WO2020078732A1 - Microbiocidal oxadiazole derivatives - Google Patents
Microbiocidal oxadiazole derivatives Download PDFInfo
- Publication number
- WO2020078732A1 WO2020078732A1 PCT/EP2019/076837 EP2019076837W WO2020078732A1 WO 2020078732 A1 WO2020078732 A1 WO 2020078732A1 EP 2019076837 W EP2019076837 W EP 2019076837W WO 2020078732 A1 WO2020078732 A1 WO 2020078732A1
- Authority
- WO
- WIPO (PCT)
- Prior art keywords
- alkyl
- methyl
- formula
- compounds
- 3alkyl
- Prior art date
- Legal status (The legal status is an assumption and is not a legal conclusion. Google has not performed a legal analysis and makes no representation as to the accuracy of the status listed.)
- Ceased
Links
- 0 *C(*)(*c1n[o]c(C(F)(F)F)n1)C(*)(*)C(*)=* Chemical compound *C(*)(*c1n[o]c(C(F)(F)F)n1)C(*)(*)C(*)=* 0.000 description 9
- MPHBNZKILYMJHT-UHFFFAOYSA-N CCNC(C(C(c1ccc(-c2n[o]c(C(F)(F)F)n2)[s]1)O)(F)F)=O Chemical compound CCNC(C(C(c1ccc(-c2n[o]c(C(F)(F)F)n2)[s]1)O)(F)F)=O MPHBNZKILYMJHT-UHFFFAOYSA-N 0.000 description 1
Classifications
-
- C—CHEMISTRY; METALLURGY
- C07—ORGANIC CHEMISTRY
- C07D—HETEROCYCLIC COMPOUNDS
- C07D271/00—Heterocyclic compounds containing five-membered rings having two nitrogen atoms and one oxygen atom as the only ring hetero atoms
- C07D271/02—Heterocyclic compounds containing five-membered rings having two nitrogen atoms and one oxygen atom as the only ring hetero atoms not condensed with other rings
- C07D271/06—1,2,4-Oxadiazoles; Hydrogenated 1,2,4-oxadiazoles
-
- A—HUMAN NECESSITIES
- A01—AGRICULTURE; FORESTRY; ANIMAL HUSBANDRY; HUNTING; TRAPPING; FISHING
- A01N—PRESERVATION OF BODIES OF HUMANS OR ANIMALS OR PLANTS OR PARTS THEREOF; BIOCIDES, e.g. AS DISINFECTANTS, AS PESTICIDES OR AS HERBICIDES; PEST REPELLANTS OR ATTRACTANTS; PLANT GROWTH REGULATORS
- A01N25/00—Biocides, pest repellants or attractants, or plant growth regulators, characterised by their forms, or by their non-active ingredients or by their methods of application, e.g. seed treatment or sequential application; Substances for reducing the noxious effect of the active ingredients to organisms other than pests
-
- A—HUMAN NECESSITIES
- A01—AGRICULTURE; FORESTRY; ANIMAL HUSBANDRY; HUNTING; TRAPPING; FISHING
- A01N—PRESERVATION OF BODIES OF HUMANS OR ANIMALS OR PLANTS OR PARTS THEREOF; BIOCIDES, e.g. AS DISINFECTANTS, AS PESTICIDES OR AS HERBICIDES; PEST REPELLANTS OR ATTRACTANTS; PLANT GROWTH REGULATORS
- A01N43/00—Biocides, pest repellants or attractants, or plant growth regulators containing heterocyclic compounds
- A01N43/72—Biocides, pest repellants or attractants, or plant growth regulators containing heterocyclic compounds having rings with nitrogen atoms and oxygen or sulfur atoms as ring hetero atoms
- A01N43/82—Biocides, pest repellants or attractants, or plant growth regulators containing heterocyclic compounds having rings with nitrogen atoms and oxygen or sulfur atoms as ring hetero atoms five-membered rings with three ring hetero atoms
-
- C—CHEMISTRY; METALLURGY
- C07—ORGANIC CHEMISTRY
- C07D—HETEROCYCLIC COMPOUNDS
- C07D413/00—Heterocyclic compounds containing two or more hetero rings, at least one ring having nitrogen and oxygen atoms as the only ring hetero atoms
- C07D413/02—Heterocyclic compounds containing two or more hetero rings, at least one ring having nitrogen and oxygen atoms as the only ring hetero atoms containing two hetero rings
- C07D413/04—Heterocyclic compounds containing two or more hetero rings, at least one ring having nitrogen and oxygen atoms as the only ring hetero atoms containing two hetero rings directly linked by a ring-member-to-ring-member bond
-
- C—CHEMISTRY; METALLURGY
- C07—ORGANIC CHEMISTRY
- C07D—HETEROCYCLIC COMPOUNDS
- C07D413/00—Heterocyclic compounds containing two or more hetero rings, at least one ring having nitrogen and oxygen atoms as the only ring hetero atoms
- C07D413/02—Heterocyclic compounds containing two or more hetero rings, at least one ring having nitrogen and oxygen atoms as the only ring hetero atoms containing two hetero rings
- C07D413/10—Heterocyclic compounds containing two or more hetero rings, at least one ring having nitrogen and oxygen atoms as the only ring hetero atoms containing two hetero rings linked by a carbon chain containing aromatic rings
Definitions
- the present invention relates to microbiocidal oxadiazole derivatives, e.g., as active ingredients, which have microbiocidal activity, in particular, fungicidal activity.
- the invention also relates to agrochemical compositions which comprise at least one of the oxadiazole derivatives, to processes of preparation of these compounds and to uses of the oxadiazole derivatives or compositions in agriculture or horticulture for controlling or preventing infestation of plants, harvested food crops, seeds or non-living materials by phytopathogen ic microorganisms, preferably fungi.
- EP 0 276 432 and WO 2015/185485 describe the use of substituted oxadiazoles for combating phytopathogen ic fungi.
- A is A-1 or A-2;
- A-1 and A-2 are optionally substituted by one or two groups independently selected from halogen and methyl;
- R 1 is hydroxyl, amino, thiol, halogen, Ci-3alkoxy, Ci-3haloalkyl, Ci-3haloalkoxy, C3- 4 alkenyloxy, C3- 4 alkynyloxy, Ci-3alkylamino, Ci-3alkoxyamino, Ci-3haloalkoxyamino, Ci-3alkylcarbonyloxy, C3- 4 alkenyloxyamino, C3- 4 alkynyloxyamino, N-Ci-3alkyl-N-Ci-3alkoxyamino, N-Ci-3alkoxy-N’-Ci-3alkylcarbonyl, or C3-6cycloalkylCi-3alkoxyamino;
- R 3 and R 4 are the same and are selected from halogen and Ci-C6alkyl; or
- R 3 and R 4 together with the carbon to which they are bonded, form a 3-, 4-, 5-, or 6-membered cycloalkyl group
- Y is O or S
- Z is Z 1 or Z 2 ;
- Z 1 represents -OR 5 , wherein:
- R 5 is hydrogen, Ci-salkyl, C3-salkenyl, C3-salkynyl, Ci-3haloalkyl, cyanoC- M alkyl, hydroxyC 2-4 alkyl, C-i- 3alkoxyCi-3alkyl, Ci-3haloalkoxyC 2-4 alkyl, aminoC 2-4 alkyl, N-Ci- 4 alkylaminoC 2-4 alkyl, N,N-diCi- 4 alkylaminoC 2 - 4 alkyl, Ci-3alkylcarbonylCi-3alkyl, Ci- 4 alkoxycarbonylCi-3alkyl, or Ci-3alkylcarbonyloxyC 2-4 alkyl; or
- R 5 is C3-6cycloalkyl, C3-6cycloalkylCi- 2 alkyl, phenyl, phenylCi-2alkyl, heteroaryl, heteroarylCi-2alkyl, heterocyclyl, or heterocyclylCi-2alkyl, wherein the cycloalkyl and heterocyclyl moieties are each optionally substituted by 1 or 2 substituents, which may be the same or different, selected from R 6 ;
- R 6 is cyano, fluoro, chloro, bromo, methyl, ethyl, difluoromethyl, trifluoromethyl, methoxy, ethoxy, or difluoromethoxy;
- Z 2 represents -NR 7 R 8 , wherein:
- R 7 is hydrogen, amino, hydroxyl, cyano, Ci-6alkyl, Ci- 4 alkoxy, C3-salkenyl, C3-salkynyl, C3- 4 alkenyloxy, C3- 4 alkynyloxy, cyanoCi- 4 alkyl, Ci- 4 haloalkyl, C3-5haloalkenyl, Ci- 4 haloalkoxy, hydroxyC 2-4 alkyl, C-i- 2 alkoxyC 2-4 alkyl, Ci- 2 haloalkoxyC 2-4 alkyl, Ci- 2 alkoxyC 2-4 alkoxyC 2-4 alkyl, N-Ci- 4 alkylamino, N,N-diCi- 4 alkylamino, N-Ci- 4 alkylcarbonyl-N-Ci- 4 alkylamino, aminoC 2-4 alkyl, N-Ci-3alkylaminoC 2-4 alkyl, N,N-diCi-
- R 7 is C3-6cycloalkyl, C3-6cycloalkylCi- 2 alkyl, phenyl, phenylCi-2alkyl, or heteroaryl, wherein the heteroaryl moiety is a 5- or 6-membered monocyclic aromatic ring which comprises 1 , 2, 3, or 4 heteroatoms individually selected from N, O and S, heterocyclyl, wherein the heterocyclyl moiety is a 4- to 6-membered non-aromatic ring which comprises 1 or 2 heteroatoms individually selected from N, O and S; and wherein the cycloalkyl, phenyl, heteroaryl or heterocyclyl moieties are each optionally substituted by 1 or 2 substituents, which may be the same or different, selected from R 9 ;
- R 8 is hydrogen, methyl, ethyl, propyl, isopropyl, prop-2-enyl, prop-2-ynyl, methoxy, 2-methoxyethyl, or cyclopropyl; or
- R 7 and R 8 together with the nitrogen atom to which they are bonded, form a 4-, 5- or 6-membered cycle optionally containing an additional heteroatom or group selected from O, S, S(0) 2 , and NR 10 ;
- R 9 is hydroxyl, Ci-3alkyl, halogen, Ci-3alkoxy, or Ci-3haloalkyl
- R 10 is hydrogen, methyl, methoxy, fluoromethoxy, difluoromethoxy, formyl or acyl; or a salt or N-oxide thereof.
- novel compounds of formula (I) have, for practical purposes, a very advantageous level of biological activity for protecting plants against diseases that are caused by fungi.
- an agrochemical composition comprising a fungicidally effective amount of a compound of formula (I).
- Such an agricultural composition may further comprise at least one additional active ingredient and/or an agrochemically-acceptable diluent or carrier.
- a method of controlling or preventing infestation of useful plants by phytopathogen ic microorganisms wherein a fungicidally effective amount of a compound of formula (I), or a composition comprising this compound as active ingredient, is applied to the plants, to parts thereof or the locus thereof.
- a compound of formula (I) as a fungicide.
- the use may exclude methods for the treatment of the human or animal body by surgery or therapy.
- halogen refers to fluorine (fluoro), chlorine (chloro), bromine (bromo) or iodine (iodo), preferably fluorine, chlorine or bromine.
- cyano means a -CN group.
- hydroxyl or“hydroxy” means an -OH group.
- amino means an -IMH2 group.
- acyl means a -C(0)CH3 group.
- formyl means a -C(0)H group.
- Ci-6alkyl refers to a straight or branched hydrocarbon chain radical consisting solely of carbon and hydrogen atoms, containing no unsaturation, having from one to six carbon atoms, and which is attached to the rest of the molecule by a single bond.
- Ci-salkyl, Ci- 4 alkyl, Ci-3alkyl and Ci-2alkyl are to be construed accordingly.
- Examples of Ci-6alkyl include, but are not limited to, methyl, ethyl, n-propyl, 1 -methylethyl (isopropyl), /7-butyl, and 1 -dimethylethyl (f-butyl).
- A“Ci-2alkylene” group refers to the corresponding definition of Ci-2alkyl, except that such radical is attached to the rest of the molecule by two single bonds. Examples of Ci-2alkylene, are -CH2- and -CH2CH2-.
- Ci- 4 alkoxy refers to a radical of the formula R a O- where R a is a Ci- 4 alkyl radical as generally defined above. Ci-3alkoxy is to be construed accordingly. Examples of Ci- 4 alkoxy include, but are not limited to, methoxy, ethoxy, propoxy, isopropoxy, and f-butoxy.
- Ci- 4 haloalkyl refers to a Ci- 4 alkyl radical as generally defined above substituted by one or more of the same or different halogen atoms.
- Ci-3haloalkyl and Ci-2haloalkyl are to be construed accordingly.
- Examples of Ci- 4 haloalkyl include, but are not limited to fluoromethyl, fluoroethyl, difluoromethyl, trifluoromethyl, 2,2,2-trifluoroethyl, and 3,3,3-trifluoropropyl.
- C2-6alkenyl refers to a straight or branched hydrocarbon chain radical group consisting solely of carbon and hydrogen atoms, containing at least one double bond that can be of either the (E)- or (Z)-configuration, having from two to six carbon atoms, which is attached to the rest of the molecule by a single bond.
- the terms C3-salkenyl and C3- 4 alkenyl are to be construed accordingly.
- Examples of C2-6alkenyl include, but are not limited to, prop-1 -enyl, allyl (prop-2-enyl), and but-1 -enyl.
- C3- 4 alkenyloxy refers to a radical of the formula R a O-, where R a is a C3- 4 alkenyl radical as generally defined above.
- C3- 4 alkenyloxyamino refers to a radical of the formula R a ONH-, where R a is a C3- 4 alkenyl radical as generally defined above
- C3-5haloalkenyl refers to a straight or branched hydrocarbon chain radical group consisting solely of carbon and hydrogen atoms, containing at least one double bond that can be of either the (E)- or (Z)-configuration, having from three to five carbon atoms, which is attached to the rest of the molecule by a single bond, substituted by one or more of the same or different halogen atoms.
- C2-6alkynyl refers to a straight or branched hydrocarbon chain radical group consisting solely of carbon and hydrogen atoms, containing at least one triple bond, having from two to six carbon atoms, and which is attached to the rest of the molecule by a single bond.
- the terms C3-salkynyl and C3-4alkynyl are to be construed accordingly.
- Examples of C2-6alkynyl include, but are not limited to, prop-1- ynyl, propargyl (prop-2-ynyl), and but-1 -ynyl.
- C3- 4 alkynyloxy refers to a radical of the formula R a O-, where R a is a C3- 4 alkynyl radical as generally defined above.
- C3- 4 alkynyloxyamino refers to a radical of the formula R a ONH-, where R a is a C3- 4 alkynyl radical as generally defined above.
- Ci-3alkoxyCi- 4 alkyl refers to radical of the formula Rb-0-R a - where Rb is a Ci-3alkyl radical as generally defined above, and R a is a Ci- 4 alkylene radical as generally defined above.
- Ci- 2 alkoxyCi- 4 alkyl, Ci-3alkoxyCi-3alkyl and Ci- 2 alkoxyC 2-4 alkyl are to be construed accordingly.
- Ci- 4 haloalkoxy refers to a Ci- 4 alkoxy group as defined above substituted by one or more of the same or different halogen atoms.
- Ci-3haloalkoxy and Ci-2haloalkoxy are to be construed accordingly.
- Examples of Ci- 4 haloalkoxy include, but are not limited to, fluoromethoxy, difluoromethoxy, fluoroethoxy, trifluoromethoxy, and trifluoroethoxy.
- Ci- 2 haloalkoxyC 2-4 alkyl refers to a radical of the formula Rb-0-R a - where Rb is a Ci-2alkyl radical as generally defined above substituted by one or more of the same or different halogen atoms, and R a is a C 2-4 alkylene radical as generally defined above.
- hydroxyC 2-4 alkyl refers to a C 2-4 alkyl radical as generally defined above substituted by one or more hydroxy groups.
- cyanoCi ⁇ alkyl refers to refers to a Ci- 4 alkyl radical as generally defined above substituted by one or more cyano groups.
- Ci- 4 alkylcarbonylaminoC 2-4 alkyl refers to a radical of the formula R a C(0)NHRb-, where R a is a Ci- 4 alkyl radical as generally defined above and Rb is a C 2-4 alkylene radical as generally defined above.
- Ci- 2 alkoxyC 2-4 alkoxyC 2-4 alkyl refers to a radical of the formula R c ORbOR a - , where R a and Rb are C 2-4 alkylene radicals as generally defined above, and R c is a Ci-2alkyl radical as generally defined above.
- Ci-4alkoxycarbonylCi-3alkyl refers to a radical of the formula R a OC(0)Rb-, where R a is a Ci- 4 alkyl radical as generally defined above and Rb is a Ci-3alkylene radical as generally defined above.
- N-Ci- 4 alkylamino refers to a radical of the formula R a NH- where R a is a C-i- 4 alkyl radical as generally defined above.
- R a is a C-i- 4 alkyl radical as generally defined above.
- N-Ci-3alkylamino is to be construed accordingly.
- N-Ci- 4 alkylaminoC 2-4 alkyl refers to a radical of the formula R a NHRb - where R a is a Ci- 4 alkyl radical as generally defined above and Rb is a C 2-4 alkylene radical as generally defined above.
- N,N-diCi- 4 alkylamino refers to a radical of the formula R a (Rb)N- where R a and Rb are Ci- 4 alkyl radicals as generally defined above.
- N,N-diCi- 4 alkylaminoC 2-4 alkyl refers to a radical of the formula R a (Rb)NR c - where R a and Rb are Ci ⁇ alkyl radicals as generally defined above, and R c is a C 2-4 alkylene radical as generally defined above.
- aminoC 2-4 alkyl refers to a radical of the formula H2NR a - where R a is a C2- 4 alkylene radical as generally defined above.
- Ci- 4 alkylamino refers to a radical of the R a NH- where R a is a Ci- 4 alkyl radical as generally defined above.
- Ci-3alkylamino is to be construed accordingly.
- Ci-3haloalkoxyamino refers to a radical of the R a ONH- where R a is a C-i- 3alkyl group as defined above substituted by one or more of the same or different halogen atoms.
- Ci-3alkylcarbonylCi-3alkyl refers to a radical of the formula RbC(0)R a - where Rb is a Ci-3alkyl as generally defined above and R a is a Ci-3alkylene radical as generally defined above.
- Ci- 4 alkoxycarbonylCi-3alkyl refers to a radical of the formula RbOC(0)R a - where Rb is a Ci- 4 alkyl as generally defined above and R a is a Ci-3alkylene radical as generally defined above.
