WO2013066838A1 - Compounds and methods - Google Patents
Compounds and methods Download PDFInfo
- Publication number
- WO2013066838A1 WO2013066838A1 PCT/US2012/062513 US2012062513W WO2013066838A1 WO 2013066838 A1 WO2013066838 A1 WO 2013066838A1 US 2012062513 W US2012062513 W US 2012062513W WO 2013066838 A1 WO2013066838 A1 WO 2013066838A1
- Authority
- WO
- WIPO (PCT)
- Prior art keywords
- alkyl
- heteroaryl
- aryl
- compound
- group
- Prior art date
- Legal status (The legal status is an assumption and is not a legal conclusion. Google has not performed a legal analysis and makes no representation as to the accuracy of the status listed.)
- Ceased
Links
- WZWIQYMTQZCSKI-UHFFFAOYSA-N N#Cc1ccc(C=O)cc1 Chemical compound N#Cc1ccc(C=O)cc1 WZWIQYMTQZCSKI-UHFFFAOYSA-N 0.000 description 1
- YJMPIJGUMPXCAH-JOCHJYFZSA-N N#Cc1ccc(CN([C@@H]2Cc(cc3)ccc3O)c(cccc3)c3NC2=O)cc1 Chemical compound N#Cc1ccc(CN([C@@H]2Cc(cc3)ccc3O)c(cccc3)c3NC2=O)cc1 YJMPIJGUMPXCAH-JOCHJYFZSA-N 0.000 description 1
- XRZJJPQCTYUECA-CQSZACIVSA-N Oc1ccc(C[C@H]2Nc3ccccc3NC2=O)cc1 Chemical compound Oc1ccc(C[C@H]2Nc3ccccc3NC2=O)cc1 XRZJJPQCTYUECA-CQSZACIVSA-N 0.000 description 1
Classifications
-
- C—CHEMISTRY; METALLURGY
- C07—ORGANIC CHEMISTRY
- C07D—HETEROCYCLIC COMPOUNDS
- C07D413/00—Heterocyclic compounds containing two or more hetero rings, at least one ring having nitrogen and oxygen atoms as the only ring hetero atoms
- C07D413/14—Heterocyclic compounds containing two or more hetero rings, at least one ring having nitrogen and oxygen atoms as the only ring hetero atoms containing three or more hetero rings
-
- C—CHEMISTRY; METALLURGY
- C07—ORGANIC CHEMISTRY
- C07D—HETEROCYCLIC COMPOUNDS
- C07D413/00—Heterocyclic compounds containing two or more hetero rings, at least one ring having nitrogen and oxygen atoms as the only ring hetero atoms
- C07D413/02—Heterocyclic compounds containing two or more hetero rings, at least one ring having nitrogen and oxygen atoms as the only ring hetero atoms containing two hetero rings
- C07D413/10—Heterocyclic compounds containing two or more hetero rings, at least one ring having nitrogen and oxygen atoms as the only ring hetero atoms containing two hetero rings linked by a carbon chain containing aromatic rings
-
- A—HUMAN NECESSITIES
- A61—MEDICAL OR VETERINARY SCIENCE; HYGIENE
- A61K—PREPARATIONS FOR MEDICAL, DENTAL OR TOILETRY PURPOSES
- A61K9/00—Medicinal preparations characterised by special physical form
- A61K9/14—Particulate form, e.g. powders, Processes for size reducing of pure drugs or the resulting products, Pure drug nanoparticles
- A61K9/141—Intimate drug-carrier mixtures characterised by the carrier, e.g. ordered mixtures, adsorbates, solid solutions, eutectica, co-dried, co-solubilised, co-kneaded, co-milled, co-ground products, co-precipitates, co-evaporates, co-extrudates, co-melts; Drug nanoparticles with adsorbed surface modifiers
- A61K9/146—Intimate drug-carrier mixtures characterised by the carrier, e.g. ordered mixtures, adsorbates, solid solutions, eutectica, co-dried, co-solubilised, co-kneaded, co-milled, co-ground products, co-precipitates, co-evaporates, co-extrudates, co-melts; Drug nanoparticles with adsorbed surface modifiers with organic macromolecular compounds
-
- A—HUMAN NECESSITIES
- A61—MEDICAL OR VETERINARY SCIENCE; HYGIENE
- A61K—PREPARATIONS FOR MEDICAL, DENTAL OR TOILETRY PURPOSES
- A61K9/00—Medicinal preparations characterised by special physical form
- A61K9/20—Pills, tablets, discs, rods
- A61K9/2004—Excipients; Inactive ingredients
- A61K9/2013—Organic compounds, e.g. phospholipids, fats
- A61K9/2018—Sugars, or sugar alcohols, e.g. lactose, mannitol; Derivatives thereof, e.g. polysorbates
-
- A—HUMAN NECESSITIES
- A61—MEDICAL OR VETERINARY SCIENCE; HYGIENE
- A61K—PREPARATIONS FOR MEDICAL, DENTAL OR TOILETRY PURPOSES
- A61K9/00—Medicinal preparations characterised by special physical form
- A61K9/20—Pills, tablets, discs, rods
- A61K9/2004—Excipients; Inactive ingredients
- A61K9/2022—Organic macromolecular compounds
- A61K9/205—Polysaccharides, e.g. alginate, gums; Cyclodextrin
- A61K9/2054—Cellulose; Cellulose derivatives, e.g. hydroxypropyl methylcellulose
-
- Y—GENERAL TAGGING OF NEW TECHNOLOGICAL DEVELOPMENTS; GENERAL TAGGING OF CROSS-SECTIONAL TECHNOLOGIES SPANNING OVER SEVERAL SECTIONS OF THE IPC; TECHNICAL SUBJECTS COVERED BY FORMER USPC CROSS-REFERENCE ART COLLECTIONS [XRACs] AND DIGESTS
- Y02—TECHNOLOGIES OR APPLICATIONS FOR MITIGATION OR ADAPTATION AGAINST CLIMATE CHANGE
- Y02A—TECHNOLOGIES FOR ADAPTATION TO CLIMATE CHANGE
- Y02A50/00—TECHNOLOGIES FOR ADAPTATION TO CLIMATE CHANGE in human health protection, e.g. against extreme weather
- Y02A50/30—Against vector-borne diseases, e.g. mosquito-borne, fly-borne, tick-borne or waterborne diseases whose impact is exacerbated by climate change
Definitions
- the present invention relates to compounds that inhibit histone deacetylase
- HDAC HDAC enzymes
- preparation of these compounds the preparation of these compounds, the use of these compounds in the treatment of diseases or conditions ameliorated by inhibition of HDAC activity and pharmaceutical compositions comprising these compounds.
- Chromatin organization involves DNA wound around histone octamers that form nucleosomes.
- Core histones with N-terminal tails extending from compact nucleosomal core particles can be acetylated or deacetylated at epsilon lysine residues affecting histone-DNA and histone-non-histone protein interactions.
- Histone deacetylases HDACs catalyze the deacetylation of histone and non-histone proteins and play an important role in epigenetic regulation.
- HDAC1 HDAC1 , HDAC2, HDAC3, HDAC8 and HDAC1 1
- HDAC4 HDAC5
- HDAC6, HDAC7, HDAC9 and HDAC10 which shuttle between the nucleus and the cytoplasm
- SIRT1-7 class III HDACs
- Class II HDACs are further characterized as class lla HDACs and class lib HDACs.
- HDAC9 is a class lla histone deacetylase highly expressed in human Tregs.
- HDAC9 deficiency 1 ) increases Foxp3 expression (and other Treg markers), 2) increases Foxp3 and histone 3 acetylation, 3) increases Foxp3 DNA binding, 4) increases Treg numbers, 5) increases suppressive activity in vitro and in vivo, and 6) ameliorates murine colitis.
- Tregs which are deficient in HDAC9 induce permanent tolerance of fully mismatched cardiac allografts.
- HDAC9 inhibitors maybe useful for treatment of diseases and disorders associated with abnormal cell proliferation, differentiation and survival, e.g. breast and prostate tumors.
- HDAC7 a class lla histone deacetylase
- HDAC7 enhances Treg suppression in vitro and in vivo.
- HDAC7 enhances FOXP3+ Treg function and induces long-term allograft survival.
- HDAC6 inhibition in vivo decreased severity of colitis in the dextran sodium sulphate-induced colitis model and the
- CD4 + CD62Lhigh adoptive transfer model of colitis In addition, inhibition of HDAC6 with a subtherapeutic dose of rapamycin led to prolonged cardiac allograft survival.
- an orally available small molecule selective inhibitor of Class II HDAC activity (more specifically HDAC9 or HDAC7 or HDAC6) is expected to modulate autoimmune diseases through expansion and enhancement of Treg activity.
- HDAC4 and 5 impair myogenesis by modulating the stability and activity of HDAC-MEF2 complexes and maybe potentially useful for the treatment of muscle and heart diseases including cardiac hypertrophy and heart failure. Also, inhibition of Class II HDAC activity, represents a novel approach for disrupting or intervening in cell cycle regulation.
- HDAC9 is also highly expressed in human B cells. Relative to normal B cells, expression of HDAC9 is deregulated in cell lines derived from B cell tumors and HDAC9 is highly overexpressed in cells derived from patients with non-Hodgkin's lymphoma (http://icr.ac.uk/research/team leaders/Zelent Arthur/Zelent Arthur Rl/index.shtml). HDAC4 and HDAC9 have both been reported to be overexpressed in CD19+ cells from patients with Waldenstrom Macroglobulinemia (Sun et al., Clinical Lymphoma, Myeloma & Leukemia, 201 1 , p. 152)
- Class Ma HDACs (HDAC4, HDAC5, HDAC7 and HDAC9) have been reported to associate with Bcl-6, a transcription factor implicated in the pathogenesis of B-cell malignancies (Lemercier et al, Journal of Biological Chemistry, 2002, p. 22045, and Petrie et al, Journal of Biological Chemistry, 2003, p. 16059). Due to these interactions class lla HDACs have been suggested to modulate the transcriptional repression of BCL6 and participate in its role in B-cell activation and differentiation, inflammation, and cell-cycle regulation (Verdin et al. TRENDS in Genetics, 2003, p. 286) .
- HDAC6 a class lib HDAC, has been reported to play an important role in aggresomal protein degradation, making it a target for the treatment of B cell
- HDAC4 a small molecule selective inhibitor of HDAC4, HDAC5, HDAC6, HDAC7, HDAC8 and/or HDAC9 is expected to be beneficial in the treatment of B-cell malignancies by targeting one or several of the above enzymes
- HDAC4 has been linked to a variety of neurodegenerative disorders: it is a downstream target of Parkin (associating it to Parkinson's disease); it is a major component of intranuclear inclusions produced in NIIND. HDAC4 also contains a conserved glutamine rich domain, such domain has been observed to increase susceptibility to amyloid formation associated with Alzheimer's disease (Majdzadeh et al. Front. Biosci., 2009, p. 1072). Heterozygotes of HDAC4 knockouts crossed to R6/2 mice (Huntington's disease model) led to improved motor/behavior and reduced aggregation
- HDAC4 and HDAC5 localization are regulated by neuronal activity, and HDAC5 nuclear import is increased in diseased neurons of Huntington's disease patients.
- HDAC7 has been implicated in regulating ataxin-7 turnover in a SCA-7 model (Mookerjee S et al., J Neurosci., 2009, p. 15134).
- HDAC6 is expressed in most neurons and most abundantly in cerebellar Purkinje cells; the degeneration of this type of neurons is observed in patients with spinocerebellar ataxia type 1 (SCA1 ) or SCA7. HDAC6 is involved in regulating microtubule dynamics and protein degradation and a defect in microtubule-based transport may contribute to the neuronal toxicity observed in Huntington's disease (Kazantsev et al. Nature Reviews Drug Discovery, 2008, p. 854). Additionally, HDAC6 activity has been shown to be required for autophagic degradation of aggregated huntingtin, suggesting a role in protecting cells from polyQ toxicity (Iwata, et al., J. Biol. Chem., 2005, p. 40282).
- HDAC4 or HDAC5 or HDAC6 or HDAC7or HDAC9 is expected to be beneficial in the treatment of neurodegenerative diseases.
- Class II HDAC inhibitors have therapeutic potential in the study and/or treatment of the various diseases or conditions described herein.
- HDAC inhibitors Many of the known small-molecule HDAC inhibitors, however, inhibit all HDAC isoforms. It would be advantageous to identify HDAC inhibitors that inhibited one or more, but not all HDAC isoforms.
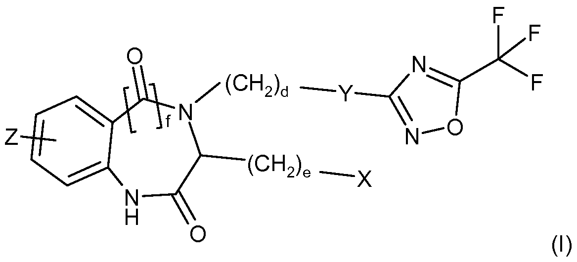
- the invention is directed to a compound according to Formula I:
- f is 0 or 1 ;
- each of the aryl, heteroaryl, cycloalkyl and heterocyclyl moieties of Z is optionally substituted by 1-3 substituents each independently selected from the group consisting of oxo, halogen, -(C C 6 )alkyl, halo(C C 6 )alkyl, (d-C 6 )alkoxy, halo(C C 6 )alkoxy, -NH 2 , hydroxyl, cyano, -NH((CrC 6 )alkyl), -N((C C 6 )alkyl)((Ci-C 6 )alkyl,), (C C 6 )alkylcarbonyl-,
- each R 1 is independently selected from the group consisting of hydrogen
- (C 3 -C 6 )cycloalkyl, heterocyclyl, aryl-(C 0 -C 6 )alkyl-, and heteroaryl-(C 0 -C 6 )alkyl-, is optionally substituted by 1 -3 R 2 substituents each independently selected from the group consisting of oxo, hydroxyl, cyano, -(CrC 6 )alkyl, -(CrC 6 )alkoxy, nitro, -amino((Ci-C 6 )alkyl),
- Y is (C 2 -C 6 )alkyl (that is, a (C 2 -C 6 )alkylenyl moiety) or an optionally substituted aryl or heteroaryl, optionally substituted by 1 -3 substituents each independently selected from the group consisting of halogen, -(CrC 6 )alkyl, halo(Ci-C 6 )alkyl, (CrC 6 )alkoxy, halo(C 1 -C 6 )alkoxy, amino, hydroxyl, cyano, -NH((C 1 -C 6 )alkyl),
- d is 0 or 1 ;
- e 0, 1 , 2, 3, 4, 5 or 6;
- any of said optionally substituted alkyl, aryl, heteroaryl, cycloalkyl, or heterocyclyl is optionally substituted by 1-3 substituents each independently selected from the group consisting of halogen, (d-C 6 )alkyl, halo(CrC 6 )alkyl, (CrC 6 )alkoxy,
- heterocyclyl -C(Ph) 3 , aryl, heteroaryl, aryl(C 1 -C 6 )alkyl-, and heteroaryl(C 1 -C 6 )alkyl-;
- a pharmaceutical composition comprising the compound of Formula I, or a salt thereof, a method of inhibiting HDAC by contacting a HDAC with the compound of Formula I or a salt thereof, and a method of treating a subject having a disease or disorder mediated by inhibition of a HDAC comprising administering the compound of Formula I, or a salt thereof, or a pharmaceutical composition comprising the compound of Formula I, or a salt thereof, to the subject.
- the invention is further directed to a pharmaceutical composition comprising a compound of the invention.
- the invention is still further directed to methods of inhibiting HDAC enzymes and treatment of conditions associated therewith using a compound of the invention or a pharmaceutical composition comprising a compound of the invention.
- alkyl represents a saturated, straight or branched hydrocarbon moiety.
- exemplary alkyls include, but are not limited to methyl (Me), ethyl (Et), n-propyl, isopropyl (or /-propyl), n-butyl, isobutyl, sec-butyl, f-butyl (or tert-butyl), n-pentyl, iso-pentyl (3-methyl-butyl), neo-pentyl (2,2-dimethylpropyl), etc.
- (Ci-C 4 )alkyl refers to an alkyl containing from 1 to 4 carbon atoms.
- any substituent term containing a "C 0 alkyl” moiety indicates that the substituent term excludes the presence of an alkyl moiety in that substituent.
- the term "-(C 0 -C 6 )alkyl-SR 1 " is intended to describe both "-SR 1 " and “-(d-C 6 )alkyl-SR 1 " substituents.
- alkyl When the term “alkyl” is used in combination with other substituent groups, such as “haloalkyl” or “cycloalkyl-alkyl” or “arylalkyl”, the term “alkyl” is intended to encompass a divalent straight or branched-chain hydrocarbon radical.
- arylalkyl is intended to mean the radical -alkylaryl, wherein the alkyl moiety thereof is a divalent straight or branched-chain carbon radical and the aryl moiety thereof is as defined herein, and is represented by the bonding arrangement present in a benzyl group (-CH 2 -phenyl).
- cycloalkyl refers to a non-aromatic, saturated, cyclic hydrocarbon ring.
- (C 3 -C 8 )cycloalkyl refers to a non-aromatic cyclic
- hydrocarbon ring having from three to eight ring carbon atoms.
- (C 3 -C 8 )cycloalkyl groups useful in the present invention include cyclopropyl, cyclobutyl, cyclopentyl, cyclohexyl, cycloheptyl, and cyclooctyl.
- Alkoxy refers to a group containing an alkyl radical attached through an oxygen linking atom.
- (Ci-C 4 )alkoxy refers to a straight- or branched-chain
- hydrocarbon radical having at least 1 and up to 4 carbon atoms attached through an oxygen linking atom.
- exemplary "(CrC 4 )alkoxy" groups useful in the present invention include, but are not limited to, methoxy, ethoxy, n-propoxy, isopropoxy, n-butoxy, s-butoxy, and f-butoxy.
- Aryl represents a group or moiety comprising an aromatic, monocyclic or bicyclic hydrocarbon radical containing from 6 to 10 carbon ring atoms and to which may be fused 1-3 cycloalkyl rings.
- aryl is phenyl
- Heterocyclic groups may be heteroaryl or heterocyclyl groups.
- Heterocyclyl represents a group or moiety comprising a stable, non-aromatic, monocyclic or bicyclic radical, which is saturated or partially unsaturated, containing 3 to 10 ring atoms, which includes 1 to 4 heteroatoms selected from the group consisting of nitrogen, oxygen and sulfur.
- the heterocyclyl may be attached by any atom of the monocyclic or bicyclic radical which results in the creation of a stable structure. This term encompasses bicyclic heterocyclyl moieties where the rings are joined at two atoms per ring, as exemplified by the bonding arrangement in 2,5-diazabicyclo[2.2.1]heptyl,
- octahydro-1 /-/-pyrrolo[3,2-6]pyridyl group octahydro-1 /-/-pyrrolo[3,2-6]pyridyl group.
- This term specifically excludes bicyclic heterocyclyl moieties where the rings are joined at a single atom per ring (spiro), as exemplified by the bonding arrangement in a 1 -oxa-2-azaspiro[4.5]dec-2-en-3-yl group.
- heterocyclyls include, but are not limited to, azetidinyl, pyrrolidyl (or pyrrolidinyl), piperidinyl, piperazinyl, morpholinyl, tetrahydro-2H-1 ,4-thiazinyl, tetrahydrofuryl (or tetrahydrofuranyl), dihydrofuryl, oxazolinyl, thiazolinyl, pyrazolinyl, tetrahydropyranyl, dihydropyranyl, 1 ,3-dioxolanyl, 1 ,3-dioxanyl, 1 ,4-dioxanyl,
- heterocyclyl groups are
- 5-membered and/or 6-membered heterocyclyl groups such as pyrrolidyl (or pyrrolidinyl), tetrahydrofuryl (or tetrahydrofuranyl), tetrahydrothienyl, dihydrofuryl, oxazolinyl, thiazolinyl or pyrazolinyl, piperidyl (or piperidinyl), piperazinyl, morpholinyl, tetrahydropyranyl, dihydropyranyl, 1 ,3-dioxanyl, tetrahydro-2H-1 ,4-thiazinyl, 1 ,4-dioxanyl, 1 ,3-oxathianyl, and 1 ,3-dithianyl.
- pyrrolidyl or pyrrolidinyl
- tetrahydrofuryl or tetrahydrofuranyl
- tetrahydrothienyl
- Heteroaryl represents a group or moiety comprising an aromatic, monocyclic or bicyclic radical, containing 5 to 10 ring atoms, including 1 to 4 heteroatoms selected from the group consisting of nitrogen, oxygen and sulfur. This term also encompasses bicyclic heterocyclic-aryl compounds containing an aryl ring moiety fused to a heterocyclyl ring moiety, containing 5 to 10 ring atoms, including 1 to 4 heteroatoms selected from the group consisting of nitrogen, oxygen and sulfur. This term is also intended to encompass heterocyclic groups containing nitrogen and/or sulfur where the nitrogen or sulfur heteroatoms are optionally oxidized.
- heteroaryls include, but are not limited to, thienyl, pyrrolyl, imidazolyl, pyrazolyl, furyl (or furanyl), isothiazolyl, furazanyl, isoxazolyl, oxazolyl, oxadiazolyl, thiazolyl, pyridyl (or pyridinyl), pyridyl-N-oxide, pyrazinyl, pyrimidinyl, pyridazinyl, triazinyl, tetrazinyl, triazolyl, tetrazolyl, benzo[b]thienyl, isobenzofuryl, 2,3-dihydrobenzofuryl, chromenyl, chromanyl, indolizinyl, isoindolyl, indolyl, indazolyl, purinyl, isoquinolyl, quinolyl, phthalazin
- heteroaryl groups present in the compounds of this invention are 5-6 membered monocyclic heteroaryl groups.
- Selected 5-membered heteroaryl groups contain one nitrogen, oxygen or sulfur ring heteroatom, and optionally contain 1 , 2 or 3 additional nitrogen ring atoms.
- Selected 6-membered heteroaryl groups contain 1 , 2, 3 or 4 nitrogen ring heteroatoms.
- Selected 5- or 6-membered heteroaryl groups include thienyl, pyrrolyl, imidazolyl, pyrazolyl, furyl, isothiazolyl, furazanyl, isoxazolyl, oxazolyl, oxadiazolyl, thiazolyl, triazolyl, and tetrazolyl or pyridyl, pyrazinyl, pyrimidinyl, pyridazinyl, triazinyl and thiadiazolyl.
- heteroaryl groups present in the compounds of this invention are 9-10 membered bicyclic heteroaryl groups.
- Selected 9-membered heteroaryl groups contain one nitrogen, oxygen or sulfur ring heteroatom, and optionally contain 1 , 2 or 3 additional nitrogen ring atoms.
- Selected 10-membered heteroaryl groups contain one nitrogen, oxygen or sulfur ring heteroatom, and optionally contain 1 , 2, 3 or 4 additional nitrogen ring atoms.
- Selected 9-10 membered heteroaryl groups include benzo[b]thienyl, isobenzofuryl, 2,3-dihydrobenzofuryl, chromenyl, chromanyl, indolizinyl, isoindolyl, indolyl, indazolyl, purinyl, isoquinolyl, quinolyl, phthalazinyl, naphthridinyl, quinzolinyl,
- alkyl, aryl, cycloalkyl, heteroaryl, etc. may be used to define a divalent substituent, such as a group bonded to two other groups. In this instance, such terms are intended to encompass divalent moieties.
- pentyl may be used to represent a pentylenyl diradical -wherein the pentyl moiety is any one of a divalent straight (e.g. -CH 2 CH 2 CH 2 CH 2 CH 2 -) or branched (e.g. -CH 2 CH(CH 3 )CH 2 CH 2 -,
- Haldroxy or “hydroxyl” is intended to mean the radical -OH.
- the invention is directed to a compound according to Formula (l-a) and Formula (l-b):
- f is 0 and the compounds have Formula (l-a). In another embodiment, f is 1 and the compounds have Formula (l-b). .
- d is 0. In another embodiment, d is 1 .
- e is 0. In another embodiment, e is 1. In further embodiment, e is 2. In a still further embodiment, e is 4.
- d is 1
- e is 1
- f is 0.
