WO2023148206A1 - Microbiocidal n-amide derivatives - Google Patents
Microbiocidal n-amide derivatives Download PDFInfo
- Publication number
- WO2023148206A1 WO2023148206A1 PCT/EP2023/052420 EP2023052420W WO2023148206A1 WO 2023148206 A1 WO2023148206 A1 WO 2023148206A1 EP 2023052420 W EP2023052420 W EP 2023052420W WO 2023148206 A1 WO2023148206 A1 WO 2023148206A1
- Authority
- WO
- WIPO (PCT)
- Prior art keywords
- methyl
- hydrogen
- cyano
- formula
- compound
- Prior art date
- Legal status (The legal status is an assumption and is not a legal conclusion. Google has not performed a legal analysis and makes no representation as to the accuracy of the status listed.)
- Ceased
Links
Classifications
-
- C—CHEMISTRY; METALLURGY
- C07—ORGANIC CHEMISTRY
- C07D—HETEROCYCLIC COMPOUNDS
- C07D405/00—Heterocyclic compounds containing both one or more hetero rings having oxygen atoms as the only ring hetero atoms, and one or more rings having nitrogen as the only ring hetero atom
- C07D405/02—Heterocyclic compounds containing both one or more hetero rings having oxygen atoms as the only ring hetero atoms, and one or more rings having nitrogen as the only ring hetero atom containing two hetero rings
- C07D405/12—Heterocyclic compounds containing both one or more hetero rings having oxygen atoms as the only ring hetero atoms, and one or more rings having nitrogen as the only ring hetero atom containing two hetero rings linked by a chain containing hetero atoms as chain links
-
- A—HUMAN NECESSITIES
- A01—AGRICULTURE; FORESTRY; ANIMAL HUSBANDRY; HUNTING; TRAPPING; FISHING
- A01N—PRESERVATION OF BODIES OF HUMANS OR ANIMALS OR PLANTS OR PARTS THEREOF; BIOCIDES, e.g. AS DISINFECTANTS, AS PESTICIDES OR AS HERBICIDES; PEST REPELLANTS OR ATTRACTANTS; PLANT GROWTH REGULATORS
- A01N43/00—Biocides, pest repellants or attractants, or plant growth regulators containing heterocyclic compounds
- A01N43/34—Biocides, pest repellants or attractants, or plant growth regulators containing heterocyclic compounds having rings with one nitrogen atom as the only ring hetero atom
- A01N43/40—Biocides, pest repellants or attractants, or plant growth regulators containing heterocyclic compounds having rings with one nitrogen atom as the only ring hetero atom six-membered rings
-
- A—HUMAN NECESSITIES
- A01—AGRICULTURE; FORESTRY; ANIMAL HUSBANDRY; HUNTING; TRAPPING; FISHING
- A01P—BIOCIDAL, PEST REPELLANT, PEST ATTRACTANT OR PLANT GROWTH REGULATORY ACTIVITY OF CHEMICAL COMPOUNDS OR PREPARATIONS
- A01P3/00—Fungicides
-
- C—CHEMISTRY; METALLURGY
- C07—ORGANIC CHEMISTRY
- C07D—HETEROCYCLIC COMPOUNDS
- C07D213/00—Heterocyclic compounds containing six-membered rings, not condensed with other rings, with one nitrogen atom as the only ring hetero atom and three or more double bonds between ring members or between ring members and non-ring members
- C07D213/02—Heterocyclic compounds containing six-membered rings, not condensed with other rings, with one nitrogen atom as the only ring hetero atom and three or more double bonds between ring members or between ring members and non-ring members having three double bonds between ring members or between ring members and non-ring members
- C07D213/04—Heterocyclic compounds containing six-membered rings, not condensed with other rings, with one nitrogen atom as the only ring hetero atom and three or more double bonds between ring members or between ring members and non-ring members having three double bonds between ring members or between ring members and non-ring members having no bond between the ring nitrogen atom and a non-ring member or having only hydrogen or carbon atoms directly attached to the ring nitrogen atom
- C07D213/60—Heterocyclic compounds containing six-membered rings, not condensed with other rings, with one nitrogen atom as the only ring hetero atom and three or more double bonds between ring members or between ring members and non-ring members having three double bonds between ring members or between ring members and non-ring members having no bond between the ring nitrogen atom and a non-ring member or having only hydrogen or carbon atoms directly attached to the ring nitrogen atom with hetero atoms or with carbon atoms having three bonds to hetero atoms with at the most one bond to halogen, e.g. ester or nitrile radicals, directly attached to ring carbon atoms
- C07D213/78—Carbon atoms having three bonds to hetero atoms, with at the most one bond to halogen, e.g. ester or nitrile radicals
- C07D213/81—Amides; Imides
-
- C—CHEMISTRY; METALLURGY
- C07—ORGANIC CHEMISTRY
- C07D—HETEROCYCLIC COMPOUNDS
- C07D213/00—Heterocyclic compounds containing six-membered rings, not condensed with other rings, with one nitrogen atom as the only ring hetero atom and three or more double bonds between ring members or between ring members and non-ring members
- C07D213/02—Heterocyclic compounds containing six-membered rings, not condensed with other rings, with one nitrogen atom as the only ring hetero atom and three or more double bonds between ring members or between ring members and non-ring members having three double bonds between ring members or between ring members and non-ring members
- C07D213/04—Heterocyclic compounds containing six-membered rings, not condensed with other rings, with one nitrogen atom as the only ring hetero atom and three or more double bonds between ring members or between ring members and non-ring members having three double bonds between ring members or between ring members and non-ring members having no bond between the ring nitrogen atom and a non-ring member or having only hydrogen or carbon atoms directly attached to the ring nitrogen atom
- C07D213/60—Heterocyclic compounds containing six-membered rings, not condensed with other rings, with one nitrogen atom as the only ring hetero atom and three or more double bonds between ring members or between ring members and non-ring members having three double bonds between ring members or between ring members and non-ring members having no bond between the ring nitrogen atom and a non-ring member or having only hydrogen or carbon atoms directly attached to the ring nitrogen atom with hetero atoms or with carbon atoms having three bonds to hetero atoms with at the most one bond to halogen, e.g. ester or nitrile radicals, directly attached to ring carbon atoms
- C07D213/78—Carbon atoms having three bonds to hetero atoms, with at the most one bond to halogen, e.g. ester or nitrile radicals
- C07D213/84—Nitriles
-
- C—CHEMISTRY; METALLURGY
- C07—ORGANIC CHEMISTRY
- C07D—HETEROCYCLIC COMPOUNDS
- C07D401/00—Heterocyclic compounds containing two or more hetero rings, having nitrogen atoms as the only ring hetero atoms, at least one ring being a six-membered ring with only one nitrogen atom
- C07D401/02—Heterocyclic compounds containing two or more hetero rings, having nitrogen atoms as the only ring hetero atoms, at least one ring being a six-membered ring with only one nitrogen atom containing two hetero rings
- C07D401/12—Heterocyclic compounds containing two or more hetero rings, having nitrogen atoms as the only ring hetero atoms, at least one ring being a six-membered ring with only one nitrogen atom containing two hetero rings linked by a chain containing hetero atoms as chain links
Definitions
- the present invention relates to N-amide derivatives, e.g., as active ingredients, which have microbiocidal activity, in particular, fungicidal activity.
- the invention also relates to agrochemical compositions which comprise at least one of the N-amide derivative compounds, to processes of preparation of these compounds and to uses of the N-amide derivative compounds or compositions in agriculture or horticulture for controlling or preventing infestation of plants, harvested food crops, seeds or non-living materials by phytopathogenic microorganisms, preferably fungi.
- WO 2020/109391 discloses the use of pyridazine (thio)amide derivatives for controlling phytopathogenic microorganisms.
- the present invention therefore provides, in a first aspect, compounds of formula (I) wherein:
- R 1 is phenyl or pyridinyl, wherein any of said phenyl or pyridinyl being unsubstituted or substituted with one or two substituents independently selected from halogen, cyano, Ci-C4-alkyl, Ci-C2-haloalkyl, Ci- C4-alkoxy, Ci-C2-haloalkoxy, C2-C3-alkenyl, C2-C3-haloalkenyl, C2-C3-alkynyl, Cs-Ce-cycloalkyl, C3-C6- cycloalkyloxy, C2-C3-alkenyloxy, and C2-C3-alkynyloxy;
- Z 1 is -[C(R z1A )2]m-, -[C(R z1B )2]n2-O-, or -[C(R z1B ) 2 ]n2-O-; wherein R Z1A and R Z1B are independently selected from hydrogen, halogen, and Ci-C4-alkyl; is 1 , 2 or 3; and n2 is 1 or 2;
- Z 2 is a bond or -C(R Z2A )2-; wherein R Z2A is independently selected from hydrogen, halogen, and C1-C4- alkyl;
- R 2 is selected from hydrogen and methyl
- R 3 is independently selected from halogen, cyano, Ci-C4-alkyl, Ci-C2-haloalkyl, Ci-C4-alkoxy, and C1- C2-haloalkoxy; and m is 0, 1 , 2 or 3;
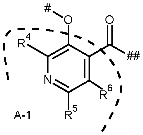
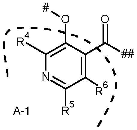
- A is wherein # marks the bond to R 1 ; ## marks the bond to the nitrogen atom; and the dashed line delineates A within compound of Formula (I);
- R 4 is selected from hydrogen, halogen, cyano, Ci-C4-alkyl, Ci-C2-haloalkyl, Ci-C4-alkoxy, and C1-C2- haloalkoxy;
- R 5 is selected from hydrogen, cyano, mercaptyl, halogen, Ci-Cs-alkyl, C2-C3-alkenyl, C2-C3-alkynyl, C1- Cs-alkoxy, Ci-Cs-fluoroalkyl, Ci-Cs-fluoroalkoxy, C3-C4-cycloalkyl, and Ci-C3-alkylsulfonyl;
- R 6 is selected from hydrogen, halogen, cyano, Ci-C4-alkyl, Ci-Cs-fluoroalkyl, C2-C4-alkenyl, C2-C4- alkynyl, Ci-C4-alkoxy, C2-C4-alkenyloxy, C2-C4-alkynyloxy, Ci-Cs-fluoroalkoxy, and C3-C4-cycloalkyl; or an agrochemically acceptable salt, N-oxide, stereoisomer, or enantiomer of the compound of Formula (I).
- the present invention also provides a method of preparation of compounds of formula (I) as well as intermediate compounds useful in the preparation of compounds of formula (I).
- novel compounds of Formula (I) have, for practical purposes, a very advantageous level of biological activity for protecting plants against diseases that are caused by fungi.
- an agrochemical composition comprising a fungicidally effective amount of a compound of Formula (I).
- Such an agricultural composition may further comprise at least one additional active ingredient and/or an agrochemically- acceptable diluent or carrier.
- a method of controlling or preventing infestation of useful plants by phytopathogenic microorganisms wherein a fungicidally effective amount of a compound of Formula (I), or a composition comprising this compound as active ingredient, is applied to the plants, to parts thereof or the locus thereof.
- a compound of Formula (I) as a fungicide.
- the use may exclude methods for the treatment of the human or animal body by surgery or therapy and diagnostic methods practised on the human or animal body.
- the present invention makes available a plant propagation material, such as a seed, comprising, or treated with or adhered thereto, a compound of formula (I) or a composition comprising such a compound.
- hydroxyl or “hydroxy” means an -OH group.
- mercapto means an -SH group.
- cyano means a -CN group.
- amino means an -NH2 group.
- nitro means an -NO2 group.
- halogen or “halo” refers to fluorine (fluoro), chlorine (chloro), bromine (bromo) or iodine (iodo), preferably fluorine, chlorine or bromine. This also applies, correspondingly, to “halo” used as a prefix to other radicals, such as in the word haloalkyl.
- Ci-4alkyl refers to a straight or branched hydrocarbon chain radical consisting solely of carbon and hydrogen atoms, containing no unsaturation, having from one to four carbon atoms, and which is attached to the rest of the molecule by a single bond. Ci-salkyl should be construed accordingly. Examples of Ci-4alkyl include, but are not limited to, methyl, ethyl, /so-propyl.
- C2-3alkenyl refers to a straight or branched hydrocarbon chain radical group consisting solely of carbon and hydrogen atoms, containing at least one double bond that may be of either the (E) or (Z) configuration, having two or three carbon atoms, which is attached to the rest of the molecule by a single bond.
- Examples of Cs salkenyl include, but are not limited to, vinyl (ethenyl), prop- 1-enyl, allyl (prop-2-enyl).
- C2-3alkynyl refers to a straight or branched hydrocarbon chain radical group consisting solely of carbon and hydrogen atoms, containing at least one triple bond, having from two or three carbon atoms, and which is attached to the rest of the molecule by a single bond.
- Examples of C2- salkynyl include, but are not limited to, prop-1 -ynyl and propargyl (prop-2-ynyl).
- Ci-4haloalkyl refers respectively to a Ci-4alkyl, C2-3alkenyl, and Cs salkynyl radical as defined above, substituted by one or more of the same or different halogen atoms.
- Ci-4haloalkyl include, but are not limited to fluoromethyl, fluoroethyl, difluoromethyl, trifluoromethyl, and 2,2,2-trifluoroethyl.
- Ci-3fluoroalkyl refers to a Ci-salkyl radical as generally defined above substituted by one or more fluorine atoms.
- Examples of Ci-3fluoroalkyl include, but are not limited to difluoromethyl and trifluoromethyl.
- Ci-3alkoxy refers to a radical of the formula R a O- where R a is a Ci-salkyl radical as generally defined above.
- Examples of Ci-3alkoxy include, but are not limited to, methoxy, ethoxy, /so-propoxy.
- Ci-3fluoroalkoxy refers to a Ci-3alkoxy radical as generally defined above substituted by one or more fluorine atoms.
- Examples of Ci-3fluoroalkoxy include, but are not limited to tri fluoromethoxy.
- C3-4cycloalkyl refers to a stable, monocyclic ring radical which is saturated and contains 3 or 4 carbon atoms.
- Ci-3alkylsulfanyl refers to a radical of the formula -SR a wherein R a is a Cisalkyl radical as generally defined above.
- Ci-salkylsulfonyl refers to a radical of the formula -S(O)2R a wherein R a is a Ci-salkyl radical as generally defined above.
- heteroaryl refers to a 5- or 6-membered aromatic monocyclic ring having 1 to 3 heteroatoms independently selected from N, O and S. Preferred heteroaryls are J-1 to J-3 shown in Table J below.
- heteroaryls J-1 to J-3 represents the point of attachment to the rest of the compound.
- C3-C4cycloalkyl is optionally substituted with 1 or 2 halo atoms
- C3-C4cycloalkyl is optionally substituted with 1 or 2 halo atoms
- C3-C4cycloalkyl substituted with 1 halo atom and C3- C4cycloalkyl substituted with 2 halo atoms.
- optionally substituted can be used interchangeably with “unsubstituted or substituted”.
- the compound of Formula (I) may also be represented as Formula (la): wherein G represents the bicyclic group comprising Z 1 , Z 2 , R 2 and R 3 : and the arrow represents the point of attachment of the group (G) to the rest of the compound.
- asymmetric carbon atoms in a compound of Formula (I) means that the compounds may occur in chiral isomeric forms, i.e., enantiomeric or diastereomeric forms. Also, atropisomers may occur as a result of restricted rotation about a single bond.
- Formula (I) is intended to include all those possible isomeric forms and mixtures thereof. The present invention includes all those possible isomeric forms and mixtures thereof for a compound of Formula (I).
- Formula (I) is intended to include all possible tautomers (including lactam-lactim tautomerism and keto-enol tautomerism) where present. The present invention includes all possible tautomeric forms for a compound of Formula (I).
- Compounds of formula (I) which have at least one basic centre can form, for example, acid addition salts, for example with strong inorganic acids such as mineral acids, for example perchloric acid, sulfuric acid, nitric acid, nitrous acid, a phosphorus acid or a hydrohalic acid, with strong organic carboxylic acids, such as Ci-C4alkanecarboxylic acids which are unsubstituted or substituted, for example by halogen, for example acetic acid, such as saturated or unsaturated dicarboxylic acids, for example oxalic acid, malonic acid, succinic acid, maleic acid, fumaric acid or phthalic acid, such as hydroxycarboxylic acids, for example ascorbic acid, lactic acid, malic acid, tartaric acid or citric acid, or such as benzoic acid, or with organic sulfonic acids, such as Ci-C4alkane- or arylsulfonic acids which are unsubstituted or substituted, for
- Compounds of Formula (I) which have at least one acidic group can form, for example, salts with bases, for example mineral salts such as alkali metal or alkaline earth metal salts, for example sodium, potassium or magnesium salts, or salts with ammonia or an organic amine, such as morpholine, piperidine, pyrrolidine, a mono-, di- or tri-lower-alkylamine, for example ethyl-, diethyl-, triethyl- or dimethylpropylamine, or a mono-, di- or trihydroxy-lower-alkylamine, for example mono-, di- or triethanolamine.
- bases for example mineral salts such as alkali metal or alkaline earth metal salts, for example sodium, potassium or magnesium salts
- salts with ammonia or an organic amine such as morpholine, piperidine, pyrrolidine, a mono-, di- or tri-lower-alkylamine, for example ethyl-, die
- the compounds of Formula (I) according to the invention also include hydrates which may be formed during the salt formation.
- the compounds of Formula (I) according to the invention are in free form, in oxidized form as an N-oxide, in covalently hydrated form, or in salt form, e.g., an agronomically usable or agrochemically acceptable salt form.
- N-oxides are oxidized forms of tertiary amines or oxidized forms of nitrogen containing heteroaromatic compounds. They are described for instance in the book “Heterocyclic N-oxides” by A. Albini and S. Pietra, CRC Press, Boca Raton 1991.
- Z 1 is
- R Z1A and R Z1B are independently selected from hydrogen, halogen, and Ci-C4-alkyl; is 1 , 2 or 3; and n 2 is 1 or 2; or
- R Z1A and R Z1B are independently selected from hydrogen, fluoro, and methyl; is 1 , 2 or 3; and n 2 is 1 or 2; or
- R Z1A and R Z1B are independently selected from hydrogen, fluoro, and methyl; or
- D. -(CH 2 )ni-, or -(CH 2 ) n2 -O-; is 1 , or 2; and n 2 is 1 or 2; or
- Z 1 is -[C(R z1B ) 2 ]n 2 -O-, -[C(R Z1B ) 2 ]-O-, -[C(R Z1B ) 2 ] 2 -O-, -(CH 2 )n2-O-, -(CH 2 ) 2 -O-, or -(CH 2 )-O-
- Z 2 is
- R Z2A are independently selected from hydrogen, halogen, and Ci-C4-alkyl; or
- R Z2A are independently selected from hydrogen, fluoro, and methyl; or
- Z 1 is -(CH 2 )m-; is 1 or 2; and Z 2 is a bond or -CH2-; or
- Z 1 is -(CH 2 )n 2 -O-; n2 is 1 or 2; and Z 2 is a bond or -CH2-; or
- Z 1 is -(CH2)-O-; and Z 2 is a bond or -CH2-; or
- Z 1 is -(CH2)3-; and Z 2 is a bond or -CH2-; or
- Z 1 is -(CH2)-O-; and Z 2 is a bond; or
- Z 1 is -(CH2)3- or -(CH2)-O-; and Z 2 is a bond; or
- Z 1 is -(CH2)3-; and Z 2 is a bond.
- R 1 is:
- phenyl or pyridinyl said phenyl or pyridinyl being unsubstituted or substituted with one or two substituents independently selected from halogen, cyano, methyl, ethyl, propyl, ethylene, acetylene, difluoromethyl, trifluoromethyl, methoxy, difluoromethoxy, trifluoromethoxy, and cyclopropyl; or
- phenyl or pyridinyl said phenyl or pyridinyl being unsubstituted or substituted with one substituent selected from halogen, cyano, methyl, ethyl, propyl, ethylene, acetylene, difluoromethyl, trifluoromethyl, methoxy, difluoromethoxy, trifluoromethoxy, and cyclopropyl; or D.
- phenyl or pyridinyl said phenyl or pyridinyl being unsubstituted or substituted with one or two substituents, for instance one substituent, independently selected from halogen, cyano, methyl, ethyl, propyl, ethylene, acetylene, difluoromethyl, trifluoromethyl, methoxy, and cyclopropyl; or
- phenyl unsubstituted or substituted with one or two substituents independently selected from halogen, cyano, methyl, ethyl, propyl, ethylene, acetylene, difluoromethyl, trifluoromethyl, methoxy, and cyclopropyl; or
- G pyridinyl unsubstituted or substituted with one or two substituents independently selected from chloro, fluoro, cyano, methyl, ethyl, ethylene, acetylene, difluoromethyl, methoxy, and cyclopropyl; or
- K phenyl unsubstituted or substituted with a substituent selected from methyl, and cyclopropyl;
- R 1 when R 1 is pyridinyl, R 1 is selected from pyridine-2- yl, pyridine-3-yl, and pyridine-4-yl.
- the pyridine-2-yl, pyridine-3-yl, or pyridine-4-yl is unsubstituted or substituted with one or two substituents, for instance one substitutent, independently selected from halogen, cyano, Ci-C4-alkyl, Ci-C2-haloalkyl, Ci-C4-alkoxy, C1-C2- haloalkoxy, C2-C3-alkenyl, C2-C3-haloalkenyl, C2-C3-alkynyl, Cs-Ce-cycloalkyl, Cs-Ce-cycloalkyloxy, C2- Cs-alkenyloxy, and C2-C3-alkynyloxy; such as chloro, fluoro, cyano,
- R 2 is
- A independently selected from halogen, cyano, Ci-C4-alkyl, Ci-C2-haloalkyl, Ci-C4-alkoxy, and Ci-C2-haloalkoxy; and m is 0, 1 , 2 or 3; or
- B independently selected from halogen, cyano, methyl, and methoxy; m is 1 or 2; or
- C. independently selected from fluoro, chloro, cyano, methyl, and methoxy; m is 1 or 2; or
- the group (G), where the arrow represents the point of attachment of the group (G) to the rest of the compound of formula (I), is:
- A selected from indan-1-yl, indan-2-yl, tetralin-1 -yl, tetralin-2-yl, chroman-2-yl, chroman- 3-yl, chroman-4-yl, isochroman-1-yl, and isochroman-3-yl;
- R 3 is independently selected from halogen, cyano, Ci-C4-alkyl, Ci-C2-haloalkyl, Ci-C4-alkoxy, and Ci-C2-haloalkoxy; and m is 0, 1 or 2; or
- R 3 is independently selected from fluoro, chloro, cyano, methyl, ethyl, difluoromethyl, trifluoromethyo, and methoxy; and m is 0, 1 or 2; or
- R 3 is independently selected from fluoro, chloro, cyano, methyl, and methoxy; and m is 1 or 2; or
- D selected from indan-1-yl, indan-2-yl, tetralin-1 -yl, tetralin-2-yl, chroman-2-yl, chroman- 3-yl, and chroman-4-yl;
- R 3 is independently selected from fluoro, chloro, and methyl; and m is 2; or
- E selected from indan-1-yl, tetralin-1 -yl, and chroman-4-yl; and m is 0; or
- F selected from indan-1-yl, tetralin-1 -yl, and chroman-4-yl;
- R 3 is independently selected from fluoro, chloro, cyano, methyl, and methoxy; and m is 1 or 2; or
- G indan-1-yl, tetralin-1 -yl, or chroman-4-yl
- R 3 is selected from fluoro, chloro, methyl, and methoxy
- m is 0 or 1
- H indan-1-yl, tetralin-1 -yl, or chroman-4-yl
- l is l.
- chroman-4-yl indan-1-yl, 5-chloroindan-1-yl, 6-chloroindan-1-yl, 4,6-difluoroindan-1-yl, 6- methoxyindan-1-yl, tetralin-1 -yl, 5-methoxytetralin-1-yl, 7-methoxytetralin-1-yl, or 5,7- dimethyltetralin-1 -yl; or
- K 4,6-difluoroindan-1-yl, or 5,7-dimethyltetralin-1 -yl.
- A is wherein # marks the bond to R 1 ; ## marks the bond to the nitrogen atom; and the dashed line delineates A within compound of Formula (I).
- R 4 is:
- A selected from hydrogen, halogen, cyano, Ci-C4-alkyl, Ci-C2-haloalkyl, Ci-C4-alkoxy, and Ci-C2-haloalkoxy; or
- C. selected from hydrogen, chloro, fluoro, cyano, and methyl
- R 5 is:
- A selected from hydrogen, cyano, mercaptyl, halogen, Ci-Cs-alkyl, C2-C3-alkenyl, C2-C3- alkynyl, Ci-Cs-alkoxy, Ci-Cs-fluoroalkyl, Ci-Cs-fluoroalkoxy, C3-C4-cycloalkyl, and C1-C3- alkylsulfonyl; or
- B selected from hydrogen, halogen, cyano, methyl, ethyl, ethenyl, ethynyl, methoxy, ethoxy, and cyclopropyl; or
- C. selected from hydrogen, chloro, cyano, methyl, methoxy, ethoxy, and cyclopropyl;
- F selected from hydrogen, chloro, and methyl.
- R 6 is: A. selected from hydrogen, halogen, cyano, Ci-C4-alkyl, Ci-Cs-fluoroalkyl, C2-C4-alkenyl, C2-C4-alkynyl, Ci-C4-alkoxy, C2-C4-alkenyloxy, C2-C4-alkynyloxy, Ci-Cs-fluoroalkoxy, and C3-C4- cycloalkyl; or
- B selected from hydrogen, halogen, cyano, methyl, ethyl, ethenyl, ethynyl, methoxy, ethoxy, and cyclopropyl; or
- R 4 , R 5 , and R 6 are as follows:
- R 4 is selected from hydrogen, halogen, cyano, methyl, and methoxy
- R 5 is selected from hydrogen, cyano, mercaptyl, halogen, Ci-Cs-alkyl, C2-C3-alkenyl, C2-C3-alkynyl, Ci-Cs-alkoxy, C1- Cs-fluoroalkyl, Ci-Cs-fluoroalkoxy, C3-C4-cycloalkyl, and Ci-C3-alkylsulfonyl
- R 6 is selected from hydrogen, halogen, cyano, methyl, Ci-C4-alkyl, Ci-Cs-fluoroalkyl, C2-C4-alkenyl, C2-C4- alkynyl, Ci-C4-alkoxy, C2-C4-alkenyloxy, C2-C4-alkynyloxy, Ci-Cs-fluoroalkoxy, and C3-C4- cycloal
- R 4 is selected from hydrogen, halogen, cyano, methyl, and methoxy; and/or R 5 is selected from hydrogen, halogen, cyano, methyl, ethyl, ethenyl, ethynyl, methoxy, ethoxy, and cyclopropyl; and/or R 6 is selected from hydrogen, halogen, cyano, methyl, ethyl, ethenyl, ethynyl, methoxy, ethoxy, and cyclopropyl; or
- R 4 is hydrogen; and/or R 5 is selected from hydrogen, chloro, cyano, and methyl; and/or R 6 is selected from hydrogen, chloro, fluoro, cyano, methyl, and methoxy; or
- R 4 is hydrogen;
- R 5 is selected from hydrogen, halogen, cyano, methyl, ethyl, ethenyl, ethynyl, methoxy, ethoxy, and cyclopropyl;
- R 6 is selected from hydrogen, halogen, cyano, methyl, ethyl, ethenyl, ethynyl, methoxy, ethoxy, and cyclopropyl; or
- R 4 is hydrogen; R 5 is selected from hydrogen, chloro, cyano, and methyl; and R 6 is selected from hydrogen; or
- R 4 is hydrogen; R 5 is hydrogen; and R 6 is selected from hydrogen, fluoro, chloro, cyano, methyl, and methoxy.
- the present invention accordingly, makes available a compound of formula (I) having the substituents A, A-1 , Z 1 , Z 2 , R Z1A , R Z1B , R Z2A , G, R 1 , R 2 , R 3 , R 4 , R 5 , and R 6 , as defined above in all combinations I each permutation. Accordingly, made available, for example, is a compound of formula (I) with A-1 as A, Z 1 of embodiment C (i.e.
- R Z1A and R Z1B are independently selected from hydrogen, fluoro, and methyl), Z 2 of embodiment E (i.e. a bond), R 1 of embodiment B (i.e.
- phenyl or pyridinyl said phenyl or pyridinyl being unsubstituted or substituted with one ortwo substituents independently selected from halogen, cyano, methyl, ethyl, propyl, ethylene, acetylene, difluoromethyl, trifluoromethyl, methoxy, difluoromethoxy, trifluoromethoxy, and cyclopropyl), R 2 of embodiment A (i.e. selected from hydrogen and methyl), [R 3 ] m of embodiment D (i.e. independently selected from fluoro, chloro, cyano, methyl, and methoxy; and m is 1 or 2), R 4 of embodiment B (i.e.
- R 5 of embodiment E i.e. hydrogen
- R 6 of embodiment D i.e. selected from hydrogen, fluoro, chloro, cyano, methyl, and methoxy
- a compound of formula (I) is made available with A-1 as A, Z 1 of embodiment D (i.e. -(CH2)m-, or -(CH 2 )n 2 -O-; is 1 , or 2; and n 2 is 1 or 2), Z 2 of embodiment C (i.e. a bond or -CH2-), R 1 of embodiment N (i.e. phenyl substituted with a methyl or a cyclopropyl), R 2 of embodiment A (i.e. selected from hydrogen and methyl), [R 3 ] m of embodiment H (i.e. chloro, fluoro, methyl, or methoxy; and m is 0 or 1), R 4 of embodiment D (i.e.
- R 5 of embodiment B i.e. selected from hydrogen, halogen, cyano, methyl, ethyl, ethenyl, ethynyl, methoxy, ethoxy, and cyclopropyl
- R 6 of embodiment F i.e. hydrogen
- a compound of formula (I) is made available with A-1 as A, Z 1 and Z 2 of preferred embodiment F (i.e. Z 1 is -(CH2)3- or -(CH2)-O-; and Z 2 is a bond), R 1 of embodiment H (i.e. pyridinyl unsubstituted or substituted with one substituent selected from chloro, fluoro, cyano, methyl, methoxy, and cyclopropyl), R 2 of embodiment C (i.e. hydrogen), [R 3 ] m of embodiment E (i.e. chloro, fluoro, methyl, or methoxy; and m is 1), R 4 of embodiment C (i.e.
- R 5 of embodiment D i.e. selected from hydrogen, chloro, cyano, and methyl
- R 6 of embodiment C i.e. hydrogen, fluoro or chloro
- a compound of formula (I) is made available with A-1 as A, Z 1 and Z 2 of preferred embodiment B (i.e. Z 1 is -(CH2)n2-O-; n 2 is 1 or 2; and Z 2 is a bond or -CH2-), R 1 of embodiment J (i.e. phenyl or pyridinyl, said phenyl or pyridinyl being unsubstituted or substituted with a substituent selected from methyl, methoxy, and cyclopropy), R 2 of embodiment A (i.e. selected from hydrogen and methyl), [R 3 ] m of embodiment C (i.e.
- R 4 is hydrogen
- R 5 is selected from hydrogen, halogen, cyano, methyl, ethyl, ethenyl, ethynyl, methoxy, ethoxy, and cyclopropyl
- R 6 is selected from hydrogen, halogen, cyano, methyl, ethyl, ethenyl, ethynyl, methoxy, ethoxy, and cyclopropyl
- a compound of formula (I) is made available with A-1 as A, G of embodiment C (i.e. selected from indan-1-yl, indan-2-yl, tetralin-1 -yl, tetralin-2-yl, chroman-2-yl, chroman-3-yl, and chroman-4-yl; R 3 is independently selected from fluoro, chloro, cyano, methyl, and methoxy; and m is 1 or 2), R 1 of embodiment J (i.e.
- R 4 is hydrogen
- R 5 is selected from hydrogen, chloro, cyano, and methyl
- R 6 is selected from hydrogen
- the compound of the formula (I) may comprise a stereogenic centre, shown with an asterisk in formula (I*), wherein R 1 , R 2 , R 3 , m, Z 1 (including R Z1A , R Z1B , n1 and n2), Z 2 (including R Z2 ), and A (including R 4 , R 5 and R 6 ), are as defined in the first aspect, each with the corresponding embodiments as described above.
- the compounds of the present invention may be enantiomers of the compound of Formula (I) as represented Formula (1-1) or Formula (I-2), wherein R 1 , R 2 , R 3 , m, Z 1 (including R Z1A , R Z1B , n1 and n2), Z 2 (including R Z2 ), and A (including R 4 , R 5 and R 6 ), are as defined in the first aspect, each with the corresponding embodiments as described above.
- the compounds of formula (I) according to the invention can be made as shown in the following schemes 1 to 10, wherein A, Z 1 , Z 2 , R Z1A , R Z1B , R Z2 , R 1 , R 2 , R 3 , m, R 4 , R 5 and R 6 are as defined for a compound of formula (I), unless otherwise stated. Certain stereogenic centers have been left unspecified for clarity and are not intended to limit the teaching of the schemes in any way.
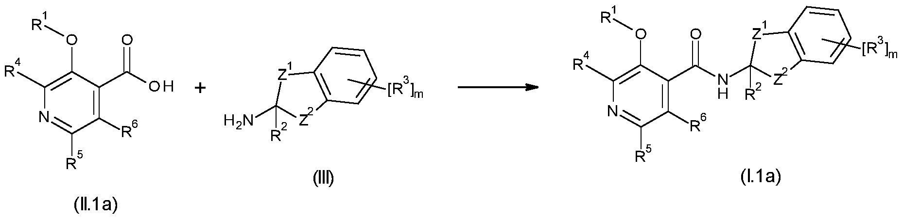
- the compounds of formula (I) are obtained by an amide-coupling transformation with compounds of formula (II), wherein X is OH, and amine compounds of formula (III) by activating the carboxylic acid function of the compounds of formula (II), a process that usually takes place by converting the -OH of the carboxylic acid into a good leaving group, such as a chloride group, for example by using (COCI)2 or SOCI2, prior to treatment with the compounds of formula (III), preferably in a suitable solvent (e.g., N- methylpyrrolidone, acetonitrile, dimethylacetamide, dichloromethane or tetrahydrofuran), preferably at temperatures between 25°C and 60°C, and optionally in the presence of a base such as triethylamine or N,N-diisopropylethylamine; or alternatively under conditions described in the literature for an amide coupling such as 1-propanephosphonic acid cyclic anhydride (T3P) in
- Compounds of formula (I) are prepared from reacting nucleophilic compounds of formula (IV) with electrophilic compounds of formula (V), wherein Y is a suitable leaving group such as fluoro, chloro, bromo, iodo, BF3K, B(OH)2 or B(pinacol), in the presence of base (e.g. KO-t-Bu, K3PO4, K2CO3, triethylamine, or CS2CO3), in a suitable solvent (e.g.
