CN114174267A - 杀害虫吡唑和三唑衍生物 - Google Patents
杀害虫吡唑和三唑衍生物 Download PDFInfo
- Publication number
- CN114174267A CN114174267A CN202080052131.8A CN202080052131A CN114174267A CN 114174267 A CN114174267 A CN 114174267A CN 202080052131 A CN202080052131 A CN 202080052131A CN 114174267 A CN114174267 A CN 114174267A
- Authority
- CN
- China
- Prior art keywords
- formula
- compounds
- alkyl
- alkoxy
- substituted
- Prior art date
- Legal status (The legal status is an assumption and is not a legal conclusion. Google has not performed a legal analysis and makes no representation as to the accuracy of the status listed.)
- Granted
Links
Classifications
-
- A—HUMAN NECESSITIES
- A01—AGRICULTURE; FORESTRY; ANIMAL HUSBANDRY; HUNTING; TRAPPING; FISHING
- A01N—PRESERVATION OF BODIES OF HUMANS OR ANIMALS OR PLANTS OR PARTS THEREOF; BIOCIDES, e.g. AS DISINFECTANTS, AS PESTICIDES OR AS HERBICIDES; PEST REPELLANTS OR ATTRACTANTS; PLANT GROWTH REGULATORS
- A01N47/00—Biocides, pest repellants or attractants, or plant growth regulators containing organic compounds containing a carbon atom not being member of a ring and having no bond to a carbon or hydrogen atom, e.g. derivatives of carbonic acid
- A01N47/08—Biocides, pest repellants or attractants, or plant growth regulators containing organic compounds containing a carbon atom not being member of a ring and having no bond to a carbon or hydrogen atom, e.g. derivatives of carbonic acid the carbon atom having one or more single bonds to nitrogen atoms
- A01N47/28—Ureas or thioureas containing the groups >N—CO—N< or >N—CS—N<
- A01N47/34—Ureas or thioureas containing the groups >N—CO—N< or >N—CS—N< containing the groups, e.g. biuret; Thio analogues thereof; Urea-aldehyde condensation products
-
- A—HUMAN NECESSITIES
- A01—AGRICULTURE; FORESTRY; ANIMAL HUSBANDRY; HUNTING; TRAPPING; FISHING
- A01N—PRESERVATION OF BODIES OF HUMANS OR ANIMALS OR PLANTS OR PARTS THEREOF; BIOCIDES, e.g. AS DISINFECTANTS, AS PESTICIDES OR AS HERBICIDES; PEST REPELLANTS OR ATTRACTANTS; PLANT GROWTH REGULATORS
- A01N43/00—Biocides, pest repellants or attractants, or plant growth regulators containing heterocyclic compounds
- A01N43/48—Biocides, pest repellants or attractants, or plant growth regulators containing heterocyclic compounds having rings with two nitrogen atoms as the only ring hetero atoms
- A01N43/56—1,2-Diazoles; Hydrogenated 1,2-diazoles
-
- A—HUMAN NECESSITIES
- A01—AGRICULTURE; FORESTRY; ANIMAL HUSBANDRY; HUNTING; TRAPPING; FISHING
- A01N—PRESERVATION OF BODIES OF HUMANS OR ANIMALS OR PLANTS OR PARTS THEREOF; BIOCIDES, e.g. AS DISINFECTANTS, AS PESTICIDES OR AS HERBICIDES; PEST REPELLANTS OR ATTRACTANTS; PLANT GROWTH REGULATORS
- A01N43/00—Biocides, pest repellants or attractants, or plant growth regulators containing heterocyclic compounds
- A01N43/72—Biocides, pest repellants or attractants, or plant growth regulators containing heterocyclic compounds having rings with nitrogen atoms and oxygen or sulfur atoms as ring hetero atoms
- A01N43/74—Biocides, pest repellants or attractants, or plant growth regulators containing heterocyclic compounds having rings with nitrogen atoms and oxygen or sulfur atoms as ring hetero atoms five-membered rings with one nitrogen atom and either one oxygen atom or one sulfur atom in positions 1,3
- A01N43/78—1,3-Thiazoles; Hydrogenated 1,3-thiazoles
-
- A—HUMAN NECESSITIES
- A01—AGRICULTURE; FORESTRY; ANIMAL HUSBANDRY; HUNTING; TRAPPING; FISHING
- A01N—PRESERVATION OF BODIES OF HUMANS OR ANIMALS OR PLANTS OR PARTS THEREOF; BIOCIDES, e.g. AS DISINFECTANTS, AS PESTICIDES OR AS HERBICIDES; PEST REPELLANTS OR ATTRACTANTS; PLANT GROWTH REGULATORS
- A01N47/00—Biocides, pest repellants or attractants, or plant growth regulators containing organic compounds containing a carbon atom not being member of a ring and having no bond to a carbon or hydrogen atom, e.g. derivatives of carbonic acid
- A01N47/08—Biocides, pest repellants or attractants, or plant growth regulators containing organic compounds containing a carbon atom not being member of a ring and having no bond to a carbon or hydrogen atom, e.g. derivatives of carbonic acid the carbon atom having one or more single bonds to nitrogen atoms
- A01N47/10—Carbamic acid derivatives, i.e. containing the group —O—CO—N<; Thio analogues thereof
- A01N47/18—Carbamic acid derivatives, i.e. containing the group —O—CO—N<; Thio analogues thereof containing a —O—CO—N< group, or a thio analogue thereof, directly attached to a heterocyclic or cycloaliphatic ring
-
- A—HUMAN NECESSITIES
- A01—AGRICULTURE; FORESTRY; ANIMAL HUSBANDRY; HUNTING; TRAPPING; FISHING
- A01P—BIOCIDAL, PEST REPELLANT, PEST ATTRACTANT OR PLANT GROWTH REGULATORY ACTIVITY OF CHEMICAL COMPOUNDS OR PREPARATIONS
- A01P7/00—Arthropodicides
- A01P7/04—Insecticides
-
- A—HUMAN NECESSITIES
- A61—MEDICAL OR VETERINARY SCIENCE; HYGIENE
- A61K—PREPARATIONS FOR MEDICAL, DENTAL OR TOILETRY PURPOSES
- A61K31/00—Medicinal preparations containing organic active ingredients
- A61K31/33—Heterocyclic compounds
- A61K31/395—Heterocyclic compounds having nitrogen as a ring hetero atom, e.g. guanethidine or rifamycins
- A61K31/55—Heterocyclic compounds having nitrogen as a ring hetero atom, e.g. guanethidine or rifamycins having seven-membered rings, e.g. azelastine, pentylenetetrazole
- A61K31/553—Heterocyclic compounds having nitrogen as a ring hetero atom, e.g. guanethidine or rifamycins having seven-membered rings, e.g. azelastine, pentylenetetrazole having at least one nitrogen and one oxygen as ring hetero atoms, e.g. loxapine, staurosporine
-
- C—CHEMISTRY; METALLURGY
- C07—ORGANIC CHEMISTRY
- C07D—HETEROCYCLIC COMPOUNDS
- C07D231/00—Heterocyclic compounds containing 1,2-diazole or hydrogenated 1,2-diazole rings
- C07D231/02—Heterocyclic compounds containing 1,2-diazole or hydrogenated 1,2-diazole rings not condensed with other rings
- C07D231/10—Heterocyclic compounds containing 1,2-diazole or hydrogenated 1,2-diazole rings not condensed with other rings having two or three double bonds between ring members or between ring members and non-ring members
- C07D231/14—Heterocyclic compounds containing 1,2-diazole or hydrogenated 1,2-diazole rings not condensed with other rings having two or three double bonds between ring members or between ring members and non-ring members with hetero atoms or with carbon atoms having three bonds to hetero atoms with at the most one bond to halogen, e.g. ester or nitrile radicals, directly attached to ring carbon atoms
- C07D231/38—Nitrogen atoms
- C07D231/40—Acylated on said nitrogen atom
-
- C—CHEMISTRY; METALLURGY
- C07—ORGANIC CHEMISTRY
- C07D—HETEROCYCLIC COMPOUNDS
- C07D417/00—Heterocyclic compounds containing two or more hetero rings, at least one ring having nitrogen and sulfur atoms as the only ring hetero atoms, not provided for by group C07D415/00
- C07D417/02—Heterocyclic compounds containing two or more hetero rings, at least one ring having nitrogen and sulfur atoms as the only ring hetero atoms, not provided for by group C07D415/00 containing two hetero rings
- C07D417/12—Heterocyclic compounds containing two or more hetero rings, at least one ring having nitrogen and sulfur atoms as the only ring hetero atoms, not provided for by group C07D415/00 containing two hetero rings linked by a chain containing hetero atoms as chain links
-
- C—CHEMISTRY; METALLURGY
- C07—ORGANIC CHEMISTRY
- C07D—HETEROCYCLIC COMPOUNDS
- C07D417/00—Heterocyclic compounds containing two or more hetero rings, at least one ring having nitrogen and sulfur atoms as the only ring hetero atoms, not provided for by group C07D415/00
- C07D417/14—Heterocyclic compounds containing two or more hetero rings, at least one ring having nitrogen and sulfur atoms as the only ring hetero atoms, not provided for by group C07D415/00 containing three or more hetero rings
-
- C—CHEMISTRY; METALLURGY
- C07—ORGANIC CHEMISTRY
- C07H—SUGARS; DERIVATIVES THEREOF; NUCLEOSIDES; NUCLEOTIDES; NUCLEIC ACIDS
- C07H1/00—Processes for the preparation of sugar derivatives
-
- C—CHEMISTRY; METALLURGY
- C07—ORGANIC CHEMISTRY
- C07H—SUGARS; DERIVATIVES THEREOF; NUCLEOSIDES; NUCLEOTIDES; NUCLEIC ACIDS
- C07H15/00—Compounds containing hydrocarbon or substituted hydrocarbon radicals directly attached to hetero atoms of saccharide radicals
-
- C—CHEMISTRY; METALLURGY
- C07—ORGANIC CHEMISTRY
- C07H—SUGARS; DERIVATIVES THEREOF; NUCLEOSIDES; NUCLEOTIDES; NUCLEIC ACIDS
- C07H15/00—Compounds containing hydrocarbon or substituted hydrocarbon radicals directly attached to hetero atoms of saccharide radicals
- C07H15/26—Acyclic or carbocyclic radicals, substituted by hetero rings
-
- A—HUMAN NECESSITIES
- A01—AGRICULTURE; FORESTRY; ANIMAL HUSBANDRY; HUNTING; TRAPPING; FISHING
- A01N—PRESERVATION OF BODIES OF HUMANS OR ANIMALS OR PLANTS OR PARTS THEREOF; BIOCIDES, e.g. AS DISINFECTANTS, AS PESTICIDES OR AS HERBICIDES; PEST REPELLANTS OR ATTRACTANTS; PLANT GROWTH REGULATORS
- A01N2300/00—Combinations or mixtures of active ingredients covered by classes A01N27/00 - A01N65/48 with other active or formulation relevant ingredients, e.g. specific carrier materials or surfactants, covered by classes A01N25/00 - A01N65/48
Landscapes
- Chemical & Material Sciences (AREA)
- Life Sciences & Earth Sciences (AREA)
- Organic Chemistry (AREA)
- Health & Medical Sciences (AREA)
- Engineering & Computer Science (AREA)
- General Health & Medical Sciences (AREA)
- Environmental Sciences (AREA)
- Pest Control & Pesticides (AREA)
- Zoology (AREA)
- Wood Science & Technology (AREA)
- Plant Pathology (AREA)
- Agronomy & Crop Science (AREA)
- Dentistry (AREA)
- Genetics & Genomics (AREA)
- Molecular Biology (AREA)
- Biotechnology (AREA)
- Biochemistry (AREA)
- General Chemical & Material Sciences (AREA)
- Chemical Kinetics & Catalysis (AREA)
- Insects & Arthropods (AREA)
- Epidemiology (AREA)
- Pharmacology & Pharmacy (AREA)
- Medicinal Chemistry (AREA)
- Animal Behavior & Ethology (AREA)
- Public Health (AREA)
- Veterinary Medicine (AREA)
- Pharmaceuticals Containing Other Organic And Inorganic Compounds (AREA)
- Plural Heterocyclic Compounds (AREA)
- Agricultural Chemicals And Associated Chemicals (AREA)
- Catching Or Destruction (AREA)
- Saccharide Compounds (AREA)
Abstract
本发明涉及式(I)化合物及其N‑氧化物、立体异构体、互变异构体和可农用或可兽用盐,其中各变量根据说明书被定义。式(I)化合物及其N‑氧化物、立体异构体、互变异构体和可农用或可兽用盐可以用于防除或防治无脊椎动物害虫,尤其是节肢动物害虫和线虫。本发明还涉及一种通过使用这些化合物防治无脊椎动物害虫的方法以及包含所述化合物的植物繁殖材料及农业和可兽用组合物。
Description
无脊椎动物害虫以及尤其是昆虫、蜘蛛和线虫破坏生长和收获的作物且袭击木质居住和商业结构体,从而对食物供应和财产造成大的经济损失。因此,仍然需要用于防除无脊椎动物害虫的新试剂。
例如在专利公布WO 2016/156076中已知氨基甲酰化和硫代氨基甲酰化肟衍生物的杀害虫用途,在专利公布WO 2016/116445中已知缩氨基脲类和硫代缩氨基脲类衍生物的杀害虫用途。
由于目标害虫能够对杀害虫活性剂产生耐药性,因此仍然需要发现适合防除无脊椎动物害虫如昆虫、蜘蛛和线虫的其他化合物。此外,需要对大量不同的无脊椎动物害虫,尤其是对难以防治的昆虫、蜘蛛和线虫具有高杀害虫活性且显示出宽活性谱的新化合物。
因此,本发明的目的是要发现并提供对无脊椎动物害虫显示出高杀害虫活性且具有宽活性谱的化合物。
已经发现这些目的可以通过如下所示和所定义的式I的取代双环化合物,包括其立体异构体,其盐,尤其是其可农用或可兽用盐、其互变异构体及其N-氧化物实现。
在第一方面,本发明涉及式I化合物及其N-氧化物、立体异构体、互变异构体和可农用或可兽用盐:
其中
A为N或CRA;
B1为N或CRB1;
B2为N或CRB2;
B3为N或CRB3;
B4为CRB4;
RA为H、卤素、N3、OH、CN、NO2、-SCN、-SF5、C1-C6烷基、C1-C6烷氧基、C2-C6链烯基、三-C1-C6烷基甲硅烷基、C2-C6炔基、C1-C6烷氧基-C1-C4烷基、C1-C6烷氧基-C1-C4烷氧基、C3-C6环烷基、C3-C6环烷氧基、C3-C6环烷基-C1-C4烷基、C1-C4烷基-C3-C6环烷氧基,其中烷基、烷氧基、链烯基、炔基、环烷基和环烷氧基结构部分未被取代或者被卤素取代,
C(=O)-ORa、NRbRc、C1-C6亚烷基-NRbRc、O-C1-C6亚烷基-NRbRc、C1-C6亚烷基-CN、NH-C1-C6亚烷基-NRbRc、C(=O)-NRbRc、C(=O)-Rd、SO2NRbRc或S(=O)mRe、苯基、苯氧基、苯基羰基、苯硫基或-CH2-苯基,其中苯基环未被取代或被Rf取代;
RB1、RB2、RB3和RB4相互独立地为H、卤素、N3、OH、CN、NO2、-SCN、-SF5、C1-C6烷基、C1-C6烷氧基、C2-C6链烯基、三-C1-C6烷基甲硅烷基、C2-C6炔基、C1-C6烷氧基-C1-C4烷基、C1-C6烷氧基-C1-C4烷氧基、C3-C6环烷基、C3-C6环烷氧基、C3-C6环烷基-C1-C4烷基、C1-C4烷基-C3-C6环烷氧基,其中烷基、烷氧基、链烯基、炔基、环烷基和环烷氧基结构部分未被取代或者被卤素取代,
C(=O)-ORa、NRbRc、C1-C6亚烷基-NRbRc、O-C1-C6亚烷基-NRbRc、C1-C6亚烷基-CN、NH-C1-C6亚烷基-NRbRc、C(=O)-NRbRc、C(=O)-Rd、SO2NRbRc或S(=O)mRe、苯基、苯氧基、苯基羰基、苯硫基或-CH2-苯基,其中苯基环未被取代或被Rf取代;
Q为-C(R4R5)-O-、-C(=O)-O-、-S(=O)m-C(R7R8)-、-N(R2)-S(=O)m-、-N(R2)-C(R9R10)-、-C(=O)-C(R19R20)-、-N(R2)-C(=O)-、–N(R2)-C(=S)-、–C(R13R14)-C(R15R16)-、–N=C(X)-、–N(R2)-C(=NR)-或-C(R17)=C(R18)-;其中Ar键合于Q的任一侧;
m为0、1或2;
X为H、卤素、SR7、OR8或N(R3)2;
R为H、CN、C1-C6烷基、C2-C6链烯基、C2-C6炔基或C3-C6环烷基,其中烷基、链烯基和环烷基结构部分未被取代或者被卤素取代,OR8、N(R3)2;
R3为H、C1-C6烷基、C1-C6烷氧基-C1-C4烷基;
R2为H、C1-C6烷基、C2-C6链烯基、C2-C6炔基、C1-C6烷氧基-C1-C4烷基、C3-C6环烷基、C3-C6环烷基-C1-C4烷基、C3-C6环烷氧基-C1-C4烷基,其中烷基、烷氧基、链烯基、炔基、环烷基和环烷氧基结构部分未被取代或者被卤素取代,
C(=O)-ORa、C1-C6亚烷基-NRbRc、C1-C6亚烷基-CN、C(=O)-NRbRc、C(=O)-Rd、SO2NRbRc、S(=O)mRe、苯基或-CH2-苯基,其中苯基环未被取代或被Rf取代;
R4、R5、R7、R8、R9、R10、R13、R14、R15、R16、R17、R18、R19、R20相同或不同且为H、卤素、C1-C6烷基、C2-C6链烯基、C2-C6炔基、C1-C6烷氧基-C1-C4烷基、C3-C6环烷基、C3-C6环烷基-C1-C4烷基、C3-C6环烷氧基-C1-C4烷基,其中烷基、烷氧基、链烯基、炔基、环烷基和环烷氧基结构部分未被取代或者被卤素取代,
C(=O)-ORa、C1-C6亚烷基-NRbRc、C1-C6亚烷基-CN、C(=O)-NRbRc、C(=O)-Rd、SO2NRbRc、S(=O)mRe、苯基或-CH2-苯基,其中苯基环未被取代或被Rf取代;
R6为H、C1-C6烷基、C2-C6链烯基、C2-C6炔基、C1-C6烷氧基-C1-C4烷基、C3-C6环烷基、C3-C6环烷基-C1-C4烷基、C3-C6环烷氧基-C1-C4烷基,其中烷基、烷氧基、链烯基、炔基、环烷基和环烷氧基结构部分未被取代或者被卤素取代,
或者R6为-CH2-苯基,其中苯基环未被取代或被Rf取代;
Ar为未被取代或被RAr取代的苯基或5或6员杂芳基或1,3-苯并间二氧杂环戊烯,其中
RAr为卤素、N3、OH、CN、NO2、-SCN、-SF5、C1-C6烷基、C1-C6烷氧基、C2-C6链烯基、三-C1-C6烷基甲硅烷基、C2-C6炔基、C1-C6烷氧基-C1-C4烷基、C1-C6烷氧基-C1-C4烷氧基、C3-C6环烷基、C3-C6环烷氧基、C3-C6环烷基-C1-C4烷基、C3-C6环烷氧基-C1-C4烷基,其中烷基、烷氧基、链烯基、炔基、环烷基和环烷氧基结构部分未被取代或者被卤素取代,
C(=O)-ORa、NRbRc、C1-C6亚烷基-NRbRc、O-C1-C6亚烷基-NRbRc、C1-C6亚烷基-CN、NH-C1-C6亚烷基-NRbRc、C(=O)-NRbRc、C(=O)-Rd、SO2NRbRc或S(=O)mRe、苯基、苯氧基、苯基羰基、苯硫基或-CH2-苯基,其中苯基环未被取代或被Rf取代;
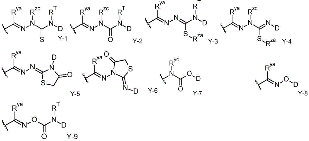
R1为式Y-Z-T-R11或Y-Z-T-R12的结构部分;其中
Y为-CRya=N-,其中N键合于Z;
-NRyc-C(=O)-,其中C(=O)键合于Z;或者
-NRyc-C(=S)-,其中C(=S)键合于Z;
Z为单键;
-NRzc-C(=O)-,其中C(=O)键合于T;
-NRzc-C(=S)-,其中C(=S)键合于T;
-N=C(S-Rza)-,其中T键合于碳原子;
-O-C(=O)-,其中T键合于碳原子,或者
-NRzc-C(S-Rza)=,其中T键合于碳原子;
T为O、N或N-RT;
R11为C1-C6烷基、C2-C6链烯基、C2-C6炔基、C1-C6烷氧基-C1-C4烷基、C3-C6环烷基、C3-C6环烷基-C1-C4烷基、C1-C4烷基-C3-C6环烷氧基,其中烷基、烷氧基、链烯基、炔基、环烷基和环烷氧基结构部分未被取代或者被卤素取代,
C1-C6亚烷基-NRbRc、C1-C6亚烷基-CN、C(=O)-NRbRc、C(=O)-Rd、芳基、芳基羰基、芳基-C1-C4烷基、芳氧基-C1-C4烷基、杂芳基、羰基杂芳基、杂芳基-C1-C4烷基或杂芳氧基-C1-C4烷基,其中苯基环未被取代或被Rg取代并且其中杂芳基为5或6员单环杂芳基或者8、9或10员双环杂芳基;
条件是当T为O时,R11不为C1-C6烷基,
R12为式A1的基团:
其中#表示与T的连接点;
R121、R122、R123相同或不同且为H、卤素、C1-C6烷基、C2-C6链烯基、C2-C6炔基、C1-C6烷氧基-C1-C4烷基、C1-C6烷氧基、C2-C6链烯氧基、C2-C6炔氧基、C1-C6烷氧基-C1-C4烷氧基、C1-C6烷基羰氧基、C1-C6链烯基羰氧基、C3-C6环烷基羰氧基,其中烷基、烷氧基、链烯基、链烯氧基、炔基、炔氧基和环烷基结构部分未被取代或者被卤素或NRbRc取代或者R121、R122、R123之一也可以为氧代;
R124为H、C1-C6烷基、C1-C6烷氧基-C1-C4烷基、C1-C6烷氧基或C2-C6链烯氧基,其中烷基、烷氧基、链烯基和链烯氧基结构部分未被取代或者被卤素取代;
并且其中
Rya为H、卤素、C1-C6烷基、C1-C6烷氧基,其未被取代或者被卤素取代,
苯基或-CH2-苯基,其中苯基环未被取代或被Rf取代;
Ryc、Rzc相同或不同且为H、C1-C6烷基、C2-C6链烯基、C2-C6炔基、C1-C4烷基-C1-C6烷氧基、C3-C6环烷基、C1-C4烷基-C3-C6环烷基或C1-C4烷基-C3-C6环烷氧基,其中烷基、烷氧基、链烯基、炔基、环烷基和环烷氧基结构部分未被取代或者被卤素取代;
RT为H、C1-C6烷基、C2-C6链烯基、C2-C6炔基、C1-C4烷基-C1-C6烷氧基、C3-C6环烷基、C3-C6环烷基-C1-C4烷基、C3-C6环烷氧基-C1-C4烷基,其中烷基、烷氧基、链烯基、炔基、环烷基和环烷氧基结构部分未被取代或者被卤素取代,
C(=O)-ORa、C1-C6亚烷基-NRbRc、C1-C6亚烷基-CN、C(=O)-NRbRc、C(=O)-Rd、SO2NRbRc、S(=O)mRe、苯基或-CH2-苯基,其中苯基环未被取代或被Rf取代;
Rzc与RT-若存在的话-一起可以形成C1-C6亚烷基或线性C2-C6亚链烯基,其中在线性C1-C6亚烷基和线性C2-C6亚链烯基中,CH2结构部分可以被羰基或C=N-R'替代和/或其中1或2个CH2结构部分可以被O或S替代和/或其中线性C1-C6亚烷基和线性C2-C6亚链烯基可以未被取代或被Rh取代;
Rza为H、C1-C6烷基、C1-C6烷氧基、C2-C6链烯基、三-C1-C6烷基甲硅烷基、C2-C6炔基、C1-C4烷基-C1-C6烷氧基、C3-C6环烷基、C1-C4烷基-C3-C6环烷氧基、C1-C4烷基-C3-C6环烷基,其中烷基、烷氧基、链烯基、炔基、环烷基和环烷氧基结构部分未被取代或者被卤素取代,
C1-C6亚烷基-NRbRc、C1-C6亚烷基-CN、C(=O)-NRbRc、C(=O)-Rd、苯基、苯基羰基或-CH2-苯基,其中苯基环未被取代或被Rf取代;
Rza与RT-若存在的话-一起可以形成C1-C6亚烷基或线性C2-C6亚链烯基,其中在线性C1-C6亚烷基和线性C2-C6亚链烯基中,CH2结构部分可以被羰基或C=N-R'替代和/或其中1或2个CH2结构部分可以被O或S替代和/或其中线性C1-C6亚烷基和线性C2-C6亚链烯基可以未被取代或被Rh取代;
Ra、Rb和Rc相同或不同且为H、C1-C6烷基、C2-C6链烯基、C2-C6炔基、C1-C6烷氧基-C1-C4烷基、C3-C6环烷基、C3-C6环烷基-C1-C4烷基、C3-C6环烷氧基-C1-C4烷基,其中烷基、烷氧基、链烯基、炔基、环烷基和环烷氧基结构部分未被取代或者被卤素取代,
C1-C6亚烷基-CN、苯基或-CH2-苯基,其中苯基环未被取代或被Rf取代;
Rd为H、C1-C6烷基、C2-C6链烯基、C2-C6炔基、C1-C6烷氧基-C1-C4烷基、C3-C6环烷基、C3-C6环烷基-C1-C4烷基、C3-C6环烷氧基-C1-C4烷基,其中烷基、烷氧基、链烯基、炔基、环烷基和环烷氧基结构部分未被取代或者被卤素取代,
苯基或-CH2-苯基,其中苯基环未被取代或被Rf取代;
Re为C1-C6烷基、C3-C6环烷基、C3-C6环烷基-C1-C4烷基,其中烷基、环烷基结构部分未被取代或者被卤素取代,
苯基和-CH2-苯基,其中苯基环未被取代或被Rf取代;
Rf为卤素、N3、OH、CN、NO2、-SCN、-SF5、C1-C6烷基、C1-C6烷氧基、C2-C6链烯基、三-C1-C6烷基甲硅烷基、C2-C6炔基、C1-C6烷氧基-C1-C4烷基、C1-C6烷氧基-C1-C4烷氧基、C3-C6环烷基、C3-C6环烷氧基、C3-C6环烷基-C1-C4烷基、C3-C6环烷氧基-C1-C4烷基,其中烷基、烷氧基、链烯基、炔基、环烷基和环烷氧基结构部分未被取代或者被卤素取代,
C(=O)-ORa、NRbRc、C1-C6亚烷基-NRbRc、O-C1-C6亚烷基-NRbRc、C1-C6亚烷基-CN、NH-C1-C6亚烷基-NRbRc、C(=O)-NRbRc、C(=O)-Rd、SO2NRbRc或S(=O)mRe;
Rg为卤素、N3、OH、CN、NO2、-SCN、-SF5、C1-C6烷基、C1-C6烷氧基、C2-C6链烯基、三-C1-C6烷基甲硅烷基、C2-C6炔基、C1-C6烷氧基-C1-C4烷基、C1-C6烷氧基-C1-C4烷氧基、C3-C6环烷基、C3-C6环烷氧基、C3-C6环烷基-C1-C4烷基、C3-C6环烷氧基-C1-C4烷基,其中烷基、烷氧基、链烯基、炔基、环烷基和环烷氧基结构部分未被取代或者被卤素取代,
C(=O)-ORa、NRbRc、C1-C6亚烷基-NRbRc、O-C1-C6亚烷基-NRbRc、C1-C6亚烷基-CN、NH-C1-C6亚烷基-NRbRc、C(=O)-NRbRc、C(=O)-Rd、SO2NRbRc或S(=O)mRe;
Rh为卤素、OH、C1-C6烷基、C3-C6环烷基或CN。
此外,本发明还涉及制备式I化合物的方法和中间体以及包含它们的活性化合物组合。此外,本发明涉及包含式I化合物的农业或兽用组合物以及式I化合物或包含它们的组合物在防除或防治无脊椎动物害虫和/或保护作物、植物、植物繁殖材料和/或生长的植物以防无脊椎动物害虫侵袭和/或侵染中的用途。本发明还涉及施用式I化合物的方法。本发明还涉及一种保护作物、植物、植物繁殖材料和/或生长的植物以防无脊椎动物害虫侵袭或侵染的方法,包括使作物、植物、植物繁殖材料和生长的植物或者其中作物、植物、植物繁殖材料储存或植物生长的土壤、材料、表面、空间、区域或水体与杀害虫有效量的至少一种如上文所定义的式(I)化合物或者包含至少一种式(I)化合物的组合物接触或用其处理;
此外,本发明涉及包含式I化合物的种子。式I化合物包括其N-氧化物、立体异构体、互变异构体和可农用或可兽用盐。
通用程序:
适当改变起始化合物,可以通过下列方案中所给程序制备式I化合物。通用程序:
式(I)化合物可以通过有机化学的方法制备,例如通过下文在方案1-17中以及在实施例的合成说明中所述方法制备。在方案1-17中,基团Ar、A、B1、B2、B3、B4、Q以及R2、R3、R4、R5、R6、R7、R8、R9、R10、Rya、Rzc、Ryc、Ryz、R11、R12、R13、R14、R15、R16、R17、R18、R19和R20如上面在式(1)中定义,除非另有规定。
其中Z为单键或-NRzc-C(=S)-或者-NRzc-C(=O)-且T为O、N或N-RT的式(I)化合物是式(Ia)化合物并且可以通过类似于WO 2011017504或WO 2015007682中所述的方法或者方案1中所述方法制备。
方案1:
在方案1的一个实施方案中,使式(II)的醛或酮与其中Z为-NRzc-C(=S)-或-NRzc-C(=O)-且T为N的式(E1)化合物在溶剂存在或不存在下反应。合适的溶剂是极性质子溶剂。若该反应在不存在溶剂下进行,则式(E1)化合物通常也用作溶剂。式(E1)化合物可市购或者可以使用类似于March’s Advanced Organic Chemistry,第6版,Michael B.Smith和Jerry March中所述的方法的有机反应制备。
根据方案1的另一实施方案,首先使式(IIa)的醛或酮化合物与式RzcNHNH2的肼反应,然后与式R11-NCO的异氰酸酯或与异硫氰酸酯R11-NCS反应而得到其中Z为-N(Rzc)-C(=O)或-N(Rzc)-C(=S)且T为N的式(Ia)化合物。
根据方案1的另一实施方案,首先使式(IIa)的醛或酮化合物与羟胺反应,然后与其中L为合适的离去基团,如卤素或活化的OH的化合物R12-L反应。由此得到其中Z为单键且T为O的式(Ia)化合物。
根据上述反应的另一实施方案,首先使式(IIa)的醛或酮化合物与羟胺反应,然后与式R11-NCO的异氰酸酯或与异硫氰酸酯R11-NCS反应而得到其中Z为-O-C(=O)-或-O-C(=S)-且T为N的式(Ia)化合物。
其中Z为-NRzc-C(=S)-或-NRzc-C(=O)-,其中C(=S)或C(=O)键合于T且T为O、N或N-RT的式(Ib)化合物可以通过类似于Synthesis,2010,2990-296中所述方法或者如方案2所示制备。
方案2:
根据方案2中所示方法,使式(IIb)的异氰酸酯化合物与式(E2)化合物通过异氰酸酯化学的方法反应。式(IIb)的异氰酸酯例如可以经由相应异羟肟酸(IIIb)的Lossen重排得到。使异羟肟酸(IIIb)与1-丙烷膦酸环状酸酐(T3P)在碱存在下反应。该碱优选为N-甲基吗啉。式(IIb)的异氰酸酯还可以经由式(IVb)的相应叠氮化物的Curtius重排得到,例如通过类似于WO2014204622中所述的方法。
为了将其中Ryz或Rzc为H的式(Ia)和(Ib)化合物转化成其中Ryz或Rzc不为H的化合物(I),可以使其中Ryz或Rzc为H的式(Ia)和(Ib)化合物与其中Ryz或Rzc不为H且Lg为离去基团,如溴、氯或碘原子或者甲苯磺酸酯、甲磺酸酯或三氟甲磺酸酯的式Ryz-Lg或Rzc-Lg化合物反应,得到其中Ryz或Rzc不为H的式(Ia)和(Ib)化合物。该反应适当地在碱如氢化钠或氢化钾存在下进行,适当的是在极性非质子溶剂如N,N-二甲基甲酰胺、四氢呋喃、二烷、乙腈、二甲亚砜或吡啶,或者这些溶剂的混合物中在0-100℃的温度范围内进行。
式(Ic)化合物可以通过如下所示的反应由式(IIc)化合物制备。
方案3:
R11/12分别对应于基团R11或R12。上面所示反应可以通过类似于制备氨基甲酸酯的常规方法进行。根据第一实施方案,将式(IIc)的胺转化成异氰酸酯或氨基甲酸对-硝基苯基酯,然后分别用式R11-OH或R12-OH的醇在有机或无机碱存在下处理。根据另一实施方案,使式(IIc)化合物与式R11/12-O-C(=O)-Cl的氯甲酸酯反应。该氯甲酸酯通过在碱,例如吡啶存在下用光气或三光气处理而由醇R11/12-OH制备。其中Z为-N(Rzc)-C(=O)-或-N(Rzc)-C(=S)-的式(Ic)化合物可以通过类似于WO 2013009791中所述方法或者类似于US20120202687中所述方法制备。
式(IIa)和(IIc)化合物可以通过如下所示的反应由式(IIa-1)化合物制备。
方案4:
反应步骤(i)可以从市售对氟苯甲醛衍生物(1)开始通过SNAr化学法进行,如Chem.Med.Chem,2013,8(6),967-975中所述。反应步骤(ii)可以从芳基硼酸前体(2)开始通过Chan-Lam偶联反应进行,如Chem.A Eur.J.,2017,23(14),3285-3290所述。反应步骤(步骤-iii)可以通过类似于WO 2015051341中所述的方法进行。反应步骤(步骤-iv)可以通过类似于E.J.Med.Chem.,2012,49,310-323中所述的方法进行。式(IIc)化合物可以从式(IIa-1)化合物开始通过(llc-1)中间体以两步制备。第一步(步骤-v)涉及吡唑(IIa-1)和对氟硝基芳烃(3)之间的SNAr反应,如J.Org.Chem.,2017,82(17)中所述。在第2步(步骤-vi)中,在酸性介质中使用SnCl2将硝基芳烃(IIc-1)还原为其相应的胺(IIc),如March’sAdvanced Organic Chemistry,第6版,Michael B.Smith和Jerry March中所述。
式(IId)、(IIe)和(IIf)的化合物可通过如下所示的反应制备。
方案5:
式(IId)化合物可以由市售3-硝基-1H-吡唑衍生物(4)和芳基硼酸(2)分两步制备,在第1步(步骤-vii)中,如WO 2016044666中所述。第2步(步骤-viii)是March’sAdvanced Organic Chemistry,第6版,Michael B.Smith和Jerry March中使用SnCl2将硝基还原为胺基。式(IIe)化合物可以由市售肟(5)制备,该肟易于由1,3二酮衍生物通过其与取代的芳基肼(ArNHNH2,6)反应而衍生,如WO 2016044666中所述。式(IIf)化合物可以经由式(IIf-1)和(IIf-2)中间体分三步制备。在第1步(步骤-x)中,可以合成二唑衍生物(IIf-1),如Synthesis Communications.,2007,37(24),5539-4452中所述。式(IIf)化合物可以根据Boulton-Katritzky重排反应由式(IIf-1)化合物分两步(x-1和x-2)制备,如J.Org.Chem.,2019,84(5),2462-2469中所述。
其中Q是–C(R9R10)-N(R2)-或-S(=O)m-N(R2)-或-C(=O)-N(R2)-或-C(=S)-N(R2)-且A是N或CRA的式(IIg-1)、(IIg-2)、(IIg-3)和(IIg-4)化合物可以根据如下反应制备。
方案6:
式(IIg-1)化合物可以通过在极性质子或非质子溶剂中在酸性、碱性或中性条件下将式Ar-C(R9R10)-Lg化合物(其中Lg可以是溴、氯、甲苯磺酸酯、甲磺酸酯)与式(IIg)化合物的普通中间体加热来制备,类似于WO 2010129053、WO 20070146824或Chem.Commun.,2014,50,1465中所述,示于步骤(xi-1)中。式(IIg-2)化合物可以由式(IIg)化合物通过在碱如吡啶和偶联剂如DMAP的存在下用合适的Ar-SO2Cl处理来制备,如Chemistry-AEuropean Journal,2014,20(1),317-322中所述,(步骤-xi-2)。式(IIg-3)化合物可以由式(IIg)化合物通过使用酰胺偶联反应来制备,类似于如March’s Advanced OrganicChemistry,第6版,Michael B.Smith和Jerry March中所述,示于步骤(xi-3)中。式(IIg-4)化合物可通过使式(IIg-3)化合物与P2S5或Lawesson试剂反应来制备,例如通过Strong.等人,J.Med.Chem.,2017,60,5556-5585所述,如步骤(xi-4)中所示。
其中Q是-N=C(X)-、X是Cl或F且A是N或CRA的式(IIh-1)和(IIh-2)化合物可以通过如下所示的反应制备。
方案7:
在上述反应中,式(IIh-1)化合物可以由式(IIg-3)化合物使用亚硫酰氯制备,如Angew.Chem.Int.Ed.,2014,53,9068-9071中所述。式(IIh-2)化合物可以由式(IIh-1)化合物通过Aust.J.Chem.,1999,52,807-811中所述的方法制备。
其中Q是-C(X)=N-、X是OR8或SR7或N(R3)2或-NHCN且A是N或CRA的式(IIh-3)、(IIh-4)、(IIh-5)和(IIh-6)化合物可以通过如下所示的反应制备。方案8:
式(IIh-3)、(IIh-4)、(IIh-5)和(IIh-6)化合物可通过在极性质子或非质子溶剂中在酸性、碱性或中性条件下将式(IIh-1)化合物与NH(R3)2或NH2CN或R8-OH或R7-SH化合物加热来制备,如WO 2010129053、WO 2007146824或Chem.Commun.,2014,50,1465中所述。
式(IIi)、(IIj)和(IIk)化合物可以通过如下所示的反应制备。
方案9:
式(IIi)化合物可以通过市售吡唑酯衍生物(8)和芳基硼酸(2)之间的Chan-Lam偶联来制备,如WO 2009110520中所述。式(IIj)化合物可以从市售β-酮酸酯衍生物(9)开始,经式(IIj-1)中间体分两步制备,如Synthesis2019,51(6),1473-1481中所述。Angew.,Chem.,Int.Ed.,2010,49(42),7790-7794中描述了其中需要吡唑合成的第2步(步骤-xv-2)。式(IIk)化合物可以通过市售三唑酯衍生物(11)与芳基硼酸(2)之间的Chan-Lam偶联来制备,如Chem.,Commun.,2019,55(32),4603-4606中所述。
其中Q为-N(R2)-C(=O)-或-NR2-C(R9R10)-或-N(R2)-C(=S)-或-O-C(=O)-或-O-C(R4R5)-或-S-C(R7R8)-且A为N或CRA的式(IIl-2)、(IIl-3)、(IIl-4)、(IIl-5)、(IIl-6)、(IIl-7)和(IIl-9)化合物可以通过如下所示反应制备。
方案10:
式(IIl-1)化合物可由酯中间体(IIl)通过用合适的碱如LiOH、NaOH水解来制备,如WO 2011050245中所述。式(IIl-2)的共同中间体可以通过使式(IIl-1)化合物与Ar-NH2在合适的偶联试剂如HATU和碱如DIPEA存在下反应经由酰胺形成而制备。式(IIl-3)化合物可由式(IIl-2)的共同中间体通过用LiAlH4进行酰胺还原来制备,如Tet.Lett.,2015,56(16),2062-2066中所述。式(IIl-4)化合物可以通过式(IIl-2)化合物与P2S5或Lawesson试剂反应来制备,例如如Strong等人,J.Med.Chem.,2017,60,5556-5585所述。式(IIl-5)化合物可以通过使式(IIl-1)化合物与ArOH在酸存在下反应经由酯化而由式(IIl-1)的共同中间体制备。式(IIl-6)的共同中间体可由式(IIl)在合适的还原剂如LiAlH4或DIBAL-H存在下还原而制备。式(IIl-7)的共同中间体可以由式(IIl-6)通过Mitsunobu反应条件经由醚化反应而制备。式(IIl-9)化合物可由式(IIl-6)化合物通过涉及式(IIl-8)化合物中间体的两步顺序制备。Hal’是氯、溴、碘、甲苯磺酸酯、甲磺酸酯或三氟甲磺酸酯。步骤(xvii-1和xvii-2)、(xviii-1)、(xviii-2)、(xviii-3)、(xviii-4)、(xviii-5)和(xviii-6)、(xviii-7)可以类似于March’s Advanced Organic Chemistry,第6版,Michael B.Smith和JerryMarch中所述方法进行。
其中Q为-N=C(X)-、X为Cl或F且A为N或CRA的式(IIm-1)和(IIm-2)化合物可以通过如下反应制备。
方案11:
式(IIm-1)和(IIm-2)化合物可以使用类似于方案7的方法制备。式(IIm-1)化合物可以使用亚硫酰氯制备,如Angew.Chem.Int.Ed.,2014,53,9068-9071中所述。式(IIm-2)化合物可以由式(IIm-1)化合物通过Australian Journal of Chemistry,1999,52,807-811中所述的方法制备。
其中Q为-N=C(X)-、X为OR8或SR7或N(R3)2或NHCN且A为N或CRA的式(IIm-3)、(IIm-4)、(IIm-5)和(IIm-6)化合物可以通过如下反应制备。
方案12:
(IIm-3)、(IIm-4)、(IIm-5)和(IIm-6)化合物可通过将式(IIm-1)化合物与式R8-OH或R7-SH或NH(R3)2或NH2CN的化合物在极性质子或非质子溶剂中在酸性、碱性或中性条件下加热而制备,如WO 2010129053,WO 2007146824或Chem.Commun.,2014,50,1465中所述。
其中Q为-C(R19R20)-C(=O)-或-C(=O)-C(R19R20)-且A为N或CRA的式(IIn-3)和(IIn-6)化合物可以通过如下反应制备。
方案13:
式(IIn-3)化合物可以由式(IIl-1)化合物通过(IIn-1)和(IIn-2)的中间体分两步制备,根据如Org.Lett.,2016,18(23),6026-6029中所述的方法。式(IIn-6)化合物可以经由(IIn-4)和(IIn-5)的中间体由式(IIn-1)化合物开始分三步制备。第一步(xxi-4)涉及由(IIn-1)进行Arndt-Eistert同系化,然后形成Weinreb酰胺(步骤xxi-5),并添加芳基格氏试剂(步骤xxi-6),根据如Photochemical&Photobiological Sciences,2014,13(2),324-341中所述的方法。
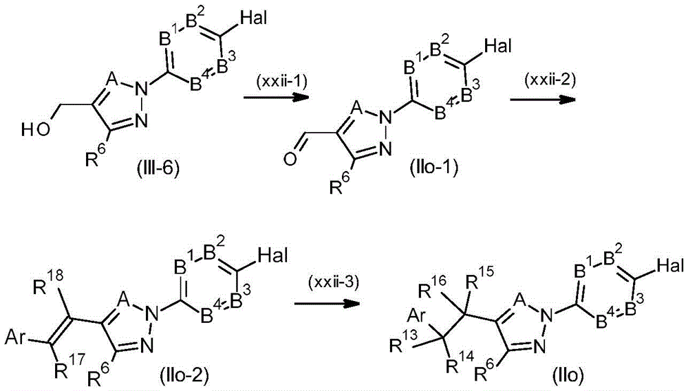
其中Q为–C(R17)=C(R18)-或–C(R13R14)–C(R15R16)-且A为N或CRA的式(IIo)和(IIo-2)化合物可以根据如下反应制备。
方案14:
式(IIo-1)化合物可以由式(IIl-6)化合物根据WO 2011060217中所述的方法制备。两种式(IIo-2)和(IIo)化合物可以由式(Iio-1)化合物通过Wittig反应(步骤xxii-2)来制备,在THF中使用Wittig磷内鎓盐和碱如tBuOK,然后进行有机化学中已知的氢化方法(步骤xxii-3),例如使用氢气和合适的金属催化剂,如Marchs Advanced OrganicChemistry,第6版,Michael B.Smith和Jerry March中所述。
式(IIp)、(IIq)和(IIr)化合物可以根据如下反应制备。
方案15:
式(IIp)化合物可以由市售1-溴-2,3-二酮衍生物(12)通过使其与取代的芳基肼(ArNHNH2,6)反应来制备,如Science of Synthesis,2002,12,15-225中所述。式(IIq)化合物可以类似地由市售1,3二酮衍生物(13)通过使其与取代的芳基肼(6)反应来制备,如Science of Synthesis,2002,12,15-225中所述。式(IIr)化合物可以由市售肟衍生物(14)和相应的芳基肼(6)分两步制备,包括通过(IIr-1)的中间体,如Bulletin des SocietiesChimique Belges,1997,106(11),717-728中所述。
其中Q为–C(R4R5)-O-或–C(R7R8)-S(=O)m-或-C(=O)-O-且A为N或CRA的式(IIs-1)、(IIs-3)和(IIs-4)的化合物可以根据如下反应制备。
方案16:
式(IIs-1)化合物可通过在极性和非质子溶剂中在碱如NaH或K2CO3存在下与式ArC(R4R5)-Lg化合物(其中Lg为溴、氯、碘、甲苯磺酸酯或甲磺酸酯)反应而由式(IIs)化合物制备。式(IIs-2)化合物可以通过与Lawesson试剂反应而由式(IIs)化合物制备,如J.Med.Chem.,1992,35(2),368-374中所述。式(IIs-3)化合物可以通过在极性和非质子溶剂中在碱如NaH或K2CO3等存在下与式ArC(R7R8)-Lg化合物(其中Lg为溴、氯、碘)反应而由式(IIs-2)化合物制备。可以使用mCPBA进一步氧化式(IIs-3)化合物,以制备在硫上具有不同氧化态的化合物,如March’s Advanced Organic Chemistry,第6版,Michael B.Smith和Jerry March中所述。式(IIs-4)化合物可以由式(IIs)的共同中间体通过酯化方法来制备,类似于如March’sAdvanced Organic Chemistry,第6版,Michael B.Smith和Jerry March中所述。
其中Q为-N(R2)-S(=O)m-且A为N或CRA的式(IIt)化合物可以根据如下反应制备。
方案17:
式(IIt)化合物可以从式(IIs-2)化合物开始分三步制备,涉及通过(IIt-1)和(IIt-2)中间体,使用合适的反应条件,如Chemistry Select,2016,3,490-494,(步骤(xxvii-1),EP1992/524634[步骤(xxvii-2)],Chemistry-A European Journal,2014,20(1),317-322(步骤xxvii-3)中所述。
单独的式I化合物还可以通过衍生其他式I化合物或其中间体而制备。
若合成得到异构体混合物,则通常不一定要求分离,因为在某些情况下各异构体可能在为了应用的后处理过程中或在施用过程中(例如在光、酸或碱的作用下)相互转化。该类转化也可以在使用后发生,例如在植物处理的情况下在被处理的植物中或在待防治的有害真菌中。
熟练技术人员容易理解本文就化合物I而言取代基所给的优选情形,尤其还有在下表中对相应取代基所给的那些相应地适用于中间体。因此,取代基在每种情况下相互独立地或者更优选组合地具有本文所给含义。
除非另有指明,术语“本发明的化合物”或“本发明化合物”或“式(I)化合物”是指式I化合物。
术语“本发明的化合物”或“式I化合物”包括本文所定义的化合物及其立体异构体、盐、互变异构体或N-氧化物。术语“本发明化合物”应理解为等同于术语“本发明的化合物”,因此还包括其立体异构体、盐、互变异构体或N-氧化物。
术语“本发明的组合物”或“本发明组合物”包括包含至少一种如上所定义的本发明式I化合物的组合物。本发明组合物优选为农业或兽用组合物。
取决于取代方式,本发明化合物可以具有一个或多个手性中心,此时它们作为对映体或非对映体的混合物存在。本发明提供了本发明化合物的单一纯对映体或纯非对映体及其混合物二者以及本发明化合物的纯对映体或纯非对映体或其混合物的本发明用途。合适的本发明化合物还包括所有可能的几何立体异构体(顺式/反式异构体)及其混合物。就链烯烃、碳-氮双键或酰胺基团而言可能存在顺式/反式异构体。术语“立体异构体”包括光学异构体,如对映体或非对映体,后者由于分子中不止一个手性中心而存在,以及几何异构体(顺式/反式异构体)二者。本发明涉及式I化合物的每一可能立体异构体,即单一对映体或非对映体,以及它们的混合物。
本发明化合物可以是无定形的或者可以以一种或多种可能具有不同宏观性能如稳定性或显示不同生物学性能如活性的不同晶态(多晶型)存在。本发明涉及无定形和结晶的本发明化合物,不同结晶状态的相应本发明化合物的混合物及其无定形或结晶盐。
术语“互变异构体”包括通过涉及位于氮、氧或硫原子处的至少一个H原子的H原子位移而由式I化合物衍生的异构体。互变异构形式的实例是酮-烯醇形式、亚胺-烯胺形式、脲-异脲形式、硫脲-异硫脲形式、(硫代)酰胺-(硫代)亚氨酸酯形式等。
术语“立体异构体”包括光学异构体如对映体或非对映体—其中后者因该分子中不止一个手性中心而存在—以及几何异构体(顺式/反式异构体)二者。
取决于取代方式,式I化合物可以具有一个或多个手性中心,此时它们作为对映体或非对映体的混合物存在。一个手性中心是带有基团R1的异噻唑啉环的碳环原子。本发明提供了化合物I的纯对映体或纯非对映体及其混合物二者以及化合物I的纯对映体或纯非对映体或其混合物的本发明用途。合适的式I化合物还包括所有可能的几何立体异构体(顺式/反式异构体)及其混合物。
术语N-氧化物涉及一种其中至少一个氮原子以氧化形式(作为NO)存在的化合物I的形式。更准确地讲,它涉及任何具有至少一个被氧化成N-氧化物结构部分的叔氮原子的本发明化合物。化合物I的N-氧化物尤其可以通过用合适的氧化剂如过氧羧酸或其他过氧化物氧化例如N-杂环,例如存在于Ar或R11中的吡啶或嘧啶环的环氮原子或存在于中心三环核中的亚氨基氮而制备。本领域熟练技术人员知道本发明化合物如何且在何种位置可以形成N-氧化物。
式I化合物的盐优选是可农用和可兽用盐。它们可以以常规方法形成,例如若式I化合物具有碱性官能团,则通过使该化合物与所述阴离子的酸反应,或者通过使式I的酸性化合物与合适碱反应。
合适的可农用盐或可兽用盐尤其为其阳离子和阴离子分别在形成农用或兽用盐领域是已知且被接受的并且对本发明化合物的作用没有任何不利影响的那些阳离子的盐或那些酸的酸加成盐。合适的阳离子尤其是碱金属离子,优选锂、钠和钾离子;碱土金属离子,优选钙、镁和钡离子;过渡金属离子,优选锰、铜、锌和铁离子;还有铵(NH4 +)和其中1-4个氢原子被C1-C4烷基、C1-C4羟基烷基、C1-C4烷氧基、C1-C4烷氧基-C1-C4烷基、羟基-C1-C4烷氧基-C1-C4烷基、苯基或-CH2-苯基替代的取代铵。取代铵离子的实例包括甲基铵、异丙基铵、二甲基铵、二异丙基铵、三甲基铵、四甲基铵、四乙基铵、四丁基铵、2-羟基乙基铵、2-(2-羟基乙氧基)乙基铵、二(2-羟基乙基)铵、苄基三甲基铵和苄基三乙基铵,此外还有离子,锍离子,优选三(C1-C4烷基)锍,以及氧化锍离子,优选三(C1-C4烷基)氧化锍。例如由含有碱性氮原子,例如氨基的式I化合物形成的合适可兽用酸加成盐包括与无机酸的盐,例如盐酸盐、硫酸盐、磷酸盐和硝酸盐,以及有机酸如乙酸、马来酸、二马来酸、富马酸、二富马酸、甲烷次磺酸、甲磺酸和琥珀酸的盐。
有用酸加成盐的阴离子主要是氯离子、溴离子、氟离子、硫酸氢根、硫酸根、磷酸二氢根、磷酸氢根、磷酸根、硝酸根、碳酸氢根、碳酸根、六氟硅酸根、六氟磷酸根、苯甲酸根和C1-C4链烷酸的阴离子,优选甲酸根、乙酸根、丙酸根和丁酸根。它们可以通过使式I化合物与对应阴离子的酸,优选盐酸、氢溴酸、硫酸、磷酸或硝酸反应而形成。
本文所用术语“无脊椎动物害虫”包括动物种群,如昆虫、蜘蛛和线虫,它们可能侵袭植物,从而对被侵袭植物产生显著损害,以及可能侵染动物,尤其是温血动物如哺乳动物或鸟类或其他高等动物如爬行动物、两栖动物或鱼类,从而对被侵染动物产生显著损害的体外寄生虫。
术语“植物繁殖材料”应理解为表示植物的所有繁殖部分如种子,以及可以用于繁殖植物的无性植物材料如插条和块茎(例如土豆)。这包括种子、根、果实、块茎、球茎、地下茎、枝、芽和其他植物部分,包括在萌发后或出苗后由土壤移植的秧苗和幼苗。植物繁殖材料可以在种植或移植之时或之前用植物保护化合物预防性处理。所述幼苗还可以在移植之前通过经由浸渍或浇灌的完全或部分处理而保护。
术语“植物”包括任何类型的植物,包括“修饰植物”和尤其是“栽培植物”。
术语“修饰植物”是指栽培植物的任何野生型品种或相关品种或相关属。
术语“栽培植物”应理解为包括已经通过育种、诱变或基因工程修饰的植物,包括但不限于上市销售或开发的农业生物技术产品(参见http://www.bio.org/speeches/pubs/er/agri_products.asp)。基因修饰植物是其基因材料通过使用在自然条件下不易通过杂交、突变或自然重组得到的重组DNA技术修饰的植物。通常将一个或多个基因整合到基因修饰植物的遗传材料中以改善植物的某些性能。这类基因修饰还包括但不限于蛋白质、寡肽或多肽的靶向翻译后修饰,例如通过糖基化或聚合物加成如异戊二烯化、乙酰化或法呢基化结构部分或PEG结构部分。
