ES2919323T3 - Conjugados de compuestos de tubulisina cuaternizados - Google Patents
Conjugados de compuestos de tubulisina cuaternizados Download PDFInfo
- Publication number
- ES2919323T3 ES2919323T3 ES16871672T ES16871672T ES2919323T3 ES 2919323 T3 ES2919323 T3 ES 2919323T3 ES 16871672 T ES16871672 T ES 16871672T ES 16871672 T ES16871672 T ES 16871672T ES 2919323 T3 ES2919323 T3 ES 2919323T3
- Authority
- ES
- Spain
- Prior art keywords
- optionally substituted
- hydrogen
- subscript
- unit
- alkyl
- Prior art date
- Legal status (The legal status is an assumption and is not a legal conclusion. Google has not performed a legal analysis and makes no representation as to the accuracy of the status listed.)
- Active
Links
- 229940079593 drug Drugs 0.000 claims abstract description 292
- 239000003814 drug Substances 0.000 claims abstract description 291
- 239000003446 ligand Substances 0.000 claims abstract description 181
- 150000001875 compounds Chemical class 0.000 claims abstract description 130
- 230000002159 abnormal effect Effects 0.000 claims abstract description 116
- 239000000203 mixture Substances 0.000 claims abstract description 75
- 206010028980 Neoplasm Diseases 0.000 claims abstract description 50
- 238000000034 method Methods 0.000 claims abstract description 37
- 150000001412 amines Chemical class 0.000 claims abstract description 36
- 201000011510 cancer Diseases 0.000 claims abstract description 30
- 208000037265 diseases, disorders, signs and symptoms Diseases 0.000 claims abstract description 17
- 201000010099 disease Diseases 0.000 claims abstract description 13
- 210000004027 cell Anatomy 0.000 claims description 301
- 229910052739 hydrogen Inorganic materials 0.000 claims description 183
- 239000001257 hydrogen Substances 0.000 claims description 174
- 229920001223 polyethylene glycol Polymers 0.000 claims description 171
- 125000005647 linker group Chemical group 0.000 claims description 160
- -1 Linker compound Chemical class 0.000 claims description 145
- 239000002202 Polyethylene glycol Substances 0.000 claims description 136
- IJGRMHOSHXDMSA-UHFFFAOYSA-N nitrogen Substances N#N IJGRMHOSHXDMSA-UHFFFAOYSA-N 0.000 claims description 113
- 125000001424 substituent group Chemical group 0.000 claims description 105
- 229910052799 carbon Inorganic materials 0.000 claims description 103
- 239000002253 acid Substances 0.000 claims description 100
- 239000000562 conjugate Substances 0.000 claims description 99
- 125000000524 functional group Chemical group 0.000 claims description 89
- 229910052757 nitrogen Inorganic materials 0.000 claims description 88
- 125000000217 alkyl group Chemical group 0.000 claims description 87
- UFHFLCQGNIYNRP-UHFFFAOYSA-N Hydrogen Chemical compound [H][H] UFHFLCQGNIYNRP-UHFFFAOYSA-N 0.000 claims description 86
- 230000027455 binding Effects 0.000 claims description 85
- OKTJSMMVPCPJKN-UHFFFAOYSA-N Carbon Chemical compound [C] OKTJSMMVPCPJKN-UHFFFAOYSA-N 0.000 claims description 75
- 125000004435 hydrogen atom Chemical class [H]* 0.000 claims description 70
- 125000002496 methyl group Chemical group [H]C([H])([H])* 0.000 claims description 68
- 125000003118 aryl group Chemical group 0.000 claims description 65
- 125000001072 heteroaryl group Chemical group 0.000 claims description 65
- 150000001413 amino acids Chemical class 0.000 claims description 59
- 229940024606 amino acid Drugs 0.000 claims description 58
- 235000001014 amino acid Nutrition 0.000 claims description 58
- 125000000547 substituted alkyl group Chemical group 0.000 claims description 55
- 108091005804 Peptidases Proteins 0.000 claims description 53
- 239000004365 Protease Substances 0.000 claims description 53
- 125000005842 heteroatom Chemical group 0.000 claims description 52
- 125000004432 carbon atom Chemical group C* 0.000 claims description 48
- 102000035195 Peptidases Human genes 0.000 claims description 47
- 229930184737 tubulysin Natural products 0.000 claims description 45
- 230000003463 hyperproliferative effect Effects 0.000 claims description 44
- 239000000427 antigen Substances 0.000 claims description 42
- 108091007433 antigens Proteins 0.000 claims description 42
- 102000036639 antigens Human genes 0.000 claims description 42
- 125000004429 atom Chemical group 0.000 claims description 41
- 238000003776 cleavage reaction Methods 0.000 claims description 39
- 229910052717 sulfur Inorganic materials 0.000 claims description 39
- 125000000753 cycloalkyl group Chemical group 0.000 claims description 38
- 125000006239 protecting group Chemical group 0.000 claims description 38
- 230000007017 scission Effects 0.000 claims description 38
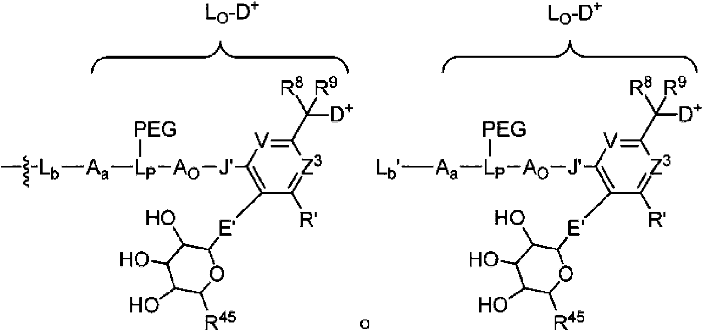
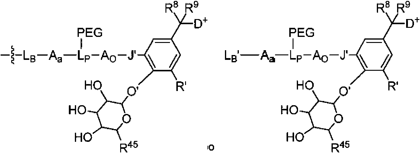
- DLKUYSQUHXBYPB-NSSHGSRYSA-N (2s,4r)-4-[[2-[(1r,3r)-1-acetyloxy-4-methyl-3-[3-methylbutanoyloxymethyl-[(2s,3s)-3-methyl-2-[[(2r)-1-methylpiperidine-2-carbonyl]amino]pentanoyl]amino]pentyl]-1,3-thiazole-4-carbonyl]amino]-2-methyl-5-(4-methylphenyl)pentanoic acid Chemical compound N([C@@H]([C@@H](C)CC)C(=O)N(COC(=O)CC(C)C)[C@H](C[C@@H](OC(C)=O)C=1SC=C(N=1)C(=O)N[C@H](C[C@H](C)C(O)=O)CC=1C=CC(C)=CC=1)C(C)C)C(=O)[C@H]1CCCCN1C DLKUYSQUHXBYPB-NSSHGSRYSA-N 0.000 claims description 37
- 229940049595 antibody-drug conjugate Drugs 0.000 claims description 37
- 229910052760 oxygen Inorganic materials 0.000 claims description 37
- 125000000623 heterocyclic group Chemical group 0.000 claims description 35
- 239000002243 precursor Substances 0.000 claims description 34
- 125000006575 electron-withdrawing group Chemical group 0.000 claims description 28
- 108010031186 Glycoside Hydrolases Proteins 0.000 claims description 26
- 102000005744 Glycoside Hydrolases Human genes 0.000 claims description 26
- 238000006460 hydrolysis reaction Methods 0.000 claims description 26
- 125000004430 oxygen atom Chemical group O* 0.000 claims description 26
- 125000003107 substituted aryl group Chemical group 0.000 claims description 26
- 230000007062 hydrolysis Effects 0.000 claims description 25
- 150000001720 carbohydrates Chemical group 0.000 claims description 24
- KDXKERNSBIXSRK-YFKPBYRVSA-N L-lysine Chemical compound NCCCC[C@H](N)C(O)=O KDXKERNSBIXSRK-YFKPBYRVSA-N 0.000 claims description 23
- QJGQUHMNIGDVPM-UHFFFAOYSA-N nitrogen group Chemical group [N] QJGQUHMNIGDVPM-UHFFFAOYSA-N 0.000 claims description 23
- 125000003342 alkenyl group Chemical group 0.000 claims description 22
- 125000000732 arylene group Chemical group 0.000 claims description 22
- 229920006395 saturated elastomer Polymers 0.000 claims description 22
- 239000000611 antibody drug conjugate Substances 0.000 claims description 21
- 125000005549 heteroarylene group Chemical group 0.000 claims description 21
- 108090000765 processed proteins & peptides Proteins 0.000 claims description 21
- 150000003839 salts Chemical group 0.000 claims description 21
- WHUUTDBJXJRKMK-VKHMYHEASA-N L-glutamic acid Chemical compound OC(=O)[C@@H](N)CCC(O)=O WHUUTDBJXJRKMK-VKHMYHEASA-N 0.000 claims description 20
- 238000011282 treatment Methods 0.000 claims description 20
- KDXKERNSBIXSRK-UHFFFAOYSA-N Lysine Natural products NCCCCC(N)C(O)=O KDXKERNSBIXSRK-UHFFFAOYSA-N 0.000 claims description 19
- 239000004472 Lysine Substances 0.000 claims description 19
- 125000002887 hydroxy group Chemical group [H]O* 0.000 claims description 19
- 235000018977 lysine Nutrition 0.000 claims description 19
- WHUUTDBJXJRKMK-UHFFFAOYSA-N Glutamic acid Natural products OC(=O)C(N)CCC(O)=O WHUUTDBJXJRKMK-UHFFFAOYSA-N 0.000 claims description 18
- 229910052736 halogen Inorganic materials 0.000 claims description 18
- 150000002367 halogens Chemical class 0.000 claims description 18
- 125000000592 heterocycloalkyl group Chemical group 0.000 claims description 18
- MTCFGRXMJLQNBG-REOHCLBHSA-N (2S)-2-Amino-3-hydroxypropansäure Chemical compound OC[C@H](N)C(O)=O MTCFGRXMJLQNBG-REOHCLBHSA-N 0.000 claims description 17
- 239000004220 glutamic acid Substances 0.000 claims description 17
- 108010016626 Dipeptides Proteins 0.000 claims description 16
- CKLJMWTZIZZHCS-REOHCLBHSA-N L-aspartic acid Chemical compound OC(=O)[C@@H](N)CC(O)=O CKLJMWTZIZZHCS-REOHCLBHSA-N 0.000 claims description 16
- 125000002947 alkylene group Chemical group 0.000 claims description 16
- 125000004093 cyano group Chemical group *C#N 0.000 claims description 16
- 235000013922 glutamic acid Nutrition 0.000 claims description 16
- SNOOUWRIMMFWNE-UHFFFAOYSA-M sodium;6-[(3,4,5-trimethoxybenzoyl)amino]hexanoate Chemical class [Na+].COC1=CC(C(=O)NCCCCCC([O-])=O)=CC(OC)=C1OC SNOOUWRIMMFWNE-UHFFFAOYSA-M 0.000 claims description 16
- XUJNEKJLAYXESH-REOHCLBHSA-N L-Cysteine Chemical compound SC[C@H](N)C(O)=O XUJNEKJLAYXESH-REOHCLBHSA-N 0.000 claims description 15
- 235000003704 aspartic acid Nutrition 0.000 claims description 15
- 229960005261 aspartic acid Drugs 0.000 claims description 15
- OQFSQFPPLPISGP-UHFFFAOYSA-N beta-carboxyaspartic acid Natural products OC(=O)C(N)C(C(O)=O)C(O)=O OQFSQFPPLPISGP-UHFFFAOYSA-N 0.000 claims description 15
- XUJNEKJLAYXESH-UHFFFAOYSA-N cysteine Natural products SCC(N)C(O)=O XUJNEKJLAYXESH-UHFFFAOYSA-N 0.000 claims description 15
- 235000018417 cysteine Nutrition 0.000 claims description 15
- 229960002433 cysteine Drugs 0.000 claims description 15
- 125000001495 ethyl group Chemical group [H]C([H])([H])C([H])([H])* 0.000 claims description 15
- 125000004433 nitrogen atom Chemical group N* 0.000 claims description 15
- 229960001639 penicillamine Drugs 0.000 claims description 15
- LJRDOKAZOAKLDU-UDXJMMFXSA-N (2s,3s,4r,5r,6r)-5-amino-2-(aminomethyl)-6-[(2r,3s,4r,5s)-5-[(1r,2r,3s,5r,6s)-3,5-diamino-2-[(2s,3r,4r,5s,6r)-3-amino-4,5-dihydroxy-6-(hydroxymethyl)oxan-2-yl]oxy-6-hydroxycyclohexyl]oxy-4-hydroxy-2-(hydroxymethyl)oxolan-3-yl]oxyoxane-3,4-diol;sulfuric ac Chemical compound OS(O)(=O)=O.N[C@@H]1[C@@H](O)[C@H](O)[C@H](CN)O[C@@H]1O[C@H]1[C@@H](O)[C@H](O[C@H]2[C@@H]([C@@H](N)C[C@@H](N)[C@@H]2O)O[C@@H]2[C@@H]([C@@H](O)[C@H](O)[C@@H](CO)O2)N)O[C@@H]1CO LJRDOKAZOAKLDU-UDXJMMFXSA-N 0.000 claims description 14
- 125000004169 (C1-C6) alkyl group Chemical group 0.000 claims description 14
- OUYCCCASQSFEME-QMMMGPOBSA-N L-tyrosine Chemical compound OC(=O)[C@@H](N)CC1=CC=C(O)C=C1 OUYCCCASQSFEME-QMMMGPOBSA-N 0.000 claims description 14
- 150000001721 carbon Chemical group 0.000 claims description 14
- QVGXLLKOCUKJST-UHFFFAOYSA-N atomic oxygen Chemical compound [O] QVGXLLKOCUKJST-UHFFFAOYSA-N 0.000 claims description 13
- 229960001153 serine Drugs 0.000 claims description 13
- 238000006467 substitution reaction Methods 0.000 claims description 13
- 125000004434 sulfur atom Chemical group 0.000 claims description 13
- 125000005913 (C3-C6) cycloalkyl group Chemical group 0.000 claims description 12
- MTCFGRXMJLQNBG-UHFFFAOYSA-N Serine Natural products OCC(N)C(O)=O MTCFGRXMJLQNBG-UHFFFAOYSA-N 0.000 claims description 12
- AYFVYJQAPQTCCC-UHFFFAOYSA-N Threonine Natural products CC(O)C(N)C(O)=O AYFVYJQAPQTCCC-UHFFFAOYSA-N 0.000 claims description 12
- 125000003710 aryl alkyl group Chemical group 0.000 claims description 12
- 239000001301 oxygen Substances 0.000 claims description 12
- 235000004400 serine Nutrition 0.000 claims description 12
- 239000004473 Threonine Substances 0.000 claims description 11
- 230000003834 intracellular effect Effects 0.000 claims description 11
- 125000001997 phenyl group Chemical group [H]C1=C([H])C([H])=C(*)C([H])=C1[H] 0.000 claims description 11
- 229960002898 threonine Drugs 0.000 claims description 11
- ZDXPYRJPNDTMRX-VKHMYHEASA-N L-glutamine Chemical compound OC(=O)[C@@H](N)CCC(N)=O ZDXPYRJPNDTMRX-VKHMYHEASA-N 0.000 claims description 10
- AYFVYJQAPQTCCC-GBXIJSLDSA-N L-threonine Chemical compound C[C@@H](O)[C@H](N)C(O)=O AYFVYJQAPQTCCC-GBXIJSLDSA-N 0.000 claims description 10
- 125000000304 alkynyl group Chemical group 0.000 claims description 10
- 150000001732 carboxylic acid derivatives Chemical class 0.000 claims description 10
- 229960003104 ornithine Drugs 0.000 claims description 10
- 235000008521 threonine Nutrition 0.000 claims description 10
- 239000004475 Arginine Substances 0.000 claims description 9
- 125000000882 C2-C6 alkenyl group Chemical group 0.000 claims description 9
- KXDHJXZQYSOELW-UHFFFAOYSA-N Carbamic acid Chemical group NC(O)=O KXDHJXZQYSOELW-UHFFFAOYSA-N 0.000 claims description 9
- AHLPHDHHMVZTML-BYPYZUCNSA-N L-Ornithine Chemical compound NCCC[C@H](N)C(O)=O AHLPHDHHMVZTML-BYPYZUCNSA-N 0.000 claims description 9
- AHLPHDHHMVZTML-UHFFFAOYSA-N Orn-delta-NH2 Natural products NCCCC(N)C(O)=O AHLPHDHHMVZTML-UHFFFAOYSA-N 0.000 claims description 9
- UTJLXEIPEHZYQJ-UHFFFAOYSA-N Ornithine Natural products OC(=O)C(C)CCCN UTJLXEIPEHZYQJ-UHFFFAOYSA-N 0.000 claims description 9
- NINIDFKCEFEMDL-UHFFFAOYSA-N Sulfur Chemical compound [S] NINIDFKCEFEMDL-UHFFFAOYSA-N 0.000 claims description 9
- 125000004450 alkenylene group Chemical group 0.000 claims description 9
- 229960003121 arginine Drugs 0.000 claims description 9
- 230000001413 cellular effect Effects 0.000 claims description 9
- ZDXPYRJPNDTMRX-UHFFFAOYSA-N glutamine Natural products OC(=O)C(N)CCC(N)=O ZDXPYRJPNDTMRX-UHFFFAOYSA-N 0.000 claims description 9
- 235000004554 glutamine Nutrition 0.000 claims description 9
- 125000004446 heteroarylalkyl group Chemical group 0.000 claims description 9
- DCXYFEDJOCDNAF-REOHCLBHSA-N L-asparagine Chemical compound OC(=O)[C@@H](N)CC(N)=O DCXYFEDJOCDNAF-REOHCLBHSA-N 0.000 claims description 8
- 206010025323 Lymphomas Diseases 0.000 claims description 8
- 229960001230 asparagine Drugs 0.000 claims description 8
- 229960002173 citrulline Drugs 0.000 claims description 8
- 238000005859 coupling reaction Methods 0.000 claims description 8
- 125000001449 isopropyl group Chemical group [H]C([H])([H])C([H])(*)C([H])([H])[H] 0.000 claims description 8
- 230000002829 reductive effect Effects 0.000 claims description 8
- OUYCCCASQSFEME-UHFFFAOYSA-N tyrosine Natural products OC(=O)C(N)CC1=CC=C(O)C=C1 OUYCCCASQSFEME-UHFFFAOYSA-N 0.000 claims description 8
- 235000002374 tyrosine Nutrition 0.000 claims description 8
- 125000006582 (C5-C6) heterocycloalkyl group Chemical group 0.000 claims description 7
- DCXYFEDJOCDNAF-UHFFFAOYSA-N Asparagine Natural products OC(=O)C(N)CC(N)=O DCXYFEDJOCDNAF-UHFFFAOYSA-N 0.000 claims description 7
- ODKSFYDXXFIFQN-BYPYZUCNSA-P L-argininium(2+) Chemical compound NC(=[NH2+])NCCC[C@H]([NH3+])C(O)=O ODKSFYDXXFIFQN-BYPYZUCNSA-P 0.000 claims description 7
- RHGKLRLOHDJJDR-BYPYZUCNSA-N L-citrulline Chemical compound NC(=O)NCCC[C@H]([NH3+])C([O-])=O RHGKLRLOHDJJDR-BYPYZUCNSA-N 0.000 claims description 7
- QIVBCDIJIAJPQS-VIFPVBQESA-N L-tryptophane Chemical compound C1=CC=C2C(C[C@H](N)C(O)=O)=CNC2=C1 QIVBCDIJIAJPQS-VIFPVBQESA-N 0.000 claims description 7
- RHGKLRLOHDJJDR-UHFFFAOYSA-N Ndelta-carbamoyl-DL-ornithine Natural products OC(=O)C(N)CCCNC(N)=O RHGKLRLOHDJJDR-UHFFFAOYSA-N 0.000 claims description 7
- QIVBCDIJIAJPQS-UHFFFAOYSA-N Tryptophan Natural products C1=CC=C2C(CC(N)C(O)=O)=CNC2=C1 QIVBCDIJIAJPQS-UHFFFAOYSA-N 0.000 claims description 7
- 230000002378 acidificating effect Effects 0.000 claims description 7
- 125000000539 amino acid group Chemical group 0.000 claims description 7
- ODKSFYDXXFIFQN-UHFFFAOYSA-N arginine Natural products OC(=O)C(N)CCCNC(N)=N ODKSFYDXXFIFQN-UHFFFAOYSA-N 0.000 claims description 7
- 235000009697 arginine Nutrition 0.000 claims description 7
- 235000009582 asparagine Nutrition 0.000 claims description 7
- 210000004899 c-terminal region Anatomy 0.000 claims description 7
- 125000003178 carboxy group Chemical group [H]OC(*)=O 0.000 claims description 7
- 235000013477 citrulline Nutrition 0.000 claims description 7
- 230000008878 coupling Effects 0.000 claims description 7
- 238000010168 coupling process Methods 0.000 claims description 7
- 238000009472 formulation Methods 0.000 claims description 7
- 125000003827 glycol group Chemical group 0.000 claims description 7
- 229960002317 succinimide Drugs 0.000 claims description 7
- FFFHZYDWPBMWHY-VKHMYHEASA-N L-homocysteine Chemical compound OC(=O)[C@@H](N)CCS FFFHZYDWPBMWHY-VKHMYHEASA-N 0.000 claims description 6
- 239000011593 sulfur Substances 0.000 claims description 6
- 210000004881 tumor cell Anatomy 0.000 claims description 6
- ZAMOUSCENKQFHK-UHFFFAOYSA-N Chlorine atom Chemical group [Cl] ZAMOUSCENKQFHK-UHFFFAOYSA-N 0.000 claims description 5
- 150000008575 L-amino acids Chemical class 0.000 claims description 5
- HNDVDQJCIGZPNO-YFKPBYRVSA-N L-histidine Chemical compound OC(=O)[C@@H](N)CC1=CN=CN1 HNDVDQJCIGZPNO-YFKPBYRVSA-N 0.000 claims description 5
- 239000000460 chlorine Chemical group 0.000 claims description 5
- 229910052801 chlorine Inorganic materials 0.000 claims description 5
- HNDVDQJCIGZPNO-UHFFFAOYSA-N histidine Natural products OC(=O)C(N)CC1=CN=CN1 HNDVDQJCIGZPNO-UHFFFAOYSA-N 0.000 claims description 5
- 235000014304 histidine Nutrition 0.000 claims description 5
- 125000000959 isobutyl group Chemical group [H]C([H])([H])C([H])(C([H])([H])[H])C([H])([H])* 0.000 claims description 5
- 208000032839 leukemia Diseases 0.000 claims description 5
- 125000001436 propyl group Chemical group [H]C([*])([H])C([H])([H])C([H])([H])[H] 0.000 claims description 5
- 125000002914 sec-butyl group Chemical group [H]C([H])([H])C([H])([H])C([H])(*)C([H])([H])[H] 0.000 claims description 5
- 239000003623 enhancer Substances 0.000 claims description 4
- 230000002401 inhibitory effect Effects 0.000 claims description 4
- 210000002966 serum Anatomy 0.000 claims description 4
- 125000006832 (C1-C10) alkylene group Chemical group 0.000 claims description 3
- 230000000903 blocking effect Effects 0.000 claims description 3
- 229910002091 carbon monoxide Inorganic materials 0.000 claims description 3
- 229960002743 glutamine Drugs 0.000 claims description 3
- 238000000338 in vitro Methods 0.000 claims description 3
- 239000007788 liquid Substances 0.000 claims description 3
- 229960003646 lysine Drugs 0.000 claims description 3
- 239000000546 pharmaceutical excipient Substances 0.000 claims description 3
- 238000007363 ring formation reaction Methods 0.000 claims description 3
- 239000007787 solid Substances 0.000 claims description 3
- 239000000243 solution Substances 0.000 claims description 3
- 101710160107 Outer membrane protein A Proteins 0.000 claims description 2
- 125000000956 methoxy group Chemical group [H]C([H])([H])O* 0.000 claims description 2
- 102100037486 Reverse transcriptase/ribonuclease H Human genes 0.000 claims 6
- 125000004123 n-propyl group Chemical group [H]C([H])([H])C([H])([H])C([H])([H])* 0.000 claims 6
- 125000001797 benzyl group Chemical group [H]C1=C([H])C([H])=C(C([H])=C1[H])C([H])([H])* 0.000 claims 2
- 125000004475 heteroaralkyl group Chemical group 0.000 claims 2
- 238000010253 intravenous injection Methods 0.000 claims 2
- KXSKAZFMTGADIV-UHFFFAOYSA-N 2-[3-(2-hydroxyethoxy)propoxy]ethanol Chemical compound OCCOCCCOCCO KXSKAZFMTGADIV-UHFFFAOYSA-N 0.000 claims 1
- 101000693243 Homo sapiens Paternally-expressed gene 3 protein Proteins 0.000 claims 1
- 102100025757 Paternally-expressed gene 3 protein Human genes 0.000 claims 1
- 230000006907 apoptotic process Effects 0.000 claims 1
- BDHFUVZGWQCTTF-UHFFFAOYSA-M sulfonate Chemical compound [O-]S(=O)=O BDHFUVZGWQCTTF-UHFFFAOYSA-M 0.000 claims 1
- 230000009471 action Effects 0.000 abstract description 12
- 208000023275 Autoimmune disease Diseases 0.000 abstract description 4
- 230000008685 targeting Effects 0.000 description 103
- 239000003795 chemical substances by application Substances 0.000 description 69
- 229910052721 tungsten Inorganic materials 0.000 description 46
- 125000004122 cyclic group Chemical group 0.000 description 39
- 125000003396 thiol group Chemical group [H]S* 0.000 description 39
- 210000002865 immune cell Anatomy 0.000 description 38
- 150000003512 tertiary amines Chemical class 0.000 description 37
- 125000003277 amino group Chemical group 0.000 description 36
- KZNICNPSHKQLFF-UHFFFAOYSA-N succinimide Chemical class O=C1CCC(=O)N1 KZNICNPSHKQLFF-UHFFFAOYSA-N 0.000 description 34
- RTZKZFJDLAIYFH-UHFFFAOYSA-N Diethyl ether Chemical compound CCOCC RTZKZFJDLAIYFH-UHFFFAOYSA-N 0.000 description 32
- 150000002148 esters Chemical class 0.000 description 27
- 125000002915 carbonyl group Chemical group [*:2]C([*:1])=O 0.000 description 26
- 230000000694 effects Effects 0.000 description 26
- 150000002431 hydrogen Chemical class 0.000 description 25
- 125000006850 spacer group Chemical group 0.000 description 25
- 150000001408 amides Chemical class 0.000 description 24
- 238000006243 chemical reaction Methods 0.000 description 20
- 230000001472 cytotoxic effect Effects 0.000 description 20
- 229920001427 mPEG Polymers 0.000 description 20
- 230000006320 pegylation Effects 0.000 description 19
- 241000282414 Homo sapiens Species 0.000 description 17
- 235000002639 sodium chloride Nutrition 0.000 description 17
- 231100000433 cytotoxic Toxicity 0.000 description 16
- AXKGIPZJYUNAIW-UHFFFAOYSA-N (4-aminophenyl)methanol Chemical compound NC1=CC=C(CO)C=C1 AXKGIPZJYUNAIW-UHFFFAOYSA-N 0.000 description 15
- 229930182480 glucuronide Natural products 0.000 description 15
- 150000008134 glucuronides Chemical group 0.000 description 15
- 238000010348 incorporation Methods 0.000 description 15
- 125000002924 primary amino group Chemical group [H]N([H])* 0.000 description 15
- 230000001085 cytostatic effect Effects 0.000 description 14
- 239000000543 intermediate Substances 0.000 description 14
- 108090000623 proteins and genes Proteins 0.000 description 14
- 239000000824 cytostatic agent Substances 0.000 description 13
- 239000002254 cytotoxic agent Substances 0.000 description 13
- 239000012634 fragment Substances 0.000 description 13
- 150000007513 acids Chemical class 0.000 description 12
- 150000001299 aldehydes Chemical class 0.000 description 12
- 230000021615 conjugation Effects 0.000 description 12
- 229940127089 cytotoxic agent Drugs 0.000 description 12
- 230000002255 enzymatic effect Effects 0.000 description 12
- 125000005439 maleimidyl group Chemical group C1(C=CC(N1*)=O)=O 0.000 description 12
- 210000004962 mammalian cell Anatomy 0.000 description 12
- 235000018102 proteins Nutrition 0.000 description 12
- 102000004169 proteins and genes Human genes 0.000 description 12
- 125000003368 amide group Chemical group 0.000 description 11
- 125000002843 carboxylic acid group Chemical group 0.000 description 11
- 102000004157 Hydrolases Human genes 0.000 description 10
- 108090000604 Hydrolases Proteins 0.000 description 10
- 150000001414 amino alcohols Chemical class 0.000 description 10
- 125000001743 benzylic group Chemical group 0.000 description 10
- 125000000151 cysteine group Chemical group N[C@@H](CS)C(=O)* 0.000 description 10
- 238000003379 elimination reaction Methods 0.000 description 10
- 230000035755 proliferation Effects 0.000 description 10
- 102000005962 receptors Human genes 0.000 description 10
- 108020003175 receptors Proteins 0.000 description 10
- 230000001105 regulatory effect Effects 0.000 description 10
- 239000000126 substance Substances 0.000 description 10
- 102000004190 Enzymes Human genes 0.000 description 9
- 108090000790 Enzymes Proteins 0.000 description 9
- 238000007792 addition Methods 0.000 description 9
- 125000004474 heteroalkylene group Chemical group 0.000 description 9
- RAXXELZNTBOGNW-UHFFFAOYSA-N imidazole Natural products C1=CNC=N1 RAXXELZNTBOGNW-UHFFFAOYSA-N 0.000 description 9
- 230000001965 increasing effect Effects 0.000 description 9
- JDVPQXZIJDEHAN-UHFFFAOYSA-N succinamic acid Chemical group NC(=O)CCC(O)=O JDVPQXZIJDEHAN-UHFFFAOYSA-N 0.000 description 9
- 238000003786 synthesis reaction Methods 0.000 description 9
- XLYOFNOQVPJJNP-UHFFFAOYSA-N water Substances O XLYOFNOQVPJJNP-UHFFFAOYSA-N 0.000 description 9
- PEDCQBHIVMGVHV-UHFFFAOYSA-N Glycerine Chemical compound OCC(O)CO PEDCQBHIVMGVHV-UHFFFAOYSA-N 0.000 description 8
- XSQUKJJJFZCRTK-UHFFFAOYSA-N Urea Chemical compound NC(N)=O XSQUKJJJFZCRTK-UHFFFAOYSA-N 0.000 description 8
- 230000015572 biosynthetic process Effects 0.000 description 8
- 230000002028 premature Effects 0.000 description 8
- 238000012545 processing Methods 0.000 description 8
- 239000000758 substrate Substances 0.000 description 8
- KDYFGRWQOYBRFD-UHFFFAOYSA-N succinic acid Chemical compound OC(=O)CCC(O)=O KDYFGRWQOYBRFD-UHFFFAOYSA-N 0.000 description 8
- 208000017604 Hodgkin disease Diseases 0.000 description 7
- 238000002513 implantation Methods 0.000 description 7
- 125000003588 lysine group Chemical group [H]N([H])C([H])([H])C([H])([H])C([H])([H])C([H])([H])C([H])(N([H])[H])C(*)=O 0.000 description 7
- 238000002360 preparation method Methods 0.000 description 7
- 241000894007 species Species 0.000 description 7
- AZQWKYJCGOJGHM-UHFFFAOYSA-N 1,4-benzoquinone Chemical compound O=C1C=CC(=O)C=C1 AZQWKYJCGOJGHM-UHFFFAOYSA-N 0.000 description 6
- KXDHJXZQYSOELW-UHFFFAOYSA-M Carbamate Chemical compound NC([O-])=O KXDHJXZQYSOELW-UHFFFAOYSA-M 0.000 description 6
- LFQSCWFLJHTTHZ-UHFFFAOYSA-N Ethanol Chemical compound CCO LFQSCWFLJHTTHZ-UHFFFAOYSA-N 0.000 description 6
- 208000021519 Hodgkin lymphoma Diseases 0.000 description 6
- 208000010747 Hodgkins lymphoma Diseases 0.000 description 6
- 101000851376 Homo sapiens Tumor necrosis factor receptor superfamily member 8 Proteins 0.000 description 6
- AVXURJPOCDRRFD-UHFFFAOYSA-N Hydroxylamine Chemical compound ON AVXURJPOCDRRFD-UHFFFAOYSA-N 0.000 description 6
- ODKSFYDXXFIFQN-BYPYZUCNSA-N L-arginine Chemical compound OC(=O)[C@@H](N)CCCN=C(N)N ODKSFYDXXFIFQN-BYPYZUCNSA-N 0.000 description 6
- 102000018697 Membrane Proteins Human genes 0.000 description 6
- 108010052285 Membrane Proteins Proteins 0.000 description 6
- 238000006845 Michael addition reaction Methods 0.000 description 6
- 102100036857 Tumor necrosis factor receptor superfamily member 8 Human genes 0.000 description 6
- 125000003545 alkoxy group Chemical group 0.000 description 6
- 125000002877 alkyl aryl group Chemical group 0.000 description 6
- 125000003275 alpha amino acid group Chemical group 0.000 description 6
- 235000013877 carbamide Nutrition 0.000 description 6
- 235000014633 carbohydrates Nutrition 0.000 description 6
- 239000003153 chemical reaction reagent Substances 0.000 description 6
- 238000004519 manufacturing process Methods 0.000 description 6
- 239000002207 metabolite Substances 0.000 description 6
- 230000000770 proinflammatory effect Effects 0.000 description 6
- 230000009257 reactivity Effects 0.000 description 6
- 230000000638 stimulation Effects 0.000 description 6
- BVKZGUZCCUSVTD-UHFFFAOYSA-L Carbonate Chemical compound [O-]C([O-])=O BVKZGUZCCUSVTD-UHFFFAOYSA-L 0.000 description 5
- PEEHTFAAVSWFBL-UHFFFAOYSA-N Maleimide Chemical group O=C1NC(=O)C=C1 PEEHTFAAVSWFBL-UHFFFAOYSA-N 0.000 description 5
- 241000124008 Mammalia Species 0.000 description 5
- 241000700159 Rattus Species 0.000 description 5
- 125000002837 carbocyclic group Chemical group 0.000 description 5
- 150000003857 carboxamides Chemical class 0.000 description 5
- 230000032823 cell division Effects 0.000 description 5
- 230000008859 change Effects 0.000 description 5
- 230000003013 cytotoxicity Effects 0.000 description 5
- 231100000135 cytotoxicity Toxicity 0.000 description 5
- 230000007423 decrease Effects 0.000 description 5
- 230000012010 growth Effects 0.000 description 5
- 238000004128 high performance liquid chromatography Methods 0.000 description 5
- 210000005260 human cell Anatomy 0.000 description 5
- 150000002466 imines Chemical class 0.000 description 5
- 238000011068 loading method Methods 0.000 description 5
- 239000000463 material Substances 0.000 description 5
- 229920000768 polyamine Polymers 0.000 description 5
- 102000004196 processed proteins & peptides Human genes 0.000 description 5
- 238000006722 reduction reaction Methods 0.000 description 5
- 125000000446 sulfanediyl group Chemical group *S* 0.000 description 5
- QTBSBXVTEAMEQO-UHFFFAOYSA-M Acetate Chemical compound CC([O-])=O QTBSBXVTEAMEQO-UHFFFAOYSA-M 0.000 description 4
- QTBSBXVTEAMEQO-UHFFFAOYSA-N Acetic acid Chemical group CC(O)=O QTBSBXVTEAMEQO-UHFFFAOYSA-N 0.000 description 4
- 108010047041 Complementarity Determining Regions Proteins 0.000 description 4
- 102000004127 Cytokines Human genes 0.000 description 4
- 108090000695 Cytokines Proteins 0.000 description 4
- BWGNESOTFCXPMA-UHFFFAOYSA-N Dihydrogen disulfide Chemical compound SS BWGNESOTFCXPMA-UHFFFAOYSA-N 0.000 description 4
- DHMQDGOQFOQNFH-UHFFFAOYSA-N Glycine Chemical compound NCC(O)=O DHMQDGOQFOQNFH-UHFFFAOYSA-N 0.000 description 4
- 208000002250 Hematologic Neoplasms Diseases 0.000 description 4
- 108010021625 Immunoglobulin Fragments Proteins 0.000 description 4
- 102000008394 Immunoglobulin Fragments Human genes 0.000 description 4
- JUJWROOIHBZHMG-UHFFFAOYSA-N Pyridine Chemical compound C1=CC=NC=C1 JUJWROOIHBZHMG-UHFFFAOYSA-N 0.000 description 4
- FAPWRFPIFSIZLT-UHFFFAOYSA-M Sodium chloride Chemical compound [Na+].[Cl-] FAPWRFPIFSIZLT-UHFFFAOYSA-M 0.000 description 4
- FZWLAAWBMGSTSO-UHFFFAOYSA-N Thiazole Chemical compound C1=CSC=N1 FZWLAAWBMGSTSO-UHFFFAOYSA-N 0.000 description 4
- HSRXSKHRSXRCFC-WDSKDSINSA-N Val-Ala Chemical compound CC(C)[C@H](N)C(=O)N[C@@H](C)C(O)=O HSRXSKHRSXRCFC-WDSKDSINSA-N 0.000 description 4
- 230000004913 activation Effects 0.000 description 4
- 150000001336 alkenes Chemical group 0.000 description 4
- 230000002238 attenuated effect Effects 0.000 description 4
- 239000002585 base Substances 0.000 description 4
- 230000004071 biological effect Effects 0.000 description 4
- 239000004202 carbamide Substances 0.000 description 4
- 230000001684 chronic effect Effects 0.000 description 4
- VILAVOFMIJHSJA-UHFFFAOYSA-N dicarbon monoxide Chemical compound [C]=C=O VILAVOFMIJHSJA-UHFFFAOYSA-N 0.000 description 4
- 208000035475 disorder Diseases 0.000 description 4
- 238000009826 distribution Methods 0.000 description 4
- 229940097043 glucuronic acid Drugs 0.000 description 4
- RWSXRVCMGQZWBV-WDSKDSINSA-N glutathione Chemical compound OC(=O)[C@@H](N)CCC(=O)N[C@@H](CS)C(=O)NCC(O)=O RWSXRVCMGQZWBV-WDSKDSINSA-N 0.000 description 4
- OAKJQQAXSVQMHS-UHFFFAOYSA-N hydrazine group Chemical group NN OAKJQQAXSVQMHS-UHFFFAOYSA-N 0.000 description 4
- 230000002209 hydrophobic effect Effects 0.000 description 4
- 206010020718 hyperplasia Diseases 0.000 description 4
- 230000003993 interaction Effects 0.000 description 4
- 150000002576 ketones Chemical group 0.000 description 4
- 125000002950 monocyclic group Chemical group 0.000 description 4
- XBXCNNQPRYLIDE-UHFFFAOYSA-M n-tert-butylcarbamate Chemical compound CC(C)(C)NC([O-])=O XBXCNNQPRYLIDE-UHFFFAOYSA-M 0.000 description 4
- 239000012038 nucleophile Substances 0.000 description 4
- 238000010647 peptide synthesis reaction Methods 0.000 description 4
- 230000002085 persistent effect Effects 0.000 description 4
- 238000005956 quaternization reaction Methods 0.000 description 4
- 150000003254 radicals Chemical class 0.000 description 4
- 230000009467 reduction Effects 0.000 description 4
- KDYFGRWQOYBRFD-UHFFFAOYSA-L succinate(2-) Chemical compound [O-]C(=O)CCC([O-])=O KDYFGRWQOYBRFD-UHFFFAOYSA-L 0.000 description 4
- 239000001384 succinic acid Substances 0.000 description 4
- 230000004083 survival effect Effects 0.000 description 4
- 208000024891 symptom Diseases 0.000 description 4
- 210000001519 tissue Anatomy 0.000 description 4
- 125000004417 unsaturated alkyl group Chemical group 0.000 description 4
- DJQYYYCQOZMCRC-UHFFFAOYSA-N 2-aminopropane-1,3-dithiol Chemical compound SCC(N)CS DJQYYYCQOZMCRC-UHFFFAOYSA-N 0.000 description 3
- UHOVQNZJYSORNB-UHFFFAOYSA-N Benzene Chemical compound C1=CC=CC=C1 UHOVQNZJYSORNB-UHFFFAOYSA-N 0.000 description 3
- 102100025221 CD70 antigen Human genes 0.000 description 3
- AEMOLEFTQBMNLQ-AQKNRBDQSA-N D-glucopyranuronic acid Chemical compound OC1O[C@H](C(O)=O)[C@@H](O)[C@H](O)[C@H]1O AEMOLEFTQBMNLQ-AQKNRBDQSA-N 0.000 description 3
- IAJILQKETJEXLJ-UHFFFAOYSA-N Galacturonsaeure Natural products O=CC(O)C(O)C(O)C(O)C(O)=O IAJILQKETJEXLJ-UHFFFAOYSA-N 0.000 description 3
- WQZGKKKJIJFFOK-GASJEMHNSA-N Glucose Natural products OC[C@H]1OC(O)[C@H](O)[C@@H](O)[C@@H]1O WQZGKKKJIJFFOK-GASJEMHNSA-N 0.000 description 3
- 101000934356 Homo sapiens CD70 antigen Proteins 0.000 description 3
- 108060003951 Immunoglobulin Proteins 0.000 description 3
- 102000000588 Interleukin-2 Human genes 0.000 description 3
- 108010002350 Interleukin-2 Proteins 0.000 description 3
- QNAYBMKLOCPYGJ-REOHCLBHSA-N L-alanine Chemical compound C[C@H](N)C(O)=O QNAYBMKLOCPYGJ-REOHCLBHSA-N 0.000 description 3
- AGPKZVBTJJNPAG-WHFBIAKZSA-N L-isoleucine Chemical compound CC[C@H](C)[C@H](N)C(O)=O AGPKZVBTJJNPAG-WHFBIAKZSA-N 0.000 description 3
- 241001465754 Metazoa Species 0.000 description 3
- ZCQWOFVYLHDMMC-UHFFFAOYSA-N Oxazole Chemical compound C1=COC=N1 ZCQWOFVYLHDMMC-UHFFFAOYSA-N 0.000 description 3
- 208000004965 Prostatic Intraepithelial Neoplasia Diseases 0.000 description 3
- 206010071019 Prostatic dysplasia Diseases 0.000 description 3
- 108020004511 Recombinant DNA Proteins 0.000 description 3
- 210000001744 T-lymphocyte Anatomy 0.000 description 3
- 235000004279 alanine Nutrition 0.000 description 3
- 150000001335 aliphatic alkanes Chemical class 0.000 description 3
- 150000001345 alkine derivatives Chemical group 0.000 description 3
- 125000005213 alkyl heteroaryl group Chemical group 0.000 description 3
- 150000003931 anilides Chemical group 0.000 description 3
- 238000013459 approach Methods 0.000 description 3
- 125000004104 aryloxy group Chemical group 0.000 description 3
- PMLJIHNCYNOQEQ-UHFFFAOYSA-N aspartic 1-amide Chemical compound NC(=O)C(N)CC(O)=O PMLJIHNCYNOQEQ-UHFFFAOYSA-N 0.000 description 3
- WQZGKKKJIJFFOK-VFUOTHLCSA-N beta-D-glucose Chemical compound OC[C@H]1O[C@@H](O)[C@H](O)[C@@H](O)[C@@H]1O WQZGKKKJIJFFOK-VFUOTHLCSA-N 0.000 description 3
- 230000001588 bifunctional effect Effects 0.000 description 3
- 150000004657 carbamic acid derivatives Chemical class 0.000 description 3
- 238000007385 chemical modification Methods 0.000 description 3
- 238000011161 development Methods 0.000 description 3
- 230000018109 developmental process Effects 0.000 description 3
- 239000003937 drug carrier Substances 0.000 description 3
- 239000012039 electrophile Substances 0.000 description 3
- 125000001033 ether group Chemical group 0.000 description 3
- 125000003709 fluoroalkyl group Chemical group 0.000 description 3
- 238000010353 genetic engineering Methods 0.000 description 3
- 235000011187 glycerol Nutrition 0.000 description 3
- 201000005787 hematologic cancer Diseases 0.000 description 3
- 210000000987 immune system Anatomy 0.000 description 3
- 208000026278 immune system disease Diseases 0.000 description 3
- 102000018358 immunoglobulin Human genes 0.000 description 3
- 238000001727 in vivo Methods 0.000 description 3
- 230000008595 infiltration Effects 0.000 description 3
- 238000001764 infiltration Methods 0.000 description 3
- 230000002757 inflammatory effect Effects 0.000 description 3
- 230000000670 limiting effect Effects 0.000 description 3
- 238000012423 maintenance Methods 0.000 description 3
- 238000004949 mass spectrometry Methods 0.000 description 3
- 230000007246 mechanism Effects 0.000 description 3
- 230000000269 nucleophilic effect Effects 0.000 description 3
- 239000002773 nucleotide Substances 0.000 description 3
- 125000003729 nucleotide group Chemical group 0.000 description 3
- 210000000056 organ Anatomy 0.000 description 3
- 230000003647 oxidation Effects 0.000 description 3
- 238000007254 oxidation reaction Methods 0.000 description 3
- 238000005897 peptide coupling reaction Methods 0.000 description 3
- ISWSIDIOOBJBQZ-UHFFFAOYSA-N phenol group Chemical group C1(=CC=CC=C1)O ISWSIDIOOBJBQZ-UHFFFAOYSA-N 0.000 description 3
- 230000000704 physical effect Effects 0.000 description 3
- 208000021046 prostate intraepithelial neoplasia Diseases 0.000 description 3
- 238000000746 purification Methods 0.000 description 3
- 150000003214 pyranose derivatives Chemical class 0.000 description 3
- 238000003259 recombinant expression Methods 0.000 description 3
- 230000002441 reversible effect Effects 0.000 description 3
- 150000003335 secondary amines Chemical class 0.000 description 3
- 239000011780 sodium chloride Substances 0.000 description 3
- 230000009885 systemic effect Effects 0.000 description 3
- 125000000999 tert-butyl group Chemical group [H]C([H])([H])C(*)(C([H])([H])[H])C([H])([H])[H] 0.000 description 3
- 230000001225 therapeutic effect Effects 0.000 description 3
- 108010058791 tubulysin U Proteins 0.000 description 3
- 210000005166 vasculature Anatomy 0.000 description 3
- 125000000391 vinyl group Chemical group [H]C([*])=C([H])[H] 0.000 description 3
- ZJIFDEVVTPEXDL-UHFFFAOYSA-N (2,5-dioxopyrrolidin-1-yl) hydrogen carbonate Chemical compound OC(=O)ON1C(=O)CCC1=O ZJIFDEVVTPEXDL-UHFFFAOYSA-N 0.000 description 2
- AASBXERNXVFUEJ-UHFFFAOYSA-N (2,5-dioxopyrrolidin-1-yl) propanoate Chemical compound CCC(=O)ON1C(=O)CCC1=O AASBXERNXVFUEJ-UHFFFAOYSA-N 0.000 description 2
- FDKWRPBBCBCIGA-REOHCLBHSA-N (2r)-2-azaniumyl-3-$l^{1}-selanylpropanoate Chemical compound [Se]C[C@H](N)C(O)=O FDKWRPBBCBCIGA-REOHCLBHSA-N 0.000 description 2
- RXKZEOMBVZELEA-UZNIZVIGSA-N (2s,4r)-4-[[2-[(1r,3r)-1-acetyloxy-4-methyl-3-[[(2s,3s)-3-methyl-2-[[(2r)-1-methylpiperidine-2-carbonyl]amino]pentanoyl]amino]pentyl]-1,3-thiazole-4-carbonyl]amino]-2-methyl-5-phenylpentanoic acid Chemical compound N([C@@H]([C@@H](C)CC)C(=O)N[C@H](C[C@@H](OC(C)=O)C=1SC=C(N=1)C(=O)N[C@H](C[C@H](C)C(O)=O)CC=1C=CC=CC=1)C(C)C)C(=O)[C@H]1CCCCN1C RXKZEOMBVZELEA-UZNIZVIGSA-N 0.000 description 2
- VBICKXHEKHSIBG-UHFFFAOYSA-N 1-monostearoylglycerol Chemical compound CCCCCCCCCCCCCCCCCC(=O)OCC(O)CO VBICKXHEKHSIBG-UHFFFAOYSA-N 0.000 description 2
- OYIFNHCXNCRBQI-UHFFFAOYSA-N 2-aminoadipic acid Chemical compound OC(=O)C(N)CCCC(O)=O OYIFNHCXNCRBQI-UHFFFAOYSA-N 0.000 description 2
- JUQLUIFNNFIIKC-UHFFFAOYSA-N 2-aminopimelic acid Chemical compound OC(=O)C(N)CCCCC(O)=O JUQLUIFNNFIIKC-UHFFFAOYSA-N 0.000 description 2
- YOWQWFMSQCOSBA-UHFFFAOYSA-N 2-methoxypropene Chemical compound COC(C)=C YOWQWFMSQCOSBA-UHFFFAOYSA-N 0.000 description 2
- 206010000871 Acute monocytic leukaemia Diseases 0.000 description 2
- 208000031261 Acute myeloid leukaemia Diseases 0.000 description 2
- 206010073478 Anaplastic large-cell lymphoma Diseases 0.000 description 2
- 108010083359 Antigen Receptors Proteins 0.000 description 2
- 102000006306 Antigen Receptors Human genes 0.000 description 2
- CIWBSHSKHKDKBQ-JLAZNSOCSA-N Ascorbic acid Chemical compound OC[C@H](O)[C@H]1OC(=O)C(O)=C1O CIWBSHSKHKDKBQ-JLAZNSOCSA-N 0.000 description 2
- 102000004580 Aspartic Acid Proteases Human genes 0.000 description 2
- 108010017640 Aspartic Acid Proteases Proteins 0.000 description 2
- 102100024222 B-lymphocyte antigen CD19 Human genes 0.000 description 2
- 125000003358 C2-C20 alkenyl group Chemical group 0.000 description 2
- 239000004215 Carbon black (E152) Substances 0.000 description 2
- 108010078791 Carrier Proteins Proteins 0.000 description 2
- 102100024940 Cathepsin K Human genes 0.000 description 2
- 102000005600 Cathepsins Human genes 0.000 description 2
- 108010084457 Cathepsins Proteins 0.000 description 2
- KRKNYBCHXYNGOX-UHFFFAOYSA-K Citrate Chemical compound [O-]C(=O)CC(O)(CC([O-])=O)C([O-])=O KRKNYBCHXYNGOX-UHFFFAOYSA-K 0.000 description 2
- 102000005927 Cysteine Proteases Human genes 0.000 description 2
- 108010005843 Cysteine Proteases Proteins 0.000 description 2
- FDKWRPBBCBCIGA-UWTATZPHSA-N D-Selenocysteine Natural products [Se]C[C@@H](N)C(O)=O FDKWRPBBCBCIGA-UWTATZPHSA-N 0.000 description 2
- BMYNFMYTOJXKLE-UHFFFAOYSA-N DL-isoserine Natural products NCC(O)C(O)=O BMYNFMYTOJXKLE-UHFFFAOYSA-N 0.000 description 2
- 206010061818 Disease progression Diseases 0.000 description 2
- 238000012286 ELISA Assay Methods 0.000 description 2
- LYCAIKOWRPUZTN-UHFFFAOYSA-N Ethylene glycol Chemical compound OCCO LYCAIKOWRPUZTN-UHFFFAOYSA-N 0.000 description 2
- 239000004606 Fillers/Extenders Substances 0.000 description 2
- PXGOKWXKJXAPGV-UHFFFAOYSA-N Fluorine Chemical compound FF PXGOKWXKJXAPGV-UHFFFAOYSA-N 0.000 description 2
- YLQBMQCUIZJEEH-UHFFFAOYSA-N Furan Chemical compound C=1C=COC=1 YLQBMQCUIZJEEH-UHFFFAOYSA-N 0.000 description 2
- 108010010803 Gelatin Proteins 0.000 description 2
- 102000053187 Glucuronidase Human genes 0.000 description 2
- 108010060309 Glucuronidase Proteins 0.000 description 2
- 108010024636 Glutathione Proteins 0.000 description 2
- 239000004471 Glycine Substances 0.000 description 2
- 101000980825 Homo sapiens B-lymphocyte antigen CD19 Proteins 0.000 description 2
- 101000934338 Homo sapiens Myeloid cell surface antigen CD33 Proteins 0.000 description 2
- 102000003814 Interleukin-10 Human genes 0.000 description 2
- 108090000174 Interleukin-10 Proteins 0.000 description 2
- ONIBWKKTOPOVIA-BYPYZUCNSA-N L-Proline Chemical compound OC(=O)[C@@H]1CCCN1 ONIBWKKTOPOVIA-BYPYZUCNSA-N 0.000 description 2
- ROHFNLRQFUQHCH-YFKPBYRVSA-N L-leucine Chemical compound CC(C)C[C@H](N)C(O)=O ROHFNLRQFUQHCH-YFKPBYRVSA-N 0.000 description 2
- FFEARJCKVFRZRR-BYPYZUCNSA-N L-methionine Chemical compound CSCC[C@H](N)C(O)=O FFEARJCKVFRZRR-BYPYZUCNSA-N 0.000 description 2
- COLNVLDHVKWLRT-QMMMGPOBSA-N L-phenylalanine Chemical compound OC(=O)[C@@H](N)CC1=CC=CC=C1 COLNVLDHVKWLRT-QMMMGPOBSA-N 0.000 description 2
- ROHFNLRQFUQHCH-UHFFFAOYSA-N Leucine Natural products CC(C)CC(N)C(O)=O ROHFNLRQFUQHCH-UHFFFAOYSA-N 0.000 description 2
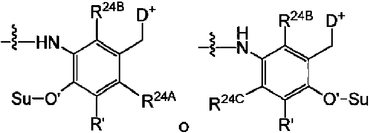
- 102220595603 Major vault protein_R24C_mutation Human genes 0.000 description 2
- 102000005741 Metalloproteases Human genes 0.000 description 2
- 108010006035 Metalloproteases Proteins 0.000 description 2
- 208000035489 Monocytic Acute Leukemia Diseases 0.000 description 2
- 241001529936 Murinae Species 0.000 description 2
- 241000699666 Mus <mouse, genus> Species 0.000 description 2
- 208000033776 Myeloid Acute Leukemia Diseases 0.000 description 2
- 102100025243 Myeloid cell surface antigen CD33 Human genes 0.000 description 2
- 208000015914 Non-Hodgkin lymphomas Diseases 0.000 description 2
- 229910019142 PO4 Inorganic materials 0.000 description 2
- 241000009328 Perro Species 0.000 description 2
- ONIBWKKTOPOVIA-UHFFFAOYSA-N Proline Natural products OC(=O)C1CCCN1 ONIBWKKTOPOVIA-UHFFFAOYSA-N 0.000 description 2
- XBDQKXXYIPTUBI-UHFFFAOYSA-M Propionate Chemical compound CCC([O-])=O XBDQKXXYIPTUBI-UHFFFAOYSA-M 0.000 description 2
- 102100024952 Protein CBFA2T1 Human genes 0.000 description 2
- KAESVJOAVNADME-UHFFFAOYSA-N Pyrrole Chemical compound C=1C=CNC=1 KAESVJOAVNADME-UHFFFAOYSA-N 0.000 description 2
- NGVMVBQRKZPFLB-YFKPBYRVSA-N S-methyl-L-thiocitrulline Chemical compound CSC(N)=NCCC[C@H](N)C(O)=O NGVMVBQRKZPFLB-YFKPBYRVSA-N 0.000 description 2
- 102000012479 Serine Proteases Human genes 0.000 description 2
- 108010022999 Serine Proteases Proteins 0.000 description 2
- VYPSYNLAJGMNEJ-UHFFFAOYSA-N Silicium dioxide Chemical compound O=[Si]=O VYPSYNLAJGMNEJ-UHFFFAOYSA-N 0.000 description 2
- 229920002472 Starch Polymers 0.000 description 2
- YTPLMLYBLZKORZ-UHFFFAOYSA-N Thiophene Chemical compound C=1C=CSC=1 YTPLMLYBLZKORZ-UHFFFAOYSA-N 0.000 description 2
- 108090000704 Tubulin Proteins 0.000 description 2
- 102000004243 Tubulin Human genes 0.000 description 2
- 230000021736 acetylation Effects 0.000 description 2
- 238000006640 acetylation reaction Methods 0.000 description 2
- 125000004423 acyloxy group Chemical group 0.000 description 2
- 230000002411 adverse Effects 0.000 description 2
- 229960002684 aminocaproic acid Drugs 0.000 description 2
- 230000003110 anti-inflammatory effect Effects 0.000 description 2
- 230000000890 antigenic effect Effects 0.000 description 2
- 150000001540 azides Chemical class 0.000 description 2
- 230000008901 benefit Effects 0.000 description 2
- WPYMKLBDIGXBTP-UHFFFAOYSA-N benzoic acid Chemical compound OC(=O)C1=CC=CC=C1 WPYMKLBDIGXBTP-UHFFFAOYSA-N 0.000 description 2
- 125000002619 bicyclic group Chemical group 0.000 description 2
- 210000004369 blood Anatomy 0.000 description 2
- 239000008280 blood Substances 0.000 description 2
- 125000000837 carbohydrate group Chemical group 0.000 description 2
- 125000005587 carbonate group Chemical group 0.000 description 2
- 150000004649 carbonic acid derivatives Chemical class 0.000 description 2
- 125000006297 carbonyl amino group Chemical group [H]N([*:2])C([*:1])=O 0.000 description 2
- 239000000969 carrier Substances 0.000 description 2
- 230000030833 cell death Effects 0.000 description 2
- 210000000170 cell membrane Anatomy 0.000 description 2
- 230000004663 cell proliferation Effects 0.000 description 2
- 238000012512 characterization method Methods 0.000 description 2
- 208000037976 chronic inflammation Diseases 0.000 description 2
- 230000006020 chronic inflammation Effects 0.000 description 2
- 210000003690 classically activated macrophage Anatomy 0.000 description 2
- 238000010367 cloning Methods 0.000 description 2
- MGNCLNQXLYJVJD-UHFFFAOYSA-N cyanuric chloride Chemical compound ClC1=NC(Cl)=NC(Cl)=N1 MGNCLNQXLYJVJD-UHFFFAOYSA-N 0.000 description 2
- 125000000596 cyclohexenyl group Chemical group C1(=CCCCC1)* 0.000 description 2
- 125000002433 cyclopentenyl group Chemical group C1(=CCCC1)* 0.000 description 2
- 231100000599 cytotoxic agent Toxicity 0.000 description 2
- 230000003247 decreasing effect Effects 0.000 description 2
- 230000002950 deficient Effects 0.000 description 2
- 238000012217 deletion Methods 0.000 description 2
- 230000037430 deletion Effects 0.000 description 2
- 230000001419 dependent effect Effects 0.000 description 2
- POLCUAVZOMRGSN-UHFFFAOYSA-N dipropyl ether Chemical compound CCCOCCC POLCUAVZOMRGSN-UHFFFAOYSA-N 0.000 description 2
- 230000005750 disease progression Effects 0.000 description 2
- 150000002019 disulfides Chemical class 0.000 description 2
- 238000001962 electrophoresis Methods 0.000 description 2
- 230000008030 elimination Effects 0.000 description 2
- 150000002170 ethers Chemical class 0.000 description 2
- 238000011156 evaluation Methods 0.000 description 2
- 230000000763 evoking effect Effects 0.000 description 2
- 230000029142 excretion Effects 0.000 description 2
- 230000002349 favourable effect Effects 0.000 description 2
- 239000011737 fluorine Substances 0.000 description 2
- 229910052731 fluorine Inorganic materials 0.000 description 2
- 125000004428 fluoroalkoxy group Chemical group 0.000 description 2
- 125000002485 formyl group Chemical group [H]C(*)=O 0.000 description 2
- 239000008273 gelatin Substances 0.000 description 2
- 229920000159 gelatin Polymers 0.000 description 2
- 235000019322 gelatine Nutrition 0.000 description 2
- 235000011852 gelatine desserts Nutrition 0.000 description 2
- 239000008103 glucose Substances 0.000 description 2
- 229960003180 glutathione Drugs 0.000 description 2
- 229930182470 glycoside Natural products 0.000 description 2
- 150000002338 glycosides Chemical class 0.000 description 2
- 230000013595 glycosylation Effects 0.000 description 2
- 238000006206 glycosylation reaction Methods 0.000 description 2
- 201000009277 hairy cell leukemia Diseases 0.000 description 2
- 208000024200 hematopoietic and lymphoid system neoplasm Diseases 0.000 description 2
- 125000004404 heteroalkyl group Chemical group 0.000 description 2
- 150000002391 heterocyclic compounds Chemical class 0.000 description 2
- 239000008241 heterogeneous mixture Substances 0.000 description 2
- 229940088597 hormone Drugs 0.000 description 2
- 239000005556 hormone Substances 0.000 description 2
- 229930195733 hydrocarbon Natural products 0.000 description 2
- 230000003301 hydrolyzing effect Effects 0.000 description 2
- 150000003949 imides Chemical group 0.000 description 2
- 230000028993 immune response Effects 0.000 description 2
- 229940127121 immunoconjugate Drugs 0.000 description 2
- 230000003308 immunostimulating effect Effects 0.000 description 2
- 230000001506 immunosuppresive effect Effects 0.000 description 2
- 239000012535 impurity Substances 0.000 description 2
- 238000010874 in vitro model Methods 0.000 description 2
- 230000001939 inductive effect Effects 0.000 description 2
- 239000003112 inhibitor Substances 0.000 description 2
- 230000005764 inhibitory process Effects 0.000 description 2
- 229940076144 interleukin-10 Drugs 0.000 description 2
- 150000002500 ions Chemical class 0.000 description 2
- AGPKZVBTJJNPAG-UHFFFAOYSA-N isoleucine Natural products CCC(C)C(N)C(O)=O AGPKZVBTJJNPAG-UHFFFAOYSA-N 0.000 description 2
- 229960000310 isoleucine Drugs 0.000 description 2
- 210000003712 lysosome Anatomy 0.000 description 2
- 230000001868 lysosomic effect Effects 0.000 description 2
- 235000010335 lysozyme Nutrition 0.000 description 2
- 230000003211 malignant effect Effects 0.000 description 2
- 102000006240 membrane receptors Human genes 0.000 description 2
- LGRLWUINFJPLSH-UHFFFAOYSA-N methanide Chemical compound [CH3-] LGRLWUINFJPLSH-UHFFFAOYSA-N 0.000 description 2
- 229930182817 methionine Natural products 0.000 description 2
- CXHHBNMLPJOKQD-UHFFFAOYSA-N methyl hydrogen carbonate Chemical class COC(O)=O CXHHBNMLPJOKQD-UHFFFAOYSA-N 0.000 description 2
- 230000000813 microbial effect Effects 0.000 description 2
- 230000004048 modification Effects 0.000 description 2
- 238000012986 modification Methods 0.000 description 2
- 125000000449 nitro group Chemical group [O-][N+](*)=O 0.000 description 2
- 150000002829 nitrogen Chemical group 0.000 description 2
- 244000052769 pathogen Species 0.000 description 2
- 230000001575 pathological effect Effects 0.000 description 2
- 230000002093 peripheral effect Effects 0.000 description 2
- COLNVLDHVKWLRT-UHFFFAOYSA-N phenylalanine Natural products OC(=O)C(N)CC1=CC=CC=C1 COLNVLDHVKWLRT-UHFFFAOYSA-N 0.000 description 2
- NBIIXXVUZAFLBC-UHFFFAOYSA-K phosphate Chemical compound [O-]P([O-])([O-])=O NBIIXXVUZAFLBC-UHFFFAOYSA-K 0.000 description 2
- 239000010452 phosphate Substances 0.000 description 2
- 235000021317 phosphate Nutrition 0.000 description 2
- 229910052698 phosphorus Inorganic materials 0.000 description 2
- 229920001184 polypeptide Polymers 0.000 description 2
- 239000000651 prodrug Substances 0.000 description 2
- 229940002612 prodrug Drugs 0.000 description 2
- 235000013930 proline Nutrition 0.000 description 2
- 238000000159 protein binding assay Methods 0.000 description 2
- UMJSCPRVCHMLSP-UHFFFAOYSA-N pyridine Natural products COC1=CC=CN=C1 UMJSCPRVCHMLSP-UHFFFAOYSA-N 0.000 description 2
- HNJBEVLQSNELDL-UHFFFAOYSA-N pyrrolidin-2-one Chemical compound O=C1CCCN1 HNJBEVLQSNELDL-UHFFFAOYSA-N 0.000 description 2
- 230000010076 replication Effects 0.000 description 2
- 230000004044 response Effects 0.000 description 2
- 235000016491 selenocysteine Nutrition 0.000 description 2
- ZKZBPNGNEQAJSX-UHFFFAOYSA-N selenocysteine Natural products [SeH]CC(N)C(O)=O ZKZBPNGNEQAJSX-UHFFFAOYSA-N 0.000 description 2
- 229940055619 selenocysteine Drugs 0.000 description 2
- 230000035945 sensitivity Effects 0.000 description 2
- 238000000926 separation method Methods 0.000 description 2
- 238000012163 sequencing technique Methods 0.000 description 2
- 229910052710 silicon Inorganic materials 0.000 description 2
- 239000008107 starch Substances 0.000 description 2
- 235000019698 starch Nutrition 0.000 description 2
- 238000005556 structure-activity relationship Methods 0.000 description 2
- 125000005017 substituted alkenyl group Chemical group 0.000 description 2
- 125000004426 substituted alkynyl group Chemical group 0.000 description 2
- 239000000454 talc Substances 0.000 description 2
- 229910052623 talc Inorganic materials 0.000 description 2
- 125000001981 tert-butyldimethylsilyl group Chemical group [H]C([H])([H])[Si]([H])(C([H])([H])[H])[*]C(C([H])([H])[H])(C([H])([H])[H])C([H])([H])[H] 0.000 description 2
- 238000012360 testing method Methods 0.000 description 2
- ATGUDZODTABURZ-UHFFFAOYSA-N thiolan-2-ylideneazanium;chloride Chemical compound Cl.N=C1CCCS1 ATGUDZODTABURZ-UHFFFAOYSA-N 0.000 description 2
- VZCYOOQTPOCHFL-UHFFFAOYSA-N trans-butenedioic acid Natural products OC(=O)C=CC(O)=O VZCYOOQTPOCHFL-UHFFFAOYSA-N 0.000 description 2
- 150000003852 triazoles Chemical class 0.000 description 2
- 125000000025 triisopropylsilyl group Chemical group C(C)(C)[Si](C(C)C)(C(C)C)* 0.000 description 2
- 230000004614 tumor growth Effects 0.000 description 2
- 150000003672 ureas Chemical class 0.000 description 2
- 210000005167 vascular cell Anatomy 0.000 description 2
- 229920002554 vinyl polymer Polymers 0.000 description 2
- 230000003612 virological effect Effects 0.000 description 2
- FLCQLSRLQIPNLM-UHFFFAOYSA-N (2,5-dioxopyrrolidin-1-yl) 2-acetylsulfanylacetate Chemical compound CC(=O)SCC(=O)ON1C(=O)CCC1=O FLCQLSRLQIPNLM-UHFFFAOYSA-N 0.000 description 1
- BPSLZWSRHTULGU-ZCFIWIBFSA-N (2r)-1-methylpiperidin-1-ium-2-carboxylate Chemical compound CN1CCCC[C@@H]1C(O)=O BPSLZWSRHTULGU-ZCFIWIBFSA-N 0.000 description 1
- DYWUPCCKOVTCFZ-LBPRGKRZSA-N (2s)-2-amino-3-[1-[(2-methylpropan-2-yl)oxycarbonyl]indol-3-yl]propanoic acid Chemical compound C1=CC=C2N(C(=O)OC(C)(C)C)C=C(C[C@H](N)C(O)=O)C2=C1 DYWUPCCKOVTCFZ-LBPRGKRZSA-N 0.000 description 1
- SDFDIECLEXOBAG-JTQLQIEISA-N (2s)-2-amino-4-(phenylmethoxycarbonylamino)butanoic acid Chemical compound OC(=O)[C@@H](N)CCNC(=O)OCC1=CC=CC=C1 SDFDIECLEXOBAG-JTQLQIEISA-N 0.000 description 1
- VVQIIIAZJXTLRE-QMMMGPOBSA-N (2s)-2-amino-6-[(2-methylpropan-2-yl)oxycarbonylamino]hexanoic acid Chemical compound CC(C)(C)OC(=O)NCCCC[C@H](N)C(O)=O VVQIIIAZJXTLRE-QMMMGPOBSA-N 0.000 description 1
- MXWMFBYWXMXRPD-YFKPBYRVSA-N (2s)-2-azaniumyl-4-[(2-methylpropan-2-yl)oxy]-4-oxobutanoate Chemical compound CC(C)(C)OC(=O)C[C@H](N)C(O)=O MXWMFBYWXMXRPD-YFKPBYRVSA-N 0.000 description 1
- ICJFZQLAIOCZNG-LURJTMIESA-N (2s)-2-azaniumyl-4-[(2-methylpropan-2-yl)oxycarbonylamino]butanoate Chemical compound CC(C)(C)OC(=O)NCC[C@H](N)C(O)=O ICJFZQLAIOCZNG-LURJTMIESA-N 0.000 description 1
- OIOAKXPMBIZAHL-LURJTMIESA-N (2s)-2-azaniumyl-5-[(2-methylpropan-2-yl)oxy]-5-oxopentanoate Chemical compound CC(C)(C)OC(=O)CC[C@H](N)C(O)=O OIOAKXPMBIZAHL-LURJTMIESA-N 0.000 description 1
- XIFFJPJZPDCOJH-NRFANRHFSA-N (2s)-2-azaniumyl-5-oxo-5-(tritylamino)pentanoate Chemical compound C=1C=CC=CC=1C(C=1C=CC=CC=1)(NC(=O)CC[C@H](N)C(O)=O)C1=CC=CC=C1 XIFFJPJZPDCOJH-NRFANRHFSA-N 0.000 description 1
- JMZPOGGPUVRZMI-QMMMGPOBSA-N (2s)-2-azaniumyl-6-(prop-2-enoxycarbonylamino)hexanoate Chemical compound [O-]C(=O)[C@@H]([NH3+])CCCCNC(=O)OCC=C JMZPOGGPUVRZMI-QMMMGPOBSA-N 0.000 description 1
- POBZYODNVHQLFG-ZRBKHQLFSA-N (2s,4r)-4-[[2-[(1r,3r)-1-acetyloxy-4-methyl-3-[methyl-[(2s,3s)-3-methyl-2-[[(2r)-1-methylpiperidine-2-carbonyl]amino]pentanoyl]amino]pentyl]-1,3-thiazole-4-carbonyl]amino]-2-methyl-5-phenylpentanoic acid Chemical compound N([C@@H]([C@@H](C)CC)C(=O)N(C)[C@H](C[C@@H](OC(C)=O)C=1SC=C(N=1)C(=O)N[C@H](C[C@H](C)C(O)=O)CC=1C=CC=CC=1)C(C)C)C(=O)[C@H]1CCCCN1C POBZYODNVHQLFG-ZRBKHQLFSA-N 0.000 description 1
- TVHNWAKCVXFPNB-HCCKASOXSA-N (4r)-4-amino-2-methyl-5-phenylpentanoic acid Chemical compound OC(=O)C(C)C[C@@H](N)CC1=CC=CC=C1 TVHNWAKCVXFPNB-HCCKASOXSA-N 0.000 description 1
- 125000006273 (C1-C3) alkyl group Chemical group 0.000 description 1
- 125000003161 (C1-C6) alkylene group Chemical group 0.000 description 1
- 125000006656 (C2-C4) alkenyl group Chemical group 0.000 description 1
- 125000006552 (C3-C8) cycloalkyl group Chemical group 0.000 description 1
- GHOKWGTUZJEAQD-ZETCQYMHSA-N (D)-(+)-Pantothenic acid Chemical compound OCC(C)(C)[C@@H](O)C(=O)NCCC(O)=O GHOKWGTUZJEAQD-ZETCQYMHSA-N 0.000 description 1
- VYEWZWBILJHHCU-OMQUDAQFSA-N (e)-n-[(2s,3r,4r,5r,6r)-2-[(2r,3r,4s,5s,6s)-3-acetamido-5-amino-4-hydroxy-6-(hydroxymethyl)oxan-2-yl]oxy-6-[2-[(2r,3s,4r,5r)-5-(2,4-dioxopyrimidin-1-yl)-3,4-dihydroxyoxolan-2-yl]-2-hydroxyethyl]-4,5-dihydroxyoxan-3-yl]-5-methylhex-2-enamide Chemical compound N1([C@@H]2O[C@@H]([C@H]([C@H]2O)O)C(O)C[C@@H]2[C@H](O)[C@H](O)[C@H]([C@@H](O2)O[C@@H]2[C@@H]([C@@H](O)[C@H](N)[C@@H](CO)O2)NC(C)=O)NC(=O)/C=C/CC(C)C)C=CC(=O)NC1=O VYEWZWBILJHHCU-OMQUDAQFSA-N 0.000 description 1
- JYEUMXHLPRZUAT-UHFFFAOYSA-N 1,2,3-triazine Chemical compound C1=CN=NN=C1 JYEUMXHLPRZUAT-UHFFFAOYSA-N 0.000 description 1
- SWWQQSDRUYSMAR-UHFFFAOYSA-N 1-[(4-hydroxyphenyl)methyl]-1,2,3,4-tetrahydroisoquinoline-6,7-diol;hydrochloride Chemical group Cl.C1=CC(O)=CC=C1CC1C2=CC(O)=C(O)C=C2CCN1 SWWQQSDRUYSMAR-UHFFFAOYSA-N 0.000 description 1
- 125000006039 1-hexenyl group Chemical group 0.000 description 1
- NFGXHKASABOEEW-UHFFFAOYSA-N 1-methylethyl 11-methoxy-3,7,11-trimethyl-2,4-dodecadienoate Chemical compound COC(C)(C)CCCC(C)CC=CC(C)=CC(=O)OC(C)C NFGXHKASABOEEW-UHFFFAOYSA-N 0.000 description 1
- 125000006023 1-pentenyl group Chemical group 0.000 description 1
- CXCHEKCRJQRVNG-UHFFFAOYSA-N 2,2,2-trifluoroethanesulfonyl chloride Chemical compound FC(F)(F)CS(Cl)(=O)=O CXCHEKCRJQRVNG-UHFFFAOYSA-N 0.000 description 1
- WXTMDXOMEHJXQO-UHFFFAOYSA-N 2,5-dihydroxybenzoic acid Chemical compound OC(=O)C1=CC(O)=CC=C1O WXTMDXOMEHJXQO-UHFFFAOYSA-N 0.000 description 1
- 150000003923 2,5-pyrrolediones Chemical class 0.000 description 1
- HUHXLHLWASNVDB-UHFFFAOYSA-N 2-(oxan-2-yloxy)oxane Chemical class O1CCCCC1OC1OCCCC1 HUHXLHLWASNVDB-UHFFFAOYSA-N 0.000 description 1
- NGNBDVOYPDDBFK-UHFFFAOYSA-N 2-[2,4-di(pentan-2-yl)phenoxy]acetyl chloride Chemical compound CCCC(C)C1=CC=C(OCC(Cl)=O)C(C(C)CCC)=C1 NGNBDVOYPDDBFK-UHFFFAOYSA-N 0.000 description 1
- BCJTWWMUGVBFIF-UHFFFAOYSA-N 2-[[amino-(hydroxyamino)methylidene]amino]butanoic acid Chemical compound ON=C(NC(C(=O)O)CC)N BCJTWWMUGVBFIF-UHFFFAOYSA-N 0.000 description 1
- UIHHMHBYEZJGNC-UHFFFAOYSA-N 2-amino-3-(5-hydroxy-1h-indol-3-yl)propanoic acid;hydrate Chemical compound O.C1=C(O)C=C2C(CC(N)C(O)=O)=CNC2=C1 UIHHMHBYEZJGNC-UHFFFAOYSA-N 0.000 description 1
- CBAWNLIZBXJSFS-UHFFFAOYSA-N 2-amino-6-(propan-2-ylamino)hexanoic acid Chemical compound CC(C)NCCCCC(N)C(O)=O CBAWNLIZBXJSFS-UHFFFAOYSA-N 0.000 description 1
- NYPYHUZRZVSYKL-UHFFFAOYSA-N 2-azaniumyl-3-(4-hydroxy-3,5-diiodophenyl)propanoate Chemical compound OC(=O)C(N)CC1=CC(I)=C(O)C(I)=C1 NYPYHUZRZVSYKL-UHFFFAOYSA-N 0.000 description 1
- UQTZMGFTRHFAAM-UHFFFAOYSA-N 2-azaniumyl-3-(4-hydroxy-3-iodophenyl)propanoate Chemical compound OC(=O)C(N)CC1=CC=C(O)C(I)=C1 UQTZMGFTRHFAAM-UHFFFAOYSA-N 0.000 description 1
- LVVHLRGIYZFSEL-UHFFFAOYSA-N 2-methoxyethyl n-[2-[2-[2-[2-(4-oxobutoxy)ethoxy]ethoxy]ethoxy]ethyl]carbamate Chemical compound COCCOC(=O)NCCOCCOCCOCCOCCCC=O LVVHLRGIYZFSEL-UHFFFAOYSA-N 0.000 description 1
- 125000003903 2-propenyl group Chemical group [H]C([*])([H])C([H])=C([H])[H] 0.000 description 1
- GWYFCOCPABKNJV-UHFFFAOYSA-M 3-Methylbutanoic acid Natural products CC(C)CC([O-])=O GWYFCOCPABKNJV-UHFFFAOYSA-M 0.000 description 1
- RZARFIRJROUVLM-UHFFFAOYSA-N 3-azaniumyl-2-hydroxy-3-phenylpropanoate Chemical compound OC(=O)C(O)C(N)C1=CC=CC=C1 RZARFIRJROUVLM-UHFFFAOYSA-N 0.000 description 1
- FEWJPZIEWOKRBE-UHFFFAOYSA-M 3-carboxy-2,3-dihydroxypropanoate Chemical compound OC(=O)C(O)C(O)C([O-])=O FEWJPZIEWOKRBE-UHFFFAOYSA-M 0.000 description 1
- 125000006041 3-hexenyl group Chemical group 0.000 description 1
- FBTSQILOGYXGMD-UHFFFAOYSA-N 3-nitrotyrosine Chemical compound OC(=O)C(N)CC1=CC=C(O)C([N+]([O-])=O)=C1 FBTSQILOGYXGMD-UHFFFAOYSA-N 0.000 description 1
- QXZGLTYKKZKGLN-UHFFFAOYSA-N 4-(2,5-dioxopyrrolidin-1-yl)oxy-4-oxobutanoic acid Chemical compound OC(=O)CCC(=O)ON1C(=O)CCC1=O QXZGLTYKKZKGLN-UHFFFAOYSA-N 0.000 description 1
- LKDMKWNDBAVNQZ-UHFFFAOYSA-N 4-[[1-[[1-[2-[[1-(4-nitroanilino)-1-oxo-3-phenylpropan-2-yl]carbamoyl]pyrrolidin-1-yl]-1-oxopropan-2-yl]amino]-1-oxopropan-2-yl]amino]-4-oxobutanoic acid Chemical compound OC(=O)CCC(=O)NC(C)C(=O)NC(C)C(=O)N1CCCC1C(=O)NC(C(=O)NC=1C=CC(=CC=1)[N+]([O-])=O)CC1=CC=CC=C1 LKDMKWNDBAVNQZ-UHFFFAOYSA-N 0.000 description 1
- 125000003143 4-hydroxybenzyl group Chemical group [H]C([*])([H])C1=C([H])C([H])=C(O[H])C([H])=C1[H] 0.000 description 1
- 125000006163 5-membered heteroaryl group Chemical group 0.000 description 1
- ODHCTXKNWHHXJC-VKHMYHEASA-N 5-oxo-L-proline Chemical compound OC(=O)[C@@H]1CCC(=O)N1 ODHCTXKNWHHXJC-VKHMYHEASA-N 0.000 description 1
- ZCYVEMRRCGMTRW-UHFFFAOYSA-N 7553-56-2 Chemical compound [I] ZCYVEMRRCGMTRW-UHFFFAOYSA-N 0.000 description 1
- 244000215068 Acacia senegal Species 0.000 description 1
- 108091005508 Acid proteases Proteins 0.000 description 1
- 208000024893 Acute lymphoblastic leukemia Diseases 0.000 description 1
- 208000003200 Adenoma Diseases 0.000 description 1
- 206010001233 Adenoma benign Diseases 0.000 description 1
- 208000009746 Adult T-Cell Leukemia-Lymphoma Diseases 0.000 description 1
- 208000016683 Adult T-cell leukemia/lymphoma Diseases 0.000 description 1
- 108010088751 Albumins Proteins 0.000 description 1
- 102000009027 Albumins Human genes 0.000 description 1
- GUBGYTABKSRVRQ-XLOQQCSPSA-N Alpha-Lactose Chemical compound O[C@@H]1[C@@H](O)[C@@H](O)[C@@H](CO)O[C@H]1O[C@@H]1[C@@H](CO)O[C@H](O)[C@H](O)[C@H]1O GUBGYTABKSRVRQ-XLOQQCSPSA-N 0.000 description 1
- 102000052866 Amino Acyl-tRNA Synthetases Human genes 0.000 description 1
- 108700028939 Amino Acyl-tRNA Synthetases Proteins 0.000 description 1
- CKLJMWTZIZZHCS-UHFFFAOYSA-N Aspartic acid Chemical compound OC(=O)C(N)CC(O)=O CKLJMWTZIZZHCS-UHFFFAOYSA-N 0.000 description 1
- 241000271566 Aves Species 0.000 description 1
- 208000036170 B-Cell Marginal Zone Lymphoma Diseases 0.000 description 1
- 208000010839 B-cell chronic lymphocytic leukemia Diseases 0.000 description 1
- 208000003950 B-cell lymphoma Diseases 0.000 description 1
- 102100022005 B-lymphocyte antigen CD20 Human genes 0.000 description 1
- 208000032791 BCR-ABL1 positive chronic myelogenous leukemia Diseases 0.000 description 1
- 206010004446 Benign prostatic hyperplasia Diseases 0.000 description 1
- 241000283690 Bos taurus Species 0.000 description 1
- CPELXLSAUQHCOX-UHFFFAOYSA-M Bromide Chemical compound [Br-] CPELXLSAUQHCOX-UHFFFAOYSA-M 0.000 description 1
- WKBOTKDWSSQWDR-UHFFFAOYSA-N Bromine atom Chemical compound [Br] WKBOTKDWSSQWDR-UHFFFAOYSA-N 0.000 description 1
- 208000011691 Burkitt lymphomas Diseases 0.000 description 1
- FERIUCNNQQJTOY-UHFFFAOYSA-M Butyrate Chemical compound CCCC([O-])=O FERIUCNNQQJTOY-UHFFFAOYSA-M 0.000 description 1
- FERIUCNNQQJTOY-UHFFFAOYSA-N Butyric acid Natural products CCCC(O)=O FERIUCNNQQJTOY-UHFFFAOYSA-N 0.000 description 1
- 102100021943 C-C motif chemokine 2 Human genes 0.000 description 1
- 101710155857 C-C motif chemokine 2 Proteins 0.000 description 1
- 125000001426 C-terminal alpha-amino-acid group Chemical group 0.000 description 1
- 125000001433 C-terminal amino-acid group Chemical group 0.000 description 1
- 210000001266 CD8-positive T-lymphocyte Anatomy 0.000 description 1
- DCERHCFNWRGHLK-UHFFFAOYSA-N C[Si](C)C Chemical compound C[Si](C)C DCERHCFNWRGHLK-UHFFFAOYSA-N 0.000 description 1
- 241000283707 Capra Species 0.000 description 1
- 201000009030 Carcinoma Diseases 0.000 description 1
- 108010059081 Cathepsin A Proteins 0.000 description 1
- 102000005572 Cathepsin A Human genes 0.000 description 1
- 108090000712 Cathepsin B Proteins 0.000 description 1
- 102000004225 Cathepsin B Human genes 0.000 description 1
- 102000003902 Cathepsin C Human genes 0.000 description 1
- 108090000267 Cathepsin C Proteins 0.000 description 1
- 102000003908 Cathepsin D Human genes 0.000 description 1
- 108090000258 Cathepsin D Proteins 0.000 description 1
- 102000004178 Cathepsin E Human genes 0.000 description 1
- 108090000611 Cathepsin E Proteins 0.000 description 1
- 108090000610 Cathepsin F Proteins 0.000 description 1
- 102000004176 Cathepsin F Human genes 0.000 description 1
- 108090000617 Cathepsin G Proteins 0.000 description 1
- 102000004173 Cathepsin G Human genes 0.000 description 1
- 108090000619 Cathepsin H Proteins 0.000 description 1
- 102000004175 Cathepsin H Human genes 0.000 description 1
- 108090000625 Cathepsin K Proteins 0.000 description 1
- 102100026540 Cathepsin L2 Human genes 0.000 description 1
- 101710169274 Cathepsin L2 Proteins 0.000 description 1
- 101710177066 Cathepsin O Proteins 0.000 description 1
- 108090000613 Cathepsin S Proteins 0.000 description 1
- 102100035654 Cathepsin S Human genes 0.000 description 1
- 108010061112 Cathepsin W Proteins 0.000 description 1
- 102000011933 Cathepsin W Human genes 0.000 description 1
- 108010061117 Cathepsin Z Proteins 0.000 description 1
- 102000011937 Cathepsin Z Human genes 0.000 description 1
- 241000700199 Cavia porcellus Species 0.000 description 1
- 108010001857 Cell Surface Receptors Proteins 0.000 description 1
- 241000282693 Cercopithecidae Species 0.000 description 1
- 206010008263 Cervical dysplasia Diseases 0.000 description 1
- 102000009410 Chemokine receptor Human genes 0.000 description 1
- 108050000299 Chemokine receptor Proteins 0.000 description 1
- VEXZGXHMUGYJMC-UHFFFAOYSA-M Chloride anion Chemical compound [Cl-] VEXZGXHMUGYJMC-UHFFFAOYSA-M 0.000 description 1
- 206010009944 Colon cancer Diseases 0.000 description 1
- DSLZVSRJTYRBFB-LLEIAEIESA-N D-glucaric acid Chemical compound OC(=O)[C@@H](O)[C@@H](O)[C@H](O)[C@@H](O)C(O)=O DSLZVSRJTYRBFB-LLEIAEIESA-N 0.000 description 1
- RGHNJXZEOKUKBD-SQOUGZDYSA-M D-gluconate Chemical compound OC[C@@H](O)[C@@H](O)[C@H](O)[C@@H](O)C([O-])=O RGHNJXZEOKUKBD-SQOUGZDYSA-M 0.000 description 1
- 206010058314 Dysplasia Diseases 0.000 description 1
- 201000009273 Endometriosis Diseases 0.000 description 1
- 241000283073 Equus caballus Species 0.000 description 1
- 102000003951 Erythropoietin Human genes 0.000 description 1
- 108090000394 Erythropoietin Proteins 0.000 description 1
- 108090000371 Esterases Proteins 0.000 description 1
- JOYRKODLDBILNP-UHFFFAOYSA-N Ethyl urethane Chemical compound CCOC(N)=O JOYRKODLDBILNP-UHFFFAOYSA-N 0.000 description 1
- 206010061850 Extranodal marginal zone B-cell lymphoma (MALT type) Diseases 0.000 description 1
- 102000009109 Fc receptors Human genes 0.000 description 1
- 108010087819 Fc receptors Proteins 0.000 description 1
- 241000282326 Felis catus Species 0.000 description 1
- BDAGIHXWWSANSR-UHFFFAOYSA-M Formate Chemical compound [O-]C=O BDAGIHXWWSANSR-UHFFFAOYSA-M 0.000 description 1
- 102000003886 Glycoproteins Human genes 0.000 description 1
- 102000004269 Granulocyte Colony-Stimulating Factor Human genes 0.000 description 1
- 108010017080 Granulocyte Colony-Stimulating Factor Proteins 0.000 description 1
- 108010017213 Granulocyte-Macrophage Colony-Stimulating Factor Proteins 0.000 description 1
- 102100039620 Granulocyte-macrophage colony-stimulating factor Human genes 0.000 description 1
- 229920000084 Gum arabic Polymers 0.000 description 1
- 229940121710 HMGCoA reductase inhibitor Drugs 0.000 description 1
- 208000017605 Hodgkin disease nodular sclerosis Diseases 0.000 description 1
- 101000897405 Homo sapiens B-lymphocyte antigen CD20 Proteins 0.000 description 1
- 101001121386 Homo sapiens Ovochymase-1 Proteins 0.000 description 1
- 101000633786 Homo sapiens SLAM family member 6 Proteins 0.000 description 1
- 206010021143 Hypoxia Diseases 0.000 description 1
- 102100026120 IgG receptor FcRn large subunit p51 Human genes 0.000 description 1
- 101710177940 IgG receptor FcRn large subunit p51 Proteins 0.000 description 1
- 206010061598 Immunodeficiency Diseases 0.000 description 1
- 208000029462 Immunodeficiency disease Diseases 0.000 description 1
- 108010054477 Immunoglobulin Fab Fragments Proteins 0.000 description 1
- 102000001706 Immunoglobulin Fab Fragments Human genes 0.000 description 1
- 108700005091 Immunoglobulin Genes Proteins 0.000 description 1
- 102000012745 Immunoglobulin Subunits Human genes 0.000 description 1
- 108010079585 Immunoglobulin Subunits Proteins 0.000 description 1
- 206010061218 Inflammation Diseases 0.000 description 1
- 102000008070 Interferon-gamma Human genes 0.000 description 1
- 108010074328 Interferon-gamma Proteins 0.000 description 1
- 208000037396 Intraductal Noninfiltrating Carcinoma Diseases 0.000 description 1
- 206010073094 Intraductal proliferative breast lesion Diseases 0.000 description 1
- 108010076876 Keratins Proteins 0.000 description 1
- 102000011782 Keratins Human genes 0.000 description 1
- OGNSCSPNOLGXSM-VKHMYHEASA-N L-2,4-diaminobutyric acid Chemical compound NCC[C@H](N)C(O)=O OGNSCSPNOLGXSM-VKHMYHEASA-N 0.000 description 1
- QUOGESRFPZDMMT-UHFFFAOYSA-N L-Homoarginine Natural products OC(=O)C(N)CCCCNC(N)=N QUOGESRFPZDMMT-UHFFFAOYSA-N 0.000 description 1
- AYFVYJQAPQTCCC-HRFVKAFMSA-N L-allothreonine Chemical compound C[C@H](O)[C@H](N)C(O)=O AYFVYJQAPQTCCC-HRFVKAFMSA-N 0.000 description 1
- 229930195714 L-glutamate Natural products 0.000 description 1
- QUOGESRFPZDMMT-YFKPBYRVSA-N L-homoarginine Chemical compound OC(=O)[C@@H](N)CCCCNC(N)=N QUOGESRFPZDMMT-YFKPBYRVSA-N 0.000 description 1
- XIGSAGMEBXLVJJ-YFKPBYRVSA-N L-homocitrulline Chemical compound NC(=O)NCCCC[C@H]([NH3+])C([O-])=O XIGSAGMEBXLVJJ-YFKPBYRVSA-N 0.000 description 1
- AEFLONBTGZFSGQ-VKHMYHEASA-N L-isoglutamine Chemical compound NC(=O)[C@@H](N)CCC(O)=O AEFLONBTGZFSGQ-VKHMYHEASA-N 0.000 description 1
- MRAUNPAHJZDYCK-BYPYZUCNSA-N L-nitroarginine Chemical compound OC(=O)[C@@H](N)CCCNC(=N)N[N+]([O-])=O MRAUNPAHJZDYCK-BYPYZUCNSA-N 0.000 description 1
- FEWJPZIEWOKRBE-JCYAYHJZSA-L L-tartrate(2-) Chemical compound [O-]C(=O)[C@H](O)[C@@H](O)C([O-])=O FEWJPZIEWOKRBE-JCYAYHJZSA-L 0.000 description 1
- KZSNJWFQEVHDMF-BYPYZUCNSA-N L-valine Chemical compound CC(C)[C@H](N)C(O)=O KZSNJWFQEVHDMF-BYPYZUCNSA-N 0.000 description 1
- JVTAAEKCZFNVCJ-UHFFFAOYSA-M Lactate Chemical compound CC(O)C([O-])=O JVTAAEKCZFNVCJ-UHFFFAOYSA-M 0.000 description 1
- GUBGYTABKSRVRQ-QKKXKWKRSA-N Lactose Natural products OC[C@H]1O[C@@H](O[C@H]2[C@H](O)[C@@H](O)C(O)O[C@@H]2CO)[C@H](O)[C@@H](O)[C@H]1O GUBGYTABKSRVRQ-QKKXKWKRSA-N 0.000 description 1
- 208000031671 Large B-Cell Diffuse Lymphoma Diseases 0.000 description 1
- 208000006404 Large Granular Lymphocytic Leukemia Diseases 0.000 description 1
- 208000032004 Large-Cell Anaplastic Lymphoma Diseases 0.000 description 1
- 108090001090 Lectins Proteins 0.000 description 1
- 102000004856 Lectins Human genes 0.000 description 1
- 208000031422 Lymphocytic Chronic B-Cell Leukemia Diseases 0.000 description 1
- 208000028018 Lymphocytic leukaemia Diseases 0.000 description 1
- 206010052178 Lymphocytic lymphoma Diseases 0.000 description 1
- 208000030289 Lymphoproliferative disease Diseases 0.000 description 1
- 201000003791 MALT lymphoma Diseases 0.000 description 1
- 208000025205 Mantle-Cell Lymphoma Diseases 0.000 description 1
- 108010090054 Membrane Glycoproteins Proteins 0.000 description 1
- 206010027476 Metastases Diseases 0.000 description 1
- AFVFQIVMOAPDHO-UHFFFAOYSA-N Methanesulfonic acid Chemical compound CS(O)(=O)=O AFVFQIVMOAPDHO-UHFFFAOYSA-N 0.000 description 1
- BPSLZWSRHTULGU-UHFFFAOYSA-N Methylpipecolic acid Chemical compound CN1CCCCC1C(O)=O BPSLZWSRHTULGU-UHFFFAOYSA-N 0.000 description 1
- 241000699660 Mus musculus Species 0.000 description 1
- 241000699670 Mus sp. Species 0.000 description 1
- DTERQYGMUDWYAZ-ZETCQYMHSA-N N(6)-acetyl-L-lysine Chemical compound CC(=O)NCCCC[C@H]([NH3+])C([O-])=O DTERQYGMUDWYAZ-ZETCQYMHSA-N 0.000 description 1
- NQTADLQHYWFPDB-UHFFFAOYSA-N N-Hydroxysuccinimide Chemical compound ON1C(=O)CCC1=O NQTADLQHYWFPDB-UHFFFAOYSA-N 0.000 description 1
- GXCLVBGFBYZDAG-UHFFFAOYSA-N N-[2-(1H-indol-3-yl)ethyl]-N-methylprop-2-en-1-amine Chemical compound CN(CCC1=CNC2=C1C=CC=C2)CC=C GXCLVBGFBYZDAG-UHFFFAOYSA-N 0.000 description 1
- DTERQYGMUDWYAZ-UHFFFAOYSA-N N-acetyl-N-thioacetyl-Lysine Natural products CC(=O)NCCCCC(N)C(O)=O DTERQYGMUDWYAZ-UHFFFAOYSA-N 0.000 description 1
- CABXGBMKSVRWOG-LURJTMIESA-N N-isopropyl-L-glutamine zwitterion Chemical compound CC(C)NC(=O)CC[C@H]([NH3+])C([O-])=O CABXGBMKSVRWOG-LURJTMIESA-N 0.000 description 1
- 125000000729 N-terminal amino-acid group Chemical group 0.000 description 1
- 238000005481 NMR spectroscopy Methods 0.000 description 1
- 229910002651 NO3 Inorganic materials 0.000 description 1
- DFPAKSUCGFBDDF-UHFFFAOYSA-N Nicotinamide Chemical group NC(=O)C1=CC=CN=C1 DFPAKSUCGFBDDF-UHFFFAOYSA-N 0.000 description 1
- NHNBFGGVMKEFGY-UHFFFAOYSA-N Nitrate Chemical compound [O-][N+]([O-])=O NHNBFGGVMKEFGY-UHFFFAOYSA-N 0.000 description 1
- 240000007594 Oryza sativa Species 0.000 description 1
- 235000007164 Oryza sativa Nutrition 0.000 description 1
- 102100026305 Ovochymase-1 Human genes 0.000 description 1
- MUBZPKHOEPUJKR-UHFFFAOYSA-N Oxalic acid Chemical compound OC(=O)C(O)=O MUBZPKHOEPUJKR-UHFFFAOYSA-N 0.000 description 1
- 235000019483 Peanut oil Nutrition 0.000 description 1
- 208000027190 Peripheral T-cell lymphomas Diseases 0.000 description 1
- 229920002873 Polyethylenimine Polymers 0.000 description 1
- 208000006664 Precursor Cell Lymphoblastic Leukemia-Lymphoma Diseases 0.000 description 1
- 208000009052 Precursor T-Cell Lymphoblastic Leukemia-Lymphoma Diseases 0.000 description 1
- 102100026534 Procathepsin L Human genes 0.000 description 1
- 208000004403 Prostatic Hyperplasia Diseases 0.000 description 1
- WTKZEGDFNFYCGP-UHFFFAOYSA-N Pyrazole Chemical compound C=1C=NNC=1 WTKZEGDFNFYCGP-UHFFFAOYSA-N 0.000 description 1
- CZPWVGJYEJSRLH-UHFFFAOYSA-N Pyrimidine Chemical compound C1=CN=CN=C1 CZPWVGJYEJSRLH-UHFFFAOYSA-N 0.000 description 1
- ODHCTXKNWHHXJC-GSVOUGTGSA-N Pyroglutamic acid Natural products OC(=O)[C@H]1CCC(=O)N1 ODHCTXKNWHHXJC-GSVOUGTGSA-N 0.000 description 1
- 208000006265 Renal cell carcinoma Diseases 0.000 description 1
- 102100029197 SLAM family member 6 Human genes 0.000 description 1
- 206010039491 Sarcoma Diseases 0.000 description 1
- 239000002262 Schiff base Substances 0.000 description 1
- 150000004753 Schiff bases Chemical class 0.000 description 1
- CZMRCDWAGMRECN-UGDNZRGBSA-N Sucrose Chemical compound O[C@H]1[C@H](O)[C@@H](CO)O[C@@]1(CO)O[C@@H]1[C@H](O)[C@@H](O)[C@H](O)[C@@H](CO)O1 CZMRCDWAGMRECN-UGDNZRGBSA-N 0.000 description 1
- 229930006000 Sucrose Natural products 0.000 description 1
- QAOWNCQODCNURD-UHFFFAOYSA-L Sulfate Chemical compound [O-]S([O-])(=O)=O QAOWNCQODCNURD-UHFFFAOYSA-L 0.000 description 1
- 241000282898 Sus scrofa Species 0.000 description 1
- 108010008038 Synthetic Vaccines Proteins 0.000 description 1
- 208000031672 T-Cell Peripheral Lymphoma Diseases 0.000 description 1
- 201000008717 T-cell large granular lymphocyte leukemia Diseases 0.000 description 1
- 208000026651 T-cell prolymphocytic leukemia Diseases 0.000 description 1
- 208000020982 T-lymphoblastic lymphoma Diseases 0.000 description 1
- 108700012920 TNF Proteins 0.000 description 1
- 229920002253 Tannate Polymers 0.000 description 1
- 102000035100 Threonine proteases Human genes 0.000 description 1
- 108091005501 Threonine proteases Proteins 0.000 description 1
- 108060008682 Tumor Necrosis Factor Proteins 0.000 description 1
- 108060008683 Tumor Necrosis Factor Receptor Proteins 0.000 description 1
- YJQCOFNZVFGCAF-UHFFFAOYSA-N Tunicamycin II Natural products O1C(CC(O)C2C(C(O)C(O2)N2C(NC(=O)C=C2)=O)O)C(O)C(O)C(NC(=O)C=CCCCCCCCCC(C)C)C1OC1OC(CO)C(O)C(O)C1NC(C)=O YJQCOFNZVFGCAF-UHFFFAOYSA-N 0.000 description 1
- UPJONISHZRADBH-XPUUQOCRSA-N Val-Glu Chemical compound CC(C)[C@H](N)C(=O)N[C@H](C(O)=O)CCC(O)=O UPJONISHZRADBH-XPUUQOCRSA-N 0.000 description 1
- KZSNJWFQEVHDMF-UHFFFAOYSA-N Valine Natural products CC(C)C(N)C(O)=O KZSNJWFQEVHDMF-UHFFFAOYSA-N 0.000 description 1
- 208000027418 Wounds and injury Diseases 0.000 description 1
- AKDLZRSCZBAIQF-UHFFFAOYSA-N [N].C1(C=CC(N1)=O)=O Chemical compound [N].C1(C=CC(N1)=O)=O AKDLZRSCZBAIQF-UHFFFAOYSA-N 0.000 description 1
- FPPZQGWDBRTKFZ-UHFFFAOYSA-N [N].O=C1CCC(=O)N1 Chemical compound [N].O=C1CCC(=O)N1 FPPZQGWDBRTKFZ-UHFFFAOYSA-N 0.000 description 1
- 230000001594 aberrant effect Effects 0.000 description 1
- 238000010521 absorption reaction Methods 0.000 description 1
- 239000000205 acacia gum Substances 0.000 description 1
- 235000010489 acacia gum Nutrition 0.000 description 1
- 238000009825 accumulation Methods 0.000 description 1
- 125000003668 acetyloxy group Chemical group [H]C([H])([H])C(=O)O[*] 0.000 description 1
- ODHCTXKNWHHXJC-UHFFFAOYSA-N acide pyroglutamique Natural products OC(=O)C1CCC(=O)N1 ODHCTXKNWHHXJC-UHFFFAOYSA-N 0.000 description 1
- 150000001252 acrylic acid derivatives Chemical class 0.000 description 1
- 125000002015 acyclic group Chemical group 0.000 description 1
- 125000005073 adamantyl group Chemical group C12(CC3CC(CC(C1)C3)C2)* 0.000 description 1
- 230000004721 adaptive immunity Effects 0.000 description 1
- 239000002671 adjuvant Substances 0.000 description 1
- 201000006966 adult T-cell leukemia Diseases 0.000 description 1
- 230000002776 aggregation Effects 0.000 description 1
- 238000004220 aggregation Methods 0.000 description 1
- 125000001931 aliphatic group Chemical group 0.000 description 1
- 125000002355 alkine group Chemical group 0.000 description 1
- 150000005215 alkyl ethers Chemical class 0.000 description 1
- 125000005360 alkyl sulfoxide group Chemical group 0.000 description 1
- 125000004414 alkyl thio group Chemical group 0.000 description 1
- 125000005336 allyloxy group Chemical group 0.000 description 1
- MXKCYTKUIDTFLY-ZNNSSXPHSA-N alpha-L-Fucp-(1->2)-beta-D-Galp-(1->4)-[alpha-L-Fucp-(1->3)]-beta-D-GlcpNAc-(1->3)-D-Galp Chemical compound O[C@H]1[C@H](O)[C@H](O)[C@H](C)O[C@H]1O[C@H]1[C@H](O[C@H]2[C@@H]([C@@H](NC(C)=O)[C@H](O[C@H]3[C@H]([C@@H](CO)OC(O)[C@@H]3O)O)O[C@@H]2CO)O[C@H]2[C@H]([C@H](O)[C@H](O)[C@H](C)O2)O)O[C@H](CO)[C@H](O)[C@@H]1O MXKCYTKUIDTFLY-ZNNSSXPHSA-N 0.000 description 1
- 150000001370 alpha-amino acid derivatives Chemical class 0.000 description 1
- 235000008206 alpha-amino acids Nutrition 0.000 description 1
- YOFPFYYTUIARDI-UHFFFAOYSA-N alpha-aminosuberic acid Chemical compound OC(=O)C(N)CCCCCC(O)=O YOFPFYYTUIARDI-UHFFFAOYSA-N 0.000 description 1
- 230000009435 amidation Effects 0.000 description 1
- 238000007112 amidation reaction Methods 0.000 description 1
- 150000001450 anions Chemical class 0.000 description 1
- 239000002260 anti-inflammatory agent Substances 0.000 description 1
- 229940124599 anti-inflammatory drug Drugs 0.000 description 1
- 230000001028 anti-proliverative effect Effects 0.000 description 1
- 239000007864 aqueous solution Substances 0.000 description 1
- 150000001483 arginine derivatives Chemical class 0.000 description 1
- 150000001491 aromatic compounds Chemical class 0.000 description 1
- 125000005362 aryl sulfone group Chemical group 0.000 description 1
- 125000005361 aryl sulfoxide group Chemical group 0.000 description 1
- 125000005110 aryl thio group Chemical group 0.000 description 1
- 229940072107 ascorbate Drugs 0.000 description 1
- 235000010323 ascorbic acid Nutrition 0.000 description 1
- 239000011668 ascorbic acid Substances 0.000 description 1
- 238000003556 assay Methods 0.000 description 1
- 230000001363 autoimmune Effects 0.000 description 1
- 239000012752 auxiliary agent Substances 0.000 description 1
- IVRMZWNICZWHMI-UHFFFAOYSA-N azide group Chemical group [N-]=[N+]=[N-] IVRMZWNICZWHMI-UHFFFAOYSA-N 0.000 description 1
- 125000000852 azido group Chemical group *N=[N+]=[N-] 0.000 description 1
- 230000009286 beneficial effect Effects 0.000 description 1
- 229940077388 benzenesulfonate Drugs 0.000 description 1
- SRSXLGNVWSONIS-UHFFFAOYSA-M benzenesulfonate Chemical compound [O-]S(=O)(=O)C1=CC=CC=C1 SRSXLGNVWSONIS-UHFFFAOYSA-M 0.000 description 1
- 125000005605 benzo group Chemical group 0.000 description 1
- 150000001558 benzoic acid derivatives Chemical class 0.000 description 1
- 150000001576 beta-amino acids Chemical group 0.000 description 1
- 239000011230 binding agent Substances 0.000 description 1
- 239000012620 biological material Substances 0.000 description 1
- 230000033228 biological regulation Effects 0.000 description 1
- 201000000053 blastoma Diseases 0.000 description 1
- 210000000601 blood cell Anatomy 0.000 description 1
- 230000036765 blood level Effects 0.000 description 1
- 210000001185 bone marrow Anatomy 0.000 description 1
- GDTBXPJZTBHREO-UHFFFAOYSA-N bromine Substances BrBr GDTBXPJZTBHREO-UHFFFAOYSA-N 0.000 description 1
- 229910052794 bromium Inorganic materials 0.000 description 1
- 150000004652 butanoic acids Chemical class 0.000 description 1
- 125000004369 butenyl group Chemical group C(=CCC)* 0.000 description 1
- 150000001244 carboxylic acid anhydrides Chemical class 0.000 description 1
- 150000001735 carboxylic acids Chemical class 0.000 description 1
- 239000005018 casein Substances 0.000 description 1
- BECPQYXYKAMYBN-UHFFFAOYSA-N casein, tech. Chemical compound NCCCCC(C(O)=O)N=C(O)C(CC(O)=O)N=C(O)C(CCC(O)=N)N=C(O)C(CC(C)C)N=C(O)C(CCC(O)=O)N=C(O)C(CC(O)=O)N=C(O)C(CCC(O)=O)N=C(O)C(C(C)O)N=C(O)C(CCC(O)=N)N=C(O)C(CCC(O)=N)N=C(O)C(CCC(O)=N)N=C(O)C(CCC(O)=O)N=C(O)C(CCC(O)=O)N=C(O)C(COP(O)(O)=O)N=C(O)C(CCC(O)=N)N=C(O)C(N)CC1=CC=CC=C1 BECPQYXYKAMYBN-UHFFFAOYSA-N 0.000 description 1
- 235000021240 caseins Nutrition 0.000 description 1
- 230000015556 catabolic process Effects 0.000 description 1
- 230000003197 catalytic effect Effects 0.000 description 1
- 238000006555 catalytic reaction Methods 0.000 description 1
- 150000001768 cations Chemical class 0.000 description 1
- 238000004113 cell culture Methods 0.000 description 1
- 230000022534 cell killing Effects 0.000 description 1
- 230000003822 cell turnover Effects 0.000 description 1
- 150000005829 chemical entities Chemical class 0.000 description 1
- 230000007073 chemical hydrolysis Effects 0.000 description 1
- 239000003638 chemical reducing agent Substances 0.000 description 1
- 230000004087 circulation Effects 0.000 description 1
- 239000008119 colloidal silica Substances 0.000 description 1
- 239000003086 colorant Substances 0.000 description 1
- 230000000295 complement effect Effects 0.000 description 1
- 238000009833 condensation Methods 0.000 description 1
- 230000005494 condensation Effects 0.000 description 1
- 238000006482 condensation reaction Methods 0.000 description 1
- 238000010276 construction Methods 0.000 description 1
- 238000007796 conventional method Methods 0.000 description 1
- 239000007822 coupling agent Substances 0.000 description 1
- 125000002993 cycloalkylene group Chemical group 0.000 description 1
- 125000001995 cyclobutyl group Chemical group [H]C1([H])C([H])([H])C([H])(*)C1([H])[H] 0.000 description 1
- 125000000582 cycloheptyl group Chemical group [H]C1([H])C([H])([H])C([H])([H])C([H])([H])C([H])(*)C([H])([H])C1([H])[H] 0.000 description 1
- 125000000113 cyclohexyl group Chemical group [H]C1([H])C([H])([H])C([H])([H])C([H])(*)C([H])([H])C1([H])[H] 0.000 description 1
- 125000000640 cyclooctyl group Chemical group [H]C1([H])C([H])([H])C([H])([H])C([H])([H])C([H])(*)C([H])([H])C([H])([H])C1([H])[H] 0.000 description 1
- 125000001511 cyclopentyl group Chemical group [H]C1([H])C([H])([H])C([H])([H])C([H])(*)C1([H])[H] 0.000 description 1
- CYKDRLQDTUXOBO-UHFFFAOYSA-N cyclopropan-1,1-diyl Chemical group [C]1CC1 CYKDRLQDTUXOBO-UHFFFAOYSA-N 0.000 description 1