- a metal catalyst complex e.g. Cu or Pd.
- a metal catalyst complex e.g. Cu or Pd.
- the compounds of formula (V), wherein Y is halogen or OH can be obtained by an amide coupling transformation with compounds of formula (VI), wherein X is OH and Y is halogen or OH, and amine compounds of formula (III) by activating the carboxylic acid function of the compounds of formula (VI), a process that usually takes place by converting the -OH of the carboxylic acid into a good leaving group, such as a chloride group, for example by using (COCI)2 or SOCI2, prior to treatment with the compounds of formula (III), preferably in a suitable solvent (e.g., N-methylpyrrolidone dimethylacetamide, dichloromethane or tetrahydrofuran), preferably at temperatures between 25°C and 60°C, and optionally in the presence of a base such as triethylamine or N,N-diisopropylethylamine; or alternatively under conditions described in the literature for an amide coupling such as 1-propanephosphonic acid cycl
- dichloromethane 1 ,2-dichloromethane, acetonitrile, tetrahydrofuran, 2-methyl tetrahydrofuran, N-methylpyrrolidone, dimethylacetamide
- a metal source e.g. Cu(OAc)2
- an oxidant such as O2 or a suitable palladium pre-catalyst, such as RockPhos Pd G3
- a base e.g. K3PO4
- suitable solvent e.g. dimethyl ether or toluene
- Compounds of Formula (VI), wherein X is OH or Ci-C4-alkoxy, and Y is OH or halogen can be obtained from compounds of formula (XI), wherein Y is OH or halogen, via an oxidation method using a suitable oxidant, suchs as KMnO4 or a cobalt(ll) salt and trihydroxyisocyanuric acid (THICA) in a suitable solvent (e.g., acetic acid) at temperatures between 25°C and 200°C.
- a suitable oxidant suchs as KMnO4 or a cobalt(ll) salt and trihydroxyisocyanuric acid (THICA) in a suitable solvent (e.g., acetic acid) at temperatures between 25°C and 200°C.
- a suitable solvent e.g., acetic acid
- Compounds of Formula (II), wherein X is OH, and Y is OH, or halogen can be obtained from compounds of formula (XII), wherein Y is OH or halogen, via an oxidation method using a suitable oxidant, suchs as KMnO4 or a suitable cobalt(ll) salt and trihydroxyisocyanuric acid (THICA) in a suitable solvent (e.g., acetic acid) at temperatures between 25°C and 200°C.
- a suitable oxidant suchs as KMnO4 or a suitable cobalt(ll) salt and trihydroxyisocyanuric acid (THICA) in a suitable solvent (e.g., acetic acid) at temperatures between 25°C and 200°C.
- a suitable solvent e.g., acetic acid
- compounds of formula (XII) are prepared from reacting nucleophilic compounds of formula (VI) with electrophilic compounds of formula (XI), wherein Y is a suitable leaving group such as halogen, in the presence of base (e.g. KO-f-Bu, K3PO4, K2CO3, triethylamine, or CS2CO3, in a suitable solvent (e.g. N-methylpyrrolidone, dimethylacetamide, acetonitrile, tetrahydrofuran, 2-methyl tetrahydrofuran, sulfolane, dimethylsulfoxide) at temperatures between 25°C and reflux and optionally using a metal catalyst and ligand complex (e.g. Cui, N,N-dimethylglycine).
- bases e.g. KO-f-Bu, K3PO4, K2CO3, triethylamine, or CS2CO3
- a suitable solvent e.g. N-methylpyrrolidone, dimethylacet
- T is chloro, bromo, iodo, trifluoromethanesulfonyl-O- at temperature between 50°C and 120°C, preferably between 80°C and 110 °C using a metal source, such as XPhos Pd G1 , in the presence of a cyanide source selected from potassium ferrocyanide, cooper cyanide, zinc cyanide or potassium cyanide and a base (e.g. KOAc) in a suitable solvent or a mixture of two solvents (e.g.
- the compounds of Formula (I) of the present invention have, for practical purposes, a very advantageous level of biological activity for protecting plants against diseases that are caused by fungi.
- the compounds of Formula (I) can be used in the agricultural sector and related fields of use, e.g., as active ingredients for controlling plant pests or on non-living materials for the control of spoilage microorganisms or organisms potentially harmful to man.
- the novel compounds are distinguished by excellent activity at low rates of application, by being well tolerated by plants and by being environmentally safe. They have very useful curative, preventive and systemic properties and can be used for protecting numerous cultivated plants.
- the compounds of Formula (I) can be used to inhibit or destroy the pests that occur on plants or parts of plants (fruit, blossoms, leaves, stems, tubers, roots) of different crops of useful plants, while at the same time protecting also those parts of the plants that grow later, e.g., from phytopathogenic microorganisms.
- the present invention further relates to a method for controlling or preventing infestation of plants or plant propagation material and/or harvested food crops susceptible to microbial attack by treating plants or plant propagation material and/or harvested food crops wherein an effective amount a compound of Formula (I) is applied to the plants, to parts thereof or the locus thereof.
- fungicide as used herein means a compound that controls, modifies, or prevents the growth of fungi.
- fungicidally effective amount where used means the quantity of such a compound or combination of such compounds that is capable of producing an effect on the growth of fungi. Controlling or modifying effects include all dev/ation from natural development, such as killing, retardation and the like, and prevention includes barrier or other defensive formation in or on a plant to prevent fungal infection.
- compositions of Formula (I) can be used as dressing agents for the treatment of plant propagation material, e.g., seed, such as fruits, tubers or grains, or plant cuttings, for the protection against fungal infections as well as against phytopathogenic fungi occurring in the soil.
- the propagation material can be treated with a composition comprising a compound of Formula (I) before planting: seed, for example, can be dressed before being sown.
- the active compounds of Formula (I) can also be applied to grains (coating), either by impregnating the seeds in a liquid formulation or by coating them with a solid formulation.
- the composition can also be applied to the planting site when the propagation material is being planted, for example, to the seed furrow during sowing.
- the invention relates also to such methods of treating plant propagation material and to the plant propagation material so treated.
- the compounds of Formula (I) can be used for controlling fungi in related areas, for example in the protection of technical materials, including wood and wood related technical products, in food storage, in hygiene management.
- the invention could be used to protect non-living materials from fungal attack, e.g. lumber, wall boards and paint.
- the compounds of Formula (I) are for example, effective against fungi and fungal vectors of disease as well as phytopathogenic bacteria and viruses.
- These fungi and fungal vectors of disease as well as phytopathogenic bacteria and viruses are for example:
- Absidia corymbifera Alternaria spp, Aphanomyces spp, Ascochyta spp, Aspergillus spp. including A. flavus, A. fumigatus, A. nidulans, A. niger, A. terrus, Aureobasidium spp. including A. pullulans, Blastomyces dermatitidis, Blumeria graminis, Bremia lactucae, Botryosphaeria spp. including B. dothidea, B. obtusa, Botrytis spp. comprising B. cinerea, Candida spp. including C. albicans, C. glabrata, C. krusei, C.
- Penicillium spp. including P. digitatum, P. italicum, Petriellidium spp, Peronosclerospora spp. Including P. maydis, P. philippinensis and P. sorghi, Peronospora spp, Phaeosphaeria nodorum, Phakopsora pachyrhizi, Phellinus igniarus, Phialophora spp, Phoma spp, Phomopsis viticola, Phytophthora spp.
- P. infestans Plasmopara spp. including P. halstedii, P. viticola, Pleospora spp., Podosphaera spp. including P. leucotricha, Polymyxa graminis, Polymyxa betae, Pseudocercosporella herpotrichoides, Pseudomonas spp, Pseudoperonospora spp. including P. cubensis, P. humuli, Pseudopeziza tracheiphila, Puccinia Spp. including P. hordei, P. recondita, P. striiformis, P.
- the compounds of Formula (I) may be used for example on turf, ornamentals, such as flowers, shrubs, broad-leaved trees or evergreens, for example conifers, as well as for tree injection, pest management and the like.
- target crops and/or useful plants to be protected typically comprise perennial and annual crops, such as berry plants for example blackberries, blueberries, cranberries, raspberries and strawberries; cereals for example barley, maize (corn), millet, oats, rice, rye, sorghum triticale and wheat; fibre plants for example cotton, flax, hemp, jute and sisal; field crops for example sugar and fodder beet, coffee, hops, mustard, oilseed rape (canola), poppy, sugar cane, sunflower, tea and tobacco; fruit trees for example apple, apricot, avocado, banana, cherry, citrus, nectarine, peach, pear and plum; grasses for example Bermuda grass, bluegrass, bentgrass, centipede grass, fescue, ryegrass, St.
- perennial and annual crops such as berry plants for example blackberries, blueberries, cranberries, raspberries and strawberries
- cereals for example barley, maize (corn), millet, oats
- Augustine grass and Zoysia grass herbs such as basil, borage, chives, coriander, lavender, lovage, mint, oregano, parsley, rosemary, sage and thyme; legumes for example beans, lentils, peas and soya beans; nuts for example almond, cashew, ground nut, hazelnut, peanut, pecan, pistachio and walnut; palms for example oil palm; ornamentals for example flowers, shrubs and trees; other trees, for example cacao, coconut, olive and rubber; vegetables for example asparagus, aubergine, broccoli, cabbage, carrot, cucumber, garlic, lettuce, marrow, melon, okra, onion, pepper, potato, pumpkin, rhubarb, spinach and tomato; and vines for example grapes.
- herbs such as basil, borage, chives, coriander, lavender, lovage, mint, oregano, parsley, rosemary, sage and thyme
- legumes for example beans, lentils, peas and soya beans
- useful plants is to be understood as also including useful plants that have been rendered tolerant to herbicides like bromoxynil or classes of herbicides (such as, for example, HPPD inhibitors, ALS inhibitors, for example primisulfuron, prosulfuron and trifloxysulfuron, EPSPS (5-enol-pyrovyl- shikimate-3-phosphate-synthase) inhibitors, GS (glutamine synthetase) inhibitors or PPO (protoporphyrinogen-oxidase) inhibitors) as a result of conventional methods of breeding or genetic engineering.
- herbicides like bromoxynil or classes of herbicides
- EPSPS (5-enol-pyrovyl- shikimate-3-phosphate-synthase) inhibitors
- GS glutamine synthetase
- PPO protoporphyrinogen-oxidase
- imazamox by conventional methods of breeding (mutagenesis) is Clearfield® summer rape (Canola).
- crops that have been rendered tolerant to herbicides or classes of herbicides by genetic engineering methods include glyphosate- and glufosinate-resistant maize varieties commercially available under the trade names RoundupReady®, Herculex I® and LibertyLink®.
- useful plants is to be understood as also including useful plants which have been so transformed by the use of recombinant DNA techniques that they are capable of synthesising one or more selectively acting toxins, such as are known, for example, from toxin-producing bacteria, especially those of the genus Bacillus.
- YieldGard® (maize variety that expresses a CrylA(b) toxin); YieldGard Rootworm® (maize variety that expresses a CrylllB(bl) toxin); YieldGard Plus® (maize variety that expresses a CrylA(b) and a Cry II IB(b1 ) toxin); Starlink® (maize variety that expresses a Cry9(c) toxin); Herculex I® (maize variety that expresses a CrylF(a2) toxin and the enzyme phosphinothricine N- acetyltransferase (PAT) to achieve tolerance to the herbicide glufosinate ammonium); NuCOTN 33B® (cotton variety that expresses a CrylA(c) toxin); Bollgard I® (cotton variety that expresses a CrylA(c) toxin); Bollgard II® (cotton variety
- crops is to be understood as including also crop plants which have been so transformed by the use of recombinant DNA techniques that they are capable of synthesising one or more selectively acting toxins, such as are known, for example, from toxin-producing bacteria, especially those of the genus Bacillus.
- Toxins that can be expressed by such transgenic plants include, for example, insecticidal proteins from Bacillus cereus or Bacillus popilliae; or insecticidal proteins from Bacillus thuringiensis, such as d- endotoxins, e.g. CrylAb, CrylAc, Cry1 F, Cry1 Fa2, Cry2Ab, Cry3A, Cry3Bb1 or Cry9C, or vegetative insecticidal proteins (Vip), e.g. Vip1 , Vip2, Vip3 or Vip3A; or insecticidal proteins of bacteria colonising nematodes, for example Photorhabdus spp.
- insecticidal proteins from Bacillus cereus or Bacillus popilliae such as d- endotoxins, e.g. CrylAb, CrylAc, Cry1 F, Cry1 Fa2, Cry2Ab, Cry3A, Cry3Bb1 or Cry9C, or vegetative insecticid
- Xenorhabdus spp. such as Photorhabdus luminescens, Xenorhabdus nematophilus
- toxins produced by animals such as scorpion toxins, arachnid toxins, wasp toxins and other insect-specific neurotoxins
- toxins produced by fungi such as Streptomycetes toxins, plant lectins, such as pea lectins, barley lectins or snowdrop lectins
- agglutinins proteinase inhibitors, such as trypsin inhibitors, serine protease inhibitors, patatin, cystatin, papain inhibitors
- ribosomeinactivating proteins (RIP) such as ricin, maize-RIP, abrin, luffin, saporin or bryodin
- steroid metabolism enzymes such as 3-hydroxysteroidoxidase, ecdysteroid-UDP-glycosyl-transferase, cholesterol oxidases, ecdy
- d-endotoxins for example CrylAb, CrylAc, Cry1 F, Cry1 Fa2, Cry2Ab, Cry3A, Cry3Bb1 or Cry9C, or vegetative insecticidal proteins (Vip), for example Vip1 , Vip2, Vip3 or Vip3A, expressly also hybrid toxins, truncated toxins and modified toxins.
- Hybrid toxins are produced recombinantly by a new combination of different domains of those proteins (see, for example, WO 02/15701).
- Truncated toxins for example a truncated CrylAb, are known.
- modified toxins one or more amino acids of the naturally occurring toxin are replaced.
- amino acid replacements preferably non-naturally present protease recognition sequences are inserted into the toxin, such as, for example, in the case of Cry3A055, a cathepsin-G- recognition sequence is inserted into a Cry3A toxin (see WO 03/018810).
- Examples of such toxins or transgenic plants capable of synthesising such toxins are disclosed, for example, in EP-A-0 374 753, WO93/07278, WO95/34656, EP-A-0 427 529, EP-A-451 878 and WO 03/052073.
- Cryl-type deoxyribonucleic acids and their preparation are known, for example, from WO 95/34656, EP-A-0 367 474, EP-A-0 401 979 and WO 90/13651.
- the toxin contained in the transgenic plants imparts to the plants tolerance to harmful insects.
- insects can occur in any taxonomic group of insects, but are especially commonly found in the beetles (Coleoptera), two-winged insects (Diptera) and butterflies (Lepidoptera).
- Transgenic plants containing one or more genes that code for an insecticidal resistance and express one or more toxins are known and some of them are commercially available. Examples of such plants are: YieldGard® (maize variety that expresses a CrylAb toxin); YieldGard Rootworm® (maize variety that expresses a Cry3Bb1 toxin); YieldGard Plus® (maize variety that expresses a CrylAb and a Cry3Bb1 toxin); Starlink® (maize variety that expresses a Cry9C toxin); Herculex I® (maize variety that expresses a Cry1 Fa2 toxin and the enzyme phosphinothricine N-acetyltransferase (PAT) to achieve tolerance to the herbicide glufosinate ammonium); NuCOTN 33B® (cotton variety that expresses a CrylAc toxin); Bollgard I® (cotton variety that expresses a
- Bt11 Maize from Syngenta Seeds SAS, Chemin de I'Hobit 27, F-31 790 St. Sauveur, France, registration number C/FR/96/05/10. Genetically modified Zea mays which has been rendered resistant to attack by the European corn borer (Ostrinia nubilalis and Sesamia nonagrioides) by transgenic expression of a truncated CrylAb toxin. Bt1 1 maize also transgenically expresses the enzyme PAT to achieve tolerance to the herbicide glufosinate ammonium.
- MIR604 Maize from Syngenta Seeds SAS, Chemin de I'Hobit 27, F-31 790 St. Sauveur, France, registration number C/FR/96/05/10. Maize which has been rendered insect-resistant by transgenic expression of a modified Cry3A toxin. This toxin is Cry3A055 modified by insertion of a cathepsin-G- protease recognition sequence. The preparation of such transgenic maize plants is described in WO 03/018810.
- MON 863 Maize from Monsanto Europe S.A. 270-272 Avenue de Tervuren, B-1150 Brussels, Belgium, registration number C/DE/02/9. MON 863 expresses a Cry3Bb1 toxin and has resistance to certain Coleoptera insects.
- NK603 x MON 810 Maize from Monsanto Europe S.A. 270-272 Avenue de Tervuren, B-1150 Brussels, Belgium, registration number C/GB/02/M3/03. Consists of conventionally bred hybrid maize varieties by crossing the genetically modified varieties NK603 and MON 810.
- NK603 x MON 810 Maize transgenically expresses the protein CP4 EPSPS, obtained from Agrobacterium sp. strain CP4, which imparts tolerance to the herbicide Roundup® (contains glyphosate), and also a CrylAb toxin obtained from Bacillus thuringiensis subsp. kurstaki which brings about tolerance to certain Lepidoptera, include the European corn borer.
- the compounds of Formula (I) may be used in controlling or preventing phytopathogenic diseases, especially phytopathogenic fungi, such as Botrytis cinerea on Rosaceae, Vitaceae, Solanaceae, Cucurbitaceae and Fabaceae, or Glomerella lagenarium on Cucurbitaceae.
- phytopathogenic diseases especially phytopathogenic fungi, such as Botrytis cinerea on Rosaceae, Vitaceae, Solanaceae, Cucurbitaceae and Fabaceae, or Glomerella lagenarium on Cucurbitaceae.
- locus means fields in or on which plants are growing, or where seeds of cultivated plants are sown, or where seed will be placed into the soil. It includes soil, seeds, and seedlings, as well as established vegetation.
- plants refers to all physical parts of a plant, including seeds, seedlings, saplings, roots, tubers, stems, stalks, foliage, and fruits.
- plant propagation material is understood to denote generative parts of the plant, such as seeds, which can be used for the multiplication of the latter, and vegetative material, such as cuttings or tubers, for example potatoes.
- vegetative material such as cuttings or tubers, for example potatoes.
- seeds in the strict sense
- roots in the strict sense
- fruits in the tubers
- bulbs rhizomes
- parts of plants there can be mentioned for example seeds (in the strict sense), roots, fruits, tubers, bulbs, rhizomes and parts of plants.
- Germinated plants and young plants which are to be transplanted after germination or after emergence from the soil may also be mentioned. These young plants can be protected before transplantation by a total or partial treatment by immersion.
- plant propagation material is understood to denote seeds.
- the compounds of Formula (I) may be used in unmodified form or, preferably, together with the adjuvants conventionally employed in the art of formulation. To this end they may be conveniently Formulated in known manner to emulsifiable concentrates, coatable pastes, directly sprayable or dilutable solutions or suspensions, dilute emulsions, wettable powders, soluble powders, dusts, granulates, and also encapsulations e.g. in polymeric substances. As with the type of the compositions, the methods of application, such as spraying, atomising, dusting, scattering, coating or pouring, are chosen in accordance with the intended objectives and the prevailing circumstances. The compositions may also contain further adjuvants such as stabilizers, antifoams, viscosity regulators, binders or tackifiers as well as fertilizers, micronutrient donors or other formulations for obtaining special effects.
- Suitable carriers and adjuvants can be solid or liquid and are substances useful in formulation technology, e.g. natural or regenerated mineral substances, solvents, dispersants, wetting agents, tackifiers, thickeners, binders or fertilizers.
- Such carriers are for example described in WO 97/33890.
- Suspension concentrates are aqueous formulations in which finely divided solid particles of the active compound are suspended. Such formulations include anti-settling agents and dispersing agents and may further include a wetting agent to enhance activity as well an anti-foam and a crystal growth inhibitor. In use, these concentrates are diluted in water and normally applied as a spray to the area to be treated. The amount of active ingredient may range from 0.5% to 95% of the concentrate.
- Wettable powders are in the form of finely divided particles which disperse readily in water or other liquid carriers.
- the particles contain the active ingredient retained in a solid matrix.
- Typical solid matrices include fuller’s earth, kaolin clays, silicas and other readily wet organic or inorganic solids. Wettable powders normally contain from 5% to 95% of the active ingredient plus a small amount of wetting, dispersing or emulsifying agent.
- Emulsifiable concentrates are homogeneous liquid compositions dispersible in water or other liquid and may consist entirely of the active compound with a liquid or solid emulsifying agent, or may also contain a liquid carrier, such as xylene, heavy aromatic naphthas, isophorone and other non-volatile organic solvents. In use, these concentrates are dispersed in water or other liquid and normally applied as a spray to the area to be treated. The amount of active ingredient may range from 0.5% to 95% of the concentrate.
- Granular formulations include both extrudates and relatively coarse particles and are usually applied without dilution to the area in which treatment is required.
- Typical carriers for granular Formulations include sand, fuller’s earth, attapulgite clay, bentonite clays, montmorillonite clay, vermiculite, perlite, calcium carbonate, brick, pumice, pyrophyllite, kaolin, dolomite, plaster, wood flour, ground corn cobs, ground peanut hulls, sugars, sodium chloride, sodium sulphate, sodium silicate, sodium borate, magnesia, mica, iron oxide, zinc oxide, titanium oxide, antimony oxide, cryolite, gypsum, diatomaceous earth, calcium sulphate and other organic or inorganic materials which absorb or which can be coated with the active compound.
- Granular formulations normally contain 5% to 25% of active ingredients which may include surface-active agents such as heavy aromatic naphthas, kerosene and other petroleum fractions, or vegetable oils; and/or stickers such as dextrins, glue or synthetic resins.
- Dusts are free-flowing admixtures of the active ingredient with finely divided solids such as talc, clays, flours and other organic and inorganic solids which act as dispersants and carriers.
- Microcapsules are typically droplets or granules of the active ingredient enclosed in an inert porous shell which allows escape of the enclosed material to the surroundings at controlled rates.
- Encapsulated droplets are typically 1 to 50 microns in diameter.
- the enclosed liquid typically constitutes 50 to 95% of the weight of the capsule and may include solvent in addition to the active compound.
- Encapsulated granules are generally porous granules with porous membranes sealing the granule pore openings, retaining the active species in liquid form inside the granule pores.
- Granules typically range from 1 millimetre to 1 centimetre and preferably 1 to 2 millimetres in diameter. Granules are formed by extrusion, agglomeration or prilling, or are naturally occurring.
- Shell or membrane materials include natural and synthetic rubbers, cellulosic materials, styrene-butadiene copolymers, polyacrylonitriles, polyacrylates, polyesters, polyamides, polyureas, polyurethanes and starch xanthates.
- compositions for agrochemical applications include simple solutions of the active ingredient in a solvent in which it is completely soluble at the desired concentration, such as acetone, alkylated naphthalenes, xylene and other organic solvents.
- Pressurised sprayers wherein the active ingredient is dispersed in finely-divided form as a result of vaporisation of a low boiling dispersant solvent carrier, may also be used.
- Suitable agricultural adjuvants and carriers that are useful in formulating the compositions of the invention in the formulation types described above are well known to those skilled in the art.
- Liquid carriers that can be employed include, for example, water, toluene, xylene, petroleum naphtha, crop oil, acetone, methyl ethyl ketone, cyclohexanone, acetic anhydride, acetonitrile, acetophenone, amyl acetate, 2-butanone, chlorobenzene, cyclohexane, cyclohexanol, alkyl acetates, diacetonalcohol, 1 ,2-dichloropropane, diethanolamine, p-diethylbenzene, diethylene glycol, diethylene glycol abietate, diethylene glycol butyl ether, diethylene glycol ethyl ether, diethylene glycol methyl ether, N,N-dimethyl formamide, dimethyl sulfoxide, 1 ,4-dioxane, dipropylene glycol, dipropylene glycol methyl ether, dipropylene glycol
- Suitable solid carriers include, for example, talc, titanium dioxide, pyrophyllite clay, silica, attapulgite clay, kieselguhr, chalk, diatomaxeous earth, lime, calcium carbonate, bentonite clay, fuller’s earth, cotton seed hulls, wheat flour, soybean flour, pumice, wood flour, walnut shell flour and lignin.
- a broad range of surface-active agents are advantageously employed in both said liquid and solid compositions, especially those designed to be diluted with carrier before application.
- These agents when used, normally comprise from 0.1 % to 15% by weight of the formulation. They can be anionic, cationic, non-ionic or polymeric in character and can be employed as emulsifying agents, wetting agents, suspending agents or for other purposes.
- Typical surface active agents include salts of alkyl sulfates, such as diethanolammonium lauryl sulphate; alkylarylsulfonate salts, such as calcium dodecylbenzenesulfonate; alkylphenol-alkylene oxide addition products, such as nonylphenol-C.sub.
- alcohol-alkylene oxide addition products such as tridecyl alcohol-C.sub. 16 ethoxylate
- soaps such as sodium stearate
- alkylnaphthalenesulfonate salts such as sodium dibutylnaphthalenesulfonate
- dialkyl esters of sulfosuccinate salts such as sodium di(2-ethylhexyl) sulfosuccinate
- sorbitol esters such as sorbitol oleate
- quaternary amines such as lauryl trimethylammonium chloride
- polyethylene glycol esters of fatty acids such as polyethylene glycol stearate
- salts of mono and dialkyl phosphate esters such as mono and dialkyl phosphate esters.
- adjuvants commonly utilized in agricultural compositions include crystallisation inhibitors, viscosity modifiers, suspending agents, spray droplet modifiers, pigments, antioxidants, foaming agents, antifoaming agents, light-blocking agents, compatibilizing agents, antifoam agents, sequestering agents, neutralising agents and buffers, corrosion inhibitors, dyes, odorants, spreading agents, penetration aids, micronutrients, emollients, lubricants and sticking agents.
- biocidally active ingredients or compositions may be combined with the compositions of the invention and used in the methods of the invention and applied simultaneously or sequentially with the compositions of the invention. When applied simultaneously, these further active ingredients may be formulated together with the compositions of the invention or mixed in, for example, the spray tank.
- These further biocidally active ingredients may be fungicides, herbicides, insecticides, bactericides, acaricides, nematicides and/or plant growth regulators. Pesticidal agents are referred to herein using their common name are known, for example, from “The Pesticide Manual", 15th Ed., British Crop Protection Council 2009.
- compositions of the invention may also be applied with one or more systemically acquired resistance inducers (“SAR” inducer).
- SAR inducers are known and described in, for example, United States Patent No. US 6,919,298 and include, for example, salicylates and the commercial SAR inducer acibenzolar-S-methyl.
- the compounds of Formula (I) are normally used in the form of agrochemical compositions and can be applied to the crop area or plant to be treated, simultaneously or in succession with further compounds.
- further compounds can be e.g. fertilizers or micronutrient donors or other preparations, which influence the growth of plants. They can also be selective herbicides or non-selective herbicides as well as insecticides, fungicides, bactericides, nematicides, molluscicides or mixtures of several of these preparations, if desired together with further carriers, surfactants or application promoting adjuvants customarily employed in the art of formulation.
- the compounds of Formula (I) may be used in the form of compositions for controlling or protecting against phytopathogenic microorganisms, comprising as active ingredient at least one compound of Formula (I) or of at least one preferred individual compound as defined herein, in free form or in agrochemically usable salt form, and at least one of the above-mentioned adjuvants.
- the invention therefore provides a composition, preferably a fungicidal composition, comprising at least one compound Formula (I) an agriculturally acceptable carrier and optionally an adjuvant.
- An agricultural acceptable carrier is for example a carrier that is suitable for agricultural use.
- Agricultural carriers are well known in the art.
- said composition may comprise at least one or more pesticidally-active compounds, for example an additional fungicidal active ingredient in addition to the compound of Formula (I).
- TX means “one compound selected from the compounds defined in the Tables A-1 to A- 24 and Table T1”
- TX Paecilomyces fumosoroseus + TX, Phytoseiulus persimilis + TX, Steinernema bibionis + TX, Steinernema carpocapsae + TX, Steinernema feltiae + TX, Steinernema glaseri + TX, Steinernema riobrave + TX, Steinernema riobravis + TX, Steinernema scapterisci + TX, Steinernema spp. + TX, Trichogramma spp.
- the compounds in this paragraph may be prepared from the methods described in WO 2017/055473, WO 2017/055469, WO 2017/093348 and WO 2017/118689; 2-[6-(4-chlorophenoxy)-2-(trifluoromethyl)-3- pyridyl]-1-(1 ,2,4-triazol-1-yl)propan-2-ol + TX (this compound may be prepared from the methods described in WO 2017/029179); 2-[6-(4-bromophenoxy)-2-(trifluoromethyl)-3-pyridyl]-1-(1 ,2,4-triazol-1- yl)propan-2-ol + TX (this compound may be prepared from the methods described in WO 2017/029179); 3-[2-(1-chlorocyclopropyl)-3-(2-fluorophenyl)-2-hydroxy-propyl]imidazole-4-carbonitrile + TX (this compound may be prepared from the methods described in
- the active ingredient mixture of the compounds of formula (I) selected from one compound as represented in Tables A-1 to A-24 (below), or a compound 1.1 to 1.10 listed in Table T1 (below), is preferably in a mixing ratio of from 100:1 to 1 :6000, especially from 50:1 to 1 :50, more especially in a ratio of from 20:1 to 1 :20, even more especially from 10:1 to 1 :10, very especially from 5:1 and 1 :5, special preference being given to a ratio of from 2:1 to 1 :2, and a ratio of from 4:1 to 2:1 being likewise preferred, above all in a ratio of 1 :1 , or 5:1 , or 5:2, or 5:3, or 5:4, or 4:1 , or 4:2, or 4:3, or 3:1 , or 3:2, or 2:1 , or 1 :5, or 2:5, or 3:5, or 4:5, or 1 :4, or 2:4, or 3:4, or 1 :3, or 2:3, or 1 :2, or 1 :600,
- the mixtures as described above can be used in a method for controlling pests, which comprises applying a composition comprising a mixture as described above to the pests or their environment, with the exception of a method for treatment of the human or animal body by surgery or therapy and diagnostic methods practised on the human or animal body.
- the mixtures comprising a compound as represented in Tables A-1 to A-24 (below), or a compound listed in Table T1 (below), and one or more active ingredients as described above can be applied, for example, in a single “ready-mix” form, in a combined spray mixture composed from separate formulations of the single active ingredient components, such as a “tank-mix”, and in a combined use of the single active ingredients when applied in a sequential manner, i.e. one after the other with a reasonably short period, such as a few hours or days.
- the order of applying a compound as represented in in Tables A-1 to A-24 (below), or a compound listed in Table T1 (below) and the active ingredient(s) as described above, is not essential for working the present invention.
- the compounds of the invention may also be used in combination with anthelmintic agents.
- anthelmintic agents include, compounds selected from the macrocyclic lactone class of compounds such as ivermectin, avermectin, abamectin, emamectin, eprinomectin, doramectin, selamectin, moxidectin, nemadectin and milbemycin derivatives as described in EP- 357460, EP-444964 and EP- 594291 .
- Additional anthelmintic agents include semisynthetic and biosynthetic avermectin/milbemycin derivatives such as those described in US-5015630, WO-9415944 and WO-9522552. Additional anthelmintic agents include the benzimidazoles such as albendazole, cambendazole, fenbendazole, flubendazole, mebendazole, oxfendazole, oxibendazole, parbendazole, and other members of the class. Additional anthelmintic agents include imidazothiazoles and tetrahydropyrimidines such as tetramisole, levamisole, pyrantel pamoate, oxantel or morantel. Additional anthelmintic agents include flukicides, such as triclabendazole and clorsulon and the cestocides, such as praziquantel and epsiprantel.
- the compounds of the invention may be used in combination with derivatives and analogues of the paraherquamide/marcfortine class of anthelmintic agents, as well as the antiparasitic oxazolines such as those disclosed in US-5478855, US-4639771 and DE-19520936.
- the compounds of the invention may be used in combination with derivatives and analogues of the general class of dioxomorpholine antiparasitic agents as described in WO 96/15121 and also with anthelmintic active cyclic depsipeptides such as those described in WO 96/11945, WO 93/19053, WO 93/25543, EP 0 626 375, EP 0 382 173, WO 94/19334, EP 0 382 173, and EP 0 503 538.
- the compounds of the invention may be used in combination with other ectoparasiticides; for example, fipronil; pyrethroids; organophosphates; insect growth regulators such as lufenuron; ecdysone agonists such as tebufenozide and the like; neonicotinoids such as imidacloprid and the like.
- ectoparasiticides for example, fipronil; pyrethroids; organophosphates; insect growth regulators such as lufenuron; ecdysone agonists such as tebufenozide and the like; neonicotinoids such as imidacloprid and the like.
- terpene alkaloids for example those described in International Patent Application Publication Numbers WO 95/19363 or WO 04/72086, particularly the compounds disclosed therein.