通过育种、诱变或基因工程修饰的植物例如因常规育种或基因工程方法而耐受特殊类别除草剂的施用,这些除草剂如植物生长素除草剂如麦草畏(dicamba)或2,4-D;漂白剂除草剂如羟基苯基丙酮酸二加氧酶(HPPD)抑制剂或八氢番茄红素去饱和酶(PDS)抑制剂;乙酰乳酸合成酶(ALS)抑制剂,例如磺酰脲类或咪唑啉酮类;烯醇丙酮酰莽草酸3-磷酸合成酶(EPSPS)抑制剂,例如草甘膦(glyphosate);谷氨酰胺合成酶(GS)抑制剂,例如草铵膦(glufosinate);原卟啉原-IX氧化酶抑制剂;类脂生物合成抑制剂如乙酰基CoA羧化酶(ACCase)抑制剂;或oxynil(即溴苯腈(bromoxynil)或碘苯腈(ioxynil))除草剂;此外,植物已经通过多次基因修饰而耐受多种类别除草剂,如耐受草甘膦和草铵膦二者或耐受草甘膦和选自ALS抑制剂、HPPD抑制剂、植物生长素抑制剂或ACCase抑制剂的另一类别除草剂二者。这些除草剂耐受性技术例如描述于Pest Managem.Sci.61,2005,246;61,2005,258;61,2005,277;61,2005,269;61,2005,286;64,2008,326;64,2008,332;Weed Sci.57,2009,108;Austral.J.Agricult.Res.58,2007,708;Science 316,2007,1185;以及其中引用的文献中。几种栽培植物已经通过常规育种方法(诱变)耐受除草剂,例如耐受咪唑啉酮类如咪草啶酸(imazamox)的夏播油菜(Canola,德国BASF SE)或耐受磺酰脲类,例如苯黄隆(tribenuron)的向日葵(DuPont,USA)。已经使用基因工程方法来赋予栽培植物如大豆、棉花、玉米、甜菜和油菜对除草剂如草甘膦和草铵膦的耐受性,它们中的一些可以以商标名(耐受草甘膦,Monsanto,U.S.A.)、(耐受咪唑啉酮,德国BASF SE)和(耐受草铵膦,德国Bayer CropScience)市购。
此外,还包括通过使用重组DNA技术而能够合成一种或多种杀虫蛋白,尤其是由芽孢杆菌属(Bacillus)细菌,特别是苏云金芽孢杆菌(Bacillus thuringiensis)已知的那些的植物,所述杀虫蛋白如δ-内毒素,例如CryIA(b),CryIA(c),CryIF,CryIF(a2),CryIIA(b),CryIIIA,CryIIIB(b1)或Cry9c;无性杀虫蛋白(VIP),例如VIP1、VIP2、VIP3或VIP3A;线虫定居细菌的杀虫蛋白,例如发光杆菌属(Photorhabdus)或致病杆菌属(Xenorhabdus);动物产生的毒素如蝎子毒素、蜘蛛毒素、黄蜂毒素或其他昆虫特异性神经毒素;真菌产生的毒素,例如链霉菌属(Streptomycetes)毒素;植物凝集素,例如豌豆或大麦凝集素;凝集素;蛋白酶抑制剂,例如胰蛋白酶抑制剂,丝氨酸蛋白酶抑制剂,patatin,半胱氨酸蛋白酶抑制剂或木瓜蛋白酶抑制剂;核糖体失活蛋白(RIP),例如蓖麻蛋白、玉米-RIP、相思豆毒蛋白、丝瓜籽蛋白、皂草素或异株腹泻毒蛋白(bryodin);类固醇代谢酶,例如3-羟基类固醇氧化酶、蜕皮甾类-IDP糖基转移酶、胆固醇氧化酶、蜕皮激素抑制剂或HMG-CoA还原酶;离子通道阻断剂,例如钠通道或钙通道阻断剂;保幼激素酯酶;利尿激素受体(helicokinin受体);合成酶,联苄合成酶,壳多糖酶或葡聚糖酶。在本发明上下文中,这些杀虫蛋白或毒素还具体理解为前毒素、杂合蛋白、截短的或其他方面改性的蛋白。杂合蛋白的特征在于蛋白域的新型组合(例如参见WO 2002/015701)。该类毒素或能够合成这些毒素的基因修饰植物的其他实例公开于EP-A 374 753、WO 93/07278、WO 95/34656、EP-A 427 529、EP-A 451 878、WO03/18810和WO 03/52073中。生产这些基因修饰植物的方法通常对本领域熟练技术人员是已知的且例如描述于上述出版物中。这些含于基因修饰植物中的杀虫蛋白赋予产生这些蛋白的植物以对所有分类学上为节肢动物的害虫,尤其是甲虫(鞘翅目(Coeleropta))、双翅目昆虫(双翅目(Diptera))和蛾(鳞翅目(Lepidoptera))以及线虫(线虫纲(Nematoda))的耐受性。能够合成一种或多种杀虫蛋白的基因修饰植物例如描述于上述出版物中,它们中的一些可市购,例如(产生毒素Cry1Ab的玉米品种),Plus(产生毒素Cry1Ab和Cry3Bb1的玉米品种),(产生毒素Cry9c的玉米品种),RW(产生Cry34Ab1、Cry35Ab1和酶膦丝菌素-N-乙酰转移酶[PAT]的玉米品种);33B(产生毒素Cry1Ac的棉花品种),I(产生毒素Cry1Ac的棉花品种),II(产生毒素Cry1Ac和Cry2Ab2的棉花品种);(产生VIP毒素的棉花品种);(产生毒素Cry3A的土豆品种); Bt11(例如CB)和法国Syngenta Seeds SAS的Bt176(产生毒素Cry1Ab和PAT酶的玉米品种),法国Syngenta Seeds SAS的MIR604(产生毒素Cry3A的修饰译本的玉米品种,参见WO 03/018810),比利时MonsantoEurope S.A.的MON 863(产生毒素Cry3Bb1的玉米品种),比利时Monsanto Europe S.A.的IPC 531(产生毒素Cry1Ac的修饰译本的棉花品种)和比利时Pioneer OverseasCorporation的1507(产生毒素Cry1F和PAT酶的玉米品种)。
此外,还包括通过使用重组DNA技术能够合成一种或多种对细菌、病毒或真菌病原体的抗性或耐受性增强的蛋白质的植物。该类蛋白的实例是所谓的“与发病机理相关的蛋白”(PR蛋白,例如参见EP-A 392 225),植物病害抗性基因(例如表达针对来自墨西哥野生土豆Solanum bulbocastanum的致病疫霉(Phytophthora infestans)起作用的抗性基因的土豆品种)或T4溶菌酶(例如能够合成对细菌如Erwinia amylvora具有增强的抗性的这些蛋白的土豆品种)。生产这些基因修饰植物的方法通常对本领域熟练技术人员是已知的且例如描述于上述出版物中。
此外,还包括通过使用重组DNA技术能够合成一种或多种蛋白以提高产量(例如生物质产生、谷粒产量、淀粉含量、油含量或蛋白质含量),对干旱、盐或其他生长限制性环境因素的耐受性或对害虫以及真菌、细菌和病毒病原体的耐受性的植物。
此外,还包括通过使用重组DNA技术而含有改变量的物质含量或新物质含量以尤其改善人类或动物营养的植物,例如产生促进健康的长链ω-3脂肪酸或不饱和ω-9脂肪酸的油料作物(例如油菜,加拿大DOW Agro Sciences)。
在各变量的上述定义中提到的有机结构部分象术语卤素一样为各成员的各次列举的集合性术语。前缀Cn-Cm在每种情况下表示该基团中可能的碳原子数。
术语卤素在每种情况下表示F、Br、Cl或I,尤其是F、Cl或Br。
本文所用以及在烷氧基、烷硫基等的烷基结构部分中的术语“烷基”是指具有1-2个(“C1-C2烷基”)、1-3个(“C1-C3烷基”)、1-4个(“C1-C4烷基”)或1-6个(“C1-C6烷基”)碳原子的饱和直链或支化烃基。C1-C2烷基为CH3或C2H5。C1-C3烷基额外为丙基和异丙基。C1-C4烷基额外为丁基、1-甲基丙基(仲丁基)、2-甲基丙基(异丁基)或1,1-二甲基乙基(叔丁基)。C1-C6烷基额外例如还为戊基、1-甲基丁基、2-甲基丁基、3-甲基丁基、2,2-二甲基丙基、1-乙基丙基、1,1-二甲基丙基、1,2-二甲基丙基、己基、1-甲基戊基、2-甲基戊基、3-甲基戊基、4-甲基戊基、1,1-二甲基丁基、1,2-二甲基丁基、1,3-二甲基丁基、2,2-二甲基丁基、2,3-二甲基丁基、3,3-二甲基丁基、1-乙基丁基、2-乙基丁基、1,1,2-三甲基丙基、1,2,2-三甲基丙基、1-乙基-1-甲基丙基或1-乙基-2-甲基丙基。
也表示为“部分或完全被卤代的烷基”的本文所用术语“卤代烷基”是指具有1-2个(“C1-C2卤代烷基”),1-3个(“C1-C3卤代烷基”),1-4个(“C1-C4卤代烷基”)或1-6个(“C1-C6卤代烷基”)碳原子的直链或支化烷基(如上所述),其中这些基团中的部分或所有氢原子被上述卤原子替代:尤其是C1-C2卤代烷基,如氯甲基、溴甲基、二氯甲基、三氯甲基、氟甲基、二氟甲基、三氟甲基、氯氟甲基、二氯一氟甲基、一氯二氟甲基、1-氯乙基、1-溴乙基、1-氟乙基、2-氟乙基、2,2-二氟乙基、2,2,2-三氟乙基、2-氯-2-氟乙基、2-氯-2,2-二氟乙基、2,2-二氯-2-氟乙基、2,2,2-三氯乙基或五氟乙基。C1-C3卤代烷基例如额外为1-氟丙基、2-氟丙基、3-氟丙基、1,1-二氟丙基、2,2-二氟丙基、1,2-二氟丙基、3,3-二氟丙基、3,3,3-三氟丙基、七氟丙基、1,1,1-三氟丙-2-基、3-氯丙基等。C1-C4卤代烷基的实例除了对C1-C3卤代烷基提到的那些外还有4-氯丁基等。
本文所用术语“亚烷基”(或链烷二基)在每种情况下表示如上所定义的烷基,其中在碳骨架的任何位置处的一个氢原子被一个另外的键合位置替代,由此形成二价结构部分。亚烷基优选具有1-6个碳原子(C1-C6亚烷基),2-6个碳原子(C2-C6亚烷基),尤其是1-4个碳原子(C1-C4亚烷基)或2-4个碳原子(C2-C4亚烷基)。亚烷基的实例是亚甲基(CH2),1,1-亚乙基、1,2-亚乙基、1,3-亚丙基、1,2-亚丙基、2,2-亚丙基、1,4-亚丁基、1,2-亚丁基、1,3-亚丁基、2,3-亚丁基、2,2-亚丁基、1,5-亚戊基、2,2-二甲基-1,3-亚丙基、1,3-二甲基-1,3-亚丙基、1,6-亚己基等。
本文所用术语“链烯基”是指具有2-3个(“C2-C3链烯基”),2-4个(“C2-C4链烯基”)或2-6个(“C2-C6链烯基”)碳原子和在任意位置的双键的单不饱和直链或支化烃基,例如C2-C3链烯基如乙烯基、1-丙烯基、2-丙烯基或1-甲基乙烯基;C2-C4链烯基如乙烯基、1-丙烯基、2-丙烯基、1-甲基乙烯基、1-丁烯基、2-丁烯基、3-丁烯基、1-甲基-1-丙烯基、2-甲基-1-丙烯基、1-甲基-2-丙烯基或2-甲基-2-丙烯基;C2-C6链烯基如乙烯基、1-丙烯基、2-丙烯基、1-甲基乙烯基、1-丁烯基、2-丁烯基、3-丁烯基、1-甲基-1-丙烯基、2-甲基-1-丙烯基、1-甲基-2-丙烯基、2-甲基-2-丙烯基、1-戊烯基、2-戊烯基、3-戊烯基、4-戊烯基、1-甲基-1-丁烯基、2-甲基-1-丁烯基、3-甲基-1-丁烯基、1-甲基-2-丁烯基、2-甲基-2-丁烯基、3-甲基-2-丁烯基、1-甲基-3-丁烯基、2-甲基-3-丁烯基、3-甲基-3-丁烯基、1,1-二甲基-2-丙烯基、1,2-二甲基-1-丙烯基、1,2-二甲基-2-丙烯基、1-乙基-1-丙烯基、1-乙基-2-丙烯基、1-己烯基、2-己烯基、3-己烯基、4-己烯基、5-己烯基、1-甲基-1-戊烯基、2-甲基-1-戊烯基、3-甲基-1-戊烯基、4-甲基-1-戊烯基、1-甲基-2-戊烯基、2-甲基-2-戊烯基、3-甲基-2-戊烯基、4-甲基-2-戊烯基、1-甲基-3-戊烯基、2-甲基-3-戊烯基、3-甲基-3-戊烯基、4-甲基-3-戊烯基、1-甲基-4-戊烯基、2-甲基-4-戊烯基、3-甲基-4-戊烯基、4-甲基-4-戊烯基、1,1-二甲基-2-丁烯基、1,1-二甲基-3-丁烯基、1,2-二甲基-1-丁烯基、1,2-二甲基-2-丁烯基、1,2-二甲基-3-丁烯基、1,3-二甲基-1-丁烯基、1,3-二甲基-2-丁烯基、1,3-二甲基-3-丁烯基、2,2-二甲基-3-丁烯基、2,3-二甲基-1-丁烯基、2,3-二甲基-2-丁烯基、2,3-二甲基-3-丁烯基、3,3-二甲基-1-丁烯基、3,3-二甲基-2-丁烯基、1-乙基-1-丁烯基、1-乙基-2-丁烯基、1-乙基-3-丁烯基、2-乙基-1-丁烯基、2-乙基-2-丁烯基、2-乙基-3-丁烯基、1,1,2-三甲基-2-丙烯基、1-乙基-1-甲基-2-丙烯基、1-乙基-2-甲基-1-丙烯基、1-乙基-2-甲基-2-丙烯基等。
本文所用术语“炔基”是指具有2-3个(“C2-C3炔基”),2-4个(“C2-C4炔基”)或2-6个(“C2-C6炔基”)碳原子和一个或两个在任意位置的叁键的直链或支化烃基,例如C2-C3炔基,如乙炔基、1-丙炔基或2-丙炔基;C2-C4炔基,如乙炔基、1-丙炔基、2-丙炔基、1-丁炔基、2-丁炔基、3-丁炔基、1-甲基-2-丙炔基等,C2-C6炔基,如乙炔基、1-丙炔基、2-丙炔基、1-丁炔基、2-丁炔基、3-丁炔基、1-甲基-2-丙炔基、1-戊炔基、2-戊炔基、3-戊炔基、4-戊炔基、1-甲基-2-丁炔基、1-甲基-3-丁炔基、2-甲基-3-丁炔基、3-甲基-1-丁炔基、1,1-二甲基-2-丙炔基、1-乙基-2-丙炔基、1-己炔基、2-己炔基、3-己炔基、4-己炔基、5-己炔基、1-甲基-2-戊炔基、1-甲基-3-戊炔基、1-甲基-4-戊炔基、2-甲基-3-戊炔基、2-甲基-4-戊炔基、3-甲基-1-戊炔基、3-甲基-4-戊炔基、4-甲基-1-戊炔基、4-甲基-2-戊炔基、1,1-二甲基-2-丁炔基、1,1-二甲基-3-丁炔基、1,2-二甲基-3-丁炔基、2,2-二甲基-3-丁炔基、3,3-二甲基-1-丁炔基、1-乙基-2-丁炔基、1-乙基-3-丁炔基、2-乙基-3-丁炔基、1-乙基-1-甲基-2-丙炔基等。
本文所用术语“环烷基”是指尤其具有3-6个(“C3-C6环烷基”)或3-5个(“C3-C5环烷基”)或3-4个(“C3-C4环烷基”)碳原子的单环或双环或多环饱和烃基。具有3-4个碳原子的单环基团实例包括环丙基和环丁基。具有3-5个碳原子的单环基团实例包括环丙基、环丁基和环戊基。具有3-6个碳原子的单环基团实例包括环丙基、环丁基、环戊基和环己基。具有3-8个碳原子的单环基团实例包括环丙基、环丁基、环戊基、环己基、环庚基和环辛基。具有7或8个碳原子的双环基团实例包括双环[2.2.1]庚基、双环[3.1.1]庚基、双环[2.2.2]辛基和双环[3.2.1]辛基。优选术语环烷基表示单环饱和烃基。
本文所用术语“环烷氧基”是指经由氧原子键合于该分子的其余部分的尤其具有3-6个(“C3-C6环烷氧基”)或3-5个(“C3-C5环烷氧基”)或3-4个(“C3-C4环烷氧基”)碳原子的如上所定义的环烷基,尤其是单环环烷基。
术语“环烷基-C1-C4烷基”是指经由如上所定义的C1-C4烷基键合于该分子的其余部分的如上所定义的C3-C8环烷基(“C3-C8环烷基-C1-C4烷基”),优选C3-C6环烷基(“C3-C6环烷基-C1-C4烷基”),更优选C3-C4环烷基(“C3-C4环烷基-C1-C4烷基”)(优选单环环烷基)。C3-C4环烷基-C1-C4烷基的实例是环丙基甲基、环丙基乙基、环丙基丙基、环丁基甲基、环丁基乙基和环丁基丙基。C3-C6环烷基-C1-C4烷基的实例除了对C3-C4环烷基-C1-C4烷基提到的那些外还有环戊基甲基、环戊基乙基、环戊基丙基、环己基甲基、环己基乙基和环己基丙基。
术语“C1-C2烷氧基”为经由氧原子连接的如上所定义的C1-C2烷基。术语“C1-C3烷氧基”为经由氧原子连接的如上所定义的C1-C3烷基。术语“C1-C4烷氧基”为经由氧原子连接的如上所定义的C1-C4烷基。术语“C1-C6烷氧基”为经由氧原子连接的如上所定义的C1-C6烷基。术语“C1-C10烷氧基”为经由氧原子连接的如上所定义的C1-C10烷基。C1-C2烷氧基为OCH3或OC2H5。C1-C3烷氧基例如额外为正丙氧基和1-甲基乙氧基(异丙氧基)。C1-C4烷氧基例如额外为丁氧基、1-甲基丙氧基(仲丁氧基)、2-甲基丙氧基(异丁氧基)或1,1-二甲基乙氧基(叔丁氧基)。C1-C6烷氧基例如额外为戊氧基、1-甲基丁氧基、2-甲基丁氧基、3-甲基丁氧基、1,1-二甲基丙氧基、1,2-二甲基丙氧基、2,2-二甲基丙氧基、1-乙基丙氧基、己氧基、1-甲基戊氧基、2-甲基戊氧基、3-甲基戊氧基、4-甲基戊氧基、1,1-二甲基丁氧基、1,2-二甲基丁氧基、1,3-二甲基丁氧基、2,2-二甲基丁氧基、2,3-二甲基丁氧基、3,3-二甲基丁氧基、1-乙基丁氧基、2-乙基丁氧基、1,1,2-三甲基丙氧基、1,2,2-三甲基丙氧基、1-乙基-1-甲基丙氧基或1-乙基-2-甲基丙氧基。C1-C8烷氧基例如额外为庚氧基、辛氧基、2-乙基己氧基及其位置异构体。C1-C10烷氧基额外例如为壬氧基、癸氧基及其位置异构体。
术语“C1-C2卤代烷氧基”是经由氧原子连接的如上所定义的C1-C2卤代烷基。术语“C1-C3卤代烷氧基”是经由氧原子连接的如上所定义的C1-C3卤代烷基。术语“C1-C4卤代烷氧基”是经由氧原子连接的如上所定义的C1-C4卤代烷基。术语“C1-C6卤代烷氧基”是经由氧原子连接的如上所定义的C1-C6卤代烷基。C1-C2卤代烷氧基例如为OCH2F、OCHF2、OCF3、OCH2Cl、OCHCl2、OCCl3、氯氟甲氧基、二氯一氟甲氧基、一氯二氟甲氧基、2-氟乙氧基、2-氯乙氧基、2-溴乙氧基、2-碘乙氧基、2,2-二氟乙氧基、2,2,2-三氟乙氧基、2-氯-2-氟乙氧基、2-氯-2,2-二氟乙氧基、2,2-二氯-2-氟乙氧基、2,2,2-三氯乙氧基或OC2F5。C1-C3卤代烷氧基额外例如为2-氟丙氧基、3-氟丙氧基、2,2-二氟丙氧基、2,3-二氟丙氧基、2-氯丙氧基、3-氯丙氧基、2,3-二氯丙氧基、2-溴丙氧基、3-溴丙氧基、3,3,3-三氟丙氧基、3,3,3-三氯丙氧基、OCH2-C2F5、OCF2-C2F5、1-(CH2F)-2-氟乙氧基、1-(CH2Cl)-2-氯乙氧基或1-(CH2Br)-2-溴乙氧基。C1-C4卤代烷氧基额外例如为4-氟丁氧基、4-氯丁氧基、4-溴丁氧基或九氟丁氧基。C1-C6卤代烷氧基额外例如为5-氟戊氧基、5-氯戊氧基、5-溴戊氧基、5-碘戊氧基、十一氟戊氧基、6-氟己氧基、6-氯己氧基、6-溴己氧基、6-碘己氧基或十二氟己氧基。
本文所用术语“C1-C6烷氧基-C1-C4烷基”是指如上所定义的具有1-4个碳原子的直链或支化烷基,其中一个氢原子被如上所定义的C1-C6烷氧基替代。实例是甲氧基甲基、乙氧基甲基、丙氧基甲基、异丙氧基甲基、正丁氧基甲基、仲丁氧基甲基、异丁氧基甲基、叔丁氧基甲基、1-甲氧基乙基、1-乙氧基乙基、1-丙氧基乙基、1-异丙氧基乙基、1-正丁氧基乙基、1-仲丁氧基乙基、1-异丁氧基乙基、1-叔丁氧基乙基、2-甲氧基乙基、2-乙氧基乙基、2-丙氧基乙基、2-异丙氧基乙基、2-正丁氧基乙基、2-仲丁氧基乙基、2-异丁氧基乙基、2-叔丁氧基乙基、1-甲氧基丙基、1-乙氧基丙基、1-丙氧基丙基、1-异丙氧基丙基、1-正丁氧基丙基、1-仲丁氧基丙基、1-异丁氧基丙基、1-叔丁氧基丙基、2-甲氧基丙基、2-乙氧基丙基、2-丙氧基丙基、2-异丙氧基丙基、2-正丁氧基丙基、2-仲丁氧基丙基、2-异丁氧基丙基、2-叔丁氧基丙基、3-甲氧基丙基、3-乙氧基丙基、3-丙氧基丙基、3-异丙氧基丙基、3-正丁氧基丙基、3-仲丁氧基丙基、3-异丁氧基丙基、3-叔丁氧基丙基等。
本文所用术语“烷氧基烷氧基”是指经由氧原子键合于该分子的其余部分的如上所定义的烷氧基烷基,尤其是C1-C6烷氧基-C1-C4烷基。其实例是OCH2-OCH3、OCH2-OC2H5、正丙氧基甲氧基、OCH2-OCH(CH3)2、正丁氧基甲氧基、(1-甲基丙氧基)甲氧基、(2-甲基丙氧基)甲氧基、OCH2-OC(CH3)3、2-甲氧基乙氧基、2-乙氧基乙氧基、2-正丙氧基乙氧基、2-(1-甲基乙氧基)乙氧基、2-(正丁氧基)乙氧基、2-(1-甲基丙氧基)乙氧基、2-(2-甲基丙氧基)乙氧基、2-(1,1-二甲基乙氧基)乙氧基等。
取代基“氧代”由C(=O)基团替换CH2。
术语“芳基”涉及键合于该分子的其余部分的苯基和具有至少一个稠合亚苯基环的双环或多环碳环。具有至少一个稠合亚苯基环的双环或多环碳环的实例包括萘基、四氢萘基、2,3-二氢化茚基、茚基、蒽基、芴基等。
术语“芳基-C1-C4烷基”涉及如上所定义的C1-C4烷基,其中一个氢原子已经被芳基,尤其是苯基替代。芳基-C1-C4烷基的特殊实例包括-CH2-苯基、1-苯基乙基、2-苯基乙基、1-苯基丙基、2-苯基丙基、3-苯基-1-丙基和2-苯基-2-丙基。
术语“芳氧基-C1-C4烷基”涉及如上所定义的C1-C4烷基,其中一个氢原子已经被芳氧基,尤其是苯氧基替代。芳氧基-C1-C4烷基的特殊实例包括苯氧基甲基、1-苯氧基乙基、2-苯氧基乙基、1-苯氧基丙基、2-苯氧基丙基、3-苯氧基-1-丙基和2-苯氧基-2-丙基。
术语“芳基-C1-C4羰基”涉及通过羰基键合于该分子的其余部分的如上所定义的芳基,尤其是苯基。芳基羰基的特殊实例包括苯甲酰基、1-萘甲酰基和2-萘甲酰基。
术语“杂芳基”涉及具有5或6个环原子(5或6员杂芳基)且为单环的活着具有8、9或10个环原子且为双环的芳族杂环。杂芳基通常具有至少一个选自O、S和N的环原子,在N的情况下可以为带有氢或不为氢的基团的亚氨基氮或氨基氮。杂芳基可以具有1、2、3或4个为亚氨基氮的另外氮原子作为环成员。5或6员杂芳基的实例包括2-呋喃基、3-呋喃基、2-噻吩基、3-噻吩基、1-吡咯基、2-吡咯基、3-吡咯基、1-吡唑基、3-吡唑基、4-吡唑基、5-吡唑基、2-唑基、4-唑基、5-唑基、2-噻唑基、4-噻唑基、5-噻唑基、1-咪唑基、2-咪唑基、4-咪唑基、1,3,4-三唑-1-基,1,3,4-三唑-2-基、1,3,4-二唑-2-基、1,3,4-噻二唑-2-基、2-吡啶基、3-吡啶基、4-吡啶基、3-哒嗪基、4-哒嗪基、2-嘧啶基、4-嘧啶基、5-嘧啶基、2-吡嗪基和1,3,5-三嗪-2-基。8、9或10员杂芳基的实例例如包括喹啉基、异喹啉基、僧啉基、吲哚基、中氮茚基、异吲哚基、吲唑基、苯并呋喃基、苯并噻吩基、苯并[b]噻唑基、苯并唑基、苯并噻唑基、苯并咪唑基、咪唑并[1,2-a]吡啶-2-基、噻吩并[3,2-b]吡啶-5-基、咪唑并[2,1-b]噻唑-6-基和1,2,4-三唑并[1,5-a]吡啶-2-基。
N-键合的5、6、7或8员饱和杂环的实例包括吡咯烷-1-基、吡唑烷-1-基、咪唑烷-1-基、唑烷-3-基、异唑烷-2-基、噻唑烷-3-基、异噻唑烷-2-基、哌啶-1-基、哌嗪-1-基、吗啉-4-基、硫代吗啉-4-基、1-氧硫代吗啉-4-基、1,1-二氧代硫代吗啉-4-基、氮杂环庚烷-1-基等。
术语“杂芳基-C1-C4烷基”涉及如上所定义的C1-C4烷基,其中一个氢原子已经被杂芳基,尤其是吡啶基替代。杂芳基-C1-C4烷基的特殊实例包括2-吡啶基甲基、3-吡啶基甲基、4-吡啶基甲基、1-(2-吡啶基)乙基、2-(2-吡啶基)乙基、1-(3-吡啶基)乙基、2-(3-吡啶基)乙基、1-(4-吡啶基)乙基、2-(4-吡啶基)乙基等。
术语“杂芳氧基-C1-C4烷基”涉及如上所定义的C1-C4烷基,其中一个氢原子已经被杂芳氧基,尤其是吡啶氧基替代。杂芳氧基-C1-C4-烷基的特殊实例包括2-吡啶氧基甲基、3-吡啶氧基甲基、4-吡啶氧基甲基、1-(2-吡啶氧基)乙基、2-(2-吡啶氧基)乙基、1-(3-吡啶氧基)乙基、2-(3-吡啶氧基)乙基、1-(4-吡啶氧基)乙基、2-(4-吡啶氧基)乙基等。
术语“杂芳基-C1-C4羰基”涉及通过羰基键合于该分子的其余部分的如上所定义的杂芳基,尤其是C-键合杂芳基,例如2-、3-或4-吡啶基,2-或3-噻吩基,2-或3-呋喃基,1-、2-或3-吡咯基,2-或4-嘧啶基,哒嗪基,1-、3-或4-吡唑基,1-、2-或4-咪唑基。
若无相反说明,术语“取代的”是指被1、2个或者最大可能数目的取代基取代。若式I化合物中所定义的取代基不止一个,则它们相互独立地相同或者不同,若无相反提及的话。
对于各变量,式I化合物的实施方案是:
在一个优选实施方案中,B1为CRB1、B2为CRB2、B3为CRB3且B4为CRB4;
在另一优选实施方案中,B1为N、B2为CRB2、B3为CRB3、B4为CRB4;
在另一优选实施方案中,B1为CRB1、B2为N、B3为CRB3、B4为CRB4;
在另一优选实施方案中,B1为N、B2为N、B3为CRB3、B4为CRB4;
在另一优选实施方案中,B1为N、B2为N、B3为N、B4为CRB4;
在另一优选实施方案中,B1和B4分别为CRB1和CRB4,且B2为N或CRB2,B3为N或CRB3;
在另一优选实施方案中,A为CRA、B1为CRB1、B2为CRB2、B3为CRB3且B4为CRB4;
在另一优选实施方案中,A为CRA、B1为N、B2为CRB2、B3为CRB3、B4为CRB4;
在另一优选实施方案中,A为CRA、B1为CRB1、B2为N、B3为CRB3、B4为CRB4;
在另一优选实施方案中,A为CRA、B1为N、B2为N、B3为CRB3、B4为CRB4;
在另一优选实施方案中,A为CRA、B1为N、B2为N、B3为N、B4为CRB4;
在另一优选实施方案中,A为N、B1为CRB1、B2为CRB2、B3为CRB3且B4为CRB4;
在另一优选实施方案中,A为N、B1为N、B2为CRB2、B3为CRB3、B4为CRB4;
在另一优选实施方案中,A为N、B1为CRB1、B2为N、B3为CRB3、B4为CRB4;
在另一优选实施方案中,A为N、B1为N、B2为N、B3为CRB3、B4为CRB4;
在另一优选实施方案中,A为N、B1为N、B2为N、B3为N、B4为CRB4;
在一个优选实施方案中,RA为H、卤素、OH、CN、C1-C6烷基、C1-C6烷氧基、三-C1-C6烷基甲硅烷基、C1-C6烷氧基-C1-C4烷基、C3-C6环烷基,其中烷基、烷氧基和环烷基结构部分未被取代或者被卤素取代,
C(=O)-ORa、NRbRc、C(=O)-NRbRc、C(=O)-Rd、SO2NRbRc或S(=O)mRe;
在另一优选实施方案中,RA为H、卤素、C1-C6烷基、C3-C6环烷基,其中烷基或环烷基结构部分未被取代或者被卤素取代。
在另一优选实施方案中,RA为H、Cl、Br、F、CH3、C2H5、正C3H7、异丙基、环丙基、CH2F、CHF2或CF3。
在一个优选实施方案中,RB1、RB2、RB3和RB4相互独立地为H、卤素或C1-C6烷基;
在另一优选实施方案中,RB1、RB2、RB3和RB4相互独立地为H、Cl、Br、F、CH3、C2H5、正C3H7或异丙基。
在一个优选实施方案中,Q为-C(R4R5)-O-,其中C键合于Ar。
在另一优选实施方案中,Q为-C(R4R5)-O-,其中O键合于Ar。
在另一优选实施方案中,Q为-C(=O)-O-,其中C键合于Ar。
在另一优选实施方案中,Q为-C(=O)-O-,其中O键合于Ar。
在另一优选实施方案中,Q为-S(=O)m-C(R7R8)-,其中S键合于Ar。
在另一优选实施方案中,Q为-S(=O)m-C(R7R8)-,其中C键合于Ar。
在另一优选实施方案中,Q为-N(R2)-S(=O)m-,其中N键合于Ar。
在另一优选实施方案中,Q为-N(R2)-S(=O)m-,其中S键合于Ar。
在另一优选实施方案中,Q为-N(R2)-C(R9R10)-,其中N键合于Ar。
在另一优选实施方案中,Q为-N(R2)-C(R9R10)-,其中C键合于Ar。
在另一优选实施方案中,Q为-C(=O)-C(R19R20)-,其中C(=O)键合于Ar。
在另一优选实施方案中,Q为-C(=O)-C(R19R20)-,其中C(R19R20)键合于Ar。
在另一优选实施方案中,Q为-N(R2)-C(=O)-,其中N键合于Ar。
在另一优选实施方案中,Q为-N(R2)-C(=O)-,其中C键合于Ar。
在另一优选实施方案中,Q为-N(R2)-C(=S)-,其中N键合于Ar。
在另一优选实施方案中,Q为-N(R2)-C(=S)-,其中C键合于Ar。
在另一优选实施方案中,Q为-N=C(X)-,其中N键合于Ar。
在另一优选实施方案中,Q为-N=C(X)-,其中C键合于Ar。
在另一优选实施方案中,Q为-N(R2)-C(=NR)-,其中N键合于Ar。
在另一优选实施方案中,Q为-N(R2)-C(=NR)-,其中C键合于Ar。
在另一优选实施方案中,Q为-C(R13R14)-C(R15R16)-。
在另一优选实施方案中,Q为-C(R17)=C(R18)-。
在另一优选实施方案中,Q为-C(R4R5)-O-、-N(R2)-S(=O)m-、-N(R2)-C(R9R10)-、-N(R2)-C(=O)-、-N(R2)-C(=S)-、-N=C(X)-或-N(R2)-C(=NR)-,其中Ar键合于Q的任一侧;
在另一优选实施方案中,Q为-C(R4R5)-O-、-N(R2)-C(R9R10)-、-N(R2)-C(=O)-、–N(R2)-C(=NR)-,其中Ar键合于Q的任一侧;
在一个优选实施方案中,X为H或N(R3)2;
在另一优选实施方案中,X为H;
在另一优选实施方案中,X为N(R3)2;
在一个优选实施方案中,R3为H、C1-C6烷基或C1-C6烷氧基-C1-C4烷基;
在另一优选实施方案中,R3为H或C1-C6烷基;
在另一优选实施方案中,R3为C1-C6烷基;
在另一优选实施方案中,R3为H;
在一个优选实施方案中,R为H、CN、C1-C6烷基、C1-C6卤代烷基、C2-C6链烯基、C2-C6卤代链烯基、C2-C6炔基、C2-C6卤代炔基、C3-C6环烷基、C3-C6卤代环烷基、OR8或N(R3)2;
在另一优选实施方案中,R为H、CN、C1-C6烷基或OR8;
在另一优选实施方案中,R为H或C1-C6烷基;
在另一优选实施方案中,R为H、CH3、C2H5、正C3H7或异丙基;
在一个优选的实施方案中,R6为H、C1-C6烷基、C2-C6链烯基、C2-C6炔基、C1-C6烷氧基-C1-C4烷基、C3-C6环烷基、C3-C6环烷基-C1-C4烷基、C3-C6环烷氧基-C1-C4烷基,其中烷基、烷氧基、链烯基、炔基、环烷基和环烷氧基结构部分未被取代或者被卤素取代,
在另一优选实施方案中,R6为-CH2-苯基,其中苯基环未被取代或被Rf取代;
在另一优选实施方案中,R6为H、C1-C6烷基、C2-C6链烯基、C2-C6炔基、C1-C6烷氧基-C1-C4烷基、C3-C6环烷基、C3-C6环烷基-C1-C4烷基、C3-C6环烷氧基-C1-C4烷基,其中烷基、烷氧基、链烯基、炔基、环烷基和环烷氧基结构部分未被取代或者被卤素取代,
在另一优选实施方案中,R6为H、C1-C6烷基、C3-C6环烷基、C1-C6卤代烷基或-CH2-苯基;
在另一优选实施方案中,R6为H、C1-C6烷基或C1-C6卤代烷基;
在另一优选实施方案中,R6为H;
在另一优选实施方案中,R6为C1-C6烷基;
在另一优选实施方案中,R6为C3-C6环烷基,其未被取代或者被卤素取代;
在另一优选实施方案中,R6为C1-C6卤代烷基;
在另一优选实施方案中,R6为H、CH3、C2H5、C3H5、CH2CF3或CHF2;
在另一优选实施方案中,R6为H、CH3、C2H5、C3H5或CH2CF3;
在一个优选的实施方案中,R4、R5、R7、R8、R9、R10、R13、R14、R15、R16、R17、R18、R19、R20相同或不同且为H、卤素、C1-C6烷基、C1-C6卤代烷基、C2-C6链烯基、C2-C6炔基、C1-C6烷氧基-C1-C4烷基、C3-C6环烷基、C3-C6卤代环烷基、C3-C6环烷基-C1-C4烷基、C3-C6环烷氧基-C1-C4烷基、C(=O)-ORa、C(=O)-NRbRc、C(=O)-Rd、SO2NRbRc、S(=O)mRe、苯基或-CH2-苯基,其中苯基环未被取代或被Rf取代;
在另一优选的实施方案中,R4、R5、R7、R8、R9、R10、R13、R14、R15、R16、R17、R18、R19、R20相同或不同且为H、卤素、C1-C6烷基、C1-C6卤代烷基、C3-C6环烷基、C3-C6卤代环烷基、C(=O)-ORa、C(=O)-NRbRc、C(=O)-Rd、苯基或-CH2-苯基,其中苯基环未被取代或被Rf取代;
在另一优选的实施方案中,R4、R5、R7、R8、R9、R10、R13、R14、R15、R16、R17、R18、R19、R20相同或不同且为H、卤素、C1-C6烷基或C1-C6卤代烷基;
在另一优选的实施方案中,R4、R5、R7、R8、R9、R10、R13、R14、R15、R16、R17、R18、R19、R20相同或不同且为H、卤素或C1-C6烷基;
在另一优选的实施方案中,R4、R5、R7、R8、R9、R10、R13、R14、R15、R16、R17、R18、R19、R20相同或不同且为H或C1-C6烷基;
在一个优选的实施方案中,Ar为未被取代或被RAr取代的苯基。
在另一优选实施方案中,Ar为未被取代或被RAr取代的5或6员杂芳基。
在更优选的实施方案中,Ar为未被取代或被RAr取代的苯基、嘧啶基、哒嗪基或吡啶基。
在一个优选的实施方案中,RAr为卤素、OH、CN、NO2、SCN、C1-C6烷基、C1-C6卤代烷基、C1-C6烷氧基、C1-C6卤代烷氧基或S-Re。
在一个优选的实施方案中,RAr为卤素、OH、C1-C6烷基、C1-C6卤代烷基、C1-C6烷氧基、C1-C6卤代烷氧基或S-Re。
在更优选的实施方案中,RAr为F、Cl、Br、OH、CN、NO2、SCN、CH3、C2H5、正C3H7、异丙基、CH2F、CHF2、CF3、CH2CF3、CF2CHF2、C2F5、CH2CH2CF3、CH2CF2CHF2、CH2CF2CF3、OCH3、OC2H5、正丙氧基、异丙氧基、OCH2F、OCHF2、OCF3、OCH2CF3、OCF2CHF2、OC2F5、OCH2CH2CF3、OCH2CF2CHF2、OCH2CF2CF3或S-Re,其中Re为C1-C6烷基,尤其是C1-C3烷基如CH3、C2H5、正C3H7或异丙基,或者C1-C6卤代烷基,尤其是氟代C1-C3烷基如CH2F、CHF2、CF3、CH2CF3、CF2CHF2、C2F5、CH2CH2CF3、CH2CF2CHF2或CH2CF2CF3。
特别优选的Ar列于下表A中。
表A:
特别优选的Ar选自Ar1至Ar67;
还特别优选的Ar选自Ar1至Ar20;
还特别优选的Ar选自Ar1至Ar13;
还特别优选的Ar选自Ar1至Ar13和Ar17至Ar18;
还特别优选的Ar选自Ar1、Ar2、Ar3、Ar4、Ar10、Ar17和Ar18。
还特别优选的Ar选自Ar17和Ar18;
还特别优选的Ar选自Ar1、Ar2、Ar5、Ar21和Ar22;
还特别优选的Ar为Ar17;
还特别优选的Ar为Ar18;
在一个优选的实施方案中,R1为Y-Z-T-R11。
在另一优选实施方案中,R1为Y-Z-T-R12。
在一个优选的实施方案中,Y为-CRya=N-,其中N键合于Z。
在另一优选实施方案中,Y为-NRyc-C(=S)-,其中C(=S)键合于Z。
在另一优选实施方案中,Y为-NRyc-C(=O)-,其中C(=O)键合于Z。
在一个优选的实施方案中,Z为单键;
-NRzc-C(=O)-,其中C(=O)键合于T;
-NRzc-C(=S)-,其中C(=S)键合于T;
-N=C(S-Rza)-,其中T键合于碳原子;或者
-NRzc-C(S-Rza)=,其中T键合于碳原子;
在另一优选实施方案中,Z为-NRzc-C(=S)-,其中C(=S)键合于T。
在另一优选实施方案中,Z为-NRzc-C(=O)-,其中C(=O)键合于T。
在另一优选实施方案中,Z为-N=C(S-Rza)-,其中T键合于碳原子。
在另一优选实施方案中,Z为-NRzc-C(S-Rza)=,其中T键合于碳原子。
在另一优选实施方案中,Z为-O-C(=O)-,其中T键合于碳原子;
在另一优选实施方案中,Z为单键。
在一个优选的实施方案中,T为O。
在另一优选实施方案中,T为N-RT。
在另一优选实施方案中,T为N。
在一个优选的实施方案中,Rya为H、卤素、C1-C6烷基、C1-C6烷氧基,其未被取代或者被卤素取代,
苯基或-CH2-苯基,其中苯基环未被取代或被Rf取代。
在更优选的实施方案中,Rya为H、卤素、C1-C6烷基、C1-C6烷氧基,其未被取代或者被卤素取代,或未被取代或被Rf取代的苯基。
在最优选的实施方案中,Rya为H、F、Cl、Br、CH3、C2H5、正C3H7、异丙基、CH2F、CHF2、CF3、CH2CF3、CF2CHF2、C2F5、CH2CH2CF3、CH2CF2CHF2、CH2CF2CF3、OCH3、OC2H5、正丙氧基、异丙氧基、OCH2F、OCHF2、OCF3、OCH2CF3、OCF2CHF2、OC2F5、OCH2CH2CF3、OCH2CF2CHF2、OCH2CF2CF3或未被取代或被Rf取代的苯基。
在另一最优选的实施方案中,Rya为H或CH3;
在一个实施方案中,Ryc、Rzc为H、C1-C6烷基、C3-C6环烷基,其未被取代或被卤素取代,
苯基或-CH2-苯基,其中各环未被取代或被Rf取代。
在更优选的实施方案中,Ryc和Rzc为H、C1-C6烷基、C1-C6卤代烷基或未被取代或被Rf取代的苯基。
在最优选的实施方案中,Ryc和Rzc为H、CH3、C2H5、正C3H7、异丙基、CH2F、CHF2、CF3、CH2CF3、CF2CHF2、C2F5、CH2CH2CF3、CH2CF2CHF2、CH2CF2CF3或未被取代或被Rf取代的苯基。
在另一最优选的实施方案中,Ryc和Rzc为H或CH3;
在一个优选的实施方案中,RT为C1-C6烷基、C2-C6链烯基、C2-C6炔基、C1-C4烷基-C1-C6烷氧基、C3-C6环烷基、C3-C6环烷基-C1-C4烷基、C3-C6环烷氧基-C1-C4烷基,其中烷基、烷氧基、链烯基、炔基、环烷基和环烷氧基结构部分未被取代或者被卤素取代,
C(=O)-ORa、C1-C6亚烷基-NRbRc、C1-C6亚烷基-CN、C(=O)-NRbRc、C(=O)-Rd、SO2NRbRc、S(=O)mRe、苯基或-CH2-苯基,其中苯基环未被取代或被Rf取代;
在另一个优选的实施方案中,RT为H、C1-C6烷基、C2-C6链烯基、C2-C6炔基、C1-C4烷基-C1-C6烷氧基,其未被取代或者被卤素取代,C(=O)-NRbRc、C(=O)-Rd、SO2NRbRc、S(=O)mRe、苯基或-CH2-苯基,其中苯基环未被取代或被Rf取代。
在更优选的实施方案中,RT为H、C1-C6烷基、C2-C6链烯基、C2-C6炔基、C1-C4烷基-C1-C6烷氧基,其未被取代或者被卤素取代。
在最优选的实施方案中,RT为H或C1-C6烷基。
在另一优选实施方案中,Rzc与RT-若存在的话-一起形成C1-C6亚烷基或线性C2-C6亚链烯基,其中在线性C1-C6亚烷基和线性C2-C6亚链烯基中,CH2结构部分可以被羰基或C=N-R'替代和/或其中1或2个CH2结构部分可以被O或S替代和/或其中线性C1-C6亚烷基和线性C2-C6亚链烯基可以未被取代或被Rh取代。
在更优选的实施方案中,Rzc与RT-若存在的话-一起形成C1-C6亚烷基或线性C2-C6亚链烯基,其中在线性C1-C6亚烷基和线性C2-C6亚链烯基中,CH2结构部分被羰基替代。
在另一更优选实施方案中,Rzc与RT-若存在的话-一起形成C1-C6亚烷基或线性C2-C6亚链烯基,其中在线性C1-C6亚烷基和线性C2-C6亚链烯基中,CH2结构部分被C=N-R'替代并且其中1或2个CH2结构部分可以被O或S替代和/或其中线性C1-C6亚烷基和线性C2-C6亚链烯基可以未被取代或被Rh取代。
在另一更优选实施方案中,Rzc与RT-若存在的话-一起形成C1-C6亚烷基或线性C2-C6亚链烯基,其中在线性C1-C6亚烷基和线性C2-C6亚链烯基中,1或2个CH2结构部分被O或S替代和/或其中线性C1-C6亚烷基和线性C2-C6亚链烯基可以未被取代或被Rh取代。
在一个优选的实施方案中,Rza为H、C1-C6烷基、C1-C6卤代烷基、C1-C6亚烷基-NRbRc、C1-C6-C(=O)-Rd、苯基、苯基羰基或-CH2-苯基,其中苯基环未被取代或被Rf取代;
在更优选的实施方案中,Rza为H、C1-C6烷基或C1-C6卤代烷基;
在最优选的实施方案中,Rza为H、C1-C6烷基。
在另一优选实施方案中,Rza与RT-若存在的话-一起形成C1-C6亚烷基或线性C2-C6亚链烯基,其中在线性C1-C6亚烷基和线性C2-C6亚链烯基中,CH2结构部分可以被羰基或C=N-R'替代和/或其中1或2个CH2结构部分可以被O或S替代和/或其中线性C1-C6亚烷基和线性C2-C6亚链烯基可以未被取代或被Rh取代;
在更优选的实施方案中,Rza与RT-若存在的话-一起形成C1-C6亚烷基或线性C2-C6亚链烯基,其中在线性C1-C6亚烷基和线性C2-C6亚链烯基中,CH2结构部分被羰基替代。
在另一更优选实施方案中,Rza与RT-若存在的话-一起形成C1-C6亚烷基或线性C2-C6亚链烯基,其中在线性C1-C6亚烷基和线性C2-C6亚链烯基中,CH2结构部分被C=N-R'替代并且其中1或2个CH2结构部分可以被O或S替代和/或其中线性C1-C6亚烷基和线性C2-C6亚链烯基可以未被取代或被Rh取代。
在另一更优选实施方案中,Rza与RT-若存在的话-一起形成C1-C6亚烷基或线性C2-C6亚链烯基,其中在线性C1-C6亚烷基和线性C2-C6亚链烯基中,1或2个CH2结构部分被O或S替代和/或其中线性C1-C6亚烷基和线性C2-C6亚链烯基可以未被取代或被Rh取代。
在优选实施方案中,Ra、Rb和Rc为H、C1-C6烷基、C2-C6链烯基、C2-C6炔基,其未被取代或者被卤素取代,C1-C6亚烷基-CN、苯基或-CH2-苯基,其中苯基环未被取代或被Rf取代;
在更优选的实施方案中,Ra、Rb和Rc为H、C1-C6烷基、C2-C6链烯基、C2-C6炔基,其未被取代或者被卤素取代,苯基或-CH2-苯基,其中苯基环未被取代或被Rf取代。
在优选实施方案中,Rd为H、C1-C6烷基、C2-C6链烯基、C2-C6炔基,其未被取代或者被卤素取代,苯基或-CH2-苯基,其中苯基环未被取代或被Rf取代。
在更优选的实施方案中,Rd为H、C1-C6烷基、C1-C6卤代烷基或未被取代或被Rf取代的苯基。
在一个优选的实施方案中,Re为C1-C6烷基、C1-C6卤代烷基、C3-C6环烷基、C3-C6卤代环烷基、苯基或-CH2-苯基,其中苯基环未被取代或被Rf取代。
在更优选的实施方案中,Re为H、C1-C6烷基、C1-C6卤代烷基或未被取代或被Rf取代的苯基。
在一个优选的实施方案中,Rf为卤素、N3、OH、CN、NO2、-SCN、-SF5、C1-C6烷基、C1-C6烷氧基、C2-C6链烯基、C2-C6炔基、C3-C6环烷基、C3-C6环烷氧基,其未被取代或者被卤素取代,C(=O)-ORa、NRbRc、C1-C6亚烷基-NRbRc、C1-C6亚烷基-CN、C(=O)-NRbRc、C(=O)-Rd、SO2NRbRc或S(=O)mRe。
在更优选的实施方案中,Rf为卤素、N3、OH、CN、C1-C6烷基、C1-C6烷氧基、C2-C6链烯基、C2-C6炔基、C3-C6环烷基、C3-C6环烷氧基,其未被取代或者被卤素取代,
C(=O)-ORa、NRbRc、C1-C6亚烷基-NRbRc、C1-C6亚烷基-CN、C(=O)-NRbRc、C(=O)-Rd、SO2NRbRc或S(=O)mRe。
在优选实施方案中,Rg为卤素、N3、OH、CN、NO2、-SCN、-SF5、C1-C6烷基、C1-C6烷氧基、C2-C6链烯基、C2-C6炔基、C3-C6环烷基、C3-C6环烷氧基,其未被取代或者被卤素取代,
C(=O)-ORa、NRbRc、C1-C6亚烷基-NRbRc,NH-C1-C6亚烷基-NRbRc、C(=O)-NRbRc、C(=O)-Rd、SO2NRbRc或S(=O)mRe。
在更优选的实施方案中,Rg为卤素、N3、OH、CN、NO2、C1-C6烷基、C1-C6烷氧基、C2-C6链烯基、C3-C6环烷基、C3-C6环烷氧基,其未被取代或者被卤素取代,
C(=O)-ORa、NRbRc、C1-C6亚烷基-NRbRc、C(=O)-NRbRc、C(=O)-Rd、SO2NRbRc或S(=O)mRe。
在一个实施方案中,m为0。
在另一实施方案中,m为1。
在另一实施方案中,m为2。
在另一实施方案中,m为0或1。
在另一实施方案中,m为1或2。
在一个优选的实施方案中,R11为C1-C6烷基、C2-C6链烯基、C2-C6炔基、C1-C6烷氧基-C1-C4烷基、C3-C6环烷基、C3-C6环烷基-C1-C4烷基、C1-C4烷基-C3-C6环烷氧基,其未被取代或者被卤素取代,芳基、芳基羰基、芳基-C1-C4烷基、芳氧基-C1-C4烷基、杂芳基、羰基杂芳基、C1-C4烷基杂芳基和C1-C4烷基杂芳氧基,其中芳基或杂芳基环未被取代或者被Rg取代并且其中杂芳基为5或6员单环杂芳基或者8、9或10员双环杂芳基。
在更优选的实施方案中,R11为C1-C6烷基、C2-C6链烯基、C2-C6炔基、C3-C6环烷基,其未被取代或者被卤素取代,芳基、芳基羰基、芳基-C1-C4烷基、芳氧基-C1-C4烷基、杂芳基、羰基杂芳基、C1-C4烷基杂芳基和C1-C4烷基杂芳氧基,其中各环未被取代或者被Rg取代并且其中杂芳基为5或6员单环杂芳基或者8、9或10员双环杂芳基。
在最优选的实施方案中,R11为芳基、芳基-C1-C4烷基、杂芳基或杂芳基-C1-C4烷基,其中各环未被取代或者被Rg取代并且其中杂芳基或杂芳基-C1-C4烷基中的杂芳基优选为未被取代或者被Rg取代的5或6员单环杂芳基,如吡啶基、嘧啶基、哒嗪基、吡咯基、吡唑基、咪唑基、唑基、噻唑基、异唑基或异噻唑基。
还在最优选的实施方案中,R11为芳基,优选苯基,其未被取代或者被Rg取代。
特别优选的基团R11的实例是汇总在下表A-1中的基团R11-1至R11-29。
表A-1.
在本发明的另一个优选实施方案中,R11为R11-1、R11-10、R11-29或R11-30;
在本发明的另一个优选实施方案中,R11为R11-1、R11-10或R11-29;
在一个实施方案中,R12为式(A1)的基团:
其中#表示与T的连接点并且其中R121、R122、R123和R124如上所定义并且其中R121、R122、R123和R124相互独立地且尤其是组合地优选具有下列含义:
R121为C1-C4烷氧基,尤其是OCH3、OC2H5;
R122为C1-C4烷氧基,如OCH3、OC2H5、正丙氧基或异丙氧基,或者C3-C4链烯氧基,如烯丙氧基,R122尤其为OCH3、OC2H5或正丙氧基;
R123为OH,C1-C4烷氧基,如OCH3、OC2H5,或者C3-C4链烯氧基,如烯丙氧基,R123尤其为OCH3、OC2H5;
R124为C1-C4烷基,如CH3或C2H5,或者C1-C4烷氧基-C1-C4烷基,如甲氧基甲基、乙氧基甲基、2-甲氧基乙基或2-乙氧基乙基,R124尤其为甲基。
在更优选的实施方案中,R12尤其是式(A11)的基团,例如(A11-a)或(A11-b):
其中#表示与T的连接点并且其中R121、R122、R123和R124如上所定义并且其中R121、R122、R123和R124相互独立地且尤其是组合地优选具有下列含义:
R121为C1-C4烷氧基,尤其是OCH3或OC2H5;
R122为C1-C4烷氧基,如OCH3、OC2H5、正丙氧基或异丙氧基,或者C3-C4链烯氧基,如烯丙氧基,R122尤其为OCH3、OC2H5或正丙氧基;
R123为OH,C1-C4烷氧基,如OCH3或OC2H5,或者C3-C4链烯氧基,如烯丙氧基,R123尤其为OCH3或OC2H5;
R124为C1-C4烷基,如CH3或C2H5,或者C1-C4烷氧基-C1-C4烷基,如甲氧基甲基、乙氧基甲基、2-甲氧基乙基或2-乙氧基乙基,R124尤其为甲基。
基团R12的特殊实例是下列基团A11-1、A11-1a、A11-1b、A11-2、A11-2a、A11-2b、A11-3、A11-3a和A11-3b:
在更优选的实施方案中,式I化合物选自式A.1-A.10化合物:
其中Ar为被RAr取代的苯基或5或6员杂芳基环;
RAr为卤素、OH、CN、NO2、SCN、C1-C6烷基、C1-C6烷氧基或S-Re,
其中烷基和烷氧基未被取代或者被卤素取代;
RA为H、卤素、C1-C6烷基、C1-C6卤代烷基、C3-C6环烷基或C3-C6卤代环烷基;
RB1、RB2、RB3和RB4相互独立地为H、卤素或C1-C6烷基;
Q为-C(R4R5)-O-、-N(R2)-S(=O)m-、-N(R2)-C(R9R10)-、-N(R2)-C(=O)-、-N(R2)-C(=S)-、-N=C(X)-、-N(R2)-C(=NR)-;其中Ar键合于Q的任一侧;
X为N(R3)2;
以及R1为如式I中所定义的Y-Z-T-R11或Y-Z-T-R12。
更优选的式I化合物是式I.1-I.24化合物,其中R1选自Y-1A、Y-1B、Y-2A、Y-2B、Y-3A、Y-3B、Y-3C、Y-3D、Y-4A、Y-4B、Y-4C、Y-4D、Y-5A、Y-5B、Y-6A、Y-6B、Y-7A、Y-7B、Y-8a和Y-8B;其中D为R11或R12且其他变量如本文所定义。
还更优选如下式I化合物,其中
A为N或CRA;
B1为CRB1、B2为CRB2、B3为CRB3且B4为CRB4
RB1、RB2、RB3和RB4相互独立地为H、卤素、C1-C6烷基;
Q为–C(R4R5)-O-、-N(R2)-C(R9R10)-、-N(R2)-C(=O)-、-N(R2)-C(=NR)-;
其中Ar键合于Q的任一侧;
R为H、CN或C1-C6烷基;
R2为H或C1-C6烷基;
R4、R5、R9、R10相同或不同且为H或C1-C6烷基;
R6为H或C1-C6烷基;
R9R10独立地为H或C1-C6烷基;
RA为H或C1-C6烷基;
Ar为苯基、嘧啶基、哒嗪基或吡啶基,其未被取代或者被RAr取代;
RAr为卤素、OH、C1-C6烷基、C1-C6卤代烷基、C1-C6烷氧基、C1-C6卤代烷氧基或S-Re;
R1为Y-1A、Y-2A、Y-5A、Y-6A或Y-7A;
D为R11或R12;
R11选自R11-1至R11-30;
R12为A11-1b或A11-3b;
还更优选如下式I化合物,其中
A为N或CRA;
B1为CRB1、B2为CRB2、B3为CRB3且B4为CRB4
RB1、RB2、RB3和RB4相互独立地为H、卤素、C1-C6烷基;
Q为-C(R4R5)-O-、-N(R2)-C(R9R10)-、-N(R2)-C(=O)-、-N(R2)-C(=NR)-;
其中Ar键合于Q的任一侧;
R为H、CN或C1-C6烷基;
R2为H或C1-C6烷基;
R4、R5、R9、R10相同或不同且为H或C1-C6烷基;
R6为H或C1-C6烷基;
Ar选自Ar1至Ar67;
R1为Y-1A、Y-2A、Y-5A、Y-6A或Y-7A;
D为R11或R12;
R11选自R11-1至R11-30;
R12为A11-1b或A11-3b;
还更优选如下式I化合物,其中
A为CRA;
B1为CRB1、B2为CRB2、B3为CRB3且B4为CRB4
RB1、RB2、RB3和RB4相互独立地为H、卤素、C1-C6烷基;
Q为-C(R4R5)-O-、-N(R2)-C(R9R10)-、-N(R2)-C(=O)-、-N(R2)-C(=NR)-;
其中Ar键合于Q的任一侧;
R为H、CN或C1-C6烷基;
R2为H或C1-C6烷基;
R4、R5、R9、R10相同或不同且为H或C1-C6烷基;
R6为H、C1-C6烷基、C1-C6卤代烷基或-CH2-苯基;
Ar为Ar1、Ar2、Ar3、Ar4、Ar10、Ar17或Ar18;
R1为Y-1A、Y-3C、Y-5A、Y-6A、Y-7A、Y-8A或Y-9A;
D为R11或R12;
R11为R11-1或R11-10;
R12为A11-1b或A11-3b;
还更优选如下式I化合物,其中
A为N;
B1为CRB1、B2为CRB2、B3为CRB3且B4为CRB4
RB1、RB2、RB3和RB4相互独立地为H、卤素、C1-C6烷基;
Q为-C(R4R5)-O-、-N(R2)-C(R9R10)-、-N(R2)-C(=O)-、-N(R2)-C(=NR)-;
其中Ar键合于Q的任一侧;
R为H、CN或C1-C6烷基;
R2为H或C1-C6烷基;
R4、R5、R9、R10相同或不同且为H或C1-C6烷基;
R6为H、C1-C6烷基、C1-C6卤代烷基或-CH2-苯基;
Ar为Ar1、Ar2、Ar3、Ar4、Ar10、Ar17或Ar18;
R1为Y-1A、Y-3C、Y-5A、Y-6A、Y-7A、Y-8A或Y-9A;
D为R11或R12;
R11为R11-1或R11-10;
R12为A11-1b或A11-3b;
还更优选如下式I化合物,其中
A为N或CRA;
B1为CRB1、B2为CRB2、B3为CRB3且B4为CRB4
RA为H、卤素、C1-C6烷基、C1-C6卤代烷基、C3-C6环烷基或C3-C6卤代环烷基;
RB1、RB2、RB3和RB4相互独立地为H、卤素、C1-C6烷基;
Q为-C(R4R5)-O-、-N(R2)-C(R9R10)-、-N(R2)-C(=O)-、-N(R2)-C(=NR)-;
其中Ar键合于Q的任一侧;
R为H、CN或C1-C6烷基;
R2为H或C1-C6烷基;
R4、R5、R9、R10相同或不同且为H或C1-C6烷基;
R6为H、CH3、CH(CH3)2、CH2(C6H5)、CH2CHF2或C2H5;
Ar为Ar1、Ar2、Ar3、Ar4、Ar10、Ar17或Ar18;
R1为Y-1A、Y-3C、Y-5A、Y-6A、Y-7A、Y-8A或Y-9A;
D为R11或R12;
R11为R11-1或R11-10;
R12为A11-1b或A11-3b;
还更优选如下式I化合物,其中
A为N或CRA;
B1为CRB1、B2为N、B3为CRB3且B4为CRB4
RA为H、卤素、C1-C6烷基、C1-C6卤代烷基、C3-C6环烷基或C3-C6卤代环烷基;
RB1、RB3和RB4相互独立地为H、卤素、C1-C6烷基;
Q为-C(R4R5)-O-、-N(R2)-C(R9R10)-、-N(R2)-C(=O)-、-N(R2)-C(=NR)-;
其中Ar键合于Q的任一侧;
R为H、CN或C1-C6烷基;
R2为H或C1-C6烷基;
R4、R5、R9、R10相同或不同且为H或C1-C6烷基;
R6为H、CH3、CH(CH3)2、CH2(C6H5)、CH2CHF2或C2H5;
Ar为Ar1、Ar2、Ar3、Ar4、Ar10、Ar17或Ar18;
R1为Y-1A、Y-3C、Y-5A、Y-6A、Y-7A、Y-8A或Y-9A;
D为R11或R12;
R11为R11-1或R11-10;
R12为A11-1b或A11-3b;
还更优选如下式I化合物,其中
A为N或CRA;
B1为CRB1、B2为N、B3为N且B4为CRB4
RA为H、卤素、C1-C6烷基、C1-C6卤代烷基、C3-C6环烷基或C3-C6卤代环烷基;
RB1、RB3和RB4相互独立地为H、卤素、C1-C6烷基;
Q为-C(R4R5)-O-、-N(R2)-C(R9R10)-、-N(R2)-C(=O)-、-N(R2)-C(=NR)-;
其中Ar键合于Q的任一侧;
R为H、CN或C1-C6烷基;
R2为H或C1-C6烷基;
R4、R5、R9、R10相同或不同且为H或C1-C6烷基;
R6为H、CH3、CH(CH3)2、CH2(C6H5)、CH2CHF2或C2H5;
Ar为Ar1、Ar2、Ar3、Ar4、Ar10、Ar17或Ar18;
R1为Y-1A、Y-3C、Y-5A、Y-6A、Y-7A、Y-8A或Y-9A;
D为R11或R12;
R11为R11-1或R11-10;
R12为A11-1b或A11-3b;
还更优选如下式I化合物,其中
A为N或RA;
B1为N、B2为N、B3为CRB3且B4为CRB4
RA为H、卤素、C1-C6烷基、C1-C6卤代烷基、C3-C6环烷基或C3-C6卤代环烷基;
RB3和RB4相互独立地为H、卤素、C1-C6烷基;
Q为-C(R4R5)-O-、-N(R2)-C(R9R10)-、-N(R2)-C(=O)-、-N(R2)-C(=NR)-;
其中Ar键合于Q的任一侧;
R2为H或C1-C6烷基;
R为H、CN或C1-C6烷基;
R4、R5、R9、R10相同或不同且为H或C1-C6烷基;
R6为H、CH3、CH(CH3)2、CH2(C6H5)、CH2CHF2或C2H5;
Ar为Ar1、Ar2、Ar3、Ar4、Ar10、Ar17或Ar18;
R1为Y-1A、Y-3C、Y-5A、Y-6A、Y-7A、Y-8A或Y-9A;
D为R11或R12;
R11为R11-1或R11-10;
R12为A11-1b或A11-3b;
在另一优选实施方案中,式I化合物是式I.1-I.24化合物,其中
Ar为苯基、嘧啶基、哒嗪基或吡啶基,其未被取代或者被RAr取代;
RAr为卤素、OH、C1-C6烷基、C1-C6卤代烷基、C1-C6烷氧基、C1-C6卤代烷氧基或S-Re;
B1为N或CH;
B2为N或CH;
B3为N或CH;
R1为Y-1A、Y-1B、Y-2A、Y-2B、Y-3A、Y-3B、Y-3C、Y-3D、Y-4A、Y-4B、Y-4C、Y-4D、Y-5A、Y-5B、Y-6A、Y-6B、Y-7A、Y-7B、Y-8A或Y-8B;其中D为R11或R12;
R11为R11-1、R11-2、R11-3、R11-5、R11-6、R11-7、R11-8、R11-9、R11-10、R11-11、R11-12、R11-13、R11-14、R11-15、R11-16、R11-17、R11-18、R11-19、R11-20、R11-21、R11-22、R11-23、R11-25、R11-26、R11-27、R11-28或R11-29;
R12为(A11-1)、(A11-2)或(A11-3).
R4和R5独立地为H或CH3,
R6为H、CH3、CH(CH3)2或C2H5;
R9和R10独立地为H或CH3,
R2为H、CH3或c-C3H5
R为H、CH3或CN;
在另一优选实施方案中,式I化合物是式I.1-I.24化合物,其中
Ar选自Ar1至Ar67;
B1为N或CH;
B2为N或CH;
B3为N或CH;
R1为Y-1A、Y-1B、Y-2A、Y-2B、Y-3A、Y-3B、Y-3C、Y-3D、Y-4A、Y-4B、Y-4C、Y-4D、Y-5A、Y-5B、Y-6A、Y-6B、Y-7A、Y-7B、Y-8A或Y-8B;其中D为R11或R12;
R11为R11-1、R11-2、R11-3、R11-5、R11-6、R11-7、R11-8、R11-9、R11-10、R11-11、R11-12、R11-13、R11-14、R11-15、R11-16、R11-17、R11-18、R11-19、R11-20、R11-21、R11-22、R11-23、R11-25、R11-26、R11-27、R11-28或R11-29;
R12为(A11-1)、(A11-2)或(A11-3).
R4和R5独立地为H或CH3,
R6为H、CH3、CH(CH3)2或C2H5;
R9和R10独立地为H或CH3,
R2为H、CH3或c-C3H5
R为H、CH3或CN;
在另一优选实施方案中,式I化合物是式I.1-I.24化合物,其中
Ar为苯基、嘧啶基、哒嗪基或吡啶基,其未被取代或者被RAr取代;
RAr为卤素、OH、C1-C6烷基、C1-C6卤代烷基、C1-C6烷氧基、C1-C6卤代烷氧基或S-Re;
B1为CRB1;
B2为CRB2;
B3为CRB3;
R1为Y-1A、Y-1B、Y-2A、Y-2B、Y-3A、Y-3B、Y-3C、Y-3D、Y-4A、Y-4B、Y-4C、Y-4D、Y-5A、Y-5B、Y-6A、Y-6B、Y-7A、Y-7B、Y-8A或Y-8B;其中D为R11或R12;
R11为R11-1、R11-2、R11-3、R11-5、R11-6、R11-7、R11-8、R11-9、R11-10、R11-11、R11-12、R11-13、R11-14、R11-15、R11-16、R11-17、R11-18、R11-19、R11-20、R11-21、R11-22、R11-23、R11-25、R11-26、R11-27、R11-28或R11-29;
R12为(A11-1)、(A11-2)或(A11-3).
R4和R5独立地为H或CH3,
R6为H、CH3、CH(CH3)2或C2H5;
R9和R10独立地为H或CH3,
R2为H、CH3或c-C3H5
R为H、CH3或CN;
在另一优选实施方案中,式I化合物是式I.1-I.24化合物,其中
Ar选自Ar1至Ar67;
B1为CH;
B2为CH;
B3为CH;
R1为Y-1A、Y-1B、Y-2A、Y-2B、Y-3A、Y-3B、Y-3C、Y-3D、Y-4A、Y-4B、Y-4C、Y-4D、Y-5A、Y-5B、Y-6A、Y-6B、Y-7A、Y-7B、Y-8A或Y-8B;其中D为R11或R12;
R11为R11-1、R11-2、R11-3、R11-5、R11-6、R11-7、R11-8、R11-9、R11-10、R11-11、R11-12、R11-13、R11-14、R11-15、R11-16、R11-17、R11-18、R11-19、R11-20、R11-21、R11-22、R11-23、R11-25、R11-26、R11-27、R11-28或R11-29;
R12为(A11-1)、(A11-2)或(A11-3).
R4和R5独立地为H或CH3,
R6为H、CH3、CH(CH3)2或C2H5;
R9和R10独立地为H或CH3,
R2为H、CH3或c-C3H5
R为H、CH3或CN;
在另一优选实施方案中,式I化合物是式I.1-I.24化合物,其中
Ar为Ar1、Ar2、Ar3、Ar4、Ar10、Ar17或Ar18;
B1为N或CH;
B2为N或CH;
B3为N或CH;
R1为Y-1A、Y-1B、Y-2A、Y-2B、Y-3A、Y-3B、Y-3C、Y-3D、Y-4A、Y-4B、Y-4C、Y-4D、Y-5A、Y-5B、Y-6A、Y-6B、Y-7A、Y-7B、Y-8A或Y-8B;其中D为R11或R12;
R11为R11-1、R11-2、R11-3、R11-5、R11-6、R11-7、R11-8、R11-9、R11-10、R11-11、R11-12、R11-13、R11-14、R11-15、R11-16、R11-17、R11-18、R11-19、R11-20、R11-21、R11-22、R11-23、R11-25、R11-26、R11-27、R11-28或R11-29;
R12为(A11-1)、(A11-2)或(A11-3).
