KR102591635B1 - 유기 발광 소자 - Google Patents
유기 발광 소자 Download PDFInfo
- Publication number
- KR102591635B1 KR102591635B1 KR1020150149727A KR20150149727A KR102591635B1 KR 102591635 B1 KR102591635 B1 KR 102591635B1 KR 1020150149727 A KR1020150149727 A KR 1020150149727A KR 20150149727 A KR20150149727 A KR 20150149727A KR 102591635 B1 KR102591635 B1 KR 102591635B1
- Authority
- KR
- South Korea
- Prior art keywords
- group
- substituted
- unsubstituted
- salt
- terphenyl
- Prior art date
- Legal status (The legal status is an assumption and is not a legal conclusion. Google has not performed a legal analysis and makes no representation as to the accuracy of the status listed.)
- Active
Links
Images
Classifications
-
- C—CHEMISTRY; METALLURGY
- C09—DYES; PAINTS; POLISHES; NATURAL RESINS; ADHESIVES; COMPOSITIONS NOT OTHERWISE PROVIDED FOR; APPLICATIONS OF MATERIALS NOT OTHERWISE PROVIDED FOR
- C09K—MATERIALS FOR MISCELLANEOUS APPLICATIONS, NOT PROVIDED FOR ELSEWHERE
- C09K11/00—Luminescent, e.g. electroluminescent, chemiluminescent materials
- C09K11/02—Use of particular materials as binders, particle coatings or suspension media therefor
- C09K11/025—Use of particular materials as binders, particle coatings or suspension media therefor non-luminescent particle coatings or suspension media
-
- H—ELECTRICITY
- H10—SEMICONDUCTOR DEVICES; ELECTRIC SOLID-STATE DEVICES NOT OTHERWISE PROVIDED FOR
- H10K—ORGANIC ELECTRIC SOLID-STATE DEVICES
- H10K85/00—Organic materials used in the body or electrodes of devices covered by this subclass
- H10K85/60—Organic compounds having low molecular weight
- H10K85/649—Aromatic compounds comprising a hetero atom
- H10K85/657—Polycyclic condensed heteroaromatic hydrocarbons
- H10K85/6572—Polycyclic condensed heteroaromatic hydrocarbons comprising only nitrogen in the heteroaromatic polycondensed ring system, e.g. phenanthroline or carbazole
-
- C—CHEMISTRY; METALLURGY
- C07—ORGANIC CHEMISTRY
- C07D—HETEROCYCLIC COMPOUNDS
- C07D487/00—Heterocyclic compounds containing nitrogen atoms as the only ring hetero atoms in the condensed system, not provided for by groups C07D451/00 - C07D477/00
- C07D487/02—Heterocyclic compounds containing nitrogen atoms as the only ring hetero atoms in the condensed system, not provided for by groups C07D451/00 - C07D477/00 in which the condensed system contains two hetero rings
- C07D487/04—Ortho-condensed systems
-
- C—CHEMISTRY; METALLURGY
- C07—ORGANIC CHEMISTRY
- C07D—HETEROCYCLIC COMPOUNDS
- C07D487/00—Heterocyclic compounds containing nitrogen atoms as the only ring hetero atoms in the condensed system, not provided for by groups C07D451/00 - C07D477/00
- C07D487/12—Heterocyclic compounds containing nitrogen atoms as the only ring hetero atoms in the condensed system, not provided for by groups C07D451/00 - C07D477/00 in which the condensed system contains three hetero rings
- C07D487/14—Ortho-condensed systems
-
- C—CHEMISTRY; METALLURGY
- C07—ORGANIC CHEMISTRY
- C07D—HETEROCYCLIC COMPOUNDS
- C07D491/00—Heterocyclic compounds containing in the condensed ring system both one or more rings having oxygen atoms as the only ring hetero atoms and one or more rings having nitrogen atoms as the only ring hetero atoms, not provided for by groups C07D451/00 - C07D459/00, C07D463/00, C07D477/00 or C07D489/00
- C07D491/02—Heterocyclic compounds containing in the condensed ring system both one or more rings having oxygen atoms as the only ring hetero atoms and one or more rings having nitrogen atoms as the only ring hetero atoms, not provided for by groups C07D451/00 - C07D459/00, C07D463/00, C07D477/00 or C07D489/00 in which the condensed system contains two hetero rings
- C07D491/04—Ortho-condensed systems
- C07D491/044—Ortho-condensed systems with only one oxygen atom as ring hetero atom in the oxygen-containing ring
- C07D491/048—Ortho-condensed systems with only one oxygen atom as ring hetero atom in the oxygen-containing ring the oxygen-containing ring being five-membered
-
- C—CHEMISTRY; METALLURGY
- C07—ORGANIC CHEMISTRY
- C07D—HETEROCYCLIC COMPOUNDS
- C07D495/00—Heterocyclic compounds containing in the condensed system at least one hetero ring having sulfur atoms as the only ring hetero atoms
- C07D495/02—Heterocyclic compounds containing in the condensed system at least one hetero ring having sulfur atoms as the only ring hetero atoms in which the condensed system contains two hetero rings
- C07D495/04—Ortho-condensed systems
-
- C—CHEMISTRY; METALLURGY
- C09—DYES; PAINTS; POLISHES; NATURAL RESINS; ADHESIVES; COMPOSITIONS NOT OTHERWISE PROVIDED FOR; APPLICATIONS OF MATERIALS NOT OTHERWISE PROVIDED FOR
- C09K—MATERIALS FOR MISCELLANEOUS APPLICATIONS, NOT PROVIDED FOR ELSEWHERE
- C09K11/00—Luminescent, e.g. electroluminescent, chemiluminescent materials
- C09K11/06—Luminescent, e.g. electroluminescent, chemiluminescent materials containing organic luminescent materials
-
- H—ELECTRICITY
- H10—SEMICONDUCTOR DEVICES; ELECTRIC SOLID-STATE DEVICES NOT OTHERWISE PROVIDED FOR
- H10K—ORGANIC ELECTRIC SOLID-STATE DEVICES
- H10K50/00—Organic light-emitting devices
- H10K50/10—OLEDs or polymer light-emitting diodes [PLED]
- H10K50/11—OLEDs or polymer light-emitting diodes [PLED] characterised by the electroluminescent [EL] layers
-
- H—ELECTRICITY
- H10—SEMICONDUCTOR DEVICES; ELECTRIC SOLID-STATE DEVICES NOT OTHERWISE PROVIDED FOR
- H10K—ORGANIC ELECTRIC SOLID-STATE DEVICES
- H10K50/00—Organic light-emitting devices
- H10K50/10—OLEDs or polymer light-emitting diodes [PLED]
- H10K50/11—OLEDs or polymer light-emitting diodes [PLED] characterised by the electroluminescent [EL] layers
- H10K50/12—OLEDs or polymer light-emitting diodes [PLED] characterised by the electroluminescent [EL] layers comprising dopants
-
- H—ELECTRICITY
- H10—SEMICONDUCTOR DEVICES; ELECTRIC SOLID-STATE DEVICES NOT OTHERWISE PROVIDED FOR
- H10K—ORGANIC ELECTRIC SOLID-STATE DEVICES
- H10K50/00—Organic light-emitting devices
- H10K50/10—OLEDs or polymer light-emitting diodes [PLED]
- H10K50/14—Carrier transporting layers
- H10K50/15—Hole transporting layers
-
- H—ELECTRICITY
- H10—SEMICONDUCTOR DEVICES; ELECTRIC SOLID-STATE DEVICES NOT OTHERWISE PROVIDED FOR
- H10K—ORGANIC ELECTRIC SOLID-STATE DEVICES
- H10K85/00—Organic materials used in the body or electrodes of devices covered by this subclass
- H10K85/40—Organosilicon compounds, e.g. TIPS pentacene
-
- H—ELECTRICITY
- H10—SEMICONDUCTOR DEVICES; ELECTRIC SOLID-STATE DEVICES NOT OTHERWISE PROVIDED FOR
- H10K—ORGANIC ELECTRIC SOLID-STATE DEVICES
- H10K85/00—Organic materials used in the body or electrodes of devices covered by this subclass
- H10K85/60—Organic compounds having low molecular weight
- H10K85/615—Polycyclic condensed aromatic hydrocarbons, e.g. anthracene
-
- H—ELECTRICITY
- H10—SEMICONDUCTOR DEVICES; ELECTRIC SOLID-STATE DEVICES NOT OTHERWISE PROVIDED FOR
- H10K—ORGANIC ELECTRIC SOLID-STATE DEVICES
- H10K85/00—Organic materials used in the body or electrodes of devices covered by this subclass
- H10K85/60—Organic compounds having low molecular weight
- H10K85/615—Polycyclic condensed aromatic hydrocarbons, e.g. anthracene
- H10K85/622—Polycyclic condensed aromatic hydrocarbons, e.g. anthracene containing four rings, e.g. pyrene
-
- H—ELECTRICITY
- H10—SEMICONDUCTOR DEVICES; ELECTRIC SOLID-STATE DEVICES NOT OTHERWISE PROVIDED FOR
- H10K—ORGANIC ELECTRIC SOLID-STATE DEVICES
- H10K85/00—Organic materials used in the body or electrodes of devices covered by this subclass
- H10K85/60—Organic compounds having low molecular weight
- H10K85/631—Amine compounds having at least two aryl rest on at least one amine-nitrogen atom, e.g. triphenylamine
-
- H—ELECTRICITY
- H10—SEMICONDUCTOR DEVICES; ELECTRIC SOLID-STATE DEVICES NOT OTHERWISE PROVIDED FOR
- H10K—ORGANIC ELECTRIC SOLID-STATE DEVICES
- H10K85/00—Organic materials used in the body or electrodes of devices covered by this subclass
- H10K85/60—Organic compounds having low molecular weight
- H10K85/631—Amine compounds having at least two aryl rest on at least one amine-nitrogen atom, e.g. triphenylamine