- Z is selected from the group consisting of hydrogen, halogen, -CF 3 , nitro, cyano,
- any of said aryl or heteroaryl is optionally substituted by 1-3 substituents each independently selected from the group consisting of oxo, hydroxyl, cyano, -(C 1 -C 6 )alkyl, -(CrCe ⁇ lkoxy, nitro, -NR 1 R 1 , halogen, -SH, halo(C 1 -C 6 )alkyl and -(C 2 -C 4 )alkyl-NR 1 R 1 , wherein two R 1 groups, together with the nitrogen atom to which they are attached optionally form a heterocyclyl group.
- Z is selected from the group consisting of hydrogen, -(C 0 -C 3 )alkoxy-(C 0 -C 3 )alkyl-aryl, -(C 0 -C 3 )alkoxy-(C 0 -C 3 )alkyl-heteroaryl, aryl,
- Z is -(C 2 -C 4 )alkyl-NR 1 R 1 , and the two R 1 groups, together with the nitrogen atom to which they are attached, optionally form a heterocyclyl selected from the group consisting of morpholinyl, piperazinyl, piperidinyl, pyrrolidinyl, and azetidinyl.
- each R 1 is independently selected -H, -(d-C 6 )alkyl
- -(Co-C 6 )alkyl-heteroaryl is optionally substituted by 1-3 substituents each independently selected from the group consisting of oxo, hydroxyl, cyano, -(CrC 6 )alkyl,
- each R 1 is independently -(C 0 -C 6 )alkyl-aryl or
- each R 2 is independently selected from the group consisting of -CH 3 , -F, -CI, -Br, -OH, -OCH 3 , -OCF 3 , -CF 3 , -NH 2, -NH((Ci-C 6 )alkyl), -N((C 1 -C 6 )alkyl)((C 1 -C 6 )alkyl), -(C 2 -C 4 )alkyl-N((C 1 -C 6 )alkyl), -(C 2 -C 4 )alkyl-N ((C 1 -C 6 )alkyl)((C 1 -C 6 )alkyl), and cyano.
- R 1 is independently selected from the group consisting of phenyl, benzyl, methyl, ethyl, ferf-butyl and isopropyl.
- Z is -H.
- Y is (C 2 -C 6 )alkyl. In a further embodiment, Y is (C 2 -C 4 )alkyl.
- Y is an optionally substituted phenyl or naphthyl, or a 5-6 membered or 9-10 membered heteroaryl, optionally substituted by 1-3 substituents each independently selected from the group consisting of halogen, -(d-C 6 )alkyl,
- Y is an optionally substituted phenyl, pyridyl or pyrimidinyl (more specifically, an optionally substituted phenyl or pyridyl), optionally substituted by 1 -3 substituents each
- Y is unsubstituted phenyl, pyridyl or pyrimidinyl, specifically, Y is unsubstituted phenyl or pyridyl.
- -S-(Ci-C 6 )alkyl-N(R 1 ) 2 -SO-(C C 6 )alkyl, -S0 2 -(C C 6 )alkyl, -(C 3 -C 6 )cycloalkyl, heterocyclyl, -C(Ph) 3 , aryl, heteroaryl, aryl(Ci-C 6 )alkyl-, and heteroaryl(Ci-C 6 )alkyl.
- X is an optionally substituted phenyl, thienyl, pyridyl or indolyl, optionally substituted by 1 -3 substituents each independently selected from the group consisting of (Ci-C 6 )alkyl, halogen, hydroxyl, (Ci-C 6 )alkoxy, halo(CrC 6 )alkyl and halo(CrC 6 )alkoxy.
- X is an optionally substituted phenyl, thienyl, pyridyl or indolyl (more specifically, phenyl or thienyl) group, optionally substituted by 1 or 2 substituents each independently selected from the group consisting of fluoro, hydroxy, and ferf-butoxy.
- X is a 4-hydroxyphenyl group or an indolyl group, more specifically, X is a 4-hydroxyphenyl group.
- the terms "compound(s) of the invention” or “compound(s) of this invention” mean a compound of Formula (I), as defined above, in any form, i.e., any salt or non-salt form (e.g., as a free acid or base form, or as a salt, particularly a
- any physical form thereof e.g., including non-solid forms (e.g., liquid or semi-solid forms), and solid forms (e.g., amorphous or crystalline forms, specific polymorphic forms, solvate forms, including hydrate forms (e.g., mono-, di- and hemi- hydrates)), and mixtures of various forms.
- non-solid forms e.g., liquid or semi-solid forms
- solid forms e.g., amorphous or crystalline forms, specific polymorphic forms, solvate forms, including hydrate forms (e.g., mono-, di- and hemi- hydrates)
- mixtures of various forms e.g., including hydrate forms (e.g., mono-, di- and hemi- hydrates)
- optionally substituted means unsubstituted groups or rings (e.g., cycloalkyl, heterocycle, and heteroaryl rings) and groups or rings substituted by 1 -3 specified substituents.
- the compounds according to Formula I may contain 1 -3 asymmetric center (also referred to as a chiral center) and may, therefore, exist as individual enantiomers, diastereomers, or other stereoisomeric forms, or as mixtures thereof.
- Chiral centers such as chiral carbon atoms, may also be present in a substituent such as an alkyl group.
- the stereochemistry of a chiral center present in Formula I, or in any chemical structure illustrated herein, is not specified the structure is intended to encompass all individual stereoisomers and all mixtures thereof.
- compounds according to Formula I containing 1-3 chiral centers may be used as racemic mixtures, scalemic mixtures, or as diaseteromerically or enantiomerically pure materials.
- Individual stereoisomers of a compound according to Formula I which contain 1-3 asymmetric center may be resolved by methods known to those skilled in the art. For example, such resolution may be carried out (1 ) by formation of diastereoisomeric salts, complexes or other derivatives; (2) by selective reaction with a stereoisomer-specific reagent, for example by enzymatic oxidation or reduction; or (3) by gas-liquid or liquid chromatography in a chiral environment, for example, on a chiral support such as silica with a bound chiral ligand or in the presence of a chiral solvent.
- stereoisomers may be synthesized by asymmetric synthesis using optically active reagents, substrates, catalysts or solvents, or by converting one enantiomer to the other by asymmetric transformation.
- polymorphism i.e. the capacity to occur in different crystalline forms. These different crystalline forms are typically known as "polymorphs.” It is to be understood that when named or depicted by structure, the disclosed compound, or solvates (particularly, hydrates) thereof, also include all polymorphs thereof. Polymorphs have the same chemical composition but differ in packing, geometrical arrangement, and other descriptive properties of the crystalline solid state. Polymorphs, therefore, may have different physical properties such as shape, density, hardness, deformability, stability, and dissolution properties. Polymorphs typically exhibit different melting points, IR spectra, and X-ray powder diffraction patterns, which may be used for identification. One of ordinary skill in the art will appreciate that different polymorphs may be produced, for example, by changing or adjusting the conditions used in crystallizing/recrystallizing the compound.
- Formula I are preferably pharmaceutically acceptable salts.
- Suitable pharmaceutically acceptable salts include those described by Berge, Bighley and Monkhouse,
- salts encompassed within the term “pharmaceutically acceptable salts” refer to non-toxic salts of the compounds of this invention.
- a salt may be readily prepared by using a desired acid or base as appropriate.
- the salt may precipitate from solution and be collected by filtration or may be recovered by evaporation of the solvent.
- a desired salt form may be prepared by any suitable method known in the art, including treatment of the free base with an inorganic acid, such as hydrochloric acid, hydrobromic acid, sulfuric acid, nitric acid, phosphoric acid, and the like, or with an organic acid, such as acetic acid, trifluoroacetic acid, maleic acid, succinic acid, mandelic acid, fumaric acid, malonic acid, pyruvic acid, oxalic acid, glycolic acid, salicylic acid, and the like, or with a pyranosidyl acid, such as glucuronic acid or galacturonic acid, or with an alpha-hydroxy acid, such as citric acid or tartaric acid, or with an amino acid, such as aspartic acid or glutamic acid, or with an aromatic acid, such as benzoic acid or cinnamic acid, or with a sulfonic acid, such as
- Suitable addition salts are formed from acids which form non-toxic salts and examples include acetate, p-aminobenzoate, ascorbate, aspartate, benzenesulfonate, benzoate, bicarbonate, bismethylenesalicylate, bisulfate, bitartrate, borate, calcium edetate, camsylate, carbonate, clavulanate, citrate, cyclohexylsulfamate, edetate, edisylate, estolate, esylate, ethanedisulfonate, ethanesulfonate, formate, fumarate, gluceptate, gluconate, glutamate, glycollate, glycollylarsanilate, hexylresorcinate, hydrabamine, hydrobromide, hydrochloride, dihydrochloride, hydrofumarate, hydrogen phosphate, hydroiodide, hydromaleate, hydrosuccinate, hydroxyn
- exemplary acid addition salts include pyrosulfate, sulfite, bisulfite, decanoate, caprylate, acrylate, isobutyrate, caproate, heptanoate, propiolate, oxalate, malonate, suberate, sebacate, butyne-1 ,4-dioate, hexyne-1 ,6-dioate, chlorobenzoate, methylbenzoate, dinitrobenzoate, hydroxybenzoate, methoxybenzoate, phthalate, phenylacetate, phenylpropionate, phenylbutrate, lactate, ⁇ -hydroxybutyrate, mandelate, and sulfonates, such as xylenesulfonate, propanesulfonate, naphthalene-1 -sulfonate and naphthalene-2-sulfonate.
- an inventive basic compound is isolated as a salt
- the corresponding free base form of that compound may be prepared by any suitable method known to the art, including treatment of the salt with an inorganic or organic base, suitably an inorganic or organic base having a higher pK a than the free base form of the compound.
- a desired salt may be prepared by any suitable method known to the art, including treatment of the free acid with an inorganic or organic base, such as an amine (primary, secondary, or tertiary), an alkali metal or alkaline earth metal hydroxide, or the like.
- an inorganic or organic base such as an amine (primary, secondary, or tertiary), an alkali metal or alkaline earth metal hydroxide, or the like.
- suitable salts include organic salts derived from amino acids such as glycine and arginine, ammonia, primary, secondary, and tertiary amines, and cyclic amines, such as N-methyl-D-glucamine, diethylamine, isopropylamine, trimethylamine, ethylene diamine, dicyclohexylamine, ethanolamine, piperidine, morpholine, and piperazine, as well as inorganic salts derived from sodium, calcium, potassium, magnesium, manganese, iron, copper, zinc, aluminum, and lithium.
- amino acids such as glycine and arginine
- ammonia such as glycine and arginine
- primary, secondary, and tertiary amines such as N-methyl-D-glucamine, diethylamine, isopropylamine, trimethylamine, ethylene diamine, dicyclohexylamine, ethanolamine, piperidine, morpholine, and piperazine
- Certain of the compounds of this invention may form salts with 1-3 equivalents of an acid (if the compound contains a basic moiety) or a base (if the compound contains an acidic moiety).
- the present invention includes within its scope all possible stoichiometric and non-stoichiometric salt forms.
- Compounds of the invention having both a basic and acidic moiety may be in the form of zwitterions, acid-addition salt of the basic moiety or base salts of the acidic moiety.
- This invention also provides for the conversion of one pharmaceutically acceptable salt of a compound of this invention, e.g., a hydrochloride salt, into another
- a pharmaceutically acceptable salt of a compound of this invention e.g., a sulfate salt.
- solvates of the compounds of Formula I, or salts thereof that are in crystalline form may be formed wherein solvent molecules are incorporated into the crystalline lattice during crystallization.
- Solvates may involve nonaqueous solvents such as ethanol, isopropanol, DMSO, acetic acid, ethanolamine, and ethyl acetate, or they may involve water as the solvent that is incorporated into the crystalline lattice.
- Solvates wherein water is the solvent that is incorporated into the crystalline lattice are typically referred to as
- Hydrates include stoichiometric hydrates as well as compositions containing variable amounts of water.
- the invention includes all such solvates.
- the compounds of Formula (I) are intended for use in pharmaceutical compositions it will readily be understood that they are each preferably provided in substantially pure form, for example at least 60% pure, more suitably at least 75% pure and preferably at least 85%, especially at least 98% pure (% are on a weight for weight basis). Impure preparations of the compounds may be used for preparing the more pure forms used in the pharmaceutical compositions.
- the compounds of this invention may be obtained by using synthetic procedures illustrated in the Schemes below or by drawing on the knowledge of a skilled organic chemist.
- the synthesis provided in these Schemes are applicable for producing compounds of the invention having a variety of different R 1 and R 2 groups employing appropriate precursors, which are suitably protected if needed, to achieve compatibility with the reactions outlined herein. Subsequent deprotection, where needed, affords compounds of the nature generally disclosed.
- the Schemes are shown with compounds only of Formula I, they are illustrative of processes that may be used to make the compounds of the invention.
- Intermediates (compounds used in the preparation of the compounds of the invention) may also be present as salts.
- the phrase "compound(s) of formula (number)" means a compound having that structural formula or a pharmaceutically acceptable salt thereof.
- Specific compounds of this invention include the compounds of Examples 1 -2.
- Representative compounds of this invention include:
- ChemDraw 1 1.0 available from CambridgeSoft Corporation., 100 CambridgePark Drive, Cambridge, MA 02140, USA (http://www.cambridgesoft.com).
- the compounds of Formula I can be prepared according to the methods outlined below.
- Substitution of the 4-nitrogen of the 3,4-dihydroquinoxalin- 2(1 H)-one may be accomplished by treatment with an optionally substituted cyano- (hetero)aryl-carboxaldehyde. Conversion of the cyano moiety into a trifluoromethyl- oxadiazolyl group may be accomplished by treatment with hydroxylamine and
- the invention also includes various deuterated forms of the compounds of Formula I.
- Each available hydrogen atom attached to a carbon atom may be
- deuterated alkyl groups e.g., /V-(deutero-methyl) amines
- deuterated alkyl groups may be prepared by conventional techniques (see for example: methyl-c/3-amine available from Aldrich Chemical Co., Milwaukee, Wl, Cat. No.489, 689-2).
- Employing such compounds will allow for the preparation of compounds of Formula (I) in which various hydrogen atoms of the /V-methyl groups are replaced with a deuterium atom.
- the present invention is directed to a method of inhibiting an HDAC which comprises contacting the acetylase with a compound of Formula (I) or a salt thereof, particularly a pharmaceutically acceptable salt thereof. More specifically, this invention is directed to a method of inhibiting HDAC comprising contacting a cell with an effective amount of a compound of Formula (I) or a salt thereof, particularly a pharmaceutically acceptable salt thereof. This invention is also directed to a method of treatment of an HDAC-mediated disease or disorder comprising administering a therapeutically effective amount of the compound of Formula I or a salt thereof, particularly a pharmaceutically acceptable salt thereof, to a patient, specifically a human, in need thereof. As used herein, "patient” refers to a mammal, specifically, a human. A therapeutically "effective amount” is intended to mean that amount of a compound that, when administered to a patient in need of such treatment, is sufficient to effect treatment, as defined herein.
- a therapeutically effective amount of a compound of Formula I, or a pharmaceutically acceptable salt thereof is a quantity of an inventive agent that, when administered to a human in need thereof, is sufficient to inhibit the activity of HDAC such that a disease condition which is mediated by that activity is reduced, alleviated or prevented.
- the amount of a given compound that will correspond to such an amount will vary depending upon factors such as the particular compound (e.g., the potency (pXC 50 ), efficacy (EC 5 o), and the biological half-life of the particular compound), disease condition and its severity, the identity (e.g., age, size and weight) of the patient in need of treatment, but can nevertheless be routinely determined by one skilled in the art.
- duration of treatment and the time period of administration (time period between dosages and the timing of the dosages, e.g., before/with/after meals) of the compound will vary according to the identity of the mammal in need of treatment (e.g., weight), the particular compound and its properties (e.g., pharmaceutical characteristics), disease or condition and its severity and the specific composition and method being used, but can
- Treating is intended to mean at least the mitigation of a disease condition in a patient, where the disease condition is caused or mediated by HDAC.
- the methods of treatment for mitigation of a disease condition include the use of the compounds in this invention in any conventionally acceptable manner, for example for prevention, retardation, prophylaxis, therapy or cure of a disease.
- this invention is directed to a method of treating, ameliorating, or preventing an autoimmune disorder, an immunological disease, an inflammatory disorder, transplant/graft rejection (e.g., allograft), lymphopenia, or graft-versus-host disease (GvHD) in a patient, specifically in a human, comprising administering to the patient a compound of this invention, in an amount sufficient to increase the level and/or activity of a Treg cell or a population of Treg cells in the patient, thereby treating, ameliorating, or preventing the autoimmune disorder, inflammatory disorder,
- transplant/graft rejection e.g., allograft
- lymphopenia e.g., allograft
- GvHD graft-versus-host disease
- transplant/graft rejection transplant/graft rejection, lymphopenia, or GvHD in the patient.
- diseases and conditions that may be treated by the compounds of this invention include but not limited to type II diabetes mellitus, coronary artery disease, alopecia, allergies and allergic reactions, and sepsis/toxic shock.
- Exemplary autoimmune disorders include, but are not limited to, multiple sclerosis, juvenile idiopathic arthritis, psoriatic arthritis, hepatitis C virus-associated mixed cryoglobulinemia, polymyositis, dermatomyositis, polyglandular syndrome type II, autoimmune liver disease, Kawasaki disease, myasthenia gravis, immunodysregulation polyendocrinopathy enteropathy X-linked syndrome (IPEX (syndrome)), type I diabetes, psoriasis, hypothyroidism, hemolytic anemia, autoimmune polyendocrinopathy- candidiasis-ectodermal dystrophy (APECED), thrombocytopenia, spondyloarthritis, Sjogren's syndrome, rheumatoid arthritis, inflammatory bowel disease (IBD), Crohn's disease, ulcerative colitis, eczema, gastritis, or thyroiditis.
- the inflammatory bowel disease IBD
- autoimmune diseases include osteoarthritis, systemic sclerosis, sarcoidosis, insulin dependent diabetes mellitus (IDDM, type I diabetes), reactive arthritis, scleroderma, vasculitis, Wegener's granulomatosis, Hashimoto's disease, scleroderma, oophoritis, Lupus (SLE), Grave's disease, asthma, cryoglobulinemia, primary biliary sclerosis, pemphigus vulgaris, hemolytic anemia and pernicious anemia.
- IDDM insulin dependent diabetes mellitus
- SLE oophoritis
- Grave's disease asthma, cryoglobulinemia, primary biliary sclerosis, pemphigus vulgaris, hemolytic anemia and pernicious anemia.
- transplant/graft rejection e.g., allograft
- lymphopenia e.g., lymphopenia
- graft- versus-host disease e.g., graft- versus-host disease
- transplant/graft rejection e.g., allograft
- lymphopenia e.g., lymphopenia
- graft- versus-host disease e.g., graft- versus-host disease
- transplant/graft rejection e.g., allograft
- lymphopenia e.g., lymphopenia
- GvHD graft- versus-host disease
- this invention is directed to a method of treating an HDAC-mediated neurodegenerative disease or disorder which comprises administering to a patient in need thereof, a compound of Formula I or a salt thereof, particularly a pharmaceutically acceptable salt thereof.
- This invention is also directed to a method of treatment of a neurodegenerative disease or disorder associated with deacetylases, such as, Alzheimer's disease, Parkinson's disease, neuronal intranuclear inclusion disease (NMD), and polyglutamine disorders, such as Huntington's disease and spinocerebellar ataxia (SCA), comprising administering a therapeutically effective amount of the compound of Formula I or a salt thereof, particularly a pharmaceutically acceptable salt thereof, to a patient, specifically a human, in need thereof.
- deacetylases such as, Alzheimer's disease, Parkinson's disease, neuronal intranuclear inclusion disease (NMD), and polyglutamine disorders, such as Huntington's disease and spinocerebellar ataxia (SCA)
- diseases and conditions include but are not limited to cystic fibrosis, osteoporosis, obesity, epilepsy, depression, thalassemia, sickle cell anemia, amyotrophic lateral sclerosis (ALS) and hyperalgesia, cardiac disease (e.g., stroke, hypertension, atherothrombotic diseases, artherosclerosis or limitation of infarct size in acute coronary syndrome), diseases or disorders involving muscular atrophy, gentamicin-induced hearing loss, drug resistance (e.g., drug resistance in osteosarcoma and colon cancer cells), infectious diseases, and immune deficiency/immunocompromised patients.
- cystic fibrosis e.g., osteoporosis
- obesity e.g., epilepsy, depression, thalassemia, sickle cell anemia, amyotrophic lateral sclerosis (ALS) and hyperalgesia
- cardiac disease e.g., stroke, hypertension, atherothrombotic diseases, artherosclerosis or limitation
- infectious diseases relate to various pathogen infections such as viral, fungal, bacterial, mycoplasm, and infections by unicellular and multicellular eukaryotic organisms.
- Common human pathogens include but are not limited to HIV, HSV, HPV, Hepatitis A, B and C viruses, influenza, denge, zostrella, rubella, RSV, rotavirus, gram positive, gram negative, streptococcus, tetanus, staphalococcus, tuberculosis, listeria, and malaria.
- the compounds of the invention may be employed alone or in combination with standard anti-cancer regimens for neoplastic cell, e.g., tumor cell and cancer cell, treatments.
- this invention is directed to inhibitors of HDAC and their use to stop or reduce the growth of neoplastic cells, e.g., cancer cells and tumor cells.
- neoplastic cells e.g., cancer cells and tumor cells.
- carcinoma e.g., adenocarcinoma
- heptaocellular carcinoma e.g., sarcoma
- myeloma e.g., multiple myeloma
- treating bone disease in multiple myeloma e.g., leukemia, childhood acute lymphoblastic leukemia and lymphoma (e.g., cutaneous cell lymphoma)
- mixed types of cancers such as adenosquamous carcinoma, mixed mesodermal tumor, carcinosarcoma, and teratocarcinoma.
- breast or prostate cancers or tumors are treated using the HDAC inhibitors of this invention.
- Other cancers that may be treated using the compounds of this invention include, but are not limited to, bladder cancer, breast cancer, prostate cancer, stomach cancer, lung cancer, colon cancer, rectal cancer, colorectal cancer, liver cancer, endometrial cancer, pancreatic cancer, cervical cancer, ovarian cancer; head and neck cancer, and melanoma.
- the present invention is further directed to a method of treating a B-cell lymphoma, particularly a B-cell lymphoma associated with deacetylases, which comprises administering to a patient in need thereof, a compound of Formula I or a salt thereof, particularly a pharmaceutically acceptable salt thereof.
- B-cell lymphomas associated with deacetylases include Burkitt lymphoma, chronic lymphocytic leukemia/small lymphocytic lymphoma (CLL/SLL), diffuse large B-cell lymphoma, follicular lymphoma, immunoblastic large cell lymphoma, precursor B-lymphoblastic lymphoma, mantle cell lymphoma, and
- this invention is directed to a method of treatment of Burkitt lymphoma, chronic lymphocytic leukemia/small lymphocytic lymphoma (CLL/SLL), diffuse large B-cell lymphoma, follicular lymphoma, immunoblastic large cell lymphoma, precursor B-lymphoblastic lymphoma, mantle cell lymphoma, and Waldenstrom Macroglobulinemia (lymphoplasmacytic lymphoma), comprising administering a therapeutically effective amount of the compound of Formula I or a salt thereof, particularly a pharmaceutically acceptable salt thereof, to a patient, specifically a human, in need thereof.
- CLL/SLL chronic lymphocytic leukemia/small lymphocytic lymphoma
- follicular lymphoma immunoblastic large cell lymphoma
- precursor B-lymphoblastic lymphoma precursor B-lymphoblastic lymphoma
- mantle cell lymphoma mantle cell lymphoma
- the compounds of the invention may be administered by any suitable route of administration, including both systemic administration and topical administration.
- Systemic administration includes oral administration, parenteral administration, transdermal administration, rectal administration, and administration by inhalation.
- Parenteral administration refers to routes of administration other than enteral,
- transdermal, or by inhalation and is typically by injection or infusion.
- Parenteral administration includes intravenous, intramuscular, and subcutaneous injection or infusion.
- Inhalation refers to administration into the patient's lungs whether inhaled through the mouth or through the nasal passages.
- Topical administration includes application to the skin.
- the compounds of the invention may be administered once or according to a dosing regimen wherein a number of doses are administered at varying intervals of time for a given period of time. For example, doses may be administered one, two, three, or four times per day. Doses may be administered until the desired therapeutic effect is achieved or indefinitely to maintain the desired therapeutic effect. Suitable dosing regimens for a compound of the invention depend on the pharmacokinetic properties of that compound, such as absorption, distribution, and half-life, which can be determined by the skilled artisan.