- Ci-3alkylcarbonyloxyC2-4alkyl refers to a radical of the formula RbC(0)OR a - where Rb is a Ci-3alkyl as generally defined above and R a is a C 2-4 alkylene radical as generally defined above.
- Ci- 4 alkoxyamino refers to a radical of the formula R a ONH-, wherein R a is a Ci- 4 alkyl radical as generally defined above.
- Ci-3alkoxyamino is to be construed accordingly.
- N-Ci-3alkoxy-N’-Ci-3alkylcarbonyl refers to a radical of the formula (R a O)(RbC(0))N-, wherein R a and Rb are Ci-3alkyl radicals as generally defined above.
- N-Ci-3alkyl-N-Ci-3alkoxyamino refers to a radical of the formula (R a )(RbO)N-, wherein R a and Rb are Ci-3alkyl radicals as generally defined above.
- N-Ci-3alkyl-N-Ci-3alkoxyaminoC 2-4 alkyl refers to a radical of the formula (R a )(RbO)NR c -, wherein R a and Rb are Ci-3alkyl radicals as generally defined above, and R c is a C 2-4 alkylene radical as generally defined above.
- N-Ci-4alkylcarbonyl-N-Ci-4alkylamino refers to a radical of the formula (RbC(0))(R a )N-, wherein R a and Rb are Ci ⁇ alkyl radicals as generally defined above.
- N,N-diCi- 4 alkylamino refers to a radical of the formula (R a )(Rb)N-, wherein R a and Rb are each Ci- 4 alkyl radicals as generally defined above.
- N,N-diCi- 4 alkylaminoC 2-4 alkyl refers to a radical of the formula (R c )(Rb)NR a - , wherein Rb and R c are each independently Ci- 4 alkyl radicals as generally defined above, and R a is a C2- 4 alkylene radical as generally defined above.
- N-Ci-3alkylcarbonyl-(N-Ci-3alkyl)aminoC 2 -3alkyl refers to a radical of the formula (R c C(0))(Rb)NR a -, wherein Rb and R c are each independently Ci-3alkyl radicals as generally defined above, and R a is a C 2 -3alkylene radical as generally defined above.
- C3-6cycloalkyl refers to a stable, monocyclic ring radical which is saturated or partially unsaturated and contains 3 to 6 carbon atoms.
- C3-5cycloalkyl and C3- 4 cycloalkyl are to be construed accordingly.
- Examples of C3-6cycloalkyl include, but are not limited to cyclopropyl, cyclobutyl, cyclopentyl, cyclopenten-1-yl, cyclopenten-3-yl, and cyclohexen-3-yl.
- C3-6cycloalkylCi- 2 alkyl refers to a C3-6cycloalkyl ring as defined above attached to the rest of the molecule by a Ci-2alkylene radical as defined above.
- Examples of C3-6cycloalkylCi- 2alkyl include, but are not limited to cyclopropyl-methyl and cyclobutyl-ethyl.
- C3-6cycloalkylCi-3alkoxyamino refers to a C3-6cycloalkyl ring as defined above attached to the rest of the molecule by a -R a ONH- radical, where R a is a Ci-3alkylene radical as generally defined above.
- phenylCi-2alkyl refers to a phenyl ring attached to the rest of the molecule by a Ci-2alkylene radical as defined above.
- phenylCi-2alkyl include, but are not limited to, benzyl.
- heteroaryl generally refers to a 5- or 6-membered monocyclic aromatic ring radical which comprises 1 or 2 heteroatoms individually selected from nitrogen, oxygen and sulfur.
- the heteroaryl radical may be bonded to the rest of the molecule via a carbon atom or heteroatom.
- heteroaryl include but are not limited to, furanyl, pyrrolyl, thienyl, pyrazolyl, imidazolyl, thiazolyl, oxazolyl, iso azolyl, pyrazinyl, pyridazinyl, pyrimidyl and pyridyl.
- heterocyclyl or “heterocyclic” generally refers to a stable, saturated or partially saturated, 4- to 6-membered, non-aromatic monocyclic ring, which comprises 1 , 2 or 3 heteroatoms individually selected from nitrogen, oxygen and sulfur.
- the heterocyclyl radical may be bonded to the rest of the molecule via a carbon atom or heteroatom.
- heterocyclyl examples include, but are not limited to, azetidinyl, oxetanyl, pyrrolidyl, tetrahydrofuranyl, tetrahydrothienyl, tetrahydrothiopyranyl, piperidinyl, piperazinyl, tetrahydropyranyl, dioxolanyl, and morpholino.
- heterocyclylCi-2alkyl refers to a heterocyclic ring as defined above which is attached to the rest of the molecule by a Ci-2alkylene radical as defined above.
- asymmetric carbon atoms in a compound of formula (I) means that the compounds may occur in chiral isomeric forms, i.e., enantiomeric or diastereomeric forms. Also, atropisomers may occur as a result of restricted rotation about a single bond.
- Formula (I) is intended to include all those possible isomeric forms and mixtures thereof. The present invention includes all those possible isomeric forms and mixtures thereof for a compound of formula (I).
- formula (I) is intended to include all possible tautomers (including lactam-lactim tautomerism and keto-enol tautomerism) where present. The present invention includes all possible tautomeric forms for a compound of formula (I).
- the compounds of formula (I) according to the invention are in free form, in oxidized form as an N-oxide, in covalently hydrated form, or in salt form, e.g., an agronomically usable or agrochemically acceptable salt form.
- N-oxides are oxidized forms of tertiary amines or oxidized forms of nitrogen containing heteroaromatic compounds. They are described for instance in the book“Heterocyclic N-oxides” by A. Albini and S. Pietra, CRC Press, Boca Raton 1991 .
- a (A-1 , A-2), Z (Z 1 , Z 2 ), R 1 , R 2 , R 3 , R 4 , R 5 , R 6 , R 7 , R 8 , R 9 , and R 10 with reference to the compounds of formula (I) of the present invention apply generally to the compounds of formula (l-l) and formula (l-ll), as well as to the specific disclosures of combinations of A (A-1 , A-2), Z (Z 1 , Z 2 ), R 1 , R 2 , R 3 , R 4 , R 5 , R 6 , R 7 , R 8 , R 9 , and R 10 , as represented for compounds of formula (I) in Tables 1 .1 to 1 .12 (below), or in Tables 3.1 to 3.6 (below), the compounds 1 .1 to 1 .33 described in Table T1 (below), the compounds 2.1 to 2.18 described in Table T2 (below), or the compounds 3.1 and 3.2 described in Table T3 (be
- A is A-1 or A-2;
- A-1 (A-2) (A-2) wherein A-1 and A-2 are each optionally substituted by one or two groups selected from halogen and methyl.
- A is A-1 or A-2, wherein A-1 and A-2 are each optionally substituted by one or two groups selected from halogen and methyl, more preferably chloro, fluoro and methyl. Even more preferably, A is 1 ,4-phenylene or 2,5-thienylene.
- R 1 is hydroxyl, amino, thiol, halogen, Ci-3alkoxy, Ci-3haloalkyl, Ci-3haloalkoxy, C3- 4 alkenyloxy, C3- 4 alkynyloxy, Ci-3alkylamino, Ci-3alkoxyamino, Ci-3haloalkoxyamino, Ci-3alkylcarbonyloxy, C3- 4 alkenyloxyamino, C3- 4 alkynyloxyamino, N-Ci-3alkyl-N-Ci-3alkoxyamino, N-Ci-3alkoxy-N’-Ci-3alkylcarbonyl, or C3-6cycloalkylCi-3alkoxyamino.
- R 1 is hydroxyl, amino, thiol, halogen, Ci-3alkoxy, Ci-2haloalkyl, Ci-2haloalkoxy, C3- 4 alkenyloxy, C3- 4 alkynyloxy, Ci-2alkylamino, Ci-3alkoxyamino, Ci-2haloalkoxyamino, Ci-3alkylcarbonyloxy, N- Ci-3alkyl-N-Ci-3alkoxyamino, or N-Ci-3alkoxy-N’-Ci-3alkylcarbonyl.
- R 1 is hydroxyl, thiol, Ci-3alkoxy, Ci-3alkoxyamino, Ci-3alkylcarbonyloxy, N-Ci-3alkyl- N-Ci-3alkoxyamino, or N-Ci-3alkoxy-N’-Ci-3alkylcarbonyl. Even more preferably, R 1 is hydroxyl, thiol, methoxy, methoxyamino, methylcarbonyloxy, N-methyl-N-methoxyamino, or N-methoxy-N’-methylcarbonyl.
- R 2 is hydrogen, Ci-3alkyl, Ci-3haloalkyl, C3-6cycloalkyl, phenyl, C2-6alkenyl, or C2-6alkynyl.
- R 2 is hydrogen, methyl, ethyl, n-propyl, cyclopropyl, cyclobutyl, phenyl, prop-2-enyl, or prop-2-ynyl. More preferably, R 2 is hydrogen, methyl, ethyl, cyclopropyl, prop-2-enyl, or prop-2-ynyl. Even more preferably, R 2 is hydrogen or methyl.
- R 1 is hydroxyl, thiol, Ci-3alkoxy, Ci-3alkoxyamino, Ci-3alkylcarbonyloxy, N-Ci-3alkyl-N-Ci-3alkoxyamino, or N-Ci-3alkoxy-N’-Ci-3alkylcarbonyl
- R 1 is hydroxyl, thiol, methoxy, methoxyamino, methylcarbonyloxy, N-methyl-N-methoxyamino, or N-methoxy-N’-methylcarbonyl
- R 3 and R 4 are both the same and are selected from halogen and Ci-C6alkyl; or
- R 3 and R 4 together with the carbon to which they are bonded, form a 3-, 4-, 5-, or 6-membered cycloalkyl group.
- R 3 and R 4 are both the same and are selected from halogen and Ci-C 4 alkyl, more preferably, fluoro, bromo, chloro and Ci-C3alkyl, even more preferably, fluoro, bromo, chloro, methyl and ethyl, and more preferably still R 3 and R 4 are both the same and are selected from fluoro and methyl; or R 3 and R 4 , together with the carbon to which they are bonded, form a 3-, 4-, or 5-membered cycloalkyl group, preferably, a 3- or 4-membered cycloalkyl group, and more preferably a cyclopropyl group.
- R 3 and R 4 are both the same and are selected from fluoro and methyl, or R 3 and R 4 , together with the carbon to which they are bonded, form a cyclopropyl group.
- Y is O or S. In some embodiments Y is O, in other embodiments Y is S.
- Z is Z 1 or Z 2 ;
- Z 1 represents -OR 5 , wherein:
- R 5 is hydrogen, Ci-salkyl, C3-salkenyl, C3-salkynyl, Ci-3haloalkyl, cyanoC- M alkyl, hydroxyC 2-4 alkyl, C-i- 3alkoxyCi-3alkyl, Ci-3haloalkoxyC 2-4 alkyl, aminoC 2-4 alkyl, N-Ci- 4 alkylaminoC 2-4 alkyl, N,N-diCi- 4 alkylaminoC 2 - 4 alkyl, Ci-3alkylcarbonylCi-3alkyl, Ci- 4 alkoxycarbonylCi-3alkyl, or Ci-3alkylcarbonyloxyC 2-4 alkyl; or
- R 5 is C3-6cycloalkyl, C3-6cycloalkylCi-2alkyl, phenyl, phenylCi-2alkyl, heteroaryl, heteroarylCi-2alkyl, heterocyclyl, or heterocyclylCi-2alkyl, wherein the cycloalkyl and heterocyclyl moieties are each optionally substituted by 1 or 2 substituents, which may be the same or different, selected from R 6 ;
- R 6 is cyano, fluoro, chloro, bromo, methyl, ethyl, difluoromethyl, trifluoromethyl, methoxy, ethoxy, or difluoromethoxy.
- R 5 is hydrogen, Ci-salkyl, C3-salkenyl, C3-salkynyl, Ci-3haloalkyl, cyanoCi-2alkyl, hydroxyC 2-4 alkyl, Ci-3alkoxyCi-3alkyl, Ci-3haloalkoxyC 2-4 alkyl, aminoC 2-4 alkyl, Ci-3alkylcarbonylCi- 2 alkyl, or Ci-3alkoxycarbonylCi- 2 alkyl; or
- R 5 is C3-6cycloalkyl, C3-6cycloalkylCi- 2 alkyl, phenyl, phenylCi-2alkyl, heteroaryl or heterocyclyl, wherein the cycloalkyl and heterocyclyl moieties are each optionally substituted by 1 or 2 substituents, which may be the same or different, selected from R 6 .
- R 5 is hydrogen, Ci-salkyl, C3-salkenyl, C3-salkynyl, C3-6cycloalkyl, C3-6cycloalkylCi- 2alkyl, phenyl, phenylCi-2alkyl.
- R 5 is hydrogen, Ci-salkyl, C3-salkenyl, C3-salkynyl or C3- 6cycloalkyl, preferably, hydrogen, Ci-salkyl, C3- 4 alkenyl, C3- 4 alkynyl or C3- 4 cycloalkyl, more preferably, hydrogen, methyl, ethyl, n-propyl, isopropyl, n-butyl, isobutyl, t-butyl, prop-2 -enyl, prop-2 -ynyl or cyclopropyl, and most preferably, R 5 is hydrogen, methyl or ethyl.
- Z 2 represents -NR 7 R 8 , wherein:
- R 7 is hydrogen, amino, hydroxyl, cyano, Ci-6alkyl, Ci- 4 alkoxy, C3-salkenyl, C3-salkynyl, C3- 4 alkenyloxy, C3- 4 alkynyloxy, cyanoCi- 4 alkyl, Ci- 4 haloalkyl, C3-shaloalkenyl, Ci- 4 haloalkoxy, hydroxyC 2-4 alkyl, Ci-2alkoxyC2-4alkyl, Ci-2haloalkoxyC2-4alkyl, Ci-2alkoxyC2-4alkoxyC2-4alkyl, N-Ci-4alkylamino, N,N-diCi- 4 alkylamino, N-Ci- 4 alkylcarbonyl-N-Ci- 4 alkylamino, aminoC 2-4 alkyl, N-Ci-3alkylaminoC 2-4 alkyl, N,N-diCi- 3alkylaminoC 2-4
- R 7 is C3-6cycloalkyl, C3-6cycloalkylCi- 2 alkyl, phenyl, phenylCi-2alkyl, or heteroaryl, wherein the heteroaryl moiety is a 5- or 6-membered monocyclic aromatic ring which comprises 1 , 2, 3, or 4 heteroatoms individually selected from N, O and S, heterocyclyl, wherein the heterocyclyl moiety is a 4- to 6-membered non-aromatic ring which comprises 1 or 2 heteroatoms individually selected from N, O and S; and wherein the cycloalkyl, phenyl, heteroaryl or heterocyclyl moieties are each optionally substituted by 1 or 2 substituents, which may be the same or different, selected from R 9 ;
- R 7 is hydrogen, amino, cyano, Ci-salkyl, Ci- 4 alkoxy, C3-salkenyl, C3-salkynyl, C3- 4 alkenyloxy, C3- 4 alkynyloxy, cyanoCi- 4 alkyl, Ci- 4 haloalkyl, C3-shaloalkenyl, Ci- 4 haloalkoxy, hydroxyC 2-4 alkyl, Ci- 2 alkoxyC 2-4 alkyl, Ci- 2 haloalkoxyC 2-4 alkyl, Ci- 2 alkoxyC 2-4 alkoxyC 2-4 alkyl, N-Ci- 4 alkylamino, or N,N-diCi- 4 alkylamino; or R 7 is C3-6cycloalkyl, C3-6cycloalkylCi- 2 alkyl, phenyl, phenylCi-2alkyl, or heteroaryl, wherein the heteroaryl moiety is
- R 7 is hydrogen, amino, Ci- 4 alkyl, Ci- 4 alkoxy, C3- 4 alkenyl, C3- 4 alkynyl, C3- 4alkenyloxy, C3-4alkynyloxy, Ci-4haloalkyl, C3-shaloalkenyl, Ci-4haloalkoxy, hydroxyC2-4alkyl, Ci-2alkoxyC2- 4 alkyl, Ci- 2 haloalkoxyC 2-4 alkyl, N-Ci-2alkylamino, N,N-diCi-2alkylamino, C3-6cycloalkyl, C3-6cycloalkylCi- 2alkyl, phenyl, phenylCi-2alkyl, or heteroaryl, wherein the heteroaryl moiety is a 5- or 6-membered monocyclic aromatic ring which comprises 1 or 2 heteroatoms individually selected from N and O, or heterocyclyl, wherein the heterocyclyl moiety is a 4- to
- R 7 is hydrogen, Ci- 4 alkyl, C3- 4 alkenyl, C3- 4 alkynyl, C3-6cycloalkyl, or C3- 6cycloalkylCi-2alkyl, more preferably still, hydrogen, Ci- 4 alkyl, C3- 4 alkenyl, C3- 4 alkynyl, C3- 4 cycloalkyl, or C3- 4 cycloalkylCi- 2 alkyl.
- R 7 is hydrogen, methyl, ethyl, n-propyl, isopropyl, prop-2-enyl, prop-2 -ynyl, cyclopropyl or cyclopropylmethyl, more preferably, hydrogen, methyl, ethyl, n- propyl, isopropyl, or cyclopropyl.
- R 8 is hydrogen, methyl, ethyl, propyl, isopropyl, prop-2-enyl, prop-2-ynyl, methoxy, 2-methoxyethyl, or cyclopropyl.
- R 8 is hydrogen, methyl, ethyl, propyl, isopropyl, prop-2-enyl, prop-2 -ynyl or cyclopropyl. More preferably hydrogen, methyl, or prop-2-enyl, and more preferably still, R 8 is hydrogen or methyl.
- R 7 and R 8 together with the nitrogen atom to which they are bonded, form a 4-, 5- or 6-membered cycle optionally containing an additional heteroatom or group selected from O, S, S(0) 2 , and NR 10 .
- R 7 and R 8 together with the nitrogen atom to which they are bonded, form a 4-, 5- or 6- membered cycle optionally containing an additional heteroatom or group selected from O and NR 10 .
- R 7 and R 8 together with the nitrogen atom to which they are bonded, form a 4-, 5- or 6-membered cycle optionally containing an additional heteroatom or group selected from O, even more preferably a 5- or 6-membered cycle containing an additional oxygen atom, and most preferably R 7 and R 8 , together with the nitrogen atom to which they are bonded, form a morpholino group.
- R 9 is hydroxyl, Ci-3alkyl, halogen, Ci-3alkoxy, or Ci-3haloalkyl.
