WO2020165403A1 - Phenyl substituted thiazole derivatives as microbiocidal compounds - Google Patents
Phenyl substituted thiazole derivatives as microbiocidal compounds Download PDFInfo
- Publication number
- WO2020165403A1 WO2020165403A1 PCT/EP2020/053875 EP2020053875W WO2020165403A1 WO 2020165403 A1 WO2020165403 A1 WO 2020165403A1 EP 2020053875 W EP2020053875 W EP 2020053875W WO 2020165403 A1 WO2020165403 A1 WO 2020165403A1
- Authority
- WO
- WIPO (PCT)
- Prior art keywords
- methyl
- hydrogen
- formula
- compound
- compounds
- Prior art date
- Legal status (The legal status is an assumption and is not a legal conclusion. Google has not performed a legal analysis and makes no representation as to the accuracy of the status listed.)
- Ceased
Links
- 0 *c1c(*)c(*)c(*)c(OCC(O[*+])=O)c1 Chemical compound *c1c(*)c(*)c(*)c(OCC(O[*+])=O)c1 0.000 description 3
Classifications
-
- C—CHEMISTRY; METALLURGY
- C07—ORGANIC CHEMISTRY
- C07D—HETEROCYCLIC COMPOUNDS
- C07D277/00—Heterocyclic compounds containing 1,3-thiazole or hydrogenated 1,3-thiazole rings
- C07D277/02—Heterocyclic compounds containing 1,3-thiazole or hydrogenated 1,3-thiazole rings not condensed with other rings
- C07D277/20—Heterocyclic compounds containing 1,3-thiazole or hydrogenated 1,3-thiazole rings not condensed with other rings having two or three double bonds between ring members or between ring members and non-ring members
- C07D277/32—Heterocyclic compounds containing 1,3-thiazole or hydrogenated 1,3-thiazole rings not condensed with other rings having two or three double bonds between ring members or between ring members and non-ring members with hetero atoms or with carbon atoms having three bonds to hetero atoms with at the most one bond to halogen, e.g. ester or nitrile radicals, directly attached to ring carbon atoms
- C07D277/34—Oxygen atoms
-
- C—CHEMISTRY; METALLURGY
- C07—ORGANIC CHEMISTRY
- C07D—HETEROCYCLIC COMPOUNDS
- C07D277/00—Heterocyclic compounds containing 1,3-thiazole or hydrogenated 1,3-thiazole rings
- C07D277/02—Heterocyclic compounds containing 1,3-thiazole or hydrogenated 1,3-thiazole rings not condensed with other rings
- C07D277/20—Heterocyclic compounds containing 1,3-thiazole or hydrogenated 1,3-thiazole rings not condensed with other rings having two or three double bonds between ring members or between ring members and non-ring members
- C07D277/22—Heterocyclic compounds containing 1,3-thiazole or hydrogenated 1,3-thiazole rings not condensed with other rings having two or three double bonds between ring members or between ring members and non-ring members with only hydrogen atoms, hydrocarbon or substituted hydrocarbon radicals, directly attached to ring carbon atoms
- C07D277/24—Radicals substituted by oxygen atoms
-
- C—CHEMISTRY; METALLURGY
- C07—ORGANIC CHEMISTRY
- C07D—HETEROCYCLIC COMPOUNDS
- C07D277/00—Heterocyclic compounds containing 1,3-thiazole or hydrogenated 1,3-thiazole rings
- C07D277/02—Heterocyclic compounds containing 1,3-thiazole or hydrogenated 1,3-thiazole rings not condensed with other rings
- C07D277/20—Heterocyclic compounds containing 1,3-thiazole or hydrogenated 1,3-thiazole rings not condensed with other rings having two or three double bonds between ring members or between ring members and non-ring members
- C07D277/22—Heterocyclic compounds containing 1,3-thiazole or hydrogenated 1,3-thiazole rings not condensed with other rings having two or three double bonds between ring members or between ring members and non-ring members with only hydrogen atoms, hydrocarbon or substituted hydrocarbon radicals, directly attached to ring carbon atoms
- C07D277/28—Radicals substituted by nitrogen atoms
-
- C—CHEMISTRY; METALLURGY
- C07—ORGANIC CHEMISTRY
- C07D—HETEROCYCLIC COMPOUNDS
- C07D277/00—Heterocyclic compounds containing 1,3-thiazole or hydrogenated 1,3-thiazole rings
- C07D277/02—Heterocyclic compounds containing 1,3-thiazole or hydrogenated 1,3-thiazole rings not condensed with other rings
- C07D277/20—Heterocyclic compounds containing 1,3-thiazole or hydrogenated 1,3-thiazole rings not condensed with other rings having two or three double bonds between ring members or between ring members and non-ring members
- C07D277/32—Heterocyclic compounds containing 1,3-thiazole or hydrogenated 1,3-thiazole rings not condensed with other rings having two or three double bonds between ring members or between ring members and non-ring members with hetero atoms or with carbon atoms having three bonds to hetero atoms with at the most one bond to halogen, e.g. ester or nitrile radicals, directly attached to ring carbon atoms
-
- C—CHEMISTRY; METALLURGY
- C07—ORGANIC CHEMISTRY
- C07D—HETEROCYCLIC COMPOUNDS
- C07D277/00—Heterocyclic compounds containing 1,3-thiazole or hydrogenated 1,3-thiazole rings
- C07D277/02—Heterocyclic compounds containing 1,3-thiazole or hydrogenated 1,3-thiazole rings not condensed with other rings
- C07D277/20—Heterocyclic compounds containing 1,3-thiazole or hydrogenated 1,3-thiazole rings not condensed with other rings having two or three double bonds between ring members or between ring members and non-ring members
- C07D277/32—Heterocyclic compounds containing 1,3-thiazole or hydrogenated 1,3-thiazole rings not condensed with other rings having two or three double bonds between ring members or between ring members and non-ring members with hetero atoms or with carbon atoms having three bonds to hetero atoms with at the most one bond to halogen, e.g. ester or nitrile radicals, directly attached to ring carbon atoms
- C07D277/56—Carbon atoms having three bonds to hetero atoms with at the most one bond to halogen
Definitions
- the present invention relates to microbiocidal methoxyacrylate derivatives, e.g., as active ingredients, which have microbiocidal activity, in particular, fungicidal activity.
- the invention also relates to agrochemical compositions which comprise at least one of the methoxyacrylate derivatives, to processes of preparation of these compounds and to uses of the methoxyacrylate derivatives or compositions in agriculture or horticulture for controlling or preventing infestation of plants, harvested food crops, seeds or non-living materials by phytopathogenic microorganisms, preferably fungi.
- EP 0 212 859 and WO 01/00562 describe the use of methoxyacrylate derivatives for combating phytopathogenic fungi.
- R 1 is selected from the group consisting of hydrogen, halogen, Ci-C3alkyl and cyclopropyl;
- R 2 is selected from the group consisting of hydrogen, halogen, methyl and methoxy
- R 3 is selected from the group consisting of hydrogen, halogen, methyl and methoxy
- R 4 is selected from the group consisting of hydrogen, halogen, cyano, Ci-C6alkyl, C2-C6alkenyl, C2- C6alkynyl, Ci-C6haloalkyl, C2-C6haloalkenyl, C2-C6haloalkynyl, cyanoCi-Cealkyl-, C3-C6cycloalkylCi- C 4 alkyl-, Ci-C6alkoxyC3-C6alkenyl-, C3-C6cycloalkylC 2 -C6alkenyl-, Ci-C6alkoxyC3-C 4 alkynyl-, C3- C6cycloalkylC 2 -C3alkynyl-, Ci-C6alkoxy, C3-C6alkenyloxy, C3-C6alkynyloxy, Ci-C6haloalkoxy, C3- C6cycloalkylCi-C 4 alkoxy
- R 5 is selected from the group consisting of hydrogen, halogen, cyano, Ci-C6alkyl, C2-C6alkenyl, C2- C6alkynyl, Ci-C6haloalkyl, C2-C6haloalkenyl, C2-C6haloalkynyl, cycloproylCi-Cealkyl-, methoxyC3- C6alkenyl-, cyclopropylC2-C6alkenyl-, methoxyC3-C 4 alkynyl-, cyclopropylC 2 -C3alkynyl-, Ci-C6alkoxy, C- i-C6haloalkoxy, cyclopropylCi-Cealkoxy-, Ci-C3alkoxyCi-C3alkoxy-, Ci-C3alkoxyCi-C3alkoxyC, Ci-C3alkoxyCi-C3alkyl-, Ci- C3alk
- novel compounds of formula (I) have, a very advantageous level of biological activity for protecting plants against diseases that are caused by fungi.
- an agrochemical composition comprising a fungicidally effective amount of a compound of formula (I) and an agrochemically- acceptable diluent or carrier.
- Such an agricultural composition may further comprise at least one additional active ingredient.
- a method of controlling or preventing infestation of useful plants by phytopathogenic microorganisms wherein a fungicidally effective amount of a compound of formula (I), or a composition comprising this compound as active ingredient, is applied to the plants, to parts thereof or the locus thereof.
- a compound of formula (I) as a fungicide.
- the use may exclude methods for the treatment of the human or animal body by surgery or therapy.
- halogen refers to fluorine (fluoro), chlorine (chloro), bromine (bromo) or iodine (iodo), preferably fluorine, chlorine or bromine.
- cyano means a -CN group.
- hydroxy means a -OH group.
- Ci-C6alkyl refers to a straight or branched hydrocarbon chain radical consisting solely of carbon and hydrogen atoms, containing no unsaturation, having from one to six carbon atoms, and which is attached to the rest of the molecule by a single bond.
- Ci-C 4 alkyl and Ci- C 2 alkyl are to be construed accordingly.
- Examples of Ci-C6alkyl include, but are not limited to, methyl, ethyl, n-propyl, 1 -methylethyl (iso-propyl), n-butyl, and 1 -dimethylethyl (f-butyl).
- cyanoCi-Cealkyl- refers to a Ci-C6alkyl radical as generally defined above substituted by one or more cyano groups.
- Ci-C6alkoxy refers to a radical of the formula -OR a where R a is a Ci-C6alkyl radical as generally defined above.
- Examples of Ci-C6alkoxy include, but are not limited to, methoxy, ethoxy, propoxy, iso-propoxy and f-butoxy.
- Ci-C6haloalkyl refers to a Ci-C6alkyl radical, as generally defined above, substituted by one or more of the same or different halogen atoms. Ci-C 4 haloalkyl is to be construed accordingly. Examples of Ci-C6haloalkyl include, but are not limited to chloromethyl, fluoromethyl, fluoroethyl, difluoromethyl, trifluoromethyl and 2,2,2-trifluoroethyl.
- Ci-C6haloalkoxy refers to a Ci-C6alkoxy group, as defined above, substituted by one or more of the same or different halogen atoms. Ci-C 4 haloalkoxy is to be construed accordingly. Examples of Ci-C6haloalkoxy include, but are not limited to, fluoromethoxy, difluoromethoxy, fluoroethoxy, trifluoromethoxy and trifluoroethoxy.
- cyclopropylCi-Cealkoxy- refers to a Ci-C6alkoxy radical as generally defined above substituted by one or more cyclopropyl groups.
- C3-C6cycloalkylCi-C 4 alkoxy- refers to a Ci-C 4 alkoxy radical as generally defined above substituted by one or more C3-C6cycloalkyl groups as generally defined below.
- C 2 -C6alkenyl refers to a straight or branched hydrocarbon chain radical consisting solely of carbon and hydrogen atoms, containing at least one double bond that can be of either the (E)- or ( ⁇ -configuration, having from two to six carbon atoms, which is attached to the rest of the molecule by a single bond.
- C3-C6alkenyl is to be construed accordingly.
- Examples of C 2 -C6alkenyl include, but are not limited to, prop-1 -enyl, allyl (prop-2-enyl) and but-1 -enyl.
- C 2 -C6haloalkenyl refers to a C 2 -C6alkenyl radical, as generally defined above, substituted by one or more of the same or different halogen atoms.
- methoxyC3-C6alkenyl- refers to a C3-C6alkenyl radical as generally defined above substituted by one or more methoxy groups.
- cyclopropylC2-C6alkenyl- refers to a C2-C6alkenyl radical as generally defined above substituted by one or more cyclopropyl groups.
- C 2 -C3alkynyl refers to a straight or branched hydrocarbon chain radical group consisting solely of carbon and hydrogen atoms, containing at least one triple bond, having from two to three carbon atoms, and which is attached to the rest of the molecule by a single bond.
- Examples of C2- C3alkynyl include, but are not limited to, prop-1 -ynyl and propargyl (prop-2-ynyl).
- methoxyC3-C 4 alkynyl- refers to a C3-C 4 alkynyl radical as generally defined above substituted by one or more methoxy groups.
- cyclopropylC 2 -C3alkynyl- refers to a C 2 -C3alkenyl radical as generally defined above substituted by one or more cyclopropyl groups.
- C 2 -C3haloalkynyl refers to a C 2 -C3alkynyl radical, as generally defined above, substituted by one or more of the same or different halogen atoms.
- Ci-C3alkoxyCi-C3alkyl- refers to radical of the formula Ra-O-Rb- where R a is a Ci-C3alkyl radical as generally defined above, and Rb is a Ci-C3alkylene radical as generally defined above.
- Examples of Ci-C3alkoxyCi-C3alkyl- include, but are not limited to, ethoxymethyl and iso- propyloxymethyl.
- Ci-C3alkoxyCi-C3alkoxy- refers to radical of the formula R a -0-Rb-0- where R a is a Ci-C3alkyl radical as generally defined above, and Rb is a Ci-C3alkyl radical as generally defined above.
- Ci-C6alkylsulfanyl refers to a radical of the formula -SR a where R a is a Ci- C6alkyl radical as generally defined above.
- Ci-C6haloalkylsulfanyl refers to a Ci-C6alkylsulfanyl group as defined above substituted by one or more of the same or different halogen atoms.
- methoxyCi-C6alkylsulfanyl refers to to a Ci-C6alkylsulfanyl group as defined above substituted by one or more methoxy groups.
- cyclopropylCi-Cealkylsulfanyl refers to to a Ci-C6alkylsulfanyl group as defined above substituted by one or more cyclopropyl groups.
- C3-C6cycloalkylCi-C6alkylsulfanyl- refers to to a Ci-C6alkylsulfanyl group as defined above substituted by one or more C3-C6cycloalkyl groups as generally defined below.
- Ci-C3alkylsulfanylCi-C 2 alkyl- refers to radical of the formula R a -S-Rb- where R a is a Ci-C3alkyl radical as generally defined above, and Rb is a Ci-C2alkylene radical as generally defined above.
- C3-C6cycloalkyl refers to a stable, monocyclic ring radical which is saturated or partially unsaturated and contains 3 to 6 carbon atoms.
- C3-C 4 cycloalkyl is to be construed accordingly.
- Examples of C3-C6cycloalkyl include, but are not limited to, cyclopropyl, cyclobutyl, cyclopentyl and cyclohexyl.
- C3-C6cycloalkylCi-C 4 alkyl- refers to a Ci-C 4 alkyl radical as generally defined above substituted by one or more C3-C6cycloalkyl groups as generally defined above.
- C3-C6cycloalkylC 2 -C6alkenyl- refers to a C2-C6alkenyl radical as generally defined above substituted by one or more C3-C6cycloalkyl groups as generally defined above.
- C3-C6cycloalkylC 2 -C3alkynyl- refers to a C 2 -C3alkynyl radical as generally defined above substituted by one or more C3-C6cycloalkyl groups as generally defined above.
- C3-C6halocycloalkyl refers to a C3-C6cycloalkyl radical, as generally defined above, substituted by one or more of the same or different halogen atoms.
- C3-C 4 halocycloalkyl is to be construed accordingly.
- Ci-C6alkoxyC3-C6cycloalkyl- refers to to a C3-C6cycloalkyl group as defined above substituted by one or more Ci-C6alkoxy groups as generally defined above.
- methoxyC3-C6cycloalkyl- refers to to a C3-C6cycloalkyl group as defined above substituted by one or more methoxy groups as generally defined above.
- Ci-C 2 alkylC3-C6cycloalkyl- refers to to a C3-C6cycloalkyl group as defined above substituted by one or more Ci-C2alkyl groups as defined above.
- phenoxyCi-C3alkyl- refers to a phenyl ring attached to a Ci-C3alkylene radical as generally defined above via an oxygen atom.
- heteroaryl refers to a 5- or 6-membered monocyclic aromatic ring which comprises 1 , 2, 3 or 4 heteroatoms individually selected from nitrogen, oxygen and sulfur.
- the heteroaryl radical may be bonded to the rest of the molecule via a carbon atom or heteroatom.
- heteroaryl include, furyl, pyrrolyl, imidazolyl, thienyl, pyrazolyl, thiazolyl, isothiazolyl, oxazolyl, isoxazolyl, triazolyl, tetrazolyl, pyrazinyl, pyridazinyl, pyrimidyl or pyridyl.
- heteroaryloxyCi-C3alkyl- refers to a heteroaryl ring as defined above which is attached to a Ci-C3alkylene radical as generally defined above via an oxygen atom.
- asymmetric carbon atoms in a compound of formula (I) means that the compounds may occur in chiral isomeric forms, i.e. , enantiomeric or diastereomeric forms. Also atropisomers may occur as a result of restricted rotation about a single bond.
- Formula (I) is intended to include all those possible isomeric forms and mixtures thereof.
- the present invention includes all those possible isomeric forms and mixtures thereof for a compound of formula (I).
- formula (I) is intended to include all possible tautomers (including lactam-lactim tautomerism and keto-enol tautomerism) where present.
- the present invention includes all possible tautomeric forms for a compound of formula (I).
- the compounds of formula (I) according to the invention are in free form, in covalently hydrated form, or in salt form, e.g., an agronomically usable or agrochemically acceptable salt form.
- R 1 is selected from the group consisting of hydrogen, halogen, Ci-C3alkyl and cyclopropyl.
- R 1 is selected from the group consisting of hydrogen, chloro, bromo, methyl, ethyl and cyclopropyl. More preferably, R 1 is selected from the group consisting of chloro, bromo, methyl, ethyl and cyclopropyl. Even more preferably, R 1 is selected from the group consisting of chloro, bromo and methyl. Most preferably, R 1 is methyl.
- R 2 is selected from the group consisting of hydrogen, halogen, methyl and methoxy.
- R 2 is selected from the group consisting of hydrogen, fluoro, methyl and methoxy. More preferably, R 2 is selected from the group consisting of hydrogen, fluoro and methoxy. Even more preferably, R 2 is hydrogen or methyl. Most preferably, R 2 is hydrogen.
- R 3 is selected from the group consisting of hydrogen, halogen, methyl and methoxy.
- R 3 is selected from the group consisting of hydrogen, fluoro, methyl and methoxy. More preferably, R 3 is selected from the group consisting of hydrogen, fluoro and methyl. Even more preferably, R 3 is hydrogen or methyl. Most preferably, R 3 is hydrogen.
- R 4 is selected from the group consisting of hydrogen, halogen, cyano, Ci-C6alkyl, C2-C6alkenyl, C2- Cealkynyl, Ci-C6haloalkyl, C2-C6haloalkenyl, C2-C6haloalkynyl, cyanoCi-Cealkyl-, C3-C6cycloalkylCi- C 4 alkyl-, Ci-C6alkoxyC3-C6alkenyl-, C3-C6cycloalkylC 2 -C6alkenyl-, Ci-C6alkoxyC3-C 4 alkynyl-, C3- C6cycloalkylC 2 -C3alkynyl-, Ci-C6alkoxy, C3-C6alkenyloxy, C3-C6alkynyloxy, Ci-C6haloalkoxy, C3- C6cycloalkylCi-C 4 alkoxy-
- R 4 is selected from the group consisting of hydrogen, halogen, cyano, Ci-C6alkyl, C2- C6alkenyl, C2-C6alkynyl, Ci-C6haloalkyl, C2-C6haloalkenyl, C 2 -C3haloalkynyl, cyanoCi-Cealkyl-, C3- C6cycloalkylCi-C 4 alkyl-, Ci-C6alkoxyC3-C6alkenyl-, C3-C6cycloalkylC 2 -C6alkenyl-, Ci-C6alkoxyC3- C 4 alkynyl-, C3-C6cycloalkylC 2 -C3alkynyl-, Ci-C6alkoxy, Ci-C6haloalkoxy, Ci-C6alkoxyCi-C3alkyl-, Ci- C6alkylsulfanyl, Ci-C6halo
- R 4 is selected from the group consisting of hydrogen, bromo, trifluoromethyl, ethoxymethyl and cyclohexyl. Most preferably, R 4 is selected from the group consisting of hydrogen, bromo, ethoxymethyl and cyclohexyl.
- R 5 is selected from the group consisting of hydrogen, halogen, cyano, Ci-C6alkyl, C 2 -C6alkenyl, C 2 - Cealkynyl, Ci-C6haloalkyl, C 2 -C6haloalkenyl, C 2 -C6haloalkynyl, cycloproylCi-Cealkyl-, methoxyC3- Cealkenyl-, cyclopropylC 2 -C6alkenyl-, methoxyC3-C4alkynyl-, cyclopropylC2-C3alkynyl-, Ci-C6alkoxy, C- i-C6haloalkoxy, cyclopropylCi-Cealkoxy-, Ci-C3alkoxyCi-C3alkoxy-, Ci-C3alkoxyCi-C3alkoxyC, Ci-C3alkoxyCi-C3alkyl-,
- R 5 is selected from the group consisting of hydrogen, halogen, cyano, Ci-C6alkyl, C 2 - Cealkenyl, C2-C3alkynyl, Ci-C6haloalkyl, C 2 -C6haloalkenyl, Ci-C6alkoxy, Ci-C6haloalkoxy, Ci- C3alkoxyCi-C3alkyl-, Ci-C6alkylsulfanyl, C3-C6cycloalkyl and C3-C6halocycloalkyl.
- R 5 is selected from the group consisting of hydrogen, halogen, Ci-C6alkyl, C 2 - C6alkenyl, Ci-C6haloalkyl, C 2 -C6haloalkenyl, Ci-C6alkoxy, Ci-C6haloalkoxy, C3-C6cycloalkyl and C3- Cehalocycloalkyl.
- R 5 is selected from the group consisting of hydrogen, halogen, Ci-C6alkyl, Ci- Cehaloalkyl and C3-C6cycloalkyl.
- R 5 is selected from the group consisting of hydrogen, chloro, bromo, methyl, /so-propyl, trifluoromethyl and cyclopropyl. Yet even more preferably still, R 5 is hydrogen or trifluoromethyl. Most preferably, R 5 is hydrogen.
- R 4 and R 5 are not both hydrogen.
- Each R 6 is independently hydrogen or Ci-C3alkyl. Preferably each R 6 is Ci-C3alkyl, most preferably each R 6 is methyl.
- Each R 7 is independently selected from the group consisting of halogen, cyano, -OH, -N(R 6 ) 2 , Ci-C3alkyl, Ci-C3alkoxy, Ci-C3haloalkyl and Ci-C3haloalkoxy.
- each R 7 is independently selected from the group consisting of halogen, cyano, -N(R 6 ) 2 , Ci-C3alkyl, Ci-C3alkoxy, Ci-C3haloalkyl and Ci- C3haloalkoxy.
- each R 7 is independently selected from the group consisting of halogen, Ci-C3alkyl, Ci-C3alkoxy and Ci-C3haloalkyl.
- each R 7 is independently selected from the group consisting of halogen and Ci-C3alkyl.
- in a compound according to formula (I) of the invention in a compound according to formula (I) of the invention.
- R 1 is methyl
- R 2 is hydrogen
- R 3 is hydrogen
- R 5 is selected from the group consisting of hydrogen, halogen, Ci-C6alkyl, C2-C6alkenyl, Ci-C6haloalkyl, C2-C6haloalkenyl, Ci-C6alkoxy, Ci-C6haloalkoxy, C3-C6cycloalkyl and C3-C6halocycloalkyl;
- R 4 and R 5 are not both hydrogen
- each R 6 is Ci-C3alkyl
- each R 7 is independently selected from the group consisting of halogen, Ci-C3alkyl, Ci-C3alkoxy and Ci-C3haloalkyl.
- R 1 is methyl
- R 2 is hydrogen
- R 3 is hydrogen
- R 5 is selected from the group consisting of hydrogen, halogen, Ci-C6alkyl, Ci-C6haloalkyl and C3- C6cycloalkyl;
- R 1 is methyl
- R 2 is hydrogen
- R 3 is hydrogen
- R 5 is selected from the group consisting of hydrogen, chloro, bromo, methyl, /so-propyl, trifluoromethyl and cyclopropyl;
- R 1 is methyl
- R 2 is hydrogen
- R 3 is hydrogen
- R 4 is selected from the group consisting of hydrogen, bromo, trifluoromethyl, ethoxymethyl and cyclohexyl (preferably hydrogen, bromo, ethoxymethyl and cyclohexyl); and
- R 5 is hydrogen or trifluoromethyl
- R 1 is methyl
- R 2 is hydrogen
- R 3 is hydrogen
- R 4 is selected from the group consisting of bromo, trifluoromethyl, ethoxymethyl and cyclohexyl (preferably bromo, ethoxymethyl and cyclohexyl); and
- R 5 is hydrogen
- R 1 is methyl
- R 2 is hydrogen
- R 3 is hydrogen
- R 4 is hydrogen
- R 5 is trifluoromethyl.
- the compound of formula (I) is selected from the group consisting of compounds E.01 to E.38 (preferably E.02, E.16, E.20, E.22 and E.25) listed in table E below.
- the compounds of formula (I) according to the invention may be useful for combating phytopathogenic fungi (e.g Altemaria alternata, Phakopsora pachyrhizi, Plasmopara viticola, Sclerotinia sclerotiorum or Septoha tritici also known as Mycosphaerella graminicola) containing a mutation in the mitochondrial cytochrome b conferring resistance to Qo inhibitors (e.g strobilurins such as azoxystrobin, pyraclostrobin, picoxystrobin and trifloxystrobin or fenamidone or famoxadone).
- phytopathogenic fungi e.g Altemaria alternata, Phakopsora pachyrhizi, Plasmopara viticola, Sclerotinia sclerotiorum or Septoha tritici also known as Mycosphaerella graminicola
- Qo inhibitors e.g strobil
- the compounds of formula (I) according to the invention may be useful for combating phytopathogenic fungi (e.g Altemaria alternata, Plasmopara viticola, Sclerotinia sclerotiorum or Septoria tritici also known as Mycosphaerella graminicola) containing a mutation in the mitochondrial cytochrome b conferring resistance to Qo inhibitors (e.g strobilurins such as azoxystrobin, pyraclostrobin, picoxystrobin and trifloxystrobin or fenamidone or famoxadone), wherein the mutation is G143A.
- phytopathogenic fungi e.g Altemaria alternata, Plasmopara viticola, Sclerotinia sclerotiorum or Septoria tritici also known as Mycosphaerella graminicola
- Qo inhibitors e.g strobilurins such as azoxystrobin, pyra
- the compounds of formula (I) according to the invention may be useful for combating phytopathogenic fungi (e.g Phakopsora pachyrhizi ) containing a mutation in the mitochondrial cytochrome b conferring resistance to Qo inhibitors (e.g strobilurins such as azoxystrobin, pyraclostrobin, picoxystrobin and trifloxystrobin or fenamidone or famoxadone), wherein the mutation is F129L.
- phytopathogenic fungi e.g Phakopsora pachyrhizi
- Qo inhibitors e.g strobilurins such as azoxystrobin, pyraclostrobin, picoxystrobin and trifloxystrobin or fenamidone or famoxadone
- the invention also relates to a method of controlling or preventing infestation by phytopathogenic fungi in a plant (e.g Alternaria alternate, Plasmopara viticola, Sclerotinia sclerotiorum or Septoha tritici also known as Mycosphaerella graminicola ), wherein said phytopathogenic fungi contains a mutation in the mitochondrial cytochrome b conferring resistance to Qo inhibitors (e.g strobliurins such as azoxystrobin, pyraclostrobin, picoxystrobin and trifloxystrobin or fenamidone or famoxadone), said method comprising applying to the plant, to parts thereof or the locus thereof, a fungicidally effective amount of a compound of formula (I).
- a plant e.g Alternaria alternate, Plasmopara viticola, Sclerotinia sclerotiorum or Septoha tritici also known as Mycosphaerella
- a method of controlling or preventing infestation by phytopathogenic fungi e.g Phakopsora pachyrhizi
- said phytopathogenic fungi contains a mutation in the mitochondrial cytochrome b conferring resistance to Qo inhibitors (e.g strobliurins such as azoxystrobin, pyraclostrobin, picoxystrobin and trifloxystrobin or fenamidone or famoxadone)
- said method comprising applying to the plant, to parts thereof or the locus thereof, a fungicidally effective amount of a compound of formula (I).
- a method of controlling or preventing infestation by phytopathogenic fungi e.g Phakopsora pachyrhizi ) in a soybean plant, wherein said phytopathogenic fungi contains a F129L mutation in the mitochondrial cytochrome b conferring resistance to Qo inhibitors (e.g strobliurins such as azoxystrobin, pyraclostrobin, picoxystrobin and trifloxystrobin or fenamidone or famoxadone), said method comprising applying to the plant, to parts thereof or the locus thereof, a fungicidally effective amount of a compound of formula (I).
- Qo inhibitors e.g strobliurins such as azoxystrobin, pyraclostrobin, picoxystrobin and trifloxystrobin or fenamidone or famoxadone
- the level of resistance and therefore the impact on the performance of the fungicide can be measured by the use of a 'Resistance Factor' (RF).
- RF EC50 value of the resistant strain/EC50 value of the sensitive strain.
- resistant fungal strains In order to obtain resistant fungal strains, a researcher is to locate a host crop and geographical region where the relevant resistance has been reported in the literature. Either leaf samples infected by the target disease or spores, or mycelium of the target disease are then collected from the locations/host crops and sent to a laboratory, where pure cultures would be isolated. The resistant phenotype of the fungal cultures is determined either by conducting a full dose response bioassay and comparing the bioassay results to similar bioassay results for a known susceptible strain of the same species. Alternatively the resistance genotype of the fungal strain can be determined by molecular techniques (e.g. qPCR) if the resistance mechanism for the relevant species is known.
- molecular techniques e.g. qPCR
- the compounds of formula (I) wherein R 1 , R 2 , R 3 , R 4 and R 5 are as defined above, can be obtained from compounds of formula (II) wherein R 1 , R 2 and R 3 are as defined for compounds of formula (I) and R 11 is a halogen or psuedohalogen, such as chloro, bromo, iodo, -OSO2CF3 or -OSC>2(CF2)3CF3 and compounds of formula (III) wherein R 4 and R 5 are as defined for compounds of formula (I), in the presence of a base such as CsF, a silver or copper compound such as Ag 2 CC>3 or Cul, a palladium compound such as Pd(ll)acetate and a supporting phosphine ligand such triphenylphosphine in an organic solvent such as N,N-dimethylformamide at temperatures between 20°C - 150°C.
- a base such as CsF
- a silver or copper compound
- compounds of formula (I) can be obtained from compounds of formula (IV) wherein R 1 , R 2 and R 3 are as defined for compounds of formula (I) and R 12 is as defined in scheme 2, and compounds of formula (lll-a) wherein R 4 and R 5 are as defined for compounds of formula (I) and R 11 is a halogen or psuedohalogen, such as chloro, bromo, iodo, -OSO2CF3 or -OSC>2(CF2)3CF3, in the presence of a base such as K3CO3 and a palladium species such as Pd(ll)acetate supported by a phosphine ligand such as triphenylphosphine in an organic solvent such as 1 ,4-dioxane.
- Scheme 2 Scheme 2
- compounds of formula (I), wherein R 1 , R 2 , R 3 , R 4 and R 5 are as defined for compounds of formula (I) can be obtained from compounds of formula (VIII) wherein R 1 , R 2 , R 3 , R 4 and R 5 are as defined for compounds of formula (I) and R 13 is H or C 1 -C 4 alkyl, by treatment with a base such as sodium methoxide and a formylating agent such as methyl formate to generate compounds of formula (IX), wherein R 1 , R 2 , R 3 , R 4 and R 5 are as defined for compounds of formula (I) and R 14 is H or methyl, followed by methylation with a reagent such dimethyl sulfate in the presence of a base such as K2CO3. This is shown in scheme 6.
- certain compounds of formula (I) can be prepared from compounds of formula (l-a), wherein R 1 , R 2 , R 3 and R 5 are as defined for compounds of formula (I) and R 11 is a halogen or psuedohalogen, such as chloro, bromo, iodo, -OSO2CF3 or -OSC>2(CF2)3CF3, in the presence of a coupling reagent and a transition metal-based catalyst.
- a coupling agent, catalyst and solvent provided it is used in ordinary coupling reactions, such as those described in“Cross-Coupling Reactions: A Practical Guide (Topics in Current Chemistry)”, edited by Norio Miyaura und S.L. Buchwald (editions Springer), or“Metal-Catalyzed Cross-Coupling Reactions”, edited by Armin de Meijere and Frangois Diederich (editions WILEY-VCH). This is shown in Scheme 8.
- Certain compounds of formula (l-a) can be obtained from compounds of formula (IV) wherein R 1 , R 2 and R 3 are as defined for compounds of formula (I) and R 12 is as defined in scheme 9, and compounds of formula (lll-b) wherein R 4 and R 5 are as defined for compounds of formula (I) and each R 11 is independently selected from halogen or psuedohalogen, such as chloro, bromo, iodo, -OSO2CF3 or - 0S0 2 (CF 2 )3CF3, in the presence of a base such as K 2 CC>3 and a palladium species such as Pd(ll)acetate supported by a phosphine ligand such as triphenylphosphine in an organic solvent such as 1 ,4-dioxane.
- halogen or psuedohalogen such as chloro, bromo, iodo, -OSO2CF3 or - 0S0 2 (CF
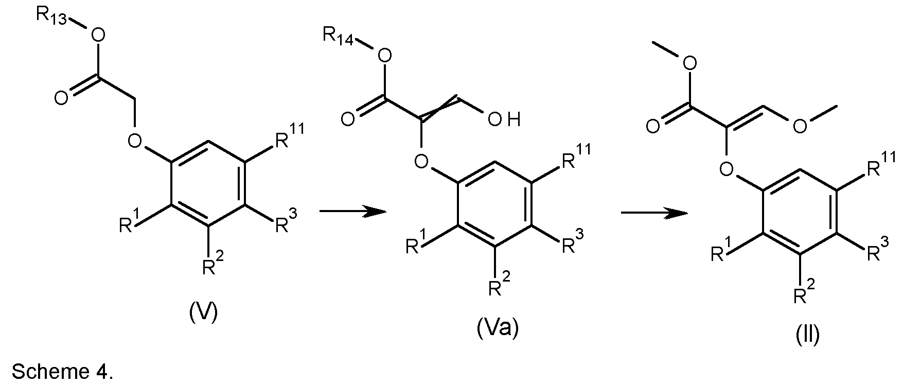
- certain compounds of formula (VIII) wherein R 1 , R 2 and R 3 are as defined for compounds of formula (I) and R 13 is C1-C4 alkyl can be obtained from compounds of formula (X) wherein R 1 , R 2 and R 3 are as defined for compounds of formula (I) and R 13 is C1-C4 alkyl, and compounds of formula (XI) wherein R 4 and R 5 are as defined for compounds of formula (I) by heating them together in an inert organic solvent in the presence or absence of a base.
- compounds of formula (XII) wherein R 1 , R 2 and R 3 are as defined for compounds of formula (I) and R 13 is C1-C4 alkyl can be obtained from compounds of formula (V) wherein R 1 , R 2 and R 3 are as defined for compounds of formula (I), R 13 is C1-C4 alkyl and R 11 is a halogen or psuedohalogen, such as chloro, bromo, iodo, -OSO2CF3 or -OSC>2(CF2)3CF3, in the presence of a cyanide source such as Zn(CN)2, a palladium compounds such as Pd(ll)acetate and a supporting phosphine ligand.
- a cyanide source such as Zn(CN)2
- a palladium compounds such as Pd(ll)acetate and a supporting phosphine ligand.
- compounds of formula (I) wherein R 1 , R 2 , R 3 , R 4 and R 5 are as defined above can be obtained by transformation of another, closely related, compound of formula I (or an analogue thereof) using standard synthesis techniques known to the person skilled in the art.
- Non-exhaustive examples include oxidation reactions, reduction reactions, hydrogenation reactions, hydrolysis reactions, coupling reactions, aromatic nucleophilic or electrophilic substitution reactions, nucleophilic substitution reactions, alkylation reactions, nucleophilic addition reactions and halogenation reactions.
- a separation is generally not necessarily required because in some cases the individual isomers can be interconverted during work-up for use or during application (e. g. under the action of light, acids or bases). Such conversions may also take place after use, e. g. in the treatment of plants in the treated plant, or in the harmful fungus to be controlled.
- novel compounds of formula (I) of the present invention have a very advantageous level of biological activity for protecting plants against diseases that are caused by fungi.
- the compounds of formula (I) can be used in the agricultural sector and related fields of use, e.g., as active ingredients for controlling plant pests or on non-living materials for the control of spoilage microorganisms or organisms potentially harmful to man.
- the novel compounds are distinguished by excellent activity at low rates of application, by being well tolerated by plants and by being environmentally safe. They have very useful curative, preventive and systemic properties and can be used for protecting numerous cultivated plants.
- the compounds of formula (I) can be used to inhibit or destroy the pests that occur on plants or parts of plants (fruit, blossoms, leaves, stems, tubers, roots) of different crops of useful plants, while at the same time protecting also those parts of the plants that grow later, e.g., from phytopathogenic microorganisms.
- the present invention further relates to a method for controlling or preventing infestation of plants or plant propagation material and/or harvested food crops susceptible to microbial attack by treating plants or plant propagation material and/or harvested food crops wherein an effective amount a compound of formula (I) is applied to the plants, to parts thereof or the locus thereof.
- fungicide means a compound that controls, modifies, or prevents the growth of fungi.
- fungicidally effective amount where used means the quantity of such a compound or combination of such compounds that is capable of producing an effect on the growth of fungi. Controlling or modifying effects include all deviation from natural development, such as killing, retardation and the like, and prevention includes barrier or other defensive formation in or on a plant to prevent fungal infection.
- compounds of formula (I) as dressing agents for the treatment of plant propagation material, e.g., seed, such as fruits, tubers or grains, or plant cuttings, for the protection against fungal infections as well as against phytopathogenic fungi occurring in the soil.
- the propagation material can be treated with a composition comprising a compound of formula (I) before planting: seed, for example, can be dressed before being sown.
- the active compounds of formula (I) can also be applied to grains (coating), either by impregnating the seeds in a liquid formulation or by coating them with a solid formulation.
- the composition can also be applied to the planting site when the propagation material is being planted, for example, to the seed furrow during sowing.
- the invention relates also to such methods of treating plant propagation material and to the plant propagation material so treated.
- the compounds of formula (I) can be used for controlling fungi in related areas, for example in the protection of technical materials, including wood and wood related technical products, in food storage, in hygiene management.
- the invention could be used to protect non-living materials from fungal attack, e.g. lumber, wall boards and paint.
- the compounds of formula (I) are for example, effective against fungi and fungal vectors of disease as well as phytopathogenic bacteria and viruses.
- These fungi and fungal vectors of disease as well as phytopathogenic bacteria and viruses are for example:
- Absidia corymbifera Alternaria spp, Aphanomyces spp, Ascochyta spp, Aspergillus spp. including A. flavus, A. fumigatus, A. nidulans, A. niger, A. terms, Aureobasidium spp. including A. pullulans, Blastomyces dermatitidis, Blumeria graminis, Bremia lactucae, Botryosphaeria spp. including B. dothidea, B. obtusa, Botrytis spp. comprising B. cinerea, Candida spp. including C. albicans, C. glabrata, C. krusei, C.