- H10K85/636—Amine compounds having at least two aryl rest on at least one amine-nitrogen atom, e.g. triphenylamine comprising heteroaromatic hydrocarbons as substituents on the nitrogen atom
-
- H—ELECTRICITY
- H10—SEMICONDUCTOR DEVICES; ELECTRIC SOLID-STATE DEVICES NOT OTHERWISE PROVIDED FOR
- H10K—ORGANIC ELECTRIC SOLID-STATE DEVICES
- H10K85/00—Organic materials used in the body or electrodes of devices covered by this subclass
- H10K85/60—Organic compounds having low molecular weight
- H10K85/649—Aromatic compounds comprising a hetero atom
- H10K85/654—Aromatic compounds comprising a hetero atom comprising only nitrogen as heteroatom
-
- H—ELECTRICITY
- H10—SEMICONDUCTOR DEVICES; ELECTRIC SOLID-STATE DEVICES NOT OTHERWISE PROVIDED FOR
- H10K—ORGANIC ELECTRIC SOLID-STATE DEVICES
- H10K85/00—Organic materials used in the body or electrodes of devices covered by this subclass
- H10K85/60—Organic compounds having low molecular weight
- H10K85/649—Aromatic compounds comprising a hetero atom
- H10K85/657—Polycyclic condensed heteroaromatic hydrocarbons
-
- H—ELECTRICITY
- H10—SEMICONDUCTOR DEVICES; ELECTRIC SOLID-STATE DEVICES NOT OTHERWISE PROVIDED FOR
- H10K—ORGANIC ELECTRIC SOLID-STATE DEVICES
- H10K85/00—Organic materials used in the body or electrodes of devices covered by this subclass
- H10K85/60—Organic compounds having low molecular weight
- H10K85/649—Aromatic compounds comprising a hetero atom
- H10K85/657—Polycyclic condensed heteroaromatic hydrocarbons
- H10K85/6574—Polycyclic condensed heteroaromatic hydrocarbons comprising only oxygen in the heteroaromatic polycondensed ring system, e.g. cumarine dyes
-
- H—ELECTRICITY
- H10—SEMICONDUCTOR DEVICES; ELECTRIC SOLID-STATE DEVICES NOT OTHERWISE PROVIDED FOR
- H10K—ORGANIC ELECTRIC SOLID-STATE DEVICES
- H10K85/00—Organic materials used in the body or electrodes of devices covered by this subclass
- H10K85/60—Organic compounds having low molecular weight
- H10K85/649—Aromatic compounds comprising a hetero atom
- H10K85/657—Polycyclic condensed heteroaromatic hydrocarbons
- H10K85/6576—Polycyclic condensed heteroaromatic hydrocarbons comprising only sulfur in the heteroaromatic polycondensed ring system, e.g. benzothiophene
-
- C—CHEMISTRY; METALLURGY
- C09—DYES; PAINTS; POLISHES; NATURAL RESINS; ADHESIVES; COMPOSITIONS NOT OTHERWISE PROVIDED FOR; APPLICATIONS OF MATERIALS NOT OTHERWISE PROVIDED FOR
- C09K—MATERIALS FOR MISCELLANEOUS APPLICATIONS, NOT PROVIDED FOR ELSEWHERE
- C09K2211/00—Chemical nature of organic luminescent or tenebrescent compounds
- C09K2211/10—Non-macromolecular compounds
- C09K2211/1003—Carbocyclic compounds
- C09K2211/1007—Non-condensed systems
-
- C—CHEMISTRY; METALLURGY
- C09—DYES; PAINTS; POLISHES; NATURAL RESINS; ADHESIVES; COMPOSITIONS NOT OTHERWISE PROVIDED FOR; APPLICATIONS OF MATERIALS NOT OTHERWISE PROVIDED FOR
- C09K—MATERIALS FOR MISCELLANEOUS APPLICATIONS, NOT PROVIDED FOR ELSEWHERE
- C09K2211/00—Chemical nature of organic luminescent or tenebrescent compounds
- C09K2211/10—Non-macromolecular compounds
- C09K2211/1003—Carbocyclic compounds
- C09K2211/1011—Condensed systems
-
- C—CHEMISTRY; METALLURGY
- C09—DYES; PAINTS; POLISHES; NATURAL RESINS; ADHESIVES; COMPOSITIONS NOT OTHERWISE PROVIDED FOR; APPLICATIONS OF MATERIALS NOT OTHERWISE PROVIDED FOR
- C09K—MATERIALS FOR MISCELLANEOUS APPLICATIONS, NOT PROVIDED FOR ELSEWHERE
- C09K2211/00—Chemical nature of organic luminescent or tenebrescent compounds
- C09K2211/10—Non-macromolecular compounds
- C09K2211/1003—Carbocyclic compounds
- C09K2211/1014—Carbocyclic compounds bridged by heteroatoms, e.g. N, P, Si or B
-
- C—CHEMISTRY; METALLURGY
- C09—DYES; PAINTS; POLISHES; NATURAL RESINS; ADHESIVES; COMPOSITIONS NOT OTHERWISE PROVIDED FOR; APPLICATIONS OF MATERIALS NOT OTHERWISE PROVIDED FOR
- C09K—MATERIALS FOR MISCELLANEOUS APPLICATIONS, NOT PROVIDED FOR ELSEWHERE
- C09K2211/00—Chemical nature of organic luminescent or tenebrescent compounds
- C09K2211/10—Non-macromolecular compounds
- C09K2211/1018—Heterocyclic compounds
- C09K2211/1025—Heterocyclic compounds characterised by ligands
- C09K2211/1029—Heterocyclic compounds characterised by ligands containing one nitrogen atom as the heteroatom
-
- C—CHEMISTRY; METALLURGY
- C09—DYES; PAINTS; POLISHES; NATURAL RESINS; ADHESIVES; COMPOSITIONS NOT OTHERWISE PROVIDED FOR; APPLICATIONS OF MATERIALS NOT OTHERWISE PROVIDED FOR
- C09K—MATERIALS FOR MISCELLANEOUS APPLICATIONS, NOT PROVIDED FOR ELSEWHERE
- C09K2211/00—Chemical nature of organic luminescent or tenebrescent compounds
- C09K2211/10—Non-macromolecular compounds
- C09K2211/1018—Heterocyclic compounds
- C09K2211/1025—Heterocyclic compounds characterised by ligands
- C09K2211/1044—Heterocyclic compounds characterised by ligands containing two nitrogen atoms as heteroatoms
-
- C—CHEMISTRY; METALLURGY
- C09—DYES; PAINTS; POLISHES; NATURAL RESINS; ADHESIVES; COMPOSITIONS NOT OTHERWISE PROVIDED FOR; APPLICATIONS OF MATERIALS NOT OTHERWISE PROVIDED FOR
- C09K—MATERIALS FOR MISCELLANEOUS APPLICATIONS, NOT PROVIDED FOR ELSEWHERE
- C09K2211/00—Chemical nature of organic luminescent or tenebrescent compounds
- C09K2211/10—Non-macromolecular compounds
- C09K2211/1018—Heterocyclic compounds
- C09K2211/1025—Heterocyclic compounds characterised by ligands
- C09K2211/1059—Heterocyclic compounds characterised by ligands containing three nitrogen atoms as heteroatoms
-
- C—CHEMISTRY; METALLURGY
- C09—DYES; PAINTS; POLISHES; NATURAL RESINS; ADHESIVES; COMPOSITIONS NOT OTHERWISE PROVIDED FOR; APPLICATIONS OF MATERIALS NOT OTHERWISE PROVIDED FOR
- C09K—MATERIALS FOR MISCELLANEOUS APPLICATIONS, NOT PROVIDED FOR ELSEWHERE
- C09K2211/00—Chemical nature of organic luminescent or tenebrescent compounds
- C09K2211/10—Non-macromolecular compounds
- C09K2211/1018—Heterocyclic compounds
- C09K2211/1025—Heterocyclic compounds characterised by ligands
- C09K2211/1092—Heterocyclic compounds characterised by ligands containing sulfur as the only heteroatom
-
- C—CHEMISTRY; METALLURGY
- C09—DYES; PAINTS; POLISHES; NATURAL RESINS; ADHESIVES; COMPOSITIONS NOT OTHERWISE PROVIDED FOR; APPLICATIONS OF MATERIALS NOT OTHERWISE PROVIDED FOR
- C09K—MATERIALS FOR MISCELLANEOUS APPLICATIONS, NOT PROVIDED FOR ELSEWHERE
- C09K2211/00—Chemical nature of organic luminescent or tenebrescent compounds
- C09K2211/18—Metal complexes
- C09K2211/185—Metal complexes of the platinum group, i.e. Os, Ir, Pt, Ru, Rh or Pd
-
- H—ELECTRICITY
- H01—ELECTRIC ELEMENTS
- H01L—SEMICONDUCTOR DEVICES NOT COVERED BY CLASS H10
- H01L2924/00—Indexing scheme for arrangements or methods for connecting or disconnecting semiconductor or solid-state bodies as covered by H01L24/00
- H01L2924/10—Details of semiconductor or other solid state devices to be connected
- H01L2924/11—Device type
- H01L2924/12—Passive devices, e.g. 2 terminal devices
- H01L2924/1204—Optical Diode
- H01L2924/12044—OLED
-
- H—ELECTRICITY
- H10—SEMICONDUCTOR DEVICES; ELECTRIC SOLID-STATE DEVICES NOT OTHERWISE PROVIDED FOR
- H10K—ORGANIC ELECTRIC SOLID-STATE DEVICES
- H10K2101/00—Properties of the organic materials covered by group H10K85/00
- H10K2101/10—Triplet emission
-
- H—ELECTRICITY
- H10—SEMICONDUCTOR DEVICES; ELECTRIC SOLID-STATE DEVICES NOT OTHERWISE PROVIDED FOR
- H10K—ORGANIC ELECTRIC SOLID-STATE DEVICES
- H10K2101/00—Properties of the organic materials covered by group H10K85/00
- H10K2101/90—Multiple hosts in the emissive layer
-
- H—ELECTRICITY
- H10—SEMICONDUCTOR DEVICES; ELECTRIC SOLID-STATE DEVICES NOT OTHERWISE PROVIDED FOR
- H10K—ORGANIC ELECTRIC SOLID-STATE DEVICES
- H10K85/00—Organic materials used in the body or electrodes of devices covered by this subclass
- H10K85/30—Coordination compounds
- H10K85/341—Transition metal complexes, e.g. Ru(II)polypyridine complexes
- H10K85/342—Transition metal complexes, e.g. Ru(II)polypyridine complexes comprising iridium
Landscapes
- Chemical & Material Sciences (AREA)
- Engineering & Computer Science (AREA)
- Materials Engineering (AREA)
- Physics & Mathematics (AREA)
- Spectroscopy & Molecular Physics (AREA)
- Organic Chemistry (AREA)
- Optics & Photonics (AREA)
- Electroluminescent Light Sources (AREA)
- Luminescent Compositions (AREA)
Abstract