- suitable dosing regimens including the duration such regimens are administered, for a compound of the invention depend on the condition being treated, the severity of the condition being treated, the age and physical condition of the patient being treated, the medical history of the patient to be treated, the nature of concurrent therapy, the desired therapeutic effect, and like factors within the knowledge and expertise of the skilled artisan. It will be further understood by such skilled artisans that suitable dosing regimens may require adjustment given an individual patient's response to the dosing regimen or over time as individual patient needs change.
- Treatment of HDAC-mediated disease conditions may be achieved using the compounds of this invention as a monotherapy, or in dual or multiple combination therapy, such as in combination with other agents, for example, in combination with 1-3 of the following agents: DNA methyltransferase inhibitors, acetyl transferase enhancers, proteasome or HSP90 inhibitors, and 1 -3 immunosuppressants that do not activate the T suppressor cells including but are not limited to corticosteroids, rapamycin, Azathioprine, Mycophenolate, Cyclosporine, Mercaptopurine (6-MP), basiliximab, daclizumab, sirolimus, tacrolimus, Muromonab-CD3, cyclophosphamide, and methotrexate, which are
- the compounds of the invention will normally, but not necessarily, be formulated into a pharmaceutical composition prior to administration to a patient. Accordingly, in another aspect the invention is directed to pharmaceutical compositions comprising a compound of the invention and a pharmaceutically-acceptable excipient.
- compositions of the invention may be prepared and packaged in bulk form wherein an effective amount of a compound of the invention can be extracted and then given to the patient such as with powders, syrups, and solutions for injection.
- the pharmaceutical compositions of the invention may be prepared and packaged in unit dosage form.
- a dose of the pharmaceutical composition contains at least a therapeutically effective amount of a compound of this invention (i.e., a compound of Formula I or a salt, particularly a pharmaceutically acceptable salt, thereof).
- the pharmaceutical compositions may contain from 1 mg to 1000 mg of a compound of this invention.
- compositions of the invention typically contain one compound of the invention. However, in certain embodiments, the pharmaceutical compositions of the invention contain more than one compound of the invention. In addition, the pharmaceutical compositions of the invention may optionally further comprise 1 -3 additional pharmaceutically active compounds.
- pharmaceutically-acceptable excipient means a material, composition or vehicle involved in giving form or consistency to the composition.
- Each excipient must be compatible with the other ingredients of the pharmaceutical composition when commingled such that interactions which would substantially reduce the efficacy of the compound of the invention when administered to a patient and interactions which would result in pharmaceutical compositions that are not pharmaceutically-acceptable are avoided.
- each excipient must of course be of sufficiently high purity to render it pharmaceutically-acceptable.
- the compounds of the invention and the pharmaceutically-acceptable excipient or excipients will typically be formulated into a dosage form adapted for administration to the patient by the desired route of administration.
- Conventional dosage forms include those adapted for (1 ) oral administration such as tablets, capsules, caplets, pills, troches, powders, syrups, elixirs, suspensions, solutions, emulsions, sachets, and cachets; (2) parenteral administration such as sterile solutions, suspensions, and powders for reconstitution; (3) transdermal administration such as transdermal patches; (4) rectal administration such as suppositories; (5) inhalation such as aerosols and solutions; and (6) topical administration such as creams, ointments, lotions, solutions, pastes, sprays, foams, and gels.
- Suitable pharmaceutically-acceptable excipients will vary depending upon the particular dosage form chosen.
- suitable pharmaceutically-acceptable excipients may be chosen for a particular function that they may serve in the composition.
- certain pharmaceutically-acceptable excipients may be chosen for their ability to facilitate the production of uniform dosage forms.
- Certain pharmaceutically-acceptable excipients may be chosen for their ability to facilitate the production of stable dosage forms.
- Certain pharmaceutically-acceptable excipients may be chosen for their ability to facilitate the carrying or transporting the compound or compounds of the invention once administered to the patient from one organ, or portion of the body, to another organ, or portion of the body.
- Certain pharmaceutically-acceptable excipients may be chosen for their ability to enhance patient compliance.
- Suitable pharmaceutically-acceptable excipients include the following types of excipients: diluents, fillers, binders, disintegrants, lubricants, glidants, granulating agents, coating agents, wetting agents, solvents, co-solvents, suspending agents, emulsifiers, sweeteners, flavoring agents, flavor masking agents, coloring agents, anti-caking agents, humectants, chelating agents, plasticizers, viscosity increasing agents, antioxidants, preservatives, stabilizers, surfactants, and buffering agents.
- excipients include the following types of excipients: diluents, fillers, binders, disintegrants, lubricants, glidants, granulating agents, coating agents, wetting agents, solvents, co-solvents, suspending agents, emulsifiers, sweeteners, flavoring agents, flavor masking agents, coloring agents, anti-caking agents, humectants,
- Skilled artisans possess the knowledge and skill in the art to enable them to select suitable pharmaceutically-acceptable excipients in appropriate amounts for use in the invention.
- resources that are available to the skilled artisan which describe pharmaceutically-acceptable excipients and may be useful in selecting suitable pharmaceutically-acceptable excipients. Examples include Remington's Pharmaceutical Sciences (Mack Publishing Company), The Handbook of Pharmaceutical Additives (Gower Publishing Limited), and The Handbook of Pharmaceutical Excipients (the American Pharmaceutical Association and the Pharmaceutical Press).
- compositions of the invention are prepared using techniques and methods known to those skilled in the art. Some of the methods commonly used in the art are described in Remington's Pharmaceutical Sciences (Mack Publishing
- the invention is directed to a solid oral dosage form such as a tablet or capsule comprising an effective amount of a compound of the invention and a diluent or filler.
- Suitable diluents and fillers include lactose, sucrose, dextrose, mannitol, sorbitol, starch (e.g. corn starch, potato starch, and pre-gelatinized starch), cellulose and its derivatives (e.g. microcrystalline cellulose), calcium sulfate, and dibasic calcium phosphate.
- the oral solid dosage form may further comprise a binder. Suitable binders include starch (e.g.
- the oral solid dosage form may further comprise a disintegrant. Suitable disintegrants include crospovidone, sodium starch glycolate, croscarmelose, alginic acid, and sodium carboxymethyl cellulose.
- the oral solid dosage form may further comprise a lubricant. Suitable lubricants include stearic acid, magnesium stearate, calcium stearate, and talc.
- reaction was placed in a sealed vessel and heated to 150 °C for 15 m using microwave irradiation. After cooling, the reaction was diluted to 8 mL with MeOH, filtered, and purified directly via reverse phase prep-HPLC (10% - 100% MeCN in water with 0.05% TFA) to give the title compound (210 mg, 0.567 mmol, 59.0 % yield) as a yellow solid.
- Tablets are prepared using conventional methods and are formulated as follows:
- Capsules are prepared using conventional methods and are formulated as follows:
- HDAC9 Histone Deacetylase 9
- Novel histone deacetylase 9 (HDAC9) inhibitors were characterized in an in vitro biochemical functional assay.
- the assay measures the increased fluorescent signal due to deacetylation, by HDAC9, of a fluorogenic substrate.
- the commercial available substrate is Class lla HDAC-specific and contains an acetylated lysine residue and would releases the fluorescent signal upon trypsin cleavage after deacetylation.
- test compounds diluted to various concentrations in 100% DMSO are first dispensed into 384-well assay plates.
- Recombinant HDAC9 isoform 4 (purchased from BPS Bioscience) in complete assay buffer (50 mM Tris-HCI, pH 8.0, 137 mM NaCI, 2.7 mM KCI, 1 mM MgCI 2 , 0.05% BSA & 0.005% Tween 20) were then added to each well (5uL/well) using Multidrop Combi (Thermo Scientific), followed by 5 uL/well substrate (purchased from BPS Bioscience, 4.5 uM final).
- plC 50 s For concentration/dose response experiments, normalized data were fit and plC 50 s determined using conventional techniques. The plC 50 s are averaged to determine a mean value, for a minimum of 2 experiments. As determined using the above method, the compounds of Examples 1-2 exhibited a plC 50 between 5.0 and 9.0 e.g., for example, the compound of Example 2 inhibited HDAC9 in the above method with a mean plC 50 > 6.
- HDAC7 targeting enhances FOXP3+ Treg function and induces long-term allograft survival L. Wang, et al., Am. J. Transplant 9, S621 (2009).
- HDAC-MEF2 complexes A. Nebbioso, F. Manzo, M. Miceli, M. Conte, L. Manente, A. Baldi, A. De Luca, D. Rotili, S. Valente, A. Mai, A. Usiello, H. Gronemeyer, L. Altucci, EMBO reports 10 (7) , 776-782, 2009. and references therein.
Landscapes
- Chemical & Material Sciences (AREA)
- Organic Chemistry (AREA)
- Pharmaceuticals Containing Other Organic And Inorganic Compounds (AREA)
Abstract
The present invention relates to compounds that inhibit histone deacetylase (HDAC) enzymes, the preparation of these compounds or salts of said compound, the use of these compounds in the treatment of neurodegenerative diseases or conditions ameliorated by inhibition of HDAC activity and pharmaceutical compositions that are comprised of these compounds.
Description
COMPOUNDS AND METHODS
BACKGROUND OF THE INVENTION
Field of the Invention
The present invention relates to compounds that inhibit histone deacetylase
(HDAC) enzymes, the preparation of these compounds, the use of these compounds in the treatment of diseases or conditions ameliorated by inhibition of HDAC activity and pharmaceutical compositions comprising these compounds. Background of the Invention
Chromatin organization involves DNA wound around histone octamers that form nucleosomes. Core histones with N-terminal tails extending from compact nucleosomal core particles can be acetylated or deacetylated at epsilon lysine residues affecting histone-DNA and histone-non-histone protein interactions. Histone deacetylases (HDACs) catalyze the deacetylation of histone and non-histone proteins and play an important role in epigenetic regulation. There are currently 18 known HDACs that are organized into three classes: class I HDACs (HDAC1 , HDAC2, HDAC3, HDAC8 and HDAC1 1 ) are mainly localized to the nucleus; class II HDACs (HDAC4, HDAC5, HDAC6, HDAC7, HDAC9 and HDAC10), which shuttle between the nucleus and the cytoplasm; and class III HDACs (SIRT1-7), whose cellular localization includes various organelles.
Class II HDACs are further characterized as class lla HDACs and class lib HDACs.
HDAC9 is a class lla histone deacetylase highly expressed in human Tregs. HDAC9 deficiency: 1 ) increases Foxp3 expression (and other Treg markers), 2) increases Foxp3 and histone 3 acetylation, 3) increases Foxp3 DNA binding, 4) increases Treg numbers, 5) increases suppressive activity in vitro and in vivo, and 6) ameliorates murine colitis. Tregs which are deficient in HDAC9 induce permanent tolerance of fully mismatched cardiac allografts. In addition, HDAC9 inhibitors maybe useful for treatment of diseases and disorders associated with abnormal cell proliferation, differentiation and survival, e.g. breast and prostate tumors.
Preliminary data shows that targeting HDAC7, a class lla histone deacetylase, enhances Treg suppression in vitro and in vivo. HDAC7 enhances FOXP3+ Treg function and induces long-term allograft survival.
Inhibition of HDAC6, a class lib HDAC, has been shown to increase Treg suppressive function in vitro along with increased expression of FOXP3 protein and Treg associated genes including CTLA, IL-10, TNR18. HDAC6 inhibition in vivo decreased
severity of colitis in the dextran sodium sulphate-induced colitis model and the
CD4+CD62Lhigh adoptive transfer model of colitis. In addition, inhibition of HDAC6 with a subtherapeutic dose of rapamycin led to prolonged cardiac allograft survival.
Thus, an orally available small molecule selective inhibitor of Class II HDAC activity (more specifically HDAC9 or HDAC7 or HDAC6) is expected to modulate autoimmune diseases through expansion and enhancement of Treg activity.
Inhibition of other Class II HDAC's for example HDAC4 and 5 impair myogenesis by modulating the stability and activity of HDAC-MEF2 complexes and maybe potentially useful for the treatment of muscle and heart diseases including cardiac hypertrophy and heart failure. Also, inhibition of Class II HDAC activity, represents a novel approach for disrupting or intervening in cell cycle regulation.
HDAC9 is also highly expressed in human B cells. Relative to normal B cells, expression of HDAC9 is deregulated in cell lines derived from B cell tumors and HDAC9 is highly overexpressed in cells derived from patients with non-Hodgkin's lymphoma (http://icr.ac.uk/research/team leaders/Zelent Arthur/Zelent Arthur Rl/index.shtml). HDAC4 and HDAC9 have both been reported to be overexpressed in CD19+ cells from patients with Waldenstrom Macroglobulinemia (Sun et al., Clinical Lymphoma, Myeloma & Leukemia, 201 1 , p. 152)
Class Ma HDACs (HDAC4, HDAC5, HDAC7 and HDAC9) have been reported to associate with Bcl-6, a transcription factor implicated in the pathogenesis of B-cell malignancies (Lemercier et al, Journal of Biological Chemistry, 2002, p. 22045, and Petrie et al, Journal of Biological Chemistry, 2003, p. 16059). Due to these interactions class lla HDACs have been suggested to modulate the transcriptional repression of BCL6 and participate in its role in B-cell activation and differentiation, inflammation, and cell-cycle regulation (Verdin et al. TRENDS in Genetics, 2003, p. 286) .
HDAC6, a class lib HDAC, has been reported to play an important role in aggresomal protein degradation, making it a target for the treatment of B cell
malignancies (Simms-Waldrip et al., Molecular Genetics and Metabolism, 2008, p. 283)
Accordingly, a small molecule selective inhibitor of HDAC4, HDAC5, HDAC6, HDAC7, HDAC8 and/or HDAC9 is expected to be beneficial in the treatment of B-cell malignancies by targeting one or several of the above enzymes
HDAC4, HDAC5 and HDAC9 are also highly expressed in the brain. HDAC4 has been linked to a variety of neurodegenerative disorders: it is a downstream target of Parkin (associating it to Parkinson's disease); it is a major component of intranuclear inclusions produced in NIIND. HDAC4 also contains a conserved glutamine rich domain, such domain has been observed to increase susceptibility to amyloid formation
associated with Alzheimer's disease (Majdzadeh et al. Front. Biosci., 2009, p. 1072). Heterozygotes of HDAC4 knockouts crossed to R6/2 mice (Huntington's disease model) led to improved motor/behavior and reduced aggregation
(http://bmi.epfl.ch/files/content/sites/bmi/files/shared/Abstract Gillian Bates.pdD. HDAC4 and HDAC5 localization are regulated by neuronal activity, and HDAC5 nuclear import is increased in diseased neurons of Huntington's disease patients.
HDAC7 has been implicated in regulating ataxin-7 turnover in a SCA-7 model (Mookerjee S et al., J Neurosci., 2009, p. 15134).
HDAC6 is expressed in most neurons and most abundantly in cerebellar Purkinje cells; the degeneration of this type of neurons is observed in patients with spinocerebellar ataxia type 1 (SCA1 ) or SCA7. HDAC6 is involved in regulating microtubule dynamics and protein degradation and a defect in microtubule-based transport may contribute to the neuronal toxicity observed in Huntington's disease (Kazantsev et al. Nature Reviews Drug Discovery, 2008, p. 854). Additionally, HDAC6 activity has been shown to be required for autophagic degradation of aggregated huntingtin, suggesting a role in protecting cells from polyQ toxicity (Iwata, et al., J. Biol. Chem., 2005, p. 40282).
Accordingly, a small molecule selective inhibitor of HDAC activity (more
specifically HDAC4 or HDAC5 or HDAC6 or HDAC7or HDAC9) is expected to be beneficial in the treatment of neurodegenerative diseases.
Class II HDAC inhibitors have therapeutic potential in the study and/or treatment of the various diseases or conditions described herein.
Many of the known small-molecule HDAC inhibitors, however, inhibit all HDAC isoforms. It would be advantageous to identify HDAC inhibitors that inhibited one or more, but not all HDAC isoforms.
SUMMARY OF THE INVENTION
The invention is directed to a compound according to Formula I:
f is 0 or 1 ;
Z is hydrogen, halogen, -CF3, nitro, cyano, -(C0-C6)alkyl-OR1, -(C0-C6)alkyl-NR1R1, -(CrC6)alkyl, -N(R1)-C(=0)-(C C6)alkyl, -N(R1)-S02-(Ci-C6)alkyl, -0-(C2-C6)alkyl-NR1 R1, -S-R1, -(Co-C6)alkyl-C(=0)-OR1, -N(R1)-C(=0)-CF3, -N(R1)-(C2-C6)alkyl-NR1R1,
-C(=0)NR1 R1, -N(R1)-C(=0)-OR1, -S02-NR1R1, -N(R1)-S02R1,
-(Co-C3)alkoxy-(Co-C3)alkyl-aryl, -(C0-C3)alkoxy-(C0-C3)alkyl-heteroaryl, aryl,
aryl(CrC6)alkyl-, heteroaryl, heteroaryl(CrC6)alkyl-, (C3-C6)cycloalkyl, heterocyclyl, -(Co-C3)alkyl-N(R1)-C(=0)-(Ci-C6)alkyl-C(=0)aryl,
-(Co-C3)alkyl-N(R1)-C(=0)-(Ci-C6)alkyl-C(=0)heteroaryl,
-(Co-C3)alkyl-N(R1)-C(=0)-(Ci-C6)alkyl-C(=0)N(R1) aryl and
-(Co-C3)alkyl-N(R1)-C(=0)-(Ci-C6)alkyl-C(=0)N(R1)-heteroaryl, wherein each of the aryl, heteroaryl, cycloalkyl and heterocyclyl moieties of Z is optionally substituted by 1-3 substituents each independently selected from the group consisting of oxo, halogen, -(C C6)alkyl, halo(C C6)alkyl, (d-C6)alkoxy, halo(C C6)alkoxy, -NH2, hydroxyl, cyano, -NH((CrC6)alkyl), -N((C C6)alkyl)((Ci-C6)alkyl,), (C C6)alkylcarbonyl-,
(Ci-C6)alkylCONH-, and -(C2-C4)alkyl-NR1R1, wherein two R1 groups, together with the nitrogen atom to which they are attached optionally form a heterocyclyl group; and
each R1 is independently selected from the group consisting of hydrogen,
(C1-C6)alkyl, (C3-C6)cycloalkyl, heterocyclyl, (C1-C6)alkyloxy(C2-C6)alkyl-,
hydroxy(C2-C6)alkyl, amino(C2-C6)alkyl-, ((C1-C6)alkyl)amino-(C2-C6)alkyl-,
((Ci-C6)alkyl)((Ci-C6)alkyl)amino-(C2-C6)alkyl-, aryl-(C0-C6)alkyl-, and
heteroaryl-(C0-C6)alkyl-,
wherein each aryl, heteroaryl, cycloalkyl and heterocyclyl moiety of said
(C3-C6)cycloalkyl, heterocyclyl, aryl-(C0-C6)alkyl-, and heteroaryl-(C0-C6)alkyl-, is optionally substituted by 1 -3 R2 substituents each independently selected from the group consisting of oxo, hydroxyl, cyano, -(CrC6)alkyl, -(CrC6)alkoxy, nitro, -amino((Ci-C6)alkyl),
-amino((Ci-C6)alkyl)((Ci-C6)alkyl), halogen, aryl, heteroaryl, haloalkyl,
-(C2-C4)alkyl-amino((Ci-C6)alkyl), and -(C2-C4)alkyl-amino((Ci-C6)alkyl)((Ci-C6)alkyl), or two R1 groups, taken together with the nitrogen atom to which they are attached form a 4-6 membered heterocyclyl moiety, optionally containing one additional heteroatom selected from the group consisting of N, O and S;
Y is (C2-C6)alkyl (that is, a (C2-C6)alkylenyl moiety) or an optionally substituted aryl or heteroaryl, optionally substituted by 1 -3 substituents each independently selected from the group consisting of halogen, -(CrC6)alkyl, halo(Ci-C6)alkyl, (CrC6)alkoxy,
halo(C1-C6)alkoxy, amino, hydroxyl, cyano, -NH((C1-C6)alkyl),
-N((Ci-C6)alkyl)((Ci-C6)alkyl,), (Ci-C6)alkylcarbonyl- and (C C6)alkylCONH-;
d is 0 or 1 ;
e is 0, 1 , 2, 3, 4, 5 or 6; and
X is hydrogen, -OR1, -NR1R1, -NR1C(=0)OR1, -C(=0)0(Ci-C6)alkyl,
-C(=0)0(C2-C6)alkyloxy(Ci-C6)alkyl, and -C(=0)NR1 R1, or an optionally substituted aryl, heteroaryl, (C3-C6)cycloalkyl, 3-6 membered heterocyclyl, -C(=0)0(C3-C6)cycloalkyl, -C(=0)0(3-6 membered heterocyclyl) or -C(=0)Oheteroaryl group,
wherein any of said optionally substituted alkyl, aryl, heteroaryl, cycloalkyl, or heterocyclyl is optionally substituted by 1-3 substituents each independently selected from the group consisting of halogen, (d-C6)alkyl, halo(CrC6)alkyl, (CrC6)alkoxy,
halo(CrC6)alkoxy, hydroxyl, hydroxy(CrC6)alkyl-, nitro-, cyano, amino,
-C(=0)(CrC6)alkyl, -C(=0)0(C C6)alkyl, -C(=0)NH(C C6)alkyl, -NHC(=0)0(C C6)alkyl, -(Co-C6)alkyl-SR1, -(C0-C6)alkyl-OR1 , -(C0-C6)alkyl-NR1 R1, -(C0-C6)alkyl-C(=O)OR1, -(Co-C6)alkyl-C(=0)NR1R1, -CH=CH-C(=0)OR1 , -C≡C-C(=0)OR1 , -CH=CH-C(=0)NR1R1, -C≡C-C(=0)NR1R1, -N(R1)-C(=0)CF3, -C(=0)N(R1)CF3,
-N(R1)-(Ci-C6)alkyl-NR1R1-N(R1)-C(=0)(Ci-C6)alkyl, -C(=0)N(R1)(C C6)alkyl,
-N(R1)-S02-(C C6)alkyl , -SOzN^Md-Q alkyl, -0-(C C6)alkyl-NR1 R1,
-S-(C1-C6)alkyl-N(R1)2, -SO-(C C6)alkyl, -S02-(C C6)alkyl, -(C3-C6)cycloalkyl,
heterocyclyl, -C(Ph)3, aryl, heteroaryl, aryl(C1-C6)alkyl-, and heteroaryl(C1-C6)alkyl-;
or a salt thereof, or a salt, particularly a pharmaceutically acceptable salt, thereof, and is further directed to a pharmaceutical composition comprising the compound of Formula I, or a salt thereof, a method of inhibiting HDAC by contacting a HDAC with the compound of Formula I or a salt thereof, and a method of treating a subject having a disease or disorder mediated by inhibition of a HDAC comprising administering the compound of Formula I, or a salt thereof, or a pharmaceutical composition comprising the compound of Formula I, or a salt thereof, to the subject.
The invention is further directed to a pharmaceutical composition comprising a compound of the invention. The invention is still further directed to methods of inhibiting HDAC enzymes and treatment of conditions associated therewith using a compound of the invention or a pharmaceutical composition comprising a compound of the invention.
DETAILED DESCRIPTION OF THE INVENTION
The alternative definitions for the various groups and substituent groups of Formula I provided throughout the specification are intended to particularly describe each compound species disclosed herein, individually, as well as groups of 1 -3 compound
species. The scope of this invention includes any combination of these group and substituent group definitions.
As used herein, the term "alkyl" represents a saturated, straight or branched hydrocarbon moiety. Exemplary alkyls include, but are not limited to methyl (Me), ethyl (Et), n-propyl, isopropyl (or /-propyl), n-butyl, isobutyl, sec-butyl, f-butyl (or tert-butyl), n-pentyl, iso-pentyl (3-methyl-butyl), neo-pentyl (2,2-dimethylpropyl), etc. The term "(Ci-C4)alkyl" refers to an alkyl containing from 1 to 4 carbon atoms. Any substituent term containing a "C0 alkyl" moiety indicates that the substituent term excludes the presence of an alkyl moiety in that substituent. For example, the term "-(C0-C6)alkyl-SR1" is intended to describe both "-SR1" and "-(d-C6)alkyl-SR1" substituents.
