGGGAC{tilde over (A)}GUGAAUCGACAGCCGAC{circumflex over (C)} (SEQ ID NO: 110) G{circumflex over (G)}CACCACCACUGACCUGGGA{circumflex over (C)}AGUGAAUCGACAGCCGAC{circumflex over (C)} (SEQ ID NO: 111) G{circumflex over (G)}CACCACCACUGACCUGGG{tilde over (A)}CAGUGAAUCGACAGCCGAC{circumflex over (C)} (SEQ ID NO: 112) G{circumflex over (G)}CACCACCACUGACCUGG{circumflex over (G)}ACAGUGAAUCGACAGCCGAC{circumflex over (C)} (SEQ ID NO: 113) G{circumflex over (G)}CACCACCACUGACCUG{circumflex over (G)}GACAGUGAAUCGACAGCCGAC{circumflex over (C)} (SEQ ID NO: 114) G{circumflex over (G)}CACCACCACUGACCU{circumflex over (G)}GGACAGUGAAUCGACAGCCGAC{circumflex over (C)} (SEQ ID NO: 115) G{circumflex over (G)}CACCACCACUGACC{tilde over (U)}GGGACAGUGAAUCGACAGCCGAC{circumflex over (C)} (SEQ ID NO: 116) G{circumflex over (G)}CACCACCACUGAC{circumflex over (C)}UGGGACAGUGAAUCGACAGCCGAC{circumflex over (C)} (SEQ ID NO: 117) G{circumflex over (G)}CACCACCACUGA{circumflex over (C)}CUGGGACAGUGAAUCGACAGCCGAC{circumflex over (C)} (SEQ ID NO: 118) G{circumflex over (G)}CACCACCACUG{tilde over (A)}CCUGGGACAGUGAAUCGACAGCCGAC{circumflex over (C)} (SEQ ID NO: 119) G{circumflex over (G)}CACCACCACU{circumflex over (G)}ACCUGGGACAGUGAAUCGACAGCCGAC{circumflex over (C)} (SEQ ID NO: 120) G{circumflex over (G)}CACCACCAC{tilde over (U)}GACCUGGGACAGUGAAUCGACAGCCGAC{circumflex over (C)} (SEQ ID NO: 121) G{circumflex over (G)}CACCACCA{circumflex over (C)}UGACCUGGGACAGUGAAUCGACAGCCGAC{circumflex over (C)} (SEQ ID NO: 122) G{circumflex over (G)}CACC{tilde over (A)}CCACUGACCUGGGACAGUGAAUCGACAGCCGAC{circumflex over (C)} (SEQ ID NO: 123) G{circumflex over (G)}CACCAC{circumflex over (C)}ACUGACCUGGGACAGUGAAUCGACAGCCGAC{circumflex over (C)} (SEQ ID NO: 124) G{circumflex over (G)}CACCA{circumflex over (C)}CACUGACCUGGGACAGUGAAUCGACAGCCGAC{circumflex over (C)} (SEQ ID NO: 125) G{circumflex over (G)}CACC{tilde over (A)}CCACUGACCUGGGACAGUGAAUCGACAGCCGAC{circumflex over (C)} (SEQ ID NO: 126) G{circumflex over (G)}CAC{circumflex over (C)}ACCACUGACCUGGGACAGUGAAUCGACAGCCGAC{circumflex over (C)} (SEQ ID NO: 127) G{circumflex over (G)}CA{circumflex over (C)}CACCACUGACCUGGGACAGUGAAUCGACAGCCGAC{circumflex over (C)} (SEQ ID NO: 128) G{circumflex over (G)}C{tilde over (A)}CCACCACUGACCUGGGACAGUGAAUCGACAGCCGAC{circumflex over (C)} (SEQ ID NO: 129) G{circumflex over (G)}{circumflex over (C)}ACCACCACUGACCUGGGACAGUGAAUCGACAGCCGAC{circumflex over (C)} (SEQ ID NO: 130) {circumflex over (G)}{circumflex over (G)}CACCACCACUGACCUGGGACAGUGAAUCGACAGCCGAC{circumflex over (C)} - In this example, the structures of mUNA molecules for use in expressing human Erythropoietin (EPO) are shown.
- Erythropoietin is available as a commercial drug and is indicated for anemia resulting from chronic kidney disease, inflammatory bowel disease including Crohn's disease and ulcer colitis, and myelodysplasia from the treatment of cancer with chemotherapy or radiation.
- The base sequences shown below are the portion of the mUNA molecule that may correspond in functionality to the open reading frame of the native mRNA of human Erythropoietin. The complete mUNA molecule comprises a 5′ cap (m7GpppGm), and a 5′-UTR upstream of the sequence below, and a 3′ UTR and polyA tail (SEQ ID Nos: 4 to 12) downstream of the sequence below, each of which corresponds to the structure of the native mRNA of human Erythropoietin.
-
Human Erythropoietin is accession NM_000799.2. (SEQ ID NO: 131) A{tilde over (U)}{circumflex over (G)}G{circumflex over (G)}GGUGCACGAAUGUCCUGCCUGGCUGUGGCUUCUCCUGUCCCUGC UGUCGCUCCCUCUGGGCCUCCCAGUCCUGGGCGCCCCACCACGCCUCAU CUGUGACAGCCGAGUCCUGGAGAGGUACCUCUUGGAGGCCAAGGAGGCC GAGAAUAUCACGACGGGCUGUGCUGAACACUGCAGCUUGAAUGAGAAUA UCACUGUCCCAGACACCAAAGUUAAUUUCUAUGCCUGGAAGAGGAUGGA GGUCGGGCAGCAGGCCGUAGAAGUCUGGCAGGGCCUGGCCCUGCUGUCG GAAGCUGUCCUGCGGGGCCAGGCCCUGUUGGUCAACUCUUCCCAGCCGU GGGAGCCCCUGCAGCUGCAUGUGGAUAAAGCCGUCAGUGGCCUUCGCAG CCUCACCACUCUGCUUCGGGCUCUGGGAGCCCAGAAGGAAGCCAUCUCC CCUCCAGAUGCGGCCUCAGCUGCUCCACUCCGAACAAUCACUGCUGACA CUUUCCGCAAACUCUUCCGAGUCUACUCCAAUUUCCUCCGGGGAAAGCU GAAGCUGUACACAGGGGAGGCCUGCAGGACAGGGGACAG{tilde over (A)}{tilde over (U)}{circumflex over (G)}A (SEQ ID NO: 132) AU{circumflex over (G)}GGGGUGCACGA{tilde over (A)}UGUCCUGCCUG{circumflex over (G)}CUGUGGCUUCU{circumflex over (C)}CUGUCCCUGC U{circumflex over (G)}UCGCUCCCUCU{circumflex over (G)}GGCCUCCCAGU{circumflex over (C)}CUGGGCGCCCC{tilde over (A)}CCACGCCUCAU {circumflex over (C)}UGUGACAGCCG{tilde over (A)}GUCCUGGAGAG{circumflex over (G)}UACCUCUUGGA{circumflex over (G)}GCCAAGGAGGC {circumflex over (C)}GAGAAUAUCAC{circumflex over (G)}ACGGGCUGUGC{tilde over (U)}GAACACUGCAG{circumflex over (C)}UUGAAUGAGAA {tilde over (U)}AUCACUGUCCC{tilde over (A)}GACACCAAAGU{tilde over (U)}AAUUUCUAUGC{circumflex over (C)}UGGAAGAGGAU {circumflex over (G)}GAGGUCGGGCA{circumflex over (G)}CAGGCCGUAGA{tilde over (A)}GUCUGGCAGGG{circumflex over (C)}UUGGCCCUGCU {circumflex over (G)}UCGGAAGCUGU{circumflex over (C)}CUGCGGGGCCA{circumflex over (G)}GCCCUGUUGGU{circumflex over (C)}AACUCUUCCC A{circumflex over (G)}CCGUGGGAGCC{circumflex over (G)}CUGCAGCUGCA{tilde over (U)}GUGGAUAAAGC{circumflex over (C)}GUCAGUGGCC U{tilde over (U)}CGCAGCCUCAC{circumflex over (C)}ACUCUGCUUCGGGCUCUGGGAGC{circumflex over (C)}CAGAAGGAAG CCAUCUCCCCUCC{tilde over (A)}GAUGCGGCCUC{tilde over (A)}GCUGCUCCACU{circumflex over (C)}CGAACAAUCA C{tilde over (U)}GCUGACACUUU{circumflex over (C)}CGCAAACUCUU{circumflex over (C)}CGAGUCUACUC{circumflex over (C)}AAUUUCCUCC G{circumflex over (G)}GGAAAGCUGAA{circumflex over (G)}CUGUACACAGG{circumflex over (G)}GAGGCCUGCAG{circumflex over (G)}ACAGGGGAC AG{tilde over (A)}UGA (SEQ ID NO: 133) A{tilde over (U)}GGGGG{tilde over (U)}GCACGAA{tilde over (U)}G{tilde over (U)}CC{tilde over (U)}GCC{tilde over (U)}GGC{tilde over (U)}G{tilde over (U)}GGC{tilde over (U)}{tilde over (U)}C{tilde over (U)}CC{tilde over (U)}G{tilde over (U)}CCC{tilde over (U)}GC {tilde over (U)}G{tilde over (U)}CGC{tilde over (U)}CCC{tilde over (U)}C{tilde over (U)}GGGCC{tilde over (U)}CCCAG{tilde over (U)}CC{tilde over (U)}GGGCGCCCCACCACGCC{tilde over (U)}CA{tilde over (U)} C{tilde over (U)}G{tilde over (U)}GACAGCCGAG{tilde over (U)}CC{tilde over (U)}GGAGAGG{tilde over (U)}ACC{tilde over (U)}C{tilde over (U)}{tilde over (U)}GGAGGCCAAGGAGGCC GAGAA{tilde over (U)}A{tilde over (U)}CACGACGGGC{tilde over (U)}G{tilde over (U)}GC{tilde over (U)}GAACAC{tilde over (U)}GCAGC{tilde over (U)}{tilde over (U)}GAA{tilde over (U)}GAGAA{tilde over (U)}A {tilde over (U)}CAC{tilde over (U)}G{tilde over (U)}CCCAGACACCAAAG{tilde over (U)}{tilde over (U)}AA{tilde over (U)}{tilde over (U)}{tilde over (U)}C{tilde over (U)}A{tilde over (U)}GCC{tilde over (U)}GGAAGAGGA{tilde over (U)}GGA GG{tilde over (U)}CGGGCAGCAGGCCG{tilde over (U)}AGAAG{tilde over (U)}C{tilde over (U)}GGCAGGGCC{tilde over (U)}GGCCC{tilde over (U)}GC{tilde over (U)}G{tilde over (U)}CG GAAGC{tilde over (U)}G{tilde over (U)}CC{tilde over (U)}GCGGGGCCAGGCCC{tilde over (U)}G{tilde over (U)}{tilde over (U)}GG{tilde over (U)}CAAC{tilde over (U)}C{tilde over (U)}{tilde over (U)}CCCAGCCG{tilde over (U)} GGGAGCCCC{tilde over (U)}GCAGC{tilde over (U)}GCA{tilde over (U)}G{tilde over (U)}GGA{tilde over (U)}AAAGCCG{tilde over (U)}CAG{tilde over (U)}GGCC{tilde over (U)}{tilde over (U)}CGCAG CC{tilde over (U)}CACCAC{tilde over (U)}C{tilde over (U)}GC{tilde over (U)}{tilde over (U)}CGGGC{tilde over (U)}C{tilde over (U)}GGGAGCCCAGAAGGAAGCCA{tilde over (U)}C{tilde over (U)}CC CC{tilde over (U)}CCAGA{tilde over (U)}GCGGCC{tilde over (U)}CAGC{tilde over (U)}GC{tilde over (U)}CCAC{tilde over (U)}CCGAACAA{tilde over (U)}CAC{tilde over (U)}GC{tilde over (U)}GACA C{tilde over (U)}{tilde over (U)}{tilde over (U)}CCGCAAAC{tilde over (U)}C{tilde over (U)}{tilde over (U)}CCGAG{tilde over (U)}C{tilde over (U)}AC{tilde over (U)}CCAA{tilde over (U)}{tilde over (U)}{tilde over (U)}CC{tilde over (U)}CCGGGGAAAGC{tilde over (U)} GAAGC{tilde over (U)}G{tilde over (U)}ACACAGGGGAGGCC{tilde over (U)}GCAGGACAGGGGACAGA{tilde over (U)}GA - In this example, the structures of mUNA molecules for use in expressing human Ornithine transcarbamylase are shown.
- Ornithine transcarbamylase is associated with Ornithine transcarbamylase deficiency.
- The base sequences shown below are the portion of the mUNA molecule that may correspond in functionality to the open reading frame of the native mRNA of human Ornithine transcarbamylase. The complete mUNA molecule comprises a 5′ cap (m7GpppGm), and a 5′-UTR upstream of the sequence below, and a 3′ UTR and polyA tail (SEQ ID Nos: 4 to 12) downstream of the sequence below, each of which corresponds to the structure of the native mRNA of human Ornithine transcarbamylase.
-
Human Ornithine transcarbamylase is accession NM_000531.5. (SEQ ID NO: 134) AU{circumflex over (G)}CUGUUUAAUCU{circumflex over (G)}AGGAUCCUGUU{tilde over (U)}AAACAAUGCAG{circumflex over (C)}UUUUAGAAAUG{circumflex over (G)}UCACAACU UCA{tilde over (U)}GGUUCGAAAUU{tilde over (U)}UCGGUGUGGAC{tilde over (A)}ACCACUACAAA{tilde over (A)}UAAAGUGCAGC{tilde over (U)}GAAGGGC CGUG{tilde over (A)}CCUUCUCACUC{tilde over (U)}AAAAAACUUUA{circumflex over (C)}CGGAGAAGAAA{tilde over (U)}UAAAUAUAUGC{tilde over (U)}AUGGCU AUCAG{circumflex over (C)}AGAUCUGAAAU{tilde over (U)}UAGGAUAAAAC{tilde over (A)}GAAAGGAGAGU{tilde over (A)}UUUGCCUUUAU{tilde over (U)}GCAAG GGAAGU{circumflex over (C)}CUUAGGCAUGA{tilde over (U)}UUUUGAGAAAA{circumflex over (G)}AAGUACUCGAA{circumflex over (C)}AAGAUUGUCUA{circumflex over (C)}AGAA ACAGGCU{tilde over (U)}UGCACUUCUGG{circumflex over (G)}AGGACAUCCUU{circumflex over (G)}UUUUCUUACCA{circumflex over (C)}ACAAGAUAUUC{tilde over (A)}UUU GGGUGUGA{tilde over (A)}UGAAAGUCUCA{circumflex over (C)}GGACACGGCCC{circumflex over (G)}UGUAUUGUCUAGCAU{circumflex over (G)}GCAGAUG{circumflex over (C)}AG UAUUGGCUC{circumflex over (G)}AGUGUAUAAAC{tilde over (A)}AUCAGAUUUGG{tilde over (A)}CACCCUGGCUA{tilde over (A)}AGAAGCAUCCA{tilde over (U)}C CCAAUUAUCA{tilde over (A)}UGGGCUGUCAG{tilde over (A)}UUUGUACCAUC{circumflex over (C)}UAUCCAGAUCC{tilde over (U)}GGCUGAUUACC{tilde over (U)} CACGCUCCAGG{tilde over (A)}ACACUAUAGCU{circumflex over (C)}UCUGAAAGGUC{tilde over (U)}UACCCUCAGCU{circumflex over (G)}GAUCGGGGAUG {circumflex over (G)}GAACAAUAUCC{tilde over (U)}GCACUCCAUCA{tilde over (U)}GAUGAGCGCAG{circumflex over (C)}GAAAUUCGGAA{tilde over (U)}GCACCUUCAG G{circumflex over (C)}AGCUACUCCAA{tilde over (A)}GGGUUAUGAGC{circumflex over (C)}GGAUGCUAGUG{tilde over (U)}AACCAAGUUGG{circumflex over (C)}AGAGCAGUA UG{circumflex over (C)}CAAAGAGAAUG{circumflex over (G)}UACCAAGCUGU{tilde over (U)}GCUGACAAAUG{tilde over (A)}UCCAUUGGAAG{circumflex over (C)}AGCGCAUG GAG{circumflex over (G)}CAAUGUAUUAA{tilde over (U)}UACAGACACUU{circumflex over (G)}GAUAAGCAUGG{circumflex over (G)}ACAAGAAGAGG{tilde over (A)}GAAGAAA AAGC{circumflex over (G)}GCUCCAGGCUU{tilde over (U)}CCAAGGUUACC{tilde over (A)}GGUUACAAUGA{tilde over (A)}GACUGCUAAAG{tilde over (U)}UGCUGC CUCUG{tilde over (A)}CUGGACAUUUU{tilde over (U)}ACACUGCUUGC{circumflex over (C)}CAGAAAGCCAG{tilde over (A)}AGAAGUGGAUG{tilde over (A)}UGAAG UCUUUU{tilde over (A)}UUCUCCUCGAU{circumflex over (C)}ACUAGUGUUCC{circumflex over (C)}AGAGGCAGAAA{tilde over (A)}CAGAAAGUGGA{circumflex over (C)}AAUC AUGGCUG{tilde over (U)}CAUGGUGUCCC{tilde over (U)}GCUGACAGAUU{tilde over (A)}CUCACCUCAGC{tilde over (U)}CCAGAAGCCUA{tilde over (A)}AUU UU{circumflex over (G)}A (SEQ ID NO: 135) A{tilde over (U)}{circumflex over (G)}{circumflex over (C)}UGUUUAAUCUGAGGAUCCUGUUAAACAAUGCAGCUUUUAGAAAUGGUCACAACUU CAUGGUUCGAAAUUUUCGGUGUGGACAACCACUACAAAAUAAAGUGCAGCUGAAGGGCC GUGACCUUCUCACUCUAAAAAACUUUACCGGAGAAGAAAUUAAAUAUAUGCUAUGGCUA UCAGCAGAUCUGAAAUUUAGGAUAAAACAGAAAGGAGAGUAUUUGCCUUUAUUGCAAGG GAAGUCCUUAGGCAUGAUUUUUGAGAAAAGAAGUACUCGAACAAGAUUGUCUACAGAAA CAGGCUUUGCACUUCUGGGAGGACAUCCUUGUUUUCUUACCACACAAGAUAUUCAUUUG GGUGUGAAUGAAAGUCUCACGGACACGGCCCGUGUAUUGUCUAGCAUGGCAGAUGCAGU AUUGGCUCGAGUGUAUAAACAAUCAGAUUUGGACACCCUGGCUAAAGAAGCAUCCAUCC CAAUUAUCAAUGGGCUGUCAGAUUUGUACCAUCCUAUCCAGAUCCUGGCUGAUUACCUC ACGCUCCAGGAACACUAUAGCUCUCUGAAAGGUCUUACCCUCAGCUGGAUCGGGGAUGG GAACAAUAUCCUGCACUCCAUCAUGAUGAGCGCAGCGAAAUUCGGAAUGCACCUUCAGG CAGCUACUCCAAAGGGUUAUGAGCCGGAUGCUAGUGUAACCAAGUUGGCAGAGCAGUAU GCCAAAGAGAAUGGUACCAAGCUGUUGCUGACAAAUGAUCCAUUGGAAGCAGCGCAUGG AGGCAAUGUAUUAAUUACAGACACUUGGAUAAGCAUGGGACAAGAAGAGGAGAAGAAAA AGCGGCUCCAGGCUUUCCAAGGUUACCAGGUUACAAUGAAGACUGCUAAAGUUGCUGCC UCUGACUGGACAUUUUUACACUGCUUGCCCAGAAAGCCAGAAGAAGUGGAUGAUGAAGU CUUUUAUUCUCCUCGAUCACUAGUGUUCCCAGAGGCAGAAAACAGAAAGUGGACAAUCA UGGCUGUCAUGGUGUCCCUGCUGACAGAUUACUCACCUCAGCUCCAGAAGCCUAAAUU{tilde over (U)} {tilde over (U)}{circumflex over (G)}A (SEQ ID NO: 136) A{tilde over (U)}GC{tilde over (U)}G{tilde over (U)}{tilde over (U)}{tilde over (U)}AA{tilde over (U)}C{tilde over (U)}GAGGA{tilde over (U)}CC{tilde over (U)}G{tilde over (U)}{tilde over (U)}AAACAA{tilde over (U)}GCAGC{tilde over (U)}{tilde over (U)}{tilde over (U)}{tilde over (U)}AGAAA{tilde over (U)}GG{tilde over (U)}CACAAC{tilde over (U)}{tilde over (U)} CA{tilde over (U)}GG{tilde over (U)}{tilde over (U)}CGAAA{tilde over (U)}{tilde over (U)}{tilde over (U)}{tilde over (U)}CGG{tilde over (U)}G{tilde over (U)}GGACAACCAC{tilde over (U)}ACAAAA{tilde over (U)}AAAG{tilde over (U)}GCAGC{tilde over (U)}GAAGGGCC G{tilde over (U)}GACC{tilde over (U)}{tilde over (U)}C{tilde over (U)}CAC{tilde over (U)}C{tilde over (U)}AAAAAAC{tilde over (U)}{tilde over (U)}{tilde over (U)}ACCGGAGAAGAAA{tilde over (U)}{tilde over (U)}AAA{tilde over (U)}A{tilde over (U)}A{tilde over (U)}GC{tilde over (U)}A{tilde over (U)}GGC{tilde over (U)}A {tilde over (U)}CAGCAGA{tilde over (U)}C{tilde over (U)}GAAA{tilde over (U)}{tilde over (U)}{tilde over (U)}AGGA{tilde over (U)}AAAACAGAAAGGAGAG{tilde over (U)}A{tilde over (U)}{tilde over (U)}{tilde over (U)}GCC{tilde over (U)}{tilde over (U)}{tilde over (U)}A{tilde over (U)}{tilde over (U)}GCAAGG GAAG{tilde over (U)}CC{tilde over (U)}{tilde over (U)}AGGCA{tilde over (U)}GA{tilde over (U)}{tilde over (U)}{tilde over (U)}{tilde over (U)}{tilde over (U)}GAGAAAAGAAG{tilde over (U)}AC{tilde over (U)}CGAACAAGA{tilde over (U)}{tilde over (U)}G{tilde over (U)}C{tilde over (U)}ACAGAAA CAGGC{tilde over (U)}{tilde over (U)}{tilde over (U)}GCAC{tilde over (U)}{tilde over (U)}C{tilde over (U)}GGGAGGACA{tilde over (U)}CC{tilde over (U)}{tilde over (U)}G{tilde over (U)}{tilde over (U)}{tilde over (U)}{tilde