- Organophosphates acephate, azamethiphos, azinphos-ethyl, azinphos- methyl, bromophos, bromophos-ethyl, cadusafos, chlorethoxyphos, chlorpyrifos, chlorfenvinphos, chlormephos, demeton, demeton-S-methyl, demeton-S-methyl sulphone, dialifos, diazinon, dichlorvos, dicrotophos, dimethoate, disulfoton, ethion, ethoprophos, etrimfos, famphur, fenamiphos, fenitrothion, fensulfothion, fenthion, flupyrazofos, fonofos, formothion, fosthiazate, heptenophos, isazophos, isothioate, isoxathion, malathion, me
- Carbamates alanycarb, aldicarb, 2-sec-butylphenyl methylcarbamate, benfuracarb, carbaryl, carbofuran, carbosulfan, cloethocarb, ethiofencarb, fenoxycarb, fenthiocarb, furathiocarb, HCN-801 , isoprocarb, indoxacarb, methiocarb, methomyl, 5-methyl-m-cumenylbutyryl(methyl)carbamate, oxamyl, pirimicarb, propoxur, thiodicarb, thiofanox, triazamate, UC-51717;
- Pyrethroids acrinathin, allethrin, alphametrin, 5-benzyl-3-furylmethyl (E)-(1 R)-cis-2,2-dimethyl-3-(2- oxothiolan-3-ylidenemethyl)cyclopropanecarboxylate, bifenthrin, beta-cyfluthrin, cyfluthrin, a- cypermethrin, beta-cypermethrin, bioallethrin, bioallethrin((S)-cyclopentylisomer), bioresmethrin, bifenthrin, NCI-85193, cycloprothrin, cyhalothrin, cythithrin, cyphenothrin, deltamethrin, empenthrin, esfenvalerate, ethofenprox, fenfluthrin, fenpropathrin, fenval
- Arthropod growth regulators a) chitin synthesis inhibitors: benzoylureas: chlorfluazuron, diflubenzuron, fluazuron, flucycloxuron, flufenoxuron, hexaflumuron, lufenuron, novaluron, teflubenzuron, triflumuron, buprofezin, diofenolan, hexythiazox, etoxazole, chlorfentazine; b) ecdysone antagonists: halofenozide, methoxyfenozide, tebufenozide; c) juvenoids: pyriproxyfen, methoprene (including S-methoprene), fenoxycarb; d) lipid biosynthesis inhibitors: spirodiclofen;
- antiparasitics acequinocyl, amitraz, AKD-1022, ANS-118, azadirachtin, Bacillus thuringiensis, bensultap, bifenazate, binapacryl, bromopropylate, BTG-504, BTG-505, camphechlor, cartap, chlorobenzilate, chlordimeform, chlorfenapyr, chromafenozide, clothianidine, cyromazine, diacloden, diafenthiuron, DBI-3204, dinactin, dihydroxymethyldihydroxypyrrolidine, dinobuton, dinocap, endosulfan, ethiprole, ethofenprox, fenazaquin, flumite, MTI- 800, fenpyroximate, fluacrypyrim, flubenzimine, flubrocythrinate, flufenzine, flufenprox, fluproxyfen, halofenprox, hydr
- Biological agents Bacillus thuringiensis ssp aizawai, kurstaki, Bacillus thuringiensis delta endotoxin, baculovirus, entomopathogenic bacteria, virus and fungi;
- Bactericides chlortetracycline, oxytetracycline, streptomycin;
- compositions according to the invention can also comprise further solid or liquid auxiliaries, such as stabilizers, for example unepoxidized or epoxidized vegetable oils (for example epoxidized coconut oil, rapeseed oil or soya oil), antifoams, for example silicone oil, preservatives, viscosity regulators, binders and/or tackifiers, fertilizers or other active ingredients for achieving specific effects, for example bactericides, fungicides, nematocides, plant activators, molluscicides or herbicides.
- auxiliaries such as stabilizers, for example unepoxidized or epoxidized vegetable oils (for example epoxidized coconut oil, rapeseed oil or soya oil), antifoams, for example silicone oil, preservatives, viscosity regulators, binders and/or tackifiers, fertilizers or other active ingredients for achieving specific effects, for example bactericides, fungicides, nematocides
- compositions according to the invention are prepared in a manner known per se, in the absence of auxiliaries for example by grinding, screening and/or compressing a solid active ingredient and in the presence of at least one auxiliary for example by intimately mixing and/or grinding the active ingredient with the auxiliary (auxiliaries).
- auxiliaries for example by grinding, screening and/or compressing a solid active ingredient and in the presence of at least one auxiliary for example by intimately mixing and/or grinding the active ingredient with the auxiliary (auxiliaries).
- Another aspect of the invention is related to the use of a compound of Formula (I) or of a preferred individual compound as defined herein, of a composition comprising at least one compound of Formula (I) or at least one preferred individual compound as above-defined, or of a fungicidal or insecticidal mixture comprising at least one compound of Formula (I) or at least one preferred individual compound as above-defined, in admixture with other fungicides or insecticides as described above, for controlling or preventing infestation of plants, e.g. useful plants such as crop plants, propagation material thereof, e.g. seeds, harvested crops, e.g. harvested food crops, or non-living materials by insects or by phytopathogenic microorganisms, preferably fungal organisms.
- useful plants such as crop plants, propagation material thereof, e.g. seeds, harvested crops, e.g. harvested food crops, or non-living materials by insects or by phytopathogenic microorganisms, preferably fungal organisms.
- a further aspect of the invention is related to a method of controlling or preventing an infestation of plants, e.g., useful plants such as crop plants, propagation material thereof, e.g. seeds, harvested crops, e.g., harvested food crops, or of non-living materials by insects or by phytopathogenic or spoilage microorganisms or organisms potentially harmful to man, especially fungal organisms, which comprises the application of a compound of Formula (I) or of a preferred individual compound as above-defined as active ingredient to the plants, to parts of the plants or to the locus thereof, to the propagation material thereof, or to any part of the non-living materials.
- Controlling or preventing means reducing infestation or spoilage by phytopathogenic microorganisms or organisms potentially harmful to man, especially fungal organisms, to such a level that an improvement is demonstrated.
- a preferred method of controlling or preventing an infestation of crop plants by phytopathogenic microorganisms, especially fungal organisms, or insects which comprises the application of a compound of Formula (I), or an agrochemical composition which contains at least one of said compounds, is foliar application.
- the frequency of application and the rate of application will depend on the risk of infestation by the corresponding pathogen or insect.
- the compounds of Formula (I) can also penetrate the plant through the roots via the soil (systemic action) by drenching the locus of the plant with a liquid Formulation, or by applying the compounds in solid form to the soil, e.g. in granular form (soil application). In crops of water rice such granulates can be applied to the flooded rice field.
- the compounds of Formula (I) may also be applied to seeds (coating) by impregnating the seeds or tubers either with a liquid formulation of the fungicide or coating them with a solid formulation.
- a formulation e.g. a composition containing the compound of Formula (I), and, if desired, a solid or liquid adjuvant or monomers for encapsulating the compound of Formula (I), may be prepared in a known manner, typically by intimately mixing and/or grinding the compound with extenders, for example solvents, solid carriers and, optionally, surface active compounds (surfactants).
- extenders for example solvents, solid carriers and, optionally, surface active compounds (surfactants).
- Advantageous rates of application are normally from 5g to 2kg of active ingredient (a.i.) per hectare (ha), preferably from 10g to I kg a.i./ha, most preferably from 20g to 600g a.i./ha.
- convenient dosages are from 10mg to 1g of active substance per kg of seeds.
- rates of 0.001 to 50 g of a compound of Formula (I) per kg of seed preferably from 0.01 to 10g per kg of seed are generally sufficient.
- composition comprising a compound of Formula (I) according to the present invention is applied either preventative, meaning prior to disease development or curative, meaning after disease development.
- compositions of the invention may be employed in any conventional form, for example in the form of a twin pack, a powder for dry seed treatment (DS), an emulsion for seed treatment (ES), a flowable concentrate for seed treatment (FS), a solution for seed treatment (LS), a water dispersible powder for seed treatment (WS), a capsule suspension for seed treatment (CF), a gel for seed treatment (GF), an emulsion concentrate (EC), a suspension concentrate (SC), a suspo-emulsion (SE), a capsule suspension (CS), a water dispersible granule (WG), an emulsifiable granule (EG), an emulsion, water in oil (EG), an emulsion, oil in water (EW), a micro-emulsion (ME), an oil dispersion (OD), an oil miscible flowable (OF), an oil miscible liquid (OL), a soluble concentrate (SL), an ultra-low volume suspension (SU), an ultra-low volume liquid (UL), a technical concentrate (TK
- compositions may be produced in conventional manner, e.g. by mixing the active ingredients with appropriate formulation inerts (diluents, solvents, fillers and optionally other formulating ingredients such as surfactants, biocides, anti-freeze, stickers, thickeners and compounds that provide adjuvancy effects).
- appropriate formulation inerts diiluents, solvents, fillers and optionally other formulating ingredients such as surfactants, biocides, anti-freeze, stickers, thickeners and compounds that provide adjuvancy effects.
- conventional slow release formulations may be employed where long lasting efficacy is intended.
- Particularly Formulations to be applied in spraying forms such as water dispersible concentrates (e.g. EC, SC, DC, OD, SE, EW, EO and the like), wettable powders and granules, may contain surfactants such as wetting and dispersing agents and other compounds that provide adjuvancy effects, e.g.
- a seed dressing formulation is applied in a manner known per se to the seeds employing the combination ofthe invention and a diluent in suitable seed dressing formulation form, e.g. as an aqueous suspension or in a dry powder form having good adherence to the seeds.
- suitable seed dressing formulation form e.g. as an aqueous suspension or in a dry powder form having good adherence to the seeds.
- seed dressing formulations are known in the art.
- Seed dressing formulations may contain the single active ingredients or the combination of active ingredients in encapsulated form, e.g. as slow release capsules or microcapsules.
- the formulations include from 0.01 to 90% by weight of active agent, from 0 to 20% agriculturally acceptable surfactant and 10 to 99.99% solid or liquid formulation inerts and adjuvant(s), the active agent consisting of at least the compound of Formula (I) optionally together with other active agents, particularly microbiocides or conservatives or the like.
- Concentrated forms of compositions generally contain in between about 2 and 80%, preferably between about 5 and 70% by weight of active agent.
- Application forms of formulation may for example contain from 0.01 to 20% by weight, preferably from 0.01 to 5% by weight of active agent. Whereas commercial products will preferably be formulated as concentrates, the end user will normally employ diluted formulations.
- Table Z Groups R 1 in compounds of Formula (la), Tables A-1 to A-24
- Table A-1 This table provides 50 compounds A-1 .01 to A-1 .50 of formula (la) wherein A is A-1 , G is 6- methoxyindan-1-yl, R 4 is hydrogen, R 5 is methyl, R 6 is hydrogen and R 1 substituents are as defined in Table Z above.
- compound A-1 .24 is
- Table A-2 This table provides 50 compounds A-2.01 to A-2.50 of formula (la) wherein A is A-1 , G is 6- methoxyindan-1-yl, R 4 is hydrogen, R 5 is chloro, R 6 is hydrogen and G substituents are as defined in Table Z above.
- Table A-3 This table provides 50 compounds A-3.01 to A-3.50 of formula (la) wherein A is A-1 , G is 6- methoxyindan-1-yl, R 4 is hydrogen, R 5 is cyano, R 6 is hydrogen and G substituents are as defined in Table Z above.
- Table A-4 This table provides 50 compounds A-4.01 to A-4.50 of formula (la) wherein A is A-1 , G is 6- methoxyindan-1-yl, R 4 is hydrogen, R 5 is hydrogen, R 6 is methyl and G substituents are as defined in Table Z above.
- Table A-5 This table provides 50 compounds A-5.01 to A-5.50 of formula (la) wherein A is A-1 , G is 6- methoxyindan-1-yl, R 4 is hydrogen, R 5 is hydrogen, R 6 is methoxy and G substituents are as defined in Table Z above.
- Table A-6 This table provides 50 compounds A-6.01 to A-6.50 of formula (la) wherein A is A-1 , G is 6- methoxyindan-1-yl, R 4 is hydrogen, R 5 is hydrogen, R 6 is fluoro and G substituents are as defined in Table Z above.
- Table A-7 This table provides 50 compounds A-7.01 to A-7.50 of formula (la) wherein A is A-1 , G is 6- chloroindan-1-yl, R 4 is hydrogen, R 5 is methyl, R 6 is hydrogen and R 1 substituents are as defined in Table Z above.
- Table A-8 This table provides 50 compounds A-8.01 to A-8.50 of formula (la) wherein A is A-1 , G is 6- chloroindan-1-yl, R 4 is hydrogen, R 5 is chloro, R 6 is hydrogen and G substituents are as defined in Table Z above.
- Table A-9 This table provides 50 compounds A-9.01 to A-9.50 of formula (la) wherein A is A-1 , G is 6- chloroindan-1-yl, R 4 is hydrogen, R 5 is cyano, R 6 is hydrogen and G substituents are as defined in Table Z above.
- Table A-10 This table provides 50 compounds A-10.01 to A-10.50 of formula (la) wherein A is A-1 , G is 6-chloroindan-1-yl, R 4 is hydrogen, R 5 is hydrogen, R 6 is methyl and G substituents are as defined in Table Z above.
- Table A-11 This table provides 50 compounds A-11 .01 to A-11 .50 of formula (la) wherein A is A-1 , G is 6-chloroindan-1-yl, R 4 is hydrogen, R 5 is hydrogen, R 6 is methoxy and G substituents are as defined in Table Z above.
- Table A-12 This table provides 50 compounds A-12.01 to A-12.50 of formula (la) wherein A is A-1 , G is 6-chloroindan-1-yl, R 4 is hydrogen, R 5 is hydrogen, R 6 is fluoro and G substituents are as defined in Table Z above.
- Table A-13 This table provides 50 compounds A-13.01 to A-13.50 of formula (la) wherein A is A-1 , G is 7-methoxytetralin-1-yl, R 4 is hydrogen, R 5 is methyl, R 6 is hydrogen and R 1 substituents are as defined in Table Z above.
- Table A-14 This table provides 50 compounds A-14.01 to A-14.50 of formula (la) wherein A is A-1 , G is 7-methoxytetralin-1-yl, R 4 is hydrogen, R 5 is chloro, R 6 is hydrogen and G substituents are as defined in Table Z above.
- Table A-15 This table provides 50 compounds A-15.01 to A-15.50 of formula (la) wherein A is A-1 , G is 7-methoxytetralin-1-yl, R 4 is hydrogen, R 5 is cyano, R 6 is hydrogen and G substituents are as defined in Table Z above.
- Table A-16 This table provides 50 compounds A-16.01 to A-16.50 of formula (la) wherein A is A-1 , G is 7-methoxytetralin-1-yl, R 4 is hydrogen, R 5 is hydrogen, R 6 is methyl and G substituents are as defined in Table Z above.
- Table A-17 This table provides 50 compounds A-17.01 to A-17.50 of formula (la) wherein A is A-1 , G is 7-methoxytetralin-1-yl, R 4 is hydrogen, R 5 is hydrogen, R 6 is methoxy and G substituents are as defined in Table Z above.
- Table A-18 This table provides 50 compounds A-18.01 to A-18.50 of formula (la) wherein A is A-1 , G is 7-methoxytetralin-1-yl, R 4 is hydrogen, R 5 is hydrogen, R 6 is fluoro and G substituents are as defined in Table Z above.
- Table A-19 This table provides 50 compounds A-19.01 to A-19.50 of formula (la) wherein A is A-1 , G is chroman-4-yl, R 4 is hydrogen, R 5 is methyl, R 6 is hydrogen and R 1 substituents are as defined in Table Z above.
- Table A-20 This table provides 50 compounds A-20.01 to A-20.50 of formula (la) wherein A is A-1 , G is chroman-4-yl, R 4 is hydrogen, R 5 is chloro, R 6 is hydrogen and G substituents are as defined in Table Z above.
- Table A-21 This table provides 50 compounds A-21 .01 to A-21 .50 of formula (la) wherein A is A-1 , G is chroman-4-yl, R 4 is hydrogen, R 5 is cyano, R 6 is hydrogen and G substituents are as defined in Table Z above.
- Table A-22 This table provides 50 compounds A-22.01 to A-22.50 of formula (la) wherein A is A-1 , G is chroman-4-yl, R 4 is hydrogen, R 5 is hydrogen, R 6 is methyl and G substituents are as defined in Table Z above.
- Table A-23 This table provides 50 compounds A-23.01 to A-23.50 of formula (la) wherein A is A-1 , G is chroman-4-yl, R 4 is hydrogen, R 5 is hydrogen, R 6 is methoxy and G substituents are as defined in Table Z above.
- Table A-24 This table provides 50 compounds A-24.01 to A-24.50 of formula (la) wherein A is A-1 , G is chroman-4-yl, R 4 is hydrogen, R 5 is hydrogen, R 6 is fluoro and G substituents are as defined in Table Z above.
- Table Tl Table of intermediates in reaction schemes 1 , 2, 3, 7, 8, 9, 10
- the active ingredient is thoroughly mixed with the adjuvants and the mixture is thoroughly ground in a suitable mill, affording wettable powders that can be diluted with waterto give suspensions of the desired concentration.
- the active ingredient is thoroughly mixed with the adjuvants and the mixture is thoroughly ground in a suitable mill, affording powders that can be used directly for seed treatment.
- Emulsifiable concentrate Emulsions of any required dilution which can be used in plant protection, can be obtained from this concentrate by dilution with water.
- Ready-for-use dusts are obtained by mixing the active ingredient with the carrier and grinding the mixture in a suitable mill. Such powders can also be used for dry dressings for seed.
- the mixture is extruded and then dried in a stream of air.
- Coated granules The finely ground active ingredient is uniformly applied, in a mixer, to the kaolin moistened with polyethylene glycol. Non-dusty coated granules are obtained in this manner.
- the finely ground active ingredient is intimately mixed with the adjuvants, giving a suspension concentrate from which suspensions of any desired dilution can be obtained by dilution with water.
- a suspension concentrate from which suspensions of any desired dilution can be obtained by dilution with water.
- living plants as well as plant propagation material can be treated and protected against infestation by microorganisms, by spraying, pouring or immersion.
- the finely ground active ingredient is intimately mixed with the adjuvants, giving a suspension concentrate from which suspensions of any desired dilution can be obtained by dilution with water.
- a suspension concentrate from which suspensions of any desired dilution can be obtained by dilution with water.
- living plants as well as plant propagation material can be treated and protected against infestation by microorganisms, by spraying, pouring or immersion.
- 28 parts of a combination of the compound of formula (I) are mixed with 2 parts of an aromatic solvent and 7 parts of toluene diisocyanate/polymethylene-polyphenylisocyanate-mixture (8:1).
- This mixture is emulsified in a mixture of 1 .2 parts of polyvinylalcohol, 0.05 parts of a defoamer and 51 .6 parts of water until the desired particle size is achieved.
- To this emulsion a mixture of 2.8 parts 1 ,6-diaminohexane in 5.3 parts of water is added. The mixture is agitated until the polymerization reaction is completed.
- the obtained capsule suspension is stabilized by adding 0.25 parts of a thickener and 3 parts of a dispersing agent.
- the capsule suspension formulation contains 28% of the active ingredients.
- the medium capsule diameter is 8-15 microns.
- the resulting formulation is applied to seeds as an aqueous suspension in an apparatus suitable for that purpose.
- Solvent A Water with 0.1 % formic acid : Acetonitrile : : 95 : 5 v/v
- Solvent B Acetonitrile with 0.1 % formic acid
- Spectra were recorded on a Mass Spectrometer from Waters (SQD, SQDII Single quadrupole mass spectrometer) equipped with an electrospray source (Polarity: positive and negative ions), Capillary: 3.00 kV, Cone range: 30 V, Extractor: 2.00 V, Source Temperature: 150°C, Desolvation Temperature: 350°C, Cone Gas Flow: 50 l/h, Desolvation Gas Flow: 650 L/h, Mass range: 100 to 900 Da) and an Acquity UPLC from Waters: Binary pump, heated column compartment , diode-array detector and ELSD detector.
- enantiomerically pure final compounds may be obtained from racemic materials as appropriate via standard physical separation techniques, such as reverse phase chiral chromatography, or through stereoselective synthetic techniques, eg, by using chiral starting materials.
- Biological examples and test methods The Examples which follow serve to illustrate the invention.
- the compounds of the invention can be distinguished from known compounds by virtue of greater efficacy at low application rates, which can be verified by the person skilled in the art using the experimental procedures outlined in the Examples, using lower application rates if necessary, for example 50 ppm, 12.5 ppm, 6 ppm, 3 ppm, 1 .5 ppm, 0.8 ppm or 0.2 ppm.
- Compounds of Formula (I) may possess any number of benefits including, inter alia, advantageous levels of biological activity for protecting plants against diseases that are caused by fungi or superior properties for use as agrochemical active ingredients (for example, greater biological activity, an advantageous spectrum of activity, an increased safety profile (including improved crop tolerance), improved physico-chemical properties, or increased biodegradability).
- advantageous levels of biological activity for protecting plants against diseases that are caused by fungi or superior properties for use as agrochemical active ingredients for example, greater biological activity, an advantageous spectrum of activity, an increased safety profile (including improved crop tolerance), improved physico-chemical properties, or increased biodegradability.
- Leaf disks or leaf segments of various plant species are cut from plants grown in a greenhouse.
- the cut leaf disks or segments are placed in multiwell plates (24-well format) onto water agar.
- the leaf disks are sprayed with a test solution before (preventative) or after (curative) inoculation.
- Compounds to be tested are prepared as DMSO solutions (max. 10 mg/mL) which are diluted to the appropriate concentration with 0.025% Tween20 just before spraying.
- the inoculated leaf disks or segments are incubated under defined conditions (temperature, relative humidity, light, etc.) according to the respective test system.
- a single evaluation of disease level is carried out 3 to 14 days after inoculation, depending on the pathosystem. Percent disease control relative to the untreated check leaf disks or segments is then calculated.
- Mycelia fragments or conidia suspensions of a fungus prepared either freshly from liquid cultures of the fungus or from cryogenic storage, are directly mixed into nutrient broth.
- DMSO solutions of the test compound (max. 10 mg/mL) are diluted with 0.025% Tween20 by a factor of 50 and 10 pL of this solution is pipetted into a microtiter plate (96-well format).
- the nutrient broth containing the fungal spores/mycelia fragments is then added to give an end concentration of the tested compound.
- the test plates are incubated in the dark at 24°C and 96% relative humidity. The inhibition of fungal growth is determined photometrically after 2 to 7 days, depending on the pathosystem, and percent antifungal activity relative to the untreated check is calculated.
- Conidia of the fungus from cryogenic storage were directly mixed into nutrient broth (PDB potato dextrose broth).
- a DMSO solution of the test compounds was placed into a microtiter plate (96-well format) and the nutrient broth containing the fungal spores was added to it.
- the test plates were incubated at 24°C and the inhibition of growth was determined photometrically after 72 hrs.
- Conidia of the fungus from cryogenic storage were directly mixed into nutrient broth (PDB potato dextrose broth).
- a DMSO solution of the test compounds was placed into a microtiter plate (96-well format) and the nutrient broth containing the fungal spores was added to it.
- the test plates were incubated at 24°C and the inhibition of growth was determined photometrically after 72 hrs at 620 nm.
Landscapes
- Chemical & Material Sciences (AREA)
- Organic Chemistry (AREA)
- Life Sciences & Earth Sciences (AREA)
- Environmental Sciences (AREA)
- Wood Science & Technology (AREA)
- Plant Pathology (AREA)
- Zoology (AREA)
- Engineering & Computer Science (AREA)
- Pest Control & Pesticides (AREA)
- General Health & Medical Sciences (AREA)
- Dentistry (AREA)
- Health & Medical Sciences (AREA)
- Agronomy & Crop Science (AREA)
- Microbiology (AREA)
- Mycology (AREA)
- Chemical Kinetics & Catalysis (AREA)
- General Chemical & Material Sciences (AREA)
- Pyridine Compounds (AREA)
Abstract
A compound of Formula (I) wherein the substituents are as defined in claim 1, useful as pesticides, especially as fungicides.
Description
MICROBIOCIDAL N-AMIDE DERIVATIVES
The present invention relates to N-amide derivatives, e.g., as active ingredients, which have microbiocidal activity, in particular, fungicidal activity. The invention also relates to agrochemical compositions which comprise at least one of the N-amide derivative compounds, to processes of preparation of these compounds and to uses of the N-amide derivative compounds or compositions in agriculture or horticulture for controlling or preventing infestation of plants, harvested food crops, seeds or non-living materials by phytopathogenic microorganisms, preferably fungi.
WO 2020/109391 discloses the use of pyridazine (thio)amide derivatives for controlling phytopathogenic microorganisms.
R1 is phenyl or pyridinyl, wherein any of said phenyl or pyridinyl being unsubstituted or substituted with one or two substituents independently selected from halogen, cyano, Ci-C4-alkyl, Ci-C2-haloalkyl, Ci- C4-alkoxy, Ci-C2-haloalkoxy, C2-C3-alkenyl, C2-C3-haloalkenyl, C2-C3-alkynyl, Cs-Ce-cycloalkyl, C3-C6- cycloalkyloxy, C2-C3-alkenyloxy, and C2-C3-alkynyloxy;
Z1 is -[C(Rz1A)2]m-, -[C(Rz1B)2]n2-O-, or -[C(Rz1B)2]n2-O-; wherein RZ1A and RZ1B are independently selected from hydrogen, halogen, and Ci-C4-alkyl; is 1 , 2 or 3; and n2 is 1 or 2;
Z2 is a bond or -C(RZ2A)2-; wherein RZ2A is independently selected from hydrogen, halogen, and C1-C4- alkyl;
R2 is selected from hydrogen and methyl;
R3 is independently selected from halogen, cyano, Ci-C4-alkyl, Ci-C2-haloalkyl, Ci-C4-alkoxy, and C1- C2-haloalkoxy; and m is 0, 1 , 2 or 3;
A is wherein # marks the bond to R1; ## marks the bond to the nitrogen atom; and the dashed line delineates A within compound of Formula (I);
R4 is selected from hydrogen, halogen, cyano, Ci-C4-alkyl, Ci-C2-haloalkyl, Ci-C4-alkoxy, and C1-C2- haloalkoxy;
R5 is selected from hydrogen, cyano, mercaptyl, halogen, Ci-Cs-alkyl, C2-C3-alkenyl, C2-C3-alkynyl, C1- Cs-alkoxy, Ci-Cs-fluoroalkyl, Ci-Cs-fluoroalkoxy, C3-C4-cycloalkyl, and Ci-C3-alkylsulfonyl;
R6 is selected from hydrogen, halogen, cyano, Ci-C4-alkyl, Ci-Cs-fluoroalkyl, C2-C4-alkenyl, C2-C4- alkynyl, Ci-C4-alkoxy, C2-C4-alkenyloxy, C2-C4-alkynyloxy, Ci-Cs-fluoroalkoxy, and C3-C4-cycloalkyl; or an agrochemically acceptable salt, N-oxide, stereoisomer, or enantiomer of the compound of Formula (I).
The present invention also provides a method of preparation of compounds of formula (I) as well as intermediate compounds useful in the preparation of compounds of formula (I).
Surprisingly, it has been found that the novel compounds of Formula (I) have, for practical purposes, a very advantageous level of biological activity for protecting plants against diseases that are caused by fungi.
According to a second aspect of the invention, there is provided an agrochemical composition comprising a fungicidally effective amount of a compound of Formula (I). Such an agricultural composition may further comprise at least one additional active ingredient and/or an agrochemically- acceptable diluent or carrier.
According to a third aspect of the invention, there is provided a method of controlling or preventing infestation of useful plants by phytopathogenic microorganisms, wherein a fungicidally effective amount of a compound of Formula (I), or a composition comprising this compound as active ingredient, is applied to the plants, to parts thereof or the locus thereof.
According to a fourth aspect of the invention, there is provided the use of a compound of Formula (I) as a fungicide. According to this particular aspect of the invention, the use may exclude methods for the treatment of the human or animal body by surgery or therapy and diagnostic methods practised on the human or animal body.
According to a fifth aspect, the present invention makes available a plant propagation material, such as a seed, comprising, or treated with or adhered thereto, a compound of formula (I) or a composition comprising such a compound.
As used herein, the term “hydroxyl” or “hydroxy” means an -OH group.
As used herein, the term “mercapto” means an -SH group.
As used herein, the term “cyano” means a -CN group.
As used herein, amino means an -NH2 group.
As used herein, nitro means an -NO2 group.
As used herein, oxo means an =O group (eg, as in a carbonyl (C=O) group).
As used herein, the term "halogen" or “halo” refers to fluorine (fluoro), chlorine (chloro), bromine (bromo) or iodine (iodo), preferably fluorine, chlorine or bromine. This also applies, correspondingly, to “halo” used as a prefix to other radicals, such as in the word haloalkyl.
As used herein, the term "Ci-4alkyl" refers to a straight or branched hydrocarbon chain radical consisting solely of carbon and hydrogen atoms, containing no unsaturation, having from one to four carbon atoms, and which is attached to the rest of the molecule by a single bond. Ci-salkyl should be construed accordingly. Examples of Ci-4alkyl include, but are not limited to, methyl, ethyl, /so-propyl.
As used herein, the term "C2-3alkenyl" refers to a straight or branched hydrocarbon chain radical group consisting solely of carbon and hydrogen atoms, containing at least one double bond that may be of either the (E) or (Z) configuration, having two or three carbon atoms, which is attached to the rest of the molecule by a single bond. Examples of Cs salkenyl include, but are not limited to, vinyl (ethenyl), prop- 1-enyl, allyl (prop-2-enyl).
As used herein, the term "C2-3alkynyl" refers to a straight or branched hydrocarbon chain radical group consisting solely of carbon and hydrogen atoms, containing at least one triple bond, having from two or three carbon atoms, and which is attached to the rest of the molecule by a single bond. Examples of C2- salkynyl include, but are not limited to, prop-1 -ynyl and propargyl (prop-2-ynyl).
As used herein, the terms "Ci-4haloalkyl", "Cs-shaloalkenyl", and "Cs-shaloalkynyl" refer respectively to a Ci-4alkyl, C2-3alkenyl, and Cs salkynyl radical as defined above, substituted by one or more of the same or different halogen atoms. Examples of Ci-4haloalkyl include, but are not limited to fluoromethyl, fluoroethyl, difluoromethyl, trifluoromethyl, and 2,2,2-trifluoroethyl.
As used herein, the term "Ci-3fluoroalkyl" refers to a Ci-salkyl radical as generally defined above substituted by one or more fluorine atoms. Examples of Ci-3fluoroalkyl include, but are not limited to difluoromethyl and trifluoromethyl.
As used herein, the term "Ci-3alkoxy" refers to a radical of the formula RaO- where Ra is a Ci-salkyl radical as generally defined above. Examples of Ci-3alkoxy include, but are not limited to, methoxy, ethoxy, /so-propoxy.
As used herein, the term "Ci-3fluoroalkoxy" refers to a Ci-3alkoxy radical as generally defined above substituted by one or more fluorine atoms. Examples of Ci-3fluoroalkoxy include, but are not limited to tri fluoromethoxy.
As used herein, the term "C3-4cycloalkyl" refers to a stable, monocyclic ring radical which is saturated and contains 3 or 4 carbon atoms.
As used herein, the term “Ci-3alkylsulfanyl” refers to a radical of the formula -SRa wherein Ra is a Cisalkyl radical as generally defined above.
As used herein, the term “Ci-salkylsulfonyl” refers to a radical of the formula -S(O)2Ra wherein Ra is a Ci-salkyl radical as generally defined above.
The term “heteroaryl” as used herein refers to a 5- or 6-membered aromatic monocyclic ring having 1 to 3 heteroatoms independently selected from N, O and S. Preferred heteroaryls are J-1 to J-3 shown in Table J below.
Table J: Heteroaryl J-1 to J-3:
The term “optionally substituted” as used herein means that the group referenced is either unsubstituted or is substituted by a designated substituent, for example, “C3-C4cycloalkyl is optionally substituted with 1 or 2 halo atoms” means C3-C4cycloalkyl, C3-C4cycloalkyl substituted with 1 halo atom and C3- C4cycloalkyl substituted with 2 halo atoms. The term “optionally substituted” can be used interchangeably with “unsubstituted or substituted”.
In the following description, the compound of Formula (I) may also be represented as Formula (la):
wherein G represents the bicyclic group comprising Z1, Z2, R2 and R3:
and the arrow represents the point of attachment of the group (G) to the rest of the compound.
The presence of one or more possible asymmetric carbon atoms in a compound of Formula (I) means that the compounds may occur in chiral isomeric forms, i.e., enantiomeric or diastereomeric forms. Also, atropisomers may occur as a result of restricted rotation about a single bond. Formula (I) is intended to include all those possible isomeric forms and mixtures thereof. The present invention includes all those possible isomeric forms and mixtures thereof for a compound of Formula (I). Likewise, Formula (I) is intended to include all possible tautomers (including lactam-lactim tautomerism and keto-enol tautomerism) where present. The present invention includes all possible tautomeric forms for a compound of Formula (I).
Compounds of formula (I) which have at least one basic centre can form, for example, acid addition salts, for example with strong inorganic acids such as mineral acids, for example perchloric acid, sulfuric
acid, nitric acid, nitrous acid, a phosphorus acid or a hydrohalic acid, with strong organic carboxylic acids, such as Ci-C4alkanecarboxylic acids which are unsubstituted or substituted, for example by halogen, for example acetic acid, such as saturated or unsaturated dicarboxylic acids, for example oxalic acid, malonic acid, succinic acid, maleic acid, fumaric acid or phthalic acid, such as hydroxycarboxylic acids, for example ascorbic acid, lactic acid, malic acid, tartaric acid or citric acid, or such as benzoic acid, or with organic sulfonic acids, such as Ci-C4alkane- or arylsulfonic acids which are unsubstituted or substituted, for example by halogen, for example methane- or p-toluenesulfonic acid. Compounds of Formula (I) which have at least one acidic group can form, for example, salts with bases, for example mineral salts such as alkali metal or alkaline earth metal salts, for example sodium, potassium or magnesium salts, or salts with ammonia or an organic amine, such as morpholine, piperidine, pyrrolidine, a mono-, di- or tri-lower-alkylamine, for example ethyl-, diethyl-, triethyl- or dimethylpropylamine, or a mono-, di- or trihydroxy-lower-alkylamine, for example mono-, di- or triethanolamine.
The compounds of Formula (I) according to the invention also include hydrates which may be formed during the salt formation.
In each case, the compounds of Formula (I) according to the invention are in free form, in oxidized form as an N-oxide, in covalently hydrated form, or in salt form, e.g., an agronomically usable or agrochemically acceptable salt form.
N-oxides are oxidized forms of tertiary amines or oxidized forms of nitrogen containing heteroaromatic compounds. They are described for instance in the book “Heterocyclic N-oxides” by A. Albini and S. Pietra, CRC Press, Boca Raton 1991.
The following lists provide definitions, including preferred definitions, for substituents A, A-1 , Z1, Z2, RZ1A, RZ1B, RZ2A, G, R1, R2, R3, R4, R5, and R6, with reference to the compounds of Formula (I) or Formula (IG) of the present invention. For any one of these substituents, any of the definitions given below may be combined with any definition of any other substituent given below or elsewhere in this document.