- 125000001559 cyclopropyl group Chemical group [H]C1([H])C([H])([H])C1([H])* 0.000 description 1
- 230000002559 cytogenic effect Effects 0.000 description 1
- 108010057085 cytokine receptors Proteins 0.000 description 1
- 102000003675 cytokine receptors Human genes 0.000 description 1
- 210000000172 cytosol Anatomy 0.000 description 1
- 230000006378 damage Effects 0.000 description 1
- 238000006731 degradation reaction Methods 0.000 description 1
- 238000001212 derivatisation Methods 0.000 description 1
- 238000013461 design Methods 0.000 description 1
- 239000008121 dextrose Substances 0.000 description 1
- 206010012818 diffuse large B-cell lymphoma Diseases 0.000 description 1
- 239000003085 diluting agent Substances 0.000 description 1
- NALBLJLOBICXRH-UHFFFAOYSA-N dinitrogen monohydride Chemical compound N=[N] NALBLJLOBICXRH-UHFFFAOYSA-N 0.000 description 1
- KPUWHANPEXNPJT-UHFFFAOYSA-N disiloxane Chemical class [SiH3]O[SiH3] KPUWHANPEXNPJT-UHFFFAOYSA-N 0.000 description 1
- 239000002552 dosage form Substances 0.000 description 1
- 238000012377 drug delivery Methods 0.000 description 1
- 208000028715 ductal breast carcinoma in situ Diseases 0.000 description 1
- 201000007273 ductal carcinoma in situ Diseases 0.000 description 1
- VLCYCQAOQCDTCN-UHFFFAOYSA-N eflornithine Chemical compound NCCCC(N)(C(F)F)C(O)=O VLCYCQAOQCDTCN-UHFFFAOYSA-N 0.000 description 1
- 229960002759 eflornithine Drugs 0.000 description 1
- 201000008184 embryoma Diseases 0.000 description 1
- 239000003995 emulsifying agent Substances 0.000 description 1
- 201000006828 endometrial hyperplasia Diseases 0.000 description 1
- 238000005516 engineering process Methods 0.000 description 1
- 230000002708 enhancing effect Effects 0.000 description 1
- 210000002919 epithelial cell Anatomy 0.000 description 1
- 229940105423 erythropoietin Drugs 0.000 description 1
- CCIVGXIOQKPBKL-UHFFFAOYSA-M ethanesulfonate Chemical compound CCS([O-])(=O)=O CCIVGXIOQKPBKL-UHFFFAOYSA-M 0.000 description 1
- ANPYLYUCGAFKNQ-UHFFFAOYSA-N ethoxymethoxymethoxyethane Chemical class CCOCOCOCC ANPYLYUCGAFKNQ-UHFFFAOYSA-N 0.000 description 1
- 125000000816 ethylene group Chemical group [H]C([H])([*:1])C([H])([H])[*:2] 0.000 description 1
- 230000001747 exhibiting effect Effects 0.000 description 1
- 235000013312 flour Nutrition 0.000 description 1
- 239000012530 fluid Substances 0.000 description 1
- 201000003444 follicular lymphoma Diseases 0.000 description 1
- 230000022244 formylation Effects 0.000 description 1
- 238000006170 formylation reaction Methods 0.000 description 1
- 238000013467 fragmentation Methods 0.000 description 1
- 238000006062 fragmentation reaction Methods 0.000 description 1
- 229940050411 fumarate Drugs 0.000 description 1
- VZCYOOQTPOCHFL-OWOJBTEDSA-L fumarate(2-) Chemical compound [O-]C(=O)\C=C\C([O-])=O VZCYOOQTPOCHFL-OWOJBTEDSA-L 0.000 description 1
- 238000007306 functionalization reaction Methods 0.000 description 1
- 150000002243 furanoses Chemical class 0.000 description 1
- 229940050410 gluconate Drugs 0.000 description 1
- 229940097042 glucuronate Drugs 0.000 description 1
- 229930195712 glutamate Natural products 0.000 description 1
- 229960002989 glutamic acid Drugs 0.000 description 1
- YQEMORVAKMFKLG-UHFFFAOYSA-N glycerine monostearate Natural products CCCCCCCCCCCCCCCCCC(=O)OC(CO)CO YQEMORVAKMFKLG-UHFFFAOYSA-N 0.000 description 1
- SVUQHVRAGMNPLW-UHFFFAOYSA-N glycerol monostearate Natural products CCCCCCCCCCCCCCCCC(=O)OCC(O)CO SVUQHVRAGMNPLW-UHFFFAOYSA-N 0.000 description 1
- 150000004820 halides Chemical class 0.000 description 1
- 125000001188 haloalkyl group Chemical group 0.000 description 1
- 125000005843 halogen group Chemical group 0.000 description 1
- 230000036541 health Effects 0.000 description 1
- 150000002373 hemiacetals Chemical group 0.000 description 1
- MNWFXJYAOYHMED-UHFFFAOYSA-N heptanoic acid Chemical compound CCCCCCC(O)=O MNWFXJYAOYHMED-UHFFFAOYSA-N 0.000 description 1
- 125000005553 heteroaryloxy group Chemical group 0.000 description 1
- FUZZWVXGSFPDMH-UHFFFAOYSA-M hexanoate Chemical compound CCCCCC([O-])=O FUZZWVXGSFPDMH-UHFFFAOYSA-M 0.000 description 1
- FUZZWVXGSFPDMH-UHFFFAOYSA-N hexanoic acid Chemical compound CCCCCC(O)=O FUZZWVXGSFPDMH-UHFFFAOYSA-N 0.000 description 1
- 150000002402 hexoses Chemical class 0.000 description 1
- 230000002962 histologic effect Effects 0.000 description 1
- 125000005597 hydrazone group Chemical group 0.000 description 1
- 150000007857 hydrazones Chemical class 0.000 description 1
- 150000002430 hydrocarbons Chemical class 0.000 description 1
- XMBWDFGMSWQBCA-UHFFFAOYSA-N hydrogen iodide Chemical compound I XMBWDFGMSWQBCA-UHFFFAOYSA-N 0.000 description 1
- QAOWNCQODCNURD-UHFFFAOYSA-M hydrogensulfate Chemical compound OS([O-])(=O)=O QAOWNCQODCNURD-UHFFFAOYSA-M 0.000 description 1
- 238000004191 hydrophobic interaction chromatography Methods 0.000 description 1
- WGCNASOHLSPBMP-UHFFFAOYSA-N hydroxyacetaldehyde Natural products OCC=O WGCNASOHLSPBMP-UHFFFAOYSA-N 0.000 description 1
- 230000000521 hyperimmunizing effect Effects 0.000 description 1
- 230000001146 hypoxic effect Effects 0.000 description 1
- 125000001841 imino group Chemical group [H]N=* 0.000 description 1
- 230000001900 immune effect Effects 0.000 description 1
- 230000007813 immunodeficiency Effects 0.000 description 1
- 239000003018 immunosuppressive agent Substances 0.000 description 1
- 229940124589 immunosuppressive drug Drugs 0.000 description 1
- 230000001771 impaired effect Effects 0.000 description 1
- 230000006872 improvement Effects 0.000 description 1
- 230000006698 induction Effects 0.000 description 1
- 208000027866 inflammatory disease Diseases 0.000 description 1
- 230000004054 inflammatory process Effects 0.000 description 1
- 230000028709 inflammatory response Effects 0.000 description 1
- 208000014674 injury Diseases 0.000 description 1
- 230000015788 innate immune response Effects 0.000 description 1
- 102000006495 integrins Human genes 0.000 description 1
- 108010044426 integrins Proteins 0.000 description 1
- 230000002452 interceptive effect Effects 0.000 description 1
- 229960003130 interferon gamma Drugs 0.000 description 1
- 238000007912 intraperitoneal administration Methods 0.000 description 1
- 230000002601 intratumoral effect Effects 0.000 description 1
- 239000011630 iodine Substances 0.000 description 1
- 229910052740 iodine Inorganic materials 0.000 description 1
- KQNPFQTWMSNSAP-UHFFFAOYSA-N isobutyric acid Chemical compound CC(C)C(O)=O KQNPFQTWMSNSAP-UHFFFAOYSA-N 0.000 description 1
- FGKJLKRYENPLQH-UHFFFAOYSA-M isocaproate Chemical compound CC(C)CCC([O-])=O FGKJLKRYENPLQH-UHFFFAOYSA-M 0.000 description 1
- AEFLONBTGZFSGQ-UHFFFAOYSA-N isoglutamine Chemical compound NC(=O)C(N)CCC(O)=O AEFLONBTGZFSGQ-UHFFFAOYSA-N 0.000 description 1
- TWBYWOBDOCUKOW-UHFFFAOYSA-M isonicotinate Chemical compound [O-]C(=O)C1=CC=NC=C1 TWBYWOBDOCUKOW-UHFFFAOYSA-M 0.000 description 1
- 125000001972 isopentyl group Chemical group [H]C([H])([H])C([H])(C([H])([H])[H])C([H])([H])C([H])([H])* 0.000 description 1
- ZLTPDFXIESTBQG-UHFFFAOYSA-N isothiazole Chemical compound C=1C=NSC=1 ZLTPDFXIESTBQG-UHFFFAOYSA-N 0.000 description 1
- GWYFCOCPABKNJV-UHFFFAOYSA-N isovaleric acid Chemical compound CC(C)CC(O)=O GWYFCOCPABKNJV-UHFFFAOYSA-N 0.000 description 1
- CTAPFRYPJLPFDF-UHFFFAOYSA-N isoxazole Chemical compound C=1C=NOC=1 CTAPFRYPJLPFDF-UHFFFAOYSA-N 0.000 description 1
- 150000002596 lactones Chemical class 0.000 description 1
- 239000008101 lactose Substances 0.000 description 1
- 239000002523 lectin Substances 0.000 description 1
- 230000003902 lesion Effects 0.000 description 1
- 239000000314 lubricant Substances 0.000 description 1
- 230000001926 lymphatic effect Effects 0.000 description 1
- 210000004698 lymphocyte Anatomy 0.000 description 1
- 208000003747 lymphoid leukemia Diseases 0.000 description 1
- 230000002132 lysosomal effect Effects 0.000 description 1
- 210000002540 macrophage Anatomy 0.000 description 1
- VZCYOOQTPOCHFL-UPHRSURJSA-N maleic acid Chemical compound OC(=O)\C=C/C(O)=O VZCYOOQTPOCHFL-UPHRSURJSA-N 0.000 description 1
- 230000000873 masking effect Effects 0.000 description 1
- 201000000638 mature B-cell neoplasm Diseases 0.000 description 1
- 238000005259 measurement Methods 0.000 description 1
- 230000008018 melting Effects 0.000 description 1
- 238000002844 melting Methods 0.000 description 1
- 239000012528 membrane Substances 0.000 description 1
- 108020004084 membrane receptors Proteins 0.000 description 1
- 230000002503 metabolic effect Effects 0.000 description 1
- 230000004060 metabolic process Effects 0.000 description 1
- 230000009401 metastasis Effects 0.000 description 1
- TWXDDNPPQUTEOV-FVGYRXGTSA-N methamphetamine hydrochloride Chemical compound Cl.CN[C@@H](C)CC1=CC=CC=C1 TWXDDNPPQUTEOV-FVGYRXGTSA-N 0.000 description 1
- OKKJLVBELUTLKV-UHFFFAOYSA-N methanol Substances OC OKKJLVBELUTLKV-UHFFFAOYSA-N 0.000 description 1
- 125000004184 methoxymethyl group Chemical group [H]C([H])([H])OC([H])([H])* 0.000 description 1
- 125000001570 methylene group Chemical group [H]C([H])([*:1])[*:2] 0.000 description 1
- 239000002480 mineral oil Substances 0.000 description 1
- 235000010446 mineral oil Nutrition 0.000 description 1
- 239000003226 mitogen Substances 0.000 description 1
- 239000003607 modifier Substances 0.000 description 1
- 150000002772 monosaccharides Chemical class 0.000 description 1
- 125000002757 morpholinyl group Chemical group 0.000 description 1
- 230000035772 mutation Effects 0.000 description 1
- 201000005962 mycosis fungoides Diseases 0.000 description 1
- 125000000740 n-pentyl group Chemical group [H]C([H])([H])C([H])([H])C([H])([H])C([H])([H])C([H])([H])* 0.000 description 1
- 125000001624 naphthyl group Chemical group 0.000 description 1
- 239000013642 negative control Substances 0.000 description 1
- 230000021616 negative regulation of cell division Effects 0.000 description 1
- 208000010915 neoplasm of mature B-cells Diseases 0.000 description 1
- 230000007935 neutral effect Effects 0.000 description 1
- HKKDKUMUWRTAIA-UHFFFAOYSA-N nitridooxidocarbon(.) Chemical compound [O]C#N HKKDKUMUWRTAIA-UHFFFAOYSA-N 0.000 description 1
- 108020004707 nucleic acids Proteins 0.000 description 1
- 150000007523 nucleic acids Chemical class 0.000 description 1
- 102000039446 nucleic acids Human genes 0.000 description 1
- 235000015097 nutrients Nutrition 0.000 description 1
- WWZKQHOCKIZLMA-UHFFFAOYSA-M octanoate Chemical compound CCCCCCCC([O-])=O WWZKQHOCKIZLMA-UHFFFAOYSA-M 0.000 description 1
- 239000003921 oil Substances 0.000 description 1
- 235000019198 oils Nutrition 0.000 description 1
- 229940049964 oleate Drugs 0.000 description 1
- ZQPPMHVWECSIRJ-KTKRTIGZSA-M oleate Chemical compound CCCCCCCC\C=C/CCCCCCCC([O-])=O ZQPPMHVWECSIRJ-KTKRTIGZSA-M 0.000 description 1
- 238000011275 oncology therapy Methods 0.000 description 1
- 125000000962 organic group Chemical group 0.000 description 1
- 230000008520 organization Effects 0.000 description 1
- 125000002524 organometallic group Chemical group 0.000 description 1
- 150000002916 oxazoles Chemical class 0.000 description 1
- 239000006179 pH buffering agent Substances 0.000 description 1
- WLJNZVDCPSBLRP-UHFFFAOYSA-N pamoic acid Chemical compound C1=CC=C2C(CC=3C4=CC=CC=C4C=C(C=3O)C(=O)O)=C(O)C(C(O)=O)=CC2=C1 WLJNZVDCPSBLRP-UHFFFAOYSA-N 0.000 description 1
- 229940014662 pantothenate Drugs 0.000 description 1
- 235000019161 pantothenic acid Nutrition 0.000 description 1
- 239000011713 pantothenic acid Substances 0.000 description 1
- 208000003154 papilloma Diseases 0.000 description 1
- 230000036961 partial effect Effects 0.000 description 1
- 230000009057 passive transport Effects 0.000 description 1
- 239000000312 peanut oil Substances 0.000 description 1
- 125000000538 pentafluorophenyl group Chemical group FC1=C(F)C(F)=C(*)C(F)=C1F 0.000 description 1
- 230000007030 peptide scission Effects 0.000 description 1
- 210000005259 peripheral blood Anatomy 0.000 description 1
- 239000011886 peripheral blood Substances 0.000 description 1
- 239000003208 petroleum Substances 0.000 description 1
- 230000000144 pharmacologic effect Effects 0.000 description 1
- 239000012071 phase Substances 0.000 description 1
- 125000005561 phenanthryl group Chemical group 0.000 description 1
- 125000000951 phenoxy group Chemical group [H]C1=C([H])C([H])=C(O*)C([H])=C1[H] 0.000 description 1
- WLJVXDMOQOGPHL-UHFFFAOYSA-N phenylacetic acid Chemical class OC(=O)CC1=CC=CC=C1 WLJVXDMOQOGPHL-UHFFFAOYSA-N 0.000 description 1
- 230000026731 phosphorylation Effects 0.000 description 1
- 238000006366 phosphorylation reaction Methods 0.000 description 1
- 125000004193 piperazinyl group Chemical group 0.000 description 1
- 125000003386 piperidinyl group Chemical group 0.000 description 1
- 230000036470 plasma concentration Effects 0.000 description 1
- 125000003367 polycyclic group Chemical group 0.000 description 1
- 229920000642 polymer Polymers 0.000 description 1
- 238000006116 polymerization reaction Methods 0.000 description 1
- OXCMYAYHXIHQOA-UHFFFAOYSA-N potassium;[2-butyl-5-chloro-3-[[4-[2-(1,2,4-triaza-3-azanidacyclopenta-1,4-dien-5-yl)phenyl]phenyl]methyl]imidazol-4-yl]methanol Chemical compound [K+].CCCCC1=NC(Cl)=C(CO)N1CC1=CC=C(C=2C(=CC=CC=2)C2=N[N-]N=N2)C=C1 OXCMYAYHXIHQOA-UHFFFAOYSA-N 0.000 description 1
- 239000000843 powder Substances 0.000 description 1
- 125000001844 prenyl group Chemical group [H]C([*])([H])C([H])=C(C([H])([H])[H])C([H])([H])[H] 0.000 description 1
- 150000003141 primary amines Chemical class 0.000 description 1
- 108010028075 procathepsin L Proteins 0.000 description 1
- 239000000047 product Substances 0.000 description 1
- 230000000750 progressive effect Effects 0.000 description 1
- 210000001236 prokaryotic cell Anatomy 0.000 description 1
- 230000002062 proliferating effect Effects 0.000 description 1
- 230000002035 prolonged effect Effects 0.000 description 1
- 150000004672 propanoic acids Chemical group 0.000 description 1
- 230000000069 prophylactic effect Effects 0.000 description 1
- QQONPFPTGQHPMA-UHFFFAOYSA-N propylene Natural products CC=C QQONPFPTGQHPMA-UHFFFAOYSA-N 0.000 description 1
- 125000004805 propylene group Chemical group [H]C([H])([H])C([H])([*:1])C([H])([H])[*:2] 0.000 description 1
- 230000006337 proteolytic cleavage Effects 0.000 description 1
- 230000005588 protonation Effects 0.000 description 1
- PBMFSQRYOILNGV-UHFFFAOYSA-N pyridazine Chemical compound C1=CC=NN=C1 PBMFSQRYOILNGV-UHFFFAOYSA-N 0.000 description 1
- 125000000719 pyrrolidinyl group Chemical group 0.000 description 1
- 238000010791 quenching Methods 0.000 description 1
- 230000000171 quenching effect Effects 0.000 description 1
- 230000010837 receptor-mediated endocytosis Effects 0.000 description 1
- 230000007115 recruitment Effects 0.000 description 1
- 230000000284 resting effect Effects 0.000 description 1
- 230000000717 retained effect Effects 0.000 description 1
- 238000004007 reversed phase HPLC Methods 0.000 description 1
- 238000012552 review Methods 0.000 description 1
- 235000009566 rice Nutrition 0.000 description 1
- YGSDEFSMJLZEOE-UHFFFAOYSA-M salicylate Chemical compound OC1=CC=CC=C1C([O-])=O YGSDEFSMJLZEOE-UHFFFAOYSA-M 0.000 description 1
- 229960001860 salicylate Drugs 0.000 description 1
- 229930195734 saturated hydrocarbon Natural products 0.000 description 1
- 238000012216 screening Methods 0.000 description 1
- 125000000467 secondary amino group Chemical group [H]N([*:1])[*:2] 0.000 description 1
- 239000008159 sesame oil Substances 0.000 description 1
- 235000011803 sesame oil Nutrition 0.000 description 1
- 238000007086 side reaction Methods 0.000 description 1
- 230000019491 signal transduction Effects 0.000 description 1
- 239000000741 silica gel Substances 0.000 description 1
- 229910002027 silica gel Inorganic materials 0.000 description 1
- 125000004469 siloxy group Chemical group [SiH3]O* 0.000 description 1
- 238000002741 site-directed mutagenesis Methods 0.000 description 1
- 235000020183 skimmed milk Nutrition 0.000 description 1
- RYYKJJJTJZKILX-UHFFFAOYSA-M sodium octadecanoate Chemical compound [Na+].CCCCCCCCCCCCCCCCCC([O-])=O RYYKJJJTJZKILX-UHFFFAOYSA-M 0.000 description 1
- YNQYZBDRJZVSJE-UHFFFAOYSA-M sodium;2,3-dihydroxypropyl 2,3-di(octadecanoyloxy)propyl phosphate Chemical compound [Na+].CCCCCCCCCCCCCCCCCC(=O)OCC(COP([O-])(=O)OCC(O)CO)OC(=O)CCCCCCCCCCCCCCCCC YNQYZBDRJZVSJE-UHFFFAOYSA-M 0.000 description 1
- 239000003549 soybean oil Substances 0.000 description 1
- 235000012424 soybean oil Nutrition 0.000 description 1
- 230000009870 specific binding Effects 0.000 description 1
- 238000004611 spectroscopical analysis Methods 0.000 description 1
- 230000002269 spontaneous effect Effects 0.000 description 1
- 239000003381 stabilizer Substances 0.000 description 1
- 125000005415 substituted alkoxy group Chemical group 0.000 description 1
- 125000005346 substituted cycloalkyl group Chemical group 0.000 description 1
- 239000005720 sucrose Substances 0.000 description 1
- 235000000346 sugar Nutrition 0.000 description 1
- 150000008163 sugars Chemical class 0.000 description 1
- 125000001273 sulfonato group Chemical group [O-]S(*)(=O)=O 0.000 description 1
- 230000001839 systemic circulation Effects 0.000 description 1
- 229940095064 tartrate Drugs 0.000 description 1
- DVFXLNFDWATPMW-IWOKLKJTSA-N tert-butyldiphenylsilyl Chemical compound O=C1NC(=O)C(C)=CN1[C@@H]1O[C@H](CO[Si](C=2C=CC=CC=2)(C=2C=CC=CC=2)C(C)(C)C)[C@@H](OP(O)(=O)OC[C@@H]2[C@H](C[C@@H](O2)N2C3=C(C(NC(N)=N3)=O)N=C2)OP(O)(=O)OC[C@@H]2[C@H](C[C@@H](O2)N2C3=C(C(NC(N)=N3)=O)N=C2)OP(O)(=O)OC[C@@H]2[C@H](C[C@@H](O2)N2C3=C(C(NC(N)=N3)=O)N=C2)OP(O)(=O)OC[C@@H]2[C@H](CC(O2)N2C3=NC=NC(N)=C3N=C2)OP(O)(=O)OC[C@@H]2[C@H](C[C@@H](O2)N2C3=C(C(NC(N)=N3)=O)N=C2)O)C1 DVFXLNFDWATPMW-IWOKLKJTSA-N 0.000 description 1
- 125000000037 tert-butyldiphenylsilyl group Chemical group [H]C1=C([H])C([H])=C([H])C([H])=C1[Si]([H])([*]C(C([H])([H])[H])(C([H])([H])[H])C([H])([H])[H])C1=C([H])C([H])=C([H])C([H])=C1[H] 0.000 description 1
- 150000003536 tetrazoles Chemical class 0.000 description 1
- 239000002562 thickening agent Substances 0.000 description 1
- 150000003568 thioethers Chemical class 0.000 description 1
- 229930192474 thiophene Natural products 0.000 description 1
- 230000000451 tissue damage Effects 0.000 description 1
- 231100000827 tissue damage Toxicity 0.000 description 1
- 230000017423 tissue regeneration Effects 0.000 description 1
- 230000007838 tissue remodeling Effects 0.000 description 1
- JOXIMZWYDAKGHI-UHFFFAOYSA-N toluene-4-sulfonic acid Chemical compound CC1=CC=C(S(O)(=O)=O)C=C1 JOXIMZWYDAKGHI-UHFFFAOYSA-N 0.000 description 1
- 238000006257 total synthesis reaction Methods 0.000 description 1
- 231100000331 toxic Toxicity 0.000 description 1
- 230000002588 toxic effect Effects 0.000 description 1
- 230000001988 toxicity Effects 0.000 description 1
- 231100000419 toxicity Toxicity 0.000 description 1
- 238000011830 transgenic mouse model Methods 0.000 description 1
- 230000001052 transient effect Effects 0.000 description 1
- 125000000026 trimethylsilyl group Chemical group [H]C([H])([H])[Si]([*])(C([H])([H])[H])C([H])([H])[H] 0.000 description 1
- 102000003390 tumor necrosis factor Human genes 0.000 description 1
- 102000003298 tumor necrosis factor receptor Human genes 0.000 description 1
- MEYZYGMYMLNUHJ-UHFFFAOYSA-N tunicamycin Natural products CC(C)CCCCCCCCCC=CC(=O)NC1C(O)C(O)C(CC(O)C2OC(C(O)C2O)N3C=CC(=O)NC3=O)OC1OC4OC(CO)C(O)C(O)C4NC(=O)C MEYZYGMYMLNUHJ-UHFFFAOYSA-N 0.000 description 1
- 229940070710 valerate Drugs 0.000 description 1
- NQPDZGIKBAWPEJ-UHFFFAOYSA-N valeric acid Chemical compound CCCCC(O)=O NQPDZGIKBAWPEJ-UHFFFAOYSA-N 0.000 description 1
- 239000004474 valine Substances 0.000 description 1
- 229910052720 vanadium Inorganic materials 0.000 description 1
- 235000013311 vegetables Nutrition 0.000 description 1
- 239000003981 vehicle Substances 0.000 description 1
- 238000009736 wetting Methods 0.000 description 1
- 239000000080 wetting agent Substances 0.000 description 1
Classifications
-
- A—HUMAN NECESSITIES
- A61—MEDICAL OR VETERINARY SCIENCE; HYGIENE
- A61K—PREPARATIONS FOR MEDICAL, DENTAL OR TOILETRY PURPOSES
- A61K47/00—Medicinal preparations characterised by the non-active ingredients used, e.g. carriers or inert additives; Targeting or modifying agents chemically bound to the active ingredient
- A61K47/50—Medicinal preparations characterised by the non-active ingredients used, e.g. carriers or inert additives; Targeting or modifying agents chemically bound to the active ingredient the non-active ingredient being chemically bound to the active ingredient, e.g. polymer-drug conjugates
- A61K47/51—Medicinal preparations characterised by the non-active ingredients used, e.g. carriers or inert additives; Targeting or modifying agents chemically bound to the active ingredient the non-active ingredient being chemically bound to the active ingredient, e.g. polymer-drug conjugates the non-active ingredient being a modifying agent
- A61K47/54—Medicinal preparations characterised by the non-active ingredients used, e.g. carriers or inert additives; Targeting or modifying agents chemically bound to the active ingredient the non-active ingredient being chemically bound to the active ingredient, e.g. polymer-drug conjugates the non-active ingredient being a modifying agent the modifying agent being an organic compound
- A61K47/55—Medicinal preparations characterised by the non-active ingredients used, e.g. carriers or inert additives; Targeting or modifying agents chemically bound to the active ingredient the non-active ingredient being chemically bound to the active ingredient, e.g. polymer-drug conjugates the non-active ingredient being a modifying agent the modifying agent being an organic compound the modifying agent being also a pharmacologically or therapeutically active agent, i.e. the entire conjugate being a codrug, i.e. a dimer, oligomer or polymer of pharmacologically or therapeutically active compounds
- A61K47/551—Medicinal preparations characterised by the non-active ingredients used, e.g. carriers or inert additives; Targeting or modifying agents chemically bound to the active ingredient the non-active ingredient being chemically bound to the active ingredient, e.g. polymer-drug conjugates the non-active ingredient being a modifying agent the modifying agent being an organic compound the modifying agent being also a pharmacologically or therapeutically active agent, i.e. the entire conjugate being a codrug, i.e. a dimer, oligomer or polymer of pharmacologically or therapeutically active compounds one of the codrug's components being a vitamin, e.g. niacinamide, vitamin B3, cobalamin, vitamin B12, folate, vitamin A or retinoic acid
-
- A—HUMAN NECESSITIES
- A61—MEDICAL OR VETERINARY SCIENCE; HYGIENE
- A61K—PREPARATIONS FOR MEDICAL, DENTAL OR TOILETRY PURPOSES
- A61K31/00—Medicinal preparations containing organic active ingredients
- A61K31/33—Heterocyclic compounds
- A61K31/395—Heterocyclic compounds having nitrogen as a ring hetero atom, e.g. guanethidine or rifamycins
- A61K31/435—Heterocyclic compounds having nitrogen as a ring hetero atom, e.g. guanethidine or rifamycins having six-membered rings with one nitrogen as the only ring hetero atom
- A61K31/44—Non condensed pyridines; Hydrogenated derivatives thereof
- A61K31/445—Non condensed piperidines, e.g. piperocaine
- A61K31/4523—Non condensed piperidines, e.g. piperocaine containing further heterocyclic ring systems
- A61K31/454—Non condensed piperidines, e.g. piperocaine containing further heterocyclic ring systems containing a five-membered ring with nitrogen as a ring hetero atom, e.g. pimozide, domperidone
-
- A—HUMAN NECESSITIES
- A61—MEDICAL OR VETERINARY SCIENCE; HYGIENE
- A61K—PREPARATIONS FOR MEDICAL, DENTAL OR TOILETRY PURPOSES
- A61K38/00—Medicinal preparations containing peptides
-
- A—HUMAN NECESSITIES
- A61—MEDICAL OR VETERINARY SCIENCE; HYGIENE
- A61K—PREPARATIONS FOR MEDICAL, DENTAL OR TOILETRY PURPOSES
- A61K38/00—Medicinal preparations containing peptides
- A61K38/04—Peptides having up to 20 amino acids in a fully defined sequence; Derivatives thereof
- A61K38/05—Dipeptides
-
- A—HUMAN NECESSITIES
- A61—MEDICAL OR VETERINARY SCIENCE; HYGIENE
- A61K—PREPARATIONS FOR MEDICAL, DENTAL OR TOILETRY PURPOSES
- A61K38/00—Medicinal preparations containing peptides
- A61K38/04—Peptides having up to 20 amino acids in a fully defined sequence; Derivatives thereof
- A61K38/06—Tripeptides
-
- A—HUMAN NECESSITIES
- A61—MEDICAL OR VETERINARY SCIENCE; HYGIENE
- A61K—PREPARATIONS FOR MEDICAL, DENTAL OR TOILETRY PURPOSES
- A61K47/00—Medicinal preparations characterised by the non-active ingredients used, e.g. carriers or inert additives; Targeting or modifying agents chemically bound to the active ingredient
- A61K47/50—Medicinal preparations characterised by the non-active ingredients used, e.g. carriers or inert additives; Targeting or modifying agents chemically bound to the active ingredient the non-active ingredient being chemically bound to the active ingredient, e.g. polymer-drug conjugates
- A61K47/51—Medicinal preparations characterised by the non-active ingredients used, e.g. carriers or inert additives; Targeting or modifying agents chemically bound to the active ingredient the non-active ingredient being chemically bound to the active ingredient, e.g. polymer-drug conjugates the non-active ingredient being a modifying agent
- A61K47/62—Medicinal preparations characterised by the non-active ingredients used, e.g. carriers or inert additives; Targeting or modifying agents chemically bound to the active ingredient the non-active ingredient being chemically bound to the active ingredient, e.g. polymer-drug conjugates the non-active ingredient being a modifying agent the modifying agent being a protein, peptide or polyamino acid
- A61K47/64—Drug-peptide, drug-protein or drug-polyamino acid conjugates, i.e. the modifying agent being a peptide, protein or polyamino acid which is covalently bonded or complexed to a therapeutically active agent
-
- A—HUMAN NECESSITIES
- A61—MEDICAL OR VETERINARY SCIENCE; HYGIENE
- A61K—PREPARATIONS FOR MEDICAL, DENTAL OR TOILETRY PURPOSES
- A61K47/00—Medicinal preparations characterised by the non-active ingredients used, e.g. carriers or inert additives; Targeting or modifying agents chemically bound to the active ingredient
- A61K47/50—Medicinal preparations characterised by the non-active ingredients used, e.g. carriers or inert additives; Targeting or modifying agents chemically bound to the active ingredient the non-active ingredient being chemically bound to the active ingredient, e.g. polymer-drug conjugates
- A61K47/51—Medicinal preparations characterised by the non-active ingredients used, e.g. carriers or inert additives; Targeting or modifying agents chemically bound to the active ingredient the non-active ingredient being chemically bound to the active ingredient, e.g. polymer-drug conjugates the non-active ingredient being a modifying agent
- A61K47/62—Medicinal preparations characterised by the non-active ingredients used, e.g. carriers or inert additives; Targeting or modifying agents chemically bound to the active ingredient the non-active ingredient being chemically bound to the active ingredient, e.g. polymer-drug conjugates the non-active ingredient being a modifying agent the modifying agent being a protein, peptide or polyamino acid
- A61K47/65—Peptidic linkers, binders or spacers, e.g. peptidic enzyme-labile linkers
-
- A—HUMAN NECESSITIES
- A61—MEDICAL OR VETERINARY SCIENCE; HYGIENE
- A61K—PREPARATIONS FOR MEDICAL, DENTAL OR TOILETRY PURPOSES
- A61K47/00—Medicinal preparations characterised by the non-active ingredients used, e.g. carriers or inert additives; Targeting or modifying agents chemically bound to the active ingredient
- A61K47/50—Medicinal preparations characterised by the non-active ingredients used, e.g. carriers or inert additives; Targeting or modifying agents chemically bound to the active ingredient the non-active ingredient being chemically bound to the active ingredient, e.g. polymer-drug conjugates
- A61K47/51—Medicinal preparations characterised by the non-active ingredients used, e.g. carriers or inert additives; Targeting or modifying agents chemically bound to the active ingredient the non-active ingredient being chemically bound to the active ingredient, e.g. polymer-drug conjugates the non-active ingredient being a modifying agent
- A61K47/68—Medicinal preparations characterised by the non-active ingredients used, e.g. carriers or inert additives; Targeting or modifying agents chemically bound to the active ingredient the non-active ingredient being chemically bound to the active ingredient, e.g. polymer-drug conjugates the non-active ingredient being a modifying agent the modifying agent being an antibody, an immunoglobulin or a fragment thereof, e.g. an Fc-fragment
- A61K47/6801—Drug-antibody or immunoglobulin conjugates defined by the pharmacologically or therapeutically active agent
- A61K47/6803—Drugs conjugated to an antibody or immunoglobulin, e.g. cisplatin-antibody conjugates
- A61K47/6811—Drugs conjugated to an antibody or immunoglobulin, e.g. cisplatin-antibody conjugates the drug being a protein or peptide, e.g. transferrin or bleomycin
-
- A—HUMAN NECESSITIES
- A61—MEDICAL OR VETERINARY SCIENCE; HYGIENE
- A61K—PREPARATIONS FOR MEDICAL, DENTAL OR TOILETRY PURPOSES
- A61K47/00—Medicinal preparations characterised by the non-active ingredients used, e.g. carriers or inert additives; Targeting or modifying agents chemically bound to the active ingredient
- A61K47/50—Medicinal preparations characterised by the non-active ingredients used, e.g. carriers or inert additives; Targeting or modifying agents chemically bound to the active ingredient the non-active ingredient being chemically bound to the active ingredient, e.g. polymer-drug conjugates
- A61K47/51—Medicinal preparations characterised by the non-active ingredients used, e.g. carriers or inert additives; Targeting or modifying agents chemically bound to the active ingredient the non-active ingredient being chemically bound to the active ingredient, e.g. polymer-drug conjugates the non-active ingredient being a modifying agent
- A61K47/68—Medicinal preparations characterised by the non-active ingredients used, e.g. carriers or inert additives; Targeting or modifying agents chemically bound to the active ingredient the non-active ingredient being chemically bound to the active ingredient, e.g. polymer-drug conjugates the non-active ingredient being a modifying agent the modifying agent being an antibody, an immunoglobulin or a fragment thereof, e.g. an Fc-fragment
- A61K47/6801—Drug-antibody or immunoglobulin conjugates defined by the pharmacologically or therapeutically active agent
- A61K47/6803—Drugs conjugated to an antibody or immunoglobulin, e.g. cisplatin-antibody conjugates
- A61K47/6811—Drugs conjugated to an antibody or immunoglobulin, e.g. cisplatin-antibody conjugates the drug being a protein or peptide, e.g. transferrin or bleomycin
- A61K47/6817—Toxins
-
- A—HUMAN NECESSITIES
- A61—MEDICAL OR VETERINARY SCIENCE; HYGIENE
- A61K—PREPARATIONS FOR MEDICAL, DENTAL OR TOILETRY PURPOSES
- A61K47/00—Medicinal preparations characterised by the non-active ingredients used, e.g. carriers or inert additives; Targeting or modifying agents chemically bound to the active ingredient
- A61K47/50—Medicinal preparations characterised by the non-active ingredients used, e.g. carriers or inert additives; Targeting or modifying agents chemically bound to the active ingredient the non-active ingredient being chemically bound to the active ingredient, e.g. polymer-drug conjugates
- A61K47/51—Medicinal preparations characterised by the non-active ingredients used, e.g. carriers or inert additives; Targeting or modifying agents chemically bound to the active ingredient the non-active ingredient being chemically bound to the active ingredient, e.g. polymer-drug conjugates the non-active ingredient being a modifying agent
- A61K47/68—Medicinal preparations characterised by the non-active ingredients used, e.g. carriers or inert additives; Targeting or modifying agents chemically bound to the active ingredient the non-active ingredient being chemically bound to the active ingredient, e.g. polymer-drug conjugates the non-active ingredient being a modifying agent the modifying agent being an antibody, an immunoglobulin or a fragment thereof, e.g. an Fc-fragment
- A61K47/6835—Medicinal preparations characterised by the non-active ingredients used, e.g. carriers or inert additives; Targeting or modifying agents chemically bound to the active ingredient the non-active ingredient being chemically bound to the active ingredient, e.g. polymer-drug conjugates the non-active ingredient being a modifying agent the modifying agent being an antibody, an immunoglobulin or a fragment thereof, e.g. an Fc-fragment the modifying agent being an antibody or an immunoglobulin bearing at least one antigen-binding site
- A61K47/6849—Medicinal preparations characterised by the non-active ingredients used, e.g. carriers or inert additives; Targeting or modifying agents chemically bound to the active ingredient the non-active ingredient being chemically bound to the active ingredient, e.g. polymer-drug conjugates the non-active ingredient being a modifying agent the modifying agent being an antibody, an immunoglobulin or a fragment thereof, e.g. an Fc-fragment the modifying agent being an antibody or an immunoglobulin bearing at least one antigen-binding site the antibody targeting a receptor, a cell surface antigen or a cell surface determinant
-
- A—HUMAN NECESSITIES
- A61—MEDICAL OR VETERINARY SCIENCE; HYGIENE
- A61K—PREPARATIONS FOR MEDICAL, DENTAL OR TOILETRY PURPOSES
- A61K47/00—Medicinal preparations characterised by the non-active ingredients used, e.g. carriers or inert additives; Targeting or modifying agents chemically bound to the active ingredient
- A61K47/50—Medicinal preparations characterised by the non-active ingredients used, e.g. carriers or inert additives; Targeting or modifying agents chemically bound to the active ingredient the non-active ingredient being chemically bound to the active ingredient, e.g. polymer-drug conjugates
- A61K47/51—Medicinal preparations characterised by the non-active ingredients used, e.g. carriers or inert additives; Targeting or modifying agents chemically bound to the active ingredient the non-active ingredient being chemically bound to the active ingredient, e.g. polymer-drug conjugates the non-active ingredient being a modifying agent
- A61K47/68—Medicinal preparations characterised by the non-active ingredients used, e.g. carriers or inert additives; Targeting or modifying agents chemically bound to the active ingredient the non-active ingredient being chemically bound to the active ingredient, e.g. polymer-drug conjugates the non-active ingredient being a modifying agent the modifying agent being an antibody, an immunoglobulin or a fragment thereof, e.g. an Fc-fragment
- A61K47/6835—Medicinal preparations characterised by the non-active ingredients used, e.g. carriers or inert additives; Targeting or modifying agents chemically bound to the active ingredient the non-active ingredient being chemically bound to the active ingredient, e.g. polymer-drug conjugates the non-active ingredient being a modifying agent the modifying agent being an antibody, an immunoglobulin or a fragment thereof, e.g. an Fc-fragment the modifying agent being an antibody or an immunoglobulin bearing at least one antigen-binding site
- A61K47/6883—Polymer-drug antibody conjugates, e.g. mitomycin-dextran-Ab; DNA-polylysine-antibody complex or conjugate used for therapy
-
- A—HUMAN NECESSITIES
- A61—MEDICAL OR VETERINARY SCIENCE; HYGIENE
- A61K—PREPARATIONS FOR MEDICAL, DENTAL OR TOILETRY PURPOSES
- A61K47/00—Medicinal preparations characterised by the non-active ingredients used, e.g. carriers or inert additives; Targeting or modifying agents chemically bound to the active ingredient
- A61K47/50—Medicinal preparations characterised by the non-active ingredients used, e.g. carriers or inert additives; Targeting or modifying agents chemically bound to the active ingredient the non-active ingredient being chemically bound to the active ingredient, e.g. polymer-drug conjugates
- A61K47/51—Medicinal preparations characterised by the non-active ingredients used, e.g. carriers or inert additives; Targeting or modifying agents chemically bound to the active ingredient the non-active ingredient being chemically bound to the active ingredient, e.g. polymer-drug conjugates the non-active ingredient being a modifying agent
- A61K47/68—Medicinal preparations characterised by the non-active ingredients used, e.g. carriers or inert additives; Targeting or modifying agents chemically bound to the active ingredient the non-active ingredient being chemically bound to the active ingredient, e.g. polymer-drug conjugates the non-active ingredient being a modifying agent the modifying agent being an antibody, an immunoglobulin or a fragment thereof, e.g. an Fc-fragment
- A61K47/6889—Conjugates wherein the antibody being the modifying agent and wherein the linker, binder or spacer confers particular properties to the conjugates, e.g. peptidic enzyme-labile linkers or acid-labile linkers, providing for an acid-labile immuno conjugate wherein the drug may be released from its antibody conjugated part in an acidic, e.g. tumoural or environment
-
- A—HUMAN NECESSITIES
- A61—MEDICAL OR VETERINARY SCIENCE; HYGIENE
- A61K—PREPARATIONS FOR MEDICAL, DENTAL OR TOILETRY PURPOSES
- A61K9/00—Medicinal preparations characterised by special physical form
- A61K9/0012—Galenical forms characterised by the site of application
- A61K9/0019—Injectable compositions; Intramuscular, intravenous, arterial, subcutaneous administration; Compositions to be administered through the skin in an invasive manner
-
- A—HUMAN NECESSITIES
- A61—MEDICAL OR VETERINARY SCIENCE; HYGIENE
- A61K—PREPARATIONS FOR MEDICAL, DENTAL OR TOILETRY PURPOSES
- A61K9/00—Medicinal preparations characterised by special physical form
- A61K9/08—Solutions
-
- A—HUMAN NECESSITIES
- A61—MEDICAL OR VETERINARY SCIENCE; HYGIENE
- A61P—SPECIFIC THERAPEUTIC ACTIVITY OF CHEMICAL COMPOUNDS OR MEDICINAL PREPARATIONS
- A61P35/00—Antineoplastic agents
- A61P35/02—Antineoplastic agents specific for leukemia
-
- C—CHEMISTRY; METALLURGY
- C07—ORGANIC CHEMISTRY
- C07K—PEPTIDES
- C07K5/00—Peptides containing up to four amino acids in a fully defined sequence; Derivatives thereof
- C07K5/02—Peptides containing up to four amino acids in a fully defined sequence; Derivatives thereof containing at least one abnormal peptide link
- C07K5/021—Peptides containing up to four amino acids in a fully defined sequence; Derivatives thereof containing at least one abnormal peptide link containing the structure -NH-(X)n-C(=0)-, n being 5 or 6; for n > 6, classification in C07K5/06 - C07K5/10, according to the moiety having normal peptide bonds
Landscapes
- Health & Medical Sciences (AREA)
- Life Sciences & Earth Sciences (AREA)
- Bioinformatics & Cheminformatics (AREA)
- Engineering & Computer Science (AREA)
- Chemical & Material Sciences (AREA)
- General Health & Medical Sciences (AREA)
- Medicinal Chemistry (AREA)
- Animal Behavior & Ethology (AREA)
- Public Health (AREA)
- Pharmacology & Pharmacy (AREA)
- Veterinary Medicine (AREA)
- Epidemiology (AREA)
- Immunology (AREA)
- Proteomics, Peptides & Aminoacids (AREA)
- Molecular Biology (AREA)
- Organic Chemistry (AREA)
- Gastroenterology & Hepatology (AREA)
- Toxicology (AREA)
- Genetics & Genomics (AREA)
- Biophysics (AREA)
- Biochemistry (AREA)
- Crystallography & Structural Chemistry (AREA)
- Dermatology (AREA)
- Hematology (AREA)
- Oncology (AREA)
- Chemical Kinetics & Catalysis (AREA)
- General Chemical & Material Sciences (AREA)
- Nuclear Medicine, Radiotherapy & Molecular Imaging (AREA)
- Cell Biology (AREA)
- Biotechnology (AREA)
- Medicinal Preparation (AREA)
- Medicines That Contain Protein Lipid Enzymes And Other Medicines (AREA)
- Pharmaceuticals Containing Other Organic And Inorganic Compounds (AREA)
- Peptides Or Proteins (AREA)
- Medicines Containing Antibodies Or Antigens For Use As Internal Diagnostic Agents (AREA)
- Nitrogen And Oxygen Or Sulfur-Condensed Heterocyclic Ring Systems (AREA)
- Organic Low-Molecular-Weight Compounds And Preparation Thereof (AREA)
- Plural Heterocyclic Compounds (AREA)
Abstract
Se divulgan compuestos y composiciones en la que una unidad de drogas cuaternizada está vinculada a una unidad de ligando dirigida a partir de la cual se libera un fármaco terciario que contiene amina en el sitio de acción objetivo. También se revelan los métodos para tratar enfermedades caracterizadas por las células anormales objetivo, como el cáncer o una enfermedad autoinmune utilizando los compuestos y composiciones de la invención. (Traducción automática con Google Translate, sin valor legal)
Description
DESCRIPCIÓN
Conjugados de compuestos de tubulisina cuaternizados
Antecedentes de la invención
La invención se refiere a conjugados ligando-fármaco (LDC) para el suministro dirigido de compuestos de tubulisina a células anómalas asociadas con un estado patológico dado o en las proximidades de tales células. El ligando de direccionamiento de dicho LDC expone selectivamente las células anómalas, en contraste con las células normales distantes de las células anómalas, al compuesto de tubulisina. Esa exposición selectiva se logra al concentrar el compuesto en el sitio de acción que se desea como resultado de la unión del ligando de direccionamiento del LDC en las células anómalas o en sus proximidades. Como resultado, se reduce la exposición de células normales distantes al fármaco al compuesto de tubulisina, con lo que se reducen los efectos secundarios no deseados que se deben a la citotoxicidad del compuesto de tubulisina, al tiempo que se reduce la contribución de las células anómalas al estado patológico como resultado de dicha toxicidad. Los LDC que comprenden tubulisina se describen en el documento WO2015057699.
En general, el diseño de un LDC involucra la consideración de una variedad de factores, que incluye el requisito de que el fármaco tenga un sitio para unirse a un resto enlazador que une el fármaco al ligando de direccionamiento y sea capaz de liberar el fármaco en el sitio diana. En un enfoque, los compuestos de tubulisina se incorporaron previamente en los LDC a través de la unión covalente de un resto enlazador al componente C-terminal de un compuesto de tubulisina, que generalmente es tubufenilalanina (Tup) o tubutirosina (Tut), ya sea a través de su resto de ácido carboxílico que se transforma en un grupo funcional hidrazida o a través del resto fenilo del componente C-terminal a través de un sustituyente amino que se introduce en dicho resto. En otro enfoque, la unión de un resto enlazador es al componente N-terminal, el cual en las tubulisinas naturales es el ácido D-N-metilpipecólico (D-Mep), después de la eliminación de su sustituyente metilo. En ambos enfoques se libera un compuesto de tubulisina modificado con una pérdida significativa de citotoxicidad en comparación con el compuesto original, lo cual reduce su eficacia como compuesto terapéutico.
Debido a la dificultad de incorporar un compuesto de tubulisina en un LDC que libere condicionalmente ese compuesto en forma inalterada para retener su actividad citotóxica, existe una necesidad en la técnica de conjugados que usen el nitrógeno de la amina terciaria del componente N-terminal de una tubulisina como el sitio de conjugación para la liberación del compuesto de tubulisina totalmente activa en el sitio diana. También existe la necesidad de enmascarar la hidrofobicidad de un compuesto de tubulisina hidrofóbico dentro de un LDC para permitir un aumento de la carga del compuesto en la Unidad de Ligando de direccionamiento del LDC, para aumentar la cantidad de compuesto de tubulisina que se suministra al sitio de acción que se desea, mientras se disminuye la agregación lo que resulta en la eliminación de la LDC y se rectifica la pérdida del resto de acetato en el componente de tubuvalina (Tuv) in vivo. Cualquiera de estos eventos, por sí solo o en combinación, disminuye la eficacia de la LDC administrada.
Resumen de la invención
Las modalidades principales de la invención son composiciones de Conjugado Ligando-Fármaco (LDC), en donde una composición de LDC se representa por la estructura de la Fórmula 1a
(Fórmula 1A)
en donde L, Lb, A, a, Lp, B, b, PEG, J', V, Z1, Z2, Z3, -O'-Su, R', R8, R9, D+, n y p son como se definen en la reivindicación 1.
Otras modalidades principales de la invención proporcionan compuestos Enlazadores de Fármaco como se define en la reivindicación 8, un compuesto de tubulisina como se define en la reivindicación 17, un método para preparar un compuesto Enlazador de Fármaco como se define en la reivindicación 18, composiciones de Conjugado Ligando-Fármaco como se define en la reivindicación 19, compuestos Enlazadores de Fármacos como se define en la reivindicación 23 y formulaciones como se define en la reivindicación 27.
Breve descripción de los dibujos
Figura 1. Volumen tumoral medio (mm3) frente al tiempo (días) después del implante tras el tratamiento de xenoinjerto de linfoma de Hodgkin CD30+ L540cy con conjugados anticuerpo-fármaco de tubulisina unido a amina cuaternaria DAR 4 que tienen Unidades de Fármaco de Tubulisina M cuaternizadas unidas a través de un dipéptido val-ala (cAC10-15) con unidad escindible por proteasa en comparación con la conjugación a través de una unidad de glucurónido escindible por p-glucuronidasa (cAC10-82), y la comparación de los conjugados anticuerpo-fármaco que tienen unidades de fármaco cuaternizadas de tubulisina M (cAC10-82) y de éter etílico de tubulisina (cAC10-57), ambas unidas a través de enlazadores de glucurónido escindibles a través de pglucurónido, todos ellos con Unidades Enlazadoras noPEGiladas.
Figura 2. Volumen tumoral medio (mm3) frente al tiempo (días) después del implante tras el tratamiento con conjugados anticuerpo-fármaco de tubulisina unido a amina cuaternaria con glucurónido DAR 8 que contienen Unidades de Fármaco de éter etílico de tubulisina cuaternizada con (cAC10-66) o sin (cAC10-57) PEGilación de sus Unidades Enlazadoras, y Unidades de Fármaco de éter propílico de tubulisina cuaternizada con (cAC10-67) y sin (cAC10-58) PEGilación de sus Unidades de Enlace.
Figura 3. Volumen tumoral medio (mm3) frente al tiempo (días) después del implante tras el tratamiento de un xenoinjerto de linfoma de Hodgkin CD30+ L540cy con un conjugado anticuerpo-fármaco de Tubulisina M unida a amina cuaternaria de glucurónido DAR 8 (cAC10-99) con PEGilación de su Unidad Enlazadora.
Figura 4. Volumen tumoral medio (mm3) frente al tiempo (días) después del implante tras el tratamiento de un xenoinjerto compuesto por una población mixta de células tumorales CD30+ Karpas y CD30-negativas KarpasBVR para evaluar la actividad circulante, en donde los ratones que eran el tumor del xenoinjerto se trataron con una dosis única de 0,5 mg/Kg de conjugados anticuerpo-fármaco de tubulisina unida a amina cuaternaria con glucurónido en el que la Unidad de Fármaco cuaternizada es la de Tubulisina M (cAC10-99), éter etílico de tubulisina (cAC10-66) o éter metílico (propen-2-il) de tubulisina (cAC10-185).
Figura 5. Perfiles farmacocinéticos, que se muestran como cantidad de anticuerpo total (pg/ml) frente al tiempo (días), de conjugados anticuerpo-fármaco que se dosifican por vía intravenosa en ratas a 1 mg/Kg con DAR 4 u 8 de Tubulisina M cuaternizada conjugada con IgG humanizada a través de un dipéptido enlazador de amina cuaternaria val-ala (hIgG-15) o val-glu (hIgG-91) escindible con proteasa, sin o con (hIgG-95) PEGilación de Unidad Enlazadora en comparación con un conjugado anticuerpo-fármaco glucurónido escindible con pglucuronidasa de Tubulisina M cuaternizada (hIgG-82) que tiene DAR de 4 sin PEGilación de la Unidad Enlazadora.
Figura 6. Perfiles farmacocinéticos, que se muestran como cantidad de anticuerpo total (pg/ml) frente al tiempo (días), de conjugados anticuerpo-fármaco que se dosifican por vía intravenosa en ratas a 1 mg/Kg con carga de DAR 8 en el anticuerpo IgG humanizado con éter propílico de tubulisina unido a amina cuaternaria de glucurónido ligado a con (hIgG- 67) y sin (hIgG- 58) PEGilación de la Unidad Enlazadora.
Figura 7. Perfiles farmacocinéticos, que se muestran como cantidad de anticuerpo total (pg/ml) frente al tiempo (días), de conjugados anticuerpo-fármaco que se dosifican por vía intravenosa en ratas a 1 mg/Kg con sustitución de DAR 8 en el anticuerpo IgG humanizado con Tubulisina M unida a amina cuaternaria de glucurónido (hIgG- 99) y éter etílico de tubulisina (hIgG- 66), ambos con PEGilación de la Unidad Enlazadora. Figura 8. Volumen tumoral medio (mm3) frente al tiempo (días) después del implante tras el tratamiento de xenoinjerto de linfoma de Hodgkin CD30+ L540cy que se dosifica por vía intraperitoneal con 0,15 mg/kg o 0,3 mg/kg de conjugado anticuerpo-fármaco de Tubulisina M unida a amina cuaternaria de glucurónido con (cAC10-99) o sin (cAC10- 82) PEGilación del enlazador con DAR de 8 y 4, respectivamente, o el tratamiento con el conjugado anticuerpo-fármaco de éter etílico de tubulisina unido a amina cuaternaria de glucurónido con (cAC10-66) o sin (cAC10- 57) PEGilación de la Unidad Enlazadora con DAR de 8 y 4, respectivamente, en comparación con el tratamiento por dosificación intraperitoneal a 0,3 mg/kg con el conjugado anticuerpo-fármaco de Tubulisina M unido a amina cuaternaria DAR 4 unido a través del dipéptido val-ala escindible por proteasa (cAC10- 15) sin PEGilación de la Unidad Enlazadora.
Figura 9. Volumen tumoral medio (mm3) frente al tiempo (días) después del implante tras el tratamiento de xenoinjerto de Carcinoma de Células Renales (MDR+) CD70+ 786-0 resistente a los fármacos dosificado por vía intraperitoneal con 0,5 mg/kg o 1,5 mg/kg de conjugado anticuerpo-fármaco de éter etílico de tubulisina unido a amina cuaternaria de glucurónido PEGilado (hF6-66) o éter metil (propen-2-il) de tubulisina unido a amina cuaternaria de glucurónido PEGilado (hF16-185), ambos con DAR de 8 en comparación con el tratamiento con conjugados anticuerpo-fármaco de tubulisina M unido a amina cuaternaria de glucurónido PEGilado (hIF6-99) con DAR de 8.
Figura 10. Volumen tumoral medio (mm3) frente al tiempo (días) después del implante tras el tratamiento de CD30+ cAC10-mc-val-cit-MMAE xenoinjerto de Linfoma Anaplásico de Células Grandes resistente a los fármacos (DELBVR ALCL) con conjugado anticuerpo-fármaco de éter etílico de tubulisina unido a amina cuaternaria de glucurónido no PEGilado DAR 4 (cAC10-57) o tubulisina M unida a amina cuaternaria de glucurónido no PEGilado en comparación con sus correspondientes conjugados PEGilados DAR 8 (cAC10-66 y cAC10-99) que se dosifican por vía intraperitoneal a 0,3 mg/kg o 1 mg/Kg y al conjugados anticuerpo-fármaco de Tubulisina M unido a amina cuaternaria DAR 4 ligado a través del dipéptido Val-Ala escindible por proteasa sin PEGilación de la Unidad Enlazadora (cAC10-15) que se dosifica por vía intraperitoneal a 1 mg/Kg.
Descripción detallada de la invención
Definiciones
Como se usa en la presente descripción y a menos que se indique o se implique de otra manera por el contexto, los términos que se usan en la presente descripción tienen los significados que se definen a continuación. A menos que esté contraindicado o implícito, por ejemplo, al incluir elementos u opciones mutuamente excluyentes, en estas definiciones y a lo largo de esta especificación, los términos "un" y "una" significan uno o más y el término "o" significa y/o cuando lo permite contexto. Por tanto, como se usa en la especificación y en las reivindicaciones adjuntas, las formas singulares "un/uno", "una" y "el/la" incluyen referentes en plural a menos que el contexto indique claramente lo contrario.
En varios lugares de la presente descripción, por ejemplo, en cualquier modalidad descrita o en las reivindicaciones, se hace referencia a compuestos, composiciones o métodos que "comprenden" uno o más componentes, elementos o etapas especificados. Las modalidades de la invención también incluyen específicamente aquellos compuestos, composiciones, composiciones o métodos que son o que consisten en o que consisten esencialmente en esos componentes, elementos o etapas especificados. El término "compuesto de" se usa indistintamente con el término "que comprende" y se expresan como términos equivalentes. Por ejemplo, las composiciones, los dispositivos, los artículos de fabricación o los métodos descritos que "comprenden" un componente o etapa están abiertos e incluyen o se leen en esas composiciones o métodos más un componente(s) o etapa(s) adicional(es). Sin embargo, esos términos no abarcan elementos no citados que destruirían la funcionalidad de las composiciones, dispositivos, artículos de fabricación o métodos descritos para su propósito previsto. De manera similar, las composiciones, dispositivos, artículos de fabricación o métodos descritos que "consisten en" un componente o etapa están cerrados y no incluirían ni leerían sobre aquellas composiciones o métodos que tengan cantidades apreciables de un componente(s) adicional(es) o una etapa(s) adicional(es). Además, el uso del término "que incluye", así como también otras formas, tales como "incluye", "incluyen" e "incluido", no es limitante. Finalmente, el término "que consiste esencialmente en" admite la inclusión de elementos no citados que no tienen ningún efecto material sobre la funcionalidad de las composiciones, dispositivos, artículos de fabricación o métodos descritos para su propósito previsto y se define adicionalmente en la presente descripción. Los títulos de las secciones que se usan en la presente descripción son solo para fines organizativos y no deben interpretarse como limitantes de la materia objeto descrita en ellos. A menos que se indique lo contrario, se emplean métodos convencionales de espectroscopía de masas, RMN, HPLC, química de proteínas, bioquímica, técnicas de ADN recombinante y farmacología.
"Aproximadamente", como se usa en la presente descripción, cuando se usa en relación con un valor numérico o intervalo de valores que se proporciona para describir una propiedad particular de un compuesto o composición, indica que el valor o intervalo de valores puede desviarse en un grado que se considera razonable para un experto en la técnica sin dejar de describir la propiedad particular. Las desviaciones razonables incluyen aquellas que están dentro de la exactitud o precisión de los instrumentos que se utilizan para medir, determinar o derivar la propiedad en particular. Específicamente, el término "aproximadamente" cuando se usa en este contexto, indica que el valor numérico o intervalo de valores puede variar en un 10 %, 9 %, 8 %, 7 %, 6 %, 5 %, 4 %, 3 %, 2 %, 1 %, 0,9 %, 0,8 %, 0,7 %, 0,6 %, 0,5 %, 0,4 %, 0,3 %, 0,2 %, 0,1 % o 0,01 % del valor que se indica o intervalo de valores, normalmente entre el 10 % y el 0,5 %, más normalmente entre el 5 % y el 1 %, sin dejar de describir la propiedad particular.
"Retiene esencialmente", "que retiene esencialmente y términos similares como se usan en la presente descripción se refieren a una propiedad, característica o actividad de un compuesto o composición o resto del mismo que no cambia detectablemente o está dentro del error experimental de determinación de esa misma actividad, característica o propiedad de otro compuesto o composición o resto del que se derivó.
"Insignificantemente" o "insignificante", como se usa en la presente descripción, es una cantidad de una impureza por debajo del nivel de cuantificación por análisis de HPLC y, si está presente, representa de aproximadamente 0,5 % a aproximadamente 0,1 % p/p de la composición que contamina. En dependencia del contexto, esos términos también pueden significar que no se observa una diferencia estadísticamente significativa entre los valores o resultados que se miden o dentro del error experimental de la instrumentación que se utiliza para obtener esos valores. Las diferencias insignificantes en los valores de un parámetro que se determina experimentalmente no implican que una impureza caracterizada por ese parámetro esté presente en una cantidad insignificante.
"Retiene sustancialmente", como se usa en la presente descripción, se refiere a un valor medido de una propiedad física de un compuesto o composición o resto del mismo que es estadísticamente diferente de la determinación de esa misma propiedad física de otro compuesto o composición o resto del que se derivó, pero cuya diferencia no se traduce en una diferencia estadísticamente significativa en la actividad biológica en un sistema de prueba biológico adecuado para evaluar esa actividad (es decir, la actividad biológica se retiene esencialmente) o que no tiene ninguna consecuencia biológica. Por tanto, la frase "retiene sustancialmente" se hace en referencia al efecto que tiene una propiedad física de un compuesto o composición sobre una actividad biológica que está explícitamente asociada con esa propiedad.
"Que contiene predominantemente", "que tiene predominantemente" y términos similares se refieren al componente principal de una mezcla. Cuando la mezcla es de dos componentes, entonces el componente principal representa
más del 50 % en peso de la mezcla. Con una mezcla de tres o más componentes, el componente predominante es el que está presente en mayor cantidad en la mezcla y puede representar o no la mayoría de la masa de la mezcla.
El término "grupo aceptor de electrones" tal y como se usa en la presente descripción se refiere a un grupo funcional o átomo electronegativo que aleja la densidad de electrones de un átomo al que se enlaza ya sea de forma inductiva y/o a través de resonancia, lo que sea más dominante (es decir, un grupo funcional o un átomo puede ser donante de electrones a través de la resonancia, pero en general puede ser aceptor de electrones de forma inductiva), y tiende a estabilizar los aniones o las restos ricas en electrones. El efecto aceptor de electrones se transmite normalmente de manera inductiva, aunque en forma atenuada, a otros átomos unidos al átomo enlazado que se ha vuelto deficiente en electrones por el grupo de aceptor de electrones (EWG), lo que afecta por tanto la electrofilia de un centro reactivo más remoto. Los grupos aceptores de electrones ilustrativos incluyen, pero no se limitan a, -C(=O), -CN, -NO2, -CXa, -X, -C(=O)OR', -C(=O)NH2 , -C(=O)N(R9)Rop, -C(=O)R', -C(=O)X, -S(=O)2Rop, -S(=O)2OR', -SO3 H2 , -S(=O)2 NH2 , - S(=O)2 N(R')Rop, -PO3H2 , -P(=O)(O')(Oop)2 , -NO, -NH2 , -NH(R')(Rop), -N(Rop)3+, y sales de los mismos, en donde X es -F, -Br, -Cl o -I y Rop se selecciona independientemente, cada vez que aparece, de un grupo previamente descrito para los sustituyentes opcionales y, a veces, se selecciona del grupo que consiste en alquilo C1-C6 y fenilo y R' se selecciona de un grupo previamente descrito para los sustituyentes opcionales y a veces es un alquilo C1-C6. Los EWG ilustrativos también pueden incluir grupos arilo (por ejemplo, fenilo) en dependencia de la sustitución y ciertos grupos heteroarilo (por ejemplo, piridina). Por tanto, el término "grupo aceptor de electrones" también incluye arilos o heteroarilos que están además sustituidos con grupos aceptores de electrones. Normalmente, los grupos aceptores de electrones son -C(=O), -CN, -NO2 , -CX3 y -X, en donde X es halógeno. En dependencia de sus sustituyentes, un resto alquilo insaturado también puede ser un grupo aceptor de electrones.
El término "grupo donante de electrones" se refiere a un grupo funcional o átomo electropositivo que aumenta la densidad de electrones de un átomo al que se enlaza inductivamente y/o a través de resonancia, lo que sea más dominante (un grupo funcional o un átomo puede aceptar electrones por inducción, pero en general puede donar electrones a través de resonancia) y tiende a estabilizar cationes o sistemas pobres en electrones. El efecto de donación de electrones se transmite normalmente a través de resonancia a otros átomos unidos al átomo enlazado que se enriquece en electrones por el grupo donante de electrones (EDG), por tanto afecta la nucleofilia de un centro reactivo más remoto. Los grupos donantes de electrones ilustrativos incluyen, entre otros, -OH, -OR', -NH2, -NHR' y N(R')2, en donde cada R' es un alquilo seleccionado independientemente, normalmente C1-C6 alquilo En dependencia de sus sustituyentes, un resto arilo, heteroarilo o alquilo insaturado también puede ser un grupo donante de electrones.
"Resto", como se usa en la presente descripción, significa un segmento, fragmento o grupo funcional específico de una molécula o compuesto. Los restos químicos a veces se indican como entidades químicas que están embebidas en o adjuntas (es decir, un sustituyente o grupo variable) a una molécula, compuesto o fórmula química.
Para cualquier grupo sustituyente o resto descrito en la presente descripción por un intervalo dado de átomos de carbono, el intervalo designado significa que se describe cualquier número individual de átomos de carbono. Por tanto, la referencia a, por ejemplo, "alquilo C1-C4 opcionalmente sustituido", "alquenilo C2-6 alquenilo opcionalmente sustituido", "heterociclo C3-C8 opcionalmente sustituido, significa específicamente que está presente un resto de alquilo de 1, 2, 3 o 4 carbonos opcionalmente sustituida como se define en la presente descripción, o un alquenilo de 2, 3, 4, 5 o 6 carbonos, un heterociclo de 3, 4, 5, 6, 7 u 8 miembros o un resto de alquenilo de 3, 4, 5, 6, 7 u 8 carbonos opcionalmente sustituida como se define en la presente descripción. Todas estas designaciones numéricas están destinadas expresamente a revelar todos los grupos de átomos de carbono individuales; y por lo tanto "alquilo C1-C4 opcionalmente sustituido" incluye, metilo, etilo, alquilos de 3 carbonos y alquilos de 4 carbonos, que incluyen todos sus isómeros de posición, ya sea sustituido u No sustituido. Por tanto, cuando un resto alquilo está sustituido, las designaciones numéricas se refieren a un resto de base no sustituido y no pretenden incluir átomos de carbono que pueden estar presentes en los sustituyentes de ese resto de base. Para ésteres, carbonatos, carbamatos y ureas como se definen en la presente descripción que se identifican por un intervalo dado de átomos de carbono, el intervalo designado incluye el carbono carbonilo del grupo funcional respectivo. Por tanto, un éster C1 se refiere a un éster de formato, un éster C2 se refiere a un éster acetato y una urea C1 no sustituida se refiere a NH2(C=O)NH2.
Los sustituyentes orgánicos, las moléculas y los grupos descritos en la presente descripción, así como cualquier otro resto descrito en la presente descripción, normalmente excluirán los restos inestables excepto cuando dichos restos inestables sean especies transitorias que se pueden utilizar para preparar un compuesto con suficiente estabilidad química para uno o más de los usos descritos en la presente descripción. Se excluyen específicamente los sustituyentes, restos o grupos mediante la operación de las definiciones proporcionadas en la presente descripción que dan como resultado aquellos que tienen un carbono pentavalente.
"Alquilo" como se usa en la presente descripción por sí mismo o como parte de otro término se refiere al metilo o una colección de átomos de carbono, en donde uno o más de los átomos de carbono está saturado (es decir, está compuesto por uno o más carbonos sp3) que están covalentemente unidos entre sí en disposiciones normales, secundarias, terciarias o cíclicas, es decir, en una disposición lineal, ramificada, cíclica o alguna combinación de las mismas. Cuando los átomos de carbono saturados contiguos están en una disposición cíclica, tales restos alquilo se
denominan a veces cicloalquilo como se define en la presente descripción. Los sustituyentes alquilo saturados contienen átomos de carbono saturados (es decir, carbonos sp3) y ningún átomo de carbono aromático sp2 o sp (es decir, no está sustituido con restos insaturados, aromáticos y heteroaromáticos). Los sustituyentes alquilo insaturados son restos alquilo o grupos que contienen restos como se describe en la presente descripción para las restos alquenilo, alquinilo, arilo y heteroarilo.
Por tanto, a menos que se indique lo contrario, el término "alquilo" indicará un radical hidrocarbonado no cíclico saturado, opcionalmente sustituido con uno o más motivos cicloalquílicos o insaturados, aromáticos o heteroaromáticos o alguna combinación de los mismos, en donde el radical hidrocarbonado saturado tiene el número indicado de átomos de carbono saturados unidos covalentemente (por ejemplo, "alquilo C1-C6" o "alquilo C1-C6" significa un resto alquilo o grupo que contiene 1, 2, 3, 4, 5 o 6 átomos de carbono contiguos no cíclicos saturados y "alquilo C1-C8" se refiere a un resto o grupo alquilo que tiene 1, 2, 3, 4, 5, 6, 7 u 8 átomos de carbono no cíclicos saturados y contiguos). El número de átomos de carbono saturados en un resto o grupo alquilo puede variar y normalmente es 1-50, 1-30 o 1-20, y más normalmente es 1-8 o 1-6. Normalmente, el alquilo se referirá a un resto alquilo C1-C8 saturado, o más normalmente es un resto alquilo C1-C6 o C1-C4, esta última a veces se denomina como alquilo inferior. Cuando no se indica el número de átomos de carbono, el grupo o resto alquilo tiene de 1 a 8 átomos de carbono.
Cuando se hace referencia a un resto o grupo alquilo como sustituyente alquilo, ese sustituyente alquilo de una estructura de Markush u otro resto orgánico con el que está asociado es la cadena de átomos de carbono saturados contiguos unidos covalentemente a la estructura o resto a través de un carbono sp3 del sustituyente alquilo. Un sustituyente alquilo, como se usa en la presente descripción, contiene por lo menos un resto saturado y también puede contener o estar opcionalmente sustituido con restos o grupos cicloalquilo, alquilo insaturado, aromáticos o heteroaromáticos. Por tanto, un sustituyente alquilo puede comprender adicionalmente uno, dos, tres o más dobles enlaces, triples enlaces o cicloalquilo, restos aromáticos o heteroaromáticos o alguna combinación de los mismos que se seleccionan independientemente, normalmente un doble enlace, un triple enlace o está sustituido con un resto cicloalquilo, aromático o heteroaromático. Cuando se especifica un sustituyente, resto o grupo alquilo, las especies incluyen las derivadas de la eliminación de un átomo de hidrógeno de un alcano parental (es decir, es monovalente) y pueden incluir metilo, etilo, 1 -propilo (n-propilo), 2-propilo (isopropilo, -CH(CH3)2), 1 -butilo (n-butilo), 2-metil-1 -propilo (iso-butilo, -CH2CH(CH3)2), 2-butilo (sec-butilo, -CH(c H3)Ch2CH3), 2-metil-2-propilo (t-butilo, -C(CH3)3), amilo, isoamilo, sec-amilo y otros restos alquilo de cadena lineal, cíclica y ramificada.
"Alquileno", como se usa en la presente descripción por sí mismo como parte de otro término, se refiere a un dirradical de hidrocarburo saturado, ramificado, cíclico o de cadena lineal, sustituido o No sustituido, en donde uno o más de los átomos de carbono está insaturado (es decir, está compuesto de uno o más carbonos sp3), del número indicado de átomos de carbono, normalmente de 1 a 10 átomos de carbono, y que tiene dos centros radicales (es decir, es divalente) derivados de la eliminación de dos átomos de hidrógeno del mismo átomo de carbono saturado o dos diferentes (es decir, sp3) de un alcano parental. Los restos alquileno incluyen además radicales alquilo como se describe en la presente descripción en los que se eliminó un átomo de hidrógeno de un resto saturado o del radical carbono de un radical alquilo para formar un dirradical. Normalmente, los restos alquileno incluyen, pero no se limitan a, restos divalentes que se derivan de la eliminación de un átomo de hidrógeno del átomo de carbono saturado de un resto alquilo parental, y se ejemplifican por: metileno (-CH2-), 1,2-etileno (-CH2CH2-), 1,3-propileno (-CH2CH2CH2-), 1,4-butileno (-CH2CH2CH2CH2-) y dirradicales similares. Normalmente, un alquileno es un hidrocarburo de cadena lineal o ramificada que normalmente contiene solo carbonos sp3 (es decir, está completamente saturado a pesar de los átomos de carbono del radical).
"Cicloalquilo", como se usa en la presente descripción, es un radical de un sistema de anillo monocíclico, bicíclico o tricíclico, en donde cada uno de los átomos que forman el sistema de anillo (es decir, átomos del esqueleto) es un átomo de carbono y en donde uno o más de estos átomos de carbono en cada anillo del sistema de anillo cíclico está saturado (es decir, está compuesto por uno o más carbonos sp3). Por tanto, un cicloalquilo es una disposición cíclica de carbonos saturados, pero también puede contener átomos de carbono insaturados y, por lo tanto, su anillo carbocíclico puede estar saturado o parcialmente insaturado o puede fusionarse con un anillo aromático, en donde los puntos de fusión de un cicloalquilo y un anillo aromático son los carbonos insaturados adyacentes al resto grupo o sustituyente cicloalquilo, y los carbonos aromáticos adyacentes del anillo aromático.
A menos que se especifique lo contrario, un resto, grupo o sustituyente cicloalquilo, puede estar sustituido con restos descritos para alquilo, alquenilo, alquinilo, arilo, arilalquilo, alquilarilo y similares o puede estar sustituido con otros restos cicloalquilo. Los restos cicloalquilo, grupos o sustituyentes incluyen ciclopropilo, ciclopentilo, ciclohexilo, adamantilo u otros restos cíclicos que tienen solo átomos de carbono. Los cicloalquilos incluyen además ciclobutilo, ciclopentenilo, ciclohexenilo, cicloheptilo y ciclooctilo. En dependencia de su estructura, un sustituyente cicloalquilo puede ser un monorradical como se describe anteriormente para restos cicloalquilo o grupos o un dirradical (es decir, un cicloalquileno, o alternativamente, carbociclo) tal como, pero no limitado a, ciclopropan-1,1-diilo, ciclobutan-1,1-diilo, ciclopentan-1,1-diilo, ciclohexan-1,1-diilo, ciclohexan-1,4-diilo, cicloheptan-1,1-diilo y similares).
Cuando el cicloalquilo se usa como un grupo Markush (es decir, un sustituyente), el cicloalquilo se enlaza a una fórmula de Markush u otro resto orgánico con el que se asocia a través de un carbono que está involucrado en el
sistema de anillo carbocíclico del grupo cicloalquilo siempre, que ese carbono no sea un carbono aromático de un sistema de anillos fusionados. Cuando un carbono insaturado de un resto alqueno que comprende el sustituyente cicloalquilo se enlaza a una fórmula de Markush con la que está asociado, a veces se hace referencia al cicloalquilo como un sustituyente cicloalquenilo. El número de átomos de carbono en un sustituyente cicloalquilo se define por el número total de átomos del esqueleto del sistema de anillo. Ese número puede variar y normalmente varía de 3 a 50, 1-30 o 1-20, y más normalmente 3-8 o 3-6 a menos que se especifique lo contrario, por ejemplo, cicloalquilo C3-8 significa un sustituyente, resto o grupo cicloalquilo que contiene 3, 4, 5, 6, 7 u 8 átomos de carbono carbocíclicos y cicloalquilo C3-6 significa un sustituyente, resto o grupo cicloalquilo que contiene 3, 4, 5 o 6 átomos de carbono carbocíclicos. Por lo tanto, los sustituyentes restos o grupos cicloalquilo, generalmente tienen 3, 4, 5, 6, 7, 8 átomos de carbono en su sistema de anillo carbocíclico y pueden contener dobles enlaces exo o endo cíclicos o triples enlaces endo cíclicos o una combinación de ambos en donde los enlaces dobles o triples endocíclicos, o la combinación de ambos, no forman un sistema conjugado cíclico de 4n 2 electrones. Un sistema de anillo bicíclico puede compartir uno (es decir, es un sistema de anillo espiro) o dos átomos de carbono y un sistema de anillo tricíclico puede compartir un total de 2, 3 o 4 átomos de carbono, normalmente 2 o 3.
"Alquenilo", como se usa en la presente descripción, significa un sustituyente, resto o grupo que comprende uno o más restos con doble enlace (por ejemplo, un grupo funcional -CH=CH-) o 1, 2, 3, 4, 5 o 6 o más, normalmente 1, 2 o 3 de tales restos y pueden sustituirse con un resto o grupo arilo tal como benceno, o átomos de carbono normales, secundarios, terciarios o cíclicos unidos, es decir, lineales, ramificados, cíclicos o cualquier combinación de los mismos a menos que el sustituyente, resto o grupo alquenilo, es un resto vinilo (por ejemplo, un grupo funcional -CH=CH2). Un resto, grupo o sustituyente alquenilo, que tiene múltiples dobles enlaces puede tener los dobles enlaces dispuestos contiguamente (es decir, un resto 1,3 butadienilo) o no contiguo con uno o más átomos de carbono saturados intermedios o una combinación de los mismos, siempre que una disposición cíclica y contigua de los dobles enlaces no forme un sistema conjugado cíclico de 4n 2 electrones (es decir, no sea aromático).
Cuando se especifica un resto, grupo o sustituyente alquenilo, las especies incluyen, a modo de ejemplo y sin limitación, cualquiera de los restos, grupos o sustituyentes de grupos alquilo o cicloalquilo descritos en la presente descripción que tienen uno o más dobles enlaces endo, y restos monovalentes que se derivan de la eliminación de un átomo de hidrógeno de un carbono sp2 de un compuesto de alqueno parental. Tales restos monovalentes incluyen normalmente vinilo (-CH=CH2), alilo, 1 -metilvinilo, butenilo, isobutenilo, 3-metil-2-butenilo, 1-pentenilo, ciclopentenilo, 1-metilciclopentenilo, 1-hexenilo, 3-hexenilo, ciclohexenilo y otros radicales lineales, cíclicos y ramificados, todos los que contienen carbono contienen al menos un doble enlace. Cuando el alquenilo se usa como un grupo Markush (es decir, es un sustituyente), el alquenilo se enlaza a una fórmula de Markush u otro resto orgánico con el que se asocia a través de un carbono de doble enlace (es decir, un carbono sp2) del resto o grupo alquenilo. El número de átomos de carbono en un sustituyente alquenilo se define por el número de átomos de carbono sp2 del grupo funcional alqueno que lo define como un sustituyente alquenilo y el número total de átomos de carbono no aromáticos contiguos añadidos a cada uno de estos carbonos sp2. Ese número puede variar y, a menos que se especifique lo contrario, varía de 1 a 50, por ejemplo, normalmente 1-30 o 1-20, más normalmente 1-8 o 1-6, cuando el grupo funcional de doble enlace es exo en una estructura Markush, o puede varían y varían de 2 a 50, normalmente 2-30 o 2-20, más normalmente 2 a 8 o 2-6, cuando el grupo funcional de doble enlace es endo a la estructura de Markush. Por ejemplo, alquenilo C2-8 o alquenilo C2-8 significa un resto alquenilo que contiene 2, 3, 4, 5, 6, 7 u 8 átomos de carbono en los que al menos dos son carbonos sp2 en conjugación entre sí y alquenilo C2-6 o alquenilo C2-6 significa un resto alquenilo que contiene 2, 3, 4, 5 o 6 átomos de carbono en el que al menos dos son carbonos sp2 que están en conjugación entre sí. Normalmente, un sustituyente alquenilo es un resto alquenilo C2-C6 o C2-C4 que tiene dos carbonos sp2 que están en conjugación entre sí.
"Alquenileno", como se usa en la presente descripción, por sí mismo como parte de otro término, se refiere a un sustituyente, resto o grupo que comprende uno o más restos de doble enlace, como se describió previamente para alquenilo, del número indicado de átomos de carbono, normalmente de 1-10 átomos de carbono cuando el grupo funcional de doble enlace es exo a un resto más grande o de 2-10, cuando el grupo funcional de doble enlace es endo en el resto de alquenileno, y tiene dos centros radicales derivados de la eliminación de dos átomos de hidrógeno del mismo o dos diferentes átomos de carbono sp2 de un resto de doble enlace en un alqueno parental. Los restos alquenileno incluyen además radicales alquenilo, como se describe en la presente descripción, en los que un átomo de hidrógeno se elimina del mismo o diferente átomo de carbono sp2 de un resto de doble enlace de un radical alquenilo para formar un dirradical, o de un carbono sp2 de un resto de doble enlace diferente para proporcionar otro radical de carbono. Normalmente, los restos alquenileno incluyen dirradicales que tienen la estructura de -C=C- o -C=C-X1-C=C- en donde X1 está ausente o es un alquileno como se define en la presente descripción.
"Arilo" como se usa aquí significa un resto, sustituyente o grupo orgánico definido por un sistema de anillo aromático o un sistema de anillo fusionado sin heteroátomos de anillo que comprenden 1, 2, 3 o 4 a 6 anillos, normalmente 1 a 3 anillos, en donde los anillos están compuestos únicamente por átomos de carbono que participan en un sistema conjugado cíclicamente de 4n 2 electrones (regla de Hückel), normalmente 6, 10 o 14 electrones, algunos de los cuales pueden participar adicionalmente en la conjugación exocíclica con un heteroátomo (conjugado cruzado, por ejemplo, quinona). Los sustituyentes, restos o grupos arilo están formados normalmente por seis, ocho, diez o más átomos de carbono aromáticos. Los sustituyentes, restos o grupos arilo están opcionalmente sustituidos. Arilos
ilustrativos incluyen arilos C6-C10 tales como fenilo y naftalenilo y fenantrilo. Como la aromaticidad en un resto arilo neutro requiere un número par o elecciones, se entenderá que un intervalo dado para ese resto no abarcará especies con un número impar de carbonos aromáticos. Cuando el arilo se usa como un grupo Markush (es decir, un sustituyente), el arilo se enlaza a una fórmula de Markush u otro resto orgánico con el que se asocia a través de un carbono aromático del grupo arilo. En dependencia de la estructura, un grupo arilo puede ser monorradical (es decir, monovalente) o dirradical (es decir, un grupo arileno como se describe en la presente descripción, que es divalente).
"Arileno" o "heteroarileno" como se usa en la presente descripción por sí mismo o como parte de otro término, es un resto, grupo o sustituyente arilo o heteroarilo, como se define en la presente descripción que forma dos enlaces covalentes (es decir, es divalente) dentro de un resto más grande, que puede estar en las configuraciones orto, meta o para o un resto dirradical aromático. Los arilenos ilustrativos incluyen, pero no se limitan a, fenil-1,2-eno, fenil-1,3-eno y fenil-1,4-eno como se muestra en las siguientes estructuras:
"Arilalquilo", como se usa en la presente descripción, significa un sustituyente, resto o grupo donde un resto arilo se enlaza a un resto alquilo, es decir, -alquil-arilo, donde los grupos alquilo y arilo son como se describieron anteriormente, por ejemplo, -CH2-C6H5 , -CH2CH(CH3)-C6 H5 o -CH(CH2CH2CH3)-CH2-C6H5. Cuando el arilalquilo se usa como un grupo Markush (es decir, un sustituyente) el resto alquilo del arilalquilo se enlaza a una fórmula de Markush con el que se asocia a través de un carbono sp3 del resto alquilo.
"Alquilarilo", como se usa en la presente descripción, significa un sustituyente, resto o grupo en el que un resto alquilo se enlaza a un resto arilo, es decir, -aril-alquilo, donde los grupos arilo y alquilo son como se describieron anteriormente, por ejemplo, -C6H4-CH3 o -C6H4-CH2CH(CH3). Cuando el alquilarilo se usa como un grupo Markush (es decir, un sustituyente), el resto arilo del alquilarilo se enlaza a una fórmula de Markush con la que se asocia a través de un carbono aromático del resto arilo.
"Alquilo opcionalmente sustituido", "alquenilo opcionalmente sustituido", "alquinilo opcionalmente sustituido", "alquilarilo opcionalmente sustituido", "arilalquilo opcionalmente sustituido", "heterociclo opcionalmente sustituido", "arilo opcionalmente sustituido", "heteroarilo opcionalmente sustituido", " alquilheteroarilo opcionalmente sustituido", "heteroarilalquilo opcionalmente sustituido" y términos similares se refieren a un alquilo, alquenilo, alquinilo, alquilarilo, arilalquilo heterociclo, arilo, heteroarilo, alquilheteroarilo, heteroarilalquilo u otro sustituyente, resto o grupo como se define o describe en la presente descripción en donde el(los) átomo(s) de hidrógeno de ese sustituyente, resto o grupo se reemplaza(n) opcionalmente con diferente(s) resto(s) o grupo(s) o en donde una cadena de carbono alicíclico que comprende uno de esos sustituyentes, resto o grupo se interrumpe reemplazando átomo(s) de carbono de esa cadena con diferentes restos o grupos.
Los sustituyentes opcionales que reemplazan el(los) hidrógeno(s) en uno cualquiera de los sustituyentes, restos o grupos anteriores incluyen los que se seleccionan independientemente del grupo que consiste en halógeno, -CN, -NH2 , -OH, -N(CH3)2, alquilo, fluoroalquilo, heteroalquilo, cicloalquilo, heterocicloalquilo, arilo, heteroarilo, alcoxi, ariloxi, alquiltio, ariltio, alquilsulfóxido, arilsulfóxido, alquilsulfona y arilsulfona o los seleccionados del grupo que consiste en halógeno, -CN, -NH2 , -OH, -NH(CH3), -N(CH3)2 , -C(=O)OH (es decir, CO2 H), -C(=O)O-alquilo(es decir, CO2-alquilo), -C(=O)NH2 , -C(=O)NH(alquilo), -C(=O)N(alquilo)2 , -S(=O)2NH2 , -S(=O)2NH(alquilo), -S(=O)2N(alquilo)2 , alquilo, cicloalquilo, fluoroalquilo, heteroalquilo, alcoxi, fluoroalcoxi, -S-alquilo y -S(=O)2alquilo.
Normalmente, los sustituyentes opcionales que reemplazan el(los) hidrógeno(s) en cualquiera de los sustituyentes, restos o grupos anteriores se selecciona independientemente del grupo que consiste en alquilo, cicloalquilo, arilo, heteroarilo, heteroalicíclico, hidroxilo, alcoxi, ariloxi, ciano, halógeno, nitro, haloalquilo, fluoroalquilo, fluoroalcoxi y amino, incluidos los grupos aminos mono-, di- y trisustituidos y los derivados protegidos de los mismos, o se selecciona del grupo que consiste en halógeno, -CN, -NH2 , -OH, -NH(CH3), -N(CH3)2, -CH3 , -CH2CH3 , -CF3, -OCH3 y -OCF3. Normalmente, cualquiera de los sustituyentes, restos o grupos anteriores que está opcionalmente sustituido mediante la sustitución de uno o más de sus hidrógenos tiene su(s) hidrógeno(s) reemplazado(s) con uno o dos de los sustituyentes opcionales anteriores, o más normalmente con uno de los sustituyentes opcionales anteriores. Un sustituyente opcional en un átomo de carbono alifático saturado dentro de un sistema de anillo acíclico o cíclico incluye además oxo (=O). Para un resto fenilo o heteroarilo de 6 miembros, la disposición de dos sustituyentes cualesquiera presentes en el anillo aromático o heteroaromático puede ser orto (o), meta (m) o para (p).