over (U)}C{tilde over (U)}{tilde over (U)}ACCACACAAGA{tilde over (U)}A{tilde over (U)}{tilde over (U)}CA{tilde over (U)}{tilde over (U)}{tilde over (U)}G GG{tilde over (U)}G{tilde over (U)}GAA{tilde over (U)}GAAAG{tilde over (U)}C{tilde over (U)}CACGGACACGGCCCG{tilde over (U)}G{tilde over (U)}A{tilde over (U)}{tilde over (U)}G{tilde over (U)}C{tilde over (U)}AGCA{tilde over (U)}GGCAGA{tilde over (U)}GCAG{tilde over (U)} A{tilde over (U)}{tilde over (U)}GGC{tilde over (U)}CGAG{tilde over (U)}G{tilde over (U)}A{tilde over (U)}AAACAA{tilde over (U)}CAGA{tilde over (U)}{tilde over (U)}{tilde over (U)}GGACACCC{tilde over (U)}GGC{tilde over (U)}AAAGAAGCA{tilde over (U)}CCA{tilde over (U)}CC CAA{tilde over (U)}{tilde over (U)}A{tilde over (U)}CAA{tilde over (U)}GGGC{tilde over (U)}G{tilde over (U)}CAGA{tilde over (U)}{tilde over (U)}{tilde over (U)}G{tilde over (U)}ACCA{tilde over (U)}CC{tilde over (U)}A{tilde over (U)}CCAGA{tilde over (U)}CC{tilde over (U)}GGC{tilde over (U)}GA{tilde over (U)}{tilde over (U)}ACC{tilde over (U)}C ACGC{tilde over (U)}CCAGGAACAC{tilde over (U)}A{tilde over (U)}AGC{tilde over (U)}C{tilde over (U)}C{tilde over (U)}GAAAGG{tilde over (U)}C{tilde over (U)}{tilde over (U)}ACCC{tilde over (U)}CAGC{tilde over (U)}GGA{tilde over (U)}CGGGGA{tilde over (U)}GG GAACAA{tilde over (U)}A{tilde over (U)}CC{tilde over (U)}GCAC{tilde over (U)}CCA{tilde over (U)}CA{tilde over (U)}GA{tilde over (U)}GAGCGCAGCGAAA{tilde over (U)}{tilde over (U)}CGGAA{tilde over (U)}GCACC{tilde over (U)}{tilde over (U)}CAGG CAGC{tilde over (U)}AC{tilde over (U)}CCAAAGGG{tilde over (U)}{tilde over (U)}A{tilde over (U)}GAGCCGGA{tilde over (U)}GC{tilde over (U)}AG{tilde over (U)}G{tilde over (U)}AACCAAG{tilde over (U)}{tilde over (U)}GGCAGAGCAG{tilde over (U)}A{tilde over (U)} GCCAAAGAGAA{tilde over (U)}GG{tilde over (U)}ACCAAGC{tilde over (U)}G{tilde over (U)}{tilde over (U)}GC{tilde over (U)}GACAAA{tilde over (U)}GA{tilde over (U)}CCA{tilde over (U)}{tilde over (U)}GGAAGCAGCGCA{tilde over (U)}GG AGGCAA{tilde over (U)}G{tilde over (U)}A{tilde over (U)}{tilde over (U)}AA{tilde over (U)}{tilde over (U)}ACAGACAC{tilde over (U)}{tilde over (U)}GGA{tilde over (U)}AAGCA{tilde over (U)}GGGACAAGAAGAGGAGAAGAAAA AGCGGC{tilde over (U)}CCAGGC{tilde over (U)}{tilde over (U)}{tilde over (U)}CCAAGG{tilde over (U)}{tilde over (U)}ACCAGG{tilde over (U)}{tilde over (U)}ACAA{tilde over (U)}GAAGAC{tilde over (U)}GC{tilde over (U)}AAAG{tilde over (U)}{tilde over (U)}GC{tilde over (U)}GCC {tilde over (U)}C{tilde over (U)}GAC{tilde over (U)}GGACA{tilde over (U)}{tilde over (U)}{tilde over (U)}{tilde over (U)}{tilde over (U)}ACAC{tilde over (U)}GC{tilde over (U)}{tilde over (U)}GCCCAGAAAGCCAGAAGAAG{tilde over (U)}GGA{tilde over (U)}GA{tilde over (U)}GAAG{tilde over (U)} C{tilde over (U)}{tilde over (U)}{tilde over (U)}{tilde over (U)}A{tilde over (U)}{tilde over (U)}C{tilde over (U)}CC{tilde over (U)}CGA{tilde over (U)}CAC{tilde over (U)}AG{tilde over (U)}G{tilde over (U)}{tilde over (U)}CCCAGAGGCAGAAAACAGAAAG{tilde over (U)}GGACAA{tilde over (U)}CA {tilde over (U)}GGC{tilde over (U)}G{tilde over (U)}CA{tilde over (U)}GG{tilde over (U)}G{tilde over (U)}CCC{tilde over (U)}GC{tilde over (U)}GACAGA{tilde over (U)}{tilde over (U)}AC{tilde over (U)}CACC{tilde over (U)}CAGC{tilde over (U)}CCAGAAGCC{tilde over (U)}AAA{tilde over (U)}{tilde over (U)}{tilde over (U)} {tilde over (U)}GA - In this example, the structures of mUNA molecules for use in expressing human beta-globin are shown.
- Beta-globin may be associated with sickle-cell disease, beta thalassemia, and genetic resistance to malaria.
- The base sequences shown below are the portion of the mUNA molecule that may correspond in functionality to the 3′-UTR of the native mRNA of human beta-globin. The complete mUNA molecule comprises a 5′ cap (m7GpppGm), 5′-UTR, and coding region (CDS) for human beta-globin upstream of the sequence below, and a polyA tail (SEQ ID Nos: 4 to 12) downstream of the sequence below, each of which corresponds to the structure of the native mRNA of human beta-globin.
-
Human beta-globin is accession NM_000518.4. (SEQ ID NO: 137) G{circumflex over (C)}UCGCUUUCUUGCUGUCCAAUUUCUAUUAAAGGUUCCUUUGUUCCCUA AGUCCAACUACUAAACUGGGGGAUAUUAUGAAGGGCCUUGAGCAUCUGG AUUCUGCCUAAUAAAAAACAUUUAUUUUCAUUGC{tilde over (A)}A (SEQ ID NO: 138) G{circumflex over (C)}{tilde over (U)}{circumflex over (C)}GCUUUCUUGCUGUCCAAUUUCUAUUAAAGGUUCCUUUGUUCCCUA AGUCCAACUACUAAACUGGGGGAUAUUAUGAAGGGCCUUGAGCAUCUGG AUUCUGCCUAAUAAAAAACAUUUAUUUUCAUU{circumflex over (G)}{circumflex over (C)}{tilde over (A)}A (SEQ ID NO: 139) G{circumflex over (C)}UCGCU{tilde over (U)}UCUUG{circumflex over (C)}UGUCC{tilde over (A)}AUUUC{tilde over (U)}AUUAA{tilde over (A)}GGUUC{circumflex over (C)}UUUGU{tilde over (U)}CCCUA {tilde over (A)}GUCCA{tilde over (A)}CUACU{tilde over (A)}AACUG{circumflex over (G)}GGGAU{tilde over (A)}UUAUG{tilde over (A)}AGGGC{circumflex over (C)}UUGAG{circumflex over (C)}AUCUG{circumflex over (G)} AUUCU{circumflex over (G)}CCUAA{tilde over (U)}AAAAA{tilde over (A)}CAUUU{tilde over (A)}UUUUC{tilde over (A)}UUGC{tilde over (A)}A (SEQ ID NO: 140) G{circumflex over (C)}{tilde over (U)}CGCU{tilde over (U)}{tilde over (U)}CUUG{circumflex over (C)}{tilde over (U)}GUCC{tilde over (A)}{tilde over (A)}UUUC{tilde over (U)}{tilde over (A)}UUAA{tilde over (A)}{circumflex over (G)}GUUC{circumflex over (C)}{tilde over (U)}UUGU{tilde over (U)}{circumflex over (C)}CCU A{tilde over (A)}{circumflex over (G)}UCCA{tilde over (A)}{circumflex over (C)}UACU{tilde over (A)}{tilde over (A)}ACUG{circumflex over (G)}{circumflex over (G)}GGAU{tilde over (A)}{tilde over (U)}UAUG{tilde over (A)}{tilde over (A)}GGGC{circumflex over (C)}{tilde over (U)}UGAG{circumflex over (C)}{tilde over (A)}UCU G{circumflex over (G)}{tilde over (A)}UUCU{circumflex over (G)}{circumflex over (C)}CUAA{tilde over (U)}{tilde over (A)}AAAA{tilde over (A)}{circumflex over (C)}AUUU{tilde over (A)}{tilde over (U)}UUUC{tilde over (A)}{tilde over (U)}UGC{tilde over (A)}A (SEQ ID NO: 141) {circumflex over (G)}{circumflex over (C)}{tilde over (U)}{circumflex over (C)}{circumflex over (G)}{circumflex over (C)}{tilde over (U)}{tilde over (U)}{tilde over (U)}{circumflex over (C)}{tilde over (U)}{tilde over (U)}{circumflex over (G)}{circumflex over (C)}{tilde over (U)}{circumflex over (G)}{tilde over (U)}{circumflex over (C)}{circumflex over (C)}{tilde over (A)}{tilde over (A)}{tilde over (U)}{tilde over (U)}{tilde over (U)}{circumflex over (C)}{tilde over (U)}{tilde over (A)}{tilde over (U)}{tilde over (U)}{tilde over (A)}{tilde over (A)}{tilde over (A)}{circumflex over (G)}{circumflex over (G)}{tilde over (U)}{tilde over (U)}{circumflex over (C)}{circumflex over (C)}{tilde over (U)}{tilde over (U)}{tilde over (U)}{circumflex over (G)}{tilde over (U)}{tilde over (U)}{circumflex over (C)}{circumflex over (C)}{circumflex over (C)}{tilde over (U)} {tilde over (A)}{tilde over (A)}{circumflex over (G)}{tilde over (U)}{circumflex over (C)}{circumflex over (C)}{tilde over (A)}{tilde over (A)}{circumflex over (G)}{tilde over (U)}{tilde over (A)}{circumflex over (C)}{tilde over (U)}{tilde over (A)}{tilde over (A)}{tilde over (A)}{circumflex over (C)}{tilde over (U)}{circumflex over (G)}{circumflex over (G)}{circumflex over (G)}{circumflex over (G)}{circumflex over (G)}{tilde over (A)}{tilde over (U)}{tilde over (A)}{tilde over (U)}{tilde over (U)}{tilde over (A)}{tilde over (U)}{circumflex over (G)}{tilde over (A)}{tilde over (A)}{circumflex over (G)}{circumflex over (G)}{circumflex over (G)}{circumflex over (C)}{circumflex over (C)}{tilde over (U)}{tilde over (U)}{circumflex over (G)}{tilde over (A)}{circumflex over (G)}{circumflex over (C)}{tilde over (A)}{tilde over (U)}{circumflex over (C)}{tilde over (U)} {circumflex over (G)}{circumflex over (G)}{tilde over (A)}{tilde over (U)}{tilde over (U)}{circumflex over (C)}{tilde over (U)}{circumflex over (G)}{circumflex over (C)}{circumflex over (C)}{tilde over (A)}{tilde over (U)}{tilde over (A)}{tilde over (A)}{tilde over (U)}{tilde over (A)}{tilde over (A)}{tilde over (A)}{tilde over (A)}{tilde over (A)}{tilde over (A)}{circumflex over (C)}{tilde over (A)}{tilde over (U)}{tilde over (U)}{tilde over (U)}{tilde over (A)}{tilde over (U)}{tilde over (U)}{tilde over (U)}{tilde over (U)}{circumflex over (C)}{tilde over (A)}{tilde over (U)}{tilde over (U)}{circumflex over (G)}{circumflex over (C)}{tilde over (A)}{tilde over (A)} - In this example, the structures of mUNA molecules for use in enhancing translational efficiency are shown.
- The base sequences shown below are the portion of the mUNA molecule that may correspond in functionality to the 3′-UTR of Xenopus beta-globin. The complete mUNA molecule comprises a 5′ cap (m7GpppGm), 5′-UTR, and coding region (CDS) upstream of the sequence below, and a polyA tail (SEQ ID Nos: 4 to 12) downstream of the sequence below, each of which corresponds to the structure of a native human mRNA. Thus, a UNA oligomer incorprating the oligomer fragment below can have enhanced translational efficiency.
-
Xenopus beta-globin is accession NM_001096347.1. (SEQ ID NO: 142) C{tilde over (U)}AGUGACUGACUAGGAUCUGGUUACCACUAAACCAGCCUCAAGAACACC CGAAUGGAGUCUCUAAGCUACAUAAUACCAACUUACACUUACAAAAUGUU GUCCCCCAAAAUGUAGCCAUUCGUAUCUGCUCCUAAUAAAAAGAAAGUUU CUUCAC{tilde over (A)}U (SEQ ID NO: 143) C{tilde over (U)}{tilde over (A)}{circumflex over (G)}UGACUGACUAGGAUCUGGUUACCACUAAACCAGCCUCAAGAACACC CGAAUGGAGUCUCUAAGCUACAUAAUACCAACUUACACUUACAAAAUGUU GUCCCCCAAAAUGUAGCCAUUCGUAUCUGCUCCUAAUAAAAAGAAAGUUU CUUC{tilde over (A)}{circumflex over (C)}{tilde over (A)}U (SEQ ID NO: 144) C{tilde over (U)}AGUGA{circumflex over (C)}UGACU{tilde over (A)}GGAUC{tilde over (U)}GGUUA{circumflex over (C)}CACUA{tilde over (A)}ACCAG{circumflex over (C)}CUCAA{circumflex over (G)}AAAC {circumflex over (C)}CAAAU{circumflex over (G)}GAGUC{tilde over (U)}CUAAG{circumflex over (C)}UACAU{tilde over (A)}AUACC{tilde over (A)}ACUUA{circumflex over (C)}ACUUA{circumflex over (C)}AAAAU{circumflex over (G)}UU GUC{circumflex over (C)}CCCAA{tilde over (A)}AUGUA{circumflex over (G)}CCAUU{circumflex over (C)}GUAUC{tilde over (U)}GCUCC{tilde over (U)}AAUAA{tilde over (A)}AAGAA{tilde over (A)}GUUU C{tilde over (U)}UCAC{tilde over (A)}U (SEQ ID NO: 145) C{tilde over (U)}{tilde over (A)}GUGA{circumflex over (C)}{tilde over (U)}GACU{tilde over (A)}{circumflex over (G)}GAUC{tilde over (U)}{circumflex over (G)}GUUA{circumflex over (C)}{circumflex over (C)}ACUA{tilde over (A)}{tilde over (A)}CCAG{circumflex over (C)}{circumflex over (C)}UCAA{circumflex over (G)}{tilde over (A)}ACAC {circumflex over (C)}{circumflex over (C)}GAAU{circumflex over (G)}{circumflex over (G)}AGUC{tilde over (U)}{circumflex over (C)}UAAG{circumflex over (C)}{tilde over (U)}ACAU{tilde over (A)}{tilde over (A)}UACC{tilde over (A)}{tilde over (A)}CUUA{circumflex over (C)}{tilde over (A)}CUUA{circumflex over (C)}{tilde over (A)}AAAU{circumflex over (G)}{tilde over (U)}U GUC{circumflex over (C)}{circumflex over (C)}CCAA{tilde over (A)}{tilde over (A)}UGUA{circumflex over (G)}{circumflex over (C)}CAUU{circumflex over (C)}{circumflex over (G)}UAUC{tilde over (U)}{circumflex over (G)}CUCC{tilde over (U)}{tilde over (A)}AUAA{tilde over (A)}{tilde over (A)}AGAA{tilde over (A)}{circumflex over (G)}UUU C{tilde over (U)}{tilde over (U)}CAC{tilde over (A)}U (SEQ ID NO: 146) {circumflex over (C)}{tilde over (U)}{tilde over (A)}{circumflex over (G)}{tilde over (U)}{circumflex over (G)}{tilde over (A)}{circumflex over (C)}{tilde over (U)}{circumflex over (G)}{tilde over (A)}{circumflex over (C)}{tilde over (U)}{tilde over (A)}{circumflex over (G)}{circumflex over (G)}{tilde over (A)}{tilde over (U)}{circumflex over (C)}{tilde over (U)}{circumflex over (G)}{circumflex over (G)}{tilde over (U)}{tilde over (U)}{tilde over (A)}{circumflex over (C)}{circumflex over (C)}{tilde over (A)}{circumflex over (C)}{tilde over (U)}{tilde over (A)}{tilde over (A)}{tilde over (A)}{circumflex over (C)}{circumflex over (C)}{tilde over (A)}{circumflex over (G)}{circumflex over (C)}{circumflex over (C)}{tilde over (U)}{circumflex over (C)}{tilde over (A)}{tilde over (A)}{circumflex over (G)}{tilde over (A)}{tilde over (A)}{circumflex over (C)}{tilde over (A)}{circumflex over (C)} {circumflex over (C)}{circumflex over (C)}{tilde over (A)}{tilde over (A)}{tilde over (A)}{tilde over (U)}{circumflex over (G)}{circumflex over (G)}{tilde over (A)}{circumflex over (G)}{tilde over (U)}{circumflex over (C)}{tilde over (U)}{circumflex over (C)}{tilde over (U)}{tilde over (A)}{tilde over (A)}{circumflex over (G)}{circumflex over (C)}{tilde over (U)}{tilde over (A)}{circumflex over (C)}{tilde over (A)}{tilde over (U)}{tilde over (A)}{tilde over (A)}{tilde over (U)}{tilde over (A)}{circumflex over (C)}{circumflex over (C)}{tilde over (A)}{tilde over (A)}{circumflex over (C)}{tilde over (U)}{tilde over (U)}{tilde over (A)}{circumflex over (C)}{tilde over (A)}{circumflex over (C)}{tilde over (U)}{tilde over (U)}{tilde over (A)}{circumflex over (C)}{tilde over (A)}{tilde over (A)}{tilde over (A)}{tilde over (A)}{tilde over (U)}{circumflex over (G)}{tilde over (U)}{tilde over (U)} {circumflex over (G)}{tilde over (U)}{circumflex over (C)}{circumflex over (C)}{circumflex over (C)}{circumflex over (C)}{circumflex over (C)}{tilde over (A)}{tilde over (A)}{tilde over (A)}{tilde over (A)}{tilde over (U)}{circumflex over (G)}{tilde over (U)}{tilde over (A)}{circumflex over (G)}{circumflex over (C)}{circumflex over (C)}{tilde over (A)}{tilde over (U)}{tilde over (U)}{circumflex over (C)}{circumflex over (G)}{tilde over (U)}{tilde over (A)}{tilde over (U)}{circumflex over (C)}{tilde over (U)}{circumflex over (G)}{circumflex over (C)}{tilde over (U)}{circumflex over (C)}{circumflex over (C)}{tilde over (U)}{tilde over (A)}{tilde over (A)}{tilde over (U)}{tilde over (A)}{tilde over (A)}{tilde over (A)}{tilde over (A)}{tilde over (A)}{circumflex over (G)}{tilde over (A)}{tilde over (A)}{tilde over (A)}{circumflex over (G)}{tilde over (U)}{tilde over (U)}{tilde over (U)} {circumflex over (C)}{tilde over (U)}{tilde over (U)}{circumflex over (C)}{tilde over (A)}{circumflex over (C)}{tilde over (A)}{tilde over (U)} - In this example, the structures of mUNA molecules for use in expressing human Thrombopoietin are shown.