In an embodiment of each aspect of the invention, Z1 is
A. -[C(Rz1A)2]m-, -O-[C(Rz1B)2]n2- or -[C(Rz1B)2]n2-O-; RZ1A and RZ1B are independently selected from hydrogen, halogen, and Ci-C4-alkyl; is 1 , 2 or 3; and n2 is 1 or 2; or
B. -[C(Rz1A)2]ni-, or -[C(Rz1B)2]n2-O-; RZ1A and RZ1B are independently selected from hydrogen, fluoro, and methyl; is 1 , 2 or 3; and n2 is 1 or 2; or
C. -[C(RZ1A)2]-, -[C(RZ1A)2]2-, -[C(RZ1A)2]3-, -[C(RZ1 B)2]-O-, or -[C(RZ1B)2]2-O-; RZ1A and RZ1B are independently selected from hydrogen, fluoro, and methyl; or
D. -(CH2)ni-, or -(CH2)n2-O-; is 1 , or 2; and n2 is 1 or 2; or
E. -(CH2)3-, -(CH2)2-, -(CH2)-, -(CH2)2-O-, or -(CH2)-O-; or
F. -(CH2)2-, or -(CH2)-G-; or
G. -(CH2)-, or -(CH2)2-O-; or
H. -(CH2)2-, or -(CH2)2-O-; or l. -(CH2)2-, or -(CH2)3-; or
J. -(CH2)2-; or
K. -(CH2)3-; or
L. -(CH2)-O-.
When Z1 is -O-[C(Rz1B)2]n2-, the oxygen atom is linked to the carbon atom which is linked to R2. When Z1 is -[C(Rz1B)2]n2-O-, -[C(RZ1B)2]-O-, -[C(RZ1 B)2]2-O-, -(CH2)n2-O-, -(CH2)2-O-, or -(CH2)-O-, the oxygen atom is linked to the bridgehead carbon atom of the bicyclic group (G). In preferred embodiments of each aspects of the invention, Z1 is -[C(Rz1B)2]n2-O-, -[C(RZ1B)2]-O-, -[C(RZ1B)2]2-O-, -(CH2)n2-O-, -(CH2)2-O-, or -(CH2)-O-
In an embodiment of each aspect of the invention, Z2 is
A. a bond or -C(RZ2A)2-; and RZ2A are independently selected from hydrogen, halogen, and Ci-C4-alkyl; or
B. a bond or -C(RZ2A)2-; and RZ2A are independently selected from hydrogen, fluoro, and methyl; or
C. a bond or -CH2-; or
D. -CH2-; or
E. a bond.
In preferred embodiments of each aspect of the invention:
A. Z1 is -(CH2)m-; is 1 or 2; and Z2 is a bond or -CH2-; or
B. Z1 is -(CH2)n2-O-; n2 is 1 or 2; and Z2 is a bond or -CH2-; or
C. Z1 is -(CH2)-O-; and Z2 is a bond or -CH2-; or
D. Z1 is -(CH2)3-; and Z2 is a bond or -CH2-; or
E. Z1 is -(CH2)-O-; and Z2 is a bond; or
F. Z1 is -(CH2)3- or -(CH2)-O-; and Z2 is a bond; or
G. Z1 is -(CH2)3-; and Z2 is a bond.
In an embodiment of each aspect of the invention, R1 is:
A. phenyl or pyridinyl, said phenyl or pyridinyl being unsubstituted or substituted with one or two substituents independently selected from halogen, cyano, Ci-C4-alkyl, Ci-C2-haloalkyl, Ci-C4-alkoxy, Ci-C2-haloalkoxy, C2-C3-alkenyl, C2-C3-haloalkenyl, C2-C3-alkynyl, Cs-Ce-cycloalkyl, C3-C6- cycloalkyloxy, C2-C3-alkenyloxy, and C2-C3-alkynyloxy; or
B. phenyl or pyridinyl, said phenyl or pyridinyl being unsubstituted or substituted with one or two substituents independently selected from halogen, cyano, methyl, ethyl, propyl, ethylene, acetylene, difluoromethyl, trifluoromethyl, methoxy, difluoromethoxy, trifluoromethoxy, and cyclopropyl; or
C. phenyl or pyridinyl, said phenyl or pyridinyl being unsubstituted or substituted with one substituent selected from halogen, cyano, methyl, ethyl, propyl, ethylene, acetylene, difluoromethyl, trifluoromethyl, methoxy, difluoromethoxy, trifluoromethoxy, and cyclopropyl; or
D. phenyl or pyridinyl, said phenyl or pyridinyl being unsubstituted or substituted with one or two substituents, for instance one substituent, independently selected from halogen, cyano, methyl, ethyl, propyl, ethylene, acetylene, difluoromethyl, trifluoromethyl, methoxy, and cyclopropyl; or
E. phenyl unsubstituted or substituted with one or two substituents independently selected from halogen, cyano, methyl, ethyl, propyl, ethylene, acetylene, difluoromethyl, trifluoromethyl, methoxy, and cyclopropyl; or
F. phenyl unsubstituted or substituted with one or two substituents independently selected from chloro, fluoro, cyano, methyl, methoxy, and cyclopropyl; or
G. pyridinyl unsubstituted or substituted with one or two substituents independently selected from chloro, fluoro, cyano, methyl, ethyl, ethylene, acetylene, difluoromethyl, methoxy, and cyclopropyl; or
H. pyridinyl unsubstituted or substituted with one substituent selected from chloro, fluoro, cyano, methyl, methoxy, and cyclopropyl; or
I. pyridinyl unsubstituted or substituted with a substituent selected from chloro, fluoro, methyl, methoxy, and cyclopropyl; or
J. phenyl or pyridinyl, said phenyl or pyridinyl being unsubstituted or substituted with a substituent selected from methyl, methoxy, and cyclopropyl; or
K. phenyl unsubstituted or substituted with a substituent selected from methyl, and cyclopropyl; or
L. pyridinyl unsubstituted or substituted with a substituent selected from methyl, and cyclopropyl; or
M. phenyl or pyridinyl, said phenyl or pyridinyl being substituted with a cyclopropyl; or
N. phenyl substituted with a methyl or a cyclopropyl;
O. pyridinyl substituted with a methyl or a cyclopropyl.
In an embodiment of each aspect of the invention, when R1 is pyridinyl, R1 is selected from pyridine-2- yl, pyridine-3-yl, and pyridine-4-yl. In each case described above, the pyridine-2-yl, pyridine-3-yl, or pyridine-4-yl is unsubstituted or substituted with one or two substituents, for instance one substitutent, independently selected from halogen, cyano, Ci-C4-alkyl, Ci-C2-haloalkyl, Ci-C4-alkoxy, C1-C2- haloalkoxy, C2-C3-alkenyl, C2-C3-haloalkenyl, C2-C3-alkynyl, Cs-Ce-cycloalkyl, Cs-Ce-cycloalkyloxy, C2- Cs-alkenyloxy, and C2-C3-alkynyloxy; such as chloro, fluoro, cyano, methyl, ethyl, propyl, ethylene, acetylene, difluoromethyl, trifluoromethyl, methoxy, difluoromethoxy, trifluoromethoxy, and cyclopropyl.
In an embodiment of each aspect of the invention, R2 is
A. selected from hydrogen and methyl; or
B. methyl; or
C. hydrogen.
In an embodiment of each aspect of the invention, [R3]m is
A. independently selected from halogen, cyano, Ci-C4-alkyl, Ci-C2-haloalkyl, Ci-C4-alkoxy, and Ci-C2-haloalkoxy; and m is 0, 1 , 2 or 3; or
B. independently selected from halogen, cyano, methyl, and methoxy; m is 1 or 2; or
C. independently selected from fluoro, chloro, cyano, methyl, and methoxy; m is 1 or 2; or
D. independently selected from fluoro, chloro, cyano, methyl, and methoxy; and m is 1 or
2; or
E. chloro, fluoro, methyl, or methoxy; and m is 1 ; or
F. m is 0;
G. fluoro; and m is 2; or
H. chloro, fluoro, methyl, or methoxy; and m is 0 or 1 .
In preferred embodiments of each aspect of the invention, the group (G), where the arrow represents the point of attachment of the group (G) to the rest of the compound of formula (I), is:
A. selected from indan-1-yl, indan-2-yl, tetralin-1 -yl, tetralin-2-yl, chroman-2-yl, chroman- 3-yl, chroman-4-yl, isochroman-1-yl, and isochroman-3-yl; R3 is independently selected from halogen, cyano, Ci-C4-alkyl, Ci-C2-haloalkyl, Ci-C4-alkoxy, and Ci-C2-haloalkoxy; and m is 0, 1 or 2; or
B. selected from indan-1-yl, indan-2-yl, tetralin-1 -yl, tetralin-2-yl, chroman-2-yl, chroman- 3-yl, and chroman-4-yl; R3 is independently selected from fluoro, chloro, cyano, methyl, ethyl, difluoromethyl, trifluoromethyo, and methoxy; and m is 0, 1 or 2; or
C. selected from indan-1-yl, indan-2-yl, tetralin-1 -yl, tetralin-2-yl, chroman-2-yl, chroman- 3-yl, and chroman-4-yl; R3 is independently selected from fluoro, chloro, cyano, methyl, and methoxy; and m is 1 or 2; or
D. selected from indan-1-yl, indan-2-yl, tetralin-1 -yl, tetralin-2-yl, chroman-2-yl, chroman- 3-yl, and chroman-4-yl; R3 is independently selected from fluoro, chloro, and methyl; and m is 2; or
E. selected from indan-1-yl, tetralin-1 -yl, and chroman-4-yl; and m is 0; or
F. selected from indan-1-yl, tetralin-1 -yl, and chroman-4-yl; R3 is independently selected from fluoro, chloro, cyano, methyl, and methoxy; and m is 1 or 2; or
G. indan-1-yl, tetralin-1 -yl, or chroman-4-yl; R3 is selected from fluoro, chloro, methyl, and methoxy; and m is 0 or 1 ; or
H. indan-1-yl, tetralin-1 -yl, or chroman-4-yl; or l. chroman-4-yl, indan-1-yl, 5-chloroindan-1-yl, 6-chloroindan-1-yl, 4,6-difluoroindan-1-yl, 6- methoxyindan-1-yl, tetralin-1 -yl, 5-methoxytetralin-1-yl, 7-methoxytetralin-1-yl, or 5,7- dimethyltetralin-1 -yl; or
J. 6-chloroindan-1-yl, 6-methoxyindan-1-yl, tetralin-1 -yl, 5-methoxytetralin-1-yl, 7- methoxytetralin-1-yl, or 5,7-dimethyltetralin-1 -yl; or
A is wherein # marks the bond to R1; ## marks the bond to the nitrogen atom; and the dashed line delineates A within compound of Formula (I).
In an embodiment of each aspect of the invention, R4 is:
A. selected from hydrogen, halogen, cyano, Ci-C4-alkyl, Ci-C2-haloalkyl, Ci-C4-alkoxy, and Ci-C2-haloalkoxy; or
B. selected from hydrogen, halogen, cyano, methyl, and methoxy; or
C. selected from hydrogen, chloro, fluoro, cyano, and methyl; or
D. hydrogen or methyl; or
E. hydrogen.
In an embodiment of each aspect of the invention, R5 is:
A. selected from hydrogen, cyano, mercaptyl, halogen, Ci-Cs-alkyl, C2-C3-alkenyl, C2-C3- alkynyl, Ci-Cs-alkoxy, Ci-Cs-fluoroalkyl, Ci-Cs-fluoroalkoxy, C3-C4-cycloalkyl, and C1-C3- alkylsulfonyl; or
B. selected from hydrogen, halogen, cyano, methyl, ethyl, ethenyl, ethynyl, methoxy, ethoxy, and cyclopropyl; or
C. selected from hydrogen, chloro, cyano, methyl, methoxy, ethoxy, and cyclopropyl; or
D. selected from hydrogen, chloro, cyano, and methyl; or
E. hydrogen; or
F. selected from hydrogen, chloro, and methyl.
In an embodiment of each aspect of the invention, R6 is:
A. selected from hydrogen, halogen, cyano, Ci-C4-alkyl, Ci-Cs-fluoroalkyl, C2-C4-alkenyl, C2-C4-alkynyl, Ci-C4-alkoxy, C2-C4-alkenyloxy, C2-C4-alkynyloxy, Ci-Cs-fluoroalkoxy, and C3-C4- cycloalkyl; or
B. selected from hydrogen, halogen, cyano, methyl, ethyl, ethenyl, ethynyl, methoxy, ethoxy, and cyclopropyl; or
C. hydrogen, fluoro or chloro; or
D. selected from hydrogen, fluoro, chloro, cyano, methyl, and methoxy; or
E. selected from hydrogen, fluoro, chloro, methyl, and methoxy; or
F. hydrogen.
In preferred embodiments of each aspect of the invention, R4, R5, and R6 are as follows:
A. R4 is selected from hydrogen, halogen, cyano, methyl, and methoxy; R5 is selected from hydrogen, cyano, mercaptyl, halogen, Ci-Cs-alkyl, C2-C3-alkenyl, C2-C3-alkynyl, Ci-Cs-alkoxy, C1- Cs-fluoroalkyl, Ci-Cs-fluoroalkoxy, C3-C4-cycloalkyl, and Ci-C3-alkylsulfonyl; and R6 is selected from hydrogen, halogen, cyano, methyl, Ci-C4-alkyl, Ci-Cs-fluoroalkyl, C2-C4-alkenyl, C2-C4- alkynyl, Ci-C4-alkoxy, C2-C4-alkenyloxy, C2-C4-alkynyloxy, Ci-Cs-fluoroalkoxy, and C3-C4- cycloalkyl; or
B. R4 is selected from hydrogen, halogen, cyano, methyl, and methoxy; and/or R5 is selected from hydrogen, halogen, cyano, methyl, ethyl, ethenyl, ethynyl, methoxy, ethoxy, and cyclopropyl; and/or R6 is selected from hydrogen, halogen, cyano, methyl, ethyl, ethenyl, ethynyl, methoxy, ethoxy, and cyclopropyl; or
C. R4 is hydrogen; and/or R5 is selected from hydrogen, chloro, cyano, and methyl; and/or R6 is selected from hydrogen, chloro, fluoro, cyano, methyl, and methoxy; or
D. R4 is hydrogen; R5 is selected from hydrogen, halogen, cyano, methyl, ethyl, ethenyl, ethynyl, methoxy, ethoxy, and cyclopropyl; and R6 is selected from hydrogen, halogen, cyano, methyl, ethyl, ethenyl, ethynyl, methoxy, ethoxy, and cyclopropyl; or
E. R4 is hydrogen; R5 is selected from hydrogen, chloro, cyano, and methyl; and R6 is selected from hydrogen; or
F. R4 is hydrogen; R5 is hydrogen; and R6 is selected from hydrogen, fluoro, chloro, cyano, methyl, and methoxy.
The present invention, accordingly, makes available a compound of formula (I) having the substituents A, A-1 , Z1, Z2, RZ1A, RZ1B, RZ2A, G, R1, R2, R3, R4, R5, and R6, as defined above in all combinations I each permutation. Accordingly, made available, for example, is a compound of formula (I) with A-1 as A, Z1 of embodiment C (i.e. -[C(RZ1A)2]-, -[C(RZ1A)2]2-, -[C(RZ1A)2]3-, -[C(RZ1B)2]-O-, or -[C(RZ1B)2]2-O-; RZ1A and RZ1B are independently selected from hydrogen, fluoro, and methyl), Z2 of embodiment E (i.e. a bond), R1 of embodiment B (i.e. phenyl or pyridinyl, said phenyl or pyridinyl being unsubstituted or substituted with one ortwo substituents independently selected from halogen, cyano, methyl, ethyl, propyl, ethylene,
acetylene, difluoromethyl, trifluoromethyl, methoxy, difluoromethoxy, trifluoromethoxy, and cyclopropyl), R2 of embodiment A (i.e. selected from hydrogen and methyl), [R3]m of embodiment D (i.e. independently selected from fluoro, chloro, cyano, methyl, and methoxy; and m is 1 or 2), R4 of embodiment B (i.e. selected from hydrogen, halogen, cyano, methyl, and methoxy), R5 of embodiment E (i.e. hydrogen), and R6 of embodiment D (i.e. selected from hydrogen, fluoro, chloro, cyano, methyl, and methoxy).
Also for example, a compound of formula (I) is made available with A-1 as A, Z1 of embodiment D (i.e. -(CH2)m-, or -(CH2)n2-O-; is 1 , or 2; and n2 is 1 or 2), Z2 of embodiment C (i.e. a bond or -CH2-), R1 of embodiment N (i.e. phenyl substituted with a methyl or a cyclopropyl), R2 of embodiment A (i.e. selected from hydrogen and methyl), [R3]m of embodiment H (i.e. chloro, fluoro, methyl, or methoxy; and m is 0 or 1), R4 of embodiment D (i.e. hydrogen or methyl), R5 of embodiment B (i.e. selected from hydrogen, halogen, cyano, methyl, ethyl, ethenyl, ethynyl, methoxy, ethoxy, and cyclopropyl), and R6 of embodiment F (i.e. hydrogen).
Also for example, a compound of formula (I) is made available with A-1 as A, Z1 and Z2 of preferred embodiment F (i.e. Z1 is -(CH2)3- or -(CH2)-O-; and Z2 is a bond), R1 of embodiment H (i.e. pyridinyl unsubstituted or substituted with one substituent selected from chloro, fluoro, cyano, methyl, methoxy, and cyclopropyl), R2 of embodiment C (i.e. hydrogen), [R3]m of embodiment E (i.e. chloro, fluoro, methyl, or methoxy; and m is 1), R4 of embodiment C (i.e. selected from hydrogen, chloro, fluoro, cyano, and methyl), R5 of embodiment D (i.e. selected from hydrogen, chloro, cyano, and methyl), and R6 of embodiment C (i.e. hydrogen, fluoro or chloro).
Also for example, a compound of formula (I) is made available with A-1 as A, Z1 and Z2 of preferred embodiment B (i.e. Z1 is -(CH2)n2-O-; n2 is 1 or 2; and Z2 is a bond or -CH2-), R1 of embodiment J (i.e. phenyl or pyridinyl, said phenyl or pyridinyl being unsubstituted or substituted with a substituent selected from methyl, methoxy, and cyclopropy), R2 of embodiment A (i.e. selected from hydrogen and methyl), [R3]m of embodiment C (i.e. independently selected from fluoro, chloro, cyano, methyl, and methoxy; m is 1 or 2), R4, R5, and R6 of preferred embodiment D (i.e. R4 is hydrogen; R5 is selected from hydrogen, halogen, cyano, methyl, ethyl, ethenyl, ethynyl, methoxy, ethoxy, and cyclopropyl; and R6 is selected from hydrogen, halogen, cyano, methyl, ethyl, ethenyl, ethynyl, methoxy, ethoxy, and cyclopropyl).
Also for example, a compound of formula (I) is made available with A-1 as A, G of embodiment C (i.e. selected from indan-1-yl, indan-2-yl, tetralin-1 -yl, tetralin-2-yl, chroman-2-yl, chroman-3-yl, and chroman-4-yl; R3 is independently selected from fluoro, chloro, cyano, methyl, and methoxy; and m is 1 or 2), R1 of embodiment J (i.e. phenyl or pyridinyl, said phenyl or pyridinyl being unsubstituted or substituted with a substituent selected from methyl, methoxy, and cyclopropyl), R4, R5, and R6 of preferred embodiment E (i.e. R4 is hydrogen; R5 is selected from hydrogen, chloro, cyano, and methyl; and R6 is selected from hydrogen).
The compound of the formula (I) may comprise a stereogenic centre, shown with an asterisk in formula (I*), wherein R1, R2, R3, m, Z1 (including RZ1A, RZ1B, n1 and n2), Z2 (including RZ2), and A (including R4, R5 and R6), are as defined in the first aspect, each with the corresponding embodiments as described above.
The compounds of the present invention may be enantiomers of the compound of Formula (I) as represented Formula (1-1) or Formula (I-2), wherein R1, R2, R3, m, Z1 (including RZ1A, RZ1B, n1 and n2), Z2 (including RZ2), and A (including R4, R5 and R6), are as defined in the first aspect, each with the corresponding embodiments as described above.
The compounds of formula (I) according to the invention can be made as shown in the following schemes 1 to 10, wherein A, Z1, Z2, RZ1A, RZ1B, RZ2, R1, R2, R3, m, R4, R5 and R6 are as defined for a compound of formula (I), unless otherwise stated. Certain stereogenic centers have been left unspecified for clarity and are not intended to limit the teaching of the schemes in any way.
The compounds of formula (I) are obtained by an amide-coupling transformation with compounds of formula (II), wherein X is OH, and amine compounds of formula (III) by activating the carboxylic acid function of the compounds of formula (II), a process that usually takes place by converting the -OH of the carboxylic acid into a good leaving group, such as a chloride group, for example by using (COCI)2 or SOCI2, prior to treatment with the compounds of formula (III), preferably in a suitable solvent (e.g., N- methylpyrrolidone, acetonitrile, dimethylacetamide, dichloromethane or tetrahydrofuran), preferably at temperatures between 25°C and 60°C, and optionally in the presence of a base such as triethylamine or N,N-diisopropylethylamine; or alternatively under conditions described in the literature for an amide coupling such as 1-propanephosphonic acid cyclic anhydride (T3P) in suitable solvent (e.g., acetonitrile) optionally in the presence of a base (e.g., triethylamine or N,N-diisopropylethylamine). For examples, see Chem. Soc. Rev. (2009), 38, 606 and Chem. Soc. Rev. (2011), 40, 5084. Compounds of formula (II) and compounds of formula (III) are either known or commercially available. This is shown in Scheme 1 .
(Il) (Hl) (I)
Scheme 1
Compounds of formula (I) are prepared from reacting nucleophilic compounds of formula (IV) with electrophilic compounds of formula (V), wherein Y is a suitable leaving group such as fluoro, chloro, bromo, iodo, BF3K, B(OH)2 or B(pinacol), in the presence of base (e.g. KO-t-Bu, K3PO4, K2CO3, triethylamine, or CS2CO3), in a suitable solvent (e.g. N-methylpyrrolidone, dimethylacetamide, acetonitrile, tetrahydrofuran, 2-methyl tetra hydrofuran, sulfolane, or dimethylsulfoxide) at temperatures between 60°C and 110°C and preferably using a metal catalyst complex (e.g. Cu or Pd). For related examples, see Eur. J. Org. Chem., (2011), 18, 3353; J. Org. Chem., (2009), 74, 7951 ; Tetrahedron Lett., (2012), 53, 5318. Compounds of formula (IV) are either known or commercially available. This is shown in Scheme 2.
(IV) (V) w
Scheme 2
Compounds of formula (II), wherein X is Ci-C4-alkoxy, are prepared from reacting nucleophilic compounds of formula (IV) with electrophilic compounds of formula (VI), wherein X is OH or C1-C4- alkoxy and Y is a suitable leaving group such as fluoro, chloro, bromo, iodo, BF3K, B(OH)2 or B(pinacol), in the presence of base (e.g. KO-f-Bu, K3PO4, K2CO3, triethylamine, or CS2CO3, in a suitable solvent (e.g. N-methylpyrrolidone, dimethylacetamide, acetonitrile, tetrahydrofuran, 2-methyl tetrahydrofuran, sulfolane, dimethylsulfoxide) at temperatures between 60°C and 110°C and preferably using a metal catalyst complex (e.g. Cu or Pd). For related examples, see Eur. J. Org. Chem., (2011), 18, 3353; J. Org. Chem., (2009), 74, 7951 ; Tetrahedron Lett., (2012), 53, 5318; WO 2008/110313 and WO 2012/136604. Additionally, compounds of formula (II), wherein X is Ci-C4-alkoxy, are readily hydrolyzed under conditions described in the literature to afford compounds of formula (II), wherein X is OH. Compounds of formula (VI) are either known or commercially available. This is shown in Scheme 3.
(IV) (VI) (II)
Scheme 3
The compounds of formula (V), wherein Y is halogen or OH, can be obtained by an amide coupling transformation with compounds of formula (VI), wherein X is OH and Y is halogen or OH, and amine compounds of formula (III) by activating the carboxylic acid function of the compounds of formula (VI),
a process that usually takes place by converting the -OH of the carboxylic acid into a good leaving group, such as a chloride group, for example by using (COCI)2 or SOCI2, prior to treatment with the compounds of formula (III), preferably in a suitable solvent (e.g., N-methylpyrrolidone dimethylacetamide, dichloromethane or tetrahydrofuran), preferably at temperatures between 25°C and 60°C, and optionally in the presence of a base such as triethylamine or N,N-diisopropylethylamine; or alternatively under conditions described in the literature for an amide coupling such as 1-propanephosphonic acid cyclic anhydride (T3P) in suitable solvent (e.g., acetonitrile), optionally in the presence of a base (e.g., triethylamine or N,N-diisopropylethylamine). For examples, see Chem. Soc. Rev. (2009), 38, 606 and. Chem. Soc. Rev. (2011), 40, 5084. This is shown in Scheme 4.
(VI) ("I) (V)
Scheme 4
Compounds of formula (II), wherein X is OH or Ci-C4-alkoxy, are prepared from reacting nucleophilic compounds of formula (VI), wherein Y is OH and X is OH or Ci-C4-alkoxy, with electrophilic compounds of formula (X), wherein and E is fluoro, chloro, bromo, iodo, BF3K, B(OH)2 or B(pinacol), in a suitable solvent (e.g. dichloromethane, 1 ,2-dichloromethane, acetonitrile, tetrahydrofuran, 2-methyl tetrahydrofuran, N-methylpyrrolidone, dimethylacetamide) at temperatures between 40°C and 80°C and using a metal source (e.g. Cu(OAc)2), and preferably in the presence of an oxidant such as O2 or a suitable palladium pre-catalyst, such as RockPhos Pd G3, in the presence of a base (e.g. K3PO4) and suitable solvent (e.g. dimethyl ether or toluene) at temperatures between 20°C and 80°C. For related examples, see Org. Let., (2003), 5, 1381 ; Tetrahedron Let. (1998), 39, 2933; Tetrahedron Let., (2003), 44, 3863; and Org. Let., (2013), 15, 2876. Compounds of formula (X) and compounds of formula (VI) are either known or commercially available. This is shown in Scheme 5.
(X) (VI) (II)
Scheme 5
Compounds of formula (I), wherein are prepared from reacting nucleophilic compounds of formula (V), wherein Y is OH, with electrophilic compounds of formula (X), wherein and E is chloro, bromo, iodo, BF3K, B(OH)2 or B(pinacol), in a suitable solvent (e.g. dichloromethane, 1 ,2-dichloromethane, acetonitrile, tetrahydrofuran, 2-methyl tetrahydrofuran) at temperatures between 40°C and 80°C and using a metal source (e.g. Cu(OAc)2), optionally in the presence of an oxidant such as O2 or a suitable
palladium pre-catalyst, such as RockPhos Pd G3, in the presence of a base (e.g. K3PO4) and suitable solvent (e.g. dimethyl ether or toluene) at temperatures between 20°C and 80°C. For related examples, see Org. Lett., (2003), 5, 1381 ; Tetrahedron Lett. (1998), 39, 2933; Tetrahedron Lett., (2003), 44, 3863; and Org. Lett., (2013), 15, 2876. Compounds of formula (X) are either known or commercially available. This is shown in Scheme 6.
Scheme 6
Compounds of Formula (VI), wherein X is OH or Ci-C4-alkoxy, and Y is OH or halogen can be obtained from compounds of formula (XI), wherein Y is OH or halogen, via an oxidation method using a suitable oxidant, suchs as KMnO4 or a cobalt(ll) salt and trihydroxyisocyanuric acid (THICA) in a suitable solvent (e.g., acetic acid) at temperatures between 25°C and 200°C. For related examples, see: Can. J. Chem. (1978), 56, 1273; WO2021160470. Compounds of formula (XI) are known or can be prepared as described in Bulletin de la Societe Chimique de France (1972), 8, 3198-202. This reaction is shown in Scheme 7.
Y Y ° rH- — - © -
(XI) (VI)
Scheme 7
Compounds of Formula (II), wherein X is OH, and Y is OH, or halogen, can be obtained from compounds of formula (XII), wherein Y is OH or halogen, via an oxidation method using a suitable oxidant, suchs as KMnO4 or a suitable cobalt(ll) salt and trihydroxyisocyanuric acid (THICA) in a suitable solvent (e.g., acetic acid) at temperatures between 25°C and 200°C. For related examples, see: Can. J. Chem. (1978), 56, 1273; WO2021160470. Compounds of formula (XI) are known or can be prepared as described in Bulletin de la Societe Chimique de France (1972), 8, 3198-3202.
Furthermore, compounds of formula (XII), are prepared from reacting nucleophilic compounds of formula (VI) with electrophilic compounds of formula (XI), wherein Y is a suitable leaving group such as halogen, in the presence of base (e.g. KO-f-Bu, K3PO4, K2CO3, triethylamine, or CS2CO3, in a suitable solvent (e.g. N-methylpyrrolidone, dimethylacetamide, acetonitrile, tetrahydrofuran, 2-methyl tetrahydrofuran, sulfolane, dimethylsulfoxide) at temperatures between 25°C and reflux and optionally using a metal catalyst and ligand complex (e.g. Cui, N,N-dimethylglycine). For related examples, see Eur. J. Org.
Chem., (2011), 18, 3353; J. Org. Chem., (2009), 74, 7951 ; Tetrahedron Lett., (2012), 53, 5318; WO
2008/110313 and WO 2012/136604. Compounds of formula (XI) are either known or commercially available. This is shown in Scheme 8.
Scheme 8
Compounds of formula (II), wherein X is OH or Ci-C4-alkoxy can be prepared by reaction of compounds of formula (XIII) in aqueous solvent mixture such as /so-propanol or ethanol, optionally in an alkaline media at temperature between 90°C and 11 °C. For related examples, see: J. Med. Chem. (2012), 55, 10118-10129. This is shown in Scheme 9.
Scheme 9
Compounds of formula (XV), are known or can be obtained from compounds of formula (XIV) wherein T is chloro, bromo, iodo, trifluoromethanesulfonyl-O- at temperature between 50°C and 120°C, preferably between 80°C and 110 °C using a metal source, such as XPhos Pd G1 , in the presence of a cyanide source selected from potassium ferrocyanide, cooper cyanide, zinc cyanide or potassium cyanide and a base (e.g. KOAc) in a suitable solvent or a mixture of two solvents (e.g. dioxane, water, toluene, tetra hydrofuran, 2-methyl-tetrahydrofuran, xylene). For related examples, see: J. Org. Chem. (2018), 83, 4922-4931 or Org. Let. (2006), 8, 1189-1191. This is shown in Scheme 10.
Scheme 10
As already indicated, surprisingly, it has now been found that the compounds of Formula (I) of the present invention have, for practical purposes, a very advantageous level of biological activity for protecting plants against diseases that are caused by fungi.
The compounds of Formula (I) can be used in the agricultural sector and related fields of use, e.g., as active ingredients for controlling plant pests or on non-living materials for the control of spoilage microorganisms or organisms potentially harmful to man. The novel compounds are distinguished by excellent activity at low rates of application, by being well tolerated by plants and by being environmentally safe. They have very useful curative, preventive and systemic properties and can be used for protecting numerous cultivated plants. The compounds of Formula (I) can be used to inhibit or destroy the pests that occur on plants or parts of plants (fruit, blossoms, leaves, stems, tubers, roots) of different crops of useful plants, while at the same time protecting also those parts of the plants that grow later, e.g., from phytopathogenic microorganisms.
The present invention further relates to a method for controlling or preventing infestation of plants or plant propagation material and/or harvested food crops susceptible to microbial attack by treating plants or plant propagation material and/or harvested food crops wherein an effective amount a compound of Formula (I) is applied to the plants, to parts thereof or the locus thereof.
It is also possible to use compounds of Formula (I) as a fungicide. The term “fungicide” as used herein means a compound that controls, modifies, or prevents the growth of fungi. The term “fungicidally effective amount” where used means the quantity of such a compound or combination of such compounds that is capable of producing an effect on the growth of fungi. Controlling or modifying effects include all dev/ation from natural development, such as killing, retardation and the like, and prevention includes barrier or other defensive formation in or on a plant to prevent fungal infection.
It may also be possible to use compounds of Formula (I) as dressing agents for the treatment of plant propagation material, e.g., seed, such as fruits, tubers or grains, or plant cuttings, for the protection against fungal infections as well as against phytopathogenic fungi occurring in the soil. The propagation material can be treated with a composition comprising a compound of Formula (I) before planting: seed, for example, can be dressed before being sown. The active compounds of Formula (I) can also be applied to grains (coating), either by impregnating the seeds in a liquid formulation or by coating them with a solid formulation. The composition can also be applied to the planting site when the propagation material is being planted, for example, to the seed furrow during sowing. The invention relates also to such methods of treating plant propagation material and to the plant propagation material so treated.
Furthermore, the compounds of Formula (I) can be used for controlling fungi in related areas, for example in the protection of technical materials, including wood and wood related technical products, in food storage, in hygiene management.
In addition, the invention could be used to protect non-living materials from fungal attack, e.g. lumber, wall boards and paint.