Normalmente, un sustituyente opcional que reemplaza al carbono en una cadena de carbono acíclico se selecciona del grupo que consiste en -O-, -C(=O)-, -C(=O)O-, -S-, -S(=O)-, -S(=O)2-, -NH-, -NHC(=O)-, -C(=O)NH-, S(=O)2 NH-, -NHS(=O)2 , -OC(=O)NH-, y -NHC(=O)O-.
Normalmente, cualquiera de los sustituyentes, restos o grupos anteriores que está opcionalmente sustituido por reemplazo de uno o más átomos de carbono alicíclicos tiene el(los) átomo(s) de carbono reemplazado(s) con uno o
dos de los sustituyentes opcionales anteriores, o más normalmente con uno de los sustituyentes opcionales anteriores.
Se entenderá que un sustituyente opcional de un sustituyente, resto o grupo alquilo o alquileno excluye alquilo y que un sustituyente opcional de un sustituyente, resto o grupo alqueno o alquenileno excluye alquenilo, ya que dichas sustituciones proporcionan restos que se encuentran dentro de la definición de restos básicos así sustituidos y un sustituyente opcional de un alquilo o alquileno excluyen además alquileno o alquenileno ya que dicha sustitución proporciona restos que se ajustan con la definición de alquilo insaturado y alquileno insaturado, respectivamente.
"Heterociclilo", como se usa en la presente descripción, significa un carbociclo, en donde uno o más, pero no todos los átomos de carbono del esqueleto dentro del sistema de anillo carbocíclico se reemplaza independientemente por un heteroátomo, opcionalmente sustituido, cuando se permite, entre los que se incluyen N, O, S, Se, B, Si, P, en donde dos o más heteroátomos pueden ser adyacentes entre sí o separados por uno o más átomos de carbono dentro del mismo sistema de anillo, normalmente por 1-3 átomos. Esos heteroátomos normalmente incluyen N, O o S. Un heterociclo normalmente contiene un total de uno a diez heteroátomos en el sistema de anillo heterocíclico, siempre que no todos los átomos del esqueleto de un anillo cualquiera del sistema de anillos heterocíclicos sean heteroátomos, en donde cada heteroátomo del anillo o anillos, opcionalmente sustituido cuando esté permitido, se selecciona independientemente del grupo formado por O, S y N, con la condición de que un anillo cualquiera no contenga dos átomos de O o S adyacentes. Cuando no son aromáticos, los heterociclos tienen al menos 3 átomos en su sistema de anillos, y cuando son aromáticos, los heterociclos tienen al menos 5 átomos en su sistema de anillos. Los heterociclos ilustrativos, se proporcionan por Paquette, Leo A.; "Principles of Modern Heterocyclic Chemistry" (W. A. Benjamin, Nueva York, 1968), particularmente los Capítulos 1, 3, 4, 6, 7 y 9; "The Chemistry of Heterocyclic Compounds, A series of Monographs" (John Wiley & Sons, Nueva York, 1950 al presente), en particular los volúmenes 13, 14, 16, 19 y 28; y J. Am. Chem. Soc. 1960, 82:5545-5473 particularmente 5566-5573).
Cuando el heterociclo se usa como un grupo de Markush (es decir, un sustituyente), el heterociclo se enlaza a una fórmula de Markush o un resto mayor con la que se asocia a través de un carbono o un heteroátomo del heterociclo, cuando dicha unión no dé lugar a un estado de oxidación formal inestable o no permitido de ese carbono o heteroátomo. Por tanto, los heterociclos en este contexto son restos monovalentes que a veces se denominan como heterociclilos que incluyen los heteroarilos, que tienen un sistema de anillos heteroaromáticos, o los heterocicloalquilos, en los que el sistema de anillos no es aromático, cualquiera de los cuales puede fusionarse con un resto carbocíclico, arilo o heteroarilo, e incluye fenilo (es decir, benzo) fusionado con restos de heterocicloalquilos y heteroarilos, lo que proporciona que cuando un resto de heteroarilo se fusiona con un resto de heterocicloalquilo o carbocíclico (es decir, cuando la porción heterocíclica del sistema de anillos fusionados es monovalente) el sistema de anillos fusionados resultante se clasifica como heteroarilo y cuando el resto de heterocicloalquilo se fusiona con un resto carbocíclico (es decir, cuando la porción carbocíclica del sistema de anillos fusionados es monovalente) el sistema de anillos fusionados resultante se clasifica como heterocicloalquilo.
Normalmente, un heterocicloalquilo es un grupo, resto o sustituyente cicloalquilo, en donde 1, 2 o 3 carbonos de la cadena cicloalquilo se reemplazan con un heteroátomo seleccionado del grupo que consiste en nitrógeno, oxígeno y azufre y es un heterocicloalquilo C3-C10, más normalmente un heterocicloalquilo C5-C10 en el que el subíndice indica el número total de átomos del esqueleto (incluidos sus átomos de carbono y heteroátomos) del sistema de anillos del heterocicloalquilo. Los heterocicloalquilos no limitantes pueden contener 0-2 átomos de N, 0-2 átomos de O u 0-1 átomos de S o alguna combinación de los mismos, siempre que al menos uno de dichos heteroátomos esté presente en el sistema de anillo cíclico y pueda estar sustituido con uno o dos restos oxo (=O), como en pirrolidin-2-ona. Más normalmente, los heterocicloalquilos incluyen pirrolidinilo, piperidinilo, morfolinilo y piperazinilo.
Los heteroarilos contienen normalmente un total de uno a cuatro heteroátomos en el(los) anillo(s) del sistema de anillo heteroarilo, siempre que no todos los átomos del esqueleto de cualquier sistema de anillos del heteroarilo sean heteroátomos, opcionalmente sustituidos donde se permita, y tengan 0-3 átomos N, 1-3 átomos N o 0-3 átomos N con 0-1 átomos O u 0-1 átomos S, siempre que al menos haya un heteroátomo. Un heteroarilo puede ser monocíclico, bicíclico o policíclico. Los heteroarilos monocíclicos incluyen heteroarilos C5-C24, normalmente heteroarilos C5-C12 o C5-C6 , en los que el subíndice indica el número total de átomos del esqueleto (incluidos sus átomos de carbono y heteroátomos) del sistema de anillo aromático del heteroarilo. Más normalmente, un heteroarilo es un resto arilo en donde 1, 2 o 3 de los átomos de carbono del(de los) anillo(s) aromático(s) de un resto arilo parental están reemplazados por un heteroátomo, opcionalmente sustituido cuando se permite, incluidos N, O y S, siempre que no todos los átomos del esqueleto de cualquier sistema de anillo aromático en el resto arilo son reemplazados por heteroátomos y más normalmente son reemplazados por oxígeno (-O-), azufre (-S-) nitrógeno (=N-) o -NR- en donde R es -H, un grupo protector o alquilo, arilo o nitrógeno sustituido con otro resto orgánico de una manera que retiene el sistema cíclico conjugado, en donde el heteroátomo de nitrógeno, azufre u oxígeno participa en el sistema conjugado a través de enlaces pi con un átomo adyacente en el sistema de anillos o a través de un solo par de electrones en el heteroátomo.
En otros aspectos, un heteroarilo es monocíclico y normalmente tiene un sistema de anillo heteroaromático de 5 o 6 miembros. Un heteroarilo de 5 miembros es un heteroarilo C5 monocíclico que contiene de 1 a 4 átomos de carbono y el número requerido de heteroátomos dentro de un sistema de anillo heteroaromático. Un heteroarilo de 6
miembros es un heteroarilo C6 monocíclico que contiene de 1 a 5 átomos de carbono y el número requerido de heteroátomos dentro de un sistema de anillo heteroaromático. Los heteroarilos que tienen 5 miembros tienen cuatro, tres, dos o un heteroátomo(s) aromático(s), y los heteroarilos que tienen 6 miembros incluyen heteroarilos que tienen cuatro, tres, dos o un heteroátomo(s) aromático(s). Los heteroarilos C5 son restos monovalentes que se derivan de la eliminación de un átomo de hidrógeno de un carbono aromático o un electrón de un heteroátomo aromático, cuando se permite, de un compuesto heterocíclico parental, dentro de los que se incluye: pirrol, furano, tiofeno, oxazol, isoxazol, tiazol, isotiazol, imidazol, pirazol, triazol y tetrazol. Los heteroarilos C6 que tienen 6 miembros se ejemplifican por restos monovalentes que se derivan de la eliminación de un átomo de hidrógeno de un carbono aromático o un electrón de un heteroátomo aromático, cuando se permite, de los siguientes compuestos de heterociclo parentales: piridina, piridazina, pirimidina y triazina.
Un "heteroarilo de 5 miembros que contiene nitrógeno" heteroarilo nitrogenado de 5 miembros y términos similares se refiere a un resto heteroaromático de 5 miembros que contiene al menos un átomo de nitrógeno en su sistema de anillo aromático y es un heteroarilo monocíclico o se fusiona con un arilo u otro sistema de anillo de heteroarilo y puede contener uno o más de otros heteroátomos que se seleccionan independientemente tales como N, O o S. Los heteroarilos nitrogenados de 5 miembros ilustrativos incluyen tiazol, imidazol, oxazol y triazol y son normalmente tiazol u oxazol, más normalmente tiazol.
"Heteroarilalquilo", como se usa en la presente descripción, significa un sustituyente, resto o grupo en el que un resto heteroarilo se enlaza a un resto alquilo, es decir, -alquil-heteroarilo, donde los grupos alquilo y heteroarilo son como se describieron anteriormente. Cuando el heteroarilalquilo se usa como un grupo Markush (es decir, un sustituyente) el resto alquilo del heteroarilalquilo se enlaza a una fórmula de Markush con el que se asocia a través de un carbono sp3 del resto alquilo.
"Alquilheteroarilo", como se usa en la presente descripción, significa un sustituyente, resto o grupo en el que un resto heteroarilo se enlaza a un resto alquilo, es decir, -heteroaril-alquilo, donde los grupos heteroarilo y alquilo son como se describieron anteriormente. Cuando el heteroarilalquilo se usa como un grupo Markush (es decir, un sustituyente) el resto heteroarilo del heteroarilalquilo se enlaza a una fórmula de Markush con el que se asocia a través de un carbono sp2 o heteroátomo del resto alquilo.
"Resto unido a O", "sustituyente unido a O" y términos similares como se usan en la presente descripción se refieren a un grupo o sustituyente que está unido a un resto directamente a través de un átomo de oxígeno del grupo o sustituyente. Un grupo unido a O puede ser monovalente dentro de los que incluyen grupos tales como -OH, acetoxi (es decir, -OC(=O)CH3), aciloxi (es decir, -OC(=O)Ra, en donde Ra es -H, alquilo opcionalmente sustituido, cicloalquilo opcionalmente sustituido, alquenilo opcionalmente sustituido, alquinilo opcionalmente sustituido, arilo opcionalmente sustituido, heteroarilo opcionalmente sustituido, o heterociclo opcionalmente sustituido), y además incluyen grupos monovalentes tales como alquiloxi, opcionalmente sustituido, en donde el resto alquilo está saturado o insaturado, y otros éteres que incluyen ariloxi (Aril-O-), fenoxi (Ph-O-), heteroariloxi (Heteroaril-O-), opcionalmente sustituido y sililoxi, (es decir, R3SO-, en donde cada R es independientemente alquilo o arilo, opcionalmente sustituido), y -ORPR, en donde RPR es un grupo protector como se definió previamente, o un grupo unido a O puede ser divalente, es decir, =O u -X-(CH2)n-Y, en donde X e Y son independientemente S y O y n es 2 a 3, para formar un sistema de anillo espiro con el carbono al que X e Y están unidos. Normalmente, un sustituyente unido a O es un resto monovalente que se selecciona del grupo que consiste en -OH, -OC(=O)CH3, -OC(=O)Ra, éter alquílico saturado C1-C6 y éter insaturado C3-C6 , en donde Ra es alquilo saturado C1-C6 o alquilo insaturado C3-C6 o alquenilo C2-C6 o se selecciona de ese grupo que excluye -OH. Otros sustituyentes unidos a O ilustrativos se proporcionan mediante definiciones de carbamato, éter y carbonato como se describe en la presente descripción.
"Halógeno" o "halo", como se usa en la presente descripción, significa flúor, cloro, bromo o yodo y es normalmente -F o -Cl.
"Grupo protector", como se usa aquí, significa un resto que previene o reduce la capacidad del átomo o grupo funcional al que está unido de participar en reacciones no deseadas. Los grupos protectores típicos para átomos o grupos funcionales se proporcionan en Greene (1999), "Protective groups in organic synthesis, 3ra ed.", Wiley Interscience. En ocasiones, se usan grupos protectores de heteroátomos como oxígeno, azufre y nitrógeno para minimizar o evitar sus reacciones no deseadas con compuestos electrofílicos. Otras veces, el grupo protector se usa para reducir o eliminar la nucleofilicidad y/o basicidad del heteroátomo desprotegido. Los ejemplos no limitantes de oxígeno protegido se dan por -ORPR, en donde RPR es un grupo protector para hidroxilo, en donde el hidroxilo está normalmente protegido como un éster (por ejemplo, acetato, propionato o benzoato). Otros grupos protectores para hidroxilo evitan interferir con la nucleofilia de los reactivos organometálicos u otros reactivos altamente básicos, donde el hidroxilo está normalmente protegido como un éter, incluyendo éteres de alquilo o heterocicloalquilo (por ejemplo, éteres de metilo o tetrahidropiranilo), éteres de alcoximetilo (por ejemplo, éteres de metoximetilo o etoximetilo), éteres de arilo opcionalmente sustituidos y éteres de sililo (por ejemplo, trimetilsililo (TMS), trietilsililo (TES), terc-butildifenilsililo (TBDPS), terc-butildimetilsililo (TBS/TBDMS), triisopropilsililo (TIPS) y [2-(trimetilsililo)etoxi]-metilsililo (SEM)). Los grupos protectores de nitrógeno incluyen aquellos para aminas primarias o secundarias como en -NHRPR o -N(Rpr)2-, en donde al menos uno de RPR es un grupo protector de átomo de nitrógeno o ambos RPR juntos comprenden un grupo protector.
Un grupo protector es un protector adecuado cuando es capaz de prevenir o evitar reacciones secundarias no deseadas o pérdida prematura del grupo protector bajo las condiciones de reacción requeridas para efectuar la transformación química deseada en otra parte de la molécula y durante la purificación de la molécula recién formada cuando se desee, y puede eliminarse en condiciones que no afecten negativamente a la estructura ni la integridad estereoquímica de esa molécula recién formada. A modo de ejemplo y no de limitación, un grupo protector adecuado puede incluir los descritos previamente para proteger grupos funcionales. En algunos aspectos un grupo protector adecuado es normalmente un grupo protector que se usa en reacciones de acoplamiento de péptidos. Por ejemplo, un grupo protector adecuado para el nitrógeno es un grupo protector de carbamato lábil al ácido tal como BOC.
"Ester", como se usa en la presente descripción, significa un sustituyente, resto o grupo que contiene una estructura -C(=O)-O-(es decir, grupo funcional éster) en donde el átomo de carbono de la estructura no está conectado directamente a otro heteroátomo y está conectado directamente a -H u otro átomo de carbono de un resto orgánico, y el átomo de oxígeno monovalente está unido al mismo resto orgánico para proporcionar una lactona o un resto orgánico diferente. Normalmente, los ésteres comprenden o consisten en restos orgánicos que contienen de 1-50 átomos de carbono, normalmente de 1-20 átomos de carbono o más normalmente de 1-8 átomos de carbono y de 0 a 10 heteroátomos seleccionados independientemente (por ejemplo, O, S, N, P, Si, pero normalmente O, S y N), normalmente de 0-2 donde los restos orgánicos se enlazan a través de la estructura -C(O)-O-(es decir, a través del grupo funcional éster). Cuando un éster es un sustituyente o un grupo variable de una estructura de Markush, ese sustituyente se enlaza a la estructura a través del átomo de oxígeno monovalente del grupo funcional éster. En esos casos, el resto orgánico que se enlaza al carbono carbonilo del grupo funcional éster comprende uno cualquiera de los grupos orgánicos descritos en la presente descripción, por ejemplo, restos alquilo C1-C20, restos alquenilo C2-C20, restos alquinilo C2-C20, restos arilo C6-C24, heterociclos C5-C24 o derivados sustituidos de cualquiera de estos, por ejemplo, que comprenden 1, 2, 3, 4 o más sustituyentes, donde cada sustituyente se elige independientemente. Los ésteres ilustrativos incluyen, a modo de ejemplo y sin limitación, acetato, propionato, isopropionato, isobutirato, butirato, valerato, isovalerato, caproato, isocaproato, hexanoato, heptanoato, octanoato, ésteres de fenilacetato o ésteres de benzoato o tienen la estructura de -OC(=O)Ra en donde Ra es como se define para el sustituyente unido a O aciloxi y normalmente se selecciona del grupo que consiste en metilo, etilo, propilo, isopropilo, 3-metil-prop-1-ilo, 3,3-dimetil-prop-1-ilo y vinilo. Los sustituyentes éster como se describen en la presente descripción son sustituyentes unidos a O monovalentes ilustrativos.
"Éter", como se usa en la presente descripción, significa un resto, grupo o sustituyente orgánico, que comprende 1, 2, 3, 4 o más restos -O-(es decir, oxi) que no están enlazados a resto(s) carbonilo, usualmente 1 o 2, en donde no hay dos restos -O- inmediatamente adyacentes (es decir, unidos directamente) entre sí. Normalmente, una estructura de éter está compuesta por o consiste en la fórmula resto orgánico -O- en donde el resto orgánico es como se describe para un resto orgánico que se enlaza a un grupo funcional éster. Más normalmente, un resto, grupo u sustituyente éter tiene la fórmula de resto orgánico -O- en donde el resto orgánico es como se describe en la presente descripción para un grupo alquilo opcionalmente sustituido. Cuando el éter se usa como grupo Markush (es decir, un sustituyente éter), el oxígeno del grupo funcional éter se enlaza a una fórmula Markush con la que está asociado. Cuando el éter se usa como sustituyente en un grupo Markush, a veces se designa como grupo "alcoxi", que es un sustituyente unido a O ilustrativo. El alcoxi incluye sustituyentes éter C1-C4 tales como, a modo de ejemplo y sin limitación, metoxi, etoxi, propoxi, isopropoxi, butoxi y aliloxi.
"Amida" o "carboxamida", como se usa aquí, significa un resto que contiene una estructura -C(=O)N(R)2 o -R-C(=O)N(R)-(es decir, amida o carboxamida o grupo funcional, respectivamente) sin ningún otro heteroátomo unido directamente al carbono carbonilo de la estructura y donde R, seleccionado independientemente, es hidrógeno, un grupo protector o un resto orgánico como se describe en la presente descripción, para un resto orgánico que se enlaza a un grupo funcional éster y es normalmente un grupo alquilo opcionalmente sustituido. Normalmente, el hidrógeno o un resto orgánico, seleccionado independientemente de R, se enlaza al grupo funcional carboxamida o amida, en donde dicho resto orgánico también es como se describe en la presente descripción para un resto orgánico que se enlaza a un grupo funcional éster. Cuando se enlaza a un resto orgánico, la estructura resultante está representada por el resto orgánico R-C(=O)N(R) o el resto orgánico -C(=O)N(R)2. Cuando se menciona una amida como variable para una estructura de Markush, el nitrógeno de la amida se enlaza a esa estructura. Para los sustituyentes carboxamida, el carbono carbonilo del grupo funcional amida se enlaza a la estructura Markush. Las amidas y carboxamidas se preparan normalmente condensando un haluro de ácido, tal como un cloruro de ácido, con una molécula que contiene una amina primaria o secundaria. Alternativamente, se usan reacciones de acoplamiento de amidas bien conocidas en la técnica de la síntesis de péptidos, que a menudo transcurren a través de un éster activado de una molécula que contiene ácido carboxílico. Se proporcionan preparaciones ilustrativas de enlaces amida a través de métodos de acoplamiento de péptidos en Benoiton (2006) Chemistry of peptide synthesis CRC Press, Bodansky "Peptide synthesis: A practical textbook" (1988) Springer-Verlag; Frinkin, M. y otros, "Peptide Synthesis" Ann. Rev. Biochem. (1974) 43: 419-443. Los reactivos usados en la preparación de ácidos carboxílicos activados se proporcionan en Han y otros, "Recent development of peptide coupling agents in organic synthesis" Tet. (2004) 60: 2447-2476.
"Carbonato" como se usa aquí, significa un sustituyente, resto o grupo que contiene una estructura -O-C (=O)-O-(es decir, grupo funcional carbonato). Normalmente, los grupos carbonato como se usan aquí comprenden o consisten
en un resto orgánico, en donde el resto orgánico es como se describe en la presente descripción para un resto orgánico que se enlaza a un grupo funcional éster, a través de la estructura -O-C(=O)-O-, por ejemplo, resto orgánico -O-C(=O)-O-. Cuando el carbonato se usa como grupo Markush (es decir, un sustituyente), uno de los átomos de oxígeno unido por enlaces sencillos del grupo funcional carbonato se enlaza a una fórmula de Markush con la que está asociado y el otro se enlaza a un átomo de carbono de un resto orgánico como se describió previamente para un resto orgánico que se enlaza a un grupo funcional éster. En tales casos, el carbonato es un sustituyente unido a O ilustrativo.
"Carbamato" o "uretano" tal como se usa aquí, significa un sustituyente, resto o grupo que contiene un carbamato funcional representado por -O-C(=O)N(Ra)- o -O-C(=O)N(Ra)2 e incluye -O-C(=O)NH (alquilo opcionalmente sustituido) o -O-C(=O)N (alquilo opcionalmente sustituido^ que son sustituyentes carbamato ilustrativos, en donde Ra y el alquilo opcionalmente sustituido se seleccionan independientemente, en donde Ra, seleccionado independientemente, es hidrógeno, un grupo protector o un resto orgánico, en donde el resto orgánico es como se describe en la presente descripción para un resto orgánico que se enlaza a un grupo funcional éster y es normalmente un alquilo opcionalmente sustituido. Normalmente, los grupos carbamato como se usan en la presente descripción comprenden o consisten en un resto orgánico, seleccionado independientemente de Ra, en donde el resto orgánico es como se describe en la presente descripción para un resto orgánico que se enlaza a un grupo éster funcional, a través de la estructura -O-C(=O)-N(Ra)-, en donde el grupo resultante tiene la fórmula del resto orgánico -O-C(=O)-N(Ra)- o del resto orgánico -O-C(=O)-N(Ra)-. Cuando el carbamato se usa como grupo de Markush (es decir, un sustituyente), el oxígeno (unido a O) o nitrógeno (unido a N) con enlaces sencillos del grupo funcional carbamato se enlaza a una fórmula de Markush con la que está asociado. El enlace del sustituyente carbamato se indica explícitamente (unido a N o a O) o está implícito en el contexto al que se refiere este sustituyente. Los carbamatos unidos a O que se describen en la presente descripción son sustituyentes unidos a O monovalentes ilustrativos.
"Anticuerpo", como se usa en la presente descripción, se usa en el sentido más amplio y cubre específicamente anticuerpos monoclonales intactos, anticuerpos policlonales, anticuerpos monoespecíficos, anticuerpos multiespecíficos (por ejemplo, anticuerpos biespecíficos) y fragmentos de anticuerpos que muestran la actividad biológica deseada, siempre que el fragmento de anticuerpo tenga el número necesario de sitios de unión para un fármaco-enlazador. La forma nativa de un anticuerpo es un tetrámero y consiste en dos pares idénticos de cadenas de inmunoglobulina, cada par tiene una cadena ligera y una cadena pesada. En cada par, las regiones variables de la cadena ligera y pesada (VL y VH) juntas son responsables principalmente de la unión a un antígeno. Los dominios variables de la cadena ligera y la cadena pesada consisten en una región marco interrumpida por tres regiones hipervariables, también denominadas "regiones determinantes de la complementariedad" o "CDR". Las regiones constantes pueden ser reconocidas e interactuar con el sistema inmunitario (véase, por ejemplo, Janeway y otros, 2001, Immunol. Biology, 5ta Ed., Garland Publishing, Nueva York). Un anticuerpo puede ser de cualquier tipo (por ejemplo, IgG, IgE, IgM, IgD e IgA), clase (por ejemplo, IgG1, IgG2, IgG3, IgG4, IgA1 e IgA2) o subclase. El anticuerpo puede derivarse de cualquier especie adecuada. En algunas modalidades, el anticuerpo es de origen humano o murino. Un anticuerpo puede ser, por ejemplo, humano, humanizado o quimérico. Un anticuerpo o fragmento de anticuerpo del mismo es un agente de direccionamiento ilustrativo que corresponde o se incorpora a un LDC de la presente invención como una Unidad de Ligando de anticuerpo.
En algunos aspectos, un anticuerpo se enlaza selectiva y específicamente a un epítopo en células hiperproliferativas o células de mamíferos hiperestimuladas (es decir, células anómalas), en donde el epítopo se presenta preferentemente por o es más característico de las células anómalas en contraste con las células normales, o se presenta preferentemente por o es más característico de las células normales en la proximidad de las células anómalas en contraste con las células normales no localizadas en las células anómalas. En esos aspectos, las células de mamífero son normalmente células humanas. Otros aspectos de los anticuerpos incorporados en Unidades de Ligando se describen mediante modalidades para Conjugados Ligando-Fármaco.
"Anticuerpo monoclonal", como se usa en la presente descripción, se refiere a un anticuerpo obtenido de una población de anticuerpos sustancialmente homogéneos, es decir, los anticuerpos individuales que comprenden la población son idénticos, excepto por posibles mutaciones de origen natural que pueden estar presentes en cantidades menores. Los anticuerpos monoclonales son muy específicos y se dirigen contra un único sitio antigénico. El modificador "monoclonal" indica el carácter del anticuerpo que se obtiene a partir de una población de anticuerpos sustancialmente homogénea, y no debe interpretarse como que requiere la producción del anticuerpo por algún método en particular.
La "actividad citotóxica", como se usa en la presente descripción, se refiere a un efecto de destrucción celular de un fármaco o Conjugado Ligando-Fármaco o un metabolito intracelular de un Conjugado Ligando-Fármaco. La actividad citotóxica puede expresarse como el valor de IC50, que es la concentración (molar o en masa) por unidad de volumen a la que la mitad de las células sobreviven.
La "actividad citostática", como se usa en la presente descripción, se refiere a un efecto antiproliferativo de un fármaco, Conjugado Ligando-Fármaco o un metabolito intracelular de un Conjugado Ligando-Fármaco que no depende de la muerte celular pero cuyo efecto se debe a la inhibición de la división celular de células
hiperproliferativas, células inmunitarias hiperestimuladas u otras células anómalas o no deseadas.
Los términos "unión específica" y "se enlaza específicamente" significan que un anticuerpo o Unidad de Ligando de anticuerpo en un LDC como el resto de direccionamiento es capaz de unirse, de una manera selectiva o altamente selectiva, con su antígeno diana correspondiente y no con una multitud de otros antígenos. Normalmente, el anticuerpo o derivado de anticuerpo se enlaza con una afinidad de al menos aproximadamente 1 x 10-7 M, y preferentemente 10-8 M a 10-9 M, 10-10 M, 10-11 M o 10-12 M y se enlaza al antígeno predeterminado con una afinidad que es al menos dos veces mayor que su afinidad de unión a un antígeno no específico (por ejemplo, BSA, caseína) distinto de un antígeno estrechamente relacionado.
"Conjugado Ligando-Fármaco " o "LDC", como se usa el término en la presente descripción, se refiere a una construcción compuesta por una Unidad de Ligando de un agente de direccionamiento y una Unidad de Fármaco que contiene amina terciaria cuaternizada (D+) que corresponde en estructura a un fármaco que contiene amina terciaria y que se enlazan entre sí a través de una Unidad Enlazadora, en donde el LDC se enlaza selectivamente a un resto diana a través de su Unidad de Ligando de direccionamiento. En algunos casos, el término LDC es una pluralidad (es decir, una composición) de compuestos individuales de LDC que se diferencian principalmente por el número de unidades D+ que se enlazan a cada Unidad de Ligando y/o la ubicación en la Unidad de Ligando a la que se enlazan las unidades D+. En otros casos, el término LDC se aplica a un miembro o compuesto individual de la composición.
"Agente de direccionamiento", como se usa el término en la presente descripción, es un resto correspondiente a o incorporado como una Unidad de Ligando en un Conjugado Ligando-Fármaco, de manera que la Unidad de Ligando es el resto de direccionamiento del Conjugado que es capaz de unirse selectivamente a un resto diana, normalmente presente en, dentro o en las proximidades de células hiperproliferativas, células inmunitarias hiperestimuladas u otras células anómalas o no deseadas, en comparación con otros restos presentes en, dentro o en las proximidades de las células normales donde estas células anómalas o no deseadas normalmente no están presentes. A veces, un resto diana está presente en, dentro o en las proximidades de las células anómalas en mayor abundancia en comparación con las células normales o el entorno de células normales, donde las células anómalas normalmente no están presentes. En algunos casos, el agente de direccionamiento es un anticuerpo que se enlaza específicamente a un antígeno accesible característico de una célula anómala o es un antígeno accesible que es particular del entorno circundante en el que se encuentran estas células. En otros casos, el agente de direccionamiento es un ligando que se enlaza específicamente a un receptor accesible característico de, o en mayor abundancia en, células anómalas u otras células no deseadas, o es un receptor accesible que es particular para las células del entorno circundante en el que se encuentran las células anómalas. Normalmente, un agente de direccionamiento es un anticuerpo como se define en la presente descripción que se enlaza selectivamente a un resto diana de una célula de mamífero anómala o no deseada, más normalmente un resto diana de una célula humana anómala o no deseada.
"Células objetivo" o "Células diana", como se usa el término en la presente descripción, son las células deseadas (es decir, células anómalas u otras células no deseadas) con las que un LDC está diseñada para interactuar con el fin de inhibir la proliferación u otra actividad no deseada de las células deseadas. En algunos casos, las células diana son células hiperproliferativas o células inmunitarias hiperactivadas, que son células anómalas ilustrativas. Normalmente, esas células anómalas son células de mamífero y más normalmente son células humanas. En otros casos, las células diana están en las proximidades de células anómalas o no deseadas, de manera que la acción del LDC sobre las células cercanas tiene un efecto deseado sobre las células anómalas o no deseadas. Por ejemplo, las células cercanas pueden ser células epiteliales que son características de la vasculatura anómala de un tumor. El direccionamiento de esas células vasculares por un LDC tendrá un efecto citotóxico o citostático sobre estas células al inhibir el suministro de nutrientes a las células anómalas del tumor o tendrá indirectamente un efecto citotóxico o citostático sobre las células anómalas, y/o tendrá un efecto directo citotóxico o citostático sobre las células anómalas al liberar D+ como un compuesto farmacológico de tubulisina (D) en las proximidades de estas células.
"Resto diana", como se usa el término en la presente descripción, es un resto reconocido preferentemente por un agente de direccionamiento o Unidad de Ligando de un Conjugado Ligando-Fármaco que corresponde o incorpora ese agente de direccionamiento (es decir, está unida selectivamente por la Unidad de Ligando) y está presente en, dentro o en las proximidades de las células diana. A veces, el resto diana es un antígeno accesible a la unión selectiva de un anticuerpo, que es un agente de direccionamiento ilustrativo que corresponde o se incorpora en un LDC como una Unidad de Ligando de anticuerpo. En esos casos, tal un antígeno es una proteína de la superficie celular presente en células anómalas u otras células no deseadas, o está presente en células que son particulares del entorno circundante en el que se encuentran las células anómalas o no deseadas, como las células vasculares que son característica del entorno de células hiperproliferativas en un tumor. Más normalmente, el antígeno es una proteína de la superficie celular de una célula anómala u otra célula no deseada que es capaz de internalizarse al unirse con su agente o resto de direccionamiento afín. En otros casos, el agente de direccionamiento es un ligando para un receptor de membrana celular accesible extracelularmente que puede internalizarse tras la unión del resto de direccionamiento o es capaz de un transporte pasivo o facilitador del LDC que se direcciona al receptor de la superficie celular de modo que el receptor es el resto diana. En algunos aspectos, el resto diana está presente en células de mamíferos anómalas o en células de mamíferos características del entorno de tales células anómalas.
"Conjugados anticuerpo-fármaco " o "ADC", como se usa el término en la presente descripción, se refiere a un Conjugado Ligando-Fármaco en donde el agente de direccionamiento correspondiente o incorporado en su Unidad de Ligando es un anticuerpo, lo que define así una Unidad de Ligando de anticuerpo, en donde la Unidad de Ligando de anticuerpo está unida covalentemente a una unidad de fármaco cuaternizado (D+), normalmente a través de una Unidad Enlazadora intermedia. A menudo, el término se refiere a una colección (es decir, población o pluralidad) de compuestos conjugados que tienen la mismo Unidad de Ligando de anticuerpo, Unidad de Fármaco y Unidad Enlazadora, pero que tienen una carga y/o distribución variable del resto enlazador-fármaco para cada anticuerpo (como, por ejemplo, cuando el número de Unidades de Fármaco cuaternizado (D+) de dos compuestos a Dc cualesquiera en una pluralidad de tales compuestos es el mismo, pero la ubicación de sus sitios de unión al resto de direccionamiento difiere). En estos casos, un ADC se describe por la carga promedio de fármaco de los compuestos conjugados. Un ADC obtenido a partir de los métodos descritos en la presente descripción tiene la estructura general de Ac-Lb-Lo-D+ en donde -Lb-Lo- define la Unidad Enlazadora en la cual Lb es un resto de unión covalente del ligando o Unidad de Unión Covalente del Ligando a veces referido como un enlazador primario (Lr), denominada así porque se requiere que ese resto o unidad esté presente en la Unidad Enlazadora de un ADC, y Lo es un enlazador secundario susceptible de ser escindido enzimáticamente (por ejemplo, proteasa o glicosidasa) o no enzimáticamente (por ejemplo, reductor o hidrolítico). En algunos casos, la escisión se potencia en el entorno de las células anormales o se produce después de la internalización intracelular del ADC después de la unión de la Unidad de Ligando de anticuerpo de direccionamiento del ADC a su antígeno afín; D+ es una Unidad de Fármaco cuaternizado y normalmente se deriva de la cuaternización de un fármaco que contiene amina terciaria (D), o corresponde a la forma cuaternizada de D en donde D+ se libera como el fármaco que contiene amina terciaria como resultado de esa acción enzimática o no enzimática sobre Lo.
El número promedio de Unidades de Fármaco cuaternizado por Unidad de Ligando de anticuerpo, o fragmento del mismo, en una composición de ADC (es decir, un número promedio para una población de compuestos conjugados de ADC que difieren principalmente por el número de Unidades de Fármaco cuaternizado en la Unidad de Ligando de anticuerpo en cada uno de los compuestos de ADC que están presentes en esa población y/o por su ubicación) cuando las Unidades Enlazadoras no están ramificadas se designa como p o cuando los enlazadores están ramificados, p es el número promedio de restos de enlace de fármaco unidos a la Unidad de Ligando de anticuerpo. En cualquier contexto, p es un número que varía de aproximadamente 2 a aproximadamente 24 o de aproximadamente 2 a aproximadamente 20 y normalmente es aproximadamente 2, aproximadamente 4 o aproximadamente 8. En otros contextos, p representa el número de Unidades de Fármaco cuaternizadas cuando las Unidades Enlazadoras no están ramificadas, o el número de restos enlazadores de fármacos cuaternizados cuando las Unidades Enlazadoras están ramificadas, que están enlazados covalentemente a una sola Unidad de Ligando de anticuerpo de un ADC dentro de una población de compuestos conjugados de anticuerpo-fármaco, en los que los compuestos de esa población pueden diferir principalmente por el número y/o la ubicación de las Unidades de Fármaco cuaternizadas conjugadas o los restos enlazadores de fármacos cuaternizados en cada uno de los compuestos de ADC. En ese contexto, p se designa como p' y es un número entero que varía de 1 a 24 o de 1 a 20, normalmente de 1 a 12 o de 1 a 10, y más normalmente de 1 a 8.
El número promedio de Unidades de Fármacos cuaternizados por Unidad de Ligando en una preparación a partir de la reacción de conjugación puede caracterizarse por medios convencionales tales como espectroscopía de masas, ensayo ELISA, HIC y/o HPLC. También se puede determinar la distribución cuantitativa de los compuestos conjugados en términos de p'. En algunos casos, la separación, purificación y caracterización de los compuestos homogéneos Conjugado Ligando-Fármaco, en donde p' es el valor determinado de una composición Conjugado Ligando-Fármaco de aquellos con otras cargas de fármaco, puede lograrse por medios como HPLC de fase inversa o electroforesis.
"Antígeno" es una entidad que es capaz de unirse selectivamente a un anticuerpo no conjugado o un fragmento del mismo o a un ADC que comprende una Unidad de Ligando de un anticuerpo correspondiente a ese anticuerpo o fragmento del mismo o que lo incorpora. En algunos aspectos, el antígeno es una proteína, glicoproteína o carbohidrato de la superficie celular accesible extracelularmente que se presenta preferentemente por células anómalas u otras células no deseadas en comparación con las células normales. En algunos casos, las células no deseadas que tienen el antígeno son células hiperproliferativas en un mamífero. En otros casos, las células no deseadas que tienen el antígeno son células inmunitarias hiperactivadas en un mamífero. En otros aspectos, el antígeno unido específicamente está presente en el entorno particular de células hiperproliferativas o células inmunitarias hiperactivadas en un mamífero en contraste con el entorno que experimentan normalmente las células normales en ausencia de tales células anómalas. En otros aspectos más, el antígeno de la superficie celular es capaz de internalizarse tras la unión selectiva de un compuesto de ADC y se asocia con células que son particulares del entorno en el que se encuentran células inmunitarias hiperproliferativas o hiperestimuladas en ausencia de tales células anómalas. Un antígeno es un resto diana ilustrativo de un LDC en donde su Unidad de Ligando de direccionamiento corresponde o incorpora un anticuerpo contra un antígeno diana y es capaz de reconocer preferentemente ese antígeno a través de la unión selectiva.
Los antígenos asociados con células hiperproliferativas que son accesibles en la superficie celular a un ADC incluyen, a modo de ejemplo y sin limitación, CD19, CD70, Cd30, CD33, NTB-A, avp6 y CD123.
"Unidad de ligando" es un resto que comprende un Conjugado Ligando-Fármaco que es capaz de unirse selectivamente a su resto diana afín y, a veces, se le denomina como resto de direccionamiento de un LDC. Una Unidad de Ligando incluye, sin limitación, aquellos agentes de direccionamiento tales como los ligandos de los receptores, los anticuerpos contra antígenos de la superficie celular y sustratos transportadores. A veces, el receptor, el antígeno o el transportador que se unirán a un LDC están presente en mayor abundancia en las células anómalas en contraste con las células normales. Otras veces, el receptor, antígeno o transportador que debe unirse a un LDC está presente en mayor abundancia en las células normales que son propias del entorno de las células anómalas, en contraste con las células normales de la periferia. Diversos aspectos de las Unidades de Ligando se describen adicionalmente mediante las modalidades de la invención.
"Resto de unión covalente de ligando" o "Unidad de Unión Covalente de Ligando" es un resto o componente de una Unidad Enlazadora (LU) en un LDC que está unido covalentemente a la Unidad de Ligando que se dirige a las células anómalas o no deseadas o su entorno y al resto de la Unidad Enlazadora, y se deriva de la reacción del resto o componente correspondiente de Lb' en un precursor de la Unidad Enlazadora con un agente de direccionamiento. Por ejemplo, cuando LB' está compuesto por un resto maleimida, la reacción de ese resto con un grupo sulfhidrilo reactivo de un agente de direccionamiento convierte Lb' en Lb, que está compuesto por un resto de succinimida tio sustituido, unido a una Unidad de Ligando, que corresponde o incorpora el agente de direccionamiento. En otro ejemplo, cuando LB' está compuesto por un grupo funcional de ácido carboxílico activado, la reacción de ese grupo funcional con un grupo amino épsilon de una lisina en un agente de direccionamiento convierte el grupo funcional en una amida, en donde esa amida comprende el resto LB covalentemente unido de una Unidad de Ligando, que corresponde o incorpora el agente de direccionamiento. En las modalidades de la invención se describen otros restos o unidades LB y su conversión a partir de restos o unidades que contienen LB'. En algunos casos, un agente de direccionamiento se deriva con una molécula bifuncional para proporcionar un intermediario que se condensa con un resto o unidad precursor de ligando de unión covalente (Lb'). Como resultado de esa condensación, el resto o unidad Lb así formado tiene átomos atribuibles a la molécula bifuncional y Lb'.
"Precursor del resto de unión covalente del ligando" o "precursor de la Unidad de Unión Covalente del Ligando" es un resto o componente de una Unidad Enlazadora, o una subestructura de la misma que se usa en la preparación de una Unidad Enlazadora, que es capaz de unirse covalentemente a un agente de direccionamiento durante la preparación de un LDC después de lo cual el precursor del resto o unidad de unión del ligando (Lb) se convierte en un resto o unidad de unión covalente del ligando (Lb) unido covalentemente a una Unidad de Ligando que corresponde o incorpora el agente de direccionamiento. En algunos aspectos, un resto Lb' normalmente tiene un grupo funcional capaz de reaccionar con un nucleófilo o electrófilo nativo de un anticuerpo o fragmento del mismo o se introduce en un anticuerpo mediante transformación química o ingeniería genética. En algún aspecto, el nucleófilo es un grupo amino N-terminal de un péptido que comprende un anticuerpo o el grupo amino épsilon de un residuo de lisina de un anticuerpo. En otros aspectos, el nucleófilo es un grupo sulfhidrilo de un residuo de cisteína de un anticuerpo introducido por ingeniería genética o por reducción química de un disulfuro intercatenario de un anticuerpo. En algunos aspectos, el electrófilo es un aldehído introducido por oxidación selectiva del resto carbohidrato de un anticuerpo o es una cetona de un aminoácido no natural introducido en un anticuerpo mediante el uso de un par de ARNt/ARNt sintetasa genéticamente modificado. Estos y otros métodos son revisados porBehrens and Liu "Methods for site-specific drug conjugation to antibodies" mAB (2014) 6(1): 46-53.
"Unidad Enlazadora", como se usa el término en la presente descripción, se refiere a un resto orgánico de un Conjugado Ligando-Fármaco (LDC) que interviene entre una unidad de fármaco cuaternizado (D+) y una Unidad de Ligando y se enlaza covalentemente a ellas o a un resto orgánico de un compuesto Enlazador de Fármaco que interviene entre una unidad de fármaco cuaternizado (D+) y un resto o unidad de precursor de unión covalente de ligando (Lb) y se enlaza covalentemente a ellas. Normalmente, una Unidad Enlazadora (LU) de un compuesto LDC o Enlazador de Fármaco comprende un resto o unidad de unión covalente de ligando (Lb) o un resto o unidad de precursor de unión covalente de ligando (Lb'), respectivamente, y un enlazador secundario (Lo) como se describe en la presente descripción. En algunos aspectos, el precursor o unidad de unión covalente del ligando contiene un resto maleimida (M1). La unión del agente de direccionamiento a través de M1 que da como resultado la unión covalente de la Unidad de Ligando correspondiente a una Unidad Enlazadora se produce a través de un grupo sulfhidrilo de cisteína del agente de direccionamiento mediante la adición de Michael del átomo de azufre del grupo sulfhidrilo al sistema de anillo de maleimida de M1. Como resultado de esa adición, se obtiene un resto de succinimida (M2) que tiene un sistema de anillo de succinimida sustituido con azufre. La hidrólisis posterior de ese sistema de anillo, ya sea espontáneamente o en condiciones controladas, como cuando ese sistema es parte de un resto enlazador autoestabilizante (LSS), da como resultado un resto de ácido succínico-amida (M3), que es un resto estabilizado (LS) ilustrativo, como se describe adicionalmente en la presente descripción. También unido covalentemente a LB o LB', que son enlazadores primarios (restos LR), hay un resto enlazador secundario (LO), que interviene además entre la Unidad de Ligando y la Unidad de Fármaco cuaternizado (D+) en un LDC o entre Lb' y D+ en un compuesto Enlazador de Fármaco, en donde el enlace covalente a LR se produce a través de la intermediación de un grupo funcional éter, éster, carbonato, urea, disulfuro, amida o carbamato, más normalmente a través de un grupo funcional éter, amida o carbamato.
"Unidad Conectora en Paralelo", como se usa en la presente descripción, se refiere a un componente de Unidad
Enlazadora ramificada que conecta una Unidad de PEG en orientación paralela a una Unidad de Fármaco cuaternizada (D+). Como se usa en la presente descripción, la frase "orientación paralela", "disposición en paralelo", "conexión en paralelo" y términos similares se refieren a una configuración en donde los componentes colocados en paralelo, orientados en paralelo o conectados en paralelo están unidos a la unidad conectora paralelo (Lp) de tal manera que cada componente tenga un extremo sujeto a Lp y un extremo libre. Normalmente, Lp conecta una Unidad de Fármaco cuaternizada (D+) a través de uno o más componentes de la Unidad Enlazadora, tales como Ao-W-Y- o Ao-Y(W')- en donde Ao está presente opcionalmente, y una Unidad de PEG de modo que las Unidades de Fármaco y PEG cuaternizadas están en una orientación paralela de manera que la hidrofobicidad de la Unidad de Fármaco cuaternizada queda enmascarada en una medida efectiva por la Unidad de PEG. Sólo las Unidades PEG necesarias para enmascarar la hidrofobicidad de un determinado resto de LU-D+ (es decir, el resto del enlazador del fármaco cuaternizado) deben estar en orientación paralela a su Unidad de Fármaco cuaternizado, lo cual no requiere necesariamente que todas las Unidades de Fármaco cuaternizadas y unidades de polietilenglicol (PEG) conectadas a Lp estén en orientaciones en paralelo una con respecto a la otra. Por tanto, una Unidad de PEG puede enmascarar eficazmente la hidrofobicidad de 1, 2, 3, 4 o más Unidades de Fármaco cuaternizadas, normalmente de 1 a 4 D+ y más normalmente de 1 o 2 D+.
El término "paralelo" se usa en la presente descripción para denotar la ramificación de dos componentes de un Conjugado Ligando-Fármaco (LDC) o compuesto Enlazador de Fármaco a partir de una Lp que comprende el LDC o compuesto Enlazador de Fármaco y no se usa para denotar que los dos componentes están uno al lado del otro en el espacio, o que tienen la misma distancia entre ellos a lo largo de algunas o todas sus longitudes. Un compuesto LDC o Enlazador de Fármaco que tiene una Unidad de PEG que está en una orientación paralela en relación con una Unidad de Fármaco cuaternizada del compuesto LDC o Enlazador de Fármaco se refiere a un compuesto LDC o Enlazador de Fármaco que comprende una Unidad de PEG que tiene uno de sus extremos conectado a un componente de una Unidad Enlazadora (es decir, una Unidad Conectora en Paralelo) y uno o más terminales (o extremos) libres sin uniones. El extremo libre, sin uniones, de la unidad de PEG cuando está unido a LP puede tomar la forma, por ejemplo, de un grupo funcional no reactivo, por ejemplo, alcoxi, ácido carboxílico, ácido alquilencarboxílico, alcohol u otro grupo funcional. En los casos donde un componente PEG orientado en paralelo está ramificado en sí mismo y, por lo tanto, tiene múltiples extremos, sigue teniendo sólo un extremo unido al LP. La orientación paralela de la Unidad de PEG en relación con D+ también actúa para minimizar el número de átomos entre la Unidad de Ligando y la Unidad de Fármaco, ya que los átomos de la unidad de PEG no se interponen entre con D+ y la Unidad de Ligando.
Una representación gráfica ilustrativa de un LDC que tiene una Unidad de PEG que está en una orientación paralela (es decir, ramificada) en relación con la Unidad de Fármaco cuanternizada es la siguiente:
C(0)CH2CH2(0CH2CH2)n.0CH3
Ligando-------Enlazador----- D 1
en donde el subíndice n' varía de 1 a 24.
El "Enlazador primario", como se usa, es un resto o unidad de unión covalente de ligando (Lb) o un resto o unidad precursor de la unión covalente de ligando (Lb') y está presente como un componente de una Unidad Enlazadora de un LDC o como un componente de un resto que contiene Lb', tal como Lb'-Lo- o Lb'-Lo-D+ en un compuesto Enlazador de Fármaco. El enlazador primario A Lb' está compuesto por un grupo funcional reactivo capaz de reaccionar con un grupo funcional electrofílico o nucleofílico de un agente de direccionamiento. Como resultado de esa reacción, el agente de direccionamiento se enlaza covalentemente como una Unidad de Ligando al Lb de un enlazador primario a través de un grupo funcional derivado del grupo funcional reactivo de Lb'.
El resto "Enlazador secundario", como se usa en la presente descripción, se refiere a un resto orgánico en una Unidad Enlazadora en donde el enlazador secundario (Lo) está unido covalentemente a un resto Lb o Lb' (es decir, una unidad enlazadora primaria) a través de la intermediación de un grupo funcional entre el resto Lb o Lb' y el resto de la Unidad Enlazadora a la que se puede unir covalentemente una Unidad de Fármaco cuaternizada. En un LDC, el enlazador secundario también se enlaza covalentemente a una Unidad de Fármaco cuaternizada (D+) a través de la posición bencílica de un resto autodestructivo de tipo PAB o PAB que comprende una Unidad Espaciadora autodestructiva. Además de dicha Unidad Espaciadora (Y), los enlazadores secundarios se componen de una unidad escindible (W o W'), en donde W, Y y D+ o W', Y y D+ están dispuestos en una relación lineal u ortogonal respectivamente, y está compuesto además de un resto -Lp(PEG)- y una primera Unidad de Extensión opcional (A), y/o una Unidad de Ramificación, en la que esta última puede ser reemplazada por una segunda Unidad de Extensión opcional (Ao) cuando LU está unido a una sola unidad de fármaco cuaternizado (D+). Cuando está presente, A interconecta Lb', o Lb derivado del mismo, con el resto del enlazador secundario a través de --Lp(PEG)-, o a través de Ao, o B, cuando ambos están presenten, o interconecta D+ y -Lp(PEG)- a través de -W-Y- o -Y(W')-cuando B y Ao están ausentes.
En un LDC, Lo se compone de una Unidad Espaciadora autodestructiva (Y), que contiene un resto autodestructivo y está unida covalentemente a una Unidad Escindible (W o W'), tal que la escisión de W o W' bajo las condiciones
experimentadas más probables por las células anómalas dan como resultado la autodestrucción del resto autodestructivo con la liberación concomitante de D+ como un compuesto de fármaco (D). Alternativamente, esa escisión puede verse afectada en la proximidad de esas células anómalas, en comparación con las células normales en su entorno normal. Normalmente, esa autodestrucción ocurre a través de una eliminación 1,6 en un resto autodestructivo como se describe en la presente descripción. En esos casos, un resto autodestructivo de una Unidad Espaciadora autodestructiva se enlaza a un fármaco que contiene una amina terciaria a través de la cuaternización del nitrógeno de la amina terciaria de ese fármaco.
Un enlazador secundario (Lo) cuando se enlaza a D+ en una Unidad Enlazadora unida a un solo D+ se representa normalmente por la estructura de (1) o (2):
en donde los grupos variables son como se definen en la presente descripción. En algunos aspectos de la invención, Y en la estructura (1) está compuesta por o consiste en un resto autodestructivo (SI) como se describe en la presente descripción sustituido con W y D+. En otros aspectos de la invención, Y en la estructura (2) está compuesta por o consiste en un resto autodestructivo (SI) como se describe en la presente descripción sustituido con D+ a través de un nitrógeno de amina cuaternaria de un compuesto de tubulisina y está sustituido además con W' y Ligando-LB-Aa-LP(PEG)-Ao- o Lb'-Ab-Lp(PEG)-Ao- en un Conjugado Ligando-Fármaco o compuesto Enlazador de Fármaco, respectivamente, en donde AO está presente opcionalmente (es decir, AO se enlaza a un resto autodestructivo de Y cuando Ao está presente) o se sustituye además por Lb- Ab-Lp(PEG)- o Lb'-Ab-Lp(PEG)- en un Conjugado Ligando-Fármaco o compuesto Enlazador de Fármaco, respectivamente, cuando Ao está ausente.
Normalmente, los enlazadores secundarios con estructura (1) están representados por
r *R 9
v=z2 D+
- f-A -W -J -¿ ,z 3
RE
Y( = SI)
y los enlazadores secundarios con estructura (2) están representados por
en donde Y es un resto PAB o de tipo PAB autodestructivo y E, J/J', V, Z1, Z2, Z3, R', R8 y R9 son como se definen en las modalidades para restos PAB o de tipo PAB autodestructivo.
"Resto de maleimida", como se usa en la presente descripción, es un resto precursor de unión covalente de ligando que tiene un sistema de anillo de maleimida. Un resto de maleimida (M1) como Lb' es capaz de participar en la adición de Michael (es decir, adición de 1,4-conjugado) del grupo funcional tiol de un agente de direccionamiento para proporcionar un resto de succinimida tio-sustituida (M2), como se describe en la presente descripción, que se convierte en un componente de una Unidad Enlazadora en un LDC. Un resto M1 se enlaza a lo que resta de la Unidad Enlazadora de un compuesto Enlazador de Fármaco a través de su nitrógeno imídico antes de su conversión a un resto de succinimida tio-sustituida. Aparte del nitrógeno imídico, un resto M1 está normalmente no sustituido, pero puede ser sustituido asimétricamente en el doble enlace cíclico de su sistema de anillo de maleimida. Tal sustitución normalmente da como resultado la adición regioquímicamente preferida de un átomo de azufre del grupo sulfhidrilo al carbono de doble enlace menos impedido o más electrónicamente deficiente (lo que depende de la
contribución más dominante) del sistema de anillo de maleimida. Cuando está presente un resto enlazador autoestabilizante (Lss) de un LDC, se espera que la hidrólisis controlada del sistema de anillo de succinimida del resto de succinimida tio-sustituida M2, que se deriva de dicho resto M1 sustituido, pueda proporcionar isómeros regioquímicos de restos de ácido succínico-amida (M3) como Lb en un resto de enlazador autoestabilizado (Ls), cuya cantidad relativa se debe a las diferencias de reactividad de los dos carbonos carbonilos de M2 atribuibles al(los) sustituyente(s) que estaban presentes en el precursor M1.
"Resto de succinimida", como se usa en la presente descripción, es un resto orgánico de una Unidad Enlazadora de un Conjugado Ligando-Fármaco y resulta de la adición de Michael de un grupo funcional tiol de un agente de direccionamiento al sistema de anillo de maleimida de un resto de maleimida (M1) como Lb', en donde M1 es normalmente el de un compuesto Enlazador de Fármaco. En algunos aspectos, el Conjugado Ligando-Fármaco es un Conjugado Anticuerpo-Fármaco y el grupo funcional tiol procede de un residuo de cisteína de un anticuerpo o fragmento del mismo. Por tanto, un resto de succinimida (M2) como Lb está compuesto por un sistema de anillo de succinimida tio-sustituido y tiene su nitrógeno de imida sustituido con el resto de la Unidad Enlazadora y está opcionalmente sustituido con sustituyente(s) que estaban presentes en el precursor M1. Normalmente, cuando A está presente (es decir, el subíndice a de Aa es 1) el nitrógeno imida se enlaza covalentemente a la Unidad de Extensión (A) o subunidad de la misma (es decir, A1) como se describe en la presente descripción. A veces, M2-A (o M2-A1) proporciona un resto enlazador autoestabilizante (Lss) como se describe en la presente descripción.
"Resto de ácido succínico-amida", como se usa en la presente descripción, se refiere a ácido succínico que tiene un sustituyente amida que resulta del sistema de anillo succinimida tio-sustituido de un resto succinimida M2 como Lb, que sufrió la rotura de uno de sus enlaces carbonil-nitrógeno por hidrólisis. En un ADC, la hidrólisis resulta en un resto de ácido succínico-amida (M3) que proporciona una Unidad Enlazadora con menos probabilidades de sufrir una pérdida prematura de su Unidad de Ligando a anticuerpo teniendo ese resto M3 a través de la eliminación del sustituyente tio-anticuerpo. Cuando está presente en un resto enlazador autoestabilizante (Lss), se espera que la hidrólisis controlada del sistema de anillo succinimida del resto succinimida tio sustituido M2 derivada de un resto M1 sustituido como Lb proporcione isómeros regioquímicos de los restos M3 (individualmente denominados M3A y M3B) que se deben a diferencias en la reactividad de los dos carbonos carbonilos de M2 atribuibles al(los) sustituyente(s) que estaban presentes en el precursor M1 y el tio-sustituyente de la Unidad de Ligando, que es de o corresponde al agente de direccionamiento de anticuerpos.
"Enlazador autoestibilizante", como se usa en la presente descripción, es un resto de Unidad Enlazadora de un LDC que contiene Lb o precursor del mismo (es decir, un resto que contiene Lb') que, bajo condiciones controladas, es capaz de experimentar una transformación química a un enlazador autoestabilizado (Ls), de manera que un LDC inicialmente compuesto por un autoestabilizante (Lss) se vuelve más resistente a la pérdida prematura de Unidad de Ligando de direccionamiento Usualmente, un resto Lss además de un resto Lb o Lb' se compone de una primera Unidad de Extensión (A) a la que Lss y -LP(PEG)- se enlazan covalentemente. Sin embargo, a veces no está presente ninguna A intermedia y Lss se enlaza covalentemente de forma directa a -LP(PEG)-. En algunos aspectos, un Lss antes de su incorporación en un LDC contiene un resto maleimida (M1) como el resto Lb' (a través del cual se unirá un agente de direccionamiento como Unidad de Ligando) y una Unidad de Extensión (A) o subunidad de la misma (es decir, A1) y que se representa por la fórmula de M1-A- o M1-A1-. Después de la incorporación en un LDC (es decir, después de la unión del resto de direccionamiento como Unidad de Ligando a través de la adición de Michael al resto de maleimida) el resto M1-A-(o M1-A1-) de un Lss se convierte en su correspondiente resto de succinimida tio sustituido M2-A-(o M2- A1-). Usualmente, Lss también comprende una Unidad Básica (BU) como se describe en la presente descripción y es normalmente un sustituyente de una Unidad de Extensión unida a M2 o su precursor M1. En esos aspectos, BU ayuda en la hidrólisis del resto succinimida de M2 a su correspondiente forma de anillo abierto M3 [es decir, M2-A(BU)- o M2-A1(BU)- se convierte en M3-A (BU) o M3-A1 (BU)].
"Enlazador Autoestabilizado" es un resto orgánico derivado de un resto Lss, ambos son restos que contienen Lb, de un LDC que se somete a hidrólisis, normalmente en condiciones controladas, para proporcionar un nuevo resto que contiene Lb y que es menos probable que revierta la reacción de condensación de un agente de direccionamiento con un resto que contiene Lb' que proporcionó el resto original que contiene Lb. Normalmente, un enlazador autoestabilizado (Ls) está compuesto por una Unidad de Extensión o una subunidad de la misma unida covalentemente a un resto que se obtiene de la conversión de un resto de succinimida (M2) por hidrólisis de su sistema de anillo de succinimida. En esos casos, el precursor M2 de ese resto tiene un sistema de anillo de succinimida tio sustituido que resulta de la adición de Michael de un grupo funcional tiol de un agente de direccionamiento al sistema de anillo de maleimida de M1, de modo que el resto derivado de M2 (M3) tiene una reactividad reducida para la eliminación de su sustituyente tio en comparación con el sustituyente correspondiente en M2. En esos aspectos, el resto derivado de M2 tiene la estructura de un resto ácido succínico-amida (M3) correspondiente a M2 en donde M2 ha sufrido la hidrólisis de uno de sus enlaces carbonil-nitrógeno de su sistema de anillo succinimida. Esa hidrólisis puede ocurrir espontáneamente o más normalmente es catalizada por el grupo funcional básico de BU. Para ese propósito, BU se enlaza covalentemente a una Unidad de Extensión unida a M2, de manera que BU esté en la proximidad adecuada como resultado de esa unión para ayudar en la ruptura del nitrógeno carbonílico. El producto de esa hidrólisis tiene, por tanto, un grupo funcional ácido carboxílico y un grupo funcional amida sustituido en su átomo de nitrógeno amida, en donde dicho átomo de nitrógeno se corresponde al átomo de nitrógeno imida del precursor Lss que contiene M2, por la estructura de la Unidad de Extensión antes
mencionada. Normalmente, ese grupo funcional básico es un grupo amino cuya eficacia para aumentar la velocidad de hidrólisis para la conversión de M2 a M3 está controlada por el pH. Por tanto, un enlazador autoestabilizado (Ls) normalmente tiene la estructura de M3 que se enlaza covalentemente a una Unidad de Extensión o subunidad de la misma, que a su vez se enlaza covalentemente a lo que resta del enlazador secundario Lo (Lo') en una disposición lineal y tiene una Unidad Básica unida covalentemente a la Unidad de Extensión (A) en disposición ortogonal respecto a A y Lo'. Ls con M3, A, BU y Lo dispuestos de la manera indicada se representa mediante la fórmula de M3-A(BU)- Lo- o M3-A1(BU)-Lo-.
Después de la hidrólisis, el enlazador autoestabilizado resultante (Ls) tendrá normalmente la estructura de M3 que se enlaza covalentemente a la Unidad de Extensión sustituida por Bu (por ejemplo, M3-A(Bu)- o M3A1(BU)-). Esa primera Unidad de Extensión, a su vez, se enlaza covalentemente a lo que resta de Lo en una disposición lineal con la Unidad Básica dispuesta ortogonalmente con respecto a M3 y a las otras unidades componentes de Lo. Las estructuras ilustrativas de restos Lss y Ls con M2 o M3, A(BU) [o A1(BU)] y Lo' - , en donde Lo'- representa el resto de Lo-, dispuestos de la manera indicada se muestran a modo de ejemplo, pero no de limitación por:
en donde el resto -CH(CH2NH2)C(=O) que se muestra es la estructura de la Unidad de Extensión (A), o subunidad de la misma, que se enlaza covalentemente al nitrógeno imida o amida de M2 o M3, respectivamente, en donde el resto -CH2NH2 es el sustituyente BU de dicha Unidad de Extensión. El resto de las estructuras Lss y Ls representa el resto succinimida M2 y el resto de ácido succínico-amida M3 de la hidrólisis del anillo de succinimida de M2, respectivamente, en donde M2 y M3 están sustituidos en su nitrógeno imídico y amídico correspondiente, respectivamente, con un carbono sp3 de la Unidad de Extensión. La línea ondulada indica el punto de unión covalente a una Unidad de Ligando resultante de la adición de Michael de un grupo funcional tiol de un agente de direccionamiento al sistema de anillo de maleimida de M1 y el asterisco indica el punto de unión covalente a D+. Dado que el sistema de anillo de succinimida de M2 está asimétricamente sustituido debido a su sustitución tio por la Unidad de Ligando, se pueden obtener isómeros regioquímicos de restos de ácido succínico-amida (M3) que difieren en la posición de la Unidad de Ligando en relación con el grupo de ácido carboxílico liberado resultante de la hidrólisis de M2. En las estructuras anteriores, el grupo funcional carbonilo de la Unidad de Extensión mostrada ejemplifica un potenciador de la hidrólisis (HE) como se define en la presente descripción que se incorpora a la estructura de dicha unidad.
M3-A(BU)- representa estructuras ilustrativas de un enlazador autoestabilizado (Ls), ya que es menos probable que estas estructuras eliminen el sustituyente tio de la Unidad de Ligando de direccionamiento y, por lo tanto, provoquen la pérdida de ese resto de direccionamiento del Conjugado Ligando-Fármaco, en comparación con la correspondiente estructura M2-A(BU)- de un resto Lss. Sin estar limitado por la teoría, se cree que ese aumento en la estabilidad es el resultado de la mayor flexibilidad conformacional en M3 en comparación con M2, que ya no limita el sustituyente tio en una conformación favorable para la eliminación de E2.
"Unidad básica", como se usa en la presente descripción, es un resto orgánico dentro de un resto enlazador autoestabilizante (Lss), como se describe en la presente descripción, que puede llevarse a cabo en un Ls correspondiente mediante la hidrólisis asistida del sistema de anillo de succinimida dentro de un resto M2 que comprende Lss (es decir, cataliza la adición de agua de una molécula de agua a uno de los enlaces carbonilonitrógeno de succinimida) y puede iniciarse o potenciarse en condiciones controladas tolerables por la Unidad de Ligando de direccionamiento unida a Lss. Para ese propósito, el grupo funcional básico de la Unidad Básica (BU) y su posición relativa en Lss con respecto a su componente M2 en algunos aspectos se selecciona por su capacidad de enlace del hidrógeno a un grupo carbonilo de M2, lo que aumenta efectivamente su electrofilia y por tanto su susceptibilidad al ataque del agua. En otro aspecto, dichas selecciones se realizan de manera que una molécula de agua, cuya nucleofilia aumenta por la unión de hidrógeno al grupo funcional básico de BU, se dirija a un grupo carbonilo M2. En un tercer aspecto, esas selecciones se realizan de modo que el nitrógeno básico en la protonación aumente la electrofilia de los carbonilos de la succinimida mediante la extracción inductiva de electrones. En un aspecto final, alguna combinación de esos mecanismos contribuye a la catálisis para la hidrólisis de Lss a Ls.
Para aumentar la electrofilia de un carbonilo de M2 mediante enlaces de hidrógeno, se requiere que BU tenga una amina primaria o secundaria como grupo funcional básico, mientras que el aumento de la nucleofilia del agua o de la electrofilia del carbonilo de la manera descrita anteriormente se puede hacer con una amina primaria, secundaria o
terciaria como grupo funcional básico. Para que una amina básica esté en la proximidad requerida para ayudar en la hidrólisis de un resto succinimida M2 a su correspondiente amida de ácido carboxílico abierta en anillo M3 por cualquier mecanismo, la cadena de carbono que lleva una amina de BU se enlaza normalmente a una Unidad de Extensión de LSS en el carbono alfa de ese resto en relación con el punto de unión de A (o A1) al nitrógeno succinimida de M2 (y por lo tanto al nitrógeno maleimida de su correspondiente estructura precursora M1-A o M1-A1). En algunos aspectos, ese carbono alfa tiene la configuración estereoquímica (S) o la configuración correspondiente a la del carbono alfa de los L-aminoácidos.
La "Unidad Potenciadora de la Hidrólisis", como se usa en la presente descripción, es un grupo o resto aceptor de electrones y es un sustituyente opcional de una Unidad de Extensión que comprende un resto Lss. Cuando está presente, la Unidad Potenciadora de la Hidrólisis normalmente se incorpora una Unidad de Extensión que está enlazada al nitrógeno imida de un resto M2, de manera que sus efectos de aceptor de electrones aumentan la electrofilia de los grupos carbonilo succinimida en ese resto. Cuando la Unidad de Extensión también tiene un sustituyente BU, el efecto de HE sobre los grupos carbonilo, junto con el efecto de BU, que depende de la basicidad del grupo funcional básico BU y de la distancia de ese grupo funcional en relación con los carbonilo, se equilibran para que la hidrólisis prematura de M1 o de M2 a M3 no ocurra en una extensión apreciable, de manera que requiera un exceso de un compuesto Enlazador de Fármaco para la preparación de un lDc a partir de un precursor de Lss que tiene la estructura de M1-A(BU)-, pero permite la hidrólisis (es decir, la conversión de un resto -M2-A(BU)- que contiene LDC en su resto -M3-A(BU)- correspondiente) en condiciones controladas (como cuando el pH se aumenta intencionalmente) que sean tolerables por la Unidad de Ligando de direccionamiento unida. Normalmente, la Unidad HE es un grupo funcional carbonilo o que contiene carbonilo que se localiza distalmente al extremo de la Unidad de Extensión que se enlaza a M2 o a M3 derivado de ella, de manera que HE está unido covalentemente a esa Unidad de Extensión y al residuo del enlazador secundario. Los grupos funcionales que contienen carbonilo distintos de la cetona (es decir, la HE es -C(=O)-) incluyen ésteres, carbamatos, carbonatos y ureas. Cuando HE es un grupo funcional que contiene carbonilo distinto de la cetona, el resto carbonilo de ese grupo funcional está normalmente enlazado a A. En algunos aspectos, la unidad HE puede estar suficientemente distante dentro de una Unidad de Extensión del nitrógeno imida al que la Unidad de Extensión se enlaza covalentemente, de manera que no se observa ningún efecto discernible sobre la sensibilidad hidrolítica de los enlaces carbonilo nitrógeno de la succinimida de un resto que contiene M2.
"Unidad de Extensión", como se usa el término en la presente descripción, se refiere a un resto orgánico en un enlazador secundario que separa físicamente el resto de direccionamiento de otros componentes intermedios de una Unidad Enlazadora que está distal a la unidad de extensión, como una unidad escindible y/o una Unidad Espaciadora. Una primera Unidad de Extensión (A) y/o una segunda Unidad de Extensión (AO) pueden ser necesarias cuando un resto LB y/o -LP(PEG)- proporciona un alivio estérico insuficiente para permitir un procesamiento eficiente de la Unidad Enlazadora en W o W' para la liberación de D+ como un fármaco de tubulisina y/o se incluye a veces para facilitar la síntesis en la construcción de la Unidad Enlazadora de la presente invención. Una primera o segunda Unidad de Extensión puede comprender una o múltiples subunidades enlazadoras como se describe en la presente descripción. Antes de la incorporación a un LDC, A tiene grupos funcionales capaces de unir covalentemente LB' a -LP(PEG)-, y AO tiene grupos funcionales capaces de unir covalentemente -LP(PEG)- y una Unidad Escindible (W) juntos en ciertas construcciones enlazadoras (como con A, W e Y en una disposición lineal, es decir, -A-Y-W-) o AO tiene grupos funcionales capaces de unir covalentemente -LP(PEG)- y una Unidad Espaciadora (Y) juntos en otras construcciones enlazadoras (como con W' ortogonal a A e Y, es decir, -A-Y(W')-). En algunos aspectos de la invención, el enlazador secundario está unido a un resto LB o LB' a través de una subunidad de una primera Unidad de Extensión, mientras que otra de sus subunidades está unida covalentemente a --LP(PEG)-.
Una primera Unidad de Extensión (A), cuando está presente en un LDC o un compuesto Enlazador de Fármaco, normalmente se encuentra en Unidades Enlazadoras que tienen la fórmula de -A-LP(PEG)-W-Y-, -A-Lp(PEG)-Ao-W-Y-, A-LP(PEG)-Y(W')- o A-Lp(PEG)-Ao-Y(W')- en la que A está unido a una Unidad de Unión Covalente de Ligando o un precursor de Unidad de Unión Covalente de Ligando. Una primera o segunda Unidad de Extensión puede comprender o consistir de dos, tres o más subunidades. Normalmente, A es una unidad distinta o tiene de 2 a 4 subunidades distintas adicionales denominadas A2 , A3 y A4. En aquellas Aa es -A1-A2-. -A1-A2-A3- y -A1-A2-A3A4-, colectivamente descritos como -A1-A2-4-. Normalmente, una primera Unidad de Extensión o una subunidad de la misma, tiene de uno a seis átomos de carbono contiguos que están entre una Unidad de Unión Covalente de Ligando o un precursor de Unidad de Unión Covalente de Ligando y un grupo funcional que une covalentemente A con -LP(PEG)- o con otra subunidad de A. En algunos aspectos, ese grupo funcional también puede servir como unidad potenciadora de la hidrólisis (HE).
"Unidad de Ramificación", como se usa en la presente descripción, se refiere a un resto orgánico trifuncional que es un componente opcional de una Unidad Enlazadora (LU). Una Unidad de Ramificación (B) está presente cuando más de una Unidad de Fármaco de tubulisina cuaternaria (D+), normalmente 2, 3 o 4, están unidas a una Unidad Enlazadora (LU) de un Conjugado Ligando-Fármaco o compuesto Enlazador de Fármaco. En un Conjugado Ligando-Fármaco de Fórmula 1A, 1B, 1C o ID o un compuesto Enlazador de Fármaco de Fórmula IA, IB o ID, la presencia de una Unidad de Ramificación se indica cuando el subíndice b de Bb es 1, y ocurre cuando el subíndice n es mayor que 1 en cualquiera de estas fórmulas estructurales. Una Unidad de Ramificación es trifuncional para
poder incorporarse a una unidad enlazadora secundaria (Lo). En los aspectos en donde n es 1 en cualquiera de esas fórmulas estructurales, una Unidad de Ramificación no está presente, como se indica cuando el subíndice b es 0 o el subíndice b es 1 y B se reemplaza por una segunda Unidad de Extensión opcional designada como Ao. Un compuesto Enlazador de Fármaco o un Conjugado Ligando-Fármaco que tiene una Unidad de Ramificación debido a múltiples unidades D+ por LU tiene Unidades Enlazadoras compuestas por restos tales como -Aa-LP(PEG)-B-W-Y-o -Aa-LP(PEG)-B-Y(W')-.
En algunos aspectos, un aminoácido natural o no natural u otro compuesto ácido que contiene amina tiene una cadena lateral funcionalizada que sirve como Unidad de Ramificación. En algunos aspectos, B es un resto de lisina, ácido glutámico o ácido aspártico en configuración L- o D- en la que el grupo funcional épsilon-amino, ácido gammacarboxílico o ácido beta-carboxílico, respectivamente, interconecta B con el resto de LU.
"Unidad Escindible", como se define, proporciona un sitio reactivo en el que la reactividad a ese sitio es mayor dentro o alrededor de una célula hiperproliferativa o una célula inmunitaria hiperestimulada (es decir, una célula anómala) en comparación con una célula normal, de manera que la acción sobre ese sitio da como resultado una exposición preferente de la célula anómala al fármaco tubulisina (D). Esa exposición resulta de la liberación eventual de una Unidad de Fármaco de tubulisina cuaternizada (D+) como D de un LDC que tiene esa Unidad Escindible. En algunos aspectos de la invención, la Unidad Escindible, W o W' está compuesta por un sitio reactivo escindible por una enzima (es decir, W o W' está compuesto por un sustrato enzimático) cuya actividad o abundancia es mayor dentro o alrededor de la célula hiperproliferativa, inmunoestimulante u otra célula anómala o no deseada. En otros aspectos, la Unidad Escindible está compuesta de un sitio reactivo escindible por otros mecanismos (es decir, no enzimáticos) más probablemente operable en el entorno dentro o alrededor de las células anómalas del sitio diana, en comparación con el entorno de las células normales en el que las células anómalas no están normalmente presentes. En otros aspectos más de la invención, es más probable que el sitio reactivo opere después de la internalización celular del LDC en una célula anómala. Esa internalización se produce con mayor probabilidad en dichas células en comparación con las células normales, debido a la mayor presentación del resto diana que es reconocido por la Unidad de Ligando de direccionamiento de la LDC en la membrana celular de las células anómalas o no deseadas. Por lo tanto, las células diana estarán más expuestas intracelularmente a un resto activo del fármaco cuando se libere de su LDC. La Unidad Escindible puede comprender uno o múltiples sitios susceptibles de escisión bajo esas condiciones del sitio diana, pero normalmente solo tiene uno de esos sitios.
En algunos aspectos de la invención, la Unidad Escindible es un sustrato para una proteasa, hidrolasa o glicosidasa reguladora ubicada intracelularmente en las células diana (es decir, el sitio reactivo de W o W' es un enlace peptídico o un enlace glicosídico, respectivamente, escindible por la proteasa, hidrolasa o glicosidasa reguladora). En esos aspectos, el enlace peptídico o glicosídico es capaz de ser escindido selectivamente por la proteasa, hidrolasa o glicosidasa reguladora en comparación con las proteasas, hidrolasas o glicosidasas séricas. Esas proteasas, hidrolasas o glicosidasas reguladoras pueden ser más específicas para las células anómalas diana u otras células no deseadas en comparación con las células normales, o W o W' es capaz de escindirse selectivamente por una proteasa, hidrolasa o glicosidasa excretada en mayores cantidades por las células anómalas diana u otras células no deseadas en comparación con las células normales, o por células normales diana que son propias del entorno de las células anormales en comparación con las células normales en la periferia. Alternativamente, W proporciona un grupo funcional que cuando se incorpora a un LDC es susceptible al ambiente ácido de las lisozimas cuando la LDC se internaliza preferentemente en una célula anómala, o al mayor entorno reductor en o alrededor de estas células en comparación con el entorno de las células normales donde las células anómalas no suelen estar presentes, de tal manera que la liberación de D+ como fármaco de tubulisina expone preferentemente a las células anómalas a ese fármaco en comparación con las células normales distantes del sitio de las células anómalas.
La Unidad Escindible (W o W'), en un compuesto Enlazador de Fármaco o después de su incorporación en un LDC, proporciona un enlace escindible (es decir, un sitio reactivo) que, en algunos aspectos, tras la acción de una enzima presente dentro de la célula hiperproliferativa o células inmunitarias hiperactivadas libera un fármaco que contiene amina terciaria de D+. En otros aspectos, la enzima liberadora es característica del entorno inmediato de esas células anómalas o no deseadas. En otros aspectos más, la acción no enzimática sobre W debido a las condiciones que probablemente experimentan las células hiperproliferativas en comparación con las células normales liberará el fármaco de tubulisina libre de D+. Normalmente, W o W' proporcionan un enlace escindible sobre el que es más probable actuar intracelularmente en una célula hiperproliferativa o una célula inmunitaria hiperactivada, debido a la entrada preferencial en dichas células en comparación con las células normales. Normalmente, W o W' son un compuesto LDC o Enlazador de Fármacos que se enlaza covalentemente a una Unidad Espaciadora (Y) que tiene un resto autodestructivo de modo que la acción enzimática en W o W' desencadena la autodestrucción de ese resto dentro de -Y-D+ se -W-Y-D+ o -Y(W')-D+, respectivamente, para liberar D+ como D.
Los grupos funcionales que proporcionan enlaces escindibles incluyen, a modo de ejemplo y no de limitación, (a) grupos sulfhidrilo que forman un enlace disulfuro, que son susceptibles a las mayores condiciones reductoras de las células anómalas en comparación con las células normales o al exceso de glutatión producido en condiciones hipóxicas, experimentadas por tales células, (b) grupos aldehído, cetona o hidrazina que forman una base de Schiff o grupos funcionales hidrazona, que son susceptibles a las condiciones ácidas de las lisozimas tras la internalización
selectiva de un LDC que tiene una Unidad Enlazadora con ese enlace escindible en una célula anómala en comparación con la internalización en células normales, (c) grupos carboxílicos o amino que forman un enlace amida, como en los enlaces peptídicos, que son más susceptibles a la escisión enzimática por proteasas producidas o excretadas preferentemente por las células anómalas en comparación con las células normales, o excretadas preferentemente por las células normales que son propias del entorno de las células anormales en comparación con las células normales de la periferia, o por una proteasa reguladora dentro de una célula diana, (d) grupos amino o hidroxilo que forman ciertos grupos urea o carbamato o grupos carboxílicos o hidroxilos que forman grupos éster o carbonato que son más susceptibles a la escisión enzimática por hidrolasas o esterasas que son producidas o excretadas preferentemente por las células anómalas en comparación con las células normales o son excretadas preferentemente por las células normales peculiares del entorno de las células anómalas en comparación con las células normales de la periferia.
Aún otros grupos funcionales que proporcionan enlaces escindibles se encuentran en azúcares o carbohidratos que tienen un enlace glicosídico que son sustratos para glicósidos que a veces pueden ser producidos preferentemente por células anómalas en comparación con células normales. Alternativamente, la enzima proteasa, hidrolasa o glicosidasa requerida para el procesamiento de la Unidad Enlazadora para liberar D+ como un fármaco de tubulisina activo no necesita ser producida preferentemente por células anómalas en comparación con células normales, siempre que la enzima de procesamiento no sea excretada por células normales a un entente que cause efectos secundarios no deseados por la liberación prematura del fármaco libre. En otros casos, la enzima proteasa, hidrolasa o glicosidasa requerida puede excretarse, pero para evitar una liberación prematura no deseada del fármaco, se prefiere que la enzima de procesamiento se excrete en las proximidades de las células anómalas y permanezca localizada en ese entorno, ya sea producido por células anómalas o células normales cercanas en respuesta al entorno anormal provocado por las células anómalas. A ese respecto, W o W' se selecciona para que actúe preferentemente una proteasa, hidrolasa o glicosidasa en o dentro del entorno de las células anómalas en contraste con las enzimas que circulan libremente. En esos casos, es menos probable que un LDC libere el fármaco de tubulisina en la proximidad de las células normales alejadas del sitio de acción deseado, ni se internalice en las células normales que producen, pero no excretan la enzima seleccionada, ya que es menos probable que dichas células muestren un resto diana requerido para la entrada de la LDC a través de la unión selectiva de su Unidad de Ligando de direccionamiento.
En algunos aspectos, W es una Unidad de Escisión Peptídica compuesta por un aminoácido o está compuesta o consiste en una o más secuencias de aminoácidos que proporcionan un sustrato para una proteasa presente dentro de las células anómalas o localizadas en el entorno de estas células anómalas. Por tanto, W puede estar compuesto o consistir en un resto dipeptídico, tripéptido, tetrapéptido, pentapéptido, hexapéptido, heptapéptido, octapéptido, nonapéptido, decapéptido, undecapéptido o dodecapéptido incorporado en una Unidad Enlazadora a través de un enlace amida a un autodestructivo Y, en donde ese resto peptídico es una secuencia de reconocimiento para dicha proteasa. En algunos aspectos, W es un único L-aminoácido natural, como el L-glutamato.
En otros aspectos, W' es una Unidad de Glucurónido de fórmula -Y(W')- está compuesto o consiste en un resto carbohidrato unido a un resto autodestructivo de Y por un enlace glicosídico que es escindible por una glicosidasa producida preferentemente por células anómalas, o se encuentra en tales células a las que un LDC, que está compuesto por ese resto autodestructivo y de carbohidrato tiene entrada selectiva debido a la presencia del resto diana en las células anómalas.
"Unidad Espadadora", como se usa en la presente descripción, es un resto orgánico en un enlazador secundario (Lo) dentro de una Unidad Enlazadora que está unida covalentemente a D+ y a una segunda Unidad de Extensión opcional (Ao) o a una Unidad de Ramificación (B), si cualquiera de ellas está presente, o a -LP(PEG)- si Ao y B están ausentes y/o a una unidad escindible (W o W') en dependencia de la configuración de la Unidad Escindible a la Unidad Espaciadora en relación a los demás. Normalmente, en una configuración, una unidad de fármaco cuaternizada (D+) y W están unidos covalentemente a Y, que a su vez también está unido a Ao o B, cuando cualquiera de ellos está presente, o a LP(PEG) cuando ambos están ausentes, de manera que W es ortogonal al resto de Lo, mientras que en otra configuración W, Y, D+ están dispuestos en una configuración lineal con D+ unido a Y. En cualquier disposición, Y puede servir sirve para separar el sitio de escisión W o W' de D+ para evitar interacciones estéricas de esa unidad que puede interferir con la escisión de W/W' siempre que esa escisión se realice a través de acción enzimática.
Normalmente, una Unidad Espaciadora (Y) que tiene un resto autodestructivo como se define en la presente descripción, tiene ese resto unido covalentemente a una unidad de escisión (W/W') de modo que el procesamiento in vivo de la Unidad Escindible activa la autodestrucción de Y, por lo tanto, un fármaco de tubulisina D+. En algunos aspectos, el resto autodestructivo de Y está unido a W a través de un grupo funcional amida (o anilida) con Y también unido covalentemente al nitrógeno de amina cuaternaria de D+, de modo que la autodestrucción espontánea de la porción autodestructivo ocurre tras la acción enzimática sobre ese grupo funcional para dar como resultado la liberación del fármaco de tubulisina libre de D+. En otros aspectos, el resto autodestructivo de Y está unido a W' a través de un enlace glicosídico, de modo que la escisión de ese enlace libera el fármaco de tubulisina libre de D+.
"Resto autodestructivo", como se usa en la presente descripción, se refiere a un resto bifuncional dentro de una
unidad espaciadora (Y) que tiene un resto orgánico que interviene entre el primer y segundo resto de grupo funcional e incorpora covalentemente estos restos en una molécula tripartita normalmente estable a menos que se active. En la activación, cuando el enlace del primer resto del grupo funcional se escinde, el segundo resto del grupo funcional se separa espontáneamente de la molécula tripartita por autodestrucción del resto de la resto autodestructiva. Esa autodestrucción en la activación libera el fármaco de tubulisina libre (D). En algunos aspectos, la autodestrucción ocurre después de la internalización celular de un LDC que comprende D+ y una Unidad Enlazadora que tiene una Unidad Espaciadora autodestructiva El resto orgánico que interviene entre los restos de grupo funcional de un resto autodestructivo es a veces un resto de arileno o heteroarileno capaz de fragmentarse para formar un metida de quinona o una estructura relacionada mediante eliminación 1,4 o 1,6 con liberación concomitante del fármaco de tubulisina libre. Dichos restos autodestructivos se ejemplifican mediante restos de alcohol p-aminobencílico (PAB) opcionalmente sustituidos, orto o para-aminobencilacetales, o compuestos aromáticos que son electrónicamente similares al grupo PAB (es decir, tipo PAB) tales como derivados de 2-aminoimidazol-5-metanol (véase, por ejemplo, Hay y otros, 1999, Bioorg. Med. Chem. Lett. 9:2237) y otros heteroarilos como se describe en la presente descripción.
En un aspecto, un carbono aromático de un grupo arileno o heteroarileno de un resto autodestructivo PAB o tipo PAB cuando se incorpora en una Unidad Enlazadora está sustituido con un heteroátomo donante de electrones (EDG) unido al sitio de escisión de W a través de un primer grupo funcional que comprende el heteroátomo en donde dicho heteroátomo está funcionalizado de manera que su capacidad de donación de electrones se atenúa (es decir, el EDG está enmascarado por la incorporación de un resto autodestructivo de Y en una Unidad Enlazadora). El otro sustituyente que proporciona el segundo grupo funcional es un carbono bencílico que también está unido a otro átomo de carbono aromático del grupo arileno o heteroarileno central y tiene un sustituyente de amina cuaternaria, en el que la amina cuaternaria, corresponde o incorpora un fármaco de tubulisina, que está unido a través del carbono bencílico, en donde el carbono aromático que lleva el heteroátomo donador de electrones atenuado es adyacente (es decir, relación 1,2), o a dos posiciones adicionales eliminadas (es decir, relación 1,4) de ese átomo de carbono bencílico. El EDG se elige de manera que el procesamiento del sitio de escisión de W restablece la capacidad de donación de electrones del EDG enmascarado, lo que desencadena una eliminación 1,4 o 1,6 para expulsar el fármaco tubulisina del sustituyente amina cuaternaria bencílica.
Restos -Lo-D+ ilustrativos que tienen restos autodestructivos PAB o relacionados con PAB que contienen un arileno o heteroarileno central con los patrones de sustitución 1,2- o 1,4 necesarios que permiten la fragmentación 1,4- o 1,6- para liberar D de una Unidad de Fármaco cuaternizada están representadas por:
en donde D+ en -C(R8)(R9)-D+ está unido covalentemente al carbono bencílico antes mencionado a través de un nitrógeno de amina cuaternaria que corresponde al nitrógeno de amina terciaria de un fármaco de tubulisina (D) que se liberará de D+, y J es el heteroátomo, que está unido a W a través del grupo funcional atenuante antes mencionado que comprende J y está opcionalmente sustituido si nitrógeno (es decir, J está opcionalmente sustituido -NH), en donde J es -O-, -N(R33)-, o -S, y R8, R9, R33, R', V, Z1, Z2, Z3 se definen en modalidades de Unidades Espaciadoras autodestructivas que contienen restos PAB o tipo PAB. Estas variables se seleccionan de manera que la reactividad de J cuando se libera del procesamiento de W en el sitio diana se equilibra adecuadamente con la reactividad de la amina terciaria eliminada del resto autodestructivo de Y y la estabilidad del intermediario de tipo metida de quinona resultante de esa eliminación para la liberación efectiva de D+ como D.
En algunos aspectos para un resto -Lo-D+ de la estructura (2), la Unidad Espaciadora de Lo que tiene un resto autodestructivo PAB o tipo PAB unido a D+ tiene la estructura de:
en donde la línea ondulada hacia J' indica una unión covalente estable (es decir no procesado en el sitio diana) al Ligando-LB-A-LP(PEG)-Ao- en un Conjugado Ligando- Fármaco, o Lb'-A-Lp(PEG)-Ao- en un compuesto Enlazador de Fármaco cuando a es 1 y Ao está opcionalmente presente, o al Ligando-LB-Aa-LP(PEG)-B- o Lb'-A,-Lp(PEG)-B-, en donde a es 0 o 1 y en donde J' es -O-, -N(R33)-o -S- unido directamente a Ao, B o una subunidad de los mismos, o al Ligando-LB-LP(PEG)- o Lb'-Lp(PEG)- cuando no está presente ninguno de A, B y Ao, a través de un grupo funcional que comprende J', y en donde R', R8, R9, V, Z1, Z2 y Z3 son como se definen en la Fórmula 1A o en la Fórmula IA y
E', seleccionado independientemente de J', es un grupo donante de electrones de W' tal como -O-, -N(R33)- o -S-, en donde R33 es -H, alquilo opcionalmente sustituido o aralquilo opcionalmente sustituido y la capacidad de donación de electrones de E' está atenuada por su unión al resto de carbohidrato de W', en donde la unión W'-E' proporciona un sitio de escisión para una glicosidasa, y E' y el carbono bencílico del resto -C(R8)(R9)-D+ están unidos al arileno o heteroarileno central antes mencionado en las posiciones definidas por V, Z1, Z2 o Z3, de tal manera que E' y el resto -C(R8)(R9)-D+ están en una relación 1,2 o 1,4 para permitir la fragmentación 1,4 o 1,6 que da lugar a la liberación de D+ como un fármaco tubulisina.
En algunos aspectos para un resto -Lo-D+ de estructura (1), la Unidad Espaciadora de Lo que tiene un resto autodestructivo PAB o tipo PAB unido a D+ tiene la estructura de:
V=Z2 R8r9
" h 1 -(\ i~ ^ (
R33 Z1- ^ D+
en donde R', R8, R9, V, Z1 y Z2 son como se definen en la Fórmula ID o la Fórmula ID, R33 es -H, alquilo opcionalmente sustituido o aralquilo opcionalmente sustituido y la línea ondulada adyacente al heteroátomo de nitrógeno opcionalmente sustituido indica el sitio de unión covalente de W con el resto de Lo en donde W está unido al Ligando-LB-A-LP(PEG)-Ao-, en un Conjugado Ligando-Fármaco o a Lb'-A-Lp(PEG)-Ao- en un compuesto Enlazador de Fármaco cuando el subíndice a es 1 y Ao está opcionalmente presente, o al Ligando-LB-Aa-LP(PEG)-B-o Lb'-Ab Lp(PEG)-B- en donde el subíndice a es 0 o 1, o al Ligando-LB-LP(PEG)- o Lb'-Lp(PEG)- cuando ninguno de A, B y Ao está presente, en donde la acción selectiva de la proteasa en ese enlace covalente inicia la autodestrucción de la Unidad Espaciadora para liberar D+ como D.
En algunos aspectos para un resto -Lo-D+ de estructura (2), la Unidad Espaciadora de Lo que tiene un resto autodestructivo PAB o tipo PAB unido a D+ tiene la estructura de
en donde E', J', R', R8, R9, V y Z3 son como se definen en la Fórmula 1A o la Fórmula IA. Otras estructuras y sus definiciones de grupos variables que incorporan un resto autodestructivo en un resto de enlazador secundario-D+ de estructura (2) son proporcionados por estas modalidades.
El arileno o heteroarileno de un resto autodestructivo de Y puede sustituirse adicionalmente para afectar la cinética de la eliminación 1,2 o 1,4 con el fin de modular la liberación de D o mejorar las propiedades fisicoquímicas del Conjugado Ligando-Fármaco (por ejemplo, reducir la hidrofobicidad) en el que se incorpora. Por ejemplo, además de hidrógeno, R' puede ser un grupo aceptor de electrones tal como cloro, flúor o -NO2 , como cuando E' es un átomo de oxígeno de un enlace glicosídico con el resto carbohidrato de W'.
Otros ejemplos ilustrativos y no limitantes de estructuras autodestructivas que pueden modificarse para acomodar sustituyentes de amina cuaternaria bencílica son proporcionados por Blencowe y otros "Self-immolative linkers in polymeric delivery systems" Polym. Chem. (2011) 2: 773-790; Greenwald y otros "Drug delivery systems employing 1,4- o 1,6-elimination: poly(ethylene glycol) prodrugs of amine-containing compounds" J. Med. Chem. (1999) 42: 3657-3667; y en las patentes de EE. UU. núms. 7,091,186; 7,754,681; 7,553,816; y 7,989,434.
"Fármaco citotóxico", como se usa en la presente descripción, se refiere a un compuesto o un metabolito derivado de un LDC que ejerce un efecto anti-supervivencia sobre células hiperproliferativas, células inmunitarias hiperactivas u otras células anómalas o no deseadas. En algunos aspectos, el fármaco citotóxico actúa directamente sobre esas células o indirectamente al actuar sobre la vasculatura anómalas que respalda la supervivencia y/o el crecimiento de las células hiperproliferativas u otras células anómalas o no deseadas, o el fármaco citotóxico actúa dentro de los sitios de infiltración de células inmunitarias hiperactivadas. Normalmente, las células anómalas o no deseadas sobre las que actúa el fármaco citotóxico son células de mamífero, más normalmente células humanas. La actividad citotóxica de un fármaco citotóxico puede ser expresada como un valor IC50, que es la concentración eficaz, cantidad normalmente molar por unidad de volumen, en el que la mitad de las células cancerosas en un sistema modelo in vitro de células sobrevive a la exposición al agente citotóxico. Por tanto, un valor de IC50 es dependiente del modelo. Normalmente, un agente citotóxico incorporado en un LDC tendrá un valor de IC50 en un modelo in vitro de células compuesto de células hiperproliferativas de entre 100 nM a 0,1 pM o más normalmente de aproximadamente 10 nM a 1 pM. Un fármaco citotóxico altamente toxico normalmente tiene un valor de IC50 en tales modelos de
aproximadamente 100 pM o inferior. Aunque los inhibidores resistentes a múltiples fármacos que revierten la resistencia a los fármacos citotóxicos no son citotóxicos por derecho propio, a veces se incluyen como fármacos citotóxicos. En algunos casos, un fármaco citotóxico para su uso en la presente invención es un compuesto citotóxico de tubulisina que contiene un nitrógeno de amina terciaria que puede cuaternizarse para su incorporación como D+ en una estructura que representa la composición del Conjugado Ligando- Fármaco. En otros casos, un compuesto farmacológico citotóxico de tubulisina que tiene un nitrógeno de amina terciaria resulta cuando se libera D+ como D de un compuesto Conjugado Ligando-Fármaco en una composición de la presente invención.
"Fármaco citostático", como se usa en la presente descripción, se refiere a un compuesto o un metabolito derivado de un LDC que ejerce un efecto inhibidor sobre el crecimiento y la proliferación de células hiperproliferativas, células inmunitarias hiperactivas u otras células anómalas o no deseadas. En algunos aspectos, el fármaco citostático actúa directamente sobre esas células o indirectamente al actuar sobre la vasculatura anómalas que apoya la supervivencia y/o el crecimiento de las células hiperproliferativas u otras células anómalas o no deseadas, o el fármaco citotóxico actúa dentro de los sitios de células inmunitarias hiperactivadas infiltrantes. Normalmente, las células anómalas o no deseadas sobre las que actúa el fármaco citotóxico son células de mamífero, más normalmente células humanas. Aunque los inhibidores resistentes a múltiples fármacos que revierten la resistencia a los fármacos citostáticos no son citostáticos por derecho propio, a veces se incluyen como fármacos citostáticos. En algunos casos, un fármaco citostático para su uso en la presente invención es un compuesto citostático de tubulisina que contiene un nitrógeno de amina terciaria que puede cuaternizarse para su incorporación como D+ en una estructura que representa la composición del Conjugado Ligando- Fármaco. En otros casos, un compuesto de tubulisina que es citostático y que tiene un nitrógeno de amina terciaria resulta cuando se libera D+ como D de un compuesto Conjugado Ligando-Fármaco en una composición de la presente invención.
"Malignidad hematológica", como se usa el término en la presente descripción, se refiere a un tumor de células sanguíneas que se origina a partir de células de origen linfoide o mieloide y es sinónimo del término "tumor líquido". Las neoplasias hematológicas pueden clasificarse como indolentes, moderadamente agresivas o muy agresivas.
"Linfoma", como se usa en la presente descripción, es una neoplasia hematológica que usualmente se desarrolla a partir de células hiperproliferativas de origen linfoide. Los linfomas a veces se clasifican en dos tipos principales: Linfoma de Hodgkin (Lh ) y Linfoma no Hodgkin (LNH). Los linfomas también pueden clasificarse según el tipo de célula normal que más se asemeja a las células cancerosas de acuerdo con marcadores fenotípicos, moleculares o citogénicos. Los subtipos de linfoma bajo esa clasificación incluyen, sin limitación, neoplasias de células B maduras, neoplasias de células T maduras y células asesinas naturales (NK), linfoma de Hodgkin y trastornos linfoproliferativos asociados a inmunodeficiencia. Los subtipos de linfoma incluyen linfoma linfoblástico de células T precursoras (a veces denominado leucemia linfoblástica ya que los linfoblastos de células T se producen en la médula ósea), linfoma folicular, linfoma difuso de células B grandes, linfoma de células del manto, linfoma linfocítico crónico de células B (a veces denominada leucemia debido a implicación de sangre periférica), linfoma MALT, linfoma de Burkitt, micosis fungoide y su variante más agresiva enfermedad de Sézary, linfomas periféricos de células T no especificados de otra manera, esclerosis nodular del linfoma de Hodgkin y subtipo de celularidad mixta del linfoma de Hodgkin.
"Leucemia", como se usa el término en la presente descripción, es una neoplasia maligna hematológica que generalmente se desarrolla a partir de células hiperproliferativas de origen mieloide e incluye, sin limitación, leucemia linfoblástica aguda (ALL), leucemia mielógena aguda (AML), leucemia linfocítica crónica (CLL), leucemia mielógena crónica (CML) y leucemia monocítica aguda (AMoL). Otras leucemias incluyen leucemia de células pilosas (HCL), leucemia linfática de células T (T-PLL), leucemia linfocítica granular grande y leucemia de células T adultas.