- Penicillium spp. including P. digitatum, P. italicum, Petriellidium spp, Peronosclerospora spp. Including P. maydis, P. philippinensis and P. sorghi, Peronospora spp, Phaeosphaeria nodorum, Phakopsora pachyrhizi, Phellinus igniarus, Phialophora spp, Phoma spp, Phomopsis viticola, Phytophthora spp.
- P. infestans Plasmopara spp. including P. halstedii, P. viticola, Pleospora spp., Podosphaera spp. including P. leucotricha, Polymyxa graminis, Polymyxa betae, Pseudocercosporella herpotrichoides, Pseudomonas spp, Pseudoperonospora spp. including P. cubensis, P. humuli, Pseudopeziza tracheiphila, Puccinia Spp. including P. hordei, P. recondita, P. striiformis, P.
- the compounds of formula (I) may be used for example on turf, ornamentals, such as flowers, shrubs, broad-leaved trees or evergreens, for example conifers, as well as for tree injection, pest management and the like.
- target crops and/or useful plants to be protected typically comprise perennial and annual crops, such as berry plants for example blackberries, blueberries, cranberries, raspberries and strawberries; cereals for example barley, maize (corn), millet, oats, rice, rye, sorghum triticale and wheat; fibre plants for example cotton, flax, hemp, jute and sisal; field crops for example sugar and fodder beet, coffee, hops, mustard, oilseed rape (canola), poppy, sugar cane, sunflower, tea and tobacco; fruit trees for example apple, apricot, avocado, banana, cherry, citrus, nectarine, peach, pear and plum; grasses for example Bermuda grass, bluegrass, bentgrass, centipede grass, fescue, ryegrass, St.
- perennial and annual crops such as berry plants for example blackberries, blueberries, cranberries, raspberries and strawberries
- cereals for example barley, maize (corn), millet, oats
- Augustine grass and Zoysia grass herbs such as basil, borage, chives, coriander, lavender, lovage, mint, oregano, parsley, rosemary, sage and thyme; legumes for example beans, lentils, peas and soya beans; nuts for example almond, cashew, ground nut, hazelnut, peanut, pecan, pistachio and walnut; palms for example oil palm; ornamentals for example flowers, shrubs and trees; other trees, for example cacao, coconut, olive and rubber; vegetables for example asparagus, aubergine, broccoli, cabbage, carrot, cucumber, garlic, lettuce, marrow, melon, okra, onion, pepper, potato, pumpkin, rhubarb, spinach and tomato; and vines for example grapes.
- herbs such as basil, borage, chives, coriander, lavender, lovage, mint, oregano, parsley, rosemary, sage and thyme
- legumes for example beans, lentils, peas and soya beans
- useful plants is to be understood as also including useful plants that have been rendered tolerant to herbicides like bromoxynil or classes of herbicides (such as, for example, HPPD inhibitors, ALS inhibitors, for example primisulfuron, prosulfuron and trifloxysulfuron, EPSPS (5-enol-pyrovyl- shikimate-3-phosphate-synthase) inhibitors, GS (glutamine synthetase) inhibitors or PPO (protoporphyrinogen-oxidase) inhibitors) as a result of conventional methods of breeding or genetic engineering.
- herbicides like bromoxynil or classes of herbicides
- EPSPS (5-enol-pyrovyl- shikimate-3-phosphate-synthase) inhibitors
- GS glutamine synthetase
- PPO protoporphyrinogen-oxidase
- imazamox by conventional methods of breeding (mutagenesis) is Clearfield® summer rape (Canola).
- crops that have been rendered tolerant to herbicides or classes of herbicides by genetic engineering methods include glyphosate- and glufosinate-resistant maize varieties commercially available under the trade names RoundupReady®, Herculex I® and LibertyLink®.
- Useful plants is to be understood as also including useful plants which have been so transformed by the use of recombinant DNA techniques that they are capable of synthesising one or more selectively acting toxins, such as are known, for example, from toxin-producing bacteria, especially those of the genus Bacillus.
- YieldGard® (maize variety that expresses a CrylA(b) toxin); YieldGard Rootworm® (maize variety that expresses a Cryll IB(b1 ) toxin); YieldGard Plus® (maize variety that expresses a CrylA(b) and a Cryll IB(b1 ) toxin); Starlink® (maize variety that expresses a Cry9(c) toxin); Herculex I® (maize variety that expresses a CrylF(a2) toxin and the enzyme phosphinothricine N- acetyltransferase (PAT) to achieve tolerance to the herbicide glufosinate ammonium); NuCOTN 33B® (cotton variety that expresses a CrylA(c) toxin); Bollgard I® (cotton variety that expresses a CrylA(c) toxin); Bollgard II® (cott
- crops is to be understood as including also crop plants which have been so transformed by the use of recombinant DNA techniques that they are capable of synthesising one or more selectively acting toxins, such as are known, for example, from toxin-producing bacteria, especially those of the genus Bacillus.
- Toxins that can be expressed by such transgenic plants include, for example, insecticidal proteins from Bacillus cereus or Bacillus popilliae; or insecticidal proteins from Bacillus thuringiensis, such as 5- endotoxins, e.g. CrylAb, CrylAc, Cry1 F, Cry1 Fa2, Cry2Ab, Cry3A, Cry3Bb1 or Cry9C, or vegetative insecticidal proteins (Vip), e.g. Vip1 , Vip2, Vip3 or Vip3A; or insecticidal proteins of bacteria colonising nematodes, for example Photorhabdus spp.
- insecticidal proteins from Bacillus cereus or Bacillus popilliae or insecticidal proteins from Bacillus thuringiensis, such as 5- endotoxins, e.g. CrylAb, CrylAc, Cry1 F, Cry1 Fa2, Cry2Ab, Cry3A, Cry3Bb1
- Xenorhabdus spp. such as Photorhabdus luminescens, Xenorhabdus nematophilus
- toxins produced by animals such as scorpion toxins, arachnid toxins, wasp toxins and other insect-specific neurotoxins
- toxins produced by fungi such as Streptomycetes toxins, plant lectins, such as pea lectins, barley lectins or snowdrop lectins
- agglutinins proteinase inhibitors, such as trypsin inhibitors, serine protease inhibitors, patatin, cystatin, papain inhibitors
- ribosomeinactivating proteins (RIP) such as ricin, maize-RIP, abrin, luffin, saporin or bryodin
- steroid metabolism enzymes such as 3-hydroxysteroidoxidase, ecdysteroid-UDP-glycosyl-transferase, cholesterol oxidases, ecdy
- d-endotoxins for example CrylAb, CrylAc, Cry1 F, Cry1 Fa2, Cry2Ab, Cry3A, Cry3Bb1 or Cry9C, or vegetative insecticidal proteins (Vip), for example Vip1 , Vip2, Vip3 or Vip3A, expressly also hybrid toxins, truncated toxins and modified toxins.
- Hybrid toxins are produced recombinantly by a new combination of different domains of those proteins (see, for example, WO 02/15701).
- Truncated toxins for example a truncated CrylAb, are known.
- modified toxins one or more amino acids of the naturally occurring toxin are replaced.
- amino acid replacements preferably non-naturally present protease recognition sequences are inserted into the toxin, such as, for example, in the case of Cry3A055, a cathepsin-G- recognition sequence is inserted into a Cry3A toxin (see WO 03/018810).
- Examples of such toxins or transgenic plants capable of synthesising such toxins are disclosed, for example, in EP-A-0 374 753, WO93/07278, W095/34656, EP-A-0 427 529, EP-A-451 878 and WO 03/052073.
- Cryl-type deoxyribonucleic acids and their preparation are known, for example, from WO 95/34656, EP-A-0 367 474, EP-A-0 401 979 and WO 90/13651 .
- the toxin contained in the transgenic plants imparts to the plants tolerance to harmful insects.
- insects can occur in any taxonomic group of insects, but are especially commonly found in the beetles (Coleoptera), two-winged insects (Diptera) and butterflies (Lepidoptera).
- Transgenic plants containing one or more genes that code for an insecticidal resistance and express one or more toxins are known and some of them are commercially available. Examples of such plants are: YieldGard® (maize variety that expresses a CrylAb toxin); YieldGard Rootworm® (maize variety that expresses a Cry3Bb1 toxin); YieldGard Plus® (maize variety that expresses a CrylAb and a Cry3Bb1 toxin); Starlink® (maize variety that expresses a Cry9C toxin); Herculex I® (maize variety that expresses a Cry1 Fa2 toxin and the enzyme phosphinothricine N-acetyltransferase (PAT) to achieve tolerance to the herbicide glufosinate ammonium); NuCOTN 33B® (cotton variety that expresses a CrylAc toxin); Bollgard I® (cotton variety that expresses a
- transgenic crops are:
- MIR604 Maize from Syngenta Seeds SAS, Chemin de I'Hobit 27, F-31 790 St. Sauveur, France, registration number C/FR/96/05/10. Maize which has been rendered insect-resistant by transgenic expression of a modified Cry3A toxin. This toxin is Cry3A055 modified by insertion of a cathepsin-G- protease recognition sequence. The preparation of such transgenic maize plants is described in WO 03/018810.
- MON 863 Maize from Monsanto Europe S.A. 270-272 Avenue de Tervuren, B-1 150 Brussels, Belgium, registration number C/DE/02/9. MON 863 expresses a Cry3Bb1 toxin and has resistance to certain Coleoptera insects.
- NK603 x MON 810 Maize from Monsanto Europe S.A. 270-272 Avenue de Tervuren, B-1 150 Brussels, Belgium, registration number C/GB/02/M3/03. Consists of conventionally bred hybrid maize varieties by crossing the genetically modified varieties NK603 and MON 810.
- NK603 c MON 810 Maize transgenically expresses the protein CP4 EPSPS, obtained from Agrobacterium sp. strain CP4, which imparts tolerance to the herbicide Roundup® (contains glyphosate), and also a Cryl Ab toxin obtained from Bacillus thuringiensis subsp. kurstaki which brings about tolerance to certain Lepidoptera, include the European corn borer.
- the compounds of formula (I) may be used in controlling or preventing phytopathogenic diseases, especially phytopathogenic fungi (such as Phakopsora pachyrhizi ) on soy bean plants.
- transgenic soybean plants expressing toxins for example insecticidal proteins such as delta-endotoxins, e.g. Cryl Ac (CrylAc Bt protein).
- toxins for example insecticidal proteins such as delta-endotoxins, e.g. Cryl Ac (CrylAc Bt protein).
- this may include transgenic soybean plants comprising event MON87701 (see U.S. Patent No. 8,049,071 and related applications and patents, as well as WO 2014/170327 A1 (eg, see paragraph [008] reference to Intacta RR2 PROTM soybean)), event MON87751 (US. Patent Application Publication No. 2014/0373191) or event DAS- 81419 (U.S. Patent No. 8632978 and related applications and patents).
- event MON87701 see U.S. Patent No. 8,049,071 and related applications and patents, as well as WO 2014/170327 A1 (eg, see paragraph [008] reference to Intacta
- transgenic soybean plants may comprise event SYHT0H2 - HPPD tolerance (U.S. Patent Application Publication No. 2014/0201860 and related applications and patents), event MON89788 - glyphosate tolerance (U.S. Pat. No. 7,632,985 and related applications and patents), event MON87708 - dicamba tolerance (U.S. Patent Application Publication No. US 201 1/0067134 and related applications and patents), event DP-356043-5 - glyphosate and ALS tolerance (U.S. Patent Application Publication No. US 2010/0184079 and related applications and patents), event A2704-12 - glufosinate tolerance (U.S. Patent Application Publication No.
- event DAS-40278-9 - tolerance to 2,4- dichlorophenoxyacetic acid and aryloxyphenoxypropionate see WO 201 1/022469, WO 201 1/022470, WO 201 1/022471 , and related applications and patents
- event 127 - ALS tolerance WO 2010/080829 and related applications and patents
- event GTS 40-3-2 - glyphosate tolerance event DAS-68416-4- 2,4-dichlorophenoxyacetic acid and glufosinate tolerance
- event FG72 - glyphosate and isoxaflutole tolerance event BPS-CV127-9 - ALS tolerance and GU262 - glufosinate tolerance or event SYHT04R - HPPD tolerance.
- the compounds of formula (I) may be used in controlling or preventing phytopathogenic diseases, especially phytopathogenic fungi (such as Phakopsora pachyrhizi ) on soy bean plants.
- phytopathogenic diseases especially phytopathogenic fungi (such as Phakopsora pachyrhizi ) on soy bean plants.
- phytopathogenic fungi such as Phakopsora pachyrhizi
- An elite plant is any plant from an elite line, such that an elite plant is a representative plant from an elite variety.
- elite soybean varieties that are commercially available to farmers or soybean breeders include: AG00802, A0868, AG0902, A1923, AG2403, A2824, A3704, A4324, A5404, AG5903, AG6202 AG0934; AG1435; AG2031 ; AG2035; AG2433; AG2733; AG2933; AG3334; AG3832; AG4135; AG4632; AG4934; AG5831 ; AG6534; and AG7231 (Asgrow Seeds, Des Moines, Iowa, USA); BPR0144RR, BPR 4077NRR and BPR 4390NRR (Bio Plant Research, Camp Point, III., USA); DKB17- 51 and DKB37-51 (DeKalb Genetics, DeKalb, III., USA); DP 4546 RR, and DP 7870 RR (Delta & Pine Land Company, Lubbock,
- the compounds of Formula (I) are used to control Phakopsora pachyrhizi, (including fungicidally-resistant strains thereof, as outlined herein) on Elite soybean plant varieties where R-gene stacks, conferring a degree of immunity or resistance to specific Phakopsora pachyrhizi, have been been introgressed in the plant genome. Numerous benefits may be expected to ensue from said use, e.g. improved biological activity, an advantageous or broader spectrum of activity (inc.
- Phakopsora pachyrhizi sensitive and resistant strains of Phakopsora pachyrhizi
- an increased safety profile improved crop tolerance, synergistic interactions or potentiating properties, improved onset of action or a longer lasting residual activity, a reduction in the number of applications and/or a reduction in the application rate of the compounds and compositions required for effective control of the phytopathogen (Phakopsora pachyrhizi), thereby enabling beneficial resistance- management practices, reduced environmental impact and reduced operator exposure.
- Fungicidal-resistant strains of Phakopsora pachyrhizi have been reported in the scientific literature, with strains resistant to one or more fungicides from at least each of the following fungicidal mode of action classes being observed: sterol demethylation-inhibitors (DMI), quinone-outside-inhibitors (Qol) and succinate dehydrogenase inhibitors (SDHI).
- DMI sterol demethylation-inhibitors
- Qol quinone-outside-inhibitors
- SDHI succinate dehydrogenase inhibitors
- the compounds of Formula (I) (including any one of compounds E.01 to E.38), or fungicidal compositions according to the present invention comprising a compound of formula (I), are used to control Phakopsora pachyrhizi which are resistant to one or more fungicides from any of the following fungicidal MoA classes: sterol demethylation-inhibitors (DMI), quinone-outside- inhibitors (Qol) and succinate dehydrogenase inhibitors (SDHI).
- DMI sterol demethylation-inhibitors
- Qol quinone-outside- inhibitors
- SDHI succinate dehydrogenase inhibitors
- locus means fields in or on which plants are growing, or where seeds of cultivated plants are sown, or where seed will be placed into the soil. It includes soil, seeds, and seedlings, as well as established vegetation.
- plants refers to all physical parts of a plant, including seeds, seedlings, saplings, roots, tubers, stems, stalks, foliage, and fruits.
- plant propagation material is understood to denote generative parts of the plant, such as seeds, which can be used for the multiplication of the latter, and vegetative material, such as cuttings or tubers, for example potatoes.
- vegetative material such as cuttings or tubers, for example potatoes.
- seeds in the strict sense
- roots in the strict sense
- fruits in the tubers
- bulbs rhizomes
- parts of plants there can be mentioned for example seeds (in the strict sense), roots, fruits, tubers, bulbs, rhizomes and parts of plants.
- Germinated plants and young plants which are to be transplanted after germination or after emergence from the soil may also be mentioned. These young plants can be protected before transplantation by a total or partial treatment by immersion.
- plant propagation material is understood to denote seeds.
- the compounds of formula I may be used in unmodified form or, preferably, together with the adjuvants conventionally employed in the art of formulation. To this end they may be conveniently formulated in known manner to emulsifiable concentrates, coatable pastes, directly sprayable or dilutable solutions or suspensions, dilute emulsions, wettable powders, soluble powders, dusts, granulates, and also encapsulations e.g. in polymeric substances. As with the type of the compositions, the methods of application, such as spraying, atomising, dusting, scattering, coating or pouring, are chosen in accordance with the intended objectives and the prevailing circumstances. The compositions may also contain further adjuvants such as stabilizers, antifoams, viscosity regulators, binders or tackifiers as well as fertilizers, micronutrient donors or other formulations for obtaining special effects.
- Suitable carriers and adjuvants can be solid or liquid and are substances useful in formulation technology, e.g. natural or regenerated mineral substances, solvents, dispersants, wetting agents, tackifiers, thickeners, binders or fertilizers.
- Such carriers are for example described in WO 97/33890.
- Suspension concentrates are aqueous formulations in which finely divided solid particles of the active compound are suspended. Such formulations include anti-settling agents and dispersing agents and may further include a wetting agent to enhance activity as well an anti-foam and a crystal growth inhibitor. In use, these concentrates are diluted in water and normally applied as a spray to the area to be treated. The amount of active ingredient may range from 0.5% to 95% of the concentrate.
- Wettable powders are in the form of finely divided particles which disperse readily in water or other liquid carriers.
- the particles contain the active ingredient retained in a solid matrix.
- Typical solid matrices include fuller’s earth, kaolin clays, silicas and other readily wet organic or inorganic solids. Wettable powders normally contain from 5% to 95% of the active ingredient plus a small amount of wetting, dispersing or emulsifying agent.
- Emulsifiable concentrates are homogeneous liquid compositions dispersible in water or other liquid and may consist entirely of the active compound with a liquid or solid emulsifying agent, or may also contain a liquid carrier, such as xylene, heavy aromatic naphthas, isophorone and other non-volatile organic solvents. In use, these concentrates are dispersed in water or other liquid and normally applied as a spray to the area to be treated. The amount of active ingredient may range from 0.5% to 95% of the concentrate.
- Granular formulations include both extrudates and relatively coarse particles and are usually applied without dilution to the area in which treatment is required.
- Typical carriers for granular formulations include sand, fuller’s earth, attapulgite clay, bentonite clays, montmorillonite clay, vermiculite, perlite, calcium carbonate, brick, pumice, pyrophyllite, kaolin, dolomite, plaster, wood flour, ground corn cobs, ground peanut hulls, sugars, sodium chloride, sodium sulphate, sodium silicate, sodium borate, magnesia, mica, iron oxide, zinc oxide, titanium oxide, antimony oxide, cryolite, gypsum, diatomaceous earth, calcium sulphate and other organic or inorganic materials which absorb or which can be coated with the active compound.
- Granular formulations normally contain 5% to 25% of active ingredients which may include surface-active agents such as heavy aromatic naphthas, kerosene and other petroleum fractions, or vegetable oils
- Dusts are free-flowing admixtures of the active ingredient with finely divided solids such as talc, clays, flours and other organic and inorganic solids which act as dispersants and carriers.
- Microcapsules are typically droplets or granules of the active ingredient enclosed in an inert porous shell which allows escape of the enclosed material to the surroundings at controlled rates.
- Encapsulated droplets are typically 1 to 50 microns in diameter.
- the enclosed liquid typically constitutes 50 to 95% of the weight of the capsule and may include solvent in addition to the active compound.
- Encapsulated granules are generally porous granules with porous membranes sealing the granule pore openings, retaining the active species in liquid form inside the granule pores.
- Granules typically range from 1 millimetre to 1 centimetre and preferably 1 to 2 millimetres in diameter. Granules are formed by extrusion, agglomeration or prilling, or are naturally occurring.
- Shell or membrane materials include natural and synthetic rubbers, cellulosic materials, styrene-butadiene copolymers, polyacrylonitriles, polyacrylates, polyesters, polyamides, polyureas, polyurethanes and starch xanthates.
- compositions for agrochemical applications include simple solutions of the active ingredient in a solvent in which it is completely soluble at the desired concentration, such as acetone, alkylated naphthalenes, xylene and other organic solvents.
- Pressurised sprayers wherein the active ingredient is dispersed in finely-divided form as a result of vaporisation of a low boiling dispersant solvent carrier, may also be used.
- Liquid carriers that can be employed include, for example, water, toluene, xylene, petroleum naphtha, crop oil, acetone, methyl ethyl ketone, cyclohexanone, acetic anhydride, acetonitrile, acetophenone, amyl acetate, 2-butanone, chlorobenzene, cyclohexane, cyclohexanol, alkyl acetates, diacetonalcohol, 1 ,2-dichloropropane, diethanolamine, p-diethylbenzene, diethylene glycol, diethylene glycol abietate, diethylene glycol butyl ether, diethylene glycol ethyl ether, diethylene glycol methyl ether, N,N-dimethyl formamide, dimethyl sulfoxide,
- Suitable solid carriers include, for example, talc, titanium dioxide, pyrophyllite clay, silica, attapulgite clay, kieselguhr, chalk, diatomaxeous earth, lime, calcium carbonate, bentonite clay, fuller’s earth, cotton seed hulls, wheat flour, soybean flour, pumice, wood flour, walnut shell flour and lignin.
- a broad range of surface-active agents are advantageously employed in both said liquid and solid compositions, especially those designed to be diluted with carrier before application.
- These agents when used, normally comprise from 0.1 % to 15% by weight of the formulation. They can be anionic, cationic, non-ionic or polymeric in character and can be employed as emulsifying agents, wetting agents, suspending agents or for other purposes.
- Typical surface active agents include salts of alkyl sulfates, such as diethanolammonium lauryl sulphate; alkylarylsulfonate salts, such as calcium dodecylbenzenesulfonate; alkylphenol-alkylene oxide addition products, such as nonylphenol-C.sub.
- alcohol-alkylene oxide addition products such as tridecyl alcohol-C.sub. 16 ethoxylate
- soaps such as sodium stearate
- alkylnaphthalenesulfonate salts such as sodium dibutylnaphthalenesulfonate
- dialkyl esters of sulfosuccinate salts such as sodium di(2-ethylhexyl) sulfosuccinate
- sorbitol esters such as sorbitol oleate
- quaternary amines such as lauryl trimethylammonium chloride
- polyethylene glycol esters of fatty acids such as polyethylene glycol stearate
- salts of mono and dialkyl phosphate esters such as mono and dialkyl phosphate esters.
- adjuvants commonly utilized in agricultural compositions include crystallisation inhibitors, viscosity modifiers, suspending agents, spray droplet modifiers, pigments, antioxidants, foaming agents, antifoaming agents, light-blocking agents, compatibilizing agents, antifoam agents, sequestering agents, neutralising agents and buffers, corrosion inhibitors, dyes, odorants, spreading agents, penetration aids, micronutrients, emollients, lubricants and sticking agents.
- biocidally active ingredients or compositions may be combined with the compositions of the invention and used in the methods of the invention and applied simultaneously or sequentially with the compositions of the invention. When applied simultaneously, these further active ingredients may be formulated together with the compositions of the invention or mixed in, for example, the spray tank. These further biocidally active ingredients may be fungicides, herbicides, insecticides, bactericides, acaricides, nematicides and/or plant growth regulators.
- Pesticidal agents are referred to herein using their common name are known, for example, from “The Pesticide Manual”, 15th Ed., British Crop Protection Council 2009.
- compositions of the invention may also be applied with one or more systemically acquired resistance inducers (“SAR” inducer).
- SAR inducers are known and described in, for example, United States Patent No. US 6,919,298 and include, for example, salicylates and the commercial SAR inducer acibenzolar-S-methyl.
- the compounds of formula (I) are normally used in the form of agrochemical compositions and can be applied to the crop area or plant to be treated, simultaneously or in succession with further compounds.
- further compounds can be e.g. fertilizers or micronutrient donors or other preparations, which influence the growth of plants. They can also be selective herbicides or non-selective herbicides as well as insecticides, fungicides, bactericides, nematicides, molluscicides or mixtures of several of these preparations, if desired together with further carriers, surfactants or application promoting adjuvants customarily employed in the art of formulation.
- the compounds of formula (I) may be used in the form of (fungicidal) compositions for controlling or protecting against phytopathogenic microorganisms, comprising as active ingredient at least one compound of formula (I) or of at least one preferred individual compound as defined herein, in free form or in agrochemically usable salt form, and at least one of the above-mentioned adjuvants.
- the invention therefore provides a composition, preferably a fungicidal composition, comprising at least one compound formula (I) an agriculturally acceptable carrier and optionally an adjuvant.
- An agricultural acceptable carrier is for example a carrier that is suitable for agricultural use.
- Agricultural carriers are well known in the art.
- said composition may comprise at least one or more pesticidally-active compounds, for example an additional fungicidal active ingredient in addition to the compound of formula
- the compound of formula (I) may be the sole active ingredient of a composition or it may be admixed with one or more additional active ingredients such as a pesticide, fungicide, synergist, herbicide or plant growth regulator where appropriate.
- Suitable additional active ingredients include the following: acycloamino acid fungicides, aliphatic nitrogen fungicides, amide fungicides, anilide fungicides, antibiotic fungicides, aromatic fungicides, arsenical fungicides, aryl phenyl ketone fungicides, benzamide fungicides, benzanilide fungicides, benzimidazole fungicides, benzothiazole fungicides, botanical fungicides, bridged diphenyl fungicides, carbamate fungicides, carbanilate fungicides, conazole fungicides, copper fungicides, dicarboximide fungicides, dinitrophenol fungicides, dithiocarbamate fungicides, dithiolane fungicides, furamide fungicides, furanilide fungicides, hydrazide fungicides, imidazole fungicides, mercury fungicides, morpholine fung
- suitable additional active ingredients also include the following: 3-difluoromethyl-1 -methyl- 1 H-pyrazole-4-carboxylic acid (9-dichloromethylene-1 ,2,3,4-tetrahydro-1 ,4-methano-naphthalen-5-yl)- amide , 3-difluoromethyl-1 -methyl-1 H-pyrazole-4-carboxylic acid methoxy-[1 -methyl-2-(2,4,6- trichlorophenyl)-ethyl]-amide , 1 -methyl-3-difluoromethyl-1 H-pyrazole-4-carboxylic acid (2- dichloromethylene-3-ethyl-1 -methyl-indan-4-yl)-amide (1072957-71 -1), 1 -methyl-3-difluoromethyl-1 H- pyrazole-4-carboxylic acid (4'-methylsulfanyl-biphenyl-2-yl)-amide, 1 -methyl-3-di
- the compounds of the invention may also be used in combination with anthelmintic agents.
- anthelmintic agents include, compounds selected from the macrocyclic lactone class of compounds such as ivermectin, avermectin, abamectin, emamectin, eprinomectin, doramectin, selamectin, moxidectin, nemadectin and milbemycin derivatives as described in EP- 357460, EP-444964 and EP- 594291 .
- Additional anthelmintic agents include semisynthetic and biosynthetic avermectin/milbemycin derivatives such as those described in US-5015630, WO-9415944 and WO-9522552. Additional anthelmintic agents include the benzimidazoles such as albendazole, cambendazole, fenbendazole, flubendazole, mebendazole, oxfendazole, oxibendazole, parbendazole, and other members of the class. Additional anthelmintic agents include imidazothiazoles and tetrahydropyrimidines such as tetramisole, levamisole, pyrantel pamoate, oxantel or morantel. Additional anthelmintic agents include flukicides, such as triclabendazole and clorsulon and the cestocides, such as praziquantel and epsiprantel.
- the compounds of the invention may be used in combination with derivatives and analogues of the paraherquamide/marcfortine class of anthelmintic agents, as well as the antiparasitic oxazolines such as those disclosed in US-5478855, US- 4639771 and DE-19520936.
- the compounds of the invention may be used in combination with derivatives and analogues of the general class of dioxomorpholine antiparasitic agents as described in WO 96/15121 and also with anthelmintic active cyclic depsipeptides such as those described in WO 96/1 1945, WO 93/19053, WO 93/25543, EP 0 626 375, EP 0 382 173, WO 94/19334, EP 0 382 173, and EP 0 503 538.
- the compounds of the invention may be used in combination with other ectoparasiticides; for example, fipronil; pyrethroids; organophosphates; insect growth regulators such as lufenuron; ecdysone agonists such as tebufenozide and the like; neonicotinoids such as imidacloprid and the like.
- ectoparasiticides for example, fipronil; pyrethroids; organophosphates; insect growth regulators such as lufenuron; ecdysone agonists such as tebufenozide and the like; neonicotinoids such as imidacloprid and the like.
- the compounds of the invention may be used in combination with terpene alkaloids, for example those described in International Patent Application Publication Numbers WO 95/19363 or WO 04/72086, particularly the compounds disclosed therein.
- Organophosphates acephate, azamethiphos, azinphos-ethyl, azinphos- methyl, bromophos, bromophos-ethyl, cadusafos, chlorethoxyphos, chlorpyrifos, chlorfenvinphos, chlormephos, demeton, demeton-S-methyl, demeton-S-methyl sulphone, dialifos, diazinon, dichlorvos, dicrotophos, dimethoate, disulfoton, ethion, ethoprophos, etrimfos, famphur, fenamiphos, fenitrothion, fensulfothion, fenthion, flupyrazofos, fonofos, formothion, fosthiazate, hep
- Carbamates alanycarb, aldicarb, 2-sec-butylphenyl methylcarbamate, benfuracarb, carbaryl, carbofuran, carbosulfan, cloethocarb, ethiofencarb, fenoxycarb, fenthiocarb, furathiocarb, HCN-801 , isoprocarb, indoxacarb, methiocarb, methomyl, 5-methyl-m-cumenylbutyryl(methyl)carbamate, oxamyl, pirimicarb, propoxur, thiodicarb, thiofanox, triazamate, UC-51717.
- Pyrethroids acrinathin, allethrin, alphametrin, 5-benzyl-3-furylmethyl (E) -(1 R)-cis-2,2-dimethyl-3-(2- oxothiolan-3-ylidenemethyl)cyclopropanecarboxylate, bifenthrin, beta -cyfluthrin, cyfluthrin, a- cypermethrin, beta -cypermethrin, bioallethrin, bioallethrin((S)-cyclopentylisomer), bioresmethrin, bifenthrin, NCI-85193, cycloprothrin, cyhalothrin, cythithrin, cyphenothrin, deltamethrin, empenthrin, esfenvalerate, ethofenprox, fenfluthrin, fenpropathrin,
- Arthropod growth regulators a) chitin synthesis inhibitors: benzoylureas: chlorfluazuron, diflubenzuron, fluazuron, flucycloxuron, flufenoxuron, hexaflumuron, lufenuron, novaluron, teflubenzuron, triflumuron, buprofezin, diofenolan, hexythiazox, etoxazole, chlorfentazine; b) ecdysone antagonists: halofenozide, methoxyfenozide, tebufenozide; c) juvenoids: pyriproxyfen, methoprene (including S-methoprene), fenoxycarb; d) lipid biosynthesis inhibitors: spirodiclofen.
- antiparasitics acequinocyl, amitraz, AKD-1022, ANS-1 18, azadirachtin, Bacillus thuringiensis, bensultap, bifenazate, binapacryl, bromopropylate, BTG-504, BTG-505, camphechlor, cartap, chlorobenzilate, chlordimeform, chlorfenapyr, chromafenozide, clothianidine, cyromazine, diacloden, diafenthiuron, DBI-3204, dinactin, dihydroxymethyldihydroxypyrrolidine, dinobuton, dinocap, endosulfan, ethiprole, ethofenprox, fenazaquin, flumite, MTI- 800, fenpyroximate, fluacrypyrim, flubenzimine, flubrocythrinate, flufenzine, flufenprox, fluproxyfen, halofenprox, hydra
- Biological agents Bacillus thuringiensis ssp aizawai, kurstaki, Bacillus thuringiensis delta endotoxin, baculovirus, entomopathogenic bacteria, virus and fungi.
- Bactericides chlortetracycline, oxytetracycline, streptomycin.
- compounds of formula (I) can be used in combination with one or more other active ingeredients to provide various fungicidal mixtures.
- specific examples of such mixtures include (wherein “I” represents a compound of formula (I)): a compound selected from the group of substances consisting of petroleum oils + I, 1 ,1 -bis(4-chlorophenyl)-2-ethoxyethanol + I, 2,4-dichlorophenyl benzenesulfonate + I, 2-fluoro-N-methyl-N-1 -naphthylacetamide + I, 4-chlorophenyl phenyl sulfone + I, acetoprole + I, aldoxycarb + I, amidithion + I, amidothioate + I, amiton + I, amiton hydrogen oxalate + I, amitraz + I, aramite + I, arsenous oxide + I, azobenzene + I, azothoate + I,
- 2-imidazolidone + I 2-isovalerylindan-1 ,3-dione + I, 2-methyl(prop-2-ynyl)aminophenyl methylcarbamate + I, 2-thiocyanatoethyl laurate + I, 3-bromo-1 -chloroprop-1 -ene + I, 3-methyl-1 - phenylpyrazol-5-yl dimethylcarbamate + I, 4-methyl(prop-2-ynyl)amino-3,5-xylyl methylcarbamate + I, 5,5-dimethyl-3-oxocyclohex-1 -enyl dimethylcarbamate + I, acethion + I, acrylonitrile + I, aldrin + I, allosamidin + I, allyxycarb + I, alpha-ecdysone + I, aluminium phosphide + I, aminocarb + I, anabasine + I, athidathion + I, azamethiphos
- the compounds in this paragraph may be prepared from the methods described in WO 2017/055473, WO 2017/055469, WO 2017/093348 and WO 2017/1 18689; 2-[6-(4-chlorophenoxy)-2-(trifluoromethyl)-3-pyridyl]-1 -(1 ,2,4- triazol-1 -yl)propan-2-ol + I (this compound may be prepared from the methods described in WO 2017/029179); 2-[6-(4-bromophenoxy)-2-(trifluoromethyl)-3-pyridyl]-1 -(1 ,2,4-triazol-1 -yl)propan-2-ol + I (this compound may be prepared from the methods described in WO 2017/029179); 3-[2-(1 - chlorocyclopropyl)-3-(2-fluorophenyl)-2-hydroxy-propyl]imidazole-4-carbonitrile + I (this compound may be prepared from the methods described in
- the active ingredient mixture of the compounds of formula (I) and an active ingredient as described above are preferably in a mixing ratio of from 100:1 to 1 :6000, especially from 50:1 to 1 :50, more especially in a ratio of from 20:1 to 1 :20, even more especially from 10:1 to 1 :10, very especially from 5:1 and 1 :5, special preference being given to a ratio of from 2:1 to 1 :2, and a ratio of from 4:1 to 2:1 being likewise preferred, above all in a ratio of 1 :1 , or 5:1 , or 5:2, or 5:3, or 5:4, or 4:1 , or 4:2, or 4:3, or 3:1 , or 3:2, or 2:1 , or 1 :5, or 2:5, or 3:5, or 4:5, or 1 :4, or 2:4, or 3:4, or 1 :3, or 2:3, or 1 :2, or 1 :600, or 1 :300, or 1 :150, or 1 :35, or 2:35, or 4:35, or
- the mixtures as described above can be used in a method for controlling pests, which comprises applying a composition comprising a mixture as described above to the pests or their environment, with the exception of a method for treatment of the human or animal body by surgery or therapy and diagnostic methods practised on the human or animal body.
- the mixtures comprising a compound of formula (I) and one or more active ingredients as described above can be applied, for example, in a single“ready-mix” form, in a combined spray mixture composed from separate formulations of the single active ingredient components, such as a“tank-mix”, and in a combined use of the single active ingredients when applied in a sequential manner, i.e. one after the other with a reasonably short period, such as a few hours or days.
- the order of applying the compounds of formula (I) and the active ingredients) as described above, is not essential for working the present invention.
- compositions according to the invention can also comprise further solid or liquid auxiliaries, such as stabilizers, for example unepoxidized or epoxidized vegetable oils (for example epoxidized coconut oil, rapeseed oil or soya oil), antifoams, for example silicone oil, preservatives, viscosity regulators, binders and/or tackifiers, fertilizers or other active ingredients for achieving specific effects, for example bactericides, fungicides, nematocides, plant activators, molluscicides or herbicides.
- auxiliaries such as stabilizers, for example unepoxidized or epoxidized vegetable oils (for example epoxidized coconut oil, rapeseed oil or soya oil), antifoams, for example silicone oil, preservatives, viscosity regulators, binders and/or tackifiers, fertilizers or other active ingredients for achieving specific effects, for example bactericides, fungicides, nematocides
- compositions according to the invention are prepared in a manner known per se, in the absence of auxiliaries for example by grinding, screening and/or compressing a solid active ingredient and in the presence of at least one auxiliary for example by intimately mixing and/or grinding the active ingredient with the auxiliary (auxiliaries).
- auxiliaries for example by grinding, screening and/or compressing a solid active ingredient and in the presence of at least one auxiliary for example by intimately mixing and/or grinding the active ingredient with the auxiliary (auxiliaries).
- Another aspect of the invention is related to the use of a compound of formula (I) or of a preferred individual compound as defined herein, of a composition comprising at least one compound of formula (I) or at least one preferred individual compound as above-defined, or of a fungicidal or insecticidal mixture comprising at least one compound of formula (I) or at least one preferred individual compound as above-defined, in admixture with other fungicides or insecticides as described above, for controlling or preventing infestation of plants, e.g. useful plants such as crop plants, propagation material thereof, e.g. seeds, harvested crops, e.g. harvested food crops, or non-living materials by insects or by phytopathogenic microorganisms, preferably fungal organisms.
- useful plants such as crop plants, propagation material thereof, e.g. seeds, harvested crops, e.g. harvested food crops, or non-living materials by insects or by phytopathogenic microorganisms, preferably fungal organisms.
- a further aspect of the invention is related to a method of controlling or preventing an infestation of plants, e.g., useful plants such as crop plants, propagation material thereof, e.g. seeds, harvested crops, e.g., harvested food crops, or of non-living materials by insects or by phytopathogenic or spoilage microorganisms or organisms potentially harmful to man, especially fungal organisms, which comprises the application of a compound of formula (I) or of a preferred individual compound as above-defined as active ingredient to the plants, to parts of the plants or to the locus thereof, to the propagation material thereof, or to any part of the non-living materials.
- useful plants such as crop plants, propagation material thereof, e.g. seeds, harvested crops, e.g., harvested food crops, or of non-living materials by insects or by phytopathogenic or spoilage microorganisms or organisms potentially harmful to man, especially fungal organisms
- a compound of formula (I) or of a preferred individual compound as above-defined as active ingredient to the plants, to parts
- Controlling or preventing means reducing infestation by phytopathogenic or spoilage microorganisms or organisms potentially harmful to man, especially fungal organisms, to such a level that an improvement is demonstrated.
- a preferred method of controlling or preventing an infestation of crop plants by phytopathogenic microorganisms, especially fungal organisms, or insects which comprises the application of a compound of formula (I), or an agrochemical composition which contains at least one of said compounds, is foliar application.
- the frequency of application and the rate of application will depend on the risk of infestation by the corresponding pathogen or insect.
- the compounds of formula (I) can also penetrate the plant through the roots via the soil (systemic action) by drenching the locus of the plant with a liquid formulation, or by applying the compounds in solid form to the soil, e.g. in granular form (soil application). In crops of water rice such granulates can be applied to the flooded rice field.
- the compounds of formula I may also be applied to seeds (coating) by impregnating the seeds or tubers either with a liquid formulation of the fungicide or coating them with a solid formulation.
- a formulation e.g. a composition containing the compound of formula (I), and, if desired, a solid or liquid adjuvant or monomers for encapsulating the compound of formula (I), may be prepared in a known manner, typically by intimately mixing and/or grinding the compound with extenders, for example solvents, solid carriers and, optionally, surface active compounds (surfactants).
