WO2021009026A1 - Methyl 2-[(4-methoxyimino-tetralin-6-yl]prop-2-enoate derivatives, chromane, isochromane, 6,7,8,9-tetrahydrobenzo[7]annulene, 1h-isobenzofurane and indane analogues thereof, and similar compounds, as agrochemical fungicides - Google Patents
Methyl 2-[(4-methoxyimino-tetralin-6-yl]prop-2-enoate derivatives, chromane, isochromane, 6,7,8,9-tetrahydrobenzo[7]annulene, 1h-isobenzofurane and indane analogues thereof, and similar compounds, as agrochemical fungicides Download PDFInfo
- Publication number
- WO2021009026A1 WO2021009026A1 PCT/EP2020/069509 EP2020069509W WO2021009026A1 WO 2021009026 A1 WO2021009026 A1 WO 2021009026A1 EP 2020069509 W EP2020069509 W EP 2020069509W WO 2021009026 A1 WO2021009026 A1 WO 2021009026A1
- Authority
- WO
- WIPO (PCT)
- Prior art keywords
- alkyl
- methyl
- formula
- compounds
- compound
- Prior art date
- Legal status (The legal status is an assumption and is not a legal conclusion. Google has not performed a legal analysis and makes no representation as to the accuracy of the status listed.)
- Ceased
Links
- 0 C*C(C(c1cc(C(***)=NO*)c(*)cc1*)=*OC)=O Chemical compound C*C(C(c1cc(C(***)=NO*)c(*)cc1*)=*OC)=O 0.000 description 4
- IZTFACGHYURADB-FYWRMAATSA-N Brc1cc(/C(/COC2)=N/OCC3CC3)c2cc1 Chemical compound Brc1cc(/C(/COC2)=N/OCC3CC3)c2cc1 IZTFACGHYURADB-FYWRMAATSA-N 0.000 description 1
- YOPXNTXLYJEFEH-UHFFFAOYSA-N CC1(C)OB(c2cc(C(COC3)=O)c3cc2)OC1(C)C Chemical compound CC1(C)OB(c2cc(C(COC3)=O)c3cc2)OC1(C)C YOPXNTXLYJEFEH-UHFFFAOYSA-N 0.000 description 1
- FVQMKGGMYFNIEQ-XDJHFCHBSA-N CCO/N=C(\COC1)/c2c1ccc(B1OC(C)(C)C(C)(C)O1)c2 Chemical compound CCO/N=C(\COC1)/c2c1ccc(B1OC(C)(C)C(C)(C)O1)c2 FVQMKGGMYFNIEQ-XDJHFCHBSA-N 0.000 description 1
- SQBKLIRHHMRENO-XYOKQWHBSA-N CO/C=C(/C(OC)=O)\c(cc(c(CCC1)c2)C1=O)c2F Chemical compound CO/C=C(/C(OC)=O)\c(cc(c(CCC1)c2)C1=O)c2F SQBKLIRHHMRENO-XYOKQWHBSA-N 0.000 description 1
- DJYVOQOHNFSYCN-GAIZTLFTSA-N CO/C=C(/C(OC)=O)\c1cc(/C(/COC2)=N/OCc3ccccc3)c2cc1 Chemical compound CO/C=C(/C(OC)=O)\c1cc(/C(/COC2)=N/OCc3ccccc3)c2cc1 DJYVOQOHNFSYCN-GAIZTLFTSA-N 0.000 description 1
- IGUYUZRDRXBAPS-KPKJPENVSA-N CO/C=C(/C(OC)=O)\c1cc(C(COC2)=O)c2cc1 Chemical compound CO/C=C(/C(OC)=O)\c1cc(C(COC2)=O)c2cc1 IGUYUZRDRXBAPS-KPKJPENVSA-N 0.000 description 1
- CLQMBQOPAKTIQN-ZRDIBKRKSA-N CO/N=C(\COC1)/c2c1ccc(Br)c2 Chemical compound CO/N=C(\COC1)/c2c1ccc(Br)c2 CLQMBQOPAKTIQN-ZRDIBKRKSA-N 0.000 description 1
Classifications
-
- C—CHEMISTRY; METALLURGY
- C07—ORGANIC CHEMISTRY
- C07D—HETEROCYCLIC COMPOUNDS
- C07D311/00—Heterocyclic compounds containing six-membered rings having one oxygen atom as the only hetero atom, condensed with other rings
- C07D311/02—Heterocyclic compounds containing six-membered rings having one oxygen atom as the only hetero atom, condensed with other rings ortho- or peri-condensed with carbocyclic rings or ring systems
- C07D311/04—Benzo[b]pyrans, not hydrogenated in the carbocyclic ring
- C07D311/58—Benzo[b]pyrans, not hydrogenated in the carbocyclic ring other than with oxygen or sulphur atoms in position 2 or 4
- C07D311/68—Benzo[b]pyrans, not hydrogenated in the carbocyclic ring other than with oxygen or sulphur atoms in position 2 or 4 with nitrogen atoms directly attached in position 4
-
- A—HUMAN NECESSITIES
- A01—AGRICULTURE; FORESTRY; ANIMAL HUSBANDRY; HUNTING; TRAPPING; FISHING
- A01N—PRESERVATION OF BODIES OF HUMANS OR ANIMALS OR PLANTS OR PARTS THEREOF; BIOCIDES, e.g. AS DISINFECTANTS, AS PESTICIDES OR AS HERBICIDES; PEST REPELLANTS OR ATTRACTANTS; PLANT GROWTH REGULATORS
- A01N37/00—Biocides, pest repellants or attractants, or plant growth regulators containing organic compounds containing a carbon atom having three bonds to hetero atoms with at the most two bonds to halogen, e.g. carboxylic acids
- A01N37/44—Biocides, pest repellants or attractants, or plant growth regulators containing organic compounds containing a carbon atom having three bonds to hetero atoms with at the most two bonds to halogen, e.g. carboxylic acids containing at least one carboxylic group or a thio analogue, or a derivative thereof, and a nitrogen atom attached to the same carbon skeleton by a single or double bond, this nitrogen atom not being a member of a derivative or of a thio analogue of a carboxylic group, e.g. amino-carboxylic acids
- A01N37/50—Biocides, pest repellants or attractants, or plant growth regulators containing organic compounds containing a carbon atom having three bonds to hetero atoms with at the most two bonds to halogen, e.g. carboxylic acids containing at least one carboxylic group or a thio analogue, or a derivative thereof, and a nitrogen atom attached to the same carbon skeleton by a single or double bond, this nitrogen atom not being a member of a derivative or of a thio analogue of a carboxylic group, e.g. amino-carboxylic acids the nitrogen atom being doubly bound to the carbon skeleton
-
- A—HUMAN NECESSITIES
- A01—AGRICULTURE; FORESTRY; ANIMAL HUSBANDRY; HUNTING; TRAPPING; FISHING
- A01N—PRESERVATION OF BODIES OF HUMANS OR ANIMALS OR PLANTS OR PARTS THEREOF; BIOCIDES, e.g. AS DISINFECTANTS, AS PESTICIDES OR AS HERBICIDES; PEST REPELLANTS OR ATTRACTANTS; PLANT GROWTH REGULATORS
- A01N43/00—Biocides, pest repellants or attractants, or plant growth regulators containing heterocyclic compounds
- A01N43/02—Biocides, pest repellants or attractants, or plant growth regulators containing heterocyclic compounds having rings with one or more oxygen or sulfur atoms as the only ring hetero atoms
- A01N43/04—Biocides, pest repellants or attractants, or plant growth regulators containing heterocyclic compounds having rings with one or more oxygen or sulfur atoms as the only ring hetero atoms with one hetero atom
- A01N43/06—Biocides, pest repellants or attractants, or plant growth regulators containing heterocyclic compounds having rings with one or more oxygen or sulfur atoms as the only ring hetero atoms with one hetero atom five-membered rings
- A01N43/08—Biocides, pest repellants or attractants, or plant growth regulators containing heterocyclic compounds having rings with one or more oxygen or sulfur atoms as the only ring hetero atoms with one hetero atom five-membered rings with oxygen as the ring hetero atom
-
- A—HUMAN NECESSITIES
- A01—AGRICULTURE; FORESTRY; ANIMAL HUSBANDRY; HUNTING; TRAPPING; FISHING
- A01N—PRESERVATION OF BODIES OF HUMANS OR ANIMALS OR PLANTS OR PARTS THEREOF; BIOCIDES, e.g. AS DISINFECTANTS, AS PESTICIDES OR AS HERBICIDES; PEST REPELLANTS OR ATTRACTANTS; PLANT GROWTH REGULATORS
- A01N43/00—Biocides, pest repellants or attractants, or plant growth regulators containing heterocyclic compounds
- A01N43/02—Biocides, pest repellants or attractants, or plant growth regulators containing heterocyclic compounds having rings with one or more oxygen or sulfur atoms as the only ring hetero atoms
- A01N43/04—Biocides, pest repellants or attractants, or plant growth regulators containing heterocyclic compounds having rings with one or more oxygen or sulfur atoms as the only ring hetero atoms with one hetero atom
- A01N43/14—Biocides, pest repellants or attractants, or plant growth regulators containing heterocyclic compounds having rings with one or more oxygen or sulfur atoms as the only ring hetero atoms with one hetero atom six-membered rings
- A01N43/16—Biocides, pest repellants or attractants, or plant growth regulators containing heterocyclic compounds having rings with one or more oxygen or sulfur atoms as the only ring hetero atoms with one hetero atom six-membered rings with oxygen as the ring hetero atom
-
- A—HUMAN NECESSITIES
- A01—AGRICULTURE; FORESTRY; ANIMAL HUSBANDRY; HUNTING; TRAPPING; FISHING
- A01N—PRESERVATION OF BODIES OF HUMANS OR ANIMALS OR PLANTS OR PARTS THEREOF; BIOCIDES, e.g. AS DISINFECTANTS, AS PESTICIDES OR AS HERBICIDES; PEST REPELLANTS OR ATTRACTANTS; PLANT GROWTH REGULATORS
- A01N43/00—Biocides, pest repellants or attractants, or plant growth regulators containing heterocyclic compounds
- A01N43/02—Biocides, pest repellants or attractants, or plant growth regulators containing heterocyclic compounds having rings with one or more oxygen or sulfur atoms as the only ring hetero atoms
- A01N43/04—Biocides, pest repellants or attractants, or plant growth regulators containing heterocyclic compounds having rings with one or more oxygen or sulfur atoms as the only ring hetero atoms with one hetero atom
- A01N43/20—Biocides, pest repellants or attractants, or plant growth regulators containing heterocyclic compounds having rings with one or more oxygen or sulfur atoms as the only ring hetero atoms with one hetero atom three- or four-membered rings
-
- C—CHEMISTRY; METALLURGY
- C07—ORGANIC CHEMISTRY
- C07C—ACYCLIC OR CARBOCYCLIC COMPOUNDS
- C07C251/00—Compounds containing nitrogen atoms doubly-bound to a carbon skeleton
- C07C251/32—Oximes
- C07C251/34—Oximes with oxygen atoms of oxyimino groups bound to hydrogen atoms or to carbon atoms of unsubstituted hydrocarbon radicals
- C07C251/44—Oximes with oxygen atoms of oxyimino groups bound to hydrogen atoms or to carbon atoms of unsubstituted hydrocarbon radicals with the carbon atom of at least one of the oxyimino groups being part of a ring other than a six-membered aromatic ring
- C07C251/46—Quinone oximes
-
- C—CHEMISTRY; METALLURGY
- C07—ORGANIC CHEMISTRY
- C07C—ACYCLIC OR CARBOCYCLIC COMPOUNDS
- C07C251/00—Compounds containing nitrogen atoms doubly-bound to a carbon skeleton
- C07C251/32—Oximes
- C07C251/50—Oximes having oxygen atoms of oxyimino groups bound to carbon atoms of substituted hydrocarbon radicals
- C07C251/52—Oximes having oxygen atoms of oxyimino groups bound to carbon atoms of substituted hydrocarbon radicals of hydrocarbon radicals substituted by halogen atoms or by nitro or nitroso groups
-
- C—CHEMISTRY; METALLURGY
- C07—ORGANIC CHEMISTRY
- C07D—HETEROCYCLIC COMPOUNDS
- C07D305/00—Heterocyclic compounds containing four-membered rings having one oxygen atom as the only ring hetero atoms
- C07D305/02—Heterocyclic compounds containing four-membered rings having one oxygen atom as the only ring hetero atoms not condensed with other rings
- C07D305/04—Heterocyclic compounds containing four-membered rings having one oxygen atom as the only ring hetero atoms not condensed with other rings having no double bonds between ring members or between ring members and non-ring members
- C07D305/08—Heterocyclic compounds containing four-membered rings having one oxygen atom as the only ring hetero atoms not condensed with other rings having no double bonds between ring members or between ring members and non-ring members with hetero atoms or with carbon atoms having three bonds to hetero atoms with at the most one bond to halogen, e.g. ester or nitrile radicals, directly attached to ring atoms
-
- C—CHEMISTRY; METALLURGY
- C07—ORGANIC CHEMISTRY
- C07D—HETEROCYCLIC COMPOUNDS
- C07D307/00—Heterocyclic compounds containing five-membered rings having one oxygen atom as the only ring hetero atom
- C07D307/77—Heterocyclic compounds containing five-membered rings having one oxygen atom as the only ring hetero atom ortho- or peri-condensed with carbocyclic rings or ring systems
- C07D307/87—Benzo [c] furans; Hydrogenated benzo [c] furans
-
- C—CHEMISTRY; METALLURGY
- C07—ORGANIC CHEMISTRY
- C07D—HETEROCYCLIC COMPOUNDS
- C07D311/00—Heterocyclic compounds containing six-membered rings having one oxygen atom as the only hetero atom, condensed with other rings
- C07D311/02—Heterocyclic compounds containing six-membered rings having one oxygen atom as the only hetero atom, condensed with other rings ortho- or peri-condensed with carbocyclic rings or ring systems
- C07D311/76—Benzo[c]pyrans
Definitions
- the present invention relates to microbiocidal methoxyacrylate derivatives, e.g., as active ingredients, which have microbiocidal activity, in particular, fungicidal activity.
- the invention also relates to agrochemical compositions which comprise at least one of the methoxyacrylate derivatives, to processes of preparation of these compounds and to uses of the methoxyacrylate derivatives or compositions in agriculture or horticulture for controlling or preventing infestation of plants, harvested food crops, seeds or non-living materials by phytopathogenic microorganisms, preferably fungi.
- Y is CH or N
- X is O or NH
- R 1 is selected from the group consisting of hydrogen, halogen, C 1 -C 6 alkyl and C 1 -C 6 alkoxy;
- R 2 is selected from the group consisting of C 1 -C 6 alkyl, C 2 -C6alkenyl, C 2 -C6alkynyl, C 1 -C 6 haloalkyl, C 2 - C6haloalkenyl, C 2 -C6haloalkynyl, cyanoCi-C4alkyl, C 3 -C 6 cycloalkyl, C 3 -C 6 halocycloalkyl, C 3 - C6cycloalkylC 1 -C 3 alkyl-, C 3 -C 6 cycloalkylC 2 -C 6 alkenyl-, C 1 -C 6 alkoxyC 1 -C 3 alkyl-, C 1 -C 3 alkoxycarbonylCi- C 3 alkyl-, C 1 -C 3 alkylcarbonylC 1 -C 3 alkyl-, C 1 -C 3 alkoxyiminoC 1 -C 3 alky
- a 1 is CH 2 or O
- a 2 is a direct bond, CH 2 , CH 2 CH 2 or O;
- a 3 is CH 2 or O; or an agronomically acceptable salt thereof; or an N-oxide thereof.
- novel compounds of formula (I) have, a very advantageous level of biological activity for protecting plants against diseases that are caused by fungi.
- an agrochemical composition comprising a fungicidally effective amount of a compound of formula (I) and an agrochemically- acceptable diluent or carrier.
- Such an agricultural composition may further comprise at least one additional active ingredient.
- a method of controlling or preventing infestation of useful plants by phytopathogenic microorganisms wherein a fungicidally effective amount of a compound of formula (I), or a composition comprising this compound as active ingredient, is applied to the plants, to parts thereof or the locus thereof.
- a compound of formula (I) as a fungicide.
- the use may exclude methods for the treatment of the human or animal body by surgery or therapy.
- halogen refers to fluorine (fluoro), chlorine (chloro), bromine (bromo) or iodine (iodo), preferably fluorine, chlorine or bromine.
- cyano means a -CN group.
- hydroxy means a -OH group.
- C 1 -C 6 alkyl refers to a straight or branched hydrocarbon chain radical consisting solely of carbon and hydrogen atoms, containing no unsaturation, having from one to six carbon atoms, and which is attached to the rest of the molecule by a single bond.
- Ci-C4alkyl and Ci- C 2 alkyl are to be construed accordingly.
- Examples of C 1 -C 6 alkyl include, but are not limited to, methyl, ethyl, n-propyl, 1 -methylethyl (iso-propyl), n-butyl, and 1 -dimethylethyl (f-butyl).
- cyanoCi-C 4 alkyl- refers to a Ci-C 4 alkyl radical as generally defined above substituted by one or more cyano groups.
- C 1 -C 6 alkoxy refers to a radical of the formula -OR a where R a is a C 1 -C 6 alkyl radical as generally defined above.
- Examples of C 1 -C 6 alkoxy include, but are not limited to, methoxy, ethoxy, propoxy, iso-propoxy and t-butoxy.
- C 1 -C 6 haloalkyl refers to a C 1 -C 6 alkyl radical, as generally defined above, substituted by one or more of the same or different halogen atoms. Ci-C 4 haloalkyl is to be construed accordingly. Examples of C 1 -C 6 haloalkyl include, but are not limited to chloromethyl, fluoromethyl, fluoroethyl, difluoromethyl, trifluoromethyl and 2,2,2-trifluoroethyl.
- C 1 -C 6 haloalkoxy refers to a C 1 -C 6 alkoxy group, as defined above, substituted by one or more of the same or different halogen atoms. Ci-C 4 haloalkoxy is to be construed accordingly. Examples of C 1 -C 6 haloalkoxy include, but are not limited to, fluoromethoxy, difluoromethoxy, fluoroethoxy, trifluoromethoxy and trifluoroethoxy.
