WO2022033991A1 - 5-amino substituted triazoles as pest control agents - Google Patents
5-amino substituted triazoles as pest control agents Download PDFInfo
- Publication number
- WO2022033991A1 WO2022033991A1 PCT/EP2021/072082 EP2021072082W WO2022033991A1 WO 2022033991 A1 WO2022033991 A1 WO 2022033991A1 EP 2021072082 W EP2021072082 W EP 2021072082W WO 2022033991 A1 WO2022033991 A1 WO 2022033991A1
- Authority
- WO
- WIPO (PCT)
- Prior art keywords
- spp
- substituted
- unsubstituted
- independently
- alkyl
- Prior art date
- Legal status (The legal status is an assumption and is not a legal conclusion. Google has not performed a legal analysis and makes no representation as to the accuracy of the status listed.)
- Ceased
Links
- 0 *N(*)C(N(*)*)=* Chemical compound *N(*)C(N(*)*)=* 0.000 description 17
- YCOQWXKFNZGREX-XJECJHNESA-N CC(C)c(cccc1)c1NC(N/N=C/c(cc1)ccc1-c(nc1NCC2OCCO2)n[n]1-c(cc1)ccc1OC(F)(F)F)=S Chemical compound CC(C)c(cccc1)c1NC(N/N=C/c(cc1)ccc1-c(nc1NCC2OCCO2)n[n]1-c(cc1)ccc1OC(F)(F)F)=S YCOQWXKFNZGREX-XJECJHNESA-N 0.000 description 1
- DDVGFUAPVWJBGI-UHFFFAOYSA-N FC(Oc(cc1)ccc1-[n](c(Br)n1)nc1Br)(F)F Chemical compound FC(Oc(cc1)ccc1-[n](c(Br)n1)nc1Br)(F)F DDVGFUAPVWJBGI-UHFFFAOYSA-N 0.000 description 1
Classifications
-
- C—CHEMISTRY; METALLURGY
- C07—ORGANIC CHEMISTRY
- C07D—HETEROCYCLIC COMPOUNDS
- C07D405/00—Heterocyclic compounds containing both one or more hetero rings having oxygen atoms as the only ring hetero atoms, and one or more rings having nitrogen as the only ring hetero atom
- C07D405/02—Heterocyclic compounds containing both one or more hetero rings having oxygen atoms as the only ring hetero atoms, and one or more rings having nitrogen as the only ring hetero atom containing two hetero rings
- C07D405/12—Heterocyclic compounds containing both one or more hetero rings having oxygen atoms as the only ring hetero atoms, and one or more rings having nitrogen as the only ring hetero atom containing two hetero rings linked by a chain containing hetero atoms as chain links
-
- A—HUMAN NECESSITIES
- A01—AGRICULTURE; FORESTRY; ANIMAL HUSBANDRY; HUNTING; TRAPPING; FISHING
- A01N—PRESERVATION OF BODIES OF HUMANS OR ANIMALS OR PLANTS OR PARTS THEREOF; BIOCIDES, e.g. AS DISINFECTANTS, AS PESTICIDES OR AS HERBICIDES; PEST REPELLANTS OR ATTRACTANTS; PLANT GROWTH REGULATORS
- A01N43/00—Biocides, pest repellants or attractants, or plant growth regulators containing heterocyclic compounds
- A01N43/64—Biocides, pest repellants or attractants, or plant growth regulators containing heterocyclic compounds having rings with three nitrogen atoms as the only ring hetero atoms
- A01N43/647—Triazoles; Hydrogenated triazoles
- A01N43/653—1,2,4-Triazoles; Hydrogenated 1,2,4-triazoles
-
- A—HUMAN NECESSITIES
- A01—AGRICULTURE; FORESTRY; ANIMAL HUSBANDRY; HUNTING; TRAPPING; FISHING
- A01N—PRESERVATION OF BODIES OF HUMANS OR ANIMALS OR PLANTS OR PARTS THEREOF; BIOCIDES, e.g. AS DISINFECTANTS, AS PESTICIDES OR AS HERBICIDES; PEST REPELLANTS OR ATTRACTANTS; PLANT GROWTH REGULATORS
- A01N43/00—Biocides, pest repellants or attractants, or plant growth regulators containing heterocyclic compounds
- A01N43/72—Biocides, pest repellants or attractants, or plant growth regulators containing heterocyclic compounds having rings with nitrogen atoms and oxygen or sulfur atoms as ring hetero atoms
- A01N43/74—Biocides, pest repellants or attractants, or plant growth regulators containing heterocyclic compounds having rings with nitrogen atoms and oxygen or sulfur atoms as ring hetero atoms five-membered rings with one nitrogen atom and either one oxygen atom or one sulfur atom in positions 1,3
- A01N43/78—1,3-Thiazoles; Hydrogenated 1,3-thiazoles
-
- A—HUMAN NECESSITIES
- A01—AGRICULTURE; FORESTRY; ANIMAL HUSBANDRY; HUNTING; TRAPPING; FISHING
- A01N—PRESERVATION OF BODIES OF HUMANS OR ANIMALS OR PLANTS OR PARTS THEREOF; BIOCIDES, e.g. AS DISINFECTANTS, AS PESTICIDES OR AS HERBICIDES; PEST REPELLANTS OR ATTRACTANTS; PLANT GROWTH REGULATORS
- A01N43/00—Biocides, pest repellants or attractants, or plant growth regulators containing heterocyclic compounds
- A01N43/72—Biocides, pest repellants or attractants, or plant growth regulators containing heterocyclic compounds having rings with nitrogen atoms and oxygen or sulfur atoms as ring hetero atoms
- A01N43/86—Biocides, pest repellants or attractants, or plant growth regulators containing heterocyclic compounds having rings with nitrogen atoms and oxygen or sulfur atoms as ring hetero atoms six-membered rings with one nitrogen atom and either one oxygen atom or one sulfur atom in positions 1,3
-
- C—CHEMISTRY; METALLURGY
- C07—ORGANIC CHEMISTRY
- C07D—HETEROCYCLIC COMPOUNDS
- C07D401/00—Heterocyclic compounds containing two or more hetero rings, having nitrogen atoms as the only ring hetero atoms, at least one ring being a six-membered ring with only one nitrogen atom
- C07D401/02—Heterocyclic compounds containing two or more hetero rings, having nitrogen atoms as the only ring hetero atoms, at least one ring being a six-membered ring with only one nitrogen atom containing two hetero rings
- C07D401/12—Heterocyclic compounds containing two or more hetero rings, having nitrogen atoms as the only ring hetero atoms, at least one ring being a six-membered ring with only one nitrogen atom containing two hetero rings linked by a chain containing hetero atoms as chain links
-
- C—CHEMISTRY; METALLURGY
- C07—ORGANIC CHEMISTRY
- C07D—HETEROCYCLIC COMPOUNDS
- C07D403/00—Heterocyclic compounds containing two or more hetero rings, having nitrogen atoms as the only ring hetero atoms, not provided for by group C07D401/00
- C07D403/02—Heterocyclic compounds containing two or more hetero rings, having nitrogen atoms as the only ring hetero atoms, not provided for by group C07D401/00 containing two hetero rings
- C07D403/12—Heterocyclic compounds containing two or more hetero rings, having nitrogen atoms as the only ring hetero atoms, not provided for by group C07D401/00 containing two hetero rings linked by a chain containing hetero atoms as chain links
-
- C—CHEMISTRY; METALLURGY
- C07—ORGANIC CHEMISTRY
- C07D—HETEROCYCLIC COMPOUNDS
- C07D417/00—Heterocyclic compounds containing two or more hetero rings, at least one ring having nitrogen and sulfur atoms as the only ring hetero atoms, not provided for by group C07D415/00
- C07D417/14—Heterocyclic compounds containing two or more hetero rings, at least one ring having nitrogen and sulfur atoms as the only ring hetero atoms, not provided for by group C07D415/00 containing three or more hetero rings
Definitions
- the present invention relates to new 5-amino-substituted triazoles, processes for their preparation and their use for controlling animal pests, especially arthropods and in particular insects and arachnids.
- the present invention therefore relates to new compounds of the formula (I) wherein (embodiment 1-1)
- Ar is phenyl or a 5- or 6-membered heteroaromatic ring each unsubstituted or substituted by 1 to 4 R Ar ; each is included
- R Ar are independently halogen, cyano, nitro, SF5, C(Q')R a .
- C(O)OR a C(Q 1 )NR b R c , NR d Re , OR a , S(O) n R a or SO 2 NR b R c ; or for Ci-C 6 -alkyl, C 2 -C 6 -alkenyl, C 2 -Cg-alkynyl or C's-CS-cycloalkyl.
- R 1 is H, CCQ ⁇ R 3 , C(O)OR a or SO 2 R a ; or represents Ci-C 6 -alkyl, C 3 -C6-cycloalkyl, C 2 -Cg-alkenyl or C 2 -Cg-alkynyl, all of which are unsubstituted or mono- to 7-fold with halogen and/or optionally with 1 up to 3 R g may be substituted; or
- R 1 is a C 1 -C 4 -alkyl bridge which is attached to V via the carbon atom linked to A and, together with the nitrogen atom, forms a 4- to 7-membered ring
- R 2 represents the substructure of the general formula -XYZ; stands by
- X is phenyl or a 5- or 6-membered heteroaromatic ring each unsubstituted or substituted by 1 to 3 R x ; each is included R x independently represent halogen, cyano, nitro, C(Q')R a .
- C(O)OR a C(Q 1 )NR b R c , NR d Re , OR a , S(O) n R a or SO 2 NR b R c ; or for Ci-C 6 -alkyl, C 2 -C 6 -alkenyl, C 2 - Cg-alkynyl or CACACycloalkyl. all in each case unsubstituted or substituted once to five times by halogen and/or optionally by 1 to 3 R g ;
- R Y1 and R Y2 for H; or for Ci-Cg-alkyl, C 2 -Cg-alkenyl, CS-G.-alkynyl or C3-C?-cycloalkyl, all unsubstituted or substituted by 1 to 7 RY11 ; each is included
- R Y11 independently for halogen, cyano, Ci-C4-alkyl, G-Cg-cycloalkyl, Ci-C4-haloalkyl, Ci-C4-alkoxy, or Ci-C4-haloalkoxy;
- Q Y is O or S
- R Z1 independently represent a 5- to 10-membered aromatic or heteroaromatic ring or a bicyclic ring system, each unsubstituted or substituted by 1 to 4 R Z11 ; each is included
- R Z11 independently for halogen, cyano, nitro, SR.
- 1 CH 2 unit can be replaced by carbonyl and 1 to 2 CH 2 units by O, S, NH or N(CH3); each is included R zla for halogen, cyano, Ci-C-ralkyl, C1-C4-alkoxy.
- R Z2 , R Z2a and R Z3 independently represent H; or for C(O)R a , C(O)OR a , C(O)NR b R c , S(O) n R a ; or for C 1 -C 6 -alkyl, C 2 -C 6 -alkenyl, C 2 -C 8 -alkynyl or C 3 -C 7 -cycloalkyl, each unsubstituted or substituted by 1 to 5 R Z21 ; or phenyl, benzyl or a 5- or 6-membered heteroaromatic ring, each unsubstituted or substituted by 1 to 4 R Z21 ; each is included
- R Z21 independently for halogen, cyano, nitro, SF5, C(Q')R a . C(O) ORa , CfQ1 ) NRb Rc . NR d R e , OR a , S(O) n R a or SO 2 NR b R c ; or for Ci-C 6 alkyl, C 2 -Cg alkenyl, C 2 -C6 alkynyl or C 3 -C 7 cycloalkyl; or
- R Z2 and R Z3 together with the TCN moiety form a 5- to 7-membered ring;
- this R Z2 -R Z3 unit is unsubstituted or substituted by 1 to 5 R Z22 ; each is included
- R Z22 independently of one another for halogen, hydroxy, cyano, Ci-Cg-alkyl, C 3 -Cg-cycloalkyl, Ci-Cg-haloalkyl, Ci-C4-alkenyl, Ci-Cg-alkoxy, or Ci-Cg-haloalkoxy ; or for spirocyclically bonded heterocyclyl having 2 to 7 ring atoms, where 1 to 2 oxygen atoms are present as heteroatoms; or
- R Z2a and a second R Z2a together with the NCN moiety form a 5- to 7-membered ring;
- the R Z2a -R Z2a ring members consist of carbon atoms and up to 2 heteroatoms, which can be selected independently from 1 oxygen atom, 1 sulfur atom and up to 2 nitrogen atoms;
- this R Z2 -R Z3 unit is unsubstituted or substituted by 1 to 5 R Z22 ; each is included
- Q 1 independently represents O, S, N0R a or NCN;
- R a is independently Ci-Cg-alkyl, C 3 -Cg-cycloalkyl, C2-Cg-alkenyl or C2-Cg-alkynyl, all of which may be unsubstituted in each case, or mono- to 7-fold with halogen and/or optionally with 1 bis 3 R f may be substituted; or phenyl unsubstituted or substituted by 1 to 5 R g ;
- R b and R c independently represent H; or for Ci-Cg-alkyl, C 3 -Cg-cycloalkyl, C2-Cg-alkenyl or C2-Cg-alkynyl, all of which may be unsubstituted or substituted once to 7 times by halogen and/or optionally by 1 to 3 R g ; or phenyl, or a 5- or 6-membered heteroaromatic ring, each unsubstituted or substituted by 1 to 4 R g ; or R b and R c together form a 3- to 7-membered ring;
- R d and R e are independently H, C(Q 1 ) R'_ C(O)OR a ; or for Ci-Cg-alkyl, C's-Cg-cycloalkyl.
- R f are independently halogen, cyano, nitro, hydroxy, OSCfR 3 .
- G-cycloalkoxy G-Cg-cycloalkylsulphinyl or C 3 -Cg-cycloalkylsulfonyl, all of which may be unsubstituted or substituted once to seven times with halogen and/or optionally with 1 to 2 R g ; or phenyl or a 4- to 7-membered saturated, partially saturated or aromatic heterocycle having 1 to 4 heteroatoms or a spirocyclically bonded heterocyclyl having 3 to 7 ring atoms, all unsubstituted or substituted by 1 to 3 R g ;
- R g independently of one another are halogen, cyano, nitro, Ci-C 4 -alkyl, C 3 -Cg-cycloalkyl, Ci-C 4 -haloalkyl, Ci-C 4 -alkoxy, Ci-C 4 -haloalkoxy, Ci-C 4 -Alkylthio, Ci-C 4 -haloalkylthio, Ci-C 4 -alkyl sulphmyl, Ci-C 4 -haloalkylsulphmyl, Ci-C 4 -alkylsulphonyl, Ci-C 4 -haloalkylsulphonyl, Ci-C 4 -alkyl carbonyl or Ci -C 4 -alkoxycarbonyl and n independently represents 0, 1 or 2.
- Preferred (embodiment 2-1) are the compounds of the formula (I) in which
- Ar is phenyl unsubstituted or substituted with 1 to 4 R Ar ; each is included
- R Ar are independently halogen, cyano, nitro, SF5, C (Q 1 )R a .
- C(O)OR a OR a , S(O) n R a or SO 2 NR b R c ; or for Ci-C 6 -alkyl, C 2 -C 6 -alkenyl, GG-alkynyl or C 3 - Cg-cycloalkyl, all of which may be unsubstituted in each case, or singly to 7 times by halogen and/or optionally by 1 to 2 R g may be substituted;
- A is C 1 -C 4 -alkyl, which may be interrupted by C ⁇ O and which may be unsubstituted in each case, or substituted once to 5 times by halogen and/or optionally by 1 to 2 R g ;
- V stands for a heterocycle from the series V-01 to V-20; * is the point of attachment to A and all V-01 to V-19 can each be unsubstituted or substituted once to five times by halogen and/or optionally by 1 to 2 R f , where stands;
- G 2 for O, S(O) n ; or -N(R d ) R 1 is H, C(Q 1 )R a or C(O)OR a ; or represents Ci-C 4 -alkyl, C 3 -C 6 -cycloalkyl, C 2 -C 6 -alkenyl or CS-Ci-alkynyl, all of which are unsubstituted or mono- to 5-fold with halogen and / or optionally with 1 bis 2 R g may be substituted; or
- R 1 is a Ci-C4-alkyl bridge which is attached to V via the carbon atom linked to A and forms a 5- to 6-membered ring together with the nitrogen atom
- R 2 represents the substructure of the general formula -XYZ; stands by
- X is phenyl, pyridyl, pyrimidyl, pyridazinyl or thienyl, each unsubstituted or substituted by 1 to 3 R x ; stands by
- R x are independently halogen, cyano, nitro, OR a , C(Q 1 ) R a . C(O) ORa ; or for Ci-C4-alkyl, CS-C -alkcnyl. C2-C6 alkynyl or C3 -C4 cycloalkyl. all in each case unsubstituted or substituted once to five times by halogen and/or optionally by 1 to 3 R g ;
- R Y1 and R Y2 for H; or for Ci-Cg-alkyl, C 2 -Cg-alkenyl, C 2 -C6-alkynyl or C 3 -C?-cycloalkyl, all unsubstituted or substituted by 1 to 5 R Y11 ; each is included
- R Y11 independently for halogen, cyano, Ci-C4-alkyl, C3 -Cg-cycloalkyl, Ci-C4-haloalkyl, Ci-C4-alkoxy, or Ci-C4-haloalkoxy;
- R Z1 is phenyl unsubstituted or substituted by 1 to 4 R Z11 ; each is included
- R Z11 independently for halogen, cyano, nitro, SR.
- R zla for halogen, cyano, Ci-C alkyl.
- R Z2 , R Z2a and R Z3 independently represent H; or for Ci-C4-alkyl,
- R Z2 and R Z3 together with the TCN moiety form a 5- to 7-membered ring;
- R Z22 are independently halogen, hydroxy, cyano, Ci-Cg-alkyl, Cs-Cg-cycloalkyl, Ci-Cg-haloalkyl, Ci-C4-alkenyl, Ci-Cg-alkoxy or Ci-Cg-haloalkoxy; or for spirocyclically bonded heterocyclyl having 2 to 7 ring atoms, where 1 to 2 oxygen atoms are present as heteroatoms; each is included
- Q 1 independently represents O or S
- R a independently for Ci-Cg-alkyl, G-Cg-cycloalkyl.
- C2-Cg-alkenyl or C2-Cg-alkynyl all of which can be unsubstituted or substituted once to five times by halogen and/or optionally by 1 to 2 R f ; or phenyl unsubstituted or substituted by 1 to 3 R g ;
- R b and R c are independently H; or for Ci-Cg-alkyl, G-Cg-cycloalkyl. C2-Cg-alkenyl or C2-Cg-alkynyl, all of which may be unsubstituted or substituted once to five times by halogen and/or optionally by 1 to 3 R f ; or R b and R c together form a 3- to 6-membered ring;
- R d and R e are independently H, C(Q')R a . C(O) ORa ; or for Ci-Cg-alkyl, C's-Cg-cycloalkyl.
- C2-Cg-alkenyl or C2-Cg-alkynyl all of which may be unsubstituted or substituted once to five times by halogen and/or optionally by 1 to 3 R f ; or phenyl unsubstituted or substituted by 1 to 5 R g ; or R d and R e together form a 3- to 6-membered ring;
- R f is independently halogen, cyano, nitro, hydroxy, CfQ 1 )NR b R c or N(R b )C(Q 1 )R a ; or for Ci-C4-alkyl, Ci-C4-alkoxy, Ci-C4-alkylthio, Ci-C4-alkylsulfmyl, Ci-C4-alkylsulfonyl, Cs-Cg-cycloalkyl, spirocyclically bonded C2-Cg-cycloalkyl, Cs-Cg- Cycloalkylthio, Cs-Cg- Cycloalkoxy, Cß-Cg-cycloalkylsulphinyl or Cß-Cg-cycloalkylsulfonyl, all of which may be unsubstituted, or substituted once to five times by halogen and/or optionally by 1 to 2 R g ;
- Rg are independently halogen, cyano, nitro, Ci-C4-alkyl, G-Cg-cycloalkyl.
- Ar is phenyl unsubstituted or substituted with 1 to 4 R Ar ; each is included
- R Ar are each independently halogen, SF5, Ci-C4-haloalkyl, Ci-C4-alkoxy or C1-C4-haloalkoxy;
- A is C 1 -C 4 -alkyl, each of which may be unsubstituted or mono- to tri-substituted by halogen and/or optionally by 1 to 2 R g ;
- V stands for a heterocycle from the series V-01 to V-13; it being possible for all V-01 to V-13 to be unsubstituted or substituted once to three times by halogen and/or optionally by 1 to 2 R f ; stands by; G 1 for O or S(O) n ;
- R 1 is H, CfQ 1 )R a or C(O)OR a ; or represents Ci-C4-alkyl which is unsubstituted in each case or can be substituted once to three times by halogen and/or optionally by 1 to 2 R g ; or
- R 1 is a C 1 -C 2 -alkyl bridge which is attached to V via the carbon atom linked to A and, together with the nitrogen atom, forms a 4 to 5-membered ring
- R 2 represents the substructure of the general formula -XYZ; stands by
- X is phenyl, pyridyl or thienyl, each unsubstituted or substituted by 1 to 3 R x ; stands by
- R x independently of one another are halogen, cyano, nitro, OR a ; or for Ci-C4-alkyl, in each case unsubstituted or substituted by 1 to 3 R g ;
- R Y1 and R Y2 for H; or for Ci-C2-alkyl in each case unsubstituted or substituted by 1 bis
- R Y11 independently for halogen, cyano, Ci-C2-alkyl or C1-C2-alkoxy
- R Z1 is phenyl substituted with 1 to 4 R Z11 ; each is included
- R Z11 independently represent halogen, cyano, OR a or SR a ; or for Cj-C alkyl or Cs-Cg-cycloalkyl, all unsubstituted or substituted by 1 to 3 R zla ; each is included R zla for halogen, C iC ⁇ - alkoxy or C1-C3 -thioalkyl;
- R Z2 , R Z2a and R Z3 independently represent H;
- R Z2 and R Z3 together with the TCN moiety form a 5- to 6-membered ring;
- R Z22 independently for halogen, hydroxy, Ci-G-alkyl. Ci-G haloalkyl. C 1 -C's alkynyl or C 1 -CAAIkoxy. or for spirocyclically bonded heterocyclyl having 2 to 5 ring atoms, where 1 to 2 oxygen atoms are present as heteroatoms; each is included
- Q 1 independently represents O or S
- R a independently of one another is Ci-C4-alkyl, Cs-Cg-cycloalkyl, C2-C4-alkenyl or C2-C4-alkynyl, all of which may be unsubstituted in each case, or singly to five times with halogen and/or optionally once or twice with R f may be substituted;
- R b and R c are independently H; or for Ci-C4-alkyl, Cs-Cg-cycloalkyl, C2-C4-alkenyl or C2-C4-alkynyl, each unsubstituted or substituted by 1 to 3 R f ;
- R f is independently halo, cyano, or hydroxy; or for Ci-C4-alkyl, Ci-C4-alkoxy or Cs-Cg-cycloalkyl, all of which may be unsubstituted in each case, or may be substituted one to five times by halogen and/or optionally by 1 R g ;
- R g are independently halogen, cyano, nitro, Ci-C4-alkyl, C3-Cg-cycloalkyl, C1-C4-haloalkyl, Ci-C4-alkoxy, Ci-C4-haloalkoxy, Ci-C4-alkylthio, Ci-C4 -Haloalkylthio, C1-C4-AI kylsulfmyl, Ci-C4-haloalkylsulfmyl, Ci-C4-alkylsulfonyl, Ci-C4-haloalkylsulfonyl, C1-C4-AI kylcarbonyl or Ci-C4-alkoxycarbonyl and n independently for 0, 1 or 2.
- Ar is phenyl unsubstituted or substituted with 1 to 3 R Ar ; each is included
- R Ar is independently halogen, CF3, OCF3, OCH2CF3 or OCF2CF3.
- A is Ci-C3-alkyl
- V is an aromatic heterocycle from the group consisting of furanyl, pyrazolyl, oxazolyl, isoxazolyl, 1,2,4-oxadiazolyl, 1,3,4-oxadiazolyl, pyridyl or pyrimidyl, all of which are unsubstituted or substituted once or twice by halogen and /or optionally substituted with 1 to 2 R f ; or
- V stands for a heterocycle from the series V-01, V-03, V-04, V-05, V-07, V-11, V-12 or V-13; where * is the point of attachment to A and all V-O1, V-03, V-04, V-05, V-07, V-11, V-12 or V-13 can each be unsubstituted or optionally with 1 to 2 R f be substituted, where stands
- G 2 is O or S(O) n ;
- R 1 is H, C(O)R a or C(O)OR a ; or represents Ci-C4-alkyl which is in each case unsubstituted by 1 to 2 R f may be substituted;
- R 2 represents the substructure of the general formula -XYZ; stands by
- X is phenyl unsubstituted or substituted with 1 to 3 R x ; stands by
- R x are independently halo, cyano, methyl, methoxy
- R Y1 and R Y2 are H, CH3 or CH2CH3;
- R Z1 is phenyl substituted with 1 to 3 R Z11 ; where 1 R Z11 is in 2-position and where each is standing
- R Z11 is independently F, CI, Br, CH3, CH2CH3, CH2CH2CH3, CH(CH3)2, CH2CH2CH2CH3, cyclopropyl, OCH 3 , OCF 3 , OCH2CH3, OCH2CH2CH3, OCH(CH 3 ) 2 , CH2OCH3 or CH(CH 3) . )OCH 3 ;
- R Z2 , R Z2a and R Z3 independently represent H;
- R Z22 each independently represents hydroxy, CF3, Ci-Cs-alkyl or C iC -Alkcnyk
- R a is independently H; or for Ci-C4-alkyl, in each case unsubstituted or substituted by 1 to 3 R f ;
- R f is independently halogen, cyano, hydroxy, Ci-C4-alkyl, Ci-C4-haloalkyl, C1-C4-alkoxy or Ci-C4-haloalkoxy; and n is independently 0, 1 or 2.
- Ar is phenyl unsubstituted or substituted with 1 to 2 R Ar ; each is included
- R Ar is independently fluoro, chloro, CF3, OCF3 or OCF2CF3;
- A is -CH2- or -CH2CH2-;
- V is an aromatic heterocycle from the group consisting of furanyl, pyrazolyl, oxazolyl, isoxazolyl, 1,2,4-oxadiazolyl, 1,3,4-oxadiazolyl, pyridyl or pyrimidyl, all of which are unsubstituted or optionally substituted with 1 to 2 R f may be substituted; or
- V stands for a heterocycle from the series V-01, V-03, V-04, V-05 or V-13;
- V-01 V-03 V-04 V-05 V-13 * is the link to A and all V-01, V-03, V-04, V-05 or V-13 can be unsubstituted or optionally substituted with 1 to 2 R f ;
- R 1 is H or methyl
- R 2 represents the substructure of the general formula -XYZ. while standing
- X is phenyl unsubstituted or substituted with 1 to 3 R x ; stands by
- R x are independently fluoro, chloro, cyano, methyl, methoxy
- R Z1 is phenyl substituted with 1 to 2 R Z11 ; where 1 R Z11 is in 2-position and where each is standing
- R Z11 is independently CH3, CH2CH3, CH2CH2CH3, CH(CH3)2, CH2CH2CH2CH3, cyclopropyl, OCH3, OCF3 , OCH2CH3, OCH2CH2CH3 , OCH(CH3 )2 or CH2 OCH3 ; RZ2, RZ2a and RZ3 for H; or
- R f is independently fluoro, chloro, cyano, hydroxy, methyl, ethyl, methoxy or ethoxy;
- Ar is phenyl substituted in the 4-position with OCF 3 or OCF2CF 3 ;
- A is -CH2- or -CH2CH2-;
- V is 1-methylpyrazol-5-yl, pyrazol-1-yl, pyridin-2-yl, pyridin-3-yl, pyrimidin-2-yl; or
- R 1 is H
- R 2 represents the substructure of the general formula -XYZ. while standing
- X is phenyl unsubstituted or substituted with 1 to 2 R x ; stands by
- R x is independently fluoro or chloro
- R Z1 is phenyl substituted with 1 to 2 R Z11 ; where 1 R Z11 is in 2-position and where each is standing
- R Z11 are independently CH3, OCH3, OCF3, CH2OCH3, CH( CFFh or OCH(CH 3 ) 2 .
- the invention relates to compounds of the general formula (1-1) in which the structural elements A, V, Ar, R 1 , RY1 and R Z1 are those in embodiment (1-1) or those in embodiment (2 -1) or have the meanings given in embodiment (3-1) or in embodiment (4-1) or in embodiment (5-1).
- the invention relates to compounds of the general formula (1-2) in which the structural elements A, V, Ar, R 1 , RY1 and R Z1 are those in embodiment (1-1) or those in embodiment (2 -1) or have the meanings given in embodiment (3-1) or in embodiment (4-1) or in embodiment (5-1).
- the invention relates to compounds of the general formula (1-3) in which the structural elements A, V, Ar, R 1 , RY1 and R Z1 are those in embodiment (1-1) or those in embodiment (2 -1) or have the meanings given in embodiment (3-1) or in embodiment (4-1) or in embodiment (5-1).
- the compounds of the formula (I) can optionally also be present as stereoisomers, i.e. as geometric and/or optical isomers or isomer mixtures in different compositions. Both the pure stereoisomers and any mixtures of these isomers are the subject of this invention, even if in general only compounds of the formula (I) are mentioned here.
- optically active, stereoisomeric forms of the compounds of the formula (I) and their salts are preferably used according to the invention.
- the invention therefore relates both to the pure enantiomers and diastereomers and to mixtures thereof for controlling animal pests, which include arthropods and, in particular, insects.
- alkyl either on its own or in combination with other terms such as haloalkyl, is understood in the context of the present invention to mean a radical of a saturated, aliphatic hydrocarbon group having 1 to 12 carbon atoms, which may be branched or unbranched.
- Examples of Ci-C 12 alkyl radicals are methyl, ethyl, n-propyl, isopropyl, n-butyl, isobutyl, see.
- Ci-Cg-alkyl radicals are particularly preferred.
- Ci-C4-alkyl radicals are particularly preferred.
- alkenyl is a linear or branched C2-Cn-alkenyl radical which has at least one double bond, for example vinyl, allyl, 1 -propenyl, isopropenyl, 1-butenyl, 2-butenyl, 3-butenyl, 1,3-butadienyl, 1-pentenyl, 2-pentenyl, 3-pentenyl, 4-pentenyl, 1,3-pentadienyl, 1-hexenyl , 2-hexenyl, 3-hexenyl, 4-hexenyl, 5-hexenyl and 1,4-hexadienyl.
- preference is given to C2-C9-alkenyl radicals and particular preference is given to C2-C4-alkenyl radicals.
- alkynyl refers to a linear or branched C2-Cn-alkynyl radical which has at least one triple bond, for example ethynyl, 1-propynyl, either on its own or in combination with other terms and propargyl, understood. Of these, G-Cg-alkynylrcstc are preferred and C3-C4-alkynyl radicals are particularly preferred.
- the alkynyl radical can also have at least one double bond.
- cycloalkyl either on its own or in combination with other terms, is understood according to the invention as meaning a C's-Cx-cycloalkyl group, for example cyclopropyl, cyclobutyl, cyclopentyl, cyclohexyl, cycloheptyl and cyclooctyl . Preferred of these are Cs-Cg-cycloalkylrcstc.
- aryl is understood according to the invention as meaning an aromatic radical having 6 to 14 carbon atoms, preferably phenyl, naphthyl, anthryl or phenanthrenyl, particularly preferably phenyl.
- arylalkyl is understood to mean a combination of “aryl” and “alkyl” radicals defined according to the invention, with the radical generally being bonded via the alkyl group, examples of which are benzyl, phenylethyl or a- methylbenzyl, with benzyl being particularly preferred.
- hetaryl means a mono-, bi- or tricyclic heterocyclic group composed of carbon atoms and at least one heteroatom, where at least one cycle is aromatic.
- the hetaryl group preferably contains 3, 4, 5 or 6 carbon atoms selected from the series Furyl, Thienyl, Pyrrolyl, Pyrazolyl, Imidazolyl, 1,2,3-Triazolyl, 1,2,4-Triazolyl, Oxazolyl, Isoxazolyl, Thiazolyl, Isothiazolyl, 1,2,3-Oxadiazolyl, 1,2,4-Oxadiazolyl, 1,3,4-oxadiazolyl, 1,2,5-oxadiazolyl, 1,2,3-thiadiazolyl, 1,2,4-thiadiazolyl, 1,3,4-thiadiazolyl, 1,2,5-thiadiazolyl, pyridyl, Pyrimidinyl, Pyridazinyl, Pyrazinyl, 1,2,
- heterocyclyl means a monocyclic, saturated or partially saturated 4-, 5-, 6- or 7-membered ring made up of C atoms and at least one heteroatom in the ring.
- the heterocyclyl group preferably contains 3, 4, 5 or 6 carbon atoms and 1 or 2 heteroatoms from the group consisting of oxygen, sulfur or nitrogen.
- Examples of heterocyclyl are azetidinyl, azolidinyl, azinanyl, oxetanyl, oxolanyl, oxanyl, dioxanyl, thiethanyl, thiolanyl, thianyl, tetrahydrofuryl.
- radicals substituted by halogen are understood to mean radicals halogenated one or more times up to the maximum possible number of substituents. In the case of multiple halogenation, the halogen atoms can be the same or different.
- Halogen stands for fluorine, chlorine, bromine or iodine, preferably for fluorine or chlorine.
- alkoxy either on its own or in combination with other terms such as, for example, haloalkoxy, is understood here to mean an O-alkyl radical, the term “alkyl” having the meaning given above.
- R 1 , A, V, R 2 , X, RY1 , T and R Z1 have the meanings described above.
- the general formula (Ia) thus corresponds to the general formula (I) with R 2 ⁇ XYZ, where Y is —CR Y1 ⁇ N—, Z is the fragment of the general formula (A3) and R Z2a is H.
- Compounds of general formula (Id) can be prepared according to Figure 4 by first reacting amines of general formula (V) with 4-nitrophenoxyformic acid chloride in a suitable solvent such as tetrahydrofuran to give 4-nitrophenyl carbamates of general formula (VI). Compounds of the general formula (VI) can then in a suitable solvent, such as acetonitrile, and at a suitable temperature, such as in a range from 0° C. to 40° C., with imines of the general formula (VII) to give compounds of the general formula (Id) are implemented.
- a suitable solvent such as acetonitrile
- L 1 and L 2 each represent H or together represent C(CH3)2-C(CH3)2
- Compounds of general formula (II) can according to Figure 5 by a Suzuki coupling between a bromine compound of general formula (VIII) and a boronic acid derivative of general formula (IXa) in the presence of a Pd catalyst such as tetrakis (triphenylphosphine) palladium and a base such as sodium carbonate in a suitable solvent such as an ethanol-toluene mixture, 1,2-dimethoxyethane or dioxane and at a suitable temperature such as in a range of 60°C to 150°C will.
- a Pd catalyst such as tetrakis (triphenylphosphine) palladium
- a base such as sodium carbonate
- a suitable solvent such as an ethanol-toluene mixture, 1,2-dimethoxyethane or dioxane and at a suitable temperature such as in a range of 60°C to 150°C will.
- Ar, R 1 , A, V, R 2 , R 3 , X and RY2 have the meanings described above.
- L 1 and L 2 each represent
- Compounds of general formula (V) can according to Figure 6 by a Suzuki coupling between a bromine compound of general formula (VIII) and a boronic acid derivative of general formula (IXb) in the presence of a Pd catalyst such as 1,1-bis (diphenylphosphino )ferrocen-palladium and a base such as cesium carbonate in a suitable solvent such as an ethanol-toluene mixture, 1,2-dimethoxyethane or dioxane and at a suitable temperature such as in the range of 60°C up to 150 °C.
- a Pd catalyst such as 1,1-bis (diphenylphosphino )ferrocen-palladium
- a base such as cesium carbonate
- a suitable solvent such as an ethanol-toluene mixture, 1,2-dimethoxyethane or dioxane and at a suitable temperature such as in the range of 60°C up to 150 °C.
- Bromotriazoles of the general formula (VIII) can, as shown in FIG. and at a suitable temperature, such as in a range of 20°C to 100°C.
- Dibromotriazoles of the general formula (XIII) can according to Figure 10 in analogy to WO 2011/006903 from dibromotriazole and an arylboronic acid of the general formula (XV) in the presence of a copper catalyst such as copper(II) acetate and a base such as pyridine , in a suitable solvent, such as toluene, and at a suitable temperature, such as in a range from 20 °C to 120 °C.
- a copper catalyst such as copper(II) acetate and a base such as pyridine
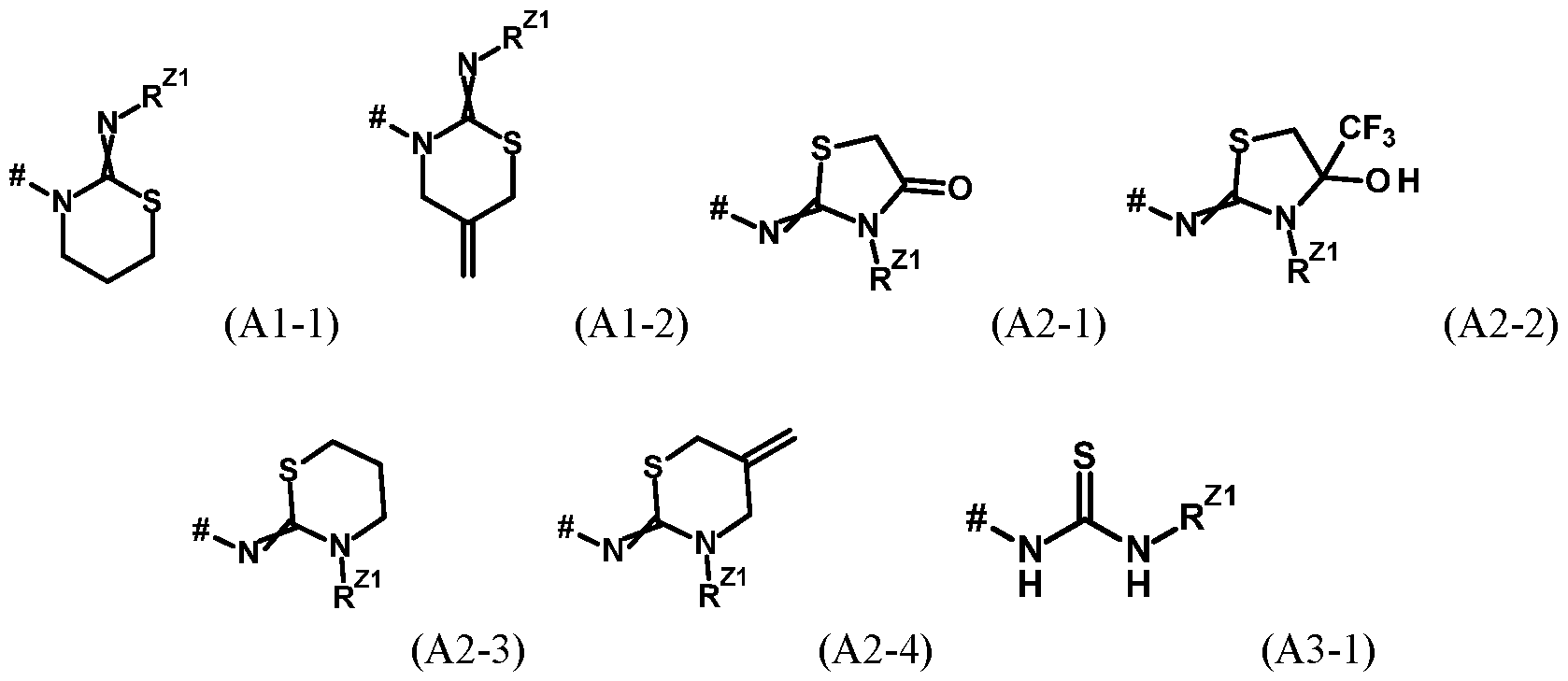
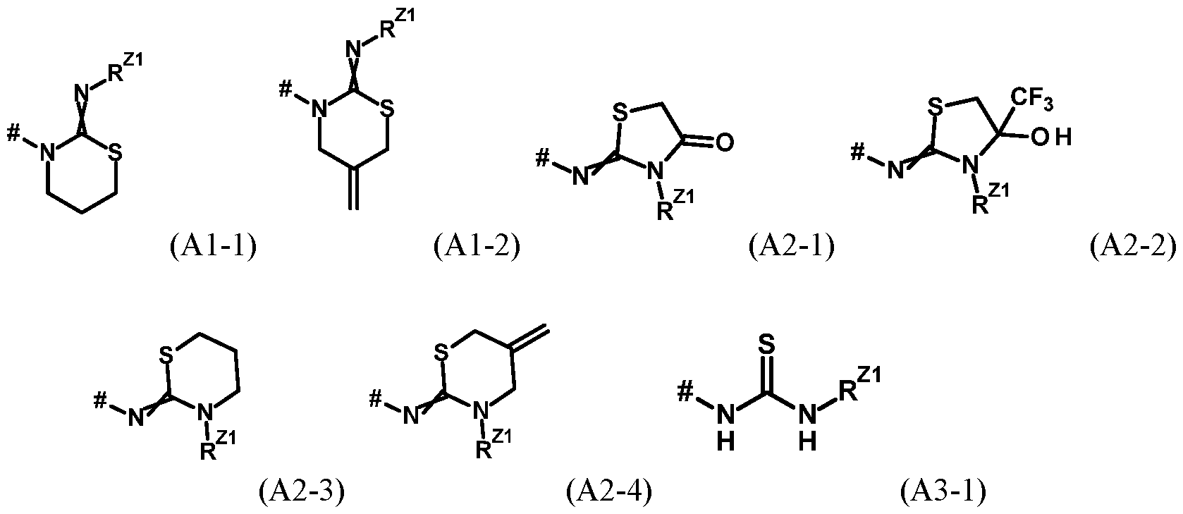
- Iminothiazolidinones of the general formula (VII) are known from the literature or can be obtained analogously to methods known from the literature (cf. e.g. US 2014/0274688 or WO 2016/033025)
- the compounds of the formula (I) can be present as geometric and/or as optically active isomers or corresponding isomer mixtures in various compositions.
- These stereoisomers are, for example, enantiomers, diastereomers, atropisomers or geometric isomers.
- the invention thus encompasses both pure stereoisomers and any mixtures of these isomers.
- the invention also relates to methods for controlling animal pests, in which the compounds of formula (I) are allowed to act on animal pests and/or their habitat. Preference is given to combating animal pests in agriculture and forestry and in the protection of materials. This preferably excludes methods for the surgical or therapeutic treatment of the human or animal body and diagnostic methods which are carried out on the human or animal body.
- the invention also relates to the use of the compounds of the formula (I) as pesticides, in particular crop protection agents.
- pesticide always also includes the term plant protection agent.
- the compounds of the formula (I) are suitable for protecting plants and plant organs from biotic and abiotic stress factors, for increasing crop yields, improving the quality of the crop and for controlling animal pests, in particular insects, Arachnids, helminths, in particular nematodes, and molluscs, which occur in agriculture, horticulture, animal husbandry, aquaculture, in forests, in gardens and leisure facilities, in the protection of stored products and materials, and in the hygiene sector.
- the term "hygiene” is to be understood as meaning any and all measures, regulations and procedures which aim to prevent diseases, in particular infectious diseases, and which serve to protect human health and animals and/or protect the environment and/or maintain cleanliness. According to the invention, this includes in particular measures for the cleaning, disinfection and sterilization of, for example, textiles or hard surfaces, in particular surfaces made of glass, wood, cement, porcelain, ceramics, plastic or metal(s), in order to ensure that these are free from hygiene pests and/or or their excrements.
- surgical or therapeutic regimens to be applied to the human or animal bodies and diagnostic regimens to be performed on the human or animal bodies.
- honeygiene sector thus covers all areas, technical fields and industrial applications where these hygiene measures, regulations and procedures are important, for example with regard to hygiene in kitchens, bakeries, airports, bathrooms, swimming pools, department stores, hotels , hospitals, stables, animal husbandry, etc.
- sanitary pest should therefore be understood to mean one or more animal pests whose presence in the sanitary sector is problematic, particularly for health reasons. It is therefore a major objective to avoid or minimize the presence and/or exposure to hygiene pests in the hygiene sector. In particular, this can be achieved by using a pesticide that can be used both to prevent an infestation and to manage an infestation that is already present. One can also use preparations that prevent or reduce exposure to pests. Sanitary pests include, for example, the organisms mentioned below. The term “hygiene protection” thus covers all actions with which these hygiene measures, regulations and procedures are maintained and/or improved.
- the compounds of the formula (I) can preferably be used as pesticides. They are active against normally sensitive and resistant species and against all or some developmental stages.
- the pests mentioned above include:
- Pests from the phylum Arthropoda in particular from the class Arachnida z.
- B. Acarus spp. e.g. B. Acarus siro, Aceria kuko, Aceria sheldoni, Aculops spp., Aculus spp., e.g. Aculus fockeui, Aculus Schlechtedali, Amblyomma spp., Amphitetranychus viennensis, Argas spp., Boophilus spp., Brevipalpus spp., e.g. B.
- Oligonychus coffeae Oligonychus coniferarum, Oligonychus ilicis, Oligonychus indicus, Oligonychus mangiferus, Oligonychus pratensis, Oligonychus punicae, Oligonychus yothersi, Omithodorus spp., Omithonyssus spp., Panonychus spp., e.g. B.
- Blatta orientalis Blattella asahinai, Blattella germanica, Leucophaea maderae, Loboptera decipiens, Neostylopyga rhombifolia, Panchlora spp., Parcoblatta spp., Periplaneta spp., e.g. B. Periplaneta americana, Periplaneta australasiae, Pycnoscelus surinamensis, Supella longipalpa; from the order of the Coleoptera z.
- Anoplophora glabripennis Anthonomus spp., e.g. Anthonomus grandis, Anthrenus spp., Apion spp., Apogonia spp., Athous haemorrhoidales, Atomaria spp., e.g. B. Atomaria linearis, Attagenus spp., Baris caerulescens, Bruchidius obtectus, Bruchus spp., e.g. B. Bruchus pisorum, Bruchus rufimanus, Cassida spp., Cerotoma trifurcata, Ceutorrhynchus spp., e.g.
- Diabrotica balteata Diabrotica barberi, Diabrotica undecimpunctata howardi, Diabrotica undecimpunctata undecimpunctata, Diabrotica virgifera virgifera, Diabrotica virgifera zeae, Dichocrocis spp., Dicladispa armigera, Diloboderus spp., Epicaerus spp., Epilachna spp., e.g . B. Epilachna borealis, Epilachna varivestis, Epitrix spp., e.g. B.
- Epitrix cucumeris Epitrix fuscula, Epitrix hirtipennis, Epitrix subcrinita, Epitrix tuberis, Faustinus spp., Gibbium psylloides, Gnathocerus comutus, Hellula undalis, Heteronychus arator, Heteronyx spp., Hoplia argentea, Hylamorpha elegans, Hylotrupes bajulus, Hypera postica, Hypomeces squamosus, Hypothenemus spp., e.g. B.
- Hypothenemus hampei Hypothenemus obscurus, Hypothenemus pubescens, Lachnostema consanguinea, Lasioderma serricome, Latheticus oryzae, Lathridius spp., Lema spp., Leptinotarsa decemlineata, Leucoptera spp., e.g. B.
- Leucoptera coffeella, Limonius ectypus, Lissorhoptrus oryzophilus, Listronotus ( Hyperodes) spp., Lixus spp., Luperodes spp., Luperomorpha xanthodera, Lyctus spp., Megacyllene spp., e.g. B. Megacyllene robiniae, Megascelis spp., Melanotus spp., e.g. B. Melanotus longulus oregonensis, Meligethes aeneus, Melolontha spp., e.g. B.
- Melolontha melolontha Melolontha melolontha, Migdolus spp., Monochamus spp., Naupactus xanthographus, Necrobia spp., Neogalerucella spp., Niptus hololeucus, Oryctes rhinoceros, Oryzaephilus surinamensis, Oryzaphagus oryzae, Otiorhynchus spp., e.g.
- Otiorhynchus cribricollis Otiorhynchus ligustici, Otiorhynchus ovatus, Otiorhynchus rugosostriarus, Otiorhynchus sulcatus, Oulema spp., e.g. Oulema melanopus, Oulema oryzae, Oxycetoniajucunda, Phaedon cochleariae, Phyllophaga spp., Phyllophaga Helleri, Phyllotreta spp., e.g. B.
- Phyllotreta armoraciae Phyllotreta pusilla, Phyllotreta ramosa, Phyllotreta striolata, Popillia japonica, Premnotrypes spp., Prostephanus truncatus, Psylliodes spp., e.g.
- Tribolium audax Tribolium castaneum, Tribolium confusum, Trogoderma spp., Tychius spp., Xylotrechus spp., Zabrus spp., e.g. B. Zabrus tenebrioides; from the order of the Dermaptera z.
- Aedes spp. e.g.
- Bactrocera Cucurbitae, Bactrocera dorsalis, Bactrocera oleae, Bibio hortulanus, Calliphora erythrocephala, Calliphora vicina, Ceratitis capitata, Chironomus spp., Chrysomya spp., Chrysops spp., Chrysozona pluvialis, Cochliomya spp., Contarinia spp., e.g. B.
- Acyrthosiphon pisum Acrogonia spp., Aeneolamia spp., Agonoscena spp., Aleurocanthus spp., Aleyrodes proletella, Aleurolobus barodensis, Aleurothrixus floccosus, Allocaridara malayensis, Amrasca spp., e.g. B. Amrasca bigutulla, Amrasca devastans, Anuraphis cardui, Aonidiella spp., e.g. B.
- Macrosiphum euphorbiae Macrosiphum lilii, Macrosiphum rosae, Macrosteies facifrons, Mahanarva spp., Melanaphis sacchari, Metcalfiella spp., Metcalfa pruinosa, Metopolophium dirhodum, Monellia costalis, Monelliopsis pecanis, Myzus spp., e.g.
- Myzus ascalonicus Myzus cerasi, Myzus ligustri, Myzus omatus, Myzus persicae, Myzus nicotianae, Nasonovia ribisnigri, Neomaskellia spp., Nephotettix spp., e.g.
- Nephotettix cincticeps Nephotettix nigropictus, Nettigoniclla spectra, Nilaparvata lugens, Oncometopia spp., Orthezia praelonga, Oxya chinensis, Pachypsylla spp., Parabemisia myricae, Paratrioza spp., e.g. B. Paratrioza cockerelli, Parlatoria spp., Pemphigus spp., e.g. B.
- Pemphigus bursarius Pemphigus populivenae, Peregrinus maidis, Perkinsiella spp., Phenacoccus spp., e.g. Phenacoccus madeirensis, Phloeomyzus passerinii, Phorodon humuli, Phylloxera spp., e.g. B. Phylloxera devastatrix, Phylloxera notabilis, Pinnaspis aspidistrae, Pianococcus spp., e.g. B.
- Pianococcus citri Prosopidopsylla flava, Protopulvinaria pyriformis, Pseudaulacaspis pentagona, Pseudococcus spp., e.g. Pseudococcus calceolariae, Pseudococcus comstocki, Pseudococcus longispinus, Pseudococcus maritimus, Pseudococcus vibumi, Psyllopsis spp., Psylla spp., e.g. B.
- Rhopalosiphum maidis Rhopalosiphum oxyacanthae, Rhopalosiphum padi, Rhopalosiphum rufiabdominale, Saissetia spp., e.g. B.
- Trioza spp. e.g. B. Trioza diospyri, Typhlocyba spp., Unaspis spp., Viteus vitifolii, Zygina spp.; from the suborder of the Heteroptera z.
- Cimex adjunctus Cimex hemipterus, Cimex lectularius, Cimex pilosellus, Collaria spp., Creontiades dilutus, Dasynus piperis, Dichelops furcatus, Diconocoris hewetti, Dysdercus spp., Euschistus spp., e.g. B.
- Nezara spp. e.g. B. Nezara viridula, Nysius spp., Oebalus spp., Pentomidae, Piesma quadrata, Piezodorus spp., e.g. B.
- Piezodorus guildinii Psallus spp., Pseudacysta persea, Rhodnius spp., Sahlbergella singularis, Scaptocoris castanea, Scotinophora spp., Stephanitis nashi, Tibraca spp., Triatoma spp.; from the order of the Hymenoptera z.
- Diprion similis, Hoplocampa spp. e.g. B. Hoplocampa cookei, Hoplocampa testudinea, Lasius spp., Linepithema (Iridiomyrmex) humile, Monomorium pharaonis, Paratrechina spp., Paravespula spp., Plagiolepis spp., Sirex spp., e.g. B. Sirex noctilio, Solenopsis invicta, Tapinoma spp., Technomyrmex albipes, Urocerus spp., Vespa spp., e.g. B.
- Vespa crabro Wasmannia auropunctata, Xeris spp.; from the order of the Isopoda z. B. Armadillidium vulgare, Oniscus asellus, Porcellio scaber; from the order of the Isoptera z. B. Coptotermes spp., e.g. B. Coptotermes formosanus, Comitermes cumulans, Cryptotermes spp., Incisitermes spp., Kalotermes spp., Microtermes obesi, Nasutitermes spp., Odontotermes spp., Porotermes spp., Reticulitermes spp., e.g. B.
- Reticulitermes flavipes Reticulitermes hesperus; from the order of the Lepidoptera z.
- Cydia nigricana Cydia pomonella, Dalaca noctuides, Diaphania spp., Diparopsis spp., Diatraea saccharalis, Dioryctria spp., e.g. B. Dioryctria tremani, Earias spp., Ecdytolopha aurantium, Elasmopalpus lignosellus, Eldana saccharina, Ephestia spp., e.g.
- Grapholita molesta Grapholita prunivora
- Hedylepta spp. Helicoverpa spp.
- Helicoverpa spp. e.g. B. Helicoverpa armigera, Helicoverpa zea, Heliothis spp., e.g. B. Heliothis virescens, Hepialus spp., e.g. B.
- Pieris rapae, Platynota stultana, Plodia interpunctella, Plusia spp., Plutella xylostella ( Plutella maculipennis), Podesia spp., z. B. Podesia syringae, Prays spp., Prodenia spp., Protoparce spp., Pseudaletia spp., e.g. Pseudaletia unipuncta, Pseudoplusia includens, Pyrausta nubilalis, Rachiplusia nu, Schoenobius spp., e.g. B.
- Scirpophaga spp. e.g. B. Scirpophaga innotata, Ontario segetum, Sesamia spp., e.g. B. Sesamia inferens, Sparganothis spp., Spodoptera spp., e.g. B.
- Trichoplusia ni Tryporyza incertulas, Tuta absolutea, Virachola spp.; from the order of the Orthoptera or Saltatoria z.
- B. Acheta domesticus, Dichroplus spp., Gryllotalpa spp., e.g. B. Gryllotalpa gryllotalpa, Hieroglyphus spp., Locusta spp., e.g. B. Locusta migratoria, Melanoplus spp., e.g. B. Melanoplus devastator, Paratlanticus ussuriensis, Schistocerca gregaria; from the order of the Phthiraptera z.
- B. Acheta domesticus, Dichroplus spp., Gryllotalpa spp., e.g. B. Gryllotalpa gryllotalpa, Hieroglyphus spp., Locusta spp.,
- Ctenocephalides canis, Ctenocephalides felis, Pulex irritans, Tunga penetrans, Xenopsylla cheopis; from the order of the Thysanoptera z.
- Anaphothrips obscurus Basothrips biformis, Chaetanaphothrips leeuweni, Drepanothrips reuteri, Enneothrips flavens, Frankliniella spp., e.g. B.
- Ctenolepisma spp. Lepisma saccharina, Lepismodes inquilinus, Thermobia domestica; from the class of the Symphyla z.
- B. Scutigerella spp. e.g. B. Scutigerella immaculata;
- Pests from the Mollusca tribe e.g. B. from the class of Bivalvia, z. B. Dreissena spp.; and from the class of Gastropoda z. B. Arion spp., e.g. B. Arion ater rufiis, Biomphalaria spp., Bulinus spp., Deroceras spp., e.g. B. Deroceras laeve, Galba spp., Lymnaea spp., Oncomelania spp., Pomacea spp., Succinea spp.;
- Plant pests from the phylum Nematoda i. H. plant parasitic nematodes, in particular Aglenchus spp., e.g. B. Aglenchus agricola, Anguina spp., e.g. B. Anguina tritici, Aphelenchoides spp., e.g. B. Aphelenchoides arachidis, Aphelenchoides fragariae, Belonolaimus spp., e.g. B. Belonolaimus gracilis, Belonolaimus longicaudatus, Belonolaimus nortoni, Bursaphelenchus spp., e.g. B.
- B. Cacopaurus pestis, Criconemella spp., e.g. B. Criconemella curvata, Criconemella onoensis, Criconemella omata, Criconemella rusium, Criconemella xenoplax ( Mesocriconema xenoplax), Criconemoides spp., z. B.
- Pratylenchus penetrans Pseudohalenchus spp., Psilenchus spp., Punctodera spp., Quinisulcius spp., Radopholus spp., e.g. B. Radopholus citrophilus, Radopholus similis, Rotylenchulus spp., Rotylenchus spp., Scutellonema spp., Subanguina spp., Trichodorus spp., e.g. B. Trichodorus obtusus, Trichodorus primitivus, Tylenchorhynchus spp., e.g. B.
- Tylenchorhynchus annulatus Tylenchulus spp., e.g. B. Tylenchulus semipenetrans
- Xiphinema spp. e.g. B. Xiphinema index.
- the compounds of the formula (I) can optionally also be used in certain concentrations or application rates as herbicides, safeners, growth regulators or agents for improving plant traits, as microbicides or gametocides, for example as fungicides, antimycotics, bactericides, viricides (including agents against viroids) or used as an anti-MLO (Mycoplasma-like-organism) and RLO (Rickettsia-like-organism) agent. If appropriate, they can also be used as intermediates or precursors for the synthesis of other active substances.
- the present invention further relates to formulations, in particular formulations for controlling unwanted animal pests.
- the formulation can be applied to the animal pest and/or its habitat.
- the formulation according to the invention can be provided to the end user as a ready-to-use "application form", ie the formulations can be applied directly using a suitable device such as a spraying or dusting device to be applied to the plants or seeds.
- the formulations may be provided to the end user in the form of concentrates to be diluted, preferably with water, prior to use.
- the term “formulation” refers to such a concentrate
- the term “use form” refers to a solution ready for use by the end user, ie usually such a diluted formulation.
- the formulation according to the invention may be prepared in a conventional manner, for example by mixing the compound of the invention with one or more suitable excipients such as those disclosed herein.
- the formulation comprises at least one compound of the invention and at least one agriculturally useful adjuvant, e.g., carrier and/or surfactant(s).
- agriculturally useful adjuvant e.g., carrier and/or surfactant(s).
- a carrier is a solid or liquid, natural or synthetic, organic or inorganic substance that is generally inert.
- the carrier generally improves the application of the compounds, for example to plants, plant parts or seeds.
- suitable solid supports include, but are not limited to, ammonium salts, particularly ammonium sulfates, ammonium phosphates and ammonium nitrates, ground natural rocks such as kaolins, clays, talc, chalk, quartz, attapulgite, montmorillonite and diatomaceous earth, silica gel, and ground synthetic rocks, such as finely divided silica, alumina and silicates.
- suitable solid carriers for preparing granules include, but are not limited to, crushed and fractionated natural rocks such as calcite, marble, pumice, sepiolite and dolomite, synthetic granules of inorganic and organic flours, and granules of organic materials such as paper, sawdust, coconut shells , corn on the cob and tobacco stalks.
- suitable liquid carriers include, but are not limited to, water, organic solvents, and combinations thereof.
- suitable solvents include polar and non-polar organic chemical liquids, for example from the classes of aromatic and non-aromatic hydrocarbons (such as cyclohexane, paraffins, alkylbenzenes, xylene, toluene, tetrahydronaphthalene, alkylnaphthalene, chlorinated aromatics or chlorinated aliphatic hydrocarbons such as chlorobenzenes, chloroethyl - ene or methylene chloride), alcohols and polyols (which can also be substituted, etherified and/or esterified, such as ethanol, propanol, butanol, benzyl alcohol, cyclohexanol or glycol), ketones (such as acetone, methyl ethyl ketone, methyl isobutyl ketone, acetophenone or cyclohexanone), Esters (including fats and oils) and (poly)ethers, unsubstitute
- the carrier can also be a liquified gaseous diluent, ie a liquid which is gaseous at normal temperature and pressure, for example aerosol propellants such as halocarbons, butane, propane, nitrogen and carbon dioxide.
- a liquified gaseous diluent ie a liquid which is gaseous at normal temperature and pressure
- aerosol propellants such as halocarbons, butane, propane, nitrogen and carbon dioxide.
- Preferred solid supports are selected from clays, talc and silica.
- Preferred liquid carriers are selected from water, fatty acid amides and esters thereof, aromatic and non-aromatic hydrocarbons, lactams, lactones, carbonic acid esters, ketones, (poly)ethers.
- the amount of carrier typically ranges from 1% to 99.99%, preferably from 5% to 99.9%, more preferably from 10% to 99.5%, and most preferably from 20% to 99% by weight. -% of formulation.
- Liquid carriers are typically present in the range 20% to 90%, for example 30% to 80% by weight of the formulation.
- Solid carriers are typically present in the range 0% to 50%, preferably 5% to 45%, for example 10% to 30% by weight of the formulation.
- the outlined ranges refer to the total amount of carrier.
- the surfactant can be ionic (cationic or anionic), amphoteric or nonionic such as ionic or nonionic emulsifiers, foaming agents, dispersing agents, wetting agents, penetrants and any mixtures thereof.
- suitable surfactants include, without limitation, salts of polyacrylic acid, ethoxylated poly(alpha-substituted)acrylate derivatives, salts of lignosulfonic acid (such as sodium lignosulfonate), salts of phenolsulfonic acid or naphthalenesulfonic acid, polycondensates of ethylene oxide and/or propylene oxide with or without alcohols, fatty acids or fatty amines (for example polyoxyethylene fatty acid esters such as castor oil ethoxylate, polyoxyethylene fatty alcohol ethers, for example alkylaryl polyglycol ethers), substituted phenols (preferably alkylphenols or arylphenols), salts of sulfos
- salts in this paragraph, this preferably refers to the relevant alkali metal, alkaline earth metal and ammonium salts.
- Preferred surfactants are selected from ethoxylated poly(alpha-substituted)acrylate derivatives, polycondensates of ethylene oxide and/or propylene oxide with alcohols, polyoxyethylene fatty acid esters, alkylbenzene sulfonates, sulfonated polymers of naphthalene/formaldehyde, polyoxyethylene fatty acid esters such as castor oil ethoxylate, sodium lignosulfonate and arylphenol ethoxylate.
- the amount of surfactant is typically in the range 5 to 40%, for example 10 to 20% by weight of the formulation.
- excipients include water-repellent substances, drying agents, binders (adhesives, adhesives, fixing agents such as carboxymethyl cellulose, natural and synthetic polymers in the form of powders, granules or latices such as gum arabic, polyvinyl alcohol and polyvinyl acetate, natural phospholipids such as cephalins and lecithins and synthetic phospholipids, polyvinylpyrrolidone and tylose), thickeners and secondary thickeners (such as cellulose ethers, acrylic acid derivatives, xanthan gum, modified clays e.g. those available under the name Bentone, and finely divided silica), stabilizers (e.g.
- cold stabilizers preservatives (e.g. dichlorophone, benzyl alcohol hemiformal, l, 2-benzisothiazolin-3-one, 2-methyl-4-isothiazolin-3-one), antioxidants, light stabilizers, especially UV stabilizers, and other agents that improve chemical and/or physical stability), dyes or pigments (e.g anor organic pigments, e.g., iron oxide, titanium oxide, and Prussian blue; organic dyes e.g. alizarin, azo and metal phthalocyanine dyes), antifoams (e.g.
- silicone antifoams and magnesium stearate silicone antifoams and magnesium stearate
- antifreeze adhesives
- gibberellins and processing aids mineral and vegetable oils
- fragrances waxes
- nutrients including trace nutrients such as salts of iron, manganese , boron, copper, cobalt, molybdenum and zinc
- protective colloids including protective colloids, thixotropic substances, penetrants, sequestrants and complexing agents.
- excipients depends on the intended use of the compound according to the invention and/or on the physical properties of the compound(s). Furthermore, auxiliaries can be selected in such a way that they impart certain properties (technical, physical and/or biological properties) to the formulations or the use forms produced from them. Through the choice of excipients, it may be possible to tailor the formulations to specific needs.
- the formulation comprises an insecticidally/acaricidally/nematicidally effective amount of the compound(s) of the invention.
- effective amount means an amount sufficient to control insect/mite/nematode pests on cultivated plants or for the protection of materials and which does not cause significant damage to the plants treated. Such an amount can vary within a wide range and depends on various factors such as the insect/mite/nematode species to be controlled, the cultivated plant or material treated, the climatic conditions and the particular compound according to the invention used.
- the formulation according to the invention usually contains 0.01 to 99% by weight, preferably 0.05 to 98% by weight, particularly preferably 0.1 to 95% by weight, even more preferably from 0.5% to 90%, most preferably from 1% to 80% by weight of the compound of the invention. It is possible for a formulation to comprise two or more compounds of the invention. In such case, the outlined ranges refer to the total amount of the compounds of the present invention.
- the formulation according to the invention may be in any conventional type of formulation such as solutions (e.g. aqueous solutions), emulsions, water- and oil-based suspensions, powders (e.g. wettable powders, soluble powders), dusts, pastes, granules (e.g. soluble granules, scattering granules), Suspoemulsion concentrates, natural or synthetic products impregnated with the compound according to the invention, fertilizers and also microencapsulations in polymeric substances.
- the compound of the invention may be in suspended, emulsified or dissolved form. Examples of certain suitable formulation types are solutions, water-soluble concentrates (e.g.
- SL, LS dispersion concentrates
- DC suspensions and suspension concentrates
- emulsion concentrates e.g. EC
- emulsions e.g. EW, EO, ES , ME, SE
- capsules e.g. CS, ZC
- pastes lozenges, wettable powders or dusts (e.g. WP, SP, WS, DP, DS), pressed parts (e.g. BR, TB, DT), granules (e.g. WG, SG , GR, FG, GG, MG), insecticidal articles (e.g.
- the formulation according to the invention is preferably in the form of one of the following types: EC, SC, FS, SE, OD, WG, WP, CS, particularly preferably EC, SC, OD, WG, CS.
- the outlined amount of compound of the invention refers to the total amount of the compounds of the present invention. Conversely, this also applies to all other components of the formulation if two or more representatives of such a component, e.g. a wetting agent or binder, are present.
- a wetting agent or binder e.g. a wetting agent or binder
- Emulsions (EW, EO, ES)
- a suitable grinder e.g. B. a ball mill
- 20-60 wt .-% at least one compound of the invention with the addition of 2-10 wt .-% surfactant (e.g. sodium lignosulfonate and polyoxyethylene fatty alcohol ether), 0.1-2 wt .-% thickener (e.g. xanthan gum) and Water is crushed into a fine suspension of active ingredients.
- the water is added in such an amount that the total amount is 100% by weight.
- a stable suspension of the active substance is obtained by dilution with water.
- binder e.g. polyvinyl alcohol
- a suitable grinding device for example a ball mill
- 20-60% by weight of at least one compound according to the invention are ground with the addition of 2-10% by weight of surfactant (for example sodium lignosulfonate and polyoxyethylene fatty alcohol ether), 0.1-2% by weight of thickener (eg modified clay, in particular bentone, or silicon dioxide) and an organic vehicle to form a fine active ingredient-oil suspension crushed.
- surfactant for example sodium lignosulfonate and polyoxyethylene fatty alcohol ether
- thickener eg modified clay, in particular bentone, or silicon dioxide
- an organic vehicle eg modified clay, in particular bentone, or silicon dioxide
- the organic carrier is added in such an amount that the total amount is 100% by weight.
- a stable dispersion of the active substance is obtained by dilution with water.
- 5-25% by weight of at least one compound according to the invention are mixed with the addition of 3-10% by weight of surfactant (e.g. sodium lignosulfonate), 1-5% by weight of binder (e.g. carboxymethylcellulose) and an amount of water that you come to a total of 100 wt .-% crushed.
- surfactant e.g. sodium lignosulfonate
- binder e.g. carboxymethylcellulose
- 5-20% by weight of at least one compound according to the invention are added to 5-30% by weight organic solvent mixture (e.g. fatty acid dimethylamide and cyclohexanone), 10-25% by weight surfactant mixture (e.g. polyoxyethylene fatty alcohol ether and arylphenol ethoxylate) and an amount of water such that that you come to a total amount of 100 wt .-%, given.
- organic solvent mixture e.g. fatty acid dimethylamide and cyclohexanone
- surfactant mixture e.g. polyoxyethylene fatty alcohol ether and arylphenol ethoxylate
- An oil phase with 5-50% by weight of at least one compound according to the invention, 0-40% by weight of water-insoluble organic solvent (e.g. aromatic hydrocarbon), 2-15% by weight of acrylic monomers (e.g. methyl methacrylate, methacrylic acid and a di - or triacrylate) are in dispersed in an aqueous solution of a protective colloid (e.g. polyvinyl alcohol). Radical polymerization initiated with a radical initiator leads to the formation of poly(methy)acrylate microcapsules.
- water-insoluble organic solvent e.g. aromatic hydrocarbon
- acrylic monomers e.g. methyl methacrylate, methacrylic acid and a di - or triacrylate
- a protective colloid e.g. polyvinyl alcohol
- an oil phase comprising 5-50% by weight of at least one compound of the invention, 0-40% by weight water-insoluble organic solvent (eg aromatic hydrocarbon) and an isocyanate monomer (eg diphenylmethene-4,4'-diisocyanate) is dissolved in an aqueous Dispersed solution of a protective colloid (eg polyvinyl alcohol), this leads to the formation of polyurea microcapsules.
- a polyamine eg, hexamethylenediamine
- the monomers make up 1-10% by weight of the total CS formulation.
- At least one compound of the invention is finely ground and associated with such an amount of solid support (e.g. silicate) that the total amount is 100% by weight.
- solid support e.g. silicate
- Formulation types i) to xiii) can contain further auxiliaries such as 0.1-1% by weight of preservatives, 0.1-1% by weight of antifoams, 0.1-1% by weight of dyes and/or pigments and 5- 10% by weight of antifreeze.
- the compounds of formula (I) can also be used in a mixture with one or more suitable fungicides, bactericides, acaricides, molluscicides, nematicides, insecticides, microbiologicals, beneficial insects, herbicides, fertilizers, bird repellents, phytotonics, sterilants, safeners, semiochemicals and/or plant growth regulators become, e.g. B. to broaden the spectrum of action, to extend the duration of action, to increase the speed of action, to prevent repellency or to prevent the development of resistance.
- such combinations of active ingredients can increase plant growth and/or tolerance to abiotic factors such as e.g. B. high or low temperatures, against drought or against increased water or soil salt content. Also leaves improve flowering and fruiting behavior, optimize germination and rooting, facilitate harvesting and increase crop yield, affect ripening, increase the quality and/or nutritional value of the harvested products, extend the shelf life and/or improve the workability of the harvested products.
- the compounds of the formula (I) can be present in a mixture with other active ingredients or semiochemicals, such as attractants and/or bird repellents and/or plant activators and/or growth regulators and/or fertilizers.
- the compounds of the formula (I) can be used to improve the plant traits such as, for example, growth, yield and quality of the crop.
- the compounds of the formula (I) are present in formulations or in the use forms prepared from these formulations as a mixture with other compounds, preferably those as described below.
- Acetylcholinesterase (AChE) Inhibitors preferably carbamates selected from Alanycarb, Aldicarb, Bendiocarb, Benfuracarb, Butocarboxim, Butoxycarboxim, Carbaryl, Carbofuran, Carbosulfan, Ethiofencarb, Fenobucarb, Formetanate, Furathiocarb, Isoprocarb, Methiocarb, Methomyl, Metolcarb, O- xamyl, pirimicarb, propoxur, thiodicarb, thiofanox, triazamate, trimethacarb, XMC and xylylcarb, or organophosphates selected from acephate, azamethiphos, azinphos-ethyl, azinphos-methyl, cadusafos, chlorethoxyfos, chlorfenvinphos, chlormephos, chlorpyrifos-methyl
- GABA-gated chloride channel blockers preferably cyclodiene-organochlorines selected from chlordane and endosulfan, or phenylpyrazoles (fiprole) selected from ethiprole and fipronil.
- Sodium channel modulators preferably pyrethroids selected from acrinathrin, allethrin, d-cis-trans-allethrin, d-trans-allethrin, bifenthrin, bioallethrin, bioallethrin-S-cyclopentenyl isomer, bioresmethrin, cycloprothrin, cyfluthrin , beta-cyfluthrin, cyhalothrin, lambda-cyhalothrin, gamma-cyhalothrin, cypermethrin, alpha-cypermethrin, beta-cypermethrin, theta-cypermethrin, zeta-cypermethrin, cyphenothrin [(lR)-trans isomer], deltamethrin, Empenthrin [(EZ)-(lR)-Isomer], Esfen
- nAChR nicotinic acetylcholine receptor
- neonicotinoids selected from acetamiprid, clothianidin, dinotefuran, imidacloprid, nitenpyram, thiacloprid and thiamethoxam, or nicotine, or sulfoximine selected from sulfoxaflor, or butenolide selected from flupyradifuron , or mesoionics selected from triflumezopyrim.
- Allosteric modulators of the nicotinic acetylcholine receptor preferably spinosyns selected from spinetoram and spinosad.
- Allosteric modulators of the glutamate-dependent chloride channel preferably avermectins/milbemycins selected from abamectin, emamectin benzoate, lepimectin and milbemectin.
- Juvenile hormone mimetics preferably juvenile hormone analogues selected from hydroprene, kinoprene and methoprene, or fenoxycarb or pyriproxyfen.
- Non-specific (multi-site) inhibitors preferably alkyl halides selected from methyl bromide and other alkyl halides, or chloropicrin, or sulfuryl fluoride, or borax, or tartar emetic, or methyl isocyanate generators selected from diazomet and metam.
- TRPV channel modulators of chordotonal organs preferably pyridinazomethanes selected from pymetrozine and pyrifluquinazone or pyropenes selected from afidopyropene.
- CHS1-related mite growth inhibitors selected from clofentezine, hexythiazox, diflovidazine and etoxazole.
- Insect intestinal membrane microbial disruptors selected from Bacillus thuringiensis subsp. israelensis, Bacillus sphaericus, Bacillus thuringiensis subsp. aizawai, Bacillus thuringiensis subsp. kurstaki, Bacillus thuringiensis subsp. tenehrionis and B./. plant proteins selected from CrylAb, CrylAc, CrylFa, Cry 1A. 105, Cry2Ab, VIP3A, mCry3A, Cry3Ab, Cry3Bb and Cry34Ab 1/35 Abi.
- Inhibitors of mitochondrial ATP synthase preferably ATP disruptors selected from diafenthiuron, or organotin compounds selected from azocyclotin, cyhexatin and fenbutatin oxide, or propargite or tetradifon.
- Oxidative phosphorylation decouplers by perturbation of the proton gradient selected from chlorfenapyr, DNOC and sulfluramide.
- Blockers of the nicotinic acetylcholine receptor channel selected from Bensultap, Cartap hydrochloride, Thiocyclam and Thiosultap sodium.
- CHS1-related chitin biosynthesis inhibitors preferably benzoylureas, selected from bistrifluron, chlorfluazuron, diflubenzuron, flucycloxuron, flufenoxuron, hexaflumuron, lufenuron, novaluron, noviflumuron, teflubenzuron and triflumuron.
- Moult disruptor particularly in Diptera, i.e., fly flies selected from cyromazine.
- Ecdysone receptor agonists preferably diacylhydrazines, selected from chromafenozide, halofenozide, methoxyfenozide and tebufenozide.
- Octopamine receptor agonists selected from amitraz.
- Mitochondrial complex III electron transport inhibitors selected from hydramethylnon, acequinocyl, fluacrypyrim and bifenazate.
- Mitochondrial complex I electron transport inhibitors preferably METI acaricides and insecticides selected from fenazaquin, fenpyroximate, pyrimidifen, pyridaben, tebufenpyrad and tolfenpyrad, or rotenone (Derris).
- Blockers of the voltage-gated sodium channel preferably oxadiazines selected from indoxacarb or semicarbazones selected from metaflumizone.
- Inhibitors of acetyl-CoA carboxylase preferably tetronic and tetramic acid derivatives selected from spirodiclofen, spiromesifen, spiropidione and spirotetramat.
- Inhibitors of mitochondrial complex IV electron transport preferably phosphides selected from aluminum phosphide, calcium phosphide, phosphine and zinc phosphide, or cyanides selected from calcium cyanide, potassium cyanide and sodium cyanide.
- Inhibitors of mitochondrial complex II electron transport preferably beta-ketonitrile derivatives selected from cyenopyrafen and cyflumetofen, or carboxanilides selected from pyflubumid.
- Ryanodine receptor modulators preferably diamides selected from chlorantraniliprole, cyantraniliprole, cyclaniliprole, flubendiamide and tetraniliprole.
- Allosteric modulators of the GABA-dependent chloride channel preferably meto-diamides selected from broflanilide or isoxazoles selected from fluxametamide.
- Baculoviruses preferably granuloviruses (GVs) selected from Cydia pomonella GV and Thaumatotibia leucotreta (GV) or nucleopolyhedroviruses (NPVs) selected from Anticar sia gemmatalis MNPV and Helicoverpa armigera NPV.
- GVs granuloviruses
- NPVs nucleopolyhedroviruses
- All of the mixing partners mentioned in classes (1) to (15) can optionally form salts with suitable bases or acids if they are able to do so because of their functional groups. All of the fungicidal mixing partners mentioned in classes (1) to (15) can optionally include tautomeric forms.
- Inhibitors of ergosterol biosynthesis for example (1.001) cyproconazole, (1.002) difenoconazole, (1.003) epoxiconazole, (1.004) fenhexamid, (1.005) fenpropidin, (1.006) fenpropimorph, (1.007) fenpyrazamine, (1.008) fluquinconazole, (1009) flutriafol, (1010) imazalil, (1011) imazalil sulfate, (1012) ipconazole, (1013) metconazole, (1014) myclobutanil, (1015) paclobutrazole, (1016) prochloraz, (1017) propiconazole, (1018) Prothioconazole, (1.019) Pyrisoxazole, (1.020) Spiroxamine, (1.021) Tebuconazole, (1.022) Tetraconazole, (1.023) Triadimenol, (1.024) Tridemorph
- Respiratory chain inhibitors at complex I or II for example (2.001) benzovindiflupyr, (2.002) bixafen, (2.003) boscalid, (2.004) carboxine, (2.005) fluopyram, (2.006) flutolanil, (2.007) fluxapyroxad, (2.008) Furametpyr, (2.009) Isofetamide, (2.010) Isopyrazam (anti-epimeric enantiomer 1R,4S,9S), (2.011) Isopyrazam (anti-epimeric enantiomer 1S,4R,9R), (2.012) Isopyrazam (anti-epimeric racemate 1RS,4SR,9SR), (2.013) isopyrazam (mixture of syn-epimeric racemate 1RS,4SR,9RS and anti-epimeric racemate 1RS,4SR,9SR), (2.014) isopyrazam (syn-epimeric enantiomer 1R
- Inhibitors of the respiratory chain at complex III for example (3.001) ametoctradine, (3.002) amisulbromine, (3.003) azoxystrobin, (3.004) coumethoxystrobin, (3.005) coumoxystrobin, (3.006) cyazofamide, (3.007) dimoxystrobin, (3.008 ) enoxastrobin, (3.009) famoxadone, (3.010) fenamidone, (3.011) flufenoxystrobin, (3.012) fluoxastrobin, (3.013) kresoxim-methyl, (3.014) metominostrobin, (3.015) orysastrobin, (3.016) picoxystrobin, ( 3.017) pyraclostrobin, (3.018) pyrametostrobin, (3.019) pyraoxystrobin bin, (3.020) trifloxystrobin, (3.021) (2E)-2- ⁇ 2-[( ⁇ [(lE)-l-(3-(3
- Inhibitors of mitosis and cell division for example (4.001) carbendazim, (4.002) diethofencarb, (4.003) ethaboxam, (4.004) fluopicolide, (4.005) pencycuron, (4.006) thiabendazole, (4.007) thiophanate-methyl, (4.008) Zoxamide, (4.009) 3-Chloro-4-(2,6-difluorophenyl)-6-methyl-5-phenylpyridazine, (4.010) 3-Chloro-5-(4-chlorophenyl)-4-(2,6-difluorophenyl )-6-methylpyridazine, (4.011) 3 -Chloro-5-(6-chloropyridin-3 - yl)-6-methyl-4-(2,4,6-trifluorophenyl)pyridazine, (4.012) 4-(2- bromo-4-fluorophenyl)-N-(2,6-difluorophen
- Multisite Action Compounds that can act at multiple sites (“Multisite Action”), for example (5.001) Bordeaux mixture, (5.002) captafol, (5.003) captan, (5.004) chlorothalonil, (5.005) copper hydroxide, (5.006) copper naphthenate , (5.007) copper oxide, (5.008) copper oxychloride, (5.009) copper(2+) sulfate, (5.010) dithianon, (5.011) dodine, (5.012) folpet, (5.013) mancozeb, (5.014) maneb, (5.015) Metiram, (5.016) Metiram Zinc, (5.017) Oxine Copper, (5.018) Propineb, (5.019) Sulfur and Sulfur Preparations including Calcium Polysulfide, (5.020) Thiram, (5.021) Zineb, (5.022) Ziram, (5.023) 6- Ethyl-5,7-dioxo-6,7-dihydro-5H-pyrrolo[3
- Compounds capable of inducing host defense responses for example (6.001) acibenzolar-S-methyl, (6.002) isotianil, (6.003) probenazole, (6.004) tiadinil.
- Inhibitors of amino acid and/or protein biosynthesis for example (7.001) cyprodinil, (7.002) kasugamycin, (7.003) kasugamycin hydrochloride hydrate, (7.004) oxytetracycline, (7.005) pyrimethanil, (7.006) 3-(5-fluoro- 3,3,4,4-tetramethyl-3,4-dihydroisoquinolin-1-yl)quinoline.
- Inhibitors of ATP production for example (8.001) silthiofam.
- Inhibitors of cell wall synthesis for example (9.001) benthiavalicarb, (9.002) dimethomorph, (9.003) flumorph, (9.004) iprovalicarb, (9.005) mandipropamide, (9.006) pyrimorph, (9.007) valifenalate, (9.008) (2E)- 3-(4-tert-Butylphenyl)-3-(2-chloropyridin-4-yl)-l-(morpholin-4-yl)prop-2-en-l-one, (9.009)(2Z)-3 -(4-tert-Butylphenyl)-3-(2-chloropyridin-4-yl)-1-(morpholin-4-yl)prop-2-en-1-one.
- Inhibitors of lipid and membrane synthesis for example (10.001) propamocarb, (10.002) propamocarb hydrochloride, (10.003) tolclofos-methyl.
- Inhibitors of melanin biosynthesis for example (11.001) tricyclazole, (11.002) ⁇ 3 -Methyl-1-[(4-methylbenzoyl)amino]butan-2-yl ⁇ carbamic acid 2,2,2-trifluoroethyl ester.
- Inhibitors of nucleic acid synthesis for example (12.001) benalaxyl, (12.002) benalaxyl-M (kiralaxyl), (12.003) metalaxyl, (12.004) metalaxyl-M (mefenoxam).
- Inhibitors of signal transduction for example (13.001) fludioxonil, (13.002) iprodione, (13.003) procymidone, (13.004) proquinazide, (13.005) quinoxyfen, (13.006) vinclozoline.
- fungicides selected from the group consisting of (15,001) abscisic acid, (15,002) benthiazole, (15,003) bethoxazine, (15,004) capsimycin, (15,005) carvone, (15,006) quinomethionate, (15,007) cufraneb, (15,008) Cyflufenamide, (15.009) Cymoxanil, (15.010) Cyprosulfamide, (15.011) Flutianil, (15.012) Fosetyl Aluminum, (15.013) Fosetyl Calcium, (15.014) Fosetyl Sodium, (15.015) Methyl Isothiocyanate, (15.016) Metrafenone, (15.017) Mildiomycin, (15.018) Natamycin, (15.019) Nickeldimethyldithiocarbamate, (15.020) Nitrothal-isopropyl, (15.021) Oxamocarb, (15.022) Oxathiapiproline, (15.023) Oxyfenthiin
- the compounds of formula (I) can be combined with biological pest control agents.
- Biological pesticides include, in particular, bacteria, fungi, yeasts, plant extracts and products formed by microorganisms, including proteins and secondary ones
- Bio pest control agents include bacteria such as spore-forming bacteria, root-colonizing bacteria and bacteria which act as biological insecticides, fungicides or nematicides.
- Bacillus amyloliquefaciens strain FZB42 (DSM 231179), or Bacillus cereus, in particular B. cereus strain CNCM 1-1562 or Bacillus firmus, strain 1-1582 (Accession number CNCM 1-1582) or Bacillus pumilus, in particular strain GB34 (Accession No. ATCC 700814) and strain QST2808 (Accession No. NRRL B-30087), or Bacillus subtilis, in particular strain GB03 (Accession No. ATCC SD-1397), or Bacillus subtilis strain QST713 (Accession No. NRRL B-21661) or Bacillus subtilis strain OST 30002 (Accession No.
- NRRL B-50421 Bacillus thuringiensis, in particular B. thuringiensis subsp. israelensis (serotype H-14), strain AM65-52 (Accession No. ATCC 1276), or B. thuringiensis subsp. aizawai, in particular strain ABTS-1857 (SD-1372), or B. thuringiensis subsp. kurstaki strain HD-1, or B. thuringiensis subsp. tenebrionis strain NB 176 (SD-5428), Pasteuria penetrans, Pasteuria spp.
- B. thuringiensis subsp. israelensis serotype H-14
- strain AM65-52 Accession No. ATCC 1276
- B. thuringiensis subsp. aizawai in particular strain ABTS-1857 (SD-1372)
- B. thuringiensis subsp. kurstaki strain HD-1 or B. thuringiensis
- fungi and yeasts that are used or can be used as biological pest control agents are:
- Beauveria bassiana especially strain ATCC 74040, Coniothyrium minitans, especially strain CON/M/91-8 (Accession No. DSM-9660), Lecanicillium spp., especially strain HRO LEC 12, Lecanicillium lecanii (formerly known as Verticillium lecanii) , in particular strain KV01, Metarhizium anisopliae, in particular strain F52 (DSM3884 / ATCC 90448), Metschnikowia fructicola, in particular strain NRRL Y-30752, Paecilomyces fumosoroseus (heu: Isaria fumosorosea), in particular strain IFPC 200613, or strain Apopka 97 (Accesion No.
- Paecilomyces lilacinus in particular P. lilacinus strain 251 (AGAL 89/030550), Talaromyces flavus, in particular strain VI 17b, Trichoderma atroviride, in particular strain SCI (Accession Number CBS 122089), Trichoderma harzianum, in particular T. harzianum rifai T39. (Accession Number CNCM 1-952).
- viruses that are used or can be used as biological pest control agents are:
- plant extracts and such products formed by microorganisms, including proteins and secondary metabolites, which are or can be used as biological pest control agents are:
- the compounds of formula (I) can be combined with safeners, such as benoxacor, cloquintocet (-mexyl), cyometrinil, cyprosulfamide, dichlormide, fenchlorazole (-ethyl), fenclorim, flurazole, fluxofenime, furilazole, isoxadifen (-ethyl ), mefenpyr (-diethyl), naphthalic anhydride, oxabetrinil, 2-methoxy-N-( ⁇ 4-[(methylcarbamoyl)amino]phenyl ⁇ sulfonyl)benzamide (CAS 129531-12-0), 4-(dichloroacetyl)- l-oxa-4-azaspiro[4.5]decane (CAS 71526-07-3), 2,2,5-trimethyl-3-(dichloroacetyl)-l,3-o-xazolidine (CAS 52836-3
- Plants are understood to mean all plants and parts of plants, such as desired and undesired wild plants or crops (including naturally occurring crops), for example cereals (wheat, rice, triticale, barley, rye, oats), corn, soybeans, potatoes, sugar beets, sugar cane, tomatoes , paprika, cucumber, melon, carrot, watermelon, onion, lettuce, spinach, leek, beans, Brassica oleracea (e.g. cabbage) and other vegetables, cotton, tobacco, canola, and fruit plants (with the fruits apples, pears, citrus fruits and grapes).
- Crop plants can be plants that can be obtained by conventional breeding and optimization methods or by biotechnological and genetic engineering methods or combinations of these methods, including transgenic plants and including plant varieties that can or cannot be protected by plant variety rights. Plants should be understood to mean all stages of development such as seeds, cuttings, young (immature) plants through to mature plants. Plant parts are to be understood as meaning all above-ground and subterranean parts and organs of plants such as shoots, leaves, flowers and roots, with leaves, needles, stems, stems, flowers, fruiting bodies, fruits and seeds as well as roots, tubers and rhizomes being listed as examples. The plant parts also include harvested plants or harvested plant parts and vegetative and generative propagation material, for example cuttings, tubers, rhizomes, cuttings and seeds.
- the inventive treatment of the plants and parts of plants with the compounds of formula (I) is carried out directly or by the action of the compounds on the environment, the living space or the storage room according to the usual treatment methods, e.g. B. by dipping, spraying, vaporizing, nebulizing, sprinkling, brushing, injecting and in the case of propagation material, especially seeds, also by one or more layers of encasing.
- plants and parts thereof can be treated according to the invention.
- plant species and plant cultivars occurring in the wild or obtained by conventional biological breeding methods such as crossing or protoplast fusion, and parts thereof are treated.
- transgenic plants and plant cultivars which have been obtained by genetic engineering methods, if appropriate in combination with conventional methods (genetically modified organisms), and parts thereof are treated.
- the term "parts” or “parts of plants” or “plant parts” has been explained above. Plants of the plant varieties that are commercially available or in use are particularly preferably treated according to the invention. Plant varieties are plants with new properties (“traits”) that have been obtained through conventional breeding, through mutagenesis or through recombinant DNA techniques. This can be varieties, races, organic and genotypes.
- the compounds of the formula (I) can advantageously be used for treating transgenic plants, plant cultivars or plant parts which have received genetic material which confers advantageous and/or useful properties (traits) on these plants, plant cultivars or plant parts. It is therefore contemplated to combine the present invention with one or more recombinant traits or transgenic events, or a combination thereof. For purposes of the present application, it occurs through insertion of a specific recombinant DNA molecule in a specific position (locus) in the chromosome of the plant genome to a transgenic event.
- the insertion creates a new DNA sequence, termed an "event", which is characterized by the inserted recombinant DNA molecule and some amount of genomic DNA immediately adjacent to the inserted DNA/flanking the inserted DNA at both ends.
- traits or transgenic events include, without limitation, resistance to pests, water use efficiency, yield performance, drought tolerance, seed quality, improved nutrient quality, hybrid seed production and herbicide tolerance, the trait in relation to a plant of such a trait or a such a transgenic event is absent, is measured.
- Such advantageous and/or useful properties are better plant growth, vitality, stress tolerance, standing ability, resistance to storage, nutrient uptake, plant nutrition and/or yield, in particular improved growth, increased tolerance to high or low temperatures, increased tolerance to Drought or water or soil salinity, increased flowering, easier harvesting, accelerated ripening, higher yields, higher quality and/or higher nutritional value of the harvested products, better shelf life and/or workability of the harvested products and increased resistance or tolerance to animal and microbial pests such as against insects, arachnids, nematodes, mites and snails.
- Bt Cry or VIP proteins which include CrylA, CrylAb, CrylAc, CryllA, CrylllA, CryIIIB2, Cry9c, Cry2Ab, Cry3Bb and CrylF proteins or toxic fragments thereof, and also hybrids or combinations thereof, in particular the CrylF protein or hybrids derived from a CrylF protein (e.g. hybrid CrylA-CrylF proteins or toxic fragments thereof), the CrylA-type proteins or toxic fragments thereof, preferably the CrylAc- Protein or hybrids derived from the CrylAc protein (e.g.
- hybrid CrylAb-CrylAc proteins or the CrylAb or Bt2 protein or toxic fragments thereof, the Cry2Ae, Cry2Af or Cry2Ag proteins or toxic fragments thereof, the Cry 1A. 105 protein or a toxic fragment thereof, the VIP3Aal9 protein, the VIP3Aa20 protein, the VIP3A proteins produced at the COT202 or COT203 cotton events, the VIP3Aa protein or a toxic fragment thereof, as in Estruch et al. (1996), Proc Natl Acad Sei US A.
- herbicides for example imidazolinones, sulphonylureas, glyphosate or phospinothricin.
- bar or PAT gene or the Streptomyces coelicolor gene which is described in WO2009/152359 and which tolerance to Glufonsin herbicides confers a gene encoding an appropriate EPSPS (5-enolpyruvylshikimate-3-phosphate synthase) that confers tolerance to EPSPS-targeted herbicides, particularly herbicides such as glyphosate and its salts, a for glyphosate N-acetyltransferase gene encoding or a gene encoding glyphosate oxoreductase may be mentioned.
- EPSPS enolpyruvylshikimate-3-phosphate synthase
- herbicide tolerance traits include at least one ALS (acetolactate synthase) inhibitor (e.g. WO2007/024782), a mutant Arabidopsis ALS/AHAS gene (e.g. US Patent 6,855,533), genes encoding 2,4-D monooxygenases, tolerance to 2,4-D (2,4-dichlorophenoxyacetic acid) and genes encoding dicamba monooxygenases that confer tolerance to dicamba (3,6-dichloro-2-methoxybenzoic acid).
