KR20220118481A - Dgk 억제제 및 체크포인트 길항제의 조합물 - Google Patents
Dgk 억제제 및 체크포인트 길항제의 조합물 Download PDFInfo
- Publication number
- KR20220118481A KR20220118481A KR1020227024305A KR20227024305A KR20220118481A KR 20220118481 A KR20220118481 A KR 20220118481A KR 1020227024305 A KR1020227024305 A KR 1020227024305A KR 20227024305 A KR20227024305 A KR 20227024305A KR 20220118481 A KR20220118481 A KR 20220118481A
- Authority
- KR
- South Korea
- Prior art keywords
- alkyl
- substituted
- cycloalkyl
- antagonist
- dgkζ
- Prior art date
- Legal status (The legal status is an assumption and is not a legal conclusion. Google has not performed a legal analysis and makes no representation as to the accuracy of the status listed.)
- Pending
Links
- 239000005557 antagonist Substances 0.000 title claims abstract description 128
- 239000003112 inhibitor Substances 0.000 title claims abstract description 100
- 238000000034 method Methods 0.000 claims abstract description 167
- 206010028980 Neoplasm Diseases 0.000 claims abstract description 154
- 108010074708 B7-H1 Antigen Proteins 0.000 claims abstract description 64
- 101000889276 Homo sapiens Cytotoxic T-lymphocyte protein 4 Proteins 0.000 claims abstract description 61
- 201000011510 cancer Diseases 0.000 claims abstract description 61
- 108010062677 Diacylglycerol Kinase Proteins 0.000 claims abstract description 43
- 102100039498 Cytotoxic T-lymphocyte protein 4 Human genes 0.000 claims abstract description 40
- 210000000987 immune system Anatomy 0.000 claims abstract description 19
- 230000000638 stimulation Effects 0.000 claims abstract description 14
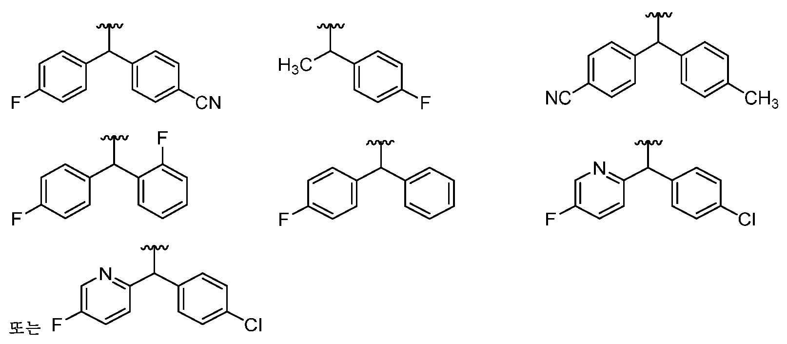
- 150000001875 compounds Chemical class 0.000 claims description 220
- 125000000217 alkyl group Chemical group 0.000 claims description 200
- -1 cyanocyclopropyl Chemical group 0.000 claims description 135
- 125000004093 cyano group Chemical group *C#N 0.000 claims description 104
- 229910052731 fluorine Inorganic materials 0.000 claims description 85
- 229910052801 chlorine Inorganic materials 0.000 claims description 83
- 102100040678 Programmed cell death protein 1 Human genes 0.000 claims description 76
- 101000611936 Homo sapiens Programmed cell death protein 1 Proteins 0.000 claims description 75
- 229910052799 carbon Inorganic materials 0.000 claims description 67
- 102000008096 B7-H1 Antigen Human genes 0.000 claims description 63
- 125000003545 alkoxy group Chemical group 0.000 claims description 63
- 229940045513 CTLA4 antagonist Drugs 0.000 claims description 56
- 150000003839 salts Chemical class 0.000 claims description 56
- 210000001744 T-lymphocyte Anatomy 0.000 claims description 54
- 125000006273 (C1-C3) alkyl group Chemical group 0.000 claims description 52
- 125000006645 (C3-C4) cycloalkyl group Chemical group 0.000 claims description 52
- 238000011282 treatment Methods 0.000 claims description 52
- 239000000427 antigen Substances 0.000 claims description 48
- 125000004428 fluoroalkoxy group Chemical group 0.000 claims description 48
- 125000001424 substituent group Chemical group 0.000 claims description 48
- 125000005913 (C3-C6) cycloalkyl group Chemical group 0.000 claims description 47
- 108091007433 antigens Proteins 0.000 claims description 47
- 102000036639 antigens Human genes 0.000 claims description 47
- 229910052794 bromium Inorganic materials 0.000 claims description 45
- 125000000623 heterocyclic group Chemical group 0.000 claims description 40
- 125000003709 fluoroalkyl group Chemical group 0.000 claims description 39
- 229910052739 hydrogen Inorganic materials 0.000 claims description 34
- 125000004122 cyclic group Chemical group 0.000 claims description 32
- 125000001997 phenyl group Chemical group [H]C1=C([H])C([H])=C(*)C([H])=C1[H] 0.000 claims description 32
- 230000002829 reductive effect Effects 0.000 claims description 31
- 210000004881 tumor cell Anatomy 0.000 claims description 25
- 238000010171 animal model Methods 0.000 claims description 24
- 229960005386 ipilimumab Drugs 0.000 claims description 24
- 101710089372 Programmed cell death protein 1 Proteins 0.000 claims description 22
- 102000048362 human PDCD1 Human genes 0.000 claims description 21
- 125000002757 morpholinyl group Chemical group 0.000 claims description 20
- 101001117317 Homo sapiens Programmed cell death 1 ligand 1 Proteins 0.000 claims description 19
- 125000001559 cyclopropyl group Chemical group [H]C1([H])C([H])([H])C1([H])* 0.000 claims description 19
- 239000003814 drug Substances 0.000 claims description 19
- 102000048776 human CD274 Human genes 0.000 claims description 19
- 125000003342 alkenyl group Chemical group 0.000 claims description 18
- 125000000304 alkynyl group Chemical group 0.000 claims description 18
- 229960003301 nivolumab Drugs 0.000 claims description 18
- 229960003852 atezolizumab Drugs 0.000 claims description 16
- 125000004432 carbon atom Chemical group C* 0.000 claims description 16
- 125000000753 cycloalkyl group Chemical group 0.000 claims description 16
- 230000000259 anti-tumor effect Effects 0.000 claims description 14
- 125000002853 C1-C4 hydroxyalkyl group Chemical group 0.000 claims description 13
- 230000030833 cell death Effects 0.000 claims description 11
- 210000001266 CD8-positive T-lymphocyte Anatomy 0.000 claims description 10
- 230000004913 activation Effects 0.000 claims description 10
- 239000012636 effector Substances 0.000 claims description 10
- 125000001153 fluoro group Chemical group F* 0.000 claims description 10
- 125000001412 tetrahydropyranyl group Chemical group 0.000 claims description 10
- 210000000822 natural killer cell Anatomy 0.000 claims description 9
- 125000001313 C5-C10 heteroaryl group Chemical group 0.000 claims description 8
- 229940124060 PD-1 antagonist Drugs 0.000 claims description 8
- 230000001419 dependent effect Effects 0.000 claims description 8
- 125000001072 heteroaryl group Chemical group 0.000 claims description 8
- 125000001715 oxadiazolyl group Chemical group 0.000 claims description 8
- 229960002621 pembrolizumab Drugs 0.000 claims description 8
- 125000001544 thienyl group Chemical group 0.000 claims description 8
- 125000001425 triazolyl group Chemical group 0.000 claims description 8
- 210000004369 blood Anatomy 0.000 claims description 7
- 239000008280 blood Substances 0.000 claims description 7
- 125000004966 cyanoalkyl group Chemical group 0.000 claims description 7
- 229940079593 drug Drugs 0.000 claims description 7
- 239000007788 liquid Substances 0.000 claims description 6
- 101001044817 Homo sapiens Diacylglycerol kinase alpha Proteins 0.000 claims description 5
- 101000864576 Homo sapiens Diacylglycerol kinase zeta Proteins 0.000 claims description 5
- 229940076838 Immune checkpoint inhibitor Drugs 0.000 claims description 5
- 239000012274 immune-checkpoint protein inhibitor Substances 0.000 claims description 5
- 210000004970 cd4 cell Anatomy 0.000 claims description 4
- 125000005159 cyanoalkoxy group Chemical group 0.000 claims description 4
- 125000005879 dioxolanyl group Chemical group 0.000 claims description 4
- 125000002768 hydroxyalkyl group Chemical group 0.000 claims description 4
- 125000006431 methyl cyclopropyl group Chemical group 0.000 claims description 4
- 125000002950 monocyclic group Chemical group 0.000 claims description 4
- 125000003566 oxetanyl group Chemical group 0.000 claims description 4
- 125000003386 piperidinyl group Chemical group 0.000 claims description 4
- 125000004076 pyridyl group Chemical group 0.000 claims description 4
- 125000000335 thiazolyl group Chemical group 0.000 claims description 4
- 230000005754 cellular signaling Effects 0.000 claims description 3
- 230000011664 signaling Effects 0.000 claims description 3
- 231100000419 toxicity Toxicity 0.000 claims description 3
- 230000001988 toxicity Effects 0.000 claims description 3
- 230000030741 antigen processing and presentation Effects 0.000 claims description 2
- 125000003118 aryl group Chemical group 0.000 claims description 2
- 238000002512 chemotherapy Methods 0.000 claims description 2
- 125000005348 fluorocycloalkyl group Chemical group 0.000 claims description 2
- 210000004986 primary T-cell Anatomy 0.000 claims description 2
- 230000005855 radiation Effects 0.000 claims description 2
- 238000001356 surgical procedure Methods 0.000 claims description 2
- 229940125385 biologic drug Drugs 0.000 claims 2
- 108010058222 Deoxyguanosine kinase Proteins 0.000 claims 1
- 102100022732 Diacylglycerol kinase beta Human genes 0.000 claims 1
- 229940123751 PD-L1 antagonist Drugs 0.000 claims 1
- 208000037265 diseases, disorders, signs and symptoms Diseases 0.000 abstract description 64
- 201000010099 disease Diseases 0.000 abstract description 47
- 102000011107 Diacylglycerol Kinase Human genes 0.000 abstract description 42
- 208000035473 Communicable disease Diseases 0.000 abstract description 10
- 230000008901 benefit Effects 0.000 abstract description 10
- 102100024216 Programmed cell death 1 ligand 1 Human genes 0.000 abstract 1
- WEVYAHXRMPXWCK-UHFFFAOYSA-N Acetonitrile Chemical compound CC#N WEVYAHXRMPXWCK-UHFFFAOYSA-N 0.000 description 399
- XLYOFNOQVPJJNP-UHFFFAOYSA-N water Substances O XLYOFNOQVPJJNP-UHFFFAOYSA-N 0.000 description 128
- 239000012071 phase Substances 0.000 description 125
- 101150044506 Dgki gene Proteins 0.000 description 96
- 210000004027 cell Anatomy 0.000 description 96
- 238000004895 liquid chromatography mass spectrometry Methods 0.000 description 83
- 235000002639 sodium chloride Nutrition 0.000 description 63
- XEKOWRVHYACXOJ-UHFFFAOYSA-N Ethyl acetate Chemical compound CCOC(C)=O XEKOWRVHYACXOJ-UHFFFAOYSA-N 0.000 description 55
- 239000011541 reaction mixture Substances 0.000 description 55
- USFZMSVCRYTOJT-UHFFFAOYSA-N Ammonium acetate Chemical compound N.CC(O)=O USFZMSVCRYTOJT-UHFFFAOYSA-N 0.000 description 47
- 239000005695 Ammonium acetate Substances 0.000 description 47
- 235000019257 ammonium acetate Nutrition 0.000 description 47
- 229940043376 ammonium acetate Drugs 0.000 description 47
- 239000000203 mixture Substances 0.000 description 45
- 239000002904 solvent Substances 0.000 description 44
- 101000834898 Homo sapiens Alpha-synuclein Proteins 0.000 description 38
- 101000652359 Homo sapiens Spermatogenesis-associated protein 2 Proteins 0.000 description 38
- JGFZNNIVVJXRND-UHFFFAOYSA-N N,N-Diisopropylethylamine (DIPEA) Chemical compound CCN(C(C)C)C(C)C JGFZNNIVVJXRND-UHFFFAOYSA-N 0.000 description 36
- LFQSCWFLJHTTHZ-UHFFFAOYSA-N Ethanol Chemical class CCO LFQSCWFLJHTTHZ-UHFFFAOYSA-N 0.000 description 35
- 238000003556 assay Methods 0.000 description 35
- 238000006243 chemical reaction Methods 0.000 description 35
- 239000000243 solution Substances 0.000 description 35
- 239000007924 injection Substances 0.000 description 34
- 238000002347 injection Methods 0.000 description 34
- 230000005764 inhibitory process Effects 0.000 description 33
- VZTDIZULWFCMLS-UHFFFAOYSA-N ammonium formate Chemical compound [NH4+].[O-]C=O VZTDIZULWFCMLS-UHFFFAOYSA-N 0.000 description 32
- 239000000047 product Substances 0.000 description 30
- 230000000694 effects Effects 0.000 description 29
- 239000002245 particle Substances 0.000 description 26
- 102000008203 CTLA-4 Antigen Human genes 0.000 description 24
- 241000699670 Mus sp. Species 0.000 description 24
- 108010021064 CTLA-4 Antigen Proteins 0.000 description 23
- 102000043321 human CTLA4 Human genes 0.000 description 20
- ZMANZCXQSJIPKH-UHFFFAOYSA-N Triethylamine Chemical compound CCN(CC)CC ZMANZCXQSJIPKH-UHFFFAOYSA-N 0.000 description 19
- 235000019439 ethyl acetate Nutrition 0.000 description 19
- DTQVDTLACAAQTR-UHFFFAOYSA-N Trifluoroacetic acid Chemical compound OC(=O)C(F)(F)F DTQVDTLACAAQTR-UHFFFAOYSA-N 0.000 description 18
- 238000001514 detection method Methods 0.000 description 18
- 208000035475 disorder Diseases 0.000 description 17
- IJGRMHOSHXDMSA-UHFFFAOYSA-N Atomic nitrogen Chemical compound N#N IJGRMHOSHXDMSA-UHFFFAOYSA-N 0.000 description 16
- 229950009791 durvalumab Drugs 0.000 description 16
- 108010074328 Interferon-gamma Proteins 0.000 description 15
- 241001465754 Metazoa Species 0.000 description 15
- FAPWRFPIFSIZLT-UHFFFAOYSA-M Sodium chloride Chemical compound [Na+].[Cl-] FAPWRFPIFSIZLT-UHFFFAOYSA-M 0.000 description 15
- 230000037396 body weight Effects 0.000 description 15
- 230000006870 function Effects 0.000 description 15
- 108090000765 processed proteins & peptides Proteins 0.000 description 15
- 239000000725 suspension Substances 0.000 description 15
- 239000003643 water by type Substances 0.000 description 15
- 102000004190 Enzymes Human genes 0.000 description 14
- 108090000790 Enzymes Proteins 0.000 description 14
- 229950002916 avelumab Drugs 0.000 description 14
- 239000013058 crude material Substances 0.000 description 14
- 239000012091 fetal bovine serum Substances 0.000 description 14
- 208000015181 infectious disease Diseases 0.000 description 14
- 150000002632 lipids Chemical class 0.000 description 14
- 238000002360 preparation method Methods 0.000 description 14
- OKKJLVBELUTLKV-UHFFFAOYSA-N Methanol Chemical class OC OKKJLVBELUTLKV-UHFFFAOYSA-N 0.000 description 13
- 238000002953 preparative HPLC Methods 0.000 description 13
- 239000007787 solid Substances 0.000 description 13
- 238000003786 synthesis reaction Methods 0.000 description 13
- IAZDPXIOMUYVGZ-UHFFFAOYSA-N Dimethylsulphoxide Chemical compound CS(C)=O IAZDPXIOMUYVGZ-UHFFFAOYSA-N 0.000 description 12
- VEXZGXHMUGYJMC-UHFFFAOYSA-N Hydrochloric acid Chemical compound Cl VEXZGXHMUGYJMC-UHFFFAOYSA-N 0.000 description 12
- 102100037850 Interferon gamma Human genes 0.000 description 12
- 239000003153 chemical reaction reagent Substances 0.000 description 12
- 239000003795 chemical substances by application Substances 0.000 description 12
- 210000001151 cytotoxic T lymphocyte Anatomy 0.000 description 12
- 230000002401 inhibitory effect Effects 0.000 description 12
- 239000002609 medium Substances 0.000 description 12
- 239000008194 pharmaceutical composition Substances 0.000 description 12
- 230000004044 response Effects 0.000 description 12
- FVAUCKIRQBBSSJ-UHFFFAOYSA-M sodium iodide Chemical compound [Na+].[I-] FVAUCKIRQBBSSJ-UHFFFAOYSA-M 0.000 description 12
- 239000003981 vehicle Substances 0.000 description 12
- 108010002350 Interleukin-2 Proteins 0.000 description 11
- 102000000588 Interleukin-2 Human genes 0.000 description 11
- 241000699666 Mus <mouse, genus> Species 0.000 description 11
- VYPSYNLAJGMNEJ-UHFFFAOYSA-N Silicium dioxide Chemical compound O=[Si]=O VYPSYNLAJGMNEJ-UHFFFAOYSA-N 0.000 description 11
- 102100036011 T-cell surface glycoprotein CD4 Human genes 0.000 description 11
- 230000015572 biosynthetic process Effects 0.000 description 11
- 238000004128 high performance liquid chromatography Methods 0.000 description 11
- 239000000543 intermediate Substances 0.000 description 11
- 239000003921 oil Substances 0.000 description 11
- 235000019198 oils Nutrition 0.000 description 11
- ONBQEOIKXPHGMB-VBSBHUPXSA-N 1-[2-[(2s,3r,4s,5r)-3,4-dihydroxy-5-(hydroxymethyl)oxolan-2-yl]oxy-4,6-dihydroxyphenyl]-3-(4-hydroxyphenyl)propan-1-one Chemical compound O[C@@H]1[C@H](O)[C@@H](CO)O[C@H]1OC1=CC(O)=CC(O)=C1C(=O)CCC1=CC=C(O)C=C1 ONBQEOIKXPHGMB-VBSBHUPXSA-N 0.000 description 10
- 239000012591 Dulbecco’s Phosphate Buffered Saline Substances 0.000 description 10
- 239000012981 Hank's balanced salt solution Substances 0.000 description 10
- 239000002671 adjuvant Substances 0.000 description 10
- 150000001413 amino acids Chemical class 0.000 description 10
- 229940126142 compound 16 Drugs 0.000 description 10
- 238000009472 formulation Methods 0.000 description 10
- 239000007928 intraperitoneal injection Substances 0.000 description 10
- 229910052757 nitrogen Inorganic materials 0.000 description 10
- 230000009467 reduction Effects 0.000 description 10
- 238000001023 centrifugal evaporation Methods 0.000 description 9
- 239000006228 supernatant Substances 0.000 description 9
- GLGNXYJARSMNGJ-VKTIVEEGSA-N (1s,2s,3r,4r)-3-[[5-chloro-2-[(1-ethyl-6-methoxy-2-oxo-4,5-dihydro-3h-1-benzazepin-7-yl)amino]pyrimidin-4-yl]amino]bicyclo[2.2.1]hept-5-ene-2-carboxamide Chemical compound CCN1C(=O)CCCC2=C(OC)C(NC=3N=C(C(=CN=3)Cl)N[C@H]3[C@H]([C@@]4([H])C[C@@]3(C=C4)[H])C(N)=O)=CC=C21 GLGNXYJARSMNGJ-VKTIVEEGSA-N 0.000 description 8
- 108091003079 Bovine Serum Albumin Proteins 0.000 description 8
- RTZKZFJDLAIYFH-UHFFFAOYSA-N Diethyl ether Chemical compound CCOCC RTZKZFJDLAIYFH-UHFFFAOYSA-N 0.000 description 8
- 206010025323 Lymphomas Diseases 0.000 description 8
- 239000000872 buffer Substances 0.000 description 8
- 229910002091 carbon monoxide Inorganic materials 0.000 description 8
- 238000011284 combination treatment Methods 0.000 description 8
- 229940125758 compound 15 Drugs 0.000 description 8
- 239000012043 crude product Substances 0.000 description 8
- 239000003995 emulsifying agent Substances 0.000 description 8
- 238000002513 implantation Methods 0.000 description 8
- 238000004519 manufacturing process Methods 0.000 description 8
- 125000002496 methyl group Chemical group [H]C([H])([H])* 0.000 description 8
- 238000007799 mixed lymphocyte reaction assay Methods 0.000 description 8
- 239000012453 solvate Substances 0.000 description 8
- 238000002560 therapeutic procedure Methods 0.000 description 8
- 238000002054 transplantation Methods 0.000 description 8
- 229950007217 tremelimumab Drugs 0.000 description 8
- LELOWRISYMNNSU-UHFFFAOYSA-N Hydrocyanic acid Natural products N#C LELOWRISYMNNSU-UHFFFAOYSA-N 0.000 description 7
- 241000700605 Viruses Species 0.000 description 7
- 238000004458 analytical method Methods 0.000 description 7
- 239000002775 capsule Substances 0.000 description 7
- GGIMHJFVOMBCFX-UHFFFAOYSA-M cyanomethyl(trimethyl)phosphanium;iodide Chemical compound [I-].C[P+](C)(C)CC#N GGIMHJFVOMBCFX-UHFFFAOYSA-M 0.000 description 7
- 239000003599 detergent Substances 0.000 description 7
- 235000014113 dietary fatty acids Nutrition 0.000 description 7
- HPNMFZURTQLUMO-UHFFFAOYSA-N diethylamine Chemical compound CCNCC HPNMFZURTQLUMO-UHFFFAOYSA-N 0.000 description 7
- 235000019441 ethanol Nutrition 0.000 description 7
- 239000000194 fatty acid Substances 0.000 description 7
- 229930195729 fatty acid Natural products 0.000 description 7
- 150000004665 fatty acids Chemical class 0.000 description 7
- 230000028993 immune response Effects 0.000 description 7
- 238000011534 incubation Methods 0.000 description 7
- 239000002502 liposome Substances 0.000 description 7
- 239000000463 material Substances 0.000 description 7
- 201000001441 melanoma Diseases 0.000 description 7
- 239000003755 preservative agent Substances 0.000 description 7
- 102000004169 proteins and genes Human genes 0.000 description 7
- 108090000623 proteins and genes Proteins 0.000 description 7
- 239000011734 sodium Substances 0.000 description 7
- 239000011780 sodium chloride Substances 0.000 description 7
- 239000003826 tablet Substances 0.000 description 7
- 230000001960 triggered effect Effects 0.000 description 7
- BORFCTSBIOZUFN-MNOVXSKESA-N 8-[(2S,5R)-2,5-dimethylpiperazin-1-yl]-5-methyl-6-oxo-1,5-naphthyridine-2-carbonitrile Chemical compound C[C@@H]1N(C[C@H](NC1)C)C1=CC(N(C=2C=CC(=NC1=2)C#N)C)=O BORFCTSBIOZUFN-MNOVXSKESA-N 0.000 description 6
- QTBSBXVTEAMEQO-UHFFFAOYSA-N Acetic acid Chemical compound CC(O)=O QTBSBXVTEAMEQO-UHFFFAOYSA-N 0.000 description 6
- HEDRZPFGACZZDS-UHFFFAOYSA-N Chloroform Chemical compound ClC(Cl)Cl HEDRZPFGACZZDS-UHFFFAOYSA-N 0.000 description 6
- 206010009944 Colon cancer Diseases 0.000 description 6
- PEDCQBHIVMGVHV-UHFFFAOYSA-N Glycerine Chemical compound OCC(O)CO PEDCQBHIVMGVHV-UHFFFAOYSA-N 0.000 description 6
- BZLVMXJERCGZMT-UHFFFAOYSA-N Methyl tert-butyl ether Chemical compound COC(C)(C)C BZLVMXJERCGZMT-UHFFFAOYSA-N 0.000 description 6
- 101100519207 Mus musculus Pdcd1 gene Proteins 0.000 description 6
- SECXISVLQFMRJM-UHFFFAOYSA-N N-Methylpyrrolidone Chemical compound CN1CCCC1=O SECXISVLQFMRJM-UHFFFAOYSA-N 0.000 description 6
- 208000015914 Non-Hodgkin lymphomas Diseases 0.000 description 6
- DNIAPMSPPWPWGF-UHFFFAOYSA-N Propylene glycol Chemical compound CC(O)CO DNIAPMSPPWPWGF-UHFFFAOYSA-N 0.000 description 6
- UIIMBOGNXHQVGW-UHFFFAOYSA-M Sodium bicarbonate Chemical class [Na+].OC([O-])=O UIIMBOGNXHQVGW-UHFFFAOYSA-M 0.000 description 6
- DKGAVHZHDRPRBM-UHFFFAOYSA-N Tert-Butanol Chemical compound CC(C)(C)O DKGAVHZHDRPRBM-UHFFFAOYSA-N 0.000 description 6
- YXFVVABEGXRONW-UHFFFAOYSA-N Toluene Chemical compound CC1=CC=CC=C1 YXFVVABEGXRONW-UHFFFAOYSA-N 0.000 description 6
- 239000004480 active ingredient Substances 0.000 description 6
- 238000009175 antibody therapy Methods 0.000 description 6
- 239000012267 brine Substances 0.000 description 6
- 210000004443 dendritic cell Anatomy 0.000 description 6
- 230000000779 depleting effect Effects 0.000 description 6
- 239000003937 drug carrier Substances 0.000 description 6
- 239000000839 emulsion Substances 0.000 description 6
- 239000000796 flavoring agent Substances 0.000 description 6
- 239000012634 fragment Substances 0.000 description 6
- 150000003840 hydrochlorides Chemical class 0.000 description 6
- 230000003993 interaction Effects 0.000 description 6
- HQKMJHAJHXVSDF-UHFFFAOYSA-L magnesium stearate Chemical compound [Mg+2].CCCCCCCCCCCCCCCCCC([O-])=O.CCCCCCCCCCCCCCCCCC([O-])=O HQKMJHAJHXVSDF-UHFFFAOYSA-L 0.000 description 6
- 231100000252 nontoxic Toxicity 0.000 description 6
- 230000003000 nontoxic effect Effects 0.000 description 6
- 239000012044 organic layer Substances 0.000 description 6
- 230000036961 partial effect Effects 0.000 description 6
- HPALAKNZSZLMCH-UHFFFAOYSA-M sodium;chloride;hydrate Chemical compound O.[Na+].[Cl-] HPALAKNZSZLMCH-UHFFFAOYSA-M 0.000 description 6
- 239000000758 substrate Substances 0.000 description 6
- 239000003765 sweetening agent Substances 0.000 description 6
- 239000000080 wetting agent Substances 0.000 description 6
- 102100027314 Beta-2-microglobulin Human genes 0.000 description 5
- 239000012275 CTLA-4 inhibitor Substances 0.000 description 5
- 229920000858 Cyclodextrin Polymers 0.000 description 5
- 206010035226 Plasma cell myeloma Diseases 0.000 description 5
- 229920002565 Polyethylene Glycol 400 Polymers 0.000 description 5
- 239000012980 RPMI-1640 medium Substances 0.000 description 5
- 206010042971 T-cell lymphoma Diseases 0.000 description 5
- 208000027585 T-cell non-Hodgkin lymphoma Diseases 0.000 description 5
- AOBORMOPSGHCAX-UHFFFAOYSA-N Tocophersolan Chemical compound OCCOC(=O)CCC(=O)OC1=C(C)C(C)=C2OC(CCCC(C)CCCC(C)CCCC(C)C)(C)CCC2=C1C AOBORMOPSGHCAX-UHFFFAOYSA-N 0.000 description 5
- HEDRZPFGACZZDS-MICDWDOJSA-N Trichloro(2H)methane Chemical compound [2H]C(Cl)(Cl)Cl HEDRZPFGACZZDS-MICDWDOJSA-N 0.000 description 5
- 208000036142 Viral infection Diseases 0.000 description 5
- 230000001668 ameliorated effect Effects 0.000 description 5
- 239000007900 aqueous suspension Substances 0.000 description 5
- 150000001721 carbon Chemical group 0.000 description 5
- 239000006285 cell suspension Substances 0.000 description 5
- 239000007859 condensation product Substances 0.000 description 5
- YMWUJEATGCHHMB-UHFFFAOYSA-N dichloromethane Natural products ClCCl YMWUJEATGCHHMB-UHFFFAOYSA-N 0.000 description 5
- 239000003085 diluting agent Substances 0.000 description 5
- 150000002148 esters Chemical class 0.000 description 5
- 230000006054 immunological memory Effects 0.000 description 5
- 230000001976 improved effect Effects 0.000 description 5
- 208000032839 leukemia Diseases 0.000 description 5
- 238000002156 mixing Methods 0.000 description 5
- 238000012544 monitoring process Methods 0.000 description 5
- 208000002154 non-small cell lung carcinoma Diseases 0.000 description 5
- 244000052769 pathogen Species 0.000 description 5
- 230000037361 pathway Effects 0.000 description 5
- 239000008188 pellet Substances 0.000 description 5
- JLFNLZLINWHATN-UHFFFAOYSA-N pentaethylene glycol Chemical compound OCCOCCOCCOCCOCCO JLFNLZLINWHATN-UHFFFAOYSA-N 0.000 description 5
- 239000000546 pharmaceutical excipient Substances 0.000 description 5
- 239000000843 powder Substances 0.000 description 5
- 230000002062 proliferating effect Effects 0.000 description 5
- 108020003175 receptors Proteins 0.000 description 5
- 102000005962 receptors Human genes 0.000 description 5
- 230000028327 secretion Effects 0.000 description 5
- 208000024891 symptom Diseases 0.000 description 5
- 238000001308 synthesis method Methods 0.000 description 5
- 230000001225 therapeutic effect Effects 0.000 description 5
- 210000001519 tissue Anatomy 0.000 description 5
- 230000004614 tumor growth Effects 0.000 description 5
- 208000029729 tumor suppressor gene on chromosome 11 Diseases 0.000 description 5
- 230000009385 viral infection Effects 0.000 description 5
- PUPZLCDOIYMWBV-UHFFFAOYSA-N (+/-)-1,3-Butanediol Chemical compound CC(O)CCO PUPZLCDOIYMWBV-UHFFFAOYSA-N 0.000 description 4
- BRELKQOMMUCNLU-XWZNDSGVSA-N 8-[(2S,5R)-4-[(4-fluorophenyl)-phenylmethyl]-2,5-dimethylpiperazin-1-yl]-5-methyl-6-oxo-1,5-naphthyridine-2-carbonitrile Chemical compound FC1=CC=C(C=C1)C(N1C[C@@H](N(C[C@H]1C)C1=CC(N(C=2C=CC(=NC1=2)C#N)C)=O)C)C1=CC=CC=C1 BRELKQOMMUCNLU-XWZNDSGVSA-N 0.000 description 4
- CIWBSHSKHKDKBQ-JLAZNSOCSA-N Ascorbic acid Chemical compound OC[C@H](O)[C@H]1OC(=O)C(O)=C1O CIWBSHSKHKDKBQ-JLAZNSOCSA-N 0.000 description 4
- VTYYLEPIZMXCLO-UHFFFAOYSA-L Calcium carbonate Chemical compound [Ca+2].[O-]C([O-])=O VTYYLEPIZMXCLO-UHFFFAOYSA-L 0.000 description 4
- 208000001333 Colorectal Neoplasms Diseases 0.000 description 4
- 238000012286 ELISA Assay Methods 0.000 description 4
- 206010014733 Endometrial cancer Diseases 0.000 description 4
- 206010014759 Endometrial neoplasm Diseases 0.000 description 4
- IAYPIBMASNFSPL-UHFFFAOYSA-N Ethylene oxide Chemical compound C1CO1 IAYPIBMASNFSPL-UHFFFAOYSA-N 0.000 description 4
- 241000400611 Eucalyptus deanei Species 0.000 description 4
- 101000914484 Homo sapiens T-lymphocyte activation antigen CD80 Proteins 0.000 description 4
- 208000008839 Kidney Neoplasms Diseases 0.000 description 4
- 208000031671 Large B-Cell Diffuse Lymphoma Diseases 0.000 description 4
- AFVFQIVMOAPDHO-UHFFFAOYSA-N Methanesulfonic acid Chemical compound CS(O)(=O)=O AFVFQIVMOAPDHO-UHFFFAOYSA-N 0.000 description 4
- 239000012270 PD-1 inhibitor Substances 0.000 description 4
- 239000012668 PD-1-inhibitor Substances 0.000 description 4
- 108010047620 Phytohemagglutinins Proteins 0.000 description 4
- 208000006664 Precursor Cell Lymphoblastic Leukemia-Lymphoma Diseases 0.000 description 4
- 206010038389 Renal cancer Diseases 0.000 description 4
- 208000006265 Renal cell carcinoma Diseases 0.000 description 4
- 206010039491 Sarcoma Diseases 0.000 description 4
- 230000006044 T cell activation Effects 0.000 description 4
- 230000006052 T cell proliferation Effects 0.000 description 4
- WYURNTSHIVDZCO-UHFFFAOYSA-N Tetrahydrofuran Chemical compound C1CCOC1 WYURNTSHIVDZCO-UHFFFAOYSA-N 0.000 description 4
- 208000024770 Thyroid neoplasm Diseases 0.000 description 4
- HCHKCACWOHOZIP-UHFFFAOYSA-N Zinc Chemical compound [Zn] HCHKCACWOHOZIP-UHFFFAOYSA-N 0.000 description 4
- 239000002253 acid Substances 0.000 description 4
- 125000002947 alkylene group Chemical group 0.000 description 4
- 239000003963 antioxidant agent Substances 0.000 description 4
- 210000003719 b-lymphocyte Anatomy 0.000 description 4
- 238000005119 centrifugation Methods 0.000 description 4
- 239000003480 eluent Substances 0.000 description 4
- 125000001495 ethyl group Chemical group [H]C([H])([H])C([H])([H])* 0.000 description 4
- 238000000684 flow cytometry Methods 0.000 description 4
- 235000013355 food flavoring agent Nutrition 0.000 description 4
- 235000003599 food sweetener Nutrition 0.000 description 4
- 238000004108 freeze drying Methods 0.000 description 4
- 229920000159 gelatin Polymers 0.000 description 4
- 235000019322 gelatine Nutrition 0.000 description 4
- 239000008187 granular material Substances 0.000 description 4
- 206010073071 hepatocellular carcinoma Diseases 0.000 description 4
- 150000002500 ions Chemical class 0.000 description 4
- 238000002955 isolation Methods 0.000 description 4
- 201000010982 kidney cancer Diseases 0.000 description 4
- 208000014018 liver neoplasm Diseases 0.000 description 4
- VLKZOEOYAKHREP-UHFFFAOYSA-N n-Hexane Chemical class CCCCCC VLKZOEOYAKHREP-UHFFFAOYSA-N 0.000 description 4
- 229940121655 pd-1 inhibitor Drugs 0.000 description 4
- 239000003208 petroleum Substances 0.000 description 4
- XHXFXVLFKHQFAL-UHFFFAOYSA-N phosphoryl trichloride Chemical compound ClP(Cl)(Cl)=O XHXFXVLFKHQFAL-UHFFFAOYSA-N 0.000 description 4
- 230000001885 phytohemagglutinin Effects 0.000 description 4
- 239000004417 polycarbonate Substances 0.000 description 4
- 229920001223 polyethylene glycol Polymers 0.000 description 4
- 239000001267 polyvinylpyrrolidone Substances 0.000 description 4
- 235000013855 polyvinylpyrrolidone Nutrition 0.000 description 4
- 230000002335 preservative effect Effects 0.000 description 4
- 102000004196 processed proteins & peptides Human genes 0.000 description 4
- 229940002612 prodrug Drugs 0.000 description 4
- 239000000651 prodrug Substances 0.000 description 4
- 238000000746 purification Methods 0.000 description 4
- 239000000741 silica gel Substances 0.000 description 4
- 229910002027 silica gel Inorganic materials 0.000 description 4
- 235000009518 sodium iodide Nutrition 0.000 description 4
- 206010041823 squamous cell carcinoma Diseases 0.000 description 4
- 239000003381 stabilizer Substances 0.000 description 4
- 238000003756 stirring Methods 0.000 description 4
- 239000000375 suspending agent Substances 0.000 description 4
- 201000002510 thyroid cancer Diseases 0.000 description 4
- 238000004704 ultra performance liquid chromatography Methods 0.000 description 4
- 241000701447 unidentified baculovirus Species 0.000 description 4
- 239000011701 zinc Substances 0.000 description 4
- 229910052725 zinc Inorganic materials 0.000 description 4
- IIZPXYDJLKNOIY-JXPKJXOSSA-N 1-palmitoyl-2-arachidonoyl-sn-glycero-3-phosphocholine Chemical compound CCCCCCCCCCCCCCCC(=O)OC[C@H](COP([O-])(=O)OCC[N+](C)(C)C)OC(=O)CCC\C=C/C\C=C/C\C=C/C\C=C/CCCCC IIZPXYDJLKNOIY-JXPKJXOSSA-N 0.000 description 3
- QBTXPCPOQVQZOB-ZWKOTPCHSA-N 4-[(2R,5S)-4-[bis(4-fluorophenyl)methyl]-2,5-dimethylpiperazin-1-yl]-6-bromo-1-methyl-2-oxo-1,5-naphthyridine-3-carbonitrile Chemical compound FC1=CC=C(C=C1)C(N1C[C@H](N(C[C@@H]1C)C1=C(C(N(C2=CC=C(N=C12)Br)C)=O)C#N)C)C1=CC=C(C=C1)F QBTXPCPOQVQZOB-ZWKOTPCHSA-N 0.000 description 3
- YNSISXZRGHBBNJ-VQSPDULUSA-N 4-[(2S,5R)-4-[(4-chlorophenyl)-(4-fluorophenyl)methyl]-2,5-dimethylpiperazin-1-yl]-6-methoxy-1-methyl-1,5-naphthyridin-2-one Chemical compound ClC1=CC=C(C=C1)C(N1C[C@@H](N(C[C@H]1C)C1=CC(N(C2=CC=C(N=C12)OC)C)=O)C)C1=CC=C(C=C1)F YNSISXZRGHBBNJ-VQSPDULUSA-N 0.000 description 3
- SOCABYBFBPXOQI-HFHQHIJTSA-N 8-[(2S,5R)-4-[(4-fluorophenyl)-(4-methylphenyl)methyl]-2,5-dimethylpiperazin-1-yl]-5-methyl-6-oxo-1,5-naphthyridine-2-carbonitrile Chemical compound FC1=CC=C(C=C1)C(N1C[C@@H](N(C[C@H]1C)C1=CC(N(C=2C=CC(=NC1=2)C#N)C)=O)C)C1=CC=C(C=C1)C SOCABYBFBPXOQI-HFHQHIJTSA-N 0.000 description 3
- JSDWTOGDZIDOQE-YSPPHNQVSA-N 8-[(2S,5R)-4-[1-(2,6-difluorophenyl)ethyl]-2,5-dimethylpiperazin-1-yl]-5-methyl-6-oxo-1,5-naphthyridine-2-carbonitrile Chemical compound FC1=C(C(=CC=C1)F)C(C)N1C[C@@H](N(C[C@H]1C)C1=CC(N(C=2C=CC(=NC1=2)C#N)C)=O)C JSDWTOGDZIDOQE-YSPPHNQVSA-N 0.000 description 3
- RMSOVVQJHLVONE-CABCVRRESA-N 8-[(2S,5R)-4-[[2-(difluoromethyl)-4-fluorophenyl]methyl]-2,5-dimethylpiperazin-1-yl]-5-methyl-6-oxo-1,5-naphthyridine-2-carbonitrile Chemical compound FC(C1=C(C=CC(=C1)F)CN1C[C@@H](N(C[C@H]1C)C1=CC(N(C=2C=CC(=NC1=2)C#N)C)=O)C)F RMSOVVQJHLVONE-CABCVRRESA-N 0.000 description 3
- OOIWSXYERVFIRZ-GOSISDBHSA-N 8-[(3R)-4-[bis(4-fluorophenyl)methyl]-3-methylpiperazin-1-yl]-5-methyl-6-oxo-1,5-naphthyridine-2,7-dicarbonitrile Chemical compound FC1=CC=C(C=C1)C(N1[C@@H](CN(CC1)C1=C(C(N(C=2C=CC(=NC1=2)C#N)C)=O)C#N)C)C1=CC=C(C=C1)F OOIWSXYERVFIRZ-GOSISDBHSA-N 0.000 description 3
- XAHMIJCNFUSTMT-UHFFFAOYSA-N 8-[4-[bis(4-fluorophenyl)methyl]piperazin-1-yl]-5-methyl-7-nitro-6-oxo-1,5-naphthyridine-2-carbonitrile Chemical compound FC1=CC=C(C=C1)C(N1CCN(CC1)C1=C(C(N(C=2C=CC(=NC1=2)C#N)C)=O)[N+](=O)[O-])C1=CC=C(C=C1)F XAHMIJCNFUSTMT-UHFFFAOYSA-N 0.000 description 3
- RGCURDZJTFJFJK-UHFFFAOYSA-N 8-chloro-5-methyl-6-oxo-1,5-naphthyridine-2-carbonitrile Chemical compound ClC1=CC(N(C=2C=CC(=NC1=2)C#N)C)=O RGCURDZJTFJFJK-UHFFFAOYSA-N 0.000 description 3
- AWDCPIDRXPAFAM-UHFFFAOYSA-N 8-hydroxy-5-methyl-6-oxo-1,5-naphthyridine-2-carbonitrile Chemical compound C1=C(C#N)N=C2C(O)=CC(=O)N(C)C2=C1 AWDCPIDRXPAFAM-UHFFFAOYSA-N 0.000 description 3
- 208000003950 B-cell lymphoma Diseases 0.000 description 3
- 238000011725 BALB/c mouse Methods 0.000 description 3
- UHOVQNZJYSORNB-UHFFFAOYSA-N Benzene Chemical compound C1=CC=CC=C1 UHOVQNZJYSORNB-UHFFFAOYSA-N 0.000 description 3
- OKTJSMMVPCPJKN-UHFFFAOYSA-N Carbon Chemical compound [C] OKTJSMMVPCPJKN-UHFFFAOYSA-N 0.000 description 3
- 239000004215 Carbon black (E152) Substances 0.000 description 3
- 201000009030 Carcinoma Diseases 0.000 description 3
- 102100030220 Diacylglycerol kinase zeta Human genes 0.000 description 3
- 101000609767 Dromaius novaehollandiae Ovalbumin Proteins 0.000 description 3
- 101150086096 Eif2ak3 gene Proteins 0.000 description 3
- 101000914514 Homo sapiens T-cell-specific surface glycoprotein CD28 Proteins 0.000 description 3
- CPELXLSAUQHCOX-UHFFFAOYSA-N Hydrogen bromide Chemical compound Br CPELXLSAUQHCOX-UHFFFAOYSA-N 0.000 description 3
- GUBGYTABKSRVRQ-QKKXKWKRSA-N Lactose Natural products OC[C@H]1O[C@@H](O[C@H]2[C@H](O)[C@@H](O)C(O)O[C@@H]2CO)[C@H](O)[C@@H](O)[C@H]1O GUBGYTABKSRVRQ-QKKXKWKRSA-N 0.000 description 3
- 239000007993 MOPS buffer Substances 0.000 description 3
- 241001529936 Murinae Species 0.000 description 3
- 101100407308 Mus musculus Pdcd1lg2 gene Proteins 0.000 description 3
- 229910019142 PO4 Inorganic materials 0.000 description 3
- 239000002202 Polyethylene glycol Substances 0.000 description 3
- 108700030875 Programmed Cell Death 1 Ligand 2 Proteins 0.000 description 3
- 102100024213 Programmed cell death 1 ligand 2 Human genes 0.000 description 3
- 239000012979 RPMI medium Substances 0.000 description 3
- PMZURENOXWZQFD-UHFFFAOYSA-L Sodium Sulfate Chemical compound [Na+].[Na+].[O-]S([O-])(=O)=O PMZURENOXWZQFD-UHFFFAOYSA-L 0.000 description 3
- 208000005718 Stomach Neoplasms Diseases 0.000 description 3
- QAOWNCQODCNURD-UHFFFAOYSA-N Sulfuric acid Chemical compound OS(O)(=O)=O QAOWNCQODCNURD-UHFFFAOYSA-N 0.000 description 3
- 102100027213 T-cell-specific surface glycoprotein CD28 Human genes 0.000 description 3
- DPXJVFZANSGRMM-UHFFFAOYSA-N acetic acid;2,3,4,5,6-pentahydroxyhexanal;sodium Chemical compound [Na].CC(O)=O.OCC(O)C(O)C(O)C(O)C=O DPXJVFZANSGRMM-UHFFFAOYSA-N 0.000 description 3
- 235000010443 alginic acid Nutrition 0.000 description 3
- 229920000615 alginic acid Polymers 0.000 description 3
- 150000001412 amines Chemical class 0.000 description 3
- 229940024606 amino acid Drugs 0.000 description 3
- 125000004103 aminoalkyl group Chemical group 0.000 description 3
- 235000006708 antioxidants Nutrition 0.000 description 3
- 125000004429 atom Chemical group 0.000 description 3
- 238000004166 bioassay Methods 0.000 description 3
- 238000012054 celltiter-glo Methods 0.000 description 3
- 229920002678 cellulose Polymers 0.000 description 3
- 208000029742 colonic neoplasm Diseases 0.000 description 3
- 239000003086 colorant Substances 0.000 description 3
- 238000002648 combination therapy Methods 0.000 description 3
- 239000002270 dispersing agent Substances 0.000 description 3
- 238000005516 engineering process Methods 0.000 description 3
- KUULXNYSTCUJJX-UHFFFAOYSA-N ethyl 3-[acetyl(methyl)amino]-6-cyanopyridine-2-carboxylate Chemical compound C(#N)C1=CC=C(C(=N1)C(=O)OCC)N(C(C)=O)C KUULXNYSTCUJJX-UHFFFAOYSA-N 0.000 description 3
- 239000003925 fat Substances 0.000 description 3
- 235000019197 fats Nutrition 0.000 description 3
- 125000000524 functional group Chemical group 0.000 description 3
- 206010017758 gastric cancer Diseases 0.000 description 3
- 208000005017 glioblastoma Diseases 0.000 description 3
- 230000012010 growth Effects 0.000 description 3
- 201000010536 head and neck cancer Diseases 0.000 description 3
- 208000014829 head and neck neoplasm Diseases 0.000 description 3
- 201000005787 hematologic cancer Diseases 0.000 description 3
- 229930195733 hydrocarbon Natural products 0.000 description 3
- XMBWDFGMSWQBCA-UHFFFAOYSA-N hydrogen iodide Chemical compound I XMBWDFGMSWQBCA-UHFFFAOYSA-N 0.000 description 3
- 235000010979 hydroxypropyl methyl cellulose Nutrition 0.000 description 3
- 239000001866 hydroxypropyl methyl cellulose Substances 0.000 description 3
- 229920003088 hydroxypropyl methyl cellulose Polymers 0.000 description 3
- UFVKGYZPFZQRLF-UHFFFAOYSA-N hydroxypropyl methyl cellulose Chemical compound OC1C(O)C(OC)OC(CO)C1OC1C(O)C(O)C(OC2C(C(O)C(OC3C(C(O)C(O)C(CO)O3)O)C(CO)O2)O)C(CO)O1 UFVKGYZPFZQRLF-UHFFFAOYSA-N 0.000 description 3
- 238000009169 immunotherapy Methods 0.000 description 3
- 238000000338 in vitro Methods 0.000 description 3
- 238000001727 in vivo Methods 0.000 description 3
- 239000008101 lactose Substances 0.000 description 3
- 235000010445 lecithin Nutrition 0.000 description 3
- 239000000787 lecithin Substances 0.000 description 3
- 229940067606 lecithin Drugs 0.000 description 3
- 239000003446 ligand Substances 0.000 description 3
- 229940057995 liquid paraffin Drugs 0.000 description 3
- 201000007270 liver cancer Diseases 0.000 description 3
- 201000011649 lymphoblastic lymphoma Diseases 0.000 description 3
- 210000004698 lymphocyte Anatomy 0.000 description 3
- 239000006166 lysate Substances 0.000 description 3
- 235000019359 magnesium stearate Nutrition 0.000 description 3
- 230000014759 maintenance of location Effects 0.000 description 3
- 239000004530 micro-emulsion Substances 0.000 description 3
- 238000010172 mouse model Methods 0.000 description 3
- 201000005962 mycosis fungoides Diseases 0.000 description 3
- 208000025113 myeloid leukemia Diseases 0.000 description 3
- 201000000050 myeloid neoplasm Diseases 0.000 description 3
- 239000000346 nonvolatile oil Substances 0.000 description 3
- 239000002773 nucleotide Substances 0.000 description 3
- 125000003729 nucleotide group Chemical group 0.000 description 3
- 239000004006 olive oil Substances 0.000 description 3
- 235000008390 olive oil Nutrition 0.000 description 3
- 239000010452 phosphate Substances 0.000 description 3
- NBIIXXVUZAFLBC-UHFFFAOYSA-K phosphate Chemical compound [O-]P([O-])([O-])=O NBIIXXVUZAFLBC-UHFFFAOYSA-K 0.000 description 3
- 239000002953 phosphate buffered saline Substances 0.000 description 3
- IUBQJLUDMLPAGT-UHFFFAOYSA-N potassium bis(trimethylsilyl)amide Chemical compound C[Si](C)(C)N([K])[Si](C)(C)C IUBQJLUDMLPAGT-UHFFFAOYSA-N 0.000 description 3
- 238000000159 protein binding assay Methods 0.000 description 3
- ZIEWSZYVEDTXGH-UHFFFAOYSA-N pyrimidine-4-carbonitrile Chemical compound N#CC1=CC=NC=N1 ZIEWSZYVEDTXGH-UHFFFAOYSA-N 0.000 description 3
- 201000006845 reticulosarcoma Diseases 0.000 description 3
- 208000029922 reticulum cell sarcoma Diseases 0.000 description 3
- 229920006395 saturated elastomer Polymers 0.000 description 3
- 230000019491 signal transduction Effects 0.000 description 3
- 210000000130 stem cell Anatomy 0.000 description 3
- 201000011549 stomach cancer Diseases 0.000 description 3
- 239000007929 subcutaneous injection Substances 0.000 description 3
- 238000010254 subcutaneous injection Methods 0.000 description 3
- 239000000126 substance Substances 0.000 description 3
- 229940124597 therapeutic agent Drugs 0.000 description 3
- VZCYOOQTPOCHFL-UHFFFAOYSA-N trans-butenedioic acid Natural products OC(=O)C=CC(O)=O VZCYOOQTPOCHFL-UHFFFAOYSA-N 0.000 description 3
- 239000001993 wax Substances 0.000 description 3
- 238000009736 wetting Methods 0.000 description 3
- GTLDTDOJJJZVBW-UHFFFAOYSA-N zinc cyanide Chemical compound [Zn+2].N#[C-].N#[C-] GTLDTDOJJJZVBW-UHFFFAOYSA-N 0.000 description 3
- UAOUIVVJBYDFKD-XKCDOFEDSA-N (1R,9R,10S,11R,12R,15S,18S,21R)-10,11,21-trihydroxy-8,8-dimethyl-14-methylidene-4-(prop-2-enylamino)-20-oxa-5-thia-3-azahexacyclo[9.7.2.112,15.01,9.02,6.012,18]henicosa-2(6),3-dien-13-one Chemical compound C([C@@H]1[C@@H](O)[C@@]23C(C1=C)=O)C[C@H]2[C@]12C(N=C(NCC=C)S4)=C4CC(C)(C)[C@H]1[C@H](O)[C@]3(O)OC2 UAOUIVVJBYDFKD-XKCDOFEDSA-N 0.000 description 2
- JVJGCCBAOOWGEO-RUTPOYCXSA-N (2s)-2-[[(2s)-2-[[(2s)-2-[[(2s)-2-[[(2s)-4-amino-2-[[(2s,3s)-2-[[(2s,3s)-2-[[(2s)-2-azaniumyl-3-hydroxypropanoyl]amino]-3-methylpentanoyl]amino]-3-methylpentanoyl]amino]-4-oxobutanoyl]amino]-3-phenylpropanoyl]amino]-4-carboxylatobutanoyl]amino]-6-azaniumy Chemical compound OC[C@H](N)C(=O)N[C@@H]([C@@H](C)CC)C(=O)N[C@@H]([C@@H](C)CC)C(=O)N[C@@H](CC(N)=O)C(=O)N[C@H](C(=O)N[C@@H](CCC(O)=O)C(=O)N[C@@H](CCCCN)C(=O)N[C@@H](CC(C)C)C(O)=O)CC1=CC=CC=C1 JVJGCCBAOOWGEO-RUTPOYCXSA-N 0.000 description 2
- WWTBZEKOSBFBEM-SPWPXUSOSA-N (2s)-2-[[2-benzyl-3-[hydroxy-[(1r)-2-phenyl-1-(phenylmethoxycarbonylamino)ethyl]phosphoryl]propanoyl]amino]-3-(1h-indol-3-yl)propanoic acid Chemical compound N([C@@H](CC=1C2=CC=CC=C2NC=1)C(=O)O)C(=O)C(CP(O)(=O)[C@H](CC=1C=CC=CC=1)NC(=O)OCC=1C=CC=CC=1)CC1=CC=CC=C1 WWTBZEKOSBFBEM-SPWPXUSOSA-N 0.000 description 2
- QFLWZFQWSBQYPS-AWRAUJHKSA-N (3S)-3-[[(2S)-2-[[(2S)-2-[5-[(3aS,6aR)-2-oxo-1,3,3a,4,6,6a-hexahydrothieno[3,4-d]imidazol-4-yl]pentanoylamino]-3-methylbutanoyl]amino]-3-(4-hydroxyphenyl)propanoyl]amino]-4-[1-bis(4-chlorophenoxy)phosphorylbutylamino]-4-oxobutanoic acid Chemical compound CCCC(NC(=O)[C@H](CC(O)=O)NC(=O)[C@H](Cc1ccc(O)cc1)NC(=O)[C@@H](NC(=O)CCCCC1SC[C@@H]2NC(=O)N[C@H]12)C(C)C)P(=O)(Oc1ccc(Cl)cc1)Oc1ccc(Cl)cc1 QFLWZFQWSBQYPS-AWRAUJHKSA-N 0.000 description 2
- IDTHJDQLBCJIKB-UHFFFAOYSA-N (6-bromo-3-cyano-1-methyl-2-oxo-1,5-naphthyridin-4-yl) trifluoromethanesulfonate Chemical compound FC(S(=O)(=O)OC1=C(C(N(C2=CC=C(N=C12)Br)C)=O)C#N)(F)F IDTHJDQLBCJIKB-UHFFFAOYSA-N 0.000 description 2
- MSBYDHLVQAZHJP-UHFFFAOYSA-N (6-cyano-1-methyl-2-oxo-1,5-naphthyridin-4-yl) trifluoromethanesulfonate Chemical compound FC(S(=O)(=O)OC1=CC(N(C2=CC=C(N=C12)C#N)C)=O)(F)F MSBYDHLVQAZHJP-UHFFFAOYSA-N 0.000 description 2
- WRIDQFICGBMAFQ-UHFFFAOYSA-N (E)-8-Octadecenoic acid Natural products CCCCCCCCCC=CCCCCCCC(O)=O WRIDQFICGBMAFQ-UHFFFAOYSA-N 0.000 description 2
- ZORQXIQZAOLNGE-UHFFFAOYSA-N 1,1-difluorocyclohexane Chemical compound FC1(F)CCCCC1 ZORQXIQZAOLNGE-UHFFFAOYSA-N 0.000 description 2
- RYHBNJHYFVUHQT-UHFFFAOYSA-N 1,4-Dioxane Chemical compound C1COCCO1 RYHBNJHYFVUHQT-UHFFFAOYSA-N 0.000 description 2
- IXPNQXFRVYWDDI-UHFFFAOYSA-N 1-methyl-2,4-dioxo-1,3-diazinane-5-carboximidamide Chemical compound CN1CC(C(N)=N)C(=O)NC1=O IXPNQXFRVYWDDI-UHFFFAOYSA-N 0.000 description 2
- VBICKXHEKHSIBG-UHFFFAOYSA-N 1-monostearoylglycerol Chemical compound CCCCCCCCCCCCCCCCCC(=O)OCC(O)CO VBICKXHEKHSIBG-UHFFFAOYSA-N 0.000 description 2
- TVTJUIAKQFIXCE-HUKYDQBMSA-N 2-amino-9-[(2R,3S,4S,5R)-4-fluoro-3-hydroxy-5-(hydroxymethyl)oxolan-2-yl]-7-prop-2-ynyl-1H-purine-6,8-dione Chemical compound NC=1NC(C=2N(C(N(C=2N=1)[C@@H]1O[C@@H]([C@H]([C@H]1O)F)CO)=O)CC#C)=O TVTJUIAKQFIXCE-HUKYDQBMSA-N 0.000 description 2
- IZHVBANLECCAGF-UHFFFAOYSA-N 2-hydroxy-3-(octadecanoyloxy)propyl octadecanoate Chemical compound CCCCCCCCCCCCCCCCCC(=O)OCC(O)COC(=O)CCCCCCCCCCCCCCCCC IZHVBANLECCAGF-UHFFFAOYSA-N 0.000 description 2
- LQJBNNIYVWPHFW-UHFFFAOYSA-N 20:1omega9c fatty acid Natural products CCCCCCCCCCC=CCCCCCCCC(O)=O LQJBNNIYVWPHFW-UHFFFAOYSA-N 0.000 description 2
- MBYXQDFRAYIYHX-QGZVFWFLSA-N 4-[(3R)-4-[bis(4-fluorophenyl)methyl]-3-methylpiperazin-1-yl]-6-bromo-1-methyl-2-oxo-1,5-naphthyridine-3-carbonitrile Chemical compound FC1=CC=C(C=C1)C(N1[C@@H](CN(CC1)C1=C(C(N(C2=CC=C(N=C12)Br)C)=O)C#N)C)C1=CC=C(C=C1)F MBYXQDFRAYIYHX-QGZVFWFLSA-N 0.000 description 2
- FWMNVWWHGCHHJJ-SKKKGAJSSA-N 4-amino-1-[(2r)-6-amino-2-[[(2r)-2-[[(2r)-2-[[(2r)-2-amino-3-phenylpropanoyl]amino]-3-phenylpropanoyl]amino]-4-methylpentanoyl]amino]hexanoyl]piperidine-4-carboxylic acid Chemical compound C([C@H](C(=O)N[C@H](CC(C)C)C(=O)N[C@H](CCCCN)C(=O)N1CCC(N)(CC1)C(O)=O)NC(=O)[C@H](N)CC=1C=CC=CC=1)C1=CC=CC=C1 FWMNVWWHGCHHJJ-SKKKGAJSSA-N 0.000 description 2
- MIMSHWAQHZOTJK-ZQIYAJFXSA-N 8-[(2S,5R)-4-[1-(2,4-difluorophenyl)propyl]-2,5-dimethylpiperazin-1-yl]-5-methyl-6-oxo-1,5-naphthyridine-2-carbonitrile Chemical compound FC1=C(C=CC(=C1)F)C(CC)N1C[C@@H](N(C[C@H]1C)C1=CC(N(C=2C=CC(=NC1=2)C#N)C)=O)C MIMSHWAQHZOTJK-ZQIYAJFXSA-N 0.000 description 2
- IHAKTCHRYGNDMD-XZOQPEGZSA-N 8-[(2S,5R)-4-[bis(4-methylphenyl)methyl]-2,5-dimethylpiperazin-1-yl]-5-methyl-6-oxo-1,5-naphthyridine-2-carbonitrile Chemical compound CC1=CC=C(C=C1)C(N1C[C@@H](N(C[C@H]1C)C1=CC(N(C=2C=CC(=NC1=2)C#N)C)=O)C)C1=CC=C(C=C1)C IHAKTCHRYGNDMD-XZOQPEGZSA-N 0.000 description 2
- AOJMESHAHMSPRC-UHFFFAOYSA-N 8-chloro-5-methyl-7-nitro-6-oxo-1,5-naphthyridine-2-carbonitrile Chemical compound ClC1=C(C(N(C=2C=CC(=NC1=2)C#N)C)=O)[N+](=O)[O-] AOJMESHAHMSPRC-UHFFFAOYSA-N 0.000 description 2
- QSBYPNXLFMSGKH-UHFFFAOYSA-N 9-Heptadecensaeure Natural products CCCCCCCC=CCCCCCCCC(O)=O QSBYPNXLFMSGKH-UHFFFAOYSA-N 0.000 description 2
- GUBGYTABKSRVRQ-XLOQQCSPSA-N Alpha-Lactose Chemical compound O[C@@H]1[C@@H](O)[C@@H](O)[C@@H](CO)O[C@H]1O[C@@H]1[C@@H](CO)O[C@H](O)[C@H](O)[C@H]1O GUBGYTABKSRVRQ-XLOQQCSPSA-N 0.000 description 2
- 235000003911 Arachis Nutrition 0.000 description 2
- 244000105624 Arachis hypogaea Species 0.000 description 2
- 206010003571 Astrocytoma Diseases 0.000 description 2
- 208000010839 B-cell chronic lymphocytic leukemia Diseases 0.000 description 2
- 206010005003 Bladder cancer Diseases 0.000 description 2
- NYMXRBNYRPUQSU-UHFFFAOYSA-N BrC(C1=NC=C(C=C1)C(F)(F)F)C1=CC=C(C=C1)F Chemical compound BrC(C1=NC=C(C=C1)C(F)(F)F)C1=CC=C(C=C1)F NYMXRBNYRPUQSU-UHFFFAOYSA-N 0.000 description 2
- 208000003174 Brain Neoplasms Diseases 0.000 description 2
- 206010006187 Breast cancer Diseases 0.000 description 2
- 208000026310 Breast neoplasm Diseases 0.000 description 2
- CPELXLSAUQHCOX-UHFFFAOYSA-M Bromide Chemical compound [Br-] CPELXLSAUQHCOX-UHFFFAOYSA-M 0.000 description 2
- MVPFPBIHUUHXGU-LKXRKSRJSA-N C(C)[C@@H]1N(C[C@H](N(C1)C(CC)C1=CC=C(C=C1)C(F)(F)F)CC)C=1C2=C(N(C(N=1)=O)C)C=CC(=N2)C#N Chemical compound C(C)[C@@H]1N(C[C@H](N(C1)C(CC)C1=CC=C(C=C1)C(F)(F)F)CC)C=1C2=C(N(C(N=1)=O)C)C=CC(=N2)C#N MVPFPBIHUUHXGU-LKXRKSRJSA-N 0.000 description 2
- RYANVYSVCYNQFK-AXWGZAFASA-N C(C)[C@@H]1N(C[C@H](N(C1)C(CCC)C1=CC=C(C=C1)C(F)(F)F)CC)C=1C2=C(N(C(N=1)=O)C)C=CC(=N2)C#N Chemical compound C(C)[C@@H]1N(C[C@H](N(C1)C(CCC)C1=CC=C(C=C1)C(F)(F)F)CC)C=1C2=C(N(C(N=1)=O)C)C=CC(=N2)C#N RYANVYSVCYNQFK-AXWGZAFASA-N 0.000 description 2
- AIVDFWPDLDQNIT-XNKIQEMOSA-N C(C)[C@H]1N(C[C@@H](N(C1)C=1C2=C(N(C(N=1)=O)C)C=CC(=N2)C#N)C)C(C)C1=CC=C(C=C1)C(F)(F)F Chemical compound C(C)[C@H]1N(C[C@@H](N(C1)C=1C2=C(N(C(N=1)=O)C)C=CC(=N2)C#N)C)C(C)C1=CC=C(C=C1)C(F)(F)F AIVDFWPDLDQNIT-XNKIQEMOSA-N 0.000 description 2
- NALBGDIPGZZNPU-QOKSPTNUSA-N C(C)[C@H]1N(C[C@@H](N(C1)C=1C2=C(N(C(N=1)=O)C)C=CC(=N2)C#N)C)C(C1=NC=C(C=C1)C(F)(F)F)C1=CC=C(C=C1)F Chemical compound C(C)[C@H]1N(C[C@@H](N(C1)C=1C2=C(N(C(N=1)=O)C)C=CC(=N2)C#N)C)C(C1=NC=C(C=C1)C(F)(F)F)C1=CC=C(C=C1)F NALBGDIPGZZNPU-QOKSPTNUSA-N 0.000 description 2
- IEZDDWFKFGQJKD-YMOPUJOUSA-N C1(CC1)C1=NOC(=N1)C(N1C[C@@H](N(C[C@H]1C)C=1C2=C(N(C(N=1)=O)C)C=CC(=N2)C#N)C)C1=CC=C(C=C1)F Chemical compound C1(CC1)C1=NOC(=N1)C(N1C[C@@H](N(C[C@H]1C)C=1C2=C(N(C(N=1)=O)C)C=CC(=N2)C#N)C)C1=CC=C(C=C1)F IEZDDWFKFGQJKD-YMOPUJOUSA-N 0.000 description 2
- BZTXHSBPBUQZBK-SGNGHUOJSA-N C1(CC1)COC1=CC(=C(C=C1)C(CC)N1C[C@@H](N(C[C@H]1CC)C=1C2=C(N(C(N=1)=O)C)C=CC(=N2)C#N)CC)F Chemical compound C1(CC1)COC1=CC(=C(C=C1)C(CC)N1C[C@@H](N(C[C@H]1CC)C=1C2=C(N(C(N=1)=O)C)C=CC(=N2)C#N)CC)F BZTXHSBPBUQZBK-SGNGHUOJSA-N 0.000 description 2
- MWXULEFQPDWBBB-DSSITSQDSA-N CN1C(N=C(C2=C1C=CC(=N2)C#N)N1[C@H](CN([C@@H](C1)CCC)C(C)C1=CC=C(C=C1)C(F)(F)F)C)=O Chemical compound CN1C(N=C(C2=C1C=CC(=N2)C#N)N1[C@H](CN([C@@H](C1)CCC)C(C)C1=CC=C(C=C1)C(F)(F)F)C)=O MWXULEFQPDWBBB-DSSITSQDSA-N 0.000 description 2
- XYFGPNRKMBLSHC-MNOVXSKESA-N C[C@H](C1)NC[C@H](C)N1C(C(N=CC=C1)=C1N1C)=CC1=O Chemical compound C[C@H](C1)NC[C@H](C)N1C(C(N=CC=C1)=C1N1C)=CC1=O XYFGPNRKMBLSHC-MNOVXSKESA-N 0.000 description 2
- 206010007953 Central nervous system lymphoma Diseases 0.000 description 2
- 206010008342 Cervix carcinoma Diseases 0.000 description 2
- FZAWIXYDKIIODN-CUDINMHHSA-N ClC1=CC=C(C=C1)C(N1C[C@@H](N(C[C@H]1CC)C=1C2=C(N(C(N=1)=O)C)C=CC(=N2)C#N)C)C1=NC=CC=C1 Chemical compound ClC1=CC=C(C=C1)C(N1C[C@@H](N(C[C@H]1CC)C=1C2=C(N(C(N=1)=O)C)C=CC(=N2)C#N)C)C1=NC=CC=C1 FZAWIXYDKIIODN-CUDINMHHSA-N 0.000 description 2
- 229940126639 Compound 33 Drugs 0.000 description 2
- 102000004127 Cytokines Human genes 0.000 description 2
- 108090000695 Cytokines Proteins 0.000 description 2
- 108020004414 DNA Proteins 0.000 description 2
- 101710192015 Diacylglycerol kinase zeta Proteins 0.000 description 2
- 206010061818 Disease progression Diseases 0.000 description 2
- 239000006144 Dulbecco’s modified Eagle's medium Substances 0.000 description 2
- KCXVZYZYPLLWCC-UHFFFAOYSA-N EDTA Chemical compound OC(=O)CN(CC(O)=O)CCN(CC(O)=O)CC(O)=O KCXVZYZYPLLWCC-UHFFFAOYSA-N 0.000 description 2
- 208000000461 Esophageal Neoplasms Diseases 0.000 description 2
- XNOWKAWYXXGCHS-VRBVYGAASA-N FC1=CC=C(C=C1)C(N1C[C@@H](N(C[C@H]1C)C=1C2=C(N(C(N=1)=O)C)C=CC(=N2)C#N)C)C1=NC=C(C=C1)C(F)(F)F Chemical compound FC1=CC=C(C=C1)C(N1C[C@@H](N(C[C@H]1C)C=1C2=C(N(C(N=1)=O)C)C=CC(=N2)C#N)C)C1=NC=C(C=C1)C(F)(F)F XNOWKAWYXXGCHS-VRBVYGAASA-N 0.000 description 2
- 201000008808 Fibrosarcoma Diseases 0.000 description 2
- 206010017993 Gastrointestinal neoplasms Diseases 0.000 description 2
- 108010010803 Gelatin Proteins 0.000 description 2
- 239000001828 Gelatine Substances 0.000 description 2
- 241000224466 Giardia Species 0.000 description 2
- 208000032612 Glial tumor Diseases 0.000 description 2
- 206010018338 Glioma Diseases 0.000 description 2
- DHMQDGOQFOQNFH-UHFFFAOYSA-N Glycine Chemical compound NCC(O)=O DHMQDGOQFOQNFH-UHFFFAOYSA-N 0.000 description 2
- 102000008949 Histocompatibility Antigens Class I Human genes 0.000 description 2
- 108010088652 Histocompatibility Antigens Class I Proteins 0.000 description 2
- 208000017604 Hodgkin disease Diseases 0.000 description 2
- 208000021519 Hodgkin lymphoma Diseases 0.000 description 2
- 208000010747 Hodgkins lymphoma Diseases 0.000 description 2
- 241000282412 Homo Species 0.000 description 2
- DGAQECJNVWCQMB-PUAWFVPOSA-M Ilexoside XXIX Chemical compound C[C@@H]1CC[C@@]2(CC[C@@]3(C(=CC[C@H]4[C@]3(CC[C@@H]5[C@@]4(CC[C@@H](C5(C)C)OS(=O)(=O)[O-])C)C)[C@@H]2[C@]1(C)O)C)C(=O)O[C@H]6[C@@H]([C@H]([C@@H]([C@H](O6)CO)O)O)O.[Na+] DGAQECJNVWCQMB-PUAWFVPOSA-M 0.000 description 2
- 102000008070 Interferon-gamma Human genes 0.000 description 2
- 208000006404 Large Granular Lymphocytic Leukemia Diseases 0.000 description 2
- 235000010643 Leucaena leucocephala Nutrition 0.000 description 2
- 240000007472 Leucaena leucocephala Species 0.000 description 2
- WHXSMMKQMYFTQS-UHFFFAOYSA-N Lithium Chemical compound [Li] WHXSMMKQMYFTQS-UHFFFAOYSA-N 0.000 description 2
- CSNNHWWHGAXBCP-UHFFFAOYSA-L Magnesium sulfate Chemical compound [Mg+2].[O-][S+2]([O-])([O-])[O-] CSNNHWWHGAXBCP-UHFFFAOYSA-L 0.000 description 2
- 241000124008 Mammalia Species 0.000 description 2
- QAHFGYLFLVGBNW-DCAQKATOSA-N Met-Ala-Lys Chemical compound CSCC[C@H](N)C(=O)N[C@@H](C)C(=O)N[C@H](C(O)=O)CCCCN QAHFGYLFLVGBNW-DCAQKATOSA-N 0.000 description 2
- 229920000168 Microcrystalline cellulose Polymers 0.000 description 2
- 101100222220 Mus musculus Ctla4 gene Proteins 0.000 description 2
- 101001034843 Mus musculus Interferon-induced transmembrane protein 1 Proteins 0.000 description 2
- 125000001429 N-terminal alpha-amino-acid group Chemical group 0.000 description 2
- OPFJDXRVMFKJJO-ZHHKINOHSA-N N-{[3-(2-benzamido-4-methyl-1,3-thiazol-5-yl)-pyrazol-5-yl]carbonyl}-G-dR-G-dD-dD-dD-NH2 Chemical compound S1C(C=2NN=C(C=2)C(=O)NCC(=O)N[C@H](CCCN=C(N)N)C(=O)NCC(=O)N[C@H](CC(O)=O)C(=O)N[C@H](CC(O)=O)C(=O)N[C@H](CC(O)=O)C(N)=O)=C(C)N=C1NC(=O)C1=CC=CC=C1 OPFJDXRVMFKJJO-ZHHKINOHSA-N 0.000 description 2
- PXHVJJICTQNCMI-UHFFFAOYSA-N Nickel Chemical compound [Ni] PXHVJJICTQNCMI-UHFFFAOYSA-N 0.000 description 2
- 206010030155 Oesophageal carcinoma Diseases 0.000 description 2
- 239000005642 Oleic acid Substances 0.000 description 2
- ZQPPMHVWECSIRJ-UHFFFAOYSA-N Oleic acid Natural products CCCCCCCCC=CCCCCCCCC(O)=O ZQPPMHVWECSIRJ-UHFFFAOYSA-N 0.000 description 2
- 108010058846 Ovalbumin Proteins 0.000 description 2
- 206010033128 Ovarian cancer Diseases 0.000 description 2
- 206010061535 Ovarian neoplasm Diseases 0.000 description 2
- 206010061902 Pancreatic neoplasm Diseases 0.000 description 2
- 235000019483 Peanut oil Nutrition 0.000 description 2
- 108091000080 Phosphotransferase Proteins 0.000 description 2
- 208000007913 Pituitary Neoplasms Diseases 0.000 description 2
- 239000004698 Polyethylene Substances 0.000 description 2
- 206010060862 Prostate cancer Diseases 0.000 description 2
- 208000000236 Prostatic Neoplasms Diseases 0.000 description 2
- 108010029485 Protein Isoforms Proteins 0.000 description 2
- 102000001708 Protein Isoforms Human genes 0.000 description 2
- JUJWROOIHBZHMG-UHFFFAOYSA-N Pyridine Chemical compound C1=CC=NC=C1 JUJWROOIHBZHMG-UHFFFAOYSA-N 0.000 description 2
- 201000010208 Seminoma Diseases 0.000 description 2
- PNUZDKCDAWUEGK-CYZMBNFOSA-N Sitafloxacin Chemical compound C([C@H]1N)N(C=2C(=C3C(C(C(C(O)=O)=CN3[C@H]3[C@H](C3)F)=O)=CC=2F)Cl)CC11CC1 PNUZDKCDAWUEGK-CYZMBNFOSA-N 0.000 description 2
- 206010041067 Small cell lung cancer Diseases 0.000 description 2
- CDBYLPFSWZWCQE-UHFFFAOYSA-L Sodium Carbonate Chemical compound [Na+].[Na+].[O-]C([O-])=O CDBYLPFSWZWCQE-UHFFFAOYSA-L 0.000 description 2
- 208000021712 Soft tissue sarcoma Diseases 0.000 description 2
- 241000191940 Staphylococcus Species 0.000 description 2
- 229920002472 Starch Polymers 0.000 description 2
- 235000021355 Stearic acid Nutrition 0.000 description 2
- CZMRCDWAGMRECN-UGDNZRGBSA-N Sucrose Chemical compound O[C@H]1[C@H](O)[C@@H](CO)O[C@@]1(CO)O[C@@H]1[C@H](O)[C@@H](O)[C@H](O)[C@@H](CO)O1 CZMRCDWAGMRECN-UGDNZRGBSA-N 0.000 description 2
- 229930006000 Sucrose Natural products 0.000 description 2
- 230000005867 T cell response Effects 0.000 description 2
- 201000008717 T-cell large granular lymphocyte leukemia Diseases 0.000 description 2
- 208000026651 T-cell prolymphocytic leukemia Diseases 0.000 description 2
- 208000024313 Testicular Neoplasms Diseases 0.000 description 2
- 206010057644 Testis cancer Diseases 0.000 description 2