- C 2 -C6alkenyl refers to a straight or branched hydrocarbon chain radical consisting solely of carbon and hydrogen atoms, containing at least one double bond that can be of either the (E)- or (Z)-configuration, having from two to six carbon atoms, which is attached to the rest of the molecule by a single bond.
- C 3 -C 6 alkenyl is to be construed accordingly.
- Examples of C 2 -C6alkenyl include, but are not limited to, prop-1 -enyl, allyl (prop-2-enyl) and but-1 -enyl.
- C 2 -C6haloalkenyl refers to a C 2 -C6alkenyl radical, as generally defined above, substituted by one or more of the same or different halogen atoms.
- C 2 -C6alkynyl refers to a straight or branched hydrocarbon chain radical group consisting solely of carbon and hydrogen atoms, containing at least one triple bond, having from two to six carbon atoms, and which is attached to the rest of the molecule by a single bond.
- Examples of C 2 - C6alkynyl include, but are not limited to, prop-1 -ynyl and propargyl (prop-2-ynyl).
- C 1 -C 6 alkoxyC 1 -C 3 alkyl- refers to radical of the formula R a -0-Rb- where R a is a C 1 -C 6 alkyl radical as generally defined above, and Rb is a C 1 -C 3 alkylene radical as generally defined above.
- C 1 -C 3 alkoxycarbonylC 1 -C 3 alkyl- refers to a radical of the formula Rb-OC(O)- R a - where R a is a C 1 -C 3 alkyl radical as generally defined above, and Rb is a C 1 -C 3 alkyl radical as generally defined above.
- phenylC 1 -C 3 alkoxycarbonylC 1 -C 3 alkyl- refers to a radical of the formula Rb- 0C(0)-R a - where R a is a C 1 -C 3 alkyl radical as generally defined above, and Rb is a phenylC 1 -C 3 alkyl radical as generally defined herein.
- C 1 -C 3 alkoxyC 1 -C 3 alkoxy- refers to radical of the formula Ra-O-Rb-O- where R a is a C 1 -C 3 alkyl radical as generally defined above, and Rb is a C 1 -C 3 alkyl radical as generally defined above.
- C 1 -C 6 alkylcarbonyl refers to a radical of the formula -C(0)R a where R a is a C 1 -C 6 alkyl radical as generally defined above.
- C 1 -C 3 alkylcarbonyl is to be construed accordingly.
- C 1 -C 3 alkylcarbonylC 1 -C 3 alkyl- refers to a refers to a C 1 -C 3 alkylcarbonyl radical as defined above attached to the rest of the molecule by a C 1 -C 3 alkylene radical as generally defined above.
- C 1 -C 3 alkoxyiminoC 1 -C 3 alkyl- refers to a C 1 -C 3 alkoxyimino radical as defined above attached to the rest of the molecule by a C 1 -C 3 alkylene radical as generally defined above.
- C 3 -C 6 cycloalkyl refers to a stable, monocyclic ring radical which is saturated or partially unsaturated and contains 3 to 6 carbon atoms.
- C 3 - C 4 cycloalkyl is to be construed accordingly.
- Examples of C 3 -C 6 cycloalkyl include, but are not limited to, cyclopropyl, cyclobutyl, cyclopentyl and cyclohexyl.
- C 3 -C 6 cycloalkylC 1 -C 3 alkyl- refers to a C 3 -C 6 cycloalkyl ring as defined above attached to the rest of the molecule by a C 1 -C 3 alkylene radical as defined above.
- C 3 - C 4 cycloalkylCi-C 2 alkyl- is to be construed accordingly.
- Examples of C 3 -C 6 cycloalkylCi-3alkyl- include, but are not limited to cyclopropylmethyl- and cyclobutylethyl-.
- C 3 -C 6 cycloalkylC 2 -C 6 alkenyl- refers to a a C 3 -C 6 cycloalkyl ring as defined above attached to the rest of the molecule by a C 2 -C6alkenyl radical as defined above.
- C 3 -C 6 halocycloalkyl refers to a C 3 -C 6 cycloalkyl radical, as generally defined above, substituted by one or more of the same or different halogen atoms.
- C 3 -C 4 halocycloalkyl is to be construed accordingly.
- phenylC 1 -C 3 alkyl- refers to a phenyl ring attached to the rest of the molecule by a C 1 -C 3 alkylene radical as generally defined above.
- heterocyclyl or “heterocyclic” refers to a stable 3- to 6-membered non-aromatic monocyclic ring radical which comprises 1 , 2, or 3 heteroatoms individually selected from nitrogen, oxygen and sulfur.
- the heterocyclyl radical may be bonded to the rest of the molecule via a carbon atom or heteroatom.
- heterocyclyl examples include, but are not limited to, pyrrolinyl, pyrrolidyl, tetrahydrofuryl, tetrahydrothienyl, tetrahydrothiopyranyl, piperidyl, piperazinyl, tetrahydropyranyl, dihydroisoxazolyl, dioxolanyl, morpholinyl or d-lactamyl.
- heterocyclylC 1 -C 3 alkyl- refers to a heterocyclyl ring as defined above attached to the rest of the molecule by a C 1 -C 3 alkylene radical as generally defined above.
- heteroaryl refers to a 5- or 6-membered monocyclic aromatic ring which comprises 1 , 2, 3 or 4 heteroatoms individually selected from nitrogen, oxygen and sulfur.
- the heteroaryl radical may be bonded to the rest of the molecule via a carbon atom or heteroatom.
- heteroaryl include, furyl, pyrrolyl, imidazolyl, thienyl, pyrazolyl, thiazolyl, isothiazolyl, oxazolyl, isoxazolyl, triazolyl, tetrazolyl, pyrazinyl, pyridazinyl, pyrimidyl or pyridyl.
- heteroarylC 1 -C 3 alkyl- refers to a heteroaryl ring as defined above attached to the rest of the molecule by a C 1 -C 3 alkylene radical as generally defined above.
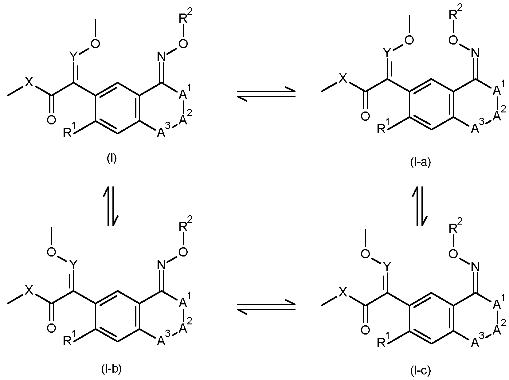
- the compound of formula (I) may exist as E and/or Z isomers. This invention covers all such isomers and mixtures thereof in all proportions.
- a compound of formula (I) can be drawn in at least 4 different isomeric forms as shown below.
- the individual isomers, or intermediates depicted below or in reaction schemes 1 -12 may interconvert in solid state, in solution, or under exposure to light.
- asymmetric carbon atoms in a compound of formula (I) means that the compounds may occur in chiral isomeric forms, i.e. , enantiomeric or diastereomeric forms. Also atropisomers may occur as a result of restricted rotation about a single bond.
- Formula (I) is intended to include all those possible isomeric forms and mixtures thereof.
- the present invention includes all those possible isomeric forms and mixtures thereof for a compound of formula (I).
- formula (I) is intended to include all possible tautomers (including lactam-lactim tautomerism and keto-enol tautomerism) where present.
- the present invention includes all possible tautomeric forms for a compound of formula (I).
- the compounds of formula (I) according to the invention are in free form, in covalently hydrated form, or in salt form, e.g., an agronomically usable or agrochemically acceptable salt form.
- Y is CH or N.
- Y is CH.
- X is O or NH.
- X is O.
- R 1 is selected from the group consisting of hydrogen, halogen, C 1 -C 6 alkyl and C 1 -C 6 alkoxy.
- R 1 is selected from the group consisting of hydrogen, halogen and C 1 -C 6 alkyl. More preferably, R 1 is selected from the group consisting of hydrogen, chloro, fluoro and C 1 -C 6 alkyl. Even more preferably, R 1 is selected from the group consisting of hydrogen, fluoro and methyl. Even more preferably still, R 1 is hydrogen or methyl. Most preferably, R 1 is hydrogen.
- R 1 is hydrogen or C 1 -C 6 alkyl.
- R 2 is selected from the group consisting of C 1 -C 6 alkyl, C 2 -C 6 alkenyl, C 2 -C 6 alkynyl, C 1 -C 6 haloalkyl, C2- C 6 haloalkenyl, C 2 -C 6 haloalkynyl, cyanoCi-C 4 alkyl, C 3 -C 6 cycloalkyl, C 3 -C 6 halocycloalkyl, C 3 - C6cycloalkylC 1 -C 3 alkyl-, C 3 -C 6 cycloalkylC 2 -C6alkenyl-, C 1 -C 6 alkoxyC 1 -C 3 alkyl-, C 1 -C 3 alkoxycarbonylCi- C 3 alkyl-, C 1 -C 3 alkylcarbonylC 1 -C 3 alkyl-, C 1 -C 3 alkoxyiminoC 1 -C 3 alky
- R 2 is selected from the group consisting of C 1 -C 6 alkyl, C 2 -C 6 alkynyl, C 1 -C 6 haloalkyl, C 3 - C6cycloalkyl, C 3 -C 6 cycloalkylC 1 -C 3 alkyl-, C 1 -C 3 alkoxycarbonylC 1 -C 3 alkyl-, phenyl, heterocyclyl, phenylC 1 -C 3 alkyl-, heterocyclylC 1 -C 3 alkyl-, and wherein said phenylC 1 -C 3 alkyl-, heterocyclylC 1 -C 3 alky, phenyl or heterocyclyl are optionally substituted by 1 , 2 or 3 R 3 substituents, which may be the same or different.
- R 2 is selected from the group consisting of C 1 -C 6 alkyl, C 2 -C 6 alkynyl, C 1 -C 6 haloalkyl, C 3 -C 6 cycloalkyl, C 3 -C 6 cycloalkylC 1 -C 3 alkyl-, C 1 -C 3 alkoxycarbonylC 1 -C 3 alkyl-, phenyl, heterocyclyl and phenylC 1 -C 3 alkyl-.
- R 2 is selected from the group consisting of C 1 -C 6 alkyl, C 2 -C 6 alkynyl, Ci- C 6 haloalkyl, cyclobutyl, C 3 -C 6 cycloalkylC 1 -C 3 alkyl-, phenyl, oxetanyl, and phenylC 1 -C 3 alkyl-.
- R 2 is selected from the group consisting of C 1 -C 6 alkyl, C 2 -C 6 alkynyl, Ci- C 6 haloalkyl and C 3 -C 6 cycloalkylC 1 -C 3 alkyl-.
- R 2 is selected from the group consisting of methyl, ethyl, n-propyl, isopropyl, /so-butyl, tert-butyl, 1 -methylpropyl, 1 -methylbutyl, 1 -methyl-/so-pentyl, propargyl, 1 - methylpropargyl, 2-fluoroethyl, 2,2-difluoroethyl, 2,2,2-trifluoroethyl, 2-fluoroethyl, 2,2-difluoroethyl, 2,2,2-trifluoroethyl and cyclopropylmethyl-.
- R 2 is selected from the group consisting of methyl, ethyl, n-propyl, isopropyl, iso-butyl, tert-butyl, propargyl, 2-fluoroethyl, 2,2-difluoroethyl, 2,2,2-trifluoroethyl, 2-fluoroethyl, 2,2-difluoroethyl, 2,2,2-trifluoroethyl and cyclopropylmethyk
- R 2 is selected from the group consisting of methyl, ethyl, n-propyl, iso-propyl, iso- butyl, tert-butyl, 1-methylpropyl, 1-methylbutyl, 1-methyl-/so-pentyl, propargyl, 1-methylpropargyl, 2- fluoroethyl, 2,2-difluoroethyl, 2,2,2-trifluoroethyl, 2-fluoroethyl, 2,2-difluoroethyl, 2,2,2-trifluoroethyl, cyclobutyl, cyclopropylmethyl-, 2-ethoxy-1-methyl-2-oxo-ethyl, phenyl, benzyl and 1-phenylethyl-.
- R 3 is selected from the group consisting of hydroxy, halogen, cyano, C 1 -C 6 alkyl, C 2 -C6alkenyl, C 2 - C 6 alkynyl, C 1 -C 6 alkoxy, C 3 -C 6 cycloalkyl, C 3 -C 6 cycloalkoxy, C 1 -C 6 haloalkyl, C 1 -C 6 haloalkoxy, C 3 - C 6 halocycloalkyl, C 1 -C 6 alkoxyC 1 -C 3 alkyl-, C 1 -C 6 haloalkoxyC 1 -C 3 alkyl- and C 1 -C 6 alkylcarbonyl.
- R 3 is selected from the group consisting of hydroxy, halogen, cyano, C 1 -C 6 alkyl, C 2 - C6alkenyl, C 2 -C6alkynyl, C 1 -C 6 alkoxy, C3-C6cycloalkyl, C 1 -C 6 haloalkyl and C 1 -C 6 haloalkoxy. More preferably, R 3 is selected from the group consisting of hydroxy, halogen, cyano, C 1 -C 6 alkyl, Ci- C 6 haloalkyl and C 1 -C 6 haloalkoxy.
- R 3 is selected from the group consisting of halogen, C 1 -C 6 alkyl and C 1 -C 6 haloalkyl. Even more preferably still, R 3 is selected from the group consisting of chloro, fluoro, bromo, methyl and trifluoromethyl. Yet even more preferably still, R 3 is chloro or fluoro.
- a 1 is CH 2 or O.
- a 1 is CH 2 .
- a 2 is a direct bond, CH 2 , CH 2 CH 2 or O.
- a 2 is a direct bond, CH 2 or O. More preferably, A 2 is CH 2 or O. Most preferably A 2 is CH 2 .
- a 3 is CH 2 or O.
- a 3 is CH 2 .
- a 1 , A 2 and A 3 are CH 2 .
- Y is CH
- X is O
- R 1 is hydrogen or C 1 -C 6 alkyl
- R 2 is selected from the group consisting of C 1 -C 6 alkyl, C 2 -C6alkynyl, C 1 -C 6 haloalkyl, cyclobutyl, C3- C6cycloalkylCi-C3alkyl-, phenyl, oxetanyl, and phenylCi-C3alkyl-;
- a 1 is CH 2 or O
- a 2 is a direct bond, CH 2 , CH 2 CH 2 or O;
- a 3 is CH 2 or O.
- Y is CH; X is O;
- R 1 is hydrogen or methyl
- R 2 is selected from the group consisting of methyl, ethyl, n-propyl, iso-propyl, iso-butyl, tert-butyl, 1 - methylpropyl, 1 -methylbutyl, 1 -methyl-iso-pentyl, propargyl, 1 -methylpropargyl, 2-fluoroethyl, 2,2- difluoroethyl, 2,2,2-trifluoroethyl, 2-fluoroethyl, 2,2-difluoroethyl, 2,2,2-trifluoroethyl, cyclobutyl, cyclopropylmethyl-, 2-ethoxy-1 -methyl-2-oxo-ethyl, phenyl, benzyl and 1 -phenylethyl-;
- a 1 is CH 2 or O
- a 2 is a direct bond, CH 2 , CH 2 CH 2 or O;
- a 3 is CH 2 or O.
- Y is CH
- X is O
- R 1 is hydrogen
- R 2 is selected from the group consisting of methyl, ethyl, n-propyl, iso-propyl, iso-butyl, tert-butyl, propargyl, 2-fluoroethyl, 2,2-difluoroethyl, 2,2,2-trifluoroethyl, 2-fluoroethyl, 2,2-difluoroethyl, 2,2,2- trifluoroethyl and cyclopropylmethyl-;
- a 1 is CH 2 ;
- a 2 is CH 2 ;
- a 3 is CH 2 .
- Y is CH
- X is O
- R 1 is selected from the group consisting of hydrogen, fluoro and methyl
- R 2 is selected from the group consisting of C 1 -C 6 alkyl, C 2 -C 6 alkynyl, C 1 -C 6 haloalkyl, cyclobutyl, C 3 - C6cycloalkylC 1 -C 3 alkyl-, phenyl, oxetanyl, and phenylC 1 -C 3 alkyl-;
- a 1 is CH 2 or O
- a 2 is a direct bond, CH 2 , CH 2 CH 2 or O;
- a 3 is CH 2 or O.
- Y is CH
- X is O
- R 1 is selected from the group consisting of hydrogen, fluoro and methyl
- R 2 is selected from the group consisting of methyl, ethyl, n-propyl, iso-propyl, iso-butyl, tert-butyl, 1 - methylpropyl, 1 -methylbutyl, 1 -methyl-iso-pentyl, propargyl, 1 -methylpropargyl, 2-fluoroethyl, 2,2- difluoroethyl, 2,2,2-trifluoroethyl, 2-fluoroethyl, 2,2-difluoroethyl, 2,2,2-trifluoroethyl, cyclobutyl, cyclopropylmethyl-, 2-ethoxy-1 -methyl-2-oxo-ethyl, phenyl, benzyl and 1 -phenylethyl-;
- a 1 is CH 2 or O
- a 2 is a direct bond, CH 2 , CH 2 CH 2 or O; and A 3 is CH 2 or O.
- Y is CH
- X is O
- R 1 is selected from the group consisting of hydrogen, fluoro and methyl
- R 2 is selected from the group consisting of methyl, ethyl, n-propyl, /so-propyl, /so-butyl, tert-butyl, propargyl, 2-fluoroethyl, 2,2-difluoroethyl, 2,2,2-trifluoroethyl, 2-fluoroethyl, 2,2-difluoroethyl, 2,2,2- trifluoroethyl and cyclopropylmethyl-;
- a 1 is CH 2 ;
- a 2 is CH 2 ;
- a 3 is CH 2 .
- the compound according to formula (I) is selected from the group consisting of compounds 1 .1 to 1 .54 listed in table T1 below.