"Unidad de fármaco cuaternizado" o unidad de fármaco de tubulisina cuaternizada, tal como se usa en la presente descripción, es un compuesto de tubulisina que contiene una amina terciaria incorporada (D) o corresponde a un compuesto en el que el nitrógeno de la amina terciaria está presente en la estructura del compuesto como sal de amina cuaternaria y presenta propiedades citotóxica, citostático, inmunosupresor o antiinflamatorio, normalmente contra células de mamífero, cuando se libera de un compuesto Conjugado Ligando- Fármaco. En algunos aspectos, se obtiene una Unidad de Fármaco (D+) de tubulisina cuaternizada mediante la condensación del nitrógeno de amina terciaria del componente C-terminal de un compuesto de tubulisina con un enlazador secundario Lo precursor que tiene un grupo saliente adecuado. En algunos aspectos, el compuesto de tubulisina que contiene amina terciaria se convierte en su forma cuaternizada tras su incorporación en un resto que contiene Lb o Lb'. En otros aspectos, el componente C-terminal se cuaterniza primero con el resto de la tubulisina y a continuación se agrega para completar la Unidad D+. Por lo tanto, las estructuras como L-Lb-Lo-D+ y Lb'-Lo-D+ no implican ningún método particular en el que se forme D+ y no se requiera que un reactivo utilizado en su formación sea un fármaco que contenga una amina terciaria, sino que sólo requiere que D+ incorpore o corresponda a la estructura de la amina terciaria que contengan la intención de ser liberado de un compuesto Conjugado Ligando- Fármaco. La clase de fármacos que contienen amina terciaria liberados de un LDC de la presente invención abarca compuestos de tubulisina como se describe en la presente descripción que tienen efectos citotóxicos o citostáticos sobre células anómalas u otras células no deseadas.
"Células hiperproliferativas", como se usa en la presente descripción, se refiere a células que se caracterizan por
una proliferación celular no deseada o una velocidad anormalmente alta o un estado persistente de división celular que no está relacionada o no está coordinada con la de los tejidos normales circundantes. Normalmente, las células hiperproliferativas son células de mamífero. En algunos aspectos, las células hiperproliferativas son células inmunitarias hiperestimuladas como se definen en la presente descripción, cuyo estado persistente de división celular se produce después del cese del estímulo que puede haber provocado inicialmente el cambio en su división celular. En otros aspectos, las células hiperproliferativas son células normales transformadas o células cancerosas y su estado descontrolado y progresivo de proliferación celular puede resultar en un tumor que es benigno, potencialmente maligno (premaligno) o francamente maligno. Las afecciones de hiperproliferación que resultan de células normales transformadas o células cancerosas incluyen, pero no se limitan a, aquellas caracterizadas como precáncer, hiperplasia, displasia, adenoma, sarcoma, blastoma, carcinoma, linfoma, leucemia o papiloma. Los precancerosos generalmente se definen como lesiones que exhiben cambios histológicos que están asociados con un mayor riesgo de desarrollo de cáncer y, a veces, tienen algunas, pero no todas, las propiedades moleculares y fenotípicas que caracterizan al cáncer. Los precánceres asociados a hormonas o sensibles a hormonas incluyen la neoplasia intraepitelial prostática (PIN), particularmente PIN de alto grado (HGPIN), la proliferación acinar pequeña atípica (ASAP), la displasia cervical y el carcinoma ductal in situ. Las hiperplasias generalmente se refieren a la proliferación de células dentro de un órgano o tejido más allá de lo que normalmente se ve que puede resultar en el agrandamiento de un órgano o en la formación de un tumor o crecimiento benigno. Las hiperplasias incluyen, pero no se limitan a, hiperplasia endometrial (endometriosis), hiperplasia prostática benigna e hiperplasia ductal.
"Células normales", como se usa en la presente descripción, se refiere a células que experimentan una división celular coordinada relacionada con el mantenimiento de la integridad celular del tejido normal o la reposición de las células sanguíneas o linfáticas circulantes que se requiere por el recambio celular regulado, o la reparación del tejido necesaria por una lesión, o por una respuesta inmune o inflamatoria resultante de la exposición a patógenos u otra agresión celular, donde la división celular provocada o la respuesta inmune termina al completar el mantenimiento, reposición o eliminación de patógenos necesarios. Las células normales incluyen células que proliferan normalmente, células inactivas normales y células inmunitarias normalmente activadas.
Las "células inactivas normales" son células no cancerosas en su estado de reposo Go y no han sido estimuladas por el estrés o un mitógeno o son células inmunitarias que normalmente están inactivas o no han sido activadas por la exposición a citoquinas proinflamatorias.
"Células inmunitarias hiperestimuladas", como se usa el término en la presente descripción, se refiere a células involucradas en la inmunidad innata o adaptativa caracterizadas por una proliferación anormalmente persistente o un estado de estimulación inapropiado que ocurre después del cese del estímulo que inicialmente puede haber evocado el cambio en la proliferación o estimulación o que ocurra en ausencia de alguna agresión externa. A menudo, la proliferación persistente o el estado inapropiado de estimulación da como resultado un estado crónico de inflamación característico de un estado o afección patológica. En algunos casos, el estímulo que puede haber evocado inicialmente el cambio en la proliferación o estimulación no es atribuible a una agresión externa, sino que se deriva internamente como en una enfermedad autoinmune. En algunos aspectos, una célula inmunitaria hiperestimulada es una célula inmunitaria proinflamatoria que ha sido hiperactivada a través de la exposición crónica a citocinas proinflamatorias.
En algunos aspectos de la invención, un LDC se enlaza a un antígeno presentado preferentemente por células inmunitarias proinflamatorias que proliferan de forma anormal o se activan de forma inapropiada. Esas células inmunitarias incluyen macrófagos activados clásicamente o células T auxiliares de tipo 1 (Th1), que producen interferón gamma (INF-y), interleucina-2 (IL-2), interleucina-10 (IL-10) y factor de necrosis tumoral beta (TNF-p), que son citocinas que están involucradas en la activación de macrófagos y células T CD8+.
"Glicosidasa", como se usa en la presente descripción, se refiere a una proteína capaz de escindir enzimáticamente un enlace glicosídico. Normalmente, el enlace glicosídico a escindir está presente en una Unidad Escindible (W') de un LDC. A veces, la glicosidasa que actúa sobre un LDC está presente intracelularmente en células hiperproliferativas, células inmunitarias hiperactivas u otras células anómalas o no deseadas a las que el LDC tiene acceso preferencial en comparación con las células normales, lo que se atribuye a la capacidad de direccionamiento del componente de unión a ligando (es decir, la Unidad de Ligando). A veces, el glucósido es más específico para las células anómalas o no deseadas o se excreta preferentemente por células anómalas o no deseadas en comparación con las células normales o está presente en mayor cantidad en las proximidades de las anómalas o no deseadas en comparación con las cantidades de suero. A menudo, el enlace glicosídico en W sobre el que actúa una glicosidasa une el carbono anomérico de un resto de carbohidrato (Su) a un oxígeno fenólico de un resto autodestructivo (SI) que comprende una Unidad Espaciadora (Y) autodestructiva, de manera que la escisión glicosídica de ese enlace desencadena la eliminación 1,4 o 1,6 de un fármaco de tubulisina que contiene una amina terciaria del resto de amina cuaternaria unido a la posición bencílica de SI.
En algunos aspectos, los compuestos Enlazadores de Fármaco o los Conjugados Fármaco Ligando se componen de restos tales como -Aa LP(PEG)-Bb-Y(W')-D+ o -Aa LP(PEG)-AO-Y(W')-D+, en el que los subíndices a y b son independientemente 0 o 1, en donde el resto -Y(W')- es normalmente un resto Su-O'- unido a un resto autodestructivo de Y como se define en la presente descripción con AO o -Lp(PEG)-, W' y D+ unidos al resto
autodestructivo de una manera que permite la liberación autodestructiva del compuesto de tubulisina que contiene amina terciaria libre tras la acción de una glicosidasa. Tales restos -Y(W')- se denominan a veces Unidad Glucurónida en la que Su es un resto de carbohidrato, que no se limita a la de un ácido glucurónico.
Normalmente, un resto Su-O'-(donde -O'- representa el oxígeno del enlace glicosídico y Su es un resto de carbohidrato) unido a un resto autodestructivo de Y se representa por la estructura descrita para los restos autodestructivos en donde E' unido al arileno o heteroarileno central del resto autodestructivo es oxígeno y en donde ese heteroátomo está sustituido con un resto carbohidrato a través de su átomo de carbono anomérico. Más normalmente, Su-O'-Y-D+ tiene la estructura de:
en donde R24A, R24B y R24C, es como se define para R24 en el resumen de la invención y se selecciona de manera que la capacidad de donación de electrones del -OH fenólico liberado del enlace glicosídico, la sensibilidad a la escisión selectiva por un glicosidasa deseada del enlace glicosídico al resto de carbohidrato Su, y la estabilidad del intermediario de metida de quinona tras la fragmentación se equilibra con la capacidad de salida del fármaco de tubulisina que contiene la amina terciaria de manera que la liberación eficiente de D de D+ ocurre a través de la eliminación de 1,4 o 1,6. Aquellas estructuras Su-O'-Y- que tienen un resto PAB o tipo PAB para la autodestrucción son unidades de glucurónido representativas. Cuando el enlace glicosídico es a un resto de carbohidrato de ácido glucurónico, la glicosidasa capaz de la escisión enzimática de ese enlace glicosídico es una glucuronidasa.
"Resto carbohidrato", como se usa en la presente descripción, se refiere a un monosacárido que tiene la fórmula empírica de Cm(H2O)n, en donde n es igual a m, que contiene un resto aldehído en su forma hemiacetal o un derivado del mismo en donde un resto CH2OH dentro de esa fórmula se ha oxidado a un ácido carboxílico (por ejemplo, ácido glucurónico por oxidación del grupo CH2OH en glucosa). Normalmente, un resto carbohidrato (Su) es una hexosa cíclica, como una piranosa, o una pentosa cíclica, como una furanosa. Por lo general, la piranosa es un glucurónido o hexosa en la conformación p-D. En algunos casos, la piranosa es un resto p-D-glucurónido (es decir, ácido p-D-glucurónico unido al resto autodestructivo de Y a través un enlace glicosídico que se puede escindir mediante p-glucuronidasa). A menudo, el resto carbohidrato no está sustituido (por ejemplo, es una hexosa cíclica o pentosa cíclica de origen natural). Otras veces, el resto carbohidrato puede ser una hexosa cíclica o una pentosa cíclica en la que un grupo hidroxilo se eliminó o reemplazó con halógeno, o alquilo inferior o alquilado por alquilo inferior.
"Proteasa", como se define en la presente descripción, se refiere a una proteína capaz de la escisión enzimática de un enlace carbonilo-nitrógeno tal como un enlace amida que se encuentra normalmente en un péptido. Las proteasas se clasifican en seis clases principales: serina proteasas, treonina proteasas, cisteína proteasas, proteasas de ácido glutámico, proteasas de ácido aspártico y metaloproteasas llamadas así por el residuo catalítico en el sitio activo que es principalmente responsable de escindir el enlace nitrógeno-carbonilo de su sustrato. Las proteasas se caracterizan por diversas especificidades, que dependen de las identidades de los residuos en el lado N-terminal y/o C-terminal del enlace carbonilo-nitrógeno y diversas distribuciones.
Cuando W se compone de amida u otro grupo funcional que contiene nitrógeno-carbonilo que se puede escindir por una proteasa, ese sitio de escisión a menudo se limita a las reconocidas por las proteasas que se encuentran en células hiperproliferativas o células inmunitarias hiperestimuladas o dentro de células específicas del medio ambiente en el que están presentes células hiperproliferativas o células inmunitarias hiperestimuladas. En esos casos, no se requiere necesariamente que la proteasa esté presente de manera preferencial o se encuentre en mayor abundancia en las células diana por la LDC, ya que un LDC tendrá un acceso más pobre a aquellas células que no tienen preferencialmente el resto diana. Otras veces, la proteasa es excretada preferentemente por células anómalas o por células normales propias del entorno en el que se encuentran esas células anómalas en comparación con las células normales del entorno distantes del sitio de las células anómalas. Por tanto, en aquellos casos en los que se excreta la proteasa, se requiere necesariamente que la proteasa esté preferentemente presente o que se encuentre en mayor abundancia en las proximidades de las células diana de los LDC en comparación con la de las células normales que no se encuentran en la proximidad de las células anómalas.
Cuando se incorpora a un LDC, un péptido que comprende W presentará una secuencia de reconocimiento a una proteasa que escinde un enlace carbonilo-nitrógeno en W para iniciar la fragmentación de la Unidad Enlazadora para provocar la liberación de un fármaco que contiene amina terciaria de D+. A veces, la secuencia de reconocimiento es reconocida selectivamente por una proteasa intracelular presente en las células anómalas a las que el LDC tiene acceso preferido en comparación con las células normales debido a que se direccionan a las células anómalas, o es producida preferentemente por células anómalas en comparación con las células normales,
por el propósito de suministrar apropiadamente el fármaco al sitio de acción deseado. Usualmente, el péptido es resistente a las proteasas circulantes con el fin de minimizar la expulsión prematura del compuesto farmacológico de tubulisina y así minimizar la exposición sistémica no deseada a ese compuesto. Normalmente, el péptido tendrá uno o más aminoácidos no naturales o no clásicos en su secuencia con el objetivo tener esa resistencia. A menudo, el enlace amida que se escinde específicamente por una proteasa producida por una célula anómala es una anilida, en donde el nitrógeno de esa anilida es un heteroátomo donador de electrones incipiente (es decir, J) de un resto autodestructivo que tiene las estructuras previamente definidas. Por tanto, la acción de la proteasa sobre una secuencia peptídica en W da como resultado la liberación de D+ como D de la Unidad Enlazadora a través de una eliminación 1,4- o 1,6- que procede a través del resto arileno o heteroarileno central del resto autodestructivo.
Las proteasas reguladoras se localizan normalmente intracelularmente y son necesarias para la regulación de las actividades celulares que a veces se vuelven aberrantes o desreguladas en células anómalas u otras células no deseadas. En algunos casos, cuando W se dirige a una proteasa que tiene distribución preferente intracelular, esa proteasa es una proteasa reguladora, involucrada en el mantenimiento o la proliferación celular. En algunos casos, esas proteasas incluyen catepsinas. Las catepsinas incluyen las serina proteasas, la Catepsina A, la Catepsina G, las proteasas del ácido aspártico, la Catepsina D, la Catepsina E y las cisteína proteasas, la Catepsina B, la Catepsina C, la Catepsina F, la Catepsina H, la Catepsina K, la Catepsina L1, la Catepsina L2, la Catepsina O, la Catepsina S, la Catepsina W y la Catepsina Z.
En otros casos, cuando W se dirige a una proteasa que se distribuye preferentemente extracelularmente en la proximidad de células inmunitarias hiperproliferativas o hiperestimuladas debido a la excreción preferencial por dichas células o por células vecinas cuya excreción es peculiar del entorno de células inmunitarias hiperproliferativas o hiperestimuladas, esa proteasa suele ser una metaloproteasa. Normalmente, esas proteasas están involucradas en la remodelación tisular, lo que ayuda a la invasividad de las células hiperproliferativas o resulta en la acumulación no deseada de células inmunitarias hiperactivas que da como resultado un mayor reclutamiento de tales células. "Fármaco de tubulisina" o "Compuesto de tubulisina", como se usa, es un agente disruptor de tubulina a base de péptidos que tiene actividad citotóxica, citostática o actividad antiinflamatoria y está compuesto por un componente de aminoácido natural o no natural y otros tres componentes de aminoácido no naturales en donde uno de esos componentes se caracteriza por ser un resto heteroarileno de 5 o 6 miembros y otro componente proporciona una amina terciaria para su incorporación en una unidad de fármaco cuaternizado.
Los compuestos de tubulisina tienen la estructura de Dg o Dh:
en donde la línea recta discontinua indica un doble enlace opcional, la línea discontinua curva indica una ciclación opcional, el Ar en un círculo indica un arileno o heteroarileno que está sustituido en 1,3- dentro del esqueleto de carbono de tubulisina y está opcionalmente sustituido en otro lugar, en donde el arileno o heteroarileno y otros grupos variables son como se definen en las modalidades de la invención.
Los compuestos de tubulisina de origen natural tienen la estructura de Dg-6.
y se dividen convenientemente en cuatro subunidades de aminoácidos, como lo indican las líneas verticales discontinuas, denominadas ácido N-metil-pipecolínico (Mep), isoleucina (Ile), tubuvalina (Tuv) y tubofenilalanina (Tup, cuando R7A es hidrógeno) o tubutirosina (Tut, cuando R7A es -OH). Hay aproximadamente una docena de tubulisinas de origen natural actualmente conocidas denominadas Tubulisina AI, Tubulisina U, Tubulisina V y Tubulisina Z, cuyas estructuras están indicadas por grupos variables para la estructura DG-6 definida en modalidades de unidades de fármaco cuaternizado basadas en tubulisina.
Las pretubulisinas tienen la estructura Dg o Dh, en donde R3 es -CH3 y R2 es hidrógeno, y las desmetil tubulisinas tienen la estructura de Dg, Dg-1, Dg-6, Dh o Dh-1 en la que R3 es hidrógeno y otras estructuras de tubulisina dadas por las modalidades de unidades de fármaco cuaternizado basadas tubulisina, en donde R3 es hidrógeno, y en donde los otros grupos variables como se describen para tubulisinas. Pretubulisinas y desmetil tubulisinas y opcionalmente se incluyen en la definición de tubulisinas.
En las estructuras Dg, Dg-1, Dg-6, Dh, Dh-1 y otras estructuras de tubulisina descritas en la presente descripción en modalidades de Unidades de Fármaco cuaternizado basadas en tubulisina, el átomo de nitrógeno indicado (t) es el sitio de cuaternización cuando tales estructuras corresponden a o son incorporadas en un LDC o un precursor del mismo como una Unidad de Fármaco de tubulisina cuaternizada. Cuando se incorpora a un LDC o un precursor del mismo, ese nitrógeno se cuaterniza por unión covalente a Lo o a la Lo de un resto que contenga Lb o Lb' compuesta por Lo. Normalmente, ese resto cuaternizado de D+ resulta del enlace covalente de un átomo de nitrógeno del resto de amina terciaria con el carbono bencílico de un resto PAB o de tipo PAB del que en una Unidad Espaciadora autodestructiva Y de Lo. Las estructuras de otras tubulisinas y pretubulisinas ilustrativas que contienen amina terciaria y la forma de su incorporación en un LDC como D+ se proporcionan en modalidades de unidades de fármaco cuaternizado basadas en tubulisina.
Los métodos ilustrativos de preparación de fármacos de tubulisina y las relaciones estructura-actividad se proporcionan por Shankar y otros "Synthesis and structure-activity relationship studies of novel tubulysin U analogseffect on cytotoxicity of structural variations in the tubuvaline fragment" Org. Biomol. Chem. (2013) 11: 2273-2287; Xiangming y otros, "Recent advances in the synthesis of tubulysins" Mini-Rev. Med. Chem. (2013) 13: 1572-8; Shankar y otros, "Synthesis and cytotoxic evaluation of diastereomers and N-terminal analogs of Tubulysin-U" Tet. Lett. (2013) 54: 6137-6141; Shankar y otros, "Total synthesis and cytotoxicity evaluation of an oxazole analogue of Tubulysin U" Synlett (2011) 2011(12): 1673-6; Raghavan y otros, J. Med. Chem. (2008) 51: 1530-3; Balasubramanian, R. y otros, "Tubulysin analogs incorporating desmethyl and dimethyl tubuphenylalanine derivatives" Bioorg. Med. Chem. Lett. (2008) 18: 2996-9; y Raghavan y otros, "Cytotoxic simplified tubulysin analogues" J. Med. Chem. (2008) 51: 1530-3.
"Escindido intracelularmente", "escisión intracelular" y términos similares usados en la presente descripción se refieren a un proceso o reacción metabólica dentro de una célula en un LDC o similar, mediante el cual se rompe la unión covalente, por ejemplo, el enlazador, entre la amina cuaternaria del compuesto de tubulisina cuaternizada y el anticuerpo, dando como resultado el fármaco libre que contiene la amina terciaria libre, u otro metabolito del conjugado disociado del resto de direccionamiento dentro de la célula. Los restos escindidos de los LDC son, por tanto, metabolitos intracelulares.
"Biodisponibilidad", como se usa en la presente descripción, se refiere a la disponibilidad sistémica (es decir, niveles en sangre/plasma) de una cantidad determinada de un fármaco administrado a un paciente. La biodisponibilidad es un término absoluto que indica la medición tanto del tiempo (velocidad) como de la cantidad total (extensión) del fármaco que alcanza la circulación general a partir de una forma de dosificación administrada.
"Sujeto", como se utiliza en la presente descripción, se refiere a un humano, primate no humano o mamífero que tiene un trastorno de hiperproliferación, inflamatorio o inmunitario o que es propenso a dicho trastorno y que se beneficiaría de la administración de una cantidad eficaz de un LDC. Los ejemplos no limitantes de un sujeto incluyen humano, rata, ratón, cobaya, mono, cerdo, cabra, vaca, caballo, perro, gato, pájaro y ave. Normalmente, el sujeto es un humano, primate no humano, rata, ratón o perro.
El término "inhibir" o "inhibición de" significa reducir en una cantidad medible o prevenir por completo. La inhibición de la proliferación de células hiperproliferativas para un ADC se determina normalmente en relación con las células no tratadas (tratadas simuladamente con vehículo) en un sistema de prueba adecuado como en cultivo celular (in vitro) o en un modelo de xenoinjerto (in vivo). Normalmente, se usa como control negativo un LDC compuesto por un resto dirigido a un antígeno que no está presente en las células hiperproliferativas o en las células inmunoestimulantes activadas de interés.
El término "cantidad con eficacia terapéutica" se refiere a una cantidad de un fármaco que es eficaz para tratar una enfermedad o trastorno en un mamífero. En el caso del cáncer, la cantidad con eficacia terapéutica del fármaco puede reducir el número de células cancerosas; reducir el tamaño del tumor; inhibir (es decir, desacelerar hasta cierto punto y preferentemente detener) la infiltración de células cancerosas en órganos periféricos; inhibir (es decir, desacelerar hasta cierto punto y preferentemente detener) la metástasis tumoral; inhibir, hasta cierto punto, el crecimiento tumoral; y/o aliviar, hasta cierto punto, uno o más de los síntomas asociados con el cáncer. En la medida
en que el fármaco pueda inhibir el crecimiento y/o destruir las células cancerosas existentes, puede ser citostático y/o citotóxico. Para la terapia contra el cáncer, la eficacia puede medirse, por ejemplo, evaluando el tiempo hasta la progresión de la enfermedad (TTP) y/o determinando la velocidad de respuesta (RR).
En el caso de trastornos inmunitarios resultantes de células inmunitarias hiperestimuladas, una cantidad terapéuticamente eficaz del fármaco puede reducir el número de células inmunitarias hiperestimuladas, el grado de su estimulación y/o infiltración en tejido que de otro modo serían normales y/o aliviar en cierta medida, uno o más de síntomas asociados a un sistema inmunológico desregulado debido a células inmunitarias hiperestimuladas. Para los trastornos inmunitarios debidos a células inmunitarias hiperestimuladas, la eficacia se puede medir, por ejemplo, evaluando uno o más sustitutos inflamatorios, incluidos uno o más niveles de citocinas como los de IL-1p, TNFa, INFy y MCP-1, o números de macrófagos activados clásicamente.
En algunos aspectos de la invención, el Conjugado Ligando- Fármaco se asocia con un antígeno en la superficie de una célula diana (es decir, una célula hiperproliferativa o una célula inmunitaria hiperestimulada), y el Conjugado Ligando-Fármaco se absorbe dentro de una célula diana a través de endocitosis mediada por receptores. Una vez dentro de la célula, se escinden una o más unidades de escisión dentro de la Unidad Enlazadora, lo que da como resultado la liberación del fármaco que contiene amina terciaria. El fármaco de tubulisina que contiene amina terciaria liberado queda libre para migrar en el citosol e inducir actividades citotóxicas o citostáticas o, en el caso de células inmunitarias hiperestimuladas, puede inhibir alternativamente la transducción de señales proinflamatorias. En otro aspecto de la invención, la Unidad de Fármaco cuaternizado se escinde del Conjugado Ligando-Fármaco fuera de la célula diana pero dentro de la proximidad de la célula diana, de modo que el compuesto de tubulisina que contiene amina terciaria liberado penetra posteriormente en la célula en lugar de liberarse en sitios distales.
El término "portador" como se usa el término en la presente descripción se refiere a un diluyente, adyuvante o excipiente con el que se administra un compuesto. Tales portadores farmacéuticos pueden ser líquidos, tales como agua y aceites, incluidos los de origen petrolífero, animal, vegetal o sintético, como aceite de cacahuete, aceite de soja, aceite mineral, aceite de sésamo. Los portadores pueden ser solución salina, goma arábiga, gelatina, pasta de almidón, talco, queratina, sílice coloidal, urea. Además, pueden usarse agentes auxiliares, estabilizantes, espesantes, lubricantes y colorantes. En una modalidad, cuando se administra a un paciente, el compuesto o las composiciones y los portadores farmacéuticamente aceptables son estériles. El agua es un portador ilustrativo cuando los compuestos se administran por vía intravenosa. También se pueden emplear soluciones salinas y soluciones acuosas de dextrosa y glicerol como portadores líquidos, particularmente para soluciones inyectables. Los portadores farmacéuticos adecuados también incluyen excipientes tales como almidón, glucosa, lactosa, sacarosa, gelatina, malta, arroz, harina, tiza, gel de sílice, estearato de sodio, monoestearato de glicerol, talco, cloruro de sodio, leche desnatada en polvo, glicerol, propileno, glicol, agua y etanol. Las presentes composiciones, si se desea, también pueden contener cantidades menores de agentes humectantes o emulsionantes, o agentes tamponadores del pH.
"Tratar", "tratamiento", y términos similares, a menos que el contexto indique lo contrario, se refieren a tratamiento terapéutico y medidas profilácticas para evitar recaídas, en donde el objetivo es inhibir o desacelerar (disminuir) un cambio o trastorno fisiológico no deseado, como el desarrollo o la propagación del cáncer o el daño tisular por inflamación crónica. Normalmente, los resultados clínicos beneficiosos o deseados de tales tratamientos terapéuticos, incluyen, pero no se limitan a, alivio de los síntomas, disminución de la extensión de la enfermedad, estado estabilizado (es decir, no empeoramiento) de la enfermedad, retraso o enlentecimiento de la evolución de la enfermedad, mejora o paliación del estado de la enfermedad y remisión (ya sea parcial o total), ya sea detectable o indetectable. "Tratamiento" también puede significar prolongar la supervivencia o la calidad similar en comparación con la supervivencia esperada o la calidad de vida si no se recibe tratamiento. Aquellos que necesitan tratamiento incluyen los que ya padecen la afección o trastorno, así como los propensos a tener la afección o trastorno.
En el contexto del cáncer o una enfermedad relacionada con la inflamación crónica, el término "que trata" incluye cualquiera o todo el crecimiento inhibidor de células tumorales, células cancerosas o de un tumor; inhibir la replicación de células tumorales o células cancerosas, inhibir la diseminación de células tumorales o células cancerosas, disminuir la carga tumoral general o disminuir el número de células cancerosas, inhibir la replicación o estimulación de células inmunitarias proinflamatorias, inhibir o disminuir el estado inflamatorio crónico de un sistema inmunitario desregulado o disminuir la frecuencia y/o intensidad de los brotes experimentados por los sujetos que padecen una afección o enfermedad autoinmune o mejorar uno o más síntomas asociados al cáncer o a una enfermedad o afección hiperinmunitaria estimulada.
"Sal farmacéuticamente aceptable", como se usa en la presente descripción, se refiere a sales orgánicas o inorgánicas farmacéuticamente aceptables de un compuesto. El compuesto normalmente contiene al menos un grupo amino y, por consiguiente, se pueden formar sales de adición de ácido con el grupo amino. Las sales ilustrativas incluyen, pero no se limitan a, sales de sulfato, citrato, acetato, oxalato, cloruro, bromuro, yoduro, nitrato, bisulfato, fosfato, fosfato ácido, isonicotinato, lactato, salicilato, ácido citrato, tartrato, oleato, tanato, pantotenato, bitartrato, ascorbato, succinato, maleato, gentisinato, fumarato, gluconato, glucuronato, sacarato, formiato, benzoato, glutamato, metanosulfonato, etanosulfonato, bencenosulfonato, p-toluenosulfonato y pamoato (es decir, 1,1'-metilenbis-(2-hidroxi-3-naftoato)).
Una sal farmacéuticamente aceptable puede involucrar la inclusión de otra molécula, como un ion acetato, un ion succinato u otro contraión. El contraión puede ser cualquier resto orgánico o inorgánico que estabilice la carga en el compuesto original. Además, una sal farmacéuticamente aceptable puede tener más de un átomo cargado en su estructura. Los casos en los que múltiples átomos cargados son parte de la sal farmacéuticamente aceptable pueden tener múltiples contraiones. Por lo tanto, una sal farmacéuticamente aceptable puede tener uno o más átomos cargados y/o uno o más contraiones. Normalmente, una Unidad de Fármaco de tubulisina cuaternizada está en forma de sal farmacéuticamente aceptable.
Normalmente, una sal farmacéuticamente aceptable se selecciona de las descritas en PH Stahl y CG Wermuth, editores, Handbook of Pharmaceutical Salts: Properties, Selection and Use, Weinheim/Zürich:Wiley-VCH/VHCA, 2002. La selección de la sal depende de las propiedades que debe exhibir el fármaco, incluida la solubilidad acuosa adecuada a varios valores de pH, según la vía de administración prevista, la cristalinidad con características de flujo y baja higroscopicidad (es decir, absorción de agua frente a humedad relativa) adecuada para manipulación y vida útil requerida mediante la determinación de la estabilidad química y del estado sólido en condiciones aceleradas (es decir, para determinar la degradación o cambios de estado sólido cuando se almacena a 40 °C y 75 % de humedad relativa).
"Carga", "carga de fármaco", "carga de carga útil" o términos similares representan o se refieren al número promedio de cargas útiles ("carga útil" y "cargas útiles" se usan en la presente descripción indistintamente con "fármaco" y "fármacos") en una población de LDC (es decir, una composición de LDC que difiere en el número de unidades D+ unidas que tienen la misma o diferentes ubicaciones de unión, pero que por lo demás son esencialmente idénticas en su estructura). La carga de fármaco puede variar de 1 a 24 fármacos por resto de direccionamiento. Esto a veces se denomina DAR, o relación entre fármaco y resto de direccionamiento. Las composiciones de LDC descritas en la presente descripción normalmente tienen DAR de 1-24 o 1-20 y, en algunos aspectos, de 1-8, de 2-8, de 2-6, de 2-5 y de 2-4. Los valores típicos de DAR son aproximadamente 2, aproximadamente 4, aproximadamente 6 y aproximadamente 8. El número promedio de fármacos por anticuerpo, o valor DAR, puede caracterizarse por medios convencionales, tales como espectroscopía UV/visible, espectrometría de masas, ensayo ELISA y HPLC. También se puede determinar un valor de DAR cuantitativo. En algunos casos, la separación, purificación y caracterización de LDC homogéneos que tienen un valor de DAR particular se puede lograr por medios tales como HPLC de fase inversa o electroforesis. La DAR puede estar limitado por el número de sitios de unión en el resto de direccionamiento.
Por ejemplo, cuando el resto de direccionamiento es un anticuerpo y el sitio de unión es un tiol de cisteína, un anticuerpo puede tener solo uno o varios grupos tiol suficientemente reactivos que reaccionan con un resto que contiene LB'. A veces, el tiol de cisteína es un grupo tiol derivado de un residuo de cisteína que participo en un enlace disulfuro entre cadenas. Otras veces, el tiol de cisteína es un grupo tiol de un residuo de cisteína que no participa en un enlace disulfuro entre cadenas, pero que se introdujo a través de ingeniería genética. Normalmente, menos del máximo teórico de restos D+ se conjuga con un anticuerpo durante una reacción de conjugación. Por ejemplo, un anticuerpo puede contener muchos residuos de lisina que no reaccionan con un resto que contiene Lb', ya que solo los grupos de lisina más reactivos pueden reaccionar con ese resto.
I. Modalidades
En la presente descripción se proporcionan Conjugados Fármaco Ligando (LDC) capaces de suministrar preferentemente un compuesto de tubulisina que contiene una amina terciaria a células hiperproliferativas o células inmunitarias hiperactivas o en las proximidades de tales células anómalas en comparación con las células normales o en el entorno de las células normales donde las células anómalas normalmente no están presentes y, por lo tanto, son útiles para tratar enfermedades y afecciones caracterizadas por estas células anómalas.
1.1 General:
Un LDC tiene tres componentes principales: (1) una Unidad de Ligando que corresponde o incorpora un agente de direccionamiento que se enlaza selectivamente a un resto diana presente en, dentro o en las proximidades de células anómalas u otras células no deseadas en comparación con otros restos presentes en, dentro o en las proximidades de células normales donde estas células anómalas o no deseadas normalmente no están presentes, o están presentes en, dentro o en las proximidades de células anómalas u otras células no deseadas en mayor abundancia en comparación con las células normales o el entorno de las células normales donde las anómalas o células no deseadas normalmente no están presentes, (2) una Unidad de Fármaco de tubulisina cuaternizada (D+) que incorpora o corresponde a la estructura de un compuesto de tubulisina que contiene amina terciaria mediante la cuaternización del átomo de nitrógeno de la amina terciaria y (3) una Unidad Enlazadora que conecta D+ a la Unidad de Ligando y es capaz de liberar condicionalmente el fármaco de tubulisina que contiene amina terciaria libre dentro o en las proximidades de las células anómalas o no deseadas que son la diana de la Unidad de Ligando.
Un compuesto de tubulisina que se usará en la presente invención es uno que ejerce su efecto principal o selectivo (por ejemplo, efecto citotóxico, citostático) en células de mamíferos en comparación con las células procariotas. En
algunos aspectos el resto diana es un epítopo de una proteína de membrana de presentación extracelular que se encuentra preferentemente en células anómalas o no deseadas en comparación con las células normales. La especificidad hacia las células anómalas o no deseadas (es decir, las células diana) resulta de la Unidad de Ligando (L) del LDC en la que se incorpora D. Además de L y D+, un LDC que se dirige a células anómalas o no deseadas normalmente tiene una Unidad Enlazadora que interconecta covalentemente la Unidad de Fármaco de tubulisina cuaternizada con la Unidad de Ligando. La Unidad de Ligando es de un anticuerpo, que es un agente de direccionamiento ilustrativo, que reconoce células de mamíferos anómalas.
En algunos aspectos el resto diana reconocido por la Unidad de Ligando es un epítopo de una proteína de membrana de presentación extracelular que se encuentra preferentemente en células anómalas o no deseadas en comparación con las células normales. En algunos de esos aspectos, y como requisito adicional, la proteína de membrana diana a la que se dirige la Unidad de Ligando debe tener un número de copias suficiente y ser internalizada tras la unión del LDC para suministrar intracelularmente una cantidad eficaz del compuesto de tubulisina citotóxico, citostático inmunosupresor o fármaco antiinflamatorio preferentemente a las células anómalas.
Un compuesto de tubulisina que contiene amina terciaria exhibe normalmente efectos periféricos adversos cuando se administra en forma no conjugada. Por tanto, ese compuesto necesita ser suministrado selectivamente por su LDC de modo que, la Unidad Enlazadora de un LDC no es simplemente una estructura pasiva que sirve como un puente entre la Unidad de Ligando de direccionamiento y D+ a partir del cual se libera el compuesto de tubulisina, pero debe diseñarse cuidadosamente para que tenga estabilidad desde el sitio de administración del LDC hasta su liberación en el sitio diana y a continuación debe liberar de manera eficiente un compuesto de tubulisina activo. Para llevar a cabo esta tarea, un agente de direccionamiento se hace reaccionar con un resto que contiene Lb' para formar un resto que contiene Lb dentro del Conjugado Ligando- Fármaco. Cuando se forma el resto que contiene Lb, el Conjugado Ligando-Fármaco resultante se compone normalmente del resto de direccionamiento (en forma de una Unidad de Ligando), la Unidad de Unión Covalente de Ligando (Lb), también denominada enlazador primario (Lr), un compuesto de tubulisina cuaternario (D+) y un enlazador secundario (Lo) que interviene entre Lb y D+.
1.1 Enlazador primario (Lr):
Un enlazador primario (Lr) es una Unidad de Unión Covalente de Ligando (Lb) o un precursor de Unidad de Unión Covalente de Ligando (LB') y normalmente está presente como un componente de una Unidad Enlazadora de un LDC o de un LB'- que contiene un resto tal como LB'-L O en un compuesto Enlazador de Fármaco que tiene la fórmula Lb'-Lo-D+. El enlazador primario de un resto que contiene Lb' se compone de un grupo funcional capaz de reaccionar con un grupo funcional electrófilo o nucleofílico de un agente de direccionamiento. Como resultado de esa reacción, el agente de direccionamiento se enlaza covalentemente como una Unidad de Ligando a un enlazador primario a través de Lb, en donde el enlazador primario es ahora Lb que tiene un grupo funcional derivado de Lb'.
En algunas modalidades, Lb' en un resto que contiene Lb' tiene la estructura de uno de
en donde R es hidrógeno o alquilo C1-C6 opcionalmente sustituido; _T es -Cl, -Br, -I, -O-mesilo, -O-tosilo u otro grupo sulfonato saliente; U es -F, -Cl, -Br, -I, -O-N-succinimida, -O-(4-nitrofenil), -O-pentafluorofenilo, tetrafluorofenilo u -O-C(=O)-OR57; _X2 es alquileno C1-C10, carbociclo C3-C8 , -O-(alquilo C1-C6), -arileno-, alquileno C1-C10-arileno, arilenoalquileno C1-C10, alquileno-Ci-Ci0-(carbociclo C3-C6)-, -(carbociclo C3-Cs)-alquileno C1-C10, heterociclo C3-C8 , alquileno-Ci-Ci0-(heterociclo C3-C8)-, heterociclo-C3-C8)-alquileno C1-C10, -(CH2CH2O)u o -CH2CH2OVCH2-, en donde u es un número entero que varía de 1 a 10 y R57 es alquilo o arilo C1-C6 y en donde la línea ondulada indica unión covalente a una subunidad de Lo.
En la interacción con un electrófilo o nucleófilo de un agente de direccionamiento, Lb' se convierte en un resto de Ligando-LB como se ejemplifica a continuación, donde ha tenido lugar una de tales interacciones:
en donde el átomo indicado (#) se deriva del resto reactivo del ligando y X2 es como se define.
1.2 Enlazadores secundarios (Lo):
Los enlazadores secundarios en un LDC o un precursor del mismo que contiene Lb', son un resto orgánico situado entre el enlazador primario (Lr) y la unidad de fármaco cuaternizado (D+) que permite el procesamiento de una Unidad Escindible (W or W') dentro de la Unidad Enlazadora del LDC después de la unión selectiva del resto de direccionamiento del LDC a su resto diana afín presente en, dentro o en las proximidades de células hiperproliferativas, células inmunitarias hiperactivas u otras células diana anómalas o no deseadas a las que se dirige el LDC. En algunas modalidades, W proporciona un sustrato para una proteasa que está presente dentro de células hiperproliferativas o células inmunitarias hiperactivas. Se prefieren aquellas unidades de escisión que no son reconocidas por proteasas excretadas por células normales que no están normalmente en presencia de células hiperproliferativas o células inmunitarias hiperactivas o son sustratos de proteasas que tienen circulación sistémica para minimizar la liberación de fármacos no dirigida o exposición sistémica al fármaco que contiene amina terciaria debido a su liberación prematura de su LDC. Más preferidas son aquellas proteasas que son proteasas reguladoras o proteasas que se encuentran en los lisosomas, que son compartimentos celulares a los que se suministra un LDC tras la internalización de un receptor de la superficie de la membrana al que el LDC se ha unido específicamente. Las proteasas reguladoras y lisosomales son proteasas intracelulares ilustrativas.
W dentro de un enlazador secundario está compuesto por un resto carbohidrato unido por enlace glicosídico que tiene un sitio de reconocimiento para una glicosidasa localizada intracelularmente. En esas modalidades, W es un resto de carbohidrato unido a E' a través de un enlace glicosídico en donde W'-E' proporciona el sitio de reconocimiento para la escisión de W de E', y en donde E' es un heteroátomo opcionalmente sustituido, el cual está compuesto por una Unidad Espaciadora autodestructiva a la que se enlaza W dentro de una Unidad de Glucurónido de fórmula -Y(W')-. En esas modalidades, W'-E'- normalmente tienen la estructura de
en donde R45 es -CH2OH o -CO2H y E' es -O- unido al resto carbohidrato y a un resto autodestructivo de Y (como se indica mediante la línea ondulada) en donde el enlace al resto carbohidrato proporciona un sitio de reconocimiento para una glicosidasa. Preferentemente, ese sitio es reconocido por una glicosidasa lisosoma. En algunas modalidades, la glicosidasa es una glucuronidasa como cuando R45 es -CO2 H.
Una Unidad Enlazadora Secundaria (Lo) además de W o W también se compone de una unidad espaciadora (Y) y un resto --Lp(PEG)- y puede estar compuesta adicionalmente por un segundo extensor (Ao) o una Unidad de Ramificación (B) dispuesta con respecto a W/W' en una relación ortogonal representada por Lo-D+ estructuras de (2a) y (2b), respectivamente
en donde Aa es una primera Unidad de Extensión opcional, AO es una segunda Unidad de Extensión opcional; Ww y W'w son Unidades Escindibles; e Yy es una Unidad Espaciadora, en donde los subíndices a y b son independientemente 0 o 1, el subíndice w o w' es 1 y el subíndice y es 1. Cuando el subíndice a es 1, la línea ondulada antes de Aa indica un enlace covalente de esa subunidad Lo con Lb' o Lb (resultante de Lb' después de su incorporación en un LDC). Cuando el subíndice a es 0, esa línea ondulada indica la unión covalente de Lb' o Lb al resto -Lp(PEG)- en la estructura (2a) o (2b).
En modalidades preferidas, el subíndice a es 1. En otras modalidades preferidas -Lo-D+ tiene la estructura de (2a) o 2(b), más preferentemente cuando AO está presente o el subíndice b es 0. En modalidades particularmente preferidas, -Lo-D+ tiene la estructura de (2a), en donde Ao está presente y el subíndice a es 1, de modo que A también está presente.
Las estructuras de algunos restos A/Ao, W y Y ilustrativos en Lo y sus sustituyentes se describen en WO 2004/010957, WO 2007/038658, patente de EE. UU. núm. 6,214,345, 7,498,298, 7,968,687 y 8,163,888, y patente de EE. UU. núm. 2009-0111756, 2009-0018086 y 2009-0274713.
En algunas modalidades Ao, A o subunidades de los mismos tienen la estructura de
en donde las líneas onduladas indican la unión covalente dentro del resto de LO, y en donde para AO la línea ondulada al resto carbonilo en cualquiera de las estructuras dentro de (1a) representa el punto de unión al amino terminal de un resto dipeptídico o un L-aminoácido de origen natural que comprende W cuando Y está dispuesto linealmente con respecto a Y y D+, o dentro de (2b) representa el punto de unión a un resto autodestructivo de Y descrito en la presente descripción al que W' está unido a Y y está dispuesto ortogonal con respecto a Y y D+, y en donde la línea ondulada al resto amino de cualquier estructura representa dentro de (1a) o (2a) el punto de unión a un grupo funcional que contiene carbonilo de Lp en -Lp(PEG);
en donde K y L son independientemente C, N, O o S, siempre que cuando K o L es O o S, R41 y R42 a K o R43 y R44 a L están ausentes, y cuando K o L son N, uno de R41, R42 a K o uno de R42, R43 a L están ausentes, y siempre que no se seleccionen dos L adyacentes independientemente como N, O o S;
en donde los subíndices e y f son números enteros seleccionados independientemente que varían de 0 a 12, y el subíndice g es un número entero que varía de 1 a 12:
en donde G es hidrógeno, alquilo C1-C6 opcionalmente sustituido, -OH, -ORPR, -CO2 H, CO2 RPR, en donde RPR es un protector adecuado, -N(RPR)(RPR), en donde RPR son independientemente un grupo protector o los RPR juntos forman un grupo protector adecuado, o -N(R45)(R46), en donde uno de R45, R46 es hidrógeno o RPR, en donde RPR es un grupo protector adecuado, y el otro es hidrógeno o alquilo C1-C6 opcionalmente sustituido;
en donde R38 es hidrógeno o alquilo C1-C6 opcionalmente sustituido; R31-R44 son independientemente hidrógeno, alquilo C1-C6 opcionalmente sustituido, arilo opcionalmente sustituido o heteroarilo opcionalmente sustituido, o ambos R39, R40 junto con el carbono al que están unidos comprenden un cicloalquilo C3-C6 , o R41, R42 junto con K al que están unidos cuando K es C, o R43, R44 junto con L al que están unidos cuando L es C comprenden un cicloalquilo C3-C6 , o R40 y R41, o R40 y R43, o R41 y R43 junto con el carbono o heteroátomo al que están unidos y los átomos intermedios entre esos carbono y/o heteroátomos comprenden un cicloalquilo o heterocicloalquilo de 5 o 6 miembros, siempre que cuando K es O o S, R41 y R42 están ausentes, cuando K es N, uno de R41, R42 está ausente, cuando L es O o S, R43 y R44 están ausentes, y cuando L es N, uno de R43, R44 está ausente.
En algunas modalidades, R38 es hidrógeno. En otras modalidades, -K(R41)(R42) es -(CH2)-. En otras modalidades, cuando el subíndice e no es 0, R39 y R40 son hidrógeno en cada caso. En otras modalidades, cuando el subíndice f no es 0, -L(R43)(R44)- es -CH2- en cada caso.
En modalidades preferidas, G es -CO2H. En otras modalidades preferidas, K y/o L son C. En otras modalidades preferidas, el subíndice e o f es 0. En otras modalidades preferidas, e f es un número entero que varía de 1 a 4.
En algunas modalidades, Ao, A o una subunidad de las mismas tiene la estructura de -NH-alquileno C1-C10-C(=O)-, -NH-alquileno C1-C10-NH-C(=O)-alquileno C1-C10-C(=O)-, -NH-alquileno C1-C10-C(=O)-NH-alquileno C1-C10-(C=O)-, -NH-(CH2CH2O)s-CH2(C=O)-, -NH-(carbociclo C3-C8)(C=O)-, -NH-(arileno-)-C(=O)- y -NH-(heterociclo C3-Ce-)C(=O).
En otras modalidades, Ao, A o una subunidad de las mismas tiene la estructura de
en donde R13 es -alquileno C1-C10-, -carbociclo C3-C8-, -arileno-, -heteroalquileno C1-C30-, -heterociclo C3-C8-, -alquileno C1-C10-arileno -, -arileno-alquileno C1-C10-, -alquileno C1-C10-(carbociclo C3-C8)-, -(carbociclo C3-C8)-alquileno C1-C10-, -alquileno C1-C10-(heterociclo C3-C8)-, -(heterociclo C3-C8)-alquileno C1-C10-, -(CH2CH2O)1-10(-CH2)1-3- o -(CH2CH2NH)1-10(-CH2)1-3-. En algunas modalidades, R13 es -alquileno C1-C10- o -heteroalquileno C1-C30-. En algunas modalidades, R13 es -alquileno C1-C10-, -(CH2CH2O)1-10(-CH2)1-3- o -(CH2CH2NH)1-10(-CH2)1-3-. En algunas modalidades, R13 es -alquileno C1-C10-polietilenglicol, o polietilenimina.
En modalidades más preferidas, AO, A o una subunidad de las mismas corresponde en estructura a o es un residuo de un alfa-aminoácido, un resto beta-aminoácido u otro ácido que contiene amina. Otras modalidades de A como una sola unidad y las subunidades A1-4 de A se describen en modalidades para Unidades Enlazadoras que tienen la fórmula LR-LO.
En otras modalidades, W y Y están dispuestos ortogonalmente en Lo (es decir, es -Y(W')-dentro de la Unidad Enlazadora) en donde SI de Y está unido a un resto carbohidrato unido por enlace glicosídico que tiene un sitio de reconocimiento para una glicosidasa en donde la disposición ortogonal que involucra SI de Y está normalmente representado por la estructura de
en donde E' está unido a uno de V, Z1, Z3, siempre que el otro V, Z1, Z2 (es decir, no unido a E) esté definido por =C(R24)- o =N-. En modalidades preferidas, la disposición ortogonal que involucra SI de Y se representa por la estructura de
en donde V, Z1 y Z3 son independientemente -C(R24)= o -N=; R24 son, independientemente, hidrógeno, halógeno, -NO2 , -CN, -OR25, -SR26, -N(R27)(R28), -C(R29)=C(R30)-R31 o C1-C6 opcionalmente sustituido;
en donde R25 es hidrógeno, alquilo C1-C6 opcionalmente sustituido, arilo opcionalmente sustituido o heteroarilo opcionalmente sustituido; R26 es alquilo C1-C6 opcionalmente sustituido, arilo opcionalmente sustituido o heteroarilo opcionalmente sustituido, y R27 y R28 son independientemente hidrógeno, alquilo C1-C6 opcionalmente sustituido, arilo opcionalmente sustituido o heteroarilo opcionalmente sustituido o ambos R27 y R28 junto con el nitrógeno al que están unidos comprenden o definen un heterociclo de 5 o 6 miembros, R29 y R30 son independientemente hidrógeno, o alquilo C1-C6 opcionalmente sustituido, y R31 es hidrógeno, alquilo C1-C6 opcionalmente sustituido, arilo opcionalmente sustituido, heteroarilo opcionalmente sustituido, -CN, -C(=O)OR32 o -C(=O)NR32; en donde R32 es hidrógeno, alquilo C1-C6 opcionalmente sustituido, arilo opcionalmente sustituido o heteroarilo opcionalmente sustituido;
R8 y R9 son independientemente hidrógeno o alquilo C1-C6 opcionalmente sustituido; R' es hidrógeno o es halógeno, -NO2, -CN o de otro grupo aceptor de electrones, o es un grupo aceptor de electrones; R45 es -CH2OH, -CO2H; E' es -O- o -NH-; J' es -Nh- y D+ es como se define en las modalidades descritas para unidades de fármaco cuaternizados.
En modalidades más preferidas, la disposición ortogonal que involucra SI de Y tiene la estructura de:
En modalidades preferidas, V o Z3 es =C(R24), en donde R24 es hidrógeno o un grupo aceptor de electrones. En otras modalidades preferidas, R8 y R9 son hidrógeno y V, Z1 o Z2 es =CH-. En otras modalidades preferidas, -J'- es -NH, V, Z1 o Z2 es =CH- y R' es hidrógeno o un grupo aceptor de electrones, preferentemente -Cl, -F o -NO2.
1.3 Lr-Lo como Unidades Enlazadoras
La unidad de fármaco cuaternario (D+) unida a cualquiera de los anteriores restos autodestructivos descritos en la presente descripción representa cualquier compuesto de tubulisina cuaternizado en el que la amina terciaria del componente C-terminal de un compuesto de tubulisina está cuaternizada (es decir, D+ es un compuesto de tubulisina que contiene amina terciaria cuaternizada) en el que el nitrógeno cuaternizado está unido a la posición bencílica de un resto SI en una Unidad Espaciadora autodestructiva.
en donde V, Z1 y Z2 son independientemente =N- o =C(R24)-, en donde R24, independientemente seleccionado, es
hidrógeno, alquilo opcionalmente sustituido o un grupo donante de electrones, y R8 y R9 son independientemente hidrógeno o alquilo opcionalmente sustituido y J es -O- o -N(R33), en donde R33 es hidrógeno o alquilo inferior.
En modalidades preferidas donde A, w e Y están en una configuración lineal, - LB-LO-D+ o LB'-LO-D+ tienen la estructura de:
En modalidades más preferidas donde A, w e Y están en una configuración lineal, un Conjugado Ligando-Fármaco o un compuesto Enlazador de Fármaco de fórmula Lr-Lo-D+ tiene la estructura de:
o,
En otras modalidades preferidas, -Lb-Lo-D+ o Lb'-Lo-D+ tiene la estructura de:
en donde V y Z3 son independientemente =N- o =C(R24)-, en donde R24, seleccionado independientemente, es hidrógeno, alquilo opcionalmente sustituido o un grupo donante de electrones, R8 y R9 son independientemente hidrógeno o alquilo opcionalmente sustituido, y J' es -O- o -N(R33), en donde R33 es hidrógeno o alquilo inferior, y R' es hidrógeno o un grupo aceptor de electrones.
En otras modalidades más preferidas, Lr-Lo-D+ (es decir, --Lb-Lo-D+ o Lb'-Lo-D+) tiene la estructura de
en donde V, Z1 o Z3 son =N- o =C(R24)-, en donde R24, seleccionado independientemente, es hidrógeno, alquilo opcionalmente sustituido o un grupo donante de electrones, R8 y R9 son independientemente hidrógeno o alquilo opcionalmente sustituido, y J' es -O- o -N(R33), en donde R33 es hidrógeno o alquilo inferior, R' es hidrógeno o un grupo aceptor de electrones y O' representa un oxígeno con enlace glicosídico, cuyo enlace es escindible por una glicosidasa. En modalidades preferidas, J' es -NH-.
Preferentemente, Ao, cuando Ao está presente, en una cualquiera de las estructuras Lr-Lo anteriores, corresponde en estructura a un ácido que contiene amina en donde el terminal ácido carboxílico del ácido que contiene amina está unido a J/J' como un éster o amida, preferentemente amida y su N-terminal está unido a Lp a través de un grupo funcional que contiene carbonilo.
En modalidades particularmente preferidas, -Lb-A- o Lb'-A en cualquiera de las modalidades anteriores -Lb-Lo-D+, Lb'-Lo-D+ o Lr-Lo-D+ tiene la estructura de M1-A, M1-A1-A2-, M2-A o M2-A1-A2- representada por:
en donde A1 y A2 son subunidades de A, Lb es un resto succinimida (M2) y Lb' es un resto maleimida (M1), en donde -[C(Rb1)(Rb1)]q-[HE]- es A o una subunidad (A1) de A; R y Ra2 son independientemente hidrógeno o alquilo opcionalmente sustituido; Ra1 es hidrógeno, alquilo inferior o BU; HE es una unidad potenciadora de hidrólisis (HE) opcional; el subíndice q es un número entero que varía de 0 a 6, cada Rb1 es independientemente hidrógeno, alquilo C1-C6 opcionalmente sustituido, arilo opcionalmente sustituido o heteroarilo opcionalmente sustituido, o dos Rb1 junto con el(los) carbono(s) al(a los) que están unidos comprenden o definen un cicloalquilo C3-C6 o un Rb1 y HE junto con el carbono al que están unidos comprenden o definen un cicloalquilo de 5 o 6 miembros o un heterocicloalquilo de 5 o 6 miembros y el otro Rb1 es hidrógeno, alquilo C1-C6 opcionalmente sustituido, arilo opcionalmente sustituido o heteroarilo opcionalmente sustituido; BU es una unidad básica que tiene la estructura de -[C(R1)(R1)]-[C(R2)(R2)]n-N(R22)(R23), en donde el subíndice n es 0, 1, 2 o 3, R1 son independientemente hidrógeno o alquilo inferior o dos R1 junto con el carbono al que están unidos comprenden o definen un cicloalquilo C3-C6, R2 son independientemente hidrógeno, alquilo C1-C6 opcionalmente sustituido, arilo opcionalmente sustituido o heteroarilo opcionalmente sustituido, o dos R2 junto con el(los) carbono(s) al(a los) que están unidos y cualquier carbono intermedio definen un cicloalquilo C3-C6, o un R1 y un R2 junto con los carbonos al que están unidos y cualquier carbono intermedio comprenden o definen un cicloalquilo de 5 o 6 miembros y los R1 y R2 restantes son como se definen; R22 y R23 son independientemente hidrógeno o alquilo C1-C6 opcionalmente sustituido o R22 y R23 junto con el nitrógeno al que están unidos comprenden o definen un heterocicloalquilo de 5 o 6 miembros o uno de R22, R23 es hidrógeno y el otro es un grupo protector de ácido lábil; y en donde un resto sulfhidrilo de un agente de direccionamiento está unido a M2 como Unidad de Ligando de direccionamiento como indica la línea ondulada al resto de succinimida y en donde la línea ondulada a HE (o a [C(Rb1)(Rb1)]q cuando HE no está presente) indica unión covalente a otra subunidad de A o a -Lp(PEG)-.
En otras modalidades particularmente preferidas, -Lb-A- o -LB-A1-A2 en una cualquiera de las modalidades anteriores que contiene Lb tiene la estructura de M3-A o M3-A1-A2 representado por:
en donde Ai y A2 son subunidades de A, y M3A y M3B son regioisómeros de M3 y en donde los grupos variables y la conectividad a un grupo sulfhidrilo de un resto de direccionamiento y HE (o [C(Rb1)(Rb1)]q) son como se definen para los restos que contienen succinimida correspondientes mostrados inmediatamente arriba. En las presentes modalidades, Lb se denomina un resto de ácido succínico-amida (M3) y -L b-A-, Lb'-A, -Lb-A1 - o Lb'-A1 se denominan como restos que contienen ácido succínico-amida, que son restos Ls representativos.
En esas y en cualquiera de las modalidades anteriores que comprenden HE, HE es preferentemente -C(=O)-.
En cualquiera de esas modalidades Lb-A-, Lb'-A-, -Lb-A1- and Lb'-A1- o M1-A, M1-A1-A2-, M2-A-, M2-A1-A2-, A1-A2- cada Rb independientemente es preferentemente hidrógeno o alquilo inferior y el subíndice m es 0 o 1, Ra1 es preferentemente hidrógeno, alquilo inferior o BU o Ra2 es preferentemente hidrógeno.
En cualquiera de las modalidades anteriores donde W, Y y D+ están en una configuración lineal y se componen de A o A1-A2 , las modalidades preferidas son aquellas donde W está unido a A o A2 a través de un grupo funcional amida.
En aquellas modalidades preferencia A, A1 y A2 tienen estructuras seleccionadas de forma independiente que corresponden o incorporan ácidos que contienen aminas como se describe en la presente descripción para las modalidades de la Unidad de Extensión. En cualquiera de las modalidades anteriores -Lb-A-, Lb'-A-, -Lb-A1- y Lb'-A1-que comprenden A o A1, A y A1 tienen preferentemente estructuras correspondientes a la incorporación de ácidos que contienen amina o son residuos de ácidos que contienen amina como se describe en la presente descripción para modalidades de Unidad de Extensión en donde A está unido a W o A 1 está unido a A2 a través de un grupo funcional amida. En cualquiera de las modalidades anteriores M1-A-, M1-A1-A2-, M2-A-, M2-A1-A2-, M3-A- and M3-A1-A2-, preferentemente A, A1 y A2 tienen estructuras seleccionadas independientemente correspondientes a o que incorporan ácidos que contienen amina o son residuos de aminoácidos seleccionados independientemente como se describe en la presente descripción para las modalidades de la primera Unidad de Extensión A y la segunda Unidad de Extensión Ao. En cualquiera de las modalidades anteriores Lss o Ls que comprenden restos -A(BU)- o -A1(BU)-, A y A1 tienen preferentemente estructuras correspondientes a o incorporan ácidos que contienen amina sustituidos con BU, y son, por lo tanto, ácidos que contienen diamino como se describe en la presente descripción para modalidades de Unidades de Extensión y Unidades Básicas. En los restos que contienen M1, M2 y M3 que tienen restos A o A1 que corresponden en estructura a o son residuos de un ácido que contiene amina, el nitrógeno amínico del ácido que contiene amina se incorpora como el nitrógeno imínico del sistema de anillo M1 o M2 o como nitrógeno amídico del resto M3. En los restos que contienen Lss o Ls, el nitrógeno amínico N-terminal del ácido que contiene
diamino se incorpora como el nitrógeno imínico del sistema de anillo de M1 o M2 o el nitrógeno amida del resto M3. Preferentemente, para cualquiera de los restos anteriores que contienen M1-, M2- y M3- o restos que contienen Lss- o Ls-, el ácido carboxílico del ácido que contiene amina o el ácido que contiene diamino se incorpora en un grupo funcional amida a A2 para los restos que comprenden A1-A2- o W para los restos que comprenden A cuando A es una sola unidad.
En modalidades más preferidas, A o A1 y A2 en -A1-A2- se representan independientemente por las estructuras (3) o (4):
en donde L está ausente (es decir, el subíndice e es 0) y G es hidrógeno, BU, -CO2H o -NH2 o la cadena lateral de un aminoácido de origen natural tal como el ácido aspártico, el ácido glutámico o la lisina y el otro grupo variable son como se definieron previamente. En otras modalidades preferidas, L y K son carbono y R41, R42, R43 y R44 en cada caso es hidrógeno y R38-R40 y los subíndices e, f y g son como se definieron previamente. En otras modalidades preferidas, R38-R44 en cada caso es hidrógeno y K, L y los subíndices e, f y g son como se definieron previamente. Otras modalidades preferidas tienen la estructura (3) en donde K es nitrógeno y uno de R41, R42 está ausente y el otro es hidrógeno y L, los subíndices e, f y g y los restantes grupos variables R39-R42 son como se definieron previamente. Otras modalidades preferidas tienen la estructura (4) en donde el subíndice g es 1, K es nitrógeno y uno de R41, R42 está ausente y el otro es hidrógeno, L, los subíndices e y f y los restantes grupos variables R39-R42 son como se definieron previamente. En otras modalidades preferidas, los subíndices e y f de la estructura (3) son cada uno 0 o los subíndices f y g de la estructura (4) son cada uno 0, en donde K, L y los restantes grupos variables R38-R44 son como se definieron previamente. Otras modalidades preferidas tienen una estructura (3) en donde los subíndices e y f son ambos 0 y K junto con R41 y R42 es -C(=O)- y los restantes grupos variables R38-R40 son como se definieron previamente. Otras modalidades preferidas tienen una estructura (4) en donde el subíndice f es 1 y L junto con R43 y R44 es -C(=O)- y K, L, el subíndice g y R38-R42 son como se definieron previamente.
En modalidades más preferidas A o A1 y A2 en -A1-A2-, tienen independientemente la estructura de (3a) o (4a):
en donde el subíndice e o f es 0 o 1 y G y R39-R44 son como se definieron previamente.
Cuando un resto LSS o LS está compuesto de A o A1 las estructuras preferidas de A o A1 corresponden a las mostrados para (3), (3a), (4) y (4a) en donde R38 está ausente, G es una unidad básica (BU) y el nitrógeno N-terminal se incorpora en un resto M1 o M2 como el nitrógeno imínico del sistema de anillos de dicho resto o se incorporan a un resto M3 como el nitrógeno amídico de la amida del ácido succínico.
En otras modalidades más preferidas, A o A1 y Ao de A corresponden independientemente en estructura a o son residuos seleccionado independientemente de un alfa-amino, beta-amino u otro ácido que contenga amina. Cuando un resto Lss o Ls está compuesto de A o A1, los restos preferidos de A o A1 corresponden en estructura a o don residuos de una alfa-amino, beta-amino u otro ácido que contenga amina sustituido con BU (es decir, es un ácido que contiene diamino), en donde el nitrógeno N-terminal del ácido alfa-amino, beta-amino u otro ácido que contenga amina BU sustituida, que se representa por A(BU) o A1(BU), se incorpora a un resto M1 o M2 como el nitrógeno de imínico del sistema de anillos de dicha resto o se incorpora a M3 como el nitrógeno de amida del resto de amida del ácido succínico.
En esas modalidades, particularmente preferidas A(BU) o A1(BU) tienen la estructura de (3) o (3a) en donde e es 0 y G es BU o tienen la estructura de (4) o (4a) en donde f es 1 y G es BU. En modalidades en donde W, Y y D+ están en posición lineal, en donde Ao está presente, los ácidos que contienen amina particularmente preferidos incorporados como Ao tienen la estructura de -NH2-X1-CO2 H en donde X1 es un alquileno C1-C6 opcionalmente sustituido, que incluye ácido £-aminocaproico y ácido p-aminopropiónico.
En modalidades preferidas donde A, w e Y están en configuración ortogonal en -Lb-Lo-D+ o Lb'-Lo-D+ tienen la
estructura de:
En modalidades más preferidas, E' es O', J/J' es -NH-, R34 es metilo, isopropilo o -CH(OH)CH 3 y R35 es metilo, -(CH2)3NH(C=O)NH2 o -(CH2)2CO2H, R45 es -CO2 H y R', R8, R9, J, V, Z1, Z2 y Z3 son como se definieron previamente para la Fórmula 1A, 1B, 1D o la Fórmula IA, IB o ID. En modalidades más preferidas, R8 y R9 son ambos hidrógeno. En otras modalidades aún más preferidas, E es O', J/J' es -NH-, V, Z1, Z2 y Z 3 son cada uno -CH=. También son más preferidas aquellas modalidades en donde Lb' tiene la estructura de un resto maleimida (M1) o en donde Lb tiene la estructura de un resto succinimida (M2) o un resto ácido succínico-amida (M3).
Más preferidas son aquellas modalidades en las que Lb'-A tiene la estructura dada anteriormente para cualquiera de los restos M1-A- y más preferidos, los restos -Lb-A- tienen la estructura dada anteriormente para cualquiera de los restos M2-A- o M3-A1-. En cualquiera de esas modalidades, J/J' es preferentemente -NH.
En modalidades preferidas en las que W', Y y D+ están en una relación ortogonal, Ao está presente y tiene la estructura definida anteriormente para (3), (3a), (4) o (4a), en donde la línea ondulada del resto carbonilo de cualquiera de las estructuras representa el punto de unión de Ao a J', preferentemente a través de un grupo funcional amida, y en donde la línea ondulada del resto amino de cualquiera de las estructuras representa el punto de unión a un grupo funcional que contiene carbonilo de Lp o -Lp(PEG)-, preferentemente formando un grupo funcional amida, en donde los grupos variables son como se definieron previamente para las estructuras que representan A o A1 y A2 en -A1-A2-. En modalidades preferidas L está ausente (es decir, el subíndice q es 0) y G es hidrógeno, -CO2H o -NH2 o la cadena lateral de un aminoácido de origen natural tal como ácido aspártico, ácido glutámico o lisina. En otras modalidades preferidas, L y K son carbono y R41, R42, R43 y R44 en cada caso es hidrógeno. En otras modalidades preferidas, R38-R44 en cada caso es hidrógeno. Otras modalidades preferidas tienen la estructura (3) en donde K es nitrógeno y uno de R41, R42 está ausente y el otro es hidrógeno. Otras modalidades preferidas tienen la estructura (4) en donde r es 1, K es nitrógeno y uno de R41, R42 está ausente y el otro es hidrógeno. En otras modalidades preferidas, los subíndices p y q de estructura (3) son 0 o los subíndices q y r de estructura (4) son 0. Otras modalidades preferidas tienen la estructura (3) en donde p y q son ambos 0 y K junto con R41 y R42 es -C(=O)-. Otras modalidades preferidas tienen la estructura (4) en donde el subíndice q es 1 y L junto con R43 y R44 es -C(=O)-.
En otras modalidades más preferidas, A o A1 y Ao de A corresponden independientemente en estructura a o es un residuo de un alfa-amino, beta-amino u ácido que contenga amina. En otras modalidades más preferidas que tienen un resto Lss o Ls, ese resto está compuesto por A o A1 con estructuras preferidas correspondientes a las mostradas para (3), (3a), (4) y (4a) en donde R38 está ausente, G es una unidad básica (BU) y el nitrógeno N-terminal se incorpora en un resto M1 o M2 como el nitrógeno imínico de ese sistema de anillos o se incorpora en un resto M3 como el nitrógeno amida de la amida del ácido succínico. Otros restos A o A 1 preferidos para Lss o Ls corresponden
en estructura a o incorporan un alfa-amino, beta-amino u otro ácido que contiene amina sustituida con BU (es decir, es un ácido que contiene diamino), en donde el nitrógeno N-terminal del alfa-amino, beta-amino u otro ácido que contiene amina sustituida con BU, que se representa por A(BU) o A1(BU), se incorpora en un resto M1 o M2 como el nitrógeno imínico de su sistema de anillos o se incorpora en M3 como el nitrógeno amida del resto amida del ácido succínico.
En las modalidades compuestas donde A, W' e Y están en una configuración ortogonal en -LB-LO-D+ o LB'-LO-D+ en donde AO está presente, los ácidos que contienen amina particularmente preferidos que corresponden a AO incorporan la estructura de NH2-X1-CO2H, en donde X1 es un alquileno C1-C6 opcionalmente sustituido, que incluye ácido s-aminocaproico y ácido p-aminopropiónico.
1.3.1 Unidad de ligando
En algunas modalidades de la invención, está presente una unidad de ligando. La Unidad de Ligando (L-) es un resto de direccionamiento que se enlaza específicamente a un resto diana. La Unidad de Ligando puede unirse específicamente a un componente celular (un Agente de Unión Celular) o a otras moléculas diana de interés. La Unidad de Ligando actúa para dirigir y presentar la Unidad de Fármaco de tubulisina cuaternizada a la población de células diana en particular con la que interactúa la Unidad de Ligando para la liberación selectiva de D+ como compuesto de tubulisina libre. Los agentes de direccionamiento incluyen, pero no se limitan a, proteínas, polipéptidos y péptidos. Las Unidades de Ligando adecuadas incluyen aquellas del agente de direccionamiento tales como anticuerpos, por ejemplo, anticuerpos de longitud completa y fragmentos de unión a antígeno de los mismos. Un agente de direccionamiento reacciona con un precursor de la Unidad de Unión Covalente de Ligando LB' para formar L-Lb- en donde L es una Unidad de Ligando y Lb es la Unidad de Unión Covalente de Ligando. El agente de direccionamiento tiene que tener el número requerido de sitios de unión para acomodar los restos de enlazador de fármaco, cada uno de los cuales comprende un Lb, ya sea de origen natural o no natural (p. ej., modificado por ingeniería). Por ejemplo, para que el valor del subíndice p sea de 6 a 14, la unidad de ligando el agente de direccionamiento tiene que ser capaz de formar un enlace con 6 a 14 restos del Enlazador de Fármaco. Un agente de direccionamiento puede formar un enlace con Lb' en la Unidad Enlazadora de un compuesto Enlazador de Fármaco a través de un heteroátomo reactivo o activable o un grupo funcional que contiene heteroátomos del agente de direccionamiento. Los heteroátomos reactivos o activables o un grupo funcional que contiene un heteroátomo pueden estar presente en un agente de direccionamiento que incluye azufre (en una modalidad, de un grupo sulfhidrilo de un agente de direccionamiento), C=O o (en una modalidad, de un grupo carbonilo, carboxilo o hidroxilo de un agente de direccionamiento) y nitrógeno (en una modalidad, de un grupo amino primario o secundario de un agente de direccionamiento). Estos heteroátomos pueden estar presentes en el agente de direccionamiento en estado natural, por ejemplo, un anticuerpo de origen natural, o pueden introducirse en un agente de direccionamiento a través de una modificación química o ingeniería biológica.
En una modalidad, el agente de direccionamiento tiene un grupo sulfhidrilo y la Unidad de Ligando de la misma se enlaza a la Unidad Enlazadora a través del átomo de azufre del grupo sulfhidrilo.
En otra modalidad, el agente de direccionamiento tiene residuos de lisina que pueden reaccionar con ésteres activados (tales ésteres incluyen, pero no se limitan a, ésteres de N-hidroxisuccinimida, pentafluorofenilo y pnitrofenilo) of Lb' de la Unidad Enlazadora de un compuesto Enlazador de Fármaco y así formar un enlace amida entre el átomo de nitrógeno de la Unidad de Ligando y el grupo C=O de la Unidad Enlazadora.
En otro aspecto más, el agente de direccionamiento tiene uno o más residuos de lisina que pueden modificarse químicamente para introducir uno o más grupos sulfhidrilo. La Unidad de Ligando de ese agente de direccionamiento se enlaza a la Unidad Enlazadora a través del átomo de azufre del grupo sulfhidrilo introducido. Los reactivos que pueden usarse para modificar las lisinas de esa manera incluyen, pero no se limitan a, N-succinimidil S-acetiltioacetato (SATA) e hidrocloruro de 2-iminotiolano (Reactivo de Traut).
En otra modalidad, el agente de direccionamiento puede tener uno o más grupos carbohidrato que pueden modificarse químicamente para tener uno o más grupos sulfhidrilo. La Unidad de Ligando de ese agente de direccionamiento se enlaza a la Unidad Enlazadora a través del átomo de azufre del grupo sulfhidrilo introducido. En otra modalidad adicional, el agente de direccionamiento puede tener uno o más grupos carbohidrato que pueden oxidarse para proporcionar un grupo aldehído (-CHO) (véase, por ejemplo, Laguzza y otros, 1989, J. Med. Chem.
32(3): 548-55). El aldehído correspondiente puede a continuación reaccionar con un Lb' que tiene un nitrógeno nucleofílico. Los sitios reactivos en Lb' que pueden reaccionar con un grupo carbonilo en un agente de direccionamiento incluyen, pero no se limitan a, hidrazina e hidroxilamina. Otros protocolos para la modificación de proteínas para la unión de restos enlazadores de fármaco se describen en Coligan y otros, Current Protocols in Protein Science, vol. 2, John Wiley & Sons (2002).
Un agente de direccionamiento forma un enlace con un grupo reactivo en Lb' de un compuesto Enlazador de Fármaco para formar un LDC, en el que un resto enlazador de fármacos está compuesto por un resto que contiene
Lb. Una variedad de grupos reactivos es útil y dependerán de la naturaleza de la Unidad de Ligando. El grupo reactivo puede ser una maleimida que está presente en Lb' (antes de la unión a L) y la unión covalente de L a Lb se logra a través de un grupo sulfhidrilo del agente de direccionamiento para formar una succinimida tio sustituida. El grupo sulfhidrilo puede estar presente sobre el agente de direccionamiento en su estado natural, por ejemplo, un residuo de origen natural, o puede introducirse en el agente de direccionamiento a través de una modificación química.
En otra modalidad adicional, el agente de direccionamiento es un anticuerpo y el grupo sulfhidrilo se genera por reducción de un disulfuro intercatenario. Por consiguiente, en algunas modalidades, la Unidad Enlazadora se conjuga con un residuo de cisteína de los disulfuros intercatenarios reducidos de la Unidad de Ligando.
En otra modalidad adicional, el agente de direccionamiento es un anticuerpo y el grupo sulfhidrilo se introduce químicamente en el anticuerpo, por ejemplo, mediante la introducción de un residuo de cisteína. Por consiguiente, en algunas modalidades, la Unidad Enlazadora se conjuga con un residuo de cisteína introducido.
Se ha observado para los bioconjugados que el sitio de conjugación del fármaco puede afectar a varios parámetros que incluyen la facilidad de conjugación, la estabilidad del enlazador de fármaco, los efectos sobre las propiedades biofísicas de los bioconjugados resultantes y la citotoxicidad in vitro. Con respecto a la estabilidad del enlazador de fármaco, el sitio de conjugación de un enlazador de fármaco a una Unidad de Ligando puede afectar la capacidad del resto del enlazador de fármaco conjugado para experimentar una reacción de eliminación y para que el resto del enlazador de fármaco se transfiera desde la Unidad de Ligando de un bioconjugado a un tiol reactivo alternativo presente en el entorno del bioconjugado, tal como, por ejemplo, un tiol reactivo en albúmina, cisteína libre o glutatión cuando está en plasma. Dichos sitios incluyen, por ejemplo, los disulfuros intercatenarios, así como sitios seleccionados diseñados con cisteína. Los Conjugados Fármaco Ligando descritos en la presente descripción pueden conjugarse con residuos de tiol en sitios que son menos susceptibles a la reacción de eliminación (por ejemplo, las posiciones 239 según el índice de la UE, como se establece en Kabat), además de otros sitios.
En cualquiera de las modalidades descritas en la presente descripción, la Unidad de Ligando puede ser un anticuerpo. Los anticuerpos policlonales útiles son poblaciones heterogéneas de moléculas de anticuerpos derivadas de sueros de animales inmunizados. Los anticuerpos monoclonales útiles son poblaciones homogéneas de anticuerpos contra un determinante antigénico particular (por ejemplo, un antígeno de célula cancerosa, un antígeno viral, un antígeno microbiano, una proteína, un péptido, un carbohidrato, una sustancia química, un ácido nucleico o fragmentos de los mismos). Un anticuerpo monoclonal (AcM) contra un antígeno de interés puede prepararse mediante el uso de cualquier técnica conocida en la técnica que proporcione la producción de moléculas de anticuerpo mediante líneas celulares continuas en cultivo.
Los anticuerpos monoclonales útiles incluyen, pero no se limitan a, anticuerpos monoclonales humanos, anticuerpos monoclonales humanizados o anticuerpos monoclonales quiméricos humano-ratón (u otras especies). Los anticuerpos incluyen anticuerpos de longitud completa y fragmentos de unión al antígeno de los mismos. Los anticuerpos monoclonales humanos se pueden preparar mediante cualquiera de las numerosas técnicas conocidas en la técnica (por ejemplo, Teng y otros, 1983, Proc. Natl. Acad. Sci. USA. 80:7308-7312; Kozbor y otros, 1983, Immunology Today 4: 72-79; y Olsson y otros, 1982, Meth. Enzymol. 92:3-16).
El anticuerpo puede ser un fragmento, derivado o análogo funcionalmente activo de un anticuerpo que se enlaza inmunoespecíficamente a células diana (por ejemplo, antígenos de células cancerosas, antígenos virales o antígenos microbianos). A este respecto, "funcionalmente activo" significa que el fragmento, derivado o análogo es capaz de unirse inmunoespecíficamente a las células objetivo. Para determinar qué secuencias de CDR se enlazan al antígeno, se pueden usar péptidos sintéticos que contienen las secuencias de CDR en ensayos de unión con el antígeno mediante cualquier método de ensayo de unión conocido en la técnica (por ejemplo, el ensayo de BIAcore) (ver, por ejemplo, Kabat y otros, 1991, Sequences of Proteins of Immunological Interest, Quinta Edición, National Institute of Health, Bethesda, Md; Kabat E y otros, 1980, J. Immunology 125(3):961-969).
Otros anticuerpos útiles incluyen fragmentos de anticuerpos tales como, pero no limitados a, fragmentos F(ab')2, fragmentos Fab, Fvs, anticuerpos monocatenarios, diacuerpos, triacuerpos, tetracuerpos, scFv, scFv-FV o cualquier otra molécula con la misma especificidad que el anticuerpo.
Además, los anticuerpos recombinantes, como los anticuerpos monoclonales quiméricos y humanizados, que comprenden porciones tanto humanas como no humanas, que pueden prepararse mediante el uso de técnicas estándar de ADN recombinante, son anticuerpos útiles. Un anticuerpo quimérico es una molécula en la que diferentes porciones se derivan de diferentes especies animales, como, por ejemplo, aquellas que tienen una región variable derivada de un anticuerpo monoclonal murino y regiones constantes de una inmunoglobulina humana. (Véase, por ejemplo, patente de Ee . UU. núm. 4,816,567 y patente de EE. UU. núm. 4, 816,397). Los anticuerpos humanizados son moléculas de anticuerpos de especies no humanas que tienen una o más regiones determinantes de complementariedad (CDR) de la especie no humana y una región marco de una molécula de inmunoglobulina humana. (Véase, por ejemplo, patente de EE. UU. núm. 5,585,089). Tales anticuerpos monoclonales quiméricos y humanizados pueden producirse mediante técnicas de ADN recombinante conocidas en la técnica, por ejemplo,
mediante el uso de métodos descritos en la Publicación Internacional núm. WO 87/02671; Publicación de Patente Europea núm. 0184187; Publicación de Patente Europea núm. 0171496; Publicación de Patente Europea núm. 0 173494; Publicación Internacional núm. WO 86/01533; Patente de EE. UU. núm. 4,816,567; Publicación de Patente Europea núm. 012023; Berter y otros, 1988, Science 240:1041-1043; Liu y otros, 1987, Proc. Natl. Acad. Sci. USA 84: 3439-3443; Liu y otros, 1987, J. Immunol. 139: 3521-3526; Sun y otros, 1987, Proc. Natl. Acad. Sci. USA 84: 214-218; Nishimura y otros, 1987, Cancer. Res. 47: 999-1005; Wood y otros, 1985, Nature 314: 446-449; y Shaw y otros, 1988, J. Natl. Cancer Inst. 80: 1553-1559; Morrison, 1985, Science 229: 1202-1207; Oi y otros, 1986, BioTechniques 4:214; patente de Estados Unidos núm. 5,225,539; Jones y otros, 1986, Nature 321: 552-525; Verhoeyan y otros, 1988, Science 239:1534; y Beidler y otros, 1988, J. Immunol. 141:4053-4060.
Los anticuerpos completamente humanos son particularmente convenientes y se pueden producir mediante el uso de ratones transgénicos que son incapaces de expresar genes de cadenas ligeras y pesadas de inmunoglobulina endógenas, pero que pueden expresar genes de cadenas ligeras y pesadas humanas.
Los anticuerpos incluyen análogos y derivados que se modifican, es decir, mediante la unión covalente de cualquier tipo de molécula siempre que dicha unión covalente permita que el anticuerpo retenga sustancialmente su inmunoespecificidad de unión al antígeno. Por ejemplo, pero no a modo de limitación, los derivados y análogos de los anticuerpos incluyen aquellos que se modifican adicionalmente, por ejemplo, mediante glicosilación, acetilación, PEGilación, fosforilación, amidación, derivatización mediante grupos protectores/bloqueantes conocidos, escisión proteolítica, unión a una unidad de anticuerpo celular u otra proteína, etc. Cualquiera de las numerosas modificaciones químicas se puede llevar a cabo mediante técnicas conocidas que incluyen, pero no se limitan a, escisión química específica, acetilación, formilación, síntesis metabólica en presencia de tunicamicina, etc. Además, el análogo o derivado puede contener uno o más aminoácidos no naturales.
Los anticuerpos pueden tener modificaciones (por ejemplo, sustituciones, deleciones o adiciones) en los residuos de aminoácidos que interactúan con los receptores de Fc. En particular, los anticuerpos pueden tener modificaciones en los residuos de aminoácidos identificados como involucrados en la interacción entre el dominio anti-Fc y el receptor FcRn (véase, por ejemplo, la Publicación Internacional núm. WO 97/34631).
Los anticuerpos inmunoespecíficos para un antígeno de células cancerosas pueden obtenerse comercialmente o producirse mediante cualquier método conocido por un experto en la técnica tal como, por ejemplo, síntesis química o técnicas de expresión recombinante. La secuencia de nucleótidos que codifica anticuerpos inmunoespecíficos para un antígeno de células cancerosas puede obtenerse, por ejemplo, de la base de datos GenBank o una base de datos similar, las publicaciones bibliográficas o mediante clonación y secuenciación rutinarias.
En una modalidad específica, se pueden usar anticuerpos conocidos para el tratamiento del cáncer. Los anticuerpos inmunoespecíficos para un antígeno de células cancerosas pueden obtenerse comercialmente o producirse mediante cualquier método conocido por un experto en la técnica tal como, por ejemplo, técnicas de expresión recombinante. La secuencia de nucleótidos que codifica anticuerpos inmunoespecíficos para un antígeno de células cancerosas puede obtenerse, por ejemplo, de la base de datos GenBank o una base de datos similar, las publicaciones bibliográficas o mediante clonación y secuenciación rutinarias.
En otra modalidad específica, se usan anticuerpos para el tratamiento de una enfermedad autoinmunitaria de acuerdo con las composiciones y métodos de la invención. Los anticuerpos inmunoespecíficos para un antígeno de una célula que es responsable de producir anticuerpos autoinmunitarios pueden obtenerse de cualquier organización (por ejemplo, un científico universitario o una empresa) o producirse mediante cualquier método conocido por un experto en la técnica, tal como, por ejemplo, técnicas de síntesis química o de expresión recombinante.
En determinadas modalidades, los anticuerpos útiles pueden unirse a un receptor o un complejo receptor expresado en un linfocito activado. El receptor o complejo receptor puede comprender un miembro de la superfamilia de genes de inmunoglobulina, un miembro de la superfamilia del receptor de TNF, una integrina, un receptor de citocina, un receptor de quimiocina, una proteína de histocompatibilidad principal, una lectina o una proteína de control del complemento.
En algunos aspectos, el anticuerpo se unirá específicamente a CD19, CD20, CD30, CD33, CD70, alfa-v-beta-6 o el antígeno Y de Lewis.
El anticuerpo puede ser un anticuerpo anti-CD33 humanizado (EE. UU. 2013/0309223), un anticuerpo anti-Beta6 humanizado (véase, por ejemplo, WO 2013/123152i), un anticuerpo anti-Liv-1 humanizado (véase, por ejemplo, EE. UU. 2013/0259860) o un anticuerpo AC10 humanizado (véase, por ejemplo, EE. UU. 8,257,706).
Una unión ilustrativa al ligando a través de enlaces tioéter. Los enlaces tioéter pueden ser a través de enlaces disulfuro intercatenarios, residuos de cisteínas introducidos y combinaciones de los mismos.
1.3.2 Unidad conectora en paralelo
Un Conjugado Ligando-Fármaco y su compuesto precursor de Enlazador de Fármaco de la presente invención, están compuestos por una unidad de PEG que está en orientación paralela con la Unidad de Fármaco de tubulisina cuaternizada para influir en la farmacocinética de la LDC resultante. La orientación paralela de la unidad de PEG se realiza mediante la Unidad Conectora en Paralelo (Lp). Para ello, la Unidad Conectora en Paralelo dispone las unidades de Ligando, PEG y Fármaco en una configuración ramificada. Por consiguiente, la Unidad Conectora en Paralelo puede considerarse un componente soporte que tiene sitios de unión para otros componentes de los Conjugados Ligando-Fármaco y el compuesto Enlazador de Fármaco.
Para actuar como un conector paralelo, la Unidad LP se enlaza a través de tres sitios de unión dentro de la Unidad Enlazadora. Uno de los sitios de unión conecta la Unidad LP a la Unidad de PEG. En una modalidad, un segundo sitio de unión conecta la Unidad LP a una Unidad Escindible (W) susceptible de proteasa, que está conectada a una Unidad Espaciadora autodestrutible (Y). En otra modalidad, un segundo sitio de unión de LP se conecta directamente a una Unidad Espaciadora autodestructiva (Y) a la que también se enlaza a una Unidad Escindible susceptible a la glicosidasa (W'), o en tales casos se conecta indirectamente a Y a través de una Unidad de Extensión (Ao). Un tercer sitio de unión une la Unidad Lp al resto de la Unidad Enlazadora, que en un LDC que está normalmente conectado a la Unidad de Ligando a través de otra Unidad de Extensión (A). La Unidad Conectora en Paralelo es una unidad distinta de la Unidad de PEG y se conecta a esta a través del componente de la Unidad de Unión a PEG de la Unidad de PEG. En otras palabras, la Unidad Conectora en Paralelo no es una subunidad de la unidad de PEG.
Para los Conjugados Ligando Fármaco e intermediarios de los mismos que tienen más de un fármaco por unidad de PEG, la unión de la Unidad Conectora en Paralelo a W o Y puede ser a través de una Unidad de Ramificación en lugar de Ao. En todas estas modalidades, la unidad Lp puede considerarse un resto químico trifuncional que es capaz de unir covalentemente tres restos químicos separadas. Como se apreciará, para seleccionar Compuestos Intermedios, un precursor de Lp se representa por Lp' y aún no está completamente incorporado en una Unidad Enlazadora (por ejemplo, está pendiente de unión a A, Ao, B, W o Y, pero tiene un grupo funcional opcionalmente protegido para esa unión) Como también se apreciará, el término "trifuncional" se usa para indicar los tres sitios de unión y no el número de grupos funcionales presentes en cualquier Lp, Lp' o subunidad de los mismos.
Se puede preparar una Unidad Conectora en Paralelo a partir de uno o más (normalmente de 1 a 5 o 1 a 4 o 1 a 3 o 1 o 2) aminoácidos naturales o no naturales, aminoalcoholes, aminoaldehídos o poliaminas o alguna combinación de los mismos.
Se apreciará que cuando se hace referencia al aminoácido natural o no natural, aminoalcohol, aminoaldehído o poliaminas como se presenta en un compuesto LDC o Enlazador de Fármaco de la presente invención (ya sea que formen parte de una Unidad Lp u otro componente del compuesto LDC o Enlazador de Fármaco descrito en la presente descripción), el aminoácido, el aminoalcohol, el aminoaldehído o las poliaminas existirán en forma residual. Por ejemplo, en las modalidades, en donde la Unidad Conectora en Paralelo es de dos aminoácidos, los dos aminoácidos existirán como residuos con un enlace peptídico entre ellos. En las modalidades donde la Unidad Conectora en Paralelo está compuesta por un aminoalcohol, el aminoalcohol existirá como un residuo donde, por ejemplo, su grupo amino se enlaza a otro residuo de la Unidad Conectora en Paralelo u otro componente del compuesto LDC o Enlazador de Fármaco a través de un grupo funcional que contiene carbonilo, de ese otro residuo/componente mientras su grupo hidroxilo está unido como un éter a, o está unido a través de un grupo funcional que contiene carbonilo, de otro residuo de la Unidad Conectora en Paralelo u otro componente del compuesto LDC o Enlazador de Fármacos. En las modalidades en donde la Unidad Conectora en Paralelo está compuesto de un aminoaldehído, el aminoaldehído existirá como un residuo donde, por ejemplo, su grupo amino está unido a otro residuo de la Unidad Conectora en Paralelo u otro componente del compuesto LDC o Enlazador de Fármacos a través de un grupo funcional que contiene carbonilo de ese otro residuo/componente, mientras su grupo funcional aldehído se convierte en un grupo funcional imino o a través de una reducción posterior para proporcionar un enlace nitrógeno-carbono cuando se enlaza a un grupo amino de otro residuo de la Unidad Conectora en Paralelo o de otro componente del compuesto LDC o Enlazador de Fármacos. Un aminoalcohol o aminoaldehído puede derivarse de un aminoácido natural o no natural mediante la reducción de su grupo funcional ácido carboxílico a un aldehído o grupo funcional hidroxilo.
En algunas modalidades, una Unidad Conectora en Paralelo o una subunidad de la misma que tiene la trifuncionalidad requerida es proporcionada por un aminoácido u otro residuo de ácido que contiene amina que tiene o puede ser sustituido con una cadena lateral funcionalizada para proporcionar los tres puntos de unión necesarios. Por ejemplo, la serina tiene tres grupos funcionales, es decir, grupos funcionales ácido, amino e hidroxilo, y puede verse como un residuo de aminoácido y aminoalcohol combinado con el propósito de su incorporación a una Unidad Conectora en Paralelo. La tirosina también contiene un grupo hidroxilo, en este caso en su cadena lateral fenólica, y también se puede ver de manera similar a la serina con el propósito de su incorporación como un componente trifuncional de una Unidad Conectora en Paralelo.
En otro ejemplo, cuando los tres sitios de unión de una Unidad Conectora en Paralelo o subunidad de la misma son proporcionados por cisteína, su grupo amino y ácido carboxílico existirá en forma residual de la manera previamente discutida para los aminoácidos o ácidos que contienen amina para proporcionar dos de los tres puntos de unión
necesarios, mientras que su grupo tiol existirá en forma residual para proporcionar el otro punto de unión necesario. En algunos casos, el grupo tiol residual está en su forma oxidada (es decir, -S(=O)- o -S(=O)2-) cuando se enlaza a otra subunidad de la Unidad Conectora en Paralelo o a otro componente de la Unidad Enlazadora. En otro ejemplo más, los grupos alfa amino y ácido carboxílico de una lisina existirán en forma residual para proporcionar dos de los tres puntos de unión requeridos para una Unidad Conectora en Paralelo, mientras que su grupo épsilon amino en su forma residual proporciona el punto de unión restante. La histidina también puede verse como un aminoácido con dos grupos amino, donde el segundo grupo amino es el NH de la cadena lateral que contiene imidazol.
En otro ejemplo, cuando los tres puntos de unión de una Unidad Conectora en Paralelo son proporcionados por ácido aspártico o glutámico, los grupos alfa amino y ácido carboxílico C-terminal del aminoácido en sus formas residuales proporcionan dos de los tres puntos de unión necesarios, mientras que su grupo funcional ácido beta o gamma carboxílico en su forma residual proporciona el punto de unión restante. En aquellos casos en los que un aminoácido de origen natural se recita como Unidad Conectora en Paralelo o subunidad de la misma, pero no contiene naturalmente una cadena lateral de aminoácido funcionalizada, y sin embargo se requiere que sea un componente trifuncional de la Lp, se entiende que la estructura del aminoácido se modifica para tener un grupo funcional adicional además de sus grupos funcionales de amino y ácido carboxílico cuando se encuentra en forma residual con el fin de proporcionar el tercer punto de unión requerido. Por ejemplo, un aminoácido que tiene una cadena lateral alifática puede estar sustituido en un carbono de esa cadena lateral con un grupo hidroxilo, amino, aldehído, tiol, ácido carboxílico u otro grupo funcional u otro resto (por ejemplo, un arilo o arilalquilo) sustituido con uno de estos grupos funcionales) para proporcionar un aminoácido no natural con los tres puntos de unión necesarios. Dichos aminoácidos no naturales se incorporan en una Unidad Conectora en Paralelo como se describió anteriormente para los aminoácidos y las formas residuales de los grupos funcionales introducidos.
De manera similar, cuando un aminoaldehído o aminoalcohol se incorpora en una Unidad Conectora en Paralelo, ese aminoaldehído o aminoalcohol tendrá un tercer grupo funcional para proporcionar, junto con sus grupos funcionales amino y aldehído, los tres puntos de unión necesarios. En esos casos, un aminoaldehído o aminoalcohol puede corresponder en estructura a un aminoácido natural que tiene una cadena lateral funcionalizada o un aminoácido no natural que tiene un grupo funcional que se introdujo en la cadena lateral de un aminoácido natural como se describió anteriormente en el que un ácido carboxílico del aminoácido natural o no natural se reduce a un grupo funcional hidroxilo o aldehído.
Un residuo de aminoácido de Lp puede ser el de un aminoácido alfa, beta o gamma u otro compuesto ácido que contenga amina y puede estar en su isómero D o L si contiene un carbono quiral al que se enlaza una cadena lateral de aminoácido natural o no natural que proporciona el punto de unión restante requerido. Cuando la Unidad Conectora en Paralelo está formada por más de un aminoácido natural o no natural, aminoalcohol, aminoaldehído o poliamina, los aminoácidos, aminoaldehídos, poliaminas o combinaciones de los mismos están unidos entre sí mediante enlaces covalentes para formar la Unidad Conectora en Paralelo.
El aminoácido, aminoalcohol o aminoaldehído pueden ser no naturales y puede modificarse para tener una cadena lateral funcionalizada para unirse a los componentes de un Conjugado Ligando-Fármaco o compuesto Enlazador de Fármaco (como se describió anteriormente para un residuo de una Unidad Conectora en Paralelo), según sea el caso. Los aminoácidos, aminoalcoholes o aminoaldehídos con adición de grupos funcionales ilustrativos incluyen, por ejemplo, aminoácidos, aminoalcoholes o aminoaldehídos con adición de grupos funcionales azido o alquino (por ejemplo, aminoácido, aminoalcohol o aminoaldehído modificado para tener un grupo azida o un grupo alquino para unir mediante el uso de química clic).
La unión dentro de la Unidad Conectora en Paralelo o con los otros componentes del conjugado (o enlazador) puede ser, por ejemplo, a través de amino, carboxilo u otras funcionalidades. Los métodos para la activación y reacción independientes de los grupos funcionales presentes en un aminoácido, por ejemplo, la porción de amina, la porción de ácido carboxílico y la porción de la cadena lateral (ya sea, por ejemplo, un resto amino, un grupo hidroxilo, otro ácido carboxílico, tiol, azida o alquino) incluyen aquellos adaptables de la química de péptidos.
La Unidad Conectora en Paralelo puede comprender 1 o más (normalmente de 1 a 5 o 1 a 4 o 1 a 3 o 1 o 2) aminoácidos, heteroalquilenos C1-20 opcionalmente sustituidos (preferentemente heteroalquileno C1-12 opcionalmente sustituido), heterociclos C3-8 opcionalmente sustituidos, arilenos C6-14 opcionalmente sustituidos, carbociclos C3-C8 opcionalmente sustituidos, o combinaciones de los mismos. En algunos aspectos, la Unidad Conectora en Paralelo comprende no más de 2 o no más de un heteroalquileno C1-C20 opcionalmente sustituido, heterociclo C3-C8 opcionalmente sustituido, arileno C6-C14 opcionalmente sustituido o carbociclo C3-C8 opcionalmente sustituido. Los sustituyentes opcionales incluyen (=O), -X, -R, -OR, -SR, -NR2 , -NR3 , =NR, -CX3 , -CN, -OCN, -SCN, -N=C=O, -NCS, -NO, -NO2 , =N2 , -N3 , -NRC(=O)R, -C(=O)R, -C(=O)NR2 , -SO3-, -SO3H, -S(=O)2R, -OS(=O)2OR, -S(=O)2NR, -S(=O)R, -OP(=O)(OR)2 , -P(=O)(OR)2 , -PO=3 , -PO3H2 , -AsO2H2 , -C(=O)R, -C(=O)X, -C(=S)R, -CO2R, -CO2-, -C(=S)OR, -C(=O)SR, -C(=S)SR, -C(=O)NR2 , -C(=S)NR2 o -C(=NR)NR2 , donde cada X es independientemente un halógeno: -F, -Cl, -Br o -I; y cada R es independientemente -H, -alquilo C1-C20, -arilo C6-C20, heterociclo C3-C14, un grupo protector o un resto profármaco. Los sustituyentes opcionales preferidos son (=O), -X, -R, -OR, -SR y -NR2.
Una Unidad Conectora en Paralelo se puede representar mediante la Fórmula AA:
en donde AA1 es una subunidad de LP seleccionada independientemente de un aminoácido, heteroalquileno C1-20 opcionalmente sustituido (preferentemente heteroalquileno C1-12 opcionalmente sustituido), heterociclo C3-8 opcionalmente sustituido, arileno C6-14 opcionalmente sustituido, o carbociclo C3-C8 opcionalmente sustituido; y el subíndice h se selecciona independientemente de 0 a 4; y la línea ondulada indica los sitios de unión covalente dentro del Conjugado Ligando-Fármaco o intermediario del mismo. El heteroalquileno, heterociclo, arileno o carbociclo opcionalmente sustituido tendrá grupos funcionales para las uniones entre las subunidades y dentro de un Conjugado Ligando-Fármaco o intermediarios de los mismos.
En algunas modalidades, al menos un caso de AA1 es un aminoácido. El subíndice h puede ser 0, 1, 2, 3 o 4. En algunas modalidades, AA1 es un aminoácido y h es 0. En algunas modalidades, la Unidad Conectora en Paralelo está compuesta por no más de 2 heteroalquilenos C1-C20 opcionalmente sustituidos, heterociclos C3-C8 opcionalmente sustituidos, arilenos C6-C14 opcionalmente sustituidos o carbociclos C3-C8 opcionalmente sustituidos. En algunas modalidades de fórmula AA, la Unidad Conectora en Paralelo está compuesta de no más de 1 heteroalquileno C1-C20 opcionalmente sustituido, heterociclo C3-8 opcionalmente sustituido, arileno C6-C14 opcionalmente sustituido o carbociclo C3-C8 opcionalmente sustituido.