- R 9 is hydroxyl, methyl, ethyl, isopropyl, chloro, fluoro, methoxy, difluoromethyl or trifluoromethyl. More preferably, R 9 is methyl, chloro, fluoro, methoxy or trifluoromethyl.
- R 10 is hydrogen, methyl, methoxy, fluoromethoxy, difluoromethoxy, formyl or acyl.
- R 10 is hydrogen, methyl, formyl or acyl. More preferably, R 10 is hydrogen or methyl, and most preferably, R 10 is hydrogen.
- R 7 is hydrogen, methyl, ethyl, n-propyl, isopropyl, prop-2-enyl, prop- 2-ynyl, cyclopropyl or cyclopropylmethyl
- R 8 is hydrogen, methyl or prop-2-enyl, or R 7 and R 8 , together with the nitrogen atom to which they are bonded, form a morpholino group.
- R 7 is hydrogen, methyl, ethyl, n-propyl, isopropyl or cyclopropyl
- R 8 is hydrogen or methyl, or R 7 and R 8 , together with the nitrogen atom to which they are bonded, form a morpholino group.
- A is A-1 or A-2;
- R 1 is hydroxyl, thiol, Ci-3alkoxy, Ci-3alkoxyamino, Ci-3alkylcarbonyloxy or N-Ci-3alkoxy-N’-Ci-
- R 2 is hydrogen or methyl
- R 3 and R 4 are the same and are selected from halogen and Ci-6alkyl, or R 3 and R 4 , together with the carbon to which they are bonded, form a cyclopropyl ring;
- Y is O
- Z is Z 1 ;
- R 5 is hydrogen, Ci-salkyl, C3-salkenyl, C3-salkynyl or C3-6cycloalkyl.
- A is A-1 or A-2;
- R 1 is hydroxyl, thiol, Ci-3alkoxy, Ci-3alkoxyamino, Ci-3alkylcarbonyloxy or N-Ci-3alkoxy-N’-Ci-
- R 2 is hydrogen or methyl
- R 3 and R 4 are the same and are selected from halogen and Ci-6alkyl, or R 3 and R 4 , together with the carbon to which they are bonded, form a cyclopropyl ring;
- Y is O
- Z is Z 1 ; and R 5 is hydrogen, methyl, ethyl, n-propyl, isopropyl, n-butyl, tert-butyl, isobutyl, allyl, prop-2-ynyl, or cyclopropyl.
- A is A-1 or A-2;
- R 1 is hydroxyl, Ci-3alkoxy, Ci-3alkoxyamino or N-Ci-3alkoxy-N’-Ci-3alkylcarbonyl;
- R 2 is hydrogen
- R 3 and R 4 are the same and are selected from halogen and Ci ealkyl, or R 3 and R 4 , together with the carbon to which they are bonded, form a cyclopropyl ring;
- Y is O
- Z is Z 1 ;
- R 5 is hydrogen or Ci-6alkyl.
- A is A-1 or A-2;
- R 1 is hydroxyl, methoxy, methoxyamino or N-methoxy-N’-methylcarbonyl
- R 2 is hydrogen
- R 3 and R 4 are the same and are selected from fluoro and methyl, or R 3 and R 4 , together with the carbon to which they are bonded, form a cyclopropyl ring;
- Y is O
- Z is Z 1 ;
- R 5 is hydrogen, methyl or ethyl.
- A is A-1 or A-2;
- R 1 is hydroxyl, thiol, Ci-3alkoxy, Ci-3alkoxyamino, Ci-3alkylcarbonyloxy or N-Ci-3alkoxy-N’-Ci- 3alkylcarbonyl;
- R 2 is hydrogen or methyl
- R 3 and R 4 are the same and are selected from halogen and Ci-6alkyl, or R 3 and R 4 , together with the carbon to which they are bonded, form a cyclopropyl ring;
- Y is O or S
- Z is Z 2 ;
- R 7 is hydrogen, Ci-6alkyl, C3-salkenyl, C3-salkynyl, C3-6cycloalkyl or C3-6cycloalkylCi- 2 alkyl; and R 8 is hydrogen, methyl or propen-2 -yl. More preferably, in a further still compound of formula (I) according to the present invention, more preferably:
- A is A-1 or A-2;
- R 1 is hydroxyl, thiol, Ci-3alkoxy, Ci-3alkoxyamino, Ci-3alkylcarbonyloxy or N-Ci-3alkoxy-N’-Ci- 3alkylcarbonyl;
- R 2 is hydrogen or methyl
- R 3 and R 4 are the same and are selected from halogen and Ci-6alkyl, or R 3 and R 4 , together with the carbon to which they are bonded, form a cyclopropyl ring;
- Y is O or S
- Z is Z 2 ;
- R 7 is hydrogen, methyl, ethyl, n-propyl, isopropyl, prop-2 -enyl, prop-2 -ynyl, cyclopropyl or cyclopropylmethyl;
- R 8 is hydrogen, methyl or propen-2 -yl.
- A is A-1 or A-2;
- R 1 is hydroxyl, thiol, Ci-3alkoxy or Ci-3alkylcarbonyloxy;
- R 2 is hydrogen or methyl
- R 3 and R 4 are the same and are selected from halogen and Ci ealkyl, or R 3 and R 4 , together with the carbon to which they are bonded, form a cyclopropyl ring;
- Y is O or S
- Z is Z 2 ;
- R 7 is hydrogen, Ci-6alkyl or C3-6cycloalkyl
- R 8 is hydrogen
- R 7 and R 8 together with the nitrogen to which they are bonded, form a 4-, 5- or 6-membered cycle optionally containing an additional heteroatom or group selected from O and NR 10 ;
- R 10 is hydrogen, methyl, methoxy, fluoromethoxy, difluoromethoxy, formyl or acyl.
- A is A-1 or A-2;
- R 1 is hydroxyl, thiol, methoxy or acetoxy
- R 2 is hydrogen or methyl
- R 3 and R 4 are the same and are selected from fluoro and methyl, or R 3 and R 4 , together with the carbon to which they are bonded, form a cyclopropyl ring;
- Y is O or S;
- Z is Z 2 ;
- R 7 is methyl, ethyl, n-propyl, isopropyl or cyclopropyl;
- R 8 is hydrogen or methyl
- R 7 and R 8 together with the nitrogen to which they are bonded, form a morpholino group.
- the compound according to formula (I) is selected from a compound 1 .1 to 1 .33 described in Table T1 (below), the compounds 2.1 to 2.18 described in Table T2 (below), or the compounds 3.1 and 3.2 described in Table T3 (below).
- the compounds of the present invention may be enantiomers of the compound of formula (I) as represented by a formula (la) or a formula (lb), wherein R 1 and R 2 are different substituents and R 3 and R 4 are the same and are selected from halogen and Ci-6alkyl, or R 3 and R 4 together with the carbon to which they are attached form a 3-, 4-, 5-, or 6-membered cycloalkyl group:
- the compounds of formula (I) according to the invention may be present in a reversible equilibrium with the corresponding covalently hydrated forms (i.e., the compounds of formula (l-la) and formula ( I- 1 la ) as shown below, which may exist in tautomeric form as the compounds of formula (l-lb) and formula (l-llb)) at the CF3-oxadiazole motif.
- This dynamic equilibrium may be important for the biological activity of the compounds of formula (I).
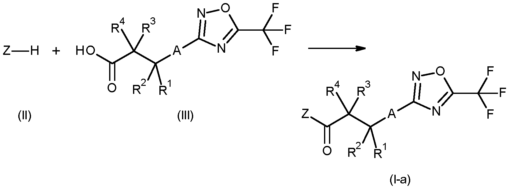
- the compounds of formula (l-a) wherein Y is O can be obtained by a coupling transformation with compounds of formula (II), wherein Z represents -OR 5 or -NR 7 R 8 and compounds of formula (III) by activating the carboxylic acid function of the compounds of formula (III), a process that usually takes place by converting the -OH of the carboxylic acid into a good leaving group, such as a chloride group, for example by using (COCI)2 or SOCI2, prior to treatment with the compounds of formula (II), preferably in a suitable solvent (e.g., dimethylformamide, dichloromethane or tetrahydrofuran), preferably at a temperature of between 25°C and 100°C, and optionally in the presence of a base such as triethylamine or N,N- diisopropylethylamine, or under conditions described in the literature for an amide coupling.
- a suitable solvent e.g., dimethylformamide, dichloromethane or te
- the compounds of formula (l-a), can also be obtained from compounds of formula (l-c), wherein R 5A is methyl or ethyl (preferably ethyl), and compounds of formula (IV), wherein Z represents -NR 7 R 8 either by activating the amine function of the compounds of formula (IV), a process that usually takes place by reacting amines with aluminium reagents such AIMes or DABAL-Me3, prior to treatment with the compounds of formula (l-c), preferably in a suitable solvent (e.g., dimethylformamide, tetrahydrofuran or 2- methyltetrahydrofuran), preferably at a temperature of between 25°C and 100°C, or by activating esters, compounds of formula (l-c) using catalyst such as lanthanum triflate or under the conditions described in the literature for an amide coupling.
- a suitable solvent e.g., dimethylformamide, tetrahydrofuran or 2- methyltetrahydrofuran
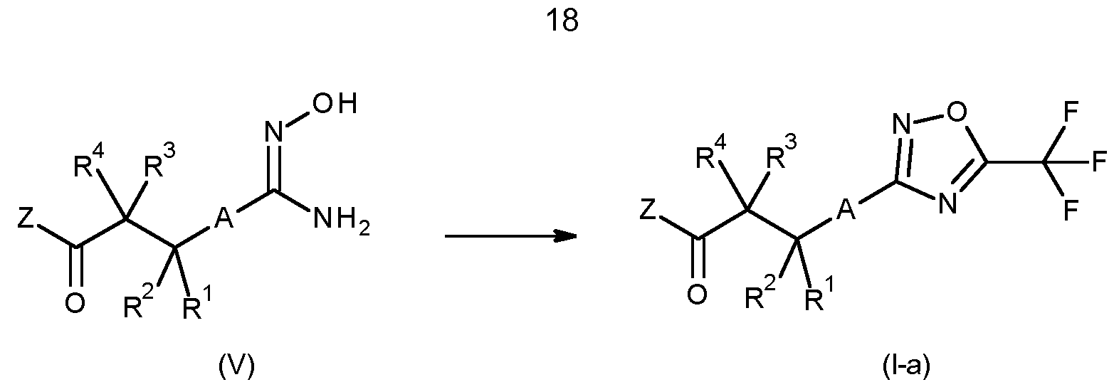
- compounds of formula (l-a) can be prepared from compounds of formula (V) by treatment with trifluoroacetic anhydride, trifluoroacetic chloride, or trifluoroacetic fluoride in the presence of a base (e.g., pyridine or 4-dimethylaminopyridine), in a suitable solvent, such as tetrahydrofuran or ethanol, at a temperature of between 25°C and 75°C.
- a base e.g., pyridine or 4-dimethylaminopyridine
- suitable solvent such as tetrahydrofuran or ethanol
- Compounds of formula (V) can be prepared from compounds of formula (VI) by treatment with a hydroxylamine hydrochloride in the presence of a base, such as triethylamine, in a suitable solvent, such as methanol, at a temperature of between 0°C and 100°C.
- a base such as triethylamine
- a suitable solvent such as methanol
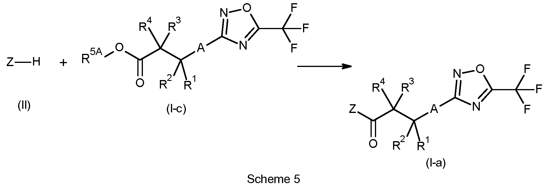
- Compounds of formula (l-a) can be obtained through a coupling transformation with compounds of formula (II) and compounds of formula (l-c), wherein R 5A is hydrogen, methyl or ethyl (preferably methyl), in a suitable solvent (e.g., methanol), optionally in the presence of a base (e.g., triethylamine), at a temperature of between 25°C and 65°C.
- R 5A is hydrogen, methyl or ethyl (preferably methyl)
- a suitable solvent e.g., methanol
- a base e.g., triethylamine
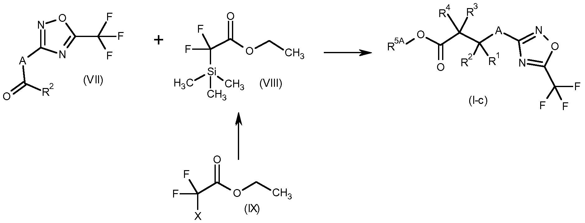
- Compounds of formula (l-c) wherein R 3 is F, R 4 is F, R 1 is OH, R 5A is ethyl and A and R 2 are as defined for a compound of formula (I) can be prepared by reacting compounds of formula (VII) with ethyl-2, 2-difluoro- 2-trimethylsilylacetate (formula (VIII)), in a suitable solvent (e.g., dimethylformamide, dichloromethane or tetrahydrofuran), preferably at a temperature of between 25°C and 100°C in the presence of fluorine anion donors such as tris(dimethy!amino)sulfonium difluorotrimethylsilicate (TASF), tetrabutylammonium fluoride (TBAF), potassium fluoride, cesium fluoride or the like; in analogy to the conditions reported in Tetrahedron Letters 2000, 41, 8763-8767 or JP10101614A. This reaction is shown
- Compounds of formula (l-c) wherein R 1 is OFI, R 5A is ethyl and A, Z, R 2 , R 3 and R 4 are as defined for a compound of formula (I) can be prepared by reacting compounds of formula (VII) with O-silyl ketene acetals of formula (X) in a suitable solvent (e.g., dimethylformamide, dichloromethane or tetrahydrofuran), preferably at a temperature of between 25°C and 100°C in the presence of lewis acid such as TiCU or SnCh or fluorine anion donors such as tris(dimethylamino)sulfonium difluorotrimethylsilicate (TASF), tetrabutylammonium fluoride (TBAF), potassium fluoride, cesium fluoride or the like.
- a suitable solvent e.g., dimethylformamide, dichloromethane or tetrahydrofuran
- TASF tris(
- O-silyl ketene acetal of formula (X) can be prepared by the conditions known in literature such as Tetrahedron Letters 2000, 41, 8763-8767; Journal of Organic Chemistry, 2007, 72, 7125-7134; and Synthesis, 1989, 3, 163-6. This reaction is shown in Scheme 7 below.
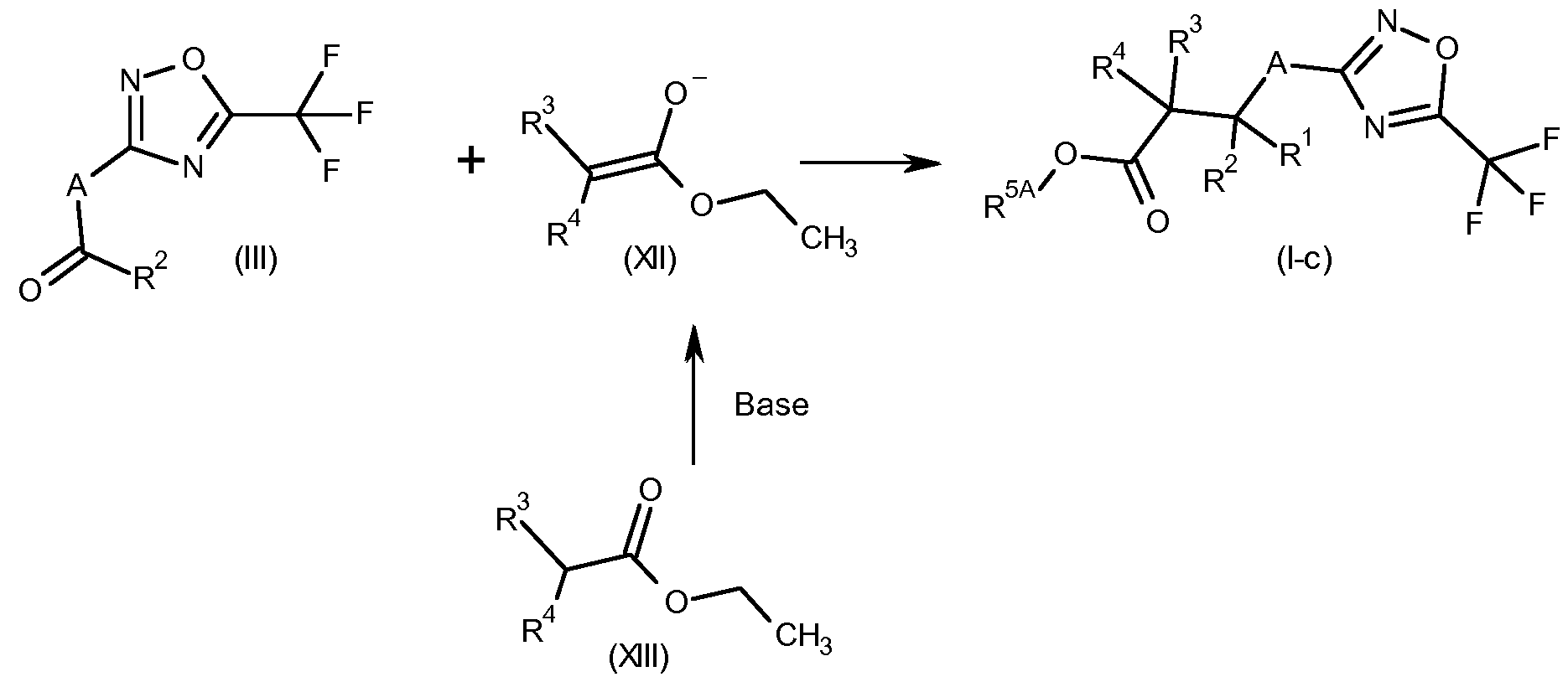
- compounds of formula (l-c) wherein R 1 is OH and A, Z, R 2 , R 3 and R 4 are as defined for a compound of formula (I) can be prepared by reacting compounds of formula (III) with ester enolates of formula (XII) in a suitable solvent (e.g., methyltetrahydrofuran or tetrahydrofuran), preferably at a temperature of between 25°C and 100°C.
- a suitable solvent e.g., methyltetrahydrofuran or tetrahydrofuran
- Ester enolates of formula (XII) can be prepared by treatment of compounds of formula (XIII) with a base such as lithium diisopropylamide, in suitable solvent such as tetrahydrofuran using the conditions known in literature for example Journal of Organic Chemistry, 1971 , 36, 1 149. This reaction is shown in Scheme 8 below.