- Thrombopoietin is associated with liver and kidney disease.
- The base sequences shown below are the portion of the mUNA molecule that may correspond in functionality to the open reading frame of the native mRNA of human Thrombopoietin. The complete mUNA molecule comprises a 5′ cap (m7GpppGm), and a 5′-UTR upstream of the sequence below, and a 3′ UTR and polyA tail (SEQ ID Nos: 4 to 12) downstream of the sequence below, each of which corresponds to the structure of the native mRNA of human Thrombopoietin.
-
Human Thrombopoietin is accession NM_000460.3. (SEQ ID NO: 147) AU{circumflex over (G)}GAGCUGACUGAAUUGCU{circumflex over (C)}CUCGUGGUCAUGCUUCU{circumflex over (C)}CUAACUGCAA GGCUAAC{circumflex over (G)}CUGUCCAGCCCGGCUCC{tilde over (U)}CCUGCUUGUGACCUCCG{tilde over (A)}GUCCU CAGUAAACUGCU{tilde over (U)}CGUGACUCCCAUGUCCU{tilde over (U)}CACAGCAGACUGAGCCA{circumflex over (G)} UGCCCAG AGGUUCACCC{tilde over (U)}UUGCCUACACCUGUCCU{circumflex over (G)}CUGCCUGCUGUGG ACUU{tilde over (U)}AGCUUGGGAGAAUGGA{tilde over (A)}AACCCAGAUGGAGGAGA{circumflex over (C)}CAAGGCACA GGACAUUC{tilde over (U)}GGGAGCAGUGACCCUUC{tilde over (U)}GCUGGAGGGAGUGAUGG{circumflex over (C)}AGCA CGGGGACAACUGG{circumflex over (G)}ACCCACUUGCCUCUCAUC{circumflex over (C)}CUCCUGGGGCAGCUUU C{tilde over (U)}GGACAGGUCCGUCUCCU{circumflex over (C)}CUUGGGGCCCUGCAGAG{circumflex over (C)}CUCCUUGGAAC CCAGCU{tilde over (U)}CCUCCACAGGGCAGGAC{circumflex over (C)}ACAGCUCACAAGGAUCCCAAUGCC AUCUUCCUGAG{circumflex over (C)}UUCCAACACCUGCUCCG{tilde over (A)}GGAAAGGUGCGUUUCCUG{tilde over (A)} UGCUUGUAGGAGGGUCC{tilde over (A)}CCCUCUGCGUCAGGCGGG{circumflex over (G)}CCCCACCCACCA CAGCU{circumflex over (G)}UCCCCAGCAGAACCUCU{circumflex over (C)}UAGUCCUCACACUGAAC{circumflex over (G)}AGCUCCC AAACAGGACU{tilde over (U)}CUGGAUUGUUGGAGACA{tilde over (A)}ACUUCACUGCCUCAGCC{tilde over (A)}GA ACUACUGGCUCUGGG{circumflex over (C)}UUCUGAAGUGGCAGCAG{circumflex over (G)}GAUUCAGAGCCAAGA UU{circumflex over (C)}CUGGUCUGCUGAACCAA{tilde over (A)}CCUCCAGGUCCCUGGAC{circumflex over (C)}AAAUCCCCGG AUACCUG{tilde over (A)}ACAGGAUACACGAACUC{tilde over (U)}UGAAUGGAACUCGUGGA{circumflex over (C)}UCUUU CCUGGACCCUCA{circumflex over (C)}GCAGGACCCUAGGAGCC{circumflex over (C)}CGGACAUUUCCUCAGGA{tilde over (A)} CAUCAGACACAGGCUCC{circumflex over (C)}UGCCACCCAACCUCCAG{circumflex over (C)}CUGGAUAUUCUCC UUCC{circumflex over (C)}CAACCCAUCCUCCUACU{circumflex over (G)}GACAGUAUACGCUCUUC{circumflex over (C)}CUCUUCCA CCCACCUUG{circumflex over (C)}CCACCCCUGUGGUCCAG{circumflex over (C)}UCCACCCCCUGCUUCCU{circumflex over (G)}ACC CUUCUGCUCCAACG{circumflex over (C)}CCACCCCUACCAGCCCU{circumflex over (C)}UUCUAAACACAUCCUA C{tilde over (A)}CCCACUCCCAGAAUCUG{tilde over (U)}CUCAGGAAGGGU{tilde over (A)}A (SEQ ID NO: 148) A{tilde over (U)}{circumflex over (G)}{circumflex over (G)}AGCUGACUGAAUUGCUCCUCGUGGUCAUGCUUCUCCUAACUGCAA GGCUAACGCUGUCCAGCCCGGCUCCUCCUGCUUGUGACCUCCGAGUCCU CAGUAAACUGCUUCGUGACUCCCAUGUCCUUCACAGCAGACUGAGCCAG UGCCCAGAGGUUCACCCUUUGCCUACACCUGUCCUGCUGCCUGCUGUGG ACUUUAGCUUGGGAGAAUGGAAAACCCAGAUGGAGGAGACCAAGGCACA GGACAUUCUGGGAGCAGUGACCCUUCUGCUGGAGGGAGUGAUGGCAGCA CGGGGACAACUGGGACCCACUUGCCUCUCAUCCCUCCUGGGGCAGCUUU CUGGACAGGUCCGUCUCCUCCUUGGGGCCCUGCAGAGCCUCCUUGGAAC CCAGCUUCCUCCACAGGGCAGGACCACAGCUCACAAGGAUCCCAAUGCC AUCUUCCUGAGCUUCCAACACCUGCUCCGAGGAAAGGUGCGUUUCCUGA UGCUUGUAGGAGGGUCCACCCUCUGCGUCAGGCGGGCCCCACCCACCAC AGCUGUCCCCAGCAGAACCUCUCUAGUCCUCACACUGAACGAGCUCCCA AACAGGACUUCUGGAUUGUUGGAGACAAACUUCACUGCCUCAGCCAGAA CUACUGGCUCUGGGCUUCUGAAGUGGCAGCAGGGAUUCAGAGCCAAGAU UCCUGGUCUGCUGAACCAAACCUCCAGGUCCCUGGACCAAAUCCCCGGA UACCUGAACAGGAUACACGAACUCUUGAAUGGAACUCGUGGACUCUUUC CUGGACCCUCACGCAGGACCCUAGGAGCCCCGGACAUUUCCUCAGGAAC AUCAGACACAGGCUCCCUGCCACCCAACCUCCAGCCUGGAUAUUCUCCU UCCCCAACCCAUCCUCCUACUGGACAGUAUACGCUCUUCCCUCUUCCAC CCACCUUGCCCACCCCUGUGGUCCAGCUCCACCCCCUGCUUCCUGACCC UUCUGCUCCAACGCCCACCCCUACCAGCCCUCUUCUAAACACAUCCUAC ACCCACUCCCAGAAUCUGUCUCAGGAAGG{circumflex over (G)}{tilde over (U)}{tilde over (A)}A (SEQ ID NO: 149) A{tilde over (U)}GGAGC{tilde over (U)}GAC{tilde over (U)}GAA{tilde over (U)}{tilde over (U)}GC{tilde over (U)}CC{tilde over (U)}CG{tilde over (U)}GG{tilde over (U)}CA{tilde over (U)}GC{tilde over (U)}{tilde over (U)}C{tilde over (U)}CC{tilde over (U)}AAC{tilde over (U)}GC AAGGC{tilde over (U)}AACGC{tilde over (U)}G{tilde over (U)}CCAGCCCGGC{tilde over (U)}CC{tilde over (U)}CC{tilde over (U)}GC{tilde over (U)}G{tilde over (U)}GACC{tilde over (U)}CCGA G{tilde over (U)}CC{tilde over (U)}CAG{tilde over (U)}AAAC{tilde over (U)}GC{tilde over (U)}{tilde over (U)}CG{tilde over (U)}GAC{tilde over (U)}CCCA{tilde over (U)}GCC{tilde over (U)}{tilde over (U)}CACAGCAGA C{tilde over (U)}GAGCCAG{tilde over (U)}GCCCAGAGG{tilde over (U)}{tilde over (U)}CACCC{tilde over (U)}{tilde over (U)}{tilde over (U)}GCC{tilde over (U)}ACACC{tilde over (U)}G{tilde over (U)}CC{tilde over (U)}G C{tilde over (U)}GCC{tilde over (U)}GC{tilde over (U)}G{tilde over (U)}GGAC{tilde over (U)}{tilde over (U)}{tilde over (U)}AGC{tilde over (U)}{tilde over (U)}GGGAGAA{tilde over (U)}GGAAAACCCAGA{tilde over (U)}G GAGGAGACCAAGGCACAGGACA{tilde over (U)}{tilde over (U)}C{tilde over (U)}GGGAGCAG{tilde over (U)}GACCC{tilde over (U)}C{tilde over (U)}GC{tilde over (U)} GGAGGGAG{tilde over (U)}GA{tilde over (U)}GGCAGCACGGGGACAAC{tilde over (U)}GGGACCCAC{tilde over (U)}{tilde over (U)}GCC{tilde over (U)}C{tilde over (U)} CA{tilde over (U)}CCC{tilde over (U)}CC{tilde over (U)}GGGGCAGC{tilde over (U)}{tilde over (U)}{tilde over (U)}C{tilde over (U)}GGACAGG{tilde over (U)}CCG{tilde over (U)}C{tilde over (U)}CC{tilde over (U)}CC{tilde over (U)}{tilde over (U)}GG GGCCC{tilde over (U)}GCAGAGCC{tilde over (U)}CC{tilde over (U)}{tilde over (U)}GGAACCCAGC{tilde over (U)}{tilde over (U)}CC{tilde over (U)}CCACAGGGCAGGA CCACAGC{tilde over (U)}CACAAGGA{tilde over (U)}CCCAA{tilde over (U)}GCCA{tilde over (U)}C{tilde over (U)}{tilde over (U)}CC{tilde over (U)}GAGC{tilde over (U)}{tilde over (U)}CCAACAC C{tilde over (U)}GC{tilde over (U)}CCGAGGAAAGG{tilde over (U)}GCG{tilde over (U)}{tilde over (U)}{tilde over (U)}CC{tilde over (U)}GA{tilde over (U)}GC{tilde over (U)}{tilde over (U)}G{tilde over (U)}AGGAGGG{tilde over (U)}CCAC CC{tilde over (U)}C{tilde over (U)}GCG{tilde over (U)}CAGGCGGGCCCCACCCACCACAGC{tilde over (U)}G{tilde over (U)}CCCCAGCAGAAC C{tilde over (U)}C{tilde over (U)}C{tilde over (U)}AG{tilde over (U)}CC{tilde over (U)}CACAC{tilde over (U)}GAACGAGC{tilde over (U)}CCCAAACAGGAC{tilde over (U)}{tilde over (U)}C{tilde over (U)}GG A{tilde over (U)}{tilde over (U)}G{tilde over (U)}{tilde over (U)}GGAGACAAAC{tilde over (U)}{tilde over (U)}CAC{tilde over (U)}GCC{tilde over (U)}CAGCCAGAAC{tilde over (U)}AC{tilde over (U)}GGC{tilde over (U)}C{tilde over (U)}G GGC{tilde over (U)}C{tilde over (U)}GAAG{tilde over (U)}GGCAGCAGGGA{tilde over (U)}{tilde over (U)}CAGAGCCAAGA{tilde over (U)}{tilde over (U)}CC{tilde over (U)}GG{tilde over (U)}C{tilde over (U)}G C{tilde over (U)}GAACCAAACC{tilde over (U)}CCAGG{tilde over (U)}CCC{tilde over (U)}GGACCAAA{tilde over (U)}CCCCGGA{tilde over (U)}ACC{tilde over (U)}GAACA GGA{tilde over (U)}ACACGAAC{tilde over (U)}C{tilde over (U)}{tilde over (U)}GAA{tilde over (U)}GGAAC{tilde over (U)}CG{tilde over (U)}GGAC{tilde over (U)}C{tilde over (U)}{tilde over (U)}{tilde over (U)}CC{tilde over (U)}GGACC C{tilde over (U)}CACGCAGGACCC{tilde over (U)}AGGAGCCCCGGACA{tilde over (U)}{tilde over (U)}{tilde over (U)}CC{tilde over (U)}CAGGAACA{tilde over (U)}CAG ACACAGGC{tilde over (U)}CCC{tilde over (U)}GCCACCCAACC{tilde over (U)}CCAGCC{tilde over (U)}GGA{tilde over (U)}A{tilde over (U)}{tilde over (U)}C{tilde over (U)}CC{tilde over (U)}{tilde over (U)}CC CCAACCCA{tilde over (U)}CC{tilde over (U)}CC{tilde over (U)}AC{tilde over (U)}GGACAG{tilde over (U)}A{tilde over (U)}ACGC{tilde over (U)}C{tilde over (U)}{tilde over (U)}CCC{tilde over (U)}C{tilde over (U)}{tilde over (U)}CCACCC ACC{tilde over (U)}{tilde over (U)}GCCCACCCC{tilde over (U)}G{tilde over (U)}GG{tilde over (U)}CCAGC{tilde over (U)}CCACCCCC{tilde over (U)}GC{tilde over (U)}{tilde over (U)}CC{tilde over (U)}GACCC {tilde over (U)}{tilde over (U)}C{tilde over (U)}GC{tilde over (U)}CCAACGCCCACCCC{tilde over (U)}ACCAGCCC{tilde over (U)}C{tilde over (U)}{tilde over (U)}C{tilde over (U)}AAACACA{tilde over (U)}CC{tilde over (U)} ACACCCAC{tilde over (U)}CCCAGAA{tilde over (U)}C{tilde over (U)}G{tilde over (U)}C{tilde over (U)}CAGGAAGGG{tilde over (U)}AA - In this example, the structures of mUNA molecules for use in expressing human amylo-alpha-1, 6-glucosidase, 4-alpha-glucanotransferase (AGL) are shown.
- AGL is associated with glycogen storage disease.
- The base sequences shown below are the portion of the mUNA molecule that may correspond in functionality to the open reading frame of the native mRNA of human AGL. The complete mUNA molecule comprises a 5′ cap (m7GpppGm), and a 5′-UTR upstream of the sequence below, and a 3′ UTR and polyA tail (SEQ ID Nos: 4 to 12) downstream of the sequence below, each of which corresponds to the structure of the native mRNA of human AGL.