Una Unidad Conectora en Paralelo o una subunidad de aminoácidos de esta se puede seleccionar independientemente de un aminoácido que contiene tiol. El aminoácido que contiene tiol puede ser, por ejemplo, cisteína, homocisteína o penicilamina en la configuración estereoquímica D- o L-.
Una Unidad Conectora en Paralelo o una subunidad de aminoácidos de esta se puede seleccionar independientemente del grupo que consiste en los isómeros L- o D- de los siguientes aminoácidos: alanina (incluida la p-alanina), arginina, ácido aspártico, asparagina, cisteína, histidina, glicina, ácido glutámico, glutamina, fenilalanina, lisina, leucina, metionina, serina, tirosina, treonina, triptófano, prolina, ornitina, penicilamina, B-alanina, ácido aminoalquinoico, ácido aminoalcanodioico, ácido heterociclocarboxílico, citrulina, estatina, ácido diaminoalcanoico y derivados de los mismos.
Los aminoácidos preferidos incluyen cisteína, homocisteína, penicilamina, ornitina, lisina, serina, treonina, glutamina, alanina, ácido aspártico, ácido glutámico, selenocisteína, prolina, glicina, isoleucina, leucina, metionina, valina y alanina.
Las subunidades Lp o AA1 ilustrativas de los mismos incluyen:
en donde R110 es
R111 se selecciona independientemente de hidrógeno, p-hidroxibencilo, metilo, isopropilo, isobutilo, sec-butilo, -CH2OH, -CH(OH)CH3, -CH2CH2SCH3 , -CH2CONH2 , -CH2COOH, -CH2CH2CONH2 , -CH2CH2COOH, -(CH2)3NHC(=NH)NH2, -(CH2)3NH2, -(CH2)3NHCOCH3, -(CH2)3NHCHO, -(CH2)4NHC(=NH)NH2, -(CH2)4NH2, -(CH2)4NHCOCH3, -(CH2)4NHCHO, -(CH2)3NHCONH2, -(CH2)4NHCONH2, -CH2CH2CH(OH)CH2NH2 , 2-piridilmetil-, 3-piridilmetil-, 4-piridilmetil-,
en donde el asterisco indica la unión al carbono marcado con x;
R100 se selecciona independientemente de hidrógeno o alquilo C1-C3 (preferentemente hidrógeno o CH3), R13 se selecciona independientemente del grupo que consiste en -alquileno C1-C6-, -carbociclo C3-C8-, -arileno-, -heteroalquileno C1-C10-, -heterociclo C3-C8-, -alquileno C1-C10-arileno-, -arileno-alquileno C1-C10-, -alquileno C1-C10-(carbociclo C3-C8)-, -(carbociclo C3-C8)-alquileno C1-C10-, -alquileno C1-C10-(heterociclo C3-C8)- y -(heterociclo C3-C8)-alquileno C1-C10-(preferentemente -CH2-CH2-);
Y es
Y' es -C(=O)-, -O-, -S-, -NH- o -N(CH3)-, y
los subíndices p, q y d son números enteros seleccionados independientemente de 0 a 5; y la línea ondulada indica una unión covalente dentro del compuesto, hidrógeno, OH o un grupo alquilo C1-3 no sustituido, siempre que al menos una de las líneas onduladas indique una unión covalente dentro del compuesto. En algunos aspectos, todas las líneas onduladas indican unión covalente dentro del compuesto (por ejemplo, cuando LP no comprende ninguna subunidad).
En un grupo de modalidades, LP es un anillo heterocíclico que tiene grupos funcionales que pueden formar de forma independiente enlaces covalentes con los componentes indicados (por ejemplo, un anillo heterocíclico de triazol formado a partir de cloruro cianúrico). En otro grupo de modalidades, LP es un alcano que tiene grupos funcionales unidos como se indicó anteriormente. En otras modalidades más, LP puede ser un átomo de nitrógeno.
En algunas modalidades, Lp de -Lp(PEG)-, una vez ensamblado, tiene la fórmula que se indica a continuación:
en donde la línea ondulada indica los sitios de unión dentro del Conjugado Ligando-Fármaco o intermediario del mismo, R100 es como se definió previamente, el asterisco indica la unión al carbono marcado x y la línea ondulada indica uno de los tres sitios de unión; Y se selecciona independientemente de N o CH, Y' se selecciona independientemente de NH, O o S, y cada subíndice c es un número entero seleccionado independientemente de 1 a 10 y preferentemente 1, 2 o 3.
En modalidades preferidas, R110 no es
En algunas modalidades, LP o una subunidad del mismo es un ácido aminoalcanodioico, un ácido diaminoalcanoico, un ácido alcanodioico sustituido con azufre, un ácido aminoalcanoico sustituido con azufre, un diaminoalcanol, un aminoalcanodiol, un ácido alcanodioico sustituido con hidroxilo, un ácido aminoalcanoico sustituido con hidroxilo o
un residuo de aminoalcanol sustituido con azufre, opcionalmente sustituido, en donde el sustituyente de azufre está en forma reducida u oxidada.
En algunas modalidades, una Unidad Conectora en Paralelo o una subunidad de aminoácido de la misma tiene la fórmula de Fórmula A o Fórmula B:
(Fórmula A) (Fórmula B)
en donde el subíndice v es un número entero que varía de 1 a 4; el subíndice v' es un número entero que varía de 0 a 4; XLP es proporcionado por una cadena lateral de aminoácido natural o no natural o se selecciona del grupo que comprende -O-, -NRLP-, -S-, -S(=O)-, -S(=O)2-, -C(=O)-, -C(=O)N(RLP)-, -N(RLP)C(=O)N(RLP)- y -N(RLP)C(=NRLP)N(RLP)-, en donde cada RLP se selecciona independientemente del grupo que consiste en hidrógeno y alquilo opcionalmente sustituido o dos de RLP junto con sus átomos intermedios definen un heterocicloalquilo y cualquier RLP restante son como se definieron previamente; Ar es un arileno o heteroarileno, opcionalmente sustituido; cada RE y RF se selecciona independientemente del grupo que consiste en -H, alquilo opcionalmente sustituido, arilo opcionalmente sustituido y heteroarilo opcionalmente sustituido, o RE y RF junto con el mismo carbono al que están unidos, o RE y RF de carbonos adyacentes junto con estos carbonos, define un cicloalquilo opcionalmente sustituido con cualquier sustituyente RE y RF restante como se definió previamente; y en donde las líneas onduladas indican unión covalente de la estructura de Fórmula A o Fórmula B dentro de la estructura LDC. En algunas modalidades -LP(PEG)- tiene la estructura de Fórmula A1 o A2:
en donde los grupos variables son como se definen en la Fórmula A.
En algunas modalidades, Lp tiene la estructura de Fórmula XP proporcionada por una cadena lateral de aminoácido natural o no natural.
En modalidades preferidas de Fórmula A, Fórmula A1, Fórmula A2 o Fórmula B, RE y RF se seleccionan independientemente del grupo que consiste en -H y -alquilo C1-C4. En modalidades preferidas de Fórmula A, Fórmula A1 o Fórmula A2, XLP se selecciona del grupo que consiste en -O-, -NH, -S- y -C(=O)-En algunas modalidades, Lp o una subunidad de la misma se selecciona del grupo que consiste en lisina, ácido glutámico, ácido aspártico, cisteína, penicilamina, serina o treonina en configuración estereoquímica D- o L-.
En otras modalidades, la Lp o una subunidad de la misma se selecciona del grupo que consiste en lisina, ácido glutámico, ácido aspártico, cisteína o penicilamina en configuración estereoquímica D o L.
En otras modalidades, Lp o una subunidad de la misma es un aminoácido que contiene tiol en la configuración estereoquímica D- o L-. El aminoácido que contiene tiol es preferentemente cisteína, homocisteína o penicilamina. En otras modalidades, Lp o una subunidad de la misma se selecciona del grupo que consiste en los siguientes aminoácidos o ácidos que contienen amina: arginina, ácido aspártico, asparagina, cisteína, histidina, ácido glutámico, glutamina, fenilalanina, serina, tirosina, treonina, triptófano, ornitina, penicilamina, ácido aminoalcanodioico, ácido heterociclocarboxílico, citrulina, ácido diaminoalcanoico y derivados de los mismos en la configuración estereoquímica D- o L-.
En otras modalidades, Lp o una subunidad de la misma, se selecciona del grupo que consiste en cisteína, homocisteína, penicilamina, ornitina, lisina, serina, treonina, glutamina, ácido aspártico, ácido glutámico y selenocisteína.
En otras modalidades, Lp o Lp', o una subunidad de las mismas, se selecciona del grupo que consiste en arginina y derivados de arginina de la misma. Ejemplos ilustrativos de arginina y derivados de la misma incluyen, pero no se limitan a: arginina (Arg), N-alquil-arginina, H-Arg(Me)-OH, H-Arg(NH2)-OH, H-Arg(NO2)-OH, H-Arg(Ac)2-OH, H-Arg(Me)2-OH (asimétrico), H-Arg(Me)2-OH (simétrico), ácido 2-amino-4-(2'-hidroxiguanidino)-butírico (N-w-hidroxinor-arginina) y homoarginina.
En otras modalidades, Lp o Lp', o una subunidad de las mismas, se selecciona del grupo que consiste en ácido aspártico y derivados del mismo. Ejemplos ilustrativos de ácido aspártico y derivados del mismo incluyen, pero no se limitan a: ácido aspártico (Asp), ácido N-alquil-aspártico y H-Asp(OtBu)-OH.
En otras modalidades, Lp o una subunidad de la misma se selecciona del grupo que consiste en asparagina y derivados de la misma. Ejemplos ilustrativos de asparagina y derivados de la misma incluyen, pero no se limitan a: asparagina (Asn), N-alquil-asparagina e isoasparagina (H-Asp-NH2).
En otras modalidades, Lp o Lp', o una subunidad de las mismas, se selecciona del grupo que consiste en ácido glutámico y derivados del mismo. Ejemplos ilustrativos del ácido glutámico y derivados del mismo incluyen, pero no se limitan a: ácido glutámico (Glu), ácido N-alquil-glutámico, H-Glu(OtBu)-OH, H-Y-hidroxi-Glu-OH, H-Y-metilen-Glu-OH, H-Y-carboxi-[Glu(O-tBu)]2-OH y ácido piroglutámico.
En otras modalidades, Lp o Lp', o una subunidad de las mismas, se selecciona del grupo que consiste en glutamina y derivados de la misma. Ejemplos ilustrativos de glutamina y derivados de la misma incluyen, pero no se limitan a: glutamina (Gln), N-alquil-glutamina, isoglutamina (H-Glu-NH2), H-Gln(Trt)-OH y H-Gln(isopropil)-OH.
En otras modalidades, Lp o Lp', o una subunidad de las mismas, se selecciona del grupo que consiste en lisina y derivados de la misma. Ejemplos ilustrativos de lisina y derivados de la misma incluyen, pero no se limitan a: lisina (Lys), N-alquil-lisina, H-Lys(Boc)-OH, H-Lys(Ac)-OH, H-Lys(Formil)-OH, H-Lys(Me)2-OH, H-Lys(nicotinoil)-OH, H-Lys(Me)3-OH, H-trans-4,5-dehidro-Lys-OH, H-Lys(Alloc)-OH, H-H-6-hidroxi-Lys-OH, H-6-hidroxi-Lys(Boc)-OH, H-Lys(acetamidoil)-OH, y H-Lys(isopropil)-OH.
En otras modalidades, Lp o Lp', o una subunidad de las mismas, se selecciona del grupo que consiste en serina y derivados de la misma. Ejemplos ilustrativos de serina y derivados de la misma incluyen, pero no se limitan a: serina (Ser), N-alquil-serina, H-Ser(O-Ac)-OH, H-Ser(O-t-Bu)-OH, H-Ser(O-Bzl)-OH, H-Ser(p-cloro-O-Bzl)-OH, H-p-(3,4-dihidroxifenil)-Ser-OH, H-p-(2-tienil)-Ser-OH, isoserina N-alquil-isoserina y 3-fenilisoserina.
En otras modalidades, Lp o Lp', o una subunidad de las mismas, se selecciona del grupo que consiste en tirosina y derivados de la misma. Ejemplos ilustrativos de tirosina y derivados de la misma incluyen, pero no se limitan a: tirosina (Tyr), N-alquil-tirosina, H-3,5-dinitro-Tyr-OH, H-3-amino-Tyr-OH, H-3,5-dibromo-Tyr-OH, H-3,5-diyodo-Tyr-OH, H-Tyr(OMe)-OH, H-Tyr(O-t-Bu)-OH, H-Tyr(O-Boc)-OH, H-Tyr(O-Bzl)-OH, H-Tyr(Et)-OH, H-3-yodo-Tyr-OH y H-3-nitro-Tyr-OH.
En otras modalidades, Lp, Lp', o una subunidad de las mismas, se selecciona del grupo que consiste en treonina y derivados de la misma. Los ejemplos ilustrativos de treonina y derivados de la misma incluyen, pero no se limitan a: treonina (Thr), N-alquil-treonina, alotreonina, H-Thr(OAc)-OH, H-Thr(O-t-Bu)-OH y H-Thr(OBzl)-OH.
En otras modalidades, Lp, Lp', o una subunidad de las mismas, se selecciona del grupo que consiste en triptófano y derivados del mismo. Ejemplos ilustrativos de triptófano y derivados de la misma incluyen, pero no se limitan a: triptófano (Trp), N-alquil-triptófano, H-5-Me-Trp-OH, H-5-hidroxi-Trp-OH, H-4-Me-Trp-OH, H-a-Me-Trp-OH, H-Trp(Boc)-OH, H-Trp(formil)-OH y H-Trp(mesitilen-2-sulfonil)-OH.
En otras modalidades, Lp, Lp', o una subunidad de las mismas, se selecciona del grupo que consiste en ornitina y derivados de la misma. Ejemplos ilustrativos de ornitina y derivados de la misma incluyen, pero no se limitan a: ornitina (Orn), N-alquil-ornitina, HOrn(Boc)-OH, H-Orn(Z)-OH, H-a-difluoro-Me-Orn-OH (Eflornitina) y H-Orn(Alloc)-OH.
En otras modalidades, Lp, Lp', o una subunidad de las mismas, se selecciona del grupo que consiste en penicilamina y derivados de la misma. Ejemplos ilustrativos de penicilamina y derivados de la misma incluyen, pero no se limitan a: penicilamina, H-penicilamina(Acm)-OH (H-p,p-dimetilcis(Acm)-OH) y N-alquilpenicilamina.
En otras modalidades, Lp, o una subunidad de la misma, se selecciona del grupo que consiste en ácido aminoalcanodioico y derivados del mismo. Ejemplos ilustrativos de un ácido aminoalcanodioico y derivados del mismo incluyen, pero no se limitan a: ácido N-alquilaminoalcanodioico, ácido 2-aminohexanodioico, ácido 2-aminoheptanodioico, ácido 2-aminooctanodioico (H-Asu-OH).
En otras modalidades, Lp, o una subunidad de la misma, se selecciona del grupo que consiste en citrulina y derivados de la misma. Ejemplos ilustrativos de citrulina y derivados de la misma incluyen, pero no se limitan a: citrulina (cit), N-alquil-citrulina, tiocitrulina, S-metil-tiocitrulina y homocitrulina.
En otras modalidades, Lp, Lp', o una subunidad de las mismas, se selecciona del grupo que consiste en ácido diaminoalcanoico y derivados del mismo. Ejemplos ilustrativos de ácido diaminoalcanoico (Dab) y derivados del mismo incluyen, pero no se limitan a: ácidos N-alquil-diamino-alcanoicos, ácidos N,N-dialquilamino-alcanoicos, ácido a,Y-diaminobutírico (H-Dab-OH), H-Dab(Alloc)-OH, H-Dab(Boc)-OH, H-Dab(Z)-OH, ácido a,p-diaminopropiónico y sus versiones protegidas de la cadena lateral.
A continuación, se muestra una unidad Lp ilustrativa o una subunidad de la misma, lisina o cisteína o pencilamina. La línea ondulada indica sitios de unión a PEG y de Lp de LP(PEG) dentro de la Unidad Enlazadora. Los isómeros L- y D- de los aminoácidos son adecuados para su uso en la presente descripción.
A continuación, se muestra un Conjugado Ligando-Fármaco ilustrativo que tiene lisina como unidad Lp, en donde Lb, A, AO, L, W, W', Y, D+, PEG, los subíndices a y p y PEG son como se describen en la presente descripción. Los isómeros L- y D- de los aminoácidos son adecuados para su uso en la presente descripción.
A continuación, se muestra un Conjugado Ligando-Fármaco ilustrativo que tiene cisteína o penicilamina como unidad LP, en donde Lb, A, Ao, L, W, W', Y, D+, PEG, los subíndices a y p y PEG son como se describen en la presente descripción. Los isómeros L- y D- de los aminoácidos son adecuados para su uso en la presente descripción.
1.3.3 Unidad de PEG
Las unidades de PEG, tal y como se enseña en la presente descripción, están diseñadas para impartir un nivel apropiado de hidrofobicidad que enmascare la Unidad de Fármaco de tubulisina cuaternizada y otros componentes hidrofóbicos del resto enlazador de fármaco cuaternizado de un Conjugado Ligando-Fármaco. Por esa razón, la incorporación de la unidad de PEG como se enseña en la presente descripción es particularmente adecuada para los ligandos de tubulisina cuaternizada que, de otro modo, impartirían suficiente hidrofobicidad para impactar negativamente en la farmacocinética del conjugado resultante en comparación con el agente de direccionamiento no conjugado de la Unidad de Ligando. Esa peor farmacocinética incluye un mayor eliminación plasmático, que puede atribuirse a la hidrofobicidad del compuesto de tubulisina que se cuaterniza en el Conjugado Ligando- Fármaco. Por tanto, el Conjugado Ligando-Fármaco que tiene una Unidad de Fármaco de tubulisina cuaternizada que muestra un aclaramiento plasmático significativamente mayor y una exposición plasmática correspondientemente menor en relación con agente de direccionamiento no conjugado de la Unidad de Ligando se beneficiarán de la presente invención. Los Conjugado Ligando-Fármaco de la presente invención tienen esas propiedades farmacocinéticas más favorables debido a la orientación paralela dentro del resto del enlazador de fármaco hidrofóbico de una Unidad de Fármaco de tubulisina cuaternizado y una Unidad de PEG, mientras que el impacto negativo de la hidrofobicidad de la Unidad de Fármaco cuaternizada, que puede verse agravada por otros componentes hidrofóbicos del resto del enlazador de fármaco de tubulisina cuaternizado, al reducirse o eliminarse suficientemente el aclaramiento plasmático (es decir, se enmascara la hidrofobicidad de un resto del enlazador del fármaco).
Pueden usarse PEG polidispersos, PEG monodispersos y PEG discretos para preparar los Compuestos de la presente invención. Los PEG polidispersos son una mezcla heterogénea de tamaños y pesos moleculares, mientras que los PEG monodispersos se purifican normalmente de mezclas heterogéneas y, por lo tanto, proporcionan una longitud de cadena y peso molecular únicos. Las unidades de PEG preferidas son los PEG discretos, compuestos que se sintetizan por etapas y no a través de un proceso de polimerización. Los PEG discretos proporcionan una sola molécula con una longitud de cadena definida y especificada.
La unidad de PEG proporcionada en la presente descripción comprende una o múltiples cadenas de polietilenglicol. Las cadenas de polietilenglicol se pueden unir juntas, por ejemplo, en una configuración lineal, ramificada o en forma de estrella. Normalmente, al menos una de las cadenas de PEG está derivatizada en un extremo para su unión covalente a la Unidad Conectora en Paralelo. Las uniones ilustrativas a la Unidad Conectora en Paralelo se realizan por medio de enlaces incondicionalmente escindibles o a través de enlaces condicionalmente escindibles. Los enlaces ilustrativos son a través de enlaces amida, enlaces éter, enlaces éster, enlaces hidrazona, enlaces oxima, enlaces disulfuro, enlaces peptídicos o enlaces triazol. En algunos aspectos, la unión a Lp es por medio de un enlace incondicionalmente escindible. En algunos aspectos, la unión a Lp no es a través un enlace éster, un enlace hidrazona, un enlace oxima o un enlace disulfuro. En algunos aspectos, la unión a LP no se realiza a través de un enlace hidrazona.
Un enlace condicionalmente escindible se refiere a un enlace que no es sustancialmente sensible a la escisión mientras circula en el plasma, pero es sensible a la escisión en un entorno intracelular o intratumoral. Un enlace incondicionalmente escindible es uno que no es sustancialmente sensible a la escisión en ningún entorno biológico. La hidrólisis química de una hidrazona, la reducción de un disulfuro y la escisión enzimática de un enlace peptídico o enlace glicosídico son ejemplos de enlaces condicionalmente escindibles.
La unidad de PEG se unirá directamente al Conjugado Ligando- Fármaco (o intermediario del mismo) en la Unidad Conectora en Paralelo. El otro extremo terminal (o terminales) de la unidad de PEG estará libre y sin ataduras y puede tomar la forma de un grupo metoxi, ácido carboxílico, alcohol u otro grupo funcional adecuado. El metoxi, el ácido carboxílico, el alcohol u otro grupo funcional adecuado actúa como un cierre para la subunidad terminal de PEG de la Unidad de PEG. Por sin ataduras se entiende que la Unidad de PEG no estará unida en ese sitio sin ataduras a una Unidad de Fármaco, a una Unidad de Ligando, o a un componente de enlace que une una Unidad de Fármaco y/o una Unidad de Ligando. Para aquellas modalidades en donde la Unidad de PEG comprende más de
una cadena de PEG, las múltiples cadenas de PEG pueden ser restos químicos iguales o diferentes (por ejemplo, PEG de diferente peso molecular o número de subunidades). Las múltiples cadenas de PEG se enlazan a la Unidad Conectora en Paralelo en un solo sitio de unión. El experto en la materia entenderá que la unidad de PEG además de comprender subunidades repetidas de polietilenglicol también puede contener material no-PEG (por ejemplo, para facilitar el acoplamiento de múltiples cadenas de PEG entre sí o para facilitar el acoplamiento a la Unidad Conectora en Paralelo). El material no-PEG se refiere a los átomos de la unidad de PEG que no forman parte de las subunidades repetidas -CH2CH2O-. En las modalidades proporcionadas en la presente descripción, la unidad de PEG puede comprender dos cadenas de PEG monoméricas unidas entre sí a través de elementos no-PEG. En otras modalidades proporcionadas en la presente descripción, la unidad de PEG puede comprender dos cadenas de PEG lineales unidas a un núcleo central que se enlaza a la Unidad Conectora en Paralelo (es decir, la propia unidad de PEG está ramificada).
Hay varios métodos de unión de PEG disponibles para los expertos en la técnica, [véase, por ejemplo, Goodson y otros (1990) Bio/Technology 8: 343 (PEGylation of interleukin-2 at its glycosylation site after site-directed mutagenesis); EP 0 401 3 8 4 (coupling PEG to G-CSF); Malik, y otros, (1992) Exp. Hematol. 20:1028-1035 (PEGylation of GM-CSF using tresyl chloride); Pub. a Ct Núm. WO 90/12874 (PEGylation of erythropoietin containing a recombinantly introduced cysteine residue using a cysteine-specific mPEG derivative); patente de EE. UU. núm. 5,757,078 (PEGylation of EpO peptides); patente de EE. UU. núm. 5,672,662 (Poly(ethylene glycol) and related polymers monosubstituted with propionic or butanoic acids and functional derivatives thereof for biotechnical applications); patente de EE. UU. núm. 6,077,939 (PEGylation of an N-terminal.alpha.-carbon of a peptide); Veronese y otros, (1985) Appl. Biochem. Bioechnol 11:141-142 (PEGylation of an N-terminal a-carbon of a peptide with PEG-nitrophenylcarbonate ("PEG-NPC") or PEG-trichlorophenylcarbonate); y Veronese (2001) Biomaterials 22: 405-417 (Review article on peptide and protein PEGylation)].
Por ejemplo, el PEG puede unirse covalentemente a residuos de aminoácidos a través de un grupo reactivo. Los grupos reactivos son aquellos a los que se puede unir una molécula de PEG activada (por ejemplo, un grupo amino o carboxilo libre). Por ejemplo, los residuos de aminoácidos N-terminales y los residuos de lisina (K) tienen un grupo amino libre; y los residuos de aminoácidos C-terminales tienen un grupo carboxilo libre. Los grupos sulfhidrilo (por ejemplo, los que se encuentran en los residuos de cisteína) también se pueden usar como grupo reactivo para unir PEG. Además, se han descrito métodos asistidos por enzimas para introducir grupos activados (por ejemplo, grupos hidrazida, aldehído y amino aromático) específicamente en el extremo C-terminal de un polipéptido (véase Schwarz y otros (1990) Methods Enzymol. 184:160; Rose y otros (1991) Bioconjugate Chem. 2:154; y Gaertner y otros (1994) J. Biol. Chem. 269:7224].
En algunas modalidades, las moléculas de PEG pueden unirse a grupos amino mediante el uso de PEG metoxilado ("mPEG") que tiene diferentes porciones reactivas. Los ejemplos no limitantes de tales restos reactivos incluyen succinimidil succinato (SS), succinimidil carbonato (SC), mPEG-imidato, para-nitrofenilcarbonato (NPC), succinimidil propionato (SPA) y cloruro cianúrico. Los ejemplos no limitantes de tales mPEG incluyen mPEG-succinimidil succinato (mPEG-SS), mPEG2-succinimidil succinato (mPEG2-SS); mPEG-succinimidil carbonato (mPEG-SC), mPEG2-succinimidil carbonato (mPEG2-SC); mPEG-imidato, mPEG-para-nitrofenilcarbonato (mPEG-NPC), mPEG-imidato; mPEG2-para-nitrofenilcarbonato (mPEG2-NPC); mPEG-succinimidil propionato (mPEG-SPA); mPEG2-succinimidil propionato (mPEG,-SPA); mPEG-N-hidroxisuccinimida (mPEG-NHS); mPEG2-N-hidroxisuccinimida (mPEG2 -NhS); mPEG-cloruro cianúrico; mPEG2-cloruro cianúrico; mPEG2-Lisinol-NpC y mPEG2-Lys-NHS.
Generalmente, al menos a una de las cadenas de PEG que componen la Unidad de PEG se le han agregado grupos funcionales para que pueda acoplarse a la Unidad Conectora en Paralelo. La funcionalización puede ser, por ejemplo, a través de una amina, un tiol, un éster NHS, una maleimida, un alquino, una azida, un carbonilo u otro grupo funcional. La Unidad de PEG puede comprender además material no-PEG (es decir, material que no comprende -CH2CH2O-) para facilitar el acoplamiento a la Unidad Conectora en Paralelo o para facilitar el acoplamiento de dos o más cadenas de PEG.
Puede usarse una amplia variedad de especies de polietilenglicol (PEG), y puede usarse sustancialmente cualquier sustancia de PEG reactiva adecuada. En algunas modalidades, el reactivo de PEG reactivo dará como resultado la formación de un enlace carbamato o amida tras la unión a Lp. Los siguientes reactivos de PEG son útiles en varias modalidades: mPEG2-NHS, mPEG2-ALD, PEG de brazos múltiples, mPEG(MAL)2 , mPEG2(MAL), mPEG-NH2 , mPEG-SPA, mPEG-SBA, mPEG-tioésteres, mPEG-ésteres dobles, mPEG-BTC, mPEG-ButirALD, mPEG-ACET, PEG heterofuncionales (NH2-PEG-COOH, Boc-PEG-NHS, Fmoc-PEG-NHS, NHS-PEG-VS, NHS-PEG-MAL), acrilatos de PEG (ACRL-PEG-NHS), PEG-fosfolípidos (por ejemplo, MPEG-DSPE), PEG de brazos múltiples de la serie SUNBRITE™, incluida la serie GL de PEG a base de glicerina activados por una química elegida por los expertos en la técnica, cualquiera de los PEG activados por SUNBRITE (lo que incluye, pero no se limita a, carboxil-PEG, p-NP-PEG, Tresil-PEG, aldehído PEG, acetal-PEG, amino-PEG, tiol-PEG, maleimido-PEG, hidroxil-PEG-amina, amino-PEG-COOK hidroxil-PEG-aldehído, PEG de tipo anhídrido carboxílico, PEG-fosfolípido con grupos funcionales y otros PEG reactivos similares y/o adecuados, seleccionados por los expertos en la técnica para su aplicación y uso particulares.
La adición de la unidad de PEG puede tener dos posibles efectos sobre la farmacocinética del Conjugado LigandoFármaco resultante. El impacto deseado es la disminución de la eliminación (y el consiguiente aumento de la exposición) que surge de la reducción de las interacciones no específicas inducidas por los elementos hidrófobos expuestos del enlazador de fármaco. El segundo impacto es un impacto no deseado y es la disminución del volumen y la velocidad de distribución que puede surgir del aumento del peso molecular del Conjugado Ligando- Fármaco. El aumento del número de subunidades de PEG aumenta el radio hidrodinámico de un conjugado, lo que da como resultado una menor capacidad de difusión. A su vez, la disminución de la capacidad de difusión puede disminuir la capacidad del Conjugado Ligando-Fármaco para penetrar en un tumor (Schmidt y Wittrup, Mol Cancer Ther 2009; 8: 2861-2871). Debido a estos dos efectos farmacocinéticos en competencia, es conveniente usar un PEG que sea lo suficientemente grande para disminuir la eliminación del LDC aumentando así la exposición plasmática, pero no tan grande como para disminuir en gran medida su capacidad de difusión, lo que puede reducir la capacidad del Conjugado Ligando-Fármaco para alcanzar la población de células objetivo prevista.
En un grupo de modalidades, la unidad de PEG comprende al menos 6 subunidades, al menos 7 subunidades, al menos 8 subunidades, al menos 9 subunidades, al menos 10 subunidades, al menos 11 subunidades, al menos 12 subunidades, al menos 13 subunidades, al menos 14 subunidades, al menos 15 subunidades, al menos 16 subunidades, al menos 17 subunidades, al menos 18 subunidades, al menos 19 subunidades, al menos 20 subunidades, al menos 21 subunidades, al menos 22 subunidades, al menos 23 subunidades, o al menos 24 subunidades. Como se usa en la presente descripción, una subunidad cuando se hace refiere a la unidad de PEG se refiere a una subunidad de polietilenglicol que tiene la fórmula:
— <-(CH2CH20)-5---
En otro grupo de modalidades, la Unidad de PEG comprende una o más cadenas de PEG lineales, cada una con al menos 2 subunidades, al menos 3 subunidades, al menos 4 subunidades, al menos 5 subunidades, al menos 6 subunidades, al menos 7 subunidades, al menos 8 subunidades, al menos 9 subunidades, al menos 10 subunidades, al menos 11 subunidades, al menos 12 subunidades, al menos 13 subunidades, al menos 14 subunidades, al menos 15 subunidades, al menos 16 subunidades, al menos 17 subunidades, al menos 18 subunidades, al menos 19 subunidades, al menos 20 subunidades, al menos 21 subunidades, al menos 22 subunidades, al menos 23 subunidades o al menos 24 subunidades. En modalidades preferidas, la unidad de PEG comprende un total combinado de al menos 6 subunidades, al menos 8, al menos 10 subunidades o al menos 12 subunidades. En algunas de tales modalidades, la unidad de PEG comprende no más de un total combinado de aproximadamente 72 subunidades, preferentemente no más de un total combinado de aproximadamente 36 subunidades.
En otro grupo de modalidades, la Unidad de PEG es una cadena de PEG simple lineal derivatizada que tiene de 2 a 72, 2 a 60, 2 a 48, 2 a 36 o 2 a 24 subunidades, de 2 a 72, 2 a 60, 2 a 48, 2 a 36 o 2 a 24 subunidades, de 3 a 72, 3 a 60, 3 a 48, 3 a 36 o 3 a 24 subunidades, de 3 a 72, 3 a 60, 3 a 48, 3 a 36 o 3 a 24 subunidades, de 4 a 72, 4 a 60, 4 a 48, 4 a 36 o 4 a 24 subunidades, de 5 a 72, 5 a 60, 5 a 48, 5 a 36 o 5 a 24 subunidades.
Unidades de PEG lineales ilustrativas que se pueden usar en cualquiera de las modalidades proporcionadas en la presente descripción son las siguientes:
>-RPEG1-(CH2CH20)n-- RPEG2
_ > _ RpEGl_(CH2CH20)n— Rpegs— (CH2CH20)n.— RPEG2
y
en donde la línea ondulada indica el sitio de unión a la Unidad Conectora en Paralelo, RPEG1 es una Unidad de Unión a PEG, RPEG2 es una Unidad de Bloqueo de PEG; RPEG3 es una Unidad de Acoplamiento de PEG (es decir, para el acoplamiento de varias cadenas de subunidades de PEG juntas), el subíndice n se selecciona independientemente de 2 a 72 (preferentemente de 4 a 72, más preferentemente de 6 a 72, de 8 a 72, de 10 a 72, de 12 a 72 o de 6 a 24); el subíndice e es de 2 a 5, cada subíndice n' se selecciona independientemente de 1 a 72.
En modalidades preferidas, hay al menos 6, preferentemente al menos 8, al menos 10, o al menos 12 subunidades de PEG en la Unidad de PEG. En algunas modalidades, no hay más de 72 o 36 subunidades de PEG en la Unidad de PEG.
En otras modalidades preferidas, el subíndice n es 8 o aproximadamente 8, 12 o aproximadamente 12, 24 o aproximadamente 24.
La Unidad de Unión a PEG es parte de la Unidad de PEG y actúa para unir la Unidad de PEG a la Unidad Conectora en Paralelo. En este sentido, la Unidad Conectora en Paralelo tiene un grupo funcional que forma un enlace con la Unidad de PEG. Los grupos funcionales para la unión de la Unidad de PEG a la Unidad Conectora en Paralelo incluyen grupos sulfhidrilo para formar enlaces disulfuro o enlaces tioéter, grupos aldehído, cetona o hidrazina para formar enlaces hidrazona, hidroxilamina para formar enlaces oxima, grupos carboxílicos o amino para formar enlaces peptídicos, grupos carboxílicos o hidroxi para formar enlaces éster, ácidos sulfónicos para formar enlaces sulfonamida, alcoholes para formar enlaces carbamato y aminas para formar enlaces sulfonamida o enlaces carbamato o enlaces amida. En consecuencia, la Unidad de PEG se puede unir a la Unidad Conectora en Paralelo, por ejemplo, a través de enlaces disulfuro, tioéter, hidrazona, oxima, péptido, éster, sulfonamida, carbamato o amida. Normalmente, la Unidad de Unión de PEG es un producto de la reacción de cicloadición, adición, adición/eliminación o sustitución que se produce al unir la Unidad de PEG a la Unidad Conectora en Paralelo.
La Unidad de Acoplamiento de PEG es parte de la Unidad de PEG y es un material no- PEG que actúa para conectar dos o más cadenas de subunidades CH2CH2O- repetidas. En modalidades ilustrativas, la Unidad de Acoplamiento de PEG R22 es -alquil C1-10-C(O)-NH-, -alquil C1-10-NH-C(O)-, -alquil C2-10-NH-, -alquil C2-10-O-, -alquil C1-10-S-, o -alquil C2-10-NH-.
En modalidades ilustrativas, la Unidad de Unión a PEG R20 es -C(O)-, -O-, -S-, -S(O)-, -NH-, -C(O)O-, -C(O)alquilo C1-10, -C(O)alquilo C1-10-O-, -C(O)alquilo C1-10-CO2-, -C(O)alquilo C1-10-NH-, -C(O)alquilo C1-10-S-, -C(O)alquilo C1-10-C(O)-NH-, -C(O)alquilo Cm 0-NH-C(O)-, -alquilo C1-10, -alquilo C1-10-O-, -alquilo C1-10-CO2-, -alquilo C1-10-NH-, -alquilo C1-10-S-, -alquilo C1-10-C(O)-NH-, -alquilo C1-10-NH-C(O)-, -CH2CH2SO2alquilo C1-10-, -CH2C(O)-alquilo C1-10-, =N-(O u N)-alquilo C1-10-O-, =N-(O u N)-alquilo C1-10-NH-, =N-(O u N)-alquilo C1-10-CO2-, =N-(O u N)-alquilo C1-10-S-,
en donde cada R21 es independientemente -alquilo C1-10, -alquilo C2-10-CO2H, -alquilo C2-10-OH, -alquilo C2-10-NH2 , alquilo C2-10-NH (alquilo C1-3) o alquilo C2-10-N(alquilo C1-3)2 ; y cada R22 es independientemente -alquilo Cm 0-C(O)-NH-, -alquilo C1-10-NHC(O)-, -alquilo C2-10-NH-, -alquilo C2-10-O-, -alquilo C1-10-S- o - alquilo C2-10-NH-.
En algunas modalidades, R20 es -NH-, -C(=O)-, grupos unidos a triazol o -S-, o grupos unidos a maleimido tales como
en donde la línea ondulada indica el sitio de unión a la Unidad Conectora en Paralelo y el asterisco indica el sitio de unión dentro de la Unidad de PEG. En algunos de tales aspectos, R21 es alquilo C1-10, -alquilo C2-10-CO2H, -alquilo C2-10-OH o -alquilo C2-10-NH2.
Las Unidades de PEG lineales ilustrativas que se pueden usar en cualquiera de las modalidades proporcionadas en la presente descripción son las siguientes:
LNH-(CH2CH20)n-CH2CH2C(=0)NH—(CH2CH20 )-C H 2CH2C 02H
'-NH-(CH2CH20 )n-CH2CH2N H -(C H 2CH20)-C H 2CH2C 02H
en donde la línea ondulada indica el sitio de unión a la Unidad Conectora en Paralelo, y cada subíndice n se selecciona independientemente de 4 a 72, 6 a 72, 8 a 72, 10 a 72, 12 a 72, 6 a 24 u 8 a 24. En algunos aspectos, n es aproximadamente 8, aproximadamente 12 o aproximadamente 24.
Como se describe en la presente descripción, la Unidad de PEG se selecciona de modo que mejore la eliminación del Conjugado Ligando-Fármaco resultante pero no afecte significativamente la capacidad del conjugado para penetrar en el tumor. En modalidades en donde la Unidad de Fármaco cuaternizado y -W-Y- o -Y(W')- en la Unidad Enlazadora de un Conjugado Ligando-Fármaco tienen una hidrofobicidad comparable a la del Enlazador de Fármaco maleimido glucurónido MMAE (como se muestra en los ejemplos), la Unidad de PEG que se seleccionará para su uso tendrá preferentemente de 8 subunidades a aproximadamente 24 subunidades, más preferentemente aproximadamente 12 subunidades. En modalidades en donde la Unidad de Fármaco cuaternizado y -W-Y- o -Y(W')-en la Unidad Enlazadora de un Conjugado Ligando-Fármaco una hidrofobicidad mayor que la de un Enlazador de Fármaco maleimido glucurónido m Ma E, se puede seleccionar una unidad de p Eg con más subunidades. La metodología que se muestra en la sección de ejemplos puede usarse para identificar el número ideal de subunidades para un enlazador-fármaco particular.
Se apreciará que cuando se hace referencia a subunidades de PEG, y según el contexto, el número de subunidades puede representar un número promedio, por ejemplo, cuando se hace referencia a una población de Conjugados Fármaco Ligando o compuestos intermediarios (por ejemplo, compuestos Enlazadores de Fármaco) y mediante el uso de PEG polidispersos.
1.3.4 Tubulisinas cuaternizadas
En un grupo de modalidades, la Unidad de Fármaco de tubulisina cuaternizada incorpora o corresponde en estructura a una tubulisina que tiene una amina terciaria en el N-terminal, en donde el átomo nitrógeno de esa amina terciaria está en forma cuaternizada.
En algunas modalidades, la Unidad de Fármaco cuaternizada es la de una tubulisina representada por la estructura de Fórmula Dg, Dh o Dh' en donde el nitrógeno (t) indicado es el sitio de cuaternización cuando tales compuestos se incorporan a un LDC o una Compuesto Enlazador de Fármaco como una unidad de fármaco cuaternizado (D+):
en donde el nitrógeno indicado (f) es el sitio de cuaternización cuando dicho compuesto de tubulisina se incorpora a un LDC o un compuesto Enlazador de Fármaco como una unidad de fármaco de tubulisina cuaternizada (D+); el círculo representa un heteroarilo que contiene nitrógeno de 5 o 6 miembros, en donde los sustituyentes requeridos indicados para ese heteroarilo están en una relación 1,3- o meta entre sí con sustitución opcional en las posiciones restantes; la línea discontinua curva representa la ciclación opcional; la línea recta discontinua a R2 representa un doble enlace opcional u opcionalmente dos instancias de R2 seleccionadas independientemente o un resto divalente unido a O; R2 es XA-R2A, en donde R2A es hidrógeno, alquilo opcionalmente sustituido, saturado o insaturado o -C(=O)RB, en donde RB es hidrógeno, alquilo opcionalmente sustituido, saturado o insaturado, alquenilo opcionalmente sustituido o arilo opcionalmente sustituido; Xa es -O-, -S-, -N(R2C)-, -CH2-, -C(=O)-, -(C=O)N(R2C)- o -O(C=O)N(R2C)-, en donde R2C es hidrógeno o alquilo opcionalmente sustituido, o R2 es un sustituyente unido a O monovalente, y el doble enlace a R2 está ausente, o R2 es O y el doble enlace a R2 está presente; R3 es hidrógeno o alquilo opcionalmente sustituido; R4, R4A, R4B, R5 y R6 son alquilo opcionalmente sustituido, seleccionado independientemente, o R4A y R4B, junto con los átomos a los que están unidos definen un heterocicloalquilo opcionalmente sustituido, como se indica mediante la línea curva discontinua entre R4A y R4B y R4, R5 y R6 son como se definió previamente; un R7 es hidrógeno o alquilo opcionalmente sustituido y el otro R7 es arilalquilo opcionalmente sustituido o heteroarilalquilo opcionalmente sustituido.
En otras modalidades, el fármaco cuaternizado es una tubulisina representada por la estructura de Fórmula Dg en donde un R7 es hidrógeno o alquilo opcionalmente sustituido, preferentemente hidrógeno o C1-C4 , y el otro R7 es un
alquilo opcionalmente sustituido seleccionado independientemente, preferentemente alquilo C1-C6 sustituido con fenilo opcionalmente sustituido o -CO2 H o un profármaco de éster del mismo; R4A y R4B, junto con los átomos a los que están unidos definen un heterocicloalquilo C5-C6 opcionalmente sustituido; y los demás grupos variables son como se definió previamente.
En algunas modalidades de Fórmula Dg, R2 es XA-R2A, en donde Xa es -O- y R2A es -C(=O)RC, en donde RC es hidrógeno, alquilo opcionalmente sustituido, preferentemente, metilo, etilo, vinilo o un alquilo ramificado o R2 es un sustituyente unido a O monovalente que se selecciona del grupo que consiste en ésteres.
En otra modalidad de Fórmula DG, R2 es XA-R2A, en donde XA es -O-; y R2A es hidrógeno o alquilo opcionalmente sustituido, saturado o insaturado, o R2 es un sustituyente unido a O monovalente que se selecciona del grupo que consiste en ésteres.
En modalidades preferidas, la Unidad de Fármaco cuaternizado es la de una tubulisina representada por la estructura de Fórmula Dg':
en donde el subíndice m es 0 o 1, un R7 es hidrógeno y el otro R7 es un arilalquilo opcionalmente sustituido, en donde el resto alquilo está sustituido por -CO2 H o un éster del mismo y los grupos variables restantes son como se definen para la Fórmula Dg.
En otras modalidades preferidas -N(R7)(R7) de Fórmula Dg se reemplaza por -N(R7)-CH(R10)(CH2R11) para definir fármacos de tubulisina cuaternizada de Fórmula Dh':
en donde R10 es alquilo C1-C6 sustituido con -CO2H, o un éster del mismo, y R7 es hidrógeno o un alquilo C1-C6 independientemente seleccionado de R10, o R7 y R10 junto con los átomos al que están unidos definen un heterociclo de 5 o 6 miembros; y R11 es arilo o heteroarilo de 5 o 6 miembros, opcionalmente sustituido con uno o más, preferentemente 1 o 2, más preferentemente 1, sustituyente(s) seleccionado(s) independientemente del grupo que consiste en halógeno, alquilo inferior, -OH y -O-alquilo C1-C6 , preferentemente -F, -CH3 y -OCH3 ; y los grupos variables restantes son como se definen por la Fórmula Dh.
En otros aspectos más, un R7 en -N(R7)(R7) en Fórmula Dg, Fórmula Dg' o Fórmula Dh es hidrógeno o alquilo C1-C6, y el otro R7 es un alquilo C1-C6 seleccionado independientemente opcionalmente sustituido con -CO2H o un éster del mismo, o por un fenilo opcionalmente sustituido.
En algunas modalidades de Fórmula Dg y Fórmula Dg' o Formula Dh un R7 es hidrógeno y el otro R7 es un arilalquilo opcionalmente sustituido que tiene la estructura de:
en donde R7B es hidrógeno o un sustituyente unido a O, preferentemente hidrógeno u -OH en la posición para, y R8A es hidrógeno o alquilo inferior, preferentemente metilo; y en donde la línea ondulada indica el punto de unión a lo que resta de Dg, Dg' o Dh.
En modalidades preferidas de Fórmula Dg, Fórmula Dg' o Formula Dh, un R7 es hidrógeno y el otro R7 es un arilalquilo opcionalmente sustituido que tiene la estructura de
en donde R7B es -H u -OH; y en donde la línea ondulada indica el punto de unión a lo que resta de Dg o Dg'.
En otras modalidades de estructura Fórmula Dg, Fórmula Dg' o Formula Dh, un R7 es hidrógeno o alquilo C1-C4 , preferentemente hidrógeno o metilo, más preferentemente hidrógeno, y el otro R7 es arilalquilo opcionalmente sustituido que tiene la estructura de uno de:
en donde Z es un alquileno opcionalmente sustituido o un alquenileno opcionalmente sustituido, R7B es hidrógeno o un sustituyente unido a O, preferentemente hidrógeno u -OH en la posición para, R8A es hidrógeno o alquilo inferior, preferentemente metilo, y el subíndice n es 0, 1 o 2, preferentemente 0 o 1; y en donde la línea ondulada indica el punto de unión a lo que resta de Dg o Dh.
En otras modalidades de Fórmula Dg, Fórmula Dg' o Fórmula Dh, -N(R7)(R7) es -NH(alquilo C1-C6) en donde el alquilo C1-C6 está opcionalmente sustituido por -CO2H o un éster del mismo, o por un fenilo opcionalmente sustituido, con -N(R7)(R7) se selecciona del grupo que consiste en -NH(CH3), -CH2CH2Ph y -CH2-CO2H, -CH2CH2CO2H y -CH2CH2CH2CO2 H preferentemente.
En algunas modalidades de estructura Dh', R7 y R10 junto con los átomos a los que están unidos definen un heterociclo de 5 o 6 miembros opcionalmente sustituido en donde -N(R7)-CH(R10)(CH2R11) tiene la estructura de:
en donde la línea ondulada indica el punto de unión a lo que resta de Dh'.
Algunas Unidades de Fármaco cuaternizadas preferidas son las de una tubulisina representada por la Fórmula Dh-1, en donde el nitrógeno indicado (f) es el sitio de cuaternización cuando dicho compuesto de tubulisina se incorpora a un compuesto LDC o Enlazador de Fármaco como una unidad de fármaco cuaternizada (D+):
en donde el círculo representa un heteroarilo nitrogenado de 5 o 6 miembros en donde los sustituyentes requeridos indicados para ese heteroarilo están en una relación 1,3 o meta entre sí con sustitución opcional en las posiciones restantes; R2A es hidrógeno o alquilo opcionalmente sustituido o R2A junto con el átomo de oxígeno al que está unido define un sustituyente unido a O; R3 es hidrógeno o alquilo opcionalmente sustituido; R4, R4A, R4B, R5 y R6 son alquilo opcionalmente sustituido, seleccionados independientemente; R7A es arilo opcionalmente sustituido o heteroarilo opcionalmente sustituido, R8A es hidrógeno o alquilo opcionalmente sustituido y el subíndice m es 0 o 1.
En algunas modalidades preferidas de Fórmula Dg, Dg', Dh, Dh' o Dh-1, R4 es metilo o etilo, R3 es alquilo opcionalmente sustituido y R5 y R6 son residuos de cadena lateral de aminoácidos naturales hidrofóbicos
seleccionados de forma independiente y los restantes grupos variables son los definidos.
En otras modalidades preferidas de Fórmula Dh-1, R7A es fenilo opcionalmente sustituido. En otra modalidad preferida, R8A es metilo en la configuración (S). En aún otras modalidades preferidas de Dh, Dh' o Dh-1, R2A junto con el átomo de oxígeno al que está unido define un sustituyente unido a O distinto de -OH, con mayor preferencia un éster, éter o un carbamato unido a O. En modalidades más preferidas, el círculo representa un heteroarileno de 5 miembros que contiene nitrógeno, con un resto divalente de oxazol o de tiazol particularmente preferida. En otras modalidades preferidas, R4 es metilo o R4A y R4B son metilo. En otras modalidades preferidas, R7 es arilalquilo opcionalmente sustituido, en donde arilo es fenilo y R7A es fenilo opcionalmente sustituido.
En otras modalidades de Fórmula Dg, Dg', Dg-1, Dh, Dh' o Dh-1, el círculo representa un heteroarileno nitrogenado de 5 miembros, preferentemente representado por la estructura
en donde XB es O, S o NRB donde RB es hidrógeno o alquilo inferior. Preferentemente, el fármaco cuaternizado es el de una tubulisina representada por la estructura de Fórmula Dg', Dh, Dh' o Dh-1, en donde el subíndice m es 1. Son más preferidas las tubulisinas representadas por la estructura de Fórmula Dg', Dh, Dh' o Dh-1 , en donde m es 1 y el círculo representa un resto de tiazol divalente opcionalmente sustituido.
Otras Unidades de Fármaco cuaternizadas son las de una tubulisina representada por la estructura de Fórmula Di:
en donde el nitrógeno indicado (f) es el sitio de cuaternización cuando dicho compuesto de tubulisina corres ponde o se incorpora a un LDC o un compuesto Enlazador de Fármaco como una unidad de fármaco cuaternizada (D+); las líneas discontinuas curvas indican ciclaciones opcionales; R2A es hidrógeno o alquilo opcionalmente sustituido, o R2A junto con el átomo de oxígeno al que está unido define un sustituyente unido a O distinto de -OH, o R2A está ausente cuando R6 está unido a ese átomo de oxígeno, como se indica por la línea discontinua curva entre R6 y el átomo de oxígeno, para definir un heterocicloalquilo que contiene oxígeno; el Ar en un círculo representa un heteroarileno nitrogenado de 5 miembros, en donde los sustituyentes requeridos indicados para ese heteroarileno están en una relación 1,3 entre sí con sustitución opcional en las posiciones restantes; R3 es hidrógeno o alquilo opcionalmente sustituido; R4, R5 y R6 son alquilos opcionalmente sustituidos, seleccionado independientemente, o R6 está unido al átomo de oxígeno del resto -OR2A en el que R2A está ausente y R4 y R5 son como se definió previamente; R4a es hidrógeno o alquilo opcionalmente sustituido y R4B es alquilo opcionalmente sustituido, o ambos junto con el nitrógeno al que están unidos, como se indica mediante la línea de puntos curva entre R4A y R4B, definen un heterocicloalquilo de nitrógeno cuaternizado, opcionalmente sustituido; un R7 es hidrógeno o alquilo opcionalmente sustituido y el otro R7 es aralquilo o heteroaralquilo opcionalmente sustituido; en donde la línea ondulada indica enlace covalente de la estructura D+ con el resto de la estructura LDC.
En esas modalidades, el compuesto de tubulisina tiene preferentemente la estructura de Fórmula D1-1:
en donde el subíndice m es 0 o 1; Z es un alquileno opcionalmente sustituido o un alquenileno opcionalmente sustituido; R7A es arilo opcionalmente sustituido o heteroarilo opcionalmente sustituido; y los otros grupos variables son como se definió previamente para la Fórmula Di.
En modalidades preferidas de Fórmula Di, el compuesto de tubulisina tiene la estructura de Fórmula D1-2 :
en donde R7A es fenilo opcionalmente sustituido; R8A es hidrógeno o metilo; y los otros grupos variables son como se definió previamente para la Fórmula Di.
En otras modalidades preferidas de Fórmula DI, el compuesto de tubulisina tiene la estructura de Fórmula DI-3:
en donde R5 y R6 son residuos de cadena lateral alquílica de aminoácidos hidrófobos naturales o no naturales, seleccionados independientemente; el subíndice u, que indica el número de sustituyentes R7B, es 0, 1, 2 o 3; cada R7B, cuando está presente, es un sustituyente unido a O seleccionado independientemente; R8A es hidrógeno o alquilo opcionalmente sustituido; y los otros grupos variables son como se definió previamente para la Fórmula Di.
En modalidades más preferidas de Fórmula Di, el compuesto de tubulisina tiene la estructura de Fórmula D1-4 :
en donde el nitrógeno indicado (f) es el sitio de cuaternización cuando dicho compuesto de tubulisina corresponde a o se incorpora a un LDC o a un compuesto de Enlazador de Fármaco como una unidad de fármaco cuaternizada (D+); R4 es metilo; el subíndice u es 0, 1 o 2; R3 es H, metilo, etilo, propilo, -CH2-OC(O)R3A, -CH2CH(R3B)C(O)R3A o -CH(R3B)C(O)NHR3A, en donde R3A es alquilo C1-C6 y R3B es H o alquilo C1-C6 , seleccionados independientemente de R3A; R2A junto con el átomo de oxígeno al que está unido es un sustituyente unido a O seleccionado del grupo que consiste en OCH2OCH2R2B, -OCH2R2B, -OC(O)R2B, -CH2oC(O)R2B, -OC(O)N(R2B)(R2C) y -OCH2C(O)N(R2B)(R2C), en donde R2B y R2C se seleccionan independientemente de los grupos que consiste en H, alquilo C1-C6 y alquenilo C2-C6 ; y cada R7B, cuando está presente, es independientemente -OH u -OCH3.
En otras modalidades más preferidas de Fórmula Di, el compuesto de tubulisina tiene la estructura de Fórmula D1-5 :
en donde el nitrógeno indicado (f) es el sitio de cuaternización cuando dicho compuesto de tubulisina corresponde a o se incorpora a un LDC o un compuesto Enlazador de Fármaco como una unidad de fármaco cuaternizado (D+); R2A es hidrógeno, un alquilo opcionalmente sustituido, saturado o insaturado, o R2 junto con el átomo de oxígeno al que está unido define un sustituyente unido a O distinto de -OH; R3 es alquilo C1-C6 opcionalmente sustituido; R4 es metilo; R5 y R6 son residuos de cadena lateral alquílica de aminoácidos hidrófobos naturales; y el resto -N(R7')(R7') es -NH(alquilo C1-C6) o -NH-N(alquilo C1-C6)2 , en donde uno y sólo un alquilo C1-C6 está opcionalmente sustituido por -CO2H, o un éster del mismo, o por un fenilo opcionalmente sustituido con el resto -N(R7')(R7') preferentemente
seleccionado del grupo que consiste en -NH(CH3), -NHCH2CH2Ph y -NHCH2-CO2 H, -NHCH2CH2CO2H y -NHCH2CH2CH2CO2 H.
En cualquiera de las Fórmulas Dh, Dh', Dh-1, Di, Di-1 , Di-2, Di-3, Di-4 y Di-5, preferentemente R2A es -CH2CH3 , -CH2-CH=CH2 o -CH2-C(CH3)=CH2.
En modalidades particularmente preferidas de fórmula Di, el compuesto de tubulisina tiene la estructura de
en donde R2B es -CH3 , -CH2CH3 , -CH2CH2CH3 , -CH(CH3)2, -CH2CH(CH3)2, -CH2C(CH3)3 y el nitrógeno indicado (t) es el sitio de cuaternización cuando dichos compuestos de tubulisina corresponden o se incorporan a un LDC o un compuesto Enlazador de Fármaco como una unidad de fármaco cuaternizada (D+).
En otras modalidades particularmente preferidas de fórmula Di, el compuesto de tubulisina tiene la estructura de
en donde R2B es hidrógeno, metilo u -OCH3 (es decir, -OCH2 R2B es un sustituyente de metilo, etilo o metoximetil éter), u -OCH2R2B es -OCH2CH=CH2 u -OCH2C(CH3)=CH2; y el nitrógeno indicado (t) es el sitio de cuaternización cuando dicho compuesto de tubulisina corresponde o se incorpora a un LDC o un compuesto Enlazador de Fármaco como una unidad de fármaco cuaternizado (D+).
En otras modalidades preferidas de cualquiera de las Fórmulas D1-1, Di-2, Di-2, Di-4 o D1-5: el heterociclo con núcleo de tiazol
es reemplazado por
En algunas modalidades preferidas de cualquiera de las Fórmulas Dh, Dh', Dh-i , Di, Di-i , Di-2, Di-3, Di-4 y Di-5, R3 es metilo o es -CH2OC(=O)R3A, en donde R3A es alquilo opcionalmente sustituido. En otras modalidades preferidas de cualquiera de esas estructuras, R3 es -C(R3A)(R3A)C(=O)-Xc, en donde XC es -OR3B o -N(R3C)(R3C), en donde cada R3A, R3B y R3C es independientemente hidrógeno, alquilo opcionalmente sustituido o cicloalquilo opcionalmente sustituido. Preferentemente, R3 es -C(R3A)(R3A)C(=O)-N(R3C)(R3C), con cada R3A hidrógeno, un R3C hidrógeno y el otro R3C n-butilo o isopropilo más preferido.
En otras modalidades preferidas, la tubulisina corresponde o incorporada como D+ en un LDC es una tubulisina de origen natural que incluye Tubulisina A, Tubulisina B, Tubulisina C, Tubulisina D, Tubulisina E, Tubulisina F, Tubulisina G, Tubulisina H, Tubulisina I, Tubulisina U, Tubulisina V, Tubulisina W, Tubulisina X o Tubulisina Z, cuyas estructuras vienen dadas por las siguientes definiciones de estructuras y grupos de variables, en donde el nitrógeno indicado (f) es el sitio de cuaternización cuando dichos compuestos se incorporan en un LDC como una unidad de fármaco cuaternizada (D+):
TABLA 1. Algunas tubulisinas que se encuentran naturalmente
Tubulisina R7B R2A R3
En modalidades particularmente preferidas, la tubulisina cuaternizada es la Tubulisina M.
1.4.1 Compuestos Enlazadores de Fármacos Lb' -Lo-D+
En otras modalidades preferidas, Lb'-Lo-D+ o Lb-Lo-D+ tienen la estructura de:
en donde R2, R2A, R3, R4, R4A, R4B, R5, R6, R7, R7A y R8A son como se describen para fármacos de tubulisina en forma libre en estructura Dg', Dh, Dh', Dh-1, Di, Di-1, Di-2, Di-3, Di-4 y Di-5, y Lb, La', Lp, PEG, A, Ao, V y Z3, y los subíndices m y p son como se describió previamente para los restos que contienen Lb- y Lb'- descritos en la presente descripción; E' y J' son independientemente -O-, -S- o -N(R33), en donde R33 es hidrógeno o alquilo opcionalmente sustituido y R45 es CO2H o CH2OH. En modalidades más preferidas, J' es -NH-. En otras modalidades preferidas, E' es -O-.
Más preferidas son aquellas modalidades en donde Lb' es un resto maleimida (M1) o Lb es un resto succinimida (M2) o amida-ácido (M3).
En otras modalidades más preferidas, Lb'-Lo-D+ tiene la estructura de:
en donde A, R2A, R3, R45, R7B, R45 y el subíndice u son como se definieron previamente. En modalidades más preferidas uno o ambos de V, Z3 son =CH-.
En modalidades más preferidas, un resto Lb'-Lo-D+ o -Lb-Lo-D+ compuesto por una unidad de fármaco e tubulisina
cuaternizado tiene la estructura de:
en donde la línea ondulada indica unión covalente a un grupo sulfhidrilo de una Unidad de Ligando. En modalidades más preferidas, el resto carbohidrato unido covalentemente al resto autodestructivo de Y a través de un enlace glicosídico tiene su carbono anomérico en la configuración p. En otras modalidades más preferidas R45 es -CH2OH o -CO2H.
En cualquiera de las modalidades anteriores para el resto que contiene LB-, LB'-, M1-, M2- o M3 compuesto por un fármaco de tubulisina cuaternizada, R3 es preferentemente metilo o R2 es preferentemente acetato o m es preferentemente 1. Además, se prefieren para tales restos que contienen Lb-, Lb'-, M1-, M2- o M3 son aquellos en donde R3 es metilo, etilo o propilo y - OR2A es -OC(O)CH3 , -OCH3 , -OCH2CH3 , -OCH2CH2CH3 , -OCH2CH=CH2 u OCH2C(CH3)=CH2. En cualquiera de esas modalidades, el subíndice u es 0 o es 1 y R7B es -OH
1.51 Tratamiento de las afecciones hiperproliferativas
Los Conjugados Ligando-Fármaco son útiles para inhibir la multiplicación de una célula tumoral o cancerosa, provocar apoptosis en una célula tumoral o cancerosa, o para tratar el cáncer en un paciente. Los Conjugados Ligando-Fármaco se pueden utilizar en consecuencia en una variedad de situaciones para el tratamiento de cánceres. Los Conjugados Ligando-Fármaco se pueden usar para suministrar un fármaco a una célula tumoral o cancerosa. Sin estar limitado por la teoría, la Unidad de Ligando de un Conjugado Ligando-Fármaco se enlaza o se asocia a una célula cancerosa de la superficie celular o a un antígeno o receptor asociado a la célula tumoral, y tras la unión el Conjugado Ligando-Fármaco es absorbido (internalizado) dentro de una célula tumoral o cancerosa a través de la endocitosis mediada por el antígeno o el receptor u otro mecanismo de internalización. El antígeno puede estar unido a una célula tumoral o célula cancerosa o puede ser una proteína de la matriz extracelular asociada con la célula tumoral o célula cancerosa. Una vez dentro de la célula, a través de la escisión enzimática o no enzimática, en dependencia de los componentes del sistema enlazador, el fármaco se libera dentro de la célula. Alternativamente, la Unidad de Fármaco o el Fármaco se escinden del Conjugado Ligando-Fármaco dentro de las proximidades de la célula tumoral o de la célula cancerosa, y la Unidad de Fármaco o el fármaco penetra posteriormente en la célula.
Los Conjugados Ligando-Fármaco pueden proporcionar un direccionamiento de fármacos contra el cáncer o tumores específicos de la conjugación, lo que reduce así la toxicidad general del fármaco.
Las Unidades Enlazadoras estabilizan los Conjugados Ligando-Fármaco en la sangre, pero pueden liberar fármaco una vez dentro de la célula.
La Unidad de Ligando puede se enlaza a la célula tumoral o la célula cancerosa.
La Unidad de Ligando se enlaza a un antígeno de la célula tumoral o de la célula cancerosa que se encuentra en la superficie de la célula tumoral o cancerosa.
La Unidad de Ligando se enlaza a un antígeno de la célula tumoral o de la célula cancerosa que es una proteína de la matriz extracelular asociada con la célula tumoral o la célula cancerosa.
La especificidad de la Unidad de Ligando para una célula tumoral o una célula cancerosa en particular puede ser importante para determinar los tumores o cánceres que se tratan con mayor efectividad. Por ejemplo, un Conjugado Ligando-Fármaco que tiene una Unidad de Ligando BR96 puede ser útil para tratar carcinomas positivos a antígeno, incluidos los de pulmón, mama, colon, ovarios y páncreas. Los Conjugados Ligando-Fármaco que tienen una Unidad de Ligando de unión anti-CD30 o anti-CD70 pueden ser útiles para tratar neoplasias hematológicas.
Otros tipos particulares de cánceres que pueden tratarse con conjugado ligando-fármaco incluyen, pero no se limitan a, los siguientes tumores sólidos, cánceres de origen sanguíneo, leucemias agudas y crónicas y linfomas.
Los tumores sólidos incluyen, pero no se limitan a fibrosarcoma, mixosarcoma, liposarcoma, condrosarcoma, sarcoma osteogénico, cordoma, angiosarcoma, endoteliosarcoma, linfangiosarcoma, linfangioendoteliosarcoma, sinovioma, mesotelioma, tumor de Ewing, leiomiosarcoma, rabdomiosarcoma, cáncer de colon, cáncer colorrectal, cáncer de riñón, cáncer de páncreas, cáncer óseo, cáncer de mama, cáncer de ovario, cáncer de próstata, cáncer de esófago, cáncer de estómago, cáncer bucal, cáncer nasal, cáncer de garganta, carcinoma de células escamosas, carcinoma de células basales, adenocarcinoma, carcinoma de glándulas sudoríparas, carcinoma de glándulas sebáceas, carcinoma papilar, adenocarcinomas papilares, cistadenocarcinoma, carcinoma medular, carcinoma broncogénico, carcinoma de células renales, hepatoma, carcinoma de las vías biliares, coriocarcinoma, seminoma, carcinoma embrionario, tumor de Wilms, cáncer de cuello uterino, cáncer de útero, cáncer testicular, carcinoma de pulmón de células pequeñas, carcinoma de vejiga, cáncer de pulmón, carcinoma epitelial, glioma, glioblastoma multiforme, astrocitoma, meduloblastoma, craneofaringioma, ependimoma, pinealoma, hemangioblastoma, neuroma acústico, oligodendroglioma, meningioma, cáncer de piel, melanoma, neuroblastoma y retinoblastoma.
Los cánceres de origen sanguíneo incluyen, pero no se limitan a, leucemia linfoblástica aguda "ALL", leucemia linfoblástica aguda de células B, leucemia linfoblástica aguda de células T, leucemia mieloblástica aguda "AML", leucemia promielocítica aguda "APL", leucemia monoblástica aguda, leucemia eritroleucémica aguda, leucemia megacarioblástica aguda, leucemia mielomonocítica aguda, leucemia no linfocítica aguda, leucemia indiferenciada aguda, leucemia mielocítica crónica "CML", leucemia linfocítica crónica "CLL", leucemia de células pilosas y mieloma múltiple.
Las leucemias agudas y crónicas incluyen, pero no se limitan a, leucemias linfoblásticas, mielógenas, linfocíticas y mielocíticas.
Los linfomas incluyen, pero no se limitan a, enfermedad de Hodgkin, linfoma no Hodgkin, mieloma múltiple,
macroglobulinemia de Waldenstrom, Enfermedad de cadenas pesadas y Policitemia vera.
Los cánceres, incluidos, pero sin limitarse a, un tumor, metástasis u otras enfermedades o trastornos caracterizados por células hiperproliferativas, pueden tratarse o inhibirse su progresión mediante la administración de una composición de ADC.
1.6.1 Composiciones farmacéuticas
La presente invención proporciona formulaciones farmacéuticamente aceptables o precursores de las mismas que comprenden una composición de LDC descrita en la presente descripción, o una sal farmacéuticamente aceptable de las mismas, y uno o más excipientes farmacéuticamente aceptables, o de uno a cuatro excipientes farmacéuticamente aceptables, que en algunas modalidades incluye un vehículo farmacéuticamente aceptable. Las composiciones farmacéuticas pueden estar en cualquier forma que permita administrar un Conjugado Anticuerpo-Fármaco como LDC a un paciente para el tratamiento de un trastorno asociado con la expresión del antígeno al que se enlaza el anticuerpo de ADC. Por ejemplo, las composiciones farmacéuticas pueden estar en forma líquida o sólida liofilizada. Preferentemente, las formulaciones están en una forma adecuada para administración parenteral. La administración parenteral incluye inyecciones subcutáneas, intravenosas, intramuscular, intraesternal e intratecal y técnicas de inyección o infusión intraesternal. En modalidades preferidas, la formulación está en forma de una solución líquida. Preferentemente, la solución líquida se prepara a partir de la reconstitución de una preformulación sólida a partir de la liofilización de una preformulación líquida que, comprende el ADC mediante el uso de un vehículo farmacéuticamente aceptable adecuado.
Las composiciones farmacéuticas se pueden formular para permitir que un compuesto esté biodisponible tras la administración de la composición a un paciente. Tales composiciones pueden tomar la forma de una o más unidades de dosificación, donde, por ejemplo, un sólido liofilizado puede proporcionar una sola unidad de dosificación cuando se reconstituye como una solución o suspensión tras la adición de un vehículo líquido adecuado.
Los materiales que se usan para preparar las composiciones farmacéuticas son preferentemente no tóxicos en las cantidades usadas. Será evidente para los expertos en la técnica que la dosis óptima del o los ingredientes activos en la composición farmacéutica dependerá de una variedad de factores. Los factores de interés incluyen, sin limitación, el tipo de animal (por ejemplo, un ser humano), la forma particular de la composición farmacéutica, la forma de administración y la composición de LDC empleada.
La composición farmacéutica puede estar, por ejemplo, en forma líquida. El líquido puede ser útil para administrarlo por inyección. En una composición para administración por inyección, también se pueden incluir uno o más de un tensioactivo, conservante, agente humectante, agente dispersante, agente de suspensión, tampón, estabilizador y agente isotónico.
Las composiciones líquidas, ya sean soluciones, suspensiones u otra forma similar, pueden incluir también uno o más de los siguientes elementos: diluyentes estériles como agua para inyección, solución salina, preferentemente salina fisiológica, solución de Ringer, cloruro sódico isotónico, aceites fijos como mono o diglicéridos sintéticos que pueden servir de disolvente o medio de suspensión, polietilenglicoles, glicerina, ciclodextrina, propilenglicol u otros disolventes; agentes antibacterianos como alcohol bencílico o metilparabeno;
antioxidantes como ácido ascórbico o bisulfito de sodio; agentes quelantes tales como ácido etilendiaminotetraacético; tampones como aminoácidos, acetatos, citratos o fosfatos; detergentes, tales como tensioactivos no iónicos, polioles y agentes para el ajuste de la tonicidad tales como cloruro de sodio o dextrosa. Una composición parenteral puede envasarse en una ampolla, una jeringa desechable o un frasco de dosis múltiples fabricado de vidrio, plástico u otro material. La solución salina fisiológica es un adyuvante ilustrativo. Una composición farmacéutica inyectable es preferentemente estéril.
La cantidad del conjugado que es efectiva en el tratamiento de un trastorno o afección particular dependerá de la naturaleza del trastorno o afección y puede determinarse mediante técnicas clínicas estándar. En las formulaciones farmacéuticamente aceptables de la presente invención, el LDC está presente en una cantidad eficaz para el tratamiento de un estado hiperproliferativo. Además, pueden emplearse opcionalmente ensayos in vitro o in vivo para ayudar a identificar los intervalos de dosis óptimos. La dosis precisa que se empleará en las composiciones también dependerá de la vía de administración y de la gravedad de la enfermedad o trastorno, y debería decidirse según el criterio del médico y las circunstancias de cada paciente.
La composición farmacéutica comprende una cantidad eficaz de una composición de LDC de manera que se obtendrá una dosis adecuada para la administración a un sujeto que la necesite. Normalmente, esta cantidad es al menos aproximadamente 0 , 01 % en peso de la composición farmacéutica.
Para la administración intravenosa, la composición farmacéutica puede comprender de aproximadamente 0,01 a aproximadamente 100 mg de una composición de LDC por kg de peso corporal del animal. En un aspecto, la composición farmacéutica puede incluir de aproximadamente 1 a aproximadamente 10 0 mg de una composición de ADC por kg de peso corporal del animal. En otro aspecto, la cantidad administrada estará en el intervalo de
aproximadamente 0,1 a aproximadamente 25 mg/kg de peso corporal de una composición de ADC.
Generalmente, la dosis de una composición de LDC administrada a un paciente es normalmente de aproximadamente 0,01 mg/kg a aproximadamente 100 mg/kg del peso corporal del sujeto. En algunas modalidades, la dosis administrada a un paciente está entre aproximadamente 0,01 mg/kg a aproximadamente 15 mg/kg del peso corporal del sujeto. En algunas modalidades, la dosis administrada a un paciente está entre aproximadamente 0,1 mg/kg y aproximadamente 15 mg/kg del peso corporal del sujeto. En algunas modalidades, la dosis administrada a un paciente está entre aproximadamente 0,1 mg/kg y aproximadamente 20 mg/kg del peso corporal del sujeto. En otras modalidades, la dosis administrada está entre aproximadamente 0,1 mg/kg a aproximadamente 5 mg/kg o aproximadamente 0,1 mg/kg a aproximadamente 10 mg/kg del peso corporal del sujeto. En otras modalidades, la dosis administrada está entre aproximadamente 1 mg/kg y aproximadamente 15 mg/kg del peso corporal del sujeto. En otras
modalidades, la dosis administrada está entre aproximadamente 1 mg/kg y aproximadamente 10 mg/kg del peso corporal del sujeto. En algunas modalidades, la dosis administrada está entre aproximadamente 0,1 a 4 mg/kg, preferentemente de 0,1 a 3,2 mg/kg, o más preferentemente de 0,1 a 2,7 mg/kg del peso corporal del sujeto durante un ciclo de tratamiento.
En una modalidad, los conjugados se formulan de acuerdo con procedimientos de rutina como una composición farmacéutica adaptada para la administración intravenosa a animales, particularmente seres humanos. Normalmente, los portadores o vehículos para la administración intravenosa son soluciones tamponadas acuosas isotónicas y estériles. Cuando sea necesario, las composiciones pueden incluir, además, un agente solubilizante. Las composiciones para la administración intravenosa pueden comprender opcionalmente un anestésico local tal como lidocaína para aliviar el dolor en el lugar de la inyección. Generalmente, los ingredientes se suministran por separado o mezclados en forma de dosificación unitaria, por ejemplo, como un polvo liofilizado seco o concentrado libre de agua en un recipiente herméticamente cerrado como una ampolla o bolsita que indica la cantidad de agente activo. Donde se va a administrar un conjugado por infusión, se puede dispensar, por ejemplo, con una botella de infusión que contenga agua o solución salina de calidad farmacéutica estéril. Cuando el conjugado se administra mediante inyección, se puede proporcionar una ampolla de agua estéril para inyección o solución salina para que los ingredientes se puedan mezclar antes de la administración.
Las composiciones farmacéuticas se formulan generalmente como estériles, sustancialmente isotónicas y en total conformidad con todas las normativas de Buenas Prácticas de Fabricación (GMP) de la Administración de Drogas y Alimentos de los Estados Unidos.
Ejemplos
Cualquier ejemplo que quede fuera del alcance de las reivindicaciones se proporciona únicamente para ayudar a comprender la presente invención.
Información general. Todos los solventes anhidros disponible comercialmente se usaron sin purificación adicional. La cromatografía analítica en capa fina se realizó sobre láminas de aluminio de gel de sílice 60 F254 (EMD Chemicals, Gibbstown, NJ). La cromatografía radial se realizó en un aparato de Chromatotron (Harris Research, Palo Alto, CA). La cromatografía en columna se realizó en un sistema de purificación ultrarrápida de Biotage Isolera One (Charlotte, NC). La HPLC analítica se realizó en un sistema de suministro de disolvente Varian ProStar 210 configurado con un detector Varian ProStar 330 PDA. Las muestras se eluyeron en una columna de fase inversa C12 Phenomenex Synergi 2,0 x 150 mm, 4 pm, 80 Á. La fase móvil ácida consistió en acetonitrilo y agua que contenían ambos ácido trifluoroacético al 0,05 % o ácido fórmico al 0,1 % (indicado para cada compuesto). Los compuestos se eluyeron con un gradiente lineal de acetonitrilo ácido desde el 5 % a 1 min después de la inyección, hasta 95 % a los 11 min, seguido de acetonitrilo isocrático al 95 % a los 15 min (velocidad de flujo = 1,0 ml/min). La LC-MS se realizó en dos sistemas diferentes. El sistema de LC-MS 1 consistió en un espectrómetro de masas ZMD Micromass interconectado a un instrumento de HPLC HP Agilent 1100 equipado con una columna de fase inversa C12 Phenomenex Synergi 2,0 x 150 mm, 4 pm, 80 A. El eluyente ácido consistió en un gradiente lineal de acetonitrilo del 5 % al 95 % en ácido fórmico acuoso al 0,1 % durante 10 min, seguido de acetonitrilo isocrático al 95 % durante 5 min (velocidad de flujo = 0,4 ml/min). El sistema de LC-MS 2 consistió en un espectrómetro de masas Waters Xevo G2 Tof interconectado a un Módulo de Separaciones Waters 2695 con un detector de Matriz de Fotodiodos Waters 2996; la columna, las fases móviles, el gradiente y la velocidad de flujo fueron los mismos que para el sistema de LC-MS 1. El sistema UPLC-MS 1 consistía en un detector de masas Waters SQ interconectado a un LC Acquity Ultra Performance equipado con una columna de fase inversa Acquity UPLC BEH C182,1 x 50 mm, 1,7 pm. La fase móvil ácida (ácido fórmico al 0,1 %) consistió en un gradiente de acetonitrilo al 3 %/agua al 97 % hasta acetonitrilo al 100 % (velocidad de flujo = 0,5 ml/min). El sistema UPLC-MS 2 consistía en un espectrómetro de masas Waters Xevo G2 ToF interconectado a un LC Waters Acquity H-Class Ultra Performance equipado con una columna de fase inversa Acquity UPLC BEH C182,1 x 50 mm, 1,7 pm. La fase móvil ácida (ácido fórmico al 0,1 %) consistió en un gradiente de acetonitrilo al 3 %/agua al 97 % hasta acetonitrilo al 100 % (velocidad de flujo = 0,7 ml/min). La HPLC preparativa se realizó en un sistema de suministro de disolvente Varian ProStar 210 configurado con un detector Varian ProStar 330 PDA. Los productos se purificaron en una columna de fase inversa C12 Phenomenex Synergi 10,0 x 250 mm, 4 pm, 80 A eluyendo con ácido trifluoroacético al 0,1 % en agua (disolvente A) y ácido
trifluoroacético al 0,1 % en acetonitrilo (disolvente B). Los métodos de purificación generalmente consistieron en gradientes lineales de solvente A a solvente B, pasando de solvente A acuoso al 90 % a solvente A al 10 %. El caudal fue de 4,6 ml/min con monitoreo a 254 nm. Los datos espectrales de RMN se recogieron en un espectrómetro Varian Mercury de 400 MHz. Las constantes de acoplamiento (J) se expresan en hercios.
Ácido (S)-2-((S)-2-((terc-butoxicarbonil)amino)-3-metilbutanamido)-propanoico (3): Se cargó un matraz con Boc-Val-OSu (1, 1,0 g, 3,18 mmol) y H-Ala-OH (2, 312 mg, 3,5 mmol) en dimetilformamida anhidra (10,6 ml). Se añadió N,N-diisopropiletilamina (1,1 ml, 6,4 mmol) y la solución se agitó bajo N2 a 50 °C durante 12 horas. La reacción se recogió en DMSO y se purificó mediante HPLC preparativa para producir 3 (808 mg, 88 %). UPLC-MS analítica (sistema 1): tr = 1, 38 min, m/z (ES+) se encontró 289,60.
((S)-1-(((S)-1-((4-(hidroximetil)fenil)amino)-1-oxopropan-2-il)amino)-3-metil-1-oxobutan-2-il) carbamato de terc-butilo (5) : Se cargó un matraz secado a la llama con dipéptido 3 (808 mg, 2,8 mmol) y alcohol 4-aminobenzoico 4 (345 mg, 2,8 mmol) en diclorometano anhidro (14 ml). Se añadió EEDQ (762 mg, 3,1 mmol) como un sólido y se agitó bajo nitrógeno a temperatura ambiente durante 12 h. A continuación, la reacción se condensó y se purificó sobre sílice a través de una columna Biotage (CH2Ch/MeOH, 0 % -10 %) para proporcionar 5 (660 mg, 6 0 %). UPLC-MS analítica (sistema 1): tr = 1,51 min, m/z (ES+) se encontró 394,51.
((S)-1-(((S)-1-((4-(bromometil)fenil)amino)-1-oxopropan-2-il)amino)-3-metil-1-oxobutan-2-il) carbamato de terc-butilo (6 ) : Un matraz que contenía Boc-Val-Ala-PABA-OH (5, 100 mg, 254 pmol), N-bromosuccinimida ( 68 mg, 381 pmol) y trifenilfosfina (100 mg, 381 pmol) se lavó abundantemente con nitrógeno. La reacción se recogió en THF (4 ml) y se agitó durante 12 horas. La reacción se condensó y se purificó sobre sílice a través de una columna Biotage (Hexanos/EtOAc, 10 % -100 %) para proporcionar 6 (94 mg, 81 %). UPLC-MS analítica (sistema 1): tr = 2,09 min, m/z (ES+) se encontró 456,10.
4-(2-((lR,3R)-1-acetoxi-3-((2S,3S)-N,3-dimetil-2-((R)-1-metilpiperidina)-2-carboxamido)pentanamido)-4-metilpentil)tiazol-4-carboxamido)-2-metil-5-fenilpentanoato de (2S,4R)-terc-butilo (8 ): Un matraz secado a la llama se cargó con un análogo de tubulisina (7, 10 mg, 14 pmol) en DCM anhidro (0,7 ml) y t-butanol (0,7 ml). Se añadieron diisopropilcarbodiimida (3,2 pl, 21 pmol) y DMAP (0,08 mg, 0,7 pmol) y la reacción se agitó a temperatura ambiente durante 48 horas. La reacción se condensó, se recogió en DMSO y se purificó mediante HPLC preparativa para producir 8 (3,5 mg, 32 %). UPLC-MS analítica (sistema 1): tr = 1,35 min, m/z (ES+) se encontró 784,56.
(2R)-2-(((2S,3S)-1-(((lR,3R)-1-acetoxi-1-(4-(((2R,4S)-5-(terc-butoxi)-4-metil-5-oxo-1-fenilpentan-2-il)carbamoil)tiazol-2- il)-4-metilpentan-3-il)(metil)amino)-3-metil-1-oxopentan-2-il)carbamoil)-1-(4-((S)-2-((S)-2-((tercbutoxicarbonil)amino)-3-metilbutanamido)propanamido)bencil)-1-metilpiperidin-1-io (9): Se cargó un recipiente a presión con Boc-Val-Ala-PAB-Br (6 , 3,5 mg, 7,7 pmol) y tubulisina 8 protegida (4,0 mg, 5,1 pmol) en butanona anhidra (0,765 ml). Se añadió N,N-diisopropiletilamina (1,8 pl, 10 pmol) y la reacción se lavó abundantemente con nitrógeno. El recipiente se selló y se dejó agitar a 80 °C durante 12 horas. La reacción se condensó, se recogió en DMSO y se purificó mediante HPLC preparativa para producir 9 (3,5 mg, 58 %). UPLC-MS analítica (sistema 1): tr = 1,51 min, m/z (ES+) se encontró 1159,58.
(2R)-2-(((2S,3S)-1-(((lR,3R)-1-acetoxi-1-(4-(((2R,4S)-4-carboxi-1-fenilpentan-2-il)carbamoil)tiazol-2-il)-4-metilpentan-3- il)(metil)amino)-3-metil-1-oxopentan-2-il)carbamoil)-1-(4-((S)-2-((S)-2-amino-3-metilbutanamido)propanamido)bencil)-1-metilpiperidin-1-io (10): Un matraz que contenía Boc-Val-Ala-PAB-TubM-OtBu (9, 3,5 mg, 3 pmol) se enfrió a 0 °C bajo nitrógeno. Se añadió gota a gota una solución de TFA al 10 % en CH2Cl2 (0,3 ml) y se agitó durante 4 horas. La reacción se condensó, se recogió en DMSO y se purificó mediante HPLC preparativa para producir 10 (1,9 mg, 63 %). UPLC-MS analítica (sistema 1): tr = 1,05 min, m/z (ES+) se
encontró 1003,60.
(2R)-2-(((2S,3S)-1-(((1R,3R)-1-acetoxi-1-(4-(((2R,4S)-4-carboxi-1-fenilpentan-2-il)carbamoil)tiazol-2-il)-4-metilpentan-3-il)(metil)amino)-3-metil-1-oxopentan-2-il)carbamoil)-1-(4-((S)-2-((S)-2-(6-(2,5-dioxo-2,5-dihidro-1H-pirrol-1-il)hexanamido)-3-metilbutanamido)propanamido)bencil)-1-metilpiperidin-1-io (12): Se recogió MC-OSu (11, 0,6 mg, 2 pmol) en dimetilformamida anhidra (0,2 ml) y se añadió a un matraz que contenía Val-Ala-PAB-Tub (10, 1,9 mg, 2 pmol). Se añadió N,N-diisopropiletilamina (1,0 mg, 8 pmol) y la reacción se agitó bajo nitrógeno durante 3 horas. La reacción se recogió en DMSO y se purificó mediante HPLC preparativa para producir el enlazador 12 de tubulisina de amina cuaternaria (1,2 mg, 53 %). UPLC-MS analítica (sistema 1): tr = 1,25 min, m/z (ES+) se encontró 1196,45. (2R)-2-(((2S,3S)-1-(((lR,3R)-1-acetoxi-1-(4-(((2R,4S)-4-carboxi-1-fenilpentan-2-il)carbamoil)tiazol-2-il)-4-metilpentan-3-il)(metil)amino)-3-metil-1-oxopentan-2-il)carbamoil)-1-(4-((7S,10S,13S)-7-(2,5-dioxo-2,5-dihidro-1H-pirrol-l-il)-10-isopropil-2,2,13-trimetil-4,8,11-trioxo-3-oxa-5,9,12-triazatetradecanamido)bencil)-1-metilpiperidin-1-io (14): Se recogió MDPR(Boc)-OSu (13, 1,3 mg, 3,5 pmol) en dimetilformamida anhidra (0,3 ml) y se añadió a un matraz que contenía Val-Ala-PAB-TubM (10, 3,2 mg, 3,2 pmol). Se añadió N,N-diisopropiletilamina (1,6 mg, 13 pmol) y la reacción se agitó bajo nitrógeno durante 3 horas. La reacción se recogió en DMSO y se purificó mediante HPLC preparativa para producir 14 (2,0 mg, 49 %). UPLC-MS analítica (sistema 2): tr = 1,35 min, m/z (ES+) se encontró 1269,76.
(2R)-2-(((2S,3S)-1-(((1R,3R)-1-acetoxi-1-(4-(((2R,4S)-4-carboxi-1-fenilpentan-2-il)carbamoil)tiazol-2-il)-4-metilpentan-3-il)(metil)amino)-3-metil-1-oxopentan-2-il)carbamoil)-1-(4-((S)-2-((S)-2-((S)-3-amino-2-(2,5-dioxo-2,5-dihidro-1H-pirrol-1-il)propanamido)-3-metilbutanamido)propanamido)bencil)-1-metilpiperidin-1-io (15): Un matraz que contenía MDPR(Boc)-Val-Ala-PAB-TubM (14, 2 mg, 1,6 pmol) se enfrió a 0 °C bajo nitrógeno. Se añadió gota a gota una solución de TFA al 10 % en CH2Cl2 (1,6 ml) y se agitó durante 4 horas. La reacción se condensó, se recogió en DMSO y se purificó mediante HPLC preparativa para producir 15 (1,0 mg, 54 %). UPLC-MS analítica (sistema 2): tr = 1,02 min, m/z (ES+) se encontró 1169,72.
Los análogos de tubulisina en los que el acetato de tubuvalina se reemplazó con un éter alquílico se prepararon como se muestra en los Esquemas 3.
Esquema 3.
Procedimiento general para la eterificación de tubuvalina. Se cargó un matraz secado a la llama con la tubuvalina conocida protegida con Boc (J. Org. Chem., 2008, 73, 4362-4369) intermediario 17 en tetrahidrofurano anhidro (50 mM), al que se añadió 18-corona-6 (2,0 equivalentes) y se enfrió a -78 oC. Se añadió gota a gota hexametildisilazida de potasio (1,5 equivalentes) como una solución 1 M en tetrahidrofurano y a continuación la reacción se agitó durante 1 hora a -78 °C bajo nitrógeno. A continuación, se añadió yodoalcano (2-5 equivalentes) y la reacción se calentó lentamente a temperatura ambiente y seguido por UPLC/MS. Una vez que se consumió el material de partida, la reacción se enfrió en hielo y se apagó con cloruro de amonio saturado y se diluyó en diclorometano ( 10 volúmenes). La capa orgánica se lavó con HCl 0,1 M y la fase acuosa resultante se extrajo dos veces con diclorometano. A continuación, los extractos orgánicos combinados se secaron sobre sulfato de sodio, se filtraron y se concentraron hasta la sequedad. La purificación de los productos O-alquilados crudos se logró mediante cromatografía ultrarrápida sobre gel de sílice o HPLC preparativa.
2-((1R,3R)-3-((terc-butoxicarbonil)(metil)amino)-1-metoxi-4-metilpentil)tiazol-4-carboxilato de etilo (18): El intermediario 17 de tubuvalina (170 mg, 440 pmol) se O-metiló como se describió anteriormente con yodoetano (89 pl, 880 pmol) para proporcionar 170 mg (97 %) del compuesto del título después de la purificación en gel de sílice eluyendo las mezclas de metanol y diclorometano. UPLC-MS (sistema 2): tr = 1,62 min, m/z (ES+) se calculó 401,21 (M+H)+, se encontró 401,28.
2-((1R,3R)-3-((terc-butoxicarbonil)(metil)amino)-1-etoxi-4-metilpentil)tiazol-4-carboxilato de etilo (19): El intermediario 17 de tubuvalina (392 mg, 1,01 mmol) se O-etiló como se describió anteriormente con yodoetano (791 mg, 5,05 mmol) para proporcionar 407 mg (97 %) del compuesto del título después de la purificación en gel de sílice eluyendo mezclas de metanol y diclorometano. UPLC-MS (sistema 2): tr = 1,66 min, m/z (ES+) se calculó 415,23 (M+H)+, se encontró 415,29.
2-((1R,3R)-3-((terc-butoxicarbonil)(metil)amino)-4-metil-1-propoxipentil)tiazol-4-carboxilato de etilo (20): El intermediario 17 de tubuvalina (22 mg, 57 pmol) se O-propiló como se describió anteriormente con 1-yodopropano (28 pl, 285 pmol) para proporcionar 9 mg (37 %) del compuesto del título después de la purificación mediante HPLC preparativa. UPLC-MS (sistema 2): tr = 1,77 min, m/z (ES+) se calculó 428,23 (M+H)+, se encontró (M+Na)+. 1H RMN (1:1 mezcla de rotámeros, CDCb) 5 (ppm) 0,91 (m, 9H), 1,40 (t, J = 7,0 Hz, 3H), 1,47 (dos s, de rotámeros, 9H), 1,64 (m, 3H), 1,87 (m, 2H), 2,74 (m, 3H), 3,42 (m, 2H), 4,10 (m, 1H), 4,42 (q, J = 7,0 Hz, 2H), 4,50 (m, 1H)), 8,14 (dos s de rotámeros, 1H).
Procedimiento general para la saponificación de ésteres de tubuvalina O-alquilados. Las reacciones de saponificación se llevaron a cabo a una concentración de reacción de 20 mM mediante el uso de una mezcla 1:1:1 de tetrahidrofurano:metanol:agua como disolvente. Los intermediarios de tubuvalina O-alquilados 18-20 se disolvieron en 1 volumen de cada tetrahidrofurano y metanol. A continuación, la mezcla se enfrió en un baño de hielo a 0 oC. Se disolvió hidróxido de litio monohidratado (2-3 equivalentes) en 1 volumen de agua destilada y se añadió gota a gota al matraz de reacción, con agitación a 0 oC. A continuación, se dejó calentar a temperatura ambiente y se monitoreó mediante UPLC/MS. Una vez que el material de partida se convierte en ácido libre, la reacción se
apagó con ácido acético glacial (2-3 equivalentes) y se concentró por evaporación rotatoria. A continuación, los ácidos carboxílicos crudos se purificaron mediante HPLC preparativa.
2-((1R,3R)-3-((terc-butoxicarbonil)(metil)amino)-1-metoxi-4-metilpentil)tiazol-4-carboxilato de etilo (21): El intermediario 18 éter metílico de tubuvalina (170 mg, 425 pmol) se saponificó como se describió anteriormente con hidróxido de litio monohidratado (19 mg, 1,28 mmol) para proporcionar 140 mg (89 %) del compuesto del título. UPLC-MS (sistema 1): tr = 1,47 min, m/z (ES+) se calculó 373,18 (M+H)+, se encontró 373,41. 1H RMN (1:1 mezcla de rotámeros, CDCb) ó (ppm) 0,87 (dd, J = 6,7, 2,0 Hz, 3H), 0,96 (dd, J = 6,7, 1,2 Hz, 3H), 1,49 (dos s de rotámeros, 9H), 1,67 (m, 1H), 1,85 (m, 1H), 2,01 (m, 1H), 2,70 (m, 3H), 3,41 (s, 3H), 4,12 (m, 1H), 4,36 (primer rotámero, dd, J = 10,5, 2,3 Hz, 0,5 H), 4,48 (segundo rotámero, d, J = 8,6 Hz, 0,5 H), 8,28 (dos s de rotámeros, 1H).
2-((1R,3R)-3-((terc-butoxicarbonil)(metil)amino)-1-etoxi-4-metilpentil)tiazol-4-carboxilato de etilo (22): El intermediario 19 éter etílico de tubuvalina (170 mg, 425 pmol) se saponificó como se describió anteriormente con hidróxido de litio monohidratado (19 mg, 1,28 mmol) para proporcionar 140 mg (89 %) del compuesto del título. UPLC-MS (sistema 2): tr = 1,48 min, m/z (ES+) se calculó 387,20 (M+H)+, se encontró 387,26. 1H RMN (CDCla) ó (ppm) 0,88 (dd, J = 6,7, 2,0 Hz, 3H), 0,96 (d, J = 6,6 Hz, 3H), 1,49 (dos s de rotámeros, 9H), 1,68 (m, 1H), 1,86 (m, 1H), 2,00 (m, 1H), 2,69 (m, 3H), 3,53 (m, 2H), 4,09 (m, 1H), 4,43 (primer rotámero, dd, J = 10,2, 2,7 Hz, 0,5 H), 4,54 (segundo rotámero, d, J = 7,0 Hz, 0,5 H), 8,24 (dos s de rotámeros, 1H).
2-((1R,3R)-3-((terc-butoxicarbonil)(metil)amino)-4-metil-1-propoxipentil)tiazol-4-carboxilato de etilo (23): El intermediario 20 éter propílico de tubuvalina (9 mg, 20 pmol) se saponificó como se describió anteriormente con hidróxido de litio monohidratado (1,7 mg, 40 pmol) para proporcionar 7,6 mg (95 %) del compuesto del título. UPLC-MS (sistema 2): tr = 1,58 min, m/z (ES+) se calculó 401,21 (M+H)+, se encontró 401,28 (M+Na)+.
Procedimiento general para el acoplamiento de amidas de ácidos libres de tubuvalina O-alquiladas y éster alílico de tubufenilalanina. Los ácidos libres de tubuvalina O-alquilada 21-23 se preactivaron mediante disolución en dimetilformamida anhidra (25-50 mM) y adición de HATU (2,4 equivalentes) y DIPEA (5 equivalentes); a continuación, la mezcla se agitó bajo nitrógeno a temperatura ambiente durante 10 minutos. A continuación, se añadió el ácido activado al conocido (Org. Lett., 2007, 9, 1605-1607) éster alílico de tubufenilalanina 16 y la reacción se agitó a continuación a temperatura ambiente bajo nitrógeno, con el progreso bajo monitoreo mediante UPLC/MS. Una vez completada la reacción, se añadió ácido acético glacial (14 equivalentes) y el producto se purificó mediante HPLC preparativa.
4-(2-((1R,3R)-3-((terc-butoxicarbonil)(metil)amino)-1-metoxi-4-metilpentil)tiazol-4-carboxamido)-2-metil-5-fenilpentanoato de (2S,4R)-alilo (24): El intermediario 21 éter metílico de tubuvalina (TuvOMe) (140 mg, 380 pmol) se acopló a éster alílico de tubufenilalanina (Tup) 16 (188 mg, 760 pmol) para proporcionar 164 mg (72 %) del compuesto del título. UPLC-MS (sistema 1): tr = 1,96 min, m/z (ES+) se calculó 602,33 (M+H)+, se encontró 602,26.
4-(2-((1R,3R)-3-((terc-butoxicarbonil)(metil)amino)-1-etoxi-4-metilpentil)tiazol-4-carboxamido)-2-metil-5-fenilpentanoato de (2S,4R)-alilo (25): El intermediario 22 éter etílico de tubuvalina (TuvOEt) (140 mg, 380 pmol) se acopló a éster alílico de tubufenilalanina (Tup) 16 (188 mg, 760 pmol) para proporcionar 164 mg (72 %) del compuesto del título. UPLC-MS (sistema 2): tr = 1,84 min, m/z (ES+) se calculó 616,34 (M+H)+, se encontró 616,43.
4-(2-((1R,3R)-3-((terc-butoxicarbonil)(metil)amino)-4-metil-1-propoxipentil)tiazol-4-carboxamido)-2-metil-5-fenilpentanoato de (2S,4R)-alilo (26): El intermediario 23 éter propílico de tubuvalina (TuvOPr) (7,6 mg, 19 pmol) se acopló a éster alílico de tubufenilalanina (Tup) 16 (9,4 mg, 38 pmol) para proporcionar 8 mg (67 %) del compuesto del título. UPLC-MS (sistema 2): tr = 2,00 min, m/z (ES+) se calculó 630,36 (M+H)+, se encontró 630,45. 1H RMN (CDCb) ó (ppm) 0,94 (m, 9H), 1,19 (d, J = 7,4 Hz, 3H), 1,49 (s, 9H), 1,64 (m, 5H), 1,84 (m, 1H), 2,03 (m, 2H), 2,63 (m, 1H), 2,73 (m, 3H), 2,93 (m, 2H), 3,41 (m, 2H), 4,07 (m, 2H), 4,29 (m, 1H), 4,41 (m, 2H), 4,55 (m, 2H), 5,25 (m, 2H), 5,88 (m, 1H), 7,24 (m, 5H), 8,05 (dos s de rotámeros, 1H).
Procedimiento general para la desprotección Boc de los intermediarios Tuv(O-Alk)-Tup. Los intermediarios de tubuvalina-tubufenilalanina O-alquilados 24-26 se desprotegieron para revelar el grupo funcional amina secundaria bajo condiciones ácidas con TFA al 10 % en diclorometano (25 mM). Específicamente, el material de partida se disolvió en diclorometano anhidro (9 volúmenes) y se agitó bajo nitrógeno a 0 °C. A continuación, se añadió gota a gota ácido trifluoroacético (1 volumen) a la solución agitada. La reacción se calentó lentamente a temperatura ambiente y se monitoreó mediante UPLC/MS. Una vez completada, la reacción se concentró mediante evaporación rotatoria y se bombeo en una línea de vacío durante la noche. Las aminas libres 27-29 se llevaron adelante sin más purificación.