R4和R5独立地为H或CH3,
R6为H、CH3、CH(CH3)2或C2H5;
R9和R10独立地为H或CH3,
R2为H、CH3或c-C3H5
R为H、CH3或CN;
在另一优选实施方案中,式I化合物是如下的式I化合物,
A为CH;
B1为CRB1、B2为CRB2、B3为CRB3且B4为CRB4
RB1、RB2、RB3和RB4相互独立地为H、卤素、C1-C6烷基;
Q为–N(R2)-C(=O)-,其中Ar键合于Q的任一侧;
R2为H或C1-C6烷基;
R6为H或C1-C6烷基;
Ar选自Ar1、Ar2、Ar5、Ar21和Ar22;
R1为Y-1A、Y-5A或Y-7A;
D为R11-1或A11-1b;
式I的具体化合物是汇编在下表1-812中的式I.1至I.24化合物,其中对于表1-812中的每一化合物的变量R6、B1、B2、B3、Ar和D的组合对应于表B的每一行。在表中对于取代基提及的每个基团本身,独立于提及的组合,是所述取代基的特别优选的方面。
表1.式I.1化合物,其中R1为Y-1A、R4为H且R5为H。
表2.式I.1化合物,其中R1为Y-2A、R4为H且R5为H。
表3.式I.1化合物,其中R1为Y-5A、R4为H且R5为H。
表4.式I.1化合物,其中R1为Y-6A、R4为H且R5为H。
表5.式I.1化合物,其中R1为Y-7A、R4为H且R5为H。
表6.式I.1化合物,其中R1为Y-1A、R4为CH3且R5为H。
表7.式I.1化合物,其中R1为Y-2A、R4为CH3且R5为H。
表8.式I.1化合物,其中R1为Y-5A、R4为CH3且R5为H。
表9.式I.1化合物,其中R1为Y-6A、R4为CH3且R5为H。
表10.式I.1化合物,其中R1为Y-7A、R4为CH3且R5为H。
表11.式I.1化合物,其中R1为Y-1A、R4为CH3且R5为CH3。
表12.式I.1化合物,其中R1为Y-2A、R4为CH3且R5为CH3。
表13.式I.1化合物,其中R1为Y-5A、R4为CH3且R5为CH3。
表14.式I.1化合物,其中R1为Y-6A、R4为CH3且R5为CH3。
表15.式I.1化合物,其中R1为Y-7A、R4为CH3且R5为CH3。
表16.式I.2化合物,其中R1为Y-1A、R4为H且R5为H。
表17.式I.2化合物,其中R1为Y-2A、R4为H且R5为H。
表18.式I.2化合物,其中R1为Y-5A、R4为H且R5为H。
表19.式I.2化合物,其中R1为Y-6A、R4为H且R5为H。
表20.式I.2化合物,其中R1为Y-7A、R4为H且R5为H。
表21.式I.2化合物,其中R1为Y-1A、R4为CH3且R5为H。
表22.式I.2化合物,其中R1为Y-2A、R4为CH3且R5为H。
表23.式I.2化合物,其中R1为Y-5A、R4为CH3且R5为H。
表24.式I.2化合物,其中R1为Y-6A、R4为CH3且R5为H。
表25.式I.2化合物,其中R1为Y-7A、R4为CH3且R5为H。
表26.式I.2化合物,其中R1为Y-1A、R4为CH3且R5为CH3。
表27.式I.2化合物,其中R1为Y-2A、R4为CH3且R5为CH3。
表28.式I.2化合物,其中R1为Y-5A、R4为CH3且R5为CH3。
表29.式I.2化合物,其中R1为Y-6A、R4为CH3且R5为CH3。
表30.式I.2化合物,其中R1为Y-7A、R4为CH3且R5为CH3。
表31.式I.3化合物,其中R1为Y-1A、R4为H且R5为H。
表32.式I.3化合物,其中R1为Y-2A、R4为H且R5为H。
表33.式I.3化合物,其中R1为Y-5A、R4为H且R5为H。
表34.式I.3化合物,其中R1为Y-6A、R4为H且R5为H。
表35.式I.3化合物,其中R1为Y-7A、R4为H且R5为H。
表36.式I.3化合物,其中R1为Y-1A、R4为CH3且R5为H。
表37.式I.3化合物,其中R1为Y-2A、R4为CH3且R5为H。
表38.式I.3化合物,其中R1为Y-5A、R4为CH3且R5为H。
表39.式I.3化合物,其中R1为Y-6A、R4为CH3且R5为H。
表40.式I.3化合物,其中R1为Y-7A、R4为CH3且R5为H。
表41.式I.3化合物,其中R1为Y-1A、R4为CH3且R5为CH3。
表42.式I.3化合物,其中R1为Y-2A、R4为CH3且R5为CH3。
表43.式I.3化合物,其中R1为Y-5A、R4为CH3且R5为CH3。
表44.式I.3化合物,其中R1为Y-6A、R4为CH3且R5为CH3。
表45.式I.3化合物,其中R1为Y-7A、R4为CH3且R5为CH3。
表46.式I.4化合物,其中R1为Y-1A、R4为H且R5为H。
表47.式I.4化合物,其中R1为Y-2A、R4为H且R5为H。
表48.式I.4化合物,其中R1为Y-5A、R4为H且R5为H。
表49.式I.4化合物,其中R1为Y-6A、R4为H且R5为H。
表50.式I.4化合物,其中R1为Y-7A、R4为H且R5为H。
表51.式I.4化合物,其中R1为Y-1A、R4为CH3且R5为H。
表52.式I.4化合物,其中R1为Y-2A、R4为CH3且R5为H。
表53.式I.4化合物,其中R1为Y-5A、R4为CH3且R5为H。
表54.式I.4化合物,其中R1为Y-6A、R4为CH3且R5为H。
表55.式I.4化合物,其中R1为Y-7A、R4为CH3且R5为H。
表56.式I.4化合物,其中R1为Y-1A、R4为CH3且R5为CH3。
表57.式I.4化合物,其中R1为Y-2A、R4为CH3且R5为CH3。
表58.式I.4化合物,其中R1为Y-5A、R4为CH3且R5为CH3。
表59.式I.4化合物,其中R1为Y-6A、R4为CH3且R5为CH3。
表60.式I.4化合物,其中R1为Y-7A、R4为CH3且R5为CH3。
表61.式I.5化合物,其中R1为Y-1A、R4为H且R5为H。
表62.式I.5化合物,其中R1为Y-2A、R4为H且R5为H。
表63.式I.5化合物,其中R1为Y-5A、R4为H且R5为H。
表64.式I.5化合物,其中R1为Y-6A、R4为H且R5为H。
表65.式I.5化合物,其中R1为Y-7A、R4为H且R5为H。
表66.式I.5化合物,其中R1为Y-1A、R4为CH3且R5为H。
表67.式I.5化合物,其中R1为Y-2A、R4为CH3且R5为H。
表68.式I.5化合物,其中R1为Y-5A、R4为CH3且R5为H。
表69.式I.5化合物,其中R1为Y-6A、R4为CH3且R5为H。
表70.式I.5化合物,其中R1为Y-7A、R4为CH3且R5为H。
表71.式I.5化合物,其中R1为Y-1A、R4为CH3且R5为CH3。
表72.式I.5化合物,其中R1为Y-2A、R4为CH3且R5为CH3。
表73.式I.5化合物,其中R1为Y-5A、R4为CH3且R5为CH3。
表74.式I.5化合物,其中R1为Y-6A、R4为CH3且R5为CH3。
表75.式I.5化合物,其中R1为Y-7A、R4为CH3且R5为CH3。
表76.式I.6化合物,其中R1为Y-1A、R4为H且R5为H。
表77.式I.6化合物,其中R1为Y-2A、R4为H且R5为H。
表78.式I.6化合物,其中R1为Y-5A、R4为H且R5为H。
表79.式I.6化合物,其中R1为Y-6A、R4为H且R5为H。
表80.式I.6化合物,其中R1为Y-7A、R4为H且R5为H。
表81.式I.6化合物,其中R1为Y-1A、R4为CH3且R5为H。
表82.式I.6化合物,其中R1为Y-2A、R4为CH3且R5为H。
表83.式I.6化合物,其中R1为Y-5A、R4为CH3且R5为H。
表84.式I.6化合物,其中R1为Y-6A、R4为CH3且R5为H。
表85.式I.6化合物,其中R1为Y-7A、R4为CH3且R5为H。
表86.式I.6化合物,其中R1为Y-1A、R4为CH3且R5为CH3。
表87.式I.6化合物,其中R1为Y-2A、R4为CH3且R5为CH3。
表88.式I.6化合物,其中R1为Y-5A、R4为CH3且R5为CH3。
表89.式I.6化合物,其中R1为Y-6A、R4为CH3且R5为CH3。
表90.式I.6化合物,其中R1为Y-7A、R4为CH3且R5为CH3。
表91.式I.7化合物,其中R1为Y-1A、R2为H、R9为H且R10为H。
表92.式I.7化合物,其中R1为Y-1A、R2为H、R9为CH3且R10为H。
表93.式I.7化合物,其中R1为Y-1A、R2为H、R9为CH3且R10为CH3。
表94.式I.7化合物,其中R1为Y-2A、R2为H、R9为H且R10为H。
表95.式I.7化合物,其中R1为Y-2A、R2为H、R9为CH3且R10为H。
表96.式I.7化合物,其中R1为Y-2A、R2为H、R9为CH3且R10为CH3。
表97.式I.7化合物,其中R1为Y-5A、R2为H、R9为H且R10为H。
表98.式I.7化合物,其中R1为Y-5A、R2为H、R9为CH3且R10为H。
表99.式I.7化合物,其中R1为Y-5A、R2为H、R9为CH3且R10为CH3。
表100.式I.7化合物,其中R1为Y-6A、R2为H、R9为H且R10为H。
表101.式I.7化合物,其中R1为Y-6A、R2为H、R9为CH3且R10为H。
表102.式I.7化合物,其中R1为Y-6A、R2为H、R9为CH3且R10为CH3。
表103.式I.7化合物,其中R1为Y-7A、R2为H、R9为H且R10为H。
表104.式I.7化合物,其中R1为Y-7A、R2为H、R9为CH3且R10为H。
表105.式I.7化合物,其中R1为Y-7A、R2为H、R9为CH3且R10为CH3。
表106.式I.7化合物,其中R1为Y-1A、R2为CH3、R9为H且R10为H。
表107.式I.7化合物,其中R1为Y-1A、R2为CH3、R9为CH3且R10为H。
表108.式I.7化合物,其中R1为Y-1A、R2为CH3、R9为CH3且R10为CH3。
表109.式I.7化合物,其中R1为Y-2A、R2为CH3、R9为H且R10为H。
表110.式I.7化合物,其中R1为Y-2A、R2为CH3、R9为CH3且R10为H。
表111.式I.7化合物,其中R1为Y-2A、R2为CH3、R9为CH3且R10为CH3。
表112.式I.7化合物,其中R1为Y-5A、R2为CH3、R9为H且R10为H。
表113.式I.7化合物,其中R1为Y-5A、R2为CH3、R9为CH3且R10为H。
表114.式I.7化合物,其中R1为Y-5A、R2为CH3、R9为CH3且R10为CH3。
表115.式I.7化合物,其中R1为Y-6A、R2为CH3、R9为H且R10为H。
表116.式I.7化合物,其中R1为Y-6A、R2为CH3、R9为CH3且R10为H。
表117.式I.7化合物,其中R1为Y-6A、R2为CH3、R9为CH3且R10为CH3。
表118.式I.7化合物,其中R1为Y-7A、R2为CH3、R9为H且R10为H。
表119.式I.7化合物,其中R1为Y-7A、R2为CH3、R9为CH3且R10为H。
表120.式I.7化合物,其中R1为Y-7A、R2为CH3、R9为CH3且R10为CH3。
表121.式I.7化合物,其中R1为Y-1A、R2为C2H5、R9为H且R10为H。
表122.式I.7化合物,其中R1为Y-1A、R2为C2H5、R9为CH3且R10为H。
表123.式I.7化合物,其中R1为Y-1A、R2为C2H5、R9为CH3且R10为CH3。
表124.式I.7化合物,其中R1为Y-2A、R2为C2H5、R9为H且R10为H。
表125.式I.7化合物,其中R1为Y-2A、R2为C2H5、R9为CH3且R10为H。
表126.式I.7化合物,其中R1为Y-2A、R2为C2H5、R9为CH3且R10为CH3。
表127.式I.7化合物,其中R1为Y-5A、R2为C2H5、R9为H且R10为H。
表128.式I.7化合物,其中R1为Y-5A、R2为C2H5、R9为CH3且R10为H。
表129.式I.7化合物,其中R1为Y-5A、R2为C2H5、R9为CH3且R10为CH3。
表130.式I.7化合物,其中R1为Y-6A、R2为C2H5、R9为H且R10为H。
表131.式I.7化合物,其中R1为Y-6A、R2为C2H5、R9为CH3且R10为H。
表132.式I.7化合物,其中R1为Y-6A、R2为C2H5、R9为CH3且R10为CH3。
表133.式I.7化合物,其中R1为Y-7A、R2为C2H5、R9为H且R10为H。
表134.式I.7化合物,其中R1为Y-7A、R2为C2H5、R9为CH3且R10为H。
表135.式I.7化合物,其中R1为Y-7A、R2为C2H5、R9为CH3且R10为CH3。
表136.式I.7化合物,其中R1为Y-1A、R2为c-C3H5、R9为H且R10为H。
表137.式I.7化合物,其中R1为Y-1A、R2为c-C3H5、R9为CH3且R10为H。
表138.式I.7化合物,其中R1为Y-1A、R2为c-C3H5、R9为CH3且R10为CH3。
表139.式I.7化合物,其中R1为Y-2A、R2为c-C3H5、R9为H且R10为H。
表140.式I.7化合物,其中R1为Y-2A、R2为c-C3H5、R9为CH3且R10为H。
表141.式I.7化合物,其中R1为Y-2A、R2为c-C3H5、R9为CH3且R10为CH3。
表142.式I.7化合物,其中R1为Y-5A、R2为c-C3H5、R9为H且R10为H。
表143.式I.7化合物,其中R1为Y-5A、R2为c-C3H5、R9为CH3且R10为H。
表144.式I.7化合物,其中R1为Y-5A、R2为c-C3H5、R9为CH3且R10为CH3。
表145.式I.7化合物,其中R1为Y-6A、R2为c-C3H5、R9为H且R10为H。
表146.式I.7化合物,其中R1为Y-6A、R2为c-C3H5、R9为CH3且R10为H。
表147.式I.7化合物,其中R1为Y-6A、R2为c-C3H5、R9为CH3且R10为CH3。
表148.式I.7化合物,其中R1为Y-7A、R2为c-C3H5、R9为H且R10为H。
表149.式I.7化合物,其中R1为Y-7A、R2为c-C3H5、R9为CH3且R10为H。
表150.式I.7化合物,其中R1为Y-7A、R2为c-C3H5、R9为CH3且R10为CH3。
表151.式I.8化合物,其中R1为Y-1A、R2为H、R9为H且R10为H。
表152.式I.8化合物,其中R1为Y-1A、R2为H、R9为CH3且R10为H。
表153.式I.8化合物,其中R1为Y-1A、R2为H、R9为CH3且R10为CH3。
表154.式I.8化合物,其中R1为Y-2A、R2为H、R9为H且R10为H。
表155.式I.8化合物,其中R1为Y-2A、R2为H、R9为CH3且R10为H。
表156.式I.8化合物,其中R1为Y-2A、R2为H、R9为CH3且R10为CH3。
表157.式I.8化合物,其中R1为Y-5A、R2为H、R9为H且R10为H。
表158.式I.8化合物,其中R1为Y-5A、R2为H、R9为CH3且R10为H。
表159.式I.8化合物,其中R1为Y-5A、R2为H、R9为CH3且R10为CH3。
表160.式I.8化合物,其中R1为Y-6A、R2为H、R9为H且R10为H。
表161.式I.8化合物,其中R1为Y-6A、R2为H、R9为CH3且R10为H。
表162.式I.8化合物,其中R1为Y-6A、R2为H、R9为CH3且R10为CH3。
表163.式I.8化合物,其中R1为Y-7A、R2为H、R9为H且R10为H。
表164.式I.8化合物,其中R1为Y-7A、R2为H、R9为CH3且R10为H。
表165.式I.8化合物,其中R1为Y-7A、R2为H、R9为CH3且R10为CH3。
表166.式I.8化合物,其中R1为Y-1A、R2为CH3、R9为H且R10为H。
表167.式I.8化合物,其中R1为Y-1A、R2为CH3、R9为CH3且R10为H。
表168.式I.8化合物,其中R1为Y-1A、R2为CH3、R9为CH3且R10为CH3。
表169.式I.8化合物,其中R1为Y-2A、R2为CH3、R9为H且R10为H。
表170.式I.8化合物,其中R1为Y-2A、R2为CH3、R9为CH3且R10为H。
表171.式I.8化合物,其中R1为Y-2A、R2为CH3、R9为CH3且R10为CH3。
表172.式I.8化合物,其中R1为Y-5A、R2为CH3、R9为H且R10为H。
表173.式I.8化合物,其中R1为Y-5A、R2为CH3、R9为CH3且R10为H。
表174.式I.8化合物,其中R1为Y-5A、R2为CH3、R9为CH3且R10为CH3。
表175.式I.8化合物,其中R1为Y-6A、R2为CH3、R9为H且R10为H。
表176.式I.8化合物,其中R1为Y-6A、R2为CH3、R9为CH3且R10为H。
表177.式I.8化合物,其中R1为Y-6A、R2为CH3、R9为CH3且R10为CH3。
表178.式I.8化合物,其中R1为Y-7A、R2为CH3、R9为H且R10为H。
表179.式I.8化合物,其中R1为Y-7A、R2为CH3、R9为CH3且R10为H。
表180.式I.8化合物,其中R1为Y-7A、R2为CH3、R9为CH3且R10为CH3。
表181.式I.8化合物,其中R1为Y-1A、R2为C2H5、R9为H且R10为H。
表182.式I.8化合物,其中R1为Y-1A、R2为C2H5、R9为CH3且R10为H。
表183.式I.8化合物,其中R1为Y-1A、R2为C2H5、R9为CH3且R10为CH3。
表184.式I.8化合物,其中R1为Y-2A、R2为C2H5、R9为H且R10为H。
表185.式I.8化合物,其中R1为Y-2A、R2为C2H5、R9为CH3且R10为H。
表186.式I.8化合物,其中R1为Y-2A、R2为C2H5、R9为CH3且R10为CH3。
表187.式I.8化合物,其中R1为Y-5A、R2为C2H5、R9为H且R10为H。
表188.式I.8化合物,其中R1为Y-5A、R2为C2H5、R9为CH3且R10为H。
表189.式I.8化合物,其中R1为Y-5A、R2为C2H5、R9为CH3且R10为CH3。
表190.式I.8化合物,其中R1为Y-6A、R2为C2H5、R9为H且R10为H。
表191.式I.8化合物,其中R1为Y-6A、R2为C2H5、R9为CH3且R10为H。
表192.式I.8化合物,其中R1为Y-6A、R2为C2H5、R9为CH3且R10为CH3。
表193.式I.8化合物,其中R1为Y-7A、R2为C2H5、R9为H且R10为H。
表194.式I.8化合物,其中R1为Y-7A、R2为C2H5、R9为CH3且R10为H。
表195.式I.8化合物,其中R1为Y-7A、R2为C2H5、R9为CH3且R10为CH3。
表196.式I.8化合物,其中R1为Y-1A、R2为c-C3H5、R9为H且R10为H。
表197.式I.8化合物,其中R1为Y-1A、R2为c-C3H5、R9为CH3且R10为H。
表198.式I.8化合物,其中R1为Y-1A、R2为c-C3H5、R9为CH3且R10为CH3。
表199.式I.8化合物,其中R1为Y-2A、R2为c-C3H5、R9为H且R10为H。
表200.式I.8化合物,其中R1为Y-2A、R2为c-C3H5、R9为CH3且R10为H。
表201.式I.8化合物,其中R1为Y-2A、R2为c-C3H5、R9为CH3且R10为CH3。
表202.式I.8化合物,其中R1为Y-5A、R2为c-C3H5、R9为H且R10为H。
表203.式I.8化合物,其中R1为Y-5A、R2为c-C3H5、R9为CH3且R10为H。
表204.式I.8化合物,其中R1为Y-5A、R2为c-C3H5、R9为CH3且R10为CH3。
表205.式I.8化合物,其中R1为Y-6A、R2为c-C3H5、R9为H且R10为H。
表206.式I.8化合物,其中R1为Y-6A、R2为c-C3H5、R9为CH3且R10为H。
表207.式I.8化合物,其中R1为Y-6A、R2为c-C3H5、R9为CH3且R10为CH3。
表208.式I.8化合物,其中R1为Y-7A、R2为c-C3H5、R9为H且R10为H。
表209.式I.8化合物,其中R1为Y-7A、R2为c-C3H5、R9为CH3且R10为H。
表210.式I.8化合物,其中R1为Y-7A、R2为c-C3H5、R9为CH3且R10为CH3。
表211.式I.9化合物,其中R1为Y-1A、R2为H、R9为H且R10为H。
表212.式I.9化合物,其中R1为Y-1A、R2为H、R9为CH3且R10为H。
表213.式I.9化合物,其中R1为Y-1A、R2为H、R9为CH3且R10为CH3。
表214.式I.9化合物,其中R1为Y-2A、R2为H、R9为H且R10为H。
表215.式I.9化合物,其中R1为Y-2A、R2为H、R9为CH3且R10为H。
表216.式I.9化合物,其中R1为Y-2A、R2为H、R9为CH3且R10为CH3。
表217.式I.9化合物,其中R1为Y-5A、R2为H、R9为H且R10为H。
表218.式I.9化合物,其中R1为Y-5A、R2为H、R9为CH3且R10为H。
表219.式I.9化合物,其中R1为Y-5A、R2为H、R9为CH3且R10为CH3。
表220.式I.9化合物,其中R1为Y-6A、R2为H、R9为H且R10为H。
表221.式I.9化合物,其中R1为Y-6A、R2为H、R9为CH3且R10为H。
表222.式I.9化合物,其中R1为Y-6A、R2为H、R9为CH3且R10为CH3。
表223.式I.9化合物,其中R1为Y-7A、R2为H、R9为H且R10为H。
表224.式I.9化合物,其中R1为Y-7A、R2为H、R9为CH3且R10为H。
表225.式I.9化合物,其中R1为Y-7A、R2为H、R9为CH3且R10为CH3。
表226.式I.9化合物,其中R1为Y-1A、R2为CH3、R9为H且R10为H。
表227.式I.9化合物,其中R1为Y-1A、R2为CH3、R9为CH3且R10为H。
表228.式I.9化合物,其中R1为Y-1A、R2为CH3、R9为CH3且R10为CH3。
表229.式I.9化合物,其中R1为Y-2A、R2为CH3、R9为H且R10为H。
表230.式I.9化合物,其中R1为Y-2A、R2为CH3、R9为CH3且R10为H。
表231.式I.9化合物,其中R1为Y-2A、R2为CH3、R9为CH3且R10为CH3。
表232.式I.9化合物,其中R1为Y-5A、R2为CH3、R9为H且R10为H。
表233.式I.9化合物,其中R1为Y-5A、R2为CH3、R9为CH3且R10为H。
表234.式I.9化合物,其中R1为Y-5A、R2为CH3、R9为CH3且R10为CH3。
表235.式I.9化合物,其中R1为Y-6A、R2为CH3、R9为H且R10为H。
表236.式I.9化合物,其中R1为Y-6A、R2为CH3、R9为CH3且R10为H。
表237.式I.9化合物,其中R1为Y-6A、R2为CH3、R9为CH3且R10为CH3。
表238.式I.9化合物,其中R1为Y-7A、R2为CH3、R9为H且R10为H。
表239.式I.9化合物,其中R1为Y-7A、R2为CH3、R9为CH3且R10为H。
表240.式I.9化合物,其中R1为Y-7A、R2为CH3、R9为CH3且R10为CH3。
表241.式I.9化合物,其中R1为Y-1A、R2为C2H5、R9为H且R10为H。
表242.式I.9化合物,其中R1为Y-1A、R2为C2H5、R9为CH3且R10为H。
表243.式I.9化合物,其中R1为Y-1A、R2为C2H5、R9为CH3且R10为CH3。
表244.式I.9化合物,其中R1为Y-2A、R2为C2H5、R9为H且R10为H。
表245.式I.9化合物,其中R1为Y-2A、R2为C2H5、R9为CH3且R10为H。
表246.式I.9化合物,其中R1为Y-2A、R2为C2H5、R9为CH3且R10为CH3。
表247.式I.9化合物,其中R1为Y-5A、R2为C2H5、R9为H且R10为H。
表248.式I.9化合物,其中R1为Y-5A、R2为C2H5、R9为CH3且R10为H。
表249.式I.9化合物,其中R1为Y-5A、R2为C2H5、R9为CH3且R10为CH3。
表250.式I.9化合物,其中R1为Y-6A、R2为C2H5、R9为H且R10为H。
表251.式I.9化合物,其中R1为Y-6A、R2为C2H5、R9为CH3且R10为H。
表252.式I.9化合物,其中R1为Y-6A、R2为C2H5、R9为CH3且R10为CH3。
表253.式I.9化合物,其中R1为Y-7A、R2为C2H5、R9为H且R10为H。
表254.式I.9化合物,其中R1为Y-7A、R2为C2H5、R9为CH3且R10为H。
表255.式I.9化合物,其中R1为Y-7A、R2为C2H5、R9为CH3且R10为CH3。
表256.式I.9化合物,其中R1为Y-1A、R2为c-C3H5、R9为H且R10为H。
表257.式I.9化合物,其中R1为Y-1A、R2为c-C3H5、R9为CH3且R10为H。
表258.式I.9化合物,其中R1为Y-1A、R2为c-C3H5、R9为CH3且R10为CH3。
表259.式I.9化合物,其中R1为Y-2A、R2为c-C3H5、R9为H且R10为H。
表260.式I.9化合物,其中R1为Y-2A、R2为c-C3H5、R9为CH3且R10为H。
表261.式I.9化合物,其中R1为Y-2A、R2为c-C3H5、R9为CH3且R10为CH3。
表262.C
表263.式I.9化合物,其中R1为Y-5A、R2为c-C3H5、R9为H且R10为H。
表264.式I.9化合物,其中R1为Y-5A、R2为c-C3H5、R9为CH3且R10为H。
表265.式I.9化合物,其中R1为Y-5A、R2为c-C3H5、R9为CH3且R10为CH3。
表266.式I.9化合物,其中R1为Y-6A、R2为c-C3H5、R9为H且R10为H。
表267.式I.9化合物,其中R1为Y-6A、R2为c-C3H5、R9为CH3且R10为H。
表268.式I.9化合物,其中R1为Y-6A、R2为c-C3H5、R9为CH3且R10为CH3。
表269.式I.9化合物,其中R1为Y-7A、R2为c-C3H5、R9为H且R10为H。
表270.式I.9化合物,其中R1为Y-7A、R2为c-C3H5、R9为CH3且R10为H。
表271.式I.9化合物,其中R1为Y-7A、R2为c-C3H5、R9为CH3且R10为CH3。
表272.式I.10化合物,其中R1为Y-1A、R2为H、R9为H且R10为H。
表273.式I.10化合物,其中R1为Y-1A、R2为H、R9为CH3且R10为H。
表274.式I.10化合物,其中R1为Y-1A、R2为H、R9为CH3且R10为CH3。
表275.式I.10化合物,其中R1为Y-2A、R2为H、R9为H且R10为H。
表276.式I.10化合物,其中R1为Y-2A、R2为H、R9为CH3且R10为H。
表277.式I.10化合物,其中R1为Y-2A、R2为H、R9为CH3且R10为CH3。
表278.式I.10化合物,其中R1为Y-5A、R2为H、R9为H且R10为H。
表279.式I.10化合物,其中R1为Y-5A、R2为H、R9为CH3且R10为H。
表280.式I.10化合物,其中R1为Y-5A、R2为H、R9为CH3且R10为CH3。
表281.式I.10化合物,其中R1为Y-6A、R2为H、R9为H且R10为H。
表282.式I.10化合物,其中R1为Y-6A、R2为H、R9为CH3且R10为H。
表283.式I.10化合物,其中R1为Y-6A、R2为H、R9为CH3且R10为CH3。
表284.式I.10化合物,其中R1为Y-7A、R2为H、R9为H且R10为H。
表285.式I.10化合物,其中R1为Y-7A、R2为H、R9为CH3且R10为H。
表286.式I.10化合物,其中R1为Y-7A、R2为H、R9为CH3且R10为CH3。
表287.式I.10化合物,其中R1为Y-1A、R2为CH3、R9为H且R10为H。
表288.式I.10化合物,其中R1为Y-1A、R2为CH3、R9为CH3且R10为H。
表289.式I.10化合物,其中R1为Y-1A、R2为CH3、R9为CH3且R10为CH3。
表290.式I.10化合物,其中R1为Y-2A、R2为CH3、R9为H且R10为H。
表291.式I.10化合物,其中R1为Y-2A、R2为CH3、R9为CH3且R10为H。
表292.式I.10化合物,其中R1为Y-2A、R2为CH3、R9为CH3且R10为CH3。
表293.式I.10化合物,其中R1为Y-5A、R2为CH3、R9为H且R10为H。
表294.式I.10化合物,其中R1为Y-5A、R2为CH3、R9为CH3且R10为H。
表295.式I.10化合物,其中R1为Y-5A、R2为CH3、R9为CH3且R10为CH3。
表296.式I.10化合物,其中R1为Y-6A、R2为CH3、R9为H且R10为H。
表297.式I.10化合物,其中R1为Y-6A、R2为CH3、R9为CH3且R10为H。
表298.式I.10化合物,其中R1为Y-6A、R2为CH3、R9为CH3且R10为CH3。
表299.式I.10化合物,其中R1为Y-7A、R2为CH3、R9为H且R10为H。
表300.式I.10化合物,其中R1为Y-7A、R2为CH3、R9为CH3且R10为H。
表301.式I.10化合物,其中R1为Y-7A、R2为CH3、R9为CH3且R10为CH3。
表302.式I.10化合物,其中R1为Y-1A、R2为C2H5、R9为H且R10为H。
表303.式I.10化合物,其中R1为Y-1A、R2为C2H5、R9为CH3且R10为H。
表304.式I.10化合物,其中R1为Y-1A、R2为C2H5、R9为CH3且R10为CH3。
表305.式I.10化合物,其中R1为Y-2A、R2为C2H5、R9为H且R10为H。
表306.式I.10化合物,其中R1为Y-2A、R2为C2H5、R9为CH3且R10为H。
表307.式I.10化合物,其中R1为Y-2A、R2为C2H5、R9为CH3且R10为CH3。
表308.式I.10化合物,其中R1为Y-5A、R2为C2H5、R9为H且R10为H。
表309.式I.10化合物,其中R1为Y-5A、R2为C2H5、R9为CH3且R10为H。
表310.式I.10化合物,其中R1为Y-5A、R2为C2H5、R9为CH3且R10为CH3。
表311.式I.10化合物,其中R1为Y-6A、R2为C2H5、R9为H且R10为H。
表312.式I.10化合物,其中R1为Y-6A、R2为C2H5、R9为CH3且R10为H。
表313.式I.10化合物,其中R1为Y-6A、R2为C2H5、R9为CH3且R10为CH3。
表314.式I.10化合物,其中R1为Y-7A、R2为C2H5、R9为H且R10为H。
表315.式I.10化合物,其中R1为Y-7A、R2为C2H5、R9为CH3且R10为H。
表316.式I.10化合物,其中R1为Y-7A、R2为C2H5、R9为CH3且R10为CH3。
表317.式I.10化合物,其中R1为Y-1A、R2为c-C3H5、R9为H且R10为H。
表318.式I.10化合物,其中R1为Y-1A、R2为c-C3H5、R9为CH3且R10为H。
表319.式I.10化合物,其中R1为Y-1A、R2为c-C3H5、R9为CH3且R10为CH3。
表320.式I.10化合物,其中R1为Y-2A、R2为c-C3H5、R9为H且R10为H。
表321.式I.10化合物,其中R1为Y-2A、R2为c-C3H5、R9为CH3且R10为H。
表322.式I.10化合物,其中R1为Y-2A、R2为c-C3H5、R9为CH3且R10为CH3。
表323.C
表324.式I.10化合物,其中R1为Y-5A、R2为c-C3H5、R9为H且R10为H。
表325.式I.10化合物,其中R1为Y-5A、R2为c-C3H5、R9为CH3且R10为H。
表326.式I.10化合物,其中R1为Y-5A、R2为c-C3H5、R9为CH3且R10为CH3。
表327.式I.10化合物,其中R1为Y-6A、R2为c-C3H5、R9为H且R10为H。
表328.式I.10化合物,其中R1为Y-6A、R2为c-C3H5、R9为CH3且R10为H。
表329.式I.10化合物,其中R1为Y-6A、R2为c-C3H5、R9为CH3且R10为CH3。
表330.式I.10化合物,其中R1为Y-7A、R2为c-C3H5、R9为H且R10为H。
表331.式I.10化合物,其中R1为Y-7A、R2为c-C3H5、R9为CH3且R10为H。
表332.式I.10化合物,其中R1为Y-7A、R2为c-C3H5、R9为CH3且R10为CH3。
表333.式I.11化合物,其中R1为Y-1A、R2为H、R9为H且R10为H。
表334.式I.11化合物,其中R1为Y-1A、R2为H、R9为CH3且R10为H。
表335.式I.11化合物,其中R1为Y-1A、R2为H、R9为CH3且R10为CH3。
表336.式I.11化合物,其中R1为Y-2A、R2为H、R9为H且R10为H。
表337.式I.11化合物,其中R1为Y-2A、R2为H、R9为CH3且R10为H。
表338.式I.11化合物,其中R1为Y-2A、R2为H、R9为CH3且R10为CH3。
表339.式I.11化合物,其中R1为Y-5A、R2为H、R9为H且R10为H。
表340.式I.11化合物,其中R1为Y-5A、R2为H、R9为CH3且R10为H。
表341.式I.11化合物,其中R1为Y-5A、R2为H、R9为CH3且R10为CH3。
表342.式I.11化合物,其中R1为Y-6A、R2为H、R9为H且R10为H。
表343.式I.11化合物,其中R1为Y-6A、R2为H、R9为CH3且R10为H。
表344.式I.11化合物,其中R1为Y-6A、R2为H、R9为CH3且R10为CH3。
表345.式I.11化合物,其中R1为Y-7A、R2为H、R9为H且R10为H。
表346.式I.11化合物,其中R1为Y-7A、R2为H、R9为CH3且R10为H。
表347.式I.11化合物,其中R1为Y-7A、R2为H、R9为CH3且R10为CH3。
表348.式I.11化合物,其中R1为Y-1A、R2为CH3、R9为H且R10为H。
表349.式I.11化合物,其中R1为Y-1A、R2为CH3、R9为CH3且R10为H。
表350.式I.11化合物,其中R1为Y-1A、R2为CH3、R9为CH3且R10为CH3。
表351.式I.11化合物,其中R1为Y-2A、R2为CH3、R9为H且R10为H。
表352.式I.11化合物,其中R1为Y-2A、R2为CH3、R9为CH3且R10为H。
表353.式I.11化合物,其中R1为Y-2A、R2为CH3、R9为CH3且R10为CH3。
表354.式I.11化合物,其中R1为Y-5A、R2为CH3、R9为H且R10为H。
表355.式I.11化合物,其中R1为Y-5A、R2为CH3、R9为CH3且R10为H。
表356.式I.11化合物,其中R1为Y-5A、R2为CH3、R9为CH3且R10为CH3。
表357.式I.11化合物,其中R1为Y-6A、R2为CH3、R9为H且R10为H。
表358.式I.11化合物,其中R1为Y-6A、R2为CH3、R9为CH3且R10为H。
表359.式I.11化合物,其中R1为Y-6A、R2为CH3、R9为CH3且R10为CH3。
表360.式I.11化合物,其中R1为Y-7A、R2为CH3、R9为H且R10为H。
表361.式I.11化合物,其中R1为Y-7A、R2为CH3、R9为CH3且R10为H。
表362.式I.11化合物,其中R1为Y-7A、R2为CH3、R9为CH3且R10为CH3。
表363.式I.11化合物,其中R1为Y-1A、R2为C2H5、R9为H且R10为H。
表364.式I.11化合物,其中R1为Y-1A、R2为C2H5、R9为CH3且R10为H。
表365.式I.11化合物,其中R1为Y-1A、R2为C2H5、R9为CH3且R10为CH3。
表366.式I.11化合物,其中R1为Y-2A、R2为C2H5、R9为H且R10为H。
表367.式I.11化合物,其中R1为Y-2A、R2为C2H5、R9为CH3且R10为H。
表368.式I.11化合物,其中R1为Y-2A、R2为C2H5、R9为CH3且R10为CH3。
表369.式I.11化合物,其中R1为Y-5A、R2为C2H5、R9为H且R10为H。
表370.式I.11化合物,其中R1为Y-5A、R2为C2H5、R9为CH3且R10为H。
表371.式I.11化合物,其中R1为Y-5A、R2为C2H5、R9为CH3且R10为CH3。
表372.式I.11化合物,其中R1为Y-6A、R2为C2H5、R9为H且R10为H。
表373.式I.11化合物,其中R1为Y-6A、R2为C2H5、R9为CH3且R10为H。
表374.式I.11化合物,其中R1为Y-6A、R2为C2H5、R9为CH3且R10为CH3。
表375.式I.11化合物,其中R1为Y-7A、R2为C2H5、R9为H且R10为H。
表376.式I.11化合物,其中R1为Y-7A、R2为C2H5、R9为CH3且R10为H。
表377.式I.11化合物,其中R1为Y-7A、R2为C2H5、R9为CH3且R10为CH3。
表378.式I.11化合物,其中R1为Y-1A、R2为c-C3H5、R9为H且R10为H。
表379.式I.11化合物,其中R1为Y-1A、R2为c-C3H5、R9为CH3且R10为H。
表380.式I.11化合物,其中R1为Y-1A、R2为c-C3H5、R9为CH3且R10为CH3。
表381.式I.11化合物,其中R1为Y-2A、R2为c-C3H5、R9为H且R10为H。
表382.式I.11化合物,其中R1为Y-2A、R2为c-C3H5、R9为CH3且R10为H。
表383.式I.11化合物,其中R1为Y-2A、R2为c-C3H5、R9为CH3且R10为CH3。
表384.式I.11化合物,其中R1为Y-5A、R2为c-C3H5、R9为H且R10为H。
表385.式I.11化合物,其中R1为Y-5A、R2为c-C3H5、R9为CH3且R10为H。
表386.式I.11化合物,其中R1为Y-5A、R2为c-C3H5、R9为CH3且R10为CH3。
表387.式I.11化合物,其中R1为Y-6A、R2为c-C3H5、R9为H且R10为H。
表388.式I.11化合物,其中R1为Y-6A、R2为c-C3H5、R9为CH3且R10为H。
表389.式I.11化合物,其中R1为Y-6A、R2为c-C3H5、R9为CH3且R10为CH3。
表390.式I.11化合物,其中R1为Y-7A、R2为c-C3H5、R9为H且R10为H。
表391.式I.11化合物,其中R1为Y-7A、R2为c-C3H5、R9为CH3且R10为H。
表392.式I.11化合物,其中R1为Y-7A、R2为c-C3H5、R9为CH3且R10为CH3。
表393.式I.12化合物,其中R1为Y-1A、R2为H、R9为H且R10为H。
表394.式I.12化合物,其中R1为Y-1A、R2为H、R9为CH3且R10为H。
表395.式I.12化合物,其中R1为Y-1A、R2为H、R9为CH3且R10为CH3。
表396.式I.12化合物,其中R1为Y-2A、R2为H、R9为H且R10为H。
表397.式I.12化合物,其中R1为Y-2A、R2为H、R9为CH3且R10为H。
表398.式I.12化合物,其中R1为Y-2A、R2为H、R9为CH3且R10为CH3。
表399.式I.12化合物,其中R1为Y-5A、R2为H、R9为H且R10为H。
表400.式I.12化合物,其中R1为Y-5A、R2为H、R9为CH3且R10为H。
表401.式I.12化合物,其中R1为Y-5A、R2为H、R9为CH3且R10为CH3。
表402.式I.12化合物,其中R1为Y-6A、R2为H、R9为H且R10为H。
表403.式I.12化合物,其中R1为Y-6A、R2为H、R9为CH3且R10为H。
表404.式I.12化合物,其中R1为Y-6A、R2为H、R9为CH3且R10为CH3。
表405.式I.12化合物,其中R1为Y-7A、R2为H、R9为H且R10为H。
表406.式I.12化合物,其中R1为Y-7A、R2为H、R9为CH3且R10为H。
表407.式I.12化合物,其中R1为Y-7A、R2为H、R9为CH3且R10为CH3。
表408.式I.12化合物,其中R1为Y-1A、R2为CH3、R9为H且R10为H。
表409.式I.12化合物,其中R1为Y-1A、R2为CH3、R9为CH3且R10为H。
表410.式I.12化合物,其中R1为Y-1A、R2为CH3、R9为CH3且R10为CH3。
表411.式I.12化合物,其中R1为Y-2A、R2为CH3、R9为H且R10为H。
表412.式I.12化合物,其中R1为Y-2A、R2为CH3、R9为CH3且R10为H。
表413.式I.12化合物,其中R1为Y-2A、R2为CH3、R9为CH3且R10为CH3。
表414.式I.12化合物,其中R1为Y-5A、R2为CH3、R9为H且R10为H。
表415.式I.12化合物,其中R1为Y-5A、R2为CH3、R9为CH3且R10为H。
表416.式I.12化合物,其中R1为Y-5A、R2为CH3、R9为CH3且R10为CH3。
表417.式I.12化合物,其中R1为Y-6A、R2为CH3、R9为H且R10为H。
表418.式I.12化合物,其中R1为Y-6A、R2为CH3、R9为CH3且R10为H。
表419.式I.12化合物,其中R1为Y-6A、R2为CH3、R9为CH3且R10为CH3。
表420.式I.12化合物,其中R1为Y-7A、R2为CH3、R9为H且R10为H。
表421.式I.12化合物,其中R1为Y-7A、R2为CH3、R9为CH3且R10为H。
表422.式I.12化合物,其中R1为Y-7A、R2为CH3、R9为CH3且R10为CH3。
表423.式I.12化合物,其中R1为Y-1A、R2为C2H5、R9为H且R10为H。
表424.式I.12化合物,其中R1为Y-1A、R2为C2H5、R9为CH3且R10为H。
表425.式I.12化合物,其中R1为Y-1A、R2为C2H5、R9为CH3且R10为CH3。
表426.式I.12化合物,其中R1为Y-2A、R2为C2H5、R9为H且R10为H。
表427.式I.12化合物,其中R1为Y-2A、R2为C2H5、R9为CH3且R10为H。
表428.式I.12化合物,其中R1为Y-2A、R2为C2H5、R9为CH3且R10为CH3。
表429.式I.12化合物,其中R1为Y-5A、R2为C2H5、R9为H且R10为H。
表430.式I.12化合物,其中R1为Y-5A、R2为C2H5、R9为CH3且R10为H。
表431.式I.12化合物,其中R1为Y-5A、R2为C2H5、R9为CH3且R10为CH3。
表432.式I.12化合物,其中R1为Y-6A、R2为C2H5、R9为H且R10为H。
表433.式I.12化合物,其中R1为Y-6A、R2为C2H5、R9为CH3且R10为H。
表434.式I.12化合物,其中R1为Y-6A、R2为C2H5、R9为CH3且R10为CH3。
表435.式I.12化合物,其中R1为Y-7A、R2为C2H5、R9为H且R10为H。
表436.式I.12化合物,其中R1为Y-7A、R2为C2H5、R9为CH3且R10为H。
表437.式I.12化合物,其中R1为Y-7A、R2为C2H5、R9为CH3且R10为CH3。
表438.式I.12化合物,其中R1为Y-1A、R2为c-C3H5、R9为H且R10为H。
表439.式I.12化合物,其中R1为Y-1A、R2为c-C3H5、R9为CH3且R10为H。
表440.式I.12化合物,其中R1为Y-1A、R2为c-C3H5、R9为CH3且R10为CH3。
表441.式I.12化合物,其中R1为Y-2A、R2为c-C3H5、R9为H且R10为H。
表442.式I.12化合物,其中R1为Y-2A、R2为c-C3H5、R9为CH3且R10为H。
表443.式I.12化合物,其中R1为Y-2A、R2为c-C3H5、R9为CH3且R10为CH3。
表444.式I.12化合物,其中R1为Y-5A、R2为c-C3H5、R9为H且R10为H。
表445.式I.12化合物,其中R1为Y-5A、R2为c-C3H5、R9为CH3且R10为H。
表446.式I.12化合物,其中R1为Y-5A、R2为c-C3H5、R9为CH3且R10为CH3。
表447.式I.12化合物,其中R1为Y-6A、R2为c-C3H5、R9为H且R10为H。
表448.式I.12化合物,其中R1为Y-6A、R2为c-C3H5、R9为CH3且R10为H。
表449.式I.12化合物,其中R1为Y-6A、R2为c-C3H5、R9为CH3且R10为CH3。
表450.式I.12化合物,其中R1为Y-7A、R2为c-C3H5、R9为H且R10为H。
表451.式I.12化合物,其中R1为Y-7A、R2为c-C3H5、R9为CH3且R10为H。
表452.式I.12化合物,其中R1为Y-7A、R2为c-C3H5、R9为CH3且R10为CH3。
表453.式I.13化合物,其中R1为Y-1A且R2为H。
表454.式I.13化合物,其中R1为Y-2A且R2为H。
表455.式I.13化合物,其中R1为Y-5A且R2为H。
表456.式I.13化合物,其中R1为Y-6A且R2为H。
表457.式I.13化合物,其中R1为Y-7A且R2为H。
表458.式I.13化合物,其中R1为Y-1A且R2为CH3。
表459.式I.13化合物,其中R1为Y-2A且R2为CH3。
表460.式I.13化合物,其中R1为Y-5A且R2为CH3。
表461.式I.13化合物,其中R1为Y-6A且R2为CH3。
表462.式I.13化合物,其中R1为Y-7A且R2为CH3。
表463.式I.13化合物,其中R1为Y-1A且R2为c-C3H5。
表464.式I.13化合物,其中R1为Y-2A且R2为c-C3H5。
表465.式I.13化合物,其中R1为Y-5A且R2为c-C3H5。
表466.式I.13化合物,其中R1为Y-6A且R2为c-C3H5。
表467.式I.13化合物,其中R1为Y-7A且R2为c-C3H5。
表468.式I.14化合物,其中R1为Y-1A且R2为H。
表469.式I.14化合物,其中R1为Y-2A且R2为H。
表470.式I.14化合物,其中R1为Y-5A且R2为H。
表471.式I.14化合物,其中R1为Y-6A且R2为H。
表472.式I.14化合物,其中R1为Y-7A且R2为H。
表473.式I.14化合物,其中R1为Y-1A且R2为CH3。
表474.式I.14化合物,其中R1为Y-2A且R2为CH3。
表475.式I.14化合物,其中R1为Y-5A且R2为CH3。
表476.式I.14化合物,其中R1为Y-6A且R2为CH3。
表477.式I.14化合物,其中R1为Y-7A且R2为CH3。
表478.式I.14化合物,其中R1为Y-1A且R2为c-C3H5。
表479.式I.14化合物,其中R1为Y-2A且R2为c-C3H5。
表480.式I.14化合物,其中R1为Y-5A且R2为c-C3H5。
表481.式I.14化合物,其中R1为Y-6A且R2为c-C3H5。
表482.式I.14化合物,其中R1为Y-7A且R2为c-C3H5。
表483.式I.15化合物,其中R1为Y-1A且R2为H。
表484.式I.15化合物,其中R1为Y-2A且R2为H。
表485.式I.15化合物,其中R1为Y-5A且R2为H。
表486.式I.15化合物,其中R1为Y-6A且R2为H。
表487.式I.15化合物,其中R1为Y-7A且R2为H。
表488.式I.15化合物,其中R1为Y-1A且R2为CH3。
表489.式I.15化合物,其中R1为Y-2A且R2为CH3。
表490.式I.15化合物,其中R1为Y-5A且R2为CH3。
表491.式I.15化合物,其中R1为Y-6A且R2为CH3。
表492.式I.15化合物,其中R1为Y-7A且R2为CH3。
表493.式I.15化合物,其中R1为Y-1A且R2为c-C3H5。
表494.式I.15化合物,其中R1为Y-2A且R2为c-C3H5。
表495.式I.15化合物,其中R1为Y-5A且R2为c-C3H5。
表496.式I.15化合物,其中R1为Y-6A且R2为c-C3H5。
表497.式I.15化合物,其中R1为Y-7A且R2为c-C3H5。
表498.式I.16化合物,其中R1为Y-1A且R2为H。
表499.式I.16化合物,其中R1为Y-2A且R2为H。
表500.式I.16化合物,其中R1为Y-5A且R2为H。
表501.式I.16化合物,其中R1为Y-6A且R2为H。
表502.式I.16化合物,其中R1为Y-7A且R2为H。
表503.式I.16化合物,其中R1为Y-1A且R2为CH3。
表504.式I.16化合物,其中R1为Y-2A且R2为CH3。
表505.式I.16化合物,其中R1为Y-5A且R2为CH3。
表506.式I.16化合物,其中R1为Y-6A且R2为CH3。
表507.式I.16化合物,其中R1为Y-7A且R2为CH3。
表508.式I.16化合物,其中R1为Y-1A且R2为c-C3H5。
表509.式I.16化合物,其中R1为Y-2A且R2为c-C3H5。
表510.式I.16化合物,其中R1为Y-5A且R2为c-C3H5。
表511.式I.16化合物,其中R1为Y-6A且R2为c-C3H5。
表512.式I.16化合物,其中R1为Y-7A且R2为c-C3H5。
表513.式I.17化合物,其中R1为Y-1A且R2为H。
表514.式I.17化合物,其中R1为Y-2A且R2为H。
表515.式I.17化合物,其中R1为Y-5A且R2为H。
表516.式I.17化合物,其中R1为Y-6A且R2为H。
表517.式I.17化合物,其中R1为Y-7A且R2为H。
表518.式I.17化合物,其中R1为Y-1A且R2为CH3。
表519.式I.17化合物,其中R1为Y-2A且R2为CH3。
表520.式I.17化合物,其中R1为Y-5A且R2为CH3。
表521.式I.17化合物,其中R1为Y-6A且R2为CH3。
表522.式I.17化合物,其中R1为Y-7A且R2为CH3。
表523.式I.17化合物,其中R1为Y-1A且R2为c-C3H5。
表524.式I.17化合物,其中R1为Y-2A且R2为c-C3H5。
表525.式I.17化合物,其中R1为Y-5A且R2为c-C3H5。
表526.式I.17化合物,其中R1为Y-6A且R2为c-C3H5。
表527.式I.17化合物,其中R1为Y-7A且R2为c-C3H5。
表528.式I.18化合物,其中R1为Y-1A且R2为H。
表529.式I.18化合物,其中R1为Y-2A且R2为H。
表530.式I.18化合物,其中R1为Y-5A且R2为H。
表531.式I.18化合物,其中R1为Y-6A且R2为H。
表532.式I.18化合物,其中R1为Y-7A且R2为H。
表533.式I.18化合物,其中R1为Y-1A且R2为CH3。
表534.式I.18化合物,其中R1为Y-2A且R2为CH3。
表535.式I.18化合物,其中R1为Y-5A且R2为CH3。
表536.式I.18化合物,其中R1为Y-6A且R2为CH3。
表537.式I.18化合物,其中R1为Y-7A且R2为CH3。
表538.式I.18化合物,其中R1为Y-1A且R2为c-C3H5。
表539.式I.18化合物,其中R1为Y-2A且R2为c-C3H5。
表540.式I.18化合物,其中R1为Y-5A且R2为c-C3H5。
表541.式I.18化合物,其中R1为Y-6A且R2为c-C3H5。
表542.式I.18化合物,其中R1为Y-7A且R2为c-C3H5。
表543.式I.19化合物,其中R1为Y-1A、R为NH且R2为H。
表544.式I.19化合物,其中R1为Y-2A、R为NH且R2为H。
表545.式I.19化合物,其中R1为Y-5A、R为NH且R2为H。
表546.式I.19化合物,其中R1为Y-6A、R为NH且R2为H。
表547.式I.19化合物,其中R1为Y-7A、R为NH且R2为H。
表548.式I.19化合物,其中R1为Y-1A、R为NH且R2为CH3。
表549.式I.19化合物,其中R1为Y-2A、R为NH且R2为CH3。
表550.式I.19化合物,其中R1为Y-5A、R为NH且R2为CH3。
表551.式I.19化合物,其中R1为Y-6A、R为NH且R2为CH3。
表552.式I.19化合物,其中R1为Y-7A、R为NH且R2为CH3。
表553.式I.19化合物,其中R1为Y-1A、R为NH且R2为c-C3H5。
表554.式I.19化合物,其中R1为Y-2A、R为NH且R2为c-C3H5。
表555.式I.19化合物,其中R1为Y-5A、R为NH且R2为c-C3H5。
表556.式I.19化合物,其中R1为Y-6A、R为NH且R2为c-C3H5。
表557.式I.19化合物,其中R1为Y-7A、R为NH且R2为c-C3H5。
表558.式I.19化合物,其中R1为Y-1A、R为NCH3且R2为H。
表559.式I.19化合物,其中R1为Y-2A、R为NCH3且R2为H。
表560.式I.19化合物,其中R1为Y-5A、R为NCH3且R2为H。
表561.式I.19化合物,其中R1为Y-6A、R为NCH3且R2为H。
表562.式I.19化合物,其中R1为Y-7A、R为NCH3且R2为H。
表563.式I.19化合物,其中R1为Y-1A、R为NCH3且R2为CH3。
表564.式I.19化合物,其中R1为Y-2A、R为NCH3且R2为CH3。
表565.式I.19化合物,其中R1为Y-5A、R为NCH3且R2为CH3。
表566.式I.19化合物,其中R1为Y-6A、R为NCH3且R2为CH3。
表567.式I.19化合物,其中R1为Y-7A、R为NCH3且R2为CH3。
表568.式I.19化合物,其中R1为Y-1A、R为NCH3且R2为c-C3H5。
表569.式I.19化合物,其中R1为Y-2A、R为NCH3且R2为c-C3H5。
表570.式I.19化合物,其中R1为Y-5A、R为NCH3且R2为c-C3H5。
表571.式I.19化合物,其中R1为Y-6A、R为NCH3且R2为c-C3H5。
表572.式I.19化合物,其中R1为Y-7A、R为NCH3且R2为c-C3H5。
表573.式I.19化合物,其中R1为Y-1A、R为NCN且R2为H。
表574.式I.19化合物,其中R1为Y-2A、R为NCN且R2为H。
表575.式I.19化合物,其中R1为Y-5A、R为NCN且R2为H。
表576.式I.19化合物,其中R1为Y-6A、R为NCN且R2为H。
表577.式I.19化合物,其中R1为Y-7A、R为NCN且R2为H。
表578.式I.19化合物,其中R1为Y-1A、R为NCN且R2为CH3。
表579.式I.19化合物,其中R1为Y-2A、R为NCN且R2为CH3。
表580.式I.19化合物,其中R1为Y-5A、R为NCN且R2为CH3。
表581.式I.19化合物,其中R1为Y-6A、R为NCN且R2为CH3。
表582.式I.19化合物,其中R1为Y-7A、R为NCN且R2为CH3。
表583.式I.19化合物,其中R1为Y-1A、R为NCN且R2为c-C3H5。
表584.式I.19化合物,其中R1为Y-2A、R为NCN且R2为c-C3H5。
表585.式I.19化合物,其中R1为Y-5A、R为NCN且R2为c-C3H5。
表586.式I.19化合物,其中R1为Y-6A、R为NCN且R2为c-C3H5。
表587.式I.19化合物,其中R1为Y-7A、R为NCN且R2为c-C3H5。
表588.式I.20化合物,其中R1为Y-1A、R为NH且R2为H。
表589.式I.20化合物,其中R1为Y-2A、R为NH且R2为H。
表590.式I.20化合物,其中R1为Y-5A、R为NH且R2为H。
表591.式I.20化合物,其中R1为Y-6A、R为NH且R2为H。
表592.式I.20化合物,其中R1为Y-7A、R为NH且R2为H。
表593.式I.20化合物,其中R1为Y-1A、R为NH且R2为CH3。
表594.式I.20化合物,其中R1为Y-2A、R为NH且R2为CH3。
表595.式I.20化合物,其中R1为Y-5A、R为NH且R2为CH3。
表596.式I.20化合物,其中R1为Y-6A、R为NH且R2为CH3。
表597.式I.20化合物,其中R1为Y-7A、R为NH且R2为CH3。
表598.式I.20化合物,其中R1为Y-1A、R为NH且R2为c-C3H5。
表599.式I.20化合物,其中R1为Y-2A、R为NH且R2为c-C3H5。
表600.式I.20化合物,其中R1为Y-5A、R为NH且R2为c-C3H5。
表601.式I.20化合物,其中R1为Y-6A、R为NH且R2为c-C3H5。
表602.式I.20化合物,其中R1为Y-7A、R为NH且R2为c-C3H5。
表603.式I.20化合物,其中R1为Y-1A、R为NCH3且R2为H。
表604.式I.20化合物,其中R1为Y-2A、R为NCH3且R2为H。
表605.式I.20化合物,其中R1为Y-5A、R为NCH3且R2为H。
表606.式I.20化合物,其中R1为Y-6A、R为NCH3且R2为H。
表607.式I.20化合物,其中R1为Y-7A、R为NCH3且R2为H。
表608.式I.20化合物,其中R1为Y-1A、R为NCH3且R2为CH3。
表609.式I.20化合物,其中R1为Y-2A、R为NCH3且R2为CH3。
表610.式I.20化合物,其中R1为Y-5A、R为NCH3且R2为CH3。
表611.式I.20化合物,其中R1为Y-6A、R为NCH3且R2为CH3。
表612.式I.20化合物,其中R1为Y-7A、R为NCH3且R2为CH3。
表613.式I.20化合物,其中R1为Y-1A、R为NCH3且R2为c-C3H5。
表614.式I.20化合物,其中R1为Y-2A、R为NCH3且R2为c-C3H5。
表615.式I.20化合物,其中R1为Y-5A、R为NCH3且R2为c-C3H5。
表616.式I.20化合物,其中R1为Y-6A、R为NCH3且R2为c-C3H5。
表617.式I.20化合物,其中R1为Y-7A、R为NCH3且R2为c-C3H5。
表618.式I.20化合物,其中R1为Y-1A、R为NCN且R2为H。
表619.式I.20化合物,其中R1为Y-2A、R为NCN且R2为H。
表620.式I.20化合物,其中R1为Y-5A、R为NCN且R2为H。
表621.式I.20化合物,其中R1为Y-6A、R为NCN且R2为H。
表622.式I.20化合物,其中R1为Y-7A、R为NCN且R2为H。
表623.式I.20化合物,其中R1为Y-1A、R为NCN且R2为CH3。
表624.式I.20化合物,其中R1为Y-2A、R为NCN且R2为CH3。
表625.式I.20化合物,其中R1为Y-5A、R为NCN且R2为CH3。
表626.式I.20化合物,其中R1为Y-6A、R为NCN且R2为CH3。
表627.式I.20化合物,其中R1为Y-7A、R为NCN且R2为CH3。
表628.式I.20化合物,其中R1为Y-1A、R为NCN且R2为c-C3H5。
表629.式I.20化合物,其中R1为Y-2A、R为NCN且R2为c-C3H5。
表630.式I.20化合物,其中R1为Y-5A、R为NCN且R2为c-C3H5。
表631.式I.20化合物,其中R1为Y-6A、R为NCN且R2为c-C3H5。
表632.式I.20化合物,其中R1为Y-7A、R为NCN且R2为c-C3H5。
表633.式I.21化合物,其中R1为Y-1A、R为NH且R2为H。
表634.式I.21化合物,其中R1为Y-2A、R为NH且R2为H。
表635.式I.21化合物,其中R1为Y-5A、R为NH且R2为H。
表636.式I.21化合物,其中R1为Y-6A、R为NH且R2为H。
表637.式I.21化合物,其中R1为Y-7A、R为NH且R2为H。
表638.式I.21化合物,其中R1为Y-1A、R为NH且R2为CH3。
表639.式I.21化合物,其中R1为Y-2A、R为NH且R2为CH3。
表640.式I.21化合物,其中R1为Y-5A、R为NH且R2为CH3。
表641.式I.21化合物,其中R1为Y-6A、R为NH且R2为CH3。
表642.式I.21化合物,其中R1为Y-7A、R为NH且R2为CH3。
表643.式I.21化合物,其中R1为Y-1A、R为NH且R2为c-C3H5。
表644.式I.21化合物,其中R1为Y-2A、R为NH且R2为c-C3H5。
表645.式I.21化合物,其中R1为Y-5A、R为NH且R2为c-C3H5。
表646.式I.21化合物,其中R1为Y-6A、R为NH且R2为c-C3H5。
表647.式I.21化合物,其中R1为Y-7A、R为NH且R2为c-C3H5。
表648.式I.21化合物,其中R1为Y-1A、R为NCH3且R2为H。
表649.式I.21化合物,其中R1为Y-2A、R为NCH3且R2为H。
表650.式I.21化合物,其中R1为Y-5A、R为NCH3且R2为H。
表651.式I.21化合物,其中R1为Y-6A、R为NCH3且R2为H。
表652.式I.21化合物,其中R1为Y-7A、R为NCH3且R2为H。
表653.式I.21化合物,其中R1为Y-1A、R为NCH3且R2为CH3。
表654.式I.21化合物,其中R1为Y-2A、R为NCH3且R2为CH3。
表655.式I.21化合物,其中R1为Y-5A、R为NCH3且R2为CH3。
表656.式I.21化合物,其中R1为Y-6A、R为NCH3且R2为CH3。
表657.式I.21化合物,其中R1为Y-7A、R为NCH3且R2为CH3。
表658.式I.21化合物,其中R1为Y-1A、R为NCH3且R2为c-C3H5。
表659.式I.21化合物,其中R1为Y-2A、R为NCH3且R2为c-C3H5。
表660.式I.21化合物,其中R1为Y-5A、R为NCH3且R2为c-C3H5。
表661.式I.21化合物,其中R1为Y-6A、R为NCH3且R2为c-C3H5。
表662.式I.21化合物,其中R1为Y-7A、R为NCH3且R2为c-C3H5。
表663.式I.21化合物,其中R1为Y-1A、R为NCN且R2为H。
表664.式I.21化合物,其中R1为Y-2A、R为NCN且R2为H。
表665.式I.21化合物,其中R1为Y-5A、R为NCN且R2为H。
表666.式I.21化合物,其中R1为Y-6A、R为NCN且R2为H。
表667.式I.21化合物,其中R1为Y-7A、R为NCN且R2为H。
表668.式I.21化合物,其中R1为Y-1A、R为NCN且R2为CH3。
表669.式I.21化合物,其中R1为Y-2A、R为NCN且R2为CH3。
表670.式I.21化合物,其中R1为Y-5A、R为NCN且R2为CH3。
表671.式I.21化合物,其中R1为Y-6A、R为NCN且R2为CH3。
表672.式I.21化合物,其中R1为Y-7A、R为NCN且R2为CH3。
表673.式I.21化合物,其中R1为Y-1A、R为NCN且R2为c-C3H5。
表674.式I.21化合物,其中R1为Y-2A、R为NCN且R2为c-C3H5。
表675.式I.21化合物,其中R1为Y-5A、R为NCN且R2为c-C3H5。
表676.式I.21化合物,其中R1为Y-6A、R为NCN且R2为c-C3H5。
表677.式I.21化合物,其中R1为Y-7A、R为NCN且R2为c-C3H5。
表678.式I.22化合物,其中R1为Y-1A、R为NH且R2为H。
表679.式I.22化合物,其中R1为Y-2A、R为NH且R2为H。
表680.式I.22化合物,其中R1为Y-5A、R为NH且R2为H。
表681.式I.22化合物,其中R1为Y-6A、R为NH且R2为H。
表682.式I.22化合物,其中R1为Y-7A、R为NH且R2为H。
表683.式I.22化合物,其中R1为Y-1A、R为NH且R2为CH3。
表684.式I.22化合物,其中R1为Y-2A、R为NH且R2为CH3。
表685.式I.22化合物,其中R1为Y-5A、R为NH且R2为CH3。
表686.式I.22化合物,其中R1为Y-6A、R为NH且R2为CH3。
表687.式I.22化合物,其中R1为Y-7A、R为NH且R2为CH3。
表688.式I.22化合物,其中R1为Y-1A、R为NH且R2为c-C3H5。
表689.式I.22化合物,其中R1为Y-2A、R为NH且R2为c-C3H5。
表690.式I.22化合物,其中R1为Y-5A、R为NH且R2为c-C3H5。
表691.式I.22化合物,其中R1为Y-6A、R为NH且R2为c-C3H5。
表692.式I.22化合物,其中R1为Y-7A、R为NH且R2为c-C3H5。
表693.式I.22化合物,其中R1为Y-1A、R为NCH3且R2为H。
表694.式I.22化合物,其中R1为Y-2A、R为NCH3且R2为H。
表695.式I.22化合物,其中R1为Y-5A、R为NCH3且R2为H。
表696.式I.22化合物,其中R1为Y-6A、R为NCH3且R2为H。
表697.式I.22化合物,其中R1为Y-7A、R为NCH3且R2为H。
表698.式I.22化合物,其中R1为Y-1A、R为NCH3且R2为CH3。
表699.式I.22化合物,其中R1为Y-2A、R为NCH3且R2为CH3。
表700.式I.22化合物,其中R1为Y-5A、R为NCH3且R2为CH3。
表701.式I.22化合物,其中R1为Y-6A、R为NCH3且R2为CH3。
表702.式I.22化合物,其中R1为Y-7A、R为NCH3且R2为CH3。
表703.式I.22化合物,其中R1为Y-1A、R为NCH3且R2为c-C3H5。
表704.式I.22化合物,其中R1为Y-2A、R为NCH3且R2为c-C3H5。
表705.式I.22化合物,其中R1为Y-5A、R为NCH3且R2为c-C3H5。
表706.式I.22化合物,其中R1为Y-6A、R为NCH3且R2为c-C3H5。
表707.式I.22化合物,其中R1为Y-7A、R为NCH3且R2为c-C3H5。
表708.式I.22化合物,其中R1为Y-1A、R为NCN且R2为H。
表709.式I.22化合物,其中R1为Y-2A、R为NCN且R2为H。
表710.式I.22化合物,其中R1为Y-5A、R为NCN且R2为H。
表711.式I.22化合物,其中R1为Y-6A、R为NCN且R2为H。
表712.式I.22化合物,其中R1为Y-7A、R为NCN且R2为H。
表713.式I.22化合物,其中R1为Y-1A、R为NCN且R2为CH3。
表714.式I.22化合物,其中R1为Y-2A、R为NCN且R2为CH3。
表715.式I.22化合物,其中R1为Y-5A、R为NCN且R2为CH3。
表716.式I.22化合物,其中R1为Y-6A、R为NCN且R2为CH3。
表717.式I.22化合物,其中R1为Y-7A、R为NCN且R2为CH3。
表718.式I.22化合物,其中R1为Y-1A、R为NCN且R2为c-C3H5。
表719.式I.22化合物,其中R1为Y-2A、R为NCN且R2为c-C3H5。
表720.式I.22化合物,其中R1为Y-5A、R为NCN且R2为c-C3H5。
表721.式I.22化合物,其中R1为Y-6A、R为NCN且R2为c-C3H5。
表722.式I.22化合物,其中R1为Y-7A、R为NCN且R2为c-C3H5。
表723.式I.23化合物,其中R1为Y-1A、R为NH且R2为H。
表724.式I.23化合物,其中R1为Y-2A、R为NH且R2为H。
表725.式I.23化合物,其中R1为Y-5A、R为NH且R2为H。
表726.式I.23化合物,其中R1为Y-6A、R为NH且R2为H。
表727.式I.23化合物,其中R1为Y-7A、R为NH且R2为H。
表728.式I.23化合物,其中R1为Y-1A、R为NH且R2为CH3。
表729.式I.23化合物,其中R1为Y-2A、R为NH且R2为CH3。
表730.式I.23化合物,其中R1为Y-5A、R为NH且R2为CH3。
表731.式I.23化合物,其中R1为Y-6A、R为NH且R2为CH3。
表732.式I.23化合物,其中R1为Y-7A、R为NH且R2为CH3。
表733.式I.23化合物,其中R1为Y-1A、R为NH且R2为c-C3H5。
表734.式I.23化合物,其中R1为Y-2A、R为NH且R2为c-C3H5。
表735.式I.23化合物,其中R1为Y-5A、R为NH且R2为c-C3H5。
表736.式I.23化合物,其中R1为Y-6A、R为NH且R2为c-C3H5。
表737.式I.23化合物,其中R1为Y-7A、R为NH且R2为c-C3H5。
表738.式I.23化合物,其中R1为Y-1A、R为NCH3且R2为H。
表739.式I.23化合物,其中R1为Y-2A、R为NCH3且R2为H。
表740.式I.23化合物,其中R1为Y-5A、R为NCH3且R2为H。
表741.式I.23化合物,其中R1为Y-6A、R为NCH3且R2为H。
表742.式I.23化合物,其中R1为Y-7A、R为NCH3且R2为H。
表743.式I.23化合物,其中R1为Y-1A、R为NCH3且R2为CH3。
表744.式I.23化合物,其中R1为Y-2A、R为NCH3且R2为CH3。
表745.式I.23化合物,其中R1为Y-5A、R为NCH3且R2为CH3。
表746.式I.23化合物,其中R1为Y-6A、R为NCH3且R2为CH3。
表747.式I.23化合物,其中R1为Y-7A、R为NCH3且R2为CH3。
表748.式I.23化合物,其中R1为Y-1A、R为NCH3且R2为c-C3H5。
表749.式I.23化合物,其中R1为Y-2A、R为NCH3且R2为c-C3H5。
表750.式I.23化合物,其中R1为Y-5A、R为NCH3且R2为c-C3H5。
表751.式I.23化合物,其中R1为Y-6A、R为NCH3且R2为c-C3H5。
表752.式I.23化合物,其中R1为Y-7A、R为NCH3且R2为c-C3H5。
表753.式I.23化合物,其中R1为Y-1A、R为NCN且R2为H。
表754.式I.23化合物,其中R1为Y-2A、R为NCN且R2为H。
表755.式I.23化合物,其中R1为Y-5A、R为NCN且R2为H。
表756.式I.23化合物,其中R1为Y-6A、R为NCN且R2为H。
表757.式I.23化合物,其中R1为Y-7A、R为NCN且R2为H。
表758.式I.23化合物,其中R1为Y-1A、R为NCN且R2为CH3。
表759.式I.23化合物,其中R1为Y-2A、R为NCN且R2为CH3。
表760.式I.23化合物,其中R1为Y-5A、R为NCN且R2为CH3。
表761.式I.23化合物,其中R1为Y-6A、R为NCN且R2为CH3。
表762.式I.23化合物,其中R1为Y-7A、R为NCN且R2为CH3。
表763.式I.23化合物,其中R1为Y-1A、R为NCN且R2为c-C3H5。
表764.式I.23化合物,其中R1为Y-2A、R为NCN且R2为c-C3H5。
表765.式I.23化合物,其中R1为Y-5A、R为NCN且R2为c-C3H5。
表766.式I.23化合物,其中R1为Y-6A、R为NCN且R2为c-C3H5。
表767.式I.23化合物,其中R1为Y-7A、R为NCN且R2为c-C3H5。
表768.式I.24化合物,其中R1为Y-1A、R为NH且R2为H。
表769.式I.24化合物,其中R1为Y-2A、R为NH且R2为H。
表770.式I.24化合物,其中R1为Y-5A、R为NH且R2为H。
表771.式I.24化合物,其中R1为Y-6A、R为NH且R2为H。
表772.式I.24化合物,其中R1为Y-7A、R为NH且R2为H。
表773.式I.24化合物,其中R1为Y-1A、R为NH且R2为CH3。
表774.式I.24化合物,其中R1为Y-2A、R为NH且R2为CH3。
表775.式I.24化合物,其中R1为Y-5A、R为NH且R2为CH3。
表776.式I.24化合物,其中R1为Y-6A、R为NH且R2为CH3。
表777.式I.24化合物,其中R1为Y-7A、R为NH且R2为CH3。
表778.式I.24化合物,其中R1为Y-1A、R为NH且R2为c-C3H5。
表779.式I.24化合物,其中R1为Y-2A、R为NH且R2为c-C3H5。
表780.式I.24化合物,其中R1为Y-5A、R为NH且R2为c-C3H5。
表781.式I.24化合物,其中R1为Y-6A、R为NH且R2为c-C3H5。
表782.式I.24化合物,其中R1为Y-7A、R为NH且R2为c-C3H5。
表783.式I.24化合物,其中R1为Y-1A、R为NCH3且R2为H。
表784.式I.24化合物,其中R1为Y-2A、R为NCH3且R2为H。
表785.式I.24化合物,其中R1为Y-5A、R为NCH3且R2为H。
表786.式I.24化合物,其中R1为Y-6A、R为NCH3且R2为H。
表787.式I.24化合物,其中R1为Y-7A、R为NCH3且R2为H。
表788.式I.24化合物,其中R1为Y-1A、R为NCH3且R2为CH3。
表789.式I.24化合物,其中R1为Y-2A、R为NCH3且R2为CH3。
表790.式I.24化合物,其中R1为Y-5A、R为NCH3且R2为CH3。
表791.式I.24化合物,其中R1为Y-6A、R为NCH3且R2为CH3。
表792.式I.24化合物,其中R1为Y-7A、R为NCH3且R2为CH3。
表793.式I.24化合物,其中R1为Y-1A、R为NCH3且R2为c-C3H5。
表794.式I.24化合物,其中R1为Y-2A、R为NCH3且R2为c-C3H5。
表795.式I.24化合物,其中R1为Y-5A、R为NCH3且R2为c-C3H5。
表796.式I.24化合物,其中R1为Y-6A、R为NCH3且R2为c-C3H5。
表797.式I.24化合物,其中R1为Y-7A、R为NCH3且R2为c-C3H5。
表798.式I.24化合物,其中R1为Y-1A、R为NCN且R2为H。
表799.式I.24化合物,其中R1为Y-2A、R为NCN且R2为H。
表800.式I.24化合物,其中R1为Y-5A、R为NCN且R2为H。
表801.式I.24化合物,其中R1为Y-6A、R为NCN且R2为H。
表802.式I.24化合物,其中R1为Y-7A、R为NCN且R2为H。
表803.式I.24化合物,其中R1为Y-1A、R为NCN且R2为CH3。
表804.式I.24化合物,其中R1为Y-2A、R为NCN且R2为CH3。
表805.式I.24化合物,其中R1为Y-5A、R为NCN且R2为CH3。
表806.式I.24化合物,其中R1为Y-6A、R为NCN且R2为CH3。
表807.式I.24化合物,其中R1为Y-7A、R为NCN且R2为CH3。
表808.式I.24化合物,其中R1为Y-1A、R为NCN且R2为c-C3H5。
表809.式I.24化合物,其中R1为Y-2A、R为NCN且R2为c-C3H5。
表810.式I.24化合物,其中R1为Y-5A、R为NCN且R2为c-C3H5。