-
Human AGL is accession NM_000642.2. (SEQ ID NO: 150) A{tilde over (U)}{circumflex over (G)}{circumflex over (G)}GACACAGUAAACAGAUUCGAAUUUUACUUCUGAACGAAAUGGAGA AACUGGAAAAGACCCUCUUCAGACUUGAACAAGGGUAUGAGCUACAGUU CCGAUUAGGCCCAACUUUACAGGGAAAAGCAGUUACCGUGUAUACAAAU UACCCAUUUCCUGGAGAAACAUUUAAUAGAGAAAAAUUCCGUUCUCUGG AUUGGGAAAAUCCAACAGAAAGAGAAGAUGAUUCUGAUAAAUACUGUAA ACUUAAUCUGCAACAAUCUGGUUCAUUUCAGUAUUAUUUCCUUCAAGGA AAUGAGAAAAGUGGUGGAGGUUACAUAGUUGUGGACCCCAUUUUACGUG UUGGUGCUGAUAAUCAUGUGCUACCCUUGGACUGUGUUACUCUUCAGAC AUUUUUAGCUAAGUGUUUGGGACCUUUUGAUGAAUGGGAAAGCAGACUU AGGGUUGCAAAAGAAUCAGGCUACAACAUGAUUCAUUUUACCCCAUUGC AGACUCUUGGACUAUCUAGGUCAUGCUACUCCCUUGCCAAUCAGUUAGA AUUAAAUCCUGACUUUUCAAGACCUAAUAGAAAGUAUACCUGGAAUGAU GUUGGACAGCUAGUGGAAAAAUUAAAAAAGGAAUGGAAUGUUAUUUGUA UUACUGAUGUUGUCUACAAUCAUACUGCUGCUAAUAGUAAAUGGAUCCA GGAACAUCCAGAAUGUGCCUAUAAUCUUGUGAAUUCUCCACACUUAAAA CCUGCCUGGGUCUUAGACAGAGCACUUUGGCGUUUCUCCUGUGAUGUUG CAGAAGGGAAAUACAAAGAAAAGGGAAUACCUGCUUUGAUUGAAAAUGA UCACCAUAUGAAUUCCAUCCGAAAAAUAAUUUGGGAGGAUAUUUUUCCA AAGCUUAAACUCUGGGAAUUUUUCCAAGUAGAUGUCAACAAAGCGGUUG AGCAAUUUAGAAGACUUCUUACACAAGAAAAUAGGCGAGUAACCAAGUC UGAUCCAAACCAACACCUUACGAUUAUUCAAGAUCCUGAAUACAGACGG UUUGGCUGUACUGUAGAUAUGAACAUUGCACUAACGACUUUCAUACCAC AUGACAAGGGGCCAGCAGCAAUUGAAGAAUGCUGUAAUUGGUUUCAUAA AAGAAUGGAGGAAUUAAAUUCAGAGAAGCAUCGACUCAUUAACUAUCAU CAGGAACAGGCAGUUAAUUGCCUUUUGGGAAAUGUGUUUUAUGAACGAC UGGCUGGCCAUGGUCCAAAACUAGGACCUGUCACUAGAAAGCAUCCUUU AGUUACCAGGUAUUUUACUUUCCCAUUUGAAGAGAUAGACUUCUCCAUG GAAGAAUCUAUGAUUCAUCUGCCAAAUAAAGCUUGUUUUCUGAUGGCAC ACAAUGGAUGGGUAAUGGGAGAUGAUCCUCUUCGAAACUUUGCUGAACC GGGUUCAGAAGUUUACCUAAGGAGAGAACUUAUUUGCUGGGGAGACAGU GUUAAAUUACGCUAUGGGAAUAAACCAGAGGACUGUCCUUAUCUCUGGG CACACAUGAAAAAAUACACUGAAAUAACUGCAACUUAUUUCCAGGGAGU ACGUCUUGAUAACUGCCACUCAACACCUCUUCACGUAGCUGAGUACAUG UUGGAUGCUGCUAGGAAUUUGCAACCCAAUUUAUAUGUAGUAGCUGAAC UGUUCACAGGAAGUGAAGAUCUGGACAAUGUCUUUGUUACUAGACUGGG CAUUAGUUCCUUAAUAAGAGAGGCAAUGAGUGCAUAUAAUAGUCAUGAA GAGGGCAGAUUAGUUUACCGAUAUGGAGGAGAACCUGUUGGAUCCUUUG UUCAGCCCUGUUUGAGGCCUUUAAUGCCAGCUAUUGCACAUGCCCUGUU UAUGGAUAUUACGCAUGAUAAUGAGUGUCCUAUUGUGCAUAGAUCAGCG UAUGAUGCUCUUCCAAGUACUACAAUUGUUUCUAUGGCAUGUUGUGCUA GUGGAAGUACAAGAGGCUAUGAUGAAUUAGUGCCUCAUCAGAUUUCAGU GGUUUCUGAAGAACGGUUUUACACUAAGUGGAAUCCUGAAGCAUUGCCU UCAAACACAGGUGAAGUUAAUUUCCAAAGCGGCAUUAUUGCAGCCAGGU GUGCUAUCAGUAAACUUCAUCAGGAGCUUGGAGCCAAGGGUUUUAUUCA GGUGUAUGUGGAUCAAGUUGAUGAAGACAUAGUGGCAGUAACAAGACAC UCACCUAGCAUCCAUCAGUCUGUUGUGGCUGUAUCUAGAACUGCUUUCA GGAAUCCCAAGACUUCAUUUUACAGCAAGGAAGUGCCUCAAAUGUGCAU CCCUGGCAAAAUUGAAGAAGUAGUUCUUGAAGCUAGAACUAUUGAGAGA AACACGAAACCUUAUAGGAAGGAUGAGAAUUCAAUCAAUGGAACACCAG AUAUCACAGUAGAAAUUAGAGAACAUAUUCAGCUUAAUGAAAGUAAAAU UGUUAAACAAGCUGGAGUUGCCACAAAAGGGCCCAAUGAAUAUAUUCAA GAAAUAGAAUUUGAAAACUUGUCUCCAGGAAGUGUUAUUAUAUUCAGAG UUAGUCUUGAUCCACAUGCACAAGUCGCUGUUGGAAUUCUUCGAAAUCA UCUGACACAAUUCAGUCCUCACUUUAAAUCUGGCAGCCUAGCUGUUGAC AAUGCAGAUCCUAUAUUAAAAAUUCCUUUUGCUUCUCUUGCCUCCAGAU UAACUUUGGCUGAGCUAAAUCAGAUCCUUUACCGAUGUGAAUCAGAAGA AAAGGAAGAUGGUGGAGGGUGCUAUGACAUACCAAACUGGUCAGCCCUU AAAUAUGCAGGUCUUCAAGGUUUAAUGUCUGUAUUGGCAGAAAUAAGAC CAAAGAAUGACUUGGGGCAUCCUUUUUGUAAUAAUUUGAGAUCUGGAGA UUGGAUGAUUGACUAUGUCAGUAACCGGCUUAUUUCACGAUCAGGAACU AUUGCUGAAGUUGGUAAAUGGUUGCAGGCUAUGUUCUUCUACCUGAAGC AGAUCCCACGUUACCUUAUCCCAUGUUACUUUGAUGCUAUAUUAAUUGG UGCAUAUACCACUCUUCUGGAUACAGCAUGGAAGCAGAUGUCAAGCUUU GUUCAGAAUGGUUCAACCUUUGUGAAACACCUUUCAUUGGGUUCAGUUC AACUGUGUGGAGUAGGAAAAUUCCCUUCCCUGCCAAUUCUUUCACCUGC CCUAAUGGAUGUACCUUAUAGGUUAAAUGAGAUCACAAAAGAAAAGGAG CAAUGUUGUGUUUCUCUAGCUGCAGGCUUACCUCAUUUUUCUUCUGGUA UUUUCCGCUGCUGGGGAAGGGAUACUUUUAUUGCACUUAGAGGUAUACU GCUGAUUACUGGACGCUAUGUAGAAGCCAGGAAUAUUAUUUUAGCAUUU GCGGGUACCCUGAGGCAUGGUCUCAUUCCUAAUCUACUGGGUGAAGGAA UUUAUGCCAGAUACAAUUGUCGGGAUGCUGUGUGGUGGUGGCUGCAGUG UAUCCAGGAUUACUGUAAAAUGGUUCCAAAUGGUCUAGACAUUCUCAAG UGCCCAGUUUCCAGAAUGUAUCCUACAGAUGAUUCUGCUCCUUUGCCUG CUGGCACACUGGAUCAGCCAUUGUUUGAAGUCAUACAGGAAGCAAUGCA AAAACACAUGCAGGGCAUACAGUUCCGAGAAAGGAAUGCUGGUCCCCAG AUAGAUCGAAACAUGAAGGACGAAGGUUUUAAUAUAACUGCAGGAGUUG AUGAAGAAACAGGAUUUGUUUAUGGAGGAAAUCGUUUCAAUUGUGGCAC AUGGAUGGAUAAAAUGGGAGAAAGUGACAGAGCUAGAAACAGAGGAAUC CCAGCCACACCAAGAGAUGGGUCUGCUGUGGAAAUUGUGGGCCUGAGUA AAUCUGCUGUUCGCUGGUUGCUGGAAUUAUCCAAAAAAAAUAUUUUCCC UUAUCAUGAAGUCACAGUAAAAAGACAUGGAAAGGCUAUAAAGGUCUCA UAUGAUGAGUGGAACAGAAAAAUACAAGACAACUUUGAAAAGCUAUUUC AUGUUUCCGAAGACCCUUCAGAUUUAAAUGAAAAGCAUCCAAAUCUGGU UCACAAACGUGGCAUAUACAAAGAUAGUUAUGGAGCUUCAAGUCCUUGG UGUGACUAUCAGCUCAGGCCUAAUUUUACCAUAGCAAUGGUUGUGGCCC CUGAGCUCUUUACUACAGAAAAAGCAUGGAAAGCUUUGGAGAUUGCAGA AAAAAAAUUGCUUGGUCCCCUUGGCAUGAAAACUUUAGAUCCAGAUGAU AUGGUUUACUGUGGAAUUUAUGACAAUGCAUUAGACAAUGACAACUACA AUCUUGCUAAAGGUUUCAAUUAUCACCAAGGACCUGAGUGGCUGUGGCC UAUUGGGUAUUUUCUUCGUGCAAAAUUAUAUUUUUCCAGAUUGAUGGGC CCGGAGACUACUGCAAAGACUAUAGUUUUGGUUAAAAAUGUUCUUUCCC GACAUUAUGUUCAUCUUGAGAGAUCCCCUUGGAAAGGACUUCCAGAACU GACCAAUGAGAAUGCCCAGUACUGUCCUUUCAGCUGUGAAACACAAGCC UGGUCAAUUGCUACUAUUCUUGAGACACUUUAUGAUUU{tilde over (A)}{tilde over (U)}{tilde over (A)}G (SEQ ID NO: 151) AŨGGGACACAGŨAAACAGAŨŨCGAAŨŨACŨŨCŨGAACGAAAŨGGAGAA ACŨGGAAAAGACCCŨCŨŨCAGACŨŨGAACAAGGGŨAŨGAGCŨACAGŨŨ CCGAŨŨAGGCCCAACŨŨŨACAGGGAAAAGCAGŨŨACCGŨGŨAŨACAA AŨŨACCCAŨŨŨCCŨGGAGAAACAŨŨŨAAŨAGAGAAAAAŨŨCCGŨŨCŨ CŨGGAŨŨGGGAAAAŨCCAACAGAAAGAGAAGAŨGAŨŨCŨGAŨAAAŨA CŨGŨAAACŨŨAAŨCŨGCAACAAŨCŨGGŨŨCAŨŨŨCAGŨAŨŨAŨŨŨC CŨŨCAAGGAAAŨGAGAAAAGŨGGŨGGAGGŨŨACAŨAGŨŨGŨGGACCCCA ŨŨŨŨACGŨGŨŨGGŨGCŨGAŨAAŨCAŨGŨGCŨACCCŨŨGGACŨGŨG ŨŨACŨCŨŨCAGACAŨŨŨŨŨAGCŨAAGŨGŨŨŨGGGACCŨŨŨŨGAŨGAA ŨGGGAAAGCAGACŨŨAGGGŨŨGCAAAAGAAŨCAGGCŨACAACAŨGA ŨŨCAŨŨŨŨACCCCAŨŨGCAGACŨCŨŨGGACŨAŨCŨAGGŨCAŨGCŨAC ŨCCCŨŨGCCAAŨCAGŨŨAGAAŨŨAAAŨCCŨGACŨŨŨŨCAAGACCŨAA ŨAGAAAGŨAŨACCŨGGAAŨGAŨGŨŨGGACAGCŨAGŨGGAAAAAŨŨAAA AAAGGAAŨGGAAŨGŨŨAŨŨGŨAŨŨACŨGAŨGŨŨGŨCŨACAAŨCAŨAC ŨGCŨGCŨAAŨAGŨAAAŨGGAŨCCAGGAACAŨCCAGAAŨGŨGCCŨAŨAA ŨCUŨGŨGAANCŨCCACACŨŨAAAACCŨGCCŨGGGŨCŨŨAGACAGAGCA CŨŨŨGGCGŨŨŨŨŨCCŨGŨGAŨGŨŨGCAGAAGGGAAAŨACAAAGAAAA GGGAAŨACCŨGCŨŨŨGAŨŨGAAAAŨGAŨCACCAŨAŨGAAŨŨCCAŨCC GAAAAAŨAAŨŨŨGGGAGGAŨAŨŨŨŨŨCCAAAGCŨŨAAACŨCŨGGGA AŨŨŨŨŨCCAAGŨAGAŨGŨCAACAAAGCGGŨŨGAGCAŨŨŨŨAGAAGAC ŨŨCŨŨACACAAGAAAAŨAGGCGAGŨAACCAAGŨCŨGAŨCCAAACCAA CACCŨŨACGAŨŨAŨŨCAAGAŨCCŨGAAŨACAGACGGŨŨŨGGCŨGŨAC ŨGŨAGAŨAŨGAACAŨŨGCACŨAACGACŨCAŨACCACAŨGACAAGGGG CCAGCAGCAAŨŨGAAGAAŨGCŨGŨAAŨŨGGŨŨŨCAŨAAAAGAAŨGGA GGAAŨŨAAAŨŨCAGAGAAGCAŨCGACŨCAŨŨAACŨAŨCAŨCAGGAACA GGCAGŨŨAAŨŨGCCŨŨŨŨGGGAAAŨGŨGŨŨŨŨAŨGAACGACŨGGCŨG GCCAŨGGŨCCAAAACŨAGGACCŨGŨCACŨAGAAAGCAŨCCŨŨŨAGŨŨA CCAGGŨAŨŨŨŨACŨŨŨCCCAŨŨŨGAAGAGAŨAGACŨŨCŨCCAŨGGAA GAAŨCŨAŨGAŨŨCAŨCŨGCCAAAŨAAAGCŨŨGŨŨŨCŨGAŨGGCACACA AŨGGAŨGGGŨAAŨGGGAGAŨGAŨCCŨCŨŨCGAAACŨŨŨGCŨGAACCGG GŨŨCAGAAGŨŨŨACCŨAAGGAGAGAACŨŨAŨŨŨGCŨGGGGAGACAGŨ GŨŨAAAŨŨACGCŨAŨGGGAAŨAAACCAGAGGACŨGŨCCŨŨAŨCŨCŨGG GCACACAŨGAAAAAAŨACACŨGAAAŨAACŨGCAACŨŨAŨŨŨCCAGGGA GŨACGŨCŨŨGAŨAACŨGCCACŨCAACACCŨCŨŨCACGŨAGCŨGAGŨAC AŨGŨŨGGAŨGCŨGCŨAGGAAŨŨŨGCAACCCAAŨŨŨAŨAŨGŨAGŨAGC ŨGAACŨGŨŨCACAGGAAGŨGAAGAŨCŨGGACAAŨGŨCŨŨŨGŨŨACŨA GACŨGGGCAŨŨAGŨŨCCŨŨAAŨAAGAGAGGCAAŨGAGŨGCAŨAŨAAŨ AGŨCAŨGAAGAGGGCAGAŨŨAGŨŨŨACCGAŨAŨGGAGGAGAACCŨGŨ ŨGGAŨCCŨŨŨGŨŨCAGCCCŨGŨŨŨGAGGCCŨŨŨAAŨGCCAGCŨAŨŨG CACAŨGCCCŨGŨŨŨAŨGGAŨAŨŨACGCAŨGAŨAAŨGAGŨGŨCCŨAŨŨ GŨGCAŨAGAŨCAGCGŨAŨGAŨGCŨCŨŨCCAAGŨACŨACAAŨŨGŨŨŨC ŨAŨGGCAŨGŨŨGŨGCŨAGŨGGAAGŨACAAGAGGCŨAŨGAŨGAAŨŨAG ŨGCCŨCAŨCAGAŨŨŨCAGŨGGŨŨŨCŨGAAGAACGGŨŨŨŨACACŨAAG ŨGGAAŨCCŨGAAGCAŨGCCŨŨCAAACACAGGŨGAAGŨŨAAŨŨŨCCAAA GCGGCAŨŨAŨŨGCAGCCAGGŨGŨGCŨAŨCAGŨAAACŨŨCAŨCAGGAGC ŨŨGGAGCCAAGGGŨŨŨŨAŨŨCAGGŨGŨAŨGŨGGAŨCAAGŨŨGAŨG AAGACAŨAGŨGGCAGŨAACAAGACACŨCACCŨAGCAŨCCAŨCAGŨC ŨGŨŨGŨGGCŨGŨAŨCŨAGAACŨGCŨŨŨCAGGAAŨCCCAAGACŨŨCA ŨŨŨŨACAGCAAGGAAGŨGCCŨCAAAŨGŨGCAŨCCCŨGGCAAAAŨŨ GAAGAAGŨAGŨŨCŨŨGAAGCŨAGAACŨAŨŨGAGAGAAACACGAAAC CŨŨAŨAGGAAGGAŨGAGAAŨŨCAAŨCAAŨGGAACACCAGAŨAŨCAC AGŨAGAAAŨŨAGAGAACAŨAŨŨCAGCŨŨAAŨGAAAGŨAAAAŨŨGŨŨA AACAAGCŨGGAGŨŨGCCACAAAAGGGCCCAAŨGAAŨAŨAŨŨCAAGAA AŨAGAAŨŨŨGAAAACŨŨGŨCŨCCAGGAAGŨGŨŨAŨŨAŨAŨŨCAGAGŨŨ AGŨCŨŨGAŨCCACAŨGCACAAGŨCGCŨGŨŨGGAAŨŨCŨŨCGAAAŨCAŨ CŨGACACAAŨŨCAGŨCCŨCACŨŨŨAAAŨCŨGGCAGCCŨAGCŨGŨŨ GACAAŨGCAGAŨCCŨAŨAŨŨAAAAAŨŨCCŨŨŨGCŨŨCŨCŨŨGCCŨCC AGAŨŨAACŨŨŨGGCŨGAGCŨAAAŨCAGAŨCCŨŨŨACCGAŨGŨGAAŨC AGAAGAAAAGGAAGAŨGGŨGGAGGGŨGCŨAŨGACAŨACCAAACŨGGŨ CAGCCCŨŨAAAŨAŨGCAGGŨCŨŨCAAGGŨŨŨAAŨGŨCŨGŨAŨŨGGC AGAAAŨAAGACCAAAGAAŨGACŨŨGGGGCAŨCCŨŨŨŨŨGŨAAŨAA ŨŨŨGAGAŨCŨGGAGAŨŨGGAŨGAŨŨGACŨAŨGŨCAGŨAACCGGC ŨŨAŨŨŨCACGAŨCAGGAACŨAŨŨGCŨGAAGŨŨGGŨAAAŨGGŨŨGCAG GCŨAŨGŨŨCŨŨCŨACCŨGAAGCAGAŨCCCACGŨŨACCŨŨAŨCCCAŨG ŨŨACŨŨŨGAŨGCŨAŨAŨŨAAŨŨGGŨGCAŨAŨACCACŨCŨŨCŨGGAŨA CAGCAŨGGAAGCAGAŨGŨCAAGCŨŨŨGŨŨCAGAAŨGGŨŨCAACCŨŨŨ GŨGAAACACCŨŨŨCAŨŨGGGŨŨCAGŨŨCAACŨGŨGŨGGAGŨAGGAAAA ŨŨCCCŨŨCCCŨGCCAAŨŨCŨŨŨCACCŨGCCCŨAAŨGGAŨGŨACCŨŨAŨ AGGŨŨAAAŨGAGAŨCACAAAAGAAAAGGAGCAAŨGŨŨGŨGŨŨŨŨCŨAG CŨGCAGGCŨŨACCŨCAŨŨŨŨŨCŨŨCŨGGŨAŨŨŨŨCCGCŨGCŨGGGGA AGGGAŨACŨŨŨAŨŨGCACŨŨAGAGGŨAŨACŨGCŨGAŨŨACŨGGACGC ŨAŨGŨAGAAGCCAGGAAŨAŨŨAŨŨŨŨAGCAŨŨŨGCGGGŨACCCŨGAGG CAŨGGŨCŨCAŨŨCCŨAAŨCŨACŨGGGŨGAAGGAŨŨŨŨAŨGCCAGAŨA CAAŨŨGŨCGGGAŨGCŨGŨGŨGGŨGGŨGGCŨGCAGŨGŨAŨCCAGGA ŨŨACŨGŨAAAAŨGGŨŨCCAAAŨGGŨCŨAGACAŨŨCŨCAAGŨGCCCA GŨŨŨCCAGAAŨGŨAŨCCŨACAGAŨGAŨŨCŨGCŨCCŨŨŨGCCŨGCŨG GCACACŨGGAŨCAGCCAŨŨGŨŨŨGAAGŨCAŨACAGGAAGCAAŨGCAA AAACACAŨGCAGGGCAŨACAGŨŨCCGAGAAAGGAAŨGCŨGGŨCCCCAG AŨAGAŨCGAAACAŨGAAGGACGAAGGŨŨŨAAŨAŨAACŨGCAGGAGŨŨ GAŨGAAGAAACAGGAŨŨŨGŨŨŨAŨGGAGGAAAŨCGŨŨŨCAAŨŨGŨGGC ACAŨGGAŨGGAŨAAAAŨGGGAGAAAGŨGACAGAGCŨAGAAACAGAGGAA ŨCCCAGCCACACCAAGAGAŨGGGŨCŨGCŨGŨGGAAAŨŨGŨGGGCCŨGA GŨAAAŨCŨGCŨGŨŨCGCŨGGŨŨGCŨGGAAŨŨAŨCCAAAAAAAAŨŨŨŨŨ ŨCCCŨŨAŨCAŨGAAGŨCACAGŨAAAAAGACAŨGGAAAGGCŨAŨAAA GGŨCŨCAŨAŨGAŨGAGŨGGAACAGAAAAAŨACAAGACAACŨŨŨGAAAA GCŨAŨŨŨCAŨGŨŨŨCCGAAGACCCŨŨCAGAŨŨŨAAAŨGAAAAGCAŨCC AAAŨCŨGGŨŨCACAAACGŨGGCAŨAŨACAAAGAŨAGŨŨAŨGGAGCŨŨ CAAGŨCCŨŨGGŨGŨGACŨAŨCAGCŨCAGGCCŨAAŨŨŨŨACCAŨAGCAA ŨGGŨGŨGGCCCCŨGAGCŨCŨŨŨACŨACAGAAAAAGCAŨGGAAAGC ŨŨŨGGAGAŨŨGCAGAAAAAAAAŨŨGCŨŨGGŨCCCCŨŨGGCAŨGAAA ACŨŨŨAGAŨCCAGAŨGAŨAŨGGŨŨŨACŨGŨGGAŨŨŨŨAŨGACAAŨG CAŨŨAGACAAŨGACAACŨACAAŨCŨŨGCŨAAAGGŨŨŨCAAŨŨAŨCACC AAGGACCŨGAGŨGGCŨGŨGGCCŨAŨŨGGGŨAŨŨŨŨŨŨCGŨGCAAAAŨŨ AŨAŨŨŨŨCCAGAŨŨGAŨGGGCCCGGAGACŨACŨGCAAAGACŨAŨAGŨŨ ŨŨGGŨŨAAAAAŨGŨŨCŨŨŨCCCGACAŨŨAŨGŨŨCAŨCŨŨGAGAGAŨC CCCŨŨGGAAAGGACŨŨCCAGAACŨGACCAAŨGAGAAŨGCCCAGŨACŨGŨ CCŨŨŨCAGCŨGŨGAAACACAAGCCŨGGŨCAAŨŨGCŨACŨAŨŨCŨŨGAG ACACŨŨŨAŨGAŨŨŨAŨAG - In this example, the structures of mUNA molecules for use in expressing human protein S (alpha) (PROS1) are shown.