When the term "alkyl" is used in combination with other substituent groups, such as "haloalkyl" or "cycloalkyl-alkyl" or "arylalkyl", the term "alkyl" is intended to encompass a divalent straight or branched-chain hydrocarbon radical. For example, "arylalkyl" is intended to mean the radical -alkylaryl, wherein the alkyl moiety thereof is a divalent straight or branched-chain carbon radical and the aryl moiety thereof is as defined herein, and is represented by the bonding arrangement present in a benzyl group (-CH2-phenyl).
As used herein, the term "cycloalkyl" refers to a non-aromatic, saturated, cyclic hydrocarbon ring. The term "(C3-C8)cycloalkyl" refers to a non-aromatic cyclic
hydrocarbon ring having from three to eight ring carbon atoms. Exemplary
"(C3-C8)cycloalkyl" groups useful in the present invention include cyclopropyl, cyclobutyl, cyclopentyl, cyclohexyl, cycloheptyl, and cyclooctyl.
"Alkoxy" refers to a group containing an alkyl radical attached through an oxygen linking atom. The term "(Ci-C4)alkoxy" refers to a straight- or branched-chain
hydrocarbon radical having at least 1 and up to 4 carbon atoms attached through an oxygen linking atom. Exemplary "(CrC4)alkoxy" groups useful in the present invention include, but are not limited to, methoxy, ethoxy, n-propoxy, isopropoxy, n-butoxy, s-butoxy, and f-butoxy.
"Aryl" represents a group or moiety comprising an aromatic, monocyclic or bicyclic hydrocarbon radical containing from 6 to 10 carbon ring atoms and to which may be fused 1-3 cycloalkyl rings..
Generally, in the compounds of this invention, aryl is phenyl.
Heterocyclic groups may be heteroaryl or heterocyclyl groups.
"Heterocyclyl" represents a group or moiety comprising a stable, non-aromatic, monocyclic or bicyclic radical, which is saturated or partially unsaturated, containing 3 to 10 ring atoms, which includes 1 to 4 heteroatoms selected from the group consisting of nitrogen, oxygen and sulfur. The heterocyclyl may be attached by any atom of the
monocyclic or bicyclic radical which results in the creation of a stable structure. This term encompasses bicyclic heterocyclyl moieties where the rings are joined at two atoms per ring, as exemplified by the bonding arrangement in 2,5-diazabicyclo[2.2.1]heptyl,
2-azabicyclo[2.2.1]heptyl, 2-oxa-5-azabicyclo[2.2.1 ]heptyl,
7-oxa-2-azabicyclo[2.2.1]heptyl, 2-thia-5-azabicyclo[2.2.1]heptyl,7-azabicyclo[2.2.1]heptyl, 2,6-diazatricyclo[3.3.1 .13,7]decyl, 2-azatricyclo[3.3.1 .13,7]decyl,
2,4,9-triazatricyclo[3.3.1.13,7]decyl, 8-azabicyclo[3.2.1 ]octyl, 2,5-diazabicyclo[2.2.2]octyl, 2-azabicyclo[2.2.2]octyl, 3-azabicyclo[3.2.1]octyl, 8-azabicyclo[3.2.1 ]octyl,
octahydro-1 /-/-pyrrolo[3,2-6]pyridyl group. This term specifically excludes bicyclic heterocyclyl moieties where the rings are joined at a single atom per ring (spiro), as exemplified by the bonding arrangement in a 1 -oxa-2-azaspiro[4.5]dec-2-en-3-yl group. Illustrative examples of heterocyclyls include, but are not limited to, azetidinyl, pyrrolidyl (or pyrrolidinyl), piperidinyl, piperazinyl, morpholinyl, tetrahydro-2H-1 ,4-thiazinyl, tetrahydrofuryl (or tetrahydrofuranyl), dihydrofuryl, oxazolinyl, thiazolinyl, pyrazolinyl, tetrahydropyranyl, dihydropyranyl, 1 ,3-dioxolanyl, 1 ,3-dioxanyl, 1 ,4-dioxanyl,
1 ,3-oxathiolanyl, 1 ,3-oxathianyl, 1 ,3-dithianyl, azabicylo[3.2.1 ]octyl, azabicylo[3.3.1 ]nonyl, azabicylo[4.3.0]nonyl, oxabicylo[2.2.1 ]heptyl and 1 ,5,9-triazacyclododecyl.
Generally, in the compounds of this invention, heterocyclyl groups are
5-membered and/or 6-membered heterocyclyl groups, such as pyrrolidyl (or pyrrolidinyl), tetrahydrofuryl (or tetrahydrofuranyl), tetrahydrothienyl, dihydrofuryl, oxazolinyl, thiazolinyl or pyrazolinyl, piperidyl (or piperidinyl), piperazinyl, morpholinyl, tetrahydropyranyl, dihydropyranyl, 1 ,3-dioxanyl, tetrahydro-2H-1 ,4-thiazinyl, 1 ,4-dioxanyl, 1 ,3-oxathianyl, and 1 ,3-dithianyl.
"Heteroaryl" represents a group or moiety comprising an aromatic, monocyclic or bicyclic radical, containing 5 to 10 ring atoms, including 1 to 4 heteroatoms selected from the group consisting of nitrogen, oxygen and sulfur. This term also encompasses bicyclic heterocyclic-aryl compounds containing an aryl ring moiety fused to a heterocyclyl ring moiety, containing 5 to 10 ring atoms, including 1 to 4 heteroatoms selected from the group consisting of nitrogen, oxygen and sulfur. This term is also intended to encompass heterocyclic groups containing nitrogen and/or sulfur where the nitrogen or sulfur heteroatoms are optionally oxidized. Illustrative examples of heteroaryls include, but are not limited to, thienyl, pyrrolyl, imidazolyl, pyrazolyl, furyl (or furanyl), isothiazolyl, furazanyl, isoxazolyl, oxazolyl, oxadiazolyl, thiazolyl, pyridyl (or pyridinyl), pyridyl-N-oxide, pyrazinyl, pyrimidinyl, pyridazinyl, triazinyl, tetrazinyl, triazolyl, tetrazolyl, benzo[b]thienyl, isobenzofuryl, 2,3-dihydrobenzofuryl, chromenyl, chromanyl, indolizinyl, isoindolyl, indolyl, indazolyl, purinyl, isoquinolyl, quinolyl, phthalazinyl, naphthridinyl, quinzolinyl,
benzothiazolyl, benzimidazolyl, tetrahydroquinolinyl, tetrahydroisoquinolinyl, isoindolinyl, indolinyl, cinnolinyl, pteridinyl, isothiazolyl.
Some of the heteroaryl groups present in the compounds of this invention are 5-6 membered monocyclic heteroaryl groups. Selected 5-membered heteroaryl groups contain one nitrogen, oxygen or sulfur ring heteroatom, and optionally contain 1 , 2 or 3 additional nitrogen ring atoms. Selected 6-membered heteroaryl groups contain 1 , 2, 3 or 4 nitrogen ring heteroatoms. Selected 5- or 6-membered heteroaryl groups include thienyl, pyrrolyl, imidazolyl, pyrazolyl, furyl, isothiazolyl, furazanyl, isoxazolyl, oxazolyl, oxadiazolyl, thiazolyl, triazolyl, and tetrazolyl or pyridyl, pyrazinyl, pyrimidinyl, pyridazinyl, triazinyl and thiadiazolyl.
Some of the heteroaryl groups present in the compounds of this invention are 9-10 membered bicyclic heteroaryl groups. Selected 9-membered heteroaryl groups contain one nitrogen, oxygen or sulfur ring heteroatom, and optionally contain 1 , 2 or 3 additional nitrogen ring atoms. Selected 10-membered heteroaryl groups contain one nitrogen, oxygen or sulfur ring heteroatom, and optionally contain 1 , 2, 3 or 4 additional nitrogen ring atoms. Selected 9-10 membered heteroaryl groups include benzo[b]thienyl, isobenzofuryl, 2,3-dihydrobenzofuryl, chromenyl, chromanyl, indolizinyl, isoindolyl, indolyl, indazolyl, purinyl, isoquinolyl, quinolyl, phthalazinyl, naphthridinyl, quinzolinyl,
benzothiazolyl, benzimidazolyl, tetrahydroquinolinyl, cinnolinyl, pteridinyl.
In addition, the terms alkyl, aryl, cycloalkyl, heteroaryl, etc. may be used to define a divalent substituent, such as a group bonded to two other groups. In this instance, such terms are intended to encompass divalent moieties. For example, "pentyl" may be used to represent a pentylenyl diradical -wherein the pentyl moiety is any one of a divalent straight (e.g. -CH2CH2CH2CH2CH2-) or branched (e.g. -CH2CH(CH3)CH2CH2-,
-CH2CH2CH(CH2CH3)-, -CH2CH2C(CH3)2-) chain 5-carbon radical.
The terms "halogen" and "halo" represent chloro, fluoro, bromo or iodo
substituents. "Hydroxy" or "hydroxyl" is intended to mean the radical -OH. The term "oxo" is intended to mean a keto diradical (=0), such as present on a pyrrolidin-2-one ring.
The compounds of the invention are only those which are contemplated to be
"chemically stable" as will be appreciated by those skilled in the art.
Specifically, the invention is directed to a compound according to Formula (l-a) and Formula (l-b):
(l-a) (l-b).
In one embodiment of the compounds of Formula (I) of the present invention, f is 0 and the compounds have Formula (l-a). In another embodiment, f is 1 and the compounds have Formula (l-b). .
In one embodiment of the compounds of Formula (I) of the present invention, d is 0. In another embodiment, d is 1 .
In one embodiment of the compounds of Formula (I) of the present invention, e is 0. In another embodiment, e is 1. In further embodiment, e is 2. In a still further embodiment, e is 4.
In specific embodiments of this invention, d is 1 , e is 1 and f is 0.
In another embodiment of the compounds of Formula (I) of the present invention, Z is selected from the group consisting of hydrogen, halogen, -CF3, nitro, cyano,
-N(R1)S02-(Ci-C6)alkyl, -0(C2-C6)alkyl-NR1R1, -S-R1, -(C0-C6)alkyl-C(=O)OR1,
-N(R1)C(=0)-CF3, -N(R1)-(C2-C6)alkyl-NR1R1,
-(Co-C3)alkyl-N(R1)C(=0)-(Ci-C6)alkyl-C(=0)-aryl,
-(Co-C3)alkyl-N(R1)C(=0)-(Ci-C6)alkyl-C(=0)-heteroaryl,
-(Co-C3)alkyl-N(R1)C(=0)-(Ci-C6)alkyl-C(=0)N(R1)-aryl,
-(C0-C3)alkyl-N(R1)C(=O)-(Ci-C6)alkyl-C(=O)N(R1)-heteroaryl, -(C0-C6)alkyl-OR1, -N(R1)C(=0)-OR1, wherein any of said aryl or heteroaryl is optionally substituted by 1-3 substituents each independently selected from the group consisting of oxo, hydroxyl, cyano, -(C1-C6)alkyl, -(CrCe^lkoxy, nitro, -NR1R1, halogen, -SH, halo(C1-C6)alkyl and -(C2-C4)alkyl-NR1R1, wherein two R1 groups, together with the nitrogen atom to which they are attached optionally form a heterocyclyl group.
In another embodiment, Z is selected from the group consisting of hydrogen, -(C0-C3)alkoxy-(C0-C3)alkyl-aryl, -(C0-C3)alkoxy-(C0-C3)alkyl-heteroaryl, aryl,
aryl(CrC6)alkyl-, heteroaryl, heteroaryl(d-C6)alkyl-, (C3-C6)cycloalkyl, heterocyclyl,
-(C0-C3)alkyl-N(R1)C(=O)-(C1-C6)alkyl-C(=O)-aryl,
-(C0-C3)alkyl-N(R1)C(=O)-(C1-C6)alkyl-C(=O)-heteroaryl,
-(C0-C3)alkyl-N(R1)C(=O)-(C1-C6)alkyl-C(=O)N(R1)-aryl and
-(C0-C3)alkyl-N(R1)C(=O)-(Ci-C6)alkyl-C(=O)N(R1)-heteroaryl, wherein two R1 groups, together with the nitrogen atom to which they are attached, optionally form a heterocyclyl group.
In another embodiment of Formula (I) of the present invention, Z is selected from the group consisting of -H, -F, -CI, -Br, CF3, N02, cyano, -(CH2)o-40R1 (specifically, -CH2OH), -(CH2)0-4NR1R1, -CH3, -N(R1)C(=0)CH3, -N(R1)S02CH3, -0(CH2)2-4NR1R1, -SR1, -(CH2)o-4C(=0)OR1, -N(R1)C(=0)CF3 and -N(R1)(CH2)2NR1R1, wherein two R1 groups, together with the nitrogen atom to which they are attached, optionally form a heterocyclyl group.
In another embodiment of the compounds of Formula (I) of this invention, Z is -(C2-C4)alkyl-NR1R1, and the two R1 groups, together with the nitrogen atom to which they are attached, optionally form a heterocyclyl selected from the group consisting of morpholinyl, piperazinyl, piperidinyl, pyrrolidinyl, and azetidinyl.
In one embodiment, each R1 is independently selected -H, -(d-C6)alkyl,
-(C3-C6)cycloalkyl, heterocyclyl, aryl(C0-C6)alkyl-, heteroaryl(C0-C6)alkyl-,
-(C2-C4)alkylamino, -(C2-C4)alkyl-N((C C6)alkyl), and
-(C2-C4)alkyl-N((C1-C6)alkyl)((C1-C6)alkyl), wherein each aryl, heteroaryl, cycloalkyl and heterocyclyl moiety of said -(C3-C6)cycloalkyl, heterocyclyl, -(C0-C6)alkyl-aryl and
-(Co-C6)alkyl-heteroaryl is optionally substituted by 1-3 substituents each independently selected from the group consisting of oxo, hydroxyl, cyano, -(CrC6)alkyl,
-halo(Ci-C6)alkyl, -(C C6)alkoxy, -halo(C C6)alkoxy, -NH2, -NH((Ci-C6)alkyl),
-N((Ci-C6)alkyl)((CrC6)alkyl), halogen, -(C2-C4)alkyl-N((C C6)alkyl), and -(C2-C4)alkyl-N ((Ci-C6)alkyl)((Ci-C6)alkyl); or two R1 groups, taken together with the nitrogen atom to which they are attached form a 4-6 membered heterocyclyl moiety, optionally containing one additional heteroatom selected from the group consisting of N, O and S.
In another embodiment, each R1 is independently -(C0-C6)alkyl-aryl or
-(CrC4)alkyl, wherein the aryl moiety of said -(C0-C6)alkyl-aryl is optionally substituted by one or two R2 substituents each independently selected from the group consisting of hydroxyl, cyano, -(CrC6)alkyl, -halo(CrC6)alkyl, -(CrC6)alkoxy, -halo(CrC6)alkoxy, -NH2, -NH((CrC6)alkyl), -N((C C6)alkyl)((Ci-C6)alkyl), halogen, -(C2-C4)alkyl-N((Ci-C6)alkyl), and -(C2-C4)alkyl-N ((Ci-C6)alkyl)((CrC6)alkyl). In another embodiment of the present invention, each R2 is independently selected from the group consisting of -CH3, -F, -CI,
-Br, -OH, -OCH3, -OCF3, -CF3, -NH2, -NH((Ci-C6)alkyl), -N((C1-C6)alkyl)((C1-C6)alkyl), -(C2-C4)alkyl-N((C1-C6)alkyl), -(C2-C4)alkyl-N ((C1-C6)alkyl)((C1-C6)alkyl), and cyano.
In another embodiment, R1 is independently selected from the group consisting of phenyl, benzyl, methyl, ethyl, ferf-butyl and isopropyl.
In specific embodiments of this invention, Z is -H.
In one embodiment, Y is (C2-C6)alkyl. In a further embodiment, Y is (C2-C4)alkyl.
In another embodiment, Y is an optionally substituted phenyl or naphthyl, or a 5-6 membered or 9-10 membered heteroaryl, optionally substituted by 1-3 substituents each independently selected from the group consisting of halogen, -(d-C6)alkyl,
halo(CrC6)alkyl, (CrC6)alkoxy, halo(CrC6)alkoxy, -NH2, hydroxyl, cyano,
-NH((C C6)alkyl), and -N((Ci-C6)alkyl)((Ci-C6)alkyl). In another embodiment, Y is an optionally substituted phenyl, pyridyl or pyrimidinyl (more specifically, an optionally substituted phenyl or pyridyl), optionally substituted by 1 -3 substituents each
independently selected from the group consisting of (CrC6)alkyl, halogen, hydroxyl, (Ci-C6)alkoxy, halo(CrC6)alkyl and halo(CrC6)alkoxy. In selected embodiments, Y is unsubstituted phenyl, pyridyl or pyrimidinyl, specifically, Y is unsubstituted phenyl or pyridyl.
In one embodiment, X is hydrogen, -OR1, -NR1R1, -NR1C(=0)OR1,
-C(=0)0(d-C6)alkyl, -C(=0)0(C2-C6)alkyloxy(C C6)alkyl, and -C(=0)NR1R1, or an optionally substituted aryl, heteroaryl, (C3-C6)cycloalkyl, 3-6 membered heterocyclyl, -C(=0)0(C3-C6)cycloalkyl, -C(=0)0(3-6 membered heterocyclyl) or -C(=0)Oheteroaryl group, wherein any of said optionally substituted alkyl, aryl, heteroaryl, cycloalkyl, or heterocyclyl is optionally substituted by 1-3 substituents each independently selected from the group consisting of halogen, -CF3, -OCF3, hydroxyl, cyano, -SR1, -(C0-C6)alkyl-OR1 , -(Co-C6)alkyl-NR1R1, -(C0-C6)alkyl-C(=O)OR1, -(C0-C6)alkyl-C(=O)NR1 R1, (C C6)alkyl, halo(CrC6)alkyl-, hydroxy(C C6)alkyl-, nitro, -CH=CH-C(=0)OR1 , -C≡C-C(=0)OR1 , -CH=CH-C(=0)NR1R1, -C≡C-C(=0)NR1R1, -N(R1)-C(=0)CF3, -C(=0)N(R1)CF3,
-N(R1)-S02-(CrC6)alkyl , -S02N(R1)-(C C6)alkyl, -0-(C C6)alkyl-NR1 R1,
-S-(Ci-C6)alkyl-N(R1)2, -SO-(C C6)alkyl, -S02-(C C6)alkyl, -(C3-C6)cycloalkyl, heterocyclyl, -C(Ph)3, aryl, heteroaryl, aryl(Ci-C6)alkyl-, and heteroaryl(Ci-C6)alkyl.
In another embodiment, X is an optionally substituted phenyl or naphthyl, or a 5-6 membered or 9-10 membered heteroaryl, (C3-C6)cycloalkyl, -NHC(=0)0(CrC6)alkyl, or 4-6 membered heterocyclyl group, wherein said optionally substituted phenyl or naphthyl, or a 5-6 membered or 9-10 membered heteroaryl, cycloalkyl, or heterocyclyl group is optionally substituted by 1 -3 substituents each independently selected from the group
consisting of halogen, -(C1-C6)alkyl, halo(C1-C6)alkyl, (C1-C6)alkoxy, halo(C1-C6)alkoxy, -NH2, hydroxyl, cyano, -NH((C C6)alkyl), and -N^C C^alkylXtC C^alkyl). In another embodiment, X is an optionally substituted phenyl, thienyl, pyridyl or indolyl, optionally substituted by 1 -3 substituents each independently selected from the group consisting of (Ci-C6)alkyl, halogen, hydroxyl, (Ci-C6)alkoxy, halo(CrC6)alkyl and halo(CrC6)alkoxy. In selected embodiments, X is an optionally substituted phenyl, thienyl, pyridyl or indolyl (more specifically, phenyl or thienyl) group, optionally substituted by 1 or 2 substituents each independently selected from the group consisting of fluoro, hydroxy, and ferf-butoxy. In selected embodiments, X is a 4-hydroxyphenyl group or an indolyl group, more specifically, X is a 4-hydroxyphenyl group.
As used herein, the terms "compound(s) of the invention" or "compound(s) of this invention" mean a compound of Formula (I), as defined above, in any form, i.e., any salt or non-salt form (e.g., as a free acid or base form, or as a salt, particularly a
pharmaceutically acceptable salt thereof) and any physical form thereof (e.g., including non-solid forms (e.g., liquid or semi-solid forms), and solid forms (e.g., amorphous or crystalline forms, specific polymorphic forms, solvate forms, including hydrate forms (e.g., mono-, di- and hemi- hydrates)), and mixtures of various forms.
As used herein, the term "optionally substituted" means unsubstituted groups or rings (e.g., cycloalkyl, heterocycle, and heteroaryl rings) and groups or rings substituted by 1 -3 specified substituents.
The compounds according to Formula I may contain 1 -3 asymmetric center (also referred to as a chiral center) and may, therefore, exist as individual enantiomers, diastereomers, or other stereoisomeric forms, or as mixtures thereof. Chiral centers, such as chiral carbon atoms, may also be present in a substituent such as an alkyl group. Where the stereochemistry of a chiral center present in Formula I, or in any chemical structure illustrated herein, is not specified the structure is intended to encompass all individual stereoisomers and all mixtures thereof. Thus, compounds according to Formula I containing 1-3 chiral centers may be used as racemic mixtures, scalemic mixtures, or as diaseteromerically or enantiomerically pure materials.
Individual stereoisomers of a compound according to Formula I which contain 1-3 asymmetric center may be resolved by methods known to those skilled in the art. For example, such resolution may be carried out (1 ) by formation of diastereoisomeric salts, complexes or other derivatives; (2) by selective reaction with a stereoisomer-specific reagent, for example by enzymatic oxidation or reduction; or (3) by gas-liquid or liquid chromatography in a chiral environment, for example, on a chiral support such as silica with a bound chiral ligand or in the presence of a chiral solvent. The skilled artisan will
appreciate that where the desired stereoisomer is converted into another chemical entity by one of the separation procedures described above, a further step is required to liberate the desired form. Alternatively, specific stereoisomers may be synthesized by asymmetric synthesis using optically active reagents, substrates, catalysts or solvents, or by converting one enantiomer to the other by asymmetric transformation.
When a disclosed compound or its salt is named or depicted by structure, it is to be understood that the compound or salt, including solvates (particularly, hydrates) thereof, may exist in crystalline forms, non-crystalline forms or a mixture thereof. The compound or salt, or solvates (particularly, hydrates) thereof, may also exhibit
polymorphism (i.e. the capacity to occur in different crystalline forms). These different crystalline forms are typically known as "polymorphs." It is to be understood that when named or depicted by structure, the disclosed compound, or solvates (particularly, hydrates) thereof, also include all polymorphs thereof. Polymorphs have the same chemical composition but differ in packing, geometrical arrangement, and other descriptive properties of the crystalline solid state. Polymorphs, therefore, may have different physical properties such as shape, density, hardness, deformability, stability, and dissolution properties. Polymorphs typically exhibit different melting points, IR spectra, and X-ray powder diffraction patterns, which may be used for identification. One of ordinary skill in the art will appreciate that different polymorphs may be produced, for example, by changing or adjusting the conditions used in crystallizing/recrystallizing the compound.
Because of their potential use in medicine, the salts of the compounds of
Formula I are preferably pharmaceutically acceptable salts. Suitable pharmaceutically acceptable salts include those described by Berge, Bighley and Monkhouse,
J.Pharm.Sci (1977) 66, pp 1 -19. Salts encompassed within the term "pharmaceutically acceptable salts" refer to non-toxic salts of the compounds of this invention.
Typically, a salt may be readily prepared by using a desired acid or base as appropriate. The salt may precipitate from solution and be collected by filtration or may be recovered by evaporation of the solvent.
When a compound of the invention is a base (contain a basic moiety), a desired salt form may be prepared by any suitable method known in the art, including treatment of the free base with an inorganic acid, such as hydrochloric acid, hydrobromic acid, sulfuric acid, nitric acid, phosphoric acid, and the like, or with an organic acid, such as acetic acid, trifluoroacetic acid, maleic acid, succinic acid, mandelic acid, fumaric acid, malonic acid, pyruvic acid, oxalic acid, glycolic acid, salicylic acid, and the like, or with a pyranosidyl acid, such as glucuronic acid or galacturonic acid, or with an alpha-hydroxy acid, such as
citric acid or tartaric acid, or with an amino acid, such as aspartic acid or glutamic acid, or with an aromatic acid, such as benzoic acid or cinnamic acid, or with a sulfonic acid, such as p-toluenesulfonic acid, methanesulfonic acid, ethanesulfonic acid or the like.