- GLNADSQYFUSGOU-GPTZEZBUSA-J Trypan blue Chemical compound [Na+].[Na+].[Na+].[Na+].C1=C(S([O-])(=O)=O)C=C2C=C(S([O-])(=O)=O)C(/N=N/C3=CC=C(C=C3C)C=3C=C(C(=CC=3)\N=N\C=3C(=CC4=CC(=CC(N)=C4C=3O)S([O-])(=O)=O)S([O-])(=O)=O)C)=C(O)C2=C1N GLNADSQYFUSGOU-GPTZEZBUSA-J 0.000 description 2
- 102000004142 Trypsin Human genes 0.000 description 2
- 108090000631 Trypsin Proteins 0.000 description 2
- 208000007097 Urinary Bladder Neoplasms Diseases 0.000 description 2
- 208000006105 Uterine Cervical Neoplasms Diseases 0.000 description 2
- 206010047741 Vulval cancer Diseases 0.000 description 2
- SMNRFWMNPDABKZ-WVALLCKVSA-N [[(2R,3S,4R,5S)-5-(2,6-dioxo-3H-pyridin-3-yl)-3,4-dihydroxyoxolan-2-yl]methoxy-hydroxyphosphoryl] [[[(2R,3S,4S,5R,6R)-4-fluoro-3,5-dihydroxy-6-(hydroxymethyl)oxan-2-yl]oxy-hydroxyphosphoryl]oxy-hydroxyphosphoryl] hydrogen phosphate Chemical compound OC[C@H]1O[C@H](OP(O)(=O)OP(O)(=O)OP(O)(=O)OP(O)(=O)OC[C@H]2O[C@H]([C@H](O)[C@@H]2O)C2C=CC(=O)NC2=O)[C@H](O)[C@@H](F)[C@@H]1O SMNRFWMNPDABKZ-WVALLCKVSA-N 0.000 description 2
- 230000002378 acidificating effect Effects 0.000 description 2
- 210000005006 adaptive immune system Anatomy 0.000 description 2
- 239000000783 alginic acid Substances 0.000 description 2
- 229960001126 alginic acid Drugs 0.000 description 2
- 150000004781 alginic acids Chemical class 0.000 description 2
- 125000001931 aliphatic group Chemical group 0.000 description 2
- 150000001408 amides Chemical class 0.000 description 2
- 230000005875 antibody response Effects 0.000 description 2
- 239000007864 aqueous solution Substances 0.000 description 2
- 235000010323 ascorbic acid Nutrition 0.000 description 2
- 239000011668 ascorbic acid Substances 0.000 description 2
- 239000012131 assay buffer Substances 0.000 description 2
- XRWSZZJLZRKHHD-WVWIJVSJSA-N asunaprevir Chemical compound O=C([C@@H]1C[C@H](CN1C(=O)[C@@H](NC(=O)OC(C)(C)C)C(C)(C)C)OC1=NC=C(C2=CC=C(Cl)C=C21)OC)N[C@]1(C(=O)NS(=O)(=O)C2CC2)C[C@H]1C=C XRWSZZJLZRKHHD-WVWIJVSJSA-N 0.000 description 2
- 239000002585 base Substances 0.000 description 2
- 239000011324 bead Substances 0.000 description 2
- 125000001797 benzyl group Chemical group [H]C1=C([H])C([H])=C(C([H])=C1[H])C([H])([H])* 0.000 description 2
- KGNDCEVUMONOKF-UGPLYTSKSA-N benzyl n-[(2r)-1-[(2s,4r)-2-[[(2s)-6-amino-1-(1,3-benzoxazol-2-yl)-1,1-dihydroxyhexan-2-yl]carbamoyl]-4-[(4-methylphenyl)methoxy]pyrrolidin-1-yl]-1-oxo-4-phenylbutan-2-yl]carbamate Chemical compound C1=CC(C)=CC=C1CO[C@H]1CN(C(=O)[C@@H](CCC=2C=CC=CC=2)NC(=O)OCC=2C=CC=CC=2)[C@H](C(=O)N[C@@H](CCCCN)C(O)(O)C=2OC3=CC=CC=C3N=2)C1 KGNDCEVUMONOKF-UGPLYTSKSA-N 0.000 description 2
- HTZCNXWZYVXIMZ-UHFFFAOYSA-M benzyl(triethyl)azanium;chloride Chemical compound [Cl-].CC[N+](CC)(CC)CC1=CC=CC=C1 HTZCNXWZYVXIMZ-UHFFFAOYSA-M 0.000 description 2
- WGQKYBSKWIADBV-UHFFFAOYSA-N benzylamine Chemical compound NCC1=CC=CC=C1 WGQKYBSKWIADBV-UHFFFAOYSA-N 0.000 description 2
- 235000019437 butane-1,3-diol Nutrition 0.000 description 2
- 125000000484 butyl group Chemical group [H]C([*])([H])C([H])([H])C([H])([H])C([H])([H])[H] 0.000 description 2
- 239000006227 byproduct Substances 0.000 description 2
- 229910000019 calcium carbonate Inorganic materials 0.000 description 2
- 239000001506 calcium phosphate Substances 0.000 description 2
- 229910000389 calcium phosphate Inorganic materials 0.000 description 2
- 235000011010 calcium phosphates Nutrition 0.000 description 2
- 238000002619 cancer immunotherapy Methods 0.000 description 2
- 239000001768 carboxy methyl cellulose Substances 0.000 description 2
- 230000003915 cell function Effects 0.000 description 2
- 238000001516 cell proliferation assay Methods 0.000 description 2
- 230000003833 cell viability Effects 0.000 description 2
- 235000010980 cellulose Nutrition 0.000 description 2
- 239000001913 cellulose Substances 0.000 description 2
- 201000010881 cervical cancer Diseases 0.000 description 2
- 238000003501 co-culture Methods 0.000 description 2
- 201000010897 colon adenocarcinoma Diseases 0.000 description 2
- 238000004440 column chromatography Methods 0.000 description 2
- 229940125904 compound 1 Drugs 0.000 description 2
- 229940125773 compound 10 Drugs 0.000 description 2
- 229940125782 compound 2 Drugs 0.000 description 2
- 229940126086 compound 21 Drugs 0.000 description 2
- 229940126208 compound 22 Drugs 0.000 description 2
- 229940125833 compound 23 Drugs 0.000 description 2
- 229940125961 compound 24 Drugs 0.000 description 2
- 229940125851 compound 27 Drugs 0.000 description 2
- 229940126214 compound 3 Drugs 0.000 description 2
- 229940125898 compound 5 Drugs 0.000 description 2
- 238000007796 conventional method Methods 0.000 description 2
- 229940097362 cyclodextrins Drugs 0.000 description 2
- 230000006378 damage Effects 0.000 description 2
- 230000018109 developmental process Effects 0.000 description 2
- 150000001982 diacylglycerols Chemical class 0.000 description 2
- 230000005750 disease progression Effects 0.000 description 2
- 239000002552 dosage form Substances 0.000 description 2
- 238000003821 enantio-separation Methods 0.000 description 2
- 201000003914 endometrial carcinoma Diseases 0.000 description 2
- 201000004101 esophageal cancer Diseases 0.000 description 2
- 230000007717 exclusion Effects 0.000 description 2
- 239000000284 extract Substances 0.000 description 2
- 239000000706 filtrate Substances 0.000 description 2
- 239000012737 fresh medium Substances 0.000 description 2
- 239000008273 gelatin Substances 0.000 description 2
- 235000011852 gelatine desserts Nutrition 0.000 description 2
- 208000024200 hematopoietic and lymphoid system neoplasm Diseases 0.000 description 2
- 208000006454 hepatitis Diseases 0.000 description 2
- 231100000283 hepatitis Toxicity 0.000 description 2
- 231100000844 hepatocellular carcinoma Toxicity 0.000 description 2
- BXWNKGSJHAJOGX-UHFFFAOYSA-N hexadecan-1-ol Chemical compound CCCCCCCCCCCCCCCCO BXWNKGSJHAJOGX-UHFFFAOYSA-N 0.000 description 2
- 150000004677 hydrates Chemical class 0.000 description 2
- 239000001257 hydrogen Substances 0.000 description 2
- 125000004435 hydrogen atom Chemical group [H]* 0.000 description 2
- QAOWNCQODCNURD-UHFFFAOYSA-M hydrogensulfate Chemical compound OS([O-])(=O)=O QAOWNCQODCNURD-UHFFFAOYSA-M 0.000 description 2
- 230000001506 immunosuppresive effect Effects 0.000 description 2
- 239000007943 implant Substances 0.000 description 2
- 239000004615 ingredient Substances 0.000 description 2
- 229960003130 interferon gamma Drugs 0.000 description 2
- 230000014828 interferon-gamma production Effects 0.000 description 2
- QXJSBBXBKPUZAA-UHFFFAOYSA-N isooleic acid Natural products CCCCCCCC=CCCCCCCCCC(O)=O QXJSBBXBKPUZAA-UHFFFAOYSA-N 0.000 description 2
- ZLVXBBHTMQJRSX-VMGNSXQWSA-N jdtic Chemical compound C1([C@]2(C)CCN(C[C@@H]2C)C[C@H](C(C)C)NC(=O)[C@@H]2NCC3=CC(O)=CC=C3C2)=CC=CC(O)=C1 ZLVXBBHTMQJRSX-VMGNSXQWSA-N 0.000 description 2
- 108010034529 leucyl-lysine Proteins 0.000 description 2
- 230000000670 limiting effect Effects 0.000 description 2
- 229910052744 lithium Inorganic materials 0.000 description 2
- 239000000314 lubricant Substances 0.000 description 2
- 238000004020 luminiscence type Methods 0.000 description 2
- 210000004324 lymphatic system Anatomy 0.000 description 2
- 201000007919 lymphoplasmacytic lymphoma Diseases 0.000 description 2
- VZCYOOQTPOCHFL-UPHRSURJSA-N maleic acid Chemical compound OC(=O)\C=C/C(O)=O VZCYOOQTPOCHFL-UPHRSURJSA-N 0.000 description 2
- 208000015486 malignant pancreatic neoplasm Diseases 0.000 description 2
- 238000005259 measurement Methods 0.000 description 2
- 230000007246 mechanism Effects 0.000 description 2
- 230000015654 memory Effects 0.000 description 2
- 208000037819 metastatic cancer Diseases 0.000 description 2
- 208000011575 metastatic malignant neoplasm Diseases 0.000 description 2
- 239000000693 micelle Substances 0.000 description 2
- 235000019813 microcrystalline cellulose Nutrition 0.000 description 2
- 229940016286 microcrystalline cellulose Drugs 0.000 description 2
- 239000008108 microcrystalline cellulose Substances 0.000 description 2
- 239000002480 mineral oil Substances 0.000 description 2
- 239000001788 mono and diglycerides of fatty acids Substances 0.000 description 2
- 238000010641 nitrile hydrolysis reaction Methods 0.000 description 2
- 239000012299 nitrogen atmosphere Substances 0.000 description 2
- 108020004707 nucleic acids Proteins 0.000 description 2
- 102000039446 nucleic acids Human genes 0.000 description 2
- 150000007523 nucleic acids Chemical class 0.000 description 2
- QIQXTHQIDYTFRH-UHFFFAOYSA-N octadecanoic acid Chemical compound CCCCCCCCCCCCCCCCCC(O)=O QIQXTHQIDYTFRH-UHFFFAOYSA-N 0.000 description 2
- OQCDKBAXFALNLD-UHFFFAOYSA-N octadecanoic acid Natural products CCCCCCCC(C)CCCCCCCCC(O)=O OQCDKBAXFALNLD-UHFFFAOYSA-N 0.000 description 2
- 235000014593 oils and fats Nutrition 0.000 description 2
- ZQPPMHVWECSIRJ-KTKRTIGZSA-N oleic acid Chemical compound CCCCCCCC\C=C/CCCCCCCC(O)=O ZQPPMHVWECSIRJ-KTKRTIGZSA-N 0.000 description 2
- 229940092253 ovalbumin Drugs 0.000 description 2
- 201000002528 pancreatic cancer Diseases 0.000 description 2
- 208000008443 pancreatic carcinoma Diseases 0.000 description 2
- 230000001717 pathogenic effect Effects 0.000 description 2
- 239000000312 peanut oil Substances 0.000 description 2
- RLOWWWKZYUNIDI-UHFFFAOYSA-N phosphinic chloride Chemical compound ClP=O RLOWWWKZYUNIDI-UHFFFAOYSA-N 0.000 description 2
- 102000020233 phosphotransferase Human genes 0.000 description 2
- 238000007747 plating Methods 0.000 description 2
- 239000008389 polyethoxylated castor oil Substances 0.000 description 2
- 235000010482 polyoxyethylene sorbitan monooleate Nutrition 0.000 description 2
- 229920000053 polysorbate 80 Polymers 0.000 description 2
- 229920000036 polyvinylpyrrolidone Polymers 0.000 description 2
- 208000016800 primary central nervous system lymphoma Diseases 0.000 description 2
- 238000012545 processing Methods 0.000 description 2
- 230000035755 proliferation Effects 0.000 description 2
- 125000001436 propyl group Chemical group [H]C([*])([H])C([H])([H])C([H])([H])[H] 0.000 description 2
- QELSKZZBTMNZEB-UHFFFAOYSA-N propylparaben Chemical compound CCCOC(=O)C1=CC=C(O)C=C1 QELSKZZBTMNZEB-UHFFFAOYSA-N 0.000 description 2
- 125000006239 protecting group Chemical group 0.000 description 2
- 230000001603 reducing effect Effects 0.000 description 2
- 210000003289 regulatory T cell Anatomy 0.000 description 2
- 201000009410 rhabdomyosarcoma Diseases 0.000 description 2
- 238000010079 rubber tapping Methods 0.000 description 2
- 238000000926 separation method Methods 0.000 description 2
- 239000008159 sesame oil Substances 0.000 description 2
- 235000011803 sesame oil Nutrition 0.000 description 2
- 208000000587 small cell lung carcinoma Diseases 0.000 description 2
- 150000003384 small molecules Chemical class 0.000 description 2
- 229910052708 sodium Inorganic materials 0.000 description 2
- 235000010413 sodium alginate Nutrition 0.000 description 2
- 239000000661 sodium alginate Substances 0.000 description 2
- 229940005550 sodium alginate Drugs 0.000 description 2
- 235000017557 sodium bicarbonate Nutrition 0.000 description 2
- 229910000030 sodium bicarbonate Inorganic materials 0.000 description 2
- 235000019812 sodium carboxymethyl cellulose Nutrition 0.000 description 2
- 229920001027 sodium carboxymethylcellulose Polymers 0.000 description 2
- 229910052938 sodium sulfate Inorganic materials 0.000 description 2
- 235000011152 sodium sulphate Nutrition 0.000 description 2
- 230000003381 solubilizing effect Effects 0.000 description 2
- 235000011069 sorbitan monooleate Nutrition 0.000 description 2
- 239000001593 sorbitan monooleate Substances 0.000 description 2
- 229940035049 sorbitan monooleate Drugs 0.000 description 2
- 210000004988 splenocyte Anatomy 0.000 description 2
- 239000008107 starch Substances 0.000 description 2
- 235000019698 starch Nutrition 0.000 description 2
- 239000008117 stearic acid Substances 0.000 description 2
- 230000004936 stimulating effect Effects 0.000 description 2
- 239000005720 sucrose Substances 0.000 description 2
- 230000001629 suppression Effects 0.000 description 2
- 238000002198 surface plasmon resonance spectroscopy Methods 0.000 description 2
- 239000004094 surface-active agent Substances 0.000 description 2
- 239000000454 talc Substances 0.000 description 2
- 235000012222 talc Nutrition 0.000 description 2
- 229910052623 talc Inorganic materials 0.000 description 2
- LMBFAGIMSUYTBN-MPZNNTNKSA-N teixobactin Chemical compound C([C@H](C(=O)N[C@@H]([C@@H](C)CC)C(=O)N[C@@H](CO)C(=O)N[C@H](CCC(N)=O)C(=O)N[C@H]([C@@H](C)CC)C(=O)N[C@@H]([C@@H](C)CC)C(=O)N[C@@H](CO)C(=O)N[C@H]1C(N[C@@H](C)C(=O)N[C@@H](C[C@@H]2NC(=N)NC2)C(=O)N[C@H](C(=O)O[C@H]1C)[C@@H](C)CC)=O)NC)C1=CC=CC=C1 LMBFAGIMSUYTBN-MPZNNTNKSA-N 0.000 description 2
- 208000001608 teratocarcinoma Diseases 0.000 description 2
- AQPSRJCLHXYAPC-UONOGXRCSA-N tert-butyl (2R,5S)-4-(6-cyano-1-methyl-2-oxo-1,5-naphthyridin-4-yl)-2,5-dimethylpiperazine-1-carboxylate Chemical compound C(#N)C=1N=C2C(=CC(N(C2=CC=1)C)=O)N1C[C@H](N(C[C@@H]1C)C(=O)OC(C)(C)C)C AQPSRJCLHXYAPC-UONOGXRCSA-N 0.000 description 2
- PGZCVLUQTJRRAA-DTWKUNHWSA-N tert-butyl (2r,5s)-2,5-dimethylpiperazine-1-carboxylate Chemical compound C[C@H]1CN(C(=O)OC(C)(C)C)[C@H](C)CN1 PGZCVLUQTJRRAA-DTWKUNHWSA-N 0.000 description 2
- 125000000999 tert-butyl group Chemical group [H]C([H])([H])C(*)(C([H])([H])[H])C([H])([H])[H] 0.000 description 2
- 201000003120 testicular cancer Diseases 0.000 description 2
- 238000012360 testing method Methods 0.000 description 2
- HLZKNKRTKFSKGZ-UHFFFAOYSA-N tetradecan-1-ol Chemical compound CCCCCCCCCCCCCCO HLZKNKRTKFSKGZ-UHFFFAOYSA-N 0.000 description 2
- 238000004809 thin layer chromatography Methods 0.000 description 2
- AOBORMOPSGHCAX-DGHZZKTQSA-N tocofersolan Chemical compound OCCOC(=O)CCC(=O)OC1=C(C)C(C)=C2O[C@](CCC[C@H](C)CCC[C@H](C)CCCC(C)C)(C)CCC2=C1C AOBORMOPSGHCAX-DGHZZKTQSA-N 0.000 description 2
- 229960000984 tocofersolan Drugs 0.000 description 2
- 239000003053 toxin Substances 0.000 description 2
- 231100000765 toxin Toxicity 0.000 description 2
- 108700012359 toxins Proteins 0.000 description 2
- QORWJWZARLRLPR-UHFFFAOYSA-H tricalcium bis(phosphate) Chemical compound [Ca+2].[Ca+2].[Ca+2].[O-]P([O-])([O-])=O.[O-]P([O-])([O-])=O QORWJWZARLRLPR-UHFFFAOYSA-H 0.000 description 2
- YWWDBCBWQNCYNR-UHFFFAOYSA-N trimethylphosphine Chemical compound CP(C)C YWWDBCBWQNCYNR-UHFFFAOYSA-N 0.000 description 2
- 239000012588 trypsin Substances 0.000 description 2
- 229960001005 tuberculin Drugs 0.000 description 2
- 201000005112 urinary bladder cancer Diseases 0.000 description 2
- 206010046766 uterine cancer Diseases 0.000 description 2
- 229960005486 vaccine Drugs 0.000 description 2
- 235000015112 vegetable and seed oil Nutrition 0.000 description 2
- 239000008158 vegetable oil Substances 0.000 description 2
- 239000002076 α-tocopherol Substances 0.000 description 2
- 235000004835 α-tocopherol Nutrition 0.000 description 2
- LSPHULWDVZXLIL-UHFFFAOYSA-N (+/-)-Camphoric acid Chemical compound CC1(C)C(C(O)=O)CCC1(C)C(O)=O LSPHULWDVZXLIL-UHFFFAOYSA-N 0.000 description 1
- AOSZTAHDEDLTLQ-AZKQZHLXSA-N (1S,2S,4R,8S,9S,11S,12R,13S,19S)-6-[(3-chlorophenyl)methyl]-12,19-difluoro-11-hydroxy-8-(2-hydroxyacetyl)-9,13-dimethyl-6-azapentacyclo[10.8.0.02,9.04,8.013,18]icosa-14,17-dien-16-one Chemical compound C([C@@H]1C[C@H]2[C@H]3[C@]([C@]4(C=CC(=O)C=C4[C@@H](F)C3)C)(F)[C@@H](O)C[C@@]2([C@@]1(C1)C(=O)CO)C)N1CC1=CC=CC(Cl)=C1 AOSZTAHDEDLTLQ-AZKQZHLXSA-N 0.000 description 1
- SZUVGFMDDVSKSI-WIFOCOSTSA-N (1s,2s,3s,5r)-1-(carboxymethyl)-3,5-bis[(4-phenoxyphenyl)methyl-propylcarbamoyl]cyclopentane-1,2-dicarboxylic acid Chemical compound O=C([C@@H]1[C@@H]([C@](CC(O)=O)([C@H](C(=O)N(CCC)CC=2C=CC(OC=3C=CC=CC=3)=CC=2)C1)C(O)=O)C(O)=O)N(CCC)CC(C=C1)=CC=C1OC1=CC=CC=C1 SZUVGFMDDVSKSI-WIFOCOSTSA-N 0.000 description 1
- HZWFGYYMCQYYRV-CYBMUJFWSA-N (2R)-1-[bis(4-fluorophenyl)methyl]-2-methylpiperazine Chemical compound FC1=CC=C(C=C1)C(N1[C@@H](CNCC1)C)C1=CC=C(C=C1)F HZWFGYYMCQYYRV-CYBMUJFWSA-N 0.000 description 1
- GHYOCDFICYLMRF-UTIIJYGPSA-N (2S,3R)-N-[(2S)-3-(cyclopenten-1-yl)-1-[(2R)-2-methyloxiran-2-yl]-1-oxopropan-2-yl]-3-hydroxy-3-(4-methoxyphenyl)-2-[[(2S)-2-[(2-morpholin-4-ylacetyl)amino]propanoyl]amino]propanamide Chemical compound C1(=CCCC1)C[C@@H](C(=O)[C@@]1(OC1)C)NC([C@H]([C@@H](C1=CC=C(C=C1)OC)O)NC([C@H](C)NC(CN1CCOCC1)=O)=O)=O GHYOCDFICYLMRF-UTIIJYGPSA-N 0.000 description 1
- LNAZSHAWQACDHT-XIYTZBAFSA-N (2r,3r,4s,5r,6s)-4,5-dimethoxy-2-(methoxymethyl)-3-[(2s,3r,4s,5r,6r)-3,4,5-trimethoxy-6-(methoxymethyl)oxan-2-yl]oxy-6-[(2r,3r,4s,5r,6r)-4,5,6-trimethoxy-2-(methoxymethyl)oxan-3-yl]oxyoxane Chemical compound CO[C@@H]1[C@@H](OC)[C@H](OC)[C@@H](COC)O[C@H]1O[C@H]1[C@H](OC)[C@@H](OC)[C@H](O[C@H]2[C@@H]([C@@H](OC)[C@H](OC)O[C@@H]2COC)OC)O[C@@H]1COC LNAZSHAWQACDHT-XIYTZBAFSA-N 0.000 description 1
- XSYUPRQVAHJETO-WPMUBMLPSA-N (2s)-2-[[(2s)-2-[[(2s)-2-[[(2s)-2-[[(2s)-2-[[(2s)-2-amino-3-(1h-imidazol-5-yl)propanoyl]amino]-3-(1h-imidazol-5-yl)propanoyl]amino]-3-(1h-imidazol-5-yl)propanoyl]amino]-3-(1h-imidazol-5-yl)propanoyl]amino]-3-(1h-imidazol-5-yl)propanoyl]amino]-3-(1h-imidaz Chemical group C([C@H](N)C(=O)N[C@@H](CC=1NC=NC=1)C(=O)N[C@@H](CC=1NC=NC=1)C(=O)N[C@@H](CC=1NC=NC=1)C(=O)N[C@@H](CC=1NC=NC=1)C(=O)N[C@@H](CC=1NC=NC=1)C(O)=O)C1=CN=CN1 XSYUPRQVAHJETO-WPMUBMLPSA-N 0.000 description 1
- DMZJPROGHAAPFZ-KGLIPLIRSA-N (2s,5r)-1-[bis(4-fluorophenyl)methyl]-2,5-dimethylpiperazine Chemical compound C[C@H]1CN[C@H](C)CN1C(C=1C=CC(F)=CC=1)C1=CC=C(F)C=C1 DMZJPROGHAAPFZ-KGLIPLIRSA-N 0.000 description 1
- IWZSHWBGHQBIML-ZGGLMWTQSA-N (3S,8S,10R,13S,14S,17S)-17-isoquinolin-7-yl-N,N,10,13-tetramethyl-2,3,4,7,8,9,11,12,14,15,16,17-dodecahydro-1H-cyclopenta[a]phenanthren-3-amine Chemical compound CN(C)[C@H]1CC[C@]2(C)C3CC[C@@]4(C)[C@@H](CC[C@@H]4c4ccc5ccncc5c4)[C@@H]3CC=C2C1 IWZSHWBGHQBIML-ZGGLMWTQSA-N 0.000 description 1
- RUPDLRIDZKCKHV-UHFFFAOYSA-N (4-fluorophenyl)-(4-methylphenyl)methanol Chemical compound C1=CC(C)=CC=C1C(O)C1=CC=C(F)C=C1 RUPDLRIDZKCKHV-UHFFFAOYSA-N 0.000 description 1
- MZQRXCOFRPWTPC-UHFFFAOYSA-N (4-fluorophenyl)-phenylmethanol Chemical compound C=1C=C(F)C=CC=1C(O)C1=CC=CC=C1 MZQRXCOFRPWTPC-UHFFFAOYSA-N 0.000 description 1
- HEYONDYPXIUDCK-UHFFFAOYSA-L (5-diphenylphosphanyl-9,9-dimethylxanthen-4-yl)-diphenylphosphane;palladium(2+);dichloride Chemical compound Cl[Pd]Cl.C=12OC3=C(P(C=4C=CC=CC=4)C=4C=CC=CC=4)C=CC=C3C(C)(C)C2=CC=CC=1P(C=1C=CC=CC=1)C1=CC=CC=C1 HEYONDYPXIUDCK-UHFFFAOYSA-L 0.000 description 1
- GVJHHUAWPYXKBD-IEOSBIPESA-N (R)-alpha-Tocopherol Natural products OC1=C(C)C(C)=C2O[C@@](CCC[C@H](C)CCC[C@H](C)CCCC(C)C)(C)CCC2=C1C GVJHHUAWPYXKBD-IEOSBIPESA-N 0.000 description 1
- KZPYGQFFRCFCPP-UHFFFAOYSA-N 1,1'-bis(diphenylphosphino)ferrocene Chemical compound [Fe+2].C1=CC=C[C-]1P(C=1C=CC=CC=1)C1=CC=CC=C1.C1=CC=C[C-]1P(C=1C=CC=CC=1)C1=CC=CC=C1 KZPYGQFFRCFCPP-UHFFFAOYSA-N 0.000 description 1
- SCYULBFZEHDVBN-UHFFFAOYSA-N 1,1-Dichloroethane Chemical compound CC(Cl)Cl SCYULBFZEHDVBN-UHFFFAOYSA-N 0.000 description 1
- QACMXJJLQXUOPQ-UHFFFAOYSA-N 1,2-dichloroethane;3-(ethyliminomethylideneamino)-n,n-dimethylpropan-1-amine Chemical compound ClCCCl.CCN=C=NCCCN(C)C QACMXJJLQXUOPQ-UHFFFAOYSA-N 0.000 description 1
- PORPENFLTBBHSG-MGBGTMOVSA-N 1,2-dihexadecanoyl-sn-glycerol-3-phosphate Chemical compound CCCCCCCCCCCCCCCC(=O)OC[C@H](COP(O)(O)=O)OC(=O)CCCCCCCCCCCCCCC PORPENFLTBBHSG-MGBGTMOVSA-N 0.000 description 1
- TZCPCKNHXULUIY-RGULYWFUSA-N 1,2-distearoyl-sn-glycero-3-phosphoserine Chemical compound CCCCCCCCCCCCCCCCCC(=O)OC[C@H](COP(O)(=O)OC[C@H](N)C(O)=O)OC(=O)CCCCCCCCCCCCCCCCC TZCPCKNHXULUIY-RGULYWFUSA-N 0.000 description 1
- VVVIEAMNBUJAAP-UHFFFAOYSA-N 1-(1-bromopropyl)-2,4-difluorobenzene Chemical compound CCC(Br)C1=CC=C(F)C=C1F VVVIEAMNBUJAAP-UHFFFAOYSA-N 0.000 description 1
- CKKMRMKMZIDSDS-UHFFFAOYSA-N 1-(1-chloroethyl)-4-(trifluoromethyl)benzene Chemical compound CC(Cl)C1=CC=C(C(F)(F)F)C=C1 CKKMRMKMZIDSDS-UHFFFAOYSA-N 0.000 description 1
- RQZLYAGTUOUCHP-UHFFFAOYSA-N 1-(1-chloropropyl)-4-(trifluoromethyl)benzene Chemical compound CCC(Cl)c1ccc(cc1)C(F)(F)F RQZLYAGTUOUCHP-UHFFFAOYSA-N 0.000 description 1
- KQZLRWGGWXJPOS-NLFPWZOASA-N 1-[(1R)-1-(2,4-dichlorophenyl)ethyl]-6-[(4S,5R)-4-[(2S)-2-(hydroxymethyl)pyrrolidin-1-yl]-5-methylcyclohexen-1-yl]pyrazolo[3,4-b]pyrazine-3-carbonitrile Chemical compound ClC1=C(C=CC(=C1)Cl)[C@@H](C)N1N=C(C=2C1=NC(=CN=2)C1=CC[C@@H]([C@@H](C1)C)N1[C@@H](CCC1)CO)C#N KQZLRWGGWXJPOS-NLFPWZOASA-N 0.000 description 1
- WZZBNLYBHUDSHF-DHLKQENFSA-N 1-[(3s,4s)-4-[8-(2-chloro-4-pyrimidin-2-yloxyphenyl)-7-fluoro-2-methylimidazo[4,5-c]quinolin-1-yl]-3-fluoropiperidin-1-yl]-2-hydroxyethanone Chemical compound CC1=NC2=CN=C3C=C(F)C(C=4C(=CC(OC=5N=CC=CN=5)=CC=4)Cl)=CC3=C2N1[C@H]1CCN(C(=O)CO)C[C@@H]1F WZZBNLYBHUDSHF-DHLKQENFSA-N 0.000 description 1
- UNILWMWFPHPYOR-KXEYIPSPSA-M 1-[6-[2-[3-[3-[3-[2-[2-[3-[[2-[2-[[(2r)-1-[[2-[[(2r)-1-[3-[2-[2-[3-[[2-(2-amino-2-oxoethoxy)acetyl]amino]propoxy]ethoxy]ethoxy]propylamino]-3-hydroxy-1-oxopropan-2-yl]amino]-2-oxoethyl]amino]-3-[(2r)-2,3-di(hexadecanoyloxy)propyl]sulfanyl-1-oxopropan-2-yl Chemical compound O=C1C(SCCC(=O)NCCCOCCOCCOCCCNC(=O)COCC(=O)N[C@@H](CSC[C@@H](COC(=O)CCCCCCCCCCCCCCC)OC(=O)CCCCCCCCCCCCCCC)C(=O)NCC(=O)N[C@H](CO)C(=O)NCCCOCCOCCOCCCNC(=O)COCC(N)=O)CC(=O)N1CCNC(=O)CCCCCN\1C2=CC=C(S([O-])(=O)=O)C=C2CC/1=C/C=C/C=C/C1=[N+](CC)C2=CC=C(S([O-])(=O)=O)C=C2C1 UNILWMWFPHPYOR-KXEYIPSPSA-M 0.000 description 1
- TTXIFFYPVGWLSE-UHFFFAOYSA-N 1-[bis(4-fluorophenyl)methyl]piperazine Chemical compound C1=CC(F)=CC=C1C(C=1C=CC(F)=CC=1)N1CCNCC1 TTXIFFYPVGWLSE-UHFFFAOYSA-N 0.000 description 1
- LXQSWJLGGRQNPZ-UHFFFAOYSA-N 1-[bromo-(4-chlorophenyl)methyl]-4-fluorobenzene Chemical compound C1=CC(F)=CC=C1C(Br)C1=CC=C(Cl)C=C1 LXQSWJLGGRQNPZ-UHFFFAOYSA-N 0.000 description 1
- MICMHFIQSAMEJG-UHFFFAOYSA-N 1-bromopyrrolidine-2,5-dione Chemical compound BrN1C(=O)CCC1=O.BrN1C(=O)CCC1=O MICMHFIQSAMEJG-UHFFFAOYSA-N 0.000 description 1
- VFWCMGCRMGJXDK-UHFFFAOYSA-N 1-chlorobutane Chemical compound CCCCCl VFWCMGCRMGJXDK-UHFFFAOYSA-N 0.000 description 1
- VUQPJRPDRDVQMN-UHFFFAOYSA-N 1-chlorooctadecane Chemical compound CCCCCCCCCCCCCCCCCCCl VUQPJRPDRDVQMN-UHFFFAOYSA-N 0.000 description 1
- JLPULHDHAOZNQI-ZTIMHPMXSA-N 1-hexadecanoyl-2-(9Z,12Z-octadecadienoyl)-sn-glycero-3-phosphocholine Chemical compound CCCCCCCCCCCCCCCC(=O)OC[C@H](COP([O-])(=O)OCC[N+](C)(C)C)OC(=O)CCCCCCC\C=C/C\C=C/CCCCC JLPULHDHAOZNQI-ZTIMHPMXSA-N 0.000 description 1
- FPIRBHDGWMWJEP-UHFFFAOYSA-N 1-hydroxy-7-azabenzotriazole Chemical compound C1=CN=C2N(O)N=NC2=C1 FPIRBHDGWMWJEP-UHFFFAOYSA-N 0.000 description 1
- IAAQUOVTPAMQCR-UHFFFAOYSA-N 1h-pyrido[3,2-d]pyrimidin-2-one Chemical compound C1=CC=C2NC(=O)N=CC2=N1 IAAQUOVTPAMQCR-UHFFFAOYSA-N 0.000 description 1
- CHHHXKFHOYLYRE-UHFFFAOYSA-M 2,4-Hexadienoic acid, potassium salt (1:1), (2E,4E)- Chemical compound [K+].CC=CC=CC([O-])=O CHHHXKFHOYLYRE-UHFFFAOYSA-M 0.000 description 1
- JRZQOIUKCTVPSW-UHFFFAOYSA-N 2-(1-bromoethyl)-1,3-difluorobenzene Chemical compound CC(Br)C1=C(F)C=CC=C1F JRZQOIUKCTVPSW-UHFFFAOYSA-N 0.000 description 1
- AUOQUJCFZDEZSW-UHFFFAOYSA-N 2-(difluoromethyl)-4-fluorobenzaldehyde Chemical compound FC(F)C1=CC(F)=CC=C1C=O AUOQUJCFZDEZSW-UHFFFAOYSA-N 0.000 description 1
- JKMHFZQWWAIEOD-UHFFFAOYSA-N 2-[4-(2-hydroxyethyl)piperazin-1-yl]ethanesulfonic acid Chemical compound OCC[NH+]1CCN(CCS([O-])(=O)=O)CC1 JKMHFZQWWAIEOD-UHFFFAOYSA-N 0.000 description 1
- QWEAZSCWMWATDV-UHFFFAOYSA-N 2-[bromo-(4-chlorophenyl)methyl]pyridine Chemical compound C1=CC(Cl)=CC=C1C(Br)C1=CC=CC=N1 QWEAZSCWMWATDV-UHFFFAOYSA-N 0.000 description 1
- YSUIQYOGTINQIN-UZFYAQMZSA-N 2-amino-9-[(1S,6R,8R,9S,10R,15R,17R,18R)-8-(6-aminopurin-9-yl)-9,18-difluoro-3,12-dihydroxy-3,12-bis(sulfanylidene)-2,4,7,11,13,16-hexaoxa-3lambda5,12lambda5-diphosphatricyclo[13.2.1.06,10]octadecan-17-yl]-1H-purin-6-one Chemical compound NC1=NC2=C(N=CN2[C@@H]2O[C@@H]3COP(S)(=O)O[C@@H]4[C@@H](COP(S)(=O)O[C@@H]2[C@@H]3F)O[C@H]([C@H]4F)N2C=NC3=C2N=CN=C3N)C(=O)N1 YSUIQYOGTINQIN-UZFYAQMZSA-N 0.000 description 1
- 125000006176 2-ethylbutyl group Chemical group [H]C([H])([H])C([H])([H])C([H])(C([H])([H])*)C([H])([H])C([H])([H])[H] 0.000 description 1
- ZTVIKZXZYLEVOL-DGKWVBSXSA-N 2-hydroxy-2-phenylacetic acid [(1R,5S)-8-methyl-8-azabicyclo[3.2.1]octan-3-yl] ester Chemical group C([C@H]1CC[C@@H](C2)N1C)C2OC(=O)C(O)C1=CC=CC=C1 ZTVIKZXZYLEVOL-DGKWVBSXSA-N 0.000 description 1
- VODKOOOHHCAWFR-UHFFFAOYSA-N 2-iodoacetonitrile Chemical compound ICC#N VODKOOOHHCAWFR-UHFFFAOYSA-N 0.000 description 1
- 125000005916 2-methylpentyl group Chemical group 0.000 description 1
- 229940080296 2-naphthalenesulfonate Drugs 0.000 description 1
- WMPPDTMATNBGJN-UHFFFAOYSA-N 2-phenylethylbromide Chemical compound BrCCC1=CC=CC=C1 WMPPDTMATNBGJN-UHFFFAOYSA-N 0.000 description 1
- 125000003903 2-propenyl group Chemical group [H]C([*])([H])C([H])=C([H])[H] 0.000 description 1
- QBWKPGNFQQJGFY-QLFBSQMISA-N 3-[(1r)-1-[(2r,6s)-2,6-dimethylmorpholin-4-yl]ethyl]-n-[6-methyl-3-(1h-pyrazol-4-yl)imidazo[1,2-a]pyrazin-8-yl]-1,2-thiazol-5-amine Chemical compound N1([C@H](C)C2=NSC(NC=3C4=NC=C(N4C=C(C)N=3)C3=CNN=C3)=C2)C[C@H](C)O[C@H](C)C1 QBWKPGNFQQJGFY-QLFBSQMISA-N 0.000 description 1
- ZRPLANDPDWYOMZ-UHFFFAOYSA-N 3-cyclopentylpropionic acid Chemical compound OC(=O)CCC1CCCC1 ZRPLANDPDWYOMZ-UHFFFAOYSA-N 0.000 description 1
- PFOBKMZOPXYQRW-UHFFFAOYSA-N 3-methyl-7-nitro-6-oxo-5H-1,5-naphthyridine-2-carbonitrile Chemical compound CC1=CC(NC(C([N+]([O-])=O)=C2)=O)=C2N=C1C#N PFOBKMZOPXYQRW-UHFFFAOYSA-N 0.000 description 1
- 125000005917 3-methylpentyl group Chemical group 0.000 description 1
- XMIIGOLPHOKFCH-UHFFFAOYSA-M 3-phenylpropionate Chemical compound [O-]C(=O)CCC1=CC=CC=C1 XMIIGOLPHOKFCH-UHFFFAOYSA-M 0.000 description 1
- XNYXOIVVYCPDGO-MNOVXSKESA-N 4-[(2S,5R)-2,5-dimethylpiperazin-1-yl]-6-methoxy-1-methyl-1,5-naphthyridin-2-one Chemical compound C[C@@H]1N(C[C@H](NC1)C)C1=CC(N(C2=CC=C(N=C12)OC)C)=O XNYXOIVVYCPDGO-MNOVXSKESA-N 0.000 description 1
- APRZHQXAAWPYHS-UHFFFAOYSA-N 4-[5-[3-(carboxymethoxy)phenyl]-3-(4,5-dimethyl-1,3-thiazol-2-yl)tetrazol-3-ium-2-yl]benzenesulfonate Chemical compound S1C(C)=C(C)N=C1[N+]1=NC(C=2C=C(OCC(O)=O)C=CC=2)=NN1C1=CC=C(S([O-])(=O)=O)C=C1 APRZHQXAAWPYHS-UHFFFAOYSA-N 0.000 description 1
- FHVDTGUDJYJELY-UHFFFAOYSA-N 6-{[2-carboxy-4,5-dihydroxy-6-(phosphanyloxy)oxan-3-yl]oxy}-4,5-dihydroxy-3-phosphanyloxane-2-carboxylic acid Chemical compound O1C(C(O)=O)C(P)C(O)C(O)C1OC1C(C(O)=O)OC(OP)C(O)C1O FHVDTGUDJYJELY-UHFFFAOYSA-N 0.000 description 1
- SBFXTRNCOXYUGX-XWZNDSGVSA-N 8-[(2S,5R)-4-[(4-chlorophenyl)-(5-methylpyridin-2-yl)methyl]-2,5-dimethylpiperazin-1-yl]-5-methyl-6-oxo-1,5-naphthyridine-2-carbonitrile Chemical compound ClC1=CC=C(C=C1)C(N1C[C@@H](N(C[C@H]1C)C1=CC(N(C=2C=CC(=NC1=2)C#N)C)=O)C)C1=NC=C(C=C1)C SBFXTRNCOXYUGX-XWZNDSGVSA-N 0.000 description 1
- DERMOPPXUJGXBT-SIHBAMTISA-N 8-[(3R)-4-[(4-chlorophenyl)-(5-fluoropyridin-2-yl)methyl]-3-methylpiperazin-1-yl]-5-methyl-6-oxo-1,5-naphthyridine-2,7-dicarbonitrile Chemical compound ClC1=CC=C(C=C1)C(N1[C@@H](CN(CC1)C1=C(C(N(C=2C=CC(=NC1=2)C#N)C)=O)C#N)C)C1=NC=C(C=C1)F DERMOPPXUJGXBT-SIHBAMTISA-N 0.000 description 1
- UNYSPCMPUSXCBQ-UHFFFAOYSA-N 8-hydroxy-5-methyl-7-nitro-6-oxo-1,5-naphthyridine-2-carbonitrile Chemical compound OC1=C(C(N(C=2C=CC(=NC1=2)C#N)C)=O)[N+](=O)[O-] UNYSPCMPUSXCBQ-UHFFFAOYSA-N 0.000 description 1
- 241000235389 Absidia Species 0.000 description 1
- 244000215068 Acacia senegal Species 0.000 description 1
- 235000006491 Acacia senegal Nutrition 0.000 description 1
- 241000224422 Acanthamoeba Species 0.000 description 1
- 208000024893 Acute lymphoblastic leukemia Diseases 0.000 description 1
- 208000014697 Acute lymphocytic leukaemia Diseases 0.000 description 1
- 208000036762 Acute promyelocytic leukaemia Diseases 0.000 description 1
- 206010001413 Adult T-cell lymphoma/leukaemia Diseases 0.000 description 1
- 229920001450 Alpha-Cyclodextrin Polymers 0.000 description 1
- 238000012815 AlphaLISA Methods 0.000 description 1
- 239000005995 Aluminium silicate Substances 0.000 description 1
- 206010061424 Anal cancer Diseases 0.000 description 1
- 206010002412 Angiocentric lymphomas Diseases 0.000 description 1
- 208000007860 Anus Neoplasms Diseases 0.000 description 1
- 208000006400 Arbovirus Encephalitis Diseases 0.000 description 1
- 239000004475 Arginine Substances 0.000 description 1
- GHWWTICYPDKPTE-NGZCFLSTSA-N Asn-Val-Pro Chemical compound CC(C)[C@@H](C(=O)N1CCC[C@@H]1C(=O)O)NC(=O)[C@H](CC(=O)N)N GHWWTICYPDKPTE-NGZCFLSTSA-N 0.000 description 1
- VIRHEUMYXXLCBF-WDSKDSINSA-N Asp-Gly-Glu Chemical compound [H]N[C@@H](CC(O)=O)C(=O)NCC(=O)N[C@@H](CCC(O)=O)C(O)=O VIRHEUMYXXLCBF-WDSKDSINSA-N 0.000 description 1
- GIKOVDMXBAFXDF-NHCYSSNCSA-N Asp-Val-Leu Chemical compound [H]N[C@@H](CC(O)=O)C(=O)N[C@@H](C(C)C)C(=O)N[C@@H](CC(C)C)C(O)=O GIKOVDMXBAFXDF-NHCYSSNCSA-N 0.000 description 1
- 108010011485 Aspartame Proteins 0.000 description 1
- 241000228212 Aspergillus Species 0.000 description 1
- 241000416162 Astragalus gummifer Species 0.000 description 1
- 208000032791 BCR-ABL1 positive chronic myelogenous leukemia Diseases 0.000 description 1
- 241000223848 Babesia microti Species 0.000 description 1
- 241000193830 Bacillus <bacterium> Species 0.000 description 1
- 241000193738 Bacillus anthracis Species 0.000 description 1
- 241000894006 Bacteria Species 0.000 description 1
- 241000228405 Blastomyces dermatitidis Species 0.000 description 1
- 102000004506 Blood Proteins Human genes 0.000 description 1
- 108010017384 Blood Proteins Proteins 0.000 description 1
- 206010005949 Bone cancer Diseases 0.000 description 1
- 208000018084 Bone neoplasm Diseases 0.000 description 1
- 108030001720 Bontoxilysin Proteins 0.000 description 1
- BTBUEUYNUDRHOZ-UHFFFAOYSA-N Borate Chemical compound [O-]B([O-])[O-] BTBUEUYNUDRHOZ-UHFFFAOYSA-N 0.000 description 1
- 208000011691 Burkitt lymphomas Diseases 0.000 description 1
- 239000004255 Butylated hydroxyanisole Substances 0.000 description 1
- FERIUCNNQQJTOY-UHFFFAOYSA-M Butyrate Chemical compound CCCC([O-])=O FERIUCNNQQJTOY-UHFFFAOYSA-M 0.000 description 1
- FERIUCNNQQJTOY-UHFFFAOYSA-N Butyric acid Natural products CCCC(O)=O FERIUCNNQQJTOY-UHFFFAOYSA-N 0.000 description 1
- MVPFPBIHUUHXGU-FSSWDIPSSA-N C(C)[C@@H]1N(C[C@H](N(C1)[C@@H](CC)C1=CC=C(C=C1)C(F)(F)F)CC)C=1C2=C(N(C(N=1)=O)C)C=CC(=N2)C#N Chemical compound C(C)[C@@H]1N(C[C@H](N(C1)[C@@H](CC)C1=CC=C(C=C1)C(F)(F)F)CC)C=1C2=C(N(C(N=1)=O)C)C=CC(=N2)C#N MVPFPBIHUUHXGU-FSSWDIPSSA-N 0.000 description 1
- RYANVYSVCYNQFK-VJBWXMMDSA-N C(C)[C@@H]1N(C[C@H](N(C1)[C@@H](CCC)C1=CC=C(C=C1)C(F)(F)F)CC)C=1C2=C(N(C(N=1)=O)C)C=CC(=N2)C#N Chemical compound C(C)[C@@H]1N(C[C@H](N(C1)[C@@H](CCC)C1=CC=C(C=C1)C(F)(F)F)CC)C=1C2=C(N(C(N=1)=O)C)C=CC(=N2)C#N RYANVYSVCYNQFK-VJBWXMMDSA-N 0.000 description 1
- BHXSVTMRKSKATQ-SCVGIUIWSA-N C(C)[C@H]1N(C[C@@H](N(C1)C=1C2=C(N(C(N=1)=O)C)C=CC(=N2)C#N)C)C(C)C1=CC=C(C=C1)OC(F)(F)F Chemical compound C(C)[C@H]1N(C[C@@H](N(C1)C=1C2=C(N(C(N=1)=O)C)C=CC(=N2)C#N)C)C(C)C1=CC=C(C=C1)OC(F)(F)F BHXSVTMRKSKATQ-SCVGIUIWSA-N 0.000 description 1
- VXNPBWZDPVVFSO-ICTUGDKOSA-N C(C)[C@H]1N(C[C@@H](N(C1)C=1C2=C(N(C(N=1)=O)C)C=CC(=N2)C#N)C)C(CC)C1=CC=C(C=C1)C(F)(F)F Chemical compound C(C)[C@H]1N(C[C@@H](N(C1)C=1C2=C(N(C(N=1)=O)C)C=CC(=N2)C#N)C)C(CC)C1=CC=C(C=C1)C(F)(F)F VXNPBWZDPVVFSO-ICTUGDKOSA-N 0.000 description 1
- HNRXYWATHQAJQJ-FZWXSHBKSA-N C(C)[C@H]1N(C[C@@H](N(C1)C=1C2=C(N(C(N=1)=O)C)C=CC(=N2)C#N)C)C(CC)C1=CC=C(C=C1)OC(F)(F)F Chemical compound C(C)[C@H]1N(C[C@@H](N(C1)C=1C2=C(N(C(N=1)=O)C)C=CC(=N2)C#N)C)C(CC)C1=CC=C(C=C1)OC(F)(F)F HNRXYWATHQAJQJ-FZWXSHBKSA-N 0.000 description 1
- AIVDFWPDLDQNIT-TWOQFEAHSA-N C(C)[C@H]1N(C[C@@H](N(C1)C=1C2=C(N(C(N=1)=O)C)C=CC(=N2)C#N)C)[C@@H](C)C1=CC=C(C=C1)C(F)(F)F Chemical compound C(C)[C@H]1N(C[C@@H](N(C1)C=1C2=C(N(C(N=1)=O)C)C=CC(=N2)C#N)C)[C@@H](C)C1=CC=C(C=C1)C(F)(F)F AIVDFWPDLDQNIT-TWOQFEAHSA-N 0.000 description 1
- BHXSVTMRKSKATQ-TXPKVOOTSA-N C(C)[C@H]1N(C[C@@H](N(C1)C=1C2=C(N(C(N=1)=O)C)C=CC(=N2)C#N)C)[C@@H](C)C1=CC=C(C=C1)OC(F)(F)F Chemical compound C(C)[C@H]1N(C[C@@H](N(C1)C=1C2=C(N(C(N=1)=O)C)C=CC(=N2)C#N)C)[C@@H](C)C1=CC=C(C=C1)OC(F)(F)F BHXSVTMRKSKATQ-TXPKVOOTSA-N 0.000 description 1
- VXNPBWZDPVVFSO-DQLDELGASA-N C(C)[C@H]1N(C[C@@H](N(C1)C=1C2=C(N(C(N=1)=O)C)C=CC(=N2)C#N)C)[C@@H](CC)C1=CC=C(C=C1)C(F)(F)F Chemical compound C(C)[C@H]1N(C[C@@H](N(C1)C=1C2=C(N(C(N=1)=O)C)C=CC(=N2)C#N)C)[C@@H](CC)C1=CC=C(C=C1)C(F)(F)F VXNPBWZDPVVFSO-DQLDELGASA-N 0.000 description 1
- HNRXYWATHQAJQJ-SCWSEQNSSA-N C(C)[C@H]1N(C[C@@H](N(C1)C=1C2=C(N(C(N=1)=O)C)C=CC(=N2)C#N)C)[C@@H](CC)C1=CC=C(C=C1)OC(F)(F)F Chemical compound C(C)[C@H]1N(C[C@@H](N(C1)C=1C2=C(N(C(N=1)=O)C)C=CC(=N2)C#N)C)[C@@H](CC)C1=CC=C(C=C1)OC(F)(F)F HNRXYWATHQAJQJ-SCWSEQNSSA-N 0.000 description 1
- NALBGDIPGZZNPU-RRFXTLBOSA-N C(C)[C@H]1N(C[C@@H](N(C1)C=1C2=C(N(C(N=1)=O)C)C=CC(=N2)C#N)C)[C@H](C1=NC=C(C=C1)C(F)(F)F)C1=CC=C(C=C1)F Chemical compound C(C)[C@H]1N(C[C@@H](N(C1)C=1C2=C(N(C(N=1)=O)C)C=CC(=N2)C#N)C)[C@H](C1=NC=C(C=C1)C(F)(F)F)C1=CC=C(C=C1)F NALBGDIPGZZNPU-RRFXTLBOSA-N 0.000 description 1
- QERRXAZVGOPRIH-OTNCWRBYSA-N C1(CC1)C1=NOC(=N1)[C@H](N1C[C@@H](N(C[C@H]1CC)C=1C2=C(N(C(N=1)=O)C)C=CC(=N2)C#N)CC)C1=CC=C(C=C1)F Chemical compound C1(CC1)C1=NOC(=N1)[C@H](N1C[C@@H](N(C[C@H]1CC)C=1C2=C(N(C(N=1)=O)C)C=CC(=N2)C#N)CC)C1=CC=C(C=C1)F QERRXAZVGOPRIH-OTNCWRBYSA-N 0.000 description 1
- BZTXHSBPBUQZBK-UFPGJGBJSA-N C1(CC1)COC1=CC(=C(C=C1)[C@H](CC)N1C[C@@H](N(C[C@H]1CC)C=1C2=C(N(C(N=1)=O)C)C=CC(=N2)C#N)CC)F Chemical compound C1(CC1)COC1=CC(=C(C=C1)[C@H](CC)N1C[C@@H](N(C[C@H]1CC)C=1C2=C(N(C(N=1)=O)C)C=CC(=N2)C#N)CC)F BZTXHSBPBUQZBK-UFPGJGBJSA-N 0.000 description 1
- 125000000882 C2-C6 alkenyl group Chemical group 0.000 description 1
- 125000003601 C2-C6 alkynyl group Chemical group 0.000 description 1
- BQXUPNKLZNSUMC-YUQWMIPFSA-N CCN(CCCCCOCC(=O)N[C@H](C(=O)N1C[C@H](O)C[C@H]1C(=O)N[C@@H](C)c1ccc(cc1)-c1scnc1C)C(C)(C)C)CCOc1ccc(cc1)C(=O)c1c(sc2cc(O)ccc12)-c1ccc(O)cc1 Chemical compound CCN(CCCCCOCC(=O)N[C@H](C(=O)N1C[C@H](O)C[C@H]1C(=O)N[C@@H](C)c1ccc(cc1)-c1scnc1C)C(C)(C)C)CCOc1ccc(cc1)C(=O)c1c(sc2cc(O)ccc12)-c1ccc(O)cc1 BQXUPNKLZNSUMC-YUQWMIPFSA-N 0.000 description 1
- MWXULEFQPDWBBB-XGHQBKJUSA-N CN1C(N=C(C2=C1C=CC(=N2)C#N)N1[C@H](CN([C@@H](C1)CCC)[C@@H](C)C1=CC=C(C=C1)C(F)(F)F)C)=O Chemical compound CN1C(N=C(C2=C1C=CC(=N2)C#N)N1[C@H](CN([C@@H](C1)CCC)[C@@H](C)C1=CC=C(C=C1)C(F)(F)F)C)=O MWXULEFQPDWBBB-XGHQBKJUSA-N 0.000 description 1
- 108091033409 CRISPR Proteins 0.000 description 1
- 238000010354 CRISPR gene editing Methods 0.000 description 1
- OYPRJOBELJOOCE-UHFFFAOYSA-N Calcium Chemical compound [Ca] OYPRJOBELJOOCE-UHFFFAOYSA-N 0.000 description 1
- 241000222120 Candida <Saccharomycetales> Species 0.000 description 1
- 244000025254 Cannabis sativa Species 0.000 description 1
- 235000012766 Cannabis sativa ssp. sativa var. sativa Nutrition 0.000 description 1
- 235000012765 Cannabis sativa ssp. sativa var. spontanea Nutrition 0.000 description 1
- 208000010667 Carcinoma of liver and intrahepatic biliary tract Diseases 0.000 description 1
- 241000606161 Chlamydia Species 0.000 description 1
- 206010008583 Chloroma Diseases 0.000 description 1
- 206010008631 Cholera Diseases 0.000 description 1
- KRKNYBCHXYNGOX-UHFFFAOYSA-K Citrate Chemical compound [O-]C(=O)CC(O)(CC([O-])=O)C([O-])=O KRKNYBCHXYNGOX-UHFFFAOYSA-K 0.000 description 1
- SFOYAEPGELLULI-UHFFFAOYSA-N ClC(CC)C1=C(C=C(C=C1)OCC1CC1)F Chemical compound ClC(CC)C1=C(C=C(C=C1)OCC1CC1)F SFOYAEPGELLULI-UHFFFAOYSA-N 0.000 description 1
- FZAWIXYDKIIODN-QCIUDXLNSA-N ClC1=CC=C(C=C1)[C@@H](N1C[C@@H](N(C[C@H]1CC)C=1C2=C(N(C(N=1)=O)C)C=CC(=N2)C#N)C)C1=NC=CC=C1 Chemical compound ClC1=CC=C(C=C1)[C@@H](N1C[C@@H](N(C[C@H]1CC)C=1C2=C(N(C(N=1)=O)C)C=CC(=N2)C#N)C)C1=NC=CC=C1 FZAWIXYDKIIODN-QCIUDXLNSA-N 0.000 description 1
- 241000223205 Coccidioides immitis Species 0.000 description 1
- 229940126657 Compound 17 Drugs 0.000 description 1
- 229920002261 Corn starch Polymers 0.000 description 1
- 241000711573 Coronaviridae Species 0.000 description 1
- 241000709687 Coxsackievirus Species 0.000 description 1
- 201000007336 Cryptococcosis Diseases 0.000 description 1
- 241000221204 Cryptococcus neoformans Species 0.000 description 1
- 241000223935 Cryptosporidium Species 0.000 description 1
- FBPFZTCFMRRESA-KVTDHHQDSA-N D-Mannitol Chemical compound OC[C@@H](O)[C@@H](O)[C@H](O)[C@H](O)CO FBPFZTCFMRRESA-KVTDHHQDSA-N 0.000 description 1
- 241000725619 Dengue virus Species 0.000 description 1
- YZCKVEUIGOORGS-OUBTZVSYSA-N Deuterium Chemical compound [2H] YZCKVEUIGOORGS-OUBTZVSYSA-N 0.000 description 1
- BWLUMTFWVZZZND-UHFFFAOYSA-N Dibenzylamine Chemical compound C=1C=CC=CC=1CNCC1=CC=CC=C1 BWLUMTFWVZZZND-UHFFFAOYSA-N 0.000 description 1
- XBPCUCUWBYBCDP-UHFFFAOYSA-N Dicyclohexylamine Chemical compound C1CCCCC1NC1CCCCC1 XBPCUCUWBYBCDP-UHFFFAOYSA-N 0.000 description 1
- IAZDPXIOMUYVGZ-WFGJKAKNSA-N Dimethyl sulfoxide Chemical compound [2H]C([2H])([2H])S(=O)C([2H])([2H])[2H] IAZDPXIOMUYVGZ-WFGJKAKNSA-N 0.000 description 1
- 206010013911 Dysgeusia Diseases 0.000 description 1
- 241001466953 Echovirus Species 0.000 description 1
- 208000002460 Enteropathy-Associated T-Cell Lymphoma Diseases 0.000 description 1
- 241000709661 Enterovirus Species 0.000 description 1
- 241000991587 Enterovirus C Species 0.000 description 1
- 206010014950 Eosinophilia Diseases 0.000 description 1
- 208000031637 Erythroblastic Acute Leukemia Diseases 0.000 description 1
- 208000036566 Erythroleukaemia Diseases 0.000 description 1
- 101000867232 Escherichia coli Heat-stable enterotoxin II Proteins 0.000 description 1
- 239000001856 Ethyl cellulose Substances 0.000 description 1
- ZZSNKZQZMQGXPY-UHFFFAOYSA-N Ethyl cellulose Chemical compound CCOCC1OC(OC)C(OCC)C(OCC)C1OC1C(O)C(O)C(OC)C(CO)O1 ZZSNKZQZMQGXPY-UHFFFAOYSA-N 0.000 description 1
- PIICEJLVQHRZGT-UHFFFAOYSA-N Ethylenediamine Chemical compound NCCN PIICEJLVQHRZGT-UHFFFAOYSA-N 0.000 description 1
- 208000001382 Experimental Melanoma Diseases 0.000 description 1
- XNOWKAWYXXGCHS-YPBQGGFRSA-N FC1=CC=C(C=C1)[C@H](N1C[C@@H](N(C[C@H]1C)C=1C2=C(N(C(N=1)=O)C)C=CC(=N2)C#N)C)C1=NC=C(C=C1)C(F)(F)F Chemical compound FC1=CC=C(C=C1)[C@H](N1C[C@@H](N(C[C@H]1C)C=1C2=C(N(C(N=1)=O)C)C=CC(=N2)C#N)C)C1=NC=C(C=C1)C(F)(F)F XNOWKAWYXXGCHS-YPBQGGFRSA-N 0.000 description 1
- 241000282326 Felis catus Species 0.000 description 1
- 229920001917 Ficoll Polymers 0.000 description 1
- 241000710831 Flavivirus Species 0.000 description 1
- VZCYOOQTPOCHFL-OWOJBTEDSA-N Fumaric acid Chemical compound OC(=O)\C=C\C(O)=O VZCYOOQTPOCHFL-OWOJBTEDSA-N 0.000 description 1
- 208000021309 Germ cell tumor Diseases 0.000 description 1
- 201000010915 Glioblastoma multiforme Diseases 0.000 description 1
- DQLVHRFFBQOWFL-JYJNAYRXSA-N Gln-Lys-Tyr Chemical compound C1=CC(=CC=C1C[C@@H](C(=O)O)NC(=O)[C@H](CCCCN)NC(=O)[C@H](CCC(=O)N)N)O DQLVHRFFBQOWFL-JYJNAYRXSA-N 0.000 description 1
- XZUUUKNKNWVPHQ-JYJNAYRXSA-N Gln-Phe-Leu Chemical compound [H]N[C@@H](CCC(N)=O)C(=O)N[C@@H](CC1=CC=CC=C1)C(=O)N[C@@H](CC(C)C)C(O)=O XZUUUKNKNWVPHQ-JYJNAYRXSA-N 0.000 description 1
- NLKVNZUFDPWPNL-YUMQZZPRSA-N Glu-Arg-Gly Chemical compound [H]N[C@@H](CCC(O)=O)C(=O)N[C@@H](CCCNC(N)=N)C(=O)NCC(O)=O NLKVNZUFDPWPNL-YUMQZZPRSA-N 0.000 description 1
- WQZGKKKJIJFFOK-GASJEMHNSA-N Glucose Natural products OC[C@H]1OC(O)[C@H](O)[C@@H](O)[C@@H]1O WQZGKKKJIJFFOK-GASJEMHNSA-N 0.000 description 1
- KQDMENMTYNBWMR-WHFBIAKZSA-N Gly-Asp-Ala Chemical compound [H]NCC(=O)N[C@@H](CC(O)=O)C(=O)N[C@@H](C)C(O)=O KQDMENMTYNBWMR-WHFBIAKZSA-N 0.000 description 1
- YYXJFBMCOUSYSF-RYUDHWBXSA-N Gly-Phe-Gln Chemical compound [H]NCC(=O)N[C@@H](CC1=CC=CC=C1)C(=O)N[C@@H](CCC(N)=O)C(O)=O YYXJFBMCOUSYSF-RYUDHWBXSA-N 0.000 description 1
- UVTSZKIATYSKIR-RYUDHWBXSA-N Gly-Tyr-Glu Chemical compound [H]NCC(=O)N[C@@H](CC1=CC=C(O)C=C1)C(=O)N[C@@H](CCC(O)=O)C(O)=O UVTSZKIATYSKIR-RYUDHWBXSA-N 0.000 description 1
- ZWZWYGMENQVNFU-UHFFFAOYSA-N Glycerophosphorylserin Natural products OC(=O)C(N)COP(O)(=O)OCC(O)CO ZWZWYGMENQVNFU-UHFFFAOYSA-N 0.000 description 1
- 239000004471 Glycine Substances 0.000 description 1
- 108010017080 Granulocyte Colony-Stimulating Factor Proteins 0.000 description 1
- 102000004269 Granulocyte Colony-Stimulating Factor Human genes 0.000 description 1
- 108010017213 Granulocyte-Macrophage Colony-Stimulating Factor Proteins 0.000 description 1
- 102000004457 Granulocyte-Macrophage Colony-Stimulating Factor Human genes 0.000 description 1
- 102100039620 Granulocyte-macrophage colony-stimulating factor Human genes 0.000 description 1
- 108020005004 Guide RNA Proteins 0.000 description 1
- 229920000084 Gum arabic Polymers 0.000 description 1
- 239000007821 HATU Substances 0.000 description 1
- 208000002250 Hematologic Neoplasms Diseases 0.000 description 1
- HTTJABKRGRZYRN-UHFFFAOYSA-N Heparin Chemical compound OC1C(NC(=O)C)C(O)OC(COS(O)(=O)=O)C1OC1C(OS(O)(=O)=O)C(O)C(OC2C(C(OS(O)(=O)=O)C(OC3C(C(O)C(O)C(O3)C(O)=O)OS(O)(=O)=O)C(CO)O2)NS(O)(=O)=O)C(C(O)=O)O1 HTTJABKRGRZYRN-UHFFFAOYSA-N 0.000 description 1
- 206010073069 Hepatic cancer Diseases 0.000 description 1
- 241000238631 Hexapoda Species 0.000 description 1
- 241000228404 Histoplasma capsulatum Species 0.000 description 1
- 101100166600 Homo sapiens CD28 gene Proteins 0.000 description 1
- 101000746373 Homo sapiens Granulocyte-macrophage colony-stimulating factor Proteins 0.000 description 1
- 101001042104 Homo sapiens Inducible T-cell costimulator Proteins 0.000 description 1
- 101001002657 Homo sapiens Interleukin-2 Proteins 0.000 description 1
- 108091006905 Human Serum Albumin Proteins 0.000 description 1
- 102000008100 Human Serum Albumin Human genes 0.000 description 1
- 241000598436 Human T-cell lymphotropic virus Species 0.000 description 1
- 241000700588 Human alphaherpesvirus 1 Species 0.000 description 1
- 241000701044 Human gammaherpesvirus 4 Species 0.000 description 1
- 241000701806 Human papillomavirus Species 0.000 description 1
- UFHFLCQGNIYNRP-UHFFFAOYSA-N Hydrogen Chemical compound [H][H] UFHFLCQGNIYNRP-UHFFFAOYSA-N 0.000 description 1
- 229920002153 Hydroxypropyl cellulose Polymers 0.000 description 1
- 206010020751 Hypersensitivity Diseases 0.000 description 1
- XQFRJNBWHJMXHO-RRKCRQDMSA-N IDUR Chemical compound C1[C@H](O)[C@@H](CO)O[C@H]1N1C(=O)NC(=O)C(I)=C1 XQFRJNBWHJMXHO-RRKCRQDMSA-N 0.000 description 1
- 101150106931 IFNG gene Proteins 0.000 description 1
- 102000037982 Immune checkpoint proteins Human genes 0.000 description 1
- 108091008036 Immune checkpoint proteins Proteins 0.000 description 1
- 108091008026 Inhibitory immune checkpoint proteins Proteins 0.000 description 1
- 102000037984 Inhibitory immune checkpoint proteins Human genes 0.000 description 1
- 108010050904 Interferons Proteins 0.000 description 1
- 102000014150 Interferons Human genes 0.000 description 1
- 108090000978 Interleukin-4 Proteins 0.000 description 1
- KFZMGEQAYNKOFK-UHFFFAOYSA-N Isopropanol Chemical class CC(C)O KFZMGEQAYNKOFK-UHFFFAOYSA-N 0.000 description 1
- 241000701460 JC polyomavirus Species 0.000 description 1
- 208000007766 Kaposi sarcoma Diseases 0.000 description 1
- 241000588748 Klebsiella Species 0.000 description 1
- CKLJMWTZIZZHCS-REOHCLBHSA-N L-aspartic acid Chemical compound OC(=O)[C@@H](N)CC(O)=O CKLJMWTZIZZHCS-REOHCLBHSA-N 0.000 description 1
- JVTAAEKCZFNVCJ-UHFFFAOYSA-M Lactate Chemical compound CC(O)C([O-])=O JVTAAEKCZFNVCJ-UHFFFAOYSA-M 0.000 description 1
- 241001245510 Lambia <signal fly> Species 0.000 description 1
- 241000589248 Legionella Species 0.000 description 1
- 208000007764 Legionnaires' Disease Diseases 0.000 description 1
- 241000222722 Leishmania <genus> Species 0.000 description 1
- 241000222727 Leishmania donovani Species 0.000 description 1
- 206010024238 Leptospirosis Diseases 0.000 description 1
- HVJVUYQWFYMGJS-GVXVVHGQSA-N Leu-Glu-Val Chemical compound [H]N[C@@H](CC(C)C)C(=O)N[C@@H](CCC(O)=O)C(=O)N[C@@H](C(C)C)C(O)=O HVJVUYQWFYMGJS-GVXVVHGQSA-N 0.000 description 1
- HRTRLSRYZZKPCO-BJDJZHNGSA-N Leu-Ile-Ser Chemical compound [H]N[C@@H](CC(C)C)C(=O)N[C@@H]([C@@H](C)CC)C(=O)N[C@@H](CO)C(O)=O HRTRLSRYZZKPCO-BJDJZHNGSA-N 0.000 description 1
- AIRUUHAOKGVJAD-JYJNAYRXSA-N Leu-Phe-Glu Chemical compound [H]N[C@@H](CC(C)C)C(=O)N[C@@H](CC1=CC=CC=C1)C(=O)N[C@@H](CCC(O)=O)C(O)=O AIRUUHAOKGVJAD-JYJNAYRXSA-N 0.000 description 1
- 206010024305 Leukaemia monocytic Diseases 0.000 description 1
- 239000005089 Luciferase Substances 0.000 description 1
- 208000016604 Lyme disease Diseases 0.000 description 1
- XREQQOATSMMAJP-MGHWNKPDSA-N Lys-Ile-Tyr Chemical compound [H]N[C@@H](CCCCN)C(=O)N[C@@H]([C@@H](C)CC)C(=O)N[C@@H](CC1=CC=C(O)C=C1)C(O)=O XREQQOATSMMAJP-MGHWNKPDSA-N 0.000 description 1
- GILLQRYAWOMHED-DCAQKATOSA-N Lys-Val-Ser Chemical compound OC[C@@H](C(O)=O)NC(=O)[C@H](C(C)C)NC(=O)[C@@H](N)CCCCN GILLQRYAWOMHED-DCAQKATOSA-N 0.000 description 1
- KDXKERNSBIXSRK-UHFFFAOYSA-N Lysine Natural products NCCCCC(N)C(O)=O KDXKERNSBIXSRK-UHFFFAOYSA-N 0.000 description 1
- 239000004472 Lysine Substances 0.000 description 1
- 241000282567 Macaca fascicularis Species 0.000 description 1
- 206010025654 Malignant melanoma of sites other than skin Diseases 0.000 description 1
- 208000032271 Malignant tumor of penis Diseases 0.000 description 1
- 229930195725 Mannitol Natural products 0.000 description 1
- 208000025205 Mantle-Cell Lymphoma Diseases 0.000 description 1
- 241000712079 Measles morbillivirus Species 0.000 description 1
- STTRPDDKDVKIDF-KKUMJFAQSA-N Met-Glu-Tyr Chemical compound CSCC[C@H](N)C(=O)N[C@@H](CCC(O)=O)C(=O)N[C@H](C(O)=O)CC1=CC=C(O)C=C1 STTRPDDKDVKIDF-KKUMJFAQSA-N 0.000 description 1
- 206010027480 Metastatic malignant melanoma Diseases 0.000 description 1
- 241000235395 Mucor Species 0.000 description 1
- 241000235388 Mucorales Species 0.000 description 1
- 208000034578 Multiple myelomas Diseases 0.000 description 1
- 241000711386 Mumps virus Species 0.000 description 1
- 241000699660 Mus musculus Species 0.000 description 1
- HHYJCXNTUDAHHE-UHFFFAOYSA-N N#CC(C([N+]([O-])=O)=C1)=NC(C=C2)=C1NC2=O Chemical compound N#CC(C([N+]([O-])=O)=C1)=NC(C=C2)=C1NC2=O HHYJCXNTUDAHHE-UHFFFAOYSA-N 0.000 description 1
- ZKGNPQKYVKXMGJ-UHFFFAOYSA-N N,N-dimethylacetamide Chemical compound CN(C)C(C)=O.CN(C)C(C)=O ZKGNPQKYVKXMGJ-UHFFFAOYSA-N 0.000 description 1
- WHNWPMSKXPGLAX-UHFFFAOYSA-N N-Vinyl-2-pyrrolidone Chemical compound C=CN1CCCC1=O WHNWPMSKXPGLAX-UHFFFAOYSA-N 0.000 description 1
- HTLZVHNRZJPSMI-UHFFFAOYSA-N N-ethylpiperidine Chemical compound CCN1CCCCC1 HTLZVHNRZJPSMI-UHFFFAOYSA-N 0.000 description 1
- 229910002651 NO3 Inorganic materials 0.000 description 1
- 241000588653 Neisseria Species 0.000 description 1
- 208000034176 Neoplasms, Germ Cell and Embryonal Diseases 0.000 description 1
- 206010029260 Neuroblastoma Diseases 0.000 description 1
- 101100342977 Neurospora crassa (strain ATCC 24698 / 74-OR23-1A / CBS 708.71 / DSM 1257 / FGSC 987) leu-1 gene Proteins 0.000 description 1
- PVNIIMVLHYAWGP-UHFFFAOYSA-N Niacin Chemical compound OC(=O)C1=CC=CN=C1 PVNIIMVLHYAWGP-UHFFFAOYSA-N 0.000 description 1
- NHNBFGGVMKEFGY-UHFFFAOYSA-N Nitrate Chemical compound [O-][N+]([O-])=O NHNBFGGVMKEFGY-UHFFFAOYSA-N 0.000 description 1
- 108010075205 OVA-8 Proteins 0.000 description 1
- MUBZPKHOEPUJKR-UHFFFAOYSA-N Oxalic acid Chemical compound OC(=O)C(O)=O MUBZPKHOEPUJKR-UHFFFAOYSA-N 0.000 description 1
- 241001631646 Papillomaviridae Species 0.000 description 1
- 241001537205 Paracoccidioides Species 0.000 description 1
- 208000002471 Penile Neoplasms Diseases 0.000 description 1
- 206010034299 Penile cancer Diseases 0.000 description 1
- 208000027190 Peripheral T-cell lymphomas Diseases 0.000 description 1
- AJOKKVTWEMXZHC-DRZSPHRISA-N Phe-Ala-Gln Chemical compound NC(=O)CC[C@@H](C(O)=O)NC(=O)[C@H](C)NC(=O)[C@@H](N)CC1=CC=CC=C1 AJOKKVTWEMXZHC-DRZSPHRISA-N 0.000 description 1
- 201000005746 Pituitary adenoma Diseases 0.000 description 1
- 206010061538 Pituitary tumour benign Diseases 0.000 description 1
- 208000007452 Plasmacytoma Diseases 0.000 description 1
- 241000224016 Plasmodium Species 0.000 description 1
- 241000233870 Pneumocystis Species 0.000 description 1
- 229920003171 Poly (ethylene oxide) Polymers 0.000 description 1
- 229920001214 Polysorbate 60 Polymers 0.000 description 1
- 239000004372 Polyvinyl alcohol Substances 0.000 description 1
- 206010036524 Precursor B-lymphoblastic lymphomas Diseases 0.000 description 1
- 208000009052 Precursor T-Cell Lymphoblastic Leukemia-Lymphoma Diseases 0.000 description 1
- 208000017414 Precursor T-cell acute lymphoblastic leukemia Diseases 0.000 description 1
- GMJDSFYVTAMIBF-FXQIFTODSA-N Pro-Ser-Asp Chemical compound [H]N1CCC[C@H]1C(=O)N[C@@H](CO)C(=O)N[C@@H](CC(O)=O)C(O)=O GMJDSFYVTAMIBF-FXQIFTODSA-N 0.000 description 1
- OFOBLEOULBTSOW-UHFFFAOYSA-N Propanedioic acid Natural products OC(=O)CC(O)=O OFOBLEOULBTSOW-UHFFFAOYSA-N 0.000 description 1
- XBDQKXXYIPTUBI-UHFFFAOYSA-N Propionic acid Chemical class CCC(O)=O XBDQKXXYIPTUBI-UHFFFAOYSA-N 0.000 description 1
- 102000007327 Protamines Human genes 0.000 description 1
- 108010007568 Protamines Proteins 0.000 description 1
- 241000588769 Proteus <enterobacteria> Species 0.000 description 1
- 241000589516 Pseudomonas Species 0.000 description 1
- 241000589517 Pseudomonas aeruginosa Species 0.000 description 1
- 239000012614 Q-Sepharose Substances 0.000 description 1
- 241000711798 Rabies lyssavirus Species 0.000 description 1
- 208000015634 Rectal Neoplasms Diseases 0.000 description 1
- 206010038111 Recurrent cancer Diseases 0.000 description 1
- 206010070308 Refractory cancer Diseases 0.000 description 1
- 241000725643 Respiratory syncytial virus Species 0.000 description 1
- 241000235527 Rhizopus Species 0.000 description 1
- 241000606701 Rickettsia Species 0.000 description 1
- 241000702670 Rotavirus Species 0.000 description 1
- 241000710799 Rubella virus Species 0.000 description 1
- 206010061934 Salivary gland cancer Diseases 0.000 description 1
- 241000607142 Salmonella Species 0.000 description 1
- 239000012506 Sephacryl® Substances 0.000 description 1
- 229920002684 Sepharose Polymers 0.000 description 1
- PCJLFYBAQZQOFE-KATARQTJSA-N Ser-Thr-Lys Chemical compound C[C@H]([C@@H](C(=O)N[C@@H](CCCCN)C(=O)O)NC(=O)[C@H](CO)N)O PCJLFYBAQZQOFE-KATARQTJSA-N 0.000 description 1
- 241000607720 Serratia Species 0.000 description 1
- 208000009359 Sezary Syndrome Diseases 0.000 description 1
- 208000021388 Sezary disease Diseases 0.000 description 1
- 208000000453 Skin Neoplasms Diseases 0.000 description 1
- UIIMBOGNXHQVGW-DEQYMQKBSA-M Sodium bicarbonate-14C Chemical compound [Na+].O[14C]([O-])=O UIIMBOGNXHQVGW-DEQYMQKBSA-M 0.000 description 1
- DBMJMQXJHONAFJ-UHFFFAOYSA-M Sodium laurylsulphate Chemical compound [Na+].CCCCCCCCCCCCOS([O-])(=O)=O DBMJMQXJHONAFJ-UHFFFAOYSA-M 0.000 description 1
- NWGKJDSIEKMTRX-AAZCQSIUSA-N Sorbitan monooleate Chemical compound CCCCCCCC\C=C/CCCCCCCC(=O)OC[C@@H](O)[C@H]1OC[C@H](O)[C@H]1O NWGKJDSIEKMTRX-AAZCQSIUSA-N 0.000 description 1
- 208000000102 Squamous Cell Carcinoma of Head and Neck Diseases 0.000 description 1
- 241000191967 Staphylococcus aureus Species 0.000 description 1
- 241000194017 Streptococcus Species 0.000 description 1
- 239000012505 Superdex™ Substances 0.000 description 1
- 208000031673 T-Cell Cutaneous Lymphoma Diseases 0.000 description 1
- 208000031672 T-Cell Peripheral Lymphoma Diseases 0.000 description 1
- 208000029052 T-cell acute lymphoblastic leukemia Diseases 0.000 description 1
- 208000020982 T-lymphoblastic lymphoma Diseases 0.000 description 1
- 102100027222 T-lymphocyte activation antigen CD80 Human genes 0.000 description 1
- PZBFGYYEXUXCOF-UHFFFAOYSA-N TCEP Chemical compound OC(=O)CCP(CCC(O)=O)CCC(O)=O PZBFGYYEXUXCOF-UHFFFAOYSA-N 0.000 description 1
- 206010043376 Tetanus Diseases 0.000 description 1
- 241000223997 Toxoplasma gondii Species 0.000 description 1
- 229920001615 Tragacanth Polymers 0.000 description 1
- YZCKVEUIGOORGS-NJFSPNSNSA-N Tritium Chemical compound [3H] YZCKVEUIGOORGS-NJFSPNSNSA-N 0.000 description 1
- 241000223104 Trypanosoma Species 0.000 description 1
- 241000223109 Trypanosoma cruzi Species 0.000 description 1
- KLOZTPOXVVRVAQ-DZKIICNBSA-N Tyr-Val-Gln Chemical compound NC(=O)CC[C@@H](C(O)=O)NC(=O)[C@H](C(C)C)NC(=O)[C@@H](N)CC1=CC=C(O)C=C1 KLOZTPOXVVRVAQ-DZKIICNBSA-N 0.000 description 1
- 208000023915 Ureteral Neoplasms Diseases 0.000 description 1
- 206010046392 Ureteric cancer Diseases 0.000 description 1
- 206010046431 Urethral cancer Diseases 0.000 description 1
- 206010046458 Urethral neoplasms Diseases 0.000 description 1
- 208000002495 Uterine Neoplasms Diseases 0.000 description 1
- 241000700618 Vaccinia virus Species 0.000 description 1
- 201000003761 Vaginal carcinoma Diseases 0.000 description 1
- 208000004354 Vulvar Neoplasms Diseases 0.000 description 1
- 208000033559 Waldenström macroglobulinemia Diseases 0.000 description 1
- 201000006083 Xeroderma Pigmentosum Diseases 0.000 description 1
- JVVXZOOGOGPDRZ-SLFFLAALSA-N [(1R,4aS,10aR)-1,4a-dimethyl-7-propan-2-yl-2,3,4,9,10,10a-hexahydrophenanthren-1-yl]methanamine Chemical compound NC[C@]1(C)CCC[C@]2(C)C3=CC=C(C(C)C)C=C3CC[C@H]21 JVVXZOOGOGPDRZ-SLFFLAALSA-N 0.000 description 1
- LJOOWESTVASNOG-UFJKPHDISA-N [(1s,3r,4ar,7s,8s,8as)-3-hydroxy-8-[2-[(4r)-4-hydroxy-6-oxooxan-2-yl]ethyl]-7-methyl-1,2,3,4,4a,7,8,8a-octahydronaphthalen-1-yl] (2s)-2-methylbutanoate Chemical compound C([C@H]1[C@@H](C)C=C[C@H]2C[C@@H](O)C[C@@H]([C@H]12)OC(=O)[C@@H](C)CC)CC1C[C@@H](O)CC(=O)O1 LJOOWESTVASNOG-UFJKPHDISA-N 0.000 description 1
- LNUFLCYMSVYYNW-ZPJMAFJPSA-N [(2r,3r,4s,5r,6r)-2-[(2r,3r,4s,5r,6r)-6-[(2r,3r,4s,5r,6r)-6-[(2r,3r,4s,5r,6r)-6-[[(3s,5s,8r,9s,10s,13r,14s,17r)-10,13-dimethyl-17-[(2r)-6-methylheptan-2-yl]-2,3,4,5,6,7,8,9,11,12,14,15,16,17-tetradecahydro-1h-cyclopenta[a]phenanthren-3-yl]oxy]-4,5-disulfo Chemical compound O([C@@H]1[C@@H](COS(O)(=O)=O)O[C@@H]([C@@H]([C@H]1OS(O)(=O)=O)OS(O)(=O)=O)O[C@@H]1[C@@H](COS(O)(=O)=O)O[C@@H]([C@@H]([C@H]1OS(O)(=O)=O)OS(O)(=O)=O)O[C@@H]1[C@@H](COS(O)(=O)=O)O[C@H]([C@@H]([C@H]1OS(O)(=O)=O)OS(O)(=O)=O)O[C@@H]1C[C@@H]2CC[C@H]3[C@@H]4CC[C@@H]([C@]4(CC[C@@H]3[C@@]2(C)CC1)C)[C@H](C)CCCC(C)C)[C@H]1O[C@H](COS(O)(=O)=O)[C@@H](OS(O)(=O)=O)[C@H](OS(O)(=O)=O)[C@H]1OS(O)(=O)=O LNUFLCYMSVYYNW-ZPJMAFJPSA-N 0.000 description 1
- WERKSKAQRVDLDW-ANOHMWSOSA-N [(2s,3r,4r,5r)-2,3,4,5,6-pentahydroxyhexyl] (z)-octadec-9-enoate Chemical compound CCCCCCCC\C=C/CCCCCCCC(=O)OC[C@H](O)[C@@H](O)[C@H](O)[C@H](O)CO WERKSKAQRVDLDW-ANOHMWSOSA-N 0.000 description 1
- NPIHYFCXNIDUJZ-UHFFFAOYSA-N [2-chloro-6-[2,6-di(propan-2-yloxy)phenyl]phenyl]-dicyclohexylphosphane Chemical group ClC=1C(=C(C=CC=1)C1=C(C=CC=C1OC(C)C)OC(C)C)P(C1CCCCC1)C1CCCCC1 NPIHYFCXNIDUJZ-UHFFFAOYSA-N 0.000 description 1
- 238000010521 absorption reaction Methods 0.000 description 1
- 235000010489 acacia gum Nutrition 0.000 description 1
- 150000001242 acetic acid derivatives Chemical class 0.000 description 1