- compounds of formula (l-a) wherein R 1 is OH and A, Z, R 2 , R 3 and R 4 are as defined for a compound of formula (I) can also be prepared from carbonyl compounds of formula (XVI), in a suitable solvent, (e.g., tetrahydrofuran), at a temperature of between 60°C and 75°C, and followed by the addition of a nucleophile, such as an alkyl Grignard reagent (e.g., Ci- 4 alkylMgBr) in a suitable solvent, (e.g., tetrahydrofuran or ethanol), at a temperature of between 0°C and 25°C.
- a suitable solvent e.g., Ci- 4 alkylMgBr
- a suitable solvent e.g., tetrahydrofuran or ethanol
- Compounds of formula (l-b) wherein Y is S can be prepared from compounds of formula (l-a), via reactions with a suitable sulfur source [e.g., elemental sulfur (Ss), Lawesson’s reagent, or P2S5], in an acceptable solvent (e.g., toluene, CH2CI2, CHCI3, tetrahydrofuran, f-butylmethyl ether), at a temperature of between 0°C to 100°C.
- a suitable sulfur source e.g., elemental sulfur (Ss), Lawesson’s reagent, or P2S5
- an acceptable solvent e.g., toluene, CH2CI2, CHCI3, tetrahydrofuran, f-butylmethyl ether
- the compounds of formula (I) of the present invention have, for practical purposes, a very advantageous level of biological activity for protecting plants against diseases that are caused by fungi.
- the compounds of formula (I) can be used in the agricultural sector and related fields of use, e.g., as active ingredients for controlling plant pests or on non-living materials for the control of spoilage microorganisms or organisms potentially harmful to man.
- the novel compounds are distinguished by excellent activity at low rates of application, by being well tolerated by plants and by being environmentally safe. They have very useful curative, preventive and systemic properties and can be used for protecting numerous cultivated plants.
- the compounds of formula (I) can be used to inhibit or destroy the pests that occur on plants or parts of plants (fruit, blossoms, leaves, stems, tubers, roots) of different crops of useful plants, while at the same time protecting also those parts of the plants that grow later, e.g., from phytopathogen ic microorganisms.
- the present invention further relates to a method for controlling or preventing infestation of plants or plant propagation material and/or harvested food crops susceptible to microbial attack by treating plants or plant propagation material and/or harvested food crops wherein an effective amount a compound of formula (I) is applied to the plants, to parts thereof or the locus thereof.
- fungicide as used herein means a compound that controls, modifies, or prevents the growth of fungi.
- fungicidally effective amount where used means the quantity of such a compound or combination of such compounds that is capable of producing an effect on the growth of fungi. Controlling or modifying effects include all dev/ation from natural development, such as killing, retardation and the like, and prevention includes barrier or other defensive formation in or on a plant to prevent fungal infection.
- compounds of formula (I) as dressing agents for the treatment of plant propagation material, e.g., seed, such as fruits, tubers or grains, or plant cuttings, for the protection against fungal infections as well as against phytopathogenic fungi occurring in the soil.
- the propagation material can be treated with a composition comprising a compound of formula (I) before planting: seed, for example, can be dressed before being sown.
- the active compounds of formula (I) can also be applied to grains (coating), either by impregnating the seeds in a liquid formulation or by coating them with a solid formulation.
- the composition can also be applied to the planting site when the propagation material is being planted, for example, to the seed furrow during sowing.
- the invention relates also to such methods of treating plant propagation material and to the plant propagation material so treated.
- the compounds of formula (I) can be used for controlling fungi in related areas, for example in the protection of technical materials, including wood and wood related technical products, in food storage, in hygiene management.
- the invention could be used to protect non-living materials from fungal attack, e.g. lumber, wall boards and paint.
- the compounds of formula (I) are for example, effective against fungi and fungal vectors of disease as well as phytopathogenic bacteria and viruses.
- These fungi and fungal vectors of disease as well as phytopathogenic bacteria and viruses are for example:
- Absidia corymbifera Absidia corymbifera, Alternaria spp, Aphanomyces spp, Ascochyta spp, Aspergillus spp. including
- B. obtusa, Botrytis spp. comprising B. cinerea, Candida spp. including C. albicans, C. glabrata, C. krusei, C. lusitaniae, C. parapsilosis, C. tropicalis, Cephaloascus fragrans, Ceratocystis spp, Cercospora spp. including C. arachidicola, Cercosporidium personatum, Cladosporium spp, Claviceps purpurea, Coccidioides immitis, Cochliobolus spp, Colletotrichum spp. including C.
- capsulatum Laetisaria fuciformis, Leptographium lindbergi, Leveillula taurica, Lophodermium seditiosum, Microdochium nivale, Microsporum spp, Monilinia spp, Mucor spp, Mycosphaerella spp. including M. graminicola, M. pomi, Oncobasidium theobromaeon, Ophiostoma piceae, Paracoccidioides spp, Penicillium spp. including P. digitatum, P. italicum, Petriellidium spp, Peronosclerospora spp. Including P. maydis, P.
- leucotricha Polymyxa graminis, Polymyxa betae, Pseudocercosporella herpotrichoides, Pseudomonas spp, Pseudoperonospora spp. including P. cubensis, P. humuli, Pseudopeziza tracheiphila, Puccinia Spp. including P. hordei, P. recondita, P. striiformis, P. triticina, Pyrenopeziza spp, Pyrenophora spp, Pyricularia spp. including P. oryzae, Pythium spp. including P.
- the compounds of formula (I) may be used for example on turf, ornamentals, such as flowers, shrubs, broad-leaved trees or evergreens, for example conifers, as well as for tree injection, pest management and the like.
- target crops and/or useful plants to be protected typically comprise perennial and annual crops, such as berry plants for example blackberries, blueberries, cranberries, raspberries and strawberries; cereals for example barley, maize (corn), millet, oats, rice, rye, sorghum triticale and wheat; fibre plants for example cotton, flax, hemp, jute and sisal; field crops for example sugar and fodder beet, coffee, hops, mustard, oilseed rape (canola), poppy, sugar cane, sunflower, tea and tobacco; fruit trees for example apple, apricot, avocado, banana, cherry, citrus, nectarine, peach, pear and plum; grasses for example Bermuda grass, bluegrass, bentgrass, centipede grass, fescue, ryegrass, St.
- perennial and annual crops such as berry plants for example blackberries, blueberries, cranberries, raspberries and strawberries
- cereals for example barley, maize (corn), millet, oats
- Augustine grass and Zoysia grass herbs such as basil, borage, chives, coriander, lavender, lovage, mint, oregano, parsley, rosemary, sage and thyme; legumes for example beans, lentils, peas and soya beans; nuts for example almond, cashew, ground nut, hazelnut, peanut, pecan, pistachio and walnut; palms for example oil palm; ornamentals for example flowers, shrubs and trees; other trees, for example cacao, coconut, olive and rubber; vegetables for example asparagus, aubergine, broccoli, cabbage, carrot, cucumber, garlic, lettuce, marrow, melon, okra, onion, pepper, potato, pumpkin, rhubarb, spinach and tomato; and vines for example grapes.
- herbs such as basil, borage, chives, coriander, lavender, lovage, mint, oregano, parsley, rosemary, sage and thyme
- legumes for example beans, lentils, peas and soya beans
- useful plants is to be understood as also including useful plants that have been rendered tolerant to herbicides like bromoxynil or classes of herbicides (such as, for example, HPPD inhibitors, ALS inhibitors, for example primisulfuron, prosulfuron and trifloxysulfuron, EPSPS (5-enol-pyrovyl-shikimate-3- phosphate-synthase) inhibitors, GS (glutamine synthetase) inhibitors or PPO (protoporphyrinogen-oxidase) inhibitors) as a result of conventional methods of breeding or genetic engineering.
- herbicides like bromoxynil or classes of herbicides
- EPSPS (5-enol-pyrovyl-shikimate-3- phosphate-synthase) inhibitors
- GS glutamine synthetase
- PPO protoporphyrinogen-oxidase
- imazamox by conventional methods of breeding (mutagenesis) is Clearfield® summer rape (Canola).
- crops that have been rendered tolerant to herbicides or classes of herbicides by genetic engineering methods include glyphosate- and glufosinate- resistant maize varieties commercially available under the trade names RoundupReady®, Herculex I® and Liberty Link®.
- useful plants is to be understood as also including useful plants which have been so transformed by the use of recombinant DNA techniques that they are capable of synthesising one or more selectively acting toxins, such as are known, for example, from toxin-producing bacteria, especially those of the genus Bacillus.
- YieldGard® (maize variety that expresses a CrylA(b) toxin); YieldGard Rootworm® (maize variety that expresses a CrylllB(bl ) toxin); YieldGard Plus® (maize variety that expresses a CrylA(b) and a CrylllB(bl ) toxin); Starlink® (maize variety that expresses a Cry9(c) toxin); Herculex I® (maize variety that expresses a CrylF(a2) toxin and the enzyme phosphinothricine N- acetyltransferase (PAT) to achieve tolerance to the herbicide glufosinate ammonium); NuCOTN 33B® (cotton variety that expresses a CrylA(c) toxin); Bollgard I® (cotton variety that expresses a CrylA(c) toxin); Bollgard II® (cotton variety
- crops is to be understood as including also crop plants which have been so transformed by the use of recombinant DNA techniques that they are capable of synthesising one or more selectively acting toxins, such as are known, for example, from toxin-producing bacteria, especially those of the genus Bacillus.
- Toxins that can be expressed by such transgenic plants include, for example, insecticidal proteins from Bacillus cereus or Bacillus popilliae; or insecticidal proteins from Bacillus thuringiensis, such as d- endotoxins, e.g. CrylAb, CrylAc, Cry1 F, Cry1 Fa2, Cry2Ab, Cry3A, Cry3Bb1 or Cry9C, or vegetative insecticidal proteins (Vip), e.g. Vip1 , Vip2, Vip3 or Vip3A; or insecticidal proteins of bacteria colonising nematodes, for example Photorhabdus spp.
- insecticidal proteins from Bacillus cereus or Bacillus popilliae such as d- endotoxins, e.g. CrylAb, CrylAc, Cry1 F, Cry1 Fa2, Cry2Ab, Cry3A, Cry3Bb1 or Cry9C, or vegetative insecticid
- Xenorhabdus spp. such as Photorhabdus luminescens, Xenorhabdus nematophilus
- toxins produced by animals such as scorpion toxins, arachnid toxins, wasp toxins and other insect-specific neurotoxins
- toxins produced by fungi such as Streptomycetes toxins, plant lectins, such as pea lectins, barley lectins or snowdrop lectins
- agglutinins proteinase inhibitors, such as trypsin inhibitors, serine protease inhibitors, patatin, cystatin, papain inhibitors
- steroid metabolism enzymes such as 3-hydroxysteroidoxidase, ecdysteroid-UDP-glycosyl-transferase, cholesterol oxidases, ecd
- d-endotoxins for example CrylAb, CrylAc, Cry1 F, Cry1 Fa2, Cry2Ab, Cry3A, Cry3Bb1 or Cry9C, or vegetative insecticidal proteins (Vip), for example Vip1 , Vip2, Vip3 or Vip3A, expressly also hybrid toxins, truncated toxins and modified toxins.
- Hybrid toxins are produced recombinantly by a new combination of different domains of those proteins (see, for example, WO 02/15701 ).
- Truncated toxins for example a truncated CrylAb, are known.
- modified toxins one or more amino acids of the naturally occurring toxin are replaced.
- amino acid replacements preferably non-naturally present protease recognition sequences are inserted into the toxin, such as, for example, in the case of Cry3A055, a cathepsin-G-recognition sequence is inserted into a Cry3A toxin (see WO 03/018810).
- Examples of such toxins or transgenic plants capable of synthesising such toxins are disclosed, for example, in EP-A-0 374 753, WO93/07278, W095/34656, EP-A-0 427 529, EP-A-451 878 and WO 03/052073.
- Cryl-type deoxyribonucleic acids and their preparation are known, for example, from WO 95/34656, EP-A-0 367 474, EP-A-0 401 979 and WO 90/13651 .
- the toxin contained in the transgenic plants imparts to the plants tolerance to harmful insects.
- insects can occur in any taxonomic group of insects, but are especially commonly found in the beetles (Coleoptera), two-winged insects (Diptera) and butterflies (Lepidoptera).
- T ransgenic plants containing one or more genes that code for an insecticidal resistance and express one or more toxins are known and some of them are commercially available. Examples of such plants are: YieldGard® (maize variety that expresses a CrylAb toxin); YieldGard Rootworm® (maize variety that expresses a Cry3Bb1 toxin); YieldGard Plus® (maize variety that expresses a CrylAb and a Cry3Bb1 toxin); Starlink® (maize variety that expresses a Cry9C toxin); Herculex I® (maize variety that expresses a Cry1 Fa2 toxin and the enzyme phosphinothricine N-acetyltransferase (PAT) to achieve tolerance to the herbicide glufosinate ammonium); NuCOTN 33B® (cotton variety that expresses a CrylAc toxin); Bollgard I® (cotton variety that expresses
- transgenic crops are:
- MIR604 Maize from Syngenta Seeds SAS, Chemin de I'Hobit 27, F-31 790 St. Sauveur, France, registration number C/FR/96/05/10. Maize which has been rendered insect-resistant by transgenic expression of a modified Cry3A toxin. This toxin is Cry3A055 modified by insertion of a cathepsin-G- protease recognition sequence. The preparation of such transgenic maize plants is described in WO 03/018810.
- MON 863 Maize from Monsanto Europe S.A. 270-272 Avenue de Tervuren, B-1 150 Brussels, Belgium, registration number C/DE/02/9. MON 863 expresses a Cry3Bb1 toxin and has resistance to certain Coleoptera insects.
- NK603 c MON 810 Maize transgenically expresses the protein CP4 EPSPS, obtained from Agrobacterium sp. strain CP4, which imparts tolerance to the herbicide Roundup® (contains glyphosate), and also a CrylAb toxin obtained from Bacillus thuringiensis subsp. kurstaki which brings about tolerance to certain Lepidoptera, include the European corn borer.
- the compounds of formula (I) according to the present invention may be used in controlling or preventing phytopathogen ic diseases, especially phytopathogen ic fungi (such as Phakopsora pachyrhizi) on soy bean plants.
- transgenic soybean plants expressing toxins for example insecticidal proteins such as delta-endotoxins, e.g. Cry1 Ac (Cry1 Ac Bt protein).
- toxins for example insecticidal proteins such as delta-endotoxins, e.g. Cry1 Ac (Cry1 Ac Bt protein).
- this may include transgenic soybean plants comprising event MON87701 (see U.S. Patent No. 8,049,071 and related applications and patents, as well as WO 2014/170327 A1 (eg, see paragraph [008] reference to Intacta RR2 PROTM soybean)), event MON87751 (US. Patent Application Publication No. 2014/0373191 ) or event DAS-81419 (U.S. Patent No. 8632978 and related applications and patents).
- event MON87701 see U.S. Patent No. 8,049,071 and related applications and patents, as well as WO 2014/170327 A1 (eg, see paragraph [008] reference to Int
- transgenic soybean plants may comprise event SYHT0H2 - HPPD tolerance (U.S. Patent Application Publication No. 2014/0201860 and related applications and patents), event MON89788 - glyphosate tolerance (U.S. Pat. No. 7,632,985 and related applications and patents), event MON87708 - dicamba tolerance (U.S. Patent Application Publication No. US 2011/0067134 and related applications and patents), event DP-356043-5 - glyphosate and ALS tolerance (U.S. Patent Application Publication No. US 2010/0184079 and related applications and patents), event A2704-12 - glufosinate tolerance (U.S. Patent Application Publication No.
- event DAS-40278-9 - tolerance to 2,4- dichlorophenoxyacetic acid and aryloxyphenoxypropionate see WO 2011/022469, WO 201 1/022470, WO 201 1/022471 , and related applications and patents
- event 127 - ALS tolerance WO 2010/080829 and related applications and patents
- event GTS 40-3-2 - glyphosate tolerance event DAS-68416-4-2, 4- dichlorophenoxyacetic acid and glufosinate tolerance, event FG72 - glyphosate and isoxaflutole tolerance, event BPS-CV127-9 - ALS tolerance and GU262 - glufosinate tolerance or event SYHT04R - HPPD tolerance.
- compounds of formula (I) according to the present invention when used in controlling or preventing phytopathogenic diseases, especially phytopathogenic fungi (such as Phakopsora pachyrhizi) on soy bean plants (in particular any of the transgenic soybean plants as described above), may display a synergistic interaction between the active ingredients. Additionally, to date, no cross-resistance has been observed between the compounds of formula (I) (including any one of compounds 1 .1 to 1 .33 described in Table T1 (below), the compounds 2.1 to 2.18 described in Table T2 (below), or the compounds 3.1 and 3.2 described in Table T3 (below)) and the current fungicidal solutions used to control Phakopsora pachyrhizi.
- phytopathogenic diseases especially phytopathogenic fungi (such as Phakopsora pachyrhizi) on soy bean plants (in particular any of the transgenic soybean plants as described above).
- fungicidal-resistant strains of Phakopsora pachyrhizi have been reported in the scientific literature, with strains resistant to one or more fungicides from at least each of the following fungicidal mode of action classes being observed: sterol demethylation-inhibitors (DMI), quinone-outside-inhibitors (Qol) and succinate dehydrogenase inhibitors (SDHI).
- DMI sterol demethylation-inhibitors
- Qol quinone-outside-inhibitors
- SDHI succinate dehydrogenase inhibitors
- the compounds of formula (I) (including any one of compounds 1 .1 to 1 .33 described in Table T1 (below), the compounds 2.1 to 2.18 described in Table T2 (below), or the compounds 3.1 and 3.2 described in Table T3 (below)), or fungicidal compositions according to the present invention comprising a compound of formula (I), are used to control Phakopsora pachyrhizi which are resistant to one or more fungicides from any of the following fungicidal MoA classes: sterol demethylation- inhibitors (DMI), quinone-outside-inhibitors (Qol) and succinate dehydrogenase inhibitors (SDHI).
- DMI sterol demethylation- inhibitors
- Qol quinone-outside-inhibitors
- SDHI succinate dehydrogenase inhibitors
- the compounds of formula (I) (including any one of compounds 1 .1 to 1 .33 described in Table T 1 (below), the compounds 2.1 to 2.18 described in Table T2 (below), or the compounds 3.1 and 3.2 described in Table T3 (below)) or fungicidal compositions according to the present invention comprising a compound of formula (I) may be used in controlling or preventing phytopathogen ic diseases, especially phytopathogen ic fungi (such as Phakopsora pachyrhizi) on soy bean plants.
- phytopathogen ic diseases especially phytopathogen ic fungi (such as Phakopsora pachyrhizi) on soy bean plants.