Suitable addition salts are formed from acids which form non-toxic salts and examples include acetate, p-aminobenzoate, ascorbate, aspartate, benzenesulfonate, benzoate, bicarbonate, bismethylenesalicylate, bisulfate, bitartrate, borate, calcium edetate, camsylate, carbonate, clavulanate, citrate, cyclohexylsulfamate, edetate, edisylate, estolate, esylate, ethanedisulfonate, ethanesulfonate, formate, fumarate, gluceptate, gluconate, glutamate, glycollate, glycollylarsanilate, hexylresorcinate, hydrabamine, hydrobromide, hydrochloride, dihydrochloride, hydrofumarate, hydrogen phosphate, hydroiodide, hydromaleate, hydrosuccinate, hydroxynaphthoate, isethionate, itaconate, lactate, lactobionate, laurate, malate, maleate, mandelate, mesylate, methylbromide, methylnitrate, methylsulfate, monopotassium maleate, mucate, napsylate, nitrate, N-methylglucamine, oxalate, oxaloacetate, pamoate (embonate), palmate, palmitate, pantothenate, phosphate/diphosphate, pyruvate, polygalacturonate, propionate, saccharate, salicylate, stearate, subacetate, succinate, sulfate, tannate, tartrate, teoclate, tosylate, triethiodide, trifluoroacetate and valerate.
Other exemplary acid addition salts include pyrosulfate, sulfite, bisulfite, decanoate, caprylate, acrylate, isobutyrate, caproate, heptanoate, propiolate, oxalate, malonate, suberate, sebacate, butyne-1 ,4-dioate, hexyne-1 ,6-dioate, chlorobenzoate, methylbenzoate, dinitrobenzoate, hydroxybenzoate, methoxybenzoate, phthalate, phenylacetate, phenylpropionate, phenylbutrate, lactate, γ-hydroxybutyrate, mandelate, and sulfonates, such as xylenesulfonate, propanesulfonate, naphthalene-1 -sulfonate and naphthalene-2-sulfonate.
If an inventive basic compound is isolated as a salt, the corresponding free base form of that compound may be prepared by any suitable method known to the art, including treatment of the salt with an inorganic or organic base, suitably an inorganic or organic base having a higher pKa than the free base form of the compound.
When a compound of the invention is an acid (contains an acidic moiety), a desired salt may be prepared by any suitable method known to the art, including treatment of the free acid with an inorganic or organic base, such as an amine (primary, secondary, or tertiary), an alkali metal or alkaline earth metal hydroxide, or the like.
Illustrative examples of suitable salts include organic salts derived from amino acids such as glycine and arginine, ammonia, primary, secondary, and tertiary amines, and cyclic amines, such as N-methyl-D-glucamine, diethylamine, isopropylamine, trimethylamine, ethylene diamine, dicyclohexylamine, ethanolamine, piperidine, morpholine, and
piperazine, as well as inorganic salts derived from sodium, calcium, potassium, magnesium, manganese, iron, copper, zinc, aluminum, and lithium.
Certain of the compounds of this invention may form salts with 1-3 equivalents of an acid (if the compound contains a basic moiety) or a base (if the compound contains an acidic moiety). The present invention includes within its scope all possible stoichiometric and non-stoichiometric salt forms.
Compounds of the invention having both a basic and acidic moiety may be in the form of zwitterions, acid-addition salt of the basic moiety or base salts of the acidic moiety.
This invention also provides for the conversion of one pharmaceutically acceptable salt of a compound of this invention, e.g., a hydrochloride salt, into another
pharmaceutically acceptable salt of a compound of this invention, e.g., a sulfate salt.
For solvates of the compounds of Formula I, or salts thereof that are in crystalline form, the skilled artisan will appreciate that pharmaceutically-acceptable solvates may be formed wherein solvent molecules are incorporated into the crystalline lattice during crystallization. Solvates may involve nonaqueous solvents such as ethanol, isopropanol, DMSO, acetic acid, ethanolamine, and ethyl acetate, or they may involve water as the solvent that is incorporated into the crystalline lattice. Solvates wherein water is the solvent that is incorporated into the crystalline lattice are typically referred to as
"hydrates." Hydrates include stoichiometric hydrates as well as compositions containing variable amounts of water. The invention includes all such solvates.
Because the compounds of Formula (I) are intended for use in pharmaceutical compositions it will readily be understood that they are each preferably provided in substantially pure form, for example at least 60% pure, more suitably at least 75% pure and preferably at least 85%, especially at least 98% pure (% are on a weight for weight basis). Impure preparations of the compounds may be used for preparing the more pure forms used in the pharmaceutical compositions.
The compounds of this invention may be obtained by using synthetic procedures illustrated in the Schemes below or by drawing on the knowledge of a skilled organic chemist. The synthesis provided in these Schemes are applicable for producing compounds of the invention having a variety of different R1 and R2 groups employing appropriate precursors, which are suitably protected if needed, to achieve compatibility with the reactions outlined herein. Subsequent deprotection, where needed, affords compounds of the nature generally disclosed. While the Schemes are shown with compounds only of Formula I, they are illustrative of processes that may be used to make the compounds of the invention.
Intermediates (compounds used in the preparation of the compounds of the invention) may also be present as salts. Thus, in reference to intermediates, the phrase "compound(s) of formula (number)" means a compound having that structural formula or a pharmaceutically acceptable salt thereof.
Specific compounds of this invention include the compounds of Examples 1 -2.
Representative compounds of this invention include:
3-{[4-(hydroxy)phenyl]methyl}-4-({4-[5-(trifluoromethyl)-1 ,2,4-oxadiazol-3- yl]phenyl}methyl)-1 ,2,3,4-tetrahydroquinoxalin-2-one,
3-{[4-(hydroxy)phenyl]methyl}-4-({5-[5-(trifluoromethyl)-1 ,2,4-oxadiazol-3-yl]pyridin- 2-yl}methyl)-1 ,2,3,4-tetrahydroquinoxalin-2-one,
and salts, particularly pharmaceutically acceptable salts, thereof.
Other compounds that may be prepared using the methods described herein include:
3-benzyl-4-({4-[5-(trifluoromethyl)-1 ,2,4-oxadiazol-3-yl]phenyl}methyl)-1 ,2,3,4- tetrahydroquinoxalin-2-one,
3-benzyl-4-({5-[5-(trifluoromethyl)-1 ,2,4-oxadiazol-3-yl]pyridin-2-yl}methyl)-1 , 2,3,4- tetra hyd roq u i n oxa I i n-2-on e,
3-benzyl-4-({5-[5-(trifluoromethyl)-1 ,2,4-oxadiazol-3-yl]pyrimidin-2-yl}methyl)- 1 ,2,3,4-tetrahydroquinoxalin-2-one,
3-(thiophen-2-ylmethyl)-4-({4-[5-(trifluoromethyl)-1 ,2,4-oxadiazol-3- yl]phenyl}methyl)-1 ,2,3,4-tetrahydroquinoxalin-2-one,
3-[(3,4-difluorophenyl)methyl]-4-({4-[5-(trifluoromethyl)-1 ,2,4-oxadiazol-3- yl]phenyl}methyl)-1 ,2,3,4-tetrahydroquinoxalin-2-one,
3-(2-phenylethyl)-4-({4-[5-(trifluoromethyl)-1 ,2,4-oxadiazol-3-yl]phenyl}methyl)- 1 ,2,3,4-tetrahydroquinoxalin-2-one,
tert-butyl N-{4-[3-oxo-1 -({4-[5-(trifluoromethyl)-1 ,2,4-oxadiazol-3-yl]phenyl}methyl)- 1 ,2,3,4-tetrahydroquinoxalin-2-yl]butyl}carbamate,
3-{[4-(tert-butoxy)phenyl]methyl}-4-({4-[5-(trifluoromethyl)-1 ,2,4-oxadiazol-3- yl]phenyl}methyl)-1 ,2,3,4-tetrahydroquinoxalin-2-one,
3-(thiophen-2-ylmethyl)-4-({5-[5-(trifluoromethyl)-1 ,2,4-oxadiazol-3-yl]pyridin-2- yl}methyl)-1 ,2,3,4-tetrahydroquinoxalin-2-one,
3-[(3,4-difluorophenyl)methyl]-4-({5-[5-(trifluoromethyl)-1 ,2,4-oxadiazol-3-yl]pyridin- 2-yl}methyl)-1 ,2,3,4-tetrahydroquinoxalin-2-one,
3-(2-phenylethyl)-4-({5-[5-(trifluoromethyl)-1 ,2,4-oxadiazol-3-yl]pyridin-2-yl}methyl)- 1 ,2,3,4-tetrahydroquinoxalin-2-one,
tert-butyl N-{4-[3-oxo-1 -({5-[5-(trifluoromethyl)-1 ,2,4-oxadiazol-3-yl]pyridin-2- yl}methyl)-1 ,2,3,4-tetrahydroquinoxalin-2-yl]butyl}carbamate,
3-{[4-(tert-butoxy)phenyl]methyl}-4-({5-[5-(trifluoromethyl)-1 ,2,4-oxadiazol-3- yl]pyridin-2-yl}methyl)-1 ,2,3,4-tetrahydroquinoxalin-2-one,
3-(thiophen-2-ylmethyl)-4-({5-[5-(trifluoromethyl)-1 ,2,4-oxadiazol-3-yl]pyrimidin yl}methyl)-1 ,2,3,4-tetrahydroquinoxalin-2-one,
3-[(3,4-difluorophenyl)methyl]-4-({5-[5-(trifluoromethyl)-1 ,2,4-oxadiazol-3- yl]pyrimidin-2-yl}methyl)-1 ,2,3,4-tetrahydroquinoxalin-2-one,
3-(2-phenylethyl)-4-({5-[5-(trifluoromethyl)-1 ,2,4-oxadiazol-3-yl]pyrimidin-2- yl}methyl)-1 ,2,3,4-tetrahydroquinoxalin-2-one,
tert-butyl N-{4-[3-oxo-1 -({5-[5-(trifluoromethyl)-1 ,2,4-oxadiazol-3-yl]pyrimidin-2- yl}methyl)-1 ,2,3,4-tetrahydroquinoxalin-2-yl]butyl}carbamate,
3-{[4-(tert-butoxy)phenyl]methyl}-4-({5-[5-(trifluoromethyl)-1 ,2,4-oxadiazol-3- yl]pyrimidin-2-yl}methyl)-1 ,2,3,4-tetrahydroquinoxalin-2-one,
and salts, particularly pharmaceutically acceptable salts, thereof.
Compound names were generated using the software naming program
ChemDraw 1 1.0 available from CambridgeSoft Corporation., 100 CambridgePark Drive, Cambridge, MA 02140, USA (http://www.cambridgesoft.com).
The compounds of Formula I can be prepared according to the methods outlined below.
Scheme 1
Conditions: a) Et3N, DMSO; b) R1CHO, Zn, MeOH, AcOH; c) acrylonitrile, tri-o- tolylphosphine, tetrabutylammonium chloride, sodium acetate, N,N- dimethylacetamide, Pd/C, μνν; d) hydroxylamine, EtOH, then TFAA, Et3N, THF. An optionally substituted ortho-fluoro nitrobenzene may be treated with an amino-ester to form an optionally substituted nitro-benzamide. Reduction under H2 atmosphere using Pd/C and in situ cyclization may form the 3-substituted 3,4- dihydroquinoxalin-2(1 H)-one. Substitution of the 4-nitrogen of the 3,4-dihydroquinoxalin- 2(1 H)-one may be accomplished by treatment with an optionally substituted cyano- (hetero)aryl-carboxaldehyde. Conversion of the cyano moiety into a trifluoromethyl- oxadiazolyl group may be accomplished by treatment with hydroxylamine and
trifluoroacetic anhydride
The invention also includes various deuterated forms of the compounds of Formula I. Each available hydrogen atom attached to a carbon atom may be
independently replaced with a deuterium atom. A person of ordinary skill in the art will know how to synthesize deuterated forms of the compounds of Formula (I). For example, deuterated alkyl groups (e.g., /V-(deutero-methyl) amines) may be prepared by conventional techniques (see for example: methyl-c/3-amine available from Aldrich Chemical Co., Milwaukee, Wl, Cat. No.489, 689-2). Employing such compounds will allow for the preparation of compounds of Formula (I) in which various hydrogen atoms of the /V-methyl groups are replaced with a deuterium atom.
The present invention is directed to a method of inhibiting an HDAC which comprises contacting the acetylase with a compound of Formula (I) or a salt thereof, particularly a pharmaceutically acceptable salt thereof. More specifically, this invention is directed to a method of inhibiting HDAC comprising contacting a cell with an effective amount of a compound of Formula (I) or a salt thereof, particularly a pharmaceutically acceptable salt thereof. This invention is also directed to a method of treatment of an HDAC-mediated disease or disorder comprising administering a therapeutically effective amount of the compound of Formula I or a salt thereof, particularly a pharmaceutically acceptable salt thereof, to a patient, specifically a human, in need thereof. As used herein, "patient" refers to a mammal, specifically, a human. A therapeutically "effective amount" is intended to mean that amount of a compound that, when administered to a patient in need of such treatment, is sufficient to effect treatment, as defined herein.
Thus, e.g., a therapeutically effective amount of a compound of Formula I, or a pharmaceutically acceptable salt thereof, is a quantity of an inventive agent that, when administered to a human in need thereof, is sufficient to inhibit the activity of HDAC such
that a disease condition which is mediated by that activity is reduced, alleviated or prevented. The amount of a given compound that will correspond to such an amount will vary depending upon factors such as the particular compound (e.g., the potency (pXC50), efficacy (EC5o), and the biological half-life of the particular compound), disease condition and its severity, the identity (e.g., age, size and weight) of the patient in need of treatment, but can nevertheless be routinely determined by one skilled in the art. Likewise, the duration of treatment and the time period of administration (time period between dosages and the timing of the dosages, e.g., before/with/after meals) of the compound will vary according to the identity of the mammal in need of treatment (e.g., weight), the particular compound and its properties (e.g., pharmaceutical characteristics), disease or condition and its severity and the specific composition and method being used, but can
nevertheless be determined by one of skill in the art.
"Treating" or "treatment" is intended to mean at least the mitigation of a disease condition in a patient, where the disease condition is caused or mediated by HDAC. The methods of treatment for mitigation of a disease condition include the use of the compounds in this invention in any conventionally acceptable manner, for example for prevention, retardation, prophylaxis, therapy or cure of a disease.
In one embodiment, this invention is directed to a method of treating, ameliorating, or preventing an autoimmune disorder, an immunological disease, an inflammatory disorder, transplant/graft rejection (e.g., allograft), lymphopenia, or graft-versus-host disease (GvHD) in a patient, specifically in a human, comprising administering to the patient a compound of this invention, in an amount sufficient to increase the level and/or activity of a Treg cell or a population of Treg cells in the patient, thereby treating, ameliorating, or preventing the autoimmune disorder, inflammatory disorder,
transplant/graft rejection, lymphopenia, or GvHD in the patient.
Additional examples of diseases and conditions that may be treated by the compounds of this invention include but not limited to type II diabetes mellitus, coronary artery disease, alopecia, allergies and allergic reactions, and sepsis/toxic shock.
Exemplary autoimmune disorders include, but are not limited to, multiple sclerosis, juvenile idiopathic arthritis, psoriatic arthritis, hepatitis C virus-associated mixed cryoglobulinemia, polymyositis, dermatomyositis, polyglandular syndrome type II, autoimmune liver disease, Kawasaki disease, myasthenia gravis, immunodysregulation polyendocrinopathy enteropathy X-linked syndrome (IPEX (syndrome)), type I diabetes, psoriasis, hypothyroidism, hemolytic anemia, autoimmune polyendocrinopathy- candidiasis-ectodermal dystrophy (APECED), thrombocytopenia, spondyloarthritis, Sjogren's syndrome, rheumatoid arthritis, inflammatory bowel disease (IBD), Crohn's
disease, ulcerative colitis, eczema, gastritis, or thyroiditis. As part of a nonlimiting list, the inflammatory disorder can be contact hypersensitivity, atopic dermatitis or Still disease.
Additional examples of autoimmune diseases include but are not limited to autoimmune diseases include osteoarthritis, systemic sclerosis, sarcoidosis, insulin dependent diabetes mellitus (IDDM, type I diabetes), reactive arthritis, scleroderma, vasculitis, Wegener's granulomatosis, Hashimoto's disease, scleroderma, oophoritis, Lupus (SLE), Grave's disease, asthma, cryoglobulinemia, primary biliary sclerosis, pemphigus vulgaris, hemolytic anemia and pernicious anemia.
Examples of transplant/graft rejection (e.g., allograft), lymphopenia, or graft- versus-host disease (GvHD) are those arising from cell, tissue and organ transplantation procedures, such as therapeutic cell transplants such as stem cells, muscle cells such as cardiac cells, islet cells, liver cells, bone marrow transplants, skin grafts, bone grafts, lung transplants, kidney transplants, liver transplants, and heart transplants.
In another embodiment, this invention is directed to a method of treating an HDAC-mediated neurodegenerative disease or disorder which comprises administering to a patient in need thereof, a compound of Formula I or a salt thereof, particularly a pharmaceutically acceptable salt thereof. This invention is also directed to a method of treatment of a neurodegenerative disease or disorder associated with deacetylases, such as, Alzheimer's disease, Parkinson's disease, neuronal intranuclear inclusion disease (NMD), and polyglutamine disorders, such as Huntington's disease and spinocerebellar ataxia (SCA), comprising administering a therapeutically effective amount of the compound of Formula I or a salt thereof, particularly a pharmaceutically acceptable salt thereof, to a patient, specifically a human, in need thereof.
Other examples of diseases and conditions that may be treated by the compounds of this invention include but are not limited to cystic fibrosis, osteoporosis, obesity, epilepsy, depression, thalassemia, sickle cell anemia, amyotrophic lateral sclerosis (ALS) and hyperalgesia, cardiac disease (e.g., stroke, hypertension, atherothrombotic diseases, artherosclerosis or limitation of infarct size in acute coronary syndrome), diseases or disorders involving muscular atrophy, gentamicin-induced hearing loss, drug resistance (e.g., drug resistance in osteosarcoma and colon cancer cells), infectious diseases, and immune deficiency/immunocompromised patients. Examples of infectious diseases relate to various pathogen infections such as viral, fungal, bacterial, mycoplasm, and infections by unicellular and multicellular eukaryotic organisms. Common human pathogens include but are not limited to HIV, HSV, HPV, Hepatitis A, B and C viruses, influenza, denge, zostrella, rubella, RSV, rotavirus, gram positive, gram negative, streptococcus, tetanus, staphalococcus, tuberculosis, listeria, and malaria.
The compounds of the invention may be employed alone or in combination with standard anti-cancer regimens for neoplastic cell, e.g., tumor cell and cancer cell, treatments. Thus, in another embodiment, this invention is directed to inhibitors of HDAC and their use to stop or reduce the growth of neoplastic cells, e.g., cancer cells and tumor cells. The growth of cancer cells and/or tumor cells that are found in the following cancer types may be reduced by treatment with a compound of this invention: carcinoma (e.g., adenocarcinoma), heptaocellular carcinoma, sarcoma, myeloma (e.g., multiple myeloma), treating bone disease in multiple myeloma, leukemia, childhood acute lymphoblastic leukemia and lymphoma (e.g., cutaneous cell lymphoma), and mixed types of cancers, such as adenosquamous carcinoma, mixed mesodermal tumor, carcinosarcoma, and teratocarcinoma. In one aspect of the invention, breast or prostate cancers or tumors are treated using the HDAC inhibitors of this invention. Other cancers that may be treated using the compounds of this invention include, but are not limited to, bladder cancer, breast cancer, prostate cancer, stomach cancer, lung cancer, colon cancer, rectal cancer, colorectal cancer, liver cancer, endometrial cancer, pancreatic cancer, cervical cancer, ovarian cancer; head and neck cancer, and melanoma.
The present invention is further directed to a method of treating a B-cell lymphoma, particularly a B-cell lymphoma associated with deacetylases, which comprises administering to a patient in need thereof, a compound of Formula I or a salt thereof, particularly a pharmaceutically acceptable salt thereof. Examples of B-cell lymphomas associated with deacetylases that may be treated using the method of this invention include Burkitt lymphoma, chronic lymphocytic leukemia/small lymphocytic lymphoma (CLL/SLL), diffuse large B-cell lymphoma, follicular lymphoma, immunoblastic large cell lymphoma, precursor B-lymphoblastic lymphoma, mantle cell lymphoma, and
Waldenstrom Macroglobulinemia (lymphoplasmacytic lymphoma). More specifically, this invention is directed to a method of treatment of Burkitt lymphoma, chronic lymphocytic leukemia/small lymphocytic lymphoma (CLL/SLL), diffuse large B-cell lymphoma, follicular lymphoma, immunoblastic large cell lymphoma, precursor B-lymphoblastic lymphoma, mantle cell lymphoma, and Waldenstrom Macroglobulinemia (lymphoplasmacytic lymphoma), comprising administering a therapeutically effective amount of the compound of Formula I or a salt thereof, particularly a pharmaceutically acceptable salt thereof, to a patient, specifically a human, in need thereof.
The compounds of the invention may be administered by any suitable route of administration, including both systemic administration and topical administration.
Systemic administration includes oral administration, parenteral administration, transdermal administration, rectal administration, and administration by inhalation.
Parenteral administration refers to routes of administration other than enteral,
transdermal, or by inhalation, and is typically by injection or infusion. Parenteral administration includes intravenous, intramuscular, and subcutaneous injection or infusion. Inhalation refers to administration into the patient's lungs whether inhaled through the mouth or through the nasal passages. Topical administration includes application to the skin.
The compounds of the invention may be administered once or according to a dosing regimen wherein a number of doses are administered at varying intervals of time for a given period of time. For example, doses may be administered one, two, three, or four times per day. Doses may be administered until the desired therapeutic effect is achieved or indefinitely to maintain the desired therapeutic effect. Suitable dosing regimens for a compound of the invention depend on the pharmacokinetic properties of that compound, such as absorption, distribution, and half-life, which can be determined by the skilled artisan. In addition, suitable dosing regimens, including the duration such regimens are administered, for a compound of the invention depend on the condition being treated, the severity of the condition being treated, the age and physical condition of the patient being treated, the medical history of the patient to be treated, the nature of concurrent therapy, the desired therapeutic effect, and like factors within the knowledge and expertise of the skilled artisan. It will be further understood by such skilled artisans that suitable dosing regimens may require adjustment given an individual patient's response to the dosing regimen or over time as individual patient needs change.
Treatment of HDAC-mediated disease conditions may be achieved using the compounds of this invention as a monotherapy, or in dual or multiple combination therapy, such as in combination with other agents, for example, in combination with 1-3 of the following agents: DNA methyltransferase inhibitors, acetyl transferase enhancers, proteasome or HSP90 inhibitors, and 1 -3 immunosuppressants that do not activate the T suppressor cells including but are not limited to corticosteroids, rapamycin, Azathioprine, Mycophenolate, Cyclosporine, Mercaptopurine (6-MP), basiliximab, daclizumab, sirolimus, tacrolimus, Muromonab-CD3, cyclophosphamide, and methotrexate, which are
administered in effective amounts as is known in the art.
The compounds of the invention will normally, but not necessarily, be formulated into a pharmaceutical composition prior to administration to a patient. Accordingly, in another aspect the invention is directed to pharmaceutical compositions comprising a compound of the invention and a pharmaceutically-acceptable excipient.
The pharmaceutical compositions of the invention may be prepared and packaged in bulk form wherein an effective amount of a compound of the invention can be extracted
and then given to the patient such as with powders, syrups, and solutions for injection. Alternatively, the pharmaceutical compositions of the invention may be prepared and packaged in unit dosage form. For oral application, for example, 1-3 tablets or capsules may be administered. A dose of the pharmaceutical composition contains at least a therapeutically effective amount of a compound of this invention (i.e., a compound of Formula I or a salt, particularly a pharmaceutically acceptable salt, thereof). When prepared in unit dosage form, the pharmaceutical compositions may contain from 1 mg to 1000 mg of a compound of this invention.