- ALS acetolactate synthase
- a mutant Arabidopsis ALS/AHAS gene e.g. US Patent 6,855,533
- genes encoding 2,4-D monooxygenases, tolerance to 2,4-D (2,4-dichlorophenoxyacetic acid) genes encoding dicamba monooxygenases that confer tolerance to dicamba (3,6-dichloro-2-methoxybenzoic acid).
- Such properties are an increased resistance to phytopathogenic fungi, bacteria and/or viruses, which, for example, goes back to systemic acquired resistance (SAR), systemin, phytoalexins, elicitors and also resistance genes and the correspondingly expressed proteins and toxins.
- SAR systemic acquired resistance
- systemin phytoalexins
- elicitors also resistance genes and the correspondingly expressed proteins and toxins.
- Particularly useful transgenic events in transgenic plants or plant cultivars include Event 531 / PV-GHBK04 (cotton, insect control, described in WO2002/040677), Event 1143-14A (cotton, insect control, not deposited, described in WO2006/128569); Event 1143-51B (cotton, insect control, not deposited, described in WO2006/128570); Event 1445 (Cotton, herbicide tolerance, not deposited, described in US-A 2002-120964 or WO2002/034946); Event 17053 (rice, herbicide tolerance, deposited as PTA-9843, described in WO2010/117737); Event 17314 (rice, herbicide tolerance, deposited as PTA-9844, described in WO2010/117735); Event 281-24-236 (Cotton, insect control - herbicide tolerance, deposited as PTA-6233, described in WO2005/103266 or US-A 2005-216969); Event 3006-210-23 (Cotton
- Event BLR1 Rapeseed, restoration of male sterility, deposited as NCIMB 41193, described in WO2005/074671
- Event CE43-67B cotton, insect control, deposited as DSM ACC2724, described in US-A 2009-217423 or WO2006/128573
- Event CE44-69D cotton, insect control, not deposited, described in US-A 2010-0024077
- Event CE44-69D cotton, insect control, not deposited, described in WO2006/128571
- Event CE46-02A cotton, insect control, not deposited, described in WO2006/128572
- Event COT102 Cotton, insect control, not deposited, described in US-A 2006-130175 or WO2004/039986
- Event COT202 Cotton, insect control, not deposited, described in US-A 2007-067868 or WO2005/054479
- Event COT203 Cotton, insect control, not deposited, not deposited, described in US-A 2007-
- PTA-11041) optionally stacked with Event EE-GM1/LL27 or Event EE-GM2 /LL55 (WO2011/063413 A2), Event DAS-68416-4 (soybean, herbicide tolerance, ATCC accession no. PTA-10442, WO2011/066360A1), Event DAS-68416-4 (soybean, herbicide tolerance, ATCC accession no. PTA-10442, WO2011/066384A1), Event DP-040416-8 (Corn, insect control, ATCC Accession No. PTA-11508, WO2011/075593A1), Event DP-043A47-3 (Corn, insect control, ATCC Accession No.
- Event DP- 11509, WO2011/075595 A1) Event DP-004114-3 (corn, insect control, ATCC Accession No. PTA-11506, WO2011/084621 A1), Event DP-032316-8 (M ais, Insect Control, ATCC accession no. PTA-11507, WO2011/084632A1), Event MON-88302-9 (rapeseed, herbicide tolerance, ATCC Accession No. PTA-10955, WO2011/153186A1), event DAS-21606-3 (soybean, herbicide tolerance, ATCC Accession No.
- transgenic plants that can be mentioned are important crops such as cereals (wheat, rice, triticale, barley, rye, oats), corn, soybeans, potatoes, sugar beet, sugar cane, tomatoes, peas and other types of vegetables, cotton, Tobacco, rapeseed and also fruit plants (with the fruits apples, pears, citrus fruits and grapes), with particular emphasis on corn, soybeans, wheat, rice, potatoes, cotton, sugar cane, tobacco and rapeseed.
- cereals wheat, rice, triticale, barley, rye, oats
- corn soybeans
- potatoes sugar beet
- sugar cane tomatoes
- peas and other types of vegetables cotton
- Tobacco, rapeseed and also fruit plants with particular emphasis on corn, soybeans, wheat, rice, potatoes, cotton, sugar cane, tobacco and rapeseed.
- Traits that are particularly emphasized are the plants' increased resistance to insects, arachnids, nematodes and
- the treatment of the plants and parts of plants with the compounds of formula (I) is carried out directly or by affecting their environment, habitat or storage space according to the usual treatment methods, e.g. B. by dipping, spraying, spraying, sprinkling, vaporizing, atomizing, atomizing, scattering, foaming, brushing, spreading, injecting, pouring (drenching), drip irrigation and in the case of propagation material, especially seeds, also by dry dressing, wet dressing, slurry dressing, encrusting , single or multi-layer coating, etc. It is also possible to apply the compounds of formula (I) by the ultra-low volume method or to inject the use form or the compound of formula (I) itself into the soil.
- a preferred direct treatment of the plants is foliar application, ie the compounds of the formula (I) are applied to the foliage, the frequency of treatment and the application rate should be tailored to the infestation pressure of the pest in question.
- the compounds of the formula (I) also get into the plants via the root system.
- the plants are then treated by the action of the compounds of formula (I) on the habitat of the plant. This can be, for example, by drenching, mixing into the soil or nutrient solution, ie the locus of the plant (e.g.
- the compounds of the formula (I) according to the invention are introduced into the site of the plants in solid form (eg in the form of granules) or by drip application (often also referred to as "chem-migation"), ie the compounds of the formula according to the invention (I) are introduced at defined locations near the plants by means of surface or underground drip tubes over specified periods of time together with varying amounts of water. In the case of paddy rice cultures, this can also be done by metering the compound of the formula (I) in a solid application form (eg as granules) into a flooded paddy field.
- the compounds of the invention can be used in combination with, for example, models embedded in computer programs for site-specific crop management, satellite tillage, precision tillage or precision farming.
- models support site-specific management of agricultural assets with data from various sources such as soil, weather, crops (e.g. type, growth stage, plant health), weeds (e.g. type, growth stage), diseases, pests, nutrients, water, moisture, biomass, satellite data, yield, etc., with the aim of optimizing profitability, sustainability and environmental protection.
- crops e.g. type, growth stage, plant health
- weeds e.g. type, growth stage
- diseases, pests, nutrients, water, moisture, biomass, satellite data, yield, etc. with the aim of optimizing profitability, sustainability and environmental protection.
- such models can help optimize agronomic decisions, guide the precision of pesticide applications, and record the work performed.
- the compounds of the invention can also be used in combination with smart spray equipment such as spot spray equipment or precision spray equipment attached to a farm vehicle such as a tractor, robot, helicopter, airplane, unmanned aerial vehicle (UAV) such as a drone - or housed, are used.
- a farm vehicle such as a tractor, robot, helicopter, airplane, unmanned aerial vehicle (UAV) such as a drone - or housed
- UAV unmanned aerial vehicle
- Such equipment usually includes input sensors (such as a camera) and a processing unit responsible for analyzing the input data and providing a decision based on the analysis of the input data based, is configured in a specific and precise manner for the application of the compound of the invention to the crop plants (or weeds).
- the use of such smart sprayers usually requires positioning systems (e.g. GPS receivers) to locate the recorded data and to control farm vehicles, geographic information systems (GIS) to present the information on understandable maps, and appropriate farm vehicles for transit the required agricultural measure such as spraying.
- positioning systems e.g. GPS
- pests can be detected from images captured by a camera.
- the pests can be identified and/or classified based on these images.
- image processing algorithms can use machine learning algorithms such as artificial neural networks, decision trees, and artificial intelligence algorithms. In this way it is possible to use the connections described here only where they are needed.
- the present invention therefore also relates in particular to a method for protecting seed and germinating plants from infestation by pests by treating the seed with one of the compounds of the formula (I).
- the method according to the invention for protecting seed and germinating plants from infestation by pests further comprises a method in which the seed is treated simultaneously in one operation or sequentially with a compound of formula (I) and a mixture component. It further also includes a method in which the seed is treated at different times with a compound of formula (I) and a mixture component.
- the invention also relates to the use of the compounds of formula (I) for the treatment of seed to protect the seed and the plant resulting therefrom from animal pests.
- the invention also relates to seed which has been treated with a compound of the formula (I) according to the invention for protection against animal pests.
- the invention also relates to seed which has been treated at the same time with a compound of formula (I) and a mixture component.
- the invention further relates to seed which has been treated at different times with a compound of formula (I) and a mixture component.
- the individual substances can be present in different layers on the seed.
- the layers which contain a compound of the formula (I) and mixture components can optionally be separated by an intermediate layer.
- the invention also relates to seed in which a compound of formula (I) and a mixture component are applied as part of a coating or as a further layer or further layers in addition to a coating.
- the invention also relates to seed which, after treatment with a compound of the formula (I), is subjected to a film coating process in order to avoid dust abrasion on the seed.
- a further advantage can be seen in the fact that treating the seed with a compound of the formula (I) can promote germination and emergence of the treated seed.
- Compounds of formula (I) can also be used in combination with compositions or compounds of signaling technology, resulting in better colonization with symbionts, such as rhizobia, mycorrhiza and/or endophytic bacteria or fungi, and/or optimized nitrogen fixation .
- symbionts such as rhizobia, mycorrhiza and/or endophytic bacteria or fungi, and/or optimized nitrogen fixation .
- the compounds of the formula (I) are suitable for protecting seed of any plant variety used in agriculture, in greenhouses, in forests or in horticulture.
- these are seeds from cereals (e.g. wheat, barley, rye, millet and oats), maize, cotton, Soybean, rice, potato, sunflower, coffee, tobacco, canola, rapeseed, beet (e.g. sugar beet and fodder beet), peanut, vegetables (e.g. tomato, cucumber, bean, cabbage, onion and lettuce), fruit plants, lawn and ornamental plants.
- cereals e.g. wheat, barley, rye and oats
- corn, soybeans, cotton, canola, oilseed rape, vegetables and rice are examples of seed from cereals (such as wheat, barley, rye and oats), corn, soybeans, cotton, canola, oilseed rape, vegetables and rice.
- transgenic seed with a compound of the formula (I) is also of particular importance.
- This is the seed of plants which generally contain at least one heterologous gene which controls the expression of a polypeptide with, in particular, insecticidal or nematicidal properties.
- the heterologous genes in transgenic seed can originate from microorganisms such as Bacillus, Rhizobium, Pseudomonas, Serratia, Trichoderma, Clavibacter, Glomus or Gliocladium.
- the present invention is particularly useful for treating transgenic seed containing at least one heterologous gene derived from Bacillus sp. originates. It is particularly preferably a heterologous gene which originates from Bacillus thuringiensis.
- the compound of the formula (I) is applied to the seed.
- the seed is treated in a state in which it is sufficiently stable that no damage occurs during the treatment.
- seed treatment can be done at any time between harvest and sowing.
- seeds are used which have been separated from the plant and freed from cobs, husks, stems, husks, wool or pulp.
- seed can be used that has been harvested, cleaned and dried to a storable moisture content.
- seeds can also be used which, after drying, e.g. B. treated with water and then dried again, for example priming.
- care when treating the seed, care must be taken to ensure that the amount of the compound of the formula (I) and/or other additives applied to the seed is chosen in such a way that the germination of the seed is not impaired or the resulting plant is not damaged will. This is particularly important for active ingredients that can have phytotoxic effects when applied in certain quantities.
- the compounds of the formula (I) are generally applied to the seed in the form of a suitable formulation. Suitable formulations and methods for seed treatment are known to those skilled in the art.
- the compounds of the formula (I) can be converted into the customary seed dressing formulations, such as solutions, emulsions, suspensions, powders, foams, slurries or other coating materials for seed, and also ULV formulations.
- formulations are prepared in a known manner by mixing the compounds of the formula (I) with customary additives, such as customary extenders and solvents or diluents, dyes, wetting agents, dispersants, emulsifiers, defoamers, preservatives, secondary thickeners, adhesives, gibberellins and also water.
- customary additives such as customary extenders and solvents or diluents, dyes, wetting agents, dispersants, emulsifiers, defoamers, preservatives, secondary thickeners, adhesives, gibberellins and also water.
- Dyes which can be present in the seed dressing formulations which can be used according to the invention are all dyes customary for such purposes. Both pigments which are sparingly soluble in water and dyes which are soluble in water can be used here. Examples which may be mentioned are those designated Rhodamine B, C.I. Pigment Red 112 and C.I. Solvent Red 1 known dyes.
- Suitable wetting agents which can be present in the seed dressing formulations which can be used according to the invention are all substances which promote wetting and which are customary for the formulation of agrochemical active ingredients.
- Alkylnaphthalene sulfonates such as diisopropyl or diisobutylnaphthalene sulfonates, can preferably be used.
- Suitable dispersants and/or emulsifiers which can be present in the seed dressing formulations which can be used according to the invention are all nonionic, anionic and cationic dispersants customary for the formulation of agrochemical active ingredients.
- Nonionic or anionic dispersants or mixtures of nonionic or anionic dispersants can preferably be used.
- Suitable nonionic dispersants which may be mentioned are, in particular, ethylene oxide-propylene oxide block polymers, alkylphenol polyglycol ethers and tristryrylphenol polyglycol ethers and their phosphated or sulfated derivatives.
- Suitable anionic dispersants are, in particular, lignin sulfonates, polyacrylic acid salts and aryl sulfonate-formaldehyde condensates.
- All foam-inhibiting substances customary for the formulation of agrochemical active ingredients can be present as defoamers in the seed dressing formulations that can be used according to the invention. Silicone defoamers and magnesium stearate can preferably be used.
- All substances that can be used for such purposes in agrochemical agents can be present as preservatives in the seed dressing formulations that can be used according to the invention.
- Examples include dichlorophene and benzyl alcohol hemiformal.
- Secondary thickening agents which can be present in the seed dressing formulations which can be used according to the invention are all substances which can be used for such purposes in agrochemical agents in question. Cellulose derivatives, acrylic acid derivatives, xanthan, modified clays and highly disperse silicic acid are preferred.
- Suitable adhesives which can be present in the mordant formulations which can be used according to the invention are all the customary binders which can be used in mordants. Mention may preferably be made of polyvinylpyrrolidone, polyvinyl acetate, polyvinyl alcohol and tylose.
- the gibberellins are known (cf. R. Wegler "Chemistry of Plant Protection and Pesticides", Vol. 2, Springer Verlag, 1970, pp. 401-412).
- the seed dressing formulations which can be used according to the invention can be used either directly or after prior dilution with water for the treatment of a very wide variety of seeds.
- the concentrates or the preparations obtainable therefrom by diluting with water can be used for dressing grain seeds, such as wheat, barley, rye, oats and triticale, and also corn, rice, rapeseed, peas, beans and cotton seeds , sunflowers, soybeans and turnips or also from vegetable seeds of the most diverse nature.
- the seed dressing formulations which can be used according to the invention or their diluted application forms can also be used for dressing seeds of transgenic plants.
- the treatment is carried out in such a way that the seed is placed in a mixer in discontinuous or continuous operation, the desired amount of dressing formulations is added either as such or after prior dilution with water and until the formulation is evenly distributed mixed with the seed. If necessary, a drying process follows.
- the application rate of the seed dressing formulations that can be used according to the invention can be varied within a relatively wide range. It depends on the particular content of the compounds of the formula (I) in the formulations and on the seed.
- the application rates for the compound of formula (I) are generally between 0.001 and 50 g per kilogram of seed, preferably between 0.01 and 15 g per kilogram of seed. animal health
- the compounds of formula (I) are active against animal parasites, in particular ectoparasites or endoparasites.
- animal parasites in particular ectoparasites or endoparasites.
- endoparasite includes in particular helminths and protozoa such as coccidia.
- Ectoparasites are typically and preferably arthropods, particularly insects or acarids.
- the compounds of formula (I) which have a favorable toxicity to warm-blooded animals, are useful for controlling parasites occurring in livestock, farm animals, zoo animals, laboratory animals, experimental animals and domestic animals in animal breeding and animal husbandry. They are effective against all or individual developmental stages of the parasites.
- farm animals include mammals such as sheep, goats, horses, donkeys, camels, buffalo, rabbits, reindeer, fallow deer and, in particular, cattle and pigs; or poultry such as turkeys, ducks, geese and especially chickens; or fish or crustaceans, e.g. B. in aquaculture, or possibly insects such as bees.
- the domestic animals include, for example, mammals such as hamsters, guinea pigs, rats, mice, chinchillas, ferrets and in particular dogs, cats, house birds; Reptiles, amphibians or aquarium fish.
- the compounds of formula (I) are administered to mammals.
- the compounds of formula (I) are administered to birds, namely pet birds or in particular poultry.
- the use of the compounds of formula (I) for combating animal parasites is said to reduce or prevent disease, deaths and reduced performance (in meat, milk, wool, skins, eggs, honey and the like) so that animal husbandry is more economical and simpler and a better welfare of the animals can be achieved.
- control or “control” as used herein means that the compounds of formula (I) are effective in preventing the occurrence of the relevant parasite in an animal infected with such parasite to a harmless level , is reduced. More specifically, “combat” in the present context means that the compounds of formula (I) kill, prevent the growth of or prevent the proliferation of the parasite in question.
- Arthropods include, but are not limited to, from the order Anoplurida, for example Haematopinus spp., Linognathus spp., Pediculus spp., Phtirus spp., Solenopotes spp.; from the order Mallophagida and the suborders Amblycerina and Ischnocerina, for example Bovicola spp., Damalina spp., Felicola spp.; Lepikentron spp., Menopon spp., Trichodectes spp., Trimenopon spp., Trinoton spp., Wemeckiella spp; from the order Diptera and the suborders Nematocerina and Brachycerina, for example Aedes spp., Anopheles spp., Atylotus spp., Braula spp., Calliphora spp., Chrysomyia
- Melophagus spp. Melophagus spp., Morellia spp., Musca spp., Odagmia spp., Oestrus spp., Philipomyia spp., Phlebotomus spp., Rhinoestrus spp., Sarcophaga spp., Simulium spp., Stomoxys spp., Tabanus spp., Tipula spp., Wilhelmia spp., Wohlfahrtia spp.; from the order Siphonaptrida, for example Ceratophyllus spp., Ctenocephalides spp., Pulex spp., Tunga spp., Xenopsylla spp.; from the order Heteropterida, for example Cimex spp., Panstrongylus spp., Rhodnius spp., Triatoma spp.; and nuisance and hygiene pests from the
- the following Akari are exemplary, without being limited to them:
- Metastigmata From the subclass Akari (Acarina) and the order Metastigmata, for example from the family Argasidae such as Argas spp., Omithodorus spp., Otobius spp., from the family Ixodidae such as Amblyomma spp., Dermacentor spp., Haemaphysalis spp ., Hyalomma spp., Ixodes spp., Rhipicephalus (Boophilus) spp., Rhipicephalus spp.
- Argasidae such as Argas spp., Omithodorus spp., Otobius spp.
- Ixodidae such as Amblyomma spp., Dermacentor spp., Haemaphysalis spp ., Hyalomma spp., Ixodes spp., Rhipicephal
- parasitic protozoa examples include, but are not limited to:
- Mastigophora such as: Metamonada: from the order Vaccinonadida, for example Giardia spp., Spironucleus spp.
- Trichomonadida for example Histomonas spp., Pentatrichomonas spp., Tetratrichomonas spp., Trichomonas spp., Tritrichomonas spp.
- Euglenozoa from the order Trypanosomatida, for example Leishmania spp., Trypanosoma spp.
- Sarcomastigophora such as Entamoebidae, e.g. Entamoeba spp., Centramoebidae, e.g. Acanthamoeba sp., Euamoebidae, e.g. B. Hartmanella sp.
- Alveolata such as Apicomplexa (Sporozoa): e.g. B. Cryptosporidium spp.; from the order Eimeriida, for example Besnoitia spp., Cystoisospora spp., Eimeria spp., Hammondia spp., Isospora spp., Neospora spp., Sarcocystis spp., Toxoplasma spp.; from the order Adeleida z. B. Hepatozoon spp., Klosiella spp.; from the order Haemosporida z. B.
- Leucocytozoon spp. Plasmodium spp.; from the order Piroplasmida z.
- Microspora such as Encephalitozoon spp., Enterocytozoon spp., Globidium spp., Nosema spp., and also e.g. B. Myxozoa spp.
- Helminths pathogenic to humans or animals include, for example, Acanthocephala, Nematodes, Pentastoma and Platyhelminths (e.g. Monogenea, Cestodes and Trematodes).
- Exemplary helminths include, but are not limited to:
- Monogenea e.g. B.: Dactylogyrus spp., Gyrodactylus spp., Microbothrium spp., Polystoma spp., Troglecephalus spp.;
- Cestodes from the order Pseudophyllidea for example: Bothridium spp., Diphyllobothrium spp., Diplogonoporus spp. Ichthyobothrium spp., Ligula spp., Schistocephalus spp., Spirometra spp.
- Cyclophyllida for example: Andyra spp., Anoplocephala spp., Avitellina spp., Bertiella spp., Cittotaenia spp., Davainea spp., Diorchis spp., Diplopylidium spp., Dipylidium spp., Echinococcus spp., Echinocotyle spp.
- Echinolepis spp. Hydatigera spp., Hymenolepis spp., Joyeuxiella spp., Mesocestoides spp., Moniezia spp., Paranoplocephala spp., Raillietina spp., Stilesia spp., Taenia spp., Thysaniezia spp., Thysanosoma sp.
- Trematodes from the class Digenea for example: Austrobilharzia spp., Brachylaima spp., Calicophoron spp., Catatropis spp., Clonorchis spp. Collyriclum spp., Cotylophoron spp., Cyclocoelum spp., Dicrocoelium spp., Diplostomum spp., Echinochasmus spp., Echinoparyphium spp., Echinostoma spp., Eurytrema spp., Fasciola spp., Fasciolides spp., Fasciolopsis spp., Fischoederius spp ., Gastrothylacus spp., Gigantobilharzia spp., Gigantocotyle spp., Heterophyes spp., Hypoderaeum spp
- Nematodes from the order Trichinellida, for example: Capillaria spp., Eucoleus spp., Paracapillaria spp., Trichinella spp., Trichomosoides spp., Trichuris spp.
- Rhabditina From the order Rhabditina, for example: Aelurostrongylus spp., Amidostomum spp., Ancylostoma spp., Angiostrongylus spp., Bronchonema spp., Bunostomum spp., Chabertia spp., Cooperia spp., Cooperioides spp., Crenosoma spp., Cyathostomum spp., Cyclococercus spp., Cyclodontostomum spp., Cylicocyclus spp., Cylicostephanus spp., Cylindropharynx spp., Cystocaulus spp., Dictyocaulus spp., Elaphostrongylus spp., Filaroides spp., Globocephalus spp., Graphidium spp., Gyaloc
- Oesophagodontus spp. Oesophagostomum spp., Ollulanus spp.
- Omithostrongylus spp. Oslerus spp., Ostertagia spp., Paracooperia spp., Paracrenosoma spp., Parafilaroides spp., Parelaphostrongylus spp., Pneumocaulus spp., Pneumostrongylus spp., Poteriostomum spp., Protostrongylus spp., Spicocaulus spp., Stephanurus spp ., Strongylus spp., Syngamus spp., Teladorsagia spp., Trichonema spp., Trichostrongylus spp., Triodontophorus spp., Troglostrongylus spp., Uncinaria spp.
- Spirurida for example: Acanthocheilonema spp., Anisakis spp., Ascaridia spp.; Ascaris spp., Ascarops spp., Aspiculuris spp., Baylisascaris spp., Brugia spp., Cercopithifilaria spp., Crassicauda spp., Dipetalonema spp., Dirofilaria spp., Dracunculus spp.; Draschia spp., Enterobius spp., Filaria spp., Gnathostoma spp., Gongylonema spp., Habronema spp., Heterakis spp.; Litomosoides spp., Loa spp., Onchocerca spp., Oxyuris spp., Parabronema spp., Parafilaria spp., Para
- Acanthocephala from the order Oligacanthorhynchida e.g. Macracanthorhynchus spp., Prosthenorchis spp.; from the order Moniliformida for example: Moniliformis spp.,
- Pentastoma from the order Porocephalida, for example Linguatula spp.
- the compounds of formula (I) are administered by methods well known in the art, such as enteral, parenteral, dermal or nasal in the form of suitable preparations. Administration can be prophylactic; be metaphylactic or therapeutic.
- one embodiment of the present invention relates to the compounds of formula (I) for use as medicaments.
- a further aspect relates to the compounds of the formula (I) for use as an anti-endoparasitic.
- a further special aspect relates to the compounds of the formula (I) for use as an anthelmintic, in particular for use as a nematicide, platymehninthicide, acanthocephalicide or pentastomicide.
- a further special aspect relates to the compounds of the formula (I) for use as an antiprotozoal.
- a further aspect relates to the compounds of formula (I) for use as an antiectoparasitic, in particular an arthropodicide, more particularly an insecticide or an acaricide.
- veterinary formulations comprising an effective amount of at least one compound of formula (I) and at least one of the following: a pharmaceutically acceptable excipient (e.g. solid or liquid diluents), a pharmaceutically acceptable adjuvant (e.g. surfactants), especially one a pharmaceutically acceptable excipient conventionally used in veterinary formulations and/or a pharmaceutically acceptable adjuvant conventionally used in veterinary formulations.
- a pharmaceutically acceptable excipient e.g. solid or liquid diluents
- a pharmaceutically acceptable adjuvant e.g. surfactants
- a related aspect of the invention is a process for preparing a veterinary formulation as described herein, which comprises the step of mixing at least one compound of formula (I) with pharmaceutically acceptable excipients and/or auxiliaries, in particular with pharmaceutically acceptable excipients conventionally used in veterinary formulations and /or includes aids.
- veterinary formulations selected from the group of ectoparasiticidal and endoparasiticidal formulations, in particular selected from the group of anthelmintic, antiprotozoal and arthropodicidal formulations, very particularly selected from the group of nematicidal, platyhelminthicidal, acanthocephalicidal, pentastomicidal, insecticidal and accaricidal formulations, according to the aspects mentioned, and methods for their production.
- Another aspect relates to a method of treating a parasitic infection, particularly an infection by a parasite selected from the group consisting of ectoparasites and endoparasites mentioned herein, by applying an effective amount of a compound of formula (I) to an animal, particularly a non-human animal in need of it.
- Another aspect relates to a method of treating a parasitic infection, particularly an infection by a parasite selected from the group consisting of ectoparasites and endoparasites mentioned herein, by applying a veterinary formulation as defined herein to an animal, particularly a non-human animal, which requirement.
- Another aspect relates to the use of the compounds of formula (I) in the treatment of a parasitic infection, in particular an infection by a parasite selected from the group consisting of ectoparasites and endoparasites mentioned herein, in an animal, in particular a non-human animal.
- treatment includes prophylactic, metaphylactic and therapeutic treatment.
- mixtures of at least one compound of the formula (I) with other active ingredients, in particular with endo- and ectoparasiticides, are hereby provided for the veterinary field.
- mixture not only means that two (or more) different active ingredients are formulated in a common formulation and thus applied together, but also refers to products that contain separate formulations for each active ingredient. Accordingly, when more than two active ingredients are to be employed, all of the active ingredients can be formulated in a common formulation, or all of the active ingredients can be formulated in separate formulations; mixed forms are also conceivable, in which some of the active ingredients are formulated together and some of the active ingredients are formulated separately. Separate formulations permit separate or sequential application of the active ingredients in question.
- Exemplary active ingredients from the group of ectoparasiticides as mixing partners include, without this being intended to constitute a restriction, the insecticides and acaricides listed in detail above.
- Other useful active ingredients are listed below according to the above classification based on the current IRAC Mode of Action Classification Scheme: (1) acetylcholinesterase (AChE) inhibitors; (2) GABA-gated chloride channel blockers; (3) sodium channel modulators; (4) competitive modulators of the nicotinic acetylcholine receptor (nAChR); (5) allosteric modulators of nicotinic acetylcholine receptor (nAChR); (6) allosteric modulators of the glutamate-gated chloride channel (GluCl); (7) juvenile hormone mimics; (8) various non-specific (multi-site) inhibitors; (9) modulators of chordotonal organs; (10) mite growth inhibitors; (12) inhibitors of mitochondrial ATP synthase, such as ATP disruptors;
- Drugs with unknown or non-specific mechanisms of action e.g. B. fentrifanil, fenoxacrim, cycloprene, chlorobenzilate, chlordimeform, flubenzimine, dicyclanil, amidoflumet, quinomethionate, triarathene, clothiazoben, tetrasul, potassium oleate, petroleum, metoxadiazon, gossyplur, flutenzin, bromopropylate, cryolite;
- organochlorine compounds e.g. B. camphechlor, lindane, heptachlor; or phenylpyrazoles, e.g. B. acetoprol, pyrafluprole, pyriprole, vaniliprole, sisapronil; or isoxazolines, e.g. B. sarolaner, afoxolaner, lotilaner, fluralaner;
- pyrethroids e.g. B. (cis-, trans-)Metofluthrin, Profluthrin, Flufenprox, Flubrocythrinat, Fubfenprox, Fenfluthrin, Protrifenbut, Pyresmethrin, RU15525, Terallethrin, cis-Resmethrin, Heptafluthrin, Bioethanomethrin, Biopermethrin, Fenpyrithrin, cis-Cypermethrin, cis -permethrin, clocythrin, cyhalothrin (lambda-), chlovaporthrin, or halogenated hydrocarbon compounds (HCHs),
- neonicotinoids e.g. B. Nithiazine
- dicloromezotiaz triflumezopyrim macrocyclic lactones e.g. nemadectin, ivermectin, latidectin, moxidectin, selamectin, eprinomectin, doramectin, emamectin benzoate; milbemycin oxime triprene, epofenonane, diofenolane;
- Bios, hormones or pheromones for example natural products, e.g. thuringiensin, codlemon or neem components
- dinitrophenols e.g. B. Dinocap, Dinobuton, Binapacryl;
- benzoylureas e.g. e.g. fluazuron, penfluron,
- amidine derivatives e.g. chlormebuform, cymiazole, demiditraz
- Beehive varroa acaricides for example organic acids, e.g., formic acid, oxalic acid.
- Exemplary endoparasiticidal active ingredients include, but are not limited to, anthelmintic active ingredients and antiprotozoal active ingredients.
- Anthelmintic agents include, but are not limited to, the following nematicidal, trematicidal and/or cestocidal agents: from the macrocyclic lactone class, for example: eprinomectin, abamectin, nemadectin, moxidectin, doramectin, selamectin, lepimectin, latidectin, milbemectin, ivermectin, emamectin, milbemycin; from the class of benzimidazoles and probenzimidazoles, for example: oxibendazole, mebendazole, triclabendazole, thiophanate, parbendazole, oxfendazole, netobimine, fenbendazole, febantel, thiabendazole, cyclobendazole, cambendazole, albendazole sulfoxide, albendazole, flubend
- Antiprotozoal agents including but not limited to the following agents: from the triazine class, for example: diclazuril, ponazuril, letrazuril, toltrazuril; from the polylether ionophore class, for example: monensin, salinomycin, maduramicin, narasin; from the class of macrocyclic lactones, for example: milbemycin, erythromycin; from the class of quinolones, for example: enrofloxacin, pradofloxacin; from the class of quinines, for example: chloroquine; from the class of pyrimidines, for example: pyrimethamine; from the class of sulfonamides, for example: sulfaquinoxaline, trimethoprim, sulfaclozine; from the class of thiamines, for example: amprolium; from the class of lincosamides, for example: clindamycin; from the
- a vector within the meaning of the present invention is an arthropod, in particular an insect or arachnid, which is capable of pathogens such as. B. viruses, worms, protozoa and bacteria from a reservoir (plant, animal, human, etc.) to transfer to a host.
- pathogens can be transmitted to a host either mechanically (e.g. trachoma by non-stinging flies) or after injection (e.g. malaria parasites by mosquitoes) into a host.
- Anopheles malaria, filariasis
- Flies sleeping sickness (trypanosomiasis); cholera, other bacterial diseases; 5) mites: acariose, epidemic typhus, rickettsipox, tularemia, Saint-Louis encephalitis, tick-borne encephalitis (FSME), Crimean-Congo hemorrhagic fever, Lyme disease;
- Ticks Lyme disease such as Borrelia bungdorferi sensu lato., Borrelia duttoni, tick-borne encephalitis, Q fever (Coxiella burnetii), babesia (Babesia canis canis), Ehrlichiosis.
- vectors for the purposes of the present invention are insects, for example aphids, flies, leafhoppers or thrips, which can transmit plant viruses to plants.
- Other vectors that can transmit plant viruses are spider mites, lice, beetles and nematodes.
- vectors for the purposes of the present invention are insects and arachnids such as mosquitoes, in particular of the genera Aedes, Anopheles, e.g. B. A. gambiae, A. arabiensis, A. fimestus, A. dirus (malaria) and Culex, Psychodids such as Phlebotomus, Lutzomyia, lice, fleas, flies, mites and ticks that can transmit pathogens to animals and/or humans.
- insects and arachnids such as mosquitoes, in particular of the genera Aedes, Anopheles, e.g. B. A. gambiae, A. arabiensis, A. fimestus, A. dirus (malaria) and Culex
- Psychodids such as Phlebotomus, Lutzomyia, lice, fleas, flies, mites and ticks that can transmit pathogens to animals and/or humans.
- Compounds of formula (I) are suitable for use in the prevention of diseases and/or pathogens which are transmitted by vectors.
- a further aspect of the present invention is the use of compounds of formula (I) for vector control, e.g. B. in agriculture, in horticulture, in gardens and leisure facilities as well as in the protection of stored products and materials.
- the compounds of formula (I) are suitable for protecting technical materials against infestation or destruction by insects, e.g. B. from the orders Coleoptera, Hymenoptera, Isoptera, Lepidoptera, Psocoptera and Zygentoma.
- non-living materials such as preferably plastics, adhesives, glues, paper and cardboard, leather, wood, wood processing products and paints.
- Application of the invention to the protection of wood is particularly preferred.
- the compounds of the formula (I) are used together with at least one further insecticide and/or at least one fungicide.
- the compounds of the formula (I) are present as a ready-to-use pesticide, ie they can be applied to the corresponding material without further changes.
- further insecticides or fungicides those mentioned above are particularly suitable.
- the compounds of the formula (I) can be used to protect objects, in particular ship hulls, sieves, nets, structures, quays and signaling systems, which come into contact with seawater or brackish water, from fouling.
- the compounds of the formula (I) can be used alone or in combination with other active ingredients as antifouling agents.
- the compounds of the formula (I) are suitable for controlling animal pests in the hygiene sector.
- the invention can be used in household, hygiene and stored product protection, especially for combating insects, arachnids, ticks and mites that occur in closed rooms such as apartments, factory buildings, offices, vehicle cabins, animal breeding facilities.
- the compounds of the formula (I) are used alone or in combination with other active ingredients and/or auxiliaries. They are preferably used in household insecticide products.
- the compounds of formula (I) are active against sensitive and resistant species and against all stages of development.
- pests from the class Arachnida from the orders Scorpiones, Araneae and Opiliones, from the classes Chilopoda and Diplopoda, from the class Insecta, the order Blattodea, from the orders Coleoptera, Dermaptera, Diptera, Heteroptera, Hymenoptera, Isoptera, Lepidoptera, Phthiraptera, Psocoptera, Saltatoria or Orthoptera, Siphonaptera and Zygentoma and from the class Malacostraca the order Isopoda.
- the application takes place, for example, in aerosols, non-pressurized sprays, e.g. B. pump and atomizer sprays, smoke machines, foggers, foams, gels, vaporizer products with vaporizer plates made of cellulose or plastic, liquid vaporizers, gel and membrane vaporizers, propeller-driven vaporizers, energyless or passive vaporization systems, moth paper, moth bags and moth gels, as granules or dust, in scatter baits or bait stations.
- reaction mixture was poured onto water and extracted with dichloromethane. After drying over magnesium sulfate, the solvent was distilled off under reduced pressure and the residue was separated chromatographically on silica gel (gradient: hexane/ethyl acetate). 322 mg of 5-bromo-N-(1,3-dioxolan-2-ylmethyl)-2-[4-(trifluoromethoxy)phenyl]-1,2,4-triazol-3-amine were obtained.
- reaction mixture was poured onto water and stirred with dichloromethane, filtered through a ChromabondTM PTS separation column, evaporated under reduced pressure and the residue chromatographed on silica gel (gradient: hexane/ethyl acetate). 194 mg of l-[[4-[5-(1,3-dioxolan-2-ethylamino)-1-[4-(trifluoromethoxy)phenyl]-1,2,4-triazol-3-yl] were obtained phenyl]methyleneamino]-3-(2-of)thiourea.
- the measurements of the 'H-NMR spectra were carried out with a Bruker Avance III 400 MHz spectrometer, equipped with a 1.7 mm TCI probe head, with tetramethylsilane as standard (0.00 ppm) and the measurements were recorded usually from solutions in the solvents CD3CN, CDCI3 or dg-DMSO.
- a Bruker Avance III 600 MHz spectrometer equipped with a 5 mm CPNMP probehead or a Bruker Avance NEO 600 MHz spectrometer allowed to use a 5 mm TCI probe head for the measurements.
- the measurements were carried out at a probe head temperature of 298 K. If other measurement temperatures were used, this will be noted separately.
- the 'H NMR data of selected examples are reported in the form of 'H NMR packages. For each signal peak, first the 5 value in ppm and then the signal intensity is listed in round brackets. The 5-value signal intensity number pairs from different signal peaks are listed separated by semicolons.
- the peak list of an example therefore has the form:
- the intensity of sharp signals correlates with the height of the signals in a printed example of an NMR spectrum in cm and shows the true ratios of the signal intensities. For broad signals, multiple peaks or the center of the signal and their relative intensity compared to the most intense signal in the spectrum can be shown.
- tetramethylsilane and/or the chemical shift of the solvent, especially in the case of spectra measured in DMSO.
- the tetramethylsilane peak can therefore appear in NMR peak lists, but it does not have to.
- the peaks of stereoisomers of the target compounds and/or peaks of impurities usually have on average a lower intensity than the peaks of the target compounds (e.g. with a purity of >90%).
- Such stereoisomers and/or impurities can be typical of the particular production process. Their peaks can thus help to identify the reproduction of our manufacturing process using 'by-product fingerprints'.
- An expert who calculates the peaks of the target compounds using known methods can isolate the peaks of the target compounds as required, with additional intensity filters being used if necessary. This isolation would be similar to the peak-picking involved in the classical 'H NMR analysis.
- Emulsifier alkylaryl polyglycol ether
- Preswollen wheat grains (Triticum aestivum) are incubated in a multiwell plate filled with agar and a little water for one day (5 seeds per well). The germinated wheat grains are sprayed with an active ingredient preparation of the desired concentration. Each cavity is then infected with 10-20 Diabrotica balteata beetle larvae.
- active compound 1 part by weight of active compound is mixed with the specified amount of solvent and the concentrate is diluted with water to the desired concentration.
- Vessels are filled with sand, active substance solution, an egg larvae suspension of the southern root-knot nematode (Meloidogyne incognita) and lettuce seeds.
- the lettuce seeds germinate and the little plants develop. Galls develop at the roots. After 14 days, the nematicidal effect is determined in % based on gall formation. 100% means that no galls were found; 0% means that the number of galls on the treated plants corresponds to the untreated control.
- Emulsifier alkylaryl polyglycol ether
- Barley plants (Hordeum vulgare) are sprayed with a preparation of active compound of the desired concentration and infected with larvae of the green rice bug (Nezara viridula).
- Emulsifier alkylaryl polyglycol ether
- active compound 1 part by weight of active compound is dissolved in the stated parts by weight of solvent and made up with water containing an emulsifier concentration of 1000 ppm until the desired concentration is reached. To prepare further test concentrations, dilute with water containing emulsifier.
- Rice plants (Oryza sativa) are sprayed with the preparation of active compound at the desired concentration and then infected with the brown-backed rice planthopper (Nilaparvata lugens). After 4 days, the effect is determined in %. 100% means that all the planthoppers have been killed; 0% means that none of the rice planthoppers have been killed.
- Emulsifier alkylaryl polyglycol ether
- Corn leaf discs (Zea mays) are sprayed with an active compound preparation of the desired concentration and, after drying, are populated with caterpillars of the armyworm (Spodoptera frugiperda).
- Plutella xylostella - spray test (PLUTMA)
- Emulsifier alkylaryl polyglycol ether
- active compound 1 part by weight of active compound is dissolved in the stated parts by weight of solvent and made up with water containing an emulsifier concentration of 1000 ppm until the desired concentration is reached. To make more Test concentrations are diluted with water containing emulsifier. If it is necessary to add ammonium salts and/or penetration enhancers, these are each added to the preparation solution in a concentration of 1000 ppm.
- Cabbage leaves (Brassica oleracea) are sprayed with an active compound preparation of the desired concentration and infected with larvae of the cabbage moth (Plutella xylostella).
Landscapes
- Chemical & Material Sciences (AREA)
- Organic Chemistry (AREA)
- Life Sciences & Earth Sciences (AREA)
- Agronomy & Crop Science (AREA)
- Pest Control & Pesticides (AREA)
- Plant Pathology (AREA)
- Health & Medical Sciences (AREA)
- Engineering & Computer Science (AREA)
- Dentistry (AREA)
- General Health & Medical Sciences (AREA)
- Wood Science & Technology (AREA)
- Zoology (AREA)
- Environmental Sciences (AREA)
- Plural Heterocyclic Compounds (AREA)
- Pharmaceuticals Containing Other Organic And Inorganic Compounds (AREA)
Abstract
Description
5-Amino substituierte Triazole als Schädlingsbekämpfungsmittel 5-amino substituted triazoles as pest control agents
Die vorliegende Erfindung betrifft neue 5-Amino substituierte Triazole, Verfahren zu ihrer Herstellung und ihre Verwendung zur Bekämpfung von tierischen Schädlingen, vor allem von Arthropoden und insbesondere von Insekten und Spinnentieren. The present invention relates to new 5-amino-substituted triazoles, processes for their preparation and their use for controlling animal pests, especially arthropods and in particular insects and arachnids.
Bestimmte Amino substituierte Triazole mit insektizider Wirkung sind bereits bekannt (W02002090335). Weiterhin wurden in 5 -Position substituierte oder unsubstituierte Triazole und -Pyrazole als Insektizide beschrieben (vgl. z.B. W02009102736, WO2011017504, W02012109125, WO2013116052, US2015/196033 Al, US2018/099958 Al). Die gemäß den oben genannten Schriften bereits bekannten Wirkstoffe weisen aber in ihrer Anwendung teils Nachteile auf, sei es, dass sie nur eine geringe Anwendungsbreite aufweisen, sei es, dass sie keine zufriedenstellende insektizide Wirkung aufweisen. Certain amino-substituted triazoles with an insecticidal effect are already known (WO2002090335). Furthermore, triazoles and -pyrazoles substituted or unsubstituted in the 5-position have been described as insecticides (cf. e.g. WO2009102736, WO2011017504, WO2012109125, WO2013116052, US2015/196033 A1, US2018/099958 A1). However, some of the active compounds already known according to the above-mentioned documents have disadvantages in their use, either that they have only a narrow range of use or that they do not have a satisfactory insecticidal effect.
Moderne Insektizide und Akarizide müssen vielen Anforderungen genügen, beispielsweise in Bezug auf Höhe, Dauer und Breite ihrer Wirkung und möglichen Verwendung. Es spielen Fragen der Toxizität, der Nützlings- und Bestäuberschonung, der Umwelteigenschaften, der Aufwandmengen, der Kombinierbarkeit mit anderen Wirkstoffen oder Formulierhilfsmitteln eine Rolle sowie die Frage des Aufwands, der für die Synthese eines Wirkstoffs betrieben werden muss, ferner können Resistenzen auftreten, um nur einige Parameter zu nennen. Schon aus all diesen Gründen kann die Suche nach neuen Pflanzenschutzmitteln nicht als abgeschlossen betrachtet werden und es besteht ständig Bedarf an neuen Verbindungen mit gegenüber den bekannten Verbindungen zumindest in Bezug auf einzelne Aspekte verbesserten Eigenschaften. Modern insecticides and acaricides have to meet many requirements, for example with regard to the level, duration and breadth of their effect and possible use. Questions of toxicity, the protection of beneficial insects and pollinators, the environmental properties, the amounts applied, the ability to combine them with other active ingredients or formulation aids play a role, as well as the question of the effort required to synthesize an active ingredient, and resistances can also occur, just to name a few parameters. For all of these reasons alone, the search for new crop protection agents cannot be regarded as complete, and there is a constant need for new compounds with properties which are improved, at least in relation to individual aspects, compared to the known compounds.
Aufgabe der vorliegenden Erfindung war es, Verbindungen zur Verwendung zur Bekämpfung von tierischen Schädlingen bereitzustellen, durch die das Spektrum der Schädlingsbekämpfungsmittel unter verschiedenen Aspekten ergänzt wird. It was an object of the present invention to provide compounds for use in combating animal pests, which supplement the spectrum of pesticides from various aspects.
Es wurde nun überraschend gefunden, dass bestimmte neue Aminosubstituerte Pyrazole und Triazole gegenüber den bereits bekannten Verbindungen Vorteile aufweisen, zum Beispiel seien bessere biologische oder ökologische Eigenschaften, breitere Anwendungsmethoden, eine bessere insektizide, akarizide Wirkung, sowie eine gute Verträglichkeit gegenüber Nutzpflanzen beispielhaft genannt. Die neuen Amino- substituierten Triazole können in Kombination mit weiteren Mitteln zur Verbesserung der Wirksamkeit insbesondere gegen schwierig zu bekämpfende Insekten eingesetzt werden. Die erfindungsgemäßen neuen Verbindungen wurden bislang nicht offenbart. Surprisingly, it has now been found that certain new amino-substituted pyrazoles and triazoles have advantages over the already known compounds, for example better biological or ecological properties, broader application methods, better insecticidal, acaricidal action and good compatibility with useful plants. The new amino-substituted triazoles can be used in combination with other agents to improve the effectiveness, in particular against insects that are difficult to control. The new compounds according to the invention have not been disclosed hitherto.
Gegenstand der vorliegenden Erfindung sind daher neue Verbindungen der Formel (I) worin (Ausgestaltung 1-1) The present invention therefore relates to new compounds of the formula (I) wherein (embodiment 1-1)
Ar für Phenyl oder einen 5- oder 6-gliedrigen heteroaromatischen Ring, jeweils unsubstituiert oder substituiert mit 1 bis 4 RAr, steht; dabei steht jedes Ar is phenyl or a 5- or 6-membered heteroaromatic ring each unsubstituted or substituted by 1 to 4 R Ar ; each is included
RAr unabhängig voneinander für Halogen, Cyano, Nitro, SF5, C(Q')Ra. C(O)ORa, C(Q1)NRbRc, NRdRe, ORa, S(O)nRa oder SO2NRbRc; oder für Ci-C6-Alkyl, C2-C6-Alkenyl, C2-Cg-Alkinyl oder C’s-CS-Cycloalkyl. die alle jeweils unsubstituiert sein können, oder einfach bis 13fach mit Halogen und/oder gegebenenfalls mit 1 bis 3 Rf substituiert sein können; oder für Phenyl, einen 5- oder 6-gliedrigen heteroaromatischen Ring oder ein 7- bis 11-gliedriges heteroaromatisches Ringsystem, alle jeweils unsubstituiert oder substituiert mit 1 bis 3 Rg; R Ar are independently halogen, cyano, nitro, SF5, C(Q')R a . C(O)OR a , C(Q 1 )NR b R c , NR d Re , OR a , S(O) n R a or SO 2 NR b R c ; or for Ci-C 6 -alkyl, C 2 -C 6 -alkenyl, C 2 -Cg-alkynyl or C's-CS-cycloalkyl. each of which can be unsubstituted or substituted once to 13 times with halogen and/or optionally with 1 to 3 R f ; or for phenyl, a 5- or 6-membered heteroaromatic ring or a 7- to 11-membered heteroaromatic ring system, each unsubstituted or substituted by 1 to 3 R g ;
A fur Ci-C4-Alkyl steht, das gegebenenfalls durch C=O unterbrochen sein kann und das jeweils unsubstituiert sein kann, oder einfach bis 7fach mit Halogen und/oder gegebenenfalls mit 1 bis 2 Rg substituiert sein kann; A is C 1 -C 4 -alkyl which may be interrupted by C=O and which may be unsubstituted in each case or may be substituted once to 7 times by halogen and/or optionally by 1 to 2 R g ;
V für einen aromatischen, gesättigten oder teilweise gesättigten Heterocyclus mit 3 bis 7 Ringatomen steht, der gegebenenfalls durch weitere Heteroatome und/oder durch ein oder zwei C=O- Gruppen unterbrochen sein kann und der jeweils unsubstituiert ist oder einfach bis 7fach mit Halogen und/oder gegebenenfalls mit 1 bis 2 Rf substituiert sein kann; V is an aromatic, saturated or partially saturated heterocycle having 3 to 7 ring atoms, which can optionally be interrupted by further heteroatoms and/or by one or two C=O groups and which is unsubstituted or substituted once to 7 times by halogen and/or or optionally substituted with 1 to 2 R f ;
R1 fur H, CCQ^R3, C(O)ORa oder SO2Ra steht; oder für Ci-C6-Alkyl, C3-C6-Cycloalkyl, C2-Cg-Alke- nyl oder C2-Cg-Alkinyl steht, die alle jeweils unsubstituiert sind oder einfach bis 7fach mit Halogen und/oder gegebenenfalls mit 1 bis 3 Rg substituiert sein können; oder R 1 is H, CCQ^R 3 , C(O)OR a or SO 2 R a ; or represents Ci-C 6 -alkyl, C 3 -C6-cycloalkyl, C 2 -Cg-alkenyl or C 2 -Cg-alkynyl, all of which are unsubstituted or mono- to 7-fold with halogen and/or optionally with 1 up to 3 R g may be substituted; or
R1 für eine Ci-C4-Alkylbrücke steht, die über das mit A verknüpfte Kohlenstoffatom an V angebunden ist und zusammen mit dem Stickstoffatom einen bis 4- bis 7 gliedrigen Ring bildet R 1 is a C 1 -C 4 -alkyl bridge which is attached to V via the carbon atom linked to A and, together with the nitrogen atom, forms a 4- to 7-membered ring
R2 für die Substruktur der allgemeinen Formel -X-Y-Z steht; dabei steht R 2 represents the substructure of the general formula -XYZ; stands by
X für Phenyl oder einen 5- oder 6-gliedrigen heteroaromatischen Ring, alle jeweils unsubstituiert oder substituiert mit 1 bis 3 Rx; dabei steht jedes Rx unabhängig voneinander für Halogen, Cyano, Nitro, C(Q')Ra. C(O)ORa, C(Q1)NRbRc, NRdRe, ORa, S(O)nRa oder SO2NRbRc; oder für Ci-C6-Älkyl, C2-C6-Alkenyl, C2- Cg-Alkinyl oder CACACycloalkyl. alle jeweils unsubstituiert oder einfach bis 5fach substituiert mit Halogen und/oder gegebenenfalls mit 1 bis 3 Rg; X is phenyl or a 5- or 6-membered heteroaromatic ring each unsubstituted or substituted by 1 to 3 R x ; each is included R x independently represent halogen, cyano, nitro, C(Q')R a . C(O)OR a , C(Q 1 )NR b R c , NR d Re , OR a , S(O) n R a or SO 2 NR b R c ; or for Ci-C 6 -alkyl, C 2 -C 6 -alkenyl, C 2 - Cg-alkynyl or CACACycloalkyl. all in each case unsubstituted or substituted once to five times by halogen and/or optionally by 1 to 3 R g ;
Y für - CRY1=N- , wobei N an Z gebunden ist, oder für Y for - CR Y1 =N- where N is bonded to Z, or for
-NRY2-C(=QY)-, wobei C an Z gebunden ist; dabei steht jedes -NR Y2 -C(=Q Y )-, where C is bonded to Z; each is included
RY1 und RY2 für H; oder für Ci-Cg -Alkyl, C2-Cg-Alkenyl, CS-G.-Alkinyl oder C3-C?-Cyc- loalkyl, alle jeweils unsubstituiert oder substituiert mit 1 bis 7 RY11; dabei steht jedes R Y1 and R Y2 for H; or for Ci-Cg-alkyl, C 2 -Cg-alkenyl, CS-G.-alkynyl or C3-C?-cycloalkyl, all unsubstituted or substituted by 1 to 7 RY11 ; each is included
RY11 unabhängig voneinander für Halogen, Cyano, Ci-C4-Alkyl, G-Cg-Cyc- loalkyl, Ci-C4-Haloalkyl, Ci-C4-Alkoxy, oder Ci-C4-Haloalkoxy; R Y11 independently for halogen, cyano, Ci-C4-alkyl, G-Cg-cycloalkyl, Ci-C4-haloalkyl, Ci-C4-alkoxy, or Ci-C4-haloalkoxy;
QY für O oder S; Q Y is O or S;
Z für die Fragmente der allgemeinen Formel (Al), (A2) oder (A3); dabei ist # der Anknüpfungspunkt zu Y und dabei steht jedes Z for the fragments of the general formula (A1), (A2) or (A3); where # is the connecting point to Y and where each stands
T für O oder S; T for O or S;
RZ1 unabhängig voneinander für einen 5- bis 10-gliedrigen aromatischen oder heteroaromatischen Ring oder ein bicyclisches Ringsystem, jeweils unsubstituiert oder substituiert mit 1 bis 4 RZ11; dabei steht jedes R Z1 independently represent a 5- to 10-membered aromatic or heteroaromatic ring or a bicyclic ring system, each unsubstituted or substituted by 1 to 4 R Z11 ; each is included
RZ11 unabhängig voneinander für Halogen, Cyano, Nitro, SR. C(Q1)Ra, C(O)ORa, C(Q1)NRbRc, NRdRe, ORa, S(O)nRa oder SO2NRbRc; oder für Ci-C6-Alkyl, C2-C6- Alkenyl, CS-Cg-Alkinyl oder C3-C?-Cycloalkyl, alle jeweils unsubstituiert oder substituiert mit 1 bis 5 Rzla; oder für Phenyl oder einen 5- oder 6-gliedrigen heteroaromatischen Ring, alle jeweils unsubstituiert oder substituiert mit 1 bis 3 Rzla; oder zwei benachbarte RZ11 bilden zusammen eine unsubstituierte oder mit 1 bis 6 Rzla substituierte lineare G-G-Alkylcn-Gruppc. wobei unabhängig voneinander 1 CH2-Einheit durch Carbonyl und 1 bis 2 CH2-Einheiten durch O, S, NH oder N(CH3) ersetzt sein können; dabei steht jedes Rzla für Halogen, Cyano, Ci-C-rAlkyl, C1-C4- Alkoxy. Ci-CrThioalkyl, Ci- C4-Haloalkyl oder Ci-C-rHaloalkoxy; R Z11 independently for halogen, cyano, nitro, SR. C(Q 1 )R a , C(O)OR a , C(Q 1 )NR b R c , NR d Re , OR a , S(O) n R a or SO 2 NR b R c ; or for Ci-C 6 -alkyl, C 2 -C 6 - alkenyl, CS-Cg-alkynyl or C3-C?-cycloalkyl, all unsubstituted or substituted by 1 to 5 R zla ; or phenyl or a 5- or 6-membered heteroaromatic ring each unsubstituted or substituted by 1 to 3 R zla ; or two adjacent R Z11 together form a linear GG-alkylcn group which is unsubstituted or substituted with 1 to 6 R z1a . where, independently of one another, 1 CH 2 unit can be replaced by carbonyl and 1 to 2 CH 2 units by O, S, NH or N(CH3); each is included R zla for halogen, cyano, Ci-C-ralkyl, C1-C4-alkoxy. Ci-CrThioalkyl, Ci-C4-Haloalkyl or Ci-C-rHaloalkoxy;
RZ2, RZ2a und RZ3 unabhängig voneinander fur H; oder für C(O)Ra, C(O)ORa, C(O)NRbRc, S(O)nRa; oder für Ci-C6-Alkyl, C2-C6-Alkenyl, C2-Cg-Alkinyl oder C3-C7-Cycloalkyl, alle jeweils unsubstituiert oder substituiert mit 1 bis 5 RZ21; oder für Phenyl, Benzyl oder einen 5- oder 6-gliedrigen heteroaromatischen Ring, alle jeweils unsubstituiert oder substituiert mit 1 bis 4 RZ21; dabei steht jedes R Z2 , R Z2a and R Z3 independently represent H; or for C(O)R a , C(O)OR a , C(O)NR b R c , S(O) n R a ; or for C 1 -C 6 -alkyl, C 2 -C 6 -alkenyl, C 2 -C 8 -alkynyl or C 3 -C 7 -cycloalkyl, each unsubstituted or substituted by 1 to 5 R Z21 ; or phenyl, benzyl or a 5- or 6-membered heteroaromatic ring, each unsubstituted or substituted by 1 to 4 R Z21 ; each is included
RZ21 unabhängig voneinander für Halogen, Cyano, Nitro, SF5, C(Q')Ra. C(O)ORa, CfQ1 )NRbRc. NRdRe, ORa, S(O)nRa oder SO2NRbRc; oder für Ci-C6-Alkyl, C2-Cg- Alkenyl, C2-C6-Alkinyl oder C3-C7-Cycloalkyl; oder R Z21 independently for halogen, cyano, nitro, SF5, C(Q')R a . C(O) ORa , CfQ1 ) NRb Rc . NR d R e , OR a , S(O) n R a or SO 2 NR b R c ; or for Ci-C 6 alkyl, C 2 -Cg alkenyl, C 2 -C6 alkynyl or C 3 -C 7 cycloalkyl; or
RZ2 und RZ3 bilden zusammen mit der T-C-N-Einheit einen 5- bis 7-gliedrigen Ring; dabei bestehen die RZ2-RZ3 -Ringglieder aus Kohlenstoff-Atomen und gegebenenfalls 1 Sauerstoff- oder Schwefel- oder Stickstoff-Atom; dabei ist das Heteroatom nicht direkt an T gebunden; dabei können bis zu 2 Kohlenstoff-Atom-Ring- glieder unabhängig voneinander aus C(=O) und C(=S) bestehen und das Schwefel-Atom- Ringglied aus S, S(O) oder S(O)2 bestehen; dabei ist diese RZ2-RZ3 -Einheit unsubstituiert oder substituiert mit 1 bis 5 RZ22; dabei steht jedes R Z2 and R Z3 together with the TCN moiety form a 5- to 7-membered ring; the R Z2 -R Z3 ring members consist of carbon atoms and optionally 1 oxygen or sulfur or nitrogen atom; the heteroatom is not directly bonded to T; up to 2 carbon atom ring members can independently consist of C(=O) and C(=S) and the sulfur atom ring member can consist of S, S(O) or S(O) 2 ; this R Z2 -R Z3 unit is unsubstituted or substituted by 1 to 5 R Z22 ; each is included
RZ22 unabhängig voneinander für Halogen, Hydroxy, Cyano, Ci-Cg-Alkyl, C3-Cg-Cyc- loalkyl, Ci-Cg-Haloalkyl, Ci-C4-Alkenyl, Ci-Cg-Alkoxy, oder Ci-Cg-Haloalkoxy; oder für spirocyclisch gebundenes Heterocyclyl mit 2 bis 7 Ringatomen, wobei 1 bis 2 Sauerstoffatome als Heteroatome enthalten sind; oder R Z22 independently of one another for halogen, hydroxy, cyano, Ci-Cg-alkyl, C 3 -Cg-cycloalkyl, Ci-Cg-haloalkyl, Ci-C4-alkenyl, Ci-Cg-alkoxy, or Ci-Cg-haloalkoxy ; or for spirocyclically bonded heterocyclyl having 2 to 7 ring atoms, where 1 to 2 oxygen atoms are present as heteroatoms; or
RZ2a und ein zweites RZ2a bilden zusammen mit der N-C-N-Einheit einen 5- bis 7-gliedrigen Ring; dabei bestehen die RZ2a-RZ2a-Ringglieder aus Kohlenstoff-Atomen und bis zu 2 Heteroatomen, die unabhängig voneinander aus 1 Sauerstoff- Atom, 1 Schwefel-Atom und bis zu 2 Stickstoff-Atomen ausgewählt werden können; dabei können bis zu 2 Kohlenstoff- Atom-Ringglieder unabhängig voneinander aus C(=O) und C(=S) bestehen und das Schwefel-Atom-Ringglied aus S, S(O) oder S(O)2 bestehen; dabei ist diese RZ2-RZ3 -Einheit unsubstituiert oder substituiert mit 1 bis 5 RZ22; dabei steht jedes R Z2a and a second R Z2a together with the NCN moiety form a 5- to 7-membered ring; the R Z2a -R Z2a ring members consist of carbon atoms and up to 2 heteroatoms, which can be selected independently from 1 oxygen atom, 1 sulfur atom and up to 2 nitrogen atoms; up to 2 carbon atom ring members can independently consist of C(=O) and C(=S) and the sulfur atom ring member can consist of S, S(O) or S(O) 2 ; this R Z2 -R Z3 unit is unsubstituted or substituted by 1 to 5 R Z22 ; each is included
Q1 unabhängig voneinander für O, S, N0Ra oder NCN; Ra unabhängig voneinander für Ci-Cg-Alkyl, C3-Cg-Cycloalkyl, C2-Cg-Alkenyl oder C2-Cg-Alkinyl, die alle jeweils unsubstituiert sein können, oder einfach bis 7fach mit Halogen und/oder gegebenenfalls mit 1 bis 3 Rf substituiert sein können; oder für Phenyl, unsubstituiert oder substituiert mit 1 bis 5 Rg; Q 1 independently represents O, S, N0R a or NCN; R a is independently Ci-Cg-alkyl, C 3 -Cg-cycloalkyl, C2-Cg-alkenyl or C2-Cg-alkynyl, all of which may be unsubstituted in each case, or mono- to 7-fold with halogen and/or optionally with 1 bis 3 R f may be substituted; or phenyl unsubstituted or substituted by 1 to 5 R g ;
Rb und Rc unabhängig voneinander fur H; oder für Ci-Cg-Alkyl, C3-Cg-Cycloalkyl, C2-Cg-Alkenyl oder C2-Cg-Alkinyl, die alle jeweils unsubstituiert oder einfach bis 7fach mit Halogen und/oder gegebenenfalls mit 1 bis 3 Rg substituiert sein können; oder für Phenyl, oder für einen 5- oder 6-glied- rigen heteroaromatischen Ring, alle jeweils unsubstituiert oder substituiert mit 1 bis 4 Rg; oder Rb und Rc bilden zusammen einen 3- bis 7-gliedrigen Ring; R b and R c independently represent H; or for Ci-Cg-alkyl, C 3 -Cg-cycloalkyl, C2-Cg-alkenyl or C2-Cg-alkynyl, all of which may be unsubstituted or substituted once to 7 times by halogen and/or optionally by 1 to 3 R g ; or phenyl, or a 5- or 6-membered heteroaromatic ring, each unsubstituted or substituted by 1 to 4 R g ; or R b and R c together form a 3- to 7-membered ring;
Rd und Re unabhängig voneinander für H, C(Q 1 ) R'_ C(O)ORa; oder für Ci-Cg-Alkyl, C’s-Cg-Cycloalkyl. C2-Cg-Alkenyl, C2-Cg-Alkinyl, die alle jeweils unsubstituiert oder einfach bis 7fach mit Halogen und/oder gegebenenfalls mit 1 bis 3 Rg substituiert sein können; oder für Phenyl, unsubstituiert oder substituiert mit 1 bis 5 Rg; oder Rd und Re bilden zusammen einen 3- bis 7-gliedrigen Ring;R d and R e are independently H, C(Q 1 ) R'_ C(O)OR a ; or for Ci-Cg-alkyl, C's-Cg-cycloalkyl. C2-Cg-alkenyl, C2-Cg-alkynyl, all of which may be unsubstituted or substituted once to 7 times by halogen and/or optionally by 1 to 3 Rg ; or phenyl unsubstituted or substituted by 1 to 5 R g ; or R d and R e together form a 3- to 7-membered ring;
Rf unabhängig voneinander für Halogen, Cyano, Nitro, Hydroxy, OSCfR3. SC>2NRbRc, N(Rd)(Re), CfQ1 )NRbRc. NCRhjCCQ^R3, C(O)Ra, C(O)ORb , OC(O)Ra; oder für Ci-C4-Alkyl, Ci-C4-Alkoxy, Ci-C4-Alkylthio, Ci-C4-Alkylsulfmyl, Ci-C4-Alkylsulfonyl, CAG, -Cycloalkyl, spirocyclisch gebundenes C2-Cg-Cycloalkyl, G-Cg-Cycloalkylthio. G- -Cycloalkoxy. G-Cg-Cycloalkylsulfinyl oder C3-Cg-Cycloalkylsulfonyl, die alle jeweils unsubstituiert sein können, oder einfach bis siebenfach mit Halogen und/oder gegebenenfalls mit 1 bis 2 Rg substituiert sein können; oder für Phenyl oder einen 4- bis 7-gliedrigen gesättigen, teilweise gesättigten oder aromatischen Hete- rocyclus mit 1 bis 4 Heteroatomen oder einen spirocyclisch gebundenes Heterocyclyl mit 3 bis 7 Ringatomen, alle jeweils unsubstituiert oder substituiert mit 1 bis 3 Rg; R f are independently halogen, cyano, nitro, hydroxy, OSCfR 3 . SC>2NR b R c , N(R d )(Re ), CfQ 1 )NR b R c . NCRhjCCQ^R 3 , C(O)R a , C(O)OR b , OC(O)R a ; or for Ci-C 4 -alkyl, Ci-C 4 -alkoxy, Ci-C 4 -alkylthio, Ci-C 4 -alkylsulfmyl, Ci-C 4 -alkylsulfonyl, CAG, -cycloalkyl, spirocyclically bonded C2-Cg-cycloalkyl, G-Cg-cycloalkylthio. G-cycloalkoxy. G-Cg-cycloalkylsulphinyl or C 3 -Cg-cycloalkylsulfonyl, all of which may be unsubstituted or substituted once to seven times with halogen and/or optionally with 1 to 2 R g ; or phenyl or a 4- to 7-membered saturated, partially saturated or aromatic heterocycle having 1 to 4 heteroatoms or a spirocyclically bonded heterocyclyl having 3 to 7 ring atoms, all unsubstituted or substituted by 1 to 3 R g ;
Rg unabhängig voneinander für Halogen, Cyano, Nitro, Ci-C4-Alkyl, C3-Cg-Cycloalkyl, Ci-C4- Haloalkyl, Ci-C4-Alkoxy, Ci-C4-Haloalkoxy, Ci-C4-Alkylthio, Ci-C4-Haloalkylthio, Ci-C4-Al- kylsulfmyl, Ci-C4-Haloalkylsulfmyl, Ci-C4-Alkylsulfonyl, Ci-C4-Haloalkylsulfonyl, Ci-C4-Al- kylcarbonyl oder Ci-C4-Alkoxycarbonyl und n unabhängig voneinander für 0, 1 oder 2. R g independently of one another are halogen, cyano, nitro, Ci-C 4 -alkyl, C 3 -Cg-cycloalkyl, Ci-C 4 -haloalkyl, Ci-C 4 -alkoxy, Ci-C 4 -haloalkoxy, Ci-C 4 -Alkylthio, Ci-C 4 -haloalkylthio, Ci-C 4 -alkyl sulphmyl, Ci-C 4 -haloalkylsulphmyl, Ci-C 4 -alkylsulphonyl, Ci-C 4 -haloalkylsulphonyl, Ci-C 4 -alkyl carbonyl or Ci -C 4 -alkoxycarbonyl and n independently represents 0, 1 or 2.
Bevorzugt (Ausgestaltung 2-1) sind die Verbindungen der Formel (I), in denen Preferred (embodiment 2-1) are the compounds of the formula (I) in which
Ar für Phenyl, unsubstituiert oder substituiert mit 1 bis 4 RAr, steht; dabei steht jedes Ar is phenyl unsubstituted or substituted with 1 to 4 R Ar ; each is included
RAr unabhängig voneinander für Halogen, Cyano, Nitro, SF5, C (Q 1 )Ra. C(O)ORa, ORa, S(O)nRa oder SO2NRbRc; oder für Ci-C6-Alkyl, C2-C6-Alkenyl, G-G-Alkinyl oder C3- Cg-Cycloalkyl, die alle jeweils unsubstituiert sein können, oder einfach bis 7fach mit Halogen und/oder gegebenenfalls mit 1 bis 2 Rg substituiert sein können; A für Ci-C4-Alkyl steht, das gegebenenfalls durch C=O unterbrochen sein kann und das jeweils unsubstituiert sein kann, oder einfach bis 5fach mit Halogen und/oder gegebenenfalls mit 1 bis 2 Rg substituiert sein kann; R Ar are independently halogen, cyano, nitro, SF5, C (Q 1 )R a . C(O)OR a , OR a , S(O) n R a or SO 2 NR b R c ; or for Ci-C 6 -alkyl, C 2 -C 6 -alkenyl, GG-alkynyl or C 3 - Cg-cycloalkyl, all of which may be unsubstituted in each case, or singly to 7 times by halogen and/or optionally by 1 to 2 R g may be substituted; A is C 1 -C 4 -alkyl, which may be interrupted by C═O and which may be unsubstituted in each case, or substituted once to 5 times by halogen and/or optionally by 1 to 2 R g ;
V fur einen aromatischen Heterocyclus aus der Reihe Furanyl, Thienyl, Pyrrolyl, Pyrazolyl, Imida- zolyl, 1,2,3-Triazolyl, 1,2,4-Triazolyl, Oxazolyl, Isoxazolyl, Thiazolyl, Isothiazolyl, 1,2,3-Oxadi- azolyl, 1,2,4-Oxadiazolyl, 1,3,4-Oxadiazolyl, 1,2,5-Oxadiazolyl, 1,2,3-Thiadiazolyl, 1,2,4-Thi- adiazolyl, 1,3,4-Thiadiazolyl, 1,2,5-Thiadiazolyl, Pyridyl, Pyrimidyl, Pyridazinyl, Pyrazinyl, 1,2,3-Triazinyl, 1,2,4-Triazinyl oder 1,3,5-Triazinyl steht, die alle jeweils unsubstituiert sind oder einfach bis 5fach mit Halogen und/oder gegebenenfalls mit 1 bis 2 Rf substituiert sein können; oder V for an aromatic heterocycle from the series furanyl, thienyl, pyrrolyl, pyrazolyl, imidazolyl, 1,2,3-triazolyl, 1,2,4-triazolyl, oxazolyl, isoxazolyl, thiazolyl, isothiazolyl, 1,2,3- oxadiazolyl, 1,2,4-oxadiazolyl, 1,3,4-oxadiazolyl, 1,2,5-oxadiazolyl, 1,2,3-thiadiazolyl, 1,2,4-thiadiazolyl, 1,3, 4-thiadiazolyl, 1,2,5-thiadiazolyl, pyridyl, pyrimidyl, pyridazinyl, pyrazinyl, 1,2,3-triazinyl, 1,2,4-triazinyl or 1,3,5-triazinyl, all of which are unsubstituted or can be substituted once to five times by halogen and/or optionally by 1 to 2 R f ; or
V für einen Heterocyclus aus der Reihe V-01 bis V-20 steht; dabei ist * der Anknüpfungspunkt zu A und dabei können alle V-01 bis V-19 jeweils unsubstituiert sein oder einfach bis 5fach mit Halogen und/oder gegebenenfalls mit 1 bis 2 Rf substituiert sein , dabei steht; V stands for a heterocycle from the series V-01 to V-20; * is the point of attachment to A and all V-01 to V-19 can each be unsubstituted or substituted once to five times by halogen and/or optionally by 1 to 2 R f , where stands;
G1 fur O oder S(O)n; G 1 for O or S(O) n ;
G2 fur O, S(O)n; oder -N(Rd) R1 fur H, C(Q1)Ra oder C(O)ORa steht; oder für Ci-C4-Älkyl, C3-C6-Cycloalkyl, C2-C6-Alkenyl oder CS-C-i-Alkinyl steht, die alle jeweils unsubstituiert sind oder einfach bis 5fach mit Halogen und/oder gegebenenfalls mit 1 bis 2 Rg substituiert sein können; oder G 2 for O, S(O) n ; or -N(R d ) R 1 is H, C(Q 1 )R a or C(O)OR a ; or represents Ci-C 4 -alkyl, C 3 -C 6 -cycloalkyl, C 2 -C 6 -alkenyl or CS-Ci-alkynyl, all of which are unsubstituted or mono- to 5-fold with halogen and / or optionally with 1 bis 2 R g may be substituted; or
R1 für eine Ci-C4-Alkylbrücke steht, die über das mit A verknüpfte Kohlenstoffatom an V angebunden ist und zusammen mit dem Stickstoffatom einen bis 5- bis 6 gliedrigen Ring bildet R 1 is a Ci-C4-alkyl bridge which is attached to V via the carbon atom linked to A and forms a 5- to 6-membered ring together with the nitrogen atom
R2 für die Substruktur der allgemeinen Formel -X-Y-Z steht; dabei steht R 2 represents the substructure of the general formula -XYZ; stands by
X für Phenyl, Pyridyl, Pyrimidyl, Pyridazinyl oder Thienyl, alle jeweils unsubstituiert oder substituiert mit 1 bis 3 Rx; dabei steht X is phenyl, pyridyl, pyrimidyl, pyridazinyl or thienyl, each unsubstituted or substituted by 1 to 3 R x ; stands by
Rx unabhängig voneinander für Halogen, Cyano, Nitro, ORa, C (Q 1 ) Ra. C(O)ORa; o- der für Ci-C4-Alkyl, CS-C -Alkcnyl. C2-C6-Alkinyl oder C3-C4-Cycloalkyl. alle jeweils unsubstituiert oder einfach bis 5fach substituiert mit Halogen und/oder gegebenenfalls mit 1 bis 3 Rg; R x are independently halogen, cyano, nitro, OR a , C(Q 1 ) R a . C(O) ORa ; or for Ci-C4-alkyl, CS-C -alkcnyl. C2-C6 alkynyl or C3 -C4 cycloalkyl. all in each case unsubstituted or substituted once to five times by halogen and/or optionally by 1 to 3 R g ;
Y für - CRY1=N- , wobei N an Z gebunden ist, oder für Y for - CR Y1 =N- where N is bonded to Z, or for
-NRY2-C(=QY)-, wobei C an Z gebunden ist; dabei steht jedes -NR Y2 -C(=Q Y )-, where C is bonded to Z; each is included
RY1 und RY2 für H; oder für Ci-Cg -Alkyl, C2-Cg-Alkenyl, C2-C6-Alkinyl oder C3-C?-Cyc- loalkyl, alle jeweils unsubstituiert oder substituiert mit 1 bis 5 RY11; dabei steht jedes R Y1 and R Y2 for H; or for Ci-Cg-alkyl, C 2 -Cg-alkenyl, C 2 -C6-alkynyl or C 3 -C?-cycloalkyl, all unsubstituted or substituted by 1 to 5 R Y11 ; each is included
RY11 unabhängig voneinander für Halogen, Cyano, Ci-C4-Alkyl, C3-Cg-Cyc- loalkyl, Ci-C4-Haloalkyl, Ci-C4-Alkoxy, oder Ci-C4-Haloalkoxy; R Y11 independently for halogen, cyano, Ci-C4-alkyl, C3 -Cg-cycloalkyl, Ci-C4-haloalkyl, Ci-C4-alkoxy, or Ci-C4-haloalkoxy;
QY für O; Q Y for O;
Z für die Fragmente der allgemeinen Formel (Al), (A2) oder (A3); dabei ist # der Anknüpfungspunkt zu Y und dabei steht jedes Z for the fragments of the general formula (A1), (A2) or (A3); where # is the connecting point to Y and where each stands
T für S; T for S;
RZ1 für Phenyl, unsubstituiert oder substituiert mit 1 bis 4 RZ11; dabei steht jedes R Z1 is phenyl unsubstituted or substituted by 1 to 4 R Z11 ; each is included
RZ11 unabhängig voneinander für Halogen, Cyano, Nitro, SR. C(Q1)Ra, C(O)ORa, C(Q1)NRbRc, NRdRe, ORa, S(O)nRa oder SO2NRbRc; oder für Ci-C6-Alkyl, C2-Cg- Alkenyl, C2-Cg-Alkinyl oder C\-CACycloalkyl. alle jeweils unsubstituiert oder substituiert mit 1 bis 3 Rzla; dabei steht jedes R Z11 independently for halogen, cyano, nitro, SR. C(Q 1 )R a , C(O)OR a , C(Q 1 )NR b R c , NR d Re , OR a , S(O) n R a or SO 2 NR b R c ; or for Ci-C 6 -alkyl, C 2 -Cg- alkenyl, C2-Cg-alkynyl or C\-CAC-cycloalkyl. all each unsubstituted or substituted by 1 to 3 R zla ; each is included
Rzla für Halogen, Cyano, Ci-C -Alkyl. Ci-Cs-Alkoxy, C1-C3 -Thioalkyl, Ci- CAHaloalkyl oder Ci-C -Haloalkoxy: R zla for halogen, cyano, Ci-C alkyl. Ci-Cs-Alkoxy, C1-C3 -Thioalkyl, Ci-CAhaloalkyl or Ci-C -Haloalkoxy:
RZ2, RZ2a und RZ3 unabhängig voneinander fur H; oder für Ci-C4-Alkyl, R Z2 , R Z2a and R Z3 independently represent H; or for Ci-C4-alkyl,
RZ2 und RZ3 bilden zusammen mit der T-C-N-Einheit einen 5- bis 7-gliedrigen Ring; dabei bestehen die RZ2-RZ3 -Ringglieder aus Kohlenstoff-Atomen; dabei können bis zu 2 Kohlen- stoff-Atom-Ringglieder unabhängig voneinander aus C(=O) und C(=S) bestehen; dabei ist diese RZ2-RZ3 -Einheit unsubstituiert oder substituiert mit 1 bis 4 RZ22 , dabei steht jedesR Z2 and R Z3 together with the TCN moiety form a 5- to 7-membered ring; the R Z2 -R Z3 ring members consist of carbon atoms; up to 2 carbon atom ring members can independently consist of C(=O) and C(=S); wherein said R Z2 -R Z3 moiety is unsubstituted or substituted with from 1 to 4 R Z22 , where each is
RZ22 unabhängig voneinander für Halogen, Hydroxy, Cyano, Ci-Cg-Alkyl, Cs-Cg-Cyc- loalkyl, Ci-Cg-Haloalkyl, Ci-C4-Alkenyl, Ci-Cg-Alkoxy oder Ci-Cg-Haloalkoxy; oder für spirocyclisch gebundenes Heterocyclyl mit 2 bis 7 Ringatomen, wobei 1 bis 2 Sauerstoffatome als Heteroatome enthalten sind; dabei steht jedes R Z22 are independently halogen, hydroxy, cyano, Ci-Cg-alkyl, Cs-Cg-cycloalkyl, Ci-Cg-haloalkyl, Ci-C4-alkenyl, Ci-Cg-alkoxy or Ci-Cg-haloalkoxy; or for spirocyclically bonded heterocyclyl having 2 to 7 ring atoms, where 1 to 2 oxygen atoms are present as heteroatoms; each is included
Q1 unabhängig voneinander für O oder S; Q 1 independently represents O or S;
Ra unabhängig voneinander für Ci-Cg-Alkyl, G-Cg-Cycloalkyl. C2-Cg-Alkenyl oder C2-Cg-Alkinyl, die alle jeweils unsubstituiert sein können, oder einfach bis 5fach mit Halogen und/oder gegebenenfalls mit 1 bis 2 Rf substituiert sein können; oder für Phenyl, unsubstituiert oder substituiert mit 1 bis 3 Rg; R a independently for Ci-Cg-alkyl, G-Cg-cycloalkyl. C2-Cg-alkenyl or C2-Cg-alkynyl, all of which can be unsubstituted or substituted once to five times by halogen and/or optionally by 1 to 2 R f ; or phenyl unsubstituted or substituted by 1 to 3 R g ;
Rb und Rc unabhängig voneinander für H; oder für Ci-Cg-Alkyl, G-Cg-Cycloalkyl. C2-Cg-Alkenyl oder C2-Cg-Alkinyl, die alle jeweils unsubstituiert oder einfach bis 5fach mit Halogen und/oder gegebenenfalls mit 1 bis 3 Rf substituiert sein können; oder Rb und Rc bilden zusammen einen 3- bis 6-gliedrigen Ring; R b and R c are independently H; or for Ci-Cg-alkyl, G-Cg-cycloalkyl. C2-Cg-alkenyl or C2-Cg-alkynyl, all of which may be unsubstituted or substituted once to five times by halogen and/or optionally by 1 to 3 R f ; or R b and R c together form a 3- to 6-membered ring;
Rd und Re unabhängig voneinander für H, C(Q')Ra. C(O)ORa; oder für Ci-Cg-Alkyl, C’s-Cg-Cycloalkyl. C2-Cg-Alkenyl oder C2-Cg-Alkinyl, die alle jeweils unsubstituiert oder einfach bis 5fach mit Halogen und/oder gegebenenfalls mit 1 bis 3 Rf substituiert sein können; oder für Phenyl, unsubstituiert oder substituiert mit 1 bis 5 Rg; oder Rd und Re bilden zusammen einen 3- bis 6-gliedrigen Ring; R d and R e are independently H, C(Q')R a . C(O) ORa ; or for Ci-Cg-alkyl, C's-Cg-cycloalkyl. C2-Cg-alkenyl or C2-Cg-alkynyl, all of which may be unsubstituted or substituted once to five times by halogen and/or optionally by 1 to 3 R f ; or phenyl unsubstituted or substituted by 1 to 5 R g ; or R d and R e together form a 3- to 6-membered ring;
Rf unabhängig voneinander für Halogen, Cyano, Nitro, Hydroxy, CfQ1 )NRbRc oder N(Rb)C(Q1)Ra; oder für Ci-C4-Alkyl, Ci-C4-Alkoxy, Ci-C4-Alkylthio, Ci-C4-Alkylsulfmyl, Ci-C4-Alkylsulfonyl, Cs-Cg-Cycloalkyl, spirocyclisch gebundenes C2-Cg-Cycloalkyl, Cs-Cg-Cycloalkylthio, Cs-Cg- Cycloalkoxy, Cß-Cg-Cycloalkylsulfinyl oder Cß-Cg-Cycloalkylsulfonyl, die alle jeweils unsubstituiert sein können, oder einfach bis funfach mit Halogen und/oder gegebenenfalls mit 1 bis 2 Rg substituiert sein können; R f is independently halogen, cyano, nitro, hydroxy, CfQ 1 )NR b R c or N(R b )C(Q 1 )R a ; or for Ci-C4-alkyl, Ci-C4-alkoxy, Ci-C4-alkylthio, Ci-C4-alkylsulfmyl, Ci-C4-alkylsulfonyl, Cs-Cg-cycloalkyl, spirocyclically bonded C2-Cg-cycloalkyl, Cs-Cg- Cycloalkylthio, Cs-Cg- Cycloalkoxy, Cß-Cg-cycloalkylsulphinyl or Cß-Cg-cycloalkylsulfonyl, all of which may be unsubstituted, or substituted once to five times by halogen and/or optionally by 1 to 2 R g ;
Rg unabhängig voneinander für Halogen, Cyano, Nitro, Ci-C4-Alkyl, G-Cg-Cycloalkyl. C1-C4- Haloalkyl, Ci-C4-Alkoxy, Ci-C4-Haloalkoxy, Ci-C4-Alkylthio, Ci-C4-Haloalkylthio, C1-C4-AI- kylsulfmyl, Ci-C4-Haloalkylsulfmyl, Ci-C4-Alkylsulfonyl, Ci-C4-Haloalkylsulfonyl, C1-C4-AI- kylcarbonyl oder Ci-C4-Alkoxycarbonyl; und n unabhängig voneinander für 0, 1 oder 2. Rg are independently halogen, cyano, nitro, Ci-C4-alkyl, G-Cg-cycloalkyl. C1-C4 haloalkyl, Ci-C4 alkoxy, Ci-C4 haloalkoxy, Ci-C4 alkylthio, Ci-C4 haloalkylthio, C1-C4 alkylsulfmyl, Ci-C4 haloalkylsulfmyl, Ci-C4 alkylsulfonyl, Ci-C4-haloalkylsulfonyl, C1-C4-alkyl carbonyl or Ci-C4-alkoxycarbonyl; and n is independently 0, 1 or 2.
Weiter bevorzugt (Ausgestaltung 3-1) sind die Verbindungen der Formel (I), in denen More preferred (embodiment 3-1) are the compounds of formula (I) in which
Ar für Phenyl, unsubstituiert oder substituiert mit 1 bis 4 RAr, steht; dabei steht jedes Ar is phenyl unsubstituted or substituted with 1 to 4 R Ar ; each is included
RAr unabhängig voneinander für Halogen, SF5, Ci-C4-Haloalkyl, Ci-C4-Alkoxy oder C1-C4- Haloalkoxy; R Ar are each independently halogen, SF5, Ci-C4-haloalkyl, Ci-C4-alkoxy or C1-C4-haloalkoxy;
A fur Ci-C4-Alkyl steht, das jeweils unsubstituiert sein kann, oder einfach bis 3fach mit Halogen und/oder gegebenenfalls mit 1 bis 2 Rg substituiert sein kann; A is C 1 -C 4 -alkyl, each of which may be unsubstituted or mono- to tri-substituted by halogen and/or optionally by 1 to 2 R g ;
V für einen aromatischen Heterocyclus aus der Reihe Furanyl, Pyrazolyl, Imidazolyl, 1,2,3-Tria- zolyl, 1,2,4-Triazolyl, Oxazolyl, Isoxazolyl, 1,2,3-Oxadiazolyl, 1,2,4-Oxadiazolyl, 1,3,4-Oxadia- zolyl, 1,2,5-Oxadiazolyl, Pyridyl oder Pyrimidyl, steht, die alle jeweils unsubstituiert sind oder einfach bis 3fach mit Halogen und/oder gegebenenfalls mit 1 bis 2 Rf substituiert sein können; oder V for an aromatic heterocycle from the series furanyl, pyrazolyl, imidazolyl, 1,2,3-triazolyl, 1,2,4-triazolyl, oxazolyl, isoxazolyl, 1,2,3-oxadiazolyl, 1,2,4- Oxadiazolyl, 1,3,4-oxadiazolyl, 1,2,5-oxadiazolyl, pyridyl or pyrimidyl, all of which are unsubstituted or can be substituted once to three times by halogen and/or optionally by 1 to 2 R f ; or
V für einen Heterocyclus aus der Reihe V-01 bis V-13 steht; wobei alle V-01 bis V-13 jeweils unsubstituiert sein können oder einfach bis 3fach mit Halogen und/oder gegebenenfalls mit 1 bis 2 Rf substituiert sein können; dabei steht; G1 fur O oder S(O)n; V stands for a heterocycle from the series V-01 to V-13; it being possible for all V-01 to V-13 to be unsubstituted or substituted once to three times by halogen and/or optionally by 1 to 2 R f ; stands by; G 1 for O or S(O) n ;
G2 fur O oder S(O)n; G 2 for O or S(O) n ;
R1 fur H, CfQ1 )Ra oderC(O)ORa steht; oder für Ci-C4-Alkyl steht, das jeweils unsubstituiert ist oder einfach bis 3fach mit Halogen und/oder gegebenenfalls mit 1 bis2 Rg substituiert sein kann; oderR 1 is H, CfQ 1 )R a or C(O)OR a ; or represents Ci-C4-alkyl which is unsubstituted in each case or can be substituted once to three times by halogen and/or optionally by 1 to 2 R g ; or
R1 für eine Ci-C2-Alkylbrücke steht, die über das mit A verknüpfte Kohlenstoffatom an V angebunden ist und zusammen mit dem Stickstoffatom einen bis 4 bis 5- gliedrigen Ring bildet R 1 is a C 1 -C 2 -alkyl bridge which is attached to V via the carbon atom linked to A and, together with the nitrogen atom, forms a 4 to 5-membered ring
R2 für die Substruktur der allgemeinen Formel -X-Y-Z steht; dabei steht R 2 represents the substructure of the general formula -XYZ; stands by
X für Phenyl, Pyridyl oder Thienyl, alle jeweils unsubstituiert oder substituiert mit 1 bis 3 Rx; dabei steht X is phenyl, pyridyl or thienyl, each unsubstituted or substituted by 1 to 3 R x ; stands by
Rx unabhängig voneinander für Halogen, Cyano, Nitro, ORa; oder für Ci-C4-Alkyl, jeweils unsubstituiert oder substituiert mit 1 bis 3 Rg; R x independently of one another are halogen, cyano, nitro, OR a ; or for Ci-C4-alkyl, in each case unsubstituted or substituted by 1 to 3 R g ;
Y für - CRY1=N- , wobei N an Z gebunden ist, oder für Y for - CR Y1 =N- where N is bonded to Z, or for
-NRY2-C(=QY)-, wobei C an Z gebunden ist; dabei steht jedes -NR Y2 -C(=Q Y )-, where C is bonded to Z; each is included
RY1 und RY2 für H; oder für Ci-C2-Alkyl jeweils unsubstituiert oder substituiert mit 1 bisR Y1 and R Y2 for H; or for Ci-C2-alkyl in each case unsubstituted or substituted by 1 bis
3 RY11; dabei steht jedes 3R Y11 ; each is included
RY11 unabhängig voneinander für Halogen, Cyano, Ci-C2-Alkyl oder C1-C2- Alkoxy; R Y11 independently for halogen, cyano, Ci-C2-alkyl or C1-C2-alkoxy;
QY für O; Q Y for O;
Z für die Fragmente der allgemeinen Formel (Al), (A2) oder (A3); dabei ist # der Anknüpfungspunkt zu Y und dabei steht jedes Z for the fragments of the general formula (A1), (A2) or (A3); where # is the connecting point to Y and where each stands
T für S; T for S;
RZ1 für Phenyl, substituiert mit 1 bis 4 RZ11, steht; dabei steht jedes R Z1 is phenyl substituted with 1 to 4 R Z11 ; each is included
RZ11 unabhängig voneinander für Halogen, Cyano, ORa oder SRa; oder für Cj-C -Alkyl oder Cs-Cg-Cycloalkyl, alle jeweils unsubstituiert oder substituiert mit 1 bis 3 Rzla; dabei steht jedes Rzla für Halogen, C i-C\- Alkoxy oder C1-C3 -Thioalkyl; R Z11 independently represent halogen, cyano, OR a or SR a ; or for Cj-C alkyl or Cs-Cg-cycloalkyl, all unsubstituted or substituted by 1 to 3 R zla ; each is included R zla for halogen, C iC \ - alkoxy or C1-C3 -thioalkyl;
RZ2, RZ2a und RZ3 unabhängig voneinander fur H; oder R Z2 , R Z2a and R Z3 independently represent H; or
RZ2 und RZ3 bilden zusammen mit der T-C-N-Einheit einen 5- bis 6-gliedrigen Ring; dabei bestehen die RZ2-RZ3 -Ringglieder aus Kohlenstoff-Atomen; dabei können bis zu 2 Kohlen- stoff-Atom-Ringglieder unabhängig voneinander aus C(=O); dabei ist diese RZ2-RZ3 -Einheit unsubstituiert oder substituiert mit 1 bis 3 RZ22; dabei steht jedes R Z2 and R Z3 together with the TCN moiety form a 5- to 6-membered ring; the R Z2 -R Z3 ring members consist of carbon atoms; up to 2 carbon atom ring members can be selected independently from C(=O); this R Z2 -R Z3 unit is unsubstituted or substituted by 1 to 3 R Z22 ; each is included
RZ22 unabhängig voneinander für Halogen, Hydroxy, Ci-G-Alkyl. Ci-G-Haloalkyl. C 1 -C’s-Alkcnyl oder C 1 -CAAIkoxy. oder für spirocyclisch gebundenes Heterocyc- lyl mit 2 bis 5 Ringatomen, wobei 1 bis 2 Sauerstoffatome als Heteroatome enthalten sind; dabei steht jedes R Z22 independently for halogen, hydroxy, Ci-G-alkyl. Ci-G haloalkyl. C 1 -C's alkynyl or C 1 -CAAIkoxy. or for spirocyclically bonded heterocyclyl having 2 to 5 ring atoms, where 1 to 2 oxygen atoms are present as heteroatoms; each is included
Q1 unabhängig voneinander für O oder S; Q 1 independently represents O or S;
Ra unabhängig voneinander für Ci-C4-Alkyl, Cs-Cg-Cycloalkyl, C2-C4-Alkenyl oder C2-C4-Alkinyl, die alle jeweils unsubstituiert sein können, oder einfach bis 5fach mit Halogen und/oder gegebenenfalls einfach bis zweifach mit Rf substituiert sein können; R a independently of one another is Ci-C4-alkyl, Cs-Cg-cycloalkyl, C2-C4-alkenyl or C2-C4-alkynyl, all of which may be unsubstituted in each case, or singly to five times with halogen and/or optionally once or twice with R f may be substituted;
Rb und Rc unabhängig voneinander für H; oder für Ci-C4-Alkyl, Cs-Cg-Cycloalkyl, C2-C4-Alkenyl oder C2-C4-Alkinyl, alle jeweils unsubstituiert oder substituiert mit 1 bis 3 Rf; R b and R c are independently H; or for Ci-C4-alkyl, Cs-Cg-cycloalkyl, C2-C4-alkenyl or C2-C4-alkynyl, each unsubstituted or substituted by 1 to 3 R f ;
Rf unabhängig voneinander für Halogen, Cyano oder Hydroxy; oder für Ci-C4-Alkyl, Ci-C4-Alkoxy oder Cs-Cg-Cycloalkyl, die alle jeweils unsubstituiert sein können, oder einfach bis fünfach mit Halogen und/oder gegebenenfalls mit 1 Rg substituiert sein können; R f is independently halo, cyano, or hydroxy; or for Ci-C4-alkyl, Ci-C4-alkoxy or Cs-Cg-cycloalkyl, all of which may be unsubstituted in each case, or may be substituted one to five times by halogen and/or optionally by 1 R g ;
Rg unabhängig voneinander für Halogen, Cyano, Nitro, Ci-C4-Alkyl, C3-Cg-Cycloalkyl, C1-C4- Haloalkyl, Ci-C4-Alkoxy, Ci-C4-Haloalkoxy, Ci-C4-Alkylthio, Ci-C4-Haloalkylthio, C1-C4-AI- kylsulfmyl, Ci-C4-Haloalkylsulfmyl, Ci-C4-Alkylsulfonyl, Ci-C4-Haloalkylsulfonyl, C1-C4-AI- kylcarbonyl oder Ci-C4-Alkoxycarbonyl und n unabhängig voneinander für 0, 1 oder 2. R g are independently halogen, cyano, nitro, Ci-C4-alkyl, C3-Cg-cycloalkyl, C1-C4-haloalkyl, Ci-C4-alkoxy, Ci-C4-haloalkoxy, Ci-C4-alkylthio, Ci-C4 -Haloalkylthio, C1-C4-AI kylsulfmyl, Ci-C4-haloalkylsulfmyl, Ci-C4-alkylsulfonyl, Ci-C4-haloalkylsulfonyl, C1-C4-AI kylcarbonyl or Ci-C4-alkoxycarbonyl and n independently for 0, 1 or 2.