- Y is CH
- X is O
- R 1 is selected from the group consisting of hydrogen, chloro, fluoro and C 1 -C 6 alkyl (preferably, hydrogen, fluoro and methyl, more preferably hydrogen);
- a 1 is CH 2 or O (preferably, CH 2 );
- a 2 is a direct bond, CH 2 , CH 2 CH 2 or O (preferably, CH 2 );
- a 3 is CH 2 or O (preferably, CH 2 ).
- Y is CH
- X is O
- R 1 is selected from the group consisting of hydrogen, chloro, fluoro and C 1 -C 6 alkyl (preferably, hydrogen, fluoro and methyl, more preferably hydrogen);
- a 1 is CH 2 or O (preferably CH 2 );
- a 2 is a direct bond, CH 2 , CH 2 CH 2 or O (preferably CH 2 );
- a 3 is CH 2 or O (preferably CH 2 ).
- the compounds of formula (I) according to the invention may be useful for combating phytopathogenic fungi (e.g Altemaria alternata, Phakopsora pachyrhizi, Plasmopara viticola, Sclerotinia sclerotiorum or Septoria tritici also known as Mycosphaerella graminicola) containing a mutation in the mitochondrial cytochrome b conferring resistance to Qo inhibitors (e.g strobilurins such as azoxystrobin, pyraclostrobin, picoxystrobin and trifloxystrobin or fenamidone or famoxadone).
- phytopathogenic fungi e.g Altemaria alternata, Phakopsora pachyrhizi, Plasmopara viticola, Sclerotinia sclerotiorum or Septoria tritici also known as Mycosphaerella graminicola
- Qo inhibitors e.g strobil
- the compounds of formula (I) according to the invention may be useful for combating phytopathogenic fungi (e.g Altemaria alternata, Plasmopara viticola, Sclerotinia sclerotiorum or Septoria tritici also known as Mycosphaerella graminicola) containing a mutation in the mitochondrial cytochrome b conferring resistance to Qo inhibitors (e.g strobilurins such as azoxystrobin, pyraclostrobin, picoxystrobin and trifloxystrobin or fenamidone or famoxadone), wherein the mutation is G143A.
- phytopathogenic fungi e.g Altemaria alternata, Plasmopara viticola, Sclerotinia sclerotiorum or Septoria tritici also known as Mycosphaerella graminicola
- Qo inhibitors e.g strobilurins such as azoxystrobin, pyra
- the compounds of formula (I) according to the invention may be useful for combating phytopathogenic fungi (e.g Phakopsora pachyrhizi ) containing a mutation in the mitochondrial cytochrome b conferring resistance to Qo inhibitors (e.g strobilurins such as azoxystrobin, pyraclostrobin, picoxystrobin and trifloxystrobin or fenamidone or famoxadone), wherein the mutation is F129L.
- phytopathogenic fungi e.g Phakopsora pachyrhizi
- Qo inhibitors e.g strobilurins such as azoxystrobin, pyraclostrobin, picoxystrobin and trifloxystrobin or fenamidone or famoxadone
- the invention also relates to a method of controlling or preventing infestation by phytopathogenic fungi in a plant (e.g Altemaria alternate, Plasmopara viticola, Sclerotinia sclerotiorum or Septoria tritici also known as Mycosphaerella graminicola ), wherein said phytopathogenic fungi contains a mutation in the mitochondrial cytochrome b conferring resistance to Qo inhibitors (e.g strobliurins such as azoxystrobin, pyraclostrobin, picoxystrobin and trifloxystrobin or fenamidone or famoxadone), said method comprising applying to the plant, to parts thereof or the locus thereof, a fungicidally effective amount of a compound of formula (I).
- a plant e.g Altemaria alternate, Plasmopara viticola, Sclerotinia sclerotiorum or Septoria tritici also known as Mycosphaerella
- a method of controlling or preventing infestation by phytopathogenic fungi e.g Phakopsora pachyrhizi ) in a soybean plant, wherein said phytopathogenic fungi contains a mutation in the mitochondrial cytochrome b conferring resistance to Qo inhibitors (e.g strobliurins such as azoxystrobin, pyraclostrobin, picoxystrobin and trifloxystrobin or fenamidone or famoxadone), said method comprising applying to the plant, to parts thereof or the locus thereof, a fungicidally effective amount of a compound of formula (I).
- Qo inhibitors e.g strobliurins such as azoxystrobin, pyraclostrobin, picoxystrobin and trifloxystrobin or fenamidone or famoxadone
- a method of controlling or preventing infestation by phytopathogenic fungi e.g Phakopsora pachyrhizi ) in a soybean plant, wherein said phytopathogenic fungi contains a F129L mutation in the mitochondrial cytochrome b conferring resistance to Qo inhibitors (e.g strobliurins such as azoxystrobin, pyraclostrobin, picoxystrobin and trifloxystrobin or fenamidone or famoxadone), said method comprising applying to the plant, to parts thereof or the locus thereof, a fungicidally effective amount of a compound of formula (I).
- Qo inhibitors e.g strobliurins such as azoxystrobin, pyraclostrobin, picoxystrobin and trifloxystrobin or fenamidone or famoxadone
- the level of resistance and therefore the impact on the performance of the fungicide can be measured by the use of a 'Resistance Factor' (RF).
- RF EC50 value of the resistant strain/EC50 value of the sensitive strain.
- resistant fungal strains In order to obtain resistant fungal strains, a researcher is to locate a host crop and geographical region where the relevant resistance has been reported in the literature or has been observed in agronomic practice. Either leaf samples infected by the target disease or spores, or mycelium of the target disease are then collected from the locations/host crops and sent to a laboratory, where pure cultures would be isolated. The resistant phenotype of the fungal cultures is determined either by conducting a full dose response bioassay and comparing the bioassay results to similar bioassay results for a known susceptible strain of the same species. Alternatively the resistance genotype of the fungal strain can be determined by molecular techniques (e.g. qPCR) if the resistance mechanism for the relevant species is known.
- molecular techniques e.g. qPCR
- a base such as sodium acetate or an acid such as acetic acid
- solvents such as ethanol, methanol or water
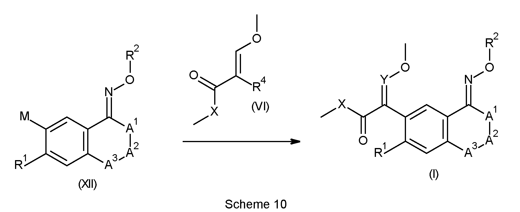
- Compounds of formula (II) can be prepared from compounds of formula (V), wherein M is a metalloid species (e.g. ZnCI, B(OH)2 or BPin), by reaction with a species of formula (VI), where R 4 is a halogen or pseudohalogen (e.g. Br, I, OTf), in the presence of a suitable catalyst such as palladium diacetate and optionally a supporting ligand (e.g. CatCXiumA®) and base (e.g. potassium phosphate) in a suitable solvent such as 1 ,4-dioxane, dimethylformamide or toluene at temperatures between 20°C and 100°C.
- a suitable catalyst such as palladium diacetate and optionally a supporting ligand (e.g. CatCXiumA®) and base (e.g. potassium phosphate) in a suitable solvent such as 1 ,4-dioxane, dimethylformamide or toluene at temperatures between 20°
- compounds of formula (V) can be prepared as described in Journal of Medicinal Chemistry, 2018, 61, 5623-5642 or Journal of Medicinal Chemistry, 2013, 56, 5514-5540.
- compounds of formula (V) can be prepared from compounds of formula (VII) wherein R 5 is a halogen or pseudohalogen (e.g. Br, I, OTf) by treatment with a suitable metallating agent (e.g. bis- pinacolatodiboron) optionally in the presence of a suitable catalyst (e.g. Pd(dppf)Cl2) and base (e.g.
- a suitable metallating agent e.g. bis- pinacolatodiboron
- a suitable catalyst e.g. Pd(dppf)Cl2
- base e.g.
- Certain compounds of formula VII are commercially available or can be prepared as described in Organic and Biomolecular Chemistry, 2014, 12, 177-186 or Journal of Organic Chemistry, 1992, 57, 366-370.
- an iodide source e.g. sodium iodide
- a suitable catalyst such as copper (I) iodide and a supporting ligand, such as N, N-dimethylcyclohexane-1 ,2-diamine
- an appropriate solvent e.g. 1 ,4-dioxane
- a base such as sodium acetate or an acid such as acetic acid
- solvents such as ethanol, methanol or water
- a suitable catalyst such as palladium diacetate and optionally a supporting ligand (e.g. CatCXiumA®) and base (e.g. potassium phosphate) in a suitable solvent such as 1 ,4-dioxane, L
- Compounds of formula (XIII) can be prepared from compounds of formula (XI) wherein R 5 is a halogen or pseudohalogen (e.g. Br, Cl, OTf) by treatment with a suitable metallating agent (e.g. bis- pinacolatodiboron) optionally in the presence of a suitable catalyst (e.g. Pd(dppf)Cl2) and base (e.g. potassium phosphate) in a solvent such as 1 ,4-dioxane, dimethylformamide or toluene at a temperature between 20°C-150°C.
- a suitable metallating agent e.g. bis- pinacolatodiboron
- a suitable catalyst e.g. Pd(dppf)Cl2
- base e.g. potassium phosphate
- a dihaloethane such as 1 ,2-dichloroethane or 1 ,2-dibromoethane
- a catalyst such as palladium diacetate and a base such as potassium acetate
- a solvent such as tetrahydrofuran or dimethylformamide
- the compounds of formula (I) can be used in the agricultural sector and related fields of use, e.g., as active ingredients for controlling plant pests or on non-living materials for the control of spoilage microorganisms or organisms potentially harmful to man.
- the novel compounds are distinguished by excellent activity at low rates of application, by being well tolerated by plants and by being environmentally safe. They have very useful curative, preventive and systemic properties and can be used for protecting numerous cultivated plants.
- the compounds of formula (I) can be used to inhibit or destroy the pests that occur on plants or parts of plants (fruit, blossoms, leaves, stems, tubers, roots) of different crops of useful plants, while at the same time protecting also those parts of the plants that grow later, e.g., from phytopathogenic microorganisms.
- the present invention further relates to a method for controlling or preventing infestation of plants or plant propagation material and/or harvested food crops susceptible to microbial attack by treating plants or plant propagation material and/or harvested food crops wherein an effective amount a compound of formula (I) is applied to the plants, to parts thereof or the locus thereof.
- fungicide means a compound that controls, modifies, or prevents the growth of fungi.
- fungicidally effective amount where used means the quantity of such a compound or combination of such compounds that is capable of producing an effect on the growth of fungi. Controlling or modifying effects include all deviation from natural development, such as killing, retardation and the like, and prevention includes barrier or other defensive formation in or on a plant to prevent fungal infection.
- compounds of formula (I) as dressing agents for the treatment of plant propagation material, e.g., seed, such as fruits, tubers or grains, or plant cuttings, for the protection against fungal infections as well as against phytopathogenic fungi occurring in the soil.
- the propagation material can be treated with a composition comprising a compound of formula (I) before planting: seed, for example, can be dressed before being sown.
- the active compounds of formula (I) can also be applied to grains (coating), either by impregnating the seeds in a liquid formulation or by coating them with a solid formulation.
- the composition can also be applied to the planting site when the propagation material is being planted, for example, to the seed furrow during sowing.
- the invention relates also to such methods of treating plant propagation material and to the plant propagation material so treated.
- the compounds of formula (I) can be used for controlling fungi in related areas, for example in the protection of technical materials, including wood and wood related technical products, in food storage, in hygiene management.
- the invention could be used to protect non-living materials from fungal attack, e.g. lumber, wall boards and paint.
- the compounds of formula (I) are for example, effective against fungi and fungal vectors of disease as well as phytopathogenic bacteria and viruses. These fungi and fungal vectors of disease as well as phytopathogenic bacteria and viruses are for example:
- Absidia corymbifera Alternaria spp, Aphanomyces spp, Ascochyta spp, Aspergillus spp. including A. flavus, A. fumigatus, A. nidulans, A. niger, A. terms, Aureobasidium spp. including A. pullulans, Blastomyces dermatitidis, Blumeria graminis, Bremia lactucae, Botryosphaeria spp. including B. dothidea, B. obtusa, Botrytis spp. comprising B. cinerea, Candida spp. including C. albicans, C. glabrata, C. krusei, C.
- Penicillium spp. including P. digitatum, P. italicum, Petriellidium spp, Peronosclerospora spp. Including P. maydis, P. philippinensis and P. sorghi, Peronospora spp, Phaeosphaeria nodorum, Phakopsora pachyrhizi, Phellinus igniarus, Phialophora spp, Phoma spp, Phomopsis viticola, Phytophthora spp.
- P. infestans Plasmopara spp. including P. halstedii, P. viticola, Pleospora spp., Podosphaera spp. including P. leucotricha, Polymyxa graminis, Polymyxa betae, Pseudocercosporella herpotrichoides, Pseudomonas spp, Pseudoperonospora spp. including P. cubensis, P. humuli, Pseudopeziza tracheiphila, Puccinia Spp. including P. hordei, P. recondita, P. striiformis, P.
- target crops and/or useful plants to be protected typically comprise perennial and annual crops, such as berry plants for example blackberries, blueberries, cranberries, raspberries and strawberries; cereals for example barley, maize (corn), millet, oats, rice, rye, sorghum triticale and wheat; fibre plants for example cotton, flax, hemp, jute and sisal; field crops for example sugar and fodder beet, coffee, hops, mustard, oilseed rape (canola), poppy, sugar cane, sunflower, tea and tobacco; fruit trees for example apple, apricot, avocado, banana, cherry, citrus, nectarine, peach, pear and plum; grasses for example Bermuda grass, bluegrass, bentgrass, centipede grass,
- Augustine grass and Zoysia grass herbs such as basil, borage, chives, coriander, lavender, lovage, mint, oregano, parsley, rosemary, sage and thyme; legumes for example beans, lentils, peas and soya beans; nuts for example almond, cashew, ground nut, hazelnut, peanut, pecan, pistachio and walnut; palms for example oil palm; ornamentals for example flowers, shrubs and trees; other trees, for example cacao, coconut, olive and rubber; vegetables for example asparagus, aubergine, broccoli, cabbage, carrot, cucumber, garlic, lettuce, marrow, melon, okra, onion, pepper, potato, pumpkin, rhubarb, spinach and tomato; and vines for example grapes.
- herbs such as basil, borage, chives, coriander, lavender, lovage, mint, oregano, parsley, rosemary, sage and thyme
- legumes for example beans, lentils, peas and soya beans
- useful plants is to be understood as also including useful plants that have been rendered tolerant to herbicides like bromoxynil or classes of herbicides (such as, for example, HPPD inhibitors, ALS inhibitors, for example primisulfuron, prosulfuron and trifloxysulfuron, EPSPS (5-enol-pyrovyl- shikimate-3-phosphate-synthase) inhibitors, GS (glutamine synthetase) inhibitors or PPO (protoporphyrinogen-oxidase) inhibitors) as a result of conventional methods of breeding or genetic engineering.
- herbicides like bromoxynil or classes of herbicides
- EPSPS (5-enol-pyrovyl- shikimate-3-phosphate-synthase) inhibitors
- GS glutamine synthetase
- PPO protoporphyrinogen-oxidase
- imazamox by conventional methods of breeding (mutagenesis) is Clearfield® summer rape (Canola).
- crops that have been rendered tolerant to herbicides or classes of herbicides by genetic engineering methods include glyphosate- and glufosinate-resistant maize varieties commercially available under the trade names RoundupReady®, Herculex I® and LibertyLink®.
- useful plants is to be understood as also including useful plants which have been so transformed by the use of recombinant DNA techniques that they are capable of synthesising one or more selectively acting toxins, such as are known, for example, from toxin-producing bacteria, especially those of the genus Bacillus.
- YieldGard® (maize variety that expresses a CrylA(b) toxin); YieldGard Rootworm® (maize variety that expresses a Cryll IB(b1 ) toxin); YieldGard Plus® (maize variety that expresses a CrylA(b) and a Cryll IB(b1 ) toxin); Starlink® (maize variety that expresses a Cry9(c) toxin); Herculex I® (maize variety that expresses a CrylF(a2) toxin and the enzyme phosphinothricine N- acetyltransferase (PAT) to achieve tolerance to the herbicide glufosinate ammonium); NuCOTN 33B® (cotton variety that expresses a CrylA(c) toxin); Bollgard I® (cotton variety that expresses a CrylA(c) toxin); Bollgard II® (cott
- crops is to be understood as including also crop plants which have been so transformed by the use of recombinant DNA techniques that they are capable of synthesising one or more selectively acting toxins, such as are known, for example, from toxin-producing bacteria, especially those of the genus Bacillus.
- Toxins that can be expressed by such transgenic plants include, for example, insecticidal proteins from Bacillus cereus or Bacillus popilliae; or insecticidal proteins from Bacillus thuringiensis, such as 5- endotoxins, e.g. CrylAb, CrylAc, Cry1 F, Cry1 Fa2, Cry2Ab, Cry3A, Cry3Bb1 or Cry9C, or vegetative insecticidal proteins (Vip), e.g. Vip1 , Vip2, Vip3 or Vip3A; or insecticidal proteins of bacteria colonising nematodes, for example Photorhabdus spp.
- insecticidal proteins from Bacillus cereus or Bacillus popilliae or insecticidal proteins from Bacillus thuringiensis, such as 5- endotoxins, e.g. CrylAb, CrylAc, Cry1 F, Cry1 Fa2, Cry2Ab, Cry3A, Cry3Bb1
- Xenorhabdus spp. such as Photorhabdus luminescens, Xenorhabdus nematophilus
- toxins produced by animals such as scorpion toxins, arachnid toxins, wasp toxins and other insect-specific neurotoxins
- toxins produced by fungi such as Streptomycetes toxins, plant lectins, such as pea lectins, barley lectins or snowdrop lectins
- agglutinins proteinase inhibitors, such as trypsin inhibitors, serine protease inhibitors, patatin, cystatin, papain inhibitors
- ribosomeinactivating proteins (RIP) such as ricin, maize-RIP, abrin, luffin, saporin or bryodin
- steroid metabolism enzymes such as 3-hydroxysteroidoxidase, ecdysteroid-UDP-glycosyl-transferase, cholesterol oxidases, ecdy
- d-endotoxins for example CrylAb, CrylAc, Cry1 F, Cry1 Fa2, Cry2Ab, Cry3A, Cry3Bb1 or Cry9C, or vegetative insecticidal proteins (Vip), for example Vip1 , Vip2, Vip3 or Vip3A, expressly also hybrid toxins, truncated toxins and modified toxins.