The pharmaceutical compositions of the invention typically contain one compound of the invention. However, in certain embodiments, the pharmaceutical compositions of the invention contain more than one compound of the invention. In addition, the pharmaceutical compositions of the invention may optionally further comprise 1 -3 additional pharmaceutically active compounds.
As used herein, "pharmaceutically-acceptable excipient" means a material, composition or vehicle involved in giving form or consistency to the composition. Each excipient must be compatible with the other ingredients of the pharmaceutical composition when commingled such that interactions which would substantially reduce the efficacy of the compound of the invention when administered to a patient and interactions which would result in pharmaceutical compositions that are not pharmaceutically-acceptable are avoided. In addition, each excipient must of course be of sufficiently high purity to render it pharmaceutically-acceptable.
The compounds of the invention and the pharmaceutically-acceptable excipient or excipients will typically be formulated into a dosage form adapted for administration to the patient by the desired route of administration. Conventional dosage forms include those adapted for (1 ) oral administration such as tablets, capsules, caplets, pills, troches, powders, syrups, elixirs, suspensions, solutions, emulsions, sachets, and cachets; (2) parenteral administration such as sterile solutions, suspensions, and powders for reconstitution; (3) transdermal administration such as transdermal patches; (4) rectal administration such as suppositories; (5) inhalation such as aerosols and solutions; and (6) topical administration such as creams, ointments, lotions, solutions, pastes, sprays, foams, and gels.
Suitable pharmaceutically-acceptable excipients will vary depending upon the particular dosage form chosen. In addition, suitable pharmaceutically-acceptable excipients may be chosen for a particular function that they may serve in the composition. For example, certain pharmaceutically-acceptable excipients may be chosen for their ability to facilitate the production of uniform dosage forms. Certain
pharmaceutically-acceptable excipients may be chosen for their ability to facilitate the production of stable dosage forms. Certain pharmaceutically-acceptable excipients may be chosen for their ability to facilitate the carrying or transporting the compound or compounds of the invention once administered to the patient from one organ, or portion of the body, to another organ, or portion of the body. Certain pharmaceutically-acceptable excipients may be chosen for their ability to enhance patient compliance.
Suitable pharmaceutically-acceptable excipients include the following types of excipients: diluents, fillers, binders, disintegrants, lubricants, glidants, granulating agents, coating agents, wetting agents, solvents, co-solvents, suspending agents, emulsifiers, sweeteners, flavoring agents, flavor masking agents, coloring agents, anti-caking agents, humectants, chelating agents, plasticizers, viscosity increasing agents, antioxidants, preservatives, stabilizers, surfactants, and buffering agents. The skilled artisan will appreciate that certain pharmaceutically-acceptable excipients may serve more than one function and may serve alternative functions depending on how much of the excipient is present in the formulation and what other ingredients are present in the formulation.
Skilled artisans possess the knowledge and skill in the art to enable them to select suitable pharmaceutically-acceptable excipients in appropriate amounts for use in the invention. In addition, there are a number of resources that are available to the skilled artisan which describe pharmaceutically-acceptable excipients and may be useful in selecting suitable pharmaceutically-acceptable excipients. Examples include Remington's Pharmaceutical Sciences (Mack Publishing Company), The Handbook of Pharmaceutical Additives (Gower Publishing Limited), and The Handbook of Pharmaceutical Excipients (the American Pharmaceutical Association and the Pharmaceutical Press).
The pharmaceutical compositions of the invention are prepared using techniques and methods known to those skilled in the art. Some of the methods commonly used in the art are described in Remington's Pharmaceutical Sciences (Mack Publishing
Company).
In one aspect, the invention is directed to a solid oral dosage form such as a tablet or capsule comprising an effective amount of a compound of the invention and a diluent or filler. Suitable diluents and fillers include lactose, sucrose, dextrose, mannitol, sorbitol, starch (e.g. corn starch, potato starch, and pre-gelatinized starch), cellulose and its derivatives (e.g. microcrystalline cellulose), calcium sulfate, and dibasic calcium phosphate. The oral solid dosage form may further comprise a binder. Suitable binders include starch (e.g. corn starch, potato starch, and pre-gelatinized starch), gelatin, acacia, sodium alginate, alginic acid, tragacanth, guar gum, povidone, and cellulose and its derivatives (e.g. microcrystalline cellulose). The oral solid dosage form may further
comprise a disintegrant. Suitable disintegrants include crospovidone, sodium starch glycolate, croscarmelose, alginic acid, and sodium carboxymethyl cellulose. The oral solid dosage form may further comprise a lubricant. Suitable lubricants include stearic acid, magnesium stearate, calcium stearate, and talc.
EXAMPLES
The following examples illustrate the invention. These examples are not intended to limit the scope of the present invention, but rather to provide guidance to the skilled artisan to prepare and use the compounds, compositions, and methods of the present invention. While particular embodiments of the present invention are described, the skilled artisan will appreciate that various changes and modifications can be made without departing from the spirit and scope of the invention.
In the following experimental descriptions, the following abbreviations may be used:
μνν microwave
NaBH4 sodium borohydride
Na2C03 sodium carbonate
NaHCOs sodium bicarbonate
NaOH sodium hydroxide
Na2S04 sodium sulfate
NH4CI ammonium chloride
NiCI2-6H20 nickel (II) chloride hexahydrate
NMP /v-methyl-2-pyrrolidone
Ph phenyl
rt room temperature
satd saturated
sex strong cation exchange
SPE solid phase extraction
TFA trifluoroacetic acid
THF tetrahydrofuran
fR retention time
EXAMPLE 1
3-{[4-(Hydroxy)phenyl]methyl}-4-({4-[5-(trifluoromethyl)-1 ,2,4-oxadiazol-3-yl]- phenyl}methyl)-1 ,2,3,4-tetrahydroquinoxalin-2-one
( ?)-Methyl 3-(4-hydroxyphenyl)-2-((2-nitrophenyl)amino)propanoate: 1 -Fluoro-2- nitrobenzene (2 g, 14.17 mmol), Et3N (4.94 mL, 35.4 mmol), and (R)-methyl 2-amino-3-(4- hydroxyphenyl)propanoate hydrochloride (3.94 g, 17.01 mmol) were dissolved in DMSO (20 mL). The reaction was heated to 100 °C for 4 h. The cooled reaction mixture was poured into water (300 mL). The resulting precipitate was collected by filtration and dissolved in DCM (200 mL). The organic layer was washed with satd. NaHC03 (1 x 50 mL), dried with MgS04, filtered, and concentrated under reduced pressure to yield an orange oil. The oil was purified via silica gel chromatography (0% - 10% MeOH in DCM) to give the title compound (3.69 g, 1 1.67 mmol, 82 % yield) as an orange solid. 1H NMR (400 MHz, CHLOROFORM-d) δ 8.34 (d, J = 7.24 Hz, 1 H), 8.13 (d, J = 8.03 Hz, 1 H), 7.38
(t, J = 7.44 Hz, 1 H), 7.05 (d, J = 8.22 Hz, 2H), 6.76 (d, J = 8.22 Hz, 2H), 6.59 - 6.72 (m, 2H), 6.45 (br. s., 1 H), 4.46 (q, J = 6.66 Hz, 1 H), 3.74 (s, 3H), 3.06 - 3.27 (m, 2H). LCMS: fR = 0.56 min, 88%. MS m/z = 317 (M+H)+.
( ?)-3-(4-Hydroxybenzyl)-3,4-dihydroquinoxalin-2(1 H)-one: (R)-Methyl 3-(4- hydroxyphenyl)-2-((2-nitrophenyl)amino)propanoate (3.69 g, 1 1 .67 mmol) was dissolved in MeOH (40 mL) to give an orange solution. Pd/C (1 .241 g, 1 .167 mmol) was added, and the reaction was placed under 1 atm of hydrogen. The reaction was stirred overnight. The reaction was filtered through Celite and concentrated under reduced pressure to yield the title compound (2.97 g, 1 1 .68 mmol, 100 % yield) as a brown oil. 1 H NMR (400 MHz, DMSO-d6) δ 10.20 (br. s., 1 H), 6.96 (d, J = 8.22 Hz, 2H), 6.60 - 6.80 (m, 5H), 6.48 - 6.60 (m, 1 H), 5.71 (s, 1 H), 3.89 (t, J = 5.09 Hz, 1 H), 2.61 - 2.89 (m, 2H). 13C NMR (101 MHz, DMSO-d6) 8 167.1 , 156.0, 133.5, 130.5, 127.2, 125.7, 122.7, 1 17.5, 1 15.0, 1 14.5, 1 13.6, 57.2, 36.6. LCMS: fR = 0.56 min, 100%. MS m/z = 255 (M+H)+.
( ?)-4-((2-(4-Hydroxybenzyl)-3-oxo-3,4-dihydroquinoxalin-1 (2H)- yl)methyl)benzonitrile: (R)-3-(4-Hydroxybenzyl)-3,4-dihydroquinoxalin-2(1 H)-one (1 g, 3.93 mmol), 4-formylbenzonitrile (0.541 g, 4.13 mmol), and dibutyltin dichloride (0.1 19 g, 0.393 mmol) were dissolved in THF (15 mL) and DMF (7.50 mL). The reaction was stirred for 5 min, and phenylsilane (0.534 mL, 4.33 mmol) was added. The reaction was partitioned between DCM (200 mL) and satd. NaHC03( 100 mL). The organic layer was separated, dried with MgS04, filtered, and concentrated under reduced pressure to yield an oil. The oil was purified via silica gel chromatography (3% - 10% MeOH in DCM) to give the title compound (1 .090 g, 2.95 mmol, 75 % yield) contaminated with the starting material in a 3: 1 ratio as a white solid. Material was taken on to the next step without
further purification. 1 H NMR (400 MHz, CHLOROFORM-d) δ 10.05 (s, 1 H), 8.65 (s, 1 H), 7.45 (d, J = 8.22 Hz, 2H), 7.12 (d, J = 8.22 Hz, 2H), 6.66 - 6.97 (m, 8H), 4.33 (d, J = 16.25 Hz, 1 H), 4.04 (dd, J = 4.21 , 9.69 Hz, 1 H), 3.77 (d, J = 16.25 Hz, 1 H), 2.67 - 2.85 (m, 2H). LCMS: fR = 0.75 min, 75%. MS m/z = 370 (M+H)+.
( ?)-3-(4-Hydroxybenzyl)-4-(4-(5-(trifluoromethyl)-1 ,2,4-oxadiazol-3-yl)benzyl)-3,4- dihydroquinoxalin-2(1 H)-one: (R)-4-((2-(4-Hydroxybenzyl)-3-oxo-3,4-dihydroquinoxalin- 1 (2H)-yl)methyl)benzonitrile (1.03 g, 2.79 mmol) was dissolved in a solution of ethanol (5 mL) and hydroxylamine 50% in water (0.921 g, 27.9 mmol) and heated to 75 °C for 5 h. The reaction was concentrated to a dry solid under reduced pressure. The solid was suspended in THF (5 mL), and TFAA (0.591 mL, 4.18 mmol), DMAP (0.034 g, 0.279 mmol) were added. The reaction was stirred overnight. The reaction was concentrated to a dry solid under reduced pressure. The solid was dissolved in MeOH and purified via reverse phase prep-HPLC (25% - 100% MeCN in water with 0.05% TFA) to give the title compound (421 mg, 0.876 mmol, 31.4 % yield) as an off-white solid. 1H NMR (400 MHz, CHLOROFORM-d) δ 9.83 (br. s., 1 H), 7.96 (d, J = 8.22 Hz, 2H), 7.71 (br. s., 1 H), 7.25 (s, 1 H), 6.91 - 7.03 (m, 3H), 6.88 (d, J = 7.44 Hz, 1 H), 6.69 - 6.84 (m, 3H), 6.64 (d, J = 8.22 Hz, 1 H), 4.49 (d, J = 15.66 Hz, 1 H), 4.19 (t, J = 6.85 Hz, 1 H), 3.98 (d, J = 15.86 Hz, 1 H), 2.86 (d, J = 5.87 Hz, 2H). 13C NMR (101 MHz, CHLOROFORM-d) δ 168.8, 168.7, 165.6, 155.1 , 141 .6, 133.2, 130.5, 128.1 , 128.0, 127.9, 126.0, 124.6, 123.9, 1 19.5, 1 15.8, 1 16.0, 1 15.6, 1 14.1 , 64.3, 53.3, 34.8. 19F NMR (376 MHz, CHLOROFORM-d) δ -65.7. LCMS: fR= 0.94 min, >97%. MS m/z = 481 (M+H)+.
EXAMPLE 2
3-{[4-(Hydroxy)phenyl]methyl}-4-({5-[5-(trifluoromethyl)-1 ,2,4-oxadiazol-3-yl]pyrid
yl}methyl)-1 ,2,3,4-tetrahydroquinoxalin-2-one
( ?)-4-((5-Bromopyridin-2-yl)methyl)-3-(4-hydroxybenzyl)-3,4-dihydroquinoxalin- 2(1H)-one: (R)-3-(4-Hydroxybenzyl)-3,4-dihydroquinoxalin-2(1 H)-one (0.5 g, 1 .966 mmol) was weighed into a 40 mL scintillation vial and dissolved in THF (10 mL). 5- Bromopicolinaldehyde (0.384 g, 2.065 mmol), dibutyldichlorostannane (0.060 g, 0.197 mmol), and phenylsilane (0.234 g, 2.163 mmol) were added. The resulting reaction was stirred for 3 d. The reaction was concentrated to a volume of 4 mL under reduced pressure and purified directly via reverse phase prep-HPLC (30% - 100% MeCN in water with 0.05% TFA) to give the title compound (408 mg, 0.962 mmol, 48.9 % yield) as a white solid. 1 H NMR (400 MHz, CHLOROFORM-d) δ ppm 10.01 (br. s., 1 H), 8.57 (d, J = 1.17 Hz, 1 H), 7.66 (dd, J = 8.42, 1.57 Hz, 1 H), 7.09 (d, J = 8.42 Hz, 1 H), 6.66 - 7.05 (m, 7 H), 6.59 (d, J = 8.03 Hz, 1 H), 4.55 (d, J = 16.64 Hz, 1 H), 4.26 (t, J = 6.26 Hz, 1 H), 3.89 - 4.16 (m, 1 H), 3.54 (s, 1 H), 2.68 - 3.08 (m, 2 H). 13C NMR (101 MHz,
CHLOROFORM-d) δ 168.6, 155.9, 155.6, 149.5, 140.2, 132.4, 130.4, 127.5, 126.2, 124.4, 123.1 , 1 19.6, 1 19.2, 1 15.9, 1 15.7, 1 13.9, 65.8, 54.4, 35.2. LCMS: fR = 0.76 min, 98%. MS m/z = 424 (M+H)+.
( ?)-6-((2-(4-Hydroxybenzyl)-3-oxo-3,4-dihydroquinoxalin-1(2H)- yl)methyl)nicotinonitrile: Zinc(ll) cyanide (226 mg, 1.923 mmol), (R)-4-((5- bromopyridin-2-yl)methyl)-3-(4-hydroxybenzyl)-3,4-dihydroquinoxalin-2(1 H)-one (408 mg, 0.962 mmol), and tetrakis(triphenylphosphine)palladium(0) (89 mg, 0.077 mmol) were suspended in DMF (4 mL). The reaction was placed in a sealed vessel and heated to 150
°C for 15 m using microwave irradiation. After cooling, the reaction was diluted to 8 mL with MeOH, filtered, and purified directly via reverse phase prep-HPLC (10% - 100% MeCN in water with 0.05% TFA) to give the title compound (210 mg, 0.567 mmol, 59.0 % yield) as a yellow solid. 1 H NMR (400 MHz, CHLOROFORM-d) δ 9.42 (s, 1 H), 8.76 (s, 1 H), 7.78 (dd, J = 1 .86, 8.12 Hz, 1 H), 7.28 (d, J = 8.81 Hz, 1 H), 6.89 - 7.01 (m, 3H), 6.76 - 6.89 (m, 2H), 6.71 (d, J = 8.22 Hz, 2H), 6.52 (d, J = 8.03 Hz, 1 H), 5.40 (br. s., 1 H), 4.46 - 4.73 (m, 1 H), 4.19 - 4.28 (m, 1 H), 4.13 (d, J = 17.62 Hz, 1 H), 2.73 - 3.08 (m, 2H). 13C NMR (101 MHz, CHLOROFORM-d) δ 168.4, 162.3, 155.4, 151 .8, 140.2, 132.3, 130.5, 127.8, 126.2, 124.6, 121 .4, 120.0, 1 16.3, 1 16.0, 1 15.5, 1 14.0, 108.5, 66.2, 55.5, 35.3. LCMS: fR = 0.67 min, >98%. MS m/z = 371 (M+H)+.
( ?)-3-(4-Hydroxybenzyl)-4-((5-(5-(trifluoromethyl)-1 ,2,4-oxadiazol-3-yl)pyridin-2- yl)methyl)-3,4-dihydroquinoxalin-2(1 H)-one: (R)-6-((2-(4-Hydroxybenzyl)-3-oxo-3,4- dihydroquinoxalin-1 (2H)-yl)methyl)nicotinonitrile (210 mg, 0.567 mmol) was dissolved in ethanol (3 mL) and 50% hydroxylamine in water (0.174 mL, 2.83 mmol) and heated to 75°C for 2 h. After cooling, the reaction was concentrated to a solid under reduced pressure. The solid was suspended in THF (3 mL), and DMAP (0.693 mg, 5.67 μηηοΙ) and TFAA (0.096 mL, 0.680 mmol) were added. After 4 h of stirring, the reaction was purified directly via reverse phase prep-HPLC (10% - 100% MeCN in water) to give the title compound (175 mg, 0.364 mmol, 64.1 % yield) as a solid. 1 H NMR (400 MHz, CHLOROFORM-d) δ 9.81 (s, 1 H), 9.20 (d, J = 1 .17 Hz, 1 H), 8.21 (dd, J = 1 .76, 8.22 Hz, 1 H), 7.34 (d, J = 8.22 Hz, 1 H), 6.96 (d, J = 8.22 Hz, 2H), 6.82 - 6.93 (m, 2H), 6.68 - 6.82 (m, 3H), 6.55 (d, J = 8.03 Hz, 2H), 4.63 (d, J = 17.23 Hz, 1 H), 4.26 (t, J = 6.75 Hz, 1 H),
4.15 (d, J = 17.23 Hz, 1 H), 2.79 - 3.04 (m, 2H). 13C NMR (101 MHz, CHLOROFORM-d) δ 168.6, 166.8, 166.1 , 161 .8, 155.7, 147.8, 136.2, 132.4, 130.4, 127.6, 126.3, 124.4, 121 .8, 120.2, 1 19.7, 1 17.1 , 1 15.9, 1 15.7, 1 13.9, 66.2, 55.2, 35.3. 19F NMR (376 MHz,
CHLOROFORM-d) δ -65.7. LCMS: fR = 0.89 min, >98%. MS m/z = 482 (M+H)+.
Pharmaceutical Compositions
Example A
Tablets are prepared using conventional methods and are formulated as follows:
Inqredient Amount per tablet
Compound 1 5mg
Microcrystalline cellulose 100mg
Lactose 100mg
Sodium starch glycollate 30mg
Maqnesium stearate 2mq
Total 237mg
Example B
Capsules are prepared using conventional methods and are formulated as follows:
Inqredient Amount per tablet
Compound 15mg
Dried starch 178mg
Maqnesium stearate 2mq
Total 195mg
Histone Deacetylase 9 (HDAC9) Inhibition Assay:
Novel histone deacetylase 9 (HDAC9) inhibitors were characterized in an in vitro biochemical functional assay. The assay measures the increased fluorescent signal due to deacetylation, by HDAC9, of a fluorogenic substrate. The commercial available substrate is Class lla HDAC-specific and contains an acetylated lysine residue and would releases the fluorescent signal upon trypsin cleavage after deacetylation.
Specifically, test compounds diluted to various concentrations in 100% DMSO are first dispensed into 384-well assay plates. Recombinant HDAC9 isoform 4 (purchased from BPS Bioscience) in complete assay buffer (50 mM Tris-HCI, pH 8.0, 137 mM NaCI, 2.7 mM KCI, 1 mM MgCI2, 0.05% BSA & 0.005% Tween 20) were then added to each well (5uL/well) using Multidrop Combi (Thermo Scientific), followed by 5 uL/well substrate (purchased from BPS Bioscience, 4.5 uM final). After 45 minutes incubation at room temperature, 10uL 2x developer solution (assay buffer with 40 uM Trypsin and 20 uM Trichostatin A) was added. The plates were then incubated 1 hour at room temperature before reading in fluorescent intensity mode at 450nm in an Envision (Perkin Elmer) plate reader. Percent Inhibition of HDAC9 activity by compounds in each test wells was
calculated by normalizing to fluorescent signal in control wells containing DMSO only. The plC50s value of test compounds were calculated from non-linear curve fitting, using ActivityBase5 data analysis tool (IDBS), from 1 1 point 3x dilution series starting from 100 uM final compound concentration.
For concentration/dose response experiments, normalized data were fit and plC50s determined using conventional techniques. The plC50s are averaged to determine a mean value, for a minimum of 2 experiments. As determined using the above method, the compounds of Examples 1-2 exhibited a plC50 between 5.0 and 9.0 e.g., for example, the compound of Example 2 inhibited HDAC9 in the above method with a mean plC50 > 6.
References:
US 20060269559, US Patent No. 7,521 ,044, WO2007084775
"Deacetylase inhibition promotes the generation and function of regulatory T cells,"
R.Tao, E. F. de Zoeten, E. O" zkaynak, C. Chen, L. Wang, P. M. Porrett, B. Li, L. A.
Turka, E. N. Olson, M. I. Greene, A. D. Wells, W. W. Hancock, Nature Medicine, 13 (1 1 ),
2007.
"Expression of HDAC9 by T Regulatory Cells Prevents Colitis in Mice," E. F. de Zoeten, L. Wang, H. Sai, W. H. Dillmann, W. W. Hancock, Gastroenterology. 2009 Oct 28.
"Immunomodulatory effects of deacetylase inhibitors: therapeutic targeting of FOXP3+ regulatory T cells," L. Wang, E. F. de Zoeten, M. I. Greene and W. W. Hancock, Nature Review Drug Discovery. 8(12):969-81 , 2009 and references therein.
"HDAC7 targeting enhances FOXP3+ Treg function and induces long-term allograft survival," L. Wang, et al., Am. J. Transplant 9, S621 (2009).
"Selective class II HDAC inhibitors impair myogenesis by modulating the stability and activity of HDAC-MEF2 complexes," A. Nebbioso, F. Manzo, M. Miceli, M. Conte, L. Manente, A. Baldi, A. De Luca, D. Rotili, S. Valente, A. Mai, A. Usiello, H. Gronemeyer, L. Altucci, EMBO reports 10 (7) , 776-782, 2009. and references therein.
"Myocyte Enhancer Factor 2 and Class II Histone Deacetylases Control a
Gender-Specific Pathway of Cardioprotection Mediated by the Estrogen Receptor," E. van Rooij, J. Fielitz, L. B. Sutherland, V. L. Thijssen, H. J. Crijns, M. J. Dimaio, J. Shelton, L. J. De Windt, J. A. Hill, E.N. Olson, Circulation Research, Jan 2010.