- An elite plant is any plant from an elite line, such that an elite plant is a representative plant from an elite variety.
- elite soybean varieties that are commercially available to farmers or soybean breeders include: AG00802, A0868, AG0902, A1923, AG2403, A2824, A3704, A4324, A5404, AG5903, AG6202 AG0934; AG1435; AG2031 ; AG2035; AG2433; AG2733; AG2933; AG3334; AG3832; AG4135; AG4632; AG4934; AG5831 ; AG6534; and AG7231 (Asgrow Seeds, Des Moines, Iowa, USA); BPR0144RR, BPR 4077NRR and BPR 4390NRR (Bio Plant Research, Camp Point, III., USA); DKB17-51 and DKB37-51 (DeKalb Genetics, DeKalb, III., USA); DP 4546 RR, and DP 7870 RR (Delta & Pine Land Company, Lubbock,
- the compounds of formula (I) (including any one of compounds 1 .1 to 1 .33 described in Table T1 (below), the compounds 2.1 to 2.18 described in Table T2 (below), or the compounds 3.1 and 3.2 described in Table T3 (below)), orfungicidal compositions according to the present invention comprising a compound of formula (I), are used to control Phakopsora pachyrhizi, (including fungicidally-resistant strains thereof, as outlined above) on Elite soybean plant varieties where R- gene stacks, conferring a degree of immunity or resistance to specific Phakopsora pachyrhizi, have been been introgressed in the plant genome.
- locus means fields in or on which plants are growing, or where seeds of cultivated plants are sown, or where seed will be placed into the soil. It includes soil, seeds, and seedlings, as well as established vegetation.
- plants refers to all physical parts of a plant, including seeds, seedlings, saplings, roots, tubers, stems, stalks, foliage, and fruits.
- plant propagation material is understood to denote generative parts of the plant, such as seeds, which can be used for the multiplication of the latter, and vegetative material, such as cuttings or tubers, for example potatoes.
- vegetative material such as cuttings or tubers, for example potatoes.
- seeds in the strict sense
- roots in the strict sense
- fruits in the tubers
- bulbs rhizomes
- parts of plants there can be mentioned for example seeds (in the strict sense), roots, fruits, tubers, bulbs, rhizomes and parts of plants.
- Germinated plants and young plants which are to be transplanted after germination or after emergence from the soil may also be mentioned. These young plants can be protected before transplantation by a total or partial treatment by immersion.
- Preferably“plant propagation material” is understood to denote seeds.
- the compounds of formula (I) may be used in unmodified form or, preferably, together with the adjuvants conventionally employed in the art of formulation. To this end they may be conveniently formulated in known manner to emulsifiable concentrates, coatable pastes, directly sprayable or dilutable solutions or suspensions, dilute emulsions, wettable powders, soluble powders, dusts, granulates, and also encapsulations e.g. in polymeric substances. As with the type of the compositions, the methods of application, such as spraying, atomising, dusting, scattering, coating or pouring, are chosen in accordance with the intended objectives and the prevailing circumstances. The compositions may also contain further adjuvants such as stabilizers, antifoams, viscosity regulators, binders or tackifiers as well as fertilizers, micronutrient donors or other formulations for obtaining special effects.
- Suitable carriers and adjuvants can be solid or liquid and are substances useful in formulation technology, e.g. natural or regenerated mineral substances, solvents, dispersants, wetting agents, tackifiers, thickeners, binders or fertilizers.
- Such carriers are for example described in WO 97/33890.
- Suspension concentrates are aqueous formulations in which finely divided solid particles of the active compound are suspended. Such formulations include anti-settling agents and dispersing agents and may further include a wetting agent to enhance activity as well an anti-foam and a crystal growth inhibitor. In use, these concentrates are diluted in water and normally applied as a spray to the area to be treated. The amount of active ingredient may range from 0.5% to 95% of the concentrate.
- Wettable powders are in the form of finely divided particles which disperse readily in water or other liquid carriers.
- the particles contain the active ingredient retained in a solid matrix.
- Typical solid matrices include fuller’s earth, kaolin clays, silicas and other readily wet organic or inorganic solids. Wettable powders normally contain from 5% to 95% of the active ingredient plus a small amount of wetting, dispersing or emulsifying agent.
- Emulsifiable concentrates are homogeneous liquid compositions dispersible in water or other liquid and may consist entirely of the active compound with a liquid or solid emulsifying agent, or may also contain a liquid carrier, such as xylene, heavy aromatic naphthas, isophorone and other non-volatile organic solvents. In use, these concentrates are dispersed in water or other liquid and normally applied as a spray to the area to be treated. The amount of active ingredient may range from 0.5% to 95% of the concentrate.
- Granular formulations include both extrudates and relatively coarse particles and are usually applied without dilution to the area in which treatment is required.
- Typical carriers for granular formulations include sand, fuller’s earth, attapulgite clay, bentonite clays, montmorillonite clay, vermiculite, perlite, calcium carbonate, brick, pumice, pyrophyllite, kaolin, dolomite, plaster, wood flour, ground corn cobs, ground peanut hulls, sugars, sodium chloride, sodium sulphate, sodium silicate, sodium borate, magnesia, mica, iron oxide, zinc oxide, titanium oxide, antimony oxide, cryolite, gypsum, diatomaceous earth, calcium sulphate and other organic or inorganic materials which absorb or which can be coated with the active compound.
- Granular formulations normally contain 5% to 25% of active ingredients which may include surface-active agents such as heavy aromatic naphthas, kerosene and other petroleum fractions, or vegetable oils
- Dusts are free-flowing admixtures of the active ingredient with finely divided solids such as talc, clays, flours and other organic and inorganic solids which act as dispersants and carriers.
- Microcapsules are typically droplets or granules of the active ingredient enclosed in an inert porous shell which allows escape of the enclosed material to the surroundings at controlled rates.
- Encapsulated droplets are typically 1 to 50 microns in diameter.
- the enclosed liquid typically constitutes 50 to 95% of the weight of the capsule and may include solvent in addition to the active compound.
- Encapsulated granules are generally porous granules with porous membranes sealing the granule pore openings, retaining the active species in liquid form inside the granule pores.
- Granules typically range from 1 millimetre to 1 centimetre and preferably 1 to 2 millimetres in diameter. Granules are formed by extrusion, agglomeration or prilling, or are naturally occurring.
- Shell or membrane materials include natural and synthetic rubbers, cellulosic materials, styrene-butadiene copolymers, polyacrylonitriles, polyacrylates, polyesters, polyamides, polyureas, polyurethanes and starch xanthates.
- compositions for agrochemical applications include simple solutions of the active ingredient in a solvent in which it is completely soluble at the desired concentration, such as acetone, alkylated naphthalenes, xylene and other organic solvents.
- Pressurised sprayers wherein the active ingredient is dispersed in finely-divided form as a result of vaporisation of a low boiling dispersant solvent carrier, may also be used.
- Suitable agricultural adjuvants and carriers that are useful in formulating the compositions of the invention in the formulation types described above are well known to those skilled in the art.
- Liquid carriers that can be employed include, for example, water, toluene, xylene, petroleum naphtha, crop oil, acetone, methyl ethyl ketone, cyclohexanone, acetic anhydride, acetonitrile, acetophenone, amyl acetate, 2-butanone, chlorobenzene, cyclohexane, cyclohexanol, alkyl acetates, diacetonalcohol, 1 ,2-dichloropropane, diethanolamine, p-diethylbenzene, diethylene glycol, diethylene glycol abietate, diethylene glycol butyl ether, diethylene glycol ethyl ether, diethylene glycol methyl ether, N,N-dimethyl formamide, dimethyl sulfoxide, 1 ,4-dioxane, dipropylene glycol, dipropylene glycol methyl ether, dipropylene glycol
- Suitable solid carriers include, for example, talc, titanium dioxide, pyrophyllite clay, silica, attapulgite clay, kieselguhr, chalk, diatomaxeous earth, lime, calcium carbonate, bentonite clay, fuller’s earth, cotton seed hulls, wheat flour, soybean flour, pumice, wood flour, walnut shell flour and lignin.
- a broad range of surface-active agents are advantageously employed in both said liquid and solid compositions, especially those designed to be diluted with carrier before application. These agents, when used, normally comprise from 0.1 % to 15% by weight of the formulation. They can be anionic, cationic, nonionic or polymeric in character and can be employed as emulsifying agents, wetting agents, suspending agents or for other purposes.
- Typical surface active agents include salts of alkyl sulfates, such as diethanolammonium lauryl sulphate; alkylarylsulfonate salts, such as calcium dodecylbenzenesulfonate; alkylphenol-alkylene oxide addition products, such as nonylphenol-C.sub. 18 ethoxylate; alcohol-alkylene oxide addition products, such as tridecyl alcohol-C.sub.
- soaps such as sodium stearate
- alkylnaphthalenesulfonate salts such as sodium dibutylnaphthalenesulfonate
- dialkyl esters of sulfosuccinate salts such as sodium di(2-ethylhexyl) sulfosuccinate
- sorbitol esters such as sorbitol oleate
- quaternary amines such as lauryl trimethylammonium chloride
- polyethylene glycol esters of fatty acids such as polyethylene glycol stearate
- block copolymers of ethylene oxide and propylene oxide and salts of mono and dialkyl phosphate esters.
- adjuvants commonly utilized in agricultural compositions include crystallisation inhibitors, viscosity modifiers, suspending agents, spray droplet modifiers, pigments, antioxidants, foaming agents, anti-foaming agents, light-blocking agents, compatibilizing agents, antifoam agents, sequestering agents, neutralising agents and buffers, corrosion inhibitors, dyes, odorants, spreading agents, penetration aids, micronutrients, emollients, lubricants and sticking agents.
- biocidally active ingredients or compositions may be combined with the compositions of the invention and used in the methods of the invention and applied simultaneously or sequentially with the compositions of the invention. When applied simultaneously, these further active ingredients may be formulated together with the compositions of the invention or mixed in, for example, the spray tank. These further biocidally active ingredients may be fungicides, herbicides, insecticides, bactericides, acaricides, nematicides and/or plant growth regulators.
- Pesticidal agents are referred to herein using their common name are known, for example, from “The Pesticide Manual”, 15th Ed., British Crop Protection Council 2009.
- compositions of the invention may also be applied with one or more systemically acquired resistance inducers (“SAR” inducer).
- SAR inducers are known and described in, for example, United States Patent No. US 6,919,298 and include, for example, salicylates and the commercial SAR inducer acibenzolar-S-methyl.
- the compounds of formula (I) are normally used in the form of agrochemical compositions and can be applied to the crop area or plant to be treated, simultaneously or in succession with further compounds.
- further compounds can be e.g. fertilizers or micronutrient donors or other preparations, which influence the growth of plants. They can also be selective herbicides or non-selective herbicides as well as insecticides, fungicides, bactericides, nematicides, molluscicides or mixtures of several of these preparations, if desired together with further carriers, surfactants or application promoting adjuvants customarily employed in the art of formulation.
- the compounds of formula (I) may be used in the form of (fungicidal) compositions for controlling or protecting against phytopathogenic microorganisms, comprising as active ingredient at least one compound of formula (I) or of at least one preferred individual compound as defined herein, in free form or in agrochemically usable salt form, and at least one of the above-mentioned adjuvants.
- the invention therefore provides a composition, preferably a fungicidal composition, comprising at least one compound of formula (I) an agriculturally acceptable carrier and optionally an adjuvant.
- An agricultural acceptable carrier is for example a carrier that is suitable for agricultural use.
- Agricultural carriers are well known in the art.
- said composition may comprise at least one or more pesticidally-active compounds, for example an additional fungicidal active ingredient in addition to the compound of formula
- the compound of formula (I) may be the sole active ingredient of a composition or it may be admixed with one or more additional active ingredients such as a pesticide, fungicide, synergist, herbicide or plant growth regulator where appropriate.
- An additional active ingredient may, in some cases, result in unexpected synergistic activities.
- Suitable additional active ingredients include the following: acycloamino acid fungicides, aliphatic nitrogen fungicides, amide fungicides, anilide fungicides, antibiotic fungicides, aromatic fungicides, arsenical fungicides, aryl phenyl ketone fungicides, benzamide fungicides, benzanilide fungicides, benzimidazole fungicides, benzothiazole fungicides, botanical fungicides, bridged diphenyl fungicides, carbamate fungicides, carbanilate fungicides, conazole fungicides, copper fungicides, dicarboximide fungicides, dinitrophenol fungicides, dithiocarbamate fungicides, dithiolane fungicides, furamide fungicides, furanilide fungicides, hydrazide fungicides, imidazole fungicides, mercury fungicides, morpholine fung
- Suitable additional active ingredients also include the following: 3-difluoromethyl-1 - methyl-1 H-pyrazole-4-carboxylic acid (9-dichloromethylene-1 ,2,3,4-tetrahydro-1 ,4-methano-naphthalen-5- yl)-amide, 3-difluoromethyl-1 -methyl-1 H-pyrazole-4-carboxylic acid methoxy-[1 -methyl-2-(2,4,6- trichlorophenyl)-ethyl]-amide, 1 -methyl-3-difluoromethyl-1 H-pyrazole-4-carboxylic acid (2- dichloromethylene-3-ethyl-1 -methyl-indan-4-yl)-amide (1072957-71 -1 ), 1 -methyl-3-difluoromethyl-1 H- pyrazole-4-carboxylic acid (4'-methylsulfanyl-biphenyl-2-yl)-amide, 1 -methyl-3-di
- the compounds of the invention may also be used in combination with anthelmintic agents.
- anthelmintic agents include, compounds selected from the macrocyclic lactone class of compounds such as ivermectin, avermectin, abamectin, emamectin, eprinomectin, doramectin, selamectin, moxidectin, nemadectin and milbemycin derivatives as described in EP- 357460, EP-444964 and EP-594291 .
- Additional anthelmintic agents include semisynthetic and biosynthetic avermectin/milbemycin derivatives such as those described in US-5015630, WO-9415944 and WO-9522552. Additional anthelmintic agents include the benzimidazoles such as albendazole, cambendazole, fenbendazole, flubendazole, mebendazole, oxfendazole, oxibendazole, parbendazole, and other members of the class. Additional anthelmintic agents include imidazothiazoles and tetrahydropyrimidines such as tetramisole, levamisole, pyrantel pamoate, oxantel or morantel. Additional anthelmintic agents include flukicides, such as triclabendazole and clorsulon and the cestocides, such as praziquantel and epsiprantel.
- the compounds of the invention may be used in combination with derivatives and analogues of the paraherquamide/marcfortine class of anthelmintic agents, as well as the antiparasitic oxazolines such as those disclosed in US-5478855, US- 4639771 and DE-19520936.
- the compounds of the invention may be used in combination with derivatives and analogues of the general class of dioxomorpholine antiparasitic agents as described in WO 96/15121 and also with anthelmintic active cyclic depsipeptides such as those described in WO 96/1 1945, WO 93/19053, WO 93/25543, EP 0 626 375, EP 0 382 173, WO 94/19334, EP 0 382 173, and EP 0 503 538.
- the compounds of the invention may be used in combination with other ectoparasiticides; for example, fipronil; pyrethroids; organophosphates; insect growth regulators such as lufenuron; ecdysone agonists such as tebufenozide and the like; neonicotinoids such as imidacloprid and the like.
- ectoparasiticides for example, fipronil; pyrethroids; organophosphates; insect growth regulators such as lufenuron; ecdysone agonists such as tebufenozide and the like; neonicotinoids such as imidacloprid and the like.
- the compounds of the invention may be used in combination with terpene alkaloids, for example those described in International Patent Application Publication Numbers WO 95/19363 or WO 04/72086, particularly the compounds disclosed therein.
- Organophosphates acephate, azamethiphos, azinphos-ethyl, azinphos- methyl, bromophos, bromophos-ethyl, cadusafos, chlorethoxyphos, chlorpyrifos, chlorfenvinphos, chlormephos, demeton, demeton-S-methyl, demeton-S-methyl sulphone, dialifos, diazinon, dichlorvos, dicrotophos, dimethoate, disulfoton, ethion, ethoprophos, etrimfos, famphur, fenamiphos, fenitrothion, fensulfothion, fenthion, flupyrazofos, fonofos, formothion, fosthiazate, heptenophos, isazophos, isothioate, isoxathion, malathion, me
- Carbamates alanycarb, aldicarb, 2-sec-butylphenyl methylcarbamate, benfuracarb, carbaryl, carbofuran, carbosulfan, cloethocarb, ethiofencarb, fenoxycarb, fenthiocarb, furathiocarb, HCN-801 , isoprocarb, indoxacarb, methiocarb, methomyl, 5-methyl-m-cumenylbutyryl(methyl)carbamate, oxamyl, pirimicarb, propoxur, thiodicarb, thiofanox, triazamate, UC-51717.
- Pyrethroids acrinathin, allethrin, alphametrin, 5-benzyl-3-furylmethyl (E)-(1 R)-cis-2,2-dimethyl-3- (2-oxothiolan-3-ylidenemethyl)cyclopropanecarboxylate, bifenthrin, beta-cyfluthrin, cyfluthrin, a- cypermethrin , beta-cypermethrin, bioallethrin, bioallethrin((S)-cyclopentylisomer), bioresmethrin, bifenthrin, NCI-85193, cycloprothrin , cyhalothrin, cythithrin, cyphenothrin, deltamethrin, empenthrin, esfen valerate, ethofenprox, fenfluthrin, fenpropathrin, fen
- Arthropod growth regulators a) chitin synthesis inhibitors: benzoylureas: chlorfluazuron, diflubenzuron, fluazuron, flucycloxuron, flufenoxuron, hexaflumuron, lufenuron, novaluron, teflubenzuron, triflumuron, buprofezin, diofenolan, hexythiazox, etoxazole, chlorfentazine; b) ecdysone antagonists: halofenozide, methoxyfenozide, tebufenozide; c) juvenoids: pyriproxyfen, methoprene (including S- methoprene), fenoxycarb; d) lipid biosynthesis inhibitors: spirodiclofen.
- antiparasitics acequinocyl, amitraz, AKD-1022, ANS-118, azadirachtin, Bacillus thuringiensis, bensultap, bifenazate, binapacryl, bromopropylate, BTG-504, BTG-505, camphechlor, cartap, chlorobenzilate, chlordimeform, chlorfenapyr, chromafenozide, clothianidine, cyromazine, diacloden, diafenthiuron, DBI-3204, dinactin, dihydroxymethyldihydroxypyrrolidine, dinobuton, dinocap, endosulfan, ethiprole, ethofenprox, fenazaquin, flumite, MTI- 800, fenpyroximate, fluacrypyrim, flubenzimine, flubrocythrinate, flufenzine, flufenprox, fluproxyfen, halofenprox, hydr
- Biological agents Bacillus thuringiensis ssp aizawai, kurstaki, Bacillus thuringiensis delta endotoxin, baculovirus, entomopathogenic bacteria, virus and fungi.