- Hybrid toxins are produced recombinantly by a new combination of different domains of those proteins (see, for example, WO 02/15701).
- Truncated toxins for example a truncated CrylAb, are known.
- modified toxins one or more amino acids of the naturally occurring toxin are replaced.
- amino acid replacements preferably non-naturally present protease recognition sequences are inserted into the toxin, such as, for example, in the case of Cry3A055, a cathepsin-G- recognition sequence is inserted into a Cry3A toxin (see WO 03/018810).
- Examples of such toxins or transgenic plants capable of synthesising such toxins are disclosed, for example, in EP-A-0 374 753, WO93/07278, W095/34656, EP-A-0 427 529, EP-A-451 878 and WO 03/052073.
- Cryl-type deoxyribonucleic acids and their preparation are known, for example, from WO 95/34656, EP-A-0 367 474, EP-A-0 401 979 and WO 90/13651.
- the toxin contained in the transgenic plants imparts to the plants tolerance to harmful insects.
- insects can occur in any taxonomic group of insects, but are especially commonly found in the beetles (Coleoptera), two-winged insects (Diptera) and butterflies (Lepidoptera).
- Transgenic plants containing one or more genes that code for an insecticidal resistance and express one or more toxins are known and some of them are commercially available. Examples of such plants are: YieldGard® (maize variety that expresses a Cry1 Ab toxin); YieldGard Rootworm® (maize variety that expresses a Cry3Bb1 toxin); YieldGard Plus® (maize variety that expresses a CrylAb and a Cry3Bb1 toxin); Starlink® (maize variety that expresses a Cry9C toxin); Herculex I® (maize variety that expresses a Cry1 Fa2 toxin and the enzyme phosphinothricine N-acetyltransferase (PAT) to achieve tolerance to the herbicide glufosinate ammonium); NuCOTN 33B® (cotton variety that expresses a CrylAc toxin); Bollgard I® (cotton variety that expresses
- transgenic crops are:
- MIR604 Maize from Syngenta Seeds SAS, Chemin de I'Hobit 27, F-31 790 St. Sauveur, France, registration number C/FR/96/05/10. Maize which has been rendered insect-resistant by transgenic expression of a modified Cry3A toxin. This toxin is Cry3A055 modified by insertion of a cathepsin-G- protease recognition sequence. The preparation of such transgenic maize plants is described in WO 03/018810. 4.
- MON 863 Maize from Monsanto Europe S.A. 270-272 Avenue de Tervuren, B-1 150 Brussels, Belgium, registration number C/DE/02/9. MON 863 expresses a Cry3Bb1 toxin and has resistance to certain Coleoptera insects.
- NK603 x MON 810 Maize from Monsanto Europe S.A. 270-272 Avenue de Tervuren, B-1 150 Brussels, Belgium, registration number C/GB/02/M3/03. Consists of conventionally bred hybrid maize varieties by crossing the genetically modified varieties NK603 and MON 810.
- NK603 c MON 810 Maize transgenically expresses the protein CP4 EPSPS, obtained from Agrobacterium sp. strain CP4, which imparts tolerance to the herbicide Roundup® (contains glyphosate), and also a Cry1 Ab toxin obtained from Bacillus thuringiensis subsp. kurstaki which brings about tolerance to certain Lepidoptera, include the European corn borer.
- the compounds of formula (I) may be used in controlling or preventing phytopathogenic diseases, especially phytopathogenic fungi (such as Phakopsora pachyrhizi ) on soy bean plants.
- transgenic soybean plants expressing toxins for example insecticidal proteins such as delta-endotoxins, e.g. Cryl Ac (CrylAc Bt protein).
- toxins for example insecticidal proteins such as delta-endotoxins, e.g. Cryl Ac (CrylAc Bt protein).
- this may include transgenic soybean plants comprising event MON87701 (see U.S. Patent No. 8,049,071 and related applications and patents, as well as WO 2014/170327 A1 (eg, see paragraph [008] reference to Intacta RR2 PROTM soybean)), event MON87751 (US. Patent Application Publication No. 2014/0373191) or event DAS- 81419 (U.S. Patent No. 8632978 and related applications and patents).
- event MON87701 see U.S. Patent No. 8,049,071 and related applications and patents, as well as WO 2014/170327 A1 (eg, see paragraph [008] reference to Intacta
- transgenic soybean plants may comprise event SYHT0H2 - HPPD tolerance (U.S. Patent Application Publication No. 2014/0201860 and related applications and patents), event MON89788 - glyphosate tolerance (U.S. Pat. No. 7,632,985 and related applications and patents), event MON87708 - dicamba tolerance (U.S. Patent Application Publication No. US 201 1/0067134 and related applications and patents), event DP-356043-5 - glyphosate and ALS tolerance (U.S. Patent Application Publication No. US 2010/0184079 and related applications and patents), event A2704-12 - glufosinate tolerance (U.S. Patent Application Publication No.
- event DAS-40278-9 - tolerance to 2,4- dichlorophenoxyacetic acid and aryloxyphenoxypropionate see WO 201 1/022469, WO 201 1/022470, WO 201 1/022471 , and related applications and patents
- event 127 - ALS tolerance WO 2010/080829 and related applications and patents
- event GTS 40-3-2 - glyphosate tolerance event DAS-68416-4- 2,4-dichlorophenoxyacetic acid and glufosinate tolerance
- event FG72 - glyphosate and isoxaflutole tolerance event BPS-CV127-9 - ALS tolerance and GU262 - glufosinate tolerance or event SYHT04R - HPPD tolerance.
- the compounds of formula (I) may be used in controlling or preventing phytopathogenic diseases, especially phytopathogenic fungi (such as Phakopsora pachyrhizi ) on soy bean plants.
- phytopathogenic diseases especially phytopathogenic fungi (such as Phakopsora pachyrhizi ) on soy bean plants.
- phytopathogenic fungi such as Phakopsora pachyrhizi
- An elite plant is any plant from an elite line, such that an elite plant is a representative plant from an elite variety.
- elite soybean varieties that are commercially available to farmers or soybean breeders include: AG00802, A0868, AG0902, A1923, AG2403, A2824, A3704, A4324, A5404, AG5903, AG6202 AG0934; AG1435; AG2031 ; AG2035; AG2433; AG2733; AG2933; AG3334; AG3832; AG4135; AG4632; AG4934; AG5831 ; AG6534; and AG7231 (Asgrow Seeds, Des Moines, Iowa, USA); BPR0144RR, BPR 4077NRR and BPR 4390NRR (Bio Plant Research, Camp Point, III., USA); DKB17- 51 and DKB37-51 (DeKalb Genetics, DeKalb, III., USA); DP 4546 RR, and DP 7870 RR (Delta & Pine Land Company, Lubbock,
- the compounds of Formula (I) are used to control Phakopsora pachyrhizi, (including fungicidally-resistant strains thereof, as outlined herein) on Elite soybean plant varieties where R-gene stacks, conferring a degree of immunity or resistance to specific Phakopsora pachyrhizi, have been been introgressed in the plant genome. Numerous benefits may be expected to ensue from said use, e.g. improved biological activity, an advantageous or broader spectrum of activity (inc.
- Phakopsora pachyrhizi sensitive and resistant strains of Phakopsora pachyrhizi
- an increased safety profile improved crop tolerance, synergistic interactions or potentiating properties, improved onset of action or a longer lasting residual activity, a reduction in the number of applications and/or a reduction in the application rate of the compounds and compositions required for effective control of the phytopathogen (Phakopsora pachyrhizi), thereby enabling beneficial resistance- management practices, reduced environmental impact and reduced operator exposure.
- Fungicidal-resistant strains of Phakopsora pachyrhizi have been reported in the scientific literature, with strains resistant to one or more fungicides from at least each of the following fungicidal mode of action classes being observed: sterol demethylation-inhibitors (DMI), quinone-outside-inhibitors (Qol) and succinate dehydrogenase inhibitors (SDHI).
- DMI sterol demethylation-inhibitors
- Qol quinone-outside-inhibitors
- SDHI succinate dehydrogenase inhibitors
- the compounds of Formula (I) are used to control Phakopsora pachyrhizi which are resistant to one or more fungicides from any of the following fungicidal MoA classes: sterol demethylation-inhibitors (DMI), quinone-outside- inhibitors (Qol) and succinate dehydrogenase inhibitors (SDHI).
- DMI sterol demethylation-inhibitors
- Qol quinone-outside- inhibitors
- SDHI succinate dehydrogenase inhibitors
- locus means fields in or on which plants are growing, or where seeds of cultivated plants are sown, or where seed will be placed into the soil. It includes soil, seeds, and seedlings, as well as established vegetation.
- plants refers to all physical parts of a plant, including seeds, seedlings, saplings, roots, tubers, stems, stalks, foliage, and fruits.
- plant propagation material is understood to denote generative parts of the plant, such as seeds, which can be used for the multiplication of the latter, and vegetative material, such as cuttings or tubers, for example potatoes. There can be mentioned for example seeds (in the strict sense), roots, fruits, tubers, bulbs, rhizomes and parts of plants. Germinated plants and young plants which are to be transplanted after germination or after emergence from the soil, may also be mentioned. These young plants can be protected before transplantation by a total or partial treatment by immersion.
- plant propagation material is understood to denote seeds.
- the compounds of formula I may be used in unmodified form or, preferably, together with the adjuvants conventionally employed in the art of formulation.
- compositions may be conveniently formulated in known manner to emulsifiable concentrates, coatable pastes, directly sprayable or dilutable solutions or suspensions, emulsions, wettable powders, soluble powders, dusts, granulates, and also encapsulations e.g. in polymeric substances.
- the methods of application such as spraying, atomising, dusting, scattering, coating or pouring, are chosen in accordance with the intended objectives and the prevailing circumstances.
- the compositions may also contain further adjuvants such as stabilizers, antifoams, viscosity regulators, binders or tackifiers as well as fertilizers, micronutrient donors or other formulations for obtaining special effects.
- Suitable carriers and adjuvants can be solid or liquid and are substances useful in formulation technology, e.g. natural or regenerated mineral substances, solvents, dispersants, wetting agents, tackifiers, thickeners, binders or fertilizers.
- Such carriers are for example described in WO 97/33890.
- Suspension concentrates are aqueous formulations in which finely divided solid particles of the active compound are suspended. Such formulations include anti-settling agents and dispersing agents and may further include a wetting agent to enhance activity as well an anti-foam and a crystal growth inhibitor. In use, these concentrates are diluted in water and normally applied as a spray to the area to be treated. The amount of active ingredient may range from 0.5% to 95% of the concentrate.
- Wettable powders are in the form of finely divided particles which disperse readily in water or other liquid carriers.
- the particles contain the active ingredient retained in a solid matrix.
- Typical solid matrices include fuller’s earth, kaolin clays, silicas and other readily wet organic or inorganic solids. Wettable powders normally contain from 5% to 95% of the active ingredient plus a small amount of wetting, dispersing or emulsifying agent.
- Emulsifiable concentrates are homogeneous liquid compositions dispersible in water or other liquid and may consist entirely of the active compound with a liquid or solid emulsifying agent, or may also contain a liquid carrier, such as xylene, heavy aromatic naphthas, isophorone and other non-volatile organic solvents. In use, these concentrates are dispersed in water or other liquid and normally applied as a spray to the area to be treated. The amount of active ingredient may range from 0.5% to 95% of the concentrate.
- Water dispersible granules disperse in water or other liquid carriers.
- the granules contain the active ingredient retained in a solid matrix.
- Typical solid matrices include fuller’s earth, kaolin clays, silicas and other readily wet organic or inorganic solids.
- Granules are formed by extrusion, agglomeration or spraydrying, and typically range from 0.5 millimetre to 1 centimetre and preferably 1 to 2 millimetres in diameter.
- Water dispersible granules normally contain from 5% to 95% of the active ingredient, and may also contain a small amount of wetting and/or dispersing agents.
- Granular formulations include both extrudates and relatively coarse particles and are usually applied without dilution to the area in which treatment is required.
- Typical carriers for granular formulations include sand, fuller’s earth, attapulgite clay, bentonite clays, montmorillonite clay, vermiculite, perlite, calcium carbonate, brick, pumice, pyrophyllite, kaolin, dolomite, plaster, wood flour, ground corn cobs, ground peanut hulls, sugars, sodium chloride, sodium sulphate, sodium silicate, sodium borate, magnesia, mica, iron oxide, zinc oxide, titanium oxide, antimony oxide, cryolite, gypsum, diatomaceous earth, calcium sulphate and other organic or inorganic materials which absorb or which can be coated with the active compound.
- Granular formulations normally contain 5% to 25% of active ingredients which may include surface-active agents such as heavy aromatic naphthas, kerosene and other petroleum fractions, or vegetable oils
- Dusts are free-flowing admixtures of the active ingredient with finely divided solids such as talc, clays, flours and other organic and inorganic solids which act as dispersants and carriers.
- Microcapsules are typically droplets or granules of the active ingredient enclosed in an inert porous shell which allows escape of the enclosed material to the surroundings at controlled rates.
- Encapsulated droplets are typically 1 to 50 microns in diameter.
- the enclosed liquid typically constitutes 50 to 95% of the weight of the capsule and may include solvent in addition to the active compound.
- Encapsulated granules are generally porous granules with porous membranes sealing the granule pore openings, retaining the active species in liquid form inside the granule pores.
- Granules typically range from 1 millimetre to 1 centimetre and preferably 1 to 2 millimetres in diameter. Granules are formed by extrusion, agglomeration or prilling, or are naturally occurring.
- Shell or membrane materials include natural and synthetic rubbers, cellulosic materials, styrene-butadiene copolymers, polyacrylonitriles, polyacrylates, polyesters, polyamides, polyureas, polyurethanes and starch xanthates.
- compositions for agrochemical applications include simple solutions of the active ingredient in a solvent in which it is completely soluble at the desired concentration, such as acetone, alkylated naphthalenes, xylene and other organic solvents.
- Pressurised sprayers wherein the active ingredient is dispersed in finely-divided form as a result of vaporisation of a low boiling dispersant solvent carrier, may also be used.
- Suitable agricultural adjuvants and carriers that are useful in formulating the compositions of the invention in the formulation types described above are well known to those skilled in the art.
- Liquid carriers that can be employed include, for example, water, toluene, xylene, petroleum naphtha, crop oil, acetone, methyl ethyl ketone, cyclohexanone, acetic anhydride, acetonitrile, acetophenone, amyl acetate, 2-butanone, chlorobenzene, cyclohexane, cyclohexanol, alkyl acetates, diacetonalcohol, 1 ,2-dichloropropane, diethanolamine, p-diethylbenzene, diethylene glycol, diethylene glycol abietate, diethylene glycol butyl ether, diethylene glycol ethyl ether, diethylene glycol methyl ether, N,N-dimethyl formamide, dimethyl sulfoxide, 1 ,4-dioxane, dipropylene glycol, dipropylene glycol methyl ether, dipropylene glycol
- Suitable solid carriers include, for example, talc, titanium dioxide, pyrophyllite clay, silica, attapulgite clay, kieselguhr, chalk, diatomaxeous earth, lime, calcium carbonate, bentonite clay, fuller’s earth, cotton seed hulls, wheat flour, soybean flour, pumice, wood flour, walnut shell flour and lignin.
- a broad range of surface-active agents are advantageously employed in both said liquid and solid compositions, especially those designed to be diluted with carrier before application.
- These agents when used, normally comprise from 0.1 % to 15% by weight of the formulation. They can be anionic, cationic, non-ionic or polymeric in character and can be employed as emulsifying agents, wetting agents, suspending agents or for other purposes.
- Typical surface active agents include salts of alkyl sulfates, such as diethanolammonium lauryl sulphate; alkylarylsulfonate salts, such as calcium dodecylbenzenesulfonate; alkylphenol-alkylene oxide addition products, such as nonylphenol-C.sub.
- alcohol-alkylene oxide addition products such as tridecyl alcohol-C.sub. 16 ethoxylate
- soaps such as sodium stearate
- alkylnaphthalenesulfonate salts such as sodium dibutylnaphthalenesulfonate
- dialkyl esters of sulfosu coin ate salts such as sodium di(2-ethylhexyl) sulfosu coin ate
- sorbitol esters such as sorbitol oleate
- quaternary amines such as lauryl trimethylammonium chloride
- polyethylene glycol esters of fatty acids such as polyethylene glycol stearate
- salts of mono and dialkyl phosphate esters such as mono and dialkyl phosphate esters.
- compositions of the invention include crystallisation inhibitors, viscosity modifiers, suspending agents, spray droplet modifiers, pigments, antioxidants, foaming agents, antifoaming agents, light-blocking agents, compatibilizing agents, antifoam agents, sequestering agents, neutralising agents and buffers, corrosion inhibitors, dyes, odorants, spreading agents, penetration aids, micronutrients, emollients, lubricants and sticking agents.
- biocidally active ingredients or compositions may be combined with the compositions of the invention and used in the methods of the invention and applied simultaneously or sequentially with the compositions of the invention.
- these further active ingredients may be formulated together with the compositions of the invention or mixed in, for example, the spray tank.
- These further biocidally active ingredients may be fungicides, herbicides, insecticides, bactericides, acaricides, nematicides and/or plant growth regulators.
- Pesticidal agents are referred to herein using their common name are known, for example, from “The Pesticide Manual”, 15th Ed., British Crop Protection Council 2009.
- compositions of the invention may also be applied with one or more systemically acquired resistance inducers (“SAR” inducer).
- SAR inducers are known and described in, for example, United States Patent No. US 6,919,298 and include, for example, salicylates and the commercial SAR inducer acibenzolar-S-methyl.