Besonders bevorzugt (Ausgestaltung 4-1) sind die Verbindungen der Formel (I), in denen Particularly preferred (embodiment 4-1) are the compounds of the formula (I) in which
Ar für Phenyl, unsubstituiert oder substituiert mit 1 bis 3 RAr, steht; dabei steht jedes Ar is phenyl unsubstituted or substituted with 1 to 3 R Ar ; each is included
RAr unabhängig voneinander für Halogen, CF3, OCF3, OCH2CF3 oder OCF2CF3. R Ar is independently halogen, CF3, OCF3, OCH2CF3 or OCF2CF3.
A für Ci-C3-Alkyl steht; V für einen aromatischen Heterocyclus aus der Reihe Furanyl, Pyrazolyl, Oxazolyl, Isoxazolyl, 1,2,4-Oxadiazolyl, 1,3,4-Oxadiazolyl, Pyridyl oder Pyrimidyl, steht, die alle jeweils unsubstituiert sind oder einfach bis 3fach mit Halogen und/oder gegebenenfalls mit 1 bis 2 Rf substituiert sein können; oder A is Ci-C3-alkyl; V is an aromatic heterocycle from the group consisting of furanyl, pyrazolyl, oxazolyl, isoxazolyl, 1,2,4-oxadiazolyl, 1,3,4-oxadiazolyl, pyridyl or pyrimidyl, all of which are unsubstituted or substituted once or twice by halogen and /or optionally substituted with 1 to 2 R f ; or
V für einen Heterocyclus aus der Reihe V-01, V-03, V-04, V-05, V-07, V-11, V-12 oder V- 13 steht; dabei ist * der Anknüpfungspunkt zu A und dabei können alle V-Ol, V-03, V-04, V-05, V-07, V- 11, V-12 oder V- 13 jeweils unsubstituiert sein oder gegebenenfalls mit 1 bis 2 Rf substituiert sein, dabei steht V stands for a heterocycle from the series V-01, V-03, V-04, V-05, V-07, V-11, V-12 or V-13; where * is the point of attachment to A and all V-O1, V-03, V-04, V-05, V-07, V-11, V-12 or V-13 can each be unsubstituted or optionally with 1 to 2 R f be substituted, where stands
G1 fur O oder S(O)n; G 1 for O or S(O) n ;
G2 für O oder S(O)n; G 2 is O or S(O) n ;
R1 für H, C(O)Ra oderC(O)ORa steht; oder für Ci-C4-Alkyl steht, das jeweils unsubstituiert ist mit 1 bis 2 Rf substituiert sein kann; R 1 is H, C(O)R a or C(O)OR a ; or represents Ci-C4-alkyl which is in each case unsubstituted by 1 to 2 R f may be substituted;
R2 für die Substruktur der allgemeinen Formel -X-Y-Z steht; dabei steht R 2 represents the substructure of the general formula -XYZ; stands by
X für Phenyl, unsubstituiert oder substituiert mit 1 bis 3 Rx; dabei steht X is phenyl unsubstituted or substituted with 1 to 3 R x ; stands by
Rx unabhängig voneinander für Halogen, Cyano, Methyl, Methoxy; R x are independently halo, cyano, methyl, methoxy;
Y für - CRY1=N- , wobei N an Z gebunden ist, oder für Y for - CR Y1 =N- where N is bonded to Z, or for
-NRY2-C(=O)-, wobei C an Z gebunden ist; dabei steht jedes -NR Y2 -C(=O)-, where C is bonded to Z; each is included
RY1 und RY2 für H, CH3 oder CH2CH3; R Y1 and R Y2 are H, CH3 or CH2CH3;
Z für die Fragmente der allgemeinen Formel (Al), (A2) oder (A3); dabei ist # der Anknüpfungspunkt zu Y und dabei steht jedes Z for the fragments of the general formula (A1), (A2) or (A3); where # is the connecting point to Y and where each stands
T fur S; T for S;
RZ1 für Phenyl, substituiert mit 1 bis 3 RZ11, steht; dabei befindet sich 1 RZ11 in 2-Position und dabei steht jedes R Z1 is phenyl substituted with 1 to 3 R Z11 ; where 1 R Z11 is in 2-position and where each is standing
RZ11 unabhängig voneinander für F, CI, Br, CH3, CH2CH3, CH2CH2CH3, CH(CH3)2, CH2CH2CH2CH3, Cyclopropyl, OCH3, OCF3, OCH2CH3, OCH2CH2CH3, OCH(CH3)2, CH2OCH3 oder CH(CH3)OCH3; R Z11 is independently F, CI, Br, CH3, CH2CH3, CH2CH2CH3, CH(CH3)2, CH2CH2CH2CH3, cyclopropyl, OCH 3 , OCF 3 , OCH2CH3, OCH2CH2CH3, OCH(CH 3 ) 2 , CH2OCH3 or CH(CH 3) . )OCH 3 ;
RZ2, RZ2a und RZ3 unabhängig voneinander fur H; oder R Z2 , R Z2a and R Z3 independently represent H; or
RZ2 und RZ3 bilden zusammen mit der T-C-N-Einheit einen 5- bis 6-gliedrigen Ring; dabei bestehen die RZ2-RZ3 -Ringglieder aus Kohlenstoff-Atomen; dabei kann 1 Kohlenstoff- Atom-Ringglied aus C(=O) bestehen; dabei können 2 Kohlenstoffatom-Ringglieder durch eine Doppelbindung verbunden sein; dabei ist diese RZ2-RZ3 -Einheit unsubstituiert oder substituiert mit 1 bis 2 RZ22; dabei steht jedes R Z2 and R Z3 together with the TCN moiety form a 5- to 6-membered ring; the R Z2 -R Z3 ring members consist of carbon atoms; 1 carbon atom ring member can consist of C(=O); 2 carbon atom ring members can be connected by a double bond; this R Z2 -R Z3 unit is unsubstituted or substituted by 1 to 2 R Z22 ; each is included
RZ22 unabhängig voneinander für Hydroxy, CF3, Ci-Cs-Alkyl oder C i-C -Alkcnyk dabei steht jedes R Z22 each independently represents hydroxy, CF3, Ci-Cs-alkyl or C iC -Alkcnyk
Ra unabhängig voneinander für H; oder für Ci-C4-Alkyl, jeweils unsubstituiert oder substituiert mit 1 bis 3 Rf; R a is independently H; or for Ci-C4-alkyl, in each case unsubstituted or substituted by 1 to 3 R f ;
Rf unabhängig voneinander für Halogen, Cyano, Hydroxy, Ci-C4-Alkyl, Ci-C4-Haloalkyl, C1-C4- Alkoxy oder Ci-C4-Haloalkoxy; und n unabhängig voneinander für 0, 1 oder2. R f is independently halogen, cyano, hydroxy, Ci-C4-alkyl, Ci-C4-haloalkyl, C1-C4-alkoxy or Ci-C4-haloalkoxy; and n is independently 0, 1 or 2.
Ganz besonders bevorzugt (Ausgestaltung 5-1) sind die Verbindungen der Formel (I), in denen Very particularly preferred (embodiment 5-1) are the compounds of the formula (I) in which
Ar für Phenyl, unsubstituiert oder substituiert mit 1 bis 2 RAr, steht; dabei steht jedes Ar is phenyl unsubstituted or substituted with 1 to 2 R Ar ; each is included
RAr unabhängig voneinander für Fluor, Chlor, CF3, OCF3 oder OCF2CF3; R Ar is independently fluoro, chloro, CF3, OCF3 or OCF2CF3;
A für -CH2- oder -CH2CH2- steht; V für einen aromatischen Heterocyclus aus der Reihe Furanyl, Pyrazolyl, Oxazolyl, Isoxazolyl, 1,2,4-Oxadiazolyl, 1,3,4-Oxadiazolyl, Pyridyl oder Pyrimidyl steht, die alle jeweils unsubstituiert sind oder gegebenenfalls mit 1 bis 2 Rf substituiert sein können; oder A is -CH2- or -CH2CH2-; V is an aromatic heterocycle from the group consisting of furanyl, pyrazolyl, oxazolyl, isoxazolyl, 1,2,4-oxadiazolyl, 1,3,4-oxadiazolyl, pyridyl or pyrimidyl, all of which are unsubstituted or optionally substituted with 1 to 2 R f may be substituted; or
V für einen Heterocyclus aus der Reihe V-01, V-03, V-04, V-05 oder V-13 steht; V stands for a heterocycle from the series V-01, V-03, V-04, V-05 or V-13;
V-01 V-03 V-04 V-05 V-13 dabei ist * der Anknüpfungspunkt zu A und dabei können alle V-01, V-03, V-04, V-05 oder V-13 jeweils unsubstituiert sein oder gegebenenfalls mit 1 bis 2 Rf substituiert sein; V-01 V-03 V-04 V-05 V-13 * is the link to A and all V-01, V-03, V-04, V-05 or V-13 can be unsubstituted or optionally substituted with 1 to 2 R f ;
R1 fur H oder Methyl steht; R 1 is H or methyl;
R2 für die Substruktur der allgemeinen Formel -X-Y-Z steht. Dabei steht R 2 represents the substructure of the general formula -XYZ. while standing
X für Phenyl, unsubstituiert oder substituiert mit 1 bis 3 Rx; dabei steht X is phenyl unsubstituted or substituted with 1 to 3 R x ; stands by
Rx unabhängig voneinander für Fluor, Chlor, Cyano, Methyl, Methoxy; R x are independently fluoro, chloro, cyano, methyl, methoxy;
Y für -CH=N-, wobei N an Z gebunden ist, oder für -NH-C(=O)-, wobei C an Z gebunden ist; dabei steht jedes Y is -CH=N-, where N is attached to Z, or -NH-C(=O)-, where C is attached to Z; each is included
Z für die Fragmente der allgemeinen Formel (Al), (A2) oder (A3); dabei ist # der Anknüpfimgspunkt zu Y und dabei steht jedes Z for the fragments of the general formula (A1), (A2) or (A3); where # is the connecting point to Y and where each stands
T fur S; T for S;
RZ1 für Phenyl, substituiert mit 1 bis 2 RZ11, steht; dabei befindet sich 1 RZ11 in 2-Position und dabei steht jedes R Z1 is phenyl substituted with 1 to 2 R Z11 ; where 1 R Z11 is in 2-position and where each is standing
RZ11 unabhängig voneinander fur CH3, CH2CH3, CH2CH2CH3, CH(CH3)2, CH2CH2CH2CH3, Cyclopropyl, OCH3, OCF3, OCH2CH3, OCH2CH2CH3, OCH(CH3)2 oder CH2OCH3; RZ2, RZ2a und RZ3 fur H; oder R Z11 is independently CH3, CH2CH3, CH2CH2CH3, CH(CH3)2, CH2CH2CH2CH3, cyclopropyl, OCH3, OCF3 , OCH2CH3, OCH2CH2CH3 , OCH(CH3 )2 or CH2 OCH3 ; RZ2, RZ2a and RZ3 for H; or
RZ2 und RZ3 bilden zusammen -C(O)CH2-, -C(O)CH(CH3)-, -C(O)CH2CH2-, -CH2C(O)CH2-, - CH2C(=CH2)CH2-, -CH2CH2-, -CH2CH2CH2-, -CH2C(OH)(CF3)-, oder -C(Me)=CH; dabei steht jedes R Z2 and R Z3 together form -C(O)CH 2 -, -C(O)CH(CH 3 )-, -C(O)CH 2 CH 2 -, -CH 2 C(O)CH 2 -, - CH 2 C(=CH 2 )CH 2 -, -CH 2 CH 2 -, -CH 2 CH 2 CH 2 -, -CH 2 C(OH)(CF 3 )-, or -C(Me)=CH; each is included
Rf unabhängig voneinander für Fluor, Chlor, Cyano, Hydroxy, Methyl, Ethyl, Methoxy oder Ethoxy; R f is independently fluoro, chloro, cyano, hydroxy, methyl, ethyl, methoxy or ethoxy;
Hervorgehoben (Ausgestaltung 6-1) sind die Verbindungen der Formel (I), in denen Emphasized (embodiment 6-1) are the compounds of formula (I) in which
Ar für Phenyl steht, das in 4-Position substituiert ist mit OCF3 oder OCF2CF3; Ar is phenyl substituted in the 4-position with OCF 3 or OCF2CF 3 ;
A fur -CH2- oder -CH2CH2- steht; A is -CH2- or -CH2CH2-;
V für l-Methylpyrazol-5-yl, Pyrazol-l-yl, Pyridin-2-yl, Pyridin-3-yl, Pyrimidin-2-yl; oderV is 1-methylpyrazol-5-yl, pyrazol-1-yl, pyridin-2-yl, pyridin-3-yl, pyrimidin-2-yl; or
V für einen Heterocylus aus der Reihe V for a heterocycle from the series
V-04-01 V-05-01 V-05-02 V-13-01 steht; dabei ist * der Anknüpfungspunkt zu A; V-04-01 V-05-01 V-05-02 V-13-01; where * is the connecting point to A;
R1 fur H steht, R 1 is H,
R2 für die Substruktur der allgemeinen Formel -X-Y-Z steht. Dabei steht R 2 represents the substructure of the general formula -XYZ. while standing
X für Phenyl, unsubstituiert oder substituiert mit 1 bis 2 Rx; dabei steht X is phenyl unsubstituted or substituted with 1 to 2 R x ; stands by
Rx unabhängig voneinander für Fluor oder Chlor; R x is independently fluoro or chloro;
Y für -CH=N-, wobei N an Z gebunden ist, oder für -NH-C(=O)-, wobei C an Z gebunden ist; dabei steht jedes Y is -CH=N-, where N is attached to Z, or -NH-C(=O)-, where C is attached to Z; each is included
Z für die Fragmente der allgemeinen Formel (Al-1), (Al-2), (A2-1), (A2-2), (A-2-3), (A2- 4) oder (A3-1); dabei ist # der Anknüpfungspunkt zu Y und dabei steht jedes Z for the fragments of the general formula (A1-1), (A1-2), (A2-1), (A2-2), (A-2-3), (A2-4) or (A3-1) ; where # is the connecting point to Y and where each stands
RZ1 für Phenyl, substituiert mit 1 bis 2 RZ11, steht; dabei befindet sich 1 RZ11 in 2-Position und dabei steht jedes R Z1 is phenyl substituted with 1 to 2 R Z11 ; where 1 R Z11 is in 2-position and where each is standing
RZ11 unabhängig voneinander für CH3, OCH3, OCF3, CH2OCH3, CH( CFFh oder OCH(CH3)2. R Z11 are independently CH3, OCH3, OCF3, CH2OCH3, CH( CFFh or OCH(CH 3 ) 2 .
In einer weiteren bevorzugten Ausführungsform betrifft die Erfindung Verbindungen der allgemeinen Formel (1-1), in denen die Strukturelemente A, V, Ar, R1 , RY1 und RZ1 die in Ausgestaltung (1-1) oder die in Ausgestaltung (2-1) oder die in Ausgestaltung (3-1) oder die in Ausgestaltung (4-1) oder die in Ausgestaltung (5-1) angegebenen Bedeutungen haben. In a further preferred embodiment, the invention relates to compounds of the general formula (1-1) in which the structural elements A, V, Ar, R 1 , RY1 and R Z1 are those in embodiment (1-1) or those in embodiment (2 -1) or have the meanings given in embodiment (3-1) or in embodiment (4-1) or in embodiment (5-1).
(1-1) (1-1)
In einer weiteren bevorzugten Ausführungsform betrifft die Erfindung Verbindungen der allgemeinen Formel (1-2), in denen die Strukturelemente A, V, Ar, R1 , RY1 und RZ1 die in Ausgestaltung (1-1) oder die in Ausgestaltung (2-1) oder die in Ausgestaltung (3-1) oder die in Ausgestaltung (4-1) oder die in Ausgestaltung (5-1) angegebenen Bedeutungen haben. In a further preferred embodiment, the invention relates to compounds of the general formula (1-2) in which the structural elements A, V, Ar, R 1 , RY1 and R Z1 are those in embodiment (1-1) or those in embodiment (2 -1) or have the meanings given in embodiment (3-1) or in embodiment (4-1) or in embodiment (5-1).
(1-2) (1-2)
In einer weiteren bevorzugten Ausfuhrungsform betrifft die Erfindung Verbindungen der allgemeinen Formel (1-3), in denen die Strukturelemente A, V, Ar, R1 , RY1 und RZ1 die in Ausgestaltung (1-1) oder die in Ausgestaltung (2-1) oder die in Ausgestaltung (3-1) oder die in Ausgestaltung (4-1) oder die in Ausge- staltung (5-1) angegebenen Bedeutungen haben. In a further preferred embodiment, the invention relates to compounds of the general formula (1-3) in which the structural elements A, V, Ar, R 1 , RY1 and R Z1 are those in embodiment (1-1) or those in embodiment (2 -1) or have the meanings given in embodiment (3-1) or in embodiment (4-1) or in embodiment (5-1).
(1-3) (1-3)
Die Verbindungen der Formel (I) können gegebenenfalls auch in Abhängigkeit von der Art der Substituenten als Stereoisomere, d.h. als geometrische und/oder als optische Isomere oder Isomerengemische in unterschiedlichen Zusammensetzungen vorliegen. Sowohl die reinen Stereoisomeren als auch beliebige Gemische dieser Isomeren sind Gegenstand dieser Erfindung, auch wenn hier im Allgemeinen nur von Verbindungen der Formel (I) die Rede ist. Depending on the nature of the substituents, the compounds of the formula (I) can optionally also be present as stereoisomers, i.e. as geometric and/or optical isomers or isomer mixtures in different compositions. Both the pure stereoisomers and any mixtures of these isomers are the subject of this invention, even if in general only compounds of the formula (I) are mentioned here.
Vorzugsweise werden jedoch die optisch aktiven, stereoisomeren Formen der Verbindungen der Formel (I) und deren Salze erfmdungsgemäß verwendet. However, the optically active, stereoisomeric forms of the compounds of the formula (I) and their salts are preferably used according to the invention.
Die Erfindung betrifft daher sowohl die reinen Enantiomeren und Diastereomeren, als auch deren Gemi- sehe zur Bekämpfung von tierischen Schädlingen, zu denen Arthropoden und insbesondere Insekten zählen. The invention therefore relates both to the pure enantiomers and diastereomers and to mixtures thereof for controlling animal pests, which include arthropods and, in particular, insects.
Die Verbindungen der Formel (I) können gegebenenfalls in verschiedenen polymorphen Formen oder als Mischung verschiedener polymorpher Formen vorliegen. Sowohl die reinen Polymorphe als auch die Polymorphgemische sind Gegenstand der Erfindung und können erfmdungsgemäß verwendet werden. Sofern nicht an anderer Stelle anders definiert, wird unter dem Begriff „Alkyl“, entweder in Alleinstellung oder aber in Kombination mit weiteren Begriffen, wie beispielsweise Halogenalkyl, im Rahmen der vorliegenden Erfindung ein Rest einer gesättigten, aliphatischen Kohlenwasserstoffgruppe mit 1 bis 12 Kohlenstoffatomen verstanden, die verzweigt oder unverzweigt sein kann. Beispiele für Ci-C 12- Alkylreste sind Methyl, Ethyl, n-Propyl, iso-Propyl, n-Butyl, iso-Butyl, see. -Butyl, tert-Butyl, n-Pentyl, iso-Pentyl, Neopentyl, tert-Pentyl, 1 -Methylbutyl, 2-Methylbutyl, 1 -Ethylpropyl, 1,2-Dimethylpropyl, Hexyl n- Heptyl, n-Octyl, n-Nonyl, n-Decyl, n-Undecyl und n-Dodecyl. Von diesen Alkylresten sind Ci-Cg-Alkyl- reste besonders bevorzugt. Insbesondere bevorzugt sind Ci-C4-Alkylreste. The compounds of formula (I) can optionally exist in different polymorphic forms or as a mixture of different polymorphic forms. Both the pure polymorphs and the polymorph mixtures are the subject of the invention and can be used according to the invention. Unless otherwise defined elsewhere, the term "alkyl", either on its own or in combination with other terms such as haloalkyl, is understood in the context of the present invention to mean a radical of a saturated, aliphatic hydrocarbon group having 1 to 12 carbon atoms, which may be branched or unbranched. Examples of Ci-C 12 alkyl radicals are methyl, ethyl, n-propyl, isopropyl, n-butyl, isobutyl, see. -butyl, tert-butyl, n-pentyl, isopentyl, neopentyl, tert-pentyl, 1-methylbutyl, 2-methylbutyl, 1-ethylpropyl, 1,2-dimethylpropyl, hexyl n-heptyl, n-octyl, n- nonyl, n-decyl, n-undecyl and n-dodecyl. Of these alkyl radicals, Ci-Cg-alkyl radicals are particularly preferred. Ci-C4-alkyl radicals are particularly preferred.
Sofern nicht an anderer Stelle anders definiert, wird unter dem Begriff „Alkenyl“, entweder in Alleinstellung oder aber in Kombination mit weiteren Begriffen, erfindungsgemäß ein linearer oder verzweigter C2- Cn-Alkenylrest, welcher mindestens eine Doppelbindung aufweist, beispielsweise Vinyl, Allyl, 1-Prope- nyl, Isopropenyl, 1-Butenyl, 2-Butenyl, 3-Butenyl, 1,3-Butadienyl, 1-Pentenyl, 2-Pentenyl, 3-Pentenyl, 4- Pentenyl, 1,3-Pentadienyl, 1-Hexenyl, 2-Hexenyl, 3-Hexenyl, 4-Hexenyl, 5-Hexenyl und 1,4-Hexadienyl, verstanden. Bevorzugt hiervon sind C2-Cg-Alkenylreste und besonders bevorzugt sind C2-C4-Alkenyl- reste. Unless otherwise defined elsewhere, the term "alkenyl", either on its own or in combination with other terms, according to the invention is a linear or branched C2-Cn-alkenyl radical which has at least one double bond, for example vinyl, allyl, 1 -propenyl, isopropenyl, 1-butenyl, 2-butenyl, 3-butenyl, 1,3-butadienyl, 1-pentenyl, 2-pentenyl, 3-pentenyl, 4-pentenyl, 1,3-pentadienyl, 1-hexenyl , 2-hexenyl, 3-hexenyl, 4-hexenyl, 5-hexenyl and 1,4-hexadienyl. Of these, preference is given to C2-C9-alkenyl radicals and particular preference is given to C2-C4-alkenyl radicals.
Sofern nicht an anderer Stelle anders definiert, wird unter dem Begriff „Alkinyl“, entweder in Alleinstellung oder aber in Kombination mit weiteren Begriffen, erfindungsgemäß ein linearer oder verzweigter C2- Cn-Alkinylrest, welcher mindestens eine Dreifachbindung aufweist, beispielsweise Ethinyl, 1-Propinyl und Propargyl, verstanden. Bevorzugt hiervon sind G-Cg-Alkinylrcstc und besonders bevorzugt sind C3- C4-Alkinylreste. Der Alkinylrest kann dabei auch mindestens eine Doppelbindung aufweisen. Unless otherwise defined elsewhere, the term “alkynyl” refers to a linear or branched C2-Cn-alkynyl radical which has at least one triple bond, for example ethynyl, 1-propynyl, either on its own or in combination with other terms and propargyl, understood. Of these, G-Cg-alkynylrcstc are preferred and C3-C4-alkynyl radicals are particularly preferred. The alkynyl radical can also have at least one double bond.
Sofern nicht an anderer Stelle anders definiert, wird unter dem Begriff „Cycloalkyl“, entweder in Alleinstellung oder aber in Kombination mit weiteren Begriffen, erfindungsgemäß ein C’s-Cx-Cycloalkylrcst verstanden, beispielsweise Cyclopropyl, Cyclobutyl, Cyclopentyl, Cyclohexyl, Cycloheptyl und Cyclooctyl, verstanden. Bevorzugt hiervon sind Cs-Cg-Cycloalkylrcstc. Unless otherwise defined elsewhere, the term “cycloalkyl”, either on its own or in combination with other terms, is understood according to the invention as meaning a C's-Cx-cycloalkyl group, for example cyclopropyl, cyclobutyl, cyclopentyl, cyclohexyl, cycloheptyl and cyclooctyl . Preferred of these are Cs-Cg-cycloalkylrcstc.
Sofern nicht an anderer Stelle anders definiert, wird unter dem Begriff „Aryl“ erfindungsgemäß ein aromatischer Rest mit 6 bis 14 Kohlenstoffatomen, vorzugsweise Phenyl, Naphthyl, Anthryl oder Phenanth- renyl, besonders bevorzugt Phenyl, verstanden. Unless otherwise defined elsewhere, the term “aryl” is understood according to the invention as meaning an aromatic radical having 6 to 14 carbon atoms, preferably phenyl, naphthyl, anthryl or phenanthrenyl, particularly preferably phenyl.
Sofern nicht an anderer Stelle anders definiert, wird unter dem Begriff „Arylalkyl“ eine Kombination von erfindungsgemäß definierten Resten „Aryl“ und „Alkyl“ verstanden, wobei der Rest im Allgemeinen über die Alkylgrupe gebunden wird, Beispiele hierfür sind Benzyl, Phenylethyl oder a-Methylbenzyl, wobei Benzyl besonders bevorzugt ist. Unless otherwise defined elsewhere, the term “arylalkyl” is understood to mean a combination of “aryl” and “alkyl” radicals defined according to the invention, with the radical generally being bonded via the alkyl group, examples of which are benzyl, phenylethyl or a- methylbenzyl, with benzyl being particularly preferred.
Sofern nicht an anderer Stelle anders definiert, bedeutet „Hetaryl“ eine mono-, bi- oder tricyclische heterocyclische Gruppe aus C-Atomen und mindestens einem Heteroatom, wobei mindestens ein Zyklus aromatisch ist. Bevorzugt enthält die Hetaryl -Gruppe 3, 4, 5 oder 6 C-Atome ausgewählt aus der Reihe Furyl, Thienyl, Pyrrolyl, Pyrazolyl, Imidazolyl, 1,2,3-Triazolyl, 1,2,4-Triazolyl, Oxazolyl, Isoxazolyl, Thiazolyl, Isothiazolyl, 1,2,3-Oxadiazolyl, 1,2,4-Oxadiazolyl, 1,3,4-Oxadiazolyl, 1,2,5-Oxadiazolyl, 1,2,3-Thiadiazolyl, 1,2,4-Thiadiazolyl, 1,3,4-Thiadiazolyl, 1,2,5-Thiadiazolyl, Pyridyl, Pyrimidinyl, Py- ridazinyl, Pyrazinyl, 1,2,3-Triazinyl, 1,2,4-Triazinyl, 1,3,5-Triazinyl, Benzofuranyl, Benzisofuryl, Benzothienyl, Benzisothienyl, Indolyl, Isoindolyl, Indazolyl, Benzothiazolyl, Benzisothiazolyl, Benzo- xazolyl, Benzisoxazolyl, Benzimidazolyl, 2,1,3-Benzoxadiazole, Chinolinyl, Isochinolinyl, Cinnolinyl, Phthalazinyl, Chinazolinyl, Chinoxalinyl, Naphthyridinyl, Benzotriazinyl, Purinyl, Pteridinyl und Indoli- zinyl. Unless otherwise defined elsewhere, “hetaryl” means a mono-, bi- or tricyclic heterocyclic group composed of carbon atoms and at least one heteroatom, where at least one cycle is aromatic. The hetaryl group preferably contains 3, 4, 5 or 6 carbon atoms selected from the series Furyl, Thienyl, Pyrrolyl, Pyrazolyl, Imidazolyl, 1,2,3-Triazolyl, 1,2,4-Triazolyl, Oxazolyl, Isoxazolyl, Thiazolyl, Isothiazolyl, 1,2,3-Oxadiazolyl, 1,2,4-Oxadiazolyl, 1,3,4-oxadiazolyl, 1,2,5-oxadiazolyl, 1,2,3-thiadiazolyl, 1,2,4-thiadiazolyl, 1,3,4-thiadiazolyl, 1,2,5-thiadiazolyl, pyridyl, Pyrimidinyl, Pyridazinyl, Pyrazinyl, 1,2,3-Triazinyl, 1,2,4-Triazinyl, 1,3,5-Triazinyl, Benzofuranyl, Benzisofuryl, Benzothienyl, Benzisothienyl, Indolyl, Isoindolyl, Indazolyl, Benzothiazolyl, Benzisothiazolyl, benzoxazolyl, benzisoxazolyl, benzimidazolyl, 2,1,3-benzoxadiazoles, quinolinyl, isoquinolinyl, cinnolinyl, phthalazinyl, quinazolinyl, quinoxalinyl, naphthyridinyl, benzotriazinyl, purinyl, pteridinyl and indolizinyl.
Sofern nicht an anderer Stelle anders definiert, bedeutet „Heterocyclyl“ einen monocyclischen, gesättigten oderteilgesättigten 4-, 5-, 6- oder 7-gliedrigen Ring aus C-Atomen und mindestens einem Heteroatom im Ring. Bevorzugt enthält die Heterocyclyl -Gruppe 3, 4, 5 oder 6 C-Atome und 1 oder 2 Heteroatome aus der Reihe Sauerstoff, Schwefel oder Stickstoff. Beispiele für Heterocyclyl sind Azetidinyl, Azolidinyl, Azinanyl, Oxetanyl, Oxolanyl, Oxanyl, Dioxanyl, Thiethanyl, Thiolanyl, Thianyl, Tetrahydrofuryl.Unless otherwise defined elsewhere, “heterocyclyl” means a monocyclic, saturated or partially saturated 4-, 5-, 6- or 7-membered ring made up of C atoms and at least one heteroatom in the ring. The heterocyclyl group preferably contains 3, 4, 5 or 6 carbon atoms and 1 or 2 heteroatoms from the group consisting of oxygen, sulfur or nitrogen. Examples of heterocyclyl are azetidinyl, azolidinyl, azinanyl, oxetanyl, oxolanyl, oxanyl, dioxanyl, thiethanyl, thiolanyl, thianyl, tetrahydrofuryl.
Sofern nicht an anderer Stelle anders definiert, bedeuten „Oxo-Heterocyclyl“ bzw. „Dioxo-Heterocyc- lyl“ ein Heterocyclyl, das an mindestens einer Position im Ring ein Ring-Atom enthält, das mit einer bzw. zwei (=0) -Gruppen substituiert ist. Bevorzugt ist dabei ein Heteroatom wie beispielsweise Schwefel mit einer oder zwei (=0) -Gruppen substituiert, wobei sich dann die Gruppe -S(=O)- bzw. -S(=O)2- ergibt, wobei das S-Atom Bestandteil des Rings ist. Unless otherwise defined elsewhere, “oxo-heterocyclyl” or “dioxo-heterocyclyl” means a heterocyclyl which contains a ring atom in at least one position in the ring, which has one or two (=0) - groups is substituted. A heteroatom such as, for example, sulfur is preferably substituted with one or two (=0) groups, which then results in the group -S(=O)- or -S(=O)2-, the S atom being a component of the ring is.
Im Rahmen der vorliegenden Erfindung werden unter durch Halogensubstituierte Reste, beispielsweise „Halogenalkyl“, einfach oder mehrfach bis zur maximal möglichen Substituentenzahl halogenierte Reste verstanden. Bei mehrfacher Halogenierung können die Halogenatome gleich oder verschieden sein. „Halogen“ steht dabei für Fluor, Chlor, Brom oder Jod, bevorzugt für Fluor oder Chlor. In the context of the present invention, radicals substituted by halogen, for example “haloalkyl”, are understood to mean radicals halogenated one or more times up to the maximum possible number of substituents. In the case of multiple halogenation, the halogen atoms can be the same or different. “Halogen” stands for fluorine, chlorine, bromine or iodine, preferably for fluorine or chlorine.
Unter dem Begriff „Alkoxy“, entweder in Alleinstellung oder aber in Kombination mit weiteren Begriffen, wie beispielsweise Halogenalkoxy, wird vorliegend ein Rest O-Alkyl verstanden, wobei der Begriff „Alkyl“ die oben stehende Bedeutung aufweist. The term “alkoxy”, either on its own or in combination with other terms such as, for example, haloalkoxy, is understood here to mean an O-alkyl radical, the term “alkyl” having the meaning given above.
Erläuterung der Verfahren und Zwischenprodukte Explanation of the processes and intermediates
Verfahren A Procedure A
Ar, R1, A, V, R2, X, RY1, T und RZ1 haben die oben beschriebenen Bedeutungen. Damit entspricht die allgemeine Formel (la) der allgemeinen Formel (I) mit R2 = X-Y-Z, wobei Y für -CRY1=N-, Z für das Fragment der allgemeinen Formel (A3) und RZ2a für H stehen. Ar, R 1 , A, V, R 2 , X, RY1 , T and R Z1 have the meanings described above. The general formula (Ia) thus corresponds to the general formula (I) with R 2 ═XYZ, where Y is —CR Y1 ═N—, Z is the fragment of the general formula (A3) and R Z2a is H.
Verbindungen der allgemeinen Formel (la) können entsprechend Abbildung 1 aus Aldehyden (RY1 = H) oder Ketonen der allgemeinen Formel (II) und Hydrazin-Derivaten der allgemeinen Formel (III) in einem geeigneten Lösungsmittel, wie z.B. Ethanol oder Methanol, gegebenenfalls mit einem Katalysator, wie z.B. Essigsäure, und bei geeigneter Temperatur, wie z.B. in einem Bereich von 50 °C bis 80 °C, hergestellt werden. Eine repräsentative Vorschrift dieser Methode findet sich in WO 2013/116053 oder WO 2013/116052. Compounds of general formula (Ia) can according to Figure 1 from aldehydes (R Y1 = H) or ketones of general formula (II) and hydrazine derivatives of general formula (III) in a suitable solvent such as ethanol or methanol, optionally with a catalyst such as acetic acid and at a suitable temperature such as in the range 50°C to 80°C will. A representative specification of this method can be found in WO 2013/116053 or WO 2013/116052.
Abbildung 1 Verfahren B illustration 1 Procedure B
Ar, R1, A, V, X, RY1, und RZ1 haben die oben beschriebenen Bedeutungen. Damit entspricht die allgemeine Formel (Ib) der allgemeinen Formel (I) mit R2 = X-Y-Z, wobei Y für -CRY1=N- und Z für das Fragment der allgemeinen Formel (A2-1) stehen. Ar, R 1 , A, V, X, R Y1 , and R Z1 have the meanings described above. The general formula (Ib) thus corresponds to the general formula (I) with R 2 ═XYZ, where Y is —CR Y1 ═N— and Z is the fragment of the general formula (A2-1).
Verbindungen der allgemeinen Formel (Ib- 1 Ib-2, Ib-3 und Ib-4) können entsprechend Abbildung 2 aus Verbindungen der allgemeinen Formel (la) mit T = S durch Umsetzung mit einer Verbindung aus der Reihe LG(CH2)nCO2Et, LG(CH2)nLG, LG(CH2)nC(=O)CH3 oder LGCH2(C=CH2)CH2LG (LG= CI, Br; n=l,2) gegebenenfalls in Gegenwart einer Base, wie z.B. Natriumacetat oder Kaliumcarbonat,, in einem geeigneten Lösungsmittel, wie z.B. Ethanol, und bei geeigneter Temperatur, wie z.B. in einem Bereich von 50 °C bis 80 °C, hergestellt werden. Eine repräsentative Vorschrift dieser Methode findet sich in WO 2013/116053 oder WO 2013/116052. Compounds of the general formula (Ib-1, Ib-2, Ib-3 and Ib-4) can be obtained according to FIG. 2 from compounds of the general formula (Ia) where T=S by reaction with a compound from the series LG(CH 2 )nCO 2 Et, LG(CH 2 )nLG, LG(CH 2 )nC(=O)CH 3 or LGCH 2 (C=CH 2 )CH 2 LG (LG=CI, Br; n=1,2) optionally in the presence a base such as sodium acetate or potassium carbonate, in a suitable solvent such as ethanol and at a suitable temperature such as in the range 50°C to 80°C. A representative specification of this method can be found in WO 2013/116053 or WO 2013/116052.
Abbildung 2 Figure 2
Verfahren C Procedure C
Ar, R1, A, V, X, RY1, RZ2, RZ3 und RZ1 haben die oben beschriebenen Bedeutungen. Damit entspricht die allgemeine Formel (Ic) der allgemeinen Formel (I) mit R2 = X-Y-Z, wobei Y für -CRY1=N- und Z für das Fragment der allgemeinen Formel (Al) stehen. Ar, R 1 , A, V, X, RY1 , R Z2 , R Z3 and R Z1 have the meanings described above. The general formula (Ic) thus corresponds to the general formula (I) with R 2 ═XYZ, where Y is —CR Y1 ═N— and Z is the fragment of the general formula (A1).
Verbindungen der allgemeinen Formel (Ic) können entsprechend Abbildung 3 aus Aldehyden (RY1 = H) oder Ketonen der allgemeinen Formel (II) und Hydrazin-Derivaten der allgemeinen Formel (IV) in einem geeigneten Lösungsmittel, wie z.B. Ethanol, gegebenenfalls mit einem Katalysator, wie z.B. Essigsäure, und bei geeigneter Temperatur, wie z.B. in einem Bereich von 50 °C bis 80 °C, hergestellt werden. Eine repräsentative Vorschrift dieser Methode findet sich in WO 2016/196280. Abbildung 3 Compounds of general formula (Ic) can according to Figure 3 from aldehydes (R Y1 = H) or ketones of general formula (II) and hydrazine derivatives of general formula (IV) in a suitable solvent such as ethanol, optionally with a catalyst , such as acetic acid, and at a suitable temperature, such as in a range of 50 °C to 80 °C. A representative specification of this method can be found in WO 2016/196280. Figure 3
Verfahren D Procedure D
Ar, R1, A, V, X, RY2 und RZ1 haben die oben beschriebenen Bedeutungen. Damit entspricht die allgemeine Formel (Id) der allgemeinen Formel (I) mit R4 = X-Y-Z, wobei Y für -NRY2-C(=O)- und Z für das Fragment der allgemeinen Formel (A2-1) stehen. Ar, R 1 , A, V, X, RY2 and R Z1 have the meanings described above. The general formula (Id) thus corresponds to the general formula (I) with R 4 = XYZ, where Y is -NR Y2 -C(=O)- and Z is the fragment of the general formula (A2-1).
Verbindungen der allgemeinen Formel (Id) können entsprechend Abbildung 4 hergestellt werden, indem zunächst Amine der allgemeinen Formel (V) mit 4-Nitrophenoxyameisensäurechlorid in einem geeigneten Lösungsmittel, wie z.B. Tetrahydrofuran zu 4-Nitrophenylcarbamaten der allgemeinen Formel (VI) umsetzt werden. Verbindungen der allgemeinen Formel (VI) können anschließend in einem geeigneten Lösungsmittel, wie z.B. Acetonitril, und bei geeigneter Temperatur, wie z.B. in einem Bereich von 0 °C bis 40 °C, mit Iminen der allgemeinen Formel (VII) zu Verbindungen der allgemeinen Formel (Id) umgesetzt werden. Eine repräsentative Vorschrift dieser Methode findet sich in WO 2016/033025. Compounds of general formula (Id) can be prepared according to Figure 4 by first reacting amines of general formula (V) with 4-nitrophenoxyformic acid chloride in a suitable solvent such as tetrahydrofuran to give 4-nitrophenyl carbamates of general formula (VI). Compounds of the general formula (VI) can then in a suitable solvent, such as acetonitrile, and at a suitable temperature, such as in a range from 0° C. to 40° C., with imines of the general formula (VII) to give compounds of the general formula (Id) are implemented. A representative specification of this method can be found in WO 2016/033025.
Abbildung 4 Verfahren E Figure 4 Procedure E
Ar, R1, A, V, X und RY1 haben die oben beschriebenen Bedeutungen. L1 und L2 stehen jeweils fur H oder stehen zusammen für C(CH3)2-C(CH3)2 Ar, R 1 , A, V, X and R Y1 have the meanings described above. L 1 and L 2 each represent H or together represent C(CH3)2-C(CH3)2
Verbindungen der allgemeinen Formel (II) können entsprechend Abbildung 5 durch eine Suzuki-Kupplung zwischen einer Bromverbindung der allgemeinen Formel (VIII) und einem Boronsäurederivat der allgemeinen Formel (IXa) in Gegenwart eines Pd-Katalysators, wie z.B. Tetrakis(triphenylphosphin)pal- ladium und einer Base, wie z.B. Natriumcarbonat, in einem geeigneten Lösungsmittel, wie z.B. einer Ethanol-Toluol-Mischung, 1,2-Dimethoxyethan oder Dioxan, und bei geeigneter Temperatur, wie z.B. in einem Bereich von 60 °C bis 150 °C, hergestellt werden. Compounds of general formula (II) can according to Figure 5 by a Suzuki coupling between a bromine compound of general formula (VIII) and a boronic acid derivative of general formula (IXa) in the presence of a Pd catalyst such as tetrakis (triphenylphosphine) palladium and a base such as sodium carbonate in a suitable solvent such as an ethanol-toluene mixture, 1,2-dimethoxyethane or dioxane and at a suitable temperature such as in a range of 60°C to 150°C will.
Abbildung 5 Figure 5
(VIII) (IXa) (II) (VIII) (IXa) (II)
Verfahren F Procedure F
Ar, R1, A, V, R2, R3, X und RY2 haben die oben beschriebenen Bedeutungen. L1 und L2 stehen jeweils fürAr, R 1 , A, V, R 2 , R 3 , X and RY2 have the meanings described above. L 1 and L 2 each represent
H oder stehen zusammen für CEL -QCEL H or together stand for CEL -QCEL
Verbindungen der allgemeinen Formel (V) können entsprechend Abbildung 6 durch eine Suzuki-Kupplung zwischen einer Bromverbindung der allgemeinen Formel (VIII) und einem Boronsäurederivat der allgemeinen Formel (IXb) in Gegenwart eines Pd-Katalysators, wie z.B. 1,1 -Bis(diphenylphosphino)fer- rocen-palladium und einer Base, wie z.B. Caesiumcarbonat, in einem geeigneten Lösungsmittel, wie z.B. einer Ethanol-Toluol-Mischung, 1,2-Dimethoxyethan oder Dioxan, und bei geeigneter Temperatur, wie z.B. in einem Bereich von 60 °C bis 150 °C, hergestellt werden. Compounds of general formula (V) can according to Figure 6 by a Suzuki coupling between a bromine compound of general formula (VIII) and a boronic acid derivative of general formula (IXb) in the presence of a Pd catalyst such as 1,1-bis (diphenylphosphino )ferrocen-palladium and a base such as cesium carbonate in a suitable solvent such as an ethanol-toluene mixture, 1,2-dimethoxyethane or dioxane and at a suitable temperature such as in the range of 60°C up to 150 °C.
Abbildung 6 Figure 6
(VIII) (DCb) (V) (VIII) (DCb) (V)
Verfahren G Procedure G
Ar, A, V, Ryl, X, Ra und Rb haben die oben beschriebenen Bedeutungen. Verbindungen der allgemeinen Formel (Ile), (lid) und (Ile) können entsprechend Abbildung 7 aus Verbindungen der allgemeinen Formel (Ilb) und Säurehalogeniden wie z.B. Carbonsäurechloriden oder Sul- fonsäurechloridender Formel (X, LG= Abgangsgruppe) gegebenenfalls in Gegenwart einer Base, wie z.B. Pyridin, in einem geeigneten Lösungsmittel, wie z.B. Chloroform, und bei geeigneter Temperatur, wie z.B. in einem Bereich von 0 °C bis 80 °C, hergestellt werden. Ar, A, V, R yl , X, R a and R b have the meanings described above. Compounds of the general formula (Ile), (lid) and (Ile) can be prepared according to Figure 7 from compounds of the general formula (IIb) and acid halides such as carboxylic acid chlorides or sulfonic acid chlorides of the formula (X, LG=leaving group), optionally in the presence of a base, such as pyridine, in a suitable solvent such as chloroform and at a suitable temperature such as in the range of 0°C to 80°C.
Abbildung 7 Figure 7
Verfahren H Procedure H
Ar, A, V, Ra und Rb haben die oben beschriebenen Bedeutungen. Verbindungen der allgemeinen Formel (Vlllb), (VIIIc) und (Vllld) können entsprechend Abbildung 8 aus Verbindungen der allgemeinen Formel (Villa, R12=H) und Säurehalogeniden wie z.B. Carbonsäurechloriden oder Sulfonsäurechloridender Formel (XI, LG= Abgangsgruppe) gegebenenfalls in Gegenwart einer Base, wie z.B. Pyridin, in einem geeigneten Lösungsmittel, wie z.B. Chloroform, und bei geeigneter Temperatur, wie z.B. in einem Bereich von 0 °C bis 80 °C, hergestellt werden. Ar, A, V, R a and R b have the meanings described above. Compounds of the general formula (Vlllb), (VIIIc) and (Vllld) can be prepared according to Figure 8 from compounds of the general formula (Villa, R 12 = H) and acid halides such as carboxylic acid chlorides or sulfonic acid chlorides of the formula (XI, LG = leaving group), optionally in the presence a base such as pyridine in a suitable solvent such as chloroform and at a suitable temperature such as in the range 0°C to 80°C.
Verfahren I Procedure I
Ar, A, V und R1 haben die oben beschriebenen Bedeutungen. Bromtriazole der allgemeinen Formel (VIII) können entsprechend Abbildung 9 durch nucleophile Substitution ausgehend von der Dibromtriazolen der allgemeinen Formel (XIII) und einer Aminoverbindung der Formel (XIV) gegebenenfalls durch Zusatz einer Base, wie z.B. Kaliumcarbonat in einem geeigneten Lösungsmittel, wie z.B. Dioxan, und bei geeigneter Temperatur, wie z.B. in einem Bereich von 20 °C bis 100 °C, hergestellt werden. Ar, A, V and R 1 have the meanings described above. Bromotriazoles of the general formula (VIII) can, as shown in FIG. and at a suitable temperature, such as in a range of 20°C to 100°C.
Abbildung 9 Figure 9
(XIII) (XIV) (VIII) (XIII) (XIV) (VIII)
Verfahren H Procedure H
Ar und A haben die oben beschriebenen Bedeutungen. Dibromtriazole der allgemeinen Formel (XIII) können entsprechend Abbildung 10 in Analogie zu WO 2011/006903 aus Dibromtriazol und einer Arylboronsäure der allgemeinen Formel (XV) in Gegenwart eines Kupfer Katalysators, wie z.B. Kupfer(II)-acetat und einer Base, wie z.B. Pyridin, in einem geeigneten Lösungsmittel, wie z.B. Toluol, und bei geeigneter Temperatur, wie z.B. in einem Bereich von 20 °C bis 120 °C, hergestellt werden. Ar and A have the meanings described above. Dibromotriazoles of the general formula (XIII) can according to Figure 10 in analogy to WO 2011/006903 from dibromotriazole and an arylboronic acid of the general formula (XV) in the presence of a copper catalyst such as copper(II) acetate and a base such as pyridine , in a suitable solvent, such as toluene, and at a suitable temperature, such as in a range from 20 °C to 120 °C.
Abbildung 10 Figure 10
(XV) (XIII) (XV) (XIII)
Verbindungen der allgemeinen Formel (III) sind literaturbekannt oder können in Analogie zu literaturbekannten Methoden erhalten werden (vgl. z.B. WO 2013/116053). Compounds of the general formula (III) are known from the literature or can be obtained analogously to methods known from the literature (cf. e.g. WO 2013/116053).
Verbindungen der allgemeinen Formel (IV) sind literaturbekannt oder können in Analogie zu literaturbekannten Methoden erhalten werden (vgl. z.B. WO 2013/116053). Compounds of the general formula (IV) are known from the literature or can be obtained analogously to methods known from the literature (cf., for example, WO 2013/116053).
Iminothiazolidinone der allgemeinen Formel (VII) sind literaturbekannt oder können in Analogie zu literaturbekannten Methoden erhalten werden (vgl. z.B. US 2014/0274688 oder WO 2016/033025)Iminothiazolidinones of the general formula (VII) are known from the literature or can be obtained analogously to methods known from the literature (cf. e.g. US 2014/0274688 or WO 2016/033025)
Verbindungen der Formel (IXa), (IXb), (Xa-c), (XIIa-c), (XIV) und (XV), sind käuflich oder können in Analogie zu allgemein bekannten Verfahren erhalten werden. Compounds of the formula (IXa), (IXb), (Xa-c), (XIIa-c), (XIV) and (XV) are commercially available or can be obtained analogously to generally known processes.
Isomere isomers
Die Verbindungen der Formel (I) können in Abhängigkeit von der Art der Substituenten als geometrische und/oder als optisch aktive Isomere oder entsprechende Isomerengemische in unterschiedlicher Zusammensetzung vorliegen. Diese Stereoisomere sind beispielsweise Enantiomere, Diastereomere, Atropisomere oder geometrische Isomere. Die Erfindung umfasst somit sowohl reine Stereoisomere als auch beliebige Gemische dieser Isomere. Depending on the nature of the substituents, the compounds of the formula (I) can be present as geometric and/or as optically active isomers or corresponding isomer mixtures in various compositions. These stereoisomers are, for example, enantiomers, diastereomers, atropisomers or geometric isomers. The invention thus encompasses both pure stereoisomers and any mixtures of these isomers.
Verfahren und Verwendungen Procedures and Uses
Die Erfindung betrifft auch Verfahren zur Bekämpfung von tierischen Schädlingen, bei denen man Verbindungen der Formel (I) auf tierische Schädlinge und/oder ihren Lebensraum einwirken lässt. Bevorzugt wird die Bekämpfung der tierischen Schädlinge in der Land- und Forstwirtschaft und im Materialschutz durchgefuhrt. Hierunter vorzugsweise ausgeschlossen sind Verfahren zur chirurgischen oder therapeutischen Behandlung des menschlichen oder tierischen Körpers und Diagnostizierverfahren, die am menschlichen oder tierischen Körper vorgenommen werden. Die Erfindung betrifft ferner die Verwendung der Verbindungen der Formel (I) als Schädlingsbekämpfungsmittel, insbesondere Pflanzenschutzmittel. The invention also relates to methods for controlling animal pests, in which the compounds of formula (I) are allowed to act on animal pests and/or their habitat. Preference is given to combating animal pests in agriculture and forestry and in the protection of materials. This preferably excludes methods for the surgical or therapeutic treatment of the human or animal body and diagnostic methods which are carried out on the human or animal body. The invention also relates to the use of the compounds of the formula (I) as pesticides, in particular crop protection agents.
Im Rahmen der vorliegenden Anmeldung umfasst der Begriff Schädlingsbekämpfungsmittel jeweils immer auch den Begriff Pflanzenschutzmittel. In the context of the present application, the term pesticide always also includes the term plant protection agent.
Die Verbindungen der Formel (I) eignen sich bei guter Pflanzenverträglichkeit, günstiger Warmblütertoxizität und guter Umweltverträglichkeit zum Schutz von Pflanzen und Pflanzenorganen vor biotischen und abiotischen Stressfaktoren, zur Steigerung der Ernteerträge, Verbesserung der Qualität des Emtegutes und zur Bekämpfung von tierischen Schädlingen, insbesondere Insekten, Spinnentieren, Helminthen, insbesondere Nematoden, und Mollusken, die in der Landwirtschaft, im Gartenbau, bei der Tierzucht, in Aquakulturen, in Forsten, in Gärten und Freizeiteinrichtungen, im Vorrats- und Materialschutz sowie auf dem Hygiene Sektor vorkommen. With good plant tolerance, favorable warm-blooded toxicity and good environmental compatibility, the compounds of the formula (I) are suitable for protecting plants and plant organs from biotic and abiotic stress factors, for increasing crop yields, improving the quality of the crop and for controlling animal pests, in particular insects, Arachnids, helminths, in particular nematodes, and molluscs, which occur in agriculture, horticulture, animal husbandry, aquaculture, in forests, in gardens and leisure facilities, in the protection of stored products and materials, and in the hygiene sector.
Im Rahmen der vorliegenden Patentanmeldung ist der Begriff „Hygiene“ so zu verstehen, dass damit jegliche und alle Maßnahmen, Vorschriften und Verfahrensweisen gemeint sind, deren Ziel es ist, Krankheiten, insbesondere Infektionskrankheiten, zu verhindern, und die dazu dienen, die Gesundheit von Menschen und Tieren zu schützen und/oder die Umwelt zu schützen, und/oder die Sauberkeit aufrechterhalten. Erfindungsgemäß schließt dies insbesondere Maßnahmen zur Reinigung, Desinfektion und Sterilisation beispielsweise von Textilien oder harten Oberflächen, insbesondere Oberflächen aus Glas, Holz, Zement, Porzellan, Keramik, Kunststoff oder auch Metall(en) ein, um sicherzustellen, dass diese frei von Hygieneschädlingen und/oder ihren Ausscheidungen sind. Vorzugsweise ausgeschlossen vom Schutzbereich der Erfindung sind in dieser Hinsicht chirurgische oder therapeutische, auf den menschlichen Körper oder die Körper von Tieren anzuwendende Behandlungsvorschriften und diagnostische Vorschriften, die am menschlichen Körper oder den Körpern von Tieren durchgeführt werden. In the context of the present patent application, the term "hygiene" is to be understood as meaning any and all measures, regulations and procedures which aim to prevent diseases, in particular infectious diseases, and which serve to protect human health and animals and/or protect the environment and/or maintain cleanliness. According to the invention, this includes in particular measures for the cleaning, disinfection and sterilization of, for example, textiles or hard surfaces, in particular surfaces made of glass, wood, cement, porcelain, ceramics, plastic or metal(s), in order to ensure that these are free from hygiene pests and/or or their excrements. Preferably excluded from the scope of the invention in this respect are surgical or therapeutic regimens to be applied to the human or animal bodies and diagnostic regimens to be performed on the human or animal bodies.
Der Begriff „Hygienesektor“ deckt somit alle Gebiete, technischen Felder und industriellen Anwendungen ab, bei denen diese Hygienemaßnahmen, -Vorschriften und -Verfahrensweisen wichtig sind, zum Beispiel im Hinblick auf Hygiene in Küchen, Bäckereien, Flughäfen, Badezimmern, Schwimmbecken, Kaufhäusern, Hotels, Krankenhäusern, Ställen, Tierhaltungen usw. The term "hygiene sector" thus covers all areas, technical fields and industrial applications where these hygiene measures, regulations and procedures are important, for example with regard to hygiene in kitchens, bakeries, airports, bathrooms, swimming pools, department stores, hotels , hospitals, stables, animal husbandry, etc.
Der Begriff „Hygieneschädling“ ist daher so zu verstehen, dass damit ein oder mehrere Tierschädlinge gemeint sind, deren Gegenwart im Hygienesektor problematisch ist, insbesondere aus Gesundheitsgründen. Es ist daher ein Hauptziel, das Vorhandensein von Hygieneschädlingen und/oder das Ausgesetztsein ihnen gegenüber im Hygienesektor zu vermeiden oder auf ein Mindestmaß zu begrenzen. Dies lässt sich insbesondere durch die Anwendung eines Pestizids erreichen, das sich sowohl zum Verhindern eines Befalls als auch zum Bewältigen eines bereits vorhandenen Befalls einsetzen lässt. Man kann auch Zubereitungen verwenden, die eine Exposition gegenüber Schädlingen verhindern oder reduzieren. Hygieneschädlinge schließen zum Beispiel die unten erwähnten Organismen ein. Der Begriff „Hygieneschutz“ deckt somit alle Handlungen ab, mit denen diese Hygienemaßnahmen, -Vorschriften und -Verfahrensweisen aufrechterhalten und/oder verbessert werden. The term "sanitary pest" should therefore be understood to mean one or more animal pests whose presence in the sanitary sector is problematic, particularly for health reasons. It is therefore a major objective to avoid or minimize the presence and/or exposure to hygiene pests in the hygiene sector. In particular, this can be achieved by using a pesticide that can be used both to prevent an infestation and to manage an infestation that is already present. One can also use preparations that prevent or reduce exposure to pests. Sanitary pests include, for example, the organisms mentioned below. The term "hygiene protection" thus covers all actions with which these hygiene measures, regulations and procedures are maintained and/or improved.
Die Verbindungen der Formel (I) können vorzugsweise als Schädlingsbekämpfungsmittel eingesetzt werden. Sie sind gegen normal sensible und resistente Arten sowie gegen alle oder einzelne Entwicklungsstadien wirksam. Zu den oben erwähnten Schädlingen gehören: The compounds of the formula (I) can preferably be used as pesticides. They are active against normally sensitive and resistant species and against all or some developmental stages. The pests mentioned above include:
Schädlinge aus dem Stamm der Arthropoda, insbesondere aus der Klasse der Arachnida z. B. Acarus spp., z. B. Acarus siro, Aceria kuko, Aceria sheldoni, Aculops spp., Aculus spp., z. B. Aculus fockeui, Aculus schlechtendali, Amblyomma spp., Amphitetranychus viennensis, Argas spp., Boophilus spp., Brevipalpus spp., z. B. Brevipalpus phoenicis, Bryobia graminum, Bryobia praetiosa, Centruroides spp., Chorioptes spp., Dermanyssus gallinae, Dermatophagoides pteronyssinus, Dermatophagoides farinae, Dermacentor spp., Eotetranychus spp., z. B. Eotetranychus hicoriae, Epitrimerus pyri, Eutetranychus spp., z. B. Eutet- ranychus banksi, Eriophyes spp., z. B. Eriophyes pyri, Glycyphagus domesticus, Halotydeus destructor, Hemitarsonemus spp., z. B. Hemitarsonemus latus (=Polyphagotarsonemus latus), Hyalomma spp., Ixodes spp., Latrodectus spp., Loxosceles spp., Neutrombicula autumnalis, Nuphersa spp., Oligonychus spp., z. B. Oligonychus coffeae, Oligonychus coniferarum, Oligonychus ilicis, Oligonychus indicus, Oli- gonychus mangiferus, Oligonychus pratensis, Oligonychus punicae, Oligonychus yothersi, Omithodorus spp., Omithonyssus spp., Panonychus spp., z. B. Panonychus citri (=Metatetranychus citri), Panonychus ulmi (=Metatetranychus ulmi), Phyllocoptruta oleivora, Platytetranychus multidigituli, Polyphagotarso- nemus latus, Psoroptes spp., Rhipicephalus spp., Rhizoglyphus spp., Sarcoptes spp., Scorpio maurus, Steneotarsonemus spp., Steneotarsonemus spinki, Tarsonemus spp., z. B. Tarsonemus confusus, Tarso- nemus pallidus, Tetranychus spp., z. B. Tetranychus canadensis, Tetranychus cinnabarinus, Tetranychus turkestani, Tetranychus urticae, Trombicula alfreddugesi, Vaejovis spp., Vasates lycopersici; aus der Klasse der Chilopoda z. B. Geophilus spp., Scutigera spp.; aus der Ordnung oder der Klasse der Collembola z. B. Onychiurus armatus; Sminthurus viridis; aus der Klasse der Diplopoda z. B. Blaniulus guttulatus; aus der Klasse der Insecta, z. B. aus der Ordnung der Blattodea z. B. Blatta orientalis, Blattella asahinai, Blattella germanica, Leucophaea maderae, Loboptera decipiens, Neostylopyga rhombifolia, Panchlora spp., Parcoblatta spp., Periplaneta spp., z. B. Periplaneta americana, Periplaneta australasiae, Pycnoscelus surinamensis, Supella longipalpa; aus der Ordnung der Coleoptera z. B. Acalymma vittatum, Acanthoscelides obtectus, Adoretus spp., Aethina tumida, Agelastica alni, Agrilus spp., z. B. Agrilus planipennis, Agrilus coxalis, Agrilus biline- atus, Agrilus anxius, Agriotes spp., z. B. Agriotes linneatus, Agriotes mancus, Agriotes obscurus Alphitobius diaperinus, Amphimallon solstitialis, Anobium punctatum, Anomala dubia, Anoplophora spp., z. B. Anoplophora glabripennis, Anthonomus spp., z. B. Anthonomus grandis, Anthrenus spp., Apion spp., Apogonia spp., Athous haemorrhoidales, Atomaria spp., z. B. Atomaria linearis, Attagenus spp., Baris caerulescens, Bruchidius obtectus, Bruchus spp., z. B. Bruchus pisorum, Bruchus rufimanus, Cas- sida spp., Cerotoma trifurcata, Ceutorrhynchus spp., z. B. Ceutorrhynchus assimilis, Ceutorrhynchus quadridens, Ceutorrhynchus rapae, Chaetocnema spp., z. B. Chaetocnema confmis, Chaetocnema denti- culata, Chaetocnema ectypa, Cleonus mendicus, Conoderus spp., Cosmopolites spp., z. B. Cosmopolites sordidus, Costelytra zealandica, Ctenicera spp., Curculio spp., z. B. Curculio caryae, Curculio caryatrypes, Curculio obtusus, Curculio sayi, Cryptolestes ferrugineus, Cryptolestes pusillus, Cryptorhynchus lapathi, Cryptorhynchus mangiferae, Cylindrocopturus spp., Cylindrocopturus adspersus, Cylindrocopturus fur- nissi, Dendroctonus spp., z. B. Dendroctonus ponderosae, Dermestes spp., Diabrotica spp., z. B. Diabro- tica balteata, Diabrotica barberi, Diabrotica undecimpunctata howardi, Diabrotica undecimpunctata unde- cimpunctata, Diabrotica virgifera virgifera, Diabrotica virgifera zeae, Dichocrocis spp., Dicladispa armi- gera, Diloboderus spp., Epicaerus spp., Epilachna spp., z. B. Epilachna borealis, Epilachna varivestis, Epitrix spp., z. B. Epitrix cucumeris, Epitrix fuscula, Epitrix hirtipennis, Epitrix subcrinita, Epitrix tuberis, Faustinus spp., Gibbium psylloides, Gnathocerus comutus, Hellula undalis, Heteronychus arator, Heteronyx spp., Hoplia argentea, Hylamorpha elegans, Hylotrupes bajulus, Hypera postica, Hypomeces squamosus, Hypothenemus spp., z. B. Hypothenemus hampei, Hypothenemus obscurus, Hypothenemus pube- scens, Lachnostema consanguinea, Lasioderma serricome, Latheticus oryzae, Lathridius spp., Lema spp., Leptinotarsa decemlineata, Leucoptera spp., z. B. Leucoptera coffeella, Limonius ectypus, Lissorhoptrus oryzophilus, Listronotus (=Hyperodes) spp., Lixus spp., Luperodes spp., Luperomorpha xanthodera, Ly- ctus spp., Megacyllene spp., z. B. Megacyllene robiniae, Megascelis spp., Melanotus spp., z. B. Melanotus longulus oregonensis, Meligethes aeneus, Melolontha spp., z. B. Melolontha melolontha, Migdolus spp., Monochamus spp., Naupactus xanthographus, Necrobia spp., Neogalerucella spp., Niptus hololeucus, O- ryctes rhinoceros, Oryzaephilus surinamensis, Oryzaphagus oryzae, Otiorhynchus spp., z. B. Oti- orhynchus cribricollis, Otiorhynchus ligustici, Otiorhynchus ovatus, Otiorhynchus rugosostriarus, Otiorhynchus sulcatus, Oulema spp., z. B. Oulema melanopus, Oulema oryzae, Oxycetoniajucunda, Phaedon cochleariae, Phyllophaga spp., Phyllophaga helleri, Phyllotreta spp., z. B. Phyllotreta armoraciae, Phyllot- reta pusilla, Phyllotreta ramosa, Phyllotreta striolata, Popillia japonica, Premnotrypes spp., Prostephanus truncatus, Psylliodes spp., z. B. Psylliodes affinis, Psylliodes chrysocephala, Psylliodes punctulata, Ptinus spp., Rhizobius ventralis, Rhizopertha dominica, Rhynchophorus spp., Rhynchophorus ferrugineus, Rhynchophorus palmarum, Scolytus spp., z. B. Scolytus multistriatus, Sinoxylon perforans, Sitophilus spp., z. B. Sitophilus granarius, Sitophilus linearis, Sitophilus oryzae, Sitophilus zeamais, Sphenophorus spp., Stegobium paniceum, Stemechus spp., z. B. Stemechus paludatus, Symphyletes spp., Tanymecus spp., z. B. Tanymecus dilaticollis, Tanymecus indicus, Tanymecus palliatus, Tenebrio molitor, Tenebrio- ides mauretanicus, Tribolium spp., z. B. Tribolium audax, Tribolium castaneum, Tribolium confusum, Trogoderma spp., Tychius spp., Xylotrechus spp., Zabrus spp., z. B. Zabrus tenebrioides; aus der Ordnung der Dermaptera z. B. Anisolabis maritime, Forficula auricularia, Labidura riparia; aus der Ordnung der Diptera z. B. Aedes spp., z. B. Aedes aegypti, Aedes albopictus, Aedes sticticus, Aedes vexans, Agromyza spp., z. B. Agromyza frontella, Agromyza parvicomis, Anastrepha spp., Anopheles spp., z. B. Anopheles quadrimaculatus, Anopheles gambiae, Asphondylia spp., Bactrocera spp., z. B. Bactrocera Cucurbitae, Bactrocera dorsalis, Bactrocera oleae, Bibio hortulanus, Calliphora erythrocephala, Calliphora vicina, Ceratitis capitata, Chironomus spp., Chrysomya spp., Chrysops spp., Chrysozona pluvialis, Cochliomya spp., Contarinia spp., z. B. Contarinia johnsoni, Contarinia nasturtii, Contarinia pyrivora, Contarinia schulzi, Contarinia sorghicola, Contarinia tritici, Cordylobia anthropo- phaga, Cricotopus sylvestris, Culex spp., z. B. Culex pipiens, Culex quinquefasciatus, Culicoides spp., Culiseta spp., Cuterebra spp., Dacus oleae, Dasineura spp., z. B. Dasineura brassicae, Delia spp., z. B. Delia antiqua, Delia coarctata, Delia florilega, Delia platura, Delia radicum, Dermatobia hominis, Drosophila spp., z. B. Drosphila melanogaster, Drosophila suzukii, Echinocnemus spp., Euleia heraclei, Fannia spp., Gasterophilus spp., Glossina spp., Haematopota spp., Hydrellia spp., Hydrellia griseola, Hylemya spp., Hippobosca spp., Hypoderma spp., Liriomyza spp., z. B. Liriomyza brassicae, Liriomyza huidobren- sis, Liriomyza sativae, Lucilia spp., z. B. Lucilia cuprina, Lutzomyia spp., Mansonia spp., Musea spp., z. B. Musea domestica, Musea domestica vicina, Oestrus spp., Oscinella frit, Paratanytarsus spp., Paralau- terbomiella subcincta, Pegomya oder Pegomyia spp., z. B. Pegomya betae, Pegomya hyoscyami, Pego- mya rubivora, Phlebotomus spp., Phorbia spp., Phormia spp., Piophila casei, Platyparea poeciloptera, Prodiplosis spp., Psila rosae, Rhagoletis spp., z. B. Rhagoletis cingulata, Rhagoletis completa, Rhagoletis fausta, Rhagoletis indifferens, Rhagoletis mendax, Rhagoletis pomonella, Sarcophaga spp., Simulium spp., z. B. Simulium meridionale, Stomoxys spp., Tabanus spp., Tetanops spp., Tipula spp., z. B. Tipula paludosa, Tipula simplex, Toxotrypana curvicauda; aus der Ordnung der Hemiptera z. B. Acizzia acaciaebaileyanae, Acizzia dodonaeae, Acizzia uncatoi- des, Acridaturrita, Acyrthosipon spp., z. B. Acyrthosiphon pisum, Acrogonia spp., Aeneolamia spp., Ago- noscena spp., Aleurocanthus spp., Aleyrodes proletella, Aleurolobus barodensis, Aleurothrixus floccosus, Allocaridara malayensis, Amrasca spp., z. B. Amrasca bigutulla, Amrasca devastans, Anuraphis cardui, Aonidiella spp., z. B. Aonidiella aurantii, Aonidiella citrina, Aonidiella inomata, Aphanostigma piri, A- phis spp., z. B. Aphis citricola, Aphis craccivora, Aphis fabae, Aphis forbesi, Aphis glycines, Aphis gos- sypii, Aphis hederae, Aphis illinoisensis, Aphis middletoni, Aphis nasturtii, Aphis nerii, Aphis pomi, A- phis spiraecola, Aphis vibumiphila, Arboridia apicalis, Arytainilla spp., Aspidiella spp., Aspidiotus spp., z. B. Aspidiotus nerii, Atanus spp., Aulacorthum solani, Bemisia tabaci, Blastopsylla occidentalis, Bo- reioglycaspis melaleucae, Brachycaudus helichrysi, Brachycolus spp., Brevicoryne brassicae, Cacopsylla spp., z. B. Cacopsylla pyricola, Calligypona marginata, Capulinia spp., Cameocephala fulgida, Ceratova- cuna lanigera, Cercopidae, Ceropiastes spp., Chaetosiphon fragaefolii, Chionaspis tegalensis, Chlorita o- nukii, Chondracris rosea, Chromaphis juglandicola, Chrysomphalus aonidum, Chrysomphalus ficus, Ci- cadulina mbila, Coccomytilus halb, Coccus spp., z. B. Coccus hesperidum, Coccus longulus, Coccus pseudomagnoliarum, Coccus viridis, Cryptomyzus ribis, Cryptoneossa spp., Ctenarytaina spp., Dalbulus spp., Dialeurodes chittendeni, Dialeurodes citri, Diaphorina citri, Diaspis spp., Diuraphis spp., Doralis spp., Drosicha spp., Dysaphis spp., z. B. Dysaphis apiifolia, Dysaphis plantaginea, Dysaphis tulipae, Dys- micoccus spp., Empoasca spp., z. B. Empoasca abrupta, Empoasca fabae, Empoasca maligna, Empoasca solana, Empoasca stevensi, Eriosoma spp., z. B. Eriosoma americanum, Eriosoma lanigerum, Eriosoma pyricola, Erythroneura spp., Eucalyptolyma spp., Euphyllura spp., Euscelis bilobatus, Ferrisia spp., Fiori- nia spp., Furcaspis oceanica, Geococcus coffeae, Glycaspis spp., Heteropsylla cubana, Heteropsylla spinulosa, Homalodisca coagulata, Hyaloptems arundinis, Hyaloptems pruni, Icerya spp., z. B. Icerya purchasi, Idiocerus spp., Idioscopus spp., Laodelphax striatellus, Lecanium spp., z. B. Lecanium comi (=Parthenole- canium comi), Lepidosaphes spp., z. B. Lepidosaphes ulmi, Lipaphis erysimi, Lopholeucaspis japonica, Lycorma delicatula, Macrosiphum spp., z. B. Macrosiphum euphorbiae, Macrosiphum lilii, Macrosiphum rosae, Macrosteies facifrons, Mahanarva spp., Melanaphis sacchari, Metcalfiella spp., Metcalfa pruinosa, Metopolophium dirhodum, Monellia costalis, Monelliopsis pecanis, Myzus spp., z. B. Myzus ascalonicus, Myzus cerasi, Myzus ligustri, Myzus omatus, Myzus persicae, Myzus nicotianae, Nasonovia ribisnigri, Neomaskellia spp., Nephotettix spp., z. B. Nephotettix cincticeps, Nephotettix nigropictus, Nettigoniclla spectra, Nilaparvata lugens, Oncometopia spp., Orthezia praelonga, Oxya chinensis, Pachypsylla spp., Parabemisia myricae, Paratrioza spp., z. B. Paratrioza cockerelli, Parlatoria spp., Pemphigus spp., z. B. Pemphigus bursarius, Pemphigus populivenae, Peregrinus maidis, Perkinsiella spp., Phenacoccus spp., z. B. Phenacoccus madeirensis, Phloeomyzus passerinii, Phorodon humuli, Phylloxera spp., z. B. Phylloxera devastatrix, Phylloxera notabilis, Pinnaspis aspidistrae, Pianococcus spp., z. B. Pianococcus citri, Pro- sopidopsylla flava, Protopulvinaria pyriformis, Pseudaulacaspis pentagona, Pseudococcus spp., z. B. Pseudococcus calceolariae, Pseudococcus comstocki, Pseudococcus longispinus, Pseudococcus mariti- mus, Pseudococcus vibumi, Psyllopsis spp., Psylla spp., z. B. Psylla buxi, Psylla mali, Psylla pyri, Ptero- malus spp., Pulvinaria spp., Pyrilla spp., Quadraspidiotus spp., z. B. Quadraspidiotus juglansregiae, Quad- raspidiotus ostreaeformis, Quadraspidiotus perniciosus, Quesada gigas, Rastrococcus spp., Rhopalosi- phum spp., z. B. Rhopalosiphum maidis, Rhopalosiphum oxyacanthae, Rhopalosiphum padi, Rhopalosi- phum rufiabdominale, Saissetia spp., z. B. Saissetia coffeae, Saissetia miranda, Saissetia neglecta, Sais- setia oleae, Scaphoideus titanus, Schizaphis graminum, Selenaspidus articulatus, Sipha flava, Sitobion avenae, Sogata spp., Sogatella furcifera, Sogatodes spp., Stictocephala festina, Siphoninus phillyreae, Tenalaphara malayensis, Tetragonocephela spp., Tinocallis caryaefoliae, Tomaspis spp., Toxoptera spp., z. B. Toxoptera aurantii, Toxoptera citricidus, Trialeurodes vaporariorum, Trioza spp., z. B. Trioza dio- spyri, Typhlocyba spp., Unaspis spp., Viteus vitifolii, Zygina spp.; aus der Unterordnung der Heteroptera z. B. Aelia spp., Anasatristis, Antestiopsis spp., Boisea spp., Blissus spp., Calocoris spp., Campylomma livida, Cavelerius spp., Cimex spp., z. B. Cimex adjunctus, Cimex hemipterus, Cimex lectularius, Cimex pilosellus, Collaria spp., Creontiades dilutus, Dasynus piperis, Di- chelops furcatus, Diconocoris hewetti, Dysdercus spp., Euschistus spp., z. B. Euschistus heros, Euschistus servus, Euschistus tristigmus, Euschistus variolarius, Eurydema spp., Eurygaster spp., Halyomorpha ha- lys, Heliopeltis spp., Horcias nobilellus, Leptocorisa spp., Leptocorisa varicomis, Leptoglossus occiden- talis, Leptoglossus phyllopus, Lygocoris spp., z. B. Lygocoris pabulinus, Lygus spp., z. B. Lygus elisus, Lygus hesperus, Lygus lineolaris, Macropes excavatus, Megacopta cribraria, Miridae, Monalonion atra- tum, Nezara spp., z. B. Nezara viridula, Nysius spp., Oebalus spp., Pentomidae, Piesma quadrata, Piezo- dorus spp., z. B. Piezodorus guildinii, Psallus spp., Pseudacysta persea, Rhodnius spp., Sahlbergella sin- gularis, Scaptocoris castanea, Scotinophora spp., Stephanitis nashi, Tibraca spp., Triatoma spp.; aus der Ordnung der Hymenoptera z. B. Acromyrmex spp., Athalia spp., z. B. Athalia rosae, Atta spp., Camponotus spp., Dolichovespula spp., Diprion spp., z. B. Diprion similis, Hoplocampa spp., z. B. Hoplo- campa cookei, Hoplocampa testudinea, Lasius spp., Linepithema (Iridiomyrmex) humile, Monomorium pharaonis, Paratrechina spp., Paravespula spp., Plagiolepis spp., Sirex spp., z. B. Sirex noctilio, Solenopsis invicta, Tapinoma spp., Technomyrmex albipes, Urocerus spp., Vespa spp., z. B. Vespa crabro, Wasman- nia auropunctata, Xeris spp.; aus der Ordnung der Isopoda z. B. Armadillidium vulgare, Oniscus asellus, Porcellio scaber; aus der Ordnung der Isoptera z. B. Coptotermes spp., z. B. Coptotermes formosanus, Comitermes cumu- lans, Cryptotermes spp., Incisitermes spp., Kalotermes spp., Microtermes obesi, Nasutitermes spp., Odon- totermes spp., Porotermes spp., Reticulitermes spp., z. B. Reticulitermes flavipes, Reticulitermes hesperus; aus der Ordnung der Lepidoptera z. B. Achroia grisella, Acronicta major, Adoxophyes spp., z. B. Adoxo- phyes orana, Aedia leucomelas, Agrotis spp., z. B. Agrotis segetum, Agrotis ipsilon, Alabama spp., z. B. Alabama argillacea, Amyelois transitella, Anarsia spp., Anticarsia spp., z. B. Anticarsia gemmatalis, Argyroploce spp., Autographa spp., Barathrabrassicae, Blastodacna atra, Borbo cinnara, Bucculatrixthur- beriella, Bupalus piniarius, Busseola spp., Cacoecia spp., Caloptilia theivora, Capua reticulana, Carpo- capsa pomonella, Carposina niponensis, Cheimatobia brumata, Chilo spp., z. B. Chilo plejadellus, Chilo suppressalis, Choreutis pariana, Choristoneura spp., Chrysodeixis chalcites, Clysia ambiguella, Cnapha- locerus spp., Cnaphalocrocis medinalis, Cnephasia spp., Conopomorpha spp., Conotrachelus spp., Copi- tarsia spp., Cydia spp., z. B. Cydia nigricana, Cydia pomonella, Dalaca noctuides, Diaphania spp., Dipa- ropsis spp., Diatraea saccharalis, Dioryctria spp., z. B. Dioryctria zimmermani, Earias spp., Ecdytolopha aurantium, Elasmopalpus lignosellus, Eldana saccharina, Ephestia spp., z. B. Ephestia elutella, Ephestia kuehniella, Epinotia spp., Epiphyas postvittana, Erannis spp., Erschoviella musculana, Etiella spp., Eu- docima spp., Eulia spp., Eupoecilia ambiguella, Euproctis spp., z. B. Euproctis chrysorrhoea, Euxoa spp., Feltia spp., Galleria mellonella, Gracillaria spp., Grapholitha spp., z. B. Grapholita molesta, Grapholita prunivora, Hedylepta spp., Helicoverpa spp., z. B. Helicoverpa armigera, Helicoverpa zea, Heliothis spp., z. B. Heliothis virescens, Hepialus spp., z. B. Hepialus humuli, Hofmannophila pseudospretella, Homoeosoma spp., Homona spp., Hyponomeuta padella, Kakivoria flavofasciata, Lampides spp., Laphygma spp., Laspeyresia molesta, Leucinodes orbonalis, Leucoptera spp., z. B. Leucoptera coffeella, Lithocolletis spp., z. B. Lithocolletis blancardella, Lithophane antennata, Lobesia spp., z. B. Lobesia botrana, Loxagrotis albicosta, Lymantria spp., z. B. Lymantria dispar, Lyonetia spp., z. B. Lyonetia clerkella, Malacosoma neustria, Marucatestulalis, Mamestra brassicae, Melanitis leda, Mocis spp., Monopis obviella, Mythimna separata, Nemapogon cloacellus, Nymphula spp., Oiketicus spp., Omphisa spp., Operophtera spp., Oria spp., Orthaga spp., Ostrinia spp., z. B. Ostrinia nubilalis, Panolis flammea, Pamara spp., Pectinophora spp., z. B. Pectinophora gossypiella, Perileucoptera spp., Phthorimaea spp., z. B. Phthorimaea operculella, Phyllocnistis citrella, Phyllonorycter spp., z. B. Phyllonorycter blancardella, Phyllonorycter crataegella, Pieris spp., z. B. Pieris rapae, Platynota stultana, Plodia interpunctella, Plusia spp., Plutella xylostella (=Plutella maculipennis), Podesia spp., z. B. Podesia syringae, Prays spp., Prodenia spp., Protoparce spp., Pseudaletia spp., z. B. Pseudaletia unipuncta, Pseudoplusia includens, Pyrausta nubilalis, Rachiplusia nu, Schoenobius spp., z. B. Schoenobius bipunctifer, Scirpophaga spp., z. B. Scirpophaga innotata, Scotia segetum, Sesamia spp., z. B. Sesamia inferens, Sparganothis spp., Spodoptera spp., z. B. Spodoptera era- diana, Spodoptera exigua, Spodoptera frugiperda, Spodoptera praefica, Stathmopoda spp., Stenoma spp., Stomopteryx subsecivella, Synanthedon spp., Tecia solanivora, Thaumetopoea spp., Thermesia gemma- talis, Tinea cloacella, Tinea pellionella, Tineola bisselliella, Tortrix spp., Trichophaga tapetzella, Trichoplusia spp., z. B. Trichoplusia ni, Tryporyza incertulas, Tuta absoluta, Virachola spp.; aus der Ordnung der Orthoptera oder Saltatoria z. B. Acheta domesticus, Dichroplus spp., Gryllotalpa spp., z. B. Gryllotalpa gryllotalpa, Hieroglyphus spp., Locusta spp., z. B. Locusta migratoria, Melanoplus spp., z. B. Melanoplus devastator, Paratlanticus ussuriensis, Schistocerca gregaria; aus der Ordnung der Phthiraptera z. B. Damalinia spp., Haematopinus spp., Linognathus spp., Pediculus spp., Phylloxera vastatrix, Phthirus pubis, Trichodectes spp.; aus der Ordnung der Psocoptera z. B. Lepinotus spp., Liposcelis spp.; aus der Ordnung der Siphonaptera z. B. Ceratophyllus spp., Ctenocephalides spp., z. B. Ctenocephalides canis, Ctenocephalides felis, Pulex irritans, Tunga penetrans, Xenopsylla cheopis; aus der Ordnung der Thysanoptera z. B. Anaphothrips obscurus, Baliothrips biformis, Chaetanaphothrips leeuweni, Drepanothrips reuteri, Enneothrips flavens, Frankliniella spp., z. B. Frankliniella fusca, Fran- kliniella occidentalis, Frankliniella schultzei, Frankliniella tritici, Frankliniella vaccinii, Frankliniella wil- liamsi, Haplothrips spp., Heliothrips spp., Hercinothrips femoralis, Kakothrips spp., Rhipiphorothrips cruentatus, Scirtothrips spp., Taeniothrips cardamomi, Thrips spp., z. B. Thrips palmi, Thrips tabaci; aus der Ordnung der Zygentoma (= Thysanura), z. B. Ctenolepisma spp., Lepisma saccharina, Lepismodes inquilinus, Thermobia domestica; aus der Klasse der Symphyla z. B. Scutigerella spp., z. B. Scutigerella Immaculata; Pests from the phylum Arthropoda, in particular from the class Arachnida z. B. Acarus spp., e.g. B. Acarus siro, Aceria kuko, Aceria sheldoni, Aculops spp., Aculus spp., e.g. Aculus fockeui, Aculus Schlechtedali, Amblyomma spp., Amphitetranychus viennensis, Argas spp., Boophilus spp., Brevipalpus spp., e.g. B. Brevipalpus phoenicis, Bryobia graminum, Bryobia praetiosa, Centruroides spp., Chorioptes spp., Dermanyssus gallinae, Dermatophagoides pteronyssinus, Dermatophagoides farinae, Dermacentor spp., Eotetranychus spp., e.g. Eotetranychus hicoriae, Epitrimerus pyri, Eutetranychus spp., e.g. B. Eutetranychus banksi, Eriophyes spp., e.g. B. Eriophyes pyri, Glycyphagus domesticus, Halotydeus destructor, Hemitarsonemus spp., e.g. B. Hemitarsonemus latus (= Polyphagotarsonemus latus), Hyalomma spp., Ixodes spp., Latrodectus spp., Loxosceles spp., Neutrombicula autumnalis, Nuphersa spp., Oligonychus spp., e.g. B. Oligonychus coffeae, Oligonychus coniferarum, Oligonychus ilicis, Oligonychus indicus, Oligonychus mangiferus, Oligonychus pratensis, Oligonychus punicae, Oligonychus yothersi, Omithodorus spp., Omithonyssus spp., Panonychus spp., e.g. B. Panonychus citri (=Metatetranychus citri), Panonychus ulmi (=Metatetranychus ulmi), Phyllocoptruta oleivora, Platytetranychus multidigituli, Polyphagotarsonemus latus, Psoroptes spp., Rhipicephalus spp., Rhizoglyphus spp., Sarcoptes spp., Scorpio maurus, Steneotarsonemus spp ., Steneotarsonemus spinki, Tarsonemus spp., e.g. B. Tarsonemus confusus, Tarsonemus pallidus, Tetranychus spp., e.g. B. Tetranychus canadensis, Tetranychus cinnabarinus, Tetranychus turkestani, Tetranychus urticae, Trombicula alfreddugesi, Vaejovis spp., Vasates lycopersici; from the class of the Chilopoda z. B. Geophilus spp., Scutigera spp.; from the order or class of the Collembola z. B. Onychiurus armatus; Sminthurus viridis; from the class of Diplopoda z. B. Blaniulus guttulatus; from the class of the Insecta, e.g. B. from the order of Blattodea z. B. Blatta orientalis, Blattella asahinai, Blattella germanica, Leucophaea maderae, Loboptera decipiens, Neostylopyga rhombifolia, Panchlora spp., Parcoblatta spp., Periplaneta spp., e.g. B. Periplaneta americana, Periplaneta australasiae, Pycnoscelus surinamensis, Supella longipalpa; from the order of the Coleoptera z. Acalymma vittatum, Acanthoscelides obtectus, Adoretus spp., Aethina tumida, Agelastica alni, Agrilus spp., e.g. B. Agrilus planipennis, Agrilus coxalis, Agrilus bilineatus, Agrilus anxius, Agriotes spp., e.g. B. Agriotes linneatus, Agriotes mancus, Agriotes obscurus Alphitobius diaperinus, Amphimallon solstitialis, Anobium punctatum, Anomala dubia, Anoplophora spp., e.g. B. Anoplophora glabripennis, Anthonomus spp., e.g. Anthonomus grandis, Anthrenus spp., Apion spp., Apogonia spp., Athous haemorrhoidales, Atomaria spp., e.g. B. Atomaria linearis, Attagenus spp., Baris caerulescens, Bruchidius obtectus, Bruchus spp., e.g. B. Bruchus pisorum, Bruchus rufimanus, Cassida spp., Cerotoma trifurcata, Ceutorrhynchus spp., e.g. Ceutorrhynchus assimilis, Ceutorrhynchus quadridens, Ceutorrhynchus rapae, Chaetocnema spp., e.g. B. Chaetocnema confmis, Chaetocnema denticulata, Chaetocnema ectypa, Cleonus mendicus, Conoderus spp., Cosmopolites spp., e.g. B. Cosmopolites sordidus, Costelytra zealandica, Ctenicera spp., Curculio spp., e.g. B. Curculio caryae, Curculio caryatrypes, Curculio obtusus, Curculio sayi, Cryptolestes ferrugineus, Cryptolestes pusillus, Cryptorhynchus lapathi, Cryptorhynchus mangiferae, Cylindrocopturus spp., Cylindrocopturus adspersus, Cylindrocopturus furnissi, Dendroctonus spp., e.g. B. Dendroctonus ponderosae, Dermestes spp., Diabrotica spp., e.g. B. Diabrotica balteata, Diabrotica barberi, Diabrotica undecimpunctata howardi, Diabrotica undecimpunctata undecimpunctata, Diabrotica virgifera virgifera, Diabrotica virgifera zeae, Dichocrocis spp., Dicladispa armigera, Diloboderus spp., Epicaerus spp., Epilachna spp., e.g . B. Epilachna borealis, Epilachna varivestis, Epitrix spp., e.g. B. Epitrix cucumeris, Epitrix fuscula, Epitrix hirtipennis, Epitrix subcrinita, Epitrix tuberis, Faustinus spp., Gibbium psylloides, Gnathocerus comutus, Hellula undalis, Heteronychus arator, Heteronyx spp., Hoplia argentea, Hylamorpha elegans, Hylotrupes bajulus, Hypera postica, Hypomeces squamosus, Hypothenemus spp., e.g. B. Hypothenemus hampei, Hypothenemus obscurus, Hypothenemus pubescens, Lachnostema consanguinea, Lasioderma serricome, Latheticus oryzae, Lathridius spp., Lema spp., Leptinotarsa decemlineata, Leucoptera spp., e.g. B. Leucoptera coffeella, Limonius ectypus, Lissorhoptrus oryzophilus, Listronotus (=Hyperodes) spp., Lixus spp., Luperodes spp., Luperomorpha xanthodera, Lyctus spp., Megacyllene spp., e.g. B. Megacyllene robiniae, Megascelis spp., Melanotus spp., e.g. B. Melanotus longulus oregonensis, Meligethes aeneus, Melolontha spp., e.g. B. Melolontha melolontha, Migdolus spp., Monochamus spp., Naupactus xanthographus, Necrobia spp., Neogalerucella spp., Niptus hololeucus, Oryctes rhinoceros, Oryzaephilus surinamensis, Oryzaphagus oryzae, Otiorhynchus spp., e.g. Otiorhynchus cribricollis, Otiorhynchus ligustici, Otiorhynchus ovatus, Otiorhynchus rugosostriarus, Otiorhynchus sulcatus, Oulema spp., e.g. Oulema melanopus, Oulema oryzae, Oxycetoniajucunda, Phaedon cochleariae, Phyllophaga spp., Phyllophaga Helleri, Phyllotreta spp., e.g. B. Phyllotreta armoraciae, Phyllotreta pusilla, Phyllotreta ramosa, Phyllotreta striolata, Popillia japonica, Premnotrypes spp., Prostephanus truncatus, Psylliodes spp., e.g. Psylliodes affinis, Psylliodes chrysocephala, Psylliodes punctulata, Ptinus spp., Rhizobius ventralis, Rhizopertha dominica, Rhynchophorus spp., Rhynchophorus ferrugineus, Rhynchophorus palmarum, Scolytus spp., e.g. B. Scolytus multistriatus, Sinoxylon perforans, Sitophilus spp., e.g. B. Sitophilus granarius, Sitophilus linearis, Sitophilus oryzae, Sitophilus zeamais, Sphenophorus spp., Stegobium paniceum, Stemechus spp., e.g. B. Stemechus paludatus, Symphyletes spp., Tanymecus spp., e.g. B. Tanymecus dilaticollis, Tanymecus indicus, Tanymecus palliatus, Tenebrio molitor, Tenebrioides mauretanicus, Tribolium spp., e.g. B. Tribolium audax, Tribolium castaneum, Tribolium confusum, Trogoderma spp., Tychius spp., Xylotrechus spp., Zabrus spp., e.g. B. Zabrus tenebrioides; from the order of the Dermaptera z. B. Anisolabis maritime, Forficula auricularia, Labidura riparia; from the order of the Diptera z. B. Aedes spp., e.g. Aedes aegypti, Aedes albopictus, Aedes sticticus, Aedes vexans, Agromyza spp., e.g. B. Agromyza frontella, Agromyza parvicomis, Anastrepha spp., Anopheles spp., e.g. B. Anopheles quadrimaculatus, Anopheles gambiae, Asphondylia spp., Bactrocera spp., e.g. B. Bactrocera Cucurbitae, Bactrocera dorsalis, Bactrocera oleae, Bibio hortulanus, Calliphora erythrocephala, Calliphora vicina, Ceratitis capitata, Chironomus spp., Chrysomya spp., Chrysops spp., Chrysozona pluvialis, Cochliomya spp., Contarinia spp., e.g. B. Contarinia johnsoni, Contarinia nasturtii, Contarinia pyrivora, Contarinia schulzi, Contarinia sorghicola, Contarinia tritici, Cordylobia anthropophaga, Cricotopus sylvestris, Culex spp., z. Culex pipiens, Culex quinquefasciatus, Culicoides spp., Culiseta spp., Cuterebra spp., Dacus oleae, Dasineura spp., e.g. B. Dasineura brassicae, Delia spp., e.g. B. Delia antiqua, Delia coarctata, Delia florilega, Delia platura, Delia radicum, Dermatobia hominis, Drosophila spp., e.g. B. Drosphila melanogaster, Drosophila suzukii, Echinocnemus spp., Euleia heraclei, Fannia spp., Gasterophilus spp., Glossina spp., Haematopota spp., Hydrellia spp., Hydrellia griseola, Hylemya spp., Hippobosca spp., Hypoderma spp., Liriomyza spp., e.g. B. Liriomyza brassicae, Liriomyza huidobrensis, Liriomyza sativae, Lucilia spp., e.g. B. Lucilia cuprina, Lutzomyia spp., Mansonia spp., Musea spp., e.g. B. Musea domestica, Musea domestica vicina, Oestrus spp., Oscinella frit, Paratanytarsus spp., Paralauterbomiella subcincta, Pegomya or Pegomyia spp., e.g. B. Pegomya betae, Pegomya hyoscyami, Pegomya rubivora, Phlebotomus spp., Phorbia spp., Phormia spp., Piophila casei, Platyparea poeciloptera, Prodiplosis spp., Psila rosae, Rhagoletis spp., e.g. Rhagoletis cingulata, Rhagoletis completa, Rhagoletis fausta, Rhagoletis indifferens, Rhagoletis mendax, Rhagoletis pomonella, Sarcophaga spp., Simulium spp., e.g. B. Simulium meridionale, Stomoxys spp., Tabanus spp., Tetanops spp., Tipula spp., e.g. B. Tipula paludosa, Tipula simplex, Toxotrypana curvicauda; from the order of the Hemiptera z. B. Acizzia acaciaebaileyanae, Acizzia dodonaeae, Acizzia uncatoides, Acridaturrita, Acyrthosipon spp., z. B. Acyrthosiphon pisum, Acrogonia spp., Aeneolamia spp., Agonoscena spp., Aleurocanthus spp., Aleyrodes proletella, Aleurolobus barodensis, Aleurothrixus floccosus, Allocaridara malayensis, Amrasca spp., e.g. B. Amrasca bigutulla, Amrasca devastans, Anuraphis cardui, Aonidiella spp., e.g. B. Aonidiella aurantii, Aonidiella citrina, Aonidiella inomata, Aphanostigma piri, Aphis spp., e.g. B. Aphis citricola, Aphis craccivora, Aphis fabae, Aphis forbesi, Aphis glycines, Aphis gossypii, Aphis hederae, Aphis illinoisensis, Aphis middletoni, Aphis nasturtii, Aphis nerii, Aphis pomi, Aphis spiraecola, Aphis vibumiphila, Arboridia apicalis , Arytainilla spp., Aspidiella spp., Aspidiotus spp., e.g. B. Aspidiotus nerii, Atanus spp., Aulacorthum solani, Bemisia tabaci, Blastopsylla occidentalis, Boreioglycaspis melaleucae, Brachycaudus helichrysi, Brachycolus spp., Brevicoryne brassicae, Cacopsylla spp., e.g. B. Cacopsylla pyricola, Calligypona marginata, Capulinia spp., Cameocephala fulgida, Ceratovacuna lanigera, Cercopidae, Ceropiastes spp., Chaetosiphon fragaefolii, Chionaspis tegalensis, Chlorita o-nukii, Chondracris rosea, Chromaphis juglandicola, Chrysomphalus aonidum, Chrysomphalus ficus - cadulina mbila, Coccomytilus semi, Coccus spp., e.g. B. Coccus hesperidum, Coccus longulus, Coccus pseudomagnoliarum, Coccus viridis, Cryptomyzus ribis, Cryptoneossa spp., Ctenarytaina spp., Dalbulus spp., Dialeurodes chittendeni, Dialeurodes citri, Diaphorina citri, Diaspis spp., Diuraphis spp., Doralis spp., Drosicha spp., Dysaphis spp., e.g. B. Dysaphis apiifolia, Dysaphis plantaginea, Dysaphis tulipae, Dysmicoccus spp., Empoasca spp., e.g. B. Empoasca abrupta, Empoasca fabae, Empoasca maligna, Empoasca solana, Empoasca stevensi, Eriosoma spp., e.g. B. Eriosoma americanum, Eriosoma lanigerum, Eriosoma pyricola, Erythroneura spp., Eucalyptolyma spp., Euphyllura spp., Euscelis bilobatus, Ferrisia spp., Fiorinia spp., Furcaspis oceanica, Geococcus coffeae, Glycaspis spp., Heteropsylla cubana, Heteropsylla spinulosa, Homalodisca coagulata, Hyaloptems arundinis, Hyaloptems pruni, Icerya spp., e.g. B. Icerya purchasi, Idiocerus spp., Idioscopus spp., Laodelphax striatellus, Lecanium spp., e.g. B. Lecanium comi (=Parthenolecanium comi), Lepidosaphes spp., e.g. B. Lepidosaphes ulmi, Lipaphis erysimi, Lopholeucaspis japonica, Lycorma delicatula, Macrosiphum spp., e.g. B. Macrosiphum euphorbiae, Macrosiphum lilii, Macrosiphum rosae, Macrosteies facifrons, Mahanarva spp., Melanaphis sacchari, Metcalfiella spp., Metcalfa pruinosa, Metopolophium dirhodum, Monellia costalis, Monelliopsis pecanis, Myzus spp., e.g. Myzus ascalonicus, Myzus cerasi, Myzus ligustri, Myzus omatus, Myzus persicae, Myzus nicotianae, Nasonovia ribisnigri, Neomaskellia spp., Nephotettix spp., e.g. Nephotettix cincticeps, Nephotettix nigropictus, Nettigoniclla spectra, Nilaparvata lugens, Oncometopia spp., Orthezia praelonga, Oxya chinensis, Pachypsylla spp., Parabemisia myricae, Paratrioza spp., e.g. B. Paratrioza cockerelli, Parlatoria spp., Pemphigus spp., e.g. B. Pemphigus bursarius, Pemphigus populivenae, Peregrinus maidis, Perkinsiella spp., Phenacoccus spp., e.g. Phenacoccus madeirensis, Phloeomyzus passerinii, Phorodon humuli, Phylloxera spp., e.g. B. Phylloxera devastatrix, Phylloxera notabilis, Pinnaspis aspidistrae, Pianococcus spp., e.g. B. Pianococcus citri, Prosopidopsylla flava, Protopulvinaria pyriformis, Pseudaulacaspis pentagona, Pseudococcus spp., e.g. Pseudococcus calceolariae, Pseudococcus comstocki, Pseudococcus longispinus, Pseudococcus maritimus, Pseudococcus vibumi, Psyllopsis spp., Psylla spp., e.g. B. Psylla buxi, Psylla mali, Psylla pyri, Pteromalus spp., Pulvinaria spp., Pyrilla spp., Quadraspidiotus spp., e.g. B. Quadraspidiotus juglansregiae, Quadraspidiotus ostreaeformis, Quadraspidiotus perniciosus, Quesada gigas, Rastrococcus spp., Rhopalosiphum spp., e.g. Rhopalosiphum maidis, Rhopalosiphum oxyacanthae, Rhopalosiphum padi, Rhopalosiphum rufiabdominale, Saissetia spp., e.g. B. Saissetia coffeae, Saissetia miranda, Saissetia neglecta, Saissetia oleae, Scaphoideus titanus, Schizaphis graminum, Selenaspidus articulatus, Sipha flava, Sitobion avenae, Sogata spp., Sogatella furcifera, Sogatodes spp., Stictocephala festina, Siphoninus phillyreae, Tenalaphara malayensis , Tetragonocephela spp., Tinocallis caryaefoliae, Tomaspis spp., Toxoptera spp., e.g. B. Toxoptera aurantii, Toxoptera citricidus, Trialeurodes vaporariorum, Trioza spp., e.g. B. Trioza diospyri, Typhlocyba spp., Unaspis spp., Viteus vitifolii, Zygina spp.; from the suborder of the Heteroptera z. B. Aelia spp., Anasatristis, Antestiopsis spp., Boisea spp., Blissus spp., Calocoris spp., Campylomma livida, Cavelerius spp., Cimex spp., e.g. B. Cimex adjunctus, Cimex hemipterus, Cimex lectularius, Cimex pilosellus, Collaria spp., Creontiades dilutus, Dasynus piperis, Dichelops furcatus, Diconocoris hewetti, Dysdercus spp., Euschistus spp., e.g. B. Euschistus heros, Euschistus servus, Euschistus tristigmus, Euschistus variolarius, Eurydema spp., Eurygaster spp., Halyomorpha halys, Heliopeltis spp., Horcias nobilellus, Leptocorisa spp., Leptocorisa varicomis, Leptoglossus occiden- talis, Leptoglossus phyllopus, Lygococo- ris spp., e.g. B. Lygocoris pabulinus, Lygus spp., e.g. B. Lygus elisus, Lygus hesperus, Lygus lineolaris, Macropes excavatus, Megacopta cribraria, Miridae, Monalonion atratum, Nezara spp., e.g. B. Nezara viridula, Nysius spp., Oebalus spp., Pentomidae, Piesma quadrata, Piezodorus spp., e.g. B. Piezodorus guildinii, Psallus spp., Pseudacysta persea, Rhodnius spp., Sahlbergella singularis, Scaptocoris castanea, Scotinophora spp., Stephanitis nashi, Tibraca spp., Triatoma spp.; from the order of the Hymenoptera z. B. Acromyrmex spp., Athalia spp., e.g. B. Athalia rosae, Atta spp., Camponotus spp., Dolichovespula spp., Diprion spp., e.g. B. Diprion similis, Hoplocampa spp., e.g. B. Hoplocampa cookei, Hoplocampa testudinea, Lasius spp., Linepithema (Iridiomyrmex) humile, Monomorium pharaonis, Paratrechina spp., Paravespula spp., Plagiolepis spp., Sirex spp., e.g. B. Sirex noctilio, Solenopsis invicta, Tapinoma spp., Technomyrmex albipes, Urocerus spp., Vespa spp., e.g. B. Vespa crabro, Wasmannia auropunctata, Xeris spp.; from the order of the Isopoda z. B. Armadillidium vulgare, Oniscus asellus, Porcellio scaber; from the order of the Isoptera z. B. Coptotermes spp., e.g. B. Coptotermes formosanus, Comitermes cumulans, Cryptotermes spp., Incisitermes spp., Kalotermes spp., Microtermes obesi, Nasutitermes spp., Odontotermes spp., Porotermes spp., Reticulitermes spp., e.g. B. Reticulitermes flavipes, Reticulitermes hesperus; from the order of the Lepidoptera z. B. Achroia grisella, Acronicta major, Adoxophyes spp., e.g. B. Adoxophyes orana, Aedia leucomelas, Agrotis spp., e.g. B. Agrotis segetum, Agrotis ipsilon, Alabama spp., e.g. Alabama argillacea, Amyelois transitella, Anarsia spp., Anticarsia spp., e.g. B. Anticarsia gemmatalis, Argyroploce spp., Autographa spp., Barathrabrassicae, Blastodacna atra, Borbo cinnara, Bucculatrixthurberiella, Bupalus piniarius, Busseola spp., Cacoecia spp., Caloptilia theivora, Capua reticulana, Carpocapsa pomonella, Carposina niponensis, Cheimatobia brumata, Chilo spp., e.g. B. Chilo plejadellus, Chilo suppressalis, Choreutis pariana, Choristoneura spp., Chrysodeixis chalcites, Clysia ambiguella, Cnaphalocerus spp., Cnaphalocrocis medinalis, Cnephasia spp., Conopomorpha spp., Conotrachelus spp., Copitarsia spp., Cydia spp ., e.g. B. Cydia nigricana, Cydia pomonella, Dalaca noctuides, Diaphania spp., Diparopsis spp., Diatraea saccharalis, Dioryctria spp., e.g. B. Dioryctria zimmermani, Earias spp., Ecdytolopha aurantium, Elasmopalpus lignosellus, Eldana saccharina, Ephestia spp., e.g. Ephestia elutella, Ephestia kuehniella, Epinotia spp., Epiphyas postvittana, Erannis spp., Erschoviella musculana, Etiella spp., Eudocima spp., Eulia spp., Eupoecilia ambiguella, Euproctis spp., e.g. B. Euproctis chrysorrhoea, Euxoa spp., Feltia spp., Galleria mellonella, Gracillaria spp., Grapholitha spp., e.g. Grapholita molesta, Grapholita prunivora, Hedylepta spp., Helicoverpa spp., e.g. B. Helicoverpa armigera, Helicoverpa zea, Heliothis spp., e.g. B. Heliothis virescens, Hepialus spp., e.g. B. Hepialus humuli, Hofmannophila pseudospretella, Homoeosoma spp., Homona spp., Hyponomeuta padella, Kakivoria flavofasciata, Lampides spp., Laphygma spp., Laspeyresia molesta, Leucinodes orbonalis, Leucoptera spp., e.g. B. Leucoptera coffeella, Lithocolletis spp., e.g. B. Lithocolletis blancardella, Lithophane antennata, Lobesia spp., e.g. B. Lobesia botrana, Loxagrotis albicosta, Lymantria spp., e.g. B. Lymantria dispar, Lyonetia spp., e.g. B. Lyonetia clerkella, Malacosoma neustria, Marucatestulalis, Mamestra brassicae, Melanitis leda, Mocis spp., Monopis obviella, Mythimna separata, Nemapogon cloacellus, Nymphula spp., Oiketicus spp., Omphisa spp., Operophtera spp., Oria spp., Orthaga spp., Ostrinia spp. , e.g. B. Ostrinia nubilalis, Panolis flammea, Pamara spp., Pectinophora spp., e.g. B. Pectinophora gossypiella, Perileucoptera spp., Phthorimaea spp., e.g. B. Phthorimaea operculella, Phyllocnistis citrella, Phyllonorycter spp., e.g. B. Phyllonorycter blancardella, Phyllonorycter crataegella, Pieris spp., e.g. B. Pieris rapae, Platynota stultana, Plodia interpunctella, Plusia spp., Plutella xylostella (=Plutella maculipennis), Podesia spp., z. B. Podesia syringae, Prays spp., Prodenia spp., Protoparce spp., Pseudaletia spp., e.g. Pseudaletia unipuncta, Pseudoplusia includens, Pyrausta nubilalis, Rachiplusia nu, Schoenobius spp., e.g. B. Schoenobius bipunctifer, Scirpophaga spp., e.g. B. Scirpophaga innotata, Scotia segetum, Sesamia spp., e.g. B. Sesamia inferens, Sparganothis spp., Spodoptera spp., e.g. B. Spodoptera eradiana, Spodoptera exigua, Spodoptera frugiperda, Spodoptera praefica, Stathmopoda spp., Stenoma spp., Stomopteryx subsecivella, Synanthedon spp., Tecia solanivora, Thaumetopoea spp., Thermesia gemmatalis, Tinea cloacella, Tinea pellionella, Tineola bisselliella, Tortrix spp., Trichophaga tapetzella, Trichoplusia spp., e.g. B. Trichoplusia ni, Tryporyza incertulas, Tuta absoluta, Virachola spp.; from the order of the Orthoptera or Saltatoria z. B. Acheta domesticus, Dichroplus spp., Gryllotalpa spp., e.g. B. Gryllotalpa gryllotalpa, Hieroglyphus spp., Locusta spp., e.g. B. Locusta migratoria, Melanoplus spp., e.g. B. Melanoplus devastator, Paratlanticus ussuriensis, Schistocerca gregaria; from the order of the Phthiraptera z. B. Damalinia spp., Haematopinus spp., Linognathus spp., Pediculus spp., Phylloxera vastatrix, Phthirus pubis, Trichodectes spp.; from the order of the Psocoptera z. B. Lepinotus spp., Liposcelis spp.; from the order of the Siphonaptera z. B. Ceratophyllus spp., Ctenocephalides spp., e.g. B. Ctenocephalides canis, Ctenocephalides felis, Pulex irritans, Tunga penetrans, Xenopsylla cheopis; from the order of the Thysanoptera z. B. Anaphothrips obscurus, Baliothrips biformis, Chaetanaphothrips leeuweni, Drepanothrips reuteri, Enneothrips flavens, Frankliniella spp., e.g. B. Frankliniella fusca, Frankliniella occidentalis, Frankliniella schultzei, Frankliniella tritici, Frankliniella vaccinii, Frankliniella williamsi, Haplothrips spp., Heliothrips spp., Hercinothrips femoralis, Kakothrips spp., Rhipiphorothrips cruentatus, Scirtothrips spp., Thrips cardamomi, Taeniothrips spp spp., e.g. B. Thrips palmi, Thrips tabaci; from the order of the Zygentoma (= Thysanura), z. B. Ctenolepisma spp., Lepisma saccharina, Lepismodes inquilinus, Thermobia domestica; from the class of the Symphyla z. B. Scutigerella spp., e.g. B. Scutigerella immaculata;
Schädlinge aus dem Stamm der Mollusca, z. B. aus der Klasse der Bivalvia, z. B. Dreissena spp.; sowie aus der Klasse der Gastropoda z. B. Arion spp., z. B. Arion ater rufiis, Biomphalaria spp., Bulinus spp., Deroceras spp., z. B. Deroceras laeve, Galba spp., Lymnaea spp., Oncomelania spp., Pomacea spp., Succinea spp.; Pests from the Mollusca tribe, e.g. B. from the class of Bivalvia, z. B. Dreissena spp.; and from the class of Gastropoda z. B. Arion spp., e.g. B. Arion ater rufiis, Biomphalaria spp., Bulinus spp., Deroceras spp., e.g. B. Deroceras laeve, Galba spp., Lymnaea spp., Oncomelania spp., Pomacea spp., Succinea spp.;
Pflanzenschädlinge aus dem Stamm der Nematoda, d. h. pflanzenparasitäre Nematoden, insbesondere Aglenchus spp., z. B. Aglenchus agricola, Anguina spp., z. B. Anguina tritici, Aphelenchoides spp., z. B. Aphelenchoides arachidis, Aphelenchoides fragariae, Belonolaimus spp., z. B. Belonolaimus gracilis, Be- lonolaimus longicaudatus, Belonolaimus nortoni, Bursaphelenchus spp., z. B. Bursaphelenchus cocophi- lus, Bursaphelenchus eremus, Bursaphelenchus xylophilus, Cacopaurus spp., z. B. Cacopaurus pestis, Criconemella spp., z. B. Criconemella curvata, Criconemella onoensis, Criconemella omata, Criconemella rusium, Criconemella xenoplax (= Mesocriconema xenoplax), Criconemoides spp., z. B. Criconemoides femiae, Criconemoides onoense, Criconemoides omatum, Ditylenchus spp., z. B. Ditylenchus dipsaci, Dolichodorus spp., Globodera spp., z. B. Globodera pallida, Globodera rostochiensis, Helicotylenchus spp., z. B. Helicotylenchus dihystera, Hemicriconemoides spp., Hemicycliophora spp., Heterodera spp., z. B. Heterodera avenae, Heterodera glycines, Heterodera schachtii, Hirschmaniella spp., Hoplolaimus spp., Longidorus spp., z. B. Longidorus africanus, Meloidogyne spp., z. B. Meloidogyne chitwoodi, Me- loidogyne fallax, Meloidogyne hapla, Meloidogyne incognita, Meloinema spp., Nacobbus spp., Neoty- lenchus spp., Paralongidorus spp., Paraphelenchus spp., Paratrichodorus spp., z. B. Paratrichodorus minor, Paratylenchus spp., Pratylenchus spp., z. B. Pratylenchus penetrans, Pseudohalenchus spp., Psilenchus spp., Punctodera spp., Quinisulcius spp., Radopholus spp., z. B. Radopholus citrophilus, Radopholus si- milis, Rotylenchulus spp., Rotylenchus spp., Scutellonema spp., Subanguina spp., Trichodorus spp., z. B. Trichodorus obtusus, Trichodorus primitivus, Tylenchorhynchus spp., z. B. Tylenchorhynchus annulatus, Tylenchulus spp., z. B. Tylenchulus semipenetrans, Xiphinema spp., z. B. Xiphinema index. Plant pests from the phylum Nematoda, i. H. plant parasitic nematodes, in particular Aglenchus spp., e.g. B. Aglenchus agricola, Anguina spp., e.g. B. Anguina tritici, Aphelenchoides spp., e.g. B. Aphelenchoides arachidis, Aphelenchoides fragariae, Belonolaimus spp., e.g. B. Belonolaimus gracilis, Belonolaimus longicaudatus, Belonolaimus nortoni, Bursaphelenchus spp., e.g. B. Bursaphelenchus cocophilus, Bursaphelenchus eremus, Bursaphelenchus xylophilus, Cacopaurus spp., z. B. Cacopaurus pestis, Criconemella spp., e.g. B. Criconemella curvata, Criconemella onoensis, Criconemella omata, Criconemella rusium, Criconemella xenoplax (= Mesocriconema xenoplax), Criconemoides spp., z. B. Criconemoides femiae, Criconemoides onoense, Criconemoides omatum, Ditylenchus spp., e.g. B. Ditylenchus dipsaci, Dolichodorus spp., Globodera spp., e.g. Globodera pallida, Globodera rostochiensis, Helicotylenchus spp., e.g. B. Helicotylenchus dihystera, Hemicriconemoides spp., Hemicycliophora spp., Heterodera spp., e.g. B. Heterodera avenae, Heterodera glycines, Heterodera schachtii, Hirschmaniella spp., Hoplolaimus spp., Longidorus spp., e.g. B. Longidorus africanus, Meloidogyne spp., e.g. B. Meloidogyne chitwoodi, Meloidogyne fallax, Meloidogyne hapla, Meloidogyne incognita, Meloinema spp., Nacobbus spp., Neotylenchus spp., Paralongidorus spp., Paraphelenchus spp., Paratrichodorus spp., e.g. B. Paratrichodorus minor, Paratylenchus spp., Pratylenchus spp., e.g. B. Pratylenchus penetrans, Pseudohalenchus spp., Psilenchus spp., Punctodera spp., Quinisulcius spp., Radopholus spp., e.g. B. Radopholus citrophilus, Radopholus similis, Rotylenchulus spp., Rotylenchus spp., Scutellonema spp., Subanguina spp., Trichodorus spp., e.g. B. Trichodorus obtusus, Trichodorus primitivus, Tylenchorhynchus spp., e.g. B. Tylenchorhynchus annulatus, Tylenchulus spp., e.g. B. Tylenchulus semipenetrans, Xiphinema spp., e.g. B. Xiphinema index.