- 125000002777 acetyl group Chemical group [H]C([H])([H])C(*)=O 0.000 description 1
- 150000007513 acids Chemical class 0.000 description 1
- 230000001154 acute effect Effects 0.000 description 1
- 208000021841 acute erythroid leukemia Diseases 0.000 description 1
- 230000033289 adaptive immune response Effects 0.000 description 1
- WNLRTRBMVRJNCN-UHFFFAOYSA-L adipate(2-) Chemical compound [O-]C(=O)CCCCC([O-])=O WNLRTRBMVRJNCN-UHFFFAOYSA-L 0.000 description 1
- 201000005188 adrenal gland cancer Diseases 0.000 description 1
- 208000024447 adrenal gland neoplasm Diseases 0.000 description 1
- 208000037844 advanced solid tumor Diseases 0.000 description 1
- 229940072056 alginate Drugs 0.000 description 1
- 229910052783 alkali metal Inorganic materials 0.000 description 1
- 150000001447 alkali salts Chemical class 0.000 description 1
- 229910052784 alkaline earth metal Inorganic materials 0.000 description 1
- 125000005907 alkyl ester group Chemical group 0.000 description 1
- 150000001350 alkyl halides Chemical class 0.000 description 1
- 208000030961 allergic reaction Diseases 0.000 description 1
- 230000000735 allogeneic effect Effects 0.000 description 1
- 229940087168 alpha tocopherol Drugs 0.000 description 1
- HSFWRNGVRCDJHI-UHFFFAOYSA-N alpha-acetylene Natural products C#C HSFWRNGVRCDJHI-UHFFFAOYSA-N 0.000 description 1
- AWUCVROLDVIAJX-UHFFFAOYSA-N alpha-glycerophosphate Natural products OCC(O)COP(O)(O)=O AWUCVROLDVIAJX-UHFFFAOYSA-N 0.000 description 1
- AZDRQVAHHNSJOQ-UHFFFAOYSA-N alumane Chemical class [AlH3] AZDRQVAHHNSJOQ-UHFFFAOYSA-N 0.000 description 1
- PNEYBMLMFCGWSK-UHFFFAOYSA-N aluminium oxide Inorganic materials [O-2].[O-2].[O-2].[Al+3].[Al+3] PNEYBMLMFCGWSK-UHFFFAOYSA-N 0.000 description 1
- 235000012211 aluminium silicate Nutrition 0.000 description 1
- CEGOLXSVJUTHNZ-UHFFFAOYSA-K aluminium tristearate Chemical compound [Al+3].CCCCCCCCCCCCCCCCCC([O-])=O.CCCCCCCCCCCCCCCCCC([O-])=O.CCCCCCCCCCCCCCCCCC([O-])=O CEGOLXSVJUTHNZ-UHFFFAOYSA-K 0.000 description 1
- 229940063655 aluminum stearate Drugs 0.000 description 1
- 125000003277 amino group Chemical group 0.000 description 1
- 150000003863 ammonium salts Chemical class 0.000 description 1
- 230000003321 amplification Effects 0.000 description 1
- 238000005571 anion exchange chromatography Methods 0.000 description 1
- 230000001093 anti-cancer Effects 0.000 description 1
- 230000005809 anti-tumor immunity Effects 0.000 description 1
- 230000009464 antigen specific memory response Effects 0.000 description 1
- 210000000612 antigen-presenting cell Anatomy 0.000 description 1
- 201000011165 anus cancer Diseases 0.000 description 1
- 238000013459 approach Methods 0.000 description 1
- 239000012736 aqueous medium Substances 0.000 description 1
- 239000008346 aqueous phase Substances 0.000 description 1
- ODKSFYDXXFIFQN-UHFFFAOYSA-N arginine Natural products OC(=O)C(N)CCCNC(N)=N ODKSFYDXXFIFQN-UHFFFAOYSA-N 0.000 description 1
- 239000012300 argon atmosphere Substances 0.000 description 1
- 239000010425 asbestos Substances 0.000 description 1
- 229940072107 ascorbate Drugs 0.000 description 1
- 229960005070 ascorbic acid Drugs 0.000 description 1
- 239000000605 aspartame Substances 0.000 description 1
- IAOZJIPTCAWIRG-QWRGUYRKSA-N aspartame Chemical compound OC(=O)C[C@H](N)C(=O)N[C@H](C(=O)OC)CC1=CC=CC=C1 IAOZJIPTCAWIRG-QWRGUYRKSA-N 0.000 description 1
- 235000010357 aspartame Nutrition 0.000 description 1
- 229960003438 aspartame Drugs 0.000 description 1
- 229940009098 aspartate Drugs 0.000 description 1
- 108010069205 aspartyl-phenylalanine Proteins 0.000 description 1
- 239000012298 atmosphere Substances 0.000 description 1
- 244000052616 bacterial pathogen Species 0.000 description 1
- 229910052788 barium Inorganic materials 0.000 description 1
- DSAJWYNOEDNPEQ-UHFFFAOYSA-N barium atom Chemical compound [Ba] DSAJWYNOEDNPEQ-UHFFFAOYSA-N 0.000 description 1
- 235000013871 bee wax Nutrition 0.000 description 1
- 239000012166 beeswax Substances 0.000 description 1
- UPABQMWFWCMOFV-UHFFFAOYSA-N benethamine Chemical compound C=1C=CC=CC=1CNCCC1=CC=CC=C1 UPABQMWFWCMOFV-UHFFFAOYSA-N 0.000 description 1
- SRSXLGNVWSONIS-UHFFFAOYSA-M benzenesulfonate Chemical compound [O-]S(=O)(=O)C1=CC=CC=C1 SRSXLGNVWSONIS-UHFFFAOYSA-M 0.000 description 1
- 229940077388 benzenesulfonate Drugs 0.000 description 1
- 229940050390 benzoate Drugs 0.000 description 1
- WPYMKLBDIGXBTP-UHFFFAOYSA-N benzoic acid Chemical compound OC(=O)C1=CC=CC=C1 WPYMKLBDIGXBTP-UHFFFAOYSA-N 0.000 description 1
- PASDCCFISLVPSO-UHFFFAOYSA-N benzoyl chloride Chemical compound ClC(=O)C1=CC=CC=C1 PASDCCFISLVPSO-UHFFFAOYSA-N 0.000 description 1
- 102000015736 beta 2-Microglobulin Human genes 0.000 description 1
- 108010081355 beta 2-Microglobulin Proteins 0.000 description 1
- WQZGKKKJIJFFOK-VFUOTHLCSA-N beta-D-glucose Chemical compound OC[C@H]1O[C@@H](O)[C@H](O)[C@@H](O)[C@@H]1O WQZGKKKJIJFFOK-VFUOTHLCSA-N 0.000 description 1
- WHGYBXFWUBPSRW-FOUAGVGXSA-N beta-cyclodextrin Chemical compound OC[C@H]([C@H]([C@@H]([C@H]1O)O)O[C@H]2O[C@@H]([C@@H](O[C@H]3O[C@H](CO)[C@H]([C@@H]([C@H]3O)O)O[C@H]3O[C@H](CO)[C@H]([C@@H]([C@H]3O)O)O[C@H]3O[C@H](CO)[C@H]([C@@H]([C@H]3O)O)O[C@H]3O[C@H](CO)[C@H]([C@@H]([C@H]3O)O)O3)[C@H](O)[C@H]2O)CO)O[C@@H]1O[C@H]1[C@H](O)[C@@H](O)[C@@H]3O[C@@H]1CO WHGYBXFWUBPSRW-FOUAGVGXSA-N 0.000 description 1
- XMIIGOLPHOKFCH-UHFFFAOYSA-N beta-phenylpropanoic acid Natural products OC(=O)CCC1=CC=CC=C1 XMIIGOLPHOKFCH-UHFFFAOYSA-N 0.000 description 1
- 229960004853 betadex Drugs 0.000 description 1
- 239000011230 binding agent Substances 0.000 description 1
- 230000004071 biological effect Effects 0.000 description 1
- 230000033228 biological regulation Effects 0.000 description 1
- 229960000074 biopharmaceutical Drugs 0.000 description 1
- RGYZQSCFKFDECZ-UHFFFAOYSA-N bis(4-methylphenyl)methanol Chemical compound C1=CC(C)=CC=C1C(O)C1=CC=C(C)C=C1 RGYZQSCFKFDECZ-UHFFFAOYSA-N 0.000 description 1
- 210000003969 blast cell Anatomy 0.000 description 1
- 201000000053 blastoma Diseases 0.000 description 1
- 230000000903 blocking effect Effects 0.000 description 1
- 210000000601 blood cell Anatomy 0.000 description 1
- 210000001772 blood platelet Anatomy 0.000 description 1
- 229940053031 botulinum toxin Drugs 0.000 description 1
- 210000000133 brain stem Anatomy 0.000 description 1
- 125000001246 bromo group Chemical group Br* 0.000 description 1
- 201000006824 bubonic plague Diseases 0.000 description 1
- 239000006172 buffering agent Substances 0.000 description 1
- 235000019282 butylated hydroxyanisole Nutrition 0.000 description 1
- CZBZUDVBLSSABA-UHFFFAOYSA-N butylated hydroxyanisole Chemical compound COC1=CC=C(O)C(C(C)(C)C)=C1.COC1=CC=C(O)C=C1C(C)(C)C CZBZUDVBLSSABA-UHFFFAOYSA-N 0.000 description 1
- 229940043253 butylated hydroxyanisole Drugs 0.000 description 1
- 210000004899 c-terminal region Anatomy 0.000 description 1
- FJDQFPXHSGXQBY-UHFFFAOYSA-L caesium carbonate Chemical compound [Cs+].[Cs+].[O-]C([O-])=O FJDQFPXHSGXQBY-UHFFFAOYSA-L 0.000 description 1
- 229910000024 caesium carbonate Inorganic materials 0.000 description 1
- 239000011575 calcium Substances 0.000 description 1
- 229910052791 calcium Inorganic materials 0.000 description 1
- 159000000007 calcium salts Chemical class 0.000 description 1
- 235000009120 camo Nutrition 0.000 description 1
- MIOPJNTWMNEORI-UHFFFAOYSA-N camphorsulfonic acid Chemical compound C1CC2(CS(O)(=O)=O)C(=O)CC1C2(C)C MIOPJNTWMNEORI-UHFFFAOYSA-N 0.000 description 1
- 239000011203 carbon fibre reinforced carbon Substances 0.000 description 1
- 150000001732 carboxylic acid derivatives Chemical class 0.000 description 1
- 125000002843 carboxylic acid group Chemical group 0.000 description 1
- 239000000969 carrier Substances 0.000 description 1
- 238000006555 catalytic reaction Methods 0.000 description 1
- 238000005277 cation exchange chromatography Methods 0.000 description 1
- 150000001768 cations Chemical class 0.000 description 1
- 238000004113 cell culture Methods 0.000 description 1
- 230000022534 cell killing Effects 0.000 description 1
- 230000011748 cell maturation Effects 0.000 description 1
- 230000001413 cellular effect Effects 0.000 description 1
- 229920006217 cellulose acetate butyrate Polymers 0.000 description 1
- 210000003169 central nervous system Anatomy 0.000 description 1
- 201000007455 central nervous system cancer Diseases 0.000 description 1
- 208000025997 central nervous system neoplasm Diseases 0.000 description 1
- 230000002490 cerebral effect Effects 0.000 description 1
- 208000019065 cervical carcinoma Diseases 0.000 description 1
- 229940082500 cetostearyl alcohol Drugs 0.000 description 1
- 229960000541 cetyl alcohol Drugs 0.000 description 1
- 235000005607 chanvre indien Nutrition 0.000 description 1
- NVVXJVMOIGXUGC-UHFFFAOYSA-M chloropalladium(1+);dicyclohexyl-[2-[2,6-di(propan-2-yloxy)phenyl]phenyl]phosphane;2-phenylaniline Chemical compound [Pd+]Cl.NC1=CC=CC=C1C1=CC=CC=[C-]1.CC(C)OC1=CC=CC(OC(C)C)=C1C1=CC=CC=C1P(C1CCCCC1)C1CCCCC1 NVVXJVMOIGXUGC-UHFFFAOYSA-M 0.000 description 1
- 208000006990 cholangiocarcinoma Diseases 0.000 description 1
- 238000004587 chromatography analysis Methods 0.000 description 1
- 208000009060 clear cell adenocarcinoma Diseases 0.000 description 1
- 239000003240 coconut oil Substances 0.000 description 1
- 235000019864 coconut oil Nutrition 0.000 description 1
- 239000008119 colloidal silica Substances 0.000 description 1
- 201000010989 colorectal carcinoma Diseases 0.000 description 1
- 229940125797 compound 12 Drugs 0.000 description 1
- 229940126543 compound 14 Drugs 0.000 description 1
- 229940125810 compound 20 Drugs 0.000 description 1
- 229940125846 compound 25 Drugs 0.000 description 1
- 229940127204 compound 29 Drugs 0.000 description 1
- 229940125877 compound 31 Drugs 0.000 description 1
- 239000012141 concentrate Substances 0.000 description 1
- 235000008504 concentrate Nutrition 0.000 description 1
- 229940028617 conventional vaccine Drugs 0.000 description 1
- 238000001816 cooling Methods 0.000 description 1
- 239000002285 corn oil Substances 0.000 description 1
- 235000005687 corn oil Nutrition 0.000 description 1
- 239000008120 corn starch Substances 0.000 description 1
- 229940099112 cornstarch Drugs 0.000 description 1
- 239000006184 cosolvent Substances 0.000 description 1
- 235000012343 cottonseed oil Nutrition 0.000 description 1
- 239000002385 cottonseed oil Substances 0.000 description 1
- 239000006071 cream Substances 0.000 description 1
- 229960000913 crospovidone Drugs 0.000 description 1
- 235000010947 crosslinked sodium carboxy methyl cellulose Nutrition 0.000 description 1
- 239000013078 crystal Substances 0.000 description 1
- 201000007241 cutaneous T cell lymphoma Diseases 0.000 description 1
- 208000035250 cutaneous malignant susceptibility to 1 melanoma Diseases 0.000 description 1
- 125000000113 cyclohexyl group Chemical group [H]C1([H])C([H])([H])C([H])([H])C([H])(*)C([H])([H])C1([H])[H] 0.000 description 1
- 125000001511 cyclopentyl group Chemical group [H]C1([H])C([H])([H])C([H])([H])C([H])(*)C1([H])[H] 0.000 description 1
- 230000009089 cytolysis Effects 0.000 description 1
- 230000001461 cytolytic effect Effects 0.000 description 1
- 231100000135 cytotoxicity Toxicity 0.000 description 1
- 230000003013 cytotoxicity Effects 0.000 description 1
- GVJHHUAWPYXKBD-UHFFFAOYSA-N d-alpha-tocopherol Natural products OC1=C(C)C(C)=C2OC(CCCC(C)CCCC(C)CCCC(C)C)(C)CCC2=C1C GVJHHUAWPYXKBD-UHFFFAOYSA-N 0.000 description 1
- DEZRYPDIMOWBDS-UHFFFAOYSA-N dcm dichloromethane Chemical compound ClCCl.ClCCl DEZRYPDIMOWBDS-UHFFFAOYSA-N 0.000 description 1
- 125000002704 decyl group Chemical group [H]C([H])([H])C([H])([H])C([H])([H])C([H])([H])C([H])([H])C([H])([H])C([H])([H])C([H])([H])C([H])([H])C([H])([H])* 0.000 description 1
- 239000003405 delayed action preparation Substances 0.000 description 1
- 238000013461 design Methods 0.000 description 1
- 229910052805 deuterium Inorganic materials 0.000 description 1
- 238000011161 development Methods 0.000 description 1
- 239000008121 dextrose Substances 0.000 description 1
- 150000008050 dialkyl sulfates Chemical class 0.000 description 1
- MXFYYFVVIIWKFE-UHFFFAOYSA-N dicyclohexyl-[2-[2,6-di(propan-2-yloxy)phenyl]phenyl]phosphane Chemical compound CC(C)OC1=CC=CC(OC(C)C)=C1C1=CC=CC=C1P(C1CCCCC1)C1CCCCC1 MXFYYFVVIIWKFE-UHFFFAOYSA-N 0.000 description 1
- 125000004177 diethyl group Chemical group [H]C([H])([H])C([H])([H])* 0.000 description 1
- 206010012818 diffuse large B-cell lymphoma Diseases 0.000 description 1
- FSBVERYRVPGNGG-UHFFFAOYSA-N dimagnesium dioxido-bis[[oxido(oxo)silyl]oxy]silane hydrate Chemical compound O.[Mg+2].[Mg+2].[O-][Si](=O)O[Si]([O-])([O-])O[Si]([O-])=O FSBVERYRVPGNGG-UHFFFAOYSA-N 0.000 description 1
- 125000000118 dimethyl group Chemical group [H]C([H])([H])* 0.000 description 1
- UXGNZZKBCMGWAZ-UHFFFAOYSA-N dimethylformamide dmf Chemical compound CN(C)C=O.CN(C)C=O UXGNZZKBCMGWAZ-UHFFFAOYSA-N 0.000 description 1
- GAFRWLVTHPVQGK-UHFFFAOYSA-N dipentyl sulfate Chemical class CCCCCOS(=O)(=O)OCCCCC GAFRWLVTHPVQGK-UHFFFAOYSA-N 0.000 description 1
- 206010013023 diphtheria Diseases 0.000 description 1
- ZPWVASYFFYYZEW-UHFFFAOYSA-L dipotassium hydrogen phosphate Chemical compound [K+].[K+].OP([O-])([O-])=O ZPWVASYFFYYZEW-UHFFFAOYSA-L 0.000 description 1
- 229910000396 dipotassium phosphate Inorganic materials 0.000 description 1
- 235000019797 dipotassium phosphate Nutrition 0.000 description 1
- 238000011038 discontinuous diafiltration by volume reduction Methods 0.000 description 1
- 239000007884 disintegrant Substances 0.000 description 1
- NLHWCTNYFFIPJT-UHFFFAOYSA-N disodium bis(trimethylsilyl)azanide Chemical compound [Na+].[Na+].C[Si](C)(C)[N-][Si](C)(C)C.C[Si](C)(C)[N-][Si](C)(C)C NLHWCTNYFFIPJT-UHFFFAOYSA-N 0.000 description 1
- BNIILDVGGAEEIG-UHFFFAOYSA-L disodium hydrogen phosphate Chemical compound [Na+].[Na+].OP([O-])([O-])=O BNIILDVGGAEEIG-UHFFFAOYSA-L 0.000 description 1
- 239000006185 dispersion Substances 0.000 description 1
- 238000010494 dissociation reaction Methods 0.000 description 1
- 230000005593 dissociations Effects 0.000 description 1
- CETRZFQIITUQQL-UHFFFAOYSA-N dmso dimethylsulfoxide Chemical compound CS(C)=O.CS(C)=O CETRZFQIITUQQL-UHFFFAOYSA-N 0.000 description 1
- 125000003438 dodecyl group Chemical group [H]C([H])([H])C([H])([H])C([H])([H])C([H])([H])C([H])([H])C([H])([H])C([H])([H])C([H])([H])C([H])([H])C([H])([H])C([H])([H])C([H])([H])* 0.000 description 1
- MOTZDAYCYVMXPC-UHFFFAOYSA-N dodecyl hydrogen sulfate Chemical compound CCCCCCCCCCCCOS(O)(=O)=O MOTZDAYCYVMXPC-UHFFFAOYSA-N 0.000 description 1
- 229940043264 dodecyl sulfate Drugs 0.000 description 1
- 230000003828 downregulation Effects 0.000 description 1
- 238000012377 drug delivery Methods 0.000 description 1
- 238000009510 drug design Methods 0.000 description 1
- 238000009509 drug development Methods 0.000 description 1
- 230000009977 dual effect Effects 0.000 description 1
- 238000002296 dynamic light scattering Methods 0.000 description 1
- 210000003162 effector t lymphocyte Anatomy 0.000 description 1
- 239000003792 electrolyte Substances 0.000 description 1
- 201000008184 embryoma Diseases 0.000 description 1
- 239000003974 emollient agent Substances 0.000 description 1
- 230000001804 emulsifying effect Effects 0.000 description 1
- 239000008387 emulsifying waxe Substances 0.000 description 1
- 210000000750 endocrine system Anatomy 0.000 description 1
- 230000002357 endometrial effect Effects 0.000 description 1
- 239000002702 enteric coating Substances 0.000 description 1
- 238000009505 enteric coating Methods 0.000 description 1
- 230000004076 epigenetic alteration Effects 0.000 description 1
- 210000003743 erythrocyte Anatomy 0.000 description 1
- CCIVGXIOQKPBKL-UHFFFAOYSA-M ethanesulfonate Chemical compound CCS([O-])(=O)=O CCIVGXIOQKPBKL-UHFFFAOYSA-M 0.000 description 1
- BEFDCLMNVWHSGT-UHFFFAOYSA-N ethenylcyclopentane Chemical compound C=CC1CCCC1 BEFDCLMNVWHSGT-UHFFFAOYSA-N 0.000 description 1
- 235000019325 ethyl cellulose Nutrition 0.000 description 1
- 229920001249 ethyl cellulose Polymers 0.000 description 1
- 229940012017 ethylenediamine Drugs 0.000 description 1
- 125000002534 ethynyl group Chemical group [H]C#C* 0.000 description 1
- 238000002474 experimental method Methods 0.000 description 1
- 201000001343 fallopian tube carcinoma Diseases 0.000 description 1
- 238000001914 filtration Methods 0.000 description 1
- 238000003818 flash chromatography Methods 0.000 description 1
- 230000003325 follicular Effects 0.000 description 1
- 201000003444 follicular lymphoma Diseases 0.000 description 1
- 244000053095 fungal pathogen Species 0.000 description 1
- 201000010175 gallbladder cancer Diseases 0.000 description 1
- 201000007487 gallbladder carcinoma Diseases 0.000 description 1
- 210000001035 gastrointestinal tract Anatomy 0.000 description 1
- 239000007903 gelatin capsule Substances 0.000 description 1
- 230000004077 genetic alteration Effects 0.000 description 1
- 108010078144 glutaminyl-glycine Proteins 0.000 description 1
- 108010079547 glutamylmethionine Proteins 0.000 description 1
- 125000005456 glyceride group Chemical group 0.000 description 1
- 229940074045 glyceryl distearate Drugs 0.000 description 1
- 229940075507 glyceryl monostearate Drugs 0.000 description 1
- 229960002449 glycine Drugs 0.000 description 1
- 108010050848 glycylleucine Proteins 0.000 description 1
- 210000003714 granulocyte Anatomy 0.000 description 1
- 208000017750 granulocytic sarcoma Diseases 0.000 description 1
- 239000001963 growth medium Substances 0.000 description 1
- JAXFJECJQZDFJS-XHEPKHHKSA-N gtpl8555 Chemical compound OC(=O)C[C@H](N)C(=O)N[C@@H](CCC(O)=O)C(=O)N[C@@H](C(C)C)C(=O)N[C@@H](C(C)C)C(=O)N1CCC[C@@H]1C(=O)N[C@H](B1O[C@@]2(C)[C@H]3C[C@H](C3(C)C)C[C@H]2O1)CCC1=CC=C(F)C=C1 JAXFJECJQZDFJS-XHEPKHHKSA-N 0.000 description 1
- 229940093915 gynecological organic acid Drugs 0.000 description 1
- 150000004820 halides Chemical class 0.000 description 1
- 229910052736 halogen Inorganic materials 0.000 description 1
- 125000005843 halogen group Chemical group 0.000 description 1
- 150000002367 halogens Chemical class 0.000 description 1
- 239000007902 hard capsule Substances 0.000 description 1
- 238000003306 harvesting Methods 0.000 description 1
- 201000000459 head and neck squamous cell carcinoma Diseases 0.000 description 1
- 238000010438 heat treatment Methods 0.000 description 1
- 208000019691 hematopoietic and lymphoid cell neoplasm Diseases 0.000 description 1
- 239000011487 hemp Substances 0.000 description 1
- 229960002897 heparin Drugs 0.000 description 1
- 229920000669 heparin Polymers 0.000 description 1
- MNWFXJYAOYHMED-UHFFFAOYSA-N heptanoic acid Chemical compound CCCCCCC(O)=O MNWFXJYAOYHMED-UHFFFAOYSA-N 0.000 description 1
- UBHWBODXJBSFLH-UHFFFAOYSA-N hexadecan-1-ol;octadecan-1-ol Chemical compound CCCCCCCCCCCCCCCCO.CCCCCCCCCCCCCCCCCCO UBHWBODXJBSFLH-UHFFFAOYSA-N 0.000 description 1
- FBPFZTCFMRRESA-UHFFFAOYSA-N hexane-1,2,3,4,5,6-hexol Chemical compound OCC(O)C(O)C(O)C(O)CO FBPFZTCFMRRESA-UHFFFAOYSA-N 0.000 description 1
- FUZZWVXGSFPDMH-UHFFFAOYSA-N hexanoic acid Chemical compound CCCCCC(O)=O FUZZWVXGSFPDMH-UHFFFAOYSA-N 0.000 description 1
- 210000003630 histaminocyte Anatomy 0.000 description 1
- 239000005556 hormone Substances 0.000 description 1
- 229940088597 hormone Drugs 0.000 description 1
- 102000053578 human DGKZ Human genes 0.000 description 1
- 102000055277 human IL2 Human genes 0.000 description 1
- 210000005260 human cell Anatomy 0.000 description 1
- 229910000042 hydrogen bromide Inorganic materials 0.000 description 1
- 230000007062 hydrolysis Effects 0.000 description 1
- 238000006460 hydrolysis reaction Methods 0.000 description 1
- 125000002887 hydroxy group Chemical group [H]O* 0.000 description 1
- NPZTUJOABDZTLV-UHFFFAOYSA-N hydroxybenzotriazole Substances O=C1C=CC=C2NNN=C12 NPZTUJOABDZTLV-UHFFFAOYSA-N 0.000 description 1
- 235000010977 hydroxypropyl cellulose Nutrition 0.000 description 1
- 239000001863 hydroxypropyl cellulose Substances 0.000 description 1
- 229940071676 hydroxypropylcellulose Drugs 0.000 description 1
- 208000006278 hypochromic anemia Diseases 0.000 description 1
- 125000002883 imidazolyl group Chemical group 0.000 description 1
- 230000005965 immune activity Effects 0.000 description 1
- 230000036039 immunity Effects 0.000 description 1
- 229940045207 immuno-oncology agent Drugs 0.000 description 1
- 239000002584 immunological anticancer agent Substances 0.000 description 1
- 230000001024 immunotherapeutic effect Effects 0.000 description 1
- 230000002779 inactivation Effects 0.000 description 1
- 208000015266 indolent plasma cell myeloma Diseases 0.000 description 1
- 239000003701 inert diluent Substances 0.000 description 1
- 206010022000 influenza Diseases 0.000 description 1
- 238000001802 infusion Methods 0.000 description 1
- 229940102223 injectable solution Drugs 0.000 description 1
- 229940102213 injectable suspension Drugs 0.000 description 1
- 239000012194 insect media Substances 0.000 description 1
- 229940079322 interferon Drugs 0.000 description 1
- 230000003834 intracellular effect Effects 0.000 description 1
- 229910052740 iodine Inorganic materials 0.000 description 1
- 238000004255 ion exchange chromatography Methods 0.000 description 1
- 230000007794 irritation Effects 0.000 description 1
- SUMDYPCJJOFFON-UHFFFAOYSA-M isethionate Chemical compound OCCS([O-])(=O)=O SUMDYPCJJOFFON-UHFFFAOYSA-M 0.000 description 1
- 125000000959 isobutyl group Chemical group [H]C([H])([H])C([H])(C([H])([H])[H])C([H])([H])* 0.000 description 1
- 125000004491 isohexyl group Chemical group C(CCC(C)C)* 0.000 description 1
- 125000001972 isopentyl group Chemical group [H]C([H])([H])C([H])(C([H])([H])[H])C([H])([H])C([H])([H])* 0.000 description 1
- 125000001449 isopropyl group Chemical group [H]C([H])([H])C([H])(*)C([H])([H])[H] 0.000 description 1
- 230000000366 juvenile effect Effects 0.000 description 1
- NLYAJNPCOHFWQQ-UHFFFAOYSA-N kaolin Chemical compound O.O.O=[Al]O[Si](=O)O[Si](=O)O[Al]=O NLYAJNPCOHFWQQ-UHFFFAOYSA-N 0.000 description 1
- 238000011813 knockout mouse model Methods 0.000 description 1
- 239000010410 layer Substances 0.000 description 1
- 238000004811 liquid chromatography Methods 0.000 description 1
- 201000002250 liver carcinoma Diseases 0.000 description 1
- 230000007774 longterm Effects 0.000 description 1
- 239000007937 lozenge Substances 0.000 description 1
- 201000005249 lung adenocarcinoma Diseases 0.000 description 1
- 201000008443 lung non-squamous non-small cell carcinoma Diseases 0.000 description 1
- 201000005243 lung squamous cell carcinoma Diseases 0.000 description 1
- 238000002794 lymphocyte assay Methods 0.000 description 1
- 210000003563 lymphoid tissue Anatomy 0.000 description 1
- 239000012139 lysis buffer Substances 0.000 description 1
- 108010009298 lysylglutamic acid Proteins 0.000 description 1
- 108010054155 lysyllysine Proteins 0.000 description 1
- 210000002540 macrophage Anatomy 0.000 description 1
- 239000000395 magnesium oxide Substances 0.000 description 1
- CPLXHLVBOLITMK-UHFFFAOYSA-N magnesium oxide Inorganic materials [Mg]=O CPLXHLVBOLITMK-UHFFFAOYSA-N 0.000 description 1
- 235000012245 magnesium oxide Nutrition 0.000 description 1
- 159000000003 magnesium salts Chemical class 0.000 description 1
- 239000000391 magnesium silicate Substances 0.000 description 1
- 235000019792 magnesium silicate Nutrition 0.000 description 1
- 229910052919 magnesium silicate Inorganic materials 0.000 description 1
- 229910052943 magnesium sulfate Inorganic materials 0.000 description 1
- 235000019341 magnesium sulphate Nutrition 0.000 description 1
- AXZKOIWUVFPNLO-UHFFFAOYSA-N magnesium;oxygen(2-) Chemical compound [O-2].[Mg+2] AXZKOIWUVFPNLO-UHFFFAOYSA-N 0.000 description 1
- 201000004792 malaria Diseases 0.000 description 1
- 239000011976 maleic acid Substances 0.000 description 1
- 230000003211 malignant effect Effects 0.000 description 1
- 239000000594 mannitol Substances 0.000 description 1
- 235000010355 mannitol Nutrition 0.000 description 1
- 230000000873 masking effect Effects 0.000 description 1
- 238000004949 mass spectrometry Methods 0.000 description 1
- 208000020968 mature T-cell and NK-cell non-Hodgkin lymphoma Diseases 0.000 description 1
- 230000001404 mediated effect Effects 0.000 description 1
- QSHDDOUJBYECFT-UHFFFAOYSA-N mercury Chemical compound [Hg] QSHDDOUJBYECFT-UHFFFAOYSA-N 0.000 description 1
- 229910052753 mercury Inorganic materials 0.000 description 1
- 230000004060 metabolic process Effects 0.000 description 1
- 229910052751 metal Inorganic materials 0.000 description 1
- 239000002184 metal Substances 0.000 description 1
- 208000021039 metastatic melanoma Diseases 0.000 description 1
- 229940098779 methanesulfonic acid Drugs 0.000 description 1
- 125000000956 methoxy group Chemical group [H]C([H])([H])O* 0.000 description 1
- GUWDPMLFISTXNO-UHFFFAOYSA-N methyl 1-[bis(4-fluorophenyl)methyl]piperazine-2-carboxylate Chemical compound FC1=CC=C(C=C1)C(N1C(CNCC1)C(=O)OC)C1=CC=C(C=C1)F GUWDPMLFISTXNO-UHFFFAOYSA-N 0.000 description 1
- 229920000609 methyl cellulose Polymers 0.000 description 1
- 239000001923 methylcellulose Substances 0.000 description 1
- 235000010981 methylcellulose Nutrition 0.000 description 1
- 235000010446 mineral oil Nutrition 0.000 description 1
- 150000007522 mineralic acids Chemical class 0.000 description 1
- 210000001616 monocyte Anatomy 0.000 description 1
- 201000006894 monocytic leukemia Diseases 0.000 description 1
- 230000035772 mutation Effects 0.000 description 1
- 210000000066 myeloid cell Anatomy 0.000 description 1
- 201000005987 myeloid sarcoma Diseases 0.000 description 1
- 229940043348 myristyl alcohol Drugs 0.000 description 1
- 125000001421 myristyl group Chemical group [H]C([*])([H])C([H])([H])C([H])([H])C([H])([H])C([H])([H])C([H])([H])C([H])([H])C([H])([H])C([H])([H])C([H])([H])C([H])([H])C([H])([H])C([H])([H])C([H])([H])[H] 0.000 description 1
- OMCUPXRCMTUDHI-UHFFFAOYSA-N n'-hydroxycyclopropanecarboximidamide Chemical compound ON=C(N)C1CC1 OMCUPXRCMTUDHI-UHFFFAOYSA-N 0.000 description 1
- 125000004108 n-butyl group Chemical group [H]C([H])([H])C([H])([H])C([H])([H])C([H])([H])* 0.000 description 1
- WOOWBQQQJXZGIE-UHFFFAOYSA-N n-ethyl-n-propan-2-ylpropan-2-amine Chemical compound CCN(C(C)C)C(C)C.CCN(C(C)C)C(C)C WOOWBQQQJXZGIE-UHFFFAOYSA-N 0.000 description 1
- 125000001280 n-hexyl group Chemical group C(CCCCC)* 0.000 description 1
- 125000000740 n-pentyl group Chemical group [H]C([H])([H])C([H])([H])C([H])([H])C([H])([H])C([H])([H])* 0.000 description 1
- 125000004123 n-propyl group Chemical group [H]C([H])([H])C([H])([H])C([H])([H])* 0.000 description 1
- KVBGVZZKJNLNJU-UHFFFAOYSA-M naphthalene-2-sulfonate Chemical compound C1=CC=CC2=CC(S(=O)(=O)[O-])=CC=C21 KVBGVZZKJNLNJU-UHFFFAOYSA-M 0.000 description 1
- 125000001971 neopentyl group Chemical group [H]C([*])([H])C(C([H])([H])[H])(C([H])([H])[H])C([H])([H])[H] 0.000 description 1
- 210000005036 nerve Anatomy 0.000 description 1
- 208000007538 neurilemmoma Diseases 0.000 description 1
- 229910052759 nickel Inorganic materials 0.000 description 1
- 235000001968 nicotinic acid Nutrition 0.000 description 1
- 239000011664 nicotinic acid Substances 0.000 description 1
- 150000002823 nitrates Chemical class 0.000 description 1
- QJGQUHMNIGDVPM-UHFFFAOYSA-N nitrogen group Chemical group [N] QJGQUHMNIGDVPM-UHFFFAOYSA-N 0.000 description 1
- 238000003199 nucleic acid amplification method Methods 0.000 description 1
- GYCKQBWUSACYIF-UHFFFAOYSA-N o-hydroxybenzoic acid ethyl ester Natural products CCOC(=O)C1=CC=CC=C1O GYCKQBWUSACYIF-UHFFFAOYSA-N 0.000 description 1
- HEGSGKPQLMEBJL-RKQHYHRCSA-N octyl beta-D-glucopyranoside Chemical compound CCCCCCCCO[C@@H]1O[C@H](CO)[C@@H](O)[C@H](O)[C@H]1O HEGSGKPQLMEBJL-RKQHYHRCSA-N 0.000 description 1
- 125000002347 octyl group Chemical group [H]C([*])([H])C([H])([H])C([H])([H])C([H])([H])C([H])([H])C([H])([H])C([H])([H])C([H])([H])[H] 0.000 description 1
- 239000003883 ointment base Substances 0.000 description 1
- 239000006186 oral dosage form Substances 0.000 description 1
- 150000007524 organic acids Chemical class 0.000 description 1
- 235000005985 organic acids Nutrition 0.000 description 1
- 150000007530 organic bases Chemical class 0.000 description 1
- 201000008968 osteosarcoma Diseases 0.000 description 1
- 239000001301 oxygen Substances 0.000 description 1
- 229910052760 oxygen Inorganic materials 0.000 description 1
- 125000004430 oxygen atom Chemical group O* 0.000 description 1
- KDLHZDBZIXYQEI-UHFFFAOYSA-N palladium Substances [Pd] KDLHZDBZIXYQEI-UHFFFAOYSA-N 0.000 description 1
- MUJIDPITZJWBSW-UHFFFAOYSA-N palladium(2+) Chemical compound [Pd+2] MUJIDPITZJWBSW-UHFFFAOYSA-N 0.000 description 1
- 239000012188 paraffin wax Substances 0.000 description 1
- 244000045947 parasite Species 0.000 description 1
- 238000007911 parenteral administration Methods 0.000 description 1
- 125000001147 pentyl group Chemical group C(CCCC)* 0.000 description 1
- 239000002304 perfume Substances 0.000 description 1
- 210000003819 peripheral blood mononuclear cell Anatomy 0.000 description 1
- 230000002093 peripheral effect Effects 0.000 description 1
- 210000000578 peripheral nerve Anatomy 0.000 description 1
- 201000002628 peritoneum cancer Diseases 0.000 description 1
- JRKICGRDRMAZLK-UHFFFAOYSA-L peroxydisulfate Chemical compound [O-]S(=O)(=O)OOS([O-])(=O)=O JRKICGRDRMAZLK-UHFFFAOYSA-L 0.000 description 1
- 230000002085 persistent effect Effects 0.000 description 1
- 230000000144 pharmacologic effect Effects 0.000 description 1
- WVDDGKGOMKODPV-ZQBYOMGUSA-N phenyl(114C)methanol Chemical compound O[14CH2]C1=CC=CC=C1 WVDDGKGOMKODPV-ZQBYOMGUSA-N 0.000 description 1
- 125000002467 phosphate group Chemical group [H]OP(=O)(O[H])O[*] 0.000 description 1
- 239000006187 pill Substances 0.000 description 1
- 201000002511 pituitary cancer Diseases 0.000 description 1
- 208000021310 pituitary gland adenoma Diseases 0.000 description 1
- 125000005547 pivalate group Chemical group 0.000 description 1
- 210000004180 plasmocyte Anatomy 0.000 description 1
- 201000000317 pneumocystosis Diseases 0.000 description 1
- 229920000058 polyacrylate Polymers 0.000 description 1
- 229920000515 polycarbonate Polymers 0.000 description 1
- 229920000573 polyethylene Polymers 0.000 description 1
- 229940113116 polyethylene glycol 1000 Drugs 0.000 description 1
- 229920000642 polymer Polymers 0.000 description 1
- 239000000244 polyoxyethylene sorbitan monooleate Substances 0.000 description 1
- 229920000136 polysorbate Polymers 0.000 description 1
- 229920002451 polyvinyl alcohol Polymers 0.000 description 1
- 235000013809 polyvinylpolypyrrolidone Nutrition 0.000 description 1
- 229920000523 polyvinylpolypyrrolidone Polymers 0.000 description 1
- 208000017805 post-transplant lymphoproliferative disease Diseases 0.000 description 1
- 159000000001 potassium salts Chemical class 0.000 description 1
- 235000010241 potassium sorbate Nutrition 0.000 description 1
- 239000004302 potassium sorbate Substances 0.000 description 1
- 229940069338 potassium sorbate Drugs 0.000 description 1
- 230000003389 potentiating effect Effects 0.000 description 1
- 239000002244 precipitate Substances 0.000 description 1
- 125000002924 primary amino group Chemical group [H]N([H])* 0.000 description 1
- 208000025638 primary cutaneous T-cell non-Hodgkin lymphoma Diseases 0.000 description 1
- 201000006037 primary mediastinal B-cell lymphoma Diseases 0.000 description 1
- MFDFERRIHVXMIY-UHFFFAOYSA-N procaine Chemical compound CCN(CC)CCOC(=O)C1=CC=C(N)C=C1 MFDFERRIHVXMIY-UHFFFAOYSA-N 0.000 description 1
- 229960004919 procaine Drugs 0.000 description 1
- 230000008569 process Effects 0.000 description 1
- 230000000069 prophylactic effect Effects 0.000 description 1
- 235000013772 propylene glycol Nutrition 0.000 description 1
- 201000005825 prostate adenocarcinoma Diseases 0.000 description 1
- 229950008679 protamine sulfate Drugs 0.000 description 1
- 238000010926 purge Methods 0.000 description 1
- UMJSCPRVCHMLSP-UHFFFAOYSA-N pyridine Natural products COC1=CC=CN=C1 UMJSCPRVCHMLSP-UHFFFAOYSA-N 0.000 description 1
- 230000035484 reaction time Effects 0.000 description 1
- 206010038038 rectal cancer Diseases 0.000 description 1
- 201000001275 rectum cancer Diseases 0.000 description 1
- 208000016691 refractory malignant neoplasm Diseases 0.000 description 1
- 230000001105 regulatory effect Effects 0.000 description 1
- 238000011160 research Methods 0.000 description 1
- 239000011347 resin Substances 0.000 description 1
- 229920005989 resin Polymers 0.000 description 1
- 229910052895 riebeckite Inorganic materials 0.000 description 1
- 238000002390 rotary evaporation Methods 0.000 description 1
- CVHZOJJKTDOEJC-UHFFFAOYSA-N saccharin Chemical compound C1=CC=C2C(=O)NS(=O)(=O)C2=C1 CVHZOJJKTDOEJC-UHFFFAOYSA-N 0.000 description 1
- 235000019204 saccharin Nutrition 0.000 description 1
- 229940081974 saccharin Drugs 0.000 description 1
- 239000000901 saccharin and its Na,K and Ca salt Substances 0.000 description 1
- 150000003873 salicylate salts Chemical class 0.000 description 1
- 201000003804 salivary gland carcinoma Diseases 0.000 description 1
- 238000013341 scale-up Methods 0.000 description 1
- HFHDHCJBZVLPGP-UHFFFAOYSA-N schardinger α-dextrin Chemical compound O1C(C(C2O)O)C(CO)OC2OC(C(C2O)O)C(CO)OC2OC(C(C2O)O)C(CO)OC2OC(C(O)C2O)C(CO)OC2OC(C(C2O)O)C(CO)OC2OC2C(O)C(O)C1OC2CO HFHDHCJBZVLPGP-UHFFFAOYSA-N 0.000 description 1
- 206010039667 schwannoma Diseases 0.000 description 1
- 125000002914 sec-butyl group Chemical group [H]C([H])([H])C([H])([H])C([H])(*)C([H])([H])[H] 0.000 description 1
- 238000013207 serial dilution Methods 0.000 description 1
- 108010026333 seryl-proline Proteins 0.000 description 1
- 238000010898 silica gel chromatography Methods 0.000 description 1
- 239000000377 silicon dioxide Substances 0.000 description 1
- 238000009097 single-agent therapy Methods 0.000 description 1
- 229940121497 sintilimab Drugs 0.000 description 1
- 238000001542 size-exclusion chromatography Methods 0.000 description 1
- 210000003491 skin Anatomy 0.000 description 1
- 201000000849 skin cancer Diseases 0.000 description 1
- 201000002314 small intestine cancer Diseases 0.000 description 1
- 208000010721 smoldering plasma cell myeloma Diseases 0.000 description 1
- AWUCVROLDVIAJX-GSVOUGTGSA-N sn-glycerol 3-phosphate Chemical compound OC[C@@H](O)COP(O)(O)=O AWUCVROLDVIAJX-GSVOUGTGSA-N 0.000 description 1
- 235000015424 sodium Nutrition 0.000 description 1
- 229910001467 sodium calcium phosphate Inorganic materials 0.000 description 1
- 229910000029 sodium carbonate Inorganic materials 0.000 description 1
- BEOOHQFXGBMRKU-UHFFFAOYSA-N sodium cyanoborohydride Chemical compound [Na+].[B-]C#N BEOOHQFXGBMRKU-UHFFFAOYSA-N 0.000 description 1
- 235000019333 sodium laurylsulphate Nutrition 0.000 description 1
- 239000001488 sodium phosphate Substances 0.000 description 1
- 239000007901 soft capsule Substances 0.000 description 1
- 239000011343 solid material Substances 0.000 description 1
- 239000007790 solid phase Substances 0.000 description 1
- 238000007614 solvation Methods 0.000 description 1
- 235000010199 sorbic acid Nutrition 0.000 description 1
- 239000004334 sorbic acid Substances 0.000 description 1
- 229940075582 sorbic acid Drugs 0.000 description 1
- 229940083466 soybean lecithin Drugs 0.000 description 1
- 239000003549 soybean oil Substances 0.000 description 1
- 235000012424 soybean oil Nutrition 0.000 description 1
- 229950007213 spartalizumab Drugs 0.000 description 1
- 238000001228 spectrum Methods 0.000 description 1
- 206010062261 spinal cord neoplasm Diseases 0.000 description 1
- 208000017572 squamous cell neoplasm Diseases 0.000 description 1
- 238000010186 staining Methods 0.000 description 1
- 238000010561 standard procedure Methods 0.000 description 1
- 239000007858 starting material Substances 0.000 description 1
- 230000001954 sterilising effect Effects 0.000 description 1
- 238000004659 sterilization and disinfection Methods 0.000 description 1
- KDYFGRWQOYBRFD-UHFFFAOYSA-L succinate(2-) Chemical compound [O-]C(=O)CCC([O-])=O KDYFGRWQOYBRFD-UHFFFAOYSA-L 0.000 description 1
- 150000003900 succinic acid esters Chemical class 0.000 description 1
- 229960004793 sucrose Drugs 0.000 description 1
- 150000003871 sulfonates Chemical class 0.000 description 1
- 150000003467 sulfuric acid derivatives Chemical class 0.000 description 1
- 230000008093 supporting effect Effects 0.000 description 1
- 230000004083 survival effect Effects 0.000 description 1
- 230000002459 sustained effect Effects 0.000 description 1
- 238000010189 synthetic method Methods 0.000 description 1
- 239000006188 syrup Substances 0.000 description 1
- 235000020357 syrup Nutrition 0.000 description 1
- 150000003892 tartrate salts Chemical class 0.000 description 1
- 229940066453 tecentriq Drugs 0.000 description 1
- GCSSSCOWYZYEFZ-UHFFFAOYSA-N tert-butyl piperazine-1-carboxylate Chemical compound CC(C)(C)OC(=O)N1CCNCC1.CC(C)(C)OC(=O)N1CCNCC1 GCSSSCOWYZYEFZ-UHFFFAOYSA-N 0.000 description 1
- YLQBMQCUIZJEEH-UHFFFAOYSA-N tetrahydrofuran Natural products C=1C=COC=1 YLQBMQCUIZJEEH-UHFFFAOYSA-N 0.000 description 1
- WHRNULOCNSKMGB-UHFFFAOYSA-N tetrahydrofuran thf Chemical compound C1CCOC1.C1CCOC1 WHRNULOCNSKMGB-UHFFFAOYSA-N 0.000 description 1
- OULAJFUGPPVRBK-UHFFFAOYSA-N tetratriacontyl alcohol Natural products CCCCCCCCCCCCCCCCCCCCCCCCCCCCCCCCCCO OULAJFUGPPVRBK-UHFFFAOYSA-N 0.000 description 1
- 150000003536 tetrazoles Chemical class 0.000 description 1
- WROMPOXWARCANT-UHFFFAOYSA-N tfa trifluoroacetic acid Chemical compound OC(=O)C(F)(F)F.OC(=O)C(F)(F)F WROMPOXWARCANT-UHFFFAOYSA-N 0.000 description 1
- 239000002562 thickening agent Substances 0.000 description 1
- 239000010409 thin film Substances 0.000 description 1
- 150000003567 thiocyanates Chemical class 0.000 description 1
- 210000001685 thyroid gland Anatomy 0.000 description 1
- JOXIMZWYDAKGHI-UHFFFAOYSA-M toluene-4-sulfonate Chemical compound CC1=CC=C(S([O-])(=O)=O)C=C1 JOXIMZWYDAKGHI-UHFFFAOYSA-M 0.000 description 1
- LBLYYCQCTBFVLH-UHFFFAOYSA-M toluenesulfonate group Chemical group C=1(C(=CC=CC1)S(=O)(=O)[O-])C LBLYYCQCTBFVLH-UHFFFAOYSA-M 0.000 description 1
- 231100000331 toxic Toxicity 0.000 description 1
- 230000002588 toxic effect Effects 0.000 description 1
- 238000001890 transfection Methods 0.000 description 1
- 230000009466 transformation Effects 0.000 description 1
- 230000009261 transgenic effect Effects 0.000 description 1
- 238000011830 transgenic mouse model Methods 0.000 description 1
- 238000011277 treatment modality Methods 0.000 description 1
- 125000005270 trialkylamine group Chemical group 0.000 description 1
- LEIMLDGFXIOXMT-UHFFFAOYSA-N trimethylsilyl cyanide Chemical compound C[Si](C)(C)C#N LEIMLDGFXIOXMT-UHFFFAOYSA-N 0.000 description 1
- RYFMWSXOAZQYPI-UHFFFAOYSA-K trisodium phosphate Chemical compound [Na+].[Na+].[Na+].[O-]P([O-])([O-])=O RYFMWSXOAZQYPI-UHFFFAOYSA-K 0.000 description 1
- 229910052722 tritium Inorganic materials 0.000 description 1
- 230000005747 tumor angiogenesis Effects 0.000 description 1
- 230000004565 tumor cell growth Effects 0.000 description 1
- 210000003171 tumor-infiltrating lymphocyte Anatomy 0.000 description 1
- ZDPHROOEEOARMN-UHFFFAOYSA-N undecanoic acid Chemical compound CCCCCCCCCCC(O)=O ZDPHROOEEOARMN-UHFFFAOYSA-N 0.000 description 1
- 241000701161 unidentified adenovirus Species 0.000 description 1
- 241001529453 unidentified herpesvirus Species 0.000 description 1
- 241000712461 unidentified influenza virus Species 0.000 description 1
- 201000011294 ureter cancer Diseases 0.000 description 1
- 208000012991 uterine carcinoma Diseases 0.000 description 1
- 230000002792 vascular Effects 0.000 description 1
- 235000013311 vegetables Nutrition 0.000 description 1
- 238000013022 venting Methods 0.000 description 1
- 125000000391 vinyl group Chemical group [H]C([*])=C([H])[H] 0.000 description 1
- 230000003612 virological effect Effects 0.000 description 1
- 239000003039 volatile agent Substances 0.000 description 1
- 201000005102 vulva cancer Diseases 0.000 description 1
- 201000004916 vulva carcinoma Diseases 0.000 description 1
- 208000013013 vulvar carcinoma Diseases 0.000 description 1
- 238000005406 washing Methods 0.000 description 1
- 230000003442 weekly effect Effects 0.000 description 1
- 210000002268 wool Anatomy 0.000 description 1
- 238000010626 work up procedure Methods 0.000 description 1
- UGOMMVLRQDMAQQ-UHFFFAOYSA-N xphos Chemical compound CC(C)C1=CC(C(C)C)=CC(C(C)C)=C1C1=CC=CC=C1P(C1CCCCC1)C1CCCCC1 UGOMMVLRQDMAQQ-UHFFFAOYSA-N 0.000 description 1
- 229940055760 yervoy Drugs 0.000 description 1
- 150000003751 zinc Chemical class 0.000 description 1
Images
Classifications
-
- A—HUMAN NECESSITIES
- A61—MEDICAL OR VETERINARY SCIENCE; HYGIENE
- A61K—PREPARATIONS FOR MEDICAL, DENTAL OR TOILETRY PURPOSES
- A61K31/00—Medicinal preparations containing organic active ingredients
- A61K31/33—Heterocyclic compounds
- A61K31/395—Heterocyclic compounds having nitrogen as a ring hetero atom, e.g. guanethidine or rifamycins
- A61K31/495—Heterocyclic compounds having nitrogen as a ring hetero atom, e.g. guanethidine or rifamycins having six-membered rings with two or more nitrogen atoms as the only ring heteroatoms, e.g. piperazine or tetrazines
- A61K31/505—Pyrimidines; Hydrogenated pyrimidines, e.g. trimethoprim
- A61K31/519—Pyrimidines; Hydrogenated pyrimidines, e.g. trimethoprim ortho- or peri-condensed with heterocyclic rings
-
- A—HUMAN NECESSITIES
- A61—MEDICAL OR VETERINARY SCIENCE; HYGIENE
- A61K—PREPARATIONS FOR MEDICAL, DENTAL OR TOILETRY PURPOSES
- A61K31/00—Medicinal preparations containing organic active ingredients
- A61K31/33—Heterocyclic compounds
- A61K31/395—Heterocyclic compounds having nitrogen as a ring hetero atom, e.g. guanethidine or rifamycins
- A61K31/495—Heterocyclic compounds having nitrogen as a ring hetero atom, e.g. guanethidine or rifamycins having six-membered rings with two or more nitrogen atoms as the only ring heteroatoms, e.g. piperazine or tetrazines
- A61K31/496—Non-condensed piperazines containing further heterocyclic rings, e.g. rifampin, thiothixene or sparfloxacin
-
- A—HUMAN NECESSITIES
- A61—MEDICAL OR VETERINARY SCIENCE; HYGIENE
- A61K—PREPARATIONS FOR MEDICAL, DENTAL OR TOILETRY PURPOSES
- A61K39/00—Medicinal preparations containing antigens or antibodies
- A61K39/395—Antibodies; Immunoglobulins; Immune serum, e.g. antilymphocytic serum
-
- A—HUMAN NECESSITIES
- A61—MEDICAL OR VETERINARY SCIENCE; HYGIENE
- A61K—PREPARATIONS FOR MEDICAL, DENTAL OR TOILETRY PURPOSES
- A61K39/00—Medicinal preparations containing antigens or antibodies
- A61K39/395—Antibodies; Immunoglobulins; Immune serum, e.g. antilymphocytic serum
- A61K39/39533—Antibodies; Immunoglobulins; Immune serum, e.g. antilymphocytic serum against materials from animals
- A61K39/3955—Antibodies; Immunoglobulins; Immune serum, e.g. antilymphocytic serum against materials from animals against proteinaceous materials, e.g. enzymes, hormones, lymphokines
-
- A—HUMAN NECESSITIES
- A61—MEDICAL OR VETERINARY SCIENCE; HYGIENE
- A61K—PREPARATIONS FOR MEDICAL, DENTAL OR TOILETRY PURPOSES
- A61K45/00—Medicinal preparations containing active ingredients not provided for in groups A61K31/00 - A61K41/00
- A61K45/06—Mixtures of active ingredients without chemical characterisation, e.g. antiphlogistics and cardiaca
-
- A—HUMAN NECESSITIES
- A61—MEDICAL OR VETERINARY SCIENCE; HYGIENE
- A61P—SPECIFIC THERAPEUTIC ACTIVITY OF CHEMICAL COMPOUNDS OR MEDICINAL PREPARATIONS
- A61P35/00—Antineoplastic agents
-
- C—CHEMISTRY; METALLURGY
- C07—ORGANIC CHEMISTRY
- C07K—PEPTIDES
- C07K16/00—Immunoglobulins [IGs], e.g. monoclonal or polyclonal antibodies
- C07K16/18—Immunoglobulins [IGs], e.g. monoclonal or polyclonal antibodies against material from animals or humans
- C07K16/28—Immunoglobulins [IGs], e.g. monoclonal or polyclonal antibodies against material from animals or humans against receptors, cell surface antigens or cell surface determinants
- C07K16/2803—Immunoglobulins [IGs], e.g. monoclonal or polyclonal antibodies against material from animals or humans against receptors, cell surface antigens or cell surface determinants against the immunoglobulin superfamily
- C07K16/2812—Immunoglobulins [IGs], e.g. monoclonal or polyclonal antibodies against material from animals or humans against receptors, cell surface antigens or cell surface determinants against the immunoglobulin superfamily against CD4
-
- C—CHEMISTRY; METALLURGY
- C07—ORGANIC CHEMISTRY
- C07K—PEPTIDES
- C07K16/00—Immunoglobulins [IGs], e.g. monoclonal or polyclonal antibodies
- C07K16/18—Immunoglobulins [IGs], e.g. monoclonal or polyclonal antibodies against material from animals or humans
- C07K16/28—Immunoglobulins [IGs], e.g. monoclonal or polyclonal antibodies against material from animals or humans against receptors, cell surface antigens or cell surface determinants
- C07K16/2803—Immunoglobulins [IGs], e.g. monoclonal or polyclonal antibodies against material from animals or humans against receptors, cell surface antigens or cell surface determinants against the immunoglobulin superfamily
- C07K16/2815—Immunoglobulins [IGs], e.g. monoclonal or polyclonal antibodies against material from animals or humans against receptors, cell surface antigens or cell surface determinants against the immunoglobulin superfamily against CD8
-
- C—CHEMISTRY; METALLURGY
- C07—ORGANIC CHEMISTRY
- C07K—PEPTIDES
- C07K16/00—Immunoglobulins [IGs], e.g. monoclonal or polyclonal antibodies
- C07K16/18—Immunoglobulins [IGs], e.g. monoclonal or polyclonal antibodies against material from animals or humans
- C07K16/28—Immunoglobulins [IGs], e.g. monoclonal or polyclonal antibodies against material from animals or humans against receptors, cell surface antigens or cell surface determinants
- C07K16/2803—Immunoglobulins [IGs], e.g. monoclonal or polyclonal antibodies against material from animals or humans against receptors, cell surface antigens or cell surface determinants against the immunoglobulin superfamily
- C07K16/2818—Immunoglobulins [IGs], e.g. monoclonal or polyclonal antibodies against material from animals or humans against receptors, cell surface antigens or cell surface determinants against the immunoglobulin superfamily against CD28 or CD152
-
- C—CHEMISTRY; METALLURGY
- C07—ORGANIC CHEMISTRY
- C07K—PEPTIDES
- C07K16/00—Immunoglobulins [IGs], e.g. monoclonal or polyclonal antibodies
- C07K16/18—Immunoglobulins [IGs], e.g. monoclonal or polyclonal antibodies against material from animals or humans
- C07K16/28—Immunoglobulins [IGs], e.g. monoclonal or polyclonal antibodies against material from animals or humans against receptors, cell surface antigens or cell surface determinants
- C07K16/30—Immunoglobulins [IGs], e.g. monoclonal or polyclonal antibodies against material from animals or humans against receptors, cell surface antigens or cell surface determinants from tumour cells
- C07K16/3076—Immunoglobulins [IGs], e.g. monoclonal or polyclonal antibodies against material from animals or humans against receptors, cell surface antigens or cell surface determinants from tumour cells against structure-related tumour-associated moieties
- C07K16/3084—Immunoglobulins [IGs], e.g. monoclonal or polyclonal antibodies against material from animals or humans against receptors, cell surface antigens or cell surface determinants from tumour cells against structure-related tumour-associated moieties against tumour-associated gangliosides
-
- A—HUMAN NECESSITIES
- A61—MEDICAL OR VETERINARY SCIENCE; HYGIENE
- A61K—PREPARATIONS FOR MEDICAL, DENTAL OR TOILETRY PURPOSES
- A61K39/00—Medicinal preparations containing antigens or antibodies
- A61K2039/505—Medicinal preparations containing antigens or antibodies comprising antibodies
-
- A—HUMAN NECESSITIES
- A61—MEDICAL OR VETERINARY SCIENCE; HYGIENE
- A61K—PREPARATIONS FOR MEDICAL, DENTAL OR TOILETRY PURPOSES
- A61K39/00—Medicinal preparations containing antigens or antibodies
- A61K2039/505—Medicinal preparations containing antigens or antibodies comprising antibodies
- A61K2039/507—Comprising a combination of two or more separate antibodies
-
- A—HUMAN NECESSITIES
- A61—MEDICAL OR VETERINARY SCIENCE; HYGIENE
- A61K—PREPARATIONS FOR MEDICAL, DENTAL OR TOILETRY PURPOSES
- A61K2300/00—Mixtures or combinations of active ingredients, wherein at least one active ingredient is fully defined in groups A61K31/00 - A61K41/00
-
- C—CHEMISTRY; METALLURGY
- C07—ORGANIC CHEMISTRY
- C07K—PEPTIDES
- C07K2317/00—Immunoglobulins specific features
- C07K2317/20—Immunoglobulins specific features characterized by taxonomic origin
- C07K2317/21—Immunoglobulins specific features characterized by taxonomic origin from primates, e.g. man
-
- C—CHEMISTRY; METALLURGY
- C07—ORGANIC CHEMISTRY
- C07K—PEPTIDES
- C07K2317/00—Immunoglobulins specific features
- C07K2317/50—Immunoglobulins specific features characterized by immunoglobulin fragments
- C07K2317/52—Constant or Fc region; Isotype
- C07K2317/526—CH3 domain
-
- C—CHEMISTRY; METALLURGY
- C07—ORGANIC CHEMISTRY
- C07K—PEPTIDES
- C07K2317/00—Immunoglobulins specific features
- C07K2317/70—Immunoglobulins specific features characterized by effect upon binding to a cell or to an antigen
- C07K2317/71—Decreased effector function due to an Fc-modification
-
- C—CHEMISTRY; METALLURGY
- C07—ORGANIC CHEMISTRY
- C07K—PEPTIDES
- C07K2317/00—Immunoglobulins specific features
- C07K2317/70—Immunoglobulins specific features characterized by effect upon binding to a cell or to an antigen
- C07K2317/73—Inducing cell death, e.g. apoptosis, necrosis or inhibition of cell proliferation
Landscapes
- Health & Medical Sciences (AREA)
- Chemical & Material Sciences (AREA)
- Life Sciences & Earth Sciences (AREA)
- Medicinal Chemistry (AREA)
- Immunology (AREA)
- General Health & Medical Sciences (AREA)
- Organic Chemistry (AREA)
- Animal Behavior & Ethology (AREA)
- Public Health (AREA)
- Veterinary Medicine (AREA)
- Pharmacology & Pharmacy (AREA)
- Epidemiology (AREA)
- Molecular Biology (AREA)
- Proteomics, Peptides & Aminoacids (AREA)
- Biophysics (AREA)
- Genetics & Genomics (AREA)
- Biochemistry (AREA)
- Engineering & Computer Science (AREA)
- Nuclear Medicine, Radiotherapy & Molecular Imaging (AREA)
- General Chemical & Material Sciences (AREA)
- Chemical Kinetics & Catalysis (AREA)
- Bioinformatics & Cheminformatics (AREA)
- Microbiology (AREA)
- Mycology (AREA)
- Cell Biology (AREA)
- Endocrinology (AREA)
- Pharmaceuticals Containing Other Organic And Inorganic Compounds (AREA)
- Medicines That Contain Protein Lipid Enzymes And Other Medicines (AREA)
- Peptides Or Proteins (AREA)
- Enzymes And Modification Thereof (AREA)
- Nitrogen Condensed Heterocyclic Rings (AREA)
- Medicines Containing Antibodies Or Antigens For Use As Internal Diagnostic Agents (AREA)
Abstract
디아실글리세롤 키나제 (DGK)의 억제제, 및 DGK 억제제를 PD1/PD-L1 축의 길항제 및/또는 CTLA4의 길항제와 조합하여 투여하는 것을 포함하는, 면역계의 자극으로부터 이익을 얻을 질환, 예컨대 암 및 감염 질환을 치료하는 방법이 제공된다.
Description
상호 참조
본 출원은 2019년 12월 19일에 출원된 미국 가출원 번호 62/950,570을 우선권 주장하며, 이는 그 전문이 본원에 포함된다.
인간 암은 수많은 유전적 및 후성적 변경을 보유하여, 면역계에 의해 잠재적으로 인식가능한 신생항원을 생성한다 (문헌 [Sjoblom et al. (2006) Science 314:268-74]). T 및 B 림프구로 구성된 적응 면역계는 다양한 종양 항원에 반응하는 광범위한 능력 및 정교한 특이성과 함께 강력한 항암 잠재력을 갖는다. 추가로, 면역계는 상당한 가소성 및 기억 성분을 나타낸다. 적응 면역계의 이러한 모든 속성들의 성공적인 활용은 면역요법을 모든 암 치료 양식들 중 고유한 것으로 만들 것이다. 그러나, 암에 대한 내인성 면역 반응이 전임상 모델 및 환자에서 관찰되기는 하지만, 이러한 반응은 효과적이지 못하며, 확립된 암은 "자기"로서 간주되고, 면역계에 의해 관용된다. 이러한 관용 상태에 기여하여, 종양은 항종양 면역을 적극적으로 파괴하기 위해 몇 가지 별개의 메카니즘을 이용할 수 있다. 이들 메카니즘은 기능장애성 T-세포 신호전달 (문헌 [Mizoguchi et al., (1992) Science 258:1795-98]), 억제성 조절 세포 (문헌 [Facciabene et al., (2012) Cancer Res. 72:2162-71]), 및 면역 파괴를 피하기 위해 종양에 의한 부수적 손상으로부터 정상 조직을 보호하고 적응 면역 반응의 강도를 하향 조정하는 역할을 하는 내인성 "면역 체크포인트"의 공동-선택 (문헌 [Topalian et al., (2012) Curr. Opin. Immunol. 24:1-6; Mellman et al. (2011) Nature 480:480-489])을 포함한다.
디아실글리세롤 키나제 (DGK)는 디아실글리세롤의 포스파티드산으로의 전환을 매개하여 TCR 신호전달 경로를 통해 전파되는 T 세포 기능을 종결시키는 지질 키나제이다. 따라서, DGK는 세포내 체크포인트로서의 역할을 하고, DGK의 억제는 T 세포 신호전달 경로 및 T 세포 활성화를 증진시킬 것으로 예상된다. 지지 증거는 과반응성 T 세포 표현형 및 개선된 항종양 면역 활성을 나타내는 DGKα 또는 DGKζ의 녹아웃 마우스 모델을 포함한다 (문헌 [Riese M.J. et al., Journal of Biological Chemistry, (2011) 7: 5254-5265; Zha Y et al., Nature Immunology, (2006) 12:1343; Olenchock B.A. et al., (2006) 11: 1174-81]). 또한, 인간 신세포 암종 환자로부터 단리된 종양 침윤 림프구는 DGKα를 과다발현하는 것으로 관찰되었고, 이는 T 세포 기능을 억제하였다 (문헌 [Prinz, P.U. et al., J Immunology (2012) 12:5990-6000]). 따라서, DGKα 및 DGKζ는 암 면역요법을 위한 표적으로 여겨진다 (문헌 [Riese M.J. et al., Front Cell Dev Biol. (2016) 4: 108; Chen, S.S. et al., Front Cell Dev Biol. (2016) 4: 130; Avila-Flores, A. et al., Immunology and Cell Biology (2017) 95: 549-563; Noessner, E., Front Cell Dev Biol. (2017) 5: 16; Krishna, S., et al., Front Immunology (2013) 4:178; Jing, W. et al., Cancer Research (2017) 77: 5676-5686]).
대상체에게 DGKα, DGKζ, 또는 DGKα 및 DGKζ 둘 다의 억제제, 예컨대 화학식 (I) 또는 (II)의 화합물, 예컨대 화합물 1 내지 34로부터 선택되는 화합물 또는 그의 제약상 허용되는 염을 PD1/PD-L1 축의 길항제 및/또는 CTLA4의 길항제와 조합하여 투여하는 것을 포함하는, 질환 또는 장애를 치료하는 방법이 본원에 제공된다. 예시적인 질환 또는 장애는 면역계의 자극으로부터 이익을 얻을 것, 예컨대 암 및 감염성 질환을 포함한다. 또한, 질환 또는 장애, 예컨대 면역계의 자극으로부터 이익을 얻을 것, 예컨대 암 및 감염성 질환의 치료를 위한 의약의 제조를 위한 DGKα, DGKζ, 또는 DGKα 및 DGKζ 둘 다의 억제제, 예컨대 화학식 (I) 또는 (II)의 화합물, 예컨대 화합물 1 내지 34로부터 선택되는 화합물 또는 그의 제약상 허용되는 염의 용도이며, 여기서 억제제는 PD1/PD-L1 축의 길항제 및/또는 CTLA4의 길항제와 조합하여 투여되는 것인 용도가 제공된다. 질환 또는 장애, 예컨대 면역계의 자극으로부터 이익을 얻을 것, 예컨대 암 및 감염성 질환의 치료를 위한 의약의 제조를 위한 DGKα, DGKζ, 또는 DGKα 및 DGKζ 둘 다의 억제제, 예컨대 화학식 (I) 또는 (II)의 화합물, 예컨대 화합물 1 내지 34로부터 선택되는 화합물 또는 그의 제약상 허용되는 염의 용도이며, 여기서 억제제는 PD1/PD-L1 축의 길항제 및 CTLA4의 길항제와 조합하여 투여되는 것인 용도가 본원에 제공된다.
또한, 질환 또는 장애, 예컨대 면역계의 자극으로부터 이익을 얻을 것, 예컨대 암 및 감염성 질환의 치료를 위한 의약의 제조를 위한 PD1/PD-L1 축의 길항제의 용도이며, 여기서 길항제는 DGKα, DGKζ, 또는 DGKα 및 DGKζ 둘 다의 억제제, 예컨대 화학식 (I) 또는 (II)의 화합물, 예컨대 화합물 1 내지 34로부터 선택되는 화합물 또는 그의 제약상 허용되는 염 및/또는 CTLA4의 길항제와 조합하여 투여되는 것인 용도가 제공된다. 질환 또는 장애, 예컨대 면역계의 자극으로부터 이익을 얻을 것, 예컨대 암 및 감염성 질환의 치료를 위한 의약의 제조를 위한 PD1/PD-L1 축의 길항제의 용도이며, 여기서 길항제는 DGKα, DGKζ, 또는 DGKα 및 DGKζ 둘 다의 억제제, 예컨대 화학식 (I) 또는 (II)의 화합물, 예컨대 화합물 1 내지 34로부터 선택되는 화합물 또는 그의 제약상 허용되는 염 및 CTLA4의 길항제와 조합하여 투여되는 것인 용도가 제공된다.
또한, 질환 또는 장애, 예컨대 면역계의 자극으로부터 이익을 얻을 것, 예컨대 암 및 감염성 질환의 치료를 위한 의약의 제조를 위한 CTLA4의 길항제의 용도이며, 여기서 길항제는 DGKα, DGKζ, 또는 DGKα 및 DGKζ 둘 다의 억제제, 예컨대 화학식 (I) 또는 (II)의 화합물, 예컨대 화합물 1 내지 34로부터 선택되는 화합물 또는 그의 제약상 허용되는 염 및/또는 PD1/PD-L1 축의 길항제와 조합하여 투여되는 것인 용도가 제공된다. 질환 또는 장애, 예컨대 면역계의 자극으로부터 이익을 얻을 것, 예컨대 암 및 감염성 질환의 치료를 위한 의약의 제조를 위한 CTLA4의 길항제의 용도이며, 여기서 길항제는 DGKα, DGKζ, 또는 DGKα 및 DGKζ 둘 다의 억제제, 예컨대 화학식 (I) 또는 (II)의 화합물, 예컨대 화합물 1 내지 34로부터 선택되는 화합물 또는 그의 제약상 허용되는 염 및 PD1/PD-L1 축의 길항제와 조합하여 투여되는 것인 용도가 제공된다.