表811.式I.24化合物,其中R1为Y-6A、R为NCN且R2为c-C3H5。
表812.式I.24化合物,其中R1为Y-7A、R为NCN且R2为c-C3H5。
表B:
还更优选表813至表54404中所公开化合物,其与表1至表812的化合物相似但具有不同的Ar基团。
表813至表1624:分别包括表1至表812中所公开所有化合物,其中Ar1替换为Ar2;
表1625至表2436:分别包括表1至表812中所公开所有化合物,其中Ar1替换为Ar3;
表2437至表3248:分别包括表1至表812中所公开所有化合物,其中Ar1替换为Ar4;
表3249至表4060:分别包括表1至表812中所公开所有化合物,其中Ar1替换为Ar5;
表4061至表4872:分别包括表1至表812中所公开所有化合物,其中Ar1替换为Ar6;
表4873至表5684:分别包括表1至表812中所公开所有化合物,其中Ar1替换为Ar7;
表5685至表6496:分别包括表1至表812中所公开所有化合物,其中Ar1替换为Ar8;
表6497至表7308:分别包括表1至表812中所公开所有化合物,其中Ar1替换为Ar9;
表7309至表8120:分别包括表1至表812中所公开所有化合物,其中Ar1替换为Ar10;
表8121至表8932:分别包括表1至表812中所公开所有化合物,其中Ar1替换为Ar11;
表8933至表9744:分别包括表1至表812中所公开所有化合物,其中Ar1替换为Ar12;
表9745至表10556:分别包括表1至表812中所公开所有化合物,其中Ar1替换为Ar13;
表10557至表11368:分别包括表1至表812中所公开所有化合物,其中Ar1替换为Ar14;
表11369至表12180:分别包括表1至表812中所公开所有化合物,其中Ar1替换为Ar15;
表12181至表12992:分别包括表1至表812中所公开所有化合物,其中Ar1替换为Ar16;
表12993至表13804:分别包括表1至表812中所公开所有化合物,其中Ar1替换为Ar17;
表13805至表14616:分别包括表1至表812中所公开所有化合物,其中Ar1替换为Ar18;
表14617至表15428:分别包括表1至表812中所公开所有化合物,其中Ar1替换为Ar19;
表15429至表16240:分别包括表1至表812中所公开所有化合物,其中Ar1替换为Ar20;
表16241至表17052:分别包括表1至表812中所公开所有化合物,其中Ar1替换为Ar21;
表17053至表17864:分别包括表1至表812中所公开所有化合物,其中Ar1替换为Ar22;
表17865至表18676:分别包括表1至表812中所公开所有化合物,其中Ar1替换为Ar23;
表18677至表19488:分别包括表1至表812中所公开所有化合物,其中Ar1替换为Ar24;
表19489至表20300:分别包括表1至表812中所公开所有化合物,其中Ar1替换为Ar25;
表20301至表21112:分别包括表1至表812中所公开所有化合物,其中Ar1替换为Ar26;
表21113至表21924:分别包括表1至表812中所公开所有化合物,其中Ar1替换为Ar27;
表21925至表22736:分别包括表1至表812中所公开所有化合物,其中Ar1替换为Ar28;
表22737至表23548:分别包括表1至表812中所公开所有化合物,其中Ar1替换为Ar29;
表23549至表24360:分别包括表1至表812中所公开所有化合物,其中Ar1替换为Ar30;
表24361至表25172:分别包括表1至表812中所公开所有化合物,其中Ar1替换为Ar31;
表25173至表25984:分别包括表1至表812中所公开所有化合物,其中Ar1替换为Ar32;
表25985至表26796:分别包括表1至表812中所公开所有化合物,其中Ar1替换为Ar33;
表26797至表27608:分别包括表1至表812中所公开所有化合物,其中Ar1替换为Ar34;
表27609至表28420:分别包括表1至表812中所公开所有化合物,其中Ar1替换为Ar45;
表28421至表29232:分别包括表1至表812中所公开所有化合物,其中Ar1替换为Ar36;
表29233至表30044:分别包括表1至表812中所公开所有化合物,其中Ar1替换为Ar37;
表30045至表30856:分别包括表1至表812中所公开所有化合物,其中Ar1替换为Ar38;
表30857至表31668:分别包括表1至表812中所公开所有化合物,其中Ar1替换为Ar39;
表31669至表32480:分别包括表1至表812中所公开所有化合物,其中Ar1替换为Ar40;
表32481至表33292:分别包括表1至表812中所公开所有化合物,其中Ar1替换为Ar41;
表33293至表34104:分别包括表1至表812中所公开所有化合物,其中Ar1替换为Ar42;
表34105至表34916:分别包括表1至表812中所公开所有化合物,其中Ar1替换为Ar43;
表34917至表35728:分别包括表1至表812中所公开所有化合物,其中Ar1替换为Ar44;
表35729至表36540:分别包括表1至表812中所公开所有化合物,其中Ar1替换为Ar45;
表36541至表37352:分别包括表1至表812中所公开所有化合物,其中Ar1替换为Ar46;
表37353至表38164:分别包括表1至表812中所公开所有化合物,其中Ar1替换为Ar47;
表38165至表38976:分别包括表1至表812中所公开所有化合物,其中Ar1替换为Ar48;
表38977至表39788:分别包括表1至表812中所公开所有化合物,其中Ar1替换为Ar49;
表39789至表40600:分别包括表1至表812中所公开所有化合物,其中Ar1替换为Ar50;
表40601至表41412:分别包括表1至表812中所公开所有化合物,其中Ar1替换为Ar51;
表41413至表42224:分别包括表1至表812中所公开所有化合物,其中Ar1替换为Ar52;
表42225至表43036:分别包括表1至表812中所公开所有化合物,其中Ar1替换为Ar53;
表43037至表43848:分别包括表1至表812中所公开所有化合物,其中Ar1替换为Ar54;
表43849至表44660:分别包括表1至表812中所公开所有化合物,其中Ar1替换为Ar55;
表44661至表45472:分别包括表1至表812中所公开所有化合物,其中Ar1替换为Ar56;
表45473至表46284:分别包括表1至表812中所公开所有化合物,其中Ar1替换为Ar57;
表46285至表47096:分别包括表1至表812中所公开所有化合物,其中Ar1替换为Ar58;
表47097至表47908:分别包括表1至表812中所公开所有化合物,其中Ar1替换为Ar59;
表47909至表48720:分别包括表1至表812中所公开所有化合物,其中Ar1替换为Ar60;
表48721至表49532:分别包括表1至表812中所公开所有化合物,其中Ar1替换为Ar61;
表49533至表50344:分别包括表1至表812中所公开所有化合物,其中Ar1替换为Ar62;
表50345至表51156:分别包括表1至表812中所公开所有化合物,其中Ar1替换为Ar63;
表51157至表51968:分别包括表1至表812中所公开所有化合物,其中Ar1替换为Ar64;
表51968至表52780:分别包括表1至表812中所公开所有化合物,其中Ar1替换为Ar65;
表52781至表53592:分别包括表1至表812中所公开所有化合物,其中Ar1替换为Ar66;
表53593至表54404:分别包括表1至表812中所公开所有化合物,其中Ar1替换为Ar67;
本文所用术语“本发明化合物”或“本发明的化合物”是指如上所定义的式(I)化合物,也称为“式I的化合物”或“化合物I”或“式I化合物”且包括其盐、互变异构体、立体异构体和N-氧化物。
本发明还涉及至少一种本发明化合物与至少一种下文所定义的混合配对的混合物。优选一种作为组分I的本发明化合物与一种作为组分II的本文所定义的混合配对的二元混合物。该类二元混合物的优选重量比为5000:1-1:5000,优选1000:1-1:1000,更优选100:1-1:100,特别是10:1-1:10。在该类二元混合物中,组分I和II可以等量使用或者可以使用过量的组分I或过量的组分II。
混合配对可以选自农药,尤其是杀虫剂、杀线虫剂和杀螨剂,杀真菌剂、除草剂、植物生长调节剂、肥料。优选的混合配对是杀虫剂、杀线虫剂和杀真菌剂。
根据the Mode of Action Classification of the Insecticide ResistanceAction Committee(IRAC)分类和编号的本发明化合物可以与其一起使用并且可能产生潜在的协同增效效果的农药的下列列举M用来说明可能的组合,而不施加任何限制:
M.1乙酰胆碱酯酶(AChE)抑制剂:M.1A氨基甲酸酯类,例如涕灭威(aldicarb)、棉铃威(alanycarb)、虫威(bendiocarb)、丙硫克百威(benfuracarb)、丁酮威(butocarboxim)、丁酮氧威(butoxycarboxim)、甲萘威(carbaryl)、虫螨威(carbofuran)、丁硫克百威(carbosulfan)、苯虫威(ethiofencarb)、仲丁威(fenobucarb)、抗螨脒(formetanate)、呋线威(furathiocarb)、异丙威(isoprocarb)、灭虫威(methiocarb)、灭多虫(methomyl)、速灭威(metolcarb)、甲氨叉威(oxamyl)、抗蚜威(pirimicarb)、残杀威(propoxur)、硫双威(thiodicarb)、久效威(thiofanox)、混杀威(trimethacarb)、XMC、灭杀威(xylylcarb)和唑蚜威(triazamate);或者M.1B有机磷酸酯类,例如高灭磷(acephate)、唑啶磷(azamethiphos)、乙基谷硫磷(azinphos-ethyl)、谷硫磷(azinphosmethyl)、硫线磷(cadusafos)、氯氧磷(chlorethoxyfos)、毒虫畏(chlorfenvinphos)、氯甲硫磷(chlormephos)、毒死蜱(chlorpyrifos)、甲基毒死蜱(chlorpyrifos-methyl)、蝇毒磷(coumaphos)、杀螟腈(cyanophos)、甲基内吸磷(demeton-S-methyl)、二嗪农(diazinon)、敌敌畏(dichlorvos/DDVP)、百治磷(dicrotophos)、乐果(dimethoate)、甲基毒虫畏(dimethylvinphos)、乙拌磷(disulfoton)、EPN、乙硫磷(ethion)、丙线磷(ethoprophos)、伐灭磷(famphur)、苯线磷(fenamiphos)、杀螟松(fenitrothion)、倍硫磷(fenthion)、噻唑硫磷(fosthiazate)、庚烯磷(heptenophos)、新烟碱类(imicyafos)、异丙胺磷(isofenphos)、O-(甲氧基氨基硫代磷酰基)水杨酸异丙酯、异唑磷(isoxathion)、马拉硫磷(malathion)、灭蚜磷(mecarbam)、甲胺磷(methamidophos)、杀扑磷(methidathion)、速灭磷(mevinphos)、久效磷(monocrotophos)、二溴磷(naled)、氧乐果(omethoate)、砜吸磷(oxydemeton-methyl)、一六零五(parathion)、甲基对硫磷(parathion-methyl)、稻丰散(phenthoate)、甲拌磷(phorate)、伏杀磷(phosalone)、亚胺硫磷(phosmet)、磷胺(phosphamidon)、辛硫磷(phoxim)、虫螨磷(pirimiphos-methyl)、丙溴磷(profenofos)、巴胺磷(propetamphos)、丙硫磷(prothiofos)、吡唑硫磷(pyraclofos)、哒嗪硫磷(pyridaphenthion)、喹硫磷(quinalphos)、治螟磷(sulfotep)、丁基嘧啶磷(tebupirimfos)、双硫磷(temephos)、特丁磷(terbufos)、杀虫威(tetrachlorvinphos)、甲基乙拌磷(thiometon)、三唑磷(triazophos)、敌百虫(trichlorfon)和蚜灭磷(vamidothion);
M.2GABA门控氯离子通道拮抗剂:M.2A环二烯有机氯化合物,例如硫丹(endosulfan)或氯丹(chlordane);或者M.2B fiproles(苯基吡唑类),例如乙虫腈(ethiprole)、锐劲特(fipronil)、丁烯氟虫腈(flufiprole)、pyrafluprole和pyriprole;
M.3选自M.3A拟除虫菊酯类别的钠通道调节剂,例如氟丙菊酯(acrinathrin)、丙烯除虫菊(allethrin)、右旋丙烯菊酯(d-cis-trans allethrin)、右旋反式丙烯菊酯(d-trans allethrin)、氟氯菊酯(bifenthrin)、kappa-bifenthrin、生物烯丙菊酯(bioallethrin)、2-环戊烯基生物烯丙菊酯(bioallethrin S-cyclopentenyl)、生物苄呋菊酯(bioresmethrin)、乙氰菊酯(cycloprothrin)、氟氯氰菊酯(cyfluthrin)、高效氟氯氰菊酯(beta-cyfluthrin)、(RS)氯氟氰菊酯(cyhalothrin)、氯氟氰菊酯(lambda-cyhalothrin)、精高效氯氟氰菊酯(gamma-cyhalothrin)、氯氰菊酯(cypermethrin)、甲体氯氰菊酯(alpha-cypermethrin)、乙体氯氰菊酯(beta-cypermethrin)、高效反式氯氰菊酯(theta-cypermethrin)、己体氯氰菊酯(zeta-cypermethrin)、苯醚氰菊酯(cyphenothrin)、溴氰菊酯(deltamethrin)、烯炔菊酯(empenthrin)、高氰戊菊酯(esfenvalerate)、醚菊酯(etofenprox)、甲氰菊酯(fenpropathrin)、杀灭菊酯(fenvalerate)、氟氰戊菊酯(flucythrinate)、氟氯苯菊酯(flumethrin)、氟胺氰菊酯(tau-fluvalinate)、溴氟醚菊酯(halfenprox)、heptafluthrin、咪炔菊酯(imiprothrin)、氯氟醚菊酯(meperfluthrin)、甲氧苄氟菊酯(metofluthrin)、momfluorothrin、epsilon-momfluorothrin、氯菊酯(permethrin)、苯醚菊酯(phenothrin)、炔酮菊酯(prallethrin)、丙氟菊酯(profluthrin)、除虫菊酯(pyrethrin(除虫菊(pyrethrum)))、灭虫菊(resmethrin)、灭虫硅醚(silafluofen)、七氟菊酯(tefluthrin)、kappa-tefluthrin、四氟醚菊酯(tetramethylfluthrin)、胺菊酯(tetramethrin)、四溴菊酯(tralomethrin)和四氟菊酯(transfluthrin);或者M.3B钠通道调节剂,如DDT或甲氧滴滴涕(methoxychlor);
M.4烟碱型乙酰胆碱受体激动剂(nAChR):M.4A新烟碱类,例如吡虫清(acetamiprid)、噻虫胺(clothianidin)、环氧虫啶(cycloxaprid)、呋虫胺(dinotefuran)、吡虫啉(imidacloprid)、硝胺烯啶(nitenpyram)、噻虫啉(thiacloprid)和噻虫嗪(thiamethoxam);或者化合物M.4A.1 4,5-二氢-N-硝基-1-(2-环氧乙烷基甲基)-1H-咪唑-2-胺,M.4A.2:(2E-)-1-[(6-氯吡啶-3-基)甲基]-N'-硝基-2-亚戊基氨基胍;或者M4.A.3:1-[(6-氯吡啶-3-基)甲基]-7-甲基-8-硝基-5-丙氧基-1,2,3,5,6,7-六氢咪唑并[1,2-a]吡啶;或者M.4B烟碱(nicotine);M.4C氟啶虫胺腈(sulfoxaflor);M.4D flupyradifurone;M.4E三氟苯嘧啶(triflumezopyrim),M.4E.1a)(3R)-3-(2-氯噻唑-5-基)-8-甲基-5-氧代-6-苯基-2,3-二氢噻唑并[3,2-a]嘧啶-8--7-醇盐,M.4E.1b)(3S)-3-(6-氯-3-吡啶基)-8-甲基-5-氧代-6-苯基-2,3-二氢噻唑并[3,2-a]嘧啶-8--7-醇盐,M.4E.1c)(3S)-8-甲基-5-氧代-6-苯基-3-嘧啶-5-基-2,3-二氢噻唑并[3,2-a]嘧啶-8--7-醇盐,M.4E.1d)(3R)-3-(2-氯噻唑-5-基)-8-甲基-5-氧代-6-[3-(三氟甲基)苯基]-2,3-二氢噻唑并[3,2-a]嘧啶-8--7-醇盐;M.4E.1e)(3R)-3-(2-氯噻唑-5-基)-6-(3,5-二氯苯基)-8-甲基-5-氧代-2,3-二氢噻唑并[3,2-a]嘧啶-8--7-醇盐,M.4E.1f)(3R)-3-(2-氯噻唑-5-基)-8-乙基-5-氧代-6-苯基-2,3-二氢噻唑并[3,2-a]嘧啶-8--7-醇盐;
M.5烟碱型乙酰胆碱受体变构活化剂:多杀菌素,例如艾克敌105(spinosad)或乙基多杀菌素(spinetoram);
M.6选自阿维菌素和米尔倍霉素类别的氯离子通道活化剂,例如齐墩螨素(abamectin)、甲氨基阿维菌素苯甲酸盐(emamectin benzoate)、伊维菌素(ivermectin)、雷皮菌素(lepimectin)或米尔螨素(milbemectin);
M.7保幼激素模拟物,如M.7A保幼激素类似物蒙512(hydroprene)、烯虫炔酯(kinoprene)和蒙五一五(methoprene);或者M.7B双氧威(fenoxycarb),或M.7C蚊蝇醚(pyriproxyfen);
M.8其他非特异性(多位点)抑制剂,例如M.8A烷基卤化物如溴甲烷和其他烷基卤化物,M.8B氯化苦(chloropicrin),M.8C磺酰氟,M.8D硼砂,或M.8E酒石酸氧锑钾(tartaremetic);
M.9弦音器官TRPV通道调节剂,例如M.9B拒嗪酮(pymetrozine);pyrifluquinazon;
M.11昆虫中肠膜的微生物干扰剂,例如苏云金芽孢杆菌(bacillusthuringiensis)或球形芽孢杆菌(bacillus sphaericus)以及它们产生的杀虫蛋白如苏云金芽孢杆菌以色列亚种(bacillus thuringiensis subsp.israelensis)、球形芽孢杆菌、苏云金芽孢杆菌鲇泽亚种(bacillus thuringiensis subsp.aizawai)、苏云金芽孢杆菌库斯塔克亚种(Bacillus thuringiensis subsp.kurstaki)和苏云金芽孢杆菌拟步行甲亚种菌株(bacillus thuringiensis subsp.tenebrionis),或Bt作物蛋白:Cry1Ab,Cry1Ac,Cry1Fa,Cry2Ab,mCry3A,Cry3Ab,Cry3Bb和Cry34/35Ab1;
M.12线粒体ATP合成酶抑制剂,如M.12A杀螨硫隆(diafenthiuron),或M.12B有机锡杀螨剂,如三唑锡(azocyclotin)、三环锡(cyhexatin)或杀螨锡(fenbutatin oxide),M.12C克螨特(propargite),或M.12D三氯杀螨砜(tetradifon);
M.13经由质子梯度干扰的氧化磷酸化去偶剂,例如氟唑虫清(chlorfenapyr)、二硝酚(DNOC)或氟虫胺(sulfluramid);
M.14烟碱型乙酰胆碱受体(nAChR)通道阻断剂,例如沙蚕毒素类似物杀虫磺(bensultap)、杀螟丹(cartap hydrochloride)、杀虫环(thiocyclam)或杀虫双(thiosultap sodium);
M.15类型0几丁质生物合成抑制剂如苯甲酰脲类,如双三氟虫脲(bistrifluron)、定虫隆(chlorfluazuron)、氟脲杀(diflubenzuron)、氟螨脲(flucycloxuron)、氟虫脲(flufenoxuron)、氟铃脲(hexaflumuron)、氟丙氧脲(lufenuron)、双苯氟脲(novaluron)、多氟虫酰脲(noviflumuron)、伏虫隆(teflubenzuron)或杀虫隆(triflumuron);
M.16类型1几丁质生物合成抑制剂如噻嗪酮(buprofezin);
M.17双翅目昆虫蜕皮干扰剂,例如灭蝇胺(cyromazine);
M.18蜕皮素受体激动剂如二酰肼类,例如甲氧苯酰肼(methoxyfenozide)、双苯酰肼(tebufenozide)、特丁苯酰肼(halofenozide)、呋喃虫酰肼(fufenozide)或环虫酰肼(chromafenozide);
M.19章鱼胺受体激动剂(Octopamin receptor agonist),例如双甲脒(amitraz);
M.20线粒体配合物III电子传输抑制剂,例如M.20A灭蚁腙(hydramethylnon),M.20B灭螨醌(acequinocyl),M.20C嘧螨酯(fluacrypyrim);或M.20D联苯肼酯(bifenazate);
M.21线粒体配合物I电子传输抑制剂,例如M.21A METI杀螨剂和杀虫剂,如喹螨醚(fenazaquin)、唑螨酯(fenpyroximate)、嘧螨醚(pyrimidifen)、哒螨酮(pyridaben)、吡螨胺(tebufenpyrad)或唑虫酰胺(tolfenpyrad),或M.21B鱼藤酮(rotenone);
M.22电压依赖性钠通道阻断剂,例如M.22A二唑虫(indoxacarb),M.22B氰氟虫胺(metaflumizone);或M.22B.1:2-[2-(4-氰基苯基)-1-[3-三氟甲基苯基]亚乙基]-N-[4-(二氟甲氧基)苯基]氨基脲;或M.22B.2:N-(3-氯-2-甲基苯基)-2-[(4-氯苯基)[4-[甲基(甲基磺酰基)氨基]苯基]亚甲基]氨基脲;
M.23乙酰CoA羧化酶抑制剂,如季酮酸和四氨基酸(Tetramic acid)衍生物,例如螺螨酯(spirodiclofen)、螺甲螨酯(spiromesifen)或螺虫乙酯(spirotetramat);M.23.1spiropidion
M.24线粒体配合物IV电子传输抑制剂,例如M.24A膦类如磷化铝、磷化钙、膦或磷化锌,或M.24B氰化物;
M.25线粒体配合物II电子传输抑制剂,如β-酮腈衍生物,例如腈吡螨酯(cyenopyrafen)或丁氟螨酯(cyflumetofen);
M.28选自二酰胺类的鱼尼汀(Ryanodine)受体调节剂,例如氟虫酰胺(flubendiamide),氯虫酰胺(chlorantraniliprole),氰虫酰胺(cyantraniliprole),氟氰虫酰胺(tetraniliprole),M.28.1:(R)-3-氯-N1-{2-甲基-4-[1,2,2,2-四氟-1-(三氟甲基)乙基]苯基}-N2-(1-甲基-2-甲基磺酰基乙基)邻苯二甲酰胺,M.28.2:(S)-3-氯-N1-{2-甲基-4-[1,2,2,2-四氟-1-(三氟甲基)乙基]苯基}-N2-(1-甲基-2-甲基磺酰基乙基)邻苯二甲酰胺,M.28.3:环溴虫酰胺(cyclaniliprole),或M.28.4:2-[3,5-二溴-2-({[3-溴-1-(3-氯吡啶-2-基)-1H-吡唑-5-基]羰基}氨基)苯甲酰基]-1,2-二甲基肼甲酸甲酯;M.28.5i)N-[2-(5-氨基-1,3,4-噻二唑-2-基)-4-氯-6-甲基苯基]-3-溴-1-(3-氯-2-吡啶基)-1H-吡唑-5-甲酰胺;M.28.5j)3-氯-1-(3-氯-2-吡啶基)-N-[2,4-二氯-6-[[(1-氰基-1-甲基乙基)氨基]羰基]苯基]-1H-吡唑-5-甲酰胺;M.28.5k)四氯虫酰胺(tetrachlorantraniliprole);M.28.5l)N-[4-氯-2-[[(1,1-二甲基乙基)氨基]羰基]-6-甲基苯基]-1-(3-氯-2-吡啶基)-3-(氟甲氧基)-1H-吡唑-5-甲酰胺;或者M.28.6:氯氟氰虫酰胺(cyhalodiamide);或者
M.29弦音器官调节剂—未限定的目标位点,例如氟啶虫酰胺(flonicamid);M.UN.未知或不确定作用模式的杀虫活性化合物,例如双丙环虫酯(afidopyropen)、afoxolaner、印楝素(azadirachtin)、磺胺螨酯(amidoflumet)、苯螨特(benzoximate)、broflanilide、溴螨酯(bromopropylate)、喹菌酮(chinomethionat)、冰晶石(cryolite)、dicloromezotiaz、三氯杀螨醇(dicofol)、嘧虫胺(flufenerim)、flometoquin、氟噻虫砜(fluensulfone)、fluhexafon、氟吡菌酰胺(fluopyram)、fluralaner、四聚乙醛(metaldehyde)、虫酮(metoxadiazone)、增效醚(piperonyl butoxide)、pyflubumide、啶虫丙醚(pyridalyl)、tioxazafen,M.UN.3:11-(4-氯-2,6-二甲基苯基)-12-羟基-1,4-二氧杂-9-氮杂二螺[4.2.4.2]十四碳-11-烯-10-酮,
M.UN.4:3-(4’-氟-2,4-二甲基联苯-3-基)-4-羟基-8-氧杂-1-氮杂螺[4.5]癸-3-烯-2-酮,
M.UN.5:1-[2-氟-4-甲基-5-[(2,2,2-三氟乙基)亚磺酰基]苯基]-3-(三氟甲基)-1H-1,2,4-三唑-5-胺,或基于坚强芽孢杆菌(bacillus firmus)的活性物(Votivo,I-1582);
M.UN.6:flupyrimin;
M.UN.8:三氟咪啶酰胺(fluazaindolizine);M.UN.9.a):4-[5-(3,5-二氯苯基)-5-(三氟甲基)-4H-异唑-3-基]-2-甲基-N-(1-氧代硫杂丁环-3-基)苯甲酰胺;M.UN.9.b):fluxametamide;M.UN.10:5-[3-[2,6-二氯-4-(3,3-二氯烯丙氧基)苯氧基]丙氧基]-1H-吡唑;
M.UN.11.i)4-氰基-N-[2-氰基-5-[[2,6-二溴-4-[1,2,2,3,3,3-六氟-1-(三氟甲基)丙基]苯基]氨基甲酰基]苯基]-2-甲基苯甲酰胺;M.UN.11.j)4-氰基-3-[(4-氰基-2-甲基苯甲酰基)氨基]-N-[2,6-二氯-4-[1,2,2,3,3,3-六氟-1-(三氟甲基)丙基]苯基]-2-氟苯甲酰胺;M.UN.11.k)N-[5-[[2-氯-6-氰基-4-[1,2,2,3,3,3-六氟-1-(三氟甲基)丙基]苯基]氨基甲酰基]-2-氰基苯基]-4-氰基-2-甲基苯甲酰胺;M.UN.11.l)N-[5-[[2-溴-6-氯-4-[2,2,2-三氟-1-羟基-1-(三氟甲基)乙基]苯基]氨基甲酰基]-2-氰基苯基]-4-氰基-2-甲基苯甲酰胺;M.UN.11.m)N-[5-[[2-溴-6-氯-4-[1,2,2,3,3,3-六氟-1-(三氟甲基)丙基]苯基]氨基甲酰基]-2-氰基苯基]-4-氰基-2-甲基苯甲酰胺;M.UN.11.n)4-氰基-N-[2-氰基-5-[[2,6-二氯-4-[1,2,2,3,3,3-六氟-1-(三氟甲基)丙基]苯基]氨基甲酰基]苯基]-2-甲基苯甲酰胺;M.UN.11.o)4-氰基-N-[2-氰基-5-[[2,6-二氯-4-[1,2,2,2-四氟-1-(三氟甲基)乙基]苯基]氨基甲酰基]苯基]-2-甲基苯甲酰胺;M.UN.11.p)N-[5-[[2-溴-6-氯-4-[1,2,2,2-四氟-1-(三氟甲基)乙基]苯基]氨基甲酰基]-2-氰基苯基]-4-氰基-2-甲基苯甲酰胺;或者
M.UN.12.a)2-(1,3-二烷-2-基)-6-[2-(3-吡啶基)-5-噻唑基]吡啶;M.UN.12.b)2-[6-[2-(5-氟-3-吡啶基)-5-噻唑基]-2-吡啶基]嘧啶;M.UN.12.c)2-[6-[2-(3-吡啶基)-5-噻唑基]-2-吡啶基]嘧啶;M.UN.12.d)N-甲基磺酰基-6-[2-(3-吡啶基)噻唑-5-基]吡啶-2-甲酰胺;M.UN.12.e)N-甲基磺酰基-6-[2-(3-吡啶基)噻唑-5-基]吡啶-2-甲酰胺;
M.UN.14a)1-[(6-氯-3-吡啶基)甲基]-1,2,3,5,6,7-六氢-5-甲氧基-7-甲基-8-硝基咪唑并[1,2-a]吡啶;或者M.UN.14b)1-[(6-氯吡啶-3-基)甲基]-7-甲基-8-硝基-1,2,3,5,6,7-六氢咪唑并[1,2-a]吡啶-5-醇;
M.UN.16a)1-异丙基-N,5-二甲基-N-哒嗪-4-基吡唑-4-甲酰胺;或者M.UN.16b)1-(1,2-二甲基丙基)-N-乙基-5-甲基-N-哒嗪-4-基吡唑-4-甲酰胺;M.UN.16c)N,5-二甲基-N-哒嗪-4-基-1-(2,2,2-三氟-1-甲基乙基)吡唑-4-甲酰胺;M.UN.16d)1-[1-(1-氰基环丙基)乙基]-N-乙基-5-甲基-N-哒嗪-4-基吡唑-4-甲酰胺;M.UN.16e)N-乙基-1-(2-氟-1-甲基丙基)-5-甲基-N-哒嗪-4-基吡唑-4-甲酰胺;M.UN.16f)1-(1,2-二甲基丙基)-N,5-二甲基-N-哒嗪-4-基吡唑-4-甲酰胺;M.UN.16g)1-[1-(1-氰基环丙基)乙基]-N,5-二甲基-N-哒嗪-4-基吡唑-4-甲酰胺;M.UN.16h)N-甲基-1-(2-氟-1-甲基丙基]-5-甲基-N-哒嗪-4-基吡唑-4-甲酰胺;M.UN.16i)1-(4,4-二氟环己基)-N-乙基-5-甲基-N-哒嗪-4-基吡唑-4-甲酰胺;或者M.UN.16j)1-(4,4-二氟环己基)-N,5-二甲基-N-哒嗪-4-基吡唑-4-甲酰胺,
M.UN.17a)N-(1-甲基乙基)-2-(3-吡啶基)-2H-吲唑-4-甲酰胺;M.UN.17b)N-环丙基-2-(3-吡啶基)-2H-吲唑-4-甲酰胺;M.UN.17c)N-环己基-2-(3-吡啶基)-2H-吲唑-4-甲酰胺;M.UN.17d)2-(3-吡啶基)-N-(2,2,2-三氟乙基)-2H-吲唑-4-甲酰胺;M.UN.17e)2-(3-吡啶基)-N-[(四氢-2-呋喃基)甲基]-2H-吲唑-5-甲酰胺;M.UN.17f)2-[[2-(3-吡啶基)-2H-吲唑-5-基]羰基]肼甲酸甲酯;M.UN.17g)N-[(2,2-二氟环丙基)甲基]-2-(3-吡啶基)-2H-吲唑-5-甲酰胺;M.UN.17h)N-(2,2-二氟丙基)-2-(3-吡啶基)-2H-吲唑-5-甲酰胺;M.UN.17i)2-(3-吡啶基)-N-(2-嘧啶基甲基)-2H-吲唑-5-甲酰胺;M.UN.17j)N-[(5-甲基-2-吡嗪基)甲基]-2-(3-吡啶基)-2H-吲唑-5-甲酰胺,
M.UN.18.tyclopyrazoflor;
M.UN.19sarolaner;M.UN.20lotilaner;
M.UN.21N-[4-氯-3-[[(苯基甲基)氨基]羰基]苯基]-1-甲基-3-(1,1,2,2,2-五氟乙基)-4-(三氟甲基)-1H-吡唑-5-甲酰胺;M.UN.22a 2-(3-乙基磺酰基-2-吡啶基)-3-甲基-6-(三氟甲基)咪唑并[4,5-b]吡啶,或M.UN.22b 2-[3-乙基磺酰基-5-(三氟甲基)-2-吡啶基]-3-甲基-6-(三氟甲基)咪唑并[4,5-b]吡啶;
M.UN.23 Isocycloseram;
M.UN.24a)N-[4-氯-3-(环丙基氨基甲酰基)苯基]-2-甲基-5-(1,1,2,2,2-五氟乙基)-4-(三氟甲基)吡唑-3-甲酰胺或M.UN.24b)N-[4-氯-3-[(1-氰基环丙基)氨基甲酰基]苯基]-2-甲基-5-(1,1,2,2,2-五氟乙基)-4-(三氟甲基)吡唑-3-甲酰胺;M.UN.25acynonapyr;M.UN.26 benzpyrimoxan;M.UN.27 tigolaner;M.UN.28Oxazosulfyl;
M.UN.29a)N-[4-[1-[4-(三氟甲氧基)苯基]-1,2,4-三唑-3-基]苯基]氨基甲酸[(2S,3R,4R,5S,6S)-3,5-二甲氧基-6-甲基-4-丙氧基四氢吡喃-2-基]酯;M.UN.29b)N-[4-[1-[4-(三氟甲氧基)苯基]-1,2,4-三唑-3-基]苯基]氨基甲酸[(2S,3R,4R,5S,6S)-3,4,5-三甲氧基-6-甲基四氢吡喃-2-基]酯;M.UN.29c)N-[4-[1-[4-(1,1,2,2,2-五氟乙氧基)苯基]-1,2,4-三唑-3-基]苯基]氨基甲酸[(2S,3R,4R,5S,6S)-3,5-二甲氧基-6-甲基-4-丙氧基四氢吡喃-2-基]酯;M.UN.29d)N-[4-[1-[4-(1,1,2,2,2-五氟乙氧基)苯基]-1,2,4-三唑-3-基]苯基]氨基甲酸[(2S,3R,4R,5S,6S)-3,4,5-三甲氧基-6-甲基四氢吡喃-2-基]酯;M.UN.29.e)(2Z)-3-(2-异丙基苯基)-2-[(E)-[4-[1-[4-(三氟甲氧基)苯基]-1,2,4-三唑-3-基]苯基]亚甲基亚肼基]噻唑烷-4-酮或M.UN.29f)(2Z)-3-(2-异丙基苯基)-2-[(E)-[4-[1-[4-(1,1,2,2,2-五氟乙氧基)苯基]-1,2,4-三唑-3-基]苯基]亚甲基亚肼基]噻唑烷-4-酮;
M.UN.30a)2-(6-氯-3-乙基磺酰基-咪唑并[1,2-a]吡啶-2-基)-3-甲基-6-(三氟甲基)咪唑并[4,5-b]吡啶,M.UN.30b)2-(6-溴-3-乙基磺酰基-咪唑并[1,2-a]吡啶-2-基)-3-甲基-6-(三氟甲基)咪唑并[4,5-b]吡啶,M.UN.30c)2-(3-乙基磺酰基-6-碘-咪唑并[1,2-a]吡啶-2-基)-3-甲基-6-(三氟甲基)咪唑并[4,5-b]吡啶,M.UN.30d)2-[3-乙基磺酰基-6-(三氟甲基)咪唑并[1,2-a]吡啶-2-基]-3-甲基-6-(三氟甲基)咪唑并[4,5-b]吡啶,M.UN.30e)2-(7-氯-3-乙基磺酰基-咪唑并[1,2-a]吡啶-2-基)-3-甲基-6-(三氟甲基)咪唑并[4,5-b]吡啶,M.UN.30f)2-(3-乙基磺酰基-7-碘-咪唑并[1,2-a]吡啶-2-基)-3-甲基-6-(三氟甲基)咪唑并[4,5-b]吡啶,M.UN.30g)3-乙基磺酰基-6-碘-2-[3-甲基-6-(三氟甲基)咪唑并[4,5-b]吡啶-2-基]咪唑并[1,2-a]吡啶-8-腈,M.UN.30h)2-[3-乙基磺酰基-8-氟-6-(三氟甲基)咪唑并[1,2-a]吡啶-2-基]-3-甲基-6-(三氟甲基)咪唑并[4,5-b]吡啶,M.UN.30i)2-[3-乙基磺酰基-7-(三氟甲基)咪唑并[1,2-a]吡啶-2-基]-3-甲基-6-(三氟甲基亚磺酰基)咪唑并[4,5-b]吡啶,M.UN.30j)2-[3-乙基磺酰基-7-(三氟甲基)咪唑并[1,2-a]吡啶-2-基]-3-甲基-6-(三氟甲基)咪唑并[4,5-c]吡啶,M.UN.30k)2-(6-溴-3-乙基磺酰基-咪唑并[1,2-a]吡啶-2-基)-6-(三氟甲基)吡唑并[4,3-c]吡啶。
上面所列M组市售化合物尤其可以在The Pesticide Manual,第17版,C.MacBean,British Crop Protection Council(2015)中找到。在线农药手册定期更新且可以通过http://bcpcdata.com/pesticide-manual.html获取。
提供ISO通用名的另一农药在线数据库是http://www.alanwood.net/pesticides。
M.4环氧虫啶由WO2010/069266和WO2011/069456已知。M.4A.1由CN103814937、CN105367557、CN 105481839已知。M.4A.2戊吡虫胍(guadipyr)由WO 2013/003977已知且M.4A.3(在中国批准为哌虫啶)由WO 2007/101369已知。M.4E.1a)-M.4E.1f)由WO2018177970已知。M.22B.1描述于CN10171577且M.22B.2描述于CN102126994中。Spiropidion M.23.1由WO 2014/191271已知。M.28.1和M.28.2由WO 2007/101540已知。M.28.3描述于WO2005/077934中。M.28.4描述于WO2007/043677中。M.28.5a)-M.28.5d)和M.28.5h)描述于WO 2007/006670、WO 2013/024009和WO 2013/024010中,M.28.5i)描述于WO2011/085575中,M.28.5j)描述于WO 2008/134969中,M.28.5k)描述于US 2011/046186中且M.28.5l)描述于WO 2012/034403中。M.28.6可以在WO 2012/034472中找到。M.UN.3由WO2006/089633已知且M.UN.4由WO2008/067911已知。M.UN.5描述于WO 2006/043635中且基于坚强芽孢杆菌的生物控制剂描述于WO2009/124707中。Flupyrimin描述于WO 2012/029672中。M.UN.8由WO 2013/055584已知。M.UN.9.a)描述于WO 2013/050317中。M.UN.9.b)描述于WO 2014/126208中。M.UN.10由WO 2010/060379已知。Broflanilide和M.UN.11.b)-M.UN.11.h)描述于WO2010/018714中并且M.UN.11i)-M.UN.11.p)描述于WO 2010/127926中。M.UN.12.a)-M.UN.12.c)由WO 2010/006713已知,M.UN.12.d)和M.UN.12.e)由WO 2012/000896已知。M.UN.14a)和M.UN.14b)由WO 2007/101369已知。M.UN.16.a)-M.UN.16h)分别描述于WO 2010/034737、WO 2012/084670和WO 2012/143317中并且M.UN.16i)和M.UN.16j)描述于WO 2015/055497中。M.UN.17a)-M.UN.17.j)描述于WO 2015/038503中。M.UN.18Tycloprazoflor描述于US2014/0213448中。M.UN.19描述于WO 2014/036056中。M.UN.20由WO 2014/090918已知。M.UN.21由EP 2910126已知。M.UN.22a和M.UN.22b由WO2015/059039和WO 2015/190316已知。M.UN.23a和M.UN.23b由WO 2013/050302已知。M.UN.24a和M.UN.24b由WO 2012/126766已知。Acynonapyr M.UN.25由WO 2011/105506已知。Benzpyrimoxan M.UN.26由WO 2016/104516已知。M.UN.27由WO 2016174049已知。M.UN.28Oxazosulfyl由WO 2017/104592已知。M.UN.29a)-M.UN.29f)由WO 2009/102736或WO2013116053已知。M.UN.30由WO2013/050302已知。M.UN.30a)-M.UN.30k)由WO2018/052136已知。
本发明化合物可以与其一起使用的下列杀真菌剂列表用来说明可能的组合,但不限制它们:
A)呼吸抑制剂
-Qo位点的配合物III抑制剂:腈嘧菌酯(azoxystrobin)(A.1.1)、甲香菌酯(coumethoxystrobin)(A.1.2)、丁香菌酯(coumoxystrobin)(A.1.3)、醚菌胺(dimoxystrobin)(A.1.4)、烯肟菌酯(enestroburin)(A.1.5)、烯肟菌胺(fenaminstrobin)(A.1.6)、fenoxystrobin/氟菌螨酯(flufenoxystrobin)(A.1.7)、氟嘧菌酯(fluoxastrobin)(A.1.8)、亚胺菌(kresoxim-methyl)(A.1.9)、mandestrobin(A.1.10)、叉氨苯酰胺(metominostrobin)(A.1.11)、肟醚菌胺(orysastrobin)(A.1.12)、啶氧菌酯(picoxystrobin)(A.1.13)、唑菌胺酯(pyraclostrobin)(A.1.14)、唑胺菌酯(pyrametostrobin)(A.1.15)、唑菌酯(pyraoxystrobin)(A.1.16)、肟菌酯(trifloxystrobin)(A.1.17)、2-(2-(3-(2,6-二氯苯基)-1-甲基亚烯丙基氨基氧甲基)苯基)-2-甲氧亚氨基-N-甲基乙酰胺(A.1.18)、pyribencarb(A.1.19)、氯啶菌酯(triclopyricarb)/chlorodincarb(A.1.20)、唑酮菌(famoxadone)(A.1.21)、咪唑菌酮(fenamidone)(A.1.21)、N-[2-[(1,4-二甲基-5-苯基吡唑-3-基)氧基甲基]苯基]-N-甲氧基氨基甲酸甲酯(A.1.22)、metyltetrapole(A.1.25)、(Z,2E)-5-[1-(2,4-二氯苯基)吡唑-3-基]氧基-2-甲氧亚氨基-N,3-二甲基戊-3-烯酰胺(A.1.34)、(Z,2E)-5-[1-(4-氯苯基)吡唑-3-基]氧基-2-甲氧亚氨基-N,3-二甲基戊-3-烯酰胺(A.1.35)、嘧螨胺(pyriminostrobin)(A.1.36)、吡氟菌酯(bifujunzhi)(A.1.37)、2-(邻-((2,5-二甲基苯基氧亚甲基)苯基)-3-甲氧基丙烯酸甲酯(A.1.38);
-Qi位点的配合物III抑制剂:氰霜唑(cyazofamid)(A.2.1)、amisulbrom(A.2.2)、2-甲基丙酸(6S,7R,8R)-8-苄基-3-[(3-羟基-4-甲氧基吡啶-2-羰基)氨基]-6-甲基-4,9-二氧代-1,5-二氧壬环-7-基酯(A.2.3)、fenpicoxamid(A.2.4)、florylpicoxamid(A.2.5);
-配合物II抑制剂:麦锈灵(benodanil)(A.3.1)、苯并烯氟菌唑(benzovindiflupyr)(A.3.2)、bixafen(A.3.3)、啶酰菌胺(boscalid)(A.3.4)、萎锈灵(carboxin)(A.3.5)、呋菌胺(fenfuram)(A.3.6)、氟吡菌酰胺(fluopyram)(A.3.7)、氟酰胺(flutolanil)(A.3.8)、氟唑菌酰胺(fluxapyroxad)(A.3.9)、呋吡唑灵(furametpyr)(A.3.10)、isofetamid(A.3.11)、isopyrazam(A.3.12)、丙氧灭绣胺(mepronil)(A.3.13)、氧化萎锈灵(oxycarboxin)(A.3.14)、氟唑菌苯胺(penflufen)(A.3.15)、吡噻菌胺(penthiopyrad)(A.3.16)、氟唑菌酰羟胺(pydiflumetofen)(A.3.17)、pyraziflumid(A.3.18)、氟唑环菌胺(sedaxane)(A.3.19)、叶枯酞(tecloftalam)(A.3.20)、溴氟唑菌(thifluzamide)(A.3.21)、inpyrfluxam(A.3.22)、pyrapropoyne(A.3.23)、氟茚唑菌胺(fluindapyr)(A.3.28)、N-[2-[2-氯-4-(三氟甲基)苯氧基]苯基]-3-(二氟甲基)-5-氟-1-甲基-吡唑-4-甲酰胺(A.3.29)、(E)-2-[2-[(5-氰基-2-甲基苯氧基)甲基]苯基]-3-甲氧基丙-2-烯酸甲酯(A.3.30)、isoflucypram(A.3.31)、2-二氟甲基-N-(1,1,3-三甲基-2,3-二氢化茚-4-基)吡啶-3-甲酰胺(A.3.32)、2-二氟甲基-N-[(3R)-1,1,3-三甲基-2,3-二氢化茚-4-基]吡啶-3-甲酰胺(A.3.33)、2-二氟甲基-N-(3-乙基-1,1-二甲基-2,3-二氢化茚-4-基)吡啶-3-甲酰胺(A.3.34)、2-二氟甲基-N-[(3R)-3-乙基-1,1-二甲基-2,3-二氢化茚-4-基]吡啶-3-甲酰胺(A.3.35)、2-二氟甲基-N-(1,1-二甲基-3-丙基-2,3-二氢化茚-4-基)吡啶-3-甲酰胺(A.3.36)、2-二氟甲基-N-[(3R)-1,1-二甲基-3-丙基-2,3-二氢化茚-4-基]吡啶-3-甲酰胺(A.3.37)、2-二氟甲基-N-(3-异丁基-1,1-二甲基-2,3-二氢化茚-4-基)吡啶-3-甲酰胺(A.3.38)、2-二氟甲基-N-[(3R)-3-异丁基-1,1-二甲基-2,3-二氢化茚-4-基]吡啶-3-甲酰胺(A.3.39);
-其他呼吸抑制剂:二氟林(diflumetorim)(A.4.1);硝基苯基衍生物:乐杀螨(binapacryl)(A.4.2)、敌螨通(dinobuton)(A.4.3)、敌螨普(dinocap)(A.4.4)、氟啶胺(fluazinam)(A.4.5)、消螨多(meptyldinocap)(A.4.6)、嘧菌腙(ferimzone)(A.4.7);有机金属化合物:三苯锡基盐,如薯瘟锡(fentin-acetate)(A.4.8)、三苯锡氯(fentinchloride)(A.4.9)或毒菌锡(fentin hydroxide)(A.4.10);ametoctradin(A.4.11);硅噻菌胺(silthiofam)(A.4.12);
B)甾醇生物合成抑制剂(SBI杀真菌剂)
-C14脱甲基酶抑制剂:三唑类:戊环唑(azaconazole)(B.1.1)、双苯三唑醇(bitertanol)(B.1.2)、糠菌唑(bromuconazole)(B.1.3)、环唑醇(cyproconazole)(B.1.4)、醚唑(difenoconazole)(B.1.5)、烯唑醇(diniconazole)(B.1.6)、烯唑醇M(diniconazole-M)(B.1.7)、氧唑菌(epoxiconazole)(B.1.8)、腈苯唑(fenbuconazole)(B.1.9)、喹唑菌酮(fluquinconazole)(B.1.10)、氟硅唑(flusilazole)(B.1.11)、粉唑醇(flutriafol)(B.1.12)、己唑醇(hexaconazole)(B.1.13)、酰胺唑(imibenconazole)(B.1.14)、环戊唑醇(ipconazole)(B.1.15)、环戊唑菌(metconazole)(B.1.17)、腈菌唑(myclobutanil)(B.1.18)、oxpoconazole(B.1.19)、多效唑(paclobutrazole)(B.1.20)、戊菌唑(penconazole)(B.1.21)、丙环唑(propiconazole)(B.1.22)、丙硫菌唑(prothioconazole)(B.1.23)、硅氟唑(simeconazole)(B.1.24)、戊唑醇(tebuconazole)(B.1.25)、氟醚唑(tetraconazole)(B.1.26)、三唑酮(triadimefon)(B.1.27)、唑菌醇(triadimenol)(B.1.28)、戊叉唑菌(triticonazole)(B.1.29)、烯效唑(uniconazole)(B.1.30)、2-(2,4-二氟苯基)-1,1-二氟-3-(四唑-1-基)-1-[5-[4-(2,2,2-三氟乙氧基)苯基]-2-吡啶基]丙-2-醇(B.1.31)、2-(2,4-二氟苯基)-1,1-二氟-3-(四唑-1-基)-1-[5-[4-(三氟甲氧基)苯基]-2-吡啶基]丙-2-醇(B.1.32)、ipfentrifluconazole(B.1.37)、mefentrifluconazole(B.1.38)、2-(氯甲基)-2-甲基-5-(对甲苯基甲基)-1-(1,2,4-三唑-1-基甲基)环戊醇(B.1.43);咪唑类:抑霉唑(imazalil)(B.1.44)、稻瘟酯(pefurazoate)(B.1.45)、丙氯灵(prochloraz)(B.1.46)、氟菌唑(triflumizol)(B.1.47);嘧啶类、吡啶类、哌嗪类:异嘧菌醇(fenarimol)(B.1.49)、啶斑肟(pyrifenox)(B.1.50)、嗪氨灵(triforine)(B.1.51)、[3-(4-氯-2-氟苯基)-5-(2,4-二氟苯基)异唑-4-基]-(3-吡啶基)甲醇(B.1.52);
-δ14-还原酶抑制剂:4-十二烷基-2,6-二甲基吗啉(aldimorph)(B.2.1)、吗菌灵(dodemorph)(B.2.2)、吗菌灵乙酸酯(dodemorph-acetate)(B.2.3)、丁苯吗啉(fenpropimorph)(B.2.4)、克啉菌(tridemorph)(B.2.5)、苯锈啶(fenpropidin)(B.2.6)、粉病灵(piperalin)(B.2.7)、螺茂胺(spiroxamine)(B.2.8);
-3-酮基还原酶抑制剂:环酰菌胺(fenhexamid)(B.3.1);
-其他甾醇生物合成抑制剂:氯苯肟唑(chlorphenomizole)(B.4.1);
C)核酸合成抑制剂
-苯基酰胺类或酰基氨基酸类杀真菌剂:苯霜灵(benalaxyl)(C.1.1)、精苯霜灵(benalaxyl-M)(C.1.2)、kiralaxyl(C.1.3)、甲霜灵(metalaxyl)(C.1.4)、精甲霜灵(metalaxyl-M)(C.1.5)、甲呋酰胺(ofurace)(C.1.6)、霜灵(oxadixyl)(C.1.7);
-其他核酸合成抑制剂:土菌消(hymexazole)(C.2.1)、异噻菌酮(octhilinone)(C.2.2)、恶喹酸(oxolinic acid)(C.2.3)、磺嘧菌灵(bupirimate)(C.2.4)、5-氟胞嘧啶(C.2.5)、5-氟-2-(对甲苯基甲氧基)嘧啶-4-胺(C.2.6)、5-氟-2-(4-氟苯基甲氧基)嘧啶-4-胺(C.2.7)、5-氟-2-(4-氯苯基甲氧基)嘧啶-4-胺(C.2.8);
D)细胞分裂和细胞骨架抑制剂
-微管蛋白抑制剂:苯菌灵(benomyl)(D.1.1)、多菌灵(carbendazim)(D.1.2)、麦穗宁(fuberidazole)(D.1.3)、涕必灵(thiabendazole)(D.1.4)、甲基托布津(thiophanate-methyl)(D.1.5)、pyridachlometyl(D.1.6)、N-乙基-2-[(3-乙炔基-8-甲基-6-喹啉基)氧基]丁酰胺(D.1.8)、N-乙基-2-[(3-乙炔基-8-甲基-6-喹啉基)氧基]-2-甲硫基乙酰胺(D.1.9)、2-[(3-乙炔基-8-甲基-6-喹啉基)氧基]-N-(2-氟乙基)丁酰胺(D.1.10)、2-[(3-乙炔基-8-甲基-6-喹啉基)氧基]-N-(2-氟乙基)-2-甲氧基乙酰胺(D.1.11)、2-[(3-乙炔基-8-甲基-6-喹啉基)氧基]-N-丙基丁酰胺(D.1.12)、2-[(3-乙炔基-8-甲基-6-喹啉基)氧基]-2-甲氧基-N-丙基乙酰胺(D.1.13)、2-[(3-乙炔基-8-甲基-6-喹啉基)氧基]-2-甲硫基-N-丙基乙酰胺(D.1.14)、2-[(3-乙炔基-8-甲基-6-喹啉基)氧基]-N-(2-氟乙基)-2-甲硫基乙酰胺(D.1.15)、4-(2-溴-4-氟苯基)-N-(2-氯-6-氟苯基)-2,5-二甲基吡唑-3-胺(D.1.16);
-其他细胞分裂抑制剂:乙霉威(diethofencarb)(D.2.1)、噻唑菌胺(ethaboxam)(D.2.2)、戊菌隆(pencycuron)(D.2.3)、氟吡菌胺(fluopicolide)(D.2.4)、苯酰菌胺(zoxamide)(D.2.5)、苯菌酮(metrafenone)(D.2.6)、pyriofenone(D.2.7);
E)氨基酸和蛋白质合成抑制剂
-蛋氨酸合成抑制剂:环丙嘧啶(cyprodinil)(E.1.1)、嘧菌胺(mepanipyrim)(E.1.2)、二甲嘧菌胺(pyrimethanil)(E.1.3);
-蛋白质合成抑制剂:灭瘟素(blasticidin-S)(E.2.1)、春雷素(kasugamycin)(E.2.2)、水合春雷素(kasugamycin hydrochloride-hydrate)(E.2.3)、米多霉素(mildiomycin)(E.2.4)、链霉素(streptomycin)(E.2.5)、土霉素(oxytetracyclin)(E.2.6);
F)信号转导抑制剂
-MAP/组氨酸激酶抑制剂:氟菌安(fluoroimid)(F.1.1)、异丙定(iprodione)(F.1.2)、杀菌利(procymidone)(F.1.3)、烯菌酮(vinclozolin)(F.1.4)、氟菌(fludioxonil)(F.1.5);
-G蛋白抑制剂:喹氧灵(quinoxyfen)(F.2.1);
G)类脂和膜合成抑制剂
-磷脂生物合成抑制剂:克瘟散(edifenphos)(G.1.1)、异稻瘟净(iprobenfos)(G.1.2)、定菌磷(pyrazophos)(G.1.3)、稻瘟灵(isoprothiolane)(G.1.4);
-类脂过氧化:氯硝胺(dicloran)(G.2.1)、五氯硝基苯(quintozene)(G.2.2)、四氯硝基苯(tecnazene)(G.2.3)、甲基立枯磷(tolclofos-methyl)(G.2.4)、联苯(G.2.5)、地茂散(chloroneb)(G.2.6)、氯唑灵(etridiazole)(G.2.7);
-磷脂生物合成和细胞壁沉积:烯酰吗啉(dimethomorph)(G.3.1)、氟吗啉(flumorph)(G.3.2)、双炔酰菌胺(mandipropamid)(G.3.3)、丁吡吗啉(pyrimorph)(G.3.4)、苯噻菌胺(benthiavalicarb)(G.3.5)、异丙菌胺(iprovalicarb)(G.3.6)、valifenalate(G.3.7);
-影响细胞膜渗透性的化合物和脂肪酸:百维灵(propamocarb)(G.4.1);
-氧化甾醇结合蛋白抑制剂:oxathiapiprolin(G.5.1)、fluoxapiprolin(G.5.3)、4-[1-[2-[3-二氟甲基-5-甲基吡唑-1-基]乙酰基]-4-哌啶基]-N-四氢萘-1-基吡啶-2-甲酰胺(G.5.4)、4-[1-[2-[3,5-二(二氟甲基)吡唑-1-基]乙酰基]-4-哌啶基]-N-四氢萘-1-基吡啶-2-甲酰胺(G.5.5)、4-[1-[2-[3-二氟甲基-5-三氟甲基吡唑-1-基]乙酰基]-4-哌啶基]-N-四氢萘-1-基吡啶-2-甲酰胺(G.5.6)、4-[1-[2-[5-环丙基-3-(二氟甲基)吡唑-1-基]乙酰基]-4-哌啶基]-N-四氢萘-1-基吡啶-2-甲酰胺(G.5.7)、4-[1-[2-[5-甲基-3-三氟甲基吡唑-1-基]乙酰基]-4-哌啶基]-N-四氢萘-1-基吡啶-2-甲酰胺(G.5.8)、4-[1-[2-[5-二氟甲基-3-三氟甲基吡唑-1-基]乙酰基]-4-哌啶基]-N-四氢萘-1-基吡啶-2-甲酰胺(G.5.9)、4-[1-[2-[3,5-二-三氟甲基吡唑-1-基]乙酰基]-4-哌啶基]-N-四氢萘-1-基吡啶-2-甲酰胺(G.5.10)、(4-[1-[2-[5-环丙基-3-三氟甲基吡唑-1-基]乙酰基]-4-哌啶基]-N-四氢萘-1-基吡啶-2-甲酰胺(G.5.11);
H)具有多位点作用的抑制剂
-无机活性物质:波尔多液(Bordeaux混合物)(H.1.1)、铜(H.1.2)、醋酸铜(H.1.3)、氢氧化铜(H.1.4)、王铜(copper oxychloride)(H.1.5)、碱式硫酸铜(H.1.6)、硫(H.1.7);
-硫代-和二硫代氨基甲酸酯类:福美铁(ferbam)(H.2.1)、代森锰锌(mancozeb)(H.2.2)、代森锰(maneb)(H.2.3)、威百亩(metam)(H.2.4)、代森联(metiram)(H.2.5)、甲基代森锌(propineb)(H.2.6)、福美双(thiram)(H.2.7)、代森锌(zineb)(H.2.8)、福美锌(ziram)(H.2.9);
-有机氯化合物:敌菌灵(anilazine)(H.3.1)、百菌清(chlorothalonil)(H.3.2)、敌菌丹(captafol)(H.3.3)、克菌丹(captan)(H.3.4)、灭菌丹(folpet)(H.3.5)、抑菌灵(dichlofluanid)(H.3.6)、双氯酚(dichlorophen)(H.3.7)、六氯苯(H.3.8)、五氯酚(pentachlorphenole)(H.3.9)及其盐、四氯苯酞(phthalide)(H.3.10)、对甲抑菌灵(tolylfluanid)(H.3.11);
-胍类及其他:胍(H.4.1)、多果定(H.4.2)、多果定游离碱(H.4.3)、双胍盐(guazatine)(H.4.4)、双胍辛胺(guazatine-acetate)(H.4.5)、双胍辛醋酸盐(iminoctadine)(H.4.6)、双胍辛胺三乙酸盐(iminoctadine-triacetate)(H.4.7)、双八胍盐(iminoctadine-tris(albesilate))(H.4.8)、二噻农(dithianon)(H.4.9)、2,6-二甲基-1H,5H-[1,4]二噻二烯并[2,3-c:5,6-c']联吡咯-1,3,5,7(2H,6H)-四酮(H.4.10);
I)细胞壁合成抑制剂
-葡聚糖合成抑制剂:井冈霉素(validamycin)(I.1.1)、多氧霉素(polyoxin B)(I.1.2);
-黑素合成抑制剂:咯喹酮(pyroquilon)(I.2.1)、三环唑(tricyclazole)(I.2.2)、氯环丙酰胺(carpropamid)(I.2.3)、双氯氰菌胺(dicyclomet)(I.2.4)、氰菌胺(fenoxanil)(I.2.5);
J)植物防御诱发剂
-噻二唑素(acibenzolar-S-methyl)(J.1.1)、噻菌灵(probenazole)(J.1.2)、异噻菌胺(isotianil)(J.1.3)、噻酰菌胺(tiadinil)(J.1.4)、调环酸钙(prohexadione-calcium)(J.1.5);膦酸酯类:藻菌磷(fosetyl)(J.1.6)、乙磷铝(fosetyl-aluminum)(J.1.7)、亚磷酸及其盐(J.1.8)、膦酸钙(J.1.11)、膦酸钾(J.1.12)、碳酸氢钾或钠(J.1.9)、4-环丙基-N-(2,4-二甲氧基苯基)噻二唑-5-甲酰胺(J.1.10);
K)未知作用模式
-拌棉醇(bronopol)(K.1.1)、灭螨蜢(chinomethionat)(K.1.2)、环氟菌胺(cyflufenamid)(K.1.3)、清菌脲(cymoxanil)(K.1.4)、棉隆(dazomet)(K.1.5)、咪菌威(debacarb)(K.1.6)、双氯氰菌胺(diclocymet)(K.1.7)、哒菌清(diclomezine)(K.1.8)、野燕枯(difenzoquat)(K.1.9)、野燕枯甲基硫酸酯(difenzoquat-methylsulfate)(K.1.10)、二苯胺(K.1.11)、杀螟松(fenitropan)(K.1.12)、胺苯吡菌酮(fenpyrazamine)(K.1.13)、氟联苯菌(flumetover)(K.1.14)、磺菌胺(flusulfamide)(K.1.15)、flutianil(K.1.16)、超敏蛋白(harpin)(K.1.17)、磺菌威(methasulfocarb)(K.1.18)、氯定(nitrapyrin)(K.1.19)、异丙消(nitrothal-isopropyl)(K.1.20)、tolprocarb(K.1.21)、喹啉铜(oxin-copper)(K.1.22)、丙氧喹啉(proquinazid)(K.1.23)、tebufloquin(K.1.24)、叶枯酞(K.1.25)、唑菌嗪(triazoxide)(K.1.26)、N'-(4-(4-氯-3-三氟甲基苯氧基)-2,5-二甲基苯基)-N-乙基-N-甲基甲脒(K.1.27)、N'-(4-(4-氟-3-三氟甲基苯氧基)-2,5-二甲基苯基)-N-乙基-N-甲基甲脒(K.1.28)、N'-[4-[[3-[(4-氯苯基)甲基]-1,2,4-噻二唑-5-基]氧基]-2,5-二甲基苯基]-N-乙基-N-甲基甲脒(K.1.29)、N'-(5-溴-6-2,3-二氢化茚-2-基氧基-2-甲基-3-吡啶基)-N-乙基-N-甲基甲脒(K.1.30)、N'-[5-溴-6-[1-(3,5-二氟苯基)乙氧基]-2-甲基-3-吡啶基]-N-乙基-N-甲基甲脒(K.1.31)、N'-[5-溴-6-(4-异丙基环己氧基)-2-甲基-3-吡啶基]-N-乙基-N-甲基甲脒(K.1.32)、N'-[5-溴-2-甲基-6-(1-苯基乙氧基)-3-吡啶基]-N-乙基-N-甲基甲脒(K.1.33)、N'-(2-甲基-5-三氟甲基-4-(3-三甲基硅烷基丙氧基)苯基)-N-乙基-N-甲基甲脒(K.1.34)、N'-(5-二氟甲基-2-甲基-4-(3-三甲基硅烷基丙氧基)苯基)-N-乙基-N-甲基甲脒(K.1.35)、2-(4-氯苯基)-N-[4-(3,4-二甲氧基苯基)异唑-5-基]-2-丙-2-炔氧基乙酰胺(K.1.36)、3-[5-(4-氯苯基)-2,3-二甲基异唑烷-3-基]吡啶(pyrisoxazole)(K.1.37)、3-[5-(4-甲基苯基)-2,3-二甲基异唑烷-3-基]吡啶(K.1.38)、5-氯-1-(4,6-二甲氧基嘧啶-2-基)-2-甲基-1H-苯并咪唑(K.1.39)、(Z)-3-氨基-2-氰基-3-苯基丙-2-烯酸乙酯(K.1.40)、picarbutrazox(K.1.41)、N-[6-[[(Z)-[(1-甲基四唑-5-基)苯基亚甲基]氨基]氧基甲基]-2-吡啶基]氨基甲酸戊酯(K.1.42)、N-[6-[[(Z)-[(1-甲基四唑-5-基)苯基亚甲基]氨基]氧基甲基]-2-吡啶基]氨基甲酸丁-3-炔基酯(K.1.43)、ipflufenoquin(K.1.44)、quinofumelin(K.1.47)、2-(6-苄基-2-吡啶基)喹唑啉(K.1.50)、2-[6-(3-氟-4-甲氧基苯基)-5-甲基-2-吡啶基]喹唑啉(K.1.51)、dichlobentiazox(K.1.52)、N'-(2,5-二甲基-4-苯氧基苯基)-N-乙基-N-甲基甲脒(K.1.53)、pyrifenamine(K.1.54)。
由通用名描述的杀真菌剂、其制备及其例如对有害真菌的活性是已知的(参见http://www.alanwood.net/pesticides/);这些物质可以市购。
称为组分2的活性物质、其制备及其例如对有害真菌的活性是已知的(参见http://www.alanwood.net/pesticides/);这些物质可以市购。由IUPAC命名法描述的化合物、其制备及其农药活性也是已知的(参见Can.J.Plant Sci.48(6),587-94,1968;EP-A141 317;EP-A 152 031;EP-A 226 917;EP-A 243 970;EP-A 256 503;EP-A 428 941;EP-A532 022;EP-A 1 028 125;EP-A 1 035 122;EP-A 1 201 648;EP-A 1 122 244,JP2002316902;DE 19650197;DE 10021412;DE 102005009458;US 3,296,272;US 3,325,503;WO 98/46608;WO 99/14187;WO 99/24413;WO 99/27783;WO 00/29404;WO 00/46148;WO00/65913;WO 01/54501;WO 01/56358;WO 02/22583;WO 02/40431;WO 03/10149;WO 03/11853;WO 03/14103;WO 03/16286;WO 03/53145;WO 03/61388;WO 03/66609;WO 03/74491;WO 04/49804;WO 04/83193;WO 05/120234;WO 05/123689;WO 05/123690;WO 05/63721;WO 05/87772;WO 05/87773;WO 06/15866;WO 06/87325;WO 06/87343;WO 07/82098;WO 07/90624,WO 10/139271,WO 11/028657,WO 12/168188,WO 07/006670,WO 11/77514;WO 13/047749,WO 10/069882,WO 13/047441,WO 03/16303,WO 09/90181,WO 13/007767,WO 13/010862,WO 13/127704,WO 13/024009,WO 13/24010,WO 13/047441,WO 13/162072,WO 13/092224,WO 11/135833,CN 1907024,CN 1456054,CN 103387541,CN1309897,WO 12/84812,CN 1907024,WO 09094442,WO 14/60177,WO 13/116251,WO 08/013622,WO 15/65922,WO 94/01546,EP 2865265,WO 07/129454,WO 12/165511,WO 11/081174,WO 13/47441)。一些化合物通过其CAS登记号来鉴定,该CAS登记号被连字符分成三个部分,第一部分由两个至七个数字组成,第二部分由两个数字组成,第三部分由单个数字组成。
生物农药
本发明化合物的合适混合配对也包括生物农药。
已经将生物农药定义为基于微生物(细菌、真菌、病毒、线虫等)或天然产物(化合物,如代谢物、蛋白质或来自生物或其他天然源的提取物)的农药形式(U.S.EnvironmentalProtection Agency:http://www.epa.gov/pesticides/biopesticides/)。生物农药主要分为两类,即微生物农药和生物化学农药:
(1)微生物农药由细菌、真菌或病毒构成(并且通常包括细菌和真菌产生的代谢物)。昆虫病原线虫也被分类为微生物农药,尽管它们是多细胞的。
(2)生物化学农药是防治有害物或提供如下所定义的其他作物保护用途,但具有无毒作用模式(如生长或发育调节,引诱剂,驱除剂或防御活化剂(例如诱发的耐受性)且对哺乳动物相对无毒的天然物质或结构上类似于天然物质且功能上等同于天然物质和来自生物来源的提取物。
用于作物病害的生物农药已经本身对多种作物确认。例如,生物农药在防治霜霉病中起重要作用。其益处包括:0天安全间隔期,能够在温和至严重病害压力下使用以及能够以与其他注册农药的混合物或以轮流方案使用。
生物农药的主要生长领域是种子处理和土壤改良领域。生物农药种子处理例如用于控制引起种子腐烂病、立枯病、根腐病和苗枯病的土传真菌病原体。它们还可以用于控制内部种子传播的真菌病原体以及在种子表面上的真菌病原体。许多生物农药产品也显示出刺激植物宿主防御和其他生理过程的能力,这可以使得被处理作物更耐受许多生物和非生物应力或者可以调节植物生长。许多生物农药产品也显示出刺激植物健康、植物生长和/或产量提高活性的能力。
本发明化合物可以与其联合使用的下列生物农药意欲说明可能的组合,但不限制它们:
L)生物农药
L1)具有杀真菌、杀细菌、杀病毒和/或植物防御活化剂活性的微生物农药:白粉寄生孢(Ampelomyces quisqualis),黄曲霉(Aspergillus flavus),出芽短梗霉(Aureobasidium pullulans),高地芽孢杆菌(Bacillus altitudinis),解淀粉芽孢杆菌(B.amyloliquefaciens),解淀粉芽孢杆菌植物亚种(amyloliquefaciens ssp.Plantarum,也称为贝莱斯芽孢杆菌(B.velezensis)),巨大芽孢杆菌(B.megaterium),莫海威芽孢杆菌(B.mojavensis),蕈状芽孢杆菌(B.mycoides),短小芽孢杆菌(B.pumilus),简单芽孢杆菌(B.simplex),盐土芽孢杆菌(B.solisalsi),枯草芽孢杆菌(B.subtilis),解淀粉枯草芽孢杆菌变种(B.subtilis var.amyloliquefaciens),贝莱斯芽孢杆菌(B.velezensis),橄榄假丝酵母(Candida oleophila),拮抗酵母(C.saitoana),番茄细菌性溃疡病(Clavibactermichiganensis)(噬菌体),盾壳霉(Coniothyrium minitans),寄生隐丛赤壳菌(Cryphonectria parasitica),白色隐球菌(Cryptococcus albidus),Dilophosphoraalopecuri,尖镰孢(Fusarium oxysporum),Clonostachys rosea f.catenulate(也称为链孢粘帚菌(Gliocladium catenulatum)),粉红粘帚霉(Gliocladium roseum),抗生素溶杆菌(Lysobacter antibioticus),产霉溶杆菌(L.enzymogenes),核果梅奇酵母(Metschnikowia fructicola),Microdochium dimerum,小球壳孢(Microsphaeropsisochracea),白色产气霉(Muscodor albus),蜂房芽孢杆菌(Paenibacillus alvei),多粘类芽孢杆菌(Paenibacillus polymyxa),成团泛菌(Pantoea vagans),比莱青霉(Penicillium bilaiae),大伏革菌(Phlebiopsis gigantea),假单胞菌属(Pseudomonassp.),绿镇假单胞菌(Pseudomonas chloraphis),Pseudozyma flocculosa,异常毕赤酵母(Pichia anomala),寡雄腐霉(Pythium oligandrum),Sphaerodes mycoparasitica,灰绿链霉菌(Streptomyces griseoviridis),利迪链霉菌(S.lydicus),紫黑链霉菌(S.violaceusniger),黄蓝状菌(Talaromyces flavus),Trichoderma asperelloides,棘孢木霉(T.asperellum),深绿木霉(T.atroviride),顶孢木霉(T.fertile),盖姆斯木霉(T.gamsii),T.harmatum,哈茨木霉(T.harzianum),多孔木霉(T.polysporum),钩木霉(T.stromaticum),绿木霉(T.virens),绿色木霉(T.viride),Typhula phacorrhiza,奥德曼细基格孢(Ulocladium oudemansii),大丽轮枝菌(Verticillium dahlia),小西葫芦黄花叶病毒(无毒菌株);
L2)具有杀真菌、杀细菌、杀病毒和/或植物防御活化剂活性的生物化学农药:Harpin蛋白,Reynoutria sachalinensis提取物;
L3)具有杀虫、杀螨、杀螺和/或杀线虫活性的微生物农药:放射形土壤杆菌(Agrobacterium radiobacter),蜡样芽孢杆菌(Bacillus cereus),坚强芽孢杆菌(B.firmus),苏云金芽孢杆菌(B.thuringiensis),苏云金芽孢杆菌鲇泽亚种(B.thuringiensis ssp.aizawai),苏云金芽孢杆菌以色列亚种(B.t.ssp.israelensis),苏云金芽孢杆菌蜡螟亚种(B.t.ssp.galleriae),苏云金芽孢杆菌库斯塔克亚种(B.t.ssp.kurstaki),苏云金芽孢杆菌拟步行甲亚种(B.t.ssp.tenebrionis),球孢白僵菌(Beauveria bassiana),布氏白僵菌(B.brongniartii),伯克霍尔德氏菌(Burkholderiaspp.),Chromobacterium subtsugae,苹果蠹蛾颗粒体病毒(Cydia pomonellagranulovirus)(CpGV),伪苹果蠹蛾颗粒体病毒(Cryptophlebia leucotretagranulovirus)(CrleGV),黄杆菌属(Flavobacterium spp.),棉铃虫核型多角体病毒(Helicoverpa armigera nucleopolyhedrovirus)(HearNPV),棉铃虫核型多角体病毒(Helicoverpa zea nucleopolyhedrovirus)(HzNPV),棉铃虫单壳核型多角体病毒(Helicoverpa zea single capsid nucleopolyhedrovirus)(HzSNPV),嗜菌异小杆线虫(Heterorhabditis bacteriophora),玫烟色棒束孢(Isaria fumosorosea),Lecanicillium longisporum,L.muscarium,金龟子绿僵菌(Metarhizium anisopliae),金龟子绿僵菌变种(Metarhizium anisopliae var.anisopliae),金龟子绿僵菌蝗变种(M.anisopliae var.acridum),莱氏野村菌(Nomuraea rileyi),玫烟色拟青霉(Paecilomyces fumosoroseus),淡紫色拟青霉(P.lilacinus),日本甲虫类芽孢杆菌(Paenibacillus popilliae),巴氏杆菌属(Pasteuria spp.),拟斯扎瓦巴氏杆菌(P.nishizawae),穿刺巴氏杆菌(P.penetrans),P.ramosa,P.thornea,P.usgae,荧光假单胞菌(Pseudomonas fluorescens),灰翅夜蛾核型多角体病毒(Spodoptera littoralisnucleopolyhedrovirus)(SpliNPV),斯氏小卷蛾线虫(Steinernema carpocapsae),斯氏夜蛾线虫(S.feltiae),锯蜂线虫(S.kraussei),Streptomyces galbus,细黄链霉菌(S.microflavus);
L4)具有杀虫、杀螨、杀螺、信息素和/或杀线虫活性的生物化学农药:L-香芹酮、柠檬醛、乙酸(E,Z)-7,9-十二碳二烯-1-基酯、甲酸乙酯、(E,Z)-2,4-癸二烯酸乙酯(梨酯)、(Z,Z,E)-7,11,13-十六碳三烯醛、丁酸庚酯、肉豆蔻酸异丙酯、千里酸熏衣草酯、顺式-茉莉酮、2-甲基-1-丁醇、甲基丁香酚、茉莉酮酸甲酯、(E,Z)-2,13-十八碳二烯-1-醇、(E,Z)-2,13-十八碳二烯-1-醇乙酸酯、(E,Z)-3,13-十八碳二烯-1-醇、R-1-辛烯-3-醇、白蚁信息素(pentatermanone)、乙酸(E,Z,Z)-3,8,11-十四碳三烯基酯、乙酸(Z,E)-9,12-十四碳二烯-1-基酯、Z-7-十四碳烯-2-酮、乙酸Z-9-十四碳烯-1-基酯、Z-11-十四碳烯醛、Z-11-十四碳烯-1-醇、Chenopodium ambrosiodes提取物、印度楝树油、皂树(Quillay)提取物;