The compounds of Formula (I) are for example, effective against fungi and fungal vectors of disease as well as phytopathogenic bacteria and viruses. These fungi and fungal vectors of disease as well as phytopathogenic bacteria and viruses are for example:
Absidia corymbifera, Alternaria spp, Aphanomyces spp, Ascochyta spp, Aspergillus spp. including A. flavus, A. fumigatus, A. nidulans, A. niger, A. terrus, Aureobasidium spp. including A. pullulans, Blastomyces dermatitidis, Blumeria graminis, Bremia lactucae, Botryosphaeria spp. including B.
dothidea, B. obtusa, Botrytis spp. inclusing B. cinerea, Candida spp. including C. albicans, C. glabrata, C. krusei, C. lusitaniae, C. parapsilosis, C. tropicalis, Cephaloascus fragrans, Ceratocystis spp, Cercospora spp. including C. arachidicola, Cercosporidium personatum, Cladosporium spp, Claviceps purpurea, Coccidioides immitis, Cochliobolus spp, Colletotrichum spp. including C. musae, Cryptococcus neoformans, Diaporthe spp, Didymella spp, Drechslera spp, Elsinoe spp.Epidermophyton spp, Erwinia amylovora, Erysiphe spp. including E. cichoracearum, Eutypa lata, Fusarium spp. including F. culmorum, F. graminearum, F. langsethiae, F. moniliforme, F. oxysporum, F. proliferatum, F. subglutinans, F. solani, Gaeumannomyces graminis, Gibberella fujikuroi, Gloeodes pomigena, Gloeosporium musarum, Glomerella cingulate, Guignardia bidwellii, Gymnosporangium juniperi- virginianae, Helminthosporium spp, Hemileia spp, Histoplasma spp. including H. capsulatum, Laetisaria fuciformis, Leptographium lindbergi, Leveillula taurica, Lophodermium seditiosum, Microdochium nivale, Microsporum spp, Monilinia spp, Mucor spp, Mycosphaerella spp. including M. graminicola, M. pomi, Oncobasidium theobromaeon, Ophiostoma piceae, Paracoccidioides spp, Penicillium spp. including P. digitatum, P. italicum, Petriellidium spp, Peronosclerospora spp. Including P. maydis, P. philippinensis and P. sorghi, Peronospora spp, Phaeosphaeria nodorum, Phakopsora pachyrhizi, Phellinus igniarus, Phialophora spp, Phoma spp, Phomopsis viticola, Phytophthora spp. including P. infestans, Plasmopara spp. including P. halstedii, P. viticola, Pleospora spp., Podosphaera spp. including P. leucotricha, Polymyxa graminis, Polymyxa betae, Pseudocercosporella herpotrichoides, Pseudomonas spp, Pseudoperonospora spp. including P. cubensis, P. humuli, Pseudopeziza tracheiphila, Puccinia Spp. including P. hordei, P. recondita, P. striiformis, P. triticina, Pyrenopeziza spp, Pyrenophora spp, Pyricularia spp. including P. oryzae, Pythium spp. including P. ultimum, Ramularia spp, Rhizoctonia spp, Rhizomucor pusillus, Rhizopus arrhizus, Rhynchosporium spp, Scedosporium spp. including S. apiospermum and S. prolificans, Schizothyrium pomi, Sclerotinia spp, Sclerotium spp, Septoria spp, including S. nodorum, S. tritici, Sphaerotheca macularis, Sphaerotheca fusca (Sphaerotheca fuliginea), Sporothorix spp, Stagonospora nodorum, Stemphylium spp,. Stereum hirsutum, Thanatephorus cucumeris, Thielaviopsis basicola, Tilletia spp, Trichoderma spp. including T. harzianum, T. pseudokoningii, T. viride, Trichophyton spp, Typhula spp, Uncinula necator, Urocystis spp, Ustilago spp, Venturia spp. including V. inaequalis, Verticillium spp, and Xanthomonas spp.
The compounds of Formula (I) may be used for example on turf, ornamentals, such as flowers, shrubs, broad-leaved trees or evergreens, for example conifers, as well as for tree injection, pest management and the like.
Within the scope of present invention, target crops and/or useful plants to be protected typically comprise perennial and annual crops, such as berry plants for example blackberries, blueberries, cranberries, raspberries and strawberries; cereals for example barley, maize (corn), millet, oats, rice, rye, sorghum triticale and wheat; fibre plants for example cotton, flax, hemp, jute and sisal; field crops for example sugar and fodder beet, coffee, hops, mustard, oilseed rape (canola), poppy, sugar cane, sunflower, tea and tobacco; fruit trees for example apple, apricot, avocado, banana, cherry, citrus, nectarine, peach, pear and plum; grasses for example Bermuda grass, bluegrass, bentgrass, centipede grass, fescue, ryegrass, St. Augustine grass and Zoysia grass; herbs such as basil, borage, chives, coriander,
lavender, lovage, mint, oregano, parsley, rosemary, sage and thyme; legumes for example beans, lentils, peas and soya beans; nuts for example almond, cashew, ground nut, hazelnut, peanut, pecan, pistachio and walnut; palms for example oil palm; ornamentals for example flowers, shrubs and trees; other trees, for example cacao, coconut, olive and rubber; vegetables for example asparagus, aubergine, broccoli, cabbage, carrot, cucumber, garlic, lettuce, marrow, melon, okra, onion, pepper, potato, pumpkin, rhubarb, spinach and tomato; and vines for example grapes.
The term "useful plants" is to be understood as also including useful plants that have been rendered tolerant to herbicides like bromoxynil or classes of herbicides (such as, for example, HPPD inhibitors, ALS inhibitors, for example primisulfuron, prosulfuron and trifloxysulfuron, EPSPS (5-enol-pyrovyl- shikimate-3-phosphate-synthase) inhibitors, GS (glutamine synthetase) inhibitors or PPO (protoporphyrinogen-oxidase) inhibitors) as a result of conventional methods of breeding or genetic engineering. An example of a crop that has been rendered tolerant to imidazolinones, e.g. imazamox, by conventional methods of breeding (mutagenesis) is Clearfield® summer rape (Canola). Examples of crops that have been rendered tolerant to herbicides or classes of herbicides by genetic engineering methods include glyphosate- and glufosinate-resistant maize varieties commercially available under the trade names RoundupReady®, Herculex I® and LibertyLink®.
The term "useful plants" is to be understood as also including useful plants which have been so transformed by the use of recombinant DNA techniques that they are capable of synthesising one or more selectively acting toxins, such as are known, for example, from toxin-producing bacteria, especially those of the genus Bacillus.
Examples of such plants are: YieldGard® (maize variety that expresses a CrylA(b) toxin); YieldGard Rootworm® (maize variety that expresses a CrylllB(bl) toxin); YieldGard Plus® (maize variety that expresses a CrylA(b) and a Cry II IB(b1 ) toxin); Starlink® (maize variety that expresses a Cry9(c) toxin); Herculex I® (maize variety that expresses a CrylF(a2) toxin and the enzyme phosphinothricine N- acetyltransferase (PAT) to achieve tolerance to the herbicide glufosinate ammonium); NuCOTN 33B® (cotton variety that expresses a CrylA(c) toxin); Bollgard I® (cotton variety that expresses a CrylA(c) toxin); Bollgard II® (cotton variety that expresses a CrylA(c) and a CryllA(b) toxin); VIPCOT® (cotton variety that expresses a VIP toxin); NewLeaf® (potato variety that expresses a Cry 11 IA toxin); Nature- Gard® Agrisure® GT Advantage (GA21 glyphosate-tolerant trait), Agrisure® CB Advantage (Bt11 corn borer (CB) trait), Agrisure® RW (corn rootworm trait) and Protecta®.
The term "crops" is to be understood as including also crop plants which have been so transformed by the use of recombinant DNA techniques that they are capable of synthesising one or more selectively acting toxins, such as are known, for example, from toxin-producing bacteria, especially those of the genus Bacillus.
Toxins that can be expressed by such transgenic plants include, for example, insecticidal proteins from Bacillus cereus or Bacillus popilliae; or insecticidal proteins from Bacillus thuringiensis, such as d- endotoxins, e.g. CrylAb, CrylAc, Cry1 F, Cry1 Fa2, Cry2Ab, Cry3A, Cry3Bb1 or Cry9C, or vegetative insecticidal proteins (Vip), e.g. Vip1 , Vip2, Vip3 or Vip3A; or insecticidal proteins of bacteria colonising nematodes, for example Photorhabdus spp. or Xenorhabdus spp., such as Photorhabdus luminescens, Xenorhabdus nematophilus; toxins produced by animals, such as scorpion toxins, arachnid toxins, wasp
toxins and other insect-specific neurotoxins; toxins produced by fungi, such as Streptomycetes toxins, plant lectins, such as pea lectins, barley lectins or snowdrop lectins; agglutinins; proteinase inhibitors, such as trypsin inhibitors, serine protease inhibitors, patatin, cystatin, papain inhibitors; ribosomeinactivating proteins (RIP), such as ricin, maize-RIP, abrin, luffin, saporin or bryodin; steroid metabolism enzymes, such as 3-hydroxysteroidoxidase, ecdysteroid-UDP-glycosyl-transferase, cholesterol oxidases, ecdysone inhibitors, HMG-COA-reductase, ion channel blockers, such as blockers of sodium or calcium channels, juvenile hormone esterase, diuretic hormone receptors, stilbene synthase, bibenzyl synthase, chitinases and glucanases.
Further, in the context of the present invention there are to be understood by d-endotoxins, for example CrylAb, CrylAc, Cry1 F, Cry1 Fa2, Cry2Ab, Cry3A, Cry3Bb1 or Cry9C, or vegetative insecticidal proteins (Vip), for example Vip1 , Vip2, Vip3 or Vip3A, expressly also hybrid toxins, truncated toxins and modified toxins. Hybrid toxins are produced recombinantly by a new combination of different domains of those proteins (see, for example, WO 02/15701). Truncated toxins, for example a truncated CrylAb, are known. In the case of modified toxins, one or more amino acids of the naturally occurring toxin are replaced. In such amino acid replacements, preferably non-naturally present protease recognition sequences are inserted into the toxin, such as, for example, in the case of Cry3A055, a cathepsin-G- recognition sequence is inserted into a Cry3A toxin (see WO 03/018810).
Examples of such toxins or transgenic plants capable of synthesising such toxins are disclosed, for example, in EP-A-0 374 753, WO93/07278, WO95/34656, EP-A-0 427 529, EP-A-451 878 and WO 03/052073.
The processes for the preparation of such transgenic plants are generally known to the person skilled in the art and are described, for example, in the publications mentioned above. Cryl-type deoxyribonucleic acids and their preparation are known, for example, from WO 95/34656, EP-A-0 367 474, EP-A-0 401 979 and WO 90/13651.
The toxin contained in the transgenic plants imparts to the plants tolerance to harmful insects. Such insects can occur in any taxonomic group of insects, but are especially commonly found in the beetles (Coleoptera), two-winged insects (Diptera) and butterflies (Lepidoptera).
Transgenic plants containing one or more genes that code for an insecticidal resistance and express one or more toxins are known and some of them are commercially available. Examples of such plants are: YieldGard® (maize variety that expresses a CrylAb toxin); YieldGard Rootworm® (maize variety that expresses a Cry3Bb1 toxin); YieldGard Plus® (maize variety that expresses a CrylAb and a Cry3Bb1 toxin); Starlink® (maize variety that expresses a Cry9C toxin); Herculex I® (maize variety that expresses a Cry1 Fa2 toxin and the enzyme phosphinothricine N-acetyltransferase (PAT) to achieve tolerance to the herbicide glufosinate ammonium); NuCOTN 33B® (cotton variety that expresses a CrylAc toxin); Bollgard I® (cotton variety that expresses a CrylAc toxin); Bollgard II® (cotton variety that expresses a CrylAc and a Cry2Ab toxin); VipCot® (cotton variety that expresses a Vip3A and a CrylAb toxin); NewLeaf® (potato variety that expresses a Cry3A toxin); NatureGard®, Agrisure® GT Advantage (GA21 glyphosate-tolerant trait), Agrisure® CB Advantage (Bt11 corn borer (CB) trait) and Protecta®.
Further examples of such transgenic crops are:
1. Bt11 Maize from Syngenta Seeds SAS, Chemin de I'Hobit 27, F-31 790 St. Sauveur, France, registration number C/FR/96/05/10. Genetically modified Zea mays which has been rendered resistant to attack by the European corn borer (Ostrinia nubilalis and Sesamia nonagrioides) by transgenic expression of a truncated CrylAb toxin. Bt1 1 maize also transgenically expresses the enzyme PAT to achieve tolerance to the herbicide glufosinate ammonium.
2. Bt176 Maize from Syngenta Seeds SAS, Chemin de I'Hobit 27, F-31 790 St. Sauveur, France, registration number C/FR/96/05/10. Genetically modified Zea mays which has been rendered resistant to attack by the European corn borer (Ostrinia nubilalis and Sesamia nonagrioides) by transgenic expression of a CrylAb toxin. Bt176 maize also transgenically expresses the enzyme PAT to achieve tolerance to the herbicide glufosinate ammonium.
3. MIR604 Maize from Syngenta Seeds SAS, Chemin de I'Hobit 27, F-31 790 St. Sauveur, France, registration number C/FR/96/05/10. Maize which has been rendered insect-resistant by transgenic expression of a modified Cry3A toxin. This toxin is Cry3A055 modified by insertion of a cathepsin-G- protease recognition sequence. The preparation of such transgenic maize plants is described in WO 03/018810.
4. MON 863 Maize from Monsanto Europe S.A. 270-272 Avenue de Tervuren, B-1150 Brussels, Belgium, registration number C/DE/02/9. MON 863 expresses a Cry3Bb1 toxin and has resistance to certain Coleoptera insects.
5. IPC 531 Cotton from Monsanto Europe S.A. 270-272 Avenue de Tervuren, B-1150 Brussels, Belgium, registration number C/ES/96/02.
6. 1507 Maize from Pioneer Overseas Corporation, Avenue Tedesco, 7 B-1160 Brussels, Belgium, registration number C/NL/00/10. Genetically modified maize for the expression of the protein Cry1 F for achieving resistance to certain Lepidoptera insects and of the PAT protein for achieving tolerance to the herbicide glufosinate ammonium.
7. NK603 x MON 810 Maize from Monsanto Europe S.A. 270-272 Avenue de Tervuren, B-1150 Brussels, Belgium, registration number C/GB/02/M3/03. Consists of conventionally bred hybrid maize varieties by crossing the genetically modified varieties NK603 and MON 810. NK603 x MON 810 Maize transgenically expresses the protein CP4 EPSPS, obtained from Agrobacterium sp. strain CP4, which imparts tolerance to the herbicide Roundup® (contains glyphosate), and also a CrylAb toxin obtained from Bacillus thuringiensis subsp. kurstaki which brings about tolerance to certain Lepidoptera, include the European corn borer.
The compounds of Formula (I) may be used in controlling or preventing phytopathogenic diseases, especially phytopathogenic fungi, such as Botrytis cinerea on Rosaceae, Vitaceae, Solanaceae, Cucurbitaceae and Fabaceae, or Glomerella lagenarium on Cucurbitaceae.
The term “locus” as used herein means fields in or on which plants are growing, or where seeds of cultivated plants are sown, or where seed will be placed into the soil. It includes soil, seeds, and seedlings, as well as established vegetation.
The term “plants” refers to all physical parts of a plant, including seeds, seedlings, saplings, roots, tubers, stems, stalks, foliage, and fruits.
The term “plant propagation material” is understood to denote generative parts of the plant, such as seeds, which can be used for the multiplication of the latter, and vegetative material, such as cuttings or tubers, for example potatoes. There can be mentioned for example seeds (in the strict sense), roots, fruits, tubers, bulbs, rhizomes and parts of plants. Germinated plants and young plants which are to be transplanted after germination or after emergence from the soil, may also be mentioned. These young plants can be protected before transplantation by a total or partial treatment by immersion. Preferably “plant propagation material” is understood to denote seeds.
The compounds of Formula (I) may be used in unmodified form or, preferably, together with the adjuvants conventionally employed in the art of formulation. To this end they may be conveniently Formulated in known manner to emulsifiable concentrates, coatable pastes, directly sprayable or dilutable solutions or suspensions, dilute emulsions, wettable powders, soluble powders, dusts, granulates, and also encapsulations e.g. in polymeric substances. As with the type of the compositions, the methods of application, such as spraying, atomising, dusting, scattering, coating or pouring, are chosen in accordance with the intended objectives and the prevailing circumstances. The compositions may also contain further adjuvants such as stabilizers, antifoams, viscosity regulators, binders or tackifiers as well as fertilizers, micronutrient donors or other formulations for obtaining special effects.
Suitable carriers and adjuvants, e.g. for agricultural use, can be solid or liquid and are substances useful in formulation technology, e.g. natural or regenerated mineral substances, solvents, dispersants, wetting agents, tackifiers, thickeners, binders or fertilizers. Such carriers are for example described in WO 97/33890.
Suspension concentrates are aqueous formulations in which finely divided solid particles of the active compound are suspended. Such formulations include anti-settling agents and dispersing agents and may further include a wetting agent to enhance activity as well an anti-foam and a crystal growth inhibitor. In use, these concentrates are diluted in water and normally applied as a spray to the area to be treated. The amount of active ingredient may range from 0.5% to 95% of the concentrate.
Wettable powders are in the form of finely divided particles which disperse readily in water or other liquid carriers. The particles contain the active ingredient retained in a solid matrix. Typical solid matrices include fuller’s earth, kaolin clays, silicas and other readily wet organic or inorganic solids. Wettable powders normally contain from 5% to 95% of the active ingredient plus a small amount of wetting, dispersing or emulsifying agent.
Emulsifiable concentrates are homogeneous liquid compositions dispersible in water or other liquid and may consist entirely of the active compound with a liquid or solid emulsifying agent, or may also contain a liquid carrier, such as xylene, heavy aromatic naphthas, isophorone and other non-volatile organic solvents. In use, these concentrates are dispersed in water or other liquid and normally applied as a spray to the area to be treated. The amount of active ingredient may range from 0.5% to 95% of the concentrate.
Granular formulations include both extrudates and relatively coarse particles and are usually applied without dilution to the area in which treatment is required. Typical carriers for granular Formulations include sand, fuller’s earth, attapulgite clay, bentonite clays, montmorillonite clay, vermiculite, perlite, calcium carbonate, brick, pumice, pyrophyllite, kaolin, dolomite, plaster, wood flour, ground corn cobs, ground peanut hulls, sugars, sodium chloride, sodium sulphate, sodium silicate, sodium borate, magnesia, mica, iron oxide, zinc oxide, titanium oxide, antimony oxide, cryolite, gypsum, diatomaceous earth, calcium sulphate and other organic or inorganic materials which absorb or which can be coated with the active compound. Granular formulations normally contain 5% to 25% of active ingredients which may include surface-active agents such as heavy aromatic naphthas, kerosene and other petroleum fractions, or vegetable oils; and/or stickers such as dextrins, glue or synthetic resins.
Dusts are free-flowing admixtures of the active ingredient with finely divided solids such as talc, clays, flours and other organic and inorganic solids which act as dispersants and carriers.
Microcapsules are typically droplets or granules of the active ingredient enclosed in an inert porous shell which allows escape of the enclosed material to the surroundings at controlled rates. Encapsulated droplets are typically 1 to 50 microns in diameter. The enclosed liquid typically constitutes 50 to 95% of the weight of the capsule and may include solvent in addition to the active compound. Encapsulated granules are generally porous granules with porous membranes sealing the granule pore openings, retaining the active species in liquid form inside the granule pores. Granules typically range from 1 millimetre to 1 centimetre and preferably 1 to 2 millimetres in diameter. Granules are formed by extrusion, agglomeration or prilling, or are naturally occurring. Examples of such materials are vermiculite, sintered clay, kaolin, attapulgite clay, sawdust and granular carbon. Shell or membrane materials include natural and synthetic rubbers, cellulosic materials, styrene-butadiene copolymers, polyacrylonitriles, polyacrylates, polyesters, polyamides, polyureas, polyurethanes and starch xanthates.
Other useful formulations for agrochemical applications include simple solutions of the active ingredient in a solvent in which it is completely soluble at the desired concentration, such as acetone, alkylated naphthalenes, xylene and other organic solvents. Pressurised sprayers, wherein the active ingredient is dispersed in finely-divided form as a result of vaporisation of a low boiling dispersant solvent carrier, may also be used.
Suitable agricultural adjuvants and carriers that are useful in formulating the compositions of the invention in the formulation types described above are well known to those skilled in the art.
Liquid carriers that can be employed include, for example, water, toluene, xylene, petroleum naphtha, crop oil, acetone, methyl ethyl ketone, cyclohexanone, acetic anhydride, acetonitrile, acetophenone, amyl acetate, 2-butanone, chlorobenzene, cyclohexane, cyclohexanol, alkyl acetates, diacetonalcohol, 1 ,2-dichloropropane, diethanolamine, p-diethylbenzene, diethylene glycol, diethylene glycol abietate, diethylene glycol butyl ether, diethylene glycol ethyl ether, diethylene glycol methyl ether, N,N-dimethyl formamide, dimethyl sulfoxide, 1 ,4-dioxane, dipropylene glycol, dipropylene glycol methyl ether, dipropylene glycol dibenzoate, diproxitol, alkyl pyrrolidinone, ethyl acetate, 2-ethyl hexanol, ethylene carbonate, 1 ,1 ,1-trichloroethane, 2-heptanone, alpha pinene, d-limonene, ethylene glycol, ethylene glycol butyl ether, ethylene glycol methyl ether, gamma-butyrolactone, glycerol, glycerol diacetate,
glycerol monoacetate, glycerol triacetate, hexadecane, hexylene glycol, isoamyl acetate, isobornyl acetate, isooctane, isophorone, isopropyl benzene, isopropyl myristate, lactic acid, laurylamine, mesityl oxide, methoxy-propanol, methyl isoamyl ketone, methyl isobutyl ketone, methyl laurate, methyl octanoate, methyl oleate, methylene chloride, m-xylene, n-hexane, n-octylamine, octadecanoic acid, octyl amine acetate, oleic acid, oleylamine, o-xylene, phenol, polyethylene glycol (PEG400), propionic acid, propylene glycol, propylene glycol monomethyl ether, p-xylene, toluene, triethyl phosphate, triethylene glycol, xylene sulfonic acid, paraffin, mineral oil, trichloroethylene, perchloroethylene, ethyl acetate, amyl acetate, butyl acetate, methanol, ethanol, isopropanol, and higher molecular weight alcohols such as amyl alcohol, tetrahydrofurfuryl alcohol, hexanol, octanol, etc., ethylene glycol, propylene glycol, glycerine and N-methyl-2-pyrrolidinone. Water is generally the carrier of choice for the dilution of concentrates.
Suitable solid carriers include, for example, talc, titanium dioxide, pyrophyllite clay, silica, attapulgite clay, kieselguhr, chalk, diatomaxeous earth, lime, calcium carbonate, bentonite clay, fuller’s earth, cotton seed hulls, wheat flour, soybean flour, pumice, wood flour, walnut shell flour and lignin.
A broad range of surface-active agents are advantageously employed in both said liquid and solid compositions, especially those designed to be diluted with carrier before application. These agents, when used, normally comprise from 0.1 % to 15% by weight of the formulation. They can be anionic, cationic, non-ionic or polymeric in character and can be employed as emulsifying agents, wetting agents, suspending agents or for other purposes. Typical surface active agents include salts of alkyl sulfates, such as diethanolammonium lauryl sulphate; alkylarylsulfonate salts, such as calcium dodecylbenzenesulfonate; alkylphenol-alkylene oxide addition products, such as nonylphenol-C.sub. 18 ethoxylate; alcohol-alkylene oxide addition products, such as tridecyl alcohol-C.sub. 16 ethoxylate; soaps, such as sodium stearate; alkylnaphthalenesulfonate salts, such as sodium dibutylnaphthalenesulfonate; dialkyl esters of sulfosuccinate salts, such as sodium di(2-ethylhexyl) sulfosuccinate; sorbitol esters, such as sorbitol oleate; quaternary amines, such as lauryl trimethylammonium chloride; polyethylene glycol esters of fatty acids, such as polyethylene glycol stearate; block copolymers of ethylene oxide and propylene oxide; and salts of mono and dialkyl phosphate esters.
Other adjuvants commonly utilized in agricultural compositions include crystallisation inhibitors, viscosity modifiers, suspending agents, spray droplet modifiers, pigments, antioxidants, foaming agents, antifoaming agents, light-blocking agents, compatibilizing agents, antifoam agents, sequestering agents, neutralising agents and buffers, corrosion inhibitors, dyes, odorants, spreading agents, penetration aids, micronutrients, emollients, lubricants and sticking agents.
In addition, further, other biocidally active ingredients or compositions may be combined with the compositions of the invention and used in the methods of the invention and applied simultaneously or sequentially with the compositions of the invention. When applied simultaneously, these further active ingredients may be formulated together with the compositions of the invention or mixed in, for example, the spray tank. These further biocidally active ingredients may be fungicides, herbicides, insecticides, bactericides, acaricides, nematicides and/or plant growth regulators.
Pesticidal agents are referred to herein using their common name are known, for example, from "The Pesticide Manual", 15th Ed., British Crop Protection Council 2009.
In addition, the compositions of the invention may also be applied with one or more systemically acquired resistance inducers (“SAR” inducer). SAR inducers are known and described in, for example, United States Patent No. US 6,919,298 and include, for example, salicylates and the commercial SAR inducer acibenzolar-S-methyl.
The compounds of Formula (I) are normally used in the form of agrochemical compositions and can be applied to the crop area or plant to be treated, simultaneously or in succession with further compounds. These further compounds can be e.g. fertilizers or micronutrient donors or other preparations, which influence the growth of plants. They can also be selective herbicides or non-selective herbicides as well as insecticides, fungicides, bactericides, nematicides, molluscicides or mixtures of several of these preparations, if desired together with further carriers, surfactants or application promoting adjuvants customarily employed in the art of formulation.
The compounds of Formula (I) may be used in the form of compositions for controlling or protecting against phytopathogenic microorganisms, comprising as active ingredient at least one compound of Formula (I) or of at least one preferred individual compound as defined herein, in free form or in agrochemically usable salt form, and at least one of the above-mentioned adjuvants.
The invention therefore provides a composition, preferably a fungicidal composition, comprising at least one compound Formula (I) an agriculturally acceptable carrier and optionally an adjuvant. An agricultural acceptable carrier is for example a carrier that is suitable for agricultural use. Agricultural carriers are well known in the art. Preferably said composition may comprise at least one or more pesticidally-active compounds, for example an additional fungicidal active ingredient in addition to the compound of Formula (I).