- Human protein S (alpha) is associated with Protein S deficiency, thrombosis, and arterial occlusive disease.
- The base sequences shown below are the portion of the mUNA molecule that may correspond in functionality to the open reading frame of the native mRNA of human protein S (alpha). The complete mUNA molecule comprises a 5′ cap (m7GpppGm), and a 5′-UTR upstream of the sequence below, and a 3′ UTR and polyA tail (SEQ ID Nos: 4 to 12) downstream of the sequence below, each of which corresponds to the structure of the native mRNA of human protein S (alpha).
-
Human protein S (alpha) is accession NM_001314077.1. (SEQ ID NO: 152) A{tilde over (U)}{circumflex over (G)}{tilde over (A)}GGGUCCUGGGUGGGCGCUGCGGGGCGCUGCUGGCGUGUCUCCUC CUAGUGCUUCCCGUCUCAGAGGCAAACUUUUGUUUAUAUUUUAGAAAUG AUUUUAUAUACAACCGUGCAUGCAUUUCUGUAUUGGUCGGCUUAUCUGG AUGCAAUCUUUUUUCUAUUCUAUAUGCUUUUUGAAAGCAACAGGCUUCA CAAGUCCUGGUUAGGAAGCGUCGUGCAAAUUCUUUACUUGAAGAAACCA AACAGGGUAAUCUUGAAAGAGAAUGCAUCGAAGAACUGUGCAAUAAAGA AGAAGCCAGGGAGGUCUUUGAAAAUGACCCGGAAACGGAUUAUUUUUAU CCAAAAUACUUAGUUUGUCUUCGCUCUUUUCAAACUGGGUUAUUCACUG CUGCACGUCAGUCAACUAAUGCUUAUCCUGACCUAAGAAGCUGUGUCAA UGCCAUUCCAGACCAGUGUAGUCCUCUGCCAUGCAAUGAAGAUGGAUAU AUGAGCUGCAAAGAUGGAAAAGCUUCUUUUACUUGCACUUGUAAACCAG GUUGGCAAGGAGAAAAGUGUGAAUUUGACAUAAAUGAAUGCAAAGAUCC CUCAAAUAUAAAUGGAGGUUGCAGUCAAAUUUGUGAUAAUACACCUGGA AGUUACCACUGUUCCUGUAAAAAUGGUUUUGUUAUGCUUUCAAAUAAGA AAGAUUGUAAAGAUGUGGAUGAAUGCUCUUUGAAGCCAAGCAUUUGUGG CACAGCUGUGUGCAAGAACAUCCCAGGAGAUUUUGAAUGUGAAUGCCCC GAAGGCUACAGAUAUAAUCUCAAAUCAAAGUCUUGUGAAGAUAUAGAUG AAUGCUCUGAGAACAUGUGUGCUCAGCUUUGUGUCAAUUACCCUGGAGG UUACACUUGCUAUUGUGAUGGGAAGAAAGGAUUCAAACUUGCCCAAGAU CAGAAGAGUUGUGAGGUUGUUUCAGUGUGCCUUCCCUUGAACCUUGACA CAAAGUAUGAAUUACUUUACUUGGCGGAGCAGUUUGCAGGGGUUGUUUU AUAUUUAAAAUUUCGUUUGCCAGAAAUCAGCAGAUUUUCAGCAGAAUUU GAUUUCCGGACAUAUGAUUCAGAAGGCGUGAUACUGUACGCAGAAUCUA UCGAUCACUCAGCGUGGCUCCUGAUUGCACUUCGUGGUGGAAAGAUUGA AGUUCAGCUUAAGAAUGAACAUACAUCCAAAAUCACAACUGGAGGUGAU GUUAUUAAUAAUGGUCUAUGGAAUAUGGUGUCUGUGGAAGAAUUAGAAC AUAGUAUUAGCAUUAAAAUAGCUAAAGAAGCUGUGAUGGAUAUAAAUAA ACCUGGACCCCUUUUUAAGCCGGAAAAUGGAUUGCUGGAAACCAAAGUA UACUUUGCAGGAUUCCCUCGGAAAGUGGAAAGUGAACUCAUUAAACCGA UUAACCCUCGUCUAGAUGGAUGUAUACGAAGCUGGAAUUUGAUGAAGCA AGGAGCUUCUGGAAUAAAGGAAAUUAUUCAAGAAAAACAAAAUAAGCAU UGCCUGGUUACUGUGGAGAAGGGCUCCUACUAUCCUGGUUCUGGAAUUG CUCAAUUUCACAUAGAUUAUAAUAAUGUAUCCAGUGCUGAGGGUUGGCA UGUAAAUGUGACCUUGAAUAUUCGUCCAUCCACGGGCACUGGUGUUAUG CUUGCCUUGGUUUCUGGUAACAACACAGUGCCCUUUGCUGUGUCCUUGG UGGACUCCACCUCUGAAAAAUCACAGGAUAUUCUGUUAUCUGUUGAAAA UACUGUAAUAUAUCGGAUACAGGCCCUAAGUCUAUGUUCCGAUCAACAA UCUCAUCUGGAAUUUAGAGUCAACAGAAACAAUCUGGAGUUGUCGACAC CACUUAAAAUAGAAACCAUCUCCCAUGAAGACCUUCAAAGACAACUUGC CGUCUUGGACAAAGCAAUGAAAGCAAAAGUGGCCACAUACCUGGGUGGC CUUCCAGAUGUUCCAUUCAGUGCCACACCAGUGAAUGCCUUUUAUAAUG GCUGCAUGGAAGUGAAUAUUAAUGGUGUACAGUUGGAUCUGGAUGAAGC CAUUUCUAAACAUAAUGAUAUUAGAGCUCACUC AUGUCCAUCAGUUUGGAAAAAGACAAAGAAUUCU{tilde over (U)}{tilde over (U)}{tilde over (A)}A (SEQ ID NO: 153) AŨGAGGGŨCCŨGGGŨGGGCGCŨGCGGGGCGCŨGCŨGGCGŨGŨCŨCCŨ CCŨAGŨGCŨŨCCCGŨCŨCAGAGGCAAACŨŨŨGŨŨŨAŨAŨŨŨŨAGAAA ŨGAŨŨŨŨAŨAŨACAACCGŨGCAŨGCAŨŨŨCŨGŨAŨŨGGŨCGGCŨŨA ŨCŨGGAŨGCAAŨŨŨŨŨŨCŨAŨŨCŨAŨAŨGCŨŨŨŨŨGŨCAAAGCAACA GGCŨŨCACAAGŨCCŨGGŨŨAGGAAGCGŨCGŨGCAAAŨŨCŨŨŨACŨŨG AAGAAACCAAACAGGGŨAAŨCŨŨGAAAGAGAAŨGCAŨCGAAGAACŨGŨG CAAŨAAAGAAGAAGCCAGGGAGGŨCŨŨŨGAAAAŨGACCCGGAAACGGA ŨŨAŨŨŨŨŨAŨCCAAAAŨACŨŨAGŨŨŨGŨCŨŨCGCŨCŨŨŨŨCAAACŨ GGGŨŨAŨŨCACŨGCŨGCACGŨCAGŨCAACŨAAŨGCŨŨAŨCCŨGACCŨA AGAAGCŨGŨGŨCAAŨGCCAŨŨCCAGACCAGŨGŨAGŨCCŨCŨGCCAŨGC AAŨGAAGAŨGGAŨAŨAŨGAGCŨGCAAAGAŨGGAAAAGCŨŨCŨŨŨŨACŨŨ GCACŨŨGŨAAACCAGGŨŨGGCAAGGAGAAAAGŨGŨGAAŨŨŨGACAŨAAA ŨGAAŨGCAAAGAŨCCCŨCAAAŨAŨAAAŨGGAGGŨŨGCAGŨCAAAŨŨŨG ŨGAŨAAŨACACCŨGGAAGŨACCACŨGŨŨCCŨGŨAAAAAŨGGŨŨŨŨGŨ ŨAŨGCŨŨŨCAAAŨAAGAAAGAŨŨGŨAAAGAŨGŨGGAŨGAAŨGCŨCŨŨŨ GAAGCCAAGCAŨŨŨGŨGGCACAGCŨGŨGŨGCAAGAACAŨCCCAGGAGA ŨŨŨŨGAAŨGŨGAAŨGCCCCGAAGGCŨACAGAŨAŨAAŨCŨCAAAŨCAAAG ŨCŨŨGŨGAAGAŨAŨAGAŨGAAŨGCŨCŨGAGAACAŨGŨGŨGCŨCAGCŨ NGŨGŨCAAŨŨACCCŨGGAGGŨŨACACŨŨGCŨAŨŨGŨGAŨGGGAAGAAA GGAŨŨCAAACŨŨGCCCAAGAŨCAGAAGAGŨŨGŨGAGGŨŨGŨŨŨCAGŨG ŨGCCŨŨCCCŨŨGAACCŨŨGACACAAAGŨAŨGAAŨŨACŨŨŨACŨŨGGC GGAGCAGŨŨŨGCAGGGGŨŨGŨŨŨŨAŨŨŨŨŨAAAAŨŨŨCGŨŨŨGCCAGA AAŨCAGCAGAŨŨŨŨCAGCAGAAŨŨŨGAŨŨŨCCGGACAŨAŨGAŨŨCAGA AGGCGŨGAŨACŨGŨACGCAGAAŨCŨAŨCGAŨCACŨCAGCGŨŨGGCŨC CŨGAŨŨGCACŨŨCGŨGGŨGGAAAGAŨŨGAAGŨŨCAGCŨŨAAGAAŨGAA CAŨACAŨCCAAAAŨCACAACŨGGAGGŨGAŨGŨŨAŨŨAAŨAAŨGGŨ CŨAŨGGAAŨAŨGGŨGŨCŨGŨGGAAGAAŨŨAGAACAŨAGŨAŨŨAGCA ŨŨAAAAŨAGCŨAAAGAAGCŨGŨGAŨGGAŨAŨAAAŨAAACCŨGGACCCC ŨŨŨŨŨAAGCCGGAAAAŨGGAŨŨGCŨGGAAACCAAAGŨAŨACŨŨŨGCAGG AŨŨCCCŨCGGAAAGŨGGAAAGŨGAACŨCAŨŨAAACCGAŨŨAACCCŨC GŨCŨAGAŨGGAŨGŨAŨACGAAGCŨGGAAŨŨŨGAŨGAAGCAAGGAGCŨ ŨŨŨGGAAŨAAAGGAAAŨŨAŨŨCAAGAAAAACAAAAŨAAGCAŨŨGCCŨG GŨŨACŨGŨGGAGAAGGGCŨCCŨACŨAŨCCŨGGŨŨCŨGGAAŨŨGCŨCAA ŨŨŨCACAŨAGAŨŨAŨAAŨAAŨGŨAŨCCAGŨGCŨGAGGGŨŨGGCAŨG ŨAAAŨGŨGACCŨŨGAAŨAŨŨCGŨCCAŨCCACGGGCACŨGGŨGŨŨAŨG CŨŨGCCŨŨGGŨŨŨCŨGGŨAACAACACAGŨGCCCŨŨŨGCŨGŨGŨCCŨŨ GGŨGGACŨCCACCŨCŨGAAAAAŨCACAGGAŨAŨŨCŨGŨŨAŨCŨGŨŨGAA AAŨACŨGŨAAŨAŨAŨCGGAŨACAGGCCCŨAAGŨCŨAŨGŨŨCCGAŨCAAC AAŨCŨCAŨCŨGGAAŨŨŨAGAGŨCAACAGAAACAAŨCŨGGAGŨŨGŨCGA CACCACŨŨAAAAŨAGAAACCAŨCŨCCCAŨGAAGACCŨŨCAAAGACAAC ŨŨGCCGŨCŨŨGGACAAAGCAAŨGAAAGCAAAAGŨGGCCACAŨACCŨGGG ŨGGCCŨŨCCAGAŨGŨŨCCAŨŨCAGŨGCCACACCAGŨGAAŨGCCŨŨŨŨA ŨAAŨGGCŨGCAŨGGAAGŨGAAŨAŨŨAAŨGGŨGŨACAGŨŨGGAŨCŨGGAŨ GAAGCCAŨŨŨCŨAAACAŨAAŨGAŨAŨŨAGAGCŨCACŨCAŨGŨCCAŨCA GŨŨŨGGAAAAAGACAAAGAAŨŨCŨŨAA - In this example, the structures of mUNA molecules for use in expressing human pyruvate kinase, liver and RBC (PKLR) are shown.
- Human pyruvate kinase, liver and RBC (PKLR) is associated with chronic hereditary nonspherocytic hemolytic anemia.
- The base sequences shown below are the portion of the mUNA molecule that may correspond in functionality to the open reading frame of the native mRNA of human pyruvate kinase, liver and RBC (PKLR). The complete mUNA molecule comprises a 5′ cap (m7GpppGm), and a 5′-UTR upstream of the sequence below, and a 3′ UTR and polyA tail (SEQ ID Nos: 4 to 12) downstream of the sequence below, each of which corresponds to the structure of the native mRNA of human pyruvate kinase, liver and RBC (PKLR).