- extenders for example solvents, solid carriers and, optionally, surface active compounds (surfactants).
- Advantageous rates of application are normally from 5g to 2kg of active ingredient (a.i.) per hectare (ha), preferably from 10g to 1 kg a.i./ha, most preferably from 20g to 600g a.i./ha.
- convenient dosages are from 10mg to 1 g of active substance per kg of seeds.
- rates of 0.001 to 50 g of a compound of formula I per kg of seed preferably from 0.01 to 10g per kg of seed are generally sufficient.
- composition comprising a compound of formula (I) according to the present invention is applied either preventative, meaning prior to disease development or curative, meaning after disease development.
- compositions of the invention may be employed in any conventional form, for example in the form of a twin pack, a powder for dry seed treatment (DS), an emulsion for seed treatment (ES), a flowable concentrate for seed treatment (FS), a solution for seed treatment (LS), a water dispersible powder for seed treatment (WS), a capsule suspension for seed treatment (CF), a gel for seed treatment (GF), an emulsion concentrate (EC), a suspension concentrate (SC), a suspo-emulsion (SE), a capsule suspension (CS), a water dispersible granule (WG), an emulsifiable granule (EG), an emulsion, water in oil (EO), an emulsion, oil in water (EW), a micro-emulsion (ME), an oil dispersion (OD), an oil miscible flowable (OF), an oil miscible liquid (OL), a soluble concentrate (SL), an ultra-low volume suspension (SU), an ultra-low volume liquid (UL), a technical concentrate (TK
- compositions may be produced in conventional manner, e.g. by mixing the active ingredients with appropriate formulation inerts (diluents, solvents, fillers and optionally other formulating ingredients such as surfactants, biocides, anti-freeze, stickers, thickeners and compounds that provide adjuvancy effects).
- appropriate formulation inerts diiluents, solvents, fillers and optionally other formulating ingredients such as surfactants, biocides, anti-freeze, stickers, thickeners and compounds that provide adjuvancy effects.
- conventional slow release formulations may be employed where long lasting efficacy is intended.
- Particularly formulations to be applied in spraying forms such as water dispersible concentrates (e.g. EC, SC, DC, OD, SE, EW, EO and the like), wettable powders and granules, may contain surfactants such as wetting and dispersing agents and other compounds that provide adjuvancy effects, e.g.
- a seed dressing formulation is applied in a manner known per se to the seeds employing the combination ofthe invention and a diluent in suitable seed dressing formulation form, e.g. as an aqueous suspension or in a dry powder form having good adherence to the seeds.
- suitable seed dressing formulation form e.g. as an aqueous suspension or in a dry powder form having good adherence to the seeds.
- seed dressing formulations are known in the art.
- Seed dressing formulations may contain the single active ingredients or the combination of active ingredients in encapsulated form, e.g. as slow release capsules or microcapsules.
- the formulations include from 0.01 to 90% by weight of active agent, from 0 to 20% agriculturally acceptable surfactant and 10 to 99.99% solid or liquid formulation inerts and adjuvant(s), the active agent consisting of at least the compound of formula (I) optionally together with other active agents, particularly microbiocides or conservatives or the like.
- Concentrated forms of compositions generally contain in between about 2 and 80%, preferably between about 5 and 70% by weight of active agent.
- Application forms of formulation may for example contain from 0.01 to 20% by weight, preferably from 0.01 to 5% by weight of active agent. Whereas commercial products will preferably be formulated as concentrates, the end user will normally employ diluted formulations.
- the compounds of the invention can be distinguished from known compounds by virtue of greater efficacy at low application rates, which can be verified by the person skilled in the art using the experimental procedures outlined in the Examples, using lower application rates if necessary, for example 60 ppm, 20 ppm or 2 ppm.
- Compounds of formula (I) may possess any number of benefits including, inter alia, advantageous levels of biological activity for protecting plants against diseases that are caused by fungi or superior properties for use as agrochemical active ingredients (for example, greater biological activity, an advantageous spectrum of activity, an increased safety profile (including improved crop tolerance), improved physicochemical properties, or increased biodegradability).
- Method G Spectra were recorded on a Mass Spectrometer from Waters (SQD, SQDII Single quadrupole mass spectrometer) equipped with an electrospray source (Polarity: positive and negative ions), Capillary: 3.00 kV, Cone range: 30 V, Extractor: 2.00 V, Source Temperature: 150°C, Desolvation Temperature: 350°C, Cone Gas Flow: 50 l/h, Desolvation Gas Flow: 650 l/h, Mass range: 100 to 900 Da) and an Acquity UPLC from Waters: Binary pump, heated column compartment , diode-array detector and ELSD detector.
- Spectra were recorded on a Mass Spectrometer from Waters (SQD, SQDII Single quadrupole mass spectrometer) equipped with an electrospray source (Polarity: positive and negative ions), Capillary: 3.00 kV, Cone range: 30V, Extractor: 2.00 V, Source Temperature: 150°C, Desolvation Temperature: 350°C, Cone Gas Flow: 50 l/h, Desolvation Gas Flow: 650 l/h, Mass range: 100 to 900 Da) and an Acquity UPLC from Waters: Binary pump, heated column compartment , diode-array detector and ELSD detector.
- Solvent degasser binary pump, heated column compartment and diode-array detector.
- Solvent degasser binary pump, heated column compartment and diode-array detector.
- Solvent A Water/Methanol 9:1 ,0.1 % formic acid and Solvent B: Acetonitrile,0.1 % formic acid
- Solvent A Water with 0.1 % formic acid : Acetonitrile : : 95 : 5 v/v
- Solvent B Acetonitrile with 0.1 % formic acid
- enantiomerically pure final compounds may be obtained from racemic materials as appropriate via standard physical separation techniques, such as reverse phase chiral chromatography, or through stereoselective synthetic techniques, eg, by using chiral starting materials.
- the active ingredient is thoroughly mixed with the adjuvants and the mixture is thoroughly ground in a suitable mill, affording wettable powders that can be diluted with waterto give suspensions of the desired concentration.
- Talcum 20 % The active ingredient is thoroughly mixed with the adjuvants and the mixture is thoroughly ground in a suitable mill, affording powders that can be used directly for seed treatment.
- Emulsions of any required dilution which can be used in plant protection, can be obtained from this concentrate by dilution with water.
- Active ingredient [compound of formula (I)] 5 % 6 % 4 %
- mineral filler 96 % Ready-for-use dusts are obtained by mixing the active ingredient with the carrier and grinding the mixture in a suitable mill. Such powders can also be used for dry dressings for seed.
- the active ingredient is mixed and ground with the adjuvants, and the mixture is moistened with water.
- the mixture is extruded and then dried in a stream of air.
- polyethylene glycol (mol. wt. 200) 3 %
- the finely ground active ingredient is uniformly applied, in a mixer, to the kaolin moistened with polyethylene glycol. Non-dusty coated granules are obtained in this manner. Suspension concentrate
- nonylphenol polyethylene glycol ether (15 mol of ethylene oxide) 6 %
- silicone oil (in the form of a 75 % emulsion in water) 1 %
- the finely ground active ingredient is intimately mixed with the adjuvants, giving a suspension concentrate from which suspensions of any desired dilution can be obtained by dilution with water.
- a suspension concentrate from which suspensions of any desired dilution can be obtained by dilution with water.
- living plants as well as plant propagation material can be treated and protected against infestation by microorganisms, by spraying, pouring or immersion.
- Silicone oil (in the form of a 75 % emulsion in water) 0.2 %
- the finely ground active ingredient is intimately mixed with the adjuvants, giving a suspension concentrate from which suspensions of any desired dilution can be obtained by dilution with water.
- a suspension concentrate from which suspensions of any desired dilution can be obtained by dilution with water.
- living plants as well as plant propagation material can be treated and protected against infestation by microorganisms, by spraying, pouring or immersion.
- 28 parts of a combination of the compound of formula (I) are mixed with 2 parts of an aromatic solvent and 7 parts of toluene diisocyanate/polymethylene-polyphenylisocyanate-mixture (8:1 ).
- This mixture is emulsified in a mixture of 1 .2 parts of polyvinylalcohol, 0.05 parts of a defoamer and 51 .6 parts of water until the desired particle size is achieved.
- To this emulsion a mixture of 2.8 parts 1 ,6-diaminohexane in 5.3 parts of water is added. The mixture is agitated until the polymerization reaction is completed.
- the obtained capsule suspension is stabilized by adding 0.25 parts of a thickener and 3 parts of a dispersing agent.
- the capsule suspension formulation contains 28% of the active ingredients.
- the medium capsule diameter is 8-15 microns.
- the resulting formulation is applied to seeds as an aqueous suspension in an apparatus suitable for that purpose.
- Pd(PPh 3 ) 2 CI 2 bis(triphenylphosphine) palladium (II) dichloride
- X-Phos Pd G2 chloro(2-dicyclohexylphosphino-2',4',6'-triisopropyl-1 ,1 '-biphenyl)[2-(2'-amino-1 ,1 '- biphenyl)]palladium(ll)
- LC/MS Liquid Chromatography Mass Spectrometry (description of the apparatus and the methods used for LC/MS analysis are given above)
- Example A1 Preparation of methyl (Z)-3-methoxy-2-[2-methyl-5-[4-(trifluoromethyl) thiazol-2- yl]phenoxy]prop-2-enoate (E.22) Step 1 :
- Example A2 Preparation of methyl (Z)-2-[5-[4-(2-cyclopropylethynyl) thiazol-2-yl]-2-methyl-phenoxy]- 3-methoxy-prop-2-enoate (E.08) Step 1 :
- Example B Biological examples/test methods: Alternaria solani (early blight of potato/tomato):
- Tomato leaf disks are placed on water agar in multiwell plates (24-well format) and sprayed with test solutions. After drying, the leaf disks are inoculated with a spore suspension of the fungus. After appropriate incubation the activity of a compound is assessed 4 dpi (days post inoculation) as preventive fungicidal activity.
- Botrytis cinerea (Gray mould):
- Barley leaf segments are placed on agar in multiwell plates (24-well format) and sprayed with test solutions. After drying, the leaf disks are inoculated with spores of the fungus. After appropriate incubation the activity of a compound is assessed 7 dpi (days post inoculation) as preventive fungicidal activity.
- Wheat leaf segments are placed on agar in multiwell plates (24-well format) and sprayed with test solutions. After drying, the leaf disks are inoculated with a spore suspension of the fungus. After appropriate incubation the activity of a compound is assessed 4 dpi (days after inoculation) as preventive fungicidal activity.
- Conidia of the fungus from cryogenic storage were directly mixed into nutrient broth (PDB potato dextrose broth).
- a DMSO solution of the test compounds was placed into a microtiter plate (96-well format) and the nutrient broth containing the fungal spores was added to it.
- the test plates were incubated at 24 °C and the inhibition of growth was determined photometrically after approximately 5-6 days at 620nm.
- Phakopsora pachyrhizi Soybean rust
- Soybean leaf disks are placed on agar in multiwell plates (24-well format) and sprayed with test solutions. After drying, the leaf disks are inoculated with a spore suspension of the fungus. After appropriate incubation the activity of a compound is assessed approx.12 dpi (days after inoculation) as preventive fungicidal activity.
- Tomato leaf disks are placed on water agar in multiwell plates (24-well format) and sprayed with test solutions. After drying, the leaf disks are inoculated with a spore suspension of the fungus. After appropriate incubation the activity of a compound is assessed 4 dpi (days after inoculation) as preventive fungicidal activity.
- the following compounds gave at least 80% control of Phytophthora infestans at 200 ppm when compared to untreated control under the same conditions, which showed extensive disease development:
- Plasmopara viticola downy mildew of grapevine
- Grape vine leaf disks are placed on agar in multiwell plates (24-well format) and sprayed with test solutions. After drying, the leaf disks are inoculated with a spore suspension of the fungus. After appropriate incubation the activity of a compound is assessed 7 dpi (days after inoculation) as preventive fungicidal activity.
- Wheat leaf segments are placed on agar in multiwell plates (24-well format). The leaf segments are inoculated with a spore suspension of the fungus and sprayed with test solutions 1 day after inoculation. After appropriate incubation the activity of a compound is assessed 8 dpi (days after inoculation) as curative fungicidal activity.
- E.1 1 E.13, E.17, E.22, E.28, E.29, E.30, E.31 , E.32, E.33, E.34, E.35, E.36, E.37
- Wheat leaf segments are placed on agar in multiwell plates (24-well format) and sprayed with test solutions. After drying, the leaf segments are inoculated with a spore suspension of the fungus. After appropriate incubation the activity of a compound is assessed 8 dpi (days after inoculation) as preventative fungicidal activity.
- Rice leaf segments are placed on agar in multiwell plates (24-well format) and sprayed with test solutions. After drying, the leaf disks are inoculated with a spore suspension of the fungus. After appropriate incubation the activity of a compound is assessed 5 dpi (days after inoculation) as preventive fungicidal activity.
- Barley leaf segments are placed on agar in multiwell plates (24-well format) and sprayed with test solutions. After drying, the leaf disks are inoculated with a spore suspension of the fungus. After appropriate incubation the activity of a compound is assessed 4 dpi (days after inoculation) as preventive fungicidal activity.
- Sclerotinia sclerotiorum (Cottony rot, white mold, etc.):
- Mycelial fragments of the fungus prepared from a fresh liquid culture were directly mixed into nutrient broth (PDB potato dextrose broth).
- a DMSO solution of the test compounds was placed into a microtiter plate (96-well format) and the nutrient broth containing the fungal spores was added to it.
- the test plates were incubated at 24 C and the inhibition of growth was determined photometrically after 72 hrs at 620nm.
- Conidia of the fungus from cryogenic storage were directly mixed into nutrient broth (PDB potato dextrose broth).
- a DMSO solution of the test compounds was placed into a microtiter plate (96-well format) and the nutrient broth containing the fungal spores was added to it.
- the test plates were incubated at 24 C and the inhibition of growth was determined photometrically after approximately 5-6 days at 620nm.
- Reference compound X-1 is specifically disclosed on page 1 1 of EP0212859 as compound 106
- reference compound X-2 is specifically disclosed on page 13 of EP0212859 as compound 140
- reference compound X-3 is specifically disclosed on page 61 of W001/00562 as Compound 1 -91 .
- Soybean plants are sprayed in a spray chamber with formulated DMSO compound solutions which are diluted to the appropriate concentration with 0.1 % OCHIMA (adjuvant comprising polyethoxylated sorbitol hexaoleate and tris(2-ethylhexyl) phosphate) just before spraying.
- OCHIMA adjuvant comprising polyethoxylated sorbitol hexaoleate and tris(2-ethylhexyl) phosphate
- Leaf disks are cut from treated plants and placed on agar into 24-well plates one day after application. After, the leaf disks are inoculated with a spore suspension of the fungus. After appropriate incubation the activity of a compound is assessed approx.12 dpi (days after inoculation) as preventive fungicidal activity.
- Table C1 Biological activity against Phakoosora oachyrhizi (Soybean rust):
- Example D Comparative Biological activity against Phakopsora pachyrhizi (Soybean rust):
- Reference compound X-1 is specifically disclosed on page 1 1 of EP0212859 as compound 106
- reference compound X-2 is specifically disclosed on page 13 of EP0212859 as compound 140
- reference compound X-3 is specifically disclosed on page 61 of W001/00562 as Compound 1 -91 .
- Method: Compounds to be tested are prepared as DMSO solutions which are diluted to the appropriate concentration with 0.025% Tween20 just before spraying. Soybean leaf disks are placed on agar in multiwell plates (24-well format) and sprayed with test solutions.
- the leaf disks After drying, the leaf disks are inoculated with a spore suspension of the fungus. After appropriate incubation the activity of a compound is assessed approx.12 dpi (days after inoculation) as preventive fungicidal activity. The data are presented as the percentage of disease control of each compound for the biological tests and testing rates described below in Table D1 .
Landscapes
- Chemical & Material Sciences (AREA)
- Organic Chemistry (AREA)
- Plural Heterocyclic Compounds (AREA)
- Agricultural Chemicals And Associated Chemicals (AREA)
Abstract
Compounds of the formula (I) wherein the substituents are as defined in claim 1, useful as a pesticides, especially as fungicides.
Description
PHENYL SUBSTITUTED THIAZOLE DERIVATIVES AS MICROBIOCIDAL
COMPOUNDS
The present invention relates to microbiocidal methoxyacrylate derivatives, e.g., as active ingredients, which have microbiocidal activity, in particular, fungicidal activity. The invention also relates to agrochemical compositions which comprise at least one of the methoxyacrylate derivatives, to processes of preparation of these compounds and to uses of the methoxyacrylate derivatives or compositions in agriculture or horticulture for controlling or preventing infestation of plants, harvested food crops, seeds or non-living materials by phytopathogenic microorganisms, preferably fungi.
EP 0 212 859 and WO 01/00562 describe the use of methoxyacrylate derivatives for combating phytopathogenic fungi.
According to the present invention, there is provided a compound of formula (I)
R1 is selected from the group consisting of hydrogen, halogen, Ci-C3alkyl and cyclopropyl;
R2 is selected from the group consisting of hydrogen, halogen, methyl and methoxy;
R3 is selected from the group consisting of hydrogen, halogen, methyl and methoxy;
R4 is selected from the group consisting of hydrogen, halogen, cyano, Ci-C6alkyl, C2-C6alkenyl, C2- C6alkynyl, Ci-C6haloalkyl, C2-C6haloalkenyl, C2-C6haloalkynyl, cyanoCi-Cealkyl-, C3-C6cycloalkylCi- C4alkyl-, Ci-C6alkoxyC3-C6alkenyl-, C3-C6cycloalkylC2-C6alkenyl-, Ci-C6alkoxyC3-C4alkynyl-, C3- C6cycloalkylC2-C3alkynyl-, Ci-C6alkoxy, C3-C6alkenyloxy, C3-C6alkynyloxy, Ci-C6haloalkoxy, C3- C6cycloalkylCi-C4alkoxy-, Ci-C3alkoxyCi-C3alkoxy-, Ci-C6alkoxyCi-C3alkyl-, Ci-C6alkylsulfanyl, Ci- Cehaloalkylsulfanyl, Ci-C3alkoxyCi-C6alkylsulfanyl-, C3-C6cycloalkylCi-C6alkylsulfanyl-, Ci- C3alkylsulfanylCi-C2alkyl-, C3-C6cycloalkyl, C3-C6halocycloalkyl, Ci-C6alkoxyC3-C6cycloalkyl-, cyclopropylC3-C6cycloalkyl-, Ci-C2alkylC3-C6cycloalkyl-, -C(R6)=NOR6, -CH2C(R6)=NOR6, phenoxyCi- C3alkyl- and heteroaryloxyCi-C3alkyl-, wherein the heteroaryl moiety is a 5- or 6-membered aromatic ring which comprises 1 , 2, 3 or 4 heteroatoms individually selected from nitrogen, oxygen and sulfur,
and wherein said phenyl or heteroaryl moieties are optionally substituted by 1 , 2 or 3 R7 substituents, which may be the same or different;
R5 is selected from the group consisting of hydrogen, halogen, cyano, Ci-C6alkyl, C2-C6alkenyl, C2- C6alkynyl, Ci-C6haloalkyl, C2-C6haloalkenyl, C2-C6haloalkynyl, cycloproylCi-Cealkyl-, methoxyC3- C6alkenyl-, cyclopropylC2-C6alkenyl-, methoxyC3-C4alkynyl-, cyclopropylC2-C3alkynyl-, Ci-C6alkoxy, C- i-C6haloalkoxy, cyclopropylCi-Cealkoxy-, Ci-C3alkoxyCi-C3alkoxy-, Ci-C3alkoxyCi-C3alkyl-, Ci- C6alkylsulfanyl, Ci-C6haloalkylsulfanyl, methoxyCi-Cealkylsulfanyl-, cyclopropylCi-Cealkylsulfanyl-, Ci- C3alkylsulfanylCi-C2alkyl-, C3-C6cycloalkyl, C3-C6halocycloalkyl, methoxyC3-C6cycloalkyl-, cyclopropylC3-C6cycloalkyl-, Ci-C2alkylC3-C6cycloalkyl-, -C(R6)=NOR6 and -CH2C(R6)=NOR6; and wherein R4 and R5 are not both hydrogen; each R6 is independently hydrogen or Ci-C3alkyl; each R7 is independently selected from the group consisting of halogen, cyano, -OH, -N(R6)2, Ci-C3alkyl, Ci-C3alkoxy, Ci-C3haloalkyl and Ci-C3haloalkoxy; or an agronomically acceptable salt thereof; or an N-oxide thereof.
It has been found that the novel compounds of formula (I) have, a very advantageous level of biological activity for protecting plants against diseases that are caused by fungi.
According to a second aspect of the invention, there is provided an agrochemical composition comprising a fungicidally effective amount of a compound of formula (I) and an agrochemically- acceptable diluent or carrier. Such an agricultural composition may further comprise at least one additional active ingredient.
According to a third aspect of the invention, there is provided a method of controlling or preventing infestation of useful plants by phytopathogenic microorganisms, wherein a fungicidally effective amount of a compound of formula (I), or a composition comprising this compound as active ingredient, is applied to the plants, to parts thereof or the locus thereof.
According to a fourth aspect of the invention, there is provided the use of a compound of formula (I) as a fungicide. According to this particular aspect of the invention, the use may exclude methods for the treatment of the human or animal body by surgery or therapy.
As used herein, the term "halogen" or“halo” refers to fluorine (fluoro), chlorine (chloro), bromine (bromo) or iodine (iodo), preferably fluorine, chlorine or bromine.
As used herein, cyano means a -CN group.
As used herein, hydroxy means a -OH group.
As used herein, the term "Ci-C6alkyl" refers to a straight or branched hydrocarbon chain radical consisting solely of carbon and hydrogen atoms, containing no unsaturation, having from one to six carbon atoms, and which is attached to the rest of the molecule by a single bond. Ci-C4alkyl and Ci- C2alkyl are to be construed accordingly. Examples of Ci-C6alkyl include, but are not limited to, methyl, ethyl, n-propyl, 1 -methylethyl (iso-propyl), n-butyl, and 1 -dimethylethyl (f-butyl).
As used herein, the term“cyanoCi-Cealkyl-” refers to a Ci-C6alkyl radical as generally defined above substituted by one or more cyano groups.
As used herein, the term "Ci-C6alkoxy" refers to a radical of the formula -ORa where Ra is a Ci-C6alkyl radical as generally defined above. Examples of Ci-C6alkoxy include, but are not limited to, methoxy, ethoxy, propoxy, iso-propoxy and f-butoxy.
As used herein, the term "Ci-C6haloalkyl" refers to a Ci-C6alkyl radical, as generally defined above, substituted by one or more of the same or different halogen atoms. Ci-C4haloalkyl is to be construed accordingly. Examples of Ci-C6haloalkyl include, but are not limited to chloromethyl, fluoromethyl, fluoroethyl, difluoromethyl, trifluoromethyl and 2,2,2-trifluoroethyl.
As used herein, the term "Ci-C6haloalkoxy" refers to a Ci-C6alkoxy group, as defined above, substituted by one or more of the same or different halogen atoms. Ci-C4haloalkoxy is to be construed accordingly. Examples of Ci-C6haloalkoxy include, but are not limited to, fluoromethoxy, difluoromethoxy, fluoroethoxy, trifluoromethoxy and trifluoroethoxy.
As used herein, the term“cyclopropylCi-Cealkoxy-” refers to a Ci-C6alkoxy radical as generally defined above substituted by one or more cyclopropyl groups.
As used herein, the term“C3-C6cycloalkylCi-C4alkoxy-” refers to a Ci-C4alkoxy radical as generally defined above substituted by one or more C3-C6cycloalkyl groups as generally defined below.
As used herein, the term "C2-C6alkenyl" refers to a straight or branched hydrocarbon chain radical consisting solely of carbon and hydrogen atoms, containing at least one double bond that can be of either the (E)- or (^-configuration, having from two to six carbon atoms, which is attached to the rest of the molecule by a single bond. C3-C6alkenyl is to be construed accordingly. Examples of C2-C6alkenyl include, but are not limited to, prop-1 -enyl, allyl (prop-2-enyl) and but-1 -enyl.
As used herein, the term "C2-C6haloalkenyl" refers to a C2-C6alkenyl radical, as generally defined above, substituted by one or more of the same or different halogen atoms.
As used herein, the term“methoxyC3-C6alkenyl-” refers to a C3-C6alkenyl radical as generally defined above substituted by one or more methoxy groups.
As used herein, the term“cyclopropylC2-C6alkenyl-” refers to a C2-C6alkenyl radical as generally defined above substituted by one or more cyclopropyl groups.
As used herein, the term "C2-C3alkynyl" refers to a straight or branched hydrocarbon chain radical group consisting solely of carbon and hydrogen atoms, containing at least one triple bond, having from two to three carbon atoms, and which is attached to the rest of the molecule by a single bond. Examples of C2- C3alkynyl include, but are not limited to, prop-1 -ynyl and propargyl (prop-2-ynyl).
As used herein, the term“methoxyC3-C4alkynyl-” refers to a C3-C4alkynyl radical as generally defined above substituted by one or more methoxy groups.
As used herein, the term“cyclopropylC2-C3alkynyl-” refers to a C2-C3alkenyl radical as generally defined above substituted by one or more cyclopropyl groups.
As used herein, the term "C2-C3haloalkynyl" refers to a C2-C3alkynyl radical, as generally defined above, substituted by one or more of the same or different halogen atoms.
As used herein, the term " Ci-C3alkoxyCi-C3alkyl-" refers to radical of the formula Ra-O-Rb- where Ra is a Ci-C3alkyl radical as generally defined above, and Rb is a Ci-C3alkylene radical as generally defined above. Examples of Ci-C3alkoxyCi-C3alkyl- include, but are not limited to, ethoxymethyl and iso- propyloxymethyl.
As used herein, the term "Ci-C3alkoxyCi-C3alkoxy-" refers to radical of the formula Ra-0-Rb-0- where Ra is a Ci-C3alkyl radical as generally defined above, and Rb is a Ci-C3alkyl radical as generally defined above.
As used herein, the term“Ci-C6alkylsulfanyl” refers to a radical of the formula -SRa where Ra is a Ci- C6alkyl radical as generally defined above.
As used herein, the term "Ci-C6haloalkylsulfanyl " refers to a Ci-C6alkylsulfanyl group as defined above substituted by one or more of the same or different halogen atoms.
As used herein, the term“methoxyCi-C6alkylsulfanyl” refers to to a Ci-C6alkylsulfanyl group as defined above substituted by one or more methoxy groups.
As used herein, the term “cyclopropylCi-Cealkylsulfanyl” refers to to a Ci-C6alkylsulfanyl group as defined above substituted by one or more cyclopropyl groups.
As used herein, the term“C3-C6cycloalkylCi-C6alkylsulfanyl-” refers to to a Ci-C6alkylsulfanyl group as defined above substituted by one or more C3-C6cycloalkyl groups as generally defined below.
As used herein, the term "Ci-C3alkylsulfanylCi-C2alkyl-" refers to radical of the formula Ra-S-Rb- where Ra is a Ci-C3alkyl radical as generally defined above, and Rb is a Ci-C2alkylene radical as generally defined above.
As used herein, the term "C3-C6cycloalkyl" refers to a stable, monocyclic ring radical which is saturated or partially unsaturated and contains 3 to 6 carbon atoms. C3-C4cycloalkyl is to be construed accordingly. Examples of C3-C6cycloalkyl include, but are not limited to, cyclopropyl, cyclobutyl, cyclopentyl and cyclohexyl.
As used herein, the term“C3-C6cycloalkylCi-C4alkyl-” refers to a Ci-C4alkyl radical as generally defined above substituted by one or more C3-C6cycloalkyl groups as generally defined above.
As used herein, the term“C3-C6cycloalkylC2-C6alkenyl-” refers to a C2-C6alkenyl radical as generally defined above substituted by one or more C3-C6cycloalkyl groups as generally defined above.
As used herein, the term“C3-C6cycloalkylC2-C3alkynyl-” refers to a C2-C3alkynyl radical as generally defined above substituted by one or more C3-C6cycloalkyl groups as generally defined above.
As used herein, the term "C3-C6halocycloalkyl" refers to a C3-C6cycloalkyl radical, as generally defined above, substituted by one or more of the same or different halogen atoms. C3-C4halocycloalkyl is to be construed accordingly.
As used herein, the term“Ci-C6alkoxyC3-C6cycloalkyl-” refers to to a C3-C6cycloalkyl group as defined above substituted by one or more Ci-C6alkoxy groups as generally defined above.
As used herein, the term“methoxyC3-C6cycloalkyl-” refers to to a C3-C6cycloalkyl group as defined above substituted by one or more methoxy groups as generally defined above.
As used herein, the term "Ci-C2alkylC3-C6cycloalkyl-" refers to to a C3-C6cycloalkyl group as defined above substituted by one or more Ci-C2alkyl groups as defined above.
As used herein, the term“phenoxyCi-C3alkyl-” refers to a phenyl ring attached to a Ci-C3alkylene radical as generally defined above via an oxygen atom.
As used herein, unless explicitly stated otherwise, the term "heteroaryl" refers to a 5- or 6-membered monocyclic aromatic ring which comprises 1 , 2, 3 or 4 heteroatoms individually selected from nitrogen, oxygen and sulfur. The heteroaryl radical may be bonded to the rest of the molecule via a carbon atom
or heteroatom. Examples of heteroaryl include, furyl, pyrrolyl, imidazolyl, thienyl, pyrazolyl, thiazolyl, isothiazolyl, oxazolyl, isoxazolyl, triazolyl, tetrazolyl, pyrazinyl, pyridazinyl, pyrimidyl or pyridyl.
As used herein, the term "heteroaryloxyCi-C3alkyl-" refers to a heteroaryl ring as defined above which is attached to a Ci-C3alkylene radical as generally defined above via an oxygen atom.
The presence of one or more possible asymmetric carbon atoms in a compound of formula (I) means that the compounds may occur in chiral isomeric forms, i.e. , enantiomeric or diastereomeric forms. Also atropisomers may occur as a result of restricted rotation about a single bond. Formula (I) is intended to include all those possible isomeric forms and mixtures thereof. The present invention includes all those possible isomeric forms and mixtures thereof for a compound of formula (I). Likewise, formula (I) is intended to include all possible tautomers (including lactam-lactim tautomerism and keto-enol tautomerism) where present. The present invention includes all possible tautomeric forms for a compound of formula (I).
In each case, the compounds of formula (I) according to the invention are in free form, in covalently hydrated form, or in salt form, e.g., an agronomically usable or agrochemically acceptable salt form.
The following list provides definitions, including preferred definitions, for substituents R1 , R2, R3, R4, R5, R6 and R7 with reference to the compounds of formula (I) according to the invention. For any one of these substituents, any of the definitions given below may be combined with any definition of any other substituent given below or elsewhere in this document.
R1 is selected from the group consisting of hydrogen, halogen, Ci-C3alkyl and cyclopropyl. Preferably, R1 is selected from the group consisting of hydrogen, chloro, bromo, methyl, ethyl and cyclopropyl. More preferably, R1 is selected from the group consisting of chloro, bromo, methyl, ethyl and cyclopropyl. Even more preferably, R1 is selected from the group consisting of chloro, bromo and methyl. Most preferably, R1 is methyl.
R2 is selected from the group consisting of hydrogen, halogen, methyl and methoxy. Preferably, R2 is selected from the group consisting of hydrogen, fluoro, methyl and methoxy. More preferably, R2 is selected from the group consisting of hydrogen, fluoro and methoxy. Even more preferably, R2 is hydrogen or methyl. Most preferably, R2 is hydrogen.
R3 is selected from the group consisting of hydrogen, halogen, methyl and methoxy. Preferably, R3 is selected from the group consisting of hydrogen, fluoro, methyl and methoxy. More preferably, R3 is selected from the group consisting of hydrogen, fluoro and methyl. Even more preferably, R3 is hydrogen or methyl. Most preferably, R3 is hydrogen.
R4 is selected from the group consisting of hydrogen, halogen, cyano, Ci-C6alkyl, C2-C6alkenyl, C2- Cealkynyl, Ci-C6haloalkyl, C2-C6haloalkenyl, C2-C6haloalkynyl, cyanoCi-Cealkyl-, C3-C6cycloalkylCi-
C4alkyl-, Ci-C6alkoxyC3-C6alkenyl-, C3-C6cycloalkylC2-C6alkenyl-, Ci-C6alkoxyC3-C4alkynyl-, C3- C6cycloalkylC2-C3alkynyl-, Ci-C6alkoxy, C3-C6alkenyloxy, C3-C6alkynyloxy, Ci-C6haloalkoxy, C3- C6cycloalkylCi-C4alkoxy-, Ci-C3alkoxyCi-C3alkoxy-, Ci-C6alkoxyCi-C3alkyl-, Ci-C6alkylsulfanyl, Ci- Cehaloalkylsulfanyl, Ci-C3alkoxyCi-C6alkylsulfanyl-, C3-C6cycloalkylCi-C6alkylsulfanyl-, Ci- C3alkylsulfanylCi-C2alkyl-, C3-C6cycloalkyl, C3-C6halocycloalkyl, Ci-C6alkoxyC3-C6cycloalkyl-, cyclopropylC3-C6cycloalkyl-, Ci-C2alkylC3-C6cycloalkyl-, -C(R6)=NOR6, -CH2C(R6)=NOR6, phenoxyCi- C3alkyl- and heteroaryloxyCi-C3alkyl-, wherein the heteroaryl moiety is a 5- or 6-membered aromatic ring which comprises 1 , 2, 3 or 4 heteroatoms individually selected from nitrogen, oxygen and sulfur, and wherein said phenyl or heteroaryl moieties are optionally substituted by 1 , 2 or 3 R7 substituents, which may be the same or different.
Preferably, R4 is selected from the group consisting of hydrogen, halogen, cyano, Ci-C6alkyl, C2- C6alkenyl, C2-C6alkynyl, Ci-C6haloalkyl, C2-C6haloalkenyl, C2-C3haloalkynyl, cyanoCi-Cealkyl-, C3- C6cycloalkylCi-C4alkyl-, Ci-C6alkoxyC3-C6alkenyl-, C3-C6cycloalkylC2-C6alkenyl-, Ci-C6alkoxyC3- C4alkynyl-, C3-C6cycloalkylC2-C3alkynyl-, Ci-C6alkoxy, Ci-C6haloalkoxy, Ci-C6alkoxyCi-C3alkyl-, Ci- C6alkylsulfanyl, Ci-C6haloalkylsulfanyl, Ci-C3alkylsulfanylCi-C2alkyl-, C3-C6cycloalkyl, C3- Cehalocycloalkyl, Ci-C2alkylC3-C6cycloalkyl-, -C(R6)=NOR6 and phenoxyCi-C3alkyl-, wherein said phenyl moiety is optionally substituted by 1 , 2 or 3 R7 substituents, which may be the same or different.
More preferably, R4 is selected from the group consisting of hydrogen, halogen, cyano, Ci-C6alkyl, C2- C6alkenyl, C2-C6alkynyl, Ci-C6haloalkyl, C2-C6haloalkenyl, C2-C3haloalkynyl, C3-C6cycloalkylCi-C4alkyl- , C3-C6cycloalkylC2-C3alkynyl-, Ci-C6alkoxy, Ci-C6haloalkoxy, Ci-C6alkoxyCi-C3alkyl-, Ci- C6alkylsulfanyl, Ci-C6haloalkylsulfanyl, C3-C6cycloalkyl, C3-C6halocycloalkyl, -C(R6)=NOR6 and phenoxyCi-C3alkyl-, wherein said phenyl moiety is optionally substituted by 1 or 2 R7 substituents, which may be the same or different.
Even more preferably, R4 is selected from the group consisting of hydrogen, halogen, cyano, Ci-C6alkyl, C2-C6alkenyl, C2-C6alkynyl, Ci-C6haloalkyl, C3-C6cycloalkylC2-C3alkynyl-, Ci-C6alkoxy, Ci-C6alkoxyCi- C3alkyl-, C3-C6cycloalkyl, -C(R6)=NOR6 and phenoxyCi-C3alkyl-.
Even more prefarably still, R4 is selected from the group consisting of hydrogen, chloro, bromo, cyano, methyl, ethyl, n-propyl, n-butyl, /so-butyl, vinyl, /so-propenyl, prop-1 -ynyl, 3-methylbut-1 -ynyl, difluoromethyl, trifluoromethyl, 1 ,1 ,2,2,2-pentafluoroethyl, 2-cyclopropylethynyl, methoxy, ethoxymethyl, /so-propyloxymethyl, cyclopropyl, cyclobutyl, cyclopentyl, cyclohexyl, cyclohexenyl, -C(H)=NOCH3, - C(CH3)=NOCH3 and phenoxymethyl.
Yet even more preferably still, R4 is selected from the group consisting of hydrogen, bromo, trifluoromethyl, ethoxymethyl and cyclohexyl. Most preferably, R4 is selected from the group consisting of hydrogen, bromo, ethoxymethyl and cyclohexyl.
In one embodiment, R4 is selected from the group consisting of chloro, bromo, cyano, methyl, ethyl, n- propyl, n-butyl, /so-butyl, vinyl, /so-propenyl, prop-1 -ynyl, 3-methylbut-1-ynyl, difluoromethyl, trifluoromethyl, 1 ,1 ,2,2,2-pentafluoroethyl, 2-cyclopropylethynyl, methoxy, ethoxymethyl, iso- propyloxymethyl, cyclopropyl, cyclobutyl, cyclopentyl, cyclohexyl, cyclohexenyl, -C(H)=NOCH3, - C(CH3)=NOCH3 and phenoxymethyl (preferably, bromo, trifluoromethyl, ethoxymethyl and cyclohexyl).
R5 is selected from the group consisting of hydrogen, halogen, cyano, Ci-C6alkyl, C2-C6alkenyl, C2- Cealkynyl, Ci-C6haloalkyl, C2-C6haloalkenyl, C2-C6haloalkynyl, cycloproylCi-Cealkyl-, methoxyC3- Cealkenyl-, cyclopropylC2-C6alkenyl-, methoxyC3-C4alkynyl-, cyclopropylC2-C3alkynyl-, Ci-C6alkoxy, C- i-C6haloalkoxy, cyclopropylCi-Cealkoxy-, Ci-C3alkoxyCi-C3alkoxy-, Ci-C3alkoxyCi-C3alkyl-, Ci- Cealkylsulfanyl, Ci-C6haloalkylsulfanyl, methoxyCi-Cealkylsulfanyl-, cyclopropylCi-Cealkylsulfanyl-, Ci- C3alkylsulfanylCi-C2alkyl-, C3-C6cycloalkyl, C3-C6halocycloalkyl, methoxyC3-C6cycloalkyl-, cyclopropylC3-C6cycloalkyl-, Ci-C2alkylC3-C6cycloalkyl-, -C(R6)=NOR6 and -CH2C(R6)=NOR6.
Preferably, R5 is selected from the group consisting of hydrogen, halogen, cyano, Ci-C6alkyl, C2- Cealkenyl, C2-C3alkynyl, Ci-C6haloalkyl, C2-C6haloalkenyl, Ci-C6alkoxy, Ci-C6haloalkoxy, Ci- C3alkoxyCi-C3alkyl-, Ci-C6alkylsulfanyl, C3-C6cycloalkyl and C3-C6halocycloalkyl.
More preferably, R5 is selected from the group consisting of hydrogen, halogen, Ci-C6alkyl, C2- C6alkenyl, Ci-C6haloalkyl, C2-C6haloalkenyl, Ci-C6alkoxy, Ci-C6haloalkoxy, C3-C6cycloalkyl and C3- Cehalocycloalkyl.
Even more preferably, R5 is selected from the group consisting of hydrogen, halogen, Ci-C6alkyl, Ci- Cehaloalkyl and C3-C6cycloalkyl.