4-(2-((1R,3R)-1-metoxi-4-metil-3-(metilamino)pentil)tiazol-4-carboxamido)-2-metil-5-fenilpentanoato de (2S,4R)-alilo (27): El intermediario 24 TuvOMe-Tup protegido con Boc (160 mg, 267 pmol) se desprotegió como se describió anteriormente para proporcionar 133 mg (99 %) del compuesto del título. UPLC-MS (sistema 1): tr = 1,17 min, m/z (ES+) se calculó 524,26 (M+Na)+, se encontró 524,27.
4-(2-((1R,3R)-1-etoxi-4-metil-3-(metilamino)pentil)-tiazol-4-carboxamido)-2-metil-5-fenilpentanoato de (2S,4R)-alilo
(28) : El intermediario 25 TuvOEt-Tup protegido con Boc (160 mg, 267 pmol) se desprotegió como se describió anteriormente para proporcionar 133 mg (99 %) del compuesto del título. UPLC-MS (sistema 2): tr = 1,11 min, m/z (ES+) se calculó 516,29 (M+H)+, se encontró 516,37
2-metil-4-(2-((1R,3R)-4-metil-3-(metilamino)-1-propoxipentil)tiazol-4-carboxamido)-5-fenilpentanoato de (2S,4R)-alilo (29) : El intermediario 26 TuvOEt-Tup protegido con Boc ( 8 mg, 13 pmol) se desprotegió como se describió anteriormente para proporcionar 7 mg (cuant.) del compuesto del título. UPLC-MS (sistema 2): tr = 1,16 min, m/z (ES+) se calculó 530,31 (M+H)+, se encontró 530,40.
Procedimiento general para el acoplamiento de amidas de los dipéptidos de tubuvalina-tubufenilalanina O-alquilados con la L-isoleucina protegida por Fmoc. Se disolvió Fmoc-L-Isoleucina disponible comercialmente (1,3-2 equivalentes) en dimetilformamida anhidra (50-200 mM) y se preactivó con HATU (1,5-2 equivalentes) y DIPEA (2 equivalentes); la mezcla se agitó durante 10 minutos a temperatura ambiente bajo nitrógeno. A continuación, se añadió el ácido activado a los dipéptidos Tuv(O-éter)-Tup 27-29; la reacción se agitó a temperatura ambiente bajo nitrógeno y se monitoreó mediante UPLC/MS. Una vez que la reacción dejó de progresar o se completó, se añadió ácido acético glacial (13 equivalentes) y la reacción se purificó mediante HpLC preparativa.
4-(2-((5S,8R,10R)-5-((S)-sec-butil)-1-(9H-fluoren-9-il)-8-isopropil-7-metil-3,6-dioxo-2,11-dioxa-4,7-diazadodecan-10-il)tiazol-4-carboxamido)-2-metil-5-fenilpentanoato de (2S,4R)-alilo (30): El intermediario 27 TuvOMe-Tup (160 mg, 265 pmol) se acopló a Fmoc-L-Ile como se describió anteriormente para proporcionar 67 mg (30 %) del compuesto del título. UPLC-MS (sistema 1): tr = 2,07 min, m/z (ES+) se calculó 837,43 (M+H)+, se encontró 837,20.
4-(2-((5S,8R,10R)-5-((S)-sec-butil)-1-(9H-fluoren-9-il)-8-isopropil-7-metil-3,6-dioxo-2,11-dioxa-4,7-diazatridecan-10-il)tiazol-4-carboxamido)-2-metil-5-fenilpentanoato de (2S,4R)-alilo (31): El intermediario 28 TuvOEt-Tup (160 mg, 265 pmol) se acopló a Fmoc-L-Ile como se describió anteriormente para proporcionar 133 mg (99 %) del compuesto del título. UPLC-MS (sistema 2): tr = 1,95 min, m/z (ES+) se calculó 851,44 (M+H)+, se encontró 851,54.
4-(2-((5S,8R,10R)-5-((S)-sec-butil)-1-(9H-fluoren-9-il)-8-isopropil-7-metil-3,6-dioxo-2,11-dioxa-4,7-diazatetradecan-10-il)tiazol-4-carboxamido)-2-metil-5-fenilpentanoato de (2S,4R)-alilo (32): El intermediario 29 TuvOPr-Tup (7 mg, 13 pmol) se acopló a Fmoc-L-Ile como se describió anteriormente para proporcionar 9 mg (82 %) del compuesto del título. UPLC-Ms (sistema 2): tr = 2,25 min, m/z (ES+) se calculó 865,46 (M+H)+, se encontró 865,65.
Procedimiento general para la desprotección Fmoc de tripéptidos de isoleucina-O-tubuvalina-tubufenilalanina-O-alquilados. Se trató el éster alílico de Fmoc-Ile-Tuv(O-éter)-Tup (30-32) con piperidina al 20 % en dimetilformamida (20 mM), con agitación bajo nitrógeno a temperatura ambiente. Una vez que se logró la desprotección completa, según se monitoreó por UPLC/MS, la mezcla de reacción se concentró por evaporación rotatoria. A continuación, el producto crudo se purificó mediante HPLC preparativa para proporcionar tripéptidos de amina libres 33-35.
4-(2-((1R,3R)-3-((2S,3S)-2-amino-N,3-dimetil-pentanamido)-1-metoxi-4-metilpentil)tiazol-4-carboxamido)-2-metil-5-fenilpentanoato de (2S,4R)-alilo (33): En intermediario 30 Fmoc-Ile-TuvOMe-Tup (67 mg, 80 pmol) se desprotegió como se describió anteriormente para proporcionar 30 mg (61 %) del compuesto del título. UPLC-MS (sistema 1): tr = 1,30 min, m/z (ES+) se calculó 637,34 (M+Na)+, se encontró 637,57.
4-(2-((1R,3R)-3-((2S,3S)-2-amino-N,3-dimetil-pentanamido)-1-etoxi-4-metilpentil)tiazol-4-carboxamido)-2-metil-5-fenilpentanoato de (2S,4R)-alilo (34): El intermediario 31 Fmoc-Ile-TuvOEt-Tup (67 mg, 80 pmol) se desprotegió como se describió anteriormente para proporcionar 30 mg (61 %) del compuesto del título. UPLC-MS (sistema 2): tr = 1,18 min, m/z (ES+) se calculó 6 2 9 , 3 8 (M+H)+, se encontró 629,45.
4-(2-((1R,3R)-3-((2S,3S)-2-amino-N,3-dimetil-pentanamido)-4-metil-1-propoxipentil)tiazol-4-carboxamido)-2-metil-5-fenilpentanoato de (2S,4R)-alilo (35): El intermediario 32 Fmoc-Ile-TuvOPr-Tup (9 mg, 10 pmol) se desprotegió como se describió anteriormente para proporcionar 7 mg (cuant.) del compuesto del título. UPLC-MS (sistema 2): tr = 1,29 min, m/z (ES+) se calculó 643,39 (M+H)+, se encontró 643,55.
Procedimiento general para el acoplamiento de amidas de los tripéptidos de isoleucina-tubuvalina(éter)-tubufenilalanina con el ácido (R)-W-metil-pipecólico. Se disuelve ácido (R)-N-metil-pipecólico (D-Mep) 36 disponible comercialmente (1,5-2 equivalentes) se disolvió en dimetilformamida anhidra (25-50 mM) y se preactivó con HATU (2 equivalentes) y DIPEA (4 equivalentes); la mezcla se agitó durante 10 minutos a temperatura ambiente bajo nitrógeno. A continuación, se añadió el ácido activado a los tripéptidos Ile-Tuv(O-éter)-Tup 33-35; la reacción se agitó a temperatura ambiente bajo nitrógeno y se monitoreó mediante UPLC/MS. Una vez completada la reacción, se añadió ácido acético glacial (14 equivalentes) y el producto se purificó mediante HPLC preparativa.
4-(2-((1R,3R)-3-((2S,3S)-N,3-dimetil-2-((R)-1-metilpiperidina-2-carboxamido)pentanamido)-1-metoxi-4-metilpentil)tiazol-4-carboxamido)-2-metil-5-fenilpentanoato de (2S,4R)-alilo (37): El intermediario 33 de Ile-TuvOMe-Tup (20 mg, 33 pmol) se acopló a D-Mep 36 como se describió anteriormente para proporcionar 17 mg (71 %) del compuesto del título. UPLC-MS (sistema 1): tr = 1,29 min, m/z (ES+) se calculó 762,42 (M+Na)+, se encontró 762,32.
(4-(2-((1R,3R)-3-((2S,3S)-N,3-dimetil-2-((R)-1-metilpiperidina-2-carboxamido)pentanamido)-1-etoxi-4-metilpentil)tiazol-4-carboxamido)-2-metil-5-fenilpentanoato de (2S,4R)-alilo (38): El intermediario 34 Ile-TuvOEt-Tup (20 mg, 33 pmol) se acopló a D-Mep 36 como se describió anteriormente para proporcionar 17 mg (71 %) del compuesto del título. UPLC-MS (sistema 2): tr = 1,25 min, m/z (ES+) se calculó 754,46 (M+H)+, se encontró 754,55.
4-(2-((1R,3R)-3-((2S,3S)-N,3-dimetil-2-((R)-1-metilpiperidina-2-carboxamido)pentanamido)-4-metil-1-propoxipentil)tiazol-4-carboxamido)-2-metil-5-fenilpentanoato de (2S,4R)-alilo (39): El intermediario 35 Ile-TuvOPr-Tup (7 mg, 11 pmol) se acopló a D-Mep 36 como se describió anteriormente para proporcionar 4,5 mg (53 %) del compuesto del título. UPLC-Ms (sistema 2 ): tr = 1,36 min, m/z (ES+) se calculó 768,48 (M+H)+, se encontró 768,55.
Procedimiento general para la eliminación del éster alílico de los intermediarios de tubulisina del ácido D-metilpipecólico-isoleucina-tubuvalina(éter)-tubufenilalanina. El intermediario de éter de tubulisina protegido con éster alílico (37-39) se disolvió en diclorometano anhidro (20 mM) tratado con paladio tetraquis (trifenilfosfina) (0,1 equivalentes), trifenilfosfina (0 , 2 equivalentes) y pirrolidina anhidra ( 8 equivalentes) y la reacción se agitó a temperatura ambiente bajo nitrógeno. Una vez que la UPLC/MS reveló la conversión en el producto libre de ácido, la reacción se apagó con ácido acético glacial ( 22 equivalentes), se diluyó con acetonitrilo y dimetilformamida y a continuación se concentró por evaporación rotatoria. A continuación, el éter de tubulisina crudo se purificó mediante HPLC preparativa.
Ácido (2S,4R)-4-(2-((1R,3R)-3-((2S,3S)-N,3-dimetil-2-((R)-1-metilpiperidina-2-carboxamido)pentanamido)-1-metoxi-4-metilpentil)tiazol-4-carboxamido)-2-metil-5-fenilpentanoico (40): El intermediario 37 éter metílico de tubulisina protegido con éster alílico (TubOMe) (2,9 mg, 4 pmol) se desprotegió como se describió anteriormente para proporcionar 2,5 mg (93 %) éter metílico de tubulisina 40 (TubOMe). UPLC-MS (sistema 2): tr = 1,05 min, m/z (Es +) se calculó 700,41 (M+H)+, se encontró 700,50.
Ácido (2S,4R)-4-(2-((1R,3R)-3-((2S,3S)-N,3-dimetil-2-((R)-1-metilpiperidina-2-carboxamido)pentanamido)-1-etoxi-4-metilpentil)tiazol-4-carboxamido)-2-metil-5-fenilpentanoico (41): El intermediario 38 éter etílico de tubulisina (TubOEt) protegido con éster alílico (2,9 mg, 4 pmol) se desprotegió como se describió anteriormente para proporcionar 2,5 mg (93 %) de éter etílico de tubulisina 41 (TubOEt). UPLC-MS (sistema 2): tr = 1,09 min, m/z (ES+) se calculó 714,43 (M+H)+, se encontró 714,51.
Ácido (2S,4R)-4-(2-((1R,3R)-3-((2S,3S)-N,3-dimetil-2-((R)-1-metilpiperidina-2-carboxamido)pentanamido)-4-metil-1-propoxipentil)tiazol-4-carboxamido)-2-metil-5-fenilpentanoico (42): El intermediario 39 de éter propílico de tubulisina (TubOPr) protegido con éster alílico ( 6 mg, 8 pmol) se desprotegió como se describió anteriormente para proporcionar 6 mg (cuant.) de éter propílico de tubulisina 42 (TubOPr). UPLC-MS (sistema 2): tr = 1,19 min, m/z (ES+) se calculó 728,44 (M+H)+, se encontró 728,54.
Esquema 4.
3-((terc-butoxicarbonil)amino)-2-(2,5-dioxo-2,5-dihidro-1H-pirrol-1-il)propanoato de (S)-perfluorofenilo (44). Un matraz cargado con mDPR(Boc)-OH (Nature Biotech, 2014, 32, 1059-1062) 43 (500 mg, 1,76 mmol), al que se añadió una solución de PFP-OH (324 mg, 1,76 mmol) en DMF (8 , 8 ml) seguido de 1-etil-3-(3-dimetilaminopropil)carbodiimida (371 mg, 1,93 mmol)) como un sólido. La reacción se agitó durante 1 hora a temperatura ambiente y a continuación se inactivó con 50 ml de NH4Cl saturado en H2O y 50 ml de H2O. La capa acuosa se extrajo con DCM dos veces, a continuación, los extractos orgánicos se lavaron con salmuera, se secaron sobre NaSO4 y se condensaron a presión reducida para proporcionar 44 (589 mg, 74 %). UPLC-MS analítica (sistema 2): tr = 1,51 min, m/z (ES+) se calculó 473,07 (M+Na)+, se encontró 473,14.
(2S,3R,4S,5S,6S)-2-(2-(3-((((9H-fluoren-9-il)metoxi)carbonil)amino)propanamido)-4-(bromometil)fenoxi)-6-(metoxicarbonil)tetrahidro-2H-piran-3,4,5-triil triacetate (46): Un matraz secado a la llama se cargó con el fragmento enlazador glucurónido conocido (Bioconjugate Chem. 2006, 17, 831-840) (45, 210 mg, 281 pmol) en 4,5 ml de THF anhidro. La solución se agitó a temperatura ambiente bajo N2. Se añadieron secuencialmente trifenilfosfina (111 mg, 421,5 pmol) y N-bromosuccinimida (75 mg, 421,5 pmol) y la solución se agitó durante 2 horas. La reacción se condensó bajo presión reducida y se purificó sobre sílice a través de una columna Biotage (Hexanos/EtOAc, 30 % -50 % -70 %) para proporcionar 46 (222 mg, 97 %). UPLC-MS analítica (sistema 1): tr = 2,36 min, m/z (Es ) se encontró 811,34.
Procedimiento general para la cuaternización de Tub(OR)-OAlilo a Fmoc-Gluc-Br: Se cargó un recipiente a presión con Tub(OR)-OAlilo (37-39, 1 equivalente) y fragmento enlazador de glucurónido bromado (46, 1,5 equivalentes) en 2-butanona anhidra (50 mM). El recipiente de reacción se lavó abundantemente con N2 y se selló. A continuación, la reacción se agitó y se calentó a 60 °C durante 18 horas. La mezcla resultante se enfrió, se condensó hasta obtener un residuo a presión reducida, a continuación, se llevó adelante en crudo o se recogió en DMSO mínimo para purificarla mediante HPLC preparativa.
(2R)-1-(3-(3-((((9H-fluoren-9-il)metoxi)carbonil)amino)propanamido)-4-(((2S,3R,4S,5S,6S)-3,4,5-triacetoxi-6-(metoxicarbonil)tetrahidro-2H-piran-2-il)oxi)bencil)-2-(((2S,3S)-1-(((lR,3R)-1-(4-(((2R,4S)-5-(aliloxi)-4-metil-5-oxo-1-fenilpentan-2-il)carbamoil)tiazol-2-il)-1-metoxi-4-metilpentan-3-il)(metil)amino)-3-metil-1-oxopentan-2-il)carbamoil)-1-metilpiperidin-1-io (47). Se cuaternizó Tub(OMe)-OAlilo 37 (13 mg, 18 pmol) como anteriormente con Gluc-Br 46 (17 mg, 2 8 pmol) para llevarlo adelante sin purificación adicional. UPLC-MS analítica (sistema 1): tr = 1,61 min, m/z (ES+) se calculó 1470,68 (M)+, se encontró 1471,68.
(2R)-1-(3-(3-((((9H-fluoren-9-il)metoxi)carbonil)amino)propanamido)-4-(((2S,3R,4S,5S,6S)-3,4,5-triacetoxi-6-(metoxicarbonil)tetrahidro-2H-piran-2-il)oxi)bencil)-2-(((2S,3S)-1-(((lR,3R)-1-(4-(((2R,4S)-5-(aliloxi)-4-metil-5-oxo-1-fenilpentan-2-il)carbamoil)tiazol-2-il)-1-etoxi-4-metilpentan-3-il)(metil)amino)-3-metil-1-oxopentan-2-il)carbamoil)-1-metilpiperidin-1-io (48). Se cuaternizó Tub(OEt)-OAlilo 38 (148 mg, 196 pmol) como anteriormente con Gluc-Br 46 (175 mg, 216 pmol) para llevarlo adelante sin purificación adicional. UPLC-MS analítica (sistema 2): tr = 1,49 min, m/z (ES+) se calculó 1484,69 (M)+, se encontró 1484,84.
(2R)-1-(3-(3-((((9H-fluoren-9-il)metoxi)carbonil)amino)propanamido)-4-(((2S,3R,4S,5S,6S)-3,4,5-triacetoxi-6-(metoxicarbonil)tetrahidro-2H-piran-2-il)oxi)bencil)-2-(((2S,3S)-1-(((1R,3R)-1-(4-(((2R,4S)-5-(aliloxi)-4-metil-5-oxo-1-fenilpentan-2-il)carbamoil)tiazol-2-il)-4-metil-1-propoxipentan-3-il)(metil)amino)-3-metil-1-oxopentan-2-il)carbamoil)-1-metilpiperidin-1-io (49). Se cuaternizó Tub(OPr)-OAlilo 39 (43 mg, 56 pmol) como anteriormente con Gluc-Br 46 (50 mg, 6 2 pmol) para proporcionar 49 ( 68 %) después de la CL preparativa. UPLC-MS analítica (sistema 2): tr = 1,47 min, m/z (ES+) se calculó 1498,71 (M)+, se encontró 1498,85.
Procedimiento general para la desprotección global de Fmoc-GlucQ-Tub(OR)-OAlilo: Se cargó un matraz con Fmoc-GlucQ-Tub(OR)-OAlilo (47-49) en THF y MeOH y se enfrió a 0 °C. Se añadió gota a gota LiOH H2O (6,0 equivalentes) en H2O (1:1:1 THF:MeOH:H2O, concentración final 50 mM) y la reacción se dejó calentar a
temperatura ambiente y se agitó durante la noche. El THF y el MeOH se eliminaron bajo presión reducida y el precipitado resultante se resolubilizó mediante el uso de DMSO mínimo y la mezcla se purifica mediante HPLC preparativa.
(2R)-1-(3-(3-aminopropanamido)-4-(((2S,3R,4S,5S,6S)-6-carboxi-3,4,5-trihidroxitetrahidro-2H-piran-2-il)oxi)bencil)-2-(((2S,3S)-1-(((lR,3R)-1-(4-(((2R,4S)-4-carboxi-1-fenilpentan-2-il)carbamoil)tiazol-2-il)-1-metoxi-4-metilpentan-3-il)(metil)amino)-3-metil-1-oxopentan-2-il)carbamoil)-1-metilpiperidin-1-io (50). Se desprotegió Fmoc-GlucQ-Tub(oMe)-OAlilo 47 (17 mg, 12 pmol) como anteriormente para proporcionar 50 (4,3 mg, 34 %). UPLC-MS analítica (sistema 1): tr = 1,08 min, m/z (ES+) se calculó 1068,53 (M)+, se encontró 1068,66.
(2R)-1-(3-(3-aminopropanamido)-4-(((2S,3R,4S,5S,6S)-6-carboxi-3,4,5-trihidroxitetrahidro-2H-piran-2-il)oxi)bencil)-2-(((2S,3S)-1-(((lR,3R)-1-(4-(((2R,4s)-4-carboxi-1-fenilpentan-2-il)carbamoil)tiazol-2-il)-1-etoxi-4-metilpentan-3-il)(metil)amino)-3-metil-1-oxopentan-2-il)carbamoil)-1-metilpiperidin-1-io (51). Se desprotegió Fmoc-GlucQ-Tub(OEt)-oAlilo 48 (292 mg, 197 pmol) como anteriormente para proporcionar 51 (116 mg, 54 %). UPLC-MS analítica (sistema 2 ): tr = 0,95 min, m/z (Es ) se calculó 1082,55 (M)+, se encontró 1082,68.
(2R)-1-(3-(3-aminopropanamido)-4-(((2S,3R,4S,5S,6S)-6-carboxi-3,4,5-trihidroxitetrahidro-2H-piran-2-il)oxi)bencil)-2-(((2S,3S)-1-(((lR,3R)-1-(4-(((2R,4s)-4-carboxi-1-fenilpentan-2-il)carbamoil)tiazol-2-il)-4-metil-1-propoxipentan-3-il)(metil)amino)-3-metil-1-oxopentan-2-il)carbamoil)-1-metilpiperidin-1-io (52). Se desprotegió Fmoc-GlucQ-Tub(OPr)-OAlilo 49 (57 mg, 38 pmol) como anteriormente para proporcionar 52 (34 mg, 41 %). UPLC-MS analítica (sistema 2): tr = 0,98 min, m/z (ES+) se calculó 1096,56 (M)+, se encontró 1096,67.
Procedimiento general para el acoplamiento de H-GlucQ-Tub(OR) a mDPR-OPFP: Se cargó un matraz con H-Gluc-Tub(OR) (50-52) al que se añadió mDPR(Boc)-OPFP (44, 1,2 equivalentes) como una solución en DMF (10 mM). Se añadió N,N-diisopropiletilamina (4,0 equivalentes) y la reacción se agitó a temperatura ambiente durante 3 horas. La reacción se apagó con AcOH (4,0 equivalentes), a continuación, se diluyó en DMSO (1 volumen) y se purificó mediante HPLC preparativa.
(2R)-1-(3-(3-((S)-3-((terc-butoxicarbonil)amino)-2-(2,5-dioxo-2,5-dihidro-1H-pirrol-1-il))propanamido)propanamido)-4-(((2S,3R,4S,5S,6S)-6-carboxi-3,4,5-trihidroxitetrahidro-2H-piran-2-il)oxi)bencil)-2-(((2S,3S)-1-(((1R,3R)-1-(4-(((2R,4S)-4-carboxi-1-fenilpentan-2-il)carbamoil)tiazol-2-ilo)-1-metoxi-4-metilpentan-3-il)(metil)amino)-3-metil-1-oxopentan-2-il)carbamoil)-1-metilpiperidin-1-io (53). Se acopló H-GlucQ-Tub(OMe) 50 (4,3 mg, 4 pmol) a mDPR-OPFP 44 (2,2 mg, 4,8 pmol) como anteriormente para proporcionar 53 (4 mg, 75 %). UPLC-MS analítica (sistema 1): tr = 1,22 min, m/z (ES+) se calculó 1334,62 (M)+, se encontró 1334,68.
(2R)-1-(3-(3-((S)-3-((terc-butoxicarbonil)amino)-2-(2,5-dioxo-2,5-dihidro-1H-pirrol-1-il))propanamido)propanamido)-4-(((2S,3R,4S,5S,6S)-6-carboxi-3,4,5-trihidroxitetrahidro-2H-piran-2-il)oxi)bencil)-2-(((2S,3S)-1-(((1R,3R)-1-(4-(((2R,4S)-4-carboxi-1-fenilpentan-2-il)carbamoil)tiazol-2-ilo)-1-etoxi-4-metilpentan-3-il)(metil)amino)-3-metil-1-oxopentan-2-il)carbamoil)-1-metilpiperidin-1-io (54). Se acopló H-GlucQ-Tub(OEt) 51 (29 mg, 27 pmol) a mDPR-OPFP 44 (14 mg, 32 pmol) como anteriormente para proporcionar 54 (26 mg, 72 %). UPLC-MS analítica (sistema 2): tr = 1,19 min, m/z (ES+) se calculó 1348,64 (M)+, se encontró 1348,79.
(2R)-1-(3-(3-((S)-3-((terc-butoxicarbonil)amino)-2-(2,5-dioxo-2,5-dihidro-1H-pirrol-1-il))propanamido)propanamido)-4-(((2S,3R,4S,5S,6S)-6-carboxi-3,4,5-trihidroxitetrahidro-2H-piran-2-il)oxi)bencil)-2-(((2S,3S)-1-(((1R,3R)-1-(4-(((2R,4S)-4-carboxi-1-fenilpentan-2-il)carbamoil)tiazol-2-ilo)-4-metil-1-propoxipentan-3-il)(metil)amino)-3-metil-1-oxopentan-2-il)carbamoil)-1-metilpiperidin-1-io (55). Se acopló H-GlucQ-Tub(OPr) 52 ( 6 mg, 5 pmol) a mDPR-OPFP 44 (3 mg, 6 pmol) como anteriormente para proporcionar 55 ( 6 mg, 84 %). UPLC-MS analítica (sistema 2): tr = 1,24 min, m/z (ES+) se calculó 1362,65 (M)+, se encontró 1362,78.
Procedimiento general para la desprotección de mDPR(Boc)-GlucQ-Tub(OR): Se cargó un matraz con mDPR(Boc)-GlucQ-Tub(OR) (53-55) y se enfrió a 0 °C. Se agregó una solución al 10 % de TFA en DCM (50 mM) y la reacción se dejó calentar a temperatura ambiente mientras se agitaba durante 1 hora. A continuación, la reacción se diluyó con DMSO (1 volumen), se eliminó el DCM a presión reducida y a continuación se purificó mediante HPLC preparativa.
(2R)-1-(3-(3-((S)-3-amino-2-(2,5-dioxo-2,5-dihidro-1H-pirrol-1-il)propanamido)propanamido)-4-(((2S,3R,4S,5S,6S)-6-carboxi-3,4,5-trihidroxitetrahidro-2H-piran-2-il)oxi)bencil)-2-(((2S,3S)-1-(((1R,3R)-1-(4-(((2R,4S)-4-carboxi-1-fenilpentan-2-il)carbamoil)tiazol-2-il)-1-metoxi-4-metilpentan-3-il)(metil)amino)-3-metil-1-oxopentan-2-il)carbamoil)-1-metilpiperidin-1-io (56). Se desprotegió mDPR(Boc)-GlucQ-Tub(OMe) 53 (4 mg, 3 pmol) como anteriormente para proporcionar 56 (2 mg, 54 %). UPLC-MS analítica (sistema 2): tr = 1,09 min, m/z (ES+) se calculó 1234,57 (M)+, se encontró 1234,65.
(2R)-1-(3-(3-((S)-3-amino-2-(2,5-dioxo-2,5-dihidro-1H-pirrol-1-il)propanamido)propanamido)-4-(((2S,3R,4S,5S,6S)-6-carboxi-3,4,5-trihidroxitetrahidro-2H-piran-2-il)oxi)bencil)-2-(((2S,3S)-1-(((1R,3R)-1-(4-(((2R,4S)-4-carboxi-1-fenilpentan-2-il)carbamoil)tiazol-2-il)-1-etoxi-4-metilpentan-3-il)(metil)amino)-3-metil-1-oxopentan-2-il)carbamoil)-1-metilpiperidin-1-io (57). Se desprotegió mDPR(Boc)-GlucQ-Tub(OEt) 54 (26 mg, 19 pmol) como anteriormente para proporcionar 57 (24 mg, 99 %). UPLC-MS analítica (sistema 2): tr = 0,95 min, m/z (eS+) Se calculó 1248,59 (M)+, se
encontró 1248,72.
(2R)-1-(3-(3-((S)-3-amino-2-(2,5-dioxo-2,5-dihidro-1H-pirrol-1-il)propanamido)propanamido)-4-(((2S,3R,4S,5S,6S)-6-carboxi-3,4,5-trihidroxitetrahidro-2H-piran-2-il)oxi)bencil)-2-(((2S,3S)-1-(((1R,3R)-1-(4-(((2R,4S)-4-carboxi-1-fenilpentan-2-il)carbamoil)tiazol-2-il)-4-metil-1-propoxipentan-3-il)(metil)amino)-3-metil-1-oxopentan-2-il)carbamoil)-1-metilpiperidin-1-io (58). Se desprotegió mDPR(Boc)-GlucQ-Tub(OPr) 55 ( 6 mg, 4 pmol) como anteriormente para proporcionar 58 (4 mg, 75 %). UPLC-MS analítica (sistema 2): tr = 1,03 min, m/z (ES+) se calculó 1262,60 (M)+, se encontró 1262,73.
Procedimiento general para el acoplamiento de H-GlucQ-Tub(OR) a Fmoc-Lis(PEG12)-OSu: Se cargó un matraz con H-GlucQ-Tub(OR) (51 o 52), al que se le añadió Fmoc-Lis(PEG12)-OSu (WO 2015057699) (1,2 equivalentes) se añadió una solución en DMF (20 mM) seguido de N,N-diisopropiletilamina (4,0 equivalentes). La reacción se agitó a temperatura ambiente por 4 horas, a continuación, se apagó con AcOH (4,0 equivalentes), se diluyó en DMSO (1 volumen) y se purificó mediante HPLC preparativa.
(2R)-1-(3-((S)-44-((((9H-fluoren-9-il)metoxi)carbonil)amino)-38,45-dioxo-2,5,8,11,14,17,20,23,26,29,32,35-dodecaoxa-39,46-diazanonatetracontanamido)-4-(((2S,3R,4S,5S,6S)-6-carboxi-3,4,5-trihidroxitetrahidro-2H-piran-2-il)oxi)bencil)-2-(((2S,3S)-1-(((1R,3R)-1-(4-(((2R,4S)-4-carboxi-1-fenilpentan-2-il)carbamoil)tiazol-2-il)-1-etoxi-4-metilpentan-3-il)(metil)amino)-3-metil-1-oxopentan-2-il)carbamoilo)-1-metilpiperidina-1-io (60). Se acopló H-GlucQ-Tub(OEt) 51 (87 mg, 80 pmol) a Fmoc-Lis(pEG12)-OSu 59 (100 mg, 96 pmol) como anteriormente para proporcionar 60 (108 mg, 67 %). Up Lc -MS analítica (sistema 2): tr = 1,29 min, m/z (ES+) se calculó 2003,04 (M)+, se encontró 2003,24.
(2R)-1-(3-((S)-44-((((9H-fluoren-9-il)metoxi)carbonil)amino)-38,45-dioxo-2,5,8,11,14,17,20,23,26,29,32,35-dodecaoxa-39,46-diazanonatetracontanamido)-4-(((2S,3R,4S,5S,6S)-6-carboxi-3,4,5-trihidroxitetrahidro-2H-piran-2-il)oxi)bencil)-2-(((2S,3S)-1-(((1R,3R)-1-(4-(((2R,4S)-4-carboxi-1-fenilpentan-2-il)carbamoil)tiazol-2-il)-4-metil-1-propoxipentan-3-il)(metil)amino)-3-metil-1-oxopentan-2-il)carbamoil)-1-metilpiperidin-1-io (61). Se acopló H-GlucQ-Tub(OPr) 52 (20 mg, 18 pmol) a Fmoc-Lis(PEG12)-OSu 59 (23 mg, 22 pmol) como anteriormente para proporcionar 61 (27 mg, 73 %). UPlC-MS analítica (sistema 2): tr = 1,31 min, m/z (ES+) se calculó 2017,05 (M)+, se encontró 2017,22.
Procedimiento general de desprotección de Fmoc-Lis(PEG12)-GlucQ-Tub(OR): Se cargó un matraz con Fmoc-Lis(PEG12)-GlucQ-Tub(OR) (60 o 61), al que se le añadió una solución de piperidina en DMF (20 mM). La reacción se agitó durante 30 minutos, a continuación, se diluyó en DMSO (1 volumen) y se purificó mediante HPLC preparativa.
(2R)-1-(3-((S)-44-amino-38,45-dioxo-2,5,8,11,14,17,20,23,26,29,32,35-dodecaoxa-39,46-diazanonatotracontanamido)-4-(((2S,3R,4S,5S,6S)-6-carboxi-3,4,5-trihidroxitetrahidro-2H-piran-2-il)oxi)bencil)-2-(((2S,3S)-1-(((1R,3R)-1-(4-(((2R,4S)-4-carboxi-1-fenilpentan-2-il)carbamoil)tiazol-2-ilo)-1-etoxi-4-metilpentan-3-il)(metil)amino)-3-metil-1-oxopentan-2-il)carbamoil)-1-metilpiperidin-1-io (62). Se desprotegió Fmoc-Lis(PEG12)GlucQ-Tub(OEt) 60 (108 mg, 54 pmol) como anteriormente para proporcionar 62 (83 mg, 86 %). UPLC-MS analítica (sistema 2 ): tr = 0,99 min, m/z (eS+) se calculó 1780,97 (M)+, se encontró 1781,14.
(2R)-1-(3-((S)-44-amino-38,45-dioxo-2,5,8,11,14,17,20,23,26,29,32,35-dodecaoxa-39,46-diazanonatotracontanamido)-4-(((2S,3R,4S,5S,6S)-6-carboxi-3,4,5-trihidroxitetrahidro-2H-piran-2-il)oxi)bencil)-2-(((2S,3S)-1-(((1R,3R)-1-(4-(((2R,4S)-4-carboxi-1-fenilpentan-2-il)carbamoil)tiazol-2-il)-4-metil-1-propoxipentan-3-il)(metil)amino)-3-metil-1-oxopentan-2-il)carbamoil)-1-metilpiperidin-1-io (63). Se desprotegió Fmoc-Lis(PEG12)-GlucQ-Tub(Opr) 61 (27 mg, 13 pmol) como anteriormente para proporcionar 63 (17 mg, 71 %). UPLC-MS analítica (sistema 2): tr = 1,03 min, m/z (ES+) se calculó 1794,98 (M)+, se encontró 1795,14.
Procedimiento general para el acoplamiento de H-Lis(PEG12)-GlucQ-Tub(OR) a mDPR-OPFP: Se cargó un matraz con H-Lis(PEG12)-GlucQ-Tub(OR) (62 o 63), al cual se añadió mDPR-OPFP (44, 1,2 equivalentes) como una solución en DMF (10 mM) seguido de N,N-diisopropiletilamina (4,0 equivalentes). La reacción se agitó a temperatura ambiente durante 4 horas, a continuación, se apagó con AcOH (4,0 equivalentes), se diluyó en DMSO (1 volumen) y se purificó mediante HPLC preparativa.
(2R)-1-(3-((S)-44-((S)-3-((terc-butoxicarbonil)amino)-2-(2,5-dioxo-2,5-dihidro-1H-pirrol-1-il)propanamido)-38,45-dioxo-2.5.8.11.14.17.20.23.26.29.32.35- dodecaoxa-39,46-diazanonatetracontanamido)-4-(((2S,3R,4S,5S,6S)-6-carboxi-3.4.5- trihidroxitetrahidro-2H-piran-2-il)oxi)bencil)-2-(((2S,3S)-1-(((1R,3R)-1-(4-(((2R,4S)-4-carboxi-1-fenilpentan-2-il)carbamoil)tiazol-2-il)-1-etoxi-4-metilpentan-3-il)(metil)amino)-3-metil-1-oxopentan-2-il)carbamoil)-1-metilpiperidin-1-io (64). Se acopló H-Lis(PEG12)-GlucQ-Tub(OEt) (83 mg, 46 pmol) a mDPR-OPFP 44 (25 mg, 56 pmol) como anteriormente para proporcionar 64 (43 mg, 45 %). UPLC-MS analítica (sistema 2): tr = 1,22 min, m/z (ES+) se calculó 2047,06 (M)+, se encontró 2047,25.
(2R)-1-(3-((S)-44-((S)-3-((terc-butoxicarbonil)amino)-2-(2,5-dioxo-2,5-dihidro-1H-pirrol-1-il)propanamido)-38,45-dioxo-2.5.8.11.14.17.20.23.26.29.32.35- dodecaoxa-39,46-diazanonatetracontanamido)-4-(((2S,3R,4S,5S,6S)-6-carboxi-3.4.5- trihidroxitetrahidro-2H-piran-2-il)oxi)bencil)-2-(((2S,3S)-1-(((1R,3R)-1-(4-(((2R,4S)-4-carboxi-1-fenilpentan-2-il)carbamoil)tiazol-2-il)-4-metil-1-propoxipentan-3-il)(metil)amino)-3-metil-1-oxopentan-2-il)carbamoil)-1-metilpiperidin-1 -io (65). Se acopló H-Lis(PEG12)-GlucQ-Tub(OPr) (17 mg, 9 pmol) a mDPR-OPFP 44 (5 mg, 11 pmol) como anteriormente para proporcionar 65 (14 mg, 74 %). UPLC-MS analítica (sistema 2): tr = 1,22 min, m/z (ES+) se calculó 2061,07 (M)+, se encontró 2061,26.
Procedimiento general para la desprotección de mDPR(Boc)-Lis(PEG12)-GlucQ-Tub(OR): Se cargó un matraz con mDPR(Boc)-Lis(PEG12)-GlucQ-Tub(OR) (64 o 65) y se enfrió a 0 °C. Se agregó una solución al 10 % de TFA en DCM (50 mM) y la reacción se dejó calentar a temperatura ambiente mientras se agitaba durante 1 hora. A continuación, la reacción se diluyó con DMSO (1 volumen), se eliminó el DCM a presión reducida y luego se purificó mediante HPLC preparativa.
(2R)-1-(3-((S)-44-((S)-3-amino-2-(2,5-dioxo-2,5-dihidro-1H-pirrol-1-il)propanamido)-38,45-dioxo-2.5.8.11.14.17.20.23.26.29.32.35- dodecaoxa-39,46-diazanonatetracontanamido)-4-(((2S,3R,4S,5S,6S)-6-carboxi-3.4.5- trihidroxitetrahidro-2H-piran-2-il)oxi)bencil)-2-(((2S,3S)-1-(((1R,3R)-1-(4-(((2R,4S)-4-carboxi-1-fenilpentan-2-il)carbamoil)tiazol-2-il)-1-etoxi-4-metilpentan-3-il)(metil)amino)-3-metil-1-oxopentan-2-il)carbamoil)-1-metilpiperidin-1-io (6 6 ). Se desprotegió mDPR(Boc)-Lis(PEG12)-GlucQ-Tub(OEt) 64 (43 mg, 21 pmol) como anteriormente para proporcionar 6 6 (34 mg, 83 %). UPLC-mS analítica (sistema 2): tr = 0,96 min, m/z (Es ) se calculó 1947,01 (M)+, se encontró 1947,22.
[240] (2R)-1-(3-((S)-44-((S)-3-amino-2-(2,5-dioxo-2,5-dihidro-1H-pirrol-1-il)propanamido)-38,45-dioxo-2.5.8.11.14.17.20.23.26.29.32.35- dodecaoxa-39,46-diazanonatetracontanamido)-4-(((2S,3R,4S,5S,6S)-6-carboxi-3.4.5- trihidroxitetrahidro-2H-piran-2-il)oxi)bencil)-2-(((2S,3S)-1-(((1R,3R)-1-(4-(((2R,4S)-4-carboxi-1-fenilpentan-2-il)carbamoil)tiazol-2-il)-4-metil-1-propoxipentan-3-il)(metil)amino)-3-metil-1-oxopentan-2-il)carbamoil)-1-metilpiperidin-1 -io (67). Se desprotegió mDPR(Boc)-Lis(PEG12)-GlucQ-Tub(OPr) 65 (14 mg, 7 pmol) como anteriormente para proporcionar 67 (12 mg, 92 %). UPLC-MS analítica (sistema 2): tr = 1,05 min, m/z (Es +) se calculó 1961,02 (M)+, se encontró 1961,20.
Esquema 7.
Ácido (2S,4R)-4-(2-((1R,3R)-3-((terc-butoxicarbonil)(metil)amino)-1-hidroxi-4-metilpentil)tiazol-4-carboxamido)-2-metil-5-fenilpentanoico (69). Se cargó un matraz con Boc-Tuv(OAc)-Tup-OEt (6 8 , 50 mg, 81 pmol) disponible comercialmente en THF (1,35 ml) y MeOH (1,35 ml) y se enfrió a 0 °C. Se solubilizó LiOH ■ H2O (27 mg, 647 pmol) en H2O (1,35 ml) y a continuación se añadió gota a gota. La reacción se dejó calentar a temperatura ambiente y se agitó durante 3 horas. a continuación, la reacción se apagó con ácido acético (37 pl, 647 pmol) y se condensó a presión reducida. El residuo se recogió en DMSO mínimo y se purificó mediante HPLC preparativa para proporcionar 69 (44 mg, cuant.) UPLC-MS analítica (sistema 2): tr= 1,53 min, m/z (ES+) se calculó 548,28 (M+H)+, se encontró 548,24.
4-(2-((1R,3R)-1-acetoxi-3-((terc-butoxicarbonil)(metil)amino)-4-metilpentil)tiazol-4-carboxamido)-2-metil-5-fenilpentanoato de (2S,4R)-alilo (70). Se solubilizó Boc-Tuv(OH)-Tup-OH (69, 44 mg, 81 pmol) en piridina anhidra (1,6 ml) y se agitó a temperatura ambiente bajo N2. Se añadió gota a gota anhídrido acético (15,4 pl, 162 pmol). Se añadió 1 , 0 equivalente adicional de anhídrido acético después de una hora de agitación y la reacción se completó por LCMS después de 2 horas. La reacción se concentró a sequedad a presión reducida y a continuación se resolubilizó en alcohol alílico anhidro (1,6 ml). Se añadió pirocarbonato de dialilo (54 pl, 325 pmol) seguido de DMAP sólido (3,0 mg, 24 pmol). Se dejó agitar la reacción a temperatura ambiente y se monitoreó mediante LCMS, se añadió adicionalmente pirocarbonato de dialilo según fuera necesario para impulsar la reacción hasta su finalización (4,0 equivalentes adicionales). A continuación, la reacción se recogió en DMSo , se condensó a presión reducida y se purificó mediante HPLC preparativa para proporcionar 70 (33 mg, 65 %). UPLC-MS analítica (sistema 2): tr = 1,75 min, m/z (ES+) se calculó 630,32 (M+h )+, se encontró 630,42.
4-(2-((1R,3R)-1-acetoxi-4-metil-3-(metilamino)pentil)tiazol-4-carboxamido)-2-metil-5-fenilpentanoato de (2S,4R)-alilo (71). Un matraz cargado con Boc-Tuv(OAc)-Tup-OEt (70, 33 mg, 21 pmol) se enfrió a 0 °C bajo N2. Se añadió gota a gota una solución de TFA al 10 % en CH2Cl2 (0,52 ml) y se agitó durante 4 horas. La reacción se concentró bajo presión reducida, se resolubilizó en DCM y se condensó 3 veces para eliminar el TFA, a continuación se llevó adelante sin purificación adicional. UPLC-Ms analítica (sistema 2): tr = 1,03 min, m/z (ES+) se calculó 530,27 (M+H)+, se encontró 530,36.
4-(2-((6S,9R,11R)-6-((S)-sec-butil)-9-isopropil-2,2,8-trimetil-4,7,13-trioxo-3,12-dioxa-5,8-diazatetradecan-11-il)tiazol-4-carboxamido)-2-metil-5-fenilpentanoato de (2S,4R)-alilo (72). A un matraz cargado con H-Tuv(OAc)-Tup-O-Alilo (71, 28 mg, 53 pmol) se añadió Boc-L-Ile-OH (15 mg, 63 pmol) y HATU (40 mg, 106 pmol) como sólidos seguido de DMF (1,0 ml). Se añadió N,N-diisopropiletilamina (37 pl, 211 pmol) y la reacción se agitó a temperatura ambiente durante 48 horas. A continuación, la reacción se recogió en DMSO, se condensó bajo presión reducida y se purificó mediante HPLC preparativa para proporcionar (72) (19 mg, 49 %). UPLC-MS analítica (sistema 2): tr = 1,72 min, m/z (ES+) se calculó 743,41 (M+H)+, se encontró 743,51.
4-(2-((1R,3R)-1-acetoxi-3-((2S,3S)-2-amino-N,3-dimetilpentanamido)-4-metilpentil)tiazol-4 -carboxamido)-2-metil-5-fenilpentanoato de (2S,4R)-alilo (73). Un matraz cargado con Boc-Ile-Tuv(OAc)-Tup-OEt (72, 19 mg, 26 pmol) se enfrió a 0 °C bajo N2. Se añadió gota a gota una solución de TFA al 10 % en CH2Cl2 (0,52 ml) y se agitó durante 4 horas. La reacción se concentró bajo presión reducida, se resolubilizó en DCM y se condensó 3 veces para eliminar el TFA, luego se llevó adelante sin purificación adicional. UPLC-MS analítica (sistema 2): tr= 1,18 min, m/z (ES+) se calculó 643,36 (M+H)+, se encontró 643,42.
l-metilpiperidin-2-carboxilato de (R)-terc-butilo (75). El H-Pip-OtBu (74, 500 mg, 2,70 mmol), disponible comercialmente, se recogió en MeOH (4,50 ml), AcOH (4,50 ml) y CH2O al 37 % en H2O (4,50 ml) y se agitó durante 20 minutos. Se añadió lentamente NaBH3CN (509 mg, 8,10 mmol) como un sólido hasta un burbujeo vigoroso, se agitó durante 30 minutos. A continuación, la reacción se vertió en 200 ml de una solución saturada de NaHCO3 y se extrajo 3 veces con 200 ml de DCM. Las capas orgánicas se lavaron con salmuera, se secaron sobre NaSO4 y se condensaron a presión reducida para proporcionar 75 (516 mg, 96 %) que se llevó adelante sin purificación adicional. UPLC-MS analítica (sistema 2): tr = 0,53 min, m/z (ES+) se calculó 200,17 (M+H)+, se encontró 200,21.
(2R)-1-(3-(3-((((9H-fluoren-9-il)metoxi)carbonil)amino)propanamido)-4-(((2S,3R,4S,5S,6S)-3,4,5-triacetoxi-6-(metoxicarbonil)tetrahidro-2H-piran-2-il)oxi)bencil)-2-(terc-butoxicarbonil)-1-metilpiperidin-1-io (76). Se cargó un recipiente a presión con el fragmento de enlace glucurónido bromado (46, 104 mg, 128 pmol) y Mep-OtBu (75, 34 mg, 171 pmol) en 2-butanona anhidra (1,71 ml). El recipiente de reacción se lavó abundantemente con N2 y se selló. A continuación, la reacción se agitó y se calentó a 6 0 °C durante 12 horas. La mezcla resultante se enfrió, se condensó bajo presión reducida, se recogió en DMSO mínimo y se purificó mediante HPLC preparativa para proporcionar 76 (97 mg, 82 %). UPLC-MS analítica (sistema 2): tr= 1,32 min, m/z (ES+) se calculó 930,40 (M)+, se encontró 930,49.
(2R)-1-(3-(3-((((9H-fluoren-9-il)metoxi)carbonil)amino)propanamido)-4-(((2S,3R,4S,5S,6S)-6-((aliloxi)carbonil)-3,4,5-trihidroxitetrahidro-2H-piran-2-il)oxi)bencil)-2-(terc-butoxicarbonil)-1-metilpiperidin-1-io (77). Se cargó un matraz secado a la llama con Fmoc-GlucQ-Mep-OtBu (76, 97 mg, 104 pmol) en alcohol alílico anhidro (2,09 ml) bajo N2. Se añadió Ti(OC2H5) 4 (87 pl, 417 pmol) y la reacción se calentó a 80 °C con agitación durante 2 horas. A continuación, la reacción se enfrió a temperatura ambiente y se vertió en 50 ml de HCl 1M. Después de descansar durante 45 minutos, el HCl se extrajo 3 veces con 50 ml de DCM. Los extractos orgánicos resultantes se lavaron con salmuera, se secaron sobre Na2SO4, se condensaron y se purificaron por HPLC preparativa para proporcionar 77 (42 mg, 48 %). UPLC-MS analítica (sistema 2): t= 1,18 min, m/z (ES+) se calculó 830,39 (M)+, se encontró 830,49.
(2R)-1-(3-(3-((((9H-fluoren-9-il)metoxi)carbonil)amino)propanamido)-4-(((2S,3R,4S,5S,6S)-6-((aliloxi)carbonil)-3,4,5-trihidroxitetrahidro-2H-piran-2-il)oxi)bencil)-2-carboxi-1 -metilpiperidin-1-io (78). Un matraz que contenía Fmoc-Gluc(Alil)Q-Mep-OtBu (77, 42 mg, 50 pmol) se enfrió a 0 °C bajo N2. Se añadió gota a gota una solución de TFA al 30 % en CH2Cl2 (2,5 ml) y se agitó durante 18 horas. La reacción se concentró bajo presión reducida, se recogió en DMSO mínimo y se purificó mediante HPLC preparativa para proporcionar 78 (25 mg, 64 %). UPLC-MS analítica (sistema 2): tr = 1,05 min, m/z (ES+) se calculó 774,32 (M)+, se encontró 774,42.
(2R)-1-(3-(3-((((9H-fluoren-9-il)metoxi)carbonil)amino)propanamido)-4-(((2S,3R,4S,5S,6S)-6-((aliloxi)carbonil)-3,4,5-trihidroxitetrahidro-2H-piran-2-il)oxi)bencil)-2-(((2S,3S)-1-(((1R,3R)-1-acetoxi-1-(4-(((2R,4S)-5-(aliloxi)-4-metil-5-oxo-1- fenilpentan-2-il)carbamoil)tiazol-2-il)-4-metilpentano-3-il)(metil)amino)-3-metil-1-oxopentan-2-il)carbamoil)-1-metilpiperidin-1-io (79). A un matraz cargado con H-Ile-Tuv(OAc)-Tup-OAlilo (73, 23 mg, 36 pmol) se añadió Fmoc-Gluc(Alil)Q-Mep-OH (78, 28 mg, 36 pmol) y HATU (27 mg, 72 pmol) como sólidos seguido de DMF (0,714 ml). Se añadió N,N-diisopropiletilamina (25 pl, 143 pmol) y la reacción se agitó a temperatura ambiente durante 1 hora. A continuación, la reacción se recogió en DMSo y se purificó mediante CL preparativa para proporcionar 79 (23 mg, 46 %). UPLC-MS analítica (sistema 2): tr = 1,39 min, m/z (ES+) se calculó 1398,66 (M)+, se encontró 1398,81.
(2R)-2-(((2S,3S)-1-(((1R,3R)-1-acetoxi-1-(4-(((2R,4S)-4-carboxi-1-fenilpentan-2-il)carbamoil)tiazol-2-il)-4-metilpentan-3-il)(metil)amino)-3-metil-1-oxopentan-2-il)carbamoil)-1-(3-(3-aminopropanamido))-4-(((2S,3R,4S,5S,6S)-6-carboxi-3,4,5-trihidroxitetrahidro-2H-piran-2-il)oxi)bencil)-1 -metilpiperidin-1-io (8 0 ). Fmoc-Gluc(Alil)Q-TubM-OAlilo (79, 21 mg, 15 pmol) se recogió en DCM (1,5 ml) en agitación en atmósfera de N2. Se añadieron Pd(PPh3)4 (3,5 mg, 3,1 pmol) y PPh3 (1,6 mg, 6,1 pmol) como sólidos seguido de pirrolidina (20,1 pl, 245 pmol). La reacción se agitó 2 hora a temperatura ambiente, a continuación, se recogió en 1 ml de DMSO, se condensó a presión reducida y se purificó por CL preparativa para proporcionar 80 (13 mg, 79 %). UPLC-MS analítica (sistema 2): tr = 0,94 min, m/z (ES+) se calcula 1096,53 (M)+, se encontró 1096,65.
(2R)-2-(((2S,3S)-1-(((1R,3R)-1-acetoxi-1-(4-(((2R,4S)-4-carboxi-1-fenilpentan-2-il)carbamoil)tiazol-2-il)-4-metilpentan-3-il)(metil)amino)-3-metil-1-oxopentan-2-il)carbamoil)-1-(3-(3-((S)-3-((terc-butoxicarbonil)amino)-2-(2,5-dioxo-2,5-dihidro-1H-pirrol-1-il)propanamido)propanamido)-4-(((2S,3R,4S,5S,6S)-6-carboxi-3,4,5-trihidroxitetrahidro-2H-piran-2- il)oxi)bencil)-1-metilpiperidin-1-io (81). Se cargó un matraz con H-GlucQ-TubM (80, 13,1 mg, 11,9 pmol) en DMF anhidra (0,595 ml) al que mDPR(Boc)-OSu (13, 4,6 mg, 11,9 pmol) se añadió bajo N2. Se añadió N,N-diisopropiletilamina (8,3 pl, 47,8 pmol) y la reacción se agitó a temperatura ambiente durante 3 horas. A continuación, la reacción se apagó con ácido acético (8,3 pl) y se purificó mediante HPLC preparativa para proporcionar 81 (5,2 mg, 33 %). UPLC-MS analítica (sistema 2): tr = 1,20 min, m/z (ES+) se calculó 13 6 2 , 6 2 (M)+, se encontró 1362,75.
(2R)-2-(((2S,3S)-1-(((1R,3R)-1-acetoxi-1-(4-(((2R,4S)-4-carboxi-1-fenilpentan-2-il)carbamoil)tiazol-2-il)-4-metilpentan-3- il)(metil)amino)-3-metil-1-oxopentan-2-il)carbamoil)-1-(3-(3-((S)-3-amino-2-(2,5-dioxo-2,5-dihidro-1H-pirrol-1-il)propanamido)propanamido)-4-(((2S,3R,4S,5S,6S)-6-carboxi-3,4,5-trihidroxitetrahidro-2H-piran-2-il)oxi)bencil)-1-metilpiperidin-1-io (82). Un matraz cargado con mDPR(Boc)-GlucQ-TubM-OH (81, 5,2 mg, 3,8 mol) se enfrió a 0 °C bajo N2. Se añadió gota a gota una solución de TFA al 10 % en CH2Cl2 (0,84 ml) y se agitó durante 4 horas. A continuación, la reacción se recogió en DMSO, se condensó a presión reducida y se purificó mediante HPLC preparativa para proporcionar 82 (4,8 mg, 81 %). UPLC-MS analítica (sistema 2): tr = 0,95 min, m/z (ES+) se calculó 1262,56 (M)+, se encontró 1262,68.
Es uema 9.
4-amino-5-((4-(hidroximetil)fenil)amino)-5-oxopentanoato de (S)-terc-butilo (84). Un matraz cargado con Fmoc-Glu(OtBu)-OH (83, 2,0 g, 4,7 mmol), H-PABA (4,579 mg, 4,7 mmol) y ChChh (25 ml) se agitó a temperatura ambiente. Se añadió EEDQ (1,40 g, 5,6 mmol) como un sólido y la mezcla se agitó durante la noche. El producto se eluyó de una placa de cromatotrón de 4 mm con EtOAc, las fracciones que contenían el producto se condensaron. El residuo resultante se recogió en piperidina al 20 % en DCM, se agitó durante 15 minutos y a continuación se condensó hasta un aceite. El aceite se disolvió en DCM y se eluyó de una placa de cromatotrón de 2 mm mediante el uso de MeOH al 10 % -20 % en gradiente de DCM para proporcionar 84 (860 mg, 60 %). UPLC-MS analítica (sistema 2): tr = 0,65 min, m/z (ES+) se calculó 309,18 (M+H)+, se encontró 309,24.
4- ((S)-2-((terc-butoxicarbonil)amino)-3-metilbutanamido)-5-((4-(hidroximetil)fenil)amino)-5-oxopentanoato de (S)-tercbutilo (85). A un matraz cargado con H-Glu(OtBu)-PABA (8 4 , 860 mg, 2,78 mmol) en DMF (10 ml) se añadió Boc-Val-OSu 1 (1,13 g, 3,60 mmol) y DIPEA (0,75 ml). Después de 30 minutos la mezcla de reacción se vertió en 100 ml de EtOAc y se lavó con H2O 3 veces, 1 vez con salmuera, y se secó sobre Na2SO4. La solución se secó a presión reducida, se solubilizó en 50 ml de EtOAc y se precipitó con EtOAc al 10 % en hexanos (50 ml). Los sólidos se recogieron y se secaron para proporcionar 85 como un sólido blanco (0,97 g, 70 %). UPLC-MS analítica (sistema 2): tr = 1,37 min, m/z (ES+) se calculó 508,30 (M+H)+, se encontró 508,38.
5- ((4-(bromometil)fenil)amino)-4-((S)-2-((terc-butoxicarbonil)amino)-3-metilbutanamido)-5-oxopentanoato de (S)-tercbutilo (8 6 ). Un matraz cargado con Boc-Val-Glu(OtBu)-PABA-OH (85, 200 mg, 394 pmol), N-bromosuccinimida (105 mg, 591 pmol) y trifenilfosfina (155 mg, 591 pmol) se lavó abundantemente con N2. La reacción se recogió en THF (4 ml) y se agitó durante 12 horas. La reacción se condensó y se purificó sobre sílice a través de una columna Biotage (Hexanos/EtOAc, 10 % -100 %) para proporcionar 86 (210 mg, 93 %). UPLC-MS analítica (sistema 2): tr = 1,56 min, m/z (ES+) se calculó 570,22 (M+H)+, se encontró 570,30.
(2R)-2-(((2S,3S)-1-(((1R,3R)-1-acetoxi-1-(4-(((2R,4S)-5-(aliloxi)-4-metilo-5-oxo-1-fenilpentan-2-il)carbamoil)tiazol-2-il)-4-metilpentan-3-il)(metil)amino)-3-metil-1-oxopentan-2-il)carbamoilo)-1-(4-((S)-5-(terc-butoxi)-2-((S)-2-((tercbutoxicarbonil)amino)-3-metilbutanamido)-5-oxopentanamido)bencil)-1-metilpiperidin-1-io (8 8 ). Un matraz cargado con Boc-Val-Glu(OtBu)-PABA-Br (8 6 , 40 mg, 70 pmol) y TubM-OAlilo (Org. Lett., 2007, 9, 1605-1607) (87, 45 mg, 59 pmol) se lavó abundantemente con N2. Se añadió butanona (1,17 ml) y la reacción se calentó a 60 °C mientras se agitaba. Después de 18 horas, la reacción se condensó a sequedad, se recogió en DCM mínimo y se purificó a través de Biotage (0-20 % DCM/MeOH) para proporcionar 88 (62 mg, 85 %). UPLC-MS analítica (sistema 2): tr = 1,47 min, m/z (ES+) se calculó 1257,72 (M)+, se encontró 1257,85.
(2R)-2-(((2S,3S)-1-(((1R,3R)-1-acetoxi-1-(4-(((2R,4S)-4-carboxi-1-fenilpentan-2-il)carbamoil)tiazol-2-il)-4-metilpentan-3-il)(metil)amino)-3-metil-1-oxopentan-2-il)carbamoil)-1-(4-((S)-2-((S)-2-amino-3-metilbutanamido)-4-carboxibutanamido)bencil)-1-metilpiperidin-1-io (89). Un matraz cargado con Boc-Val-Glu(OtBu)-PABQ-Tub-OAlilo (8 8 , 42 mg, 50 pmol) se enfrió a 0 °C bajo N2. Se añadió gota a gota una solución de TFA al 30 % en CH2Cl2 (0,99 ml) y se agitó durante 18 horas. La reacción se concentró a presión reducida, se recogió en DCM y se volvió a condensar 3 veces. A continuación, el residuo se recogió en dCm (0,98 ml) al que se añadieron Pd(PPh3)4 (5,7 mg, 4,9 pmol) y PPh3 (2,6 mg, 9,8 pmol) como sólidos seguido de pirrolidina (32 pl, 392 pmol). Después de 1 hora, la reacción se recogió en DMSO mínimo, se condensó y se purificó mediante HPLC preparativa para proporcionar 89 (47 mg, 90 %). UPLC-MS analítica (sistema 2): tr = 0,95 min, m/z (ES+) se calculó 1061,57 (M)+, se encontró 1061,69.
E sq u em a 10.
(2R)-2-(((2S,3S)-1-(((1R,3R)-1-acetoxi-1-(4-(((2R,4S)-4-carboxi-1-fenilpentan-2-il)carbamoil)tiazol-2-il)-4-metilpentan-3-il)(metil)amino)-3-metil-1-oxopentan-2-il)carbamoil)-1-(4-((7S,10S,13S)-13-(2-carboxietil)-7-(2,5-dioxo-2,5-dihidro-1H-pirrol-1-il)-10-isopropil-2,2-dimetil-4,8,11-trioxo-3-oxa-5,9,12-triazatetradecanamido)bencil)-1-metilpiperidin-1-io (90). Se cargó un matraz con H-ValGluPABQ-Tub (89, 22,5 mg, 21,2 pmol) en DMF anhidro (0,420 ml), al que se añadió mDPR(Boc)-OSu (13, 8,9 mg, 23,3 pmol)) como un sólido bajo N2. Se añadió N,N-diisopropiletilamina (14,8 pl, 84,7 pmol) y la reacción se agitó a temperatura ambiente durante 3 horas. A continuación, la reacción se apagó con ácido acético (14,8 pl) y se purificó mediante HPLC preparativa para proporcionar 90 (11,5 mg, 40 %). UPLC-MS analítica (sistema 2): tr = 1,31 min, m/z (ES+) se calculó 1327,66 (M)+, se encontró 1327,94.
(2R)-2-(((2S,3S)-1-(((1R,3R)-1-acetoxi-1-(4-(((2R,4S)-4-carboxi-1-fenilpentan-2-il)carbamoil)tiazol-2-il)-4-metilpentan-3-il)(metil)amino)-3-metil-1-oxopentan-2-il)carbamoil)-1-(4-((S)-2-((S)-2-((S)-3-amino-2-(2,5-dioxo-2,5-dihidro-1H-pirrol-1-il)propanamido)-3-metilbutanamido)-4-carboxibutanamido)bencil)-1-metilpiperidin-1-io (91). Un matraz cargado con mDPR(Boc)-ValGluPABQ-Tub (90, 11,5 mg, 8 , 6 mol) se enfrió a 0 °C bajo N2. Se añadió gota a gota una solución de TFA al 10 % en CH2Cl2 (0,86 ml) y se agitó durante 2 horas. A continuación, la reacción se recogió en DMSO, se condensó a presión reducida y se purificó mediante HPLC preparativa para proporcionar 91 (9,9 mg, 93 %). UPLC-MS analítica (sistema 2): tr= 0,99 min, m/z (ES+) se calculó 1227,61 (M)+, se encontró 1227,83.
Esquema 11.
(2R)-1-(4-((44S,47S,50S)-44-((((9H-fluoren-9-il)metoxi)carbonil)amino)-50-(2-carboxietil)-47-isopropilo-38,45,48-trioxo-2,5,8,11,14,17,20,23,26,29,32,35-dodecaoxa-39,46,49-triazahenpentacontanamido)bencil)-2-(((2S,3S)-1-(((1R,3R)-1-acetoxi-1-(4-(((2R,4S)-4-carboxi-1-fenilpentan-2-il)carbamoil)tiazol-2-il)-4-metilpentan-3-il)(metil)amino)-3-metil-1-oxopentan-2-il)carbamoil)-1-metilpiperidin-1-io (92). Se añadió Fmoc-Lis(PEG12)-OSu (59, 26 mg, 25 pmol) a un matraz cargado con H-ValGluPABQ-Tub (89, 24 mg, 23 pmol) como solución en DMF anhidra (0,457 ml) bajo N2. Se añadió N,N-diisopropiletilamina (16 pl, 91 pmol) y la reacción se agitó a temperatura ambiente durante 3 horas. A continuación, la reacción se apagó con ácido acético (16 pl) y se purificó mediante HPLC preparativa para proporcionar 92 (34 mg, 75 %). UPLC-MS analítica (sistema 2): tr = 1,35 min, m/z (ES+) se calculó 1982,06 (M)+, se encontró 1982,37.
(2R)-2-(((2S,3S)-1-(((1R,3R)-1-acetoxi-1-(4-(((2R,4S)-4-carboxi-1-fenilpentan-2-il)carbamoil)tiazol-2-il)-4-metilpentan-3-il)(metil)amino)-3-metil-1-oxopentan-2-il)carbamoil)-1-(4-((44S,47S,50S)-44-amino-50-(2-carboxietil)-47-isopropil-38,45,48-trioxo-2,5,8,11,14,17,20,23,26,29,32,35-dodecaoxa-39,46,49-triazahenpentacontanamido)bencil)-1-metilpiperidin-1-io (93). A un matraz cargado con Fmoc-Lis(PEG12)-ValGluPABQ-Tub (92, 34 mg, 17 pmol) se añadió piperidina al 20 % en DMF (1,7 ml). La reacción se agitó bajo N2 a temperatura ambiente durante 30 minutos. A continuación, la reacción se diluyó con DMSO/H2O y se purificó mediante HPLC preparativa para proporcionar 93 (26 mg, 86 %). UPLC-MS analítica (sistema 2): tr = 1,01 min, m/z (ES+) se calculó 1759,99 (M)+, se encontró 1760,26.
(2R)-2-(((2S,3S)-1-(((1R,3R)-1-acetoxi-1-(4-(((2R,4S)-4-carboxi-1-fenilpentan-2-il)carbamoil)tiazol-2-il)-4-metilpentan-3-il)(metil)amino)-3-metil-1-oxopentan-2-il)carbamoil)-1-(4-((44S,47S,50S)-44-((S)-3-((terc-butoxicarbonil)amino)-2-(2,5-dioxo-2,5-dihidro-1H-pirrol-1-il)propanamido)-50-(2-carboxietil)-47-isopropil-38,45,48-trioxo-2,5,8,11,14,17,20,23,26,29,32,35-dodecaoxa-39,46,49-triazahenpentacontanamido)bencil)-1-metilpiperidin-1-io (94). Se cargó un matraz con H-Lis(PEG12)-ValGluPABQ-Tub (93, 26 mg, 15 pmol) en Dm F anhidra (0,735 ml), al que se añadió mDPR(Boc)-OSu (13, 6 mg, 16 pmol) como un sólido bajo N2. Se añadió N,N-diisopropiletilamina (10 pl, 59 pmol) y la reacción se agitó a temperatura ambiente durante 3 horas. A continuación, la reacción se apagó con ácido acético (10 pl) y se purificó mediante HPLC preparativa para proporcionar 94 (16 mg, 46 %). UPLC-MS analítica (sistema 2): tr = 1,26 min, m/z (ES+) se calculó 2026,08 (M)+, se encontró 2026,38.
(2R)-2-(((2S,3S)-1-(((1R,3R)-1-acetoxi-1-(4-(((2R,4S)-4-carboxi-1-fenilpentan-2-il)carbamoil)tiazol-2-il)-4-metilpentan-3-il)(metil)amino)-3-metil-1-oxopentan-2-il)carbamoil)-1-(4-((44S,47S,50S)-44-((S)-3-amino-2-(2,5-dioxo-2,5-dihidro-1H-pirrol-1-il)propanamido)-50-(2-carboxietil)-47-isopropil-38,45,48-trioxo-2,5,8,11,14,17,20,23,26,29,32,35-dodecaoxa-39,46,49-triazahenpentacontanamido)bencil)-1-metilpiperidin-1-io (95). Un matraz cargado con
mDPR(Boc)-Lis(PEG12)-ValGluPABQ-Tub (94, 14 mg, 7 pmol) se enfrió a 0 °C bajo N2. Se añadió gota a gota una solución de TFA al 10 % en CH2Cl2 (1,03 ml) y se agitó durante 2 horas. A continuación, la reacción se recogió en DMSO, se condensó a presión reducida y se purificó mediante HPLC preparativa para proporcionar 95 (9 mg, 70 %). UPLC-MS analítica (sistema 2): tr= 1,03 min, m/z (ES+) se calculó 1926,03 (M)+, se encontró 1926,32.
(2R)-1-(3-((S)-44-((((9H-fluoren-9-il)metoxi)carbonil)amino)-38,45-dioxo-2,5,8,11,14,17,20,23,26,29,32,35-dodecaoxa-39,46-diazanonatetracontanamido)-4-(((2S,3R,4S,5S,6S)-6-carboxi-3,4,5-trihidroxitetrahidro-2H-piran-2-il)oxi)bencil)-2-(((2S,3S)-1-(((1R,3R)-1-acetoxi-1-(4-(((2R,4S))-4-carboxi-1-fenilpentan-2-il)carbamoil)tiazol-2-il)-4-metilpentan-3-il)(metil)amino)-3-metil-1-oxopentan-2-il)carbamoil)-1-metilpiperidina-1-io (96). Se añadió Fmoc-Lis(PEG12)-OSu (59, 4,4 mg, 4,3 pmol) a un matraz cargado con H-GlucQ-Tub (80, 3,9 mg, 3,6 pmol) como solución en DMF anhidra (0,355 ml) en bajo N2. Se añadió N,N-diisopropiletilamina (1,9 pl, 10,7 pmol) y la reacción se agitó a temperatura ambiente durante 3 horas. A continuación, la reacción se apagó con ácido acético (1,9 pl) y se purificó mediante HPLC preparativa para proporcionar 96 (5,0 mg, 70 %). UPLC-MS analítica (sistema 2): tr = 1,29 min, m/z (ES+) se calculó 2017,02 (m )+, se encontró 2017,21.
(2R)-2-(((2S,3S)-1-(((1R,3R)-1-acetoxi-1-(4-(((2R,4S)-4-carboxi-1-fenilpentan-2-il)carbamoil)tiazol-2-il)-4-metilpentan-3-il)(metil)amino)-3-metil-1-oxopentan-2-il)carbamoil)-1-(3-((S)-44-amino-38,45-dioxo-2,5,8,11,14,17,20,23,26,29,32,35-dodecaoxa-39,46-diazanonatetracontanamido)-4-(((2S,3R,4S,5S,6S)-6-carboxi-3.4.5- trihidroxitetrahidro-2H-piran-2-il)oxi)bencil)-1 -metilpiperidin-1-io (97). A un matraz cargado con Fmoc-Lis(PEG12)-GlucQ-Tub (96, 5,0 mg, 2,5 pmol) se añadió piperidina al 20 % en DMF (0,248 ml). La reacción se agitó bajo N2 a temperatura ambiente durante 30 minutos. A continuación, la reacción se diluyó con DMSO/H2O y se purificó mediante HPLC preparativa para proporcionar 97 (3,6 mg, 82 %). UPLC-MS analítica (sistema 2): tr= 0,99 min, m/z (ES+) se calculó 1794,95 (M)+, se encontró 1795,12.
(2R)-2-(((2S,3S)-1-(((1R,3R)-1-acetoxi-1-(4-(((2R,4S)-4-carboxi-1-fenilpentan-2-il)carbamoil)tiazol-2-il)-4-metilpentan-3-il)(metil)amino)-3-metil-1-oxopentan-2-il)carbamoil)-1-(3-((S)-44-((S)-3-((terc-butoxicarbonil)amino)-2-(2,5-dioxo-2.5- dihidro-1H-pirrol-1-il)propanamido)-38,45-dioxo-2,5,8,11,14,17,20,23,26,29,32,35-dodecaoxa-39,46-diazanonatetracontanamido)-4-(((2S,3R,4S,5S,6S)-6-carboxi-3,4,5-trihidroxitetrahidro-2H-piran-2-il)oxi)bencil)-1-metilpiperidin-1-io (98). Se cargó un matraz con H-Lis(PEG12)-GlucQ-Tub (97, 3,8 mg, 2,14 pmol) en DMF anhidro (0,212 ml), al que se añadió mDPR(Boc)-OPFP (44, 1,4 mg, 3,2 pmol)) como un sólido bajo N2. Se añadió N,N-diisopropiletilamina (0,74 pl, 4,2 pmol) y la reacción se agitó a temperatura ambiente durante 3 horas. A continuación, la reacción se apagó con ácido acético (0,74 pl), diluido con DMSO y se purificó mediante HPLC preparativa para proporcionar (2,7 mg, 61 %). UPLC-MS analítica (sistema 2): tr = 1,20 min, m/z (ES+) se calculó 2061,04 (M)+, se encontró 2061,20.
(2R)-2-(((2S,3S)-1-(((1R,3R)-1-acetoxi-1-(4-(((2R,4S)-4-carboxi-1-fenilpentan-2-il)carbamoil)tiazol-2-il)-4-metilpentan-3-il)(metil)amino)-3-metil-1-oxopentan-2-il)carbamoil)-1-(3-((S)-44-((S)-3-amino-2-(2,5-dioxo-2,5-dihidro-1H-pirrol-1-il)propanamido)-38,45-dioxo-2,5,8,11,14,17,20,23,26,29,32,35-dodecaoxa-39,46-diazanonatetracontanamido)-4-(((2S,3R,4S,5S,6S)-6-carboxi-3,4,5-trihidroxitetrahidro-2H-piran-2-il)oxi)bencil)-1-metilpiperidin-1-io (99). Un matraz cargado con mDPR(Boc)-Lis(PEG12)-GlucQ-Tub (98, 2,7 mg, 1,3 mol) se enfrió a 0 °C bajo N2. Se añadió gota a gota una solución de TFA al 10 % en CH2Cl2 (0,26 ml) y se agitó durante 2 horas. A continuación, la reacción se
recogió en DMSO, se condensó a presión reducida y se purificó mediante HPLC preparativa para proporcionar 99 (2,5 mg, 97 %). UPLC-MS analítica (sistema 2): tr= 1,00 min, m/z (ES+) se calculó 1960,99 (M)+, se encontró 1961,17.
Ácido 2-((1R,3R)-3-((terc-butoxanobonito)(metil)amonio)-1-hidroxi-4-metilpentil)tiazol-4-carboxílico (101). Se cargó un matraz con acetato de tubuvalina (Org. Lett., 2007, 9, 1605-1607) 100 (225 mg, 560 pmol) disuelto en metanol (5 ml) y tetrahidrofurano (5 ml), a continuación se enfrió bajo nitrógeno a 0 °C en un baño de hielo. Se disolvió hidróxido de litio monohidrato (71 mg, 1680 pmol) en agua (5 ml) y la solución se añadió gota a gota al matraz de reacción. A continuación, la reacción se agitó a temperatura ambiente hasta que el UPLC/MS reveló una conversión completa en producto. El material se diluyó con diclorometano y se lavó con HCl 0,1 M. La capa acuosa se extrajo dos veces con diclorometano, a continuación los extractos orgánicos combinados se secaron sobre sulfato de sodio, se filtraron y se concentraron para proporcionar el ácido libre 101 (200 mg, cuant.). UPLC-MS analítica (sistema 1): tr = 1,33 min, m/z (ES+) se calculó 359,17 (M+H)+, se encontró 359,14.
4-(2-((1R,3R)-3-((terc-butoxicarbonil)(metil)amino)-1-hidroxi-4-metilpentil)tiazol-4-carboxamido)-2-metil-5-fenilpentanoato de (2S,4R)-alilo (102). Se preactivó el compuesto ácido libre de tubuvalina 101 (200 mg, 560 pmol) mediante disolución en dimetilformamida anhidra (5,4 ml, 100 mM) y adición de HATU (250 mg, 670 pmol) y DIPEA (0,59 ml, 3,36 mmol); a continuación, la mezcla se agitó bajo nitrógeno a temperatura ambiente durante 10 minutos. A continuación, se añadió el ácido activado al conocido (Org. Lett., 2007, 9, 1605-1607) éster alílico de tubufelialanina 16 y, a continuación, la reacción se agitó a temperatura ambiente bajo nitrógeno, con el progreso monitoreado por UPLC/MS. Una vez completada la reacción, se añadió ácido acético glacial (14 equivalentes) y el producto se purificó mediante HPLC preparativa para proporcionar el dipéptido 102 Tuv(OH)-Tup-O-alil (272 mg, 83 %). UPLC-MS analítica (sistema 1): tr = 1,84 min, m/z (ES+) se calculó 588,31 (M+H)+, se encontró 588,29.
4-(2-((1R,3R)-3-((terc-butoxicarbonil)(metil)amino)-4-metil-1-(propioniloxi)pentil)tiazol-4-carboxamido)-2-metil-5-fenilpentanoato de (2S,4R)-alilo (105). El dipéptido 102 Tuv(OH)-Tup-O-alil (26 mg, 44 pmol) se disolvió en piridina anhidra (1,8 ml, 25 mM) y se agitó bajo una atmósfera de nitrógeno a temperatura ambiente. Se añadió gota a gota anhídrido propiónico 103 (113 pl, 20 equivalentes) y, a continuación, se monitoreó la reacción mediante UPLC/MS. Se añadió anhídrido propiónico adicional (20 equivalentes) para lograr la conversión en producto. El material se diluyó con diclorometano y se lavó con HCl 0,1 M. La capa acuosa se extrajo dos veces con diclorometano, a continuación, los extractos orgánicos combinados se secaron sobre sulfato de sodio, se filtraron y se concentraron para proporcionar el producto crudo, que posteriormente se purificó mediante HPLC preparativa para proporcionar el producto esterificado 105 (17 mg, 61 %). UPLC-MS analítica (sistema 1): tr = 1,99 min, m/z (ES+) se calculó 644,34 (M+H)+, se encontró 644,26.
4-(2-((1R,3R)-3-((terc-butoxicarbonil)(metil)amino)-1-(butiriloxi)-4-metilpentil)tiazol-4-carboxamido)-2-metil-5-fenilpentanoato de (2S,4R)-alilo (106). El dipéptido 102 Tuv(OH)-Tup-O-alil (27 mg, 46 pmol) se disolvió en piridina
anhidra (0,9 ml, 50 mM) y se agitó bajo una atmósfera de nitrógeno a temperatura ambiente. Se añadió gota a gota anhídrido butírico 104 (225 pl, 30 equivalentes) y, a continuación, se monitoreó la reacción mediante UPLC/MS. Se añadió anhídrido butírico adicional (40 equivalentes) en tres porciones para lograr la conversión en producto. El material se diluyó con diclorometano y se lavó con HCl 0,1 M. La capa acuosa se extrajo dos veces con diclorometano, a continuación, los extractos orgánicos combinados se secaron sobre sulfato de sodio, se filtraron y se concentraron para proporcionar el producto crudo, que posteriormente se purificó mediante HPLC preparativa para proporcionar el producto esterificado 106 (24 mg, 80 %). UPLC-MS analítica (sistema 1): tr = 2,13 min, m/z (ES+) se calculó 658,35 (M+H)+, se encontró 658,23.
4-(2-((1R,3R)-3-((terc-butoxicarbonil)(metil)amino)-1-(isobutiriloxi)-4-metilpentil)tiazol-4-carboxamido)-2-metil-5-fenilpentanoato de (2S,4R)-alilo (108). El dipéptido 102 Tuv(OH)-Tup-O-alilo (26 mg, 44 pmol) se disolvió en piridina anhidra (1,8 ml, 25 mM) y se agitó en bajo atmósfera de nitrógeno a temperatura ambiente. Se añadió gota a gota cloruro de isobutirilo 107 (93 pl, 20 equivalentes) y, a continuación, se monitoreó la reacción mediante UPLC/MS. Tras la conversión en producto, a continuación, el material se diluyó con diclorometano y se lavó con HCl 0,1 M. La capa acuosa se extrajo dos veces con diclorometano, a continuación, los extractos orgánicos combinados se secaron sobre sulfato de sodio, se filtraron y se concentraron para proporcionar el producto crudo, que posteriormente se purificó mediante HPLC preparativa para proporcionar el producto esterificado 108 (29 mg, cuant.). UPLC-MS analítica (sistema 1): tr = 2,13 min, m/z (ES+) se calculó 658,35 (M+H)+, se encontró 658,33.
4- (2-((1R,3R)-3-((terc-butoxicarbonil)(metil)amino)-4-metil-1-((3-metilbutanoil)oxi)pentil)tiazol-4-carboxamido)-2-metil-5- fenilpentanoato de (2S,4R)-alilo (111). Se cargó un matraz con ácido isovalérico 109 (94 pl, 851 pmol) disuelto en diclorometano anhidro (5,6 ml, 15 mM) y la solución se agitó a 0 °C bajo una atmósfera de nitrógeno. A continuación, se añadió DMAP (10 mg, 85 pmol), seguido de DCC ( 88 mg, 425 pmol) y la reacción se dejó calentar a temperatura ambiente durante 2 horas. A continuación, el ácido activado resultante se añadió al dipéptido 102 Tuv(OH)-Tup-O-alil (50 mg, 85 pmol) y la reacción se agitó durante toda la noche, momento en el que la UPLC/MS reveló la conversión en producto. A continuación, la reacción se diluyó con diclorometano y se lavó con HCl 0,1 M. La capa acuosa se extrajo dos veces con diclorometano, a continuación, los extractos orgánicos combinados se secaron sobre sulfato de sodio, se filtraron y se concentraron para proporcionar el producto crudo, que posteriormente se purificó mediante HPLC preparativa para proporcionar el producto esterificado 111 (52 mg, 91 %). UPLC-MS analítica (sistema 2): tr = 1,91 min, m/z (ES+) se calculó 672,37 (M+H)+, se encontró 672,46.
4-(2-((1R,3R)-3-((terc-butoxicarbonil)(metil)amino)-1-((3,3-dimetilbutanoil)oxi)-4-metilpentil)tiazol-4-carboxamido)-2-metil-5-fenilpentanoato de (2S,4R)-alilo (112). Se cargó un matraz con ácido gem-dimetilbutírico 110 (98 pl, 766 pmol) disuelto en diclorometano anhidro (5,1 ml, 15 mM) y la solución se agitó a 0 °C bajo una atmósfera de nitrógeno. A continuación, se añadió DMAP (9 mg, 77 pmol), seguido de DCC (79 mg, 383 pmol) y la reacción se dejó calentar a temperatura ambiente durante 2 horas. A continuación, el ácido activado resultante se añadió al dipéptido 102 Tuv(OH)-Tup-O-alil de (45 mg, 77 pmol) y la reacción se agitó durante toda la noche, momento en el que la UPLC/MS reveló la conversión en producto. A continuación, la reacción se diluyó con diclorometano y se lavó con HCl 0,1 M. La capa acuosa se extrajo dos veces con diclorometano, a continuación, los extractos orgánicos combinados se secaron sobre sulfato de sodio, se filtraron y se concentraron para proporcionar el producto crudo, que posteriormente se purificó mediante HPLC preparativa para proporcionar el producto esterificado 112 (49 mg, 93 %). UPLC-MS analítica (sistema 2): tr= 1,88 min, m/z (ES+) se calculó 686,39 (M+H)+, se encontró 686,47.
Esquema 14.
106, R=CH2CH2CHj 114, R=CH2CH2CH3
108, R=CH(CH3)2 115, R=CH(CHj)2
111, R=CH2CH(CH3)2 116, R=CH2CH(CHj)2
112, R=CH2C(CH3)3 117, R=CH2C(CH3)3
131, R=CH2CH(CH3)2 136, R=CH2CH(CH3)2
132, R=CH2C(C 137. R=CH2C(CH3)3
Procedimiento general para la desprotección Boc de intermediarios Tuv(O-éster)-Tup. Los intermediarios esterificados de tubuvalina-tubufenilalanina 105, 106, 108, 111 o 112 se desprotegieron para revelar el grupo funcional amina secundaria en condiciones ácidas con TFA al 10 % en diclorometano (25 mM). Específicamente, el material de partida se disolvió en diclorometano anhidro (9 volúmenes) y se agitó bajo nitrógeno a 0 °C. A continuación, se añadió gota a gota ácido trifluoroacético (1 volumen) a la solución agitada. La reacción se calentó lentamente a temperatura ambiente y se monitoreó mediante UPLC/MS. Una vez completada, la reacción se concentró mediante evaporación rotatoria y se bombeo en una línea de vacío durante la noche. Las aminas libres 135-139 se llevaron adelante sin más purificación.
2-metil-4-(2-((1R,3R)-4-metil-3-(metilamino)-1-(propioniloxi)pentil)tiazol-4-carboxamido)-5-fenilpentanoato de (2S,4R)-alilo (113): El intermediario 105 Tuv-Tup protegido con Boc (17 mg, 26 pmol) se desprotegió como se describió anteriormente para proporcionar 14 mg (cuant.) del compuesto del título. UPLC-MS (sistema 1): tr = 1,24 min, m/z (ES+) se calculó 544,29 (M+H)+, se encontró 544,25.
4-(2-((1R,3R)-1-(butiriloxi)-4-metil-3-(metilamino)pentil)tiazol-4-carboxamido)-2-metil-5-fenilpentanoato de (2S,4R)-alilo (114): El intermediario 106 Tuv-Tup protegido con Boc (24 mg, 37 pmol) se desprotegió como se describió anteriormente para proporcionar 21 mg (cuant.) del compuesto del título. UPLC-MS (sistema 2): tr = 1,20 min, m/z (ES+) se calculó 558,30 (M+H)+, se encontró 558,38.
4-(2-((1R,3R)-1-(isobutiriloxi)-4-metil-3-(metilamino)pentil)tiazol-4-carboxamido)-2-metil-5-fenilpentanoato de (2S,4R)-alilo (115): El intermediario 108 Tuv-Tup protegido con Boc (29 mg, 44 pmol) se desprotegió como se describió anteriormente para proporcionar 25 mg (cuant.) del compuesto del título. UPLC-MS (sistema 1): tr = 1,30 min, m/z (ES+) se calculó 558,30 (M+H)+, se encontró 557,93.
2-metil-4-(2-((1R,3R)-4-metil-3-(metilamino)-1-((3-metilbutanoil)oxi)pentil)tiazol-4-carboxamido)-5-fenilpentanoato de (2S,4R)-alilo (116): El intermediario 111 Tuv-Tup protegido con Boc (52 mg, 78 pmol) se desprotegió como se describió anteriormente para proporcionar 45 mg (cuant.) del compuesto del título. UPLC-MS (sistema 2): tr = 1,23 min, m/z (ES+) se calculó 572,32 (M+H)+, se encontró 572,40.
4-(2-((1R,3R)-1-((3,3-dimetilbutanoil)oxi)-4-metil-3-(metilamino)pentil)tiazol-4-carboxamido)-5-fenilpentanoato de
(2S,4R)-alilo (117): El intermediario 112 Tuv-Tup protegido con Boc (49 mg, 71 pmol) se desprotegió como se describió anteriormente para proporcionar 46 mg (cuant.) del compuesto del título. UPLC-MS (sistema 2): tr= 1,27 min, m/z (ES+) se calculó 586,33 (M+H)+, se encontró 586,42.
Procedimiento general para el acoplamiento de amidas de dipéptidos de tubuvalina-tubufenilalanina O-esterificados con la L-isoleucina protegida con Fmoc. Se disolvió el Fmoc-L-Isoleucina (4 equivalentes) disponible comercialmente en dimetilformamida anhidra (50 mM) y se preactiva con HATU (4 equivalentes) y DIPEA ( 8 equivalentes); la mezcla se agita durante 10 minutos a temperatura ambiente bajo nitrógeno. A continuación, se añadió el ácido activado a los dipéptidos Tuv(O-éster)-Tup 113-117; la reacción se agitó a temperatura ambiente bajo nitrógeno y se monitoreó mediante UPLC/MS. Una vez que la reacción dejó de progresar o se completó, se añadió ácido acético glacial (13 equivalentes) y la reacción se purificó mediante HPLC preparativa.
4-(2-((5S,8R,10R)-5-((S)-sec-butil)-1-(9H-fluoren-9-il)-8-isopropil-7-metil-3,6,12-trioxo-2,11-dioxa-4,7-diazatetradecan-10-il)tiazol-4-carboxamido)-2-metil-5-fenilpentanoato de (2S,4R)-alilo (118): El intermediario 113 Tuv-Tup (14 mg, 25 pmol) se acopló a Fmoc-L-Ile como se describió anteriormente para proporcionar 17 mg (77 %) del compuesto del título. UPLC-Ms (sistema 1): tr = 2,11 min, m/z (ES+) se calculó 879,44 (M+H)+, se encontró 879,60.
4-(2-((5S,8R,10R)-5-((S)-sec-butil)-1-(9H-fluoren-9-il)-8-isopropil-7-metil-3,6,12-trioxo-2,11-dioxa-4,7-diazapentadecan-10-il)tiazol-4-carboxamido)-2-metil-5-fenilpentanoato de (2S,4R)-alilo (119): El intermediario 114 Tuv-Tup (21 mg, 37 pmol) se acopló a Fmoc-L-Ile como se describió anteriormente para proporcionar 24 mg (73 %) del compuesto del título. UPLC-Ms (sistema 2): tr = 1,94 min, m/z (ES+) se calculó 893,45 (M+H)+, se encontró 893.56.
4-(2-((5S,8R,10R)-5-((S)-sec-butil)-1-(9H-fluoren-9-il)-8-isopropil-7,13-dimetil-3,6,12-trioxo-2,11-dioxa-4,7-diazatetradecan-10-il)tiazol-4-carboxamido)-2-metil-5-fenilpentanoato de (2S,4R)-alilo (120): El intermediario 115 Tuv-Tup (25 mg, 44 pmol) se acopló a Fmoc-L-Ile como se describió anteriormente para proporcionar 26 mg (67 %) del compuesto del título. UPLC-Ms (sistema 2): tr = 1,85 min, m/z (ES+) se calculó 893,45 (M+H)+, se encontró 893.56.
4-(2-((5S,8R,10R)-5-((S)-sec-butil)-1-(9H-fluoren-9-il)-8-isopropil-7,14-dimetil-3,6,12-trioxo-2,11-dioxa-4,7-diazapentadecan-10-il)tiazol-4-carboxamido)-2-metil-5-fenilpentanoato de (2S,4R)-alilo (121): El intermediario 116 Tuv-Tup (45 mg, 79 pmol) se acopló a Fmoc-L-Ile como se describió anteriormente para proporcionar 54 mg (75 %) del compuesto del título. UPLC-Ms (sistema 2): tr = 2,06 min, m/z (ES+) se calculó 907,47 (M+H)+, se encontró 907.58.
4-(2-((5S,8R,10R)-5-((S)-sec-butil)-1-(9H-fluoren-9-il)-8-isopropil-7,14,14-trimetil-3,6,12-trioxo-2,11-dioxa-4,7-diazapentadecan-10-il)tiazol-4-carboxamido)-2-metil-5-fenilpentanoato de (2S,4R)-alilo (122): El intermediario 117 Tuv-Tup (46 mg, 79 pmol) se acopló a Fmoc-L-Ile como se describió anteriormente para proporcionar 55 mg (75 %) del compuesto del título. UPLC-Ms (sistema 2): tr = 2,50 min, m/z (ES+) se calculó 921,49 (M+H)+, se encontró 921.59.
Procedimiento general para la desprotección Fmoc de tripéptidos de tubuvalina-tubufenilalanina isoleucina-O-esterificados. Se trató el éster alílico de Fmoc-Ile-Tuv(O-éster)-Tup (118-122) con piperidina al 20 % en dimetilformamida (20 mM), con agitación bajo nitrógeno a temperatura ambiente. Una vez que se logró la desprotección completa, según se monitoreó por UPLC/MS, la mezcla de reacción se concentró por evaporación rotatoria. A continuación, el producto crudo se purificó mediante HPLC preparativa para proporcionar tripéptidos de amina libres 145-149.
4-(2-((1R,3R)-3-((2S,3S)-2-amino-N,3-dimetilpentanamido)-4-metil-1-(propioniloxi)pentil)tiazol-4-carboxamido)-2-metil-5-fenilpentanoato de (2S,4R)-alilo (123): El intermediario 118 Fmoc-Ile-Tuv-Tup (17 mg, 19 pmol) se desprotegió como se describió anteriormente para proporcionar 15 mg (cuant.) del compuesto del título. UPLC-MS (sistema 1): tr = 1,29 min, m/z (ES+) se calculó 657,37 (M+H)+, se encontró 658,04.
4-(2-((1R,3R)-3-((2S,3S)-2-amino-N,3-dimetilpentanamido)-1-(butiriloxi)-4-metilpentil)tiazol-4-carboxamido)-2-metil-5-fenilpentanoato de (2S,4R)-alilo (124): El intermediario 119 Fmoc-Ile-Tuv-Tup (23 mg, 26 pmol) se desprotegió como se describió anteriormente para proporcionar 15 mg ( 86 %) del compuesto del título. UPLC-MS (sistema 2): tr = 1,24 min, m/z (ES+) se calculó 671,39 (M+H)+, se encontró 671,48.
4-(2-((1R,3R)-3-((2S,3S)-2-amino-N,3-dimetilpentanamido)-1-(isobutiriloxi)-4-metilpentil)tiazol-4-carboxamido)-2-metil-5-fenilpentanoato de (2S,4R)-alilo (125): El intermediario 120 Fmoc-Ile-Tuv-Tup (26 mg, 29 pmol) se desprotegió como se describió anteriormente para proporcionar 20 mg (cuant.) del compuesto del título. UPLC-MS (sistema 1): tr = 1,33 min, m/z (ES+) se calculó 671,39 (M+H)+, se encontró 671,33.
4-(2-((1R,3R)-3-((2S,3S)-2-amino-N,3-dimetilpentanamido)-4-metil-1-((3-metilbutanoil)oxi)pentil)tiazol-4-carboxamido)-2-metil-5-fenilpentanoato de (2s,4R)-alilo (126): El intermediario 121 Fmoc-Ile-Tuv-Tup (54 mg, 60
|jmol) se desprotegió como se describió anteriormente para proporcionar 41 mg (cuant.) del compuesto del título. UPLC-MS (sistema 2): tr = 1,31 min, m/z (ES+) se calculó 685,40 (M+H)+, se encontró 685,49.
4-(2-((1R,3R)-3-((2S,3S)-2-amino-N,3-dimetilpentanamido)-1-((3,3-dimetilbutanoil)oxi)-4-metilpentil)tiazol-4-carboxamido)-2-metil-5-fenilpentanoato de (2S,4R)-alilo (127): El intermediario 122 Fmoc-Ile-Tuv-Tup (55 mg, 60 jmol) se desprotegió como se describió anteriormente para proporcionar 36 mg ( 86 %) del compuesto del título. UPLC-MS (sistema 2): tr = 1,30 min, m/z (ES+) se calculó 699,42 (M+H)+, se encontró 699,51.
Procedimiento general para el acoplamiento de amidas de tripéptidos de isoleucina-tubuvalina(O-éster)-tubufenilalanina con el ácido (R)-W-metil-pipecólico. Se disolvió el ácido (R)-N-metil-pipecólico (D-Mep) 36 (2 equivalentes) disponible comercialmente en dimetilformamida anhidra (20-25 mM) y se preactivó con HATU (2 equivalentes) y DlPEA (4 equivalentes); la mezcla se agitó durante 10 minutos a temperatura ambiente bajo nitrógeno. A continuación, se añadió el ácido activado a los tripéptidos Ile-Tuv(O-éster)-Tup 123-127; la reacción se agitó a temperatura ambiente bajo nitrógeno y se monitoreó mediante UPLC/MS. Una vez completada la reacción, se añadió ácido acético glacial (14 equivalentes) y el producto se purificó mediante HPLC preparativa.
4-(2-((1R,3R)-3-((2S,3S)-N,3-dimetil-2-((R)-1-metilpiperidina-2-carboxamido)pentanamido)-4-metil-1-(propioniloxi)pentil)tiazol-4-carboxamido)-2-metil-5-fenilpentanoato de (2S,4R)-alilo (128): El intermediario 123 Ile-Tuv-Tup (5 mg, 8 jmol) se acopló a D- Mep 36 como se describió anteriormente para proporcionar 6 mg (97 %) del compuesto del título. u PlC-MS (sistema 1): tr = 1,33 min, m/z (ES+) se calculó 782,45 (M+H)+, se encontró 781,82.
4-(2-((1R,3R)-1-(butiriloxi)-3-((2S,3S)-N,3-dimetil-2-((R)-1-metilpiperidina)-2-carboxamido)pentanamido)-4-metilpentil)tiazol-4-carboxamido)-2-metil-5-fenilpentanoato de (2S,4R)-alilo (129): El intermediario 124 Ile-Tuv-Tup ( 6 mg, 9 jmol) se acopló a D-Mep 36 como se describió anteriormente para proporcionar 7 mg (98 %) del compuesto del título. UPLC-MS (sistema 2 ): tr = 1,31 min, m/z (ES+) se calculó 796,47 (m +H)+, se encontró 796,57.
4-(2-((1R,3R)-3-((2S,3S)-N,3-dimetil-2-((R)-1-metilpiperidina-2-carboxamido)pentanamido)-1-(isobutiriloxi)-4-metilpentil)tiazol-4-carboxamido)-2-metil-5-fenilpentanoato de (2S,4R)-alilo (130): El intermediario 125 Ile-Tuv-Tup (5 mg, 8 jmol) se acopló a D-Mep 36 como se describió anteriormente para proporcionar 6 mg (94 %) del compuesto del título. UPLC-MS (sistema 1 ): tr = 1,37 min, m/z (ES+) se calculó 796,47 (m +H)+, se encontró 795,78.
4-(2-((1R,3R)-3-((2S,3S)-N,3-dimetil-2-((R)-1-metilpiperidina-2-carboxamido)pentanamido)-4-metil-1-((3-metilbutanoil)oxi)pentil)tiazol-4-carboxamido)-2-metil-5-fenilpentanoato de (2S,4R)-alilo (131): El intermediario 126 Ile-Tuv-Tup (7 mg, 10 jmol) se acopló a D-Mep 36 como se describió anteriormente para proporcionar 6 mg (94 %) del compuesto del título. UPLC-m S (sistema 2): tr = 1,35 min, m/z (ES+) se calculó 810,49 (M+H)+, se encontró 810,59.
4-(2-((1R,3R)-3-((2S,3S)-N,3-dimetil-2-((R)-1-metilpiperidina-2-carboxamido)pentanamido)-1-((3,3-dimetilbutanoil)oxi)-4-metilpentil)tiazol-4-carboxamido)-2-metil-5-fenilpentanoato de (2S,4R)-alilo (132): El intermediario 127 Ile-Tuv-Tup (7 mg, 10 jmol) se acopló a D-Mep 36 como se describió anteriormente para proporcionar 6 mg (94 %) del compuesto del título. UPLC-MS (sistema 2): tr = 1,38 min, m/z (ES+) se calculó 824,50 (M+H)+, se encontró 824,60.
Procedimiento general para la eliminación del éster alílico de los intermediarios del ácido D-metilpipecólicoisoleucina-tubuvalina(O-éster)-tubufenilalanina. El intermediario de tubulisina protegido con éster alílico (128-132) se disolvió en diclorometano anhidro (20 mM) tratado con paladio tetraquis (trifenilfosfina) (0,1 equivalentes), trifenilfosfina (0 , 2 equivalentes) y pirrolidina anhidra ( 8 equivalentes) y la reacción se agitó a temperatura ambiente bajo nitrógeno. Una vez que la UPLC/MS reveló la conversión en el producto ácido libre, la reacción se apagó con ácido acético glacial ( 22 equivalentes), se diluyó con acetonitrilo y dimetilformamida y a continuación se concentró por evaporación rotatoria. A continuación, el éter de tubulisina crudo se purificó mediante HPLC preparativa.