-
Human pyruvate kinase, liver and RBC (PKLR) is accession NM_000298.5. (SEQ ID NO: 154) A{tilde over (U)}{circumflex over (G)}{tilde over (U)}CGAUCCAGGAGAACAUAUCAUCCCUGCAGCUUCGGUCAUGGGUC UCUAAGUCCCAAAGAGACUUAGCAAAGUCCAUCCUGAUUGGGGCUCCA GGAGGGCCAGCGGGGUAUCUGCGGCGGGCCAGUGUGGCCCAACUGACC CAGGAGCUGGGCACUGCCUUCUUCCAGCAGCAGCAGCUGCCAGCUGCU AUGGCAGACACCUUCCUGGAACACCUCUGCCUACUGGACAUUGACUCC GAGCCCGUGGCUGCUCGCAGUACCAGCAUCAUUGCCACCAUCGGGCCA GCAUCUCGCUCCGUGGAGCGCCUCAAGGAGAUGAUCAAGGCCGGGAUG AACAUUGCGCGACUCAACUUCUCCCACGGCUCCCACGAGUACCAUGCU GAGUCCAUCGCCAACGUCCGGGAGGCGGUGGAGAGCUUUGCAGGUUCC CCACUCAGCUACCGGCCCGUGGCCAUCGCCCUGGACACCAAGGGACCG GAGAUCCGCACUGGGAUCCUGCAGGGGGGUCCAGAGUCGGAAGUGGAG CUGGUGAAGGGCUCCCAGGUGCUGGUGACUGUGGACCCCGCGUUCCGG ACGCGGGGGAACGCGAACACCGUGUGGGUGGACUACCCCAAUAUUGUC CGGGUCGUGCCGGUGGGGGGCCGCAUCUACAUUGACGACGGGCUCAUC UCCCUAGUGGUCCAGAAAAUCGGCCCAGAGGGACUGGUGACCCAAGUG GAGAACGGCGGCGUCCUGGGCAGCCGGAAGGGCGUGAACUUGCCAGGG GCCCAGGUGGACUUGCCCGGGCUGUCCGAGCAGGACGUCCGAGACCUG CGCUUCGGGGUGGAGCAUGGGGUGGACAUCGUCUUUGCCUCCUUUGUG CGGAAAGCCAGCGACGUGGCUGCCGUCAGGGCUGCUCUGGGUCCGGAA GGACACGGCAUCAAGAUCAUCAGCAAAAUUGAGAACCACGAAGGCGUG AAGAGGUUUGAUGAAAUCCUGGAGGUGAGCGACGGCAUCAUGGUGGCA CGGGGGGACCUAGGCAUCGAGAUCCCAGCAGAGAAGGUUUUCCUGGCU CAGAAGAUGAUGAUUGGGCGCUGCAACUUGGCGGGCAAGCCUGUUGUC UGUGCCACACAGAUGCUGGAGAGCAUGAUUACCAAGCCCCGGCCAACG AGGGCAGAGACAAGCGAUGUCGCCAAUGCUGUGCUGGAUGGGGCUGAC UGCAUCAUGCUGUCAGGGGAGACUGCCAAGGGCAACUUCCCUGUGGAA GCGGUGAAGAUGCAGCAUGCGAUUGCCCGGGAGGCAGAGGCCGCAGUG UACCACCGGCAGCUGUUUGAGGAGCUACGUCGGGCAGCGCCACUAAGC CGUGAUCCCACUGAGGUCACCGCCAUUGGUGCUGUGGAGGCUGCCUUC AAGUGCUGUGCUGCUGCCAUCAUUGUGCUGACCACAACUGGCCGCUCA GCCCAGCUUCUGUCUCGGUACCGACCUCGGGCAGCAGUCAUUGCUGUC ACCCGCUCUGCCCAGGCUGCCCGCCAGGUCCACUUAUGCCGAGGAGUC UUCCCCUUGCUUUACCGUGAACCUCCAGAAGCCAUCUGGGCAGAUGAU GUAGAUCGCCGGGUGCAAUUUGGCAUUGAAAGUGGAAAGCUCCGUGGC UUCCUCCGUGUUGGAGACCUGGUGAUUGUGGUGACAGGCUGGCGACCU GGCUCCGGCUACACCAACAUCAUGCGGGUGCUAAGCAUAUC{circumflex over (C)}{tilde over (U)}{circumflex over (G)}A (SEQ ID NO: 155) AŨGŨCGAŨCCAGGAGAACAŨAŨCAŨCCCŨGCAGCŨŨCGGŨCAŨGGGŨCŨCŨAAGŨCCCA AAGAGACŨŨAGCAAAGŨCCAŨCCŨGAŨŨGGGGCŨCCAGGAGGGCCAGCGGGGŨAŨCŨGC GGCGGGCCAGŨGŨGGCCCAACŨGACCCAGGAGCŨGGGCACŨGCCŨŨCŨŨCCAGCAGCAG CAGCŨGCCAGCŨGCŨAŨGGCAGACACCŨŨCCŨGGAACACCŨCŨGCCŨACŨGGACAŨŨGA CŨCCGAGCCCGŨGGCŨGCŨCGCAGŨACCAGCAŨCAŨŨGCCACCAŨCGGGCCAGCAŨCŨC GCŨCCGŨGGAGCGCCŨCAAGGAGAŨGAŨCAAGGCCGGGAŨGAACAŨŨGCGCGACŨCAAC ŨŨCŨCCCACGGCŨCCCACGAGŨACCAŨGCŨGAGŨCCAŨCGCCAACGŨCCGGGAGGCGGŨ GGAGAGCŨŨŨGCAGGŨŨCCCCACŨCAGCŨACCGGCCCGŨGGCCAŨCGCCCŨGGACACCA AGGGACCGGAGAŨCCGCACŨGGGAŨCCŨGCAGGGGGGŨCCAGAGŨCGGAAGŨGGAGCŨG GŨGAAGGGCŨCCCAGGŨGCŨGGŨGACŨGŨGGACCCCGCGŨŨCCGGACGCGGGGGAACGC GAACACCGŨGŨGGGŨGGACŨACCCCAAŨAŨŨGŨCCGGGŨCGŨGCCGGŨGGGGGGCCGCA ŨCŨACAŨŨGACGACGGGCŨCAŨCŨCCCŨAGŨGGŨCCAGAAAAŨCGGCCCAGAGGGACŨG GŨGACCCAAGŨGGAGAACGGCGGCGŨCCŨGGGCAGCCGGAAGGGCGŨGAACŨŨGCCAGG GGCCCAGGŨGGACŨŨGCCCGGGCŨGŨCCGAGCAGGACGŨCCGAGACCŨGCGCŨŨCGGGG ŨGGAGCAŨGGGGŨGGACAŨCGŨCŨŨŨGCCŨCCŨŨŨGŨGCGGAAAGCCAGCGACGŨGGCŨ GCCGŨCAGGGCŨGCŨCŨGGGŨCCGGAAGGACACGGCAŨCAAGAŨCAŨCAGCAAAAŨŨGA GAACCACGAAGGCGŨGAAGAGGŨŨŨGAŨGAAAŨCCŨGGAGGŨGAGCGACGGCAŨCAŨGG ŨGGCACGGGGGGACCŨAGGCAŨCGAGAŨCCCAGCAGAGAAGGŨŨŨŨCCŨGGCŨCAGAAG AŨGAŨGAŨŨGGGCGCŨGCAACŨŨGGCGGGCAAGCCŨGŨŨGŨCŨGŨGCCACACAGAŨGCŨ GGAGAGCAŨGAŨŨACCAAGCCCCGGCCAACGAGGGCAGAGACAAGCGAŨGŨCGCCAAŨG CŨGŨGCŨGGAŨGGGGCŨGACŨGCAŨCAŨGCŨGŨCAGGGGAGACŨGCCAAGGGCAACŨŨC CCŨGŨGGAAGCGGŨGAAGAŨGCAGCAŨGCGAŨŨGCCCGGGAGGCAGAGGCCGCAGŨGŨA CCACCGGCAGCŨGŨŨŨGAGGAGCŨACGŨCGGGCAGCGCCACŨAAGCCGŨGAŨCCCACŨG AGGŨCACCGCCAŨŨGGŨGCŨGŨGGAGGCŨGCCŨŨCAAGŨGCŨGŨGCŨGCŨGCCAŨCAŨŨ GŨGCŨGACCACAACŨGGCCGCŨCAGCCCAGCŨŨCŨGŨCŨCGGŨACCGACCŨCGGGCAGC AGŨCAŨŨGCŨGŨCACCCGCŨCŨGCCCAGGCŨGCCCGCCAGGŨCCACŨŨAŨGCCGAGGAG ŨCŨŨCCCCŨŨGCŨŨŨACCGŨGAACCŨCCAGAAGCCAŨCŨGGGCAGAŨGAŨGŨAGAŨCGC CGGGŨGCAAŨŨŨGGCAŨŨGAAAGŨGGAAAGCŨCCGŨGGCŨŨCCŨCCGŨGŨŨGGAGACCŨ GGŨGAŨŨGŨGGŨGACAGGCŨGGCGACCŨGGCŨCCGGCŨACACCAACAŨCAŨGCGGGŨGC ŨAAGCAŨAŨCCŨGA - In this example, the structures of mUNA molecules for use in expressing human phenylalanine hydroxylase are shown.
- Human phenylalanine hydroxylase is associated with phenylketonuria.
- The base sequences shown below are the portion of the mUNA molecule that may correspond in functionality to the open reading frame of the native mRNA of human phenylalanine hydroxylase. The complete mUNA molecule comprises a 5′ cap (m7GpppGm), and a 5′-UTR upstream of the sequence below, and a 3′ UTR and polyA tail (SEQ ID NOs: 4 to 12) downstream of the sequence below, each of which corresponds to the structure of the native mRNA of human phenylalanine hydroxylase.
-
Human phenylalanine hydroxylase is accession NM_000277.1. (SEQ ID NO: 156) A{tilde over (U)}{circumflex over (G)}{tilde over (U)}CCACUGCGGUCCUGGAAAACCCAGGCUUGGGCAGGAAACUCUCUGACUUUGGACA GGAAACAAGCUAUAUUGAAGACAACUGCAAUCAAAAUGGUGCCAUAUCACUGAUCUUCU CACUCAAAGAAGAAGUUGGUGCAUUGGCCAAAGUAUUGCGCUUAUUUGAGGAGAAUGAU GUAAACCUGACCCACAUUGAAUCUAGACCUUCUCGUUUAAAGAAAGAUGAGUAUGAAUU UUUCACCCAUUUGGAUAAACGUAGCCUGCCUGCUCUGACAAACAUCAUCAAGAUCUUGA GGCAUGACAUUGGUGCCACUGUCCAUGAGCUUUCACGAGAUAAGAAGAAAGACACAGUG CCCUGGUUCCCAAGAACCAUUCAAGAGCUGGACAGAUUUGCCAAUCAGAUUCUCAGCUA UGGAGCGGAACUGGAUGCUGACCACCCUGGUUUUAAAGAUCCUGUGUACCGUGCAAGAC GGAAGCAGUUUGCUGACAUUGCCUACAACUACCGCCAUGGGCAGCCCAUCCCUCGAGUG GAAUACAUGGAGGAAGAAAAGAAAACAUGGGGCACAGUGUUCAAGACUCUGAAGUCCUU GUAUAAAACCCAUGCUUGCUAUGAGUACAAUCACAUUUUUCCACUUCUUGAAAAGUACU GUGGCUUCCAUGAAGAUAACAUUCCCCAGCUGGAAGACGUUUCUCAAUUCCUGCAGACU UGCACUGGUUUCCGCCUCCGACCUGUGGCUGGCCUGCUUUCCUCUCGGGAUUUCUUGGG UGGCCUGGCCUUCCGAGUCUUCCACUGCACACAGUACAUCAGACAUGGAUCCAAGCCCA UGUAUACCCCCGAACCUGACAUCUGCCAUGAGCUGUUGGGACAUGUGCCCUUGUUUUCA GAUCGCAGCUUUGCCCAGUUUUCCCAGGAAAUUGGCCUUGCCUCUCUGGGUGCACCUGA UGAAUACAUUGAAAAGCUCGCCACAAUUUACUGGUUUACUGUGGAGUUUGGGCUCUGCA AACAAGGAGACUCCAUAAAGGCAUAUGGUGCUGGGCUCCUGUCAUCCUUUGGUGAAUUA CAGUACUGCUUAUCAGAGAAGCCAAAGCUUCUCCCCCUGGAGCUGGAGAAGACAGCCAU CCAAAAUUACACUGUCACGGAGUUCCAGCCCCUGUAUUACGUGGCAGAGAGUUUUAAUG AUGCCAAGGAGAAAGUAAGGAACUUUGCUGCCACAAUACCUCGGCCCUUCUCAGUUCGC UACGACCCAUACACCCAAAGGAUUGAGGUCUUGGACAAUACCCAGCAGCUUAAGAUUUU GGCUGAUUCCAUUAACAGUGAAAUUGGAAUCCUUUGCAGUGCCCUCCAGAAAAUAAA{circumflex over (G)}{tilde over (U)} {tilde over (A)}A (SEQ ID NO: 157) AU{circumflex over (G)}UCCACUGCGGUCCUGGA{tilde over (A)}AACCCAGGCUUGGGCAG{circumflex over (G)}AAACUCUCUGACUUUGG{tilde over (A)}CA GGAAACAAGCUAUAUUGAAGACAACUGCAAUCA{tilde over (A)}AAUGGUGCCAUAUCACU{circumflex over (G)}AUCUUCU CACUCAAAGA{tilde over (A)}GAAGUUGGUGCAUUGGC{circumflex over (C)}AAAGUAUUGCGCUUAUU{tilde over (U)}GAGGAGAAUGAU GUAAA{circumflex over (C)}CUGACCCACAUUGAAUC{tilde over (U)}AGACCUUCUCGUUUAAA{circumflex over (G)}AAAGAUGAGUAUGAAUU {tilde over (U)}UUCACCCAUUUGGAUAA{tilde over (A)}CGUAGCCUGCCU{circumflex over (G)}CUCUGACAAACAUCAUCAAGAU{circumflex over (C)}UUGA GGCAUGACAUUGG{tilde over (U)}GCCACUGUCCAUGAGCU{tilde over (U)}UCACGAGAUAAGAAGAA{tilde over (A)}GACACAGUG CCCUGGUU{circumflex over (C)}CCAAGAACCAUUCAAGA{circumflex over (G)}CUGGACAGAUUUGCCAA{tilde over (U)}CAGAUUCUCAGCUA UGG{tilde over (A)}GCGGAACUGGAUGCUGA{circumflex over (C)}CACCCUGGUUUUAAAGA{tilde over (U)}CCUGUGUACCGUGCAAG{tilde over (A)}C GGAAGCAGUUUGCUGA{circumflex over (C)}AUUGCCUACAACUACCG{circumflex over (C)}CAUGGGCAGCCCAUCCC{tilde over (U)}CGAGUG GAAUACAUGGAGGAAGAAAAGAAAACAUGGGGCACAGUGUUCAAGAC{tilde over (U)}CUGAAGUCCUU GUAUAA{tilde over (A)}ACCCAUGCUUGCUAUGA{circumflex over (G)}UACAAUCACAUUUUUCC{tilde over (A)}CUUCUUGAAAAGUACU G{tilde over (U)}GGCUUCCAUGAAGAUAA{circumflex over (C)}AUUCCCCAGCUGGAAGA{circumflex over (C)}GUUUCUCAAUUCCUGCA{circumflex over (G)}ACU UGCACUGGUUUCCG{circumflex over (C)}CUCCGACCUGUGGCUGG{circumflex over (C)}CUGCUUUCCUCUCGGGA{tilde over (U)}UUCUUGGG UGGCCUGGC{circumflex over (C)}UUCCGAGUCUUCCACUG{circumflex over (C)}ACACAGUACAUCAGACA{tilde over (U)}GGAUCCAAGCCCA UGUA{tilde over (U)}ACCCCCGAACCUGACAU{circumflex over (C)}UGCCAUGAGCUGUUGGG{tilde over (A)}CAUGUGCCCUUGUUUUC{tilde over (A)} GAUCGCAGCUUUGCCCA{circumflex over (G)}UUUUCCCAGGAAAUUGG{circumflex over (C)}CUUGCCUCUCUGGGUGC{tilde over (A)}CCUGA UGAAUACAUUGA{tilde over (A)}AAGCUCGCCACAAUUUA{circumflex over (C)}UGGUUUACUGUGGAGUU{tilde over (U)}GGGCUCUGCA AACAAGG{tilde over (A)}GACUCCAUAAAGGCAUA{tilde over (U)}GGUGCUGGGCUCCUGUC{tilde over (A)}UCCUUUGGUGAAUUA CA{circumflex over (G)}UACUGCUUAUCAGAGAA{circumflex over (G)}CCAAAGCUUCUCCCCCU{circumflex over (G)}GAGCUGGAGAAGACAGC{circumflex over (C)}AU CCAAAAUUACACUGU{circumflex over (C)}ACGGAGUUCCAGCCCCU{circumflex over (G)}UAUUACGUGGCAGAGAG{tilde over (U)}UUUAAUG AUGCCAAGGA{circumflex over (G)}GAAAGUAAGGAACUUUG{circumflex over (C)}UGCCACAAUACCUCGGC{circumflex over (C)}CUUCUCAGUUCG CUACG{tilde over (A)}CCCAUACACCCAAAGGA{tilde over (U)}UGAGGUCUUGGACAAUA{circumflex over (C)}CCAGCAGCUUAAGAUUU {tilde over (U)}GGCUGAUUCCAUUAACA{circumflex over (G)}UGAAAUUGGAAUCCUUU{circumflex over (G)}CAGUGCCCUCCAGAAAA{tilde over (U)}AAAG UAA (SEQ ID NO: 158) AŨGŨCCACŨGCGGŨCCŨGGAAAACCCAGGCŨŨGGGCAGGAAACŨCŨCŨGACŨŨŨGGACA GGAAACAAGCŨAŨAŨŨGAAGACAACŨGCAAŨCAAAAŨGGŨGCCAŨAŨCACŨGAŨCŨŨCŨ CACŨCAAAGAAGAAGŨŨGGŨGCAŨŨGGCCAAAGŨAŨŨGCGCŨŨAŨŨŨGAGGAGAAŨGAŨ GŨAAACCŨGACCCACAŨŨGAAŨCŨAGACCŨŨCŨCGŨŨŨAAAGAAAGAŨGAGŨAŨGAAŨŨ ŨŨŨCACCCAŨŨŨGGAŨAAACGŨAGCCŨGCCŨGCŨCŨGACAAACAŨCAŨCAAGAŨCŨŨGA GGCAŨGACAŨŨGGŨGCCACŨGŨCCAŨGAGCŨŨŨCACGAGAŨAAGAAGAAAGACACAGŨG CCCŨGGŨŨCCCAAGAACCAŨŨCAAGAGCŨGGACAGAŨŨŨGCCAAŨCAGAŨŨCŨCAGCŨA ŨGGAGCGGAACŨGGAŨGCŨGACCACCCŨGGŨŨŨŨAAAGAŨCCŨGŨGŨACCGŨGCAAGAC GGAAGCAGŨŨŨGCŨGACAŨŨGCCŨACAACŨACCGCCAŨGGGCAGCCCAŨCCCŨCGAGŨG GAAŨACAŨGGAGGAAGAAAAGAAAACAŨGGGGCACAGŨGŨŨCAAGACŨCŨGAAGŨCCŨŨ GŨAŨAAAACCCAŨGCŨŨGCŨAŨGAGŨACAAŨCACAŨŨŨŨŨCCACŨŨCŨŨGAAAAGŨACŨ GŨGGCŨŨCCAŨGAAGAŨAACAŨŨCCCCAGCŨGGAAGACGŨŨŨCŨCAAŨŨCCŨGCAGACŨ ŨGCACŨGGŨŨŨCCGCCŨCCGACCŨGŨGGCŨGGCCŨGCŨŨŨCCŨCŨCGGGAŨŨŨCŨŨGGG ŨGGCCŨGGCCŨŨCCGAGŨCŨŨCCACŨGCACACAGŨACAŨCAGACAŨGGAŨCCAAGCCCA ŨGŨAŨACCCCCGAACCŨGACAŨCŨGCCAŨGAGCŨGŨŨGGGACAŨGŨGCCCŨŨGŨŨŨŨCA GAŨCGCAGCŨŨŨGCCCAGŨŨŨŨCCCAGGAAAŨŨGGCCŨŨGCCŨCŨCŨGGGŨGCACCŨGA ŨGAAŨACAŨŨGAAAAGCŨCGCCACAAŨŨŨACŨGGŨŨŨACŨGŨGGAGŨŨŨGGGCŨCŨGCA AACAAGGAGACŨCCAŨAAAGGCAŨAŨGGŨGCŨGGGCŨCCŨGŨCAŨCCŨŨŨGGŨGAAŨŨA CAGŨACŨGCŨŨAŨCAGAGAAGCCAAAGCŨŨCŨCCCCCŨGGAGCŨGGAGAAGACAGCCAŨ CCAAAAŨŨACACŨGŨCACGGAGŨŨCCAGCCCCŨGŨAŨŨACGŨGGCAGAGAGŨŨŨŨAAŨG AŨGCCAAGGAGAAAGŨAAGGAACŨŨŨGCŨGCCACAAŨACCŨCGGCCCŨŨCŨCAGŨŨCGC ŨACGACCCAŨACACCCAAAGGAŨŨGAGGŨCŨŨGGACAAŨACCCAGCAGCŨŨAAGAŨŨŨŨ GGCŨGAŨŨCCAŨŨAACAGŨGAAAŨŨGGAAŨCCŨŨŨGCAGŨGCCCŨCCAGAAAAŨAAAGŨ AA - In this example, the structures of mUNA molecules for enhancing translational efficiency are shown.
- The 5′-UTR of tobacco etch virus (TEV) is as follows:
-
(SEQ ID NO: 159) UCAACACAACAUAUACAAAAACAAACGAAUCUCAAGCAAUCAAGCAUU CUACUUCUAUUGCAGCAAUUUAAAUCAUUUCUUUUAAAGCAAAAGCAA UUUUCUGAAAAUUUUCACCAUUUACGAACGAUAGCC - The base sequences shown below are the portion of the mUNA molecule that may correspond in functionality to the 5′-UTR of tobacco etch virus (TEV). The complete mUNA molecule comprises a 5′ cap upstream of the sequence below (m7GpppGm), and a coding region (CDS) of a protein of interest, a 3′-UTR, and a polyA tail (SEQ ID Nos: 4 to 12) downstream of the sequence below, each of which corresponds to the structure of any native human mRNA. Thus, a UNA oligomer incorprating the oligomer fragment below can have enhanced translational efficiency.
- The translation enhancer is placed upstream of the AUG translation start site, and the enhancer region is not translated into the therapeutic protein.