Description
| 호스트 | 발광 보조층 재료 | 발광 보조층 두께 |
도펀트 | 중량비 (호스트:도펀트) |
|
| 실시예 1-1 | 235 | F1 | 750Å | PD75 | 100:3 |
| 실시예 1-2 | 241 | F1 | 750Å | PD75 | 100:3 |
| 실시예 1-3 | 235 | C7 | 750Å | PD75 | 100:3 |
| 실시예 1-4 | 223 | C7 | 750Å | PD75 | 100:3 |
| 실시예 1-5 | 226 | A6 | 350Å | PD76 | 100:10 |
| 실시예 1-6 | 101 | A6 | 350Å | PD76 | 100:10 |
| 실시예 1-7 | 259 | A6 | 350Å | PD76 | 100:10 |
| 실시예 1-8 | 237 | A6 | 350Å | PD76 | 100:10 |
| 실시예 1-9 | 226 | B1 | 350Å | PD76 | 100:10 |
| 실시예 1-10 | 101 | B1 | 350Å | PD76 | 100:10 |
| 실시예 1-11 | 259 | B1 | 350Å | PD76 | 100:10 |
| 실시예 1-12 | 237 | B1 | 350Å | PD76 | 100:10 |
| 실시예 1-13 | 226 | A2 | 350Å | PD76 | 100:10 |
| 실시예 1-14 | 101 | A2 | 350Å | PD76 | 100:10 |
| 실시예 1-15 | 259 | A2 | 350Å | PD76 | 100:10 |
| 실시예 1-16 | 237 | A2 | 350Å | PD76 | 100:10 |
| 실시예 1-17 | 226 | C11 | 350Å | PD76 | 100:10 |
| 실시예 1-18 | 101 | C11 | 350Å | PD76 | 100:10 |
| 실시예 1-19 | 259 | C11 | 350Å | PD76 | 100:10 |
| 실시예 1-20 | 237 | C11 | 350Å | PD76 | 100:10 |
| 비교예 1-1 | 235 | NPB | 750Å | PD75 | 100:3 |
| 비교예 1-2 | 241 | NPB | 750Å | PD75 | 100:3 |
| 비교예 1-3 | 226 | NPB | 350Å | PD76 | 100:10 |
| 비교예 1-4 | 101 | NPB | 350Å | PD76 | 100:10 |
| 비교예 1-5 | 259 | NPB | 350Å | PD76 | 100:10 |
| 비교예 1-6 | 237 | NPB | 350Å | PD76 | 100:10 |
| 호스트 | 발광 보조층 재료 |
발광 보조층 두께 |
도펀트 | 중량비 (호스트: 도펀트) |
|
| 실시예 2-1 | 191A | F1 | 750Å | PD75 | 100:3 |
| 실시예 2-2 | 202A | F1 | 750Å | PD75 | 100:3 |
| 실시예 2-3 | 191A | C7 | 750Å | PD75 | 100:3 |
| 실시예 2-4 | 202A | C7 | 750Å | PD75 | 100:3 |
| 실시예 2-5 | 154A | A6 | 350Å | PD76 | 100:10 |
| 실시예 2-6 | 121A | A6 | 350Å | PD76 | 100:10 |
| 실시예 2-7 | 210A | A6 | 350Å | PD76 | 100:10 |
| 실시예 2-8 | 156A | A6 | 350Å | PD76 | 100:10 |
| 실시예 2-9 | 154A | B1 | 350Å | PD76 | 100:10 |
| 실시예 2-10 | 121A | B1 | 350Å | PD76 | 100:10 |
| 실시예 2-11 | 210A | B1 | 350Å | PD76 | 100:10 |
| 실시예 2-12 | 156A | B1 | 350Å | PD76 | 100:10 |
| 실시예 2-13 | 154A | A2 | 350Å | PD76 | 100:10 |
| 실시예 2-14 | 121A | A2 | 350Å | PD76 | 100:10 |
| 실시예 2-15 | 210A | A2 | 350Å | PD76 | 100:10 |
| 실시예 2-16 | 156A | A2 | 350Å | PD76 | 100:10 |
| 실시예 2-17 | 154A | C11 | 350Å | PD76 | 100:10 |
| 실시예 2-18 | 121A | C11 | 350Å | PD76 | 100:10 |
| 실시예 2-19 | 210A | C11 | 350Å | PD76 | 100:10 |
| 실시예 2-20 | 156A | C11 | 350Å | PD76 | 100:10 |
| 비교예 2-1 | 191A | NPB | 750Å | PD75 | 100:3 |
| 비교예 2-2 | 202A | NPB | 750Å | PD75 | 100:3 |
| 비교예 2-3 | 154A | NPB | 350Å | PD76 | 100:10 |
| 비교예 2-4 | 121A | NPB | 350Å | PD76 | 100:10 |
| 비교예 2-5 | 212A | NPB | 350Å | PD76 | 100:10 |
| 비교예 2-6 | 156A | NPB | 350Å | PD76 | 100:10 |
| 제1호스트 | 제2호스트 | 발광 보조층 재료 | 도펀트 | 중량비 (제1호스트: 제2호스트:도펀트) |
|
| 실시예 3-1 | 226 | 172B | A6 | PD76 | 50:50:10 |
| 실시예 3-2 | 119 | 125B | A6 | PD76 | 50:50:10 |
| 실시예 3-3 | 237 | 226B | A6 | PD76 | 50:50:10 |
| 실시예 3-4 | 371 | 190A | A6 | PD76 | 50:50:10 |
| 실시예 3-5 | 306 | 155A | A6 | PD76 | 50:50:10 |
| 실시예 3-6 | 338 | 151A | A6 | PD76 | 50:50:10 |
| 실시예 3-7 | 226 | 172B | B1 | PD76 | 50:50:10 |
| 실시예 3-8 | 119 | 125B | B1 | PD76 | 50:50:10 |
| 실시예 3-9 | 237 | 226B | B1 | PD76 | 50:50:10 |
| 실시예 3-10 | 374 | 121A | B1 | PD76 | 50:50:10 |
| 실시예 3-11 | 306 | 190A | B1 | PD76 | 50:50:10 |
| 실시예 3-12 | 338 | 151A | B1 | PD76 | 50:50:10 |
| 실시예 3-13 | 226 | 172B | A2 | PD76 | 50:50:10 |
| 실시예 3-14 | 119 | 125B | A2 | PD76 | 50:50:10 |
| 실시예 3-15 | 237 | 226B | A2 | PD76 | 50:50:10 |
| 실시예 3-16 | 374 | 121A | A2 | PD76 | 50:50:10 |
| 실시예 3-17 | 306 | 190A | A2 | PD76 | 50:50:10 |
| 실시예 3-18 | 338 | 151A | A2 | PD76 | 50:50:10 |
| 실시예 3-19 | 226 | 172B | C11 | PD76 | 50:50:10 |
| 실시예 3-20 | 119 | 125B | C11 | PD76 | 50:50:10 |
| 실시예 3-21 | 237 | 226B | C11 | PD76 | 50:50:10 |
| 실시예 3-22 | 237 | 121A | C11 | PD76 | 50:50:10 |
| 실시예 3-23 | 374 | 190A | C11 | PD76 | 50:50:10 |
| 실시예 3-24 | 338 | 151A | C11 | PD76 | 50:50:10 |
| 비교예 3-1 | 226 | 172B | NPB | PD76 | 50:50:10 |
| 비교예 3-2 | 119 | 125B | NPB | PD76 | 50:50:10 |
| 비교예 3-3 | 237 | 226B | NPB | PD76 | 50:50:10 |
| 비교예 3-4 | 374 | 121A | NPB | PD76 | 50:50:10 |
| 비교예 3-5 | 306 | 190A | NPB | PD76 | 50:50:10 |
| 비교예 3-6 | 338 | 151A | NPB | PD76 | 50:50:10 |
| 제1화합물 | 제2화합물 | 제3화합물 | 구동전압 (V) |
전류밀도 (mA/cm2) |
효율 (cd/A) |
T97 (시간) |
|
| 실시예 1-1 | 235 | - | F1 | 4.1 | 10 | 38.5 | 489 |
| 실시예 1-2 | 241 | - | F1 | 4.3 | 10 | 38.1 | 512 |
| 실시예 1-3 | 235 | - | C7 | 4.2 | 10 | 38.8 | 492 |
| 실시예 1-4 | 223 | - | C7 | 4.4 | 10 | 38.2 | 531 |
| 실시예 1-5 | 226 | - | A6 | 4.2 | 10 | 95.7 | 143 |
| 실시예 1-6 | 101 | - | A6 | 4.2 | 10 | 96.5 | 138 |
| 실시예 1-7 | 259 | - | A6 | 4.3 | 10 | 97.2 | 135 |
| 실시예 1-8 | 237 | - | A6 | 4.4 | 10 | 95.9 | 142 |
| 실시예 1-9 | 226 | - | B1 | 4.1 | 10 | 96.7 | 127 |
| 실시예 1-10 | 101 | - | B1 | 4.1 | 10 | 96.1 | 122 |
| 실시예 1-11 | 259 | - | B1 | 4.3 | 10 | 95.3 | 135 |
| 실시예 1-12 | 237 | - | B1 | 4.3 | 10 | 97.2 | 140 |
| 실시예 1-13 | 226 | - | A2 | 4.2 | 10 | 94.9 | 122 |
| 실시예 1-14 | 101 | - | A2 | 4.1 | 10 | 95.2 | 124 |
| 실시예 1-15 | 259 | - | A2 | 4.4 | 10 | 96.3 | 126 |
| 실시예 1-16 | 237 | - | A2 | 4.4 | 10 | 95.0 | 135 |
| 실시예 1-17 | 226 | - | C11 | 4.2 | 10 | 96.2 | 124 |
| 실시예 1-18 | 101 | - | C11 | 4.2 | 10 | 96.6 | 137 |
| 실시예 1-19 | 259 | - | C11 | 4.4 | 10 | 95.4 | 120 |
| 실시예 1-20 | 237 | - | C11 | 4.3 | 10 | 97.1 | 134 |
| 비교예 1-1 | 235 | - | NPB | 4.2 | 10 | 28.6 | 376 |
| 비교예 1-2 | 241 | - | NPB | 4.4 | 10 | 29.1 | 381 |
| 비교예 1-3 | 226 | - | NPB | 4.1 | 10 | 75.2 | 51 |
| 비교예 1-4 | 101 | - | NPB | 4.1 | 10 | 74.3 | 62 |
| 비교예 1-5 | 259 | - | NPB | 4.2 | 10 | 72.1 | 47 |
| 비교예 1-6 | 237 | - | NPB | 4.3 | 10 | 74.9 | 64 |
| 제1화합물 | 제2화합물 | 제3화합물 | 구동전압 (V) |
전류밀도 (mA/cm2) |
효율 (cd/A) |
T97 (시간) |
|
| 실시예 2-1 | - | 191A | F1 | 4.4 | 10 | 40.1 | 520 |
| 실시예 2-2 | - | 202A | F1 | 4.3 | 10 | 41.2 | 503 |
| 실시예 2-3 | - | 191A | C7 | 4.1 | 10 | 39.7 | 488 |
| 실시예 2-4 | - | 202A | C7 | 4.2 | 10 | 40.5 | 510 |
| 실시예 2-5 | - | 154A | A6 | 4.3 | 10 | 96.5 | 132 |
| 실시예 2-6 | - | 121A | A6 | 4.2 | 10 | 97.7 | 127 |
| 실시예 2-7 | - | 210A | A6 | 4.4 | 10 | 97.6 | 145 |
| 실시예 2-8 | - | 156A | A6 | 4.2 | 10 | 96.8 | 140 |
| 실시예 2-9 | - | 154A | B1 | 4.3 | 10 | 98.7 | 133 |
| 실시예 2-10 | - | 121A | B1 | 4.1 | 10 | 97.3 | 138 |
| 실시예 2-11 | - | 210A | B1 | 4.2 | 10 | 96.9 | 145 |
| 실시예 2-12 | - | 156A | B1 | 4.1 | 10 | 99.1 | 142 |
| 실시예 2-13 | - | 154A | A2 | 4.3 | 10 | 96.2 | 129 |
| 실시예 2-14 | - | 121A | A2 | 4.2 | 10 | 95.9 | 121 |
| 실시예 2-15 | - | 210A | A2 | 4.3 | 10 | 97.4 | 140 |
| 실시예 2-16 | - | 156A | A2 | 4.2 | 10 | 97.1 | 128 |
| 실시예 2-17 | - | 154A | C11 | 4.4 | 10 | 97.6 | 133 |
| 실시예 2-18 | - | 121A | C11 | 4.2 | 10 | 96.8 | 136 |
| 실시예 2-19 | - | 210A | C11 | 4.3 | 10 | 98.4 | 141 |
| 실시예 2-20 | - | 156A | C11 | 4.1 | 10 | 97.7 | 144 |
| 비교예 2-1 | - | 191A | NPB | 4.4 | 10 | 28.8 | 362 |
| 비교예 2-2 | - | 202A | NPB | 4.3 | 10 | 29.4 | 349 |
| 비교예 2-3 | - | 154A | NPB | 4.4 | 10 | 78.2 | 65 |
| 비교예 2-4 | - | 121A | NPB | 4.2 | 10 | 76.4 | 71 |
| 비교예 2-5 | - | 212A | NPB | 4.3 | 10 | 77.1 | 61 |
| 비교예 2-6 | - | 156A | NPB | 4.2 | 10 | 75.8 | 54 |
| 제1화합물 | 제2화합물 | 제3화합물 | 구동전압 (V) |
전류밀도 (mA/cm2) |
효율 (cd/A) |
T97 (시간) |
|
| 실시예 3-1 | 226 | 172B | A6 | 4.2 | 10 | 93.1 | 172 |
| 실시예 3-2 | 119 | 125B | A6 | 4.4 | 10 | 94.2 | 175 |
| 실시예 3-3 | 237 | 226B | A6 | 4.4 | 10 | 94.7 | 182 |
| 실시예 3-4 | 371 | 190A | A6 | 4.3 | 10 | 95.3 | 167 |
| 실시예 3-5 | 306 | 155A | A6 | 4.3 | 10 | 93.8 | 164 |
| 실시예 3-6 | 338 | 151A | A6 | 4.3 | 10 | 93.5 | 181 |
| 실시예 3-7 | 226 | 172B | B1 | 4.3 | 10 | 94.5 | 179 |
| 실시예 3-8 | 119 | 125B | B1 | 4.5 | 10 | 96.4 | 175 |
| 실시예 3-9 | 237 | 226B | B1 | 4.4 | 10 | 94.7 | 168 |
| 실시예 3-10 | 374 | 121A | B1 | 4.2 | 10 | 95.9 | 175 |
| 실시예 3-11 | 306 | 190A | B1 | 4.3 | 10 | 94.6 | 183 |
| 실시예 3-12 | 338 | 151A | B1 | 4.2 | 10 | 93.5 | 170 |
| 실시예 3-13 | 226 | 172B | A2 | 4.1 | 10 | 95.1 | 182 |
| 실시예 3-14 | 119 | 125B | A2 | 4.3 | 10 | 94.5 | 189 |
| 실시예 3-15 | 237 | 226B | A2 | 4.4 | 10 | 93.8 | 191 |
| 실시예 3-16 | 374 | 121A | A2 | 4.3 | 10 | 94.2 | 185 |
| 실시예 3-17 | 306 | 190A | A2 | 4.2 | 10 | 96.1 | 171 |
| 실시예 3-18 | 338 | 151A | A2 | 4.1 | 10 | 94.7 | 185 |
| 실시예 3-19 | 226 | 172B | C11 | 4.1 | 10 | 94.6 | 177 |
| 실시예 3-20 | 119 | 125B | C11 | 4.4 | 10 | 95.1 | 169 |