Die Verbindungen der Formel (I) können gegebenenfalls in bestimmten Konzentrationen bzw. Aufwandmengen auch als Herbizide, Safener, Wachstumsregulatoren oder Mittel zur Verbesserung der Pflanzeneigenschaften, als Mikrobizide oder Gametozide, beispielsweise als Fungizide, Antimykotika, Bakterizide, Virizide (einschließlich Mittel gegen Viroide) oder als Mittel gegen MLO (Mycoplasma-like-organism) und RLO (Rickettsia-like-organism) verwendet werden. Sie lassen sich gegebenenfalls auch als Zwischen- oder Vorprodukte für die Synthese weiterer Wirkstoffe einsetzen. The compounds of the formula (I) can optionally also be used in certain concentrations or application rates as herbicides, safeners, growth regulators or agents for improving plant traits, as microbicides or gametocides, for example as fungicides, antimycotics, bactericides, viricides (including agents against viroids) or used as an anti-MLO (Mycoplasma-like-organism) and RLO (Rickettsia-like-organism) agent. If appropriate, they can also be used as intermediates or precursors for the synthesis of other active substances.
Formulierungen/Anwendungsformen Formulations/application forms
Die vorliegende Erfindung betrifft weiterhin Formulierungen, insbesondere Formulierungen zur Bekämpfung unerwünschter tierischer Schädlinge. Die Formulierung kann auf den tierischen Schädling und/oder in dessen Lebensraum angewendet werden. The present invention further relates to formulations, in particular formulations for controlling unwanted animal pests. The formulation can be applied to the animal pest and/or its habitat.
Die erfindungsgemäße Formulierung kann dem Endanwender als anwendungsfertige „Anwendungsform“ bereitgestellt werden, d.h. die Formulierungen können direkt mittels eines geeigneten Geräts wie einem Sprüh- oder Stäubegerät auf die Pflanzen oder Samen aufgebracht werden. Alternativ dazu können die Formulierungen dem Endanwender in Form von vor der Anwendung vorzugsweise mit Wasser zu verdünnenden Konzentraten bereitgestellt werden. Wenn nicht anders angegeben wird mit dem Ausdruck „Formulierung“ somit ein solches Konzentrat bezeichnet, während der Ausdruck „Anwendungsform“ eine für den Endanwender anwendungsfertige Lösung bezeichnet, d.h. gewöhnlich eine solche verdünnte Formulierung. The formulation according to the invention can be provided to the end user as a ready-to-use "application form", ie the formulations can be applied directly using a suitable device such as a spraying or dusting device to be applied to the plants or seeds. Alternatively, the formulations may be provided to the end user in the form of concentrates to be diluted, preferably with water, prior to use. Thus, unless otherwise specified, the term "formulation" refers to such a concentrate, while the term "use form" refers to a solution ready for use by the end user, ie usually such a diluted formulation.
Die erfindungsgemäße Formulierung kann auf herkömmliche Weise hergestellt werden, zum Beispiel durch Mischen der erfmdungsgemäßen Verbindung mit einem oder mehreren geeigneten Hilfsstoffen wie z.B. den hier offenbarten. The formulation according to the invention may be prepared in a conventional manner, for example by mixing the compound of the invention with one or more suitable excipients such as those disclosed herein.
Die Formulierung umfasst mindestens eine erfmdungsgemäße Verbindung und mindestens einen landwirtschaftlich brauchbaren Hilfsstoff, z.B. Träger und/oder Tensid(e). The formulation comprises at least one compound of the invention and at least one agriculturally useful adjuvant, e.g., carrier and/or surfactant(s).
Ein Träger ist eine feste oder flüssige, natürliche oder synthetische, organische oder anorganische Substanz, die im Allgemeinen inert ist. Der Träger verbessert im Allgemeinen das Ausbringen der Verbindungen, zum Beispiel auf Pflanzen, Pflanzenteile oder Samen. Beispiele für geeignete feste Träger schließen, wobei dies nicht einschränkend ist, Ammoniumsalze, insbesondere Ammoniumsulfate, Ammoniumphosphate und Ammoniumnitrate, gemahlenes natürliches Gestein, wie Kaoline, Tone, Talkum, Kreide, Quarz, Attapulgit, Montmorillonit und Diatomeenerde, Kieselgel, und gemahlenes synthetisches Gestein, wie feinteiliges Siliciumdioxid, Aluminiumoxid und Silicate, ein. Beispiele für typische geeignete feste Träger zur Herstellung von Granulaten schließen, wobei dies nicht einschränkend ist, gebrochene und fraktionierte natürliche Gesteine wie Calcit, Marmor, Bimsstein, Sepiolith und Dolomit, synthetische Granulate anorganischer und organischer Mehle und Granulate organischer Materialien wie Papier, Sägespäne, Kokosnussschalen, Maiskolben und Tabakstängel ein. Beispiele für geeignete flüssige Träger schließen, wobei dies nicht einschränkend ist, Wasser, organische Lösungsmittel und Kombinationen davon ein. Beispiele für geeignete Lösungsmittel schließen polare und unpolare organische chemische Flüssigkeiten, zum Beispiel aus den Klassen der aromatischen und nichtaromatischen Kohlenwasserstoffe (wie Cyclohexan, Paraffine, Alkylbenzole, Xylol, Toluol, Tetrahydronaphthalin, Alkylnaphtha- line, chlorierte Aromaten oder chlorierte aliphatische Kohlenwasserstoffe wie Chlorbenzole, Chlorethyl- ene oder Methylenchlorid), Alkohole und Polyole (die auch substituiert, verethert und/oder verestert sein können, wie Ethanol, Propanol, Butanol, Benzylalkohol, Cyclohexanol oder Glykol), Ketone (wie Aceton, Methylethylketon, Methylisobutylketon, Acetophenon oder Cyclohexanon), Ester (einschließlich Fette und Öle) und (Poly)ether, unsubstituierte und substituierte Amine, Amide (wie Dimethylformamid oder Fettsäureamide) und Ester davon, Lactame (wie N-Alkylpyrrolidone, insbesondere N-Methylpyrrolidon) und Lactone, Sulfone und Sulfoxide (wie Dimethylsulfoxid), Öle pflanzlichen oder tierischen Ursprungs, Nitrile (Alkylnitrile wie Acetonitril, Propionnitril, Butyronitril, oder aromatische Nitrile wie Benzonitril), Kohlensäureester (cyclische Kohlensäureester wie Ethylencarbonat, Propylencarbonat, Butylencarbonat, oder Dialkylcarbonsäureester wie Dimethylcarbonat, Diethylcarbonat, Dipropylcarbonat, Dibutylcarbonat, Dioctylcarbonat) ein. Bei dem Träger kann es sich auch um ein verflüssigtes gasförmiges Streckmittel handeln, d.h. eine Flüssigkeit, die bei normaler Temperatur und unter Normaldruck gasförmig ist, zum Beispiel Aerosoltreibmittel wie Halogenkohlenwasserstoffe, Butan, Propan, Stickstoff und Kohlendioxid.A carrier is a solid or liquid, natural or synthetic, organic or inorganic substance that is generally inert. The carrier generally improves the application of the compounds, for example to plants, plant parts or seeds. Examples of suitable solid supports include, but are not limited to, ammonium salts, particularly ammonium sulfates, ammonium phosphates and ammonium nitrates, ground natural rocks such as kaolins, clays, talc, chalk, quartz, attapulgite, montmorillonite and diatomaceous earth, silica gel, and ground synthetic rocks, such as finely divided silica, alumina and silicates. Examples of typical suitable solid carriers for preparing granules include, but are not limited to, crushed and fractionated natural rocks such as calcite, marble, pumice, sepiolite and dolomite, synthetic granules of inorganic and organic flours, and granules of organic materials such as paper, sawdust, coconut shells , corn on the cob and tobacco stalks. Examples of suitable liquid carriers include, but are not limited to, water, organic solvents, and combinations thereof. Examples of suitable solvents include polar and non-polar organic chemical liquids, for example from the classes of aromatic and non-aromatic hydrocarbons (such as cyclohexane, paraffins, alkylbenzenes, xylene, toluene, tetrahydronaphthalene, alkylnaphthalene, chlorinated aromatics or chlorinated aliphatic hydrocarbons such as chlorobenzenes, chloroethyl - ene or methylene chloride), alcohols and polyols (which can also be substituted, etherified and/or esterified, such as ethanol, propanol, butanol, benzyl alcohol, cyclohexanol or glycol), ketones (such as acetone, methyl ethyl ketone, methyl isobutyl ketone, acetophenone or cyclohexanone), Esters (including fats and oils) and (poly)ethers, unsubstituted and substituted amines, amides (such as dimethylformamide or fatty acid amides) and esters thereof, lactams (such as N-alkylpyrrolidones, especially N-methylpyrrolidone) and lactones, sulfones and sulfoxides (such as dimethyl sulfoxide ), oils of vegetable or animal origin, nit rile (alkyl nitriles such as acetonitrile, propiononitrile, butyronitrile, or aromatic nitriles such as benzonitrile), carbonic acid esters (cyclic carbonic acid esters such as ethylene carbonate, propylene carbonate, butylene carbonate, or dialkyl carboxylic acid esters such as dimethyl carbonate, diethyl carbonate, dipropyl carbonate, dibutyl carbonate, dioctyl carbonate). The carrier can also be a liquified gaseous diluent, ie a liquid which is gaseous at normal temperature and pressure, for example aerosol propellants such as halocarbons, butane, propane, nitrogen and carbon dioxide.
Bevorzugte feste Träger sind aus Tonen, Talkum und Siliciumdioxid ausgewählt. Preferred solid supports are selected from clays, talc and silica.
Bevorzugte flüssige Träger sind aus Wasser, Fettsäureamiden und Estern davon, aromatischen und nichtaromatischen Kohlenwasserstoffen, Lactamen, Lactonen, Kohlensäureestem, Ketonen, (Poly)ethem ausgewählt. Preferred liquid carriers are selected from water, fatty acid amides and esters thereof, aromatic and non-aromatic hydrocarbons, lactams, lactones, carbonic acid esters, ketones, (poly)ethers.
Die Menge an Träger liegt typischerweise im Bereich von 1 bis 99,99 Gew.-%, vorzugsweise 5- 99,9 Gew.-%, besonders bevorzugt 10 bis 99,5 Gew.-% und am meisten bevorzugt 20 bis 99 Gew.-% der Formulierung. The amount of carrier typically ranges from 1% to 99.99%, preferably from 5% to 99.9%, more preferably from 10% to 99.5%, and most preferably from 20% to 99% by weight. -% of formulation.
Flüssige Träger sind typischerweise in einem Bereich von 20 bis 90 Gew.-%, zum Beispiel 30 bis 80 Gew.-% der Formulierung vorhanden. Liquid carriers are typically present in the range 20% to 90%, for example 30% to 80% by weight of the formulation.
Feste Träger sind typischerweise in einem Bereich von 0 bis 50 Gew.-%, vorzugsweise 5 bis 45 Gew.-%, zum Beispiel 10 bis 30 Gew.-% der Formulierung vorhanden. Solid carriers are typically present in the range 0% to 50%, preferably 5% to 45%, for example 10% to 30% by weight of the formulation.
Umfasst die Formulierung zwei oder mehr Träger, so beziehen sich die umrissenen Bereiche auf die Gesamtmenge an Träger. When the formulation includes two or more carriers, the outlined ranges refer to the total amount of carrier.
Bei dem Tensid kann es sich um ein ionisches (kationisches oder anionisches), amphoteres oder nichtionisches Tensid wie ionische oder nichtionische Emulgatoren, Schaumbilder, Dispersionsmittel, Netzmittel, Penetrationsförderer und beliebige Mischungen davon handeln. Beispiele für geeignete Tenside schließen, wobei dies nicht einschränkend ist, Salze von Polyacrylsäure, ethoxylierte Poly(alpha-substitu- ierte)acrylatderivate, Salze von Lignosulfonsäure (wie Natriumlignosulfonat), Salze von Phenolsulfonsäure oder Naphthalinsulfonsäure, Polykondensate von Ethylenoxid und/oder Propylenoxid mit oder ohne Alkoholen, Fettsäuren oder Fettaminen (zum Beispiel Polyoxyethylenfettsäureester wie Rizinus- ölethoxylat, Polyoxyethylenfettalkoholether, zum Beispiel Alkylarylpolyglykolether), substituierte Phenole (vorzugsweise Alkylphenole oder Arylphenole), Salze von Sulfobemsteinsäureestem, Taurinderivate (vorzugsweise Alkyltaurate), Phosphorsäureester von polyethoxylierten Alkoholen oder Phenolen, Fettsäureester von Polyolen (wie Fettsäureester von Glycerin, Sorbit oder Saccharose), Sulfate (wie Alkylsulfate und Alkylethersulfate), Sulfonate, (zum Beispiel Alkylsulfonate, Arylsulfonate und Alkylbenzolsul- fonate), sulfonierte Polymere von Naphthalin/Formaldehyd, Phosphatester, Proteinhydrolysate, Lignosul- fitablaugen und Methylcellulose ein. Wird im vorliegenden Absatz auf Salze verwiesen, so bezieht sich dies vorzugsweise auf die betreffenden Alkali-, Erdalkali- und Ammoniumsalze. Bevorzugte Tenside sind aus ethoxylierten Poly(alpha-substituierten)acrylatderivaten, Polykondensaten von Ethylenoxid und/oder Propylenoxid mit Alkoholen, Polyoxyethylenfettsäureestem, Alkylbenzolsul- fonaten, sulfonierten Polymeren von Naphthalin/Formaldehyd, Polyoxyethylenfettsäureestem wie Rizi- nusölethoxylat, Natriumlignosulfonat und Arylphenolethoxylat ausgewählt. The surfactant can be ionic (cationic or anionic), amphoteric or nonionic such as ionic or nonionic emulsifiers, foaming agents, dispersing agents, wetting agents, penetrants and any mixtures thereof. Examples of suitable surfactants include, without limitation, salts of polyacrylic acid, ethoxylated poly(alpha-substituted)acrylate derivatives, salts of lignosulfonic acid (such as sodium lignosulfonate), salts of phenolsulfonic acid or naphthalenesulfonic acid, polycondensates of ethylene oxide and/or propylene oxide with or without alcohols, fatty acids or fatty amines (for example polyoxyethylene fatty acid esters such as castor oil ethoxylate, polyoxyethylene fatty alcohol ethers, for example alkylaryl polyglycol ethers), substituted phenols (preferably alkylphenols or arylphenols), salts of sulfosuccinic acid esters, taurine derivatives (preferably alkyl taurates), phosphoric acid esters of polyethoxylated alcohols or phenols, fatty acid esters of Polyols (such as fatty acid esters of glycerol, sorbitol or sucrose), sulfates (such as alkyl sulfates and alkyl ether sulfates), sulfonates (for example alkyl sulfonates, aryl sulfonates and alkyl benzene sulfonates), sulfonated polymers of naphthalene/formaldehyde , phosphate esters, protein hydrolysates, lignosulfite waste liquors and methylcellulose. Where reference is made to salts in this paragraph, this preferably refers to the relevant alkali metal, alkaline earth metal and ammonium salts. Preferred surfactants are selected from ethoxylated poly(alpha-substituted)acrylate derivatives, polycondensates of ethylene oxide and/or propylene oxide with alcohols, polyoxyethylene fatty acid esters, alkylbenzene sulfonates, sulfonated polymers of naphthalene/formaldehyde, polyoxyethylene fatty acid esters such as castor oil ethoxylate, sodium lignosulfonate and arylphenol ethoxylate.
Die Menge an Tensid liegt typischerweise im Bereich von 5 bis 40 Gew.-%, zum Beispiel 10 bis 20 Gew.-%, der Formulierung. The amount of surfactant is typically in the range 5 to 40%, for example 10 to 20% by weight of the formulation.
Weitere Beispiele für geeignete Hilfsstoffe schließen wasserabweisende Substanzen, Trockenmittel, Bindemittel (Klebstoffe, Haftmittel, Fixiermittel wie Carboxymethylcellulose, natürliche und synthetische Polymere in Form von Pulvern, Granulaten oder Latizes, wie Gummi arabicum, Polyvinylalkohol und Polyvinylacetat, natürliche Phospholipide wie Cephaline und Lecithine und synthetische Phospholipide, Polyvinylpyrrolidon und Tylose), Verdickungsmittel und sekundäre Verdickungsmittel (wie Celluloseether, Acrylsäurederivate, Xanthan, modifizierte Tone, z.B. die unter dem Namen Bentone erhältlichen Produkte, und feinteiliges Siliciumdioxid), Stabilisatoren (z.B. Kältestabilisatoren, Konservierungsstoffe (z.B. Dichlorophon, Benzylalkoholhemiformal, l,2-Benzisothiazolin-3-on, 2-Methyl-4-isothiazolin-3- on), Antioxidationsmittel, Lichtschutzmittel, insbesondere UV-Schutzmittel, und andere Mittel, die die chemische und/oder physikalische Stabilität verbessern), Farbstoffe oder Pigmente (wie anorganische Pigmente, z.B. Eisenoxid, Titanoxid und Berliner Blau; organische Farbstoffe, z.B. Alizarin-, Azo- und Me- tallphthalocyaninfarbstoffe), Antischaummittel (z.B. Siliconantischaummittel und Magnesiumstearat), Frostschutzmittel, Kleber, Gibberelline und Verarbeitungshilfsstoffe, Mineral- und Pflanzenöle, Duftstoffe, Wachse, Nährstoffe (einschließlich Spurennährstoffe wie Salze von Eisen, Mangan, Bor, Kupfer, Kobalt, Molybdän und Zink), Schutzkolloide, thixotropische Substanzen, Penetriermittel, Sequestriermittel und Komplexbildner ein. Further examples of suitable excipients include water-repellent substances, drying agents, binders (adhesives, adhesives, fixing agents such as carboxymethyl cellulose, natural and synthetic polymers in the form of powders, granules or latices such as gum arabic, polyvinyl alcohol and polyvinyl acetate, natural phospholipids such as cephalins and lecithins and synthetic phospholipids, polyvinylpyrrolidone and tylose), thickeners and secondary thickeners (such as cellulose ethers, acrylic acid derivatives, xanthan gum, modified clays e.g. those available under the name Bentone, and finely divided silica), stabilizers (e.g. cold stabilizers, preservatives (e.g. dichlorophone, benzyl alcohol hemiformal, l, 2-benzisothiazolin-3-one, 2-methyl-4-isothiazolin-3-one), antioxidants, light stabilizers, especially UV stabilizers, and other agents that improve chemical and/or physical stability), dyes or pigments (e.g anor organic pigments, e.g., iron oxide, titanium oxide, and Prussian blue; organic dyes e.g. alizarin, azo and metal phthalocyanine dyes), antifoams (e.g. silicone antifoams and magnesium stearate), antifreeze, adhesives, gibberellins and processing aids, mineral and vegetable oils, fragrances, waxes, nutrients (including trace nutrients such as salts of iron, manganese , boron, copper, cobalt, molybdenum and zinc), protective colloids, thixotropic substances, penetrants, sequestrants and complexing agents.
Die Auswahl an Hilfsstoffen hängt von der vorgesehenen Anwendungsweise der erfmdungsgemäßen Verbindung und/oder von den physikalischen Eigenschaften der Verbindung(en) ab. Weiterhin können Hilfsstoffe so gewählt werden, dass sie den Formulierungen bzw. den daraus hergestellten Anwendungsformen bestimmte Eigenschaften (technische, physikalische und/oder biologische Eigenschaften) verleihen. Durch die Auswahl an Hilfsstoffen kann es möglich sein, die Formulierungen an bestimmte Bedürfnisse anzupassen. The selection of excipients depends on the intended use of the compound according to the invention and/or on the physical properties of the compound(s). Furthermore, auxiliaries can be selected in such a way that they impart certain properties (technical, physical and/or biological properties) to the formulations or the use forms produced from them. Through the choice of excipients, it may be possible to tailor the formulations to specific needs.
Die Formulierung umfasst eine insektizid/akarizid/nematizid wirksame Menge der erfmdungsgemäßen Verbindung(en). Der Begriff „wirksame Menge“ bezeichnet eine Menge, die zur Bekämpfüng von Scha- dinsekten/-milben/-nematoden auf kultivierten Pflanzen oder beim Materialschutz ausreicht und die die behandelten Pflanzen nicht wesentlich schädigt. Eine solche Menge kann in einem weiten Bereich variieren und hängt von verschiedenen Faktoren wie der zu bekämpfenden Insekten/-milben/-nematodenart, der behandelten kultivierten Pflanze bzw. dem behandelten Material, den Klimabedingungen und der jeweils eingesetzten erfmdungsgemäßen Verbindung ab. Gewöhnlich enthält die erfmdungsgemäße Formulierung 0,01 bis 99 Gew.-%, vorzugsweise 0,05 bis 98 Gew.-%, besonders bevorzugt 0,1 bis 95 Gew.-%, noch mehr bevorzugt 0,5 bis 90 Gew.-%, am meisten bevorzugt 1 bis 80 Gew.-% der erfindungsgemäßen Verbindung. Es ist möglich, dass eine Formulierung zwei oder mehr erfindungsgemäße Verbindungen umfasst. In einem solchen Fall beziehen sich die umrissenen Bereiche auf die Gesamtmenge der Verbindungen der vorliegenden Erfindung. The formulation comprises an insecticidally/acaricidally/nematicidally effective amount of the compound(s) of the invention. The term "effective amount" means an amount sufficient to control insect/mite/nematode pests on cultivated plants or for the protection of materials and which does not cause significant damage to the plants treated. Such an amount can vary within a wide range and depends on various factors such as the insect/mite/nematode species to be controlled, the cultivated plant or material treated, the climatic conditions and the particular compound according to the invention used. The formulation according to the invention usually contains 0.01 to 99% by weight, preferably 0.05 to 98% by weight, particularly preferably 0.1 to 95% by weight, even more preferably from 0.5% to 90%, most preferably from 1% to 80% by weight of the compound of the invention. It is possible for a formulation to comprise two or more compounds of the invention. In such case, the outlined ranges refer to the total amount of the compounds of the present invention.
Die erfindungsgemäße Formulierung kann in einem beliebigen herkömmlichen Formulierungstyp vorliegen, wie Lösungen (z.B. wässrige Lösungen), Emulsionen, Suspensionen auf Wasser- und Ölbasis, Pulvern (z.B. Spritzpulvem, löslichen Pulvern), Stäuben, Pasten, Granulaten (z.B. löslichen Granulaten, Streugranulaten), Suspoemulsionskonzentraten, mit der erfindungsgemäßen Verbindung imprägnierten natürlichen oder synthetischen Produkten, Düngemitteln und außerdem Mikroverkapselungen in polymeren Substanzen. Die erfmdungsgemäße Verbindung kann in suspendierter, emulgierter oder gelöster Form vorliegen. Beispiele für bestimmte geeignete Formulierungstypen sind Lösungen, wasserlösliche Konzentrate (z.B. SL, LS), Dispersionskonzentrate (DC), Suspensionen und Suspensionskonzentrate (z.B. SC, OD, OF, FS), Emulsionskonzentrate (z.B. EC), Emulsionen (z.B. EW, EO, ES, ME, SE), Kapseln (z.B. CS, ZC), Pasten, Pastillen, Spritzpulver oder Stäube (z.B. WP, SP, WS, DP, DS), Pressteile (z.B. BR, TB, DT), Granulate (z.B. WG, SG, GR, FG, GG, MG), insektizide Artikel (z.B. LN) sowie Gelformulierungen zur Behandlung von Pflanzenfortpflanzungsmaterial wie Samen (z.B. GW, GF). Diese und andere Formulierungstypen sind von der Food and Agriculture Organization of the United Nations (FAO) definiert. Ein Überblick findet sich im „Catalogue of pesticide formulation types and international coding system“, Technical Monograph Nr. 2, 6. Aufl. Mai 2008, Croplife International. The formulation according to the invention may be in any conventional type of formulation such as solutions (e.g. aqueous solutions), emulsions, water- and oil-based suspensions, powders (e.g. wettable powders, soluble powders), dusts, pastes, granules (e.g. soluble granules, scattering granules), Suspoemulsion concentrates, natural or synthetic products impregnated with the compound according to the invention, fertilizers and also microencapsulations in polymeric substances. The compound of the invention may be in suspended, emulsified or dissolved form. Examples of certain suitable formulation types are solutions, water-soluble concentrates (e.g. SL, LS), dispersion concentrates (DC), suspensions and suspension concentrates (e.g. SC, OD, OF, FS), emulsion concentrates (e.g. EC), emulsions (e.g. EW, EO, ES , ME, SE), capsules (e.g. CS, ZC), pastes, lozenges, wettable powders or dusts (e.g. WP, SP, WS, DP, DS), pressed parts (e.g. BR, TB, DT), granules (e.g. WG, SG , GR, FG, GG, MG), insecticidal articles (e.g. LN) as well as gel formulations for treating plant propagation material such as seeds (e.g. GW, GF). These and other formulation types are defined by the Food and Agriculture Organization of the United Nations (FAO). For an overview, see "Catalogue of pesticide formulation types and international coding system", Technical Monograph No. 2, 6th ed. May 2008, Croplife International.
Vorzugsweise liegt die erfmdungsgemäße Formulierung in Form einer der folgenden Typen vor: EC, SC, FS, SE, OD, WG, WP, CS, besonders bevorzugt EC, SC, OD, WG, CS. The formulation according to the invention is preferably in the form of one of the following types: EC, SC, FS, SE, OD, WG, WP, CS, particularly preferably EC, SC, OD, WG, CS.
Weitere Details zu Beispielen für Formulierungstypen und ihre Herstellung finden sich unten. Sind zwei oder mehr erfmdungsgemäße Verbindungen vorhanden, so bezieht sich die umrissene Menge an erfin- dungsgemäßer Verbindung auf die Gesamtmenge der Verbindungen der vorliegenden Erfindung. Dies gilt umgekehrt auch für alle weiteren Komponenten der Formulierung, wenn zwei oder mehr Vertreter einer solchen Komponente, z.B. eines Netz- oder Bindemittels, vorliegen. i) Wasserlösliche Konzentrate (SL, LS) Further details on examples of formulation types and their preparation are given below. When two or more compounds of the invention are present, the outlined amount of compound of the invention refers to the total amount of the compounds of the present invention. Conversely, this also applies to all other components of the formulation if two or more representatives of such a component, e.g. a wetting agent or binder, are present. i) Water-soluble concentrates (SL, LS)
10-60 Gew.-% mindestens einer erfindungsgemäßen Verbindung und 5-15 Gew.-% Tensid (z.B. Polykondensate von Ethylenoxid und/oder Propylenoxid mit Alkoholen) werden in einer solchen Menge Wasser und/oder wasserlöslichem Lösungsmittel (z.B. Alkohole wie Propylenglykol und Carbonaten wie Propylencarbonat) gelöst, so dass sich eine Gesamtmenge von 100 Gew.-% ergibt. Vor der Anwendung wird das Konzentrat mit Wasser verdünnt. ii) Dispersionskonzentrate (DC) 5-25 Gew.-% mindestens einer erfindungsgemäßen Verbindung und 1-10 Gew.-% Tensid und/oder Bindemittel (z.B. Polvinylpyrrolidon) werden in einer solchen Menge organischen Lösungsmittels (z.B. Cyclohexan) gelöst, das sich eine Gesamtmenge von 100 Gew.-% ergibt. Das Verdünnen mit Wasser liefert eine Dispersion. iii) Emulsionskonzentrate (EC) 10-60% by weight of at least one compound according to the invention and 5-15% by weight of surfactant (e.g. polycondensates of ethylene oxide and/or propylene oxide with alcohols) are dissolved in such an amount of water and/or water-soluble solvents (e.g. alcohols such as propylene glycol and carbonates such as propylene carbonate) dissolved so that the total amount is 100% by weight. Before use, the concentrate is diluted with water. ii) dispersion concentrates (DC) 5-25 wt. % of at least one compound according to the invention and 1-10 wt. % results. Diluting with water gives a dispersion. iii) Emulsifiable Concentrates (EC)
15-70 Gew.-% mindestens einer erfindungsgemäßen Verbindung und 5-10 Gew.-% Tensid (z.B. eine Mischung von Calciumdodecylbenzolsulfonat und Riziniusölethoxylat) werden in einer solchen Menge wasserunlöslichem organischem Lösungsmittel (z.B. aromatischem Kohlenwasserstoff oder Fettsäureamid) und, falls erforderlich, zusätzlichem wasserlöslichem Lösungsmittel gelöst, so dass man auf eine Gesamtmenge von 100 Gew.-% kommt. Durch Verdünnen mit Wasser erhält man eine Emulsion. iv) Emulsionen (EW, EO, ES) 15-70% by weight of at least one compound of the invention and 5-10% by weight of surfactant (e.g. a mixture of calcium dodecylbenzenesulfonate and castor oil ethoxylate) are dissolved in such amount of water-insoluble organic solvent (e.g. aromatic hydrocarbon or fatty acid amide) and, if necessary, additional water-soluble solvent, so that the total amount is 100% by weight. An emulsion is obtained by diluting with water. iv) Emulsions (EW, EO, ES)
5-40 Gew.-% mindestens einer erfmdungsgemäßen Verbindung und 1-10 Gew.-% Tensid (z.B. eine Mischung von Calciumdodecylbenzolsulfonat und Rizinusölethoxylat, oder Polykondensate von Ethylenoxid und/oder Propylenoxid mit oder ohne Alkoholen) werden in 20-40 Gew.-% wasserunlöslichem organischem Lösungsmittel (z.B. aromatischer Kohlenwasserstoff) gelöst. Die Mischung wird mittels einer Emulgiermaschine zu einer solchen Menge an Wasser gegeben, dass man eine Gesamtmenge von 100 Gew.-% erhält. Bei der erhaltenen Formulierung handelt es sich um eine homogene Emulsion. Vor der Anwendung kann die Emulsion weiter mit Wasser verdünnt werden. v) Suspensionen und Suspensionskonzentrate v-1) Auf Wasserbasis (SC, FS) 5-40 wt. % of at least one compound according to the invention and 1-10 wt. % water-insoluble organic solvent (e.g. aromatic hydrocarbon) dissolved. The mixture is added to water by an emulsifying machine in such an amount that the total amount becomes 100% by weight. The formulation obtained is a homogeneous emulsion. Before use, the emulsion can be further diluted with water. v) Suspensions and suspension concentrates v-1) Water-based (SC, FS)
In einem geeigneten Mahlgerät, z. B. einer Kugelmühle, werden 20-60 Gew.-% mindestens einer erfindungsgemäßen Verbindung unter Zugabe von 2-10 Gew.-% Tensid (z.B. Natriumlignosulfonat und Polyoxyethylenfettalkoholether), 0,1-2 Gew.-% Verdickungsmittel (z.B. Xanthan) und Wasser zu einer feinen Wirkstoffsuspension zerkleinert. Das Wasser wird in einer solchen Menge zugegeben, dass man eine Gesamtmenge von 100 Gew.-% erhält. Durch Verdünnen mit Wasser erhält man eine stabile Suspension des Wirkstoffs. Für Formulierungen vom FS-Typ werden bis zu 40 Gew.-% Bindemittel (z.B. Polyvinylalkohol) zugesetzt. v-2) Auf Ölbasis (OD, OF) In a suitable grinder, e.g. B. a ball mill, 20-60 wt .-% at least one compound of the invention with the addition of 2-10 wt .-% surfactant (e.g. sodium lignosulfonate and polyoxyethylene fatty alcohol ether), 0.1-2 wt .-% thickener (e.g. xanthan gum) and Water is crushed into a fine suspension of active ingredients. The water is added in such an amount that the total amount is 100% by weight. A stable suspension of the active substance is obtained by dilution with water. For FS-type formulations, up to 40% by weight of binder (e.g. polyvinyl alcohol) is added. v-2) Oil Based (OD, OF)
In einem geeigneten Mahlgerät, z.B. einer Kugelmühle, werden 20-60 Gew.-% mindestens einer erfindungsgemäßen Verbindung unter Zugabe von 2-10 Gew.-% Tensid (z.B. Natriumlignosulfonat und Polyoxyethylenfettalkoholether), 0,1-2 Gew. -% Verdickungsmittel (z.B. modifizierter Ton, insbesondere Bentone, oder Siliciumdioxid) und einem organischen Träger zu einer feinen Wirkstoff-Öl-Suspension zerkleinert. Der organische Träger wird in einer solchen Menge zugefügt, dass man eine Gesamtmenge von 100 Gew.-% erhält. Durch Verdünnen mit Wasser erhält man eine stabile Dispersion des Wirkstoffs. vi) Wasserdispergierbare Granulate und wasserlösliche Granulate (WG, SG) In a suitable grinding device, for example a ball mill, 20-60% by weight of at least one compound according to the invention are ground with the addition of 2-10% by weight of surfactant (for example sodium lignosulfonate and polyoxyethylene fatty alcohol ether), 0.1-2% by weight of thickener ( eg modified clay, in particular bentone, or silicon dioxide) and an organic vehicle to form a fine active ingredient-oil suspension crushed. The organic carrier is added in such an amount that the total amount is 100% by weight. A stable dispersion of the active substance is obtained by dilution with water. vi) Water dispersible granules and water soluble granules (WG, SG)
1-90 Gew.-%, vorzugsweise 20-80 Gew.-%, am meisten bevorzugt 50-80 Gew.-% mindestens einer er- fmdungsgemäßen Verbindung werden unter Zugabe eines Tensids (z.B. Natriumlignosulfonat und Natri- umalkylnaphthylsulfonate) und gegebenenfalls Trägermaterial fein gemahlen und mittels typischer technischer Anwendungen wie z.B. Extrusion, Sprühtrocknung, Wirbelschichtgranulation in wasserdispergierbare oder wasserlösliche Granulate überführt. Tensid und Trägermaterial werden in einer solchen Menge eingesetzt, dass man eine Gesamtmenge von 100 Gew.-% erhält. Durch Verdünnen mit Wasser erhält man eine stabile Dispersion bzw. Lösung des Wirkstoffs. vii) Wasserdispergierbare Pulver und wasserlösliche Pulver (WP, SP, WS) 1-90 wt. %, preferably 20-80 wt. %, most preferably 50-80 wt ground and converted into water-dispersible or water-soluble granules by means of typical technical applications such as extrusion, spray drying, fluidized bed granulation. Surfactant and carrier material are used in such an amount that a total amount of 100% by weight is obtained. A stable dispersion or solution of the active ingredient is obtained by diluting with water. vii) Water dispersible powders and water soluble powders (WP, SP, WS)
50-80 Gew.-% mindestens einer erfindungsgemäßen Verbindung werden in einer Rotor-Stator-Mühle unter Zugabe von 1-20 Gew.-% Tensid (z.B. Natriumlignosulfonat, Natriumalkylnaphthylsulfonate) und einer solchen Menge an festem Träger, z.B. Kieselgel, dass man auf eine Gesamtmenge von 100 Gew.-% kommt, gemahlen. Durch Verdünnen mit Wasser erhält man eine stabile Dispersion bzw. Lösung des Wirkstoffs. viii) Gel (GW, GP) 50-80 wt a total of 100% by weight is ground. A stable dispersion or solution of the active ingredient is obtained by diluting with water. viii) Gel (GW, GP)
In einer Kugelmühle werden 5-25 Gew.-% mindestens einer erfindungsgemäßen Verbindung unter Zugabe von 3-10 Gew.-% Tensid (z.B. Natriumlignosulfonat), 1-5 Gew.-% Bindemittel (z.B. Carboxymethylcellulose) und einer solchen Menge an Wasser, dass man auf eine Gesamtmenge von 100 Gew.-% kommt, zerkleinert. Hierdurch erhält man eine feine Suspension des Wirkstoffs. Durch Verdünnen mit Wasser erhält man eine stabile Suspension des Wirkstoffs. ix) Mikroemulsion (ME) In a ball mill, 5-25% by weight of at least one compound according to the invention are mixed with the addition of 3-10% by weight of surfactant (e.g. sodium lignosulfonate), 1-5% by weight of binder (e.g. carboxymethylcellulose) and an amount of water that you come to a total of 100 wt .-% crushed. This gives a fine suspension of the active ingredient. A stable suspension of the active substance is obtained by dilution with water. ix) microemulsion (ME)
5-20 Gew.-% mindestens einer erfindungsgemäßen Verbindung werden zu 5-30 Gew.-% organischer Lösungsmittelmischung (z.B. Fettsäuredimethylamid und Cyclohexanon), 10-25 Gew.-% Tensidmischung (z.B. Polyoxyethylenfettalkoholether und Arylphenolethoxylat) und einer solchen Menge an Wasser, dass man auf eine Gesamtmenge von 100 Gew.-% kommt, gegeben. Diese Mischung wird 1 h gerührt, wodurch sich spontan eine thermodynamisch stabile Mikroemulsion bildet. x) Mikrokapseln (CS) 5-20% by weight of at least one compound according to the invention are added to 5-30% by weight organic solvent mixture (e.g. fatty acid dimethylamide and cyclohexanone), 10-25% by weight surfactant mixture (e.g. polyoxyethylene fatty alcohol ether and arylphenol ethoxylate) and an amount of water such that that you come to a total amount of 100 wt .-%, given. This mixture is stirred for 1 hour, whereby a thermodynamically stable microemulsion forms spontaneously. x) Microcapsules (CS)
Eine Ölphase mit 5-50 Gew.-% mindestens einer erfindungsgemäßen Verbindung, 0-40 Gew.-% wasserunlöslichen organischen Lösungsmittels (z.B. aromatischem Kohlenwasserstoff), 2-15 Gew.-% acryli- schen Monomeren (z.B. Methylmethacrylat, Methacrylsäure und einem Di- oder Triacrylat) werden in einer wässrigen Lösung eines Schutzkolloids (z.B. Polyvinylalkohol) dispergiert. Eine mit einem Radikalstarter eingeleitete radikalische Polymerisation fuhrt zur Bildung von Poly(methy)acrylatmikrokap- seln. Alternativ dazu wird eine 5-50 Gew.-% mindestens einer erfindungsgemäßen Verbindung, 0- 40 Gew.-% wasserunlösliches organisches Lösungsmittel (z.B. aromatischen Kohlenwasserstoff) und ein Isocyanatmonomer (z.B. Diphenylmethen-4,4‘-diisocyanat) umfassende Ölphase in einer wässrigen Lösung eines Schutzkolloids (z.B. Polyvinylakohol) dispergiert, dies fuhrt zur Bildung von Polyhamstoff- mikrokapseln. Gegebenenfalls kann man auch die Zugabe eines Polyamins (z.B. Hexamethylendiamin) anwenden, um die Bildung von Polyhamstoffinikrokapseln herbeizufuhren. Die Monomere machen 1- 10 Gew.-% der gesamten CS-Formulierung aus. xi) Stäubepulver (DP, DS) An oil phase with 5-50% by weight of at least one compound according to the invention, 0-40% by weight of water-insoluble organic solvent (e.g. aromatic hydrocarbon), 2-15% by weight of acrylic monomers (e.g. methyl methacrylate, methacrylic acid and a di - or triacrylate) are in dispersed in an aqueous solution of a protective colloid (e.g. polyvinyl alcohol). Radical polymerization initiated with a radical initiator leads to the formation of poly(methy)acrylate microcapsules. Alternatively, an oil phase comprising 5-50% by weight of at least one compound of the invention, 0-40% by weight water-insoluble organic solvent (eg aromatic hydrocarbon) and an isocyanate monomer (eg diphenylmethene-4,4'-diisocyanate) is dissolved in an aqueous Dispersed solution of a protective colloid (eg polyvinyl alcohol), this leads to the formation of polyurea microcapsules. Optionally, the addition of a polyamine (eg, hexamethylenediamine) can also be used to induce the formation of polyurea microcapsules. The monomers make up 1-10% by weight of the total CS formulation. xi) dust powder (DP, DS)
1-10 Gew.-% mindestens einer erfindungsgemäßen Verbindung werden fein gemahlen und innig mit einer solchen Menge an festem Träger, z.B. feinteiligem Kaolin, gemischt, dass man auf eine Gesamtmenge von 100 Gew. -% kommt. xii) Granulate (GR, FG) 1-10% by weight of at least one compound according to the invention are finely ground and intimately mixed with such an amount of solid carrier, e.g. finely divided kaolin, that the total amount is 100% by weight. xii) Granules (GR, FG)
0,5-30 Gew.-% mindestens einer erfindungsgemäßen Verbindung werden fein gemahlen und mit einer solchen Menge an festem Träger (z.B. Silicat) assoziiert, dass man auf eine Gesamtmenge von 100 Gew.-% kommt. xiii) Ultra-Low-Volumen-Flüssigkeiten (UL) 0.5-30% by weight of at least one compound of the invention is finely ground and associated with such an amount of solid support (e.g. silicate) that the total amount is 100% by weight. xiii) Ultra Low Volume Liquids (UL)
1-50 Gew.-% mindestens einer erfindungsgemäßen Verbindung werden in einer solchen Menge an organischem Lösungsmittel, z.B. aromatischem Kohlenwasserstoff, gelöst, dass man auf eine Gesamtmenge von 100 Gew. -% kommt. 1-50% by weight of at least one compound according to the invention are dissolved in such an amount of organic solvent, e.g. aromatic hydrocarbon, that the total amount is 100% by weight.
Die Formulierungstypen i) bis xiii) können weitere Hilfsstoffe wie 0,1-1 Gew.-% Konservierungsstoffe, 0,1-1 Gew.-% Antischaummittel, 0,1-1 Gew.-% Farbstoffe und/oder Pigmente und 5-10 Gew.-% Frostschutzmittel umfassen. Formulation types i) to xiii) can contain further auxiliaries such as 0.1-1% by weight of preservatives, 0.1-1% by weight of antifoams, 0.1-1% by weight of dyes and/or pigments and 5- 10% by weight of antifreeze.
Mischungen mixtures
Die Verbindungen der Formel (I) können auch in Mischung mit einem oder mehreren geeigneten Fungiziden, Bakteriziden, Akariziden, Molluskiziden, Nematiziden, Insektiziden, Mikrobiologika, Nützlingen, Herbiziden, Düngemitteln, Vogelrepellentien, Phytotonics, Sterilantien, Safenern, Semiochemicals und/oder Pflanzenwachstumsregulatoren verwendet werden, um so z. B. das Wirkungsspektrum zu verbreitern, die Wirkdauer zu verlängern, die Wirkgeschwindigkeit zu steigern, Repellenz zu verhindern oder Resistenzentwicklungen vorzubeugen. Des Weiteren können solche Wirkstoffkombinationen das Pflanzenwachstum und/oder die Toleranz gegenüber abiotischen Faktoren wie z. B. hohen oder niedrigen Temperaturen, gegen Trockenheit oder gegen erhöhten Wasser- bzw. Bodensalzgehalt verbessern. Auch lässt sich das Blüh- und Fruchtverhalten verbessern, die Keimfähigkeit und Bewurzelung optimieren, die Ernte erleichtern und Ernteertrag steigern, die Reife beeinflussen, die Qualität und/oder der Emährungswert der Emteprodukte steigern, die Lagerfähigkeit verlängern und/oder die Bearbeitbarkeit der Emteprodukte verbessern. The compounds of formula (I) can also be used in a mixture with one or more suitable fungicides, bactericides, acaricides, molluscicides, nematicides, insecticides, microbiologicals, beneficial insects, herbicides, fertilizers, bird repellents, phytotonics, sterilants, safeners, semiochemicals and/or plant growth regulators become, e.g. B. to broaden the spectrum of action, to extend the duration of action, to increase the speed of action, to prevent repellency or to prevent the development of resistance. Furthermore, such combinations of active ingredients can increase plant growth and/or tolerance to abiotic factors such as e.g. B. high or low temperatures, against drought or against increased water or soil salt content. Also leaves improve flowering and fruiting behavior, optimize germination and rooting, facilitate harvesting and increase crop yield, affect ripening, increase the quality and/or nutritional value of the harvested products, extend the shelf life and/or improve the workability of the harvested products.
Weiterhin können die Verbindungen der Formel (I) in Mischung mit weiteren Wirkstoffen oder Semio- chemicals, wie Lockstoffen und/oder Vogelrepellentien und/oder Pflanzenaktivatoren und/oder Wachstumsregulatoren und/oder Düngemitteln vorliegen. Gleichfalls können die Verbindungen der Formel (I) zur Verbesserung der Pflanzeneigenschaften wie zum Beispiel Wuchs, Ertrag und Qualität des Emtegutes eingesetzt werden. Furthermore, the compounds of the formula (I) can be present in a mixture with other active ingredients or semiochemicals, such as attractants and/or bird repellents and/or plant activators and/or growth regulators and/or fertilizers. Likewise, the compounds of the formula (I) can be used to improve the plant traits such as, for example, growth, yield and quality of the crop.
In einer besonderen erfmdungsgemäßen Ausführungsform liegen die Verbindungen der Formel (I) in Formulierungen bzw. in den aus diesen Formulierungen bereiteten Anwendungsformen in Mischung mit weiteren Verbindungen vor, vorzugsweise solchen wie nachstehend beschrieben. In a particular embodiment of the invention, the compounds of the formula (I) are present in formulations or in the use forms prepared from these formulations as a mixture with other compounds, preferably those as described below.
Wenn eine der im Folgenden genannten Verbindungen in verschiedenen tautomeren Formen vorkommen kann, sind auch diese Formen mit umfasst, auch wenn sie nicht in jedem Fall explizit genannt wurden. Alle genannten Mischungspartner können außerdem, wenn sie auf Grund ihrer funktionellen Gruppen dazu imstande sind, gegebenenfalls mit geeigneten Basen oder Säuren Salze bilden. If one of the compounds mentioned below can occur in different tautomeric forms, these forms are also included, even if they were not explicitly mentioned in each case. If they are capable of doing so because of their functional groups, all of the mixing partners mentioned can also form salts with suitable bases or acids.
Insektizide/ Akarizide/Nematizide Insecticides/Acaricides/Nematicides
Die hier mit ihrem „Common Name“ genannten Wirkstoffe sind bekannt und beispielsweise im Pestizidhandbuch („The Pesticide Manual“ 16th Ed., British Crop Protection Council 2012) beschrieben oder im Internet recherchierbar (z. B. http://www.alanwood.net/pesticides). Die Klassifizierung basiert auf dem zum Zeitpunkt der Einreichung dieser Patentanmeldung gültigen IRAC Mode of Action Classification Scheme. The active ingredients mentioned here by their "Common Name" are known and are described, for example, in the pesticide manual ("The Pesticide Manual" 16th Ed., British Crop Protection Council 2012) or can be researched on the Internet (e.g. http://www.alanwood. net/pesticides). The classification is based on the IRAC Mode of Action Classification Scheme in effect at the time of filing this patent application.
(1) Acetylcholinesterase(AChE)-Inhibitoren, vorzugsweise Carbamate ausgewählt aus Alanycarb, Aldicarb, Bendiocarb, Benfuracarb, Butocarboxim, Butoxycarboxim, Carbaryl, Carbofuran, Carbosulfan, Ethiofencarb, Fenobucarb, Formetanat, Furathiocarb, Isoprocarb, Methiocarb, Methomyl, Metolcarb, O- xamyl, Pirimicarb, Propoxur, Thiodicarb, Thiofanox, Triazamat, Trimethacarb, XMC und Xylylcarb, oder Organophosphate ausgewählt aus Acephat, Azamethiphos, Azinphos-ethyl, Azinphos-methyl, Cadusafos, Chlorethoxyfos, Chlorfenvinphos, Chlormephos, Chlorpyrifos-methyl, Coumaphos, Cyanophos, Deme- ton-S-methyl, Diazinon, Dichlorvos/DDVP, Dicrotophos, Dimethoat, Dimethylvinphos, Disulfoton, EPN, Ethion, Ethoprophos, Famphur, Fenamiphos, Fenitrothion, Fenthion, Fosthiazat, Heptenophos, Imicyafos, Isofenphos, Isopropyl-O-(methoxyaminothio-phosphoryl)salicylat, Isoxathion, Malathion, Mecarbam, Methamidophos, Methidathion, Mevinphos, Monocrotophos, Naled, Omethoat, Oxydemeton-methyl, Pa- rathion-methyl, Phenthoat, Phorat, Phosalon, Phosmet, Phosphamidon, Phoxim, Pirimiphos-methyl, Profenofos, Propetamphos, Prothiofos, Pyraclofos, Pyridaphenthion, Quinalphos, Sulfotep, Tebupirimfos, Temephos, Terbufos, Tetrachlorvinphos, Thiometon, Triazophos, Triclorfon und Vamidothion. (1) Acetylcholinesterase (AChE) Inhibitors, preferably carbamates selected from Alanycarb, Aldicarb, Bendiocarb, Benfuracarb, Butocarboxim, Butoxycarboxim, Carbaryl, Carbofuran, Carbosulfan, Ethiofencarb, Fenobucarb, Formetanate, Furathiocarb, Isoprocarb, Methiocarb, Methomyl, Metolcarb, O- xamyl, pirimicarb, propoxur, thiodicarb, thiofanox, triazamate, trimethacarb, XMC and xylylcarb, or organophosphates selected from acephate, azamethiphos, azinphos-ethyl, azinphos-methyl, cadusafos, chlorethoxyfos, chlorfenvinphos, chlormephos, chlorpyrifos-methyl, coumaphos, cyanophos, Demeton-S-methyl, diazinon, dichlorvos/DDVP, dicrotophos, dimethoate, dimethylvinphos, disulfoton, EPN, ethion, ethoprophos, famphur, fenamiphos, fenitrothion, fenthion, fosthiazate, heptenophos, imicyafos, isofenphos, isopropyl-O-(methoxyaminothio -phosphoryl)salicylate, isoxathione, malathione, mecarbame, methamidophos, methidathione, mevinphos, monocrotophos, naled, omethoate, oxydemeton-methyl, parathion-methyl, phen thoate, phorate, phosalon, phosmet, phosphamidone, phoxim, pirimiphos-methyl, Profenofos, Propetamphos, Prothiofos, Pyraclofos, Pyridaphenthion, Quinalphos, Sulfotep, Tebupirimfos, Temephos, Terbufos, Tetrachlorvinphos, Thiometon, Triazophos, Triclorfon and Vamidothion.
(2) GABA-gesteuerte Chlorid-Kanal-Blocker, vorzugsweise Cyclodien-organochlorine ausgewählt aus Chlordan und Endosulfan, oder Phenylpyrazole (Fiprole) ausgewählt aus Ethiprol und Fipronil. (2) GABA-gated chloride channel blockers, preferably cyclodiene-organochlorines selected from chlordane and endosulfan, or phenylpyrazoles (fiprole) selected from ethiprole and fipronil.
(3) Natrium-Kanal-Modulatoren, vorzugsweise Pyrethroide ausgewählt aus Acrinathrin, Allethrin, d-cis- trans-Allethrin, d-trans-Allethrin, Bifenthrin, Bioallethrin, Bioallethrin-S-cyclopentenyl-Isomer, Biores- methrin, Cycloprothrin, Cyfluthrin, beta-Cyfluthrin, Cyhalothrin, lambda-Cyhalothrin, gamma-Cyhaloth- rin, Cypermethrin, alpha-Cypermethrin, beta-Cypermethrin, theta-Cypermethrin, zeta-Cypermethrin, Cy- phenothrin [(lR)-trans-Isomer], Deltamethrin, Empenthrin [(EZ)-(lR)-Isomer], Esfenvalerat, Etofenprox, Fenpropathrin, Fenvalerat, Flucythrinat, Flumethrin, tau-Fluvalinat, Halfenprox, Imiprothrin, Kadethrin, Momfluorothrin, Permethrin, Phenothrin [(lR)-trans-Isomer], Prallethrin, Pyrethrine (Pyrethrum), Res- methrin, Silafluofen, Tefluthrin, Tetramethrin, Tetramethrin [(1R)-Isomer], Tralomethrin und Transfluth- rin, oder DDT oder Methoxychlor. (3) Sodium channel modulators, preferably pyrethroids selected from acrinathrin, allethrin, d-cis-trans-allethrin, d-trans-allethrin, bifenthrin, bioallethrin, bioallethrin-S-cyclopentenyl isomer, bioresmethrin, cycloprothrin, cyfluthrin , beta-cyfluthrin, cyhalothrin, lambda-cyhalothrin, gamma-cyhalothrin, cypermethrin, alpha-cypermethrin, beta-cypermethrin, theta-cypermethrin, zeta-cypermethrin, cyphenothrin [(lR)-trans isomer], deltamethrin, Empenthrin [(EZ)-(lR)-Isomer], Esfenvalerat, Etofenprox, Fenpropathrin, Fenvalerat, Flucythrinate, Flumethrin, tau-fluvalinate, Halfenprox, Imiprothrin, Kadethrin, Momfluorothrin, Permethrin, Phenothrin [(lR)-trans-Isomer], Prallethrin, pyrethrins (pyrethrum), resmethrin, silafluofen, tefluthrin, tetramethrin, tetramethrin [(1R) isomer], tralomethrin and transfluthrin, or DDT or methoxychlor.
(4) Kompetitive Modulatoren des nicotinischen Acetylcholin-Rezeptors (nAChR), vorzugsweise Ne- onicotinoide ausgewählt aus Acetamiprid, Clothianidin, Dinotefuran, Imidacloprid, Nitenpyram, Thi- acloprid und Thiamethoxam, oder Nicotin, oder Sulfoximine ausgewählt aus Sulfoxaflor, oder Butenolide ausgewählt aus Flupyradifuron, oder Mesoionics ausgewählt aus Triflumezopyrim. (4) Competitive modulators of the nicotinic acetylcholine receptor (nAChR), preferably neonicotinoids selected from acetamiprid, clothianidin, dinotefuran, imidacloprid, nitenpyram, thiacloprid and thiamethoxam, or nicotine, or sulfoximine selected from sulfoxaflor, or butenolide selected from flupyradifuron , or mesoionics selected from triflumezopyrim.
(5) Allosterische Modulatoren des nicotinischen Acetylcholin-Rezeptors (nAChR), vorzugsweise Spino- syne ausgewählt aus Spinetoram und Spinosad. (5) Allosteric modulators of the nicotinic acetylcholine receptor (nAChR), preferably spinosyns selected from spinetoram and spinosad.
(6) Allosterische Modulatoren des Glutamat-abhängigen Chloridkanals (GluCl), vorzugsweise Avermec- tine/Milbemycine ausgewählt aus Abamectin, Emamectin-benzoat, Lepimectin und Milbemectin. (6) Allosteric modulators of the glutamate-dependent chloride channel (GluCl), preferably avermectins/milbemycins selected from abamectin, emamectin benzoate, lepimectin and milbemectin.
(7) Juvenilhormon-Mimetika, vorzugsweise Juvenilhormon-Analoge ausgewählt aus Hydropren, Kinop- ren und Methopren, oder Fenoxycarb oder Pyriproxyfen. (7) Juvenile hormone mimetics, preferably juvenile hormone analogues selected from hydroprene, kinoprene and methoprene, or fenoxycarb or pyriproxyfen.
(8) Verschiedene nicht spezifische (multi-site) Inhibitoren, vorzugsweise Alkylhalogenide ausgewählt aus Methylbromid und andere Alkylhalogenide, oder Chloropicrin oder Sulfurylfluorid oder Borax oder Brechweinstein oder Methylisocyanaterzeuger ausgewählt aus Diazomet und Metam. (8) Various non-specific (multi-site) inhibitors, preferably alkyl halides selected from methyl bromide and other alkyl halides, or chloropicrin, or sulfuryl fluoride, or borax, or tartar emetic, or methyl isocyanate generators selected from diazomet and metam.
(9) TRPV-Kanal -Modulatoren chordotonaler Organe, vorzugsweise Pyridinazomethane, ausgewählt aus Pymetrozin und Pyrifluquinazon oder Pyropene ausgewählt aus Afidopyropen. (9) TRPV channel modulators of chordotonal organs, preferably pyridinazomethanes selected from pymetrozine and pyrifluquinazone or pyropenes selected from afidopyropene.
(10) CHS1 betreffende Milbenwachstumsinhibitoren ausgewählt aus Clofentezin, Hexythiazox, Diflo- vidazin und Etoxazol. (11) Mikrobielle Disruptoren der Insektendarmmembran ausgewählt aus Bacillus thuringiensis Subspezies israelensis, Bacillus sphaericus, Bacillus thuringiensis Subspezies aizawai, Bacillus thuringiensis Subspezies kurstaki, Bacillus thuringiensis Subspezies tenehrionis und B. /.-Pflanzenproteine ausgewählt aus CrylAb, CrylAc, CrylFa, Cry 1A. 105, Cry2Ab, VIP3A, mCry3A, Cry3Ab, Cry3Bb und Cry34Ab 1/35 Abi. (10) CHS1-related mite growth inhibitors selected from clofentezine, hexythiazox, diflovidazine and etoxazole. (11) Insect intestinal membrane microbial disruptors selected from Bacillus thuringiensis subsp. israelensis, Bacillus sphaericus, Bacillus thuringiensis subsp. aizawai, Bacillus thuringiensis subsp. kurstaki, Bacillus thuringiensis subsp. tenehrionis and B./. plant proteins selected from CrylAb, CrylAc, CrylFa, Cry 1A. 105, Cry2Ab, VIP3A, mCry3A, Cry3Ab, Cry3Bb and Cry34Ab 1/35 Abi.
(12) Inhibitoren der mitochondrialen ATP-Synthase, vorzugsweise ATP-Disruptoren ausgewählt aus Di- afenthiuron, oder Organozinnverbindungen ausgewählt aus Azocyclotin, Cyhexatin und Fenbutatin-oxid, oder Propargit oder Tetradifon. (12) Inhibitors of mitochondrial ATP synthase, preferably ATP disruptors selected from diafenthiuron, or organotin compounds selected from azocyclotin, cyhexatin and fenbutatin oxide, or propargite or tetradifon.
(13) Entkoppler der oxidativen Phoshorylierung durch Störung des Protonengradienten ausgewählt aus Chlorfenapyr, DNOC und Sulfluramid. (13) Oxidative phosphorylation decouplers by perturbation of the proton gradient selected from chlorfenapyr, DNOC and sulfluramide.
(14) Blocker des nicotinischen Acetylcholinrezeptorkanals ausgewählt aus Bensultap, Cartap-hydrochlo- rid, Thiocyclam und Thiosultap-Natrium. (14) Blockers of the nicotinic acetylcholine receptor channel selected from Bensultap, Cartap hydrochloride, Thiocyclam and Thiosultap sodium.
(15) CHS1 betreffende Inhibitoren der Chitinbiosynthese, vorzugsweise Benzoylhamstoffe, ausgewählt aus Bistrifluron, Chlorfluazuron, Diflubenzuron, Flucycloxuron, Flufenoxuron, Hexaflumuron, Lufen- uron, Novaluron, Noviflumuron, Teflubenzuron und Triflumuron. (15) CHS1-related chitin biosynthesis inhibitors, preferably benzoylureas, selected from bistrifluron, chlorfluazuron, diflubenzuron, flucycloxuron, flufenoxuron, hexaflumuron, lufenuron, novaluron, noviflumuron, teflubenzuron and triflumuron.
(16) Inhibitoren der Chitinbiosynthese, Typ 1 ausgewählt aus Buprofezin. (16) Inhibitors of chitin biosynthesis type 1 selected from buprofezin.
(17) Häutungsdisruptor (insbesondere bei Dipteren, d. h. Zweiflüglern) ausgewählt aus Cyromazin. (17) Moult disruptor (particularly in Diptera, i.e., fly flies) selected from cyromazine.
(18) Ecdyson-Rezeptor- Agonisten, vorzugsweise Diacylhydrazine, ausgewählt aus Chromafenozid, Hal- ofenozid, Methoxyfenozid und Tebufenozid. (18) Ecdysone receptor agonists, preferably diacylhydrazines, selected from chromafenozide, halofenozide, methoxyfenozide and tebufenozide.
(19) Oktopamin-Rezeptor- Agonisten ausgewählt aus Amitraz. (19) Octopamine receptor agonists selected from amitraz.
(20) Mitochondriale Komplex-III-Elektronentransportinhibitoren ausgewählt aus Hydramethylnon, Ace- quinocyl, Fluacrypyrim und Bifenazat. (20) Mitochondrial complex III electron transport inhibitors selected from hydramethylnon, acequinocyl, fluacrypyrim and bifenazate.
(21) Mitochondriale Komplex-I-Elektronentransportinhibitoren, vorzugsweise METI-Akarizide und Insektizide ausgewählt aus Fenazaquin, Fenpyroximat, Pyrimidifen, Pyridaben, Tebufenpyrad und Tolfen- pyrad, oder Rotenon (Derris). (21) Mitochondrial complex I electron transport inhibitors, preferably METI acaricides and insecticides selected from fenazaquin, fenpyroximate, pyrimidifen, pyridaben, tebufenpyrad and tolfenpyrad, or rotenone (Derris).
(22) Blocker des spannungsabhängigen Natriumkanals, vorzugsweise Oxadiazine ausgewählt aus Indo- xacarb oder Semicarbazone ausgewählt aus Metaflumizon. (22) Blockers of the voltage-gated sodium channel, preferably oxadiazines selected from indoxacarb or semicarbazones selected from metaflumizone.
(23) Inhibitoren der Acetyl-CoA-Carboxylase, vorzugsweise Tetron- und Tetramsäurederivate ausgewählt aus Spirodiclofen, Spiromesifen, Spiropidion und Spirotetramat. (24) Inhibitoren des mitochondrialen Komplex-IV-Elektronentransports, vorzugsweise Phosphide ausgewählt aus Aluminiumphosphid, Calciumphosphid, Phosphin und Zinkphosphid, oder Cyanide ausgewählt aus Calciumcyanid, Kaliumcyanid und Natriumcyanid. (23) Inhibitors of acetyl-CoA carboxylase, preferably tetronic and tetramic acid derivatives selected from spirodiclofen, spiromesifen, spiropidione and spirotetramat. (24) Inhibitors of mitochondrial complex IV electron transport, preferably phosphides selected from aluminum phosphide, calcium phosphide, phosphine and zinc phosphide, or cyanides selected from calcium cyanide, potassium cyanide and sodium cyanide.
(25) Inhibitoren des mitochondrialen Komplex-II-Elektronentransports, vorzugsweise beta-Ketonitrilde- rivate ausgewählt aus Cyenopyrafen und Cyflumetofen, oder Carboxanilide ausgewählt aus Pyflubumid. (25) Inhibitors of mitochondrial complex II electron transport, preferably beta-ketonitrile derivatives selected from cyenopyrafen and cyflumetofen, or carboxanilides selected from pyflubumid.
(28) Ryanodinrezeptor-Modulatoren, vorzugsweise Diamide ausgewählt aus Chlorantraniliprol, Cyantra- niliprol, Cyclaniliprol, Flubendiamid und Tetraniliprol. (28) Ryanodine receptor modulators, preferably diamides selected from chlorantraniliprole, cyantraniliprole, cyclaniliprole, flubendiamide and tetraniliprole.
(29) Modulatoren chordotonaler Organe (mit Undefinierter Zielstruktur) ausgewählt aus Flonicamid. (29) Modulators of chordotonal organs (with undefined target structure) selected from flonicamid.
(30) Allosterische Modulatoren des GABA-abhängigen Chloridkanals, vorzugsweise meto-Diamide ausgewählt aus Broflanilid oder Isoxazole ausgewählt aus Fluxametamid. (30) Allosteric modulators of the GABA-dependent chloride channel, preferably meto-diamides selected from broflanilide or isoxazoles selected from fluxametamide.
(31) Baculoviren, vorzugsweise Granuloviren (GVs) ausgewählt aus Cydia pomonella GV und Thaumato- tibia leucotreta (GV) oder Nukleopolyhedroviren (NPVs) ausgewählt aus Anticar sia gemmatalis MNPV und Helicoverpa armigera NPV. (31) Baculoviruses, preferably granuloviruses (GVs) selected from Cydia pomonella GV and Thaumatotibia leucotreta (GV) or nucleopolyhedroviruses (NPVs) selected from Anticar sia gemmatalis MNPV and Helicoverpa armigera NPV.
(32) Allosterische Modulatoren (Stelle II) des nikotinischen Acetylcholinrezeptors ausgewählt aus GS- omega/kappa-HXTX-Hv 1 a-Peptid . (32) Allosteric modulators (site II) of the nicotinic acetylcholine receptor selected from GS-omega/kappa-HXTX-Hv 1 a peptide.