L5)具有植物应力降低、植物生长调节剂、植物生长促进和/或产量提高活性的微生物农药:无乳固氮螺菌(Azospirillum amazonense),巴西固氮螺菌(A.brasilense),生脂固氮螺菌(A.lipoferum),伊拉克固氮螺菌(A.irakense),高盐固氮螺菌(A.halopraeferens),慢生根瘤菌属(Bradyrhizobium spp.),埃氏慢生根瘤菌(B.elkanii),日本慢生根瘤菌(B.japonicum),辽宁慢生根瘤菌(B.liaoningense),慢生羽扇豆根瘤菌(B.lupini),食酸戴尔福特菌(Delftia acidovorans),丛枝菌根真菌(Glomusintraradices),中生根瘤菌属(Mesorhizobium spp.),豌豆根瘤菌菜豆生物型(Rhizobiumleguminosarum bv.phaseoli),豌豆根瘤菌三叶草生物型(R.l.bv.trifolii),R.l.bv.viciae,R.tropici,Sinorhizobium meliloti。
选自L1)和/或L2)组的生物农药还可以具有杀虫、杀螨、杀螺、信息素、杀线虫、植物应力降低、植物生长调节剂、植物生长促进和/或产量提高活性。选自L3)和/或L4)组的生物农药还可以具有杀真菌、杀细菌、杀病毒、植物防御活化剂、植物应力降低、植物生长调节剂、植物生长促进和/或产量提高活性。选自L5)组的生物农药还可以具有杀真菌、杀细菌、杀病毒、植物防御活化剂、杀虫、杀螨、杀螺、信息素和/或杀线虫活性。
这些生物农药中的许多以本文所提到的保藏号保藏(前缀如ATCC或DSM涉及相应培养物保藏的首字母缩写,详情在这里例如参见http://www.wfcc.info/ccinfo/collection/by_acronym/),在文献中提及,被注册和/或可市购:出芽短梗霉DSM 14940和DSM 14941的混合物于1989年在德国Konstanz分离(芽生孢子,例如来自奥地利bio-ferm GmbH),巴西固氮螺菌(Azospirillum brasilense)Sp245至少在1980年以前最初在巴西南部(Passo Fundo)的小麦产区分离(BR 11005;例如Gramíneas,来自巴西BASF Agricultural Specialties Ltd.,Brazil),巴西固氮螺菌(A.brasilense)菌株Ab-V5和Ab-V6(例如来自Novozymes BioAg Produtos papraAgricultura Ltda.,Quattro Barras,巴西的AzoMax或来自巴西Simbiose-Agro的Simbiose-Plant Soil 331,413-425,2010),解淀粉芽孢杆菌(Bacillusamyloliquefaciens)菌株AP-188(NRRL B-50615和B-50331;US 8,445,255);解淀粉芽孢杆菌植物亚种(B.amyloliquefaciens ssp.plantarum)菌株以前有时也称为枯草芽孢杆菌(B.subtilis),最近与甲基营养型芽孢杆菌(B.methylotrophicus)和贝莱斯芽孢杆菌(B.velezensis)一起被分类为贝莱斯芽孢杆菌(B.velezensis)(Int.J.Syst.Evol.Microbiol.66,1212–1217,2016):解淀粉芽孢杆菌植物亚种(B.a.ssp.plantarum)或贝莱斯芽孢杆菌(B.velezensis)D747在日本Kikugawa-shi由空气分离(US 20130236522 A1;FERM BP-8234;例如Double NickelTM 55WDG,来自Certis LLC,USA),解淀粉芽孢杆菌植物亚种或贝莱斯芽孢杆菌FZB24在德国Brandenburg由土壤分离(也称为SB3615;DSM 96-2;J.Plant Dis.Prot.105,181-197,1998;例如来自Novozyme Biologicals,Inc.,USA),解淀粉芽孢杆菌植物亚种或贝莱斯芽孢杆菌FZB42在德国Brandenburg由土壤分离(DSM 23117;J.Plant Dis.Prot.105,181-197,1998;例如42,来自德国AbiTEP GmbH),解淀粉芽孢杆菌植物亚种或贝莱斯芽孢杆菌MBI600至少在1988年以前在Sutton Bonington,Nottinghamshire,U.K.由蚕豆分离(也称为1430;NRRL B-50595;US 2012/0149571 A1;例如来自BASF Corp.,USA),解淀粉芽孢杆菌植物亚种或贝莱斯芽孢杆菌QST-713于1995年在California,U.S.A.由桃园分离(NRRL B-21661;例如MAX,来自Bayer Crop Science LP,USA),解淀粉芽孢杆菌植物亚种或贝莱斯芽孢杆菌TJ1000于1992在South Dakoda,U.S.A.分离(也称为1BE;ATCC BAA-390;CA 2471555 A1;例如QuickRootsTM,来自TJ Technologies,Watertown,SD,USA),坚强芽孢杆菌CNCM I-1582,由以色列中原地区的土壤分离的亲代菌株EIP-N1的变体(CNCM I-1556)(WO 2009/126473,US 6,406,690;例如来自BayerCropScience LP,USA),短小芽孢杆菌GHA 180在墨西哥由苹果树根际分离(IDAC 260707-01;例如PRO-BX,来自Premier Horticulture,Quebec,加拿大),称为BU-F22和BU-F33的短小芽孢杆菌INR-7至少在1993年以前由Erwinia tracheiphila侵染的黄瓜分离(NRRL B-50185、NRRL B-50153;US 8,445,255),短小芽孢杆菌KFP9F至少在2008年以前在南非由禾草根际分离(NRRL B-50754;WO 2014/029697;例如BAC-UP或FUSION-P,来自南非BASF Agricultural Specialities(Pty)Ltd.),短小芽孢杆菌QST 2808于1998年由在Pohnpei,Federated States of Micronesia采集的土壤分离(NRRL B-30087;例如或Plus,来自Bayer Crop Science LP,USA),简单芽孢杆菌ABU 288(NRRL B-50304;US 8,445,255),枯草芽孢杆菌FB17也称为UD 1022或UD10-22在北美由红甜菜根分离(ATCC PTA-11857;System.Appl.Microbiol.27,372-379,2004;US 2010/0260735;WO2011/109395);苏云金芽孢杆菌鲇泽亚种ABTS-1857在1987年由取自Ephraim,Wisconsin,U.S.A.草坪的土壤分离(也称为ABG-6346;ATCC SD-1372;例如来自BioFa AG,Münsingen,德国),苏云金芽孢杆菌库斯塔克亚种ABTS-351等同于在1967年由Brownsville,Texas,U.S.A.的患病棉红铃虫黑幼虫分离的HD-1(ATCC SD-1275;例如DF,来自Valent BioSciences,IL,USA),苏云金芽孢杆菌库斯塔克亚种SB4由E.saccharina幼虫尸体分离(NRRL B-50753;例如Beta来自南非BASF Agricultural Specialities(Pty)Ltd.),苏云金芽孢杆菌拟步行甲亚种NB-176-1,菌株NB-125的突变体,在1982年由甲虫大黄粉虫(Tenebrio molitor)的死蛹分离的野生型菌株(DSM 5480;EP 585 215B1;例如来自瑞士Valent BioSciences),球孢白僵菌GHA(ATCC 74250;例如22WGP,来自Laverlam Int.Corp.,USA),球孢白僵菌JW-1(ATCC 74040;例如来自意大利CBC(Europe)S.r.l.),球孢白僵菌PPRI 5339由龟甲虫Conchyloctenia punctata的幼虫分离(NRRL 50757;例如来自南非BASFAgricultural Specialities(Pty)Ltd.),埃氏慢生根瘤菌菌株SEMIA 5019(也称为29W)在巴西Rio de Janeiro分离且SEMIA 587于1967年在the State of Rio Grande do Sul分离,来自之前用北美分离物接种的区域并且自从1968年开始用于商用接种体(Appl.Environ.Microbiol.73(8),2635,2007;例如GELFIX 5,来自巴西BASF AgriculturalSpecialties Ltd.),日本慢生根瘤菌532c由美国Wisconsin田间分离(Nitragin 61A152;Can.J.Plant.Sci.70,661-666,1990;例如Super,来自加拿大BASF Agricultural Specialties Ltd.),菌株USDA 138的日本慢生根瘤菌E-109变体(INTA E109,SEMIA 5085;Eur.J.Soil Biol.45,28-35,2009;Biol.Fertil.Soils47,81-89,2011);由Appl.Environ.Microbiol.73(8),2635,2007已知保藏在SEMIA的日本慢生根瘤菌菌株:SEMIA 5079在巴西Cerrados地区由Embrapa-Cerrados从土壤分离,自从1992开始用于商用接种体(CPAC 15;例如GELFIX 5或ADHERE 60,来自巴西BASFAgricultural Specialties Ltd.),日本慢生根瘤菌SEMIA 5080在巴西由Embrapa-Cerrados在实验室条件下得到且自从1992年开始用于商用接种体,为最初在U.S.A.分离的SEMIA 586的天然变体(CB1809)(CPAC 7;例如GELFIX 5或ADHERE 60,来自巴西BASFAgricultural Specialties Ltd.);伯克霍尔德氏菌A396于2008年在日本Nikko由土壤分离(NRRL B-50319;WO 2013/032693;Marrone Bio Innovations,Inc.,USA),盾壳霉CON/M/91-08由油籽油菜分离(WO 1996/021358;DSM 9660;例如WG,WG,来自德国Bayer CropScience AG),Harpin(α-β)蛋白(Science 257,85-88,1992;例如MessengerTM或HARP-N-Tek,来自Plant Health Care plc,U.K.),棉铃虫核型多角体病毒(Helicoverpa armigera nucleopolyhedrovirus)(HearNPV)(J.Invertebrate Pathol.107,112-126,2011;例如来自瑞士Adermatt Biocontrol;来自巴西Koppert;Max,来自AgBiTech Pty Ltd.,Queensland,澳大利亚),棉铃虫单壳核型多角体病毒(Helicoverpa zea single capsid nucleopolyhedrovirus)(HzSNPV)(例如来自Certis LLC,USA),棉铃虫核型多角体病毒(Helicoverpa zeanucleopolyhedrovirus)ABA-NPV-U(例如来自AgBiTech Pty Ltd.,Queensland,澳大利亚),嗜菌异小杆线虫(例如G,来自BASF AgriculturalSpecialities Limited,UK),玫烟色棒束孢Apopka-97在Apopka,Florida,U.S.A.由紫背天葵上的粉蚧分离(ATCC 20874;Biocontrol Science Technol.22(7),747-761,2012;例如PFR-97TM或来自Certis LLC,USA),金龟子绿僵菌变种F52也称为275或V275在奥地利由苹果蠹蛾分离(DSM 3884,ATCC 90448;例如NovozymesBiologicals BioAg Group,加拿大),核果梅奇酵母277在以色列中部地区由葡萄分离(US6,994,849;NRRL Y-30752;例如以前的来自以色列Agrogreen),淡紫色拟青霉251在菲律宾由感染的线虫卵分离(AGAL 89/030550;WO1991/02051;Crop Protection 27,352-361,2008;例如来自德国Bayer CropScience AG和来自Certis,USA),蜂房芽孢杆菌NAS6G6至少在2008年以前在南非由禾草根际分离(WO 2014/029697;NRRL B-50755;例如BAC-UP,来自南非BASF Agricultural Specialities(Pty)Ltd.),从各欧洲地区包括德国的土壤样品中分离的类芽孢杆菌菌株:附生类芽孢杆菌Lu17015(WO 2016/020371;DSM 26971),多粘类芽孢杆菌植物亚种(P.polymyxassp.plantarum)Lu16774(WO 2016/020371;DSM 26969),多粘类芽孢杆菌植物亚种(P.p.ssp.plantarum)菌株Lu17007(WO 2016/020371;DSM 26970);拟斯扎瓦巴氏杆菌Pn1于2000年代中期在Illinois,U.S.A.由大豆田分离(ATCC SD-5833;Federal Register 76(22),5808,2011年2月2日;例如ClarivaTM PN,来自Syngenta Crop Protection,LLC,USA),比莱青霉(也称为P.bilaii)菌株ATCC 18309(=ATCC 74319),ATCC 20851和/或ATCC22348(=ATCC 74318)最初在加拿大Alberta由土壤分离(Fertilizer Res.39,97-103,1994;Can.J.Plant Sci.78(1),91-102,1998;US 5,026,417,WO 1995/017806;例如Jump来自加拿大Novozymes Biologicals BioAg Group),Reynoutriasachalinensis提取物(EP 0307510 B1;例如SC,来自MarroneBioInnovations,Davis,CA,USA或来自德国BioFa AG),斯氏小卷蛾线虫(例如来自BASF Agricultural Specialities Limited,UK),斯氏夜蛾线虫(例如来自BioWorks,Inc.,USA;来自BASF AgriculturalSpecialities Limited,UK),细黄链霉菌NRRL B-50550(WO 2014/124369;德国BayerCropScience),Trichoderma asperelloides JM41R在南非分离(NRRL 50759;也称为顶孢木霉;例如来自南非BASF Agricultural Specialities(Pty)Ltd.),哈茨木霉T-22也称为KRL-AG2(ATCC 20847;BioControl 57,687-696,2012;例如来自BioWorks Inc.,USA或SabrExTM,来自Advanced Biological Marketing Inc.,VanWert,OH,USA)。
根据本发明,认为生物农药(油如印度楝树油除外)的固体材料(干物质)是活性组分(例如在微生物农药的液体配制剂情况下在干燥或蒸发提取或悬浮介质之后得到)。
按照本发明,本文对生物提取物如皂树提取物所用重量比和百分数基于相应提取物的干含量(固体材料)的总重量。
以活微生物细胞形式—包括休眠形式—包含至少一种微生物农药的组合物的总重量比可以使用相应微生物的CFU量来计算相应活性组分的总重量而确定,使用下列等式:1×1010CFU等于1克相应活性组分总重量。菌落形成单位是活微生物细胞,尤其是真菌和细菌细胞的度量。此外,这里的“CFU”在(昆虫病原性)线虫生物农药,如斯氏夜蛾线虫的情况下还可以理解为单个(幼小)线虫的数目。
当将包含微生物农药的混合物用于作物保护中时,施用率优选为约1×106-5×1015(或更大)CFU/ha,优选约1×108-1×1013CFU/ha,甚至更优选约1×109-1×1012CFU/ha。在(昆虫病原性)线虫作为微生物农药(例如斯氏夜蛾线虫)的情况下,施用率优选为约1×105-1×1012(或更大),更优选1×108-1×1011,甚至更优选5×108-1×1010个个体(例如呈卵、幼虫或任何其他活体阶段形式,优选非繁殖性(infetive)幼虫阶段)/ha。
当将包含微生物农药的混合物用于种子处理中时,相对于植物繁殖材料的施用率优选为约1×106-1×1012(或更大)CFU/种子。优选该浓度为约1×106-1×109CFU/种子。在微生物农药II的情况下,相对于植物繁殖材料的施用率也优选为约1×107-1×1014(或更大)CFU/100kg种子,优选约1×109-1×1012CFU/100kg种子。
本发明还涉及包含助剂和至少一种本发明化合物或其混合物的农业化学组合物。
农业化学组合物包含杀害虫有效量的本发明化合物或其混合物。术语“杀害虫有效量”定义如下。
本发明化合物或其混合物可以转化成农业化学组合物常用的类型,例如溶液、乳液、悬浮液、粉剂、粉末、糊、颗粒、模压品、胶囊及其混合物。组合物类型的实例是悬浮液(例如SC、OD、FS),可乳化浓缩物(例如EC),乳液(例如EW、EO、ES、ME),胶囊(例如CS、ZC),糊,锭剂,可湿性粉末或粉剂(例如WP、SP、WS、DP、DS),模压品(例如BR、TB、DT),颗粒(例如WG、SG、GR、FG、GG、MG),杀虫制品(例如LN)以及处理植物繁殖材料如种子的凝胶配制剂(例如GF)。这些和其他组合物类型在“Catalogue of pesticide formulation types andinternational coding system”,Technical Monograph,第2期,2008年5月第6版,CropLife International中有定义。
组合物如Mollet和Grubemann,Formulation technology,Wiley VCH,Weinheim,2001;或Knowles,New developments in crop protection product formulation,AgrowReports DS243,T&F Informa,London,2005所述以已知方式制备。
合适助剂的实例是溶剂,液体载体,固体载体或填料,表面活性剂,分散剂,乳化剂,润湿剂,辅助剂,加溶剂,渗透促进剂,保护性胶体,粘附剂,增稠剂,保湿剂,驱除剂,引诱剂,进食刺激剂,相容剂,杀菌剂,防冻剂,消泡剂,着色剂,增粘剂和粘合剂。
合适的溶剂和液体载体是水和有机溶剂,如中到高沸点的矿物油馏分,例如煤油、柴油;植物或动物来源的油;脂族、环状和芳族烃类,例如甲苯、石蜡、四氢萘、烷基化萘;醇类,如乙醇、丙醇、丁醇、苄醇、环己醇;二醇类;DMSO;酮类,例如环己酮;酯类,例如乳酸酯、碳酸酯、脂肪酸酯、γ-丁内酯;脂肪酸;膦酸酯;胺类;酰胺类,例如N-甲基吡咯烷酮,脂肪酸二甲基酰胺;以及它们的混合物。
合适的固体载体或填料是矿土,例如硅酸盐、硅胶、滑石、高岭土、石灰石、石灰、白垩、粘土、白云石、硅藻土、膨润土、硫酸钙、硫酸镁、氧化镁;多糖粉末,例如纤维素、淀粉;肥料,例如硫酸铵、磷酸铵、硝酸铵、脲类;植物来源的产品,例如谷粉、树皮粉、木粉和坚果壳粉,以及它们的混合物。
合适的表面活性剂是表面活性化合物,如阴离子、阳离子、非离子和两性表面活性剂,嵌段聚合物,聚电解质,以及它们的混合物。该类表面活性剂可以用作乳化剂、分散剂、加溶剂、润湿剂、渗透促进剂、保护性胶体或辅助剂。表面活性剂的实例列于McCutcheon’s,第1卷:Emulsifiers&Detergents,McCutcheon’s Directories,Glen Rock,USA,2008(International Ed.或North American Ed.)中。
合适的阴离子表面活性剂是磺酸、硫酸、磷酸、羧酸的碱金属、碱土金属或铵盐以及它们的混合物。磺酸盐的实例是烷基芳基磺酸盐、二苯基磺酸盐、α-烯烃磺酸盐、木素磺酸盐、脂肪酸和油的磺酸盐、乙氧基化烷基酚的磺酸盐、烷氧基化芳基酚的磺酸盐、缩合萘的磺酸盐、十二烷基-和十三烷基苯的磺酸盐、萘和烷基萘的磺酸盐、磺基琥珀酸盐或磺基琥珀酰胺酸盐。硫酸盐的实例是脂肪酸和油的硫酸盐、乙氧基化烷基酚的硫酸盐、醇的硫酸盐、乙氧基化醇的硫酸盐或脂肪酸酯的硫酸盐。磷酸盐的实例是磷酸盐酯。羧酸盐的实例是烷基羧酸盐以及羧化醇或烷基酚乙氧基化物。
合适的非离子表面活性剂是烷氧基化物,N-取代的脂肪酸酰胺,胺氧化物,酯类,糖基表面活性剂,聚合物表面活性剂及其混合物。烷氧基化物的实例是诸如已经被1-50当量烷氧基化的醇、烷基酚、胺、酰胺、芳基酚、脂肪酸或脂肪酸酯的化合物。可以将氧化乙烯和/或氧化丙烯用于烷氧基化,优选氧化乙烯。N-取代的脂肪酸酰胺的实例是脂肪酸葡糖酰胺或脂肪酸链烷醇酰胺。酯类的实例是脂肪酸酯,甘油酯或甘油单酯。糖基表面活性剂的实例是脱水山梨醇、乙氧基化脱水山梨醇、蔗糖和葡萄糖酯或烷基聚葡糖苷。聚合物表面活性剂的实例是乙烯基吡咯烷酮、乙烯醇或乙酸乙烯酯的均聚物或共聚物。
合适的阳离子表面活性剂是季型表面活性剂,例如具有1或2个疏水性基团的季铵化合物,或长链伯胺的盐。合适的两性表面活性剂是烷基甜菜碱和咪唑啉类。合适的嵌段聚合物是包含聚氧乙烯和聚氧丙烯的嵌段的A-B或A-B-A类型嵌段聚合物,或包含链烷醇、聚氧乙烯和聚氧丙烯的A-B-C类型嵌段聚合物。合适的聚电解质是聚酸或聚碱。聚酸的实例是聚丙烯酸的碱金属盐或聚酸梳状聚合物。聚碱的实例是聚乙烯基胺或聚乙烯胺。
合适的辅助剂是本身具有可忽略的农药活性或者本身甚至没有农药活性且改善本发明化合物对目标物的生物学性能的化合物。实例是表面活性剂,矿物油或植物油以及其他助剂。其他实例由Knowles,Adjuvants and additives,Agrow Reports DS256,T&FInforma UK,2006,第5章列出。
合适的增稠剂是多糖(例如黄原胶、羧甲基纤维素)、无机粘土(有机改性或未改性的)、聚羧酸盐和硅酸盐。
合适的杀菌剂是拌棉醇和异噻唑啉酮衍生物如烷基异噻唑啉酮和苯并异噻唑啉酮类。
合适的防冻剂是乙二醇、丙二醇、尿素和甘油。
合适的消泡剂是聚硅氧烷、长链醇和脂肪酸盐。
合适的着色剂(例如着红色、蓝色或绿色)是低水溶性颜料和水溶性染料。实例是无机着色剂(例如氧化铁、氧化钛、六氰合铁酸铁)和有机着色剂(例如茜素着色剂、偶氮着色剂和酞菁着色剂)。
合适的增粘剂或粘合剂是聚乙烯吡咯烷酮、聚乙酸乙烯酯、聚乙烯醇、聚丙烯酸酯、生物蜡或合成蜡以及纤维素醚。
组合物类型及其制备的实例为:
i)水溶性浓缩物(SL,LS)
将10-60重量%本发明化合物I和5-15重量%润湿剂(例如醇烷氧基化物)溶于加至100重量%的水和/或水溶性溶剂(例如醇)中。活性物质在用水稀释时溶解。
ii)分散性浓缩物(DC)
将5-25重量%本发明化合物I和1-10重量%分散剂(例如聚乙烯吡咯烷酮)溶于加至100重量%的有机溶剂(例如环己酮)中。用水稀释得到分散体。
iii)可乳化浓缩物(EC)
将15-70重量%本发明化合物I和5-10重量%乳化剂(例如十二烷基苯磺酸钙和蓖麻油乙氧基化物)溶于加至100重量%的水不溶性有机溶剂(例如芳族烃)中。用水稀释得到乳液。
iv)乳液(EW,EO,ES)
将5-40重量%本发明化合物I和1-10重量%乳化剂(例如十二烷基苯磺酸钙和蓖麻油乙氧基化物)溶于20-40重量%水不溶性有机溶剂(例如芳族烃)中。借助乳化机将该混合物引入加至100重量%的水中并制成均相乳液。用水稀释得到乳液。
v)悬浮液(SC,OD,FS)
在搅拌的球磨机中将20-60重量%本发明化合物I在加入2-10重量%分散剂和润湿剂(例如木素磺酸钠和醇乙氧基化物)、0.1-2重量%增稠剂(例如黄原胶)和加至100重量%的水下粉碎,得到细碎活性物质悬浮液。用水稀释得到稳定的活性物质悬浮液。对于FS类型组合物加入至多40重量%粘合剂(例如聚乙烯醇)。
vi)水分散性颗粒和水溶性颗粒(WG,SG)
在加入加至100重量%的分散剂和润湿剂(例如木素磺酸钠和醇乙氧基化物)下精细研磨50-80重量%本发明化合物I并借助工业装置(例如挤出机、喷雾塔、流化床)将其制成水分散性或水溶性颗粒。用水稀释得到稳定的活性物质分散体或溶液。
vii)水分散性粉末和水溶性粉末(WP,SP,WS)
将50-80重量%本发明化合物I在加入1-5重量%分散剂(例如木素磺酸钠)、1-3重量%润湿剂(例如醇乙氧基化物)和加至100重量%的固体载体(例如硅胶)下在转子-定子磨机中研磨。用水稀释得到稳定的活性物质分散体或溶液。
viii)凝胶(GW,GF)
在搅拌的球磨机中在加入3-10重量%分散剂(例如木素磺酸钠)、1-5重量%增稠剂(例如羧甲基纤维素)和加至100重量%的水下粉碎5-25重量%本发明化合物I,得到活性物质的精细悬浮液。用水稀释得到稳定的活性物质悬浮液。
ix)微乳液(ME)
将5-20重量%本发明化合物I加入5-30重量%有机溶剂共混物(例如脂肪酸二甲基酰胺和环己酮)、10-25重量%表面活性剂共混物(例如醇乙氧基化物和芳基酚乙氧基化物)和加至100重量%的水中。将该混合物搅拌1小时,以自发产生热力学稳定的微乳液。
x)微胶囊(CS)
将包含5-50重量%本发明化合物I、0-40重量%水不溶性有机溶剂(例如芳族烃)、2-15重量%丙烯酸系单体(例如甲基丙烯酸甲酯、甲基丙烯酸和二-或三丙烯酸酯)的油相分散到保护性胶体(例如聚乙烯醇)的水溶液中。通过自由基引发剂引发的自由基聚合导致形成聚(甲基)丙烯酸酯微胶囊。或者将包含5-50重量%本发明化合物I、0-40重量%水不溶性有机溶剂(例如芳族烃)和异氰酸酯单体(例如二苯基甲烷-4,4'-二异氰酸酯)的油相分散到保护性胶体(例如聚乙烯醇)的水溶液中。加入多胺(例如六亚甲基二胺)导致形成聚脲微胶囊。单体量为1-10重量%。重量%涉及整个CS组合物。
xi)可撒粉粉末(DP,DS)
将1-10重量%本发明化合物I细碎研磨并与加至100重量%的固体载体(例如细碎高岭土)充分混合。
xii)颗粒(GR,FG)
将0.5-30重量%本发明化合物I细碎研磨并结合加至100重量%的固体载体(例如硅酸盐)。通过挤出、喷雾干燥或流化床实现造粒。
xiii)超低容量液体(UL)
将1-50重量%本发明化合物I溶于加至100重量%的有机溶剂(例如芳族烃)中。
组合物类型i)-xi)可以任选包含其他助剂,如0.1-1重量%杀菌剂,5-15重量%防冻剂,0.1-1重量%消泡剂和0.1-1重量%着色剂。
农业化学组合物通常包含0.01-95重量%,优选0.1-90重量%,尤其是0.5-75重量%活性物质。活性物质以90-100%,优选95-100%的纯度(根据NMR光谱)使用。
可以向活性物质或包含它们的组合物中作为预混物加入或者合适的话在紧临使用前加入(桶混合)各种类型的油、润湿剂、辅助剂、肥料或微营养素和其他农药(例如除草剂、杀虫剂、杀真菌剂、生长调节剂、安全剂)。这些试剂可以以1:100-100:1,优选1:10-10:1的重量比与本发明组合物混合。
用户通常将本发明组合物用于前剂量装置、小背包喷雾器、喷雾罐、喷雾飞机或灌溉系统。通常将该农业化学组合物用水、缓冲剂和/或其他助剂配制至所需施用浓度,由此得到即用喷雾液或本发明农业化学组合物。每公顷农业利用区通常施用20-2000升,优选50-400升即用喷雾液。
根据一个实施方案,用户可以自己在喷雾罐中混合本发明组合物的各组分,例如成套包装的各部分或二元或三元混合物的各部分并且合适的话可以加入其他助剂。
在另一实施方案中,用户可以在喷雾罐中混合本发明组合物的各组分或部分预混的组分,例如包含本发明化合物和/或如上所定义的混合配对的组分,并且合适的话可以加入其他助剂和添加剂。
在另一实施方案中,用户可以联合(例如在桶混合之后)或依次使用本发明组合物的各组分或部分预混的组分,例如包含本发明化合物和/或如上所定义的混合配对的组分。
本发明化合物适合用于保护作物、植物、植物繁殖材料如种子或其中植物生长的土壤或水体以防动物害虫侵袭或侵染。因此,本发明还涉及一种植物保护方法,包括使要保护以防止动物害虫侵袭或侵染的作物、植物、植物繁殖材料如种子或其中植物生长的土壤或水体与杀害虫有效量的本发明化合物接触。
本发明化合物还适合用于防治或防除动物害虫。因此,本发明还涉及一种防治或防除动物害虫的方法,包括使动物害虫、其栖息地、繁殖地或食物供应源或作物、植物、植物繁殖材料如种子或土壤或者其中动物害虫生长或可能生长的区域、材料或环境与杀害虫有效量的本发明化合物接触。
本发明化合物通过接触和摄取二者而有效。此外,本发明化合物可以施用于任何和所有发育阶段,如卵、幼虫、蛹和成虫。
本发明化合物可以直接或者以如上所定义的包含它们的组合物形式施用。此外,本发明化合物可以与如上所定义的混合配对一起施用或者以如上所述包含如上所定义的所述混合物的组合物形式施用。所述混合物的组分可以同时,即联合或分开施用,或者依次施用,即一个紧邻一个之后并且由此在所需场所,例如植物上“就地”产生该混合物,在分开施用的情况下,顺序通常对防治措施的结果没有任何效果。
施用在作物、植物、植物繁殖材料如种子、土壤或区域、材料或环境被害虫侵染之前和之后均可以进行。
合适的施用方法尤其包括土壤处理、种子处理、犁沟内施用和叶面施用。土壤处理方法包括浸透土壤,滴灌(滴施于土壤上),浸渍根、块茎或球茎,或者土壤注入。种子处理技术包括拌种、种子包衣、种子撒粉、种子浸泡和种子造粒。犁沟内施用通常包括在耕种地产生犁沟、对犁沟播种、对犁沟施用杀害虫活性化合物和封闭犁沟的步骤。叶面施用是指将杀害虫活性化合物施用于植物叶面,例如通过喷雾设备施用。对于叶面施用,可能有利的是通过使用与本发明化合物组合的信息素改变害虫行为。适合特定作物和害虫的信息素对熟练技术人员是已知的且可以由信息素和信息化合物数据库,如http://www.pherobase.com公众可得。
本文所用术语“接触”包括直接接触(将化合物/组合物直接施用于动物害虫或植物上,通常施用于植物的叶面、茎或根)和间接接触(将化合物/组合物施用于动物害虫或植物的场所,即栖息地,繁殖地,其中害虫生长或可能生长的植物、种子、土壤、区域、材料或环境)二者。
术语“动物害虫”包括节肢动物、腹足动物和线虫。根据本发明优选的动物害虫是节肢动物,优选昆虫和蜘蛛,尤其是昆虫。对于作物特别相关的昆虫通常称为作物昆虫害虫。
术语“作物”是指生长和收获的作物二者。
术语“植物”包括禾谷类,例如硬粒小麦和其他小麦,黑麦,大麦,小黑麦,燕麦,稻或玉米(青饲玉米和甜玉蜀黍/甜玉米以及大田玉米);甜菜,例如糖用甜菜或饲料甜菜;水果,如仁果、核果或浆果,例如苹果、梨、李、桃、油桃、杏仁、樱桃、木瓜、草莓、悬钩子、黑莓或鹅莓;豆科植物,如菜豆、扁豆、豌豆、苜蓿或大豆;油料植物,例如油菜(油籽油菜)、白菜型油菜、芥菜、橄榄、向日葵、椰子、可可豆、蓖麻油植物、油棕、花生或大豆;葫芦科植物,例如笋瓜、南瓜、黄瓜或甜瓜;纤维植物,例如棉花、亚麻、大麻或黄麻;柑桔类水果,例如橙子、柠檬、葡萄柚或橘;蔬菜,例如茄子、菠菜、莴苣(例如卷心莴苣)、菊苣、卷心菜、芦笋、卷心菜、胡萝卜、洋葱、大蒜、韭葱、西红柿、土豆、葫芦或柿子椒;月桂类植物,例如鳄梨、肉桂或樟脑;能量和原料植物,例如玉米、大豆、油菜籽、甘蔗或油棕;烟草;坚果,例如核桃;开心果;咖啡;茶;香蕉;葡萄藤(食用葡萄和酿酒用葡萄);啤酒花;甜叶菊(也称甜菊(Stevia));天然橡胶植物或观赏和森林植物,例如花卉(例如康乃馨、矮牵牛、天竺葵/香叶天竺葵、三色堇和凤仙花),灌木,阔叶树(例如杨树)或常绿树,例如针叶树;桉树;草皮;草坪;禾草如动物饲料或观赏用途的禾草。优选的植物包括土豆、糖用甜菜、烟草、小麦、黑麦、大麦、燕麦、稻、玉米、棉花、大豆、油菜籽、豆科植物、向日葵、咖啡或甘蔗;水果;葡萄藤;观赏植物;或蔬菜,如黄瓜西红柿、菜豆或笋瓜。
术语“栽培植物”应理解为包括包括已经通过诱变或基因工程修饰以对植物提供新性状或者修饰已经存在的性状的植物(农作物)。
诱变包括使用X射线或致突变化学品的随机诱变技术,但还有靶向诱变技术,以在植物基因组的特定位置产生突变。靶向诱变技术通常使用寡核苷酸或蛋白质如CRISPR/Cas、锌指核酸酶、TALEN或大范围核酸酶以实现靶向效应。
基因工程通常使用在自然条件下不易通过杂交、诱变或自然重组得到的重组DNA技术在植物基因组中产生修饰。通常将一个或多个基因整合到植物的基因组中以添加性状或改善性状。这些整合的基因在本领域也称为转基因,而包含该类转基因的植物被称为转基因植物。该植物转换方法通常产生几个转换事件,它们在其中已经整合了转基因的基因组位置上不同。在特定基因组位置上包含特定转基因的植物通常被描述为包含特定“事件”,后者由特定事件名称提到。已经引入植物中或者已经修饰的性状包括除草剂耐受性、昆虫抗性、提高的产量以及对非生物条件,如干旱的耐受性。
除草剂耐受性已经通过使用诱变以及使用基因工程产生。已经通过常规诱变和育种方法赋予对乙酰乳酸合成酶(ALS)抑制剂除草剂的耐受性的植物包括以名称市购的植物品种。然而,大多数除草剂耐受性性状已经经由使用转基因产生。
已经对草甘膦(glyphosate)、草铵膦(glufosinate)、2,4-D、麦草畏(dicamba)、oxynil除草剂如溴苯腈(bromoxynil)和碘苯腈(ioxynil)、磺酰脲除草剂、ALS抑制剂除草剂以及4-羟基苯基丙酮酸二加氧酶(HPPD)抑制剂如异氟草(isoxaflutole)和甲基磺草酮(mesotrione)产生除草剂耐受性。
已经用于提供除草剂耐受性性状的转基因包括:对于草甘膦耐受性:cp4 epsps、epsps grg23ace5、mepsps、2mepsps、gat4601、gat4621和goxv247;对于草铵膦耐受性:pat和bar,对于2,4-D耐受性:aad-1和aad-12;对于麦草畏耐受性:dmo;对于oxynil除草剂耐受性:bxn;对于磺酰脲除草剂耐受性:zm-hra、csr1-2、gm-hra、S4-HrA;对于ALS抑制剂除草剂耐受性:csr1-2;对于HPPD抑制剂除草剂耐受性:hppdPF、W336和avhppd-03。
包含除草剂耐受性基因的转基因玉米事件例如为DAS40278,MON801,MON802,MON809,MON810,MON832,MON87411,MON87419,MON87427,MON88017,MON89034,NK603,GA21,MZHG0JG,HCEM485,676,678,680,33121,4114,59122,98140,Bt10,Bt176,CBH-351,DBT418,DLL25,MS3,MS6,MZIR098,T25,TC1507和TC6275,但不排除其他。
包含除草剂耐受性基因的转基因大豆事件例如为GTS 40-3-2,MON87705,MON87708,MON87712,MON87769,MON89788,A2704-12,A2704-21,A5547-127,A5547-35,DP356043,DAS44406-6,DAS68416-4,DAS-81419-2,GU262,W62,W98,FG72和CV127,但不排除其他。
包含除草剂耐受性基因的转基因棉花事件例如为19-51a,31707,42317,81910,281-24-236,3006-210-23,BXN10211,BXN10215,BXN10222,BXN10224,MON1445,MON1698,MON88701,MON88913,GHB119,GHB614,LLCotton25,T303-3和T304-40,但不排除其他。
包含除草剂耐受性基因的转基因卡罗拉事件例如为MON88302,HCR-1,HCN10,HCN28,HCN92,MS1,MS8,PHY14,PHY23,PHY35,PHY36,RF1,RF2和RF3,但不排除其他。
昆虫抗性主要通过将杀虫蛋白的细菌基因转移到植物中而产生。最常用的转基因是芽孢杆菌属(Bacillus spec.)的毒素基因及其合成合成变体,如cry1A,cry1Ab,cry1Ab-Ac,cry1Ac,cry1A.105,cry1F,cry1Fa2,cry2Ab2,cry2Ae,mcry3A,ecry3.1Ab,cry3Bb1,cry34Ab1,cry35Ab1,cry9C,vip3A(a),vip3Aa20。然而,还将植物来源的基因,尤其是编码蛋白酶抑制剂的基因,如CpTI和pinII转移到其他植物。另一方法使用转基因以在植物中产生双链RNA而导向和下调昆虫基因。该转基因的实例是dvsnf7。
包含杀虫蛋白基因或双链RNA的转基因玉米事件例如为Bt10,Bt11,Bt176,MON801,MON802,MON809,MON810,MON863,MON87411,MON88017,MON89034,33121,4114,5307,59122,TC1507,TC6275,CBH-351,MIR162,DBT418和MZIR098,但不排除其他。
包含杀虫蛋白基因的转基因大豆事件例如为MON87701,MON87751和DAS-81419,但不排除其他。
包含杀虫蛋白基因的转基因棉花事件例如为SGK321,MON531,MON757,MON1076,MON15985,31707,31803,31807,31808,42317,BNLA-601,Event1,COT67B,COT102,T303-3,T304-40,GFM Cry1A,GK12,MLS 9124,281-24-236,3006-210-23,GHB119和SGK321,但不排除其他。
提高的产量通过使用存在于玉米事件MON87403中的转基因athb17提高果穗生物质或者通过使用存在于大豆事件MON87712中的转基因bbx32增强光合作用产生。
包含改性含油量的栽培植物已经通过使用转基因:gm-fad2-1,Pj.D6D,Nc.Fad3、fad2-1A和fatb1-A产生。包含这些基因中的至少一种的大豆事件是:260-05,MON87705和MON87769。
通常通过在转换事件中将基因组合或者通过在育种工艺过程中将不同事件组合而将性状组合。性状的优选组合是对不同类除草剂的除草剂耐受性,对不同种类昆虫的昆虫耐受性,尤其是对鳞翅目和鞘翅目昆虫的耐受性,除草剂耐受性与一种或几种类型昆虫抗性的组合,除草剂耐受性与提高的产量的组合以及除草剂耐受性和非生物条件耐受性的组合。
包含单独或堆叠性状的植物以及提供这些性状的基因和事件在本领域是已知的。例如,有关诱变或整合基因和相应事件的详细信息可以由组织机构“InternationalService for the Acquisition of Agri-biotech Applications(ISAAA)”(http://www.isaaa.org/gmapprovaldatabase)和“Center for Environmental Risk Assessment(CERA)”(http://cera-gmc.org/GMCropDatabase)的网站得到。有关特定事件和检测它们的方法的其他信息可以在如下文献中找到:对于卡罗拉事件MS1,MS8,RF3,GT73,MON88302,KK179在WO 01/031042,WO 01/041558,WO 01/041558,WO 02/036831,WO 11/153186,WO13/003558中找到;对于棉花事件MON1445,MON15985,MON531(MON15985),LLCotton25,MON88913,COT102,281-24-236,3006-210-23,COT67B,GHB614,T304-40,GHB119,MON88701,81910在WO 02/034946,WO 02/100163,WO 02/100163,WO 03/013224,WO 04/072235,WO04/039986,WO 05/103266,WO 05/103266,WO 06/128573,WO 07/017186,WO 08/122406,WO08/151780,WO 12/134808,WO 13/112527中找到;对于玉米事件GA21,MON810,DLL25,TC1507,MON863,MIR604,LY038,MON88017,3272,59122,NK603,MIR162,MON89034,98140,32138,MON87460,5307,4114,MON87427,DAS40278,MON87411,33121,MON87403,MON87419在WO98/044140,US02/102582,US03/126634,WO 04/099447,WO 04/011601,WO 05/103301,WO05/061720,WO 05/059103,WO 06/098952,WO 06/039376,US2007/292854,WO 07/142840,WO 07/140256,WO 08/112019,WO 09/103049,WO 09/111263,WO 10/077816,WO 11/084621,WO 11/062904,WO 11/022469,WO 13/169923,WO 14/116854,WO 15/053998,WO15/142571中找到;对于土豆事件E12,F10,J3,J55,V11,X17,Y9在WO 14/178910,WO 14/178913,WO 14/178941,WO 14/179276,WO 16/183445,WO 17/062831,WO 17/062825中找到;对于水稻事件LLRICE06,LLRICE601,LLRICE62在WO 00/026345,WO 00/026356,WO 00/026345中找到;以及对于大豆事件H7-1,MON89788,A2704-12,A5547-127,DP305423,DP356043,MON87701,MON87769,CV127,MON87705,DAS68416-4,MON87708,MON87712,SYHT0H2,DAS81419,DAS81419 x DAS44406-6,MON87751在WO 04/074492,WO 06/130436,WO06/108674,WO 06/108675,WO 08/054747,WO 08/002872,WO 09/064652,WO 09/102873,WO10/080829,WO 10/037016,WO 11/066384,WO 11/034704,WO 12/051199,WO 12/082548,WO13/016527,WO 13/016516,WO 14/201235中找到。
在栽培植物上使用本发明组合物可能导致对包含某些基因或事件的栽培植物呈特异性的效果。这些效果可能涉及生长行为的变化或对生物或非生物应力因素的耐受性变化。该类效果尤其可能包括提高的产量,提高的昆虫、线虫、真菌、细菌、支原体、病毒或类病毒病原体抗性或耐受性以及早期活力、早熟或延迟成熟、冷或热耐受性以及氨基酸或脂肪酸谱或含量变化。
已经惊人地发现本发明化合物的杀害虫活性可以通过修饰植物的杀虫特征提高。此外,已经发现本发明化合物适合防止昆虫耐受该杀虫特征或者适合防除已经耐受修饰植物杀虫特征的害虫。此外,本发明化合物适合防除该杀虫特征对其无效的害虫,因而可以有利地使用互补的杀虫活性。
术语“植物繁殖材料”是指植物的所有繁殖部分如种子,以及可以用于繁殖植物的无性植物材料如插条和块茎(例如土豆)。这包括种子、根、果实、块茎、球茎、地下茎、嫩枝、芽和其他植物部分。还可以包括在萌发后或出苗后由土壤移植的秧苗和幼苗。这些植物繁殖材料可以在种植或移栽之时或之前用植物保护化合物预防性处理。
术语“种子”包括所有种类的种子和植物繁殖体,包括但不限于真正的种子、种子切片(seed piece)、吸枝、球茎、鳞茎、果实、块茎、谷粒、插条、伐条(cut shoot)等,并且在优选实施方案中指真正的种子。
通常而言,“杀害虫有效量”是指对生长获得可观察到的效果所需的活性成分的量,所述效果包括坏死、死亡、阻滞、预防和去除效果,破坏效果或减少目标生物体的出现和活动的效果。对于在本发明中使用的各种化合物/组合物,杀害虫有效量可以变化。组合物的杀害虫有效量也会根据主要条件如所需杀害虫效果及持续时间、气候、目标物种、场所、施用方式等而变化。
在土壤处理、犁沟内施用或施用于害虫居住地或巢穴的情况下,活性成分量为0.0001-500g/100m2,优选0.001-20g/100m2。
为了用于例如通过叶面施用处理农作物,本发明活性成分的施用率可以为0.0001-4000g/ha,例如1-2kg/ha或1-750g/ha,理想的是1-100g/ha,更理想的是10-50g/ha,例如10-20g/ha,20-30g/ha,30-40g/ha或40-50g/ha。
本发明化合物尤其适合用于处理种子以保护种子免受虫害,尤其是免受土壤生虫害,并保护所得秧苗的根和芽以防土壤害虫和叶面昆虫。本发明因此还涉及一种保护种子以防昆虫,尤其是土壤昆虫并保护秧苗的根和芽以防昆虫,尤其是土壤和叶面昆虫的方法,所述方法包括在播种之前和/或预萌发之后用本发明化合物处理种子。优选保护秧苗的根和芽,更优选保护秧苗的芽以防刺吸式口器昆虫、嘴嚼口器害虫和线虫。
术语“种子处理”包括所有本领域已知的合适种子处理技术,如拌种、种子涂敷、种子撒粉、种子浸泡、种子压丸和犁沟内施用方法。优选活性化合物的种子处理施用通过在植物播种之前且在植物出苗之前对植物喷雾或撒粉而进行。
本发明还包括涂有或含有活性化合物的种子。术语“涂有和/或含有”通常是指活性成分在施用时绝大部分处于繁殖产品的表面上,但更大或更小部分的成分可能渗入繁殖产品中,这取决于施用方法。当(再)种植所述繁殖产品时,它可能吸收活性成分。
合适的种子例如为各种禾谷类、根系作物、油料作物、蔬菜、香料、观赏植物的种子,例如硬粒小麦和其他小麦、大麦、燕麦、黑麦、玉米(青饲玉米和甜玉蜀黍/甜玉米以及大田玉米)、大豆、油料作物、十字花科植物、棉花、向日葵、香蕉、稻、油籽油菜、芜菁油菜、糖用甜菜、饲料甜菜、茄子、土豆、禾草、草坪、草皮、牧草、西红柿、韭葱、南瓜/笋瓜、卷心菜、刺茎莴苣、胡椒、黄瓜、甜瓜、芸苔属(Brassica)、甜瓜、菜豆、豌豆、大蒜、洋葱、胡萝卜、块茎植物如土豆、甘蔗、烟草、葡萄、矮牵牛、天竺葵/香叶天竺葵、三色堇和凤仙花。
此外,活性化合物还可以用于处理已经通过诱变或基因工程修饰并且例如耐受除草剂或杀真菌剂或杀虫剂作用的植物的种子。该类修饰植物已经如上所详细描述。
常规种子处理配制剂例如包括可流动浓缩物FS、溶液LS、悬浮乳液(SE)、干处理用粉末DS、淤浆处理用水分散性粉末WS、水溶性粉末SS、乳液ES和EC以及凝胶配制剂GF。这些配制剂可以经稀释或不经稀释而施用于种子上。对种子的施用在播种之前进行,直接施用于种子上或在种子已经预萌发之后施用。优选施用配制剂以使得不诱发萌发。
可以在稀释2-10倍之后得到的即用配制剂中活性物质浓度优选为0.01-60重量%,更优选0.1-40重量%。
在优选实施方案中,将FS配制剂用于种子处理。FS配制剂通常可包含1-800g/l活性成分,1-200g/l表面活性剂,0-200g/l防冻剂,0-400g/l粘合剂,0-200g/l颜料和达到1升的溶剂,优选水。
用于种子处理的本发明化合物的尤其优选FS配制剂通常包含0.1-80重量%(1-800g/l)活性成分,0.1-20重量%(1-200g/l)至少一种表面活性剂,例如0.05-5重量%润湿剂和0.5-15重量%分散剂,至多20重量%,例如5-20%防冻剂,0-15重量%,例如1-15重量%颜料和/或染料,0-40重量%,例如1-40重量%粘合剂(粘结剂/粘附剂),任选至多5重量%,例如0.1-5重量%增稠剂,任选0.1-2%消泡剂和任选防腐剂如生物杀伤剂、抗氧化剂等,例如其量为0.01-1重量%,以及达到100重量%的填料/载体。
在种子处理中,本发明化合物的施用率通常为0.01g-10kg/100kg种子,优选1g-5kg/100kg种子,更优选1-1000g/100kg种子,尤其是1-200g/100kg种子,例如1-100g或5-100g/100kg种子。
因此,本发明还涉及包含如本文所定义的本发明化合物或其可农用盐的种子。本发明化合物或其可农用盐的量通常为0.1g-10kg/100kg种子,优选1g-5kg/100kg种子,尤其是1-1000g/100kg种子。对于特殊作物如莴苣,施用率可能更高。
本发明化合物还可以用于改善植物健康。因此,本发明还涉及一种通过用有效且非植物毒性量的本发明化合物处理植物、植物繁殖材料和/或其中植物生长或将要生长的场所而改善植物健康的方法。
本文所用“有效且非植物毒性量”是指以允许得到所需效果但不对被处理植物或由被处理繁殖体或被处理土壤生长的植物引起任何植物毒性症状的量使用化合物。
术语“植物”和“植物繁殖材料”如上所定义。
“植物健康”定义为由几个方面单独或相互结合决定的植物和/或其产品的状况,如产量(例如增加的生物质和/或增加的有价值成分含量),质量(例如某些成分的改善含量或组成或储存期限),植物活力(例如改善的植物生长和/或更绿的叶子(“绿化效果”),对非生物(例如干旱)和/或生物应力(例如病害)的耐受性以及生产效率(例如收获效率、加工性)。
植物健康状况的上述迹象可以相互依存或可以相互影响。各迹象在本领域中定义并且可以由熟练技术人员已知的方法确定。
本发明化合物还适合用于对抗非作物虫害。为了用于对抗所述非作物虫害,可以将本发明化合物用作诱饵组合物、凝胶、通用昆虫喷雾剂、气雾剂、超低容量施用和蚊帐(浸渍的或表面施用的)。此外,可以使用浸透和喷杆方法。
本文所用术语“非作物虫害”是指对于非作物目标特别相关的害虫,如蚂蚁、白蚁、黄蜂、蝇、蜱、蚊、臭虫、蟋蟀或蟑螂。
诱饵可以是液体、固体或半固体制剂(例如凝胶)。用于组合物中的诱饵是具有足够的吸引力以刺激诸如蚂蚁、白蚁、黄蜂、蝇、蚊、蟋蟀等的昆虫或蟑螂食用它的产品。吸引力可以通过使用进食刺激剂或性信息素控制。食物刺激剂例如并不穷举地选自动物和/或植物蛋白质(肉-、鱼-或血液膳食,昆虫部分、蛋黄)、动物和/或植物来源的脂肪和油或单-、低聚-或聚有机糖类,尤其是蔗糖、乳糖、果糖、右旋糖、葡萄糖、淀粉、果胶或甚至糖蜜或蜂蜜。水果、作物、植物、动物、昆虫的新鲜或腐败部分或其特定部分也可以用作进食刺激剂。已知性信息素更具昆虫特异性。特殊信息素描述于文献(例如http://www.pherobase.com)中并且对本领域熟练技术人员是已知的。
为了用于诱饵组合物中,活性成分的典型含量为0.001-15重量%,理想的是0.001-5重量%活性化合物。
本发明化合物的配制剂如气雾剂(例如在喷雾罐中)、油喷雾剂或泵喷雾剂高度适于专业或非专业使用者来防治害虫如蝇、跳蚤、蜱、臭虫、蚊或蟑螂。气雾剂配方优选由如下组分构成:活性化合物,溶剂,此外还有助剂,如乳化剂、芳香油,合适的话还有稳定剂以及需要的话推进剂。
油喷雾配制剂与气雾剂配方的不同在于没有使用推进剂。
对于在喷雾组合物中的使用,活性成分含量为0.001-80重量%,优选0.01-50重量%,最优选0.01-15重量%。
本发明化合物及其相应的组合物还可以用于蚊香片和熏蒸片,发烟盒、蒸发器板或长效蒸发器以及扑蛾纸、扑蛾垫或其他与热无关的蒸发器体系中。
用本发明化合物及其相应组合物控制由昆虫传递的传染性疾病(例如疟疾、登革热和黄热病,淋巴丝虫病以及利什曼病)的方法也包括处理棚屋和房子的表面、空气喷雾和浸渍窗帘、帐篷、衣物、蚊帐、采采蝇网等。施用于纤维、织物、编织物、无纺织物、网状材料或箔以及篷布上的杀虫组合物优选包含包括杀虫剂、任选的驱除剂和至少一种粘合剂的混合物。
本发明化合物及其组合物可以用于保护木质材料如树木、护栏、枕木、框架、艺术作品等,以及建筑物,还有建筑材料、家具、皮革、纤维、乙烯基制品、电线和电缆等以防蚂蚁、白蚁和/或木破坏材或纺织品的甲虫,并防止蚂蚁和白蚁损害作物或人类(例如当害虫侵入房子和公共设施或在庭院、果园或公园里筑巢时)。
材料保护中的常规施用率例如为0.001-2000g或0.01-1000g活性化合物/m2被处理材料,理想的是0.1-50g活性化合物/m2被处理材料。
用于浸渍材料的杀虫组合物通常含有0.001-95重量%,优选0.1-45重量%,更优选1-25重量%至少一种驱除剂和/或杀虫剂。
本发明化合物尤其适合有效防除动物害虫如节肢动物、腹足动物和线虫,包括但不限于:
鳞翅目(Lepidoptera)昆虫,例如小蜡螟(Achroia grisella),长翅卷蛾属(Acleris spp.),如A.fimbriana,西黑头长翅卷蛾(A.gloverana),黑头长翅卷蛾(A.variana);Acrolepiopsis assectella,桑剑纹夜蛾(Acronicta major),褐带卷蛾属(Adoxophyes spp.),如拟小黄卷叶蛾(A.cyrtosema),苹果小卷叶蛾(A.orana);烦夜蛾(Aedia leucomelas),地夜蛾属(Agrotis spp.),如警纹地老虎(A.exclamationis)、燕青地老虎(A.fucosa)、小地老虎(A.ipsilon)、A.orthogoma、黄地老虎(A.segetum)、A.subterranea;棉叶波纹夜蛾(Alabama argillacea),螺旋粉虱(Aleurodicusdisperses),波林尺蛾(Alsophila pometaria),葡萄天蛾(Ampelophaga rubiginosa),Amyelois transitella,Anacampsis sarcitella,Anagasta kuehniella,桃条麦蛾(Anarsia lineatella),栎黄条大蚕蛾(Anisota senatoria),柞蚕(Antheraea pernyi),干煞夜蛾属(Anticarsia(=Thermesia)spp.),如黎豆夜蛾(A.gemmatalis);Apamea spp.,Aproaerema modicella,黄卷蛾属(Archips spp.),如果树黄卷蛾(A.argyrospila),杏黄卷蛾(A.fuscocupreanus),玫瑰黄卷蛾(A.rosana),A.xyloseanus;苹果银蛾(Argyresthiaconjugella),条小卷蛾属(Argyroploce spp.),带卷蛾属(Argyrotaenia spp.),如短叶松带卷蛾(A.velutinana);Athetis mindara,Austroasca viridigrisea,丫纹夜蛾(Autographa gamma),黑点丫纹夜蛾(Autographa nigrisigna),甘蓝夜蛾(Barathrabrassicae),Bedellia spp.,Bonagota salubricola,籼弄蝶(Borbo cinnara),棉叶穿孔潜蛾(Bucculatrix thurberiella),松尺蠖(Bupalus piniarius),Busseola spp.,卷叶蛾属(Cacoecia spp.),如枞卷叶蛾(C.murinana)、黄尾卷叶蛾(C.podana);穿孔螟(Cactoblastis cactorum),粉斑螟蛾(Cadra cautella),Calingo braziliensis,Caloptilis theivora,Capua reticulana,Carposina spp.,如桃蛀果蛾(C.niponensis),桃小食心虫(C.sasakii);茎蜂属(Cephus spp.),麦茎大跳甲(Chaetocnema aridula),冬尺蛾(Cheimatobia brumata),禾草螟属(Chilo spp.),如C.indicus、二化螟(C.suppressalis)、C.partellus;Choreutis pariana,色卷蛾属(Choristoneura spp.),如柳色卷蛾(C.conflictana),云杉色卷蛾(C.fumiferana),苹果大卷叶蛾(C.longicellana),欧洲云杉卷叶蛾(C.murinana),西部云杉色卷蛾(C.occidentalis),C.rosaceana;夜蛾属(Chrysodeixis(=Pseudoplusia)spp.),南方银纹夜蛾如(C.eriosoma),大豆尺蠖(C.includens);粘虫(Cirphis unipuncta),葡萄果蠹蛾(Clysiaambiguella),Cnaphalocerus spp.,稻纵卷叶野螟(Cnaphalocrocis medinalis),云卷蛾属(Cnephasia spp.),向日葵螟(Cochylis hospes),鞘蛾属(Coleophora spp.),Coliaseurytheme,茶枝尖细蛾属(Conopomorpha spp.),Conotrachelus spp.,Copitarsia spp.,米螟(Corcyra cephalonica),玉米根结网毛虫(Crambus caliginosellus),早熟禾草螟(Crambus teterrellus),Crocidosema(=Epinotia)aporema,Cydalima(=Diaphania)perspectalis,小卷蛾属(Cydia(=Carpocapsa)spp.),如苹果小卷蛾(C.pomonella),坚果卷叶蛾(C.latiferreana);Dalaca noctuides,核桃配片舟蛾(Datana integerrima),Dasychira pinicola,松毛虫属(Dendrolimus spp.),如欧洲松毛虫(D.pini)、赤松毛虫(D.spectabilis),落叶松毛虫(D.sibiricus);葡萄小卷叶野螟(Desmia funeralis),Diaphania spp.,如黄瓜绢野螟(D.nitidalis),甜瓜绢野螟(D.hyalinata);西南玉米杆草螟(Diatraea grandiosella),小蔗螟(Diatraea saccharalis),Diphthera festiva,金刚钻属(Earias spp.),如埃及钻夜蛾(E.insulana),翠纹金刚钻(E.vittella);Ecdytolophaaurantianu,Egira(=Xylomyges)curialis,南美玉米苗斑螟(Elasmopalpuslignosellus),甘蔗钻心虫(Eldana saccharina),葡萄小食心虫(Endopiza viteana),榆秋黄尺蛾(Ennomos subsignaria),墨西哥水稻螟(Eoreuma loftini),粉斑螟属(Ephestiaspp.),如干果粉斑螟(E.cautella)、烟草粉斑螟(E.elutella)、地中海粉斑螟(E.kuehniella);夜小卷蛾(Epinotia aporema),苹果褐卷蛾(Epiphyas postvittana),菩提松尺蛾(Erannis tiliaria),蕉弄蝶(Erionota thrax),螟蛾属(Etiella spp.),Euliaspp.,女贞细卷蛾(Eupoecilia ambiguella),黄毒蛾(Euproctis chrysorrhoea),切夜蛾属(Euxoa spp.),Evetria bouliana,Faronta albilinea,夜蛾属(Feltia spp.),如粒肤地虎(F.subterranean);蜡螟(Galleria mellonella),Gracillaria spp.,食心虫属(Grapholita spp.),如李小食心虫(G.funebrana)、梨小食心虫(G.molesta),苹果小食心虫(G.inopinata);Halysidota spp.,黑拟蛉蛾(Harrisina americana),Hedylepta spp.,棉铃虫属(Helicoverpa spp.),如棉铃虫(H.armigera(=Heliothis armigera))、美洲棉铃虫(H.zea(=Heliothis zea));实夜蛾属(Heliothis spp.),如烟实夜蛾(H.assulta))、H.subflexa、烟芽夜蛾(H.virescens);Hellula spp.,如菜心野螟(H.undalis)、菜螟(H.rogatalis);Helocoverpa gelotopoeon,Hemileuca oliviae,水稻切叶野螟(Herpetogramma licarsisalis),Hibernia defoliaria,褐织蛾(Hofmannophilapseudospretella),向日葵同斑螟(Homoeosoma electellum),茶长卷蛾(Homonamagnanima),Hypena scabra,美国白蛾(Hyphantria cunea),樱桃巢蛾(Hyponomeutapadella),苹果巢蛾(Hyponomeuta malinellus),柿蒂虫(Kakivoria flavofasciata),番茄虫蛾(Keiferia lycopersicella),铁杉尺蠖蛾(Lambdina fiscellaria fiscellaria),西方铁杉尺蠖蛾(Lambdina fiscellaria lugubrosa),豆卷叶螟(Lamprosema indicata),蠹食心虫(Laspeyresia molesta),大豆食心虫(Leguminivora glycinivorella),Lerodeaeufala,Leucinodes orbonalis,雪毒蛾(Leucoma salicis),潜叶蛾属(Leucopteraspp.),如咖啡潜叶蛾(L.coffeella)、旋纹潜蛾(L.scitella);Leuminivoralycinivorella,苹果斑幕潜叶蛾(Lithocolletis blancardella),绿果冬夜蛾(Lithophane antennata),Llattia octo(=Amyna axis),葡萄浆果小卷蛾(Lobesiabotrana),Lophocampa spp.,豆白隆切根虫(Loxagrotis albicosta),Loxostege spp.,如甜菜网螟(L.sticticalis),L.cereralis;毒蛾属(Lymantria spp.),如舞毒蛾(L.dispar)、模毒蛾(L.monacha);桃潜蛾(Lyonetia clerkella),Lyonetiaprunifoliella,天幕毛虫属(Malacosoma spp.),如苹天幕毛虫(M.americanum)、草原天幕毛虫(M.californicum)、森林天幕毛虫(M.constrictum)、黄褐天幕毛虫(M.neustria);甘蓝夜蛾属(Mamestra spp.),如甘蓝夜蛾(M.brassicae)、蓓带夜蛾(M.configurata);Mamstra brassicae,Manduca spp.,如番茄天蛾(M.quinquemaculata)、烟草天蛾(M.sexta);刷须野螟属(Marasmia spp),Marmara spp.,豆野螟(Maruca testulalis),Megalopyge lanata,Melanchra picta,暮眼蝶(Melanitis leda),Mocis spp.,如M.lapites,稻毛胫夜蛾(M.repanda);Mocis latipes,Monochroa fragariae,粘虫(Mythimna separata),Nemapogon cloacella,Neoleucinodes elegantalis,伪尺蛾属(Nepytia spp.),Nymphula spp.,Oiketicus spp.,豆啮叶野螟(Omiodes indicata),甘薯茎螟(Omphisa anastomosalis),冬尺蠖蛾(Operophtera brumata),黄杉合毒蛾(Orgyiapseudotsugata),Oria spp.,Orthaga thyrisalis,秆野螟属(Ostrinia spp.),如欧洲玉米螟(O.nubilalis);稻负泥虫(Oulema oryzae),苹尺蛾(Paleacrita vernata),小眼夜蛾(Panolis flammea),稻弄蝶属(Parnara spp.),普通蛀茎夜蛾(Papaipema nebris),大凤蝶(Papilio cresphontes),脐橙螟蛾(Paramyelois transitella),葡萄透翅蛾(Paranthrene regalis),无棕榈蝶蛾(Paysandisia archon),螟蛉属(Pectinophoraspp.),如彩色螟蛉(P.gossypiella);疆夜蛾(Peridroma saucia),潜叶蛾属(Perileucoptera spp.),如咖啡潜叶蛾(P.coffeella);圆掌舟蛾(Phalera bucephala),Phryganidia californica,烟尺蛾属(Phthorimaea spp.),如马铃薯麦蛾(P.operculella);柑桔潜叶蛾(Phyllocnistis citrella),潜叶蛾属(Phyllonorycterspp.),如斑幕潜叶蛾(P.blancardella),山楂潜叶蛾(P.crataegella),P.issikii,金纹细蛾(P.ringoniella);菜粉蝶属(Pieris spp.),如欧洲粉蝶(P.brassicae)、菜粉蝶(P.rapae)、绿脉菜粉蝶(P.napi);Pilocrocis tripunctata,苜蓿绿夜蛾(Plathypenascabra),Platynota spp.,如P.flavedana,P.idaeusalis,P.stultana;荷兰石竹小卷蛾(Platyptilia carduidactyla),豆灰蝶(Plebejus argus),印度谷螟(Plodiainterpunctella),Plusia spp,菜蛾(Plutella maculipennis),小菜蛾(Plutellaxylostella),Pontia protodica,Prays spp.,斜纹夜蛾属(Prodenia spp.),二点委夜蛾(Proxenus lepigone),粘虫属(Pseudaletia spp.),如P.sequax,一星粘虫(P.unipuncta);玉米螟(Pyrausta nubilalis),Rachiplusia nu,Richia albicosta,Rhizobius ventralis,Rhyacionia frustrana,Sabulodes aegrotata,Schizuraconcinna,Schoenobius spp.,Schreckensteinia festaliella,白禾螟属(Scirpophagaspp.),如三化螟(S.incertulas),S.innotata;Scotia segetum,大螟属(Sesamia spp.),如水稻大螟(S.inferens),葡萄修虎蛾(Seudyra subflava),麦蛾(Sitotrogacerealella),葡萄卷叶蛾(Sparganothis pilleriana),Spilonota lechriaspis,苹果小卷蛾(S.ocellana),灰翅夜蛾属(Spodoptera(=Lamphygma)spp.),如S.cosmoides,S.eridania,甜菜夜蛾(S.exigua),草地夜蛾(S.frugiperda)、S.latisfascia,海灰翅夜蛾(S.littoralis)、斜纹夜蛾(S.litura)、黄条粘虫(S.omithogalli);Stigmella spp.,Stomopteryx subsecivella,Strymon bazochii,棉卷叶野螟(Sylepta derogata),Synanthedon spp.,如小桃翅蛾(S.exitiosa),Tecia solanivora,Telehin licus,Thaumatopoea pityocampa,Thaumatotibia(=Cryptophlebia)leucotreta,松异舟蛾(Thaumetopoea pityocampa),Thecla spp.,Theresimima ampelophaga,Thyrinteinaspp,Tildenia inconspicuella,Tinea spp.,如T.cloacella,袋谷蛾(T.pellionella);幕谷蛾(Tineola bisselliella),Tortrix spp.,如栎绿卷蛾(T.viridana);毛颤蛾(Trichophaga tapetzella),粉夜蛾属(Trichoplusia spp.),如粉纹夜蛾(T.ni);Tuta(=Scrobipalpula)absoluta,Udea spp.,如温室结网野螟(U.rubigalis);Virachola spp.,苹果巢蛾(Yponomeuta padella)和Zeiraphera canadensis;
鞘翅目(Coleoptera)昆虫,例如Acalymma vittatum,菜豆象(Acanthoscehdesobtectus),喙丽金龟属(Adoretus spp.),杨树萤叶甲(Agelastica alni),Agrilus spp.,如A.anxius、A.planipennis、梨窄吉丁(A.sinuatus);叩甲属(Agriotes spp.),如细胸叩头虫(A.fuscicollis)、条叩头虫(A.lineatus)、暗色叩头虫(A.obscurus);Alphitobiusdiaperinus,Amphimallus solstitialis,Anisandrus dispar,奥国塞丽金龟(Anisopliaaustriaca),家具窃蠹(Anobium punctatum),铜绿异丽金龟(Anomala corpulenta),红铜丽金龟(Anomala rufocuprea),星天牛属(Anoplophora spp.),如光肩星天牛(A.glabripennis);花象甲属(Anthonomus spp.),如胡椒跳甲(A.eugenii)、棉铃象甲(A.grandis)、苹花象(A.pomorum);圆皮蠹属(Anthrenus spp.),Aphthona euphoridae,梨象属(Apion spp.),阿鳃金龟属(Apogonia spp.),Athous haemorrhoidalis,隐翅甲属(Atomaria spp.),如甜菜隐食甲(A.linearis);毛皮蠹属(Attagenus spp.),黄守瓜(Aulacophora femoralis),纵坑切梢小蠹(Blastophagus piniperda),Blitophagaundata,Bruchidius obtectus,豆象属(Bruchus spp.),如欧洲兵豆象(B.lentis)、豌豆象(B.pisorum)、蚕豆象(B.rufimanus);苹卷象(Byctiscus betulae),Callidiellumrufipenne,Callopistria floridensis,绿豆象(Callosobruchus chinensis),Camerariaohridella,甜菜大龟甲(Cassida nebulosa),豆叶甲(Cerotoma trifurcata),金花金龟(Cetonia aurata),龟象属(Ceuthorhynchus spp.),如白菜籽龟象(C.assimilis)、芫菁龟象(C.napi);甜菜胫跳甲(Chaetocnema tibialis),Cleonus mendicus,宽胸叩头虫属(Conoderus spp.),如烟草金针虫(C.vespertinus);Conotrachelus nenuphar,根颈象属(Cosmopolites spp.),新西兰草地蛴螬(Costelytra zealandica),石刁柏负泥虫(Crioceris asparagi),正锈赤扁谷盗(Cryptolestes ferrugineus),杨干隐喙象(Cryptorhynchus lapathi),Ctenicera spp.,如C.destructor;象虫属(Curculio spp.),Cylindrocopturus spp.,Cyclocephala spp.,玉米铁甲虫(Dactylispa balyi),蛀茎虫(Dectes texanus),皮蠹属(Dermestes spp.),叶甲属(Diabrotica spp.),如对星瓢虫(D.undecimpunctata),南美叶甲(D.speciosa),长角叶甲(D.longicornis),D.semipunctata,玉米根萤叶甲(D.virgifera);柑椐象鼻虫(Diaprepes abbreviates),姓野螟属(Dichocrocis spp.),稻铁甲虫(Dicladispa armigera),阿根廷兜虫(Diloboderusabderus),Diocalandra frumenti(Diocalandra stigmaticollis),Enaphalodesrufulus,食植瓢虫属(Epilachna spp.),如墨西哥豆瓢虫(E.varivestis)、马铃薯瓢虫(E.vigintioctomaculata);毛跳甲属(Epitrix spp.),如烟草跳甲(E.hirtipennis)、E.similaris;Eutheola humilis,棉灰蒙象变种(Eutinobothrus brasiliensis),烟草钻孔虫(Faustinus cubae),Gibbium psylloides,Gnathocerus cornutus,菜螟(Hellulaundalis),非洲独角仙(Heteronychus arator),Hylamorpha elegans,欧洲松树皮象(Hylobius abietis),家天牛(Hylotrupes bajulus),Hypera spp.,如埃及苜蓿叶象(H.brunneipennis)、紫苜蓿叶象(H.postica);绿鳞象甲(Hypomeces squamosus),果小蠹属(Hypothenemus spp.),云杉八齿小蠹(Ips typographus),Lachnosternaconsanguinea,烟草甲(Lasioderma serricorne),Latheticus oryzae,Lathridius spp.,Lema spp.,如烟草负泥虫(L.bilineata),黑角负泥虫(L.melanopus);马铃薯叶甲属(Leptinotarsa spp.),如马铃薯叶甲(L.decemlineata);Leptispa pygmaea,甜菜叩甲(Limonius californicus),稻水象甲(Lissorhoptrus oryzophilus),筒喙象属(Lixusspp.),Luperodes spp.,粉蠹属(Lyctus spp.),如褐粉蠹(L.bruneus);Liogenys fuscus,大趾属(Macrodactylus spp.),如M.subspinosus;玛绢金龟(Maladera matrida),Megaplatypus mutates,Megascelis spp.,Melanotus communis,菜花露尾甲属(Meligethes spp.),如油菜露尾甲(M.aeneus);Melolontha spp.,如大栗鳃金龟(M.hippocastani)、五月鳃金龟(M.melolontha);西印度蔗螟(Metamasius hemipterus),Microtheca spp.,Migdolus spp.,如M.fryanus,墨天牛属(Monochamus spp.),如松墨天牛(M.alternatus);Naupactus xanthographus,黄蛛甲(Niptus hololeucus),Oberiabrevis,Oemona hirta,椰蛀犀金龟(Oryctes rhinoceros),锯谷盗(Oryzaephilussurinamensis),Oryzaphagus oryzae,黑葡萄耳象(Otiorrhynchus sulcatus),草莓根象甲(Otiorrhynchus ovatus),黑葡萄耳象(Otiorrhynchus sulcatus),Oulema melanopus,稻负泥虫(Oulema oryzae),小青花金龟(Oxycetonia jucunda),Phaedon spp.,如小猿叶虫(P.brassicae)、辣根猿叶甲(P.cochleariae);Phoracantha recurva,梨树叶象(Phyllobius pyri),庭园发丽金龟(Phyllopertha horticola),食叶鳃金龟属(Phyllophaga spp.),如P.helleri;条跳甲属(Phyllotreta spp.),如P.chrysocephala、大豆淡足跳甲(P.nemorum)、黄曲条菜跳甲(P.striolata)、黄狭条跳甲(P.vittula);庭园发丽金龟(Phyllopertha horticola),日本金龟子(Popillia japonica),小象甲属(Premnotrypes spp.),Psacothea hilaris,油菜蓝跳甲(Psylliodes chrysocephala),大谷蠹(Prostephanus truncates),Psylliodes spp.,蛛甲属(Ptinus spp.),Pulgasaltona,谷蠹(Rhizopertha dominica),红棕属(Rhynchophorus spp.),如R.billineatus,红棕象甲(R.ferrugineus),棕榈象甲(R.palmarum),R.phoenicis,R.vulneratus;Saperda candida,Scolytus schevyrewi,Scyphophorus acupunctatus,豌豆叶象(Sitona lineatus),谷象属(Sitophilus spp.),谷象(S.granaria),米象(S.oryzae),玉米象(S.zeamais);尖隐喙象属(Sphenophorus spp.),如S.levis;Stegobium paniceum,茎干象属(Sternechus spp.),如S.subsignatus;Strophomorphusctenotus,Symphyletes spp.,Tanymecus spp.,黄粉虫(Tenebrio molitor),Tenebrioides mauretanicus;拟谷盗属(Tribolium spp.),如赤拟谷盗(T.castaneum);斑皮蠹属(Trogoderma spp.)、籽象属(Tychius spp.)、脊虎天牛属(Xylotrechus spp.),如X.pyrrhoderus;以及距步甲属(Zabrus spp.),如Z.tenebrioides);