| 실시예 3-21 | 237 | 226B | C11 | 4.3 | 10 | 95.4 | 188 |
| 실시예 3-22 | 237 | 121A | C11 | 4.3 | 10 | 95.8 | 176 |
| 실시예 3-23 | 374 | 190A | C11 | 4.2 | 10 | 94.2 | 184 |
| 실시예 3-24 | 338 | 151A | C11 | 4.2 | 10 | 93.9 | 180 |
| 비교예 3-1 | 226 | 172B | NPB | 4.3 | 10 | 70.6 | 102 |
| 비교예 3-2 | 119 | 125B | NPB | 4.5 | 10 | 72.5 | 115 |
| 비교예 3-3 | 237 | 226B | NPB | 4.5 | 10 | 71.6 | 121 |
| 비교예 3-4 | 374 | 121A | NPB | 4.4 | 10 | 74.7 | 104 |
| 비교예 3-5 | 306 | 190A | NPB | 4.3 | 10 | 73.4 | 108 |
| 비교예 3-6 | 338 | 151A | NPB | 4.3 | 10 | 72.2 | 116 |
110: 제1전극
150: 유기층
190: 제2전극
Claims (20)
- 제1전극;
제2전극;
상기 제1전극과 상기 제2전극 사이에 개재된 발광층; 및
상기 제1전극과 상기 발광층 사이에 개재되고, 발광 보조층을 포함하는 정공 수송 영역;을 포함하고,
상기 정공 수송영역은 정공 주입층, 정공 수송층 및 발광 보조층을 포함하고,
상기 발광 보조층은 상기 발광층과 직접 접촉하고,
상기 정공 수송층은 상기 정공 주입층과 상기 발광 보조층 사이에 위치하고,
상기 발광층은 제1화합물 및 제2화합물 중에서 선택된 하나 이상의 화합물을 포함하고,
상기 발광 보조층은 제3화합물을 포함하고,
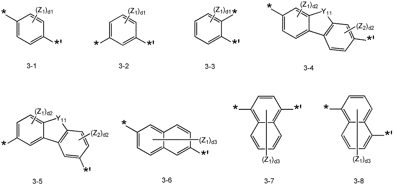
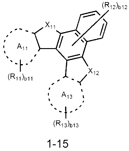
상기 제1화합물은 하기 화학식 1-1 및 1-2 중 하나로 표시되고, 상기 제2화합물은 하기 화학식 2-11 내지 2-15 중 하나로 표시되고, 상기 제3화합물은 하기 화학식 3-1 및 3-2 중 하나로 표시되는, 유기 발광 소자:
<화학식 1-1><화학식 1-2>
<화학식 2-11>
<화학식 2-12>
<화학식 2-13>
<화학식 2-14>
<화학식 2-15>
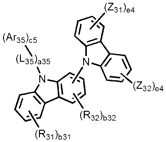
<화학식 3-1>
<화학식 3-2>
상기 화학식 1-1, 1-2, 2-11 내지 2-15, 3-1 및 3-2 중,
A11 내지 A13, A21 내지 A24 및 A31 내지 A34는 서로 독립적으로, C5-20시클릭 그룹 및 C1-20헤테로시클릭 그룹 중에서 선택되고,
X11은 N[(L11)a11-Ar11], C(Ar13)(Ar15), O 및 S 중에서 선택되고,
X12는 N[(L12)a12-Ar12], C(Ar14)(Ar16), O 및 S 중에서 선택되고,
X21은 N[(L22)a22-Ar22], C(Ar23)(Ar24), O, S, Si(Ar25)(Ar26), P[(L23)a23-Ar27], B[(L24)a24-Ar28] 및 P(=O)[(L25)a25-Ar29] 중에서 선택되고,
L11, L12, L21 내지 L26 및 L31 내지 L35는 서로 독립적으로, 치환 또는 비치환된 C3-C10시클로알킬렌기, 치환 또는 비치환된 C1-C10헤테로시클로알킬렌기, 치환 또는 비치환된 C3-C10시클로알케닐렌기, 치환 또는 비치환된 C1-C10헤테로시클로알케닐렌기, 치환 또는 비치환된 C6-C60아릴렌기, 치환 또는 비치환된 C1-C60헤테로아릴렌기, 치환 또는 비치환된 2가 비-방향족 축합다환 그룹(substituted or unsubstituted divalent non-aromatic condensed polycyclic group) 및 치환 또는 비치환된 2가 비-방향족 헤테로축합다환 그룹(substituted or unsubstituted divalent non-aromatic condensed heteropolycyclic group) 중에서 선택되고,
a11, a12, a21 내지 a26 및 a31 내지 a35는 서로 독립적으로, 0 내지 5의 정수 중에서 선택되고,
Ar11 내지 Ar16, Ar21 내지 Ar29 및 Ar31 내지 Ar35는 서로 독립적으로, 치환 또는 비치환된 C1-C60알킬기, 치환 또는 비치환된 C1-C60알콕시기, 치환 또는 비치환된 C3-C10시클로알킬기, 치환 또는 비치환된 C1-C10헤테로시클로알킬기, 치환 또는 비치환된 C3-C10시클로알케닐기, 치환 또는 비치환된 C1-C10헤테로시클로알케닐기, 치환 또는 비치환된 C6-C60아릴기, 치환 또는 비치환된 C6-C60아릴옥시기, 치환 또는 비치환된 C6-C60아릴티오기, 치환 또는 비치환된 C1-C60헤테로아릴기, 치환 또는 비치환된 1가 비-방향족 축합다환 그룹, 치환 또는 비치환된 1가 비-방향족 헤테로축합다환 그룹, -Si(Q1)(Q2)(Q3), -N(Q4)(Q5) 및 -B(Q6)(Q7) 중에서 선택되되,
i) 상기 화학식 3-1 중 Ar31 및 Ar32는 서로 독립적으로 치환 또는 비치환된 플루오레닐기 및 -N(Q4)(Q5)가 아니고,
ii) Ar25 및 Ar26은 선택적으로(optionally) 서로 결합하여 포화 또는 불포화 고리를 형성할 수 있고,
iii) Ar31 및 Ar32 선택적으로 서로 결합하여 포화 또는 불포화 고리를 형성할 수 있고,
iv) Ar33 및 Ar34는 선택적으로 서로 결합하여 포화 또는 불포화 고리를 형성할 수 있고,
v) Ar11 및 Ar12는 퀴놀리닐기, 이소퀴놀리닐기 또는 퀴나졸리닐기를 포함하지 않고,
vi) 상기 화학식 2-11 중의 Ar21 및 Ar22는 치환 또는 비치환된 C1-C60헤테로아릴기를 포함하지 않고,
vii) 상기 화학식 2-12 중의 X21이 C(Ar23)(Ar24)일 경우 Ar21 및 Ar22는 치환 또는 비치환된 C1-C60헤테로아릴기를 포함하지 않고,
R11 내지 R13, R21 내지 R24 및 R31 내지 R34는 서로 독립적으로, 중수소, -F, -Cl, -Br, -I, 히드록실기, 시아노기, 니트로기, 아미노기, 아미디노기, 히드라진기, 히드라존기, 카르복실산기 또는 이의 염, 술폰산기 또는 이의 염, 인산기 또는 이의 염, 치환 또는 비치환된 C1-C60알킬기, 치환 또는 비치환된 C2-C60알케닐기, 치환 또는 비치환된 C2-C60알키닐기, 치환 또는 비치환된 C1-C60알콕시기, 치환 또는 비치환된 C3-C10시클로알킬기, 치환 또는 비치환된 C1-C10헤테로시클로알킬기, 치환 또는 비치환된 C3-C10시클로알케닐기, 치환 또는 비치환된 C1-C10헤테로시클로알케닐기, 치환 또는 비치환된 C6-C60아릴기, 치환 또는 비치환된 C6-C60아릴옥시기, 치환 또는 비치환된 C6-C60아릴티오기, 치환 또는 비치환된 C1-C60헤테로아릴기, 치환 또는 비치환된 1가 비-방향족 축합다환 그룹, 치환 또는 비치환된 1가 비-방향족 헤테로축합다환 그룹, -Si(Q11)(Q12)(Q13), -N(Q14)(Q15) 및 -B(Q16)(Q17) 중에서 선택되되,
R11 및 R13는 퀴놀리닐기, 이소퀴놀리닐기 또는 퀴나졸리닐기를 포함하지 않고,
b11 내지 b13, b21, b24 및 b31 내지 b34는 서로 독립적으로, 0 내지 8의 정수 중에서 선택되고,
b22 및 b23은 서로 독립적으로 0 내지 3의 정수 중에서 선택되고,
c1 내지 c4는 서로 독립적으로, 1 내지 3의 정수 중에서 선택되고,
상기 치환된 C3-C10시클로알킬렌기, 치환된 C1-C10헤테로시클로알킬렌기, 치환된 C3-C10시클로알케닐렌기, 치환된 C1-C10헤테로시클로알케닐렌기, 치환된 C6-C60아릴렌기, 치환된 C1-C60헤테로아릴렌기, 치환된 2가 비-방향족 축합다환 그룹, 치환된 2가 비-방향족 헤테로축합다환 그룹, 치환된 C1-C60알킬기, 치환된 C2-C60알케닐기, 치환된 C2-C60알키닐기, 치환된 C1-C60알콕시기, 치환된 C3-C10시클로알킬기, 치환된 C1-C10헤테로시클로알킬기, 치환된 C3-C10시클로알케닐기, 치환된 C1-C10헤테로시클로알케닐기, 치환된 C6-C60아릴기, 치환된 C6-C60아릴옥시기, 치환된 C6-C60아릴티오기, 치환된 C1-C60헤테로아릴기, 치환된 1가 비-방향족 축합다환 그룹 및 치환된 1가 비-방향족 헤테로축합다환 그룹의 치환기 중 적어도 하나는,
중수소, -F, -Cl, -Br, -I, 히드록실기, 시아노기, 니트로기, 아미노기, 아미디노기, 히드라진기, 히드라존기, 카르복실산기 또는 이의 염, 술폰산기 또는 이의 염, 인산기 또는 이의 염, C1-C60알킬기, C2-C60알케닐기, C2-C60알키닐기 및 C1-C60알콕시기;
중수소, -F, -Cl, -Br, -I, 히드록실기, 시아노기, 니트로기, 아미노기, 아미디노기, 히드라진기, 히드라존기, 카르복실산기 또는 이의 염, 술폰산기 또는 이의 염, 인산기 또는 이의 염, C3-C10시클로알킬기, C1-C10헤테로시클로알킬기, C3-C10시클로알케닐기, C1-C10헤테로시클로알케닐기, C6-C60아릴기, C6-C60아릴옥시기(aryloxy), C6-C60아릴티오기(arylthio), C1-C60헤테로아릴기, 1가 비-방향족 축합다환 그룹, 1가 비-방향족 헤테로축합다환 그룹, 비페닐기, 터페닐기, -Si(Q21)(Q22)(Q23), -N(Q24)(Q25) 및 -B(Q26)(Q27) 중에서 선택된 적어도 하나로 치환된, C1-C60알킬기, C2-C60알케닐기, C2-C60알키닐기 및 C1-C60알콕시기;
C3-C10시클로알킬기, C1-C10헤테로시클로알킬기, C3-C10시클로알케닐기, C1-C10헤테로시클로알케닐기, C6-C60아릴기, C6-C60아릴옥시기, C6-C60아릴티오기, C1-C60헤테로아릴기, 1가 비-방향족 축합다환 그룹, 1가 비-방향족 헤테로축합다환 그룹, 비페닐기 및 터페닐기;
중수소, -F, -Cl, -Br, -I, 히드록실기, 시아노기, 니트로기, 아미노기, 아미디노기, 히드라진기, 히드라존기, 카르복실산기 또는 이의 염, 술폰산기 또는 이의 염, 인산기 또는 이의 염, C1-C60알킬기, C2-C60알케닐기, C2-C60알키닐기, C1-C60알콕시기, C3-C10시클로알킬기, C1-C10헤테로시클로알킬기, C3-C10시클로알케닐기, C1-C10헤테로시클로알케닐기, C6-C60아릴기, C6-C60아릴옥시기, C6-C60아릴티오기, C1-C60헤테로아릴기, 1가 비-방향족 축합다환 그룹, 1가 비-방향족 헤테로축합다환 그룹, 비페닐기, 터페닐기, -Si(Q31)(Q32)(Q33), -N(Q34)(Q35) 및 -B(Q36)(Q37) 중에서 선택된 적어도 하나로 치환된, C3-C10시클로알킬기, C1-C10헤테로시클로알킬기, C3-C10시클로알케닐기, C1-C10헤테로시클로알케닐기, C6-C60아릴기, C6-C60아릴옥시기, C6-C60아릴티오기, C1-C60헤테로아릴기, 1가 비-방향족 축합다환 그룹, 1가 비-방향족 헤테로축합다환 그룹, 비페닐기 및 터페닐기; 및
-Si(Q41)(Q42)(Q43), -N(Q44)(Q45) 및 -B(Q46)(Q47); 중에서 선택되고,
상기 Q1 내지 Q7, Q11 내지 Q17, Q21 내지 Q27, Q31 내지 Q37 및 Q41 내지 Q47은 서로 독립적으로, 수소, 중수소, -F, -Cl, -Br, -I, 히드록실기, 시아노기, 니트로기, 아미노기, 아미디노기, 히드라진기, 히드라존기, 카르복실산기 또는 이의 염, 술폰산기 또는 이의 염, 인산기 또는 이의 염, C1-C60알킬기, C2-C60알케닐기, C2-C60알키닐기, C1-C60알콕시기, C3-C10시클로알킬기, C1-C10헤테로시클로알킬기, C3-C10시클로알케닐기, C1-C10헤테로시클로알케닐기, C6-C60아릴기, C1-C60헤테로아릴기, 1가 비-방향족 축합다환 그룹, 1가 비-방향족 헤테로축합다환 그룹, 비페닐기 및 터페닐기; 및
중수소, -F, -Cl, -Br, -I, 히드록실기, 시아노기, 니트로기, 아미노기, 아미디노기, 히드라진기, 히드라존기, 카르복실산기 또는 이의 염, 술폰산기 또는 이의 염, 인산기 또는 이의 염, C1-C60알킬기, C1-C60알콕시기, 페닐기, 비페닐기, 터페닐기 및 나프틸기 중에서 선택된 적어도 하나로 치환된 C6-C60아릴기, C1-C60헤테로아릴기, 1가 비-방향족 축합다환 그룹 및 1가 비-방향족 헤테로축합다환 그룹; 중에서 선택되고,
상기 Q4 및 Q5는 선택적으로 서로 결합하여 포화 또는 불포화 고리를 형성한다. - 제1항에 있어서,
A11 내지 A13, A21 내지 A24 및 A31 내지 A34는 서로 독립적으로, 벤젠, 나프탈렌, 페난트렌, 안트라센, 피리딘, 피리미딘, 퀴놀린, 이소퀴놀린, 나프티리딘, 퀴녹살린, 프탈라진, 퀴나졸린 및 시놀린 중에서 선택되는, 유기 발광 소자. - 제1항에 있어서,
X11은 N[(L11)a11-Ar11]이고, X12는 N[(L12)a12-Ar12]이거나;
X11은 N[(L11)a11-Ar11]이고, X12는 C(Ar14)(Ar16) 이거나;
X11은 N[(L11)a11-Ar11]이고, X12는 O이거나;
X11은 N[(L11)a11-Ar11]이고, X12는 S인, 유기 발광 소자. - 제1항에 있어서,
L11, L12 및 L21 내지 L26은 서로 독립적으로,
페닐렌기(phenylene), 펜탈레닐렌기(pentalenylene), 인데닐렌기(indenylene), 나프틸렌기(naphthylene), 아줄레닐렌기(azulenylene), 헵탈레닐렌기(heptalenylene), 인다세닐렌기(indacenylene), 아세나프틸렌기(acenaphthylene), 플루오레닐렌기(fluorenylene), 스파이로-플루오레닐렌기, 벤조플루오레닐렌기, 디벤조플루오레닐렌기, 페날레닐렌기(phenalenylene), 페난트레닐렌기(phenanthrenylene), 안트라세닐렌기(anthracenylene), 플루오란테닐렌기(fluoranthenylene), 트리페닐레닐렌기(triphenylenylene), 파이레닐렌기(pyrenylene), 크라이세닐렌기(chrysenylene), 나프타세닐렌기(naphthacenylene), 피세닐렌기(picenylene), 페릴레닐렌기(perylenylene), 펜타페닐렌기(pentaphenylene), 헥사세닐렌기(hexacenylene), 펜타세닐렌기(pentacenylene), 루비세닐렌기(rubicenylene), 코로네닐기렌기(coronenylene), 오발레닐기렌기(ovalenylene), 피롤일렌기(pyrrolylene), 티오페닐렌기(thiophenylene), 퓨라닐렌기(furanylene), 이미다졸일렌기(imidazolylene), 피라졸일렌기(pyrazolylene), 티아졸일렌기(thiazolylene), 이소티아졸일렌기(isothiazolylene), 옥사졸일렌기(oxazolylene), 이속사졸일렌기(isooxazolylene), 피리디닐렌기(pyridinylene), 피라지닐렌기(pyrazinylene), 피리미디닐렌기(pyrimidinylene), 피리다지닐렌기(pyridazinylene), 이소인돌일렌기(isoindolylene), 인돌일렌기(indolylene), 인다졸일렌기(indazolylene), 푸리닐렌기(purinylene), 퀴놀리닐렌기(quinolinylene), 이소퀴놀리닐렌기(isoquinolinylene), 벤조퀴놀리닐렌기(benzoquinolinylene), 프탈라지닐렌기(phthalazinylene), 나프티리디닐렌기(naphthyridinylene), 퀴녹살리닐렌기(quinoxalinylene), 퀴나졸리닐렌기(quinazolinylene), 시놀리닐렌기(cinnolinylene), 카바졸일렌기(carbazolylene), 페난트리디닐렌기(phenanthridinylene), 아크리디닐렌기(acridinylene), 페난트롤리닐렌기(phenanthrolinylene), 페나지닐렌기(phenazinylene), 벤조이미다졸일렌기(benzoimidazolylene), 벤조퓨라닐렌기(benzofuranylene), 벤조티오페닐렌기(benzothiophenylene), 이소벤조티아졸일렌기(isobenzothiazolylene), 벤조옥사졸일렌기(benzooxazolylene), 이소벤조옥사졸일렌기(isobenzooxazolylene), 트리아졸일렌기(triazolylene), 테트라졸일렌기(tetrazolylene), 옥사디아졸일렌기(oxadiazolylene), 트리아지닐렌기(triazinylene), 디벤조퓨라닐렌기(dibenzofuranylene), 디벤조티오페닐렌기(dibenzothiophenylene), 벤조카바졸일렌기, 디벤조카바졸일렌기, 티아디아졸일렌기, 이미다조피리디닐렌기 및 이미다조피리미디닐렌기; 및