Claims
1. A compound according to Formula (I):
f is 0 or 1 ;
Z is hydrogen, halogen, -CF3, nitro, cyano, -(C0-C6)alkyl-OR1, -(C0-C6)alkyl-NR1R1, -(CrC6)alkyl, -N(R1)-C(=0)-(C C6)alkyl, -N(R1)-S02-(Ci-C6)alkyl, -0-(C2-C6)alkyl-NR1 R1, -S-R1, -(Co-C6)alkyl-C(=0)-OR1, -N(R1)-C(=0)-CF3, -N(R1)-(C2-C6)alkyl-NR1R1,
-C(=0)NR1 R1, -N(R1)-C(=0)-OR1, -S02-NR1R1, -N(R1)-S02R1,
-(Co-C3)alkoxy-(Co-C3)alkyl-aryl, -(C0-C3)alkoxy-(C0-C3)alkyl-heteroaryl, aryl,
aryl(CrC6)alkyl-, heteroaryl, heteroaryl(CrC6)alkyl-, (C3-C6)cycloalkyl, heterocyclyl, -(Co-C3)alkyl-N(R1)-C(=0)-(Ci-C6)alkyl-C(=0)aryl,
-(Co-C3)alkyl-N(R1)-C(=0)-(Ci-C6)alkyl-C(=0)heteroaryl,
-(Co-C3)alkyl-N(R1)-C(=0)-(Ci-C6)alkyl-C(=0)N(R1) aryl and
-(Co-C3)alkyl-N(R1)-C(=0)-(Ci-C6)alkyl-C(=0)N(R1)-heteroaryl, wherein each of the aryl, heteroaryl, cycloalkyl and heterocyclyl moieties of Z is optionally substituted by 1-3 substituents each independently selected from the group consisting of oxo, halogen, -(C1-C6)alkyl, halo(C1-C6)alkyl, (C1-C6)alkoxy, halo(C1-C6)alkoxy, -NH2, hydroxyl, cyano, -NH((C C6)alkyl), -N((C1-C6)alkyl)((C1-C6)alkyl,), (C C6)alkylcarbonyl-,
(C ^alkylCONH-, and -(C2-C4)alkyl-NR1R1, wherein two R1 groups, together with the nitrogen atom to which they are attached optionally form a heterocyclyl group; and
each R1 is independently selected from the group consisting of hydrogen, (Ci-C6)alkyl, (C3-C6)cycloalkyl, heterocyclyl, (CrC6)alkyloxy(C2-C6)alkyl-,
hydroxy(C2-C6)alkyl, amino(C2-C6)alkyl-, ((Ci-C6)alkyl)amino-(C2-C6)alkyl-,
((Ci-C6)alkyl)((Ci-C6)alkyl)amino-(C2-C6)alkyl-, aryl-(C0-C6)alkyl-, and
heteroaryl-(C0-C6)alkyl-,
wherein each aryl, heteroaryl, cycloalkyl and heterocyclyl moiety of said
(C3-C6)cycloalkyl, heterocyclyl, aryl-(C0-C6)alkyl-, and heteroaryl-(C0-C6)alkyl-, is optionally substituted by 1 -3 R2 substituents each independently selected from the group consisting of oxo, hydroxyl, cyano, -(C1-C6)alkyl, -(C1-C6)alkoxy, nitro, -amino((C1-C6)alkyl),
-amino((C1-C6)alkyl)((C1-C6)alkyl), halogen, aryl, heteroaryl, haloalkyl,
-(C2-C4)alkyl-amino((C1-C6)alkyl), and -(C2-C4)alkyl-amino((C1-C6)alkyl)((C1-C6)alkyl), or two R1 groups, taken together with the nitrogen atom to which they are attached form a 4-6 membered heterocyclyl moiety, optionally containing one additional heteroatom selected from the group consisting of N, O and S;
Y is (C2-C6)alkyl or an optionally substituted aryl or heteroaryl, optionally substituted by 1 -3 substituents each independently selected from the group consisting of halogen, -(d-C6)alkyl, halo(CrC6)alkyl, (CrC6)alkoxy, halo(CrC6)alkoxy, amino, hydroxyl, cyano, -NH((C C6)alkyl), -N((Ci-C6)alkyl)((Ci-C6)alkyl,), (C C6)alkylcarbonyl- and (CrC6)alkylCONH-;
d is 0 or 1 ;
e is 0, 1 , 2, 3, 4, 5 or 6; and
-C(=0)0(C2-C6)alkyloxy(Ci-C6)alkyl, and -C(=0)NR1 R1, or an optionally substituted aryl, heteroaryl, (C3-C6)cycloalkyl, 3-6 membered heterocyclyl, -C(=0)0(C3-C6)cycloalkyl, -C(=0)0(3-6 membered heterocyclyl) or -C(=0)Oheteroaryl group,
wherein any of said optionally substituted alkyl, aryl, heteroaryl, cycloalkyl, or heterocyclyl is optionally substituted by 1-3 substituents each independently selected from the group consisting of halogen, (C1-C6)alkyl, halo(C1-C6)alkyl, (C1-C6)alkoxy,
halo(C1-C6)alkoxy, hydroxyl, hydroxy(C1-C6)alkyl-, nitro, cyano, amino,
-C(=0)(CrC6)alkyl, -C(=0)0(C C6)alkyl, -C(=0)NH(C C6)alkyl, -NHC(=0)0(C C6)alkyl, -(Co-C6)alkyl-SR1, -(C0-C6)alkyl-OR1, -(C0-C6)alkyl-NR1 R1, -(C0-C6)alkyl-C(=O)OR1, -(Co-C6)alkyl-C(=0)NR1R1, -CH=CH-C(=0)OR1 , -C≡C-C(=0)OR1 , -CH=CH-C(=0)NR1R1, -C≡C-C(=0)NR1R1, -N(R1)-C(=0)CF3, -C(=0)N(R1)CF3, -N(R1)-(C C6)alkyl-NR1R1, -N(R1)-C(=0)(CrC6)alkyl, -C(=0)N(R1)(C C6)alkyl, -N(R1)-S02-(C C6)alkyl ,
-S02N(R1)-(Ci-C6)alkyl, -0-(C C6)alkyl-NR1R1, -S-(C C6)alkyl-N(R1)2, -SO-(C C6)alkyl, -S02-(CrC6)alkyl, -(C3-C6)cycloalkyl, heterocyclyl, -C(Ph)3, aryl, heteroaryl,
aryl(CrC6)alkyl-, and heteroaryl(CrC6)alkyl-;
or a salt thereof.
2. The compound or salt according to claim 1 , wherein f is 0.
3. The compound or salt according to claim 1 , wherein f is 1 .
4. The compound or salt according to claim 1 , wherein d is 0.
5. The compound or salt according to claim 1 , wherein d is 1.
6. The compound or salt according to claim 1 , wherein e is 0.
7. The compound or salt according to claim 1 , wherein e is 1.
8. The compound or salt according to claim 1 , wherein e is 2.
9. The compound or salt according to claim 1 , wherein e is 4.
10. The compound or salt according to claim 1 , wherein d is 1 , e is 1 and f is 0.
1 1 . The compound or salt according to any one of claims 1-10, wherein Z is selected from the group consisting of hydrogen, halogen, -CF3, nitro, cyano,
-N(R1)S02-(Ci-C6)alkyl, -0(C2-C6)alkyl-NR1R1, -S-R1, -(C0-C6)alkyl-C(=O)OR1,
-N(R1)C(=0)-CF3, -N(R1)-(C2-C6)alkyl-NR1R1,
-(Co-C3)alkyl-N(R1)C(=0)-(C1-C6)alkyl-C(=0)-aryl,
-(Co-C3)alkyl-N(R1)C(=0)-(C1-C6)alkyl-C(=0)-heteroaryl,
-(Co-C3)alkyl-N(R1)C(=0)-(C1-C6)alkyl-C(=0)N(R1)-aryl,
-(C0-C3)alkyl-N(R1)C(=O)-(Ci-C6)alkyl-C(=O)N(R1)-heteroaryl, -(C0-C6)alkyl-OR1, -N(R1)C(=0)-OR1, wherein any of said aryl or heteroaryl is optionally substituted by 1-3 substituents each independently selected from the group consisting of oxo, hydroxyl, cyano, -(d-C6)alkyl, -(C C6)alkoxy, nitro, -NR1R1, halogen, -SH, halo(C C6)alkyl and
-(C2-C4)alkyl-NR1R1, wherein two R1 groups, together with the nitrogen atom to which they are attached optionally form a heterocyclyl group.
12. The compound or salt according to any one of claims 1-10, wherein Z is selected from the group consisting of hydrogen, -(C0-C3)alkoxy-(C0-C3)alkyl-aryl,
-(Co-C3)alkoxy-(C0-C3)alkyl-heteroaryl, aryl, aryl(CrC6)alkyl-, heteroaryl,
heteroaryl(Ci-C6)alkyl-, (C3-C6)cycloalkyl, heterocyclyl,
-(Co-C3)alkyl-N(R1)C(=0)-(Ci-C6)alkyl-C(=0)-aryl,
-(Co-C3)alkyl-N(R1)C(=0)-(Ci-C6)alkyl-C(=0)-heteroaryl,
-(Co-C3)alkyl-N(R1)C(=0)-(Ci-C6)alkyl-C(=0)N(R1)-aryl and
-(C0-C3)alkyl-N(R1)C(=O)-(C1-C6)alkyl-C(=O)N(R1)-heteroaryl, wherein two R1 groups, together with the nitrogen atom to which they are attached, optionally form a heterocyclyl group.
13. The compound or salt according to any one of claims 1-10, wherein Z is selected from the group consisting of-H, -F, -CI, -Br, CF3, N02, cyano, -(CH2)o-40R1
(specifically, -CH2OH), -(CH2)0-4NR1R1, -CH3, -N(R1)C(=0)CH3, -N(R1)S02CH3,
-0(CH2)2-4NR1R1, -SR1, -(CH2)o-4C(=0)OR1, -N(R1)C(=0)CF3 and -N(R1)(CH2)2NR1R1, wherein two R1 groups, together with the nitrogen atom to which they are attached, optionally form a heterocyclyl group.
14. The compound or salt according to any one of claims 1-10, wherein , Z is -(C2-C4)alkyl-NR1R1, and the two R1 groups, together with the nitrogen atom to which they are attached, optionally form a heterocyclyl selected from the group consisting of morpholinyl, piperazinyl, piperidinyl, pyrrolidinyl, and azetidinyl.
15. The compound or salt according to any one of claims 1-10, wherein Z is H.
16. The compound or salt according to any one of claims 1-15, wherein each R1 is independently selected -H, -(C1-C6)alkyl, -(C3-C6)cycloalkyl, heterocyclyl, aryl(C0-C6)alkyl-, heteroaryl(C0-C6)alkyl-, -(C2-C4)alkylamino, -(C2-C4)alkyl-N((C C6)alkyl), and
-(C2-C4)alkyl-N((C1-C6)alkyl)((C1-C6)alkyl), wherein each aryl, heteroaryl, cycloalkyl and heterocyclyl moiety of said -(C3-C6)cycloalkyl, heterocyclyl, -(C0-C6)alkyl-aryl and
-(Co-C6)alkyl-heteroaryl is optionally substituted by 1-3 substituents each independently selected from the group consisting of oxo, hydroxyl, cyano, -(CrC6)alkyl,
-halo(Ci-C6)alkyl, -(C C6)alkoxy, -halo(C C6)alkoxy, -NH2, -NH((C C6)alkyl),
-N((Ci-C6)alkyl)((CrC6)alkyl), halogen, -(C2-C4)alkyl-N((C C6)alkyl), and -(C2-C4)alkyl-N ((Ci-C6)alkyl)((Ci-C6)alkyl); or two R1 groups, taken together with the nitrogen atom to which they are attached form a 4-6 membered heterocyclyl moiety, optionally containing one additional heteroatom selected from the group consisting of N, O and S.
17. The compound or salt according to any one of claims 1-15, wherein each R1 is independently -(C0-C6)alkyl-aryl or -(Ci-C4)alkyl, wherein the aryl moiety of said
-(C0-C6)alkyl-aryl is optionally substituted by one or two R2 substituents each
independently selected from the group consisting of hydroxyl, cyano, -(Ci-C6)alkyl, -halo(Ci-C6)alkyl, -(C C6)alkoxy, -halo(C C6)alkoxy, -NH2, -NH((C C6)alkyl), -N((Ci-C6)alkyl)((Ci-C6)alkyl), halogen, -(C2-C4)alkyl-N((C1-C6)alkyl), and -(C2-C4)alkyl-N ((C1-C6)alkyl)((C1-C6)alkyl),
wherein each R2 is independently selected from the group consisting of -CH3, -F, -CI, -Br, -OH, -OCH3, -OCF3, -CF3, -NH2, -NH((C C6)alkyl), -N((C C6)alkyl)((Ci-C6)alkyl), -(C2-C4)alkyl-N((Ci-C6)alkyl), -(C2-C4)alkyl-N ((Ci-C6)alkyl)((Ci-C6)alkyl), and cyano.
18. The compound or salt according to any one of claims 1-15, wherein R1 is independently selected from the group consisting of phenyl, benzyl, methyl, ethyl, ferf-butyl and isopropyl.
19. The compound or salt according to any one of claims 1-18, wherein Y is an optionally substituted phenyl or naphthyl, or a 5-6 membered or 9-10 membered heteroaryl, optionally substituted by 1 -3 substituents each independently selected from the group consisting of halogen, -(d-C6)alkyl, halo(Ci-C6)alkyl, (CrC6)alkoxy, halo(C C6)alkoxy, -NH2, hydroxyl, cyano, -NH((Ci-C6)alkyl), and
-N((Ci-C6)alkyl)((Ci-C6)alkyl).
20. The compound or salt according to any one of claims 1-18, wherein Y is an optionally substituted phenyl, pyridyl or pyrimidinyl, optionally substituted by 1 -3 substituents each independently selected from the group consisting of (C1-C6)alkyl, halogen, hydroxyl, (C1-C6)alkoxy, halo(C1-C6)alkyl and halo(C1-C6)alkoxy.
21 . The compound or salt according to any one of claims 1-18, wherein Y is unsubstituted phenyl, pyridyl or pyrimidinyl.
22. The compound or salt according to any one of claims 1-21 , wherein X is hydrogen, -OR1, -NR1R1, -NR1C(=0)OR1, -C(=0)0(C C6)alkyl,
-C(=0)0(C2-C6)alkyloxy(CrC6)alkyl, and -C(=0)NR1 R1, or an optionally substituted aryl, heteroaryl, (C3-C6)cycloalkyl, 3-6 membered heterocyclyl, -C(=0)0(C3-C6)cycloalkyl, -C(=0)0(3-6 membered heterocyclyl) or -C(=0)Oheteroaryl group, wherein any of said optionally substituted alkyl, aryl, heteroaryl, cycloalkyl, or heterocyclyl is optionally substituted by 1 -3 substituents each independently selected from the group consisting of halogen, -CF3, -OCF3, hydroxyl, cyano, -SR1, -(C0-C6)alkyl-OR1 , -(C0-C6)alkyl-NR1R1, -(Co-C6)alkyl-C(=0)OR1, -(C0-C6)alkyl-C(=O)NR1R1, (C C6)alkyl, halo(C C6)alkyl-, hydroxy(Ci-C6)alkyl-, nitro, -CH=CH-C(=0)OR1 , -C≡C-C(=0)OR1 ,
-CH=CH-C(=0)NR1R1, -C≡C-C(=0)NR1R1, -N(R1)-C(=0)CF3, -C(=0)N(R1)CF3, -N(R1)-(C C6)alkyl-NR1R1, -N(R1)-C(=0)(C C6)alkyl, -C(=0)N(R1)(C1-C6)alkyl,
-N(R1)-S02-(C C6)alkyl , -S02N(R1HCi-C6)alkyl, -0-(C C6)alkyl-NR1 R1,
-S-(C1-C6)alkyl-N(R1)2, -SO-(C C6)alkyl, -S02-(C C6)alkyl, -(C3-C6)cycloalkyl,
heterocyclyl, -C(Ph)3, aryl, heteroaryl, aryl(CrC6)alkyl-, and heteroaryl(CrC6)alkyl-.
23. The compound or salt according to any one of claims 1-21 , wherein X is an optionally substituted phenyl or naphthyl, or a 5-6 membered or 9-10 membered heteroaryl, (C3-C6)cycloalkyl, -NHC(=0)0(CrC6)alkyl, or 4-6 membered heterocyclyl group, wherein said optionally substituted phenyl or naphthyl, or a 5-6 membered or 9-10 membered heteroaryl, cycloalkyl, or heterocyclyl group is optionally substituted by 1-3 substituents each independently selected from the group consisting of halogen,
-(CrC6)alkyl, halo(CrC6)alkyl, (d-C6)alkoxy, halo(CrC6)alkoxy, -NH2, hydroxyl, cyano, -NH((CrC6)alkyl), and -N((Ci-C6)alkyl)((C C6)alkyl).
24. The compound or salt according to any one of claims 1-21 , wherein X is an optionally substituted phenyl, thienyl, pyridyl or indolyl, optionally substituted by 1-3 substituents each independently selected from the group consisting of (Ci-C6)alkyl, halogen, hydroxyl, (C1-C6)alkoxy, halo(C1-C6)alkyl and halo(C1-C6)alkoxy.
25. The compound or salt according to any one of claims 1-21 , wherein X is an optionally substituted phenyl, thienyl, pyridyl or indolyl group, optionally substituted by 1 or 2 substituents each independently selected from the group consisting of fluoro, hydroxy, and ferf-butoxy.
26. A pharmaceutical composition comprising the compound or salt according to any one of claims 1 -25 and a pharmaceutically-acceptable excipient.
27. A method of inhibiting HDAC comprising contacting a cell with an effective amount of the compound or salt according to any one of claims 1-25.
28. A method of treating an HDAC-mediated disease or condition in a patient comprising administering to said patient a therapeutically-effective amount of the compound or salt according to any one of claims 1-25.