Ácido (2S,4R)-4-(2-((1R,3R)-3-((2S,3S)-N,3-dimetil-2-((R)-1-metilpiperidina-2-carboxamido)pentanamido)-4-metil-1-(propioniloxi)pentil)tiazol-4-carboxamido)-2-metil-5-fenilpentanoico (133): El intermediario 128 de tubulisina protegida con éster alílico ( 6 mg, 8 jmol) se desprotegió como se describió anteriormente para proporcionar 3,8 mg (67 %) de tubulisina 133 (Propionato de Tub). UPLC-MS (sistema 2 ): tr = 1,11 min, m/z (ES+) se calculó 742,42 (M+H)+, se encontró 742,51.
Ácido (2S,4R)-4-(2-((1R,3R)-1-(butiriloxi)-3-((2S,3S)-N,3-dimetil-2-((R)-1-metilpiperidina-2-carboxamido)pentanamido)-4-metilpentil)tiazol-4-carboxamido)-2-metil-5-fenilpentanoico (134): El intermediario 129 de tubulisina protegida con éster alílico (7 mg, 9 jmol) se desprotegió como se describió anteriormente para proporcionar 6 mg ( 88 %) de tubulisina 134 (Butirato de Tub). UPLC-MS (sistema 2): tr = 1,16 min, m/z (ES+) se calculó 756,44 (M+H)+, se encontró 756,54.
Ácido (2S,4R)-4-(2-((1R,3R)-3-((2S,3S)-N,3-dimetil-2-((R)-1-metilpiperidina-2-carboxamido)pentanamido)-1-(isobutiriloxi)-4-metilpentil)tiazol-4-carboxamido)-2-metil-5-fenilpentanoico (135): El intermediario 130 de tubulisina protegida con éster alílico ( 6 mg, 8 jmol) se desprotegió como se describió anteriormente para proporcione 3 mg (50
%) de tubulisina 135 (Isobutirato de Tub). UPLC-MS (sistema 1): tr = 1,23 min, m/z (ES+) se calculó 756,44 (M+H)+, se encontró 756,82.
Ácido (2S,4R)-4-(2-((1R,3R)-3-((2S,3S)-N,3-dimetil-2-((R)-1-metilpiperidina-2-carboxamido)pentanamido)-4-metil-1-((3-metilbutanoil)oxi)pentil)tiazol-4-carboxamido)-2-metil-5-fenilpentanoico (136): El intermediario 131 de tubulisina protegida con éster alílico (7 mg, 9 jmol) se desprotegió como se describió anteriormente para proporcionar 7 mg (cuant.) de tubulisina 136 (Isovalerato de Tub). Up LC-MS (sistema 2): tr = 1,22 min, m/z (ES+) se calculó 770,45 (m +H)+, se encontró 770,55.
Ácido (2S,4R)-4-(2-((1R,3R)-3-((2S,3S)-N,3-dimetil-2-((R)-1-metilpiperidina-2-carboxamido)pentanamido)-1-((3,3-dimetilbutanoil)oxi)-4-metilpentil)tiazol-4-carboxamido)-2-metil-5-fenilpentanoico (137): El intermediario 132 de tubulisina protegida con éster alílico (7 mg, 8,5 jmol) se desprotegió como se describió anteriormente para proporcionar 8 mg (cuant.) de tubulisina 137 (gem-dimetilbutirato de Tub). UPLC-MS (sistema 2): tr = 1,23 min, m/z (ES+) se calculó 784,47 (M+H)+, se encontró 784,57.
Esquema 15.
(2R)-1-(3-(3-((((9H-fluoren-9-il)metoxi)carbonil)amino)propanamido)-4-(((2S,3R,4S,5S,6S)-6-((aliloxi)carbonil)-3,4,5-trihidroxitetrahidro-2H-piran-2-il)oxi)bencil)-2-(((2S,3S)-1-(((1R,3R)-1-(4-(((2R,4S)-5-(aliloxi)-4-metil-5-oxo-1-fenilpentan-2-il)carbamoil)tiazol-2-il)-1-(isobutiriloxi)-4-metilpentan-3-il)(metil)amino)-3-metil-1-oxopentan-2-il)carbamoil)-1-metilpiperidin-1-io (138). A un matraz cargado con H-Ile-Tuv(O-isobutirato)-Tup-OAlilo (125, 15 mg, 22 |jmol) se añadió Fmoc-Gluc(Alil)Q-Mep-OH (78, 17 mg, 22 jmol) y HATU (9 mg, 22 jmol) como sólidos seguido de DMF (0,9 ml). Se añadió N,N-diisopropiletilamina (15 jl, 88 jmol) y la reacción se agitó a temperatura ambiente y se monitoreó por UPLC/MS. A continuación, la reacción se recogió en DMSO y se purificó mediante HPLC preparativa para proporcionar 138 (4 mg, 13 %). UPLC-MS analítica (sistema 1): tr = 1,53 min, m/z (ES+) se calculó 1426,69 (M)+, se encontró 1426,17.
(2R)-1-(3-(3-aminopropanamido)-4-(((2S,3R,4S,5S,6S)-6-carboxi-3,4,5-trihidroxitetrahidro-2H-piran-2-il)oxi)bencil)-2-(((2S,3S)-1-(((1R,3R)-1-(4-(((2R,4S)-4-carboxi-1-fenilpentan-2-il)carbamoil)tiazol-2-il)-1-(isobutiriloxi)-4-metilpentan-3-il)(metil)amino)-3-metil-1-oxopentan-2-il)carbamoil)-1-metilpiperidin-1-io (139). El Fmoc-Gluc(Alil)Q-Tub(iso-O-Alil) (138, 4 mg, 3 jmol) se recogió en DCM (0,3 ml) agitando bajo N2. Se añadieron Pd(PPh3)4 (0,4 mg, 0,3 jmol) y PPh3 (0,2 mg, 0,6 jmol) como sólidos seguido de pirrolidina (2 jl, 24 jmol). La reacción se agitó 2 horas a temperatura ambiente, a continuación, se recogió en DMSO, se condensó a presión reducida y se purificó por HPLC preparativa
para proporcionar 139 (3 mg, 88 %). UPLC-MS analítica (sistema 1): tr = 1,04 min, m/z (ES+) se calculó 1124,56 (M)+, se encontró 1124,69.
(2R)-1-(3-((S)-44-((((9H-fluoren-9-il)metoxi)carbonil)amino)-38,45-dioxo-2,5,8,11,14,17,20,23,26,29,32,35-dodecaoxa-39,46-diazanonatetracontanamido)-4-(((2S,3R,4S,5S,6S)-6-carboxi-3,4,5-trihidroxitetrahidro-2H-piran-2-il)oxi)bencil)-2-(((2S,3S)-1-(((1R,3R)-1-(4-(((2R,4S)-4-carboxi-1-fenilpentan-2-il)carbamoil)tiazol-2-il)-1-(isobutiriloxi)-4-metilpentan-3-il)(metil)amino)-3-metil-1-oxopentan-2-il)carbamoil)-1-metilpiperidin-1-io (140). Se añadió Fmoc-Lis(PEG12)-OSu (59, 10 mg, 9 pmol) a un matraz cargado con H-GlucQ-Tub(iso-O-alil) (139, 3 mg, 3 pmol) como una solución en DMF anhidro (0,3 ml) bajo N2. Se añadió N,N-diisopropiletilamina (2 pl, 9 pmol) y la reacción se agitó a temperatura ambiente durante 3 horas. A continuación, la reacción se apagó con ácido acético (4,2 pl) y se purificó mediante HPLC preparativa para proporcionar 140 (0.8 mg, 13%). UPLC-MS analítica (sistema 2): tr = 1,35 min, m/z (ES+) se calculó 1023,03 (M+H)2+, se encontró 1023,15.
(2R)-1-(3-((S)-44-amino-38,45-dioxo-2,5,8,11,14,17,20,23,26,29,32,35-dodecaoxa-39,46-diazanonatotracontanamido)-4-(((2S,3R,4S,5S,6S)-6-carboxi-3,4,5-trihidroxitetrahidro-2H-piran-2-il)oxi)bencil)-2-(((2S,3S)-1-(((1R,3R)-1-(4-(((2R,4S)-4-carboxi-1-fenilpentan-2-il)carbamoil)tiazol-2-il)-1-(isobutiriloxi)-4-metilpentan-3-il)(metil)amino)-3-metil-1-oxopentan-2-il)carbamoil)-1-metilpiperidin-1-io (141). A un matraz cargado con Fmoc-Lis(PEG12)-GlucQ-Tub-(O-iso-alil) (140, 0,8 mg, 0,4 pmol) se añadió piperidina al 20 % en DMF (0,2 ml). La reacción se agitó bajo N2 a temperatura ambiente durante 2 horas. A continuación, la reacción se diluyó con DMSO/H2O y se purificó mediante HPLC preparativa para proporcionar 141 (3,6 mg, 82 %). UPLC-MS analítica (sistema 2): tr = 1,07 min, m/z (ES+) se calculó 1822,98 (M)+, se encontró 1823,15.
(2R)-1-(3-((S)-44-((S)-3-((terc-butoxicarbonil)amino)-2-(2,5-dioxo-2,5-dihidro-1H-pirrol-1-il)propanamido)-38,45-dioxo-2.5.8.11.14.17.20.23.26.29.32.35- dodecaoxa-39,46-diazanonatetracontanamido)-4-(((2S,3R,4S,5S,6S)-6-carboxi-3.4.5- trihidroxitetrahidro-2H-piran-2-il)oxi)bencil)-2-(((2S,3S)-1-(((1R,3R)-1-(4-(((2R,4S)-4-carboxi-1-fenilpentan-2-il)carbamoil)tiazol-2-il)-1-(isobutiriloxi)-4-metilpentan-3-il)(metil)amino)-3-metil-1-oxopentan-2-il)carbamoil)-1-metilpiperidin-1-io (142). Se cargó un matraz con H-Lis(PEG12)-GlucQ-Tub-(O-iso-alilo) (141, 0,5 mg, 0,4 pmol) en DMF anhidro (0,212 ml), al que se añadió mDPR(Boc)- OPFP (44, 1,4 mg, 3,2 pmol)) como un sólido bajo N2. Se añadió N,N-diisopropiletilamina (0,74 pl, 4,2 pmol) y la reacción se agitó a temperatura ambiente durante 3 horas. A continuación, la reacción se apagó con ácido acético diluido en DMSO y se purificó mediante HPLC preparativa para proporcionar 142 (0.5 mg, 61 %). UPLC-MS analítica (sistema 2): tr = 1,25 min, m/z (ES+) se calculó 1045,04 (M+H)2+, se encontró 1045,16.
(2R)-1-(3-((S)-44-((S)-3-amino-2-(2,5-dioxo-2,5-dihidro-1H-pirrol-1-il)propanamido)-38,45-dioxo-2.5.8.11.14.17.20.23.26.29.32.35- dodecaoxa-39,46-diazanonatetracontanamido)-4-(((2S,3R,4S,5S,6S)-6-carboxi-3.4.5- trihidroxitetrahidro-2H-piran-2-il)oxi)bencil)-2-(((2S,3S)-1-(((1R,3R) -1-(4-(((2R,4S)-4-carboxi-1-fenilpentan-2-il)carbamoil)tiazol-2-il)-1-(isobutiriloxi)-4-metilpentan-3-il)(metil)amino)-3-metil-1-oxopentan-2-il)carbamoil)-1-metilpiperidin-1-io (143). Un matraz cargado con mDPR(Boc)-Lis(PEG12)-GlucQ-Tub(O-iso-alil) (142, 0,5 mg, 0,24 mol) se enfrió a 0 °C bajo N2. Se añadió gota a gota una solución de TFA al 10 % en CH2Cl2 (0,26 ml) y se agitó durante 2 horas. A continuación, la reacción se recogió en DMSO, se condensó a presión reducida y se purificó mediante HPLC preparativa para proporcionar 143 (0,7 mg, cuant.). UPLC-MS analítica (sistema 2): tr = 1,06 min, m/z (ES+) se calculó 1989,02 (M)+, se encontró 1989,20.
Esquema 16.
176, R=-C(CH3)CH2 o 172, R=-C(CH3)CH2 o
177, R=-CHCH2 173, R= -CHCH2
178, R= -CCH 174, R= -CCH
179, R= -CeH5 175, R= -C6HS
Procedimiento general para la eterificación de tubuvalina. Se cargó un matraz secado a la llama con la tubuvalina conocida protegida con Boc (J. Org. Chem., 2008, 73, 4362-4369) intermediario 17 (o 186) en tetrahidrofurano anhidro (50 mM), al que se añadió 18-corona-6 (2,0 equivalentes) y se enfrió a -78 oC. Se añadió gota a gota hexametildisilazida de potasio (1,5 equivalentes) como solución 1 M en tetrahidrofurano y a continuación la reacción se agitó durante 1 hora a -78 °C bajo nitrógeno. A continuación, se añadió bromoalcano no saturado (2 equivalentes) y la reacción se calentó lentamente a temperatura ambiente y seguida por UPLC/MS. Una vez que se consumió el material de partida, la reacción se enfrío en hielo y se apagó con cloruro de amonio saturado y se diluyó en diclorometano (10 volúmenes). La capa orgánica se lavó con HCl 0,1 M y la fase acuosa resultante se extrajo dos veces con diclorometano. A continuación, los extractos orgánicos combinados se secaron sobre sulfato de sodio, se filtraron y se concentraron hasta la sequedad. La purificación de los productos O-alquilados brutos se logró mediante cromatografía ultrarrápida sobre gel de sílice o HPLC preparativa.
2-((1R,3R)-3-((terc-butoxicarbonil)(metil)amino)-4-metil-1-((2-metilalil)oxi)pentil)tiazol-4-carboxilato de etilo (148): El intermediario 186 éster propílico protegido de tubuvalina con 299 mg, 750 pmol) se O-alquiló como se describió anteriormente con 3-bromo-2-metilprop-1-eno (151 pl, 1,5 mmol) para proporcionar 243 mg (71 %) del compuesto del título después de la purificación con gel de sílice eluyendo con mezclas de metanol y diclorometano. UPLC-MS (sistema 2): tr = 1,77 min, m/z (ES+) se calculó 455,26 (M+H)+, se encontró 455,32.
2-((1R,3R)-1-(aliloxi)-3-((terc-butoxicarbonil)(metil)amino)-4-metilpentil)tiazol-4-carboxilato de etilo (149): El intermediario 17 tubuvalina (84 mg, 218 pmol) se O-aliló como se describió anteriormente con bromuro de alilo (40 pl, 436 pmol) para proporcionar 77 mg (83 %) del compuesto del título después de la purificación con gel de sílice eluyendo con mezclas de metanol y diclorometano. UPLC-MS (sistema 2): tr = 1,69 min, m/z (ES+) se calculó 427,23 (M+H)+, se encontró 427,30.
2-((1R,3R)-3-((terc-butoxicarbonil)(metil)amino)-4-metil-1-(prop-2-in-1-iloxi)pentil)tiazol-4-carboxilato de etilo (150): El intermediario 17 tubuvalina (101 mg, 262 pmol) se O-propargiló como se describió anteriormente con bromuro de propargilo (56 pl, 524 pmol) para proporcionar 76 mg ( 68 %) del compuesto del título después de la purificación. UPLC-MS (sistema 2): tr = 1,63 min, m/z (ES+) se calculó 425,21 (M+H)+, se encontró 425,28.
2-((1R,3R)-1-(benciloxi)-3-((terc-butoxicarbonil)(metil)amino)-4-metilpentil)tiazol-4-carboxilato de etilo (151): El
intermediario 17 tubuvalina (90 mg, 230 jmol) se O-benciló como se describió anteriormente con bromuro de bencilo (55 |jl, 460 |jmol) para proporcionar 21 mg (19 %) del compuesto del título después de la purificación. UPLC-MS (sistema 1): tr = 1,95 min, m/z (ES+) se calculó 477,24 (M+H)+, se encontró 477,22.
Procedimiento general para la saponificación de ésteres de tubuvalina O-alquilados. Las reacciones de saponificación se llevaron a cabo a una concentración de reacción de 20 mM mediante el uso de una mezcla 1:1:1 de tetrahidrofurano:metanol:agua como disolvente. Los intermediarios de tubuvalina O-alquilados 148-151 se disolvieron en 1 volumen de tetrahidrofurano y metanol. A continuación, la mezcla se enfrió en un baño de hielo a 0 oC. Se disolvió hidróxido de litio monohidratado (2-3 equivalentes) en 1 volumen de agua destilada y se añadió gota a gota al matraz de reacción, con agitación a 0 oC. A continuación, se dejó calentar la reacción a temperatura ambiente y se monitoreó por UPLC/MS. Una vez que el material de partida se convirtió en ácido libre, la reacción se apagó con ácido acético glacial (2-3 equivalentes) y se concentró por evaporación rotatoria. A continuación, los ácidos carboxílicos crudos se purificaron mediante HpLC preparativa.
Ácido 2-((1R,3R)-3-((terc-butoxicarbonil)(metil)amino)-4-metil-1-((2-metilalil)oxi)pentil)tiazol-4-carboxílico (152): El intermediario 148 éter de tubuvalina (143 mg, 315 jmol) se saponificó como se describió anteriormente con hidróxido de litio monohidratado (27 mg, 630 jmol) para proporcionar 114 mg ( 88 %) del compuesto del título. UPLC-MS (sistema 1): tr = 1,57 min, m/z (ES+) se calculó 413,21 (M+H)+, se encontró 413,28.
Ácido 2-((1R,3R)-1-(aliloxi)-3-((terc-butoxicarbonil)(metil)amino)-4-metilpentil)tiazol-4-carboxílico (153): El intermediario 149 éter alílico de tubuvalina (77 mg, 181 jmol) se saponificó como se describió anteriormente con hidróxido de litio monohidratado (15 mg, 360 jmol) para proporcionar 51 mg (71 %) del compuesto del título. UPLC-MS (sistema 2 ): tr = 1,51 min, m/z (ES+) se calculó 399,20 (M+H)+, se encontró 399,26.
Ácido 2-((1R,3R)-3-((terc-butoxicarbonil)(metil)amino)-4-metil-1-(prop-2-in-1-iloxi)pentil)tiazol-4-carboxílico (154): El intermediario 150 éter propargílico de tubuvalina (76 mg, 180 jmol) se saponificó como se describió anteriormente con hidróxido de litio monohidratado (15 mg, 360 jmol) para proporcionar 50 mg (69 %) del compuesto del título. UPLC-MS (sistema 2): tr = 1,47 min, m/z (ES+) se calculó 397,18 (M+H)+, se encontró 397,25.
Ácido 2-((1R,3R)-1-(benciloxi)-3-((terc-butoxicarbonil)(metil)amino)-4-metilpentil)tiazol-4-carboxílico (155): El intermediario 151 éter bencílico de tubuvalina (21 mg, 44 jmol) se saponificó como se describió anteriormente con hidróxido de litio monohidratado (5,5 mg, 132 jmol) para proporcionar el compuesto del título. UPLC-MS (sistema 1): tr = 1,72 min, m/z (ES+) se calculó 449,21 (M+H)+, se encontró 449,18.
Procedimiento general para el acoplamiento de amidas de ácidos libres de tubuvalina O-alquilada y éster alílico de tubufenilalanina: Los ácidos libres de tubuvalina O-alquilada 152-155 se preactivaron mediante disolución en dimetilformamida anhidra (25-50 mM) y adición de HATU (2,4 equivalentes) y DIPEA (5 equivalentes); a continuación, la mezcla se agitó bajo nitrógeno a temperatura ambiente durante 10 minutos. A continuación, se añadió el ácido activado al conocido (Org. Lett., 2007, 9, 1605-1607) éter alílico de tubufenilalanina 16 y la reacción se agitó luego a temperatura ambiente bajo nitrógeno, con el progreso monitoreado por UPLC/MS. Una vez completada la reacción, se añadió ácido acético glacial (14 equivalentes) y el producto se purificó mediante HPLC preparativa.
4-(2-((1R,3R)-3-((terc-butoxicarbonil)(metil)amino)-4-metil-1-((2-metilalil)oxi)pentil)tiazol-4-carboxamido)-2-metil-5-fenilpentanoato de (2S,4R)-alilo (156): El intermediario 152 éter de tubuvalina (114 mg, 277 jmol) se acopló a éster alílico de tubufenilalanina (Tup) 16 (137 mg, 554 jmol) para proporcionar 159 mg (90 %) del compuesto del título. UPLC-MS (sistema 1): tr = 1,97 min, m/z (ES+) se calculó 642,36 (m H)+, se encontró 642,44.
4-(2-((1R,3R)-1-(aliloxi)-3-((terc-butoxicarbonil)(metil)amino)-4-metilpentil)tiazol-4-carboxamido)-2-metil-5-fenilpentanoato de (2S,4R)-alilo (157): El intermediario 153 éter alílico de tubuvalina (44 mg, 100 jmol) se acopló a éster alílico de tubufenilalanina (Tup) 16 (37 mg, 150 jmol) para proporcionar 60 mg (95 %) del compuesto del título. UPLC-MS (sistema 1): tr = 2,06 min, m/z (ES+) se calculó 628,34 (M+H)+, se encontró 628,26.
4-(2-((1R,3R)-3-((terc-butoxicarbonil)(metil)amino)-4-metil-1-(prop-2-in-1-iloxi)pentil)tiazol-4-carboxamido)-2-metil-5-fenilpentanoato de (2S,4R)-alilo (158): El intermediario 154 éter propargílico de tubuvalina (42 mg, 106 jmol) se acopló a éster alílico de tubufenilalanina (Tup) 16 (52 mg, 212 jmol) para proporcionar 48 mg (73 %) del compuesto del título. UPLC-MS (sistema 2): tr = 1,73 min, m/z (ES+) se calculó 626,33 (M+H)+, se encontró 626,41.
4-(2-((1R,3R)-1-(benciloxi)-3-((terc-butoxicarbonil)(metil)amino)-4-metilpentil)tiazol-4-carboxamido)-2-metil-5-fenilpentanoato de (2S,4R)-alilo (159): El intermediario 155 éter bencílico de tubuvalina (50 mg, 110 jmol) se acopló a éster alílico de tubufenilalanina (Tup) 16 (60 mg, 165 jmol) para proporcionar 43 mg (58 %) del compuesto del título. UPLC-MS (sistema 2): tr = 1,93 min, m/z (ES+) se calculó 678,36 (M+H)+, se encontró 678,45.
Procedimiento general para la desprotección Boc de intermediarios Tuv(OAlk)-Tup. Los intermediarios de tubuvalinatubufenilalanina O-alquilados 156-159 se desprotegieron para revelar el grupo funcional amina secundaria en condiciones ácidas con TFA al 10 % en diclorometano (25 mM). Específicamente, el material de partida se disolvió
en diclorometano anhidro (9 volúmenes) y se agitó bajo nitrógeno a 0 °C. A continuación, se añadió gota a gota ácido trifluoroacético (1 volumen) a la solución agitada. La reacción se calentó lentamente a temperatura ambiente y se monitoreó mediante UPLC/MS. Una vez completada, la reacción se concentró mediante evaporación rotatoria y se bombeo en una línea de vacío durante la noche. Las aminas libres 160-163 se llevaron adelante sin más purificación.
2-metil-4-(2-((1R,3R)-4-metil-1-((2-metilalil)oxi)-3-(metilamino)pentil)tiazol-4-carboxamido)-5-fenilpentanoato de (2S,4R)-alilo (160): El intermediario 156 Tuv-Tup protegido con Boc (159 mg, 248 jmol) se desprotegió como se describió anteriormente para proporcionar 127 mg (95 %) del compuesto del título. UPLC-MS (sistema 1): tr = 1,18 min, m/z (ES+) se calculó 542,31 (M+H)+, se encontró 542,38.
4-(2-((1R,3R)-1-(aliloxi)-4-metil-3-(metilamino)pentil)tiazol-4-carboxamido)-2-metil-5-fenilpentanoato de (2S,4R)-alilo (161): El intermediario 157 Tuv(O-alil)-Tup protegido con Boc (60 mg, 96 jmol) se desprotegió como se describió anteriormente para proporcionar 52 mg (cuant.) del compuesto del título. UPLC-MS (sistema 1): tr = 1,16 min, m/z (ES+) se calculó 528,29 (M+H)+, se encontró 528,05.
2-metil-4-(2-((1R,3R)-4-metil-3-(metilamino)-1-(prop-2-in-1-iloxi)pentil)tiazol-4-carboxamido)-5-fenilpentanoato de (2S,4R)-alilo (162): El intermediario 158 Tuv(O-propargil)-Tup protegido con Boc (39 mg, 62 jmol) se desprotegió como se describió anteriormente para proporcionar 45 mg (cuant.) del compuesto del título. UPLC-Ms (sistema 2): tr = 1,08 min, m/z (ES+) se calculó 526,28 (M+H)+, se encontró 526,35.
4-(2-((1R,3R)-1-(benciloxi)-4-metil-3-(metilamino)pentil)tiazol-4-carboxamido)-2-metil-5-fenilpentanoato de (2S,4R)-alilo (163): El intermediario 159 Tuv(O-bencil)-Tup protegido con Boc (38 mg, 56 jmol) se desprotegió como se describió anteriormente para proporcionar el compuesto del título en rendimiento cuantitativo. UPLC-MS (sistema 2): tr = 1,20 min, m/z (ES+) se calculó 578,31 (M+H)+, se encontró 578,38.
Procedimiento general para el acoplamiento de amidas de dipéptidos de tubuvalina-tubofenilalanina O-alquilados con L-isoleucina protegida con Fmoc. El Fmoc-L-Isoleucina (1,3-2 equivalentes) disponible comercialmente se disolvió en dimetilformamida anhidra (50-200 mM) y se preactivó con HATU (1,5-2 equivalentes) y DIPEA (2 equivalentes); la mezcla se agitó durante 10 minutos a temperatura ambiente bajo nitrógeno. A continuación, se añadió el ácido activado al dipéptido Tuv(O-éter)-Tup 160-163; la reacción se agitó a temperatura ambiente bajo nitrógeno y se monitoreó mediante UPLC/MS. Una vez que la reacción dejó de progresar o se completó, se añadió ácido acético glacial (13 equivalentes) y la reacción se purificó mediante HPLC preparativa.
4-(2-((5S,8R,10R)-5-((S)-sec-butil)-1-(9H-fluoren-9-il)-8-isopropil-7,13-dimetil-3,6-dioxo-2,11-dioxa-4,7-diazatetradec-13-en-10-il)tiazol-4-carboxamido)-2-metil-5-fenilpentanoato de (2S,4R)-alilo (164): El intermediario 160 Tuv-Tup (127 mg, 235 jmol) se acopló a Fmoc-L-Ile como se describió anteriormente para proporcionar 90 mg (44 %) del compuesto del título. UPLC-MS (sistema 1): tr = 2,14 min, m/z (ES+) se calculó 877,46 (m+H)+, se encontró 877,56.
4-(2-((5S,8R,10R)-5-((S)-sec-butil)-1-(9H-fluoren-9-il)-8-isopropil-7-metil-3,6-dioxo-2,11-dioxa-4,7-diazatetradec-13-en-10-il)tiazol-4-carboxamido)-2-metil-5-fenilpentanoato de (2S,4R)-alilo (165): El intermediario 161 Tuv(O-alil)-Tup (52 mg, 100 jmol) se acopló a Fmoc-L-Ile como se describió anteriormente para proporcionar 38 mg (44 %) del compuesto del título. UPLC-MS (sistema 2): tr = 1,94 min, m/z (ES+) se calculó 863,44 (M+H)+, se encontró 863,54.
4-(2-((5S,8R,10R)-5-((S)-sec-butil)-1-(9H-fluoren-9-il)-8-isopropil-7-metil-3,6-dioxo-2,11-dioxa-4,7-diazatetradec-13-in-10-il)tiazol-4-carboxamido)-2-metil-5-fenilpentanoato de (2S,4R)-alilo (166): El intermediario 162 Tuv(O-propargil)-Tup (62 |jmol) se acopló a Fmoc-L-Ile como se describió anteriormente para proporcionar 33 mg (62 %) del compuesto del título. u PlC-MS (sistema 2): tr = 1,83 min, m/z (ES+) se calculó 861,43 (M+H)+, se encontró 861,53.
4-(2-((5S,8R,10R)-5-((S)-sec-butil)-1-(9H-fluoren-9-il)-8-isopropil-7-metil-3,6-dioxo-12-fenil-2,11-dioxa-4,7-diazadodecan-10-il)tiazol-4-carboxamido)-2-metil-5-fenilpentanoato de (2S,4R)-alilo (167): El intermediario 163 Tuv(O-bencil)-Tup (56 jmol) se acopló a Fmoc-L-Ile como se describió anteriormente para proporcionar 23 mg (45 %) del compuesto del título. UPLC-Ms (sistema 2): tr = 2,04 min, m/z (ES+) se calculó 913,46 (M+H)+, se encontró 913,56.
Procedimiento general para la desprotección Fmoc de tripéptidos de tubuvalina-tubufenilalanina-isoleucina-O-alquilados: Se trató el éster alílico de Fmoc-Ile-Tuv(O-éter) (164-167) con piperidina al 20 % en dimetilformamida (20 mM), con agitación bajo nitrógeno a temperatura ambiente. Una vez que se logró la desprotección completa, según se monitoreó por UPLC/MS, la mezcla de reacción se concentró por evaporación rotatoria. A continuación, el producto crudo se purificó mediante HPLC preparativa para proporcionar tripéptidos de amina libres 168-171.
4-(2-((1R,3R)-3-((2S,3S)-2-amino-N,3-dimetilpentanamido)-4-metil-1-((2-metilalil)oxi)pentil)tiazol-4-carboxamido)-2-metil-5-fenilpentanoato de (2S,4R)-alilo (168): El intermediario 16 4 Fmoc-Ile-Tuv-Tup (90 mg, 103 jmol) se desprotegió como se describió anteriormente para proporcionar 29 mg (43 %) del compuesto del título. UPLC-MS (sistema 1): tr = 1,29 min, m/z (ES+) se calculó 655,39 (M+H)+, se encontró 655,48.
4-(2-((1R,3R)-1-(aliloxi)-3-((2S,3S)-2-amino-N,3-dimetilpentanamido)-4-metilpentil)tiazol-4-carboxamido)-2-metil-5-fenilpentanoato de (2S,4R)-alilo (169): El intermediario 165 Fmoc-Ile-Tuv(O-alil)-Tup (38 mg, 44 pmol) se desprotegió como se describió anteriormente para proporcionar 25 mg (89 %) del compuesto del título. UPLC-MS (sistema 2): tr = 1,20 min, m/z (ES+) se calculó 641,38 (M+H)+, se encontró 641,46.
4-(2-((1R,3R)-3-((2S,3S)-2-amino-N,3-dimetilpentanamido)-4-metil-1-(prop-2-in-1-iloxi)pentil)tiazol-4-carboxamido)-2-metil-5-fenilpentanoato de (2S,4R)-alilo (170): El intermediario 166 Fmoc-Ile-Tuv(O-propargil)-Tup (33 mg, 38 pmol) se desprotegió como se describió anteriormente para proporcionar 25 mg (cuant.) del compuesto del título. UPLC-MS (sistema 2): tr = 1,15 min, m/z (ES+) se calculó 639,36 (M+H)+, se encontró 639,44.
4- (2-((1R,3R)-3-((2S,3S)-2-amino-N,3-dimetilpentanamido)-1-(benciloxi)-4-metilpentil)tiazol-4-carboxamido)-2-metil-5- fenilpentanoato de (2S,4R)-alilo (171): El intermediario 167 Fmoc-Ile-Tuv(O-bencil)-Tup (23 mg, 25 pmol) se desprotegió como se describió anteriormente para proporcionar el compuesto del título en rendimiento cuantitativo. Up Lc -MS (sistema 2): tr = 1,30 min, m/z (ES+) se calculó 691,39 (M+H)+, se encontró 691,48.
Procedimiento general para el acoplamiento de amidas de tripéptidos de isoleucina-tubuvalina(éter)-tubufenilalanina con ácido (R)-W-metil-pipecólico: Se disolvió el ácido (R)-N-metil-pipecólico (D-Mep) 36 (1.5-2 equivalentes) disponible comercialmente en dimetilformamida anhidra (25-50 mM) y se preactivó con HATU (2 equivalentes) y DIPEA (4 equivalentes); la mezcla se agitó durante 10 minutos a temperatura ambiente bajo nitrógeno. A continuación, se añadió el ácido activado a los tripéptidos Ile-Tuv(O-éter)-Tup 168-171; la reacción se agitó a temperatura ambiente bajo nitrógeno y se monitoreó mediante UPLC/MS. Una vez completada la reacción, se añadió ácido acético glacial (14 equivalentes) y el producto se purificó mediante HPLC preparativa.
(2S,4R)-alilo 4-(2-((1R,3R)-3-((2S,3S)-N,3-dimetil-2-((R)-1-metilpiperidina-2-carboxamido)pentanamido)-4-metil-1-((2-metilalil)oxi)pentil)tiazol-4-carboxamido)-2-metil-5-fenilpentanoato (172): El intermediario 168 Ile-Tuv-Tup (55 mg, 84 pmol) se acopló a D-Mep 36 como se describió anteriormente para proporcionar 40 mg (62 %) del compuesto del título. UPLC-Ms (sistema 1): tr = 1,27 min, m/z (ES+) se calculó 780,48 (M+H)+, se encontró 780,58.
(2S,4R)-alilo 4-(2-((1R,3R)-1-(aliloxi)-3-((2S,3S)-N,3-dimetil-2-((R)-1-metilpiperidina) -2-carboxamido)pentanamido)-4-metilpentil)tiazol-4-carboxamido)-2-metil-5-fenilpentanoato (173): El intermediario 169 Ile-Tuv(O-alil)-Tup (5 mg, 7,8 pmol) se acopló a D-Mep 36 como se describió anteriormente para proporcionar 6 mg (cuant.) del compuesto del título. UPLC-Ms (sistema 2): tr = 1,28 min, m/z (ES+) se calculó 766,46 (M+H)+, se encontró 766,54.
(2S,4R)-alilo 4-(2-((1R,3R)-3-((2S,3S)-N,3-dimetil-2-((R)-1-metilpiperidina-2-carboxamido)pentanamido)-4-metil-1-(prop-2-yn-1-iloxi)pentil)tiazol-4-carboxamido)-2-metil-5-fenilpentanoato (174): El intermediario 170 Ile-Tuv(O-propargil)-Tup (18 mg, 28 pmol) se acopló a D-Mep 36 como se describió anteriormente para proporcionar 20 mg (93 %) del compuesto del título. UpLC-MS (sistema 2): tr = 1,23 min, m/z (ES+) se calculó 764,44 (M+H)+, se encontró 764,53.
(2S,4R)-alilo 4-(2-((1R,3R)-1-(benciloxi)-3-((2S,3S)-N,3-dimetil-2-((R)-1-metilpiperidina -2-carboxamido)pentanamido)-4-metilpentil)tiazol-4-carboxamido)-2-metil-5-fenilpentanoato (175): El intermediario 171 Ile-Tuv(O-bencil)-Tup (5 mg, 7 pmol) fue acoplado a D-Mep 36 como se describió anteriormente para proporcionar 4,4 mg (75 %) del compuesto del título. UPLC-MS (sistema 1): tr = 1,42 min, m/z (ES+) se calculó 816,48 (M+H)+, se encontró 816,64.
Procedimiento general para la eliminación del éster alílico de los intermediarios de tubulisina del ácido D-metilpipecólico-isoleucina-tubuvalina(éter)-tubufenilalanina: El intermediario (172-175) de éter de tubulisina protegido con éster alílico se disolvió en diclorometano anhidro (20 mM) tratado con tetraquis paladio (trifenilfosfina) (0,1 equivalentes), trifenilfosfina (0,2 equivalentes) y pirrolidina anhidra (8 equivalentes), y la reacción se agitó a temperatura ambiente bajo nitrógeno. Una vez que la UPLC/MS revela la conversión en el producto ácido libre, la reacción se apagó con ácido acético glacial (22 equivalentes), se diluyó con acetonitrilo y dimetilformamida y a continuación se concentró por evaporación rotatoria. A continuación, el éter de tubulisina crudo se purificó mediante HPLC preparativa.
Ácido (2S,4R)-4-(2-((1R,3R)-3-((2S,3S)-N,3-dimetil-2-((R)-1-metilpiperidina-2-carboxamido)pentanamido)-4-metil-1-((2-metilalil)oxi)pentil)tiazol-4-carboxamido)-2-metil-5-fenilpentanoico (176): El intermediario 172 éter metilalílico de tubulisina protegido con éster alílico (19 mg, 24 pmol) se desprotegió como se describió anteriormente para proporcionar 14 mg (93 %) de éter de tubulisina 176. UPLC-MS (sistema 2): tr = 1,16 min, m/z (ES+) se calculó 740,44 (M+H)+, se encontró 740,54.
Ácido (2S,4R)-4-(2-((1R,3R)-1-(aliloxi)-3-((2S,3S)-N,3-dimetil-2-((R)-1-metilpiperidina-2-carboxamido)pentanamido)-4-metilpentil)tiazol-4-carboxamido)-2-metil-5-fenilpentanoico (177): El intermediario 173 éter alílico de tubulisina protegido con éster alílico (7 mg, 9 pmol) se desprotegió como se describió anterior para proporcionar 6 mg (92 %) de éter alílico de tubulisina 177. UPLC-MS (sistema 1): tr = 1,20 min, m/z (ES+) se calculó 726,43 (M+H)+, se encontró 726,33.
Ácido (2S,4R)-4-(2-((1R,3R)-3-((2S,3S)-N,3-dimetil-2-((R)-1-metilpiperidina-2-carboxamido)pentanamido)-4-metil-1-(prop-2-in-1-iloxi)pentil)tiazol-4-carboxamido)-2-metil-5-fenilpentanoico (178): El intermediario 174 éter propargílico de tubulisina protegido con éster alílico (5,2 mg, 6,8 pmol) se desprotegió como se describió anteriormente para proporcionar 2,7 mg (55 %) de éter propargílico de tubulisina 178. UPLC-MS (sistema 2): tr = 1,09 min, m/z (ES+) se calculó 724,41 (M+H)+, se encontró 724,50.
Ácido (2S,4R)-4-(2-((1R,3R)-1-(benciloxi)-3-((2S,3S)-N,3-dimetil-2-((R)-1-metilpiperidina-2-carboxamido)pentanamido)-4-metilpentil)tiazol-4-carboxamido)-2-metil-5-fenilpentanoico (179): El intermediario 175 éter bencílico de tubulisina protegido con éster alílico (5 mg, 6 pmol) se desprotegió como se describió anterior para proporcionar 4,5 mg (96 %) de éter bencílico de tubulisina 179. UPLC-MS (sistema 1): tr = 1,26 min, m/z (ES+) se calculó 776,44 (M+H)+, se encontró 776,58.
(2R)-1-(3-(3-((((9H-fluoren-9-il)metoxi)carbonil)amino)propanamido)-4-(((2S,3R,4S,5S,6S)-6-((aliloxi)carbonil)-3,4,5-trihidroxitetrahidro-2H-piran-2-il)oxi)bencil)-2-(((2S,3S)-1-(((1R,3R)-1-(4-(((2R,4S)-5-(aliloxi)-4-metil-5-oxo-1-fenilpentan-2-il)carbamoil)tiazol-2-il)-4-metil-1-((2-metilalil)oxi)pentan-3-il)(metil)amino)-3-metil-1-oxopentan-2-il)carbamoil)-1-metilpiperidin-1-io (180). A un matraz cargado con H-ile-Tuv(O-metilpropeno)-Tup-OÁlilo (168, 24 mg, 31 pmol) se añadió Fmoc-Gluc(Alill)Q-Mep-OH (78, 28 mg, 31 pmol) y HATU (18 mg, 45 pmol) como sólidos seguidos de THF (1,2 ml). Se añadió N,N-diisopropiletilamina (19 pl, 109 pmol) y la reacción se agitó a temperatura ambiente durante 1 hora. A continuación, la reacción se recogió en DMSO y se purificó mediante CL preparativa para proporcionar 180 (21 mg, 49 %) UPLC-MS analítica (sistema 2): tr = 1,46 min, m/z (ES+) se calculó 1410,69 (M)+, se encontró 1410,84.
(2R)-1-(3-(3-aminopropanamido)-4-(((2S,3R,4S,5S,6S)-6-carboxi-3,4,5-trihidroxitetrahidro-2H-piran-2-il)oxi)bencil)-2-(((2S,3S)-1-(((1R,3R)-1-(4-(((2R,4S)-4-carboxi-1-fenilpentan-2-il)carbamoil)tiazol-2-il)-4-metil-1-((2-metilalil)oxi)pentan-3-il)(metil)amino)-3-metil-1-oxopentan-2-il)carbamoilo)-1-metilpiperidin-1-io (181). Se desprotegió Fmoc-GlucQ-Tub(O-metilpropeno)-OAlilo 180 (12 mg, 8 pmol) como se indicó anteriormente (véase: Procedimiento general para la desprotección global de Fmoc-GlucQ-Tub(OR)-OAlilo) para proporcionar 181 (8,6 mg, 97 %). UPLC-MS analítica (sistema 1): tr = 1,02 min, m/z (ES+) se calculó 1108,56 (M)+, se encontró 1108,69.
(2R)-1-(3-((S)-44-((((9H-fluoren-9-il)metoxi)carbonil)amino)-38,45-dioxo-2,5,8,11,14,17,20,23,26,29,32,35-dodecaoxa-39,46-diazanonatetracontanamido)-4-(((2S,3R,4S,5S,6S)-6-carboxi-3,4,5-trihidroxitetrahidro-2H-piran-2-il)oxi)bencil)-2-(((2S,3S)-1-(((1R,3R)-1-(4-(((2R,4S)-4-carboxi-1-fenilpentan-2-il)carbamoil)tiazol-2-il)-4-metil-1-((2
metilalil)oxi)pentan-3-il)(metil)amino)-3-metil-1-oxopentan-2-il)carbamoil)-1-metilpiperidin-1-io (182). Se acopló H-GlucQ-Tub(O-metilpropeno) 181 (12,5 mg, 11 pmol) a Fmoc-Lis(PEG12)-OSu 59 (14 mg, 13,5 pmol) como se indicó anteriormente (véase: Procedimiento general para el acoplamiento de H-GlucQ-Tub(OR) a Fmoc-Lis(PEG12)-OSu) para proporcionar 182 (13mg, 56 %). UPLC-MS analítica (sistema 2): tr = 1,32 min, m/z (ES+) se calculó 2029,05 (M)+, se encontró 2029,24.
(2R)-1-(3-((S)-44-amino-38,45-dioxo-2,5,8,11,14,17,20,23,26,29,32,35-dodecaoxa-39,46-diazanonatotracontanamido)-4-(((2S,3R,4S,5S,6S)-6-carboxi-3,4,5-trihidroxitetrahidro-2H-piran-2-il)oxi)bencil)-2-(((2S,3S)-1-(((1R,3R)-1-(4-(((2R,4S)-4-carboxi-1-fenilpentan-2-il)carbamoil)tiazol-2-il)-4-metil-1-((2-metilalil)oxi)pentan-3-il)(metil)amino)-3-metil-1-oxopentan-2-il)carbamoil)-1-metilpiperidin-1-io (183). Se desprotegió Fmoc-Lis(PEG12)-GlucQ-Tub(O-metilpropeno) 182 (13 mg, 6 pmol) como se indicó anteriormente (véase: Procedimiento general de desprotección de Fmoc-Lis(PEG12)-GlucQ-Tub(OR)) para proporcionar 183 (11 mg, cuant.). UPLC-MS analítica (sistema 2): tr = 1,04 min, m/z (ES+) se calculó 1806,98 (m )+, se encontró 1807,16.
(2R)-1-(3-((S)-44-((S)-3-((terc-butoxicarbonil)amino)-2-(2,5-dioxo-2,5-dihidro-1H-pirrol-1-il)propanamido)-38,45-dioxo-2.5.8.11.14.17.20.23.26.29.32.35- dodecaoxa-39,46-diazanonatetracontanamido)-4-(((2S,3R,4S,5S,6S)-6-carboxi-3.4.5- trihidroxitetrahidro-2H-piran-2-il)oxi)bencil)-2-(((2S,3S)-1-(((1R,3R)-1-(4-(((2R,4S)-4-carboxi-1-fenilpentan-2-il)carbamoil)tiazol-2-il)-4-metil-1-((2-metilalil)oxi)pentan-3-il)(metil)amino)-3-metil-1-oxopentan-2-il)carbamoil)-1-metilpiperidin-1-io (184). Se acopló H-Lis(PEG12)-GlucQ-Tub(O-metilpropeno) 183 (11,5 mg, 6,4 pmol) a mDPR-OPFP 44 (4,3 mg, 9,5 pmol) como se indicó anteriormente (véase: Procedimiento general para el acoplamiento de H-Lis(PEG12)-GlucQ-Tub(OR) a mDPR-OPFP) para proporcionar 184 (8,3 mg, 63 %). UPLC-MS analítica (sistema 2): tr = 1,24 min, m/z (ES+) se calculó 2073,07 (M)+, se encontró 2073,25.
(2R)-1-(3-((S)-44-((S)-3-amino-2-(2,5-dioxo-2,5-dihidro-1H-pirrol-1-il)propanamido)-38,45-dioxo-2.5.8.11.14.17.20.23.26.29.32.35- dodecaoxa-39,46-diazanonatetracontanamido)-4-(((2S,3R,4S,5S,6S)-6-carboxi-3.4.5- trihidroxitetrahidro-2H-piran-2-il)oxi)bencil)-2-(((2S,3S)-1-(((1R,3R)-1-(4-(((2R,45)-4-carboxi-1-fenilpentan-2-il)carbamoil)tiazol-2-il)-4-metil-1-((2-metilalil)oxi)pentan-3-il)(metil)amino)-3-metil-1-oxopentan-2-il)carbamoil)-1-metilpiperidin-1-io (185). Se desprotegió mDPR(Boc)-Lis(PEG12)-GlucQ-Tub(O-metilpropeno) 18 4 (8,3 mg, 4 pmol) como se indicó anteriormente (véase: Procedimiento general para la desprotección de mDPR(Boc)-Lis(PEG12)-GlucQ- Tub(OR)) para proporcionar 185 (7,4 mg, 94 %). UPLC-Ms analítica (sistema 2): tr = 1,05 min, m/z (ES+) se calculó 1973,02 (M)+, se encontró 1973,21.
Síntesis en fase sólida de análogos de TubOEt que reemplazan los residuos de Tubulisina Ile o D-Mep:
Esquema 18.
Ácido 2-((1R,3R)-3-((((9H-fluoren-9-il)metoxi)carbonil)(metil)amino)-1-etoxi-4-metilpentil)tiazol-4-carboxílico (200) Se cargó un vial con Boc-MeN-TuvOEt-COOH (22, 153 mg, 0,40 mmol) y se disolvió en DCM anhidro (4 ml). La solución se enfrió a 0 °C, a continuación, se añadió gota a gota TFA (0,40 ml, 5,22 mmol). Después de la adición de TFA, la reacción se dejó calentar lentamente hasta temperatura ambiente. Después de 4 h se observó la eliminación completa del grupo protector Boc. La reacción se diluyó con 5 ml de tolueno y se concentró a sequedad. La amina intermedia se usó sin purificación adicional. UPLC-MS analítica (sistema 1): tr = 0,86 min, m/z (ES+) se calculó 287,1 (M+H)+, se encontró 287,2. La sal intermedia de ácido amino-trifluoroacético se disolvió en 1,4-dioxano (2,0 ml), a continuación se añadió agua (2,0 ml) y DIPEA (0,41 ml, 2,4 mmol). A continuación, se añadió gota a gota una solución de FmocCl (122 mg, 0,47 mmol) en 1,4-dioxano. Después de 8 h, la reacción se diluyó con DMSO al 10 % en MeCN y se purificó mediante HPLC preparativa para proporcionar FmocMeN-TuvOEt-COOH (200, 88 mg, 44 %). UPLC-MS analítica (sistema 1): tr = 2,35 min, m/z (ES+) se calculó 509,2 (M+H)+, se encontró 509,2; se calculó
531,2 (M+Na)+, se encontró 531.1
Ácido (2S,4R)-4-(2-((1R,3R)-3-((((9H-fluoren-9-il)metoxi)carbonil)(metil)-amino)-1-etoxi-4-metilpentN)tiazol-4-carboxamido)-2-metil-5-fenil-pentanoico (202): Se disolvió FmocMeN-TuvOEt-COOH (200, 80 mg, 0,16 mmol) en DMF anhidro (0,8 ml) y a continuación se añadió una solución HATU (60 mg, 0,16 mmol) en DMF anhidro (0,8 ml), seguido de DIPEA (0,21 ml, 1,2 mmol). Después de 5 min se añadió la sal de hidrocloruro del ácido (2S,4R)-4-amino-2-metil-5-fenilpentanoico (201, HCl Tup-COOH, 96 mg, 0,39 mmol) en una porción. La reacción se agitó durante 5 h a temperatura ambiente, a continuación, se diluyó con DMSO al 10 % en MeCN y se purificó mediante HPLC preparativa para proporcionar FmocMeN-TuvOEt-Tup-COOH (202, 95 mg, 87 %). UPLC-MS analítica (sistema 1): tr = 2,40 min, m/z (ES+) se calculó 698,3 (M+H)+, se encontró 698,3.
Procedimiento general para la carga de linternas de clorotritilo: Se colocaron seis linternas SynPhase™ de poliacrilamida de la serie D funcionalizadas con un enlazador de alcohol tritílico y una carga nominal de 8 pmol (Mimotopes, Victoria, Australia) en un vial seco y se convirtieron en enlazador de cloruro de tritilo mediante tratamiento con 3 ml de una solución de DCM anhidro AcCl al 10%. Después de 3 h de agitación suave a temperatura ambiente, se eliminó la solución y las lámparas se lavaron 3 veces con 5 ml de DCM anhidro. A continuación, se añadió a las linternas una solución de 202 (57 mg, 81,7 pmol) y DIPEA (57 pl, 327 pmol) en 3 ml de DCM anhidro. Después de 5 h de agitación suave a temperatura ambiente, la solución se eliminó de las lámparas y las lámparas se lavaron 3 veces con 5 ml de DMF, 3 veces con 5 ml de DCM, a continuación, se secaron durante la noche bajo una corriente de argón para obtener linternas cargadas con FmocMeN-TuvOEt-Tup.
Procedimiento general para la preparación de análogos de reemplazo de Ile de TubOEt (203-215): Etapa 1: Eliminación de Fmoc. Una linterna cargada con FmocMeN-TuvOEt-Tup como se preparó anteriormente se trató con 1 ml de piperidina al 20 % en DMF durante 30 min. Se eliminó la solución y a continuación se lavó la linterna 3 veces con 1,5 ml de DMF. Etapa 2: Acoplamiento de Aminoácidos. En un vial separado, se combinaron 0,5 ml de una solución 240 mM del aminoácido protegido con Fmoc apropiado (FmocHN-Xxx-COOH) en DMF y 0,5 ml de una solución 200 mM de HATU en DMF y se añadió DIPEA (45 pl, 0,24 mmol). Después de 2 min, se añadió la solución de aminoácidos activados a la linterna y se agitó suavemente durante 2 h. La linterna se trató una segunda vez con la solución de aminoácidos Fmoc activados durante 2 h. A continuación, se eliminó la solución y se lavó la linterna 3 veces con 1,5 ml de DMF. Etapa 3: Eliminación de Fmoc. La linterna cargada con FmocHNXxx-TuvOEt-Tup se trató con 1 ml de piperidina al 20 % en DMF durante 30 min. Se eliminó la solución y a continuación se lavó la linterna 3 veces con 1,5 ml de DMF. Etapa 4: Acoplamiento Mep. En un vial separado, se combinaron 0,5 ml de una solución 240 mM de ácido (R)-1-metilpiperidina-2-carboxílico (Mep) en DMF y 0,5 ml de una solución 200 mM de HATU en DMF, y se añadió DiPeA (45 pl, 0,24 mmol). Después de 2 min, se añadió la solución de Mep activada a la linterna y se agitó suavemente durante 1,5 h. Se eliminó la solución y a continuación se lavó la linterna 3 veces con 1,5 ml de DMF y 3 veces con 1,5 ml de DCM. Etapa 5: Escisión de la Linterna. Cada linterna se trató durante 90 min con una solución de HFIP al 20 % en DCM. Se eliminó la solución y se lavó la linterna con 0,5 ml adicionales de HFIP al 20 % en DCM. Las soluciones combinadas se filtraron a través de un filtro de jeringa de 45 micrómetros y se concentraron a sequedad para proporcionar los análogos 203-215 (que se muestran inmediatamente a continuación). Los análogos se obtuvieron con una pureza >85 % según el análisis UPLC-MS y el cromatograma de matriz de diodos.
Ácido (2S,4R)-4-(2-((1R,3R)-1-etoxi-3-((S)-3-etil-N-metil-2-((R)-1-metilpiperidina-2-carboxamido)pentanamido)-4-metilpentil)tiazol-4-carboxamido)-2-metil-5-fenilpentanoico (203): El análogo de TubOEt en la posición Ile se preparó de acuerdo con el método general descrito anteriormente, con el empleo de Ácido (S)-2-((((9H-fluoren-9-il)metoxi)carbonil)amino)-3-etilpentanoico en la Etapa 2, para proporcionar 203 (1,17 mg). UPLC-MS analítica (sistema 1): tr = 1,77 min, m/z (ES+) se calculó 728,4 (M+H)+, se encontró 728,4.
Ácido (2S,4R)-4-(2-((1R,3R)-3-((S)-2-ciclopentil-N-metil-2-((R)-1-metilpiperidina-2-carboxamido)acetamido)-1-etoxi-4-metilpentil)tiazol-4-carboxamido)-2-metil-5-fenilpentanoico (204): El análogo de TubOEt en la posición Ile se preparó de acuerdo con el método general descrito anteriormente, con el empleo de Ácido (S)-2-((((9H-fluoren-9-il)metoxi)carbonil)amino)-2-ciclopentilacético en la Etapa 2, para proporcionar 204 (1,71 mg). UPLC-MS analítica (sistema 1): tr = 1,72 min, m/z (ES+) se calculó 726,4 (M+H)+, se encontró 726,4.
Ácido (2S,4R)-4-(2-((1R,3R)-3-((S)-2-ciclohexil-N-metil-2-((R)-1-metilpiperidina-2-carboxamido)acetamido)-1-etoxi-4-metilpentil)tiazol-4-carboxamido)-2-metil-5-fenilpentanoico (205): El análogo de TubOEt en la posición Ile se preparó de acuerdo con el método general descrito anteriormente, con el empleo de Ácido (S)-2-((((9H-fluoren-9-il)metoxi)carbonil)amino)-2-ciclohexilacético en la Etapa 2, para proporcionar 205 (1,59 mg). UPLC-MS analítica (sistema 1): tr = 1,77 min, m/z (ES+) se calculó 740,4 (M+H)+, se encontró 740,4.
Ácido (2S,4R)-4-(2-((1R,3R)-1-etoxi-3-((2S,3S)-3-metoxi-N-metil-2-((R)-1-metilpiperidina-2-carboxamido)butanamido)-4-metilpentil)tiazol-4-carboxamido)-2-metil-5-fenilpentanoico (206): El análogo de TubOEt en la posición Ile se preparó de acuerdo con el método general descrito anteriormente, con el empleo de N-(((9H-fluoren-9-il)metoxi)carbonil)-O-metil-L-alotreonina en la Etapa 2, para proporcionar 206 (1,50 mg). UPLC-MS analítica (sistema 1): tr = 1,58 min, m/z (ES+) se calculó 716,4 (M+H)+, se encontró 716,4.
Ácido (2S,4R)-4-(2-((1R,3R)-1-etoxi-3-((2S,3R)-3-metoxi-N-metil-2-((R)-1-metilpiperidina-2-carboxamido)butanamido)-4-metilpentil)tiazol-4-carboxamido)-2-metil-5-fenilpentanoico (207): El análogo de TubOEt en la posición Ile se preparó de acuerdo con el método general descrito anteriormente, con el empleo de N-(((9H-fluoren-9-il)metoxi)carbonil)-O-metil-L-treonina en la Etapa 2, para proporcionar 207 (1,44 mg). UpLC-MS analítica (sistema 1): tr = 1,59 min, m/z (ES+) se calculó 716,4 (M+H)+, se encontró 716,4.
Ácido (2S,4R)-4-(2-((1R,3R)-3-((S)-2-(2,3-dihidro-1H-inden-2-il)-N-metil-2-((R)-1-metilpiperidina-2-carboxamido)acetamido)-1-etoxi-4-metilpentil)tiazol-4-carboxamido)-2-metil-5-fenilpentanoico (208): El análogo de TubOEt en la posición Ile se preparó de acuerdo con el método general descrito anteriormente, con el empleo de Ácido (S)-2-((((9H-fluoren-9-il)metoxi)carbonil)amino)-2-(2,3-dihidro-1H-inden-2-il)acético en la Etapa 2, para proporcionar 208 (1,15 mg). UPLC-MS analítica (sistema 1): tr = 1,84 min, m/z (ES+) se calculó 774,4 (M+H)+, se encontró 774,4.
Ácido (2S,4R)-4-(2-((1R,3R)-3-((2S,3R)-N,3-dimetil-2-((R)-1-metilpiperidina-2-carboxamido)pentanamido)-1-etoxi-4-metilpentil)tiazol-4-carboxamido)-2-metil-5-fenilpentanoico (209): El análogo de TubOEt en la posición Ile se preparó de acuerdo con el método general descrito anteriormente, con el empleo de (((9H -fluoren-9-il)metoxi)carbonil)-L-aloisoleucina en la Etapa 2, para proporcionar 209 (1,33 mg). UPLC-MS analítica (sistema 1): tr = 1,78 min, m/z (ES+) se calculó 714,4 (m H)+, se encontró 714,4.
Ácido (2S,4R)-4-(2-((1R,3R)-1-etoxi-4-metil-3-((S)-N-metil-2-((R)-1-metilpiperidina-2-carboxamido)-2-(tetrahidro-2H-piran-4-il)acetamido)pentil)tiazol-4-carboxamido)-2-metil-5-fenilpentanoico (210): El análogo de TubOEt en la posición Ile se preparó de acuerdo con el método general que se describió anteriormente, con el empleo de ácido (S)-2-((((9H-fluoren-9-il)metoxi)carbonil)amino)-2-(tetrahidro-2H-piran-4-il)acético en la Etapa 2, para proporcionar 210 (1,07 mg). UPLC-MS analítica (sistema 1): tr = 1,20 min, m/z (ES+) se calculó 742,4 (M+H)+, se encontró 742,4.
Ácido (2S,4R)-4-(2-((1R,3R)-1-etoxi-3-(2-(3-fluorobiciclo\[1.1.1]pentan-1-il)-N-metil-2-((R)-1-metilpiperidina-2-carboxamido)acetamido)-4-metilpentil)tiazol-4-carboxamido)-2-metil-5-fenilpentanoico (211): El análogo de TubOEt en la posición Ile se preparó de acuerdo con el método general descrito anteriormente, con el empleo de ácido 2-(((9H-fluoren-9-il)metoxi)carbonil)amino)-2-(3-fluorobiciclo[1.1.1]pentan-1-il)acético racémico en la Etapa 2, para proporcionar 211 (2,69 mg) como una mezcla de epímeros. UPLC-MS analítico (sistema 1): Epímero 1: tr = 1,67 min, m/z (ES+) se calculó 742,4 (M+H)+, se encontró 742,3; Epímero 2: tr = 1,83 min, m/z (ES+) se calculó 742,4 (M+H)+, se encontró 742,3.
Ácido (2S,4R)-4-(2-((1R,3R)-3-((S)-3-ciclopropil-N-metil-2-((R)-1-metilpiperidina-2-carboxamido)propanamido)-1-etoxi-4-metilpentil)tiazol-4-carboxamido)-2-metil-5-fenilpentanoico (212): El análogo de TubOEt en la posición Ile se preparó de acuerdo con el método general descrito anteriormente, con el empleo de Ácido (S)-2-((((9H-fluoren-9-il)metoxi)carbonil)amino)-3-ciclopropilpropanoico en la Etapa 2, para proporcionar 212 (3,21 mg). UPLC-MS analítica (sistema 1): tr = 1,66 min, m/z (ES+) se calculó 712,4 (M+H)+, se encontró 712,3.
Ácido (2S,4R)-4-(2-((1R,3R)-3-((S)-3-ciclohexil-N-metil-2-((R)-1-metilpiperidina-2-carboxamido)propanamido)-1-etoxi-4-metilpentil)tiazol-4-carboxamido)-2-metil-5-fenilpentanoico (213): El análogo de TubOEt en la posición Ile se preparó de acuerdo con el método general descrito anteriormente, con el empleo de Ácido (S)-2-((((9H-fluoren-9
il)metoxi)carbonil)amino)-3-ciclohexilpropanoico en la Etapa 2, para proporcionar 213 (1,72 mg). UPLC-MS analítica (sistema 1): tr = 1,87 min, m/z (ES+) se calculó 754,5 (M+H)+, se encontró 754,4.
Ácido (2S,4R)-4-(2-((1 R,3R)-3-((2S,3S)-3-(terc-butoxi)-N-metil-2-((R)-1-metilpiperidina-2-carboxamido)butanamido)-1-etoxi-4-metilpentil)tiazol-4-carboxamido)-2-metil-5-fenilpentanoico (214): el análogo de TubOEt en la posición Ile se preparó de acuerdo con el método general descrito anteriormente, con el empleo de N-(((9H-fluoren-9-il)metoxi)carbonil)-O-(terc-butil)-L-alotreonina en la Etapa 2, para proporcionar 214 (2,31 mg). UPLC-MS analítica (sistema 1): tr = 1,77 min, m/z (ES+) se calculó 758,5 (M+H)+, se encontró 758,4.
Ácido (2S,4R)-4-(2-((1R,3R)-3-((2S,3R)-3-(terc-butoxi)-N-metil-2-((R)-1-metilpiperidina-2-carboxamido)butanamido)-1-etoxi-4-metilpentil)tiazol-4-carboxamido)-2-metil-5-fenilpentanoico (215): el análogo de TubOEt en la posición Ile se preparó de acuerdo con el método general descrito anteriormente, con el empleo de N-(((9H-fluoren-9-il)metoxi)carbonil)-O-(terc-butil)-L-treonina en la Etapa 2, para proporcionar 215 (2,35 mg). UPLC-MS analítica (sistema 1): tr = 1,76 min, m/z (ES+) se calculó 758,5 (M+H)+, se encontró 758,4.
Procedimiento general para la preparación de análogos de reemplazo de D-Mep de TubOEt: Etapa 1: Eliminación de Fmoc. Una linterna cargada con Fmoc-MeN-TuvOEt-Tup como se describió anteriormente se trató con 1 ml de piperidina al 20 % en DMF durante 30 min. Se eliminó la solución y a continuación se lavó la linterna 3 veces con 1,5 ml de DMF. Etapa 2: Acoplamiento de aminoácidos. En un vial separado, se combinaron 0,5 ml de una solución 240 mM de FmocHN-Ile-COOH en DMF y 0,5 ml de una solución 200 mM de HATU en DMF y se añadió DIPEA (45 pl, 0,24 mmol). Después de 2 min, se añadió la solución de Fmoc-Ile activada a la linterna y se agitó suavemente durante 2 h. La linterna se trató una segunda vez con la solución de aminoácidos Fmoc-Ile activada durante 2 h. A continuación, se eliminó la solución y se lavó la linterna 3 veces con 1,5 ml de DMF. Etapa 3: Eliminación de Fmoc. La linterna cargada con FmocHN-Ile-TuvOEt-Tup se trató con 1 ml de piperidina al 20% en DMF durante 30 min. Se retiró la solución y se lavó la linterna 3 veces con 1,5 ml de DMF. Etapa 4: Acoplamiento analógico Mep. En un vial separado, se combinaron 0,5 ml de una solución 240 mM del análogo de Mep apropiado en DMF y 0,5 ml de una solución 200 mM de HATU en DMF y se añadió DIPEA (45 pl, 0,24 mmol). Después de 2 min, se añadió la solución del análogo de Mep activado a la linterna y se agitó suavemente durante 2 h. La linterna se trató por segunda vez con la solución del análogo Mep activado durante 2 h. Se eliminó la solución y se lavó la linterna 3 veces con 1,5 ml de DMF y a continuación se lavó 3 veces con 1,5 ml de DCM. Etapa 5: Escisión de la Linterna. Cada linterna se trató durante 90 min con una solución de HFIP al 20 % en DCM. Se eliminó la solución y se lavó la lámpara con 0,5 ml adicionales de HFIP al 20 % en DCM. Las soluciones combinadas se filtraron a través de un filtro de jeringa de 45 micrómetros y se concentraron a sequedad para proporcionar los análogos 216-221 (que se muestran inmediatamente a continuación). Los análogos se obtuvieron con una pureza >85 % según el análisis UPLC-MS y el cromatograma de matriz de diodos.
Procedimiento general para la N-metilación de análogos de D-Mep (224-227). Se disolvieron análogos de ácido pipecólico disponibles comercialmente (cf. 222, 0,30 mmol) en una mezcla de 0,4 ml de metanol y una solución de formaldehído al 37 % en agua (0,23 ml, 3,0 mmol). Se añadió Pd/C (10 % en peso, 10 mg), el matraz se equipó con un balón lleno de hidrógeno y las reacciones se agitaron durante la noche. El Pd se eliminó por filtración a través de un lecho de Celite y se concentró por evaporación rotatoria. El residuo que se obtuvo se concentró en 2,0 ml de metanol 5 veces más para obtener los análogos de ácido pipecólico N-metilado deseados 224-227.
Ácido 5,5-difluoro-1-metilpiperidina-2-carboxílico (224): Se metiló el ácido 5,5-difluoropiperidina-2-carboxílico (50 mg,
0,30 mmol) mediante el uso del procedimiento descrito anteriormente para proporcionar Ácido 5,5-difluoro-1-metilpiperidina-2-carboxílico (224, 47 mg, 87 %). UPLC-MS analítica (sistema 1): tr = 0,32 min, m/z (ES+) se calculó 180,1 (M+H)+, se encontró 180,0.
Ácido 2-metil-2-azabiciclo[3.1.1]heptano-1-carboxílico (225): Se metiló clorhidrato de ácido 2-azabiciclo[3.1.1]heptano-1-carboxíiico (53 mg, 0,30 mmol) mediante el uso del procedimiento descrito anteriormente para proporcionar ácido 2-metil-2-azabiciclo[3.1.1]heptano-1-carboxílico (225, 60 mg, rendimiento cuantitativo). UPLC-mS analítica (sistema 1): tr = 0,39 min, m/z (ES+) se calculó 156,1 (M+H)+, se encontró 156,1.
Ácido (1S,3R,4S)-2-metil-2-azabiciclo[2.2.2]octano-3-carboxílico (226): Se metiló ácido (1S,3R,4S)-2-azabiciclo[2.2.2]octano-3-carboxílico (47 mg, 0,30 mmol) mediante el uso del procedimiento descrito anteriormente para proporcionar ácido (1S,3R,4S)-2-metil-2-azabiciclo[2.2.2]octano-3-carboxílico (226, 53 mg, rendimiento cuantitativo). UPLC-MS analítica (sistema 1): tr = 0,40 min, m/z (ES+) se calculó 170,1 (M+H)+, se encontró 170,0.
Ácido (1S,3R,4R)-2-metil-2-azabiciclo[2.2.1]heptano-3-carboxílico (227): Se disolvió ácido (1S,3R,4R)-2-(tercbutoxicarbonil)-2-azabiciclo[2.2.1]heptano-3-carboxílico (73 mg, 0,30 mmol) en 1,0 ml de DCM, a continuación se agregaron 0,30 ml de TFA y la reacción se agitó durante 1,5 h para eliminar el grupo protector Boc. La reacción se diluyó con 3 ml de tolueno y se concentró hasta sequedad para producir ácido (1S,3R,4R)-2-azabiciclo[2.2.1]heptano-3-carboxílico. UPLC-MS analítica (sistema 1): tr = 0,85 min, m/z (ES+) Se calculó 142,1 (M+H)+, se encontró 142,1. A continuación, se metiló el ácido (1S,3R,4R)-2-azabiciclo[2.2.1]heptano-3-carboxílico intermediario mediante el uso del procedimiento descrito anteriormente para proporcionar la sal de ácido trifluoroacético de ácido (1S,3R,4R)-2-metil-2-azabiciclo[2.2.1]heptano-3-carboxílico (227, 66 mg, 83 %). UPLC-MS analítica (sistema 1): tr = 0,89 min, m/z (ES+) se calculó 156,1 (M+H)+, se encontró 156,1.
Ácido (2S,4R)-4-(2-((1R,3R)-3-((2S,3S)-2-(5,5-difluoro-1-metilpiperidina-2-carboxamido)-N,3-dimetilpentanamido)-1-etoxi-4-metilpentil)tiazol-4-carboxamido)-2-metil-5-fenilpentanoico (216): El análogo de TubOEt en la posición Mep se preparó de acuerdo con el procedimiento general descrito anteriormente, con el empleo de ácido racémico 5,5-difluoro-1-metilpiperidina-2-carboxílico (224, que se preparó anteriormente) en la Etapa 4, para proporcionar 216 (3,05 mg) como una mezcla de epímeros. UpLC-MS analítica (sistema 1): Epímero 1: tr = 2,06 min, m/z (ES+) se calculó 750,4 (M+H)+, se encontró 750,3; Epímero 2: tr = 2,10 min, m/z (ES+) se calculó 750,4 (M+H)+, se encontró 750,4.
Ácido (2S,4R)-4-(2-((1 R,3R)-3-((2S,3S)-N,3-dimetil-2-(2-metil-2-azabiciclo[3.1.1 ]heptano-1 -carboxamido)pentanamido)-1-etoxi-4-metilpentil)tiazol-4-carboxamido)-2-metil-5-fenilpentanoico (217): El análogo de TubOEt en la posición Mep se preparó de acuerdo con el procedimiento general descrito anteriormente, con el empleo de ácido 2-metil-2-azabiciclo[3.1.1]heptano-1-carboxílico (225, que se preparó anteriormente) en la Etapa 4, para proporcionar 217 (4,44 mg). UPLC-MS analítica (sistema 1): tr = 1,69 min, m/z (ES+) se calculó 726,4 (M+H)+, se encontró 726,3.
Ácido (2S,4R)-4-(2-((1R,3R)-3-((2S,3S)-N,3-dimetil-2-((1S,3R,4S)-2-metil-2-azabiciclo[2.2.2]octano-3-carboxamido)pentanamido)-1-etoxi-4-metilpentil)tiazol-4-carboxamido)-2-metil-5-fenilpentanoico (218): El análogo de TubOEt en la posición Mep se preparó de acuerdo con el procedimiento general descrito anteriormente, con el empleo de ácido (1S,3R,4S)-2-metil-2-azabiciclo[2.2.2]octano-3-carboxílico (226, que se preparó anteriormente) en la Etapa 4, para proporcionar 218 (3,35 miligramos). UPLC-MS analítica (sistema 1): tr = 1,74 min, m/z (ES+) se calculó 740,4 (M+H)+, se encontró 740,6.
Ácido (2S,4R)-4-(2-((1R,3R)-3-((2S,3S)-N,3-dimetil-2-((1S,3R,4R)-2-metil-2-azabiciclo[2.2.1]heptano-3-carboxamido)pentanamido)-1-etoxi-4-metilpentil)-tiazol-4-carboxamido)-2-metil-5-fenilpentanoico (219): El análogo de TubOEt en la posición Mep se preparó de acuerdo con el procedimiento general descrito anteriormente, con el empleo de ácido (1S,3R,4R)-2-metil-2-azabiciclo[2.2.1]heptano-3-carboxílico (227, que se preparó anteriormente) en la Etapa 4, para proporcionar 219 (2,82 miligramos). UPLC-MS analítica (sistema 1): tr = 1,70 min, m/z (ES+) se calculó 726,4 (M+H)+, se encontró 726,4.
Ácido (2S,4R)-4-(2-((3R,6S,9R,11 R)-6-((S)-sec-butil)-3,9-diisopropil-2,8-dimetil-4,7-dioxo-12-oxa-2,5,8-triazatetradecan-11-il)tiazol-4-carboxamido)-2-metil-5-fenilpentanoico (220): El análogo de TubOEt en la posición Mep se preparó de acuerdo con el procedimiento general procedimiento descrito anteriormente, con el empleo de N,N -dimetil-D-valina en la Etapa 4, para proporcionar 220 (3,51 mg). UPLC-MS analítica (sistema 1): tr = 1,72 min, m/z (ES+) se calculó 716,4 (M+H)+, se encontró 716,3.
Ácido (2S,4R)-4-(2-((1R,3R)-3-((2S,3S)-2-((R)-1,2-dimetilpirrolidin-2-carboxamido)-N,3-dimetilpentanamido)-1-etoxi-4-metilpentil)tiazol-4-carboxamido)-2-metil-5-fenilpentanoico (221): El análogo de TubOEt en la posición Mep se preparó de acuerdo con el procedimiento general descrito anteriormente, con el empleo de ácido (R)-1,2-dimetilpirrolidin-2-carboxílico en la Etapa 4, para proporcionar 221 (2,90 mg). UPLC-MS analítica (sistema 1): tr = 1,67 min, m/z (ES+) se calculó 714,4 (M+H)+, se encontró 714,4.
Ensayos in vitro. Las células cultivadas en crecimiento en fase logarítmica se sembraron durante 24 h en placas de
96 pocilios que contenían 150 |jl de RPMI 1640 complementado con FBS al 20 %. Se prepararon diluciones en serie de conjugados anticuerpo-fármaco en medios de cultivo celular a una concentración de trabajo 4x; se añadieron 50 j l de cada dilución a las placas de 96 pocillos. Después de la adición de ADC, las células se incubaron con los compuestos de prueba durante 4 días a 37 °C. Después de 96 h, se evaluó la inhibición del crecimiento mediante CellTiter-Glo® (Promega, Madison, WI) y se midió la luminiscencia en un lector de placas. El valor de IC50, determinado por triplicado, se define aquí como la concentración que da como resultado una reducción del 50 % en el crecimiento celular con respecto a los controles no tratados.
Modelos de xenoinjerto in vivo. Todos los experimentos se realizaron de acuerdo con el Comité para el Uso y Cuidado de Animales en una instalación totalmente acreditada por la Asociación para la Evaluación y Acreditación del Cuidado de Animales de Laboratorio. Se realizaron experimentos de eficacia en linfoma de Hodgkin L540cy, linfoma anaplásico de células grandes Karpas:KarpasBVR, linfoma anaplásico de células grandes MDR+ DELBVR y modelos de xenoinjerto de carcinoma de células renales MDR+ 786-O. Se implantaron células tumorales por vía subcutánea en ratones SCID inmunocomprometidos. Las células tumorales, como una suspensión celular, se implantaron por vía subcutánea en ratones SCID inmunodeprimidos. Tras el injerto del tumor, los ratones se asignaron al azar a los grupos de estudio cuando el volumen tumoral promedio alcanzo aproximadamente 10 0 mm3. El ADC o los controles se dosificaron una vez a través de inyección intraperitoneal. El volumen tumoral en función del tiempo se determinó mediante el uso de la fórmula (L x W2)/2. Los animales se sacrificaron cuando los volúmenes tumorales alcanzaron 1000 mm3. Los ratones que mostraron regresiones duraderas se sacrificaron alrededor del día 100 después del implante.
Experimentos farmacocinéticos (PK) de ADC. Se realizaron experimentos farmacocinéticos (PK) mediante el uso de anticuerpo o ADC radiomarcados. Los compuestos de prueba de PK se marcaron radiactivamente mediante el uso del siguiente procedimiento. A una solución de anticuerpo o ADC en PBS suplementada con 50 mM de fosfato de potasio adicional (pH 8,0) y 50 mM de cloruro sódico se añadió 55 jC i de propionato de N-succinimidilo N10, [propionato-2,3-3H]-(Moravek Biochemicals, Cat. Núm.: MT 919, 80 Ci/mmol, 1 mCi/ml, solución 9:1 de hexano:acetato de etilo) por mg de anticuerpo o ADC. La mezcla resultante se agitó con vórtice y se dejó a temperatura ambiente durante 2 horas. La mezcla se centrifugó a 4000 x g durante 5 minutos y la capa acuosa inferior se eliminó y se dividió en Amicon Ultra-15 Centrifugal Filter Units (Millipore, Cat. Núm.: UFC903024, MWCO de 30 kDa). La radiactividad no conjugada se eliminó mediante 4 rondas de dilución y centrifugación a 4000 x g. Los productos resultantes se filtraron a través de Ultrafree-MC Centrifugal Filter Units (Millipore, Cat. Núm.: UFC30GV0S) de 0.22 jm estériles y la concentración final de anticuerpo o ADC se midió mediante espectrofotometría. La actividad específica (jCi/mg) de cada producto se determinó mediante conteo de centelleo líquido.
Las propiedades farmacocinéticas del anticuerpo no conjugado o el ADC en varios modelos de roedores. En cada experimento, se inyectaron 1-3 mg de ADC o anticuerpo radiomarcado por kg de peso del animal a través de la vena de la cola. Cada compuesto de prueba se dosificó una vez en animales replicados. Se extrajo sangre en tubos con K2EDTA a través de la vena safena o mediante punción cardíaca para las hemorragias terminales en varios momentos. El plasma se aisló mediante centrifugación durante 10 minutos a 10000 x g. Se añadieron de 10-20 j l de una muestra de plasma de cada punto de tiempo a 4 ml de coctel de centelleo líquido Ecoscint-A (National Diagnostics) y se midió la radiactividad total mediante conteo de centelleo líquido 5. Los valores resultantes de desintegraciones por minuto se convirtieron a jC i y se usó la actividad específica de los compuestos de prueba marcados radiactivamente para calcular la concentración de anticuerpo o ADC que quedaba en el plasma en cada momento.
Ensayos in vitro - fármacos libres de tubulisina. Las células se trataron durante 96 horas con análogos de ésteres de tubulisina 40-42 o tubulisina M (7), a continuación, se evaluó la viabilidad como se describe en los métodos.
Tabla 1.
Los valores IC50 (nM) de la Tabla 1 muestran que los cuatro artículos de prueba fueron altamente potentes en cada una de las líneas celulares. El éter etílico de tubulisina Tub(OEt) (41) resultó ser más potente que los análogos metílico (40) y propílico (42). El éter etílico y la tubulisina M mantuvieron el nivel más alto de potencia en el contexto de las líneas celulares MDR+ L428 y HL60/RV.
Tabla 2.
Los análogos de ásteres de tubulisina (133-137) y los análogos de éteres insaturados (176-179) se sometieron a pruebas in vitro para determinar su potencia en relación con la tubulisina M (7), tras una exposición de 96 horas. Como muestran los valores IC50 (nM) de la Tabla 2, los ésteres de Tubulisina 133-136 se comportaron de forma comparable a la tubulisina M, con potencias similares en todas las líneas celulares. El análogo de la tubulisina más voluminoso y obstruido (137) mostró una potencia reducida en relación con la tubulisina M, con pérdidas de potencia que oscilaron entre 5 y 47 veces en relación con la tubulisina M.
Los éteres insaturados de tubulisina 176 y 177 mostraron una potencia comparable en comparación con la tubulisina original 7. Por el contrario, los éteres propargílico (178) y bencílico (179) de tubulisina se atenuaron en potencia en relación con la tubulisina 7.
Se sintetizó una serie de análogos del compuesto éter etílico de tubulisina TubOEt (41) en lámparas de fase sólida que mantienen la sustitución del éter etílico, mientras se varía el residuo en la posición Ile (203-215) o en la posición Mep (216-221). Después de la escisión de la fase sólida, los análogos se obtuvieron con una pureza >85 % y se ensayaron sin purificación adicional. Se ensayó la potencia de los compuestos in vitro en relación con una muestra de TubOEt sintetizada en paralelo en una linterna (41-linterna), tras una exposición de 96 horas, con valores de IC50 expresados en nM (Tabla 3). Si bien en muchos casos se observó una atenuación de la actividad en relación con la linterna de 41, se encontraron algunas sustituciones bien toleradas. En la posición Ile, los sustituyentes cíclicos R5 ciclopentilo (204) y ciclohexilo (205) proporcionan compuestos potentes; sin embargo, el análogo de tetrahidropiranilo
(210) fue inactivo frente a todas las líneas celulares ensayadas. Además, cuando Ile se reemplaza con a//o-Ile (209) se observa una pérdida de potencia de 25 a 40 veces. Si bien esta preferencia estereoquímica no se observa cuando se reemplaza Ile con O-metil treonina (207) u O-metil alotreonina (206), los sustituyentes más voluminosos llevaron a una mayor diferenciación. Específicamente, el reemplazo con O-t-butil treonina (215) proporciona un análogo significativamente más potente que el correspondiente compuesto O-t-butil alotreonina 216. El reemplazo del residuo Mep fue en general menos tolerada. Los compuestos más potentes obtenidos en esta serie (217 y 221) poseen sustitución en la posición 4- y 2- del núcleo del ácido piperidínico o pirrolidínico-2-carboxílico, respectivamente. La sustitución en la posición 5 (216) o en la posición 6 (218 y 219) condujo a una disminución de la citotoxicidad observada, particularmente en la línea celular HL60/RV.
Tabla 3.
Ensayos in vitro - ADC de tubulisina. Los ADC se prepararon mediante la reducción completa de los disulfuros intercatenarios para revelar 8 cisteínas/anticuerpos conjugables que se alquilaron a través de la adición de Michael con los compuestos Enlazadores de Fármacos que contienen maleimida. Los conjugados anti-CD30 que llevan éteres de tubulisina cuaternizados con y sin una cadena lateral de PEG12 se compararon con sus análogos de tubulisina M. Las células se trataron con conjugados cAC10 (anti-CD30) cargados a 8 fármaco/Ac durante 96 h y a continuación se evaluó su viabilidad. Los valores IC50 (ng/ml) se muestran en la Tabla 4.
Tabla 4.
El conjugado que lleva el enlazador de éter etílico de tubulisina 57 fue consistentemente más potente que los análogos de metilo (56) o propilo (58). Con la excepción de L428, el enlazador de éter etílico de tubulisina 57 se comportó de manera similar al análogo 82 de tubulisina M. La presencia de una cadena lateral de PEG12 en el enlazador tuvo un impacto mínimo en la potencia del conjugado. Todas los LDC estaban fueron inactivos (sin efecto a 1000 ng/ml) en una línea celular Ramos NHL negativa para CD30, lo que indica un alto grado de especificidad inmunológica.
Tabla 5
Se prepararon y evaluaron in vitro varias construcciones de enlazadores hidrofílicos que incorporaban tubulisina M cuaternizada; los resultados se muestran en la Tabla 5. Los datos (valores de IC50 en ng/ml) indican que los Conjugados preparados a partir de compuestos Enlazadores de Fármacos que tienen tubulisina M cuaternizada unida a través de un dipéptido ValGlu hidrofílico con (95) o sin (91) una cadena lateral PEG12, o enlazada a través de un glucurónido hidrofílico (82) proporcionan ADC que son equipotentes al comparador ValAla (15). Todos los conjugados muestran un alto grado de especificidad inmunológica, con IC50s > 1000 ng/ml en células de carcinoma hepatocelular Hep3B antígeno-negativas.
Modelos de xenoinjertos in vivo: comparación de tubulisina unida a dipéptidos y glucurónidos. La tubulisina M unida a amina cuaternaria conjugada con el enlazador dipeptídico ValAla (15) y el glucurónido (82) se compararon en un modelo de xenoinjerto de linfoma de Hodgkin CD30+ L540cy junto con el éter etílico de tubulisina unido a glucurónido (57). Se demostró que el enlazador de fármacos de glucurónido ofrece mejores propiedades fisicoquímicas y farmacocinéticas del conjugado en relación con los enlazadores dipéptidos para cargas útiles de ADC (Bioconjugate Chem., 2006, 17, 831-840; Nature Biotech, 2014, 32, 1059-1062). Los conjugados se cargaron a 4-fármacos/AcM para minimizar los efectos de ADC PK. Los resultados se muestran en la Figura 1. A los ratones portadores de tumores se les administró una dosis única i.p. del artículo de prueba una vez que el volumen tumoral promedio alcanzó los 100 mm3 el día 7. Se observó una actividad del conjugado significativamente mayor cuando Tubulisina M (7) se conjugó en forma cuaternizada como glucurónido en cAC10-82. Los ratones tratados con una dosis única de 0,6 mg/kg de cAC10-82 lograron 5/5 regresiones completas duraderas. Por el contrario, la cohorte tratada con una dosis de 0,6 mg/kg del conjugado de dipéptido ValAla, cAC10-15, tuvo una curación, y los ratones restantes experimentaron un retraso transitorio del crecimiento del tumor. Una dosis más alta de 2 mg/kg del conjugado del dipéptido también fue inferior al glucurónido, con solo 2/5 ratones curados en el día 78. Por lo tanto, el conjugado que se basa en el glucurónido que lleva la tubulisina 7 fue más de 3 veces más potente que el control del dipéptido val-ala correspondiente. Asimismo, el éter etílico de tubulisina unido a glucurónido (41) en forma de conjugado cAC10-57 también fue altamente activo. Una dosis única de 0,6 mg/kg de cAC10-57 indujo 5/5 regresiones completas duraderas.
Modelos de xenoinjertos in vivo - Efecto de la PEGilación con conjugados de DAR 8. Recientemente, informamos que la adición de una cadena lateral PEG al enlazador de fármacos glucurónido-monometilauristatina E proporcionaba propiedades farmacológicas de ADC mejoradas con ADC cargados a 8 fármacos/AcM (Nature Biotech, 2014, 32, 1059-1062). Se incorporó una cadena lateral PEG12 en restos enlazadores de fármaco éter etílico y éter propílico de tubulisina unido a amina cuaternaria proporcionando los conjugados cAC10-66 y c-AC10-67, respectivamente. Se prepararon conjugados anti-CD30 cAC10 cargados a 8 fármacos/AcM y se evaluaron en relación con los análogos de éter etílico (cAC10-57) y propílico (cAC10-58) no PEGilados en el modelo de xenoinjerto L540cy. Los resultados se muestran en la Figura 2. Para las construcciones de glucurónidos de éter etílico y propílico, la inclusión de PEG12 resultó en una actividad antitumoral mejorada. En el caso del Conjugado no PEGilado de éter etílico, cAC10-57 indujo un retraso en el crecimiento tumoral en ratones tratados con una dosis única de 0,5 mg/Kg; mientras que la variante PEGilada cAC10-66 proporcionó curaciones en 5/5 ratones con la misma dosis de anticuerpo. Para el Conjugado no PEGilado de éter propílico, cAC10-58 indujo un retraso en el crecimiento del tumor con un crecimiento alrededor del día 40 en ratones tratados con una dosis única de 0,5 mg/kg; mientras que la variante PEGilada cAC10-67 retrasó aún más el crecimiento hasta alrededor del día 60.
La versión PEGilada del glucurónido-tubulisina M, denominada enlazador 99, también se probó en el xenoinjerto CD30+ L540cy como un conjugado DAR 8 cAC10. Como anteriormente, a los ratones portadores de tumores se les administró una dosis única de 0,5 mg/kg i.p. del artículo de prueba una vez que el volumen tumoral promedio alcanzó los 100 mm3 el día 8. Al igual que la construcción de éter etílico PEGilado (AC10-66) y el conjugado de Tubulisina M PEGilada cAC10-99 indujeron 5/5 curaciones en ratones tratados con 0,5 mg/kg.
Se evaluó un subconjunto de conjugados anticuerpo-fármaco a dosis más bajas en el modelo de xenoinjerto L540cy. Los conjugados anti-CD30 que llevan restos enlazadores de fármaco PEGilados que contienen tubulisina M cuaternizada (cAC10-99) o éter etílico de tubulisina cuaternizada (cAC10-66) se conjugaron a 8 fármacos/AcM. De manera similar, los conjugados anti-CD30 que llevan restos enlazadores de fármacos de glucurónido no pPEGilado que contienen tubulisina M cuaternizada (cAC10-82) o éter etílico de tubulisina cuaternizada (cAC10-57), o la versión del dipéptido val-ala que contiene tubulisina M cuaternizada (cAC10-15) se prepararon a 4 fármacos/AcM. A
los ratones portadores de tumores se les administró una dosis única de cada Conjugado a 0,15 o 0,3 mg/kg una vez que el tumor alcanzó aproximadamente 100 mm3. Los resultados se muestran en la Figura 8. Con la dosis más baja de 0,15 mg/kg, todos los Conjugados mostraron un retraso en el crecimiento tumoral, observándose el mayor retraso en los ratones tratados con el conjugado (cAC10-66) que llevaban restos enlazadores de fármaco de glucurónido PEGilado que tenían Unidades de Fármaco cuaternizadas con éter etílico de tubulisina cuaternizadas. A la dosis de 0,3 mg/kg, se observaron regresiones completas y duraderas en 2/6 ratones tratados con ADC que portan restos enlazadores de fármacos de glucurónido no pegilado que tenían Unidades de Fármaco de éter etílico de tubulisina cuaternizada (cAC10-57) y 3/6 ratones tratados con conjugados que llevan ambos restos enlazadores de fármaco de glucurónido PEGilado que tienen unidades de fármaco de tubulisina M cuaternizada (cAC10-99) o Unidades de Fármaco de éter etílico de tubulisina cuaternizada (cAC10-66).
Modelos de xenoinjertos in vivo: demostración de los efectos circulantes. Las construcciones PEGiladas se ensayaron en un modelo de xenoinjerto Karpas:KarpasBVR de actividad circulante. Se inyectó subcutáneamente un número igual de células CD30+ Karpas299 y c D30- KarpasBVR para establecer una masa tumoral con una población heterogénea de células positivas y negativas al antígeno. Los conjugados que llevan ojivas incapaces de difundirse libremente a través de las membranas plasmáticas muestran una actividad mínima. Los conjugados anti-CD30 cAC10 cargados a 8 fármacos/AcM con restos enlazadores de fármacos de glucurónido PEGilado que llevan tubulisina M cuaternizada (cAC-10-99), éter etílico de tubulisina cuaternizada (cAC10-66) y éter metil-(propen-2il) de tubulisina cuaternizada (cAC10-185) fueron evaluados. A los ratones portadores de tumores se les administró una dosis única de 0,5 mg/kg i.p. del artículo de prueba una vez que el volumen tumoral promedio alcanzó los 100 mm3 el día 6. Los resultados se muestran en la Figura 4. Todos los ratones tratados con conjugados que contenían Unidades de Fármaco de éter de tubulisina cuaternizada (cAC10-66 y cAC10-185) lograron regresiones tumorales completas hasta el día 41 del estudio. El conjugado de tubulisina M cuaternizado (cAC10-99) mostró una actividad más variable, con 2/5 ratones logrando una regresión completa en el día 41 y los 3/5 ratones restantes experimentando una regresión tumoral transitoria.
Modelos de xenoinjerto in vivo: demostración de actividad en modelos MDR+. Los conjugados que portaban las construcciones PEGiladas se probaron en un carcinoma de células renales MDR+ 786-O y modelos de xenoinjerto de linfoma anaplásico de células grandes DELBVR. Los conjugados anti-CD70 (AcM = h1F6) se cargaron a 8 fármacos/AcM con restos enlazadores de fármacos de glucurónido PEGilado que contenían Unidades de Fármaco de tubulisina M cuaternizada (cAC10-99), éter etílico de tubulisina cuaternizada (cAC10-66) o éter de metilpropeno de tubulisina cuaternizada (cAC10-185). A ratones que portaban tumores de carcinoma de células renales CD70+ 786-O se les administró una dosis única de artículos de prueba a 0,5 o 1 mg/kg una vez que el tumor alcanzó aproximadamente 100 mm3. Los resultados se muestran en la Figura 9. Se observó un retraso en el crecimiento tumoral en ratones tratados con ADC conjugado con tubulisina M cuaternizada (cAC10-99) a 0,5 mg/kg o con ADC conjugado con tubulisina cuaternizada con éter etílico (cAC10-66) a 1,5 mg/kg. Una dosis mayor de 1,5 mg/kg del conjugado de tubulisina M cuaternizada (cAC10-99) indujo 5/5 regresiones completas duraderas.
También se probaron los ADC que tenían un subconjunto de enlazadores en el modelo de xenoinjerto de linfoma anaplásico de células grandes DELBVR, MDR+ y con expresión de CD30. Los conjugados anti-CD30 (AcM = cAC10) que llevan restos de enlazador de fármaco enlazadores PEGilados que contienen tubulisina M cuaternizada (cAC10-99) y éter etílico de tubulisina cuaternizada (cAC10-66) se conjugaron a 8 fármacos/AcM. De manera similar, los conjugados anti-CD30 que llevan restos enlazadoras de fármacos de glucurónido no pegilado que contienen tubulisina M cuaternizada (cAC10-82) y éter etílico de tubulisina cuaternizada (cAC10-57), y la versión de dipéptido val-ala de tubulisina M cuaternizada (cAC10-15) se conjugaron a 4 fármacos/AcM. A los ratones que portaban tumores se les administró una dosis única de artículos de prueba a 0,3 o 1 mg/kg una vez que el tumor alcanzó aproximadamente 100 mm3. Los resultados se muestran en la Figura 10. A la dosis de 0,3 mg/kg, los Conjugados que tenían los restos enlazadores de fármaco de glucurónido PEGilado que contenían éter etílico de tubulisina cuaternizada (cAC10-66) proporcionaron 2/5 regresiones duraderas y completas y los que tenían restos enlazadores de fármaco de glucurónido PEGilado que contenían tubulisina M cuaternizada (cAC10-99) proporcionaron 5/5 regresiones completas y duraderas. A la dosis más alta de 1 mg/kg, se observaron regresiones duraderas y completas con los conjugados de éter etílico de tubulisina glucurónido no PEGilado (1/5, cAC10-57) y tubulisina M (5/5 ratones curados, cAC10-82). En la serie PEGilada, una dosis de 1 mg/kg proporcionó regresiones completas y duraderas de 4/5 y 5/5 para los conjugados de éter etílico de tubulisina glucurónido (cAC1 0 -6 6 ) y tubulisina M (cAC10-99), respectivamente.
Evaluación farmacocinética en ratas. Las Figuras 5-7 contienen los perfiles de aclaramiento para varias construcciones de enlazadores de amina cuaternaria de tubulisina. En todos los experimentos, a las ratas se les administró una dosis única i.v. de 1 mg/kg a tiempo cero con ADC radiomarcados. Se recogieron muestras de plasma en varios puntos temporales y se analizaron como se describió para cuantificar el anticuerpo total en función del tiempo. La figura 5 contiene los perfiles de exposición para conjugados IgG humanizados preparados a partir del compuesto Enlazador de Fármaco MDPR-val-ala-PABQ-TubM (15) y los compuestos Enlazadores de Fármaco hidrofílicos MDPR-GlucQ-TubM (82), MDPR-val-glu-TubM (91) y MDPR-val-glu(PEG12)-TubM (9). La IgG humanizada que lleva cuatro copias del TubM cuaternizado unido al dipéptido val-Ala (hlgG15) tuvo un perfil de aclaramiento idéntico al del anticuerpo no modificado; sin embargo, con un DAR de 8 , el ADC se eliminó de circulación mucho más rápidamente. La sustitución del residuo de alanina de hIgG- 15 por el residuo de glutamato
que proporciona la IgG-91 no resultó en un aumento apreciable de la exposición. La adición de una cadena lateral PEG12 al enlazador val-glu de hIgG-91, que dio como resultado hIgG- 95, proporcionó un aumento en la exposición a ADC. Asimismo, el reemplazo del dipéptido val-ala de IgG-15 con una Unidad de Glucurónido que proporciona hIgG-82 resultó en un aumento en la exposición del conjugado con conjugados DAR 8.
La figura 6 contiene las exposiciones farmacocinéticas para los conjugados de IgG humanizados DAR 8 que llevan los restos enlazadores de fármaco de éter propílico de tubulisina unido con amina cuaternaria de glucurónido en ausencia (hIgG- 58) y presencia (hIgG- 67) de una cadena lateral PEG12. El conjugado que llevaba 8 copias de restos enlazadores de fármacos cuaternizados del compuesto Enlazador de Fármaco MDPR-glucQ-TubOPr (58) se eliminó de la circulación mucho más rápidamente que el anticuerpo no modificado. La adición de una cadena lateral de PEG12 que proporciona hIgG-67 mejoró significativamente la exposición, aproximándose más a las propiedades farmacocinéticas del anticuerpo desnudo.
La exposición farmacocinética de los conjugados de IgG humanizados DAR 8 que contienen restos enlazadores de fármacos de glucurónido PEGilado que tienen unidades de fármaco de tubulisina M cuaternizada (hIgG-99) y éter etílico de tubulisina cuaternizada (hIgG-66) se muestran en la Figura 7. Ambos conjugados mostraron exposiciones prolongadas que se aproximan mucho a una línea que representaba la exposición media histórica para el anticuerpo original.