Even more preferably still, R5 is selected from the group consisting of hydrogen, chloro, bromo, methyl, /so-propyl, trifluoromethyl and cyclopropyl. Yet even more preferably still, R5 is hydrogen or trifluoromethyl. Most preferably, R5 is hydrogen.
Provided that R4 and R5 are not both hydrogen.
Each R6 is independently hydrogen or Ci-C3alkyl. Preferably each R6 is Ci-C3alkyl, most preferably each R6 is methyl.
Each R7 is independently selected from the group consisting of halogen, cyano, -OH, -N(R6)2, Ci-C3alkyl, Ci-C3alkoxy, Ci-C3haloalkyl and Ci-C3haloalkoxy. Preferably, each R7 is independently selected from the group consisting of halogen, cyano, -N(R6)2, Ci-C3alkyl, Ci-C3alkoxy, Ci-C3haloalkyl and Ci- C3haloalkoxy. More preferably, each R7 is independently selected from the group consisting of halogen, Ci-C3alkyl, Ci-C3alkoxy and Ci-C3haloalkyl. Even more preferably, each R7 is independently selected from the group consisting of halogen and Ci-C3alkyl.
Preferably, in a compound according to formula (I) of the invention;
R1 is methyl;
R2 is hydrogen;
R3 is hydrogen;
R4 is selected from the group consisting of hydrogen, halogen, cyano, Ci-C6alkyl, C2-C6alkenyl, C2- C6alkynyl, Ci-C6haloalkyl, C2-C6haloalkenyl, C2-C3haloalkynyl, C3-C6cycloalkylCi-C4alkyl-, C3- C6cycloalkylC2-C3alkynyl-, Ci-C6alkoxy, Ci-C6haloalkoxy, Ci-C6alkoxyCi-C3alkyl-, Ci-C6alkylsulfanyl, Ci-C6haloalkylsulfanyl, C3-C6cycloalkyl, C3-C6halocycloalkyl, -C(R6)=NOR6 and phenoxyCi-C3alkyl-, wherein said phenyl moiety is optionally substituted by 1 or 2 R7 substituents, which may be the same or different;
R5 is selected from the group consisting of hydrogen, halogen, Ci-C6alkyl, C2-C6alkenyl, Ci-C6haloalkyl, C2-C6haloalkenyl, Ci-C6alkoxy, Ci-C6haloalkoxy, C3-C6cycloalkyl and C3-C6halocycloalkyl;
and wherein R4 and R5 are not both hydrogen;
each R6 is Ci-C3alkyl; and
each R7 is independently selected from the group consisting of halogen, Ci-C3alkyl, Ci-C3alkoxy and Ci-C3haloalkyl.
More preferably, in a compound according to formula (I) of the invention;
R1 is methyl;
R2 is hydrogen;
R3 is hydrogen;
R4 is selected from the group consisting of hydrogen, halogen, cyano, Ci-C6alkyl, C2-C6alkenyl, C2- C6alkynyl, Ci-C6haloalkyl, C3-C6cycloalkylC2-C3alkynyl-, Ci-C6alkoxy, Ci-C6alkoxyCi-C3alkyl-, C3- C6cycloalkyl, -C(R6)=NOR6 and phenoxyCi-C3alkyl-; and
R5 is selected from the group consisting of hydrogen, halogen, Ci-C6alkyl, Ci-C6haloalkyl and C3- C6cycloalkyl;
and wherein R4 and R5 are not both hydrogen.
Even more preferably, in a compound according to formula (I) of the invention;
R1 is methyl;
R2 is hydrogen;
R3 is hydrogen;
R4 is selected from the group consisting of hydrogen, chloro, bromo, cyano, methyl, ethyl, n-propyl, n- butyl, /so-butyl, vinyl, /so-propenyl, prop-1 -ynyl, 3-methylbut-1 -ynyl, difluoromethyl, trifluoromethyl, 1 ,1 ,2,2,2-pentafluoroethyl, 2-cyclopropylethynyl, methoxy, ethoxymethyl, /so-propyloxymethyl, cyclopropyl, cyclobutyl, cyclopentyl, cyclohexyl, cyclohexenyl, -C(H)=NOCH3, -C(CH3)=NOCH3 and phenoxymethyl; and
R5 is selected from the group consisting of hydrogen, chloro, bromo, methyl, /so-propyl, trifluoromethyl and cyclopropyl;
and wherein R4 and R5 are not both hydrogen.
Yet even more preferably, in a compound according to formula (I) of the invention;
R1 is methyl;
R2 is hydrogen;
R3 is hydrogen;
R4 is selected from the group consisting of hydrogen, bromo, trifluoromethyl, ethoxymethyl and cyclohexyl (preferably hydrogen, bromo, ethoxymethyl and cyclohexyl); and
R5 is hydrogen or trifluoromethyl;
and wherein R4 and R5 are not both hydrogen.
In one embodiment, in a compound according to formula (I) of the invention;
R1 is methyl;
R2 is hydrogen;
R3 is hydrogen;
R4 is selected from the group consisting of bromo, trifluoromethyl, ethoxymethyl and cyclohexyl (preferably bromo, ethoxymethyl and cyclohexyl); and
R5 is hydrogen.
In another embodiment, in a compound according to formula (I) of the invention;
R1 is methyl;
R2 is hydrogen;
R3 is hydrogen;
R4 is hydrogen; and
R5 is trifluoromethyl.
In an even more preferred embodiment the compound of formula (I) is selected from the group consisting of compounds E.01 to E.38 (preferably E.02, E.16, E.20, E.22 and E.25) listed in table E below.
In one embodiment, the compounds of formula (I) according to the invention may be useful for combating phytopathogenic fungi (e.g Altemaria alternata, Phakopsora pachyrhizi, Plasmopara viticola, Sclerotinia sclerotiorum or Septoha tritici also known as Mycosphaerella graminicola) containing a mutation in the mitochondrial cytochrome b conferring resistance to Qo inhibitors (e.g strobilurins such as azoxystrobin, pyraclostrobin, picoxystrobin and trifloxystrobin or fenamidone or famoxadone).
In a further embodiment, the compounds of formula (I) according to the invention may be useful for combating phytopathogenic fungi (e.g Altemaria alternata, Plasmopara viticola, Sclerotinia sclerotiorum or Septoria tritici also known as Mycosphaerella graminicola) containing a mutation in the mitochondrial cytochrome b conferring resistance to Qo inhibitors (e.g strobilurins such as azoxystrobin, pyraclostrobin, picoxystrobin and trifloxystrobin or fenamidone or famoxadone), wherein the mutation is G143A.
In a further embodiment, the compounds of formula (I) according to the invention may be useful for combating phytopathogenic fungi (e.g Phakopsora pachyrhizi ) containing a mutation in the mitochondrial cytochrome b conferring resistance to Qo inhibitors (e.g strobilurins such as azoxystrobin, pyraclostrobin, picoxystrobin and trifloxystrobin or fenamidone or famoxadone), wherein the mutation is F129L.
In another embodiment, the invention also relates to a method of controlling or preventing infestation by phytopathogenic fungi in a plant (e.g Alternaria alternate, Plasmopara viticola, Sclerotinia sclerotiorum or Septoha tritici also known as Mycosphaerella graminicola ), wherein said phytopathogenic fungi contains a mutation in the mitochondrial cytochrome b conferring resistance to Qo inhibitors (e.g strobliurins such as azoxystrobin, pyraclostrobin, picoxystrobin and trifloxystrobin or fenamidone or famoxadone), said method comprising applying to the plant, to parts thereof or the locus thereof, a fungicidally effective amount of a compound of formula (I). Preferably, a method of controlling or preventing infestation by phytopathogenic fungi (e.g Phakopsora pachyrhizi) in a soybean plant, wherein said phytopathogenic fungi contains a mutation in the mitochondrial cytochrome b conferring resistance to Qo inhibitors (e.g strobliurins such as azoxystrobin, pyraclostrobin, picoxystrobin and trifloxystrobin or fenamidone or famoxadone), said method comprising applying to the plant, to parts thereof or the locus thereof, a fungicidally effective amount of a compound of formula (I). More preferably, a method of controlling or preventing infestation by phytopathogenic fungi (e.g Phakopsora pachyrhizi ) in a soybean plant, wherein said phytopathogenic fungi contains a F129L mutation in the mitochondrial cytochrome b conferring resistance to Qo inhibitors (e.g strobliurins such as azoxystrobin, pyraclostrobin, picoxystrobin and trifloxystrobin or fenamidone or famoxadone), said method comprising applying to the plant, to parts thereof or the locus thereof, a fungicidally effective amount of a compound of formula (I).
The level of resistance and therefore the impact on the performance of the fungicide can be measured by the use of a 'Resistance Factor' (RF). The resistance factor can be calculated by dividing the concentration of a fungicide that provides a set level of disease control (i.e. 50 percent) for the 'resistant' fungal strain with the concentration of the same fungicide that provides the same level of disease control for the 'susceptible' strain of the same fungal species (RF = EC50 value of the resistant strain/EC50 value of the sensitive strain). Although there are no set rules, three categories can be defined: 1 ) RF > 50 = resistant strain, 2) 5 < RF < 50 = less sensitive strain (shift in sensitivity), and 3) RF < 5 = sensitive strain.
In order to obtain resistant fungal strains, a researcher is to locate a host crop and geographical region where the relevant resistance has been reported in the literature. Either leaf samples infected by the target disease or spores, or mycelium of the target disease are then collected from the locations/host crops and sent to a laboratory, where pure cultures would be isolated. The resistant phenotype of the fungal cultures is determined either by conducting a full dose response bioassay and comparing the bioassay results to similar bioassay results for a known susceptible strain of the same species.
Alternatively the resistance genotype of the fungal strain can be determined by molecular techniques (e.g. qPCR) if the resistance mechanism for the relevant species is known.
The compounds of formula (I) according to the invention can be made as shown in the following schemes 1 to 10, wherein R1 , R2, R3, R4, R5, R6 and R7 are as defined for a compound of formula (I), unless otherwise stated.
The compounds of formula (I) wherein R1 , R2, R3, R4 and R5 are as defined above, can be obtained from compounds of formula (II) wherein R1 , R2 and R3 are as defined for compounds of formula (I) and R11 is a halogen or psuedohalogen, such as chloro, bromo, iodo, -OSO2CF3 or -OSC>2(CF2)3CF3 and compounds of formula (III) wherein R4 and R5 are as defined for compounds of formula (I), in the presence of a base such as CsF, a silver or copper compound such as Ag2CC>3 or Cul, a palladium compound such as Pd(ll)acetate and a supporting phosphine ligand such triphenylphosphine in an organic solvent such as N,N-dimethylformamide at temperatures between 20°C - 150°C. Such transformations are described in Eur. J. Org. Chem. 2006, 1379-1382 and are shown in scheme 1 .
Alternatively, compounds of formula (I) can be obtained from compounds of formula (IV) wherein R1 , R2 and R3 are as defined for compounds of formula (I) and R12 is as defined in scheme 2, and compounds of formula (lll-a) wherein R4 and R5 are as defined for compounds of formula (I) and R11 is a halogen or psuedohalogen, such as chloro, bromo, iodo, -OSO2CF3 or -OSC>2(CF2)3CF3, in the presence of a base such as K3CO3 and a palladium species such as Pd(ll)acetate supported by a phosphine ligand such as triphenylphosphine in an organic solvent such as 1 ,4-dioxane. This is shown in scheme 2.
Scheme 2.
Compounds of formula IV, wherein R1, R2, R3 and R12 are as defined above, can be obtained from compounds of formula II, wherein R1, R2, R3 and R11 are as defined above, by treatment with a base such as potassium acetate, a diborane species R12-R12 wherein R12 is as defined above, a palladium compound such as tris(dibenzylideneacetone)dipalladium(0) and a supporting phosphine ligand such as 2-di-cyclohexylphosphino-2', 4', 6'-triisopropyl-1 ,1 '-biphenyl in an organic solvent such as tetrahydrofuran or ethanol. This is shown in scheme 3.
Scheme 3.
Compounds of formula (II), wherein R1, R2 and R3 are as defined for compounds of formula (I) and R11 is as defined above, can be obtained from compounds of formula (V) wherein R1, R2 and R3 are as defined for compounds of formula (I), R11 is as defined above and R13 is H or Ci-C4 alkyl, by treatment
with a base such as sodium methoxide and a formylating agent such as methyl formate to generate compounds of formula (Va), wherein R1 , R2 and R3 are as defined for compounds of formula (I), R11 is as defined above and R14 is H or methyl , followed by methylation with a reagent such dimethyl sulfate in the presence of a base such as K2CO3. This is shown in scheme 4.
Compounds of formula (V), wherein R1 , R2 and R3 are as defined for compounds of formula (I), R11 is as defined above and R13 is H or Ci-C4 alkyl, can be obtained from compounds of formula (VI) wherein R1 , R2 and R3 are as defined for compounds of formula (I) and R11 is as defined above, by treatment with a base such as K2CO3 and an alkylation agent of formula (VII) in an organic solvent such as N-methyl pyrrolidone. This is shown in scheme 5.
Scheme 5.
Compounds of formula (VI) wherein R1 , R2 and R3 are as defined for compounds of formula (I) and R11 is as defined above are commercially available or readily prepared from commercially available compounds by standard functional group transformations well known to a person skilled in the art and described in March’s Advanced Organic Chemistry, Smith and March, 6th edition, Wiley, 2007.
Alternatively, compounds of formula (I), wherein R1 , R2, R3, R4 and R5 are as defined for compounds of formula (I), can be obtained from compounds of formula (VIII) wherein R1 , R2, R3, R4 and R5 are as defined for compounds of formula (I) and R13 is H or C1-C4 alkyl, by treatment with a base such as sodium methoxide and a formylating agent such as methyl formate to generate compounds of formula
(IX), wherein R1 , R2, R3, R4 and R5 are as defined for compounds of formula (I) and R14 is H or methyl, followed by methylation with a reagent such dimethyl sulfate in the presence of a base such as K2CO3. This is shown in scheme 6.
Scheme 6.
Compounds of formula (VIII), wherein R1 , R2, R3, R4 and R5 are as defined for compounds of formula (I) and R13 is H or C1-C4 alkyl, can be obtained from compounds of formula (V) wherein R1 , R2 and R3 are as defined for compounds of formula (I), R13 is H or Ci-C4 alkyl and R11 is a halogen or psuedohalogen, such as chloro, bromo, iodo, -OSO2CF3 or -OSC>2(CF2)3CF3 and compounds of formula (III) wherein R4 and R5 are as defined for compounds of formula (I), in the presence of a base such as CsF, a silver or copper compound such as Ag2CC>3 or Cul, a palladium compound such as Pd(ll)acetate and a supporting phosphine ligand such triphenylphosphine in an organic solvent such as N,N- dimethylformamide at temperatures between 20°C - 150°C. This is shown in scheme 7.
Alternatively, certain compounds of formula (I) can be prepared from compounds of formula (l-a), wherein R1 , R2, R3 and R5 are as defined for compounds of formula (I) and R11 is a halogen or psuedohalogen, such as chloro, bromo, iodo, -OSO2CF3 or -OSC>2(CF2)3CF3, in the presence of a coupling reagent and a transition metal-based catalyst. There are no particular limitations on the coupling agent, catalyst and solvent provided it is used in ordinary coupling reactions, such as those described in“Cross-Coupling Reactions: A Practical Guide (Topics in Current Chemistry)”, edited by Norio Miyaura und S.L. Buchwald (editions Springer), or“Metal-Catalyzed Cross-Coupling Reactions”, edited by Armin de Meijere and Frangois Diederich (editions WILEY-VCH). This is shown in Scheme 8.
Scheme 8.
Certain compounds of formula (l-a) can be obtained from compounds of formula (IV) wherein R1 , R2 and R3 are as defined for compounds of formula (I) and R12 is as defined in scheme 9, and compounds of formula (lll-b) wherein R4 and R5 are as defined for compounds of formula (I) and each R11 is independently selected from halogen or psuedohalogen, such as chloro, bromo, iodo, -OSO2CF3 or - 0S02(CF2)3CF3, in the presence of a base such as K2CC>3 and a palladium species such as Pd(ll)acetate supported by a phosphine ligand such as triphenylphosphine in an organic solvent such as 1 ,4-dioxane. This is shown in scheme 9.
Compounds of formula (III), (lll-a) and (lll-b) wherein R4 and R5 are as defined for compounds of formula (I) and R11 is a halogen or psuedohalogen, such as chloro, bromo, iodo, -0S02CF3 or -0S02(CF2)3CF3, are either commercially available or easily prepared by methods well known to a person skilled in the art.
Alternatively, certain compounds of formula (VIII) wherein R1 , R2 and R3 are as defined for compounds of formula (I) and R13 is C1-C4 alkyl, can be obtained from compounds of formula (X) wherein R1 , R2 and
R3 are as defined for compounds of formula (I) and R13 is C1-C4 alkyl, and compounds of formula (XI) wherein R4 and R5 are as defined for compounds of formula (I) by heating them together in an inert organic solvent in the presence or absence of a base. Compounds of formula (X) wherein R1 , R2 and R3 are as defined for compounds of formula (I) and R13 is C1-C4 alkyl, can be obtained from compounds of formula (XII), wherein R1 , R2 and R3 are as defined for compounds of formula (I) and R13 is C1-C4 alkyl, by treatment with H2S in the presence or absence of a catalyst. Such reactions are described in Journal of Organometallic Chemistry 2014, 93 and is shown in scheme 10.
Scheme 10.
As shown in scheme 10, compounds of formula (XII) wherein R1 , R2 and R3 are as defined for compounds of formula (I) and R13 is C1-C4 alkyl, can be obtained from compounds of formula (V) wherein R1 , R2 and R3 are as defined for compounds of formula (I), R13 is C1-C4 alkyl and R11 is a halogen or psuedohalogen, such as chloro, bromo, iodo, -OSO2CF3 or -OSC>2(CF2)3CF3, in the presence of a cyanide source such as Zn(CN)2, a palladium compounds such as Pd(ll)acetate and a supporting phosphine ligand. Alternatively, compounds of formula (I) wherein R1 , R2, R3, R4 and R5 are as defined above, can be obtained by transformation of another, closely related, compound of formula I (or an analogue thereof) using standard synthesis techniques known to the person skilled in the art. Non-exhaustive examples include oxidation reactions, reduction reactions, hydrogenation reactions, hydrolysis reactions, coupling
reactions, aromatic nucleophilic or electrophilic substitution reactions, nucleophilic substitution reactions, alkylation reactions, nucleophilic addition reactions and halogenation reactions.
Functional group interconversions as described in the previous schemes are known to the persons skilled in the art. Extensive lists of reaction conditions can be found in: Comprehensive Organic Functional Group Transformations, Edited by A. R. Katritzky, O. Meth-Cohn and C. W. Rees. Pergamon Press (Elsevier Science Ltd.), Tarrytown, NY. 1995; or in: Comprehensive Organic Transformations: A Guide to Functional Group Preparations, Edited by Richard C. Larock, Wiley- VCH, New York 1999.
If the synthesis yields mixtures of isomers, a separation is generally not necessarily required because in some cases the individual isomers can be interconverted during work-up for use or during application (e. g. under the action of light, acids or bases). Such conversions may also take place after use, e. g. in the treatment of plants in the treated plant, or in the harmful fungus to be controlled.
As already indicated, it has now been found that the novel compounds of formula (I) of the present invention have a very advantageous level of biological activity for protecting plants against diseases that are caused by fungi.
The compounds of formula (I) can be used in the agricultural sector and related fields of use, e.g., as active ingredients for controlling plant pests or on non-living materials for the control of spoilage microorganisms or organisms potentially harmful to man. The novel compounds are distinguished by excellent activity at low rates of application, by being well tolerated by plants and by being environmentally safe. They have very useful curative, preventive and systemic properties and can be used for protecting numerous cultivated plants. The compounds of formula (I) can be used to inhibit or destroy the pests that occur on plants or parts of plants (fruit, blossoms, leaves, stems, tubers, roots) of different crops of useful plants, while at the same time protecting also those parts of the plants that grow later, e.g., from phytopathogenic microorganisms.
The present invention further relates to a method for controlling or preventing infestation of plants or plant propagation material and/or harvested food crops susceptible to microbial attack by treating plants or plant propagation material and/or harvested food crops wherein an effective amount a compound of formula (I) is applied to the plants, to parts thereof or the locus thereof.
It is also possible to use compounds of formula (I) as fungicide. The term“fungicide” as used herein means a compound that controls, modifies, or prevents the growth of fungi. The term“fungicidally effective amount” where used means the quantity of such a compound or combination of such compounds that is capable of producing an effect on the growth of fungi. Controlling or modifying effects include all deviation from natural development, such as killing, retardation and the like, and prevention includes barrier or other defensive formation in or on a plant to prevent fungal infection.
It may also be possible to use compounds of formula (I) as dressing agents for the treatment of plant propagation material, e.g., seed, such as fruits, tubers or grains, or plant cuttings, for the protection
against fungal infections as well as against phytopathogenic fungi occurring in the soil. The propagation material can be treated with a composition comprising a compound of formula (I) before planting: seed, for example, can be dressed before being sown. The active compounds of formula (I) can also be applied to grains (coating), either by impregnating the seeds in a liquid formulation or by coating them with a solid formulation. The composition can also be applied to the planting site when the propagation material is being planted, for example, to the seed furrow during sowing. The invention relates also to such methods of treating plant propagation material and to the plant propagation material so treated.
Furthermore, the compounds of formula (I) can be used for controlling fungi in related areas, for example in the protection of technical materials, including wood and wood related technical products, in food storage, in hygiene management.
In addition, the invention could be used to protect non-living materials from fungal attack, e.g. lumber, wall boards and paint.
The compounds of formula (I) are for example, effective against fungi and fungal vectors of disease as well as phytopathogenic bacteria and viruses. These fungi and fungal vectors of disease as well as phytopathogenic bacteria and viruses are for example:
Absidia corymbifera, Alternaria spp, Aphanomyces spp, Ascochyta spp, Aspergillus spp. including A. flavus, A. fumigatus, A. nidulans, A. niger, A. terms, Aureobasidium spp. including A. pullulans, Blastomyces dermatitidis, Blumeria graminis, Bremia lactucae, Botryosphaeria spp. including B. dothidea, B. obtusa, Botrytis spp. inclusing B. cinerea, Candida spp. including C. albicans, C. glabrata, C. krusei, C. lusitaniae, C. parapsilosis, C. tropicalis, Cephaloascus fragrans, Ceratocystis spp, Cercospora spp. including C. arachidicola, Cercosporidium personatum, Cladosporium spp, Claviceps purpurea, Coccidioides immitis, Cochliobolus spp, Colletotrichum spp. including C. musae, Cryptococcus neoformans, Diaporthe spp, Didymella spp, Drechslera spp, Elsinoe spp.Epidermophyton spp, Erwinia amylovora, Erysiphe spp. including E. cichoracearum, Eutypa lata, Fusarium spp. including F. culmorum, F. graminearum, F. langsethiae, F. moniliforme, F. oxysporum, F. proliferatum, F. subglutinans, F. solani, Gaeumannomyces graminis, Gibberella fujikuroi, Gloeodes pomigena, Gloeosporium musarum, Glomerella cingulate, Guignardia bidwellii, Gymnosporangium juniperi- virginianae, Helminthosporium spp, Hemileia spp, Histoplasma spp. including H. capsulatum, Laetisaria fuciformis, Leptographium lindbergi, Leveillula taurica, Lophodermium seditiosum, Microdochium nivale, Microsporum spp, Monilinia spp, Mucor spp, Mycosphaerella spp. including M. graminicola, M. pomi, Oncobasidium theobromaeon, Ophiostoma piceae, Paracoccidioides spp, Penicillium spp. including P. digitatum, P. italicum, Petriellidium spp, Peronosclerospora spp. Including P. maydis, P. philippinensis and P. sorghi, Peronospora spp, Phaeosphaeria nodorum, Phakopsora pachyrhizi, Phellinus igniarus, Phialophora spp, Phoma spp, Phomopsis viticola, Phytophthora spp. including P. infestans, Plasmopara spp. including P. halstedii, P. viticola, Pleospora spp., Podosphaera spp. including P. leucotricha, Polymyxa graminis, Polymyxa betae, Pseudocercosporella herpotrichoides, Pseudomonas spp, Pseudoperonospora spp. including P. cubensis, P. humuli, Pseudopeziza tracheiphila, Puccinia Spp.
including P. hordei, P. recondita, P. striiformis, P. triticina, Pyrenopeziza spp, Pyrenophora spp, Pyricularia spp. including P. oryzae, Pythium spp. including P. ultimum, Ramularia spp, Rhizoctonia spp, Rhizomucor pusillus, Rhizopus arrhizus, Rhynchosporium spp, Scedosporium spp. including S. apiospermum and S. prolificans, Schizothyrium pomi, Sclerotinia spp, Sclerotium spp, Septoria spp, including S. nodorum, S. tritici, Sphaerotheca macularis, Sphaerotheca fusca (Sphaerotheca fuliginea), Sporothorix spp, Stagonospora nodorum, Stemphylium spp,. Stereum hirsutum, Thanatephorus cucumeris, Thielaviopsis basicola, Tilletia spp, Trichoderma spp. including T. harzianum, T. pseudokoningii, T. viride, Trichophyton spp, Typhula spp, Uncinula necator, Urocystis spp, Ustilago spp, Venturia spp. including V. inaequalis, Verticillium spp, and Xanthomonas spp.
The compounds of formula (I) may be used for example on turf, ornamentals, such as flowers, shrubs, broad-leaved trees or evergreens, for example conifers, as well as for tree injection, pest management and the like.
Within the scope of present invention, target crops and/or useful plants to be protected typically comprise perennial and annual crops, such as berry plants for example blackberries, blueberries, cranberries, raspberries and strawberries; cereals for example barley, maize (corn), millet, oats, rice, rye, sorghum triticale and wheat; fibre plants for example cotton, flax, hemp, jute and sisal; field crops for example sugar and fodder beet, coffee, hops, mustard, oilseed rape (canola), poppy, sugar cane, sunflower, tea and tobacco; fruit trees for example apple, apricot, avocado, banana, cherry, citrus, nectarine, peach, pear and plum; grasses for example Bermuda grass, bluegrass, bentgrass, centipede grass, fescue, ryegrass, St. Augustine grass and Zoysia grass; herbs such as basil, borage, chives, coriander, lavender, lovage, mint, oregano, parsley, rosemary, sage and thyme; legumes for example beans, lentils, peas and soya beans; nuts for example almond, cashew, ground nut, hazelnut, peanut, pecan, pistachio and walnut; palms for example oil palm; ornamentals for example flowers, shrubs and trees; other trees, for example cacao, coconut, olive and rubber; vegetables for example asparagus, aubergine, broccoli, cabbage, carrot, cucumber, garlic, lettuce, marrow, melon, okra, onion, pepper, potato, pumpkin, rhubarb, spinach and tomato; and vines for example grapes.
The term "useful plants" is to be understood as also including useful plants that have been rendered tolerant to herbicides like bromoxynil or classes of herbicides (such as, for example, HPPD inhibitors, ALS inhibitors, for example primisulfuron, prosulfuron and trifloxysulfuron, EPSPS (5-enol-pyrovyl- shikimate-3-phosphate-synthase) inhibitors, GS (glutamine synthetase) inhibitors or PPO (protoporphyrinogen-oxidase) inhibitors) as a result of conventional methods of breeding or genetic engineering. An example of a crop that has been rendered tolerant to imidazolinones, e.g. imazamox, by conventional methods of breeding (mutagenesis) is Clearfield® summer rape (Canola). Examples of crops that have been rendered tolerant to herbicides or classes of herbicides by genetic engineering methods include glyphosate- and glufosinate-resistant maize varieties commercially available under the trade names RoundupReady®, Herculex I® and LibertyLink®.
The term "useful plants" is to be understood as also including useful plants which have been so transformed by the use of recombinant DNA techniques that they are capable of synthesising one or more selectively acting toxins, such as are known, for example, from toxin-producing bacteria, especially those of the genus Bacillus.
Examples of such plants are: YieldGard® (maize variety that expresses a CrylA(b) toxin); YieldGard Rootworm® (maize variety that expresses a Cryll IB(b1 ) toxin); YieldGard Plus® (maize variety that expresses a CrylA(b) and a Cryll IB(b1 ) toxin); Starlink® (maize variety that expresses a Cry9(c) toxin); Herculex I® (maize variety that expresses a CrylF(a2) toxin and the enzyme phosphinothricine N- acetyltransferase (PAT) to achieve tolerance to the herbicide glufosinate ammonium); NuCOTN 33B® (cotton variety that expresses a CrylA(c) toxin); Bollgard I® (cotton variety that expresses a CrylA(c) toxin); Bollgard II® (cotton variety that expresses a CrylA(c) and a CryllA(b) toxin); VIPCOT® (cotton variety that expresses a VIP toxin); NewLeaf® (potato variety that expresses a Cryll IA toxin); Nature- Gard® Agrisure® GT Advantage (GA21 glyphosate-tolerant trait), Agrisure® CB Advantage (Bt1 1 corn borer (CB) trait), Agrisure® RW (corn rootworm trait) and Protecta®.
The term "crops" is to be understood as including also crop plants which have been so transformed by the use of recombinant DNA techniques that they are capable of synthesising one or more selectively acting toxins, such as are known, for example, from toxin-producing bacteria, especially those of the genus Bacillus.
Toxins that can be expressed by such transgenic plants include, for example, insecticidal proteins from Bacillus cereus or Bacillus popilliae; or insecticidal proteins from Bacillus thuringiensis, such as 5- endotoxins, e.g. CrylAb, CrylAc, Cry1 F, Cry1 Fa2, Cry2Ab, Cry3A, Cry3Bb1 or Cry9C, or vegetative insecticidal proteins (Vip), e.g. Vip1 , Vip2, Vip3 or Vip3A; or insecticidal proteins of bacteria colonising nematodes, for example Photorhabdus spp. or Xenorhabdus spp., such as Photorhabdus luminescens, Xenorhabdus nematophilus; toxins produced by animals, such as scorpion toxins, arachnid toxins, wasp toxins and other insect-specific neurotoxins; toxins produced by fungi, such as Streptomycetes toxins, plant lectins, such as pea lectins, barley lectins or snowdrop lectins; agglutinins; proteinase inhibitors, such as trypsin inhibitors, serine protease inhibitors, patatin, cystatin, papain inhibitors; ribosomeinactivating proteins (RIP), such as ricin, maize-RIP, abrin, luffin, saporin or bryodin; steroid metabolism enzymes, such as 3-hydroxysteroidoxidase, ecdysteroid-UDP-glycosyl-transferase, cholesterol oxidases, ecdysone inhibitors, HMG-COA-reductase, ion channel blockers, such as blockers of sodium or calcium channels, juvenile hormone esterase, diuretic hormone receptors, stilbene synthase, bibenzyl synthase, chitinases and glucanases.
Further, in the context of the present invention there are to be understood by d-endotoxins, for example CrylAb, CrylAc, Cry1 F, Cry1 Fa2, Cry2Ab, Cry3A, Cry3Bb1 or Cry9C, or vegetative insecticidal proteins (Vip), for example Vip1 , Vip2, Vip3 or Vip3A, expressly also hybrid toxins, truncated toxins and modified
toxins. Hybrid toxins are produced recombinantly by a new combination of different domains of those proteins (see, for example, WO 02/15701). Truncated toxins, for example a truncated CrylAb, are known. In the case of modified toxins, one or more amino acids of the naturally occurring toxin are replaced. In such amino acid replacements, preferably non-naturally present protease recognition sequences are inserted into the toxin, such as, for example, in the case of Cry3A055, a cathepsin-G- recognition sequence is inserted into a Cry3A toxin (see WO 03/018810).
Examples of such toxins or transgenic plants capable of synthesising such toxins are disclosed, for example, in EP-A-0 374 753, WO93/07278, W095/34656, EP-A-0 427 529, EP-A-451 878 and WO 03/052073.
The processes for the preparation of such transgenic plants are generally known to the person skilled in the art and are described, for example, in the publications mentioned above. Cryl-type deoxyribonucleic acids and their preparation are known, for example, from WO 95/34656, EP-A-0 367 474, EP-A-0 401 979 and WO 90/13651 .
The toxin contained in the transgenic plants imparts to the plants tolerance to harmful insects. Such insects can occur in any taxonomic group of insects, but are especially commonly found in the beetles (Coleoptera), two-winged insects (Diptera) and butterflies (Lepidoptera).
Transgenic plants containing one or more genes that code for an insecticidal resistance and express one or more toxins are known and some of them are commercially available. Examples of such plants are: YieldGard® (maize variety that expresses a CrylAb toxin); YieldGard Rootworm® (maize variety that expresses a Cry3Bb1 toxin); YieldGard Plus® (maize variety that expresses a CrylAb and a Cry3Bb1 toxin); Starlink® (maize variety that expresses a Cry9C toxin); Herculex I® (maize variety that expresses a Cry1 Fa2 toxin and the enzyme phosphinothricine N-acetyltransferase (PAT) to achieve tolerance to the herbicide glufosinate ammonium); NuCOTN 33B® (cotton variety that expresses a CrylAc toxin); Bollgard I® (cotton variety that expresses a Cry1 Ac toxin); Bollgard II® (cotton variety that expresses a Cryl Ac and a Cry2Ab toxin); VipCot® (cotton variety that expresses a Vip3A and a CrylAb toxin); NewLeaf® (potato variety that expresses a Cry3A toxin); NatureGard®, Agrisure® GT Advantage (GA21 glyphosate-tolerant trait), Agrisure® CB Advantage (Bt1 1 corn borer (CB) trait) and Protecta®.
Further examples of such transgenic crops are:
1 . Bt11 Maize from Syngenta Seeds SAS, Chemin de I'Hobit 27, F-31 790 St. Sauveur, France, registration number C/FR/96/05/10. Genetically modified Zea mays which has been rendered resistant to attack by the European corn borer ( Ostrinia nubilalis and Sesamia nonagrioides) by transgenic expression of a truncated Cryl Ab toxin. Bt1 1 maize also transgenically expresses the enzyme PAT to achieve tolerance to the herbicide glufosinate ammonium.
2. Bt176 Maize from Syngenta Seeds SAS, Chemin de I'Hobit 27, F-31 790 St. Sauveur, France, registration number C/FR/96/05/10. Genetically modified Zea mays which has been rendered resistant to attack by the European corn borer ( Ostrinia nubilalis and Sesamia nonagrioides) by transgenic expression of a CrylAb toxin. Bt176 maize also transgenically expresses the enzyme PAT to achieve tolerance to the herbicide glufosinate ammonium.
3. MIR604 Maize from Syngenta Seeds SAS, Chemin de I'Hobit 27, F-31 790 St. Sauveur, France, registration number C/FR/96/05/10. Maize which has been rendered insect-resistant by transgenic expression of a modified Cry3A toxin. This toxin is Cry3A055 modified by insertion of a cathepsin-G- protease recognition sequence. The preparation of such transgenic maize plants is described in WO 03/018810.
4. MON 863 Maize from Monsanto Europe S.A. 270-272 Avenue de Tervuren, B-1 150 Brussels, Belgium, registration number C/DE/02/9. MON 863 expresses a Cry3Bb1 toxin and has resistance to certain Coleoptera insects.
5. IPC 531 Cotton from Monsanto Europe S.A. 270-272 Avenue de Tervuren, B-1 150 Brussels, Belgium, registration number C/ES/96/02.
6. 1507 Maize from Pioneer Overseas Corporation, Avenue Tedesco, 7 B-1 160 Brussels, Belgium, registration number C/NL/00/10. Genetically modified maize for the expression of the protein Cry1 F for achieving resistance to certain Lepidoptera insects and of the PAT protein for achieving tolerance to the herbicide glufosinate ammonium.
7. NK603 x MON 810 Maize from Monsanto Europe S.A. 270-272 Avenue de Tervuren, B-1 150 Brussels, Belgium, registration number C/GB/02/M3/03. Consists of conventionally bred hybrid maize varieties by crossing the genetically modified varieties NK603 and MON 810. NK603 c MON 810 Maize transgenically expresses the protein CP4 EPSPS, obtained from Agrobacterium sp. strain CP4, which imparts tolerance to the herbicide Roundup® (contains glyphosate), and also a Cryl Ab toxin obtained from Bacillus thuringiensis subsp. kurstaki which brings about tolerance to certain Lepidoptera, include the European corn borer.
The compounds of formula (I) (including any one of compounds E.01 to E.38) or fungicidal compositions according to the present invention comprising a compound of formula (I) may be used in controlling or preventing phytopathogenic diseases, especially phytopathogenic fungi (such as Phakopsora pachyrhizi ) on soy bean plants.
In particular, transgenic soybean plants expressing toxins, for example insecticidal proteins such as delta-endotoxins, e.g. Cryl Ac (CrylAc Bt protein). Accordingly, this may include transgenic soybean plants comprising event MON87701 (see U.S. Patent No. 8,049,071 and related applications and
patents, as well as WO 2014/170327 A1 (eg, see paragraph [008] reference to Intacta RR2 PRO™ soybean)), event MON87751 (US. Patent Application Publication No. 2014/0373191) or event DAS- 81419 (U.S. Patent No. 8632978 and related applications and patents).
Other transgenic soybean plants may comprise event SYHT0H2 - HPPD tolerance (U.S. Patent Application Publication No. 2014/0201860 and related applications and patents), event MON89788 - glyphosate tolerance (U.S. Pat. No. 7,632,985 and related applications and patents), event MON87708 - dicamba tolerance (U.S. Patent Application Publication No. US 201 1/0067134 and related applications and patents), event DP-356043-5 - glyphosate and ALS tolerance (U.S. Patent Application Publication No. US 2010/0184079 and related applications and patents), event A2704-12 - glufosinate tolerance (U.S. Patent Application Publication No. US 2008/0320616 and related applications and patents), event DP-305423-1 - ALS tolerance (U.S. Patent Application Publication No. US 2008/0312082 and related applications and patents), event A5547-127 - glufosinate tolerance (U.S. Patent Application Publication No. US 2008/0196127 and related applications and patents), event DAS-40278-9 - tolerance to 2,4- dichlorophenoxyacetic acid and aryloxyphenoxypropionate (see WO 201 1/022469, WO 201 1/022470, WO 201 1/022471 , and related applications and patents), event 127 - ALS tolerance (WO 2010/080829 and related applications and patents), event GTS 40-3-2 - glyphosate tolerance, event DAS-68416-4- 2,4-dichlorophenoxyacetic acid and glufosinate tolerance, event FG72 - glyphosate and isoxaflutole tolerance, event BPS-CV127-9 - ALS tolerance and GU262 - glufosinate tolerance or event SYHT04R - HPPD tolerance.
The compounds of formula (I) (including any one of compounds E.01 to E.38) or fungicidal compositions according to the present invention comprising a compound of formula (I) may be used in controlling or preventing phytopathogenic diseases, especially phytopathogenic fungi (such as Phakopsora pachyrhizi ) on soy bean plants. In particular, there are known in the scientific literature certain Elite soybean plant varieties where R-gene stacks, conferring a degree of immunity or resistance to specific Phakopsora pachyrhizi, have been been introgressed in the plant genome, see for example:“Fighting Asian Soybean Rust, Langenbach C, et al, Front Plant Science 7(797) 2016).