(33) Weitere Wirkstoffe ausgewählt aus Acynonapyr, Afoxolaner, Azadirachtin, Benclothiaz, Benzoxi- mat, Benzpyrimoxan, Bromopropylat, Chinomethionat, Chloroprallethrin, Cryolit, Cyclobutrifluram, Cycloxaprid, Cyetpyrafen, Cyhalodiamid, Cyproflanilide (CAS 2375110-88-4), Dicloromezotiaz, Dico- fol, Dimpropyridaz, epsilon-Metofluthrin, epsilon-Momfluthrin, Flometoquin, Fluazaindolizin, Flucypy- riprol (CAS 1771741-86-6), Fluensulfon, Flufenerim, Flufenoxystrobin, Flufiprol, Fluhexafon, Fluopy- ram, Flupyrimin, Fluralaner, Fufenozid, Flupentiofenox, Guadipyr, Heptafluthrin, Imidaclothiz, Iprodion, Isocycloseram, kappa-Bifenthrin, kappa-Tefluthrin, Lotilaner, Meperfluthrin, Nicofluprol (CAS 1771741- 86-6), Oxazosulfyl, Paichongding, Pyridalyl, Pyrifluquinazon, Pyriminostrobin, Sarolaner, Spidoxamat, Spirobudiclofen, Tetramethylfluthrin, Tetrachlorantraniliprol, Tigolaner, Tioxazafen, Thiofluoximate, Tyclopyrazoflor, lodmethan; des Weiteren Präparate auf Basis von Bacillus firmus (1-1582, Votivo) und Azadirachtin (BioNeem), sowie folgende Verbindungen: l-{2-Fluor-4-methyl-5-[(2,2,2-trifluorethyl)sul- fmyl]phenyl}-3-(trifluormethyl)-lH-l,2,4-triazol-5-amin (bekannt aus W02006/043635) (CAS 885026- 50-6), 2-Chlor-N- [2- { 1 -[(2E)-3 -(4-chlorphenyl)prop-2-en- 1 -yl]piperidin-4-yl } -4-(trifluormethyl)phe- nyl]isonicotinamid (bekannt aus W02006/003494) (CAS 872999-66-1), 3-(4-Chlor-2,6-dimethylphenyl)- 4-hydroxy-8-methoxy-l,8-diazaspiro[4.5]dec-3-en-2-on (bekannt aus WO 2010052161) (CAS 1225292- 17-0), 3-(4-Chlor-2,6-dimethylphenyl)-8-methoxy-2 -oxo-1, 8-diazaspiro[4.5]dec-3-en-4-yl-ethylcarbonat (bekannt aus EP 2647626) (CAS 1440516-42-6), PF1364 (bekannt aus JP2010/018586) (CAS 1204776- 60-2), (3E)-3-[l-[(6-Chlor-3-pyridyl)methyl]-2-pyridyliden]-l,l,l-trifluorpropan-2-on (bekannt aus WO2013/144213) (CAS 1461743-15-6), N-[3-(Benzylcarbamoyl)-4-chlorphenyl]-l-methyl-3-(pentaflu- orethyl)-4-(trifluormethyl)-lH-pyrazol-5-carboxamid (bekannt aus WO2010/051926) (CAS 1226889-14- 0), 5-Brom-4-chlor-N-[4-chlor-2-methyl-6-(methylcarbamoyl)phenyl]-2-(3-chlor-2-pyridyl)pyrazol-3- carboxamid (bekannt aus CN103232431) (CAS 1449220-44-3), 4-[5-(3,5-Dichlorphenyl)-4,5-dihydro-5- (trifluormethyl)-3 -isoxazolyl] -2 -methyl -N-(cis- 1 -oxido-3 -thietanyl)benzamid, 4-[5 -(3 ,5 -Dichlorphenyl)- 4,5-dihydro-5-(trifluormethyl)-3-isoxazolyl]-2-methyl-N-(trans-l-oxido-3-thietanyl)benzamid und 4- [(5 S)-5 -(3 ,5 -Dichlorphenyl)-4,5 -dihydro-5 -(trifluormethyl)-3 -isoxazolyl] -2-methyl-N-(cis- 1 -oxido-3 - thietanyl)benzamid (bekannt aus WO 2013/050317 Al) (CAS 1332628-83-7), N-[3-Chlor-l-(3-pyridi- nyl)-lH-pyrazol-4-yl]-N-ethyl-3-[(3,3,3-trifluorpropyl)sulfmyl]propanamid, (+)-N-[3-Chlor-l-(3-pyridi- nyl)-lH-pyrazol-4-yl]-N-ethyl-3-[(3,3,3-trifluorpropyl)sulfmyl]propanamid und (-)-N-[3-Chlor-l-(3-py- ridinyl)-lH-pyrazol-4-yl]-N-ethyl-3-[(3,3,3-trifluorpropyl)sulfinyl]propanamid (bekannt aus WO 2013/162715 A2, WO 2013/162716 A2, US 2014/0213448 Al) (CAS 1477923-37-7), 5-[[(2E)-3-Chlor-(33) Other active ingredients selected from acynonapyr, afoxolaner, azadirachtin, benclothiaz, benzoximate, benzpyrimoxane, bromopropylate, quinomethionate, chloroballethrin, cryolite, cyclobutrifluram, cycloxaprid, cyetpyrafen, cyhalodiamide, cyproflanilide (CAS 2375110-88-4), dicloromezotiaz, dico - fol, dimpropyridaz, epsilon-metofluthrin, epsilon-momfluthrin, flometoquine, fluazaindolizine, flucypyriprole (CAS 1771741-86-6), fluensulfone, flufenerime, flufenoxystrobin, flufiprole, fluhexafone, fluopyram, flupyrimine, fluralaner, fufenozide, flupentiofenox , guadipyr, heptafluthrin, imidaclothiz, iprodione, isocycloseram, kappa-bifenthrin, kappa-tefluthrin, lotilaner, meperfluthrin, nicofluprole (CAS 1771741-86-6), oxazosulfyl, paichongding, pyridalyl, pyrifluquinazone, pyriminostrobin, sarolaner, spidoxamate, spirobudiclofen., tetramethylfluthrin , tetrachlorantraniliprole, tigolaner, tioxazafen, thiofluoximate, tyclopyrazoflor, iodomethan; also preparations based on Bacillus firmus (1-1582, Votivo) and azadirachtin (BioNeem), as well as the following compounds: l-{2-Fluoro-4-methyl-5-[(2,2,2-trifluoroethyl)sul- fmyl]phenyl}-3-(trifluoromethyl)-1H-1,2,4-triazole-5-amine (known from WO2006/043635) (CAS 885026-50-6), 2-chloro-N-[2-{ 1 -[(2E)-3-(4-chlorophenyl)prop-2-en- 1 -yl]piperidin-4-yl } -4-(trifluoromethyl)phenyl]isonicotinamide (known from WO2006/003494) (CAS 872999-66-1), 3-(4-chloro-2,6-dimethylphenyl)-4-hydroxy-8-methoxy-1,8-diazaspiro[4.5]dec-3-en-2-one (known from WO 2010052161) (CAS 1225292-17-0), 3-(4-Chloro-2,6-dimethylphenyl)-8-methoxy-2-oxo-1, 8-diazaspiro[4.5]dec-3-en-4-yl -ethyl carbonate (known from EP 2647626) (CAS 1440516-42-6), PF1364 (known from JP2010/018586) (CAS 1204776-60-2), (3E)-3-[l-[(6-chloro-3 -pyridyl)methyl]-2-pyridylidene]-l,l,l-trifluoropropan-2-one (known from WO2013/144213) (CAS 1461743-15-6), N-[3-(Benzylcarbamoyl)-4-chlorophenyl]-l-methyl-3-(pentafluoroethyl)-4-(trifluoromethyl)-lH-pyrazole-5 -carboxamide (known from WO2010/051926) (CAS 1226889-14-0), 5-bromo-4-chloro-N-[4-chloro-2-methyl-6-(methylcarbamoyl)phenyl]-2-(3- chloro-2-pyridyl)pyrazole-3-carboxamide (known from CN103232431) (CAS 1449220-44-3), 4-[5-(3,5-dichlorophenyl)-4,5-dihydro-5-(trifluoromethyl)- 3-isoxazolyl]-2-methyl-N-(cis-1-oxido-3-thietanyl)benzamide, 4-[5-(3,5-dichlorophenyl)-4,5-dihydro-5-(trifluoromethyl)-3 -isoxazolyl]-2-methyl-N-(trans-l-oxido-3-thietanyl)benzamide and 4-[(5S)-5-(3,5-dichlorophenyl)-4,5-dihydro-5-( trifluoromethyl)-3-isoxazolyl]-2-methyl-N-(cis-1-oxido-3-thietanyl)benzamide (known from WO 2013/050317 A1) (CAS 1332628-83-7), N-[3-chloro -1-(3-pyridinyl)-1H-pyrazol-4-yl]-N-ethyl-3-[(3,3,3-trifluoropropyl)sulfmyl]propanamide, (+)-N-[3-chloro -1-(3-pyridinyl)-1H-pyrazol-4-yl]-N-ethyl-3-[(3,3,3-trifluoropropyl)sulfmyl]propanamide and (-)-N-[3-chloro -l-(3-pyridinyl)-lH-pyrazol-4-yl]-N-ethyl-3-[(3,3,3-trifluoropropyl)sulfinyl]propanamide (known from WO 2013/162715 A2, WO 2013 /162716 A2, US 2014/0213448 Al) (CAS 1477923-37-7), 5-[[(2E)-3-chloro-
2-propen-l-yl]amino]-l-[2,6-dichlor-4-(trifluormethyl)phenyl]-4-[(trifluormethyl)sulfinyl]-lH-pyrazol-2-propen-1-yl]amino]-1-[2,6-dichloro-4-(trifluoromethyl)phenyl]-4-[(trifluoromethyl)sulfinyl]-1H-pyrazole-
3 -carbonitrile (bekannt aus CN 101337937 A) (CAS 1105672-77-2), 3-Brom-N-[4-chlor-2-methyl-6- [(methylamino)thioxomethyl]phenyl] - 1 -(3 -chlor-2-pyridinyl)- lH-pyrazol-5 -carboxamid, (Liudaibenj ia- xuanan, bekannt aus CN 103109816 A) (CAS 1232543-85-9); N-[4-Chlor-2-[[(l,l-dimethyl- ethyl)amino] carbonyl] -6-methylphenyl] - 1 -(3 -chlor-2-pyridinyl)-3 -(fluormethoxy)- lH-pyrazol-5 -carboxamid (bekannt aus WO 2012/034403 Al) (CAS 1268277-22-0), N-[2-(5-Amino-l,3,4-thiadiazol-2-yl)-3 -carbonitrile (known from CN 101337937 A) (CAS 1105672-77-2), 3-bromo-N-[4-chloro-2-methyl-6- [(methylamino)thioxomethyl]phenyl] - 1 -(3 - chloro-2-pyridinyl)-1H-pyrazol-5-carboxamide, (Liudaibenj ia-xuanan, known from CN 103109816 A) (CAS 1232543-85-9); N -[4-Chloro-2-[[(1,1-dimethyl-ethyl)amino]carbonyl]-6-methylphenyl]-1-(3-chloro-2-pyridinyl)-3-(fluoromethoxy)-1H- pyrazole-5-carboxamide (known from WO 2012/034403 A1) (CAS 1268277-22-0), N-[2-(5-amino-1,3,4-thiadiazol-2-yl)-
4-chlor-6-methylphenyl]-3-brom-l-(3-chlor-2-pyridinyl)-lH-pyrazol-5-carboxamid (bekannt aus WO4-chloro-6-methylphenyl]-3-bromo-1-(3-chloro-2-pyridinyl)-1H-pyrazole-5-carboxamide (known from WO
2011/085575 Al) (CAS 1233882-22-8), 4-[3-[2,6-Dichlor-4-[(3,3-dichlor-2-propen-l-yl)oxy]phen- oxy]propoxy]-2-methoxy-6-(trifluormethyl)pyrimidin (bekannt aus CN 101337940 A) (CAS 1108184- 52-6); (2E)- und 2(Z)-2-[2-(4-Cyanophenyl)-l-[3-(trifluormethyl)phenyl]ethyliden]-N-[4-(difluorme- thoxy)phenyl]hydrazincarboxamid (bekannt aus CN 101715774 A) (CAS 1232543-85-9); Cyclopropan- carbonsäure-3-(2,2-dichlorethenyl)-2,2-dimethyl-4-(lH-benzimidazol-2-yl)phenylester (bekannt aus CN 103524422 A) (CAS 1542271-46-4); (4aS)-7-Chlor-2,5-dihydro-2-[[(methoxycarbonyl)[4-[(trifluorme- thyl)thio]phenyl]amino]carbonyl]indeno[l,2-e][l,3,4]oxadiazin-4a(3H)-carbonsäuremethylester (bekannt aus CN 102391261 A) (CAS 1370358-69-2); 6-Desoxy-3-O-ethyl-2,4-di-O-methyl-l-[N-[4-[l-[4- (1,1 ,2,2,2-pentafluorethoxy)phenyl] - 1H- 1 ,2,4-triazol-3 -yl]phenyl]carbamat] -a-L-mannopyranose (bekannt aus US 2014/0275503 Al) (CAS 1181213-14-8); 8-(2-Cyclopropylmethoxy-4-trifluormethylphen- oxy)-3-(6-trifluormethylpyridazin-3-yl)-3-azabicyclo[3.2.1]octan (CAS 1253850-56-4), (8-anti)-8-(2- Cyclopropylmethoxy-4-trifluormethylphenoxy)-3-(6-trifluormethylpyridazin-3-yl)-3- azabicyclo[3.2.1]octan (CAS 933798-27-7), (8-syn)-8-(2-Cyclopropylmethoxy-4-trifluormethylphen- oxy)-3-(6-trifluormethylpyridazin-3-yl)-3-azabicyclo[3.2. l]octan (bekannt aus WO 2007040280 Al, WO 2007040282 Al) (CAS 934001-66-8), N-[4-(Aminothioxomethyl)-2-methyl-6-[(methylamino)carbonyl] phenyl]-3-brom-l-(3-chlor-2-pyridinyl)- lH-pyrazol-5 -carboxamid (bekannt aus CN 103265527 A) (CAS 1452877-50-7), 3-(4-Chlor-2,6-dimethylphenyl)-8-methoxy-l-methyl-l,8-diazaspiro[4.5]decan- 2,4-dion (bekannt aus WO 2014/187846 Al) (CAS 1638765-58-8), 3-(4-Chlor-2,6-dimethylphenyl)-8- methoxy-l-methyl-2-oxo-l,8-diazaspiro[4.5]dec-3-en-4-yl-carbonsäureethylester (bekannt aus WO 2010/066780 Al, WO 2011151146 Al) (CAS 1229023-00-0), A-[l-(2,6-Difluorphenyl)-lH-pyrazol-3- yl]-2-(trifluormethyl)benzamid (bekannt aus WO 2014/053450 Al) (CAS 1594624-87-9), N-[2-(2,6- Difluorphenyl)-2H-l,2,3-triazol-4-yl]-2-(trifluormethyl)benzamid (bekannt aus WO 2014/053450 Al) (CAS 1594637 -65-6), N- [ 1 -(3 ,5 -Difluor-2-pyridinyl)- lH-pyrazol-3 -yl] -2-(trifluormethyl)benzamid (bekannt aus WO 2014/053450 Al) (CAS 1594626-19-3), (3R)-3-(2-Chlor-5-thiazolyl)-2,3-dihydro-8-me- thyl-5,7-dioxo-6-phenyl-5H-thiazolo[3,2-a]pyrimidinium inneres Salz (bekannt aus WO 2018/177970 Al) (CAS 2246757-58-2); 3-(2-Chlor-5-thiazolyl)-2,3-dihydro-8-methyl-5,7-dioxo-6-phenyl-5H-thia- zolo[3,2-a]pyrimidinium inneres Salz (bekannt aus WO 2018/177970 Al) (CAS 2246757-56-0); A-[3- Chlor-l-(3-pyridinyl)-lH-pyrazol-4-yl]-2-(methylsulfonyl)-propanamid (bekannt aus WO 2019/236274 Al) (CAS 2396747-83-2), A-|2-bromo-4-| 1.2.2.2-tctrafluoro- l -(trifluoromcthyl )cthyl |-6-(trifliioromc- thyl)phenyl]-2-fluoro-3-[(4-fluorobenzoyl)amino]-benzamid (known from WO 2019059412 Al) (CAS 1207977-87-4). 2011/085575 Al) (CAS 1233882-22-8), 4-[3-[2,6-dichloro-4-[(3,3-dichloro-2-propen-l-yl)oxy]phen-oxy] propoxy]-2-methoxy-6-(trifluoromethyl)pyrimidine (known from CN 101337940 A) (CAS 1108184-52-6); (2E)- and 2(Z)-2-[2-(4-cyanophenyl)-1-[3-(trifluoromethyl)phenyl]ethylidene]-N-[4-(difluoromethoxy)phenyl]hydrazinecarboxamide (known from CN 101715774A) (CAS 1232543-85-9); Cyclopropanecarboxylic acid 3-(2,2-dichloroethenyl)-2,2-dimethyl-4-(1H-benzimidazol-2-yl)phenyl ester (known from CN 103524422 A) (CAS 1542271-46-4); (4aS)-7-Chloro-2,5-dihydro-2-[[(methoxycarbonyl)[4-[(trifluoromethyl)thio]phenyl]amino]carbonyl]indeno[1,2-e][1,3 ,4]oxadiazine-4a(3H)-carboxylic acid methyl ester (known from CN 102391261 A) (CAS 1370358-69-2); 6-Deoxy-3-O-ethyl-2,4-di-O-methyl-1-[N-[4-[1-[4-(1,1,2,2,2-pentafluoroethoxy)phenyl] - 1H-1,2,4-triazol-3-yl]phenyl]carbamate]-aL-mannopyranose (known from US 2014/0275503 A1) (CAS 1181213-14-8); 8-(2-Cyclopropylmethoxy-4-trifluoromethylphen- oxy)-3-(6-trifluoromethylpyridazin-3-yl)-3-azabicyclo[3.2.1]octane (CAS 1253850-56-4), (8-anti)- 8-(2- Cyclopropylmethoxy-4-trifluoromethylphenoxy)-3-(6-trifluoromethylpyridazin-3-yl)-3- azabicyclo[3.2.1]octane (CAS 933798-27-7), (8-syn)-8- (2-Cyclopropylmethoxy-4-trifluoromethylphenoxy)-3-(6-trifluoromethylpyridazin-3-yl)-3-azabicyclo[3.2. l]octane (known from WO 2007040280 A1, WO 2007040282 A1) (CAS 934001-66-8), N-[4-(aminothioxomethyl)-2-methyl-6-[(methylamino)carbonyl]phenyl]-3-bromo -l-(3-chloro-2-pyridinyl)- lH-pyrazol-5-carboxamide (known from CN 103265527 A) (CAS 1452877-50-7), 3-(4-chloro-2,6-dimethylphenyl)- 8-methoxy-1-methyl-1,8-diazaspiro[4.5]decan-2,4-dione (known from WO 2014/187846 A1) (CAS 1638765-58-8), 3-(4-chloro-2, 6-dimethylphenyl)-8-methoxy-1-methyl-2-oxo-1,8-diazaspiro[4.5]dec-3-en-4-yl-carboxylic acid ethyl ester (known from WO 2010/066780 A1, WO 2011151146 A1) (CAS 1229023-00-0), A-[l-(2,6-difluorophenyl)-lH-pyrazol-3-yl]-2-(trifluoromethyl)benzamide (known from WO 2014/053450 Al) (CAS 1594624-87-9), N-[2-(2,6-difluorophenyl)-2H-l,2,3-triazol-4-yl]-2-(trifluoromethyl)benzamide (known from WO 2014/053450 A1) (CAS 1594637-65-6), N-[1-(3,5-difluoro-2-pyridinyl)-1H-pyrazol-3-yl]-2-(trifluoromethyl)benzamide (known from WO 2014/053450 A1) (CAS 1594626-19-3), (3R)-3-(2-chloro-5-thiazolyl)-2,3-dihydro-8-methyl-5,7-dioxo- 6-phenyl-5H-thiazolo[3,2-a]pyrimidinium inner salt (known from WO 2018/177970 A1) (CAS 2246757-58-2); 3-(2-Chloro-5-thiazolyl)-2,3-dihydro-8-methyl-5,7-dioxo-6-phenyl-5H-thiazolo[3,2-a]pyrimidinium inner salt (known from WO 2018/177970 A1) (CAS 2246757-56-0); A-[3-chloro-l-(3-pyridinyl)-lH-pyrazol-4-yl]-2-(methylsulfonyl)propanamide (known from WO 2019/236274 A1) (CAS 2396747-83-2), A -|2-bromo-4-| 1.2.2.2-tetrafluoro-1-(trifluoromethyl)cthyl|-6-(trifluoromethyl)phenyl]-2-fluoro-3-[(4-fluorobenzoyl)amino]-benzamide (known from WO 2019059412 Al) (CAS 1207977 -87-4).
Fungizide fungicides
Die hier mit ihrem “Common Name” spezifizierten Wirkstoffe sind bekannt und beispielsweise im “Pesticide Manual” (16. Aufl. British Crop Protection Council) beschrieben oder im Internet recherchierbar (beispielsweise: www.alanwood.net/pesticides) beschrieben. The active ingredients specified here with their “Common Name” are known and are described, for example, in the “Pesticide Manual” (16th edition of the British Crop Protection Council) or can be researched on the Internet (for example: www.alanwood.net/pesticides).
Alle genannten Mischungspartner der Klassen (1) bis (15) können, wenn sie auf Grund ihrer funktionellen Gruppen dazu imstande sind, gegebenenfalls mit geeigneten Basen oder Säuren Salze bilden. Alle genannten fungiziden Mischungspartner der Klassen (1) bis (15) können gegebenenfalls tautomere Formen einschließen. All of the mixing partners mentioned in classes (1) to (15) can optionally form salts with suitable bases or acids if they are able to do so because of their functional groups. All of the fungicidal mixing partners mentioned in classes (1) to (15) can optionally include tautomeric forms.
1) Inhibitoren der Ergosterolbiosynthese, zum Beispiel (1.001) Cyproconazol, (1.002) Difenoconazol, (1.003) Epoxiconazol, (1.004) Fenhexamid, (1.005) Fenpropidin, (1.006) Fenpropimorph, (1.007) Fenpy- razamin, (1.008) Fluquinconazol, (1.009) Flutriafol, (1.010) Imazalil, (1.011) Imazalilsulfat, (1.012) Ipco- nazol, (1.013) Metconazol, (1.014) Myclobutanil, (1.015) Paclobutrazol, (1.016) Prochloraz, (1.017) Propiconazol, (1.018) Prothioconazol, (1.019) Pyrisoxazol, (1.020) Spiroxamin, (1.021) Tebuconazol, (1.022) Tetraconazol, (1.023) Triadimenol, (1.024) Tridemorph, (1.025) Triticonazol, (1.026) (1R,2S,5S)- 5 -(4-Chlorbenzyl)-2-(chlormethyl)-2 -methyl- 1 -( 1H- 1 ,2,4-triazol- 1 -ylmethyl)cyclopentanol, ( 1.027)1) Inhibitors of ergosterol biosynthesis, for example (1.001) cyproconazole, (1.002) difenoconazole, (1.003) epoxiconazole, (1.004) fenhexamid, (1.005) fenpropidin, (1.006) fenpropimorph, (1.007) fenpyrazamine, (1.008) fluquinconazole, (1009) flutriafol, (1010) imazalil, (1011) imazalil sulfate, (1012) ipconazole, (1013) metconazole, (1014) myclobutanil, (1015) paclobutrazole, (1016) prochloraz, (1017) propiconazole, (1018) Prothioconazole, (1.019) Pyrisoxazole, (1.020) Spiroxamine, (1.021) Tebuconazole, (1.022) Tetraconazole, (1.023) Triadimenol, (1.024) Tridemorph, (1.025) Triticonazole, (1.026) (1R,2S,5S)- 5 - (4-Chlorobenzyl)-2-(chloromethyl)-2-methyl-1-(1H-1,2,4-triazol-1-ylmethyl)cyclopentanol, ( 1.027)
( 1 S,2R,5R)-5 -(4-Chlorbenzyl)-2-(chlormethyl)-2 -methyl- 1 -( 1H- 1 ,2,4-triazol- 1 -ylmethyl)cyclopentanol, ( 1.028) (2R)-2-( 1 -Chlorcyclopropyl)-4-[( 1 R)-2,2-dichlorcyclopropyl] - 1 -( 1H- 1 ,2,4-triazol- 1 -yl)butan-2- ol, ( 1.029) (2R)-2-( 1 -Chlorcyclopropyl)-4- [( 1 S)-2,2-dichlorcyclopropyl] - 1 -( 1H- 1 ,2,4-triazol- 1 -yl)butan- 2-ol, (1.030) (2R)-2-[4-(4-Chlorphenoxy)-2-(trifluormethyl)phenyl] - 1 -( 1H- 1 ,2,4-triazol- 1 -yl)propan-2- ol, (1.031) (2S)-2-( 1 -Chlorcyclopropyl)-4-[( 1 R)-2,2-dichlorcyclopropyl] - 1 -( 1H- 1 ,2,4-triazol- 1 -yl)butan- 2-ol, (1.032) (2S)-2-( 1 -Chlorcyclopropyl)-4-[( 1 S)-2,2-dichlorcyclopropyl]- 1 -( 1H- 1 ,2,4-triazol- 1 -yl)bu- tan-2-ol, ( 1.033) (2S)-2-[4-(4-Chlorphenoxy)-2-(trifluormethyl)phenyl]- 1 -( 1H- 1 ,2,4-triazol- l-yl)propan- 2-ol, (1.034) (R)- [3 -(4-Chlor-2-fluorphenyl)-5 -(2,4-difluorphenyl)- 1 ,2-oxazol-4-yl] (pyridin-3 -yl)metha- nol, (1.035) (S)-[3-(4-Chlor-2-fluorphenyl)-5-(2,4-difluorphenyl)-l,2-oxazol-4-yl](pyridin-3-yl)metha- nol, (1.036) [3 -(4-Chlor-2-fluorphenyl)-5 -(2,4-difluorphenyl)- 1 ,2-oxazol-4-yl] (pyridin-3 -yl)methanol, (1.037) l-({(2R,4S)-2-[2-Chlor-4-(4-chlorphenoxy)phenyl]-4-methyl-l,3-dioxolan-2-yl}methyl)-lH-( 1 S,2R,5R)-5 -(4-Chlorobenzyl)-2-(chloromethyl)-2 -methyl- 1 -( 1H- 1 ,2,4-triazol-1-ylmethyl)cyclopentanol, ( 1.028) ( 2R)-2-( 1 -Chlorocyclopropyl)-4-[( 1R)-2,2-dichlorocyclopropyl]-1-( 1H-1,2,4-triazol-1-yl)butan-2-ol, ( 1.029) (2R)-2-( 1 -Chlorocyclopropyl)-4-[( 1S)-2,2-dichlorocyclopropyl]-1-( 1H- 1 ,2,4-triazol-1-yl)butan- 2- ol, (1,030) (2R)-2-[4-(4-Chlorophenoxy)-2-(trifluoromethyl)phenyl]-1-(1H-1,2,4-triazol-1-yl)propan-2-ol , (1.031) (2S)-2-( 1 -Chlorocyclopropyl)-4-[( 1 R)-2,2-dichlorocyclopropyl] - 1 -( 1H- 1 ,2,4-triazol- 1 -yl)butan- 2-ol, (1.032) (2S)-2-( 1 -Chlorocyclopropyl)-4-[( 1 S)-2,2-dichlorocyclopropyl]-1-( 1H- 1 ,2,4-triazol-1-yl )butan-2-ol, ( 1.033) (2S)-2-[4-(4-Chlorophenoxy)-2-(trifluoromethyl)phenyl]- 1 -( 1H- 1 ,2,4-triazole-l- yl)propane 2-ol, (1.034) (R)-[3-(4-Chloro-2-fluorophenyl)-5-(2,4-difluorophenyl)-1,2-oxazol-4-yl](pyridin-3 -yl )methanol, (1.035) (S)-[3-(4-Chloro-2-fluorophenyl)-5-(2,4-difluorophenyl)-1,2-oxazol-4-yl](pyridin-3- yl)methanol, (1,036) [3-(4-Chloro-2-fluorophenyl)-5-(2,4-difluorophenyl)-1,2-oxazol-4-yl](pyridin-3 -yl)methanol , (1.037) l-({(2R,4S)-2-[2-Chloro-4-(4-chlorophenoxy)phenyl]-4-methyl-1,3-dioxolan-2-yl}methyl)-lH-
1.2.4-triazol, (1.038) 1 -( {(2S,4S)-2-[2-Chlor-4-(4-chlorphenoxy)phenyl]-4-methyl- 1 ,3-dioxolan-2- yl (methyl)- 1H- 1 ,2,4-triazol, (1.039) 1 - { [3 -(2-Chlorphenyl)-2-(2,4-difluorphenyl)oxiran-2-yl]methyl } - lH-l,2,4-triazol-5-ylthiocyanat, (1.040) l-{[rel(2R,3R)-3-(2-Chlorphenyl)-2-(2,4-difluorphenyl)oxiran- 2-yl]methyl} - 1H- 1 ,2,4-triazol-5 -ylthiocyanat, (1.041) l-{ [rel(2R,3 S)-3 -(2-Chlorphenyl)-2-(2,4-difluor- phenyl)oxiran-2-yl]methyl } - 1H- 1 , 2, 4-triazol-5 -ylthiocyanat, ( 1.042) 2- [(2R,4R,5R)- 1 -(2,4-Dichlorphe- nyl)-5-hydroxy-2,6,6-trimethylheptan-4-yl]-2,4-dihydro-3H-l,2,4-triazol-3-thion, (1.043) 2-[(2R,4R,5S)- l-(2,4-Dichlorphenyl)-5-hydroxy-2,6,6-trimethylheptan-4-yl]-2,4-dihydro-3H-l,2,4-triazol-3-thion, (1.044) 2-[(2R,4S,5R)-l-(2,4-Dichlorphenyl)-5-hydroxy-2,6,6-trimethylheptan-4-yl]-2,4-dihydro-3H-1.2.4-triazole, (1.038) 1-({(2S,4S)-2-[2-Chloro-4-(4-chlorophenoxy)phenyl]-4-methyl-1,3-dioxolan-2-yl ( methyl)- 1H- 1 ,2,4-triazole, (1.039) 1 - { [3 -(2-Chlorophenyl)-2-(2,4-difluorophenyl)oxiran-2-yl]methyl } - lH-l, 2,4-triazol-5-ylthiocyanate, (1,040) l-{[rel(2R,3R)-3-(2-chlorophenyl)-2-(2,4-difluorophenyl)oxiran-2-yl]methyl} - 1H- 1 ,2,4-triazol-5 -ylthiocyanate, (1.041) l-{ [rel(2R,3S)-3 -(2-Chlorophenyl)-2-(2,4-difluoro- phenyl)oxirane- 2-yl]methyl } - 1H-1,2,4-triazol-5-ylthiocyanate, (1,042) 2-[(2R,4R,5R)-1-(2,4-dichlorophenyl)-5-hydroxy -2,6,6-trimethylheptan-4-yl]-2,4-dihydro-3H-1,2,4-triazole-3-thione, (1,043) 2-[(2R,4R,5S)-l- (2,4-Dichlorophenyl)-5-hydroxy-2,6,6-trimethylheptan-4-yl]-2,4-dihydro-3H-1,2,4-triazole-3-thione, (1,044) 2- [(2R,4S,5R)-l-(2,4-Dichlorophenyl)-5-hydroxy-2,6,6-trimethylheptan-4-yl]-2,4-dihydro-3H-
1.2.4-triazol-3-thion, (1.045) 2-[(2R,4S,5S)-l-(2,4-Dichlorphenyl)-5-hydroxy-2,6,6-trimethylheptan-4- yl]-2,4-dihydro-3H-l,2,4-triazol-3-thion, (1.046) 2-[(2S,4R,5R)-l-(2,4-Dichlorphenyl)-5-hydroxy-2,6,6- trimethylheptan-4-yl] -2,4-dihydro-3H- 1 ,2,4-triazol-3 -thion, ( 1.047) 2- [(2S,4R,5 S)- 1 -(2,4-Dichlorphe- nyl)-5-hydroxy-2,6,6-trimethylheptan-4-yl]-2,4-dihydro-3H-l,2,4-triazol-3-thion, (1.048) 2-[(2S,4S,5R)- l-(2,4-Dichlorphenyl)-5-hydroxy-2,6,6-trimethylheptan-4-yl]-2,4-dihydro-3H-l,2,4-triazol-3-thion, (1.049) 2-[(2S,4S,5S)-l-(2,4-Dichlorphenyl)-5-hydroxy-2,6,6-trimethylheptan-4-yl]-2,4-dihydro-3H- l,2,4-triazol-3-thion, (1.050) 2-[l-(2,4-Dichlorphenyl)-5-hydroxy-2,6,6-trimethylheptan-4-yl]-2,4- dihydro-3H- 1 ,2,4-triazol-3 -thion, (1.051) 2-[2-Chlor-4-(2,4-dichlorphenoxy)phenyl] - 1 -( 1H- 1 ,2,4-triazol- 1 -yl)propan-2-ol, (1.052) 2-[2-Chlor-4-(4-chlorphenoxy)phenyl] - 1 -( 1H- 1 ,2,4-triazol- 1 -yl)butan-2-ol, (1.053) 2-[4-(4-Chlorphenoxy)-2-(trifluormethyl)phenyl]-l-(lH-l,2,4-triazol-l-yl)butan-2-ol, (1.054) 2- [4-(4-Chlorphenoxy)-2-(trifluormethyl)phenyl] - 1 -( 1H- 1 ,2,4-triazol- 1 -yl)pentan-2-ol, (1.055) Mefentrif- luconazol, (1.056) 2-{[3-(2-Chlorphenyl)-2-(2,4-difluorphenyl)oxiran-2-yl]methyl}-2,4-dihydro-3H- l,2,4-triazol-3-thion, (1.057) 2-{[rel(2R,3R)-3-(2-Chlorphenyl)-2-(2,4-difluorphenyl)oxiran-2-yl]me- thyl}-2,4-dihydro-3H-l,2,4-triazol-3-thion, (1.058) 2-{[rel(2R,3S)-3-(2-Chlorphenyl)-2-(2,4-difluorphe- nyl)oxiran-2-yl]methyl}-2,4-dihydro-3H-l,2,4-triazol-3-thion, (1.059) 5-(4-Chlorbenzyl)-2-(chlorme- thyl)-2 -methyl- 1 -( 1H- 1 ,2,4-triazol- 1 -ylmethyl)cyclopentanol, (1.060) 5 -(Allylsulfanyl)- 1 - { [3 -(2-chlor- phenyl)-2-(2,4-difluorphenyl)oxiran-2-yl]methyl } - 1H- 1 ,2,4-triazol, (1.061) 5 -(Allylsulfanyl)- 1 -1.2.4-triazole-3-thione, (1.045) 2-[(2R,4S,5S)-1-(2,4-dichlorophenyl)-5-hydroxy-2,6,6-trimethylheptan-4-yl] -2,4-dihydro-3H-1,2,4-triazole-3-thione, (1,046) 2-[(2S,4R,5R)-1-(2,4-dichlorophenyl)-5-hydroxy-2 ,6,6-trimethylheptan-4-yl]-2,4-dihydro-3H-1,2,4-triazole-3-thione, ( 1,047) 2-[(2S,4R,5S)-1-( 2,4-Dichlorophenyl)-5-hydroxy-2,6,6-trimethylheptan-4-yl]-2,4-dihydro-3H-1,2,4-triazole-3-thione, (1.048) 2 -[(2S,4S,5R)-1-(2,4-dichlorophenyl)-5-hydroxy-2,6,6-trimethylheptan-4-yl]-2,4-dihydro-3H-1,2,4 -triazole-3-thione, (1,049) 2-[(2S,4S,5S)-l-(2,4-dichlorophenyl)-5-hydroxy-2,6,6-trimethylheptan-4-yl]-2, 4-dihydro-3H-1,2,4-triazole-3-thione, (1,050) 2-[1-(2,4-dichlorophenyl)-5-hydroxy-2,6,6-trimethylheptan-4-yl] -2,4-dihydro-3H-1,2,4-triazole-3-thione, (1.051) 2-[2-Chloro-4-(2,4-dichlorophenoxy)phenyl]-1-(1H-1, 2,4-triazol-1-yl)propan-2-ol, (1.052) 2-[2-Chloro-4-(4-chlorophenoxy)phenyl]-1-(1H-1,2,4-triazole-1 -yl)butan-2-ol, (1.053) 2-[4-(4-chlorophenoxy)-2-(trifluoromethyl)phenyl]-l-(lH-l, 2,4-triazol-1-yl)butan-2-ol, (1.054) 2-[4-(4-Chlorophenoxy)-2-(trifluoromethyl)phenyl]-1-(1H-1,2,4-triazole - 1 -yl)pentan-2-ol, (1.055) mefentrifluconazole, (1.056) 2-{[3-(2-chlorophenyl)-2-(2,4-difluorophenyl)oxiran-2-yl]methyl} -2,4-dihydro-3H-1,2,4-triazole-3-thione, (1.057) 2-{[rel(2R,3R)-3-(2-chlorophenyl)-2-(2,4- difluorophenyl)oxiran-2-yl]methyl}-2,4-dihydro-3H-1,2,4-triazole-3-thione, (1.058) 2-{[rel(2R,3S)-3-( 2-Chlorophenyl)-2-(2,4-difluorophenyl)oxiran-2-yl]methyl}-2,4-dihydro-3H-1,2,4-triazole-3-thione, (1.059) 5- (4-Chlorobenzyl)-2-(chloromethyl)-2 -methyl- 1 -( 1H- 1 ,2,4-triazol- 1 -ylmethyl)cyclopentanol, (1.060) 5 -(Allylsulfanyl)- 1 - { [ 3-(2-chloro-phenyl)-2-(2,4-difluorophenyl)oxiran-2-yl]methyl } - 1H-1,2,4-triazole, (1,061) 5 -(allylsulfanyl)- 1 -
{[rel(2R,3R)-3-(2-chlorphenyl)-2-(2,4-difluorphenyl)oxiran-2-yl]methyl}-lH-l,2,4-triazol, (1.062) 5- (Allylsulfanyl)- 1 -{ [rel(2R,3 S)-3-(2-chlorphenyl)-2-(2,4-difluorphenyl)oxiran-2-yl]methyl} - 1H- 1 ,2,4-triazol, (1.063) N'-(2,5-Dimethyl-4-{[3-(l,l,2,2-tetrafluorethoxy)phenyl]sulfanyl}phenyl)-N-ethyl-N-me- thylimidoformamid, ( 1.064) N'-(2,5-Dimethyl-4-{ [3-(2,2,2-trifluorethoxy)phenyl]sulfanyl}phenyl)-N- ethyl-N-methylimidoformamid, (1.065) N'-(2,5-Dimethyl-4-{[3-(2,2,3,3-tetrafluorpropoxy)phenyl]sul- fanyl}phenyl)-N-ethyl-N-methylimidoformamid, (1.066) N'-(2,5-Dimethyl-4-{[3-(pentafluorethoxy)phe- nyl]sulfanyl}phenyl)-N-ethyl-N-methylimidoformamid, (1.067) N'-(2,5-Dimethyl-4-{3-[(l,l,2,2-tetraf- luorethyl)sulfanyl]phenoxy}phenyl)-N-ethyl-N-methylimidoformamid, (1.068) N'-(2,5-Dimethyl-4-{3- [(2,2,2-trifluorethyl)sulfanyl]phenoxy}phenyl)-N-ethyl-N-methylimidoformamid, ( 1.069) N'-(2,5-Dime- thyl-4-{3-[(2,2,3,3-tetrafluorpropyl)sulfanyl]phenoxy}phenyl)-N-ethyl-N-methylimidoformamid, (1.070) N'-(2,5-Dimethyl-4-{3-[(pentafluorethyl)sulfanyl]phenoxy}phenyl)-N-ethyl-N-methylimidofor- mamid, (1.071) N'-(2,5-Dimethyl-4-phenoxyphenyl)-N-ethyl-N-methylimidoformamid, (1.072) N'-(4- {[3-(Difluormethoxy)phenyl]sulfanyl}-2,5-dimethylphenyl)-N-ethyl-N-methylimidoformamid, (1.073) N'-(4-{3-[(Difluormethyl)sulfanyl]phenoxy}-2,5-dimethylphenyl)-N-ethyl-N-methylimidoformamid, (1.074) N'-[5-Brom-6-(2,3-dihydro-lH-inden-2-yloxy)-2-methylpyridin-3-yl]-N-ethyl-N-methylimido- formamid, (1.075) N'-{4-[(4,5-Dichlor-l,3-thiazol-2-yl)oxy]-2,5-dimethylphenyl}-N-ethyl-N-methyli- midoformamid, (1.076) N'-{5 -Brom-6-[( 1 R)- 1 -(3 ,5 -difluorphenyl)ethoxy] -2-methylpyridin-3 -yl } -N- ethyl-N-methylimidoformamid, (1.077) N'-{5-Brom-6-[(lS)-l-(3,5-difluorphenyl)ethoxy]-2-methylpyri- din-3-yl}-N-ethyl-N-methylimidoformamid, (1.078) N'-{5-Brom-6-[(cis-4-isopropylcyclohexyl)oxy]-2- methylpyridin-3-yl}-N-ethyl-N-methylimidoformamid, (1.079) N'-{5-Brom-6-[(trans-4-isopropylcyclo- hexyl)oxy] -2-methylpyridin-3 -yl } -N-ethyl-N-methylimidoformamid, (1.080) N'-{5 -Brom-6-[ 1 -(3 ,5 - difluorphenyl)ethoxy]-2-methylpyridin-3-yl}-N-ethyl-N-methylimidoformamid, (1.081) Ipfentriflucona- zol, (1.082) 2- [4-(4-Chlorphenoxy)-2-(trifluormethyl)phenyl] - 1 -( 1H- 1 ,2,4-triazol- 1 -yl)propan-2-ol,{[rel(2R,3R)-3-(2-chlorophenyl)-2-(2,4-difluorophenyl)oxiran-2-yl]methyl}-lH-1,2,4-triazole, (1.062) 5- (Allylsulfanyl)- 1 -{[rel(2R,3S)-3-(2-chlorophenyl)-2-(2,4-difluorophenyl)oxiran-2-yl]methyl}-1H-1,2,4- triazole, (1.063) N'-(2,5-dimethyl-4-{[3-(l,l,2,2-tetrafluoroethoxy)phenyl]sulfanyl}phenyl)-N-ethyl-N-methylimidoformamide, ( 1.064) N'-(2,5-dimethyl-4-{[3-(2,2,2-trifluoroethoxy)phenyl]sulfanyl}phenyl)-N-ethyl-N-methylimidoformamide, (1.065) N'-(2 ,5-dimethyl-4-{[3-(2,2,3,3-tetrafluoropropoxy)phenyl]sulfanyl}phenyl)-N-ethyl-N-methylimidoformamide, (1,066) N'-(2,5- dimethyl-4-{[3-(pentafluoroethoxy)phenyl]sulfanyl}phenyl)-N-ethyl-N-methylimidoformamide, (1.067) N'-(2,5-dimethyl-4-{3-[(l, l,2,2-tetrafluoroethyl)sulfanyl]phenoxy}phenyl)-N-ethyl-N-methylimidoformamide, (1,068) N'-(2,5-dimethyl-4-{3- [(2,2,2-trifluoroethyl)sulfanyl]phenoxy}phenyl)-N-ethyl-N-methylimidoformamide, ( 1.069) N'-(2,5-dimethyl-4-{3-[(2,2 ,3,3-tetrafluoropropyl)sulfanyl]phenoxy}phenyl)-N-ethyl-N-methylimidoformamide, (1,070) N'-(2,5-dimethyl-4-{3-[(pentafluoroethyl)sulfanyl]phenoxy}phenyl) -N-ethyl-N-methylimidoformamide, (1.071) N'-(2,5-dimethyl-4-phenoxyphenyl)-N-ethyl-N-methylimidoformamide, (1.072) N'-(4-{[3- (Difluoromethoxy)phenyl]sulfanyl}-2,5-dimethylphenyl)-N-ethyl-N-methylimidoformamide, (1.073) N'-(4-{3-[(Difluoromethyl)sulfanyl]phenoxy}-2,5-dimethylphenyl) -N-ethyl-N-methylimidoformamide, (1.074) N'-[5-Bromo-6-(2,3-dihydro-1H-inden-2-yloxy)-2-methylpyridin-3-yl]-N-ethyl -N-methylimido-formamide, (1.075) N'-{4-[(4,5-Dichloro-1,3-thiazol-2-yl)oxy]-2,5-dimethylphenyl}-N-ethyl-N- methylimidoformamide, (1.076) N'-{5 -Bromo-6-[( 1 R)- 1 -(3 ,5 -difluorophenyl)ethoxy] -2-methylpyridin-3 -yl } -N-ethyl-N- methylimidoformamide, (1.077) N'-{5-Bromo-6-[(IS)-1-(3,5-difluorophenyl)ethoxy]-2-methylpyridin-3-yl}-N-ethyl-Nm ethylimidoformamide, (1.078) N'-{5-Bromo-6-[(cis-4-isopropylcyclohexyl)oxy]-2-methylpyridin-3-yl}-N-ethyl-N-methylimidoformamide, (1.079) N'-{ 5-Bromo-6-[(trans-4-isopropylcyclo-hexyl)oxy]-2-methylpyridin-3-yl}-N-ethyl-N-methylimidoformamide, (1,080) N'-{5-Bromo-6-[ 1-(3,5-difluorophenyl)ethoxy]-2-methylpyridin-3-yl}-N-ethyl-N-methylimidoformamide, (1.081) Ipfentrifluconazole, (1.082) 2-[4-(4-Chlorophenoxy)- 2-(trifluoromethyl)phenyl]-1-(1H-1,2,4-triazol-1-yl)propan-2-ol,
(1.083) 2-[6-(4-Bromphenoxy)-2-(trifluormethyl)-3-pyridyl]-l-(l,2,4-triazol-l-yl)propan-2-ol, (1.084) 2- [6-(4-Chlorphenoxy)-2-(trifluormethyl)-3-pyridyl]-l-(l,2,4-triazol-l-yl)propan-2-ol, (1.085) 3-[2-(l- Chlorcyclopropyl)-3-(3-chlor-2-fluorphenyl)-2-hydroxy-propyl]imidazol-4-carbonitril und (1.086) 4-[[6- [rac-(2R)-2-(2,4-Difluorphenyl)-l,l-difluor-2-hydroxy-3-(5-thioxo-4H-l,2,4-triazol-l-yl)propyl]-3-py- ridyl] oxy]benzonitril . (1.083) 2-[6-(4-Bromophenoxy)-2-(trifluoromethyl)-3-pyridyl]-l-(1,2,4-triazol-l-yl)propan-2-ol, (1.084) 2 - [6-(4-Chlorophenoxy)-2-(trifluoromethyl)-3-pyridyl]-l-(l,2,4-triazol-l-yl)propan-2-ol, (1.085) 3-[2- (1-Chlorocyclopropyl)-3-(3-chloro-2-fluorophenyl)-2-hydroxy-propyl]imidazole-4-carbonitrile and (1,086) 4-[[6-[rac-(2R)-2-(2 ,4-Difluorophenyl)-1,1-difluoro-2-hydroxy-3-(5-thioxo-4H-1,2,4-triazol-1-yl)propyl]-3-pyridyl]oxy]benzonitrile.
2) Inhibitoren der Atmungskette an Komplex I oder II, zum Beispiel (2.001) Benzovindiflupyr, (2.002) Bixafen, (2.003) Boscalid, (2.004) Carboxin, (2.005) Fluopyram, (2.006) Flutolanil, (2.007) Fluxapyro- xad, (2.008) Furametpyr, (2.009) Isofetamid, (2.010) Isopyrazam (anti-epimeres Enantiomer 1R,4S,9S), (2.011) Isopyrazam (anti-epimeres Enantiomer 1S,4R,9R), (2.012) Isopyrazam (anti-epimeres Racemat 1RS,4SR,9SR), (2.013) Isopyrazam (Mischung von syn-epimerem Racemat 1RS,4SR,9RS und anti-epi- merem Racemat 1RS,4SR,9SR), (2.014) Isopyrazam (syn-epimeres Enantiomer 1R,4S,9R), (2.015) Isopyrazam (syn-epimeres Enantiomer 1S,4R,9S), (2.016) Isopyrazam (syn-epimeres Racemat 1RS,4SR,9RS), (2.017) Penflufen, (2.018) Penthiopyrad, (2.019) Pydiflumetofen, (2.020) Pyraziflumid, (2.021) Sedaxan, (2.022) l,3-Dimethyl-N-(l,l,3-trimethyl-2,3-dihydro-lH-inden-4-yl)-lH-pyrazol-4- carboxamid, (2.023) l,3-Dimethyl-N-[(3R)-l,l,3-trimethyl-2,3-dihydro-lH-inden-4-yl]-lH-pyrazol-4- carboxamid, (2.024) l,3-Dimethyl-N-[(3S)-l,l,3-trimethyl-2,3-dihydro-lH-inden-4-yl]-lH-pyrazol-4- carboxamid, (2.025) l-Methyl-3-(trifluormethyl)-N-[2'-(trifluormethyl)biphenyl-2-yl]-lH-pyrazol-4-car- boxamid, (2.026) 2-Fluor-6-(trifluormethyl)-N-(l,l,3-trimethyl-2,3-dihydro-lH-inden-4-yl)benzamid, (2.027) 3 -(Difluormethyl)- 1 -methyl-N-( 1 , 1 ,3 -trimethyl-2,3 -dihydro- lH-inden-4-yl)- lH-pyrazol-4-car- boxamid, (2.028) Inpyrfluxam, (2.029) 3-(Difhrormethyl)-l-methyl-N-[(3S)-l,l,3-trimethyl-2,3-dihydro- lH-inden-4-yl]-lH-pyrazol-4-carboxamid, (2.030) Fluindapyr, (2.031) 3-(Difhrormethyl)-N-[(3R)-7- fluor- 1 , 1 ,3 -trimethyl-2,3 -dihydro- lH-inden-4-yl] - 1 -methyl- lH-pyrazol-4-carboxamid, (2.032) 3 -(Diflu- ormethyl)-N-[(3S)-7-fluor-l,l,3-trimethyl-2,3-dihydro-lH-inden-4-yl]-l-methyl-lH-pyrazol-4-carboxa- mid, (2.033) 5,8-Difluor-N-[2-(2-fluor-4-{[4-(trifluormethyl)pyridin-2-yl]oxy}phenyl)ethyl]chinazolin- 4-amin, (2.034) N -(2-Cyclopentyl-5 -fluorbenzyl)-N-cyclopropyl-3 -(difluormethyl)-5 -fluor- 1 -methyl - lH-pyrazol-4-carboxamid, (2.035) N-(2-tert.-Butyl-5-methylbenzyl)-N-cyclopropyl-3-(difluormethyl)-5- fluor-1 -methyl- lH-pyrazol-4-carboxamid, (2.036) N-(2-tert.-Butylbenzyl)-N-cyclopropyl-3-(difluorme- thyl)-5 -fluor- 1 -methyl- lH-pyrazol-4-carboxamid, (2.037) N-(5 -Chlor-2-ethylbenzyl)-N-cyclopropyl-3 - (difluormethyl)-5-fluor-l-methyl-lH-pyrazol-4-carboxamid, (2.038) N-(5-Chlor-2-isopropylbenzyl)-N- cyclopropyl-3-(difluormethyl)-5-fluor-l-methyl-lH-pyrazol-4-carboxamid, (2.039) N-[(lR,4S)-9-(Dich- lormethylen)- 1 ,2,3 ,4-tetrahydro- 1 ,4-methanonaphthalin-5 -yl] -3 -(difluormethyl)- 1 -methyl- lH-pyrazol-4- carboxamid, (2.040) N-[(lS,4R)-9-(Dichlormethylen)-l,2,3,4-tetrahydro-l,4-methanonaphthalin-5-yl]-3- (difluormethyl)- 1 -methyl- lH-pyrazol-4-carboxamid, (2.041) N-[l-(2,4-Dichlorphenyl)-l-methoxypro- pan-2-yl]-3-(difluormethyl)-l-methyl-lH-pyrazol-4-carboxamid, (2.042) N-[2-Chlor-6-(trifluorme- thyl)benzyl]-N-cyclopropyl-3-(difluormethyl)-5-fluor-l-methyl-lH-pyrazol-4-carboxamid, (2.043) N-[3- Chlor-2-fluor-6-(trifluormethyl)benzyl]-N-cyclopropyl-3-(difluormethyl)-5-fluor-l-methyl-lH-pyrazol- 4-carboxamid, (2.044) N-[5-Chlor-2-(trifluormethyl)benzyl]-N-cyclopropyl-3-(difluormethyl)-5-fluor-l- methyl- lH-pyrazol-4-carboxamid, (2.045) N-Cyclopropyl-3-(difluormethyl)-5-fluor-l-methyl-N-[5-me- thyl-2-(trifluormethyl)benzyl]-lH-pyrazol-4-carboxamid, (2.046) N-Cyclopropyl-3-(difluormethyl)-5- fluor-N-(2-fluor-6-isopropylbenzyl)-l-methyl-lH-pyrazol-4-carboxamid, (2.047) N-Cyclopropyl-3- (difluormethyl)-5-fluor-N-(2-isopropyl-5-methylbenzyl)-l-methyl-lH-pyrazol-4-carboxamid, (2.048) N- Cyclopropyl-3-(difluormethyl)-5-fluor-N-(2-isopropylbenzyl)-l-methyl-lH-pyrazol-4-carbothioamid, (2.049) N-Cyclopropyl-3-(difluormethyl)-5-fluor-N-(2-isopropylbenzyl)-l-methyl-lH-pyrazol-4-carbo- xamid, (2.050) N-Cyclopropyl-3-(difluormethyl)-5-fluor-N-(5-fluor-2-isopropylbenzyl)-l-methyl-lH- pyrazol-4-carboxamid, (2.051) N-Cyclopropyl-3-(difluormethyl)-N-(2-ethyl-4,5-dimethylbenzyl)-5- fluor-1 -methyl- lH-pyrazol-4-carboxamid, (2.052) N-Cyclopropyl-3-(difluormethyl)-N-(2-ethyl-5-flu- orbenzyl)-5-fluor-l-methyl-lH-pyrazol-4-carboxamid, (2.053) N-Cyclopropyl-3-(difluormethyl)-N-(2- ethyl-5-methylbenzyl)-5-fluor-l-methyl-lH-pyrazol-4-carboxamid, (2.054) N-Cyclopropyl-N-(2-cyclop- ropyl-5-fluorbenzyl)-3-(difluormethyl)-5-fluor-l-methyl-lH-pyrazol-4-carboxamid, (2.055) N-Cyclop- ropyl-N-(2-cyclopropyl-5-methylbenzyl)-3-(difluormethyl)-5-fluor-l-methyl-lH-pyrazol-4-carboxamid, (2.056) N-Cyclopropyl-N-(2-cyclopropylbenzyl)-3-(difluormethyl)-5-fluor-l-methyl-lH-pyrazol-4-car- boxamid, (2.057) Pyrapropoyn. 2) Respiratory chain inhibitors at complex I or II, for example (2.001) benzovindiflupyr, (2.002) bixafen, (2.003) boscalid, (2.004) carboxine, (2.005) fluopyram, (2.006) flutolanil, (2.007) fluxapyroxad, (2.008) Furametpyr, (2.009) Isofetamide, (2.010) Isopyrazam (anti-epimeric enantiomer 1R,4S,9S), (2.011) Isopyrazam (anti-epimeric enantiomer 1S,4R,9R), (2.012) Isopyrazam (anti-epimeric racemate 1RS,4SR,9SR), (2.013) isopyrazam (mixture of syn-epimeric racemate 1RS,4SR,9RS and anti-epimeric racemate 1RS,4SR,9SR), (2.014) isopyrazam (syn-epimeric enantiomer 1R,4S ,9R), (2.015) isopyrazam (syn-epimeric enantiomer 1S,4R,9S), (2.016) isopyrazam (syn-epimeric racemate 1RS,4SR,9RS), (2.017) penflufen, (2.018) penthiopyrad, (2.019) pydiflumetofen , (2.020) pyraziflumide, (2.021) sedaxane, (2.022) l,3-dimethyl-N-(l,l,3-trimethyl-2,3-dihydro-lH-inden-4-yl)-lH-pyrazol- 4-carboxamide, (2.023) 1,3-dimethyl-N-[(3R)-1,1,3-trimethyl-2,3-dihydro-1H-inden-4-yl]-1H-pyrazole-4-carboxamide , (2,024) l,3 dim ethyl-N-[(3S)-l,l,3-trimethyl-2,3-dihydro-lH-inden-4-yl]-lH-pyrazole-4-carboxamide, (2.025) l-methyl-3-( trifluoromethyl)-N-[2'-(trifluoromethyl)biphenyl-2-yl]-1H-pyrazole-4-carboxamide, (2.026) 2-Fluoro-6-(trifluoromethyl)-N-(1,1,3 -trimethyl-2,3-dihydro-1H-inden-4-yl)benzamide, (2.027) 3-(difluoromethyl)-1-methyl-N-(1,1,3-trimethyl-2,3-dihydro-1H -inden-4-yl)-1H-pyrazole-4-carboxamide, (2.028) inpyrfluxam, (2.029) 3-(dichloromethyl)-1-methyl-N-[(3S)-1,1,3-trimethyl -2,3-dihydro-1H-inden-4-yl]-1H-pyrazole-4-carboxamide, (2.030) fluindapyr, (2.031) 3-(dichloromethyl)-N-[(3R)-7- fluoro-1,1,3-trimethyl-2,3-dihydro-lH-inden-4-yl]-1-methyl-lH-pyrazole-4-carboxamide, (2,032) 3-(difluoromethyl)-N- [(3S)-7-fluoro-l,l,3-trimethyl-2,3-dihydro-lH-inden-4-yl]-l-methyl-lH-pyrazole-4-carboxamide, (2.033) 5 ,8-Difluoro-N-[2-(2-fluoro-4-{[4-(trifluoromethyl)pyridin-2-yl]oxy}phenyl)ethyl]quinazolin-4-amine, (2.034) N -(2- Cyclopentyl-5-fluorobenzyl)-N-cyclopropyl-3-(difluoromethyl)-5-fluoro-1-methyl-lH-pyrazole-4-carboxamide, (2.035) N-(2-tert-butyl-5-methylbenzyl) -N-cyclopropyl-3-(difluoromethyl)-5-fluoro-1-methyl- lH-pyrazole-4-carboxamide, (2.036) N-(2-tert-butylbenzyl)-N-cyclopropyl-3-(difluorome- ethyl)-5 -fluoro- 1 -methyl- lH-pyrazole-4-carboxamide, (2.037) N-(5 -Chloro-2-ethylbenzyl)-N-cyclopropyl-3-(difluoromethyl)-5-fluoro-l- methyl-1H-pyrazole-4-carboxamide, (2.038) N-(5-Chloro-2-isopropylbenzyl)-N-cyclopropyl-3-(difluoromethyl)-5-fluoro-1-methyl-1H-pyrazole-4-carboxamide , (2.039) N-[(lR,4S)-9-(dichloromethylene)-1,2,3,4-tetrahydro-1,4-methanonaphthalin-5 -yl] -3 -(d ifluoromethyl)-1-methyl-1H-pyrazole-4-carboxamide, (2,040) N-[(1S,4R)-9-(dichloromethylene)-1,2,3,4-tetrahydro-1,4-methanonaphthalene-5 -yl]-3-(difluoromethyl)-1-methyl-1 H -pyrazole-4-carboxamide, (2.041) N -[1-(2,4-Dichlorophenyl)-1-methoxypropan-2-yl]-3 -(difluoromethyl)-1-methyl-1H-pyrazole-4-carboxamide, (2.042) N -[2-Chloro-6-(trifluoromethyl)benzyl]-N-cyclopropyl-3-(difluoromethyl)-5-fluoro -1-methyl-1H-pyrazole-4-carboxamide, (2.043) N -[3-Chloro-2-fluoro-6-(trifluoromethyl)benzyl]-N-cyclopropyl-3-(difluoromethyl)-5-fluoro-1 -methyl-1H-pyrazole-4-carboxamide, (2.044) N -[5-Chloro-2-(trifluoromethyl)benzyl]-N-cyclopropyl-3-(difluoromethyl)-5-fluoro-1-methyl-1H-pyrazole -4-carboxamide, (2.045) N -Cyclopropyl-3-(difluoromethyl)-5-fluoro-1-methyl-N-[5-methyl-2-(trifluoromethyl)benzyl]-1H-pyrazole-4-carboxamide , (2.046) N -Cyclopropyl-3-(difluoromethyl)-5-fluoro-N-(2-fluoro-6-isopropylbenzyl)-1-methyl-1H-pyrazole-4-carboxamide, (2.047) N -Cyclopropyl-3 -(difluoromethyl)-5-fluoro-N-(2-isopropyl-5-methylbenzyl)-1-methyl-1H -pyrazole-4-carboxamide, (2.048) N -cyclopropyl-3-(difluoromethyl)-5-fluoro-N-(2-isopropylbenzyl)-1-methyl-1H-pyrazole-4-carbothioamide, (2.049) N -cyclopropyl -3-(difluoromethyl)-5-fluoro-N-(2-isopropylbenzyl)-l-methyl-lH-pyrazole-4-carboxamide, (2,050) N-cyclopropyl-3-(difluoromethyl)-5-fluoro- N-(5-Fluoro-2-isopropylbenzyl)-l-methyl-lH-pyrazole-4-carboxamide, (2.051) N-Cyclopropyl-3-(difluoromethyl)-N-(2-ethyl-4,5-dimethylbenzyl) -5-fluoro-1 -methyl- lH-pyrazole-4-carboxamide, (2.052) N -Cyclopropyl-3-(difluoromethyl)-N-(2-ethyl-5-fluorobenzyl)-5-fluoro-l- methyl-1H-pyrazole-4-carboxamide, (2.053) N -Cyclopropyl-3-(difluoromethyl)-N-(2-ethyl-5-methylbenzyl)-5-fluoro-1-methyl-1H-pyrazole-4-carboxamide , (2.054) N-Cyclopropyl-N-(2-cyclopropyl-5-fluorobenzyl)-3-(difluoromethyl)-5-fluoro-1-methyl-1H-pyrazole-4-carboxamide, (2.055) N-Cyclop - propyl-N-(2-cyclopropyl-5-methylbenzyl)-3-(difluoromethyl)-5-fluoro-1-methyl-1H-pyrazole-4-carboxamide, (2.056) N-cyclopropyl-N-(2-cyclopropylbenzyl )-3-(difluoromethyl)-5-fluoro-l-methyl- lH-pyrazole-4-carboxamide, (2.057) pyrapropoyn.
3) Inhibitoren der Atmungskette an Komplex III, zum Beispiel (3.001) Ametoctradin, (3.002) Amisul- brom, (3.003) Azoxystrobin, (3.004) Coumethoxystrobin, (3.005) Coumoxystrobin, (3.006) Cyazofamid, (3.007) Dimoxystrobin, (3.008) Enoxastrobin, (3.009) Famoxadon, (3.010) Fenamidon, (3.011) Flufen- oxystrobin, (3.012) Fluoxastrobin, (3.013) Kresoxim-methyl, (3.014) Metominostrobin, (3.015) Ory- sastrobin, (3.016) Picoxystrobin, (3.017) Pyraclostrobin, (3.018) Pyrametostrobin, (3.019) Pyraoxystro- bin, (3.020) Trifloxystrobin, (3.021) (2E)-2-{2-[({[(lE)-l-(3-{[(E)-l-Fluor-2-phenylvinyl]oxy}phe- nyl)ethyliden]amino}oxy)methyl]phenyl}-2-(methoxyimino)-N-methylacetamid, (3.022) (2E,3Z)-5-{ [ 1- (4-Chlorphenyl)-lH-pyrazol-3-yl]oxy}-2-(methoxyimino)-N,3-dimethylpent-3-enamid, (3.023) (2R)-2- {2-[(2,5-Dimethylphenoxy)methyl]phenyl}-2-methoxy-N-methylacetamid, (3.024) (2S)-2-{2-[(2,5-Di- methylphenoxy)methyl]phenyl}-2-methoxy-N-methylacetamid, (3.025) Fenpicoxamid, (3.026) Man- destrobin, (3.027) N-(3-Ethyl-3,5,5-trimethylcyclohexyl)-3-formamido-2-hydroxybenzamid, (3.028) (2E,3Z)-5-{[l-(4-Chlor-2-fluorphenyl)-lH-pyrazol-3-yl]oxy}-2-(methoxyimino)-N,3-dimethylpent-3- enamid, (3.029) {5-[3-(2,4-Dimethylphenyl)-lH-pyrazol-l-yl]-2-methylbenzyl}carbamidsäuremethyles- ter, (3.030) Metyltetraprol, (3.031) Flory Ipicoxamid. 3) Inhibitors of the respiratory chain at complex III, for example (3.001) ametoctradine, (3.002) amisulbromine, (3.003) azoxystrobin, (3.004) coumethoxystrobin, (3.005) coumoxystrobin, (3.006) cyazofamide, (3.007) dimoxystrobin, (3.008 ) enoxastrobin, (3.009) famoxadone, (3.010) fenamidone, (3.011) flufenoxystrobin, (3.012) fluoxastrobin, (3.013) kresoxim-methyl, (3.014) metominostrobin, (3.015) orysastrobin, (3.016) picoxystrobin, ( 3.017) pyraclostrobin, (3.018) pyrametostrobin, (3.019) pyraoxystrobin bin, (3.020) trifloxystrobin, (3.021) (2E)-2-{2-[({[(lE)-l-(3-{[(E)-l-fluoro-2-phenylvinyl]oxy}phe- nyl)ethylidene]amino}oxy)methyl]phenyl}-2-(methoxyimino)-N-methylacetamide, (3.022)(2E,3Z)-5-{[ 1-(4-Chlorophenyl)-1H-pyrazole-3- yl]oxy}-2-(methoxyimino)-N,3-dimethylpent-3-enamide, (3.023)(2R)-2-{2-[(2,5-dimethylphenoxy)methyl]phenyl}-2-methoxy- N-methylacetamide, (3.024) (2S)-2-{2-[(2,5-dimethylphenoxy)methyl]phenyl}-2-methoxy-N-methylacetamide, (3.025) fenpicoxamide, (3.026) mandestrobin , (3.027) N-(3-Ethyl-3,5,5-trimethylcyclohexyl)-3-formamido-2-hydroxybenzamide, (3.028) (2E,3Z)-5-{[l-(4-Chloro-2- fluorophenyl)-1H-pyrazol-3-yl]oxy}-2-(methoxyimino)-N,3-dimethylpent-3-enamide, (3.029) {5-[3-(2,4-dimethylphenyl)-1H-pyrazole -l-yl]-2-methylbenzyl}carbamic acid methyl ester, (3.030) methyltetraprole, (3.031) flory ipicoxamide.
4) Inhibitoren von Mitose und Zellteilung, zum Beispiel (4.001) Carbendazim, (4.002) Diethofencarb, (4.003) Ethaboxam, (4.004) Fluopicolid, (4.005) Pencycuron, (4.006) Thiabendazol, (4.007) Thiophanat- methyl, (4.008) Zoxamid, (4.009) 3-Chlor-4-(2,6-difluorphenyl)-6-methyl-5-phenylpyridazin, (4.010) 3- Chlor-5 -(4-chlorphenyl)-4-(2,6-difluorphenyl)-6-methylpyridazin, (4.011) 3 -Chlor-5 -(6-chlorpyridin-3 - yl)-6-methyl-4-(2,4,6-trifluorphenyl)pyridazin, (4.012) 4-(2-Brom-4-fluorphenyl)-N-(2,6-difluorphenyl)- 1 ,3 -dimethyl- lH-pyrazol-5 -amin, (4.013) 4-(2-Brom-4-fluorphenyl)-N-(2-brom-6-fluorphenyl)- 1 ,3 -dimethyl- lH-pyrazol-5-amin, (4.014) 4-(2-Brom-4-fluorphenyl)-N-(2-bromphenyl)-l,3-dimethyl-lH-py- razol-5-amin, (4.015) 4-(2-Brom-4-fluorphenyl)-N-(2-chlor-6-fluorphenyl)-l,3-dimethyl-lH-pyrazol-5- amin, (4.016) 4-(2-Brom-4-fluorphenyl)-N-(2-chlorphenyl)-l,3-dimethyl-lH-pyrazol-5-amin, (4.017) 4- (2-Brom-4-fluorphenyl)-N-(2-fluorphenyl)-l,3-dimethyl-lH-pyrazol-5-amin, (4.018) 4-(2-Chlor-4-fluor- phenyl)-N-(2,6-difluorphenyl)-l,3-dimethyl-lH-pyrazol-5-amin, (4.019) 4-(2-Chlor-4-fluorphenyl)-N- (2-chlor-6-fluorphenyl)-l,3-dimethyl-lH-pyrazol-5-amin, (4.020) 4-(2-Chlor-4-fluorphenyl)-N-(2-chlor- phenyl)- 1 ,3 -dimethyl- lH-pyrazol-5 -amin, (4.021 ) 4-(2-Chlor-4-fluorphenyl)-N-(2 -fluorphenyl)- 1 ,3 -dimethyl- lH-pyrazol-5-amin, (4.022) 4-(4-Chlorphenyl)-5-(2,6-difluorphenyl)-3,6-dimethylpyridazin, (4.023) N-(2-Brom-6-fluorphenyl)-4-(2-chlor-4-fluorphenyl)- 1 ,3 -dimethyl- lH-pyrazol-5 -amin, (4.024) N-(2-Bromphenyl)-4-(2-chlor-4-fluorphenyl)-l,3-dimethyl-lH-pyrazol-5-amin, (4.025) N-(4-Chlor-2,6- difluorphenyl)-4-(2-chlor-4-fluorphenyl)-l,3-dimethyl-lH-pyrazol-5-amin. 4) Inhibitors of mitosis and cell division, for example (4.001) carbendazim, (4.002) diethofencarb, (4.003) ethaboxam, (4.004) fluopicolide, (4.005) pencycuron, (4.006) thiabendazole, (4.007) thiophanate-methyl, (4.008) Zoxamide, (4.009) 3-Chloro-4-(2,6-difluorophenyl)-6-methyl-5-phenylpyridazine, (4.010) 3-Chloro-5-(4-chlorophenyl)-4-(2,6-difluorophenyl )-6-methylpyridazine, (4.011) 3 -Chloro-5-(6-chloropyridin-3 - yl)-6-methyl-4-(2,4,6-trifluorophenyl)pyridazine, (4.012) 4-(2- bromo-4-fluorophenyl)-N-(2,6-difluorophenyl)-1,3-dimethyl-1H-pyrazol-5-amine, (4.013) 4-(2-bromo-4-fluorophenyl)-N-(2 -bromo-6-fluorophenyl)-1,3-dimethyl-1H-pyrazol-5-amine, (4.014) 4-(2-bromo-4-fluorophenyl)-N-(2-bromophenyl)-1,3-dimethyl -lH-pyrazol-5-amine, (4.015) 4-(2-bromo-4-fluorophenyl)-N-(2-chloro-6-fluorophenyl)-l,3-dimethyl-lH-pyrazol-5- amine, (4.016) 4-(2-Bromo-4-fluorophenyl)-N-(2-chlorophenyl)-1,3-dimethyl-1H-pyrazole-5-amine, (4.017) 4-(2-bromo-4 -fluorophenyl)-N-(2-fluorophenyl)-1,3-dimethyl-1H-pyrazol-5-amine, (4.018) 4-(2- Chloro-4-fluoro-phenyl)-N-(2,6-difluorophenyl)-1,3-dimethyl-1H-pyrazol-5-amine, (4.019) 4-(2-Chloro-4-fluorophenyl)-N- (2-chloro-6-fluorophenyl)-1,3-dimethyl-1H-pyrazol-5-amine, (4.020) 4-(2-chloro-4-fluorophenyl)-N-(2-chloro-phenyl)-1 ,3-dimethyl-1H-pyrazole-5-amine, (4.021) 4-(2-Chloro-4-fluorophenyl)-N-(2-fluorophenyl)-1,3-dimethyl-1H-pyrazole-5-amine, (4.022) 4-(4-Chlorophenyl)-5-(2,6-difluorophenyl)-3,6-dimethylpyridazine, (4.023) N-(2-Bromo-6-fluorophenyl)-4-(2-chloro-4 -fluorophenyl)-1,3-dimethyl-1H-pyrazole-5-amine, (4.024) N-(2-Bromophenyl)-4-(2-chloro-4-fluorophenyl)-1,3-dimethyl-1H-pyrazole -5-amine, (4.025) N-(4-Chloro-2,6-difluorophenyl)-4-(2-chloro-4-fluorophenyl)-1,3-dimethyl-1H-pyrazole-5-amine.
5) Verbindungen, die an mehreren Stellen wirken können („Multisite Action“), zum Beispiel (5.001) Bordeaux-Mischung, (5.002) Captafol, (5.003) Captan, (5.004) Chlorthalonil, (5.005) Kupferhydroxid, (5.006) Kupfemaphthenat, (5.007) Kupferoxid, (5.008) Kupferoxychlorid, (5.009) Kupfer(2+)-sulfat, (5.010) Dithianon, (5.011) Dodin, (5.012) Folpet, (5.013) Mancozeb, (5.014) Maneb, (5.015) Metiram, (5.016) Metiram-Zink, (5.017) Oxin-Kupfer, (5.018) Propineb, (5.019) Schwefel und Schwefelzubereitungen einschließlich Calciumpolysulfid, (5.020) Thiram, (5.021) Zineb, (5.022) Ziram, (5.023) 6-Ethyl- 5,7-dioxo-6,7-dihydro-5H-pyrrolo[3',4':5,6][l,4]dithiino[2,3-c][l,2]thiazol-3-carbonsäurenitril. 5) Compounds that can act at multiple sites (“Multisite Action”), for example (5.001) Bordeaux mixture, (5.002) captafol, (5.003) captan, (5.004) chlorothalonil, (5.005) copper hydroxide, (5.006) copper naphthenate , (5.007) copper oxide, (5.008) copper oxychloride, (5.009) copper(2+) sulfate, (5.010) dithianon, (5.011) dodine, (5.012) folpet, (5.013) mancozeb, (5.014) maneb, (5.015) Metiram, (5.016) Metiram Zinc, (5.017) Oxine Copper, (5.018) Propineb, (5.019) Sulfur and Sulfur Preparations including Calcium Polysulfide, (5.020) Thiram, (5.021) Zineb, (5.022) Ziram, (5.023) 6- Ethyl-5,7-dioxo-6,7-dihydro-5H-pyrrolo[3',4':5,6][l,4]dithiino[2,3-c][l,2]thiazole-3- carbonitrile.
6) Verbindungen, die dazu in der Lage sind, Abwehrreaktionen des Wirtes zu induzieren, zum Beispiel (6.001) Acibenzolar-S-methyl, (6.002) Isotianil, (6.003) Probenazol, (6.004) Tiadinil. 7) Inhibitoren von Aminosäure- und/oder Proteinbiosynthese, zum Beispiel (7.001) Cyprodinil, (7.002) Kasugamycin, (7.003) Kasugamycinhydrochlorid-hydrat, (7.004) Oxytetracyclin, (7.005) Pyrimethanil, (7.006) 3-(5-Fluor-3,3,4,4-tetramethyl-3,4-dihydroisochinolin-l-yl)chinolin. 6) Compounds capable of inducing host defense responses, for example (6.001) acibenzolar-S-methyl, (6.002) isotianil, (6.003) probenazole, (6.004) tiadinil. 7) Inhibitors of amino acid and/or protein biosynthesis, for example (7.001) cyprodinil, (7.002) kasugamycin, (7.003) kasugamycin hydrochloride hydrate, (7.004) oxytetracycline, (7.005) pyrimethanil, (7.006) 3-(5-fluoro- 3,3,4,4-tetramethyl-3,4-dihydroisoquinolin-1-yl)quinoline.
8) Inhibitoren der ATP-Produktion, zum Beispiel (8.001) Silthiofam. 8) Inhibitors of ATP production, for example (8.001) silthiofam.
9) Inhibitoren der Zellwandsynthese, zum Beispiel (9.001) Benthiavalicarb, (9.002) Dimethomorph, (9.003) Flumorph, (9.004) Iprovalicarb, (9.005) Mandipropamid, (9.006) Pyrimorph, (9.007) Valifenalat, (9.008) (2E)-3-(4-tert.-Butylphenyl)-3-(2-chlorpyridin-4-yl)-l-(morpholin-4-yl)prop-2-en-l-on, (9.009) (2Z)-3 -(4-tert. -Butylphenyl)-3 -(2-chlorpyridin-4-yl)- 1 -(morpholin-4-yl)prop-2-en- 1 -on. 9) Inhibitors of cell wall synthesis, for example (9.001) benthiavalicarb, (9.002) dimethomorph, (9.003) flumorph, (9.004) iprovalicarb, (9.005) mandipropamide, (9.006) pyrimorph, (9.007) valifenalate, (9.008) (2E)- 3-(4-tert-Butylphenyl)-3-(2-chloropyridin-4-yl)-l-(morpholin-4-yl)prop-2-en-l-one, (9.009)(2Z)-3 -(4-tert-Butylphenyl)-3-(2-chloropyridin-4-yl)-1-(morpholin-4-yl)prop-2-en-1-one.
10) Inhibitoren der Lipid- und Membransynthese, zum Beispiel (10.001) Propamocarb, (10.002) Propa- mocarb-hydrochlorid, (10.003) Tolclofos-methyl. 10) Inhibitors of lipid and membrane synthesis, for example (10.001) propamocarb, (10.002) propamocarb hydrochloride, (10.003) tolclofos-methyl.
11) Inhibitoren der Melaninbiosynthese, zum Beispiel (11.001) Tricyclazol, (11.002) { 3 -Methyl- 1- [(4- methylbenzoyl)amino]butan-2-yl}carbamidsäure-2,2,2-trifluorethylester. 11) Inhibitors of melanin biosynthesis, for example (11.001) tricyclazole, (11.002) { 3 -Methyl-1-[(4-methylbenzoyl)amino]butan-2-yl}carbamic acid 2,2,2-trifluoroethyl ester.
12) Inhibitoren der Nukleinsäuresynthese, zum Beispiel (12.001) Benalaxyl, (12.002) Benalaxyl-M (Ki- ralaxyl), (12.003) Metalaxyl, (12.004) Metalaxyl-M (Mefenoxam). 12) Inhibitors of nucleic acid synthesis, for example (12.001) benalaxyl, (12.002) benalaxyl-M (kiralaxyl), (12.003) metalaxyl, (12.004) metalaxyl-M (mefenoxam).
13) Inhibitoren der Signalübertragung, zum Beispiel (13.001) Fludioxonil, (13.002) Iprodion, (13.003) Procymidon, (13.004) Proquinazid, (13.005) Quinoxyfen, (13.006) Vinclozolin. 13) Inhibitors of signal transduction, for example (13.001) fludioxonil, (13.002) iprodione, (13.003) procymidone, (13.004) proquinazide, (13.005) quinoxyfen, (13.006) vinclozoline.
14) Verbindungen, die als Entkoppler wirken können, zum Beispiel (14.001) Fluazinam, (14.002) Me- ptyldinocap. 14) Compounds that can act as uncouplers, for example (14.001) fluazinam, (14.002) methyldinocap.
15) Weitere Fungizide ausgewählt aus der Gruppe bestehend aus (15.001) Abscisinsäure, (15.002) Bent- hiazol, (15.003) Bethoxazin, (15.004) Capsimycin, (15.005) Carvon, (15.006) Chinomethionat, (15.007) Cufraneb, (15.008) Cyflufenamid, (15.009) Cymoxanil, (15.010) Cyprosulfamid, (15.011) Flutianil, (15.012) Fosetyl-Aluminium, (15.013) Fosetyl-Calcium, (15.014) Fosetyl-Natrium, (15.015) Methyliso- thiocyanat, (15.016) Metrafenon, (15.017) Mildiomycin, (15.018) Natamycin, (15.019) Nickeldimethyl- dithiocarbamat, (15.020) Nitrothal-isopropyl, (15.021) Oxamocarb, (15.022) Oxathiapiprolin, (15.023) Oxyfenthiin, (15.024) Pentachlorphenol und Salze, (15.025) phosphorige Säure und deren Salze, (15.026) Propamocarb-fosetylat, (15.027) Pyriofenon (Chlazafenon), (15.028) Tebufloquin, (15.029) Tecloftalam, (15.030) Tolnifanid, (15.031) l-(4-{4-[(5R)-5-(2,6-Difluorphenyl)-4,5-dihydro-l,2-oxazol-3-yl]-l,3-thi- azol-2-yl}piperidin-l-yl)-2-[5-methyl-3-(trifluormethyl)-lH-pyrazol-l-yl]ethanon, (15.032) l-(4-{4- [(5 S)-5 -(2,6-Difluorphenyl)-4,5 -dihydro- 1 ,2-oxazol-3 -yl] - 1 ,3 -thiazol-2-yl }piperidin- 1 -y 1) -2 - [5 -methyl - 3-(trifluormethyl)-lH-pyrazol-l-yl]ethanon, (15.033) 2-(6-Benzylpyridin-2-yl)chinazolin, (15.034) Dipymetitron, (15.035) 2- [3 ,5 -Bis(difluormethyl)- IH-pyrazol- 1 -yl] - 1 -[4-(4- { 5 -[2-(prop-2-in- 1 -y- loxy)phenyl]-4,5-dihydro-l,2-oxazol-3-yl}-l,3-thiazol-2-yl)piperidin-l-yl]ethanon, (15.036) 2-[3,5- Bis(difluormethyl)- IH-pyrazol- 1 -yl] - 1 - [4 -(4 - { 5 - [2-chlor-6-(prop-2-in- 1 -yloxy)phenyl] -4,5 -dihydro- 1,2- oxazol-3-yl}-l,3-thiazol-2-yl)piperidin-l-yl]ethanon, (15.037) 2-[3,5-Bis(difluormethyl)-lH-pyrazol-l- yl]-l-[4-(4-{5-[2-fluor-6-(prop-2-in-l-yloxy)phenyl]-4,5-dihydro-l,2-oxazol-3-yl}-l,3-thiazol-2-yl)- piperidin- 1 -yl]ethanon, (15.038) 2-[6-(3-Fluor-4-methoxyphenyl)-5-methylpyridin-2-yl]chinazolin, (15.039) Methansulfonsäure-2-{(5R)-3-[2-(l-{[3,5-bis(difluormethyl)-lH-pyrazol-l-yl]acetyl}piperidin- 4-yl)-l,3-thiazol-4-yl]-4,5-dihydro-l,2-oxazol-5-yl}-3-chlorphenylester, (15.040) Methansulfonsäure-2- {(5S)-3-[2-(l-{[3,5-bis(difluormethyl)-lH-pyrazol-l-yl]acetyl}piperidin-4-yl)-l,3-thiazol-4-yl]-4,5- dihydro-l,2-oxazol-5-yl}-3-chlorphenylester, (15.041) Ipflufenoquin, (15.042) 2-{2-Fluor-6-[(8-fluor-2- methylchinolin-3-yl)oxy]phenyl}propan-2-ol, (15.043) Fluoxapiprolin, (15.044) Methansulfonsäure-2- {3-[2-(l-{[3,5-bis(difluormethyl)-lH-pyrazol-l-yl]acetyl}piperidin-4-yl)-l,3-thiazol-4-yl]-4,5-dihydro- l,2-oxazol-5-yl}-3-chlorphenylester, (15.044) Fluoxapiprolin, (15.045) 2-Phenylphenol und Salze, (15.046) 3 -(4,4,5 -Trifluor-3 ,3-dimethyl-3 ,4-dihydroisochinolin- 1 -yl)chinolin, ( 15.047) Quinofumelin, (15.048) 4-Amino-5-fluorpyrimidin-2-ol (tautomere Form: 4-Amino-5-fluorpyrimidin-2(lH)-on), (15.049) 4-Oxo-4-[(2-phenylethyl)amino]butansäure, (15.050) 5-Amino-l,3,4-thiadiazol-2-thiol, (15.051) 5 -Chlor-N'-phenyl-N'-(prop-2-in- 1 -yl)thiophen-2-sulfonohydrazid, (15.052) 5 -Fluor-2-[(4-flu- orbenzyl)oxy]pyrimidin-4-amin, (15.053) 5-Fluor-2-[(4-methylbenzyl)oxy]pyrimidin-4-amin, (15.054) 9-Fluor-2,2-dimethyl-5 -(chinolin-3-yl)-2,3 -dihydro- 1 ,4-benzoxazepin, (15.055) {6-[({ [(Z)-( 1 -Methyl - lH-tetrazol-5 -yl)(phenyl)methylen]amino } oxy)methyl]pyridin-2-yl } carbamidsäurebut-3 -in- 1 -ylester, (15.056) (2Z)-3-Amino-2-cyano-3-phenylacrylsäureethylester, (15.057) Phenazin- 1 -carbonsäure,15) Other fungicides selected from the group consisting of (15,001) abscisic acid, (15,002) benthiazole, (15,003) bethoxazine, (15,004) capsimycin, (15,005) carvone, (15,006) quinomethionate, (15,007) cufraneb, (15,008) Cyflufenamide, (15.009) Cymoxanil, (15.010) Cyprosulfamide, (15.011) Flutianil, (15.012) Fosetyl Aluminum, (15.013) Fosetyl Calcium, (15.014) Fosetyl Sodium, (15.015) Methyl Isothiocyanate, (15.016) Metrafenone, (15.017) Mildiomycin, (15.018) Natamycin, (15.019) Nickeldimethyldithiocarbamate, (15.020) Nitrothal-isopropyl, (15.021) Oxamocarb, (15.022) Oxathiapiproline, (15.023) Oxyfenthiin, (15.024) Pentachlorophenol and salts, (15.025) Phosphorous Acid and its salts, (15.026) propamocarb fosetylate, (15.027) pyriofenone (chlazafenone), (15.028) tebufloquine, (15.029) tecloftalam, (15.030) tolnifanide, (15.031) l-(4-{4-[(5R) -5-(2,6-Difluorophenyl)-4,5-dihydro-1,2-oxazol-3-yl]-1,3-thiazol-2-yl}piperidin-1-yl)-2-[ 5-methyl-3-(trifluoromethyl)-1H-pyrazol-1-yl]ethanone, (15,032) 1-(4-{4-[(5S)-5-(2,6-difluorophenyl)-4,5-dihydro-1,2-oxazol-3-yl]-1,3-thiazol-2-yl }piperidin- 1 -y 1) -2 - [5 -methyl - 3-(trifluoromethyl)-1H-pyrazol-1-yl]ethanone, (15.033) 2-(6-Benzylpyridin-2-yl)quinazoline, (15.034 ) Dipymetitrone, (15.035) 2- [3 ,5 -bis(difluoromethyl)- IH -pyrazol- 1 -yl] - 1 -[4-(4- { 5 -[2-(prop-2-yne- 1 - yloxy)phenyl]-4,5-dihydro-1,2-oxazol-3-yl}-1,3-thiazol-2-yl)piperidin-1-yl]ethanone, (15,036) 2-[3, 5-bis(difluoromethyl)-1H-pyrazol-1-yl]-1-[4-(4-{5-[2-chloro-6-(prop-2-yn-1-yloxy)phenyl]-4, 5-dihydro-1,2- oxazol-3-yl}-1,3-thiazol-2-yl)piperidin-1-yl]ethanone, (15,037) 2-[3,5-bis(difluoromethyl)-1H-pyrazol-1-yl]-1 -[4-(4-{5-[2-fluoro-6-(prop-2-yn-1-yloxy)phenyl]-4,5-dihydro-1,2-oxazol-3-yl}-1, 3-thiazol-2-yl)-piperidin-1-yl]ethanone, (15.038) 2-[6-(3-Fluoro-4-methoxyphenyl)-5-methylpyridin-2-yl]quinazoline, (15.039) methanesulfonic acid- 2-{(5R)-3-[2-(1-{[3,5-bis(difluoromethyl)-1H-pyrazol-1-yl]acetyl}piperidin-4-yl)-1,3-thiazole-4 -yl]-4,5-dihydro-1,2-oxazol-5-yl}-3-chlorophenyl ester, (15,040) methanesulfonic acid 2-{(5S)-3-[2-(l-{[3,5 -bis(difluoromethyl)-1H-pyrazol-1-yl]acetyl}piperidin-4-yl)-1,3-thiazol-4-yl]-4,5-dihydro-1,2-oxazol-5-yl} -3-Chlorophenyl ester, (15.041) Ipflufenoquine, (15.042) 2-{2-Fluoro-6-[(8-fluoro-2-methylquinolin-3-yl)oxy]phenyl}propan-2-ol, (15.043) Fluoxapiproline , (15.044) Methanesulfonic acid-2-{3-[2-(1-{[3,5-bis(difluoromethyl)-1H-pyrazol-1-yl]acetyl}piperidin-4-yl)-1,3-thiazole -4-yl]-4,5-dihydro-1,2-oxazol-5-yl}-3-chlorophenyl ester, (15,044) fluoxapiproline, (15,045) 2-phenylpheno l and salts, (15,046) 3-(4,4,5-trifluoro-3,3-dimethyl-3,4-dihydroisoquinolin-1-yl)quinoline, (15,047) quinofumeline, (15,048) 4-amino-5- fluoropyrimidin-2-ol (tautomeric form: 4-amino-5-fluoropyrimidin-2(1H)-one), (15,049) 4-oxo-4-[(2-phenylethyl)amino]butanoic acid, (15,050) 5-amino -l,3,4-thiadiazole-2-thiol, (15.051) 5 -chloro-N'-phenyl-N'-(prop-2-yn-1-yl)thiophene-2-sulfonohydrazide, (15.052) 5 - fluoro-2-[(4-fluorobenzyl)oxy]pyrimidin-4-amine, (15.053) 5-fluoro-2-[(4-methylbenzyl)oxy]pyrimidin-4-amine, (15.054) 9-fluoro- 2,2-dimethyl-5-(quinolin-3-yl)-2,3-dihydro-1,4-benzoxazepine, (15,055) {6-[({ [(Z)-( 1 -methyl - lH-tetrazole -5-yl)(phenyl)methylene]amino}oxy)methyl]pyridin-2-yl}but-3-yn-1-ylcarbamate, (15,056) ethyl (2Z)-3-amino-2-cyano-3-phenylacrylate , (15.057) phenazine-1-carboxylic acid,
(15.058) 3,4,5-Trihydroxybenzoesäurepropylester, (15.059) Chinolin-8-ol, (15.060) Chinolin-8-olsulfat (2: 1), (15.061) {6-[({[(l-Methyl-lH-tetrazol-5-yl)(phenyl)methylen]amino}oxy)methyl]pyridin-2- yl}carbamidsäure-tert. -butylester, (15.062) 5-Fluor-4-imino-3-methyl-l-[(4-methylphenyl)sulfonyl]-3,4- dihydropyrimidin-2(lH)-on, (15.063) Aminopyrifen, (15.064) (N'-[2-Chlor-4-(2-fluorphenoxy)-5-me- thylphenyl]-N-ethyl-N-methylimidoformamid), (15.065) (N'-(2-Chlor-5-methyl-4-phenoxyphenyl)-N- ethyl-N-methylimidoformamid), (15.066) (2-{2-[(7,8-Difluor-2-methylchinolin-3-yl)oxy]-6-fluorphe- nyl }propan-2-ol), ( 15.067) (5 -Brom- 1 -(5 ,6-dimethylpyridin-3 -yl) -3 ,3 -dimethyl-3 ,4-dihydroisochinolin), (15.068) (3-(4,4-Difluor-5,5-dimethyl-4,5-dihydrothieno[2,3-c]pyridin-7-yl)chinolin), (15.069) (l-(4,5- Dimethyl- IH-benzimidazol- 1 -yl)-4,4-difluor-3 ,3 -dimethyl-3 ,4-dihydroisochinolin), (15.070) 8-Fluor-3 - (5 -fluor-3 ,3 -dimethyl-3, 4-dihydroisochinolin- 1 -yl)chinolon, (15.071) 8-Fluor-3 -(5 -fluor-3 ,3 ,4,4-tetrame- thyl-3 ,4-dihydroisochinolin- 1 -yl)chinolon, ( 15.072) 3 -(4, 4-Difluor-3 ,3 -dimethyl-3 , 4-dihydroisochinolin- l-yl)-8-fluorchinolin, (15.073) (N-Methyl-N-phenyl-4-[5-(trifluormethyl)-l,2,4-oxadiazol-3- yl]benzamid), (15.074) (Methyl{4-[5-(trifluormethyl)-l,2,4-oxadiazol-3-yl]phenyl}carbamat), (15.075) (N-{4-[5-(Trifluormethyl)-l,2,4-oxadiazol-3-yl]benzyl}cyclopropancarboxamid), (15.076) N-Methyl-4- (5-(trifluormethyl)-l,2,4-oxadiazol-3-yl]benzamid, (15.077) N-[(E)-Methoxyiminomethyl]-4-[5-(triflu- ormethyl)-l,2,4-oxadiazol-3-yl]benzamid, (15.078) N-[(Z)-Methoxyiminomethyl]-4-[5-(trifluormethyl)- 1 ,2,4-oxadiazol-3 -yl]benzamid, (15.079) N-[4-[5 -(Trifluormethyl)- 1 ,2,4-oxadiazol-3 -yl]phenyl] -cyclop- ropancarboxamid, (15.080) N-(2-Fluorphenyl)-4-[5-(trifluormethyl)-l,2,4-oxadiazol-3-yl]benzamid, (15.081) 2,2-Difluor-N-methyl-2-[4-[5-(trifluormethyl)-l,2,4-oxadiazol-3-yl]phenyl]-acetamid, (15.082) N-Allyl-N-[[4-[5-(trifhiormethyl)-l,2,4-oxadiazol-3-yl)phenyl]methyl]acetamid, (15.083) N-[(E)-N-Me- thoxy-C-methyl-carbonimidoyl]-4-(5-(trifluormethyl)-l,2,4-oxadiazol-3-yl]-benzamid, (15.084) N-[(Z)- N-Methoxy-C-methyl-carbonimidoyl]-4-[5-(trifluormethyl)-l,2,4-oxadiazol-3-yl]benzamid, (15.085) N- Allyl-N-[[4- [5 -(trifluormethyl)- 1 ,2,4-oxadiazol-3 -yl]phenyl] -methyl]propanamid, (15.086) 4,4-Dime- thyl-l-[[4-[5-(trifluormethyl)-l,2,4-oxadiazol-3-yl]phenyl]methyl]pyrrolidin-2-on, (15.087) N-Methyl-4- [5 -(trifluormethyl)- 1, 2, 4-oxadiazol-3-yl]-benzencarbothioamid, (15.088) 5-Methyl-l-[[4-[5-(trifluorme- thyl)-l,2,4-oxadiazol-3-yl]phenyl]methyl]pyrrolidin-2-on, (15.089) N-((2,3-Difhior-4-[5-(trifhiorme- thyl)-l,2,4-oxadiazol-3-yl]phenyl]methyl]-3,3,3-trifluor-propanamid, (15.090) 1 -Methoxy- l-methyl-3- [[4-[5-(trifluormethyl}-l,2,4-oxadiazol-3-yl]phenyl]methyl]hamstoff, (15.091) l,l-Diethyl-3-[[4-[5- (trifluormethyl}-l,2,4-oxadiazol-3-yl]phenyl]methyl]hamstoff, (15.092) N-[[4-[5-(Trifhiormethyl)-(15.058) propyl 3,4,5-trihydroxybenzoate, (15.059) quinolin-8-ol, (15.060) quinolin-8-ol sulfate (2:1), (15.061) {6-[({[(l-methyl-lH -tetrazol-5-yl)(phenyl)methylene]amino}oxy)methyl]pyridin-2-yl}carbamic acid tert. -butyl ester, (15.062) 5-Fluoro-4-imino-3-methyl-l-[(4-methylphenyl)sulfonyl]-3,4-dihydropyrimidin-2(lH)-one, (15.063) aminopyrifene, (15.064) (N'-[2-Chloro-4-(2-fluorophenoxy)-5-methylphenyl]-N-ethyl-N-methylimidoformamide), (15.065) (N'-(2-Chloro-5-methyl-4 -phenoxyphenyl)-N-ethyl-N-methylimidoformamide), (15.066) (2-{2-[(7,8-difluoro-2-methylquinolin-3-yl)oxy]-6-fluorophenyl}propan-2 -ol), ( 15,067) (5 -Bromo-1-(5,6-dimethylpyridin-3 -yl) -3,3 -dimethyl-3,4-dihydroisoquinoline), (15,068) (3-(4,4- Difluoro-5,5-dimethyl-4,5-dihydrothieno[2,3-c]pyridin-7-yl)quinoline), (15,069) (l-(4,5-dimethyl-IH-benzimidazol-1-yl) -4,4-difluoro-3,3-dimethyl-3,4-dihydroisoquinoline), (15,070) 8-fluoro-3-(5-fluoro-3,3-dimethyl-3,4-dihydroisoquinolin-1-yl) quinolone, (15.071) 8-Fluoro-3 -(5 -fluoro-3 ,3 ,4,4-tetramethyl-3 ,4-dihydroisoquinolin-1-yl)quinolone, ( 15.072) 3 -(4,4- Difluoro-3,3-dimethyl-3,4-dihydroisoquinolin-1-yl)-8-fluoroquinoline, (15,073) (N-methyl-N-phenyl-4-[5-(trifluoromethyl)-1, 2,4-oxadiazol-3-yl]benzamide), (15.074) (methyl {4-[5-(trifluoromethyl)-1,2,4-oxadiazol-3-yl]phenyl}carbamate), (15.075) (N -{4-[5-(Trifluoromethyl)-1,2,4-oxadiazol-3-yl]benzyl}cyclopropanecarboxamide), (15,076) N-Methyl-4-(5-(trifluoromethyl)-1,2,4- oxadiazol-3-yl]benzamide, (15.077) N-[(E)-Methoxyiminomethyl]-4-[5-(trifluoromethyl)-1,2,4-oxadiazol-3-yl]benzamide, (15.078) N -[(Z)-Methoxyiminomethyl]-4-[5-(trifluoromethyl)-1,2,4-oxadiazol-3-yl]benzamide, (15,079) N -[4-[5 -(Trifluoromethyl)-1,2 ,4-oxadiazol-3 -yl]phenyl]cyclopropanecarboxamide, (15,080) N-(2-Fluorophenyl)-4-[5-(trifluoromethyl)-1,2,4-oxadiazol-3-yl]benzamide, (15.081) 2,2-Difluoro-N-methyl-2-[4-[5-(trifluoromethyl)-1,2,4-oxadiazol-3-yl]phenyl]acetamide, (15.082) N-Allyl-N-[[4-[5-(trichloromethyl)-1,2,4-oxadiazol-3-yl)phenyl]methyl]acetamide, (15.083) N-[(E)-N-Methoxy -C-methyl-carbonimidoyl]-4-(5-(trifluoromethyl)-1,2,4-oxadiazol-3-yl]-benzamide, (15,084) N-[(Z)-N-methoxy-C-methyl- carbonimidoyl]-4-[5-(trifluoromethyl)-1,2,4-oxadiazol-3-yl]benzamide, (15,085) N-Allyl-N-[[4-[5-(trifluoromethyl)-1,2, 4-oxadiazol-3-yl]phenyl]-methyl]propanamide, (15,086) 4,4-dimethyl-1-[[4-[5-(trifluoromethyl)-1,2,4-oxadiazol-3-yl ]phenyl]methyl]pyrrolidin-2-one, (15,087) N-Methyl-4-[5-(trifluoromethyl)-1,2,4-oxadiazol-3-yl]-benzenecarbothioamide, (15,088) 5-methyl-l -[[4-[5-(trifluoromethyl)-1,2,4-oxadiazol-3-yl]phenyl]methyl]pyrrolidin-2-one, (15,089) N-((2,3-dichloro-4 -[5-(trifluoromethyl)-1,2,4-oxadiazol-3-yl]phenyl]methyl]-3,3,3-trifluoropropanamide, (15,090) 1 -Methoxy-1-methyl-3- [[4-[5-(trifluoromethyl}-1,2,4-oxadiazol-3-yl]phenyl]methyl]urea, (15.091) l,l-Diethyl-3-[[4-[5-(trifluoromethyl} -1,2,4-oxadiazol-3-yl]phenyl]methyl]urea, (15,092) N-[[4-[5- (trifluoromethyl)-
1.2.4-oxadiazol-3-yl]phenyl]methyl]propanamid, (15.093) N-Methoxy-N-[[4-[5-(trifhiormethyl)-l, 2, 4-o- xadiazol-3-yl]phenyl]methyl]cyclopropancarboxamid, (15.094) l-Methoxy-3-methyl-l-[[4-[5-(trifluor- methyl)-l,2,4-oxadiazol-3-yl]phenyl]methyl]hamstoff, (15.095) N-Methoxy-N-[[4-[5-(trifluormethyl)-1.2.4-oxadiazol-3-yl]phenyl]methyl]propanamide, (15.093) N -Methoxy-N-[[4-[5-(trichloromethyl)-1, 2,4-o-xadiazol-3-yl] phenyl]methyl]cyclopropanecarboxamide, (15.094) l-Methoxy-3-methyl-l-[[4-[5-(trifluoromethyl)-l,2,4-oxadiazol-3-yl]phenyl]methyl]urea, (15.095) N-Methoxy-N-[[4-[5-(trifluoromethyl)-
1.2.4-oxadiazol-3-yl]phenyl]methyl)cyclopropancarboxamid, (15.096) N,2-Dimethoxy-N-[[4-[5-(triflu- ormethyl}-l,2,4-oxadiazol-3-yl]phenyl]methyl]propanamid, (15.097) N-Ethyl-2-methyl-N-[[4-[5-(triflu- ormethyl)-l,2,4-oxadiazol-3-yl)phenyl]methyl]propanamid, (15.098) l-Methoxy-3-methyl-l-[[4-[5-(trif- luormethyl)-l,2,4-oxadiazol-3-yl]phenyl]methyl]hamstoff, (15.099) l,3-Dimethoxy-l-[[4-[5-(trifluorme- thyl)-l,2,4-oxadiazol-3-yl]phenyl]methyl]hamstoff, (15.100) 3-Ethyl-l-methoxy-l-[[4-[5-(trifluorme- thyl)-l,2,4-oxadiazol-3-yl]phenyl]methyl]hamstoff, (15.101) l-[[4-[5-(Trifhiormethyl)-l,2,4-oxadiazol- 3-yl]phenyl]methyl]piperidin-2-on, (15.102) 4,4-Dimethyl-2-[[4-[5-(trifluormethyl)-l,2,4-oxadiazol-3- yl]phenyl]methyl] isooxazolidin-3 -on, (15.103) 5 ,5 -Dimethyl -2- [ [4 - [ 5 -(trifluormethyl)- 1 ,2,4-oxadiazol- 3 -yl]phenyl]methyl] isoxazolidin-3 -on, (15.104) 3 ,3 -Dimethyl- 1 -[[4- [5 -(trifluormethyl)- 1 ,2,4-oxadiazol- 3 -yl]phenyl]methyl]piperidin-2-on, (15.105) 1 - [ [3 -Fluor-4-(5 -(trifluormethyl)- 1 ,2,4-oxadiazol-3 -yl]phe- nyl]methyl]azepan-2-on, (15.106) 4,4-Dimethyl-2-[[4-(5-(trifluormethyl)-l,2,4-oxadiazol-3-yl]phe- nyl]methyl]isoxazolidin-3-on, (15.107) 5,5-Dimethyl-2-[[4-[5-(trifluormethyl)-l,2,4-oxadiazol-3-yl]phe- nyl]methyl] isoxazolidin-3 -on, (15.108) (l-{4-[5-(Trifluormethyl)-l,2,4-oxadiazol-3-yl]benzyl}-lH-py- razol-4-yl)essigsäureethylester, (15.109) N,N-Dimethyl- 1 - { 4 - [ 5 -(trifluormethyl)- 1 ,2,4-oxadiazol-3 - yl]benzyl}-lH-l,2,4-triazol-3-amin und (15.110) N-{2,3-Difluor-4-[5-(trifluormethyl)-l,2,4-oxadiazol- 3 -yl]benzyl } butanamid . 1.2.4-oxadiazol-3-yl]phenyl]methyl)cyclopropanecarboxamide, (15.096) N,2-Dimethoxy-N-[[4-[5-(trifluoromethyl}-1,2,4-oxadiazol-3- yl]phenyl]methyl]propanamide, (15.097) N-Ethyl-2-methyl-N-[[4-[5-(trifluoromethyl)-1,2,4-oxadiazol-3-yl)phenyl]methyl] propanamide, (15.098) l-Methoxy-3-methyl-l-[[4-[5-(trifluoromethyl)-l,2,4-oxadiazol-3-yl]phenyl]methyl]urea, (15.099) l ,3-Dimethoxy-1-[[4-[5-(trifluoromethyl)-1,2,4-oxadiazol-3-yl]phenyl]methyl]urea, (15,100) 3-ethyl-1-methoxy-1 -[[4-[5-(trifluoromethyl)-1,2,4-oxadiazol-3-yl]phenyl]methyl]urea, (15.101) l-[[4-[5-(Trifluoromethyl)-l, 2,4-oxadiazol-3-yl]phenyl]methyl]piperidin-2-one, (15.102) 4,4-dimethyl-2-[[4-[5-(trifluoromethyl)-1,2,4-oxadiazol- 3-yl]phenyl]methyl]isooxazolidin-3-one, (15.103) 5,5-dimethyl-2-[[4-[5-(trifluoromethyl)-1,2,4-oxadiazol-3-yl]phenyl] methyl] isoxazolidin-3-one, (15.104) 3,3-dimethyl-1-[[4-[5-(trifluoromethyl)-1,2,4-oxadiazol-3-yl]phenyl]methyl]piperidine-2- on, (15.105) 1 - [ [3 -fluoro-4- (5-(trifluoromethyl)-1,2,4-oxadiazol-3-yl]phenyl]methyl]azepan-2-one, (15.106) 4,4-dimethyl-2-[[4-(5-( trifluoromethyl)-1,2,4-oxadiazol-3-yl]phenyl]methyl]isoxazolidin-3-one, (15.107) 5,5-dimethyl-2-[[4-[5-(trifluoromethyl)-1 ,2,4-oxadiazol-3-yl]phenyl]methyl]isoxazolidin-3 -one, (15.108) (1-{4-[5-(Trifluoromethyl)-1,2,4-oxadiazol-3-yl ]benzyl}-1H-pyrazol-4-yl)acetic acid ethyl ester, (15.109) N,N-dimethyl- 1 - { 4 - [ 5 -(trifluoromethyl)-1,2,4-oxadiazol-3 - yl]benzyl }-1H-1,2,4-triazole-3-amine and (15.110) N -{2,3-Difluoro-4-[5-(trifluoromethyl)-1,2,4-oxadiazol-3-yl]benzyl } butanamide .