중수소, -F, -Cl, -Br, -I, 히드록실기, 시아노기, 니트로기, 아미노기, 아미디노기, 히드라진기, 히드라존기, 카르복실산기 또는 이의 염, 술폰산기 또는 이의 염, 인산기 또는 이의 염, C1-C20알킬기, C1-C20알콕시기, 시클로펜틸기, 시클로헥실기, 시클로헵틸기, 시클로펜테닐기, 시클로헥세닐기, 페닐기, 비페닐기, 터페닐기, 펜탈레닐기, 인데닐기, 나프틸기, 아줄레닐기, 헵탈레닐기, 인다세닐기, 아세나프틸기, 플루오레닐기, 스파이로-비플루오레닐기, 벤조플루오레닐기, 디벤조플루오레닐기, 페날레닐기, 페난트레닐기, 안트라세닐기, 플루오란테닐기, 트리페닐기레닐기, 파이레닐기, 크라이세닐기, 나프타세닐기, 피세닐기, 페릴기레닐기, 펜타페닐기, 헥사세닐기, 펜타세닐기, 루비세닐기, 코로네닐기, 오발레닐기, 피롤일기, 티오페닐기, 퓨라닐기, 이미다졸일기, 피라졸일기, 티아졸일기, 이소티아졸일기, 옥사졸일기, 이속사졸일기, 피리디닐기, 피라지닐기, 피리미디닐기, 피리다지닐기, 이소인돌일기, 인돌일기, 인다졸일기, 푸리닐기, 퀴놀리닐기, 이소퀴놀리닐기, 벤조퀴놀리닐기, 프탈라지닐기, 나프티리디닐기, 퀴녹살리닐기, 퀴나졸리닐기, 시놀리닐기, 카바졸일기, 페난트리디닐기, 아크리디닐기, 페난트롤리닐기, 페나지닐기, 벤조이미다졸일기, 벤조퓨라닐기, 벤조티오페닐기, 이소벤조티아졸일기, 벤조옥사졸일기, 이소벤조옥사졸일기, 트리아졸일기, 테트라졸일기, 옥사디아졸일기, 트리아지닐기, 디벤조퓨라닐기, 디벤조티오페닐기, 벤조카바졸일기, 디벤조카바졸일기, 티아디아졸일기, 이미다조피리디닐기 및 이미다조피리미디닐기 중에서 선택된 적어도 하나로 치환된, 페닐렌기, 펜탈레닐렌기, 인데닐렌기, 나프틸렌기, 아줄레닐렌기, 헵탈레닐렌기, 인다세닐렌기, 아세나프틸렌기, 플루오레닐렌기, 스파이로-비플루오레닐렌기, 벤조플루오레닐렌기, 디벤조플루오레닐렌기, 페날레닐렌기, 페난트레닐렌기, 안트라세닐렌기, 플루오란테닐렌기, 트리페닐레닐렌기, 파이레닐렌기, 크라이세닐렌기, 나프타세닐렌기, 피세닐렌기, 페릴레닐렌기, 펜타페닐렌기, 헥사세닐렌기, 펜타세닐렌기, 루비세닐렌기, 코로네닐렌기, 오발레닐렌기, 피롤일렌기, 티오페닐렌기, 퓨라닐렌기, 이미다졸일렌기, 피라졸일렌기, 티아졸일렌기, 이소티아졸일렌기, 옥사졸일렌기, 이속사졸일렌기, 피리디닐렌기, 피라지닐렌기, 피리미디닐렌기, 피리다지닐렌기, 이소인돌일렌기, 인돌일렌기, 인다졸일렌기, 푸리닐렌기, 퀴놀리닐렌기, 이소퀴놀리닐렌기, 벤조퀴놀리닐렌기, 프탈라지닐렌기, 나프티리디닐렌기, 퀴녹살리닐렌기, 퀴나졸리닐렌기, 시놀리닐렌기, 카바졸일렌기, 페난트리디닐렌기, 아크리디닐렌기, 페난트롤리닐렌기, 페나지닐렌기, 벤조이미다졸일렌기, 벤조퓨라닐렌기, 벤조티오페닐렌기, 이소벤조티아졸일렌기, 벤조옥사졸일렌기, 이소벤조옥사졸일렌기, 트리아졸일렌기, 테트라졸일렌기, 옥사디아졸일렌기, 트리아지닐렌기, 디벤조퓨라닐렌기, 디벤조티오페닐렌기, 벤조카바졸일렌기, 디벤조카바졸일렌기, 티아디아졸일렌기, 이미다조피리디닐렌기 및 이미다조피리미디닐렌기; 중에서 선택되고,
L31 내지 L35는 서로 독립적으로,
페닐렌기, 펜탈레닐렌기, 인데닐렌기, 나프틸렌기, 아줄레닐렌기, 헵탈레닐렌기, 인다세닐렌기, 아세나프틸렌기, 플루오레닐렌기, 스파이로-비플루오레닐렌기, 벤조플루오레닐렌기, 디벤조플루오레닐렌기, 페날레닐렌기, 페난트레닐렌기, 안트라세닐렌기, 플루오란테닐렌기, 트리페닐레닐렌기, 파이레닐렌기, 크라이세닐렌기, 나프타세닐렌기, 피세닐렌기, 페릴레닐렌기, 펜타페닐렌기, 헥사세닐렌기, 펜타세닐렌기, 루비세닐렌기, 코로네닐기렌기, 오발레닐기렌기, 피롤일렌기, 티오페닐렌기, 퓨라닐렌기, 카바졸일렌기, 벤조퓨라닐렌기, 벤조티오페닐렌기, 디벤조퓨라닐렌기, 디벤조티오페닐렌기, 벤조카바졸일렌기 및 디벤조카바졸일렌기;
중수소, -F, -Cl, -Br, -I, 히드록실기, 시아노기, 니트로기, 아미노기, 아미디노기, 히드라진기, 히드라존기, 카르복실산기 또는 이의 염, 술폰산기 또는 이의 염, 인산기 또는 이의 염, C1-C20알킬기, C1-C20알콕시기, 시클로펜틸기, 시클로헥실기, 시클로헵틸기, 시클로펜테닐기, 시클로헥세닐기, 페닐기, 비페닐기, 터페닐기, 나프틸기, 아줄레닐기, 헵탈레닐기, 인다세닐기, 아세나프틸기, 플루오레닐기, 스파이로-비플루오레닐기, 벤조플루오레닐기, 디벤조플루오레닐기, 페날레닐기, 페난트레닐기, 안트라세닐기, 플루오란테닐기, 트리페닐기레닐기, 파이레닐기, 크라이세닐기, 나프타세닐기, 피세닐기, 페릴기레닐기, 펜타페닐기, 헥사세닐기, 펜타세닐기, 루비세닐기, 코로네닐기, 오발레닐기, 티오페닐기, 퓨라닐기, 카바졸일기, 벤조퓨라닐기, 벤조티오페닐기, 디벤조퓨라닐기, 디벤조티오페닐기, 벤조카바졸일기 및 디벤조카바졸일기 중에서 선택된 적어도 하나로 치환된, 페닐렌기, 펜탈레닐렌기, 인데닐렌기, 나프틸렌기, 아줄레닐렌기, 헵탈레닐렌기, 인다세닐렌기, 아세나프틸렌기, 플루오레닐렌기, 스파이로-비플루오레닐렌기, 벤조플루오레닐렌기, 디벤조플루오레닐렌기, 페날레닐렌기, 페난트레닐렌기, 안트라세닐렌기, 플루오란테닐렌기, 트리페닐레닐렌기, 파이레닐렌기, 크라이세닐렌기, 나프타세닐렌기, 피세닐렌기, 페릴레닐렌기, 펜타페닐렌기, 헥사세닐렌기, 펜타세닐렌기, 루비세닐렌기, 코로네닐렌기, 오발레닐렌기, 피롤일렌기, 티오페닐렌기, 퓨라닐렌기, 카바졸일렌기, 벤조퓨라닐렌기, 벤조티오페닐렌기, 디벤조퓨라닐렌기, 디벤조티오페닐렌기, 벤조카바졸일렌기 및 디벤조카바졸일렌기; 및
적어도 하나의 -N(Q44)(Q45)로 치환된 페닐렌기; 중에서 선택되고,
상기 Q44 및 Q45는 제1항에 기재된 바와 동일한, 유기 발광 소자. - 제1항에 있어서,
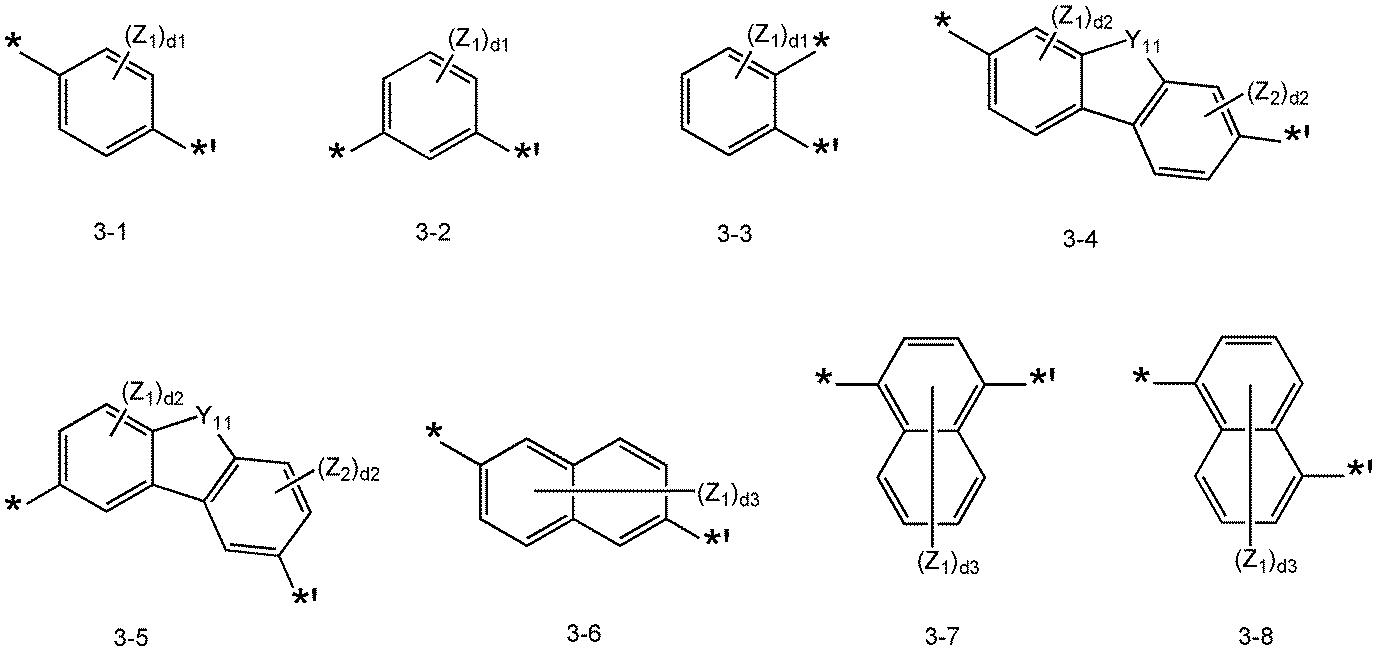
L11, L12 및 L21 내지 L26은 서로 독립적으로, 하기 화학식 3-1 내지 3-34로 표시되는 그룹 중에서 선택되고,
L31 내지 L35는 서로 독립적으로, 하기 화학식 3-1 내지 3-10, 3-26 내지 3-28, 3-32 및 3-33으로 표시되는 그룹 중에서 선택되는, 유기 발광 소자:
상기 화학식 3-1 내지 3-34 중,
Y11은 O, S, S(=O), S(=O)2, C(Z3)(Z4), N(Z5) 및 Si(Z6)(Z7) 중에서 선택되고,
Z1 내지 Z7은 서로 독립적으로, 수소, 중수소, -F, -Cl, -Br, -I, 히드록실기, 시아노기, 니트로기, 아미노기, 아미디노기, 히드라진기, 히드라존기, 카르복실산 또는 이의 염, 술폰산 또는 이의 염, 인산 또는 이의 염, C1-C20알킬기, C2-C20알케닐기, C2-C20알키닐기, C1-C20알콕시기, 페닐기, 비페닐기, 터페닐기, 나프틸기, 안트라세닐기, 파이레닐기, 페난트레닐기, 플루오레닐기, 카바졸일기, 벤조카바졸일기, 디벤조카바졸일기 및 -N(Q44)(Q45) 중에서 선택되고,
d1은 1 내지 4의 정수이고, d2는 1 내지 3의 정수이고, d3는 1 내지 6의 정수이고, d4는 1 내지 8의 정수이고, d5는 1 또는 2이고, d6는 1 내지 5의 정수이고, * 및 *'는 이웃한 원자와의 결합 사이트이다. - 제1항에 있어서,
Ar11 내지 Ar16 및 Ar21 내지 Ar29는 서로 독립적으로,
C1-C20알킬기 및 C1-C20알콕시기;
페닐기(phenyl), 비페닐기(biphenyl), 터페닐기(terphenyl), 펜탈레닐기(pentalenyl), 인데닐기(indenyl), 나프틸기(naphthyl), 아줄레닐기(azulenyl), 헵탈레닐기(heptalenyl), 인다세닐기(indacenyl), 아세나프틸기(acenaphthyl), 플루오레닐기(fluorenyl), 스파이로-비플루오레닐기, 벤조플루오레닐기, 디벤조플루오레닐기, 페날레닐기(phenalenyl), 페난트레닐기(phenanthrenyl), 안트라세닐기(anthracenyl), 플루오란테닐기(fluoranthenyl), 트리페닐레닐기(triphenylenyl), 파이레닐기(pyrenyl), 크라이세닐기(chrysenyl), 나프타세닐기(naphthacenyl), 피세닐기(picenyl), 페릴레닐기(perylenyl), 펜타페닐기(pentaphenyl), 헥사세닐기(hexacenyl), 펜타세닐기(pentacenyl), 루비세닐기(rubicenyl), 코로네닐기(coronenyl), 오발레닐기(ovalenyl), 피롤일기(pyrrolyl), 티오페닐기(thiophenyl), 퓨라닐기(furanyl), 이미다졸일기(imidazolyl), 피라졸일기(pyrazolyl), 티아졸일기(thiazolyl), 이소티아졸일기(isothiazolyl), 옥사졸일기(oxazolyl), 이속사졸일기(isooxazolyl), 피리디닐기(pyridinyl), 피라지닐기(pyrazinyl), 피리미디닐기(pyrimidinyl), 피리다지닐기(pyridazinyl), 이소인돌일기(isoindolyl), 인돌일기(indolyl), 인다졸일기(indazolyl), 푸리닐기(purinyl), 벤조퀴놀리닐기(benzoquinolinyl), 프탈라지닐기(phthalazinyl), 나프티리디닐기(naphthyridinyl), 퀴녹살리닐기(quinoxalinyl), 시놀리닐기(cinnolinyl), 카바졸일기(carbazolyl), 페난트리디닐기(phenanthridinyl), 아크리디닐기(acridinyl), 페난트롤리닐기(phenanthrolinyl), 페나지닐기(phenazinyl), 벤조이미다졸일기(benzoimidazolyl), 벤조퓨라닐기(benzofuranyl), 벤조티오페닐기(benzothiophenyl), 이소벤조티아졸일기(isobenzothiazolyl), 벤조옥사졸일기(benzooxazolyl), 이소벤조옥사졸일기(isobenzooxazolyl), 트리아졸일기(triazolyl), 테트라졸일기(tetrazolyl), 옥사디아졸일기(oxadiazolyl), 트리아지닐기(triazinyl), 디벤조퓨라닐기(dibenzofuranyl), 디벤조티오페닐기(dibenzothiophenyl), 벤조카바졸일기, 디벤조카바졸일기, 디벤조실롤일기, 티아디아졸일기, 이미다조피리디닐기, 이미다조피리미디닐기, -Si(Q1)(Q2)(Q3) 및 -N(Q4)(Q5); 및
중수소, -F, -Cl, -Br, -I, 히드록실기, 시아노기, 니트로기, 아미노기, 아미디노기, 히드라진기, 히드라존기, 카르복실산기 또는 이의 염, 술폰산기 또는 이의 염, 인산기 또는 이의 염, C1-C20알킬기, C1-C20알콕시기, 시클로펜틸기, 시클로헥실기, 시클로헵틸기, 시클로펜테닐기, 시클로헥세닐기, 페닐기, 비페닐기, 터페닐기, 펜탈레닐기, 인데닐기, 나프틸기, 아줄레닐기, 헵탈레닐기, 인다세닐기, 아세나프틸기, 플루오레닐기, 스파이로-비플루오레닐기, 벤조플루오레닐기, 디벤조플루오레닐기, 페날레닐기, 페난트레닐기, 안트라세닐기, 플루오란테닐기, 트리페닐레닐기, 파이레닐기, 크라이세닐기, 나프타세닐기, 피세닐기, 페릴레닐기, 펜타페닐기, 헥사세닐기, 펜타세닐기, 루비세닐기, 코로네닐기, 오발레닐기, 피롤일기, 티오페닐기, 퓨라닐기, 이미다졸일기, 피라졸일기, 티아졸일기, 이소티아졸일기, 옥사졸일기, 이속사졸일기, 피리디닐기, 피라지닐기, 피리미디닐기, 피리다지닐기, 이소인돌일기, 인돌일기, 인다졸일기, 푸리닐기, 벤조퀴놀리닐기, 프탈라지닐기, 나프티리디닐기, 퀴녹살리닐기, 시놀리닐기, 카바졸일기, 페난트리디닐기, 아크리디닐기, 페난트롤리닐기, 페나지닐기, 벤조이미다졸일기, 벤조퓨라닐기, 벤조티오페닐기, 이소벤조티아졸일기, 벤조옥사졸일기, 이소벤조옥사졸일기, 트리아졸일기, 테트라졸일기, 옥사디아졸일기, 트리아지닐기, 디벤조퓨라닐기, 디벤조티오페닐기, 벤조카바졸일기, 디벤조카바졸일기, 티아디아졸일기, 이미다조피리디닐기, 이미다조피리미디닐기, 디벤조실롤일기, -Si(Q41)(Q42)(Q43) 및 -N(Q44)(Q45) 중에서 선택된 적어도 하나로 치환된, 페닐기, 비페닐기, 터페닐기, 펜탈레닐기, 인데닐기, 나프틸기, 아줄레닐기, 헵탈레닐기, 인다세닐기, 아세나프틸기, 플루오레닐기, 스파이로-비플루오레닐기, 벤조플루오레닐기, 디벤조플루오레닐기, 페날레닐기, 페난트레닐기, 안트라세닐기, 플루오란테닐기, 트리페닐레닐기, 파이레닐기, 크라이세닐기, 나프타세닐기, 피세닐기, 페릴레닐기, 펜타페닐기, 헥사세닐기, 펜타세닐기, 루비세닐기, 코로네닐기, 오발레닐기, 피롤일기, 티오페닐기, 퓨라닐기, 이미다졸일기, 피라졸일기, 티아졸일기, 이소티아졸일기, 옥사졸일기, 이속사졸일기, 피리디닐기, 피라지닐기, 피리미디닐기, 피리다지닐기, 이소인돌일기, 인돌일기, 인다졸일기, 푸리닐기, 벤조퀴놀리닐기, 프탈라지닐기, 나프티리디닐기, 퀴녹살리닐기, 시놀리닐기, 카바졸일기, 페난트리디닐기, 아크리디닐기, 페난트롤리닐기, 페나지닐기, 벤조이미다졸일기, 벤조퓨라닐기, 벤조티오기페닐기, 이소벤조티아졸일기, 벤조옥사졸일기, 이소벤조옥사졸일기, 트리아졸일기, 테트라졸일기, 옥사디아졸일기, 트리아지닐기, 디벤조퓨라닐기, 디벤조티오페닐기, 벤조카바졸일기, 디벤조카바졸일기, 디벤조실롤일기, 티아디아졸일기, 이미다조피리디닐기 및 이미다조피리미디닐기; 중에서 선택되고,
Ar31 내지 Ar35는 서로 독립적으로,
C1-C20알킬기 및 C1-C20알콕시기;
페닐기, 비페닐기, 터페닐기, 펜탈레닐기, 인데닐기, 나프틸기, 아줄레닐기, 헵탈레닐기, 인다세닐기, 아세나프틸기, 플루오레닐기, 스파이로-비플루오레닐기, 벤조플루오레닐기, 디벤조플루오레닐기, 페날레닐기, 페난트레닐기, 안트라세닐기, 플루오란테닐기, 트리페닐레닐기, 파이레닐기, 크라이세닐기, 나프타세닐기, 피세닐기, 페릴레닐기, 펜타페닐기, 헥사세닐기, 펜타세닐기, 루비세닐기, 코로네닐기, 오발레닐기, 티오페닐기, 퓨라닐기, 카바졸일기, 디벤조퓨라닐기, 디벤조티오페닐기, 벤조카바졸일기, 디벤조카바졸일기, 디벤조실롤일기 및 -Si(Q1)(Q2)(Q3); 및
중수소, -F, -Cl, -Br, -I, 히드록실기, 니트로기, 아미노기, 아미디노기, 히드라진기, 히드라존기, 카르복실산기 또는 이의 염, 술폰산기 또는 이의 염, 인산기 또는 이의 염, C1-C20알킬기, C1-C20알콕시기, 페닐기, 비페닐기, 터페닐기, 펜탈레닐기, 인데닐기, 나프틸기, 아줄레닐기, 헵탈레닐기, 인다세닐기, 아세나프틸기, 플루오레닐기, 스파이로-비플루오레닐기, 벤조플루오레닐기, 디벤조플루오레닐기, 페날레닐기, 페난트레닐기, 안트라세닐기, 플루오란테닐기, 트리페닐레닐기, 파이레닐기, 크라이세닐기, 나프타세닐기, 피세닐기, 페릴레닐기, 펜타페닐기, 헥사세닐기, 펜타세닐기, 루비세닐기, 코로네닐기, 오발레닐기, 티오페닐기, 퓨라닐기, 카바졸일기, 벤조퓨라닐기, 벤조티오페닐기, 디벤조퓨라닐기, 디벤조티오페닐기, 벤조카바졸일기, 디벤조카바졸일기, 디벤조실롤일기, -Si(Q41)(Q42)(Q43) 및 -N(Q44)(Q45) 중에서 선택된 적어도 하나로 치환된, 페닐기, 비페닐기, 터페닐기, 펜탈레닐기, 인데닐기, 나프틸기, 아줄레닐기, 헵탈레닐기, 인다세닐기, 아세나프틸기, 플루오레닐기, 스파이로-비플루오레닐기, 벤조플루오레닐기, 디벤조플루오레닐기, 페날레닐기, 페난트레닐기, 안트라세닐기, 플루오란테닐기, 트리페닐레닐기, 파이레닐기, 크라이세닐기, 나프타세닐기, 피세닐기, 페릴레닐기, 펜타페닐기, 헥사세닐기, 펜타세닐기, 루비세닐기, 코로네닐기, 오발레닐기, 티오페닐기, 퓨라닐기, 카바졸일기, 벤조퓨라닐기, 벤조티오페닐기, 디벤조퓨라닐기, 디벤조티오페닐기, 벤조카바졸일기, 디벤조카바졸일기 및 디벤조실롤일기; 중에서 선택되고,
상기 Q1 내지 Q5 및 Q41 내지 Q45는 서로 독립적으로,
C1-C10알킬기 및 C1-C10알콕시기;
페닐기, 비페닐기, 터페닐기, 나프틸기, 플루오레닐기, 스파이로-비플루오레닐기, 벤조플루오레닐기, 디벤조플루오레닐기, 페난트레닐기, 안트라세닐기, 트리페닐레닐기, 파이레닐기, 크라이세닐기, 카바졸일기, 벤조퓨라닐기, 벤조티오페닐기, 디벤조퓨라닐기, 디벤조티오페닐기, 벤조카바졸일기, 디벤조카바졸일기 및 디벤조실롤일기; 및