예시적인 화합물, 예컨대 본원에 기재된 화학식 I의 화합물 및 그의 제약상 허용되는 염은 2019년 6월 26일에 출원된 PCT/US2019/039131 및 2019년 6월 26일에 출원된 PCT/US2019/039135에 기재되어 있으며, 이들 둘 다의 내용은 구체적으로 본원에 참조로 포함된다. 예시적인 화합물, 예컨대 본원에 기재된 화학식 II의 화합물 및 그의 제약상 허용되는 염은 2020년 8월 27일에 출원된 PCT/US2020/048070에 기재되어 있으며, 그의 내용은 구체적으로 본원에 참조로 포함된다.
신규 치료 방법의 이들 및 다른 특색은 개시내용이 계속됨에 따라 확장된 형태로 제시될 것이다.
도 1A 및 B는 니볼루맙 또는 이필리무맙의 부재 하의 동일한 검정에 비해 MLR 검정에서 증가하는 농도의 DGKi 및 니볼루맙 (A) 또는 이필리무맙 (B)과 함께 인큐베이션된 T 세포로부터의 증진된 IFN-γ 분비를 도시한다.
도 2A-H는 DGKi와 항-PD-1 항체 및 항-CTLA4 항체의 삼중 조합이 단지 항-PD-1 항체 및 항-CTLA4 항체로만 처리된 마우스에서의 것에 비해 종양 성장을 느리게 한다는 것을 보여준다. 도 2A-H는 마우스에 마우스 B16 흑색종 세포를 이식하고, 비히클 단독 (도 2A), 항-PD-1 항체 단독 (도 2B), 항-PD-1 항체 및 항-CTLA4 항체 (도 2C), DGKi 및 항-PD-1 항체 (도 2D), DGKi 및 항-CTLA4 항체 (도 2E), DGKi 단독 (도 2F), DGKi 및 항-PD-1 항체 및 항-CTLA4 항체 (도 2G)로 처리한 후 시간 경과에 따른 종양 크기를 도시한다. 도 2H는 (i) 항-PD-1 항체 및 항-CTLA4 항체, (ii) DGKi 및 항-PD1 항체, (iii) DGKi 및 CTLA4 항체 및 (iv) DGKi 및 항-PD1 항체 및 항-CTLA4 항체로 처리된 마우스에서 B16 세포의 이식 후 평균 종양 크기를 도시한다.
도 3A-I는 CT26 마우스 모델에서 DGK의 억제제 및 항-PD-1 항체 및/또는 항-CTLA4 항체로의 조합 치료가 개선된 완전 반응을 유발하고 (도 3A), 증가된 수준의 반응이 증가된 AH1+ CD8 T 세포와 상관관계가 있다는 것 (도 3B)을 도시한다.
도 4A-F는 DGK의 억제가 TCR 활성화에 요구되는 항원 역치를 낮춘다는 것을 보여준다. 도 4A-F는 펩티드 OVA (A), A2 (B), Q4 (C), T4 (D) 및 Q4H7 (E) 중 하나를 제공하고 증가하는 수준의 항원과 함께 인큐베이션된 OT1 CD8 T 세포로부터 분비된 IL-2의 수준을 도시하며, 이는 DGK 억제가 T 세포 활성화에 요구되는 종양 항원의 농도를 낮출 것임을 나타낸다. 도 4F는 도 4A-E에 도시된 각각의 펩티드의 1000 ng/ml에서 분비된 IL-2의 수준, 및 또한 스크램블된 펩티드로 수득된 수준을 도시하며, 이는 DGK 억제가 약한 종양 항원에 의해 유도된 T 세포 반응을 강화시킬 것임을 도시한다.
도 5A 및 B는 DGK의 억제가 인간 CTL 이펙터 기능을 증가시키고 종양 세포 사멸을 증진시킨다는 것을 보여준다. 도 5A는 증가하는 농도의 DGKi의 존재 하에 펩티드와 함께 인큐베이션된 T 세포로부터의 IFN-γ 분비 수준을 도시한다. 도 5B는 종양 세포를 증가된 동족 펩티드와 함께 인큐베이션하였을 때 제3일에서의 증가된 종양 세포 사멸을 도시한다.
도 6A 및 B는 DGKi가 감소된 B2M 수준을 극복하여 T 세포 이펙터 기능을 회복시킬 수 있음을 나타낸다. 도 6A는 HCT116 세포에서 B2M의 CRISPR KO에서의 β2 마이크로글로불린의 수준을 도시한다. 도 6B는 DGKi가 IFN-γ 수준을 증가시킨다는 것을 보여준다.
도 7은 CD8 고갈성 항체의 존재 또는 부재 하에 DGKi 화합물 16 및 항-PD-1 항체로 처리된 마우스에서 CT26 동물 모델의 종양 세포의 이식 후 일수의 함수로서의 종양 부피를 도시하며, 이는 CD8 고갈성 항체의 존재가 종양 감소를 감소시킨다는 것을 나타낸다.
도 8은 CD4 고갈성 항체의 존재 또는 부재 하에 DGKi 화합물 16 및 항-PD-1 항체로 처리된 마우스에서 CT26 동물 모델의 종양 세포의 이식 후 일수의 함수로서의 종양 부피를 도시하며, 이는 CD4 고갈성 항체의 존재가 종양 감소를 자극한다는 것을 나타낸다.
도 9는 NK 세포 고갈성 항체의 존재 또는 부재 하에 DGKi 화합물 16 및 항-PD-1 항체로 처리된 마우스에서 CT26 동물 모델의 종양 세포의 이식 후 일수의 함수로서의 종양 부피를 도시하며, 이는 NK 세포 고갈성 항체의 존재가 종양 감소를 감소시킨다는 것을 나타낸다.
도 10은 DGKi와 항-PD-1 또는 항-CTLA4의 조합이 MC38 종양 모델에서 완전 종양 퇴행 (CR)을 도출할 수 있음을 도시한다. 비히클 단독 (도 10A), DGKi (도 10B), 항-PD-1 (도 10C), 항-CTLA4 (도 10D), DGKi 및 항-PD-1 (도 10E) 또는 DGKi 및 항-CTLA4 (도 10F)로 처리 후에 개별 동물에 대한 종양 부피가 제시된다. DGKi, 항-PD-1 및 항-CTLA4 단독요법은 각각 종양 성장을 지연시킬 수 있다. DGKi 및 항-PD-1의 조합은 시험된 동물의 100%에서 종양의 CR을 도출한 반면에, DGKi 및 항-CTLA4의 조합은 시험된 마우스의 70%에서 CR을 도출하였다.
도 11은 항-PD-1 요법에 대한 DGKi의 첨가가 MC38 및 CT26 동물 모델 둘 다에서 종양의 완전 퇴행 (CR)을 도출할 수 있고, 이들 군으로부터 치유된 동물은 종양 재-챌린지를 거부하기에 충분한 면역 기억을 발생시킨다는 것을 보여준다. 비히클 단독 (도 11A & 11E), 항-PD-1 (도 11B & 11F) 또는 항-PD-1 및 DGKi (도 11C & 11G)로 처리 후에 개별 동물에 대한 종양 부피가 제시된다. DGKi는 각각 MC38 및 CT26 모델에서 종양의 100% 및 60% CR을 유발하는 항-PD-1과의 강건한 조합 효과를 도출한다. 치유된 동물에서의 면역 기억을 평가하기 위해, 마우스를 초기 이식에 사용된 종양 세포의 수의 10x로 재-챌린지하고, 종양 부피를 이식 후 일수의 함수로서 측정하였다. MC38 코호트 (도 11D) 및 CT26 코호트 (도 11H)에서 모든 재-챌린지된 동물은 자발적으로 종양을 거부하였으며, 이는 DGKi 및 항-PD-1 조합 요법이 장기간 면역 기억을 도출한다는 것을 확증한다.
도 12는 항-PD-1, 항-CTLA4 및 DGKi 삼중 요법이 체크포인트 억제제 불응성 B16F10 종양 모델에서 종양 성장을 감소시킬 수 있다는 것을 보여준다. 비히클 단독 (도 12A), 항-PD-1 및 항-CTLA4 (도 12B), 항-PD-1 및 DGKi (도 12C), 항-CTLA4 및 DGKi (도 12D) 또는 항-PD-1, 항-CTLA4 및 DGKi (도 12E)로 처리 후에 개별 동물에 대한 종양 부피가 제시된다. 각 군에 대한 평균 종양 부피를 도 12F에 제시한다.
도 2A-H는 DGKi와 항-PD-1 항체 및 항-CTLA4 항체의 삼중 조합이 단지 항-PD-1 항체 및 항-CTLA4 항체로만 처리된 마우스에서의 것에 비해 종양 성장을 느리게 한다는 것을 보여준다. 도 2A-H는 마우스에 마우스 B16 흑색종 세포를 이식하고, 비히클 단독 (도 2A), 항-PD-1 항체 단독 (도 2B), 항-PD-1 항체 및 항-CTLA4 항체 (도 2C), DGKi 및 항-PD-1 항체 (도 2D), DGKi 및 항-CTLA4 항체 (도 2E), DGKi 단독 (도 2F), DGKi 및 항-PD-1 항체 및 항-CTLA4 항체 (도 2G)로 처리한 후 시간 경과에 따른 종양 크기를 도시한다. 도 2H는 (i) 항-PD-1 항체 및 항-CTLA4 항체, (ii) DGKi 및 항-PD1 항체, (iii) DGKi 및 CTLA4 항체 및 (iv) DGKi 및 항-PD1 항체 및 항-CTLA4 항체로 처리된 마우스에서 B16 세포의 이식 후 평균 종양 크기를 도시한다.
도 3A-I는 CT26 마우스 모델에서 DGK의 억제제 및 항-PD-1 항체 및/또는 항-CTLA4 항체로의 조합 치료가 개선된 완전 반응을 유발하고 (도 3A), 증가된 수준의 반응이 증가된 AH1+ CD8 T 세포와 상관관계가 있다는 것 (도 3B)을 도시한다.
도 4A-F는 DGK의 억제가 TCR 활성화에 요구되는 항원 역치를 낮춘다는 것을 보여준다. 도 4A-F는 펩티드 OVA (A), A2 (B), Q4 (C), T4 (D) 및 Q4H7 (E) 중 하나를 제공하고 증가하는 수준의 항원과 함께 인큐베이션된 OT1 CD8 T 세포로부터 분비된 IL-2의 수준을 도시하며, 이는 DGK 억제가 T 세포 활성화에 요구되는 종양 항원의 농도를 낮출 것임을 나타낸다. 도 4F는 도 4A-E에 도시된 각각의 펩티드의 1000 ng/ml에서 분비된 IL-2의 수준, 및 또한 스크램블된 펩티드로 수득된 수준을 도시하며, 이는 DGK 억제가 약한 종양 항원에 의해 유도된 T 세포 반응을 강화시킬 것임을 도시한다.
도 5A 및 B는 DGK의 억제가 인간 CTL 이펙터 기능을 증가시키고 종양 세포 사멸을 증진시킨다는 것을 보여준다. 도 5A는 증가하는 농도의 DGKi의 존재 하에 펩티드와 함께 인큐베이션된 T 세포로부터의 IFN-γ 분비 수준을 도시한다. 도 5B는 종양 세포를 증가된 동족 펩티드와 함께 인큐베이션하였을 때 제3일에서의 증가된 종양 세포 사멸을 도시한다.
도 6A 및 B는 DGKi가 감소된 B2M 수준을 극복하여 T 세포 이펙터 기능을 회복시킬 수 있음을 나타낸다. 도 6A는 HCT116 세포에서 B2M의 CRISPR KO에서의 β2 마이크로글로불린의 수준을 도시한다. 도 6B는 DGKi가 IFN-γ 수준을 증가시킨다는 것을 보여준다.
도 7은 CD8 고갈성 항체의 존재 또는 부재 하에 DGKi 화합물 16 및 항-PD-1 항체로 처리된 마우스에서 CT26 동물 모델의 종양 세포의 이식 후 일수의 함수로서의 종양 부피를 도시하며, 이는 CD8 고갈성 항체의 존재가 종양 감소를 감소시킨다는 것을 나타낸다.
도 8은 CD4 고갈성 항체의 존재 또는 부재 하에 DGKi 화합물 16 및 항-PD-1 항체로 처리된 마우스에서 CT26 동물 모델의 종양 세포의 이식 후 일수의 함수로서의 종양 부피를 도시하며, 이는 CD4 고갈성 항체의 존재가 종양 감소를 자극한다는 것을 나타낸다.
도 9는 NK 세포 고갈성 항체의 존재 또는 부재 하에 DGKi 화합물 16 및 항-PD-1 항체로 처리된 마우스에서 CT26 동물 모델의 종양 세포의 이식 후 일수의 함수로서의 종양 부피를 도시하며, 이는 NK 세포 고갈성 항체의 존재가 종양 감소를 감소시킨다는 것을 나타낸다.
도 10은 DGKi와 항-PD-1 또는 항-CTLA4의 조합이 MC38 종양 모델에서 완전 종양 퇴행 (CR)을 도출할 수 있음을 도시한다. 비히클 단독 (도 10A), DGKi (도 10B), 항-PD-1 (도 10C), 항-CTLA4 (도 10D), DGKi 및 항-PD-1 (도 10E) 또는 DGKi 및 항-CTLA4 (도 10F)로 처리 후에 개별 동물에 대한 종양 부피가 제시된다. DGKi, 항-PD-1 및 항-CTLA4 단독요법은 각각 종양 성장을 지연시킬 수 있다. DGKi 및 항-PD-1의 조합은 시험된 동물의 100%에서 종양의 CR을 도출한 반면에, DGKi 및 항-CTLA4의 조합은 시험된 마우스의 70%에서 CR을 도출하였다.
도 11은 항-PD-1 요법에 대한 DGKi의 첨가가 MC38 및 CT26 동물 모델 둘 다에서 종양의 완전 퇴행 (CR)을 도출할 수 있고, 이들 군으로부터 치유된 동물은 종양 재-챌린지를 거부하기에 충분한 면역 기억을 발생시킨다는 것을 보여준다. 비히클 단독 (도 11A & 11E), 항-PD-1 (도 11B & 11F) 또는 항-PD-1 및 DGKi (도 11C & 11G)로 처리 후에 개별 동물에 대한 종양 부피가 제시된다. DGKi는 각각 MC38 및 CT26 모델에서 종양의 100% 및 60% CR을 유발하는 항-PD-1과의 강건한 조합 효과를 도출한다. 치유된 동물에서의 면역 기억을 평가하기 위해, 마우스를 초기 이식에 사용된 종양 세포의 수의 10x로 재-챌린지하고, 종양 부피를 이식 후 일수의 함수로서 측정하였다. MC38 코호트 (도 11D) 및 CT26 코호트 (도 11H)에서 모든 재-챌린지된 동물은 자발적으로 종양을 거부하였으며, 이는 DGKi 및 항-PD-1 조합 요법이 장기간 면역 기억을 도출한다는 것을 확증한다.
도 12는 항-PD-1, 항-CTLA4 및 DGKi 삼중 요법이 체크포인트 억제제 불응성 B16F10 종양 모델에서 종양 성장을 감소시킬 수 있다는 것을 보여준다. 비히클 단독 (도 12A), 항-PD-1 및 항-CTLA4 (도 12B), 항-PD-1 및 DGKi (도 12C), 항-CTLA4 및 DGKi (도 12D) 또는 항-PD-1, 항-CTLA4 및 DGKi (도 12E)로 처리 후에 개별 동물에 대한 종양 부피가 제시된다. 각 군에 대한 평균 종양 부피를 도 12F에 제시한다.
증식성 질환, 예컨대 암, 또는 바이러스 감염, 또는 보다 일반적으로, 면역계의 자극으로부터 이익을 얻는 질환, 장애 또는 상태, 뿐만 아니라 DGKα 및/또는 DGKζ 효소 활성을 억제함으로써 예방, 개선 또는 치유될 수 있는 임의의 질환, 장애 또는 상태의 치료를 필요로 하는 대상체에게 치료 유효량의 DGKα 및/또는 DGKζ의 억제제 또는 그의 제약상 허용되는 염, 및 (i) PD1/PD-L1 축의 길항제 (예를 들어, 인간 PD1 또는 인간 PD-L1의 길항제) 및/또는 (ii) 인간 CTLA4의 길항제를 투여하는 것을 포함하는, 상기 질환을 치료하는 방법이 본원에 제공된다.
정의
치료 방법의 특색 및 이점은 하기 상세한 설명을 읽음으로써 관련 기술분야의 통상의 기술자에 의해 보다 용이하게 이해될 수 있다. 명확성을 위해 개별 실시양태와 관련하여 상기 및 하기에 기재된 치료 방법의 특정 특색이 또한 조합되어 단일 실시양태를 형성할 수 있는 것으로 인지되어야 한다. 반대로, 간결성을 위해 단일 실시양태와 관련하여 기재된 치료 방법의 다양한 특색이 또한 조합되어 그의 하위-조합을 형성할 수 있다. 본원에서 예시적이거나 바람직한 것으로 확인된 실시양태는 예시적인 것으로 의도되며, 제한하는 것으로 의도되지 않는다.
본원에서 달리 구체적으로 언급되지 않는 한, 단수로 이루어진 언급은 또한 복수를 포함할 수 있다. 예를 들어, 단수형은 하나 또는 하나 이상을 지칭할 수 있다.
본원에 사용된 어구 "화합물 및/또는 그의 제약상 허용되는 염"은 적어도 1종의 화합물, 화합물의 적어도 1종의 염 또는 그의 조합을 지칭한다. 예를 들어, 화학식 (I)의 화합물 및/또는 그의 제약상 허용되는 염은 화학식 (I)의 화합물; 화학식 (I)의 2종의 화합물; 화학식 (I)의 화합물의 제약상 허용되는 염; 화학식 (I)의 화합물 및 화학식 (I)의 화합물의 1종 이상의 제약상 허용되는 염; 및 화학식 (I)의 화합물의 2종 이상의 제약상 허용되는 염을 포함한다.
달리 나타내지 않는 한, 충족되지 않은 원자가를 갖는 임의의 원자는 원자가를 충족시키기에 충분한 수소 원자를 갖는 것으로 가정된다.
본원에 기재된 정의는 본원에 참조로 포함된 임의의 특허, 특허 출원 및/또는 특허 출원 공개에 기재된 정의보다 우선한다.
본원에 사용된 다양한 용어의 정의가 하기 열거된다. 이들 정의는 개별적으로 또는 보다 큰 군의 일부로서 (구체적인 경우에 달리 제한되지 않는 한) 명세서 전반에 걸쳐 사용된 경우의 용어에 적용된다.
명세서 전반에 걸쳐, 기 및 그의 치환기는 안정한 모이어티 및 화합물을 제공하도록 관련 기술분야의 통상의 기술자에 의해 선택될 수 있다.
본원에 사용된 용어 "할로" 및 "할로겐"은 F, Cl, Br 및 I를 지칭한다.
용어 "시아노"는 -CN 기를 지칭한다.
용어 "아미노"는 -NH2 기를 지칭한다.
용어 "옥소"는 =O 기를 지칭한다.
본원에 사용된 용어 "알킬"은, 예를 들어 1 내지 12개의 탄소 원자, 1 내지 6개의 탄소 원자 및 1 내지 4개의 탄소 원자를 함유하는 분지쇄 및 직쇄 포화 지방족 탄화수소 기 둘 다를 지칭한다. 알킬 기의 예는 메틸 (Me), 에틸 (Et), 프로필 (예를 들어, n-프로필 및 i-프로필), 부틸 (예를 들어, n-부틸, i-부틸, sec-부틸 및 t-부틸) 및 펜틸 (예를 들어, n-펜틸, 이소펜틸, 네오펜틸), n-헥실, 2-메틸펜틸, 2-에틸부틸, 3-메틸펜틸 및 4-메틸펜틸을 포함하나 이에 제한되지는 않는다. 숫자가 기호 "C" 다음에 아래첨자로 나타나는 경우, 아래첨자는 특정한 기가 함유할 수 있는 탄소 원자의 수를 보다 구체적으로 정의한다. 예를 들어, "C1-4 알킬"은 1 내지 4개의 탄소 원자를 갖는 직쇄 및 분지쇄 알킬 기를 나타낸다.
본원에 사용된 용어 "플루오로알킬"은 1개 이상의 플루오린 원자로 치환된 분지쇄 및 직쇄 포화 지방족 탄화수소 기 둘 다를 포함하는 것으로 의도된다. 예를 들어, "C1-4 플루오로알킬"은 1개 이상의 플루오린 원자로 치환된 C1, C2, C3, 및 C4 알킬 기를 포함하는 것으로 의도된다. 플루오로알킬 기의 대표적인 예는 -CF3 및 -CH2CF3을 포함하나 이에 제한되지는 않는다.
용어 "시아노알킬"은 1개 이상의 시아노 기로 치환된 분지쇄 및 직쇄 포화 알킬 기 둘 다를 포함한다. 예를 들어, "시아노알킬"은 -CH2CN, -CH2CH2CN, 및 C1-4 시아노알킬을 포함한다.
용어 "아미노알킬"은 1개 이상의 아민 기로 치환된 분지쇄 및 직쇄 포화 알킬 기 둘 다를 포함한다. 예를 들어, "아미노알킬"은 -CH2NH2, -CH2CH2NH2, 및 C1-4 아미노알킬을 포함한다.
용어 "히드록시알킬"은 1개 이상의 히드록실 기로 치환된 분지쇄 및 직쇄 포화 알킬 기 둘 다를 포함한다. 예를 들어, "히드록시알킬"은 -CH2OH, -CH2CH2OH, 및 C1-4 히드록시알킬을 포함한다.
용어 "알케닐"은 2 내지 12개의 탄소 원자 및 1개 이상의 탄소-탄소 이중 결합을 함유하는 직쇄 또는 분지쇄 탄화수소 라디칼을 지칭한다. 예시적인 이러한 기는 에테닐 또는 알릴을 포함한다. 예를 들어, "C2-6 알케닐"은 2 내지 6개의 탄소 원자를 갖는 직쇄 및 분지쇄 알케닐 기를 나타낸다.
용어 "알키닐"은 2 내지 12개의 탄소 원자 및 적어도 1개의 탄소 대 탄소 삼중 결합을 함유하는 직쇄 또는 분지쇄 탄화수소 라디칼을 지칭한다. 예시적인 이러한 기는 에티닐을 포함한다. 예를 들어, "C2-6 알키닐"은 2 내지 6개의 탄소 원자를 갖는 직쇄 및 분지쇄 알키닐 기를 나타낸다.
본원에 사용된 용어 "시클로알킬"은 포화 고리 탄소 원자로부터 1개의 수소 원자의 제거에 의해 비-방향족 모노시클릭 또는 폴리시클릭 탄화수소 분자로부터 유도된 기를 지칭한다. 시클로알킬 기의 대표적인 예는 시클로프로필, 시클로펜틸 및 시클로헥실을 포함하나 이에 제한되지는 않는다. 숫자가 기호 "C" 뒤 다음에 아래첨자로 나타나는 경우, 아래첨자는 특정한 시클로알킬 기가 함유할 수 있는 탄소 원자의 수를 보다 구체적으로 정의한다. 예를 들어, "C3-6 시클로알킬"은 3 내지 6개의 탄소 원자를 갖는 시클로알킬 기를 나타낸다.
본원에 사용된 용어 "알콕시"는 산소 원자를 통해 모 분자 모이어티에 부착된 알킬 기, 예를 들어 메톡시 기 (-OCH3)를 지칭한다. 예를 들어, "C1-3 알콕시"는 1 내지 3개의 탄소 원자를 갖는 알콕시 기를 나타낸다.
용어 "플루오로알콕시" 및 "-O(플루오로알킬)"은 산소 연결기 (-O-)를 통해 부착된 상기 정의된 바와 같은 플루오로알킬 기를 나타낸다. 예를 들어, "C1-4 플루오로알콕시"는 C1, C2, C3, 및 C4 플루오로알콕시 기를 포함하는 것으로 의도된다.
용어 "알킬렌"은 코어 또는 백본 구조에 대해 2개의 부착 지점을 갖는 포화 탄소 쇄를 지칭한다. 알킬렌 기는 구조 -(CH2)n-을 가지며, 여기서 n은 1이상의 정수이다. 알킬렌 연결의 예는 -CH2CH2-, -CH2CH2CH2-, 및 -(CH2)2-4-를 포함한다.
어구 "제약상 허용되는"은 타당한 의학적 판단의 범주 내에서, 합리적인 이익/위험 비에 상응하는, 과도한 독성, 자극, 알레르기 반응, 또는 다른 문제 또는 합병증 없이 인간 및 동물의 조직과 접촉하여 사용하기에 적합한 화합물, 물질, 조성물 및/또는 투여 형태를 지칭하기 위해 본원에 사용된다.
화합물, 예를 들어 화학식 (I)의 화합물은 본원에 기재된 방법에 사용될 수 있는 제약상 허용되는 염을 형성할 수 있다. 달리 나타내지 않는 한, 화합물에 대한 언급은 그의 1종 이상의 제약상 허용되는 염에 대한 언급을 포함하는 것으로 이해된다. 용어 "염(들)"은 무기 및/또는 유기 산 및 염기를 사용하여 형성된 산성 및/또는 염기성 제약상 허용되는 염을 나타낸다. 또한, 용어 "염(들)"은, 예를 들어 화학식 (I)의 화합물이 염기성 모이어티, 예컨대 아민 또는 피리딘 또는 이미다졸 고리, 및 산성 모이어티, 예컨대 카르복실산 둘 다를 함유하는 경우에 쯔비터이온 (내부 염)을 포함할 수 있다. 제약상 허용되는 (즉, 비-독성, 생리학상 허용되는) 염, 예컨대 예를 들어 양이온이 염의 독성 또는 생물학적 활성에 유의하게 기여하지 않는 것인 허용되는 금속 및 아민 염이 바람직하다. 그러나, 다른 염이, 예를 들어 제조 동안 사용될 수 있는 단리 또는 정제 단계에서 유용할 수 있고, 따라서 본원에서 고려된다. 화합물, 예를 들어 화학식 (I)의 화합물의 염은, 예를 들어 화합물, 예를 들어 화학식 (I)의 화합물을 염이 침전되는 것과 같은 매질 또는 수성 매질 중에서 소정량, 예컨대 등량의 산 또는 염기와 반응시킨 후 동결건조시킴으로써 형성될 수 있다.
예시적인 산 부가염은 아세테이트 (예컨대, 아세트산 또는 트리할로아세트산, 예를 들어 트리플루오로아세트산에 의해 형성된 것들), 아디페이트, 알기네이트, 아스코르베이트, 아스파르테이트, 벤조에이트, 벤젠술포네이트, 비술페이트, 보레이트, 부티레이트, 시트레이트, 캄포레이트, 캄포르술포네이트, 시클로펜탄프로피오네이트, 디글루코네이트, 도데실술페이트, 에탄술포네이트, 푸마레이트, 글루코헵타노에이트, 글리세로포스페이트, 헤미술페이트, 헵타노에이트, 헥사노에이트, 히드로클로라이드 (염산에 의해 형성됨), 히드로브로마이드 (브로민화수소에 의해 형성됨), 히드로아이오다이드, 말레에이트 (말레산에 의해 형성됨), 2-히드록시에탄술포네이트, 락테이트, 메탄술포네이트 (메탄술폰산에 의해 형성됨), 2-나프탈렌술포네이트, 니코티네이트, 니트레이트, 옥살레이트, 펙티네이트, 퍼술페이트, 3-페닐프로피오네이트, 포스페이트, 피크레이트, 피발레이트, 프로피오네이트, 살리실레이트, 숙시네이트, 술페이트 (예컨대, 황산에 의해 형성된 것들), 술포네이트 (예컨대, 본원에 언급된 것들), 타르트레이트, 티오시아네이트, 톨루엔술포네이트, 예컨대 토실레이트, 운데카노에이트 등을 포함한다.
예시적인 염기성 염은 암모늄 염, 알칼리 금속 염, 예컨대 나트륨, 리튬 및 칼륨 염; 알칼리 토금속 염, 예컨대 칼슘 및 마그네슘 염; 바륨, 아연 및 알루미늄 염; 유기 염기 (예를 들어, 유기 아민), 예컨대 트리알킬아민, 예컨대 트리에틸아민, 프로카인, 디벤질아민, N-벤질-β-페네틸아민, 1-에페나민, N,N'-디벤질에틸렌-디아민, 데히드로아비에틸아민, N-에틸피페리딘, 벤질아민, 디시클로헥실아민 또는 유사한 제약상 허용되는 아민과의 염, 및 아미노산, 예컨대 아르기닌, 리신과의 염 등을 포함한다. 염기성 질소-함유 기는 저급 알킬 할라이드 (예를 들어, 메틸, 에틸, 프로필 및 부틸 클로라이드, 브로마이드 및 아이오다이드), 디알킬 술페이트 (예를 들어, 디메틸, 디에틸, 디부틸 및 디아밀 술페이트), 장쇄 할라이드 (예를 들어, 데실, 라우릴, 미리스틸 및 스테아릴 클로라이드, 브로마이드 및 아이오다이드), 아르알킬 할라이드 (예를 들어, 벤질 및 페네틸 브로마이드) 등과 같은 작용제로 4급화될 수 있다. 바람직한 염은 모노히드로클로라이드, 히드로겐술페이트, 메탄술포네이트, 포스페이트 또는 니트레이트 염을 포함한다.
화합물, 예를 들어 화학식 (I)의 화합물은 무정형 고체 또는 결정질 고체로서 제공될 수 있다. 동결건조를 이용하여 화합물, 예를 들어 화학식 (I)의 화합물을 고체로서 제공할 수 있다.
추가로, 화합물, 예를 들어 화학식 (I)의 화합물의 용매화물 (예를 들어, 수화물)이 또한 본원에 기재된 방법에 사용될 수 있는 것으로 이해되어야 한다. 용어 "용매화물"은 화합물, 예를 들어 화학식 (I)의 화합물과, 유기이든 무기이든 1개 이상의 용매 분자의 물리적 회합을 의미한다. 이러한 물리적 회합은 수소 결합을 포함한다. 특정 경우, 예를 들어 1개 이상의 용매 분자가 결정질 고체의 결정 격자에 혼입되는 경우, 용매화물은 단리될 수 있을 것이다. "용매화물"은 용액-상 및 단리가능한 용매화물 둘 다를 포괄한다. 예시적인 용매화물은 수화물, 에탄올레이트, 메탄올레이트, 이소프로판올레이트, 아세토니트릴 용매화물 및 에틸 아세테이트 용매화물을 포함한다. 용매화 방법은 관련 기술분야에 공지되어 있다.
다양한 형태의 전구약물이 관련 기술분야에 널리 공지되어 있고, 하기에 기재되어 있다:
a) The Practice of Medicinal Chemistry, Camille G. Wermuth et al., Ch 31, (Academic Press, 1996);
b) Design of Prodrugs, edited by H. Bundgaard, (Elsevier, 1985);
c) A Textbook of Drug Design and Development, P. Krogsgaard-Larson and H. Bundgaard, eds. Ch 5, pgs 113 - 191 (Harwood Academic Publishers, 1991); 및
d) Hydrolysis in Drug and Prodrug Metabolism, Bernard Testa and Joachim M. Mayer, (Wiley-VCH, 2003).
또한, 화합물, 예를 들어 화학식 (I)의 화합물을 그의 제조에 후속하여 단리 및 정제하여 99 중량% 이상의 양의 화합물, 예를 들어 화학식 (I)의 화합물 ("실질적으로 순수한")을 함유하는 조성물을 수득할 수 있고, 이는 이어서 본원에 기재된 바와 같이 사용되거나 제제화된다. 이러한 "실질적으로 순수한" 화합물, 예를 들어 화학식 (I)의 화합물이 또한 본원에서 고려된다.
"안정한 화합물" 및 "안정한 구조"는 화합물이 반응 혼합물로부터 유용한 정도의 순도로의 단리 및 효과적인 치료제로의 제제화를 견디기에 충분히 강건한 화합물을 나타내는 것으로 의도된다. 본원에 사용하기 위한 화합물은 안정한 화합물을 구현하도록 의도된다.
본원에 기재된 화합물은 본 발명의 화합물에서 발생하는 원자의 모든 동위원소를 포함하는 것으로 의도된다. 동위원소는 동일한 원자 번호를 갖지만 상이한 질량수를 갖는 원자를 포함한다. 일반적 예로서 및 비제한적으로, 수소의 동위원소는 중수소 (D) 및 삼중수소 (T)를 포함한다. 탄소의 동위원소는 13C 및 14C를 포함한다. 동위원소-표지된 화합물은 일반적으로 관련 기술분야의 통상의 기술자에게 공지된 통상적인 기술에 의해 또는 본원에 기재된 것과 유사한 방법에 의해, 달리 사용되는 비-표지된 시약 대신에 적절한 동위원소-표지된 시약을 사용하여 제조될 수 있다.
본원에 사용된 "치료"는 인간에서의 질환을 위한 치료제의 임의의 투여 또는 적용을 포괄하며, 질환 또는 질환의 진행 또는 1종 이상의 질환 증상을 억제하는 것, 질환 또는 그의 진행 또는 그의 증상 중 1종 이상을 늦추는 것, 그의 발달을 정지시키는 것, 질환 또는 그의 증상 중 1종 이상을 부분적으로 또는 완전히 완화시키는 것, 또는 질환의 1종 이상의 증상의 재발을 예방하는 것을 포함한다.
용어 "대상체" 및 "환자"는 달리 구체적으로 언급되지 않는 한 인간을 지칭하기 위해 본원에서 상호교환가능하게 사용된다.
"DGKα 및/또는 DGKζ의 억제제"는 "DGKα 및/또는 DGKζ 효소 활성의 억제제"를 지칭하며, 이들 둘 다는 인간 DGKα 및/또는 인간 DGKζ의 억제제, 예컨대 서열식별번호: 2에 제시된 아미노산 서열, 또는 DGKα에 자연적으로 존재하지 않는 아미노산 (예를 들어, His 꼬리 또는 특정 N-말단 아미노산)이 없는 서열식별번호: 2에 제시된 아미노산 서열을 갖는 DGKα, 및 서열식별번호: 4에 제시된 아미노산 서열, 또는 DGKζ에 자연적으로 존재하지 않는 아미노산 (예를 들어, His 꼬리 또는 특정 N-말단 아미노산)이 없는 서열식별번호: 4에 제시된 아미노산 서열을 갖는 DGKζ를 지칭한다.
본원에 사용된 바와 같은 표적 단백질, 예를 들어 DGK, PD-1, PD-L1 및 CTLA4는 달리 구체적으로 나타내지 않거나 또는 문맥이 달리 명백하게 나타내지 않는 한, 인간 표적 단백질을 지칭한다. 예를 들어, "마우스 DGK"는 구체적으로 나타낸 바와 같이 DGK의 마우스 버전을 지칭한다.
"PD1"은 "PD-1"과 상호교환가능하게 사용된다.
"CTLA4"는 "CTLA-4"와 상호교환가능하게 사용된다.
용어 "유효량" 또는 "치료 유효량"은 대상체에서 질환 또는 장애의 치료에, 예컨대 1종 이상의 증상을 부분적으로 또는 완전히 완화시키는 데 효과적인 약물의 양을 지칭한다. 일부 실시양태에서, 유효량은 목적하는 치료 또는 예방 결과를 달성하기 위해 필요한 투여량에서 및 기간 동안 효과적인 양을 지칭한다.
용어 "암"은 비정상적으로 높은 수준의 증식 및 성장을 나타내는 세포의 군을 지칭하기 위해 본원에 사용된다. 암은 양성 (양성 종양으로도 지칭됨), 전암성 또는 악성일 수 있다. 암 세포는 고형 암 세포 또는 백혈병성 암 세포일 수 있다. 본원의 치료 방법에 적용가능한 암의 예는 암종, 림프종, 모세포종, 육종 및 백혈병을 포함하나 이에 제한되지는 않는다. 이러한 암의 보다 특정한 비제한적 예는 편평 세포암, 소세포 폐암, 뇌하수체암, 식도암, 성상세포종, 연부 조직 육종, 비소세포 폐암 (편평 세포 비소세포 폐암 포함), 폐의 선암종, 폐의 편평세포 암종, 복막암, 간세포성암, 위장암, 췌장암, 교모세포종, 자궁경부암, 난소암, 간암, 방광암, 간세포암, 유방암, 결장암, 결장직장암, 자궁내막 또는 자궁 암종, 타액선 암종, 신장암, 신세포 암종, 간암, 전립선암, 외음부암, 갑상선암, 간 암종, 뇌암, 자궁내막암, 고환암, 담관암종, 담낭 암종, 위암, 흑색종, 및 다양한 유형의 두경부암 (두경부의 편평 세포 암종 포함)을 포함한다.
용어 "종양 성장"은 암의 크기 또는 정도의 상응하는 증가로 이어지는 암을 포함하는 세포 또는 세포들에 의한 증식 또는 성장을 지칭하기 위해 본원에 사용된다.
적어도 1종의 추가의 치료제"와 조합하여" 투여하는 것은 동시 (공동) 및 임의의 순서의 연속 (순차적) 투여를 포함한다.
치료 방법
증식성 질환, 예컨대 암, 또는 바이러스 감염, 또는 보다 일반적으로, 면역계의 자극으로부터 이익을 얻는 질환, 장애 또는 상태, 뿐만 아니라 DGKα 및/또는 DGKζ 효소 활성을 억제함으로써 예방, 개선 또는 치유될 수 있는 임의의 질환, 장애 또는 상태의 치료를 필요로 하는 대상체에게 치료 유효량의 (i) DGKα 및/또는 DGKζ의 억제제 및 (ii) PD1/PD-L1 축의 길항제 (예를 들어, 인간 PD1 또는 인간 PD-L1의 길항제) 및/또는 인간 CTLA4의 길항제를 투여하는 것을 포함하는, 상기 질환을 치료하는 방법이 본원에 제공된다. 증식성 질환, 예컨대 암, 또는 바이러스 감염, 또는 보다 일반적으로, 면역계의 자극으로부터 이익을 얻는 질환, 장애 또는 상태, 뿐만 아니라 DGKα 및/또는 DGKζ 효소 활성을 억제함으로써 예방, 개선 또는 치유될 수 있는 임의의 질환, 장애 또는 상태의 치료를 필요로 하는 대상체에게 치료 유효량의 (i) DGKα 및/또는 DGKζ의 억제제 및 (ii) PD1/PD-L1 축의 길항제 (예를 들어, 인간 PD1 또는 인간 PD-L1의 길항제)를 투여하는 것을 포함하는, 상기 질환을 치료하는 방법이 본원에 제공된다. 증식성 질환, 예컨대 암, 또는 바이러스 감염, 또는 보다 일반적으로, 면역계의 자극으로부터 이익을 얻는 질환, 장애 또는 상태, 뿐만 아니라 DGKα 및/또는 DGKζ 효소 활성을 억제함으로써 예방, 개선 또는 치유될 수 있는 임의의 질환, 장애 또는 상태의 치료를 필요로 하는 대상체에게 치료 유효량의 (i) DGKα 및/또는 DGKζ의 억제제 및 인간 CTLA4의 길항제를 투여하는 것을 포함하는, 상기 질환을 치료하는 방법이 본원에 제공된다. 특정 실시양태에서, 증식성 질환, 예컨대 암, 또는 바이러스 감염, 또는 보다 일반적으로, 면역계의 자극으로부터 이익을 얻는 질환, 장애 또는 상태, 뿐만 아니라 DGKα 및/또는 DGKζ 효소 활성을 억제함으로써 예방, 개선 또는 치유될 수 있는 임의의 질환, 장애 또는 상태의 치료는 그를 필요로 하는 대상체에게 치료 유효량의 (i) DGKα 및/또는 DGKζ의 억제제 및 (ii) PD1/PD-L1 축의 길항제 (예를 들어, 인간 PD1 또는 인간 PD-L1의 길항제) 및 인간 CTLA4의 길항제를 투여하는 것을 포함한다.
(i) DGKα 및/또는 DGKζ의 억제제 및 (ii) PD1/PD-L1 축의 길항제 (예를 들어, 인간 PD1 또는 인간 PD-L1의 길항제) 및/또는 인간 CTLA4의 길항제의 투여는 동시 또는 순차적일 수 있다. 예를 들어, 특정 실시양태에서, 면역 반응을 증가시킴으로써 치료될 수 있는 암 또는 질환을 치료하는 방법은 그를 필요로 하는 대상체에게 먼저 DGKα 및/또는 DGKζ의 억제제를 투여한 다음, 그 후에 (예를 들어, 6시간, 12시간, 24시간, 2일, 3일 또는 그 초과 후에) PD1/PD-L1 축의 길항제 (예를 들어, 인간 PD1 또는 인간 PD-L1의 길항제) 및/또는 인간 CTLA4의 길항제를 투여하는 것을 포함한다. 방법, 예를 들어 암을 치료하는 방법은 암 또는 면역 반응을 증가시킴으로써 치료될 수 있는 질환의 치료를 필요로 하는 대상체에게 먼저 PD1/PD-L1 축의 길항제 (예를 들어, 인간 PD1 또는 인간 PD-L1의 길항제) 및/또는 인간 CTLA4의 길항제를 투여하고, 이어서 그 후에 (예를 들어, 6시간, 12시간, 24시간, 2일, 3일 또는 그 초과 후에) DGKα 및/또는 DGKζ의 억제제를 투여하는 것을 포함하는, 암 또는 면역 반응을 증가시킴으로써 치료될 수 있는 질환을 치료하는 것을 포함할 수 있다. 방법, 예를 들어 암을 치료하는 방법은 먼저 DGKα 및/또는 DGKζ의 억제제를 투여하고, 이어서 그 후에 (예를 들어, 6시간, 12시간, 24시간, 2일, 3일 또는 그 초과 후에) PD1/PD-L1 축의 길항제 (예를 들어, 인간 PD1 또는 인간 PD-L1의 길항제)를 투여하고, 동시에 인간 CTLA4의 길항제를 투여하는 것을 포함할 수 있다. 방법, 예를 들어 암을 치료하는 방법은 먼저 DGKα 및/또는 DGKζ의 억제제를 투여하고, 이어서 그 후에 (예를 들어, 6시간, 12시간, 24시간, 2일, 3일 또는 그 초과 후에) PD1/PD-L1 축의 길항제 (예를 들어, 인간 PD1 또는 인간 PD-L1의 길항제)를 투여하고, 동시에 인간 CTLA4의 길항제를 투여하는 것을 포함할 수 있다. 방법, 예를 들어 암을 치료하는 방법은 먼저 PD1/PD-L1 축의 길항제 (예를 들어, 인간 PD1 또는 인간 PD-L1의 길항제)를 투여하고, 동시에 인간 CTLA4의 길항제를 투여하고, 이어서 그 후에 (예를 들어, 6시간, 12시간, 24시간, 2일, 3일 또는 그 초과 후에), DGKα 및/또는 DGKζ의 억제제를 투여하는 것을 포함할 수 있다.
본원에 기재된 방법은 암, 예컨대 진행암, 전이암, 고형 종양, 진행성 고형 종양, 혈액 종양, 체크포인트 억제제 (또는 체크포인트 길항제)에 대해 불응성인 암, 또는 체크포인트 억제제로의 치료 후에 진행된 암을 치료하는 데 사용될 수 있다.
치료를 위한 암의 비제한적 예는 편평 세포 암종, 소세포 폐암, 비소세포 폐암, 편평 비소세포 폐암 (NSCLC), 비편평 NSCLC, 신경교종, 위장암, 신암 (예를 들어, 투명 세포 암종), 난소암, 간암, 결장직장암, 자궁내막암, 신장암 (예를 들어, 신세포 암종 (RCC)), 전립선암 (예를 들어, 호르몬 불응성 전립선 선암종), 갑상선암, 신경모세포종, 췌장암, 교모세포종 (다형성 교모세포종), 자궁경부암, 위암, 방광암, 간세포암, 유방암, 결장 암종, 및 두경부암 (또는 암종), 위암, 배세포 종양, 소아 육종, 부비동비강 자연 킬러, 흑색종 (예를 들어, 전이성 악성 흑색종, 예컨대 피부 또는 안내 악성 흑색종), 골암, 피부암, 자궁암, 항문부암, 고환암, 난관 암종, 자궁내막 암종, 자궁경부 암종, 질 암종, 외음부 암종, 식도암, 소장암, 내분비계암, 부갑상선암, 부신암, 연부 조직 육종, 요도암, 음경암, 소아기 고형 종양, 요관암, 신우 암종, 중추 신경계 (CNS)의 신생물, 원발성 CNS 림프종, 종양 혈관신생, 척수축 종양, 뇌암, 뇌간 신경교종, 뇌하수체 선종, 카포시 육종, 표피양암, 편평 세포암, T-세포 림프종, 석면에 의해 유발된 것을 포함한 환경적으로 유발된 암, 바이러스-관련 암 또는 바이러스 기원의 암 (예를 들어, 인간 유두종 바이러스 (HPV-관련 또는 -기원 종양)), 및 2종의 주요 혈액 세포 계통, 즉, 골수 세포주 (과립구, 적혈구, 혈소판, 대식세포 및 비만 세포를 생산함) 또는 림프성 세포주 (B, T, NK 및 형질 세포를 생산함) 중 하나로부터 유래된 혈액 악성종양, 예컨대 모든 유형의 백혈병, 림프종 및 골수종, 예를 들어 급성, 만성, 림프구성 및/또는 골수 백혈병, 예컨대 급성 백혈병 (ALL), 급성 골수 백혈병 (AML), 만성 림프구성 백혈병 (CLL), 및 만성 골수 백혈병 (CML), 미분화 AML (MO), 골수모구백혈병 (M1), 골수모구백혈병 (M2; 세포 성숙 동반), 전골수세포백혈병 (M3 또는 M3 변이체 [M3V]), 골수단핵구백혈병 (M4 또는 호산구증가증을 동반한 M4 변이체 [M4E]), 단핵구성 백혈병 (M5), 적백혈병 (M6), 거핵모구성 백혈병 (M7), 고립성 과립구성 육종, 및 녹색종; 림프종, 예컨대 호지킨 림프종 (HL), 비-호지킨 림프종 (NHL), B 세포 혈액 악성종양, 예를 들어 B-세포 림프종, T-세포 림프종, 림프형질세포양 림프종, 단핵구성 B-세포 림프종, 점막-연관 림프성 조직 (MALT) 림프종, 역형성 (예를 들어, Ki 1+) 대세포 림프종, 성인 T-세포 림프종/백혈병, 외투 세포 림프종, 혈관 면역모세포성 T-세포 림프종, 혈관중심성 림프종, 장 T-세포 림프종, 원발성 종격 B-세포 림프종, 전구체 T-림프모구성 림프종, T-림프모구성; 및 림프종/백혈병 (T-Lbly/T-ALL), 말초 T-세포 림프종, 림프모구성 림프종, 이식후 림프증식성 장애, 진성 조직구성 림프종, 원발성 중추 신경계 림프종, 원발성 삼출 림프종, B 세포 림프종, 림프모구성 림프종 (LBL), 림프계의 조혈 종양, 급성 림프모구성 백혈병, 미만성 대 B-세포 림프종, 버킷 림프종, 여포성 림프종, 미만성 조직구성 림프종 (DHL), 면역모세포성 대세포 림프종, 전구체 B-림프모구성 림프종, 피부 T-세포 림프종 (CTLC) (균상 식육종 또는 세자리 증후군으로도 불림), 및 발덴스트롬 마크로글로불린혈증을 동반한 림프형질세포양 림프종 (LPL); 골수종, 예컨대 IgG 골수종, 경쇄 골수종, 비분비성 골수종, 무증상 골수종 (무통성 골수종으로도 불림), 고립 형질세포종 및 다발성 골수종, 만성 림프구성 백혈병 (CLL), 모발상 세포 림프종; 골수계의 조혈 종양, 섬유육종 및 횡문근육종을 비롯한 중간엽 기원의 종양; 정상피종, 기형암종, 성상세포종, 슈반세포종을 비롯한 중추 및 말초 신경의 종양; 섬유육종, 횡문근육종 및 골육종을 비롯한 중간엽 기원의 종양; 및 흑색종, 색소성 건피증, 각화극세포종, 정상피종, 갑상선 여포암 및 기형암종을 비롯한 다른 종양, 림프계의 조혈 종양, 예를 들어 T-세포 및 B-세포 종양, 예컨대 비제한적으로 T-세포 장애, 예컨대 T-전림프구성 백혈병 (T-PLL), 예컨대 소세포 및 대뇌양 세포 유형의 것; T-세포 유형의 거대 과립 림프구 백혈병 (LGL); a/d T-NHL 간비장 림프종; 말초/흉선후 T 세포 림프종 (다형성 및 면역모세포성 하위유형); 혈관중심성 (비강) T-세포 림프종; 두경부암, 신암, 직장암, 갑상선암; 급성 골수성 림프종, 뿐만 아니라 상기 암의 임의의 조합을 포함한다. 본원에 기재된 방법은 또한 전이성 암, 절제불가능한 불응성 암 (예를 들어, 예를 들어 차단 CTLA-4 또는 PD-1 항체를 사용한 이전 면역요법에 불응성인 암), 및/또는 재발성 암의 치료에 사용될 수 있다.
특정 실시양태에서, 본원에 기재된 조합 치료는 선행 치료, 예를 들어 면역-종양학 또는 면역요법 약물을 사용한 선행 치료에 대해 부적절한 반응을 나타내거나 또는 진행된 암을 갖는 환자에게 투여된다. 일부 실시양태에서, 암은 선행 치료에 대해 불응성 또는 저항성이며, 이는 내재적으로 불응성 또는 저항성 (예를 들어, PD-1 경로 길항제에 대해 불응성)이거나, 또는 저항성 또는 불응성 상태가 후천적인 것이다. 예를 들어, 본원에 기재된 조합 치료는 제1 요법에 대해 반응성이 아니거나 충분히 반응성이 아니거나, 또는 치료, 예를 들어 항-PD-1 경로 길항제 치료 후에 질환 진행을 갖는 대상체에게 단독으로 또는 또 다른 요법 (예를 들어, 항-PD-1 경로 길항제 요법)과 조합하여 투여될 수 있다. 다른 실시양태에서, 본원에 기재된 조합 치료는 면역-종양학 작용제, 예를 들어 PD-1 경로 길항제를 이전에 받은 적이 없는 (즉, 그로 치료받지 않은) 환자에게 투여된다.
조합 치료는 하나 이상의 추가의 치료, 예컨대 방사선, 수술 또는 화학요법을 추가로 포함할 수 있다.
본원에 기재된 방법은 또한 특정한 독소 또는 병원체, 예컨대 감염성 질환을 갖는 것에 노출된 환자를 치료하는 데 사용될 수 있다. 따라서, 본 개시내용은 또한 대상체가 감염성 질환에 대해 치료되도록 본원에 기재된 바와 같은 조합 치료를 대상체에게 투여하는 것을 포함하는, 대상체에서 감염성 질환을 치료하는 방법을 고려한다. 상기 논의된 바와 같은 종양에 대한 그의 적용과 유사하게, 조합 치료는 병원체, 독소 및 자기-항원에 대한 면역 반응을 자극하기 위해 단독으로 또는 아주반트로서 백신과 조합하여 사용될 수 있다. 이러한 치료 접근법이 특히 유용할 수 있는 병원체의 예는 현재 효과적인 백신이 없는 병원체, 또는 통상적인 백신이 덜 완전히 효과적인 병원체를 포함한다. 이들은 HIV, 간염 (A, B, & C), 인플루엔자, 헤르페스, 지아르디아, 말라리아, 리슈마니아, 스타필로코쿠스 아우레우스, 슈도모나스 아에루기노사를 포함하나 이에 제한되지는 않는다. 조합 치료는 작용제에 의한 확립된 감염, 예컨대 감염 과정에 걸쳐 변경된 항원을 제시하는 HIV에 대해 유용할 수 있다.
본원에 기재된 방법에 의해 치료가능할 수 있는 감염을 유발하는 병원성 바이러스의 일부 예는 HIV, 간염 (A, B 또는 C), 포진 바이러스 (예를 들어, VZV, HSV-1, HAV-6, HSV-II 및 CMV, 엡스타인 바르 바이러스), 아데노바이러스, 인플루엔자 바이러스, 플라비바이러스, 에코바이러스, 리노바이러스, 콕사키 바이러스, 코로나바이러스, 호흡기 세포융합 바이러스, 볼거리 바이러스, 로타바이러스, 홍역 바이러스, 풍진 바이러스, 파르보바이러스, 백시니아 바이러스, HTLV 바이러스, 뎅기 바이러스, 유두종바이러스, 연속종 바이러스, 폴리오바이러스, 광견병 바이러스, JC 바이러스 및 아르보바이러스 뇌염 바이러스를 포함한다.
본원에 기재된 방법에 의해 치료가능할 수 있는 감염을 유발하는 병원성 박테리아의 일부 예는 클라미디아, 리케치아 박테리아, 미코박테리아, 스타필로코쿠스, 스트렙토코쿠스, 뉴모노코쿠스, 메닝고코쿠스 및 고노코쿠스, 클레브시엘라, 프로테우스, 세라티아, 슈도모나스, 레지오넬라, 디프테리아, 살모넬라, 바실루스, 콜레라, 파상풍, 보툴리눔독소증, 탄저병, 흑사병, 렙토스피라증 및 라임병 박테리아를 포함한다.
본원에 기재된 방법에 의해 치료가능할 수 있는 감염을 유발하는 병원성 진균의 일부 예는 칸디다 (알비칸스, 크루세이, 글라브라타, 트로피칼리스 등), 크립토코쿠스 네오포르만스, 아스페르길루스 (푸미가투스, 니거 등), 뮤코랄레스 속 (뮤코르, 압시디아, 리조푸스), 스포로트릭스 쉔크키이, 블라스토미세스 더마티티디스, 파라콕시디오이데스 브라실리엔시스, 콕시디오이데스 임미티스 및 히스토플라스마 캅술라툼을 포함한다.
본원에 기재된 방법에 의해 치료가능할 수 있는 감염을 유발하는 병원성 기생충의 일부 예는 엔트아메바 히스톨리티카, 발란티디움 콜라이, 네글레리아포울레리, 아칸트아메바 종, 지아르디아 람비아, 크립토스포리디움 종, 뉴모시스티스 카리니이, 플라스모디움 비박스, 바베시아 미크로티, 트리파노소마 브루세이, 트리파노소마 크루지, 리슈마니아 도노바니, 톡소플라스마 곤디이 및 니포스트롱길루스 브라실리엔시스를 포함한다.
상기 모든 방법에서, 조합 치료는 다른 형태의 면역요법, 예를 들어 본원에 기재된 것, 예컨대 시토카인 치료 (예를 들어, 인터페론, GM-CSF, G-CSF, IL-2), 또는 종양 항원의 증진된 제시를 제공할 수 있는 이중특이적 항체 요법 (예를 들어, 문헌 [Holliger (1993) Proc. Natl. Acad. Sci. USA 90:6444-6448; Poljak (1994) Structure 2: 1121-1123])과 조합할 수 있다.
특정 실시양태에서, 방법은 그를 필요로 하는 대상체, 예를 들어 암을 갖는 대상체에게 DGKα 및/또는 DGKζ의 억제제를 PD1/PD-L1 축의 길항제 및/또는 CTLA4의 길항제 및 또한 CD4+ T 세포를 억제하는 작용제 및/또는 CD8+ T 세포를 부스팅하는 작용제와 조합하여 투여하는 것을 포함한다. 특정 실시양태에서, CD4+ T 세포를 억제하는 작용제 및 CD8+ T 세포를 부스팅하는 작용제는 종양 환경에서 국부적으로 작용하는 작용제일 수 있다.
DGKα 및/또는 DGKζ 효소 활성의 예시적인 억제제
특정 실시양태에서, DGKα 및/또는 DGKζ의 억제제는 DGKα의 억제제이다. 특정 실시양태에서, DGKα 및/또는 DGKζ의 억제제는 DGKζ의 억제제이다. 특정 실시양태에서, DGKα 및/또는 DGKζ의 억제제는 효소 둘 다를 억제한다. 효소 억제의 수준은 본원에 추가로 기재된 바와 같이 측정될 수 있다. 특정 실시양태에서, DGKα 및/또는 DGKζ의 억제제는 다른 DGK 효소의 유의한 억제제가 아니다.
특정 실시양태에서, DGKα 및/또는 DGKζ의 억제제는, 예컨대 T 세포 활성을 증가시킴으로써 면역 반응을 증가시킨다. 예를 들어, DGKα 및/또는 DGKζ의 억제제는, 예를 들어 본원에 추가로 기재된 바와 같이 측정될 수 있는 pERK/pPKC 신호전달의 증가에 의해 입증된 바와 같이 1차 T 세포 신호전달을 증가시킬 수 있다. 특정 실시양태에서, DGKα 및/또는 DGKζ의 억제제는 다음 특성 중 하나 이상을 갖는다: (i) 항원 자극에 대한 역치를 낮추고; (ii) CTL 이펙터 기능을 증가시키고; (iii) 종양 세포 사멸을 증진시킴. DGKα 및/또는 DGKζ의 억제제가 종양 세포 사멸을 증진시키는 경우, 이 활성은 예를 들어 CT26 동물 모델에서 나타난 바와 같이 CD8+ T 세포에 의존성일 수 있다. DGKα 및/또는 DGKζ의 억제제가 종양 세포 사멸을 증진시키는 경우, 이 활성은 예를 들어 CT26 동물 모델에서 나타난 바와 같이 NK 세포에 의존성일 수 있다. DGKα 및/또는 DGKζ의 억제제가 종양 세포 사멸을 증진시키는 경우, 이 활성은 예를 들어 CT26 동물 모델에서 나타난 바와 같이 CD8+ T 세포 및 NK 세포에 의존성일 수 있다. DGKα 및/또는 DGKζ의 억제제가 종양 세포 사멸을 증진시키는 경우, 이 활성은 예를 들어 CT-26 동물 모델에서 CD4 세포 고갈에 의해 증진될 수 있다. 특정 실시양태에서, DGKα 및/또는 DGKζ의 억제제는 CT-26 동물 모델에서 AH1+ 사량체 항원 제시를 증진시킨다. DGKα 및/또는 DGKζ의 억제제는 바람직하게는 상기 언급된 특성 중 하나 이상을 포함하고, 이들 모두를 포함할 수 있다. 이들 특성의 존재는 본원에 기재된 검정, 예컨대 실시예의 "생물학적 검정" 표제의 섹션을 수행함으로써 결정될 수 있다.
질환, 예컨대 암을 치료하는 방법은 그를 필요로 하는 대상체에게 PD1/PD-L1 축의 길항제 및/또는 CTLA4의 길항제 및 하기 화학식 (I)의 화합물 또는 그의 제약상 허용되는 염인 DGKα 및/또는 DGKζ의 억제제를 투여하는 것을 포함할 수 있다:
여기서:
R1은 H, F, Cl, Br, -CN, 0 내지 4개의 R1a로 치환된 C1-3 알킬, 0 내지 4개의 R1a로 치환된 C3-4 시클로알킬, 0 내지 4개의 R1a로 치환된 C1-3 알콕시, -NRaRa, -S(O)nRe, 또는 -P(O)ReRe이고;
각각의 R1a는 독립적으로 F, Cl, -CN, -OH, -OCH3, 또는 -NRaRa이고;
각각의 Ra는 독립적으로 H 또는 C1-3 알킬이고;
각각의 Re는 독립적으로 0 내지 4개의 R1a로 치환된 C1-3 알킬 또는 C3-4 시클로알킬이고;
R2는 H, 0 내지 4개의 R2a로 치환된 C1-3 알킬, 또는 0 내지 4개의 R2a로 치환된 C3-4 시클로알킬이고;
각각의 R2a는 독립적으로 F, Cl, -CN, -OH, -O(C1-2 알킬), C3-4 시클로알킬, C3-4 알케닐, 또는 C3-4 알키닐이고;
R3은 H, F, Cl, Br, -CN, C1-3 알킬, C1-2 플루오로알킬, C3-4 시클로알킬, C3-4 플루오로시클로알킬, 또는 -NO2이고;
R4는 -CH2R4a, -CH2CH2R4a, -CH2CHR4aR4d, -CHR4aR4b, 또는 -CR4aR4bR4c이고;
R4a 및 R4b는 독립적으로:
(i) F, Cl, -CN, -OH, -OCH3, -SCH3, C1-3 플루오로알콕시, -NRaRa, -S(O)2Re 또는 -NRaS(O)2Re로부터 독립적으로 선택된 0 내지 4개의 치환기로 치환된 C1-6 알킬이거나;
(ii) C3-6 시클로알킬, 헤테로시클릴, 페닐, 또는 헤테로아릴이고, 각각은 F, Cl, Br, -CN, -OH, C1-6 알킬, C1-3 플루오로알킬, C1-4 히드록시알킬, -(CH2)1-2O(C1-3 알킬), C1-4 알콕시, -O(C1-4 히드록시알킬), -O(CH)1-3O(C1-3 알킬), C1-3 플루오로알콕시, -O(CH)1-3NRcRc, -OCH2CH=CH2, -OCH2C≡CH, -C(O)(C1-4 알킬), -C(O)OH, -C(O)O(C1-4 알킬), -NRcRc, -NRaS(O)2(C1-3 알킬), -NRaC(O)(C1-3 알킬), -NRaC(O)O(C1-4 알킬), -P(O)(C1-3 알킬)2, -S(O)2(C1-3 알킬), -O(CH2)1-2(C3-6 시클로알킬), -O(CH2)1-2(모르폴리닐), 시클로프로필, 시아노시클로프로필, 메틸아제티디닐, 아세틸아제티디닐, (tert-부톡시카르보닐)아제티디닐, 트리아졸릴, 테트라히드로피라닐, 모르폴리닐, 티오페닐, 메틸피페리디닐, 및 Rd로부터 독립적으로 선택되는 0 내지 4개의 치환기로 치환되거나; 또는
(iii) C3-6 시클로알킬, 헤테로시클릴, 아릴, 및 헤테로아릴로부터 선택되는 1개의 시클릭 기로 치환된 C1-4 알킬이고, 상기 시클릭 기는 F, Cl, Br, -OH, -CN, C1-6 알킬, C1-3 플루오로알킬, C1-3 알콕시, C1-3 플루오로알콕시, -OCH2CH=CH2, -OCH2C≡CH, -NRcRc, -NRaS(O)2(C1-3 알킬), -NRaC(O)(C1-3 알킬), -NRaC(O)O(C1-4 알킬), 및 C3-6 시클로알킬로부터 독립적으로 선택되는 0 내지 3개의 치환기로 치환되거나;
또는 R4a 및 R4b는 이들이 부착되어 있는 탄소 원자와 함께 C3-6 시클로알킬 또는 3- 내지 6-원 헤테로시클릴을 형성하고, 각각은 0 내지 3개의 Rf로 치환되고;
각각의 Rf는 독립적으로 F, Cl, Br, -OH, -CN, C1-6 알킬, C1-3 플루오로알킬, C1-3 알콕시, C1-3 플루오로알콕시, -OCH2CH=CH2, -OCH2C≡CH, -NRcRc, 또는 C3-6 시클로알킬, 3- 내지 6-원 헤테로시클릴, 페닐, 모노시클릭 헤테로아릴, 및 비시클릭 헤테로아릴로부터 선택되는 시클릭 기이고, 각각의 시클릭 기는 F, Cl, Br, -OH, -CN, C1-6 알킬, C1-3 플루오로알킬, C1-3 알콕시, C1-3 플루오로알콕시, 및 -NRcRc로부터 독립적으로 선택되는 0 내지 3개의 치환기로 치환되고;
R4c는 C1-6 알킬 또는 C3-6 시클로알킬이고, 각각은 F, Cl, -OH, C1-2 알콕시, C1-2 플루오로알콕시, 및 -CN으로부터 독립적으로 선택되는 0 내지 4개의 치환기로 치환되고;
R4d는 -OCH3이고;
각각의 Rc는 독립적으로 H 또는 C1-2 알킬이고;
Rd는 F, Cl, -CN, -CH3, 및 -OCH3으로부터 선택되는 0 내지 1개의 치환기로 치환된 페닐이고;
각각의 R5는 독립적으로 -CN, 0 내지 4개의 Rg로 치환된 C1-6 알킬, 0 내지 4개의 Rg로 치환된 C2-4 알케닐, 0 내지 4개의 Rg로 치환된 C2-4 알키닐, 0 내지 4개의 Rg로 치환된 C3-4 시클로알킬, 0 내지 4개의 Rg로 치환된 페닐, 0 내지 3개의 Rg로 치환된 옥사디아졸릴, 0 내지 4개의 Rg로 치환된 피리디닐, -(CH2)1-2(0 내지 4개의 Rg로 치환된 헤테로시클릴), -(CH2)1-2NRcC(O)(C1-4 알킬), -(CH2)1-2NRcC(O)O(C1-4 알킬), -(CH2)1-2NRcS(O)2(C1-4 알킬), -C(O)(C1-4 알킬), -C(O)OH, -C(O)O(C1-4 알킬), -C(O)O(C3-4 시클로알킬), -C(O)NRaRa 또는 -C(O)NRa(C3-4 시클로알킬)이고;
각각의 Rg는 독립적으로 F, Cl, -CN, -OH, C1-3 알콕시, C1-3 플루오로알콕시, -O(CH2)1-2O(C1-2 알킬), 또는 -NRcRc이고;
m은 0, 1, 2, 또는 3이고;
n은 0, 1, 또는 2이다.
질환, 예컨대 암을 치료하는 방법은 그를 필요로 하는 대상체에게 PD1/PD-L1 축의 길항제 및/또는 CTLA4의 길항제 및 화학식 (I)의 화합물 또는 그의 제약상 허용되는 염인 DGKα 및/또는 DGKζ의 억제제를 투여하는 것을 포함할 수 있으며, 여기서:
R1은 H, F, Cl, Br, -CN, 0 내지 4개의 R1a로 치환된 C1-3 알킬, 0 내지 3개의 R1a로 치환된 시클로프로필, 0 내지 3개의 R1a로 치환된 C1-3 알콕시, -NRaRa, -S(O)nCH3, 또는 -P(O)(CH3)2이고;
각각의 R1a는 독립적으로 F, Cl, 또는 -CN이고;
각각의 Ra는 독립적으로 H 또는 C1-3 알킬이고;
R2는 H, 또는 0 내지 2개의 R2a로 치환된 C1-2 알킬이고;
각각의 R2a는 독립적으로 F, Cl, -CN, -OH, -O(C1-2 알킬), 시클로프로필, C3-4 알케닐, 또는 C3-4 알키닐이고;
R3은 H, F, Cl, Br, -CN, C1-2 알킬, -CF3, 시클로프로필, 또는 -NO2이고;
R4a 및 R4b는 독립적으로:
(i) F, Cl, -CN, -OH, -OCH3, -SCH3, C1-3 플루오로알콕시, 및 -NRaRa로부터 독립적으로 선택되는 0 내지 4개의 치환기로 치환된 C1-4 알킬이거나;
(ii) C3-6 시클로알킬, 헤테로시클릴, 페닐, 또는 헤테로아릴이고, 각각은 F, Cl, Br, -CN, -OH, C1-6 알킬, C1-3 플루오로알킬, -CH2OH, -(CH2)1-2O(C1-2 알킬), C1-4 알콕시, -O(C1-4 히드록시알킬), -O(CH)1-2O(C1-2 알킬), C1-3 플루오로알콕시, -O(CH)1-2NRcRc, -OCH2CH=CH2, -OCH2C≡CH, -C(O)(C1-4 알킬), -C(O)OH, -C(O)O(C1-4 알킬), -NRcRc, -NRaS(O)2(C1-3 알킬), -NRaC(O)(C1-3 알킬), -NRaC(O)O(C1-4 알킬), -P(O)(C1-2 알킬)2, -S(O)2(C1-3 알킬), -O(CH2)1-2(C3-4 시클로알킬), -O(CH2)1-2(모르폴리닐), 시클로프로필, 시아노시클로프로필, 메틸아제티디닐, 아세틸아제티디닐, (tert-부톡시카르보닐)아제티디닐, 트리아졸릴, 테트라히드로피라닐, 모르폴리닐, 티오페닐, 메틸피페리디닐, 및 Rd로부터 독립적으로 선택되는 0 내지 4개의 치환기로 치환되거나; 또는
(iii) C3-6 시클로알킬, 헤테로시클릴, 페닐, 및 헤테로아릴로부터 선택되는 1개의 시클릭 기로 치환된 C1-3 알킬이고, 상기 시클릭 기는 F, Cl, Br, -OH, -CN, C1-3 알킬, C1-2 플루오로알킬, C1-3 알콕시, C1-2 플루오로알콕시, -OCH2CH=CH2, -OCH2C≡CH, -NRcRc, -NRaS(O)2(C1-3 알킬), -NRaC(O)(C1-3 알킬), -NRaC(O)O(C1-4 알킬), 및 C3-4 시클로알킬로부터 독립적으로 선택되는 0 내지 3개의 치환기로 치환되거나;
또는 R4a 및 R4b는 이들이 부착되어 있는 탄소 원자와 함께 C3-6 시클로알킬 또는 3- 내지 6-원 헤테로시클릴을 형성하고, 각각은 0 내지 3개의 Rf로 치환되고;
각각의 Rf는 독립적으로 F, Cl, Br, -OH, -CN, C1-4 알킬, C1-2 플루오로알킬, C1-3 알콕시, C1-2 플루오로알콕시, -OCH2CH=CH2, -OCH2C≡CH, -NRcRc, 또는 C3-6 시클로알킬, 3- 내지 6-원 헤테로시클릴, 페닐, 모노시클릭 헤테로아릴, 및 비시클릭 헤테로아릴로부터 선택되는 시클릭 기이고, 각각의 시클릭 기는 F, Cl, Br, -OH, -CN, C1-4 알킬, C1-2 플루오로알킬, C1-3 알콕시, C1-2 플루오로알콕시, 및 -NRcRc로부터 독립적으로 선택되는 0 내지 3개의 치환기로 치환되고;
R4c는 C1-4 알킬 또는 C3-6 시클로알킬이고, 각각은 F, Cl, -OH, C1-2 알콕시, C1-2 플루오로알콕시, 및 -CN으로부터 독립적으로 선택되는 0 내지 4개의 치환기로 치환되고;
각각의 R5는 독립적으로 -CN, 0 내지 4개의 Rg로 치환된 C1-5 알킬, 0 내지 4개의 Rg로 치환된 C2-3 알케닐, 0 내지 4개의 Rg로 치환된 C2-3 알키닐, 0 내지 4개의 Rg로 치환된 C3-4 시클로알킬, 0 내지 3개의 Rg로 치환된 페닐, 0 내지 3개의 Rg로 치환된 옥사디아졸릴, 0 내지 3개의 Rg로 치환된 피리디닐, -(CH2)1-2(0 내지 4개의 Rg로 치환된 헤테로시클릴), -(CH2)1-2NRcC(O)(C1-4 알킬), -(CH2)1-2NRcC(O)O(C1-4 알킬), -(CH2)1-2NRcS(O)2(C1-4 알킬), -C(O)(C1-4 알킬), -C(O)OH, -C(O)O(C1-4 알킬), -C(O)O(C3-4 시클로알킬), -C(O)NRaRa 또는 -C(O)NRa(C3-4 시클로알킬)이다.
질환, 예컨대 암을 치료하는 방법은 그를 필요로 하는 대상체에게 PD1/PD-L1 축의 길항제 및/또는 CTLA4의 길항제 및 하기 구조를 갖는 화학식 (I)의 화합물 또는 그의 제약상 허용되는 염인 DGKα 및/또는 DGKζ의 억제제를 투여하는 것을 포함할 수 있다:
여기서:
R1은 -CN이고;
R2는 -CH3이고;
R3은 H, F, 또는 -CN이고;
R4는
이다.
질환, 예컨대 암을 치료하는 방법은 그를 필요로 하는 대상체에게 PD1/PD-L1 축의 길항제 및/또는 CTLA4의 길항제 및 하기 구조 또는 화학식 중 하나를 갖는 화학식 (I)의 화합물 또는 그의 제약상 허용되는 염 (또는 그의 이성질체)인 DGKα 및/또는 DGKζ의 억제제를 투여하는 것을 포함할 수 있다:
메틸 1-(비스(4-플루오로페닐)메틸)-4-(6-시아노-1-메틸-2-옥소-1,2-디히드로-1,5-나프티리딘-4-일)피페라진-2-카르복실레이트
4-((2R,5S)-4-(비스(4-플루오로페닐)메틸)-2,5-디메틸피페라진-1-일)-6-브로모-1-메틸-2-옥소-1,2-디히드로-1,5-나프티리딘-3-카르보니트릴
(R)-8-(4-(비스(4-플루오로페닐)메틸)-3-메틸피페라진-1-일)-5-메틸-6-옥소-5,6-디히드로-1,5-나프티리딘-2,7-디카르보니트릴
8-[(2S,5R)-4-[(4-클로로페닐)(5-메틸피리딘-2-일)메틸]-2,5-디메틸피페라진-1-일]-5-메틸-6-옥소-5,6-디히드로-1,5-나프티리딘-2-카르보니트릴
4-[(2S,5R)-4-[(4-클로로페닐)(4-플루오로페닐)메틸]-2,5-디메틸피페라진-1-일]-6-메톡시-1-메틸-1,2-디히드로-1,5-나프티리딘-2-온
8-[(2S,5R)-4-{[2-(디플루오로메틸)-4-플루오로페닐]메틸}-2,5-디메틸피페라진-1-일]-5-메틸-6-옥소-5,6-디히드로-1,5-나프티리딘-2-카르보니트릴
8-[(2S,5R)-4-[(4-플루오로페닐)(4-메틸페닐)메틸]-2,5-디메틸피페라진-1-일]-5-메틸-6-옥소-5,6-디히드로-1,5-나프티리딘-2-카르보니트릴
8-[(2S,5R)-4-[1-(2,6-디플루오로페닐)에틸]-2,5-디메틸피페라진-1-일]-5-메틸-6-옥소-5,6-디히드로-1,5-나프티리딘-2-카르보니트릴
8-((3R)-4-((4-클로로페닐)(5-플루오로피리딘-2-일)메틸)-3-메틸피페라진-1-일)-5-메틸-6-옥소-5,6-디히드로-1,5-나프티리딘-2,7-디카르보니트릴
8-(4-(비스(4-플루오로페닐)메틸)피페라진-1-일)-5-메틸-7-니트로-6-옥소-5,6-디히드로-1,5-나프티리딘-2-카르보니트릴
8-[(2S,5R)-4-[비스(4-메틸페닐)메틸]-2,5-디메틸피페라진-1-일]-5-메틸-6-옥소-5,6-디히드로-1,5-나프티리딘-2-카르보니트릴
질환, 예컨대 암을 치료하는 방법은 그를 필요로 하는 대상체에게 PD1/PD-L1 축의 길항제 및/또는 CTLA4의 길항제 및 하기 화학식 (II)의 화합물 또는 그의 염인 DGKα 및/또는 DGKζ의 억제제를 투여하는 것을 포함할 수 있다:
여기서:
R1은 H, F, Cl, Br, -CN, -OH, 0 내지 4개의 R1a로 치환된 C1-3 알킬, 0 내지 4개의 R1a로 치환된 C3-4 시클로알킬, 0 내지 4개의 R1a로 치환된 C1-3 알콕시, -NRaRa, -S(O)nRe, 또는 -P(O)ReRe이고;
각각의 R1a는 독립적으로 F, Cl, -CN, -OH, -OCH3, 또는 -NRaRa이고;
각각의 Ra는 독립적으로 H 또는 C1-3 알킬이고;
각각의 Re는 독립적으로 0 내지 4개의 R1a로 치환된 C1-3 알킬 또는 C3-4 시클로알킬이고;
R2는 H, 0 내지 4개의 R2a로 치환된 C1-3 알킬, 또는 0 내지 4개의 R2a로 치환된 C3-4 시클로알킬이고;
각각의 R2a는 독립적으로 F, Cl, -CN, -OH, -O(C1-2 알킬), C3-4 시클로알킬, C3-4 알케닐, 또는 C3-4 알키닐이고;
R4는 -CH2R4a, -CH2CH2R4a, -CH2CHR4aR4d, -CHR4aR4b, 또는 -CR4aR4bR4c이고;
R4a 및 R4b는 독립적으로:
(i) -CN, 또는 F, Cl, -CN, -OH, -OCH3, -SCH3, C1-3 플루오로알콕시, -NRaRa, -S(O)2Re, 또는 -NRaS(O)2Re로부터 독립적으로 선택되는 0 내지 4개의 치환기로 치환된 C1-6 알킬이거나;
(ii) C3-6 시클로알킬, 4- 내지 10-원 헤테로시클릴, 페닐, 또는 5- 내지 10-원 헤테로아릴이고, 각각은 F, Cl, Br, -CN, -OH, C1-6 알킬, C1-3 플루오로알킬, C1-2 브로모알킬, C1-2 시아노알킬, C1-4 히드록시알킬, -(CH2)1-2O(C1-3 알킬), C1-4 알콕시, C1-3 플루오로알콕시, C1-3 시아노알콕시, -O(C1-4 히드록시알킬), -O(CRxRx)1-3O(C1-3 알킬), C1-3 플루오로알콕시, -O(CH2)1-3NRcRc, -OCH2CH=CH2, -OCH2C≡CH, -C(O)(C1-4 알킬), -C(O)OH, -C(O)O(C1-4 알킬), -NRcRc, -CH2NRaRa, -NRaS(O)2(C1-3 알킬), -NRaC(O)(C1-3 알킬), -(CRxRx)0-2NRaC(O)O(C1-4 알킬), -P(O)(C1-3 알킬)2, -S(O)2(C1-3 알킬), -(CRxRx)1-2(C3-4 시클로알킬), -(CRxRx)1-2(모르폴리닐), -(CRxRx)1-2(디플루오로모르폴리닐), -(CRxRx)1-2(디메틸모르폴리닐), -(CRxRx)1-2(옥사아자비시클로[2.2.1]헵타닐), (CRxRx)1-2(옥사아자스피로[3.3]헵타닐), -(CRxRx)1-2(메틸피페라지노닐), -(CRxRx)1-2(아세틸피페라지닐), -(CRxRx)1-2(피페리디닐), -(CRxRx)1-2(디플루오로피페리디닐), -(CRxRx)1-2(메톡시피페리디닐), -(CRxRx)1-2(히드록시피페리디닐), -O(CRxRx)0-2(C3-6 시클로알킬), -O(CRxRx)0-2(메틸시클로프로필), -O(CRxRx)0-2((에톡시카르보닐)시클로프로필), -O(CRxRx)0-2(옥세타닐), -O(CRxRx)0-2(메틸아제티디닐), -O(CRxRx)0-2(테트라히드로피라닐), -O(CRxRx)1-2(모르폴리닐), -O(CRxRx)0-2(티아졸릴), 시클로프로필, 시아노시클로프로필, 메틸아제티디닐, 아세틸아제티디닐, (tert-부톡시카르보닐)아제티디닐, 트리아졸릴, 테트라히드로피라닐, 모르폴리닐, 티오페닐, 메틸피페리디닐, 디옥솔라닐, 피롤리디노닐, 및 Rd로부터 독립적으로 선택되는 0 내지 4개의 치환기로 치환되거나; 또는
(iii) C3-6 시클로알킬, 4- 내지 10-원 헤테로시클릴, 모노- 또는 비시클릭 아릴, 또는 5- 내지 10-원 헤테로아릴로부터 선택되는 1개의 시클릭 기로 치환된 C1-4 알킬이고, 상기 시클릭 기는 F, Cl, Br, -OH, -CN, C1-6 알킬, C1-3 플루오로알킬, C1-3 알콕시, C1-3 플루오로알콕시, -OCH2CH=CH2, -OCH2C≡CH, -NRcRc, -NRaS(O)2(C1-3 알킬), -NRaC(O)(C1-3 알킬), -NRaC(O)O(C1-4 알킬), 및 C3-6 시클로알킬로부터 독립적으로 선택되는 0 내지 3개의 치환기로 치환되거나;
또는 R4a 및 R4b는 이들이 부착되어 있는 탄소 원자와 함께 C3-6 시클로알킬 또는 3- 내지 6-원 헤테로시클릴을 형성하고, 각각은 0 내지 3개의 Rf로 치환되고;
각각의 Rf는 독립적으로 F, Cl, Br, -OH, -CN, C1-6 알킬, C1-3 플루오로알킬, C1-3 알콕시, C1-3 플루오로알콕시, -OCH2CH=CH2, -OCH2C≡CH, -NRcRc, 또는 C3-6 시클로알킬, 3- 내지 6-원 헤테로시클릴, 페닐, 모노시클릭 헤테로아릴, 및 비시클릭 헤테로아릴로부터 선택되는 시클릭 기이고, 각각의 시클릭 기는 F, Cl, Br, -OH, -CN, C1-6 알킬, C1-3 플루오로알킬, C1-3 알콕시, C1-3 플루오로알콕시, 및 -NRcRc로부터 독립적으로 선택되는 0 내지 3개의 치환기로 치환되고;
R4c는 C1-6 알킬 또는 C3-6 시클로알킬이고, 각각은 F, Cl, -OH, C1-2 알콕시, C1-2 플루오로알콕시, 및 -CN으로부터 독립적으로 선택되는 0 내지 4개의 치환기로 치환되고;
R4d는 -OCH3이고;
각각의 Rc는 독립적으로 H 또는 C1-2 알킬이고;
Rd는 F, Cl, -CN, -CH3, 및 -OCH3으로부터 선택되는 0 내지 1개의 치환기로 치환된 페닐이고;
각각의 R5는 독립적으로 -CN, 0 내지 4개의 Rg로 치환된 C1-6 알킬, 0 내지 4개의 Rg로 치환된 C2-4 알케닐, 0 내지 4개의 Rg로 치환된 C2-4 알키닐, 0 내지 4개의 Rg로 치환된 C3-4 시클로알킬, 0 내지 4개의 Rg로 치환된 페닐, 0 내지 3개의 Rg로 치환된 옥사디아졸릴, 0 내지 4개의 Rg로 치환된 피리디닐, -(CH2)1-2(0 내지 4개의 Rg로 치환된 4- 내지 10-원 헤테로시클릴), -(CH2)1-2NRcC(O)(C1-4 알킬), -(CH2)1-2NRcC(O)O(C1-4 알킬), -(CH2)1-2NRcS(O)2(C1-4 알킬), -C(O)(C1-4 알킬), -C(O)OH, -C(O)O(C1-4 알킬), -C(O)O(C3-4 시클로알킬), -C(O)NRaRa 또는 -C(O)NRa(C3-4 시클로알킬)이고;
각각의 Rg는 독립적으로 F, Cl, -CN, -OH, C1-3 알콕시, C1-3 플루오로알콕시, -O(CH2)1-2O(C1-2 알킬), 또는 -NRcRc이고;
m은 0, 1, 2, 또는 3이고;
n은 0, 1, 또는 2이다.