Biologische Schädlingsbekämpfungsmittel als Mischungskomponenten Biological pest control agents as mixture components
Die Verbindungen der Formel (I) können mit biologischen Schädlingsbekämpfungsmitteln kombiniert werden. The compounds of formula (I) can be combined with biological pest control agents.
Biologische Schädlingsbekämpfungsmittel umfassen insbesondere Bakterien, Pilze, Hefen, Pflanzenextrakte und solche Produkte, die von Mikroorganismen gebildet wurden inklusive Proteine und sekundäreBiological pesticides include, in particular, bacteria, fungi, yeasts, plant extracts and products formed by microorganisms, including proteins and secondary ones
Stoffwechselprodukte . Biologische Schädlingsbekämpfungsmitel umfassen Bakterien wie sporenbildende Bakterien, wurzelbesiedelnde Bakterien und Bakterien, die als biologische Insektizide, Fungizide oder Nematizide wirken.metabolites . Biological pest control agents include bacteria such as spore-forming bacteria, root-colonizing bacteria and bacteria which act as biological insecticides, fungicides or nematicides.
Beispiele für solche Bakterien, die als biologische Schädlingsbekämpfungsmitel eingesetzt werden bzw. verwendet werden können, sind: Examples of such bacteria that are used or can be used as biological pest control agents are:
Bacillus amyloliquefaciens , Stamm FZB42 (DSM 231179), oder Bacillus cereus, insbesondere B. cereus Stamm CNCM 1-1562 oder Bacillus firmus, Stamm 1-1582 (Accession number CNCM 1-1582) oder Bacillus pumilus, insbesondere Stamm GB34 (Accession No. ATCC 700814) und Stamm QST2808 (Accession No. NRRL B-30087), oder Bacillus subtilis, insbesondere Stamm GB03 (Accession No. ATCC SD- 1397), oder Bacillus subtilis Stamm QST713 (Accession No. NRRL B-21661) oder Bacillus subtilis Stamm OST 30002 (Accession No. NRRL B-50421), Bacillus thuringiensis, insbesondere B. thuringiensis Subspezies israelensis (Serotyp H-14), Stamm AM65-52 (Accession No. ATCC 1276), oder B. thuringiensis subsp. aizawai, insbesondere Stamm ABTS-1857 (SD-1372), oder B. thuringiensis subsp. kurstaki Stamm HD-1, oder B. thuringiensis subsp. tenebrionis Stamm NB 176 (SD-5428), Pasteuria penetrans, Pasteuria spp. (Rotylenchulus reniformis nematode)-PR3 (Accession Number ATCC SD-5834), Strepto- myces micr flavus Stamm AQ6121 (= QRD 31.013, NRRL B-50550), Streptomyces galbus Stamm AQ 6047 (Acession Number NRRL 30232). Bacillus amyloliquefaciens strain FZB42 (DSM 231179), or Bacillus cereus, in particular B. cereus strain CNCM 1-1562 or Bacillus firmus, strain 1-1582 (Accession number CNCM 1-1582) or Bacillus pumilus, in particular strain GB34 (Accession No. ATCC 700814) and strain QST2808 (Accession No. NRRL B-30087), or Bacillus subtilis, in particular strain GB03 (Accession No. ATCC SD-1397), or Bacillus subtilis strain QST713 (Accession No. NRRL B-21661) or Bacillus subtilis strain OST 30002 (Accession No. NRRL B-50421), Bacillus thuringiensis, in particular B. thuringiensis subsp. israelensis (serotype H-14), strain AM65-52 (Accession No. ATCC 1276), or B. thuringiensis subsp. aizawai, in particular strain ABTS-1857 (SD-1372), or B. thuringiensis subsp. kurstaki strain HD-1, or B. thuringiensis subsp. tenebrionis strain NB 176 (SD-5428), Pasteuria penetrans, Pasteuria spp. (Rotylenchulus reniformis nematode)-PR3 (accession number ATCC SD-5834), Streptomyces micr flavus strain AQ6121 (= QRD 31.013, NRRL B-50550), Streptomyces galbus strain AQ 6047 (accession number NRRL 30232).
Beispiele für Pilze und Hefen, die als biologische Schädlingsbekämpfungsmitel eingesetzt werden bzw. verwendet werden können, sind: Examples of fungi and yeasts that are used or can be used as biological pest control agents are:
Beauveria bassiana, insbesondere Stamm ATCC 74040, Coniothyrium minitans, insbesondere Stamm CON/M/91-8 (Accession No. DSM-9660), Lecanicillium spp., insbesondere Stamm HRO LEC 12, Le- canicillium lecanii (ehemals bekannt als Verticillium lecanii), insbesondere Stamm KV01, Metarhizium anisopliae, insbesondere Stamm F52 (DSM3884/ ATCC 90448), Metschnikowia fructicola, insbesondere Stamm NRRL Y-30752, Paecilomyces fumosoroseus (heu: Isaria fumosorosea) , insbesondere Stamm IFPC 200613, oder Stamm Apopka 97 (Accesion No. ATCC 20874), Paecilomyces lilacinus, insbesondere P. lilacinus Stamm 251 (AGAL 89/030550), Talaromyces flavus, insbesondere Stamm VI 17b, Trichoderma atroviride, insbesondere Stamm SCI (Accession Number CBS 122089), Trichoderma har- zianum, insbesondere T. harzianum rifai T39. (Accession Number CNCM 1-952). Beauveria bassiana, especially strain ATCC 74040, Coniothyrium minitans, especially strain CON/M/91-8 (Accession No. DSM-9660), Lecanicillium spp., especially strain HRO LEC 12, Lecanicillium lecanii (formerly known as Verticillium lecanii) , in particular strain KV01, Metarhizium anisopliae, in particular strain F52 (DSM3884 / ATCC 90448), Metschnikowia fructicola, in particular strain NRRL Y-30752, Paecilomyces fumosoroseus (heu: Isaria fumosorosea), in particular strain IFPC 200613, or strain Apopka 97 (Accesion No. ATCC 20874), Paecilomyces lilacinus, in particular P. lilacinus strain 251 (AGAL 89/030550), Talaromyces flavus, in particular strain VI 17b, Trichoderma atroviride, in particular strain SCI (Accession Number CBS 122089), Trichoderma harzianum, in particular T. harzianum rifai T39. (Accession Number CNCM 1-952).
Beispiele für Viren, die als biologische Schädlingsbekämpfüngsmitel eingesetzt werden bzw. verwendet werden können, sind: Examples of viruses that are used or can be used as biological pest control agents are:
Adoxophyes orana (Apfelschalenwickler) Granulosevirus (GV), Cydia pomonella (Apfelwickler) Granu- losevirus (GV), Helicoverpa armigera (Baumwollkapselwurm) Nuklear Polyhedrosis Virus (NPV), Spo- doptera exigua (Zuckerrübeneule) mNPV, Spodoptera frugiperda. (Heerwurm) mNPV, Spodoptera litto- ralis (Afrikanischer Baumwollwurm) NPV. Es sind auch Bakterien und Pilze umfasst, die als ,Inokulant‘ Pflanzen oder Pflanzenteilen oder Pflanzenorganen beigegeben werden und durch ihre besonderen Eigenschaften das Pflanzenwachstum und die Pflanzengesundheit fördern. Als Beispiele sind genannt: Adoxophyes orana (codling moth) granulovirus (GM), Cydia pomonella (codling moth) granulovirus (GM), Helicoverpa armigera (cotton bollworm) nuclear polyhedrosis virus (NPV), Spodoptera exigua (beet owl moth) mNPV, Spodoptera frugiperda. (armyworm) mNPV, Spodoptera littoralis (African cottonworm) NPV. It also includes bacteria and fungi which are added to plants or parts of plants or plant organs as 'inoculants' and promote plant growth and plant health through their special properties. Examples are:
Agrobacterium spp., Azorhizobium caulinodans, Azospirillum spp., Azotobacter spp., Bradyrhizobium spp., Burkholderia spp., insbesondere Burkholderia cepacia (ehemals bekannt als Pseudomonas cepacia), Gigaspora spp., oder Gigaspora monosporum, Glomus spp., Laccaria spp., Lactobacillus buchneri, Pa- raglomus spp., Pisolithus tinctorus, Pseudomonas spp., Rhizobium spp., insbesondere Rhizobium trifolii, Rhizopogon spp., Scleroderma spp., Suillus spp., Streptomyces spp.. Agrobacterium spp., Azorhizobium caulinodans, Azospirillum spp., Azotobacter spp., Bradyrhizobium spp., Burkholderia spp., especially Burkholderia cepacia (formerly known as Pseudomonas cepacia), Gigaspora spp., or Gigaspora monosporum, Glomus spp., Laccaria spp., Lactobacillus buchneri, Paraglomus spp., Pisolithus tinctorus, Pseudomonas spp., Rhizobium spp., in particular Rhizobium trifolii, Rhizopogon spp., Scleroderma spp., Suillus spp., Streptomyces spp..
Beispiele für Pflanzenextrakte und solche Produkte, die von Mikroorganismen gebildet wurden inklusive Proteine und sekundäre Stoffwechselprodukte, die als biologische Schädlingsbekämpfungsmittel eingesetzt werden bzw. verwendet werden können, sind: Examples of plant extracts and such products formed by microorganisms, including proteins and secondary metabolites, which are or can be used as biological pest control agents are:
Allium sativum, Artemisia absinthium, Azadirachtin, Biokeeper WP, Cassia nigricans, Celastrus angula- tus, Chenopodium anthelminticum, Chitin, Armour-Zen, Dryopteris filix-mas, Equisetum arvense, Fortune Aza, Fungastop, Heads Up (Chenopodium quinoa-Saponinextrakt), Pyrethrum/Pyrethrine, Quassia amara, Quercus, Quillaja, Regalia, „Requiem ™ Insecticide“, Rotenon, Ryania/Ryanodine, Symphytum officinale, Tanacetum vulgare, Thymol, Triact 70, TriCon, Tropaeulum majus, Urtica dioica, Veratrin, Viscum album, Brassicacaeen-Extrakt, insbesondere Raps- oder Senfpulver, sowie bioinsektizide/akari- zide Wirkstoffe erhalten aus Olivenöl, insbesondere ungesättigte Fett-/Carbonsäuren mit Carbonkettenlängen C16-C20 als Wirkstoffe wie beispielsweise enthalten im Produkt mit dem Handelsnamen FLiP- PER®. Allium sativum, Artemisia absinthium, Azadirachtin, Biokeeper WP, Cassia nigricans, Celastrus angulatus, Chenopodium anthelminticum, Chitin, Armor-Zen, Dryopteris filix-mas, Equisetum arvense, Fortune Aza, Fungastop, Heads Up (Chenopodium quinoa saponin extract), Pyrethrum/Pyrethrine, Quassia amara, Quercus, Quillaja, Regalia, "Requiem ™ Insecticide", Rotenone, Ryania/Ryanodine, Symphytum officinale, Tanacetum vulgare, Thymol, Triact 70, TriCon, Tropaeulum majus, Urtica dioica, Veratrin, Viscum album, Brassicacaeen -Extract, in particular rapeseed or mustard powder, and bioinsecticidal/acaricidal active ingredients obtained from olive oil, in particular unsaturated fatty/carboxylic acids with carbon chain lengths C16-C20 as active ingredients such as contained in the product with the trade name FLiPPER®.
Safener als Mischungskomponenten Safeners as mixture components
Die Verbindungen der Formel (I) können mit Safenern kombiniert werden, wie zum Beispiel Benoxacor, Cloquintocet (-mexyl), Cyometrinil, Cyprosulfamid, Dichlormid, Fenchlorazol (-ethyl), Fenclorim, Flu- razol, Fluxofenim, Furilazol, Isoxadifen (-ethyl), Mefenpyr (-diethyl), Naphthalsäureanhydrid, Oxab- etrinil, 2-Methoxy-N-({4-[(methylcarbamoyl)amino]phenyl}sulfonyl)benzamid (CAS 129531-12-0), 4- (Dichloracetyl)-l-oxa-4-azaspiro[4.5]decan (CAS 71526-07-3), 2,2,5-Trimethyl-3-(dichloracetyl)-l,3-o- xazolidin (CAS 52836-31-4). The compounds of formula (I) can be combined with safeners, such as benoxacor, cloquintocet (-mexyl), cyometrinil, cyprosulfamide, dichlormide, fenchlorazole (-ethyl), fenclorim, flurazole, fluxofenime, furilazole, isoxadifen (-ethyl ), mefenpyr (-diethyl), naphthalic anhydride, oxabetrinil, 2-methoxy-N-({4-[(methylcarbamoyl)amino]phenyl}sulfonyl)benzamide (CAS 129531-12-0), 4-(dichloroacetyl)- l-oxa-4-azaspiro[4.5]decane (CAS 71526-07-3), 2,2,5-trimethyl-3-(dichloroacetyl)-l,3-o-xazolidine (CAS 52836-31-4).
Pflanzen und Pflanzenteile plants and parts of plants
Erfindungsgemäß können alle Pflanzen und Pflanzenteile behandelt werden. Unter Pflanzen werden hierbei alle Pflanzen und Pflanzenteile verstanden wie erwünschte und unerwünschte Wildpflanzen oder Kulturpflanzen (einschließlich natürlich vorkommender Kulturpflanzen), beispielsweise Getreide (Weizen, Reis, Triticale, Gerste, Roggen, Hafer), Mais, Soja, Kartoffel, Zuckerrüben, Zuckerrohr, Tomaten, Paprika, Gurke, Melone, Möhre, Wassermelone, Zwiebel, Salat, Spinat, Porree, Bohnen, Brassica oleracea (z. B. Kohl) und andere Gemüsesorten, Baumwolle, Tabak, Raps, sowie Obstpflanzen (mit den Früchten Äpfel, Birnen, Zitrusfrüchte und Weintrauben). Kulturpflanzen können Pflanzen sein, die durch konventionelle Züchtungs- und Optimierungsmethoden oder durch biotechnologische und gentechnologische Methoden oder Kombinationen dieser Methoden erhalten werden können, einschließlich der transgenen Pflanzen und einschließlich der durch Sortenschutzrechte schützbaren oder nicht schützbaren Pflanzensorten. Unter Pflanzen sollen alle Entwicklungsstadien wie Saatgut, Stecklinge, junge (unausgereifte) Pflanzen bis hin zu ausgereiften Pflanzen verstanden werden. Unter Pflanzenteilen sollen alle oberirdischen und unterirdischen Teile und Organe der Pflanzen wie Spross, Blatt, Blüte und Wurzel verstanden werden, wobei beispielhaft Blätter, Nadeln, Stängel, Stämme, Blüten, Fruchtkörper, Früchte und Samen sowie Wurzeln, Knollen und Rhizome aufgeführt werden. Zu den Pflanzenteilen gehören auch geerntete Pflanzen oder geerntete Pflanzenteile sowie vegetatives und generatives Vermehrungsmaterial, beispielsweise Stecklinge, Knollen, Rhizome, Ableger und Samen. All plants and parts of plants can be treated according to the invention. Plants are understood to mean all plants and parts of plants, such as desired and undesired wild plants or crops (including naturally occurring crops), for example cereals (wheat, rice, triticale, barley, rye, oats), corn, soybeans, potatoes, sugar beets, sugar cane, tomatoes , paprika, cucumber, melon, carrot, watermelon, onion, lettuce, spinach, leek, beans, Brassica oleracea (e.g. cabbage) and other vegetables, cotton, tobacco, canola, and fruit plants (with the fruits apples, pears, citrus fruits and grapes). Crop plants can be plants that can be obtained by conventional breeding and optimization methods or by biotechnological and genetic engineering methods or combinations of these methods, including transgenic plants and including plant varieties that can or cannot be protected by plant variety rights. Plants should be understood to mean all stages of development such as seeds, cuttings, young (immature) plants through to mature plants. Plant parts are to be understood as meaning all above-ground and subterranean parts and organs of plants such as shoots, leaves, flowers and roots, with leaves, needles, stems, stems, flowers, fruiting bodies, fruits and seeds as well as roots, tubers and rhizomes being listed as examples. The plant parts also include harvested plants or harvested plant parts and vegetative and generative propagation material, for example cuttings, tubers, rhizomes, cuttings and seeds.
Die erfmdungsgemäße Behandlung der Pflanzen und Pflanzenteile mit den Verbindungen der Formel (I) erfolgt direkt oder durch Einwirkung der Verbindungen auf die Umgebung, den Lebensraum oder den Lagerraum nach den üblichen Behandlungsmethoden, z. B. durch Eintauchen, Spritzen, Verdampfen, Vernebeln, Streuen, Aufstreichen, Injizieren und bei Vermehrungsmaterial, insbesondere bei Saatgut, weiterhin durch ein- oder mehrschichtiges Umhüllen. The inventive treatment of the plants and parts of plants with the compounds of formula (I) is carried out directly or by the action of the compounds on the environment, the living space or the storage room according to the usual treatment methods, e.g. B. by dipping, spraying, vaporizing, nebulizing, sprinkling, brushing, injecting and in the case of propagation material, especially seeds, also by one or more layers of encasing.
Wie bereits oben erwähnt, können erfindungsgemäß alle Pflanzen und deren Teile behandelt werden. In einer bevorzugten Ausführungsform werden wild vorkommende oder durch konventionelle biologische Zuchtmethoden wie Kreuzung oder Protoplastenfusion erhaltene Pflanzenarten und Pflanzensorten sowie deren Teile behandelt. In einer weiteren bevorzugten Ausführungsform werden transgene Pflanzen und Pflanzensorten, die durch gentechnologische Methoden gegebenenfalls in Kombination mit konventionellen Methoden erhalten wurden (Genetically Modified Organisms) und deren Teile behandelt. Der Begriff „Teile“ bzw. „Teile von Pflanzen“ oder „Pflanzenteile“ wurde oben erläutert. Besonders bevorzugt werden erfindungsgemäß Pflanzen der jeweils handelsüblichen oder in Gebrauch befindlichen Pflanzensorten behandelt. Unter Pflanzensorten versteht man Pflanzen mit neuen Eigenschaften („Traits “), die durch konventionelle Züchtung, durch Mutagenese oder durch rekombinante DNA-Techniken erhalten worden sind. Dies können Sorten, Rassen, Bio- und Genotypen sein. As already mentioned above, all plants and parts thereof can be treated according to the invention. In a preferred embodiment, plant species and plant cultivars occurring in the wild or obtained by conventional biological breeding methods such as crossing or protoplast fusion, and parts thereof, are treated. In a further preferred embodiment, transgenic plants and plant cultivars which have been obtained by genetic engineering methods, if appropriate in combination with conventional methods (genetically modified organisms), and parts thereof are treated. The term "parts" or "parts of plants" or "plant parts" has been explained above. Plants of the plant varieties that are commercially available or in use are particularly preferably treated according to the invention. Plant varieties are plants with new properties (“traits”) that have been obtained through conventional breeding, through mutagenesis or through recombinant DNA techniques. This can be varieties, races, organic and genotypes.
Transgene Pflanze, Saatgutbehandlung und Integrationsereignisse Transgenic plant, seed treatment and integration events
Erfindungsgemäß können die Verbindungen der Formel (I) vorteilhaft zum Behandeln von transgenen Pflanzen, Pflanzenkultivaren oder Pflanzenteilen eingesetzt werden, die genetisches Material erhalten haben, das diesen Pflanzen, Pflanzenkultivaren bzw. Pflanzenteilen vorteilhafte und/oder brauchbare Eigenschaften (Traits) verleiht. Es wird daher in Betracht gezogen, die vorliegende Erfindung mit einem oder mehreren rekombinanten Traits oder transgenen Events oder einer Kombination davon zu kombinieren. Für die Zwecke der vorliegenden Anmeldung kommt es durch Insertion eines spezifischen rekombinanten DNA-Moleküls in eine spezifische Position (locus) im Chromosom des Pflanzengenoms zu einem trans- genen Event. Durch die Insertion wird eine neue DNA-Sequenz geschaffen, die als „Event“ bezeichnet wird, und die durch das insertierte rekombinante DNA-Molekül und eine gewisse Menge genomischer DNA unmittelbar benachbart zur insertierten DNA/die insertierte DNA an beiden Enden flankierend gekennzeichnet ist. Solche Traits bzw. transgenen Events schließen, wobei dies nicht einschränkend ist, Resistenz gegenüber Schädlingen, Wasserausnutzungseffizienz, Ertragsleistung, Dürretoleranz, Samenqualität, verbesserte Nährstoffqualität, Hybridsamenproduktion und Herbizidtoleranz ein, wobei der Trait in Bezug auf eine Pflanze, der ein solcher Trait bzw. ein solches transgenes Event fehlt, gemessen wird. Konkrete Beispiele für solche vorteilhaften und/oder brauchbaren Eigenschaften (Traits) sind besseres Pflanzenwachstum, Lebenskraft, Stresstoleranz, Standfähigkeit, Resistenz gegenüber Lagern, Nährstoffaufnahme, Pflanzenemährung und/oder Ertrag, insbesondere verbessertes Wachstum, erhöhte Toleranz gegenüber hohen oder niedrigen Temperaturen, erhöhte Toleranz gegenüber Dürre oder Wasser- oder Bodensalzgehalt, erhöhte Blühleistung, erleichterte Ernte, Beschleunigung der Reife, höhere Erträge, höhere Qualität und/oder höherer Nährwert der Emteprodukte, bessere Haltbarkeit und/oder Bearbeitbarkeit der Emteprodukte und erhöhte Resistenz bzw. Toleranz gegenüber tierischen und mikrobiellen Schädlingen wie gegen Insekten, Spinnentiere, Nematoden, Milben und Schnecken. According to the invention, the compounds of the formula (I) can advantageously be used for treating transgenic plants, plant cultivars or plant parts which have received genetic material which confers advantageous and/or useful properties (traits) on these plants, plant cultivars or plant parts. It is therefore contemplated to combine the present invention with one or more recombinant traits or transgenic events, or a combination thereof. For purposes of the present application, it occurs through insertion of a specific recombinant DNA molecule in a specific position (locus) in the chromosome of the plant genome to a transgenic event. The insertion creates a new DNA sequence, termed an "event", which is characterized by the inserted recombinant DNA molecule and some amount of genomic DNA immediately adjacent to the inserted DNA/flanking the inserted DNA at both ends. Such traits or transgenic events include, without limitation, resistance to pests, water use efficiency, yield performance, drought tolerance, seed quality, improved nutrient quality, hybrid seed production and herbicide tolerance, the trait in relation to a plant of such a trait or a such a transgenic event is absent, is measured. Concrete examples of such advantageous and/or useful properties (traits) are better plant growth, vitality, stress tolerance, standing ability, resistance to storage, nutrient uptake, plant nutrition and/or yield, in particular improved growth, increased tolerance to high or low temperatures, increased tolerance to Drought or water or soil salinity, increased flowering, easier harvesting, accelerated ripening, higher yields, higher quality and/or higher nutritional value of the harvested products, better shelf life and/or workability of the harvested products and increased resistance or tolerance to animal and microbial pests such as against insects, arachnids, nematodes, mites and snails.
Von den für Proteine, die Resistenz- oder Toleranzeigenschaften gegenüber solchen tierischen und mikrobiellen Schädlingen, insbesondere Insekten, verleihen, codierenden DNA-Sequenzen soll insbesondere das genetische Material von Bacillus thuringiensis erwähnt werden, das für die Bt-Proteine codiert, die in der Literatur ausführlich beschrieben und dem Fachmann gut bekannt sind. Erwähnt werden sollen auch von Bakterien wie Photorhabdus (WO97/17432 und WO98/08932) extrahierte Proteine. Insbesondere sollen Bt-Cry- oder VIP -Proteine Erwähnung finden, die CrylA-, CrylAb-, CrylAc-, CryllA-, CrylllA-, CryIIIB2-, Cry9c-, Cry2Ab-, Cry3Bb- und CrylF-Proteine oder toxische Fragmente davon einschließen, und außerdem Hybride oder Kombinationen davon, insbesondere das CrylF-Protein oder von einem CrylF-Protein abgeleitete Hybride (z.B. Hybrid-CrylA-CrylF-Proteine oder toxische Fragmente davon), die Proteine vom CrylA-Typ oder toxische Fragmente davon, vorzugsweise das CrylAc-Protein oder vom CrylAc-Protein abgeleitete Hybride (z.B. Hybrid-CrylAb-CrylAc-Proteine) oder das CrylAb- oder Bt2 -Protein oder toxische Fragmente davon, die Cry2Ae-, Cry2Af- oder Cry2Ag-Proteine oder toxische Fragmente davon, das Cry 1A.105 -Protein oder ein toxisches Fragment davon, das VIP3Aal9-Protein, das VIP3Aa20-Protein, die VIP3A-Proteine, die bei den COT202- oder COT203 -Baumwoll-Events produziert werden, das VIP3Aa-Protein oder ein toxisches Fragment davon, wie in Estruch et al. (1996), Proc Natl Acad Sei US A. 28;93( 11):5389-94 beschrieben, die wie in WO2001/47952 beschriebenen Cry-Pro- teine, die insektiziden Proteine aus Xenorhabdus (wie in WO98/50427 beschrieben), Serratia (insbesondere aus .S', entomophila)' oder Strängen der Photorhabdus-Xd, wie Tc-Proteine aus Photorhabdus, wie in WO98/08932 beschrieben. Dies schließt auch alle Varianten bzw. Mutanten eines dieser Proteine ein, die sich in einigen Aminosäuren (1-10, vorzugsweise 1-5) von beliebigen der oben angeführten Sequenzen, insbesondere der Sequenz ihres toxischen Fragments, unterscheiden, oder die an ein Transitpeptid wie ein Plastidtransitpeptid oder ein anderes Protein oder Peptid fusioniert sind, ein. Of the DNA sequences coding for proteins conferring resistance or tolerance properties to such animal and microbial pests, especially insects, the genetic material of Bacillus thuringiensis coding for the Bt proteins, which is described extensively in the literature, should be mentioned in particular described and well known to those skilled in the art. Proteins extracted from bacteria such as Photorhabdus (WO97/17432 and WO98/08932) should also be mentioned. In particular, mention should be made of Bt Cry or VIP proteins which include CrylA, CrylAb, CrylAc, CryllA, CrylllA, CryIIIB2, Cry9c, Cry2Ab, Cry3Bb and CrylF proteins or toxic fragments thereof, and also hybrids or combinations thereof, in particular the CrylF protein or hybrids derived from a CrylF protein (e.g. hybrid CrylA-CrylF proteins or toxic fragments thereof), the CrylA-type proteins or toxic fragments thereof, preferably the CrylAc- Protein or hybrids derived from the CrylAc protein (e.g. hybrid CrylAb-CrylAc proteins) or the CrylAb or Bt2 protein or toxic fragments thereof, the Cry2Ae, Cry2Af or Cry2Ag proteins or toxic fragments thereof, the Cry 1A. 105 protein or a toxic fragment thereof, the VIP3Aal9 protein, the VIP3Aa20 protein, the VIP3A proteins produced at the COT202 or COT203 cotton events, the VIP3Aa protein or a toxic fragment thereof, as in Estruch et al. (1996), Proc Natl Acad Sei US A. 28;93(11):5389-94, the Cry proteins as described in WO2001/47952, the insecticidal proteins from Xenorhabdus (as described in WO98/50427), Serratia (in particular from 'S', entomophila)' or strains of the Photorhabdus Xd, such as Tc proteins from Photorhabdus as described in WO98/08932. This also includes all variants or mutants of one of these proteins, which differ in some amino acids (1-10, preferably 1-5) of any of the sequences listed above, in particular the sequence of their toxic fragment, or fused to a transit peptide such as a plastid transit peptide or other protein or peptide.
Ein anderes und besonders hervorgehobenes Beispiel für solche Eigenschaften ist eine verliehene Toleranz gegenüber einem oder mehreren Herbiziden, zum Beispiel Imidazolinonen, Sulphonylhamstoffen, Glyphosat oder Phospinothricin. Von den für Proteine, die den transformierten Pflanzenzellen und Pflanzen Toleranzeigenschaften gegenüber bestimmten Herbiziden verleihen, codierenden DNA-Sequenzen sollte insbesondere das bar- bzw. PAT-Gen oder das Streptomyces-coelicolor-Gen, das in WO2009/152359 beschrieben ist und das Toleranz gegenüber Glufonsinatherbiziden verleiht, ein Gen, das für eine geeignete EPSPS (5-Enolpyruvylshikimat-3-phosphat-Synthase) codiert, die Toleranz gegenüber Herbiziden mit EPSPS als Target, insbesondere Herbiziden wie Glyphosat und dessen Salzen, verleiht, ein für Glyphosat-N-Acetyltransferase codierendes Gen oder ein für Glyphosatoxoreduktase codierendes Gen erwähnt werden. Weitere geeignete Herbizidtoleranz-Traits schließen mindestens einen ALS(Acetolactatsynthase)-Inhibitor (z.B. W02007/024782), ein mutiertes Arabidopsis ALS/AHAS-Gen (z.B. US -Patentschrift 6,855,533), für 2,4-D-Monooxygenasen codierende Gene, die Toleranz gegenüber 2,4-D (2,4-Dichlorphenoxyessigsäure) verleihen, und für Dicamba-Monooxygenasen codierende Gene, die Toleranz gegenüber Dicamba (3,6-Dichlor-2-methoxybenzoesäure) verleihen, ein. Another and particularly prominent example of such properties is conferred tolerance to one or more herbicides, for example imidazolinones, sulphonylureas, glyphosate or phospinothricin. Of the DNA sequences coding for proteins that give the transformed plant cells and plants tolerance properties to certain herbicides, the bar or PAT gene or the Streptomyces coelicolor gene, which is described in WO2009/152359 and which tolerance to Glufonsin herbicides confers a gene encoding an appropriate EPSPS (5-enolpyruvylshikimate-3-phosphate synthase) that confers tolerance to EPSPS-targeted herbicides, particularly herbicides such as glyphosate and its salts, a for glyphosate N-acetyltransferase gene encoding or a gene encoding glyphosate oxoreductase may be mentioned. Other suitable herbicide tolerance traits include at least one ALS (acetolactate synthase) inhibitor (e.g. WO2007/024782), a mutant Arabidopsis ALS/AHAS gene (e.g. US Patent 6,855,533), genes encoding 2,4-D monooxygenases, tolerance to 2,4-D (2,4-dichlorophenoxyacetic acid) and genes encoding dicamba monooxygenases that confer tolerance to dicamba (3,6-dichloro-2-methoxybenzoic acid).
Weitere und besonders hervorgehobene Beispiele für solche Eigenschaften sind eine erhöhte Resistenz gegenüber phytopathogenen Pilzen, Bakterien und/oder Viren, die zum Beispiel auf systemische erworbene Resistenz (Systemic Acquired Resistance, SAR) zurückgeht, Systemin, Phytoalexine, Elizitoren und außerdem Resistenzgene und die entsprechend exprimierten Proteine und Toxine. Further and particularly emphasized examples of such properties are an increased resistance to phytopathogenic fungi, bacteria and/or viruses, which, for example, goes back to systemic acquired resistance (SAR), systemin, phytoalexins, elicitors and also resistance genes and the correspondingly expressed proteins and toxins.
Besonders brauchbare transgene Events in transgenen Pflanzen oder Pflanzenkultivaren, die vorzugsweise erfmdungsgemäß behandelt werden können, schließen Event 531/ PV-GHBK04 (Baumwolle, Insektenbekämpfung, beschrieben in W02002/040677), Event 1143-14A (Baumwolle, Insektenbekämpfung, nicht hinterlegt, beschrieben in WO2006/128569); Event 1143-51B (Baumwolle, Insektenbekämpfung, nicht hinterlegt, beschrieben in W02006/128570); Event 1445 (Baumwolle, Herbizidtoleranz, nicht hinterlegt, beschrieben in US-A 2002-120964 oder W02002/034946); Event 17053 (Reis, Herbizidtoleranz, hinterlegt als PTA-9843, beschrieben in WO2010/117737); Event 17314 (Reis, Herbizidtoleranz, hinterlegt als PTA-9844, beschrieben in WO2010/117735); Event 281-24-236 (Baumwolle, Insektenbekämpfung - Herbizidtoleranz, hinterlegt als PTA-6233, beschrieben in W02005/103266 oder US-A 2005- 216969); Event 3006-210-23 (Baumwolle, Insektenbekämpfung - Herbizidtoleranz, hinterlegt als PTA- 6233, beschrieben in US-A 2007-143876 oder W02005/103266); Event 3272 (Mais, Qualitätsmerkmal, hinterlegt als PTA-9972, beschrieben in W02006/098952 oder US-A 2006-230473); Event 33391 (Weizen, Herbizidtoleranz, hinterlegt als PTA-2347, beschrieben in W02002/027004), Event 40416 (Mais, Insektenbekämpfung - Herbizidtoleranz, hinterlegt als ATCC PTA- 11508, beschrieben in WO 11/075593); Event 43A47 (Mais, Insektenbekämpfung - Herbizidtoleranz, hinterlegt als ATCC PTA- 11509, beschrieben in WO2011/075595); Event 5307 (Mais, Insektenbekämpfung, hinterlegt als ATCC PTA-9561, beschrieben in W02010/077816); Event ASR-368 (Bentgras, Herbizidtoleranz, hinterlegt als ATCC PTA-4816, beschrieben in US-A 2006-162007 oder W02004/053062); Event B16 (Mais, Herbizidtoleranz, nicht hinterlegt, beschrieben in US-A 2003-126634); Event BPS-CV127- 9 (Sojabohne, Herbizidtoleranz, hinterlegt als NCIMB Nr. 41603, beschrieben in W02010/080829); Event BLR1 (Raps, Restauration von Pollensterilität, hinterlegt als NCIMB 41193, beschrieben in W02005/074671), Event CE43-67B (Baumwolle, Insektenbekämpfung, hinterlegt als DSM ACC2724, beschrieben in US-A 2009- 217423 oderWO2006/128573); Event CE44-69D (Baumwolle, Insektenbekämpfung, nicht hinterlegt, beschrieben in US-A 2010- 0024077); Event CE44-69D (Baumwolle, Insektenbekämpfung, nicht hinterlegt, beschrieben in WO2006/128571); Event CE46-02A (Baumwolle, Insektenbekämpfung, nicht hinterlegt, beschrieben in WO2006/128572); Event COT102 (Baumwolle, Insektenbekämpfung, nicht hinterlegt, beschrieben in US-A 2006-130175 oder W02004/039986); Event COT202 (Baumwolle, Insektenbekämpfung, nicht hinterlegt, beschrieben in US-A 2007-067868 oder W02005/054479); Event COT203 (Baumwolle, Insektenbekämpfung, nicht hinterlegt, beschrieben in W02005/054480); ); Event DAS21606-3 / 1606 (Sojabohne, Herbizidtoleranz, hinterlegt als PTA-11028, beschrieben in WO2012/033794), Event DAS40278 (Mais, Herbizidtoleranz, hinterlegt als ATCC PTA- 10244, beschrieben in WO2011/022469); Event DAS-44406-6 / pDAB8264.44.06.1 (Sojabohne, Herbizidtoleranz, hinterlegt als PTA-11336, beschrieben in WO2012/075426), Event DAS- 14536-7 /pDAB8291.45.36.2 (Sojabohne, Herbizidtoleranz, hinterlegt als PTA-11335, beschrieben in WO2012/075429), Event DAS-59122-7 (Mais, Insektenbekämpfung - Herbizidtoleranz, hinterlegt als ATCC PTA 11384, beschrieben in US-A 2006-070139); Event DAS-59132 (Mais, Insektenbekämpfung - Herbizidtoleranz, nicht hinterlegt, beschrieben in W02009/100188); Event DAS68416 (Sojabohne, Herbizidtoleranz, hinterlegt als ATCC PTA-10442, beschrieben in WO2011/066384 oder WO2011/066360); Event DP-098140-6 (Mais, Herbizidtoleranz, hinterlegt als ATCC PTA-8296, beschrieben in US-A 2009- 137395 oder WO 08/112019); Event DP- 305423-1 (Sojabohne, Qualitätsmerkmal, nicht hinterlegt, beschrieben in US-A 2008-312082 oder W02008/054747); Event DP-32138-1 (Mais, Hybridisierungssystem, hinterlegt als ATCC PTA-9158, beschrieben in US-A 2009-0210970 oder W02009/103049); Event DP-356043-5 (Sojabohne, Herbizidtoleranz, hinterlegt als ATCC PTA-8287, beschrieben in US-A 2010-0184079 oder W02008/002872); Event EE-I (Aubergine, Insektenbekämpfung, nicht hinterlegt, beschrieben in WO 07/091277); Event Fil 17 (Mais, Herbizidtoleranz, hinterlegt als ATCC 209031, beschrieben in US-A 2006-059581 oder WO 98/044140); Event FG72 (Sojabohne, Herbizidtoleranz, hinterlegt als PTA-11041, beschrieben in WO2011/063413), Event GA21 (Mais, Herbizidtoleranz, hinterlegt als ATCC 209033, beschrieben in US- A 2005-086719 oder WO 98/044140); Event GG25 (Mais, Herbizidtoleranz, hinterlegt als ATCC 209032, beschrieben in US-A 2005-188434 oder WO98/044140); Event GHB119 (Baumwolle, Insektenbekämpfung - Herbizidtoleranz, hinterlegt als ATCC PTA-8398, beschrieben in W02008/151780); Event GHB614 (Baumwolle, Herbizidtoleranz, hinterlegt als ATCC PTA-6878, beschrieben in US-A 2010- 050282 oder W02007/017186); Event GJ11 (Mais, Herbizidtoleranz, hinterlegt als ATCC 209030, beschrieben in US-A 2005-188434 oder W098/044140); Event GM RZ13 (Zuckerrübe, Virusresistenz, hinterlegt als NCIMB-41601, beschrieben in W02010/076212); Event H7-1 (Zuckerrübe, Herbizidtoleranz, hinterlegt als NCIMB 41158 oder NCIMB 41159, beschrieben in US-A 2004-172669 oder WO 2004/074492); Event JOPLIN1 (Weizen, Krankheitstoleranz, nicht hinterlegt, beschrieben in US-A 2008- 064032); Event LL27 (Sojabohne, Herbizidtoleranz, hinterlegt als NCIMB41658, beschrieben in W02006/108674 oder US-A 2008-320616); Event LL55 (Sojabohne, Herbizidtoleranz, hinterlegt als NCIMB 41660, beschrieben in WO 2006/108675 oder US-A 2008-196127); Event LLcotton25 (Baumwolle, Herbizidtoleranz, hinterlegt als ATCC PTA-3343, beschrieben in W02003/013224 oder US- A 2003-097687); Event LLRICE06 (Reis, Herbizidtoleranz, hinterlegt als ATCC 203353, beschrieben in US 6,468,747 oder W02000/026345); Event LLRice62 ( Reis, Herbizidtoleranz, hinterlegt als ATCC 203352, beschrieben in W02000/026345), Event LLRICE601 (Reis, Herbizidtoleranz, hinterlegt als ATCC PTA- 2600, beschrieben in US-A 2008-2289060 oder W02000/026356); Event LY038 (Mais, Qualitätsmerkmal, hinterlegt als ATCC PTA-5623, beschrieben in US-A 2007-028322 oder W02005/061720); Event MIR162 (Mais, Insektenbekämpfung, hinterlegt als PTA-8166, beschrieben in US-A 2009-300784 oder W02007/142840); Event MIR604 (Mais, Insektenbekämpfung, nicht hinterlegt, beschrieben in US-A 2008-167456 oder W02005/103301); Event MON15985 (Baumwolle, Insektenbekämpfung, hinterlegt als ATCC PTA-2516, beschrieben in US-A 2004-250317 oderWQ2002/100163); Event MON810 (Mais, Insektenbekämpfung, nicht hinterlegt, beschrieben in US-A 2002-102582); Event MON863 (Mais, Insektenbekämpfung, hinterlegt als ATCC PTA-2605, beschrieben in W02004/011601 oder US-A 2006- 095986); Event MON87427 (Mais, Bestäubungskontrolle, hinterlegt als ATCC PTA-7899, beschrieben in WO2011/062904); Event MON87460 (Mais, Stresstoleranz, hinterlegt als ATCC PTA-8910, beschrieben in W02009/111263 oder US-A 2011-0138504); Event MON87701 (Sojabohne, Insektenbekämpfung, hinterlegt als ATCC PTA- 8194, beschrieben in US-A 2009-130071 oder W02009/064652); Event MON87705 (Sojabohne, Qualitätsmerkmal - Herbizidtoleranz, hinterlegt als ATCC PTA-9241, beschrieben in US-A 2010-0080887 oder W02010/037016); Event MON87708 (Sojabohne, Herbizidtoleranz, hinterlegt als ATCC PTA-9670, beschrieben in WO2011/034704); Event MON87712 (Sojabohne, Ertrag, hinterlegt als PTA-10296, beschrieben in W02012/051199), Event MON87754 (Sojabohne, Qualitätsmerkmal, hinterlegt als ATCC PTA-9385, beschrieben in W02010/024976); Event MON87769 (Sojabohne, Qualitätsmerkmal, hinterlegt als ATCC PTA- 8911, beschrieben in US-A 2011-0067141 oder W02009/102873); Event MON88017 (Mais, Insektenbekämpfung - Herbizidtoleranz, hinterlegt als ATCC PTA-5582, beschrieben in US-A 2008-028482 oder W02005/059103); Event MON88913 (Baumwolle, Herbizidtoleranz, hinterlegt als ATCC PTA-4854, beschrieben in W02004/072235 oder US-A 2006-059590); Event MON88302 (Raps, Herbizidtoleranz, hinterlegt als PTA-10955, beschrieben in WO2011/153186), Event MON88701 (Baumwolle, Herbizidtoleranz, hinterlegt als PTA-11754, beschrieben in WO2012/134808), Event MON89034 (Mais, Insektenbekämpfung, hinterlegt als ATCC PTA- 7455, beschrieben in WO 07/140256 oder US-A 2008-260932); Event MON89788 (Sojabohne, Herbizidtoleranz, hinterlegt als ATCC PTA-6708, beschrieben in US-A 2006-282915 oder W02006/130436); Event MSI 1 (Raps, Bestäubungskontrolle - Herbizidtoleranz, hinterlegt als ATCC PTA-850 oder PTA- 2485, beschrieben in W02001/031042); Event MS8 (Raps, Bestäubungskontrolle - Herbizidtoleranz, hinterlegt als ATCC PTA-730, beschrieben in W02001/041558 oder US-A 2003-188347); Event NK603 (Mais, Herbizidtoleranz, hinterlegt als ATCC PTA-2478, beschrieben in US-A 2007-292854); Event PE- 7 (Reis, Insektenbekämpfung, nicht hinterlegt, beschrieben in W02008/114282); Event RF3 (Raps, Bestäubungskontrolle - Herbizidtoleranz, hinterlegt als ATCC PTA-730, beschrieben in W02001/041558 oder US-A 2003-188347); Event RT73 (Raps, Herbizidtoleranz, nicht hinterlegt, beschrieben in W02002/036831 oder US-A 2008-070260); Event SYHT0H2 / SYN-000H2-5 (Sojabohne, Herbizidtoleranz, hinterlegt als PTA-11226, beschrieben in WO2012/082548), Event T227-1 (Zuckerrübe, Herbizidtoleranz, nicht hinterlegt, beschrieben in W02002/44407 oder US-A 2009-265817); Event T25 (Mais, Herbizidtoleranz, nicht hinterlegt, beschrieben in US-A 2001-029014 oder W02001/051654); Event T304-40 (Baumwolle, Insektenbekämpfung - Herbizidtoleranz, hinterlegt als ATCC PTA-8171, beschrieben in US-A 2010-077501 oder W02008/122406); Event T342-142 (Baumwolle, Insektenbekämpfung, nicht hinterlegt, beschrieben in WO2006/128568); Event TC1507 (Mais, Insektenbekämpfung - Herbizidtoleranz, nicht hinterlegt, beschrieben in US-A 2005-039226 oder W02004/099447); Event VIP1034 (Mais, Insektenbekämpfung - Herbizidtoleranz, hinterlegt als ATCC PTA-3925, beschrieben in W02003/052073), Event 32316 (Mais, Insektenbekämpfung-Herbizidtoleranz, hinterlegt als PTA- 11507, beschrieben in WO2011/084632), Event 4114 (Mais, Insektenbekämpfung-Herbizidtoleranz, hinterlegt als PTA-11506, beschrieben in W02011/084621), Event EE-GM3 / FG72 (Sojabohne, Herbizidtoleranz, ATCC-Zugangsnr. PTA-11041) gegebenenfalls gestapelt mit Event EE-GM1/LL27 oder Event EE- GM2/LL55 (WO2011/063413 A2), Event DAS-68416-4 (Sojabohne, Herbizidtoleranz, ATCC-Zu- gangsnr. PTA-10442, WO2011/066360A1), Event DAS-68416-4 (Sojabohne, Herbizidtoleranz, ATCC- Zugangsnr. PTA-10442, WO2011/066384A1), Event DP-040416-8 (Mais, Insektenbekämpfung, ATCC- Zugangsnr. PTA-11508, WO2011/075593A1), Event DP-043A47-3 (Mais, Insektenbekämpfung, ATCC- Zugangsnr. PTA-11509, WO2011/075595 Al), Event DP- 004114-3 (Mais, Insektenbekämpfung, ATCC- Zugangsnr. PTA-11506, WO2011/084621 Al), Event DP-032316-8 (Mais, Insektenbekämpfung, ATCC- Zugangsnr. PTA-11507, WO2011/084632A1), Event MON-88302-9 (Raps, Herbizidtoleranz, ATCC-Zugangsnr. PTA-10955, WO2011/153186A1), Event DAS-21606-3 (Sojabohne, Herbizidtoleranz, ATCC- Zugangsnr. PTA-11028, WO2012/033794A2), Event MON-87712-4 (Sojabohne, Qualitätsmerkmal, ATCC-Zugangsnr. PTA-10296, WO2012/051199A2), Event DAS-44406-6 (Sojabohne, gestapelte Herbizidtoleranz, ATCC-Zugangsnr. PTA-11336, WO2012/075426A1), Event DAS-14536-7 (Sojabohne, gestapelte Herbizidtoleranz, ATCC-Zugangsnr. PTA-11335, WO2012/075429A1), Event SYN-000H2-5 (Sojabohne, Herbizidtoleranz, ATCC-Zugangsnr. PTA-11226, WO2012/082548A2), Event DP-061061- 7 (Raps, Herbizidtoleranz, keine Hinterlegungsnr. verfügbar, W02012071039A1), Event DP-073496-4 (Raps, Herbizidtoleranz, keine Hinterlegungsnr. verfügbar, US2012131692), Event 8264.44.06.1 (Sojabohne, gestapelte Herbizidtoleranz, Zugangsnr. PTA-11336, WO2012075426A2), Event 8291.45.36.2 (Sojabohne, gestapelte Herbizidtoleranz, Zugangsnr. PTA-11335, WO2012075429A2), Event SYHT0H2 (Sojabohne, ATCC-Zugangsnr. PTA-11226, WO2012/082548A2), Event MON88701 (Baumwolle, ATCC-Zugangsnr. PTA-11754, WO2012/134808A1), Event KK179-2 (Luzerne, ATCC-Zugangsnr. PTA-11833, W02013/003558A1), Event pDAB8264.42.32.1 (Sojabohne, gestapelte Herbizidtoleranz, ATCC-Zugangsnr. PTA- 11993, W02013/010094A1), Event MZDT09Y (Mais, ATCC-Zugangsnr. PTA- 13025, WO2013/012775A1) ein. Particularly useful transgenic events in transgenic plants or plant cultivars, which can preferably be treated according to the invention, include Event 531 / PV-GHBK04 (cotton, insect control, described in WO2002/040677), Event 1143-14A (cotton, insect control, not deposited, described in WO2006/128569); Event 1143-51B (cotton, insect control, not deposited, described in WO2006/128570); Event 1445 (Cotton, herbicide tolerance, not deposited, described in US-A 2002-120964 or WO2002/034946); Event 17053 (rice, herbicide tolerance, deposited as PTA-9843, described in WO2010/117737); Event 17314 (rice, herbicide tolerance, deposited as PTA-9844, described in WO2010/117735); Event 281-24-236 (Cotton, insect control - herbicide tolerance, deposited as PTA-6233, described in WO2005/103266 or US-A 2005-216969); Event 3006-210-23 (Cotton, insect control - herbicide tolerance, deposited as PTA-6233, described in US-A 2007-143876 or WO2005/103266); Event 3272 (maize, quality attribute deposited as PTA-9972, described in WO2006/098952 or US-A 2006-230473); Event 33391 (Wheat, herbicide tolerance, deposited as PTA-2347, described in WO2002/027004), Event 40416 (Maize, insect control - herbicide tolerance, deposited as ATCC PTA-11508, described in WO 11/075593); Event 43A47 (Maize, insect control - herbicide tolerance, deposited as ATCC PTA-11509, described in WO2011/075595); Event 5307 (corn, insect control, deposited as ATCC PTA-9561 described in WO2010/077816); Event ASR-368 (Bentgrass, herbicide tolerance, deposited as ATCC PTA-4816, described in US-A 2006-162007 or WO2004/053062); Event B16 (Maize, herbicide tolerance, not deposited, described in US-A 2003-126634); Event BPS-CV127-9 (Soybean, herbicide tolerance, deposited as NCIMB No. 41603, described in WO2010/080829); Event BLR1 (rapeseed, restoration of male sterility, deposited as NCIMB 41193, described in WO2005/074671), Event CE43-67B (cotton, insect control, deposited as DSM ACC2724, described in US-A 2009-217423 or WO2006/128573); Event CE44-69D (cotton, insect control, not deposited, described in US-A 2010-0024077); Event CE44-69D (cotton, insect control, not deposited, described in WO2006/128571); Event CE46-02A (cotton, insect control, not deposited, described in WO2006/128572); Event COT102 (Cotton, insect control, not deposited, described in US-A 2006-130175 or WO2004/039986); Event COT202 (Cotton, insect control, not deposited, described in US-A 2007-067868 or WO2005/054479); Event COT203 (Cotton, insect control, not deposited, described in WO2005/054480); ); Event DAS21606-3/1606 (soybean, herbicide tolerance, deposited as PTA-11028, described in WO2012/033794), Event DAS40278 (corn, herbicide tolerance, deposited as ATCC PTA-10244, described in WO2011/022469); Event DAS-44406-6 / pDAB8264.44.06.1 (soybean, herbicide tolerance, deposited as PTA-11336, described in WO2012/075426), Event DAS-14536-7 /pDAB8291.45.36.2 (soybean, herbicide tolerance, deposited as PTA -11335, described in WO2012/075429), Event DAS-59122-7 (maize, insect control - herbicide tolerance, deposited as ATCC PTA 11384, described in US-A 2006-070139); Event DAS-59132 (Maize, insect control - herbicide tolerance, not deposited, described in WO2009/100188); Event DAS68416 (Soybean, herbicide tolerance, deposited as ATCC PTA-10442, described in WO2011/066384 or WO2011/066360); Event DP-098140-6 (Maize, herbicide tolerance, deposited as ATCC PTA-8296, described in US-A 2009-137395 or WO 08/112019); Event DP-305423-1 (soybean, quality attribute, not deposited, described in US-A 2008-312082 or WO2008/054747); Event DP-32138-1 (maize, hybridization system deposited as ATCC PTA-9158, described in US-A 2009-0210970 or WO2009/103049); Event DP-356043-5 (Soybean, herbicide tolerance, deposited as ATCC PTA-8287, described in US-A 2010-0184079 or WO2008/002872); Event EE-I (eggplant, insect control, not deposited, described in WO 07/091277); Event Fil 17 (Maize, herbicide tolerance, deposited as ATCC 209031, described in US-A 2006-059581 or WO 98/044140); Event FG72 (soybean, herbicide tolerance, deposited as PTA-11041, described in WO2011/063413), Event GA21 (corn, herbicide tolerance, deposited as ATCC 209033, described in US-A 2005-086719 or WO 98/044140); Event GG25 (Maize, herbicide tolerance, deposited as ATCC 209032, described in US-A 2005-188434 or WO98/044140); Event GHB119 (Cotton, insect control - herbicide tolerance, deposited as ATCC PTA-8398, described in WO2008/151780); Event GHB614 (Cotton, herbicide tolerance, deposited as ATCC PTA-6878, described in US-A 2010-050282 or WO2007/017186); Event GJ11 (Maize, herbicide tolerance, deposited as ATCC 209030, described in US-A 2005-188434 or WO98/044140); Event GM RZ13 (sugar beet, virus resistance, deposited as NCIMB-41601, described in WO2010/076212); Event H7-1 (sugar beet, herbicide tolerance, deposited as NCIMB 41158 or NCIMB 41159, described in US-A 2004-172669 or WO 2004/074492); Event JOPLIN1 (wheat, disease tolerance, not deposited, described in US-A 2008-064032); Event LL27 (Soybean, herbicide tolerance, deposited as NCIMB41658, described in WO2006/108674 or US-A 2008-320616); Event LL55 (soybean, herbicide tolerance, deposited as NCIMB 41660, described in WO 2006/108675 or US-A 2008-196127); Event LLcotton25 (Cotton, herbicide tolerance, deposited as ATCC PTA-3343, described in WO2003/013224 or US-A 2003-097687); Event LLRICE06 (rice, herbicide tolerance, deposited as ATCC 203353, described in US 6,468,747 or WO2000/026345); Event LLRice62 (rice, herbicide tolerance, deposited as ATCC 203352, described in WO2000/026345), Event LLRICE601 (rice, herbicide tolerance, deposited as ATCC PTA-2600, described in US-A 2008-2289060 or WO2000/026356); Event LY038 (corn, quality attribute deposited as ATCC PTA-5623, described in US-A 2007-028322 or WO2005/061720); Event MIR162 (Maize, insect control, deposited as PTA-8166, described in US-A 2009-300784 or WO2007/142840); Event MIR604 (Maize, insect control, not deposited, described in US-A 2008-167456 or WO2005/103301); Event MON15985 (Cotton, insect control deposited as ATCC PTA-2516, described in US-A 2004-250317 or WQ2002/100163); Event MON810 (corn, insect control, not deposited, described in US-A 2002-102582); Event MON863 (Maize, insect control, deposited as ATCC PTA-2605, described in WO2004/011601 or US-A 2006-095986); Event MON87427 (Maize, pollination control, deposited as ATCC PTA-7899, described in WO2011/062904); Event MON87460 (maize, stress tolerance, deposited as ATCC PTA-8910, described in WO2009/111263 or US-A 2011-0138504); Event MON87701 (Soybean, insect control, deposited as ATCC PTA-8194, described in US-A 2009-130071 or WO2009/064652); Event MON87705 (Soybean, quality attribute - herbicide tolerance, deposited as ATCC PTA-9241, described in US-A 2010-0080887 or WO2010/037016); Event MON87708 (Soybean, herbicide tolerance, deposited as ATCC PTA-9670, described in WO2011/034704); Event MON87712 (soybean, yield, deposited as PTA-10296, described in WO2012/051199), Event MON87754 (soybean, quality attribute, deposited as ATCC PTA-9385, described in WO2010/024976); Event MON87769 (soybean, quality attribute deposited as ATCC PTA-8911, described in US-A 2011-0067141 or WO2009/102873); Event MON88017 (Maize, insect control - herbicide tolerance, deposited as ATCC PTA-5582, described in US-A 2008-028482 or WO2005/059103); Event MON88913 (Cotton, herbicide tolerance, deposited as ATCC PTA-4854, described in WO2004/072235 or US-A 2006-059590); Event MON88302 (rapeseed, herbicide tolerance, deposited as PTA-10955, described in WO2011/153186), Event MON88701 (cotton, herbicide tolerance, deposited as PTA-11754, described in WO2012/134808), Event MON89034 (maize, insect control, deposited as ATCC PTA-7455 described in WO 07/140256 or US-A 2008-260932); Event MON89788 (Soybean, herbicide tolerance, deposited as ATCC PTA-6708, described in US-A 2006-282915 or WO2006/130436); Event MSI 1 (rapeseed, pollination control - herbicide tolerance, deposited as ATCC PTA-850 or PTA-2485, described in WO2001/031042); Event MS8 (rapeseed, pollination control - herbicide tolerance, deposited as ATCC PTA-730, described in WO2001/041558 or US-A 2003-188347); Event NK603 (Maize, herbicide tolerance, deposited as ATCC PTA-2478, described in US-A 2007-292854); Event PE-7 (rice, insect control, not deposited, described in WO2008/114282); Event RF3 (rapeseed, pollination control - herbicide tolerance, deposited as ATCC PTA-730, described in WO2001/041558 or US-A 2003-188347); Event RT73 (rapeseed, herbicide tolerance, not deposited, described in WO2002/036831 or US-A 2008-070260); Event SYHT0H2 / SYN-000H2-5 (soybean, herbicide tolerance, deposited as PTA-11226, described in WO2012/082548), Event T227-1 (sugar beet, herbicide tolerance, not deposited, described in WO2002/44407 or US-A 2009-265817 ); Event T25 (maize, herbicide tolerance, not deposited, described in US-A 2001-029014 or WO2001/051654); Event T304-40 (Cotton, insect control - herbicide tolerance, deposited as ATCC PTA-8171, described in US-A 2010-077501 or WO2008/122406); Event T342-142 (cotton, insect control, not deposited, described in WO2006/128568); Event TC1507 (Maize, insect control - herbicide tolerance, not deposited, described in US-A 2005-039226 or WO2004/099447); Event VIP1034 (Maize, insect control - herbicide tolerance, deposited as ATCC PTA-3925, described in WO2003/052073), Event 32316 (Maize, insect control - herbicide tolerance, deposited as PTA-11507, described in WO2011/084632), Event 4114 (maize, Insect control-herbicide tolerance deposited as PTA-11506, described in W02011/084621), Event EE-GM3/FG72 (soybean, herbicide tolerance, ATCC Accession No. PTA-11041) optionally stacked with Event EE-GM1/LL27 or Event EE-GM2 /LL55 (WO2011/063413 A2), Event DAS-68416-4 (soybean, herbicide tolerance, ATCC accession no. PTA-10442, WO2011/066360A1), Event DAS-68416-4 (soybean, herbicide tolerance, ATCC accession no. PTA-10442, WO2011/066384A1), Event DP-040416-8 (Corn, insect control, ATCC Accession No. PTA-11508, WO2011/075593A1), Event DP-043A47-3 (Corn, insect control, ATCC Accession No. PTA- 11509, WO2011/075595 A1), Event DP-004114-3 (corn, insect control, ATCC Accession No. PTA-11506, WO2011/084621 A1), Event DP-032316-8 (M ais, Insect Control, ATCC accession no. PTA-11507, WO2011/084632A1), Event MON-88302-9 (rapeseed, herbicide tolerance, ATCC Accession No. PTA-10955, WO2011/153186A1), event DAS-21606-3 (soybean, herbicide tolerance, ATCC Accession No. PTA- 11028, WO2012/033794A2), Event MON-87712-4 (soybean, quality attribute, ATCC Accession No. PTA-10296, WO2012/051199A2), event DAS-44406-6 (soybean, stacked herbicide tolerance, ATCC Accession No. PTA-11336 , WO2012/075426A1), Event DAS-14536-7 (soybean, stacked herbicide tolerance, ATCC Accession No. PTA-11335, WO2012/075429A1), event SYN-000H2-5 (soybean, herbicide tolerance, ATCC Accession No. PTA-11226, WO2012/082548A2), Event DP-061061-7 (rapeseed, herbicide tolerance, no accession no. available, W02012071039A1), Event DP-073496-4 (rapeseed, herbicide tolerance, no accession no. available, US2012131692), Event 8264.44.06.1 (soybean, stacked herbicide tolerance, Accession No. PTA-11336, WO2012075426A2), Event 8291.45.36.2 (Soybean, stacked herbicide tolerance, Accession No. PTA-11335, WO2012075429A2), Event SYHT 0H2 (soybean, ATCC accession no. PTA-11226, WO2012/082548A2), Event MON88701 (Cotton, ATCC Accession No. PTA-11754, WO2012/134808A1), Event KK179-2 (Alfalfa, ATCC Accession No. PTA-11833, WO2013/003558A1), Event pDAB8264. 42.32.1 (soybean, stacked herbicide tolerance, ATCC accession no. PTA-11993, WO2013/010094A1), Event MZDT09Y (maize, ATCC Accession No. PTA-13025, WO2013/012775A1).
Weiterhin wird eine solche Liste transgener Events vom United States Department of Agriculture’s (USDA) Animal and Plant Health Inspection Service (APHIS) bereitgestellt und findet sich auf deren Webseite auf dem World Wide Web bei aphis.usda.gov. Für die vorliegende Anmeldung ist der Status dieser Liste, wie er am Anmeldetag der vorliegenden Anmeldung war, von Relevanz. Furthermore, such a list of transgenic events is provided by the United States Department of Agriculture's (USDA) Animal and Plant Health Inspection Service (APHIS) and can be found on their website on the World Wide Web at aphis.usda.gov. For the present application, the status of this list as it was on the filing date of the present application is relevant.
Die Gene/Events, die die betreffenden gewünschten Merkmale verleihen, können in den transgenen Pflanzen auch in Kombinationen miteinander vorliegen. Beispiele für transgene Pflanzen, die erwähnt werden können, sind wichtige Kulturpflanzen wie Getreide (Weizen, Reis, Triticale, Gerste, Roggen, Hafer), Mais, Sojabohnen, Kartoffeln, Zuckerrübe, Zuckerrohr, Tomaten, Erbsen und andere Arten von Gemüse, Baumwolle, Tabak, Raps und außerdem Obstpflanzen (mit den Früchten Äpfeln, Birnen, Zitrusfrüchte und Weintrauben), wobei Mais, Sojabohnen, Weizen, Reis, Kartoffeln, Baumwolle, Zuckerrohr, Tabak und Raps besonders hervorgehoben sind. Traits, die besonders hervorgehoben werden, sind die erhöhte Resistenz der Pflanzen gegenüber Insekten, Spinnentieren, Nematoden und Schnecken sowie die erhöhte Resistenz der Pflanzen gegenüber einem oder mehreren Herbiziden. The genes/events that confer the relevant desired characteristics can also be present in the transgenic plants in combination with one another. Examples of transgenic plants that can be mentioned are important crops such as cereals (wheat, rice, triticale, barley, rye, oats), corn, soybeans, potatoes, sugar beet, sugar cane, tomatoes, peas and other types of vegetables, cotton, Tobacco, rapeseed and also fruit plants (with the fruits apples, pears, citrus fruits and grapes), with particular emphasis on corn, soybeans, wheat, rice, potatoes, cotton, sugar cane, tobacco and rapeseed. Traits that are particularly emphasized are the plants' increased resistance to insects, arachnids, nematodes and snails, and the plants' increased resistance to one or more herbicides.
Im Handel erhältliche Beispiele für solche Pflanzen, Pflanzenteile oder Pflanzensamen, die vorzugsweise erfindungsgemäß behandelt werden können, schließen im Handel erhältliche Produkte wie Pflanzensamen ein, die unter den GENUITY®-, DROUGHTGARD®-, SMARTSTAX®-, RIB COMPLETE®-, ROUNDUP READY®-, VT DOUBLE PRO®-, VT TRIPLE PRO®-, BOLLGARD II®-, ROUNDUP READY 2 YIELD®-, YIELDGARD®-, ROUNDUP READY® 2 XTENDTM-, INTACTA RR2 PRO®-, VISTIVE GOLD®- und/oder XTENDFLEX™-Handelsnamen verkauft bzw. vertrieben werden. Commercially available examples of such plants, plant parts or plant seeds which can preferably be treated according to the invention include commercially available products such as plant seeds falling under the GENUITY®, DROUGHTGARD®, SMARTSTAX®, RIB COMPLETE®, ROUNDUP READY ®, VT DOUBLE PRO®, VT TRIPLE PRO®, BOLLGARD II®, ROUNDUP READY 2 YIELD®, YIELDGARD®, ROUNDUP READY® 2 XTEN DTM , INTACTA RR2 PRO®, VISTIVE GOLD® and /or XTENDFLEX™ trade names are sold or distributed.
Pflanzenschutz - Behandlungsarten Plant protection - types of treatment
Die Behandlung der Pflanzen und Pflanzenteile mit den Verbindungen der Formel (I) erfolgt direkt oder durch Einwirkung auf deren Umgebung, Lebensraum oder Lagerraum nach den üblichen Behandlungsmethoden, z. B. durch Tauchen, Spritzen, Sprühen, Berieseln, Verdampfen, Zerstäuben, Vernebeln, Verstreuen, Verschäumen, Bestreichen, Verstreichen, Injizieren, Gießen (drenchen), Tröpfchenbewässerung und bei Vermehrungsmaterial, insbesondere bei Saatgut, weiterhin durch Trockenbeizen, Nassbeizen, Schlämmbeizen, Inkrustieren, ein- oder mehrschichtiges Umhüllen, usw. Es ist ferner möglich, die Verbindungen der Formel (I) nach dem Ultra-Low-Volume-Verfahren auszubringen oder die Anwendungsform oder die Verbindung der Formel (I) selbst in den Boden zu injizieren. The treatment of the plants and parts of plants with the compounds of formula (I) is carried out directly or by affecting their environment, habitat or storage space according to the usual treatment methods, e.g. B. by dipping, spraying, spraying, sprinkling, vaporizing, atomizing, atomizing, scattering, foaming, brushing, spreading, injecting, pouring (drenching), drip irrigation and in the case of propagation material, especially seeds, also by dry dressing, wet dressing, slurry dressing, encrusting , single or multi-layer coating, etc. It is also possible to apply the compounds of formula (I) by the ultra-low volume method or to inject the use form or the compound of formula (I) itself into the soil.
Eine bevorzugte direkte Behandlung der Pflanzen ist die Blattapplikation, d. h. die Verbindungen der Formel (I) werden auf das Blattwerk aufgebracht, wobei die Behandlungsfrequenz und die Aufwandmenge auf den Befallsdruck des jeweiligen Schädlings abgestimmt sein sollte. Bei systemisch wirksamen Wirkstoffen gelangen die Verbindungen der Formel (I) auch über das Wurzelwerk in die Pflanzen. Die Behandlung der Pflanzen erfolgt dann durch Einwirkung der Verbindungen der Formel (I) auf den Lebensraum der Pflanze. Das kann beispielsweise durch Drenchen, Einmischen in den Boden oder die Nährlösung sein, d. h. der Standort der Pflanze (z. B. Boden oder hydroponische Systeme) wird mit einer flüssigen Form der Verbindungen der Formel (I) getränkt, oder durch die Bodenapplikation, d. h. die erfindungsgemäßen Verbindungen der Formel (I) werden in fester Form (z. B. in Form eines Granulats) in den Standort der Pflanzen eingebracht, oder durch Tropfapplikation (oftmals auch als "Che- migation" bezeichnet), d.h. die erfindungsgemäßen Verbindungen der Formel (I) werden mittels Oberflächen- oder Untergrund-Tropfrohren über bestimmte Zeiträume zusammen mit variierenden Mengen an Wasser an definierten Stellen in der Nähe der Pflanzen eingebracht. Bei Wasserreiskulturen kann das auch durch Zudosieren der Verbindung der Formel (I) in einer festen Anwendungsform (z. B. als Granulat) in ein überflutetes Reisfeld sein. A preferred direct treatment of the plants is foliar application, ie the compounds of the formula (I) are applied to the foliage, the frequency of treatment and the application rate should be tailored to the infestation pressure of the pest in question. In the case of systemically active active ingredients, the compounds of the formula (I) also get into the plants via the root system. The plants are then treated by the action of the compounds of formula (I) on the habitat of the plant. This can be, for example, by drenching, mixing into the soil or nutrient solution, ie the locus of the plant (e.g. soil or hydroponic systems) is drenched with a liquid form of the compounds of formula (I), or by soil application, ie the compounds of the formula (I) according to the invention are introduced into the site of the plants in solid form (eg in the form of granules) or by drip application (often also referred to as "chem-migation"), ie the compounds of the formula according to the invention (I) are introduced at defined locations near the plants by means of surface or underground drip tubes over specified periods of time together with varying amounts of water. In the case of paddy rice cultures, this can also be done by metering the compound of the formula (I) in a solid application form (eg as granules) into a flooded paddy field.
Digitale Technologien digital technologies
Die erfindungsgemäßen Verbindungen können in Kombination mit z.B. in Computerprogrammen für ortsspezifisches Kulturpflanzenmanagement eingebetteten Modellen, Satelliten-Ackerbau, Präzisionsackerbau bzw. Präzisionslandwirtschaft eingesetzt werden. Solche Modelle unterstützen das ortsspezifische Management landwirtschaftlicher Anlagen mit Daten aus verschiedenen Quellen wie Böden, Wetter, Kulturpflanzen (z.B. Typ, Wachstumsstadium, Pflanzengesundheit), Unkräuter (z.B. Typ, Wachstumsstadium), Krankheiten, Schädlingen, Nährstoffen, Wasser, Feuchtigkeit, Biomasse, Satellitendaten, Ertrag usw., mit dem Ziel, Rentabilität, Nachhaltigkeit und Umweltschutz zu optimieren. Insbesondere können solche Modelle helfen, agronomische Entscheidungen zu optimieren, die Präzision von Pestizidanwendungen zu steuern und die durchgeführten Arbeiten aufzuzeichnen. The compounds of the invention can be used in combination with, for example, models embedded in computer programs for site-specific crop management, satellite tillage, precision tillage or precision farming. Such models support site-specific management of agricultural assets with data from various sources such as soil, weather, crops (e.g. type, growth stage, plant health), weeds (e.g. type, growth stage), diseases, pests, nutrients, water, moisture, biomass, satellite data, yield, etc., with the aim of optimizing profitability, sustainability and environmental protection. In particular, such models can help optimize agronomic decisions, guide the precision of pesticide applications, and record the work performed.
Beispielsweise kann man die erfindungsgemäßen Verbindungen gemäß einem entsprechenden Anwendungsprotokoll auf eine Kulturpflanze aufbringen, wenn das Modell das Auftreten eines Schädlings moduliert und berechnet, dass eine Schwelle erreicht wurde, bei der es empfohlen wird, die erfindungsgemäße Verbindung auf die Kulturpflanze aufzubringen. For example, one can apply the compounds of the invention to a crop according to an appropriate application protocol when the model modulates the occurrence of a pest and calculates that a threshold has been reached at which it is recommended to apply the compound of the invention to the crop.
Im Handel erhältliche Systeme, die agronomische Modelle einschließen, sind z.B. FieldScriptsTM von The Climate Corporation, XarvioTM von BASF, AGLogicTM von John Deere usw. Commercially available systems that include agronomic models include The Climate Corporation's FieldScripts™, BASF's Xarvio™, John Deere's AGLogic™, etc.
Die erfindungsgemäßen Verbindungen können außerdem in Kombination mit smartem Sprühgerät wie z.B. Gerät zum punktuellen Sprühen oder Präzisionssprühen, das an einem Farmvehikel wie einem Traktor, einem Roboter, einem Helikopter, einem Flugzeug, einem unbemannten Luftfahrzeug (Unmanned Aerial Vehicle, UAV) wie einer Drohne an - bzw. untergebracht ist, eingesetzt werden. Solches Gerät umfasst gewöhnlich Input- Sensoren (wie z.B. eine Kamera) und eine Bearbeitungseinheit, die für die Analyse der Input-Daten und die Bereitstellung einer Entscheidung, die auf der Analyse der Input-Daten basiert, zur Anwendung der erfindungsgemäßen Verbindung auf den Kulturpflanzen (beziehungsweise den Unkräutern) in spezifischer und präziser Weise konfiguriert ist. Der Einsatz solcher smarten Sprühgeräte erfordert gewöhnlich Positionssysteme (z.B. GPS-Empfänger), mit denen die aufgenommenen Daten lokalisiert und Farmvehikel gesteuert bzw. kontrolliert werden, geografische Informationssysteme (GIS), mit denen die Informationen auf verständlichen Karten dargestellt werden, und entsprechende Farmvehikel zum Durchfuhren der erforderlichen landwirtschaftlichen Maßnahme wie dem Sprühen. The compounds of the invention can also be used in combination with smart spray equipment such as spot spray equipment or precision spray equipment attached to a farm vehicle such as a tractor, robot, helicopter, airplane, unmanned aerial vehicle (UAV) such as a drone - or housed, are used. Such equipment usually includes input sensors (such as a camera) and a processing unit responsible for analyzing the input data and providing a decision based on the analysis of the input data based, is configured in a specific and precise manner for the application of the compound of the invention to the crop plants (or weeds). The use of such smart sprayers usually requires positioning systems (e.g. GPS receivers) to locate the recorded data and to control farm vehicles, geographic information systems (GIS) to present the information on understandable maps, and appropriate farm vehicles for transit the required agricultural measure such as spraying.
Bei einem Beispiel können Schädlinge aus von einer Kamera aufgenommenen Bildern nachgewiesen werden. Bei einem Beispiel können die Schädlinge auf Basis dieser Bilder identifiziert und/oder klassifiziert werden. Bei einer solchen Identifikation und/oder Klassifikation kann man sich Algorithmen zur Bildverarbeitung bedienen. Solche Algorithmen zur Bildverarbeitung können Algorithmen zum maschinellen Lernen wie künstliche neuronale Netze, Entscheidungsbäume, und Künstliche-Intelligenz-Algorithmen nutzen. Auf diese Weise ist es möglich, die hier beschriebenen Verbindungen nur dort anzuwenden, wo sie benötigt werden. In one example, pests can be detected from images captured by a camera. In one example, the pests can be identified and/or classified based on these images. With such an identification and/or classification, one can use algorithms for image processing. Such image processing algorithms can use machine learning algorithms such as artificial neural networks, decision trees, and artificial intelligence algorithms. In this way it is possible to use the connections described here only where they are needed.
Saatgutbehandlung seed treatment
Die Bekämpfung von tierischen Schädlingen durch die Behandlung des Saatguts von Pflanzen ist seit langem bekannt und ist Gegenstand ständiger Verbesserungen. Dennoch ergeben sich bei der Be-handlung von Saatgut eine Reihe von Problemen, die nicht immer zufriedenstellend gelöst werden können. So ist es erstrebenswert, Verfahren zum Schutz des Saatguts und der keimenden Pflanze zu entwickeln, die das zusätzliche Ausbringen von Schädlingsbekämpfungsmitteln bei der Lagerung, nach der Saat oder nach dem Auflaufen der Pflanzen überflüssig machen oder zumindest deutlich verringern. Es ist weiterhin erstrebenswert, die Menge des eingesetzten Wirkstoffs dahingehend zu optimieren, dass das Saatgut und die keimende Pflanze vor dem Befall durch tierische Schädlinge bestmöglich geschützt werden, ohne jedoch die Pflanze selbst durch den eingesetzten Wirkstoff zu schädigen. Insbesondere sollten Verfahren zur Behandlung von Saatgut auch die intrinsischen insektiziden bzw. nematiziden Eigenschaften schädlingsresistenter bzw. -toleranter transgener Pflanzen einbeziehen, um einen optimalen Schutz des Saatguts und auch der keimenden Pflanze bei einem minimalen Aufwand an Schädlingsbekämpfungsmitteln zu erreichen. The control of animal pests by treating the seeds of plants has long been known and is subject to constant improvement. Nevertheless, there are a number of problems in the treatment of seeds that cannot always be solved satisfactorily. It is therefore desirable to develop methods for protecting the seed and the germinating plant which make the additional application of pesticides during storage, after sowing or after the plants have emerged superfluous or at least significantly reduced. It is also desirable to optimize the amount of active ingredient used so that the seed and the germinating plant are protected as best as possible from infestation by animal pests, but without damaging the plant itself with the active ingredient used. In particular, methods for treating seeds should also include the intrinsic insecticidal or nematicidal properties of pest-resistant or -tolerant transgenic plants in order to achieve optimum protection of the seed and also the germinating plant with a minimum of pesticides used.
Die vorliegende Erfindung bezieht sich daher insbesondere auch auf ein Verfahren zum Schutz von Saatgut und keimenden Pflanzen vor dem Befall von Schädlingen, indem das Saatgut mit einer der Verbindungen der Formel (I) behandelt wird. Das erfindungsgemäße Verfahren zum Schutz von Saatgut und keimenden Pflanzen vor dem Befall von Schädlingen umfasst ferner ein Verfahren, in dem das Saatgut gleichzeitig in einem Vorgang oder sequentiell mit einer Verbindung der Formel (I) und einer Mischungskomponente behandelt wird. Es umfasst ferner auch ein Verfahren, in dem das Saatgut zu unterschiedlichen Zeiten mit einer Verbindung der Formel (I) und einer Mischungskomponente behandelt wird. Die Erfindung bezieht sich ebenfalls auf die Verwendung der Verbindungen der Formel (I) zur Behandlung von Saatgut zum Schutz des Saatguts und der daraus entstehenden Pflanze vor tierischen Schädlingen. The present invention therefore also relates in particular to a method for protecting seed and germinating plants from infestation by pests by treating the seed with one of the compounds of the formula (I). The method according to the invention for protecting seed and germinating plants from infestation by pests further comprises a method in which the seed is treated simultaneously in one operation or sequentially with a compound of formula (I) and a mixture component. It further also includes a method in which the seed is treated at different times with a compound of formula (I) and a mixture component. The invention also relates to the use of the compounds of formula (I) for the treatment of seed to protect the seed and the plant resulting therefrom from animal pests.
Weiterhin bezieht sich die Erfindung auf Saatgut, welches zum Schutz vor tierischen Schädlingen mit einer erfindungsgemäßen Verbindung der Formel (I) behandelt wurde. Die Erfindung bezieht sich auch auf Saatgut, welches zur gleichen Zeit mit einer Verbindung der Formel (I) und einer Mischungskomponente behandelt wurde. Die Erfindung bezieht sich weiterhin auf Saatgut, welches zu unterschiedlichen Zeiten mit einer Verbindung der Formel (I) und einer Mischungskomponente behandelt wurde. Bei Saatgut, welches zu unterschiedlichen Zeiten mit einer Verbindung der Formel (I) und einer Mischungskomponente behandelt wurde, können die einzelnen Substanzen in unterschiedlichen Schichten auf dem Saatgut vorhanden sein. Dabei können die Schichten, die eine Verbindung der Formel (I) und Mischungskomponenten enthalten, gegebenenfalls durch eine Zwischenschicht getrennt sein. Die Erfindung bezieht sich auch auf Saatgut, bei dem eine Verbindung der Formel (I) und eine Mischungskomponente als Bestandteil einer Umhüllung oder als weitere Schicht oder weitere Schichten zusätzlich zu einer Umhüllung aufgebracht sind. The invention also relates to seed which has been treated with a compound of the formula (I) according to the invention for protection against animal pests. The invention also relates to seed which has been treated at the same time with a compound of formula (I) and a mixture component. The invention further relates to seed which has been treated at different times with a compound of formula (I) and a mixture component. In the case of seed which has been treated at different times with a compound of the formula (I) and a mixture component, the individual substances can be present in different layers on the seed. The layers which contain a compound of the formula (I) and mixture components can optionally be separated by an intermediate layer. The invention also relates to seed in which a compound of formula (I) and a mixture component are applied as part of a coating or as a further layer or further layers in addition to a coating.
Des Weiteren bezieht sich die Erfindung auf Saatgut, welches nach der Behandlung mit einer Verbindung der Formel (I) einem Filmcoating-Verfahren unterzogen wird, um Staubabrieb am Saatgut zu vermeiden. The invention also relates to seed which, after treatment with a compound of the formula (I), is subjected to a film coating process in order to avoid dust abrasion on the seed.
Einer der auftretenden Vorteile, wenn eine Verbindung der Formel (I) systemisch wirkt, ist es, dass die Behandlung des Saatguts nicht nur das Saatgut selbst, sondern auch die daraus hervorgehenden Pflanzen nach dem Auflaufen vor tierischen Schädlingen schützt. Auf diese Weise kann die unmittelbare Behandlung der Kultur zum Zeitpunkt der Aussaat oder kurz danach entfallen. One of the advantages encountered when a compound of formula (I) acts systemically is that the treatment of the seed protects not only the seed itself but also the resulting plants from animal pests after emergence. In this way, the immediate treatment of the crop at the time of sowing or shortly thereafter can be omitted.
Ein weiterer Vorteil ist darin zu sehen, dass durch die Behandlung des Saatguts mit einer Verbindung der Formel (I) Keimung und Auflauf des behandelten Saatguts gefördert werden können. A further advantage can be seen in the fact that treating the seed with a compound of the formula (I) can promote germination and emergence of the treated seed.
Ebenso ist es als vorteilhaft anzusehen, dass Verbindungen der Formel (I) insbesondere auch bei transge- nem Saatgut eingesetzt werden können. It is also to be regarded as advantageous that compounds of the formula (I) can also be used in particular in the case of transgenic seed.
Verbindungen der Formel (I) können ferner in Kombination mit Zusammensetzungen oder Verbindungen der Signaltechnologie eingesetzt werden, wodurch eine bessere Besiedlung mit Symbionten, wie zum Beispiel Rhizobien, Mycorrhiza und/oder endophytischen Bakterien oder Pilzen, stattfindet und/oder es zu einer optimierten Stickstofffixierung kommt. Compounds of formula (I) can also be used in combination with compositions or compounds of signaling technology, resulting in better colonization with symbionts, such as rhizobia, mycorrhiza and/or endophytic bacteria or fungi, and/or optimized nitrogen fixation .
Die Verbindungen der Formel (I) eignen sich zum Schutz von Saatgut jeglicher Pflanzensorte, die in der Landwirtschaft, im Gewächshaus, in Forsten oder im Gartenbau eingesetzt wird. Insbesondere handelt es sich dabei um Saatgut von Getreide (z. B. Weizen, Gerste, Roggen, Hirse und Hafer), Mais, Baumwolle, Soja, Reis, Kartoffeln, Sonnenblume, Kaffee, Tabak, Canola, Raps, Rübe (z. B. Zuckerrübe und Futterrübe), Erdnuss, Gemüse (z. B. Tomate, Gurke, Bohne, Kohlgewächse, Zwiebeln und Salat), Obstpflanzen, Rasen und Zierpflanzen. Besondere Bedeutung kommt der Behandlung des Saatguts von Getreide (wie Weizen, Gerste, Roggen und Hafer), Mais, Soja, Baumwolle, Canola, Raps, Gemüse und Reis zu. The compounds of the formula (I) are suitable for protecting seed of any plant variety used in agriculture, in greenhouses, in forests or in horticulture. In particular, these are seeds from cereals (e.g. wheat, barley, rye, millet and oats), maize, cotton, Soybean, rice, potato, sunflower, coffee, tobacco, canola, rapeseed, beet (e.g. sugar beet and fodder beet), peanut, vegetables (e.g. tomato, cucumber, bean, cabbage, onion and lettuce), fruit plants, lawn and ornamental plants. Of particular importance is the treatment of seed from cereals (such as wheat, barley, rye and oats), corn, soybeans, cotton, canola, oilseed rape, vegetables and rice.
Wie vorstehend bereits erwähnt, kommt auch der Behandlung von transgenem Saatgut mit einer Verbindung der Formel (I) eine besondere Bedeutung zu. Dabei handelt es sich um das Saatgut von Pflanzen, die in der Regel zumindest ein heterologes Gen enthalten, das die Expression eines Polypeptids mit insbesondere insektiziden bzw. nematiziden Eigenschaften steuert. Die heterologen Gene in transgenem Saatgut können dabei aus Mikroorganismen wie Bacillus, Rhizobium, Pseudomonas, Serratia, Tricho- derma, Clavibacter, Glomus oder Gliocladium stammen. Die vorliegende Erfindung eignet sich besonders für die Behandlung von transgenem Saatgut, das zumindest ein heterologes Gen enthält, das aus Bacillus sp. stammt. Besonders bevorzugt handelt es sich dabei um ein heterologes Gen, das aus Bacillus thurin- giensis stammt. As already mentioned above, the treatment of transgenic seed with a compound of the formula (I) is also of particular importance. This is the seed of plants which generally contain at least one heterologous gene which controls the expression of a polypeptide with, in particular, insecticidal or nematicidal properties. The heterologous genes in transgenic seed can originate from microorganisms such as Bacillus, Rhizobium, Pseudomonas, Serratia, Trichoderma, Clavibacter, Glomus or Gliocladium. The present invention is particularly useful for treating transgenic seed containing at least one heterologous gene derived from Bacillus sp. originates. It is particularly preferably a heterologous gene which originates from Bacillus thuringiensis.
Im Rahmen der vorliegenden Erfindung wird die Verbindung der Formel (I) auf das Saatgut aufgebracht. Vorzugsweise wird das Saatgut in einem Zustand behandelt, in dem es so stabil ist, dass keine Schäden bei der Behandlung auftreten. Im Allgemeinen kann die Behandlung des Saatguts zu jedem Zeitpunkt zwischen der Ernte und der Aussaat erfolgen. Üblicherweise wird Saatgut verwendet, das von der Pflanze getrennt und von Kolben, Schalen, Stängeln, Hüllen, Wolle oder Fruchtfleisch befreit wurde. So kann zum Beispiel Saatgut verwendet werden, das geerntet, gereinigt und bis zu einem lagerfähigen Feuchtigkeitsgehalt getrocknet wurde. Alternativ kann auch Saatgut verwendet werden, das nach dem Trocknen z. B. mit Wasser behandelt und dann erneut getrocknet wurde, zum Beispiel Priming. Im Fall von Reis-Saatgut ist es auch möglich, Saatgut zu verwenden, das getränkt wurde, zum Beispiel in Wasser bis zu einem bestimmten Stadium des Reisembryos („Pigeon Breast Stage“), wodurch die Keimung und ein einheitlicheres Auflaufen stimuliert wird. In the context of the present invention, the compound of the formula (I) is applied to the seed. Preferably, the seed is treated in a state in which it is sufficiently stable that no damage occurs during the treatment. In general, seed treatment can be done at any time between harvest and sowing. Usually seeds are used which have been separated from the plant and freed from cobs, husks, stems, husks, wool or pulp. For example, seed can be used that has been harvested, cleaned and dried to a storable moisture content. Alternatively, seeds can also be used which, after drying, e.g. B. treated with water and then dried again, for example priming. In the case of rice seeds, it is also possible to use seeds that have been soaked, for example in water, to a certain stage of the rice embryo ('pigeon breast stage'), stimulating germination and more uniform emergence.
Im Allgemeinen muss bei der Behandlung des Saatguts darauf geachtet werden, dass die Menge der auf das Saatgut aufgebrachten Verbindung der Formel (I) und/oder weiterer Zusatzstoffe so gewählt wird, dass die Keimung des Saatguts nicht beeinträchtigt bzw. die daraus hervorgehende Pflanze nicht geschädigt wird. Dies ist vor allem bei Wirkstoffen zu beachten, die in bestimmten Aufwandmengen phytotoxische Effekte zeigen können. In general, when treating the seed, care must be taken to ensure that the amount of the compound of the formula (I) and/or other additives applied to the seed is chosen in such a way that the germination of the seed is not impaired or the resulting plant is not damaged will. This is particularly important for active ingredients that can have phytotoxic effects when applied in certain quantities.
Die Verbindungen der Formel (I) werden in der Regel in Form einer geeigneten Formulierung auf das Saatgut aufgebracht. Geeignete Formulierungen und Verfahren für die Saatgutbehandlung sind dem Fachmann bekannt. Die Verbindungen der Formel (I) können in die üblichen Beizmitel-Formulierungen überführt werden, wie Lösungen, Emulsionen, Suspensionen, Pulver, Schäume, Slurries oder andere Hüllmassen für Saatgut, sowie ULV -Formulierungen. The compounds of the formula (I) are generally applied to the seed in the form of a suitable formulation. Suitable formulations and methods for seed treatment are known to those skilled in the art. The compounds of the formula (I) can be converted into the customary seed dressing formulations, such as solutions, emulsions, suspensions, powders, foams, slurries or other coating materials for seed, and also ULV formulations.
Diese Formulierungen werden in bekannter Weise hergestellt, indem man die Verbindungen der Formel (I) mit üblichen Zusatzstoffen vermischt, wie zum Beispiel übliche Streckmitel sowie Lösungs- oder Verdünnungsmitel, Farbstoffe, Netzmitel, Dispergiermitel, Emulgatoren, Entschäumer, Konservierungsmitel, sekundäre Verdickungsmitel, Kleber, Gibberelline und auch Wasser. These formulations are prepared in a known manner by mixing the compounds of the formula (I) with customary additives, such as customary extenders and solvents or diluents, dyes, wetting agents, dispersants, emulsifiers, defoamers, preservatives, secondary thickeners, adhesives, gibberellins and also water.