An elite plant is any plant from an elite line, such that an elite plant is a representative plant from an elite variety. Non-limiting examples of elite soybean varieties that are commercially available to farmers or soybean breeders include: AG00802, A0868, AG0902, A1923, AG2403, A2824, A3704, A4324, A5404, AG5903, AG6202 AG0934; AG1435; AG2031 ; AG2035; AG2433; AG2733; AG2933; AG3334; AG3832; AG4135; AG4632; AG4934; AG5831 ; AG6534; and AG7231 (Asgrow Seeds, Des Moines, Iowa, USA); BPR0144RR, BPR 4077NRR and BPR 4390NRR (Bio Plant Research, Camp Point, III., USA); DKB17- 51 and DKB37-51 (DeKalb Genetics, DeKalb, III., USA); DP 4546 RR, and DP 7870 RR (Delta & Pine Land Company, Lubbock, Tex., USA); JG 03R501 , JG 32R606C ADD and JG 55R503C (JGL Inc., Greencastle, Ind., USA); NKS 13-K2 (NK Division of Syngenta Seeds, Golden Valley, Minnesota, USA); 90M01 , 91 M30, 92M33, 93M1 1 , 94M30, 95M30, 97B52, P008T22R2; P16T17R2; P22T69R; P25T51 R; P34T07R2; P35T58R; P39T67R; P47T36R; P46T21 R; and P56T03R2 (Pioneer Hi-Bred International, Johnston, Iowa, USA); SG4771 NRR and SG5161 NRR/STS (Soygenetics, LLC, Lafayette, Ind., USA);
S00-K5, S1 1 -L2, S28-Y2, S43-B1 , S53-A1 , S76-L9, S78-G6, S0009-M2; S007-Y4; S04-D3; S14-A6; S20-T6; S21 -M7; S26-P3; S28-N6; S30-V6; S35-C3; S36-Y6; S39-C4; S47-K5; S48-D9; S52-Y2; S58- Z4; S67-R6; S73-S8; and S78-G6 (Syngenta Seeds, Henderson, Ky., USA); Richer (Northstar Seed Ltd. Alberta, CA); 14RD62 (Stine Seed Co. la., USA); or Armor 4744 (Armor Seed, LLC, Ar., USA).
Thus, in a further preferred embodiment, the compounds of Formula (I) (including any one of compounds E.01 to E.38), or fungicidal compositions according to the present invention comprising a compound of formula (I), are used to control Phakopsora pachyrhizi, (including fungicidally-resistant strains thereof, as outlined herein) on Elite soybean plant varieties where R-gene stacks, conferring a degree of immunity or resistance to specific Phakopsora pachyrhizi, have been been introgressed in the plant genome. Numerous benefits may be expected to ensue from said use, e.g. improved biological activity, an advantageous or broader spectrum of activity (inc. sensitive and resistant strains of Phakopsora pachyrhizi ), an increased safety profile, improved crop tolerance, synergistic interactions or potentiating properties, improved onset of action or a longer lasting residual activity, a reduction in the number of applications and/or a reduction in the application rate of the compounds and compositions required for effective control of the phytopathogen (Phakopsora pachyrhizi), thereby enabling beneficial resistance- management practices, reduced environmental impact and reduced operator exposure.
Fungicidal-resistant strains of Phakopsora pachyrhizi have been reported in the scientific literature, with strains resistant to one or more fungicides from at least each of the following fungicidal mode of action classes being observed: sterol demethylation-inhibitors (DMI), quinone-outside-inhibitors (Qol) and succinate dehydrogenase inhibitors (SDHI). See for example:“Sensitivity of Phakopsora pachyrhizi towards quinone-outside-inhibitors and demethylation-inhibitors, and corresponding resistance mechanisms.” Schmitz HK et al, Pest Manag Sci (2014) 70: 378-388;“First detection of a SDH variant with reduced SDHI sensitivity in Phakopsora pachyrhizi’ Simoes K et al, J Plant Dis Prot (2018) 125: 21 -2;“Competitive fitness of Phakopsora pachyrhizi isolates with mutations in the CYP51 and CYTB genes.” Klosowski AC et al, Phytopathology (2016) 106: 1278-1284;“Detection of the F129L mutation in the cytochrome b gene in Phakopsora pachyrhizi." Klosowski AC et al, Pest Manag Sci (2016) 72: 121 1 -1215.
Thus, in a preferred embodiment, the compounds of Formula (I) (including any one of compounds E.01 to E.38), or fungicidal compositions according to the present invention comprising a compound of formula (I), are used to control Phakopsora pachyrhizi which are resistant to one or more fungicides from any of the following fungicidal MoA classes: sterol demethylation-inhibitors (DMI), quinone-outside- inhibitors (Qol) and succinate dehydrogenase inhibitors (SDHI).
The term“locus” as used herein means fields in or on which plants are growing, or where seeds of cultivated plants are sown, or where seed will be placed into the soil. It includes soil, seeds, and seedlings, as well as established vegetation.
The term“plants” refers to all physical parts of a plant, including seeds, seedlings, saplings, roots, tubers, stems, stalks, foliage, and fruits.
The term“plant propagation material” is understood to denote generative parts of the plant, such as seeds, which can be used for the multiplication of the latter, and vegetative material, such as cuttings or tubers, for example potatoes. There can be mentioned for example seeds (in the strict sense), roots, fruits, tubers, bulbs, rhizomes and parts of plants. Germinated plants and young plants which are to be transplanted after germination or after emergence from the soil, may also be mentioned. These young plants can be protected before transplantation by a total or partial treatment by immersion. Preferably “plant propagation material” is understood to denote seeds.
The compounds of formula I may be used in unmodified form or, preferably, together with the adjuvants conventionally employed in the art of formulation. To this end they may be conveniently formulated in known manner to emulsifiable concentrates, coatable pastes, directly sprayable or dilutable solutions or suspensions, dilute emulsions, wettable powders, soluble powders, dusts, granulates, and also encapsulations e.g. in polymeric substances. As with the type of the compositions, the methods of application, such as spraying, atomising, dusting, scattering, coating or pouring, are chosen in accordance with the intended objectives and the prevailing circumstances. The compositions may also contain further adjuvants such as stabilizers, antifoams, viscosity regulators, binders or tackifiers as well as fertilizers, micronutrient donors or other formulations for obtaining special effects.
Suitable carriers and adjuvants, e.g. for agricultural use, can be solid or liquid and are substances useful in formulation technology, e.g. natural or regenerated mineral substances, solvents, dispersants, wetting agents, tackifiers, thickeners, binders or fertilizers. Such carriers are for example described in WO 97/33890.
Suspension concentrates are aqueous formulations in which finely divided solid particles of the active compound are suspended. Such formulations include anti-settling agents and dispersing agents and may further include a wetting agent to enhance activity as well an anti-foam and a crystal growth inhibitor. In use, these concentrates are diluted in water and normally applied as a spray to the area to be treated. The amount of active ingredient may range from 0.5% to 95% of the concentrate.
Wettable powders are in the form of finely divided particles which disperse readily in water or other liquid carriers. The particles contain the active ingredient retained in a solid matrix. Typical solid matrices include fuller’s earth, kaolin clays, silicas and other readily wet organic or inorganic solids. Wettable powders normally contain from 5% to 95% of the active ingredient plus a small amount of wetting, dispersing or emulsifying agent.
Emulsifiable concentrates are homogeneous liquid compositions dispersible in water or other liquid and may consist entirely of the active compound with a liquid or solid emulsifying agent, or may also contain a liquid carrier, such as xylene, heavy aromatic naphthas, isophorone and other non-volatile organic
solvents. In use, these concentrates are dispersed in water or other liquid and normally applied as a spray to the area to be treated. The amount of active ingredient may range from 0.5% to 95% of the concentrate.
Granular formulations include both extrudates and relatively coarse particles and are usually applied without dilution to the area in which treatment is required. Typical carriers for granular formulations include sand, fuller’s earth, attapulgite clay, bentonite clays, montmorillonite clay, vermiculite, perlite, calcium carbonate, brick, pumice, pyrophyllite, kaolin, dolomite, plaster, wood flour, ground corn cobs, ground peanut hulls, sugars, sodium chloride, sodium sulphate, sodium silicate, sodium borate, magnesia, mica, iron oxide, zinc oxide, titanium oxide, antimony oxide, cryolite, gypsum, diatomaceous earth, calcium sulphate and other organic or inorganic materials which absorb or which can be coated with the active compound. Granular formulations normally contain 5% to 25% of active ingredients which may include surface-active agents such as heavy aromatic naphthas, kerosene and other petroleum fractions, or vegetable oils; and/or stickers such as dextrins, glue or synthetic resins.
Dusts are free-flowing admixtures of the active ingredient with finely divided solids such as talc, clays, flours and other organic and inorganic solids which act as dispersants and carriers.
Microcapsules are typically droplets or granules of the active ingredient enclosed in an inert porous shell which allows escape of the enclosed material to the surroundings at controlled rates. Encapsulated droplets are typically 1 to 50 microns in diameter. The enclosed liquid typically constitutes 50 to 95% of the weight of the capsule and may include solvent in addition to the active compound. Encapsulated granules are generally porous granules with porous membranes sealing the granule pore openings, retaining the active species in liquid form inside the granule pores. Granules typically range from 1 millimetre to 1 centimetre and preferably 1 to 2 millimetres in diameter. Granules are formed by extrusion, agglomeration or prilling, or are naturally occurring. Examples of such materials are vermiculite, sintered clay, kaolin, attapulgite clay, sawdust and granular carbon. Shell or membrane materials include natural and synthetic rubbers, cellulosic materials, styrene-butadiene copolymers, polyacrylonitriles, polyacrylates, polyesters, polyamides, polyureas, polyurethanes and starch xanthates.
Other useful formulations for agrochemical applications include simple solutions of the active ingredient in a solvent in which it is completely soluble at the desired concentration, such as acetone, alkylated naphthalenes, xylene and other organic solvents. Pressurised sprayers, wherein the active ingredient is dispersed in finely-divided form as a result of vaporisation of a low boiling dispersant solvent carrier, may also be used.
Suitable agricultural adjuvants and carriers that are useful in formulating the compositions of the invention in the formulation types described above are well known to those skilled in the art.
Liquid carriers that can be employed include, for example, water, toluene, xylene, petroleum naphtha, crop oil, acetone, methyl ethyl ketone, cyclohexanone, acetic anhydride, acetonitrile, acetophenone, amyl acetate, 2-butanone, chlorobenzene, cyclohexane, cyclohexanol, alkyl acetates, diacetonalcohol, 1 ,2-dichloropropane, diethanolamine, p-diethylbenzene, diethylene glycol, diethylene glycol abietate, diethylene glycol butyl ether, diethylene glycol ethyl ether, diethylene glycol methyl ether, N,N-dimethyl formamide, dimethyl sulfoxide, 1 ,4-dioxane, dipropylene glycol, dipropylene glycol methyl ether, dipropylene glycol dibenzoate, diproxitol, alkyl pyrrolidinone, ethyl acetate, 2-ethyl hexanol, ethylene carbonate, 1 ,1 ,1 -trichloroethane, 2-heptanone, alpha pinene, d-limonene, ethylene glycol, ethylene glycol butyl ether, ethylene glycol methyl ether, gamma-butyrolactone, glycerol, glycerol diacetate, glycerol monoacetate, glycerol triacetate, hexadecane, hexylene glycol, isoamyl acetate, isobornyl acetate, isooctane, isophorone, isopropyl benzene, isopropyl myristate, lactic acid, laurylamine, mesityl oxide, methoxy-propanol, methyl isoamyl ketone, methyl isobutyl ketone, methyl laurate, methyl octanoate, methyl oleate, methylene chloride, m-xylene, n-hexane, n-octylamine, octadecanoic acid, octyl amine acetate, oleic acid, oleylamine, o-xylene, phenol, polyethylene glycol (PEG400), propionic acid, propylene glycol, propylene glycol monomethyl ether, p-xylene, toluene, triethyl phosphate, triethylene glycol, xylene sulfonic acid, paraffin, mineral oil, trichloroethylene, perchloroethylene, ethyl acetate, amyl acetate, butyl acetate, methanol, ethanol, isopropanol, and higher molecular weight alcohols such as amyl alcohol, tetrahydrofurfuryl alcohol, hexanol, octanol, etc., ethylene glycol, propylene glycol, glycerine and N-methyl-2-pyrrolidinone. Water is generally the carrier of choice for the dilution of concentrates.
Suitable solid carriers include, for example, talc, titanium dioxide, pyrophyllite clay, silica, attapulgite clay, kieselguhr, chalk, diatomaxeous earth, lime, calcium carbonate, bentonite clay, fuller’s earth, cotton seed hulls, wheat flour, soybean flour, pumice, wood flour, walnut shell flour and lignin.
A broad range of surface-active agents are advantageously employed in both said liquid and solid compositions, especially those designed to be diluted with carrier before application. These agents, when used, normally comprise from 0.1 % to 15% by weight of the formulation. They can be anionic, cationic, non-ionic or polymeric in character and can be employed as emulsifying agents, wetting agents, suspending agents or for other purposes. Typical surface active agents include salts of alkyl sulfates, such as diethanolammonium lauryl sulphate; alkylarylsulfonate salts, such as calcium dodecylbenzenesulfonate; alkylphenol-alkylene oxide addition products, such as nonylphenol-C.sub. 18 ethoxylate; alcohol-alkylene oxide addition products, such as tridecyl alcohol-C.sub. 16 ethoxylate; soaps, such as sodium stearate; alkylnaphthalenesulfonate salts, such as sodium dibutylnaphthalenesulfonate; dialkyl esters of sulfosuccinate salts, such as sodium di(2-ethylhexyl) sulfosuccinate; sorbitol esters, such as sorbitol oleate; quaternary amines, such as lauryl trimethylammonium chloride; polyethylene glycol esters of fatty acids, such as polyethylene glycol stearate; block copolymers of ethylene oxide and propylene oxide; and salts of mono and dialkyl phosphate esters.
Other adjuvants commonly utilized in agricultural compositions include crystallisation inhibitors, viscosity modifiers, suspending agents, spray droplet modifiers, pigments, antioxidants, foaming agents, antifoaming agents, light-blocking agents, compatibilizing agents, antifoam agents, sequestering agents, neutralising agents and buffers, corrosion inhibitors, dyes, odorants, spreading agents, penetration aids, micronutrients, emollients, lubricants and sticking agents.
In addition, further, other biocidally active ingredients or compositions may be combined with the compositions of the invention and used in the methods of the invention and applied simultaneously or sequentially with the compositions of the invention. When applied simultaneously, these further active ingredients may be formulated together with the compositions of the invention or mixed in, for example, the spray tank. These further biocidally active ingredients may be fungicides, herbicides, insecticides, bactericides, acaricides, nematicides and/or plant growth regulators.
Pesticidal agents are referred to herein using their common name are known, for example, from "The Pesticide Manual", 15th Ed., British Crop Protection Council 2009.
In addition, the compositions of the invention may also be applied with one or more systemically acquired resistance inducers (“SAR” inducer). SAR inducers are known and described in, for example, United States Patent No. US 6,919,298 and include, for example, salicylates and the commercial SAR inducer acibenzolar-S-methyl.
The compounds of formula (I) are normally used in the form of agrochemical compositions and can be applied to the crop area or plant to be treated, simultaneously or in succession with further compounds. These further compounds can be e.g. fertilizers or micronutrient donors or other preparations, which influence the growth of plants. They can also be selective herbicides or non-selective herbicides as well as insecticides, fungicides, bactericides, nematicides, molluscicides or mixtures of several of these preparations, if desired together with further carriers, surfactants or application promoting adjuvants customarily employed in the art of formulation.
The compounds of formula (I) may be used in the form of (fungicidal) compositions for controlling or protecting against phytopathogenic microorganisms, comprising as active ingredient at least one compound of formula (I) or of at least one preferred individual compound as defined herein, in free form or in agrochemically usable salt form, and at least one of the above-mentioned adjuvants.
The invention therefore provides a composition, preferably a fungicidal composition, comprising at least one compound formula (I) an agriculturally acceptable carrier and optionally an adjuvant. An agricultural acceptable carrier is for example a carrier that is suitable for agricultural use. Agricultural carriers are well known in the art. Preferably said composition may comprise at least one or more pesticidally-active compounds, for example an additional fungicidal active ingredient in addition to the compound of formula
(I)·
The compound of formula (I) may be the sole active ingredient of a composition or it may be admixed with one or more additional active ingredients such as a pesticide, fungicide, synergist, herbicide or plant growth regulator where appropriate.
Examples of suitable additional active ingredients include the following: acycloamino acid fungicides, aliphatic nitrogen fungicides, amide fungicides, anilide fungicides, antibiotic fungicides, aromatic fungicides, arsenical fungicides, aryl phenyl ketone fungicides, benzamide fungicides, benzanilide fungicides, benzimidazole fungicides, benzothiazole fungicides, botanical fungicides, bridged diphenyl fungicides, carbamate fungicides, carbanilate fungicides, conazole fungicides, copper fungicides, dicarboximide fungicides, dinitrophenol fungicides, dithiocarbamate fungicides, dithiolane fungicides, furamide fungicides, furanilide fungicides, hydrazide fungicides, imidazole fungicides, mercury fungicides, morpholine fungicides, organophosphorous fungicides, organotin fungicides, oxathiin fungicides, oxazole fungicides, phenylsulfamide fungicides, polysulfide fungicides, pyrazole fungicides, pyridine fungicides, pyrimidine fungicides, pyrrole fungicides, quaternary ammonium fungicides, quinoline fungicides, quinone fungicides, quinoxaline fungicides, strobilurin fungicides, sulfonanilide fungicides, thiadiazole fungicides, thiazole fungicides, thiazolidine fungicides, thiocarbamate fungicides, thiophene fungicides, triazine fungicides, triazole fungicides, triazolopyrimidine fungicides, urea fungicides, valinamide fungicides, and zinc fungicides.
Examples of suitable additional active ingredients also include the following: 3-difluoromethyl-1 -methyl- 1 H-pyrazole-4-carboxylic acid (9-dichloromethylene-1 ,2,3,4-tetrahydro-1 ,4-methano-naphthalen-5-yl)- amide , 3-difluoromethyl-1 -methyl-1 H-pyrazole-4-carboxylic acid methoxy-[1 -methyl-2-(2,4,6- trichlorophenyl)-ethyl]-amide , 1 -methyl-3-difluoromethyl-1 H-pyrazole-4-carboxylic acid (2- dichloromethylene-3-ethyl-1 -methyl-indan-4-yl)-amide (1072957-71 -1), 1 -methyl-3-difluoromethyl-1 H- pyrazole-4-carboxylic acid (4'-methylsulfanyl-biphenyl-2-yl)-amide, 1 -methyl-3-difluoromethyl-4H- pyrazole-4-carboxylic acid [2-(2,4-dichloro-phenyl)-2-methoxy-1 -methyl-ethyl]-amide, (5-Chloro-2,4- dimethyl-pyridin-3-yl)-(2,3,4-trimethoxy-6-methyl-phenyl)-methanone, (5-Bromo-4-chloro-2-methoxy- pyridin-3-yl)-(2,3,4-trimethoxy-6-methyl-phenyl)-methanone, 2-{2-[(E)-3-(2,6-Dichloro-phenyl)-1 - methyl-prop-2-en-(E)-ylideneaminooxymethyl]-phenyl}-2-[(Z)-methoxyimino]-N-methyl-acetamide, 3-[5- (4-Chloro-phenyl)-2,3-dimethyl-isoxazolidin-3-yl]-pyridine, (E)-N-methyl-2- [2- (2, 5- dimethylphenoxymethyl) phenyl]-2-methoxy-iminoacetamide, 4-bromo-2-cyano-N, N-dimethyl-6- trifluoromethylbenzimidazole-1 -sulphonamide, a- [N-(3-chloro-2, 6-xylyl)-2-methoxyacetamido]-y- butyrolactone, 4-chloro-2-cyano-N,N - dimethyl-5-p-tolylimidazole-1 -sulfonamide, N-allyl-4, 5,-dimethyl- 2-trimethylsilylthiophene-3-carboxamide, N- (l-cyano-1 , 2-dimethylpropyl)-2- (2, 4-dichlorophenoxy) propionamide, N- (2-methoxy-5-pyridyl)-cyclopropane carboxamide, ( +-.)-cis-1 -(4-chlorophenyl)-2-(1 H- 1 ,2,4-triazol-1 -yl)-cycloheptanol, 2-(1 -fe/ -butyl)-1 -(2-chlorophenyl)-3-(1 ,2,4-triazol-1 -yl)-propan-2-ol, 2',6'-dibromo-2-methyl-4-trifluoromethoxy-4'-trifluoromethyl-1 ,3-thiazole- 5-carboxanilide, 1 -imidazolyl- 1 -(4'-chlorophenoxy)-3,3-dimethylbutan-2-one, methyl (E)-2-[2-[6-(2-cyanophenoxy)pyrimidin-4- yloxy]phenyl]3-methoxyacrylate, methyl (E)-2-[2-[6-(2-thioamidophenoxy)pyrimidin-4-yloxy]phenyl]-3- methoxyacrylate, methyl (E)-2-[2-[6-(2-fluorophenoxy)pyrimidin-4-yloxy]phenyl]-3-methoxyacrylate, methyl (E)-2-[2-[6-(2,6-difluorophenoxy)pyrimidin-4-yloxy]phenyl]-3-methoxyacryla te, methyl (E)-2-[2-
[3-(pyrimidin-2-yloxy)phenoxy]phenyl]-3-methoxyacrylate, methyl (E)-2-[2-[3-(5-methylpyrimidin-2- yloxy)-phenoxy]phenyl]-3-methoxyacrylate, methyl (E)-2-[2-[3-(phenyl-sulphonyloxy)phenoxy]phenyl-3- methoxyacrylate, methyl (E)-2-[2-[3-(4-nitrophenoxy)phenoxy]phenyl]-3-methoxyacrylate, methyl (E)-2- [2-phenoxyphenyl]-3-methoxyacrylate, methyl (E)-2-[2-(3,5-dimethyl-benzoyl)pyrrol-1 -yl]-3- methoxyacrylate, methyl (E)-2-[2-(3-methoxyphenoxy)phenyl]-3-methoxyacrylate, methyl (E)-2[2-(2- phenylethen-1 -yl)-phenyl]-3-methoxyacrylate, methyl (E)-2-[2-(3,5-dichlorophenoxy)pyridin-3-yl]-3- methoxyacrylate, methyl (E)-2-(2-(3-(1 ,1 ,2,2-tetrafluoroethoxy)phenoxy)phenyl)-3-methoxyacrylate, methyl (E)-2-(2-[3-(alpha-hydroxybenzyl)phenoxy]phenyl)-3-methoxyacrylate, methyl (E)-2-(2-(4- phenoxypyridin-2-yloxy)phenyl)-3-methoxyacrylate, methyl (E)-2-[2-(3-n-propyloxy-phenoxy)phenyl]3- methoxyacrylate, methyl (E)-2-[2-(3-isopropyloxyphenoxy)phenyl]-3-methoxyacrylate, methyl (E)-2-[2- [3-(2-fluorophenoxy)phenoxy]phenyl]-3-methoxyacrylate, methyl (E)-2-[2-(3-ethoxyphenoxy)phenyl]-3- methoxyacrylate, methyl (E)-2-[2-(4-fe/ -butyl-pyridin-2-yloxy)phenyl]-3-methoxyacrylate, methyl (E)-2- [2-[3-(3-cyanophenoxy)phenoxy]phenyl]-3-methoxyacrylate, methyl (E)-2-[2-[(3-methyl-pyridin-2- yloxymethyl)phenyl]-3-methoxyacrylate, methyl (E)-2-[2-[6-(2-methyl-phenoxy)pyrimidin-4- yloxy]phenyl]-3-methoxyacrylate, methyl (E)-2-[2-(5-bromo-pyridin-2-yloxymethyl)phenyl]-3- methoxyacrylate, methyl (E)-2-[2-(3-(3-iodopyridin-2-yloxy)phenoxy)phenyl]-3-methoxyacrylate, methyl (E)-2-[2-[6-(2-chloropyridin-3-yloxy)pyrimidin-4-yloxy]phenyl]-3-methoxyac rylate, methyl (E),(E)-2-[2- (5,6-dimethylpyrazin-2-ylmethyloximinomethyl)phenyl]-3-methox yacrylate, methyl (E)-2-{2-[6-(6- methylpyridin-2-yloxy)pyrimidin-4-yloxy]phenyl}-3-methoxy-a crylate, methyl (E),(E)-2-{ 2-(3- methoxyphenyl)methyloximinomethyl]-phenyl}-3-methoxyacrylate, methyl (E)-2-{2-(6-(2- azidophenoxy)-pyrimidin-4-yloxy]phenyl}-3-methoxyacrylate, methyl (E),(E)-2-{2-[6-phenylpyrimidin-4- yl)-methyloximinomethyl]phenyl}-3-methox yacrylate, methyl (E),(E)-2-{2-[(4-chlorophenyl)- methyloximinomethyl]-phenyl}-3-methoxyacryl ate, methyl (E)-2-{2-[6-(2-n-propylphenoxy)-1 ,3,5- triazin-4-yloxy]phenyl}-3-methoxyacr ylate, methyl (E),(E)-2-{2-[(3- nitrophenyl)methyloximinomethyl]phenyl}-3-methoxyacrylate, 3-chloro-7-(2-aza-2,7,7-trimethyl-oct-3- en-5-ine), 2,6-dichloro-N-(4-trifluoromethylbenzyl)-benzamide, 3-iodo-2-propinyl alcohol, 4- chlorophenyl-3-iodopropargyl formal, 3-bromo-2,3-diiodo-2-propenyl ethylcarbamate, 2,3,3-triiodoallyl alcohol, 3-bromo-2,3-diiodo-2-propenyl alcohol, 3-iodo-2-propinyl n-butylcarbamate, 3-iodo-2-propinyl n-hexylcarbamate, 3-iodo-2-propinyl cyclohexyl-carbamate, 3-iodo-2-propinyl phenylcarbamate; phenol derivatives, such as tribromophenol, tetrachlorophenol, 3-methyl-4-chlorophenol, 3,5-dimethyl-4- chlorophenol, phenoxyethanol, dichlorophene, o-phenylphenol, m-phenylphenol, p-phenylphenol, 2- benzyl-4-chlorophenol, 5-hydroxy-2(5H)-furanone; 4,5-dichlorodithiazolinone, 4,5-benzodithiazolinone, 4,5-trimethylenedithiazolinone, 4,5-dichloro-(3H)-1 ,2-dithiol-3-one, 3,5-dimethyl-tetrahydro-1 ,3,5- thiadiazine-2-thione, N-(2-p-chlorobenzoylethyl)-hexaminium chloride, acibenzolar, acypetacs, alanycarb, albendazole, aldimorph, allicin, allyl alcohol, ametoctradin, amisulbrom, amobam, ampropylfos, anilazine, asomate, aureofungin, azaconazole, azafendin, azithiram, azoxystrobin, barium polysulfide, benalaxyl, benalaxyl-M, benodanil, benomyl, benquinox, bentaluron, benthiavalicarb, benthiazole, benzalkonium chloride, benzamacril, benzamorf, benzohydroxamic acid, benzovindiflupyr, berberine, bethoxazin, biloxazol, binapacryl, biphenyl, bitertanol, bithionol, bixafen, blasticidin-S, boscalid, bromothalonil, bromuconazole, bupirimate, buthiobate, butylamine calcium polysulfide, captafol, captan, carbamorph, carbendazim, carbendazim chlorhydrate, carboxin, carpropamid,
carvone, CGA41396, CGA41397, chinomethionate, chitosan, chlobenthiazone, chloraniformethan, chloranil, chlorfenazole, chloroneb, chloropicrin, chlorothalonil, chlorozolinate, chlozolinate, climbazole, clotrimazole, clozylacon, copper containing compounds such as copper acetate, copper carbonate, copper hydroxide, copper naphthenate, copper oleate, copper oxychloride, copper oxyquinolate, copper silicate, copper sulphate, copper tallate, copper zinc chromate and Bordeaux mixture, cresol, cufraneb, cuprobam, cuprous oxide, cyazofamid, cyclafuramid, cycloheximide, cyflufenamid, cymoxanil, cypendazole, cyproconazole, cyprodinil, dazomet, debacarb, decafentin, dehydroacetic acid, di-2- pyridyl disulphide 1 , 1 '-dioxide, dichlofluanid, diclomezine, dichlone, dicloran, dichlorophen, dichlozoline, diclobutrazol, diclocymet, diethofencarb, difenoconazole, difenzoquat, diflumetorim, O, O-di-iso-propyl- S-benzyl thiophosphate, dimefluazole, dimetachlone, dimetconazole, dimethomorph, dimethirimol, diniconazole, diniconazole-M, dinobuton, dinocap, dinocton, dinopenton, dinosulfon, dinoterbon, diphenylamine, dipyrithione, disulfiram, ditalimfos, dithianon, dithioether, dodecyl dimethyl ammonium chloride, dodemorph, dodicin, dodine, doguadine, drazoxolon, edifenphos, enestroburin, epoxiconazole, etaconazole, etem, ethaboxam, ethirimol, ethoxyquin, ethilicin, ethyl (Z)-N-benzyl-N ([methyl (methyl- thioethylideneamino- oxycarbonyl) amino] thio)-B-alaninate, etridiazole, famoxadone, fenamidone, fenaminosulf, fenapanil, fenarimol, fenbuconazole, fenfuram, fenhexamid, fenitropan, fenoxanil, fenpiclonil, fenpicoxamid, fenpropidin, fenpropimorph, fenpyrazamine, fentin acetate, fentin hydroxide, ferbam, ferimzone, fluazinam, fludioxonil, flumetover, flumorph, flupicolide, fluopyram, fluoroimide, fluotrimazole, fluoxastrobin, fluquinconazole, flusilazole, flusulfamide, flutanil, flutolanil, flutriafol, fluxapyroxad, folpet, formaldehyde, fosetyl, fuberidazole, furalaxyl, furametpyr, furcarbanil, furconazole, furfural, furmecyclox, furophanate, glyodin, griseofulvin, guazatine, halacrinate, hexa chlorobenzene, hexachlorobutadiene, hexachlorophene, hexaconazole, hexylthiofos, hydrargaphen, hydroxyisoxazole, hymexazole, imazalil, imazalil sulphate, imibenconazole, iminoctadine, iminoctadine triacetate, inezin, iodocarb, ipconazole, ipfentrifluconazole, iprobenfos, iprodione, iprovalicarb, isopropanyl butyl carbamate, isoprothiolane, isopyrazam, isotianil, isovaledione, izopamfos, kasugamycin, kresoxim- methyl, LY186054, LY21 1795, LY248908, mancozeb, mandipropamid, maneb, mebenil, mecarbinzid, mefenoxam, mefentrifluconazole, mepanipyrim, mepronil, mercuric chloride, mercurous chloride, meptyldinocap, metalaxyl, metalaxyl-M, metam, metazoxolon, metconazole, methasulfocarb, methfuroxam, methyl bromide, methyl iodide, methyl isothiocyanate, metiram, metiram-zinc, metominostrobin, metrafenone, metsulfovax, milneb, moroxydine, myclobutanil, myclozolin, nabam, natamycin, neoasozin, nickel dimethyldithiocarbamate, nitrostyrene, nitrothal-iso- propyl, nuarimol, octhilinone, ofurace, organomercury compounds, orysastrobin, osthol, oxadixyl, oxasulfuron, oxathiapiprolin, oxine-copper, oxolinic acid, oxpoconazole, oxycarboxin, paclobutrazol, parinol, pefurazoate, penconazole, pencycuron, penflufen, pentachlorophenol, penthiopyrad, phenamacril, phenazin oxide, phosdiphen, phosetyl-AI, phosphorus acids, phthalide, picoxystrobin, piperalin, polycarbamate, polyoxin D, polyoxrim, polyram, probenazole, prochloraz, procymidone, propamidine, propamocarb, propiconazole, propineb, propionic acid, proquinazid, prothiocarb, prothioconazole, pydiflumetofen, pyracarbolid, pyraclostrobin, pyrametrostrobin, pyraoxystrobin, pyrazophos, pyribencarb, pyridinitril, pyrifenox, pyrimethanil, pyriofenone, pyroquilon, pyroxychlor, pyroxyfur, pyrrolnitrin, quaternary ammonium compounds, quinacetol, quinazamid, quinconazole, quinomethionate, quinoxyfen, quintozene, rabenzazole, santonin, sedaxane, silthiofam, simeconazole,
sipconazole, sodium pentachlorophenate, spiroxamine, streptomycin, sulphur, sultropen, tebuconazole, tebfloquin, tecloftalam, tecnazene, tecoram, tetraconazole, thiabendazole, thiadifluor, thicyofen, thifluzamide, 2- (thiocyanomethylthio) benzothiazole, thiophanate-methyl, thioquinox, thiram, tiadinil, timibenconazole, tioxymid, tolclofos-methyl, tolylfluanid, triadimefon, triadimenol, triamiphos, triarimol, triazbutil, triazoxide, tricyclazole, tridemorph, trifloxystrobin, triflumazole, triforine, triflumizole, triticonazole, uniconazole, urbacide, validamycin, valifenalate, vapam, vinclozolin, zarilamid, zineb, ziram, and zoxamide.
The compounds of the invention may also be used in combination with anthelmintic agents. Such anthelmintic agents include, compounds selected from the macrocyclic lactone class of compounds such as ivermectin, avermectin, abamectin, emamectin, eprinomectin, doramectin, selamectin, moxidectin, nemadectin and milbemycin derivatives as described in EP- 357460, EP-444964 and EP- 594291 . Additional anthelmintic agents include semisynthetic and biosynthetic avermectin/milbemycin derivatives such as those described in US-5015630, WO-9415944 and WO-9522552. Additional anthelmintic agents include the benzimidazoles such as albendazole, cambendazole, fenbendazole, flubendazole, mebendazole, oxfendazole, oxibendazole, parbendazole, and other members of the class. Additional anthelmintic agents include imidazothiazoles and tetrahydropyrimidines such as tetramisole, levamisole, pyrantel pamoate, oxantel or morantel. Additional anthelmintic agents include flukicides, such as triclabendazole and clorsulon and the cestocides, such as praziquantel and epsiprantel.
The compounds of the invention may be used in combination with derivatives and analogues of the paraherquamide/marcfortine class of anthelmintic agents, as well as the antiparasitic oxazolines such as those disclosed in US-5478855, US- 4639771 and DE-19520936.
The compounds of the invention may be used in combination with derivatives and analogues of the general class of dioxomorpholine antiparasitic agents as described in WO 96/15121 and also with anthelmintic active cyclic depsipeptides such as those described in WO 96/1 1945, WO 93/19053, WO 93/25543, EP 0 626 375, EP 0 382 173, WO 94/19334, EP 0 382 173, and EP 0 503 538.
The compounds of the invention may be used in combination with other ectoparasiticides; for example, fipronil; pyrethroids; organophosphates; insect growth regulators such as lufenuron; ecdysone agonists such as tebufenozide and the like; neonicotinoids such as imidacloprid and the like.
The compounds of the invention may be used in combination with terpene alkaloids, for example those described in International Patent Application Publication Numbers WO 95/19363 or WO 04/72086, particularly the compounds disclosed therein.
Other examples of such biologically active compounds that the compounds of the invention may be used in combination with include but are not restricted to the following:
Organophosphates: acephate, azamethiphos, azinphos-ethyl, azinphos- methyl, bromophos, bromophos-ethyl, cadusafos, chlorethoxyphos, chlorpyrifos, chlorfenvinphos, chlormephos, demeton, demeton-S-methyl, demeton-S-methyl sulphone, dialifos, diazinon, dichlorvos, dicrotophos, dimethoate, disulfoton, ethion, ethoprophos, etrimfos, famphur, fenamiphos, fenitrothion, fensulfothion, fenthion, flupyrazofos, fonofos, formothion, fosthiazate, heptenophos, isazophos, isothioate, isoxathion, malathion, methacriphos, methamidophos, methidathion, methyl- parathion, mevinphos, monocrotophos, naled, omethoate, oxydemeton-methyl, paraoxon, parathion, parathion-methyl, phenthoate, phosalone, phosfolan, phosphocarb, phosmet, phosphamidon, phorate, phoxim, pirimiphos, pirimiphos- methyl, profenofos, propaphos, proetamphos, prothiofos, pyraclofos, pyridapenthion, quinalphos, sulprophos, temephos, terbufos, tebupirimfos, tetrachlorvinphos, thimeton, triazophos, trichlorfon, vamidothion.
Carbamates: alanycarb, aldicarb, 2-sec-butylphenyl methylcarbamate, benfuracarb, carbaryl, carbofuran, carbosulfan, cloethocarb, ethiofencarb, fenoxycarb, fenthiocarb, furathiocarb, HCN-801 , isoprocarb, indoxacarb, methiocarb, methomyl, 5-methyl-m-cumenylbutyryl(methyl)carbamate, oxamyl, pirimicarb, propoxur, thiodicarb, thiofanox, triazamate, UC-51717.
Pyrethroids: acrinathin, allethrin, alphametrin, 5-benzyl-3-furylmethyl (E) -(1 R)-cis-2,2-dimethyl-3-(2- oxothiolan-3-ylidenemethyl)cyclopropanecarboxylate, bifenthrin, beta -cyfluthrin, cyfluthrin, a- cypermethrin, beta -cypermethrin, bioallethrin, bioallethrin((S)-cyclopentylisomer), bioresmethrin, bifenthrin, NCI-85193, cycloprothrin, cyhalothrin, cythithrin, cyphenothrin, deltamethrin, empenthrin, esfenvalerate, ethofenprox, fenfluthrin, fenpropathrin, fenvalerate, flucythrinate, flumethrin, fluvalinate (D isomer), imiprothrin, cyhalothrin, lambda-cyhalothrin, permethrin, phenothrin, prallethrin, pyrethrins (natural products), resmethrin, tetramethrin, transfluthrin, theta-cypermethrin, silafluofen, t-fluvalinate, tefluthrin, tralomethrin, Zeta-cypermethrin.
Arthropod growth regulators: a) chitin synthesis inhibitors: benzoylureas: chlorfluazuron, diflubenzuron, fluazuron, flucycloxuron, flufenoxuron, hexaflumuron, lufenuron, novaluron, teflubenzuron, triflumuron, buprofezin, diofenolan, hexythiazox, etoxazole, chlorfentazine; b) ecdysone antagonists: halofenozide, methoxyfenozide, tebufenozide; c) juvenoids: pyriproxyfen, methoprene (including S-methoprene), fenoxycarb; d) lipid biosynthesis inhibitors: spirodiclofen.
Other antiparasitics: acequinocyl, amitraz, AKD-1022, ANS-1 18, azadirachtin, Bacillus thuringiensis, bensultap, bifenazate, binapacryl, bromopropylate, BTG-504, BTG-505, camphechlor, cartap, chlorobenzilate, chlordimeform, chlorfenapyr, chromafenozide, clothianidine, cyromazine, diacloden, diafenthiuron, DBI-3204, dinactin, dihydroxymethyldihydroxypyrrolidine, dinobuton, dinocap, endosulfan, ethiprole, ethofenprox, fenazaquin, flumite, MTI- 800, fenpyroximate, fluacrypyrim, flubenzimine, flubrocythrinate, flufenzine, flufenprox, fluproxyfen, halofenprox, hydramethylnon, IKI-220, kanemite, NC-196, neem guard, nidinorterfuran, nitenpyram, SD-35651 , WL-108477, pirydaryl, propargite, protrifenbute, pymethrozine, pyridaben, pyrimidifen, NC-1 1 1 1 , R-195,RH-0345, RH-2485, RYI-210, S-1283, S-1833, SI-8601 , silafluofen, silomadine, spinosad, tebufenpyrad, tetradifon,
tetranactin, thiacloprid, thiocyclam, thiamethoxam, tolfenpyrad, triazamate, triethoxyspinosyn, trinactin, verbutin, vertalec, YI-5301 .
Biological agents: Bacillus thuringiensis ssp aizawai, kurstaki, Bacillus thuringiensis delta endotoxin, baculovirus, entomopathogenic bacteria, virus and fungi.
Bactericides: chlortetracycline, oxytetracycline, streptomycin.
Other biological agents: enrofloxacin, febantel, penethamate, moloxicam, cefalexin, kanamycin, pimobendan, clenbuterol, omeprazole, tiamulin, benazepril, pyriprole, cefquinome, florfenicol, buserelin, cefovecin, tulathromycin, ceftiour, carprofen, metaflumizone, praziquarantel, triclabendazole.