질환, 예컨대 암을 치료하는 방법은 그를 필요로 하는 대상체에게 PD1/PD-L1 축의 길항제 및/또는 CTLA4의 길항제 및 화학식 (II)의 화합물 또는 그의 제약상 허용되는 염인 DGKα 및/또는 DGKζ의 억제제를 투여하는 것을 포함할 수 있으며, 여기서:
R1은 H, F, Cl, Br, -CN, -OH, 0 내지 4개의 R1a로 치환된 C1-3 알킬, 0 내지 3개의 R1a로 치환된 시클로프로필, 0 내지 3개의 R1a로 치환된 C1-3 알콕시, -NRaRa, -S(O)nCH3, 또는 -P(O)(CH3)2이고;
R2는 H, 또는 0 내지 2개의 R2a로 치환된 C1-2 알킬이고;
각각의 R2a는 독립적으로 F, Cl, -CN, -OH, -O(C1-2 알킬), 시클로프로필, C3-4 알케닐, 또는 C3-4 알키닐이고;
R4a 및 R4b는 독립적으로:
(i) -CN, 또는 F, Cl, -CN, -OH, -OCH3, -SCH3, C1-3 플루오로알콕시, 및 -NRaRa로부터 독립적으로 선택되는 0 내지 4개의 치환기로 치환된 C1-4 알킬이거나;
(ii) C3-6 시클로알킬, 4- 내지 10-원 헤테로시클릴, 페닐, 또는 5- 내지 10-원 헤테로아릴이고, 각각은 F, Cl, Br, -CN, -OH, C1-6 알킬, C1-3 플루오로알킬, C1-2 브로모알킬, C1-2 시아노알킬, C1-2 히드록시알킬, -CH2NRaRa, -(CH2)1-2O(C1-2 알킬), -(CH2)1-2NRxC(O)O(C1-2 알킬), C1-4 알콕시, -O(C1-4 히드록시알킬), -O(CRxRx)1-2O(C1-2 알킬), C1-3 플루오로알콕시, C1-3 시아노알콕시, -O(CH2)1-2NRcRc, -OCH2CH=CH2, -OCH2C≡CH, -C(O)(C1-4 알킬), -C(O)OH, -C(O)O(C1-4 알킬), -NRcRc, -NRaS(O)2(C1-3 알킬), -NRaC(O)(C1-3 알킬), -NRaC(O)O(C1-4 알킬), -P(O)(C1-2 알킬)2, -S(O)2(C1-3 알킬), -(CH2)1-2(C3-4 시클로알킬), -CRxRx(모르폴리닐), -CRxRx(디플루오로모르폴리닐), -CRxRx(디메틸모르폴리닐), -CRxRx(옥사자비시클로[2.2.1]헵타닐), -CRxRx(옥사아자스피로[3.3]헵타닐), -CRxRx(메틸피페라지노닐), -CRxRx(아세틸피페라지닐), -CRxRx(피페리디닐), -CRxRx(디플루오로피페리디닐), -CRxRx(메톡시피페리디닐), -CRxRx(히드록시피페리디닐), -O(CH2)0-2(C3-4 시클로알킬), -O(CH2)0-2(메틸시클로프로필), -O(CH2)0-2((에톡시카르보닐)시클로프로필), -O(CH2)0-2(옥세타닐), -O(CH2)0-2(메틸아제티디닐), -O(CH2)1-2(모르폴리닐), -O(CH2)0-2(테트라히드로피라닐), -O(CH2)0-2(티아졸릴), 시클로프로필, 시아노시클로프로필, 메틸아제티디닐, 아세틸아제티디닐, (tert-부톡시카르보닐)아제티디닐, 디옥솔라닐, 피롤리디노닐, 트리아졸릴, 테트라히드로피라닐, 모르폴리닐, 티오페닐, 메틸피페리디닐, 및 Rd로부터 독립적으로 선택되는 0 내지 4개의 치환기로 치환되거나; 또는
(iii) C3-6 시클로알킬, 4- 내지 10-원 헤테로시클릴, 모노- 또는 비시클릭 아릴, 또는 5- 내지 10-원 헤테로아릴로부터 선택되는 1개의 시클릭 기로 치환된 C1-3 알킬이고, 상기 시클릭 기는 F, Cl, Br, -OH, -CN, C1-3 알킬, C1-2 플루오로알킬, C1-3 알콕시, C1-2 플루오로알콕시, -OCH2CH=CH2, -OCH2C≡CH, -NRcRc, -NRaS(O)2(C1-3 알킬), -NRaC(O)(C1-3 알킬), -NRaC(O)O(C1-4 알킬), 및 C3-4 시클로알킬로부터 독립적으로 선택되는 0 내지 3개의 치환기로 치환되거나;
또는 R4a 및 R4b는 이들이 부착되어 있는 탄소 원자와 함께 C3-6 시클로알킬 또는 3- 내지 6-원 헤테로시클릴을 형성하고, 각각은 0 내지 3개의 Rf로 치환되고;
각각의 Rf는 독립적으로 F, Cl, Br, -OH, -CN, C1-4 알킬, C1-2 플루오로알킬, C1-3 알콕시, C1-2 플루오로알콕시, -OCH2CH=CH2, -OCH2C≡CH, -NRcRc, 또는 C3-6 시클로알킬, 3- 내지 6-원 헤테로시클릴, 페닐, 모노시클릭 헤테로아릴, 및 비시클릭 헤테로아릴로부터 선택되는 시클릭 기이고, 각각의 시클릭 기는 F, Cl, Br, -OH, -CN, C1-4 알킬, C1-2 플루오로알킬, C1-3 알콕시, C1-2 플루오로알콕시, 및 -NRcRc로부터 독립적으로 선택되는 0 내지 3개의 치환기로 치환되고;
R4c는 C1-4 알킬 또는 C3-6 시클로알킬이고, 각각은 F, Cl, -OH, C1-2 알콕시, C1-2 플루오로알콕시, 및 -CN으로부터 독립적으로 선택되는 0 내지 4개의 치환기로 치환되고;
각각의 R5는 독립적으로 -CN, 0 내지 4개의 Rg로 치환된 C1-5 알킬, 0 내지 4개의 Rg로 치환된 C2-3 알케닐, 0 내지 4개의 Rg로 치환된 C2-3 알키닐, 0 내지 4개의 Rg로 치환된 C3-4 시클로알킬, 0 내지 3개의 Rg로 치환된 페닐, 0 내지 3개의 Rg로 치환된 옥사디아졸릴, 0 내지 3개의 Rg로 치환된 피리디닐, -(CH2)1-2(0 내지 4개의 Rg로 치환된 4- 내지 10-원 헤테로시클릴), -(CH2)1-2NRcC(O)(C1-4 알킬), -(CH2)1-2NRcC(O)O(C1-4 알킬), -(CH2)1-2NRcS(O)2(C1-4 알킬), -C(O)(C1-4 알킬), -C(O)OH, -C(O)O(C1-4 알킬), -C(O)O(C3-4 시클로알킬), -C(O)NRaRa 또는 -C(O)NRa(C3-4 시클로알킬)이고;
각각의 Rx는 독립적으로 H 또는 -CH3이고;
m은 1, 2, 또는 3이다.
질환, 예컨대 암을 치료하는 방법은 그를 필요로 하는 대상체에게 PD1/PD-L1 축의 길항제 및/또는 CTLA4의 길항제, 및 m이 2이고; 1개의 R5가 R5a이고, 다른 R5가 R5c인 화학식 (II)의 화합물 또는 그의 제약상 허용되는 염인 DGKα 및/또는 DGKζ의 억제제를 투여하는 것을 포함할 수 있고; 상기 화합물은 하기 화학식 (III)의 구조를 갖는다:
R5a는 -CH3 또는 -CH2CH3이고;
R5c는 -CH3, -CH2CH3, 또는 -CH2CH2CH3이다.
질환, 예컨대 암을 치료하는 방법은 그를 필요로 하는 대상체에게 PD1/PD-L1 축의 길항제 및/또는 CTLA4의 길항제 및 하기 화학식 (III)의 화합물 또는 그의 제약상 허용되는 염인 DGKα 및/또는 DGKζ의 억제제를 투여하는 것을 포함할 수 있으며, 여기서
R1은 -CN이고;
R2는 -CH3이고;
R5a는 -CH3 또는 -CH2CH3이고;
R5c는 -CH3, -CH2CH3, 또는 -CH2CH2CH3이다.
질환, 예컨대 암을 치료하는 방법은 그를 필요로 하는 대상체에게 PD1/PD-L1 축의 길항제 및/또는 CTLA4의 길항제 및 하기 구조 중 하나를 갖는 화학식 (II)의 화합물 또는 그의 제약상 허용되는 염인 DGKα 및/또는 DGKζ의 억제제를 투여하는 것을 포함할 수 있다:
4-((2S,5R)-2,5-디에틸-4-(1-(4-(트리플루오로메틸)페닐)프로필)피페라진-1-일)-1-메틸-2-옥소-1,2-디히드로피리도[3,2-d]피리미딘-6-카르보니트릴
4-((2S,5R)-2,5-디에틸-4-((S)-1-(4-(트리플루오로메틸)페닐)프로필)피페라진-1-일)-1-메틸-2-옥소-1,2-디히드로피리도[3,2-d]피리미딘-6-카르보니트릴 및 4-((2S,5R)-2,5-디에틸-4-((R)-1-(4-(트리플루오로메틸)페닐)프로필)피페라진-1-일)-1-메틸-2-옥소-1,2-디히드로피리도[3,2-d]피리미딘-6-카르보니트릴 포함;
4-((2S,5R)-5-에틸-2-메틸-4-(1-(4-(트리플루오로메틸)페닐)에틸)피페라진-1-일)-1-메틸-2-옥소-1,2-디히드로피리도[3,2-d]피리미딘-6-카르보니트릴
4-((2S,5R)-5-에틸-2-메틸-4-((S)-1-(4-(트리플루오로메틸)페닐)에틸)피페라진-1-일)-1-메틸-2-옥소-1,2-디히드로피리도[3,2-d]피리미딘-6-카르보니트릴 및 4-((2S,5R)-5-에틸-2-메틸-4-((R)-1-(4-(트리플루오로메틸)페닐)에틸)피페라진-1-일)-1-메틸-2-옥소-1,2-디히드로피리도[3,2-d]피리미딘-6-카르보니트릴 포함;
4-((2S,5R)-5-에틸-4-((4-플루오로페닐)(5-(트리플루오로메틸)피리딘-2-일)메틸)-2-메틸피페라진-1-일)-1-메틸-2-옥소-1,2-디히드로피리도[3,2-d]피리미딘-6-카르보니트릴
4-((2S,5R)-5-에틸-4-((S)-(4-플루오로페닐)(5-(트리플루오로메틸)피리딘-2-일)메틸)-2-메틸피페라진-1-일)-1-메틸-2-옥소-1,2-디히드로피리도[3,2-d]피리미딘-6-카르보니트릴 및 4-((2S,5R)-5-에틸-4-((R)-(4-플루오로페닐)(5-(트리플루오로메틸)피리딘-2-일)메틸)-2-메틸피페라진-1-일)-1-메틸-2-옥소-1,2-디히드로피리도[3,2-d]피리미딘-6-카르보니트릴 포함;
4-((2S,5R)-5-에틸-2-메틸-4-(1-(4-(트리플루오로메톡시)페닐)에틸)피페라진-1-일)-1-메틸-2-옥소-1,2-디히드로피리도[3,2-d]피리미딘-6-카르보니트릴
4-((2S,5R)-5-에틸-2-메틸-4-((S)-1-(4-(트리플루오로메톡시)페닐)에틸)피페라진-1-일)-1-메틸-2-옥소-1,2-디히드로피리도[3,2-d]피리미딘-6-카르보니트릴 및 4-((2S,5R)-5-에틸-2-메틸-4-((R)-1-(4-(트리플루오로메톡시)페닐)에틸)피페라진-1-일)-1-메틸-2-옥소-1,2-디히드로피리도[3,2-d]피리미딘-6-카르보니트릴 포함;
4-((2S,5R)-5-에틸-2-메틸-4-(1-(4-(트리플루오로메톡시)페닐)프로필)피페라진-1-일)-1-메틸-2-옥소-1,2-디히드로피리도[3,2-d]피리미딘-6-카르보니트릴
4-((2S,5R)-5-에틸-2-메틸-4-((S)-1-(4-(트리플루오로메톡시)페닐)프로필)피페라진-1-일)-1-메틸-2-옥소-1,2-디히드로피리도[3,2-d]피리미딘-6-카르보니트릴 및 4-((2S,5R)-5-에틸-2-메틸-4-((R)-1-(4-(트리플루오로메톡시)페닐)프로필)피페라진-1-일)-1-메틸-2-옥소-1,2-디히드로피리도[3,2-d]피리미딘-6-카르보니트릴 포함;
4-((2S,5R)-5-에틸-2-메틸-4-(1-(4-(트리플루오로메틸)페닐)프로필)피페라진-1-일)-1-메틸-2-옥소-1,2-디히드로피리도[3,2-d]피리미딘-6-카르보니트릴
4-((2S,5R)-5-에틸-2-메틸-4-((S)-1-(4-(트리플루오로메틸)페닐)프로필)피페라진-1-일)-1-메틸-2-옥소-1,2-디히드로피리도[3,2-d]피리미딘-6-카르보니트릴 및 4-((2S,5R)-5-에틸-2-메틸-4-((R)-1-(4-(트리플루오로메틸)페닐)프로필)피페라진-1-일)-1-메틸-2-옥소-1,2-디히드로피리도[3,2-d]피리미딘-6-카르보니트릴 포함;
4-((2S,5R)-4-((4-클로로페닐)(피리딘-2-일)메틸)-5-에틸-2-메틸피페라진-1-일)-1-메틸-2-옥소-1,2-디히드로피리도[3,2-d]피리미딘-6-카르보니트릴
4-((2S,5R)-4-((R)-(4-클로로페닐)(피리딘-2-일)메틸)-5-에틸-2-메틸피페라진-1-일)-1-메틸-2-옥소-1,2-디히드로피리도[3,2-d]피리미딘-6-카르보니트릴 및 4-((2S,5R)-4-((S)-(4-클로로페닐)(피리딘-2-일)메틸)-5-에틸-2-메틸피페라진-1-일)-1-메틸-2-옥소-1,2-디히드로피리도[3,2-d]피리미딘-6-카르보니트릴 포함;
4-((2S,5R)-4-((3-시클로프로필-1,2,4-옥사디아졸-5-일)(4-플루오로페닐)메틸)-2,5-디메틸피페라진-1-일)-1-메틸-2-옥소-1,2-디히드로피리도[3,2-d]피리미딘-6-카르보니트릴
4-((2S,5R)-4-((R)-(3-시클로프로필-1,2,4-옥사디아졸-5-일)(4-플루오로페닐)메틸)-2,5-디에틸피페라진-1-일)-1-메틸-2-옥소-1,2-디히드로피리도[3,2-d]피리미딘-6-카르보니트릴 및 4-((2S,5R)-4-((S)-(3-시클로프로필-1,2,4-옥사디아졸-5-일)(4-플루오로페닐)메틸)-2,5-디에틸피페라진-1-일)-1-메틸-2-옥소-1,2-디히드로피리도[3,2-d]피리미딘-6-카르보니트릴 포함;
4-((2S,5R)-4-((4-플루오로페닐)(5-(트리플루오로메틸)피리딘-2-일)메틸)-2,5-디메틸피페라진-1-일)-1-메틸-2-옥소-1,2-디히드로피리도[3,2-d]피리미딘-6-카르보니트릴
4-((2S,5R)-4-((S)-(4-플루오로페닐)(5-(트리플루오로메틸)피리딘-2-일)메틸)-2,5-디메틸피페라진-1-일)-1-메틸-2-옥소-1,2-디히드로피리도[3,2-d]피리미딘-6-카르보니트릴 및 4-((2S,5R)-4-((R)-(4-플루오로페닐)(5-(트리플루오로메틸)피리딘-2-일)메틸)-2,5-디메틸피페라진-1-일)-1-메틸-2-옥소-1,2-디히드로피리도[3,2-d]피리미딘-6-카르보니트릴 포함;
4-((2S,5R)-4-(1-(4-(시클로프로필메톡시)-2-플루오로페닐)프로필)-2,5-디에틸피페라진-1-일)-1-메틸-2-옥소-1,2-디히드로피리도[3,2-d]피리미딘-6-카르보니트릴
4-((2S,5R)-4-((S)-1-(4-(시클로프로필메톡시)-2-플루오로페닐)프로필)-2,5-디에틸피페라진-1-일)-1-메틸-2-옥소-1,2-디히드로피리도[3,2-d]피리미딘-6-카르보니트릴 및 4-((2S,5R)-4-((R)-1-(4-(시클로프로필메톡시)-2-플루오로페닐)프로필)-2,5-디에틸피페라진-1-일)-1-메틸-2-옥소-1,2-디히드로피리도[3,2-d]피리미딘-6-카르보니트릴 포함;
4-((2S,5R)-2,5-디에틸-4-(1-(4-(트리플루오로메틸)페닐)부틸)피페라진-1-일)-1-메틸-2-옥소-1,2-디히드로피리도[3,2-d]피리미딘-6-카르보니트릴
4-((2S,5R)-2,5-디에틸-4-((S)-1-(4-(트리플루오로메틸)페닐)부틸)피페라진-1-일)-1-메틸-2-옥소-1,2-디히드로피리도[3,2-d]피리미딘-6-카르보니트릴 및 4-((2S,5R)-2,5-디에틸-4-((R)-1-(4-(트리플루오로메틸)페닐)부틸)피페라진-1-일)-1-메틸-2-옥소-1,2-디히드로피리도[3,2-d]피리미딘-6-카르보니트릴 포함;
1-메틸-4-((2S,5R)-2-메틸-5-프로필-4-(1-(4-(트리플루오로메틸)페닐)에틸)피페라진-1-일)-2-옥소-1,2-디히드로피리도[3,2-d]피리미딘-6-카르보니트릴
1-메틸-4-((2S,5R)-2-메틸-5-프로필-4-((S)-1-(4-(트리플루오로메틸)페닐)에틸)피페라진-1-일)-2-옥소-1,2-디히드로피리도[3,2-d]피리미딘-6-카르보니트릴 및 1-메틸-4-((2S,5R)-2-메틸-5-프로필-4-((R)-1-(4-(트리플루오로메틸)페닐)에틸)피페라진-1-일)-2-옥소-1,2-디히드로피리도[3,2-d]피리미딘-6-카르보니트릴 포함.
PD1/PD-L1 축의 길항제
DGK 억제제와 조합될 수 있는 PD1/PD-L1 축의 길항제는 하기를 포함한다.
PD1/PD-L1 축의 길항제는 음성 체크포인트를 억제함으로써 면역 반응을 자극하는 인간 PD1의 길항제 또는 인간 PD-L1의 길항제이다. 길항제는 임의의 유형의 분자, 예를 들어 단백질, 핵산 또는 소분자일 수 있다. 특정 실시양태에서, PD1/PD-L1 축의 길항제는 인간 PD1 또는 인간 PD-L1에 특이적으로 결합하는 항체이다.
관련 기술분야에 공지된 항-PD-1 항체가 본원에 기재된 방법에 사용될 수 있다. 높은 친화도로 PD-1에 특이적으로 결합하는 다양한 인간 모노클로날 항체가 미국 특허 번호 8,008,449에 개시되어 있다. 미국 특허 번호 8,008,449에 개시된 항-PD-1 인간 항체는 다음 특징 중 1개 이상을 나타내는 것으로 입증되었다: (a) 비아코어 바이오센서 시스템을 사용하여 표면 플라즈몬 공명에 의해 측정 시 1 x 10-7 M 이하의 KD로 인간 PD-1에 결합함; (b) 인간 CD28, CTLA-4 또는 ICOS에 실질적으로 결합하지 않음; (c) 혼합 림프구 반응 (MLR) 검정에서 T-세포 증식을 증가시킴; (d) MLR 검정에서 인터페론-γ 생산을 증가시킴; (e) MLR 검정에서 IL-2 분비를 증가시킴; (f) 인간 PD-1 및 시노몰구스 원숭이 PD-1에 결합함; (g) PD-1에 대한 PD-L1 및/또는 PD-L2의 결합을 억제함; (h) 항원-특이적 기억 반응을 자극함; (i) 항체 반응을 자극함; 및 (j) 생체내 종양 세포 성장을 억제함. 본 개시내용에 사용가능한 항-PD-1 항체는 인간 PD-1에 특이적으로 결합하고 상기 특징 중 적어도 1개, 일부 측면에서 적어도 5개를 나타내는 모노클로날 항체를 포함한다.
다른 항-PD-1 모노클로날 항체는, 예를 들어 미국 특허 번호 6,808,710, 7,488,802, 8,168,757 및 8,354,509, 미국 공개 번호 2016/0272708, 및 PCT 공개 번호 WO 2012/145493, WO 2008/156712, WO 2015/112900, WO 2012/145493, WO 2015/112800, WO 2014/206107, WO 2015/35606, WO 2015/085847, WO 2014/179664, WO 2017/020291, WO 2017/020858, WO 2016/197367, WO 2017/024515, WO 2017/025051, WO 2017/123557, WO 2016/106159, WO 2014/194302, WO 2017/040790, WO 2017/133540, WO 2017/132827, WO 2017/024465, WO 2017/025016, WO 2017/106061, WO 2017/19846, WO 2017/024465, WO 2017/025016, WO 2017/132825, 및 WO 2017/133540에 기재되어 있으며, 이들 각각은 그 전문이 참조로 포함된다.
일부 측면에서, 항-PD-1 항체는 니볼루맙 (또한 옵디보(OPDIVO)®, 5C4, BMS-936558, MDX-1106, 및 ONO-4538로 공지됨), 펨브롤리주맙 (머크; 또한 키트루다(KEYTRUDA)®, 람브롤리주맙, 및 MK-3475로 공지됨; WO2008/156712 참조), PDR001 (노파르티스; WO 2015/112900 참조), MEDI-0680 (아스트라제네카; 또한 AMP-514로 공지됨; WO 2012/145493 참조), 세미플리맙 (레게네론; 또한 REGN-2810으로 공지됨; WO 2015/112800 참조), JS001 (타이조우 준시 파마; 또한 토리팔리맙으로 공지됨; 문헌 [Si-Yang Liu et al., J. Hematol. Oncol. 10:136 (2017)]), 신틸리맙, BGB-A317 (베이진; 또한 티셀리주맙으로 공지됨; WO 2015/35606 및 US 2015/0079109 참조), INCSHR1210 (지앙수 헹루이 메디신; 또한 SHR-1210으로 공지됨; WO 2015/085847; 문헌 [Si-Yang Liu et al., J. Hematol. Oncol. 10:136 (2017)]), TSR-042 (테사로 바이오파마슈티칼; 또한 ANB011로 공지됨; WO2014/179664 참조), GLS-010 (욱시/하르빈 글로리아 파마슈티칼스; 또한 WBP3055로 공지됨; 문헌 [Si-Yang Liu et al., J. Hematol. Oncol. 10:136 (2017)]), AM-0001 (아르모), STI-1110 (소렌토 테라퓨틱스; WO 2014/194302 참조), AGEN2034 (아제누스; WO 2017/040790 참조), MGA012 (마크로제닉스, WO 2017/19846 참조), BCD-100 (바이오캐드; 문헌 [Kaplon et al., mAbs 10(2):183-203 (2018)]), 및 IBI308 (이노벤트; WO 2017/024465, WO 2017/025016, WO 2017/132825, 및 WO 2017/133540 참조)로 이루어진 군으로부터 선택된다.
한 측면에서, 항-PD-1 항체는 니볼루맙이다. 니볼루맙은 PD-1 리간드 (PD-L1 및 PD-L2)와의 상호작용을 선택적으로 방지함으로써 항종양 T-세포 기능의 하향-조절을 차단하는 완전 인간 IgG4 (S228P) PD-1 면역 체크포인트 억제제 항체이다 (미국 특허 번호 8,008,449; 문헌 [Wang et al., 2014 Cancer Immunol Res. 2(9):846-56]).
또 다른 측면에서, 항-PD-1 항체는 펨브롤리주맙이다. 펨브롤리주맙은 인간 세포 표면 수용체 PD-1 (프로그램화된 사멸-1 또는 프로그램화된 세포 사멸-1)에 대해 지시된 인간화 모노클로날 IgG4 (S228P) 항체이다. 펨브롤리주맙은, 예를 들어 미국 특허 번호 8,354,509 및 8,900,587에 기재되어 있다.
개시된 방법에 사용가능한 항-PD-1 항체는 또한, 인간 PD-1에 특이적으로 결합하고 인간 PD-1에의 결합에 대해 본원에 개시된 임의의 항-PD-1 항체, 예를 들어 니볼루맙과 교차-경쟁하는 단리된 항체를 포함한다 (예를 들어, 미국 특허 번호 8,008,449 및 8,779,105; WO 2013/173223 참조). 일부 측면에서, 항-PD-1 항체는 본원에 기재된 임의의 항-PD-1 항체, 예를 들어 니볼루맙과 동일한 에피토프에 결합한다. 항원에의 결합에 대해 교차-경쟁하는 항체의 능력은 이들 모노클로날 항체가 항원의 동일한 에피토프 영역에 결합하고, 다른 교차-경쟁 항체가 그 특정한 에피토프 영역에 결합하는 것을 입체적으로 방해한다는 것을 나타낸다. 이들 교차-경쟁 항체는 PD-1의 동일한 에피토프 영역에 대한 그의 결합에 의해 참조 항체, 예를 들어 니볼루맙과 매우 유사한 기능적 특성을 가질 것으로 예상된다. 교차-경쟁 항체는 표준 PD-1 결합 검정, 예컨대 비아코어 분석, ELISA 검정 또는 유동 세포측정법에서 니볼루맙과 교차-경쟁하는 그의 능력에 기초하여 용이하게 확인될 수 있다 (예를 들어, WO 2013/173223 참조).
특정 측면에서, 인간 PD-1에의 결합에 대해 니볼루맙과 교차-경쟁하거나, 또는 그와 동일한 인간 PD-1 항체의 에피토프 영역에 결합하는 항체는 모노클로날 항체이다. 인간 대상체로의 투여의 경우, 이들 교차-경쟁 항체는 키메라 항체, 조작된 항체, 또는 인간화 또는 인간 항체이다. 이러한 키메라, 조작된, 인간화 또는 인간 모노클로날 항체는 관련 기술분야에 널리 공지된 방법에 의해 제조 및 단리될 수 있다.
개시된 개시내용의 방법에 사용가능한 항-PD-1 항체는 또한 상기 항체의 항원-결합 부분을 포함한다. 항체의 항원-결합 기능이 전장 항체의 단편에 의해 수행될 수 있다는 것이 충분히 입증되었다.
개시된 조성물 및 방법에 사용하기에 적합한 항-PD-1 항체는 PD-1에 높은 특이성 및 친화도로 결합하고, PD-L1 및/또는 PD-L2의 결합을 차단하고, PD-1 신호전달 경로의 면역억제 효과를 억제하는 항체이다. 본원에 개시된 임의의 조성물 또는 방법에서, 항-PD-1 "항체"는, PD-1 수용체에 결합하며 리간드 결합을 억제하고 면역계를 상향-조절하는 데 있어서 전체 항체의 기능적 특성과 유사한 기능적 특성을 나타내는 항원-결합 부분 또는 단편을 포함한다. 특정 측면에서, 항-PD-1 항체 또는 그의 항원-결합 부분은 인간 PD-1에의 결합에 대해 니볼루맙과 교차-경쟁한다.
특정 측면에서, PD1/PD-L1 축의 길항제는 PD-L1의 길항제이다. 관련 기술분야에 공지된 항-PD-L1 항체가 본 개시내용의 조성물 및 방법에 사용될 수 있다. 본 개시내용의 조성물 및 방법에 유용한 항-PD-L1 항체의 예는 미국 특허 번호 9,580,507에 개시된 항체를 포함한다. 미국 특허 번호 9,580,507에 개시된 항-PD-L1 인간 모노클로날 항체는 다음 특징 중 1개 이상을 나타내는 것으로 입증되었다: (a) 비아코어 바이오센서 시스템을 사용하여 표면 플라즈몬 공명에 의해 결정 시, 1 x 10-7 M 이하의 KD로 인간 PD-L1에 결합함; (b) 혼합 림프구 반응 (MLR) 검정에서 T-세포 증식을 증가시킴; (c) MLR 검정에서 인터페론-γ 생산을 증가시킴; (d) MLR 검정에서 IL-2분비를 증가시킴; (e) 항체 반응을 자극함; 및 (f) T 세포 이펙터 세포 및/또는 수지상 세포에 대한 T 조절 세포의 효과를 역전시킴. 본 개시내용에 사용가능한 항-PD-L1 항체는 인간 PD-L1에 특이적으로 결합하고 상기 특징 중 적어도 1개, 일부 측면에서 적어도 5개를 나타내는 모노클로날 항체를 포함한다.
특정 측면에서, 항-PD-L1 항체는 BMS-936559 (또한 12A4, MDX-1105로 공지됨; 예를 들어, 미국 특허 번호 7,943,743 및 WO 2013/173223 참조), 아테졸리주맙 (로슈; 또한 테센트릭(TECENTRIQ)®으로 공지됨; MPDL3280A, RG7446; US 8,217,149 참조; 또한, 문헌 [Herbst et al. (2013) J Clin Oncol 31(suppl):3000] 참조), 두르발루맙 (아스트라제네카; 또한 임핀지(IMFINZI)™, MEDI-4736으로 공지됨; WO 2011/066389 참조), 아벨루맙 (화이자; 또한 바벤시오(BAVENCIO)®, MSB-0010718C로 공지됨; WO 2013/079174 참조), STI-1014 (소렌토; WO2013/181634 참조), CX-072 (시톰엑스; WO2016/149201 참조), KN035 (3D 메드/알파맙; 문헌 [Zhang et al., Cell Discov. 7:3 (March 2017)] 참조), LY3300054 (일라이 릴리 컴퍼니; 예를 들어, WO 2017/034916 참조), BGB-A333 (베이진; 문헌 [Desai et al., JCO 36 (15suppl):TPS3113 (2018)] 참조), 및 CK-301 (체크포인트 테라퓨틱스; 문헌 [Gorelik et al., AACR:Abstract 4606 (Apr 2016)] 참조).
특정 측면에서, PD-L1 항체는 아테졸리주맙 (테센트릭®)이다. 아테졸리주맙은 완전 인간화 IgG1 모노클로날 항-PD-L1 항체이다.
특정 측면에서, PD-L1 항체는 두르발루맙 (임핀지™)이다. 두르발루맙은 인간 IgG1 카파 모노클로날 항-PD-L1 항체이다.
특정 측면에서, PD-L1 항체는 아벨루맙 (바벤시오®)이다. 아벨루맙은 인간 IgG1 람다 모노클로날 항-PD-L1 항체이다.
개시된 방법에 사용가능한 항-PD-L1 항체는 또한, 인간 PD-L1에 특이적으로 결합하고 인간 PD-L1에의 결합에 대해 본원에 개시된 임의의 항-PD-L1 항체, 예를 들어 아테졸리주맙, 두르발루맙 및/또는 아벨루맙과 교차-경쟁하는 단리된 항체를 포함한다. 일부 측면에서, 항-PD-L1 항체는 본원에 기재된 임의의 항-PD-L1 항체, 예를 들어 아테졸리주맙, 두르발루맙 및/또는 아벨루맙과 동일한 에피토프에 결합한다. 항원에의 결합에 대해 교차-경쟁하는 항체의 능력은 이들 항체가 항원의 동일한 에피토프 영역에 결합하고, 다른 교차-경쟁 항체가 그 특정한 에피토프 영역에 결합하는 것을 입체적으로 방해한다는 것을 나타낸다. 이들 교차-경쟁 항체는 PD-L1의 동일한 에피토프 영역에 대한 그의 결합에 의해 참조 항체, 예를 들어 아테졸리주맙 및/또는 아벨루맙과 매우 유사한 기능적 특성을 가질 것으로 예상된다. 교차-경쟁 항체는 표준 PD-L1 결합 검정, 예컨대 비아코어 분석, ELISA 검정 또는 유동 세포측정법에서 아테졸리주맙 및/또는 아벨루맙과 교차-경쟁하는 그의 능력에 기초하여 용이하게 확인될 수 있다 (예를 들어, WO 2013/173223 참조).
특정 측면에서, 인간 PD-L1에의 결합에 대해 아테졸리주맙, 두르발루맙 및/또는 아벨루맙과 교차-경쟁하거나, 또는 그와 동일한 인간 PD-L1 항체의 에피토프 영역에 결합하는 항체는 모노클로날 항체이다. 인간 대상체로의 투여의 경우, 이들 교차-경쟁 항체는 키메라 항체, 조작된 항체, 또는 인간화 또는 인간 항체이다. 이러한 키메라, 조작된, 인간화 또는 인간 모노클로날 항체는 관련 기술분야에 널리 공지된 방법에 의해 제조 및 단리될 수 있다.
개시된 개시내용의 방법에 사용가능한 항-PD-L1 항체는 또한 상기 항체의 항원-결합 부분을 포함한다. 항체의 항원-결합 기능이 전장 항체의 단편에 의해 수행될 수 있다는 것이 충분히 입증되었다.
개시된 방법에 사용하기에 적합한 항-PD-L1 항체는 PD-L1에 높은 특이성 및 친화도로 결합하고, PD-1의 결합을 차단하고, PD-1 신호전달 경로의 면역억제 효과를 억제하는 항체이다. 본원에 개시된 임의의 방법에서, 항-PD-L1 "항체"는, PD-L1에 결합하며 수용체 결합을 억제하고 면역계를 상향-조절하는 데 있어서 전체 항체와 유사한 기능적 특성을 나타내는 항원-결합 부분 또는 단편을 포함한다. 특정 측면에서, 항-PD-L1 항체 또는 그의 항원-결합 부분은 인간 PD-L1에의 결합에 대해 아테졸리주맙, 두르발루맙 및/또는 아벨루맙과 교차-경쟁한다.
본 개시내용에 유용한 항-PD-L1 항체는 PD-L1에 특이적으로 결합하는 임의의 PD-L1 항체, 예를 들어 인간 PD-1에의 결합에 대해 두르발루맙, 아벨루맙 또는 아테졸리주맙과 교차-경쟁하는 항체, 예를 들어 두르발루맙, 아벨루맙 또는 아테졸리주맙과 동일한 에피토프에 결합하는 항체일 수 있다. 특정한 측면에서, 항-PD-L1 항체는 두르발루맙이다. 다른 측면에서, 항-PD-L1 항체는 아벨루맙이다. 일부 측면에서, 항-PD-L1 항체는 아테졸리주맙이다.
CTLA4의 길항제
DGK 억제제와 조합될 수 있는 CTLA4의 길항제는 하기를 포함한다.
CTLA-4의 길항제는 음성 체크포인트를 억제함으로써 면역 반응을 자극하는 인간 CTLA-4의 길항제이다. 길항제는 임의의 유형의 분자, 예를 들어 단백질, 핵산 또는 소분자일 수 있다. 특정 실시양태에서, CTLA-4의 길항제는 인간 CTLA-4에 특이적으로 결합하는 항체이다.
관련 기술분야에 공지된 항-CTLA-4 항체가 본 개시내용의 방법에 사용될 수 있다. 본 개시내용의 항-CTLA-4 항체는 인간 CTLA-4에 결합하여 CTLA-4와 인간 B7 수용체의 상호작용을 방해한다. CTLA-4와 B7의 상호작용은 CTLA-4 수용체를 보유하는 T-세포의 불활성화를 유발하는 신호를 전달하기 때문에, 상호작용의 파괴가 이러한 T 세포의 활성화를 효과적으로 유도, 증진 또는 연장시켜 면역 반응을 유도, 증진 또는 연장시킨다.
CTLA-4에 높은 친화도로 특이적으로 결합하는 인간 모노클로날 항체는 미국 특허 번호 6,984,720에 개시되어 있다. 다른 항-CTLA-4 모노클로날 항체는, 예를 들어 미국 특허 번호 5,977,318, 6,051,227, 6,682,736, 및 7,034,121 및 국제 공개 번호 WO 2012/122444, WO 2007/113648, WO 2016/196237, 및 WO 2000/037504에 기재되어 있으며, 이들 각각은 그 전문이 본원에 참조로 포함된다. 미국 특허 번호 6,984,720에 개시된 항-CTLA-4 인간 모노클로날 항체는 다음 특징 중 1개 이상을 나타내는 것으로 입증되었다: (a) 비아코어 분석에 의해 결정된 바와 같이, 적어도 약 107 M-1, 또는 약 109 M-1, 또는 약 1010 M-1 내지 1011 M-1 또는 그 초과의 평형 회합 상수 (Ka)에 의해 반영되는 결합 친화도로 인간 CTLA-4에 특이적으로 결합함; (b) 적어도 약 103, 약 104, 또는 약 105 m-1 s-1의 동역학적 회합 상수 (ka); (c) 적어도 약 103, 약 104, 또는 약 105 m-1 s-1의 동역학적 해리 상수 (kd); 및 (d) CTLA-4의 B7-1 (CD80) 및 B7-2 (CD86)에 대한 결합을 억제함. 본 개시내용에 유용한 항-CTLA-4 항체는 인간 CTLA-4에 특이적으로 결합하고 상기 특징 중 적어도 1개, 적어도 2개, 또는 적어도 3개를 나타내는 모노클로날 항체를 포함한다.
특정 측면에서, CTLA-4 항체는 이필리무맙 (또한 예르보이(YERVOY)®, MDX-010, 10D1로 공지됨; 미국 특허 번호 6,984,720 참조), MK-1308 (머크 (Merck)), AGEN-1884 (아제누스 인크.; WO 2016/196237 참조), 및 트레멜리무맙 (아스트라제네카; 또한 티실리무맙, CP-675,206으로 공지됨; WO 2000/037504 및 문헌 [Ribas, Update Cancer Ther. 2(3): 133-39 (2007)] 참조)으로 이루어진 군으로부터 선택된다. 특정한 측면에서, 항-CTLA-4 항체는 이필리무맙이다.
특정한 측면에서, CTLA-4 항체는 본원에 개시된 방법에 사용하기 위한 이필리무맙이다. 이필리무맙은 CTLA-4의 그의 B7 리간드에 대한 결합을 차단함으로써, 진행성 흑색종을 갖는 환자에서 T 세포 활성화를 자극하고 전체 생존 (OS)을 개선시키는 완전 인간, IgG1 모노클로날 항체이다.
특정한 측면에서, CTLA-4 항체는 트레멜리무맙이다.
특정한 측면에서, CTLA-4 항체는 MK-1308이다.
특정한 측면에서, CTLA-4 항체는 AGEN-1884이다.
개시된 방법에 사용가능한 항-CTLA-4 항체는 또한 인간 CTLA-4에 특이적으로 결합하고 인간 CTLA-4에의 결합에 대해 본원에 개시된 임의의 항-CTLA-4 항체, 예를 들어 이필리무맙 및/또는 트레멜리무맙과 교차-경쟁하는 단리된 항체를 포함한다. 일부 측면에서, 항-CTLA-4 항체는 본원에 기재된 임의의 항-CTLA-4 항체, 예를 들어 이필리무맙 및/또는 트레멜리무맙과 동일한 에피토프에 결합한다. 항원에의 결합에 대해 교차-경쟁하는 항체의 능력은 이들 항체가 항원의 동일한 에피토프 영역에 결합하고, 다른 교차-경쟁 항체가 그 특정한 에피토프 영역에 결합하는 것을 입체적으로 방해한다는 것을 나타낸다. 이들 교차-경쟁 항체는 CTLA-4의 동일한 에피토프 영역에 대한 그의 결합에 의해 참조 항체, 예를 들어 이필리무맙 및/또는 트레멜리무맙과 매우 유사한 기능적 특성을 가질 것으로 예상된다. 교차-경쟁 항체는 표준 CTLA-4 결합 검정, 예컨대 비아코어 분석, ELISA 검정 또는 유동 세포측정법에서 이필리무맙 및/또는 트레멜리무맙과 교차-경쟁하는 그의 능력에 기초하여 용이하게 확인될 수 있다 (예를 들어, WO 2013/173223 참조).
특정 측면에서, 인간 CTLA-4에의 결합에 대해 이필리무맙 및/또는 트레멜리무맙과 교차-경쟁하거나, 또는 그와 동일한 인간 CTLA-4 항체의 에피토프 영역에 결합하는 항체는 모노클로날 항체이다. 인간 대상체로의 투여의 경우, 이들 교차-경쟁 항체는 키메라 항체, 조작된 항체, 또는 인간화 또는 인간 항체이다. 이러한 키메라, 조작된, 인간화 또는 인간 모노클로날 항체는 관련 기술분야에 널리 공지된 방법에 의해 제조 및 단리될 수 있다.
개시된 개시내용의 방법에 사용가능한 항-CTLA-4 항체는 또한 상기 항체의 항원-결합 부분을 포함한다. 항체의 항원-결합 기능이 전장 항체의 단편에 의해 수행될 수 있다는 것이 충분히 입증되었다.
개시된 방법에 사용하기에 적합한 항-CTLA-4 항체는 높은 특이성 및 친화도로 CTLA-4에 결합하고, CTLA-4의 활성을 차단하고, CTLA-4와 인간 B7 수용체의 상호작용을 방해하는 항체이다. 본원에 개시된 임의의 조성물 또는 방법에서, 항-CTLA-4 "항체"는, CTLA-4에 결합하며 CTLA-4와 인간 B7 수용체의 상호작용을 억제하고 면역계를 상향-조절하는 데 있어서 전체 항체의 기능적 특성과 유사한 기능적 특성을 나타내는 항원-결합 부분 또는 단편을 포함한다. 특정 측면에서, 항-CTLA-4 항체 또는 그의 항원-결합 부분은 인간 CTLA-4에의 결합에 대해 이필리무맙 및/또는 트레멜리무맙과 교차-경쟁한다.
CTLA4의 길항제는 또한 CTLA4 항체의 변이체를 포함한다. CTLA4 항체의 예시적인 변이체는 비-푸코실화 항-CTLA4 항체, 예컨대 비-푸코실화 이필리무맙, 종양 내에서 선택적으로 절단되는 마스크를 갖는 활성화가능한 CTLA4 항체, 예컨대 활성화가능한 이필리무맙, 또는 비-푸코실화된 활성화가능한 CTLA-4 항체이다. 예시적인 비-푸코실화 및/또는 활성화가능한 항-CTLA4 항체, 예를 들어 이필리무맙은 WO2014/089113 및 WO2018/085555에 제공된다.
DGKα 및/또는 DGKζ의 억제제 및 PD1/PD-L1 축 또는 CTLA4의 길항제의 투여
예를 들어, 화학식 (I) 또는 (II)에 따른 본원에 기재된 화합물, 예컨대 화합물 1 내지 34로부터 선택되는 화합물 및/또는 그의 제약상 허용되는 염은 치료될 상태에 적합한 임의의 수단에 의해 투여될 수 있으며, 이는 부위-특이적 치료에 대한 필요성 또는 전달될 화합물의 양에 따라 달라질 수 있다.
또한, 화합물, 예를 들어 화학식 (I) 또는 (II)의 화합물, 예컨대 화합물 1 내지 34로부터 선택되는 화합물 및/또는 그의 제약상 허용되는 염; 및 1종 이상의 비-독성의 제약상 허용되는 담체 및/또는 희석제 및/또는 아주반트 (본원에서 집합적으로 "담체" 물질로서 지칭됨), 및 원하는 경우에 다른 활성 성분을 포함하는 제약 조성물의 부류가 본원에 포괄된다. 화합물, 예를 들어 화학식 (I) 또는 (II)의 화합물, 예컨대 화합물 1 내지 34로부터 선택되는 화합물은 임의의 적합한 경로에 의해, 바람직하게는 이러한 경로에 적합화된 제약 조성물의 형태로, 및 의도된 치료에 효과적인 용량으로 투여될 수 있다. 본원에 기재된 화합물 및 조성물은, 예를 들어 통상의 제약상 허용되는 담체, 아주반트 및 비히클을 함유하는 투여 단위 제제로 경구로, 점막으로, 또는 비경구로, 예컨대 혈관내로, 정맥내로, 복강내로, 피하로, 근육내로 및 흉골내로 투여될 수 있다. 예를 들어, 제약 담체는 만니톨 또는 락토스 및 미세결정질 셀룰로스의 혼합물을 함유할 수 있다. 혼합물은 추가의 성분, 예컨대 윤활제, 예를 들어 스테아르산마그네슘 및 붕해제, 예컨대 크로스포비돈을 함유할 수 있다. 담체 혼합물은 젤라틴 캡슐에 충전되거나 정제로서 압축될 수 있다. 제약 조성물은 예를 들어 경구 투여 형태 또는 주입으로서 투여될 수 있다.
경구 투여를 위해, 본원에 기재된 제약 조성물은, 예를 들어 정제, 캡슐, 액체 캡슐, 현탁액 또는 액체의 형태일 수 있다. 제약 조성물은 바람직하게는 특정한 양의 활성 성분을 함유하는 투여 단위의 형태로 제조된다. 예를 들어, 제약 조성물은 약 0.1 내지 1000 mg, 바람직하게는 약 0.25 내지 250 mg, 보다 바람직하게는 약 0.5 내지 100 mg 범위의 양의 활성 성분을 포함하는 정제 또는 캡슐로서 제공될 수 있다. 인간 또는 다른 포유동물에 적합한 1일 용량은 환자의 상태 및 다른 인자에 따라 광범위하게 달라질 수 있지만, 상용 방법을 사용하여 결정될 수 있다.
본원에서 고려되는 임의의 제약 조성물은, 예를 들어 임의의 허용되고 적합한 경구 제제를 통해 경구로 전달될 수 있다. 예시적인 경구 제제는, 예를 들어 정제, 트로키, 로젠지, 수성 및 유성 현탁액, 분산성 분말 또는 과립, 에멀젼, 경질 및 연질 캡슐, 액체 캡슐, 시럽 및 엘릭시르를 포함하나 이에 제한되지는 않는다. 경구 투여를 위해 의도된 제약 조성물은 경구 투여를 위해 의도된 제약 조성물을 제조하기 위한 관련 기술분야에 공지된 임의의 방법에 따라 제조될 수 있다. 제약상 맛우수한 제제를 제공하기 위해, 제약 조성물은 감미제, 향미제, 착색제, 완화제, 항산화제 및 보존제로부터 선택되는 적어도 1종의 작용제를 함유할 수 있다.
정제는, 예를 들어 적어도 1종의 화합물, 예를 들어 화학식 (I) 또는 (II)의 화합물, 예컨대 화합물 1 내지 34로부터 선택되는 화합물 및/또는 그의 적어도 1종의 제약상 허용되는 염을 정제의 제조에 적합한 적어도 1종의 비-독성 제약상 허용되는 부형제와 혼합함으로써 제조될 수 있다. 예시적인 부형제는, 예를 들어 불활성 희석제, 예컨대 예를 들어 탄산칼슘, 탄산나트륨, 락토스, 인산칼슘 및 인산나트륨; 과립화제 및 붕해제, 예컨대 예를 들어 미세결정질 셀룰로스, 소듐 크로스카르멜로스, 옥수수 전분 및 알긴산; 결합제, 예컨대 예를 들어 전분, 젤라틴, 폴리비닐-피롤리돈 및 아카시아; 및 윤활제, 예컨대 예를 들어 스테아르산마그네슘, 스테아르산 및 활석을 포함하나 이에 제한되지는 않는다. 추가로, 정제는 비코팅되거나, 또는 불쾌한 맛의 약물의 나쁜 맛을 차폐하기 위해 또는 위장관에서의 활성 성분의 붕해 및 흡수를 지연시켜 활성 성분의 효과를 보다 장기간 동안 지속시키기 위해 공지된 기술에 의해 코팅될 수 있다. 예시적인 수용성 맛 차폐 물질은 히드록시프로필-메틸셀룰로스 및 히드록시프로필-셀룰로스를 포함하나 이에 제한되지는 않는다. 예시적인 시간 지연 물질은 에틸 셀룰로스 및 셀룰로스 아세테이트 부티레이트를 포함하나 이에 제한되지는 않는다.
경질 젤라틴 캡슐은, 예를 들어 적어도 1종의 화합물, 예를 들어 화학식 (I) 또는 (II)의 화합물, 예컨대 화합물 1 내지 34로부터 선택되는 화합물 및/또는 그의 적어도 1종의 제약상 허용되는 염을 적어도 1종의 불활성 고체 희석제, 예컨대 예를 들어 탄산칼슘; 인산칼슘; 및 카올린과 혼합함으로써 제조될 수 있다.
연질 젤라틴 캡슐은, 예를 들어 적어도 1종의 화합물, 예를 들어 화학식 (I) 또는 (II)의 화합물, 예컨대 화합물 1 내지 34로부터 선택되는 화합물 및/또는 그의 적어도 1종의 제약상 허용되는 염을 적어도 1종의 수용성 담체, 예컨대, 예를 들어 폴리에틸렌 글리콜; 및 적어도 1종의 오일 매질, 예컨대, 예를 들어 땅콩 오일, 액체 파라핀, 및 올리브 오일과 혼합함으로써 제조될 수 있다.
수성 현탁액은, 예를 들어 적어도 1종의 화합물, 예를 들어 화학식 (I) 또는 (II)의 화합물, 예컨대 화합물 1 내지 34로부터 선택되는 화합물 및/또는 그의 적어도 1종의 제약상 허용되는 염을 수성 현탁액의 제조에 적합한 적어도 1종의 부형제와 혼합함으로써 제조될 수 있다. 수성 현탁액의 제조에 적합한 예시적인 부형제는, 예를 들어 현탁화제, 예컨대, 예를 들어 소듐 카르복시메틸셀룰로스, 메틸셀룰로스, 히드록시프로필메틸-셀룰로스, 알긴산나트륨, 알긴산, 폴리비닐-피롤리돈, 트라가칸트 검 및 아카시아 검; 분산제 또는 습윤제, 예컨대, 예를 들어 자연-발생 포스파티드, 예를 들어 레시틴; 알킬렌 옥시드와 지방산의 축합 생성물, 예컨대, 예를 들어 폴리옥시에틸렌 스테아레이트; 에틸렌 옥시드와 장쇄 지방족 알콜의 축합 생성물, 예컨대, 예를 들어 헵타데카에틸렌-옥시세탄올; 에틸렌 옥시드와 지방산 및 헥시톨로부터 유래된 부분 에스테르의 축합 생성물, 예컨대, 예를 들어 폴리옥시에틸렌 소르비톨 모노올레에이트; 및 에틸렌 옥시드와 지방산 및 헥시톨 무수물로부터 유래된 부분 에스테르의 축합 생성물, 예컨대, 예를 들어 폴리에틸렌 소르비탄 모노올레에이트를 포함하나 이에 제한되지는 않는다. 수성 현탁액은 또한 적어도 1종의 보존제, 예컨대 예를 들어 에틸 및 n-프로필 p-히드록시벤조에이트; 적어도 1종의 착색제; 적어도 1종의 향미제; 및/또는 예를 들어 수크로스, 사카린 및 아스파르탐을 포함하나 이에 제한되지는 않는 적어도 1종의 감미제를 함유할 수 있다.
유성 현탁액은, 예를 들어 적어도 1종의 화합물, 예를 들어 화학식 (I) 또는 (II)의 화합물, 예컨대 화합물 1 내지 34로부터 선택되는 화합물 및/또는 그의 적어도 1종의 제약상 허용되는 염을 식물성 오일, 예컨대, 예를 들어 아라키스 오일; 올리브 오일; 참깨 오일; 및 코코넛 오일 중에; 또는 미네랄 오일, 예컨대, 예를 들어 액체 파라핀 중에 현탁시킴으로써 제조될 수 있다. 유성 현탁액은 또한 적어도 1종의 증점제, 예컨대, 예를 들어 밀랍; 경질 파라핀; 및 세틸 알콜을 함유할 수 있다. 맛우수한 유성 현탁액을 제공하기 위해, 상기에 이미 기재된 적어도 1종의 감미제, 및/또는 적어도 1종의 향미제가 유성 현탁액에 첨가될 수 있다. 유성 현탁액은, 예를 들어 항산화제, 예컨대, 예를 들어 부틸화 히드록시아니솔 및 알파-토코페롤을 포함하나 이에 제한되지는 않는 적어도 1종의 보존제를 추가로 함유할 수 있다.
분산성 분말 및 과립은, 예를 들어 적어도 1종의 화합물, 예를 들어 화학식 (I) 또는 (II)의 화합물, 예컨대 화합물 1 내지 34로부터 선택되는 화합물 및/또는 그의 적어도 1종의 제약상 허용되는 염을 적어도 1종의 분산제 및/또는 습윤제; 적어도 1종의 현탁화제; 및/또는 적어도 1종의 보존제와 혼합함으로써 제조될 수 있다. 적합한 분산제, 습윤제 및 현탁화제는 상기에 이미 기재된 바와 같다. 예시적인 보존제는, 예를 들어 항산화제, 예를 들어 아스코르브산을 포함하나 이에 제한되지는 않는다. 또한, 분산성 분말 및 과립은, 예를 들어 감미제; 향미제; 및 착색제를 포함하나 이에 제한되지는 않는 적어도 1종의 부형제를 또한 함유할 수 있다.
적어도 1종의 화합물, 예를 들어 화학식 (I) 또는 (II)의 화합물, 예컨대 화합물 1 내지 34로부터 선택되는 화합물 및/또는 그의 적어도 1종의 제약상 허용되는 염의 에멀젼은, 예를 들어 수중유 에멀젼으로서 제조될 수 있다. 화학식 (I) 또는 (II)의 화합물, 예컨대 화합물 1 내지 34로부터 선택되는 화합물을 포함하는 에멀젼의 유성 상은 공지된 방식으로 공지된 성분으로부터 구성될 수 있다. 유성 상은, 예를 들어 식물성 오일, 예컨대 예를 들어 올리브 오일 및 아라키스 오일; 미네랄 오일, 예컨대 예를 들어 액체 파라핀; 및 그의 혼합물에 의해 제공될 수 있으나 이에 제한되지는 않는다. 상은 단지 유화제만을 포함할 수 있지만, 1종 이상의 유화제와 지방 또는 오일 또는 지방 및 오일 둘 다의 혼합물을 포함할 수 있다. 적합한 유화제는, 예를 들어 자연-발생 포스파티드, 예를 들어 대두 레시틴; 지방산 및 헥시톨 무수물로부터 유래된 에스테르 또는 부분 에스테르, 예컨대, 예를 들어 소르비탄 모노올레에이트; 및 부분 에스테르와 에틸렌 옥시드의 축합 생성물, 예컨대, 예를 들어 폴리옥시에틸렌 소르비탄 모노올레에이트를 포함하나 이에 제한되지는 않는다. 바람직하게는, 친수성 유화제는 안정화제로서 작용하는 친지성 유화제와 함께 포함된다. 오일 및 지방 둘 다를 포함하는 것이 또한 바람직하다. 이와 함께, 안정화제(들)의 존재 또는 부재 하에 유화제(들)는 소위 유화 왁스를 구성하고, 왁스는 오일 및 지방과 함께 크림 제제의 유성 분산 상을 형성하는 소위 유화 연고 베이스를 구성한다. 에멀젼은 또한 감미제, 향미제, 보존제 및/또는 항산화제를 함유할 수 있다. 치료 방법에 사용하기 위한 제제에 사용하기에 적합한 유화제 및 에멀젼 안정화제는 트윈(Tween) 60, 스팬(Span) 80, 세토스테아릴 알콜, 미리스틸 알콜, 글리세릴 모노스테아레이트, 소듐 라우릴 술페이트, 글리세릴 디스테아레이트를 단독으로 또는 왁스와 함께, 또는 관련 기술분야에 널리 공지된 다른 물질과 함께 포함한다.
화합물, 예를 들어 화학식 (I) 또는 (II)의 화합물, 예컨대 화합물 1 내지 34로부터 선택되는 화합물, 및/또는 그의 적어도 1종의 제약상 허용되는 염은, 예를 들어 또한 정맥내로, 피하로, 및/또는 근육내로 임의의 제약상 허용되고 적합한 주사가능한 형태를 통해 전달될 수 있다. 예시적인 주사가능한 형태는, 예를 들어 허용되는 비히클 및 용매, 예컨대 예를 들어 물, 링거액 및 등장성 염화나트륨 용액을 포함하는 멸균 수용액; 멸균 수중유 마이크로에멀젼; 및 수성 또는 유질 현탁액을 포함하나 이에 제한되지는 않는다.
비경구 투여를 위한 제제는 수성 또는 비-수성 등장성 멸균 주사 용액 또는 현탁액의 형태일 수 있다. 이들 용액 및 현탁액은 경구 투여를 위한 제제에 사용하기 위해 언급된 담체 또는 희석제 중 1종 이상을 사용하여 또는 다른 적합한 분산제 또는 습윤제 및 현탁화제를 사용함으로써 멸균 분말 또는 과립으로부터 제조될 수 있다. 화합물은 물, 폴리에틸렌 글리콜, 프로필렌 글리콜, 에탄올, 옥수수 오일, 목화씨 오일, 땅콩 오일, 참깨 오일, 벤질 알콜, 염화나트륨, 트라가칸트 검 및/또는 다양한 완충제 중에 용해될 수 있다. 다른 아주반트 및 투여 방식은 제약 업계에 널리 공지되어 있다. 활성 성분은 또한 염수, 덱스트로스 또는 물을 비롯한 적합한 담체, 또는 시클로덱스트린 (즉, 캅티솔), 공용매 가용화 (즉, 프로필렌 글리콜) 또는 미셀 가용화 (즉, 트윈 80)와 함께 조성물로서 주사에 의해 투여될 수 있다.
멸균 주사가능한 제제는 또한 비-독성의 비경구로 허용되는 희석제 또는 용매 중의 멸균 주사가능한 용액 또는 현탁액, 예를 들어 1,3-부탄디올 중의 용액일 수 있다. 사용될 수 있는 허용되는 비히클 및 용매 중에는 물, 링거액 및 등장성 염화나트륨 용액이 있다. 또한, 멸균 고정 오일이 용매 또는 현탁 매질로서 통상적으로 사용된다. 이러한 목적을 위해, 합성 모노- 또는 디글리세리드를 비롯한 임의의 무자극 고정 오일이 사용될 수 있다. 또한, 지방산, 예컨대 올레산이 주사제의 제조에 사용된다.
멸균 주사가능한 수중유 마이크로에멀젼은, 예를 들어 1) 적어도 1종의 화합물, 예를 들어 화학식 (I) 또는 (II)의 화합물, 예컨대 화합물 1 내지 34로부터 선택되는 화합물 및/또는 그의 제약상 허용되는 염을 유성 상, 예컨대 예를 들어 대두 오일 및 레시틴의 혼합물 중에 용해시키고; 2) 유성 상을 함유하는 화합물, 예를 들어 화학식 (I)의 화합물 및/또는 그의 제약상 허용되는 염을 물 및 글리세롤 혼합물과 조합하고; 3) 조합물을 가공하여 마이크로에멀젼을 형성함으로써 제조될 수 있다.
멸균 수성 또는 유성 현탁액은 관련 기술분야에 이미 공지된 방법에 따라 제조될 수 있다. 예를 들어, 멸균 수용액 또는 현탁액은 비-독성 비경구로 허용되는 희석제 또는 용매, 예컨대 예를 들어 1,3-부탄 디올을 사용하여 제조될 수 있고; 멸균 유질 현탁액은 멸균 비-독성 허용되는 용매 또는 현탁 매질, 예컨대 예를 들어 멸균 고정 오일, 예를 들어 합성 모노- 또는 디글리세리드; 및 지방산, 예컨대 예를 들어 올레산을 사용하여 제조될 수 있다.
제약 조성물에 사용될 수 있는 제약상 허용되는 담체, 아주반트 및 비히클은 이온 교환체, 알루미나, 스테아르산알루미늄, 레시틴, 자기-유화 약물 전달 시스템 (SEDDS), 예컨대 d-알파-토코페롤 폴리에틸렌글리콜 1000 숙시네이트, 제약 투여 형태에 사용되는 계면활성제, 예컨대 트윈, 폴리에톡실화 피마자 오일, 예컨대 크레모포르(CREMOPHOR) 계면활성제 (바스프), 또는 다른 유사한 중합체 전달 매트릭스, 혈청 단백질, 예컨대 인간 혈청 알부민, 완충제 물질, 예컨대 포스페이트, 글리신, 소르브산, 소르브산칼륨, 포화 식물성 지방산의 부분 글리세리드 혼합물, 물, 염 또는 전해질, 예컨대 프로타민 술페이트, 인산수소이나트륨, 인산수소칼륨, 염화나트륨, 아연 염, 콜로이드성 실리카, 삼규산마그네슘, 폴리비닐 피롤리돈, 셀룰로스-기재 물질, 폴리에틸렌 글리콜, 소듐 카르복시메틸셀룰로스, 폴리아크릴레이트, 왁스, 폴리에틸렌-폴리옥시프로필렌-블록 중합체, 폴리에틸렌 글리콜 및 양모 지방을 포함하나 이에 제한되지는 않는다. 시클로덱스트린, 예컨대 알파-, 베타- 및 감마-시클로덱스트린, 또는 화학적으로 변형된 유도체, 예컨대 히드록시알킬시클로덱스트린 (2- 및 3-히드록시프로필-시클로덱스트린 포함), 또는 다른 가용화된 유도체가 또한 본원에 기재된 화학식의 화합물의 전달을 증진시키는 데 유리하게 사용될 수 있다.
본원에 기재된 제약 활성 화합물은 인간 및 다른 포유동물을 비롯한 환자에게 투여하기 위한 의약 작용제를 제조하기 위해 제약학의 통상적인 방법에 따라 가공될 수 있다. 제약 조성물은 통상적인 제약 작업, 예컨대 멸균에 적용될 수 있고/거나 통상의 아주반트, 예컨대 보존제, 안정화제, 습윤제, 유화제, 완충제 등을 함유할 수 있다. 정제 및 환제는 추가로 장용 코팅으로 제조될 수 있다. 이러한 조성물은 또한 아주반트, 예컨대 습윤제, 감미제, 향미제 및 퍼퓸제를 포함할 수 있다.
본원에 기재된 화합물 및/또는 조성물로 질환 상태를 치료하기 위해 투여되는 화합물의 양 및 투여 요법은 대상체의 연령, 체중, 성별, 의학적 상태, 질환의 유형, 질환의 중증도, 투여 경로 및 빈도, 및 사용되는 특정한 화합물을 포함한 다양한 인자에 따라 달라진다. 따라서, 투여 요법은 광범위하게 달라질 수 있지만, 표준 방법을 사용하여 통상적으로 결정될 수 있다. 약 0.001 내지 100 mg/kg 체중, 바람직하게는 약 0.0025 내지 약 50 mg/kg 체중, 가장 바람직하게는 약 0.005 내지 10 mg/kg 체중의 1일 용량이 적절할 수 있다. 1일 용량은 1일에 1 내지 4회 용량으로 투여될 수 있다. 다른 투여 스케줄은 주당 1회 용량 및 2일 주기당 1회 용량을 포함한다.
치료 목적을 위해, 본원에 기재된 활성 화합물은 지시된 투여 경로에 적절한 1종 이상의 아주반트와 통상적으로 조합된다. 경구로 투여되는 경우, 화합물은 락토스, 수크로스, 전분 분말, 알칸산의 셀룰로스 에스테르, 셀룰로스 알킬 에스테르, 활석, 스테아르산, 스테아르산마그네슘, 산화마그네슘, 인산 및 황산의 나트륨 및 칼슘 염, 젤라틴, 아카시아 검, 알긴산나트륨, 폴리비닐피롤리돈 및/또는 폴리비닐 알콜과 혼합된 다음, 편리한 투여를 위해 정제화 또는 캡슐화될 수 있다. 이러한 캡슐 또는 정제는 히드록시프로필메틸 셀룰로스 중 활성 화합물의 분산액으로 제공될 수 있는 제어-방출 제제를 함유할 수 있다.
본원에 기재된 제약 조성물은 적어도 1종의 화합물, 예를 들어 화학식 (I)의 화합물 및/또는 그의 적어도 1종의 제약상 허용되는 염, 및 임의로 임의의 제약상 허용되는 담체, 아주반트 및 비히클로부터 선택되는 추가의 작용제를 포함한다. 본원에 기재된 대안적 조성물은 화합물, 예컨대 화학식 (I) 또는 (II)의 화합물, 예컨대 본원에 기재된 화합물 1 내지 34로부터 선택되는 화합물 또는 그의 전구약물, 및 제약상 허용되는 담체, 아주반트 또는 비히클을 포함한다.
일부 측면에서, 본원에 기재된 치료 방법에 사용되는 항-PD-L1 항체는 약 0.1 mg/kg 내지 약 20.0 mg/kg 체중, 약 2 mg/kg, 약 3 mg/kg, 약 4 mg/kg, 약 5 mg/kg, 약 6 mg/kg, 약 7 mg/kg, 약 8 mg/kg, 약 9 mg/kg, 약 10 mg/kg, 약 11 mg/kg, 약 12 mg/kg, 약 13 mg/kg, 약 14 mg/kg, 약 15 mg/kg, 약 16 mg/kg, 약 17 mg/kg, 약 18 mg/kg, 약 19 mg/kg, 또는 약 20 mg/kg 범위의 용량으로 2, 3, 4, 5, 6, 7, 또는 8주마다 약 1회 투여된다.
일부 측면에서, 항-PD-L1 항체는 약 15 mg/kg 체중의 용량으로 3주마다 약 1회 투여된다. 다른 측면에서, 항-PD-L1 항체는 약 10 mg/kg 체중의 용량으로 2주마다 약 1회 투여된다.
다른 측면에서, 본 개시내용에 유용한 항-PD-L1 항체는 균일 용량이다. 일부 측면에서, 항-PD-L1 항체는 약 200 mg 내지 약 1600 mg, 약 200 mg 내지 약 1500 mg, 약 200 mg 내지 약 1400 mg, 약 200 mg 내지 약 1300 mg, 약 200 mg 내지 약 1200 mg, 약 200 mg 내지 약 1100 mg, 약 200 mg 내지 약 1000 mg, 약 200 mg 내지 약 900 mg, 약 200 mg 내지 약 800 mg, 약 200 mg 내지 약 700 mg, 약 200 mg 내지 약 600 mg, 약 700 mg 내지 약 1300 mg, 약 800 mg 내지 약 1200 mg, 약 700 mg 내지 약 900 mg, 또는 약 1100 mg 내지 약 1300 mg의 균일 용량으로 투여된다. 일부 측면에서, 항-PD-L1 항체는 적어도 약 240 mg, 적어도 약 300 mg, 적어도 약 320 mg, 적어도 약 400 mg, 적어도 약 480 mg, 적어도 약 500 mg, 적어도 약 560 mg, 적어도 약 600 mg, 적어도 약 640 mg, 적어도 약 700 mg, 적어도 720 mg, 적어도 약 800 mg, 적어도 약 840 mg, 적어도 약 880 mg, 적어도 약 900 mg, 적어도 960 mg, 적어도 약 1000 mg, 적어도 약 1040 mg, 적어도 약 1100 mg, 적어도 약 1120 mg, 적어도 약 1200 mg, 적어도 약 1280 mg, 적어도 약 1300 mg, 적어도 약 1360 mg, 또는 적어도 약 1400 mg의 균일 용량으로, 약 1, 2, 3, 또는 4주의 투여 간격으로 투여된다. 일부 측면에서, 항-PD-L1 항체는 약 1200 mg의 균일 용량으로 3주마다 약 1회 투여된다. 다른 측면에서, 항-PD-L1 항체는 약 800 mg의 균일 용량으로 2주마다 약 1회 투여된다. 다른 측면에서, 항-PD-L1 항체는 약 840 mg의 균일 용량으로 2주마다 약 1회 투여된다.
일부 측면에서, 아테졸리주맙은 약 1200 mg의 균일 용량으로 약 3주마다 1회 투여된다. 일부 측면에서, 아테졸리주맙은 약 800 mg의 균일 용량으로 약 2주마다 1회 투여된다. 일부 측면에서, 아테졸리주맙은 약 840 mg의 균일 용량으로 약 2주마다 1회 투여된다.
일부 측면에서, 아벨루맙은 약 800 mg의 균일 용량으로 약 2주마다 1회 투여된다.
일부 측면에서, 두르발루맙은 약 10 mg/kg의 용량으로 약 2주마다 1회 투여된다. 일부 측면에서, 두르발루맙은 약 800 mg/kg의 균일 용량으로 약 2주마다 1회 투여된다. 일부 측면에서, 두르발루맙은 약 1200 mg/kg의 균일 용량으로 약 3주마다 1회 투여된다.
일부 측면에서, 본원에 기재된 치료 방법에 사용된 항-CTLA-4 항체 또는 그의 항원-결합 부분은 0.1 mg/kg 내지 10.0 mg/kg 체중 범위의 용량으로 2, 3, 4, 5, 6, 7 또는 8주마다 1회 투여된다. 일부 측면에서, 항-CTLA-4 항체 또는 그의 항원-결합 부분은 1 mg/kg 또는 3 mg/kg 체중의 용량으로 3, 4, 5, 또는 6주마다 1회 투여된다. 한 측면에서, 항-CTLA-4 항체 또는 그의 항원-결합 부분은 3 mg/kg 체중의 용량으로 2주마다 1회 투여된다. 또 다른 측면에서, 항-PD-1 항체 또는 그의 항원-결합 부분은 1 mg/kg 체중의 용량으로 6주마다 1회 투여된다.
일부 측면에서, 항-CTLA-4 항체 또는 그의 항원-결합 부분은 균일 용량으로 투여된다. 일부 측면에서, 항-CTLA-4 항체는 약 10 내지 약 1000 mg, 약 10 mg 내지 약 900 mg, 약 10 mg 내지 약 800 mg, 약 10 mg 내지 약 700 mg, 약 10 mg 내지 약 600 mg, 약 10 mg 내지 약 500 mg, 약 100 mg 내지 약 1000 mg, 약 100 mg 내지 약 900 mg, 약 100 mg 내지 약 800 mg, 약 100 mg 내지 약 700 mg, 약 100 mg 내지 약 100 mg, 약 100 mg 내지 약 500 mg, 약 100 mg 내지 약 480 mg, 또는 약 240 mg 내지 약 480 mg의 균일 용량으로 투여된다. 한 측면에서, 항-CTLA-4 항체 또는 그의 항원-결합 부분은 적어도 약 60 mg, 적어도 약 80 mg, 적어도 약 100 mg, 적어도 약 120 mg, 적어도 약 140 mg, 적어도 약 160 mg, 적어도 약 180 mg, 적어도 약 200 mg, 적어도 약 220 mg, 적어도 약 240 mg, 적어도 약 260 mg, 적어도 약 280 mg, 적어도 약 300 mg, 적어도 약 320 mg, 적어도 약 340 mg, 적어도 약 360 mg, 적어도 약 380 mg, 적어도 약 400 mg, 적어도 약 420 mg, 적어도 약 440 mg, 적어도 약 460 mg, 적어도 약 480 mg, 적어도 약 500 mg, 적어도 약 520 mg 적어도 약 540 mg, 적어도 약 550 mg, 적어도 약 560 mg, 적어도 약 580 mg, 적어도 약 600 mg, 적어도 약 620 mg, 적어도 약 640 mg, 적어도 약 660 mg, 적어도 약 680 mg, 적어도 약 700 mg, 또는 적어도 약 720 mg의 균일 용량으로 투여된다. 또 다른 측면에서, 항-CTLA-4 항체 또는 그의 항원-결합 부분은 균일 용량으로 1, 2, 3, 4, 5, 6, 7, 또는 8주마다 약 1회 투여된다.
일부 측면에서, 이필리무맙은 약 3 mg/kg의 용량으로 약 3주마다 1회 투여된다. 일부 측면에서, 이필리무맙은 약 10 mg/kg의 용량으로 약 3주마다 1회 투여된다. 일부 측면에서, 이필리무맙은 약 10 mg/kg의 용량으로 약 12주마다 1회 투여된다. 일부 측면에서, 이필리무맙은 4회 용량으로 투여된다.