중수소, -F, -Cl, -Br, -I, 히드록실기, 니트로기, 아미노기, 아미디노기, 히드라진기, 히드라존기, 카르복실산기 또는 이의 염, 술폰산기 또는 이의 염, 인산기 또는 이의 염, C1-C20알킬기, C1-C20알콕시기, 페닐기, 비페닐기, 터페닐기 및 나프틸기 중에서 선택된 적어도 하나로 치환된, 페닐기, 비페닐기, 터페닐기, 나프틸기, 플루오레닐기, 스파이로-비플루오레닐기, 벤조플루오레닐기, 디벤조플루오레닐기, 페난트레닐기, 안트라세닐기, 트리페닐레닐기, 파이레닐기, 크라이세닐기, 카바졸일기, 벤조퓨라닐기, 벤조티오페닐기, 디벤조퓨라닐기, 디벤조티오페닐기, 벤조카바졸일기, 디벤조카바졸일기 및 디벤조실롤일기; 중에서 선택되는, 유기 발광 소자. - 제1항에 있어서,
Ar11 및 Ar12는 서로 독립적으로,
C1-C10알킬기 및 C1-C10알콕시기;
-Si(Q1)(Q2)(Q3) 및 -N(Q4)(Q5); 및
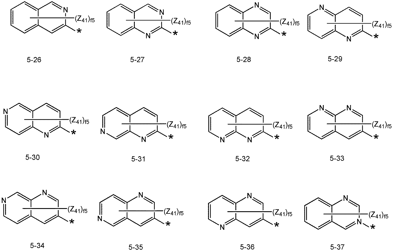
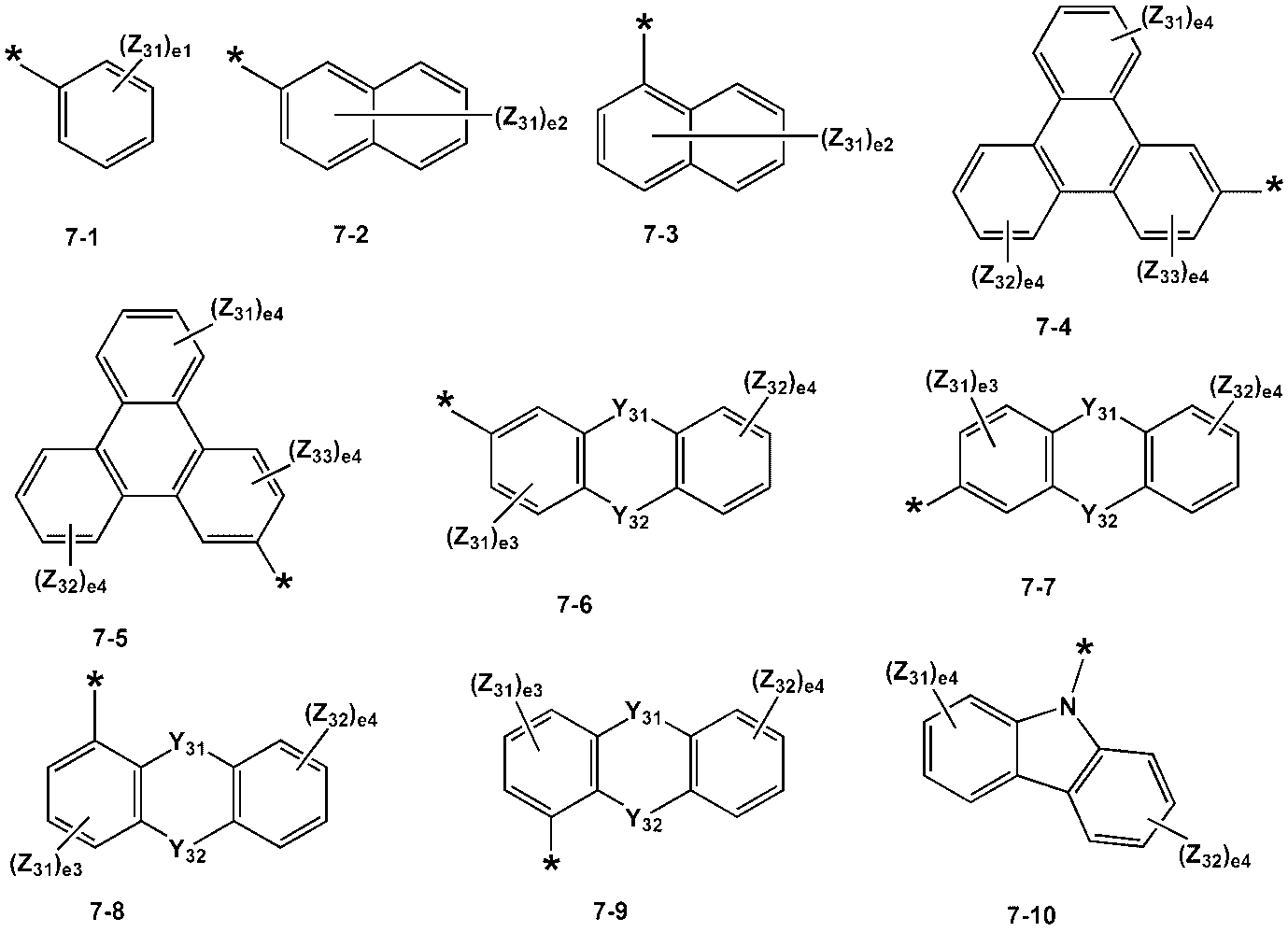
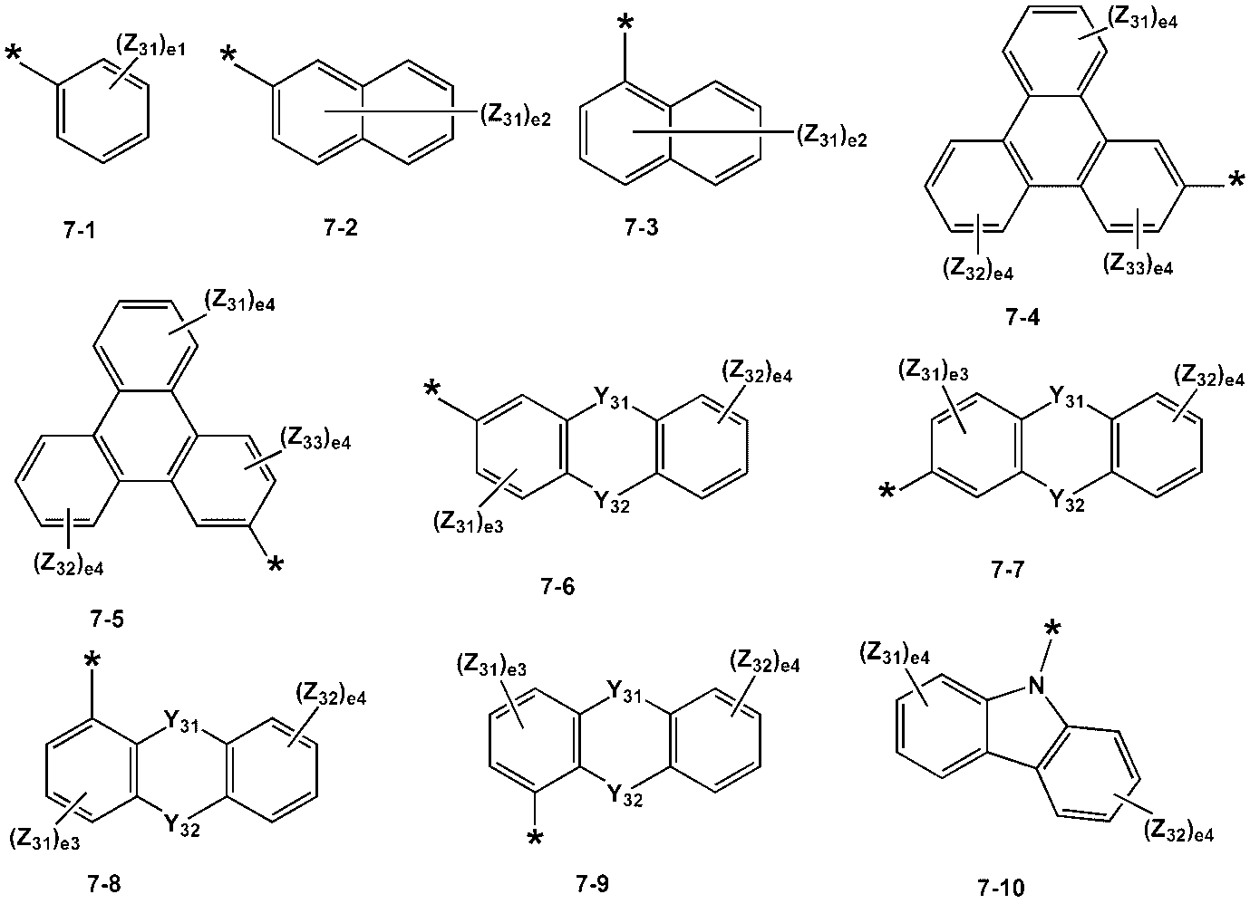
하기 화학식 5-1 내지 5-24, 5-28 내지 5-49 및 7-1 내지 7-10으로 표시되는 그룹; 중에서 선택되고,
Ar13 내지 Ar16 및 Ar21 내지 Ar29은 서로 독립적으로,
C1-C10알킬기 및 C1-C10알콕시기;
-Si(Q1)(Q2)(Q3) 및 -N(Q4)(Q5); 및
하기 화학식 5-1 내지 5-49 및 7-1 내지 7-10으로 표시되는 그룹; 중에서 선택되되,
화학식 2-11 및 화학식 2-12 중의 Ar21 및 Ar22는 서로 독립적으로,
하기 화학식 5-1 내지 5-8로 표시되는 그룹; 을 포함하지 않고,
Ar31 내지 Ar35는 서로 독립적으로,
C1-C10알킬기 및 C1-C10알콕시기;
-Si(Q1)(Q2)(Q3); 및
하기 화학식 7-1 내지 7-10으로 표시되는 그룹; 중에서 선택되는, 유기 발광 소자:
상기 화학식 5-1 내지 5-29 중, Z41 내지 Z43은 서로 독립적으로, 수소, 중수소, -F, -Cl, -Br, -I, 히드록실기, 시아노기, 니트로기, 아미노기, 아미디노기, 히드라진기, 히드라존기, 카르복실산 또는 이의 염, 술폰산 또는 이의 염, 인산 또는 이의 염, C1-C20알킬기, C1-C20알콕시기, -Si(Q41)(Q42)(Q43) 및 -N(Q44)(Q45); 및
페닐기, 비페닐기, 터페닐기, 나프틸기, 플루오레닐기, 스파이로-플루오레닐기, 벤조플루오레닐기, 디벤조플루오레닐기, 페난트레닐기, 안트라세닐기, 트리페닐레닐기, 파이레닐기, 크라이세닐기, 피롤일기, 티오페닐기, 퓨라닐기, 이미다졸일기, 피라졸일기, 티아졸일기, 이소티아졸일기, 옥사졸일기, 이속사졸일기, 피리디닐기, 피라지닐기, 피리미디닐기, 피리다지닐기, 퀴놀리닐기, 이소퀴놀리닐기, 벤조퀴놀리닐기, 퀴녹살리닐기, 퀴나졸리닐기, 카바졸일기, 벤조이미다졸일기, 벤조퓨라닐기, 벤조티오페닐기, 이소벤조티아졸일기, 벤조옥사졸일기, 이소벤조옥사졸일기, 옥사디아졸일기, 트리아지닐기, 디벤조퓨라닐기, 디벤조티오페닐기, 이미다조피리디닐기 및 이미다조피리미디닐기; 중에서 선택되고,
f1은 1 내지 4의 정수이고, f2는 1 내지 3의 정수이고, f3는 1 또는 2이고, f4는 1 내지 6의 정수이고, f5는 1 내지 5의 정수이고,
상기 화학식 7-1 내지 7-10 중,
Y31 및 Y32는 서로 독립적으로, 단일결합, O, S, C(Z34)(Z35), N(Z36) 및 Si(Z37)(Z38) 중에서 선택되되, Y31 및 Y32가 동시에 단일결합인 경우는 제외되고;
Z31 내지 Z38은 서로 독립적으로, 수소, 중수소, -F, -Cl, -Br, -I, 히드록실기, 시아노기, 니트로기, 아미노기, 아미디노기, 히드라진기, 히드라존기, 카르복실산 또는 이의 염, 술폰산 또는 이의 염, 인산 또는 이의 염, C1-C10알킬기, C1-C10알콕시기, -Si(Q41)(Q42)(Q43) 및 -N(Q44)(Q45); 및
페닐기, 비페닐기, 터페닐기, 나프틸기, 플루오레닐기, 스파이로-플루오레닐기, 벤조플루오레닐기, 디벤조플루오레닐기, 페난트레닐기, 안트라세닐기, 트리페닐레닐기, 파이레닐기, 크라이세닐기, 카바졸일기, 벤조퓨라닐기, 벤조티오페닐기, 디벤조퓨라닐기 및 디벤조티오페닐기; 중에서 선택되고,
e1은 1 내지 5의 정수 중에서 선택되고, e2는 1 내지 7의 정수 중에서 선택되고, e3는 1 내지 3의 정수 중에서 선택되고, e4는 1 내지 4의 정수 중에서 선택되고, * 및 *'은 이웃한 원자와의 결합 사이트이고,
상기 Q1 내지 Q5 및 Q41 내지 Q45는 서로 독립적으로
C1-C10알킬기 및 C1-C10알콕시기;
페닐기, 비페닐기, 터페닐기, 나프틸기 및 카바졸일기; 및
C1-C10알킬기, C1-C10알콕시기, 페닐기, 비페닐기, 터페닐기 및 나프틸기 중에서 선택된 적어도 하나로 치환된, 페닐기, 비페닐기, 터페닐기, 나프틸기 및 카바졸일기; 중에서 선택된다. - 제1항에 있어서,
R11 내지 R13 및 R21 내지 R24는 서로 독립적으로,
수소, 중수소, -F, -Cl, -Br, -I, 히드록실기, 시아노기, 니트로기, 아미노기, 아미디노기, 히드라진기, 히드라존기, 카르복실산기 또는 이의 염, 술폰산기 또는 이의 염, 인산기 또는 이의 염, C1-C20알킬기 및 C1-C20알콕시기;
페닐기, 비페닐기, 터페닐기, 나프틸기, 플루오레닐기, 스파이로-플루오레닐기, 벤조플루오레닐기, 디벤조플루오레닐기, 페난트레닐기, 안트라세닐기, 파이레닐기, 크라이세닐기, 인돌일기, 피리디닐기, 피라지닐기, 피리미디닐기, 피리다지닐기, 퀴녹살리닐기, 카바졸일기, 트리아지닐기, 디벤조퓨라닐기, 디벤조티오페닐기, 벤조카바졸일기 및 디벤조카바졸일기;
중수소, -F, -Cl, -Br, -I, 히드록실기, 시아노기, 니트로기, 아미노기, 아미디노기, 히드라진기, 히드라존기, 카르복실산기 또는 이의 염, 술폰산기 또는 이의 염, 인산기 또는 이의 염, C1-C20알킬기, C1-C20알콕시기, 페닐기, 비페닐기, 터페닐기 및 나프틸기 중에서 선택된 적어도 하나로 치환된, 페닐기, 나프틸기, 플루오레닐기, 스파이로-플루오레닐기, 벤조플루오레닐기, 디벤조플루오레닐기, 페난트레닐기, 안트라세닐기, 파이레닐기, 크라이세닐기, 인돌일기, 피리디닐기, 피라지닐기, 피리미디닐기, 피리다지닐기, 퀴녹살리닐기, 카바졸일기, 트리아지닐기, 디벤조퓨라닐기, 디벤조티오페닐기, 벤조카바졸일기 및 디벤조카바졸일기; 및
-Si(Q11)(Q12)(Q13) 및 -N(Q14)(Q15); 중에서 선택되고,
R31 내지 R34는 서로 독립적으로,
수소, 중수소, -F, -Cl, -Br, -I, 히드록실기, 시아노기, 니트로기, 아미노기, 아미디노기, 히드라진기, 히드라존기, 카르복실산기 또는 이의 염, 술폰산기 또는 이의 염, 인산기 또는 이의 염, C1-C20알킬기 및 C1-C20알콕시기;
페닐기, 비페닐기, 터페닐기, 플루오레닐기, 페난트레닐기, 안트라세닐기, 트리페닐레닐기, 파이레닐기, 크라이세닐기, 나프타세닐기, 카바졸일기, 벤조퓨라닐기, 벤조티오페닐기, 디벤조퓨라닐기, 디벤조티오페닐기, 벤조카바졸일기, 디벤조카바졸일기 및 디벤조실롤일기; 및
중수소, -F, -Cl, -Br, -I, 히드록실기, 시아노기, 니트로기, 아미노기, 아미디노기, 히드라진기, 히드라존기, 카르복실산기 또는 이의 염, 술폰산기 또는 이의 염, 인산기 또는 이의 염, C1-C10알킬기, C1-C10알콕시기, 페닐기, 비페닐기, 터페닐기 및 나프틸기 중에서 선택된 적어도 하나로 치환된, 페닐기, 비페닐기, 터페닐기, 플루오레닐기, 페난트레닐기, 안트라세닐기, 트리페닐레닐기, 파이레닐기, 크라이세닐기, 나프타세닐기, 카바졸일기, 벤조퓨라닐기, 벤조티오페닐기, 디벤조퓨라닐기, 디벤조티오페닐기, 벤조카바졸일기, 디벤조카바졸일기 및 디벤조실롤일기; 중에서 선택되고,
Q11 내지 Q15는 서로 독립적으로, C1-C10알킬기, C1-C10알콕시기, 페닐기, 비페닐기, 터페닐기 및 나프틸기 중에서 선택되는, 유기 발광 소자. - 삭제
- 삭제
- 제1항에 있어서,
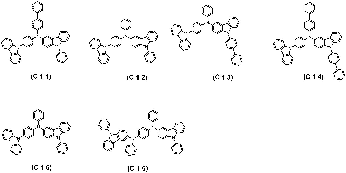
상기 제3화합물은 하기 화학식 3A(1), 3A(2) 및 3B(1) 내지 3B(3) 중 하나로 표시되는, 유기 발광 소자:
<화학식 3A(1)> <화학식 3A(2)>
<화학식 3B(1)> <화학식 3B(2)>
<화학식 3B(3)>
상기 화학식 3A(1), 3A(2) 및 3B(1) 내지 3B(3) 중,
L35, a35, Ar31 내지 Ar35, c5 및 R31 내지 R34는 제1항에 기재된 바와 동일하고,
b31 및 b33은 서로 독립적으로, 0 내지 4의 정수 중에서 선택되고, b32 및 b34는 서로 독립적으로, 0 내지 4의 정수 중에서 선택되고,
Q44 및 Q45는 제1항에 기재된 바를 참조하고,
Z31 내지 Z34는 서로 독립적으로,
수소, 중수소, -F, -Cl, -Br, -I, 히드록실기, 시아노기, 니트로기, 아미노기, 아미디노기, 히드라진기, 히드라존기, 카르복실산기 또는 이의 염, 술폰산기 또는 이의 염, 인산기 또는 이의 염, C1-C10알킬기 및 C1-C10알콕시기;
페닐기, 비페닐기, 터페닐기, 나프틸기, 플루오레닐기, 스파이로-플루오레닐기, 벤조플루오레닐기, 디벤조플루오레닐기, 페날레닐기, 페난트레닐기, 안트라세닐기, 플루오란테닐기, 트리페닐레닐기, 파이레닐기, 크라이세닐기, 나프타세닐기, 피세닐기, 페릴레닐기, 카바졸일기, 벤조퓨라닐기, 벤조티오페닐기, 디벤조퓨라닐기, 디벤조티오페닐기, 벤조카바졸일기, 디벤조카바졸일기 및 디벤조실롤일기; 중에서 선택되고,
e4는 0 내지 4의 정수 중에서 선택된다. - 제1항에 있어서,
상기 발광층은 하기 화학식 401로 표시되는 유기금속 착체를 더 포함한, 유기 발광 소자:
<화학식 401>
상기 화학식 401 중,
M은 이리듐(Ir), 백금(Pt), 오스뮴(Os), 티탄(Ti), 지르코늄(Zr), 하프늄(Hf), 유로퓸(Eu), 테르븀(Tb) 및 톨륨(TM) 중에서 선택되고,
X401 내지 X404는 서로 독립적으로, 질소 또는 탄소이고,
A401 및 A402 고리는 서로 독립적으로, 치환 또는 비치환된 벤젠, 치환 또는 비치환된 나프탈렌, 치환 또는 비치환된 플루오렌, 치환 또는 비치환된 스파이로-플루오렌, 치환 또는 비치환된 인덴, 치환 또는 비치환된 피롤, 치환 또는 비치환된 티오펜, 치환 또는 비치환된 퓨란(furan), 치환 또는 비치환된 이미다졸, 치환 또는 비치환된 피라졸, 치환 또는 비치환된 티아졸, 치환 또는 비치환된 이소티아졸, 치환 또는 비치환된 옥사졸, 치환 또는 비치환된 이속사졸(isooxazole), 치환 또는 비치환된 피리딘, 치환 또는 비치환된 피라진, 치환 또는 비치환된 피리미딘, 치환 또는 비치환된 피리다진, 치환 또는 비치환된 퀴놀린, 치환 또는 비치환된 이소퀴놀린, 치환 또는 비치환된 벤조퀴놀린, 치환 또는 비치환된 퀴녹살린, 치환 또는 비치환된 퀴나졸린, 치환 또는 비치환된 카바졸, 치환 또는 비치환된 벤조이미다졸, 치환 또는 비치환된 벤조퓨란(benzofuran), 치환 또는 비치환된 벤조티오펜, 치환 또는 비치환된 이소벤조티오펜, 치환 또는 비치환된 벤조옥사졸, 치환 또는 비치환된 이소벤조옥사졸, 치환 또는 비치환된 트리아졸, 치환 또는 비치환된 옥사디아졸, 치환 또는 비치환된 트리아진, 치환 또는 비치환된 디벤조퓨란(dibenzofuran), 및 치환 또는 비치환된 디벤조티오펜 중에서 선택되고,
상기 치환된 벤젠, 치환된 나프탈렌, 치환된 플루오렌, 치환된 스파이로-플루오렌, 치환된 인덴, 치환된 피롤, 치환된 티오펜, 치환된 퓨란, 치환된 이미다졸, 치환된 피라졸, 치환된 티아졸, 치환된 이소티아졸, 치환된 옥사졸, 치환된 이속사졸, 치환된 피리딘, 치환된 피라진, 치환된 피리미딘, 치환된 피리다진, 치환된 퀴놀린, 치환된 이소퀴놀린, 치환된 벤조퀴놀린, 치환된 퀴녹살린, 치환된 퀴나졸린, 치환된 카바졸, 치환된 벤조이미다졸, 치환된 벤조퓨란, 치환된 벤조티오펜, 치환된 이소벤조티오펜, 치환된 벤조옥사졸, 치환된 이소벤조옥사졸, 치환된 트리아졸, 치환된 옥사디아졸, 치환된 트리아진, 치환된 디벤조퓨란 및 치환된 디벤조티오펜의 치환기 중 적어도 하나는,
중수소, -F, -Cl, -Br, -I, 히드록실기, 시아노기, 니트로기, 아미노기, 아미디노기, 히드라진기, 히드라존기, 카르복실산기 또는 이의 염, 술폰산기 또는 이의 염, 인산기 또는 이의 염, C1-C60알킬기, C2-C60알케닐기, C2-C60알키닐기 및 C1-C60알콕시기;
중수소, -F, -Cl, -Br, -I, 히드록실기, 시아노기, 니트로기, 아미노기, 아미디노기, 히드라진기, 히드라존기, 카르복실산기 또는 이의 염, 술폰산기 또는 이의 염, 인산기 또는 이의 염, C3-C10시클로알킬기, C1-C10헤테로시클로알킬기, C3-C10시클로알케닐기, C1-C10헤테로시클로알케닐기, C6-C60아릴기, C6-C60아릴옥시기(aryloxy), C6-C60아릴티오기(arylthio), C1-C60헤테로아릴기, 1가 비-방향족 축합다환 그룹(non-aromatic condensed polycyclic group), 1가 비-방향족 헤테로축합다환 그룹, 비페닐기, 터페닐기, -N(Q401)(Q402), -Si(Q403)(Q404)(Q405) 및 -B(Q406)(Q407) 중 적어도 하나로 치환된, C1-C60알킬기, C2-C60알케닐기, C2-C60알키닐기 및 C1-C60알콕시기;
C3-C10시클로알킬기, C1-C10헤테로시클로알킬기, C3-C10시클로알케닐기, C1-C10헤테로시클로알케닐기, C6-C60아릴기, C6-C60아릴옥시기, C6-C60아릴티오기, C1-C60헤테로아릴기, 1가 비-방향족 축합다환 그룹, 1가 비-방향족 헤테로축합다환 그룹, 비페닐기 및 터페닐기;
중수소, -F, -Cl, -Br, -I, 히드록실기, 시아노기, 니트로기, 아미노기, 아미디노기, 히드라진기, 히드라존기, 카르복실산기 또는 이의 염, 술폰산기 또는 이의 염, 인산기 또는 이의 염, C1-C60알킬기, C2-C60알케닐기, C2-C60알키닐기, C1-C60알콕시기, C3-C10시클로알킬기, C1-C10헤테로시클로알킬기, C3-C10시클로알케닐기, C1-C10헤테로시클로알케닐기, C6-C60아릴기, C6-C60아릴기옥시기, C6-C60아릴기티오기, C1-C60헤테로아릴기, 1가 비-방향족 축합다환 그룹, 1가 비-방향족 헤테로축합다환 그룹, 비페닐기, 터페닐기, -N(Q411)(Q412), -Si(Q413)(Q414)(Q415) 및 -B(Q416)(Q417) 중 적어도 하나로 치환된, C3-C10시클로알킬기, C1-C10헤테로시클로알킬기, C3-C10시클로알케닐기, C1-C10헤테로시클로알케닐기, C6-C60아릴기, C6-C60아릴옥시기, C6-C60아릴티오기, C1-C60헤테로아릴기, 1가 비-방향족 축합다환 그룹, 1가 비-방향족 헤테로축합다환 그룹, 비페닐기 및 터페닐기; 및
-N(Q421)(Q422), -Si(Q423)(Q424)(Q425) 및 -B(Q426)(Q427); 중에서 선택되고,
L401은 유기 리간드이고,
xc1은 1, 2 또는 3이고,
xc2는 0, 1, 2 또는 3이고,
상기 Q401 내지 Q407, Q411 내지 Q417 및 Q421 내지 Q427에 대한 설명은 제1항의 Q1에 대한 설명을 참조한다. - 삭제
- 삭제
- 삭제
- 제1항에 있어서,
상기 발광층은 상기 제1화합물 중에서 선택되는 제1호스트 및 상기 제2화합물 중에서 선택되는 제2호스트를 포함하고, 상기 발광 보조층은 상기 제3화합물을 포함하거나;
상기 발광층은 상기 제1화합물 중에서 선택되는 제3호스트 및 제4호스트를 포함하고, 상기 제3호스트 및 상기 제4호스트는 서로 상이하고, 상기 발광 보조층은 상기 제3화합물을 포함하거나; 또는
상기 발광층은 상기 제2화합물 중에서 선택되는 제5호스트 및 제6호스트를 포함하고, 상기 제5호스트 및 상기 제6호스트는 서로 상이하고, 상기 발광 보조층은 상기 제3화합물을 포함하는, 유기 발광 소자. - 제14항에 있어서,
상기 제1화합물은 상기 화합물 100 내지 272 중에서 선택되고, 상기 제2화합물은 상기 화합물 101B 내지 230B 중에서 선택되거나; 또는
상기 제1화합물은 상기 화합물 301 내지 374 중에서 선택되고, 상기 제2화합물은 상기 화합물 101A 내지 212A 중에서 선택된, 유기 발광 소자.