Thus, compounds of formula (I) can be used in combination with one or more other active ingeredients to provide various fungicidal mixtures. Specific examples of such mixtures include (wherein “I” represents a compound of formula (I)): a compound selected from the group of substances consisting of petroleum oils + I, 1 ,1 -bis(4-chlorophenyl)-2-ethoxyethanol + I, 2,4-dichlorophenyl benzenesulfonate + I, 2-fluoro-N-methyl-N-1 -naphthylacetamide + I, 4-chlorophenyl phenyl sulfone + I, acetoprole + I, aldoxycarb + I, amidithion + I, amidothioate + I, amiton + I, amiton hydrogen oxalate + I, amitraz + I, aramite + I, arsenous oxide + I, azobenzene + I, azothoate + I, benomyl + I, benoxafos + I, benzyl benzoate + I, bixafen + I, brofenvalerate + I, bromocyclen + I, bromophos + I, bromopropylate + I, buprofezin + I, butocarboxim + I, butoxycarboxim + I, butylpyridaben + I, calcium polysulfide + I, camphechlor + I, carbanolate + I, carbophenothion + I, cymiazole + I, chinomethionat + I, chlorbenside + I, chlordimeform + I, chlordimeform hydrochloride + I, chlorfenethol + I, chlorfenson + I, chlorfensulfide + I, chlorobenzilate + I, chloromebuform + I, chloromethiuron + I, chloropropylate + I, chlorthiophos + I, cinerin I + I, cinerin II + I, cinerins + I, closantel + I, coumaphos + I, crotamiton + I, crotoxyphos + I, cufraneb + I, cyanthoate + I, DCPM + I, DDT + I, demephion + I, demephion-O + I, demephion-S + I, demeton-methyl + I, demeton-O + I, demeton-O-methyl + I, demeton-S + I, demeton-S-methyl + I, demeton-S-methylsulfon + I, dichlofluanid + I, dichlorvos + I, dicliphos + I, dienochlor + I, dimefox + I, dinex + I, dinex-diclexine + I, dinocap-4 + I, dinocap-6 + I, dinocton + I, dinopenton + I, dinosulfon + I, dinoterbon + I, dioxathion + I, diphenyl sulfone + I, disulfiram + I, DNOC + I, dofenapyn + I, doramectin + I, endothion + I, eprinomectin + I, ethoate-methyl + I, etrimfos + I, fenazaflor + I, fenbutatin oxide + I, fenothiocarb + I, fenpyrad + I, fenpyroximate + I, fenpyrazamine + I, fenson + I, fentrifanil + I, flubenzimine + I, flucycloxuron + I, fluenetil + I, fluorbenside + I, FMC 1 137 + I, formetanate + I, formetanate hydrochloride + I, formparanate + I, gamma-HCH + I, glyodin + I, halfenprox + I, hexadecyl cyclopropanecarboxylate + I, isocarbophos + I, jasmolin I + I, jasmolin II + I, jodfenphos + I, lindane + I, malonoben + I, mecarbam + I, mephosfolan + I, mesulfen + I, methacrifos + I, methyl bromide + I, metolcarb + I, mexacarbate + I, milbemycin oxime + I, mipafox + I, monocrotophos + I, morphothion + I, moxidectin + I, naled + I, 4-chloro-2-(2-chloro-2-methyl-propyl)-5-[(6-iodo-3-pyridyl)methoxy]pyridazin- 3-one + I, nifluridide + I, nikkomycins + I, nitrilacarb + I, nitrilacarb 1 :1 zinc chloride complex + I, omethoate + I, oxydeprofos + I, oxydisulfoton + I, pp'-DDT + I, parathion + I, permethrin + I, phenkapton + I, phosalone + I, phosfolan + I, phosphamidon + I, polychloroterpenes + I, polynactins + I, proclonol +
I, promacyl + I, propoxur + I, prothidathion + I, prothoate + I, pyrethrin I + I, pyrethrin II + I, pyrethrins + I, pyridaphenthion + I, pyrimitate + I, quinalphos + I, quintiofos + I, R-1492 + I, phosglycin + I, rotenone + I, schradan + I, sebufos + I, selamectin + I, sophamide + I, SSI-121 + I, sulfiram + I, sulfluramid + I, sulfotep + I, sulfur + I, diflovidazin + I, tau-fluvalinate + I, TEPP + I, terbam + I, tetradifon + I, tetrasul + I, thiafenox + I, thiocarboxime + I, thiofanox + I, thiometon + I, thioquinox + I, thuringiensin + I, triamiphos + I, triarathene + I, triazophos + I, triazuron + I, trifenofos + I, trinactin + I, vamidothion + I, vaniliprole + I, bethoxazin + I, copper dioctanoate + I, copper sulfate + I, cybutryne + I, dichlone + I, dichlorophen + I, endothal + I, fentin + I, hydrated lime + I, nabam + I, quinoclamine + I, quinonamid + I, simazine + I, triphenyltin acetate + I, triphenyltin hydroxide + I, crufomate + I, piperazine + I, thiophanate + I, chloralose + I, fenthion + I, pyridin-4-amine + I, strychnine + I, 1 -hydroxy-1 H-pyridine-2-thione + I, 4- (quinoxalin-2-ylamino)benzenesulfonamide + I, 8-hydroxyquinoline sulfate + I, bronopol + I, copper hydroxide + I, cresol + I, dipyrithione + I, dodicin + I, fenaminosulf + I, formaldehyde + I, hydrargaphen + I, kasugamycin + I, kasugamycin hydrochloride hydrate + I, nickel bis(dimethyldithiocarbamate) + I, nitrapyrin + I, octhilinone + I, oxolinic acid + I, oxytetracycline + I, potassium hydroxyquinoline sulfate + I, probenazole + I, streptomycin + I, streptomycin sesquisulfate + I, tecloftalam + I, thiomersal + I, Adoxophyes orana GV + I, Agrobacterium radiobacter + I, Amblyseius spp. + I, Anagrapha falcifera NPV + I, Anagrus atomus + I, Aphelinus abdominalis + I, Aphidius colemani + I, Aphidoletes aphidimyza + I, Autographa californica NPV + I, Bacillus sphaericus Neide + I, Beauveria brongniartii + I, Chrysoperla carnea + I, Cryptolaemus montrouzieri + I, Cydia pomonella GV + I, Dacnusa sibirica + I, Diglyphus isaea + I, Encarsia formosa + I, Eretmocerus eremicus + I, Heterorhabditis bacteriophora and H. megidis + I, Hippodamia convergens + I, Leptomastix dactylopii + I, Macrolophus caliginosus + I, Mamestra brassicae NPV + I, Metaphycus helvolus + I, Metarhizium anisopliae var. acridum + I, Metarhizium anisopliae var. anisopliae + I, Neodiprion sertifer NPV and N. lecontei NPV + I, Orius spp. + I, Paecilomyces fumosoroseus + I, Phytoseiulus persimilis + I, Steinernema bibionis + I, Steinernema carpocapsae + I, Steinernema feltiae + I, Steinernema glaseri + I, Steinernema riobrave + I, Steinernema riobravis + I, Steinernema scapterisci + I, Steinernema spp. + I, Trichogramma spp. + I, Typhlodromus occidentalis + I , Verticillium lecanii + I, apholate + I, bisazir + I, busulfan + I, dimatif + I, hemel + I, hempa + I, metepa + I, methiotepa + I, methyl apholate + I, morzid + I, penfluron + I, tepa + I, thiohempa + I, thiotepa + I, tretamine + I, uredepa + I, (E)-dec-5-en-1 -yl acetate with (E)-dec-5-en-1 -ol + I, (E)-tridec- 4-en-1 -yl acetate + I, (E)-6-methylhept-2-en-4-ol + I, (E,Z)-tetradeca-4,10-dien-1 -yl acetate + I, (Z)- dodec-7-en-1 -yl acetate + I, (Z)-hexadec-l 1 -enal + I, (Z)-hexadec-l 1 -en-1 -yl acetate + I, (Z)-hexadec- 13-en-1 1 -yn-1 -yl acetate + I, (Z)-icos-13-en-10-one + I, (Z)-tetradec-7-en-1 -al + I, (Z)-tetradec-9-en-1 - ol + I, (Z)-tetradec-9-en-1 -yl acetate + I, (7E,9Z)-dodeca-7,9-dien-1 -yl acetate + I, (9Z,1 1 E)-tetradeca- 9,1 1 -dien-1 -yl acetate + I, (9Z,12E)-tetradeca-9,12-dien-1 -yl acetate + I, 14-methyloctadec-1 -ene + I, 4- methylnonan-5-ol with 4-methylnonan-5-one + I, alpha-multistriatin + I, brevicomin + I, codlelure + I, codlemone + I, cuelure + I, disparlure + I, dodec-8-en-1 -yl acetate + I, dodec-9-en-1 -yl acetate + I, dodeca-8 + 1, 10-dien-1 -yl acetate + I, dominicalure + I, ethyl 4-methyloctanoate + I, eugenol + I, frontalin + I, grandlure + I, grandlure I + I, grandlure II + I, grandlure III + I, grandlure IV + I, hexalure + I, ipsdienol + I, ipsenol + I, japonilure + I, lineatin + I, litlure + I, looplure + I, medlure + I, megatomoic acid + I, methyl eugenol + I, muscalure + I, octadeca-2,13-dien-1 -yl acetate + I, octadeca-3,13-dien-1 -yl acetate + I, orfralure + I, oryctalure + I, ostramone + I, siglure + I, sordidin + I, sulcatol + I, tetradec-1 1 -en-1 -yl acetate
+ I, trimedlure + I, trimedlure A + I, trimedlure Bi + I, trimedlure B2 + I, trimedlure C + I, trunc-call + I, 2- (octylthio)ethanol + I, butopyronoxyl + I, butoxy(polypropylene glycol) + I, dibutyl adipate + I, dibutyl phthalate + I, dibutyl succinate + I, diethyltoluamide + I, dimethyl carbate + I, dimethyl phthalate + I, ethyl hexanediol + I, hexamide + I, methoquin-butyl + I, methylneodecanamide + I, oxamate + I, picaridin + I,
1 -dichloro-1 -nitroethane + 1, 1 ,1 -dichloro-2,2-bis(4-ethylphenyl)ethane + 1, 1 ,2-dichloropropane with 1 ,3- dichloropropene + I, 1 -bromo-2-chloroethane + I, 2,2,2-trichloro-1 -(3,4-dichlorophenyl)ethyl acetate + I, 2,2-dichlorovinyl 2-ethylsulfinylethyl methyl phosphate + I, 2-(1 ,3-dithiolan-2-yl)phenyl dimethylcarbamate + I, 2-(2-butoxyethoxy)ethyl thiocyanate + I, 2-(4,5-dimethyl-1 ,3-dioxolan-2- yl)phenyl methylcarbamate + I, 2-(4-chloro-3,5-xylyloxy)ethanol + I, 2-chlorovinyl diethyl phosphate + I,
2-imidazolidone + I, 2-isovalerylindan-1 ,3-dione + I, 2-methyl(prop-2-ynyl)aminophenyl methylcarbamate + I, 2-thiocyanatoethyl laurate + I, 3-bromo-1 -chloroprop-1 -ene + I, 3-methyl-1 - phenylpyrazol-5-yl dimethylcarbamate + I, 4-methyl(prop-2-ynyl)amino-3,5-xylyl methylcarbamate + I, 5,5-dimethyl-3-oxocyclohex-1 -enyl dimethylcarbamate + I, acethion + I, acrylonitrile + I, aldrin + I, allosamidin + I, allyxycarb + I, alpha-ecdysone + I, aluminium phosphide + I, aminocarb + I, anabasine + I, athidathion + I, azamethiphos + I, Bacillus thuringiensis delta endotoxins + I, barium hexafluorosilicate + I, barium polysulfide + I, barthrin + I, Bayer 22/190 + I, Bayer 22408 + I, beta- cyfluthrin + I, beta-cypermethrin + I, bioethanomethrin + I, biopermethrin + I, bis(2-chloroethyl) ether + I, borax + I, bromfenvinfos + I, bromo-DDT + I, bufencarb + I, butacarb + I, butathiofos + I, butonate + I, calcium arsenate + I, calcium cyanide + I, carbon disulfide + I, carbon tetrachloride + I, cartap hydrochloride + I, cevadine + I, chlorbicyclen + I, chlordane + I, chlordecone + I, chloroform + I, chloropicrin + I, chlorphoxim + I, chlorprazophos + I, cis-resmethrin + I, cismethrin + I, clocythrin + I, copper acetoarsenite + I, copper arsenate + I, copper oleate + I, coumithoate + I, cryolite + I, CS 708 + I, cyanofenphos + I, cyanophos + I, cyclethrin + I, cythioate + I, d-tetramethrin + I, DAEP + I, dazomet + I, decarbofuran + I, diamidafos + I, dicapthon + I, dichlofenthion + I, dicresyl + I, dicyclanil + I, dieldrin + I, diethyl 5-methylpyrazol-3-yl phosphate + I, dilor + I, dimefluthrin + I, dimetan + I, dimethrin + I, dimethylvinphos + I, dimetilan + I, dinoprop + I, dinosam + I, dinoseb + I, diofenolan + I, dioxabenzofos + I, dithicrofos + I, DSP + I, ecdysterone + I, El 1642 + I, EMPC + I, EPBP + I, etaphos + I, ethiofencarb + I, ethyl formate + I, ethylene dibromide + I, ethylene dichloride + I, ethylene oxide + I, EXD + I, fenchlorphos + I, fenethacarb + I, fenitrothion + I, fenoxacrim + I, fenpirithrin + I, fensulfothion + I, tenth ion-ethyl + I, flucofuron + I, fosmethilan + I, fospirate + I, fosthietan + I, furathiocarb + I, furethrin + I, guazatine + I, guazatine acetates + I, sodium tetrathiocarbonate + I, halfenprox + I, HCH + I, HEOD + I, heptachlor + I, heterophos + I, HHDN + I, hydrogen cyanide + I, hyquincarb + I, IPSP + I, isazofos + I, isobenzan + I, isodrin + I, isofenphos + I, isolane + I, isoprothiolane + I, isoxathion + I, juvenile hormone I + I, juvenile hormone II + I, juvenile hormone III + I, kelevan + I, kinoprene + I, lead arsenate + I, leptophos + I, lirimfos + I, lythidathion + I, m-cumenyl methylcarbamate + I, magnesium phosphide + I, mazidox + I, mecarphon + I, menazon + I, mercurous chloride + I, mesulfenfos + I, metam + I, metam- potassium + I, metam-sodium + I, methanesulfonyl fluoride + I, methocrotophos + I, methoprene + I, methothrin + I, methoxychlor + I, methyl isothiocyanate + I, methylchloroform + I, methylene chloride + I, metoxadiazone + I, mirex + I, naftalofos + I, naphthalene + I, NC-170 + I, nicotine + I, nicotine sulfate + I, nithiazine + I, nornicotine + I, 0-5-dichloro-4-iodophenyl O-ethyl ethylphosphonothioate + I, O.O- diethyl 0-4-methyl-2-oxo-2H-chromen-7-yl phosphorothioate + I, O,O-diethyl 0-6-methyl-2-
propylpyrimidin-4-yl phosphorothioate + I, O,O,O',O'-tetrapropyl dithiopyrophosphate + I, oleic acid + I, para-dichlorobenzene + I, parathion-methyl + I, pentachlorophenol + I, pentachlorophenyl laurate + I, PH 60-38 + I, phenkapton + I, phosnichlor + I, phosphine + I, phoxim-methyl + I, pirimetaphos + I, polychlorodicyclopentadiene isomers + I, potassium arsenite + I, potassium thiocyanate + I, precocene I + I, precocene II + I, precocene III + I, primidophos + I, profluthrin + I, promecarb + I, prothiofos + I, pyrazophos + I, pyresmethrin + I, quassia + I, quinalphos-methyl + I, quinothion + I, rafoxanide + I, resmethrin + I, rotenone + I, kadethrin + I, ryania + I, ryanodine + I, sabadilla) + I, schradan + I, sebufos + I, SI-0009 + I, thiapronil + I, sodium arsenite + I, sodium cyanide + I, sodium fluoride + I, sodium hexafluorosilicate + I, sodium pentachlorophenoxide + I, sodium selenate + I, sodium thiocyanate + I, sulcofuron + I, sulcofuron-sodium + I, sulfuryl fluoride + I, sulprofos + I, tar oils + I, tazimcarb + I, TDE + I, tebupirimfos + I, temephos + I, terallethrin + I, tetrachloroethane + I, thicrofos + I, thiocyclam + I, thiocyclam hydrogen oxalate + I, thionazin + I, thiosultap + I, thiosultap-sodium + I, tralomethrin + I, transpermethrin + I, triazamate + I, trichlormetaphos-3 + I, trichloronat + I, trimethacarb + I, tolprocarb + I, triclopyricarb + I, triprene + I, veratridine + I, veratrine + I, XMC + I, zetamethrin + I, zinc phosphide + I, zolaprofos + I, and meperfluthrin + I, tetramethylfluthrin + I, bis(tributyltin) oxide + I, bromoacetamide + I, ferric phosphate + I, niclosamide-olamine + I, tributyltin oxide + I, pyrimorph + I, trifenmorph + I, 1 ,2- dibromo-3-chloropropane + I, 1 ,3-dichloropropene + I, 3,4-dichlorotetrahydrothiophene 1 ,1 -dioxide + I, 3-(4-chlorophenyl)-5-methylrhodanine + I, 5-methyl-6-thioxo-1 ,3,5-thiadiazinan-3-ylacetic acid + I, 6- isopentenylaminopurine + I, 2-fluoro-N-(3-methoxyphenyl)-9H-purin-6-amine + I, benclothiaz + I, cytokinins + I, DCIP + I, furfural + I, isamidofos + I, kinetin + I, Myrothecium verrucaria composition + I, tetrachlorothiophene + I, xylenols + I, zeatin + I, potassium ethylxanthate + I .acibenzolar + I, acibenzolar-S-methyl + I, Reynoutria sachalinensis extract + I, alpha-chlorohydrin + I, antu + I, barium carbonate + I, bisthiosemi + I, brodifacoum + I, bromadiolone + I, bromethalin + I, chlorophacinone + I, cholecalciferol + I, coumachlor + I, coumafuryl + I, coumatetralyl + I, crimidine + I, difenacoum + I, difethialone + I, diphacinone + I, ergocalciferol + I, flocoumafen + I, fluoroacetamide + I, flupropadine + I, flupropadine hydrochloride + I, norbormide + I, phosacetim + I, phosphorus + I, pindone + I, pyrinuron + I, scilliroside + I, sodium fluoroacetate + I, thallium sulfate + I, warfarin + I, 2-(2-butoxyethoxy)ethyl piperonylate + I, 5-(1 ,3-benzodioxol-5-yl)-3-hexylcyclohex-2-enone + I, farnesol with nerolidol + I, verbutin + I, MGK 264 + I, piperonyl butoxide + I, piprotal + I, propyl isomer + I, S421 + I, sesamex + I, sesasmolin + I, sulfoxide + I, anthraquinone + I, copper naphthenate + I, copper oxychloride + I, dicyclopentadiene + I, thiram + I, zinc naphthenate + I, ziram + I, imanin + I, ribavirin + I, mercuric oxide + I, thiophanate-methyl + I, azaconazole + I, bitertanol + I, bromuconazole + I, cyproconazole + I, difenoconazole + I, diniconazole + I, epoxiconazole + I, fenbuconazole + I, fluquinconazole + I, flusilazole + I, flutriafol + I, furametpyr + I, hexaconazole + I, imazalil + I, imibenconazole + I, ipconazole + I, metconazole + I, myclobutanil + I, paclobutrazole + I, pefurazoate + I, penconazole + I, prothioconazole + I, pyrifenox + I, prochloraz + I, propiconazole + I, pyrisoxazole + I, simeconazole + I, tebuconazole + I, tetraconazole + I, triadimefon + I, triadimenol + I, triflumizole + I, triticonazole + I, ancymidol + I, fenarimol + I, nuarimol + I, bupirimate + I, dimethirimol + I, ethirimol + I, dodemorph + I, fenpropidine + I, fenpropimorph + I, spiroxamine + I, tridemorph + I, cyprodinil + I, mepanipyrim + I, pyrimethanil + I, fenpiclonil + I, fludioxonil + I, benalaxyl + I, furalaxyl + I, metalaxyl -+ I, Rmetalaxyl + I, ofurace + I, oxadixyl + I, carbendazim + I, debacarb + I, fuberidazole + I, thiabendazole + I, chlozolinate + I,
dichlozoline + I, myclozoline + I, procymidone + I, vinclozoline + I, boscalid + I, carboxin + I, fenfuram + I, flutolanil + I, mepronil + I, oxycarboxin + I, penthiopyrad + I, thifluzamide + I, dodine + I, iminoctadine + I, azoxystrobin + I, dimoxystrobin + I, enestroburin + I, fenaminstrobin + I, flufenoxystrobin + I, fluoxastrobin + I, kresoxim-methyl + I, metominostrobin + I, trifloxystrobin + I, orysastrobin + I, picoxystrobin + I, pyraclostrobin + I, pyrametostrobin + I, pyraoxystrobin + I, ferbam + I, mancozeb + I, maneb + I, metiram + I, propineb + I, zineb + I, captafol + I, captan + I, fluoroimide + I, folpet + I, tolylfluanid + I, bordeaux mixture + I, copper oxide + I, mancopper + I, oxine-copper + I, nitrothal- isopropyl + I, edifenphos + I, iprobenphos + I, phosdiphen + I, tolclofos-methyl + I, anilazine + I, benthiavalicarb + I, blasticidin-S + I, chloroneb + I, chlorothalonil + I, cyflufenamid + I, cymoxanil + I, cyclobutrifluram + I, diclocymet + I, diclomezine + I, dicloran + I, diethofencarb + I, dimethomorph + I, flumorph + I, dithianon + I, ethaboxam + I, etridiazole + I, famoxadone + I, fenamidone + I, fenoxanil + I, ferimzone + I, fluazinam + I, fluopicolide + I, flusulfamide + I, fluxapyroxad + I, fenhexamid + I, fosetyl- aluminium + I, hymexazol + I, iprovalicarb + I, cyazofamid + I, methasulfocarb + I, metrafenone + I, pencycuron + I, phthalide + I, polyoxins + I, propamocarb + I, pyribencarb + I, proquinazid + I, pyroquilon + I, pyriofenone + I, quinoxyfen + I, quintozene + I, tiadinil + I, triazoxide + I, tricyclazole + I, triforine + I, validamycin + I, valifenalate + I, zoxamide + I, mandipropamid + I, flubeneteram + I, isopyrazam + I, sedaxane + I, benzovindiflupyr + I, pydiflumetofen + I, 3-difluoromethyl-1 -methyl-1 H-pyrazole-4- carboxylic acid (3',4',5'-trifluoro-biphenyl-2-yl)-amide + I, isoflucypram + I, isotianil + I, dipymetitrone + I, 6-ethyl-5,7-dioxo-pyrrolo[4,5][1 ,4]dithiino[1 ,2-c]isothiazole-3-carbonitrile + I, 2-(difluoromethyl)-N-[3- ethyl-1 ,1 -dimethyl-indan-4-yl]pyridine-3-carboxamide + I, 4-(2,6-difluorophenyl)-6-methyl-5-phenyl- pyridazine-3-carbonitrile + I, (R)-3-(difluoromethyl)-1 -methyl-N-[1 ,1 ,3-trimethylindan-4-yl]pyrazole-4- carboxamide + I, 4-(2-bromo-4-fluoro-phenyl)-N-(2-chloro-6-fluoro-phenyl)-2,5-dimethyl-pyrazol-3- amine + I, 4- (2- bromo- 4- fluorophenyl) - N- (2- chloro- 6- fluorophenyl) - 1 , 3- dimethyl- 1 H- pyrazol- 5- amine + I, fluindapyr + I, coumethoxystrobin (jiaxiangjunzhi) + I, Ivbenmixianan + I, dichlobentiazox + I, mandestrobin + I, 3-(4,4-difluoro-3,4-dihydro-3,3-dimethylisoquinolin-1 -yl)quinolone + I, 2-[2-fluoro-6- [(8-fluoro-2-methyl-3-quinolyl)oxy]phenyl]propan-2-ol + I, oxathiapiprolin + I, tert-butyl N-[6-[[[(1 - methyltetrazol-5-yl)-phenyl-methylene]amino]oxymethyl]-2-pyridyl]carbamate + I, pyraziflumid + I, inpyrfluxam + I, trolprocarb + I, mefentrifluconazole + I, ipfentrifluconazole+ I, 2-(difluoromethyl)-N-[(3R)- 3-ethyl-1 ,1 -dimethyl-indan-4-yl]pyridine-3-carboxamide + I, N'-(2,5-dimethyl-4-phenoxy-phenyl)-N- ethyl-N-methyl-formamidine + I, N'-[4-(4,5-dichlorothiazol-2-yl)oxy-2,5-dimethyl-phenyl]-N-ethyl-N- methyl-formamidine + I, [2-[3-[2-[1 -[2-[3,5-bis(difluoromethyl)pyrazol-1 -yl]acetyl]-4-piperidyl]thiazol-4- yl]-4,5-dihydroisoxazol-5-yl]-3-chloro-phenyl] methanesulfonate + I, but-3-ynyl N-[6-[[(Z)-[(1 - methyltetrazol-5-yl)-phenyl-methylene]amino]oxymethyl]-2-pyridyl]carbamate + I, methyl N-[[5-[4-(2,4- dimethylphenyl)triazol-2-yl]-2-methyl-phenyl]methyl]carbamate + I, 3-chloro-6-methyl-5-phenyl-4- (2,4,6-trifluorophenyl)pyridazine + I, pyridachlometyl + I, 3-(difluoromethyl)-1 -methyl-N-[1 ,1 ,3- trimethylindan-4-yl]pyrazole-4-carboxamide + 1 , 1 -[2-[[1 -(4-chlorophenyl)pyrazol-3-yl]oxymethyl]-3- methyl-phenyl]-4-methyl-tetrazol-5-one + I, 1 -methyl-4-[3-methyl-2-[[2-methyl-4-(3,4,5-trimethylpyrazol- 1 -yl)phenoxy]methyl]phenyl]tetrazol-5-one + I, aminopyrifen + I, ametoctradin + I, amisulbrom + I, penflufen + I, (Z,2E)-5-[1 -(4-chlorophenyl)pyrazol-3-yl]oxy-2-methoxyimino-N,3-dimethyl-pent-3- enamide + I, florylpicoxamid + I, fenpicoxamid + I, tebufloquin + I, ipflufenoquin + I, quinofumelin + I, isofetamid + I, N-[2-[2,4-dichloro-phenoxy]phenyl]-3-(difluoromethyl)-1 -methyl-pyrazole-4-carboxamide
+ I, N-[2-[2-chloro-4-(trifluoromethyl)phenoxy]phenyl]-3-(difluoromethyl)-1 -methyl-pyrazole-4- carboxamide + I, benzothiostrobin + I, phenamacril + I, 5-amino-1 ,3,4-thiadiazole-2-thiol zinc salt (2:1 ) + I, fluopyram + I, flutianil + I, fluopimomide + I, pyrapropoyne + I, picarbutrazox + I, 2-(difluoromethyl)- N-(3-ethyl-1 ,1 -dimethyl-indan-4-yl)pyridine-3-carboxamide + I, 2- (difluoromethyl) - N- ((3R) - 1 , 1 , 3- trimethylindan- 4- yl) pyridine- 3- carboxamide + I, 4-[[6-[2-(2,4-difluorophenyl)-1 ,1 -difluoro-2-hydroxy-
3-(1 ,2,4-triazol-1 -yl)propyl]-3-pyridyl]oxy]benzonitrile + I, metyltetraprole + I, 2- (difluoromethyl) - N- ((3R) - 1 , 1 , 3- trimethylindan- 4- yl) pyridine- 3- carboxamide + I, a- (1 , 1 - dimethylethyl) - a- [4'- (trifluoromethoxy) [1 , 1 '- biphenyl] - 4- yl] -5- pyrimidinemethanol + I, fluoxapiprolin + I, enoxastrobin + I,
4-[[6-[2-(2,4-difluorophenyl)-1 ,1 -difluoro-2-hydroxy-3-(1 ,2,4-triazol-1 -yl)propyl]-3-pyridyl]oxy] benzonitrile + I, 4-[[6-[2-(2,4-difluorophenyl)-1 ,1 -difluoro-2-hydroxy-3-(5-sulfanyl-1 ,2,4-triazol-1 - yl)propyl]-3-pyridyl]oxy] benzonitrile + I, 4-[[6-[2-(2,4-difluorophenyl)-1 ,1 -difluoro-2-hydroxy-3-(5-thioxo- 4H-1 ,2,4-triazol-1 -yl)propyl]-3-pyridyl]oxy]benzonitrile + I, trinexapac + I, coumoxystrobin + I, zhongshengmycin + I, thiodiazole copper + I, zinc thiazole + I, amectotractin + I, iprodione + I; N'-[5- bromo-2-methyl-6-[(1 S)-1 -methyl-2-propoxy-ethoxy]-3-pyridyl]-N-ethyl-N-methyl-formamidine + I, N'-[5- bromo-2-methyl-6-[(1 R)-1 -methyl-2-propoxy-ethoxy]-3-pyridyl]-N-ethyl-N-methyl-formamidine + I, N'-[5- bromo-2-methyl-6-(1 -methyl-2-propoxy-ethoxy)-3-pyridyl]-N-ethyl-N-methyl-formamidine + I, N'-[5- chloro-2-methyl-6-(1 -methyl-2-propoxy-ethoxy)-3-pyridyl]-N-ethyl-N-methyl-formamidine + I, N'-[5- bromo-2-methyl-6-(1 -methyl-2-propoxy-ethoxy)-3-pyridyl]-N-isopropyl-N-methyl-formamidine + I (these compounds may be prepared from the methods described in WO2015/155075); N'-[5-bromo-2-methyl- 6-(2-propoxypropoxy)-3-pyridyl]-N-ethyl-N-methyl-formamidine + I (this compound may be prepared from the methods described in IPCOM000249876D); N-isopropyl-N’-[5-methoxy-2-methyl-4-(2,2,2- trifluoro-1 -hydroxy-1 -phenyl-ethyl)phenyl]-N-methyl-formamidine+ I, N’-[4-(1 -cyclopropyl-2, 2, 2-trifluoro- 1 -hydroxy-ethyl)-5-methoxy-2-methyl-phenyl]-N-isopropyl-N-methyl-formamidine + I (these compounds may be prepared from the methods described in WO2018/228896); N-ethyl-N’-[5-methoxy-2-methyl-4- [2-trifluoromethyl)oxetan-2-yl]phenyl]-N-methyl-formamidine + I, N-ethyl-N’-[5-methoxy-2-methyl-4-[2- trifuoromethyl)tetrahydrofuran-2-yl]phenyl]-N-methyl-formamidine + I (these compounds may be prepared from the methods described in WO2019/1 10427); N-[(1 R)-1 -benzyl-3-chloro-1 -methyl-but-3- enyl]-8-fluoro-quinoline-3-carboxamide + I, N-[(1 S)-1 -benzyl-3, 3, 3-trifluoro-1 -methyl-propyl]-8-fluoro- quinoline-3-carboxamide + I, N-[(1 S)-1 -benzyl-1 ,3-dimethyl-butyl]-7,8-difluoro-quinoline-3-carboxamide + I, 8-fluoro-N-[1 -[(3-fluorophenyl)methyl]-1 ,3-dimethyl-butyl]quinoline-3-carboxamide + I, N-(1 -benzyl- 1 ,3-dimethyl-butyl)-8-fluoro-quinoline-3-carboxamide + I, N-[(1 R)-1 -benzyl-1 ,3-dimethyl-butyl]-8-fluoro- quinoline-3-carboxamide + I, N-[(1 S)-1 -benzyl-1 ,3-dimethyl-butyl]-8-fluoro-quinoline-3-carboxamide + I, N-(1 -benzyl-3-chloro-1 -methyl-but-3-enyl)-8-fluoro-quinoline-3-carboxamide + I (these compounds may be prepared from the methods described in WO2017/153380); 1 -(6,7-dimethylpyrazolo[1 ,5-a]pyridin-3- yl)-4, 4, 5-trifluoro-3, 3-dimethyl-isoquinoline + I, 1-(6,7-dimethylpyrazolo[1 ,5-a]pyridin-3-yl)-4,4,6- trifluoro-3, 3-dimethyl-isoquinoline + I, 4,4-difluoro-3,3-dimethyl-1 -(6-methylpyrazolo[1 ,5-a]pyridin-3- yl)isoquinoline + I, 4,4-difluoro-3,3-dimethyl-1 -(7-methylpyrazolo[1 ,5-a]pyridin-3-yl)isoquinoline + I, 1 -(6- chloro-7-methyl-pyrazolo[1 ,5-a]pyridin-3-yl)-4,4-difluoro-3, 3-dimethyl-isoquinoline + I (these compounds may be prepared from the methods described in WO2017/025510); 1 -(4,5- dimethylbenzimidazol-1 -yl)-4, 4, 5-trifluoro-3, 3-dimethyl-isoquinoline + I, 1 -(4,5-dimethylbenzimidazol-1 - yl)-4,4-difluoro-3, 3-dimethyl-isoquinoline + I, 6-chloro-4,4-difluoro-3,3-dimethyl-1 -(4-
methylbenzimidazol-1 -yl)isoquinoline + 1 , 4,4-difluorc>-1 -(5-fluoro-4-methyl-benzimidazol-1 -yl)-3,3- dimethyl-isoquinoline + I, 3-(4,4-difluoro-3,3-dimethyl-1 -isoquinolyl)-7,8-dihydro-6H- cyclopenta[e]benzimidazole + I (these compounds may be prepared from the methods described in WO2016/156085); N-methoxy-N-[[4-[5-(trifluoromethyl)-1 ,2,4-oxadiazol-3- yl]phenyl]methyl]cyclopropanecarboxamide + I, N,2-dimethoxy-N-[[4-[5-(trifluoromethyl)-1 ,2,4- oxadiazol-3-yl]phenyl]methyl]propanamide + I, N-ethyl-2-methyl-N-[[4-[5-(trifluoromethyl)-1 ,2,4- oxadiazol-3-yl]phenyl]methyl]propanamide + I, 1 -methoxy-3-methyl-1 -[[4-[5-(trifluoromethyl)-1 ,2,4- oxadiazol-3-yl]phenyl]methyl]urea + I, 1 ,3-dimethoxy-1 -[[4-[5-(trifluoromethyl)-1 ,2,4-oxadiazol-3- yl]phenyl]methyl]urea + I, 3-ethyl-1 -methoxy-1 -[[4-[5-(trifluoromethyl)-1 ,2,4-oxadiazol-3- yl]phenyl]methyl]urea + I, N-[[4-[5-(trifluoromethyl)-1 ,2,4-oxadiazol-3-yl]phenyl]methyl]propanamide + I, 4,4-dimethyl-2-[[4-[5-(trifluoromethyl)-1 ,2,4-oxadiazol-3-yl]phenyl]methyl]isoxazolidin-3-one + I, 5,5- dimethyl-2-[[4-[5-(trifluoromethyl)-1 ,2,4-oxadiazol-3-yl]phenyl]methyl]isoxazolidin-3-one + I, ethyl 1 -[[4- [5-(trifluoromethyl)-1 ,2,4-oxadiazol-3-yl]phenyl]methyl]pyrazole-4-carboxylate + I, N,N-dimethyl-1 -[[4- [5-(trifluoromethyl)-1 ,2,4-oxadiazol-3-yl]phenyl]methyl]-1 ,2,4-triazol-3-amine + I. The compounds in this paragraph may be prepared from the methods described in WO 2017/055473, WO 2017/055469, WO 2017/093348 and WO 2017/1 18689; 2-[6-(4-chlorophenoxy)-2-(trifluoromethyl)-3-pyridyl]-1 -(1 ,2,4- triazol-1 -yl)propan-2-ol + I (this compound may be prepared from the methods described in WO 2017/029179); 2-[6-(4-bromophenoxy)-2-(trifluoromethyl)-3-pyridyl]-1 -(1 ,2,4-triazol-1 -yl)propan-2-ol + I (this compound may be prepared from the methods described in WO 2017/029179); 3-[2-(1 - chlorocyclopropyl)-3-(2-fluorophenyl)-2-hydroxy-propyl]imidazole-4-carbonitrile + I (this compound may be prepared from the methods described in WO 2016/156290); 3-[2-(1 -chlorocyclopropyl)-3-(3-chloro-
2-fluoro-phenyl)-2-hydroxy-propyl]imidazole-4-carbonitrile + I (this compound may be prepared from the methods described in WO 2016/156290); (4-phenoxyphenyl)methyl 2-amino-6-methyl-pyridine-3- carboxylate + I (this compound may be prepared from the methods described in WO 2014/006945); 2,6- Dimethyl-1 H,5H-[1 ,4]dithiino[2,3-c:5,6-c']dipyrrole-1 ,3,5,7(2H,6H)-tetrone + I (this compound may be prepared from the methods described in WO 201 1 /138281); N-methyl-4-[5-(trifluoromethyl)-1 ,2,4- oxadiazol-3-yl]benzenecarbothioamide + I; N-methyl-4-[5-(trifluoromethyl)-1 ,2,4-oxadiazol-3- yljbenzamide + I; (Z,2E)-5-[1 -(2, 4-dichlorophenyl)pyrazol-3-yl]oxy-2-methoxyimino-N, 3-dimethyl-pent-
3-enamide + I (this compound may be prepared from the methods described in WO 2018/153707); N'-
(2-chloro-5-methyl-4-phenoxy-phenyl)-N-ethyl-N-methyl-formamidine + I; N'-[2-chloro-4-(2- fluorophenoxy)-5-methyl-phenyl]-N-ethyl-N-methyl-formamidine + I (this compound may be prepared from the methods described in WO 2016/202742); 2-(difluoromethyl)-N-[(3S)-3-ethyl-1 ,1 -dimethyl- indan-4-yl]pyridine-3-carboxamide + I (this compound may be prepared from the methods described in WO 2014/095675); (5-methyl-2-pyridyl)-[4-[5-(trifluoromethyl)-1 ,2,4-oxadiazol-3-yl]phenyl]methanone + I, (3-methylisoxazol-5-yl)-[4-[5-(trifluoromethyl)-1 ,2,4-oxadiazol-3-yl]phenyl]methanone + I (these compounds may be prepared from the methods described in WO 2017/220485); 2-oxo-N-propyl-2-[4- [5-(trifluoromethyl)-1 ,2,4-oxadiazol-3-yl]phenyl]acetamide + I (this compound may be prepared from the methods described in WO 2018/065414); ethyl 1 -[[5-[5-(trifluoromethyl)-1 ,2,4-oxadiazol-3-yl]-2- thienyl]methyl]pyrazole-4-carboxylate + I (this compound may be prepared from the methods described in WO 2018/158365) ; 2,2-difluoro-N-methyl-2-[4-[5-(trifluoromethyl)-1 ,2,4-oxadiazol-3- yl]phenyl]acetamide + I, N-[(E)-methoxyiminomethyl]-4-[5-(trifluoromethyl)-1 ,2,4-oxadiazol-3-
yl]benzamide + I, N-[(Z)-methoxyiminomethyl]-4-[5-(trifluoromethyl)-1 ,2,4-oxadiazol-3-yl]benzamide + I, N-[N-methoxy-C-methyl-carbonimidoyl]-4-[5-(trifluoromethyl)-1 ,2,4-oxadiazol-3-yl]benzamide + I (these compounds may be prepared from the methods described in WO 2018/202428).