- the compounds of formula (I) are normally used in the form of agrochemical compositions and can be applied to the crop area or plant to be treated, simultaneously or in succession with further compounds.
- further compounds can be e.g. fertilizers or micronutrient donors or other preparations, which influence the growth of plants. They can also be selective herbicides or non-selective herbicides as well as insecticides, fungicides, bactericides, nematicides, molluscicides or mixtures of several of these preparations, if desired together with further carriers, surfactants or application promoting adjuvants customarily employed in the art of formulation.
- the compounds of formula (I) may be used in the form of (fungicidal) compositions for controlling or protecting against phytopathogenic microorganisms, comprising as active ingredient at least one compound of formula (I) or of at least one preferred individual compound as defined herein, in free form or in agrochemically usable salt form, and at least one of the above-mentioned adjuvants.
- the invention therefore provides a composition, preferably a fungicidal composition, comprising at least one compound formula (I) an agriculturally acceptable carrier and optionally an adjuvant.
- An agricultural acceptable carrier is for example a carrier that is suitable for agricultural use.
- Agricultural carriers are well known in the art.
- said composition may comprise at least one or more pesticidally-active compounds, for example an additional fungicidal active ingredient in addition to the compound of formula
- the compound of formula (I) may be the sole active ingredient of a composition or it may be admixed with one or more additional active ingredients such as a pesticide, fungicide, synergist, herbicide or plant growth regulator where appropriate.
- Suitable additional active ingredients include the following: acycloamino acid fungicides, aliphatic nitrogen fungicides, amide fungicides, anilide fungicides, antibiotic fungicides, aromatic fungicides, arsenical fungicides, aryl phenyl ketone fungicides, benzamide fungicides, benzanilide fungicides, benzimidazole fungicides, benzothiazole fungicides, botanical fungicides, bridged diphenyl fungicides, carbamate fungicides, carbanilate fungicides, conazole fungicides, copper fungicides, dicarboximide fungicides, dinitrophenol fungicides, dithiocarbamate fungicides, dithiolane fungicides, furamide fungicides, furanilide fungicides, hydrazide fungicides, imidazole fungicides, mercury fungicides, morpholine fung
- suitable additional active ingredients also include the following: 3-difluoromethyl-1 -methyl- 1 H-pyrazole-4-carboxylic acid (9-dichloromethylene-1 ,2,3,4-tetrahydro-1 ,4-methano-naphthalen-5-yl)- amide , 3-difluoromethyl-1 -methyl-1 H-pyrazole-4-carboxylic acid methoxy-[1 -methyl-2-(2,4,6- trichlorophenyl)-ethyl]-amide , 1 -methyl-3-difluoromethyl-1 H-pyrazole-4-carboxylic acid (2- dichloromethylene-3-ethyl-1 -methyl-indan-4-yl)-amide (1072957-71 -1), 1 -methyl-3-difluoromethyl-1 H- pyrazole-4-carboxylic acid (4'-methylsulfanyl-biphenyl-2-yl)-amide, 1 -methyl-3-di
- the compounds of the invention may also be used in combination with anthelmintic agents.
- anthelmintic agents include, compounds selected from the macrocyclic lactone class of compounds such as ivermectin, avermectin, abamectin, emamectin, eprinomectin, doramectin, selamectin, moxidectin, nemadectin and milbemycin derivatives as described in EP- 357460, EP-444964 and EP- 594291 .
- Additional anthelmintic agents include semisynthetic and biosynthetic avermectin/milbemycin derivatives such as those described in US-5015630, WO-9415944 and WO-9522552. Additional anthelmintic agents include the benzimidazoles such as albendazole, cambendazole, fenbendazole, flubendazole, mebendazole, oxfendazole, oxibendazole, parbendazole, and other members of the class. Additional anthelmintic agents include imidazothiazoles and tetrahydropyrimidines such as tetramisole, levamisole, pyrantel pamoate, oxantel or morantel. Additional anthelmintic agents include flukicides, such as triclabendazole and clorsulon and the cestocides, such as praziquantel and epsiprantel.
- the compounds of the invention may be used in combination with derivatives and analogues of the paraherquamide/marcfortine class of anthelmintic agents, as well as the antiparasitic oxazolines such as those disclosed in US-5478855, US- 4639771 and DE-19520936.
- the compounds of the invention may be used in combination with derivatives and analogues of the general class of dioxomorpholine antiparasitic agents as described in WO 96/15121 and also with anthelmintic active cyclic depsipeptides such as those described in WO 96/1 1945, WO 93/19053, WO 93/25543, EP 0 626 375, EP 0 382 173, WO 94/19334, EP 0 382 173, and EP 0 503 538.
- the compounds of the invention may be used in combination with other ectoparasiticides; for example, fipronil; pyrethroids; organophosphates; insect growth regulators such as lufenuron; ecdysone agonists such as tebufenozide and the like; neonicotinoids such as imidacloprid and the like.
- ectoparasiticides for example, fipronil; pyrethroids; organophosphates; insect growth regulators such as lufenuron; ecdysone agonists such as tebufenozide and the like; neonicotinoids such as imidacloprid and the like.
- the compounds of the invention may be used in combination with terpene alkaloids, for example those described in International Patent Application Publication Numbers WO 95/19363 or WO 04/72086, particularly the compounds disclosed therein.
- Organophosphates acephate, azamethiphos, azinphos-ethyl, azinphos- methyl, bromophos, bromophos-ethyl, cadusafos, chlorethoxyphos, chlorpyrifos, chlorfenvinphos, chlormephos, demeton, demeton-S-methyl, demeton-S-methyl sulphone, dialifos, diazinon, dichlorvos, dicrotophos, dimethoate, disulfoton, ethion, ethoprophos, etrimfos, famphur, fenamiphos, fenitrothion, fensulfothion, fenthion, flupyrazofos, fonofos, formothion, fosthiazate, heptenophos, isazophos, isothioate, isoxathion, malathion, me
- Carbamates alanycarb, aldicarb, 2-sec-butylphenyl methylcarbamate, benfuracarb, carbaryl, carbofuran, carbosulfan, cloethocarb, ethiofencarb, fenoxycarb, fenthiocarb, furathiocarb, HCN-801 , isoprocarb, indoxacarb, methiocarb, methomyl, 5-methyl-m-cumenylbutyryl(methyl)carbamate, oxamyl, pirimicarb, propoxur, thiodicarb, thiofanox, triazamate, UC-51717.
- Pyrethroids acrinathin, allethrin, alphametrin, 5-benzyl-3-furylmethyl (E) -(1 R)-cis-2,2-dimethyl-3-(2- oxothiolan-3-ylidenemethyl)cyclopropanecarboxylate, bifenthrin, beta -cyfluthrin, cyfluthrin, a- cypermethrin, beta -cypermethrin, bioallethrin, bioallethrin((S)-cyclopentylisomer), bioresmethrin, bifenthrin, NCI-85193, cycloprothrin, cyhalothrin, cythithrin, cyphenothrin, deltamethrin, empenthrin, esfenvalerate, ethofenprox, fenfluthrin, fenpropathrin,
- Arthropod growth regulators a) chitin synthesis inhibitors: benzoylureas: chlorfluazuron, diflubenzuron, fluazuron, flucycloxuron, flufenoxuron, hexaflumuron, lufenuron, novaluron, teflubenzuron, triflumuron, buprofezin, diofenolan, hexythiazox, etoxazole, chlorfentazine; b) ecdysone antagonists: halofenozide, methoxyfenozide, tebufenozide; c) juvenoids: pyriproxyfen, methoprene (including S-methoprene), fenoxycarb; d) lipid biosynthesis inhibitors: spirodiclofen.
- antiparasitics acequinocyl, amitraz, AKD-1022, ANS-1 18, azadirachtin, Bacillus thuringiensis, bensultap, bifenazate, binapacryl, bromopropylate, BTG-504, BTG-505, camphechlor, cartap, chlorobenzilate, chlordimeform, chlorfenapyr, chromafenozide, clothianidine, cyromazine, diacloden, diafenthiuron, DBI-3204, dinactin, dihydroxymethyldihydroxypyrrolidine, dinobuton, dinocap, endosulfan, ethiprole, ethofenprox, fenazaquin, flumite, MTI- 800, fenpyroximate, fluacrypyrim, flubenzimine, flubrocythrinate, flufenzine, flufenprox, fluproxyfen, halofenprox, hydra
- Biological agents Bacillus thuringiensis ssp aizawai, kurstaki, Bacillus thuringiensis delta endotoxin, baculovirus, entomopathogenic bacteria, virus and fungi.
- Bactericides chlortetracycline, oxytetracycline, streptomycin.
- compounds of formula (I) can be used in combination with one or more other active ingeredients to provide various fungicidal mixtures.
- specific examples of such mixtures include (wherein “I” represents a compound of formula (I)): a compound selected from the group of substances consisting of petroleum oils + I, 1 ,1 -bis(4-chlorophenyl)-2-ethoxyethanol + I, 2,4-dichlorophenyl benzenesulfonate + I, 2-fluoro-N-methyl-N-1 -naphthylacetamide + I, 4-chlorophenyl phenyl sulfone + I, acetoprole + I, aldoxycarb + I, amidithion + I, amidothioate + I, amiton + I, amiton hydrogen oxalate + I, amitraz + I, aramite + I, arsenous oxide + I, azobenzene + I, azothoate + I,
- the compounds in this paragraph may be prepared from the methods described in WO 2017/055473, WO 2017/055469, WO 2017/093348 and WO 2017/1 18689; 2-[6-(4-chlorophenoxy)-2-(trifluoromethyl)-3-pyridyl]-1 -(1 ,2,4- triazol-1 -yl)propan-2-ol + I (this compound may be prepared from the methods described in WO 2017/029179); 2-[6-(4-bromophenoxy)-2-(trifluoromethyl)-3-pyridyl]-1 -(1 ,2,4-triazol-1 -yl)propan-2-ol + I (this compound may be prepared from the methods described in WO 2017/029179); 3-[2-(1 - chlorocyclopropyl)-3-(2-fluorophenyl)-2-hydroxy-propyl]imidazole-4-carbonitrile + I (this compound may be prepared from the methods described in
- the active ingredient mixture of the compounds of formula (I) and an active ingredient as described above are preferably in a mixing ratio of from 100:1 to 1 :6000, especially from 50:1 to 1 :50, more especially in a ratio of from 20:1 to 1 :20, even more especially from 10:1 to 1 :10, very especially from 5:1 and 1 :5, special preference being given to a ratio of from 2:1 to 1 :2, and a ratio of from 4:1 to 2:1 being likewise preferred, above all in a ratio of 1 :1 , or 5:1 , or 5:2, or 5:3, or 5:4, or 4:1 , or 4:2, or 4:3, or 3:1 , or 3:2, or 2:1 , or 1 :5, or 2:5, or 3:5, or 4:5, or 1 :4, or 2:4, or 3:4, or 1 :3, or 2:3, or 1 :2, or 1 :600, or 1 :300, or 1 :150, or 1 :35, or 2:35, or 4:35, or
- the mixtures as described above can be used in a method for controlling pests, which comprises applying a composition comprising a mixture as described above to the pests or their environment, with the exception of a method for treatment of the human or animal body by surgery or therapy and diagnostic methods practised on the human or animal body.
- the mixtures comprising a compound of formula (I) and one or more active ingredients as described above can be applied, for example, in a single“ready-mix” form, in a combined spray mixture composed from separate formulations of the single active ingredient components, such as a“tank-mix”, and in a combined use of the single active ingredients when applied in a sequential manner, i.e. one after the other with a reasonably short period, such as a few hours or days.
- the order of applying the compounds of formula (I) and the active ingredients) as described above, is not essential for working the present invention.
- compositions according to the invention can also comprise further solid or liquid auxiliaries, such as stabilizers, for example unepoxidized or epoxidized vegetable oils (for example epoxidized coconut oil, rapeseed oil or soya oil), antifoams, for example silicone oil, preservatives, viscosity regulators, binders and/or tackifiers, fertilizers or other active ingredients for achieving specific effects, for example bactericides, fungicides, nematocides, plant activators, molluscicides or herbicides.
- auxiliaries such as stabilizers, for example unepoxidized or epoxidized vegetable oils (for example epoxidized coconut oil, rapeseed oil or soya oil), antifoams, for example silicone oil, preservatives, viscosity regulators, binders and/or tackifiers, fertilizers or other active ingredients for achieving specific effects, for example bactericides, fungicides, nematocides
- compositions according to the invention are prepared in a manner known per se, in the absence of auxiliaries for example by grinding, screening and/or compressing a solid active ingredient and in the presence of at least one auxiliary for example by intimately mixing and/or grinding the active ingredient with the auxiliary (auxiliaries).
- auxiliaries for example by grinding, screening and/or compressing a solid active ingredient and in the presence of at least one auxiliary for example by intimately mixing and/or grinding the active ingredient with the auxiliary (auxiliaries).
- Another aspect of the invention is related to the use of a compound of formula (I) or of a preferred individual compound as defined herein, of a composition comprising at least one compound of formula (I) or at least one preferred individual compound as above-defined, or of a fungicidal or insecticidal mixture comprising at least one compound of formula (I) or at least one preferred individual compound as above-defined, in admixture with other fungicides or insecticides as described above, for controlling or preventing infestation of plants, e.g. useful plants such as crop plants, propagation material thereof, e.g. seeds, harvested crops, e.g. harvested food crops, or non-living materials by insects or by phytopathogenic microorganisms, preferably fungal organisms.
- useful plants such as crop plants, propagation material thereof, e.g. seeds, harvested crops, e.g. harvested food crops, or non-living materials by insects or by phytopathogenic microorganisms, preferably fungal organisms.
- a further aspect of the invention is related to a method of controlling or preventing an infestation of plants, e.g., useful plants such as crop plants, propagation material thereof, e.g. seeds, harvested crops, e.g., harvested food crops, or of non-living materials by insects or by phytopathogenic or spoilage microorganisms or organisms potentially harmful to man, especially fungal organisms, which comprises the application of a compound of formula (I) or of a preferred individual compound as above-defined as active ingredient to the plants, to parts of the plants or to the locus thereof, to the propagation material thereof, or to any part of the non-living materials.
- useful plants such as crop plants, propagation material thereof, e.g. seeds, harvested crops, e.g., harvested food crops, or of non-living materials by insects or by phytopathogenic or spoilage microorganisms or organisms potentially harmful to man, especially fungal organisms
- a compound of formula (I) or of a preferred individual compound as above-defined as active ingredient to the plants, to parts
- Controlling or preventing means reducing infestation by phytopathogenic or spoilage microorganisms or organisms potentially harmful to man, especially fungal organisms, to such a level that an improvement is demonstrated.
- a preferred method of controlling or preventing an infestation of crop plants by phytopathogenic microorganisms, especially fungal organisms, or insects which comprises the application of a compound of formula (I), or an agrochemical composition which contains at least one of said compounds, is foliar application.
- the frequency of application and the rate of application will depend on the risk of infestation by the corresponding pathogen or insect.
- the compounds of formula (I) can also penetrate the plant through the roots via the soil (systemic action) by drenching the locus of the plant with a liquid formulation, or by applying the compounds in solid form to the soil, e.g. in granularform (soil application). In crops of water rice such granulates can be applied to the flooded rice field.
- the compounds of formula I may also be applied to seeds (coating) by impregnating the seeds or tubers either with a liquid formulation of the fungicide or coating them with a solid formulation.
- a formulation e.g. a composition containing the compound of formula (I), and, if desired, a solid or liquid adjuvant or monomers for encapsulating the compound of formula (I), may be prepared in a known manner, typically by intimately mixing and/or grinding the compound with extenders, for example solvents, solid carriers and, optionally, surface active compounds (surfactants).
- extenders for example solvents, solid carriers and, optionally, surface active compounds (surfactants).
- Advantageous rates of application are normally from 5g to 2kg of active ingredient (a.i.) per hectare (ha), preferably from 10g to 1 kg a.i./ha, most preferably from 20g to 600g a.i./ha.
- convenient dosages are from 10mg to 1 g of active substance per kg of seeds.
- rates of 0.001 to 50 g of a compound of formula I per kg of seed preferably from 0.01 to 10g per kg of seed are generally sufficient.
- composition comprising a compound of formula (I) according to the present invention is applied either preventative, meaning prior to disease development or curative, meaning after disease development.
- compositions of the invention may be employed in any conventional form, for example in the form of a twin pack, a powder for dry seed treatment (DS), an emulsion for seed treatment (ES), a flowable concentrate for seed treatment (FS), a solution for seed treatment (LS), a water dispersible powder for seed treatment (WS), a capsule suspension for seed treatment (CF), a gel for seed treatment (GF), an emulsion concentrate (EC), a suspension concentrate (SC), a suspo-emulsion (SE), a capsule suspension (CS), a water dispersible granule (WG), an emulsifiable granule (EG), an emulsion, water in oil (EO), an emulsion, oil in water (EW), a micro-emulsion (ME), an oil dispersion (OD), an oil miscible flowable (OF), an oil miscible liquid (OL), a soluble concentrate (SL), an ultra-low volume suspension (SU), an ultra-low volume liquid (UL), a technical concentrate (TK
- compositions may be produced in conventional manner, e.g. by mixing the active ingredients with appropriate formulation inerts (diluents, solvents, fillers and optionally other formulating ingredients such as surfactants, biocides, anti-freeze, stickers, thickeners and compounds that provide adjuvancy effects).
- appropriate formulation inerts diiluents, solvents, fillers and optionally other formulating ingredients such as surfactants, biocides, anti-freeze, stickers, thickeners and compounds that provide adjuvancy effects.
- conventional slow release formulations may be employed where long lasting efficacy is intended.
- Particularly formulations to be applied in spraying forms such as water dispersible concentrates (e.g. EC, SC, DC, OD, SE, EW, EO and the like), wettable powders and granules, may contain surfactants such as wetting and dispersing agents and other compounds that provide adjuvancy effects, e.g.
- a seed dressing formulation is applied in a manner known per se to the seeds employing the combination ofthe invention and a diluent in suitable seed dressing formulation form, e.g. as an aqueous suspension or in a dry powder form having good adherence to the seeds.