화합물의 제조 방법
본원에 기재된 화합물은 유기 화학 분야의 관련 기술분야의 통상의 기술자에게 이용가능한 많은 방법에 의해 합성될 수 있다. 본원에 포괄된 제조를 위한 일반적 합성 반응식이 하기 기재된다. 이들 반응식은 예시적이며, 관련 기술분야의 통상의 기술자가 본원에 개시된 화합물을 제조하는 데 사용할 수 있는 가능한 기술을 제한하는 것으로 의도되지 않는다. 본원에 포괄된 화합물을 제조하기 위한 다양한 방법은 관련 기술분야의 통상의 기술자에게 명백할 것이다. 반응식에 기재된 방법에 의해 제조된 화합물의 예는 하기 제시된 실시예 섹션에 제공된다. 호모키랄 실시예의 제조는 관련 기술분야의 통상의 기술자에게 공지된 기술에 의해 수행될 수 있다. 예를 들어, 호모키랄 화합물은 키랄 상 정제용 HPLC에 의한 라세미 생성물 또는 부분입체이성질체의 분리에 의해 제조될 수 있다. 대안적으로, 실시예 화합물은 거울상이성질체적으로 또는 부분입체이성질체적으로 풍부한 생성물을 제공하는 것으로 공지된 방법에 의해 제조될 수 있다.
본 섹션에 기재된 반응 및 기술은 사용된 시약 및 물질에 적절한 용매 중에서 수행되며, 변형을 실시하기에 적합하다. 또한, 하기 주어진 합성 방법의 설명에서, 용매, 반응 분위기, 반응 온도, 실험 지속기간 및 후처리 절차의 선택을 포함한 모든 제안된 반응 조건은 그 반응에 대한 표준 조건이 되도록 선택되며, 이는 관련 기술분야의 통상의 기술자에 의해 용이하게 인지되어야 하는 것으로 이해되어야 한다. 분자의 다양한 부분에 존재하는 관능기가 제안된 시약 및 반응과 상용성이어야 한다는 것이 유기 합성 기술분야의 통상의 기술자에 의해 이해된다. 반응 조건과 상용성인 치환기에 대한 이러한 제한은 관련 기술분야의 통상의 기술자에게 용이하게 명백할 것이며, 비상용성 치환기가 존재하는 경우에 대안이 요구된다. 이는 때때로 목적 화합물을 수득하기 위해 합성 단계의 순서를 변형하거나 또는 또 다른 것에 비해 하나의 특정한 공정 반응식을 선택하기 위한 판단을 필요로 할 것이다. 또한, 이 분야의 임의의 합성 경로의 계획에서 또 다른 주요 고려사항은 본원에 기재된 화합물에 존재하는 반응성 관능기의 보호에 사용되는 보호기의 신중한 선택임이 인식될 것이다. 숙련된 진료의에게 많은 대안을 설명하는 권위있는 설명서는 문헌 [Wuts and Greene, Greene's Protective Groups in Organic Synthesis, Fourth Edition, Wiley and Sons (2007)]이다.
<실시예>
하기 실시예는 본 개시내용의 특정한 및 바람직한 실시양태를 예시하며, 본 개시내용의 범주를 제한하지 않는다. 화학적 약어 및 기호뿐만 아니라 과학적 약어 및 기호는, 달리 명시되지 않는 한, 그의 통상적이고 관례적인 의미를 갖는다. 실시예 및 본원의 다른 곳에서 사용된 추가의 약어는 본원에 정의된다. 공통 중간체는 일반적으로 하나 초과의 실시예의 제조에 유용하고, 순차적으로 확인되며 (예를 들어, 중간체 1, 중간체 2 등), Int. 1 또는 I1, Int. 2 또는 I2 등으로 약칭된다. 일부 경우에 중간체 또는 실시예의 대안적 제조가 기재된다. 빈번하게는, 합성 기술분야의 숙련된 화학자는 하나 이상의 고려사항, 예컨대 더 짧은 반응 시간, 덜 비싼 출발 물질, 작업 또는 단리의 용이성, 개선된 수율, 촉매작용에 적용가능성, 독성 시약의 회피, 전문화된 기기의 접근성, 및 감소된 선형 단계의 수 등에 기초하여 바람직할 수 있는 대안적 제조를 고안할 수 있다. 대안적 제조를 기재하는 의도는 본 개시내용의 실시예의 제조를 추가로 가능하게 하는 것이다. 일부 경우에, 약술된 실시예 및 청구범위에서의 일부 관능기는 관련 기술분야에 널리 공지된 생동배체 대체, 예를 들어 카르복실산 기의 테트라졸 또는 포스페이트 모이어티로의 대체에 의해 대체될 수 있다. 중수소화 디메틸 술폭시드에서 수집된1H NMR 데이터는 데이터 프로세싱에서 물 억제를 사용하였다. 기록된 스펙트럼은 물 억제의 효과에 대해 보정되지 않았다. 3.35 ppm의 물 억제 빈도에 인접한 양성자는 감소된 신호 강도를 나타낸다.
약어
Ac
아세틸
anhyd.
무수
aq.
수성
아자-HOBt
7-아자-1-히드록시벤조트리아졸
Bn
벤질
1-BOC-피페라진
tert-부틸 피페라진-1-카르복실레이트
Bu
부틸
CV
칼럼 부피
DCE
디클로로에탄
DCM
디클로로메탄
DEA
디에틸아민
DIEA
디이소프로필 에틸 아민 (휘니그 염기)
DIPEA
디이소프로필 에틸 아민
DMA
N,N-디메틸아세트아미드
DMF
디메틸포름아미드
DMSO
디메틸 술폭시드
EA
에틸 아세테이트
EDC
1-(3-디메틸아미노프로필)-3-에틸카르보디이미드 히드로클로라이드
Et
에틸
h, hours 또는 hrs
시간
HATU
(1-[비스(디메틸아미노)메틸렌]-1H-1,2,3-트리아졸로[4,5-b]피리디늄 3-옥시드 헥사플루오로포스페이트)
HCl
염산
HPLC
고압 액체 크로마토그래피
KHMDS
포타슘 비스(트리메틸실릴)아미드
LC
액체 크로마토그래피
LCMS
액체 크로마토그래피-질량 분광측정법
M
몰
mM
밀리몰
Me
메틸
MHz
메가헤르츠
mins
분
M+1
(M+H)+
MS
질량분광법
n 또는 N
노르말
NaHMDS
소듐 비스(트리메틸실릴)아미드
NBS
N-브로모숙신이미드
nM
나노몰
NMP
N-메틸피롤리디논
Ph
페닐
PYBROP
브로모트리피롤리디노포스포늄 헥사플루오로포스페이트
RuPhos 전촉매 클로로(2-디시클로헥실포스피노-2',6'-디이소프로폭시-1,1'-비페닐)[2-(2'-아미노-1,1'-비페닐)]팔라듐 (II)
RT 또는 Ret 시간 체류 시간
sat. 포화
t-BuOH 3급 부탄올
TEA 트리에틸아민
TFA 트리플루오로아세트산
THF 테트라히드로푸란
TLC 박층 크로마토그래피
POCl3 옥시염화인
2nd Gen Xphos CAS 번호 1310584-14-5
실시예 1: DGKi는 동종반응성 MLR 검정에서 니볼루맙 및 이필리무맙의 활성을 증진시킴
본 실시예는 MLR 검정에서 분비된 인터페론-γ (IFN-γ)의 증가된 수준에 의해 입증된 바와 같이, DGK의 억제가 PD-1 및 CTLA-4 억제제의 활성을 증진시킨다는 것을 보여준다.
검정을 하기와 같이 수행하였다. 말초 혈액 단핵 세포를 피콜 세포 분리를 사용하여 EDTA 처리된 전혈로부터 단리하였다. 세포를 스템셀 이지셉(Stemcell EasySep) 인간 T 세포 농축 키트 (스템셀 19051)를 사용하여 T 세포로 추가로 단리하였다. 이전에 구입한 동결된 단핵구를 해동시키고, 37℃ CO2 인큐베이터에서 6일 동안 GMCSF 및 IL-4의 처리로 수지상 세포 (DC)로 분화시켰다. T 세포를 10% FBS RPMI 배지 중 96 웰 둥근 바닥 플레이트에 웰당 100,000개 세포로 플레이팅하였다. 동종이형 수지상 세포를 적절한 웰에 10:1 비의 T 세포:미성숙 DC로 첨가하였다. DGK 억제제 DGKi 화합물 15를 DMSO 중에 희석한 다음, 10% FBS RPMI 배지로 추가 희석하고, T 세포: 미성숙 DC의 적절한 웰에 250 μl의 최종 부피 중 0.1%의 최종 DMSO 농도로 첨가하였다. 혼합 림프구 반응물을 인큐베이터에 5일 동안 두었다. 제5일에, 130 μl의 배지를 제거하고, 10 μl를 IFN-γ ELISA 검정 (BD cat 555142)에 사용하였다.
도 1A 및 B에 도시된 결과는 DGK의 억제가 PD-1 또는 CTLA-4 억제제로 처리된 T 세포로부터의 IFN-γ 분비의 수준을 증진시킨다는 것을 나타낸다.
실시예 2: DGK의 억제는 B16 동물 종양 모델에서 PD-1 길항제 및 CTLA4 길항제의 조합 활성을 증진시킴
본 실시예는 PD-1 길항제 및 CTLA4 길항제와 동시에 DGKi의 투여가 PD-1 길항제 및 CTLA4 길항제의 조합에 비해 증진된 종양 감소 활성을 발생시킨다는 것을 보여준다.
본 검정은 B16 종양 모델 (인간 흑색종 종양 모델)에서 수행하였다. 마우스에게 항-PD-1 항체 (마우스 PD-1에 대해 지시된 mIgG1-D265A 모노클로날 항체), 항-CTLA4 항체 (마우스 CTLA4에 대해 지시된 mIgG2b 모노클로날 항체), 비히클 단독, 및/또는 DGKi를 투여하고, 종양 성장을 측정하였다. 도 2A-G에 도시된 결과는 개별 작용제 또는 2종의 작용제의 조합에 의해 어떠한 유의한 종양 감소도 관찰되지 않았지만, DGKi를 항-PD-1 항체 및 항-CTLA4 항체와 조합하는 것은 종양 감소를 유발하였음을 나타낸다 (도 2G).
실시예 3: DGK의 억제는 CT26 동물 종양 모델에서 PD-1 억제제 및/또는 CTLA-4 억제제의 활성을 증진시킴
본 실시예는 CT26 모델에서, DGK 억제제의 투여가 항-PD-1 및/또는 항-CTLA4 항체에 의해 유도된 종양 감소를 증진시킨다는 것을 보여준다.
검정을 다음과 같이 수행하였다: CT26 세포 (ATCC로부터의 뮤린 결장직장 암종 세포주)를 10% 태아 소 혈청 (인비트로젠/써모피셔 사이언티픽) 및 RPMI 1640 배지 (깁코/써모피셔 사이언티픽)에서 배양하였다. 엔비고로부터 입수한 암컷 BALB/c 마우스는 6-8주령에 도달하였다. 종양 이식을 위해 (제0일), 마우스에게 1x107개 세포/mL의 CT26 세포 현탁액의 0.1 mL 피하 주사를 우측 측복부 내로 제공하였다. 종양이 전형적으로 이식후 약 10일에 ~100 mm3의 미리 결정된 부피로 성장할 때, 마우스를 무작위화하고, 다양한 대조군 및 처리군으로 분류하고, 투여를 개시하였다. DGKi 화합물 16을 90% PEG400, 5%에탄올 및 5% TPGS 중에 제제화하고, 10 mL/kg 체중의 부피로 경구로 제공하였다. 항-CTLA4 (항-mCTLA4, mIgG2b) 및 항-PD1 (마우스 PD-1에 대해 지시된 mIgG1-D265A 모노클로날 항체) 및 이소형 대조군을 DPBS를 사용하여 10 mg/kg의 용량으로 희석하였다. 항체 요법을 복강내 주사 (I.P.)를 통해 4일마다 총 3회 용량 (Q4Dx3)에 대해 투여하였다. 종양이 완전히 퇴행하거나 (0 mm3) 또는 1000 mm3에 도달할 때까지 종양 부피를 디지털 캘리퍼로 1주 2회 측정하고, 안락사시켰다. AH1 사량체 염색을 위해, 100 μL의 혈액을 각각의 마우스로부터 리튬 헤파린 튜브 내로 수집하였다. 혈액을 AH1 사량체 (MBL), 항-Cd3, 항-cd4, 및 항-Cd8 (바이오레전드)로 염색하였다. 샘플을 용해/고정 완충제 (BD)를 사용하여 용해시키고, 샘플을 칸토엑스 세포측정기 (BD) 상에서 획득하고, 플로우조 (BD)에서 분석하였다.
도 3A-H에 도시된 결과는 CT26 마우스 모델에서 DGKi가 (i) PD1 억제제; (ii) CTLA-4 억제제; 및 (iii) PD1 억제제 및 CTLA-4 억제제에 의해 유도된 종양 부피 감소를 증진시킨다는 것을 나타낸다. 도 3I에 도시된 결과는 DGKi가 AH1+ 사량체 종양 항원에 대해 양성인 CD8 세포의 백분율을 증가시킨다는 것을 나타낸다. 따라서, 조합 치료는 개선된 완전 반응을 유발하고, CT26 모델에서 증가된 AH1+ T 세포와 상관관계가 있다. DGK 억제제와 CTLA4 길항제 및 PD1 길항제 둘 다의 조합은 가장 높은 수의 완전 반응, 즉 10개의 완전 반응 중 10개를 유발했다.
실시예 4: DGK의 억제는 TCR 활성화에 요구되는 항원 역치를 낮춤
본 실시예는 DGK 억제가 (1) 약한 종양 항원에 의해 유도된 T 세포 반응을 강화하고 (2) T 세포 활성화에 요구되는 종양 항원의 농도를 낮춘다는 것을 보여준다.
본 검정을 다음과 같이 수행하였다: MC38 세포 (뮤린 결장 선암종 세포)를 획득하고, 10% 태아 소 혈청 (인비트로젠/써모피셔 사이언티픽) 및 RPMI 1640 배지 (깁코/써모피셔 사이언티픽)에서 배양하였다. Ova 및 불규칙변화 펩티드 변이체를 아나스펙(AnaSpec)으로부터 획득하고, 제조업체의 프로토콜에 따라 재현탁시켰다. MC38 세포를 1 μg/mL의 펩티드 또는 지시된 농도로 3시간 동안 펄싱한 다음, 유리 펩티드를 세척 제거하였다. OT1 마우스 (오브알부민 (OVA (SIINFEKL)) 또는 OVA 펩티드의 다음 유도체: A2 (SAINFEKL), Q4 (SIIQFEKL), T4 (SIITFEKL), Q4H7 (SIIQFEHL)에 특이적인 TCR을 갖지만, 스크램블된 펩티드 FILKSINE는 인식하지 않는 부류 I 제한 TCR 트랜스제닉/C57B16 배경임)를 잭슨 랩스로부터 획득하였다. 이들 펩티드의 TCR 결합 친화도를 하기 표에 나타낸다. CD8 T 세포를 OT1 마우스의 총 비장세포 (스템셀)로부터 정제하고, CD3/CD28 비드 (인비트로젠)를 사용하여 활성화시킨 다음, 동결시켰다. 동결된 활성화된 OT-1 CD8 T 세포를 펩티드 펄스 동안 해동시키고, DGKi 화합물 15 또는 대조군 화합물 또는 DMSO로 1시간 동안 플레이팅하였다. MC38-단백질 펄스된 세포를 플레이트에 첨가하고, 37℃에서 밤새 공동-배양하였다. 상청액을 수집하고, IL-2를 알파리사(AlphaLISA) (퍼킨엘머)를 사용하여 측정하였다.
도 4A-F에 도시된 결과는 DGKi 화합물 15가 T 세포 항원 인식 및 활성화를 위한 항원의 친화도 요건 및 농도 요건 둘 다를 낮춘다는 것을 나타낸다.
실시예 5: DGK의 억제는 인간 CTL 이펙터 기능을 증가시키고, 종양 세포 사멸을 증진시킴
본 실시예는 DGK의 억제가 CTL 이펙터 기능 및 종양 세포 사멸을 증가시킨다는 것을 보여준다.
검정을 다음과 같이 수행하였다: HCT116-GFP (인간 결장직장암) 세포를 셀로믹스로부터 획득하였다. HCT116-GFP를 지시된 농도의 A2 및 B35 펩티드 (아스타르트)로 1시간 동안 펄싱한 후, 세척 제거하였다. 세포를 플레이팅하고, 밤새 부착되도록 하였다. CMV 특이적 인간 CD8 T 세포 (아스타르트)를 해동시키고, DGKi 화합물 15로 1시간 동안 처리한 다음, HCT116-GFP 세포에 첨가하였다. 상청액을 공동-배양 24시간 후에 수집하고, IFNg를 알파리사 (퍼킨엘머)를 사용하여 측정하였다. 형광 현미경을 사용하여 GFP의 영상을 찍었다.
도 5A 및 B에 도시된 결과는 DGKi 화합물 15가 인간 CTL 이펙터 기능을 증가시키고 종양 세포 사멸을 증진시킨다는 것을 나타낸다.
실시예 6: DGK의 억제는 감소된 B2M 수준을 극복하여 T 세포 이펙터 기능을 회복시킬 수 있음
많은 인간 종양은 T 세포가 종양 세포를 인식하고 사멸시키는 데 있어 결정적인 부류 I MHC의 부분적 또는 완전한 상실을 유발하는 돌연변이를 갖는다. 본 실시예는 DGK의 억제가, T 세포가 보다 낮은 수준의 MHC를 갖는 종양 세포를 인식하도록 한다는 것을 보여준다. 이들 표적 세포는 그렇지 않으면 T 세포에 의해 인식되지 않을 것이다.
검정을 다음과 같이 수행하였다: HCT116-GFP를 셀로믹스로부터 획득하고, 10% 태아 소 혈청 (인비트로젠/써모피셔 사이언티픽) 및 RPMI 1640 배지 (깁코/써모피셔 사이언티픽)에서 배양하였다. B2M 가이드 RNA (신테고)를 뉴클레오펙션 (론자)에 의해 HCT116-GFP 세포에 도입하였다. 회수 후, 세포를 개별 웰에 플레이팅하여 단일 세포 클론을 생성하였다. 클론을 B2M (바이오레전드)에 대해 염색하고, 유동 세포측정법에 의해 평가하였다. 이어서, 클론을 1시간 동안 1 mg/mL의 A2 또는 B35 펩티드 (아스타르트)로 펄싱한 후, 세척 제거하였다. 세포를 플레이팅하고, 밤새 부착되도록 하였다. CMV 특이적 인간 CD8 T 세포 (아스타르트)를 해동시키고, DGKi 화합물 15로 1시간 동안 처리한 다음, HCT116 세포에 첨가하였다. 상청액을 공동-배양 24시간 후에 수집하고, IFN-γ를 알파리사 (퍼킨엘머)를 사용하여 측정하였다.
도 6A 및 B에 도시된 결과는 DGKi 화합물 15가 감소된 부류 I MHC 항원을 갖는 종양 세포를 인식하는 T 세포로부터 IFN-γ 수준을 증가시킨다는 것을 나타낸다.
실시예 7: DGK 억제 및 PD1 길항제에 의한 치유적 종양 활성은 CD8+ T 세포에 의존성임
본 실시예는 치유적 종양 활성이 CT26 동물 모델에서 CD8+ T 세포에 의존성이라는 것을 보여준다.
검정을 다음과 같이 수행하였다: CT26 세포 (ATCC로부터)를 10% 태아 소 혈청 (인비트로젠/써모피셔 사이언티픽) 및 RPMI 1640 배지 (깁코/써모피셔 사이언티픽)에서 배양하였다. 엔비고로부터 입수한 암컷 BALB/c 마우스는 6-8주령에 도달하였다. 종양 이식을 위해 (제0일), 마우스에게 1x107개 세포/mL의 CT26 세포 현탁액의 0.1 mL 피하 주사를 우측 측복부 내로 제공하였다. CD8 고갈성 항체 (2.43, 바이오엑스셀(BioXCell))를 PBS 중에 희석하고, 100 μg/마우스로 투여하였다. 투여는 제1일에 개시하였고, 연구 완료까지 3-4일마다 계속하였다. 종양이 전형적으로 이식후 약 10일에 ~100 mm3의 미리 결정된 부피로 성장할 때, 마우스를 무작위화하고, 다양한 대조군 및 처리군으로 분류하고, 투여를 개시하였다. DGKi 화합물 16을 90% PEG400, 5%에탄올 및 5% TPGS 중에 제제화하고, 3일마다 5 mg/kg의 총 5회 용량 (Q3Dx5)에 대해 투여하여 10 mL/kg 체중의 부피로 경구로 제공하였다. 항-PD1 항체 (마우스 PD-1에 대해 지시된 mIgG1-D265A 모노클로날 항체) 및 이소형 대조군을 DPBS를 사용하여 10 mg/kg의 용량으로 희석하였다. 항체 요법을 복강내 주사 (I.P.)를 통해 4일마다 총 3회 용량 (Q4Dx3)에 대해 투여하였다. 종양이 완전히 퇴행하거나 (0 mm3) 또는 1000 mm3에 도달할 때까지 종양 부피를 디지털 캘리퍼로 1주 2회 측정하고, 안락사시켰다.
도 7에 도시된 결과는 항-PD-1 길항제 및 DGKi 화합물 16을 사용한 CT26 마우스의 처리에 의해 수득된 종양 부피 감소가 CD8+ 세포의 고갈에 의해 감소된다는 것을 나타낸다.
실시예 8: DGK 억제 및 PD1 길항제에 의한 종양 부피 감소는 CD4 세포 고갈에 의해 증진됨
본 실시예는 DGK 억제제 및 PD-1 길항제의 조합에 의해 수득된 종양 감소가 CD4 세포의 고갈에 의해 추가로 증진된다는 것을 보여준다.
검정을 다음과 같이 수행하였다: CT26 세포 (ATCC로부터)를 10% 태아 소 혈청 (인비트로젠/써모피셔 사이언티픽) 및 RPMI 1640 배지 (깁코/써모피셔 사이언티픽)에서 배양하였다. 엔비고로부터 입수한 암컷 BALB/c 마우스는 6-8주령에 도달하였다. 종양 이식을 위해 (제0일), 마우스에게 1x107개 세포/mL의 CT26 세포 현탁액의 0.1 mL 피하 주사를 우측 측복부 내로 제공하였다. CD4 고갈성 항체 (GK1.5, 바이오엑스셀)를 PBS 중에 희석하고, 100 μg/마우스로 투여하였다. 투여는 제1일에 개시하였고, 연구 완료까지 3-4일마다 계속하였다. 종양이 전형적으로 이식후 약 10일에 ~100 mm3의 미리 결정된 부피로 성장할 때, 마우스를 무작위화하고, 다양한 대조군 및 처리군으로 분류하고, 투여를 개시하였다. DGKi 화합물 16을 90% PEG400, 5%에탄올 및 5% TPGS 중에 제제화하고, 3일마다 5 mg/kg의 총 5회 용량 (Q3Dx5)에 대해 10 mL/kg 체중의 부피로 경구로 제공하였다. 항-PD1 (마우스 PD-1에 대해 지시된 mIgG1-D265A 모노클로날 항체) 및 이소형 대조군 (MOPC-21, 바이오엑스셀)을 DPBS를 사용하여 10 mg/kg의 용량으로 희석하였다. 항체 요법을 복강내 주사 (I.P.)를 통해 4일마다 총 3회 용량 (Q4Dx3)에 대해 투여하였다. 종양이 완전히 퇴행하거나 (0 mm3) 또는 1000 mm3에 도달할 때까지 종양 부피를 디지털 캘리퍼로 1주 2회 측정하고, 안락사시켰다.
도 8에 도시된 결과는 항-PD-1 길항제 및 DGKi 화합물 16을 사용한 MC38 마우스의 처리에 의해 수득된 종양 부피 감소가 CD4+ 세포의 고갈에 의해, 아마도 Treg 세포의 고갈로 인해 증진된다는 것을 나타낸다.
실시예 9: NK 세포는 DGKi 및 항-PD1 항종양 효능에 요구됨
본 실시예는 DGKi 및 PD1 길항제에 의해 유도된 종양 감소 활성이 CT26 동물 모델에서 NK 세포에 의존성이라는 것을 보여준다.
검정을 본질적으로 실시예 6 및 7에 기재된 바와 같이 수행하였으나, CD4 또는 CD8에 결합하는 항체를 첨가하는 대신에, 항-아시알로-GM1 (라이프 테크놀로지스)을 종양 주사 후 D4에 시작하여 연구의 종료까지 연속 7일마다 50 μg/마우스로 투여하였다.
도 9에 도시된 결과는 NK 세포가 CT26 마우스 모델에서 PD1 억제제와 조합된 DGKi 화합물 16의 항종양 활성에 기여한다는 것을 나타낸다.
실시예 10: 화학식 II의 DGKi와 항-PD-1 또는 항-CTLA4의 조합은 강건한 효능을 도출함
본 실시예는 화합물 17-34의 군으로부터의 화학식 II의 예시적인 DGKi가 항-PD-1 또는 항-CTLA4 항체와 함께 MC38 동물 모델에서 강한 항종양 활성을 갖는다는 것을 보여준다.
검정을 하기와 같이 수행하였다. 마우스 결장 선암종 종양 세포주 MC38을 T75 플라스크 내의 10% 태아 소 혈청 (FBS, 인비트로젠) 및 로스웰 파크 메모리얼 인스티튜트 (RPMI) 1640 배지 (깁코)에서 유지하였다. 세포를 전면생장률 미만으로 성장시키고, DPBS (둘베코 포스페이트-완충 염수, 깁코)로 간단히 헹구고, 세포를 수분 동안 정치시키고, 플라스크를 두드림으로써 1주에 2회 계대배양하였다. MC38 세포 계대비는 시기 및 전면생장률에 따라 1:16 내지 -1:20 범위였다. 생체내 이식을 위해, 세포를 DPBS로 헹군 다음, 얼음 상의 50 mL 원추형 튜브에서 빙냉 HBSS (행크 평형 염 용액, 깁코) 중에 수집하였다. 튜브를 1300 rpm에서 10분 동안 회전시키고, 상청액을 조심스럽게 제거하고, 펠릿을 HBSS로 세척하고, 다시 회전시켰다. 펠릿을 대략적인 이식 부피의 HBSS에 재현탁시켰다. 세포 농도를 목시(Moxi)-Z (오르플로)를 사용하여 측정하고, HBSS를 사용하여 최종 농도로 조정하였다. 세포 생존율을 카운테스(Countess) II (라이프 테크놀로지스) 상에서 트리판 블루 배제를 사용하여 측정하였다. 찰스 리버 래보러토리즈 (뉴욕주 킹스톤)로부터 입수한 암컷 C57Bl/6 마우스를 6-8주령에 사내 수용하여 3-7일 동안 순응시켰다. 종양 이식 시점 (제0일)에, 25 게이지 바늘을 갖는 1 mL 투베르쿨린 시린지를 사용하여 마우스에 8.5x106개 세포/ml의 농도의 MC38 세포 0.1 mL를 피하 주사하고, 좌측 및 우측 측복부 둘 다에 이식하였다. 종양을 미리 결정된 크기, 즉 ~78 mm로 성장시켰고, 이 때 동물을 유사한 평균 및 중앙 종양 값을 갖는 다양한 처리군 및 대조군으로 무작위화하였으며, 여기서 제6일 (이식 후 일수)에 군당 n=10이었다. 처리를 제7일 (이식 후 일수)에 개시하였으며, 여기서 종양은 ~100 mm3였다. 화합물 17-34의 군으로부터의 화학식 II의 DGKi를 90% PEG400, 5%에탄올 및 5% TPGS 중에 제제화하고, 매일 0.3 mg/kg의 총 28회 용량 (QDx28)에 대해 10 mL/kg 체중의 부피로 경구로 제공하였다. 항-PD-1 (마우스 PD-1에 대해 지시된 mIgG1-D265A 모노클로날 항체), 항-CTLA4 (마우스 CTLA4에 대해 지시된 mIgG2b 모노클로날 항체) 및 상응하는 이소형 대조군 (인비보플러스(InVivoPlus) 마우스 IgG1, 클론 MOPC-21, 및 인비보맙(InVivoMab) 마우스 IgG2b, 클론 MPC-11, 둘 다 바이오 X 셀 (뉴햄프셔주 웨스트 레바논)로부터의 각각 항-PD-1 및 항-CTLA4에 대한 이소형 대조군임)을 DPBS를 사용하여 10 mg/kg의 용량으로 희석하였다. 항체 요법을 복강내 주사 (I.P.)를 통해 4일마다 총 3회 용량 (Q4Dx3)에 대해 투여하였다. 종양이 완전히 퇴행하거나 (0 mm3) 또는 1000 mm3에 도달할 때까지 종양 부피를 디지털 캘리퍼로 1주 2회 측정하고, 안락사시켰다.
도 10에 도시된 결과는 단일 작용제가 보통의 효능을 도출하였지만 (도 10B-D), DGKi와 항-PD-1 또는 항-CTLA4 항체의 조합은 강건한 항종양 활성을 도출함 (각각 도 10E 및 F)을 나타낸다.
실시예 11: 화학식 II의 화합물과 항-PD-1 항체의 조합은 MC38 및 CT26 동물 모델 둘 다에서 강한 항종양 효능 및 지속적인 면역 기억을 나타냄
본 실시예는 항-PD-1과 함께 화합물 17-34의 군으로부터의 화학식 II의 예시적인 DGKi가 MC38 및 CT26 동물 모델 둘 다에서 완전한 종양 퇴행 및 지속적인 면역 기억을 도출할 수 있는 강한 항종양 효능을 갖는다는 것을 보여준다.
연구를 하기와 같이 수행하였다. MC38 동물 모델 연구를 실시예 10에 기재된 바와 같이 수행하였다. CT26 연구를 실시예 3에 예시된 바와 같이 수행하였다. DGKi 및 항-PD-1 (실시예 10에서와 동일)을 실시예 10에서와 같이 제조하고 투여하였다. 원래 치료 패러다임으로부터의 치유된 동물은 종양 부피의 변화가 10x TVDT (10 x 4.2일 = 42일) 동안 정체된 후에 유지되었다. 이들 동물에게 10x 초기 세포 농도를 우측 측복부에 피하로 이식하였다. 이들 동물을 42+일의 또 다른 기간 동안 매주 2회 측정하여 T 세포 기억 반응을 평가하였다.
도 11A-H에 도시된 결과는 화학식 II의 DGKi와 항-PD-1 항체의 조합이 시험된 동물 모델에서 강한 항종양 효과를 생성함을 나타낸다. 또한, MC38 및 CT26 모델에서 종양 세포로의 재-챌린지는 이식된 세포의 100% 거부를 유발하였다 (도 11D 및 H).
실시예 12: 화학식 II의 화합물과 항-PD-1 및 항-CTLA4의 조합은 B16F10 동물 모델에서 항-PD-1 또는 항-CTLA4와의 조합에 비해 더 강한 효능을 제공함
본 실시예는 화합물 17-34의 군으로부터의 화학식 II의 예시적인 DGKi와 항-PD-1 항체 및 항-CTLA4 항체의 삼중 조합이 B16F10 (흑색종/MHCIlo) 동물 모델에서 이중 조합의 효과보다 더 강한 항종양 효과를 생성한다는 것을 보여준다.
동물 모델 연구를 하기와 같이 수행하였다. 마우스 흑색종 종양 세포주 B16F10을 T75 플라스크 내의 10% 태아 소 혈청 (FBS, 인비트로젠) 및 둘베코 변형 이글 배지 (DMEM) (깁코)에서 유지하였다. 세포를 전면생장률 미만으로 성장시키고, 플라스크를 DPBS (둘베코 포스페이트-완충 염수, 깁코)로 간단히 헹구고, 이어서 플라스크를 트립신 (0.25% 트립신, 깁코)으로 헹구고, 세포를 수분 동안 정치시키고 플라스크를 두드림으로써 1주에 2회 계대배양하였다. B16F10 세포 계대비는 시기 및 전면생장률에 따라 1:18 내지 -1:20 범위였다. 생체내 이식을 위해, 세포를 상기와 같이 트립신처리한 다음, 얼음 상의 50 mL 원추형 튜브에서 빙냉 HBSS (행크 평형 염 용액, 깁코) 중에 수집하였다. 튜브를 1300 rpm에서 10분 동안 회전시키고, 상청액을 조심스럽게 제거하고, 펠릿을 HBSS로 세척하고, 다시 회전시켰다. 펠릿을 대략적인 이식 부피의 HBSS에 재현탁시켰다. 세포 농도를 목시(Moxi)-Z (오르플로)를 사용하여 측정하고, HBSS를 사용하여 최종 농도로 조정하였다. 세포 생존율을 카운테스(Countess) II (라이프 테크놀로지스) 상에서 트리판 블루 배제를 사용하여 측정하였다. 찰스 리버 래보러토리즈 (노스캐롤라이나주 롤리)로부터 입수한 암컷 C57Bl/6 마우스를 6-8주령에 사내 수용하여 3-7일 동안 순응시켰다. 종양 이식 시점 (제0일)에, 25 게이지 바늘을 갖는 1 mL 투베르쿨린 시린지를 사용하여 마우스에 1x107개 세포/ml의 농도의 B16.F10 세포 0.1 mL를 피하 주사하고, 우측 측복부에 이식하였다. 종양이 미리 결정된 크기, 즉 ~50 mm3로 성장하였을 때 처리를 개시하였고, 이 때 동물을 유사한 평균 및 중앙 종양 값을 갖는 다양한 처리군 및 대조군으로 무작위화하였으며, 제8일 (이식 후 일수)에 군당 n=10이었다. 화합물 17-34의 군으로부터의 화학식 II의 DGKi를 90% PEG400, 5%에탄올 및 5% TPGS 중에 제제화하고, 매일 0.3 mg/kg의 총 28회 용량 (QDx28)에 대해 10 mL/kg 체중의 부피로 경구로 제공하였다. 항-PD-1, 항-CTLA4 및 상응하는 이소형 대조군 (실시예 10에서와 동일함)을 DPBS를 사용하여 10 mg/kg의 용량으로 희석하였다. 항체 요법을 복강내 주사 (I.P.)를 통해 4일마다 총 3회 용량 (Q4Dx3)에 대해 투여하였다. 종양이 완전히 퇴행하거나 (0 mm3) 또는 1000 mm3에 도달할 때까지 종양 부피를 디지털 캘리퍼로 1주 2회 측정하고, 안락사시켰다.
도 12A-F에 도시된 결과는 삼중 요법이 B16F10 동물 모델에서 이중 요법에 비해 반응을 개선하였음을 나타낸다.
실시예 13: DGK 억제제의 합성
DGKi 화합물 1
4-((2R,5S)-4-(비스(4-플루오로페닐)메틸)-2,5-디메틸피페라진-1-일)-6-브로모-1-메틸-2-옥소-1,2-디히드로-1,5-나프티리딘-3-카르보니트릴
DGKi 화합물 2
메틸 1-(비스(4-플루오로페닐)메틸)-4-(6-시아노-1-메틸-2-옥소-1,2-디히드로-1,5-나프티리딘-4-일)피페라진-2-카르복실레이트
DGKi 화합물 3
(R)-4-(4-(비스(4-플루오로페닐)메틸)-3-메틸피페라진-1-일)-6-브로모-1-메틸-2-옥소-1,2-디히드로-1,5-나프티리딘-3-카르보니트릴
DGKi 화합물 4
(R)-8-(4-(비스(4-플루오로페닐)메틸)-3-메틸피페라진-1-일)-5-메틸-6-옥소-5,6-디히드로-1,5-나프티리딘-2,7-디카르보니트릴
DGKi 화합물 5
8-[(2S,5R)-4-[(4-플루오로페닐)(페닐)메틸]-2,5-디메틸피페라진-1-일]-5-메틸-6-옥소-5,6-디히드로-1,5-나프티리딘-2-카르보니트릴
DGKi 화합물 6 및 7
8-[(2S,5R)-4-[(4-플루오로페닐)(페닐)메틸]-2,5-디메틸피페라진-1-일]-5-메틸-6-옥소-5,6-디히드로-1,5-나프티리딘-2-카르보니트릴
DGKi 화합물 8
4-[(2S,5R)-4-[(4-클로로페닐)(4-플루오로페닐)메틸]-2,5-디메틸피페라진-1-일]-6-메톡시-1-메틸-1,2-디히드로-1,5-나프티리딘-2-온
DGKi 화합물 9
8-[(2S,5R)-4-{[2-(디플루오로메틸)-4-플루오로페닐]메틸}-2,5-디메틸피페라진-1-일]-5-메틸-6-옥소-5,6-디히드로-1,5-나프티리딘-2-카르보니트릴
DGKi 화합물 10
8-[(2S,5R)-4-[(4-플루오로페닐)(4-메틸페닐)메틸]-2,5-디메틸피페라진-1-일]-5-메틸-6-옥소-5,6-디히드로-1,5-나프티리딘-2-카르보니트릴
DGKi 화합물 11
8-[(2S,5R)-4-[1-(2,6-디플루오로페닐)에틸]-2,5-디메틸피페라진-1-일]-5-메틸-6-옥소-5,6-디히드로-1,5-나프티리딘-2-카르보니트릴
DGKi 화합물 12-14
8-((2S,5R)-4-(1-(2,4-디플루오로페닐)프로필)-2,5-디메틸피페라진-1-일)-5-메틸-6-옥소-5,6-디히드로-1,5-나프티리딘-2-카르보니트릴
중간체 1
에틸 6-시아노-3-(N-메틸아세트아미도)피콜리네이트
실온에서 DCM (500 mL) 중 에틸 3-(N-메틸아세트아미도)-1-(l1-옥시다닐)-1l4-피리딘-2-카르복실레이트 (50 g, 210 mmol)의 교반된 연황색 용액에 트리메틸실릴 시아나이드 (39.4 mL, 294 mmol)를 첨가하였다. 반응 혼합물을 10분 동안 교반하고, 혼합물을 -10℃로 냉각시켰다. 다음에, 벤조일 클로라이드 (34.1 mL, 294 mmol)를 50 mL 첨가 깔때기를 통해 15분에 걸쳐 첨가하고, 이어서 50 mL 첨가 깔때기를 통해 TEA (41.0 mL, 294 mmol)를 20분에 걸쳐 천천히 첨가하였다. TEA 첨가 동안 발열 반응이 관찰되었다. 반응 혼합물은 혼탁한 혼합물 (TEA 염)로 변하였으며, 이를 동일한 온도에서 2.5시간 동안 교반하였다. 반응물을 10% NaHCO3 용액 (500 mL)으로 켄칭하고, DCM (3 x 300 mL)으로 추출하였다. 합한 유기 용액을 염수 (2 x 250 mL)로 세척한 다음, Na2SO4 상에서 건조시키고, 농축시켜 담황색 조 물질을 수득하였다. 조 물질을 용리액으로서 EA/석유 에테르를 사용하여 이스코(ISCO)® 상에서 정상 레디셉 실리카 칼럼을 통해 정제하였다. 생성물을 65-70% EA/석유 에테르에 의해 단리하고, 분획을 농축시켜 에틸 6-시아노-3-(N-메틸아세트아미도)피콜리네이트 (43 g, 83% 수율)를 담갈색 액체로서 수득하였다; LCMS: m/z = 248.0 (M+H); rt 1.255분; LC-MS 방법: 칼럼-키네텍스-XB-C18 (75 X 3 mm-2.6 μm); 이동상 A: 물 중 10 mM 포름산암모늄: 아세토니트릴 (98:2); 이동상 B: 물 중 10 mM 포름산암모늄:아세토니트릴 (2:98); 구배: 4분에 걸쳐 20-100% B, 유량 1.0 mL/분, 이어서 100% B에서 0.6분 유지, 유량 1.5 mL/분; 이어서 구배: 0.1분에 걸쳐 100-20% B, 유량 1.5 mL/분.
중간체 2
8-히드록시-5-메틸-6-옥소-5,6-디히드로-1,5-나프티리딘-2-카르보니트릴
테트라히드로푸란 (10 mL) 중 에틸 6-시아노-3-(N-메틸아세트아미도)피콜리네이트 (0.9 g, 3.64 mmol)의 교반 용액에 KHMDS (4.80 mL, 4.37 mmol)를 -78℃에서 10분에 걸쳐 첨가하였다. 반응 혼합물을 15분 동안 교반하였다. 반응 혼합물을 실온으로 30분에 걸쳐 천천히 가온한 다음, 추가로 90분 동안 교반하였다. 반응 혼합물을 0℃으로 냉각시켰다. 반응물을 포화 중탄산나트륨 용액 (70 mL)으로 켄칭하였다. 혼합물을 에틸 아세테이트 (2x100 mL)로 희석하였다. 수성 층을 수집하고, 1.5 N HCl로 산성화시켜 pH를 ~3.0으로 조정하였다. 혼합물을 15분 동안 교반하여 고체 물질을 형성하고, 이를 부흐너 깔때기를 통해 여과하여 8-히드록시-5-메틸-6-옥소-5,6-디히드로-1,5-나프티리딘-2-카르보니트릴 (550 mg, 75% 수율)을 갈색 고체로서 수득하였다. LCMS: m/z = 202.0 (M+H); rt 0.361분; LC-MS 방법: 칼럼-키네텍스-XB-C18 (75 X 3 mm-2.6 μm); 이동상 A: 물 중 10 mM 포름산암모늄:아세토니트릴 (98:2); 이동상 B: 물 중 10 mM 포름산암모늄:아세토니트릴 (2:98); 구배: 4분에 걸쳐 20-100% B, 유량 1.0 mL/분, 이어서 100% B에서 0.6분 유지, 유량 1.5 mL/분; 이어서 구배: 0.1분에 걸쳐 100-20% B, 유량 1.5 mL/분.
중간체 3
8-클로로-5-메틸-6-옥소-5,6-디히드로-1,5-나프티리딘-2-카르보니트릴
아세토니트릴 (10 mL) 중 8-히드록시-5-메틸-6-옥소-5,6-디히드로-1,5-나프티리딘-2-카르보니트릴 (0.55 g, 2.73 mmol)의 교반 용액에 POCl3 (1.53 mL, 16.4 mmol)을 첨가하였다. 반응 혼합물을 5분에 걸쳐 85℃까지 가열하고, 16시간 동안 교반하였다. 반응 혼합물을 감압 하에 농축시켜 조 물질을 수득하였다. 반응 혼합물을 0℃으로 냉각시켰다. 반응물을 포화 중탄산나트륨 용액 (50 mL)으로 켄칭하였다. 반응물을 DCM (3 x 100 mL)으로 희석하였다. 합한 유기 층을 무수 황산나트륨 상에서 건조시키고, 여과하고, 감압 하에 증발시켜 8-클로로-5-메틸-6-옥소-5,6-디히드로-1,5-나프티리딘-2-카르보니트릴 (0.25 g, 29.1% 수율)을 갈색 고체로서 수득하였다. LCMS: m/z = 220.2 (M+H); rt 1.528분; LC-MS 방법: 칼럼-키네텍스-XB-C18 (75 X 3 mm-2.6 μm); 이동상 A: 물 중 10 mM 포름산암모늄: 아세토니트릴 (98:2); 이동상 B: 물 중 10 mM 포름산암모늄:아세토니트릴 (2:98); 구배: 4분에 걸쳐 20-100% B, 유량 1.0 mL/분, 이어서 100% B에서 0.6분 유지, 유량 1.5 mL/분; 이어서 구배: 0.1분에 걸쳐 100-20% B, 유량 1.5 mL/분.
중간체 4
입체화학: A
(시아노메틸)트리메틸포스포늄 아이오다이드
(시아노메틸)트리메틸포스포늄 아이오다이드를 문헌 [Zaragoza, F., et al., J. Org. Chem. 2001, 66, 2518-2521]에 기재된 일반적 방법에 따라 제조하였다. 1 L 둥근 바닥 플라스크에서, 톨루엔 중 트리메틸포스핀 (100 mL, 100 mmol)을 THF (50.0 mL) 및 톨루엔 (50.0 mL)으로 희석하고, 빙조에서 냉각시켰다. 반응 혼합물을 격렬히 교반하면서 아이오도아세토니트릴 (7 mL, 16.7 g, 68.3 mmol)을 적가하여 황갈색 침전물을 생성하였다. 냉각 조를 제거하고, 반응 혼합물을 실온에서 밤새 교반하였다. 플라스크를 소니케이터에 넣어 임의의 덩어리진 고체를 부수었다. 반응 혼합물을 추가로 4시간 동안 교반하였다. 고체를 여과에 의해 수집하고, 진공 하에 건조시켜 (시아노메틸)트리메틸포스포늄 아이오다이드 (16.6 g, 68.3 mmol, 68.3% 수율)를 수득하였다. 1H NMR (400 MHz, DMSO-d6) δ 4.03 (d, J=16.4 Hz, 2H), 2.05 (d, J=15.4 Hz, 9H).
중간체 5
입체화학: 호모키랄
8-((2S,5R)-2,5-디메틸피페라진-1-일)-5-메틸-6-옥소-5,6-디히드로-1,5-나프티리딘-2-카르보니트릴, TFA
아세토니트릴 (1.3 L) 중 6-시아노-1-메틸-2-옥소-1,2-디히드로-1,5-나프티리딘-4-일 트리플루오로메탄술포네이트 (65 g, 195 mmol) 및 tert-부틸 (2R,5S)-2,5-디메틸피페라진-1-카르복실레이트 (43.9 g, 205 mmol)의 용액에 DIPEA (0.102 L, 585 mmol)를 첨가하였다. 용액을 80℃에서 6시간 동안 교반하였다. 용매를 제거하고, 조 잔류물을 실리카겔 상에서 크로마토그래피하였다 (100% 에틸 아세테이트 중 생성물 Rf 0.4). 생성물, tert-부틸 (2R,5S)-4-(6-시아노-1-메틸-2-옥소-1,2-디히드로-1,5-나프티리딘-4-일)-2,5-디메틸피페라진-1-카르복실레이트 (75 g, 189 mmol, 97% 수율)를 수득하였다. LCMS: m/z = 398.2 (M+H); rt 2.7분. 방법: 칼럼-키네텍스 XB-C18 (75X3 mm-2.6 μm), 유량 1 mL/분; 구배 시간 4분; 20% 용매 B에서 100% 용매 B; 254 nm에서 모니터링함 (용매 A: 98% 물: 2% 아세토니트릴; 10 mM 포름산암모늄; 용매 B: 2% 물: 98% 아세토니트릴; 10 mM 포름산암모늄.
0℃에서 에틸 아세테이트 (1000 mL) 중 tert-부틸 (2R,5S)-4-(6-시아노-1-메틸-2-옥소-1,2-디히드로-1,5-나프티리딘-4-일)-2,5-디메틸피페라진-1-카르복실레이트 (30 g, 75 mmol)의 용액에 HCl (디옥산 중 4M) (189 mL, 755 mmol)을 첨가하고, 온도를 6시간 동안 교반하면서 실온에 도달하도록 하였다. LC/MS 분석은 0.44 RT에서 ~4%의 아미드 부산물 질량 (니트릴 가수분해와 일치함)과 함께 0.60 RT에서 ~90% 생성물 질량을 나타냈다. 반응 혼합물을 메틸 t-부틸 에테르 (MTBE, 2000 mL)로 희석하고, 15분 동안 교반하고, 생성물의 HCl 염을 여과하고, MTBE (100 ml)로 세척하였다. HCl 염을 물 (300 ml) 중에 용해시키고, 10% 수성 중탄산나트륨을 사용하여 pH를 ~8로 조정하였다. 유기부를 DCM (5 x 250 ml)으로 추출하였다. 합한 유기 층을 물 (2 x 300 mL)로 세척하고, 황산나트륨 상에서 건조시키고, 농축시켜 8-((2S,5R)-2,5-디메틸피페라진-1-일)-5-메틸-6-옥소-5,6-디히드로-1,5-나프티리딘-2-카르보니트릴 (20 g, 65.2 mmol, 86% 수율)을 수득하였다. LCMS: m/z = 298.2 (M+H); rt 0.5분. 방법: 칼럼-키네텍스 XB-C18 (75X3 mm-2.6 μm), 유량 1 mL/분; 구배 시간 4분; 20% 용매 B에서 100% 용매 B; 254 nm에서 모니터링함 (용매 A: 98% 물: 2% 아세토니트릴; 10 mM 포름산암모늄; 용매 B: 2% 물: 98% 아세토니트릴; 10 mM 포름산암모늄. 1H NMR (400 MHz, CDCl3) δ 7.79 (d, J= 8.8 Hz, 1H), 7.70 (d, J= 12,3.2 Hz, 1H), 6.29 (s, 1H), 3.80 (dd, J= 8.8 Hz, 1H) 3.70 (m, 1H), 3.65 (s, 3H), 3.29 (m, 2H), 2.80 (m, 2H), 1.19 (d, J= 6 Hz, 3H), 1.15 (d, J= 6 Hz, 3H). 13C NMR (75 MHz, 클로로포름-d) δ 161.9, 155.0, 138.5, 137.0, 128.2, 125.0, 122.2, 117.2, 111.3, 56.5, 51.9, 50.0, 49.5, 29.0, 18.8, 15.4.
중간체 6
8-클로로-5-메틸-7-니트로-6-옥소-5,6-디히드로-1,5-나프티리딘-2-카르보니트릴
8-히드록시-5-메틸-7-니트로-6-옥소-5,6-디히드로-1,5-나프티리딘-2-카르보니트릴 (192 mg, 0.780 mmol)을 함유하는 2 드램 바이알에, 자기 교반 막대 및 아세토니트릴 (3.1 mL)을 첨가하였다. 다음에, DIEA (0.272 mL, 1.560 mmol)를 현탁액에 첨가하였다. 반응 혼합물이 균질 황색 용액이 될 때까지 반응 혼합물을 1-2분 동안 교반하였다. 반응 혼합물에 옥시염화인 (0.131 mL, 1.404 mmol)을 첨가하였다. 오일 버블러로 환기시키면서 바이알을 질소 하에 캡핑하였다. 반응 혼합물을 실온에서 1.5시간 동안 교반한 다음, 벤질트리에틸암모늄 클로라이드 (200 mg, 0.878 mmol)를 반응 혼합물에 첨가하였다. 바이알을 질소 분위기 하에 캡핑하고, 오일조 (65℃)에 담그고, 1시간 동안 가열하였다. 반응 혼합물을 냉각시키고, 반응 휘발성 물질을 회전 증발기를 사용하여 진공 하에 제거하였다. 반응 잔류물을 에틸 아세테이트 중에 용해시키고, 얼음 (~10 mL)을 함유한 비커에 부은 다음, 분리 깔때기로 옮겼다. 수성 상을 에틸 아세테이트로 추출하였다. 유기 추출물을 합하고, 1.5M K2HPO4, 포화 수성 중탄산나트륨, 및 염수로 순차적으로 세척하였다. 유기 추출물을 황산마그네슘 상에서 건조시키고, 여과하고, 용매를 진공 하에 제거하여 갈색빛 결정질 고체 204 mg을 수득하였다. LCMS: 칼럼: 워터스 액퀴티 UPLC BEH C18, 2.1 x 50 mm, 1.7 μm 입자; 이동상 A: 0.05% 트리플루오로아세트산 함유 100% 물; 이동상 B: 0.05% 트리플루오로아세트산 함유 100% 아세토니트릴; 온도: 40℃; 구배: 1.5분에 걸쳐 2-98% B, 이어서 98% B에서 0.5분 유지; 유량: 0.8 mL/분; 검출: 220 nm에서의 UV. 체류 시간 = 1.01분; 관찰 부가물: [M+H]; 관찰 질량: 265.0 (약한 이온화). 1H NMR (클로로포름-d) δ 8.03 (d, J=8.8 Hz, 1H), 7.89-7.97 (m, 1H), 3.82 (s, 3H).
중간체 7
8-((2S,5R)-2,5-디메틸피페라진-1-일)-5-메틸-6-옥소-5,6-디히드로-1,5-나프티리딘-2-카르보니트릴, TFA
아세토니트릴 (1.3 L) 중 6-시아노-1-메틸-2-옥소-1,2-디히드로-1,5-나프티리딘-4-일 트리플루오로메탄술포네이트 (65 g, 195 mmol) 및 tert-부틸 (2R,5S)-2,5-디메틸피페라진-1-카르복실레이트 (43.9 g, 205 mmol)의 용액에 DIPEA (0.102 L, 585 mmol)를 첨가하였다. 용액을 80℃에서 6시간 동안 교반하였다. 용매를 제거하고, 조 잔류물을 실리카겔 상에서 크로마토그래피하였다 (100% 에틸 아세테이트 중 생성물 Rf 0.4). 생성물, tert-부틸 (2R,5S)-4-(6-시아노-1-메틸-2-옥소-1,2-디히드로-1,5-나프티리딘-4-일)-2,5-디메틸피페라진-1-카르복실레이트 (75 g, 189 mmol, 97% 수율)를 수득하였다. LCMS: m/z = 398.2 (M+H); rt 2.7분. 방법: 칼럼-키네텍스 XB-C18 (75X3 mm-2.6 μm), 유량 1 mL/분; 구배 시간 4분; 20% 용매 B에서 100% 용매 B; 254 nm에서 모니터링함 (용매 A: 98% 물: 2% 아세토니트릴; 10 mM 포름산암모늄; 용매 B: 2% 물: 98% 아세토니트릴; 10 mM 포름산암모늄.
0℃에서 에틸 아세테이트 (1000 mL) 중 tert-부틸 (2R,5S)-4-(6-시아노-1-메틸-2-옥소-1,2-디히드로-1,5-나프티리딘-4-일)-2,5-디메틸피페라진-1-카르복실레이트 (30 g, 75 mmol)의 용액에 HCl (디옥산 중 4M) (189 mL, 755 mmol)을 첨가하고, 온도를 6시간 동안 교반하면서 실온에 도달하도록 하였다. LC/MS 분석은 0.44 RT에서 ~4%의 아미드 부산물 질량 (니트릴 가수분해와 일치함)과 함께 0.60 RT에서 ~90% 생성물 질량을 나타냈다. 반응 혼합물을 메틸 t-부틸 에테르 (MTBE, 2000 mL)로 희석하고, 15분 동안 교반하고, 생성물의 HCl 염을 여과하고, MTBE (100 ml)로 세척하였다. HCl 염을 물 (300 ml) 중에 용해시키고, 10% 수성 중탄산나트륨을 사용하여 pH를 ~8로 조정하였다. 유기부를 DCM (5 x 250 mL)으로 추출하였다. 합한 유기 층을 물 (2 x 300 mL)로 세척하고, 황산나트륨 상에서 건조시키고, 농축시켜 8-((2S,5R)-2,5-디메틸피페라진-1-일)-5-메틸-6-옥소-5,6-디히드로-1,5-나프티리딘-2-카르보니트릴 (20 g, 65.2 mmol, 86% 수율)을 수득하였다. LCMS: m/z = 298.2 (M+H); rt 0.5분. 방법: 칼럼-키네텍스 XB-C18 (75 X 3 mm-2.6 μm), 유량 1 mL/분; 구배 시간 4분; 20% 용매 B에서 100% 용매 B; 254 nm에서 모니터링함 (용매 A: 98% 물: 2% 아세토니트릴; 10 mM 포름산암모늄; 용매 B: 2% 물: 98% 아세토니트릴; 10 mM 포름산암모늄. 1H NMR (400 MHz, CDCl3) δ 7.79 (d, J= 8.8 Hz, 1H), 7.70 (d, J= 12,3.2 Hz, 1H), 6.29 (s, 1H), 3.80 (dd, J= 8.8 Hz, 1H) 3.70 (m, 1H), 3.65 (s, 3H), 3.29 (m, 2H), 2.80 (m, 2H), 1.19 (d, J= 6 Hz, 3H), 1.15 (d, J= 6 Hz, 3H). 13C NMR (75 MHz, 클로로포름-d) δ 161.9, 155.0, 138.5, 137.0, 128.2, 125.0, 122.2, 117.2, 111.3, 56.5, 51.9, 50.0, 49.5, 29.0, 18.8, 15.4. 입체화학: 호모키랄.
DGKi 화합물 1의 합성 방법
4-((2R,5S)-4-(비스(4-플루오로페닐)메틸)-2,5-디메틸피페라진-1-일)-6-브로모-1-메틸-2-옥소-1,2-디히드로-1,5-나프티리딘-3-카르보니트릴
아세토니트릴 (5 mL) 중 6-브로모-3-시아노-1-메틸-2-옥소-1,2-디히드로-1,5-나프티리딘-4-일 트리플루오로메탄술포네이트 (80 mg, 0.194 mmol)의 교반 용액에 DIPEA (0.102 mL, 0.582 mmol) 및 (2S,5R)-1-(비스(4-플루오로페닐)메틸)-2,5-디메틸피페라진의 HCl 염 (75 mg, 0.214 mmol)을 첨가하였다. 반응 혼합물을 85℃에서 밤새 교반하였다. 용매를 감압 하에 제거하고, 잔류물을 에틸 아세테이트 (15 mL) 중에 용해시켰다. 유기 층을 염수로 세척하고, Na2SO4 상에서 건조시키고, 감압 하에 농축시켰다. 조 잔류물을 24 g 플래쉬 칼럼을 사용하는 실리카 겔 칼럼 크로마토그래피에 의해 석유 에테르 중 50-80% EtOAc로 용리시키면서 정제하였다. 분획을 감압 하에 농축시켜 4-((2R,5S)-4-(비스(4-플루오로페닐)메틸)-2,5-디메틸피페라진-1-일)-6-브로모-1-메틸-2-옥소-1,2-디히드로-1,5-나프티리딘-3-카르보니트릴 (95 mg, 85% 수율)을 수득하였다; LCMS: m/z = 578.2 (M+H); rt 3.916분.
DGKi 화합물 2의 합성 방법
메틸 1-(비스(4-플루오로페닐)메틸)-4-(6-시아노-1-메틸-2-옥소-1,2-디히드로-1,5-나프티리딘-4-일)피페라진-2-카르복실레이트
DMA (1 mL) 및 t-부탄올 (4 mL) 중 8-클로로-5-메틸-6-옥소-5,6-디히드로-1,5-나프티리딘-2-카르보니트릴 (22.90 mg, 0.104 mmol)의 교반 용액에 메틸 1-(비스(4-플루오로페닐)메틸)피페라진-2-카르복실레이트의 TFA 염 (40 mg, 0.087 mmol) 및 탄산세슘 (85 mg, 0.261 mmol)을 질소 분위기 하에 첨가하고, 이어서 클로로(2-디시클로헥실포스피노-2',6'-디이소프로폭시-1,1'-비페닐)[2-(2'-아미노-1,1'-비페닐)]팔라듐 (II) (3.37 mg, 4.34 μmol)을 첨가하였다. 반응 용기를 70℃에서 오일조에 침지시켰다. 조 온도를 2분에 걸쳐 90℃로 상승시키고, 반응 혼합물을 16시간 동안 교반하였다. 반응 혼합물을 셀라이트 층을 통해 여과하고, 고진공 하에 농축시켜 갈색 검을 수득하였다. 조 물질을 정제용 HPLC를 통해 다음 조건으로 정제하였다: 칼럼: 선파이어 C18, 19 x 150 mm, 5 μm 입자; 이동상 A: 아세트산 함유 10 mM 아세트산암모늄 pH 4.5; 이동상 B: 아세토니트릴; 구배: 15분에 걸쳐 30-100% B, 이어서 100% B에서 5분 유지; 유량: 17 mL/분. 생성물을 함유하는 분획을 합하고, 원심 증발을 통해 건조시켜 메틸 1-(비스(4-플루오로페닐)메틸)-4-(6-시아노-1-메틸-2-옥소-1,2-디히드로-1,5-나프티리딘-4-일)피페라진-2-카르복실레이트 (3.5 mg, 6.23 μmol, 7.17% 수율)를 수득하였다. LCMS: m/z = 530.2 (M+H); rt 2.20분. LC-MS 방법: 칼럼-X 브리지 BEH XP C18 (50 x 2.1 mm 2.5 μm; 유량 1.1 mL/분; 구배 시간 3분; 온도: 50℃, 0% 용매 B에서 100% 용매 B; 220 nm에서 모니터링함 (용매 A: 95% 물:5% 아세토니트릴; 10 mM 아세트산암모늄; 용매 B: 5% 물:95% 아세토니트릴; 10 mM 아세트산암모늄). 1H NMR (400 MHz, DMSO-d6) δ ppm 8.16 (d, J=8.8 Hz, 1H), 8.08 (d, J=9.0 Hz, 1H), 7.57 (dd, J=8.8, 5.6 Hz, 2H), 7.42-7.28 (m, 2H), 7.22-7.08 (m, 4H), 6.14 (s, 1H), 5.17 (s, 1H), 4.78 (d, J=12.2 Hz, 1H), 3.64 (d, J=12.0 Hz, 1H), 3.59 (s, 3H), 3.54 (s, 3H), 3.45-3.35 (m, 2H), 3.15(dd, J=12.5, 3.9 Hz, 1H), 3.04 (td, J=11.7, 2.9 Hz, 1H), 2.71-2.63 (m, 1H).
DGKi 화합물 3의 합성 방법
(R)-4-(4-(비스(4-플루오로페닐)메틸)-3-메틸피페라진-1-일)-6-브로모-1-메틸-2-옥소-1,2-디히드로-1,5-나프티리딘-3-카르보니트릴
아세토니트릴 (8 mL) 중 6-브로모-3-시아노-1-메틸-2-옥소-1,2-디히드로-1,5-나프티리딘-4-일 트리플루오로메탄술포네이트 (100 mg, 0.243 mmol)의 교반 용액에 DIPEA (0.127 mL, 0.728 mmol) 및 (R)-1-(비스(4-플루오로페닐)메틸)-2-메틸피페라진의 HCl 염 (82 mg, 0.243 mmol)을 첨가하였다. 반응 혼합물을 5분에 걸쳐 85℃까지 가열하고, 1시간 동안 교반하였다. 반응 혼합물을 고진공 하에 농축시켜 갈색 검을 수득하였다. 조 화합물을 12 g 실리카 겔 칼럼; 60-67% 에틸 아세테이트/석유 에테르를 사용하여 이스코®에 의해 정제하여 (R)-4-(4-(비스(4-플루오로페닐)메틸)-3-메틸피페라진-1-일)-6-브로모-1-메틸-2-옥소-1,2-디히드로-1,5-나프티리딘-3-카르보니트릴 (90 mg, 42.7% 수율)을 갈색 검으로서 수득하였다; LCMS: m/z = 566.0 (M+2H); rt 2.23분. LC-MS 방법: 칼럼-액퀴티 UPLC BEH C18 (3.0 x 50 mm) 1.7 μm; 이동상 A: 완충제: 아세토니트릴 (95:5); 이동상 B: 완충제: 아세토니트릴 (5:95), 완충제: 10 mM 아세트산암모늄; 구배: 2.0분에 걸쳐 20-100% B, 이어서 100% B에서 0.2분 유지, 유량 0.7 mL/분.
DGKi 화합물 4의 합성 방법
(R)-8-(4-(비스(4-플루오로페닐)메틸)-3-메틸피페라진-1-일)-5-메틸-6-옥소-5,6-디히드로-1,5-나프티리딘-2,7-디카르보니트릴
NMP (5 mL) 중 (R)-4-(4-(비스(4-플루오로페닐)메틸)-3-메틸피페라진-1-일)-6-브로모-1-메틸-2-옥소-1,2-디히드로-1,5-나프티리딘-3-카르보니트릴 (90 mg, 0.159 mmol)의 교반 용액에 질소 하에 아연 (2.085 mg, 0.032 mmol) 및 시안화아연 (37.4 mg, 0.319 mmol)을 첨가하였다. 질소 퍼징을 3분 동안 계속하고, dppf (5.30 mg, 9.57 μmol) 및 Pd2(dba)3 (14.6 mg, 0.016 mmol)을 첨가하였다. 반응 혼합물을 5분에 걸쳐 80℃까지 가열하고, 4시간 동안 교반하였다. 반응 혼합물을 셀라이트 층을 통해 여과하고, 고진공 하에 농축시켜 갈색 검을 수득하였다. 조 물질을 정제용 HPLC를 통해 정제하였다. HPLC 방법: 칼럼-선파이어 C18 (150 mm x 19 mm ID, 5 μm); 이동상 A: 물 중 10 mM 아세트산암모늄; 이동상 B: 아세토니트릴; 구배: 3.0분에 걸쳐 40-60% B, 유량 17 mL/분, 이어서 60-100% B에서 17분 유지, 유량 17 mL/분. 생성물을 함유하는 분획을 합하고, 고진공 하에 농축시켰다. 이어서, 샘플을 EtOH/H2O, 1:3으로 희석하고, 밤새 동결건조시켜 (R)-8-(4-(비스(4-플루오로페닐)메틸)-3-메틸피페라진-1-일)-5-메틸-6-옥소-5,6-디히드로-1,5-나프티리딘-2,7-디카르보니트릴 (50 mg, 61.4% 수율)을 연황색 고체로서 수득하였다. LCMS: m/z = 511.2 (M+H); rt 3.520분. LC-MS 방법: 칼럼-키네텍스-XB-C18 (75 x 3 mm-2.6 μ); 이동상 A: 물 중 10 mM 포름산암모늄: 아세토니트릴 (98:2); 이동상 B: 물 중 10 mM 포름산암모늄: 아세토니트릴 (2:98); 구배: 4분에 걸쳐 20-100% B, 유량 1.0 mL/분, 이어서 100% B에서 0.6분 유지, 유량 1.5 mL/분; 이어서 구배: 0.1분에 걸쳐 100-20% B, 유량 1.5 mL/분. 1H NMR (400 MHz, DMSO-d6) δ ppm 8.26 (d, J=8.8 Hz, 1H), 8.15 (d, J=9.0 Hz, 1H), 7.56 (dd, J=11.9, 8.7 Hz, 2H), 7.57 (dd, J=11.7, 8.8 Hz, 2H), 7.16 (t, J=8.9 Hz, 4H), 4.90 (s, 1H), 4.10 (d,J=13.0 Hz, 1H), 4.01 (d, J=12.5 Hz, 1H), 3.86 (dd, J=12.2, 2.9 Hz, 1H), 3.66-3.55 (m, 1H),3.53 (s, 3H), 3.08-2.97 (m, 1H), 2.97-2.90 (m, 1H), 2.90 (s, 1H), 1.03 (d, J=6.6 Hz, 3H).
DGKi 화합물 5의 합성 방법
8-[(2S,5R)-4-[(4-플루오로페닐)(페닐)메틸]-2,5-디메틸피페라진-1-일]-5-메틸-6-옥소-5,6-디히드로-1,5-나프티리딘-2-카르보니트릴
2 드램 밀봉된 반응 용기에서, 8-((2S,5R)-2,5-디메틸피페라진-1-일)-5-메틸-6-옥소-5,6-디히드로-1,5-나프티리딘-2-카르보니트릴, TFA (41.1 mg, 100 μmol), (4-플루오로페닐)(페닐)메탄올 (28.3 mg, 140 μmol) 및 (시아노메틸) 트리메틸포스포늄 아이오다이드 (48.6 mg, 200 μmol)를 아세토니트릴 (200 μl) 중에서 합하였다. 휘니그 염기 (75 μL, 429 μmol)를 첨가하고, 반응 혼합물을 110℃에서 2시간 동안 가열하였다. 반응 혼합물을 12 g 실리카 겔 칼럼 상에 직접 주입하고, 헥산 중 20-100% 에틸 아세테이트로 용리시켜 실시예 182를 부분입체이성질체 혼합물로서 수득하였다. 분석용 LC/MS 조건: 주입 부피 = 3 μL, 출발 %B 0, 최종 %B 100, 구배 시간 2분, 유량 1 mL/분, 파장 220 nm, 용매 쌍 아세토니트릴/물/TFA, 용매 A 10% 아세토니트릴, 90% 물/0.05% TFA, 용매 B 10% 물, 90% 아세토니트릴/0.05% TFA, 칼럼 액퀴티 BEH C18 21. X 50 mm 1.7 μm, 오븐 온도 = 40℃. LC/MS 결과; 체류 시간 1.4분, 관찰 질량 482.5 (M+).
조 물질을 추가로 정제용 LC/MS를 통해 다음 조건으로 정제하였다: 칼럼: 엑스브리지 C18, 200 mm x 19 mm, 5 μm 입자; 이동상 A: 5:95 아세토니트릴:물, 10 mM 아세트산암모늄 함유; 이동상 B: 95:5 아세토니트릴:물, 10 mM 아세트산암모늄 함유; 구배: 47% B에서 0분 유지, 20분에 걸쳐 47-87% B, 이어서 100% B에서 4분 유지; 유량: 20 mL/분; 칼럼 온도: 25℃. 분획 수집을 MS 신호에 의해 촉발시켰다. 생성물을 함유하는 분획을 합하고, 원심 증발을 통해 건조시켜 표제 화합물 14.4 mg (30% 수율)을 수득하였다. 분자량 계산치 481.575. LC/MS 조건 QC-ACN-TFA-XB: 관찰 MS 이온 482.2, 체류 시간 1.6분. 1H NMR (500 MHz, DMSO-d6) δ 8.18-8.10 (m, 1H), 8.06 (d, J=8.8 Hz, 1H), 7.68-7.48 (m, 4H), 7.39-7.26 (m, 2H), 7.25-7.08 (m, 3H), 6.00 (s, 1H), 4.67 (br s, 1H), 4.59 (br d, J=6.7 Hz, 1H), 3.76-3.62 (m, 1H), 3.55 (br d, J=12.8 Hz, 1H), 3.15-3.04 (m, 1H), 2.90-2.81 (m, 1H), 2.36 (br dd, J=17.4, 11.9 Hz, 1H), 1.35-1.28 (m, 3H), 1.24 (s, 1H), 1.07 (br t, J=5.6 Hz, 3H).
DGKi 화합물 6 및 7의 합성 방법
8-[(2S,5R)-4-[(4-플루오로페닐)(페닐)메틸]-2,5-디메틸피페라진-1-일]-5-메틸-6-옥소-5,6-디히드로-1,5-나프티리딘-2-카르보니트릴
실시예 5를 키랄 고체 상 크로마토그래피를 이용하여 개별 부분입체이성질체로 분리하였다: 칼럼: 키랄팩 OJ-H, 21 x 250 mm; 5 마이크로미터, 이동상: 90% CO2/10% 메탄올, 유량 조건: 45 mL/분, 검출기 파장: 225 nm, 주입 세부사항: 500 μL, 1 mL 메탄올/아세토니트릴 중에 용해된 15 mg.
제1 용리 부분입체이성질체, 실시예 6 (66.4 mg)을 20.2% 수율로 단리하였다. 분석용 LC/MS를 사용하여 최종 순도를 결정하였다. 주입 1 조건: 칼럼: 워터스 엑스브리지 C18, 2.1 mm x 50 mm, 1.7 μm 입자; 이동상 A: 5:95 아세토니트릴:물, 10 mM 아세트산암모늄 함유; 이동상 B: 95:5 아세토니트릴:물, 10 mM 아세트산암모늄 함유; 온도: 50℃; 구배: 3분에 걸쳐 0%B에서 100%B, 이어서 100%B에서 0.50분 유지; 유량: 1 mL/분; 검출: MS 및 UV (220 nm). 주입 1 결과: 순도: 100.0%; 관찰 질량: 482.1; 체류 시간: 2.49분. 주입 2 조건: 칼럼: 워터스 엑스브리지 C18, 2.1 mm x 50 mm, 1.7 μm 입자; 이동상 A: 5:95 아세토니트릴:물, 0.1% 트리플루오로아세트산 함유; 이동상 B: 95:5 아세토니트릴:물, 0.1% 트리플루오로아세트산 함유; 온도: 50℃; 구배: 3분에 걸쳐 0%B에서 100%B, 이어서 100%B에서 0.50분 유지; 유량: 1 mL/분; 검출: MS 및 UV (220 nm). 주입 2 결과: 순도: 100.0%; 관찰 질량: 482.11; 체류 시간: 1.75분.
제2 용리 부분입체이성질체, 실시예 7 (71.7 mg)을 21.9% 수율로 단리하였다. 분석용 LC/MS를 사용하여 최종 순도를 결정하였다. 주입 1 조건: 칼럼: 워터스 엑스브리지 C18, 2.1 mm x 50 mm, 1.7 μm 입자; 이동상 A: 5:95 아세토니트릴:물, 10 mM 아세트산암모늄 함유; 이동상 B: 95:5 아세토니트릴:물, 10 mM 아세트산암모늄 함유; 온도: 50℃; 구배: 3분에 걸쳐 0%B에서 100%B, 이어서 100%B에서 0.50분 유지; 유량: 1 mL/분; 검출: MS 및 UV (220 nm). 주입 1 결과: 순도: 100.0%; 관찰치 질량: 482.11; 체류 시간: 2.51분. 주입 2 조건: 칼럼: 워터스 엑스브리지 C18, 2.1 mm x 50 mm, 1.7 μm 입자; 이동상 A: 5:95 아세토니트릴:물, 0.1% 트리플루오로아세트산 함유; 이동상 B: 95:5 아세토니트릴:물, 0.1% 트리플루오로아세트산 함유; 온도: 50℃; 구배: 3분에 걸쳐 0%B에서 100%B, 이어서 100%B에서 0.50분 유지; 유량: 1 mL/분; 검출: MS 및 UV (220 nm). 주입 2 결과: 순도: 100.0%; 관찰 질량: 482.1; 체류 시간: 1.76분.
DGKi 화합물 8의 합성 방법
4-[(2S,5R)-4-[(4-클로로페닐)(4-플루오로페닐)메틸]-2,5-디메틸피페라진-1-일]-6-메톡시-1-메틸-1,2-디히드로-1,5-나프티리딘-2-온
4-((2S,5R)-2,5-디메틸피페라진-1-일)-6-메톡시-1-메틸-1,5-나프티리딘-2(1H)-온 (50 mg, 0.165 mmol) 및 1-(브로모(4-클로로페닐)메틸)-4-플루오로벤젠 (49.5 mg, 0.165 mmol)을 아세토니트릴 (3 mL) 중 디이소프로필 에틸 아민 (0.173 mL, 0.992 mmol)과 합하고, 반응 혼합물을 55℃에서 밤새 가열하였다. LC/MS는 반응이 완결되었음을 나타냈다. 조 물질을 정제용 LC/MS를 통해 다음 조건으로 정제하였다: 칼럼: 엑스브리지 C18, 200 mm x 19 mm, 5 μm 입자; 이동상 A: 5:95 아세토니트릴:물, 10 mM 아세트산암모늄 함유; 이동상 B: 95:5 아세토니트릴:물, 10 mM 아세트산암모늄 함유; 구배: 42% B에서 0분 유지, 25분에 걸쳐 42-82% B, 이어서 100% B에서 5분 유지; 유량: 20 mL/분; 칼럼 온도: 25℃. 분획 수집을 MS 신호에 의해 촉발시켰다. 생성물을 함유하는 분획을 합하고, 원심 증발을 통해 건조시켰다. 분자량 계산치 521.03. LC/MS 조건 QC-ACN-AA-XB: 관찰 MS 이온 521.1, 체류 시간 2.77분.
DGKi 화합물 9의 합성 방법
8-[(2S,5R)-4-{[2-(디플루오로메틸)-4-플루오로페닐]메틸}-2,5-디메틸피페라진-1-일]-5-메틸-6-옥소-5,6-디히드로-1,5-나프티리딘-2-카르보니트릴
8-((2S,5R)-2,5-디메틸피페라진-1-일)-5-메틸-6-옥소-5,6-디히드로-1,5-나프티리딘-2-카르보니트릴 (30 mg, 0.081 mmol)의 DMF (2 mL) 용액에 2-(디플루오로메틸)-4-플루오로벤즈알데히드 (16.86 mg, 0.097 mmol)를 첨가하였다. 용액을 실온에서 1시간 동안 교반하였다. 소듐 시아노보로히드라이드 (15.22 mg, 0.242 mmol)를 첨가하고, 반응 혼합물을 실온에서 밤새 교반하였다. LC/MS 분석은 반응이 완결되었음을 나타냈다. 조 물질을 정제용 LC/MS를 통해 다음 조건으로 정제하였다: 칼럼: 엑스브리지 C18, 200 mm x 19 mm, 5 μm 입자; 이동상 A: 5:95 아세토니트릴: 물, 10 mM 아세트산암모늄 함유; 이동상 B: 95:5 아세토니트릴: 물, 10 mM 아세트산암모늄 함유; 구배: 31% B에서 0분 유지, 25분에 걸쳐 31-71% B, 이어서 100% B에서 5분 유지; 유량: 20 mL/분; 칼럼 온도: 25℃. 분획 수집을 MS 및 UV 신호에 의해 촉발시켰다. 생성물을 함유하는 분획을 합하고, 원심 증발을 통해 건조시켰다. 생성물의 수율은 13.0 mg이었고, LCMS 분석에 의한 추정된 순도는 100%였다. 분석용 LC/MS를 사용하여 최종 순도를 결정하였다. 주입 1 조건: 칼럼: 워터스 엑스브리지 C18, 2.1 mm x 50 mm, 1.7 μm 입자; 이동상 A: 5:95 아세토니트릴:물, 0.1% 트리플루오로아세트산 함유; 이동상 B: 95:5 아세토니트릴:물, 0.1% 트리플루오로아세트산 함유; 온도: 50℃; 구배: 3분에 걸쳐 0%B에서 100%B, 이어서 100%B에서 0.50분 유지; 유량: 1 mL/분; 검출: MS 및 UV (220 nm). 주입 1 결과: 순도: 100.0%; 관찰 질량: 456.08; 체류 시간: 1.39분. 주입 2 조건: 칼럼: 워터스 엑스브리지 C18, 2.1 mm x 50 mm, 1.7 μm 입자; 이동상 A: 5:95 아세토니트릴:물, 10 mM 아세트산암모늄 함유; 이동상 B: 95:5 아세토니트릴:물, 10 mM 아세트산암모늄 함유; 온도: 50℃; 구배: 3분에 걸쳐 0%B에서 100%B, 이어서 100%B에서 0.50분 유지; 유량: 1 mL/분; 검출: MS 및 UV (220 nm). 주입 2 결과: 순도: 100.0%; 관찰 질량: 456.07; 체류 시간: 2.22분. 3분에 걸쳐 %B, 이어서 100%B에서 0.50분 유지; 유량: 1 mL/분; 검출: MS 및 UV (220 nm). 주입 2 결과: 순도: 100.0%; 관찰 질량: 456.07; 체류 시간: 2.22분.