The above described mixing partners are known. Where the active ingredients are included in "The Pesticide Manual" [The Pesticide Manual - A World Compendium; Thirteenth Edition; Editor: C. D. S. TomLin; The British Crop Protection Council], they are described therein under the entry number given in round brackets hereinabove for the particular compound; for example, the compound "abamectin" is described under entry number (1). Where "[CCN]" is added hereinabove to the particular compound, the compound in question is included in the "Compendium of Pesticide Common Names", which is accessible on the internet [A. Wood; Compendium of Pesticide Common Names. Copyright © 1995- 2004]; for example, the compound "acetoprole" is described under the internet address http://www.alanwood.net/pesticides/acetoprole.html.
Most of the active ingredients described above are referred to hereinabove by a so-called "common name", the relevant "ISO common name" or another "common name" being used in individual cases. If the designation is not a "common name", the nature of the designation used instead is given in round brackets for the particular compound; in that case, the lUPAC name, the lUPAC/Chemical Abstracts name, a "chemical name", a "traditional name", a "compound name" or a "develoment code" is used or, if neither one of those designations nor a "common name" is used, an "alternative name" is employed. “CAS Reg. No” means the Chemical Abstracts Registry Number.
The active ingredient mixture of the compounds of formula (I) and an active ingredient as described above are preferably in a mixing ratio of from 100:1 to 1 :6000, especially from 50:1 to 1 :50, more especially in a ratio of from 20:1 to 1 :20, even more especially from 10:1 to 1 :10, very especially from 5:1 and 1 :5, special preference being given to a ratio of from 2:1 to 1 :2, and a ratio of from 4:1 to 2:1 being likewise preferred, above all in a ratio of 1 :1 , or 5:1 , or 5:2, or 5:3, or 5:4, or 4:1 , or 4:2, or 4:3, or 3:1 , or 3:2, or 2:1 , or 1 :5, or 2:5, or 3:5, or 4:5, or 1 :4, or 2:4, or 3:4, or 1 :3, or 2:3, or 1 :2, or 1 :600, or 1 :300, or 1 :150, or 1 :35, or 2:35, or 4:35, or 1 :75, or 2:75, or 4:75, or 1 :6000, or 1 :3000, or 1 : 1500, or 1 :350, or 2:350, or 4:350, or 1 :750, or 2:750, or 4:750. Those mixing ratios are by weight.
The mixtures as described above can be used in a method for controlling pests, which comprises applying a composition comprising a mixture as described above to the pests or their environment, with the exception of a method for treatment of the human or animal body by surgery or therapy and diagnostic methods practised on the human or animal body.
The mixtures comprising a compound of formula (I) and one or more active ingredients as described above can be applied, for example, in a single“ready-mix” form, in a combined spray mixture composed from separate formulations of the single active ingredient components, such as a“tank-mix”, and in a combined use of the single active ingredients when applied in a sequential manner, i.e. one after the other with a reasonably short period, such as a few hours or days. The order of applying the compounds
of formula (I) and the active ingredients) as described above, is not essential for working the present invention.
The compositions according to the invention can also comprise further solid or liquid auxiliaries, such as stabilizers, for example unepoxidized or epoxidized vegetable oils (for example epoxidized coconut oil, rapeseed oil or soya oil), antifoams, for example silicone oil, preservatives, viscosity regulators, binders and/or tackifiers, fertilizers or other active ingredients for achieving specific effects, for example bactericides, fungicides, nematocides, plant activators, molluscicides or herbicides.
The compositions according to the invention are prepared in a manner known per se, in the absence of auxiliaries for example by grinding, screening and/or compressing a solid active ingredient and in the presence of at least one auxiliary for example by intimately mixing and/or grinding the active ingredient with the auxiliary (auxiliaries). These processes for the preparation of the compositions and the use of the compounds of formula (I) for the preparation of these compositions are also a subject of the invention.
Another aspect of the invention is related to the use of a compound of formula (I) or of a preferred individual compound as defined herein, of a composition comprising at least one compound of formula (I) or at least one preferred individual compound as above-defined, or of a fungicidal or insecticidal mixture comprising at least one compound of formula (I) or at least one preferred individual compound as above-defined, in admixture with other fungicides or insecticides as described above, for controlling or preventing infestation of plants, e.g. useful plants such as crop plants, propagation material thereof, e.g. seeds, harvested crops, e.g. harvested food crops, or non-living materials by insects or by phytopathogenic microorganisms, preferably fungal organisms.
A further aspect of the invention is related to a method of controlling or preventing an infestation of plants, e.g., useful plants such as crop plants, propagation material thereof, e.g. seeds, harvested crops, e.g., harvested food crops, or of non-living materials by insects or by phytopathogenic or spoilage microorganisms or organisms potentially harmful to man, especially fungal organisms, which comprises the application of a compound of formula (I) or of a preferred individual compound as above-defined as active ingredient to the plants, to parts of the plants or to the locus thereof, to the propagation material thereof, or to any part of the non-living materials.
Controlling or preventing means reducing infestation by phytopathogenic or spoilage microorganisms or organisms potentially harmful to man, especially fungal organisms, to such a level that an improvement is demonstrated.
A preferred method of controlling or preventing an infestation of crop plants by phytopathogenic microorganisms, especially fungal organisms, or insects which comprises the application of a compound of formula (I), or an agrochemical composition which contains at least one of said compounds, is foliar application. The frequency of application and the rate of application will depend on the risk of infestation
by the corresponding pathogen or insect. However, the compounds of formula (I) can also penetrate the plant through the roots via the soil (systemic action) by drenching the locus of the plant with a liquid formulation, or by applying the compounds in solid form to the soil, e.g. in granular form (soil application). In crops of water rice such granulates can be applied to the flooded rice field. The compounds of formula I may also be applied to seeds (coating) by impregnating the seeds or tubers either with a liquid formulation of the fungicide or coating them with a solid formulation.
A formulation, e.g. a composition containing the compound of formula (I), and, if desired, a solid or liquid adjuvant or monomers for encapsulating the compound of formula (I), may be prepared in a known manner, typically by intimately mixing and/or grinding the compound with extenders, for example solvents, solid carriers and, optionally, surface active compounds (surfactants).
Advantageous rates of application are normally from 5g to 2kg of active ingredient (a.i.) per hectare (ha), preferably from 10g to 1 kg a.i./ha, most preferably from 20g to 600g a.i./ha. When used as seed drenching agent, convenient dosages are from 10mg to 1 g of active substance per kg of seeds.
When the combinations of the present invention are used for treating seed, rates of 0.001 to 50 g of a compound of formula I per kg of seed, preferably from 0.01 to 10g per kg of seed are generally sufficient.
Suitably, a composition comprising a compound of formula (I) according to the present invention is applied either preventative, meaning prior to disease development or curative, meaning after disease development.
The compositions of the invention may be employed in any conventional form, for example in the form of a twin pack, a powder for dry seed treatment (DS), an emulsion for seed treatment (ES), a flowable concentrate for seed treatment (FS), a solution for seed treatment (LS), a water dispersible powder for seed treatment (WS), a capsule suspension for seed treatment (CF), a gel for seed treatment (GF), an emulsion concentrate (EC), a suspension concentrate (SC), a suspo-emulsion (SE), a capsule suspension (CS), a water dispersible granule (WG), an emulsifiable granule (EG), an emulsion, water in oil (EO), an emulsion, oil in water (EW), a micro-emulsion (ME), an oil dispersion (OD), an oil miscible flowable (OF), an oil miscible liquid (OL), a soluble concentrate (SL), an ultra-low volume suspension (SU), an ultra-low volume liquid (UL), a technical concentrate (TK), a dispersible concentrate (DC), a wettable powder (WP) or any technically feasible formulation in combination with agriculturally acceptable adjuvants.
Such compositions may be produced in conventional manner, e.g. by mixing the active ingredients with appropriate formulation inerts (diluents, solvents, fillers and optionally other formulating ingredients such as surfactants, biocides, anti-freeze, stickers, thickeners and compounds that provide adjuvancy effects). Also conventional slow release formulations may be employed where long lasting efficacy is intended. Particularly formulations to be applied in spraying forms, such as water dispersible concentrates (e.g. EC, SC, DC, OD, SE, EW, EO and the like), wettable powders and granules, may
contain surfactants such as wetting and dispersing agents and other compounds that provide adjuvancy effects, e.g. the ondensation product of formaldehyde with naphthalene sulphonate, an alkylarylsulphonate, a lignin sulphonate, a fatty alkyl sulphate, and ethoxylated alkylphenol and an ethoxylated fatty alcohol.
A seed dressing formulation is applied in a manner known per se to the seeds employing the combination ofthe invention and a diluent in suitable seed dressing formulation form, e.g. as an aqueous suspension or in a dry powder form having good adherence to the seeds. Such seed dressing formulations are known in the art. Seed dressing formulations may contain the single active ingredients or the combination of active ingredients in encapsulated form, e.g. as slow release capsules or microcapsules.
In general, the formulations include from 0.01 to 90% by weight of active agent, from 0 to 20% agriculturally acceptable surfactant and 10 to 99.99% solid or liquid formulation inerts and adjuvant(s), the active agent consisting of at least the compound of formula (I) optionally together with other active agents, particularly microbiocides or conservatives or the like. Concentrated forms of compositions generally contain in between about 2 and 80%, preferably between about 5 and 70% by weight of active agent. Application forms of formulation may for example contain from 0.01 to 20% by weight, preferably from 0.01 to 5% by weight of active agent. Whereas commercial products will preferably be formulated as concentrates, the end user will normally employ diluted formulations.
Whereas it is preferred to formulate commercial products as concentrates, the end user will normally use dilute formulations.
EXAMPLES
The Examples which follow serve to illustrate the invention. The compounds of the invention can be distinguished from known compounds by virtue of greater efficacy at low application rates, which can be verified by the person skilled in the art using the experimental procedures outlined in the Examples, using lower application rates if necessary, for example 60 ppm, 20 ppm or 2 ppm.
Compounds of formula (I) may possess any number of benefits including, inter alia, advantageous levels of biological activity for protecting plants against diseases that are caused by fungi or superior properties for use as agrochemical active ingredients (for example, greater biological activity, an advantageous spectrum of activity, an increased safety profile (including improved crop tolerance), improved physicochemical properties, or increased biodegradability).
Throughout this description, temperatures are given in degrees Celsius and“m.p.” means melting point. LC/MS means Liquid Chromatography Mass Spectroscopy and the description of the apparatus and the methods is as follows:
Method G:
Spectra were recorded on a Mass Spectrometer from Waters (SQD, SQDII Single quadrupole mass spectrometer) equipped with an electrospray source (Polarity: positive and negative ions), Capillary: 3.00 kV, Cone range: 30 V, Extractor: 2.00 V, Source Temperature: 150°C, Desolvation Temperature: 350°C, Cone Gas Flow: 50 l/h, Desolvation Gas Flow: 650 l/h, Mass range: 100 to 900 Da) and an Acquity UPLC from Waters: Binary pump, heated column compartment , diode-array detector and ELSD detector. Column: Waters UPLC HSS T3 , 1 .8 pm, 30 x 2.1 mm, Temp: 60 °C, DAD Wavelength range (nm): 210 to 500, Solvent Gradient: A = water + 5% MeOH + 0.05 % HCOOH, B= Acetonitrile + 0.05 % HCOOH, gradient: 10-100% B in 1 .2 min; Flow (ml/min) 0.85
Method H:
Spectra were recorded on a Mass Spectrometer from Waters (SQD, SQDII Single quadrupole mass spectrometer) equipped with an electrospray source (Polarity: positive and negative ions), Capillary: 3.00 kV, Cone range: 30V, Extractor: 2.00 V, Source Temperature: 150°C, Desolvation Temperature: 350°C, Cone Gas Flow: 50 l/h, Desolvation Gas Flow: 650 l/h, Mass range: 100 to 900 Da) and an Acquity UPLC from Waters: Binary pump, heated column compartment , diode-array detector and ELSD detector. Column: Waters UPLC HSS T3, 1 .8 pm, 30 x 2.1 mm, Temp: 60 °C, DAD Wavelength range (nm): 210 to 500, Solvent Gradient: A = water + 5% MeOH + 0.05 % HCOOH, B= Acetonitrile + 0.05 % HCOOH, gradient: 10-100% B in 2.7 min; Flow (ml/min) 0.85
Method I:
Spectra were recorded on a Mass Spectrometer (ACQUITY UPLC) from Waters (SQD, SQDII or ZQ Single quadrupole mass spectrometer) equipped with an electrospray source (Polarity: positive or negative ions, Capillary (kV) 3.5, Cone (V) 30.00, Extractor (V) 3.00, Source Temperature (°C) 150, Desolvation Temperature (°C) 400, Cone Gas Flow (L/Hr) 60, Desolvation Gas Flow (L/Hr) 700, Mass range: 140 to 800 Da) and an Acquity UPLC from Waters: Binary pump, heated column compartment and diode-array detector. Solvent degasser, binary pump, heated column compartment and diode-array detector. Solvent degasser, binary pump, heated column compartment and diode-array detector. Column: Waters ACQUITY UPLC HSS T3; Column length: 30 mm; Internal diameter of column: 2.1 mm; Particle Size: 1 .8 pm; Temperature: 60°C, DAD Wavelength range (nm): 210 to 400.
Gradient conditions:
Solvent A: Water/Methanol 9:1 ,0.1 % formic acid and Solvent B: Acetonitrile,0.1 % formic acid
Time (minutes) A (%) B (%) Flow rate (ml/min)
0 100 0 0.75
2.5 0 100 0.75
2.8 0 100 0.75
3.0 100 0 0.75
Method J:
Spectra were recorded on a Mass Spectrometer 6410 Triple Quadruple Mass Spectrometer from Agilent Technologies equipped with an electrospray source (Positive and Negative Polarity Switch, Capillary
(kV) 4.00, Scan Type MS2 Scan, Fragmentor (V) 100.00, Gas Temperature (°C) 350, Gas Flow (L/min) 1 1 , Nebulizer Gas (psi) 45, Mass range : 1 10 to 1000 Da) and an Agilent 1200 Series HPLC: DAD Wavelength range : 210 to 400 nm, Column : KINETEX EVO C18, Column length : 50 mm, Internal diameter of column : 4.6 mm, Particle Size : 2.6 pm, Column oven temperature : 40°C
Gradient conditions:
Solvent A: Water with 0.1 % formic acid : Acetonitrile : : 95 : 5 v/v
Solvent B: Acetonitrile with 0.1 % formic acid
Time (minutes) A (%) B (%) Flow rate (ml/min)
0 90 10 1.8
0.9 0 100 1.8
1 .8 0 100 1.8
2.2 90 10 1.8
2.5 90 10 1.8
Where necessary, enantiomerically pure final compounds may be obtained from racemic materials as appropriate via standard physical separation techniques, such as reverse phase chiral chromatography, or through stereoselective synthetic techniques, eg, by using chiral starting materials.
Formulation Examples
Wettable powders a) b) c)
active ingredient [compound of formula (I)] 25 % 50 % 75 %
sodium lignosulfonate 5 % 5 %
sodium lauryl sulfate 3 % 5 %
sodium diisobutylnaphthalenesulfonate 6 % 10 %
phenol polyethylene glycol ether 2 %
(7-8 mol of ethylene oxide)
highly dispersed silicic acid 5 % 10 % 10 %
Kaolin 62 % 27 %
The active ingredient is thoroughly mixed with the adjuvants and the mixture is thoroughly ground in a suitable mill, affording wettable powders that can be diluted with waterto give suspensions of the desired concentration.
Powders for dry seed treatment a) b) c)
active ingredient [compound of formula (I)] 25 % 50 % 75 %
light mineral oil 5 % 5 % 5 %
highly dispersed silicic acid 5 % 5 %
Kaolin 65 % 40 %
Talcum 20 %
The active ingredient is thoroughly mixed with the adjuvants and the mixture is thoroughly ground in a suitable mill, affording powders that can be used directly for seed treatment.
Emulsifiable concentrate
active ingredient [compound of formula (I)] 10 %
octylphenol polyethylene glycol ether 3 %
(4-5 mol of ethylene oxide)
calcium dodecylbenzenesulfonate 3 %
castor oil polyglycol ether (35 mol of ethylene oxide) 4 %
Cyclohexanone 30 %
xylene mixture 50 %
Emulsions of any required dilution, which can be used in plant protection, can be obtained from this concentrate by dilution with water.
Dusts a) b) c)
Active ingredient [compound of formula (I)] 5 % 6 % 4 %
Talcum 95 %
Kaolin 94 %
mineral filler 96 % Ready-for-use dusts are obtained by mixing the active ingredient with the carrier and grinding the mixture in a suitable mill. Such powders can also be used for dry dressings for seed.
Extruder granules
Active ingredient [compound of formula (I)] 15 %
sodium lignosulfonate 2 %
Carboxymethylcellulose 1 %
Kaolin 82 %
The active ingredient is mixed and ground with the adjuvants, and the mixture is moistened with water. The mixture is extruded and then dried in a stream of air.
Coated granules
Active ingredient [compound of formula (I)] 8 %
polyethylene glycol (mol. wt. 200) 3 %
Kaolin 89 %
The finely ground active ingredient is uniformly applied, in a mixer, to the kaolin moistened with polyethylene glycol. Non-dusty coated granules are obtained in this manner.
Suspension concentrate
active ingredient [compound of formula (I)] 40 %
propylene glycol 10 %
nonylphenol polyethylene glycol ether (15 mol of ethylene oxide) 6 %
Sodium lignosulfonate 10 %
Carboxymethylcellulose 1 %
silicone oil (in the form of a 75 % emulsion in water) 1 %
Water 32 %
The finely ground active ingredient is intimately mixed with the adjuvants, giving a suspension concentrate from which suspensions of any desired dilution can be obtained by dilution with water. Using such dilutions, living plants as well as plant propagation material can be treated and protected against infestation by microorganisms, by spraying, pouring or immersion.
Flowable concentrate for seed treatment
active ingredient [compound of formula (I)] 40 %
propylene glycol 5 %
copolymer butanol PO/EO 2 %
tristyrenephenole with 10-20 moles EO 2 %
1 ,2-benzisothiazolin-3-one (in the form of a 20% solution in water) 0.5 %
monoazo-pigment calcium salt 5 %
Silicone oil (in the form of a 75 % emulsion in water) 0.2 %
Water 45.3 %
The finely ground active ingredient is intimately mixed with the adjuvants, giving a suspension concentrate from which suspensions of any desired dilution can be obtained by dilution with water. Using such dilutions, living plants as well as plant propagation material can be treated and protected against infestation by microorganisms, by spraying, pouring or immersion.
Slow-Release Capsule Suspension
28 parts of a combination of the compound of formula (I) are mixed with 2 parts of an aromatic solvent and 7 parts of toluene diisocyanate/polymethylene-polyphenylisocyanate-mixture (8:1 ). This mixture is emulsified in a mixture of 1 .2 parts of polyvinylalcohol, 0.05 parts of a defoamer and 51 .6 parts of water until the desired particle size is achieved. To this emulsion a mixture of 2.8 parts 1 ,6-diaminohexane in 5.3 parts of water is added. The mixture is agitated until the polymerization reaction is completed.
The obtained capsule suspension is stabilized by adding 0.25 parts of a thickener and 3 parts of a dispersing agent. The capsule suspension formulation contains 28% of the active ingredients. The medium capsule diameter is 8-15 microns.
The resulting formulation is applied to seeds as an aqueous suspension in an apparatus suitable for that purpose.
List of Abbreviations:
Aq. : aqueous
br s broad singlet
°C ; degrees Celsius
DCM ; dichloromethane
dd doublet of doublet
DMF ; dimethylformamide
DMSO ; dimethyl sulfoxide
DMSO -de deuterated dimethyl sulfoxide
d ; doublet
EtOAc ; ethyl acetate
equiv. equivalent
h ; hour(s)
M ; molar
m mulitplet
min ; minutes
MHz ; mega hertz
mp ; melting point
Pd2(dba)3 tris(dibenzylideneacetone)dipalladium(0)
Pd(dppf)CI2 DCM = [1 ,1 '-Bis(diphenylphosphino)ferrocene]dichloropalladium(ll), dichloromethane complex
Pd(PPh3)2CI2 = bis(triphenylphosphine) palladium (II) dichloride
ppm = parts per million
RT = room temperature
Rt = retention time
s = singlet
t = triplet
THF = tetrahydrofuran
X-Phos Pd G2 = chloro(2-dicyclohexylphosphino-2',4',6'-triisopropyl-1 ,1 '-biphenyl)[2-(2'-amino-1 ,1 '- biphenyl)]palladium(ll)
LC/MS = Liquid Chromatography Mass Spectrometry (description of the apparatus and the methods used for LC/MS analysis are given above)
Preparation examples:
Example A1 : Preparation of methyl (Z)-3-methoxy-2-[2-methyl-5-[4-(trifluoromethyl) thiazol-2- yl]phenoxy]prop-2-enoate (E.22)
Step 1 :
To a solution of methyl (Z)-2-(5-bromo-2-methyl-phenoxy)-3-methoxy-prop-2-enoate (20.0 g, 66.4 mmol) in 1 ,4-dioxane (133 ml_) at RT were added bis(pinacolato)diboron (18.7 g, 73.1 mmol, 1 .10 equiv.), potassium acetate (13.6 g, 133 mmol, 2.00 equiv.) and Pd(dppf)Cl2-DCM (1 .38 g, 1 .66 mmol, 0.025 equiv.), and the reaction mixture was then heated at 100°C (internal temperature 94°C) for 90 min. The dark brown suspension was diluted with EtOAc and water was added. The layers were separated and the aqueous phase was extracted with EtOAc. The total combined organic layer was washed with brine, dried with Na2S04, filtered, and concentrated in vacuo. The residue was purified by flash chromatography (cyclohexane: EtOAc) to give a beige wet crystalline solid, which was triturated with a small amount of hexane, filtered and dried in vacuo to give methyl (Z)-3-methoxy-2-[2-methyl-5- (4,4,5,5-tetramethyM ,3,2-dioxaborolan-2-yl)phenoxy]prop-2-enoate as a white solid.
LC-MS (Method H), Rt = 1.82 min, MS: (M+1) = 349; Ή NMR (400 MHz, CDCh) d ppm 7.39 (d, 1 H), 7.34 (s, 1 H), 7.19 (d, 1 H), 7.12 (s, 1 H), 3.89 (s, 3H), 3.72 (s, 3H), 2.39 (s, 3H), 1 .34 (s, 12H).
Step 2:
To a solution of methyl (Z)-3-methoxy-2-[2-methyl-5-(4,4,5,5-tetramethyl-1 ,3,2-dioxaborolan-2- yl)phenoxy]prop-2-enoate (5.00 g, 14.4 mmol) in tetrahydrofuran: water mixture (4:1 V/V, 72 mL) was added sodium periodate (9.31 g, 43.1 mmol, 3.00 equiv.) followed by an aqueous solution of HCI (2.0 M, 1 .79 mL, 3.59 mmol, 0.25 equiv.). The obtained white suspension was stirred at room temperature for 4h, then EtOAc and water were added. The layers were separated, and the aqueous phase was extracted with EtOAc. The total combined organic layer was washed with brine, dried with Na2S04, filtered and concentrated in vacuo to give [3-[(Z)-2-methoxy-1 -methoxycarbonyl-vinyloxy]-4-methyl- phenyljboronic acid as a white solid.
LC-MS (Method H), Rt = 1 .00 min, MS: (M+H) = 367; Ή NMR (400 MHz, DMSO) d ppm 7.96 (brs, 2H), 7.54 (s, 1 H), 7.33 (d, 1 H), 7.12 (m, 2H), 3.85 (s, 3H), 3.64 (s, 3H), 2.23 (s, 3H).
Step 3:
To a solution of [3-[(Z)-2-methoxy-1 -methoxycarbonyl-vinyloxy]-4-methyl-phenyl]boronic acid (5.0 g, 19 mmol) and 2-bromo-4-(trifluoromethyl)thiazole (5.5 g, 23 mmol, 1 .2 equiv.) in 1 ,4-dioxane (38 mL) and water (3.8 mL), degased with argon, X-Phos Pd G2 (0.50 g, 0.60 mmol, 0.032 equiv.) was added then cesium carbonate (12 g, 38 mmol, 2.0 equiv.). Reaction mixture was stirred at 90°C for 2h. The dark brown solution was allowed to come back at RT, diluted with EtOAc and washed with aq NaHCOs solution and brine. The organic layer was dried with MgS04, filtered and concentrated in vacuo. The residue was purified by flash chromatography (cyclohexane:EtOAc) to give methyl (Z)-3-methoxy-2-[2- methyl-5-[4-(trifluoromethyl)thiazol-2-yl]phenoxy]prop-2-enoate as a beige solid
mp: 125-128°C
LC-MS (Method G), Rt = 1.10 min, MS: (M+H) = 374; Ή NMR (400 MHz, CDCh) d ppm: 7.70 (d, 1 H), 7.49 (m, 1 H), 7.33-7.37 (m, 1 H), 7.23-7.31 (m, 2H), 3.93 (s, 3H), 3.74-3.77 (s, 3H), 2.42 (s, 3H).
Example A2: Preparation of methyl (Z)-2-[5-[4-(2-cyclopropylethynyl) thiazol-2-yl]-2-methyl-phenoxy]- 3-methoxy-prop-2-enoate (E.08)
Step 1 :
To a solution of [3-[(Z)-2-methoxy-1 -methoxycarbonyl-vinyloxy]-4-methyl-phenyl]boronic acid (1 g, 3.76 mmol, 1 .00 equiv.) and 2,4-dibromothiazole (1 .37 g, 5.64 mmol, 1 .50 equiv.) in 1 ,4-dioxane (15 ml_) and water (3 mL) under argon was added sodium carbonate (1 .19 g, 1 1 .28 mmol, 3 equiv.) and Pd(dppf)Cl2-DCM (0.157 g, 0.188 mmol, 0.05 equiv.). The reaction was warmed to 90°C and stirred at this temperature for 2h. The resulting dark brown solution was cooled to RT, diluted with EtOAc and washed with aq. saturated NaHCC>3 solution. The organic layer was washed with brine, dried over Na2SC>4, filtered and concentrated in vacuo. The residue was purified by flash chromatography (cyclohexane:EtOAc) to give methyl (Z)-2-[5-(4-bromothiazol-2-yl)-2-methyl-phenoxy]-3-methoxy-prop- 2-enoate as an orange solid.
LC-MS (Method G), Rt = 1 .10 min, MS: (M+H) = 384; Ή NMR (400 MHz, CDCh) d ppm= 7.43-7.47 (dd, 1 H), 7.32-7.34 (d, 1 H), 7.28-7.30 (s, 1 H), 7.21 -7.25 (m, 1 H), 7.18 (s, 1 H), 3.93 (s, 3H), 3.74 (s, 3H), 2.41 (s, 3H).
Step 2:
To a solution of methyl (Z)-2-[5-(4-bromothiazol-2-yl)-2-methyl-phenoxy]-3-methoxy-prop-2-enoate (0.1 g, 0.26 mmol) in triethylamine (2 mL,) under Ar was added Cul (0.002 g, 0.012 mmol, 0.045 equiv), Pd(PPh3)2Cl2 (0.008 g, 0.045 equiv., 0.012 mmol) and ethynylcyclopropane (0.027 mL, 0.312 mmol, 1 .2 equiv.). The resulting dark solution was warmed to 80°C and stirred at this temperature for 18 h. The dark brown solution was then cooled to RT, water and EtOAc was added the mixture was filtrated through a plug of celite. The layers were separated and the aqueous phase extracted with EtOAc. The combined organic layers were washed with brine, dried with Na2S04, filtered and concentrated in vacuo. The residue was purified by flash chromatography (cyclohexane:EtOAc) to give methyl (Z)-2-[5-[4-(2- cyclopropylethynyl)thiazol-2-yl]-2-methyl-phenoxy]-3-methoxy-prop-2-enoate as a yellow solid, m.p. 143-155°C
LC-MS (Method G), Rt = 1 .13 min, MS: (M+H) = 370; Ή NMR (400 MHz, CDCh) d ppm= 7.44-7.48 (dd, 1 H), 7.35-7.40 (m, 2H), 7.29 (s, 1 H), 7.22 (d, 1 H), 3.91 (s, 3H), 3.73 (s, 3H), 2.40 (s, 3H), 1 .47-1 .56 (m, 1 H), 0.87-0.95 (m, 4H).
Table E: Melting point (mp) data and/or retention times (Rt) for compounds according to formula (I):
j
I
j I
I
i
|
ΐ j i j i
Example B: Biological examples/test methods: Alternaria solani (early blight of potato/tomato):
Tomato leaf disks are placed on water agar in multiwell plates (24-well format) and sprayed with test solutions. After drying, the leaf disks are inoculated with a spore suspension of the fungus. After appropriate incubation the activity of a compound is assessed 4 dpi (days post inoculation) as preventive fungicidal activity.
The following compounds gave at least 80% control of Alternaria solani at 200 ppm when compared to untreated control under the same conditions, which showed extensive disease development:
E.05, E.06, E.07, E.08, E.10, E.15, E.21 , E.22, E.29, E.32, E.33, E.35
Botrytis cinerea (Gray mould):
Conidia of the fungus from cryogenic storage were directly mixed into nutrient broth (PDB potato dextrose broth). A DMSO solution of the test compounds was placed into a microtiter plate (96-well format) and the nutrient broth containing the fungal spores was added to it. The test plates were incubated at 24 °C and the inhibition of growth was determined photometrically after 72 hrs.
The following compounds gave at least 80% control of Botryotinia fuckeliana at 20 ppm when compared to untreated control under the same conditions, which showed extensive disease development:
E.05, E.07, E.09, E.1 1 , E.13, E.16, E.17, E.18, E.21 , E.22
Glomerella lagenarium syn. Colletotrichum lagenarium (anthracnose of cucurbits):
Conidia of the fungus from cryogenic storage were directly mixed into nutrient broth (PDB potato dextrose broth). A DMSO solution of the test compounds was placed into a microtiter plate (96-well format) and the nutrient broth containing the fungal spores was added to it. The test plates were incubated at 24 °C and the inhibition of growth was determined photometrically after 72 hrs at 620nm. The following compounds gave at least 80% control of Glomerella lagenarium at 20 ppm when compared to untreated control under the same conditions, which showed extensive disease development:
E.05, E.06, E.06, E.07, E.08, E.09, E.10, E.1 1 , E.13, E.16, E.17, E.18, E.19, E.20, E.21 , E.22, E.28, E.29, E.30, E.31 , E.32, E.33, E.34, E.35, E.36, E.37
Erysiphe graminis f.sp. tritici (Wheat powdery mildew):
Barley leaf segments are placed on agar in multiwell plates (24-well format) and sprayed with test solutions. After drying, the leaf disks are inoculated with spores of the fungus. After appropriate incubation the activity of a compound is assessed 7 dpi (days post inoculation) as preventive fungicidal activity.
The following compounds gave at least 80% control of Blumeria graminis f. sp. tritici at 200 ppm when compared to untreated control under the same conditions, which showed extensive disease development:
E.05, E.06, E.07, E.08, E.09, E.10, E.1 1 , E.13, E.14, E.15, E.16, E.17, E.18, E.19, E.20, E.21 , E.22, E.28, E.29, E.30, E.31 , E.32, E.33, E.34, E.35, E.36, E.37
Septoria nodorum (Glume blotch):
Wheat leaf segments are placed on agar in multiwell plates (24-well format) and sprayed with test solutions. After drying, the leaf disks are inoculated with a spore suspension of the fungus. After appropriate incubation the activity of a compound is assessed 4 dpi (days after inoculation) as preventive fungicidal activity.
The following compounds gave at least 80% control of Phaeosphaeria nodorum at 200 ppm when compared to untreated control under the same conditions, which showed extensive disease development:
E.05, E.06, E.07, E.08, E.09, E.10, E.1 1 , E.13, E.14, E.18, E.20, E.21 , E.22, E.28, E.29, E.30, E.31 , E.32, E.33, E.34, E.35, E.36, E.37
Monographella nivalis syn. Microdochium nivale, Fusarium nivale (snow mould, foot rot of cereals):
Conidia of the fungus from cryogenic storage were directly mixed into nutrient broth (PDB potato dextrose broth). A DMSO solution of the test compounds was placed into a microtiter plate (96-well
format) and the nutrient broth containing the fungal spores was added to it. The test plates were incubated at 24 °C and the inhibition of growth was determined photometrically after 72 hrs at 620nm. The following compounds gave at least 80% control of Monographella nivalis at 20 ppm when compared to untreated control under the same conditions, which showed extensive disease development:
E.05, E.06, E.06, E.07, E.08, E.09, E.10, E.1 1 , E.13, E.14, E.15, E.16, E.17, E.18, E.19, E.20, E.21 , E.22, E.34, E.35
Mycosphaerella arachidis syn. Cercospora arachidicola (Brown leaf spot of peanut):
Conidia of the fungus from cryogenic storage were directly mixed into nutrient broth (PDB potato dextrose broth). A DMSO solution of the test compounds was placed into a microtiter plate (96-well format) and the nutrient broth containing the fungal spores was added to it. The test plates were incubated at 24 °C and the inhibition of growth was determined photometrically after approximately 5-6 days at 620nm.
The following compounds gave at least 80% control of Mycosphaerella arachidis at 20 ppm when compared to untreated control under the same conditions, which showed extensive disease development:
E.05, E.06, E.06, E.07, E.08, E.09, E.10, E.1 1 , E.13, E.14, E.15, E.16, E.17, E.18, E.19, E.20, E.21 , E.22, E.28, E.29, E.30, E.31 , E.32, E.33, E.34, E.35, E.36, E.37, E.38
Phakopsora pachyrhizi (Soybean rust):
Soybean leaf disks are placed on agar in multiwell plates (24-well format) and sprayed with test solutions. After drying, the leaf disks are inoculated with a spore suspension of the fungus. After appropriate incubation the activity of a compound is assessed approx.12 dpi (days after inoculation) as preventive fungicidal activity.
The following compounds gave at least 80% control of Phakopsora pachyrhizi at 60 ppm when compared to untreated control under the same conditions, which showed extensive disease development:
E.13, E.15, E.020, E.21 , E.22, E.38
The following compounds gave at least 50% control of Phakopsora pachyrhizi at 60 ppm when compared to untreated control under the same conditions, which showed extensive disease development:
E.13, E.14, E.15, E.17, E.18, E.21 , E.22, E.38
Phytophthora infestans (late blight of potato/tomato):
Tomato leaf disks are placed on water agar in multiwell plates (24-well format) and sprayed with test solutions. After drying, the leaf disks are inoculated with a spore suspension of the fungus. After appropriate incubation the activity of a compound is assessed 4 dpi (days after inoculation) as preventive fungicidal activity.
The following compounds gave at least 80% control of Phytophthora infestans at 200 ppm when compared to untreated control under the same conditions, which showed extensive disease development:
E.05, E.06, E.08, E.09, E.10, E.1 1 , E.14, E.16, E.17, E.18, E.19, E.20, E.21 , E.22, E.28, E.29, E.30, E.31 , E.32, E.33, E.34, E.35, E.36, E.37
Plasmopara viticola (downy mildew of grapevine):
Grape vine leaf disks are placed on agar in multiwell plates (24-well format) and sprayed with test solutions. After drying, the leaf disks are inoculated with a spore suspension of the fungus. After appropriate incubation the activity of a compound is assessed 7 dpi (days after inoculation) as preventive fungicidal activity.
The following compounds gave at least 80% control of Plasmopara viticola at 200 ppm when compared to untreated control under the same conditions, which showed extensive disease development:
E.05, E.06, E.06, E.07, E.08, E.09, E.10, E.1 1 , E.13, E.14, E.16, E.17, E.18, E.19, E.20, E.21 , E.22, E.28, E.29, E.30, E.31 , E.32, E.33, E.34, E.35, E.36, E.37, E.38
Puccinia recondita (Brown rust), curative:
Wheat leaf segments are placed on agar in multiwell plates (24-well format). The leaf segments are inoculated with a spore suspension of the fungus and sprayed with test solutions 1 day after inoculation. After appropriate incubation the activity of a compound is assessed 8 dpi (days after inoculation) as curative fungicidal activity.
The following compounds gave at least 80% control of Puccinia recondita f. sp. tritici at 200 ppm when compared to untreated control under the same conditions, which showed extensive disease development:
E.1 1 , E.13, E.17, E.22, E.28, E.29, E.30, E.31 , E.32, E.33, E.34, E.35, E.36, E.37
Puccinia recondita (Brown rust), preventative:
Wheat leaf segments are placed on agar in multiwell plates (24-well format) and sprayed with test solutions. After drying, the leaf segments are inoculated with a spore suspension of the fungus. After appropriate incubation the activity of a compound is assessed 8 dpi (days after inoculation) as preventative fungicidal activity.
The following compounds gave at least 80% control of Puccinia recondita f. sp. tritici at 200 ppm when compared to untreated control under the same conditions, which showed extensive disease development:
E.05, E.06, E.06, E.07, E.08, E.09, E.10, E.1 1 , E.13, E.14, E.15, E.16, E.17, E.18, E.19, E.20, E.21 , E.22, E.28, E.29, E.30, E.31 , E.32, E.33, E.34, E.35, E.36, E.37, E.38
Pyricularia oryzae (Rice blast):
Rice leaf segments are placed on agar in multiwell plates (24-well format) and sprayed with test solutions. After drying, the leaf disks are inoculated with a spore suspension of the fungus. After
appropriate incubation the activity of a compound is assessed 5 dpi (days after inoculation) as preventive fungicidal activity.
The following compounds gave at least 80% control of Magnaporthe grisea at 200 ppm when compared to untreated control under the same conditions, which showed extensive disease development:
E.05, E.06, E.06, E.07, E.08, E.09, E.10, E.1 1 , E.13, E.14, E.15, E.16, E.17, E.18, E.19, E.20, E.21 , E.22, E.28, E.29, E.30, E.31 , E.32, E.33, E.34, E.35, E.36, E.37
Pyrenophora teres (Net blotch):
Barley leaf segments are placed on agar in multiwell plates (24-well format) and sprayed with test solutions. After drying, the leaf disks are inoculated with a spore suspension of the fungus. After appropriate incubation the activity of a compound is assessed 4 dpi (days after inoculation) as preventive fungicidal activity.
The following compounds gave at least 80% control of Pyrenophora teres at 200 ppm when compared to untreated control under the same conditions, which showed extensive disease development:
E.05, E.06, E.06, E.07, E.08, E.09, E.10, E.1 1 , E.15, E.21 , E.22, E.28, E.29, E.30, E.31 , E.32, E.33, E.34, E.35, E.36, E.37, E.38
Sclerotinia sclerotiorum (Cottony rot, white mold, etc.):
Mycelial fragments of the fungus prepared from a fresh liquid culture were directly mixed into nutrient broth (PDB potato dextrose broth). A DMSO solution of the test compounds was placed into a microtiter plate (96-well format) and the nutrient broth containing the fungal spores was added to it. The test plates were incubated at 24 C and the inhibition of growth was determined photometrically after 72 hrs at 620nm.
The following compounds gave at least 80% control of Sclerotinia sclerotiorum at 20 ppm when compared to untreated control under the same conditions, which showed extensive disease development:
E.06, E.09, E.1 1 , E.20
Mycosphaerella arachidis syn. Cercospora arachidicola (Brown leaf spot of peanut):
Conidia of the fungus from cryogenic storage were directly mixed into nutrient broth (PDB potato dextrose broth). A DMSO solution of the test compounds was placed into a microtiter plate (96-well format) and the nutrient broth containing the fungal spores was added to it. The test plates were incubated at 24 C and the inhibition of growth was determined photometrically after approximately 5-6 days at 620nm.