双翅目(Diptera)昆虫,例如Aedes spp.,如埃及伊蚊(A.aegypti)、白纹伊蚊(A.albopictus)、剌扰伊蚊(A.vexans);墨西哥果蝇(Anastrepha ludens);按蚊属(Anopheles spp.),如白足按蚊(A.albimanus)、灾难按蚊(A.crucians)、费氏按蚊(A.freeborni)、冈比亚按蚊(A.gambiae)、白踝按蚊(A.leucosphyrus)、五斑按蚊(A.maculipennis)、微小按蚊(A.minimus)、四斑按蚊(A.quadrimaculatus)、中华按蚊(A.sinensis);Bactrocera invadens,花园毛蚊(Bibio hortulanus),绿头蝇(Calliphoraerythrocephala),红头丽蝇(Calliphora vicina),地中海实蝇(Ceratitis capitata),金蝇属(Chrysomyia spp.),如蛆症金蝇(C.bezziana),C.hominivorax、腐败金蝇(C.macellaria);Chrysops atlanticus,鹿蝇(Chrysops discalis),静斑虻(Chrysopssilacea),锥蝇属(Cochliomyia spp.),如螺旋蝇(C.hominivorax);瘿蚊属(Contariniaspp.),如高粱瘿蚊(C.sorghicola);嗜人瘤蝇蛆(Cordylobia anthropophaga),库蚊属(Culex spp.),如斑蚊(C.nigripalpus),尖音库蚊(C.pipiens),致倦库蚊(C.quinquefasciatus),媒斑蚊(C.tarsalis),三带喙库蚊(C.tritaeniorhynchus);狂怒库蠓(Culicoides furens),无饰脉毛蚊(Culiseta inornata),黑尾脉毛蚊(Culisetamelanura),黄蝇属(Cuterebra spp.),瓜蝇(Dacus cucurbitae),油橄榄实蝇(Dacusoleae),油菜叶瘿蚊(Dasineura brassicae),Dasineura oxycoccana,地种蝇属(Deliaspp.),如葱蝇(D.antique),麦地种蝇(D.coarctata),灰地种蝇(D.platura),甘蓝地种蝇(D.radicum);人肤皮蝇(Dermatobia hominis),果蝇属(Drosophila spp.),如斑翅果蝇(D.suzukii),厕蝇属(Fannia spp.),如小毛厕蝇(F.canicularis);胃蝇属(Gastraphilusspp.),如马蝇(G.intestinalis);Geomyza tipunctata,Glossina spp.,如G.fuscipes、刺舌蝇(G.morsitans)、须舌蝇(G.palpalis)、胶舌蝇(G.tachinoides),扰血蝇(Haematobiairritans),Haplodiplosis equestris,潜蝇属(Hippelates spp.),黑蝇属(Hylemyiaspp.),如花生田灰地种蝇(H.platura);皮蝇属(Hypoderma spp.),如纹皮蝇(H.lineata);Hyppobosca spp.,水稻菲岛毛眼水蝇(Hydrellia philippina),Leptoconops torrens,Liriomyza spp.,如美洲斑潜蝇(L.sativae)、美国潜叶蝇(L.trifolii);Lucilia spp.,如L.caprina、铜绿蝇(L.cuprina)、丝光绿蝇(L.sericata);Lycoria pectoralis,Mansoniatitillanus,Mayetiola spp.,如麦瘿蚊(M.destructor);Musca spp.,如秋家蝇(M.autumnalis)、家蝇(M.domestica);厩腐蝇(Muscina stabulans);Oestrus spp.,如羊狂蝇(O.ovis);Opomyza florum,Oscinella spp.,如瑞典麦秆蝇(O.frit);稻瘿蚊(Orseolia oryzae),天仙子泉蝇(Pegomya hysocyami),银足白蛉(Phlebotomusargentipes),草种蝇属(Phorbia spp.),如葱蝇(P.antiqua)、萝卜蝇(P.brassicae)、麦地种蝇(P.coarctata);Phytomyza gymnostoma,Prosimulium mixtum,胡萝卜茎蝇(Psilarosae),哥伦比亚鳞蚊(Psorophora columbiae),Psorophora discolor,Rhagoletisspp.,如樱桃实蝇(R.cerasi)、R.cingulate、R.indifferens、R.mendax、苹果实蝇(R.pomonella);Rivellia quadrifasciata,麻蝇属(Sarcophaga spp.),如赤尾麻蝇(S.haemorrhoidalis);带蚋(Simulium vittatum),Sitodiplosis mosellana,螫蝇属(Stomoxys spp.),如厩螫蝇(S.calcitrans);虻属(Tabanus spp.),如北美黑虻(T.atratus)、牛虻(T.bovinus)、红色原虻(T.lineola)、二毛虫(T.similis);Tanniaspp.,Thecodiplosis japonensis,Tipula oleracea,欧洲大蚊(Tipula paludosa)和污蝇属(Wohlfahrtia spp.);
缨翅目(Thysanoptera)昆虫,例如稻蓟马(Baliothrips biformis),兰花蓟马(Dichromothrips corbetti),Dichromothrips ssp.,Echinothrips americanus,Enneothrips flavens,花蓟马属(Frankliniella spp.),如烟褐蓟马(F.fusca)、苜蓿花蓟马(F.occidentalis)、东方花蓟马(F.tritici);阳蓟马属(Heliothrips spp.),温室蓟马(Hercinothrips femoralis),卡蓟马属(Kakothrips spp.),Microcephalothripsabdominalis,Neohydatothrips samayunkur,Pezothrips kellyanus,腹突皱针蓟马(Rhipiphorothrips cruentatus),硬蓟马属(Scirtothrips spp.),如桔硬蓟马(S.citri),S.dorsalis,S.perseae;Stenchaetothrips spp,Taeniothrips cardamoni,Taeniothrips inconsequens;蓟马属(Thrips spp.),如T.imagines、T.hawaiiensis、稻蓟马(T.oryzae)、棕榈蓟马(T.palmi)、T.parvispinus、烟蓟马(T.tabaci);
半翅目(Hemiptera)昆虫,例如合欢木虱(Acizzia jamatonica),Acrosternumspp.,如拟绿蝽(A.hilare);无网长管蚜属(Acyrthosipon spp.),如A.onobrychis、豌豆蚜(A.pisum);落叶松球蚜(Adelges laricis),Adelges tsugae,Adelphocoris spp.,如A.rapidus,A.superbus;沫蜂属(Aeneolamia spp.),隆脉木虱属(Agonoscena spp.),茄无网蚜(Aulacorthum solani),Aleurocanthus woglumi,白粉虱属(Aleurodes spp.),Aleurodicus disperses,甘蔗穴粉虱(Aleurolobus barodensis),丝绒粉虱属(Aleurothrixus spp.),杧果叶蝉属(Amrasca spp.),南瓜缘蝽(Anasa tristis),拟丽蝽属(Antestiopsis spp.),Anuraphis cardui,肾圆盾蚧属(Aonidiella spp.),梨瘤蚜(Aphanostigma piri),Aphidula nasturtii,蚜属(Aphis spp.),如豆蚜(A.craccivora),甜菜蚜(A.fabae)、草莓根蚜(A.forbesi)、棉蚜(A.gossypii)、北美茶藨子蚜(A.grossulariae)、A.maidiradicis,苹果蚜(A.pomi)、接骨木蚜(A.sambuci)、希奈德蚜(A.schneideri)、卷叶蚜(A.spiraecola);葡萄阿小叶蝉(Arboridia apicalis),轮背猎蝽(Arilus critatus),小圆盾蚧属(Aspidiella spp.),圆盾蚧属(Aspidiotus spp.),Atanus spp.,Aulacaspis yasumatsui,茄无网蚜(Aulacorthum solani),Bactericeracockerelli(Paratrioza cockerelli),粉虱属(Bemisia spp.),如银叶粉虱(B.argentifolii)、烟粉虱(B.tabaci(Aleurodes tabaci));土长蝽属(Blissus spp.),如玉米长蝽(B.leucopterus);Brachycaudus spp.,如飞廉短尾蚜(B.cardui),李短尾蚜(B.helichrysi),桃短尾蚜(B.persicae),B.prunicola;微管蚜属(Brachycolus spp.),Brachycorynella asparagi,甘蓝蚜(Brevicoryne brassicae),Cacopsylla spp.,如C.fulguralis、C.pyricola(梨木虱(Psylla piri));小褐稻虱(Calligypona marginata),俊盲蝽属(Calocoris spp.),斑腿微刺盲蝽(Campylomma livida),Capitophorus horni,Carneocephala fulgida,异背长蝽属(Cavelerius spp.),Ceraplastes spp.,Ceratovacuna lanigera,Ceroplastes ceriferus,Cerosipha gossypii,Chaetosiphonfragaefolii,Chionaspis tegalensis,Chlorita onukii,Chromaphis juglandicola,Chrysomphalus ficus,Cicadulina mbila,Cimex spp.,如热带臭虫(C.hemipterus)、温带臭虫(C.lectularius);Coccomytilus halli,软蚧属(Coccus spp.),如C.hesperidum、C.pseudomagnoliarum;Corythucha arcuata,Creontiades dilutus,茶藨子隐瘤蚜(Cryptomyzus ribis),Chrysomphalus aonidum,茶藨隐瘤蚜(Cryptomyzus ribis),Ctenarytaina spatulata,黑斑烟盲蝽(Cyrtopeltis notatus),Dalbulus spp.,胡椒缘蝽(Dasynus piperis),粉虱(Dialeurades spp.),如D.citrifolii;Dalbulus maidis,木虱属(Diaphorina spp.),如D.citri;白背盾蚧属(Diaspis spp.),如D.bromeliae;Dichelops furcatus,厚氏长棒网蝽(Diconocoris hewetti),Doralis spp.,高加索冷杉椎球蚜(Dreyfusia nordmannianae),云杉椎球蚜(Dreyfusia piceae),履绵蚧属(Drosicha spp.);西圆尾蚜属(Dysaphis spp.),如车前圆尾蚜(D.plantaginea)、梨西圆尾蚜(D.pyri)、居根西圆尾蚜(D.radicola);Dysaulacorthum pseudosolani;棉红蝽属(Dysdercus spp.),如棉红蝽(D.cingulatus)、D.intermedius;灰粉蚧属(Dysmicoccusspp.),Edessa spp.,Geocoris spp.,小绿叶蝉属(Empoasca spp.),如蚕豆微叶蝉(E.fabae)、索拉纳小绿叶蝶(E.solana);Epidiaspis leperii,绵蚜属(Eriosoma spp.),如E.lanigerum,E.pyricola;斑叶蝉属(Erythroneura spp.);扁盾蝽属(Eurygasterspp.),如麦扁盾蝽(E.integriceps);钝鼻叶蝉(Euscelis bilobatus),美洲蝽属(Euschistus spp.),如大豆褐椿(E.heros)、烟草蝽(E.impictiventris)、褐臭蝽(E.servus);Fiorinia theae,咖啡地粉蚧(Geococcus coffeae),Glycaspisbrimblecombei;茶翅蝽属(Halyomorpha spp.),如茶翅蝽(H.halys);角盲椿(Heliopeltisspp.),玻璃叶蝉(Homalodisca vitripennis(=H.coagulata)),Horcias nobilellus,李大尾蚜(Hyalopterus pruni),茶藨苦菜超瘤蚜(Hyperomyzus lactucae),吹绵蚧属(Icerya spp.),如I.purchase;片角叶蝉属(Idiocerus spp.),扁喙叶蝉属(Idioscopusspp.),灰飞虱(Laodelphax striatellus),蜡蚧属(Lecanium spp.),Lecanoideusfloccissimus,蛎盾蚧属(Lepidosaphes spp.),如L.ulmi;稻缘蝽属(Leptocorisa spp.),棉红铃喙缘蝽(Leptoglossus phyllopus),萝卜蚜(Lipaphis erysimi),草盲蝽属(Lygusspp.),如草盲蝽(L.hesperus)、美洲牧草盲蝽(L.lineolaris)、牧草盲蝽(L.pratensis);Maconellicoccus hirsutus,Marchalina hellenica,蔗黑长蝽(Macropes excavatus),长管蚜属(Macrosiphum spp.),如蔷薇长管蚜(M.rosae)、麦长管蚜(M.avenae)、大戟长管蚜(M.euphorbiae);Macrosteles quadrilineatus,Mahanarva fimbriolata,筛豆龟蝽(Megacopta cribraria),巢莱修尾蚜(Megoura viciae),Melanaphis pyrarius,高粱蚜(Melanaphis sacchari);Melanocallis(=Tinocallis)caryaefoliae,Metcafiellaspp.,麦无网蚜(Metopolophium dirhodum),黑缘平翅斑蚜(Monellia costalis),Monelliopsis pecanis;Myzocallis coryli,Murgantia spp.,瘤蚜属(Myzus spp.),如冬葱蚜(M.ascalonicus)、李瘤蚜(M.cerasi)、M.nicotianae、桃蚜(M.persicae)、黄药子瘤蚜(M.varians);黑茶藨子衲长管蚜(Nasonovia ribis-nigri),Neotoxoptera formosana,Neomegalotomus spp,黑尾叶蝉属(Nephotettix spp.),如马来亚黑尾叶蝉(N.malayanus)、二条黑尾叶蝉(N.nigropictus)、细小黑尾叶蝉(N.parvus)、二点黑尾叶蝉(N.virescens);绿蝽属(Nezara spp.),如稻绿蝽(N.viridula);褐飞虱(Nilaparvatalugens),Nysius huttoni,稻蝽属(Oebalus spp.),如稻蝽象(O.pugnax);Oncometopiaspp.,Orthezia praelonga,Oxycaraenus hyalinipennis,杨梅粉虱(Parabemisiamyricae),片盾蚧属(Parlatoria spp.),Parthenolecanium spp.,如P.corni、P.persicae;瘿绵蚜属(Pemphigus spp.),如囊柄瘿绵蚜(P.bursarius)、P.populivenae;玉米蜡蝉(Peregrinus maidis)、蔗飞虱(Perkinsiella saccharicida)、绵粉蚧属(Phenacoccus spp.),如P.aceris,P.gossypii;杨平翅绵蚜(Phloeomyzus passerinii),忽布疣蚜(Phorodon humuli),葡萄根瘤蚜属(Phylloxera spp.),如P.devastatrix;甜菜拟网蝽(Piesma quadrata),壁蝽属(Piezodorus spp.),如P.guildinii;苏铁褐点并盾蚧(Pinnaspis aspidistrae),臀纹粉蚧属(Planococcus spp.),如P.citri、P.ficus;Prosapia bicincta,梨形原绵蚧(Protopulvinaria pyriformis),棉伪斑腿盲蝽(Psallusseriatus),Pseudacysta persea,桑盾蚧(Pseudaulacaspis pentagona),粉蚧属(Pseudococcus spp.),如康氏粉蚧(P.comstocki);木虱属(Psylla spp.),如苹木虱(P.mali);金小蜂属(Pteromalus spp.),Pulvinaria amygdali,Pyrilla spp.,笠圆盾蚧属(Quadraspidiotus spp.),如Q.perniciosus;Quesada gigas,平刺粉蚧属(Rastrococcus spp.),Reduvius senilis,Rhizoecus americanus,红猎蝽属(Rhodniusspp.),冬葱瘤蛾蚜(Rhopalomyzus ascalonicus);缢管蚜属(Rhopalosiphum spp.),如萝卜蚜(R.pseudobrassicas)、苹草缢管蚜(R.insertum)、玉米蚜(R.maidis)、禾谷缢管蚜(R.padi);Sagatodes spp.,可可褐盲蝽(Sahlbergella singularis),黑盔蚧属(Saissetia spp.),Sappaphis mala,Sappaphis mali,Scaptocoris spp.,葡萄带叶蝉(Scaphoides titanus),麦二叉蚜(Schizaphis graminum),Schizoneura lanuginosa,稻黑蝽属(Scotinophora spp.),刺盾蚧(Selenaspidus articulatus),禾谷网蚜(Sitobionavenae),长唇基飞虱属(Sogata spp.),白背飞虱(Sogatella furcifera),Solubeainsularis,Spissistilus festinus(=Stictocephala festina),梨冠网蝽(Stephanitisnashi),Stephanitis pyrioides,Stephanitis takeyai,Tenalaphara malayensis,Tetraleurodes perseae,Therioaphis maculate,Thyanta spp.,如T.accerra、T.perditor;Tibraca spp.,广胸沫蝉属(Tomaspis spp.),声蚜属(Toxoptera spp.),如桔二叉蚜(T.aurantii);白粉虱属(Trialeurodes spp.),如T.abutilonea、T.ricini、白粉虱(T.vaporariorum);锥猎蝽属(Triatoma spp.),个木虱属(Trioza spp.),小叶蝉属(Typhlocyba spp.),尖盾蚧属(Unaspis spp.),如U.Citri、矢尖蚧(U.yanonensis);以及葡萄根瘤蚜(Viteus vitifolii);
膜翅目(Hymenoptera)昆虫,例如Acanthomyops interjectus,新疆菜叶蜂(Athalia rosae),Atta spp.,如A.capiguara、切叶蚁(A.cephalotes)、切叶蚁(A.cephalotes)、A.laevigata、A.robusta、A.sexdens、A.texana,熊蜂属(Bombus spp.),Brachymyrmex spp.,Camponotus spp.,如佛罗里达弓背蚁(C.floridanus)、C.pennsylvanicus、C.modoc;Cardiocondyla nuda,Chalibion sp,举腹蚁属(Crematogaster spp.),天鹅绒蚂蚁(Dasymutilla occidentalis),松叶蜂属(Diprionspp.),姬胡蜂(Dolichovespula maculata),Dorymyrmex spp.,Dryocosmus kuriphilus,Formica spp.,实蜂属(Hoplocampa spp.),如H.minuta、苹叶蜂(H.testudinea);Iridomyrmex humilis,毛蚁属(Lasius spp.),如黑毛蚁(L.niger),阿根廷蚁(Linepithema humile),Liometopum spp.,Leptocybe invasa,Monomorium spp.,如小黄家蚁(M.pharaonis),Monomorium,Nylandria fulva,Pachycondyla chinensis,Paratrechina longicornis,Paravespula spp.,如P.germanica、P.pennsylvanica、P.vulgaris;Pheidole spp.,如褐大头蚁(P.megacephala);Pogonomyrmex spp.,如红蚂蚁(P.barbatus)、收割机蚂蚁(P.californicus),胡蜂(Polistes rubiginosa),Prenolepisimpairs,Pseudomyrmex gracilis,Schelipron spp.,Sirex cyaneus,Solenopsis spp.,如热带火蚁(S.geminata)、红火蚁(S.invicta)、S.molesta、黑火蚁(S.richteri)、南方火蚁(S.xyloni);Sphecius speciosus,Sphex spp.,Tapinoma spp.,如T.melanocephalum、T.sessile;Tetramorium spp.,如T.caespitum、T.bicarinatum,大胡蜂属(Vespa spp.),如黄边胡蜂(V.crabro);Vespula spp.,如大黄蜂(V.squamosa);Wasmanniaauropunctata,Xylocopa sp;
直翅目(Orthoptera)昆虫,例如居屋艾蟋(Acheta domestica),意大利蝗(Calliptamus italicus),澳洲草栖蝗(Chortoicetes terminifera),Ceuthophilusspp.,Diastrammena asynamora,摩洛哥戟纹蝗(Dociostaurus maroccanus),Gryllotalpaspp.,如非洲蝼蛄(G.africana)、蝼蛄(G.gryllotalpa);Gryllus spp.,非洲蔗蝗(Hieroglyphus daganensis),印度黄檀蝗(Kraussaria angulifera),Locusta spp.,如飞蝗(L.migratoria)、褐色拟飞蝗(L.pardalina);Melanoplus spp.,如双纹黑蝗(M.bivittatus)、红足黑蝗(M.femurrubrum)、墨西哥黑蝗(M.mexicanus)、迁飞黑蝗(M.sanguinipes)、石栖黑蝗(M.spretus);条纹红蝗(Nomadacris septemfasciata),塞纳加尔小车蝗(Oedaleus senegalensis),Scapteriscus spp.,Schistocerca spp.,如美洲沙漠蝗(S.americana),沙漠蝗(S.gregaria),Stemopelmatus spp.,庭疾灶螽(Tachycinesasynamorus)和Zonozerus variegatus;
蜘蛛纲(Arachnida)害虫,例如蜱螨亚纲(Acari),如软蜱科(Argasidae)、硬蜱科(Ixodidae)和疥螨科(Sarcoptidae),如花蜱属(Amblyomma spp.)(例如长星形壁虱(A.americanum)、热带花蜱(A.variegatum)、斑点钝眼蜱(A.maculatum)),锐缘蜱属(Argasspp.),如波斯锐缘蜱(A.persicu),牛蜱属(Boophilus spp.),如牛壁虱(B.annulatus)、消色牛蜱(B.decoloratus)、微小牛蜱(B.microplus),Dermacentor spp.,如森林革蜱(D.silvarum)、安氏革蜱(D.andersoni)、美洲大革蜱(D.variabilis),璃眼蜱属(Hyalommaspp.),如长喙璃眼蜱(H.truncatum),硬蜱属(Ixodes spp.),如蓖子硬蜱(I.ricinus)、浅红硬蜱(I.rubicundus)、黑脚硬蜱(I.scapularis)、全环硬蜱(I.holocyclus)、太平洋硬蜱(I.pacificus),Rhipicephalus sanguineus,钝缘蜱属(Ornithodorus spp.),如毛白钝缘蜱(O.moubata、赫氏钝缘蜱(O.hermsi)、回归热蜱(O.turicata),柏氏禽刺螨(Ornithonyssus bacoti),刺耳扁虱(Otobius megnini),鸡皮刺螨(Dermanyssusgallinae),痒螨属(Psoroptes spp.),如绵羊疥病(P.ovis),扇头蜱属(Rhipicephalusspp.),如血红扇头蜱(R.sanguineus)、具尾扇头蜱(R.appendiculatus)、外翻扇头蜱(Rhipicephalus evertsi),根螨属(Rhizoglyphus spp.),疥螨属(Sarcoptes spp.),如人疥螨(S.scabiei);以及瘿螨科(Eriophyidae),包括Aceria spp.,如A.sheldoni、A.anthocoptes,Acallitus spp.,刺皮节蜱属(Aculops spp.),如A.lycopersici、桔锈螨(A.pelekassi);刺瘿螨属(Aculus spp.),如苹果刺锈螨(A.schlechtendali);Colomerusvitis,枣叶锈螨(Epitrimerus pyri),桔皱叶刺瘿螨(Phyllocoptruta oleivora);Eriophytes ribis和瘿螨属(Eriophyes spp.),如柑橘瘿螨(Eriophyes sheldoni);跗绒螨科(Tarsonemidae),包括半跗线螨属(Hemitarsonemus spp.),Phytonemus pallidus和侧多食跗线螨(Polyphagotarsonemus latus),狭跗线螨属(Stenotarsonemus spp.),Steneotarsonemus spinki;细须螨科(Tenuipalpidae),包括短须螨属(Brevipalpusspp.),如紫红短须螨(B.phoenicis);叶螨科(Tetranychidae),包括始叶螨属(Eotetranychus spp.),真叶螨属(Eutetranychus spp.),小爪螨属(Oligonychus spp.),Petrobia latens,Tetranychus spp.,如朱砂叶螨(T.cinnabarinus)、T.evansi、神泽叶螨(T.kanzawai)、太平洋叶螨(T.pacificus)、T.phaseulus、棉叶螨(T.telarius)和二点叶螨(T.urticae);苜蓿苔螨(Bryobia praetiosa);全爪螨属(Panonychus spp.),如苹果叶螨(P.ulmi)、橘全爪螨(P.citri);Metatetranychus spp.和小爪螨属(Oligonychus spp.),如草地小爪螨(O.pratensis))、O.perseae,Vasates lycopersici;Raoiella indica,果螨科(Carpoglyphidae),包括Carpoglyphus spp.;Penthaleidae spp.,如Halotydeusdestructor;蠕形螨科(Demodicidae)数种,如Demodex spp.;Trombicidea,包括Trombicula spp.;巨刺螨科(Macronyssidae),包括Ornothonyssus spp.;蒲螨科(Pyemotidae),包括Pyemotes tritici;Tyrophagus putrescentiae;螨科(Acaridae),包括Acarus siro;蜘蛛目(Araneida),例如毒蜘蛛(Latrodectus mactans),Tegenariaagrestis,Chiracanthium sp,Lycosa sp,Achaearanea tepidariorum和褐丝蛛(Loxosceles reclusa);
线虫动物门(Phylum Nematoda)害虫,例如植物寄生性线虫,如根结线虫,根结线虫属(Meloidogyne),如北方根结线虫(M.hapla)、南方根结线虫(M.incognita)、爪哇根结线虫(M.javanica);胞囊线虫,球胞囊线虫属(Globodera),如马铃薯金线虫(G.rostochiensis);胞囊线虫属(Heterodera),如禾谷胞囊线虫(H.avenae)、大豆胞囊线虫(H.glycines)、甜菜胞囊线虫(H.schachtii)、三叶草胞囊线虫(H.trifolii);种子肿瘿线虫,粒线虫属(Anguina);茎叶线虫,滑刃线虫属(Aphelenchoides),如水稻干尖线虫(A.besseyi);刺线虫,针刺线虫属(Belonolaimus),如杂草刺线虫(B.longicaudatus);松线虫,伞滑刃线虫属(Bursaphelenchus),如松材线虫(B.lignicolus)、松材线虫(B.xylophilus);环形线虫,环纹线虫属(Criconema),小环线虫属(Criconemella),如C.xenoplax和C.ornata,以及轮线虫属(Criconemoides),如Criconemoides informis,中环线虫属(Mesocriconema);球茎线虫,茎线虫属(Ditylenchus),如腐烂茎线虫(D.destructor)、甘薯茎线虫(D.dipsaci);锥线虫,锥线虫属(Dolichodorus);螺旋形线虫,多带螺旋(Heliocotylenchus multicinctus);鞘线虫和鞘形线虫,鞘线虫属(Hemicycliophora)和Hemicriconemoides属;Hirshmanniella属;冠线虫,纽带线虫(Hoplolaimus)属;假根结线虫,真珠线虫属(Nacobbus);针线虫,长针线虫属(Longidorus)如伸展长针线虫(L.elongatus);根腐线虫,短体线虫属(Pratylenchus),如最短尾短体线虫(P.brachyurus)、疏忽短体线虫(P.neglectus)、穿刺短体线虫(P.penetrans)、P.curvitatus、古迪短体线虫(P.goodeyi);穿孔线虫,穿孔线虫属(Radopholus),如香蕉穿孔线虫(R.similis);Rhadopholus spp.;Rhodopholus spp.;肾形线虫,肾状线虫属(Rotylenchulus spp.),如盘旋线虫(R.robustus)、肾形肾脏线虫(R.reniformis);盾线虫(Scutellonema)属;残根线虫,毛刺线虫属(Trichodorus spp.),如T.obtusus、原始毛刺线虫(T.primitivus);类毛刺属(Paratrichodorus),如P.minor;阻长线虫,矮化线虫属(Tylenchorhynchus),如克莱顿矮化线虫(T.claytoni)、不定矮化线虫(T.dubius);柑桔线虫,小垫刃线虫(Tylenchulus)属,如柑桔半穿刺线虫(T.semipenetrans);剑线虫,剑线虫属(Xiphinema);以及其他植物寄生性线虫种属;
蜚蠊目(Blattodea)昆虫,例如大白蚁属(Macrotermes spp.),如M.natalensis;Cornitermes cumulans,Procornitermes spp.,Globitermes sulfureus,Neocapritermesspp.,如N.opacus,N.parvus;土白蚁属(Odontotermes spp.),Nasutitermes spp.,如N.corniger;Coptotermes spp.,如台湾乳白蚁(C.formosanus)、C.gestroi、C.acinaciformis;散白蚁属(Reticulitermes spp.),如R.hesperus、R.tibialis、黄胸散白蚁(R.speratus)、黄肢散白蚁(R.flavipes)、R.grassei、欧洲散白蚁(R.lucifugus)、美小黑散白蚁(R.virginicus);Heterotermes spp.,如金黄异白蚁(H.aureus)、长头异白蚁(H.longiceps)、甘蔗白蚁(H.tenuis);Cryptotermes spp.,如C.brevis、C.cavifrons;Incisitermes spp.,如I.minor、I.Snyder;Marginitermes hubbardi,Kalotermesflavicollis,Neotermes spp.,如栗色新白蚁(N.castaneus),Zootermopsis spp.,如Z.angusticollis、Z.nevadensis,Mastotermes spp.,如M.darwiniensis,Blatta spp.,如东方蜚蠊(B.orientalis)、B.lateralis;Blattella spp.,如B.asahinae、德国小蠊(B.germanica);Rhyparobia maderae,Panchlora nivea,Periplaneta spp.,如美洲大蠊(P.americana)、澳洲蜚蠊(P.australasiae)、棕色蜚蠊(P.brunnea)、黑胸大蠊(P.fuliginosa)、日本大蠊(P.japonica);Supella longipalpa,Parcoblattapennsylvanica,Eurycotis floridana,Pycnoscelus surinamensis,
蚤目(Siphonoptera)昆虫,例如Cediopsylla simples,角叶蚤属(Ceratophyllusspp.),Ctenocephalides spp.,如(猫跳蚤(C.felis)、狗跳蚤(C.canis),印鼠客蚤(Xenopsylla cheopis),致痒蚤(Pulex irritans),Trichodectes canis,穿皮潜蚤(Tungapenetrans)和具带病蚤(Nosopsyllus fasciatus);
缨尾目(Thysanura)昆虫,例如西洋衣鱼(Lepisma saccharina)、Ctenolepismaurbana和斑衣鱼(Thermobia domestica);
唇足纲(Chilopoda)害虫,例如地蜈蚣属(Geophilus spp.)、蚰蜒属(Scutigeraspp.),如Scutigera coleoptrata;
倍足纲(Diplopoda)害虫,例如Blaniulus guttulatus、Julus spp.、Narceusspp.;
综合纲(Symphyla)害虫,例如Scutigerella immaculata,
革翅目(Dermaptera)昆虫,例如欧洲球螋(Forficula auricularia),
弹尾目(Collembola)昆虫,例如棘跳虫属(Onychiurus ssp.),如武装棘跳虫(Onychiurus armatus),
等足目(Isopoda)害虫,例如鼠妇(Armadillidium vulgare)、栉水虱(Oniscusasellus)、球鼠妇(Porcellio scaber);
毛虱目(Phthiraptera)昆虫,例如畜虱属(Damalinia spp.);人虱属(Pediculusspp.),如人头虱(Pediculus humanus capitis)、人体虱(Pediculus humanus corporis),Pediculus humanus humanus;阴虱(Pthirus pubis);血虱属(Haematopinus spp.),如牛血虱(Haematopinus eurysternus)、猪血虱(Haematopinus suis);颚虱属(Linognathusspp.),如犊颚虱(Linognathus vituli);牛虱(Bovicola bovis)、鸡虱(Menopongallinae)、大鸡虱(Menacanthus stramineus)和水牛盲虱(Solenopotes capillatus),嚼虱属(Trichodectes spp.);
可以由式(I)化合物防治的其他害虫品种的实例包括软体动物门(PhylumMollusca),双壳纲(Bivalvia),例如饰贝属(Dreissena spp.);腹足纲(Gastropoda),例如阿勇蛞蝓属(Arion spp.)、双脐螺属(Biomphalaria spp.)、小泡螺属(Bulinus spp.)、Deroceras spp.、土蜗属(Galba spp.)、椎实螺属(Lymnaeas pp.)、钉螺属(Oncomelaniaspp.),福寿螺(Pomacea canaliclata),琥珀螺属(Succinea spp.);蠕虫纲(helminths),例如十二指肠钩口线虫(Ancylostoma duodenale)、斯里兰卡钩口线虫(Ancylostomaceylanicum)、巴西钩口线虫(Acylostoma braziliensis)、钩口线虫属(Ancylostomaspp.)、似引蛔线虫(Ascaris lubricoides)、蛔虫属(Ascaris spp.)、马来布鲁线虫(Brugia malayi)、帝汶布鲁线虫(Brugia timori)、仰口线虫属(Bunostomum spp.)、夏伯特线虫属(Chabertia spp.)、枝睾吸虫属(Clonorchis spp.)、古柏线虫属(Cooperiaspp.)、双腔吸虫属(Dicrocoelium spp.)、丝状网尾线虫(Dictyocaulus filaria)、阔叶裂头绦虫(Diphyllobothrium latum)、麦地那龙线虫(Dracunculus medinensis)、细粒棘球绦虫(Echinococcus granulosus)、多房棘球绦虫(Echinococcus multilocularis)、蠕形住肠蛲虫(Enterobius vermicularis)、片吸虫属(Faciola spp.)、血矛线虫属(Haemonchus spp.)如捻转血矛线虫(Haemonchus contortus);异刺线虫属(Heterakisspp.)、矮小啮壳绦虫(Hymenolepis nana)、猪圆线虫属(Hyostrongulus spp.)、罗阿罗阿线虫(Loa Loa)、细颈线虫属(Nematodirus spp.)、结节线虫属(Oesophagostomum spp.)、后睾吸虫属(Opisthorchis spp.)、旋盘尾丝虫(Onchocerca volvulus)、奥斯脱线虫属(Ostertagia spp.)、并殖吸虫属(Paragonimus spp.)、血吸虫属(Schistosomen spp.)、富氏类圆线虫(Strongyloides fuelleborni)、粪类圆线虫(Strongyloides stercoralis)、粪圆线虫属(Stronyloides spp.)、牛带绦虫(Taenia saginata)、猪带绦虫(Taeniasolium)、旋毛形线虫(Trichinella spiralis)、本地毛形线虫(Trichinella nativa)、株布氏旋毛虫(Trichinella britovi)、南方旋毛虫(Trichinella nelsoni)、伪方定毛形线虫(Trichinella pseudopsiralis)、毛圆线虫属(Trichostrongulus spp.)、毛首鞭形线虫(Trichuris trichuria)、班氏吴策线虫(Wuchereria bancrofti)。
本发明化合物适合用于处理或保护动物以防寄生虫侵染或感染。因此,本发明还涉及本发明化合物在在制造用于处理或保护动物以防寄生虫侵染或感染的药物中的用途。此外,本发明涉及一种处理或保护动物以防寄生虫侵染和感染的方法,包括对动物口服、局部或胃肠外给予或施用杀寄生虫有效量的本发明化合物。
本发明还涉及本发明化合物在处理或保护动物以防寄生虫侵染和感染中的非治疗用途。此外,本发明涉及一种处理或保护动物以防寄生虫侵染和感染的非治疗方法,包括对场所施用杀寄生虫有效量的本发明化合物。
本发明化合物进一步适合用于在动物中和动物上防除或防治寄生虫。此外,本发明涉及一种在动物中和动物上防除或防治寄生虫的方法,包括使寄生虫与杀寄生虫有效量的本发明化合物接触。
本发明还涉及本发明化合物在防治或防除寄生虫中的非治疗用途。此外,本发明涉及一种防除或防治寄生虫的非治疗方法,包括对场所施用杀寄生虫有效量的本发明化合物。
本发明化合物可以通过接触(经由土壤、玻璃、墙壁、蚊帐、地毯、毛毯或动物部分)和摄取(例如诱饵)二者而有效。此外,本发明化合物可以施用于任何和所有发育阶段。
本发明化合物可以直接或者以包含本发明化合物的组合物形式施用。
本发明化合物还可以与对病原性寄生虫起作用的混合配对一起施用,例如与合成球虫病化合物,聚醚抗生素,如氨丙啉、氯苯胍、托三嗪、莫能菌素、盐霉素、马度米星、拉沙里菌素、甲基盐霉素或生度米星,或与如上所定义的其他混合配对一起施用,或者以包含所述混合物的组合物形式施用。
本发明化合物和包含它们的组合物可以口服、胃肠外或局部,例如经皮施用。本发明化合物可以内吸或者非内吸地有效。
施用可以预防性、治疗性或非治疗性地进行。此外,施用可以预防性地对预期出现寄生虫的地方进行。
本文所用术语“接触”包括直接接触(将化合物/组合物直接施用于寄生虫上,包括直接施用于动物上或者排除直接施用于动物上,例如对后者而言施用于其场所)和间接接触(将化合物/组合物施用于寄生虫的场所)二者。通过施用于寄生虫的场所接触寄生虫为本发明化合物的非治疗用途的实例。
术语“场所”是指栖息地,食物供应源,繁殖地,其中寄生虫在动物之外生长或可能生长的区域、材料或环境。
本文所用术语“寄生虫”包括体内和体外寄生虫。在本发明的一些实施方案中,可能优选体内寄生虫。在其他实施方案中,可能优选体外寄生虫。在温血动物和鱼类中的侵染包括但不限于虱、咬虱、蜱、羊鼻蝇蛆、羊蜱蝇、螯蝇、家蝇、蝇、蛆蝇幼虫、恙螨、蚋、蚊和蚤。
本发明化合物尤其可以用于分别防除下列目和属的寄生虫:
蚤(蚤目(Siphonaptera)),例如猫蚤(Ctenocephalides felis)、狗蚤(Ctenocephalides canis)、印鼠客蚤(Xenopsylla cheopis)、致痒蚤(Pulex irritans)、穿皮潜蚤(Tunga penetrans)和具带病蚤(Nosopsyllus fasciatus),蟑螂(蜚蠊目-Blattodea),例如德国小蠊(Blattella germanica)、Blattella asahinae、美洲蟑螂(Periplaneta americana)、日本大蠊(Periplaneta japonica)、棕色蜚蠊(Periplanetabrunnea)、Periplaneta fuligginosa、澳洲蜚蠊(Periplaneta australasiae)和东方蜚蠊(Blatta orientalis),蝇、蚊(双翅目),例如埃及伊蚊(Aedes aegypti)、白纹伊蚊(Aedesalbopictus)、剌扰伊蚊(Aedes vexans)、墨西哥果蝇(Anastrepha ludens)、五斑按蚊(Anopheles maculipennis)、Anopheles crucians、白足按蚊(Anopheles albimanus)、疟蚊(Anopheles gambiae)、Anopheles freeborni、海南岛白踝按蚊(Anophelesleucosphyrus)、云南微小按蚊(Anopheles minimus)、四斑按蚊(Anophelesquadrimaculatus)、红头丽蝇(Calliphora vicina)、蛆症金蝇(Chrysomya bezziana)、Chrysomya hominivorax、Chrysomya macellaria、鹿蝇(Chrysops discalis)、Chrysopssilacea、Chrysops atlanticus、螺旋蝇(Cochliomyia hominivorax)、嗜人瘤蝇蛆(Cordylobia anthropophaga)、狂怒库蠓(Culicoides furens)、尖音库蚊(Culexpipiens)、斑蚊(Culex nigripalpus)、致倦库蚊(Culex quinquefasciatus)、媒斑蚊(Culex tarsalis)、Culiseta inornata、Culiseta melanura、人肤皮蝇(Dermatobiahominis)、小毛厕蝇(Fannia canicularis)、马蝇(Gasterophilus intestinalis)、刺舌蝇(Glossina morsitans)、须舌蝇(Glossina palpalis)、Glossina fuscipes、胶舌蝇(Glossina tachinoides)、Haematobia irritans、Haplodiplosis equestris、潜蝇属(Hippelates)、纹皮蝇(Hypoderma lineata)、Leptoconops torrens、Lucilia caprina、铜绿蝇(Lucilia cuprina)、丝光绿蝇(Lucilia sericata)、Lycoria pectoralis、沼蚊属(Mansonia)、家蝇(Musca domestica)、厩腐蝇(Muscina stabulans)、羊狂蝇(Oestrusovis)、银足白蛉(Phlebotomus argentipes)、Psorophora columbiae、Psorophoradiscolor、Prosimulium mixtum、赤尾肉蝇(Sarcophaga haemorrhoidalis)、肉蝇属(Sarcophaga)、带蚋(Simulium vittatum)、厩螫蝇(Stomoxys calcitrans)、牛虻(Tabanusbovinus)、Tabanus atratus、红色原虻(Tabanus lineola)和Tabanus similis;虱(毛虱目(Phthiraptera)),例如人头虱(Pediculus humanus capitis)、人体虱(Pediculushumanus corporis)、阴虱(Pthirus pubis)、牛血虱(Haematopinus eurysternus)、猪血虱(Haematopinus suis)、牛颚虱(Linognathus vituli)、Bovicola bovis、鸡虱(Menopongallinae)、Menacanthus stramineus和Solenopotes capillatus;壁虱和寄生螨(寄螨目(Parasitiformes)):壁虱(蜱亚目(Ixodida)),例如黑脚硬蜱(Ixodes scapularis)、全环硬蜱(Ixodes holocyclus)、太平洋硬蜱(Ixodes pacificus)、棕色犬壁虱(Rhiphicephalus sanguineus)、安氏革螨(Dermacentor andersoni)、美洲大革螨(Dermacentor variabilis)、长星形壁虱(Amblyomma americanum)、Ambryommamaculatum、Ornithodorus hermsi、Ornithodorus turicata以及寄生螨(甲螨亚目(Mesostigmata)),例如柏氏禽刺螨(Ornithonyssus bacoti)和鸡皮刺螨(Dermanyssusgallinae);辐螨亚目(Actinedida)(前气门亚目(Prostigmata))和粉螨亚目(Acaridida)(无气门目(Astigmata)),例如Acarapis spp.、Cheyletiella spp.、Ornithocheyletiaspp.、鼠螨属(Myobia)、Psorergates spp.、蠕形螨属(Demodex)、恙螨属(Trombicula)、Listrophorus spp.、粉螨属(Acarus)、食酪螨属(Tyrophagus)、嗜木螨属(Caloglyphus)、Hypodectes spp.、Pterolichus spp.、痒螨属(Psoroptes)、疥螨属(Chorioptes)、耳痒螨属(Otodectes)、Sarcoptes spp.、背肛螨属(Notoedres)、膝螨属(Knemidocoptes)、Cytodites spp.和Laminosioptes spp.;臭虫(Heteropterida):温带臭虫(Cimexlectularius)、热带臭虫(Cimex hemipterus)、Reduvius senilis、锥蝽属(Triatoma)、锥蝽属(Rhodnius)、Panstrongylus ssp.和Arilus critatus,虱目(Anoplurida),例如Haematopinus spp.、Linognathus spp.、Pediculus spp.、Phtirus spp.和Solenopotesspp.;食毛目(Mallophagida)(Arnblycerina和Ischnocerina亚目),例如Trimenoponspp.、Menopon spp.、Trinoton spp.、Bovicola spp.、Werneckiella spp.、Lepikentronspp.、Trichodectes spp.和Felicola spp.;蛔虫(线虫纲(Nematoda)):金针虫和Trichinosis(毛管目(Trichosyringida)),例如毛形科(Trichinellidae)(毛形属(Trichinella))、毛首科(Trichuridae)、Trichuris spp.、毛细线虫属(Capillaria);杆形目(Rhabditida),例如小杆线虫属(Rhabditis)、Strongyloides spp.、Helicephalobusspp.;圆线虫目(Strongylida),例如Strongylus spp.、Ancylostoma spp.、美洲钩虫(Necator americanus)、Bunostomum spp.(钩虫)、毛圆线虫属(Trichostrongylus)、捻转血矛线虫(Haemonchus contortus)、Ostertagia spp.、Cooperia spp.、细颈线虫属(Nematodirus)、Dictyocaulus spp.、Cyathostoma spp.、结节线虫属(Oesophagostomum)、猪肾虫(Stephanurus dentatus)、Ollulanus spp.、夏伯特线虫属(Chabertia)、猪肾虫、气管比翼线虫(Syngamus trachea)、Ancylostoma spp.、钩虫属(Uncinaria)、球首线虫属(Globocephalus)、Necator spp.、后圆线虫属(Metastrongylus)、毛样缪勒线虫(Muellerius capillaris)、Protostrongylus spp.、管圆线虫属(Angiostrongylus)、Parelaphostrongylus spp.、Aleurostrongylus abstrusus和肾膨结线虫(Dioctophymarenale);肠线虫(蛔目(Ascaridida)),例如似蚓蛔线虫(Ascaris lumbricoides)、猪蛔虫(Ascaris suum)、鸡蛔虫(Ascaridia galli)、马副蛔虫(Parascaris equorum)、蛲虫(Enterobius vermicularis)(蛲虫)、犬弓首蛔虫(Toxocara canis)、犬蛔虫(Toxascarisleonine)、Skrjabinema spp.和马尖尾线虫(Oxyuris equi);Camallanida,例如Dracunculus medinensis(麦地那龙线虫);旋尾目(Spirurida),例如Thelazia spp.、丝虫属(Wuchereria)、Brugia spp.、Onchocerca spp.、Dirofilari spp.、Dipetalonema spp.、Setaria spp.、Elaeophora spp.、狼尾旋线虫(Spirocerca lupi)和丽线虫属(Habronema);棘头虫(棘头动物门(Acanthocephala)),例如Acanthocephalus spp.、猪巨吻棘头虫(Macracanthorhynchus hirudinaceus)和棘头虫属(Oncicola);扁虫类(Planarians)(扁形动物门(Plathelminthes)):肝吸虫(Flukes)(吸虫纲(Trematoda)),例如肝片形吸虫属(Faciola)、Fascioloides magna、并殖吸虫属(Paragonimus)、双腔吸虫属(Dicrocoelium)、布氏姜片吸虫(Fasciolopsis buski)、华枝睾吸虫(Clonorchissinensis)、血吸虫属(Schistosoma)、毛毕吸虫属(Trichobilharzia)、有翼翼形吸虫(Alaria alata)、并殖吸虫属和Nanocyetes spp;Cercomeromorpha,尤其是Cestoda(绦虫),例如裂头绦虫属(Diphyllobothrium)、Tenia spp.、棘球绦虫属(Echinococcus)、犬复孔绦虫(Dipylidium caninum)、Multiceps spp.、膜壳绦虫属(Hymenolepis)、中殖孔绦虫属(Mesocestoides)、Vampirolepis spp.、Moniezia spp.、Anoplocephala spp.、Sirometra spp.、Anoplocephala spp.和Hymenolepis spp.。
本文所用术语“动物”包括温血动物(包括人类)和鱼类。优选哺乳动物,如牛、绵羊、猪、骆驼、鹿、马、小猪、家禽、兔、山羊、狗和猫,水牛、驴、黇鹿和驯鹿,以及还有产皮动物如貂、毛丝鼠和浣熊,禽类如母鸡、鹅、火鸡和鸭以及鱼类如淡水鱼和咸水鱼如鲑鱼、鲤鱼和鳗鱼。特别优选家养动物,如狗或猫。
通常而言,“杀寄生虫有效量”是指对生长获得可观察到的效果所需的活性成分的量,所述效果包括坏死、死亡、阻滞、预防和去除效果,破坏效果或减少目标生物体的出现和活动的效果。对于用于本发明的各种化合物/组合物,杀寄生虫有效量可以变化。组合物的杀寄生虫有效量也会根据主要条件如所需杀寄生虫效果及持续时间、目标物种、施用方式等而变化。
通常有利的是以0.5-100mg/kg/天,优选1-50mg/kg/天的总量施用本发明化合物。
为了对温血动物口服给药,可以将式I化合物配制成动物饲料、动物饲料预混物、动物饲料浓缩物、丸剂、溶液、糊、悬浮液、浸液、凝胶、片剂、大丸剂和胶囊。此外,式I化合物可以在其饮用水中给药于动物。对于口服给药,所选择的剂型应为动物提供0.01-100mg/kg动物体重/天,优选0.5-100mg/kg动物体重/天的式I化合物。
或者,式I化合物可以肠胃外给药于动物,例如通过腔内、肌内、静脉内或皮下注射。式I化合物可以分散或溶于对于皮下注射而言生理上可接受的载体中。或者,式I化合物可配制成皮下给药用植入物。此外,式I化合物可以透皮给药于动物。对于肠胃外给药,所选剂型应为动物提供0.01-100mg/kg动物体重/天的式I化合物。
式I化合物还可以浸液、粉剂、粉末、套环、挂牌(medallions)、喷雾剂、香波、滴施(spot-on)和喷淋(pour-on)配制剂形式以及以软膏或水包油或油包水乳液局部给药于动物。对于局部施用,浸液和喷雾剂通常含有0.5-5,000ppm,优选1-3,000ppm式I化合物。此外,式I化合物可以配制成动物,特别是四足动物如牛和绵羊用耳贴。
合适的制剂是:
-溶液,如口服溶液、稀释后口服给药用浓缩物、用于皮肤上或用于体腔内的溶液、喷淋配制剂、凝胶;
-口服或皮肤给药乳液和悬浮液;半固体制剂;
-其中将活性化合物在软膏基质中或在水包油或油包水乳液基质中加工的配制剂;
-固体制剂如粉末、预混物或浓缩物、颗粒、丸剂、片剂、大丸剂、胶囊;气雾剂和吸入剂,以及含有活性化合物的成型制品。
适合注射的组合物通过将活性成分溶于合适的溶剂中并任选加入其他助剂如酸、碱、缓冲盐、防腐剂和加溶剂而制备。适合注射液的助剂在本领域中是已知的。过滤这些溶液并无菌填充。
口服溶液直接给药。浓缩物在预先稀释至使用浓度之后口服给药。口服溶液和浓缩物根据上面对注射液所述的现有技术制备,并不必需无菌程序。
用于皮肤上的溶液滴施、涂施、擦施、洒施或喷施。用于皮肤上的溶液根据现有技术以及上面对注射液所述制备,并不必需无菌程序。
将凝胶施加或涂敷在皮肤上或引入体腔中。凝胶通过用足以得到具有软膏状稠度的透明材料的增稠剂处理如在注射液情况下所述制备的溶液而制备。合适的增稠剂在本领域中是已知的。
将喷淋配制剂倒在或喷雾在限定的皮肤区域,活性化合物渗透进皮肤并内吸起作用。喷淋配制剂通过将活性化合物在合适的皮肤相容性溶剂或溶剂混合物中溶解、悬浮或乳化而制备。合适的话加入其他助剂如着色剂、生物吸收促进物质、抗氧化剂、光稳定剂、粘合剂。合适的助剂在本领域中是已知的。
乳液可以口服、经皮给药或作为注射液给药。乳液呈油包水型或水包油型。它们通过将活性化合物溶于疏水性或亲水性相中并借助合适的乳化剂以及合适的话其他助剂如着色剂、吸收促进物质、防腐剂、抗氧化剂、光稳定剂、粘度提高物质用另一相的溶剂均化而制备。合适的疏水相(油)、合适的亲水相、合适的乳化剂和合适的其他乳液用助剂在本领域中是已知的。
悬浮液可以口服或局部/经皮给药。它们通过将活性化合物悬浮于悬浮剂中而制备,合适的话加入其他助剂如润湿剂、着色剂、生物吸收促进物质、防腐剂、抗氧化剂、光稳定剂。合适的悬浮剂和合适的其他悬浮液用助剂—包括润湿剂—在本领域中是已知的。
半固体制剂可以口服或局部/经皮给药。它们与上述悬浮液和乳液的不同仅在于它们具有更高粘度。
为了生产固体制剂,将活性化合物与合适的赋形剂混合,合适的话加入助剂,并且制成所需剂型。适合该目的的助剂在本领域中是已知的。
可以用于本发明的组合物通常可以包含约0.001-95%本发明化合物。
即用制剂以10重量ppm-80重量%,优选0.1-65重量%,更优选1-50重量%,最优选5-40重量%的浓度含有对寄生虫,优选体外寄生虫起作用的化合物。
在使用前稀释的制剂以0.5-90重量%,优选1-50重量%的浓度含有对体外寄生虫起作用的化合物。
此外,制剂以10重量ppm-2重量%,优选0.05-0.9重量%,非常特别优选0.005-0.25重量%的浓度包含对抗体内寄生虫的式I化合物。
局部施用可以用含有化合物的成型制品如套环、挂牌、耳贴、在身体部分上固定用的绑带以及粘合条和箔进行。
通常有利的是施用在三周内以10-300mg/kg,优选20-200mg/kg,最优选25-160mg/kg被处理动物体重的总量释放本发明化合物的固体配制剂。
实施例
制备实施例:
化合物例如可以通过联用的高效液相色谱法/质谱法(HPLC/MS)、1H-NMR和/或其熔点表征。
分析HPLC—方法1:Agilent Eclipse Plus C18,50×4.6mm,ID 5μm;洗脱剂:A=10mM甲酸铵(0.1%甲酸),B=乙腈(0.1%甲酸),流速=在30℃下1.2ml/min.;梯度:10%B-100%B-3min,保持1min,1min-10%B。运行时间=5.01min。
分析HPLC—方法2:Kinetex XB C18 1.7μ50×2.1mm;A=水+0.1%TFA,B=乙腈,流速=在60℃下在1.5min内0.8ml/min-1.0ml/min;梯度:5%B-100%B-1.5min。
1H-NMR:信号由相对于四甲基硅烷或对于13C-NMR而言相对于CDCl3的化学位移(ppm,δ)、其多重性和其积分(所给氢原子的相对数)表征。使用下列缩写表征信号的多重性:m=多重峰,q=四重峰,t=三重峰,d=双峰和s=单峰。
所用缩写为:d表示天,h表示小时,min表示分钟,r.t./室温表示20-25℃,Rt表示停留时间;DMSO表示二甲亚砜,OAc表示乙酸根,EtOAc表示乙酸乙酯,THF表示四氢呋喃,DMF表示N,N-二甲基甲酰胺,ACN表示乙腈,DCM表示二氯甲烷,TEA表示三乙胺且t-BuOH表示叔丁醇。
实施例C-1:
化合物C-1:
N-[1-[2-氟-4-[(E)-[(2-异丙基苯基)氨基甲酰基亚肼基]甲基]苯基]-3-甲基-吡唑-4-基]-4-(三氟甲氧基)苯甲酰胺的合成
步骤1:3-甲基-1H-吡唑-4-胺的合成:
在室温下向搅拌的3-甲基-4-硝基吡唑(5g)的IPA(40mL)和甲醇(40mL)混合物溶液中加入双频哪醇合二硼(30.0g)和叔丁醇钾(5.3g)。将整个反应混合物在110℃下加热3小时。通过GCMS分析监测反应进程。将反应混合物通过硅藻土过滤,并将滤液减压浓缩,得到所需产物,为棕色固体(3.8g)。GC/MS:Rt:4.07min;m/z=97(M)。
步骤2:N-(3-甲基-1H-吡唑-4-基)-4-(三氟甲氧基)苯甲酰胺的合成:
向搅拌的3-甲基4-氨基吡唑(2.9g)的无水THF(55mL)溶液中加入三乙胺(14.14mL),然后在0℃下缓慢加入4-三氟甲氧基苯甲酰氯(7.85g)。将反应混合物在室温下搅拌3小时。通过TLC监测反应进程。将反应混合物用水(200mL)稀释,然后用乙酸乙酯(100mL×2)萃取。有机层用硫酸钠干燥,并在减压下浓缩,得到所需产物,为棕色固体(8.0g)。1H NMR(300MHz,DMSO-d6)δ12.43(d,J=12.0Hz,1H),9.81(s,1H),8.15-7.99(m,2H),7.88(s,1H),7.61-7.40(m,2H),2.18(s,3H)。
步骤3:N-[1-(2-氟-4-甲酰基-苯基)-3-甲基-吡唑-4-基]-4-(三氟甲氧基)苯甲酰胺的合成:
在室温下,向搅拌的N-(3-甲基-1H-吡唑-4-基)-4-(三氟甲氧基)苯甲酰胺(1.2g)的无水DMF(20mL)溶液中加入碳酸钾(0.872g)和3,4-氟苯甲醛(0.75g)。将反应混合物在145℃下加热6小时。通过LCMS分析监测反应进程。反应混合物用水(100mL)稀释,然后用乙酸乙酯(100mL×2)萃取。合并的有机层用硫酸钠干燥,并减压浓缩,得到粗产物。粗产物通过柱色谱法纯化,使用乙酸乙酯和庚烷作为洗脱剂,得到所需产物,为灰白色固体(0.80g)。HPLC/MS(方法1):Rt:1.93min;m/z=408(M+1)+;1H NMR(500MHz,DMSO-d6)δ10.16(s,1H),10,00(s,1H),8.65(d,J=3.0Hz,1H),8.15-8.08(m,3H),7.97-7.89(m,3H),7.55(d,J=8.5Hz,2H),2.37(s,3H)。
步骤4:N-[1-[2-氟-4-[(E)-[(2-异丙基苯基)氨基甲酰基亚肼基]甲基]苯基]-3-甲基-吡唑-4-基]-4-(三氟甲氧基)苯甲酰胺:
在室温下,向搅拌的N-[1-(2-氟-4-甲酰基-苯基)-3-甲基-吡唑-4-基]-4-(三氟甲氧基)苯甲酰胺(0.45g)的乙酸(6mL)溶液中加入1-氨基-3-(2-异丙基苯基)硫脲(0.230g)。将反应混合物在室温下搅拌4小时。通过LCMS分析监测反应进程。将反应混合物用水(100mL)稀释,用固体碳酸氢钠中和,然后用乙酸乙酯(100mL×2)萃取。合并的有机层用硫酸钠干燥,减压浓缩,得到所需产物。粗产物通过柱色谱法纯化,使用乙酸乙酯和庚烷作为洗脱剂,得到所需产物,为黄色固体(0.62g)。HPLC/MS(方法1):Rt:2.101min;m/z=599(M+1)+。1H NMR(500MHz,DMSO-d6)δ11.90(s,1H),10.15(s,1H),10.10(s,1H),8.54(d,J=2.9Hz,1H),8.29(dd,J=13.7,1.7Hz,1H),8.15(s,1H),8.12-8.05(m,2H),7.88(t,J=8.3Hz,1H),7.69(dd,J=8.5,1.8Hz,1H),7.58-7.49(m,2H),7.38(dd,J=7.9,1.6Hz,1H),7.32(td,J=7.5,1.5Hz,1H),7.24(td,J=7.5,1.6Hz,1H),7.19(dd,J=7.8,1.5Hz,1H),3.14(p,J=6.9Hz,1H),2.34(s,3H),1.20(d,J=6.9Hz,6H)。
化合物:C-2
N-[1-[2-氟-4-[(E)-[(Z)-[3-(2-异丙基苯基)-4-氧代-噻唑烷-2-亚基]亚肼基]甲基]苯基]-3-甲基-吡唑-4-基]-4-(三氟甲氧基)苯甲酰胺的合成:
在室温下,向搅拌的N-[1-[2-氟-4-[(E)-[(2-异丙基苯基)氨基甲酰基亚肼基]甲基]苯基]-3-甲基-吡唑-4-基]-4-(三氟甲氧基)苯甲酰胺(0.44g)的乙醇(6mL)溶液中加入乙酸钠(0.12g)和溴乙酸甲酯(0.27mL)。将混合物在50℃加热12小时。通过LCMS分析监测反应进程。反应混合物用水(100mL)稀释,然后用乙酸乙酯(50mL×2)萃取。合并的有机层用硫酸钠干燥,减压浓缩,得到粗产物。通过使用乙醚和庚烷作为洗脱剂研制来纯化粗产物,得到所需产物,为黄色固体(0.41g)。HPLC/MS(方法1):Rt:2.101min;m/z=637(M-1)+。1H NMR(500MHz,DMSO-d6)δ10.12(s,1H),8.55(d,J=2.9Hz,1H),8.37(s,1H),8.16–8.03(m,2H),7.95(t,J=8.3Hz,1H),7.81-7.63(m,2H),7.57-7.52(m,2H),7.49(ddd,J=15.0,8.6,1.6Hz,2H),7.34(td,J=7.5,1.7Hz,1H),7.27(dd,J=7.8,1.4Hz,1H),4.28(d,J=17.4Hz,1H),4.16(d,J=17.3Hz,1H),2.80(p,J=6.8Hz,1H),2.34(s,3H),1.15(dd,J=11.2,6.8Hz,6H)。
化合物:C-3
N-[1-[2-氟-4-[(E)-[(2Z)-2-(2-异丙基苯基)亚氨基-4-氧代-噻唑烷-3-基]亚氨基甲基]苯基]-3-甲基-吡唑-4-基]-4-(三氟甲氧基)苯甲酰胺的合成:
在室温下,向搅拌的N-[1-(2-氟-4-甲酰基-苯基)-3-甲基-吡唑-4-基]-4-(三氟甲氧基)苯甲酰胺(0.21g)的乙酸(5mL)溶液中加入(2Z)-3-氨基-2-(2-异丙基苯基)亚氨基-噻唑烷-4-酮(0.129g),将反应混合物在室温下搅拌12小时。通过LCMS分析监测反应进程。反应混合物用水(100mL)稀释,然后用固体碳酸氢钠中和,粗产物用乙酸乙酯(50mL×2)萃取。合并的有机层用硫酸钠干燥,并减压浓缩,得到粗产物。粗产物通过柱色谱法纯化,使用乙酸乙酯和庚烷作为洗脱剂,得到所需产物,为黄色固体(0.06g)。HPLC/MS(方法1):Rt:2.144min;m/z=639(M+1)+;1H NMR(300MHz,DMSO-d6)δ10.14(s,1H),9.20(s,1H),8.62(d,J=3.1Hz,1H),8.07(dd,J=11.5,8.5Hz,3H),8.01-7.83(m,2H),7.54(d,J=8.3Hz,2H),7.31(d,J=7.5Hz,1H),7.23-7.06(m,2H),6.87(dd,J=7.7,1.5Hz,1H),4.16(s,2H),3.10-2.87(m,1H),2.36(s,3H),1.15(d,J=6.9Hz,6H)。
化合物:C-4
N-[1-[4-[(E)-[(2-异丙基苯基)氨基甲酰基亚肼基]甲基]苯基]-3-甲基-吡唑-4-基]-4-(三氟甲氧基)苯甲酰胺的合成:
步骤1:3-甲基-1H-吡唑-4-胺的合成:
在室温下,向搅拌的3-甲基-4-硝基吡唑(5.0g)的IPA(40mL)和甲醇(40mL)混合物溶液中加入双频哪醇合二硼(30.0g)和叔丁醇钾(5.3g)。将整个反应混合物在110℃下加热3小时。通过GCMS分析监测反应进程。将反应混合物通过硅藻土过滤,并将滤液减压浓缩,得到所需产物,为棕色固体(3.8g)。GC/MS:Rt:4.07min;m/z=97(M)。
步骤2:N-(3-甲基-1H-吡唑-4-基)-4-(三氟甲氧基)苯甲酰胺的合成:
向搅拌的3-甲基4-氨基吡唑(2.9g)的无水THF(55mL)溶液中加入三乙胺(14.14mL),然后在0℃下缓慢加入4-三氟甲氧基苯甲酰氯(7.85g)。将反应混合物在室温下搅拌3小时。通过TLC监测反应进程。将反应混合物用水(200mL)稀释,然后用乙酸乙酯(100mL×2)萃取。有机层用硫酸钠干燥,减压浓缩,得到所需产物,为棕色固体(8.0g)。1HNMR(300MHz,DMSO-d6)δ12.43(d,J=12.0Hz,1H),9.81(s,1H),8.15-7.99(m,2H),7.88(s,1H),7.61-7.40(m,2H),2.18(s,3H)。
步骤3:N-[1-(4-甲酰基苯基)-3-甲基-吡唑-4-基]-4-(三氟甲氧基)苯甲酰胺的合成:
在室温下,向搅拌的N-(3-甲基-1H-吡唑-4-基)-4-(三氟甲氧基)苯甲酰胺(0.6g)的无水DMF(10mL)溶液中加入碳酸钾(0.582g)和4-氟苯甲醛(0.3g)。将反应混合物在125℃下加热24小时。通过LCMS分析监测反应进程。反应混合物用水(50mL)稀释,然后用乙酸乙酯(50mL×2)萃取。合并的有机层用硫酸钠干燥,并减压浓缩,得到粗产物。粗产物通过柱色谱法纯化,使用乙酸乙酯和庚烷作为洗脱剂,得到所需产物,为灰白色固体(0.43g)。HPLC/MS(方法1):Rt:1.867min;m/z=390(M+1)+;1H NMR(300MHz,DMSO-d6)δ10.14(s,1H),9.99(s,1H),8.84(s,1H),8.13-8.07(m,2H),8.07-7.96(m,4H),7.59-7.51(m,2H),2.34(s,3H)。
步骤4:N-[1-[4-[(E)-[(2-异丙基苯基)氨基甲酰基亚肼基]甲基]苯基]-3-甲基-吡唑-4-基]-4-(三氟甲氧基)苯甲酰胺的合成:
在室温下,向搅拌的N-[1-(4-甲酰基苯基)吡唑-4-基]-4-(三氟甲氧基)苯甲酰胺(0.43g)的乙酸(6mL)溶液中加入1-氨基-3-(2-异丙基苯基)硫脲(0.231g)。将反应混合物在室温下搅拌5小时。通过LCMS分析监测反应进程。将反应混合物用水(100mL)稀释,用固体碳酸氢钠中和,然后用乙酸乙酯(100mL×2)萃取。合并的有机层用硫酸钠干燥,减压浓缩,得到所需产物。粗产物通过柱色谱法纯化,使用DCM和甲醇作为洗脱剂,得到所需产物,为黄色固体(0.630g)。HPLC/MS(方法1):Rt:2.059min;m/z=581(M+1)+;1H NMR(300MHz,DMSO-d6)δ11.79(s,1H),10.07(d,J=11.0Hz,2H),8.76(s,1H),8.16(s,1H),8.13-8.05(m,2H),8.00(d,J=8.7Hz,2H),7.85(d,J=8.7Hz,2H),7.60-7.48(m,2H),7.41-7.33(m,1H),7.33-7.24(m,1H),7.24-7.18(m,2H),3.24-2.88(m,1H),2.31(s,3H),1.19(d,J=6.8Hz,6H)。