- Bactericides chlortetracycline, oxytetracycline, streptomycin.
- TX means one compound selected from the group consisting of the compounds as represented in Tables 1 .1 to 1 .12 (below), or in Tables 3.1 to 3.6 (below), or the compounds 1 .1 to 1 .33 described in Table T1 (below), the compounds 2.1 to 2.18 described in Table T2 (below), or the compounds 3.1 and 3.2 described in Table T3 (below):
- TX Paecilomyces fumosoroseus + TX, Phytoseiulus persimilis + TX, Spodoptera exigua multicapsid nuclear polyhedrosis virus + TX, Steinernema bibionis + TX, Steinernema carpocapsae + TX, Steinernema feltiae + TX, Steinernema glaseri + TX, Steinernema riobrave + TX, Steinernema riobravis + TX, Steinernema scapterisci + TX, Steinernema spp. + TX, Trichogramma spp.
- the active ingredient mixture of the compounds of formula (I) selected from one compound as represented in Tables 1 .1 to 1 .12 (below), or in Tables 3.1 to 3.6 (below), or a compound 1 .1 to 1 .33 described in Table T1 (below), the compounds 2.1 to 2.18 described in Table T2 (below), or the compounds 3.1 and 3.2 described in Table T3 (below), is preferably in a mixing ratio of from 100:1 to 1 :6000, especially from 50:1 to 1 :50, more especially in a ratio of from 20:1 to 1 :20, even more especially from 10:1 to 1 :10, very especially from 5:1 and 1 :5, special preference being given to a ratio of from 2:1 to 1 :2, and a ratio of from 4:1 to 2:1 being likewise preferred, above all in a ratio of 1 : 1 , or 5:1 , or 5:2, or 5:3, or 5:4, or 4:1 , or 4:2, or 4:3, or 3:1 , or 3:2,
- the mixtures as described above can be used in a method for controlling pests, which comprises applying a composition comprising a mixture as described above to the pests or their environment, with the exception of a method for treatment of the human or animal body by surgery or therapy and diagnostic methods practised on the human or animal body.
- the mixtures comprising a compound as represented in Tables 1 .1 to 1 .12 (below), or in Tables 3.1 to 3.6 (below), or a compound 1 .1 to 1 .33 described in Table T1 (below), the compounds 2.1 to 2.18 described in Table T2 (below), or the compounds 3.1 and 3.2 described in Table T3 (below), and one or more active ingredients as described above can be applied, for example, in a single“ready-mix” form, in a combined spray mixture composed from separate formulations of the single active ingredient components, such as a“tank-miX’, and in a combined use of the single active ingredients when applied in a sequential manner, i.e.
- compositions according to the invention can also comprise further solid or liquid auxiliaries, such as stabilizers, for example unepoxidized or epoxidized vegetable oils (for example epoxidized coconut oil, rapeseed oil or soya oil), antifoams, for example silicone oil, preservatives, viscosity regulators, binders and/or tackifiers, fertilizers or other active ingredients for achieving specific effects, for example bactericides, fungicides, nematocides, plant activators, molluscicides or herbicides.
- auxiliaries such as stabilizers, for example unepoxidized or epoxidized vegetable oils (for example epoxidized coconut oil, rapeseed oil or soya oil), antifoams, for example silicone oil, preservatives, viscosity regulators, binders and/or tackifiers, fertilizers or other active ingredients for achieving specific effects, for example bactericides, fungicides, nematocides
- compositions according to the invention are prepared in a manner known per se, in the absence of auxiliaries for example by grinding, screening and/or compressing a solid active ingredient and in the presence of at least one auxiliary for example by intimately mixing and/or grinding the active ingredient with the auxiliary (auxiliaries).
- auxiliaries for example by grinding, screening and/or compressing a solid active ingredient and in the presence of at least one auxiliary for example by intimately mixing and/or grinding the active ingredient with the auxiliary (auxiliaries).
- Another aspect of the invention is related to the use of a compound of formula (I) or of a preferred individual compound as defined herein, of a composition comprising at least one compound of formula (I) or at least one preferred individual compound as above-defined, or of a fungicidal or insecticidal mixture comprising at least one compound of formula (I) or at least one preferred individual compound as above- defined, in admixture with other fungicides or insecticides as described above, for controlling or preventing infestation of plants, e.g. useful plants such as crop plants, propagation material thereof, e.g. seeds, harvested crops, e.g. harvested food crops, or non-living materials by insects or by phytopathogenic microorganisms, preferably fungal organisms.
- useful plants such as crop plants, propagation material thereof, e.g. seeds, harvested crops, e.g. harvested food crops, or non-living materials by insects or by phytopathogenic microorganisms, preferably fungal organisms.
- a further aspect of the invention is related to a method of controlling or preventing an infestation of plants, e.g., useful plants such as crop plants, propagation material thereof, e.g. seeds, harvested crops, e.g., harvested food crops, or of non-living materials by insects or by phytopathogenic or spoilage microorganisms or organisms potentially harmful to man, especially fungal organisms, which comprises the application of a compound of formula (I) or of a preferred individual compound as above-defined as active ingredient to the plants, to parts of the plants or to the locus thereof, to the propagation material thereof, or to any part of the non-living materials.
- useful plants such as crop plants, propagation material thereof, e.g. seeds, harvested crops, e.g., harvested food crops, or of non-living materials by insects or by phytopathogenic or spoilage microorganisms or organisms potentially harmful to man, especially fungal organisms
- a compound of formula (I) or of a preferred individual compound as above-defined as active ingredient to the plants, to parts
- Controlling or preventing means reducing infestation by phytopathogenic or spoilage microorganisms or organisms potentially harmful to man, especially fungal organisms, to such a level that an improvement is demonstrated.
- a preferred method of controlling or preventing an infestation of crop plants by phytopathogenic microorganisms, especially fungal organisms, or insects which comprises the application of a compound of formula (I), or an agrochemical composition which contains at least one of said compounds, is foliar application.
- the frequency of application and the rate of application will depend on the risk of infestation by the corresponding pathogen or insect.
- the compounds of formula (I) can also penetrate the plant through the roots via the soil (systemic action) by drenching the locus of the plant with a liquid formulation, or by applying the compounds in solid form to the soil, e.g. in granular form (soil application). In crops of water rice such granulates can be applied to the flooded rice field.
- the compounds of formula (I) may also be applied to seeds (coating) by impregnating the seeds or tubers either with a liquid formulation of the fungicide or coating them with a solid formulation.
- a formulation e.g. a composition containing the compound of formula (I), and, if desired, a solid or liquid adjuvant or monomers for encapsulating the compound of formula (I), may be prepared in a known manner, typically by intimately mixing and/or grinding the compound with extenders, for example solvents, solid carriers and, optionally, surface active compounds (surfactants).
- Advantageous rates of application are normally from 5g to 2kg of active ingredient (a.i.) per hectare (ha), preferably from 10g to 1 kg a.i./ha, most preferably from 20g to 600g a.i./ha.
- convenient dosages are from 10mg to 1 g of active substance per kg of seeds.
- rates of 0.001 to 50 g of a compound of formula (I) per kg of seed preferably from 0.01 to 10g per kg of seed are generally sufficient.
- composition comprising a compound of formula (I) according to the present invention is applied either preventative, meaning prior to disease development or curative, meaning after disease development.
- compositions of the invention may be employed in any conventional form, for example in the form of a twin pack, a powder for dry seed treatment (DS), an emulsion for seed treatment (ES), a flowable concentrate for seed treatment (FS), a solution for seed treatment (LS), a water dispersible powder for seed treatment (WS), a capsule suspension for seed treatment (CF), a gel for seed treatment (GF), an emulsion concentrate (EC), a suspension concentrate (SC), a suspo-emulsion (SE), a capsule suspension (CS), a water dispersible granule (WG), an emulsifiable granule (EG), an emulsion, water in oil (EO), an emulsion, oil in water (EW), a micro-emulsion (ME), an oil dispersion (OD), an oil miscible flowable (OF), an oil miscible liquid (OL), a soluble concentrate (SL), an ultra-low volume suspension (SU), an ultra-low volume liquid (UL), a technical concentrate (TK
- compositions may be produced in conventional manner, e.g. by mixing the active ingredients with appropriate formulation inerts (diluents, solvents, fillers and optionally other formulating ingredients such as surfactants, biocides, anti-freeze, stickers, thickeners and compounds that provide adjuvancy effects).
- appropriate formulation inerts diiluents, solvents, fillers and optionally other formulating ingredients such as surfactants, biocides, anti-freeze, stickers, thickeners and compounds that provide adjuvancy effects.
- conventional slow release formulations may be employed where long lasting efficacy is intended.
- formulations to be applied in spraying forms such as water dispersible concentrates (e.g. EC, SC, DC, OD, SE, EW, EO and the like), wettable powders and granules, may contain surfactants such as wetting and dispersing agents and other compounds that provide adjuvancy effects, e.g.
- a seed dressing formulation is applied in a manner known per se to the seeds employing the combination of the invention and a diluent in suitable seed dressing formulation form, e.g. as an aqueous suspension or in a dry powder form having good adherence to the seeds.
- suitable seed dressing formulation form e.g. as an aqueous suspension or in a dry powder form having good adherence to the seeds.
- seed dressing formulations are known in the art.
- Seed dressing formulations may contain the single active ingredients or the combination of active ingredients in encapsulated form, e.g. as slow release capsules or microcapsules.
- the formulations include from 0.01 to 90% by weight of active agent, from 0 to 20% agriculturally acceptable surfactant and 10 to 99.99% solid or liquid formulation inerts and adjuvant(s), the active agent consisting of at least the compound of formula (I) optionally together with other active agents, particularly microbiocides or conservatives or the like.
- Concentrated forms of compositions generally contain in between about 2 and 80%, preferably between about 5 and 70% by weight of active agent.
- Application forms of formulation may for example contain from 0.01 to 20% by weight, preferably from 0.01 to 5% by weight of active agent. Whereas commercial products will preferably be formulated as concentrates, the end user will normally employ diluted formulations.
- Table 1 .1 This table discloses 104 specific compounds of formula (T-1 ):
- Tables 1 .2 to 1 .12 make available 104 individual compounds of the formula (T-1 ) in which A, R 1 , R 2 , R 3 , R 4 and Y are specifically defined below in Tables 1 .2 to 1 .12, which refer to Table 1 wherein -NR 7 R 8 is specifically defined, and Table 2 wherein R 1 and R 2 are specifically defined.
- A is A-1 , R 3 is F, R 4 is F, and R 1 , R 2 are as defined above in Table 2, and R 5 is as defined below in Table 3.
- Tables 3.2 to 3.6 make available 88 individual compounds of the formula (T-3) in which A, R 1 , R 2 , R 3 and R 4 are specifically defined in Tables 3.2 to 3.6, which refer to Table 3 wherein R 5 is specifically defined, and Table 2 wherein R 1 and R 2 are specifically defined.
- Table 3
- Table 3.2 This table discloses 88 specific compounds of formula (T-3) wherein A is A-1 , R 3 is Me, R 4 is Me, R 1 and R 2 are as defined above in Table 2, and R 5 is as defined above in Table 3.
- Table 3.3 This table discloses 88 specific compounds of formula (T-3) wherein A is A-1 , R 3 and R 4 together form a cyclopropyl ring, R 1 and R 2 are as defined above in Table 2, and R 5 is as defined above in Table 3.
- Table 3.4 This table discloses 88 specific compounds of formula (T-3) wherein A is A-2, R 3 is F, R 4 is F, R 1 and R 2 are as defined in Table 2, and R 5 is as defined above in Table 3.
- Table 3.5 This table discloses 88 specific compounds of formula (T-3) wherein A is A-2, R 3 is Me, R 4 is Me, R 1 and R 2 are as defined above in Table 2, and R 5 is as defined above in Table 3.
- Table 3.6 This table discloses 88 specific compounds of formula (T-3) wherein A is A-2, R 3 and R 4 together form a cyclopropyl ring, R 1 and R 2 are as defined above in Table 2, and R 5 is as defined above in Table 3.
- the compounds of the invention can be distinguished from known compounds by virtue of greater efficacy at low application rates, which can be verified by the person skilled in the art using the experimental procedures outlined in the Examples, using lower application rates if necessary, for example 50 ppm, 12.5 ppm, 6 ppm, 3 ppm, 1.5 ppm, 0.8 ppm or 0.2 ppm.
- Compounds of formula (I) may possess any number of benefits including, inter alia, advantageous levels of biological activity for protecting plants against diseases that are caused by fungi or superior properties for use as agrochemical active ingredients (for example, greater biological activity, an advantageous spectrum of activity, an increased safety profile (including improved crop tolerance), improved physico-chemical properties, or increased biodegradability).
- LC/MS Liquid Chromatography Mass Spectrometry and the description of the apparatus and the method A is as follows:
- Type of column Waters ACQUITY UPLC HSS T3; Column length: 30 mm; Internal diameter of column: 2.1 mm; Particle Size: 1 .8 micron; Temperature: 60°C.
- enantiomerically pure final compounds may be obtained from racemic materials as appropriate via standard physical separation techniques, such as reverse phase chiral chromatography, or through stereoselective synthetic techniques, e.g., by using chiral starting materials.
- Active ingredient [compound of formula (I)] 25 % 50 % 75 %
- the active ingredient is thoroughly mixed with the adjuvants and the mixture is thoroughly ground in a suitable mill, affording wettable powders that can be diluted with water to give suspensions of the desired concentration.
- Active ingredient [compound of formula (I)] 25 % 50 % 75 %
- the active ingredient is thoroughly mixed with the adjuvants and the mixture is thoroughly ground in a suitable mill, affording powders that can be used directly for seed treatment.
- active ingredient [compound of formula (I)] 10 % octylphenol polyethylene glycol ether 3 %
- Emulsions of any required dilution which can be used in plant protection, can be obtained from this concentrate by dilution with water.
- Active ingredient [compound of formula (I)] 5 % 6 % 4 %
- Ready-for-use dusts are obtained by mixing the active ingredient with the carrier and grinding the mixture in a suitable mill. Such powders can also be used for dry dressings for seed.
- Kaolin 82 % The active ingredient is mixed and ground with the adjuvants, and the mixture is moistened with water. The mixture is extruded and then dried in a stream of air.
- polyethylene glycol (mol. wt. 200) 3 %
- the finely ground active ingredient is uniformly applied, in a mixer, to the kaolin moistened with polyethylene glycol. Non-dusty coated granules are obtained in this manner.
- Silicone oil (in the form of a 75 % emulsion in water) 1 %
- the finely ground active ingredient is intimately mixed with the adjuvants, giving a suspension concentrate from which suspensions of any desired dilution can be obtained by dilution with water.
- a suspension concentrate from which suspensions of any desired dilution can be obtained by dilution with water.
- living plants as well as plant propagation material can be treated and protected against infestation by microorganisms, by spraying, pouring or immersion.
- Silicone oil (in the form of a 75 % emulsion in water) 0.2 %
- the finely ground active ingredient is intimately mixed with the adjuvants, giving a suspension concentrate from which suspensions of any desired dilution can be obtained by dilution with water.
- a suspension concentrate from which suspensions of any desired dilution can be obtained by dilution with water.
- living plants as well as plant propagation material can be treated and protected against infestation by microorganisms, by spraying, pouring or immersion.
- 28 parts of a combination of the compound of formula I are mixed with 2 parts of an aromatic solvent and 7 parts of toluene diisocyanate/polymethylene-polyphenylisocyanate-mixture (8:1 ).
- This mixture is emulsified in a mixture of 1 .2 parts of polyvinylalcohol, 0.05 parts of a defoamer and 51 .6 parts of water until the desired particle size is achieved.
- To this emulsion a mixture of 2.8 parts 1 ,6-diaminohexane in 5.3 parts of water is added. The mixture is agitated until the polymerization reaction is completed.
- the obtained capsule suspension is stabilized by adding 0.25 parts of a thickener and 3 parts of a dispersing agent.
- the capsule suspension formulation contains 28% of the active ingredients.
- the medium capsule diameter is 8-15 microns.
- the resulting formulation is applied to seeds as an aqueous suspension in an apparatus suitable for that purpose.
- AIBN azobisisobutyronitrile
- DIBAL-H diisobutylaluminium hydride
- DIPEA N,N-di-isopropylethylamine
- NBS A/-bromosuccinimide
- LC/MS Liquid Chromatography Mass Spectrometry (description of the apparatus and the
- Example 1 This example illustrates the preparation of ethyl 2,2-difluoro-3-hydroxy-3-[4-[5-(trifluoromethyl) -1 ,2,4-oxadiazol-3-yl]phenyl]propanoate (Compound 2.11 of Table T2)
- Step 2 Preparation of 3-(p-tolvn-5-(trifluoromethvn-1 ,2.4-oxadiazole
- Step 3a Preparation of 3-[4-(bromomethvnphenyll-5-(trifluoromethvn-1 ,2,4-oxadiazole
- Step 3b Preparation of 3-[4-(bromomethvnphenyll-5-(trifluoromethvn-1 ,2,4-oxadiazole
- the resultant white slurry was extracted with dichloromethane and the combined organic layers were dried over sodium sulfate, filtered, and concentrated under reduced pressure.
- the resultant crude was purified by flash chromatography over silica gel (cyclohexane/EtOAc eluent gradient 99:1 to 9:1 ) to afford 7.10 g of the title compound as a white solid mp: 58-63 °C.
- Step 5 Preparation of ethyl 2.2-difluoro-3-hvdroxy-3-[4-[5-(trifluoromethyl)-1 .2.4-oxadiazol-3-yllphenyll propanoate (Compound 2.1 1 in Table T2)
- Example 2 This example illustrates the preparation of 2,2-difluoro-3-hydroxy-3-[4-[5-(trifluoromethyl)- 1 ,2,4-oxadiazol-3-yl]phenyl]propanoic acid (Compound 2.10 in Table T2)
- Example 3 This example illustrates the preparation of N-ethyl-2,2-difluoro-3-hydroxy-3-[4-[5-(trifluoro- methyl)-1 ,2,4-oxadiazol-3-yl]phenyl]propanamide (Compound 1 .22 in Table T1 )
- reaction mass was diluted with 15 mL water and the mixture was extracted with dichloromethane. The combined organics were dried over magnesium sulfate and evaporated to afford the crude product.