The following compounds gave at least 80% control of Mycosphaerella graminicola at 20 ppm when compared to untreated control under the same conditions, which showed extensive disease development:
E.05, E.06, E.06, E.07, E.08, E.09, E.10, E.1 1 , E.13, E.14, E.15, E.16, E.17, E.18, E.19, E.20, E.21 , E.22, E.28, E.29, E.30, E.31 , E.32, E.33, E.34, E.35, E.36, E.37, E.38
Example C: Comparative Biological activity against Phakopsora pachyrhizi (Soybean rust):
The biological activity of compounds E.02. E.16, E.20, and E.25 of the invention are compared to the reference compounds X-1 , X-2, and X-3. Reference compound X-1 is specifically disclosed on page 1 1 of EP0212859 as compound 106, reference compound X-2 is specifically disclosed on page 13 of EP0212859 as compound 140, and reference compound X-3 is specifically disclosed on page 61 of W001/00562 as Compound 1 -91 . Method : Soybean plants are sprayed in a spray chamber with formulated DMSO compound solutions which are diluted to the appropriate concentration with 0.1 % OCHIMA (adjuvant comprising polyethoxylated sorbitol hexaoleate and tris(2-ethylhexyl) phosphate) just before spraying. Leaf disks are cut from treated plants and placed on agar into 24-well plates one day after application. After, the leaf disks are inoculated with a spore suspension of the fungus. After appropriate incubation the activity of a compound is assessed approx.12 dpi (days after inoculation) as preventive fungicidal activity.
The data are presented as the percentage of disease control of each compound for the biological tests and testing rates described below in Table C1 . Table C1 - Biological activity against Phakoosora oachyrhizi (Soybean rust):
Example D: Comparative Biological activity against Phakopsora pachyrhizi (Soybean rust):
The biological activity of compounds E.02. E.16, E.20, and E.25 of the invention are compared to the reference compounds X-1 , X-2, and X-3. Reference compound X-1 is specifically disclosed on page 1 1 of EP0212859 as compound 106, reference compound X-2 is specifically disclosed on page 13 of EP0212859 as compound 140, and reference compound X-3 is specifically disclosed on page 61 of W001/00562 as Compound 1 -91 . Method: Compounds to be tested are prepared as DMSO solutions which are diluted to the appropriate concentration with 0.025% Tween20 just before spraying. Soybean leaf disks are placed on agar in multiwell plates (24-well format) and sprayed with test solutions. After drying, the leaf disks are inoculated with a spore suspension of the fungus. After appropriate incubation the activity of a compound is assessed approx.12 dpi (days after inoculation) as preventive fungicidal activity.
The data are presented as the percentage of disease control of each compound for the biological tests and testing rates described below in Table D1 .
Table D1 - Biological activity against Phakopsora pachyrhizi (Soybean rust):
Claims
1 . A compound of formula (I)
R1 is selected from the group consisting of hydrogen, halogen, Ci-C3alkyl and cyclopropyl;
R2 is selected from the group consisting of hydrogen, halogen, methyl and methoxy;
R3 is selected from the group consisting of hydrogen, halogen, methyl and methoxy;
R4 is selected from the group consisting of hydrogen, halogen, cyano, Ci-C6alkyl, C2-C6alkenyl,
C2-C6alkynyl, Ci-C6haloalkyl, C2-C6haloalkenyl, C2-C6haloalkynyl, cyanoCi-Cealkyl-, C3- C6cycloalkylCi-C4alkyl-, Ci-C6alkoxyC3-C6alkenyl-, C3-C6cycloalkylC2-C6alkenyl-, Ci- C6alkoxyC3-C4alkynyl-, C3-C6cycloalkylC2-C3alkynyl-, Ci-C6alkoxy, C3-C6alkenyloxy, C3- C6alkynyloxy, Ci-C6haloalkoxy, C3-C6cycloalkylCi-C4alkoxy-, Ci-C3alkoxyCi-C3alkoxy-, Ci- C6alkoxyCi-C3alkyl-, Ci-C6alkylsulfanyl, Ci-C6haloalkylsulfanyl, Ci-C3alkoxyCi-C6alkylsulfanyl- , C3-C6cycloalkylCi-C6alkylsulfanyl-, Ci-C3alkylsulfanylCi-C2alkyl-, C3-C6cycloalkyl, C3- Cehalocycloalkyl, Ci-C6alkoxyC3-C6cycloalkyl-, cyclopropylC3-C6cycloalkyl-, Ci-C2alkylC3- C6cycloalkyl-, -C(R6)=NOR6, -CH2C(R6)=NOR6, phenoxyCi-C3alkyl- and heteroaryloxyCi- C3alkyl-, wherein the heteroaryl moiety is a 5- or 6-membered aromatic ring which comprises 1 , 2, 3 or 4 heteroatoms individually selected from nitrogen, oxygen and sulfur, and wherein said phenyl or heteroaryl moieties are optionally substituted by 1 , 2 or 3 R7 substituents, which may be the same or different;
R5 is selected from the group consisting of hydrogen, halogen, cyano, Ci-C6alkyl, C2-C6alkenyl, C2-C6alkynyl, Ci-C6haloalkyl, C2-C6haloalkenyl, C2-C6haloalkynyl, cycloproylCi-Cealkyl-, methoxyC3-C6alkenyl-, cyclopropylC2-C6alkenyl-, methoxyC3-C4alkynyl-, cyclopropylC2- C3alkynyl-, Ci-C6alkoxy, Ci-C6haloalkoxy, cyclopropylCi-Cealkoxy-, Ci-C3alkoxyCi-C3alkoxy-, Ci-C3alkoxyCi-C3alkyl-, Ci-C6alkylsulfanyl, Ci-C6haloalkylsulfanyl, methoxyCi-Cealkylsulfanyl-,
cyclopropylCi-C6alkylsulfanyl-, Ci-C3alkylsulfanylCi-C2alkyl-, C3-C6cycloalkyl, C3- Cehalocycloalkyl, methoxyC3-C6cycloalkyl-, cyclopropylC3-C6cycloalkyl-, Ci-C2alkylC3- Cecycloalkyl-, -C(R6)=NOR6 and -CH2C(R6)=NOR6; and wherein R4 and R5 are not both hydrogen; each R6 is independently hydrogen or Ci-C3alkyl; each R7 is independently selected from the group consisting of halogen, cyano, -OH, -N(R6)2, Ci-C3alkyl, Ci-C3alkoxy, Ci-C3haloalkyl and Ci-C3haloalkoxy; or an agronomically acceptable salt thereof; or an N-oxide thereof.
2. The compound according to claim 1 , wherein R1 is selected from the group consisting of chloro, bromo, methyl, ethyl and cyclopropyl.
3. The compound according to claim 1 or claim 2, wherein R1 is methyl.
4. The compound according to any one of claims 1 to 3, wherein R2 is selected from the group consisting of hydrogen, fluoro and methoxy.
5. The compound according to any one of claims 1 to 4, wherein R2 is hydrogen.
6. The compound according to any one of claims 1 to 5, wherein R3 is hydrogen.
7. The compound according to any one of claims 1 to 6, wherein R4 is selected from the group consisting of hydrogen, halogen, cyano, Ci-C6alkyl, C2-C6alkenyl, C2-C6alkynyl, Ci-C6haloalkyl, C3-C6cycloalkylC2-C3alkynyl-, Ci-C6alkoxy, Ci-C6alkoxyCi-C3alkyl-, C3-C6cycloalkyl, C(R6)=NOR6 and phenoxyCi-C3alkyl-.
8. The compound according to any one of claims 1 to 7, wherein R4 is selected from the group consisting of chloro, bromo, cyano, methyl, ethyl, n-propyl, n-butyl, /so-butyl, vinyl, /so-propenyl, prop-1 -ynyl, 3-methylbut-1 -ynyl, difluoromethyl, trifluoromethyl, 1 ,1 ,2,2,2-pentafluoroethyl, 2- cyclopropylethynyl, methoxy, ethoxymethyl, /so-propyloxymethyl, cyclopropyl, cyclobutyl, cyclopentyl, cyclohexyl, cyclohexenyl, -C(H)=NOCH3, -C(CH3)=NOCH3 and phenoxymethyl.
9. The compound according to any one of claims 1 to 8, wherein R5 is selected from the group consisting of hydrogen, halogen, Ci-C6alkyl, Ci-C6haloalkyl and C3-C6cycloalkyl.
10. The compound according to any one of claims 1 to 9, wherein R5 is selected from the group consisting of hydrogen, chloro, bromo, methyl, /so-propyl, trifluoromethyl and cyclopropyl.
11. The compound according to claim 10, wherein R5 is hydrogen.
12. An agrochemical composition comprising a fungicidally effective amount of a compound of formula (I) according to any one of claims 1 to 11 and an agrochemically-acceptable diluent or carrier.
13. The composition according to claim 12, further comprising at least one additional active ingredient.
14. A method of controlling or preventing infestation of useful plants by phytopathogenic microorganisms, wherein a fungicidally effective amount of a compound of formula (I) according to any of claims 1 to 11 , or a composition comprising this compound as active ingredient, is applied to the plants, to parts thereof or the locus thereof.
15. Use of a compound of formula (I) according to any one of claims 1 to 11 as a fungicide.
Applications Claiming Priority (2)
| Application Number | Priority Date | Filing Date | Title |
|---|---|---|---|
| IN201911006120 | 2019-02-15 | ||
| IN201911006120 | 2019-02-15 |
Publications (1)
| Publication Number | Publication Date |
|---|---|
| WO2020165403A1 true WO2020165403A1 (en) | 2020-08-20 |
Family
ID=69699836
Family Applications (1)
| Application Number | Title | Priority Date | Filing Date |
|---|---|---|---|
| PCT/EP2020/053875 Ceased WO2020165403A1 (en) | 2019-02-15 | 2020-02-14 | Phenyl substituted thiazole derivatives as microbiocidal compounds |
Country Status (1)
| Country | Link |
|---|---|
| WO (1) | WO2020165403A1 (en) |
Cited By (3)
| Publication number | Priority date | Publication date | Assignee | Title |
|---|---|---|---|---|
| WO2024068655A1 (en) | 2022-09-28 | 2024-04-04 | Syngenta Crop Protection Ag | Fungicidal compositions |
| WO2024068656A1 (en) | 2022-09-28 | 2024-04-04 | Syngenta Crop Protection Ag | Fungicidal compositions |
| WO2025052333A1 (en) | 2023-09-08 | 2025-03-13 | Pi Industries Ltd. | Novel 1,2,4-oxadiazoles compounds as fungicide |
Citations (71)
| Publication number | Priority date | Publication date | Assignee | Title |
|---|---|---|---|---|
| US4639771A (en) | 1984-10-31 | 1987-01-27 | Kabushiki Kaisha Toshiba | Image processing system |
| EP0212859A2 (en) | 1985-08-22 | 1987-03-04 | Imperial Chemical Industries Plc | Fungicides |
| EP0357460A2 (en) | 1988-09-02 | 1990-03-07 | Sankyo Company Limited | 13-Substituted milbemycin derivatives, their preparation and use |
| EP0367474A1 (en) | 1988-11-01 | 1990-05-09 | Mycogen Corporation | Novel bacillus thuringiensis isolate denoted b.t. ps81gg, active against lepidopteran pests, and a gene encoding a lepidopteran-active toxin |
| EP0374753A2 (en) | 1988-12-19 | 1990-06-27 | American Cyanamid Company | Insecticidal toxines, genes coding therefor, antibodies binding them, transgenic plant cells and plants expressing these toxines |
| EP0382173A2 (en) | 1989-02-07 | 1990-08-16 | Meiji Seika Kaisha Ltd. | PF 1022 substance, method of producing same and anthelmintic composition containing same |
| WO1990013651A1 (en) | 1989-05-09 | 1990-11-15 | Imperial Chemical Industries Plc | Bacterial genes |
| EP0401979A2 (en) | 1989-05-18 | 1990-12-12 | Mycogen Corporation | Novel bacillus thuringiensis isolates active against lepidopteran pests, and genes encoding novel lepidopteran-active toxins |
| US5015630A (en) | 1989-01-19 | 1991-05-14 | Merck & Co., Inc. | 5-oxime avermectin derivatives |
| EP0427529A1 (en) | 1989-11-07 | 1991-05-15 | Pioneer Hi-Bred International, Inc. | Larvicidal lectins and plant insect resistance based thereon |
| EP0429968A1 (en) * | 1989-11-28 | 1991-06-05 | Bayer Ag | Heterocyclic substituted acrylic esters |
| EP0444964A1 (en) | 1990-03-01 | 1991-09-04 | Sankyo Company Limited | Milbemycin ether derivatives, their preparation and their anthelmintic uses |
| EP0451878A1 (en) | 1985-01-18 | 1991-10-16 | Plant Genetic Systems, N.V. | Modifying plants by genetic engineering to combat or control insects |
| EP0503538A1 (en) | 1991-03-08 | 1992-09-16 | Meiji Seika Kaisha Ltd. | Medicinal composition containing an anthelmintic cyclic depsipeptide |
| WO1993007278A1 (en) | 1991-10-04 | 1993-04-15 | Ciba-Geigy Ag | Synthetic dna sequence having enhanced insecticidal activity in maize |
| WO1993019053A1 (en) | 1992-03-17 | 1993-09-30 | Fujisawa Pharmaceutical Co., Ltd. | Depsipeptide derivative, production thereof and use thereof |
| WO1993025543A2 (en) | 1992-06-11 | 1993-12-23 | Bayer Aktiengesellschaft | Enniatines and enniatine derivates used to control endoparasites |
| EP0594291A1 (en) | 1992-09-01 | 1994-04-27 | Sankyo Company Limited | Novel processes for the production of 13-ether derivatives of milbemycins, and novel intermediates therefor |
| WO1994015944A1 (en) | 1993-01-18 | 1994-07-21 | Pfizer Limited | New antiparasitic agents related to the milbemycins and avermectins |
| WO1994019334A1 (en) | 1993-02-19 | 1994-09-01 | Meiji Seika Kaisha, Ltd. | Pf1022 derivative, cyclic depsipeptide |
| EP0626375A1 (en) | 1993-05-26 | 1994-11-30 | Bayer Ag | Octacyclodepsipeptides having endoparasiticidal activity |
| WO1995019363A1 (en) | 1994-01-14 | 1995-07-20 | Pfizer Inc. | Antiparasitic pyrrolobenzoxazine compounds |
| WO1995022552A1 (en) | 1994-02-16 | 1995-08-24 | Pfizer Limited | Antiparasitic agents |
| WO1995034656A1 (en) | 1994-06-10 | 1995-12-21 | Ciba-Geigy Ag | Novel bacillus thuringiensis genes coding toxins active against lepidopteran pests |
| US5478855A (en) | 1992-04-28 | 1995-12-26 | Yashima Chemical Industry Co., Ltd. | 2-(2,6-difluorophenyl)-4-(2-ethoxy-4-tert-butylphenyl)-2-oxazoline |
| WO1996011945A2 (en) | 1994-10-18 | 1996-04-25 | Bayer Aktiengesellschaft | Cyclic depsipeptide sulfonylation, sulfenylation and phosphorylation process |
| WO1996015121A1 (en) | 1994-11-10 | 1996-05-23 | Bayer Aktiengesellschaft | Use of dioxomorpholines to combat endoparasites, novel dioxomorpholines and process for their production |
| DE19520936A1 (en) | 1995-06-08 | 1996-12-12 | Bayer Ag | Ectoparasiticides means |
| WO1997033890A1 (en) | 1996-03-11 | 1997-09-18 | Novartis Ag | Pyrimidin-4-one derivatives as pesticide |
| WO2001000562A1 (en) | 1999-06-25 | 2001-01-04 | Sumitomo Chemical Company, Limited | Acrylic acid derivatives, use of the same and intermediates for the preparation thereof |
| WO2002015701A2 (en) | 2000-08-25 | 2002-02-28 | Syngenta Participations Ag | Bacillus thuringiensis crystal protein hybrids |
| WO2003018810A2 (en) | 2001-08-31 | 2003-03-06 | Syngenta Participations Ag | Modified cry3a toxins and nucleic acid sequences coding therefor |
| WO2003052073A2 (en) | 2001-12-17 | 2003-06-26 | Syngenta Participations Ag | Novel corn event |
| WO2004072086A2 (en) | 2003-02-14 | 2004-08-26 | Pfizer Limited | Antiparasitic terpene alkaloids |
| US6919298B2 (en) | 2002-04-04 | 2005-07-19 | Valent Biosciences Corporation | Enhanced herbicide composition |
| US20080196127A1 (en) | 2005-04-11 | 2008-08-14 | Bayer Bioscience N.V. | Elite Event A5547-127 and Methods and Kits For Identifying Such Event in Biological Samples |
| US20080312082A1 (en) | 2006-10-31 | 2008-12-18 | Kinney Anthony J | Soybean event dp-305423-1 and compositions and methods for the identification and/or detection thereof |
| US20080320616A1 (en) | 2005-04-08 | 2008-12-25 | Bayer Bioscience N.V. | Elite Event A2407-12 and Methods and Kits for Identifying Such Event in Biological Samples |
| US7632985B2 (en) | 2005-05-27 | 2009-12-15 | Monsanto Technology Llc | Soybean event MON89788 and methods for detection thereof |
| WO2010080829A1 (en) | 2009-01-07 | 2010-07-15 | Basf Agrochemical Products B.V. | Soybean event 127 and methods related thereto |
| US20100184079A1 (en) | 2006-06-28 | 2010-07-22 | Pioneer Hi-Bred International, Inc. | Soybean event 3560.4.3.5 and compositions and methods for the identification and detection thereof |
| WO2011022470A1 (en) | 2009-08-19 | 2011-02-24 | Dow Agrosciences Llc | Control of aad-1 monocot volunteers in fields of dicot crops |
| WO2011022469A2 (en) | 2009-08-19 | 2011-02-24 | Dow Agrosciences Llc | Aad-1 event das-40278-9, related transgenic corn lines, and event-specific identification thereof |
| WO2011022471A1 (en) | 2009-08-19 | 2011-02-24 | Dow Agrosciences Llc | Detection of aad-1 event das-40278-9 |
| US20110067134A1 (en) | 2009-09-17 | 2011-03-17 | Brinker Ronald J | Soybean transgenic event mon 87708 and methods of use thereof |
| US8049071B2 (en) | 2007-11-15 | 2011-11-01 | Monsanto Technology Llc | Soybean plant and seed corresponding to transgenic event MON87701 and methods for detection thereof |
| WO2011138281A2 (en) | 2010-05-06 | 2011-11-10 | Bayer Cropscience Ag | Process for the preparation of dithiine tetracarboxydiimides |
| WO2014006945A1 (en) | 2012-07-04 | 2014-01-09 | アグロカネショウ株式会社 | 2-aminonicotinic acid ester derivative and bactericide containing same as active ingredient |
| US8632978B2 (en) | 2011-07-26 | 2014-01-21 | Dow Agrosciences, Llc. | Soybean event pDAB9582.814.19.1 detection method |
| WO2014095675A1 (en) | 2012-12-19 | 2014-06-26 | Bayer Cropscience Ag | Difluoromethyl-nicotinic-indanyl carboxamides as fungicides |
| US20140201860A1 (en) | 2010-12-15 | 2014-07-17 | Syngenta Participations Ag | Soybean event syht0h2 and compositions and methods for detection thereof |
| WO2014170327A1 (en) | 2013-04-19 | 2014-10-23 | Bayer Cropscience Ag | Method for combating pests |
| US20140373191A1 (en) | 2013-06-14 | 2014-12-18 | Monsanto Technology, Llc | Soybean transgenic event mon87751 and methods for detection and use thereof |
| WO2015155075A1 (en) | 2014-04-11 | 2015-10-15 | Syngenta Participations Ag | Fungicidal n'-[2-methyl-6-[2-alkoxy-ethoxy]-3-pyridyl]-n-alkyl-formamidine derivatives for use in agriculture |
| WO2016156290A1 (en) | 2015-04-02 | 2016-10-06 | Bayer Cropscience Aktiengesellschaft | Novel 5-substituted imidazole derivatives |
| WO2016156085A1 (en) | 2015-03-27 | 2016-10-06 | Syngenta Participations Ag | Microbiocidal heterobicyclic derivatives |
| WO2016202742A1 (en) | 2015-06-15 | 2016-12-22 | Bayer Cropscience Aktiengesellschaft | Halogen-substituted phenoxyphenylamidines and the use thereof as fungicides |
| WO2017025510A1 (en) | 2015-08-12 | 2017-02-16 | Syngenta Participations Ag | Microbiocidal heterobicyclic derivatives |
| WO2017029179A1 (en) | 2015-08-14 | 2017-02-23 | Bayer Cropscience Aktiengesellschaft | Triazole derivatives, intermediates thereof and their use as fungicides |
| WO2017055469A1 (en) | 2015-10-02 | 2017-04-06 | Syngenta Participations Ag | Microbiocidal oxadiazole derivatives |
| WO2017055473A1 (en) | 2015-10-02 | 2017-04-06 | Syngenta Participations Ag | Microbiocidal oxadiazole derivatives |
| WO2017093348A1 (en) | 2015-12-02 | 2017-06-08 | Syngenta Participations Ag | Microbiocidal oxadiazole derivatives |
| WO2017118689A1 (en) | 2016-01-08 | 2017-07-13 | Syngenta Participations Ag | Microbiocidal oxadiazole derivatives |
| WO2017153380A1 (en) | 2016-03-10 | 2017-09-14 | Syngenta Participations Ag | Microbiocidal quinoline (thio)carboxamide derivatives |
| WO2017220485A1 (en) | 2016-06-21 | 2017-12-28 | Syngenta Participations Ag | Microbiocidal oxadiazole derivatives |
| WO2018065414A1 (en) | 2016-10-06 | 2018-04-12 | Syngenta Participations Ag | Microbiocidal oxadiazole derivatives |
| WO2018153707A1 (en) | 2017-02-22 | 2018-08-30 | Basf Se | Crystalline forms of a strobilurin type compound for combating phytopathogenic fungi |
| WO2018158365A1 (en) | 2017-03-03 | 2018-09-07 | Syngenta Participations Ag | Microbiocidal oxadiazole derivatives |
| WO2018202428A1 (en) | 2017-05-02 | 2018-11-08 | Basf Se | Fungicidal mixture comprising substituted 3-phenyl-5-(trifluoromethyl)-1,2,4-oxadiazoles |
| WO2018228896A1 (en) | 2017-06-14 | 2018-12-20 | Syngenta Participations Ag | Fungicidal compositions |
| WO2019110427A1 (en) | 2017-12-04 | 2019-06-13 | Syngenta Participations Ag | Microbiocidal phenylamidine derivatives |
-
2020
- 2020-02-14 WO PCT/EP2020/053875 patent/WO2020165403A1/en not_active Ceased
Patent Citations (72)
| Publication number | Priority date | Publication date | Assignee | Title |
|---|---|---|---|---|
| US4639771A (en) | 1984-10-31 | 1987-01-27 | Kabushiki Kaisha Toshiba | Image processing system |
| EP0451878A1 (en) | 1985-01-18 | 1991-10-16 | Plant Genetic Systems, N.V. | Modifying plants by genetic engineering to combat or control insects |
| EP0212859A2 (en) | 1985-08-22 | 1987-03-04 | Imperial Chemical Industries Plc | Fungicides |
| US4802913A (en) * | 1985-08-22 | 1989-02-07 | Imperial Chemical Industries Plc | Fungicidal alpha-substituted acrylates |
| EP0357460A2 (en) | 1988-09-02 | 1990-03-07 | Sankyo Company Limited | 13-Substituted milbemycin derivatives, their preparation and use |
| EP0367474A1 (en) | 1988-11-01 | 1990-05-09 | Mycogen Corporation | Novel bacillus thuringiensis isolate denoted b.t. ps81gg, active against lepidopteran pests, and a gene encoding a lepidopteran-active toxin |
| EP0374753A2 (en) | 1988-12-19 | 1990-06-27 | American Cyanamid Company | Insecticidal toxines, genes coding therefor, antibodies binding them, transgenic plant cells and plants expressing these toxines |
| US5015630A (en) | 1989-01-19 | 1991-05-14 | Merck & Co., Inc. | 5-oxime avermectin derivatives |
| EP0382173A2 (en) | 1989-02-07 | 1990-08-16 | Meiji Seika Kaisha Ltd. | PF 1022 substance, method of producing same and anthelmintic composition containing same |
| WO1990013651A1 (en) | 1989-05-09 | 1990-11-15 | Imperial Chemical Industries Plc | Bacterial genes |
| EP0401979A2 (en) | 1989-05-18 | 1990-12-12 | Mycogen Corporation | Novel bacillus thuringiensis isolates active against lepidopteran pests, and genes encoding novel lepidopteran-active toxins |
| EP0427529A1 (en) | 1989-11-07 | 1991-05-15 | Pioneer Hi-Bred International, Inc. | Larvicidal lectins and plant insect resistance based thereon |
| EP0429968A1 (en) * | 1989-11-28 | 1991-06-05 | Bayer Ag | Heterocyclic substituted acrylic esters |
| EP0444964A1 (en) | 1990-03-01 | 1991-09-04 | Sankyo Company Limited | Milbemycin ether derivatives, their preparation and their anthelmintic uses |
| EP0503538A1 (en) | 1991-03-08 | 1992-09-16 | Meiji Seika Kaisha Ltd. | Medicinal composition containing an anthelmintic cyclic depsipeptide |
| WO1993007278A1 (en) | 1991-10-04 | 1993-04-15 | Ciba-Geigy Ag | Synthetic dna sequence having enhanced insecticidal activity in maize |
| WO1993019053A1 (en) | 1992-03-17 | 1993-09-30 | Fujisawa Pharmaceutical Co., Ltd. | Depsipeptide derivative, production thereof and use thereof |
| US5478855A (en) | 1992-04-28 | 1995-12-26 | Yashima Chemical Industry Co., Ltd. | 2-(2,6-difluorophenyl)-4-(2-ethoxy-4-tert-butylphenyl)-2-oxazoline |
| WO1993025543A2 (en) | 1992-06-11 | 1993-12-23 | Bayer Aktiengesellschaft | Enniatines and enniatine derivates used to control endoparasites |
| EP0594291A1 (en) | 1992-09-01 | 1994-04-27 | Sankyo Company Limited | Novel processes for the production of 13-ether derivatives of milbemycins, and novel intermediates therefor |
| WO1994015944A1 (en) | 1993-01-18 | 1994-07-21 | Pfizer Limited | New antiparasitic agents related to the milbemycins and avermectins |
| WO1994019334A1 (en) | 1993-02-19 | 1994-09-01 | Meiji Seika Kaisha, Ltd. | Pf1022 derivative, cyclic depsipeptide |
| EP0626375A1 (en) | 1993-05-26 | 1994-11-30 | Bayer Ag | Octacyclodepsipeptides having endoparasiticidal activity |
| WO1995019363A1 (en) | 1994-01-14 | 1995-07-20 | Pfizer Inc. | Antiparasitic pyrrolobenzoxazine compounds |
| WO1995022552A1 (en) | 1994-02-16 | 1995-08-24 | Pfizer Limited | Antiparasitic agents |
| WO1995034656A1 (en) | 1994-06-10 | 1995-12-21 | Ciba-Geigy Ag | Novel bacillus thuringiensis genes coding toxins active against lepidopteran pests |
| WO1996011945A2 (en) | 1994-10-18 | 1996-04-25 | Bayer Aktiengesellschaft | Cyclic depsipeptide sulfonylation, sulfenylation and phosphorylation process |
| WO1996015121A1 (en) | 1994-11-10 | 1996-05-23 | Bayer Aktiengesellschaft | Use of dioxomorpholines to combat endoparasites, novel dioxomorpholines and process for their production |
| DE19520936A1 (en) | 1995-06-08 | 1996-12-12 | Bayer Ag | Ectoparasiticides means |
| WO1997033890A1 (en) | 1996-03-11 | 1997-09-18 | Novartis Ag | Pyrimidin-4-one derivatives as pesticide |
| WO2001000562A1 (en) | 1999-06-25 | 2001-01-04 | Sumitomo Chemical Company, Limited | Acrylic acid derivatives, use of the same and intermediates for the preparation thereof |
| WO2002015701A2 (en) | 2000-08-25 | 2002-02-28 | Syngenta Participations Ag | Bacillus thuringiensis crystal protein hybrids |
| WO2003018810A2 (en) | 2001-08-31 | 2003-03-06 | Syngenta Participations Ag | Modified cry3a toxins and nucleic acid sequences coding therefor |
| WO2003052073A2 (en) | 2001-12-17 | 2003-06-26 | Syngenta Participations Ag | Novel corn event |
| US6919298B2 (en) | 2002-04-04 | 2005-07-19 | Valent Biosciences Corporation | Enhanced herbicide composition |
| WO2004072086A2 (en) | 2003-02-14 | 2004-08-26 | Pfizer Limited | Antiparasitic terpene alkaloids |
| US20080320616A1 (en) | 2005-04-08 | 2008-12-25 | Bayer Bioscience N.V. | Elite Event A2407-12 and Methods and Kits for Identifying Such Event in Biological Samples |
| US20080196127A1 (en) | 2005-04-11 | 2008-08-14 | Bayer Bioscience N.V. | Elite Event A5547-127 and Methods and Kits For Identifying Such Event in Biological Samples |
| US7632985B2 (en) | 2005-05-27 | 2009-12-15 | Monsanto Technology Llc | Soybean event MON89788 and methods for detection thereof |
| US20100184079A1 (en) | 2006-06-28 | 2010-07-22 | Pioneer Hi-Bred International, Inc. | Soybean event 3560.4.3.5 and compositions and methods for the identification and detection thereof |
| US20080312082A1 (en) | 2006-10-31 | 2008-12-18 | Kinney Anthony J | Soybean event dp-305423-1 and compositions and methods for the identification and/or detection thereof |
| US8049071B2 (en) | 2007-11-15 | 2011-11-01 | Monsanto Technology Llc | Soybean plant and seed corresponding to transgenic event MON87701 and methods for detection thereof |
| WO2010080829A1 (en) | 2009-01-07 | 2010-07-15 | Basf Agrochemical Products B.V. | Soybean event 127 and methods related thereto |
| WO2011022470A1 (en) | 2009-08-19 | 2011-02-24 | Dow Agrosciences Llc | Control of aad-1 monocot volunteers in fields of dicot crops |
| WO2011022469A2 (en) | 2009-08-19 | 2011-02-24 | Dow Agrosciences Llc | Aad-1 event das-40278-9, related transgenic corn lines, and event-specific identification thereof |
| WO2011022471A1 (en) | 2009-08-19 | 2011-02-24 | Dow Agrosciences Llc | Detection of aad-1 event das-40278-9 |
| US20110067134A1 (en) | 2009-09-17 | 2011-03-17 | Brinker Ronald J | Soybean transgenic event mon 87708 and methods of use thereof |
| WO2011138281A2 (en) | 2010-05-06 | 2011-11-10 | Bayer Cropscience Ag | Process for the preparation of dithiine tetracarboxydiimides |
| US20140201860A1 (en) | 2010-12-15 | 2014-07-17 | Syngenta Participations Ag | Soybean event syht0h2 and compositions and methods for detection thereof |
| US8632978B2 (en) | 2011-07-26 | 2014-01-21 | Dow Agrosciences, Llc. | Soybean event pDAB9582.814.19.1 detection method |
| WO2014006945A1 (en) | 2012-07-04 | 2014-01-09 | アグロカネショウ株式会社 | 2-aminonicotinic acid ester derivative and bactericide containing same as active ingredient |
| WO2014095675A1 (en) | 2012-12-19 | 2014-06-26 | Bayer Cropscience Ag | Difluoromethyl-nicotinic-indanyl carboxamides as fungicides |
| WO2014170327A1 (en) | 2013-04-19 | 2014-10-23 | Bayer Cropscience Ag | Method for combating pests |
| US20140373191A1 (en) | 2013-06-14 | 2014-12-18 | Monsanto Technology, Llc | Soybean transgenic event mon87751 and methods for detection and use thereof |
| WO2015155075A1 (en) | 2014-04-11 | 2015-10-15 | Syngenta Participations Ag | Fungicidal n'-[2-methyl-6-[2-alkoxy-ethoxy]-3-pyridyl]-n-alkyl-formamidine derivatives for use in agriculture |
| WO2016156085A1 (en) | 2015-03-27 | 2016-10-06 | Syngenta Participations Ag | Microbiocidal heterobicyclic derivatives |
| WO2016156290A1 (en) | 2015-04-02 | 2016-10-06 | Bayer Cropscience Aktiengesellschaft | Novel 5-substituted imidazole derivatives |
| WO2016202742A1 (en) | 2015-06-15 | 2016-12-22 | Bayer Cropscience Aktiengesellschaft | Halogen-substituted phenoxyphenylamidines and the use thereof as fungicides |
| WO2017025510A1 (en) | 2015-08-12 | 2017-02-16 | Syngenta Participations Ag | Microbiocidal heterobicyclic derivatives |
| WO2017029179A1 (en) | 2015-08-14 | 2017-02-23 | Bayer Cropscience Aktiengesellschaft | Triazole derivatives, intermediates thereof and their use as fungicides |
| WO2017055469A1 (en) | 2015-10-02 | 2017-04-06 | Syngenta Participations Ag | Microbiocidal oxadiazole derivatives |
| WO2017055473A1 (en) | 2015-10-02 | 2017-04-06 | Syngenta Participations Ag | Microbiocidal oxadiazole derivatives |
| WO2017093348A1 (en) | 2015-12-02 | 2017-06-08 | Syngenta Participations Ag | Microbiocidal oxadiazole derivatives |
| WO2017118689A1 (en) | 2016-01-08 | 2017-07-13 | Syngenta Participations Ag | Microbiocidal oxadiazole derivatives |
| WO2017153380A1 (en) | 2016-03-10 | 2017-09-14 | Syngenta Participations Ag | Microbiocidal quinoline (thio)carboxamide derivatives |
| WO2017220485A1 (en) | 2016-06-21 | 2017-12-28 | Syngenta Participations Ag | Microbiocidal oxadiazole derivatives |
| WO2018065414A1 (en) | 2016-10-06 | 2018-04-12 | Syngenta Participations Ag | Microbiocidal oxadiazole derivatives |
| WO2018153707A1 (en) | 2017-02-22 | 2018-08-30 | Basf Se | Crystalline forms of a strobilurin type compound for combating phytopathogenic fungi |
| WO2018158365A1 (en) | 2017-03-03 | 2018-09-07 | Syngenta Participations Ag | Microbiocidal oxadiazole derivatives |
| WO2018202428A1 (en) | 2017-05-02 | 2018-11-08 | Basf Se | Fungicidal mixture comprising substituted 3-phenyl-5-(trifluoromethyl)-1,2,4-oxadiazoles |
| WO2018228896A1 (en) | 2017-06-14 | 2018-12-20 | Syngenta Participations Ag | Fungicidal compositions |
| WO2019110427A1 (en) | 2017-12-04 | 2019-06-13 | Syngenta Participations Ag | Microbiocidal phenylamidine derivatives |
Non-Patent Citations (12)
| Title |
|---|
| "Comprehensive Organic Transformations: A Guide to Functional Group Preparations", 1999, WILEY-VCH |
| "The Pesticide Manual'' [The Pesticide Manual - A World Compendium", THE BRITISH CROP PROTECTION COUNCIL |
| "The Pesticide Manual", 2009, BRITISH CROP PROTECTION COUNCIL |
| A. WOOD, COMPENDIUM OF PESTICIDE COMMON NAMES, 1995 |
| EUR. J. ORG. CHEM., 2006, pages 1379 - 1382 |
| JOURNAL OF ORGANOMETALLIC CHEMISTRY, 2014, pages 93 |
| KLOSOWSKI AC ET AL.: "Competitive fitness of Phakopsora pachyrhizi isolates with mutations in the CYP51 and CYTB genes", PHYTOPATHOLOGY, vol. 106, 2016, pages 1278 - 1284 |
| KLOSOWSKI AC ET AL.: "Detection of the F129L mutation in the cytochrome b gene in Phakopsora pachyrhizi", PEST MANAG SCI, vol. 72, 2016, pages 1211 - 1215 |
| LANGENBACH C ET AL.: "Fighting Asian Soybean Rust", FRONT PLANT SCIENCE, vol. 7, no. 797, 2016, XP055287670, DOI: 10.3389/fpls.2016.00797 |
| SCHMITZ HK: "Sensitivity of Phakopsora pachyrhizi towards quinone-outside-inhibitors and demethylation-inhibitors, and corresponding resistance mechanisms", PEST MANAG SCI, vol. 70, 2014, pages 378 - 388, XP055521613, DOI: 10.1002/ps.3562 |
| SIMÕES K ET AL.: "First detection of a SDH variant with reduced SDHI sensitivity in Phakopsora pachyrhizf", J PLANT DIS PROT, vol. 125, 2018, pages 21 - 2 |
| SMITHMARCH: "March's Advanced Organic Chemistry", 2007, WILEY |
Cited By (3)
| Publication number | Priority date | Publication date | Assignee | Title |
|---|---|---|---|---|
| WO2024068655A1 (en) | 2022-09-28 | 2024-04-04 | Syngenta Crop Protection Ag | Fungicidal compositions |
| WO2024068656A1 (en) | 2022-09-28 | 2024-04-04 | Syngenta Crop Protection Ag | Fungicidal compositions |
| WO2025052333A1 (en) | 2023-09-08 | 2025-03-13 | Pi Industries Ltd. | Novel 1,2,4-oxadiazoles compounds as fungicide |
Similar Documents
| Publication | Publication Date | Title |
|---|---|---|
| EP3941898B1 (en) | Fungicidal compounds | |
| US12043600B2 (en) | Microbiocidal compounds | |
| WO2024132895A1 (en) | Microbiocidal dihydrooxadiazinyl pyridazinone compounds | |
| WO2024132901A1 (en) | Microbiocidal pyridazine dihydrooxadiazine derivatives | |
| WO2020208095A1 (en) | Microbiocidal picolinamide derivatives | |
| US20250011314A1 (en) | Microbiocidal pyrazole derivatives | |
| WO2021224102A1 (en) | Microbiocidal compounds | |
| US11629129B2 (en) | Microbiocidal picolinamide derivatives | |
| WO2020165403A1 (en) | Phenyl substituted thiazole derivatives as microbiocidal compounds | |
| WO2021219780A1 (en) | Microbiocidal compounds | |
| AU2022251771A1 (en) | Microbiocidal isonicotinic amide derivatives | |
| WO2021204855A1 (en) | Microbiocidal quinoline dihydropyrrolopyrazine derivatives | |
| WO2020025807A1 (en) | Microbiocidal 1,2,5-oxadiazol-3(2h)-one derivatives | |
| WO2020078732A1 (en) | Microbiocidal oxadiazole derivatives | |
| WO2022058580A1 (en) | Microbiocidal compounds | |
| WO2023118011A1 (en) | Microbiocidal aza-heterobiaryl derivatives | |
| WO2023166067A1 (en) | Microbiocidal pyridazinone amide derivatives | |
| WO2021219778A1 (en) | Microbiocidal compounds | |
| WO2023094303A1 (en) | Microbiocidal heterobiaryl amide derivatives | |
| WO2021219775A1 (en) | Microbiocidal compounds | |
| KR102922676B1 (en) | fungicidal compounds | |
| RU2817796C2 (en) | Fungicidal compounds | |
| WO2021009026A1 (en) | Methyl 2-[(4-methoxyimino-tetralin-6-yl]prop-2-enoate derivatives, chromane, isochromane, 6,7,8,9-tetrahydrobenzo[7]annulene, 1h-isobenzofurane and indane analogues thereof, and similar compounds, as agrochemical fungicides | |
| OA21382A (en) | Fungicidal compounds. | |
| WO2023148206A1 (en) | Microbiocidal n-amide derivatives |
Legal Events
| Date | Code | Title | Description |
|---|---|---|---|
| 121 | Ep: the epo has been informed by wipo that ep was designated in this application |
Ref document number: 20706986 Country of ref document: EP Kind code of ref document: A1 |
|
| NENP | Non-entry into the national phase |
Ref country code: DE |
|
| 122 | Ep: pct application non-entry in european phase |
Ref document number: 20706986 Country of ref document: EP Kind code of ref document: A1 |




