- suitable seed dressing formulation form e.g. as an aqueous suspension or in a dry powder form having good adherence to the seeds.
- seed dressing formulations are known in the art.
- Seed dressing formulations may contain the single active ingredients or the combination of active ingredients in encapsulated form, e.g. as slow release capsules or microcapsules.
- the formulations include from 0.01 to 90% by weight of active agent, from 0 to 20% agriculturally acceptable surfactant and 10 to 99.99% solid or liquid formulation inerts and adjuvant(s), the active agent consisting of at least the compound of formula (I) optionally together with other active agents, particularly microbiocides or conservatives or the like.
- Concentrated forms of compositions generally contain in between about 2 and 80%, preferably between about 5 and 70% by weight of active agent.
- Application forms of formulation may for example contain from 0.01 to 20% by weight, preferably from 0.01 to 5% by weight of active agent. Whereas commercial products will preferably be formulated as concentrates, the end user will normally employ diluted formulations.
- Table 1 .2 This table discloses 35 specific compounds of the formula (I) wherein A 1 is O, A 2 and A 3 are CH 2 , X is O, Y is CH, R 1 is methyl, and R 2 is as defined above in the Table 1 .
- Table 1 .2 This table discloses 35 specific compounds of the formula (I) wherein A 1 and A 3 are CH 2 , A 2 is CH 2 CH 2 , X is O, Y is CH, R 1 is methyl, and R 2 is as defined above in the Table 1 .
- Table 1 .3 This table discloses 35 specific compounds of the formula (I) wherein A 1 and A 3 are CH 2 , A 2 is O, X is O, Y is CH, R 1 is methyl, and R 2 is as defined above in the Table 1 .
- Table 1 .4 This table discloses 35 specific compounds of the formula (I) wherein A 1 and A 3 are CH 2 , A 2 is a direct bond, X is O, Y is CH, R 1 is methyl, and R 2 is as defined above in the Table 1 .
- Table 1 .5 This table discloses 35 specific compounds of the formula (I) wherein A 1 , A 2 , and A 3 are CH 2 , X is O, Y is N, R 1 is methyl, and R 2 is as defined above in the Table 1 .
- Table 1 .6 This table discloses 35 specific compounds of the formula (I) wherein A 1 , A 2 , and A 3 are CH 2 , X is NH, Y is N, R 1 is methyl, and R 2 is as defined above in the Table 1 .
- Table 1 .7 This table discloses 34 specific compounds of the formula (I) wherein A 1 , A 2 , A 3 are CH 2 .
- X is O
- Y is CH
- R 1 is hydrogen
- R 2 is as defined above in the Table 1 .
- Table 1 .8 This table discloses 35 specific compounds of the formula (I) wherein A 1 and A 3 are CH 2 , A 2 is CH 2 CH 2 , X is O, Y is CH, R 1 is hydrogen, and R 2 is as defined above in the Table 1 .
- Table 1 .9 This table discloses 35 specific compounds of the formula (I) wherein A 1 and A 3 are CH 2 , A 2 is O, X is O, Y is CH, R 1 is hydrogen, and R 2 is as defined above in the Table 1 .
- Table 1 .10 This table discloses 35 specific compounds of the formula (I) wherein A 1 and A 3 are CH 2 , A 2 is a direct bond, X is O, Y is CH, R 1 is hydrogen, and R 2 is as defined above in the Table 1 .
- Table 1 .1 1 This table discloses 35 specific compounds of the formula (I) wherein A 1 , A 2 , and A 3 are CH 2 , X is O, Y is N, R 1 is hydrogen, and R 2 is as defined above in the Table 1 .
- Table 1 .12 This table discloses 35 specific compounds of the formula (I) wherein A 1 , A 2 , and A 3 are CH 2 , X is NH, Y is N, R 1 is hydrogen, and R 2 is as defined above in the Table 1 .
- the compounds of the invention can be distinguished from known compounds by virtue of greater efficacy at low application rates, which can be verified by the person skilled in the art using the experimental procedures outlined in the Examples, using lower application rates if necessary, for example 60 ppm, 20 ppm or 2 ppm.
- Compounds of formula (I) may possess any number of benefits including, inter alia, advantageous levels of biological activity for protecting plants against diseases that are caused by fungi or superior properties for use as agrochemical active ingredients (for example, greater biological activity, an advantageous spectrum of activity, an increased safety profile (including improved crop tolerance), improved physicochemical properties, or increased biodegradability).
- Spectra were recorded on a Mass Spectrometer from Waters (SQD, SQDII Single quadrupole mass spectrometer) equipped with an electrospray source (Polarity: positive and negative ions), Capillary: 3.00 kV, Cone range: 30 V, Extractor: 2.00 V, Source Temperature: 150°C, Desolvation Temperature: 350°C, Cone Gas Flow: 50 l/h, Desolvation Gas Flow: 650 L/h, Mass range: 100 to 900 Da) and an Acquity UPLC from Waters: Binary pump, heated column compartment , diode-array detector and ELSD detector.
- Spectra were recorded on a Mass Spectrometer from Waters (SQD, SQDII Single quadrupole mass spectrometer) equipped with an electrospray source (Polarity: positive and negative ions), Capillary: 3.00 kV, Cone range: 30V, Extractor: 2.00 V, Source Temperature: 150°C, Desolvation Temperature: 350°C, Cone Gas Flow: 50 L/h, Desolvation Gas Flow: 650 L/h, Mass range: 100 to 900 Da) and an Acquity UPLC from Waters: Binary pump, heated column compartment , diode-array detector and ELSD detector.
- enantiomerically pure final compounds may be obtained from racemic materials as appropriate via standard physical separation techniques, such as reverse phase chiral chromatography, or through stereoselective synthetic techniques, eg, by using chiral starting materials.
- the active ingredient is thoroughly mixed with the adjuvants and the mixture is thoroughly ground in a suitable mill, affording wettable powders that can be diluted with waterto give suspensions of the desired concentration.
- the active ingredient is thoroughly mixed with the adjuvants and the mixture is thoroughly ground in a suitable mill, affording powders that can be used directly for seed treatment.
- Emulsions of any required dilution which can be used in plant protection, can be obtained from this concentrate by dilution with water.
- Active ingredient [compound of formula (I)] 5 % 6 % 4 %
- mineral filler 96 % Ready-for-use dusts are obtained by mixing the active ingredient with the carrier and grinding the mixture in a suitable mill. Such powders can also be used for dry dressings for seed.
- the active ingredient is mixed and ground with the adjuvants, and the mixture is moistened with water.
- the mixture is extruded and then dried in a stream of air.
- polyethylene glycol (mol. wt. 200) 3 %
- the finely ground active ingredient is uniformly applied, in a mixer, to the kaolin moistened with polyethylene glycol. Non-dusty coated granules are obtained in this manner.
- nonylphenol polyethylene glycol ether (15 mol of ethylene oxide) 6 %
- silicone oil (in the form of a 75 % emulsion in water) 1 %
- the finely ground active ingredient is intimately mixed with the adjuvants, giving a suspension concentrate from which suspensions of any desired dilution can be obtained by dilution with water.
- a suspension concentrate from which suspensions of any desired dilution can be obtained by dilution with water.
- living plants as well as plant propagation material can be treated and protected against infestation by microorganisms, by spraying, pouring or immersion.
- Silicone oil (in the form of a 75 % emulsion in water) 0.2 %
- the finely ground active ingredient is intimately mixed with the adjuvants, giving a suspension concentrate from which suspensions of any desired dilution can be obtained by dilution with water.
- a suspension concentrate from which suspensions of any desired dilution can be obtained by dilution with water.
- living plants as well as plant propagation material can be treated and protected against infestation by microorganisms, by spraying, pouring or immersion.
- 28 parts of a combination of the compound of formula (I) are mixed with 2 parts of an aromatic solvent and 7 parts of toluene diisocyanate/polymethylene-polyphenylisocyanate-mixture (8:1 ).
- This mixture is emulsified in a mixture of 1 .2 parts of polyvinylalcohol, 0.05 parts of a defoamer and 51 .6 parts of water until the desired particle size is achieved.
- To this emulsion a mixture of 2.8 parts 1 ,6-diaminohexane in 5.3 parts of water is added. The mixture is agitated until the polymerization reaction is completed.
- the obtained capsule suspension is stabilized by adding 0.25 parts of a thickener and 3 parts of a dispersing agent.
- the capsule suspension formulation contains 28% of the active ingredients.
- the medium capsule diameter is 8-15 microns.
- the resulting formulation is applied to seeds as an aqueous suspension in an apparatus suitable for that purpose.
- Pd(PPh 3 ) 2 CI 2 bis(triphenylphosphine) palladium (II) dichloride
- PdCI 2 (dtbpf) [1 ,1 '-Bis(di-tert-butylphosphino)ferrocene]dichloropalladium(ll)
- LC/MS Liquid Chromatography Mass Spectrometry (description of the apparatus and the methods used for LC/MS analysis are given above)
- X-Phos Pd G2 chloro(2-dicyclohexylphosphino-2',4',6'-triisopropyl-1 ,T-biphenyl)[2-(2'- amino-1 ,1 '-biphenyl)]palladium(ll)
- Step 1 Preparation of 6-methyl-7-(4,4.5.5-tetramethyl-1 ,3.2-dioxaborolan-2-yl)tetralin-1 -one
- Step 3 Preparation of methyl (E)-2-[(4E)-4-(cvclopropylmethoxyimino)-7-methyl-tetralin-6-yl1-3- methoxy-prop-2-enoate
- Step 1 Preparation of methyl (E)-3-methoxy-2-[(4E)-4-methoxyimino-7-methyl-tetralin-6-yllprop-2- enoate
- Step 1 Preparation of methyl (E)-2-[(4E)-4-ethoxyimino-7-methyl-tetralin-6-yl1-3-methoxy-prop-2- enoate
- Step 1 Preparation of 7-(4,4,5.5-tetramethyl-1 ,3.2-dioxaborolan-2-yr)tetralin-1 -one
- Step 3 Preparation of methyl (E)-3-methoxy-2-[(4E)-4-prop-2-vnoxyiminotetralin-6-yllprop-2-enoate
- Example 5 Preparation of methyl (E)-3-methoxy-2-[(4Z)-4-methoxyiminoisochroman-6-yl]prop-2- enoate (Compound 1 .38 of Table T1).
- Step 1 Preparation of (Z)-6-bromo-A/-(cvclopropylmethoxy)isochroman-4-imine
- Step 2 Preparation of (Z)-A/-(cyclopropylmethoxy)-6-(4,4,5,5-tetramethyl-1 ,3,2-dioxaborolan-2- yl)isochroman-4-imine
- Step 3 Preparation of methyl (E)-2-[(4Z)-4-(cyclopropylmethoxyimino)isochroman-6-yll-3-methoxy- prop-2-enoate
- Step 1 Preparation of (Z)-6-bromo-N-methoxy-isochroman-4-imine
- Step 2 Preparation of (Z)-A/-methoxy-6-(4,4,5,5-tetramethyl-1 ,3,2-dioxaborolan-2-yl)isochroman-4- imine
- Step 3 Preparation of methyl (E)-3-methoxy-2-[(4Z)-4-methoxyiminoisochroman-6-yllprop-2-enoate
- Step 1 Preparation of (Z)-6-bromo-N -ethoxy-isochroman-4-imine
- Step 2 Preparation of (Z)-A/-ethoxy-6-(4,4.5.5-tetramethyl-1 ,3.2-dioxaborolan-2-yl)isochroman-4-imine
- Example 8 Preparation of methyl (E)-2-[(4Z)-4-benzyloxyiminoisochroman-6-yl]-3-methoxy-prop-2- enoate (Compound 1 .41 of Table T1).
- Step 1 Preparation of 6-(4,4,5.5-tetramethyl-1 ,3.2-dioxaborolan-2-yl)isochroman-4-one
- Step 2 Preparation of methyl (E)-3-methoxy-2-(4-oxoisochroman-6-yl)prop-2-enoate
- Step 3 Preparation of methyl (E)-2-[(4Z)-4-benzyloxyiminoisochroman-6-yl1-3-methoxy-prop-2-enoate
- methyl (E)-3-methoxy-2-(4-oxoisochroman-6-yl)prop-2-enoate 100 mg, 0.38 mmol, 1 .00 equiv.
- methanol 0.76 ml_
- O-benzylhydroxylamine hydrochloride 122 mg, 0.76 mmol, 2.00 equiv.
- Example 9 Preparation of methyl (E)-3-methoxy-2-[(4Z)-4-prop-2-ynoxyiminoisochroman-6-yl]prop-2- enoate (Compound 1 .42 of Table T1).
- Step 1 Preparation of 6-fluoro-7-(4.4.5.5-tetramethyl-1 .3.2-dioxaborolan-2-yl)tetralin-1 -one
- the iridium catalyst solution was transferred into the 20 mL vial containing bis(pinacolato)diboron and stirred until a golden yellow clear solution was obtained ( ⁇ 1 min).
- the solution containing the 4,4'-di-tert-butyl-2,2'-bipyridine was introduced into the vial and upon stirring the resulting solution turned into a dark brown color.
- 6-fluorotetralin-1 - one (0.28 g, 4.38 mmol, 1 .0 equiv.) in cyclopropylmethylether (3 mL) was added to the vial.
- the reaction mixture was heated at 85°C for 3 hours, then directly concentrated under reduced pressure, and by dilution with water and ethyl acetate.
- Step 2 Preparation of methyl (E)-2-(7-fluoro-4-oxo-tetralin-6-yl)-3-methoxy-prop-2-enoate
- 6-Fluoro-7-(4,4,5,5-tetramethyl-1 ,3,2-dioxaborolan-2-yl)tetralin-1 -one (3.9 g, 1 .80 mmol, 1 .0 equiv) and methyl (Z)-2-iodo-3-methoxy-prop-2-enoate (1 .4 g, 2.16 mmol, 1 .20 equiv.) were dissolved in dioxane (19 mL) and water (1 mL) and the solution was degassed for 15 minutes.
- Table T1 Melting point (mp) data and/or retention times (Rt) for compounds according to formula (D:
- Example B Biological examples/test methods:
- Glomerella lagenarium svn. Colletotrichum lagenarium (anthracnose of cucurbits): Conidia of the fungus from cryogenic storage were directly mixed into nutrient broth (PDB potato dextrose broth). A DMSO solution of the test compounds was placed into a microtiter plate (96-well format) and the nutrient broth containing the fungal spores was added to it. The test plates were incubated at 24 °C and the inhibition of growth was determined photometrically after 72 hrs at 620nm. The following compounds gave at least 80% control of Glomerella lagenarium at 20 ppm when compared to untreated control under the same conditions, which showed extensive disease development:
- Wheat leaf segments are placed on agar in multiwell plates (24-well format) and sprayed with test solutions. After drying, the leaf disks are inoculated with spores of the fungus. After appropriate incubation the activity of a compound is assessed 7 dpi (days post inoculation) as preventive fungicidal activity.
- Mvcosphaerella arachidis svn. Cercospora arachidicola (Brown leaf spot of peanut):
- Conidia of the fungus from cryogenic storage were directly mixed into nutrient broth (PDB potato dextrose broth).
- a DMSO solution of the test compounds was placed into a microtiter plate (96-well format) and the nutrient broth containing the fungal spores was added to it.
- the test plates were incubated at 24°C and the inhibition of growth was determined photometrically after approximately 5-6 days at 620nm.
- the following compounds gave at least 80% control of Mycosphaerella arachidis at 20 ppm when compared to untreated control under the same conditions, which showed extensive disease development:
- Phakopsora pachyrhizi Soybean rust
- Soybean leaf disks are placed on agar in multiwell plates (24-well format) and sprayed with test solutions. After drying, the leaf disks are inoculated with a spore suspension of the fungus. After appropriate incubation the activity of a compound is assessed approx.12 dpi (days after inoculation) as preventive fungicidal activity.
- Phvtophthora infestans (late blight of potato/tomato):
- Tomato leaf disks are placed on water agar in multiwell plates (24-well format) and sprayed with test solutions. After drying, the leaf disks are inoculated with a spore suspension of the fungus. After appropriate incubation the activity of a compound is assessed 4 dpi (days after inoculation) as preventive fungicidal activity.
- Plasmopara viticola downy mildew of grapevine
- Grape vine leaf disks are placed on agar in multiwell plates (24-well format) and sprayed with test solutions. After drying, the leaf disks are inoculated with a spore suspension of the fungus. After appropriate incubation the activity of a compound is assessed 7 dpi (days after inoculation) as preventive fungicidal activity.
- Puccinia recondite (Brown rust), curative: Wheat leaf segments are placed on agar in multiwell plates (24-well format). The leaf segments are inoculated with a spore suspension of the fungus and sprayed with test solutions 1 day after inoculation. After appropriate incubation the activity of a compound is assessed 8 dpi (days after inoculation) as curative fungicidal activity.
- Wheat leaf segments are placed on agar in multiwell plates (24-well format) and sprayed with test solutions. After drying, the leaf segments are inoculated with a spore suspension of the fungus. After appropriate incubation the activity of a compound is assessed 8 dpi (days after inoculation) as preventative fungicidal activity.
- Rice leaf segments are placed on agar in multiwell plates (24-well format) and sprayed with test solutions. After drying, the leaf disks are inoculated with a spore suspension of the fungus. After appropriate incubation the activity of a compound is assessed 5 dpi (days after inoculation) as preventive fungicidal activity.
- Sclerotinia sclerotiorum (Cotony rot, white mold, etc.):
- Mycelial fragments of the fungus prepared from a fresh liquid culture were directly mixed into nutrient broth (PDB potato dextrose broth).
- a DMSO solution of the test compounds was placed into a microtiter plate (96-well format) and the nutrient broth containing the fungal spores was added to it.
- the test plates were incubated at 24°C and the inhibition of growth was determined photometrically after 72 hrs at 620nm.
- Mvcosphaerella arachidis svn. Cercospora arachidicola (Brown leaf spot of peanut):
- Conidia of the fungus from cryogenic storage were directly mixed into nutrient broth (PDB potato dextrose broth).