DGKi 화합물 10의 합성 방법
8-[(2S,5R)-4-[(4-플루오로페닐)(4-메틸페닐)메틸]-2,5-디메틸피페라진-1-일]-5-메틸-6-옥소-5,6-디히드로-1,5-나프티리딘-2-카르보니트릴
아세토니트릴 (0.3 mL) 중 8-((2S,5R)-2,5-디메틸피페라진-1-일)-5-메틸-6-옥소-5,6-디히드로-1,5-나프티리딘-2-카르보니트릴, TFA (68.6 mg, 60 중량%, 0.1 mmol), (시아노메틸)트리메틸포스포늄 아이오다이드 (48.6 mg, 0.200 mmol) 및 (4-플루오로페닐)(p-톨릴)메탄올 (26.0 mg, 0.120 mmol)의 혼합물에 휘니그 염기 (0.105 mL, 0.600 mmol)를 첨가하였다. 반응 혼합물을 110℃에서 2시간 동안 교반하고, 이어서 (시아노메틸)트리메틸포스포늄 아이오다이드 (48.6 mg, 0.200 mmol), (4-플루오로페닐)(p-톨릴)메탄올 (26.0 mg, 0.120 mmol) 및 휘니그 염기 (0.058 mL, 0.300 mmol)를 두번째로 첨가하였다. 반응 혼합물을 110℃에서 추가 2시간 동안 교반하였다. 조 반응 혼합물을 플래쉬 크로마토그래피용 12g Si-레디셉 Rf 상에 헥산 중 20-100% 에틸 아세테이트에 의해 직접 주입하였다. 생성물을 함유하는 분획을 합하고, 진공에 의해 건조시켰다. 생성된 물질을 추가로 정제용 LC/MS를 통해 다음 조건으로 정제하였다: 칼럼: 엑스브리지 C18, 200 mm x 19 mm, 5 μm 입자; 이동상 A: 5:95 아세토니트릴:물, 0.1% 트리플루오로아세트산 함유; 이동상 B: 95:5 아세토니트릴:물, 0.1% 트리플루오로아세트산 함유; 구배: 20% B에서 0분 유지, 25분에 걸쳐 20-60% B, 이어서 100% B에서 5분 유지; 유량: 20 mL/분; 칼럼 온도: 25℃. 분획 수집을 MS 및 UV 신호에 의해 촉발시켰다. 생성물을 함유하는 분획을 합하고, 원심 증발을 통해 건조시켰다. 부분입체이성질체 생성물 TFA 염의 수율은 47.1 mg이었다.
부분입체이성질체 생성물을 SFC-키랄 크로마토그래피를 사용하여 다음 조건으로 2종의 부분입체이성질체로 분해하였다: 칼럼: 키랄 AD, 30 x 250 mm, 5 마이크로미터 입자; 이동상: 80% CO2/20% IPA w/0.1%DEA; 유량: 100 mL/분; 칼럼 온도: 25℃. 표제 화합물을 2nd 용리액 피크, > 91% de로서 수집하였다. 분자량 계산치 495.602. 분석용 LC/MS를 사용하여 최종 순도를 결정하였다. 주입 1 조건: 칼럼: 워터스 엑스브리지 C18, 2.1 mm x 50 mm, 1.7 μm 입자; 이동상 A: 5:95 아세토니트릴:물, 10 mM 아세트산암모늄 함유; 이동상 B: 95:5 아세토니트릴:물, 10 mM 아세트산암모늄 함유; 온도: 50℃; 구배: 3분에 걸쳐 0%B에서 100%B, 이어서 100%B에서 0.50분 유지; 유량: 1 mL/분; 검출: MS 및 UV (220 nm). 주입 1 결과: 순도: 97.6%; 관찰 질량: 496.26; 체류 시간: 2.52분. 주입 2 조건: 칼럼: 워터스 엑스브리지 C18, 2.1 mm x 50 mm, 1.7 μm 입자; 이동상 A: 5:95 아세토니트릴:물, 0.1% 트리플루오로아세트산 함유; 이동상 B: 95:5 아세토니트릴:물, 0.1% 트리플루오로아세트산 함유; 온도: 50℃; 구배: 3분에 걸쳐 0%B에서 100%B, 이어서 100%B에서 0.50분 유지; 유량: 1 mL/분; 검출: MS 및 UV (220 nm). 주입 2 결과: 순도: 98.2%; 관찰 질량: 496.28; 체류 시간: 1.73분.
DGKi 화합물 11의 합성 방법
8-[(2S,5R)-4-[1-(2,6-디플루오로페닐)에틸]-2,5-디메틸피페라진-1-일]-5-메틸-6-옥소-5,6-디히드로-1,5-나프티리딘-2-카르보니트릴
아세토니트릴 (0.3 mL) 중 2-(1-브로모에틸)-1,3-디플루오로벤젠 (15.12 mg, 0.065 mmol) 및 5-메틸-6-옥소-8-(피페라진-1-일)-5,6-디히드로-1,5-나프티리딘-2,7-디카르보니트릴, TFA (34.0 mg, 60 중량%, 0.05 mmol)의 혼합물에 휘니그 염기 (0.052 mL, 0.300 mmol)를 첨가하였다. 혼합물을 55℃에서 2시간 동안 교반하였다. LCMS는 생성물로의 완전한 전환을 나타냈다. 조 물질을 정제용 LC/MS를 통해 다음 조건으로 정제하였다: 칼럼: 엑스브리지 C18, 200 mm x 19 mm, 5 μm 입자; 이동상 A: 5:95 아세토니트릴:물, 10 mM 아세트산암모늄 함유; 이동상 B: 95:5 아세토니트릴:물, 10 mM 아세트산암모늄 함유; 구배: 37% B에서 0분 유지, 20분에 걸쳐 37-77% B, 이어서 100% B에서 5분 유지; 유량: 20 mL/분; 칼럼 온도: 25℃. 분획 수집을 MS 및 UV 신호에 의해 촉발시켰다. 생성물을 함유하는 분획을 합하고, 원심 증발을 통해 건조시켰다. 생성물의 수율은 12.1 mg이었다. 분자량 계산치 437.495. 분석용 LC/MS를 사용하여 최종 순도를 결정하였다. 주입 1 조건: 칼럼: 워터스 엑스브리지 C18, 2.1 mm x 50 mm, 1.7 μm 입자; 이동상 A: 5:95 아세토니트릴:물, 10 mM 아세트산암모늄 함유; 이동상 B: 95:5 아세토니트릴:물, 10 mM 아세트산암모늄 함유; 온도: 50℃; 구배: 3분에 걸쳐 0%B에서 100%B, 이어서 100%B에서 0.50분 유지; 유량: 1 mL/분; 검출: MS 및 UV (220 nm). 주입 1 결과: 순도: 100.0%; 관찰 질량: 438.14; 체류 시간: 2.36분. 주입 2 조건: 칼럼: 워터스 엑스브리지 C18, 2.1 mm x 50 mm, 1.7 μm 입자; 이동상 A: 5:95 아세토니트릴:물, 0.1% 트리플루오로아세트산 함유; 이동상 B: 95:5 아세토니트릴:물, 0.1% 트리플루오로아세트산 함유; 온도: 50℃; 구배: 3분에 걸쳐 0%B에서 100%B, 이어서 100%B에서 0.50분 유지; 유량: 1 mL/분; 검출: MS 및 UV (220 nm). 주입 2 결과: 순도: 100.0%; 관찰 질량: 438.14; 체류 시간: 1.2분.
DGKi 화합물 12-14의 합성 방법
8-((2S,5R)-4-(1-(2,4-디플루오로페닐)프로필)-2,5-디메틸피페라진-1-일)-5-메틸-6-옥소-5,6-디히드로-1,5-나프티리딘-2-카르보니트릴
아세토니트릴 (0.3 mL) 중 8-((2S,5R)-2,5-디메틸피페라진-1-일)-5-메틸-6-옥소-5,6-디히드로-1,5-나프티리딘-2-카르보니트릴 (29.7 mg, 0.1 mmol) 및 1-(1-브로모프로필)-2,4-디플루오로벤젠 (25.9 mg, 0.110 mmol)의 혼합물에 휘니그 염기 (87 μL, 0.500 mmol)를 첨가하였다. 혼합물을 핫 플레이트 상에서 55℃에서 16시간 동안 교반하였다. 조 물질을 정제용 LC/MS를 통해 다음 조건으로 정제하였다: 칼럼: 엑스브리지 C18, 200 mm x 19 mm, 5-μm 입자; 이동상 A: 5:95 아세토니트릴:물, 0.1% 트리플루오로아세트산 함유; 이동상 B: 95:5 아세토니트릴:물, 0.1% 트리플루오로아세트산 함유; 구배: 3% B에서 0분 유지, 25분에 걸쳐 3-43% B, 이어서 100% B에서 5분 유지; 유량: 20 mL/분; 칼럼 온도: 25℃. 분획 수집을 MS 및 UV 신호에 의해 촉발시켰다. 생성물을 함유하는 분획을 합하고, 원심 증발을 통해 건조시켰다. 입체화학: 부분입체이성질체 혼합물.
DGKi 화합물 12의 합성의 부분입체이성질체 혼합물을 다음 조건으로 SFC-키랄 크로마토그래피를 사용하여 추가로 분리하여 2종의 호모키랄 부분입체이성질체를 분해하였다: 칼럼: 키랄 OD, 30 x 250 mm . 5 마이크로미터 입자; 이동상: 15% IPA/85% CO2 w/0.1% DEA; 유량: 100 mL/분; 검출기 파장: 220 nm.
DGKi 화합물 13 (이성질체 1)을 95% de에서 제1 용리액 피크로서 수집하였다. 입체화학: 호모키랄.
DGKi 화합물 14 (이성질체 2)를 95% de에서 제2 용리액 피크로서 수집하였다. 입체화학: 호모키랄.
DGKi 화합물 15의 합성 방법
8-(4-(비스(4-플루오로페닐)메틸)피페라진-1-일)-5-메틸-7-니트로-6-옥소-5,6-디히드로-1,5-나프티리딘-2-카르보니트릴
DMF를 질소로 1시간 동안 폭기하였다. 1 드램 바이알에 아연 (0.95 mg, 0.015 mmol), 브로모(트리-tert-부틸포스핀)팔라듐(I) 이량체 (9.96 mg, 0.013 mmol) 및 4-(4-(비스(4-플루오로페닐)메틸)피페라진-1-일)-6-브로모-1-메틸-3-니트로-1,5-나프티리딘-2(1H)-온 (21.38 mg, 0.037 mmol)을 충전하였다. 폭기된 DMF (0.3 mL)를 첨가하고, 혼합물을 질소 하에 캡핑하고, 50℃ 오일 조에 15분 동안 침지시켰다. 디시아노아연 (2.86 mg, 0.024 mmol)을 첨가하였다. 반응 혼합물을 질소 하에 캡핑하고, 50℃ 오일 조에 3시간 동안 침지시켰다. LC/MS 분석은 반응이 완결되었음을 나타냈다. 조 물질을 정제용 LC/MS를 통해 다음 조건으로 정제하였다: 칼럼: 엑스브리지 C18, 19 x 200 mm, 5 μm 입자; 이동상 A: 5:95 아세토니트릴:물, 10 mM 아세트산암모늄 함유; 이동상 B: 95:5 아세토니트릴:물, 10 mM 아세트산암모늄 함유; 구배: 15분에 걸쳐 50-90% B, 이어서 100% B에서 5분 유지; 유량: 20 mL/분. 생성물을 함유하는 분획을 합하고, 원심 증발을 통해 건조시켰다. 표제 화합물 (11.4 mg)을 59.7% 수율로 단리하였다.
대안적 합성: 8-클로로-5-메틸-7-니트로-6-옥소-5,6-디히드로-1,5-나프티리딘-2-카르보니트릴 (750 mg, 2.83 mmol)의 DMF (6 mL) 용액을 1-(비스(4-플루오로페닐)메틸)피페라진 (899 mg, 3.12 mmol))과 합하고, 이어서 휘니그 염기 (0.990 mL, 5.67 mmol)를 첨가하였다. 반응 혼합물을 실온에서 밤새 교반하였다. LC/MS 분석은 반응이 완결되었음을 나타냈다. 조 물질을 여과하고, 완충제로서 아세트산암모늄을 함유하는 수성 아세토니트릴을 사용하여 정제용 HPLC에 의해 정제하여 황색 고체 1.02 g를 수득하였다. 2회의 분석용 LC/MS 주입을 사용하여 최종 순도를 결정하였다. 주입 1 조건: 칼럼: 워터스 액퀴티 UPLC BEH C18, 2.1 x 50 mm, 1.7 μm 입자; 이동상 A: 5:95 아세토니트릴:물, 10 mM 아세트산암모늄 함유; 이동상 B: 95:5 아세토니트릴:물, 10 mM 아세트산암모늄 함유; 온도: 50℃; 구배: 3분에 걸쳐 0-100% B, 이어서 100% B에서 0.75분 유지; 유량: 1.0 mL/분; 검출: 220 nm에서의 UV. 주입 2 조건: 칼럼: 워터스 액퀴티 UPLC BEH C18, 2.1 x 50 mm, 1.7 μm 입자; 이동상 A: 5:95 아세토니트릴:물, 0.1% 트리플루오로아세트산 함유; 이동상 B: 95:5 아세토니트릴:물, 0.1% 트리플루오로아세트산 함유; 온도: 50℃; 구배: 3분에 걸쳐 0-100% B, 이어서 100% B에서 0.75분 유지; 유량: 1.0 mL/분; 검출: 220 nm에서의 UV. 주입 1 결과: 순도: 100%; 관찰 질량: 517.0; 체류 시간: 2.4분. 주입 2 결과: 순도: 98.4%; 관찰 질량: 517.0; 체류 시간: 1.7분. 1H NMR (500 MHz, 클로로포름-d) δ 7.88 (d, J=8.7 Hz, 1H), 7.76 (d, J=8.9 Hz, 1H), 7.40 (dd, J=8.5, 5.5 Hz, 4H), 7.02 (t, J=8.7 Hz, 4H), 4.34 (s, 1H), 3.68 (s, 3H), 3.62-3.55 (m, 4H), 2.64 (br s, 4H). 13C NMR (126 MHz, 클로로포름-d) δ 163.0, 161.0, 155.4, 147.0, 138.0, 137.7, 137.7, 135.9, 132.4, 129.5, 129.2, 129.2, 126.0, 123.1, 116.5, 115.8, 115.6, 74.3, 51.6, 51.2, 29.7.
DGKi 화합물 16의 합성 방법
8-[(2S,5R)-4-[비스(4-메틸페닐)메틸]-2,5-디메틸피페라진-1-일]-5-메틸-6-옥소-5,6-디히드로-1,5-나프티리딘-2-카르보니트릴
아세토니트릴 (0.3 mL) 중 (시아노메틸)트리메틸포스포늄 아이오다이드 (46.2 mg, 0.19 mmol), 디-p-톨릴메탄올 (23.46 mg, 0.108 mmol), 및 8-((2S,5R)-2,5-디메틸피페라진-1-일)-5-메틸-6-옥소-5,6-디히드로-1,5-나프티리딘-2-카르보니트릴, TFA (72.4 mg, 54wt%, 0.095 mmol)의 혼합물에 휘니그 염기 (0.10 mL, 0.57 mmol)를 첨가하였다. 반응 혼합물을 110℃에서 2시간 동안 교반하였다. 조 물질을 정제용 LC/MS를 통해 다음 조건으로 정제하였다: 칼럼: 엑스브리지 C18, 200 mm x 19 mm, 5 μm 입자; 이동상 A: 5:95 아세토니트릴:물, 10 mM 아세트산암모늄 함유; 이동상 B: 95:5 아세토니트릴:물, 10 mM 아세트산암모늄 함유; 구배: 55% B에서 0분 유지, 20분에 걸쳐 55-95% B, 이어서 100% B에서 4분 유지; 유량: 20 mL/분; 칼럼 온도: 25℃. 분획 수집을 MS 및 UV 신호에 의해 촉발시켰다. 생성물을 함유하는 분획을 합하고, 원심 증발을 통해 건조시켰다. 생성물의 수율은 23.4 mg이었다. 분자량 계산치 491.639. 분석용 LC/MS를 사용하여 최종 순도를 결정하였다. 주입 1 조건: 칼럼: 워터스 엑스브리지 C18, 2.1 mm x 50 mm, 1.7 μm 입자; 이동상 A: 5:95 아세토니트릴:물, 10 mM 아세트산암모늄 함유; 이동상 B: 95:5 아세토니트릴:물, 10 mM 아세트산암모늄 함유; 온도: 50℃; 구배: 3분에 걸쳐 0%B에서 100%B, 이어서 100%B에서 0.75분 유지; 유량: 1 mL/분; 검출: MS 및 UV (220 nm). 주입 1 결과: 순도: 100.0%; 관찰 질량: 492.21; 체류 시간: 2.77분. 주입 2 조건: 칼럼: 워터스 엑스브리지 C18, 2.1 mm x 50 mm, 1.7 μm 입자; 이동상 A: 5:95 아세토니트릴:물, 0.1% 트리플루오로아세트산 함유; 이동상 B: 95:5 아세토니트릴:물, 0.1% 트리플루오로아세트산 함유; 온도: 50℃; 구배: 3분에 걸쳐 0%B에서 100%B, 이어서 100%B에서 0.75분 유지; 유량: 1 mL/분; 검출: MS 및 UV (220 nm). 주입 2 결과: 순도: 100.0%; 관찰 질량: 492.2; 체류 시간: 1.71분. 1H NMR (400 MHz, DMSO-d6) δ ppm 8.15 (d, J = 8.5 Hz, 1 H), 8.04-8.09 (m, 1 H), 7.81 (s, 4 H), 7.57-7.63 (m, 2 H), 7.12-7.19 (m, 2 H), 6.00 (s, 1 H), 4.82 (s, 1 H), 4.52-4.63 (m, 1 H), 3.64-3.76 (m, 1 H), 3.51-3.58 (m, 4 H), 2.99-3.10 (m, 1 H), 2.86 (br d, J = 8.5 Hz, 1 H), 2.28-2.37 (m, 1 H), 1.31 (d, J = 6.5 Hz, 3 H), 1.07 (d, J = 6.5 Hz, 3 H). 13C NMR (100.66 MHz, DMSO-d6) δ ppm 162.4, 160.9, 159.9, 153.5, 148.0, 138.7, 138.6, 135.0, 132.6, 129.3 (d, J = 8.0 Hz), 128.8 (d, J = 10.0 Hz), 124.0, 122.8, 118.6, 117.5, 115.6, 115.4, 109.8, 104.8, 69.0, 51.8, 49.4, 48.9, 47.2, 28.6, 13.4, 7.4.
참고문헌: PCT/US2020/048070
DGKi 화합물 17 및 18
4-((2S,5R)-2,5-디에틸-4-(1-(4-(트리플루오로메틸)페닐)프로필)피페라진-1-일)-1-메틸-2-옥소-1,2-디히드로피리도[3,2-d]피리미딘-6-카르보니트릴
아세토니트릴 (10 mL) 중 4-((2S,5R)-2,5-디에틸피페라진-1-일)-1-메틸-2-옥소-1,2-디히드로피리도[3,2-d]피리미딘-6-카르보니트릴, TFA (0.12 g, 0.27 mmol)의 교반 용액에 DIPEA (0.14 mL, 0.82 mmol), 1-(1-클로로프로필)-4-(트리플루오로메틸)벤젠 (0.12 g, 0.55 mmol), 및 아이오딘화나트륨 (0.04 g, 0.27 mmol)을 첨가하였다. 반응 혼합물을 85℃에서 16시간 동안 가열하였다. 반응 혼합물을 실온으로 냉각시키고, 용매를 감압 하에 제거하여 조 생성물을 수득하고, 이를 정제용 HPLC [HPLC 방법: 칼럼: 선파이어 C18, 150 x 19 mm ID, 5 μm; 이동상 A: 물 중 10 mM 아세트산암모늄; 이동상 B: 아세토니트릴; 구배: 18분에 걸쳐 0-100% B에 이어서 100% B에서 5분 유지; 유량: 17 mL/분]에 의해 정제하였다. 분획을 감압 하에 농축시키고, EtOH/H2O (1:5)로부터 동결건조시켜 화합물 17 및 18을 수득하였다.
화합물 17: (10 mg, 7% 수율); LCMS: m/z = 513.3 (M+H); rt 2.52분; (LCMS 방법: 칼럼: 엑스브리지 BEH XP C18 (50 x 2.1) mm, 2.5 μm 이동상 A: 95% 물:5% 아세토니트릴; 10 mM 포름산암모늄; 이동상 B: 5% 물:95% 아세토니트릴; 10 mM 포름산암모늄; 유량: 1.1 mL/분; 온도: 50℃; 시간 (분): 0-4; %B: 0-100; 1H NMR (400 MHz, DMSO-d6) δ 8.24 (d, J=6.6 Hz, 1H), 7.98 (d, J=9.0 Hz, 1H), 7.73 (d, J=8.1 Hz, 2H), 7.56 (d, J=7.1 Hz, 2H), 5.83-5.48 (m, 1H), 4.98-4.86 (m, 1H), 3.64 (br. s., 1H), 3.43 (s, 3H), 3.08 (d, J=9.8 Hz, 1H), 2.93-2.82 (m, 2H), 2.42-2.26 (m, 1H), 2.13-2.08 (m, 1H), 1.98-1.82 (m, 3H), 1.66-1.54 (m, 1H), 1.44-1.31 (m, 1H), 0.98-0.91 (br. s., 3H), 0.69-0.53 (m, 6H).
화합물 18: (3 mg, 2% 수율); LCMS: m/z = 513.3 (M+H); rt 2.54분; (LCMS 방법: 칼럼: 엑스브리지 BEH XP C18 (50 x 2.1) mm, 2.5 μm 이동상 A: 95% 물:5% 아세토니트릴; 10 mM 포름산암모늄; 이동상 B: 5% 물:95% 아세토니트릴; 10 mM 포름산암모늄; 유량: 1.1 mL/분; 온도: 50℃; 시간 (분): 0-4; %B: 0-100; 1H NMR (400 MHz, DMSO-d6) δ 8.28-8.19 (m, 1H), 8.01-7.95 (m, 1H), 7.72 (d, J=7.8 Hz, 2H), 7.58 (d, J=8.6 Hz, 2H), 6.06-5.28 (m, 1H), 5.08-4.76 (m, 1H), 3.64-3.50 (m, 2H), 3.43 (s, 3H), 3.16-3.08 (m, 1H), 2.25-2.14 (m, 2H), 2.00-1.83 (m, 3H), 1.57-1.53 (m, 3H), 1.03-0.89 (m, 3H), 0.65-0.54 (m, 6H).
DGKi 화합물 19 및 20
4-((2S,5R)-5-에틸-2-메틸-4-(1-(4-(트리플루오로메틸)페닐)에틸)피페라진-1-일)-1-메틸-2-옥소-1,2-디히드로피리도[3,2-d]피리미딘-6-카르보니트릴
실온에서 아세토니트릴 (2 mL) 중 4-((2S,5R)-5-에틸-2-메틸피페라진-1-일)-1-메틸-2-옥소-1,2-디히드로피리도[3,2-d]피리미딘-6-카르보니트릴, TFA (70 mg, 0.22 mmol)의 교반 용액에 DIPEA (0.12 mL, 0.67 mmol), 1-(1-클로로에틸)-4-(트리플루오로메틸)벤젠 (93 mg, 0.45 mmol), 아이오딘화나트륨 (33.6 mg, 0.22 mmol)을 첨가하고, 85℃에서 16시간 동안 가열하였다. 반응 혼합물을 실온으로 냉각시키고, 용매를 감압 하에 제거하고, 잔류물을 에틸 아세테이트 (100 mL) 중에 용해시켰다. 유기 층을 염수로 세척하고, Na2SO4 상에서 건조시키고, 감압 하에 농축시켜 조 생성물을 수득하고, 이를 정제용 HPLC [HPLC 방법: 칼럼: 선파이어 C18 (150 mm x 19.2 mm ID, 5 μm), 이동상 A=물 중 10 mM 아세트산암모늄, 이동상 B=아세토니트릴, 유량: 19 mL/분]에 의해 정제하고, 분획을 감압 하에 농축시키고, EtOH/H2O (1:5)로 희석하고, 동결건조시켜 화합물 19 및 20을 수득하였다.
화합물 19: (9 mg, 8% 수율); LCMS: m/z = 485.1 (M+H); rt 2.34분; (LCMS 방법: 칼럼: 엑스브리지 BEH XP C18 (50 x 2.1 mm), 2.5 μm; 이동상 A: 95% 물: 5% 아세토니트릴; 10 mM 아세트산암모늄; 이동상 B: 5% 물: 95% 아세토니트릴; 10 mM 아세트산암모늄; 유량: 1.1 mL/분; 온도: 50℃; 시간 (분): 0-3; %B: 0-100. 1H NMR (400 MHz, DMSO-d6) δ ppm 8.32-8.17 (m, 1H), 8.05-7.94 (m, 1H), 7.76-7.66 (m, 2H), 7.66-7.55 (m, 2H), 6.11-5.42 (m, 1H), 5.10-4.79 (m, 1H), 3.78-3.59 (m, 2H), 3.44 (s, 3H), 3.17-3.05 (m, 1H), 2.64-2.55 (m, 1H), 2.26-2.09 (m, 1H), 1.65-1.34 (m, 3H), 1.31-1.16 (m, 5H), 1.01 (br t, J=7.1 Hz, 3H).
화합물 20: (9 mg, 8% 수율); LCMS: m/z = 485.1 (M+H); rt 2.29분; (LCMS 방법: 칼럼: 엑스브리지 BEH XP C18 (50 x 2.1 mm), 2.5 μm; 이동상 A: 95% 물:5% 아세토니트릴; 10 mM 아세트산암모늄; 이동상 B: 5% 물:95% 아세토니트릴; 10 mM 아세트산암모늄; 유량: 1.1 mL/분; 온도: 50℃; 시간 (분): 0-3; %B: 0-100%). 1H NMR (400 MHz, DMSO-d6) δ ppm 8.24 (br d, J=8.6 Hz, 1H), 7.99 (d, J=9.0 Hz, 1H), 7.73 (d, J=8.3 Hz, 2H), 7.61 (br d, J=8.3 Hz, 2H), 5.87-5.63 (m, 1H), 5.10-4.79 (m, 1H), 3.90-3.80 (m, 1H), 3.44 (s, 3H), 3.46-3.15 (m, 1H), 2.89-2.73 (m, 2H), 2.41-2.34 (m, 1H), 1.63-1.34 (m, 5H), 1.29 (br d, J=6.1 Hz, 3H), 0.79-0.64 (m, 3H).
DGKi 화합물 21 및 22
4-((2S,5R)-5-에틸-4-((4-플루오로페닐)(5-(트리플루오로메틸)피리딘-2-일)메틸)-2-메틸피페라진-1-일)-1-메틸-2-옥소-1,2-디히드로피리도[3,2-d]피리미딘-6-카르보니트릴
아세토니트릴 (10 mL) 중 4-((2S,5R)-5-에틸-2-메틸피페라진-1-일)-1-메틸-2-옥소-1,2-디히드로피리도[3,2-d]피리미딘-6-카르보니트릴, TFA (0.5 g, 1.17 mmol)의 교반 용액에 DIPEA (1.02 mL, 5.86 mmol), 및 이어서 2-(브로모(4-플루오로페닐)메틸)-5-(트리플루오로메틸)피리딘 (0.78 mg, 2.35 mmol)을 첨가하였다. 반응 혼합물을 80℃에서 3시간 동안 가열하였다. 반응 혼합물을 실온으로 냉각시키고, 용매를 감압 하에 제거하여 조 생성물을 수득하고, 이를 정제용 HPLC (HPLC 방법: 칼럼: 이너트실 ODS 21.2 X 250 mm, 5 μm; 이동상 A: 물 중 0.1% TFA; 이동상 B: 아세토니트릴; 구배: 14분에 걸쳐 30-80% B, 이어서 100% B에서 5분 유지; 유량: 17 mL/분)에 의해 정제하고, 분획을 감압 하에 농축시키고, (EtOH/H2O, 1:5)로부터 동결건조시켜 화합물 21 및 화합물 22를 수득하였다.
화합물 21: 140 mg, 21% 수율; LCMS: m/z = 566.2 (M+H); rt 3.26분; (LCMS 방법: 칼럼: 칼럼-키네텍스 XB-C18 (75 X 3 mm-2.6 μm), 이동상 A: 98% 물:2% 아세토니트릴; 10 mM 포름산암모늄; 이동상 B: 2% 물:98% 아세토니트릴; 10 mM 포름산암모늄; 유량: 1.0 mL/분; 온도: 50℃; 시간 (분): 0-4; %B: 0-100%). 1H NMR (400 MHz, DMSO-d6) δ ppm 8.83 (br s, 1 H), 8.19-8.31 (m, 2 H), 7.95-8.12 (m, 2 H), 7.53-7.63 (m, 2 H), 7.12-7.26 (m, 2 H), 5.41-6.26 (m, 1 H), 4.79-5.20 (m, 2 H), 3.60-3.74 (m, 1 H), 3.44 (s, 3 H), 2.73-2.87 (m, 1 H), 2.22-2.42 (m, 2 H), 1.40-1.68 (m, 5 H), 0.53-0.71 (m, 3 H).
화합물 22: 155 mg, 23% 수율; LCMS: m/z = 566.2 (M+H); rt 3.25분; (LCMS 방법: 칼럼: 칼럼-키네텍스 XB-C18 (75 X 3 mm-2.6 μm), 이동상 A: 98% 물: 2% 아세토니트릴; 10 mM 포름산암모늄; 이동상 B: 2% 물: 98% 아세토니트릴; 10 mM 포름산암모늄; 유량: 1.0 mL/분; 온도: 50℃; 시간 (분): 0-4; %B: 0-100%). 1H NMR (400 MHz, DMSO-d6) δ ppm 8.92 (s, 1 H), 8.17-8.27 (m, 2 H), 7.90-8.02 (m, 2 H), 7.60-7.67 (m, 2 H), 7.14-7.22 (m, 2 H), 5.52-6.07 (m, 1 H), 4.87-5.08 (m, 2 H), 3.39-3.71 (m, 4 H), 2.69-2.78 (m, 1 H), 2.37-2.45 (m, 1 H), 1.37-1.69 (m, 5 H), 0.58-0.77 (m, 3 H).
DGKi 화합물 23-24
(4-((2S,5R)-4-((4-클로로페닐)(피리딘-2-일)메틸)-5-에틸-2-메틸피페라진-1-일)-1-메틸-2-옥소-1,2-디히드로피리도[3,2-d]피리미딘-6-카르보니트릴
아세토니트릴 (5 mL) 중 4-((2S,5R)-5-에틸-2-메틸피페라진-1-일)-1-메틸-2-옥소-1,2-디히드로피리도[3,2-d]피리미딘-6-카르보니트릴 (100 mg, 0.32 mmol)의 교반 용액에 DIPEA (0.3 mL, 1.60 mmol)에 이어서 2-(브로모(4-클로로페닐)메틸)피리딘 (181 mg, 0.64 mmol)을 첨가하였다. 반응 혼합물을 80℃에서 3시간 동안 가열하였다. 반응 혼합물을 실온으로 냉각시키고, 용매를 감압 하에 제거하여 조 생성물을 수득하고, 이를 정제용 HPLC (HPLC 방법: 칼럼: 셀룰로스-5 (250* 20 ID) 5 마이크로미터; 이동상 A: IPA 중 0.1% DEA; 이동상 B: ACN 중 0.1% DEA; 구배: 90%의 B에 이어서 100% B에서 5분 유지; 유량: 18 mL/분)에 의해 정제하고, 분획을 감압 하에 농축시키고, (EtOH/H2O, 1:5)로부터 동결건조시켜 화합물 23 및 화합물 24를 수득하였다.
화합물 23: 24 mg, 14% 수율; LCMS: m/z = 514.2 (M+H); rt 2.94분; (LCMS 방법: 칼럼: 칼럼-키네텍스 XB-C18 (75 X 3 mm-2.6 μm), 이동상 A: 98% 물:2% 아세토니트릴; 10 mM 포름산암모늄; 이동상 B: 2% 물:98% 아세토니트릴; 10 mM 포름산암모늄; 유량: 1.0 mL/분; 온도: 50℃; 시간 (분): 0-4; %B: 0-100%). 1H NMR (400 MHz, DMSO-d6): δ ppm 8.52 (d, J=4.5 Hz, 1 H), 8.23 (d, J=9.0 Hz, 1 H), 7.96-8.02 (m, 1 H), 7.75-7.81 (m, 1 H), 7.59-7.68 (m, 3 H), 7.39 (d, J=8.5 Hz, 2 H), 7.22-7.29 (m, 1 H), 5.54-5.95 (m, 1 H), 4.81-5.07 (m, 2 H), 3.39-3.68 (m, 5 H), 2.69-2.76 (m, 1 H), 2.35-2.44 (m, 1 H), 1.37-1.67 (m, 5 H), 0.58-0.67 (m, 3 H).
화합물 24: 22 mg, 13% 수율; LCMS: m/z = 514.2 (M+H); rt 2.94분; (LCMS 방법: 칼럼: 칼럼-키네텍스 XB-C18 (75X3 mm-2.6 μm), 이동상 A: 98% 물: 2% 아세토니트릴; 10 mM 포름산암모늄; 이동상 B: 2% 물: 98% 아세토니트릴; 10 mM 포름산암모늄; 유량: 1.0 mL/분; 온도: 50℃; 시간 (분): 0-4; %B: 0-100%). 1H NMR (400 MHz, DMSO-d6): δ ppm 8.41-8.45 (m, 1 H), 8.23 (d, J=9.0 Hz, 1 H), 7.96-8.02 (m, 1 H), 7.78-7.85 (m, 2 H), 7.53-7.61 (m, 2 H), 7.40 (d, J=8.5 Hz, 2 H), 7.20-7.26 (m, 1 H), 5.52-5.97 (m, 1 H), 4.87-5.04 (m, 1 H), 4.78-4.86 (m, 1 H), 3.37-3.71 (m, 4 H), 2.72-2.78 (m, 1 H), 2.54-2.63 (m, 1 H), 2.35-2.46 (m, 1 H), 1.40-1.64 (m, 5 H), 0.58-0.70 (m, 3 H).
DGKi 화합물 25 및 26
4-((2S,5R)-4-((3-시클로프로필-1,2,4-옥사디아졸-5-일)(4-플루오로페닐)메틸)-2,5-디메틸피페라진-1-일)-1-메틸-2-옥소-1,2-디히드로피리도[3,2-d]피리미딘-6-카르보니트릴
DMF (2 mL) 중 2-((2R,5S)-4-(6-시아노-1-메틸-2-옥소-1,2-디히드로피리도[3,2-d]피리미딘-4-일)-2,5-디에틸피페라진-1-일)-2-(4-플루오로페닐)아세트산 (0.045 g, 0.09 mmol), N-히드록시시클로프로판카르복스이미드아미드 (9.4 mg, 0.09 mmol)의 교반 용액에, BOP (0.01 g, 0.23 mmol) 및 트리에틸아민 (0.04 mL, 0.23 mmol)을 실온에서 첨가하였다. 2시간 후, 반응 혼합물을 110℃에서 3시간 동안 가열하였다. 반응 혼합물을 실온으로 냉각시키고, 감압 하에 증발시켜 조 생성물을 수득하고, 이를 정제용 HPLC에 의해 정제하였다. 키랄 분리 방법: 칼럼: DAD-1-셀룰로스-2 (250 X 4.6 mm), 5 마이크로미터. 이동상: 아세토니트릴 중 0.1% DEA, 유량: 2.0 mL/분.
화합물 25: (1.9 mg, 6% 수율): LCMS: m/z, 543.3 (M+H); rt 2.21분; LCMS 방법: 칼럼: 엑스브리지 BEH XP C18 (50 x 2.1) mm, 2.5 μm; 이동상 A: 95% 물:5% 아세토니트릴; 10 mM 아세트산암모늄; 이동상 B: 5% 물:95% 아세토니트릴; 10 mM 아세트산암모늄; 유량: 1.1 mL/분; 온도: 50℃; 시간 (분) 시간 (분): 0-3; %B: 0-100%). 1H NMR (400 MHz, DMSO-d6) δ ppm 8.29-8.16 (m, 1H), 8.06-7.92 (m, 1H), 7.75-7.58 (m, 2H), 7.26 (m, 2H), 6.01-5.32 (m, 1H), 5.28 (br s, 1H), 5.00-4.79 (m, 1H), 3.66-3.56 (m, 1H), 3.43 (s, 3H), 2.65-2.57 (m, 1H), 2.44-2.34 (m, 2H), 2.18-2.00 (m, 1H), 1.95-1.74 (m, 2H), 1.68-1.34 (m, 2H), 1.15-1.02 (m, 2H), 0.93-0.83 (m, 2H), 0.81-0.62 (m, 6H).
화합물 26: (1.0 mg, 3% 수율): LCMS: m/z, 543.3 (M+H); rt 2.20분; LCMS 방법: 칼럼: 엑스브리지 BEH XP C18 (50 x 2.1) mm, 2.5 μm; 이동상 A: 95% 물: 5% 아세토니트릴; 10 mM 아세트산암모늄; 이동상 B: 5% 물: 95% 아세토니트릴; 10 mM 아세트산암모늄; 유량: 1.1 mL/분; 온도: 50℃; 시간 (분) 시간 (분): 0-3; %B: 0-100%). 1H NMR (400 MHz, DMSO-d6) δ ppm 8.23 (d, J=8.8 Hz, 1H), 8.06-7.91 (m, 1H), 7.62 (dd, J=6.2, 7.5 Hz, 2H), 7.26 (t, J=8.8 Hz, 2H), 5.92-5.31 (m, 1H), 5.29 (s, 1H), 4.96-4.78 (m, 1H), 3.60-3.50 (m, 1H), 3.43 (s, 3H), 3.25-3.10 (m, 1H), 2.97-2.75 (m, 2H), 2.27-1.65 (m, 3H), 1.49-1.24 (m, 2H), 1.11-0.97 (m, 2H), 0.94-0.75 (m, 5H), 0.74-0.50 (m, 3H).
DGKi 화합물 27 및 28
4-((2S,5R)-4-((4-플루오로페닐)(5-(트리플루오로메틸)피리딘-2-일)메틸)-2,5-디메틸피페라진-1-일)-1-메틸-2-옥소-1,2-디히드로피리도[3,2-d]피리미딘-6-카르보니트릴
아세토니트릴 (10 mL) 중 4-((2S,5R)-2,5-디메틸피페라진-1-일)-1-메틸-2-옥소-1,2-디히드로피리도[3,2-d]피리미딘-6-카르보니트릴 (1 g, 3.35 mmol)의 교반 용액에 DIPEA (5.9 mL, 33.5 mmol), 및 이어서 2-(브로모(4-플루오로페닐) 메틸)-5-(트리플루오로메틸)피리딘 (2.24 g, 6.70 mmol)을 첨가하였다. 반응 혼합물을 80℃에서 4시간 동안 가열하였다. 반응 혼합물을 실온으로 냉각시키고, 용매를 감압 하에 제거하여 조 생성물을 수득하고, 이를 정제용 HPLC (HPLC 방법: 칼럼: 선파이어 C18, 150 x 19 mm ID, 5 μm; 이동상 A: 물 중 0.1% TFA; 이동상 B: 아세토니트릴:MeOH (1:1); 구배: 20분에 걸쳐 50-100% B, 이어서 100% B에서 5분 유지; 유량: 19 mL/분)에 의해 정제하고, 분획을 감압 하에 농축시키고, (EtOH/H2O, 1:5)로부터 동결건조시켜 화합물 27 및 화합물 28을 수득하였다.
화합물 27: 110 mg, 6% 수율; LCMS: m/z = 552.2 (M+H); rt 3.09분; (LCMS 방법: 칼럼: 칼럼-키네텍스 XB-C18 (75 X 3 mm-2.6 μm), 이동상 A: 98% 물: 2% 아세토니트릴; 10 mM 포름산암모늄; 이동상 B: 2% 물: 98% 아세토니트릴; 10 mM 포름산암모늄; 유량: 1.0 mL/분; 온도: 50℃; 시간 (분): 0-4; %B: 20-100%). 1H NMR (400 MHz, DMSO-d6) δ ppm 8.83 (s, 1H), 8.22 (d, J = 9.0 Hz, 2H), 8.11-7.95 (m, 2H), 7.71-7.58 (m, 2H), 7.25-7.13 (m, 2H), 5.76-5.44 (m, 1H), 5.13-4.67 (m, 2H), 3.86-3.49 (m, 1H), 3.44 (s, 3H), 3.19-3.08 (m, 1H), 2.84 (dd, J = 3.8, 12.3 Hz, 1H), 2.38-2.26 (m, 1H), 1.67-1.39 (m, 3H), 1.11-0.86 (m, 3H).
화합물 28: 145 mg, 8% 수율; LCMS: m/z = 552.2 (M+H); rt 3.09분; (LCMS 방법: 칼럼: 칼럼-키네텍스 XB-C18 (75 X 3 mm-2.6 μm), 이동상 A: 98% 물:2% 아세토니트릴; 10 mM 포름산암모늄; 이동상 B: 2% 물:98% 아세토니트릴; 10 mM 포름산암모늄; 유량: 1.0 mL/분; 온도: 50℃; 시간 (분): 0-4; %B: 0-100%). 1H NMR (400 MHz, DMSO-d6) δ ppm 8.91 (s, 1H), 8.27-8.16 (m, 2H), 7.99 (d, J = 9.0 Hz, 2H), 7.69-7.57 (m, 2H), 7.23-7.13 (m, 2H), 5.77-5.41 (m, 1H), 5.09-4.62 (m, 2H), 3.90-3.65 (m, 1H), 3.44 (s, 3H), 3.14-3.02 (m, 1H), 2.80-2.74 (m, 1H), 1.61-1.40 (m, 3H), 1.10-0.93 (m, 3H) [1H는 용매 피크로 가려짐].
DGKi 화합물 29 및 30
4-((2S,5R)-4-(1-(4-(시클로프로필메톡시)-2-플루오로페닐)프로필)-2,5-디에틸피페라진-1-일)-1-메틸-2-옥소-1,2-디히드로피리도[3,2-d]피리미딘-6-카르보니트릴
아세토니트릴 (5 mL) 중 4-((2S,5R)-2,5-디에틸피페라진-1-일)-1-메틸-2-옥소-1,2-디히드로피리도[3,2-d]피리미딘-6-카르보니트릴, HCl (200 mg, 0.55 mmol)의 교반 용액에 DIPEA (0.3 mL, 1.65 mmol), 아이오딘화나트륨 (83 mg, 0.55 mmol) 및 1-(1-클로로프로필)-4-(시클로프로필메톡시)-2-플루오로벤젠 (268 mg, 1.1 mmol)을 첨가하였다. 반응 혼합물을 80℃에서 16시간 동안 가열하였다. 반응 혼합물을 실온으로 냉각되도록 하였다. 1-(1-클로로프로필)-4-(시클로프로필메톡시)-2-플루오로벤젠 (268 mg, 1.102 mmol)의 또 다른 로트를 첨가하고, 추가 16시간 동안 가열을 계속하였다. 반응 혼합물을 냉각시키고, 용매를 감압 하에 제거하고, 잔류물을 에틸 아세테이트 (10 x 20 mL) 중에 용해시켰다. 유기 층을 염수로 세척하고, Na2SO4 상에서 건조시키고, 감압 하에 농축시켜 조 생성물을 수득하고, 이를 정제용 HPLC에 의해 정제하였다. HPLC 방법: 칼럼: EXRS (20 X 250 mm, 5 μm), 이동상 A- 물 중 10 mM 아세트산암모늄 R, 이동상 A-B: 아세토니트릴, 유량: 20 mL/분.
분획 1을 감압 하에 농축시키고, 생성물을 (EtOH/H2O, 1:5)로 희석하고, 동결건조시켜 화합물 29 (35 mg, 11.6% 수율)를 수득하였다; LCMS: m/z, 533.4 [M+H]+, rt 1.57분; (LCMS 방법: 칼럼: KINETIX XB C18 (75 x 3 mm, 2.6 μm); 이동상 A: 물 중 10 mM 아세트산암모늄 (pH 3.3), 이동상 B: 아세토니트릴. 1H NMR (DMSO-d6, 400MHz) δ (ppm) 8.23 (d, J=9.0 Hz, 1H), 7.97 (d, J=9.0 Hz, 1H), 7.33 (m, 1H), 6.62-6.92 (m, 2H), 5.29-6.06 (m, 1H), 4.70-5.05 (m, 1H), 3.82 (m, 3H), 3.43 (s, 3H), 2.99-3.10 (m, 1H), 2.80-2.87 (m, 1H), 2.63-2.78 (m, 1H), 2.33 (s, 1H), 1.74-2.11 (m, 3H), 1.51-1.66 (m, 1H), 1.17-1.46 (m, 3H), 0.84-1.01 (m, 3H), 0.61-0.78 (m, 6H), 0.53-0.61 (m, 2H), 0.29-0.35 (m, 2H).
분획 2를 감압 하에 농축시키고, 생성물을 (EtOH/H2O, 1:5)로 희석하고, 동결건조시켜 화합물 30 (37 mg, 12.35% 수율)을 수득하였다; LCMS: m/z, 533.4 [M+H]+, rt 2.72분; [(LCMS 방법: 칼럼: KINETIX XB C18 (75 x 3 mm, 2.6 μm); 이동상 A: 물 중 10 mM 아세트산암모늄 (pH 3.3), 이동상 B: 아세토니트릴. 1H NMR (DMSO-d6, 400MHz): δ (ppm) 8.13-8.35 (m, 1H), 7.98 (m, 1H), 7.38 (m, 1H), 6.61-6.89 (m, 2H), 5.18-6.15 (m, 1H), 4.66-5.13 (m, 1H), 3.63-3.90 (m, 3H), 3.43 (s, 3H), 3.25 (m, 1H), 3.00-3.15 (m, 1H), 2.63-2.70 (m, 1H), 2.26-2.38 (m, 1H), 1.81 (m, 3H), 1.35-1.61 (m, 2H), 1.15-1.26 (m, 2H), 0.88-1.00 (m, 3H), 0.61-0.71 (m, 6H), 0.51-0.59 (m, 2H), 0.32 (m, 2H).
DGKi 화합물 31 및 32
4-((2S,5R)-2,5-디에틸-4-(1-(4-(트리플루오로메틸)페닐)부틸)피페라진-1-일)-1-메틸-2-옥소-1,2-디히드로피리도[3,2-d]피리미딘-6-카르보니트릴
아세토니트릴 (10 mL) 중 4-((2S,5R)-2,5-디에틸피페라진-1-일)-1-메틸-2-옥소-1,2-디히드로피리도[3,2-d]피리미딘-6-카르보니트릴, HCl (0.4 g, 1.1 mmol)의 교반 용액에 DIPEA (0.6 mL, 3.31 mmol), 및 이어서 1-(1-클로로부틸)-4-트리플루오로메틸)벤젠 (0.783 g, 3.31 mmol) 및 아이오딘화나트륨 (0.165 g, 1.102 mmol)을 첨가하였다. 반응 혼합물을 85℃에서 16시간 동안 가열하였다. 반응 혼합물을 셀라이트 패드를 통해 여과하고, 에틸 아세테이트로 세척하고, 여과물을 감압 하에 농축시켜 조 화합물을 수득하고, 이를 정제용 HPLC [HPLC 방법: 칼럼: YMC ExRS (250 mm x 21.2 mm, 5 μm) 이동상 A = 물 중 10 mM 아세트산암모늄 pH 4.5. 이동상 B = 아세토니트릴 구배: 2분에 걸쳐 80% B, 이어서 100% B에서 16분 유지; 유량: 19 mL/분]에 의해 정제하여 화합물 31 및 32를 수득하였다.
화합물 31: (10 mg, 1.7% 수율), LCMS: m/z = 527.4 (M+H); rt 2.626분; [LCMS 방법: 칼럼: 엑스브리지 BEH XP C18 (50 x 2.1 mm), 2.5 μm; 이동상 A: 95% 물:5% 아세토니트릴; 10 mM NH4OAC; 이동상 B: 5% 물:95% 아세토니트릴; 10 mM NH4OAC; 유량: 1.1 mL/분; 온도: 50℃; 시간 (분)]. 1H NMR (400 MHz, DMSO-d6) δ 8.30-8.16 (m, 1H), 7.98 (d, J = 9.0 Hz, 1H), 7.72 (d, J = 8.3 Hz, 2H), 7.56 (br d, J = 7.8 Hz, 2H), 5.86-5.44 (m, 1H),5.01-4.77 (m, 1H), 3.730-3.718(m, 1H), 3.46 (s, 3H), 3.43-3.35(m, 1H) 3.13-3.01 (m, 1H), 2.93-2.75 (m, 2H), 2.38-2.26 (m, 1H), 2.17-1.74 (m, 3H), 1.63-1.22 (m, 3H), 1.01-0.86 (m, 4H), 0.84-0.75 (m, 3H), 0.73-0.54 (m, 3H).
화합물 32: (7.2 mg, 1.23% 수율), LCMS: m/z = 527.3 (M+H); rt 2.654분; [LCMS 방법: 칼럼: 엑스브리지 BEH XP C18 (50 x 2.1) mm, 2.5 μm; 이동상 A: 95% 물: 5% 아세토니트릴; 10 mM NH4OAC; 이동상 B: 5% 물:95% 아세토니트릴; 10 mM NH4OAC; 유량: 1.1 mL/분; 온도 50℃; 시간 (분)]. 1H NMR (400 MHz, DMSO-d6) δ = 8.29-8.15 (m, 1H), 7.96-8.02 (m, 1H), 7.70 (d, J = 8.1 Hz, 2H), 7.58 (br d, J = 8.1 Hz, 2H), 6.09-5.22 (m,1H), 5.13-4.66 (m, 1H), 3.68-3.52 (m, 2H), 3.43 (s, 3H), 3.28-3.04 (m, 2H), 2.60-2.53 (m, 1H), 2.25-2.12 (m, 1H), 2.04-1.68 (m, 3H), 1.60-1.29 (m,3H), 1.05-0.74 (m, 7H), 0.59 (t, J = 7.5 Hz, 3H).
DGKi 화합물 33 및 34
1-메틸-4-((2S,5R)-2-메틸-5-프로필-4-(1-(4-(트리플루오로메틸)페닐)에틸)피페라진-1-일)-2-옥소-1,2-디히드로피리도[3,2-d]피리미딘-6-카르보니트릴
DMF (2 mL) 중 6-클로로-1-메틸-4-((2S,5R)-2-메틸-5-프로필-4-(1-(4-(트리플루오로메틸)페닐)에틸)피페라진-1-일)피리도[3,2-d]피리미딘-2(1H)-온 (0.1 g, 0.19 mmol)의 용액에 아르곤 분위기 하에 실온에서 시안화아연 (0.046 g, 0.39 mmol), 아연 (0.7 mg, 9.8 μmol) 및 트리에틸아민 (0.1 mL, 0.59 mmol), 및 이어서 디클로로[9,9-디메틸-4,5-비스(디페닐포스피노)크산텐]팔라듐 (II) (0.015 g, 0.02 mmol)을 첨가하였다. 반응 혼합물을 90℃에서 밤새 가열하였다. 반응 혼합물을 EtOAc (50 mL)로 희석하고, 셀라이트® 패드를 통해 여과하고, 추가의 에틸 아세테이트 (2 x 50 mL)로 세척하였다. 여과물을 물 (50 mL), 염수로 세척하고, Na2SO4 상에서 건조시키고, 감압 하에 농축시켜 조 생성물을 수득하고, 이를 정제용 HPLC (HPLC 방법: 칼럼: YMC EXRS (250 x 19 mm, 5 μm); 이동상 A: 물 중 10 mM 아세트산암모늄 pH ~4.5; 이동상 B: 아세토니트릴 유량: 20 mL/분)에 의해 정제하여 화합물 33 및 화합물 34를 수득하였다.
화합물 33: (13 mg, 14% 수율). LCMS: m/z = 499.3 [M+H]+; rt 2.376분; (LCMS 방법: 칼럼: 엑스브리지 BEH XP C18 (50 x 2.1 mm, 2.5 μm); 이동상 A: 95% 물:5% 아세토니트릴;10 mM NH4OAc; 이동상 B: 5% 물:95% 아세토니트릴; 10 mM NH4OAC; 유량: 1.1 mL/분; 온도: 50℃). 1H NMR (400MHz, DMSO-d6) δ (ppm) = 8.22 (br d, J = 8.8 Hz, 1H), 7.98 (d, J = 8.8 Hz, 1H), 7.70-7.72 (m, 2H), 7.59-7.61 (m, 2H), 5.84-5.59 (m, 1H), 5.10-4.67 (m, 1H), 3.91-3.75 (m, 1H), 3.38-3.43 (m, 4H), 2.86-2.70 (m, 2H), 2.47-2.36 (m, 1H), 1.63-1.51 (m, 1H), 1.47-1.18 (m, 8H), 0.9-0.99 (m, 1H), 0.75-0.59 (m, 3H).
화합물 34: (13 mg, 13% 수율); LCMS: m/z = 499.3 [M+H]+; rt 2.436분; (LCMS 방법: 칼럼: 엑스브릿지 BEH XP C18 (50 x 2.1 mm, 2.5 μm); 이동상 A: 95% 물:5% 아세토니트릴; 10 mM NH4OAc; 이동상 B: 5% 물:95% 아세토니트릴;10 mM NH4OAC; 유량: 1.1 mL/분; 온도: 50℃). 1H NMR (400 MHz, DMSO-d6) δ (ppm) = 8.25 (br d, J = 2.4 Hz, 1H), 8.06-7.92 (m, 1H), 7.77-7.65 (m, 2H), 7.65-7.54 (m, 2H), 6.09-5.44 (m, 1H), 5.04-4.68 (m, 1H), 3.81-3.59 (m, 2H), 3.44 (s, 3H), 3.28-3.13 (m, 1H), 2.52-2.61 (m, 1H), 2.24-2.05 (m, 1H), 1.72-1.48 (m, 2H), 1.47-1.15 (m, 8H), 0.98-0.75 (m, 3H).
생물학적 검정
본원에 기재된 화합물의 약리학적 특성은 다수의 생물학적 검정에 의해 확인될 수 있다.
1. 시험관내 DGK 억제 검정
DGKα 및 DGKζ 반응을 압출된 리포솜 (DGKα 및 DGKζ LIPGLO 검정) 또는 세제/지질 미셀 기질 (DGKα 및 DGKζ 검정)을 사용하여 수행하였다. 반응을 50 mM MOPS pH 7.5, 100 mM NaCl, 10 mM MgCl2, 1 μM CaCl2, 및 1 mM DTT (검정 완충제) 중에서 수행하였다. 세제/지질 미셀 기질을 사용한 반응은 또한 50 mM 옥틸 B-D-글루코피라노시드를 함유하였다. 지질 기질 농도는 세제/지질 미셀 반응의 경우 11 mM PS 및 1 mM DAG였다. 지질 기질 농도는 압출된 리포솜 반응의 경우 2 mM PS, 0.25 mM DAG, 및 2.75 mM PC였다. 반응을 150 μM ATP 중에서 수행하였다. DGKα 및 DGKζ에 대한 효소 농도는 5 nM이었다.
화합물 억제 연구를 다음과 같이 수행하였다: DMSO 중에 가용화된 각각의 시험 화합물 (최고 농도 10 mM, 11 포인트, 각각의 화합물에 대해 3배 연속 희석)의 50 nL 액적을 백색 1536 웰 플레이트 (코닝 3725)의 웰로 옮겼다. 2.5 mL의 4x 효소 용액 (검정 완충제 중 20 nM DGKα 또는 DGKζ (하기 기재된 바와 같이 제조됨)) 및 2.5 mL의 4x 리포솜 또는 4x 세제/지질 미셀 용액 (하기 기재된 조성물)을 합하여 2x 최종 반응 농도의 5 mL 효소/기질 용액을 제조하고, 실온에서 10분 동안 인큐베이션하였다. 이어서, 1 μL 2x 효소/기질 용액을 시험 화합물을 함유하는 웰에 첨가하고, 1 μL 300 uM ATP를 첨가하여 반응을 개시하였다. 반응을 1시간 동안 진행시킨 후, 2 μL 글로 시약 (프로메가 V9101)을 첨가하고, 40분 동안 인큐베이션하였다. 이어서, 4 μL 키나제 검출 시약을 첨가하고, 30분 동안 인큐베이션하였다. 발광을 엔비전 마이크로플레이트 판독기를 사용하여 기록하였다. 100% 억제에 대한 효소 무함유 대조군 반응 및 0% 억제에 대한 비히클-단독 반응에 의해 생성된 ATP 전환으로부터 퍼센트 억제를 계산하였다. 화합물을 11가지 농도에서 평가하여 IC50을 결정하였다.
4x 세제/지질 미셀 제조
15 g 포스파티딜세린 (아반티 840035P) 및 1 g 디아실글리세롤 (800811O)을 합하고, 2 L 둥근 바닥 플라스크에서 150 mL 클로로포름에 용해시켜 세제/지질 미셀을 제조하였다. 클로로포름을 고진공 하에 회전 증발에 의해 제거하였다. 생성된 무색의 점착성 오일을 400 mL의 50 mM MOPS pH 7.5, 100 mM NaCl, 20 mM NaF, 10 mM MgCl2, 1 μM CaCl2, 1 mM DTT 및 200 mM 옥틸 글루코시드에 격렬한 혼합하여 재현탁시켰다. 지질/세제 용액을 5 mL 분취물로 분할하고, -80℃에서 저장하였다.
4x 리포솜 제조
지질 조성은 4x 리포솜 용액의 경우 15.2 mg/mL의 총 지질 농도에서 5 mol% DAG (아반티 800811O), 40 mol% PS (아반티 840035P), 및 55 mol% PC (아반티 850457)였다. PC, DAG 및 PS를 클로로포름 중에 용해시키고, 합하고, 진공 하에 건조시켜 박막을 수득하였다. 지질을 50 mM MOPS pH 7.5, 100 mM NaCl, 5 mM MgCl2에서 20 mM로 수화시키고, 5회 동결-해동시켰다. 지질 현탁액을 100 nm 폴리카르보네이트 필터를 통해 11회 압출하였다. 동적 광 산란을 수행하여 리포솜 크기 (50-60 nm 반경)를 확인하였다. 리포솜 제제를 4℃에서 4주 동안 저장하였다.
인간 DGKα 및 DGKζ의 바큘로바이러스 발현
인간 DGK-알파-TVMV-His-pFB게이트 및 인간 DGK-제타-전사체 변이체-2-TVMV-His-pFB게이트 바큘로바이러스 샘플을 백-투-백(Bac-to-Bac) 바큘로바이러스 발현 시스템 (인비트로젠)을 사용하여 제조업체의 프로토콜에 따라 생성하였다. DGK-알파 및 DGK-제타의 발현에 사용된 DNA는 각각 서열식별번호: 1 및 3을 갖는다. 바큘로바이러스 증폭을 감염된 Sf9 세포를 사용하여 1:1500 바이러스/세포 비로 달성하고, 형질감염 후 27℃에서 65시간 동안 성장시켰다.
각각의 단백질에 대한 발현 규모 확대를 지이 헬스케어 바이오사이언스로부터의 셀백 50L 웨이브-바이오리액터 시스템 20/50에서 수행하였다. ESF921 곤충 배지 (익스프레션 시스템)에서 성장시킨 12 L의 2 x 106개 세포/mL Sf9 세포 (익스프레션 시스템, 캘리포니아주 데이비스)를 바이러스 스톡으로 1:200 바이러스/세포 비로 감염시키고, 감염 후 27℃에서 66-68시간 동안 성장시켰다. 감염된 세포 배양물을 소르발(SORVALL)® RC12BP 원심분리기에서 4℃에서 20분 동안 2000 rpm에서의 원심분리에 의해 수거하였다. 세포 펠릿을 정제 시까지 -70℃에서 저장하였다.
인간 DGK-알파 및 DGK-제타의 정제
각각 TVMV-절단가능한 C-말단 Hexa-His 태그 서열을 함유하여 발현되고 (각각 서열식별번호: 2 및 4) 상기 기재된 바와 같이 생산된 전장 인간 DGKα 및 DGKζ를 Sf9 바큘로바이러스-감염된 곤충 세포 페이스트로부터 정제하였다. 질소 용기(파르 인스트루먼츠)로 질소 공동화 방법을 사용하여 세포를 용해시키고, 용해물을 원심분리에 의해 정화하였다. 정화된 용해물을 AKTA 퓨리파이어 플러스 시스템 상에서 3회 연속 칼럼 크로마토그래피 단계를 이용하여 ~90% 균질성으로 정제하였다. 3 단계 칼럼 크로마토그래피는 니켈 친화성 수지 포획 (즉, HisTrap FF 조 물질, 지이 헬스케어), 및 이어서 크기 배제 크로마토그래피 (즉, DGK-알파의 경우 하이로드 26/600 슈퍼덱스 200 정제용 등급, 지이 헬스케어, 및 DGK-제타의 경우 하이프렙 26/600 세파크릴 S 300_HR, 지이 헬스케어)를 포함하였다. 제3 단계는 이온 교환 크로마토그래피였고, 2종의 이소형에 대해 상이하였다. DGKα를 Q-세파로스 음이온 교환 크로마토그래피 (지이 헬스케어)를 사용하여 폴리싱하였다. DGKζ를 SP 세파로스 양이온 교환 크로마토그래피 (지이 헬스케어)를 사용하여 폴리싱하였다. 단백질을 ≥ 2 mg/mL의 농도로 전달하였다. 제제 완충제는 두 단백질 모두에 대해 동일하였다: 50 mM Hepes, pH 7.2, 500 mM NaCl, 10% v/v 글리세롤, 1 mM TCEP, 및 0.5 mM EDTA.
2. Raji CD4 T 세포 IL2 검정
1536-웰 IL-2 검정을 사전-활성화된 CD4 T 세포 및 Raji 세포를 사용하여 4 μL 부피로 수행하였다. 검정 전에, CD4 T 세포를 각각 1.5 μg/mL, 1 μg/mL 및 10 μg/mL의 α-CD3, α-CD28 및 PHA로 처리하여 사전-활성화시켰다. Raji 세포를 10,000 ng/mL의 스타필로코쿠스 장독소 B (SEB)로 처리하였다. 연속 희석된 화합물을 먼저 1536-웰 검정 플레이트 (코닝, #3727)로 옮기고, 이어서 2 μL의 사전-활성화된 CD4 T 세포 (6000개 세포/웰의 최종 밀도) 및 2 μL의 SEB-처리된 Raji 세포 (2000개 세포/웰)를 첨가하였다. 37℃/5% CO2 인큐베이터에서 24시간 인큐베이션 후, 4 μl의 IL-2 검출 시약을 검정 플레이트 (시스바이오, #64IL2PEC)에 첨가하였다. 검정 플레이트를 엔비전 판독기 상에서 판독하였다. 화합물 세포독성을 평가하기 위해, Raji 또는 CD4 T 세포를 연속 희석된 화합물과 함께 인큐베이션하였다. 24시간 인큐베이션 후, 4 μL의 셀 타이터 글로 (프로메가, #G7572)를 첨가하고, 플레이트를 엔비전 판독기 상에서 판독하였다. 50% 유효 농도 (IC50)를 4-파라미터 로지스틱 식 y = A+((B-A)/(1+((C/x)^D)))을 사용하여 계산하였고, 여기서 A 및 B는 각각 최소 및 최대% 활성화 또는 억제를 나타내고, C는 IC50이고, D는 힐 기울기이고, x는 화합물 농도를 나타낸다.
3. 셀타이터-글로 CD8 T 세포 증식 검정
동결된 나이브 인간 CD8 T 세포를 RPMI+10% FBS에서 해동시키고, 37℃에서 2시간 동안 인큐베이션하고, 계수하였다. 384-웰 조직 배양 플레이트를 플레인 RPMI 중 0.1 μg/mL의 20 μl 항-인간 CD3으로 4℃에서 밤새 코팅하고, 이를 플레이트로부터 제거한 후, 0.5 μg/ml 가용성 항-인간 CD28을 갖는 20k/40 μL CD8 T 세포를 각각의 웰에 첨가하였다. 세포를 플레이팅한 직후에 화합물을 세포 플레이트에 에코처리하였다. 37℃ 인큐베이터에서 72시간 인큐베이션 후, 10 μL 셀타이터-글로 시약 (프로메가 카탈로그 번호 G7570)을 각각의 웰에 첨가하였다. 플레이트를 5분 동안 격렬히 진탕시키고, 실온에서 추가 15분 동안 인큐베이션하고, 엔비전 상에서 CD8 T 세포 증식에 대해 판독하였다. 분석에서, 0.1 μg/mL 항-CD3 및 0.5 μg/mL 항-CD28 자극된 CD8 T 세포 신호는 배경이었다. 3 μM의 참조 화합물, 8-(4-(비스(4-플루오로페닐)메틸)피페라진-1-일)-5-메틸-7-니트로-6-옥소-5,6-디히드로-1,5-나프티리딘-2-카르보니트릴을 사용하여 100% 범위를 설정하였고, EC50은 데이터를 정규화하기 위해 절대 50%였다.
4. DGK AP1-리포터 검정
Jurkat AP1-루시페라제 리포터를 SAB바이오사이언시스(SABiosciences)로부터의 시그널 렌티(Cignal Lenti) AP1 리포터 (luc) 키트 (CLS-011L)를 사용하여 생성하였다.
화합물을 에코 LDV 플레이트로부터 384-웰 플레이트 (백색, 고체-바닥, 불투명 PE 컬쳐플레이트 6007768)의 개별 웰로 에코550 기기를 사용하여 옮겼다. 샘플 크기는 웰당 30 nL였고; 공급원 플레이트당 1개의 목표 플레이트였다. 40 mL 세포 (2x 20 mL)를 깨끗한 50 mL 원추형 튜브로 옮김으로써 세포 현탁액을 제조하였다. 세포를 원심분리 (1200 rpm; 5분; 주위 온도)에 의해 농축시켰다. 상청액을 제거하고, 모든 세포를 RPMI (깁코 11875) + 10% FBS 중에 현탁시켜 1.35x106개 세포/ml 농도를 만들었다. 다중-채널 피펫, 30 μL/웰의 세포 현탁액을 사용하여 세포를 웰당 4.0x104개 세포로 화합물을 함유하는 384-웰 TC 플레이트에 수동으로 첨가하였다. 세포 플레이트를 37℃ 및 5% CO2에서 20분 동안 인큐베이션하였다.
인큐베이션 동안, 3 μL aCD3 (1.3 mg/mL)을 10 mL 배지 [최종 농도 = 0.4 μg/mL]와 혼합하여 항-CD3 항체 (αCD3) 용액을 제조하였다. 이어서, 1.5 μl aCD3 (1.3 mg/mL)을 0.5 mL 배지 [최종 농도 = 4 μg/ml]와 혼합하였다. 20분 후, 10 μL 배지를 칼럼 1의 모든 웰, 웰 A 내지 M에 첨가하고, 웰당 10 μL αCD3 (4 ug/mL)을 칼럼 1의 참조용 N 내지 P 열에 첨가하였다. 이어서, 다중-채널 피펫을 사용하여, 웰당 10 μL αCD3 (0.4 ug/mL)을 첨가하였다. αCD3 자극된 +/- 화합물-처리된 세포를 37℃, 5% CO2에서 6시간 동안 인큐베이션하였다.
이 인큐베이션 기간 동안, 스테디-글로 (프로메가 E2520) 시약을 주위 온도로 천천히 해동시켰다. 다음에, 웰당 20 μL 스테디-글로 시약을 멀티-드롭 콤비-분배기를 사용하여 첨가하였다. 기포를 원심분리 (2000 rpm, 주위 온도, 10초)에 의해 제거하였다. 세포를 실온에서 5분 동안 인큐베이션하였다. 샘플을 발광 프로토콜 상에서 엔비전 플레이트 판독기 기기를 사용하여 상대 광 단위 (RLU)를 측정함으로써 특징화하였다. 참조 화합물, 8-(4-(비스(4-플루오로페닐)메틸)피페라진-1-일)-5-메틸-7-니트로-6-옥소-5,6-디히드로-1,5-나프티리딘-2-카르보니트릴을 사용하여 데이터를 분석하여 100% 억제를 정규화하였다.
5. 뮤린 세포독성 T 림프구 검정
이펙터 T 세포 매개 종양 세포 사멸 활성을 증진시키는 DGKα 및 DGKζ 억제제의 능력을 기능적으로 평가하기 위해 항원-특이적 세포용해 T-세포 (CTL) 검정을 개발하였다. OT-1 트랜스제닉 마우스로부터 단리된 CD8+ T-세포는 오브알부민 유래 펩티드 SIINFEKL을 제시하는 항원 제시 세포, MC38을 인식한다. 동족 항원의 인식은 OT-1 항원-특이적 CD8+ T 세포의 세포용해 활성을 개시한다.
기능성 CTL 세포를 다음과 같이 생성하였다: 8-12주령 마우스로부터의 OT-1 비장세포를 단리하고, 1 μg/mL의 SIINFEKL 펩티드 및 10 U/mL의 mIL2의 존재 하에 확장시켰다. 3일 후, mIL2 U/ml를 갖는 신선한 배지를 첨가하였다. 확장 제5일에, CD8+ T 세포를 단리하고, 이는 즉시 사용가능하였다. 활성화된 CTL 세포는 6개월 동안 동결 저장될 수 있다. 별도로, 1백만개의 MC38 종양 세포를 37℃에서 3시간 동안 1 μg/mL의 SIINFEKL-OVA 펩티드로 펄싱하였다. 세포를 신선한 배지로 세척하여 (3X) 과량의 펩티드를 제거하였다. 최종적으로, 96-웰 U 바닥 플레이트에서 1시간 동안 DGK 억제제로 전처리된 CTL 세포를 항원 로딩된 MC38 종양 세포와 1:10 비로 합하였다. 이어서, 세포를 700 rpm에서 5분 동안 회전시키고, 37℃에서 밤새 인큐베이터에 두었다. 24시간 후, 상청액을 퍼킨 엘머로부터 구입한 알파리사에 의한 IFN-γ시토카인 수준의 분석을 위해 수집하였다.
6. PHA 증식 검정
동결된 스톡으로부터의 피토헤마글루티닌 (PHA)-자극 모세포를 10% 소 태아 혈청 (시그마 알드리치, 미주리주 세인트 루이스)으로 보충된 RPMI 배지 (깁코, 써모피셔 사이언티픽, 매사추세츠주 월섬)에서 1시간 동안 인큐베이션한 후, 384-웰 플레이트의 개별 웰에 첨가하였다 (웰당 10,000개 세포). 화합물을 384-웰 플레이트의 개별 웰로 옮기고, 처리된 세포를 인간 IL2 (20 ng/mL)를 함유하는 배양 배지 중에서 72시간 동안 37℃, 5% CO2에서 유지한 후, MTS 시약 [3-(4,5-디메틸-2-일)-5-(3-카르복시메톡시페닐)-2-(4-술포페닐)-2H-테트라졸륨]을 제조업체의 지침 (프로메가, 위스콘신주 매디슨)에 따라 사용하여 성장을 측정하였다. 퍼센트 억제를 IL2 자극된 (0% 억제) 및 비자극된 대조군 (100% 억제) 사이의 값을 비교하여 계산하였다. 억제 농도 (IC50) 결정은 IL2 자극된 및 비자극된 처리 사이의 배수-유도에 대한 50% 억제에 기초하여 계산하였다.
7. 인간 CD8 T 세포 IFN-γ 검정
동결된 나이브 인간 CD8 T 세포를 AIM-V 배지에서 해동시키고, 37℃에서 2시간 동안 인큐베이션하고, 계수하였다. 384-웰 조직 배양 플레이트를 PBS 중 0.05 μg/mL의 20 μL 항-인간 CD3으로 4℃에서 밤새 코팅하고, 이를 플레이트로부터 제거한 후, 0.1 μg/mL 가용성 항-인간 CD28을 갖는 40 마이크로리터 CD8 T 세포당 40,000개 세포를 각각의 웰에 첨가하였다. 세포를 플레이팅한 직후에 화합물을 에코 액체 핸들러를 사용하여 세포 플레이트로 옮겼다. 37℃ 인큐베이터에서 20시간 인큐베이션 후, 시토카인 측정을 위해 웰당 3 마이크로리터의 상청액을 새로운 384-웰 백색 검정 플레이트로 옮겼다.
인터페론-γ (IFN-γ)를 제조업체 매뉴얼 (퍼킨 엘머)에 의해 기재된 바와 같이 알파리사 키트 (Cat#AL217)를 사용하여 정량화하였다. 각각의 웰로부터의 계수를 IFN-γ 농도 (pg/mL)로 전환시켰다. 화합물 EC50 값은, 0.05 μg/mL 항-CD3 + 0.1 μg/mL 항-CD28을 기준선으로 설정하고, 3 μM의 참조 화합물, 8-(4-(비스(4-플루오로페닐)메틸) 피페라진-1-일)-5-메틸-7-니트로-6-옥소-5,6-디히드로-1,5-나프티리딘-2-카르보니트릴과 항-CD3 + 항-CD28의 공동 자극을 100% 활성화로 설정하여 결정하였다.
8. 인간 CD8 T 세포 pERK 검정
동결된 나이브 인간 CD8 T 세포를 AIM-V 배지에서 해동시키고, 37℃에서 2시간 동안 인큐베이션하고, 계수하였다. CD8 양성 T 세포를 AIM-V 배지 중 웰당 20,000개 세포로 384-웰 조직 배양 플레이트에 첨가하였다. 1종의 화합물을 각각의 웰에 첨가한 다음, 비드 결합된 항-인간 CD3 및 항-CD28 mAb를 0.3 μg/mL의 최종 농도로 첨가하였다. 세포를 37℃에서 10분 동안 인큐베이션하였다. 알파리사 슈어파이어 키트로부터의 용해 완충제를 첨가함으로써 반응을 정지시켰다. (퍼킨 엘머, cat# ALSU-PERK-A). 용해물 (웰당 5 μL)을 pERK 활성화 측정을 위해 새로운 384-웰 백색 검정 플레이트로 옮겼다.
화합물 EC50은, 항-CD3 + 항-CD28을 기준선으로 설정하고, 3 μM 8-(4-(비스(4-플루오로페닐)메틸)피페라진-1-일)-5-메틸-7-니트로-6-옥소-5,6-디히드로-1,5-나프티리딘-2-카르보니트릴과 항-CD3 + 항-CD28의 공동-자극을 100% 활성화로 설정하여 결정하였다.
9. 인간 전혈 IFN-γ 검정
건강한 공여자로부터 수득된 인간 정맥 전혈 (웰당 22.5 μL)을 가습 95% 공기/5% CO2 인큐베이터에서 37℃에서 1시간 동안 화합물로 전처리하였다. 혈액을 각각 1 μg/mL의 최종 농도의 2.5 μL 항-인간 CD3 및 항-CD28 mAb로 24시간 동안 37℃에서 자극하였다. 상청액 중 IFN-γ를 알파리사 키트 (Cat#AL217)를 사용하여 측정하였다.
화합물 EC50은, 항-CD3 + 항-CD28을 기준선으로 설정하고, 3 μM의 참조 화합물, 8-(4-(비스(4-플루오로페닐)메틸)피페라진-1-일)-5-메틸-7-니트로-6-옥소-5,6-디히드로-1,5-나프티리딘-2-카르보니트릴과 항-CD3 + 항-CD28의 공동-자극을 100% 활성화로 설정하여 결정하였다.
표 A
시험관내 DGK 억제 IC50 활성 값
표 A는 DGKα 및 DGKζ 리포솜 (LIPGLO) 검정에서 측정된 시험관내 DGK 억제 IC50 활성 값을 열거한다.