The following mixtures of the compounds of formula (I) with active ingredients are preferred (where the abbreviation “TX” means “one compound selected from the compounds defined in the Tables A-1 to A- 24 and Table T1”): a compound selected from the group of substances consisting of petroleum oils + TX, 1 ,1-bis(4-chloro- phenyl)-2-ethoxyethanol + TX, 2,4-dichlorophenyl benzenesulfonate + TX, 2-fluoro-N-methyl-N-1- naphthylacetamide + TX, 4-chlorophenyl phenyl sulfone + TX, acetoprole + TX, aldoxycarb + TX, amidithion + TX, amidothioate + TX, amiton + TX, amiton hydrogen oxalate + TX, amitraz + TX, aramite + TX, arsenous oxide + TX, azobenzene + TX, azothoate + TX, benomyl + TX, benoxafos + TX, benzyl benzoate + TX, bixafen + TX, brofenvalerate + TX, bromocyclen + TX, bromophos + TX, bromopropylate + TX, buprofezin + TX, butocarboxim + TX, butoxycarboxim + TX, butylpyridaben + TX, calcium polysulfide + TX, camphechlor + TX, carbanolate + TX, carbophenothion + TX, cymiazole + TX, chino- methionat + TX, chlorbenside + TX, chlordimeform + TX, chlordimeform hydrochloride + TX, chlorfenethol + TX, chlorfenson + TX, chlorfensulfide + TX, chlorobenzilate + TX, chloromebuform + TX, chloromethiuron + TX, chloropropylate + TX, chlorthiophos + TX, cinerin I + TX, cinerin II + TX, cinerins + TX, closantel + TX, coumaphos + TX, crotamiton + TX, crotoxyphos + TX, cufraneb + TX, cyanthoate + TX, DCPM + TX, DDT + TX, demephion + TX, demephion-O + TX, demephion-S + TX, demeton-
methyl + TX, demeton-O + TX, demeton-O-methyl + TX, demeton-S + TX, demeton-S-methyl + TX, demeton-S-methylsulfon + TX, dichlofluanid + TX, dichlorvos + TX, dicliphos + TX, dienochlor + TX, dimefox + TX, dinex + TX, dinex-diclexine + TX, dinocap-4 + TX, dinocap-6 + TX, dinocton + TX, dinopenton + TX, dinosulfon + TX, dinoterbon + TX, dioxathion + TX, diphenyl sulfone + TX, disulfiram + TX, DNOC + TX, dofenapyn + TX, doramectin + TX, endothion + TX, eprinomectin + TX, ethoate-methyl + TX, etrimfos + TX, fenazaflor + TX, fenbutatin oxide + TX, fenothiocarb + TX, fenpyrad + TX, fen- pyroximate + TX, fenpyrazamine + TX, fenson + TX, fentrifanil + TX, flubenzimine + TX, flucycloxuron + TX, fluenetil + TX, fluorbenside + TX, FMC 1137 + TX, formetanate + TX, formetanate hydrochloride + TX, formparanate + TX, gamma-HCH + TX, glyodin + TX, halfenprox + TX, hexadecyl cyclopropanecarboxylate + TX, isocarbophos + TX, jasmolin I + TX, jasmolin II + TX, jodfenphos + TX, lindane + TX, malonoben + TX, mecarbam + TX, mephosfolan + TX, mesulfen + TX, methacrifos + TX, methyl bromide + TX, metolcarb + TX, mexacarbate + TX, milbemycin oxime + TX, mipafox + TX, monocrotophos + TX, morphothion + TX, moxidectin + TX, naled + TX, 4-chloro-2-(2-chloro-2-methyl- propyl)-5-[(6-iodo-3-pyridyl)methoxy]pyridazin-3-one + TX, nifluridide + TX, nikkomycins + TX, nitrilacarb + TX, nitrilacarb 1 :1 zinc chloride complex + TX, omethoate + TX, oxydeprofos + TX, oxydisulfoton + TX, pp'-DDT + TX, parathion + TX, permethrin + TX, phenkapton + TX, phosalone + TX, phosfolan + TX, phosphamidon + TX, polychloroterpenes + TX, polynactins + TX, proclonol + TX, promacyl + TX, propoxur + TX, prothidathion + TX, prothoate + TX, pyrethrin I + TX, pyrethrin II + TX, pyrethrins + TX, pyridaphenthion + TX, pyrimitate + TX, quinalphos + TX, quintiofos + TX, R-1492 + TX, phosglycin + TX, rotenone + TX, schradan + TX, sebufos + TX, selamectin + TX, sophamide + TX, SSI- 121 + TX, sulfiram + TX, sulfluramid + TX, sulfotep + TX, sulfur + TX, diflovidazin + TX, tau-fluvalinate + TX, TEPP + TX, terbam + TX, tetradifon + TX, tetrasul + TX, thiafenox + TX, thiocarboxime + TX, thiofanox + TX, thiometon + TX, thioquinox + TX, thuringiensin + TX, triamiphos + TX, triarathene + TX, triazophos + TX, triazuron + TX, trifenofos + TX, trinactin + TX, vamidothion + TX, vaniliprole + TX, bethoxazin + TX, copper dioctanoate + TX, copper sulfate + TX, cybutryne + TX, dichlone + TX, dichlorophen + TX, endothal + TX, fentin + TX, hydrated lime + TX, nabam + TX, quinoclamine + TX, quinonamid + TX, simazine + TX, triphenyltin acetate + TX, triphenyltin hydroxide + TX, crufomate + TX, piperazine + TX, thiophanate + TX, chloralose + TX, fenthion + TX, pyridin-4-amine + TX, strychnine + TX, 1 -hydroxy-1 H-pyridine-2-thione + TX, 4-(quinoxalin-2-ylamino)benzenesulfonamide + TX, 8- hydroxyquinoline sulfate + TX, bronopol + TX, copper hydroxide + TX, cresol + TX, dipyrithione + TX, dodicin + TX, fenaminosulf + TX, formaldehyde + TX, hydrargaphen + TX, kasugamycin + TX, kasugamycin hydrochloride hydrate + TX, nickel bis(dimethyldithiocarbamate) + TX, nitrapyrin + TX, octhilinone + TX, oxolinic acid + TX, oxytetracycline + TX, potassium hydroxyquinoline sulfate + TX, probenazole + TX, streptomycin + TX, streptomycin sesquisulfate + TX, tecloftalam + TX, thiomersal + TX, Adoxophyes orana GV + TX, Agrobacterium radiobacter + TX, Amblyseius spp. + TX, Anagrapha falcifera NPV + TX, Anagrus atomus + TX, Aphelinus abdominalis + TX, Aphidius colemani + TX, Aphidoletes aphidimyza + TX, Autographa californica NPV + TX, Bacillus sphaericus Neide + TX, Beauveria brongniartii + TX, Chrysoperla carnea + TX, Cryptolaemus montrouzieri + TX, Cydia pomonella GV + TX, Dacnusa sibirica + TX, Diglyphus isaea + TX, Encarsia formosa + TX, Eretmocerus eremicus + TX, Heterorhabditis bacteriophora and H. megidis + TX, Hippodamia convergens + TX, Leptomastix dactylopii + TX, Macrolophus caliginosus + TX, Mamestra brassicae NPV + TX,
Metaphycus helvolus + TX, Metarhizium anisopliae var. acridum + TX, Metarhizium anisopliae var. anisopliae + TX, Neodiprion sertifer NPV and N. lecontei NPV + TX, Orius spp. + TX, Paecilomyces fumosoroseus + TX, Phytoseiulus persimilis + TX, Steinernema bibionis + TX, Steinernema carpocapsae + TX, Steinernema feltiae + TX, Steinernema glaseri + TX, Steinernema riobrave + TX, Steinernema riobravis + TX, Steinernema scapterisci + TX, Steinernema spp. + TX, Trichogramma spp. + TX, Typhlodromus occidentalis + TX , Verticillium lecanii + TX, apholate + TX, bisazir + TX, busulfan + TX, dimatif + TX, hemel + TX, hempa + TX, metepa + TX, methiotepa + TX, methyl apholate + TX, morzid + TX, penfluron + TX, tepa + TX, thiohempa + TX, thiotepa + TX, tretamine + TX, uredepa + TX, (E)-dec-5-en-1-yl acetate with (E)-dec-5-en-1-ol + TX, (E)-tridec-4-en-1-yl acetate + TX, (E)-6- methylhept-2-en-4-ol + TX, (E,Z)-tetradeca-4,10-dien-1-yl acetate + TX, (Z)-dodec-7-en-1-yl acetate + TX, (Z)-hexadec-11-enal + TX, (Z)-hexadec-l 1-en-1-yl acetate + TX, (Z)-hexadec-13-en-11-yn-1-yl acetate + TX, (Z)-icos-13-en-10-one + TX, (Z)-tetradec-7-en-1-al + TX, (Z)-tetradec-9-en-1-ol + TX, (Z)- tetradec-9-en-1-yl acetate + TX, (7E,9Z)-dodeca-7,9-dien-1-yl acetate + TX, (9Z,11 E)-tetradeca-9,11- dien-1-yl acetate + TX, (9Z,12E)-tetradeca-9,12-dien-1-yl acetate + TX, 14-methyloctadec-1-ene + TX, 4-methylnonan-5-ol with 4-methylnonan-5-one + TX, alpha-multistriatin + TX, brevicomin + TX, codlelure + TX, codlemone + TX, cuelure + TX, disparlure + TX, dodec-8-en-1-yl acetate + TX, dodec-9-en-1-yl acetate + TX, dodeca-8 + TX, 10-dien-1 -yl acetate + TX, dominicalure + TX, ethyl 4-methyloctanoate + TX, eugenol + TX, frontalin + TX, grandlure + TX, grandlure I + TX, grandlure II + TX, grandlure III + TX, grandlure IV + TX, hexalure + TX, ipsdienol + TX, ipsenol + TX, japonilure + TX, lineatin + TX, litlure + TX, looplure + TX, medlure + TX, megatomoic acid + TX, methyl eugenol + TX, muscalure + TX, octadeca-2,13-dien-1-yl acetate + TX, octadeca-3,13-dien-1-yl acetate + TX, orfralure + TX, oryctalure + TX, ostramone + TX, siglure + TX, sordidin + TX, sulcatol + TX, tetradec-11-en-1-yl acetate + TX, trimedlure + TX, trimedlure A + TX, trimedlure Bi + TX, trimedlure B2 + TX, trimedlure C + TX, trunc-call + TX, 2-(octylthio)ethanol + TX, butopyronoxyl + TX, butoxy(polypropylene glycol) + TX, dibutyl adipate + TX, dibutyl phthalate + TX, dibutyl succinate + TX, diethyltoluamide + TX, dimethyl carbate + TX, dimethyl phthalate + TX, ethyl hexanediol + TX, hexamide + TX, methoquin-butyl + TX, methylneodecanamide + TX, oxamate + TX, picaridin + TX, 1 -dichloro-1 -nitroethane + TX, 1 ,1-dichloro- 2,2-bis(4-ethylphenyl)ethane + TX, 1 ,2-dichloropropane with 1 ,3-dichloropropene + TX, 1-bromo-2- chloroethane + TX, 2,2,2-trichloro-1-(3,4-dichlorophenyl)ethyl acetate + TX, 2,2-dichlorovinyl 2- ethylsulfinylethyl methyl phosphate + TX, 2-(1 ,3-dithiolan-2-yl)phenyl dimethylcarbamate + TX, 2-(2- butoxyethoxy)ethyl thiocyanate + TX, 2-(4,5-dimethyl-1 ,3-dioxolan-2-yl)phenyl methylcarbamate + TX, 2-(4-chloro-3,5-xylyloxy)ethanol + TX, 2-chlorovinyl diethyl phosphate + TX, 2-imidazolidone + TX, 2- isovalerylindan-1 ,3-dione + TX, 2-methyl(prop-2-ynyl)aminophenyl methylcarbamate + TX, 2- thiocyanatoethyl laurate + TX, 3-bromo-1 -chloroprop-1 -ene + TX, 3-methyl-1-phenylpyrazol-5-yl dimethylcarbamate + TX, 4-methyl(prop-2-ynyl)amino-3,5-xylyl methylcarbamate + TX, 5,5-dimethyl-3- oxocyclohex-1-enyl dimethylcarbamate + TX, acethion + TX, acrylonitrile + TX, aldrin + TX, allosamidin + TX, allyxycarb + TX, alpha-ecdysone + TX, aluminium phosphide + TX, aminocarb + TX, anabasine + TX, athidathion + TX, azamethiphos + TX, Bacillus thuringiensis delta endotoxins + TX, barium hexafluorosilicate + TX, barium polysulfide + TX, barthrin + TX, Bayer 22/190 + TX, Bayer 22408 + TX, beta-cyfluthrin + TX, beta-cypermethrin + TX, bioethanomethrin + TX, biopermethrin + TX, bis(2- chloroethyl) ether + TX, borax + TX, bromfenvinfos + TX, bromo-DDT + TX, bufencarb + TX, butacarb
+ TX, butathiofos + TX, butonate + TX, calcium arsenate + TX, calcium cyanide + TX, carbon disulfide + TX, carbon tetrachloride + TX, cartap hydrochloride + TX, cevadine + TX, chlorbicyclen + TX, chlordane + TX, chlordecone + TX, chloroform + TX, chloropicrin + TX, chlorphoxim + TX, chlorprazophos + TX, cis-resmethrin + TX, cismethrin + TX, clocythrin + TX, copper acetoarsenite + TX, copper arsenate + TX, copper oleate + TX, coumithoate + TX, cryolite + TX, CS 708 + TX, cyanofenphos + TX, cyanophos + TX, cyclethrin + TX, cythioate + TX, d-tetramethrin + TX, DAEP + TX, dazomet + TX, decarbofuran + TX, diamidafos + TX, dicapthon + TX, dichlofenthion + TX, dicresyl + TX, dicyclanil + TX, dieldrin + TX, diethyl 5-methylpyrazol-3-yl phosphate + TX, dilor + TX, dimefluthrin + TX, dimetan + TX, dimethrin + TX, dimethylvinphos + TX, dimetilan + TX, dinoprop + TX, dinosam + TX, dinoseb + TX, diofenolan + TX, dioxabenzofos + TX, dithicrofos + TX, DSP + TX, ecdysterone + TX, El 1642 + TX, EMPC + TX, EPBP + TX, etaphos + TX, ethiofencarb + TX, ethyl formate + TX, ethylene dibromide + TX, ethylene dichloride + TX, ethylene oxide + TX, EXD + TX, fenchlorphos + TX, fenethacarb + TX, fenitrothion + TX, fenoxacrim + TX, fenpirithrin + TX, fensulfothion + TX, tenth ion-ethyl + TX, flucofuron + TX, fosmethilan + TX, fospirate + TX, fosthietan + TX, furathiocarb + TX, furethrin + TX, guazatine + TX, guazatine acetates + TX, sodium tetrathiocarbonate + TX, halfenprox + TX, HCH + TX, HEOD + TX, heptachlor + TX, heterophos + TX, HHDN + TX, hydrogen cyanide + TX, hyquincarb + TX, IPSP + TX, isazofos + TX, isobenzan + TX, isodrin + TX, isofenphos + TX, isolane + TX, isoprothiolane + TX, isoxathion + TX, juvenile hormone I + TX, juvenile hormone II + TX, juvenile hormone III + TX, kelevan + TX, kinoprene + TX, lead arsenate + TX, leptophos + TX, lirimfos + TX, lythidathion + TX, m-cumenyl methylcarbamate + TX, magnesium phosphide + TX, mazidox + TX, mecarphon + TX, menazon + TX, mercurous chloride + TX, mesulfenfos + TX, metam + TX, metam-potassium + TX, metam-sodium + TX, methanesulfonyl fluoride + TX, methocrotophos + TX, methoprene + TX, methothrin + TX, methoxychlor + TX, methyl isothiocyanate + TX, methylchloroform + TX, methylene chloride + TX, metoxadiazone + TX, mirex + TX, naftalofos + TX, naphthalene + TX, NC-170 + TX, nicotine + TX, nicotine sulfate + TX, nithiazine + TX, nornicotine + TX, 0-5-dichloro-4-iodophenyl O-ethyl ethylphosphonothioate + TX, O,O-diethyl 0-4-methyl-2-oxo-2H-chromen-7-yl phosphorothioate + TX, O,O-diethyl 0-6-methyl-2-propylpyrimidin-4-yl phosphorothioate + TX, 0,0,0',0'-tetrapropyl dithiopyrophosphate + TX, oleic acid + TX, para-dichlorobenzene + TX, parathion-methyl + TX, pentachlorophenol + TX, pentachlorophenyl laurate + TX, PH 60-38 + TX, phenkapton + TX, phosnichlor + TX, phosphine + TX, phoxim-methyl + TX, pirimetaphos + TX, polychlorodicyclopentadiene isomers + TX, potassium arsenite + TX, potassium thiocyanate + TX, precocene I + TX, precocene II + TX, precocene III + TX, primidophos + TX, profluthrin + TX, promecarb + TX, prothiofos + TX, pyrazophos + TX, pyresmethrin + TX, quassia + TX, quinalphos-methyl + TX, quinothion + TX, rafoxanide + TX, resmethrin + TX, rotenone + TX, kadethrin + TX, ryania + TX, ryanodine + TX, sabadilla + TX, schradan + TX, sebufos + TX, SI-0009 + TX, thiapronil + TX, sodium arsenite + TX, sodium cyanide + TX, sodium fluoride + TX, sodium hexafluorosilicate + TX, sodium pentachlorophenoxide + TX, sodium selenate + TX, sodium thiocyanate + TX, sulcofuron + TX, sulcofuron-sodium + TX, sulfuryl fluoride + TX, sulprofos + TX, tar oils + TX, tazimcarb + TX, TDE + TX, tebupirimfos + TX, temephos + TX, terallethrin + TX, tetrachloroethane + TX, thicrofos + TX, thiocyclam + TX, thiocyclam hydrogen oxalate + TX, thionazin + TX, thiosultap + TX, thiosultap-sodium + TX, tralomethrin + TX, transpermethrin + TX, triazamate + TX, trichlormetaphos-3 + TX, trichloronat + TX, trimethacarb + TX, tolprocarb + TX, triclopyricarb + TX,
triprene + TX, veratridine + TX, veratrine + TX, XMC + TX, zetamethrin + TX, zinc phosphide + TX, zolaprofos + TX, meperfluthrin + TX, tetramethylfluthrin + TX, bis(tributyltin) oxide + TX, bromoacetamide + TX, ferric phosphate + TX, niclosamide-olamine + TX, tributyltin oxide + TX, pyrimorph + TX, trifenmorph + TX, 1 ,2-dibromo-3-chloropropane + TX, 1 ,3-dichloropropene + TX, 3,4- dichlorotetrahydrothiophene 1 ,1-dioxide + TX, 3-(4-chlorophenyl)-5-methylrhodanine + TX, 5-methyl-6- thioxo-1 ,3,5-thiadiazinan-3-ylacetic acid + TX, 6-isopentenylaminopurine + TX, anisiflupurin + TX, benclothiaz + TX, cytokinins + TX, DCIP + TX, furfural + TX, isamidofos + TX, kinetin + TX, Myrothecium verrucaria composition + TX, tetrachlorothiophene + TX, xylenols + TX, zeatin + TX, potassium ethylxanthate + TX .acibenzolar + TX, acibenzolar-S-methyl + TX, Reynoutria sachalinensis extract + TX, alpha-chlorohydrin + TX, antu + TX, barium carbonate + TX, bisthiosemi + TX, brodifacoum + TX, bromadiolone + TX, bromethalin + TX, chlorophacinone + TX, cholecalciferol + TX, coumachlor + TX, coumafuryl + TX, coumatetralyl + TX, crimidine + TX, difenacoum + TX, difethialone + TX, diphacinone + TX, ergocalciferol + TX, flocoumafen + TX, fluoroacetamide + TX, flupropadine + TX, flupropadine hydrochloride + TX, norbormide + TX, phosacetim + TX, phosphorus + TX, pindone + TX, pyrinuron + TX, scilliroside + TX, sodium fluoroacetate + TX, thallium sulfate + TX, warfarin + TX, 2-(2- butoxyethoxy)ethyl piperonylate + TX, 5-(1 ,3-benzodioxol-5-yl)-3-hexylcyclohex-2-enone + TX, farnesol with nerolidol + TX, verbutin + TX, MGK 264 + TX, piperonyl butoxide + TX, piprotal + TX, propyl isomer + TX, S421 + TX, sesamex + TX, sesasmolin + TX, sulfoxide + TX, anthraquinone + TX, copper naphthenate + TX, copper oxychloride + TX, dicyclopentadiene + TX, thiram + TX, zinc naphthenate + TX, ziram + TX, imanin + TX, ribavirin + TX, chloroinconazide + TX, mercuric oxide + TX, thiophanate- methyl + TX, azaconazole + TX, bitertanol + TX, bromuconazole + TX, cyproconazole + TX, difenoconazole + TX, diniconazole + TX, epoxiconazole + TX, fenbuconazole + TX, fluquinconazole + TX, flusilazole + TX, flutriafol + TX, furametpyr + TX, hexaconazole + TX, imazalil + TX, imibenconazole + TX, ipconazole + TX, metconazole + TX, myclobutanil + TX, paclobutrazole + TX, pefurazoate + TX, penconazole + TX, prothioconazole + TX, pyrifenox + TX, prochloraz + TX, propiconazole + TX, pyrisoxazole + TX, simeconazole + TX, tebuconazole + TX, tetraconazole + TX, triadimefon + TX, triadimenol + TX, triflumizole + TX, triticonazole + TX, ancymidol + TX, fenarimol + TX, nuarimol + TX, bupirimate + TX, dimethirimol + TX, ethirimol + TX, dodemorph + TX, fenpropidin + TX, fenpropimorph + TX, spiroxamine + TX, tridemorph + TX, cyprodinil + TX, mepanipyrim + TX, pyrimethanil + TX, fenpiclonil + TX, fludioxonil + TX, benalaxyl + TX, furalaxyl + TX, metalaxyl -+ TX, Rmetalaxyl + TX, ofurace + TX, oxadixyl + TX, carbendazim + TX, debacarb + TX, fuberidazole + TX, thiabendazole + TX, chlozolinate + TX, dichlozoline + TX, myclozoline + TX, procymidone + TX, vinclozoline + TX, boscalid + TX, carboxin + TX, fenfuram + TX, flutolanil + TX, mepronil + TX, oxycarboxin + TX, penthiopyrad + TX, thifluzamide + TX, dodine + TX, iminoctadine + TX, azoxystrobin + TX, dimoxystrobin + TX, enestroburin + TX, fenaminstrobin + TX, flufenoxystrobin + TX, fluoxastrobin + TX, kresoxim- methyl + TX, metominostrobin + TX, trifloxystrobin + TX, orysastrobin + TX, picoxystrobin + TX, pyraclostrobin + TX, pyrametostrobin + TX, pyraoxystrobin + TX, ferbam + TX, mancozeb + TX, maneb + TX, metiram + TX, propineb + TX, zineb + TX, captafol + TX, captan + TX, fluoroimide + TX, folpet + TX, tolylfluanid + TX, bordeaux mixture + TX, copper oxide + TX, mancopper + TX, oxine-copper + TX, nitrothal-isopropyl + TX, edifenphos + TX, iprobenphos + TX, phosdiphen + TX, tolclofos-methyl + TX, anilazine + TX, benthiavalicarb + TX, blasticidin-S + TX, chloroneb + TX, chlorothalonil + TX,
cyflufenamid + TX, cymoxanil + TX, cyclobutrifluram + TX, diclocymet + TX, diclomezine + TX, dicloran + TX, diethofencarb + TX, dimethomorph + TX, flumorph + TX, dithianon + TX, ethaboxam + TX, etridiazole + TX, famoxadone + TX, fenamidone + TX, fenoxanil + TX, ferimzone + TX, fluazinam + TX, flumetylsulforim + TX, fluopicolide + TX, fluoxytioconazole + TX, flusulfamide + TX, fluxapyroxad + TX, fenhexamid + TX, fosetyl-aluminium + TX, hymexazol + TX, iprovalicarb + TX, cyazofamid + TX, methasulfocarb + TX, metrafenone + TX, pencycuron + TX, phthalide + TX, polyoxins + TX, propamocarb + TX, pyribencarb + TX, proquinazid + TX, pyroquilon + TX, pyriofenone + TX, quinoxyfen + TX, quintozene + TX, tiadinil + TX, triazoxide + TX, tricyclazole + TX, triforine + TX, validamycin + TX, valifenalate + TX, zoxamide + TX, mandipropamid + TX, flubeneteram + TX, isopyrazam + TX, sedaxane + TX, benzovindiflupyr + TX, pydiflumetofen + TX, 3-difluoromethyl-1-methyl-1 H-pyrazole-4-carboxylic acid (3',4',5'-trifluoro-biphenyl-2-yl)-amide + TX, isoflucypram + TX, isotianil + TX, dipymetitrone + TX, 6-ethyl-5,7-dioxo-pyrrolo[4,5][1 ,4]d ith iino[1 ,2-c]isothiazole-3-carbonitrile + TX, 2-(difluoromethyl)-N-[3- ethyl-1 ,1-dimethyl-indan-4-yl]pyridine-3-carboxamide + TX, 4-(2,6-difluorophenyl)-6-methyl-5-phenyl- pyridazine-3-carbonitrile + TX, (R)-3-(difluoromethyl)-1-methyl-N-[1 ,1 ,3-trimethylindan-4-yl]pyrazole-4- carboxamide + TX, 4-(2-bromo-4-fluoro-phenyl)-N-(2-chloro-6-fluoro-phenyl)-2,5-dimethyl-pyrazol-3- amine + TX, 4- (2- bromo- 4- fluorophenyl) - N- (2- chloro- 6- fluorophenyl) - 1 , 3- dimethyl- 1 H- pyrazol- 5- amine + TX, fluindapyr + TX, coumethoxystrobin (jiaxiangjunzhi) + TX, Ivbenmixianan + TX, dichlobentiazox + TX, mandestrobin + TX, 3-(4,4-difluoro-3,4-dihydro-3,3-dimethylisoquinolin-1- yl)quinolone + TX, 2-[2-fluoro-6-[(8-fluoro-2-methyl-3-quinolyl)oxy]phenyl]propan-2-ol + TX, oxathiapiprolin + TX, tert-butyl N-[6-[[[(1-methyltetrazol-5-yl)-phenyl-methylene]amino]oxymethyl]-2- pyridyl]carbamate + TX, pyraziflumid + TX, inpyrfluxam + TX, trolprocarb + TX, mefentrifluconazole + TX, ipfentrifluconazole+ TX, 2-(difluoromethyl)-N-[(3R)-3-ethyl-1 ,1-dimethyl-indan-4-yl]pyridine-3- carboxamide + TX, N'-(2,5-dimethyl-4-phenoxy-phenyl)-N-ethyl-N-methyl-formamidine + TX, N'-[4-(4,5- dichlorothiazol-2-yl)oxy-2,5-dimethyl-phenyl]-N-ethyl-N-methyl-formamidine + TX, [2-[3-[2-[1-[2-[3,5- bis(difluoromethyl)pyrazol-1-yl]acetyl]-4-piperidyl]thiazol-4-yl]-4,5-dihydroisoxazol-5-yl]-3-chloro- phenyl] methanesulfonate + TX, but-3-ynyl N-[6-[[(Z)-[(1-methyltetrazol-5-yl)-phenyl- methylene]amino]oxymethyl]-2-pyridyl]carbamate + TX, methyl N-[[5-[4-(2,4-dimethylphenyl)triazol-2- yl]-2-methyl-phenyl]methyl]carbamate + TX, 3-chloro-6-methyl-5-phenyl-4-(2,4,6- trifluorophenyl)pyridazine + TX, pyridachlometyl + TX, 3-(difluoromethyl)-1-methyl-N-[1 ,1 ,3- trimethylindan-4-yl]pyrazole-4-carboxamide + TX, 1 -[2-[[1 -(4-chlorophenyl)pyrazol-3-yl]oxymethyl]-3- methyl-phenyl]-4-methyl-tetrazol-5-one + TX, 1-methyl-4-[3-methyl-2-[[2-methyl-4-(3,4,5- trimethylpyrazol-1-yl)phenoxy]methyl]phenyl]tetrazol-5-one + TX, aminopyrifen + TX, ametoctradin + TX, amisulbrom + TX, penflufen + TX, (Z,2E)-5-[1-(4-chlorophenyl)pyrazol-3-yl]oxy-2-methoxyimino- N,3-dimethyl-pent-3-enamide + TX, florylpicoxamid + TX, fenpicoxamid + TX, metarylpicoxamid + TX, tebufloquin + TX, ipflufenoquin + TX, quinofumelin + TX, isofetamid + TX, ethyl 1-[[4-[[2-(trifluoromethyl)- 1 ,3-dioxolan-2-yl]methoxy]phenyl]methyl]pyrazole-3-carboxylate + TX (may be prepared from the methods described in WO 2020/056090), ethyl 1-[[4-[(Z)-2-ethoxy-3,3,3-trifluoro-prop-1- enoxy]phenyl]methyl]pyrazole-3-carboxylate + TX (may be prepared from the methods described in WO 2020/056090), methyl N-[[4-[1-(4-cyclopropyl-2,6-difluoro-phenyl)pyrazol-4-yl]-2-methyl- phenyl]methyl]carbamate + TX (may be prepared from the methods described in WO 2020/097012), methyl N-[[4-[1 -(2,6-difluoro-4-isopropyl-phenyl)pyrazol-4-yl]-2-methyl-phenyl]methyl]carbamate + TX
(may be prepared from the methods described in WO 2020/097012), 6-chloro-3-(3-cyclopropyl-2-fluoro- phenoxy)-N-[2-(2,4-dimethylphenyl)-2,2-difluoro-ethyl]-5-methyl-pyridazine-4-carboxamide + TX (may be prepared from the methods described in WO 2020/109391), 6-chloro-N-[2-(2-chloro-4-methyl- phenyl)-2,2-difluoro-ethyl]-3-(3-cyclopropyl-2-fluoro-phenoxy)-5-methyl-pyridazine-4-carboxamide + TX (may be prepared from the methods described in WO 2020/109391), 6-chloro-3-(3-cyclopropyl-2-fluoro- phenoxy)-N-[2-(3,4-dimethylphenyl)-2,2-difluoro-ethyl]-5-methyl-pyridazine-4-carboxamide + TX (may be prepared from the methods described in WO 2020/109391), N-[2-[2, 4-dichloro-phenoxy]phenyl]-3- (difluoromethyl)-1-methyl-pyrazole-4-carboxamide + TX, N-[2-[2-chloro-4-
(trifluoromethyl)phenoxy]phenyl]-3-(difluoromethyl)-1 -methyl-pyrazole-4-carboxamide + TX, benzothiostrobin + TX, phenamacril + TX, 5-amino-1 ,3,4-thiadiazole-2-thiol zinc salt (2:1) + TX, fluopyram + TX, flufenoxadiazam + TX, flutianil + TX, fluopimomide + TX, pyrapropoyne + TX, picarbutrazox + TX, 2-(difluoromethyl)-N-(3-ethyl-1 ,1-dimethyl-indan-4-yl)pyridine-3-carboxamide + TX,
2- (difluoromethyl) - N- ((3R) - 1 , 1 , 3- trimethylindan- 4- yl) pyridine- 3- carboxamide + TX, 4-[[6-[2-(2,4- difluorophenyl)-1 ,1-difluoro-2-hydroxy-3-(1 ,2,4-triazol-1-yl)propyl]-3-pyridyl]oxy]benzonitrile + TX, metyltetraprole + TX, 2-(difluoromethyl)-N-((3R)-1 ,1 ,3-trimethylindan-4-yl)pyridine-3-carboxamide + TX, a-(1 ,1-dimethylethyl)-a-[4'-(trifluoromethoxy)[1 ,1 '-biphenyl]-4-yl]-5-pyrimidinemethanol + TX, fluoxapiprolin + TX, enoxastrobin + TX, 4-[[6-[2-(2,4-difluorophenyl)-1 ,1-difluoro-2-hydroxy-3-(1 ,2,4- triazol-1-yl)propyl]-3-pyridyl]oxy] benzonitrile + TX, 4-[[6-[2-(2,4-difluorophenyl)-1 ,1-difluoro-2-hydroxy-
3-(5-sulfanyl-1 ,2,4-triazol-1-yl)propyl]-3-pyridyl]oxy] benzonitrile + TX, 4-[[6-[2-(2,4-difluorophenyl)-1 ,1- difluoro-2-hydroxy-3-(5-thioxo-4H-1 ,2,4-triazol-1-yl)propyl]-3-pyridyl]oxy]benzonitrile + TX, trinexapac + TX, coumoxystrobin + TX, zhongshengmycin + TX, thiodiazole copper + TX, zinc thiazole + TX, amectotractin + TX, iprodione + TX, seboctylamine + TX; N'-[5-bromo-2-methyl-6-[(1 S)-1-methyl-2- propoxy-ethoxy]-3-pyridyl]-N-ethyl-N-methyl-formamidine + TX, N'-[5-bromo-2-methyl-6-[(1 R)-1-methyl- 2-propoxy-ethoxy]-3-pyridyl]-N-ethyl-N-methyl-formamidine + TX, N'-[5-bromo-2-methyl-6-(1 -methyl-2- propoxy-ethoxy)-3-pyridyl]-N-ethyl-N-methyl-formamidine + TX, N'-[5-chloro-2-methyl-6-(1-methyl-2- propoxy-ethoxy)-3-pyridyl]-N-ethyl-N-methyl-formamidine + TX, N'-[5-bromo-2-methyl-6-(1-methyl-2- propoxy-ethoxy)-3-pyridyl]-N-isopropyl-N-methyl-formamidine + TX (these compounds may be prepared from the methods described in WO2015/155075); N'-[5-bromo-2-methyl-6-(2- propoxypropoxy)-3-pyridyl]-N-ethyl-N-methyl-formamidine + TX (this compound may be prepared from the methods described in IPCOM000249876D); N-isopropyl-N’-[5-methoxy-2-methyl-4-(2,2,2-trifluoro- 1 -hydroxy-1 -phenyl-ethyl)phenyl]-N-methyl-formamidine+ TX, N’-[4-(1 -cyclopropyl-2,2,2-trifluoro-1 - hydroxy-ethyl)-5-methoxy-2-methyl-phenyl]-N-isopropyl-N-methyl-formamidine + TX (these compounds may be prepared from the methods described in WO2018/228896); N-ethyl-N’-[5-methoxy-2-methyl-4- [(2-trifluoromethyl)oxetan-2-yl]phenyl]-N-methyl-formamidine + TX, N-ethyl-N’-[5-methoxy-2-methyl-4- [(2-trifuoromethyl)tetrahydrofuran-2-yl]phenyl]-N-methyl-formamidine + TX (these compounds may be prepared from the methods described in WO2019/110427); N-[(1 R)-1-benzyl-3-chloro-1-methyl-but-3- enyl]-8-fluoro-quinoline-3-carboxamide + TX, N-[(1 S)-1 -benzyl-3-chloro-1 -methyl-but-3-enyl]-8-fluoro- quinoline-3-carboxamide + TX, N-[(1 R)-1 -benzyl-3,3,3-trifluoro-1 -methyl-propyl]-8-fluoro-quinoline-3- carboxamide + TX, N-[(1 S)-1-benzyl-3,3,3-trifluoro-1-methyl-propyl]-8-fluoro-quinoline-3-carboxamide + TX, N-[(1 R)-1-benzyl-1 ,3-dimethyl-butyl]-7,8-difluoro-quinoline-3-carboxamide + TX, N-[(1 S)-1-benzyl- 1 ,3-dimethyl-butyl]-7,8-difluoro-quinoline-3-carboxamide + TX, 8-fluoro-N-[(1 R)-1-[(3-
fluorophenyl)methyl]-1 ,3-dimethyl-butyl]quinoline-3-carboxamide + TX, 8-fluoro-N-[(1 S)-1-[(3- fluorophenyl)methyl]-1 ,3-dimethyl-butyl]quinoline-3-carboxamide + TX, N-[(1 R)-1 -benzyl- 1 ,3-dimethyl- butyl]-8-fluoro-quinoline-3-carboxamide + TX, N-[(1 S)-1-benzyl-1 ,3-dimethyl-butyl]-8-fluoro-quinoline-3- carboxamide + TX, N-((1 R)-1-benzyl-3-chloro-1-methyl-but-3-enyl)-8-fluoro-quinoline-3-carboxamide + TX, N-((1 S)-1-benzyl-3-chloro-1-methyl-but-3-enyl)-8-fluoro-quinoline-3-carboxamide + TX (these compounds may be prepared from the methods described in WO2017/153380); 1-(6,7- dimethylpyrazolo[1 ,5-a]pyridin-3-yl)-4,4,5-trifluoro-3,3-dimethyl-isoquinoline + TX, 1-(6,7- dimethylpyrazolo[1 ,5-a]pyridin-3-yl)-4,4,6-trifluoro-3,3-dimethyl-isoquinoline + TX, 4,4-difluoro-3,3- dimethyl-1-(6-methylpyrazolo[1 ,5-a]pyridin-3-yl)isoquinoline + TX, 4,4-difluoro-3,3-dimethyl-1-(7- methylpyrazolo[1 ,5-a]pyridin-3-yl)isoquinoline + TX, 1-(6-chloro-7-methyl-pyrazolo[1 ,5-a]pyridin-3-yl)-
4.4-difluoro-3,3-dimethyl-isoquinoline + TX (these compounds may be prepared from the methods described in WO2017/025510); 1-(4,5-dimethylbenzimidazol-1-yl)-4,4,5-trifluoro-3,3-dimethyl- isoquinoline + TX, 1-(4,5-dimethylbenzimidazol-1-yl)-4,4-difluoro-3,3-dimethyl-isoquinoline + TX, 6- chloro-4,4-difluoro-3,3-dimethyl-1 -(4-methylbenzimidazol-1 -y I) isoq u inol i n e + TX, 4,4-difluoro-1 -(5- fluoro-4-methyl-benzimidazol-1 -yl)-3,3-dimethyl-isoquinoline + TX, 3-(4,4-difluoro-3,3-dimethyl-1 - isoquinolyl)-7,8-dihydro-6H-cyclopenta[e]benzimidazole + TX (these compounds may be prepared from the methods described in WO2016/156085); N-methoxy-N-[[4-[5-(trifluoromethyl)-1 ,2,4-oxadiazol-3- yl]phenyl]methyl]cyclopropanecarboxamide + TX, N,2-dimethoxy-N-[[4-[5-(trifluoromethyl)-1 ,2,4- oxadiazol-3-yl]phenyl]methyl]propanamide + TX, N-ethyl-2-methyl-N-[[4-[5-(trifluoromethyl)-1 ,2,4- oxadiazol-3-yl]phenyl]methyl]propanamide + TX, 1-methoxy-3-methyl-1-[[4-[5-(trifluoromethyl)-1 ,2,4- oxadiazol-3-yl]phenyl]methyl]urea + TX, 1 ,3-dimethoxy-1-[[4-[5-(trifluoromethyl)-1 ,2,4-oxadiazol-3- yl]phenyl]methyl]urea + TX, 3-ethyl-1-methoxy-1-[[4-[5-(trifluoromethyl)-1 ,2,4-oxadiazol-3- yl]phenyl]methyl]urea + TX, N-[[4-[5-(trifluoromethyl)-1 ,2,4-oxadiazol-3-yl]phenyl]methyl]propanamide + TX, 4,4-dimethyl-2-[[4-[5-(trifluoromethyl)-1 ,2,4-oxadiazol-3-yl]phenyl]methyl]isoxazolidin-3-one + TX,
5.5-dimethyl-2-[[4-[5-(trifluoromethyl)-1 ,2,4-oxadiazol-3-yl]phenyl]methyl]isoxazolidin-3-one + TX, ethyl 1-[[4-[5-(trifluoromethyl)-1 ,2,4-oxadiazol-3-yl]phenyl]methyl]pyrazole-4-carboxylate + TX, N,N-dimethyl- 1-[[4-[5-(trifluoromethyl)-1 ,2,4-oxadiazol-3-yl]phenyl]methyl]-1 ,2,4-triazol-3-amine + TX. The compounds in this paragraph may be prepared from the methods described in WO 2017/055473, WO 2017/055469, WO 2017/093348 and WO 2017/118689; 2-[6-(4-chlorophenoxy)-2-(trifluoromethyl)-3- pyridyl]-1-(1 ,2,4-triazol-1-yl)propan-2-ol + TX (this compound may be prepared from the methods described in WO 2017/029179); 2-[6-(4-bromophenoxy)-2-(trifluoromethyl)-3-pyridyl]-1-(1 ,2,4-triazol-1- yl)propan-2-ol + TX (this compound may be prepared from the methods described in WO 2017/029179); 3-[2-(1-chlorocyclopropyl)-3-(2-fluorophenyl)-2-hydroxy-propyl]imidazole-4-carbonitrile + TX (this compound may be prepared from the methods described in WO 2016/156290); 3-[2-(1- chlorocyclopropyl)-3-(3-chloro-2-fluoro-phenyl)-2-hydroxy-propyl]imidazole-4-carbonitrile + TX (this compound may be prepared from the methods described in WO 2016/156290); (4- phenoxyphenyl)methyl 2-amino-6-methyl-pyridine-3-carboxylate + TX (this compound may be prepared from the methods described in WO 2014/006945); 2,6-Dimethyl-1 H,5H-[1 ,4]dithiino[2,3-c:5,6- c']dipyrrole-1 ,3,5,7(2H,6H)-tetrone + TX (this compound may be prepared from the methods described in WO 2011/138281); N-methyl-4-[5-(trifluoromethyl)-1 ,2,4-oxadiazol-3-yl]benzenecarbothioamide + TX; N-methyl-4-[5-(trifluoromethyl)-1 ,2,4-oxadiazol-3-yl]benzamide + TX; (Z,2E)-5-[1-(2,4-
dichlorophenyl)pyrazol-3-yl]oxy-2-methoxyimino-N,3-dimethyl-pent-3-enamide + TX (this compound may be prepared from the methods described in WO 2018/153707); N'-(2-chloro-5-methyl-4-phenoxy- phenyl)-N-ethyl-N-methyl-formamidine + TX; N'-[2-chloro-4-(2-fluorophenoxy)-5-methyl-phenyl]-N- ethyl-N-methyl-formamidine + TX (this compound may be prepared from the methods described in WO 2016/202742); 2-(difluoromethyl)-N-[(3S)-3-ethyl-1 ,1-dimethyl-indan-4-yl]pyridine-3-carboxamide + TX (this compound may be prepared from the methods described in WO 2014/095675); (5-methyl-2- pyridyl)-[4-[5-(trifluoromethyl)-1 ,2,4-oxadiazol-3-yl]phenyl]methanone + TX, (3-methylisoxazol-5-yl)-[4- [5-(trifluoromethyl)-1 ,2,4-oxadiazol-3-yl]phenyl]methanone + TX (these compounds may be prepared from the methods described in WO 2017/220485); 2-oxo-N-propyl-2-[4-[5-(trifluoromethyl)-1 ,2,4- oxadiazol-3-yl]phenyl]acetamide + TX (this compound may be prepared from the methods described in WO 2018/065414); ethyl 1-[[5-[5-(trifluoromethyl)-1 ,2,4-oxadiazol-3-yl]-2-thienyl]methyl]pyrazole-4- carboxylate + TX (this compound may be prepared from the methods described in WO 2018/158365); 2,2-difluoro-N-methyl-2-[4-[5-(trifluoromethyl)-1 ,2,4-oxadiazol-3-yl]phenyl]acetamide + TX, N-[(E)- methoxyiminomethyl]-4-[5-(trifluoromethyl)-1 ,2,4-oxadiazol-3-yl]benzamide + TX, N-[(Z)- methoxyiminomethyl]-4-[5-(trifluoromethyl)-1 ,2,4-oxadiazol-3-yl]benzamide + TX, N-[N-methoxy-C- methyl-carbonimidoyl]-4-[5-(trifluoromethyl)-1 ,2,4-oxadiazol-3-yl]benzamide + TX (these compounds may be prepared from the methods described in WO 2018/202428).