- the crude product was subject to flash chromatography over silica gel (cyclohexane/EtOAc eluent gradient 90:10 to 50:50) to afford 60 mg of the title compound as a white solid.
- Example 4 This example illustrates the preparation of N-ethyl-2,2-difluoro-3-methoxy-3-[4-[5-(trifluoro- methyl)-1 ,2,4-oxadiazol-3-yl]phenyl]propanamide (Compound 1 .14 in Table T1 )
- the mixture was extracted with ethyl acetate, and the combined organics were dried over magnesium sulfate and evaporated to afford the crude as beige solid.
- the crude product was subject to flash chromatography over silica gel (cyclohexane/EtOAc eluent gradient 99:1 to 50: 50) to afford 16 mg of the title compound as a white solid.
- Example 5 This example illustrates the preparation of N-ethyl-2,2-difluoro-3-oxo-3-[4-[5-(trifluoromethyl)- 1 ,2,4-oxadiazol-3-yl]phenyl]propanamide (Compound 1 .17 in Table T 1 )
- Example 6 This example illustrates the preparation of ethyl 2,2-difluoro-3-hydroxy-3-[5-[5-(trifluoro- methyl)-1 ,2,4-oxadiazol-3-yl]-2-thienyl]propanoate (Compound 2.3 in Table T2)
- Step 1 Preparation of N'-hvdroxy-5-methyl-thiophene-2-carboxamidine
- Step 2 Preparation of 3-(5-methyl-2-thienvn-5-(trifluoromethvn-1 ,2.4-oxadiazole
- Step 3a Preparation of 3-f5-(bromomethvn-2-thienyll-5-(trifluoromethvn-1 .2.4-oxadiazole
- Step 4 Preparation of 5-[5-(trifluoromethvn-1 ,2.4-oxadiazol-3-vHthiophene-2-carbaldehvde
- the resultant crude was purified by flash chromatography over silica gel (cyclohexane/EtOAc eluent gradient 1 :0 to 1 : 0.1 ) to afford 2.4 g of the title compound as a pale yellow solid.
- Step 5 Preparation of ethyl 2,2-difluoro-3-hydroxy-3-[5-[5-(trifluoromethyl)-1 ,2,4-oxadiazol-3-yl]-2-thienyl] propanoate (Compound 2.3 in Table T2)
- Example 7 This example illustrates the preparation of N-ethyl-2,2-difluoro-3-hydroxy-3-[5-[5-(trifluoro- methyl)-1 ,2,4-oxadiazol-3-yl]-2-thienyl]propanamide (Compound 1 .4 in Table T 1 )
- the reaction mixture was quenched with by slow addition of water (40 mL).
- the contents were extracted with ethyl acetate and the total combined organic layer was dried with sodium sulfate, filtered, and concentrated under reduced pressure.
- the resultant crude was purified by flash chromatography over silica gel (cyclohexane/EtOAc eluent gradient 90:1 to 60:40) to afford 320 mg of the title compound as a white solid; mp 141 -143 °C.
- Example 8 This example illustrates the preparation of N-ethyl-2,2-difluoro-3-oxo-3-[5-[5-(trifluoromethyl)- 1 ,2,4-oxadiazol-3-yl]-2-thienyl]propanamide (Compound 1 .3 in Table T 1 )
- Example 9 This example illustrates the preparation of N-ethyl-2,2-difluoro-3-hydroxy-3-[5-[5- (trifluoromethyl)-l ,2,4-oxadiazol-3-yl]-2-thienyl]butanamide (Compound 1 .1 of Table T 1 )
- Table T2 Melting point (mp) data and/or retention times (RO for compounds according to formula (D:
- Table T3 Melting point (mp) data and/or retention times (RO for compounds according to formula (D:
- Leaf disks or leaf segments of various plant species are cut from plants grown in a greenhouse.
- the cut leaf disks or segments are placed in multiwell plates (24-well format) onto water agar.
- the leaf disks are sprayed with a test solution before (preventative) or after (curative) inoculation.
- Compounds to be tested are prepared as DMSO solutions (max. 10 mg/ml) which are diluted to the appropriate concentration with 0.025% Tween20 just before spraying.
- the inoculated leaf disks or segments are incubated under defined conditions (temperature, relative humidity, light, etc.) according to the respective test system.
- a single evaluation of disease level is carried out 3 to 14 days after inoculation, depending on the pathosystem. Percent disease control relative to the untreated check leaf disks or segments is then calculated.
- Mycelia fragments or conidia suspensions of a fungus prepared either freshly from liquid cultures of the fungus or from cryogenic storage, are directly mixed into nutrient broth.
- DMSO solutions of the test compound (max. 10 mg/ml) are diluted with 0.025% Tween20 by a factor of 50 and 10 pi of this solution is pipetted into a microtiter plate (96-well format).
- the nutrient broth containing the fungal spores/m ycelia fragments is then added to give an end concentration of the tested compound.
- the test plates are incubated in the dark at 24°C and 96% relative humidity. The inhibition of fungal growth is determined photometrically after 2 to 7 days, depending on the pathosystem, and percent antifungal activity relative to the untreated check is calculated.
- Example 1 Fungicidal activity against Puccinia recondita f. so. tritici / wheat / leaf disc preventative (Brown rust)
- Wheat leaf segments cv. Kanzler were placed on agar in multiwell plates (24-well format) and sprayed with the formulated test compound diluted in water.
- the leaf disks were inoculated with a spore suspension of the fungus 1 day after application.
- the inoculated leaf segments were incubated at 19 ° C and 75% relative humidity (rh) under a light regime of 12 hours light / 12 hours darkness in a climate cabinet and the activity of a compound was assessed as percent disease control compared to untreated when an appropriate level of disease damage appears in untreated check leaf segments (7 to 9 days after application).
- the following compounds at 200 ppm in the applied formulation give at least 80% disease control in this test when compared to untreated control leaf disks under the same conditions, which show extensive disease development.
- Example 2 Fungicidal activity against Puccinia recondita f. so. tritici / wheat / leaf disc curative (Brown rust)
- Wheat leaf segments cv. Kanzler are placed on agar in multiwell plates (24-well format). The leaf segments are then inoculated with a spore suspension of the fungus. Plates were stored in darkness at 19°C and 75% relative humidity. The formulated test compound diluted in water was applied 1 day after inoculation. The leaf segments were incubated at 19°C and 75% relative humidity under a light regime of 12 hours light / 12 hours darkness in a climate cabinet and the activity of a compound was assessed as percent disease control compared to untreated when an appropriate level of disease damage appears in untreated check leaf segments (6 to 8 days after application).
- the following compounds at 200 ppm in the applied formulation give at least 80% disease control in this test when compared to untreated control leaf disks under the same conditions, which show extensive disease development.
- Soybean leaf disks are placed on water agar in multiwell plates (24-well format) and sprayed with the formulated test compound diluted in water.
- leaf discs are inoculated by spraying a spore suspension on the lower leaf surface.
- the activity of a compound is assessed as percent disease control compared to untreated when an appropriate level of disease damage appears in untreated check leaf disks (12 to 14 days after application).
- the following compounds at 200 ppm in the applied formulation give at least 80% disease control in this test when compared to untreated control leaf disks under the same conditions, which show extensive disease development.
- Example 4 Fungicidal activity against Glomerella laaenarium (Colletotrichum laaenarium) liquid culture / cucumber / preventative (Anthracnose)
- Conidia of the fungus from cryogenic storage are directly mixed into nutrient broth (PDB - potato dextrose broth). After placing a (DMSO) solution of test compound into a microtiter plate (96-well format), the nutrient broth containing the fungal spores is added. The test plates are incubated at 24 ° C and the inhibition of growth is measured photometrically 3 to 4 days after application.
- the following compounds at 20 ppm in the applied formulation give at least 80% disease control in this test when compared to untreated control under the same conditions, which show extensive disease development.
- Example 5 Fungicidal activity against Mvcosphaerella qraminicola (Septoria triticO / liquid culture (Septoria blotch)
- Conidia of the fungus from cryogenic storage are directly mixed into nutrient broth (PDB potato dextrose broth). After placing a (DMSO) solution of test compound into a microtiter plate (96-well format), the nutrient broth containing the fungal spores is added. The test plates are incubated at 24 °C and the inhibition of growth is determined photometrically 4-5 days after application.
- nutrient broth PDB potato dextrose broth
Landscapes
- Organic Chemistry (AREA)
- Chemical & Material Sciences (AREA)
- Life Sciences & Earth Sciences (AREA)
- Health & Medical Sciences (AREA)
- General Health & Medical Sciences (AREA)
- Dentistry (AREA)
- Plant Pathology (AREA)
- Engineering & Computer Science (AREA)
- Pest Control & Pesticides (AREA)
- Agronomy & Crop Science (AREA)
- Wood Science & Technology (AREA)
- Zoology (AREA)
- Environmental Sciences (AREA)
- Toxicology (AREA)
- Plural Heterocyclic Compounds (AREA)
- Agricultural Chemicals And Associated Chemicals (AREA)
Abstract
Description
Claims
Priority Applications (2)
| Application Number | Priority Date | Filing Date | Title |
|---|---|---|---|
| CN201980068308.0A CN113195462A (en) | 2018-10-17 | 2019-10-03 | Microbicidal oxadiazole derivatives |
| BR112021007156-3A BR112021007156A2 (en) | 2018-10-17 | 2019-10-03 | microbiocidal oxadiazole derivatives |
Applications Claiming Priority (2)
| Application Number | Priority Date | Filing Date | Title |
|---|---|---|---|
| IN201811039292 | 2018-10-17 | ||
| IN201811039292 | 2018-10-17 |
Publications (1)
| Publication Number | Publication Date |
|---|---|
| WO2020078732A1 true WO2020078732A1 (en) | 2020-04-23 |
Family
ID=68233965
Family Applications (1)
| Application Number | Title | Priority Date | Filing Date |
|---|---|---|---|
| PCT/EP2019/076837 Ceased WO2020078732A1 (en) | 2018-10-17 | 2019-10-03 | Microbiocidal oxadiazole derivatives |
Country Status (3)
| Country | Link |
|---|---|
| CN (1) | CN113195462A (en) |
| BR (1) | BR112021007156A2 (en) |
| WO (1) | WO2020078732A1 (en) |
Cited By (2)
| Publication number | Priority date | Publication date | Assignee | Title |
|---|---|---|---|---|
| US20220151234A1 (en) * | 2019-04-08 | 2022-05-19 | Pi Industries Ltd. | Novel oxadiazole compounds for controlling or preventing phytopathogenic fungi |
| CN115385858A (en) * | 2022-08-18 | 2022-11-25 | 河南师范大学 | Photocatalytic preparation method of 2-phenyl-2H-indazole-3-formamide compound |
Citations (56)
| Publication number | Priority date | Publication date | Assignee | Title |
|---|---|---|---|---|
| US4639771A (en) | 1984-10-31 | 1987-01-27 | Kabushiki Kaisha Toshiba | Image processing system |
| EP0276432A2 (en) | 1986-12-12 | 1988-08-03 | Ciba-Geigy Ag | Pesticides |
| EP0357460A2 (en) | 1988-09-02 | 1990-03-07 | Sankyo Company Limited | 13-Substituted milbemycin derivatives, their preparation and use |
| EP0367474A1 (en) | 1988-11-01 | 1990-05-09 | Mycogen Corporation | Novel bacillus thuringiensis isolate denoted b.t. ps81gg, active against lepidopteran pests, and a gene encoding a lepidopteran-active toxin |
| EP0374753A2 (en) | 1988-12-19 | 1990-06-27 | American Cyanamid Company | Insecticidal toxines, genes coding therefor, antibodies binding them, transgenic plant cells and plants expressing these toxines |
| EP0382173A2 (en) | 1989-02-07 | 1990-08-16 | Meiji Seika Kaisha Ltd. | PF 1022 substance, method of producing same and anthelmintic composition containing same |
| WO1990013651A1 (en) | 1989-05-09 | 1990-11-15 | Imperial Chemical Industries Plc | Bacterial genes |
| EP0401979A2 (en) | 1989-05-18 | 1990-12-12 | Mycogen Corporation | Novel bacillus thuringiensis isolates active against lepidopteran pests, and genes encoding novel lepidopteran-active toxins |
| US5015630A (en) | 1989-01-19 | 1991-05-14 | Merck & Co., Inc. | 5-oxime avermectin derivatives |
| EP0427529A1 (en) | 1989-11-07 | 1991-05-15 | Pioneer Hi-Bred International, Inc. | Larvicidal lectins and plant insect resistance based thereon |
| EP0444964A1 (en) | 1990-03-01 | 1991-09-04 | Sankyo Company Limited | Milbemycin ether derivatives, their preparation and their anthelmintic uses |
| EP0451878A1 (en) | 1985-01-18 | 1991-10-16 | Plant Genetic Systems, N.V. | Modifying plants by genetic engineering to combat or control insects |
| EP0503538A1 (en) | 1991-03-08 | 1992-09-16 | Meiji Seika Kaisha Ltd. | Medicinal composition containing an anthelmintic cyclic depsipeptide |
| WO1993007278A1 (en) | 1991-10-04 | 1993-04-15 | Ciba-Geigy Ag | Synthetic dna sequence having enhanced insecticidal activity in maize |
| WO1993019053A1 (en) | 1992-03-17 | 1993-09-30 | Fujisawa Pharmaceutical Co., Ltd. | Depsipeptide derivative, production thereof and use thereof |
| WO1993025543A2 (en) | 1992-06-11 | 1993-12-23 | Bayer Aktiengesellschaft | Enniatines and enniatine derivates used to control endoparasites |
| EP0594291A1 (en) | 1992-09-01 | 1994-04-27 | Sankyo Company Limited | Novel processes for the production of 13-ether derivatives of milbemycins, and novel intermediates therefor |
| WO1994015944A1 (en) | 1993-01-18 | 1994-07-21 | Pfizer Limited | New antiparasitic agents related to the milbemycins and avermectins |
| WO1994019334A1 (en) | 1993-02-19 | 1994-09-01 | Meiji Seika Kaisha, Ltd. | Pf1022 derivative, cyclic depsipeptide |
| EP0626375A1 (en) | 1993-05-26 | 1994-11-30 | Bayer Ag | Octacyclodepsipeptides having endoparasiticidal activity |
| WO1995019363A1 (en) | 1994-01-14 | 1995-07-20 | Pfizer Inc. | Antiparasitic pyrrolobenzoxazine compounds |
| WO1995022552A1 (en) | 1994-02-16 | 1995-08-24 | Pfizer Limited | Antiparasitic agents |
| WO1995034656A1 (en) | 1994-06-10 | 1995-12-21 | Ciba-Geigy Ag | Novel bacillus thuringiensis genes coding toxins active against lepidopteran pests |
| US5478855A (en) | 1992-04-28 | 1995-12-26 | Yashima Chemical Industry Co., Ltd. | 2-(2,6-difluorophenyl)-4-(2-ethoxy-4-tert-butylphenyl)-2-oxazoline |
| WO1996011945A2 (en) | 1994-10-18 | 1996-04-25 | Bayer Aktiengesellschaft | Cyclic depsipeptide sulfonylation, sulfenylation and phosphorylation process |
| WO1996015121A1 (en) | 1994-11-10 | 1996-05-23 | Bayer Aktiengesellschaft | Use of dioxomorpholines to combat endoparasites, novel dioxomorpholines and process for their production |
| DE19520936A1 (en) | 1995-06-08 | 1996-12-12 | Bayer Ag | Ectoparasiticides means |
| WO1997033890A1 (en) | 1996-03-11 | 1997-09-18 | Novartis Ag | Pyrimidin-4-one derivatives as pesticide |
| JPH10101614A (en) | 1996-09-27 | 1998-04-21 | Daikin Ind Ltd | Method for producing α, α-difluoro-β-hydroxyester |
| WO2002015701A2 (en) | 2000-08-25 | 2002-02-28 | Syngenta Participations Ag | Bacillus thuringiensis crystal protein hybrids |
| WO2003018810A2 (en) | 2001-08-31 | 2003-03-06 | Syngenta Participations Ag | Modified cry3a toxins and nucleic acid sequences coding therefor |
| WO2003028729A2 (en) | 2001-10-03 | 2003-04-10 | Pharmacia Corporation | Prodrugs of substituted polycyclic compounds useful for selective inhibition of the coagulation cascade |
| WO2003052073A2 (en) | 2001-12-17 | 2003-06-26 | Syngenta Participations Ag | Novel corn event |
| WO2004072086A2 (en) | 2003-02-14 | 2004-08-26 | Pfizer Limited | Antiparasitic terpene alkaloids |
| US6919298B2 (en) | 2002-04-04 | 2005-07-19 | Valent Biosciences Corporation | Enhanced herbicide composition |
| US20080196127A1 (en) | 2005-04-11 | 2008-08-14 | Bayer Bioscience N.V. | Elite Event A5547-127 and Methods and Kits For Identifying Such Event in Biological Samples |
| US20080312082A1 (en) | 2006-10-31 | 2008-12-18 | Kinney Anthony J | Soybean event dp-305423-1 and compositions and methods for the identification and/or detection thereof |
| US20080320616A1 (en) | 2005-04-08 | 2008-12-25 | Bayer Bioscience N.V. | Elite Event A2407-12 and Methods and Kits for Identifying Such Event in Biological Samples |