Als Farbstoffe, die in den erfmdungsgemäß verwendbaren Beizmitel-Formulierungen enthalten sein können, kommen alle für derartige Zwecke üblichen Farbstoffe in Betracht. Dabei sind sowohl in Wasser wenig lösliche Pigmente als auch in Wasser lösliche Farbstoffe verwendbar. Als Beispiele genannt seien die unter den Bezeichnungen Rhodamin B, C.I. Pigment Red 112 und C.I. Solvent Red 1 bekannten Farbstoffe. Dyes which can be present in the seed dressing formulations which can be used according to the invention are all dyes customary for such purposes. Both pigments which are sparingly soluble in water and dyes which are soluble in water can be used here. Examples which may be mentioned are those designated Rhodamine B, C.I. Pigment Red 112 and C.I. Solvent Red 1 known dyes.
Als Netzmitel, die in den erfmdungsgemäß verwendbaren Beizmitel-Formulierungen enthalten sein können, kommen alle zur Formulierung von agrochemischen Wirkstoffen üblichen, die Benetzung fördernden Stoffe in Frage. Vorzugsweise verwendbar sind Alkylnaphthalinsulfonate, wie Diisopropyl- oder Diisobutylnaphthalinsulfonate . Suitable wetting agents which can be present in the seed dressing formulations which can be used according to the invention are all substances which promote wetting and which are customary for the formulation of agrochemical active ingredients. Alkylnaphthalene sulfonates, such as diisopropyl or diisobutylnaphthalene sulfonates, can preferably be used.
Als Dispergiermitel und/oder Emulgatoren, die in den erfmdungsgemäß verwendbaren Beizmitel-Formulierungen enthalten sein können, kommen alle zur Formulierung von agrochemischen Wirkstoffen üblichen nichtionischen, anionischen und kationischen Dispergiermitel in Betracht. Vor-zugsweise verwendbar sind nichtionische oder anionische Dispergiermitel oder Gemische von nichtionischen oder anionischen Dispergiermiteln. Als geeignete nichtionische Dispergiermitel sind insbesondere Ethylenoxid- Propylenoxid-Blockpolymere, Alkylphenolpolyglykolether sowie Tri-stryrylphenolpolyglykolether und deren phosphatierte oder sulfatierte Derivate zu nennen. Geeignete anionische Dispergiermitel sind insbesondere Ligninsulfonate, Polyacrylsäuresalze und Arylsulfonat-Formaldehydkondensate. Suitable dispersants and/or emulsifiers which can be present in the seed dressing formulations which can be used according to the invention are all nonionic, anionic and cationic dispersants customary for the formulation of agrochemical active ingredients. Nonionic or anionic dispersants or mixtures of nonionic or anionic dispersants can preferably be used. Suitable nonionic dispersants which may be mentioned are, in particular, ethylene oxide-propylene oxide block polymers, alkylphenol polyglycol ethers and tristryrylphenol polyglycol ethers and their phosphated or sulfated derivatives. Suitable anionic dispersants are, in particular, lignin sulfonates, polyacrylic acid salts and aryl sulfonate-formaldehyde condensates.
Als Entschäumer können in den erfmdungsgemäß verwendbaren Beizmitel-Formulierungen alle zur Formulierung von agrochemischen Wirkstoffen üblichen schaumhemmenden Stoffe enthalten sein. Vorzugsweise verwendbar sind Silikonentschäumer und Magnesiumstearat. All foam-inhibiting substances customary for the formulation of agrochemical active ingredients can be present as defoamers in the seed dressing formulations that can be used according to the invention. Silicone defoamers and magnesium stearate can preferably be used.
Als Konservierungsmitel können in den erfmdungsgemäß verwendbaren Beizmitel-Formulierungen alle für derartige Zwecke in agrochemischen Miteln einsetzbaren Stoffe vorhanden sein. Beispielhaft genannt seien Dichlorophen und Benzylalkoholhemiformal. All substances that can be used for such purposes in agrochemical agents can be present as preservatives in the seed dressing formulations that can be used according to the invention. Examples include dichlorophene and benzyl alcohol hemiformal.
Als sekundäre Verdickungsmitel, die in den erfmdungsgemäß verwendbaren Beizmitel-Formu-lierungen enthalten sein können, kommen alle für derartige Zwecke in agrochemischen Miteln ein-setzbaren Stoffe in Frage. Vorzugsweise in Betracht kommen Cellulosederivate, Acrylsäurederivate, Xanthan, modifizierte Tone und hochdisperse Kieselsäure. Secondary thickening agents which can be present in the seed dressing formulations which can be used according to the invention are all substances which can be used for such purposes in agrochemical agents in question. Cellulose derivatives, acrylic acid derivatives, xanthan, modified clays and highly disperse silicic acid are preferred.
Als Kleber, die in den erfindungsgemäß verwendbaren Beizmittel-Formulierungen enthalten sein können, kommen alle üblichen in Beizmitteln einsetzbaren Bindemittel in Frage. Vorzugsweise genannt seien Po- lyvinylpyrrolidon, Polyvinylacetat, Polyvinylalkohol und Tylose. Suitable adhesives which can be present in the mordant formulations which can be used according to the invention are all the customary binders which can be used in mordants. Mention may preferably be made of polyvinylpyrrolidone, polyvinyl acetate, polyvinyl alcohol and tylose.
Als Gibberelline, die in den erfindungsgemäß verwendbaren Beizmittel-Formulierungen enthalten sein können, kommen vorzugsweise die Gibberelline Al, A3 (= Gibberellinsäure), A4 und A7 infrage, besonders bevorzugt verwendet man die Gibberellinsäure. Die Gibberelline sind bekannt (vgl. R. Wegler „Chemie der Pflanzenschutz- und Schädlingsbekämpfungsmittel“, Bd. 2, Springer Verlag, 1970, S. 401- 412). The gibberellins A1, A3 (=gibberellic acid), A4 and A7 are preferably suitable as gibberellins which can be present in the seed-dressing formulations which can be used according to the invention, and gibberellic acid is particularly preferably used. The gibberellins are known (cf. R. Wegler "Chemistry of Plant Protection and Pesticides", Vol. 2, Springer Verlag, 1970, pp. 401-412).
Die erfindungsgemäß verwendbaren Beizmittel-Formulierungen können entweder direkt oder nach vorherigem Verdünnen mit Wasser zur Behandlung von Saatgut der verschiedensten Art eingesetzt werden. So lassen sich die Konzentrate oder die daraus durch Verdünnen mit Wasser erhältlichen Zu-bereitungen einsetzen zur Beizung des Saatgutes von Getreide, wie Weizen, Gerste, Roggen, Hafer und Triticale, sowie des Saatgutes von Mais, Reis, Raps, Erbsen, Bohnen, Baumwolle, Sonnenblumen, Soja und Rüben oder auch von Gemüsesaatgut der verschiedensten Natur. Die erfindungsgemäß verwendbaren Beizmittel- Formulierungen oder deren verdünnte Anwendungsformen können auch zum Beizen von Saatgut trans- gener Pflanzen eingesetzt werden. The seed dressing formulations which can be used according to the invention can be used either directly or after prior dilution with water for the treatment of a very wide variety of seeds. Thus, the concentrates or the preparations obtainable therefrom by diluting with water can be used for dressing grain seeds, such as wheat, barley, rye, oats and triticale, and also corn, rice, rapeseed, peas, beans and cotton seeds , sunflowers, soybeans and turnips or also from vegetable seeds of the most diverse nature. The seed dressing formulations which can be used according to the invention or their diluted application forms can also be used for dressing seeds of transgenic plants.
Zur Behandlung von Saatgut mit den erfindungsgemäß verwendbaren Beizmittel-Formulierungen oder den daraus durch Zugabe von Wasser hergestellten Anwendungsformen kommen alle üblicherweise für die Beizung einsetzbaren Mischgeräte in Betracht. Im Einzelnen geht man bei der Beizung so vor, dass man das Saatgut in einen Mischer im diskontinuierlichen oder kontinuierlichen Betrieb gibt, die jeweils gewünschte Menge an Beizmittel-Formulierungen entweder als solche oder nach vorherigem Verdünnen mit Wasser hinzufügt und bis zur gleichmäßigen Verteilung der Formulierung auf dem Saatgut mischt. Gegebenenfalls schließt sich ein Trocknungsvorgang an. For the treatment of seed with the seed dressing formulations which can be used according to the invention or with the use forms produced therefrom by adding water, all mixing devices which can usually be used for seed dressing are suitable. In detail, the treatment is carried out in such a way that the seed is placed in a mixer in discontinuous or continuous operation, the desired amount of dressing formulations is added either as such or after prior dilution with water and until the formulation is evenly distributed mixed with the seed. If necessary, a drying process follows.
Die Aufwandmenge an den erfindungsgemäß verwendbaren Beizmittel-Formulierungen kann inner-halb eines größeren Bereiches variiert werden. Sie richtet sich nach dem jeweiligen Gehalt der Verbindungen der Formel (I) in den Formulierungen und nach dem Saatgut. Die Aufwandmengen bei der Verbindung der Formel (I) hegen im Allgemeinen zwischen 0,001 und 50 g pro Kilogramm Saatgut, vorzugsweise zwischen 0,01 und 15 g pro Kilogramm Saatgut. Tiergesundheit The application rate of the seed dressing formulations that can be used according to the invention can be varied within a relatively wide range. It depends on the particular content of the compounds of the formula (I) in the formulations and on the seed. The application rates for the compound of formula (I) are generally between 0.001 and 50 g per kilogram of seed, preferably between 0.01 and 15 g per kilogram of seed. animal health
Auf dem Gebiet der Tiergesundheit, d. h. dem Gebiet der Tiermedizin, sind die Verbindungen der Formel (I) gegen Tierparasiten, insbesondere Ektoparasiten oder Endoparasiten, wirksam. Der Begriff Endoparasit umfasst insbesondere Helminthen und Protozoen wie Kokzidien. Ektoparasiten sind typischerweise und bevorzugt Arthropoden, insbesondere Insekten oder Akariden. In the field of animal health, i. H. in the field of veterinary medicine, the compounds of formula (I) are active against animal parasites, in particular ectoparasites or endoparasites. The term endoparasite includes in particular helminths and protozoa such as coccidia. Ectoparasites are typically and preferably arthropods, particularly insects or acarids.
Auf dem Gebiet der Tiermedizin eignen sich die Verbindungen der Formel (I), die eine günstige Toxizität gegenüber Warmblütern aufweisen, für die Bekämpfung von Parasiten, die in der Tierzucht und Tierhaltung bei Nutztieren, Zuchttieren, Zootieren, Laboratoriumstieren, Versuchstieren und Haustieren auftreten. Sie sind gegen alle oder einzelne Entwicklungsstadien der Parasiten wirksam. In the field of veterinary medicine, the compounds of formula (I), which have a favorable toxicity to warm-blooded animals, are useful for controlling parasites occurring in livestock, farm animals, zoo animals, laboratory animals, experimental animals and domestic animals in animal breeding and animal husbandry. They are effective against all or individual developmental stages of the parasites.
Zu den landwirtschaftlichen Nutztieren zählen zum Beispiel Säugetiere wie Schafe, Ziegen, Pferde, Esel, Kamele, Büffel, Kaninchen, Rentiere, Damhirsche und insbesondere Rinder und Schweine; oder Geflügel wie Truthähne, Enten, Gänse und insbesondere Hühner; oder Fische oder Krustentiere, z. B. in der Aquakultur, oder gegebenenfalls Insekten wie Bienen. Examples of farm animals include mammals such as sheep, goats, horses, donkeys, camels, buffalo, rabbits, reindeer, fallow deer and, in particular, cattle and pigs; or poultry such as turkeys, ducks, geese and especially chickens; or fish or crustaceans, e.g. B. in aquaculture, or possibly insects such as bees.
Zu den Haustieren zählen zum Beispiel Säugetiere wie Hamster, Meerschweinchen, Ratten, Mäuse, Chinchillas, Frettchen und insbesondere Hunde, Katzen, Stubenvögel; Reptilien, Amphibien oder Aquarium- fische. The domestic animals include, for example, mammals such as hamsters, guinea pigs, rats, mice, chinchillas, ferrets and in particular dogs, cats, house birds; Reptiles, amphibians or aquarium fish.
Gemäß einer bestimmten Ausführungsform werden die Verbindungen der Formel (I) an Säugetiere verabreicht. According to a specific embodiment, the compounds of formula (I) are administered to mammals.
Gemäß einer weiteren bestimmten Ausführungsform werden die Verbindungen der Formel (I) an Vögel, nämlich Stubenvögel oder insbesondere Geflügel, verabreicht. According to a further specific embodiment, the compounds of formula (I) are administered to birds, namely pet birds or in particular poultry.
Durch Verwendung der Verbindungen der Formel (I) für die Bekämpfung von Tierparasiten sollen Krankheit, Todesfälle und Leistungsminderungen (bei Fleisch, Milch, Wolle, Häuten, Eiern, Honig und dergleichen) verringert bzw. vorgebeugt werden, so dass eine wirtschaftlichere und einfachere Tierhaltung ermöglicht wird und ein besseres Wohlbefinden der Tiere erzielbar ist. The use of the compounds of formula (I) for combating animal parasites is said to reduce or prevent disease, deaths and reduced performance (in meat, milk, wool, skins, eggs, honey and the like) so that animal husbandry is more economical and simpler and a better welfare of the animals can be achieved.
In Bezug auf das Gebiet der Tiergesundheit bedeutet der Begriff "Bekämpfung" oder "bekämpfen" im vorliegenden Zusammenhang, dass durch die Verbindungen der Formel (I) wirksam das Auftreten des jeweiligen Parasiten in einem Tier, das mit solchen Parasiten in einem harmlosen Ausmaß infiziert ist, reduziert wird. Genauer gesagt bedeutet "bekämpfen" im vorliegenden Zusammenhang, dass die Verbindungen der Formel (I) den jeweiligen Parasiten abtöten, sein Wachstum verhindern oder seine Vermehrung verhindern. In relation to the field of animal health, the term "control" or "control" as used herein means that the compounds of formula (I) are effective in preventing the occurrence of the relevant parasite in an animal infected with such parasite to a harmless level , is reduced. More specifically, "combat" in the present context means that the compounds of formula (I) kill, prevent the growth of or prevent the proliferation of the parasite in question.
Zu den Arthropoden zählen beispielsweise, ohne hierauf beschränkt zu sein, aus der Ordnung Anoplurida zum Beispiel Haematopinus spp., Linognathus spp., Pediculus spp., Phtirus spp., Solenopotes spp.; aus der Ordnung Mallophagida und den Unterordnungen Amblycerina und Ischnocerina, zum Beispiel Bovicola spp., Damalina spp., Felicola spp.; Lepikentron spp., Menopon spp., Trichodectes spp., Tri- menopon spp., Trinoton spp., Wemeckiella spp; aus der Ordnung Diptera und den Unterordnungen Nematocerina und Brachycerina, zum Beispiel Aedes spp., Anopheles spp., Atylotus spp., Braula spp., Calliphora spp., Chrysomyia spp., Chrysops spp., Culex spp., Culicoides spp., Eusimulium spp., Fannia spp., Gasterophilus spp., Glossina spp., Haematobia spp., Haematopota spp., Hippobosca spp., Hybomitra spp., Hydrotaea spp., Hypoderma spp., Eipoptena spp., Lucilia spp., Lutzomyia spp., Melophagus spp., Morellia spp., Musca spp., Odagmia spp., Oestrus spp., Philipomyia spp., Phlebotomus spp., Rhinoestrus spp., Sarcophaga spp., Simulium spp., Stomoxys spp., Tabanus spp., Tipula spp., Wilhelmia spp., Wohlfahrtia spp.; aus der Ordnung Siphonapterida, zum Beispiel Ceratophyllus spp., Ctenocephalides spp., Pulex spp., Tunga spp., Xenopsylla spp.; aus der Ordnung Heteropterida, zum Beispiel Cimex spp., Panstrongylus spp., Rhodnius spp., Triatoma spp.; sowie Lästlinge und Hygieneschädlinge aus der Ordnung Blattarida. Arthropods include, but are not limited to, from the order Anoplurida, for example Haematopinus spp., Linognathus spp., Pediculus spp., Phtirus spp., Solenopotes spp.; from the order Mallophagida and the suborders Amblycerina and Ischnocerina, for example Bovicola spp., Damalina spp., Felicola spp.; Lepikentron spp., Menopon spp., Trichodectes spp., Trimenopon spp., Trinoton spp., Wemeckiella spp; from the order Diptera and the suborders Nematocerina and Brachycerina, for example Aedes spp., Anopheles spp., Atylotus spp., Braula spp., Calliphora spp., Chrysomyia spp., Chrysops spp., Culex spp., Culicoides spp., Eusimulium spp., Fannia spp., Gasterophilus spp., Glossina spp., Haematobia spp., Haematopota spp., Hippobosca spp., Hybomitra spp., Hydrotaea spp., Hypoderma spp., Eipoptena spp., Lucilia spp., Lutzomyia spp. , Melophagus spp., Morellia spp., Musca spp., Odagmia spp., Oestrus spp., Philipomyia spp., Phlebotomus spp., Rhinoestrus spp., Sarcophaga spp., Simulium spp., Stomoxys spp., Tabanus spp., Tipula spp., Wilhelmia spp., Wohlfahrtia spp.; from the order Siphonapterida, for example Ceratophyllus spp., Ctenocephalides spp., Pulex spp., Tunga spp., Xenopsylla spp.; from the order Heteropterida, for example Cimex spp., Panstrongylus spp., Rhodnius spp., Triatoma spp.; and nuisance and hygiene pests from the order Blattarida.
Weiterhin sind bei den Arthropoden beispielhaft, ohne hierauf beschränkt zu sein, die folgenden Akari zu nennen: Furthermore, among the arthropods, the following Akari are exemplary, without being limited to them:
Aus der Unterklasse Akari (Acarina) und der Ordnung Metastigmata, zum Beispiel aus der Familie Ar- gasidae, wie Argas spp., Omithodorus spp., Otobius spp., aus der Familie Ixodidae, wie Amblyomma spp., Dermacentor spp., Haemaphysalis spp., Hyalomma spp., Ixodes spp., Rhipicephalus (Boophilus) spp., Rhipicephalus spp. (die ursprüngliche Gattung der mehrwirtigen Zecken); aus der Ordnung Mesostigmata, wie Dermanyssus spp., Omithonyssus spp., Pneumonyssus spp., Raillietia spp., Stemostoma spp., Tropilaelaps spp., Varroa spp.; aus der Ordnung Actinedida (Prostigmata), zum Beispiel Acarapis spp., Cheyletiella spp., Demodex spp., Listrophorus spp., Myobia spp., Neotrombicula spp., Omithocheyletia spp., Psorergates spp., Trombicula spp.; und aus der Ordung der Acaridida (Astigmata), zum Beispiel Acarus spp., Caloglyphus spp., Chorioptes spp., Cytodites spp., Hypodectes spp., Knemidocoptes spp., Laminosioptes spp., Notoedres spp., Otodectes spp., Psoroptes spp., Pterolichus spp., Sarcoptes spp., Tri- xacarus spp., Tyrophagus spp. From the subclass Akari (Acarina) and the order Metastigmata, for example from the family Argasidae such as Argas spp., Omithodorus spp., Otobius spp., from the family Ixodidae such as Amblyomma spp., Dermacentor spp., Haemaphysalis spp ., Hyalomma spp., Ixodes spp., Rhipicephalus (Boophilus) spp., Rhipicephalus spp. (the original genus of multi-host ticks); from the order Mesostigmata, such as Dermanyssus spp., Omithonyssus spp., Pneumonyssus spp., Raillietia spp., Stemostoma spp., Tropilaelaps spp., Varroa spp.; from the order Actinedida (Prostigmata), for example Acarapis spp., Cheyletiella spp., Demodex spp., Listrophorus spp., Myobia spp., Neotrombicula spp., Omithocheyletia spp., Psorergates spp., Trombicula spp.; and from the order of the Acaridida (Astigmata), for example Acarus spp., Caloglyphus spp., Chorioptes spp., Cytodites spp., Hypodectes spp., Knemidocoptes spp., Laminosioptes spp., Notoedres spp., Otodectes spp., Psoroptes spp ., Pterolichus spp., Sarcoptes spp., Trixacarus spp., Tyrophagus spp.
Zu Beispielen für parasitäre Protozoen zählen, ohne hierauf beschränkt zu sein: Examples of parasitic protozoa include, but are not limited to:
Mastigophora (Flagellata), wie: Metamonada: aus der Ordnung Diplomonadida zum Beispiel Giardia spp., Spironucleus spp. Mastigophora (Flagellata), such as: Metamonada: from the order Diplomonadida, for example Giardia spp., Spironucleus spp.
Parabasala: aus der Ordnung Trichomonadida zum Beispiel Histomonas spp., Pentatrichomonas spp., Tetratrichomonas spp., Trichomonas spp., Tritrichomonas spp. Parabasala: from the order Trichomonadida, for example Histomonas spp., Pentatrichomonas spp., Tetratrichomonas spp., Trichomonas spp., Tritrichomonas spp.
Euglenozoa: aus der Ordnung Trypanosomatida zum Beispiel Leishmania spp., Trypanosoma spp. Euglenozoa: from the order Trypanosomatida, for example Leishmania spp., Trypanosoma spp.
Sarcomastigophora (Rhizopoda), wie Entamoebidae, zum Beispiel Entamoeba spp., Centramoebidae, zum Beispiel Acanthamoeba sp., Euamoebidae, z. B. Hartmanella sp. Sarcomastigophora (Rhizopoda) such as Entamoebidae, e.g. Entamoeba spp., Centramoebidae, e.g. Acanthamoeba sp., Euamoebidae, e.g. B. Hartmanella sp.
Alveolata wie Apicomplexa (Sporozoa): z. B. Cryptosporidium spp.; aus der Ordnung Eimeriida zum Beispiel Besnoitia spp., Cystoisospora spp., Eimeria spp., Hammondia spp., Isospora spp., Neospora spp., Sarcocystis spp., Toxoplasma spp.; aus der Ordnung Adeleida z. B. Hepatozoon spp., Klossiella spp.; aus der Ordnung Haemosporida z. B. Leucocytozoon spp., Plasmodium spp.; aus der Ordnung Piroplasmida z. B. Babesia spp., Ciliophora spp., Echinozoon spp., Theileria spp.; aus der Ordnung Vesibuliferida z. B. Balantidium spp., Buxtonella spp. Alveolata such as Apicomplexa (Sporozoa): e.g. B. Cryptosporidium spp.; from the order Eimeriida, for example Besnoitia spp., Cystoisospora spp., Eimeria spp., Hammondia spp., Isospora spp., Neospora spp., Sarcocystis spp., Toxoplasma spp.; from the order Adeleida z. B. Hepatozoon spp., Klosiella spp.; from the order Haemosporida z. B. Leucocytozoon spp., Plasmodium spp.; from the order Piroplasmida z. B. Babesia spp., Ciliophora spp., Echinozoon spp., Theileria spp.; from the order Vesibuliferida z. B. Balantidium spp., Buxtonella spp.
Microspora wie Encephalitozoon spp., Enterocytozoon spp., Globidium spp., Nosema spp., und außerdem z. B. Myxozoa spp. Microspora such as Encephalitozoon spp., Enterocytozoon spp., Globidium spp., Nosema spp., and also e.g. B. Myxozoa spp.
Zu den für Menschen oder Tiere pathogenen Helminthen zählen zum Beispiel Acanthocephala, Nematoden, Pentastoma und Platyhelminthen (z.B. Monogenea, Cestodes und Trematodes). Helminths pathogenic to humans or animals include, for example, Acanthocephala, Nematodes, Pentastoma and Platyhelminths (e.g. Monogenea, Cestodes and Trematodes).
Zu beispielhaften Helminthen zählen, ohne hierauf beschränkt zu sein: Exemplary helminths include, but are not limited to:
Monogenea: z. B.: Dactylogyrus spp., Gyrodactylus spp., Microbothrium spp., Polystoma spp., Troglece- phalus spp.; Monogenea: e.g. B.: Dactylogyrus spp., Gyrodactylus spp., Microbothrium spp., Polystoma spp., Troglecephalus spp.;
Cestodes: aus der Ordnung Pseudophyllidea zum Beispiel: Bothridium spp., Diphyllobothrium spp., Dip- logonoporus spp. Ichthyobothrium spp., Ligula spp., Schistocephalus spp., Spirometra spp. Cestodes: from the order Pseudophyllidea for example: Bothridium spp., Diphyllobothrium spp., Diplogonoporus spp. Ichthyobothrium spp., Ligula spp., Schistocephalus spp., Spirometra spp.
Aus der Ordnung Cyclophyllida zum Beispiel: Andyra spp., Anoplocephala spp., Avitellina spp., Bertiella spp., Cittotaenia spp., Davainea spp., Diorchis spp., Diplopylidium spp., Dipylidium spp., Echinococcus spp., Echinocotyle spp., Echinolepis spp., Hydatigera spp., Hymenolepis spp., Joyeuxiella spp., Me- socestoides spp., Moniezia spp., Paranoplocephala spp., Raillietina spp., Stilesia spp., Taenia spp., Thy- saniezia spp., Thysanosoma spp. From the order Cyclophyllida, for example: Andyra spp., Anoplocephala spp., Avitellina spp., Bertiella spp., Cittotaenia spp., Davainea spp., Diorchis spp., Diplopylidium spp., Dipylidium spp., Echinococcus spp., Echinocotyle spp. , Echinolepis spp., Hydatigera spp., Hymenolepis spp., Joyeuxiella spp., Mesocestoides spp., Moniezia spp., Paranoplocephala spp., Raillietina spp., Stilesia spp., Taenia spp., Thysaniezia spp., Thysanosoma sp.
Trematodes: aus der Klasse Digenea zum Beispiel: Austrobilharzia spp., Brachylaima spp., Calicophoron spp., Catatropis spp., Clonorchis spp. Collyriclum spp., Cotylophoron spp., Cyclocoelum spp., Dicrocoelium spp., Diplostomum spp., Echinochasmus spp., Echinoparyphium spp., Echinostoma spp., Eurytrema spp., Fasciola spp., Fasciolides spp., Fasciolopsis spp., Fischoederius spp., Gastrothylacus spp., Gigantobilharzia spp., Gigantocotyle spp., Heterophyes spp., Hypoderaeum spp., Leucochloridium spp., Metagonimus spp., Metorchis spp., Nanophyetus spp., Notocotylus spp., Opisthorchis spp., Omithobil- harzia spp., Paragonimus spp., Paramphistomum spp., Plagiorchis spp., Posthodiplostomum spp., Prost- hogonimus spp., Schistosoma spp., Trichobilharzia spp., Troglotrema spp., Typhlocoelum spp. Trematodes: from the class Digenea for example: Austrobilharzia spp., Brachylaima spp., Calicophoron spp., Catatropis spp., Clonorchis spp. Collyriclum spp., Cotylophoron spp., Cyclocoelum spp., Dicrocoelium spp., Diplostomum spp., Echinochasmus spp., Echinoparyphium spp., Echinostoma spp., Eurytrema spp., Fasciola spp., Fasciolides spp., Fasciolopsis spp., Fischoederius spp ., Gastrothylacus spp., Gigantobilharzia spp., Gigantocotyle spp., Heterophyes spp., Hypoderaeum spp., Leucochloridium spp., Metagonimus spp., Metorchis spp., Nanophyetus spp., Notocotylus spp., Opisthorchis spp., Omithobilharzia spp., Paragonimus spp., Paramphistomum spp., Plagiorchis spp., Posthodiplostomum spp., Prosthogonimus spp., Schistosoma spp., Trichobilharzia spp., Troglotrema spp., Typhlocoelum spp.
Nematoden: aus der Ordnung Trichinellida zum Beispiel: Capillaria spp., Eucoleus spp., Paracapillaria spp., Trichinella spp., Trichomosoides spp., Trichuris spp. Nematodes: from the order Trichinellida, for example: Capillaria spp., Eucoleus spp., Paracapillaria spp., Trichinella spp., Trichomosoides spp., Trichuris spp.
Aus der Ordnung Tylenchida zum Beispiel: Micronema spp., Parastrangyloides spp., Strongyloides spp. From the order Tylenchida for example: Micronema spp., Parastrangyloides spp., Strongyloides spp.
Aus der Ordnung Rhabditina zum Beispiel: Aelurostrongylus spp., Amidostomum spp., Ancylostoma spp., Angiostrongylus spp., Bronchonema spp., Bunostomum spp., Chabertia spp., Cooperia spp., Coope- rioides spp., Crenosoma spp., Cyathostomum spp., Cyclococercus spp., Cyclodontostomum spp., Cy- licocyclus spp., Cylicostephanus spp., Cylindropharynx spp., Cystocaulus spp., Dictyocaulus spp., Elaphostrongylus spp., Filaroides spp., Globocephalus spp., Graphidium spp., Gyalocephalus spp., Hae- monchus spp., Heligmosomoides spp., Hyostrongylus spp., Marshallagia spp., Metastrongylus spp., Muel- lerius spp., Necator spp., Nematodirus spp., Neostrongylus spp., Nippostrongylus spp., Obeliscoides spp., Oesophagodontus spp., Oesophagostomum spp., Ollulanus spp.; Omithostrongylus spp., Oslerus spp., Ostertagia spp., Paracooperia spp., Paracrenosoma spp., Parafilaroides spp., Parelaphostrongylus spp., Pneumocaulus spp., Pneumostrongylus spp., Poteriostomum spp., Protostrongylus spp., Spicocaulus spp., Stephanurus spp., Strongylus spp., Syngamus spp., Teladorsagia spp., Trichonema spp., Trichostrongylus spp., Triodontophorus spp., Troglostrongylus spp., Uncinaria spp. From the order Rhabditina, for example: Aelurostrongylus spp., Amidostomum spp., Ancylostoma spp., Angiostrongylus spp., Bronchonema spp., Bunostomum spp., Chabertia spp., Cooperia spp., Cooperioides spp., Crenosoma spp., Cyathostomum spp., Cyclococercus spp., Cyclodontostomum spp., Cylicocyclus spp., Cylicostephanus spp., Cylindropharynx spp., Cystocaulus spp., Dictyocaulus spp., Elaphostrongylus spp., Filaroides spp., Globocephalus spp., Graphidium spp., Gyalocephalus spp., Haemonchus spp., Heligmosomoides spp., Hyostrongylus spp., Marshallagia spp., Metastrongylus spp., Muellerius spp., Necator spp., Nematodirus spp., Neostrongylus spp., Nippostrongylus spp., Obeliscoides spp. , Oesophagodontus spp., Oesophagostomum spp., Ollulanus spp.; Omithostrongylus spp., Oslerus spp., Ostertagia spp., Paracooperia spp., Paracrenosoma spp., Parafilaroides spp., Parelaphostrongylus spp., Pneumocaulus spp., Pneumostrongylus spp., Poteriostomum spp., Protostrongylus spp., Spicocaulus spp., Stephanurus spp ., Strongylus spp., Syngamus spp., Teladorsagia spp., Trichonema spp., Trichostrongylus spp., Triodontophorus spp., Troglostrongylus spp., Uncinaria spp.
Aus der Ordnung Spiruridazum Beispiel: Acanthocheilonema spp., Anisakis spp., Ascaridia spp.; Ascaris spp., Ascarops spp., Aspiculuris spp., Baylisascaris spp., Brugia spp., Cercopithifilaria spp., Crassicauda spp., Dipetalonema spp., Dirofilaria spp., Dracunculus spp.; Draschia spp., Enterobius spp., Filaria spp., Gnathostoma spp., Gongylonema spp., Habronema spp., Heterakis spp.; Litomosoides spp., Loa spp., Onchocerca spp., Oxyuris spp., Parabronema spp., Parafilaria spp., Parascaris spp., Passalurus spp., Physa- loptera spp., Probstmayria spp., Pseudofilaria spp., Setaria spp., Skjrabinema spp., Spirocerca spp., Ste- phanofilaria spp., Strongyluris spp., Syphacia spp., Thelazia spp., Toxascaris spp., Toxocara spp., Wu- chereria spp. From the order Spirurida, for example: Acanthocheilonema spp., Anisakis spp., Ascaridia spp.; Ascaris spp., Ascarops spp., Aspiculuris spp., Baylisascaris spp., Brugia spp., Cercopithifilaria spp., Crassicauda spp., Dipetalonema spp., Dirofilaria spp., Dracunculus spp.; Draschia spp., Enterobius spp., Filaria spp., Gnathostoma spp., Gongylonema spp., Habronema spp., Heterakis spp.; Litomosoides spp., Loa spp., Onchocerca spp., Oxyuris spp., Parabronema spp., Parafilaria spp., Parascaris spp., Passalurus spp., Physaloptera spp., Probstmayria spp., Pseudofilaria spp., Setaria spp., Skjrabinema spp., Spirocerca spp., Stephanofilaria spp., Strongyluris spp., Syphacia spp., Thelazia spp., Toxascaris spp., Toxocara spp., Wuchereria spp.
Acanthocephala: aus der Ordnung Oligacanthorhynchida z.B: Macracanthorhynchus spp., Prosthenorchis spp.; aus der Ordnung Moniliformida zum Beispiel: Moniliformis spp., Acanthocephala: from the order Oligacanthorhynchida e.g. Macracanthorhynchus spp., Prosthenorchis spp.; from the order Moniliformida for example: Moniliformis spp.,
Aus der Ordnung Polymorphida zum Beispiel: Filicollis spp.; aus der Ordnung Echinorhynchida zum Beispiel Acanthocephalus spp., Echinorhynchus spp., Leptorhynchoides spp. For example, from the order Polymorphida: Filicollis spp.; from the order Echinorhynchida, for example Acanthocephalus spp., Echinorhynchus spp., Leptorhynchoides spp.
Pentastoma: aus der Ordnung Porocephalida zum Beispiel Linguatula spp. Auf dem Gebiet der Tiermedizin und der Tierhaltung erfolgt die Verabreichung der Verbindungen der Formel (I) nach allgemein fachbekannten Verfahren, wie enteral, parenteral, dermal oder nasal in Form von geeigneten Präparaten. Die Verabreichung kann prophylaktisch; metaphylaktisch oder therapeutisch erfolgen. Pentastoma: from the order Porocephalida, for example Linguatula spp. In the field of veterinary medicine and animal husbandry, the compounds of formula (I) are administered by methods well known in the art, such as enteral, parenteral, dermal or nasal in the form of suitable preparations. Administration can be prophylactic; be metaphylactic or therapeutic.
So bezieht sich eine Ausführungsform der vorliegenden Erfindung auf die Verbindungen der Formel (I) zur Verwendung als Arzneimittel. Thus, one embodiment of the present invention relates to the compounds of formula (I) for use as medicaments.
Ein weiterer Aspekt bezieht sich auf die Verbindungen der Formel (I) zur Verwendung als Antiendopara- sitikum. A further aspect relates to the compounds of the formula (I) for use as an anti-endoparasitic.
Ein weiterer spezieller Aspekt betrifft die Verbindungen der Formel (I) zur Verwendung als Antihelmin- thikum, insbesondere zur Verwendung als Nematizid, Platymehninthizid, Acanthocephalizid oder Pen- tastomizid. A further special aspect relates to the compounds of the formula (I) for use as an anthelmintic, in particular for use as a nematicide, platymehninthicide, acanthocephalicide or pentastomicide.
Ein weiterer spezieller Aspekt betrifft die Verbindungen der Formel (I) zur Verwendung als Antiprotozo- ikum. A further special aspect relates to the compounds of the formula (I) for use as an antiprotozoal.
Ein weiterer Aspekt betrifft die Verbindungen der Formel (I) zur Verwendung als Antiektoparasitikum, insbesondere ein Arthropodizid, ganz besonders ein Insektizid oder ein Akarizid. A further aspect relates to the compounds of formula (I) for use as an antiectoparasitic, in particular an arthropodicide, more particularly an insecticide or an acaricide.
Weitere Aspekte der Erfindung sind veterinärmedizinische Formulierungen, die eine wirksame Menge mindestens einer Verbindung der Formel (I) und mindestens einen der folgenden umfassen: einen pharmazeutisch unbedenklichen Exzipienten (z.B. feste oder flüssige Verdünnungsmittel), ein pharmazeutisch unbedenkliches Hilfsmittel (z.B. Tenside), insbesondere einen herkömmlicherweise in veterinärmedizinischen Formulierungen verwendeten pharmazeutisch unbedenklichen Exzipienten und/oder ein herkömmlicherweise in veterinärmedizinischen Formulierungen verwendetes pharmazeutisch unbedenkliches Hilfsmittel. Further aspects of the invention are veterinary formulations comprising an effective amount of at least one compound of formula (I) and at least one of the following: a pharmaceutically acceptable excipient (e.g. solid or liquid diluents), a pharmaceutically acceptable adjuvant (e.g. surfactants), especially one a pharmaceutically acceptable excipient conventionally used in veterinary formulations and/or a pharmaceutically acceptable adjuvant conventionally used in veterinary formulations.
Ein verwandter Aspekt der Erfindung ist ein Verfahren zur Herstellung einer wie hier beschriebenen veterinärmedizinischen Formulierung, welches den Schritt des Mischens mindestens einer Verbindung der Formel (I) mit pharmazeutisch unbedenklichen Exzipienten und/oder Hilfsmitteln, insbesondere mit herkömmlicherweise in veterinärmedizinischen Formulierungen verwendeten pharmazeutisch unbedenklichen Exzipienten und/oder Hilfsmitteln umfasst. A related aspect of the invention is a process for preparing a veterinary formulation as described herein, which comprises the step of mixing at least one compound of formula (I) with pharmaceutically acceptable excipients and/or auxiliaries, in particular with pharmaceutically acceptable excipients conventionally used in veterinary formulations and /or includes aids.
Ein anderer spezieller Aspekt der Erfindung sind veterinärmedizinische Formulierungen ausgewählt aus der Gruppe ektoparasitizider und endoparasitizider Formulierungen, insbesondere ausgewählt aus der Gruppe anthelmintischer, antiprotozolischer und arthropodizider Formulierungen, ganz besonders ausgewählt aus der Gruppe nematizider, platyhelminthizider, acanthocephalizider, pentastomizider, insektizider und akkarizider Formulierungen, gemäß den erwähnten Aspekten, sowie Verfahren zu ihrer Herstellung. Ein anderer Aspekt bezieht sich auf ein Verfahren zur Behandlung einer parasitischen Infektion, insbesondere einer Infektion durch einen Parasiten ausgewählt aus der Gruppe der hier erwähnten Ektoparasiten und Endoparasiten, durch Anwendung einer wirksamen Menge einer Verbindung der Formel (I) bei einem Tier, insbesondere einem nichthumanen Tier, das dessen bedarf. Another special aspect of the invention are veterinary formulations selected from the group of ectoparasiticidal and endoparasiticidal formulations, in particular selected from the group of anthelmintic, antiprotozoal and arthropodicidal formulations, very particularly selected from the group of nematicidal, platyhelminthicidal, acanthocephalicidal, pentastomicidal, insecticidal and accaricidal formulations, according to the aspects mentioned, and methods for their production. Another aspect relates to a method of treating a parasitic infection, particularly an infection by a parasite selected from the group consisting of ectoparasites and endoparasites mentioned herein, by applying an effective amount of a compound of formula (I) to an animal, particularly a non-human animal in need of it.
Ein anderer Aspekt bezieht sich auf ein Verfahren zur Behandlung einer parasitischen Infektion, insbesondere einer Infektion durch einen Parasiten ausgewählt aus der Gruppe der hier erwähnten Ektoparasiten und Endoparasiten, durch Anwendung einer wie hier definierten veterinärmedizinischen Formulierung bei einem Tier, insbesondere einem nichthumanen Tier, das dessen bedarf. Another aspect relates to a method of treating a parasitic infection, particularly an infection by a parasite selected from the group consisting of ectoparasites and endoparasites mentioned herein, by applying a veterinary formulation as defined herein to an animal, particularly a non-human animal, which requirement.
Ein anderer Aspekt bezieht sich auf die Verwendung der Verbindungen der Formel (I) bei der Behandlung einer Parasiteninfektion, insbesondere einer Infektion durch einen Parasiten ausgewählt aus der Gruppe der hier erwähnten Ektoparasiten und Endoparasiten, bei einem Tier, insbesondere einem nichthumanen Tier. Another aspect relates to the use of the compounds of formula (I) in the treatment of a parasitic infection, in particular an infection by a parasite selected from the group consisting of ectoparasites and endoparasites mentioned herein, in an animal, in particular a non-human animal.
Im vorliegenden tiergesundheitlichen oder veterinärmedizinischen Zusammenhang schließt der Begriff „Behandlung“ die prophylaktische, die metaphylaktische und die therapeutische Behandlung ein. In the present animal health or veterinary context, the term "treatment" includes prophylactic, metaphylactic and therapeutic treatment.
Bei einer bestimmten Ausführungsform werden hiermit Mischungen mindestens einer Verbindung der Formel (I) mit anderen Wirkstoffen, insbesondere mit Endo- und Ektoparasitiziden, für das veterinärmedizinische Gebiet bereitgestellt. In a specific embodiment, mixtures of at least one compound of the formula (I) with other active ingredients, in particular with endo- and ectoparasiticides, are hereby provided for the veterinary field.
Auf dem Gebiet der Tiergesundheit bedeutet „Mischung“ nicht nur, dass zwei (oder mehr) verschiedene Wirkstoffe in einer gemeinsamen Formulierung formuliert werden und entsprechend zusammen angewendet werden, sondern bezieht sich auch auf Produkte, die für jeden Wirkstoff getrennte Formulierungen umfassen. Dementsprechend können, wenn mehr als zwei Wirkstoffe angewendet werden sollen, alle Wirkstoffe in einer gemeinsamen Formulierung formuliert werden oder alle Wirkstoffe in getrennten Formulierungen formuliert werden; ebenfalls denkbar sind gemischte Formen, bei denen einige der Wirkstoffe gemeinsam formuliert und einige der Wirkstoffe getrennt formuliert sind. Getrennte Formulierungen erlauben die getrennte oder aufeinanderfolgende Anwendung der in Rede stehenden Wirkstoffe.In the field of animal health, "mixture" not only means that two (or more) different active ingredients are formulated in a common formulation and thus applied together, but also refers to products that contain separate formulations for each active ingredient. Accordingly, when more than two active ingredients are to be employed, all of the active ingredients can be formulated in a common formulation, or all of the active ingredients can be formulated in separate formulations; mixed forms are also conceivable, in which some of the active ingredients are formulated together and some of the active ingredients are formulated separately. Separate formulations permit separate or sequential application of the active ingredients in question.
Die hier mit ihrem „Common Name“ spezifizierten Wirkstoffe sind bekannt und beispielsweise im „Pesticide Manual“ (siehe oben) beschrieben oder im Internet recherchierbar (z.B. http://www.alan- wood.net/pesticides) . The active ingredients specified here with their “Common Name” are known and are described, for example, in the “Pesticide Manual” (see above) or can be researched on the Internet (e.g. http://www.alan-wood.net/pesticides).
Beispielhafte Wirkstoffe aus der Gruppe der Ektoparasitizide als Mischungspartner schließen, ohne dass dies eine Einschränkung darstellen soll, die oben ausführlich aufgelisteten Insektizide und Akarizide ein. Weitere verwendbare Wirkstoffe sind unten gemäß der oben erwähnten Klassifikation, die auf dem aktuellen IRAC Mode of Action Classification Scheme beruht, aufgeführt: (1) Acetylcholinesterase (AChE)- Inhibitoren; (2) GABA-gesteuerte Chlorid-Kanal-Blocker; (3) Natrium-Kanal-Modulatoren; (4) kompetitive Modulatoren des nicotinischen Acetylcholin-Rezeptors (nAChR); (5) allosterische Modulatoren des nicotinischen Acetylcholin-Rezeptors (nAChR); (6) allosterische Modulatoren des Glutamat-abhängigen Chloridkanals (GluCl); (7) Juvenilhormon-Mimetika; (8) verschiedene nichtspezifische (Multi-Site) Inhibitoren; (9) Modulatoren Chordotonaler Organe; (10) Milbenwachstumsinhibitoren; (12) Inhibitoren der mitochondrialen ATP-Synthase, wie ATP-Disruptoren; (13) Entkoppler der oxidativen Phosphorylierung durch Störung des Protonengradienten; (14) Blocker des nicotinischen Acetylcholinrezeptorkanals; (15) Inhibitoren der Chitinbiosynthese, Typ 0; (16) Inhibitoren der Chitinbiosynthese, Typ 1; (17) Häutungs- disruptor (insbesondere bei Dipteren, d.h. Zweiflüglern); (18) Ecdyson-Rezeptor- Agonisten; (19) Octo- pamin-Rezeptor-Agonisten; (21) mitochondriale Komplex-I-Elektronentransportinhibitoren; (25) mitochondriale Komplex-II-Elektronentransportinhibitoren; (20) mitochondriale Komplex-III-Elektronen- transportinhibitoren; (22) Blocker des spannungsabhängigen Natriumkanals; (23) Inhibitoren der Acetyl- CoA-Carboxylase; (28) Ryanodinrezeptor-Modulatoren; (30) allosterische Modulatoren des GABA-ab- hängigen Chlorid-Kanals. Exemplary active ingredients from the group of ectoparasiticides as mixing partners include, without this being intended to constitute a restriction, the insecticides and acaricides listed in detail above. Other useful active ingredients are listed below according to the above classification based on the current IRAC Mode of Action Classification Scheme: (1) acetylcholinesterase (AChE) inhibitors; (2) GABA-gated chloride channel blockers; (3) sodium channel modulators; (4) competitive modulators of the nicotinic acetylcholine receptor (nAChR); (5) allosteric modulators of nicotinic acetylcholine receptor (nAChR); (6) allosteric modulators of the glutamate-gated chloride channel (GluCl); (7) juvenile hormone mimics; (8) various non-specific (multi-site) inhibitors; (9) modulators of chordotonal organs; (10) mite growth inhibitors; (12) inhibitors of mitochondrial ATP synthase, such as ATP disruptors; (13) decouplers of oxidative phosphorylation by disrupting the proton gradient; (14) nicotinic acetylcholine receptor channel blockers; (15) inhibitors of chitin biosynthesis, type 0; (16) inhibitors of chitin biosynthesis, type 1; (17) moult disruptor (particularly in Diptera, ie, flies); (18) ecdysone receptor agonists; (19) octopamine receptor agonists; (21) mitochondrial complex I electron transport inhibitors; (25) mitochondrial complex II electron transport inhibitors; (20) mitochondrial complex III electron transport inhibitors; (22) voltage-gated sodium channel blockers; (23) inhibitors of acetyl-CoA carboxylase; (28) ryanodine receptor modulators; (30) allosteric modulators of the GABA-dependent chloride channel.
Wirkstoffe mit unbekannten oder nicht spezifischen Wirkmechanismen, z. B. Fentrifanil, Fenoxacrim, Cyclopren, Chlorobenzilat, Chlordimeform, Flubenzimin, Dicyclanil, Amidoflumet, Quinomethionat, Triarathen, Clothiazoben, Tetrasul, Kaliumoleat, Petroleum, Metoxadiazon, Gossyplur, Flutenzin, Brom- propylat, Cryolit; Drugs with unknown or non-specific mechanisms of action, e.g. B. fentrifanil, fenoxacrim, cycloprene, chlorobenzilate, chlordimeform, flubenzimine, dicyclanil, amidoflumet, quinomethionate, triarathene, clothiazoben, tetrasul, potassium oleate, petroleum, metoxadiazon, gossyplur, flutenzin, bromopropylate, cryolite;
Verbindungen aus anderen Klassen, z.B. Butacarb, Dimetilan, Cloethocarb, Phosphocarb, Pirimiphos(- ethyl), Parathion(-ethyl), Methacrifos, Isopropyl-o-salicylat, Trichlorfon, Tigolaner, Sulprofos, Propa- phos, Sebufos, Pyridathion, Prothoat, Dichlofenthion, Demeton-S-methylsulfon, Isazofos, Cyanofenphos, Dialifos, Carbophenothion, Autathiofos, Aromfenvinfos(-methyl), Azinphos(-ethyl), Chlorpyrifos(- ethyl), Fosmethilan, lodofenphos, Dioxabenzofos, Formothion, Fonofos, Flupyrazofos, Fensulfothion, Et- rimfos; Compounds from other classes, e.g. butacarb, dimetilan, cloethocarb, phosphocarb, pirimiphos(- ethyl), parathion(-ethyl), methacrifos, isopropyl-o-salicylate, trichlorfon, tigolaner, sulprofos, propaphos, sebufos, pyridathion, prothoate, Diclofenthion, Demeton-S-methylsulfone, Isazofos, Cyanofenphos, Dialifos, Carbophenothion, Autathiofos, Aromfenvinfos(-methyl), Azinphos(-ethyl), Chlorpyrifos(- ethyl), Fosmethilan, lodofenphos, Dioxabenzofos, Formothion, Fonofos, Flupyrazofos, Fensulfothion, Etrimfos;
Organochlorverbindungen, z. B. Camphechlor, Lindan, Heptachlor; oder Phenylpyrazole, z. B. Acetoprol, Pyrafluprol, Pyriprol, Vaniliprol, Sisapronil; oder Isoxazoline, z. B. Sarolaner, Afoxolaner, Lotilaner, Flu- ralaner; organochlorine compounds, e.g. B. camphechlor, lindane, heptachlor; or phenylpyrazoles, e.g. B. acetoprol, pyrafluprole, pyriprole, vaniliprole, sisapronil; or isoxazolines, e.g. B. sarolaner, afoxolaner, lotilaner, fluralaner;
Pyrethroide, z. B. (cis-, trans-)Metofluthrin, Profluthrin, Flufenprox, Flubrocythrinat, Fubfenprox, Fen- fluthrin, Protrifenbut, Pyresmethrin, RU15525, Terallethrin, cis-Resmethrin, Heptafluthrin, Bioethanome- thrin, Biopermethrin, Fenpyrithrin, cis-Cypermethrin, cis-Permethrin, Clocythrin, Cyhalothrin (lambda-), Chlovaporthrin, oder halogenierte Kohlenwasserstoffverbindungen (HCHs), pyrethroids, e.g. B. (cis-, trans-)Metofluthrin, Profluthrin, Flufenprox, Flubrocythrinat, Fubfenprox, Fenfluthrin, Protrifenbut, Pyresmethrin, RU15525, Terallethrin, cis-Resmethrin, Heptafluthrin, Bioethanomethrin, Biopermethrin, Fenpyrithrin, cis-Cypermethrin, cis -permethrin, clocythrin, cyhalothrin (lambda-), chlovaporthrin, or halogenated hydrocarbon compounds (HCHs),
Neonicotinoide, z. B. Nithiazin neonicotinoids, e.g. B. Nithiazine
Dicloromezotiaz, Triflumezopyrim makrocyclische Lactone, z. B. Nemadectin, Ivermectin, Latidectin, Moxidectin, Selamectin, Eprinomec- tin, Doramectin, Emamectinbenzoat; Milbemycinoxim Tripren, Epofenonan, Diofenolan; dicloromezotiaz, triflumezopyrim macrocyclic lactones e.g. nemadectin, ivermectin, latidectin, moxidectin, selamectin, eprinomectin, doramectin, emamectin benzoate; milbemycin oxime triprene, epofenonane, diofenolane;
Biologicals, Hormone oder Pheromone, zum Beispiel natürliche Produkte, z.B. Thuringiensin, Codlemon oder Neem-Komponenten Biologicals, hormones or pheromones, for example natural products, e.g. thuringiensin, codlemon or neem components
Dinitrophenole, z. B. Dinocap, Dinobuton, Binapacryl; dinitrophenols, e.g. B. Dinocap, Dinobuton, Binapacryl;
Benzoylhamstoffe, z. B. Fluazuron, Penfluron, benzoylureas, e.g. e.g. fluazuron, penfluron,
Amidinderivate, z. B. Chlormebuform, Cymiazol, Demiditraz amidine derivatives, e.g. chlormebuform, cymiazole, demiditraz
Bienenstockvarroa-Akarizide, zum Beispiel organische Säuren, z.B. Ameisensäure, Oxalsäure. Beehive varroa acaricides, for example organic acids, e.g., formic acid, oxalic acid.
Zu beispielhaften Wirkstoffen aus der Gruppe der Endoparasitizide, als Mischungspartner, zählen, ohne hierauf beschränkt zu sein, anthelmintische Wirkstoffe und antiprotozoische Wirkstoffe. Exemplary endoparasiticidal active ingredients, as admixture partners, include, but are not limited to, anthelmintic active ingredients and antiprotozoal active ingredients.
Zu den anthelmintischen Wirkstoffen zählen, ohne hierauf beschränkt zu sein, die folgenden nematiziden, trematiziden und/oder cestoziden Wirkstoffe: aus der Klasse der makrocyclischen Lactone zum Beispiel: Eprinomectin, Abamectin, Nemadectin, Moxidectin, Doramectin, Selamectin, Lepimectin, Latidectin, Milbemectin, Ivermectin, Emamectin, Mil- bemycin; aus der Klasse der Benzimidazole und Probenzimidazole zum Beispiel: Oxibendazol, Mebendazol, Tric- labendazol, Thiophanat, Parbendazol, Oxfendazol, Netobimin, Fenbendazol, Febantel, Thiabendazol, Cyclobendazol, Cambendazol, Albendazol-sulfoxid, Albendazol, Flubendazol; aus der Klasse der Depsipeptide, vorzugsweise cyclischen Depsipetide, insbesondere 24-gliedrigen cyclischen Depsipeptide, zum Beispiel: Emodepsid, PF1022A; aus der Klasse der Tetrahydropyrimidine zum Beispiel: Morantel, Pyrantel, Oxantel; aus der Klasse der Imidazothiazole zum Beispiel: Butamisol, Levamisol, Tetramisol; aus der Klasse der Aminophenylamidine zum Beispiel: Amidantel, deacyliertes Amidantel (dAMD), Tri- bendimidin; aus der Klasse der Aminoacetonitrile zum Beispiel: Monepantel; aus der Klasse der Paraherquamide zum Beispiel: Paraherquamid, Derquantel; aus der Klasse der Salicylanilide zum Beispiel: Tribromsalan, Bromoxanid, Brotianid, Clioxanid, Closantel, Niclosamid, Oxyclozanid, Rafoxanid; aus der Klasse der substituierten Phenole zum Beispiel: Nitroxynil, Bithionol, Disophenol, Hexachloro- phen, Niclofolan, Meniclopholan; aus der Klasse der Organophosphate zum Beispiel: Trichlorfon, Naphthalofos, Dichlorvos/DDVP, Crufo- mat, Coumaphos, Haloxon; aus der Klasse der Piperazinone/Chinoline zum Beispiel: Praziquantel, Epsiprantel; aus der Klasse der Piperazine zum Beispiel: Piperazin, Hydroxyzin; aus der Klasse der Tetracycline zum Beispiel: Tetracyclin, Chlorotetracyclin, Doxycyclin, Oxytetracyclin, Rolitetracyclin; aus diversen anderen Klassen zum Beispiel: Bunamidin, Niridazol, Resorantel, Omphalotin, Oltipraz, Nit- roscanat, Nitroxynil, Oxamniquin, Mirasan, Miracil, Lucanthon, Hycanthon, Hetolin, Emetin, Diethyl- carbamazin, Dichlorophen, Diamfenetid, Clonazepam, Bephenium, Amoscanat, Clorsulon. Anthelmintic agents include, but are not limited to, the following nematicidal, trematicidal and/or cestocidal agents: from the macrocyclic lactone class, for example: eprinomectin, abamectin, nemadectin, moxidectin, doramectin, selamectin, lepimectin, latidectin, milbemectin, ivermectin, emamectin, milbemycin; from the class of benzimidazoles and probenzimidazoles, for example: oxibendazole, mebendazole, triclabendazole, thiophanate, parbendazole, oxfendazole, netobimine, fenbendazole, febantel, thiabendazole, cyclobendazole, cambendazole, albendazole sulfoxide, albendazole, flubendazole; from the class of depsipeptides, preferably cyclic depsipeptides, in particular 24-membered cyclic depsipeptides, for example: emodepside, PF1022A; from the class of tetrahydropyrimidines, for example: morantel, pyrantel, oxantel; from the class of imidazothiazoles, for example: butamisole, levamisole, tetramisole; from the class of aminophenylamidines, for example: amidantel, deacylated amidantel (dAMD), tribebendimidine; from the class of aminoacetonitriles, for example: monepantel; from the class of paraherquamides, for example: paraherquamide, derquantel; from the class of the salicylanilides, for example: tribromosalan, bromoxanide, brotianide, clioxanide, closantel, niclosamide, oxyclozanide, rafoxanide; from the class of substituted phenols, for example: nitroxinil, bithionol, disophenol, hexachlorophene, niclofolan, meniclopholan; from the class of organophosphates, for example: trichlorfon, naphthalofos, dichlorvos/DDVP, crufomat, coumaphos, haloxon; from the class of piperazinones/quinolines, for example: praziquantel, epsiprantel; from the piperazine class, for example: piperazine, hydroxyzine; from the class of tetracyclines, for example: tetracycline, chlorotetracycline, doxycycline, oxytetracycline, rolitetracycline; from various other classes, for example: bunamidine, niridazole, resorantel, omphalotin, oltipraz, nitroscanate, nitroxinil, oxamniquine, mirasan, miracil, lucanthone, hycanthone, hetolin, emetine, diethylcarbamazine, dichlorophene, diamfenetide, clonazepam, bephenium, amoscanate , Clorsulon.
Antiprotozoische Wirkstoffe, darunter, ohne hierauf beschränkt zu sein, die folgenden Wirkstoffe: aus der Klasse der Triazine zum Beispiel: Diclazuril, Ponazuril, Letrazuril, Toltrazuril; aus der Klasse Polyletherionophor zum Beispiel: Monensin, Salinomycin, Maduramicin, Narasin; aus der Klasse der makrocyclischen Lactone zum Beispiel: Milbemycin, Erythromycin; aus der Klasse der Chinolone zum Beispiel: Enrofloxacin, Pradofloxacin; aus der Klasse der Chinine zum Beispiel: Chloroquin; aus der Klasse der Pyrimidine zum Beispiel: Pyrimethamin; aus der Klasse der Sulfonamide zum Beispiel: Sulfachinoxalin, Trimethoprim, Sulfaclozin; aus der Klasse der Thiamine zum Beispiel: Amprolium; aus der Klasse der Lincosamide zum Beispiel: Clindamycin; aus der Klasse der Carbanilide zum Beispiel: Imidocarb; aus der Klasse der Nitrofurane zum Beispiel: Nifurtimox; aus der Klasse der Chinazolinonalkaloide zum Beispiel: Halofuginon; aus diversen anderen Klassen zum Beispiel: Oxamniquin, Paromomycin; aus der Klasse der Vakzine oder Antigene aus Mikroorganismen zum Beispiel: Babesia canis rossi, Eime- ria tenella, Eimeria praecox, Eimeria necatrix, Eimeria mitis, Eimeria maxima, Eimeria brunetti, Eimeria acervulina, Babesia canis vogeli, Leishmania infantum, Babesia canis canis, Dictyocaulus viviparus. Antiprotozoal agents including but not limited to the following agents: from the triazine class, for example: diclazuril, ponazuril, letrazuril, toltrazuril; from the polylether ionophore class, for example: monensin, salinomycin, maduramicin, narasin; from the class of macrocyclic lactones, for example: milbemycin, erythromycin; from the class of quinolones, for example: enrofloxacin, pradofloxacin; from the class of quinines, for example: chloroquine; from the class of pyrimidines, for example: pyrimethamine; from the class of sulfonamides, for example: sulfaquinoxaline, trimethoprim, sulfaclozine; from the class of thiamines, for example: amprolium; from the class of lincosamides, for example: clindamycin; from the class of carbanilides, for example: imidocarb; from the class of nitrofurans, for example: nifurtimox; from the class of the quinazolinone alkaloids, for example: halofuginone; from various other classes for example: oxamniquin, paromomycin; from the class of vaccines or antigens from microorganisms, for example: Babesia canis rossi, Eimeria tenella, Eimeria praecox, Eimeria necatrix, Eimeria mitis, Eimeria maxima, Eimeria brunetti, Eimeria acervulina, Babesia canis vogeli, Leishmania infantum, Babesia canis canis, Dictyocaulus viviparus.
Alle genannten Mischungspartner können außerdem, wenn sie auf Grund ihrer funktionellen Gruppen dazu imstande sind, gegebenenfalls mit geeigneten Basen oder Säuren Salze bilden. If they are capable of doing so because of their functional groups, all of the mixing partners mentioned can also form salts with suitable bases or acids.
Vektorbekämpfung vector control
Die Verbindungen der Formel (I) können auch in der Vektorbekämpfung eingesetzt werden. Ein Vektor im Sinne der vorliegenden Erfindung ist ein Arthropode, insbesondere ein Insekt oder Arachnid, der in der Lage ist, Krankheitserreger wie z. B. Viren, Würmer, Einzeller und Bakterien aus einem Reservoir (Pflanze, Tier, Mensch, etc.) auf einen Wirt zu übertragen. Die Krankheitserreger können entweder mechanisch (z. B. Trachoma durch nicht-stechende Fliegen) auf einen Wirt, oder nach Injektion (z. B. Malaria-Parasiten durch Mücken) in einen Wirt übertragen werden. The compounds of the formula (I) can also be used in vector control. A vector within the meaning of the present invention is an arthropod, in particular an insect or arachnid, which is capable of pathogens such as. B. viruses, worms, protozoa and bacteria from a reservoir (plant, animal, human, etc.) to transfer to a host. The pathogens can be transmitted to a host either mechanically (e.g. trachoma by non-stinging flies) or after injection (e.g. malaria parasites by mosquitoes) into a host.
Beispiele für Vektoren und die von ihnen übertragenen Krankheiten bzw. Krankheitserreger sind: Examples of vectors and the diseases or pathogens they transmit are:
1) Mücken 1) mosquitoes
- Anopheles: Malaria, Filariose; - Anopheles: malaria, filariasis;
- Culex: Japanische Encephalitis, weitere virale Erkrankungen, Filariasis, Übertragung von anderen Würmern; - Culex: Japanese encephalitis, other viral diseases, filariasis, transmission from other worms;
- Aedes: Gelbfieber, Dengue-Fieber, weitere virale Erkrankungen, Filariasis; - Aedes: yellow fever, dengue fever, other viral diseases, filariasis;
- Simulien: Übertragung von Würmern, insbesondere Onchocerca volvulus; - Simulations: transmission of worms, especially Onchocerca volvulus;
- Psychodidae: Übertragung von Leishmaniose - Psychodidae: transmission of leishmaniasis
2) Läuse: Hautinfektionen, epidemisches Fleckfieber; 2) lice: skin infections, epidemic typhus;
3) Flöhe: Pest, endemisches Fleckfieber, Bandwürmer; 3) fleas: plague, endemic typhus, tapeworms;
4) Fliegen: Schlafkrankheit (Trypanosomiasis); Cholera, weitere bakterielle Erkrankungen; 5) Milben: Acariose, epidemisches Fleckfieber, Rickettsipocken, Tularämie, Saint-Louis-Enzephalitis, Frühsommer-Meningoenzephalitis (FSME), hämorrhagisches Krim-Kongo-Fieber, Borreliose; 4) Flies: sleeping sickness (trypanosomiasis); cholera, other bacterial diseases; 5) mites: acariose, epidemic typhus, rickettsipox, tularemia, Saint-Louis encephalitis, tick-borne encephalitis (FSME), Crimean-Congo hemorrhagic fever, Lyme disease;
6) Zecken: Borelliosen wie Borrelia bungdorferi sensu lato., Borrelia duttoni, Frühsommer-Meningoenzephalitis, Q-Fieber (Coxiella burnetii), Babesien (Babesia canis canis), Ehrlichiose. 6) Ticks: Lyme disease such as Borrelia bungdorferi sensu lato., Borrelia duttoni, tick-borne encephalitis, Q fever (Coxiella burnetii), babesia (Babesia canis canis), Ehrlichiosis.
Beispiele für Vektoren im Sinne der vorliegenden Erfindung sind Insekten, zum Beispiel Aphiden, Fliegen, Zikaden oder Thripse, die Pflanzenviren auf Pflanzen übertragen können. Weitere Vektoren, die Pflanzenviren übertragen können, sind Spinnmilben, Läuse, Käfer und Nematoden. Examples of vectors for the purposes of the present invention are insects, for example aphids, flies, leafhoppers or thrips, which can transmit plant viruses to plants. Other vectors that can transmit plant viruses are spider mites, lice, beetles and nematodes.
Weitere Beispiele für Vektoren im Sinne der vorliegenden Erfindung sind Insekten und Arachniden wie Mücken, insbesondere der Gattungen Aedes, Anopheles, z. B. A. gambiae, A. arabiensis, A. fimestus, A. dirus (Malaria) und Culex, Psychodide wie Phlebotomus, Lutzomyia, Läuse, Flöhe, Fliegen, Milben und Zecken, die Krankheitserreger auf Tiere und/oder Menschen übertragen können. Further examples of vectors for the purposes of the present invention are insects and arachnids such as mosquitoes, in particular of the genera Aedes, Anopheles, e.g. B. A. gambiae, A. arabiensis, A. fimestus, A. dirus (malaria) and Culex, Psychodids such as Phlebotomus, Lutzomyia, lice, fleas, flies, mites and ticks that can transmit pathogens to animals and/or humans.
Eine Vektorbekämpfimg ist auch möglich, wenn die Verbindungen der Formel (I) Resistenz-brechend sind. Vector control is also possible when the compounds of formula (I) are resistance-breaking.
Verbindungen der Formel (I) sind zur Verwendung in der Prävention von Krankheiten und/oder Krankheitserregern, die durch Vektoren übertragen werden, geeignet. Somit ist ein weiterer Aspekt der vorliegenden Erfindung die Verwendung von Verbindungen der Formel (I) zur Vektorbekämpfung, z. B. in der Landwirtschaft, im Gartenbau, in Gärten und Freizeiteinrichtungen sowie im Vorrats- und Materialschutz. Compounds of formula (I) are suitable for use in the prevention of diseases and/or pathogens which are transmitted by vectors. Thus a further aspect of the present invention is the use of compounds of formula (I) for vector control, e.g. B. in agriculture, in horticulture, in gardens and leisure facilities as well as in the protection of stored products and materials.
Schutz von technischen Materialen Protection of technical materials
Die Verbindungen der Formel (I) eignen sich zum Schutz von technischen Materialien gegen Befall oder Zerstörung durch Insekten, z. B. aus den Ordnungen Coleoptera, Hymenoptera, Isoptera, Lepidoptera, Psocoptera und Zygentoma. The compounds of formula (I) are suitable for protecting technical materials against infestation or destruction by insects, e.g. B. from the orders Coleoptera, Hymenoptera, Isoptera, Lepidoptera, Psocoptera and Zygentoma.
Unter technischen Materialien sind im vorliegenden Zusammenhang nicht lebende Materialien zu verstehen, wie vorzugsweise Kunststoffe, Klebstoffe, Leime, Papiere und Kartone, Leder, Holz, Holzverarbeitungsprodukte und Anstrichmittel. Die Anwendung der Erfindung zum Schutz von Holz ist besonders bevorzugt. In the present context, technical materials are to be understood as meaning non-living materials, such as preferably plastics, adhesives, glues, paper and cardboard, leather, wood, wood processing products and paints. Application of the invention to the protection of wood is particularly preferred.
In einer weiteren Ausführungsform werden die Verbindungen der Formel (I) zusammen mit mindestens einem weiteren Insektizid und/oder mindestens einem Fungizid eingesetzt. In einer weiteren Ausführungsform liegen die Verbindungen der Formel (I) als ein anwendungsfertiges (ready-to-use) Schädlingsbekämpfungsmittel vor, d. h., sie können ohne weitere Änderungen auf das entsprechende Material aufgebracht werden. Als weitere Insektizide oder Fungizide kommen insbesondere die oben genannten in Frage. In a further embodiment, the compounds of the formula (I) are used together with at least one further insecticide and/or at least one fungicide. In a further embodiment, the compounds of the formula (I) are present as a ready-to-use pesticide, ie they can be applied to the corresponding material without further changes. As further insecticides or fungicides, those mentioned above are particularly suitable.
Überraschenderweise wurde auch gefunden, dass die Verbindungen der Formel (I) zum Schutz vor Bewuchs von Gegenständen, insbesondere von Schiffskörpern, Sieben, Netzen, Bauwerken, Kaianlagen und Signalanlagen, welche mit See- oder Brackwasser in Kontakt kommen, verwendet werden können. Gleichfalls können die Verbindungen der Formel (I) allein oder in Kombinationen mit anderen Wirkstoffen als Antifouling-Mittel eingesetzt werden. Surprisingly, it has also been found that the compounds of the formula (I) can be used to protect objects, in particular ship hulls, sieves, nets, structures, quays and signaling systems, which come into contact with seawater or brackish water, from fouling. Likewise, the compounds of the formula (I) can be used alone or in combination with other active ingredients as antifouling agents.
Bekämpfung von tierischen Schädlingen auf dem Hygienesektor Combating animal pests in the hygiene sector
Die Verbindungen der Formel (I) eignen sich zur Bekämpfung von tierischen Schädlingen auf dem Hygienesektor. Insbesondere kann die Erfindung im Haushalts-, Hygiene- und Vorratsschutz verwendet werden, vor allem zur Bekämpfung von Insekten, Spinnentieren, Zecken und Milben, die in geschlossenen Räumen, wie beispielsweise Wohnungen, Fabrikhallen, Büros, Fahrzeugkabinen, Tierzuchtanlagen vorkommen. Zur Bekämpfung der tierischen Schädlinge werden die Verbindungen der Formel (I) allein oder in Kombination mit anderen Wirk- und/oder Hilfsstoffen verwendet. Bevorzugt werden sie in Haushaltsinsektizid-Produkten verwendet. Die Verbindungen der Formel (I) sind gegen sensible und resistente Arten sowie gegen alle Entwicklungsstadien wirksam. The compounds of the formula (I) are suitable for controlling animal pests in the hygiene sector. In particular, the invention can be used in household, hygiene and stored product protection, especially for combating insects, arachnids, ticks and mites that occur in closed rooms such as apartments, factory buildings, offices, vehicle cabins, animal breeding facilities. To combat animal pests, the compounds of the formula (I) are used alone or in combination with other active ingredients and/or auxiliaries. They are preferably used in household insecticide products. The compounds of formula (I) are active against sensitive and resistant species and against all stages of development.
Zu diesen Schädlingen gehören beispielsweise Schädlinge aus der Klasse Arachnida, aus den Ordnungen Scorpiones, Araneae und Opiliones, aus den Klassen Chilopoda und Diplopoda, aus der Klasse Insecta die Ordnung Blattodea, aus den Ordnungen Coleoptera, Dermaptera, Diptera, Heteroptera, Hymenoptera, Isoptera, Lepidoptera, Phthiraptera, Psocoptera, Saltatoria oder Orthoptera, Siphonaptera und Zygentoma und aus der Klasse Malacostraca die Ordnung Isopoda. These pests include, for example, pests from the class Arachnida, from the orders Scorpiones, Araneae and Opiliones, from the classes Chilopoda and Diplopoda, from the class Insecta, the order Blattodea, from the orders Coleoptera, Dermaptera, Diptera, Heteroptera, Hymenoptera, Isoptera, Lepidoptera, Phthiraptera, Psocoptera, Saltatoria or Orthoptera, Siphonaptera and Zygentoma and from the class Malacostraca the order Isopoda.
Die Anwendung erfolgt beispielsweise in Aerosolen, drucklosen Sprühmitteln, z. B. Pump- und Zerstäubersprays, Nebelautomaten, Foggem, Schäumen, Gelen, Verdampferprodukten mit Verdampferplättchen aus Cellulose oder Kunststoff, Flüssigverdampfem, Gel- und Membranverdampfem, propellergetriebenen Verdampfern, energielosen bzw. passiven Verdampfungssystemen, Mottenpapieren, Mottensäckchen und Mottengelen, als Granulate oder Stäube, in Streuködem oder Köderstationen. The application takes place, for example, in aerosols, non-pressurized sprays, e.g. B. pump and atomizer sprays, smoke machines, foggers, foams, gels, vaporizer products with vaporizer plates made of cellulose or plastic, liquid vaporizers, gel and membrane vaporizers, propeller-driven vaporizers, energyless or passive vaporization systems, moth paper, moth bags and moth gels, as granules or dust, in scatter baits or bait stations.
Die folgenden Herstellungs- und Verwendungsbeispiele illustrieren die Erfindung ohne sie zu beschränken. Herstellungsbeispiele The following production and use examples illustrate the invention without restricting it. Manufacturing examples
Synthesebeispiel 1: 2-[[4-[5-(l,3-Dioxolan-2-ylmethylamino)-l-[4-(trifluoromethoxy)phenyl]-l,2,4- triazol-3-yl]phenyl]methylenehydrazono]-3-(2-isopropylphenyl)thiazolidin-4-on (1-011) Synthesis Example 1: 2-[[4-[5-(1,3-Dioxolan-2-ylmethylamino)-1-[4-(trifluoromethoxy)phenyl]-1,2,4-triazol-3-yl]phenyl]methylenehydrazono ]-3-(2-isopropylphenyl)thiazolidin-4-one (1-011)
Herstellung von 3,5-Dibrom-l-[4-(trifluormethoxy)phenyl]-lH-l,2,4-triazol (IM-1-01, Verfahren H) Preparation of 3,5-dibromo-1-[4-(trifluoromethoxy)phenyl]-1H-1,2,4-triazole (IM-1-01, Method H)
3,5-Dibrom-lH-l,2,4-triazol (5,00 g, 22,0 mmol), [4-(Trifluormethoxy)phenyl]boronsäure (4,54 g, 22,0 mmol) und Kupfer(II)-acetat Monohydrat (6,60 g, 33,1 mmol) wurden in Toluol (50 mL) vorgelegt und Pyridin (5,23 g, 66,1 mmol) sowie Molsieb 4 Ä (1,0 g) zugesetzt. Anschließend wurde 16 h bei 80 °C gerührt. Das Reaktionsgemisch wurde über Celite filtriert, mit Essigsäureethylester nachgewaschen und die organische Phase mit Wasser gewaschen. Nach Trocknen über Magnesiumsulfat wurde das Lösungsmittel unter vermindertem Druck abdestilliert und der Rückstand an Kieselgel chromatographisch aufgetrennt (Gradient: Dichlormethan/Essigsäureethylester). Es wurden 1,70 g 3,5-Dibrom-l-[4-(trifluorme- thoxy)phenyl]- 1H- 1 ,2,4-triazol erhalten. 3,5-Dibromo-1H-1,2,4-triazole (5.00g, 22.0mmol), [4-(Trifluoromethoxy)phenyl]boronic acid (4.54g, 22.0mmol) and copper( II) acetate monohydrate (6.60 g, 33.1 mmol) was placed in toluene (50 mL) and pyridine (5.23 g, 66.1 mmol) and 4 Å molecular sieve (1.0 g) were added. The mixture was then stirred at 80° C. for 16 h. The reaction mixture was filtered through Celite, washed with ethyl acetate and the organic phase washed with water. After drying over magnesium sulfate, the solvent was distilled off under reduced pressure and the residue was separated chromatographically on silica gel (gradient: dichloromethane/ethyl acetate). 1.70 g of 3,5-dibromo-1-[4-(trifluoromethoxy)phenyl]-1H-1,2,4-triazole were obtained.
‘H-NMR (400 MHz, d6-DMSO): 5 7.63 (d, 2H), 7.84 (d, 2H). 'H NMR (400 MHz, d 6 -DMSO): δ 7.63 (d, 2H), 7.84 (d, 2H).
In Analogie zu (IM- 1-022) wurde hergestellt: In analogy to (IM-1-022) the following was produced:
3,5-Dibrom-l-[l,l,2,2,2-pentafluorethoxy)phenyl]-lH-l,2,4-triazol (IM-1-02) 3,5-dibromo-l-[l,l,2,2,2-pentafluoroethoxy)phenyl]-lH-l,2,4-triazole (IM-1-02)
’H-NMR (400 MHz, d6-DMSO): 5 7.65 (d, 2H), 7.85 (d, 2H). 'H NMR (400 MHz, d 6 -DMSO): δ 7.65 (d, 2H), 7.85 (d, 2H).
Herstellung von 5-Bromo-N-(l,3-dioxolan-2-ylmethyl)-2-[4-(trifluoromethoxy)phenyl]-l,2,4-tria- zol-3-amin (IM-2-01, Verfahren I) 3,5-Dibrom-l-[4-(trifluormethoxy)phenyl]-lH-l,2,4-triazol (IM-1-01) (400 mg, 1,04 mmol) wurde in Dioxan (5 mL) gelöst und mit (1,13 mL, 12,9 mmol) l-(l,3-Dioxolan-2-yl)methanamin versetzt. Anschließend wurde 6 h bei 75°C gerührt. Das Reaktionsgemisch wurde auf Wasser geschüttet und mit Dichlormethan extrahiert. Nach Trocknen über Magnesiumsulfat wurde das Lösungsmittel unter vermindertem Druck abdestilliert und der Rückstand an Kieselgel chromatographisch aufgetrennt (Gradient: Hexan/Es- sigsäureethylester). Es wurden 322 mg 5-Bromo-N-(l,3-dioxolan-2-ylmethyl)-2-[4-(trifluorome- thoxy)phenyl] - 1 ,2,4-triazol-3 -amin erhalten. Preparation of 5-bromo-N-(1,3-dioxolan-2-ylmethyl)-2-[4-(trifluoromethoxy)phenyl]-1,2,4-triazol-3-amine (IM-2-01 , Method I) 3,5-Dibromo-1-[4-(trifluoromethoxy)phenyl]-1H-1,2,4-triazole (IM-1-01) (400 mg, 1.04 mmol) was dissolved in dioxane (5 mL). and treated with (1.13 mL, 12.9 mmol) l-(l,3-dioxolan-2-yl)methanamine. The mixture was then stirred at 75° C. for 6 h. The reaction mixture was poured onto water and extracted with dichloromethane. After drying over magnesium sulfate, the solvent was distilled off under reduced pressure and the residue was separated chromatographically on silica gel (gradient: hexane/ethyl acetate). 322 mg of 5-bromo-N-(1,3-dioxolan-2-ylmethyl)-2-[4-(trifluoromethoxy)phenyl]-1,2,4-triazol-3-amine were obtained.
1 H-N M R siehe Tabelle 2 1 HN MR see Table 2
Weitere in Analogie zu (IM-2-01) hergestellte Verbindungen sind in Tabelle 2 aufgeführt. Other connections made in analogy to (IM-2-01) are listed in Table 2.
Herstellung von 4-[5-(l,3-Dioxolan-2-ylmethylamino)-l-[4-(trifluoromethoxy)phenyl]-l,2,4-triazol- 3-yl]benzaldehyd (IM-3-01, Verfahren E) Preparation of 4-[5-(1,3-dioxolan-2-ylmethylamino)-1-[4-(trifluoromethoxy)phenyl]-1,2,4-triazol-3-yl]benzaldehyde (IM-3-01, Procedure E)
Eine Mischung aus 5-Bromo-N-(l,3-dioxolan-2-ylmethyl)-2-[4-(trifluoromethoxy)phenyl]-l,2,4-triazol- 3-amine (IM-2-01) (275mg, 0,672 mmol), 4-Formylphenylboronsäurepinakolester (234 mg, 1,01 mmol) und Cäsiumcarbonat (657 mg, 2,02 mmol), Dioxan (6,2 mL) und Wasser (2,2 mL) wurde unter Argon entgast und mit 1,1 ' -Bis(diphenylphosphino)ferrocen-palladium(II)dichlorid (39 mg, 0,04 mmol) versetzt. Anschließend wurde 3 h bei 90 °C gerührt. Das Reaktionsgemisch wurde mit Dichlormethan verdünnt und mit Natriumchlorid-Lösung verrührt, über eine Chromabond™ PTS Trennsäule filtriert und unter vermindertem Druck eingedampft. Das Rohprodukt wurde an Kieselgel chromatographisch gereinigt (Gradient: Hexan/Essigsäureethylester). Es wurden 193 mg 4-[5-(l,3-Dioxolan-2-yhnethylamino)-l-[4- (trifluoromethoxy)phenyl]-l,2,4-triazol-3-yl]benzaldehyde erhalten. A mixture of 5-bromo-N-(l,3-dioxolan-2-ylmethyl)-2-[4-(trifluoromethoxy)phenyl]-l,2,4-triazole-3-amine (IM-2-01) (275 mg, 0.672 mmol), 4-formylphenylboronic acid pinacol ester (234 mg, 1.01 mmol) and cesium carbonate (657 mg, 2.02 mmol), dioxane (6.2 mL) and water (2.2 mL) were degassed under argon and treated with 1,1'-bis(diphenylphosphino)ferrocenepalladium(II) dichloride (39 mg, 0.04 mmol). The mixture was then stirred at 90° C. for 3 h. The reaction mixture was diluted with dichloromethane and stirred with sodium chloride solution, filtered through a Chromabond™ PTS separation column and evaporated under reduced pressure. The crude product was purified chromatographically on silica gel (gradient: hexane/ethyl acetate). 193 mg of 4-[5-(1,3-dioxolan-2-ethylamino)-1-[4-(trifluoromethoxy)phenyl]-1,2,4-triazol-3-yl]benzaldehyde was obtained.
1 H-N M R siehe Tabelle 3 1 HN MR see Table 3
Weitere in Analogie zu (IM-3-01) hergestellte Verbindungen sind in Tabelle 3 aufgeführt. Other compounds prepared analogously to (IM-3-01) are listed in Table 3.
Herstellung von l-[[4-[5-(l,3-Dioxolan-2-ylmethylamino)-l-[4-(trifluoromethoxy)phenyl]-l,2,4-tri- azol-3-yl]phenyl]methyleneamino]-3-(2-isopropylphenyl)thioharnstoff (1-002, Verfahren A) Preparation of 1-[[4-[5-(1,3-dioxolan-2-ylmethylamino)-1-[4-(trifluoromethoxy)phenyl]-1,2,4-triazol-3-yl]phenyl] methyleneamino]-3-(2-isopropylphenyl)thiourea (1-002, Method A)
Eine Mischung aus 4-[5-(l,3-Dioxolan-2-ylmethylamino)-l-[4-(trifluoromethoxy)phenyl]-l,2,4-triazol- 3-yl]benzaldehyde (IM-3-01) (215 mg, 0,495 mmol) und N-(2-Isopropylphenyl)hydrazincarbothioamid (103 mg, 0,495 mmol) (bekannt aus WO 2010/062559) in Ethanol (8 mL) wurde bei 75°C 16 h gerührt. Das Reaktionsgemisch wurde auf Wasser geschüttet und mit Dichlormethan verrührt, über eine Chromabond™ PTS Trennsäule filtriert, unter vermindertem Druck eingedampft, und der Rückstand an Kieselgel chromatographiert (Gradient: Hexan/Essigsäureethylester). Es wurden 194 mg l-[[4-[5-(l,3-Dioxo- lan-2-yhnethylamino)- 1 -[4-(trifluoromethoxy)phenyl] - 1 ,2,4-triazol-3 -yl]phenyl]methyleneamino] -3 -(2- von)thiohamstoff erhalten. A mixture of 4-[5-(1,3-dioxolan-2-ylmethylamino)-1-[4-(trifluoromethoxy)phenyl]-1,2,4-triazol-3-yl]benzaldehyde (IM-3-01 ) (215 mg, 0.495 mmol) and N-(2-isopropylphenyl)hydrazinecarbothioamide (103 mg, 0.495 mmol) (known from WO 2010/062559) in ethanol (8 mL) was stirred at 75° C. for 16 h. The reaction mixture was poured onto water and stirred with dichloromethane, filtered through a Chromabond™ PTS separation column, evaporated under reduced pressure and the residue chromatographed on silica gel (gradient: hexane/ethyl acetate). 194 mg of l-[[4-[5-(1,3-dioxolan-2-ethylamino)-1-[4-(trifluoromethoxy)phenyl]-1,2,4-triazol-3-yl] were obtained phenyl]methyleneamino]-3-(2-of)thiourea.
1 H-N M R siehe Tabelle 1 1 HN MR see Table 1
Herstellung von 2-[[4-[5-(l,3-Dioxolan-2-ylmethylamino)-l-[4-(trifluoromethoxy)phenyl]-l,2,4-tri- azol-3-yl]phenyl]methylenehydrazono]-3-(2-isopropylphenyl)thiazolidin-4-on (1-011, Verfahren C) Preparation of 2-[[4-[5-(1,3-dioxolan-2-ylmethylamino)-1-[4-(trifluoromethoxy)phenyl]-1,2,4-triazol-3-yl]phenyl] methylenehydrazono]-3-(2-isopropylphenyl)thiazolidin-4-one (1-011, Method C)
1 -[[4-[5-( 1 ,3-Dioxolan-2-ylmethylamino)- 1 -[4-(trifluoromethoxy)phenyl] - 1 ,2,4-triazol-3-yl]phenyl]me- thyleneamino]-3-(2-isopropylphenyl)thiohamstoff (130 mg, 0,208 mmol) wurde in Ethanol (8 mL) vorgelegt, Natriumacetat (68 mg, 0,831 mmol) zugegeben, mit Bromessigsäuremethylester (38 mg, 0,249 mmol) versetzt und anschließend 3 h bei 75 °C gerührt. Das Reaktionsgemisch wurde auf Wasser geschüttet und der ausgefallenene Feststoff abfiltiert. Es wurden 93mg 2-[[4-[5-(l,3-Dioxolan-2-ylme- thylamino)- 1 -[4-(trifhroromethoxy)phenyl] - 1 ,2,4-triazol-3 -yl]phenyl]methylenehydrazono] -3 -(2-isopro- pylphenyl)thiazolidin-4-on erhalten. 1-[[4-[5-(1,3-dioxolan-2-ylmethylamino)-1-[4-(trifluoromethoxy)phenyl]-1,2,4-triazol-3-yl]phenyl]methyleneamino] -3-(2-isopropylphenyl)thiourea (130 mg, 0.208 mmol) was placed in ethanol (8 mL), sodium acetate (68 mg, 0.831 mmol) was added, methyl bromoacetate (38 mg, 0.249 mmol) was added and then 3 h at stirred at 75°C. The reaction mixture was poured onto water and the precipitated solid was filtered off. There were 93 mg of 2-[[4-[5-(1,3-dioxolan-2-ylmethylamino)-1-[4-(trifluoromethoxy)phenyl]-1,2,4-triazol-3-yl]phenyl ]methylenehydrazono]-3-(2-isopropylphenyl)thiazolidin-4-one.
1 H-N M R siehe Tabelle 1 Synthesebeispiel 2: l-[4- [5-(l,3-dioxolan-2-ylmethylamino)-l-[4-(l, 1,2,2, 2-pentafluoroethoxy)phe- nyl]-l,2,4-triazol-3-yl]phenyl]-3-[3-(2-isopropylphenyl)-4-oxo-thiazolidin-2-ylidene]harnstoff (I- 023) 1 HN MR see Table 1 Synthesis Example 2: 1-[4-[5-(1,3-dioxolan-2-ylmethylamino)-1-[4-(1,1,2,2,2-pentafluoroethoxy)phenyl]-1,2, 4-triazol-3-yl]phenyl]-3-[3-(2-isopropylphenyl)-4-oxo-thiazolidin-2-ylidene]urea (I-023)
Herstellung von 5-(4-aminophenyl)-N-(l,3-dioxolan-2-ylmethyl)-2-[4-(l, 1,2,2, 2-pentafluoro- ethoxy)phenyl]-l,2,4-triazol-3-amin (IM-4-01, Verfahren F) Preparation of 5-(4-aminophenyl)-N-(1,3-dioxolan-2-ylmethyl)-2-[4-(1,1,2,2,2-pentafluoro-ethoxy)phenyl]-1,2 ,4-triazole-3-amine (IM-4-01, Method F)
Eine Mischung aus 5-Bromo-N-(l,3-dioxolan-2-ylmethyl)-2-[4-(l, 1,2,2, 2-pentafluorethoxy)phenyl]- l,2,4-triazol-3-amin (IM-2-02) (350 mg, 0,76 mmol), 4-Aminophenylboronsäurepinakolester (183 mg, 0,83 mmol), Cäsiumcarbonat (745 mg, 2,28 mmol), Dioxan (9,0 mL) und Wasser (3,0 mL) wurde unter Argon entgast und mit l,r-Bis(diphenylphosphino)ferrocen-palladium(II)dichlorid (37 mg, 0,04 mmol) versetzt. Anschließend wurde 3h auf 90 °C erhitzt. Das Reaktionsgemisch wurde in Wasser gegossen und über eine Chromabond™ PTS Trennsäule filtriert. Das Rohprodukt wurde an Kieselgel chromatographisch gereinigt (Gradient: Cyclohexan/Essigsäureethylester). Es wurden 300 mg 5-(4-aminophenyl)-N- ( 1 ,3 -dioxolan-2-ylmethyl)-2-[4-( 1 , 1 ,2,2,2-pentafluoroethoxy)phenyl] - 1 ,2,4-triazol-3-amin erhalten.A mixture of 5-bromo-N-(1,3-dioxolan-2-ylmethyl)-2-[4-(1,1,2,2,2-pentafluoroethoxy)phenyl]-1,2,4-triazole- 3-amine (IM-2-02) (350 mg, 0.76 mmol), 4-aminophenylboronic acid pinacol ester (183 mg, 0.83 mmol), cesium carbonate (745 mg, 2.28 mmol), dioxane (9.0 mL ) and water (3.0 mL) were degassed under argon and l,r-bis(diphenylphosphino)ferrocenepalladium(II) dichloride (37 mg, 0.04 mmol) was added. The mixture was then heated to 90° C. for 3 hours. The reaction mixture was poured into water and filtered through a Chromabond™ PTS separation column. The crude product was purified chromatographically on silica gel (gradient: cyclohexane/ethyl acetate). 300 mg of 5-(4-aminophenyl)-N-(1,3-dioxolan-2-ylmethyl)-2-[4-(1,1,2,2,2-pentafluoroethoxy)phenyl]-1,2 ,4-triazole-3-amine obtained.
1 H-NMR siehe Tabelle 4 1 H NMR see Table 4
Weitere in Analogie zu (IM-4-01) hergestellte Verbindungen sind in Tabelle 4 aufgeführt. Other compounds prepared analogously to (IM-4-01) are listed in Table 4.
Herstellung von l-[4-[5-(l,3-dioxolan-2-ylmethylamino)-l-[4-(l,l,2,2,2-pentafluoroethoxy)phenyl]- l,2,4-triazol-3-yl]phenyl]-3-[3-(2-isopropylphenyl)-4-oxo-thiazolidin-2-ylidene]harnstoff (1-023, Verfahren D) - oO -Preparation of 1-[4-[5-(1,3-dioxolan-2-ylmethylamino)-1-[4-(1,1,2,2,2-pentafluoroethoxy)phenyl]-1,2,4-triazole -3-yl]phenyl]-3-[3-(2-isopropylphenyl)-4-oxo-thiazolidin-2-ylidene]urea (1-023, Method D) - oO -
Stufe 1: Step 1:
5-(4-aminophenyl)-N-( 1 ,3-dioxolan-2-ylmethyl)-2-[4-( 1 , 1 ,2,2,2-pentafluoroethoxy)phenyl] - 1 ,2,4-tria- zol-3-amin (IM-4-01) (290 mg, 0,610 mmol) wurde in THF (5 mL) vorgelegt und mit einer Lösung von Chlorameisensäure-4-nitrophenylester (136 mg, 0,67 mmol) in THF (2,5 mL) versetzt. Nach 16 h Rühren bei Raumtemperatur wurde Hexan (5 mL) zugesetzt und der ausgefallene Feststoff abgesaugt, wobei 370 mg 2-Methyl- 1 ,3 -dioxolane ;(4-nitrophenyl) N- [4-[5 -( 1 ,3 -dioxolan-2-ylmethylamino)- 1 -[4-( 1 , 1 ,2,2,2- pentafluoroethoxy)phenyl]-l,2,4-triazol-3-yl]phenyl]carbamat erhalten wurden, das ohne Reinigung in Stufe 2 weiter umgesetzt wurde. 5-(4-aminophenyl)-N-(1,3-dioxolan-2-ylmethyl)-2-[4-(1,1,2,2,2-pentafluoroethoxy)phenyl]-1,2,4-tria - zol-3-amine (IM-4-01) (290 mg, 0.610 mmol) was placed in THF (5 mL) and treated with a solution of 4-nitrophenyl chloroformate (136 mg, 0.67 mmol) in THF ( 2.5 mL) added. After stirring at room temperature for 16 h, hexane (5 mL) was added and the precipitated solid was suction filtered, giving 370 mg of 2-methyl-1,3-dioxolane;(4-nitrophenyl)N-[4-[5-(1,3- dioxolan-2-ylmethylamino)- 1 -[4-(1,1,2,2,2-pentafluoroethoxy)phenyl]-1,2,4-triazol-3-yl]phenyl]carbamate were obtained, which without purification in Stage 2 was further implemented.