The references in brackets behind the active ingredients, e.g. [3878-19-1] refer to the Chemical Abstracts Registry number. The above described mixing partners are known. Where the active ingredients are included in "The Pesticide Manual" [The Pesticide Manual - A World Compendium; Thirteenth Edition; Editor: C. D. S. TomLin; The British Crop Protection Council], they are described therein under the entry number given in round brackets hereinabove for the particular compound; for example, the compound "abamectin" is described under entry number (1). Where "[CCN]" is added hereinabove to the particular compound, the compound in question is included in the "Compendium of Pesticide Common Names", which is accessible on the internet [A. Wood; Compendium of Pesticide Common Names, Copyright © 1995-2004]; for example, the compound "acetoprole" is described under the internet address http://www.alanwood.net/pesticides/acetoprole.html.
Most of the active ingredients described above are referred to hereinabove by a so-called "common name", the relevant "ISO common name" or another "common name" being used in individual cases. If the designation is not a "common name", the nature of the designation used instead is given in round brackets for the particular compound; in that case, the IUPAC name, the lUPAC/Chemical Abstracts name, a "chemical name", a "traditional name", a "compound name" or a "develoment code" is used or, if neither one of those designations nor a "common name" is used, an "alternative name" is employed. “CAS Reg. No” means the Chemical Abstracts Registry Number.
The active ingredient mixture of the compounds of formula (I) selected from one compound as represented in Tables A-1 to A-24 (below), or a compound 1.1 to 1.10 listed in Table T1 (below), is preferably in a mixing ratio of from 100:1 to 1 :6000, especially from 50:1 to 1 :50, more especially in a ratio of from 20:1 to 1 :20, even more especially from 10:1 to 1 :10, very especially from 5:1 and 1 :5, special preference being given to a ratio of from 2:1 to 1 :2, and a ratio of from 4:1 to 2:1 being likewise preferred, above all in a ratio of 1 :1 , or 5:1 , or 5:2, or 5:3, or 5:4, or 4:1 , or 4:2, or 4:3, or 3:1 , or 3:2, or
2:1 , or 1 :5, or 2:5, or 3:5, or 4:5, or 1 :4, or 2:4, or 3:4, or 1 :3, or 2:3, or 1 :2, or 1 :600, or 1 :300, or 1 :150, or 1 :35, or 2:35, or 4:35, or 1 :75, or 2:75, or 4:75, or 1 :6000, or 1 :3000, or 1 :1500, or 1 :350, or 2:350, or 4:350, or 1 :750, or 2:750, or 4:750. Those mixing ratios are by weight.
The mixtures as described above can be used in a method for controlling pests, which comprises applying a composition comprising a mixture as described above to the pests or their environment, with the exception of a method for treatment of the human or animal body by surgery or therapy and diagnostic methods practised on the human or animal body.
The mixtures comprising a compound as represented in Tables A-1 to A-24 (below), or a compound listed in Table T1 (below), and one or more active ingredients as described above can be applied, for example, in a single “ready-mix” form, in a combined spray mixture composed from separate formulations of the single active ingredient components, such as a “tank-mix”, and in a combined use of the single active ingredients when applied in a sequential manner, i.e. one after the other with a reasonably short period, such as a few hours or days. The order of applying a compound as represented in in Tables A-1 to A-24 (below), or a compound listed in Table T1 (below) and the active ingredient(s) as described above, is not essential for working the present invention.
The compounds of the invention may also be used in combination with anthelmintic agents. Such anthelmintic agents include, compounds selected from the macrocyclic lactone class of compounds such as ivermectin, avermectin, abamectin, emamectin, eprinomectin, doramectin, selamectin, moxidectin, nemadectin and milbemycin derivatives as described in EP- 357460, EP-444964 and EP- 594291 . Additional anthelmintic agents include semisynthetic and biosynthetic avermectin/milbemycin derivatives such as those described in US-5015630, WO-9415944 and WO-9522552. Additional anthelmintic agents include the benzimidazoles such as albendazole, cambendazole, fenbendazole, flubendazole, mebendazole, oxfendazole, oxibendazole, parbendazole, and other members of the class. Additional anthelmintic agents include imidazothiazoles and tetrahydropyrimidines such as tetramisole, levamisole, pyrantel pamoate, oxantel or morantel. Additional anthelmintic agents include flukicides, such as triclabendazole and clorsulon and the cestocides, such as praziquantel and epsiprantel.
The compounds of the invention may be used in combination with derivatives and analogues of the paraherquamide/marcfortine class of anthelmintic agents, as well as the antiparasitic oxazolines such as those disclosed in US-5478855, US-4639771 and DE-19520936.
The compounds of the invention may be used in combination with derivatives and analogues of the general class of dioxomorpholine antiparasitic agents as described in WO 96/15121 and also with anthelmintic active cyclic depsipeptides such as those described in WO 96/11945, WO 93/19053, WO 93/25543, EP 0 626 375, EP 0 382 173, WO 94/19334, EP 0 382 173, and EP 0 503 538.
The compounds of the invention may be used in combination with other ectoparasiticides; for example, fipronil; pyrethroids; organophosphates; insect growth regulators such as lufenuron; ecdysone agonists such as tebufenozide and the like; neonicotinoids such as imidacloprid and the like.
The compounds of the invention may be used in combination with terpene alkaloids, for example those described in International Patent Application Publication Numbers WO 95/19363 or WO 04/72086, particularly the compounds disclosed therein.
Other examples of such biologically active compounds that the compounds of the invention may be used in combination with include but are not restricted to the following:
Organophosphates: acephate, azamethiphos, azinphos-ethyl, azinphos- methyl, bromophos, bromophos-ethyl, cadusafos, chlorethoxyphos, chlorpyrifos, chlorfenvinphos, chlormephos, demeton, demeton-S-methyl, demeton-S-methyl sulphone, dialifos, diazinon, dichlorvos, dicrotophos, dimethoate, disulfoton, ethion, ethoprophos, etrimfos, famphur, fenamiphos, fenitrothion, fensulfothion, fenthion, flupyrazofos, fonofos, formothion, fosthiazate, heptenophos, isazophos, isothioate, isoxathion, malathion, methacriphos, methamidophos, methidathion, methyl-parathion, mevinphos, monocrotophos, naled, omethoate, oxydemeton-methyl, paraoxon, parathion, parathion-methyl, phenthoate, phosalone, phosfolan, phosphocarb, phosmet, phosphamidon, phorate, phoxim, pirimiphos, pirimiphos-methyl, profenofos, propaphos, proetamphos, prothiofos, pyraclofos, pyridapenthion, quinalphos, sulprophos, temephos, terbufos, tebupirimfos, tetrachlorvinphos, thimeton, triazophos, trichlorfon, vamidothion;
Carbamates: alanycarb, aldicarb, 2-sec-butylphenyl methylcarbamate, benfuracarb, carbaryl, carbofuran, carbosulfan, cloethocarb, ethiofencarb, fenoxycarb, fenthiocarb, furathiocarb, HCN-801 , isoprocarb, indoxacarb, methiocarb, methomyl, 5-methyl-m-cumenylbutyryl(methyl)carbamate, oxamyl, pirimicarb, propoxur, thiodicarb, thiofanox, triazamate, UC-51717;
Pyrethroids: acrinathin, allethrin, alphametrin, 5-benzyl-3-furylmethyl (E)-(1 R)-cis-2,2-dimethyl-3-(2- oxothiolan-3-ylidenemethyl)cyclopropanecarboxylate, bifenthrin, beta-cyfluthrin, cyfluthrin, a- cypermethrin, beta-cypermethrin, bioallethrin, bioallethrin((S)-cyclopentylisomer), bioresmethrin, bifenthrin, NCI-85193, cycloprothrin, cyhalothrin, cythithrin, cyphenothrin, deltamethrin, empenthrin, esfenvalerate, ethofenprox, fenfluthrin, fenpropathrin, fenvalerate, flucythrinate, flumethrin, fluvalinate (D isomer), imiprothrin, cyhalothrin, lambda-cyhalothrin, permethrin, phenothrin, prallethrin, pyrethrins (natural products), resmethrin, tetramethrin, transfluthrin, theta-cypermethrin, silafluofen, t-fluvalinate, tefluthrin, tralomethrin, Zeta-cypermethrin;
Arthropod growth regulators: a) chitin synthesis inhibitors: benzoylureas: chlorfluazuron, diflubenzuron, fluazuron, flucycloxuron, flufenoxuron, hexaflumuron, lufenuron, novaluron, teflubenzuron, triflumuron, buprofezin, diofenolan, hexythiazox, etoxazole, chlorfentazine; b) ecdysone antagonists: halofenozide, methoxyfenozide, tebufenozide; c) juvenoids: pyriproxyfen, methoprene (including S-methoprene), fenoxycarb; d) lipid biosynthesis inhibitors: spirodiclofen;
Other antiparasitics: acequinocyl, amitraz, AKD-1022, ANS-118, azadirachtin, Bacillus thuringiensis, bensultap, bifenazate, binapacryl, bromopropylate, BTG-504, BTG-505, camphechlor, cartap, chlorobenzilate, chlordimeform, chlorfenapyr, chromafenozide, clothianidine, cyromazine, diacloden, diafenthiuron, DBI-3204, dinactin, dihydroxymethyldihydroxypyrrolidine, dinobuton, dinocap, endosulfan, ethiprole, ethofenprox, fenazaquin, flumite, MTI- 800, fenpyroximate, fluacrypyrim, flubenzimine, flubrocythrinate, flufenzine, flufenprox, fluproxyfen, halofenprox, hydramethylnon, I KI-220 ,
kanemite, NC-196, neem guard, nidinorterfuran, nitenpyram, SD-35651 , WL-108477, pirydaryl, propargite, protrifenbute, pymethrozine, pyridaben, pyrimidifen, NC-1111 , R-195.RH-0345, RH-2485, RYI-210, S-1283, S-1833, SI-8601 , silafluofen, silomadine, spinosad, tebufenpyrad, tetradifon, tetranactin, thiacloprid, thiocyclam, thiamethoxam, tolfenpyrad, triazamate, triethoxyspinosyn, trinactin, verbutin, vertalec, YI-5301 ;
Biological agents: Bacillus thuringiensis ssp aizawai, kurstaki, Bacillus thuringiensis delta endotoxin, baculovirus, entomopathogenic bacteria, virus and fungi;
Bactericides: chlortetracycline, oxytetracycline, streptomycin;
Other biological agents: enrofloxacin, febantel, penethamate, moloxicam, cefalexin, kanamycin, pimobendan, clenbuterol, omeprazole, tiamulin, benazepril, pyriprole, cefquinome, florfenicol, buserelin, cefovecin, tulathromycin, ceftiour, carprofen, metaflumizone, praziquarantel, triclabendazole.
The compositions according to the invention can also comprise further solid or liquid auxiliaries, such as stabilizers, for example unepoxidized or epoxidized vegetable oils (for example epoxidized coconut oil, rapeseed oil or soya oil), antifoams, for example silicone oil, preservatives, viscosity regulators, binders and/or tackifiers, fertilizers or other active ingredients for achieving specific effects, for example bactericides, fungicides, nematocides, plant activators, molluscicides or herbicides.
The compositions according to the invention are prepared in a manner known per se, in the absence of auxiliaries for example by grinding, screening and/or compressing a solid active ingredient and in the presence of at least one auxiliary for example by intimately mixing and/or grinding the active ingredient with the auxiliary (auxiliaries). These processes for the preparation of the compositions and the use of the compounds (I) for the preparation of these compositions are also a subject of the invention.
Another aspect of the invention is related to the use of a compound of Formula (I) or of a preferred individual compound as defined herein, of a composition comprising at least one compound of Formula (I) or at least one preferred individual compound as above-defined, or of a fungicidal or insecticidal mixture comprising at least one compound of Formula (I) or at least one preferred individual compound as above-defined, in admixture with other fungicides or insecticides as described above, for controlling or preventing infestation of plants, e.g. useful plants such as crop plants, propagation material thereof, e.g. seeds, harvested crops, e.g. harvested food crops, or non-living materials by insects or by phytopathogenic microorganisms, preferably fungal organisms.
A further aspect of the invention is related to a method of controlling or preventing an infestation of plants, e.g., useful plants such as crop plants, propagation material thereof, e.g. seeds, harvested crops, e.g., harvested food crops, or of non-living materials by insects or by phytopathogenic or spoilage microorganisms or organisms potentially harmful to man, especially fungal organisms, which comprises the application of a compound of Formula (I) or of a preferred individual compound as above-defined as active ingredient to the plants, to parts of the plants or to the locus thereof, to the propagation material thereof, or to any part of the non-living materials.
Controlling or preventing means reducing infestation or spoilage by phytopathogenic microorganisms or organisms potentially harmful to man, especially fungal organisms, to such a level that an improvement is demonstrated.
A preferred method of controlling or preventing an infestation of crop plants by phytopathogenic microorganisms, especially fungal organisms, or insects which comprises the application of a compound of Formula (I), or an agrochemical composition which contains at least one of said compounds, is foliar application. The frequency of application and the rate of application will depend on the risk of infestation by the corresponding pathogen or insect. However, the compounds of Formula (I) can also penetrate the plant through the roots via the soil (systemic action) by drenching the locus of the plant with a liquid Formulation, or by applying the compounds in solid form to the soil, e.g. in granular form (soil application). In crops of water rice such granulates can be applied to the flooded rice field. The compounds of Formula (I) may also be applied to seeds (coating) by impregnating the seeds or tubers either with a liquid formulation of the fungicide or coating them with a solid formulation.
A formulation, e.g. a composition containing the compound of Formula (I), and, if desired, a solid or liquid adjuvant or monomers for encapsulating the compound of Formula (I), may be prepared in a known manner, typically by intimately mixing and/or grinding the compound with extenders, for example solvents, solid carriers and, optionally, surface active compounds (surfactants).
Advantageous rates of application are normally from 5g to 2kg of active ingredient (a.i.) per hectare (ha), preferably from 10g to I kg a.i./ha, most preferably from 20g to 600g a.i./ha. When used as seed drenching agent, convenient dosages are from 10mg to 1g of active substance per kg of seeds.
When the combinations of the present invention are used for treating seed, rates of 0.001 to 50 g of a compound of Formula (I) per kg of seed, preferably from 0.01 to 10g per kg of seed are generally sufficient.
Suitably, a composition comprising a compound of Formula (I) according to the present invention is applied either preventative, meaning prior to disease development or curative, meaning after disease development.
The compositions of the invention may be employed in any conventional form, for example in the form of a twin pack, a powder for dry seed treatment (DS), an emulsion for seed treatment (ES), a flowable concentrate for seed treatment (FS), a solution for seed treatment (LS), a water dispersible powder for seed treatment (WS), a capsule suspension for seed treatment (CF), a gel for seed treatment (GF), an emulsion concentrate (EC), a suspension concentrate (SC), a suspo-emulsion (SE), a capsule suspension (CS), a water dispersible granule (WG), an emulsifiable granule (EG), an emulsion, water in oil (EG), an emulsion, oil in water (EW), a micro-emulsion (ME), an oil dispersion (OD), an oil miscible flowable (OF), an oil miscible liquid (OL), a soluble concentrate (SL), an ultra-low volume suspension (SU), an ultra-low volume liquid (UL), a technical concentrate (TK), a dispersible concentrate (DC), a wettable powder (WP) or any technically feasible formulation in combination with agriculturally acceptable adjuvants.
Such compositions may be produced in conventional manner, e.g. by mixing the active ingredients with appropriate formulation inerts (diluents, solvents, fillers and optionally other formulating ingredients such
as surfactants, biocides, anti-freeze, stickers, thickeners and compounds that provide adjuvancy effects). Also conventional slow release formulations may be employed where long lasting efficacy is intended. Particularly Formulations to be applied in spraying forms, such as water dispersible concentrates (e.g. EC, SC, DC, OD, SE, EW, EO and the like), wettable powders and granules, may contain surfactants such as wetting and dispersing agents and other compounds that provide adjuvancy effects, e.g. the condensation product of formaldehyde with naphthalene sulphonate, an alkylarylsulphonate, a lignin sulphonate, a fatty alkyl sulphate, and ethoxylated alkylphenol and an ethoxylated fatty alcohol.
A seed dressing formulation is applied in a manner known per se to the seeds employing the combination ofthe invention and a diluent in suitable seed dressing formulation form, e.g. as an aqueous suspension or in a dry powder form having good adherence to the seeds. Such seed dressing formulations are known in the art. Seed dressing formulations may contain the single active ingredients or the combination of active ingredients in encapsulated form, e.g. as slow release capsules or microcapsules.
In general, the formulations include from 0.01 to 90% by weight of active agent, from 0 to 20% agriculturally acceptable surfactant and 10 to 99.99% solid or liquid formulation inerts and adjuvant(s), the active agent consisting of at least the compound of Formula (I) optionally together with other active agents, particularly microbiocides or conservatives or the like. Concentrated forms of compositions generally contain in between about 2 and 80%, preferably between about 5 and 70% by weight of active agent. Application forms of formulation may for example contain from 0.01 to 20% by weight, preferably from 0.01 to 5% by weight of active agent. Whereas commercial products will preferably be formulated as concentrates, the end user will normally employ diluted formulations.
Whereas it is preferred to formulate commercial products as concentrates, the end user will normally use dilute formulations.
The compounds according to the following Tables A-1 to A-24 below can be prepared according to the methods described above. The examples which follow are intended to illustrate the invention and show preferred compounds of formula (la),
wherein A and G are as defined in Tables A-1 to A-24 below, and R1 is defined in Table Z below.
Table A-1 : This table provides 50 compounds A-1 .01 to A-1 .50 of formula (la) wherein A is A-1 , G is 6- methoxyindan-1-yl, R4 is hydrogen, R5 is methyl, R6 is hydrogen and R1 substituents are as defined in Table Z above.
For the sake of clarity, compound A-1 .24 is
Compound A-1 .24
Table A-2: This table provides 50 compounds A-2.01 to A-2.50 of formula (la) wherein A is A-1 , G is 6- methoxyindan-1-yl, R4 is hydrogen, R5 is chloro, R6 is hydrogen and G substituents are as defined in Table Z above.
Table A-3: This table provides 50 compounds A-3.01 to A-3.50 of formula (la) wherein A is A-1 , G is 6- methoxyindan-1-yl, R4 is hydrogen, R5 is cyano, R6 is hydrogen and G substituents are as defined in Table Z above.
Table A-4: This table provides 50 compounds A-4.01 to A-4.50 of formula (la) wherein A is A-1 , G is 6- methoxyindan-1-yl, R4 is hydrogen, R5 is hydrogen, R6 is methyl and G substituents are as defined in Table Z above.
Table A-5: This table provides 50 compounds A-5.01 to A-5.50 of formula (la) wherein A is A-1 , G is 6- methoxyindan-1-yl, R4 is hydrogen, R5 is hydrogen, R6 is methoxy and G substituents are as defined in Table Z above.
Table A-6: This table provides 50 compounds A-6.01 to A-6.50 of formula (la) wherein A is A-1 , G is 6- methoxyindan-1-yl, R4 is hydrogen, R5 is hydrogen, R6 is fluoro and G substituents are as defined in Table Z above.
Table A-7: This table provides 50 compounds A-7.01 to A-7.50 of formula (la) wherein A is A-1 , G is 6- chloroindan-1-yl, R4 is hydrogen, R5 is methyl, R6 is hydrogen and R1 substituents are as defined in Table Z above.
Table A-8: This table provides 50 compounds A-8.01 to A-8.50 of formula (la) wherein A is A-1 , G is 6- chloroindan-1-yl, R4 is hydrogen, R5 is chloro, R6 is hydrogen and G substituents are as defined in Table Z above.
Table A-9: This table provides 50 compounds A-9.01 to A-9.50 of formula (la) wherein A is A-1 , G is 6- chloroindan-1-yl, R4 is hydrogen, R5 is cyano, R6 is hydrogen and G substituents are as defined in Table Z above.
Table A-10: This table provides 50 compounds A-10.01 to A-10.50 of formula (la) wherein A is A-1 , G is 6-chloroindan-1-yl, R4 is hydrogen, R5 is hydrogen, R6 is methyl and G substituents are as defined in Table Z above.
Table A-11 : This table provides 50 compounds A-11 .01 to A-11 .50 of formula (la) wherein A is A-1 , G is 6-chloroindan-1-yl, R4 is hydrogen, R5 is hydrogen, R6 is methoxy and G substituents are as defined in Table Z above.
Table A-12: This table provides 50 compounds A-12.01 to A-12.50 of formula (la) wherein A is A-1 , G is 6-chloroindan-1-yl, R4 is hydrogen, R5 is hydrogen, R6 is fluoro and G substituents are as defined in Table Z above.
Table A-13: This table provides 50 compounds A-13.01 to A-13.50 of formula (la) wherein A is A-1 , G is 7-methoxytetralin-1-yl, R4 is hydrogen, R5 is methyl, R6 is hydrogen and R1 substituents are as defined in Table Z above.
Table A-14: This table provides 50 compounds A-14.01 to A-14.50 of formula (la) wherein A is A-1 , G is 7-methoxytetralin-1-yl, R4 is hydrogen, R5 is chloro, R6 is hydrogen and G substituents are as defined in Table Z above.
Table A-15: This table provides 50 compounds A-15.01 to A-15.50 of formula (la) wherein A is A-1 , G is 7-methoxytetralin-1-yl, R4 is hydrogen, R5 is cyano, R6 is hydrogen and G substituents are as defined in Table Z above.
Table A-16: This table provides 50 compounds A-16.01 to A-16.50 of formula (la) wherein A is A-1 , G is 7-methoxytetralin-1-yl, R4 is hydrogen, R5 is hydrogen, R6 is methyl and G substituents are as defined in Table Z above.
Table A-17: This table provides 50 compounds A-17.01 to A-17.50 of formula (la) wherein A is A-1 , G is 7-methoxytetralin-1-yl, R4 is hydrogen, R5 is hydrogen, R6 is methoxy and G substituents are as defined in Table Z above.
Table A-18: This table provides 50 compounds A-18.01 to A-18.50 of formula (la) wherein A is A-1 , G is 7-methoxytetralin-1-yl, R4 is hydrogen, R5 is hydrogen, R6 is fluoro and G substituents are as defined in Table Z above.
Table A-19: This table provides 50 compounds A-19.01 to A-19.50 of formula (la) wherein A is A-1 , G is chroman-4-yl, R4 is hydrogen, R5 is methyl, R6 is hydrogen and R1 substituents are as defined in Table Z above.
Table A-20: This table provides 50 compounds A-20.01 to A-20.50 of formula (la) wherein A is A-1 , G is chroman-4-yl, R4 is hydrogen, R5 is chloro, R6 is hydrogen and G substituents are as defined in Table Z above.
Table A-21 : This table provides 50 compounds A-21 .01 to A-21 .50 of formula (la) wherein A is A-1 , G is chroman-4-yl, R4 is hydrogen, R5 is cyano, R6 is hydrogen and G substituents are as defined in Table Z above.
Table A-22: This table provides 50 compounds A-22.01 to A-22.50 of formula (la) wherein A is A-1 , G is chroman-4-yl, R4 is hydrogen, R5 is hydrogen, R6 is methyl and G substituents are as defined in Table Z above.
Table A-23: This table provides 50 compounds A-23.01 to A-23.50 of formula (la) wherein A is A-1 , G is chroman-4-yl, R4 is hydrogen, R5 is hydrogen, R6 is methoxy and G substituents are as defined in Table Z above.
Table A-24: This table provides 50 compounds A-24.01 to A-24.50 of formula (la) wherein A is A-1 , G is chroman-4-yl, R4 is hydrogen, R5 is hydrogen, R6 is fluoro and G substituents are as defined in Table Z above.
Also made available are certain intermediate compounds, shown in the reaction schemes 1 , 2, 3, 7, 8, 9, 10, with general formulae (II), (V), (VI), (XI), (XII), (XIII), and (XIV), some of which are novel. These intermediate compounds are shown in Table Tl below wherein R1, R2, R3, R4, R5, R6, Z1, Z2 and m have the same meaning in developed formulae (ll(i)), (V(i)), (Vl(i)), (Xl(i)), (Xll(i)), (Xlll(i)), and (XIV(i)), as described in connection with compound of Formula (I).
EXAMPLES
Formulation Examples
The active ingredient is thoroughly mixed with the adjuvants and the mixture is thoroughly ground in a suitable mill, affording wettable powders that can be diluted with waterto give suspensions of the desired concentration.
The active ingredient is thoroughly mixed with the adjuvants and the mixture is thoroughly ground in a suitable mill, affording powders that can be used directly for seed treatment.
Emulsifiable concentrate
Emulsions of any required dilution, which can be used in plant protection, can be obtained from this concentrate by dilution with water.
Ready-for-use dusts are obtained by mixing the active ingredient with the carrier and grinding the mixture in a suitable mill. Such powders can also be used for dry dressings for seed.
Extruded granules
The active ingredient is mixed and ground with the adjuvants, and the mixture is moistened with water.
The mixture is extruded and then dried in a stream of air.
Coated granules
The finely ground active ingredient is uniformly applied, in a mixer, to the kaolin moistened with polyethylene glycol. Non-dusty coated granules are obtained in this manner.
The finely ground active ingredient is intimately mixed with the adjuvants, giving a suspension concentrate from which suspensions of any desired dilution can be obtained by dilution with water. Using such dilutions, living plants as well as plant propagation material can be treated and protected against infestation by microorganisms, by spraying, pouring or immersion.
The finely ground active ingredient is intimately mixed with the adjuvants, giving a suspension concentrate from which suspensions of any desired dilution can be obtained by dilution with water. Using such dilutions, living plants as well as plant propagation material can be treated and protected against infestation by microorganisms, by spraying, pouring or immersion.
Slow-Release Capsule Suspension
28 parts of a combination of the compound of formula (I) are mixed with 2 parts of an aromatic solvent and 7 parts of toluene diisocyanate/polymethylene-polyphenylisocyanate-mixture (8:1). This mixture is emulsified in a mixture of 1 .2 parts of polyvinylalcohol, 0.05 parts of a defoamer and 51 .6 parts of water until the desired particle size is achieved. To this emulsion a mixture of 2.8 parts 1 ,6-diaminohexane in 5.3 parts of water is added. The mixture is agitated until the polymerization reaction is completed.
The obtained capsule suspension is stabilized by adding 0.25 parts of a thickener and 3 parts of a dispersing agent. The capsule suspension formulation contains 28% of the active ingredients. The medium capsule diameter is 8-15 microns.
The resulting formulation is applied to seeds as an aqueous suspension in an apparatus suitable for that purpose.
List of Abbreviations:
Abbreviations used in synthesis schemes and preparatory examples
ACN acetonitrile
DMA dimethylacetamide
DMSO dimethyl sulfoxide
DMSO-d6 deuterated dimethylsulfoxide
MeOH ethanol
XPhos 2-dicyclohexylphosphino-2',4',6'-triisopropylbiphenyl aq. aqueous
°C degrees Celsius equiv. equivalent h hour(s)
LC/MS or LC-MS liquid chromatography mass spectrometry
M molar MHz megahertz min minutes mp or MP melting point NMR nuclear magnetic resonance PPm parts per million RT room temperature
Rt retention time Preparation Examples
The following examples further illustrate, but do not limit, the invention. Those skilled in the art will promptly recognize appropriate variations from the procedures both as to reactants and as to reaction conditions and techniques.
Unless indicated otherwise, 1H NMR spectra are recorded at 400 MHz and 19F NMR spectra are recorded at 377 MHz, and chemical shifts are recorded in ppm. The following abbreviations are used: s = singlet; br s = broad singlet; d = doublet; br d = broad doublet; dd = double doublet; dt = double triplet; t = triplet, tt = triple triplet, q = quartet, quin = quintuplet, sept = septet; m = multiplet.
Throughout this description, temperatures are given in degrees Celsius (°C). “MP” means melting point. “Rt” means retention time. LC/MS means Liquid Chromatography Mass Spectrometry. LC/MS apparatus and methods are:
Method A
Spectra were recorded on a Mass Spectrometer 6410 Triple Quadruple Mass Spectrometer from Agilent Technologies equipped with an electrospray source (Positive and Negative Polarity Switch, Capillary (kV) 4.00, Scan Type MS2 Scan, Fragmentor (V) 100.00, Gas Temperature (°C) 350, Gas Flow (L/min) 11 , Nebulizer Gas (psi) 45, Mass range : 110 to 1000 Da) and an Agilent 1200 Series HPLC: DAD Wavelength range : 210 to 400 nm, Column : KINETEX EVO C18, Column length : 50 mm, Internal diameter of column : 4.6 mm, Particle Size : 2.6 pm, Column oven temperature : 40°C
Gradient conditions:
Solvent A: Water with 0.1 % formic acid : Acetonitrile : : 95 : 5 v/v
Solvent B: Acetonitrile with 0.1 % formic acid
Time (minutes) A (%) B (%) Flow rate (ml/min)
0 90 10 1.8
0.9 0 100 1.8
1.8 0 100 1.8
2.2 90 10 1.8
2.5 90 10 1.8
Method B:
Spectra were recorded on a Mass Spectrometer from Waters (SQD, SQDII Single quadrupole mass spectrometer) equipped with an electrospray source (Polarity: positive and negative ions), Capillary: 3.00 kV, Cone range: 30 V, Extractor: 2.00 V, Source Temperature: 150°C, Desolvation Temperature: 350°C, Cone Gas Flow: 50 l/h, Desolvation Gas Flow: 650 L/h, Mass range: 100 to 900 Da) and an Acquity UPLC from Waters: Binary pump, heated column compartment , diode-array detector and ELSD detector. Column: Waters UPLC HSS T3, 1.8 pm, 30 x 2.1 mm, Temp: 60 °C, DAD Wavelength range (nm): 210 to 500, Solvent Gradient: A = water + 5% MeOH + 0.05 % HCOOH, B= Acetonitrile + 0.05 % HCOOH, gradient: 10-100% B in 1 .6 min; Flow (mL/min) 0.85
Where necessary, enantiomerically pure final compounds may be obtained from racemic materials as appropriate via standard physical separation techniques, such as reverse phase chiral chromatography, or through stereoselective synthetic techniques, eg, by using chiral starting materials.
The following procedure shown on Scheme 11 was used in a combinatorial fashion and features coupling appropriate acid scaffolds of formula (11.1 a) and amines of formula (III) to provide the compounds of Formula (1.1 a).
Scheme 11
To a stock solution of the isonicotinic acid scaffold (0.06 mmol) was added the amine building block (0.05 mmol), di-isopropylethylamine (30 mg, 0.225 mmol) and T3P (50% in ethyl acetate, 0.15 mmol. The resulting solutions were stirred at 60°C for 16 hours. Into a 96-deep well plate (DWP96), 10pL of the reaction mixture were taken with the TECAN® pipetting robot and diluted with 400pL of ACN. The samples were analyzed by UPLC and the solvent was evaporated. To the residues were added 400pL of DMA and 400pL of MeOH. The resulting solutions were transferred into a DWP96. The purification was made on the preparative HPLC. 30pL of the fractions were diluted with 100pL of ACN and analyzed by UPLC. The solvent was removed from the samples using Genevac equipment. The samples were pooled into a 2D barcoded rack with the help of the transfer macro. For quality control, 5pL of the purified ACN solution of the compounds prepared via the above combinatorial rotocol were taken by the TECAN® and diluted with 100pL of ACN and analyzed using LCMS method A. Table T1 : LCMS mass charge and retention times (Rt) for compounds according to formula (I)
Biological examples and test methods: The Examples which follow serve to illustrate the invention. The compounds of the invention can be distinguished from known compounds by virtue of greater efficacy at low application rates, which can be verified by the person skilled in the art using the experimental procedures outlined in the Examples, using lower application rates if necessary, for example 50 ppm, 12.5 ppm, 6 ppm, 3 ppm, 1 .5 ppm, 0.8 ppm or 0.2 ppm. Compounds of Formula (I) may possess any number of benefits including, inter alia, advantageous levels of biological activity for protecting plants against diseases that are caused by fungi or superior properties for use as agrochemical active ingredients (for example, greater biological activity, an advantageous spectrum of activity, an increased safety profile (including improved crop tolerance), improved physico-chemical properties, or increased biodegradability).
General description of test methods
Leaf disks or leaf segments of various plant species are cut from plants grown in a greenhouse. The cut leaf disks or segments are placed in multiwell plates (24-well format) onto water agar. The leaf disks are sprayed with a test solution before (preventative) or after (curative) inoculation. Compounds to be tested are prepared as DMSO solutions (max. 10 mg/mL) which are diluted to the appropriate concentration with 0.025% Tween20 just before spraying. The inoculated leaf disks or segments are incubated under defined conditions (temperature, relative humidity, light, etc.) according to the respective test system. A single evaluation of disease level is carried out 3 to 14 days after inoculation, depending on the pathosystem. Percent disease control relative to the untreated check leaf disks or segments is then calculated.
Mycelia fragments or conidia suspensions of a fungus prepared either freshly from liquid cultures of the fungus or from cryogenic storage, are directly mixed into nutrient broth. DMSO solutions of the test compound (max. 10 mg/mL) are diluted with 0.025% Tween20 by a factor of 50 and 10 pL of this solution is pipetted into a microtiter plate (96-well format). The nutrient broth containing the fungal spores/mycelia fragments is then added to give an end concentration of the tested compound. The test plates are incubated in the dark at 24°C and 96% relative humidity. The inhibition of fungal growth is determined photometrically after 2 to 7 days, depending on the pathosystem, and percent antifungal activity relative to the untreated check is calculated.
Botryotinia fuckeliana syn. Botrytis cinerea (Gray mould)
Conidia of the fungus from cryogenic storage were directly mixed into nutrient broth (PDB potato dextrose broth). A DMSO solution of the test compounds was placed into a microtiter plate (96-well format) and the nutrient broth containing the fungal spores was added to it. The test plates were incubated at 24°C and the inhibition of growth was determined photometrically after 72 hrs.