-
(SEQ ID NO: 160) U{circumflex over (C)}AAC{tilde over (A)}CAA{circumflex over (C)}AUA{tilde over (U)}ACAA{tilde over (A)}AACAAAC{circumflex over (G)}AAU{circumflex over (C)}UCA{tilde over (A)}GCA{tilde over (A)}UCA{tilde over (A)}GCA{tilde over (U)}UC U{tilde over (A)}CUU{circumflex over (C)}UAU{tilde over (U)}GCA{circumflex over (G)}CAA{tilde over (U)}UUA{tilde over (A)}AU{circumflex over (C)}AUUU{circumflex over (C)}UUUUAAA{circumflex over (G)}CAA{tilde over (A)}AGC{tilde over (A)}AUU {tilde over (U)}UCU{circumflex over (G)}AAA{tilde over (A)}UUU{tilde over (U)}CAC{circumflex over (C)}AUU{tilde over (U)}ACG{tilde over (A)}ACG{tilde over (A)}UAGCC (SEQ ID NO: 161) U{circumflex over (C)}AACACAACAUAUACAAAACAAACGAAUCU{circumflex over (C)}AAGCAAUCAAGCAUUCU ACUUCUAUUGCA{circumflex over (G)}CAAUUUAAAUCAUUUCUUUUAAAGCAAAA{circumflex over (G)}CAAUUU UCUGAAAAUUUUCACCAUUUACGAACGAUAGC{circumflex over (C)}C (SEQ ID NO: 162) U{circumflex over (C)}{tilde over (A)}{tilde over (A)}CACAACAUAUACAAAACAAACGAAUCUCAAGCAAUCAAGCAUUCU ACUUCUAUUGCAGCAAUUUAAAUCAUUUCUUUUAAAGCAAAAGCAAUUU UCUGAAAAUUUUCACCAUUUACGAACGAU{tilde over (A)}{circumflex over (G)}{circumflex over (C)}CC (SEQ ID NO: 163) {tilde over (U)}CAACACAACA{tilde over (U)}A{tilde over (U)}ACAAAACAAACGAA{tilde over (U)}C{tilde over (U)}CAAGCAA{tilde over (U)}CAAGCA{tilde over (U)}{tilde over (U)}C{tilde over (U)} AC{tilde over (U)}{tilde over (U)}C{tilde over (U)}A{tilde over (U)}{tilde over (U)}GCAGCAA{tilde over (U)}{tilde over (U)}{tilde over (U)}AAA{tilde over (U)}CA{tilde over (U)}{tilde over (U)}{tilde over (U)}C{tilde over (U)}{tilde over (U)}{tilde over (U)}{tilde over (U)}AAAGCAAAAGCAA{tilde over (U)}{tilde over (U)}{tilde over (U)} {tilde over (U)}C{tilde over (U)}GAAAA{tilde over (U)}{tilde over (U)}{tilde over (U)}{tilde over (U)}CACCA{tilde over (U)}{tilde over (U)}{tilde over (U)}ACGAACGA{tilde over (U)}AGCCC (SEQ ID NO: 164) {tilde over (U)}{circumflex over (C)}{tilde over (A)}{tilde over (U)}{circumflex over (C)}{tilde over (A)}{circumflex over (C)}{tilde over (A)}{tilde over (A)}{circumflex over (C)}{tilde over (A)}{tilde over (U)}{tilde over (A)}{tilde over (U)}{tilde over (A)}{circumflex over (C)}{tilde over (A)}{tilde over (A)}{tilde over (A)}{tilde over (A)}{circumflex over (C)}{tilde over (A)}{tilde over (A)}{tilde over (A)}{circumflex over (C)}{circumflex over (G)}{tilde over (A)}{tilde over (A)}{tilde over (U)}{circumflex over (C)}{tilde over (U)}{circumflex over (C)}{tilde over (A)}{tilde over (A)}{circumflex over (G)}{circumflex over (C)}{tilde over (A)}{tilde over (A)}{tilde over (U)}{circumflex over (C)}{tilde over (A)}{tilde over (A)}{circumflex over (G)}{circumflex over (C)}{tilde over (A)}{tilde over (U)}{tilde over (U)}{circumflex over (C)}{tilde over (U)} {tilde over (A)}{circumflex over (C)}{tilde over (U)}{tilde over (U)}{circumflex over (C)}{tilde over (U)}{tilde over (A)}{tilde over (U)}{tilde over (U)}{circumflex over (G)}{circumflex over (C)}{tilde over (A)}{circumflex over (G)}{circumflex over (C)}{tilde over (A)}{tilde over (A)}{tilde over (U)}{tilde over (U)}{tilde over (U)}{tilde over (A)}{tilde over (A)}{tilde over (A)}{tilde over (U)}{circumflex over (C)}{tilde over (A)}{tilde over (U)}{tilde over (U)}{tilde over (U)}{circumflex over (C)}{tilde over (U)}{tilde over (U)}{tilde over (U)}{tilde over (U)}{tilde over (A)}{tilde over (A)}{tilde over (A)}{circumflex over (G)}{circumflex over (C)}{tilde over (A)}{tilde over (A)}{tilde over (A)}{tilde over (A)}{circumflex over (G)}{circumflex over (C)}{tilde over (A)}{tilde over (A)}{tilde over (U)}{tilde over (U)}{tilde over (U)} {tilde over (U)}{circumflex over (C)}{tilde over (U)}{circumflex over (G)}{tilde over (A)}{tilde over (A)}{tilde over (A)}{tilde over (A)}{tilde over (U)}{tilde over (U)}{tilde over (U)}{tilde over (U)}{circumflex over (C)}{tilde over (A)}{circumflex over (C)}{circumflex over (C)}{tilde over (A)}{tilde over (U)}{tilde over (U)}{tilde over (U)}{tilde over (A)}{circumflex over (C)}{circumflex over (G)}{tilde over (A)}{tilde over (A)}{circumflex over (C)}{circumflex over (G)}{tilde over (A)}{tilde over (U)}{tilde over (A)}{circumflex over (G)}{circumflex over (C)}{circumflex over (C)}{circumflex over (C)} - An nGFP transcript having a polyA tail of 30 monomers in length is ligated to a donor polyà tail of 30 UNA Monomers in length to give an UNA-nGFP mRNA product having a polyA 30Ã30 tail of 60 monomers in length. The UNA-nGFP has an increased lifetime and markedly increased translational activity in fibroblasts.
- An mRNA encoding HIV-1 gag antigen having a polyA tail of 30 monomers in length is ligated to a donor polyà tail of 20 UNA Monomers in length to give an UNA-HIV-1 gag antigen mRNA product having a polyA30Ã20 tail of 50 monomers in length. The UNA-HIV-1 gag antigen mRNA has an increased lifetime and markedly increased translational activity in fibroblasts.
- An mRNA encoding antigens overexpressed in lung cancers having a polyA tail of 30 monomers in length is ligated to a donor polyà tail of 10 UNA Monomers in length to give an UNA-mRNA product having a polyA30Ã10 tail of 40 monomers in length. The UNA-mRNA has an increased lifetime and markedly increased translational activity in fibroblasts.
- An mRNA encoding malarial P. falciparum reticulocyte-binding protein homologue 5 (PfRH5) having a polyA tail of 30 monomers in length is ligated to a donor polyà tail of 10 UNA Monomers in length to give an UNA-mRNA product having a polyA30Ã10 tail of 40 monomers in length. The UNA-mRNA has an increased lifetime and markedly increased translational activity in fibroblasts. The UNA-mRNA is found to induce an antibody response in an animal model.
- An mRNA encoding malarial Plasmodium falciparum PfSEA-1, a 244 KD malaria antigen expressed in schizont-infected RBCs, having a polyA tail of 30 monomers in length is ligated to a donor polyà tail of 10 UNA Monomers in length to give an UNA-mRNA product having a polyA30Ã10 tail of 40 monomers in length. The UNA-mRNA has an increased lifetime and markedly increased translational activity in fibroblasts. The UNA-mRNA is found to induce an antibody response in an animal model.
-
FIG. 7 shows the primary structure of a functional mRNA transcript in the cytoplasm. The mRNA includes a 5′ methylguanosine cap, a protein coding sequence flanked by untranslated regions (UTRs), and a polyadenosine (polyA) tail bound by polyA binding proteins (PABPs). -
FIG. 8 shows the 5′ cap and PABPs cooperatively interacting with proteins involved in translation to facilitate the recruitment and recycling of ribosome complexes. - DNA splint oligomers were made for splint-mediated ligation of of a donor oligomer to an acceptor RNA. As shown in the scheme of
FIG. 8 , a short mRNA acceptor oligomer and a 5′-monophosphate-bearing polyA donor oligomer can be ligated in the presence of a DNA splint oligomer. -
FIG. 9 shows the splint-mediated ligation scheme, in which an acceptor RNA with a 30-monomer stub polyA tail (A(30)) was ligated to a 30-monomer donor oligomer (A(30)). The splint-mediated ligation used a DNA oligomer splint which was complementary to the 3′ UTR sequence upstream of the stub polyA tail, and included a 60-monomer oligo(dT) 5′ heel (T(60)) to splint the ligation. The anchoring region of the splint was complementary to the UTR sequence to ensure that a 5′ dT30 overhang was presented upon hybridization to the acceptor. This brings the donor oligomer into juxtaposition with the 3′ terminus of the stub tail, dramatically improving the kinetics of ligation. -
FIG. 10 shows the results of ligation using 2 ug of a 120-monomer acceptor with an A30 stub tail that was ligated to a 5′-phosphorylated A30 RNA donor oligomer usingT4 RNA Ligase 2. The reaction was incubated overnight at 37° C. The ligation and a mock reaction done without enzyme were purified, treated with DNAse I for 1 hour to degrade and detach the splint oligomers, and re-purified in a volume of 30 uL. The ligation efficiency was nearly 100%. The absence of a size shift in the mock-reaction prep shows that the acceptor and donor were truly ligated and not simply held together by undigested splint oligomers. - Following the same protocol with a short incubation period, high efficiency ligation of the short acceptor mRNA proceeded to nearly 100% completion.
FIG. 11 shows the results of splint-mediated ligation using an acceptor RNA with a 30-monomer stub polyA tail (A(30)). The ligation reactions were performed with three different donor oligomer species: A(30), A(60), and A(120). Based on the gel shifts, the ligations attained nearly 100% efficiency. - A protocol used for a 100 ul splint-mediated ligation reaction included the following materials, reagents, and steps.
- 100 pmol UNA-PolyA UNA Oligomer donor.
- 100 pmol TAIL-60 splint oligomer.
- 50 pmol purified RNA acceptor.
- 10 uL
T4 RNA Ligase 2 10× Buffer. - 2 uL
T4 RNA Ligase 2. - Nuclease-free Water to 100 uL.
- Mix and incubate for 1-2 hours at 37 degrees, then purify the RNA in a total of ˜90 uL RNAse-free water.
- Add 10
uL 10× DNase buffer to eluent and 2 ul DNase I, mix and incubate for 1 hour at 37 degrees to digest splint DNA. - Repurify the RNA using RNeasy spin columns, eluting in water or TE pH 7.0.
- Reagents.
- NEB M0239
T4 RNA Ligase 2. - NEB M0303 DNase I (RNase-free).
- Qiagen 74104RNeasy Mini Kit.
- TAIL-60 splint oligomer sequence:
-
(SEQ ID NO: 165) CTTCCTACTCAGGCTTTATTCAAAGACCA. - Notes:
- (a) The splint oligomer sequence includes an anchor that is specific to the 3′ UTR used for making mRNA.
- (b) This protocol requires an mRNA transcript with a pre-incorporated 30-nt polyA tail.
- A full-length synthetic mRNA acceptor and a 5′-monophosphate-bearing polyA donor were ligated in the presence of a DNA splint oligomer. On ligating a 30-monomer length tail to a ˜1 Kb nGFP transcript, a size shift was apparent on a 2% agarose gel, providing a direct indication that bulk ligation was achieved.
FIG. 12 shows the results of one-hour splint-mediated ligations that were performed on nGFP-A30 transcripts. The resulting ligation products were compared to untreated transcripts and native nGFP-A60 IVT products. The native nGFP-A60 and the ligated products were up-shifted on the gel relative to the untreated nGFP-A30 transcripts and mock-ligated material. - A UNA-PolyA UNA Oligomer donor was made having the following structure:
-
(SEQ ID NO: 166) 5′-(rAp)-AAAAAAAAAAAAAAAAAAAAAAAAAAAAAAAAAAA ÃÃÃÃÃ-(3′-C3 Spacer), wherein 5′-(rAp) is 5′-Phosphorylation and à is UNA-A. - An nGFP transcript with a polyA tail of 30-monomers in length (untreated A30 mRNA) was ligated to a donor polyA tail of 30-monomers in length to give an mRNA product having a polyA tail of 60-monomers in length (A60-bearing ligation product) by splint-mediated ligation.
-
FIG. 13 shows increased lifetime and translational activity for the nGFP-A60 ligation product. As shown inFIG. 13 , nuclearized transcripts were transfected into fibroblasts for comparison of nGFP-A30, mock-ligated nGFP-A30, and an nGFP-A60 ligation product (FIG. 13 , left to right). The significantly higher fluorescence signal observed for the nGFP-A60 ligation product shows that it has markedly increased translational activity. - A wild-type T4 RNA ligase was used to ligate a
donor 5′ phosphorylated oligomer to a short IVT transcript. Short synthetic RNAs were generated by IVT, and the outcome of ligation reactions was evaluated on high-resolution 4% agarose gels. The increase in transcript size from ligation of asynthetic oligomer 30 monomers in length to a full-sized mRNA of 1-2 Kb is too small to clearly visualize on a gel. Thus, short synthetic RNAs of 100-180 monomers were generated by IVT. The 3′ terminal sequence of these short synthetic RNAs was identical to that in the 3′ UTRs of synthetic mRNAs. - A synthetic oligomer having an
adenylated 5′ end was prepared. Theadenylated 5′ end, normally formed as a catalytic intermediate by the ligase, pre-activated the synthetic oligomer for ligation. Use of the pre-adenylated synthetic oligomer obviated the need for ATP in the reactions, and allowed the use of a mutant ligase that was active exclusively on adenylated substrates. Pre-adenylation of the synthetic oligomer increased ligation efficiency and minimized side-product formation. - A KQ mutant variant of
T4 RNA Ligase 2 was used to ligate a pre-adenylated donor oligomer to a short IVT transcript. -
FIG. 14 shows the results of a ligation performed with a 100-monomer acceptor RNA that was treated for 3 hours at room temperature with T4 RNA Ligase 2 (truncated KQ mutant) using a 10 uM concentration of a polyA tail 30-monomer donor oligomer. 15% PEG 8000 was included in the reaction as a volume excluder to promote efficient ligation. The ligation reaction showed that a high molecular weight product was formed, having a size in between the 100-monomer acceptor RNA and a 180-monomer RNA transcript included as a size standard. These results show that the ligation reaction produced a predominant product having high molecular weight with nearly 100% ligation of the donor to the acceptor. Additional experiments performed with concentrations of the polyA tail at 10 uM, 20 uM , and 40 uM showed that at least half of the acceptor RNA was ligated in all cases. - All publications, patents and literature specifically mentioned herein are incorporated by reference for all purposes.
- It is understood that this invention is not limited to the particular methodology, protocols, materials, and reagents described, as these may vary. It is also to be understood that the terminology used herein is for the purpose of describing particular embodiments only, and is not intended to limit the scope of the present invention, which will be encompassed by the appended claims.
- It must be noted that as used herein and in the appended claims, the singular forms “a”, “an”, and “the” include plural reference unless the context clearly dictates otherwise. As well, the terms “a” (or “an”), “one or more” and “at least one” can be used interchangeably herein. It is also to be noted that the terms “comprises,” “comprising”, “containing,” “including”, and “having” can be used interchangeably.
- Without further elaboration, it is believed that one skilled in the art can, based on the above description, utilize the present invention to its fullest extent. The following specific embodiments are, therefore, to be construed as merely illustrative, and not limitative of the remainder of the disclosure in any way whatsoever.
- All of the features disclosed in this specification may be combined in any combination. Each feature disclosed in this specification may be replaced by an alternative feature serving the same, equivalent, or similar purpose.
Claims (40)
1. A mUNA molecule, comprising one or more UNA monomers, and comprising nucleic acid monomers, wherein the mUNA molecule is translatable to express a polypeptide or protein.
2. The molecule of claim 1 , wherein the molecule comprises from 200 to 12,000 monomers.
3. The molecule of claim 1 , wherein the molecule comprises from 200 to 4,000 monomers.
4. The molecule of claim 1 , wherein the molecule comprises from 1 to 8,000 UNA monomers.
5. The molecule of claim 1 , wherein the molecule comprises from 1 to 100 UNA monomers.
6. The molecule of claim 1 , wherein the molecule comprises from 1 to 20 UNA monomers.
7. The molecule of claim 1 , wherein the molecule comprises one or more modified nucleic acid nucleotides, or one or more chemically-modified nucleic acid nucleotides.
8. The molecule of claim 1 , wherein the molecule comprises a 5′ cap, a 5′ untranslated region of monomers, a coding region of monomers, a 3′ untranslated region of monomers, and a tail region of monomers.
9. The molecule of claim 8 , wherein the molecule comprises a translation enhancer in a 5′ or 3′ untranslated region.
10. The molecule of claim 1 , wherein the molecule is translatable in vivo.
11. The molecule of claim 1 , wherein the molecule is translatable in vitro.
12. The molecule of claim 1 , wherein the molecule is translatable in a mammalian cell.
13. The molecule of claim 1 , wherein the molecule is translatable in a human in vivo.
14. The molecule of claim 1 , wherein a translation product of the molecule is an active peptide or protein.
15. The molecule of claim 1 , wherein a translation product of the molecule is human EPO, human Factor IX, human alpha-1-antitrypsin, human CFTR, human ASL, human PAH, human NIS, or human hepcidin.
16. The molecule of claim 1 , wherein the molecule exhibits at least 2-fold increased translation efficiency in vivo as compared to a native mRNA that encodes the same translation product.
17. The molecule of claim 1 , wherein the molecule exhibits at least 3-fold increased translation efficiency in vivo as compared to a native mRNA that encodes the same translation product.
18. The molecule of claim 1 , wherein the molecule exhibits at least 5-fold increased translation efficiency in vivo as compared to a native mRNA that encodes the same translation product.
19. The molecule of claim 1 , wherein the molecule exhibits at least 10-fold increased translation efficiency in vivo as compared to a native mRNA that encodes the same translation product.
20. The molecule of claim 1 , wherein the molecule has a cytoplasmic half-life in a cell at least 2-fold greater than a native mRNA of the cell that encodes the same translation product.
21. The molecule of claim 1 , wherein the molecule is a therapeutic agent for a rare disease, a liver disease, or a cancer.
22. The molecule of claim 1 , wherein the molecule is an immunization agent or vaccine component for a rare disease, a liver disease, or a cancer.
23. The molecule of claim 1 , wherein the molecule comprises a sequence selected from SEQ ID NOs: 1-164.
24. A composition comprising a mUNA molecule of claim 1 and a pharmaceutically acceptable carrier.
25. A vaccine or immunization composition comprising a mUNA molecule of claim 1 .
26. The composition of claim 24 , wherein the carrier is a nanoparticle or liposome.
27. A method for ameliorating, preventing or treating a disease or condition in a subject comprising administering to the subject a composition of claim 24 .
28. The method of claim 27 , wherein the disease or condition is a rare disease, liver disease, or cancer.
29. The method of claim 27 , wherein the disease or condition is described in Table 1.
30. A method for producing a polypeptide or protein in vivo, the method comprising administering to a mammal a composition of claim 24 .
31. The method of claim 30 , wherein the polypeptide or protein is deficient in a disease or condition described in Table 1.
32. The method of claim 30 , wherein the protein is human EPO, human Factor IX, human alpha-1-antitrypsin, human CFTR, human ASL, human PAH, human NIS, or human hepcidin.
33. A method for producing a polypeptide or protein in vitro, the method comprising transfecting a cell with a mUNA molecule of claim 1 .