化合物:C-5
步骤1:N-[1-[4-[(E)-[(Z)-[3-(2-异丙基苯基)-4-氧代-噻唑烷-2-亚基]亚肼基]甲基]苯基]-3-甲基-吡唑-4-基]-4-(三氟甲氧基)苯甲酰胺的合成:
在室温下,向搅拌的N-[1-[4-[(E)-[(2-异丙基苯基)氨基甲酰基亚肼基]甲基]苯基]-3-甲基-吡唑-4-基]-4-(三氟甲氧基)苯甲酰胺(0.320g)的乙醇(5mL)溶液中加入乙酸钠(0.09g)和溴乙酸甲酯(0.2mL)。将混合物在45℃下加热3小时。通过LCMS分析监测反应进程。反应混合物用水(50mL)稀释,然后用乙酸乙酯(50mL×2)萃取。合并的有机层用硫酸钠干燥,并减压浓缩,得到粗产物。通过使用乙醚和庚烷作为洗脱剂研磨来纯化粗产物,得到所需产物,为米色固体(0.3g)。HPLC/MS(方法1):Rt:2.165min;m/z=621(M+1)+;1H NMR(300MHz,DMSO-d6)δ10.10(s,1H),8.74(s,1H),8.34(s,1H),8.15-8.04(m,2H),7.89(d,J=8.8Hz,2H),7.82(d,J=8.8Hz,2H),7.61-7.42(m,4H),7.34(td,J=7.3,6.7,1.9Hz,1H),7.29-7.21(m,1H),4.33-4.02(m,2H),2.78(q,J=6.8Hz,1H),2.32(s,3H),1.15(t,J=7.2Hz,6H)。
化合物:C-6
[(2S,3R,4R,5S,6S)-3,4,5-三甲氧基-6-甲基-四氢吡喃-2-基]N-[4-[3-甲基-4-[[4-(三氟甲氧基)苯甲酰基]氨基]吡唑-1-基]苯基]氨基甲酸酯的合成:
步骤1:N-[3-甲基-1-(4-硝基苯基)吡唑-4-基]-4-(三氟甲氧基)苯甲酰胺的合成
在室温下,向搅拌的N-(3-甲基-1H-吡唑-4-基)-4-(三氟甲氧基)苯甲酰胺(0.3g)的无水DMF(4mL)溶液中加入碳酸钾(0.306g)和1-氟-4-硝基-苯(0.190g)。将反应混合物在125℃下加热24小时。通过LCMS分析监测反应进程。反应混合物用水(100mL)稀释,然后用乙酸乙酯(50mL×2)萃取。合并的有机层用硫酸钠干燥,并减压浓缩,得到粗产物。粗产物通过柱色谱法纯化,使用乙酸乙酯和庚烷作为洗脱剂,获得标题化合物,为棕色固体(0.210g)。HPLC/MS(方法1):Rt:2.016min;m/z=405(M-1)+;1H NMR(500MHz,DMSO-d6)δ10.15(s,1H),8.88(s,1H),8.36-8.27(m,2H),8.13-8.03(m,4H),7.55(d,J=8.3Hz,2H),2.35(s,3H)。
步骤2:N-[1-(4-氨基苯基)-3-甲基-吡唑-4-基]-4-(三氟甲氧基)苯甲酰胺的合成:
在室温下,向搅拌的N-[3-甲基-1-(4-硝基苯基)吡唑-4-基]-4-(三氟甲氧基)苯甲酰胺(1.13g)的乙酸乙酯(40mL)溶液中加入氯化锡二水合物(1.85g)。将整个混合物在85℃下加热24小时。通过LCMS分析监测反应进程。将反应混合物用水(200mL)稀释,用饱和氢氧化锂溶液猝灭,使pH为7,然后向反应混合物中加入乙酸乙酯(200mL)。将反应混合物通过硅藻土过滤。分离各层,有机层用硫酸钠干燥,减压浓缩,得到淡棕色固体产物(1.0g)。HPLC/MS(方法1):Rt:1.709min;m/z=375(M-1)+;1H NMR(500MHz,DMSO-d6)δ9.96(s,1H),8.35(s,1H),8.08(d,J=8.6Hz,2H),7.53(d,J=8.3Hz,2H),7.39(d,J=8.6Hz,2H),6.65–6.56(m,2H),5.17(s,2H),2.25(s,3H)。
步骤3:(4-硝基苯基)N-[4-[3-甲基-4-[[4-(三氟甲氧基)苯甲酰基]氨基]吡唑-1-基]苯基]氨基甲酸酯的合成:
在0℃下,向搅拌的N-[1-(4-氨基苯基)-3-甲基-吡唑-4-基]-4-(三氟甲氧基)苯甲酰胺(0.5g)的无水THF(10mL)溶液中加入氯甲酸对硝基苯酯(0.402g)。将整个混合物在室温下搅拌2小时。通过LCMS分析监测反应进程。通过吹扫氮气除去过量的THF溶剂,然后将庚烷(15mL)加入到粗固体中并搅拌15分钟。过滤固体并在高真空下干燥,得到浅灰色固体产物。Rt:1.963min;m/z=540(M-1)+;
步骤4:[(2S,3R,4R,5S,6S)-3,4,5-三甲氧基-6-甲基-四氢吡喃-2-基]N-[4-[3-甲基-4-[[4-(三氟甲氧基)苯甲酰基]氨基]吡唑-1-基]苯基]氨基甲酸酯的合成:
在0℃下,向搅拌的(4-硝基苯基)N-[4-[3-甲基-4-[[4-(三氟甲氧基)苯甲酰基]氨基]吡唑-1-基]苯基]氨基甲酸酯(0.7g)的无水乙腈(15mL)溶液中,相继加入磷酸钾(0.685g)、DIPEA(0.417g)和然后鼠李糖。将反应混合物在室温下搅拌过夜。通过LCMS分析监测反应进程。将反应混合物用水(250mL)稀释,然后用乙酸乙酯(250mL×2)萃取,将有机层用硫酸钠干燥,并减压浓缩,得到粗产物。粗产物通过制备型HPLC纯化,得到所需产物,为淡橙色固体(0.10g)。HPLC/MS(方法1):Rt:1.899min;m/z=609(M+1)+;1H NMR(500MHz,DMSO-d6)δ10.03(s,1H),9.93(s,1H),8.58(s,1H),8.13–8.02(m,2H),7.73(d,J=8.8Hz,2H),7.56(dd,J=14.1,8.2Hz,4H),5.97(d,J=2.2Hz,1H),3.76(t,J=2.7Hz,1H),3.61(d,J=25.1Hz,1H),3.51(d,J=9.1Hz,1H),3.45(d,J=9.5Hz,6H),3.40(s,3H),3.07(t,J=9.3Hz,1H),2.29(s,3H),1.19(d,J=6.2Hz,3H)。
化合物:C-7
按照前述方法实现N-[1-[4-[(E)-[(2-异丙基苯基)氨基甲酰基亚肼基]甲基]苯基]吡唑-4-基]-4-(三氟甲氧基)苯甲酰胺的合成。
HPLC/MS(方法1):Rt:2.101min;m/z=667(M+1)+;1H NMR(300MHz,DMSO-d6)δ11.81(s,1H),10.80(s,1H),10.07(s,1H),8.80(s,1H),8.21-8.07(m,3H),8.03(d,J=8.6Hz,2H),7.97-7.84(m,3H),7.62–7.49(m,2H),7.41-7.34(m,1H),7.34-7.24(m,1H),7.24–7.12(m,2H),3.23-3.04(m,1H),1.19(d,J=6.8Hz,6H)。
化合物:C-8
按照前述方法实现N-[1-[4-[(E)-[(Z)-[3-(2-异丙基苯基)-4-氧代-噻唑烷-2-亚基]亚肼基]甲基]苯基]吡唑-4-基]-4-(三氟甲氧基)苯甲酰胺的合成。
HPLC/MS(方法1):Rt:2.176min;m/z=607(M+1)+.1H NMR(300MHz,DMSO-d6)δ10.82(s,1H),8.78(s,1H),8.36(s,1H),8.16–8.04(m,2H),7.99–7.89(m,3H),7.85(d,J=8.7Hz,2H),7.57(d,J=8.3Hz,2H),7.53-7.42(m,2H),7.34(td,J=7.3,6.8,1.9Hz,1H),7.27(dd,J=7.7,1.5Hz,1H),4.34-4.04(m,3H),2.79(p,J=6.8Hz,1H),1.15(t,J=7.3Hz,6H)。
化合物:C-9
如前所述实现N-[1-[4-[(E)-[(2-异丙基苯基)氨基甲酰基亚肼基]甲基]-2-甲基-苯基]-3-甲基-吡唑-4-基]-4-(三氟甲氧基)苯甲酰胺的合成。
HPLC/MS(方法1):Rt:2.069min;m/z=595(M+1)+;1H NMR(500MHz,DMSO-d6)δ11.84(s,1H),10.03(d,J=3.6Hz,2H),8.28(s,1H),8.16(s,1H),8.12-8.05(m,2H),7.95-7.82(m,2H),7.58-7.50(m,2H),7.41(d,J=8.2Hz,1H),7.39-7.35(m,1H),7.31(m,J=7.9Hz,1H),7.23(dd,J=5.8,1.8Hz,2H),3.20-3.05(m,1H),2.36(s,3H),2.30(s,3H),1.20(d,J=6.9Hz,6H)。
化合物:C-10
如前所述实现N-[1-[4-[(E)-[(Z)-[3-(2-异丙基苯基)-4-氧代-噻唑烷-2-亚基]亚肼基]甲基]-2-甲基-苯基]-3-甲基-吡唑-4-基]-4-(三氟甲氧基)苯甲酰胺的合成。
HPLC/MS(方法1):Rt:2.144min;m/z=635(M+1)+;1H NMR(300MHz,DMSO-d6)δ10.03(s,1H),8.31(d,J=15.3Hz,2H),8.13-8.02(m,2H),7.70(d,J=7.8Hz,2H),7.58-7.42(m,6H),7.34(td,J=7.4,6.7,1.9Hz,1H),7.27(dd,J=7.7,1.4Hz,1H),4.43-4.01(m,2H),2.87-2.70(m,1H),2.32(d,J=16.3Hz,6H),1.15(t,J=7.3Hz,6H)。
化合物:C-11
如前所述实现N-[1-[4-[(E)-[(2Z)-2-(2-异丙基苯基)亚氨基-4-氧代-噻唑烷-3-基]亚氨基甲基]-2-甲基-苯基]-3-甲基-吡唑-4-基]-4-(三氟甲氧基)苯甲酰胺的合成。
HPLC/MS(方法1):Rt:2.176min;m/z=633(M-1)+。1H NMR(500MHz,DMSO-d6)δ10.06(s,1H),9.13(s,1H),8.36(s,1H),8.13-8.05(m,2H),7.92(d,J=2.0Hz,1H),7.87(dd,J=8.2,2.0Hz,1H),7.61-7.51(m,3H),7.32(dd,J=7.7,1.6Hz,1H),7.19(td,J=7.5,1.6Hz,1H),7.12(td,J=7.5,1.5Hz,1H),6.87(dd,J=7.7,1.4Hz,1H),4.16(s,2H),3.01(p,J=6.9Hz,1H),2.43(s,3H),2.32(s,3H),1.15(d,J=6.9Hz,6H)。
化合物:C-12
如前所述实现N-[1-[2-氯-4-[(E)-[(2-异丙基苯基)氨基甲酰基亚肼基]甲基]苯基]-3-甲基-吡唑-4-基]-4-(三氟甲氧基)苯甲酰胺的合成。
HPLC/MS(方法1):Rt:2.133min;m/z=615(M+1)+;1H NMR(500MHz,DMSO-d6)δ11.93(s,1H),10.17(s,1H),10.08(s,1H),8.47(s,1H),8.38(d,J=1.8Hz,1H),8.16(d,J=1.0Hz,1H),8.11–8.02(m,2H),7.90(dd,J=8.3,1.9Hz,1H),7.64(d,J=8.3Hz,1H),7.59-7.49(m,2H),7.38(dd,J=7.9,1.6Hz,1H),7.32(td,J=7.4,1.6Hz,1H),7.28-7.14(m,2H),3.14(p,J=6.9Hz,1H),2.32(s,3H),1.20(d,J=6.9Hz,6H)。
化合物:C-13
如前所述实现N-[1-[2-氯-4-[(E)-[(Z)-[3-(2-异丙基苯基)-4-氧代-噻唑烷-2-亚基]亚肼基]甲基]苯基]-3-甲基-吡唑-4-基]-4-(三氟甲氧基)苯甲酰胺的合成。
HPLC/MS(方法1):Rt:2.19min;m/z=654(M-1)+;1H NMR(300MHz,DMSO-d6)δ10.09(s,1H),8.44(d,J=8.4Hz,2H),8.08(d,J=8.6Hz,2H),7.95(d,J=1.8Hz,1H),7.85(dd,J=8.5,1.7Hz,1H),7.71(d,J=8.4Hz,1H),7.59-7.40(m,4H),7.40-7.20(m,2H),4.37-4.04(m,2H),2.87-2.66(m,1H),2.31(s,3H),1.15(t,J=7.0Hz,6H)。
化合物:C-14
按照前述方法实现N-[1-[2-氯-4-[(E)-[(2Z)-2-(2-异丙基苯基)亚氨基-4-氧代-噻唑烷-3-基]亚氨基甲基]苯基]-3-甲基-吡唑-4-基]-4-(三氟甲氧基)苯甲酰胺的合成。
HPLC/MS(方法1):Rt:2.25min;m/z=654(M-1)+。1H NMR(500MHz,DMSO-d6)δ10.21(s,1H),8.49(s,1H),8.39(s,1H),8.13–8.07(m,2H),7.95(d,J=1.8Hz,1H),7.85(dd,J=8.4,1.8Hz,1H),7.71(d,J=8.4Hz,1H),7.56-7.44(m,4H),7.34(td,J=7.5,1.7Hz,1H),7.28(dd,J=7.9,1.4Hz,1H),4.28(d,J=17.3Hz,1H),4.16(d,J=17.3Hz,1H),2.80(m,J=6.9Hz,1H),2.32(s,3H),1.16(dd,J=12.0,6.8Hz,6H)。
化合物:C-15
按照前述方法实现N-[1-[4-[(E)-[(Z)-[3-(2-异丙基苯基)-4-氧代-噻唑烷-2-亚基]亚肼基]甲基]苯基]-3-甲基-吡唑-4-基]-3-(三氟甲氧基)苯甲酰胺的合成。
HPLC/MS(方法1):Rt:2.09min;m/z=619(M-1)+。1H NMR(500MHz,DMSO-d6)δ10.14(s,1H),8.74(s,1H),8.34(s,1H),8.04(dt,J=7.8,1.3Hz,1H),7.95-7.86(m,3H),7.86-7.80(m,2H),7.71(t,J=8.0Hz,1H),7.63(m,J=8.2Hz,1H),7.51-7.44(m,2H),7.34(td,J=7.5,1.7Hz,1H),7.27(dd,J=7.8,1.4Hz,1H),4.26(d,J=17.2Hz,1H),4.15(d,J=17.2Hz,1H),2.85-2.72(m,1H),2.32(s,3H),1.16(dd,J=12.8,6.9Hz,6H)。
化合物:C-16
按照前述方法实现2,2-二氟-N-[1-[4-[(E)-[(2-异丙基苯基)氨基甲酰基亚肼基]甲基]苯基]-3-甲基-吡唑-4-基]-1,3-苯并间二氧杂环戊烯-5-甲酰胺的合成。
HPLC/MS(方法1):Rt:2.114min;m/z=575(M-1)+。1H NMR(300MHz,DMSO-d6)δ11.78(s,1H),10.02(d,J=11.3Hz,2H),8.75(s,1H),8.16(s,1H),8.08-7.94(m,3H),7.94-7.78(m,3H),7.60(d,J=8.4Hz,1H),7.41–7.32(m,1H),7.30(q,J=4.8,4.1Hz,1H),7.27-7.16(m,2H),3.14(p,J=6.9Hz,1H),2.31(s,3H),1.19(d,J=6.8Hz,6H)。
化合物:C-17
按照前述方法实现2,2-二氟-N-[1-[4-[(E)-[(Z)-[3-(2-异丙基苯基)-4-氧代-噻唑烷-2-亚基]亚肼基]甲基]苯基]-3-甲基-吡唑-4-基]-1,3-苯并间二氧杂环戊烯-5-甲酰胺的合成。
HPLC/MS(方法1):Rt:2.069min;m/z=615(M-1)+。1H NMR(500MHz,DMSO-d6)δ10.02(s,1H),8.73(s,1H),8.34(s,1H),8.00(d,J=1.6Hz,1H),7.94-7.86(m,3H),7.83(d,J=8.5Hz,2H),7.60(d,J=8.4Hz,1H),7.55-7.44(m,2H),7.34(td,J=7.5,1.7Hz,1H),7.27(dd,J=7.9,1.4Hz,1H),4.26(d,J=17.3Hz,1H),4.15(d,J=17.3Hz,1H),2.80(m,J=7.1Hz,1H),2.32(s,3H),1.25-1.12(m,6H)。
化合物:C-18
1-[4-[(E)-[(2-异丙基苯基)氨基甲酰基亚肼基]甲基]苯基]-3-甲基-N-[4-(三氟甲氧基)苯基]吡唑-4-甲酰胺的合成:
步骤1:3-甲基-N-[4-(三氟甲氧基)苯基]-1H-吡唑-4-甲酰胺的合成:
在室温下,向搅拌的5-甲基-1H-吡唑-4-羧酸(1.0g)的DMF(25mL)溶液中加入4-(三氟甲氧基)苯胺(1.4g)、HATU(3.9g)和三乙胺(1.6g)。将整个混合物在90℃下加热12小时。通过LCMS监测反应进程。反应完成后,将反应混合物用水(150mL)稀释,然后用乙酸乙酯(100mL×2)萃取。合并的有机层用硫酸钠干燥,并减压浓缩,得到产物。粗产物通过柱色谱纯化,使用乙酸乙酯和庚烷作为洗脱剂。HPLC/MS(方法1):Rt:1.632min;m/z=284(M-1)+。1HNMR(500MHz,DMSO-d6)δ13.00(s,1H),9.83(s,1H),8.23(d,J=73.3Hz,1H),7.82(d,J=8.7Hz,2H),7.32(d,J=8.5Hz,2H),2.45(s,3H)。
步骤2:1-(4-甲酰基苯基)-3-甲基-N-[4-(三氟甲氧基)苯基]吡唑-4-甲酰胺的合成:
在室温下,向搅拌的3-甲基-N-[4-(三氟甲氧基)苯基]-1H-吡唑-4-甲酰胺(0.580g)的无水DMF(10mL)溶液中加入碳酸钾(0.843g)和4-氟苯甲醛(0.379g)。将反应混合物在140℃下加热5小时。通过LCMS分析监测反应进程。反应完成后,将反应混合物倒入水(50mL)中,然后用乙酸乙酯(50mL×2)萃取。合并的有机层用硫酸钠干燥,然后减压浓缩,得到粗产物。粗产物通过柱色谱法纯化,使用乙酸乙酯和庚烷作为洗脱剂,得到所需产物,为灰白色固体(0.425g)。HPLC/MS(方法1):Rt:2.027min;m/z=388(M-1)+。1H NMR(500MHz,CDCl3)δ10.06(s,1H),8.46(s,1H),8.09-7.96(m,2H),7.96-7.79(m,2H),7.69-7.62(m,2H),7.59(s,1H),7.29-7.22(m,2H),2.67(s,3H)。
步骤3:1-[4-[(E)-[(2-异丙基苯基)氨基甲酰基亚肼基]甲基]苯基]-3-甲基-N-[4-(三氟甲氧基)苯基]吡唑-4-甲酰胺的合成:
在室温下,向搅拌的1-(4-甲酰基苯基)-3-甲基-N-[4-(三氟甲氧基)苯基]吡唑-4-甲酰胺(0.2g)的乙酸(2mL)溶液中加入1-氨基-3-(2-异丙基苯基)硫脲(0.107g),并将反应混合物在室温下搅拌16小时。将反应混合物用水(50mL)稀释,然后用固体碳酸氢钠中和,将粗产物用乙酸乙酯(30mL×2)萃取。将合并的有机层用硫酸钠干燥,并减压浓缩,得到粗产物。然后通过使用乙醚和庚烷作为洗脱剂研制来纯化粗产物,得到所需产物,为白色固体(0.250g)。HPLC/MS(方法1):Rt:2.219min;m/z=579(M-1)+。
1H NMR(300MHz,DMSO-d6)δ11.83(s,1H),10.06(d,J=2.6Hz,2H),9.13(s,1H),8.18(s,1H),8.13-8.01(m,2H),7.90-7.74(m,4H),7.41-7.28(m,4H),7.28-7.15(m,2H),3.14(p,J=6.8Hz,1H),2.49(s,3H),1.20(d,J=6.9Hz,6H)。
化合物:C-19
步骤4:1-[4-[(E)-[(Z)-[3-(2-异丙基苯基)-4-氧代-噻唑烷-2-亚基]亚肼基]甲基]苯基]-3-甲基-N-[4-(三氟甲氧基)苯基]吡唑-4-甲酰胺的合成
在室温下,向搅拌的1-[4-[(E)-[(2-异丙基苯基)氨基甲酰基亚肼基]甲基]苯基]-3-甲基-N-[4-(三氟甲氧基)苯基]吡唑-4-甲酰胺(0.176g)的乙醇(5mL)溶液中加入乙酸钠(0.1g)和溴乙酸甲酯(0.185g)。将反应混合物在室温下搅拌12小时。通过LCMS分析监测反应进程。反应完成后,将反应混合物用水(50mL)稀释,然后用乙酸乙酯(30mL×2)萃取。合并的有机层用硫酸钠干燥,并减压浓缩,得到所需产物。粗产物通过柱色谱法纯化,使用乙酸乙酯和庚烷作为洗脱剂,得到所需产物,为白色固体(0.15g)。HPLC/MS(方法1):Rt:1.94min;m/z=619(M-1)+。1H NMR(500MHz,DMSO-d6)δ10.10(s,1H),9.11(s,1H),8.37(s,1H),7.90(s,4H),7.86-7.74(m,2H),7.54-7.41(m,2H),7.41-7.30(m,3H),7.27(dd,J=7.8,1.4Hz,1H),4.27(d,J=17.3Hz,1H),4.15(d,J=17.3Hz,1H),2.80(p,J=6.8Hz,1H),2.49(s,3H),1.16(dd,J=12.0,6.8Hz,6H)。
化合物:C20
步骤5:1-[4-[(E)-[(2Z)-2-(2-异丙基苯基)亚氨基-4-氧代-噻唑烷-3-基]亚氨基甲基]苯基]-3-甲基-N-[4-(三氟甲氧基)苯基]吡唑-4-甲酰胺的合成
在室温下,向搅拌的1-(4-甲酰基苯基)-3-甲基-N-[4-(三氟甲氧基)苯基]吡唑-4-甲酰胺(0.179g)的乙醇(2mL)和乙酸(2mL)混合物溶液中加入(2Z)-3-氨基-2-(2-异丙基苯基)亚氨基-噻唑烷-4-酮。将反应混合物在室温下搅拌12小时。通过LCMS分析监测反应进程。反应完成后,将反应混合物用水(50mL)稀释,然后用固体碳酸氢钠中和,将粗产物用乙酸乙酯(40mL×2)萃取。合并的有机层用硫酸钠干燥,并减压浓缩,得到粗产物。然后通过使用乙酸乙酯和庚烷作为洗脱剂纯化粗产物,得到所需产物,为白色固体(0.2g)。HPLC/MS(方法1):Rt:1.94min;m/z=621(M+1)+。1H NMR(300MHz,DMSO-d6)δ10.11(s,1H),9.16(d,J=14.3Hz,2H),8.09(d,J=8.5Hz,2H),8.00(d,J=8.7Hz,2H),7.86-7.77(m,2H),7.37(d,J=8.6Hz,2H),7.31(dd,J=7.4,1.7Hz,1H),7.18(td,J=7.5,1.7Hz,1H),7.12(td,J=7.4,1.6Hz,1H),6.86(dd,J=7.6,1.6Hz,1H),4.16(s,2H),3.01(p,J=6.9Hz,1H),1.15(d,J=6.9Hz,6H)。
化合物C-20:
步骤5:1-[4-[(E)-[(2Z)-2-(2-异丙基苯基)亚氨基-4-氧代-噻唑烷-3-基]亚氨基甲基]苯基]-3-甲基-N-[4-(三氟甲氧基)苯基]吡唑-4-甲酰胺的合成
在室温下,向搅拌的1-(4-甲酰基苯基)-3-甲基-N-[4-(三氟甲氧基)苯基]吡唑-4-甲酰胺(0.179g)的乙醇(2mL)和乙酸(2mL)混合物溶液中加入(2Z)-3-氨基-2-(2-异丙基苯基)亚氨基-噻唑烷-4-酮。将反应混合物在室温下搅拌12小时。通过LCMS分析监测反应进程。反应完成后,将反应混合物用水(50mL)稀释,然后用固体碳酸氢钠中和,将粗产物用乙酸乙酯(40mL×2)萃取。合并的有机层用硫酸钠干燥,并减压浓缩,得到粗产物。然后通过使用乙酸乙酯和庚烷作为洗脱剂纯化粗产物,得到所需产物,为白色固体(0.2g)。HPLC/MS(方法1):Rt:1.94min;m/z=621(M+1)+;1H NMR(300MHz,DMSO-d6)δ10.11(s,1H),9.16(d,J=14.3Hz,2H),8.09(d,J=8.5Hz,2H),8.00(d,J=8.7Hz,2H),7.86-7.77(m,2H),7.37(d,J=8.6Hz,2H),7.31(dd,J=7.4,1.7Hz,1H),7.18(td,J=7.5,1.7Hz,1H),7.12(td,J=7.4,1.6Hz,1H),6.86(dd,J=7.6,1.6Hz,1H),4.16(s,2H),3.01(p,J=6.9Hz,1H),1.15(d,J=6.9Hz,6H)。
化合物C-52:
1-(2-异丙基苯基)-3-[(E)-[4-[3-甲基-4-[N-[4-(三氟甲氧基)苯基]脒基]吡唑-1-基]苯基]亚甲基氨基]硫脲的合成
步骤1:1-(4-溴苯基)-3-甲基吡唑-4-甲酸乙酯的合成
在室温下,向搅拌的3-甲基-1H-吡唑-4-甲酸乙酯(12.0g,77.92mmol)的二氯乙烷(120mL)溶液中加入乙酸铜(15.58g,77.92mmol)、吡啶(23.676g,299.7mmol)、分子筛(10g)和4-溴苯基硼酸(15.649g,77.92mmol),并将整个混合物在60℃下加热12小时。反应完成后,将反应混合物通过硅藻土床过滤,并将滤液减压浓缩,得到粗产物。粗产物通过柱色谱法纯化,使用乙酸乙酯和庚烷作为洗脱剂,以分离所需和不需要的产物(9.8g)。HPLC/MS(方法1):Rt:1.63min;m/z=309(M+1)+。
步骤2:[1-(4-溴苯基)-3-甲基-吡唑-4-基]甲醇的合成
在装有搅拌棒的烘干的三颈烧瓶中,制备1-(4-溴苯基)-3-甲基-吡唑-4-甲酸乙酯(8.80g,28.464mmol)的无水THF(80mL)溶液。将混合物冷却至-78℃,然后滴加DIBAL-H(150mL,113.9mmol(1M溶液)。将反应混合物搅拌,保持相同温度3小时,然后缓慢升至室温。反应完成后,通过加入饱和氯化铵溶液猝灭反应。将所得混合物用乙酸乙酯(3×50mL)萃取,将合并的有机层用盐水洗涤,用硫酸钠干燥。减压蒸发溶剂,通过快速色谱法(环己烷/AcOEt 9:1)纯化粗产物,得到所需产物,为固体(7.0g)。HPLC/MS(方法1):Rt:1.63min;m/z=269(M+1)+。
步骤3:1-(4-溴苯基)-3-甲基吡唑-4-甲醛的合成
向[1-(4-溴苯基)-3-甲基-吡唑-4-基]甲醇(6.4g,23.96mmol)的DCM(10mL)溶液中加入戴斯-马丁过碘烷(12.194g,28.751mmol),并将混合物在室温下搅拌3小时。反应完成后,蒸发溶剂,粗产物经柱色谱纯化(硅胶:100-200目,洗脱剂:庚烷:EtOAc),得到所需产物(6.0g)。
步骤4:1-(4-溴苯基)-3-甲基-吡唑-4-甲腈的合成
在室温下,向搅拌的1-(4-溴苯基)-3-甲基-吡唑-4-甲醛(5.6g,21.12mmol)的乙腈(60mL)溶液中加入三乙胺(8.532g,84.48mmol)和盐酸羟胺(1.761g,25.348mmol)。然后将反应混合物加热到65℃并保持2小时。反应完成后(中间体肟形成),将混合物冷却到0℃,加入三乙胺(12.798g,126.72mmol),随后在0℃下滴加三氟乙酸酐(8.873g,42.25mmol),将反应搅拌12小时,使温度达到室温。将反应混合物倒入冰水中,过滤形成的固体并用水洗涤。然后将固体溶解在乙酸乙酯中,有机层用水、盐水洗涤,并用硫酸钠干燥。浓缩溶剂得到粗胶状物质。将粗产物放入冷乙醇中,搅拌20分钟,此时使固体沉淀,过滤,用冷乙醇洗涤,干燥,得到白色固体(5.0g)。
步骤5:1-(4-溴苯基)-3-甲基-N-[4-(三氟甲氧基)苯基]吡唑-4-甲脒的合成
向搅拌的2-(4-溴苯基)-5-甲基-1H-吡唑-4-甲腈(2.30g,8.741mmol)的无水甲苯(30mL)溶液中加入3-(三氟甲氧基)苯胺(1.548g,8.741mmol)。然后在室温下滴加三甲基铝(8.881g,12.238mmol),将整个反应混合物加热至80℃保持12小时。反应完成后,将反应用氢氧化钾水溶液淬灭,直至碱性(pH~10),加入水(20mL),搅拌10分钟。然后用乙酸乙酯(3×30mL)萃取反应混合物,用硫酸钠干燥合并的有机层并浓缩,得到粗固体,将其通过柱色谱法(硅胶:100-200目,洗脱剂:庚烷:EtOAc)纯化,得到所需产物(2.3g)。HPLC/MS(方法1):Rt:2.05min;m/z=439(M+1)+。
步骤6:3-甲基-N-[4-(三氟甲氧基)苯基]-1-(4-乙烯基苯基)吡唑-4-甲脒的合成
向搅拌的三丁基(乙烯基)锡(1.993g,6.284mmol)和1-(4-溴苯基)-3-甲基-N-[4-(三氟甲氧基)苯基]吡唑-4-甲脒(2.30g,5.236mmol)的无水二烷(30mL)溶液中用氮气脱气15分钟。然后加入钯试剂[1,1'-双(二苯基膦基)二茂铁]二氯化钯(II)(0.383g,0.524mmol),并将混合物在110℃下搅拌5小时。反应完成后,将反应物料冷却至室温并用水(200mL)稀释。然后将反应混合物用乙酸乙酯(2×100mL)萃取,将合并的有机层用盐水洗涤,并用无水硫酸钠干燥。减压浓缩溶剂,得到粗产物,将其通过柱色谱法(硅胶:100-200目,洗脱剂:庚烷:EtOAc)纯化,得到所需产物(1.5g)。HPLC/MS(方法1):Rt:1.97min;m/z=387(M+1)+。
步骤7:1-(4-甲酰基苯基)-3-甲基-N-[4-(三氟甲氧基)苯基]吡唑-4-甲脒的合成
在10℃下,向3-甲基-N-[4-(三氟甲氧基)苯基]-1-(4-乙烯基苯基)吡唑-4-甲脒(1.55g,4.012mmol)在1,4-二烷:水(1:1,40mL)中的冷却的搅拌溶液中加入四氧化锇(0.051g,0.201mmol),并搅拌10分钟。然后在10分钟内分批加入偏高碘酸钠(1.716g,8.023mmol),并使反应混合物达到室温。反应完成后,将反应物料用水(100mL)稀释,用乙酸乙酯(3×35mL)萃取。将合并的有机层用盐水洗涤,并用无水硫酸钠干燥。减压浓缩溶剂,粗产物经柱色谱纯化(硅胶:100-200目,洗脱剂:庚烷:EtOAc),得到所需产物(0.5g)。HPLC/MS(方法1):Rt:1.85min;m/z=389(M+1)+。
步骤8:1-(2-异丙基苯基)-3-[(E)-[4-[3-甲基-4-[N-[4-(三氟甲氧基)苯基]脒基]吡唑-1-基]苯基]亚甲基氨基]硫脲的合成
在室温下,向搅拌的1-(4-甲酰基苯基)-3-甲基-N-[4-(三氟甲氧基)苯基]吡唑-4-甲脒(0.336g,0.865mmol)的乙酸(7mL)溶液中加入1-氨基-3-(2-异丙基苯基)硫脲(0.180g,0.865mmol),并将整个反应混合物搅拌16小时。反应完成后(TLC),将反应混合物用水(60mL)稀释,用固体碳酸氢钠中和,将粗产物用乙酸乙酯(2×30mL)萃取。合并的有机层用盐水洗涤,用无水硫酸钠干燥,减压浓缩,得到粗产物,将其通过制备型HPLC纯化,得到纯的所需产物(250mg)。HPLC/MS(方法1):Rt:2.13min;m/z=578(M-1)+;1H NMR(500MHz,DMSO-d6)δ11.81(s,1H),10.05(s,1H),8.99(s,1H),8.18(s,1H),8.05(d,J=8.3Hz,2H),7.81(d,J=8.3Hz,2H),7.40-7.35(m,1H),7.31(ddd,J=14.1,7.6,4.2Hz,2H),7.26(d,J=6.8Hz,1H),7.25-7.19(m,2H),6.94(d,J=8.3Hz,2H),6.20(s,1H),3.33(s,3H),3.14(h,J=6.8Hz,1H),1.20(d,J=6.9Hz,6H)。
化合物C-53:
1-[4-[(E)-[(2Z)-2-(2-异丙基苯基)亚氨基-4-氧代-噻唑烷-3-基]亚氨基甲基]苯基]-3-甲基-N-[4-(三氟甲氧基)苯基]吡唑-4-甲脒的合成
在室温下,向搅拌的1-(4-甲酰基苯基)-3-甲基-N-[4-(三氟甲氧基)苯基]吡唑-4-甲脒(0.1g,0.258mmol)的乙酸(2mL)溶液中加入(2Z)-3-氨基-2-(2-异丙基苯基)亚氨基-噻唑烷-4-酮(0.064g,0.258mmol),并将整个反应混合物在室温下搅拌5小时。反应完成后,将反应混合物用水(25mL)稀释,用固体碳酸氢钠中和。将混合物用乙酸乙酯(2×15mL)萃取,将合并的有机层用盐水洗涤,并用硫酸钠干燥。减压浓缩溶剂,得到粗产物,将其用乙醚和庚烷研磨,得到固体(100mg)。HPLC/MS(方法1):Rt:2.21min;m/z=620(M+1)+;1H NMR(500MHz,DMSO-d6)δ9.11(s,1H),9.06(s,1H),8.06(d,J=8.3Hz,2H),7.96(d,J=8.4Hz,2H),7.38-7.23(m,3H),7.19(td,J=7.5,1.6Hz,1H),7.12(td,J=7.5,1.5Hz,1H),6.94(d,J=7.5Hz,2H),6.87(dd,J=7.8,1.5Hz,1H),6.23(s,1H),4.16(s,3H),3.01(p,J=6.9Hz,1H),1.15(d,J=6.9Hz,6H)。
适当改变原料,使用上述制备实施例所述的程序得到式I的其他化合物,将以这种方式得到的化合物与物理数据一起列于表C中,其中I-Pr是异丙基。
表C:
生物学实施例:
实施例B1:在黄热蚊(Aedes aegypti)上的作用
为了评价对黄热蚊(Aedes aegypti)的防治,测试单元由每孔含有200μl自来水和5-15只新孵黄热蚊幼虫的96孔微滴定板构成。
使用含有75体积%水和25体积%DMSO的溶液配制活性化合物或混合物。使用定制微雾化器将不同浓度的配制化合物或混合物以2.5μl喷雾于昆虫膳食上,重复两次。
对于这些试验中的实验混合物,将相同体积的两种混合配对分别以所需浓度混合到一起。
在施用之后,将微滴定板在28±1℃、80±5%RH下温育2天。然后肉眼评价幼虫死亡率。
在该测试中,与未处理对照相比,化合物C-1、C-2、C-4、C-5、C-6、C-7、C-8、C-10、C-11、C-15、C-16、C-17、C-18、C-19、C-22、C-29、C-33、C-36、C-41、C-46、C-47、C-48、C-51、C-52、C-53、C-54、C-56、C-57、C-58、C-60、C-61、C-62、C-63、C-64、C-65、C-66、C-67、C-68、C-71、C-72、C-73、C-74、C-75、C-76、C-80、C-82、C-83、C-84、C-85、C-86、C-87、C-88、C-91、C-93、C-95、C-98、C-100、C-101、C-102、C-103、C-104、C-106、C-107、C-111、C-112、C-116、C-117、C-118、C-119、C-120在800ppm下显示出至少75%的死亡率。
实施例B2:在兰花蓟马(dichromothrips corbetti)上的作用
各化合物的蓟马防治效力通过使用花浸技术评价。将各完整兰花的所有花瓣浸入处理溶液中并在陪替氏皿中干燥。将被处理花瓣与约20只蓟马成虫一起放入各可再密封塑料容器中。所有测试场所在分析持续期间维持在连续光照和约28℃的温度下。3天后计数各花瓣上的活蓟马数。处理后72小时记录死亡率百分数。
在该测试中,与未处理对照相比,化合物C-1、C-2、C-5、C-6、C-7、C-8、C-9、C-15、C-16、C-22、C-45、C-47、C-48、C-52、C-56、C-58、C-61、C-108、C-111、C-112、C-115、C-116、C-118、C-119、C-120在500ppm下显示出至少75%的死亡率。
实施例B3:在墨西哥棉铃象(Anthonomus grandis)上的作用
为了评价对墨西哥棉铃象(Anthonomus grandis)的防治,测试单元由含有昆虫膳食和5-10只墨西哥棉铃象卵的96孔微滴定板构成。
使用含有75体积%水和25体积%DMSO的溶液配制化合物。使用定制微雾化器将不同浓度的配制化合物以5μl喷雾于昆虫膳食上,重复两次。
在施用之后,将微滴定板在约25±1℃和约75±5%相对湿度下温育5天。然后肉眼评价卵和幼虫死亡率。
在该测试中,与未处理对照相比,化合物C-1、C-2、C-3、C-4、C-5、C-6、C-7、C-8、C-9、C-10、C-11、C-15、C-16、C-17、C-22、C-26、C-27、C-28、C-29、C-30、C-31、C-32、C-33、C-35、C-36、C-37、C-38、C-41、C-42、C-43、C-45、C-46、C-47、C-48、C-51、C-52、C-53、C-54、C-56、C-57、C-58、C-60、C-61、C-62、C-63、C-64、C-67、C-68、C-71、C-72、C-74、C-75、C-76、C-82、C-84、C-86、C-87、C-88、C-90、C-92、C-93、C-95、C-98、C-100、C-101、C-102、C-103、C-104、C-105、C-106、C-111、C-112、C-115、C-116、C-117、C-118、C-119、C-120在800ppm下显示出至少75%的死亡率。
实施例B4:在银叶粉虱(Bemisia argentifolii)(成虫)上的作用
在100%环己酮中通过Tecan液体处理器将活性化合物配制成在管中供应的10,000ppm溶液。在100%环己酮中将该10,000ppm溶液连续稀释以制备过渡溶液。将这些用作储备溶液,通过Tecan在50%丙酮:50%水(体积比)中将后者制成最终稀释液放入5或10ml玻璃小瓶中。非离子表面活性剂以0.01%(体积)的量包括在该溶液中。然后将小瓶插入装备有雾化喷嘴的自动静电喷雾器中以施用于植物/昆虫。
通过装备有雾化喷嘴的自动静电植株喷雾器喷雾子叶阶段的棉花植株(每盆一株)。在喷雾器通风橱中干燥各植株,然后从喷雾器中取出。将各盆置于塑料杯中并引入约10-12只粉虱成虫(约3-5天龄)。使用抽吸装置和连接于防护移液管头的无毒管收集昆虫。然后将含有收集的昆虫的该管头轻轻地插入含有处理植株的土壤中,使昆虫爬出该管头而到达叶面上取食。将杯子用可反复使用的筛盖覆盖。将试验植株在生长室中于约25℃和约20-40%相对湿度下保持3天,避免直接暴露于荧光(24小时光照期)以防止在杯内截热。在处理3天后评价与未处理对照植株相比较的死亡率。
在该测试中,与未处理对照相比,化合物C-1、C-2、C-33、C-111、C-119、C-120在300ppm下显示出至少75%的死亡率。
实施例B5:在烟芽夜蛾(Heliothis virescens)上的作用
为了评价对烟芽夜蛾(Heliothis virescens)的防治,测试单元由含有昆虫膳食和15-25只烟芽夜蛾卵的96孔微滴定板构成。
使用含有75体积%水和25体积%DMSO的溶液配制化合物。使用定制微雾化器将不同浓度的配制化合物以10μl喷雾于昆虫膳食上,重复两次。
在施用之后,将微滴定板在约28±1℃和约80±5%相对湿度下温育5天。然后肉眼评价卵和幼虫死亡率。
在该测试中,与未处理对照相比,化合物C-1、C-2、C-4、C-5、C-6、C-7、C-8、C-9、C-10、C-11、C-15、C-16、C-17、C-18、C-19、C-20、C-21、C-22、C-29、C-30、C-32、C-33、C-35、C-36、C-37、C-40、C-41、C-42、C-45、C-46、C-47、C-48、C-51、C-52、C-53、C-54、C-56、C-57、C-58、C-60、C-61、C-62、C-63、C-64、C-65、C-66、C-67、C-68、C-69、C-70、C-71、C-72、C-73、C-74、C-75、C-76、C-77,C-78、C-79、C-80、C-81,C-82、C-83、C-84、C-85、C-86、C-87、C-88、C-89、C-90、C-91、C-92、C-93、C-94、C-95、C-96、C-97、C-98、C-99、C-100、C-101、C-102、C-103、C-104、C-105、C-106、C-107、C-108、C-111、C-112、C-115、C-116、C-117、C-118、C-119、C-120在800ppm下显示出至少75%的死亡率。
实施例B6:在菜蛾(Plutella xylostella)上的作用
将卷心菜的叶子浸入试验溶液中并风干。将被处理叶子放入衬有湿滤纸并接种10只三龄幼虫的陪替氏皿中。处理之后72小时记录死亡率。还使用0-100%的尺度记录进食损害。
在该测试中,与未处理对照相比,化合物C-1、C-2、C-4、C-5、C-6、C-7、C-8、C-9、C-10、C-11、C-15、C-16、C-17、C-18、C-22、C-29、C-30、C-33、C-35、C-36、C-37、C-38、C-40、C-41、C-42、C-45、C-46、C-47、C-48、C-51、C-52、C-53、C-54、C-56、C-58、C-60、C-61、C-108、C-111、C-112、C-115、C-116、C-118、C-119、C-120在500ppm下显示出至少75%的死亡率。
实施例B7:在南方灰翅夜蛾(Spodoptera eridania),二龄幼虫上的作用
在100%环己酮中通过Tecan液体处理器将活性化合物配制成在管中供应的10,000ppm溶液。在100%环己酮中将该10,000ppm溶液连续稀释以制备过渡溶液。将这些用作储备溶液,通过Tecan在50%丙酮:50%水(体积比)中将后者制成最终稀释液放入10或20ml玻璃小瓶中。非离子表面活性剂以0.01%(体积)的量包括在该溶液中。然后将小瓶插入装备有雾化喷嘴的自动静电喷雾器中以施用于植物/昆虫。
将2株利马豆植株(栽培品种为Sieva)栽种到盆中并在第一真叶阶段选取进行处理。通过装备有雾化喷嘴的自动静电植株喷雾器将测试溶液喷雾于叶面。在喷雾器通风橱中干燥各植株,然后从喷雾器中取出。将各盆置于具有拉链封闭的穿孔塑料袋中。将约10-11只灰翅夜蛾幼虫放入该袋中并将该袋拉链封闭。将测试植株在生长室中于约25℃和约20-40%的相对湿度下保持4天,避免直接暴露于荧光(24小时光照期)以防止在袋内截热。处理后4天评价与未处理对照植物相比的死亡率和进食减退。
在该测试中,与未处理对照相比,化合物C-1、C-2、C-4、C-5、C-6、C-7、C-8、C-10、C-11、C-15、C-16、C-17、C-18、C-19、C-22、C-33、C-34、C-37、C-41、C-45、C-47、C-48、C-51、C-52、C-53、C-54、C-48、C-56、C-61、C-62、C-63、C-65、C-67、C-69、C-71、C-72、C-73、C-75、C-76、C-77、C-78、C-79、C-80、C-81、C-82、C-83、C-84、C-86、C-87、C-88、C-89、C-90、C-91、C-92、C-94、C-95、C-98、C-99、C-101、C-102、C-103、C-104、C-105、C-106、C-107、C-108、C-111、C-112、C-115、C-116、C-117、C-118、C-119、C-120在300ppm下显示出至少75%的死亡率。
Claims (15)
1.式I化合物及其N-氧化物、立体异构体、互变异构体和可农用或可兽用盐:
其中
A为N或CRA;
B1为N或CRB1;
B2为N或CRB2;
B3为N或CRB3;
B4为CRB4;
RA为H、卤素、N3、OH、CN、NO2、-SCN、-SF5、C1-C6烷基、C1-C6烷氧基、C2-C6链烯基、三-C1-C6烷基甲硅烷基、C2-C6炔基、C1-C6烷氧基-C1-C4烷基、C1-C6烷氧基-C1-C4烷氧基、C3-C6环烷基、C3-C6环烷氧基、C3-C6环烷基-C1-C4烷基、C1-C4烷基-C3-C6环烷氧基,其中烷基、烷氧基、链烯基、炔基、环烷基和环烷氧基结构部分未被取代或者被卤素取代,
C(=O)-ORa、NRbRc、C1-C6亚烷基-NRbRc、O-C1-C6亚烷基-NRbRc、C1-C6亚烷基-CN、NH-C1-C6亚烷基-NRbRc、C(=O)-NRbRc、C(=O)-Rd、SO2NRbRc或S(=O)mRe、苯基、苯氧基、苯基羰基、苯硫基或-CH2-苯基,其中苯基环未被取代或被Rf取代;
RB1、RB2、RB3和RB4相互独立地为H、卤素、N3、OH、CN、NO2、-SCN、-SF5、C1-C6烷基、C1-C6烷氧基、C2-C6链烯基、三-C1-C6烷基甲硅烷基、C2-C6炔基、C1-C6烷氧基-C1-C4烷基、C1-C6烷氧基-C1-C4烷氧基、C3-C6环烷基、C3-C6环烷氧基、C3-C6环烷基-C1-C4烷基、C1-C4烷基-C3-C6环烷氧基,其中烷基、烷氧基、链烯基、炔基、环烷基和环烷氧基结构部分未被取代或者被卤素取代,
C(=O)-ORa、NRbRc、C1-C6亚烷基-NRbRc、O-C1-C6亚烷基-NRbRc、C1-C6亚烷基-CN、NH-C1-C6亚烷基-NRbRc、C(=O)-NRbRc、C(=O)-Rd、SO2NRbRc或S(=O)mRe、苯基、苯氧基、苯基羰基、苯硫基或-CH2-苯基,其中苯基环未被取代或被Rf取代;
Q为-C(R4R5)-O-、-C(=O)-O-、-S(=O)m-C(R7R8)-、-N(R2)-S(=O)m-、-N(R2)-C(R9R10)-、-C(=O)-C(R19R20)-、-N(R2)-C(=O)-、–N(R2)-C(=S)-、–C(R13R14)–C(R15R16)-、–N=C(X)-、–N(R2)-C(=NR)-或-C(R17)=C(R18)-;
其中Ar键合于Q的任一侧;
m为0、1或2;
X为H、卤素、SR7、OR8或N(R3)2;
R为H、CN、C1-C6烷基、C2-C6链烯基、C2-C6炔基或C3-C6环烷基,其中烷基、链烯基和环烷基结构部分未被取代或者被卤素取代,
OR8、N(R3)2;
R3为H、C1-C6烷基、C1-C6烷氧基-C1-C4烷基;
R2为H、C1-C6烷基、C2-C6链烯基、C2-C6炔基、C1-C6烷氧基-C1-C4烷基、C3-C6环烷基、C3-C6环烷基-C1-C4烷基、C3-C6环烷氧基-C1-C4烷基,其中烷基、烷氧基、链烯基、炔基、环烷基和环烷氧基结构部分未被取代或者被卤素取代,
C(=O)-ORa、C1-C6亚烷基-NRbRc、C1-C6亚烷基-CN、C(=O)-NRbRc、C(=O)-Rd、SO2NRbRc、S(=O)mRe、苯基或-CH2-苯基,其中苯基环未被取代或被Rf取代;
R4、R5、R7、R8、R9、R10、R13、R14、R15、R16、R17、R18、R19、R20相同或不同且为H、卤素、C1-C6烷基、C2-C6链烯基、C2-C6炔基、C1-C6烷氧基-C1-C4烷基、C3-C6环烷基、C3-C6环烷基-C1-C4烷基、C3-C6环烷氧基-C1-C4烷基,其中烷基、烷氧基、链烯基、炔基、环烷基和环烷氧基结构部分未被取代或者被卤素取代,
C(=O)-ORa、C1-C6亚烷基-NRbRc、C1-C6亚烷基-CN、C(=O)-NRbRc、C(=O)-Rd、SO2NRbRc、S(=O)mRe、苯基或-CH2-苯基,其中苯基环未被取代或被Rf取代;
R6为H、C1-C6烷基、C2-C6链烯基、C2-C6炔基、C1-C6烷氧基-C1-C4烷基、C3-C6环烷基、C3-C6环烷基-C1-C4烷基、C3-C6环烷氧基-C1-C4烷基,其中烷基、烷氧基、链烯基、炔基、环烷基和环烷氧基结构部分未被取代或者被卤素取代,
或者R6为-CH2-苯基,其中苯基环未被取代或被Rf取代;
Ar为未被取代或被RAr取代的苯基或5或6员杂芳基或1,3-苯并间二氧杂环戊烯,其中
RAr为卤素、N3、OH、CN、NO2、-SCN、-SF5、C1-C6烷基、C1-C6烷氧基、C2-C6链烯基、三-C1-C6烷基甲硅烷基、C2-C6炔基、C1-C6烷氧基-C1-C4烷基、C1-C6烷氧基-C1-C4烷氧基、C3-C6环烷基、C3-C6环烷氧基、C3-C6环烷基-C1-C4烷基、C3-C6环烷氧基-C1-C4烷基,其中烷基、烷氧基、链烯基、炔基、环烷基和环烷氧基结构部分未被取代或者被卤素取代,
C(=O)-ORa、NRbRc、C1-C6亚烷基-NRbRc、O-C1-C6亚烷基-NRbRc、C1-C6亚烷基-CN、NH-C1-C6亚烷基-NRbRc、C(=O)-NRbRc、C(=O)-Rd、SO2NRbRc或S(=O)mRe、苯基、苯氧基、苯基羰基、苯硫基或-CH2-苯基,其中苯基环未被取代或被Rf取代;
R1为式Y-Z-T-R11或Y-Z-T-R12的结构部分;其中
Y为-CRya=N-,其中N键合于Z;
-NRyc-C(=O)-,其中C(=O)键合于Z;或者
-NRyc-C(=S)-,其中C(=S)键合于Z;
Z为单键;
-NRzc-C(=O)-,其中C(=O)键合于T;
-NRzc-C(=S)-,其中C(=S)键合于T;
-N=C(S-Rza)-,其中T键合于碳原子;
-O-C(=O)-,其中T键合于碳原子,或者
-NRzc-C(S-Rza)=,其中T键合于碳原子;
T为O、N或N-RT;
R11为C1-C6烷基、C2-C6链烯基、C2-C6炔基、C1-C6烷氧基-C1-C4烷基、C3-C6环烷基、C3-C6环烷基-C1-C4烷基、C1-C4烷基-C3-C6环烷氧基,其中烷基、烷氧基、链烯基、炔基、环烷基和环烷氧基结构部分未被取代或者被卤素取代,
C1-C6亚烷基-NRbRc、C1-C6亚烷基-CN、C(=O)-NRbRc、C(=O)-Rd、芳基、芳基羰基、芳基-C1-C4烷基、芳氧基-C1-C4烷基、杂芳基、羰基杂芳基、杂芳基-C1-C4烷基或杂芳氧基-C1-C4烷基,其中苯基环未被取代或被Rg取代并且其中杂芳基为5或6员单环杂芳基或者8、9或10员双环杂芳基;
条件是当T为O时,R11不为C1-C6烷基,
R12为式A1的基团:
其中#表示与T的连接点;
R121、R122、R123相同或不同且为H、卤素、C1-C6烷基、C2-C6链烯基、C2-C6炔基、C1-C6烷氧基-C1-C4烷基、C1-C6烷氧基、C2-C6链烯氧基、C2-C6炔氧基、C1-C6烷氧基-C1-C4烷氧基、C1-C6烷基羰氧基、C1-C6链烯基羰氧基、C3-C6环烷基羰氧基,其中烷基、烷氧基、链烯基、链烯氧基、炔基、炔氧基和环烷基结构部分未被取代或者被卤素或NRbRc取代或者R121、R122、R123之一也可以为氧代;
R124为H、C1-C6烷基、C1-C6烷氧基-C1-C4烷基、C1-C6烷氧基或C2-C6链烯氧基,其中烷基、烷氧基、链烯基和链烯氧基结构部分未被取代或者被卤素取代;
并且其中
Rya为H、卤素、C1-C6烷基、C1-C6烷氧基,其未被取代或者被卤素取代,
苯基或-CH2-苯基,其中苯基环未被取代或被Rf取代;
Ryc、Rzc相同或不同且为H、C1-C6烷基、C2-C6链烯基、C2-C6炔基、C1-C4烷基-C1-C6烷氧基、C3-C6环烷基、C1-C4烷基-C3-C6环烷基或C1-C4烷基-C3-C6环烷氧基,其中烷基、烷氧基、链烯基、炔基、环烷基和环烷氧基结构部分未被取代或者被卤素取代;
RT为H、C1-C6烷基、C2-C6链烯基、C2-C6炔基、C1-C4烷基-C1-C6烷氧基、C3-C6环烷基、C3-C6环烷基-C1-C4烷基、C3-C6环烷氧基-C1-C4烷基,其中烷基、烷氧基、链烯基、炔基、环烷基和环烷氧基结构部分未被取代或者被卤素取代,
C(=O)-ORa、C1-C6亚烷基-NRbRc、C1-C6亚烷基-CN、C(=O)-NRbRc、C(=O)-Rd、SO2NRbRc、S(=O)mRe、苯基或-CH2-苯基,其中苯基环未被取代或被Rf取代;
Rzc与RT-若存在的话-一起可以形成C1-C6亚烷基或线性C2-C6亚链烯基,其中在线性C1-C6亚烷基和线性C2-C6亚链烯基中,CH2结构部分可以被羰基或C=N-R'替代和/或其中1或2个CH2结构部分可以被O或S替代和/或其中线性C1-C6亚烷基和线性C2-C6亚链烯基可以未被取代或被Rh取代;
Rza为H、C1-C6烷基、C1-C6烷氧基、C2-C6链烯基、三-C1-C6烷基甲硅烷基、C2-C6炔基、C1-C4烷基-C1-C6烷氧基、C3-C6环烷基、C1-C4烷基-C3-C6环烷氧基、C1-C4烷基-C3-C6环烷基,其中烷基、烷氧基、链烯基、炔基、环烷基和环烷氧基结构部分未被取代或者被卤素取代,
C1-C6亚烷基-NRbRc、C1-C6亚烷基-CN、C(=O)-NRbRc、C(=O)-Rd、苯基、苯基羰基或-CH2-苯基,其中苯基环未被取代或被Rf取代;
Rza与RT-若存在的话-一起可以形成C1-C6亚烷基或线性C2-C6亚链烯基,其中在线性C1-C6亚烷基和线性C2-C6亚链烯基中,CH2结构部分可以被羰基或C=N-R'替代和/或其中1或2个CH2结构部分可以被O或S替代和/或其中线性C1-C6亚烷基和线性C2-C6亚链烯基可以未被取代或被Rh取代;
Ra、Rb和Rc相同或不同且为H、C1-C6烷基、C2-C6链烯基、C2-C6炔基、C1-C6烷氧基-C1-C4烷基、C3-C6环烷基、C3-C6环烷基-C1-C4烷基、C3-C6环烷氧基-C1-C4烷基,其中烷基、烷氧基、链烯基、炔基、环烷基和环烷氧基结构部分未被取代或者被卤素取代,
C1-C6亚烷基-CN、苯基或-CH2-苯基,其中苯基环未被取代或被Rf取代;
Rd为H、C1-C6烷基、C2-C6链烯基、C2-C6炔基、C1-C6烷氧基-C1-C4烷基、C3-C6环烷基、C3-C6环烷基-C1-C4烷基、C3-C6环烷氧基-C1-C4烷基,其中烷基、烷氧基、链烯基、炔基、环烷基和环烷氧基结构部分未被取代或者被卤素取代,
苯基或-CH2-苯基,其中苯基环未被取代或被Rf取代;
Re为C1-C6烷基、C3-C6环烷基、C3-C6环烷基-C1-C4烷基,其中烷基、环烷基结构部分未被取代或者被卤素取代,
苯基和-CH2-苯基,其中苯基环未被取代或被Rf取代;
Rf为卤素、N3、OH、CN、NO2、-SCN、-SF5、C1-C6烷基、C1-C6烷氧基、C2-C6链烯基、三-C1-C6烷基甲硅烷基、C2-C6炔基、C1-C6烷氧基-C1-C4烷基、C1-C6烷氧基-C1-C4烷氧基、C3-C6环烷基、C3-C6环烷氧基、C3-C6环烷基-C1-C4烷基、C3-C6环烷氧基-C1-C4烷基,其中烷基、烷氧基、链烯基、炔基、环烷基和环烷氧基结构部分未被取代或者被卤素取代,
C(=O)-ORa、NRbRc、C1-C6亚烷基-NRbRc、O-C1-C6亚烷基-NRbRc、C1-C6亚烷基-CN、NH-C1-C6亚烷基-NRbRc、C(=O)-NRbRc、C(=O)-Rd、SO2NRbRc或S(=O)mRe;
Rg为卤素、N3、OH、CN、NO2、-SCN、-SF5、C1-C6烷基、C1-C6烷氧基、C2-C6链烯基、三-C1-C6烷基甲硅烷基、C2-C6炔基、C1-C6烷氧基-C1-C4烷基、C1-C6烷氧基-C1-C4烷氧基、C3-C6环烷基、C3-C6环烷氧基、C3-C6环烷基-C1-C4烷基、C3-C6环烷氧基-C1-C4烷基,其中烷基、烷氧基、链烯基、炔基、环烷基和环烷氧基结构部分未被取代或者被卤素取代,
C(=O)-ORa、NRbRc、C1-C6亚烷基-NRbRc、O-C1-C6亚烷基-NRbRc、C1-C6亚烷基-CN、NH-C1-C6亚烷基-NRbRc、C(=O)-NRbRc、C(=O)-Rd、SO2NRbRc或S(=O)mRe;
Rh为卤素、OH、C1-C6烷基、C3-C6环烷基或CN。
2.根据权利要求1的式I化合物,其中A为CRA,B1为CRB1,B2为CRB2,B3为CRB3且B4为CRB4。
3.根据权利要求1的式I化合物,其中A为N,B1为CRB1,B2为CRB2,B3为CRB3且B4为CRB4。
4.根据权利要求1的式I化合物,其中A为N,B1为CRB1,B2为N,B3为CRB3,B4为CRB4。
5.根据权利要求1的式I化合物,其中A为CRA,B1为CRB1,B2为N,B3为CRB3且B4为CRB4。
6.根据权利要求1的式I化合物,其中A为CRA,B1为CRB1,B2为N,B3为N且B4为CRB4。
7.根据权利要求1的式I化合物,其中A为N,B1为N,B2为CRB2,B3为CRB3,B4为CRB4。
9.根据权利要求1-8中任一项的式I化合物,其中
Ar为未被取代或被RAr取代的苯基、嘧啶基、哒嗪基或吡啶基;
RAr为卤素、OH、C1-C6烷基、C1-C6卤代烷基、C1-C6烷氧基、C1-C6卤代烷氧基或S-Re;
Re为C1-C6烷基、C3-C6环烷基、C3-C6环烷基-C1-C4烷基,其中烷基、环烷基结构部分未被取代或者被卤素取代。
10.一种组合物,包含一种根据权利要求1-9中任一项的式I化合物、其N-氧化物或可农用盐以及另一种活性物质。
11.一种防除或防治无脊椎动物害虫的方法,该方法包括使所述害虫或其食物供应源、栖息地或繁殖地与杀害虫有效量的至少一种根据权利要求1-9中任一项的化合物或根据权利要求10的组合物接触。
12.一种保护生长的植物以防无脊椎动物害虫侵袭或侵染的方法,该方法包括使植物或者其中植物生长的土壤或水体与杀害虫有效量的至少一种根据权利要求1-9中任一项的化合物或根据权利要求10的组合物接触。
13.以0.1g-10kg/100kg种子的量包含根据权利要求1-9中任一项的化合物或其对映体、非对映体或盐或者包含根据权利要求10的组合物的种子。
14.根据权利要求1-9中任一项的式I化合物及其可农用盐或根据权利要求10的组合物在保护生长的植物以防无脊椎动物害虫侵袭或侵染中的用途。
15.一种处理或保护动物以防无脊椎动物害虫侵袭或侵染的方法,包括使所述动物与杀害虫有效量的至少一种根据权利要求1-9中任一项的式I化合物、其立体异构体和/或至少一种其可兽用盐接触。
Applications Claiming Priority (3)
| Application Number | Priority Date | Filing Date | Title |
|---|---|---|---|
| EP19187200.1A EP3766879A1 (en) | 2019-07-19 | 2019-07-19 | Pesticidal pyrazole derivatives |
| EP19187200.1 | 2019-07-19 | ||
| PCT/EP2020/069378 WO2021013561A1 (en) | 2019-07-19 | 2020-07-09 | Pesticidal pyrazole and triazole derivatives |
Publications (2)
| Publication Number | Publication Date |
|---|---|
| CN114174267A true CN114174267A (zh) | 2022-03-11 |
| CN114174267B CN114174267B (zh) | 2025-03-04 |
Family
ID=67438112
Family Applications (1)
| Application Number | Title | Priority Date | Filing Date |
|---|---|---|---|
| CN202080052131.8A Active CN114174267B (zh) | 2019-07-19 | 2020-07-09 | 杀害虫吡唑和三唑衍生物 |
Country Status (13)
| Country | Link |
|---|---|
| US (1) | US20220256857A1 (zh) |
| EP (2) | EP3766879A1 (zh) |
| JP (1) | JP7630490B2 (zh) |
| KR (1) | KR20220035936A (zh) |
| CN (1) | CN114174267B (zh) |
| AU (1) | AU2020317524B2 (zh) |
| BR (1) | BR112022000838A2 (zh) |
| CA (1) | CA3145341A1 (zh) |
| CL (1) | CL2022000129A1 (zh) |
| ES (1) | ES2999832T3 (zh) |
| IL (1) | IL289744B2 (zh) |
| MX (1) | MX2022000776A (zh) |
| WO (1) | WO2021013561A1 (zh) |
Cited By (1)
| Publication number | Priority date | Publication date | Assignee | Title |
|---|---|---|---|---|
| WO2025036451A1 (zh) * | 2023-08-15 | 2025-02-20 | 潘普洛纳生物科技(深圳)有限公司 | 靶向irak蛋白抑制或降解的化合物及其应用 |
Families Citing this family (7)
| Publication number | Priority date | Publication date | Assignee | Title |
|---|---|---|---|---|
| EP4144739A1 (de) * | 2021-09-02 | 2023-03-08 | Bayer Aktiengesellschaft | Anellierte pyrazole als schädlingsbekämpfungsmittel |
| EP4198023A1 (en) | 2021-12-16 | 2023-06-21 | Basf Se | Pesticidally active thiosemicarbazone compounds |
| EP4479392A1 (en) | 2022-02-17 | 2024-12-25 | Basf Se | Pesticidally active thiosemicarbazone compounds |
| AU2023317620A1 (en) | 2022-08-02 | 2025-02-13 | Basf Se | Pyrazolo pesticidal compounds |
| CA3267500A1 (en) | 2022-09-19 | 2024-03-28 | Basf Se | AZOLE PESTICIDE COMPOUNDS |
| WO2024240859A1 (en) | 2023-05-25 | 2024-11-28 | Basf Se | Lactam pesticidal compounds |
| EP4467535A1 (en) | 2023-05-25 | 2024-11-27 | Basf Se | Lactam pesticidal compounds |
Citations (11)
| Publication number | Priority date | Publication date | Assignee | Title |
|---|---|---|---|---|
| CN86108643A (zh) * | 1985-12-20 | 1987-07-29 | 梅-贝克公司 | 应用n-苯基吡唑类杀虫的方法 |
| CN88103601A (zh) * | 1987-06-12 | 1988-12-28 | 梅·贝克有限公司 | N-苯基吡唑衍生物 |
| CN1030410A (zh) * | 1987-06-12 | 1989-01-18 | 梅·贝克有限公司 | N-苯基吡唑衍生物 |
| TW200738620A (en) * | 2006-01-27 | 2007-10-16 | Du Pont | Fluoroalkenyl derivatives as insecticides and nematicides |
| CN101228134A (zh) * | 2005-06-15 | 2008-07-23 | 辉瑞有限公司 | 用作杀寄生虫剂的取代芳基吡唑 |
| CN101998963A (zh) * | 2008-02-12 | 2011-03-30 | 陶氏益农公司 | 杀虫组合物 |
| CN104428282A (zh) * | 2012-07-12 | 2015-03-18 | 日产化学工业株式会社 | 肟取代酰胺化合物和有害生物防除剂 |
| WO2015140222A1 (en) * | 2014-03-20 | 2015-09-24 | Syngenta Participations Ag | Pesticidally active substituted pyridyl carboxamides |
| CN105101800A (zh) * | 2012-10-02 | 2015-11-25 | 拜耳农作物科学股份公司 | 作为杀虫剂的杂环化合物 |
| CN107428699A (zh) * | 2015-03-27 | 2017-12-01 | 先正达参股股份有限公司 | 杀有害生物活性的氨基甲酰化和硫代氨基甲酰化的肟衍生物 |
| JP2019006772A (ja) * | 2017-06-27 | 2019-01-17 | 日本曹達株式会社 | ジアリールアゾール化合物および有害生物防除剤 |
Family Cites Families (243)
| Publication number | Priority date | Publication date | Assignee | Title |
|---|---|---|---|---|
| US3325503A (en) | 1965-02-18 | 1967-06-13 | Diamond Alkali Co | Polychloro derivatives of mono- and dicyano pyridines and a method for their preparation |
| US3296272A (en) | 1965-04-01 | 1967-01-03 | Dow Chemical Co | Sulfinyl- and sulfonylpyridines |
| CH554393A (de) * | 1971-03-31 | 1974-09-30 | Ciba Geigy Ag | Verwendung von styryl-v-triazol-derivaten zum optischen aufhellen von organischen materialietextilindustrie. |
| DE3338292A1 (de) | 1983-10-21 | 1985-05-02 | Basf Ag, 6700 Ludwigshafen | 7-amino-azolo(1,5-a)-pyrimidine und diese enthaltende fungizide |
| CA1249832A (en) | 1984-02-03 | 1989-02-07 | Shionogi & Co., Ltd. | Azolyl cycloalkanol derivatives and agricultural fungicides |
| BR8600161A (pt) | 1985-01-18 | 1986-09-23 | Plant Genetic Systems Nv | Gene quimerico,vetores de plasmidio hibrido,intermediario,processo para controlar insetos em agricultura ou horticultura,composicao inseticida,processo para transformar celulas de plantas para expressar uma toxina de polipeptideo produzida por bacillus thuringiensis,planta,semente de planta,cultura de celulas e plasmidio |
| DE3545319A1 (de) | 1985-12-20 | 1987-06-25 | Basf Ag | Acrylsaeureester und fungizide, die diese verbindungen enthalten |
| CN1015981B (zh) | 1986-05-02 | 1992-03-25 | 施托福化学公司 | 吡啶基亚胺酸酯的制备方法 |
| DE256503T1 (de) | 1986-08-12 | 1990-02-08 | Mitsubishi Kasei Corp., Tokio/Tokyo | Pyridincarboxamid-derivate und ihre verwendung als fungizides mittel. |
| DE3705099A1 (de) | 1987-02-18 | 1988-09-01 | Gutehoffnungshuette Man | Vorrichtung zum auswechseln von abstichrinnen an schachtoefen |
| ES2006447B3 (es) | 1987-03-17 | 1992-02-16 | Her Majesty In Right Of Canada As Represented By The Mini Of Agriculture Canada | Metodos y composiciones para aumentar las cantidades de fosforo y/o micronutrientes utilizables por plantas captados de los suelos. |
| DE3731239A1 (de) | 1987-09-17 | 1989-03-30 | Basf Ag | Verfahren zur bekaempfung von pilzen |
| EP0374753A3 (de) | 1988-12-19 | 1991-05-29 | American Cyanamid Company | Insektizide Toxine, Gene, die diese Toxine kodieren, Antikörper, die sie binden, sowie transgene Pflanzenzellen und transgene Pflanzen, die diese Toxine exprimieren |
| ES2199931T3 (es) | 1989-03-24 | 2004-03-01 | Syngenta Participations Ag | Plantas transgenicas resistentes a enfermedades. |
| ES2153817T3 (es) | 1989-08-03 | 2001-03-16 | Australian Technological Innov | Miconematicida. |
| ES2074547T3 (es) | 1989-11-07 | 1995-09-16 | Pioneer Hi Bred Int | Lectinas larvicidas, y resistencia inducida de las plantas a los insectos. |
| AU628229B2 (en) | 1989-11-10 | 1992-09-10 | Agro-Kanesho Co. Ltd. | Hexahydrotriazine compounds and insecticides |
| SK281286B6 (sk) | 1989-11-17 | 2001-02-12 | Novo Nordisk A/S | Mutant mikroorganizmu bacillus thuringiensis deponovaný ako subsp. tenebrionis dsm 5480, spôsob jeho prípravy a pesticídny prostriedok, ktorý ho obsahuje |
| US6395966B1 (en) | 1990-08-09 | 2002-05-28 | Dekalb Genetics Corp. | Fertile transgenic maize plants containing a gene encoding the pat protein |
| JP3166215B2 (ja) | 1991-07-25 | 2001-05-14 | 住友化学工業株式会社 | 1,2−ナフトキノンジアジド−5−スルホニルクロリドの製造方法 |
| JP2828186B2 (ja) | 1991-09-13 | 1998-11-25 | 宇部興産株式会社 | アクリレート系化合物、その製法及び殺菌剤 |
| UA48104C2 (uk) | 1991-10-04 | 2002-08-15 | Новартіс Аг | Фрагмент днк, який містить послідовність,що кодує інсектицидний протеїн, оптимізовану для кукурудзи,фрагмент днк, який забезпечує направлену бажану для серцевини стебла експресію зв'язаного з нею структурного гена в рослині, фрагмент днк, який забезпечує специфічну для пилку експресію зв`язаного з нею структурного гена в рослині, рекомбінантна молекула днк, спосіб одержання оптимізованої для кукурудзи кодуючої послідовності інсектицидного протеїну, спосіб захисту рослин кукурудзи щонайменше від однієї комахи-шкідника |
| ATE505546T1 (de) | 1992-07-01 | 2011-04-15 | Cornell Res Foundation Inc | Elicitor von überempfindlichkeitsreaktionen in pflanzen |
| US5484464A (en) | 1993-12-29 | 1996-01-16 | Philom Bios, Inc.. | Methods and compositions for increasing the benefits of rhizobium inoculation to legume crop productivity |
| US5530195A (en) | 1994-06-10 | 1996-06-25 | Ciba-Geigy Corporation | Bacillus thuringiensis gene encoding a toxin active against insects |
| DE19502065C2 (de) | 1995-01-14 | 1996-05-02 | Prophyta Biolog Pflanzenschutz | Pilzisolat mit fungizider Wirkung |