Stufe 2: Level 2:
2-Imino-3-(2-isopropylphenyl)thiazolidin-4-on (66,3 mg, 0,28 mmol) (bekannt aus W02016/033025) wurde in 5 mL Acetonitril vorgelegt und anschließen zunächst Cäsiumcarbonat (138 mg, 0,42 mmol) und dann 2-Methyl-l,3-dioxolane;(4-nitrophenyl) N-[4-[5-(l,3-dioxolan-2-yhnethylamino)-l-[4-(l,l,2,2,2- pentafluoroethoxy)phenyl]-l,2,4-triazol-3-yl]phenyl]carbamat aus Stufe 1 (180 mg, 0,28 mmol) zugesetzt. Nach 16 h Rühren bei 50 °C wurde das Reaktionsgemisch auf Wasser gegossen, mehrfach mit Dichlormethan extrahiert und die organische Phase nach Trocknen über Magnesiumsulfat unter vermindertem Druck eingedampft. Der Rückstand wurde über eine Chromabond™ PTS Trennsäule filtriert und anschließend durch präparative reversed Phase HPLC (Gradient: Acetonitril/Wasser) gereinigt. Es wurden 110 mg l-[4-[5-(l,3-dioxolan-2-ylmethylamino)-l-[4-(l,l,2,2,2-pentafluoroethoxy)phenyl]-l,2,4-triazol-3- yl]phenyl]-3-[3-(2-isopropylphenyl)-4-oxo-thiazolidin-2-ylidene]hamstoff erhalten. 2-Imino-3-(2-isopropylphenyl)thiazolidin-4-one (66.3 mg, 0.28 mmol) (known from WO2016/033025) was placed in 5 mL acetonitrile and then initially cesium carbonate (138 mg, 0. 42 mmol) and then 2-methyl-1,3-dioxolanes;(4-nitrophenyl)N-[4-[5-(1,3-dioxolane-2-ethylamino)-1-[4-(1,1, Added 2,2,2-pentafluoroethoxy)phenyl]-1,2,4-triazol-3-yl]phenyl]carbamate from Step 1 (180 mg, 0.28 mmol). After stirring at 50° C. for 16 hours, the reaction mixture was poured onto water and extracted several times with dichloromethane, and the organic phase was dried over magnesium sulfate and evaporated under reduced pressure. The residue was filtered through a Chromabond™ PTS separation column and then purified by preparative reversed-phase HPLC (gradient: acetonitrile/water). There was obtained 110 mg of l-[4-[5-(1,3-dioxolan-2-ylmethylamino)-1-[4-(1,1,2,2,2-pentafluoroethoxy)phenyl]-1,2,4 -triazol-3-yl]phenyl]-3-[3-(2-isopropylphenyl)-4-oxo-thiazolidin-2-ylidene]urea.
1 H-N M R siehe Tabelle 1 1 HN MR see Table 1
Synthesebeispiel 3: N-(l,3-Dioxolan-2-ylmethyl)-3-[4-({[3-(2-isopropylphenyl)-l,3-thiazinan-2-yli- den]hydrazono}methyl)phenyl]-l-[4-(pentafluorethoxy)phenyl]-lH-l,2,4-triazol-5-amin (1-041) und N-(l,3-Dioxolan-2-ylmethyl)-3-{4-[({2-[(2-isopropylphenyl)imino]-l,3-thiazinan-3- yl}imino)methyl]phenyl}-l-[4-(pentafluorethoxy)phenyl]-lH-l,2,4-triazol-5-amin (1-052) Synthesis Example 3: N-(1,3-dioxolan-2-ylmethyl)-3-[4-({[3-(2-isopropylphenyl)-1,3-thiazinan-2-ylidene]hydrazono}methyl)phenyl ]-1-[4-(pentafluoroethoxy)phenyl]-1H-1,2,4-triazole-5-amine (1-041) and N-(1,3-dioxolan-2-ylmethyl)-3-{4 -[({2-[(2-isopropylphenyl)imino]-1,3-thiazinan-3-yl}imino)methyl]phenyl}-1-[4-(pentafluoroethoxy)phenyl]-1H-1,2,4 -triazole-5-amine (1-052)
Eine Mischung aus 2-(4- { 5 -[( 1 ,3 -Dioxolan-2-ylmethyl)amino] - 1 -[4-(pentafluorethoxy)phenyl] - 1H- 1 ,2,4- triazol-3-yl}benzyliden)-N-(2-isopropylphenyl)hydrazincarbothioamid (1-022) (300 mg, 444 pmol), 1,3- Dibrompropan (224 mg, 1.11 mmol), Kaliumcarbonat (245 mg, 1,78 mmol) und Butan-2-on (5 mL) wurde 6 h bei 90 °C und anschließend über Nacht bei Raumtemperatur gerührt. Nach Einengen der Reaktionsmischung unter reduziertem Druck wurde der Rückstand mittels präparativer HPLC an RP-18 chromatographisch aufgetrennt (Gradient: Wasser/Acetonitril + 0.01 % Ameisensäure). Es wurden 40 mg N-(l,3- Dioxolan-2-ylmethyl)-3-[4-({[3-(2-isopropylphenyl)-l,3-thiazinan-2-yliden]hydrazono}methyl)phenyl]- l-[4-(pentafluorethoxy)phenyl]-lH-l,2,4-triazol-5-amin (1-041) und 30 mg N-(l,3-Dioxolan-2-ylme- thyl)-3-{4-[({2-[(2-isopropylphenyl)imino]-l,3-thiazinan-3-yl}imino)methyl]phenyl}-l-[4-(pentafluo- rethoxy)phenyl]-lH-l,2,4-triazol-5-amin (1-052) erhalten. A mixture of 2-(4-{ 5 -[( 1,3-dioxolan-2-ylmethyl)amino]-1-[4-(pentafluoroethoxy)phenyl]-1H-1,2,4-triazol-3-yl }benzylidene)-N-(2-isopropylphenyl)hydrazinecarbothioamide (1-022) (300 mg, 444 pmol), 1,3-dibromopropane (224 mg, 1.11 mmol), potassium carbonate (245 mg, 1.78 mmol) and butane -2-one (5 mL) was Stirred at 90 °C for 6 h and then at room temperature overnight. After concentration of the reaction mixture under reduced pressure, the residue was chromatographically separated by means of preparative HPLC on RP-18 (gradient: water/acetonitrile+0.01% formic acid). 40 mg of N-(1,3-dioxolan-2-ylmethyl)-3-[4-({[3-(2-isopropylphenyl)-1,3-thiazinan-2-ylidene]hydrazono}methyl)phenyl] - 1-[4-(pentafluoroethoxy)phenyl]-1H-1,2,4-triazole-5-amine (1-041) and 30 mg of N-(1,3-dioxolan-2-ylmethyl)-3 -{4-[({2-[(2-isopropylphenyl)imino]-l,3-thiazinan-3-yl}imino)methyl]phenyl}-l-[4-(pentafluoroethoxy)phenyl]-lH- 1,2,4-triazole-5-amine (1-052).
1 H-NMR siehe Tabelle 1 1 H NMR see Table 1
Synthesebeispiel 4: 2-[(4-{5-[(l,3-Dioxolan-2-ylmethyl)amino]-l-[4-(pentafluorethoxy)phenyl]-lH- l,2,4-triazol-3-yl}benzyliden)hydrazono]-3-(2-isopropylphenyl)-4-(trifluormethyl)-l,3-thiazolidin- 4-ol (1-051) Synthesis Example 4: 2-[(4-{5-[(1,3-dioxolan-2-ylmethyl)amino]-1-[4-(pentafluoroethoxy)phenyl]-1H-1,2,4-triazole-3- yl}benzylidene)hydrazono]-3-(2-isopropylphenyl)-4-(trifluoromethyl)-1,3-thiazolidin-4-ol (1-051)
Eine Mischung aus 2-(4- { 5 -[( 1 ,3 -Dioxolan-2-ylmethyl)amino] - 1 -[4-(pentafluorethoxy)phenyl] - 1H- 1 ,2,4- triazol-3-yl}benzyliden)-N-(2-isopropylphenyl)hydrazincarbothioamid (1-022) (300 mg, 444 pmol), 3- Brom-l,l,l-trifluoraceton (212 mg, 1.11 mmol), Kaliumcarbonat (245 mg, 1,78 mmol) und Butan-2-on (10 mL) wurde 6 h bei 90 °C und anschließend über Nacht bei Raumtemperatur gerührt. Nach Einengen der Reaktionsmischung unter reduziertem Druck wurde der Rückstand mittels präparativer HPLC an RP- 18 chromatographisch aufgetrennt (Gradient: Wasser/Acetonitril + 0.01 % Ameisensäure). Es wurden 60 mg 2-[(4-{5-[(l,3-Dioxolan-2-yhnethyl)amino]-l-[4-(pentafluorethoxy)phenyl]-lH-l,2,4-triazol-3- yl}benzyliden)hydrazono]-3-(2-isopropylphenyl)-4-(trifluormethyl)-l,3-thiazolidin-4-ol (1-051) erhalten. A mixture of 2-(4-{ 5 -[( 1,3-dioxolan-2-ylmethyl)amino]-1-[4-(pentafluoroethoxy)phenyl]-1H-1,2,4-triazol-3-yl }benzylidene)-N-(2-isopropylphenyl)hydrazinecarbothioamide (1-022) (300 mg, 444 pmol), 3-bromo-l,l,l-trifluoroacetone (212 mg, 1.11 mmol), potassium carbonate (245 mg, 1 .78 mmol) and butan-2-one (10 mL) was stirred at 90 °C for 6 h and then at room temperature overnight. After concentration of the reaction mixture under reduced pressure, the residue was chromatographically separated by preparative HPLC on RP-18 (gradient: water/acetonitrile+0.01% formic acid). 60 mg of 2-[(4-{5-[(1,3-dioxolan-2-ethyl)amino]-1-[4-(pentafluoroethoxy)phenyl]-1H-1,2,4-triazole-3 - yl}benzylidene)hydrazono]-3-(2-isopropylphenyl)-4-(trifluoromethyl)-1,3-thiazolidin-4-ol (1-051).
1 H-NMR siehe Tabelle 1 1 H NMR see Table 1
NMR-Daten ausgewählter Beispiele NMR data of selected examples
Die Messungen der ’H-NMR Spektren wurden mit einem Bruker Avance III 400 MHz Spektrometer, ausgestattet mit einem 1,7 mm TCI Probenkopf, mit Tetramethylsilan als Standard (0,00 ppm) durchgeführt und die Messungen wurden aufgezeichnet in der Regel von Lösungen in den Lösungsmitteln CD3CN, CDCI3 oder dg-DMSO. Alternativ wurde ein Bruker Avance III 600 MHz Spektrometer ausgestattet mit einem 5 mm CPNMP Probenkopf oder ein Bruker Avance NEO 600 MHz Spektrometer aus- gestatet mit einem 5 mm TCI Probenkopf für die Messungen verwendet. In der Regel wurden die Messungen bei einer Probenkopftemperatur von 298 K durchgefiihrt. Sofern andere Messtemperaturen verwendet wurden, wird dies gesondert vermerkt. The measurements of the 'H-NMR spectra were carried out with a Bruker Avance III 400 MHz spectrometer, equipped with a 1.7 mm TCI probe head, with tetramethylsilane as standard (0.00 ppm) and the measurements were recorded usually from solutions in the solvents CD3CN, CDCI3 or dg-DMSO. Alternatively, a Bruker Avance III 600 MHz spectrometer equipped with a 5 mm CPNMP probehead or a Bruker Avance NEO 600 MHz spectrometer allowed to use a 5 mm TCI probe head for the measurements. As a rule, the measurements were carried out at a probe head temperature of 298 K. If other measurement temperatures were used, this will be noted separately.
NMR-Peak-Listenverfahren NMR peak list method
Die ’H-NMR-Datcn ausgewählter Beispiele werden in Form von ’H-NMR-Pcaklistcn notiert. Zu jedem Signalpeak wird erst der 5-Wert in ppm und dann die Signalintensität in runden Klammem aufgefiihrt. Die 5-Wert - Signalintensitäts-Zahlenpaare von verschiedenen Signalpeaks werden durch Semikolons voneinander getrennt aufgelistet. The 'H NMR data of selected examples are reported in the form of 'H NMR packages. For each signal peak, first the 5 value in ppm and then the signal intensity is listed in round brackets. The 5-value signal intensity number pairs from different signal peaks are listed separated by semicolons.
Die Peakliste eines Beispiels hat daher die Form: The peak list of an example therefore has the form:
5i (Intensitäti); 02 (Intensität2); ; 5i (Intensität); ; 5n (Intensität) 5i (intensityi); 02 (intensity2); ; 5i (intensity); ; 5 n (intensity)
Die Intensität scharfer Signale korreliert mit der Höhe der Signale in einem gedruckten Beispiel eines NMR-Spektrums in cm und zeigt die wirklichen Verhältnisse der Signalintensitäten. Bei breiten Signalen können mehrere Peaks oder die Mite des Signals und ihre relative Intensität im Vergleich zum intensivsten Signal im Spektrum gezeigt werden. The intensity of sharp signals correlates with the height of the signals in a printed example of an NMR spectrum in cm and shows the true ratios of the signal intensities. For broad signals, multiple peaks or the center of the signal and their relative intensity compared to the most intense signal in the spectrum can be shown.
Zur Kalibrierung der chemischen Verschiebung von ’H-NMR-Spcktrcn benutzen wir Tetramethylsilan und/oder die chemische Verschiebung des Lösungsmitels, besonders im Falle von Spektren, die in DMSO gemessen werden. Daher kann in NMR-Peaklisten der Tetramethylsilan-Peak vorkommen, muss es aber nicht. To calibrate the chemical shift of 'H NMR spectra, we use tetramethylsilane and/or the chemical shift of the solvent, especially in the case of spectra measured in DMSO. The tetramethylsilane peak can therefore appear in NMR peak lists, but it does not have to.
Die Listen der 1 H-NMR-Pcaks sind ähnlich den klassischen 1 H-N MR- Ausdrucken und enthalten somit gewöhnlich alle Peaks, die bei einer klassischen NMR-Interpretation aufgeführt werden. The lists of 1 H NMR Pcaks are similar to the classic 1 HN MR printouts and thus usually contain all the peaks listed in a classic NMR interpretation.
Darüber hinaus können sie wie klassische ’H-N MR- Ausdrucke Lösungsmitelsignale, Signale von Stereoisomeren der Zielverbindungen, die ebenfalls Gegenstand der Erfindung sind, und/oder Peaks von Verunreinigungen zeigen. In addition, like classical 'H-NMR prints, they can show solvent signals, signals from stereoisomers of the target compounds, which are also the subject of the invention, and/or peaks from impurities.
Bei der Angabe von Verbindungssignalen im Delta-Bereich von Lösungsmiteln und/oder Wasser sind in unseren Listen von ’H-NMR-Pcaks die gewöhnlichen Lösungsmitelpeaks, zum Beispiel Peaks von DMSO in dg-DMSO und der Peak von Wasser, gezeigt, die gewöhnlich im Durchschnit eine hohe Intensität aufweisen. When reporting compound signals in the delta region of solvents and/or water, our listings of 'H NMR pacaks show the usual solvent peaks, e.g. peaks from DMSO in dg-DMSO and the peak from water, which are usually found in the have a high intensity on average.
Die Peaks von Stereoisomeren der Zielverbindungen und/oder Peaks von Verunreinigungen haben gewöhnlich im Durchschnit eine geringere Intensität als die Peaks der Zielverbindungen (zum Beispiel mit einer Reinheit von > 90%). Solche Stereoisomere und/oder Verunreinigungen können typisch für das jeweilige Herstellungsverfahren sein. Ihre Peaks können somit dabei helfen, die Reproduktion unseres Herstellungsverfahrens anhand von „Nebenprodukt-Fingerabdrücken ” zu erkennen. The peaks of stereoisomers of the target compounds and/or peaks of impurities usually have on average a lower intensity than the peaks of the target compounds (e.g. with a purity of >90%). Such stereoisomers and/or impurities can be typical of the particular production process. Their peaks can thus help to identify the reproduction of our manufacturing process using 'by-product fingerprints'.
Einem Experten, der die Peaks der Zielverbindungen mit bekannten Verfahren (MestreC, ACD-Simula- tion, aber auch mit empirisch ausgewerteten Erwartungswerten) berechnet, kann je nach Bedarf die Peaks der Zielverbindungen isolieren, wobei gegebenenfalls zusätzliche Intensitätsfdter eingesetzt werden. Diese Isolierung wäre ähnlich dem betreffenden Peak-Picking bei der klassischen ’H-NMR-Intcrprctation.An expert who calculates the peaks of the target compounds using known methods (MestreC, ACD simulation, but also with empirically evaluated expected values) can isolate the peaks of the target compounds as required, with additional intensity filters being used if necessary. This isolation would be similar to the peak-picking involved in the classical 'H NMR analysis.
Weitere Details zu ’H-NMR-Pcaklistcn können der Research Disclosure Database Number 564025 entnommen werden. In Analogie zu den Beispielen und gemäß den oben beschriebenen Herstellverfahren lassen sich die in Tabelle 1 genannten Verbindungen der Formel (I) erhalten: Further details on 'H-NMR packages can be found in Research Disclosure Database Number 564025. The compounds of the formula (I) listed in Table 1 can be obtained analogously to the examples and according to the preparation processes described above:
Tabelle 1 - I l l - Table 1 - II -
In Analogie zu den Beispielen und gemäß den oben beschriebenen Herstellverfahren lassen sich die in Tabelle 2 genannten Intermediate (IM-2) erhalten: Tabelle 2 The intermediates (IM-2) listed in Table 2 can be obtained analogously to the examples and according to the preparation processes described above: Table 2
In Analogie zu den Beispielen und gemäß den oben beschriebenen Herstellverfahren lassen sich die inIn analogy to the examples and according to the manufacturing processes described above, the
Tabelle 3 genannten Intermediate (IM-3) erhalten: Intermediates (IM-3) mentioned in Table 3 obtained:
Tabelle 3 Table 3
In Analogie zu den Beispielen und gemäß den oben beschriebenen Herstellverfahren lassen sich die inIn analogy to the examples and according to the manufacturing processes described above, the
Tabelle 4 genannten Intermediate (IM-4) erhalten: Intermediates (IM-4) mentioned in Table 4 obtained:
Tabelle 4 Anwendungsbeispiele Table 4 Application examples
Diabrotica balteata - Sprühtest Diabrotica balteata - spray test
Lösungsmittel: 78 Gewichtsteile Aceton Solvent: 78 parts by weight acetone
1,5 Gewichtsteile Dimethylformamid 1.5 parts by weight dimethylformamide
Emulgator: Alkylarylpolyglykolether Emulsifier: alkylaryl polyglycol ether
Zur Herstellung einer zweckmäßigen Wirkstoffzubereitung löst man 1 Gewichtsteil Wirkstoff mit den angegebenen Gewichtsteilen Lösungsmittel und fällt mit Wasser, welches eine Emulgatorkonzentration von 1000 ppm enthält, bis zum Erreichen der gewünschten Konzentration auf. Zur Herstellung weiterer Testkonzentrationen wird mit emulgatorhaltigem Wasser verdünnt. To prepare an appropriate preparation of active ingredient, 1 part by weight of active ingredient is dissolved in the specified parts by weight of solvent and precipitated with water containing an emulsifier concentration of 1000 ppm until the desired concentration is reached. To prepare further test concentrations, dilute with water containing emulsifier.
Vorgequollene Weizenkömer (Triticum aestivum) werden in einer mit Agar und etwas Wasser gefüllten Multiwell-Platte für einen Tag inkubiert (5 Saatkörner pro Kavität). Die gekeimten Weizenkömer werden mit einer Wirkstoffzubereitung der gewünschten Konzentration gespritzt. Anschließend wird jede Kavität mit 10-20 Käferlarven von Diabrotica balteata infiziert. Preswollen wheat grains (Triticum aestivum) are incubated in a multiwell plate filled with agar and a little water for one day (5 seeds per well). The germinated wheat grains are sprayed with an active ingredient preparation of the desired concentration. Each cavity is then infected with 10-20 Diabrotica balteata beetle larvae.
Nach 7 Tagen wird die Wirkung in % bestimmt. Dabei bedeutet 100 %, dass alle Weizenpflanzen wie in der unbehandelten, nicht infizierten Kontrolle gewachsen sind; 0 % bedeutet, dass keine Weizenpflanze gewachsen ist. After 7 days, the effect is determined in %. 100% means that all wheat plants grew as in the untreated, uninfected control; 0% means that no wheat plant has grown.
Bei diesem Test zeigten z. B. die folgenden Verbindungen der Herstellungsbeispiele Wirkung von 100 % bei einer Aufwandmenge von 100 g/ha (= 32 pg/Kavität): 1-001, 1-005, 1-006, 1-007, 1-009, 1-011, 1-012, 1-014, 1-015, 1-016, 1-017, 1-018, 1-019, 1-020, 1-021, 1-022, 1-023, 1-024, 1-025, 1-026, 1-027, 1- 030, 1-032, 1-033, 1-035, 1-036, 1-040, 1-041, 1-043, 1-045, 1-046, 1-048, 1-049, 1-050, 1-051, 1-052, 1-053, 1-054, 1-055, 1-056, 1-057, 1-059, 1-060, 1-061, 1-062, 1-065, 1-066, 1-067. In this test z. B. the following compounds of the preparation examples effect of 100% at an application rate of 100 g / ha (= 32 pg / cavity): 1-001, 1-005, 1-006, 1-007, 1-009, 1-011 , 1-012, 1-014, 1-015, 1-016, 1-017, 1-018, 1-019, 1-020, 1-021, 1-022, 1-023, 1-024, 1 -025, 1-026, 1-027, 1-030, 1-032, 1-033, 1-035, 1-036, 1-040, 1-041, 1-043, 1-045, 1-046 , 1-048, 1-049, 1-050, 1-051, 1-052, 1-053, 1-054, 1-055, 1-056, 1-057, 1-059, 1-060, 1 -061, 1-062, 1-065, 1-066, 1-067.
Bei diesem Test zeigten z. B. die folgenden Verbindungen der Herstellungsbeispiele Wirkung von 80 % bei einer Aufwandmenge von 100 g/ha (= 32 pg/Kavität): 1-003, 1-004, 1-010, 1-034, 1-038. In this test z. B. the following compounds of the preparation examples effect of 80% at an application rate of 100 g / ha (= 32 pg / cavity): 1-003, 1-004, 1-010, 1-034, 1-038.
Meloidogyne incognita- Test Meloidogyne incognita test
Lösungsmittel: 125,0 Gewichtsteile Aceton Solvent: 125.0 parts by weight acetone
Zur Herstellung einer zweckmäßigen Wirkstoffzubereitung vermischt man 1 Gewichtsteil Wirkstoff mit der angegebenen Menge Lösungsmittel und verdünnt das Konzentrat mit Wasser auf die gewünschte Konzentration. To produce an appropriate preparation of active compound, 1 part by weight of active compound is mixed with the specified amount of solvent and the concentrate is diluted with water to the desired concentration.
Gefäße werden mit Sand, Wirkstofflösung, einer Ei-Larven- Suspension des südlichen Wurzelgallenäl- chens (Meloidogyne incognita) und Salatsamen gefüllt. Die Salatsamen keimen und die Pflänzchen entwickeln sich. An den Wurzeln entwickeln sich die Gallen. Nach 14 Tagen wird die nematizide Wirkung anhand der Gallenbildung in % bestimmt. Dabei bedeutet 100 %, dass keine Gallen gefunden wurden; 0 % bedeutet, dass die Zahl der Gallen an den behandelten Pflanzen der unbehandelten Kontrolle entspricht. Vessels are filled with sand, active substance solution, an egg larvae suspension of the southern root-knot nematode (Meloidogyne incognita) and lettuce seeds. The lettuce seeds germinate and the little plants develop. Galls develop at the roots. After 14 days, the nematicidal effect is determined in % based on gall formation. 100% means that no galls were found; 0% means that the number of galls on the treated plants corresponds to the untreated control.
Bei diesem Test zeigten z. B. die folgenden Verbindungen der Herstellungsbeispiele Wirkung von 90 % bei einer Aufwandmenge von 20 ppm: 1-022. In this test z. B. the following compounds of the preparation examples effect of 90% at an application rate of 20 ppm: 1-022.
Nezara viridula -Sprühtest Nezara viridula spray test
Lösungsmittel: 78,0 Gewichtsteile Aceton Solvent: 78.0 parts by weight acetone
1,5 Gewichtsteile Dimethylformamid 1.5 parts by weight dimethylformamide
Emulgator: Alkylarylpolyglykolether Emulsifier: alkylaryl polyglycol ether
Zur Herstellung einer zweckmäßigen Wirkstoffzubereitung löst man 1 Gewichtsteil Wirkstoff mit den angegebenen Gewichtsteilen Lösungsmittel und fällt mit Wasser, welches eine Emulgatorkonzentration von 1000 ppm enthält, bis zum Erreichen der gewünschten Konzentration auf. Zur Herstellung weiterer Testkonzentrationen wird mit emulgatorhaltigem Wasser verdünnt. To prepare an appropriate preparation of active ingredient, 1 part by weight of active ingredient is dissolved in the specified parts by weight of solvent and precipitated with water containing an emulsifier concentration of 1000 ppm until the desired concentration is reached. To prepare further test concentrations, dilute with water containing emulsifier.
Gerstenpflanzen (Hordeum vulgare) werden mit einer Wirkstoffzubereitung der gewünschten Konzentration gespritzt und mit Larven der Grünen Reiswanze (Nezara viridula) infiziert. Barley plants (Hordeum vulgare) are sprayed with a preparation of active compound of the desired concentration and infected with larvae of the green rice bug (Nezara viridula).
Nach 4 Tagen wird die Wirkung in % bestimmt. Dabei bedeutet 100 %, dass alle Reiswanzen abgetötet wurden; 0 % bedeutet, dass keine Reiswanzen abgetötet wurden. After 4 days, the effect is determined in %. 100% means that all rice bugs have been killed; 0% means no rice bugs have been killed.
Bei diesem Test zeigten z. B. die folgenden Verbindungen der Herstellungsbeispiele Wirkung von 90 % bei einer Aufwandmenge von 500 g/ha: 1-032, 1-035. In this test z. B. the following compounds of the preparation examples effect of 90% at an application rate of 500 g / ha: 1-032, 1-035.
Nilaparvata lugens -Test Nilaparvata lugens test
Lösungsmittel: 78,0 Gewichtsteile Aceton Solvent: 78.0 parts by weight acetone
1,5 Gewichtsteile Dimethylformamid 1.5 parts by weight dimethylformamide
Emulgator: Alkylarylpolyglykolether Emulsifier: alkylaryl polyglycol ether
Zur Herstellung einer zweckmäßigen Wirkstoffzubereitung löst man 1 Gewichtsteil Wirkstoff mit den angegebenen Gewichtsteilen Lösungsmittel und füllt mit Wasser, welches eine Emulgatorkonzentration von 1000 ppm enthält, bis zum Erreichen der gewünschten Konzentration auf. Zur Herstellung weiterer Testkonzentrationen wird mit emulgatorhaltigem Wasser verdünnt. To prepare an appropriate preparation of active compound, 1 part by weight of active compound is dissolved in the stated parts by weight of solvent and made up with water containing an emulsifier concentration of 1000 ppm until the desired concentration is reached. To prepare further test concentrations, dilute with water containing emulsifier.
Reispflanzen (Oryza sativa) werden mit der Wirkstoffzubereitung der gewünschten Konzentration gespritzt und anschließend mit der Braunrückigen Reiszikade (Nilaparvata lugens) infiziert. Nach 4 Tagen wird die Wirkung in % bestimmt. Dabei bedeutet 100 %, dass alle Reiszikaden abgetötet wurden; 0 % bedeutet, dass keine Reiszikaden abgetötet wurden. Rice plants (Oryza sativa) are sprayed with the preparation of active compound at the desired concentration and then infected with the brown-backed rice planthopper (Nilaparvata lugens). After 4 days, the effect is determined in %. 100% means that all the planthoppers have been killed; 0% means that none of the rice planthoppers have been killed.
Bei diesem Test zeigten z. B. die folgenden Verbindungen der Herstellungsbeispiele Wirkung von 90 % bei einer Aufwandmenge von 500 g/ha: 1-034. In this test z. B. the following compounds of the preparation examples effect of 90% at an application rate of 500 g / ha: 1-034.
Spodoptera frugiperda - Sprühtest Spodoptera frugiperda - spray test
Lösungsmittel: 78,0 Gewichtsteile Aceton Solvent: 78.0 parts by weight acetone
1,5 Gewichtsteile Dimethylformamid 1.5 parts by weight dimethylformamide
Emulgator: Alkylarylpolyglykolether Emulsifier: alkylaryl polyglycol ether
Zur Herstellung einer zweckmäßigen Wirkstoffzubereitung löst man 1 Gewichtsteil Wirkstoff mit den angegebenen Gewichtsteilen Lösungsmittel und fällt mit Wasser, welches eine Emulgatorkonzentration von 1000 ppm enthält, bis zum Erreichen der gewünschten Konzentration auf. Zur Herstellung weiterer Testkonzentrationen wird mit emulgatorhaltigem Wasser verdünnt. To prepare an appropriate preparation of active ingredient, 1 part by weight of active ingredient is dissolved in the specified parts by weight of solvent and precipitated with water containing an emulsifier concentration of 1000 ppm until the desired concentration is reached. To prepare further test concentrations, dilute with water containing emulsifier.
Maisblattscheiben (Zea mays) werden mit einer Wirkstoffzubereitung der gewünschten Konzentration gespritzt und nach dem Abtrocknen mit Raupen des Heerwurms (Spodoptera frugiperda) besetzt.Corn leaf discs (Zea mays) are sprayed with an active compound preparation of the desired concentration and, after drying, are populated with caterpillars of the armyworm (Spodoptera frugiperda).
Nach 7 Tagen wird die Wirkung in % bestimmt. Dabei bedeutet 100 %, dass alle Raupen abgetötet wurden; 0 % bedeutet, dass keine Raupe abgetötet wurde. After 7 days, the effect is determined in %. 100% means that all caterpillars have been killed; 0% means that none of the caterpillars have been killed.
Bei diesem Test zeigten z. B. die folgenden Verbindungen der Herstellungsbeispiele Wirkung von 100 % bei einer Aufwandmenge von 100 g/ha: 1-001, 1-002, 1-003, 1-004, 1-005, 1-006, 1-007, 1-008, 1-009, 1-010, 1-011, 1-012, 1-013, 1-014, 1-016, 1-017, 1-018, 1-019, 1-020, 1-021, 1-022, 1-023, 1-024, 1-025, 1-026, 1-027, 1-028, 1-029, 1-030, 1-031, 1-032, 1-033, 1-034, 1-035, 1-036, 1-037, 1-038, 1-039, 1-040, 1-041, 1-042, 1-043, 1-045, 1-046, 1-048, 1-049, 1-050, 1-052, 1-053, 1-054, 1-055, 1-056, 1-057, 1-058, 1-059, 1-060, 1-061, 1-062, 1-063, 1-064, 1-065, 1-066, 1-067, 1-70, 1-71 In this test z. B. the following compounds of the preparation examples effect of 100% at an application rate of 100 g / ha: 1-001, 1-002, 1-003, 1-004, 1-005, 1-006, 1-007, 1- 008, 1-009, 1-010, 1-011, 1-012, 1-013, 1-014, 1-016, 1-017, 1-018, 1-019, 1-020, 1-021, 1-022, 1-023, 1-024, 1-025, 1-026, 1-027, 1-028, 1-029, 1-030, 1-031, 1-032, 1-033, 1- 034, 1-035, 1-036, 1-037, 1-038, 1-039, 1-040, 1-041, 1-042, 1-043, 1-045, 1-046, 1-048, 1-049, 1-050, 1-052, 1-053, 1-054, 1-055, 1-056, 1-057, 1-058, 1-059, 1-060, 1-061, 1- 062, 1-063, 1-064, 1-065, 1-066, 1-067, 1-70, 1-71
Bei diesem Test zeigten z. B. die folgenden Verbindungen der Herstellungsbeispiele Wirkung von 83 % bei einer Aufwandmenge von 100 g/ha: 1-015. In this test z. B. the following compounds of the preparation examples Effect of 83% at an application rate of 100 g/ha: 1-015.
Plutella xylostella - Sprühtest (PLUTMA) Plutella xylostella - spray test (PLUTMA)
Lösungsmittel: 14 Gewichtsteile Dimethylformamid Solvent: 14 parts by weight of dimethylformamide
Emulgator: Alkylarylpolyglykolether Emulsifier: alkylaryl polyglycol ether
Zur Herstellung einer zweckmäßigen Wirkstoffzubereitung löst man 1 Gewichtsteil Wirkstoff mit den angegebenen Gewichtsteilen Lösungsmittel und füllt mit Wasser, welches eine Emulgatorkonzentration von 1000 ppm enthält, bis zum Erreichen der gewünschten Konzentration auf. Zur Herstellung weiterer Testkonzentrationen wird mit emulgatorhaltigem Wasser verdünnt. Bei erforderlicher Zugabe von Ammoniumsalzen oder/und Penetrationsförderem werden diese jeweils in einer Konzentration von 1000 ppm der Präparatelösung zugefügt. To prepare an appropriate preparation of active compound, 1 part by weight of active compound is dissolved in the stated parts by weight of solvent and made up with water containing an emulsifier concentration of 1000 ppm until the desired concentration is reached. To make more Test concentrations are diluted with water containing emulsifier. If it is necessary to add ammonium salts and/or penetration enhancers, these are each added to the preparation solution in a concentration of 1000 ppm.
Kohlblätter (Brassica oleracea) werden mit einer Wirkstoffzubereitung der gewünschten Konzentration gespritzt und mit Larven der Kohlschabe (Plutella xylostella) infiziert. Cabbage leaves (Brassica oleracea) are sprayed with an active compound preparation of the desired concentration and infected with larvae of the cabbage moth (Plutella xylostella).
Nach 7 Tagen wird die Abtötung in % bestimmt. Dabei bedeutet 100 %, dass alle Raupen abgetötet wurden; 0 % bedeutet, dass keine Raupen abgetötet wurden. After 7 days, the percentage of destruction is determined. 100% means that all caterpillars have been killed; 0% means that none of the caterpillars have been killed.
Bei diesem Test zeigen z. B. die folgenden Verbindungen der Herstellungsbeispiele überlegene Wirksamkeit gegenüber dem Stand der Technik: siehe Tabelle In this test z. B. the following compounds of the preparation examples superior effectiveness compared to the prior art: see table
Claims
Applications Claiming Priority (2)
| Application Number | Priority Date | Filing Date | Title |
|---|---|---|---|
| EP20190958.7 | 2020-08-13 | ||
| EP20190958 | 2020-08-13 |
Publications (1)
| Publication Number | Publication Date |
|---|---|
| WO2022033991A1 true WO2022033991A1 (en) | 2022-02-17 |
Family
ID=72086786
Family Applications (1)
| Application Number | Title | Priority Date | Filing Date |
|---|---|---|---|
| PCT/EP2021/072082 Ceased WO2022033991A1 (en) | 2020-08-13 | 2021-08-06 | 5-amino substituted triazoles as pest control agents |
Country Status (1)
| Country | Link |
|---|---|
| WO (1) | WO2022033991A1 (en) |
Cited By (3)
| Publication number | Priority date | Publication date | Assignee | Title |
|---|---|---|---|---|
| WO2024061768A1 (en) * | 2022-09-19 | 2024-03-28 | Basf Se | Azole pesticidal compounds |
| WO2025256333A1 (en) | 2024-06-13 | 2025-12-18 | Syngenta Crop Protection Ag | Pesticidally active aminoheterocycle derivatives |
| WO2025257413A1 (en) | 2024-06-13 | 2025-12-18 | Syngenta Crop Protection Ag | Pecticidally active dihydroazole derivatives |
Citations (138)
| Publication number | Priority date | Publication date | Assignee | Title |
|---|---|---|---|---|
| WO1997017432A1 (en) | 1995-11-06 | 1997-05-15 | Wisconsin Alumni Research Foundation | Insecticidal protein toxins from photorhabdus |
| WO1998008932A1 (en) | 1996-08-29 | 1998-03-05 | Dow Agrosciences Llc | Insecticidal protein toxins from $i(photorhabdus) |
| WO1998044140A1 (en) | 1997-04-03 | 1998-10-08 | Dekalb Genetics Corporation | Glyphosate resistant maize lines |
| WO1998050427A1 (en) | 1997-05-05 | 1998-11-12 | Dow Agrosciences Llc | INSECTICIDAL PROTEIN TOXINS FROM $i(XENORHABDUS) |
| WO2000026356A1 (en) | 1998-11-03 | 2000-05-11 | Aventis Cropscience N. V. | Glufosinate tolerant rice |
| WO2000026345A1 (en) | 1998-11-03 | 2000-05-11 | Aventis Cropscience N.V. | Glufosinate tolerant rice |
| WO2001031042A2 (en) | 1999-10-29 | 2001-05-03 | Aventis Cropscience N.V. | Male-sterile brassica plants and methods for producing same |
| WO2001041558A1 (en) | 1999-12-08 | 2001-06-14 | Aventis Cropscience N.V. | Hybrid winter oilseed rape and methods for producing same |
| WO2001047952A2 (en) | 1999-12-28 | 2001-07-05 | Bayer Cropscience N.V. | Insecticidal proteins from bacillus thuringiensis |
| WO2001051654A2 (en) | 2000-01-11 | 2001-07-19 | Bayer Cropscience N.V. | Methods and kits for identifying elite event gat-zm1 in biological samples |
| WO2002027004A2 (en) | 2000-09-29 | 2002-04-04 | Monsanto Technology Llc | Glyphosate tolerant wheat plant 33391 and compositions and methods for detection thereof |
| WO2002034946A2 (en) | 2000-10-25 | 2002-05-02 | Monsanto Technology Llc | Cotton event pv-ghgt07(1445) and compositions and methods for detection thereof |
| WO2002036831A2 (en) | 2000-10-30 | 2002-05-10 | Monsanto Technology Llc | Canola event pv-bngt04(rt73) and compositions and methods for detection thereof |
| WO2002040677A2 (en) | 2000-11-20 | 2002-05-23 | Monsanto Technology Llc | Cotton event pv-ghbk04 (531) and compositions and methods for detection thereof |
| WO2002044407A2 (en) | 2000-11-30 | 2002-06-06 | Ses Europe N.V. | Glyphosate resistant transgenic sugar beet characterised by a specific transgene insertion (t227-1), methods and primers for the detection of said insertion |
| US20020102582A1 (en) | 2000-09-13 | 2002-08-01 | Levine Elaine B. | Corn event MON810 and compositions and methods for detection thereof |
| WO2002090335A1 (en) | 2001-05-09 | 2002-11-14 | Sumitomo Chemical Takeda Agro Company, Limited | Azole compounds, process for preparation of the same and use thereof |
| WO2002100163A2 (en) | 2001-06-11 | 2002-12-19 | Monsanto Technology Llc | Cotton event moni5985 and compositions and methods for detection |
| WO2003013224A2 (en) | 2001-08-06 | 2003-02-20 | Bayer Bioscience N.V. | Herbicide tolerant cotton plants and methods for producing and identifying same |
| WO2003052073A2 (en) | 2001-12-17 | 2003-06-26 | Syngenta Participations Ag | Novel corn event |
| US20030126634A1 (en) | 1990-08-09 | 2003-07-03 | Dekalb Genetics Corporation | Methods and compositions for the increase of yield in plants |
| WO2004011601A2 (en) | 2002-07-29 | 2004-02-05 | Monsanto Technology, Llc | Corn event pv-zmir13 (mon863) plants and compositions and methods for detection thereof |
| WO2004039986A1 (en) | 2002-10-29 | 2004-05-13 | Syngenta Participations Ag | Cot102 insecticidal cotton |
| WO2004053062A2 (en) | 2002-12-05 | 2004-06-24 | Monsanto Technology Llc | Bentgrass event asr-368 and compositions and methods for detection thereof |
| WO2004072235A2 (en) | 2003-02-12 | 2004-08-26 | Monsanto Technology Llc | Cotton event mon 88913 and compositions and methods for detection thereof |
| WO2004074492A1 (en) | 2003-02-20 | 2004-09-02 | Kws Saat Ag | Glyphosate tolerant sugar beet |
| US20040172669A1 (en) | 2003-02-28 | 2004-09-02 | Josef Kraus | Glyphosate tolerant sugar beet |
| WO2004099447A2 (en) | 2003-05-02 | 2004-11-18 | Dow Agrosciences Llc | Corn event tc1507 and methods for detection thereof |
| US6855533B2 (en) | 1995-04-20 | 2005-02-15 | Basf Corporation | Structure-based designed herbicide resistant products |
| WO2005054479A1 (en) | 2003-12-01 | 2005-06-16 | Syngenta Participations Ag | Insect resistant cotton plants and methods of detecting the same |
| WO2005054480A2 (en) | 2003-12-01 | 2005-06-16 | Syngenta Participations Ag | Insect resistant cotton plants and methods of detecting the same |
| WO2005059103A2 (en) | 2003-12-15 | 2005-06-30 | Monsanto Technology Llc | Corn plant mon88017 and compositions and methods for detection thereof |
| WO2005061720A2 (en) | 2003-12-11 | 2005-07-07 | Monsanto Technology Llc | High lysine maize compositions and methods for detection thereof |
| WO2005074671A1 (en) | 2004-01-30 | 2005-08-18 | Syngenta Participations Ag | Improved fertility restoration for ogura cytoplasmic male sterile brassica and method |
| US20050216969A1 (en) | 2004-03-26 | 2005-09-29 | Dow Agrosciences Llc | Cry1F and Cry1AC transgenic cotton lines and event-specific identification thereof |
| WO2005103301A2 (en) | 2004-03-25 | 2005-11-03 | Syngenta Participations Ag | Corn event mir604 |
| WO2006003494A2 (en) | 2004-06-28 | 2006-01-12 | Syngenta Participations Ag | Piperidine derivatives and their use as insecticides, acaricides, molluscicides or nematicides |
| US20060070139A1 (en) | 2004-09-29 | 2006-03-30 | Pioneer Hi-Bred International, Inc. | Corn event DAS-59122-7 and methods for detection thereof |
| WO2006043635A1 (en) | 2004-10-20 | 2006-04-27 | Kumiai Chemical Industry Co., Ltd. | 3-triazolylphenyl sulfide derivative and insecticide/acaricide/nematicide containing the same as active ingredient |
| WO2006098952A2 (en) | 2005-03-16 | 2006-09-21 | Syngenta Participations Ag | Corn event 3272 and methods of detection thereof |
| WO2006108675A2 (en) | 2005-04-11 | 2006-10-19 | Bayer Bioscience N.V. | Elite event a5547-127 and methods and kits for identifying such event in biological samples |
| WO2006108674A2 (en) | 2005-04-08 | 2006-10-19 | Bayer Bioscience N.V. | Elite event a2704-12 and methods and kits for identifying such event in biological samples |
| WO2006128568A2 (en) | 2005-06-02 | 2006-12-07 | Syngenta Participations Ag | T342-142, insecticidal transgenic cotton expressing cry1ab |
| WO2006128570A1 (en) | 2005-06-02 | 2006-12-07 | Syngenta Participations Ag | 1143-51b insecticidal cotton |
| WO2006128573A2 (en) | 2005-06-02 | 2006-12-07 | Syngenta Participations Ag | Ce43- 67b, insecticidal transgenic cotton expressing cry1ab |
| WO2006128572A1 (en) | 2005-06-02 | 2006-12-07 | Syngenta Participations Ag | Ce46-02a insecticidal cotton |
| WO2006128569A2 (en) | 2005-06-02 | 2006-12-07 | Syngenta Participations Ag | 1143-14a, insecticidal transgenic cotton expressing cry1ab |
| WO2006130436A2 (en) | 2005-05-27 | 2006-12-07 | Monsanto Technology Llc | Soybean event mon89788 and methods for detection thereof |
| WO2006128571A2 (en) | 2005-06-02 | 2006-12-07 | Syngenta Participations Ag | Ce44-69d , insecticidal transgenic cotton expressing cry1ab |
| WO2007017186A1 (en) | 2005-08-08 | 2007-02-15 | Bayer Bioscience N.V. | Herbicide tolerant cotton plants and methods for identifying same |
| WO2007024782A2 (en) | 2005-08-24 | 2007-03-01 | Pioneer Hi-Bred International, Inc. | Compositions providing tolerance to multiple herbicides and methods of use thereof |
| WO2007040280A1 (en) | 2005-10-06 | 2007-04-12 | Nippon Soda Co., Ltd. | Cyclic amine compound and pest control agent |
| WO2007091277A2 (en) | 2006-02-10 | 2007-08-16 | Maharashtra Hybrid Seeds Company Limited (Mahyco) | TRANSGENIC BRINJAL (SOLANUM MELONGENA) EXPRESSING THE CRYlAC GENE |
| WO2007140256A1 (en) | 2006-05-26 | 2007-12-06 | Monsanto Technology, Llc | Corn plant and seed corresponding to transgenic event mon89034 and methods for detection and use thereof |
| WO2007142840A2 (en) | 2006-06-03 | 2007-12-13 | Syngenta Participations Ag | Corn event mir162 |
| US20070292854A1 (en) | 2000-06-22 | 2007-12-20 | Behr Carl F | Corn event PV-ZMGT32(nk603) and compositions and methods for detection thereof |
| WO2008002872A2 (en) | 2006-06-28 | 2008-01-03 | Pioneer Hi-Bred International, Inc. | Soybean event 3560.4.3.5 and compositions and methods for the identification and/or detection thereof |
| US20080064032A1 (en) | 2006-09-13 | 2008-03-13 | Syngenta Participations Ag | Polynucleotides and uses thereof |
| WO2008054747A2 (en) | 2006-10-31 | 2008-05-08 | E. I. Du Pont De Nemours And Company | Soybean event dp-305423-1 and compositions and methods for the identification and/or detection thereof |
| WO2008112019A2 (en) | 2006-10-30 | 2008-09-18 | Pioneer Hi-Bred International, Inc. | Maize event dp-098140-6 and compositions and methods for the identification and/or detection thereof |
| WO2008114282A2 (en) | 2007-03-19 | 2008-09-25 | Maharashtra Hybrid Seeds Company Limited | Transgenic rice (oryza sativa) comprising pe-7 event and method of detection thereof |
| WO2008122406A1 (en) | 2007-04-05 | 2008-10-16 | Bayer Bioscience N.V. | Insect resistant cotton plants and methods for identifying same |
| US20080289060A1 (en) | 2006-08-24 | 2008-11-20 | Bayer Bioscience N.V. | Herbicide tolerant rice plants and methods for identifying same |
| WO2008151780A1 (en) | 2007-06-11 | 2008-12-18 | Bayer Bioscience N.V. | Insect resistant cotton plants comprising elite event ee-gh6 and methods for identifying same |
| CN101337937A (en) | 2008-08-12 | 2009-01-07 | 国家农药创制工程技术研究中心 | N-benz-3-substituted amino pyrazoles compounds with insecticidal activity |
| CN101337940A (en) | 2008-08-12 | 2009-01-07 | 国家农药创制工程技术研究中心 | Nitrogen heterocyclic ring dichloro allyl ether compound with insecticidal activity |
| US20090130071A1 (en) | 2007-11-15 | 2009-05-21 | Ai-Guo Gao | Soybean Plant And Seed Corresponding To Transgenic Event MON87701 And Methods For Detection Thereof |
| US20090137395A1 (en) | 2006-10-30 | 2009-05-28 | Pioneer Hi-Bred International, Inc. | Maize event DP-098140-6 and compositions and methods for the identification and/or detection thereof |
| WO2009100188A2 (en) | 2008-02-08 | 2009-08-13 | Dow Agrosciences Llc | Methods for detection of corn event das-59132 |
| WO2009102736A1 (en) | 2008-02-12 | 2009-08-20 | Dow Agrosciences Llc | Pesticidal compositions |
| US20090210970A1 (en) | 2008-02-14 | 2009-08-20 | Pioneer Hi-Bred International, Inc. | Plant Genomic DNA Flanking SPT Event and Methods for Identifying SPT Event |
| WO2009102873A1 (en) | 2008-02-15 | 2009-08-20 | Monsanto Technology Llc | Soybean plant and seed corresponding to transgenic event mon87769 and methods for detection thereof |
| WO2009111263A1 (en) | 2008-02-29 | 2009-09-11 | Monsanto Technology Llc | Corn plant event mon87460 and compositions and methods for detection thereof |
| WO2009152359A2 (en) | 2008-06-11 | 2009-12-17 | Dow Agrosciences Llc | Constructs for expressing herbicide tolerance genes, related plants, and related trait combinations |
| JP2010018586A (en) | 2008-07-14 | 2010-01-28 | Meiji Seika Kaisha Ltd | Substance pf1364, its manufacturing method, producing strain and agricultural/horticultural insecticide having the substance as active ingredient |
| WO2010024976A1 (en) | 2008-08-29 | 2010-03-04 | Monsanto Technology Llc | Soybean plant and seed corresponding to transgenic event mon87754 and methods for detection thereof |
| US20100080887A1 (en) | 2008-09-29 | 2010-04-01 | Monsanto Technology Llc | Soybean Transgenic Event MON87705 and Methods for Detection Thereof |
| WO2010051926A2 (en) | 2008-11-05 | 2010-05-14 | Bayer Cropscience Aktiengesellschaft | New halogen-substituted bonds |
| WO2010052161A2 (en) | 2008-11-06 | 2010-05-14 | Syngenta Participations Ag | Herbicidal compositions |
| CN101715774A (en) | 2008-10-09 | 2010-06-02 | 浙江化工科技集团有限公司 | Preparation and use of compound having insecticidal activity |
| WO2010062559A1 (en) | 2008-10-28 | 2010-06-03 | Schering Corporation | Substituted pyrazoloquinolines and derivatives thereof |
| WO2010066780A1 (en) | 2008-12-12 | 2010-06-17 | Syngenta Participations Ag | Spiroheterocyclic n-oxypiperidines as pesticides |
| WO2010076212A1 (en) | 2008-12-19 | 2010-07-08 | Syngenta Participations Ag | Transgenic sugar beet event gm rz13 |
| WO2010077816A1 (en) | 2008-12-16 | 2010-07-08 | Syngenta Participations Ag | Corn event 5307 |
| WO2010080829A1 (en) | 2009-01-07 | 2010-07-15 | Basf Agrochemical Products B.V. | Soybean event 127 and methods related thereto |
| WO2010117735A1 (en) | 2009-03-30 | 2010-10-14 | Monsanto Technology Llc | Transgenic rice event17314 and methods of use thereof |
| WO2010117737A1 (en) | 2009-03-30 | 2010-10-14 | Monsanto Technology Llc | Rice transgenic event17053 and methods of use thereof |
| WO2011006903A1 (en) | 2009-07-15 | 2011-01-20 | Ortho-Mcneil-Janssen Pharmaceuticals, Inc | Substituted triazole and imidazole derivatives as gamma secretase modulators |
| WO2011017504A1 (en) | 2009-08-07 | 2011-02-10 | Dow Agrosciences Llc | Pesticidal compositions |
| WO2011022469A2 (en) | 2009-08-19 | 2011-02-24 | Dow Agrosciences Llc | Aad-1 event das-40278-9, related transgenic corn lines, and event-specific identification thereof |
| WO2011034704A1 (en) | 2009-09-17 | 2011-03-24 | Monsanto Technology Llc | Soybean transgenic event mon 87708 and methods of use thereof |
| WO2011063413A2 (en) | 2009-11-23 | 2011-05-26 | Bayer Bioscience N.V. | Herbicide tolerant soybean plants and methods for identifying same |
| WO2011062904A1 (en) | 2009-11-23 | 2011-05-26 | Monsanto Technology Llc | Transgenic maize event mon 87427 and the relative development scale |
| WO2011066384A1 (en) | 2009-11-24 | 2011-06-03 | Dow Agrosciences Llc | Aad-12 event 416, related transgenic soybean lines, and event-specific identification thereof |
| WO2011066360A1 (en) | 2009-11-24 | 2011-06-03 | Dow Agrosciences Llc | Detection of aad-12 soybean event 416 |
| WO2011075593A1 (en) | 2009-12-17 | 2011-06-23 | Pioneer Hi-Bred International, Inc. | Maize event dp-040416-8 and methods for detection thereof |
| WO2011075595A1 (en) | 2009-12-17 | 2011-06-23 | Pioneer Hi-Bred International, Inc. | Maize event dp-043a47-3 and methods for detection thereof |
| WO2011084632A1 (en) | 2009-12-17 | 2011-07-14 | Pioneer Hi-Bred International, Inc. | Maize event dp-032316-8 and methods for detection thereof |
| WO2011084621A1 (en) | 2009-12-17 | 2011-07-14 | Pioneer Hi-Bred International, Inc. | Maize event dp-004114-3 and methods for detection thereof |
| WO2011085575A1 (en) | 2010-01-15 | 2011-07-21 | 江苏省农药研究所股份有限公司 | Ortho-heterocyclyl formanilide compounds, their synthesis methods and use |
| WO2011151146A1 (en) | 2010-05-31 | 2011-12-08 | Syngenta Participations Ag | Method of crop enhancement |
| WO2011153186A1 (en) | 2010-06-04 | 2011-12-08 | Monsanto Technology Llc | Transgenic brassica event mon 88302 and methods of use thereof |
| WO2012033794A2 (en) | 2010-09-08 | 2012-03-15 | Dow Agrosciences Llc | Aad-12 event 1606 and related transgenic soybean lines |
| WO2012034403A1 (en) | 2010-09-14 | 2012-03-22 | 中化蓝天集团有限公司 | Fluoromethoxypyrazole anthranilamide compounds, synthesization methods and uses thereof |
| CN102391261A (en) | 2011-10-14 | 2012-03-28 | 上海交通大学 | N-substituted dioxazine compound as well as preparation method and application thereof |
| WO2012051199A2 (en) | 2010-10-12 | 2012-04-19 | Monsanto Technology Llc | Soybean plant and seed corresponding to transgenic event mon87712 and methods for detection thereof |
| US20120131692A1 (en) | 2010-11-24 | 2012-05-24 | Pioneer Hi-Bred International, Inc. | Brassica gat event dp-073496-4 and compositions and methods for the identification and/or detection thereof |
| WO2012071039A1 (en) | 2010-11-24 | 2012-05-31 | Pioner Hi-Bred International, Inc. | Brassica gat event dp-061061-7 and compositions and methods for the identification and/or detection thereof |
| WO2012075429A1 (en) | 2010-12-03 | 2012-06-07 | Dow Agrosciences Llc | Stacked herbicide tolerance event 8291.45.36.2, related transgenic soybean lines, and detection thereof |
| WO2012075426A1 (en) | 2010-12-03 | 2012-06-07 | Dow Agrosciences Llc | Stacked herbicide tolerance event 8264.44.06.1, related transgenic soybean lines, and detection thereof |
| WO2012082548A2 (en) | 2010-12-15 | 2012-06-21 | Syngenta Participations Ag | Soybean event syht0h2 and compositions and methods for detection thereof |
| WO2012109125A1 (en) | 2011-02-07 | 2012-08-16 | Dow Agrosciences Llc | Pesticidal compositions and processes related thereto |
| WO2012134808A1 (en) | 2011-03-30 | 2012-10-04 | Monsanto Technology Llc | Cotton transgenic event mon 88701 and methods of use thereof |
| WO2013003558A1 (en) | 2011-06-30 | 2013-01-03 | Monsanto Technology Llc | Alfalfa plant and seed corresponding to transgenic event kk 179-2 and methods for detection thereof |
| WO2013010094A1 (en) | 2011-07-13 | 2013-01-17 | Dow Agrosciences Llc | Stacked herbicide tolerance event 8264.42.32.1, related transgenic soybean lines, and detection thereof |
| WO2013012775A1 (en) | 2011-07-15 | 2013-01-24 | Syngenta Participations Ag | Corn event mzdt09y |
| WO2013050317A1 (en) | 2011-10-03 | 2013-04-11 | Syngenta Limited | Polymorphs of an isoxazoline derivative |
| CN103109816A (en) | 2013-01-25 | 2013-05-22 | 青岛科技大学 | Thiobenzamide compounds and application thereof |
| CN103232431A (en) | 2013-01-25 | 2013-08-07 | 青岛科技大学 | Dihalogenated pyrazole amide compound and its use |
| WO2013116053A1 (en) | 2012-02-02 | 2013-08-08 | Dow Agrosciences Llc | Pesticidal compositions and processes related thereto |
| WO2013116052A1 (en) | 2012-02-02 | 2013-08-08 | Dow Agrosciences Llc | Pesticidal compositions and processes related thereto |
| CN103265527A (en) | 2013-06-07 | 2013-08-28 | 江苏省农用激素工程技术研究中心有限公司 | Anthranilamide compound as well as preparation method and application thereof |
| WO2013144213A1 (en) | 2012-03-30 | 2013-10-03 | Basf Se | N-substituted pyridinylidene compounds and derivatives for combating animal pests |
| EP2647626A1 (en) | 2012-04-03 | 2013-10-09 | Syngenta Participations AG. | 1-Aza-spiro[4.5]dec-3-ene and 1,8-diaza-spiro[4.5]dec-3-ene derivatives as pesticides |
| WO2013162716A2 (en) | 2012-04-27 | 2013-10-31 | Dow Agrosciences Llc | Pesticidal compositions and processes related thereto |
| CN103524422A (en) | 2013-10-11 | 2014-01-22 | 中国农业科学院植物保护研究所 | Benzimidazole derivative, and preparation method and purpose thereof |
| WO2014053450A1 (en) | 2012-10-02 | 2014-04-10 | Bayer Cropscience Ag | Heterocyclic compounds as pesticides |
| US20140213448A1 (en) | 2012-04-27 | 2014-07-31 | Dow Agrosciences Llc | Pesticidal compositions and processes related thereto |
| US20140275503A1 (en) | 2013-03-13 | 2014-09-18 | Dow Agrosciences Llc | Process for the preparation of certain triaryl rhamnose carbamates |
| US20140274688A1 (en) | 2013-03-14 | 2014-09-18 | Dow Agrosciences Llc | Molecules having certain pesticidal utilities, and intermediates, compositions, and processes related thereto |
| WO2014187846A1 (en) | 2013-05-23 | 2014-11-27 | Syngenta Participations Ag | Tank-mix formulations |
| US20150196033A1 (en) | 2012-07-09 | 2015-07-16 | Dow Agrosciences Llc | Pesticidal compositions and processes related thereto |
| WO2016033025A1 (en) | 2014-08-26 | 2016-03-03 | Dow Agrosciences Llc | Molecules having certain pesticidal utilities, and intermediates, compositions, and processes related thereto |
| WO2016196280A1 (en) | 2015-06-02 | 2016-12-08 | E I Du Pont De Nemours And Company | Heterocycle-substituted bicyclic pesticides |
| US20180099958A1 (en) | 2016-10-07 | 2018-04-12 | Dow Agrosciences Llc | Pesticidal compositions and methods |
| WO2018177970A1 (en) | 2017-03-31 | 2018-10-04 | Basf Se | Process for preparing chiral 2,3-dihydrothiazolo[3,2-a]pyrimidin-4-ium compounds |
| WO2019059412A1 (en) | 2017-09-20 | 2019-03-28 | Mitsui Chemicals Agro, Inc. | Prolonged ectoparasite-controlling agent for animal |
| WO2019236274A1 (en) | 2018-06-08 | 2019-12-12 | Dow Agrosciences Llc | Molecule having pesticidal utility, and compositions, and processes, related thereto |
-
2021
- 2021-08-06 WO PCT/EP2021/072082 patent/WO2022033991A1/en not_active Ceased
Patent Citations (179)
| Publication number | Priority date | Publication date | Assignee | Title |
|---|---|---|---|---|
| US20030126634A1 (en) | 1990-08-09 | 2003-07-03 | Dekalb Genetics Corporation | Methods and compositions for the increase of yield in plants |
| US6855533B2 (en) | 1995-04-20 | 2005-02-15 | Basf Corporation | Structure-based designed herbicide resistant products |
| WO1997017432A1 (en) | 1995-11-06 | 1997-05-15 | Wisconsin Alumni Research Foundation | Insecticidal protein toxins from photorhabdus |
| WO1998008932A1 (en) | 1996-08-29 | 1998-03-05 | Dow Agrosciences Llc | Insecticidal protein toxins from $i(photorhabdus) |
| WO1998044140A1 (en) | 1997-04-03 | 1998-10-08 | Dekalb Genetics Corporation | Glyphosate resistant maize lines |
| US20050086719A1 (en) | 1997-04-03 | 2005-04-21 | Michael Spencer | Glyphosate resistant maize lines |
| US20050188434A1 (en) | 1997-04-03 | 2005-08-25 | Michael Spencer | Method for plant breeding |
| US20060059581A1 (en) | 1997-04-03 | 2006-03-16 | Dekalb Genetics Corporation | Method of breeding glyphosate resistant plants |
| WO1998050427A1 (en) | 1997-05-05 | 1998-11-12 | Dow Agrosciences Llc | INSECTICIDAL PROTEIN TOXINS FROM $i(XENORHABDUS) |
| US6468747B1 (en) | 1998-11-03 | 2002-10-22 | Plant Genetic System, N.V. | Glufosinate tolerant rice |
| WO2000026356A1 (en) | 1998-11-03 | 2000-05-11 | Aventis Cropscience N. V. | Glufosinate tolerant rice |
| WO2000026345A1 (en) | 1998-11-03 | 2000-05-11 | Aventis Cropscience N.V. | Glufosinate tolerant rice |
| WO2001031042A2 (en) | 1999-10-29 | 2001-05-03 | Aventis Cropscience N.V. | Male-sterile brassica plants and methods for producing same |
| WO2001041558A1 (en) | 1999-12-08 | 2001-06-14 | Aventis Cropscience N.V. | Hybrid winter oilseed rape and methods for producing same |
| US20030188347A1 (en) | 1999-12-08 | 2003-10-02 | Both Greta De | Hybrid winter oilseed rape and methods for producing same |
| WO2001047952A2 (en) | 1999-12-28 | 2001-07-05 | Bayer Cropscience N.V. | Insecticidal proteins from bacillus thuringiensis |
| US20010029014A1 (en) | 2000-01-11 | 2001-10-11 | Beuckeleer Marc De | Methods and kits for identifying elite event GAT-ZM1 in biological samples |
| WO2001051654A2 (en) | 2000-01-11 | 2001-07-19 | Bayer Cropscience N.V. | Methods and kits for identifying elite event gat-zm1 in biological samples |
| US20070292854A1 (en) | 2000-06-22 | 2007-12-20 | Behr Carl F | Corn event PV-ZMGT32(nk603) and compositions and methods for detection thereof |
| US20020102582A1 (en) | 2000-09-13 | 2002-08-01 | Levine Elaine B. | Corn event MON810 and compositions and methods for detection thereof |
| WO2002027004A2 (en) | 2000-09-29 | 2002-04-04 | Monsanto Technology Llc | Glyphosate tolerant wheat plant 33391 and compositions and methods for detection thereof |
| US20020120964A1 (en) | 2000-10-25 | 2002-08-29 | Rangwala Tasneem S. | Cotton event PV-GHGT07(1445) and compositions and methods for detection thereof |
| WO2002034946A2 (en) | 2000-10-25 | 2002-05-02 | Monsanto Technology Llc | Cotton event pv-ghgt07(1445) and compositions and methods for detection thereof |
| WO2002036831A2 (en) | 2000-10-30 | 2002-05-10 | Monsanto Technology Llc | Canola event pv-bngt04(rt73) and compositions and methods for detection thereof |
| US20080070260A1 (en) | 2000-10-30 | 2008-03-20 | Rachel Krieb | Canola event PV-BNGT04(RT73) and compositions and methods for detection thereof |
| WO2002040677A2 (en) | 2000-11-20 | 2002-05-23 | Monsanto Technology Llc | Cotton event pv-ghbk04 (531) and compositions and methods for detection thereof |
| US20090265817A1 (en) | 2000-11-30 | 2009-10-22 | Ses Europe N.V./S.A. | T227-1 flanking sequence |
| WO2002044407A2 (en) | 2000-11-30 | 2002-06-06 | Ses Europe N.V. | Glyphosate resistant transgenic sugar beet characterised by a specific transgene insertion (t227-1), methods and primers for the detection of said insertion |
| WO2002090335A1 (en) | 2001-05-09 | 2002-11-14 | Sumitomo Chemical Takeda Agro Company, Limited | Azole compounds, process for preparation of the same and use thereof |
| US20040250317A1 (en) | 2001-06-11 | 2004-12-09 | Huber Scott A | Cotton event moni5985 and compositions and methods for detection thereof |
| WO2002100163A2 (en) | 2001-06-11 | 2002-12-19 | Monsanto Technology Llc | Cotton event moni5985 and compositions and methods for detection |
| WO2003013224A2 (en) | 2001-08-06 | 2003-02-20 | Bayer Bioscience N.V. | Herbicide tolerant cotton plants and methods for producing and identifying same |
| US20030097687A1 (en) | 2001-08-06 | 2003-05-22 | Linda Trolinder | Herbicide tolerant cotton plants and methods for producing and identifying same |
| WO2003052073A2 (en) | 2001-12-17 | 2003-06-26 | Syngenta Participations Ag | Novel corn event |
| WO2004011601A2 (en) | 2002-07-29 | 2004-02-05 | Monsanto Technology, Llc | Corn event pv-zmir13 (mon863) plants and compositions and methods for detection thereof |
| US20060095986A1 (en) | 2002-07-29 | 2006-05-04 | Cavato Tracey A | Corn event pv-zmir13 (mon863) plants and compositions and methods for detection thereof |
| WO2004039986A1 (en) | 2002-10-29 | 2004-05-13 | Syngenta Participations Ag | Cot102 insecticidal cotton |
| US20060130175A1 (en) | 2002-10-29 | 2006-06-15 | Ellis Daniel M | Cot102 insecticidal cotton |
| US20060162007A1 (en) | 2002-12-05 | 2006-07-20 | Monsanto Technology Llc | Bentgrass event asr-368 and compositions and methods for detection thereof |
| WO2004053062A2 (en) | 2002-12-05 | 2004-06-24 | Monsanto Technology Llc | Bentgrass event asr-368 and compositions and methods for detection thereof |
| US20060059590A1 (en) | 2003-02-12 | 2006-03-16 | Monsanto Technology Llc | Cotton event mon 88913 and compositions and methods for detection thereof |
| WO2004072235A2 (en) | 2003-02-12 | 2004-08-26 | Monsanto Technology Llc | Cotton event mon 88913 and compositions and methods for detection thereof |
| WO2004074492A1 (en) | 2003-02-20 | 2004-09-02 | Kws Saat Ag | Glyphosate tolerant sugar beet |
| US20040172669A1 (en) | 2003-02-28 | 2004-09-02 | Josef Kraus | Glyphosate tolerant sugar beet |
| WO2004099447A2 (en) | 2003-05-02 | 2004-11-18 | Dow Agrosciences Llc | Corn event tc1507 and methods for detection thereof |
| US20050039226A1 (en) | 2003-05-02 | 2005-02-17 | Dow Agrosciences Llc | Corn event TC1507 and methods for detection thereof |
| WO2005054480A2 (en) | 2003-12-01 | 2005-06-16 | Syngenta Participations Ag | Insect resistant cotton plants and methods of detecting the same |
| WO2005054479A1 (en) | 2003-12-01 | 2005-06-16 | Syngenta Participations Ag | Insect resistant cotton plants and methods of detecting the same |
| US20070067868A1 (en) | 2003-12-01 | 2007-03-22 | Negrotto David V | Insect resistant cotton plants and methods of detecting the same |
| WO2005061720A2 (en) | 2003-12-11 | 2005-07-07 | Monsanto Technology Llc | High lysine maize compositions and methods for detection thereof |
| US20070028322A1 (en) | 2003-12-11 | 2007-02-01 | Dizigan Mark A | High lysine maize compositions and methods for detection thereof |
| US20080028482A1 (en) | 2003-12-15 | 2008-01-31 | Beazley Kim A | Corn Plant Mon88017 and Compositions and Methods for Detection Thereof |
| WO2005059103A2 (en) | 2003-12-15 | 2005-06-30 | Monsanto Technology Llc | Corn plant mon88017 and compositions and methods for detection thereof |
| WO2005074671A1 (en) | 2004-01-30 | 2005-08-18 | Syngenta Participations Ag | Improved fertility restoration for ogura cytoplasmic male sterile brassica and method |
| US20080167456A1 (en) | 2004-03-25 | 2008-07-10 | Syngenta Participations Ag | Corn Event MIR604 |
| WO2005103301A2 (en) | 2004-03-25 | 2005-11-03 | Syngenta Participations Ag | Corn event mir604 |
| US20050216969A1 (en) | 2004-03-26 | 2005-09-29 | Dow Agrosciences Llc | Cry1F and Cry1AC transgenic cotton lines and event-specific identification thereof |
| WO2005103266A1 (en) | 2004-03-26 | 2005-11-03 | Dow Agrosciences Llc | Cry1f and cry1ac transgenic cotton lines and event-specific identification thereof |
| US20070143876A1 (en) | 2004-03-26 | 2007-06-21 | Dow Agrosciences Llc | Cry1F and Cry1Ac transgenic cotton lines and event-specific identification thereof |
| WO2006003494A2 (en) | 2004-06-28 | 2006-01-12 | Syngenta Participations Ag | Piperidine derivatives and their use as insecticides, acaricides, molluscicides or nematicides |
| US20060070139A1 (en) | 2004-09-29 | 2006-03-30 | Pioneer Hi-Bred International, Inc. | Corn event DAS-59122-7 and methods for detection thereof |
| WO2006043635A1 (en) | 2004-10-20 | 2006-04-27 | Kumiai Chemical Industry Co., Ltd. | 3-triazolylphenyl sulfide derivative and insecticide/acaricide/nematicide containing the same as active ingredient |
| WO2006098952A2 (en) | 2005-03-16 | 2006-09-21 | Syngenta Participations Ag | Corn event 3272 and methods of detection thereof |
| US20060230473A1 (en) | 2005-03-16 | 2006-10-12 | Syngenta Participations Ag | Corn event 3272 and methods for detection thereof |
| WO2006108674A2 (en) | 2005-04-08 | 2006-10-19 | Bayer Bioscience N.V. | Elite event a2704-12 and methods and kits for identifying such event in biological samples |
| US20080320616A1 (en) | 2005-04-08 | 2008-12-25 | Bayer Bioscience N.V. | Elite Event A2407-12 and Methods and Kits for Identifying Such Event in Biological Samples |
| WO2006108675A2 (en) | 2005-04-11 | 2006-10-19 | Bayer Bioscience N.V. | Elite event a5547-127 and methods and kits for identifying such event in biological samples |
| US20080196127A1 (en) | 2005-04-11 | 2008-08-14 | Bayer Bioscience N.V. | Elite Event A5547-127 and Methods and Kits For Identifying Such Event in Biological Samples |
| US20060282915A1 (en) | 2005-05-27 | 2006-12-14 | Monsanto Technology Llc | Soybean event MON89788 and methods for detection thereof |
| WO2006130436A2 (en) | 2005-05-27 | 2006-12-07 | Monsanto Technology Llc | Soybean event mon89788 and methods for detection thereof |
| WO2006128569A2 (en) | 2005-06-02 | 2006-12-07 | Syngenta Participations Ag | 1143-14a, insecticidal transgenic cotton expressing cry1ab |
| US20100024077A1 (en) | 2005-06-02 | 2010-01-28 | Syngenta Participations Ag | Ce44-69d insecticidal cotton |
| US20090217423A1 (en) | 2005-06-02 | 2009-08-27 | Cayley Patricia J | Ce43-67b insecticidal cotton |
| WO2006128571A2 (en) | 2005-06-02 | 2006-12-07 | Syngenta Participations Ag | Ce44-69d , insecticidal transgenic cotton expressing cry1ab |
| WO2006128572A1 (en) | 2005-06-02 | 2006-12-07 | Syngenta Participations Ag | Ce46-02a insecticidal cotton |
| WO2006128573A2 (en) | 2005-06-02 | 2006-12-07 | Syngenta Participations Ag | Ce43- 67b, insecticidal transgenic cotton expressing cry1ab |
| WO2006128570A1 (en) | 2005-06-02 | 2006-12-07 | Syngenta Participations Ag | 1143-51b insecticidal cotton |
| WO2006128568A2 (en) | 2005-06-02 | 2006-12-07 | Syngenta Participations Ag | T342-142, insecticidal transgenic cotton expressing cry1ab |
| US20100050282A1 (en) | 2005-08-08 | 2010-02-25 | Bayer Bioscience N.V. | Herbicide Tolerant Cotton Plants and Methods for Identifying the Same |
| WO2007017186A1 (en) | 2005-08-08 | 2007-02-15 | Bayer Bioscience N.V. | Herbicide tolerant cotton plants and methods for identifying same |
| WO2007024782A2 (en) | 2005-08-24 | 2007-03-01 | Pioneer Hi-Bred International, Inc. | Compositions providing tolerance to multiple herbicides and methods of use thereof |
| WO2007040282A1 (en) | 2005-10-06 | 2007-04-12 | Nippon Soda Co., Ltd. | Bridged cyclic amine compound and pest control agent |
| WO2007040280A1 (en) | 2005-10-06 | 2007-04-12 | Nippon Soda Co., Ltd. | Cyclic amine compound and pest control agent |
| WO2007091277A2 (en) | 2006-02-10 | 2007-08-16 | Maharashtra Hybrid Seeds Company Limited (Mahyco) | TRANSGENIC BRINJAL (SOLANUM MELONGENA) EXPRESSING THE CRYlAC GENE |
| WO2007140256A1 (en) | 2006-05-26 | 2007-12-06 | Monsanto Technology, Llc | Corn plant and seed corresponding to transgenic event mon89034 and methods for detection and use thereof |
| US20080260932A1 (en) | 2006-05-26 | 2008-10-23 | Anderson Heather M | Corn Plant and Seed Corresponding to Transgenic Event MON89034 and Methods For Detection and Use Thereof |
| WO2007142840A2 (en) | 2006-06-03 | 2007-12-13 | Syngenta Participations Ag | Corn event mir162 |
| US20090300784A1 (en) | 2006-06-03 | 2009-12-03 | Syngenta Participations Ag | Corn event mir162 |
| US20100184079A1 (en) | 2006-06-28 | 2010-07-22 | Pioneer Hi-Bred International, Inc. | Soybean event 3560.4.3.5 and compositions and methods for the identification and detection thereof |
| WO2008002872A2 (en) | 2006-06-28 | 2008-01-03 | Pioneer Hi-Bred International, Inc. | Soybean event 3560.4.3.5 and compositions and methods for the identification and/or detection thereof |
| US20080289060A1 (en) | 2006-08-24 | 2008-11-20 | Bayer Bioscience N.V. | Herbicide tolerant rice plants and methods for identifying same |
| US20080064032A1 (en) | 2006-09-13 | 2008-03-13 | Syngenta Participations Ag | Polynucleotides and uses thereof |
| US20090137395A1 (en) | 2006-10-30 | 2009-05-28 | Pioneer Hi-Bred International, Inc. | Maize event DP-098140-6 and compositions and methods for the identification and/or detection thereof |
| WO2008112019A2 (en) | 2006-10-30 | 2008-09-18 | Pioneer Hi-Bred International, Inc. | Maize event dp-098140-6 and compositions and methods for the identification and/or detection thereof |
| US20080312082A1 (en) | 2006-10-31 | 2008-12-18 | Kinney Anthony J | Soybean event dp-305423-1 and compositions and methods for the identification and/or detection thereof |
| WO2008054747A2 (en) | 2006-10-31 | 2008-05-08 | E. I. Du Pont De Nemours And Company | Soybean event dp-305423-1 and compositions and methods for the identification and/or detection thereof |
| WO2008114282A2 (en) | 2007-03-19 | 2008-09-25 | Maharashtra Hybrid Seeds Company Limited | Transgenic rice (oryza sativa) comprising pe-7 event and method of detection thereof |
| US20100077501A1 (en) | 2007-04-05 | 2010-03-25 | Bayer Bioscience N.V. | Insect resistant cotton plants and methods for identifying same |
| WO2008122406A1 (en) | 2007-04-05 | 2008-10-16 | Bayer Bioscience N.V. | Insect resistant cotton plants and methods for identifying same |
| WO2008151780A1 (en) | 2007-06-11 | 2008-12-18 | Bayer Bioscience N.V. | Insect resistant cotton plants comprising elite event ee-gh6 and methods for identifying same |
| US20090130071A1 (en) | 2007-11-15 | 2009-05-21 | Ai-Guo Gao | Soybean Plant And Seed Corresponding To Transgenic Event MON87701 And Methods For Detection Thereof |
| WO2009064652A1 (en) | 2007-11-15 | 2009-05-22 | Monsanto Technology Llc | Soybean plant and seed corresponding to transgenic event mon87701 and methods for detection thereof |
| WO2009100188A2 (en) | 2008-02-08 | 2009-08-13 | Dow Agrosciences Llc | Methods for detection of corn event das-59132 |
| WO2009102736A1 (en) | 2008-02-12 | 2009-08-20 | Dow Agrosciences Llc | Pesticidal compositions |
| WO2009103049A2 (en) | 2008-02-14 | 2009-08-20 | Pioneer Hi-Bred International, Inc. | Plant genomic dna flanking spt event and methods for identifying spt event |
| US20090210970A1 (en) | 2008-02-14 | 2009-08-20 | Pioneer Hi-Bred International, Inc. | Plant Genomic DNA Flanking SPT Event and Methods for Identifying SPT Event |
| WO2009102873A1 (en) | 2008-02-15 | 2009-08-20 | Monsanto Technology Llc | Soybean plant and seed corresponding to transgenic event mon87769 and methods for detection thereof |
| US20110067141A1 (en) | 2008-02-15 | 2011-03-17 | Byron Froman | Soybean plant and seed corresponding to transgenic event mon87769 and methods for detection thereof |
| WO2009111263A1 (en) | 2008-02-29 | 2009-09-11 | Monsanto Technology Llc | Corn plant event mon87460 and compositions and methods for detection thereof |
| US20110138504A1 (en) | 2008-02-29 | 2011-06-09 | Monsanto Technology Llc | Corn plant event mon87460 and compositions and methods for detection thereof |
| WO2009152359A2 (en) | 2008-06-11 | 2009-12-17 | Dow Agrosciences Llc | Constructs for expressing herbicide tolerance genes, related plants, and related trait combinations |
| JP2010018586A (en) | 2008-07-14 | 2010-01-28 | Meiji Seika Kaisha Ltd | Substance pf1364, its manufacturing method, producing strain and agricultural/horticultural insecticide having the substance as active ingredient |
| CN101337937A (en) | 2008-08-12 | 2009-01-07 | 国家农药创制工程技术研究中心 | N-benz-3-substituted amino pyrazoles compounds with insecticidal activity |
| CN101337940A (en) | 2008-08-12 | 2009-01-07 | 国家农药创制工程技术研究中心 | Nitrogen heterocyclic ring dichloro allyl ether compound with insecticidal activity |
| WO2010024976A1 (en) | 2008-08-29 | 2010-03-04 | Monsanto Technology Llc | Soybean plant and seed corresponding to transgenic event mon87754 and methods for detection thereof |
| WO2010037016A1 (en) | 2008-09-29 | 2010-04-01 | Monsanto Technology Llc | Soybean transgenic event mon87705 and methods for detection thereof |
| US20100080887A1 (en) | 2008-09-29 | 2010-04-01 | Monsanto Technology Llc | Soybean Transgenic Event MON87705 and Methods for Detection Thereof |
| CN101715774A (en) | 2008-10-09 | 2010-06-02 | 浙江化工科技集团有限公司 | Preparation and use of compound having insecticidal activity |
| WO2010062559A1 (en) | 2008-10-28 | 2010-06-03 | Schering Corporation | Substituted pyrazoloquinolines and derivatives thereof |
| WO2010051926A2 (en) | 2008-11-05 | 2010-05-14 | Bayer Cropscience Aktiengesellschaft | New halogen-substituted bonds |
| WO2010052161A2 (en) | 2008-11-06 | 2010-05-14 | Syngenta Participations Ag | Herbicidal compositions |
| WO2010066780A1 (en) | 2008-12-12 | 2010-06-17 | Syngenta Participations Ag | Spiroheterocyclic n-oxypiperidines as pesticides |
| WO2010077816A1 (en) | 2008-12-16 | 2010-07-08 | Syngenta Participations Ag | Corn event 5307 |
| WO2010076212A1 (en) | 2008-12-19 | 2010-07-08 | Syngenta Participations Ag | Transgenic sugar beet event gm rz13 |
| WO2010080829A1 (en) | 2009-01-07 | 2010-07-15 | Basf Agrochemical Products B.V. | Soybean event 127 and methods related thereto |
| WO2010117735A1 (en) | 2009-03-30 | 2010-10-14 | Monsanto Technology Llc | Transgenic rice event17314 and methods of use thereof |
| WO2010117737A1 (en) | 2009-03-30 | 2010-10-14 | Monsanto Technology Llc | Rice transgenic event17053 and methods of use thereof |
| WO2011006903A1 (en) | 2009-07-15 | 2011-01-20 | Ortho-Mcneil-Janssen Pharmaceuticals, Inc | Substituted triazole and imidazole derivatives as gamma secretase modulators |
| WO2011017504A1 (en) | 2009-08-07 | 2011-02-10 | Dow Agrosciences Llc | Pesticidal compositions |
| WO2011022469A2 (en) | 2009-08-19 | 2011-02-24 | Dow Agrosciences Llc | Aad-1 event das-40278-9, related transgenic corn lines, and event-specific identification thereof |
| WO2011034704A1 (en) | 2009-09-17 | 2011-03-24 | Monsanto Technology Llc | Soybean transgenic event mon 87708 and methods of use thereof |
| WO2011063413A2 (en) | 2009-11-23 | 2011-05-26 | Bayer Bioscience N.V. | Herbicide tolerant soybean plants and methods for identifying same |
| WO2011062904A1 (en) | 2009-11-23 | 2011-05-26 | Monsanto Technology Llc | Transgenic maize event mon 87427 and the relative development scale |
| WO2011066384A1 (en) | 2009-11-24 | 2011-06-03 | Dow Agrosciences Llc | Aad-12 event 416, related transgenic soybean lines, and event-specific identification thereof |
| WO2011066360A1 (en) | 2009-11-24 | 2011-06-03 | Dow Agrosciences Llc | Detection of aad-12 soybean event 416 |
| WO2011075593A1 (en) | 2009-12-17 | 2011-06-23 | Pioneer Hi-Bred International, Inc. | Maize event dp-040416-8 and methods for detection thereof |
| WO2011075595A1 (en) | 2009-12-17 | 2011-06-23 | Pioneer Hi-Bred International, Inc. | Maize event dp-043a47-3 and methods for detection thereof |
| WO2011084632A1 (en) | 2009-12-17 | 2011-07-14 | Pioneer Hi-Bred International, Inc. | Maize event dp-032316-8 and methods for detection thereof |
| WO2011084621A1 (en) | 2009-12-17 | 2011-07-14 | Pioneer Hi-Bred International, Inc. | Maize event dp-004114-3 and methods for detection thereof |
| WO2011085575A1 (en) | 2010-01-15 | 2011-07-21 | 江苏省农药研究所股份有限公司 | Ortho-heterocyclyl formanilide compounds, their synthesis methods and use |
| WO2011151146A1 (en) | 2010-05-31 | 2011-12-08 | Syngenta Participations Ag | Method of crop enhancement |
| WO2011153186A1 (en) | 2010-06-04 | 2011-12-08 | Monsanto Technology Llc | Transgenic brassica event mon 88302 and methods of use thereof |
| WO2012033794A2 (en) | 2010-09-08 | 2012-03-15 | Dow Agrosciences Llc | Aad-12 event 1606 and related transgenic soybean lines |
| WO2012034403A1 (en) | 2010-09-14 | 2012-03-22 | 中化蓝天集团有限公司 | Fluoromethoxypyrazole anthranilamide compounds, synthesization methods and uses thereof |
| WO2012051199A2 (en) | 2010-10-12 | 2012-04-19 | Monsanto Technology Llc | Soybean plant and seed corresponding to transgenic event mon87712 and methods for detection thereof |
| US20120131692A1 (en) | 2010-11-24 | 2012-05-24 | Pioneer Hi-Bred International, Inc. | Brassica gat event dp-073496-4 and compositions and methods for the identification and/or detection thereof |
| WO2012071039A1 (en) | 2010-11-24 | 2012-05-31 | Pioner Hi-Bred International, Inc. | Brassica gat event dp-061061-7 and compositions and methods for the identification and/or detection thereof |
| WO2012075426A1 (en) | 2010-12-03 | 2012-06-07 | Dow Agrosciences Llc | Stacked herbicide tolerance event 8264.44.06.1, related transgenic soybean lines, and detection thereof |
| WO2012075429A1 (en) | 2010-12-03 | 2012-06-07 | Dow Agrosciences Llc | Stacked herbicide tolerance event 8291.45.36.2, related transgenic soybean lines, and detection thereof |
| WO2012082548A2 (en) | 2010-12-15 | 2012-06-21 | Syngenta Participations Ag | Soybean event syht0h2 and compositions and methods for detection thereof |
| WO2012109125A1 (en) | 2011-02-07 | 2012-08-16 | Dow Agrosciences Llc | Pesticidal compositions and processes related thereto |
| WO2012134808A1 (en) | 2011-03-30 | 2012-10-04 | Monsanto Technology Llc | Cotton transgenic event mon 88701 and methods of use thereof |
| WO2013003558A1 (en) | 2011-06-30 | 2013-01-03 | Monsanto Technology Llc | Alfalfa plant and seed corresponding to transgenic event kk 179-2 and methods for detection thereof |
| WO2013010094A1 (en) | 2011-07-13 | 2013-01-17 | Dow Agrosciences Llc | Stacked herbicide tolerance event 8264.42.32.1, related transgenic soybean lines, and detection thereof |
| WO2013012775A1 (en) | 2011-07-15 | 2013-01-24 | Syngenta Participations Ag | Corn event mzdt09y |
| WO2013050317A1 (en) | 2011-10-03 | 2013-04-11 | Syngenta Limited | Polymorphs of an isoxazoline derivative |
| CN102391261A (en) | 2011-10-14 | 2012-03-28 | 上海交通大学 | N-substituted dioxazine compound as well as preparation method and application thereof |
| WO2013116053A1 (en) | 2012-02-02 | 2013-08-08 | Dow Agrosciences Llc | Pesticidal compositions and processes related thereto |
| WO2013116052A1 (en) | 2012-02-02 | 2013-08-08 | Dow Agrosciences Llc | Pesticidal compositions and processes related thereto |
| WO2013144213A1 (en) | 2012-03-30 | 2013-10-03 | Basf Se | N-substituted pyridinylidene compounds and derivatives for combating animal pests |
| EP2647626A1 (en) | 2012-04-03 | 2013-10-09 | Syngenta Participations AG. | 1-Aza-spiro[4.5]dec-3-ene and 1,8-diaza-spiro[4.5]dec-3-ene derivatives as pesticides |
| WO2013162716A2 (en) | 2012-04-27 | 2013-10-31 | Dow Agrosciences Llc | Pesticidal compositions and processes related thereto |
| WO2013162715A2 (en) | 2012-04-27 | 2013-10-31 | Dow Agrosciences Llc | Pesticidal compositions and processes related thereto |
| US20140213448A1 (en) | 2012-04-27 | 2014-07-31 | Dow Agrosciences Llc | Pesticidal compositions and processes related thereto |
| US20150196033A1 (en) | 2012-07-09 | 2015-07-16 | Dow Agrosciences Llc | Pesticidal compositions and processes related thereto |
| WO2014053450A1 (en) | 2012-10-02 | 2014-04-10 | Bayer Cropscience Ag | Heterocyclic compounds as pesticides |
| CN103232431A (en) | 2013-01-25 | 2013-08-07 | 青岛科技大学 | Dihalogenated pyrazole amide compound and its use |
| CN103109816A (en) | 2013-01-25 | 2013-05-22 | 青岛科技大学 | Thiobenzamide compounds and application thereof |
| US20140275503A1 (en) | 2013-03-13 | 2014-09-18 | Dow Agrosciences Llc | Process for the preparation of certain triaryl rhamnose carbamates |
| US20140274688A1 (en) | 2013-03-14 | 2014-09-18 | Dow Agrosciences Llc | Molecules having certain pesticidal utilities, and intermediates, compositions, and processes related thereto |
| WO2014187846A1 (en) | 2013-05-23 | 2014-11-27 | Syngenta Participations Ag | Tank-mix formulations |
| CN103265527A (en) | 2013-06-07 | 2013-08-28 | 江苏省农用激素工程技术研究中心有限公司 | Anthranilamide compound as well as preparation method and application thereof |
| CN103524422A (en) | 2013-10-11 | 2014-01-22 | 中国农业科学院植物保护研究所 | Benzimidazole derivative, and preparation method and purpose thereof |
| WO2016033025A1 (en) | 2014-08-26 | 2016-03-03 | Dow Agrosciences Llc | Molecules having certain pesticidal utilities, and intermediates, compositions, and processes related thereto |
| WO2016196280A1 (en) | 2015-06-02 | 2016-12-08 | E I Du Pont De Nemours And Company | Heterocycle-substituted bicyclic pesticides |
| US20180099958A1 (en) | 2016-10-07 | 2018-04-12 | Dow Agrosciences Llc | Pesticidal compositions and methods |
| WO2018177970A1 (en) | 2017-03-31 | 2018-10-04 | Basf Se | Process for preparing chiral 2,3-dihydrothiazolo[3,2-a]pyrimidin-4-ium compounds |
| WO2019059412A1 (en) | 2017-09-20 | 2019-03-28 | Mitsui Chemicals Agro, Inc. | Prolonged ectoparasite-controlling agent for animal |
| WO2019236274A1 (en) | 2018-06-08 | 2019-12-12 | Dow Agrosciences Llc | Molecule having pesticidal utility, and compositions, and processes, related thereto |
Non-Patent Citations (6)
| Title |
|---|
| BRITISH CROP PROTECTION COUNCIL, THE PESTICIDE MANUAL, 2012 |
| CAS , no. 1207977-87-4 |
| CAS, no. 1594624-87-9 |
| CROPLIFE INTERNATIONAL: "Catalogue of pesticide formulation types and international coding system", TECHNICAL MONOGRAPH, no. 2, May 2008 (2008-05-01) |
| ESTRUCH ET AL., PROC NATL ACAD SCI US A, vol. 93, no. 11, 1996, pages 5389 - 94 |
| R. WEGLER: "Chemie der Pflanzenschutz- und Schädlingsbekämpfungsmittel", 1970, SPRINGER VERLAG, pages: 401 - 412 |
Cited By (3)
| Publication number | Priority date | Publication date | Assignee | Title |
|---|---|---|---|---|
| WO2024061768A1 (en) * | 2022-09-19 | 2024-03-28 | Basf Se | Azole pesticidal compounds |
| WO2025256333A1 (en) | 2024-06-13 | 2025-12-18 | Syngenta Crop Protection Ag | Pesticidally active aminoheterocycle derivatives |
| WO2025257413A1 (en) | 2024-06-13 | 2025-12-18 | Syngenta Crop Protection Ag | Pecticidally active dihydroazole derivatives |
Similar Documents
| Publication | Publication Date | Title |
|---|---|---|
| JP2025118758A (en) | Heteroaryl-triazole compounds as pesticides | |
| EP4041721B1 (en) | Novel heteroaryl-triazole compounds as pesticides | |
| EP3429355B1 (en) | Substituted sulfonylamide for combating animal pests | |
| EP3931192B1 (en) | Condensed bicyclic heterocycle derivatives as pesticides | |
| EP3544978A1 (en) | 2-[3-(alkylsulfonyl)-2h-indazol-2-yl]-3h-imidazo[4,5-b]pyridine derivatives and similar compounds as pesticides | |
| BR122023022434A2 (en) | HETEROCYCLENE DERIVATIVES AS PEST CONTROL AGENTS | |
| WO2018141954A1 (en) | Aryl or heteroaryl-substituted imidazo pyridine derivatives and their use as pesticides | |
| EP3487860A1 (en) | Condensed bicyclic heterocycle derivatives as pest control agents | |
| EP4139304A1 (en) | 2-(het)aryl-substituted condensed heterocyclic derivatives as pest control agents | |
| EP4003966A1 (en) | 5-amino substituted pyrazoles and triazoles as pest control agents | |
| EP3619213A1 (en) | 2-(het)aryl-substituted condensed bicyclic heterocyclic derivatives as pest control agents | |
| WO2022033991A1 (en) | 5-amino substituted triazoles as pest control agents | |
| EP4392419A1 (en) | Novel pyrazinyl-triazole compounds as pesticides | |
| WO2022053453A1 (en) | Azole carboxamide as pest control agents | |
| EP4175961A1 (en) | Heterocyclene derivatives as pest control agents | |
| EP3974414A1 (en) | 5-amino substituted pyrazoles and triazoles as pesticides | |
| EP4337661A1 (en) | 2-(het)aryl-substituted condensed heterocycle derivatives as pest control agents | |
| EP3523299A1 (en) | 2-(het)aryl-substituted condensed bicyclic heterocycle derivatives as pest control agents | |
| EP4036083A1 (en) | 5-oxy substituted heterocycles as pesticides | |
| EP4055010A1 (en) | Substituted sulfonyl amides for controlling animal pests | |
| WO2026027375A1 (en) | Hydroxy-dihydropyridinone carboxamides as pesticides | |
| EP4144739A1 (en) | Anellated pyrazoles as parasiticides |
Legal Events
| Date | Code | Title | Description |
|---|---|---|---|
| 121 | Ep: the epo has been informed by wipo that ep was designated in this application |
Ref document number: 21763269 Country of ref document: EP Kind code of ref document: A1 |
|
| NENP | Non-entry into the national phase |
Ref country code: DE |
|
| 122 | Ep: pct application non-entry in european phase |
Ref document number: 21763269 Country of ref document: EP Kind code of ref document: A1 |





















































