| US7632985B2 (en) | 2005-05-27 | 2009-12-15 | Monsanto Technology Llc | Soybean event MON89788 and methods for detection thereof |
| WO2010045251A2 (en) | 2008-10-17 | 2010-04-22 | Xenon Pharmaceuticals, Inc. | Spiro-oxindole compounds and their use as therapeutic agents |
| WO2010080829A1 (en) | 2009-01-07 | 2010-07-15 | Basf Agrochemical Products B.V. | Soybean event 127 and methods related thereto |
| US20100184079A1 (en) | 2006-06-28 | 2010-07-22 | Pioneer Hi-Bred International, Inc. | Soybean event 3560.4.3.5 and compositions and methods for the identification and detection thereof |
| WO2011022470A1 (en) | 2009-08-19 | 2011-02-24 | Dow Agrosciences Llc | Control of aad-1 monocot volunteers in fields of dicot crops |
| WO2011022469A2 (en) | 2009-08-19 | 2011-02-24 | Dow Agrosciences Llc | Aad-1 event das-40278-9, related transgenic corn lines, and event-specific identification thereof |
| WO2011022471A1 (en) | 2009-08-19 | 2011-02-24 | Dow Agrosciences Llc | Detection of aad-1 event das-40278-9 |
| US20110067134A1 (en) | 2009-09-17 | 2011-03-17 | Brinker Ronald J | Soybean transgenic event mon 87708 and methods of use thereof |
| US8049071B2 (en) | 2007-11-15 | 2011-11-01 | Monsanto Technology Llc | Soybean plant and seed corresponding to transgenic event MON87701 and methods for detection thereof |
| WO2013066838A1 (en) | 2011-10-31 | 2013-05-10 | Glaxosmithkline Llc | Compounds and methods |
| US8632978B2 (en) | 2011-07-26 | 2014-01-21 | Dow Agrosciences, Llc. | Soybean event pDAB9582.814.19.1 detection method |
| US20140201860A1 (en) | 2010-12-15 | 2014-07-17 | Syngenta Participations Ag | Soybean event syht0h2 and compositions and methods for detection thereof |
| WO2014170327A1 (en) | 2013-04-19 | 2014-10-23 | Bayer Cropscience Ag | Method for combating pests |
| US20140373191A1 (en) | 2013-06-14 | 2014-12-18 | Monsanto Technology, Llc | Soybean transgenic event mon87751 and methods for detection and use thereof |
| WO2015185485A1 (en) | 2014-06-06 | 2015-12-10 | Basf Se | Use of substituted oxadiazoles for combating phytopathogenic fungi |
| WO2017222952A1 (en) * | 2016-06-23 | 2017-12-28 | Merck Sharp & Dohme Corp. | 3- heteroaryl substituted 5-trifluoromethyl oxadiazoles as histone deacetylase 6 (hdac6) inhibitors |
| WO2018219797A1 (en) * | 2017-06-02 | 2018-12-06 | Basf Se | Substituted oxadiazoles for combating phytopathogenic fungi |
| WO2019097054A1 (en) * | 2017-11-20 | 2019-05-23 | Syngenta Participations Ag | Microbiocidal oxadiazole derivatives |
-
2019
- 2019-10-03 CN CN201980068308.0A patent/CN113195462A/en not_active Withdrawn
- 2019-10-03 WO PCT/EP2019/076837 patent/WO2020078732A1/en not_active Ceased
- 2019-10-03 BR BR112021007156-3A patent/BR112021007156A2/en active Search and Examination
Patent Citations (56)
| Publication number | Priority date | Publication date | Assignee | Title |
|---|---|---|---|---|
| US4639771A (en) | 1984-10-31 | 1987-01-27 | Kabushiki Kaisha Toshiba | Image processing system |
| EP0451878A1 (en) | 1985-01-18 | 1991-10-16 | Plant Genetic Systems, N.V. | Modifying plants by genetic engineering to combat or control insects |
| EP0276432A2 (en) | 1986-12-12 | 1988-08-03 | Ciba-Geigy Ag | Pesticides |
| EP0357460A2 (en) | 1988-09-02 | 1990-03-07 | Sankyo Company Limited | 13-Substituted milbemycin derivatives, their preparation and use |
| EP0367474A1 (en) | 1988-11-01 | 1990-05-09 | Mycogen Corporation | Novel bacillus thuringiensis isolate denoted b.t. ps81gg, active against lepidopteran pests, and a gene encoding a lepidopteran-active toxin |
| EP0374753A2 (en) | 1988-12-19 | 1990-06-27 | American Cyanamid Company | Insecticidal toxines, genes coding therefor, antibodies binding them, transgenic plant cells and plants expressing these toxines |
| US5015630A (en) | 1989-01-19 | 1991-05-14 | Merck & Co., Inc. | 5-oxime avermectin derivatives |
| EP0382173A2 (en) | 1989-02-07 | 1990-08-16 | Meiji Seika Kaisha Ltd. | PF 1022 substance, method of producing same and anthelmintic composition containing same |
| WO1990013651A1 (en) | 1989-05-09 | 1990-11-15 | Imperial Chemical Industries Plc | Bacterial genes |
| EP0401979A2 (en) | 1989-05-18 | 1990-12-12 | Mycogen Corporation | Novel bacillus thuringiensis isolates active against lepidopteran pests, and genes encoding novel lepidopteran-active toxins |
| EP0427529A1 (en) | 1989-11-07 | 1991-05-15 | Pioneer Hi-Bred International, Inc. | Larvicidal lectins and plant insect resistance based thereon |
| EP0444964A1 (en) | 1990-03-01 | 1991-09-04 | Sankyo Company Limited | Milbemycin ether derivatives, their preparation and their anthelmintic uses |
| EP0503538A1 (en) | 1991-03-08 | 1992-09-16 | Meiji Seika Kaisha Ltd. | Medicinal composition containing an anthelmintic cyclic depsipeptide |
| WO1993007278A1 (en) | 1991-10-04 | 1993-04-15 | Ciba-Geigy Ag | Synthetic dna sequence having enhanced insecticidal activity in maize |
| WO1993019053A1 (en) | 1992-03-17 | 1993-09-30 | Fujisawa Pharmaceutical Co., Ltd. | Depsipeptide derivative, production thereof and use thereof |
| US5478855A (en) | 1992-04-28 | 1995-12-26 | Yashima Chemical Industry Co., Ltd. | 2-(2,6-difluorophenyl)-4-(2-ethoxy-4-tert-butylphenyl)-2-oxazoline |
| WO1993025543A2 (en) | 1992-06-11 | 1993-12-23 | Bayer Aktiengesellschaft | Enniatines and enniatine derivates used to control endoparasites |
| EP0594291A1 (en) | 1992-09-01 | 1994-04-27 | Sankyo Company Limited | Novel processes for the production of 13-ether derivatives of milbemycins, and novel intermediates therefor |
| WO1994015944A1 (en) | 1993-01-18 | 1994-07-21 | Pfizer Limited | New antiparasitic agents related to the milbemycins and avermectins |
| WO1994019334A1 (en) | 1993-02-19 | 1994-09-01 | Meiji Seika Kaisha, Ltd. | Pf1022 derivative, cyclic depsipeptide |
| EP0626375A1 (en) | 1993-05-26 | 1994-11-30 | Bayer Ag | Octacyclodepsipeptides having endoparasiticidal activity |
| WO1995019363A1 (en) | 1994-01-14 | 1995-07-20 | Pfizer Inc. | Antiparasitic pyrrolobenzoxazine compounds |
| WO1995022552A1 (en) | 1994-02-16 | 1995-08-24 | Pfizer Limited | Antiparasitic agents |
| WO1995034656A1 (en) | 1994-06-10 | 1995-12-21 | Ciba-Geigy Ag | Novel bacillus thuringiensis genes coding toxins active against lepidopteran pests |
| WO1996011945A2 (en) | 1994-10-18 | 1996-04-25 | Bayer Aktiengesellschaft | Cyclic depsipeptide sulfonylation, sulfenylation and phosphorylation process |
| WO1996015121A1 (en) | 1994-11-10 | 1996-05-23 | Bayer Aktiengesellschaft | Use of dioxomorpholines to combat endoparasites, novel dioxomorpholines and process for their production |
| DE19520936A1 (en) | 1995-06-08 | 1996-12-12 | Bayer Ag | Ectoparasiticides means |
| WO1997033890A1 (en) | 1996-03-11 | 1997-09-18 | Novartis Ag | Pyrimidin-4-one derivatives as pesticide |
| JPH10101614A (en) | 1996-09-27 | 1998-04-21 | Daikin Ind Ltd | Method for producing α, α-difluoro-β-hydroxyester |
| WO2002015701A2 (en) | 2000-08-25 | 2002-02-28 | Syngenta Participations Ag | Bacillus thuringiensis crystal protein hybrids |
| WO2003018810A2 (en) | 2001-08-31 | 2003-03-06 | Syngenta Participations Ag | Modified cry3a toxins and nucleic acid sequences coding therefor |
| WO2003028729A2 (en) | 2001-10-03 | 2003-04-10 | Pharmacia Corporation | Prodrugs of substituted polycyclic compounds useful for selective inhibition of the coagulation cascade |
| WO2003052073A2 (en) | 2001-12-17 | 2003-06-26 | Syngenta Participations Ag | Novel corn event |
| US6919298B2 (en) | 2002-04-04 | 2005-07-19 | Valent Biosciences Corporation | Enhanced herbicide composition |
| WO2004072086A2 (en) | 2003-02-14 | 2004-08-26 | Pfizer Limited | Antiparasitic terpene alkaloids |
| US20080320616A1 (en) | 2005-04-08 | 2008-12-25 | Bayer Bioscience N.V. | Elite Event A2407-12 and Methods and Kits for Identifying Such Event in Biological Samples |
| US20080196127A1 (en) | 2005-04-11 | 2008-08-14 | Bayer Bioscience N.V. | Elite Event A5547-127 and Methods and Kits For Identifying Such Event in Biological Samples |
| US7632985B2 (en) | 2005-05-27 | 2009-12-15 | Monsanto Technology Llc | Soybean event MON89788 and methods for detection thereof |
| US20100184079A1 (en) | 2006-06-28 | 2010-07-22 | Pioneer Hi-Bred International, Inc. | Soybean event 3560.4.3.5 and compositions and methods for the identification and detection thereof |
| US20080312082A1 (en) | 2006-10-31 | 2008-12-18 | Kinney Anthony J | Soybean event dp-305423-1 and compositions and methods for the identification and/or detection thereof |
| US8049071B2 (en) | 2007-11-15 | 2011-11-01 | Monsanto Technology Llc | Soybean plant and seed corresponding to transgenic event MON87701 and methods for detection thereof |
| WO2010045251A2 (en) | 2008-10-17 | 2010-04-22 | Xenon Pharmaceuticals, Inc. | Spiro-oxindole compounds and their use as therapeutic agents |
| WO2010080829A1 (en) | 2009-01-07 | 2010-07-15 | Basf Agrochemical Products B.V. | Soybean event 127 and methods related thereto |
| WO2011022470A1 (en) | 2009-08-19 | 2011-02-24 | Dow Agrosciences Llc | Control of aad-1 monocot volunteers in fields of dicot crops |
| WO2011022469A2 (en) | 2009-08-19 | 2011-02-24 | Dow Agrosciences Llc | Aad-1 event das-40278-9, related transgenic corn lines, and event-specific identification thereof |
| WO2011022471A1 (en) | 2009-08-19 | 2011-02-24 | Dow Agrosciences Llc | Detection of aad-1 event das-40278-9 |
| US20110067134A1 (en) | 2009-09-17 | 2011-03-17 | Brinker Ronald J | Soybean transgenic event mon 87708 and methods of use thereof |
| US20140201860A1 (en) | 2010-12-15 | 2014-07-17 | Syngenta Participations Ag | Soybean event syht0h2 and compositions and methods for detection thereof |
| US8632978B2 (en) | 2011-07-26 | 2014-01-21 | Dow Agrosciences, Llc. | Soybean event pDAB9582.814.19.1 detection method |
| WO2013066838A1 (en) | 2011-10-31 | 2013-05-10 | Glaxosmithkline Llc | Compounds and methods |
| WO2014170327A1 (en) | 2013-04-19 | 2014-10-23 | Bayer Cropscience Ag | Method for combating pests |
| US20140373191A1 (en) | 2013-06-14 | 2014-12-18 | Monsanto Technology, Llc | Soybean transgenic event mon87751 and methods for detection and use thereof |
| WO2015185485A1 (en) | 2014-06-06 | 2015-12-10 | Basf Se | Use of substituted oxadiazoles for combating phytopathogenic fungi |
| WO2017222952A1 (en) * | 2016-06-23 | 2017-12-28 | Merck Sharp & Dohme Corp. | 3- heteroaryl substituted 5-trifluoromethyl oxadiazoles as histone deacetylase 6 (hdac6) inhibitors |
| WO2018219797A1 (en) * | 2017-06-02 | 2018-12-06 | Basf Se | Substituted oxadiazoles for combating phytopathogenic fungi |
| WO2019097054A1 (en) * | 2017-11-20 | 2019-05-23 | Syngenta Participations Ag | Microbiocidal oxadiazole derivatives |
Non-Patent Citations (19)
| Title |
|---|
| "The Pesticide Manual", 2009, BRITISH CROP PROTECTION COUNCIL |
| A. ALBINIS. PIETRA: "Heterocyclic N-oxides", 1991, CRC PRESS |
| CHINCHILLA, R.NAJERA, C., CHEM. SOC. REV., vol. 40, 2011, pages 5084 |
| COGAN, D.ELLMAN J. A., J. AM. CHEM. SOC., vol. 121, 1999, pages 268 |
| HERMANT, F. ET AL., ORGANOMETALLICS, vol. 33, 2014, pages 5643 |
| HEYDE, C. ET AL., E. J. ORG. CHEM., vol. 19, 2000, pages 3273 |
| JOURNAL OF ORGANIC CHEMISTRY, vol. 36, 1971, pages 1149 |
| JOURNAL OF ORGANIC CHEMISTRY, vol. 72, 2007, pages 7125 - 7134 |
| KITAMURA, S. ET AL., CHEM. PHARM. BULL., vol. 49, 2001, pages 268 |
| KLOSOWSKI AC ET AL.: "Competitive fitness of Phakopsora pachyrhizi isolates with mutations in the CYP51 and CYTB genes", PHYTOPATHOLOGY, vol. 106, 2016, pages 1278 - 1284 |
| KLOSOWSKI AC ET AL.: "Detection of the F129L mutation in the cytochrome b gene in Phakopsora pachyrhizi", PEST MANAG SCI, vol. 72, 2016, pages 1211 - 1215 |
| LANGENBACH C ET AL.: "Fighting Asian Soybean Rust", FRONT PLANT SCIENCE, vol. 7, no. 797, 2016, XP055287670, doi:10.3389/fpls.2016.00797 |
| MORIMOTO H. ET AL., ORG. LETT., vol. 16, 2014, pages 2018 - 2021 |
| NOVAK, A. ET AL., TETRAHEDRON LETTERS, vol. 47, 2006, pages 5767 - 5769 |
| SCHMITZ HK ET AL.: "Sensitivity of Phakopsora pachyrhizi towards quinone-outside-inhibitors and demethylation-inhibitors, and corresponding resistance mechanisms", PEST MANAG SCI, vol. 70, 2014, pages 378 - 388, XP055521613, doi:10.1002/ps.3562 |
| SIMÕES K ET AL.: "First detection of a SDH variant with reduced SDHI sensitivity in Phakopsora pachyrhizf", J PLANT DIS PROT, vol. 125, 2018, pages 21 - 2 |
| SYNTHESIS, vol. 3, 1989, pages 163 - 6 |
| TETRAHEDRON LETTERS, vol. 41, 2000, pages 8763 - 8767 |
| VALEUR, E.BRADLEY, M., CHEM. SOC. REV., vol. 38, 2009, pages 606 |
Cited By (3)
| Publication number | Priority date | Publication date | Assignee | Title |
|---|---|---|---|---|
| US20220151234A1 (en) * | 2019-04-08 | 2022-05-19 | Pi Industries Ltd. | Novel oxadiazole compounds for controlling or preventing phytopathogenic fungi |
| CN115385858A (en) * | 2022-08-18 | 2022-11-25 | 河南师范大学 | Photocatalytic preparation method of 2-phenyl-2H-indazole-3-formamide compound |
| CN115385858B (en) * | 2022-08-18 | 2024-03-01 | 河南师范大学 | Photocatalytic preparation method of 2-phenyl-2H-indazole-3-carboxamide compound |
Also Published As
| Publication number | Publication date |
|---|---|
| BR112021007156A2 (en) | 2021-07-20 |
| CN113195462A (en) | 2021-07-30 |
Similar Documents
| Publication | Publication Date | Title |
|---|---|---|
| US12262710B2 (en) | Fungicidal compounds | |
| US12043600B2 (en) | Microbiocidal compounds | |
| EP4608836A1 (en) | Microbiocidal heterobicyclic dihydrooxadiazine derivatives | |
| WO2024132901A1 (en) | Microbiocidal pyridazine dihydrooxadiazine derivatives | |
| US20250011314A1 (en) | Microbiocidal pyrazole derivatives | |
| WO2020208095A1 (en) | Microbiocidal picolinamide derivatives | |
| WO2021224102A1 (en) | Microbiocidal compounds | |
| US11629129B2 (en) | Microbiocidal picolinamide derivatives | |
| WO2020165403A1 (en) | Phenyl substituted thiazole derivatives as microbiocidal compounds | |
| US20250034097A1 (en) | Microbiocidal isonicotinic amide derivatives | |
| AU2022251771A1 (en) | Microbiocidal isonicotinic amide derivatives | |
| WO2021219780A1 (en) | Microbiocidal compounds | |
| WO2020078732A1 (en) | Microbiocidal oxadiazole derivatives | |
| WO2020025807A1 (en) | Microbiocidal 1,2,5-oxadiazol-3(2h)-one derivatives | |
| WO2023118011A1 (en) | Microbiocidal aza-heterobiaryl derivatives | |
| WO2023094303A1 (en) | Microbiocidal heterobiaryl amide derivatives | |
| WO2022058580A1 (en) | Microbiocidal compounds | |
| WO2021219778A1 (en) | Microbiocidal compounds | |
| WO2021219775A1 (en) | Microbiocidal compounds | |
| KR102922676B1 (en) | fungicidal compounds | |
| WO2021009026A1 (en) | Methyl 2-[(4-methoxyimino-tetralin-6-yl]prop-2-enoate derivatives, chromane, isochromane, 6,7,8,9-tetrahydrobenzo[7]annulene, 1h-isobenzofurane and indane analogues thereof, and similar compounds, as agrochemical fungicides | |
| OA21382A (en) | Fungicidal compounds. | |
| WO2023094304A1 (en) | Microbiocidal heterobiaryl amide derivatives | |
| WO2024100069A1 (en) | Microbiocidal pyridine derivatives | |
| BR122024019345A2 (en) | MICROBIOCIDAL COMPOUNDS AND USE |
Legal Events
| Date | Code | Title | Description |
|---|---|---|---|
| 121 | Ep: the epo has been informed by wipo that ep was designated in this application |
Ref document number: 19786736 Country of ref document: EP Kind code of ref document: A1 |
|
| NENP | Non-entry into the national phase |
Ref country code: DE |
|
| REG | Reference to national code |
Ref country code: BR Ref legal event code: B01A Ref document number: 112021007156 Country of ref document: BR |
|
| ENP | Entry into the national phase |
Ref document number: 112021007156 Country of ref document: BR Kind code of ref document: A2 Effective date: 20210415 |
|
| 122 | Ep: pct application non-entry in european phase |
Ref document number: 19786736 Country of ref document: EP Kind code of ref document: A1 |

























