The following compounds from Table T1 gave at least 70% control of Botryotinia fuckeliana at 20 ppm when compared to untreated control under the same conditions, which showed extensive disease development:
Table T1 , Compound: 1 .1 , 1 .3, 1 .4, 1 .5, 1 .6, 1 .9
Glomerella lagenarium syn Colletotrichum lagenarium (Anthracnose)
Conidia of the fungus from cryogenic storage were directly mixed into nutrient broth (PDB potato dextrose broth). A DMSO solution of the test compounds was placed into a microtiter plate (96-well format) and the nutrient broth containing the fungal spores was added to it. The test plates were incubated at 24°C and the inhibition of growth was determined photometrically after 72 hrs at 620 nm.
The following compounds from Table T1 gave at least 70% control of Glomerella lagenarium at 20 ppm when compared to untreated control under the same conditions, which showed extensive disease development:
Table T1 , Compound: 1 .1 , 1.2, 1.3, 1.4, 1.5, 1.6, 1.7, 1.8, 1.9, 1.10
Claims
R1 is phenyl or pyridinyl, said phenyl or pyridinyl being unsubstituted or substituted with one or two substituents independently selected from halogen, cyano, Ci-C4-alkyl, Ci-C2-haloalkyl, Ci-C4-alkoxy, Ci-C2-haloalkoxy, C2-C3-alkenyl, C2-C3-haloalkenyl, C2-C3-alkynyl, Cs-Ce-cycloalkyl, C3-C6- cycloalkyloxy, C2-C3-alkenyloxy, and C2-C3-alkynyloxy;
Z1 is -[C(RZ1A)2]M-, -O-[C(Rz1B)2]n2- or -[C(Rz1B)2]n2-O-; wherein RZ1A and RZ1B are independently selected from hydrogen, halogen, and Ci-C4-alkyl; is 1 , 2 or 3; and n2 is 1 or 2;
Z2 is a bond or -C(RZ2A)2-; wherein RZ2A is independently selected from hydrogen, halogen, and C1-C4- alkyl;
R2 is selected from hydrogen and methyl;
R3 is independently selected from halogen, cyano, Ci-C4-alkyl, Ci-C2-haloalkyl, Ci-C4-alkoxy, and C1- C2-haloalkoxy; and m is 0, 1 , 2 or 3;
A is wherein # marks the bond to R1; ## marks the bond to the nitrogen atom; and the dashed line delineates A within compound of Formula (I);
R4 is selected from hydrogen, halogen, cyano, Ci-C4-alkyl, Ci-C2-haloalkyl, Ci-C4-alkoxy, and C1-C2- haloalkoxy;
R5 is selected from hydrogen, cyano, mercaptyl, halogen, Ci-Cs-alkyl, C2-C3-alkenyl, C2-C3-alkynyl, C1- Cs-alkoxy, Ci-Cs-fluoroalkyl, Ci-Cs-fluoroalkoxy, C3-C4-cycloalkyl, and Ci-C3-alkylsulfonyl;
R6 is selected from hydrogen, halogen, cyano, Ci-C4-alkyl, Ci-Cs-fluoroalkyl, C2-C4-alkenyl, C2-C4- alkynyl, Ci-C4-alkoxy, C2-C4-alkenyloxy, C2-C4-alkynyloxy, Ci-Cs-fluoroalkoxy, and C3-C4-cycloalkyl; or an agrochemically acceptable salt, N-oxide, stereoisomer, or enantiomer of the compound of Formula (I).
2. The compound according to claim 1 , wherein R1 is phenyl unsubstituted or substituted with one or two substituents independently selected from halogen, cyano, methyl, ethyl, propyl, ethylene, acetylene, difluoromethyl, trifluoromethyl, methoxy, difluoromethoxy, trifluoromethoxy, and cyclopropyl.
3. The compound according to claim 1 , wherein R1 is pyridine-2-yl, pyridine-3-yl, or pyridine-4-yl, said pyridine-2-yl, pyridine-3-yl, or pyridine-4-yl being unsubstituted or substituted with one or two substituents independently selected from halogen, cyano, methyl, ethyl, propyl, ethylene, acetylene, difluoromethyl, trifluoromethyl, methoxy, difluoromethoxy, trifluoromethoxy, and cyclopropyl.
4. The compound according to any one of claims 1 to 3, wherein Z1 is -[C(RZ1A)2]M-, or -O-[C(Rz1B)2]n2-; ni is 1 , 2 or 3; and n2 is 1 or 2; Z2 is a bond or -C(RZ2A)2-; and RZ1A, RZ1B and RZ2A are independently selected from hydrogen, fluoro, and methyl.
5. The compound according to any one of claims 1 to 4, wherein R2 is hydrogen.
6. The compound according to any one of claims 1 to 5, wherein m is 0, or wherein R3 is independently selected from fluoro, chloro, cyano, methyl, and methoxy; and m is 1 or 2.
7. The compound according to any one of claims 1 to 6, wherein R4 is selected from hydrogen, halogen, cyano, methyl, and methoxy; and/or R5 is selected from hydrogen, halogen, cyano, methyl, ethyl, ethenyl, ethynyl, methoxy, ethoxy, and cyclopropyl; and/or R6 is selected from hydrogen, halogen, cyano, methyl, ethyl, ethenyl, ethynyl, methoxy, ethoxy, and cyclopropyl.
8. The compound according to any one of claims 1 to 7, wherein R4 is hydrogen; and/or R5 is selected from hydrogen, chloro, cyano, and methyl; and/or R6 is selected from hydrogen, chloro, fluoro, cyano, methyl, and methoxy.
9. The compound according to any one of claims 1 to 8, wherein the group
where the arrow represents the point of attachment of the group (G) to the rest of the compound of formula (I), is selected from indan-1-yl, indan-2-yl, tetralin-1 -yl, tetralin-2-yl, chroman-2-yl, chroman-3- yl, chroman-4-yl, isochroman-1-yl, and isochroman-3-yl; unsubstituted or substituted by one or two R3 substitutents independently selected from fluoro, chloro, cyano, methyl, and methoxy; preferably G is indan-1-yl, 5-chloroindan-1-yl, 6-chloroindan-1-yl, 4,6-difluoroindan-1-yl, 6-methoxyindan-1-yl, tetralin- 1-yl, 5-methoxytetralin-1-yl, 7-methoxytetralin-1-yl, 5,7-dimethyltetralin-1 -yl, or chroman-4-yl.
10. An agrochemical composition comprising a fungicidally effective amount of a compound according to any one of claims 1 to 9.
11 . The composition according to claim 10, further comprising at least one additional active ingredient and/or an agrochemically-acceptable diluent or carrier.
12. A method of controlling or preventing infestation of useful plants by phytopathogenic microorganisms, wherein a fungicidally effective amount of a compound according to any of claims 1 to 9, or a composition comprising this compound as active ingredient, is applied to the plants, to parts thereof or the locus thereof.
13. Use of a compound according to any one of claims 1 to 9 as a fungicide.
14. A plant propagation material, such as a seed, comprising, or treated with or adhered thereto, a compound as defined in any one of claims 1 to 9, or a composition comprising this compound as active ingredient.
(V(i))
R1, R2, R3, R4, R5, R6, Z1, Z2 and m are as defined in any one of claims 1 to 9;
X is OH or Ci-C4-alkoxy;
Y is halogen or OH; and T is chloro, bromo, iodo, or trifluoromethanesulfonyl-O-.
Applications Claiming Priority (2)
| Application Number | Priority Date | Filing Date | Title |
|---|---|---|---|
| EP22154833 | 2022-02-02 | ||
| EP22154833.2 | 2022-02-02 |
Publications (1)
| Publication Number | Publication Date |
|---|---|
| WO2023148206A1 true WO2023148206A1 (en) | 2023-08-10 |
Family
ID=80225390
Family Applications (1)
| Application Number | Title | Priority Date | Filing Date |
|---|---|---|---|
| PCT/EP2023/052420 Ceased WO2023148206A1 (en) | 2022-02-02 | 2023-02-01 | Microbiocidal n-amide derivatives |
Country Status (1)
| Country | Link |
|---|---|
| WO (1) | WO2023148206A1 (en) |
Citations (62)
| Publication number | Priority date | Publication date | Assignee | Title |
|---|---|---|---|---|
| US4001416A (en) * | 1974-04-09 | 1977-01-04 | Basf Aktiengesellschaft | Certain fungicidal pyridines |
| US4639771A (en) | 1984-10-31 | 1987-01-27 | Kabushiki Kaisha Toshiba | Image processing system |
| EP0357460A2 (en) | 1988-09-02 | 1990-03-07 | Sankyo Company Limited | 13-Substituted milbemycin derivatives, their preparation and use |
| EP0367474A1 (en) | 1988-11-01 | 1990-05-09 | Mycogen Corporation | Novel bacillus thuringiensis isolate denoted b.t. ps81gg, active against lepidopteran pests, and a gene encoding a lepidopteran-active toxin |
| EP0374753A2 (en) | 1988-12-19 | 1990-06-27 | American Cyanamid Company | Insecticidal toxines, genes coding therefor, antibodies binding them, transgenic plant cells and plants expressing these toxines |
| EP0382173A2 (en) | 1989-02-07 | 1990-08-16 | Meiji Seika Kaisha Ltd. | PF 1022 substance, method of producing same and anthelmintic composition containing same |
| WO1990013651A1 (en) | 1989-05-09 | 1990-11-15 | Imperial Chemical Industries Plc | Bacterial genes |
| EP0401979A2 (en) | 1989-05-18 | 1990-12-12 | Mycogen Corporation | Novel bacillus thuringiensis isolates active against lepidopteran pests, and genes encoding novel lepidopteran-active toxins |
| US5015630A (en) | 1989-01-19 | 1991-05-14 | Merck & Co., Inc. | 5-oxime avermectin derivatives |
| EP0427529A1 (en) | 1989-11-07 | 1991-05-15 | Pioneer Hi-Bred International, Inc. | Larvicidal lectins and plant insect resistance based thereon |
| EP0444964A1 (en) | 1990-03-01 | 1991-09-04 | Sankyo Company Limited | Milbemycin ether derivatives, their preparation and their anthelmintic uses |
| EP0451878A1 (en) | 1985-01-18 | 1991-10-16 | Plant Genetic Systems, N.V. | Modifying plants by genetic engineering to combat or control insects |
| EP0503538A1 (en) | 1991-03-08 | 1992-09-16 | Meiji Seika Kaisha Ltd. | Medicinal composition containing an anthelmintic cyclic depsipeptide |
| WO1993007278A1 (en) | 1991-10-04 | 1993-04-15 | Ciba-Geigy Ag | Synthetic dna sequence having enhanced insecticidal activity in maize |
| WO1993019053A1 (en) | 1992-03-17 | 1993-09-30 | Fujisawa Pharmaceutical Co., Ltd. | Depsipeptide derivative, production thereof and use thereof |
| WO1993025543A2 (en) | 1992-06-11 | 1993-12-23 | Bayer Aktiengesellschaft | Enniatines and enniatine derivates used to control endoparasites |
| EP0594291A1 (en) | 1992-09-01 | 1994-04-27 | Sankyo Company Limited | Novel processes for the production of 13-ether derivatives of milbemycins, and novel intermediates therefor |
| WO1994015944A1 (en) | 1993-01-18 | 1994-07-21 | Pfizer Limited | New antiparasitic agents related to the milbemycins and avermectins |
| WO1994019334A1 (en) | 1993-02-19 | 1994-09-01 | Meiji Seika Kaisha, Ltd. | Pf1022 derivative, cyclic depsipeptide |
| EP0626375A1 (en) | 1993-05-26 | 1994-11-30 | Bayer Ag | Octacyclodepsipeptides having endoparasiticidal activity |
| WO1995019363A1 (en) | 1994-01-14 | 1995-07-20 | Pfizer Inc. | Antiparasitic pyrrolobenzoxazine compounds |
| WO1995022552A1 (en) | 1994-02-16 | 1995-08-24 | Pfizer Limited | Antiparasitic agents |
| WO1995034656A1 (en) | 1994-06-10 | 1995-12-21 | Ciba-Geigy Ag | Novel bacillus thuringiensis genes coding toxins active against lepidopteran pests |
| US5478855A (en) | 1992-04-28 | 1995-12-26 | Yashima Chemical Industry Co., Ltd. | 2-(2,6-difluorophenyl)-4-(2-ethoxy-4-tert-butylphenyl)-2-oxazoline |
| WO1996011945A2 (en) | 1994-10-18 | 1996-04-25 | Bayer Aktiengesellschaft | Cyclic depsipeptide sulfonylation, sulfenylation and phosphorylation process |
| WO1996015121A1 (en) | 1994-11-10 | 1996-05-23 | Bayer Aktiengesellschaft | Use of dioxomorpholines to combat endoparasites, novel dioxomorpholines and process for their production |
| DE19520936A1 (en) | 1995-06-08 | 1996-12-12 | Bayer Ag | Ectoparasiticides means |
| WO1997033890A1 (en) | 1996-03-11 | 1997-09-18 | Novartis Ag | Pyrimidin-4-one derivatives as pesticide |
| WO2002015701A2 (en) | 2000-08-25 | 2002-02-28 | Syngenta Participations Ag | Bacillus thuringiensis crystal protein hybrids |
| WO2003018810A2 (en) | 2001-08-31 | 2003-03-06 | Syngenta Participations Ag | Modified cry3a toxins and nucleic acid sequences coding therefor |
| WO2003052073A2 (en) | 2001-12-17 | 2003-06-26 | Syngenta Participations Ag | Novel corn event |
| WO2004072086A2 (en) | 2003-02-14 | 2004-08-26 | Pfizer Limited | Antiparasitic terpene alkaloids |
| US6919298B2 (en) | 2002-04-04 | 2005-07-19 | Valent Biosciences Corporation | Enhanced herbicide composition |
| WO2008110313A1 (en) | 2007-03-12 | 2008-09-18 | Bayer Cropscience Ag | Phenoxyphenylamidines as fungicides |
| WO2011138281A2 (en) | 2010-05-06 | 2011-11-10 | Bayer Cropscience Ag | Process for the preparation of dithiine tetracarboxydiimides |
| WO2012136604A1 (en) | 2011-04-07 | 2012-10-11 | Nimblegen Systems Gmbh | Diarylsulphid backbone containing photolabile protecting groups |
| WO2014006945A1 (en) | 2012-07-04 | 2014-01-09 | アグロカネショウ株式会社 | 2-aminonicotinic acid ester derivative and bactericide containing same as active ingredient |
| WO2014095675A1 (en) | 2012-12-19 | 2014-06-26 | Bayer Cropscience Ag | Difluoromethyl-nicotinic-indanyl carboxamides as fungicides |
| WO2015155075A1 (en) | 2014-04-11 | 2015-10-15 | Syngenta Participations Ag | Fungicidal n'-[2-methyl-6-[2-alkoxy-ethoxy]-3-pyridyl]-n-alkyl-formamidine derivatives for use in agriculture |
| WO2016156085A1 (en) | 2015-03-27 | 2016-10-06 | Syngenta Participations Ag | Microbiocidal heterobicyclic derivatives |
| WO2016156290A1 (en) | 2015-04-02 | 2016-10-06 | Bayer Cropscience Aktiengesellschaft | Novel 5-substituted imidazole derivatives |
| WO2016202742A1 (en) | 2015-06-15 | 2016-12-22 | Bayer Cropscience Aktiengesellschaft | Halogen-substituted phenoxyphenylamidines and the use thereof as fungicides |
| WO2017025510A1 (en) | 2015-08-12 | 2017-02-16 | Syngenta Participations Ag | Microbiocidal heterobicyclic derivatives |
| WO2017029179A1 (en) | 2015-08-14 | 2017-02-23 | Bayer Cropscience Aktiengesellschaft | Triazole derivatives, intermediates thereof and their use as fungicides |
| WO2017055473A1 (en) | 2015-10-02 | 2017-04-06 | Syngenta Participations Ag | Microbiocidal oxadiazole derivatives |
| WO2017055469A1 (en) | 2015-10-02 | 2017-04-06 | Syngenta Participations Ag | Microbiocidal oxadiazole derivatives |
| WO2017093348A1 (en) | 2015-12-02 | 2017-06-08 | Syngenta Participations Ag | Microbiocidal oxadiazole derivatives |
| WO2017118689A1 (en) | 2016-01-08 | 2017-07-13 | Syngenta Participations Ag | Microbiocidal oxadiazole derivatives |
| WO2017153380A1 (en) | 2016-03-10 | 2017-09-14 | Syngenta Participations Ag | Microbiocidal quinoline (thio)carboxamide derivatives |
| WO2017220485A1 (en) | 2016-06-21 | 2017-12-28 | Syngenta Participations Ag | Microbiocidal oxadiazole derivatives |
| WO2018065414A1 (en) | 2016-10-06 | 2018-04-12 | Syngenta Participations Ag | Microbiocidal oxadiazole derivatives |
| WO2018153707A1 (en) | 2017-02-22 | 2018-08-30 | Basf Se | Crystalline forms of a strobilurin type compound for combating phytopathogenic fungi |
| WO2018158365A1 (en) | 2017-03-03 | 2018-09-07 | Syngenta Participations Ag | Microbiocidal oxadiazole derivatives |
| WO2018202428A1 (en) | 2017-05-02 | 2018-11-08 | Basf Se | Fungicidal mixture comprising substituted 3-phenyl-5-(trifluoromethyl)-1,2,4-oxadiazoles |
| WO2018228896A1 (en) | 2017-06-14 | 2018-12-20 | Syngenta Participations Ag | Fungicidal compositions |
| WO2019110427A1 (en) | 2017-12-04 | 2019-06-13 | Syngenta Participations Ag | Microbiocidal phenylamidine derivatives |
| WO2020056090A1 (en) | 2018-09-14 | 2020-03-19 | Fmc Corporation | Fungicidal halomethyl ketones and hydrates |
| WO2020097012A1 (en) | 2018-11-06 | 2020-05-14 | Fmc Corporation | Substituted tolyl as fungicides |
| WO2020109391A1 (en) | 2018-11-28 | 2020-06-04 | Bayer Aktiengesellschaft | Pyridazine (thio)amides as fungicidal compounds |
| WO2021160470A1 (en) | 2020-02-13 | 2021-08-19 | Basf Se | Preparation of aromatic carbonyl compounds by catalytic oxidation with molecular oxygen |
| WO2021233861A1 (en) * | 2020-05-19 | 2021-11-25 | Bayer Aktiengesellschaft | Azabicyclic(thio)amides as fungicidal compounds |
| WO2021245083A1 (en) * | 2020-06-04 | 2021-12-09 | Bayer Aktiengesellschaft | Heterocyclyl pyridines as novel fungicides |
-
2023
- 2023-02-01 WO PCT/EP2023/052420 patent/WO2023148206A1/en not_active Ceased
Patent Citations (62)
| Publication number | Priority date | Publication date | Assignee | Title |
|---|---|---|---|---|
| US4001416A (en) * | 1974-04-09 | 1977-01-04 | Basf Aktiengesellschaft | Certain fungicidal pyridines |
| US4639771A (en) | 1984-10-31 | 1987-01-27 | Kabushiki Kaisha Toshiba | Image processing system |
| EP0451878A1 (en) | 1985-01-18 | 1991-10-16 | Plant Genetic Systems, N.V. | Modifying plants by genetic engineering to combat or control insects |
| EP0357460A2 (en) | 1988-09-02 | 1990-03-07 | Sankyo Company Limited | 13-Substituted milbemycin derivatives, their preparation and use |
| EP0367474A1 (en) | 1988-11-01 | 1990-05-09 | Mycogen Corporation | Novel bacillus thuringiensis isolate denoted b.t. ps81gg, active against lepidopteran pests, and a gene encoding a lepidopteran-active toxin |
| EP0374753A2 (en) | 1988-12-19 | 1990-06-27 | American Cyanamid Company | Insecticidal toxines, genes coding therefor, antibodies binding them, transgenic plant cells and plants expressing these toxines |
| US5015630A (en) | 1989-01-19 | 1991-05-14 | Merck & Co., Inc. | 5-oxime avermectin derivatives |
| EP0382173A2 (en) | 1989-02-07 | 1990-08-16 | Meiji Seika Kaisha Ltd. | PF 1022 substance, method of producing same and anthelmintic composition containing same |
| WO1990013651A1 (en) | 1989-05-09 | 1990-11-15 | Imperial Chemical Industries Plc | Bacterial genes |
| EP0401979A2 (en) | 1989-05-18 | 1990-12-12 | Mycogen Corporation | Novel bacillus thuringiensis isolates active against lepidopteran pests, and genes encoding novel lepidopteran-active toxins |
| EP0427529A1 (en) | 1989-11-07 | 1991-05-15 | Pioneer Hi-Bred International, Inc. | Larvicidal lectins and plant insect resistance based thereon |
| EP0444964A1 (en) | 1990-03-01 | 1991-09-04 | Sankyo Company Limited | Milbemycin ether derivatives, their preparation and their anthelmintic uses |
| EP0503538A1 (en) | 1991-03-08 | 1992-09-16 | Meiji Seika Kaisha Ltd. | Medicinal composition containing an anthelmintic cyclic depsipeptide |
| WO1993007278A1 (en) | 1991-10-04 | 1993-04-15 | Ciba-Geigy Ag | Synthetic dna sequence having enhanced insecticidal activity in maize |
| WO1993019053A1 (en) | 1992-03-17 | 1993-09-30 | Fujisawa Pharmaceutical Co., Ltd. | Depsipeptide derivative, production thereof and use thereof |
| US5478855A (en) | 1992-04-28 | 1995-12-26 | Yashima Chemical Industry Co., Ltd. | 2-(2,6-difluorophenyl)-4-(2-ethoxy-4-tert-butylphenyl)-2-oxazoline |
| WO1993025543A2 (en) | 1992-06-11 | 1993-12-23 | Bayer Aktiengesellschaft | Enniatines and enniatine derivates used to control endoparasites |
| EP0594291A1 (en) | 1992-09-01 | 1994-04-27 | Sankyo Company Limited | Novel processes for the production of 13-ether derivatives of milbemycins, and novel intermediates therefor |
| WO1994015944A1 (en) | 1993-01-18 | 1994-07-21 | Pfizer Limited | New antiparasitic agents related to the milbemycins and avermectins |
| WO1994019334A1 (en) | 1993-02-19 | 1994-09-01 | Meiji Seika Kaisha, Ltd. | Pf1022 derivative, cyclic depsipeptide |
| EP0626375A1 (en) | 1993-05-26 | 1994-11-30 | Bayer Ag | Octacyclodepsipeptides having endoparasiticidal activity |
| WO1995019363A1 (en) | 1994-01-14 | 1995-07-20 | Pfizer Inc. | Antiparasitic pyrrolobenzoxazine compounds |
| WO1995022552A1 (en) | 1994-02-16 | 1995-08-24 | Pfizer Limited | Antiparasitic agents |
| WO1995034656A1 (en) | 1994-06-10 | 1995-12-21 | Ciba-Geigy Ag | Novel bacillus thuringiensis genes coding toxins active against lepidopteran pests |
| WO1996011945A2 (en) | 1994-10-18 | 1996-04-25 | Bayer Aktiengesellschaft | Cyclic depsipeptide sulfonylation, sulfenylation and phosphorylation process |
| WO1996015121A1 (en) | 1994-11-10 | 1996-05-23 | Bayer Aktiengesellschaft | Use of dioxomorpholines to combat endoparasites, novel dioxomorpholines and process for their production |
| DE19520936A1 (en) | 1995-06-08 | 1996-12-12 | Bayer Ag | Ectoparasiticides means |
| WO1997033890A1 (en) | 1996-03-11 | 1997-09-18 | Novartis Ag | Pyrimidin-4-one derivatives as pesticide |
| WO2002015701A2 (en) | 2000-08-25 | 2002-02-28 | Syngenta Participations Ag | Bacillus thuringiensis crystal protein hybrids |
| WO2003018810A2 (en) | 2001-08-31 | 2003-03-06 | Syngenta Participations Ag | Modified cry3a toxins and nucleic acid sequences coding therefor |
| WO2003052073A2 (en) | 2001-12-17 | 2003-06-26 | Syngenta Participations Ag | Novel corn event |
| US6919298B2 (en) | 2002-04-04 | 2005-07-19 | Valent Biosciences Corporation | Enhanced herbicide composition |
| WO2004072086A2 (en) | 2003-02-14 | 2004-08-26 | Pfizer Limited | Antiparasitic terpene alkaloids |
| WO2008110313A1 (en) | 2007-03-12 | 2008-09-18 | Bayer Cropscience Ag | Phenoxyphenylamidines as fungicides |
| WO2011138281A2 (en) | 2010-05-06 | 2011-11-10 | Bayer Cropscience Ag | Process for the preparation of dithiine tetracarboxydiimides |
| WO2012136604A1 (en) | 2011-04-07 | 2012-10-11 | Nimblegen Systems Gmbh | Diarylsulphid backbone containing photolabile protecting groups |
| WO2014006945A1 (en) | 2012-07-04 | 2014-01-09 | アグロカネショウ株式会社 | 2-aminonicotinic acid ester derivative and bactericide containing same as active ingredient |
| WO2014095675A1 (en) | 2012-12-19 | 2014-06-26 | Bayer Cropscience Ag | Difluoromethyl-nicotinic-indanyl carboxamides as fungicides |
| WO2015155075A1 (en) | 2014-04-11 | 2015-10-15 | Syngenta Participations Ag | Fungicidal n'-[2-methyl-6-[2-alkoxy-ethoxy]-3-pyridyl]-n-alkyl-formamidine derivatives for use in agriculture |
| WO2016156085A1 (en) | 2015-03-27 | 2016-10-06 | Syngenta Participations Ag | Microbiocidal heterobicyclic derivatives |
| WO2016156290A1 (en) | 2015-04-02 | 2016-10-06 | Bayer Cropscience Aktiengesellschaft | Novel 5-substituted imidazole derivatives |
| WO2016202742A1 (en) | 2015-06-15 | 2016-12-22 | Bayer Cropscience Aktiengesellschaft | Halogen-substituted phenoxyphenylamidines and the use thereof as fungicides |
| WO2017025510A1 (en) | 2015-08-12 | 2017-02-16 | Syngenta Participations Ag | Microbiocidal heterobicyclic derivatives |
| WO2017029179A1 (en) | 2015-08-14 | 2017-02-23 | Bayer Cropscience Aktiengesellschaft | Triazole derivatives, intermediates thereof and their use as fungicides |
| WO2017055473A1 (en) | 2015-10-02 | 2017-04-06 | Syngenta Participations Ag | Microbiocidal oxadiazole derivatives |
| WO2017055469A1 (en) | 2015-10-02 | 2017-04-06 | Syngenta Participations Ag | Microbiocidal oxadiazole derivatives |
| WO2017093348A1 (en) | 2015-12-02 | 2017-06-08 | Syngenta Participations Ag | Microbiocidal oxadiazole derivatives |
| WO2017118689A1 (en) | 2016-01-08 | 2017-07-13 | Syngenta Participations Ag | Microbiocidal oxadiazole derivatives |
| WO2017153380A1 (en) | 2016-03-10 | 2017-09-14 | Syngenta Participations Ag | Microbiocidal quinoline (thio)carboxamide derivatives |
| WO2017220485A1 (en) | 2016-06-21 | 2017-12-28 | Syngenta Participations Ag | Microbiocidal oxadiazole derivatives |
| WO2018065414A1 (en) | 2016-10-06 | 2018-04-12 | Syngenta Participations Ag | Microbiocidal oxadiazole derivatives |
| WO2018153707A1 (en) | 2017-02-22 | 2018-08-30 | Basf Se | Crystalline forms of a strobilurin type compound for combating phytopathogenic fungi |
| WO2018158365A1 (en) | 2017-03-03 | 2018-09-07 | Syngenta Participations Ag | Microbiocidal oxadiazole derivatives |
| WO2018202428A1 (en) | 2017-05-02 | 2018-11-08 | Basf Se | Fungicidal mixture comprising substituted 3-phenyl-5-(trifluoromethyl)-1,2,4-oxadiazoles |
| WO2018228896A1 (en) | 2017-06-14 | 2018-12-20 | Syngenta Participations Ag | Fungicidal compositions |
| WO2019110427A1 (en) | 2017-12-04 | 2019-06-13 | Syngenta Participations Ag | Microbiocidal phenylamidine derivatives |
| WO2020056090A1 (en) | 2018-09-14 | 2020-03-19 | Fmc Corporation | Fungicidal halomethyl ketones and hydrates |
| WO2020097012A1 (en) | 2018-11-06 | 2020-05-14 | Fmc Corporation | Substituted tolyl as fungicides |
| WO2020109391A1 (en) | 2018-11-28 | 2020-06-04 | Bayer Aktiengesellschaft | Pyridazine (thio)amides as fungicidal compounds |
| WO2021160470A1 (en) | 2020-02-13 | 2021-08-19 | Basf Se | Preparation of aromatic carbonyl compounds by catalytic oxidation with molecular oxygen |
| WO2021233861A1 (en) * | 2020-05-19 | 2021-11-25 | Bayer Aktiengesellschaft | Azabicyclic(thio)amides as fungicidal compounds |
| WO2021245083A1 (en) * | 2020-06-04 | 2021-12-09 | Bayer Aktiengesellschaft | Heterocyclyl pyridines as novel fungicides |
Non-Patent Citations (22)
| Title |
|---|
| "The Pesticide Manual'' [The Pesticide Manual - A World Compendium", THE BRITISH CROP PROTECTION COUNCIL |
| BULLETIN DE LA SOCIETE CHIMIQUE DE FRANCE, vol. 8, 1972, pages 3198 - 3202 |
| CAN. J. CHEM., vol. 56, 1978, pages 1273 |
| CHEM. SOC. REV., vol. 38, 2009, pages 606 |
| CHEM. SOC. REV., vol. 40, 2011, pages 5084 |
| DATABASE Registry [online] 1 September 2019 (2019-09-01), REGISTRY: "4-Pyridinecarboxamide", XP055937185, Database accession no. 2371051-07-7 * |
| DATABASE Registry [online] 1 September 2019 (2019-09-01), REGISTRY: "4-Pyridinecarboxamide", XP055937186, Database accession no. 2371681-29-5 * |
| DATABASE Registry [online] 28 August 2019 (2019-08-28), REGISTRY: "4-Pyridinecarboxamide", XP055937188, Database accession no. 2369218-19-7 * |
| DATABASE Registry [online] 29 May 2015 (2015-05-29), REGISTRY: "4-Pyridinecarboxamide, 2,5-dichloro-N-(3,4-dihydro-2H-1-benzopyran-4-yl)-", XP055937182, Database accession no. 1715805-22-3 * |
| DATABASE Registry [online] 4 September 2019 (2019-09-04), REGISTRY: "4-Pyridinecarboxamide", XP055937190, Database accession no. 2373471-78-2 * |
| EUR. J. ORG. CHEM, vol. 18, 2011, pages 3353 |
| EUR. J. ORG. CHEM., vol. 18, 2011, pages 3353 |
| J. MED. CHEM., vol. 55, 2012, pages 10118 - 10129 |
| J. ORG. CHEM., vol. 74, 2009, pages 7951 |
| J. ORG. CHEM., vol. 83, 2018, pages 4922 - 4931 |
| ORG. LET., vol. 8, 2006, pages 1189 - 1191 |
| ORG. LETT, vol. 15, 2013, pages 2876 |
| ORG. LETT, vol. 5, 2003, pages 1381 |
| ORG. LETT., vol. 5, 2003, pages 1381 |
| TETRAHEDRON LETT., vol. 39, 1998, pages 2933 |
| TETRAHEDRON LETT., vol. 44, 2003, pages 3863 |
| TETRAHEDRON LETT., vol. 53, 2012, pages 5318 |
Similar Documents
| Publication | Publication Date | Title |
|---|---|---|
| AU2019386994A1 (en) | Microbiocidal 2-acylamino-thiazole-4-carboxamide derivatives | |
| AU2019389778A1 (en) | Microbiocidal thiazole derivatives | |
| WO2023111215A1 (en) | Microbiocidal pyridine-substituted benzothiazine derivatives | |
| WO2024089191A1 (en) | Microbiocidal heterobicyclic dihydrooxadiazine derivatives | |
| EP4594310A1 (en) | Microbiocidal pyrazole derivatives | |
| WO2023110871A1 (en) | Microbiocidal pyrazole derivatives | |
| WO2024132901A1 (en) | Microbiocidal pyridazine dihydrooxadiazine derivatives | |
| WO2024132895A1 (en) | Microbiocidal dihydrooxadiazinyl pyridazinone compounds | |
| EP3947371B1 (en) | Microbiocidal thiazole derivatives | |
| WO2024068947A1 (en) | Microbiocidal pyrazole derivatives | |
| WO2023089049A2 (en) | Microbiocidal isonicotinic amide derivatives | |
| AU2022251771A1 (en) | Microbiocidal isonicotinic amide derivatives | |
| WO2021204855A1 (en) | Microbiocidal quinoline dihydropyrrolopyrazine derivatives | |
| EP3976601A1 (en) | Microbiocidal derivatives | |
| EP4626882A1 (en) | Microbiocidal tetrahydroisoquinoline derivatives | |
| WO2023166067A1 (en) | Microbiocidal pyridazinone amide derivatives | |
| WO2023094303A1 (en) | Microbiocidal heterobiaryl amide derivatives | |
| WO2023118011A1 (en) | Microbiocidal aza-heterobiaryl derivatives | |
| AU2022260028A1 (en) | Microbiocidal quinoline/quinoxaline isoquinoline derivatives | |
| WO2021204822A1 (en) | Microbiocidal quinoline dihydro-(thiazine)oxazine derivatives | |
| EP3976622B1 (en) | Microbiocidal derivatives | |
| WO2023148206A1 (en) | Microbiocidal n-amide derivatives | |
| WO2023094304A1 (en) | Microbiocidal heterobiaryl amide derivatives | |
| WO2020239855A1 (en) | Microbiocidal derivatives |
Legal Events
| Date | Code | Title | Description |
|---|---|---|---|
| 121 | Ep: the epo has been informed by wipo that ep was designated in this application |
Ref document number: 23702181 Country of ref document: EP Kind code of ref document: A1 |
|
| NENP | Non-entry into the national phase |
Ref country code: DE |
|
| 122 | Ep: pct application non-entry in european phase |
Ref document number: 23702181 Country of ref document: EP Kind code of ref document: A1 |








