34. The method of claim 33 , wherein the transfecting is done with a transfection reagent.
35. The method of claim 33 , wherein the polypeptide or protein is deficient in a disease or condition described in Table 1.
36. The method of claim 33 , wherein the protein is human EPO, human Factor IX, human alpha-1-antitrypsin, human CFTR, human ASL, human PAH, human NIS, or human hepcidin.
37. A method for ameliorating, preventing or treating a rare disease or condition in a subject associated with a deficiency in a peptide or protein, the method comprising administering to the subject a mUNA molecule encoding the peptide or protein.
38. The method of claim 37 , wherein the disease or condition described in Table 1.
39. A method for producing a polypeptide or protein in vivo, the method comprising administering to a mammal a mUNA molecule encoding the polypeptide or protein.
40. The method of claim 39 , wherein the polypeptide or protein is human EPO, human Factor IX, human alpha-1-antitrypsin, human CFTR, human ASL, human PAH, human NIS, or human hepcidin.
Priority Applications (2)
| Application Number | Priority Date | Filing Date | Title |
|---|---|---|---|
| US14/929,366 US20160130567A1 (en) | 2014-11-02 | 2015-11-01 | Messenger una molecules and uses thereof |
| US15/806,096 US10815463B2 (en) | 2014-11-02 | 2017-11-07 | Messenger UNA molecules and uses thereof |
Applications Claiming Priority (2)
| Application Number | Priority Date | Filing Date | Title |
|---|---|---|---|
| US201462074046P | 2014-11-02 | 2014-11-02 | |
| US14/929,366 US20160130567A1 (en) | 2014-11-02 | 2015-11-01 | Messenger una molecules and uses thereof |
Related Child Applications (1)
| Application Number | Title | Priority Date | Filing Date |
|---|---|---|---|
| US15/806,096 Continuation US10815463B2 (en) | 2014-11-02 | 2017-11-07 | Messenger UNA molecules and uses thereof |
Publications (1)
| Publication Number | Publication Date |
|---|---|
| US20160130567A1 true US20160130567A1 (en) | 2016-05-12 |
Family
ID=55858532
Family Applications (2)
| Application Number | Title | Priority Date | Filing Date |
|---|---|---|---|
| US14/929,366 Abandoned US20160130567A1 (en) | 2014-11-02 | 2015-11-01 | Messenger una molecules and uses thereof |
| US15/806,096 Active US10815463B2 (en) | 2014-11-02 | 2017-11-07 | Messenger UNA molecules and uses thereof |
Family Applications After (1)
| Application Number | Title | Priority Date | Filing Date |
|---|---|---|---|
| US15/806,096 Active US10815463B2 (en) | 2014-11-02 | 2017-11-07 | Messenger UNA molecules and uses thereof |
Country Status (6)
| Country | Link |
|---|---|
| US (2) | US20160130567A1 (en) |
| EP (1) | EP3212793B1 (en) |
| JP (1) | JP6728156B2 (en) |
| AU (1) | AU2015338923B2 (en) |
| CA (1) | CA2966527C (en) |
| WO (1) | WO2016070166A2 (en) |
Cited By (4)
| Publication number | Priority date | Publication date | Assignee | Title |
|---|---|---|---|---|
| WO2018222926A1 (en) * | 2017-05-31 | 2018-12-06 | Ultragenyx Pharmaceutical Inc. | Therapeutics for glycogen storage disease type iii |
| WO2018222890A1 (en) * | 2017-05-31 | 2018-12-06 | Arcturus Therapeutics, Inc. | Synthesis and structure of high potency rna therapeutics |
| CN112023062A (en) * | 2020-09-18 | 2020-12-04 | 北京基因安科技有限公司 | Method for inhibiting allergic reactions using soluble IgE receptors |
| US11104887B2 (en) * | 2017-01-03 | 2021-08-31 | Ethris Gmbh | Ornithine transcarbamylase coding polyribonucleotides and formulations thereof |
Families Citing this family (33)
| Publication number | Priority date | Publication date | Assignee | Title |
|---|---|---|---|---|
| US10835583B2 (en) | 2016-06-13 | 2020-11-17 | Translate Bio, Inc. | Messenger RNA therapy for the treatment of ornithine transcarbamylase deficiency |
| DK3554552T3 (en) | 2016-12-19 | 2022-10-24 | Sarepta Therapeutics Inc | EXON SKIPPING OLIGOMER CONJUGATES AGAINST MUSCULAR DYSTROPHY |
| PL3554554T3 (en) | 2016-12-19 | 2022-12-19 | Sarepta Therapeutics, Inc. | Exon-skipping oligomer conjugates in muscular dystrophy |
| LT3554553T (en) | 2016-12-19 | 2022-08-25 | Sarepta Therapeutics, Inc. | Exon skipping oligomer conjugates for muscular dystrophy |
| WO2018160592A1 (en) | 2017-02-28 | 2018-09-07 | Arcturus Therapeutics, Inc. | Translatable molecules and synthesis thereof |
| EP3630200A4 (en) * | 2017-05-31 | 2021-02-24 | Arcturus Therapeutics, Inc. | Therapeutics for phenylketonuria |
| EA201991450A1 (en) | 2017-09-22 | 2019-12-30 | Сарепта Терапьютикс, Инк. | OLIGOMER CONJUGATES FOR EXONISM SKIP IN MUSCULAR DYSTROPHY |
| US20200248178A1 (en) | 2017-09-28 | 2020-08-06 | Sarepta Therapeutics, Inc. | Combination therapies for treating muscular dystrophy |
| EP3687577A1 (en) | 2017-09-28 | 2020-08-05 | Sarepta Therapeutics, Inc. | Combination therapies for treating muscular dystrophy |
| US20200254002A1 (en) | 2017-09-28 | 2020-08-13 | Sarepta Therapeutics, Inc. | Combination therapies for treating muscular dystrophy |
| US11939601B2 (en) | 2017-11-22 | 2024-03-26 | Modernatx, Inc. | Polynucleotides encoding phenylalanine hydroxylase for the treatment of phenylketonuria |
| JP7423522B2 (en) * | 2017-11-22 | 2024-01-29 | モダーナティエックス・インコーポレイテッド | Polynucleotide encoding ornithine transcarbamylase for the treatment of urea cycle disorders |
| US11167043B2 (en) | 2017-12-20 | 2021-11-09 | Translate Bio, Inc. | Composition and methods for treatment of ornithine transcarbamylase deficiency |
| US10765760B2 (en) | 2018-05-29 | 2020-09-08 | Sarepta Therapeutics, Inc. | Exon skipping oligomer conjugates for muscular dystrophy |
| EP4219717A3 (en) | 2018-06-13 | 2023-12-20 | Sarepta Therapeutics, Inc. | Exon skipping oligomers for muscular dystrophy |
| TW202449155A (en) | 2018-07-27 | 2024-12-16 | 美商薩羅塔治療公司 | Exon skipping oligomers for muscular dystrophy |
| HUE064076T2 (en) | 2018-12-06 | 2024-02-28 | Arcturus Therapeutics Inc | Compositions and methods for treating ornithine transcarbamylase deficiency |
| BR112021011018A2 (en) | 2018-12-13 | 2021-08-31 | Sarepta Therapeutics, Inc. | EXON SKIPPING OLIGOMER CONJUGATES FOR MUSCULAR DYSTROPHY |
| US20220193246A1 (en) | 2019-04-18 | 2022-06-23 | Sarepta Therapeutics, Inc. | Compositions for treating muscular dystrophy |
| CA3169889A1 (en) | 2020-03-03 | 2021-09-10 | Arcturus Therapeutics, Inc. | Compositions and methods for the treatment of ornithine transcarbamylase deficiency |
| US20230136960A1 (en) * | 2020-03-19 | 2023-05-04 | Nature's Toolbox, Inc. | Novel MRNA-Based COVID-19 Multi-Valent Vaccine and Methods of Scaled Production of the Same |
| EP4132478A1 (en) | 2020-04-09 | 2023-02-15 | Finncure Oy | Mimetic nanoparticles for preventing the spreading and lowering the infection rate of novel coronaviruses |
| US12194157B2 (en) | 2020-04-09 | 2025-01-14 | Finncure Oy | Carrier for targeted delivery to a host |
| JP2023524071A (en) | 2020-05-01 | 2023-06-08 | アークトゥラス・セラピューティクス・インコーポレイテッド | Nucleic acids and methods for treating cystic fibrosis |
| IL311568A (en) | 2021-09-30 | 2024-05-01 | Sarepta Therapeutics Inc | Antisense oligonucleotides having one or more basic units |
| WO2023070086A1 (en) | 2021-10-22 | 2023-04-27 | Sarepta Therapeutics, Inc. | Morpholino oligomers for treatment of peripheral myelin protein 22 related diseases |
| JP2025533454A (en) | 2022-09-21 | 2025-10-07 | サレプタ セラピューティクス, インコーポレイテッド | DMD antisense oligonucleotide-mediated exon skipping efficiency |
| JP2025539043A (en) | 2022-11-14 | 2025-12-03 | バイオンテック・エスイー | RNA capping efficiency assay |
| TW202442246A (en) | 2023-04-27 | 2024-11-01 | 美商薩羅塔治療公司 | Antisense oligomers for treatment of chronic kidney disease |
| WO2024231285A1 (en) | 2023-05-05 | 2024-11-14 | BioNTech SE | Method of analysing contaminants in rna products by ion-pair chromatography |
| GB202313445D0 (en) * | 2023-09-04 | 2023-10-18 | Imperial College Innovations Ltd | Rna molecule |
| WO2025085810A2 (en) | 2023-10-18 | 2025-04-24 | Sarepta Therapeutics, Inc. | Antisense oligomers for treatment of centronuclear myopathies |
| WO2025144938A1 (en) | 2023-12-26 | 2025-07-03 | Emmune, Inc. | Systems for nucleic acid transfer |
Family Cites Families (23)
| Publication number | Priority date | Publication date | Assignee | Title |
|---|---|---|---|---|
| JPH08511423A (en) * | 1993-06-10 | 1996-12-03 | ジェネティック セラピー,インコーポレイテッド | Adenovirus vector for treatment of hemophilia |
| AU2001290984A1 (en) | 2000-09-18 | 2002-04-02 | Genzyme Corporation | Expression vectors containing hybrid ubiquitin promoters |
| EP1739179A1 (en) * | 2005-06-30 | 2007-01-03 | Octapharma AG | Serum-free stable transfection and production of recombinant human proteins in human cell lines |
| EP4174179B1 (en) | 2005-08-23 | 2025-05-07 | The Trustees of the University of Pennsylvania | Rna containing modified nucleosides and methods of use thereof |
| US9012219B2 (en) | 2005-08-23 | 2015-04-21 | The Trustees Of The University Of Pennsylvania | RNA preparations comprising purified modified RNA for reprogramming cells |
| US8454948B2 (en) * | 2006-09-14 | 2013-06-04 | Medgenics Medical Israel Ltd. | Long lasting drug formulations |
| EP2089424B1 (en) * | 2006-12-06 | 2015-07-01 | JCR PHARMACEUTICALS Co., LTD. | Method for production of human erythropoietin |
| US7700734B2 (en) * | 2007-01-09 | 2010-04-20 | Shu-Wha Lin | Recombinant human factor IX and use thereof |
| CA2687850C (en) * | 2007-05-22 | 2017-11-21 | Mdrna, Inc. | Oligomers for therapeutics |
| DK2459231T3 (en) | 2009-07-31 | 2016-09-05 | Ethris Gmbh | RNA with a combination of unmodified and modified nucleotides for protein expression |
| CA2870511C (en) * | 2011-04-21 | 2023-08-08 | University Of Massachusetts | Raav-based compositions and methods for treating alpha-1 anti-trypsin deficiencies |
| BR112014007852B1 (en) | 2011-10-03 | 2021-11-03 | Moderna Therapeutics, Inc | MODIFIED ISOLATED POLYNUCLEOTIDE AND PHARMACEUTICAL COMPOSITION |
| EP2797634A4 (en) * | 2011-12-29 | 2015-08-05 | Moderna Therapeutics Inc | MODIFIED mRNA ENCODING POLYPEPTIDES PENETRATING IN CELLS |
| BR112014024131A2 (en) * | 2012-03-29 | 2017-07-25 | Shire Human Genetic Therapies | ionizable cationic lipids |
| HK1206779A1 (en) * | 2012-04-02 | 2016-01-15 | Modernatx, Inc. | Modified polynucleotides for the production of nuclear proteins |
| US20140005058A1 (en) * | 2012-06-28 | 2014-01-02 | Caldera Health Ltd. | Methods and materials for the diagnosis of prostate cancers |
| EP2968397A4 (en) * | 2013-03-12 | 2016-12-28 | Moderna Therapeutics Inc | DIAGNOSIS AND TREATMENT OF FIBROSIS |
| US20160032316A1 (en) | 2013-03-14 | 2016-02-04 | The Trustees Of The University Of Pennsylvania | Purification and Purity Assessment of RNA Molecules Synthesized with Modified Nucleosides |
| EP3052511A4 (en) | 2013-10-02 | 2017-05-31 | Moderna Therapeutics, Inc. | Polynucleotide molecules and uses thereof |
| CN105873902B (en) | 2013-11-18 | 2019-03-08 | 阿克丘勒斯治疗公司 | Ionizable cationic lipids for RNA delivery |
| KR102726294B1 (en) | 2014-01-31 | 2024-11-06 | 팩터 바이오사이언스 인크. | Methods and products for nucleic acid production and delivery |
| EP3157573A4 (en) | 2014-06-19 | 2018-02-21 | Moderna Therapeutics, Inc. | Alternative nucleic acid molecules and uses thereof |
| EP3543339A1 (en) | 2015-02-13 | 2019-09-25 | Factor Bioscience Inc. | Nucleic acid products and methods of administration thereof |
-
2015
- 2015-11-01 US US14/929,366 patent/US20160130567A1/en not_active Abandoned
- 2015-11-01 EP EP15855964.1A patent/EP3212793B1/en active Active
- 2015-11-01 AU AU2015338923A patent/AU2015338923B2/en active Active
- 2015-11-01 CA CA2966527A patent/CA2966527C/en active Active
- 2015-11-01 JP JP2017523216A patent/JP6728156B2/en active Active
- 2015-11-01 WO PCT/US2015/058534 patent/WO2016070166A2/en not_active Ceased
-
2017
- 2017-11-07 US US15/806,096 patent/US10815463B2/en active Active
Non-Patent Citations (4)
| Title |
|---|
| Campbell et al. (Chem. Soc. Rev, 2011, 40, 5680-5689) * |
| Collins (Mammalian Gene Collection Program Team, Proc. Natl. Acad. Sci. U.S.A. 99 (26), 16899-16903 (2002)) * |
| Lucchiari et al. (Human Mutation, #564, 2002) * |
| Seth et al. (Molecular Therapy, vol. 19, no. 5, 2011, 928-935) * |
Cited By (12)
| Publication number | Priority date | Publication date | Assignee | Title |
|---|---|---|---|---|
| US11104887B2 (en) * | 2017-01-03 | 2021-08-31 | Ethris Gmbh | Ornithine transcarbamylase coding polyribonucleotides and formulations thereof |
| WO2018222926A1 (en) * | 2017-05-31 | 2018-12-06 | Ultragenyx Pharmaceutical Inc. | Therapeutics for glycogen storage disease type iii |
| WO2018222890A1 (en) * | 2017-05-31 | 2018-12-06 | Arcturus Therapeutics, Inc. | Synthesis and structure of high potency rna therapeutics |
| US20190002906A1 (en) * | 2017-05-31 | 2019-01-03 | Arcturus Therapeutics, Inc. | Synthesis and structure of high potency rna therapeutics |
| CN110719954A (en) * | 2017-05-31 | 2020-01-21 | 奥特吉尼克斯制药公司 | Therapeutic agent for type III glycogen storage disease |
| KR20200014319A (en) * | 2017-05-31 | 2020-02-10 | 울트라제닉스 파마수티컬 인코포레이티드 | Therapeutics for Glycogen Accumulation Disease Type III |
| US11015204B2 (en) * | 2017-05-31 | 2021-05-25 | Arcturus Therapeutics, Inc. | Synthesis and structure of high potency RNA therapeutics |
| US11377643B2 (en) | 2017-05-31 | 2022-07-05 | Ultragenyx Pharmaceutical Inc. | Therapeutics for glycogen storage disease type III |
| TWI794237B (en) * | 2017-05-31 | 2023-03-01 | 美商奧特吉尼克斯製藥公司 | Therapeutics for glycogen storage disease type iii |
| KR102636537B1 (en) * | 2017-05-31 | 2024-02-15 | 울트라제닉스 파마수티컬 인코포레이티드 | Treatment for Glycogen Storage Disease Type III |
| US12509698B2 (en) | 2017-05-31 | 2025-12-30 | Arcturus Therapeutics, Inc. | Synthesis and structure of high potency RNA therapeutics |
| CN112023062A (en) * | 2020-09-18 | 2020-12-04 | 北京基因安科技有限公司 | Method for inhibiting allergic reactions using soluble IgE receptors |
Also Published As
| Publication number | Publication date |
|---|---|
| WO2016070166A2 (en) | 2016-05-06 |
| EP3212793A2 (en) | 2017-09-06 |
| AU2015338923A1 (en) | 2017-06-22 |
| EP3212793B1 (en) | 2020-01-08 |
| EP3212793A4 (en) | 2018-05-16 |
| US10815463B2 (en) | 2020-10-27 |
| CA2966527C (en) | 2024-02-06 |
| CA2966527A1 (en) | 2016-05-06 |
| WO2016070166A3 (en) | 2016-08-18 |
| AU2015338923B2 (en) | 2021-10-21 |
| US20180051262A1 (en) | 2018-02-22 |
| JP6728156B2 (en) | 2020-07-22 |
| JP2017537613A (en) | 2017-12-21 |
Similar Documents
| Publication | Publication Date | Title |
|---|---|---|
| US10815463B2 (en) | Messenger UNA molecules and uses thereof | |
| US12509698B2 (en) | Synthesis and structure of high potency RNA therapeutics | |
| US11939363B2 (en) | Translatable molecules and synthesis thereof | |
| AU2021206908B2 (en) | Multimeric coding nucleic acid and uses thereof | |
| ES2542015T3 (en) | Systems engineering, methods and guide compositions optimized for sequence manipulation | |
| US20230265461A1 (en) | Compositions and methods for targeting, editing, or modifying genes | |
| US20180353622A1 (en) | Gene deletion and rescue by crispr-mediated elimination of exon splicing enhancers | |
| US20220220468A1 (en) | Compositions and methods for homology directed repair | |
| US20240100136A1 (en) | Chimeric adaptor proteins and methods of regulating gene expression | |
| JP2026016392A (en) | Translatable molecules and their synthesis | |
| WO2024166035A1 (en) | Regulating gene expression in gamma delta t cell receptors expressing cells | |
| EP4665361A1 (en) | Regulating gene expression in gamma delta t cell receptors expressing cells | |
| US20180179502A1 (en) | Nucleic Acid Analogue-Guided Chemical Nuclease System, Methods and Compositions |
Legal Events
| Date | Code | Title | Description |
|---|---|---|---|
| AS | Assignment |
Owner name: ARCTURUS THERAPEUTICS, INC., CALIFORNIA Free format text: ASSIGNMENT OF ASSIGNORS INTEREST;ASSIGNORS:CHIVUKULA, PADMANABH;WARREN, LUIGI;TACHIKAWA, KIYOSHI;AND OTHERS;SIGNING DATES FROM 20170901 TO 20170905;REEL/FRAME:044282/0148 |
|
| STCB | Information on status: application discontinuation |
Free format text: ABANDONED -- FAILURE TO RESPOND TO AN OFFICE ACTION |