Applications Claiming Priority (4)
| Application Number | Priority Date | Filing Date | Title |
|---|---|---|---|
| US201161553308P | 2011-10-31 | 2011-10-31 | |
| US61/553,308 | 2011-10-31 | ||
| US201261596274P | 2012-02-08 | 2012-02-08 | |
| US61/596,274 | 2012-02-08 |
Publications (1)
| Publication Number | Publication Date |
|---|---|
| WO2013066838A1 true WO2013066838A1 (en) | 2013-05-10 |
Family
ID=48192668
Family Applications (1)
| Application Number | Title | Priority Date | Filing Date |
|---|---|---|---|
| PCT/US2012/062513 Ceased WO2013066838A1 (en) | 2011-10-31 | 2012-10-30 | Compounds and methods |
Country Status (1)
| Country | Link |
|---|---|
| WO (1) | WO2013066838A1 (en) |
Cited By (65)
| Publication number | Priority date | Publication date | Assignee | Title |
|---|---|---|---|---|
| WO2017014170A1 (en) * | 2015-07-17 | 2017-01-26 | 武田薬品工業株式会社 | Heterocyclic compound |
| WO2017014321A1 (en) | 2015-07-17 | 2017-01-26 | Takeda Pharmaceutical Company Limited | Oxadiazole derivatives useful as hdac inhibitors |
| KR20170013187A (en) | 2015-07-27 | 2017-02-06 | 주식회사 종근당 | 1,3,4-Oxadiazole Amide Derivative Compounds as Histone Deacetylase 6 Inhibitor, and the Pharmaceutical Composition Comprising the same |
| KR20170013186A (en) | 2015-07-27 | 2017-02-06 | 주식회사 종근당 | 1,3,4-Oxadiazole Sulfamide Derivative Compounds as Histone Deacetylase 6 Inhibitor, and the Pharmaceutical Composition Comprising the same |
| KR20170013836A (en) | 2015-07-27 | 2017-02-07 | 주식회사 종근당 | 1,3,4-Oxadiazole Sulfonamide Derivative Compounds as Histone Deacetylase 6 Inhibitor, and the Pharmaceutical Composition Comprising the same |
| KR20170017792A (en) | 2015-08-04 | 2017-02-15 | 주식회사 종근당 | 1,3,4-Oxadiazole Derivative Compounds as Histone Deacetylase 6 Inhibitor, and the Pharmaceutical Composition Comprising the same |
| WO2017055473A1 (en) | 2015-10-02 | 2017-04-06 | Syngenta Participations Ag | Microbiocidal oxadiazole derivatives |
| WO2017072247A1 (en) | 2015-10-28 | 2017-05-04 | Syngenta Participations Ag | Microbiocidal oxadiazole derivatives |
| WO2017093348A1 (en) | 2015-12-02 | 2017-06-08 | Syngenta Participations Ag | Microbiocidal oxadiazole derivatives |
| WO2017162868A1 (en) | 2016-03-24 | 2017-09-28 | Syngenta Participations Ag | Microbiocidal oxadiazole derivatives |
| WO2017178549A1 (en) | 2016-04-12 | 2017-10-19 | Syngenta Participations Ag | Microbiocidal oxadiazole derivatives |
| WO2017220485A1 (en) | 2016-06-21 | 2017-12-28 | Syngenta Participations Ag | Microbiocidal oxadiazole derivatives |
| WO2018015449A1 (en) | 2016-07-22 | 2018-01-25 | Syngenta Participations Ag | Microbiocidal oxadiazole derivatives |
| WO2018015458A1 (en) | 2016-07-22 | 2018-01-25 | Syngenta Participations Ag | Microbiocidal oxadiazole derivatives |
| WO2018029242A1 (en) | 2016-08-11 | 2018-02-15 | Syngenta Participations Ag | Microbiocidal oxadiazole derivatives |
| WO2018055135A1 (en) | 2016-09-23 | 2018-03-29 | Syngenta Participations Ag | Microbiocidal oxadiazole derivatives |
| WO2018065414A1 (en) | 2016-10-06 | 2018-04-12 | Syngenta Participations Ag | Microbiocidal oxadiazole derivatives |
| WO2018158365A1 (en) | 2017-03-03 | 2018-09-07 | Syngenta Participations Ag | Microbiocidal oxadiazole derivatives |
| WO2018162643A1 (en) | 2017-03-10 | 2018-09-13 | Syngenta Participations Ag | Microbiocidal oxadiazole derivatives |
| US10081624B2 (en) | 2014-08-26 | 2018-09-25 | Takeda Pharmaceutical Company Limited | Heterocyclic compound |
| WO2018177880A1 (en) | 2017-03-31 | 2018-10-04 | Syngenta Participations Ag | Fungicidal compositions |
| WO2018177894A1 (en) | 2017-03-31 | 2018-10-04 | Syngenta Participations Ag | Fungicidal compositions |
| WO2018184982A1 (en) | 2017-04-05 | 2018-10-11 | Syngenta Participations Ag | Microbiocidal oxadiazole derivatives |
| WO2018184988A1 (en) | 2017-04-05 | 2018-10-11 | Syngenta Participations Ag | Microbiocidal oxadiazole derivatives |
| WO2018184984A1 (en) | 2017-04-05 | 2018-10-11 | Syngenta Participations Ag | Microbiocidal oxadiazole derivatives |
| WO2018184986A1 (en) | 2017-04-05 | 2018-10-11 | Syngenta Participations Ag | Microbiocidal oxadiazole derivatives |
| WO2018184987A1 (en) | 2017-04-05 | 2018-10-11 | Syngenta Participations Ag | Microbiocidal oxadiazole derivatives |
| WO2018185013A1 (en) | 2017-04-03 | 2018-10-11 | Syngenta Participations Ag | Microbiocidal oxadiazole derivatives |
| WO2018185211A1 (en) | 2017-04-06 | 2018-10-11 | Syngenta Participations Ag | Microbiocidal oxadiazole derivatives |
| WO2018184985A1 (en) | 2017-04-05 | 2018-10-11 | Syngenta Participations Ag | Microbiocidal oxadiazole derivatives |
| WO2018187553A1 (en) * | 2017-04-06 | 2018-10-11 | Fmc Corporation | Fungicidal oxadiazoles |
| WO2018219773A1 (en) | 2017-06-02 | 2018-12-06 | Syngenta Participations Ag | Fungicidal compositions |
| WO2018219825A1 (en) | 2017-06-02 | 2018-12-06 | Syngenta Participations Ag | Microbiocidal oxadiazole derivatives |
| US20180368409A1 (en) * | 2015-11-19 | 2018-12-27 | Basf Se | Substituted oxadiazoles for combating phytopathogenic fungi |
| WO2019002151A1 (en) | 2017-06-28 | 2019-01-03 | Syngenta Participations Ag | Fungicidal compositions |
| WO2019011929A1 (en) | 2017-07-11 | 2019-01-17 | Syngenta Participations Ag | Microbiocidal oxadiazole derivatives |
| WO2019011923A1 (en) | 2017-07-11 | 2019-01-17 | Syngenta Participations Ag | Microbiocidal oxadiazole derivatives |
| WO2019012003A1 (en) | 2017-07-13 | 2019-01-17 | Syngenta Participations Ag | Microbiocidal oxadiazole derivatives |
| WO2019011928A1 (en) | 2017-07-11 | 2019-01-17 | Syngenta Participations Ag | Microbiocidal oxadiazole derivatives |
| WO2019012011A1 (en) | 2017-07-12 | 2019-01-17 | Syngenta Participations Ag | Microbiocidal oxadiazole derivatives |
| WO2019011926A1 (en) | 2017-07-11 | 2019-01-17 | Syngenta Participations Ag | Microbiocidal oxadiazole derivatives |
| WO2019012001A1 (en) | 2017-07-12 | 2019-01-17 | Syngenta Participations Ag | MICROBIOCIDE OXADIAZOLE DERIVATIVES |
| WO2019020501A1 (en) | 2017-07-28 | 2019-01-31 | Basf Se | PREPARATION OF SUBSTITUTED 3-ARYL-5-TRIFLUOROMETHYL-1,2,4-OXADIAZOLES |
| WO2019097054A1 (en) | 2017-11-20 | 2019-05-23 | Syngenta Participations Ag | Microbiocidal oxadiazole derivatives |
| US10406146B2 (en) | 2015-08-25 | 2019-09-10 | Takeda Pharmaceutical Company Limited | Heterocyclic compound |
| US10435399B2 (en) | 2017-07-31 | 2019-10-08 | Takeda Pharmaceutical Company Limited | HDAC6 inhibitory heterocyclic compound |
| WO2019207062A1 (en) | 2018-04-26 | 2019-10-31 | Syngenta Participations Ag | Microbiocidal oxadiazole derivatives |
| WO2020002331A1 (en) | 2018-06-29 | 2020-01-02 | Syngenta Crop Protection Ag | Microbiocidal oxadiazole derivatives |
| WO2020007658A1 (en) | 2018-07-02 | 2020-01-09 | Syngenta Crop Protection Ag | 3-(2-thienyl)-5-(trifluoromethyl)-1,2,4-oxadiazole derivatives as agrochemical fungicides |
| WO2020016180A1 (en) | 2018-07-16 | 2020-01-23 | Syngenta Crop Protection Ag | Microbiocidal oxadiazole derivatives |
| WO2020078732A1 (en) | 2018-10-17 | 2020-04-23 | Syngenta Crop Protection Ag | Microbiocidal oxadiazole derivatives |
| WO2020212513A1 (en) | 2019-04-18 | 2020-10-22 | Syngenta Crop Protection Ag | Process for the preparation of microbiocidal oxadiazole derivatives |
| WO2020240493A1 (en) | 2019-05-31 | 2020-12-03 | Chong Kun Dang Pharmaceutical Corp. | 1,3,4-oxadiazole homophthalimide derivative compounds as histone deacetylase 6 inhibitor, and the pharmaceutical composition comprising the same |
| WO2022013728A1 (en) * | 2020-07-14 | 2022-01-20 | Chong Kun Dang Pharmaceutical Corp. | Novel compounds as histone deacetylase 6 inhibitor, and pharmaceutical composition comprising the same |
| JP2022529695A (en) * | 2019-04-17 | 2022-06-23 | キマトリクス、エセ.エレ. | 1,3,4-oxadiazole derivative as a histone deacetylase inhibitor |
| US11453661B2 (en) | 2019-09-27 | 2022-09-27 | Takeda Pharmaceutical Company Limited | Heterocyclic compound |
| US11938134B2 (en) | 2017-03-10 | 2024-03-26 | Eikonizo Therapeutics, Inc. | Metalloenzyme inhibitor compounds |
| US11958844B2 (en) | 2018-07-26 | 2024-04-16 | Chong Kun Dang Pharmaceutical Corp. | 1,3,4-oxadiazole derivative compounds as histone deacetylase 6 inhibitor, and pharmaceutical composition comprising the same |
| RU2817736C1 (en) * | 2020-07-14 | 2024-04-19 | Чонг Кун Данг Фармасьютикал Корп. | Novel compounds as histone deacetylase 6 inhibitor and pharmaceutical composition containing thereof |
| KR20240133645A (en) | 2023-02-28 | 2024-09-04 | 주식회사 종근당 | Oxadiazole Derivative Compounds, and the Pharmaceutical Composition Comprising the same |
| WO2025031913A1 (en) | 2023-08-04 | 2025-02-13 | Syngenta Crop Protection Ag | Methods of controlling or preventing infestation of plants by the phytopathogenic microorganism corynespora cassiicola |
| US12466827B2 (en) | 2020-02-25 | 2025-11-11 | Chong Kun Dang Pharmaceutical Corp. | 1,3,4-oxadiazole derivative compounds as histone deacetylase 6 inhibitor, and the pharmaceutical composition comprising the same |
| WO2025257413A1 (en) | 2024-06-13 | 2025-12-18 | Syngenta Crop Protection Ag | Pecticidally active dihydroazole derivatives |
| US12522601B2 (en) | 2020-02-25 | 2026-01-13 | Chong Kun Dang Pharmaceutical Corp. | 1,3,4-oxadiazole derivative compounds as histone deacetylase 6 inhibitor, and the pharmaceutical composition comprising the same |
| US12528767B2 (en) | 2019-07-30 | 2026-01-20 | Eikonizo Therapeutics, Inc. | HDAC6 inhibitors and uses thereof |
Citations (3)
| Publication number | Priority date | Publication date | Assignee | Title |
|---|---|---|---|---|
| US20060194797A1 (en) * | 2003-09-01 | 2006-08-31 | Jun Takeuchi | Condensed ring compound and use thereof |
| WO2010031577A1 (en) * | 2008-09-18 | 2010-03-25 | Jerini Ag | Use of bradykinin b1 receptor antagonists in intestinal fibrosis treatment |
| US20110046159A1 (en) * | 2008-04-29 | 2011-02-24 | Merck Patent Gesellschaft | Arylpyrazinone derivatives insulin secretion stimulators, methods for obtaining them and use thereof for the treatment of diabetes |
-
2012
- 2012-10-30 WO PCT/US2012/062513 patent/WO2013066838A1/en not_active Ceased
Patent Citations (3)
| Publication number | Priority date | Publication date | Assignee | Title |
|---|---|---|---|---|
| US20060194797A1 (en) * | 2003-09-01 | 2006-08-31 | Jun Takeuchi | Condensed ring compound and use thereof |
| US20110046159A1 (en) * | 2008-04-29 | 2011-02-24 | Merck Patent Gesellschaft | Arylpyrazinone derivatives insulin secretion stimulators, methods for obtaining them and use thereof for the treatment of diabetes |
| WO2010031577A1 (en) * | 2008-09-18 | 2010-03-25 | Jerini Ag | Use of bradykinin b1 receptor antagonists in intestinal fibrosis treatment |
Cited By (91)
| Publication number | Priority date | Publication date | Assignee | Title |
|---|---|---|---|---|
| US10081624B2 (en) | 2014-08-26 | 2018-09-25 | Takeda Pharmaceutical Company Limited | Heterocyclic compound |
| US10308643B2 (en) | 2015-07-17 | 2019-06-04 | Takeda Pharmaceutical Company Limited | Heterocyclic compound |
| WO2017014321A1 (en) | 2015-07-17 | 2017-01-26 | Takeda Pharmaceutical Company Limited | Oxadiazole derivatives useful as hdac inhibitors |
| WO2017014170A1 (en) * | 2015-07-17 | 2017-01-26 | 武田薬品工業株式会社 | Heterocyclic compound |
| US10357484B2 (en) | 2015-07-17 | 2019-07-23 | Takeda Pharmaceutical Company Limited | Heterocyclic compound |
| KR20170013187A (en) | 2015-07-27 | 2017-02-06 | 주식회사 종근당 | 1,3,4-Oxadiazole Amide Derivative Compounds as Histone Deacetylase 6 Inhibitor, and the Pharmaceutical Composition Comprising the same |
| KR20170013186A (en) | 2015-07-27 | 2017-02-06 | 주식회사 종근당 | 1,3,4-Oxadiazole Sulfamide Derivative Compounds as Histone Deacetylase 6 Inhibitor, and the Pharmaceutical Composition Comprising the same |
| KR20170013836A (en) | 2015-07-27 | 2017-02-07 | 주식회사 종근당 | 1,3,4-Oxadiazole Sulfonamide Derivative Compounds as Histone Deacetylase 6 Inhibitor, and the Pharmaceutical Composition Comprising the same |
| KR20170017792A (en) | 2015-08-04 | 2017-02-15 | 주식회사 종근당 | 1,3,4-Oxadiazole Derivative Compounds as Histone Deacetylase 6 Inhibitor, and the Pharmaceutical Composition Comprising the same |
| US10406146B2 (en) | 2015-08-25 | 2019-09-10 | Takeda Pharmaceutical Company Limited | Heterocyclic compound |
| WO2017055473A1 (en) | 2015-10-02 | 2017-04-06 | Syngenta Participations Ag | Microbiocidal oxadiazole derivatives |
| WO2017072247A1 (en) | 2015-10-28 | 2017-05-04 | Syngenta Participations Ag | Microbiocidal oxadiazole derivatives |
| US20180368409A1 (en) * | 2015-11-19 | 2018-12-27 | Basf Se | Substituted oxadiazoles for combating phytopathogenic fungi |
| US10674727B2 (en) * | 2015-11-19 | 2020-06-09 | Basf Se | Substituted oxadiazoles for combating phytopathogenic fungi |
| WO2017093348A1 (en) | 2015-12-02 | 2017-06-08 | Syngenta Participations Ag | Microbiocidal oxadiazole derivatives |
| WO2017162868A1 (en) | 2016-03-24 | 2017-09-28 | Syngenta Participations Ag | Microbiocidal oxadiazole derivatives |
| WO2017178549A1 (en) | 2016-04-12 | 2017-10-19 | Syngenta Participations Ag | Microbiocidal oxadiazole derivatives |
| WO2017220485A1 (en) | 2016-06-21 | 2017-12-28 | Syngenta Participations Ag | Microbiocidal oxadiazole derivatives |
| WO2018015449A1 (en) | 2016-07-22 | 2018-01-25 | Syngenta Participations Ag | Microbiocidal oxadiazole derivatives |
| WO2018015458A1 (en) | 2016-07-22 | 2018-01-25 | Syngenta Participations Ag | Microbiocidal oxadiazole derivatives |
| WO2018029242A1 (en) | 2016-08-11 | 2018-02-15 | Syngenta Participations Ag | Microbiocidal oxadiazole derivatives |
| WO2018055135A1 (en) | 2016-09-23 | 2018-03-29 | Syngenta Participations Ag | Microbiocidal oxadiazole derivatives |
| WO2018065414A1 (en) | 2016-10-06 | 2018-04-12 | Syngenta Participations Ag | Microbiocidal oxadiazole derivatives |
| WO2018158365A1 (en) | 2017-03-03 | 2018-09-07 | Syngenta Participations Ag | Microbiocidal oxadiazole derivatives |
| US12370194B2 (en) | 2017-03-10 | 2025-07-29 | Eikonizo Therapeutics, Inc. | Metalloenzyme inhibitor compounds |
| US11938134B2 (en) | 2017-03-10 | 2024-03-26 | Eikonizo Therapeutics, Inc. | Metalloenzyme inhibitor compounds |
| WO2018162643A1 (en) | 2017-03-10 | 2018-09-13 | Syngenta Participations Ag | Microbiocidal oxadiazole derivatives |
| WO2018177894A1 (en) | 2017-03-31 | 2018-10-04 | Syngenta Participations Ag | Fungicidal compositions |
| WO2018177880A1 (en) | 2017-03-31 | 2018-10-04 | Syngenta Participations Ag | Fungicidal compositions |
| WO2018185013A1 (en) | 2017-04-03 | 2018-10-11 | Syngenta Participations Ag | Microbiocidal oxadiazole derivatives |
| WO2018184982A1 (en) | 2017-04-05 | 2018-10-11 | Syngenta Participations Ag | Microbiocidal oxadiazole derivatives |
| WO2018184985A1 (en) | 2017-04-05 | 2018-10-11 | Syngenta Participations Ag | Microbiocidal oxadiazole derivatives |
| WO2018184988A1 (en) | 2017-04-05 | 2018-10-11 | Syngenta Participations Ag | Microbiocidal oxadiazole derivatives |
| WO2018184984A1 (en) | 2017-04-05 | 2018-10-11 | Syngenta Participations Ag | Microbiocidal oxadiazole derivatives |
| WO2018184986A1 (en) | 2017-04-05 | 2018-10-11 | Syngenta Participations Ag | Microbiocidal oxadiazole derivatives |
| WO2018184987A1 (en) | 2017-04-05 | 2018-10-11 | Syngenta Participations Ag | Microbiocidal oxadiazole derivatives |
| AU2018249537B2 (en) * | 2017-04-06 | 2022-03-31 | Fmc Corporation | Fungicidal oxadiazoles |
| IL300402B2 (en) * | 2017-04-06 | 2025-08-01 | Fmc Corp | Oxadiazoles, N-oxides and their salts |
| JP7235672B2 (en) | 2017-04-06 | 2023-03-08 | エフ エム シー コーポレーション | fungicidal oxadiazole |
| IL269786B1 (en) * | 2017-04-06 | 2023-03-01 | Fmc Corp | Fungicidal oxadiazoles |
| IL300402B1 (en) * | 2017-04-06 | 2025-04-01 | Fmc Corp | Fungicidal oxadiazoles |
| EP3957636A1 (en) * | 2017-04-06 | 2022-02-23 | FMC Corporation | Fungicidal oxadiazoles |
| US11708358B2 (en) | 2017-04-06 | 2023-07-25 | Fmc Corporation | Fungicidal oxadiazoles |
| WO2018187553A1 (en) * | 2017-04-06 | 2018-10-11 | Fmc Corporation | Fungicidal oxadiazoles |
| IL269786B2 (en) * | 2017-04-06 | 2023-07-01 | Fmc Corp | Fungicidal oxadiazoles |
| WO2018185211A1 (en) | 2017-04-06 | 2018-10-11 | Syngenta Participations Ag | Microbiocidal oxadiazole derivatives |
| JP2020516598A (en) * | 2017-04-06 | 2020-06-11 | エフ エム シー コーポレーションFmc Corporation | Fungicidal oxadiazole |
| CN110650956A (en) * | 2017-04-06 | 2020-01-03 | Fmc公司 | fungicidal oxadiazole |
| CN110650956B (en) * | 2017-04-06 | 2024-03-08 | Fmc公司 | fungicidal oxadiazole |
| WO2018219773A1 (en) | 2017-06-02 | 2018-12-06 | Syngenta Participations Ag | Fungicidal compositions |
| WO2018219825A1 (en) | 2017-06-02 | 2018-12-06 | Syngenta Participations Ag | Microbiocidal oxadiazole derivatives |
| WO2019002151A1 (en) | 2017-06-28 | 2019-01-03 | Syngenta Participations Ag | Fungicidal compositions |
| WO2019011923A1 (en) | 2017-07-11 | 2019-01-17 | Syngenta Participations Ag | Microbiocidal oxadiazole derivatives |
| WO2019011928A1 (en) | 2017-07-11 | 2019-01-17 | Syngenta Participations Ag | Microbiocidal oxadiazole derivatives |
| WO2019011926A1 (en) | 2017-07-11 | 2019-01-17 | Syngenta Participations Ag | Microbiocidal oxadiazole derivatives |
| WO2019011929A1 (en) | 2017-07-11 | 2019-01-17 | Syngenta Participations Ag | Microbiocidal oxadiazole derivatives |
| WO2019012001A1 (en) | 2017-07-12 | 2019-01-17 | Syngenta Participations Ag | MICROBIOCIDE OXADIAZOLE DERIVATIVES |
| WO2019012011A1 (en) | 2017-07-12 | 2019-01-17 | Syngenta Participations Ag | Microbiocidal oxadiazole derivatives |
| WO2019012003A1 (en) | 2017-07-13 | 2019-01-17 | Syngenta Participations Ag | Microbiocidal oxadiazole derivatives |
| CN110997644B (en) * | 2017-07-28 | 2023-12-12 | 巴斯夫欧洲公司 | Preparation of substituted 3-aryl-5-trifluoromethyl-1,2,4-oxadiazoles |
| WO2019020501A1 (en) | 2017-07-28 | 2019-01-31 | Basf Se | PREPARATION OF SUBSTITUTED 3-ARYL-5-TRIFLUOROMETHYL-1,2,4-OXADIAZOLES |
| CN110959005A (en) * | 2017-07-28 | 2020-04-03 | 巴斯夫欧洲公司 | Preparation of substituted 3-aryl-5-trifluoromethyl-1,2,4-oxadiazoles |
| CN110959005B (en) * | 2017-07-28 | 2024-01-19 | 巴斯夫欧洲公司 | Preparation of substituted 3-aryl-5-trifluoromethyl-1,2,4-oxadiazoles |
| CN110997644A (en) * | 2017-07-28 | 2020-04-10 | 巴斯夫欧洲公司 | Preparation of substituted 3-aryl-5-trifluoromethyl-1, 2, 4-oxadiazoles |
| US10435399B2 (en) | 2017-07-31 | 2019-10-08 | Takeda Pharmaceutical Company Limited | HDAC6 inhibitory heterocyclic compound |
| WO2019097054A1 (en) | 2017-11-20 | 2019-05-23 | Syngenta Participations Ag | Microbiocidal oxadiazole derivatives |
| WO2019207062A1 (en) | 2018-04-26 | 2019-10-31 | Syngenta Participations Ag | Microbiocidal oxadiazole derivatives |
| WO2020002331A1 (en) | 2018-06-29 | 2020-01-02 | Syngenta Crop Protection Ag | Microbiocidal oxadiazole derivatives |
| WO2020007658A1 (en) | 2018-07-02 | 2020-01-09 | Syngenta Crop Protection Ag | 3-(2-thienyl)-5-(trifluoromethyl)-1,2,4-oxadiazole derivatives as agrochemical fungicides |
| WO2020016180A1 (en) | 2018-07-16 | 2020-01-23 | Syngenta Crop Protection Ag | Microbiocidal oxadiazole derivatives |
| US11958844B2 (en) | 2018-07-26 | 2024-04-16 | Chong Kun Dang Pharmaceutical Corp. | 1,3,4-oxadiazole derivative compounds as histone deacetylase 6 inhibitor, and pharmaceutical composition comprising the same |
| WO2020078732A1 (en) | 2018-10-17 | 2020-04-23 | Syngenta Crop Protection Ag | Microbiocidal oxadiazole derivatives |
| JP7593647B2 (en) | 2019-04-17 | 2024-12-03 | キマトリクス、エセ.エレ. | 1,3,4-OXADIAZOLE DERIVATIVES AS HISTONE DEACETYLASE INHIBITORS - Patent application |
| JP2022529695A (en) * | 2019-04-17 | 2022-06-23 | キマトリクス、エセ.エレ. | 1,3,4-oxadiazole derivative as a histone deacetylase inhibitor |
| WO2020212513A1 (en) | 2019-04-18 | 2020-10-22 | Syngenta Crop Protection Ag | Process for the preparation of microbiocidal oxadiazole derivatives |
| WO2020240493A1 (en) | 2019-05-31 | 2020-12-03 | Chong Kun Dang Pharmaceutical Corp. | 1,3,4-oxadiazole homophthalimide derivative compounds as histone deacetylase 6 inhibitor, and the pharmaceutical composition comprising the same |
| US12440484B2 (en) | 2019-05-31 | 2025-10-14 | Chong Kun Dang Pharmaceutical Corporation | 1,3,4-oxadiazole homophthalimide derivative compounds as histone deacetylase 6 inhibitor, and the pharmaceutical composition comprising the same |
| US12528767B2 (en) | 2019-07-30 | 2026-01-20 | Eikonizo Therapeutics, Inc. | HDAC6 inhibitors and uses thereof |
| US11453661B2 (en) | 2019-09-27 | 2022-09-27 | Takeda Pharmaceutical Company Limited | Heterocyclic compound |
| US12384770B2 (en) | 2019-09-27 | 2025-08-12 | Takeda Pharmaceutical Company Limited | Heterocyclic compound |
| US11958845B2 (en) | 2019-09-27 | 2024-04-16 | Takeda Pharmaceutical Company Limited | Heterocyclic compound |
| US12466827B2 (en) | 2020-02-25 | 2025-11-11 | Chong Kun Dang Pharmaceutical Corp. | 1,3,4-oxadiazole derivative compounds as histone deacetylase 6 inhibitor, and the pharmaceutical composition comprising the same |
| US12522601B2 (en) | 2020-02-25 | 2026-01-13 | Chong Kun Dang Pharmaceutical Corp. | 1,3,4-oxadiazole derivative compounds as histone deacetylase 6 inhibitor, and the pharmaceutical composition comprising the same |
| JP7571276B2 (en) | 2020-07-14 | 2024-10-22 | チョン クン ダン ファーマシューティカル コーポレイション | Compounds with novel structures as histone deacetylase 6 inhibitors and pharmaceutical compositions containing the same |
| RU2817736C1 (en) * | 2020-07-14 | 2024-04-19 | Чонг Кун Данг Фармасьютикал Корп. | Novel compounds as histone deacetylase 6 inhibitor and pharmaceutical composition containing thereof |
| WO2022013728A1 (en) * | 2020-07-14 | 2022-01-20 | Chong Kun Dang Pharmaceutical Corp. | Novel compounds as histone deacetylase 6 inhibitor, and pharmaceutical composition comprising the same |
| JP2023533783A (en) * | 2020-07-14 | 2023-08-04 | チョン クン ダン ファーマシューティカル コーポレイション | A compound with a novel structure as a histone deacetylase 6 inhibitor and a pharmaceutical composition containing the same |
| CN116133658A (en) * | 2020-07-14 | 2023-05-16 | 株式会社 钟根堂 | Novel compounds as histone deacetylase 6 inhibitors and pharmaceutical compositions comprising the same |
| KR20240133645A (en) | 2023-02-28 | 2024-09-04 | 주식회사 종근당 | Oxadiazole Derivative Compounds, and the Pharmaceutical Composition Comprising the same |
| WO2025031913A1 (en) | 2023-08-04 | 2025-02-13 | Syngenta Crop Protection Ag | Methods of controlling or preventing infestation of plants by the phytopathogenic microorganism corynespora cassiicola |
| WO2025257413A1 (en) | 2024-06-13 | 2025-12-18 | Syngenta Crop Protection Ag | Pecticidally active dihydroazole derivatives |
Similar Documents
| Publication | Publication Date | Title |
|---|---|---|
| WO2013066838A1 (en) | Compounds and methods | |
| WO2013066839A2 (en) | Compounds and methods | |
| WO2013066835A2 (en) | Compounds and methods | |
| WO2013066831A1 (en) | Compounds and methods | |
| WO2013006408A1 (en) | Compounds and methods | |
| US8981084B2 (en) | Oxadiazole HDAC inhibitors | |
| AU2011205283B2 (en) | Compounds and methods | |
| WO2013066833A1 (en) | Compounds and methods to inhibit histone deacetylase (hdac) enzymes | |
| JP6846574B2 (en) | Sulfonamide compounds and their use | |
| KR20230049584A (en) | Treatment of respiratory diseases using amino acid compounds | |
| WO2021102204A1 (en) | Heteroaryl compounds | |
| EP2523560A1 (en) | Compounds and methods | |
| EP2566477A1 (en) | Amino-quinolines as kinase inhibitors | |
| JPWO2019107386A1 (en) | Antitumor agent | |
| KR20140117651A (en) | Isoquinoline and naphthyridine derivatives | |
| JP2019501896A (en) | Substituted benzazinones as antibacterial compounds | |
| WO2013066836A1 (en) | Compounds and methods | |
| WO2013066834A1 (en) | Compounds and methods | |
| WO2013066832A1 (en) | Compounds and methods | |
| CN118201922A (en) | Drak2 inhibitor and its preparation method and application |
Legal Events
| Date | Code | Title | Description |
|---|---|---|---|
| 121 | Ep: the epo has been informed by wipo that ep was designated in this application |
Ref document number: 12845757 Country of ref document: EP Kind code of ref document: A1 |
|
| NENP | Non-entry into the national phase |
Ref country code: DE |
|
| 32PN | Ep: public notification in the ep bulletin as address of the adressee cannot be established |
Free format text: NOTING OF LOSS OF RIGHTS PURSUANT TO RULE 112(1) EPC (EPO FORM 1205A DATED 02/09/2014) |
|
| 122 | Ep: pct application non-entry in european phase |
Ref document number: 12845757 Country of ref document: EP Kind code of ref document: A1 |