본원에 기재된 화합물은 DGKα 및 DGKζ 효소 중 하나 또는 둘 다의 억제제(들)로서의 활성을 보유하고, 따라서 DGKα 및 DGKζ 활성의 억제와 연관된 질환의 치료에 사용될 수 있다.
hDGKα-(M1-S735)-Ct-TVMV-His를 코딩하는 뉴클레오티드 서열:
hDGKα-(M1-S735)-Ct-TVMV-His의 아미노산 서열:
hDGK ζ -(M1-A928)-전사체 변이체-2 Ct-TVMV-His를 코딩하는 뉴클레오티드 서열:
hDGKζ-(M1-A928)-전사체 변이체-2 Ct-TVMV-His의 아미노산 서열:
SEQUENCE LISTING
<110> BRISTOL-MYERS SQUIBB COMPANY
WEE, Susan et. al.
<120> COMBINATIONS OF DGK INHIBITORS AND CHECKPOINT ANTAGONISTS
<130> MXI-725PC
<140> PCT/US2020/066198
<141> 2020-12-18
<150> US 62/950,570
<151> 2019-12-19
<160> 10
<170> PatentIn version 3.5
<210> 1
<211> 2256
<212> DNA
<213> Artificial Sequence
<220>
<223> Synthetic: Nucleotide sequence encoding
hDGK-alpha-(M1-S735)-Ct-TVMV-His
<400> 1
atggccaagg agaggggcct aataagcccc agtgattttg cccagctgca aaaatacatg 60
gaatactcca ccaaaaaggt cagtgatgtc ctaaagctct tcgaggatgg cgagatggct 120
aaatatgtcc aaggagatgc cattgggtac gagggattcc agcaattcct gaaaatctat 180
ctcgaagtgg ataatgttcc cagacaccta agcctggcac tgtttcaatc ctttgagact 240
ggtcactgct taaatgagac aaatgtgaca aaagatgtgg tgtgtctcaa tgatgtttcc 300
tgctactttt cccttctgga gggtggtcgg ccagaagaca agttagaatt caccttcaag 360
ctgtacgaca cggacagaaa tgggatcctg gacagctcag aagtggacaa aattatccta 420
cagatgatgc gagtggctga atacctggat tgggatgtgt ctgagctgag gccgattctt 480
caggagatga tgaaagagat tgactatgat ggcagtggct ctgtctctca agctgagtgg 540
gtccgggctg gggccaccac cgtgccactg ctagtgctgc tgggtctgga gatgactctg 600
aaggacgacg gacagcacat gtggaggccc aagaggttcc ccagaccagt ctactgcaat 660
ctgtgcgagt caagcattgg tcttggcaaa cagggactga gctgtaacct ctgtaagtac 720
actgttcacg accagtgtgc catgaaagcc ctgccttgtg aagtcagcac ctatgccaag 780
tctcggaagg acattggtgt ccaatcacat gtgtgggtgc gaggaggctg tgagtccggg 840
cgctgcgacc gctgtcagaa aaagatccgg atctaccaca gtctgaccgg gctgcattgt 900
gtatggtgcc acctagagat ccacgatgac tgcctgcaag cggtgggcca tgagtgtgac 960
tgtgggctgc tccgggatca catcctgcct ccatcttcca tctatcccag tgtcctggcc 1020
tctggaccgg atcgtaaaaa tagcaaaaca agccagaaga ccatggatga tttaaatttg 1080
agcacctctg aggctctgcg gattgaccct gttcctaaca cccacccact tctcgtcttt 1140
gtcaatccta agagtggcgg gaagcagggg cagagggtgc tctggaagtt ccagtatata 1200
ttaaaccctc gacaggtgtt caacctccta aaggatggtc ctgagatagg gctccgatta 1260
ttcaaggatg ttcctgatag ccggattttg gtgtgtggtg gagacggcac agtaggctgg 1320
attctagaga ccattgacaa agctaacttg ccagttttgc ctcctgttgc tgtgttgccc 1380
ctgggtactg gaaatgatct ggctcgatgc ctaagatggg gaggaggtta tgaaggacag 1440
aatctggcaa agatcctcaa ggatttagag atgagtaaag tggtacatat ggatcgatgg 1500
tctgtggagg tgatacctca acaaactgaa gaaaaaagtg acccagtccc ctttcaaatc 1560
atcaataact acttctctat tggcgtggat gcctctattg ctcatcgatt ccacatcatg 1620
cgagagaaat atccggagaa gttcaacagc agaatgaaga acaagctatg gtacttcgaa 1680
tttgccacat ctgaatccat cttctcaaca tgcaaaaagc tggaggagtc tttgacagtt 1740
gagatctgtg ggaaaccgct ggatctgagc aacctgtccc tagaaggcat cgcagtgcta 1800
aacatcccta gcatgcatgg tggctccaac ctctggggtg ataccaggag accccatggg 1860
gatatctatg ggatcaacca ggccttaggt gctacagcta aagtcatcac cgaccctgat 1920
atcctgaaaa cctgtgtacc agacctaagt gacaagagac tggaagtggt tgggctggag 1980
ggtgcaattg agatgggcca aatctatacc aagctcaaga atgctggacg tcggctggcc 2040
aagtgctctg agatcacctt ccacaccaca aaaacccttc ccatgcaaat tgacggagaa 2100
ccctggatgc agacgccctg tacaatcaag atcacccaca agaaccagat gcccatgctc 2160
atgggcccac ccccccgctc caccaatttc tttggcttct tgagcggatc ctcggagaca 2220
gtgcggtttc agggacacca ccaccatcac cactga 2256
<210> 2
<211> 751
<212> PRT
<213> Artificial Sequence
<220>
<223> Synthetic: Amino acid sequence of
hDGK-alpha-(M1-S735)-Ct-TVMV-His
<400> 2
Met Ala Lys Glu Arg Gly Leu Ile Ser Pro Ser Asp Phe Ala Gln Leu
1 5 10 15
Gln Lys Tyr Met Glu Tyr Ser Thr Lys Lys Val Ser Asp Val Leu Lys
20 25 30
Leu Phe Glu Asp Gly Glu Met Ala Lys Tyr Val Gln Gly Asp Ala Ile
35 40 45
Gly Tyr Glu Gly Phe Gln Gln Phe Leu Lys Ile Tyr Leu Glu Val Asp
50 55 60
Asn Val Pro Arg His Leu Ser Leu Ala Leu Phe Gln Ser Phe Glu Thr
65 70 75 80
Gly His Cys Leu Asn Glu Thr Asn Val Thr Lys Asp Val Val Cys Leu
85 90 95
Asn Asp Val Ser Cys Tyr Phe Ser Leu Leu Glu Gly Gly Arg Pro Glu
100 105 110
Asp Lys Leu Glu Phe Thr Phe Lys Leu Tyr Asp Thr Asp Arg Asn Gly
115 120 125
Ile Leu Asp Ser Ser Glu Val Asp Lys Ile Ile Leu Gln Met Met Arg
130 135 140
Val Ala Glu Tyr Leu Asp Trp Asp Val Ser Glu Leu Arg Pro Ile Leu
145 150 155 160
Gln Glu Met Met Lys Glu Ile Asp Tyr Asp Gly Ser Gly Ser Val Ser
165 170 175
Gln Ala Glu Trp Val Arg Ala Gly Ala Thr Thr Val Pro Leu Leu Val
180 185 190
Leu Leu Gly Leu Glu Met Thr Leu Lys Asp Asp Gly Gln His Met Trp
195 200 205
Arg Pro Lys Arg Phe Pro Arg Pro Val Tyr Cys Asn Leu Cys Glu Ser
210 215 220
Ser Ile Gly Leu Gly Lys Gln Gly Leu Ser Cys Asn Leu Cys Lys Tyr
225 230 235 240
Thr Val His Asp Gln Cys Ala Met Lys Ala Leu Pro Cys Glu Val Ser
245 250 255
Thr Tyr Ala Lys Ser Arg Lys Asp Ile Gly Val Gln Ser His Val Trp
260 265 270
Val Arg Gly Gly Cys Glu Ser Gly Arg Cys Asp Arg Cys Gln Lys Lys
275 280 285
Ile Arg Ile Tyr His Ser Leu Thr Gly Leu His Cys Val Trp Cys His
290 295 300
Leu Glu Ile His Asp Asp Cys Leu Gln Ala Val Gly His Glu Cys Asp
305 310 315 320
Cys Gly Leu Leu Arg Asp His Ile Leu Pro Pro Ser Ser Ile Tyr Pro
325 330 335
Ser Val Leu Ala Ser Gly Pro Asp Arg Lys Asn Ser Lys Thr Ser Gln
340 345 350
Lys Thr Met Asp Asp Leu Asn Leu Ser Thr Ser Glu Ala Leu Arg Ile
355 360 365
Asp Pro Val Pro Asn Thr His Pro Leu Leu Val Phe Val Asn Pro Lys
370 375 380
Ser Gly Gly Lys Gln Gly Gln Arg Val Leu Trp Lys Phe Gln Tyr Ile
385 390 395 400
Leu Asn Pro Arg Gln Val Phe Asn Leu Leu Lys Asp Gly Pro Glu Ile
405 410 415
Gly Leu Arg Leu Phe Lys Asp Val Pro Asp Ser Arg Ile Leu Val Cys
420 425 430
Gly Gly Asp Gly Thr Val Gly Trp Ile Leu Glu Thr Ile Asp Lys Ala
435 440 445
Asn Leu Pro Val Leu Pro Pro Val Ala Val Leu Pro Leu Gly Thr Gly
450 455 460
Asn Asp Leu Ala Arg Cys Leu Arg Trp Gly Gly Gly Tyr Glu Gly Gln
465 470 475 480
Asn Leu Ala Lys Ile Leu Lys Asp Leu Glu Met Ser Lys Val Val His
485 490 495
Met Asp Arg Trp Ser Val Glu Val Ile Pro Gln Gln Thr Glu Glu Lys
500 505 510
Ser Asp Pro Val Pro Phe Gln Ile Ile Asn Asn Tyr Phe Ser Ile Gly
515 520 525
Val Asp Ala Ser Ile Ala His Arg Phe His Ile Met Arg Glu Lys Tyr
530 535 540
Pro Glu Lys Phe Asn Ser Arg Met Lys Asn Lys Leu Trp Tyr Phe Glu
545 550 555 560
Phe Ala Thr Ser Glu Ser Ile Phe Ser Thr Cys Lys Lys Leu Glu Glu
565 570 575
Ser Leu Thr Val Glu Ile Cys Gly Lys Pro Leu Asp Leu Ser Asn Leu
580 585 590
Ser Leu Glu Gly Ile Ala Val Leu Asn Ile Pro Ser Met His Gly Gly
595 600 605
Ser Asn Leu Trp Gly Asp Thr Arg Arg Pro His Gly Asp Ile Tyr Gly
610 615 620
Ile Asn Gln Ala Leu Gly Ala Thr Ala Lys Val Ile Thr Asp Pro Asp
625 630 635 640
Ile Leu Lys Thr Cys Val Pro Asp Leu Ser Asp Lys Arg Leu Glu Val
645 650 655
Val Gly Leu Glu Gly Ala Ile Glu Met Gly Gln Ile Tyr Thr Lys Leu
660 665 670
Lys Asn Ala Gly Arg Arg Leu Ala Lys Cys Ser Glu Ile Thr Phe His
675 680 685
Thr Thr Lys Thr Leu Pro Met Gln Ile Asp Gly Glu Pro Trp Met Gln
690 695 700
Thr Pro Cys Thr Ile Lys Ile Thr His Lys Asn Gln Met Pro Met Leu
705 710 715 720
Met Gly Pro Pro Pro Arg Ser Thr Asn Phe Phe Gly Phe Leu Ser Gly
725 730 735
Ser Ser Glu Thr Val Arg Phe Gln Gly His His His His His His
740 745 750
<210> 3
<211> 2838
<212> DNA
<213> Artificial Sequence
<220>
<223> Synthetic: Nucleotide sequence encoding hDGK -zeta -
(M1-A928)-transcript variant-2 Ct-TVMV-His
<400> 3
atggagccgc gggacggtag ccccgaggcc cggagcagcg actccgagtc ggcttccgcc 60
tcgtccagcg gctccgagcg cgacgccggt cccgagccgg acaaggcgcc gcggcgactc 120
aacaagcggc gcttcccggg gctgcggctc ttcgggcaca ggaaagccat cacgaagtcg 180
ggcctccagc acctggcccc ccctccgccc acccctgggg ccccgtgcag cgagtcagag 240
cggcagatcc ggagtacagt ggactggagc gagtcagcga catatgggga gcacatctgg 300
ttcgagacca acgtgtccgg ggacttctgc tacgttgggg agcagtactg tgtagccagg 360
atgctgcaga agtcagtgtc tcgaagaaag tgcgcagcct gcaagattgt ggtgcacacg 420
ccctgcatcg agcagctgga gaagataaat ttccgctgta agccgtcctt ccgtgaatca 480
ggctccagga atgtccgcga gccaaccttt gtacggcacc actgggtaca cagacgacgc 540
caggacggca agtgtcggca ctgtgggaag ggattccagc agaagttcac cttccacagc 600
aaggagattg tggccatcag ctgctcgtgg tgcaagcagg cataccacag caaggtgtcc 660
tgcttcatgc tgcagcagat cgaggagccg tgctcgctgg gggtccacgc agccgtggtc 720
atcccgccca cctggatcct ccgcgcccgg aggccccaga atactctgaa agcaagcaag 780
aagaagaaga gggcatcctt caagaggaag tccagcaaga aagggcctga ggagggccgc 840
tggagaccct tcatcatcag gcccaccccc tccccgctca tgaagcccct gctggtgttt 900
gtgaacccca agagtggggg caaccagggt gcaaagatca tccagtcttt cctctggtat 960
ctcaatcccc gacaagtctt cgacctgagc cagggagggc ccaaggaggc gctggagatg 1020
taccgcaaag tgcacaacct gcggatcctg gcgtgcgggg gcgacggcac ggtgggctgg 1080
atcctctcca ccctggacca gctacgcctg aagccgccac cccctgttgc catcctgccc 1140
ctgggtactg gcaacgactt ggcccgaacc ctcaactggg gtgggggcta cacagatgag 1200
cctgtgtcca agatcctctc ccacgtggag gaggggaacg tggtacagct ggaccgctgg 1260
gacctccacg ctgagcccaa ccccgaggca gggcctgagg accgagatga aggcgccacc 1320
gaccggttgc ccctggatgt cttcaacaac tacttcagcc tgggctttga cgcccacgtc 1380
accctggagt tccacgagtc tcgagaggcc aacccagaga aattcaacag ccgctttcgg 1440
aataagatgt tctacgccgg gacagctttc tctgacttcc tgatgggcag ctccaaggac 1500
ctggccaagc acatccgagt ggtgtgtgat ggaatggact tgactcccaa gatccaggac 1560
ctgaaacccc agtgtgttgt tttcctgaac atccccaggt actgtgcggg caccatgccc 1620
tggggccacc ctggggagca ccacgacttt gagccccagc ggcatgacga cggctacctc 1680
gaggtcattg gcttcaccat gacgtcgttg gccgcgctgc aggtgggcgg acacggcgag 1740
cggctgacgc agtgtcgcga ggtggtgctc accacatcca aggccatccc ggtgcaggtg 1800
gatggcgagc cctgcaagct tgcagcctca cgcatccgca tcgccctgcg caaccaggcc 1860
accatggtgc agaaggccaa gcggcggagc gccgcccccc tgcacagcga ccagcagccg 1920
gtgccagagc agttgcgcat ccaggtgagt cgcgtcagca tgcacgacta tgaggccctg 1980
cactacgaca aggagcagct caaggaggcc tctgtgccgc tgggcactgt ggtggtccca 2040
ggagacagtg acctagagct ctgccgtgcc cacattgaga gactccagca ggagcccgat 2100
ggtgctggag ccaagtcccc gacatgccag aaactgtccc ccaagtggtg cttcctggac 2160
gccaccactg ccagccgctt ctacaggatc gaccgagccc aggagcacct caactatgtg 2220
actgagatcg cacaggatga gatttatatc ctggaccctg agctgctggg ggcatcggcc 2280
cggcctgacc tcccaacccc cacttcccct ctccccacct caccctgctc acccacgccc 2340
cggtcactgc aaggggatgc tgcaccccct caaggtgaag agctgattga ggctgccaag 2400
aggaacgact tctgtaagct ccaggagctg caccgagctg ggggcgacct catgcaccga 2460
gacgagcaga gtcgcacgct cctgcaccac gcagtcagca ctggcagcaa ggatgtggtc 2520
cgctacctgc tggaccacgc ccccccagag atccttgatg cggtggagga aaacggggag 2580
acctgtttgc accaagcagc ggccctgggc cagcgcacca tctgccacta catcgtggag 2640
gccggggcct cgctcatgaa gacagaccag cagggcgaca ctccccggca gcgggctgag 2700
aaggctcagg acaccgagct ggccgcctac ctggagaacc ggcagcacta ccagatgatc 2760
cagcgggagg accaggagac ggctgtggga tcctcggaga cagtgcggtt tcagggacac 2820
caccaccatc accactga 2838
<210> 4
<211> 945
<212> PRT
<213> Artificial Sequence
<220>
<223> Synthetic: Amino acid sequence of hDGK-zeta-(M1-A928)-transcript
variant-2 Ct-TVMV-His
<400> 4
Met Glu Pro Arg Asp Gly Ser Pro Glu Ala Arg Ser Ser Asp Ser Glu
1 5 10 15
Ser Ala Ser Ala Ser Ser Ser Gly Ser Glu Arg Asp Ala Gly Pro Glu
20 25 30
Pro Asp Lys Ala Pro Arg Arg Leu Asn Lys Arg Arg Phe Pro Gly Leu
35 40 45
Arg Leu Phe Gly His Arg Lys Ala Ile Thr Lys Ser Gly Leu Gln His
50 55 60
Leu Ala Pro Pro Pro Pro Thr Pro Gly Ala Pro Cys Ser Glu Ser Glu
65 70 75 80
Arg Gln Ile Arg Ser Thr Val Asp Trp Ser Glu Ser Ala Thr Tyr Gly
85 90 95
Glu His Ile Trp Phe Glu Thr Asn Val Ser Gly Asp Phe Cys Tyr Val
100 105 110
Gly Glu Gln Tyr Cys Val Ala Arg Met Leu Gln Lys Ser Val Ser Arg
115 120 125
Arg Lys Cys Ala Ala Cys Lys Ile Val Val His Thr Pro Cys Ile Glu
130 135 140
Gln Leu Glu Lys Ile Asn Phe Arg Cys Lys Pro Ser Phe Arg Glu Ser
145 150 155 160
Gly Ser Arg Asn Val Arg Glu Pro Thr Phe Val Arg His His Trp Val
165 170 175
His Arg Arg Arg Gln Asp Gly Lys Cys Arg His Cys Gly Lys Gly Phe
180 185 190
Gln Gln Lys Phe Thr Phe His Ser Lys Glu Ile Val Ala Ile Ser Cys
195 200 205
Ser Trp Cys Lys Gln Ala Tyr His Ser Lys Val Ser Cys Phe Met Leu
210 215 220
Gln Gln Ile Glu Glu Pro Cys Ser Leu Gly Val His Ala Ala Val Val
225 230 235 240
Ile Pro Pro Thr Trp Ile Leu Arg Ala Arg Arg Pro Gln Asn Thr Leu
245 250 255
Lys Ala Ser Lys Lys Lys Lys Arg Ala Ser Phe Lys Arg Lys Ser Ser
260 265 270
Lys Lys Gly Pro Glu Glu Gly Arg Trp Arg Pro Phe Ile Ile Arg Pro
275 280 285
Thr Pro Ser Pro Leu Met Lys Pro Leu Leu Val Phe Val Asn Pro Lys
290 295 300
Ser Gly Gly Asn Gln Gly Ala Lys Ile Ile Gln Ser Phe Leu Trp Tyr
305 310 315 320
Leu Asn Pro Arg Gln Val Phe Asp Leu Ser Gln Gly Gly Pro Lys Glu
325 330 335
Ala Leu Glu Met Tyr Arg Lys Val His Asn Leu Arg Ile Leu Ala Cys
340 345 350
Gly Gly Asp Gly Thr Val Gly Trp Ile Leu Ser Thr Leu Asp Gln Leu
355 360 365
Arg Leu Lys Pro Pro Pro Pro Val Ala Ile Leu Pro Leu Gly Thr Gly
370 375 380
Asn Asp Leu Ala Arg Thr Leu Asn Trp Gly Gly Gly Tyr Thr Asp Glu
385 390 395 400
Pro Val Ser Lys Ile Leu Ser His Val Glu Glu Gly Asn Val Val Gln
405 410 415
Leu Asp Arg Trp Asp Leu His Ala Glu Pro Asn Pro Glu Ala Gly Pro
420 425 430
Glu Asp Arg Asp Glu Gly Ala Thr Asp Arg Leu Pro Leu Asp Val Phe
435 440 445
Asn Asn Tyr Phe Ser Leu Gly Phe Asp Ala His Val Thr Leu Glu Phe
450 455 460
His Glu Ser Arg Glu Ala Asn Pro Glu Lys Phe Asn Ser Arg Phe Arg
465 470 475 480
Asn Lys Met Phe Tyr Ala Gly Thr Ala Phe Ser Asp Phe Leu Met Gly
485 490 495
Ser Ser Lys Asp Leu Ala Lys His Ile Arg Val Val Cys Asp Gly Met
500 505 510
Asp Leu Thr Pro Lys Ile Gln Asp Leu Lys Pro Gln Cys Val Val Phe
515 520 525
Leu Asn Ile Pro Arg Tyr Cys Ala Gly Thr Met Pro Trp Gly His Pro
530 535 540
Gly Glu His His Asp Phe Glu Pro Gln Arg His Asp Asp Gly Tyr Leu
545 550 555 560
Glu Val Ile Gly Phe Thr Met Thr Ser Leu Ala Ala Leu Gln Val Gly
565 570 575
Gly His Gly Glu Arg Leu Thr Gln Cys Arg Glu Val Val Leu Thr Thr
580 585 590
Ser Lys Ala Ile Pro Val Gln Val Asp Gly Glu Pro Cys Lys Leu Ala
595 600 605
Ala Ser Arg Ile Arg Ile Ala Leu Arg Asn Gln Ala Thr Met Val Gln
610 615 620
Lys Ala Lys Arg Arg Ser Ala Ala Pro Leu His Ser Asp Gln Gln Pro
625 630 635 640
Val Pro Glu Gln Leu Arg Ile Gln Val Ser Arg Val Ser Met His Asp
645 650 655
Tyr Glu Ala Leu His Tyr Asp Lys Glu Gln Leu Lys Glu Ala Ser Val
660 665 670
Pro Leu Gly Thr Val Val Val Pro Gly Asp Ser Asp Leu Glu Leu Cys
675 680 685
Arg Ala His Ile Glu Arg Leu Gln Gln Glu Pro Asp Gly Ala Gly Ala
690 695 700
Lys Ser Pro Thr Cys Gln Lys Leu Ser Pro Lys Trp Cys Phe Leu Asp
705 710 715 720
Ala Thr Thr Ala Ser Arg Phe Tyr Arg Ile Asp Arg Ala Gln Glu His
725 730 735
Leu Asn Tyr Val Thr Glu Ile Ala Gln Asp Glu Ile Tyr Ile Leu Asp
740 745 750
Pro Glu Leu Leu Gly Ala Ser Ala Arg Pro Asp Leu Pro Thr Pro Thr
755 760 765
Ser Pro Leu Pro Thr Ser Pro Cys Ser Pro Thr Pro Arg Ser Leu Gln
770 775 780
Gly Asp Ala Ala Pro Pro Gln Gly Glu Glu Leu Ile Glu Ala Ala Lys
785 790 795 800
Arg Asn Asp Phe Cys Lys Leu Gln Glu Leu His Arg Ala Gly Gly Asp
805 810 815
Leu Met His Arg Asp Glu Gln Ser Arg Thr Leu Leu His His Ala Val
820 825 830
Ser Thr Gly Ser Lys Asp Val Val Arg Tyr Leu Leu Asp His Ala Pro
835 840 845
Pro Glu Ile Leu Asp Ala Val Glu Glu Asn Gly Glu Thr Cys Leu His
850 855 860
Gln Ala Ala Ala Leu Gly Gln Arg Thr Ile Cys His Tyr Ile Val Glu
865 870 875 880
Ala Gly Ala Ser Leu Met Lys Thr Asp Gln Gln Gly Asp Thr Pro Arg
885 890 895
Gln Arg Ala Glu Lys Ala Gln Asp Thr Glu Leu Ala Ala Tyr Leu Glu
900 905 910
Asn Arg Gln His Tyr Gln Met Ile Gln Arg Glu Asp Gln Glu Thr Ala
915 920 925
Val Gly Ser Ser Glu Thr Val Arg Phe Gln Gly His His His His His
930 935 940
His
945
<210> 5
<211> 8
<212> PRT
<213> Artificial Sequence
<220>
<223> Synthetic: OVA peptide
<400> 5
Ser Ile Ile Asn Phe Glu Lys Leu
1 5
<210> 6
<211> 8
<212> PRT
<213> Artificial Sequence
<220>
<223> Synthetic: A2 peptide
<400> 6
Ser Ala Ile Asn Phe Glu Lys Leu
1 5
<210> 7
<211> 8
<212> PRT
<213> Artificial Sequence
<220>
<223> Synthetic: Q4 peptide
<400> 7
Ser Ile Ile Gln Phe Glu Lys Leu
1 5
<210> 8
<211> 8
<212> PRT
<213> Artificial Sequence
<220>
<223> Synthetic: T4 peptide
<400> 8
Ser Ile Ile Thr Phe Glu Lys Leu
1 5
<210> 9
<211> 8
<212> PRT
<213> Artificial Sequence
<220>
<223> Synthetic: Q4H7 peptide
<400> 9
Ser Ile Ile Gln Phe Glu His Leu
1 5
<210> 10
<211> 8
<212> PRT
<213> Artificial Sequence
<220>
<223> Synthetic: Scrambled peptide
<400> 10
Phe Ile Leu Lys Ser Ile Asn Glu
1 5
Claims (42)
- 대상체에게 치료 유효량의 DGKα 및/또는 DGKζ의 억제제 및 PD1/PD-L1 축의 길항제를 투여하는 것을 포함하는, 대상체에서 암을 치료하는 방법.
- 대상체에게 치료 유효량의 DGKα 및/또는 DGKζ의 억제제 및 CTLA4의 길항제를 투여하는 것을 포함하는, 대상체에서 암을 치료하는 방법.
- 대상체에게 치료 유효량의 DGKα 및/또는 DGKζ의 억제제, PD1/PD-L1 축의 길항제 및 CTLA4의 길항제를 투여하는 것을 포함하는, 대상체에서 암을 치료하는 방법.
- 제1항 내지 제3항 중 어느 한 항에 있어서, 인간 DGKα 및/또는 DGKζ의 억제제가 DGKα의 억제제이고, DGKζ의 유의한 억제제가 아닌 것인 방법.
- 제1항 내지 제3항 중 어느 한 항에 있어서, DGKα 및/또는 DGKζ의 억제제가 DGKζ의 억제제이고, DGKα의 유의한 억제제가 아닌 것인 방법.
- 제1항 내지 제5항 중 어느 한 항에 있어서, DGKα 및/또는 DGKζ의 억제제가 DGKα 및 DGKζ의 억제제인 방법.
- 제1항 내지 제6항 중 어느 한 항에 있어서, DGKα 및/또는 DGKζ의 억제제가 다른 DGK의 유의한 억제제가 아닌 것인 방법.
- 제1항 및 제3항 내지 제7항 중 어느 한 항에 있어서, PD1/PD-L1 축의 길항제가 PD1, 예를 들어 인간 PD1의 길항제인 방법.
- 제8항에 있어서, PD-1의 길항제가 니볼루맙, 펨브롤리주맙, 또는 본원에 기재된 임의의 다른 PD-1 길항제인 방법.
- 제1항 및 제3항 내지 제7항 중 어느 한 항에 있어서, PD1/PD-L1 축의 길항제가 PD-L1, 예컨대 인간 PD-L1의 길항제인 방법.
- 제10항에 있어서, PD-L1의 길항제가 아테졸리주맙 또는 본원에 기재된 임의의 다른 PD-L1 길항제인 방법.
- 제2항 내지 제11항 중 어느 한 항에 있어서, CTLA4의 길항제가 이필리무맙 또는 본원에 기재된 임의의 다른 CTLA4 길항제인 방법.
- 제1항 내지 제12항 중 어느 한 항에 있어서, DGKα 및/또는 DGKζ 길항제가, 예를 들어 pERK/pPKC 신호전달의 증가에 의해 입증된 바와 같이, 1차 T 세포 신호전달을 증가시키는 것인 방법.
- 제1항 내지 제13항 중 어느 한 항에 있어서, DGKα 및/또는 DGKζ의 억제제가 T 세포 항원 인식 및 활성화에 대하여 항원 자극에 대한 역치를 낮추고/거나; 친화도 요건을 낮추고/거나 항원의 농도 요건을 낮추는 것인 방법.
- 제1항 내지 제14항 중 어느 한 항에 있어서, DGKα 및/또는 DGKζ의 억제제가 CTL 이펙터 기능을 증가시키는 것인 방법.
- 제1항 내지 제15항 중 어느 한 항에 있어서, DGKα 및/또는 DGKζ의 억제제가 종양 세포 사멸을 증진시키는 것인 방법.
- 제1항 내지 제16항 중 어느 한 항에 있어서, DGKα 및/또는 DGKζ의 억제제의 항종양 활성이 CT26 동물 모델에서 CD8+ T 세포에 의존성인 것인 방법.
- 제1항 내지 제17항 중 어느 한 항에 있어서, DGKα 및/또는 DGKζ의 억제제의 항종양 활성이 CT26 동물 모델에서 NK 세포에 의존성인 것인 방법.
- 제1항 내지 제18항 중 어느 한 항에 있어서, DGKα 및/또는 DGKζ의 억제제의 항종양 활성이 CT-26 동물 모델에서 CD4 세포 고갈에 의해 증진되는 것인 방법.
- 제1항 내지 제19항 중 어느 한 항에 있어서, DGKα 및/또는 DGKζ의 억제제가 CT-26 동물 모델에서 AH1+ 사량체 항원 제시를 증진시키거나 또는 감소된 B2M 수준을 극복하여 T 세포 이펙터 기능을 회복시키는 것인 방법.
- 제1항 내지 제20항 중 어느 한 항에 있어서, DGKα 및/또는 DGKζ의 억제제가 하기 화학식 (I)의 화합물 또는 그의 제약상 허용되는 염인 방법:
여기서:
R1은 H, F, Cl, Br, -CN, 0 내지 4개의 R1a로 치환된 C1-3 알킬, 0 내지 4개의 R1a로 치환된 C3-4 시클로알킬, 0 내지 4개의 R1a로 치환된 C1-3 알콕시, -NRaRa, -S(O)nRe, 또는 -P(O)ReRe이고;
각각의 R1a는 독립적으로 F, Cl, -CN, -OH, -OCH3, 또는 -NRaRa이고;
각각의 Ra는 독립적으로 H 또는 C1-3 알킬이고;
각각의 Re는 독립적으로 0 내지 4개의 R1a로 치환된 C1-3 알킬 또는 C3-4 시클로알킬이고;
R2는 H, 0 내지 4개의 R2a로 치환된 C1-3 알킬, 또는 0 내지 4개의 R2a로 치환된 C3-4 시클로알킬이고;
각각의 R2a는 독립적으로 F, Cl, -CN, -OH, -O(C1-2 알킬), C3-4 시클로알킬, C3-4 알케닐, 또는 C3-4 알키닐이고;
R3은 H, F, Cl, Br, -CN, C1-3 알킬, C1-2 플루오로알킬, C3-4 시클로알킬, C3-4 플루오로시클로알킬, 또는 -NO2이고;
R4는 -CH2R4a, -CH2CH2R4a, -CH2CHR4aR4d, -CHR4aR4b, 또는 -CR4aR4bR4c이고;
R4a 및 R4b는 독립적으로:
(i) F, Cl, -CN, -OH, -OCH3, -SCH3, C1-3 플루오로알콕시, -NRaRa, -S(O)2Re 또는 -NRaS(O)2Re로부터 독립적으로 선택된 0 내지 4개의 치환기로 치환된 C1-6 알킬이거나;
(ii) C3-6 시클로알킬, 헤테로시클릴, 페닐, 또는 헤테로아릴이고, 각각은 F, Cl, Br, -CN, -OH, C1-6 알킬, C1-3 플루오로알킬, C1-4 히드록시알킬, -(CH2)1-2O(C1-3 알킬), C1-4 알콕시, -O(C1-4 히드록시알킬), -O(CH)1-3O(C1-3 알킬), C1-3 플루오로알콕시, -O(CH)1-3NRcRc, -OCH2CH=CH2, -OCH2C≡CH, -C(O)(C1-4 알킬), -C(O)OH, -C(O)O(C1-4 알킬), -NRcRc, -NRaS(O)2(C1-3 알킬), -NRaC(O)(C1-3 알킬), -NRaC(O)O(C1-4 알킬), -P(O)(C1-3 알킬)2, -S(O)2(C1-3 알킬), -O(CH2)1-2(C3-6 시클로알킬), -O(CH2)1-2(모르폴리닐), 시클로프로필, 시아노시클로프로필, 메틸아제티디닐, 아세틸아제티디닐, (tert-부톡시카르보닐)아제티디닐, 트리아졸릴, 테트라히드로피라닐, 모르폴리닐, 티오페닐, 메틸피페리디닐, 및 Rd로부터 독립적으로 선택되는 0 내지 4개의 치환기로 치환되거나; 또는
(iii) C3-6 시클로알킬, 헤테로시클릴, 아릴, 및 헤테로아릴로부터 선택되는 1개의 시클릭 기로 치환된 C1-4 알킬이고, 상기 시클릭 기는 F, Cl, Br, -OH, -CN, C1-6 알킬, C1-3 플루오로알킬, C1-3 알콕시, C1-3 플루오로알콕시, -OCH2CH=CH2, -OCH2C≡CH, -NRcRc, -NRaS(O)2(C1-3 알킬), -NRaC(O)(C1-3 알킬), -NRaC(O)O(C1-4 알킬), 및 C3-6 시클로알킬로부터 독립적으로 선택되는 0 내지 3개의 치환기로 치환되거나;
또는 R4a 및 R4b는 이들이 부착되어 있는 탄소 원자와 함께 C3-6 시클로알킬 또는 3- 내지 6-원 헤테로시클릴을 형성하고, 각각은 0 내지 3개의 Rf로 치환되고;
각각의 Rf는 독립적으로 F, Cl, Br, -OH, -CN, C1-6 알킬, C1-3 플루오로알킬, C1-3 알콕시, C1-3 플루오로알콕시, -OCH2CH=CH2, -OCH2C≡CH, -NRcRc, 또는 C3-6 시클로알킬, 3- 내지 6-원 헤테로시클릴, 페닐, 모노시클릭 헤테로아릴, 및 비시클릭 헤테로아릴로부터 선택되는 시클릭 기이고, 각각의 시클릭 기는 F, Cl, Br, -OH, -CN, C1-6 알킬, C1-3 플루오로알킬, C1-3 알콕시, C1-3 플루오로알콕시, 및 -NRcRc로부터 독립적으로 선택되는 0 내지 3개의 치환기로 치환되고;
R4c는 C1-6 알킬 또는 C3-6 시클로알킬이고, 각각은 F, Cl, -OH, C1-2 알콕시, C1-2 플루오로알콕시, 및 -CN으로부터 독립적으로 선택되는 0 내지 4개의 치환기로 치환되고;
R4d는 -OCH3이고;
각각의 Rc는 독립적으로 H 또는 C1-2 알킬이고;
Rd는 F, Cl, -CN, -CH3, 및 -OCH3으로부터 선택되는 0 내지 1개의 치환기로 치환된 페닐이고;
각각의 R5는 독립적으로 -CN, 0 내지 4개의 Rg로 치환된 C1-6 알킬, 0 내지 4개의 Rg로 치환된 C2-4 알케닐, 0 내지 4개의 Rg로 치환된 C2-4 알키닐, 0 내지 4개의 Rg로 치환된 C3-4 시클로알킬, 0 내지 4개의 Rg로 치환된 페닐, 0 내지 3개의 Rg로 치환된 옥사디아졸릴, 0 내지 4개의 Rg로 치환된 피리디닐, -(CH2)1-2(0 내지 4개의 Rg로 치환된 헤테로시클릴), -(CH2)1-2NRcC(O)(C1-4 알킬), -(CH2)1-2NRcC(O)O(C1-4 알킬), -(CH2)1-2NRcS(O)2(C1-4 알킬), -C(O)(C1-4 알킬), -C(O)OH, -C(O)O(C1-4 알킬), -C(O)O(C3-4 시클로알킬), -C(O)NRaRa 또는 -C(O)NRa(C3-4 시클로알킬)이고;
각각의 Rg는 독립적으로 F, Cl, -CN, -OH, C1-3 알콕시, C1-3 플루오로알콕시, -O(CH2)1-2O(C1-2 알킬), 또는 -NRcRc이고;
m은 0, 1, 2, 또는 3이고;
n은 0, 1, 또는 2이다. - 제21항에 있어서, DGKα 및/또는 DGKζ의 억제제가 화학식 (I)의 화합물 또는 그의 제약상 허용되는 염이고, 여기서:
R1은 H, F, Cl, Br, -CN, 0 내지 4개의 R1a로 치환된 C1-3 알킬, 0 내지 3개의 R1a로 치환된 시클로프로필, 0 내지 3개의 R1a로 치환된 C1-3 알콕시, -NRaRa, -S(O)nCH3, 또는 -P(O)(CH3)2이고;
각각의 R1a는 독립적으로 F, Cl, 또는 -CN이고;
각각의 Ra는 독립적으로 H 또는 C1-3 알킬이고;
R2는 H, 또는 0 내지 2개의 R2a로 치환된 C1-2 알킬이고;
각각의 R2a는 독립적으로 F, Cl, -CN, -OH, -O(C1-2 알킬), 시클로프로필, C3-4 알케닐, 또는 C3-4 알키닐이고;
R3은 H, F, Cl, Br, -CN, C1-2 알킬, -CF3, 시클로프로필, 또는 -NO2이고;
R4a 및 R4b는 독립적으로:
(i) F, Cl, -CN, -OH, -OCH3, -SCH3, C1-3 플루오로알콕시, 및 -NRaRa로부터 독립적으로 선택되는 0 내지 4개의 치환기로 치환된 C1-4 알킬이거나;
(ii) C3-6 시클로알킬, 헤테로시클릴, 페닐, 또는 헤테로아릴이고, 각각은 F, Cl, Br, -CN, -OH, C1-6 알킬, C1-3 플루오로알킬, -CH2OH, -(CH2)1-2O(C1-2 알킬), C1-4 알콕시, -O(C1-4 히드록시알킬), -O(CH)1-2O(C1-2 알킬), C1-3 플루오로알콕시, -O(CH)1-2NRcRc, -OCH2CH=CH2, -OCH2C≡CH, -C(O)(C1-4 알킬), -C(O)OH, -C(O)O(C1-4 알킬), -NRcRc, -NRaS(O)2(C1-3 알킬), -NRaC(O)(C1-3 알킬), -NRaC(O)O(C1-4 알킬), -P(O)(C1-2 알킬)2, -S(O)2(C1-3 알킬), -O(CH2)1-2(C3-4 시클로알킬), -O(CH2)1-2(모르폴리닐), 시클로프로필, 시아노시클로프로필, 메틸아제티디닐, 아세틸아제티디닐, (tert-부톡시카르보닐)아제티디닐, 트리아졸릴, 테트라히드로피라닐, 모르폴리닐, 티오페닐, 메틸피페리디닐, 및 Rd로부터 독립적으로 선택되는 0 내지 4개의 치환기로 치환되거나; 또는
(iii) C3-6 시클로알킬, 헤테로시클릴, 페닐, 및 헤테로아릴로부터 선택되는 1개의 시클릭 기로 치환된 C1-3 알킬이고, 상기 시클릭 기는 F, Cl, Br, -OH, -CN, C1-3 알킬, C1-2 플루오로알킬, C1-3 알콕시, C1-2 플루오로알콕시, -OCH2CH=CH2, -OCH2C≡CH, -NRcRc, -NRaS(O)2(C1-3 알킬), -NRaC(O)(C1-3 알킬), -NRaC(O)O(C1-4 알킬), 및 C3-4 시클로알킬로부터 독립적으로 선택되는 0 내지 3개의 치환기로 치환되거나;
또는 R4a 및 R4b는 이들이 부착되어 있는 탄소 원자와 함께 C3-6 시클로알킬 또는 3- 내지 6-원 헤테로시클릴을 형성하고, 각각은 0 내지 3개의 Rf로 치환되고;
각각의 Rf는 독립적으로 F, Cl, Br, -OH, -CN, C1-4 알킬, C1-2 플루오로알킬, C1-3 알콕시, C1-2 플루오로알콕시, -OCH2CH=CH2, -OCH2C≡CH, -NRcRc, 또는 C3-6 시클로알킬, 3- 내지 6-원 헤테로시클릴, 페닐, 모노시클릭 헤테로아릴, 및 비시클릭 헤테로아릴로부터 선택되는 시클릭 기이고, 각각의 시클릭 기는 F, Cl, Br, -OH, -CN, C1-4 알킬, C1-2 플루오로알킬, C1-3 알콕시, C1-2 플루오로알콕시, 및 -NRcRc로부터 독립적으로 선택되는 0 내지 3개의 치환기로 치환되고;
R4c는 C1-4 알킬 또는 C3-6 시클로알킬이고, 각각은 F, Cl, -OH, C1-2 알콕시, C1-2 플루오로알콕시, 및 -CN으로부터 독립적으로 선택되는 0 내지 4개의 치환기로 치환되고;
각각의 R5는 독립적으로 -CN, 0 내지 4개의 Rg로 치환된 C1-5 알킬, 0 내지 4개의 Rg로 치환된 C2-3 알케닐, 0 내지 4개의 Rg로 치환된 C2-3 알키닐, 0 내지 4개의 Rg로 치환된 C3-4 시클로알킬, 0 내지 3개의 Rg로 치환된 페닐, 0 내지 3개의 Rg로 치환된 옥사디아졸릴, 0 내지 3개의 Rg로 치환된 피리디닐, -(CH2)1-2(0 내지 4개의 Rg로 치환된 헤테로시클릴), -(CH2)1-2NRcC(O)(C1-4 알킬), -(CH2)1-2NRcC(O)O(C1-4 알킬), -(CH2)1-2NRcS(O)2(C1-4 알킬), -C(O)(C1-4 알킬), -C(O)OH, -C(O)O(C1-4 알킬), -C(O)O(C3-4 시클로알킬), -C(O)NRaRa 또는 -C(O)NRa(C3-4 시클로알킬)인
방법. - 제1항 내지 제20항 중 어느 한 항에 있어서, DGKα 및/또는 DGKζ의 억제제가 하기 화학식 (II)의 화합물 또는 그의 염인 방법:
여기서:
R1은 H, F, Cl, Br, -CN, -OH, 0 내지 4개의 R1a로 치환된 C1-3 알킬, 0 내지 4개의 R1a로 치환된 C3-4 시클로알킬, 0 내지 4개의 R1a로 치환된 C1-3 알콕시, -NRaRa, -S(O)nRe, 또는 -P(O)ReRe이고;
각각의 R1a는 독립적으로 F, Cl, -CN, -OH, -OCH3, 또는 -NRaRa이고;
각각의 Ra는 독립적으로 H 또는 C1-3 알킬이고;
각각의 Re는 독립적으로 0 내지 4개의 R1a로 치환된 C1-3 알킬 또는 C3-4 시클로알킬이고;
R2는 H, 0 내지 4개의 R2a로 치환된 C1-3 알킬, 또는 0 내지 4개의 R2a로 치환된 C3-4 시클로알킬이고;
각각의 R2a는 독립적으로 F, Cl, -CN, -OH, -O(C1-2 알킬), C3-4 시클로알킬, C3-4 알케닐, 또는 C3-4 알키닐이고;
R4는 -CH2R4a, -CH2CH2R4a, -CH2CHR4aR4d, -CHR4aR4b, 또는 -CR4aR4bR4c이고;
R4a 및 R4b는 독립적으로:
(i) -CN, 또는 F, Cl, -CN, -OH, -OCH3, -SCH3, C1-3 플루오로알콕시, -NRaRa, -S(O)2Re, 또는 -NRaS(O)2Re로부터 독립적으로 선택되는 0 내지 4개의 치환기로 치환된 C1-6 알킬이거나;
(ii) C3-6 시클로알킬, 4- 내지 10-원 헤테로시클릴, 페닐, 또는 5- 내지 10-원 헤테로아릴이고, 각각은 F, Cl, Br, -CN, -OH, C1-6 알킬, C1-3 플루오로알킬, C1-2 브로모알킬, C1-2 시아노알킬, C1-4 히드록시알킬, -(CH2)1-2O(C1-3 알킬), C1-4 알콕시, C1-3 플루오로알콕시, C1-3 시아노알콕시, -O(C1-4 히드록시알킬), -O(CRxRx)1-3O(C1-3 알킬), C1-3 플루오로알콕시, -O(CH2)1-3NRcRc, -OCH2CH=CH2, -OCH2C≡CH, -C(O)(C1-4 알킬), -C(O)OH, -C(O)O(C1-4 알킬), -NRcRc, -CH2NRaRa, -NRaS(O)2(C1-3 알킬), -NRaC(O)(C1-3 알킬), -(CRxRx)0-2NRaC(O)O(C1-4 알킬), -P(O)(C1-3 알킬)2, -S(O)2(C1-3 알킬), -(CRxRx)1-2(C3-4 시클로알킬), -(CRxRx)1-2(모르폴리닐), -(CRxRx)1-2(디플루오로모르폴리닐), -(CRxRx)1-2(디메틸모르폴리닐), -(CRxRx)1-2(옥사아자비시클로[2.2.1]헵타닐), (CRxRx)1-2(옥사아자스피로[3.3]헵타닐), -(CRxRx)1-2(메틸피페라지노닐), -(CRxRx)1-2(아세틸피페라지닐), -(CRxRx)1-2(피페리디닐), -(CRxRx)1-2(디플루오로피페리디닐), -(CRxRx)1-2(메톡시피페리디닐), -(CRxRx)1-2(히드록시피페리디닐), -O(CRxRx)0-2(C3-6 시클로알킬), -O(CRxRx)0-2(메틸시클로프로필), -O(CRxRx)0-2((에톡시카르보닐)시클로프로필), -O(CRxRx)0-2(옥세타닐), -O(CRxRx)0-2(메틸아제티디닐), -O(CRxRx)0-2(테트라히드로피라닐), -O(CRxRx)1-2(모르폴리닐), -O(CRxRx)0-2(티아졸릴), 시클로프로필, 시아노시클로프로필, 메틸아제티디닐, 아세틸아제티디닐, (tert-부톡시카르보닐)아제티디닐, 트리아졸릴, 테트라히드로피라닐, 모르폴리닐, 티오페닐, 메틸피페리디닐, 디옥솔라닐, 피롤리디노닐, 및 Rd로부터 독립적으로 선택되는 0 내지 4개의 치환기로 치환되거나; 또는
(iii) C3-6 시클로알킬, 4- 내지 10-원 헤테로시클릴, 모노- 또는 비시클릭 아릴, 또는 5- 내지 10-원 헤테로아릴로부터 선택되는 1개의 시클릭 기로 치환된 C1-4 알킬이고, 상기 시클릭 기는 F, Cl, Br, -OH, -CN, C1-6 알킬, C1-3 플루오로알킬, C1-3 알콕시, C1-3 플루오로알콕시, -OCH2CH=CH2, -OCH2C≡CH, -NRcRc, -NRaS(O)2(C1-3 알킬), -NRaC(O)(C1-3 알킬), -NRaC(O)O(C1-4 알킬), 및 C3-6 시클로알킬로부터 독립적으로 선택되는 0 내지 3개의 치환기로 치환되거나;
또는 R4a 및 R4b는 이들이 부착되어 있는 탄소 원자와 함께 C3-6 시클로알킬 또는 3- 내지 6-원 헤테로시클릴을 형성하고, 각각은 0 내지 3개의 Rf로 치환되고;
각각의 Rf는 독립적으로 F, Cl, Br, -OH, -CN, C1-6 알킬, C1-3 플루오로알킬, C1-3 알콕시, C1-3 플루오로알콕시, -OCH2CH=CH2, -OCH2C≡CH, -NRcRc, 또는 C3-6 시클로알킬, 3- 내지 6-원 헤테로시클릴, 페닐, 모노시클릭 헤테로아릴, 및 비시클릭 헤테로아릴로부터 선택되는 시클릭 기이고, 각각의 시클릭 기는 F, Cl, Br, -OH, -CN, C1-6 알킬, C1-3 플루오로알킬, C1-3 알콕시, C1-3 플루오로알콕시, 및 -NRcRc로부터 독립적으로 선택되는 0 내지 3개의 치환기로 치환되고;
R4c는 C1-6 알킬 또는 C3-6 시클로알킬이고, 각각은 F, Cl, -OH, C1-2 알콕시, C1-2 플루오로알콕시, 및 -CN으로부터 독립적으로 선택되는 0 내지 4개의 치환기로 치환되고;
R4d는 -OCH3이고;
각각의 Rc는 독립적으로 H 또는 C1-2 알킬이고;
Rd는 F, Cl, -CN, -CH3, 및 -OCH3으로부터 선택되는 0 내지 1개의 치환기로 치환된 페닐이고;
각각의 R5는 독립적으로 -CN, 0 내지 4개의 Rg로 치환된 C1-6 알킬, 0 내지 4개의 Rg로 치환된 C2-4 알케닐, 0 내지 4개의 Rg로 치환된 C2-4 알키닐, 0 내지 4개의 Rg로 치환된 C3-4 시클로알킬, 0 내지 4개의 Rg로 치환된 페닐, 0 내지 3개의 Rg로 치환된 옥사디아졸릴, 0 내지 4개의 Rg로 치환된 피리디닐, -(CH2)1-2(0 내지 4개의 Rg로 치환된 4- 내지 10-원 헤테로시클릴), -(CH2)1-2NRcC(O)(C1-4 알킬), -(CH2)1-2NRcC(O)O(C1-4 알킬), -(CH2)1-2NRcS(O)2(C1-4 알킬), -C(O)(C1-4 알킬), -C(O)OH, -C(O)O(C1-4 알킬), -C(O)O(C3-4 시클로알킬), -C(O)NRaRa 또는 -C(O)NRa(C3-4 시클로알킬)이고;
각각의 Rg는 독립적으로 F, Cl, -CN, -OH, C1-3 알콕시, C1-3 플루오로알콕시, -O(CH2)1-2O(C1-2 알킬), 또는 -NRcRc이고;
m은 0, 1, 2, 또는 3이고;
n은 0, 1, 또는 2이다. - 제25항에 있어서, DGKα 및/또는 DGKζ의 억제제가 화학식 (II)의 화합물 또는 그의 제약상 허용되는 염이고, 여기서:
R1은 H, F, Cl, Br, -CN, -OH, 0 내지 4개의 R1a로 치환된 C1-3 알킬, 0 내지 3개의 R1a로 치환된 시클로프로필, 0 내지 3개의 R1a로 치환된 C1-3 알콕시, -NRaRa, -S(O)nCH3, 또는 -P(O)(CH3)2이고;
R2는 H, 또는 0 내지 2개의 R2a로 치환된 C1-2 알킬이고;
각각의 R2a는 독립적으로 F, Cl, -CN, -OH, -O(C1-2 알킬), 시클로프로필, C3-4 알케닐, 또는 C3-4 알키닐이고;
R4a 및 R4b는 독립적으로:
(i) -CN, 또는 F, Cl, -CN, -OH, -OCH3, -SCH3, C1-3 플루오로알콕시, 및 -NRaRa로부터 독립적으로 선택되는 0 내지 4개의 치환기로 치환된 C1-4 알킬이거나;
(ii) C3-6 시클로알킬, 4- 내지 10-원 헤테로시클릴, 페닐, 또는 5- 내지 10-원 헤테로아릴이고, 각각은 F, Cl, Br, -CN, -OH, C1-6 알킬, C1-3 플루오로알킬, C1-2 브로모알킬, C1-2 시아노알킬, C1-2 히드록시알킬, -CH2NRaRa, -(CH2)1-2O(C1-2 알킬), -(CH2)1-2NRxC(O)O(C1-2 알킬), C1-4 알콕시, -O(C1-4 히드록시알킬), -O(CRxRx)1-2O(C1-2 알킬), C1-3 플루오로알콕시, C1-3 시아노알콕시, -O(CH2)1-2NRcRc, -OCH2CH=CH2, -OCH2C≡CH, -C(O)(C1-4 알킬), -C(O)OH, -C(O)O(C1-4 알킬), -NRcRc, -NRaS(O)2(C1-3 알킬), -NRaC(O)(C1-3 알킬), -NRaC(O)O(C1-4 알킬), -P(O)(C1-2 알킬)2, -S(O)2(C1-3 알킬), -(CH2)1-2(C3-4 시클로알킬), -CRxRx(모르폴리닐), -CRxRx(디플루오로모르폴리닐), -CRxRx(디메틸모르폴리닐), -CRxRx(옥사자비시클로[2.2.1]헵타닐), -CRxRx(옥사아자스피로[3.3]헵타닐), -CRxRx(메틸피페라지노닐), -CRxRx(아세틸피페라지닐), -CRxRx(피페리디닐), -CRxRx(디플루오로피페리디닐), -CRxRx(메톡시피페리디닐), -CRxRx(히드록시피페리디닐), -O(CH2)0-2(C3-4 시클로알킬), -O(CH2)0-2(메틸시클로프로필), -O(CH2)0-2((에톡시카르보닐)시클로프로필), -O(CH2)0-2(옥세타닐), -O(CH2)0-2(메틸아제티디닐), -O(CH2)1-2(모르폴리닐), -O(CH2)0-2(테트라히드로피라닐), -O(CH2)0-2(티아졸릴), 시클로프로필, 시아노시클로프로필, 메틸아제티디닐, 아세틸아제티디닐, (tert-부톡시카르보닐)아제티디닐, 디옥솔라닐, 피롤리디노닐, 트리아졸릴, 테트라히드로피라닐, 모르폴리닐, 티오페닐, 메틸피페리디닐, 및 Rd로부터 독립적으로 선택되는 0 내지 4개의 치환기로 치환되거나; 또는
(iii) C3-6 시클로알킬, 4- 내지 10-원 헤테로시클릴, 모노- 또는 비시클릭 아릴, 또는 5- 내지 10-원 헤테로아릴로부터 선택되는 1개의 시클릭 기로 치환된 C1-3 알킬이고, 상기 시클릭 기는 F, Cl, Br, -OH, -CN, C1-3 알킬, C1-2 플루오로알킬, C1-3 알콕시, C1-2 플루오로알콕시, -OCH2CH=CH2, -OCH2C≡CH, -NRcRc, -NRaS(O)2(C1-3 알킬), -NRaC(O)(C1-3 알킬), -NRaC(O)O(C1-4 알킬), 및 C3-4 시클로알킬로부터 독립적으로 선택되는 0 내지 3개의 치환기로 치환되거나;
또는 R4a 및 R4b는 이들이 부착되어 있는 탄소 원자와 함께 C3-6 시클로알킬 또는 3- 내지 6-원 헤테로시클릴을 형성하고, 각각은 0 내지 3개의 Rf로 치환되고;
각각의 Rf는 독립적으로 F, Cl, Br, -OH, -CN, C1-4 알킬, C1-2 플루오로알킬, C1-3 알콕시, C1-2 플루오로알콕시, -OCH2CH=CH2, -OCH2C≡CH, -NRcRc, 또는 C3-6 시클로알킬, 3- 내지 6-원 헤테로시클릴, 페닐, 모노시클릭 헤테로아릴, 및 비시클릭 헤테로아릴로부터 선택되는 시클릭 기이고, 각각의 시클릭 기는 F, Cl, Br, -OH, -CN, C1-4 알킬, C1-2 플루오로알킬, C1-3 알콕시, C1-2 플루오로알콕시, 및 -NRcRc로부터 독립적으로 선택되는 0 내지 3개의 치환기로 치환되고;
R4c는 C1-4 알킬 또는 C3-6 시클로알킬이고, 각각은 F, Cl, -OH, C1-2 알콕시, C1-2 플루오로알콕시, 및 -CN으로부터 독립적으로 선택되는 0 내지 4개의 치환기로 치환되고;
각각의 R5는 독립적으로 -CN, 0 내지 4개의 Rg로 치환된 C1-5 알킬, 0 내지 4개의 Rg로 치환된 C2-3 알케닐, 0 내지 4개의 Rg로 치환된 C2-3 알키닐, 0 내지 4개의 Rg로 치환된 C3-4 시클로알킬, 0 내지 3개의 Rg로 치환된 페닐, 0 내지 3개의 Rg로 치환된 옥사디아졸릴, 0 내지 3개의 Rg로 치환된 피리디닐, -(CH2)1-2(0 내지 4개의 Rg로 치환된 4- 내지 10-원 헤테로시클릴), -(CH2)1-2NRcC(O)(C1-4 알킬), -(CH2)1-2NRcC(O)O(C1-4 알킬), -(CH2)1-2NRcS(O)2(C1-4 알킬), -C(O)(C1-4 알킬), -C(O)OH, -C(O)O(C1-4 알킬), -C(O)O(C3-4 시클로알킬), -C(O)NRaRa 또는 -C(O)NRa(C3-4 시클로알킬)이고;
각각의 Rx는 독립적으로 H 또는 -CH3이고;
m은 1, 2, 또는 3인
방법. - 제1항 내지 제28항 중 어느 한 항에 있어서, 암이 고형 종양 또는 혈액 (액상) 종양인 방법.
- 제1항 내지 제29항 중 어느 한 항에 있어서, 암이 본원에 기재된 암의 군으로부터 선택되는 것인 방법.
- 제1항 내지 제30항 중 어느 한 항에 있어서, 1종 이상의 다른 암 치료를 투여하는 것을 포함하는 방법.
- 제31항에 있어서, 1종 이상의 다른 암 치료가 방사선, 수술, 화학요법 또는 생물학적 약물의 투여를 포함하는 것인 방법.
- 제31항에 있어서, 1종 이상의 다른 암 치료가 생물학적 약물의 투여이고, 생물학적 약물이 면역계를 자극하는 약물인 방법.
- 제1항 내지 제30항 중 어느 한 항에 있어서, DGKα 및/또는 DGKζ의 억제제, PD1/PD-L1 축의 길항제 및/또는 CTLA4의 길항제를 사용한 치료 동안 또 다른 암 치료를 투여하는 것을 포함하지 않는 방법.
- 제1항 내지 제34항 중 어느 한 항에 있어서, 대상체가 DGKα 및/또는 DGKζ의 억제제, PD1/PD-L1 축의 길항제 및/또는 CTLA4의 길항제의 투여 전에 PD1/PD-L1 축의 길항제 또는 CTLA4의 길항제로 치료받은 적이 없는 것인 방법.
- 제35항에 있어서, 대상체에게 DGKα 및/또는 DGKζ의 억제제, PD1/PD-L1 축의 길항제 및 CTLA4의 길항제를 투여하는 것을 포함하는 방법.
- 제1항 내지 제34항 중 어느 한 항에 있어서, 대상체가 체크포인트 억제제의 길항제, 예컨대 PD1/PD-L1 축의 길항제 및/또는 CTLA4의 길항제를 사용한 치료에 대해 내성 또는 불응성인 방법.
- 제37항에 있어서, 대상체에게 DGKα 및/또는 DGKζ의 억제제, PD1/PD-L1 축의 길항제 및 CTLA4의 길항제를 투여하는 것을 포함하는 방법.
- 제21항 또는 제25항에 있어서, 대상체에게 PD1/PD-L1 축의 길항제 및 CTLA4의 길항제를 투여하는 것을 포함하는 방법.
- 제1항 내지 제39항 중 어느 한 항에 있어서, 대상체에게 PD1/PD-L1 축의 길항제 및 CTLA4의 길항제를 투여하는 것을 포함하며, 여기서 PD1/PD-L1 축의 길항제가 본원에 기재된 PD1/PD-L1 또는 CTLA4 길항제 또는 그의 변이체 또는 유도체인 방법.
- 제40항에 있어서, PD1/PD-L1 축의 길항제가 니볼루맙 또는 그의 변이체이고, CTLA4의 길항제가 이필리무맙 또는 그의 변이체, 예를 들어 이필리무맙에 비해 감소된 독성을 갖는 변이체인 방법.
- 제1항 내지 제3항 및 제6항 내지 제41항 중 어느 한 항에 있어서, DGKα 및/또는 DGKζ의 억제제가 DGKα 및 DGKζ의 억제제인 방법.
Applications Claiming Priority (3)
| Application Number | Priority Date | Filing Date | Title |
|---|---|---|---|
| US201962950570P | 2019-12-19 | 2019-12-19 | |
| US62/950,570 | 2019-12-19 | ||
| PCT/US2020/066198 WO2021127554A1 (en) | 2019-12-19 | 2020-12-18 | Combinations of dgk inhibitors and checkpoint antagonists |
Publications (1)
| Publication Number | Publication Date |
|---|---|
| KR20220118481A true KR20220118481A (ko) | 2022-08-25 |
Family
ID=74195132
Family Applications (1)
| Application Number | Title | Priority Date | Filing Date |
|---|---|---|---|
| KR1020227024305A Pending KR20220118481A (ko) | 2019-12-19 | 2020-12-18 | Dgk 억제제 및 체크포인트 길항제의 조합물 |
Country Status (11)
| Country | Link |
|---|---|
| US (1) | US20230089255A1 (ko) |
| EP (1) | EP4076529A1 (ko) |
| JP (1) | JP2023510108A (ko) |
| KR (1) | KR20220118481A (ko) |
| CN (1) | CN115243721A (ko) |
| AU (1) | AU2020407130A1 (ko) |
| BR (1) | BR112022009631A2 (ko) |
| CA (1) | CA3158532A1 (ko) |
| IL (1) | IL294085A (ko) |
| MX (1) | MX2022006932A (ko) |
| WO (1) | WO2021127554A1 (ko) |
Families Citing this family (9)
| Publication number | Priority date | Publication date | Assignee | Title |
|---|---|---|---|---|
| HRP20241518T1 (hr) | 2019-12-24 | 2025-01-03 | Carna Biosciences, Inc. | Spojevi koji moduliraju diacilglicerinkinazu |
| CN111097048A (zh) * | 2019-12-27 | 2020-05-05 | 中山大学肿瘤防治中心(中山大学附属肿瘤医院、中山大学肿瘤研究所) | Dgka抑制剂在制备用于促进抗肿瘤免疫治疗功效的药物中的应用 |
| US11932634B2 (en) | 2021-06-23 | 2024-03-19 | Gilead Sciences, Inc. | Diacylglycerol kinase modulating compounds |
| WO2022271659A1 (en) | 2021-06-23 | 2022-12-29 | Gilead Sciences, Inc. | Diacylglyercol kinase modulating compounds |
| US11976072B2 (en) | 2021-06-23 | 2024-05-07 | Gilead Sciences, Inc. | Diacylglycerol kinase modulating compounds |
| EP4359413A1 (en) | 2021-06-23 | 2024-05-01 | Gilead Sciences, Inc. | Diacylglyercol kinase modulating compounds |
| CN118451073A (zh) * | 2021-12-29 | 2024-08-06 | 百济神州有限公司 | 杂环化合物 |
| CA3244501A1 (en) | 2022-03-01 | 2023-09-07 | Insilico Medicine Ip Limited | Diacylglycerol Kinase (DGK) Alpha Inhibitors and Their Uses |
| WO2024165470A1 (en) | 2023-02-06 | 2024-08-15 | Bayer Aktiengesellschaft | Combinations of dgk (diacylglycerol kinase) inhibitors |
Family Cites Families (53)
| Publication number | Priority date | Publication date | Assignee | Title |
|---|---|---|---|---|
| US5851795A (en) | 1991-06-27 | 1998-12-22 | Bristol-Myers Squibb Company | Soluble CTLA4 molecules and uses thereof |
| US6051227A (en) | 1995-07-25 | 2000-04-18 | The Regents Of The University Of California, Office Of Technology Transfer | Blockade of T lymphocyte down-regulation associated with CTLA-4 signaling |
| US6682736B1 (en) | 1998-12-23 | 2004-01-27 | Abgenix, Inc. | Human monoclonal antibodies to CTLA-4 |
| CA2356215C (en) | 1998-12-23 | 2015-11-24 | Pfizer Inc. | Human monoclonal antibodies to ctla-4 |
| US6808710B1 (en) | 1999-08-23 | 2004-10-26 | Genetics Institute, Inc. | Downmodulating an immune response with multivalent antibodies to PD-1 |
| ATE354655T1 (de) | 1999-08-24 | 2007-03-15 | Medarex Inc | Humane antikörper gegen ctla-4 und deren verwendungen |
| US7034121B2 (en) | 2000-01-27 | 2006-04-25 | Genetics Institue, Llc | Antibodies against CTLA4 |
| JP4511943B2 (ja) | 2002-12-23 | 2010-07-28 | ワイス エルエルシー | Pd−1に対する抗体およびその使用 |
| US7381401B2 (en) * | 2004-01-08 | 2008-06-03 | The University Of Chicago | T cell anergy is reversed by active Ras and regulated by diacylglycerol kinase |
| PL2161336T5 (pl) | 2005-05-09 | 2017-10-31 | Ono Pharmaceutical Co | Ludzkie przeciwciała monoklonalne przeciwko białku Programmed Death 1 (PD-1) oraz sposoby leczenia raka z zastosowaniem samych przeciwciał anty-PD-1 lub w połączeniu z innymi środkami immunoterapeutycznymi |
| CN104356236B (zh) | 2005-07-01 | 2020-07-03 | E.R.施贵宝&圣斯有限责任公司 | 抗程序性死亡配体1(pd-l1)的人单克隆抗体 |
| EP2007423A2 (en) | 2006-04-05 | 2008-12-31 | Pfizer Products Incorporated | Ctla4 antibody combination therapy |
| CA2691357C (en) | 2007-06-18 | 2014-09-23 | N.V. Organon | Antibodies to human programmed death receptor pd-1 |
| US8168757B2 (en) | 2008-03-12 | 2012-05-01 | Merck Sharp & Dohme Corp. | PD-1 binding proteins |
| EP4331604B9 (en) | 2008-12-09 | 2025-07-23 | F. Hoffmann-La Roche AG | Anti-pd-l1 antibodies and their use to enhance t-cell function |
| CA2778714C (en) | 2009-11-24 | 2018-02-27 | Medimmune Limited | Targeted binding agents against b7-h1 |
| CN103476943A (zh) | 2011-03-10 | 2013-12-25 | 普罗维克图斯药品公司 | 用于增强治疗癌症的局部和全身性免疫调节疗法的组合 |
| PT2699264T (pt) | 2011-04-20 | 2018-05-23 | Medimmune Llc | Anticorpos e outras moléculas que ligam b7-h1 e pd-1 |
| ES2808152T3 (es) | 2011-11-28 | 2021-02-25 | Merck Patent Gmbh | Anticuerpos anti-PD-L1 y usos de los mismos |
| SG10201700698WA (en) | 2012-05-15 | 2017-02-27 | Bristol Myers Squibb Co | Cancer immunotherapy by disrupting pd-1/pd-l1 signaling |
| JP2015519375A (ja) | 2012-05-31 | 2015-07-09 | ソレント・セラピューティクス・インコーポレイテッドSorrento Therapeutics, Inc. | Pd−l1に結合する抗原結合蛋白質 |
| US9937205B2 (en) * | 2012-09-04 | 2018-04-10 | The Trustees Of The University Of Pennsylvania | Inhibition of diacylglycerol kinase to augment adoptive T cell transfer |
| CN104968364A (zh) | 2012-12-03 | 2015-10-07 | 百时美施贵宝公司 | 强化免疫调变性Fc融合蛋白的抗癌活性 |
| HUE053069T2 (hu) | 2013-05-02 | 2021-06-28 | Anaptysbio Inc | Programozott halál-1 (PD-1) ellen irányuló ellenanyagok |
| CA2913977C (en) | 2013-05-31 | 2022-11-29 | Sorrento Therapeutics, Inc. | Antigen binding proteins that bind pd-1 |
| CN104250302B (zh) | 2013-06-26 | 2017-11-14 | 上海君实生物医药科技股份有限公司 | 抗pd‑1抗体及其应用 |
| PT3702373T (pt) | 2013-09-13 | 2022-09-27 | Beigene Switzerland Gmbh | Anticorpos anti-pd1 e a sua utilização como agentes terapêuticos e de diagnóstico |
| SG10201804945WA (en) | 2013-12-12 | 2018-07-30 | Shanghai hengrui pharmaceutical co ltd | Pd-1 antibody, antigen-binding fragment thereof, and medical application thereof |
| TWI681969B (zh) | 2014-01-23 | 2020-01-11 | 美商再生元醫藥公司 | 針對pd-1的人類抗體 |
| JOP20200094A1 (ar) | 2014-01-24 | 2017-06-16 | Dana Farber Cancer Inst Inc | جزيئات جسم مضاد لـ pd-1 واستخداماتها |
| CA2971734C (en) | 2014-12-22 | 2025-11-18 | Enumeral Biomedical Holdings Inc | Anti-pd-1 antibodies |
| SG11201707383PA (en) | 2015-03-13 | 2017-10-30 | Cytomx Therapeutics Inc | Anti-pdl1 antibodies, activatable anti-pdl1 antibodies, and methods of use thereof |
| DK3303394T3 (da) | 2015-05-29 | 2020-07-06 | Agenus Inc | Anti-ctla-4-antistoffer og fremgangsmåder til anvendelse deraf |
| US10696745B2 (en) | 2015-06-11 | 2020-06-30 | Wuxi Biologics (Shanghai) Co. Ltd. | Anti-PD-L1 antibodies |
| SG10201906059VA (en) | 2015-07-30 | 2019-08-27 | Macrogenics Inc | Pd-1-binding molecules and methods of use thereof |
| WO2017020291A1 (en) | 2015-08-06 | 2017-02-09 | Wuxi Biologics (Shanghai) Co. Ltd. | Novel anti-pd-l1 antibodies |
| WO2017024465A1 (en) | 2015-08-10 | 2017-02-16 | Innovent Biologics (Suzhou) Co., Ltd. | Pd-1 antibodies |
| DK3334763T3 (da) | 2015-08-11 | 2024-10-07 | Wuxi Biologics Ireland Ltd | Nye anti-PD-1-antistoffer |
| WO2017024515A1 (en) | 2015-08-11 | 2017-02-16 | Wuxi Biologics (Cayman) Inc. | Novel anti-pd-1 antibodies |
| AR105654A1 (es) | 2015-08-24 | 2017-10-25 | Lilly Co Eli | Anticuerpos pd-l1 (ligando 1 de muerte celular programada) |
| WO2017040790A1 (en) | 2015-09-01 | 2017-03-09 | Agenus Inc. | Anti-pd-1 antibodies and methods of use thereof |
| CR20180318A (es) | 2015-12-14 | 2018-09-19 | Macrogenics Inc | Moléculas biespecíficas que tienen inmunorreactividad con pd-1 y ctla-4, y métodos de uso de las mismas |
| US11814679B2 (en) | 2016-01-11 | 2023-11-14 | Eli Lilly And Company | Interleukin-10 production of antigen-specific CD8+ T cells and methods of use of same |
| WO2017132827A1 (en) | 2016-02-02 | 2017-08-10 | Innovent Biologics (Suzhou) Co., Ltd. | Pd-1 antibodies |
| CN111491362B (zh) | 2016-02-02 | 2023-10-24 | 华为技术有限公司 | 确定发射功率的方法、用户设备和基站 |
| US11117968B2 (en) | 2016-11-03 | 2021-09-14 | Bristol-Myers Squibb Company | Activatable anti-CTLA-4 antibodies and uses thereof |
| EP3788038B1 (en) * | 2018-05-04 | 2023-10-11 | Amgen Inc. | Kras g12c inhibitors and methods of using the same |
| US11866430B2 (en) * | 2018-06-27 | 2024-01-09 | Bristol-Myers Squibb Company | Naphthyridinone compounds useful as T cell activators |
| WO2020006018A1 (en) * | 2018-06-27 | 2020-01-02 | Bristol-Myers Squibb Company | Substituted naphthyridinone compounds useful as t cell activators |
| AR119821A1 (es) * | 2019-08-28 | 2022-01-12 | Bristol Myers Squibb Co | Compuestos de piridopirimidinonilo sustituidos útiles como activadores de células t |
| AU2020414688A1 (en) * | 2019-12-23 | 2022-08-18 | Bristol-Myers Squibb Company | Substituted quinolinonyl piperazine compounds useful as T cell activators |
| JP7677976B2 (ja) * | 2019-12-23 | 2025-05-15 | ブリストル-マイヤーズ スクイブ カンパニー | T細胞アクティベーターとして有用な置換ヘテロアリール化合物 |
| KR20230165771A (ko) * | 2021-03-03 | 2023-12-05 | 주노 쎄러퓨티크스 인코퍼레이티드 | T 세포 요법 및 dgk 억제제의 조합 |
-
2020
- 2020-12-18 KR KR1020227024305A patent/KR20220118481A/ko active Pending
- 2020-12-18 IL IL294085A patent/IL294085A/en unknown
- 2020-12-18 BR BR112022009631A patent/BR112022009631A2/pt unknown
- 2020-12-18 US US17/786,442 patent/US20230089255A1/en active Pending
- 2020-12-18 EP EP20845282.1A patent/EP4076529A1/en active Pending
- 2020-12-18 MX MX2022006932A patent/MX2022006932A/es unknown
- 2020-12-18 CA CA3158532A patent/CA3158532A1/en active Pending
- 2020-12-18 WO PCT/US2020/066198 patent/WO2021127554A1/en not_active Ceased
- 2020-12-18 CN CN202080088924.5A patent/CN115243721A/zh active Pending
- 2020-12-18 JP JP2022537676A patent/JP2023510108A/ja active Pending
- 2020-12-18 AU AU2020407130A patent/AU2020407130A1/en not_active Abandoned
Also Published As
| Publication number | Publication date |
|---|---|
| CA3158532A1 (en) | 2021-06-24 |
| JP2023510108A (ja) | 2023-03-13 |
| MX2022006932A (es) | 2022-07-11 |
| CN115243721A (zh) | 2022-10-25 |
| BR112022009631A2 (pt) | 2022-08-09 |
| US20230089255A1 (en) | 2023-03-23 |
| IL294085A (en) | 2022-08-01 |
| AU2020407130A1 (en) | 2022-06-16 |
| EP4076529A1 (en) | 2022-10-26 |
| WO2021127554A1 (en) | 2021-06-24 |
Similar Documents
| Publication | Publication Date | Title |
|---|---|---|
| KR20220118481A (ko) | Dgk 억제제 및 체크포인트 길항제의 조합물 | |
| JP7677976B2 (ja) | T細胞アクティベーターとして有用な置換ヘテロアリール化合物 | |
| KR102599339B1 (ko) | 면역조정제로서 유용한 화합물 | |
| JP7150745B2 (ja) | 免疫調節剤としての置換イソキノリン誘導体 | |
| CN114364667B (zh) | 用于Cbl-b抑制的3-取代哌啶类化合物以及Cbl-b抑制剂与癌症疫苗和/或溶瘤病毒联合的用途 | |
| KR102738303B1 (ko) | 면역조정제로서 유용한 2,8-디아실-2,8-디아자스피로[5.5]운데칸 화합물 | |
| KR102674630B1 (ko) | 항암제로서의 시클릭 디뉴클레오티드 | |
| KR20220026581A (ko) | Cbl-b 억제를 위한 치환된 벤질-트리아졸 화합물, 및 이의 추가의 용도 | |
| JP2020203887A (ja) | 修飾環状ジヌクレオチド化合物 | |
| JP6727224B2 (ja) | 新生物疾患および/または感染性疾患の治療にとって有用な二環式テトラヒドロチアゼピン誘導体 | |
| WO2018009466A1 (en) | Locked nucleic acid cyclic dinucleotide compounds and uses thereof | |
| KR20200124716A (ko) | Hbv 복제 억제제로서의 치환된 피롤리진 화합물 | |
| KR20230165815A (ko) | 피리디닐 치환된 옥소이소인돌린 화합물 | |
| WO2022051567A1 (en) | Substituted pyrido[2,3-b]pyrazinones and reuated compounds and their use in treating medicau conditions | |
| JP2023517736A (ja) | 免疫調節剤 | |
| WO2019173587A1 (en) | Cyclic dinucleotides as anticancer agents | |
| KR102922115B1 (ko) | Cbl-b 억제용의 3-치환된 피페리딘 화합물, 및 암 백신 및/또는 종양용해 바이러스와 조합된 cbl-b 억제제의 용도 | |
| WO2024053650A1 (ja) | ジアシルグリセロールキナーゼαおよび/またはζ阻害活性を有する化合物およびその医薬用途 | |
| EA047609B1 (ru) | Замещенные гетероарильные соединения, полезные в качестве активаторов т-клеток |
Legal Events
| Date | Code | Title | Description |
|---|---|---|---|
| PA0105 | International application |
Patent event date: 20220714 Patent event code: PA01051R01D Comment text: International Patent Application |
|
| PG1501 | Laying open of application |

























































