- a DMSO solution of the test compounds was placed into a microtiter plate (96-well format) and the nutrient broth containing the fungal spores was added to it.
- the test plates were incubated at 24°C and the inhibition of growth was determined photometrically after approximately 5-6 days at 620nm.
Landscapes
- Chemical & Material Sciences (AREA)
- Organic Chemistry (AREA)
- Life Sciences & Earth Sciences (AREA)
- Agronomy & Crop Science (AREA)
- Pest Control & Pesticides (AREA)
- Plant Pathology (AREA)
- Health & Medical Sciences (AREA)
- Engineering & Computer Science (AREA)
- Dentistry (AREA)
- General Health & Medical Sciences (AREA)
- Wood Science & Technology (AREA)
- Zoology (AREA)
- Environmental Sciences (AREA)
- Agricultural Chemicals And Associated Chemicals (AREA)
- Furan Compounds (AREA)
- Heterocyclic Carbon Compounds Containing A Hetero Ring Having Oxygen Or Sulfur (AREA)
- Pyridine Compounds (AREA)
- Organic Low-Molecular-Weight Compounds And Preparation Thereof (AREA)
- Plural Heterocyclic Compounds (AREA)
Abstract
Description
Claims
Priority Applications (1)
| Application Number | Priority Date | Filing Date | Title |
|---|---|---|---|
| BR112022000493A BR112022000493A2 (en) | 2019-07-12 | 2020-07-10 | Methyl 2-[(4-methoxy-imino-tetralin-6-yl]prop-2-enoate derivatives, their chroman analogues, isochroman, 6,7,8,9-tetrahydrobenzo[7]annulene, 1h -isobenzofuran and indane, and similar compounds such as agrochemical fungicides |
Applications Claiming Priority (2)
| Application Number | Priority Date | Filing Date | Title |
|---|---|---|---|
| GB1910037.9 | 2019-07-12 | ||
| GBGB1910037.9A GB201910037D0 (en) | 2019-07-12 | 2019-07-12 | Microbiocidal compounds |
Publications (1)
| Publication Number | Publication Date |
|---|---|
| WO2021009026A1 true WO2021009026A1 (en) | 2021-01-21 |
Family
ID=67700275
Family Applications (1)
| Application Number | Title | Priority Date | Filing Date |
|---|---|---|---|
| PCT/EP2020/069509 Ceased WO2021009026A1 (en) | 2019-07-12 | 2020-07-10 | Methyl 2-[(4-methoxyimino-tetralin-6-yl]prop-2-enoate derivatives, chromane, isochromane, 6,7,8,9-tetrahydrobenzo[7]annulene, 1h-isobenzofurane and indane analogues thereof, and similar compounds, as agrochemical fungicides |
Country Status (5)
| Country | Link |
|---|---|
| AR (1) | AR119355A1 (en) |
| BR (1) | BR112022000493A2 (en) |
| GB (1) | GB201910037D0 (en) |
| UY (1) | UY38778A (en) |
| WO (1) | WO2021009026A1 (en) |
Citations (72)
| Publication number | Priority date | Publication date | Assignee | Title |
|---|---|---|---|---|
| US4065574A (en) * | 1975-08-29 | 1977-12-27 | The Upjohn Company | New method for controlling fungi using 4-chromone, 4-chromanone, 4-chromone oxime and 4-chromanone oxime compounds |
| US4639771A (en) | 1984-10-31 | 1987-01-27 | Kabushiki Kaisha Toshiba | Image processing system |
| EP0357460A2 (en) | 1988-09-02 | 1990-03-07 | Sankyo Company Limited | 13-Substituted milbemycin derivatives, their preparation and use |
| EP0367474A1 (en) | 1988-11-01 | 1990-05-09 | Mycogen Corporation | Novel bacillus thuringiensis isolate denoted b.t. ps81gg, active against lepidopteran pests, and a gene encoding a lepidopteran-active toxin |
| EP0374753A2 (en) | 1988-12-19 | 1990-06-27 | American Cyanamid Company | Insecticidal toxines, genes coding therefor, antibodies binding them, transgenic plant cells and plants expressing these toxines |
| EP0382173A2 (en) | 1989-02-07 | 1990-08-16 | Meiji Seika Kaisha Ltd. | PF 1022 substance, method of producing same and anthelmintic composition containing same |
| WO1990013651A1 (en) | 1989-05-09 | 1990-11-15 | Imperial Chemical Industries Plc | Bacterial genes |
| EP0401979A2 (en) | 1989-05-18 | 1990-12-12 | Mycogen Corporation | Novel bacillus thuringiensis isolates active against lepidopteran pests, and genes encoding novel lepidopteran-active toxins |
| US5015630A (en) | 1989-01-19 | 1991-05-14 | Merck & Co., Inc. | 5-oxime avermectin derivatives |
| EP0427529A1 (en) | 1989-11-07 | 1991-05-15 | Pioneer Hi-Bred International, Inc. | Larvicidal lectins and plant insect resistance based thereon |
| EP0444964A1 (en) | 1990-03-01 | 1991-09-04 | Sankyo Company Limited | Milbemycin ether derivatives, their preparation and their anthelmintic uses |
| EP0451878A1 (en) | 1985-01-18 | 1991-10-16 | Plant Genetic Systems, N.V. | Modifying plants by genetic engineering to combat or control insects |
| EP0503538A1 (en) | 1991-03-08 | 1992-09-16 | Meiji Seika Kaisha Ltd. | Medicinal composition containing an anthelmintic cyclic depsipeptide |
| WO1993007278A1 (en) | 1991-10-04 | 1993-04-15 | Ciba-Geigy Ag | Synthetic dna sequence having enhanced insecticidal activity in maize |
| WO1993019053A1 (en) | 1992-03-17 | 1993-09-30 | Fujisawa Pharmaceutical Co., Ltd. | Depsipeptide derivative, production thereof and use thereof |
| WO1993025543A2 (en) | 1992-06-11 | 1993-12-23 | Bayer Aktiengesellschaft | Enniatines and enniatine derivates used to control endoparasites |
| EP0594291A1 (en) | 1992-09-01 | 1994-04-27 | Sankyo Company Limited | Novel processes for the production of 13-ether derivatives of milbemycins, and novel intermediates therefor |
| WO1994015944A1 (en) | 1993-01-18 | 1994-07-21 | Pfizer Limited | New antiparasitic agents related to the milbemycins and avermectins |
| WO1994019334A1 (en) | 1993-02-19 | 1994-09-01 | Meiji Seika Kaisha, Ltd. | Pf1022 derivative, cyclic depsipeptide |
| EP0626375A1 (en) | 1993-05-26 | 1994-11-30 | Bayer Ag | Octacyclodepsipeptides having endoparasiticidal activity |
| WO1995019363A1 (en) | 1994-01-14 | 1995-07-20 | Pfizer Inc. | Antiparasitic pyrrolobenzoxazine compounds |
| WO1995022552A1 (en) | 1994-02-16 | 1995-08-24 | Pfizer Limited | Antiparasitic agents |
| WO1995034656A1 (en) | 1994-06-10 | 1995-12-21 | Ciba-Geigy Ag | Novel bacillus thuringiensis genes coding toxins active against lepidopteran pests |
| US5478855A (en) | 1992-04-28 | 1995-12-26 | Yashima Chemical Industry Co., Ltd. | 2-(2,6-difluorophenyl)-4-(2-ethoxy-4-tert-butylphenyl)-2-oxazoline |
| WO1996011945A2 (en) | 1994-10-18 | 1996-04-25 | Bayer Aktiengesellschaft | Cyclic depsipeptide sulfonylation, sulfenylation and phosphorylation process |
| WO1996015121A1 (en) | 1994-11-10 | 1996-05-23 | Bayer Aktiengesellschaft | Use of dioxomorpholines to combat endoparasites, novel dioxomorpholines and process for their production |
| DE19520936A1 (en) | 1995-06-08 | 1996-12-12 | Bayer Ag | Ectoparasiticides means |
| WO1997033890A1 (en) | 1996-03-11 | 1997-09-18 | Novartis Ag | Pyrimidin-4-one derivatives as pesticide |
| US5856573A (en) | 1994-12-26 | 1999-01-05 | Shionogi & Co., Ltd | Process for producing 2-(2-hydroxymethylphenyl)acetamide derivative and intermediate for the production thereof |
| EP1000928A1 (en) * | 1997-07-15 | 2000-05-17 | Agro-Kanesho Company Limited | Disease or insect pest control agent containing alkoxyimino-substituted bicyclic derivative as active ingredient |
| WO2002015701A2 (en) | 2000-08-25 | 2002-02-28 | Syngenta Participations Ag | Bacillus thuringiensis crystal protein hybrids |
| WO2003018810A2 (en) | 2001-08-31 | 2003-03-06 | Syngenta Participations Ag | Modified cry3a toxins and nucleic acid sequences coding therefor |
| WO2003052073A2 (en) | 2001-12-17 | 2003-06-26 | Syngenta Participations Ag | Novel corn event |
| WO2004072086A2 (en) | 2003-02-14 | 2004-08-26 | Pfizer Limited | Antiparasitic terpene alkaloids |
| US6919298B2 (en) | 2002-04-04 | 2005-07-19 | Valent Biosciences Corporation | Enhanced herbicide composition |
| US20080196127A1 (en) | 2005-04-11 | 2008-08-14 | Bayer Bioscience N.V. | Elite Event A5547-127 and Methods and Kits For Identifying Such Event in Biological Samples |
| US20080312082A1 (en) | 2006-10-31 | 2008-12-18 | Kinney Anthony J | Soybean event dp-305423-1 and compositions and methods for the identification and/or detection thereof |
| US20080320616A1 (en) | 2005-04-08 | 2008-12-25 | Bayer Bioscience N.V. | Elite Event A2407-12 and Methods and Kits for Identifying Such Event in Biological Samples |
| US7632985B2 (en) | 2005-05-27 | 2009-12-15 | Monsanto Technology Llc | Soybean event MON89788 and methods for detection thereof |
| WO2010080829A1 (en) | 2009-01-07 | 2010-07-15 | Basf Agrochemical Products B.V. | Soybean event 127 and methods related thereto |
| US20100184079A1 (en) | 2006-06-28 | 2010-07-22 | Pioneer Hi-Bred International, Inc. | Soybean event 3560.4.3.5 and compositions and methods for the identification and detection thereof |
| WO2011022470A1 (en) | 2009-08-19 | 2011-02-24 | Dow Agrosciences Llc | Control of aad-1 monocot volunteers in fields of dicot crops |
| WO2011022469A2 (en) | 2009-08-19 | 2011-02-24 | Dow Agrosciences Llc | Aad-1 event das-40278-9, related transgenic corn lines, and event-specific identification thereof |
| WO2011022471A1 (en) | 2009-08-19 | 2011-02-24 | Dow Agrosciences Llc | Detection of aad-1 event das-40278-9 |
| US20110067134A1 (en) | 2009-09-17 | 2011-03-17 | Brinker Ronald J | Soybean transgenic event mon 87708 and methods of use thereof |
| US8049071B2 (en) | 2007-11-15 | 2011-11-01 | Monsanto Technology Llc | Soybean plant and seed corresponding to transgenic event MON87701 and methods for detection thereof |
| WO2011138281A2 (en) | 2010-05-06 | 2011-11-10 | Bayer Cropscience Ag | Process for the preparation of dithiine tetracarboxydiimides |
| WO2014006945A1 (en) | 2012-07-04 | 2014-01-09 | アグロカネショウ株式会社 | 2-aminonicotinic acid ester derivative and bactericide containing same as active ingredient |
| US8632978B2 (en) | 2011-07-26 | 2014-01-21 | Dow Agrosciences, Llc. | Soybean event pDAB9582.814.19.1 detection method |
| WO2014095675A1 (en) | 2012-12-19 | 2014-06-26 | Bayer Cropscience Ag | Difluoromethyl-nicotinic-indanyl carboxamides as fungicides |
| US20140201860A1 (en) | 2010-12-15 | 2014-07-17 | Syngenta Participations Ag | Soybean event syht0h2 and compositions and methods for detection thereof |
| WO2014170327A1 (en) | 2013-04-19 | 2014-10-23 | Bayer Cropscience Ag | Method for combating pests |
| US20140373191A1 (en) | 2013-06-14 | 2014-12-18 | Monsanto Technology, Llc | Soybean transgenic event mon87751 and methods for detection and use thereof |
| WO2015035059A1 (en) | 2013-09-06 | 2015-03-12 | Inception 2, Inc. | Triazolone compounds and uses thereof |
| WO2015155075A1 (en) | 2014-04-11 | 2015-10-15 | Syngenta Participations Ag | Fungicidal n'-[2-methyl-6-[2-alkoxy-ethoxy]-3-pyridyl]-n-alkyl-formamidine derivatives for use in agriculture |
| WO2016156290A1 (en) | 2015-04-02 | 2016-10-06 | Bayer Cropscience Aktiengesellschaft | Novel 5-substituted imidazole derivatives |
| WO2016156085A1 (en) | 2015-03-27 | 2016-10-06 | Syngenta Participations Ag | Microbiocidal heterobicyclic derivatives |
| WO2016202742A1 (en) | 2015-06-15 | 2016-12-22 | Bayer Cropscience Aktiengesellschaft | Halogen-substituted phenoxyphenylamidines and the use thereof as fungicides |
| WO2017025510A1 (en) | 2015-08-12 | 2017-02-16 | Syngenta Participations Ag | Microbiocidal heterobicyclic derivatives |
| WO2017029179A1 (en) | 2015-08-14 | 2017-02-23 | Bayer Cropscience Aktiengesellschaft | Triazole derivatives, intermediates thereof and their use as fungicides |
| WO2017055473A1 (en) | 2015-10-02 | 2017-04-06 | Syngenta Participations Ag | Microbiocidal oxadiazole derivatives |
| WO2017055469A1 (en) | 2015-10-02 | 2017-04-06 | Syngenta Participations Ag | Microbiocidal oxadiazole derivatives |
| WO2017093348A1 (en) | 2015-12-02 | 2017-06-08 | Syngenta Participations Ag | Microbiocidal oxadiazole derivatives |
| WO2017118689A1 (en) | 2016-01-08 | 2017-07-13 | Syngenta Participations Ag | Microbiocidal oxadiazole derivatives |
| WO2017153380A1 (en) | 2016-03-10 | 2017-09-14 | Syngenta Participations Ag | Microbiocidal quinoline (thio)carboxamide derivatives |
| WO2017220485A1 (en) | 2016-06-21 | 2017-12-28 | Syngenta Participations Ag | Microbiocidal oxadiazole derivatives |
| WO2018065414A1 (en) | 2016-10-06 | 2018-04-12 | Syngenta Participations Ag | Microbiocidal oxadiazole derivatives |
| WO2018153707A1 (en) | 2017-02-22 | 2018-08-30 | Basf Se | Crystalline forms of a strobilurin type compound for combating phytopathogenic fungi |
| WO2018158365A1 (en) | 2017-03-03 | 2018-09-07 | Syngenta Participations Ag | Microbiocidal oxadiazole derivatives |
| WO2018202428A1 (en) | 2017-05-02 | 2018-11-08 | Basf Se | Fungicidal mixture comprising substituted 3-phenyl-5-(trifluoromethyl)-1,2,4-oxadiazoles |
| WO2018228896A1 (en) | 2017-06-14 | 2018-12-20 | Syngenta Participations Ag | Fungicidal compositions |
| WO2019110427A1 (en) | 2017-12-04 | 2019-06-13 | Syngenta Participations Ag | Microbiocidal phenylamidine derivatives |
-
2019
- 2019-07-12 GB GBGB1910037.9A patent/GB201910037D0/en not_active Ceased
-
2020
- 2020-07-06 AR ARP200101902A patent/AR119355A1/en unknown
- 2020-07-10 UY UY0001038778A patent/UY38778A/en not_active Application Discontinuation
- 2020-07-10 BR BR112022000493A patent/BR112022000493A2/en unknown
- 2020-07-10 WO PCT/EP2020/069509 patent/WO2021009026A1/en not_active Ceased
Patent Citations (72)
| Publication number | Priority date | Publication date | Assignee | Title |
|---|---|---|---|---|
| US4065574A (en) * | 1975-08-29 | 1977-12-27 | The Upjohn Company | New method for controlling fungi using 4-chromone, 4-chromanone, 4-chromone oxime and 4-chromanone oxime compounds |
| US4639771A (en) | 1984-10-31 | 1987-01-27 | Kabushiki Kaisha Toshiba | Image processing system |
| EP0451878A1 (en) | 1985-01-18 | 1991-10-16 | Plant Genetic Systems, N.V. | Modifying plants by genetic engineering to combat or control insects |
| EP0357460A2 (en) | 1988-09-02 | 1990-03-07 | Sankyo Company Limited | 13-Substituted milbemycin derivatives, their preparation and use |
| EP0367474A1 (en) | 1988-11-01 | 1990-05-09 | Mycogen Corporation | Novel bacillus thuringiensis isolate denoted b.t. ps81gg, active against lepidopteran pests, and a gene encoding a lepidopteran-active toxin |
| EP0374753A2 (en) | 1988-12-19 | 1990-06-27 | American Cyanamid Company | Insecticidal toxines, genes coding therefor, antibodies binding them, transgenic plant cells and plants expressing these toxines |
| US5015630A (en) | 1989-01-19 | 1991-05-14 | Merck & Co., Inc. | 5-oxime avermectin derivatives |
| EP0382173A2 (en) | 1989-02-07 | 1990-08-16 | Meiji Seika Kaisha Ltd. | PF 1022 substance, method of producing same and anthelmintic composition containing same |