| US6406690B1 (en) | 1995-04-17 | 2002-06-18 | Minrav Industries Ltd. | Bacillus firmus CNCM I-1582 or Bacillus cereus CNCM I-1562 for controlling nematodes |
| DE19650197A1 (de) | 1996-12-04 | 1998-06-10 | Bayer Ag | 3-Thiocarbamoylpyrazol-Derivate |
| CA2285618C (en) | 1997-04-03 | 2015-07-07 | Dekalb Genetics Corporation | Glyphosate resistant maize lines |
| TW460476B (en) | 1997-04-14 | 2001-10-21 | American Cyanamid Co | Fungicidal trifluoromethylalkylamino-triazolopyrimidines |
| NZ503594A (en) | 1997-09-18 | 2001-08-31 | Basf Ag | (Phenyl, thienyl or pyrazolyl)-substituted and alkyl-substituted benzamidoxime derivatives, and benzonitrile intermediates, useful as fungicides |
| DE19750012A1 (de) | 1997-11-12 | 1999-05-20 | Bayer Ag | Isothiazolcarbonsäureamide |
| AU1621799A (en) | 1997-12-04 | 1999-06-16 | Dow Agrosciences Llc | Fungicidal compositions and methods, and compounds and methods for the preparation thereof |
| US6333449B1 (en) | 1998-11-03 | 2001-12-25 | Plant Genetic Systems, N.V. | Glufosinate tolerant rice |
| AU1336200A (en) | 1998-11-03 | 2000-05-22 | Aventis Cropscience N.V. | Glufosinate tolerant rice |
| AU755538B2 (en) | 1998-11-17 | 2002-12-12 | Ihara Chemical Industry Co. Ltd. | Pyrimidinylbenzimidazole and triazinylbenzimidazole derivatives and agricultural/horticultural fungicides |
| IT1303800B1 (it) | 1998-11-30 | 2001-02-23 | Isagro Ricerca Srl | Composti dipeptidici aventi elevata attivita' fungicida e loroutilizzo agronomico. |
| JP3417862B2 (ja) | 1999-02-02 | 2003-06-16 | 新東工業株式会社 | 酸化チタン光触媒高担持シリカゲルおよびその製造方法 |
| AU770077B2 (en) | 1999-03-11 | 2004-02-12 | Dow Agrosciences Llc | Heterocyclic substituted isoxazolidines and their use as fungicides |
| US6586617B1 (en) | 1999-04-28 | 2003-07-01 | Sumitomo Chemical Takeda Agro Company, Limited | Sulfonamide derivatives |
| UA73307C2 (uk) | 1999-08-05 | 2005-07-15 | Куміаі Кемікал Індастрі Ко., Лтд. | Похідна карбамату і фунгіцид сільськогосподарського/садівницького призначення |
| US6509516B1 (en) | 1999-10-29 | 2003-01-21 | Plant Genetic Systems N.V. | Male-sterile brassica plants and methods for producing same |
| US6506963B1 (en) | 1999-12-08 | 2003-01-14 | Plant Genetic Systems, N.V. | Hybrid winter oilseed rape and methods for producing same |
| DE10021412A1 (de) | 1999-12-13 | 2001-06-21 | Bayer Ag | Fungizide Wirkstoffkombinationen |
| DK1250047T3 (da) | 2000-01-25 | 2005-05-30 | Syngenta Participations Ag | Herbicidt middel |
| US6376548B1 (en) | 2000-01-28 | 2002-04-23 | Rohm And Haas Company | Enhanced propertied pesticides |
| IL167957A (en) | 2000-02-04 | 2009-07-20 | Sumitomo Chemical Co | Hydroxypyridine compounds |
| CN1114590C (zh) | 2000-02-24 | 2003-07-16 | 沈阳化工研究院 | 不饱和肟醚类杀菌剂 |
| BRPI0100752B1 (pt) | 2000-06-22 | 2015-10-13 | Monsanto Co | moléculas e pares de moléculas de dna, processos para detectar molécula de dna e para criar um traço tolerante a glifosato em plantas de milho, bem como kit de detecção de dna |
| CN100353846C (zh) | 2000-08-25 | 2007-12-12 | 辛根塔参与股份公司 | 新的来自苏云金芽孢杆菌杀虫晶体蛋白的杀虫毒素 |
| US6713259B2 (en) | 2000-09-13 | 2004-03-30 | Monsanto Technology Llc | Corn event MON810 and compositions and methods for detection thereof |
| MXPA03002338A (es) | 2000-09-18 | 2003-09-10 | Du Pont | Piridinilamidas y piridinilimidas para uso como fungicidas. |
| EP1366070A2 (en) | 2000-10-25 | 2003-12-03 | Monsanto Technology LLC | Cotton event pv-ghgt07(1445) and compositions and methods for detection thereof |
| AU2002230899B2 (en) | 2000-10-30 | 2006-11-09 | Monsanto Technology Llc | Canola event PV-BNGT04(RT73) and compositions and methods for detection thereof |
| NZ525744A (en) | 2000-11-17 | 2004-10-29 | Dow Agrosciences Llc | Compounds having fungicidal activity and processes to make and use same |
| AU2002255715B2 (en) | 2001-03-14 | 2008-05-01 | State Of Israel- Ministry Of Agriculture Agricultural Research Organisation | A novel antagonistic yeast useful in controlling spoilage of agricultural produce, methods of use thereof and compositions containing same |
| JP5034142B2 (ja) | 2001-04-20 | 2012-09-26 | 住友化学株式会社 | 植物病害防除剤組成物 |
| EG26529A (en) | 2001-06-11 | 2014-01-27 | مونسانتو تكنولوجى ل ل سى | Prefixes for detection of DNA molecule in cotton plant MON15985 which gives resistance to damage caused by insect of squamous lepidoptera |
| DE10136065A1 (de) | 2001-07-25 | 2003-02-13 | Bayer Cropscience Ag | Pyrazolylcarboxanilide |
| AR037228A1 (es) | 2001-07-30 | 2004-11-03 | Dow Agrosciences Llc | Compuestos del acido 6-(aril o heteroaril)-4-aminopicolinico, composicion herbicida que los comprende y metodo para controlar vegetacion no deseada |
| FR2828196A1 (fr) | 2001-08-03 | 2003-02-07 | Aventis Cropscience Sa | Derives de chromone a action fongicide, procede de preparation et application dans le domaine de l'agriculture |
| US6818807B2 (en) | 2001-08-06 | 2004-11-16 | Bayer Bioscience N.V. | Herbicide tolerant cotton plants having event EE-GH1 |
| JPWO2003016286A1 (ja) | 2001-08-17 | 2004-12-02 | 三共アグロ株式会社 | 3−フェノキシ−4−ピリダジノール誘導体及びそれを含有する除草剤組成物 |
| BR0212034A (pt) | 2001-08-20 | 2004-08-03 | Dainippon Ink & Chemicals | Derivado de tetrazoiloxima e produto quìmico agrìcola contendo o mesmo como ingrediente ativo |
| US7230167B2 (en) | 2001-08-31 | 2007-06-12 | Syngenta Participations Ag | Modified Cry3A toxins and nucleic acid sequences coding therefor |
| WO2003052073A2 (en) | 2001-12-17 | 2003-06-26 | Syngenta Participations Ag | Novel corn event |
| WO2003053145A1 (en) | 2001-12-21 | 2003-07-03 | Nissan Chemical Industries, Ltd. | Bactericidal composition |
| TWI327462B (en) | 2002-01-18 | 2010-07-21 | Sumitomo Chemical Co | Condensed heterocyclic sulfonyl urea compound, a herbicide containing the same, and a method for weed control using the same |
| DE10204390A1 (de) | 2002-02-04 | 2003-08-14 | Bayer Cropscience Ag | Disubstituierte Thiazolylcarboxanilide |
| HK1079785B (zh) | 2002-03-05 | 2007-08-10 | 辛根塔参与股份公司 | 邻环丙基-n-甲酰苯胺及其作为杀菌剂的用途 |
| HRP20050134A2 (en) | 2002-07-29 | 2005-06-30 | Monsanto Technology Llc | Corn event pv-zmir13 (mon863) plants and compositions and methods for detection thereof |
| GB0225129D0 (en) | 2002-10-29 | 2002-12-11 | Syngenta Participations Ag | Improvements in or relating to organic compounds |
| GB0227966D0 (en) | 2002-11-29 | 2003-01-08 | Syngenta Participations Ag | Organic Compounds |
| CN1753998B (zh) | 2003-02-12 | 2017-02-15 | 孟山都技术有限公司 | 棉花事件mon88913及其组合物和检测方法 |
| CN102391988A (zh) | 2003-02-20 | 2012-03-28 | Kws萨特股份公司 | 草甘膦耐受性甜菜 |
| WO2004083193A1 (ja) | 2003-03-17 | 2004-09-30 | Sumitomo Chemical Company, Limited | アミド化合物およびこれを含有する殺菌剤組成物 |
| CN1201657C (zh) | 2003-03-25 | 2005-05-18 | 浙江省化工研究院 | 甲氧基丙烯酸甲酯类化合物杀菌剂 |
| DK1620571T3 (en) | 2003-05-02 | 2015-10-05 | Dow Agrosciences Llc | MAJS TD1507 and methods for detecting it |
| US7157281B2 (en) | 2003-12-11 | 2007-01-02 | Monsanto Technology Llc | High lysine maize compositions and event LY038 maize plants |
| US8212113B2 (en) | 2003-12-15 | 2012-07-03 | Monsanto Technology Llc | Corn plant Mon88017 and compositions and methods for detection thereof |
| TWI355894B (en) | 2003-12-19 | 2012-01-11 | Du Pont | Herbicidal pyrimidines |
| SI1717237T1 (sl) | 2004-02-18 | 2011-03-31 | Ishihara Sangyo Kaisha | Antranilamidi, postopek za njihovo proizvodnjo in sredstva za zatiranje škodljivcev, ki jih vsebujejo |
| JP2007527886A (ja) | 2004-03-10 | 2007-10-04 | ビーエーエスエフ アクチェンゲゼルシャフト | 5,6−ジアルキル−7−アミノトリアゾロピリミジン、その調製、および有害真菌を防除するためのその使用、ならびにそれらの化合物を含む組成物 |
| HRP20100538T1 (hr) | 2004-03-10 | 2010-12-31 | Basf Se | 5,6-dialkil-7-aminotriazolopirimidini, postupci za njihovo dobijanje, njihova primjena za kontrolu patogenih gljiva, kao i sredstva koja sadrže spomenute spojeve |
| UA94893C2 (ru) | 2004-03-25 | 2011-06-25 | Сингента Партисипейшнс Аг | Трансгенное растение кукурузы mir604 |
| US7179965B2 (en) | 2004-03-26 | 2007-02-20 | Dow Agrosciences Llc | Cry1F and Cry1Ac transgenic cotton lines and event-specific identification thereof |
| WO2005120234A2 (en) | 2004-06-03 | 2005-12-22 | E.I. Dupont De Nemours And Company | Fungicidal mixtures of amidinylphenyl compounds |
| CA2471555C (en) | 2004-06-18 | 2011-05-17 | Thomas D. Johnson | Controlling plant pathogens with fungal/bacterial antagonist combinations comprising trichoderma virens and bacillus amyloliquefaciens |
| ATE458722T1 (de) | 2004-06-18 | 2010-03-15 | Basf Se | 1-methyl-3-trifluormethyl-pyrazol-4-carbonsäure (ortho-phenyl)-anilide und ihre verwendung als fungizid |
| EP1761498A1 (de) | 2004-06-18 | 2007-03-14 | Basf Aktiengesellschaft | 1-methyl-3-difluormethyl-pyrazol-4-carbonsäure-(ortho-phenyl)-anilide und ihre verwendung als fungizid |
| GB0418048D0 (en) | 2004-08-12 | 2004-09-15 | Syngenta Participations Ag | Method for protecting useful plants or plant propagation material |
| BRPI0515922B8 (pt) | 2004-09-29 | 2022-12-06 | Dow Agrosciences Llc | Molécula de dna, kit, constructo, método de identificação do evento, método de detecção, par de moléculas de dna, método de confirmação da pureza, método de varredura, par de sequências de dna |
| CA2581725C (en) | 2004-10-20 | 2013-01-08 | Kumiai Chemical Industry Co., Ltd. | 3-triazolylphenyl sulfide derivative, and insecticide, miticide and nematicide containing it as an active ingredient |
| DE102005007160A1 (de) | 2005-02-16 | 2006-08-24 | Basf Ag | Pyrazolcarbonsäureanilide, Verfahren zu ihrer Herstellung und sie enthaltende Mittel zur Bekämpfung von Schadpilzen |
| WO2006087325A1 (de) | 2005-02-16 | 2006-08-24 | Basf Aktiengesellschaft | 5-alkoxyalkyl-6-alkyl-7-amino-azolopyrimidine, verfahren zu ihrer herstellung und ihre verwendung zur bekämpfung von schadpilzen sowie sie enthaltende mittel |
| DE102005008021A1 (de) | 2005-02-22 | 2006-08-24 | Bayer Cropscience Ag | Spiroketal-substituierte cyclische Ketoenole |
| DE102005009458A1 (de) | 2005-03-02 | 2006-09-07 | Bayer Cropscience Ag | Pyrazolylcarboxanilide |
| WO2006098952A2 (en) | 2005-03-16 | 2006-09-21 | Syngenta Participations Ag | Corn event 3272 and methods of detection thereof |
| CA2603944C (en) | 2005-04-08 | 2015-06-23 | Bayer Bioscience N.V. | Elite event a2704-12 comprising the integration of the phosphinothricin acetyltransferase (pat) gene into soybeans, and methods and kits for identifying such event in biological samples |
| JP5281392B2 (ja) | 2005-04-11 | 2013-09-04 | バイエル・クロップサイエンス・エヌ・ヴェー | エリートイベントa5547−127、ならびに生物サンプル中の該イベントを同定するための方法およびキット |
| PT1885176T (pt) | 2005-05-27 | 2016-11-28 | Monsanto Technology Llc | Evento mon89788 de soja e métodos para a sua deteção |
| WO2006128573A2 (en) | 2005-06-02 | 2006-12-07 | Syngenta Participations Ag | Ce43- 67b, insecticidal transgenic cotton expressing cry1ab |
| ATE520681T1 (de) | 2005-07-07 | 2011-09-15 | Basf Se | N-thioanthranilamidverbindungen und ihre verwendung als pestizide |
| CN1907024A (zh) | 2005-08-03 | 2007-02-07 | 浙江化工科技集团有限公司 | 取代甲氧基丙烯酸甲酯类化合物杀菌剂 |
| MX2008001839A (es) | 2005-08-08 | 2008-04-09 | Bayer Bioscience Nv | Plantas de algodon con tolerancia a herbicidas y metodos para identificar las mismas. |
| DK1937664T3 (da) | 2005-10-14 | 2011-07-18 | Sumitomo Chemical Co | Hydrazidforbindelse og pesticid anvendelse af den samme |
| PL1973881T3 (pl) | 2006-01-13 | 2010-04-30 | Dow Agrosciences Llc | 6-(wielo-podstawione arylo)-4-aminopikoliniany i ich zastosowanie jako herbicydy |
| EP1983832A2 (en) | 2006-02-09 | 2008-10-29 | Syngeta Participations AG | A method of protecting a plant propagation material, a plant, and/or plant organs |
| DE102006015197A1 (de) | 2006-03-06 | 2007-09-13 | Bayer Cropscience Ag | Wirkstoffkombination mit insektiziden Eigenschaften |
| WO2007101369A1 (fr) | 2006-03-09 | 2007-09-13 | East China University Of Science And Technology | Méthode de préparation et utilisation de composés présentant une action biocide |
| CN101437806B (zh) | 2006-05-08 | 2011-01-19 | 组合化学工业株式会社 | 1,2-苯并异噻唑衍生物及农业或园艺用植物病害防除剂 |
| UA98770C2 (ru) | 2006-05-26 | 2012-06-25 | Монсанто Текнолоджи, Ллс | Растение кукурузы и семена, которые соответствуют трансгенному случаю mon89034, и способы его обнаружения и применения |
| ES2546255T3 (es) | 2006-06-03 | 2015-09-22 | Syngenta Participations Ag | Evento de Maíz MIR162 |
| JP2009539878A (ja) | 2006-06-08 | 2009-11-19 | アレイ バイオファーマ、インコーポレイテッド | キノリン化合物および使用方法 |
| US7951995B2 (en) | 2006-06-28 | 2011-05-31 | Pioneer Hi-Bred International, Inc. | Soybean event 3560.4.3.5 and compositions and methods for the identification and detection thereof |
| WO2008013622A2 (en) | 2006-07-27 | 2008-01-31 | E. I. Du Pont De Nemours And Company | Fungicidal azocyclic amides |
| US7928296B2 (en) | 2006-10-30 | 2011-04-19 | Pioneer Hi-Bred International, Inc. | Maize event DP-098140-6 and compositions and methods for the identification and/or detection thereof |
| EP3067425A1 (en) | 2006-10-31 | 2016-09-14 | E. I. du Pont de Nemours and Company | Soybean event dp-305423-1 and constructs for the generation thereof |
| DE102006057036A1 (de) | 2006-12-04 | 2008-06-05 | Bayer Cropscience Ag | Biphenylsubstituierte spirocyclische Ketoenole |
| WO2008122406A1 (en) | 2007-04-05 | 2008-10-16 | Bayer Bioscience N.V. | Insect resistant cotton plants and methods for identifying same |
| WO2008134969A1 (fr) | 2007-04-30 | 2008-11-13 | Sinochem Corporation | Composés benzamides et leurs applications |
| EP2162542A1 (en) | 2007-06-11 | 2010-03-17 | Bayer BioScience N.V. | Insect resistant cotton plants comprising elite event ee-gh6 and methods for identifying same |
| EP2209897A1 (en) | 2007-11-15 | 2010-07-28 | Monsanto Technology, LLC | Soybean plant and seed corresponding to transgenic event mon87701 and methods for detection thereof |
| EP3262940A1 (en) | 2008-01-15 | 2018-01-03 | Bayer Intellectual Property GmbH | Pesticide composition comprising a tetrazolyloxime derivative and an insecticide active substance |
| HUE026195T2 (en) | 2008-01-22 | 2016-05-30 | Dow Agrosciences Llc | 4-Amino-5-fluoropyrimidine derivatives as fungicides |
| CN102119216B (zh) | 2008-02-14 | 2015-05-20 | 先锋国际良种公司 | Spt事件侧翼的植物基因组dna及用于鉴定spt事件的方法 |
| JP5767813B2 (ja) | 2008-02-15 | 2015-08-19 | モンサント テクノロジー エルエルシー | トランスジェニック事象mon87769に対応するダイズ植物および種子ならびにそれらを検出する方法 |
| ES2590177T3 (es) | 2008-02-29 | 2016-11-18 | Monsanto Technology Llc | Acontecimiento de planta de maíz MON87460 y composiciones y procedimientos para la detección del mismo |
| EA019752B1 (ru) | 2008-03-05 | 2014-06-30 | Такеда Фармасьютикал Компани Лимитед | Гетероциклическое амидное соединение и его применение для лечения/профилактики диабета |
| WO2009124707A2 (en) | 2008-04-07 | 2009-10-15 | Bayer Cropscience Ag | Combinations of biological control agents and insecticides or fungicides |
| CA2720739C (en) | 2008-04-07 | 2020-04-21 | Bayer Cropscience Lp | Stable aqueous bacillus firmus-containing spore formulations |
| CN101333213B (zh) | 2008-07-07 | 2011-04-13 | 中国中化股份有限公司 | 1-取代吡啶基-吡唑酰胺类化合物及其应用 |
| EP2309857B1 (de) | 2008-07-17 | 2013-07-03 | Bayer CropScience AG | Heterocyclische verbindungen als schädlingsbekämpfungsmittel |
| SI3081552T1 (sl) | 2008-08-13 | 2021-07-30 | Mitsui Chemicals Agro, Inc. | Sredstvo za zatiranje insektov, ki vsebuje amidni derivat, in uporaba sredstva za zatiranje insektov |
| UA103633C2 (ru) | 2008-09-24 | 2013-11-11 | Басф Се | Пиразольные соединения для борьбы с бесхребетными вредителями |
| BRPI0920827A2 (pt) | 2008-09-29 | 2015-08-18 | Monsanto Technology Llc | Evento transgênico da soja mon87705 e métodos para detecção do mesmo |
| CN101747276B (zh) | 2008-11-28 | 2011-09-07 | 中国中化股份有限公司 | 具有含氮五元杂环的醚类化合物及其应用 |
| MX346321B (es) | 2008-12-16 | 2017-03-15 | Syngenta Participations Ag | Evento 5307 del maiz. |
| GB0823002D0 (en) | 2008-12-17 | 2009-01-28 | Syngenta Participations Ag | Isoxazoles derivatives with plant growth regulating properties |
| CN101747320B (zh) | 2008-12-19 | 2013-10-16 | 华东理工大学 | 二醛构建的具有杀虫活性的含氮或氧杂环化合物及其制备方法 |
| WO2010080829A1 (en) | 2009-01-07 | 2010-07-15 | Basf Agrochemical Products B.V. | Soybean event 127 and methods related thereto |
| US8551919B2 (en) | 2009-04-13 | 2013-10-08 | University Of Delaware | Methods for promoting plant health |
| EP2440559B1 (en) | 2009-05-05 | 2018-01-10 | Dana-Farber Cancer Institute, Inc. | Egfr inhibitors and methods of treating disorders |
| US8431514B2 (en) | 2009-05-06 | 2013-04-30 | Syngenta Crop Protection Llc | 4-cyano-3-benzoylamino-N-phenyl-benzamides for use in pest control |
| CN101906075B (zh) | 2009-06-05 | 2012-11-07 | 中国中化股份有限公司 | 含取代苯胺基嘧啶基团的e-型苯基丙烯酸酯类化合物及其应用 |
| UA108619C2 (xx) | 2009-08-07 | 2015-05-25 | Пестицидні композиції | |
| CA3038144C (en) | 2009-08-19 | 2023-03-14 | Yunxing Cory Cui | Aad-1 event das-40278-9, related transgenic corn lines, and event-specific identification thereof |
| MX2012002579A (es) | 2009-09-01 | 2012-07-23 | Dow Agrosciences Llc | Composiciones fungicidas sinergisticas que contienen un derivado de 5-fluoropirimidina para el control de hongos en cereales. |
| JP5726878B2 (ja) | 2009-09-17 | 2015-06-03 | モンサント テクノロジー エルエルシー | ダイズ・トランスジェニック事象mon87708およびその使用方法 |
| WO2011050245A1 (en) | 2009-10-23 | 2011-04-28 | Yangbo Feng | Bicyclic heteroaryls as kinase inhibitors |
| SI2501704T1 (sl) | 2009-11-16 | 2013-11-29 | Eli Lilly Company | Spojine spiropiperidina kot antagonisti oral-1 receptorja |
| UA115762C2 (uk) | 2009-11-23 | 2017-12-26 | Монсанто Текнолоджи Ллс | Рекомбінантна молекула днк, яка вказує на присутність трансгенної події mon 87427 маїсу |
| IN2012DN04843A (zh) | 2009-11-24 | 2015-09-25 | Dow Agrosciences Llc | |
| CN102093389B (zh) | 2009-12-09 | 2014-11-19 | 华东理工大学 | 双联和氧桥杂环新烟碱化合物及其制备方法 |
| PL2512226T3 (pl) | 2009-12-17 | 2019-10-31 | Pioneer Hi Bred Int | Modyfikacja DP-004114-3 kukurydzy i sposoby jej wykrywania |
| PH12012501288A1 (en) | 2009-12-22 | 2013-01-07 | Mitsui Chemicals Crop & Life Solutions Inc | Plant disease control composition and method for controlling plant diseases by applying the same |
| AP3294A (en) | 2010-01-04 | 2015-05-31 | Nippon Soda Co | Nitrogen-containing heterocyclic compound and agricultural fungicide |
| WO2011085575A1 (zh) | 2010-01-15 | 2011-07-21 | 江苏省农药研究所股份有限公司 | 邻杂环甲酰苯胺类化合物及其合成方法和应用 |
| CN102126994B (zh) | 2010-01-19 | 2014-07-09 | 中化蓝天集团有限公司 | 一种二苯酮腙衍生物、其制备方法和用途 |
| AR081721A1 (es) | 2010-02-25 | 2012-10-17 | Nippon Soda Co | Compuesto de amina ciclica y acaricida |
| RU2610683C2 (ru) | 2010-03-01 | 2017-02-14 | Юниверсити Оф Делавэр | Составы и способы для увеличения биомассы, концентрации железа и устойчивости растений к патогенам |
| CN102858172A (zh) | 2010-04-28 | 2013-01-02 | 住友化学株式会社 | 植物病害组合物及其用途 |
| KR101941297B1 (ko) | 2010-06-04 | 2019-01-22 | 몬산토 테크놀로지 엘엘씨 | 유전자 이식 브라씨카의 사건 mon 88302 및 이것의 사용방법 |
| RU2013103422A (ru) | 2010-06-28 | 2014-08-10 | Байер Интеллектчуал Проперти Гмбх | Гетероарил-замещенные пиридиновые соединения для применения в качестве пестицидов |
| WO2012029672A1 (ja) | 2010-08-31 | 2012-03-08 | Meiji Seikaファルマ株式会社 | 有害生物防除剤 |
| CN101935291B (zh) | 2010-09-13 | 2013-05-01 | 中化蓝天集团有限公司 | 一种含氰基的邻苯二甲酰胺类化合物、制备方法和作为农用化学品杀虫剂的用途 |
| CN101967139B (zh) | 2010-09-14 | 2013-06-05 | 中化蓝天集团有限公司 | 一种含一氟甲氧基吡唑的邻甲酰氨基苯甲酰胺类化合物、其合成方法及应用 |
| WO2012051199A2 (en) | 2010-10-12 | 2012-04-19 | Monsanto Technology Llc | Soybean plant and seed corresponding to transgenic event mon87712 and methods for detection thereof |
| WO2012063824A1 (ja) | 2010-11-10 | 2012-05-18 | クミアイ化学工業株式会社 | 微生物農薬組成物 |
| EP2648521B1 (en) | 2010-12-10 | 2020-02-05 | Auburn University | Inoculants including bacillus bacteria for inducing production of volatile organic compounds in plants |
| TWI667347B (zh) | 2010-12-15 | 2019-08-01 | 瑞士商先正達合夥公司 | 大豆品種syht0h2及偵測其之組合物及方法 |
| WO2012084670A1 (en) | 2010-12-20 | 2012-06-28 | Basf Se | Pesticidal active mixtures comprising pyrazole compounds |
| IT1403275B1 (it) | 2010-12-20 | 2013-10-17 | Isagro Ricerca Srl | Indanilanilidi ad elevata attività fungicida e loro composizioni fitosanitarie |
| AP3447A (en) * | 2011-02-07 | 2015-10-31 | Dow Agrisciences Llc | Pesticidal compositions and processes related thereto |
| AU2012230503B2 (en) | 2011-03-18 | 2016-07-07 | Bayer Intellectual Property Gmbh | N-(3-carbamoylphenyl)-1H-pyrazole-5-carboxamide derivatives and the use thereof for controlling animal pests |
| ES2743728T3 (es) | 2011-03-30 | 2020-02-20 | Monsanto Technology Llc | Evento transgénico MON 88701 del algodón y procedimientos de uso del mismo |
| AU2012244846B2 (en) | 2011-04-21 | 2016-07-07 | Basf Se | Novel pesticidal pyrazole compounds |
| TWI583308B (zh) | 2011-05-31 | 2017-05-21 | 組合化學工業股份有限公司 | 稻之病害防治方法 |
| EP2532233A1 (en) | 2011-06-07 | 2012-12-12 | Bayer CropScience AG | Active compound combinations |
| EP2726618A1 (en) | 2011-06-30 | 2014-05-07 | Monsanto Technology LLC | Alfalfa plant and seed corresponding to transgenic event kk 179-2 and methods for detection thereof |
| WO2013003977A1 (zh) | 2011-07-01 | 2013-01-10 | 合肥星宇化学有限责任公司 | 2,5-二取代-3-硝亚胺基-1,2,4-三唑啉类化合物及其制备方法与其作为杀虫剂的应用 |
| BR112014000688B8 (pt) | 2011-07-12 | 2022-10-11 | Dow Agrosciences Llc | Composições pesticidas, e processo para controle de pestes |
| EA026736B1 (ru) | 2011-07-13 | 2017-05-31 | Басф Агро Б.В. | Фунгицидные замещенные 2-[2-галогеналкил-4-(фенокси)фенил]-1-[1,2,4]триазол-1-ил-этанольные соединения |
| EP2731438B1 (en) | 2011-07-15 | 2015-04-08 | Basf Se | Fungicidal alkyl-substituted 2-[2-chloro-4-(4-chloro-phenoxy)-phenyl]-1-[1,2,4]triazol-1-yl-ethanol compounds |
| BR102012019434B1 (pt) | 2011-07-26 | 2021-11-09 | Dow Agrosciences Llc | Métodos de controle de pestes, de insetos, molécula e sequência de dna diagnóstica para o evento de soja 9582.814.19.1 |
| IN2014CN00979A (zh) | 2011-08-12 | 2015-04-10 | Basf Se | |
| IN2014CN01025A (zh) | 2011-08-12 | 2015-04-10 | Basf Se | |
| AU2012301466B2 (en) | 2011-08-27 | 2015-07-23 | Marrone Bio Innovations, Inc. | Isolated bacterial strain of the genus Burkholderia and pesticidal metabolites therefrom-formulations and uses |
| WO2013047441A1 (ja) | 2011-09-26 | 2013-04-04 | 日本曹達株式会社 | 農園芸用殺菌剤組成物 |
| HUE032086T2 (en) | 2011-09-29 | 2017-09-28 | Mitsui Chemicals Agro Inc | Production method for 4, 4-difluoro-3,4-dihydroisoquinoline derivative |
| WO2013050317A1 (en) | 2011-10-03 | 2013-04-11 | Syngenta Limited | Polymorphs of an isoxazoline derivative |
| WO2013050302A1 (en) | 2011-10-03 | 2013-04-11 | Syngenta Participations Ag | Isoxazoline derivatives as insecticidal compounds |
| TWI577286B (zh) | 2011-10-13 | 2017-04-11 | 杜邦股份有限公司 | 殺線蟲磺醯胺之固體形態 |
| WO2013092224A1 (en) | 2011-12-21 | 2013-06-27 | Basf Se | Use of strobilurin type compounds for combating phytopathogenic fungi resistant to qo inhibitors |
| EP2805941B1 (en) * | 2012-01-18 | 2016-08-17 | Daiichi Sankyo Company, Limited | Substituted phenylazole derivative |
| MX348266B (es) | 2012-01-23 | 2017-06-05 | Dow Agrosciences Llc | Método de detección del evento pdab4468.19.10.3 del algodón. |
| TWI568721B (zh) | 2012-02-01 | 2017-02-01 | 杜邦股份有限公司 | 殺真菌之吡唑混合物 |
| US8916183B2 (en) | 2012-02-02 | 2014-12-23 | Dow Agrosciences, Llc. | Pesticidal compositions and processes related thereto |
| UA113198C2 (xx) | 2012-02-27 | 2016-12-26 | Комбінації активних сполук | |
| JP6107377B2 (ja) | 2012-04-27 | 2017-04-05 | 住友化学株式会社 | テトラゾリノン化合物及びその用途 |
| US9282739B2 (en) | 2012-04-27 | 2016-03-15 | Dow Agrosciences Llc | Pesticidal compositions and processes related thereto |
| ES2903185T3 (es) | 2012-05-08 | 2022-03-31 | Monsanto Technology Llc | Evento de maíz MON 87411 |
| CN103387541B (zh) | 2012-05-10 | 2016-02-10 | 中国中化股份有限公司 | 一种取代吡唑醚类化合物的制备方法 |
| BR112015003688B1 (pt) | 2012-08-22 | 2020-09-24 | Basf Se | Mistura, composição agroquímica, semente, uso da mistura e método para o controle de fungos nocivos fitopatogênicos |
| RS57284B1 (sr) | 2012-08-31 | 2018-08-31 | Zoetis Services Llc | Kristalne forme 1-(5’-(5-(3,5-dihlor-4-fluorfenil)-5-(trifluormetil)-4,5-dihidroizoksazol-3-il)-3’h-spiro[azetidin-3,1’-izobenzofuran]-1-il)-2-(metilsulfonil)etanona |
| WO2014060177A1 (en) | 2012-10-16 | 2014-04-24 | Syngenta Participations Ag | Fungicidal compositions |
| WO2014090918A1 (en) | 2012-12-13 | 2014-06-19 | Novartis Ag | Process for the enantiomeric enrichment of diaryloxazoline derivatives |
| US20150361446A1 (en) | 2013-01-25 | 2015-12-17 | Pioneer-Hi-Bred International and E.I. Dupont De Nemours & Company | Maize event dp-033121-3 and methods for detection thereof |
| AU2014214623A1 (en) | 2013-02-11 | 2015-08-13 | Bayer Cropscience Lp | Compositions comprising gougerotin and a fungicide |
| JPWO2014126208A1 (ja) | 2013-02-14 | 2017-02-02 | 日産化学工業株式会社 | イソキサゾリン置換ベンズアミド化合物の結晶性多形体及びその製造方法 |
| MX368983B (es) | 2013-05-02 | 2019-10-23 | Simplot Co J R | Cultivar de papa e12. |
| BR112015029576B1 (pt) | 2013-05-28 | 2020-09-15 | Syngenta Participations Ag | Uso de derivados do ácido tetrâmico como nematicidas e método para redução de danos causados por nematódeos a uma planta |
| AU2014278155B2 (en) | 2013-06-14 | 2018-05-17 | Monsanto Technology Llc | Soybean transgenic event MON87751 and methods for detection and use thereof |
| WO2014204622A1 (en) | 2013-06-20 | 2014-12-24 | Dow Agrosciences Llc | Improved process for the preparation of certain triaryl rhamnose carbamates |
| EP3022185B1 (en) | 2013-07-15 | 2017-09-06 | Basf Se | Pesticide compounds |
| TWI652014B (zh) | 2013-09-13 | 2019-03-01 | 美商艾佛艾姆希公司 | 雜環取代之雙環唑殺蟲劑 |
| EP3363800A1 (en) | 2013-10-03 | 2018-08-22 | Kura Oncology, Inc. | Heterocyclic inhibitors of erk and methods of use |
| EP3502127B1 (en) | 2013-10-09 | 2023-07-26 | Monsanto Technology LLC | Transgenic corn event mon87403 and methods for detection thereof |
| WO2015055497A1 (en) | 2013-10-16 | 2015-04-23 | Basf Se | Substituted pesticidal pyrazole compounds |
| WO2015059039A1 (en) | 2013-10-24 | 2015-04-30 | Syngenta Participations Ag | Method of protecting a plant propagation material |
| WO2015065922A1 (en) | 2013-10-28 | 2015-05-07 | Dexcom, Inc. | Devices used in connection with continuous analyte monitoring that provide the user with one or more notifications, and related methods |
| WO2015114106A1 (en) * | 2014-01-31 | 2015-08-06 | Basf Se | Pyrazoles for controlling invertebrate pests |
| CN103814937B (zh) | 2014-02-11 | 2015-10-07 | 深圳诺普信农化股份有限公司 | 一种杀虫组合物 |
| EP2865265A1 (en) | 2014-02-13 | 2015-04-29 | Bayer CropScience AG | Active compound combinations comprising phenylamidine compounds and biological control agents |
| UA124487C2 (uk) | 2014-03-20 | 2021-09-29 | Монсанто Текнолоджі Елелсі | Рекомбінантна молекула днк, яка надає рослині кукурудзи стійкості до глюфосинату і дикамба, та спосіб її використання |
| EP3125692B1 (en) * | 2014-04-01 | 2021-01-27 | Bayer CropScience Aktiengesellschaft | Use of heterocyclic compounds for controlling nematodes |
| US9708341B2 (en) | 2014-06-09 | 2017-07-18 | Sumitomo Chemical Company, Limited | Method for producing pyridine compound |
| CA2956880C (en) | 2014-08-04 | 2023-04-25 | Basf Se | Antifungal paenibacillus strains, fusaricidin-type compounds, and their use |
| EP3194377A4 (en) | 2014-09-17 | 2018-04-18 | Epizyme, Inc. | Heterocycle substituted amino-pyridine compounds and methods of use thereof |
| WO2016104516A1 (ja) | 2014-12-22 | 2016-06-30 | 日本農薬株式会社 | 農園芸用有害生物防除剤組成物及びその使用方法 |
| JP6732761B2 (ja) | 2015-01-23 | 2020-07-29 | シンジェンタ パーティシペーションズ アーゲー | 殺有害生物的に活性なセミカルバゾンおよびチオセミカルバゾン誘導体 |
| WO2016174049A1 (en) | 2015-04-30 | 2016-11-03 | Bayer Animal Health Gmbh | Anti-parasitic combinations including halogen-substituted compounds |
| EP2910126A1 (en) | 2015-05-05 | 2015-08-26 | Bayer CropScience AG | Active compound combinations having insecticidal properties |
| CA2985369A1 (en) | 2015-05-14 | 2016-11-17 | J.R. Simplot Company | Potato cultivar v11 |
| EP3358969A4 (en) | 2015-10-08 | 2019-04-24 | J.R. Simplot Company | CULTIVAR POTATO Y9 |
| WO2017062831A1 (en) | 2015-10-08 | 2017-04-13 | J.R. Simplot Company | Potato cultivar x17 |
| CN105481839B (zh) | 2015-11-23 | 2018-05-11 | 安徽千和新材料科技发展有限公司 | 一种光活性环氧啉对映体的制备方法 |
| CN105367557B (zh) | 2015-11-23 | 2018-04-24 | 安徽千和新材料科技发展有限公司 | 一种环氧啉的制备方法 |
| WO2017104592A1 (ja) | 2015-12-16 | 2017-06-22 | 住友化学株式会社 | 2-(3-エタンスルホニルピリジン-2-イル)-5-(トリフルオロメタンスルホニル)ベンズオキサゾールの結晶 |
| WO2018052136A1 (ja) | 2016-09-15 | 2018-03-22 | 日産化学工業株式会社 | 有害生物防除剤組成物及び有害生物防除方法 |
| RU2649048C1 (ru) | 2016-11-25 | 2018-03-29 | Самсунг Электроникс Ко., Лтд. | Система компактного спектрометра, предназначенного для неинвазивного измерения спектров поглощения и пропускания образцов биологической ткани |
| CN110461854A (zh) | 2017-03-31 | 2019-11-15 | 巴斯夫欧洲公司 | 制备手性2,3-二氢噻唑并[3,2-a]嘧啶-4-鎓化合物的方法 |
| CN111566092B (zh) * | 2017-11-15 | 2025-02-25 | 美特波米德有限公司 | Acss2抑制剂以及其使用方法 |
-
2019
- 2019-07-19 EP EP19187200.1A patent/EP3766879A1/en not_active Withdrawn
-
2020
- 2020-07-09 KR KR1020227005316A patent/KR20220035936A/ko active Pending
- 2020-07-09 US US17/625,383 patent/US20220256857A1/en active Pending
- 2020-07-09 JP JP2022502844A patent/JP7630490B2/ja active Active
- 2020-07-09 AU AU2020317524A patent/AU2020317524B2/en active Active
- 2020-07-09 ES ES20742188T patent/ES2999832T3/es active Active
- 2020-07-09 IL IL289744A patent/IL289744B2/en unknown
- 2020-07-09 EP EP20742188.4A patent/EP3999505B1/en active Active
- 2020-07-09 CN CN202080052131.8A patent/CN114174267B/zh active Active
- 2020-07-09 BR BR112022000838A patent/BR112022000838A2/pt unknown
- 2020-07-09 WO PCT/EP2020/069378 patent/WO2021013561A1/en not_active Ceased
- 2020-07-09 CA CA3145341A patent/CA3145341A1/en active Pending
- 2020-07-09 MX MX2022000776A patent/MX2022000776A/es unknown
-
2022
- 2022-01-19 CL CL2022000129A patent/CL2022000129A1/es unknown
Patent Citations (12)
| Publication number | Priority date | Publication date | Assignee | Title |
|---|---|---|---|---|
| CN86108643A (zh) * | 1985-12-20 | 1987-07-29 | 梅-贝克公司 | 应用n-苯基吡唑类杀虫的方法 |
| CN88103601A (zh) * | 1987-06-12 | 1988-12-28 | 梅·贝克有限公司 | N-苯基吡唑衍生物 |
| CN1030410A (zh) * | 1987-06-12 | 1989-01-18 | 梅·贝克有限公司 | N-苯基吡唑衍生物 |
| CN101228134A (zh) * | 2005-06-15 | 2008-07-23 | 辉瑞有限公司 | 用作杀寄生虫剂的取代芳基吡唑 |
| TW200738620A (en) * | 2006-01-27 | 2007-10-16 | Du Pont | Fluoroalkenyl derivatives as insecticides and nematicides |
| CN101998963A (zh) * | 2008-02-12 | 2011-03-30 | 陶氏益农公司 | 杀虫组合物 |
| CN104428282A (zh) * | 2012-07-12 | 2015-03-18 | 日产化学工业株式会社 | 肟取代酰胺化合物和有害生物防除剂 |
| CN105101800A (zh) * | 2012-10-02 | 2015-11-25 | 拜耳农作物科学股份公司 | 作为杀虫剂的杂环化合物 |
| CN108477173A (zh) * | 2012-10-02 | 2018-09-04 | 拜耳农作物科学股份公司 | 作为杀虫剂的杂环化合物 |
| WO2015140222A1 (en) * | 2014-03-20 | 2015-09-24 | Syngenta Participations Ag | Pesticidally active substituted pyridyl carboxamides |
| CN107428699A (zh) * | 2015-03-27 | 2017-12-01 | 先正达参股股份有限公司 | 杀有害生物活性的氨基甲酰化和硫代氨基甲酰化的肟衍生物 |
| JP2019006772A (ja) * | 2017-06-27 | 2019-01-17 | 日本曹達株式会社 | ジアリールアゾール化合物および有害生物防除剤 |
Non-Patent Citations (1)
| Title |
|---|
| ACS: "STN检索报告", 15 March 2024 * |
Cited By (1)
| Publication number | Priority date | Publication date | Assignee | Title |
|---|---|---|---|---|
| WO2025036451A1 (zh) * | 2023-08-15 | 2025-02-20 | 潘普洛纳生物科技(深圳)有限公司 | 靶向irak蛋白抑制或降解的化合物及其应用 |
Also Published As
| Publication number | Publication date |
|---|---|
| IL289744B2 (en) | 2025-05-01 |
| CL2022000129A1 (es) | 2022-09-02 |
| WO2021013561A1 (en) | 2021-01-28 |
| IL289744A (en) | 2022-03-01 |
| EP3999505A1 (en) | 2022-05-25 |
| EP3766879A1 (en) | 2021-01-20 |
| MX2022000776A (es) | 2022-02-14 |
| JP2022540928A (ja) | 2022-09-20 |
| IL289744B1 (en) | 2025-01-01 |
| CN114174267B (zh) | 2025-03-04 |
| BR112022000838A2 (pt) | 2022-03-08 |
| ES2999832T3 (en) | 2025-02-27 |
| AU2020317524A1 (en) | 2022-02-10 |
| US20220256857A1 (en) | 2022-08-18 |
| KR20220035936A (ko) | 2022-03-22 |
| AU2020317524B2 (en) | 2025-09-11 |
| EP3999505B1 (en) | 2024-09-11 |
| JP7630490B2 (ja) | 2025-02-17 |
| CA3145341A1 (en) | 2021-01-28 |
Similar Documents
| Publication | Publication Date | Title |
|---|---|---|
| KR102800562B1 (ko) | 살충제 화합물 | |
| EP3999505B1 (en) | Pesticidal pyrazole and triazole derivatives | |
| ES2950451T3 (es) | Compuestos plaguicidas | |
| CN111491925B (zh) | 杀害虫化合物 | |
| CN115443267B (zh) | 杀害虫化合物 | |
| RU2834738C2 (ru) | Пестицидные пиразольные и триазольные производные | |
| RU2774755C2 (ru) | Пестициды | |
| WO2024028243A1 (en) | Pyrazolo pesticidal compounds | |
| CN113166063A (zh) | 杀害虫化合物 | |
| BR112021006950B1 (pt) | Composto, composição, método não terapêutico de combate ou controle de pragas invertebradas, método de proteção de plantas em crescimento, semente revestida, uso de composto e uso de uma quantidade eficaz como pesticida de um composto da fórmula i |
Legal Events
| Date | Code | Title | Description |
|---|---|---|---|
| PB01 | Publication | ||
| PB01 | Publication | ||
| SE01 | Entry into force of request for substantive examination | ||
| SE01 | Entry into force of request for substantive examination | ||
| GR01 | Patent grant | ||
| GR01 | Patent grant |












































































































































