Priority Applications (4)
| Application Number | Priority Date | Filing Date | Title |
|---|---|---|---|
| KR1020150149727A KR102591635B1 (ko) | 2015-10-27 | 2015-10-27 | 유기 발광 소자 |
| US15/273,515 US12336426B2 (en) | 2015-10-27 | 2016-09-22 | Organic light-emitting device |
| CN202210403992.7A CN114744133A (zh) | 2015-10-27 | 2016-10-27 | 有机发光器件 |
| CN201610957952.1A CN106611822A (zh) | 2015-10-27 | 2016-10-27 | 有机发光器件 |
Applications Claiming Priority (1)
| Application Number | Priority Date | Filing Date | Title |
|---|---|---|---|
| KR1020150149727A KR102591635B1 (ko) | 2015-10-27 | 2015-10-27 | 유기 발광 소자 |
Publications (2)
| Publication Number | Publication Date |
|---|---|
| KR20170049714A KR20170049714A (ko) | 2017-05-11 |
| KR102591635B1 true KR102591635B1 (ko) | 2023-10-20 |
Family
ID=58559175
Family Applications (1)
| Application Number | Title | Priority Date | Filing Date |
|---|---|---|---|
| KR1020150149727A Active KR102591635B1 (ko) | 2015-10-27 | 2015-10-27 | 유기 발광 소자 |
Country Status (3)
| Country | Link |
|---|---|
| US (1) | US12336426B2 (ko) |
| KR (1) | KR102591635B1 (ko) |
| CN (2) | CN106611822A (ko) |
Families Citing this family (32)
| Publication number | Priority date | Publication date | Assignee | Title |
|---|---|---|---|---|
| KR20170070358A (ko) | 2015-12-11 | 2017-06-22 | 삼성디스플레이 주식회사 | 유기 발광 소자 |
| US11075343B2 (en) * | 2016-01-18 | 2021-07-27 | Sfc Co., Ltd. | Organic light emitting compounds and organic light emitting devices including the same |
| JP2020143169A (ja) * | 2017-05-25 | 2020-09-10 | 出光興産株式会社 | 組成物、有機エレクトロルミネッセンス素子用材料、組成物膜、有機エレクトロルミネッセンス素子、及び電子機器 |
| CN107383109A (zh) * | 2017-07-04 | 2017-11-24 | 浙江工业大学 | 含有2‑苯基吡啶及其衍生物的多齿双核环金属配合物 |
| CN107383108A (zh) * | 2017-07-04 | 2017-11-24 | 浙江工业大学 | 含有n‑(2‑嘧啶基)咔唑及其衍生物的多齿双核环金属铂配合物 |
| CN118834156A (zh) * | 2017-07-26 | 2024-10-25 | 杜邦特种材料韩国有限公司 | 多种主体材料和包含其的有机电致发光装置 |
| KR102199075B1 (ko) * | 2017-09-29 | 2021-01-07 | 삼성에스디아이 주식회사 | 유기 광전자 소자 및 표시 장치 |
| KR102160270B1 (ko) * | 2017-10-20 | 2020-09-25 | 삼성에스디아이 주식회사 | 유기 광전자 소자용 조성물, 유기 광전자 소자 및 표시 장치 |
| US10249832B1 (en) | 2017-12-06 | 2019-04-02 | Idemitsu Kosan Co., Ltd. | Organic electroluminescence device and novel compound |
| WO2019111971A1 (ja) | 2017-12-06 | 2019-06-13 | 出光興産株式会社 | 有機エレクトロルミネッセンス素子及び新規化合物 |
| KR102824606B1 (ko) * | 2018-02-13 | 2025-06-25 | 삼성디스플레이 주식회사 | 유기 발광 소자 및 이를 포함한 표시 장치 |
| KR102547688B1 (ko) | 2018-04-24 | 2023-06-27 | 삼성디스플레이 주식회사 | 유기 발광 소자 및 이의 제조 방법 |
| KR102146386B1 (ko) * | 2018-07-11 | 2020-08-20 | 한국화학연구원 | 유기발광소자 발광층용 조성물, 신규한 유기발광화합물 및 이를 포함하는 유기발광소자 |
| WO2020022378A1 (ja) | 2018-07-27 | 2020-01-30 | 出光興産株式会社 | 化合物、有機エレクトロルミネッセンス素子用材料、有機エレクトロルミネッセンス素子、および電子機器 |
| KR102529109B1 (ko) * | 2018-08-07 | 2023-05-03 | 엘지디스플레이 주식회사 | 발광다이오드 및 전계발광 표시장치 |
| US10593889B1 (en) | 2018-09-26 | 2020-03-17 | Idemitsu Kosan Co., Ltd. | Compound and organic electroluminescence device |
| CN109761877A (zh) * | 2018-11-29 | 2019-05-17 | 宇瑞(上海)化学有限公司 | 一种有机化合物及其使用该化合物的有机电致发光器件 |
| KR102745909B1 (ko) * | 2019-02-01 | 2024-12-24 | 삼성디스플레이 주식회사 | 유기 전계 발광 소자 및 이를 포함하는 표시 장치 |
| JP7539865B2 (ja) * | 2019-03-29 | 2024-08-26 | 日鉄ケミカル&マテリアル株式会社 | 有機電界発光素子 |
| KR102193015B1 (ko) | 2020-03-11 | 2020-12-18 | 주식회사 엘지화학 | 유기 발광 소자 |
| CN111303177B (zh) * | 2020-03-26 | 2021-06-25 | 武汉华星光电半导体显示技术有限公司 | 一种空穴传输材料及其合成方法 |
| KR102689558B1 (ko) * | 2020-06-30 | 2024-07-26 | 삼성에스디아이 주식회사 | 유기 광전자 소자용 조성물, 유기 광전자 소자 및 표시 장치 |
| KR102721210B1 (ko) * | 2020-11-10 | 2024-10-22 | 삼성에스디아이 주식회사 | 유기 광전자 소자 및 표시 장치 |
| CN114621193B (zh) * | 2020-12-14 | 2023-11-03 | 上海和辉光电股份有限公司 | 有机发光材料及其制造方法和oled器件 |
| CN114981274A (zh) * | 2020-12-25 | 2022-08-30 | 京东方科技集团股份有限公司 | 有机电致发光器件、显示面板、显示装置和发光装置 |
| KR20220151981A (ko) * | 2021-05-07 | 2022-11-15 | 주식회사 엘지화학 | 유기 발광 소자 |
| WO2023170880A1 (ja) * | 2022-03-10 | 2023-09-14 | 国立大学法人京都大学 | ジカルバゾリルベンゼン類化合物及び有機エレクトロルミネッセンス素子 |
| CN117185985A (zh) * | 2022-09-30 | 2023-12-08 | 阜阳欣奕华材料科技有限公司 | 一种组合物以及包含其的有机电致发光器件 |
| KR20240094081A (ko) * | 2022-11-23 | 2024-06-25 | 삼성에스디아이 주식회사 | 유기 광전자 소자용 조성물, 유기 광전자 소자 및 표시 장치 |
| JP2025514967A (ja) * | 2022-12-16 | 2025-05-13 | エルジー・ケム・リミテッド | 有機発光素子 |
| CN116041329A (zh) * | 2023-02-20 | 2023-05-02 | 电子科技大学 | 高效率的热激活延迟荧光主体材料及其制备方法和应用 |
| CN118619958A (zh) * | 2023-03-09 | 2024-09-10 | 阜阳欣奕华材料科技有限公司 | 一种氘代组合物 |
Family Cites Families (138)
| Publication number | Priority date | Publication date | Assignee | Title |
|---|---|---|---|---|
| EP0676461B1 (de) | 1994-04-07 | 2002-08-14 | Covion Organic Semiconductors GmbH | Spiroverbindungen und ihre Verwendung als Elektrolumineszenzmaterialien |
| CN100481571C (zh) | 2000-11-24 | 2009-04-22 | 东丽株式会社 | 发光元件材料和使用该材料的发光元件 |
| US6911551B2 (en) | 2000-12-22 | 2005-06-28 | Covion Organic Semiconductors Gmbh | Spiro compounds based on boron or aluminum and the use of the same in the electronics industry |
| JP4220669B2 (ja) | 2000-12-26 | 2009-02-04 | 出光興産株式会社 | 有機エレクトロルミネッセンス素子 |
| KR20030069707A (ko) | 2002-02-22 | 2003-08-27 | 엘지.필립스 엘시디 주식회사 | 유기전계발광 소자 및 그의 제조방법 |
| KR20100023058A (ko) | 2002-03-20 | 2010-03-03 | 파나소닉 주식회사 | 결함 리스트를 갱신하는 정보 기록 매체, 기록 장치, 재생 장치, 집적 회로 및 컴퓨터 프로그램 |
| JP4152173B2 (ja) | 2002-11-18 | 2008-09-17 | 出光興産株式会社 | 有機エレクトロルミネッセンス素子 |
| JP4287198B2 (ja) | 2002-11-18 | 2009-07-01 | 出光興産株式会社 | 有機エレクトロルミネッセンス素子 |
| TWI255665B (en) * | 2003-10-03 | 2006-05-21 | Pioneer Corp | Organic electroluminescent device |
| JP4300176B2 (ja) | 2003-11-13 | 2009-07-22 | ローム株式会社 | 有機エレクトロルミネッセント素子 |
| GB2410600A (en) | 2004-01-30 | 2005-08-03 | Cambridge Display Tech Ltd | Organic light emitting diode display device |
| US20060088728A1 (en) | 2004-10-22 | 2006-04-27 | Raymond Kwong | Arylcarbazoles as hosts in PHOLEDs |
| JP2006261611A (ja) | 2005-03-18 | 2006-09-28 | Fuji Photo Film Co Ltd | 有機エレクトロルミネッセント素子及び表示装置 |
| US20070252516A1 (en) | 2006-04-27 | 2007-11-01 | Eastman Kodak Company | Electroluminescent devices including organic EIL layer |
| DE102006025846A1 (de) | 2006-06-02 | 2007-12-06 | Merck Patent Gmbh | Neue Materialien für organische Elektrolumineszenzvorrichtungen |
| KR100819741B1 (ko) | 2006-06-16 | 2008-04-07 | 주식회사 엘 앤 에프 | 리튬 이차 전지용 양극 활물질, 이의 제조방법 및 이를포함하는 리튬 이차 전지 |
| US8062769B2 (en) * | 2006-11-09 | 2011-11-22 | Nippon Steel Chemical Co., Ltd. | Indolocarbazole compound for use in organic electroluminescent device and organic electroluminescent device |
| WO2008062636A1 (fr) | 2006-11-24 | 2008-05-29 | Idemitsu Kosan Co., Ltd. | Dérivé d'amine aromatique et élément électroluminescent organique utilisant celui-ci |
| WO2010131855A2 (ko) | 2009-05-13 | 2010-11-18 | 덕산하이메탈(주) | 오원자 헤테로고리를 포함하는 화합물 및 이를 이용한 유기전기소자, 그 단말 |
| TWI472074B (zh) | 2008-03-17 | 2015-02-01 | Nippon Steel & Sumikin Chem Co | Organic electroluminescent elements |
| JP5193295B2 (ja) | 2008-05-29 | 2013-05-08 | 出光興産株式会社 | 芳香族アミン誘導体及びそれらを用いた有機エレクトロルミネッセンス素子 |
| US8318323B2 (en) | 2008-06-05 | 2012-11-27 | Idemitsu Kosan Co., Ltd. | Polycyclic compounds and organic electroluminescence device employing the same |
| US8324800B2 (en) | 2008-06-12 | 2012-12-04 | Global Oled Technology Llc | Phosphorescent OLED device with mixed hosts |
| JP5532705B2 (ja) | 2008-07-01 | 2014-06-25 | 東レ株式会社 | 発光素子 |
| WO2010005066A1 (en) | 2008-07-08 | 2010-01-14 | Semiconductor Energy Laboratory Co., Ltd. | Carbazole derivative, light-emitting element material, light-emitting element, and light-emitting device |
| DE102008064200A1 (de) | 2008-12-22 | 2010-07-01 | Merck Patent Gmbh | Organische Elektrolumineszenzvorrichtung |
| US9067947B2 (en) | 2009-01-16 | 2015-06-30 | Universal Display Corporation | Organic electroluminescent materials and devices |
| KR101511072B1 (ko) | 2009-03-20 | 2015-04-10 | 롬엔드하스전자재료코리아유한회사 | 신규한 유기 발광 화합물 및 이를 포함하는 유기 전계 발광소자 |
| KR101427605B1 (ko) | 2009-03-31 | 2014-08-07 | 롬엔드하스전자재료코리아유한회사 | 신규한 유기 발광 화합물 및 이를 채용하고 있는 유기 전계발광 소자 |
| TWI471406B (zh) | 2009-03-31 | 2015-02-01 | Nippon Steel & Sumikin Chem Co | A phosphorescent element, and an organic electroluminescent device using the same |
| CN104795495B (zh) | 2009-04-24 | 2017-09-29 | 出光兴产株式会社 | 芳香族胺衍生物和使用其的有机电致发光元件 |
| DE102009023155A1 (de) * | 2009-05-29 | 2010-12-02 | Merck Patent Gmbh | Materialien für organische Elektrolumineszenzvorrichtungen |
| DE102009031021A1 (de) * | 2009-06-30 | 2011-01-05 | Merck Patent Gmbh | Materialien für organische Elektrolumineszenzvorrichtungen |
| KR101431644B1 (ko) * | 2009-08-10 | 2014-08-21 | 롬엔드하스전자재료코리아유한회사 | 신규한 유기 발광 화합물 및 이를 포함하는 유기 전계 발광 소자 |
| JP5457907B2 (ja) * | 2009-08-31 | 2014-04-02 | ユー・ディー・シー アイルランド リミテッド | 有機電界発光素子 |
| KR101801412B1 (ko) * | 2009-10-20 | 2017-11-24 | 토소가부시키가이샤 | 카바졸 화합물 및 그 용도 |
| KR101212670B1 (ko) * | 2009-11-03 | 2012-12-14 | 제일모직주식회사 | 유기광전소자용 조성물, 이를 이용한 유기광전소자 및 이를 포함하는 표시장치 |
| US8841655B2 (en) | 2009-11-27 | 2014-09-23 | Sharp Kabushiki Kaisha | Organic electroluminescence element, manufacturing method thereof, and organic electroluminescence display device |
| KR101219492B1 (ko) * | 2009-12-11 | 2013-01-28 | 삼성디스플레이 주식회사 | 오원자 헤테로 고리를 포함하는 화합물 및 이를 이용한 유기전기소자, 그 단말 |
| KR101183722B1 (ko) | 2009-12-30 | 2012-09-17 | 주식회사 두산 | 트리페닐렌계 화합물 및 이를 포함하는 유기 전계 발광 소자 |
| US10570113B2 (en) | 2010-04-09 | 2020-02-25 | Semiconductor Energy Laboratory Co., Ltd. | Aromatic amine derivative, light-emitting element, light-emitting device, electronic device, and lighting device |
| KR20120057561A (ko) | 2010-04-20 | 2012-06-05 | 이데미쓰 고산 가부시키가이샤 | 비스카르바졸 유도체, 유기 일렉트로루미네선스 소자용 재료 및 그것을 사용한 유기 일렉트로루미네선스 소자 |
| KR101311935B1 (ko) | 2010-04-23 | 2013-09-26 | 제일모직주식회사 | 유기광전소자용 화합물 및 이를 포함하는 유기광전소자 |
| JP2013201153A (ja) | 2010-06-08 | 2013-10-03 | Idemitsu Kosan Co Ltd | 有機エレクトロルミネッセンス素子 |
| JP2012028634A (ja) | 2010-07-26 | 2012-02-09 | Idemitsu Kosan Co Ltd | 有機エレクトロルミネッセンス素子 |
| TW201300501A (zh) | 2010-07-30 | 2013-01-01 | 羅門哈斯電子材料韓國公司 | 使用電場發光化合物作為發光材料之電場發光裝置 |
| US9236578B2 (en) | 2010-07-30 | 2016-01-12 | Merck Patent Gmbh | Organic electroluminescent device |
| KR20120042633A (ko) | 2010-08-27 | 2012-05-03 | 롬엔드하스전자재료코리아유한회사 | 신규한 유기 발광 화합물 및 이를 포함하는 유기 전계 발광 소자 |
| WO2012026780A1 (en) * | 2010-08-27 | 2012-03-01 | Rohm And Haas Electronic Materials Korea Ltd. | Novel organic electroluminescent compounds and organic electroluminescent device using the same |
| KR20120021203A (ko) | 2010-08-31 | 2012-03-08 | 롬엔드하스전자재료코리아유한회사 | 신규한 유기 전자재료용 화합물 및 이를 포함하는 유기 전계 발광 소자 |
| KR101531904B1 (ko) * | 2010-10-13 | 2015-06-29 | 롬엔드하스전자재료코리아유한회사 | 신규한 유기 전자재료용 화합물 및 이를 포함하는 유기 전계 발광 소자 |
| KR101423173B1 (ko) | 2010-11-04 | 2014-07-25 | 제일모직 주식회사 | 유기광전소자용 화합물 및 이를 포함하는 유기광전소자 |
| CN102668160B (zh) | 2010-11-22 | 2016-06-22 | 出光兴产株式会社 | 有机电致发光器件 |
| JP2012156499A (ja) | 2011-01-05 | 2012-08-16 | Idemitsu Kosan Co Ltd | 有機エレクトロルミネッセンス素子 |
| WO2012102333A1 (ja) | 2011-01-27 | 2012-08-02 | Jnc株式会社 | 新規アントラセン化合物およびこれを用いた有機電界発光素子 |
| JP2012156449A (ja) | 2011-01-28 | 2012-08-16 | Fujikura Ltd | プリント基板及びその製造方法 |
| TWI591154B (zh) | 2011-02-07 | 2017-07-11 | Idemitsu Kosan Co | Biscarbazole derivatives and organic electroluminescent devices using the same |
| KR101720444B1 (ko) | 2011-02-07 | 2017-03-27 | 이데미쓰 고산 가부시키가이샤 | 비스카바졸 유도체 및 그것을 이용한 유기 전기발광 소자 |
| US10014476B2 (en) | 2011-04-18 | 2018-07-03 | Idemitsu Kosan Co., Ltd. | Pyrene derivative, organic light-emitting medium, and organic electroluminescent element containing pyrene derivative or organic light-emitting medium |
| CN103518271B (zh) * | 2011-05-12 | 2016-06-29 | 东丽株式会社 | 发光元件材料和发光元件 |
| WO2013013271A1 (en) | 2011-07-27 | 2013-01-31 | William Alexander James Sadler | Laminated product produced by placing one layer onto a semi set partially cured base layer. |
| JP6212391B2 (ja) | 2011-09-09 | 2017-10-11 | 出光興産株式会社 | 有機エレクトロルミネッセンス素子 |
| CA2849087A1 (en) | 2011-09-21 | 2013-03-28 | Merck Patent Gmbh | Carbazole derivatives for organic electroluminescent devices |
| KR101419249B1 (ko) | 2011-10-12 | 2014-07-17 | 엘지디스플레이 주식회사 | 백색 유기 발광 소자 |
| EP2768808B1 (de) | 2011-10-20 | 2017-11-15 | Merck Patent GmbH | Materialien für organische elektrolumineszenzvorrichtungen |
| JP6148621B2 (ja) * | 2011-10-21 | 2017-06-14 | 出光興産株式会社 | 有機エレクトロルミネッセンス素子及び有機エレクトロルミネッセンス素子用材料 |