| WO1990013651A1 (en) | 1989-05-09 | 1990-11-15 | Imperial Chemical Industries Plc | Bacterial genes |
| EP0401979A2 (en) | 1989-05-18 | 1990-12-12 | Mycogen Corporation | Novel bacillus thuringiensis isolates active against lepidopteran pests, and genes encoding novel lepidopteran-active toxins |
| EP0427529A1 (en) | 1989-11-07 | 1991-05-15 | Pioneer Hi-Bred International, Inc. | Larvicidal lectins and plant insect resistance based thereon |
| EP0444964A1 (en) | 1990-03-01 | 1991-09-04 | Sankyo Company Limited | Milbemycin ether derivatives, their preparation and their anthelmintic uses |
| EP0503538A1 (en) | 1991-03-08 | 1992-09-16 | Meiji Seika Kaisha Ltd. | Medicinal composition containing an anthelmintic cyclic depsipeptide |
| WO1993007278A1 (en) | 1991-10-04 | 1993-04-15 | Ciba-Geigy Ag | Synthetic dna sequence having enhanced insecticidal activity in maize |
| WO1993019053A1 (en) | 1992-03-17 | 1993-09-30 | Fujisawa Pharmaceutical Co., Ltd. | Depsipeptide derivative, production thereof and use thereof |
| US5478855A (en) | 1992-04-28 | 1995-12-26 | Yashima Chemical Industry Co., Ltd. | 2-(2,6-difluorophenyl)-4-(2-ethoxy-4-tert-butylphenyl)-2-oxazoline |
| WO1993025543A2 (en) | 1992-06-11 | 1993-12-23 | Bayer Aktiengesellschaft | Enniatines and enniatine derivates used to control endoparasites |
| EP0594291A1 (en) | 1992-09-01 | 1994-04-27 | Sankyo Company Limited | Novel processes for the production of 13-ether derivatives of milbemycins, and novel intermediates therefor |
| WO1994015944A1 (en) | 1993-01-18 | 1994-07-21 | Pfizer Limited | New antiparasitic agents related to the milbemycins and avermectins |
| WO1994019334A1 (en) | 1993-02-19 | 1994-09-01 | Meiji Seika Kaisha, Ltd. | Pf1022 derivative, cyclic depsipeptide |
| EP0626375A1 (en) | 1993-05-26 | 1994-11-30 | Bayer Ag | Octacyclodepsipeptides having endoparasiticidal activity |
| WO1995019363A1 (en) | 1994-01-14 | 1995-07-20 | Pfizer Inc. | Antiparasitic pyrrolobenzoxazine compounds |
| WO1995022552A1 (en) | 1994-02-16 | 1995-08-24 | Pfizer Limited | Antiparasitic agents |
| WO1995034656A1 (en) | 1994-06-10 | 1995-12-21 | Ciba-Geigy Ag | Novel bacillus thuringiensis genes coding toxins active against lepidopteran pests |
| WO1996011945A2 (en) | 1994-10-18 | 1996-04-25 | Bayer Aktiengesellschaft | Cyclic depsipeptide sulfonylation, sulfenylation and phosphorylation process |
| WO1996015121A1 (en) | 1994-11-10 | 1996-05-23 | Bayer Aktiengesellschaft | Use of dioxomorpholines to combat endoparasites, novel dioxomorpholines and process for their production |
| US5856573A (en) | 1994-12-26 | 1999-01-05 | Shionogi & Co., Ltd | Process for producing 2-(2-hydroxymethylphenyl)acetamide derivative and intermediate for the production thereof |
| DE19520936A1 (en) | 1995-06-08 | 1996-12-12 | Bayer Ag | Ectoparasiticides means |
| WO1997033890A1 (en) | 1996-03-11 | 1997-09-18 | Novartis Ag | Pyrimidin-4-one derivatives as pesticide |
| EP1000928A1 (en) * | 1997-07-15 | 2000-05-17 | Agro-Kanesho Company Limited | Disease or insect pest control agent containing alkoxyimino-substituted bicyclic derivative as active ingredient |
| WO2002015701A2 (en) | 2000-08-25 | 2002-02-28 | Syngenta Participations Ag | Bacillus thuringiensis crystal protein hybrids |
| WO2003018810A2 (en) | 2001-08-31 | 2003-03-06 | Syngenta Participations Ag | Modified cry3a toxins and nucleic acid sequences coding therefor |
| WO2003052073A2 (en) | 2001-12-17 | 2003-06-26 | Syngenta Participations Ag | Novel corn event |
| US6919298B2 (en) | 2002-04-04 | 2005-07-19 | Valent Biosciences Corporation | Enhanced herbicide composition |
| WO2004072086A2 (en) | 2003-02-14 | 2004-08-26 | Pfizer Limited | Antiparasitic terpene alkaloids |
| US20080320616A1 (en) | 2005-04-08 | 2008-12-25 | Bayer Bioscience N.V. | Elite Event A2407-12 and Methods and Kits for Identifying Such Event in Biological Samples |
| US20080196127A1 (en) | 2005-04-11 | 2008-08-14 | Bayer Bioscience N.V. | Elite Event A5547-127 and Methods and Kits For Identifying Such Event in Biological Samples |
| US7632985B2 (en) | 2005-05-27 | 2009-12-15 | Monsanto Technology Llc | Soybean event MON89788 and methods for detection thereof |
| US20100184079A1 (en) | 2006-06-28 | 2010-07-22 | Pioneer Hi-Bred International, Inc. | Soybean event 3560.4.3.5 and compositions and methods for the identification and detection thereof |
| US20080312082A1 (en) | 2006-10-31 | 2008-12-18 | Kinney Anthony J | Soybean event dp-305423-1 and compositions and methods for the identification and/or detection thereof |
| US8049071B2 (en) | 2007-11-15 | 2011-11-01 | Monsanto Technology Llc | Soybean plant and seed corresponding to transgenic event MON87701 and methods for detection thereof |
| WO2010080829A1 (en) | 2009-01-07 | 2010-07-15 | Basf Agrochemical Products B.V. | Soybean event 127 and methods related thereto |
| WO2011022470A1 (en) | 2009-08-19 | 2011-02-24 | Dow Agrosciences Llc | Control of aad-1 monocot volunteers in fields of dicot crops |
| WO2011022471A1 (en) | 2009-08-19 | 2011-02-24 | Dow Agrosciences Llc | Detection of aad-1 event das-40278-9 |
| WO2011022469A2 (en) | 2009-08-19 | 2011-02-24 | Dow Agrosciences Llc | Aad-1 event das-40278-9, related transgenic corn lines, and event-specific identification thereof |
| US20110067134A1 (en) | 2009-09-17 | 2011-03-17 | Brinker Ronald J | Soybean transgenic event mon 87708 and methods of use thereof |
| WO2011138281A2 (en) | 2010-05-06 | 2011-11-10 | Bayer Cropscience Ag | Process for the preparation of dithiine tetracarboxydiimides |
| US20140201860A1 (en) | 2010-12-15 | 2014-07-17 | Syngenta Participations Ag | Soybean event syht0h2 and compositions and methods for detection thereof |
| US8632978B2 (en) | 2011-07-26 | 2014-01-21 | Dow Agrosciences, Llc. | Soybean event pDAB9582.814.19.1 detection method |
| WO2014006945A1 (en) | 2012-07-04 | 2014-01-09 | アグロカネショウ株式会社 | 2-aminonicotinic acid ester derivative and bactericide containing same as active ingredient |
| WO2014095675A1 (en) | 2012-12-19 | 2014-06-26 | Bayer Cropscience Ag | Difluoromethyl-nicotinic-indanyl carboxamides as fungicides |
| WO2014170327A1 (en) | 2013-04-19 | 2014-10-23 | Bayer Cropscience Ag | Method for combating pests |
| US20140373191A1 (en) | 2013-06-14 | 2014-12-18 | Monsanto Technology, Llc | Soybean transgenic event mon87751 and methods for detection and use thereof |
| WO2015035059A1 (en) | 2013-09-06 | 2015-03-12 | Inception 2, Inc. | Triazolone compounds and uses thereof |
| WO2015155075A1 (en) | 2014-04-11 | 2015-10-15 | Syngenta Participations Ag | Fungicidal n'-[2-methyl-6-[2-alkoxy-ethoxy]-3-pyridyl]-n-alkyl-formamidine derivatives for use in agriculture |
| WO2016156085A1 (en) | 2015-03-27 | 2016-10-06 | Syngenta Participations Ag | Microbiocidal heterobicyclic derivatives |
| WO2016156290A1 (en) | 2015-04-02 | 2016-10-06 | Bayer Cropscience Aktiengesellschaft | Novel 5-substituted imidazole derivatives |
| WO2016202742A1 (en) | 2015-06-15 | 2016-12-22 | Bayer Cropscience Aktiengesellschaft | Halogen-substituted phenoxyphenylamidines and the use thereof as fungicides |
| WO2017025510A1 (en) | 2015-08-12 | 2017-02-16 | Syngenta Participations Ag | Microbiocidal heterobicyclic derivatives |
| WO2017029179A1 (en) | 2015-08-14 | 2017-02-23 | Bayer Cropscience Aktiengesellschaft | Triazole derivatives, intermediates thereof and their use as fungicides |
| WO2017055473A1 (en) | 2015-10-02 | 2017-04-06 | Syngenta Participations Ag | Microbiocidal oxadiazole derivatives |
| WO2017055469A1 (en) | 2015-10-02 | 2017-04-06 | Syngenta Participations Ag | Microbiocidal oxadiazole derivatives |
| WO2017093348A1 (en) | 2015-12-02 | 2017-06-08 | Syngenta Participations Ag | Microbiocidal oxadiazole derivatives |
| WO2017118689A1 (en) | 2016-01-08 | 2017-07-13 | Syngenta Participations Ag | Microbiocidal oxadiazole derivatives |
| WO2017153380A1 (en) | 2016-03-10 | 2017-09-14 | Syngenta Participations Ag | Microbiocidal quinoline (thio)carboxamide derivatives |
| WO2017220485A1 (en) | 2016-06-21 | 2017-12-28 | Syngenta Participations Ag | Microbiocidal oxadiazole derivatives |
| WO2018065414A1 (en) | 2016-10-06 | 2018-04-12 | Syngenta Participations Ag | Microbiocidal oxadiazole derivatives |
| WO2018153707A1 (en) | 2017-02-22 | 2018-08-30 | Basf Se | Crystalline forms of a strobilurin type compound for combating phytopathogenic fungi |
| WO2018158365A1 (en) | 2017-03-03 | 2018-09-07 | Syngenta Participations Ag | Microbiocidal oxadiazole derivatives |
| WO2018202428A1 (en) | 2017-05-02 | 2018-11-08 | Basf Se | Fungicidal mixture comprising substituted 3-phenyl-5-(trifluoromethyl)-1,2,4-oxadiazoles |
| WO2018228896A1 (en) | 2017-06-14 | 2018-12-20 | Syngenta Participations Ag | Fungicidal compositions |
| WO2019110427A1 (en) | 2017-12-04 | 2019-06-13 | Syngenta Participations Ag | Microbiocidal phenylamidine derivatives |
Non-Patent Citations (27)
| Title |
|---|
| "Comprehensive Organic Functional Group Transformations", 1995, ELSEVIER SCIENCE LTD. |
| "Comprehensive Organic Transformations: A Guide to Functional Group Preparations", 1999, WILEY-VCH |
| "The Pesticide Manual - A World Compendium", THE BRITISH CROP PROTECTION COUNCIL |
| "The Pesticide Manual", 2009, BRITISH CROP PROTECTION COUNCIL |
| ADVANCED SYNTHESIS AND CATALYSIS, vol. 359, 2017, pages 3865 - 3879 |
| BIOORGANIC AND MEDICINAL CHEMISTRY LETTERS, vol. 18, 2010, pages 8642 - 8659 |
| CHEMISTRY - A EUROPEAN JOURNAL, vol. 17, 2011, pages 12573 - 12577 |
| JOURNAL OF MEDICINAL CHEMISTRY, vol. 43, 2000, pages 560 - 568 |
| JOURNAL OF MEDICINAL CHEMISTRY, vol. 56, 2013, pages 5514 - 5540 |
| JOURNAL OF MEDICINAL CHEMISTRY, vol. 61, 2018, pages 5623 - 5642 |
| JOURNAL OF ORGANIC CHEMISTRY, vol. 57, 1992, pages 366 - 370 |
| JOURNAL OF THE AMERICAN CHEMICAL SOCIETY, vol. 123, 2001, pages 3940 - 3952 |
| JOURNAL OF THE AMERICAN CHEMICAL SOCIETY, vol. 124, 2002, pages 14844 - 14845 |
| JOURNAL OF THE AMERICAN CHEMICAL SOCIETY, vol. 70, 1948, pages 3177 |
| KLOSOWSKI AC ET AL.: "Competitive fitness of Phakopsora pachyrhizi isolates with mutations in the CYP51 and CYTB genes", PHYTOPATHOLOGY, vol. 106, 2016, pages 1278 - 1284 |
| KLOSOWSKI AC ET AL.: "Detection of the F129L mutation in the cytochrome b gene in Phakopsora pachyrhizi", PEST MANAG SCI, vol. 72, 2016, pages 1211 - 1215 |
| LANGENBACH C ET AL., FRONT PLANT SCIENCE, vol. 7, no. 797, 2016 |
| ORGANIC AND BIOMOLECULAR CHEMISTRY, vol. 12, 2014, pages 177 - 186 |
| ORGANIC LETTERS, vol. 11, 2009, pages 1321 - 1324 |
| ORGANIC LETTERS, vol. 13, 2011, pages 540 - 542 |
| ORGANIC LETTERS, vol. 14, 2013, pages 272 - 275 |
| ORGANIC LETTERS, vol. 20, 2018, pages 6198 - 6201 |
| PREPARATIVE PROCEDURES ARE DETAILED IN ORGANIC LETTERS, vol. 19, 2017, pages 1294 - 1297 |
| RSC ADVANCES, vol. 4, 2014, pages 48177 - 48190 |
| SCHMITZ HK: "Sensitivity of Phakopsora pachyrhizi towards quinone-outside-inhibitors and demethylation-inhibitors, and corresponding resistance mechanisms", PEST MANAG SCI, vol. 70, 2014, pages 378 - 388, XP055521613, DOI: 10.1002/ps.3562 |
| SIMÕES K ET AL.: "First detection of a SDH variant with reduced SDHI sensitivity in Phakopsora pachyrhizf", J PLANT DIS PROT, vol. 125, 2018, pages 21 - 2 |
| TETRAHEDRON, vol. 67, 2011, pages 624 - 635 |
Also Published As
| Publication number | Publication date |
|---|---|
| UY38778A (en) | 2021-02-26 |
| AR119355A1 (en) | 2021-12-15 |
| GB201910037D0 (en) | 2019-08-28 |
| BR112022000493A2 (en) | 2022-05-24 |
Similar Documents
| Publication | Publication Date | Title |
|---|---|---|
| EP3941898B1 (en) | Fungicidal compounds | |
| US12043600B2 (en) | Microbiocidal compounds | |
| US20250011314A1 (en) | Microbiocidal pyrazole derivatives | |
| WO2020208095A1 (en) | Microbiocidal picolinamide derivatives | |
| WO2021224102A1 (en) | Microbiocidal compounds | |
| US11629129B2 (en) | Microbiocidal picolinamide derivatives | |
| WO2020165403A1 (en) | Phenyl substituted thiazole derivatives as microbiocidal compounds | |
| EP3947371A1 (en) | Microbiocidal thiazole derivatives | |
| EP4313949A1 (en) | Microbiocidal isonicotinic amide derivatives | |
| WO2021219780A1 (en) | Microbiocidal compounds | |
| WO2021204855A1 (en) | Microbiocidal quinoline dihydropyrrolopyrazine derivatives | |
| WO2020078732A1 (en) | Microbiocidal oxadiazole derivatives | |
| WO2020025807A1 (en) | Microbiocidal 1,2,5-oxadiazol-3(2h)-one derivatives | |
| WO2022058580A1 (en) | Microbiocidal compounds | |
| WO2023118011A1 (en) | Microbiocidal aza-heterobiaryl derivatives | |
| WO2023094303A1 (en) | Microbiocidal heterobiaryl amide derivatives | |
| WO2021219778A1 (en) | Microbiocidal compounds | |
| WO2021219775A1 (en) | Microbiocidal compounds | |
| KR102922676B1 (en) | fungicidal compounds | |
| RU2817796C2 (en) | Fungicidal compounds | |
| WO2021009026A1 (en) | Methyl 2-[(4-methoxyimino-tetralin-6-yl]prop-2-enoate derivatives, chromane, isochromane, 6,7,8,9-tetrahydrobenzo[7]annulene, 1h-isobenzofurane and indane analogues thereof, and similar compounds, as agrochemical fungicides | |
| OA21382A (en) | Fungicidal compounds. | |
| WO2023148206A1 (en) | Microbiocidal n-amide derivatives | |
| BR122024019345A2 (en) | MICROBIOCIDAL COMPOUNDS AND USE | |
| WO2024100069A1 (en) | Microbiocidal pyridine derivatives |
Legal Events
| Date | Code | Title | Description |
|---|---|---|---|
| 121 | Ep: the epo has been informed by wipo that ep was designated in this application |
Ref document number: 20740574 Country of ref document: EP Kind code of ref document: A1 |
|
| NENP | Non-entry into the national phase |
Ref country code: DE |
|
| REG | Reference to national code |
Ref country code: BR Ref legal event code: B01A Ref document number: 112022000493 Country of ref document: BR |
|
| REG | Reference to national code |
Ref country code: BR Ref legal event code: B01E Ref document number: 112022000493 Country of ref document: BR Free format text: APRESENTAR, EM ATE 60 (SESSENTA) DIAS, NOVAS FOLHAS DD ELATORIO DESCRITIVO E DAS REIVINDICACOES ADAPTADAS AO ART. 39 DA INSTRUCAO NORMATIVA 31/2013 UMA VEZ QUE O CONTEUDO ENVIADO NA PETICAO NO 870220002584 DE 11/01/2022 ENCONTRA-SE FORA DA NORMA. |
|
| ENP | Entry into the national phase |
Ref document number: 112022000493 Country of ref document: BR Kind code of ref document: A2 Effective date: 20220111 |
|
| 122 | Ep: pct application non-entry in european phase |
Ref document number: 20740574 Country of ref document: EP Kind code of ref document: A1 |




















