Claims (1)
- REIVINDICACIONESUna composición de Conjugado Ligando-Fármaco (LDC), en donde la composición se representa por la estructura de la Fórmula 1A:(Formula 1A)en dondeL es una Unidad de Ligando de anticuerpo, lo que define así un Conjugado Anticuerpo-Fármaco (ADC); Lb es una Unidad de Unión Covalente de Ligando;Lp es una Unidad Conectora en Paralelo;PEG es una unidad de polietilenglicol;el subíndice a es 0 o 1 ;el subíndice b es 0 o 1 ;A es una primera Unidad de Extensión opcional, de modo que el subíndice a es 0 cuando A está ausente o A está presente, de modo que el subíndice a es 1 y comprende opcionalmente dos, tres o cuatro subunidades seleccionadas independientemente (A1, A2, A3 , A4);B es una Unidad de Ramificación o una segunda Unidad de Extensión opcional (Ao) de modo que el subíndice b es 0 cuando B está ausente o B está presente de modo que el subíndice b es 1 y comprende opcionalmente dos, tres o cuatro subunidades independientemente de A;el subíndice n es 1, 2, 3 o 4, siempre que el subíndice b sea 1 y B sea una Unidad de Ramificación cuando el subíndice n sea 2, 3 o 4 y siempre que B sea Ao o esté ausente cuando el subíndice n sea 1; Su es un resto carbohidrato;- O'- representa un átomo de oxígeno de un enlace O-glicosídico escindible por una glicosidasa;- J'- representa un heteroátomo, opcionalmente sustituido cuando es nitrógeno, de un grupo funcional de B, cuando B está presente, o Lp, cuando B está ausente;V, Z1, Z2 y Z3 son =N- o =C(R24)-, en donde R24 es hidrógeno o alquilo, alquenilo o alquinilo, opcionalmente sustituido, o halógeno, -NO2 , -CN u otro grupo aceptor de electrones, u -OCH3 u otro grupo donante de electrones, -O'-Su, o -C(R8)(R9)-D+, en donde al menos dos de V, Z1, Z2 y Z3 son =C(R24)-, siempre que uno y solo un R24 sea -C(R8)(R9)-D+ de modo que -C(R8)(R9)-D+ esté unido a uno de V, Z1, Z2, Z3 cuando ese grupo variable es =C(R24)- y uno y solo otro R24 es -O'-Su de modo que -O'-Su está unido a otro de V, Z1, Z2, Z3 cuando ese grupo variable es =C(R24)-, y los sustituyentes -O'Su y -C(R8)(R9)-D+ son orto o para entre sí;R8 y R9 son independientemente hidrógeno, alquilo, alquenilo o alquinilo, opcionalmente sustituido, o arilo o heteroarilo, opcionalmente sustituido;R' es hidrógeno o es halógeno, -NO2 , -CN u otro grupo aceptor de electrones;D+ es una Unidad de Fármaco de tubulisina cuaternizada que tiene preferentemente la estructura de:en donde el círculo representa un heteroarileno de 5 miembros que contiene nitrógeno y en donde los sustituyentes requeridos indicados para ese heteroarileno están en una relación de 1,3 entre sí con sustitución opcional en las posiciones restantes;el subíndice m es 0 o 1 ,R2A es hidrógeno o alquilo opcionalmente sustituido o R2A junto con el átomo de oxígeno al que está unido define un sustituyente unido a O;R3 es hidrógeno o alquilo opcionalmente sustituido;R4, R5 y R6 son alquilo opcionalmente sustituido;un R7 es un alquilo opcionalmente sustituido, un arilalquilo opcionalmente sustituido, un heteroarilalquilo opcionalmente sustituido y el otro R7 es hidrógeno o un alquilo opcionalmente sustituido; yen donde la línea ondulada indica el enlace covalente de D+ al resto de la estructura del Conjugado Ligando-Fármaco y en donde cada alquilo opcionalmente sustituido se selecciona independientemente; y el subíndice p es un número que varía de 1 a 24en donde la escisión del enlace O-glicosídico resulta en la liberación de un compuesto de tubulisina (D) a partir de un compuesto Conjugado Ligando-Fármaco de la composición,en donde el compuesto Conjugado Ligando-Fármaco tiene la estructura de la Fórmula IA en la que el subíndice p se reemplaza por el subíndice p', en donde el subíndice p' es un número entero que varía de 1 a 24;en donde la composición de Fórmula 1A se representa por la estructura de una de las Fórmulas 2A-2F:(Fórmula 2D)(Fórmula 2F)en donde el compuesto Conjugado Ligando-Fármaco tiene la estructura de una de las fórmulas 2A-2F en la que el subíndice p se reemplaza por el subíndice p' en donde el subíndice p' es un número entero que varía de 1 a 24; yen particular, la Unidad de Ligando de anticuerpo es capaz de unirse selectivamente a un antígeno accesible de la superficie celular de células anómalas, en donde el antígeno es capaz de la internalización celular del ADC unido y está preferentemente presente en las células anómalas u otras células no deseadas en comparación con las células normales, oen particular, la composición se representa por la estructura de la Fórmula 4:en forma de sal farmacéuticamente aceptable, en dondeAc es la Unidad de Ligando de anticuerpo;J' es -N(R33)-, en donde R33 es hidrógeno o metilo;V y Z3 son independientemente =CH- o =N-;R' es hidrógeno o un grupo aceptor de electrones;R8 es hidrógeno;R9 es hidrógeno, alquilo C1-C6 opcionalmente sustituido o fenilo opcionalmente sustituido;R45 es -CO2H; yel subíndice p es un número que varía de 1 a 24.La composición de Conjugado Ligando-Fármaco de la reivindicación 1, en donde la composición se representa por la estructura de la Fórmula 6:{Fórmula 6)en dondeS es un átomo de azufre de la Unidad de Ligando de anticuerpo (Ac);el asterisco (*) designa quiralidad o ausencia de la misma en el carbono indicado; A2-4 son subunidades opcionales de A seleccionadas independientemente, en donde -[C(Rb1)(Rb1)]q[HE]- es A1 cuando están presentes una o más de tales subunidades;R es hidrógeno;R' es hidrógeno o un grupo aceptor de electrones;Ra1 es hidrógeno o una unidad básica (BU), en donde BU en una Unidad Básica que tiene la estructura de -CH2-N(R22)(R23), o una sal de adición ácida de la misma, en donde R22 y R23, independientemente, son hidrógeno, metilo o etilo o ambos, junto con el átomo de nitrógeno al que están unidos, definen un heterocicloalquilo de 5 o 6 miembros; o uno de R22, R23 es hidrógeno y el otro es un grupo protector de carbamato lábil al ácido;Ra2 es hidrógeno;el subíndice q es un número entero que varía de 0 a 5 cuando HE está presente o de 1 a 5 cuando HE está ausente;cada Rb1 es independientemente hidrógeno o alquilo C1-C6 opcionalmente sustituido;HE está ausente o es -C(=O)-;R45 es -CO2H;J' es -NH-;V y Z3 son =CH-;R8 es hidrógeno;R9 es hidrógeno o metilo;el subíndice p es un número que varía de 1 a 16; yen donde los grupos variables restantes son como se definen por la fórmula 4, oen donde un compuesto de la composición tiene la estructura de la Fórmula 9A o la Fórmula 9B:(F ó rm u la 9 B )en dondeS es un átomo de azufre de la Unidad de Ligando de anticuerpo (Ac);el asterisco (*) designa quiralidad o ausencia de la misma en el carbono indicado;A2-4 son subunidades opcionales de A seleccionadas independientemente, en donde -[C(Rb1)(Rb1)]q-[HE]-es A1 cuando están presentes una o más de tales subunidades;R es hidrógeno;R' es hidrógeno o un grupo aceptor de electrones;Ra1 es -H o BU en donde BU es una Unidad Básica que tiene la estructura de -CH2-N(R22)(R23), o una sal de adición ácida de la misma, en donde R22 y R23 independientemente, son hidrógeno o metilo o ambos junto con el átomo de nitrógeno al que están unidos definen un heterocicloalquilo de 5 o 6 miembros; o uno de R22, R23 es hidrógeno y el otro es un grupo protector lábil al ácido;Ra2 es hidrógeno;el subíndice q es un número entero que varía de 0 a 5 cuando HE está presente o de 1 a 5 cuando HE está ausente;cada Rb1 es independientemente hidrógeno o alquilo C1-C6 opcionalmente sustituido;HE está ausente o es -C(=O)-;J' es -O- o -NH-;R8 y R9 son independientemente -H o alquilo opcionalmente sustituido o ambos junto con el átomo de carbono al que están unidos definen un cicloalquilo;el subíndice p' es un número entero que varía de 1 a 24; yen donde los restantes grupos variables son como se definen para la Fórmula 4, en particular, el compuesto de la composición tiene la estructura de la Fórmula 10A o la Fórmula 10B:(Fórmula 10B)en dondeR es hidrógeno;R' es hidrógeno, -NO2 , -Cl o -F;HE es -C(=O)-;R45 es -CO2H;J' es -NH-;V y Z3 son cada uno =CH-;R8 es hidrógeno;R9 es hidrógeno o metilo;p' es un número entero que varía de 1 a 12; yen donde los restantes grupos variables son como se definen para la Fórmula 4,en particular, en donde el carbono indicado con asterisco (*) está predominantemente en la misma configuración absoluta que el carbono alfa de un L-aminoácido cuando el carbono indicado es quiral.La composición del Conjugado Ligando-Fármaco de la reivindicación 1, en donde A y Ao, independientemente, tienen la estructura de la Fórmula 7 o la Fórmula 8 :(Fórmula 7) (Fórmula 8)en donde las líneas onduladas indican la unión covalente dentro de la estructura conjugada, en donde K y L son independientemente C, N, O o S, siempre que cuando K o L es O o S, R41 y R42 para K o R43 y R44 para L están ausentes, y cuando K o L son N, uno de R41, R42 a K o uno de R42, R43 a L están ausentes, y siempre que no se seleccionen dos L adyacentes seleccionados independientemente como N, O o S; en donde los subíndices e y f son números enteros seleccionados independientemente que varían de 0 a 1 2 , y el subíndice g es un número entero que varía de 1 a 1 2 ,en donde G es hidrógeno, alquilo C1-C6 opcionalmente sustituido, -OH, -ORPR, -CO2 H, CO2 RPR, en donde RPR es un grupo protector adecuado, -N(Rpr)(Rpr), en donde RPR son independientemente un grupo protector o RPR juntos forman un grupo protector adecuado, o -N(R45)(R46), en donde uno de R45, R46 es hidrógeno o RPR, en donde RPR es un grupo protector adecuado, y el otro es hidrógeno u alquilo C1-C6 opcionalmente sustituido;en donde R38 es hidrógeno o alquilo C1-C6 opcionalmente sustituido; R39-R44 son independientemente hidrógeno, alquilo C1-C6 opcionalmente sustituido, arilo opcionalmente sustituido o heteroarilo opcionalmente sustituido, o ambos R39, R40 junto con el carbono al que están unidos comprenden un cicloalquilo C3-C6 , o R41, R42 junto con K al que están unidos cuando K es C,o R43, R44 junto con L al que están unidos cuando L es un átomo de carbono comprende un cicloalquilo C3-C6 , o R40 y R41, o R40 y R43 o R41 y R43 junto con el átomo de carbono o heteroátomo al que están unidos y los átomos intermedios entre dichos átomos de carbono y/o heteroátomos comprenden un cicloalquilo o heterocicloalquilo de 5 o 6 miembros, siempre que cuando K sea O o S, R41 y R42 estén ausentes, cuando K es N, uno de R41, R42 esté ausente, cuando L sea O o S, R43 y R44 estén ausentes, y cuando L sea N, uno de R43, R44 esté ausente, oen donde Ao tiene una estructura correspondiente a un alfa-amino, beta-amino u otro ácido que contenga amina.La composición Conjugado Ligando-Fármaco de la reivindicación 1, en donde la Unidad de Fármaco de tubulisina cuaternizada (-D+) tiene la estructura de:en dondeel subíndice m es 0 o 1 ;Z es un alquileno opcionalmente sustituido o un alquenileno opcionalmente sustituido; yR7A es arilo opcionalmente sustituido o heteroarilo opcionalmente sustituido; en particularla Unidad de Fármaco de tubulisina cuaternizada (-D+) tiene la estructura de:en donde R7A es fenilo opcionalmente sustituido y R8 es hidrógeno o metilo, en particularla Unidad de Fármaco de tubulisina cuaternizada (-D+) tiene la estructura de:en donde R4 es metilo;el subíndice u es 0, 1 o 2;R3 es H, metilo, etilo, propilo, -CH2-OC(O)R3A, -CH2CH(R3B)C(O)R3A o -CH(R3B)C(O)NHR3A, en donde R3A es alquilo C1-C6 y R3B es H o alquilo C1-C6 , independientemente seleccionado de R3A;R2A junto con el átomo de oxígeno al que está unido es un sustituyente unido a O seleccionado del grupo que consiste en -OCH2OCH2 R2B, -OCH2R2B, -OC(O)R2B, -OCH2OC(O)R2B, -OC(O)N(R2B)(R2C) y -OCH2C(O)N(R2B)(R2C), en donde R2B y R2C se seleccionan independientemente del grupo que consiste en H, alquilo C1-C6 y alquenilo C2-C6 ; ycada R7B, cuando está presente, es independientemente -OH u -OCH3 , en particular, (a), (b), (c), (d) o (e) a continuación:(a) R2A es -CH2CH3 , -CH2-CH=CH2 o -CH2C(CH3)=CH2, R2B es -CH3 , R3 es -CH3 y el subíndice u es 0 o el subíndice u es 1 y R7B es -OH,(b) la Unidad de Fármaco de tubulisina cuaternizada (-D+) tiene la estructura de:en particular, en donde R2A es -CH2CH3 o -CH2-CH=CH2 ,(c) la Unidad de Fármaco de tubulisina cuaternizada (-D+) tiene la estructura de:en donde R2B es -CH3 , -CH2CH3 , -CH2CH2CH3 , -CH(CH3)2, -CH2CH(CH3)2 o -CH2C(CH3)3,(d) la Unidad de Fármaco de tubulisina cuaternizada (-D+) tiene la estructura de:en dondeR2B es hidrógeno, metilo u -OCH3 , u -OChhR26 es -OCH2CH=CH2 u -OCH2C(CH3)=CH2,(e) la Unidad de Fármaco de tubulisina cuaternizada (-D+) es la de tubulisina M, que tiene la estructura de:La composición Conjugado Ligando-Fármaco de una cualquiera de las reivindicaciones 1 a 4, en dondeLp es un ácido aminoalcanodioico, un ácido diaminoalcanoico, un ácido alcanodioico sustituido con azufre, un ácido aminoalcanoico sustituido con azufre, un diaminoalcanol, un aminoalcanodiol, un ácido alcanodioico sustituido con hidroxilo, un ácido aminoalcanoico sustituido con hidroxilo o un residuo de aminoalcanol sustituido con azufre, opcionalmente sustituido, en donde el sustituyente de azufre está en forma reducida u oxidada, o Lp es un residuo de aminoácido de lisina, arginina, asparagina, glutamina, ornitina, citrulina, cisteína, homocisteína, penicilamina, treonina, serina, ácido glutámico, ácido aspártico, tirosina, histidina o triptófano, en donde el aminoácido está en la configuración D o L, en particular Lp es un ácido aminoalcanodioico, un ácido diaminoalcanoico, un ácido alcanodioico sustituido con azufre, un ácido aminoalcanoico sustituido con azufre, un diaminoalcanol, un aminoalcanodiol, un ácido alcanodioico sustituido con hidroxilo, un ácido aminoalcanoico sustituido con hidroxilo o un residuo de aminoalcanol sustituido con azufre, en donde el residuo de ácido aminoalcanodioico, ácido diaminoalcanoico, ácido aminoalcanoico sustituido con azufre o ácido aminoalcanoico sustituido con hidroxilo tiene la estructura de la Fórmula A o la Fórmula B:en dondeel subíndice v es un número entero que varía de 1 a 4;el subíndice v' es un número entero que varía de 0 a 4;XLP se selecciona del grupo que consiste en -O-, -NRLP-, -S-, -S(=O)-, -S(=O)2-, -C(=O)-, -C(=O)N(RLP)-, -N(RLP)C(=O)N(RLP)- y - N(RLP)C(=NRLP)N(RLP)- en donde cada RLP se selecciona independientemente del grupo que consiste en hidrógeno y alquilo opcionalmente sustituido o dos de RLP junto con sus átomos intermedios definen un heterocicloalquilo opcionalmente sustituido y cualquier RLP restante son como se definió previamente;Ar es un arileno o heteroarileno, opcionalmente sustituido;cada RE y RF se selecciona independientemente del grupo que consiste en -H, alquilo opcionalmente sustituido, arilo opcionalmente sustituido y heteroarilo opcionalmente sustituido, o RE y RF junto con el mismo carbono al que están unidos, o RE y RF de carbonos adyacentes junto con estos carbonos, definen un cicloalquilo opcionalmente sustituido con cualquier sustituyente RE y RF restante que son como se definió previamente; yen donde las líneas onduladas indican la unión covalente de la estructura de Fórmula A o Fórmula B dentro de la estructura del Conjugado, oen donde-Lp(PEG)- tiene la estructura de Fórmula A1 o A2:en dondeXLP se selecciona del grupo que consiste en -O-, -NH, -S- y -C(=O)-;RE y RF se seleccionan independientemente del grupo que consiste en -H y -alquilo C1-C4 ; yen donde la línea ondulada indica la unión covalente de la Fórmula A1 o la Fórmula A2 dentro de la estructura del Conjugado.La composición de Conjugado Ligando-Fármaco de la reivindicación 1, en donde la composición se representa por la estructura de:en dondeAb es la Unidad de Ligando de anticuerpo;S es un átomo de azufre de la Unidad de Ligando de anticuerpo;R2A es alquilo C1-C4 saturado, alquilo C2-C4 insaturado, -C(=O)R2B, en donde R2B es alquilo C1-C4 ;AO está ausente o es un residuo ácido que contiene amina;el subíndice p es un número que varía de 1 a 8,el subíndice q es un número entero que varía de 1 a 4;el subíndice u es 0 o 1;el subíndice v es un número entero que varía de 1 a 4;R7B, cuando está presente, es -OH;XLP se selecciona del grupo que consiste en -O-, -NH, -S- y -C(=O)-; yRE y RF se seleccionan independientemente del grupo que consiste en -H y alquilo C1-C4 , oen donde un compuesto de la composición se representa por la estructura de:en dondeAc es la Unidad de Ligando de anticuerpo;S es un átomo de azufre de la Unidad de Ligando de anticuerpo;el resto Ac-S- está enlazado al carbono a o p en el ácido carboxílico M3 indicado;R2A es alquilo C1-C4 saturado, alquilo C2-C4 insaturado o -C(=O)R2B, en donde R2B es alquilo C1-C4 ; el subíndice p' es un número entero que varía de 1 a 8.el subíndice q es un número entero que varía de 1 a 4;el subíndice u es 0 o 1;el subíndice v es un número entero que varía de 1 a 4;R7B, cuando está presente, es -OH;XLP se selecciona del grupo que consiste en -O-, -NH, -S- y -C(=O)-;RE y RF se seleccionan independientemente del grupo que consiste en -H y alquilo C1-C4 ; PEG es una Unidad de Polietilenglicol, en particular, que tiene la estructura seleccionada del grupo que consiste en:-p-RPEG1-(CH2CH20)n— RPEG2- £ - R PEG1-(CH2CH20)n— RPEG3— (CH2CH20)n.— RPEG2yen donde la línea ondulada indica el sitio de unión a la Unidad Conectora en Paralelo,RPEG1 es una Unidad de Unión a PEG opcional,RPEG2 es una Unidad de Bloqueo de PEG;RPEG3 es una Unidad de Acoplamiento de PEG;el subíndice n varía de 2 a 72;cada subíndice n' se selecciona independientemente de 1 a 72; yel subíndice e varía de 2 a 5,en particular, R2A es alquilo C1-C4 saturado o alquilo C3-C4 insaturado, en donde el alquilo C1-C4 saturado es -CH3 , -CH2CH3 , -CH2CH2CH3 y el alquilo C3-C4 insaturado es -CH2CH=CH2 o -CH(CH3)CH=CH2 y -XLP-PEG tiene la estructura de:-£-C(O)— (CH2CH20)n------RPEG2en particular, R2A es -C(O)CH3 -CH2CH3 o -CH2CH=CH2 ; el subíndice n es 12; y RPEG2 es hidrógeno o -CH3.La composición de Conjugado Ligando-Fármaco de la reivindicación 1, en donde un compuesto de la composición se representa por la estructura de:Ac es la Unidad de Ligando de anticuerpo;S es un átomo de azufre de la Unidad de Ligando de anticuerpo;el resto Ac-S- está enlazado al carbono a o p en el ácido carboxílico M3 indicado;el subíndice p' es un número entero que varía de 1 a 8;el subíndice u es 0 o 1;R7B, cuando está presente, es -OH; yR2A junto con el átomo de oxígeno al que está unido es -OC(O)CH3, -OCH2CH3 u -OCH2CH=CH2 , en particular,un compuesto de la composición se representa por la estructura de:Un compuesto Enlazador de Fármaco que tiene la estructura de una de las Fórmulas IIA-IIF:(Fórmula IIC)(Fórmula IIF)a sal del mismo, en dondeLb' es un precursor de la Unidad de Unión Covalente de Ligando;Lp es una Unidad Conectora en Paralelo;PEG es una Unidad de Polietilenglicol;el subíndice a es 0 o 1;el subíndice b es 0 o 1;A es una primera Unidad de Extensión opcional, de modo que el subíndice a es 0 cuando A está ausente o A está presente, de modo que el subíndice a es 1 y comprende opcionalmente dos, tres o cuatro subunidades seleccionadas independientemente (A1, A2, A3 , A4 );Ao es una segunda Unidad de Extensión opcional y opcionalmente comprende dos, tres o cuatro subunidades independientemente de A;Su es un resto carbohidrato;-O'- representa un átomo de oxígeno de un enlace O-glicosídico escindible por una glicosidasa;-J'- representa un heteroátomo, opcionalmente sustituido con nitrógeno, preferentemente N(R33)-, en donde R33 es hidrógeno o metilo, de un grupo funcional de Ao;V, Z1, Z2 y Z3 son =N- o =C(R24)-, en donde R24 es hidrógeno o alquilo, alquenilo o alquinilo, opcionalmente sustituido, o halógeno, -NO2 , -CN u otro grupo aceptor de electrones, un grupo donante de electrones, -O'-Su o -C(R8)(R9)-D+, en donde al menos dos de V, Z1, Z2 y Z3 son =C(R24)-,siempre que uno y solo un R24 sea -C(R8)(R9)-D+ de modo que -C(R8)(R9)-D+ esté enlazado a uno de V, Z1, Z2, Z3 cuando dicho grupo variable sea =C(R24)- y uno y solo un R24 sea -O'-Su de modo que -O'-Su esté enlazado a otro de V, Z1, Z2, Z3 cuando ese grupo variable es =C(R24)-, y los sustituyentes -O'-Su y -C(R8)(R9)-D+ son orto o para entre sí;R8 y R9 son independientemente hidrógeno, alquilo, alquenilo o alquinilo, opcionalmente sustituido, o arilo o heteroarilo, opcionalmente sustituido;R' es hidrógeno o es halógeno, -NO2 , -CN u otro grupo aceptor de electrones;D+ es una Unidad de Fármaco de tubulisina cuaternizada que tiene preferentemente la estructura de:en dondeel círculo representa un heteroarilo de 5 miembros que contiene nitrógeno y en donde los sustituyentes requeridos indicados para ese heteroarileno están en una relación 1,3 entre sí con sustitución opcional en las posiciones restantes;el subíndice m es 0 o 1 ;R2A es hidrógeno o alquilo opcionalmente sustituido o R2A junto con el átomo de oxígeno al que está unido define un sustituyente unido a O distinto de -OH;R3 es hidrógeno o alquilo opcionalmente sustituido;R4, R5 y R6 son alquilo opcionalmente sustituido;un R7 es un alquilo opcionalmente sustituido, un arilalquilo opcionalmente sustituido, un heteroarilalquilo opcionalmente sustituido y el otro R7 es hidrógeno o un alquilo opcionalmente sustituido; yen donde la línea ondulada indica el enlace covalente de D+ al resto de la estructura del compuesto Enlazador de Fármaco y en donde los alquilos opcionalmente sustituidos se seleccionan independientemente; yen donde la escisión del enlace O-glicosídico resulta en la liberación del compuesto de tubulisina (D) del compuesto Enlazador de Fármaco o un compuesto Conjugado Ligando-Fármaco que se prepara a partir del compuesto de Fármaco Enlazador en donde el compuesto Conjugado Ligando-Fármaco tiene la estructura de Fórmula 1A de la reivindicación 1 en la que el subíndice p se reemplaza por el subíndice p', en donde el subíndice p' es un número entero que varía de 1 a 24, en particular,Lb'- tiene una estructura que se selecciona del grupo que consiste en:en dondela línea ondulada representa el enlace covalente a A o Lp, en dependencia de la presencia o ausencia, respectivamente, de A;R es hidrógeno o alquilo C1-C6 opcionalmente sustituido;R" es hidrógeno o halógeno o R y R' son halógeno seleccionado independientemente;T es -Cl, -Br, -I, -O-mesilo u -O-tosilo u otro grupo saliente de sulfonato;U es -F, -CI, -Br, -I, -O-N-succinimida, -0-(4-nitrofenil), -O-pentafluorofenilo, -O-tetrafluorofenilo u O-C(=O)-OR57; yX2 es alquileno C1-10, carbociclo C3-C8 , -O-(alquilo C1-C6), -arileno-, alquileno C1-C10-arileno, arilenoalquileno C1-C10, -alquileno C1-C10-(carbociclo C3-C6)-, -(carbociclo C3-C8)-alquileno C1-C10-, heterociclo C3-C8 , -alquileno C1-C10-(heterociclo C3-C8)-, -heterociclo C3-C8)-alquileno C1-C10, -(CH2CH2O)u o -CH2CH2OV-CH2-, en donde el subíndice u es un número entero que varía de 1 a 10 y R57 es alquilo C1-C6 o arilo; y en particular,-O'-Su tiene la estructura de la Fórmula 3:en donde la línea ondulada representa el enlace covalente de O' con el resto de la estructura del compuesto Enlazador de Fármaco; y R45 es -CH2OH o -CO2H.9. El compuesto Enlazador de Fármaco de la reivindicación 8, en donde el compuesto tiene la estructura de la Fórmula IV:en dondeJ' es -N(R33)-, en donde R33 es hidrógeno o metilo;V y Z3 son independientemente =CH- o =N-;R' es hidrógeno o un grupo aceptor de electrones;R8 es hidrógeno;R9 es hidrógeno, alquilo C1-C6 opcionalmente sustituido o fenilo opcionalmente sustituido; yR45 es -CO2H.10. El compuesto Enlazador de Fármaco de la reivindicación 8, en donde el subíndice a es 1; y Lb'-A- de fórmula IA tiene la estructura de Fórmula V:en dondeel resto -[C(Rb1)(Rb1)]q-[HE]- es A o A1, en donde A1 es una subunidad de A;A2-4 son subunidades opcionales de A;R es hidrógeno, cloro o alquilo C1-C4;R" es hidrógeno o cloro;Ra1 es hidrógeno, alquilo opcionalmente sustituido o una Unidad Básica (BU), opcionalmente protegida; y Ra2 es hidrógeno o alquilo opcionalmente sustituido; oRaí y Ra2 junto con el átomo de carbono al que están unidos definen un heterocicloalquilo que contiene nitrógeno;HE es una unidad Potenciadora de Hidrólisis (HE) opcional;El subíndice q es un número entero que varía de 0 a 6 ;cada Rb1 es independientemente hidrógeno, alquilo C1-C6 opcionalmente sustituido, arilo opcionalmente sustituido o heteroarilo opcionalmente sustituido, o dos Rb1 junto con el(los) carbono(s) al(a los) que está(n) unidos definen un cicloalquilo C3-C6 o un Rb1 y HE junto con el carbono al que están unidos define un cicloalquilo de 5 o 6 miembros o un heterocicloalquilo de 5 o 6 miembros y el otro Rb1 es hidrógeno, alquilo C1-C6 opcionalmente sustituido, arilo opcionalmente sustituido o heteroarilo opcionalmente sustituido;BU, opcionalmente protegido, tiene la estructura de -[C(R1)(R1)]-[C(R2)(R2)]r-N(R22)(R23), o una sal de adición ácida de la misma,en donde el subíndice r es 0, 1, 2 o 3;cada R1 independientemente es hidrógeno o alquilo C1-C4 o dos R1 junto con el carbono al que están unidos comprenden un cicloalquilo C3-C6 , y cada R2 independientemente es hidrógeno, alquilo C1-C6 opcionalmente sustituido, arilo opcionalmente sustituido o heteroarilo opcionalmente sustituido, o dos R2, junto con el(los) carbono(s) al(a los) que está(n) unidos y cualquier carbono intermedio, definen un cicloalquilo C3-C6 , o un R1 y un R2, junto con el(los) carbono(s) al(a los) que está(n) unidos y cualquier carbono intermedio, definen un cicloalquilo de 5 o 6 miembros y los R1 y R2 restantes son como se definen; yR22 y R23 independientemente, hidrógeno, alquilo C1-C6 opcionalmente sustituido o un grupo protector lábil al ácido, o junto con el nitrógeno al que están unidos definen un heterocicloalquilo de 5 o 6 miembros, o uno de R22, R23 es hidrógeno y el otro es un grupo protector lábil al ácido; yen donde la línea ondulada indica el sitio de unión covalente al resto de la estructura del compuesto Enlazador de Fármaco,en particular, que tiene la estructura de la Fórmula VA:en donde el subíndice q es un número entero que varía de 0 a 4, o que tiene la estructura de la Fórmula VB:en donde uno de R22, R23 es hidrógeno o el otro es un grupo protector de carbamato lábil al ácido; y el subíndice q es un número entero que varía de 0 a 4,en particular, la Formula VA o la Formula VB tiene la estructura de:respectivamente.11. El compuesto Enlazador de Fármaco de la reivindicación 10, en donde el compuesto tiene la estructura de la Fórmula VI:(Fórmula VI)en dondeel asterisco (*) designa quiralidad o ausencia de la misma en el carbono indicado; A2-4 son subunidades opcionales de A seleccionadas independientemente, en donde -[C(Rb1)(Rb1)]q-[HE]- es A1 cuando están presentes una o más de tales subunidades;uno de R y R" es hidrógeno y el otro es hidrógeno o cloro;R' es hidrógeno o un grupo aceptor de electrones;Ra1 es hidrógeno o una unidad básica (BU) opcionalmente protegida, que tiene la estructura de -CH2-N(R22)(R23), o una sal de adición ácida de la misma, en donde R22 y R23 independientemente son hidrógeno, metilo o etilo o ambos, junto con el átomo de nitrógeno al que están unidos definen un heterocicloalquilo de 5 o 6 miembros, o uno de R22, R23 es hidrógeno y el otro es un grupo protector de carbamato lábil al ácido;Ra2 es hidrógeno;el subíndice q es un número entero que varía de 0 a 5 cuando HE está presente o de 1 a 5 cuando HE está ausente;cada Rb1 es independientemente hidrógeno o alquilo C1-C6 opcionalmente sustituido;HE está ausente o es -C(=O)-;R45 es -CO2H;J' es -NH-;V y Z3 son =CH-;R8 es hidrógeno; yR9 es hidrógeno o metilo,en particular, en dondeel carbono indicado con asterisco (*) está predominantemente en la misma configuración absoluta que el carbono alfa de un L-aminoácido cuando el carbono indicado es quiral.12. El compuesto Enlazador de Fármaco de cualquiera de la reivindicación 8, en donde A y Ao tienen independientemente la estructura de la Fórmula 7 o la Fórmula 8:(Fórmula 7) (Fórmula 8)en donde las líneas onduladas indican enlace covalente dentro del resto de la estructura de un compuesto Enlazador de Fármaco, en donde K y L son independientemente C, N, O o S, siempre que cuando K o L es O o S, R41 y R42 a K o R43 y R44 a L están ausentes, y cuando K o L son N, uno de R41, R42 a K o uno de R42, R43 a L están ausentes, y siempre que no se seleccionen dos L adyacentes independientemente como N, O o S;en donde los subíndices e y f son números enteros seleccionados independientemente que varían de 0 a 12, y el subíndice g es un número entero que varía de 1 a 12;en donde G es hidrógeno, alquilo C1-C6 opcionalmente sustituido, -OH, -ORPR, -CO2 H, CO2 RPR, en donde RPR es un grupo protector adecuado, -N(Rpr)(Rpr), en donde RPR son independientemente un grupo protector o RPR juntos forman un grupo protector adecuado, o -N(R45)(R46), en donde uno de R45, R46 es hidrógeno o RPR, en donde RPR es un grupo protector adecuado, y el otro es hidrógeno o alquilo C1-C6 opcionalmente sustituido;en donde R38 es hidrógeno o alquilo C1-C6 opcionalmente sustituido; R39-R44 son independientemente hidrógeno, alquilo C1-C6 opcionalmente sustituido, arilo opcionalmente sustituido o heteroarilo opcionalmente sustituido, o ambos R39, R40 junto con el carbono al que están unidos comprenden un cicloalquilo C3-C6 , o R41, R42 junto con K al que están unidos cuando K es C,o R43, R44 junto con L al que están unidos cuando L es un átomo carbono comprenden un cicloalquilo C3-C6, o R40 y R41, o R40 y R43, o R41 y R43 para junto con el átomo de carbono o heteroátomo al que están unidos y los átomos intermedios entre esos átomos de carbono y/o heteroátomos comprenden un cicloalquilo o heterocicloalquilo de 5 o 6 miembros, siempre que cuando K sea O o S, R41 y R42 están ausentes, cuando K sea N, uno de R41, R42 está ausente, cuando L sea O o S, R43 y R44 están ausentes, y cuando L sea N, uno de R43, R44 está ausente, oen donde Ao es un alfa-amino, beta-amino u otro residuo ácido que contiene amina.13. El compuesto Enlazador de Fármaco de la reivindicación 8, en donde la Unidad de Fármaco de tubulisina cuaternizada (-D+) tiene la estructura de:en dondeel subíndice m es 0 o 1;Z es un alquileno opcionalmente sustituido o un alquenileno opcionalmente sustituido; yR7A es arilo opcionalmente sustituido o heteroarilo opcionalmente sustituido, en particularla Unidad de Fármaco de tubulisina cuaternizada (-D+) tiene la estructura de:en donde R7A es fenilo opcionalmente sustituido y R8A es hidrógeno o metilo, en particularla Unidad de Fármaco de tubulisina cuaternizada (-D+) tiene la estructura de:en dondeR4 es metilo;el subíndice u es 0, 1 o 2;R3 es H, metilo, etilo, propilo, -CH2-OC(O)R3A, -CH2CH(R3B)C(O)R3A o -CH(R3B)C(O)NHR3A, en donde R3A es alquilo C1-C6 y R3B es H o alquilo C1-C6 , independientemente seleccionado de R3A;R2A junto con el átomo de oxígeno al que está unido es un sustituyente unido a O que se selecciona del grupo que consiste en -OCH2OCH2R2B, -OCH2R2B, -OC(O)R2B, -OCH2OC(O)R2B, -OC(O)N(R2B)(R2C), y -OCH2C(O)N(R2B)(R2C), en donde R2B y R2C se seleccionan independientemente de los grupos que consisten en H, alquilo C1-C6 y alquenilo C2-C6 ; ycada R7B, cuando está presente, es independientemente -OH u -OCH3 , en particular, (a), (b), (c), (d) o (e) a continuación:(a) R2A es -CH2CH3 , -CH2-CH=CH2 o -CH2C(CH3)=CH2, R2B es -CH3 , R3 is -CH3 y el subíndice u es 0, o el subíndice u es 1 y R7B es -OH,(b) la Unidad de Fármaco de tubulisina cuaternizada (-D+) tiene la estructura de:en donde R2A es -CH2CH3 o -CH2-CH=CH2(c) la Unidad de Fármaco de tubulisina cuaternizada (-D+) tiene la estructura de:en donde R2B es -CH3 , -CH2CH3 , -CH2CH2CH3 , -CH(CH3)2, -CH2CH(CH3)2 o -CH2C(CH3)3,(d) la Unidad de Fármaco de tubulisina cuaternizada (-D+) tiene la estructura de:en dondeR2B es hidrógeno, metilo u -OCH3 , o-OCH2R2B es -OCH2CH=CH2 u -OCH2C(CH3)=CH2,(e) la Unidad de Fármaco de tubulisina cuaternizada -D+ es la de tubulisina M, cuya estructura es:14. El compuesto Enlazador de Fármaco de una cualquiera de las reivindicaciones 8 a 13, en donde Lp es un ácido aminoalcanodioico, un ácido diaminoalcanoico, un ácido alcanodioico sustituido con azufre, un ácido aminoalcanoico sustituido con azufre, un diaminoalcanol, un aminoalcanodiol, un ácido alcanodioico sustituido con hidroxilo, un ácido aminoalcanoico sustituido con hidroxilo o un residuo de aminoalcanol sustituido con azufre, opcionalmente sustituido, en donde el sustituyente de azufre está en forma reducida u oxidada, o Lp es un residuo de aminoácido de lisina, arginina, asparagina, glutamina, ornitina, citrulina, cisteína, homocisteína, penicilamina, treonina, serina, ácido glutámico, ácido aspártico, tirosina, histidina o triptófano, en donde el aminoácido está en la configuración D o L, en particularLp es un residuo de ácido aminoalcanodioico, ácido diaminoalcanoico, ácido aminoalcanoico sustituido con azufre o ácido aminoalcanoico sustituido con hidroxilo,en donde el ácido aminoalcanodioico, ácido diaminoalcanoico, ácido aminoalcanoico sustituido con azufre o ácido aminoalcanoico sustituido con hidroxilo tiene la estructura de la Fórmula A o la Fórmula B:en dondeel subíndice v es un número entero que varía de 1 a 4;el subíndice v' es un número entero que varía de 0 a 4;XLP se selecciona del grupo que consiste en -O-, -NRLP- -S-, -S(=O)-, - S(=O)2-, -C(=O)-, -C(=O)N(RLP)-, -N(RLP)C(=O)N(RLP)- y - N(RLP)C(=NRLP)N(RLP)- en donde cada RLP se selecciona independientemente del grupo que consiste en hidrógeno y alquilo opcionalmente sustituido o dos de RLP junto con sus átomos intermedios definen un heterocicloalquilo opcionalmente sustituido y cualquier RLP restante es como se definió previamente;Ar es un arileno o heteroarileno, opcionalmente sustituido;cada RE y RF se selecciona independientemente del grupo que consiste en -H, alquilo opcionalmente sustituido, arilo opcionalmente sustituido y heteroarilo opcionalmente sustituido, o RE y RF junto con el mismo carbono al que están unidos, o RE y RF de carbonos adyacentes junto con estos carbonos, define un cicloalquilo opcionalmente sustituido con cualquier sustituyente RE y RF restante como se definió previamente; yen donde las líneas onduladas indican la unión covalente de la estructura de Fórmula A o Fórmula B dentro de la estructura del Enlazador de Fármaco, oen donde -Lp(PEG)- tiene la estructura de la Fórmula A1 o A2:(Fórmula A1) (Fórmula A2)en donde XLP se selecciona del grupo que consiste en -O-, -NH, -S- y -C(=O)-;RE y RF se seleccionan independientemente del grupo que consiste en -H y -alquilo C1-C4; yen donde la línea ondulada indica la unión covalente de la Fórmula A1 o la Fórmula A2 dentro de la estructura del compuesto Enlazador de Fármaco.15. El compuesto Enlazador de Fármaco de la reivindicación 8 , en donde el compuesto se representa por la estructura de:en dondeR2A es alquilo C1-C4 saturado, alquilo C2-C4 insaturado, -C(=O)R2B, en donde R2B es alquilo C1-C4 ;Ao está ausente o es un residuo ácido que contiene amina;el subíndice q es un número entero que varía de 1 a 4;el subíndice u es 0 o 1;el subíndice v es un número entero que varía de 1 a 4;R7B, cuando está presente, es -OH;XLP se selecciona del grupo que consiste en -O-, -NH, -S- y -C(=O)-;RE y RF se seleccionan independientemente del grupo que consiste en -H y alquilo C1-C4 ;uno de R22, R23 es hidrógeno y el otro es un grupo protector lábil al ácido o R22 y R23 son cada uno hidrógeno con el nitrógeno al que están unidos opcionalmente protonado como una sal de adición ácida, en particular, (a) o (b) a continuación:(a) R2A es alquilo C1-C4 saturado o alquilo C3-C4 insaturado, en donde el alquilo C1-C4 saturado es -CH3 , -CH2CH3 , o -CH2CH2CH3 y alquilo C3-C4 insaturado es --CH2CH=CH2 o -CH(CH3)CH=CH2, o R2A es -C(O)CH3,(b) -Xlp-PeG tiene la estructura de-j>-C(0)— (CH2CH20)n------ RPEG25en particular, en donde el subíndice n es 12 y RPEG2 es hidrógeno o -CH3 , en particularel compuesto tiene la estructura de:en dondeel subíndice u es 0 o 1;R7B, cuando está presente, es -OH; yR2A junto con el átomo de oxígeno al que está unido es -OC(O)CH3, -OCH2CH3 u -OCH2CH=CH2 , en particularel compuesto tiene la estructura de:o16. El compuesto Enlazador de Fármaco de la reivindicación 8, en donde PEG tiene la estructura seleccionada del grupo que consiste en:yen donde la línea ondulada indica el sitio de unión a XLP de la Unidad Conectora en Paralelo (Lp),RPEG1 es una Unidad de Unión a PEG opcional;RPEG2 es una Unidad de Bloqueo de PEG;R PEG3 es una Unidad de Acoplamiento de PEG;el subíndice n varía de 2 a 72;cada subíndice n' se selecciona independientemente de 1 a 72; y el subíndice e varía de 2 a 5.17. Un compuesto de tubulisina que tiene la estructura de:o18. Un método para preparar un compuesto Enlazador de Fármaco que comprende la etapa de cuaternizar un compuesto de tubulisina de la reivindicación 17 con un precursor de Unidad Enlazadora.19. Una composición de Conjugado Ligando-Fármaco (LDC), en donde la composición se representa por la estructura de Fórmula 1D:(Fórmula 1D)en dondeL es una Unidad de Ligando de anticuerpo, lo que define así un Conjugado Anticuerpo-Fármaco;Lb es una Unidad de Unión Covalente de Ligando;Lp es una Unidad Conectora en Paralelo;PEG es una Unidad de Polietilenglicol;el subíndice a es 0 o 1;el subíndice b es 0 o 1;A es una primera Unidad de Extensión opcional, de modo que el subíndice a es 0 cuando A está ausente o A está presente, de modo que el subíndice a es 1 y comprende opcionalmente dos, tres o cuatro subunidades seleccionadas independientemente (A1, A2 , A3 , A4);B es una Unidad de Ramificación o una segunda Unidad de Extensión opcional (Ao) de modo que el subíndice b es 0 cuando B está ausente o B está presente, de modo que el subíndice b es 1 y comprende opcionalmente dos, tres o cuatro subunidades independientemente de A;el subíndice n es 1, 2, 3 o 4, siempre que el subíndice b sea 1 y B sea una Unidad de Ramificación cuando el subíndice n sea 2, 3 o 4 y siempre que B sea Ao o esté ausente cuando el subíndice n sea 1; V, Z1, Z2 y Z3 son =N- o =C(R24)-, en donde R24 es hidrógeno o alquilo, alquenilo o alquinilo, opcionalmente sustituido, o halógeno, -NO2 , -CN u otro grupo aceptor de electrones, u -OCH3 u otro grupo donante de electrones, o -C(R8)(R9)-D+, en donde al menos uno de V, Z1 y Z3 es =C(R24)-, siempre que uno o solo uno de los R24 sea -C(R8)(R9)-D+ de modo que -C(R8)(R9)D+ esté unido a uno de V, Z1 y Z3 cuando ese grupo de variables es =C(R24)-;R' es hidrógeno u -OCH3 u otro grupo donante de electrones;el subíndice p es un número que varía de 1 a 24,D+ es una Unidad de Fármaco de tubulisina cuaternizada;J es un heteroátomo, opcionalmente sustituido cuando es nitrógeno, preferentemente J es -N(R33)-, en donde R33 es hidrógeno o metilo;W es un péptido que comprende una secuencia de aminoácidos unida covalentemente a J a través de un enlace amida en donde ese enlace amida es escindible por una proteasa,en donde dicha escisión por proteasa inicia la liberación de un compuesto de tubulisina (D) a partir de un compuesto Conjugado Ligando-Fármaco de la composición,en donde el compuesto Conjugado Ligando-Fármaco tiene la estructura de Fórmula 1D en donde el subíndice p se reemplaza por el subíndice p', en donde el subíndice p' es un número entero que varía de 1 a 24,20. La composición del Conjugado Ligando-Fármaco de la reivindicación 19, en donde la composición se representa por la estructura de:en donde W consiste en o comprende un dipéptido, en donde el dipéptido está en el extremo distal de W y el enlace indicado es un enlace amida específicamente escindible por una proteasa intracelular en comparación con las proteasas séricas que circulan libremente, oen donde el dipéptido tiene la estructura de;en donde R34 es bencilo, metilo, isopropilo, isobutilo, sec-butilo, -CH(OH)CH3 o tiene la estructura deyR35 es metilo, -(CH2)4-NH2, -(CH2)3NH(C=O)NH2, (CH2)3NH(C=NH)NH o -(CH2)2CO2 H, en donde la línea ondulada en el N-terminal del dipéptido indica unión covalente a Ao o Lp, en dependencia de la presencia o ausencia de Ao, respectivamente, y la línea ondulada en el dipéptido C-terminal indica unión covalente a J.21. La composición del Conjugado Ligando-Fármaco de la reivindicación 19 o 20, en donde la Unidad de Fármaco de tubulisina cuaternizada (-D+) tiene la estructura de:en donde las líneas curvas discontinuas indican ciclaciones opcionales;R2A es hidrógeno o alquilo opcionalmente sustituido, o R2A junto con el átomo de oxígeno al que está unido define un sustituyente unido a o distinto de -oH, o R2A está ausente cuando R6 está unido a ese átomo de oxígeno, como se indica por la línea curva discontinua entre R6 y el átomo de oxígeno, para definir un heterocicloalquilo que contiene oxígeno;el Ar en un círculo representa un heteroarileno de 5 miembros que contiene nitrógeno, en donde los sustituyentes requeridos indicados para ese heteroarileno están en una relación 1,3 entre sí con sustitución opcional en las posiciones restantes;R3 es hidrógeno o alquilo opcionalmente sustituido;R4, R5 y R6 son alquilos opcionalmente sustituidos, seleccionados independientemente, o R6 está unido al átomo de oxígeno del resto -oR2A en el que R2A está ausente y R4 y R5 son como se definió anteriormente;R4a es hidrógeno o alquilo opcionalmente sustituido y R4B es alquilo opcionalmente sustituido, o ambos, junto con el nitrógeno al que están unidos, como se indica mediante la línea de puntos curva entre R4A y R4B, definen un heterocicloalquilo nitrogenado cuaternizado, opcionalmente sustituido;un R7 es hidrógeno o alquilo opcionalmente sustituido y el otro R7 es aralquilo o heteroaralquilo opcionalmente sustituido;en donde la línea ondulada indica el enlace covalente de la estructura D+ al resto de la estructura Conjugada,en particularla Unidad de Fármaco de tubulisina cuaternizada (-D+) tiene la estructura de:en dondeel subíndice m es 0 o 1,Z es un alquileno opcionalmente sustituido o un alquenileno opcionalmente sustituido; yR7A es arilo opcionalmente sustituido o heteroarilo opcionalmente sustituido, en particular,la Unidad de Fármaco de tubulisina cuaternizada -D+ tiene la estructura de:en donde R4 es metilo;el subíndice u es 0, 1 o 2;R3 es H, metilo, etilo, propilo, -CH2-OC(O)R3A, -CH2CH(R3B)C(O)R3A o -CH(R3B)C(O)NHR3A, en donde R3A es alquilo C1-C6 y R3B es H o alquilo C1-C6 , independientemente seleccionado de R3A;R2A junto con el átomo de oxígeno al que está unido es un sustituyente unido a O que se selecciona del grupo que consiste en -OCH2OCH2R2B, -OCH2R2B, -OC(O)R2B, -OCH2OC(O)R2B, -OC(O)N(R2B)(R2C) y -OCH2C(O)N(R2B)(R2C) en donde R2B y R2C se seleccionan independientemente de los grupo que consiste en H, alquilo C1-C6 y alquenilo C2-C6 ; ycada R7B, cuando está presente, es independientemente -OH u -OCH3 , en particular,la Unidad de Fármaco de tubulisina cuaternizada tiene la estructura de:en donde R2B es -CH3 , -CH2CH3 , -CH2CH2CH3 , -CH(CH3)2, -CH2CH(CH3)2, -CH2C(CH3)3 ola Unidad de Fármaco de tubulisina cuaternizada tiene la estructura de:en donde R2B es hidrógeno, metilo u -OCH3 , u -OChhR26 es OCH2CH=CH2 u -OCH2C(CH3)=CH2.22. La composición del Conjugado Ligando-Fármaco de la reivindicación 19, en donde un compuesto de la composición se representa por la estructura de:23. Un compuesto Enlazador de Fármaco, en donde el compuesto se representa por la estructura de:en dondeLB' es un precursor de la Unidad de Unión Covalente de Ligando;Lp es una Unidad Conectora en Paralelo;PEG es una Unidad de Polietilenglicol;los subíndices a y b independientemente son 0 o 1;el subíndice n es 1, 2, 3 o 4;A es una primera Unidad de Extensión opcional de modo que el subíndice a es 0 cuando A está ausente o 1 cuando A está presente y opcionalmente comprende dos, tres o cuatro subunidades seleccionadas independientemente (A1, A2 , A3 , A4);B es una Unidad de Ramificación o una segunda Unidad de Extensión opcional (Ao) de modo que el subíndice b es 0 cuando B está ausente o 1 cuando B está presente y comprende opcionalmente dos, tres o cuatro subunidades independientemente de A,en donde el subíndice b es 1 y B es una ramificación cuando el subíndice n es 2, 3 o 4 o b es 0 o 1, de manera que B es Ao cuando el subíndice n es 1;V, Z1, Z2 y Z3 son =N- o =C(R24)-, en donde R24 es hidrógeno o alquilo, alquenilo o alquinilo, opcionalmente sustituido o halógeno, -NO2 , -CN u otro grupo aceptor de electrones, u -OCH3 u otro grupo donante de electrones, o -C(R8)(R9)-D+, en donde al menos uno de V, Z1 y Z3 es =C(R24)-, siempre que uno o solo uno de los R24 sea -C(R8)(R9)-D+ de modo que -C(R8)(R9)-D+ esté unido a uno de V, Z1 y Z3 cuando ese grupo de variables es =C(R24)-; R' es hidrógeno u OCH3 u otro grupo donante de electrones; D+ es una Unidad de Fármaco de tubulisina cuaternizada;J es un heteroátomo, opcionalmente sustituido cuando es nitrógeno, preferentemente J es -N(R33)-, en donde R33 es hidrógeno o metilo;W es un péptido que comprende una secuencia de aminoácidos unida covalentemente a J a través de un enlace amida, en donde ese enlace amida es escindible por una proteasa, en donde dicha escisión por proteasa inicia la liberación de un compuesto de tubulisina (D) del compuesto Enlazador de Fármaco o un compuesto Conjugado Ligando-Fármaco preparado a partir del compuesto Enlazador de Fármaco, en donde el compuesto Conjugado Ligando-Fármaco tiene la estructura de fórmula 1 D de la reivindicación 1 9 , en la que el subíndice p se reemplaza por el subíndice p', en donde el subíndice p' es un número entero que varía de 1 y 24.24. El compuesto Enlazador de Fármaco de la reivindicación 23, en donde el compuesto Enlazador de Fármaco se representa por la estructura de:en donde W consiste en o comprende un dipéptido, en donde el dipéptido está en el extremo distal de W y el enlace indicado es un enlace amida específicamente escindible por una proteasa intracelular en comparación con las proteasas séricas que circulan libremente, yen donde el dipéptido tiene la estructura de;en donde R34 es bencilo, metilo, isopropilo, isobutilo, sec-butilo, -CH(OH)CH3 o tiene la estructura deyR35 es metilo-(CH2)4-NH2 , -(CH2)3NH(C=O)NH2 , (CH2)3 NH(C=NH)NH o -(CH2)2CO2 H, en donde la línea ondulada en el extremo N-terminal del dipéptido indica unión covalente a Ao o a Lp, en dependencia de la presencia o ausencia de Ao, respectivamente, y la línea ondulada en el extremo C del dipéptido indica unión covalente al átomo de nitrógeno de dicho enlace amida.25. El compuesto Enlazador de Fármaco de la reivindicación 23 o 24, en donde D+ es una Unidad de Fármaco de tubulisina cuaternizada que tiene preferentemente la estructura de:en donde las líneas discontinuas curvas indican ciclaciones opcionales; R2A es hidrógeno o alquilo opcionalmente sustituido, o R2A junto con el átomo de oxígeno al que está unido define un sustituyente unido a O distinto de -OH, o R2A está ausente cuando R6 está unido a ese átomo de oxígeno, como se indica por la línea discontinua curva entre R6 y el átomo de oxígeno, para definir un heterocicloalquilo que contiene oxígeno;el Ar en un círculo representa un heteroarileno de 5 miembros que contiene nitrógeno, en donde los sustituyentes requeridos indicados para ese heteroarileno están en una relación 1,3 entre sí con sustitución opcional en las posiciones restantes;R3 es hidrógeno o alquilo opcionalmente sustituido;R4, R5 y R6 son alquilo opcionalmente sustituido, seleccionados independientemente, o R6 está unido al átomo de oxígeno del resto -OR2A en el que R2A está ausente y R4 y R5 son como se definió previamente; R4a es hidrógeno o alquilo opcionalmente sustituido y R4B es alquilo opcionalmente sustituido, o ambos junto con el nitrógeno al que están unidos, como se indica mediante la línea de puntos curva entre R4A y R4B, definen un heterocicloalquilo nitrogenado cuaternizado, opcionalmente sustituido;un R7 es hidrógeno o alquilo opcionalmente sustituido y el otro R7 es aralquilo o heteroaralquilo opcionalmente sustituido;en donde la línea ondulada indica enlace covalente de la estructura D+ al resto de la estructura LDC, en particularla Unidad de Fármaco de tubulisina cuaternizada (-D+) tiene la estructura de:el subíndice m es 0 o 1,Z es un alquileno opcionalmente sustituido o un alquenileno opcionalmente sustituido; yR7A es arilo opcionalmente sustituido o heteroarilo opcionalmente sustituido, en particular la Unidad de Fármaco de tubulisina cuaternizada (-D+) tiene la estructura de:en donde R7A es fenilo opcionalmente sustituido y R8A es hidrógeno o metilo, en particular la Unidad de Fármaco de tubulisina cuaternizada (-D+) tiene la estructura de:en donde R4 es metilo;el subíndice u es 0, 1 o 2;R3 es H, metilo, etilo, propilo, -CH2-OC(O)R3A, -CH2CH(R3B)C(O)R3A o -CH(R3B)C(O)NHR3A, en donde R3A es alquilo C1-C6 y R3B es H o alquilo C1-C6 , independientemente seleccionado de R3A;R2A junto con el átomo de oxígeno al que está unido es un sustituyente unido a O que se selecciona del grupo que consiste en -OCH2OCH2R2B, -OCH2R2B, -OC(O)R2B, -OCH2OC(O)R2B, -OC(O)N(R2B)(R2C) y -OCH2C(O)N(R2B)(R2C), en donde R2B y R2C se seleccionan independientemente del grupo que consiste en H, alquilo C1-C6 y alquenilo C2-C6 ; ycada R7B, cuando está presente, es independientemente -OH u -OCH3 ,En particular, la Unidad de Fármaco de tubulisina cuaternizada (-D+) tiene la estructura de:en donde R2B es -CH3 , -CH2CH3 , -CH2CH2CH3 , -CH(CH3)2, -CH2CH(CH3)2, -CH2C(CH3)3 ola Unidad de Fármaco de tubulisina cuaternizada (-D+) tiene la estructura de:en donde R2B es hidrógeno, metilo u -OCH3 , o--OCH2 R2B es -OCH2CH=CH2 u -OCH2C(CH3)=CH2.26. El compuesto Enlazador de Fármaco de la reivindicación 23, en donde el compuesto tiene la estructura de:en donde uno de R22, R23 es hidrógeno y el otro es un grupo protector lábil al ácido o R22 y R23 son cada uno hidrógeno con el nitrógeno al que están unidos opcionalmente protonado como una sal de adición ácida.27. Una formulación que comprende un Conjugado Ligando-Fármaco de la reivindicación 1 y uno o más excipientes, en particularla formulación es una formulación farmacéuticamente aceptable o un precursor de la misma, y el Conjugado Ligando-Fármaco está presente en la formulación farmacéuticamente aceptable o en el precursor de la misma en una cantidad eficaz para el tratamiento de una afección hiperproliferativa, en particularel precursor de la formulación farmacéuticamente aceptable es un sólido adecuado para su reconstitución como una solución para inyección intravenosa a un sujeto, ola formulación farmacéuticamente aceptable es un líquido adecuado para inyección intravenosa a un sujeto.28. Una composición de Conjugado Ligando-Fármaco de la reivindicación 1 o la reivindicación 19, o un compuesto de la misma, para el tratamiento de una enfermedad o afección hiperproliferativa, en particular, la enfermedad o afección hiperproliferativa es un cáncer, en particular,la enfermedad o afección hiperproliferativa es una leucemia o un linfoma.29. Un método para inhibir la multiplicación de una célula tumoral o una célula cancerosa, o para provocar la apoptosis en una célula tumoral o cancerosa, mediante la exposición de dicha célula in vitro con una cantidad eficaz de la composición del Conjugado Ligando-Fármaco, o un compuesto de la misma, de la reivindicación 1 o la reivindicación 19, o un compuesto de tubulisina de la reivindicación 17.
Applications Claiming Priority (5)
| Application Number | Priority Date | Filing Date | Title |
|---|---|---|---|
| US201562263578P | 2015-12-04 | 2015-12-04 | |
| US201562263587P | 2015-12-04 | 2015-12-04 | |
| US201662309448P | 2016-03-16 | 2016-03-16 | |
| US201662309462P | 2016-03-17 | 2016-03-17 | |
| PCT/US2016/064834 WO2017096311A1 (en) | 2015-12-04 | 2016-12-02 | Conjugates of quaternized tubulysin compounds |
Publications (1)
| Publication Number | Publication Date |
|---|---|
| ES2919323T3 true ES2919323T3 (es) | 2022-07-26 |
Family
ID=58798046
Family Applications (1)
| Application Number | Title | Priority Date | Filing Date |
|---|---|---|---|
| ES16871672T Active ES2919323T3 (es) | 2015-12-04 | 2016-12-02 | Conjugados de compuestos de tubulisina cuaternizados |
Country Status (13)
| Country | Link |
|---|---|
| US (1) | US11229708B2 (es) |
| EP (2) | EP4074328A1 (es) |
| JP (3) | JP2019501131A (es) |
| KR (1) | KR20180090290A (es) |
| CN (1) | CN108367043A (es) |
| AU (1) | AU2016363013B2 (es) |
| CA (1) | CA3006000A1 (es) |
| ES (1) | ES2919323T3 (es) |
| IL (2) | IL259478B (es) |
| MX (2) | MX2018006218A (es) |
| SG (2) | SG11201804268RA (es) |
| TW (2) | TWI852735B (es) |
| WO (1) | WO2017096311A1 (es) |
Families Citing this family (16)
| Publication number | Priority date | Publication date | Assignee | Title |
|---|---|---|---|---|
| US11793880B2 (en) | 2015-12-04 | 2023-10-24 | Seagen Inc. | Conjugates of quaternized tubulysin compounds |
| ES2919323T3 (es) | 2015-12-04 | 2022-07-26 | Seagen Inc | Conjugados de compuestos de tubulisina cuaternizados |
| KR102641565B1 (ko) * | 2017-12-31 | 2024-02-27 | 항저우 디에이씨 바이오테크 씨오, 엘티디 | 분지형 링커를 갖는 튜불리신 유사체의 접합체 |
| MX2020009842A (es) | 2018-03-23 | 2020-10-15 | Seattle Genetics Inc | Uso de conjugados de anticuerpo-farmaco que comprenden agentes interruptores de tubulina para tratar tumor solido. |
| TWI825169B (zh) * | 2018-09-07 | 2023-12-11 | 美商思進公司 | 妥布賴森(tubulysins)及其中間體之製備之替代方法 |
| SG11202113022UA (en) * | 2019-06-24 | 2021-12-30 | Hangzhou Dac Biotech Co Ltd | A formulation of a conjugate of a tubulysin analog to a cell-binding molecule |
| CA3200974A1 (en) | 2020-11-08 | 2022-05-12 | Seagen Inc. | Combination therapy |
| AU2022238571A1 (en) | 2021-03-18 | 2023-09-14 | Seagen Inc. | Selective drug release from internalized conjugates of biologically active compounds |
| AU2022253902A1 (en) | 2021-04-10 | 2023-11-02 | Genmab A/S | Folr1 binding agents, conjugates thereof and methods of using the same |
| JP7742892B2 (ja) | 2021-04-23 | 2025-09-22 | ジェンマブ エー/エス | 抗cd70抗体、そのコンジュゲートおよびこれを使用する方法 |
| TW202320857A (zh) | 2021-07-06 | 2023-06-01 | 美商普方生物製藥美國公司 | 連接子、藥物連接子及其結合物及其使用方法 |
| EP4433096A1 (en) | 2021-11-19 | 2024-09-25 | Ardeagen Corporation | Gpc3 binding agents, conjugates thereof and methods of using the same |
| WO2024231224A2 (en) * | 2023-05-05 | 2024-11-14 | BioNTech SE | Antibody-drug conjugates employing novel linker-payload systems for enhanced targeting of cancer-associated antigens |
| AR133955A1 (es) | 2023-09-26 | 2025-11-19 | Profoundbio Us Co | Agentes de unión a ptk7, conjugados de éstos y métodos de uso de los mismos |
| WO2025149661A1 (en) | 2024-01-10 | 2025-07-17 | Genmab A/S | Slitrk6 binding agents, conjugates thereof and methods of using the same |
| US20250381289A1 (en) | 2024-02-29 | 2025-12-18 | Genmab A/S | Egfr and c-met bispecific binding agents, conjugates thereof and methods of using the same |
Family Cites Families (200)
| Publication number | Priority date | Publication date | Assignee | Title |
|---|---|---|---|---|
| GB2036891B (en) | 1978-12-05 | 1983-05-05 | Windsor Smith C | Change speed gear |
| GB8308235D0 (en) | 1983-03-25 | 1983-05-05 | Celltech Ltd | Polypeptides |
| US4816567A (en) | 1983-04-08 | 1989-03-28 | Genentech, Inc. | Recombinant immunoglobin preparations |
| JPS6147500A (ja) | 1984-08-15 | 1986-03-07 | Res Dev Corp Of Japan | キメラモノクロ−ナル抗体及びその製造法 |
| EP0173494A3 (en) | 1984-08-27 | 1987-11-25 | The Board Of Trustees Of The Leland Stanford Junior University | Chimeric receptors by dna splicing and expression |
| GB8422238D0 (en) | 1984-09-03 | 1984-10-10 | Neuberger M S | Chimeric proteins |
| JPS61134325A (ja) | 1984-12-04 | 1986-06-21 | Teijin Ltd | ハイブリツド抗体遺伝子の発現方法 |
| WO1987002671A1 (en) | 1985-11-01 | 1987-05-07 | International Genetic Engineering, Inc. | Modular assembly of antibody genes, antibodies prepared thereby and use |
| US5225539A (en) | 1986-03-27 | 1993-07-06 | Medical Research Council | Recombinant altered antibodies and methods of making altered antibodies |
| US5851527A (en) | 1988-04-18 | 1998-12-22 | Immunomedics, Inc. | Method for antibody targeting of therapeutic agents |
| CA2006596C (en) | 1988-12-22 | 2000-09-05 | Rika Ishikawa | Chemically-modified g-csf |
| US5530101A (en) | 1988-12-28 | 1996-06-25 | Protein Design Labs, Inc. | Humanized immunoglobulins |
| US5166322A (en) | 1989-04-21 | 1992-11-24 | Genetics Institute | Cysteine added variants of interleukin-3 and chemical modifications thereof |
| US6569834B1 (en) | 1992-12-03 | 2003-05-27 | George R. Pettit | Elucidation and synthesis of antineoplastic tetrapeptide w-aminoalkyl-amides |
| US6214345B1 (en) | 1993-05-14 | 2001-04-10 | Bristol-Myers Squibb Co. | Lysosomal enzyme-cleavable antitumor drug conjugates |
| EP0731106B1 (en) | 1993-10-01 | 2004-11-17 | Teikoku Hormone Mfg. Co., Ltd. | Dolastatin derivatives |
| US5605976A (en) | 1995-05-15 | 1997-02-25 | Enzon, Inc. | Method of preparing polyalkylene oxide carboxylic acids |
| US5919455A (en) | 1993-10-27 | 1999-07-06 | Enzon, Inc. | Non-antigenic branched polymer conjugates |
| US5492841A (en) | 1994-02-18 | 1996-02-20 | E. I. Du Pont De Nemours And Company | Quaternary ammonium immunogenic conjugates and immunoassay reagents |
| JP2763020B2 (ja) | 1995-04-27 | 1998-06-11 | 日本電気株式会社 | 半導体パッケージ及び半導体装置 |
| US5756593A (en) | 1995-05-15 | 1998-05-26 | Enzon, Inc. | Method of preparing polyalkyene oxide carboxylic acids |
| US5672662A (en) | 1995-07-07 | 1997-09-30 | Shearwater Polymers, Inc. | Poly(ethylene glycol) and related polymers monosubstituted with propionic or butanoic acids and functional derivatives thereof for biotechnical applications |
| ATE316799T1 (de) | 1996-03-12 | 2006-02-15 | Sanofi Aventis Deutschland | Neuartige prodrugs für die therapie von tumoren und entzündlichen erkrankungen |
| CA2249195A1 (en) | 1996-03-18 | 1997-09-25 | Board Of Regents, The University Of Texas System | Immunoglobin-like domains with increased half lives |
| US7011812B1 (en) | 1996-05-03 | 2006-03-14 | Immunomedics, Inc. | Targeted combination immunotherapy of cancer and infectious diseases |
| ATE365562T1 (de) | 1996-05-03 | 2007-07-15 | Immunomedics Inc | Zielgerichtete kombinations-immuntherapie für krebs |
| ATE341344T1 (de) | 1996-08-02 | 2006-10-15 | Ortho Mcneil Pharm Inc | Polypeptide mit einzelnem kovalent gebundenen n- terminalen wasserlöslichen polymer |
| DE19638870B4 (de) | 1996-09-23 | 2009-05-14 | Helmholtz-Zentrum für Infektionsforschung GmbH | Tubulysine, Verfahren zu ihrer Gewinnung und sie enthaltende Mittel |
| US6331289B1 (en) | 1996-10-28 | 2001-12-18 | Nycomed Imaging As | Targeted diagnostic/therapeutic agents having more than one different vectors |
| US6261537B1 (en) | 1996-10-28 | 2001-07-17 | Nycomed Imaging As | Diagnostic/therapeutic agents having microbubbles coupled to one or more vectors |
| JP2002505574A (ja) | 1997-04-30 | 2002-02-19 | エンゾン,インコーポレイテッド | ポリアルキレンオキシド修飾された単鎖ポリペプチド |
| US20040009166A1 (en) | 1997-04-30 | 2004-01-15 | Filpula David R. | Single chain antigen-binding polypeptides for polymer conjugation |
| GB2332539B (en) | 1997-12-17 | 2003-04-23 | Fujitsu Ltd | Memory access methods and devices for use with random access memories |
| US6624142B2 (en) | 1997-12-30 | 2003-09-23 | Enzon, Inc. | Trimethyl lock based tetrapartate prodrugs |
| US5965119A (en) | 1997-12-30 | 1999-10-12 | Enzon, Inc. | Trialkyl-lock-facilitated polymeric prodrugs of amino-containing bioactive agents |
| US7060479B2 (en) | 1999-12-08 | 2006-06-13 | Serono Genetics Institute, S.A. | Full-length human cDNAs encoding potentially secreted proteins |
| US6153655A (en) | 1998-04-17 | 2000-11-28 | Enzon, Inc. | Terminally-branched polymeric linkers and polymeric conjugates containing the same |
| US6214330B1 (en) | 1998-07-13 | 2001-04-10 | Enzon, Inc. | Coumarin and related aromatic-based polymeric prodrugs |
| US6361774B1 (en) | 1999-09-17 | 2002-03-26 | Immunomedics, Inc. | Methods and compositions for increasing the target-specific toxicity of a chemotherapy drug |
| US7238368B2 (en) | 1999-04-23 | 2007-07-03 | Alza Corporation | Releasable linkage and compositions containing same |
| WO2001062827A2 (en) | 2000-02-22 | 2001-08-30 | Shearwater Corporation | N-maleimidyl polymer derivatives |
| US6777387B2 (en) | 2000-03-31 | 2004-08-17 | Enzon Pharmaceuticals, Inc. | Terminally-branched polymeric linkers containing extension moieties and polymeric conjugates containing the same |
| AU2001272017A1 (en) | 2000-06-20 | 2002-01-02 | Immunomedics Inc. | Targeted combination immunotherapy of cancer and infectious diseases |
| US20020146415A1 (en) | 2001-04-06 | 2002-10-10 | Olson William C. | Methods for inhibiting HIV-1 infection |
| US20030083263A1 (en) | 2001-04-30 | 2003-05-01 | Svetlana Doronina | Pentapeptide compounds and uses related thereto |
| US6884869B2 (en) | 2001-04-30 | 2005-04-26 | Seattle Genetics, Inc. | Pentapeptide compounds and uses related thereto |
| JP4179771B2 (ja) | 2001-06-25 | 2008-11-12 | 株式会社デンソー | 自動車の乗員保護装置 |
| US7091186B2 (en) | 2001-09-24 | 2006-08-15 | Seattle Genetics, Inc. | p-Amidobenzylethers in drug delivery agents |
| WO2003026577A2 (en) | 2001-09-24 | 2003-04-03 | Seattle Genetics, Inc. | P-amidobenzylethers in drug delivery agents |
| MXPA04004336A (es) | 2001-11-07 | 2005-05-16 | Nektar Therapeutics Al Corp | Polimeros ramificados y sus conjugados. |
| WO2003070823A2 (en) | 2002-02-20 | 2003-08-28 | The General Hospital Corporation | Conjugates comprising a biodegradable polymer and uses therefor |
| US7591994B2 (en) | 2002-12-13 | 2009-09-22 | Immunomedics, Inc. | Camptothecin-binding moiety conjugates |
| GB0218518D0 (en) | 2002-03-22 | 2002-09-18 | Aventis Pharma Inc | Human deubiquitinating protease gene on chromosome 7 and its murine ortholog |
| US20090068178A1 (en) | 2002-05-08 | 2009-03-12 | Genentech, Inc. | Compositions and Methods for the Treatment of Tumor of Hematopoietic Origin |
| EP1521769B1 (de) | 2002-07-09 | 2015-09-09 | Dömling, Alexander | Tubulysinkonjugate |
| DE10230872A1 (de) | 2002-07-09 | 2004-01-22 | Morphochem AG Aktiengesellschaft für kombinatorische Chemie | Verfahren zur Herstellung von substituierten Thiazol-2-ylmethylestern |
| US7816377B2 (en) | 2002-07-09 | 2010-10-19 | R&D-Biopharmaceuticals Gmbh | Tubulysin analogues |
| EP2353611B1 (en) | 2002-07-31 | 2015-05-13 | Seattle Genetics, Inc. | Drug conjugates and their use for treating cancer, an autoimmune disease or an infectious disease |
| AU2003287605A1 (en) | 2002-11-12 | 2004-06-03 | Enzon Pharmaceuticals, Inc. | Polymeric prodrugs of vancomycin |
| WO2004044223A2 (en) | 2002-11-12 | 2004-05-27 | Enzon Pharmaceuticals, Inc. | Prodrugs of vancomycin with hydrolysis resistant polymer linkers |
| DE10254439A1 (de) | 2002-11-21 | 2004-06-03 | GESELLSCHAFT FüR BIOTECHNOLOGISCHE FORSCHUNG MBH (GBF) | Tubulysine, Herstellungsverfahren und Tubulysin-Mittel |
| US7888536B2 (en) | 2004-02-13 | 2011-02-15 | Quanta Biodesign, Ltd. | Selective and specific preparation of discrete PEG compounds |
| US7332164B2 (en) | 2003-03-21 | 2008-02-19 | Enzon Pharmaceuticals, Inc. | Heterobifunctional polymeric bioconjugates |
| JP5209204B2 (ja) | 2003-04-13 | 2013-06-12 | エンゾン ファーマスーティカルズ インコーポレイテッド | ポリマーオリゴヌクレオチドプロドラッグ |
| US8088387B2 (en) | 2003-10-10 | 2012-01-03 | Immunogen Inc. | Method of targeting specific cell populations using cell-binding agent maytansinoid conjugates linked via a non-cleavable linker, said conjugates, and methods of making said conjugates |
| EP2281577B1 (en) | 2003-05-14 | 2016-11-16 | ImmunoGen, Inc. | Drug conjugate composition |
| PT2489364E (pt) | 2003-11-06 | 2015-04-16 | Seattle Genetics Inc | Compostos de monometilvalina conjugados com anticorpos |
| DE102004003227B4 (de) | 2003-11-19 | 2007-10-25 | Handte Umwelttechnik Gmbh | Verfahren zum Temperieren des Arbeitsraums einer Bearbeitungsmaschine und Werkzeugmaschine |
| CA2556752C (en) | 2004-02-23 | 2016-02-02 | Genentech, Inc. | Heterocyclic self-immolative linkers and conjugates |
| US7691962B2 (en) * | 2004-05-19 | 2010-04-06 | Medarex, Inc. | Chemical linkers and conjugates thereof |
| US7947839B2 (en) | 2004-12-01 | 2011-05-24 | Genentech, Inc. | Heterocyclic-substituted bis-1,8 naphthalimide compounds, antibody drug conjugates, and methods of use |
| US20070134243A1 (en) | 2004-12-01 | 2007-06-14 | Gazzard Lewis J | Antibody drug conjugates and methods |
| NZ556317A (en) | 2005-01-31 | 2011-01-28 | Genentech Inc | Anti-EphB2 antibodies and methods using same |
| JP4877225B2 (ja) | 2005-02-18 | 2012-02-15 | 日油株式会社 | ポリオキシアルキレン誘導体 |
| EP3498289A1 (en) | 2005-07-07 | 2019-06-19 | Seattle Genetics, Inc. | Monomethylvaline compounds having phenylalanine side-chain modifications at the c-terminus |
| WO2007008848A2 (en) | 2005-07-07 | 2007-01-18 | Seattle Genetics, Inc. | Monomethylvaline compounds having phenylalanine carboxy modifications at the c-terminus |
| WO2007011968A2 (en) | 2005-07-18 | 2007-01-25 | Seattle Genetics, Inc. | Beta-glucuronide-linker drug conjugates |
| EA016577B1 (ru) | 2005-09-26 | 2012-06-29 | Медарекс, Инк. | Конъюгаты антитело-лекарство и их применение |
| US20110014151A1 (en) | 2006-01-11 | 2011-01-20 | Biotech Igg Ab | Macromolecule conjugate |
| US7750116B1 (en) | 2006-02-18 | 2010-07-06 | Seattle Genetics, Inc. | Antibody drug conjugate metabolites |
| RS54163B1 (sr) | 2006-05-30 | 2015-12-31 | Genentech Inc. | Anti-cd22 antitela, njihovi imunokonjugati i njihova upotreba |
| US8257706B2 (en) | 2006-08-25 | 2012-09-04 | Seattle Genetics, Inc. | CD30 binding agents and uses thereof |
| BRPI0716823A2 (pt) | 2006-09-15 | 2015-05-26 | Enzon Pharmaceuticals Inc | Conjunto poliméricos contendo porções positivamente carregadas |
| US8367065B2 (en) | 2006-09-15 | 2013-02-05 | Enzon Pharmaceuticals, Inc. | Targeted polymeric prodrugs containing multifunctional linkers |
| CA2662981A1 (en) | 2006-09-15 | 2008-03-20 | Enzon Pharmaceuticals, Inc. | Targeted polymeric prodrugs containing multifunctional linkers |
| AU2007296190A1 (en) | 2006-09-15 | 2008-03-20 | Enzon Pharmaceuticals, Inc. | Lysine-based polymeric linkers |
| NZ576751A (en) | 2006-11-10 | 2011-10-28 | Covx Technologies Ireland Ltd | Anti-angiogenic compounds |
| PT2099823E (pt) | 2006-12-01 | 2014-12-22 | Seattle Genetics Inc | Agentes de ligação ao alvo variantes e suas utilizações |
| TWI412367B (zh) | 2006-12-28 | 2013-10-21 | Medarex Llc | 化學鏈接劑與可裂解基質以及其之綴合物 |
| US20080176958A1 (en) * | 2007-01-24 | 2008-07-24 | Insert Therapeutics, Inc. | Cyclodextrin-based polymers for therapeutics delivery |
| US20120142718A1 (en) | 2007-02-16 | 2012-06-07 | Jenkins Thomas E | N-17-Alkylated Prodrugs of Opioids |
| EP2564862B1 (en) | 2007-02-23 | 2017-08-02 | Aileron Therapeutics, Inc. | Substituted amino acids for preparing triazole linked macrocyclic peptides |
| US20100047841A1 (en) | 2007-02-27 | 2010-02-25 | University Of Pittsburgh-Of The Commonwealth System Of Higher Education | Synthesis of desacetoxytubulysin h and analogs thereof |
| CN104127878A (zh) * | 2007-03-14 | 2014-11-05 | 恩多塞特公司 | 结合配体连接的微管溶素递药缀合物 |
| US7884869B2 (en) | 2007-04-30 | 2011-02-08 | Motorola Mobility, Inc. | Assignment of pixel element exposure times in digital camera modules and mobile communication devices |
| EP2148886B1 (en) | 2007-05-10 | 2014-02-19 | R & D Biopharmaceuticals Gmbh | Tubulysine derivatives |
| CA2690943A1 (en) | 2007-06-25 | 2008-12-31 | Endocyte, Inc. | Conjugates containing hydrophilic spacer linkers |
| US20110263650A1 (en) * | 2007-07-20 | 2011-10-27 | Helmholtz-Zentrum Für Infektions-Forschung Gmbh | Tubulysin D Analogues |
| WO2009134279A1 (en) | 2007-07-20 | 2009-11-05 | The Regents Of The University Of California | Tubulysin d analogues |
| EP3838298B1 (en) | 2007-08-17 | 2025-02-26 | Purdue Research Foundation | Psma binding ligand-linker conjugates and methods for using |
| AU2007357885A1 (en) | 2007-08-20 | 2009-02-26 | Enzon Pharmaceuticals, Inc. | Polymeric linkers containing pyridyl disulfide moieties |
| PT2211904T (pt) | 2007-10-19 | 2016-11-02 | Seattle Genetics Inc | Agentes de ligação a cd19 e seus usos |
| JP2011500835A (ja) | 2007-10-25 | 2011-01-06 | エンドサイト,インコーポレイテッド | チューブリシン類および調製プロセス |
| PL2265283T3 (pl) | 2008-03-18 | 2015-03-31 | Seattle Genetics Inc | Koniugaty aurystatyny lek łącznik |
| CN104524590B (zh) | 2008-04-30 | 2019-06-21 | 伊缪诺金公司 | 交联剂和它们的用途 |
| EP2349274B1 (en) | 2008-09-17 | 2025-04-09 | Endocyte, Inc. | Folate receptor binding conjugates of antifolates |
| EP2174947A1 (en) | 2008-09-25 | 2010-04-14 | Universität des Saarlandes | Bioactive pre-tubulysins and use thereof |
| CN102215688A (zh) | 2008-10-21 | 2011-10-12 | 安龙制药公司 | 用7-乙基-10-羟基喜树碱的多臂聚合物对神经母细胞瘤的治疗 |
| JP5823874B2 (ja) | 2009-01-09 | 2015-11-25 | シアトル ジェネティクス,インコーポレーテッド | 抗CD30vc−PAB−MMAE抗体−薬物コンジュゲートのウィークリー投与計画 |
| AU2010210646B2 (en) | 2009-02-05 | 2015-10-29 | Immunogen, Inc. | Novel benzodiazepine derivatives |
| IT1394860B1 (it) | 2009-07-22 | 2012-07-20 | Kemotech S R L | Composti farmaceutici |
| US8394922B2 (en) | 2009-08-03 | 2013-03-12 | Medarex, Inc. | Antiproliferative compounds, conjugates thereof, methods therefor, and uses thereof |
| EP2486023A4 (en) | 2009-10-06 | 2014-05-07 | Immunogen Inc | EFFICIENT CONJUGATES AND HYDROPHILIC BINDER |
| EP2322537A1 (en) | 2009-11-12 | 2011-05-18 | R & D Biopharmaceuticals Gmbh | Tubulin inhibitors |
| EP2499152B1 (en) | 2009-11-12 | 2016-06-29 | TUBE Pharmaceuticals GmbH | Tubulin inhibitors |
| WO2011069116A1 (en) | 2009-12-04 | 2011-06-09 | Endocyte, Inc. | Binding ligand linked drug delivery conjugates of tubulysins |
| TWI504410B (zh) | 2010-02-08 | 2015-10-21 | Agensys Inc | 結合至161p2f10b蛋白之抗體藥物結合物(adc) |
| WO2011120053A1 (en) | 2010-03-26 | 2011-09-29 | Mersana Therapeutics, Inc. | Modified polymers for delivery of polynucleotides, method of manufacture, and methods of use thereof |
| NZ602933A (en) | 2010-04-15 | 2014-09-26 | Seattle Genetics Inc | Pyrrolobenzodiazepines used to treat proliferative diseases |
| JP5870400B2 (ja) | 2010-04-15 | 2016-03-01 | シアトル ジェネティクス,インコーポレーテッド | 標的化ピロロベンゾジアゼピンコンジュゲート |
| WO2011130599A1 (en) | 2010-04-16 | 2011-10-20 | Enzon Pharmaceuticals, Inc. | Polymeric conjugates of adenine nucleoside analogs |
| EP2409983A1 (en) * | 2010-07-19 | 2012-01-25 | Leibniz-Institut für Pflanzenbiochemie (IPB) | Tubulysin analogues |
| MX2013001402A (es) | 2010-08-06 | 2013-08-29 | Endocyte Inc | Proceso para preparar tubulisinas. |
| SI3461847T1 (sl) | 2010-12-06 | 2021-03-31 | Seagen Inc. | Humanizirana protitelesa proti LIV-1 in njihova uporaba pri zdravljenju raka |
| PL2678037T3 (pl) | 2011-02-25 | 2015-05-29 | Lonza Ag | Rozgałęziony łącznik do koniugatów białko-lek. |
| KR102087854B1 (ko) | 2011-06-10 | 2020-03-12 | 메르사나 테라퓨틱스, 인코포레이티드 | 단백질-중합체-약물 접합체 |
| US8815226B2 (en) | 2011-06-10 | 2014-08-26 | Mersana Therapeutics, Inc. | Protein-polymer-drug conjugates |
| JP6393617B2 (ja) | 2011-10-14 | 2018-09-19 | シアトル ジェネティクス,インコーポレーテッド | ピロロベンゾジアゼピンおよび標的コンジュゲート |
| AU2012322613B2 (en) | 2011-10-14 | 2016-04-21 | Medimmune Limited | Pyrrolobenzodiazepines and targeted conjugates |
| EP2751111B1 (en) | 2011-10-14 | 2017-04-26 | MedImmune Limited | Asymmetrical bis-(5H-Pyrrolo[2,1-c][1,4]benzodiazepin-5-one) derivatives for the treatment of proliferative or autoimmune diseases |
| BR112014013526A8 (pt) | 2011-12-05 | 2017-06-13 | Igenica Biotherapeutics Inc | conjugados de anticorpo-fármaco e compostos, composições e métodos relacionados |
| EP2814509B1 (en) | 2012-02-17 | 2018-05-16 | Seattle Genetics, Inc. | Antibodies to integrin v 6 and use of same to treat cancer |
| US10080805B2 (en) | 2012-02-24 | 2018-09-25 | Purdue Research Foundation | Cholecystokinin B receptor targeting for imaging and therapy |
| US20130225789A1 (en) | 2012-02-29 | 2013-08-29 | Yi Sun | Polyethylene Glycol Having Hetero Multiple Functional Groups |
| EP2822386B1 (en) | 2012-02-29 | 2021-05-05 | Purdue Research Foundation | Folate receptor alpha binding ligands |
| MX2014010750A (es) | 2012-03-08 | 2015-02-05 | Halozyme Inc | Anticuerpos receptores del factor de crecimiento anti-epidermico condicionalmente activos y metodos de uso de los mismos. |
| US20140080175A1 (en) | 2012-03-29 | 2014-03-20 | Endocyte, Inc. | Processes for preparing tubulysin derivatives and conjugates thereof |
| CA2873112A1 (en) | 2012-05-11 | 2013-11-14 | Alexander Krantz | Site-specific labeling and targeted delivery of proteins for the treatment of cancer |
| US9504756B2 (en) | 2012-05-15 | 2016-11-29 | Seattle Genetics, Inc. | Self-stabilizing linker conjugates |
| CN104662000B (zh) | 2012-05-15 | 2018-08-17 | 索伦托医疗有限公司 | 药物偶联物及其偶联方法和用途 |
| HK1207388A1 (en) | 2012-05-15 | 2016-01-29 | Seattle Genetics, Inc. | Self-stabilizing linker conjugates |
| US20130309223A1 (en) | 2012-05-18 | 2013-11-21 | Seattle Genetics, Inc. | CD33 Antibodies And Use Of Same To Treat Cancer |
| US20150191430A1 (en) | 2012-05-18 | 2015-07-09 | Insero Health Inc. | Conjugates of huperzine and analogs thereof |
| WO2014009774A1 (en) | 2012-07-12 | 2014-01-16 | Hangzhou Dac Biotech Co., Ltd | Conjugates of cell binding molecules with cytotoxic agents |
| EP2708243A1 (en) * | 2012-09-17 | 2014-03-19 | OntoChem GmbH | Receptor ligand linked cytotoxic molecules |
| CA2887727A1 (en) | 2012-10-16 | 2014-04-24 | Endocyte, Inc. | Drug delivery conjugates containing unnatural amino acids and methods for using |
| WO2014061277A1 (ja) | 2012-10-19 | 2014-04-24 | 第一三共株式会社 | 親水性構造を含むリンカーで結合させた抗体-薬物コンジュゲート |
| JP6328648B2 (ja) | 2012-10-24 | 2018-05-23 | ポリセリックス・リミテッド | 新規薬物−タンパク質コンジュゲート |
| HK1211493A1 (en) | 2012-11-15 | 2016-05-27 | 恩多塞特公司 | Conjugates for treating diseases caused by psma expressing cells |
| JP6133431B2 (ja) | 2012-11-24 | 2017-05-24 | ハンジョウ ディーエーシー バイオテック シーオー.,エルティディ.Hangzhou Dac Biotech Co.,Ltd. | 親水性連結体及び薬物分子と細胞結合分子との共役反応における親水性連結体の使用 |
| US20140154702A1 (en) | 2012-11-30 | 2014-06-05 | Endocyte, Inc. | Methods For Treating Cancer Using Combination Therapies |
| CA2892863C (en) | 2012-12-10 | 2022-03-15 | Mersana Therapeutics, Inc. | Polymeric scaffold based on phf for targeted drug delivery |
| WO2014093640A1 (en) | 2012-12-12 | 2014-06-19 | Mersana Therapeutics,Inc. | Hydroxy-polmer-drug-protein conjugates |
| SI2956173T1 (sl) * | 2013-02-14 | 2017-06-30 | Bristol-Myers Squibb Company | Spojine tubulizina, postopki pridobivanja in uporaba |
| US20140249315A1 (en) | 2013-03-01 | 2014-09-04 | Endocyte, Inc. | Processes for preparing tubulysins |
| WO2014160360A1 (en) | 2013-03-14 | 2014-10-02 | Mersana Therapeutics Inc. | Tubulysin compounds and conjugates thereof |
| US9295731B2 (en) | 2013-04-01 | 2016-03-29 | Mark Quang Nguyen | Cleavable drug conjugates, compositions thereof and methods of use |
| US10072018B2 (en) | 2013-04-17 | 2018-09-11 | Biopharma Works | Compounds for treatment of pain |
| BR112015029754A2 (pt) * | 2013-05-31 | 2017-09-26 | Genentech Inc | anticorpos anti-teicoico da parede e conjugados |
| US9803002B2 (en) | 2013-05-31 | 2017-10-31 | Genentench, Inc. | Anti-wall teichoic antibodies and conjugates |
| SI3004162T1 (sl) * | 2013-05-31 | 2020-07-31 | Genentech, Inc. | Protitelesa in konjugati, ki so usmerjeni proti celični steni bakterij, v kateri je teihoična kislina |
| AR096388A1 (es) | 2013-05-31 | 2015-12-30 | Genentech Inc | Anticuerpos anti-ácido teicoico de pared y sus conjugados |
| SG11201509982UA (es) | 2013-06-06 | 2016-04-28 | Igenica Biotherapeutics Inc | |
| WO2014197854A1 (en) | 2013-06-06 | 2014-12-11 | Igenica Biotherapeutics, Inc. | Novel linkers for antibody-drug conjugates and related compounds, compositions, and methods of use |
| WO2014197871A2 (en) | 2013-06-06 | 2014-12-11 | Igenica Biotherapeutics, Inc. | Antibody-drug conjugates, compositions and methods of use |
| WO2015057585A1 (en) | 2013-10-14 | 2015-04-23 | Regents Of The University Of Minnesota | Therapeutic compounds |
| MX2021008464A (es) * | 2013-10-15 | 2023-03-03 | Seattle Genetics Inc | Farmaco-enlazadores modificados con polietilenglicol para la farmacocinetica mejorada de conjugados de ligando-farmaco. |
| EP3086815B1 (en) | 2013-12-27 | 2022-02-09 | Zymeworks Inc. | Sulfonamide-containing linkage systems for drug conjugates |
| CN104784699B (zh) | 2014-01-20 | 2019-05-03 | 博瑞生物医药(苏州)股份有限公司 | 叶酸受体结合配体-药物偶联物 |
| ES2843537T3 (es) | 2014-01-28 | 2021-07-19 | Tube Pharmaceuticals Gmbh | Compuestos citotóxicos de tubulisina y conjugados de los mismos |
| GB201402006D0 (en) | 2014-02-06 | 2014-03-26 | Oncomatryx Biopharma S L | Antibody-drug conjugates and immunotoxins |
| GB201402009D0 (en) | 2014-02-06 | 2014-03-26 | Oncomatryx Biopharma S L | Antibody-drug conjugates and immunotoxins |
| AU2015229463A1 (en) | 2014-03-12 | 2016-09-15 | Novartis Ag | Specific sites for modifying antibodies to make immunoconjugates |
| AT515313B1 (de) * | 2014-04-07 | 2015-08-15 | Blum Gmbh Julius | Antriebsvorrichtung für ein bewegbares Möbelteil |
| CN106458922A (zh) | 2014-04-10 | 2017-02-22 | Af化学药品有限责任公司 | 亲和药物共轭物 |
| CN106458942A (zh) | 2014-04-11 | 2017-02-22 | 麦迪穆有限责任公司 | 微管溶素衍生物 |
| ES2719584T3 (es) | 2014-04-11 | 2019-07-11 | Medimmune Llc | Compuestos conjugados que comprenden anticuerpos modificados por ingeniería genética con cisteína |
| SI3134127T1 (sl) | 2014-04-25 | 2020-06-30 | Rinat Neuroscience Corp. | Konjugati zdravil s protitelesi z visoko stopnjo zdravila |
| US9808528B2 (en) | 2014-06-18 | 2017-11-07 | Mersana Therapeutics, Inc. | Protein-polymer-drug conjugates and methods of using same |
| RU2017101331A (ru) | 2014-06-20 | 2018-07-23 | Абгеномикс Интернэшнл Инк. | Конъюгаты антитело к her2 - лекарственное средство |
| CA2959424C (en) | 2014-09-11 | 2023-10-31 | Seattle Genetics, Inc. | Targeted delivery of tertiary amine-containing drug substances |
| MX2017003123A (es) | 2014-09-12 | 2017-05-12 | Genentech Inc | Anticuerpos y conjugados modificados geneticamente con cisteina. |
| GB201416960D0 (en) | 2014-09-25 | 2014-11-12 | Antikor Biopharma Ltd | Biological materials and uses thereof |
| US20170290878A1 (en) | 2014-09-25 | 2017-10-12 | Endocyte, Inc. | Methods of treating cancer with tubulysin conjugates |
| US10077287B2 (en) | 2014-11-10 | 2018-09-18 | Bristol-Myers Squibb Company | Tubulysin analogs and methods of making and use |
| WO2016089879A1 (en) | 2014-12-01 | 2016-06-09 | Endocyte, Inc. | Conjugates of garftase inhibitors |
| EP3226909A1 (en) * | 2014-12-03 | 2017-10-11 | Genentech, Inc. | Quaternary amine compounds and antibody-drug conjugates thereof |
| HK1244230A1 (zh) | 2014-12-03 | 2018-08-03 | F. Hoffmann-La Roche Ag | 抗金黄色葡萄球菌抗体利福霉素缀合物及其用途 |
| MX2017007055A (es) | 2014-12-03 | 2017-11-08 | Genentech Inc | Conjugados de anticuerpo rifamicina anti-staphylococcus aureus y usos de estos. |
| WO2016140957A1 (en) | 2015-03-01 | 2016-09-09 | Endocyte, Inc. | Methods of treating cancer with a psma ligand-tubulysin compound |
| WO2016168471A1 (en) | 2015-04-17 | 2016-10-20 | Endocyte, Inc. | Dual disulfide drug conjugates |
| US20160303251A1 (en) | 2015-04-17 | 2016-10-20 | Endocyte, Inc. | Conjugates of garftase inhibitors |
| CA2989269C (en) * | 2015-06-15 | 2020-09-22 | Robert Yongxin Zhao | Hydrophilic linkers for conjugation of a cytotoxic agent or chromophore molecule to a cell-binding molecule |
| US10975112B2 (en) | 2015-06-16 | 2021-04-13 | Hangzhou Dac Biotech Co., Ltd. | Linkers for conjugation of cell-binding molecules |
| CN108137706A (zh) | 2015-07-15 | 2018-06-08 | 酵活有限公司 | 药物缀合的双特异性抗原结合构建体 |
| JP2018523471A (ja) | 2015-07-16 | 2018-08-23 | セレラント セラピューティクス インコーポレイテッド | システイン置換免疫グロブリン |
| CA2995371A1 (en) | 2015-08-14 | 2017-02-23 | Endocyte, Inc. | Cck2r-drug conjugates |
| WO2017031209A1 (en) | 2015-08-18 | 2017-02-23 | Endocyte, Inc. | Tubulysin analogs and methods |
| CN108884147B (zh) | 2015-09-23 | 2024-02-27 | 百时美施贵宝公司 | 结合磷脂酰肌醇蛋白聚糖3的基于纤连蛋白的支架分子 |
| ES2919323T3 (es) | 2015-12-04 | 2022-07-26 | Seagen Inc | Conjugados de compuestos de tubulisina cuaternizados |
-
2016
- 2016-12-02 ES ES16871672T patent/ES2919323T3/es active Active
- 2016-12-02 TW TW112131161A patent/TWI852735B/zh active
- 2016-12-02 MX MX2018006218A patent/MX2018006218A/es unknown
- 2016-12-02 AU AU2016363013A patent/AU2016363013B2/en active Active
- 2016-12-02 JP JP2018526574A patent/JP2019501131A/ja not_active Withdrawn
- 2016-12-02 CA CA3006000A patent/CA3006000A1/en active Pending
- 2016-12-02 TW TW105140035A patent/TWI814699B/zh active
- 2016-12-02 WO PCT/US2016/064834 patent/WO2017096311A1/en not_active Ceased
- 2016-12-02 US US15/781,244 patent/US11229708B2/en active Active
- 2016-12-02 EP EP22162472.9A patent/EP4074328A1/en not_active Withdrawn
- 2016-12-02 SG SG11201804268RA patent/SG11201804268RA/en unknown
- 2016-12-02 KR KR1020187017509A patent/KR20180090290A/ko not_active Withdrawn
- 2016-12-02 EP EP16871672.8A patent/EP3383420B1/en active Active
- 2016-12-02 CN CN201680072182.0A patent/CN108367043A/zh active Pending
- 2016-12-02 SG SG10202010590UA patent/SG10202010590UA/en unknown
-
2018
- 2018-05-18 MX MX2023002599A patent/MX2023002599A/es unknown
- 2018-05-21 IL IL259478A patent/IL259478B/en unknown
-
2021
- 2021-06-15 JP JP2021099570A patent/JP7241811B2/ja active Active
-
2022
- 2022-02-20 IL IL290733A patent/IL290733A/en unknown
- 2022-05-24 JP JP2022084444A patent/JP7559006B2/ja active Active
Also Published As
| Publication number | Publication date |
|---|---|
| SG11201804268RA (en) | 2018-06-28 |
| AU2016363013A1 (en) | 2018-07-12 |
| JP2021138761A (ja) | 2021-09-16 |
| EP3383420A4 (en) | 2019-08-14 |
| WO2017096311A1 (en) | 2017-06-08 |
| US11229708B2 (en) | 2022-01-25 |
| IL290733A (en) | 2022-04-01 |
| MX2023002599A (es) | 2023-03-22 |
| CN108367043A (zh) | 2018-08-03 |
| US20190015517A1 (en) | 2019-01-17 |
| TWI814699B (zh) | 2023-09-11 |
| EP3383420A1 (en) | 2018-10-10 |
| EP4074328A1 (en) | 2022-10-19 |
| AU2016363013B2 (en) | 2022-03-10 |
| MX2018006218A (es) | 2018-09-05 |
| IL259478A (en) | 2018-07-31 |
| JP7241811B2 (ja) | 2023-03-17 |
| TW201729845A (zh) | 2017-09-01 |
| TWI852735B (zh) | 2024-08-11 |
| EP3383420B1 (en) | 2022-03-23 |
| JP7559006B2 (ja) | 2024-10-01 |
| JP2022105640A (ja) | 2022-07-14 |
| JP2019501131A (ja) | 2019-01-17 |
| IL259478B (en) | 2022-03-01 |
| SG10202010590UA (en) | 2020-12-30 |
| TW202412844A (zh) | 2024-04-01 |
| CA3006000A1 (en) | 2017-06-08 |
| KR20180090290A (ko) | 2018-08-10 |
Similar Documents
| Publication | Publication Date | Title |
|---|---|---|
| ES2919323T3 (es) | Conjugados de compuestos de tubulisina cuaternizados | |
| JP7573679B2 (ja) | 改善された生理化学的特性を有する自己安定性リンカーを用いる薬物コンジュゲート | |
| ES2826398T3 (es) | Enlazadores-fármacos pegilados para una mejor farmacocinética de los conjugados ligando-fármaco | |
| ES2987765T3 (es) | Suministro dirigido de sustancias farmacéuticas que contienen amina terciaria | |
| AU2018258687C1 (en) | Quaternized nicotinamide adenine dinucleotide salvage pathway inhibitor conjugates | |
| JP2022548306A (ja) | 内部移行した生物学的に活性な化合物の結合体からの選択的な薬物放出 | |
| WO2018075600A1 (en) | Targeted delivery of nicotinamide adenine dinucleotide salvage pathway inhibitors | |
| US11793880B2 (en) | Conjugates of quaternized tubulysin compounds | |
| US20240156969A1 (en) | Conjugates of quaternized tubulysin compounds | |
| HK40084949A (en) | Intermediates of conjugates of quaternized tubulysin compounds | |
| CA3032147C (en) | Drug conjugates with self-stabilizing linkers having improved physiochemical properties | |
| HK1261572B (en) | Conjugates of quaternized tubulysin compounds | |
| HK1261572A1 (en) | Conjugates of quaternized tubulysin compounds | |
| EA046150B1 (ru) | Конъюгаты кватернизированных тубулизиновых соединений | |
| NZ791149A (en) | Drug conjugates with self-stabilizing linkers having improved physiochemical properties |

















































































































































