| WO2013062075A1 (ja) | 2011-10-26 | 2013-05-02 | 出光興産株式会社 | 有機エレクトロルミネッセンス素子および有機エレクトロルミネッセンス素子用材料 |
| US9193745B2 (en) * | 2011-11-15 | 2015-11-24 | Universal Display Corporation | Heteroleptic iridium complex |
| KR102261235B1 (ko) | 2011-11-22 | 2021-06-04 | 이데미쓰 고산 가부시키가이샤 | 방향족 복소 고리 유도체, 유기 일렉트로루미네선스 소자용 재료 및 유기 일렉트로루미네선스 소자 |
| KR101780855B1 (ko) | 2011-11-25 | 2017-09-21 | 이데미쓰 고산 가부시키가이샤 | 방향족 아민 유도체, 유기 일렉트로 루미네선스 소자용 재료 및 유기 일렉트로 루미네선스 소자 |
| CN103959503B (zh) | 2011-12-05 | 2016-08-24 | 出光兴产株式会社 | 有机电致发光元件用材料以及有机电致发光元件 |
| KR101986570B1 (ko) | 2011-12-15 | 2019-06-07 | 닛테츠 케미컬 앤드 머티리얼 가부시키가이샤 | 유기 전계 발광 소자 |
| WO2013105747A1 (ko) * | 2012-01-13 | 2013-07-18 | 덕산하이메탈(주) | 유기전기 소자용 화합물, 이를 이용한 유기전기소자 및 그 전자 장치 |
| KR102357439B1 (ko) | 2012-02-14 | 2022-02-08 | 메르크 파텐트 게엠베하 | 유기 전계발광 소자용 스피로비플루오렌 화합물 |
| CN104205390B (zh) | 2012-03-15 | 2017-08-25 | 默克专利有限公司 | 电子器件 |
| KR101973166B1 (ko) * | 2012-03-27 | 2019-04-29 | 삼성디스플레이 주식회사 | 유기 발광 소자 및 이를 포함하는 유기 발광 표시 장치 |
| KR101419810B1 (ko) | 2012-04-10 | 2014-07-15 | 서울대학교산학협력단 | 엑시플렉스를 형성하는 공동 호스트를 포함하는 유기 발광 소자 |
| KR20130118059A (ko) | 2012-04-19 | 2013-10-29 | 롬엔드하스전자재료코리아유한회사 | 신규한 유기 전계 발광 화합물 및 이를 사용하는 유기 전계 발광 소자 |
| JP2015167150A (ja) | 2012-05-28 | 2015-09-24 | 出光興産株式会社 | 有機エレクトロルミネッセンス素子 |
| KR20130134202A (ko) | 2012-05-30 | 2013-12-10 | 롬엔드하스전자재료코리아유한회사 | 신규한 유기 발광 화합물 및 이를 포함하고 있는 유기 전계 발광 소자 |
| US20150194622A1 (en) * | 2012-06-14 | 2015-07-09 | Idemitsu Kosan Co., Ltd. | Biscarbazole derivative host materials and red emitter for oled emissive region |
| CN110444694B (zh) | 2012-07-23 | 2023-04-07 | 默克专利有限公司 | 化合物以及有机电致发光器件 |
| WO2014023388A1 (de) | 2012-08-10 | 2014-02-13 | Merck Patent Gmbh | Materialien für organische elektrolumineszenzvorrichtungen |
| JP2015216136A (ja) | 2012-08-17 | 2015-12-03 | 出光興産株式会社 | 有機エレクトロルミネッセンス素子 |
| JP2014049539A (ja) | 2012-08-30 | 2014-03-17 | Idemitsu Kosan Co Ltd | 有機エレクトロルミネッセンス素子 |
| KR102232993B1 (ko) | 2012-11-02 | 2021-03-29 | 이데미쓰 고산 가부시키가이샤 | 유기 전기발광 소자 |
| US9748492B2 (en) | 2012-11-02 | 2017-08-29 | Idemitsu Kosan Co., Ltd. | Organic electroluminescent device |
| US20140131665A1 (en) | 2012-11-12 | 2014-05-15 | Universal Display Corporation | Organic Electroluminescent Device With Delayed Fluorescence |
| KR102098093B1 (ko) | 2012-12-06 | 2020-04-08 | 덕산네오룩스 주식회사 | 유기전기 소자용 화합물, 이를 이용한 유기전기소자 및 그 전자 장치 |
| WO2014087657A1 (ja) * | 2012-12-07 | 2014-06-12 | 出光興産株式会社 | 芳香族アミン誘導体及び有機エレクトロルミネッセンス素子 |
| JP6335428B2 (ja) | 2012-12-21 | 2018-05-30 | 出光興産株式会社 | 有機エレクトロルミネッセンス素子および電子機器 |
| CN104884444B (zh) | 2012-12-26 | 2018-07-03 | 出光兴产株式会社 | 含氧稠环胺化合物、含硫稠环胺化合物及有机电致发光元件 |
| KR102055684B1 (ko) | 2012-12-27 | 2020-01-23 | 삼성디스플레이 주식회사 | 유기 발광 소자 |
| KR101684979B1 (ko) | 2012-12-31 | 2016-12-09 | 제일모직 주식회사 | 유기광전자소자 및 이를 포함하는 표시장치 |
| KR101820865B1 (ko) | 2013-01-17 | 2018-01-22 | 삼성전자주식회사 | 유기광전자소자용 재료, 이를 포함하는 유기발광소자 및 상기 유기발광소자를 포함하는 표시장치 |
| KR102182270B1 (ko) | 2013-02-21 | 2020-11-24 | 롬엔드하스전자재료코리아유한회사 | 유기 전계 발광 화합물 및 이를 포함하는 유기 전계 발광 소자 |
| WO2014141725A1 (ja) | 2013-03-15 | 2014-09-18 | 出光興産株式会社 | アントラセン誘導体及びそれを用いた有機エレクトロルミネッセンス素子 |
| KR102048555B1 (ko) | 2013-04-17 | 2019-11-26 | 덕산네오룩스 주식회사 | 유기전기 소자용 화합물, 이를 이용한 유기전기소자 및 그 전자 장치 |
| JP6376727B2 (ja) | 2013-04-26 | 2018-08-22 | 出光興産株式会社 | 有機エレクトロルミネッセンス素子および電子機器 |
| KR101627755B1 (ko) | 2013-06-13 | 2016-06-07 | 제일모직 주식회사 | 유기 화합물, 유기 광전자 소자 및 표시 장치 |
| KR102052076B1 (ko) | 2013-06-14 | 2019-12-05 | 삼성디스플레이 주식회사 | 유기 발광 소자 |
| KR102304715B1 (ko) | 2013-06-14 | 2021-09-27 | 삼성디스플레이 주식회사 | 유기 발광 소자 |
| KR102054162B1 (ko) | 2013-06-26 | 2020-01-22 | 덕산네오룩스 주식회사 | 유기전기 소자용 화합물을 이용한 유기전기소자 및 그 전자 장치 |
| EP2821459B1 (en) | 2013-07-01 | 2017-10-04 | Cheil Industries Inc. | Composition and organic optoelectric device and display device |
| KR102108454B1 (ko) | 2013-07-08 | 2020-05-26 | 덕산네오룩스 주식회사 | 유기전기 소자용 화합물을 이용한 유기전기소자 및 그 전자 장치 |
| KR102137429B1 (ko) | 2013-07-11 | 2020-07-24 | 덕산네오룩스 주식회사 | 유기전기 소자용 화합물을 이용한 유기전기소자 및 그 전자 장치 |
| WO2015014434A1 (de) | 2013-07-30 | 2015-02-05 | Merck Patent Gmbh | Materialien für elektronische vorrichtungen |
| WO2015014435A1 (de) | 2013-07-30 | 2015-02-05 | Merck Patent Gmbh | Materialien für elektronische vorrichtungen |
| KR102194819B1 (ko) | 2013-08-27 | 2020-12-24 | 삼성디스플레이 주식회사 | 유기 발광 소자 |
| KR102158000B1 (ko) | 2013-09-26 | 2020-09-22 | 롬엔드하스전자재료코리아유한회사 | 유기 전계 발광 소자 |
| KR101476231B1 (ko) | 2013-10-02 | 2014-12-24 | 롬엔드하스전자재료코리아유한회사 | 유기 전계 발광 화합물 및 이를 포함하는 유기 전계 발광 소자 |
| KR101779110B1 (ko) | 2013-10-11 | 2017-09-18 | 제일모직 주식회사 | 유기 광전자 소자 및 표시 장치 |
| WO2015082056A1 (de) | 2013-12-06 | 2015-06-11 | Merck Patent Gmbh | Verbindungen und organische elektronische vorrichtungen |
| KR101939552B1 (ko) | 2013-12-06 | 2019-01-17 | 롬엔드하스전자재료코리아유한회사 | 유기 전계 발광 화합물 및 이를 포함하는 유기 전계 발광 소자 |
| KR102235596B1 (ko) | 2013-12-12 | 2021-04-05 | 삼성디스플레이 주식회사 | 유기 발광 소자 |
| CN104795503B (zh) | 2014-01-16 | 2018-07-20 | 三星显示有限公司 | 有机发光装置 |
| KR102177213B1 (ko) | 2014-01-20 | 2020-11-11 | 삼성디스플레이 주식회사 | 유기 발광 소자 |
| KR101802861B1 (ko) | 2014-02-14 | 2017-11-30 | 삼성디스플레이 주식회사 | 유기 발광 소자 |
| US9871208B2 (en) | 2014-02-26 | 2018-01-16 | Samsung Display Co., Ltd. | Condensed cyclic compound and organic light-emitting device including the same |
| US10734587B2 (en) | 2014-03-13 | 2020-08-04 | Merck Patent Gmbh | Formulations of luminescent compounds |
| WO2015156587A1 (en) | 2014-04-08 | 2015-10-15 | Rohm And Haas Electronic Materials Korea Ltd. | Multi-component host material and organic electroluminescent device comprising the same |
| KR101754715B1 (ko) | 2014-04-08 | 2017-07-10 | 롬엔드하스전자재료코리아유한회사 | 복수종의 호스트 재료와 이를 포함하는 유기 전계 발광 소자 |
| WO2015167259A1 (en) | 2014-04-29 | 2015-11-05 | Rohm And Haas Electronic Materials Korea Ltd. | Multi-component host material and organic electroluminescent device comprising the same |
| WO2015167199A1 (en) | 2014-04-29 | 2015-11-05 | Rohm And Haas Electronic Materials Korea Ltd. | Electron transport material and organic electroluminescent device comprising the same |
| KR102491209B1 (ko) * | 2014-04-29 | 2023-01-26 | 롬엔드하스전자재료코리아유한회사 | 복수종의 호스트 재료 및 이를 포함하는 유기 전계 발광 소자 |
| KR102427918B1 (ko) | 2014-04-29 | 2022-08-03 | 롬엔드하스전자재료코리아유한회사 | 전자전달재료 및 이를 포함하는 유기 전계 발광 소자 |
| KR20150126526A (ko) | 2014-05-02 | 2015-11-12 | 삼성디스플레이 주식회사 | 유기 발광 소자 |
| EP3140302B1 (de) | 2014-05-05 | 2019-08-21 | Merck Patent GmbH | Materialien für organische elektrolumineszenzvorrichtungen |
| WO2015174682A1 (ko) | 2014-05-13 | 2015-11-19 | 에스에프씨 주식회사 | 방향족아민기를 포함하는 헤테로고리 화합물및 이를 포함하는 유기 발광 소자 |
| KR102030354B1 (ko) | 2014-05-13 | 2019-10-10 | 에스에프씨주식회사 | 방향족 아민기를 포함하는 헤테로고리 화합물 및 이를 포함하는 유기 발광 소자 |
| KR20150135123A (ko) | 2014-05-23 | 2015-12-02 | 롬엔드하스전자재료코리아유한회사 | 복수종의 호스트 재료 및 이를 포함하는 유기 전계 발광 소자 |
| WO2016013875A1 (en) | 2014-07-22 | 2016-01-28 | Rohm And Haas Electronic Materials Korea Ltd. | Organic electroluminescent device |
| KR102502306B1 (ko) | 2014-07-22 | 2023-02-23 | 롬엔드하스전자재료코리아유한회사 | 유기 전계 발광 소자 |
| KR101493482B1 (ko) | 2014-08-29 | 2015-02-16 | 덕산네오룩스 주식회사 | 유기전기소자용 화합물, 이를 이용한 유기전기소자 및 그 전자 장치 |
| US10381569B2 (en) | 2014-11-25 | 2019-08-13 | Universal Display Corporation | Organic electroluminescent materials and devices |
| US10680183B2 (en) | 2015-02-15 | 2020-06-09 | Universal Display Corporation | Organic electroluminescent materials and devices |
| JPWO2017010438A1 (ja) | 2015-07-10 | 2018-02-22 | 出光興産株式会社 | 有機エレクトロルミネッセンス素子および電子機器 |
| KR102399570B1 (ko) | 2015-11-26 | 2022-05-19 | 삼성디스플레이 주식회사 | 유기 발광 소자 |
-
2015
- 2015-10-27 KR KR1020150149727A patent/KR102591635B1/ko active Active
-
2016
- 2016-09-22 US US15/273,515 patent/US12336426B2/en active Active
- 2016-10-27 CN CN201610957952.1A patent/CN106611822A/zh active Pending
- 2016-10-27 CN CN202210403992.7A patent/CN114744133A/zh active Pending
Also Published As
| Publication number | Publication date |
|---|---|
| KR20170049714A (ko) | 2017-05-11 |
| CN106611822A (zh) | 2017-05-03 |
| US20170117486A1 (en) | 2017-04-27 |
| CN114744133A (zh) | 2022-07-12 |
| US12336426B2 (en) | 2025-06-17 |
Similar Documents
| Publication | Publication Date | Title |
|---|---|---|
| KR102591635B1 (ko) | 유기 발광 소자 | |
| KR102617276B1 (ko) | 유기 발광 소자 | |
| KR102615641B1 (ko) | 유기 발광 소자 | |
| KR102086558B1 (ko) | 유기 발광 소자 | |
| KR102177213B1 (ko) | 유기 발광 소자 | |
| KR102304718B1 (ko) | 유기 발광 소자 | |
| KR102490887B1 (ko) | 유기 발광 소자 | |
| KR102313358B1 (ko) | 유기 발광 소자 | |
| KR102417122B1 (ko) | 유기 발광 소자 | |
| KR102830964B1 (ko) | 축합환 화합물 및 이를 포함한 유기 발광 소자 | |
| KR102787858B1 (ko) | 유기 발광 소자 | |
| KR20160007967A (ko) | 유기 발광 소자 | |
| KR102849589B1 (ko) | 유기 발광 소자 | |
| KR102230191B1 (ko) | 유기 발광 소자 | |
| KR102363260B1 (ko) | 유기 발광 소자 | |
| KR102300023B1 (ko) | 유기 발광 소자 및 이의 제조 방법 | |
| KR20170051762A (ko) | 유기 발광 소자 | |
| KR102774157B1 (ko) | 유기 발광 소자 | |
| KR102798313B1 (ko) | 유기 발광 소자 | |
| KR20170042423A (ko) | 축합환 화합물 및 이를 포함한 유기 발광 소자 | |
| KR20230136091A (ko) | 유기 발광 소자 | |
| KR102814718B1 (ko) | 유기 발광 소자 | |
| KR20160013338A (ko) | 유기 발광 소자 | |
| KR102707564B1 (ko) | 유기 발광 소자 | |
| KR20230130598A (ko) | 유기 발광 소자 |
Legal Events
| Date | Code | Title | Description |
|---|---|---|---|
| PA0109 | Patent application |
St.27 status event code: A-0-1-A10-A12-nap-PA0109 |
|
| PG1501 | Laying open of application |
St.27 status event code: A-1-1-Q10-Q12-nap-PG1501 |
|
| P22-X000 | Classification modified |
St.27 status event code: A-2-2-P10-P22-nap-X000 |
|
| R18-X000 | Changes to party contact information recorded |
St.27 status event code: A-3-3-R10-R18-oth-X000 |
|
| A201 | Request for examination | ||
| PA0201 | Request for examination |
St.27 status event code: A-1-2-D10-D11-exm-PA0201 |
|
| E902 | Notification of reason for refusal | ||
| PE0902 | Notice of grounds for rejection |
St.27 status event code: A-1-2-D10-D21-exm-PE0902 |
|
| AMND | Amendment | ||
| E13-X000 | Pre-grant limitation requested |
St.27 status event code: A-2-3-E10-E13-lim-X000 |
|
| P11-X000 | Amendment of application requested |
St.27 status event code: A-2-2-P10-P11-nap-X000 |
|
| P13-X000 | Application amended |
St.27 status event code: A-2-2-P10-P13-nap-X000 |
|
| E902 | Notification of reason for refusal | ||
| PE0902 | Notice of grounds for rejection |
St.27 status event code: A-1-2-D10-D21-exm-PE0902 |
|
| P22-X000 | Classification modified |
St.27 status event code: A-2-2-P10-P22-nap-X000 |
|
| AMND | Amendment | ||
| E13-X000 | Pre-grant limitation requested |
St.27 status event code: A-2-3-E10-E13-lim-X000 |
|
| P11-X000 | Amendment of application requested |
St.27 status event code: A-2-2-P10-P11-nap-X000 |
|
| P13-X000 | Application amended |
St.27 status event code: A-2-2-P10-P13-nap-X000 |
|
| P22-X000 | Classification modified |
St.27 status event code: A-2-2-P10-P22-nap-X000 |
|
| P22-X000 | Classification modified |
St.27 status event code: A-2-2-P10-P22-nap-X000 |
|
| E601 | Decision to refuse application | ||
| PE0601 | Decision on rejection of patent |
St.27 status event code: N-2-6-B10-B15-exm-PE0601 |
|
| AMND | Amendment | ||
| E13-X000 | Pre-grant limitation requested |
St.27 status event code: A-2-3-E10-E13-lim-X000 |
|
| P11-X000 | Amendment of application requested |
St.27 status event code: A-2-2-P10-P11-nap-X000 |
|
| P13-X000 | Application amended |
St.27 status event code: A-2-2-P10-P13-nap-X000 |
|
| PX0901 | Re-examination |
St.27 status event code: A-2-3-E10-E12-rex-PX0901 |
|
| PX0701 | Decision of registration after re-examination |
St.27 status event code: A-3-4-F10-F13-rex-PX0701 |
|
| X701 | Decision to grant (after re-examination) | ||
| GRNT | Written decision to grant | ||
| PR0701 | Registration of establishment |
St.27 status event code: A-2-4-F10-F11-exm-PR0701 |
|
| PR1002 | Payment of registration fee |
St.27 status event code: A-2-2-U10-U11-oth-PR1002 Fee payment year number: 1 |
|
| PG1601 | Publication of registration |
St.27 status event code: A-4-4-Q10-Q13-nap-PG1601 |



































































































































































































