WO2019012001A1 - MICROBIOCIDE OXADIAZOLE DERIVATIVES - Google Patents
MICROBIOCIDE OXADIAZOLE DERIVATIVES Download PDFInfo
- Publication number
- WO2019012001A1 WO2019012001A1 PCT/EP2018/068822 EP2018068822W WO2019012001A1 WO 2019012001 A1 WO2019012001 A1 WO 2019012001A1 EP 2018068822 W EP2018068822 W EP 2018068822W WO 2019012001 A1 WO2019012001 A1 WO 2019012001A1
- Authority
- WO
- WIPO (PCT)
- Prior art keywords
- methyl
- formula
- compound
- compounds
- ccn
- Prior art date
- Legal status (The legal status is an assumption and is not a legal conclusion. Google has not performed a legal analysis and makes no representation as to the accuracy of the status listed.)
- Ceased
Links
- 0 *C(*)(c1c(*)c(*)c(-c2n[o]c(C(F)(F)F)n2)c(*)c1*)S Chemical compound *C(*)(c1c(*)c(*)c(-c2n[o]c(C(F)(F)F)n2)c(*)c1*)S 0.000 description 8
- NFYVFDLYTHEIRX-UHFFFAOYSA-N CC(C(Cc(cc1)ccc1-c1n[o]c(C(F)(F)F)n1)C(C)=O)=O Chemical compound CC(C(Cc(cc1)ccc1-c1n[o]c(C(F)(F)F)n1)C(C)=O)=O NFYVFDLYTHEIRX-UHFFFAOYSA-N 0.000 description 1
Classifications
-
- C—CHEMISTRY; METALLURGY
- C07—ORGANIC CHEMISTRY
- C07D—HETEROCYCLIC COMPOUNDS
- C07D413/00—Heterocyclic compounds containing two or more hetero rings, at least one ring having nitrogen and oxygen atoms as the only ring hetero atoms
- C07D413/02—Heterocyclic compounds containing two or more hetero rings, at least one ring having nitrogen and oxygen atoms as the only ring hetero atoms containing two hetero rings
- C07D413/10—Heterocyclic compounds containing two or more hetero rings, at least one ring having nitrogen and oxygen atoms as the only ring hetero atoms containing two hetero rings linked by a carbon chain containing aromatic rings
-
- A—HUMAN NECESSITIES
- A01—AGRICULTURE; FORESTRY; ANIMAL HUSBANDRY; HUNTING; TRAPPING; FISHING
- A01N—PRESERVATION OF BODIES OF HUMANS OR ANIMALS OR PLANTS OR PARTS THEREOF; BIOCIDES, e.g. AS DISINFECTANTS, AS PESTICIDES OR AS HERBICIDES; PEST REPELLANTS OR ATTRACTANTS; PLANT GROWTH REGULATORS
- A01N43/00—Biocides, pest repellants or attractants, or plant growth regulators containing heterocyclic compounds
- A01N43/72—Biocides, pest repellants or attractants, or plant growth regulators containing heterocyclic compounds having rings with nitrogen atoms and oxygen or sulfur atoms as ring hetero atoms
- A01N43/82—Biocides, pest repellants or attractants, or plant growth regulators containing heterocyclic compounds having rings with nitrogen atoms and oxygen or sulfur atoms as ring hetero atoms five-membered rings with three ring hetero atoms
-
- C—CHEMISTRY; METALLURGY
- C07—ORGANIC CHEMISTRY
- C07D—HETEROCYCLIC COMPOUNDS
- C07D413/00—Heterocyclic compounds containing two or more hetero rings, at least one ring having nitrogen and oxygen atoms as the only ring hetero atoms
- C07D413/14—Heterocyclic compounds containing two or more hetero rings, at least one ring having nitrogen and oxygen atoms as the only ring hetero atoms containing three or more hetero rings
Definitions
- the present invention relates to microbiocidal oxadiazole derivatives, e.g., as active ingredients, which have microbiocidal activity, in particular, fungicidal activity.
- the invention also relates to agrochemical compositions which comprise at least one of the oxadiazole derivatives, to processes of preparation of these compounds and to uses of the oxadiazole derivatives or compositions in agriculture or horticulture for controlling or preventing infestation of plants, harvested food crops, seeds or non-living materials by phytopathogenic microorganisms, preferably fungi.
- R , R 2 , R 3 , R 4 are independently selected from hydrogen or fluoro and wherein 0, 1 or 2 of R ⁇ R 2 , R 3 and R 4 are fluoro;
- R 5 and R 6 are independently selected from hydrogen, methyl or fluoro
- Z is selected from Z or Z 2 ; wherein Z represents a heterocycyl linked to C(R 5 )(R 6 ) via a C-C bond, wherein the heterocycyl moiety is a 6-membered non-aromatic ring which contains 1 or 2 groups independently selected from N or NR 7 , wherein Z is optionally substituted by 1 , 2 or 3 substituents, which may be the same or different, selected from R 8 ; R 7 is hydrogen, Ci-4alkyl, Ci-4alkoxy, formyl, Ci-4alkylcarbonyl, Ci-4alkoxycarbonyl, N-Ci-
- Z 2 represents a heteroaryl linked to C(R 5 )(R 6 ) via a C-C bond, wherein the heteroaryl moiety is a 6-membered aromatic ring which contains 1 , 2 or 3 nitrogen atoms in the ring system, wherein Z 2 is optionally substituted by 1 , 2 or 3 substituents, which may be the same or different, selected from R 9 ;
- R 9 represents cyano, amino, hydroxyl, hydrosulfido (-SH), halogen, methyl, C2-4alkyl, C2- 4alkenyl, C2-4alkynyl, Ci-4haloalkyl, C2-4haloalkenyl, methoxy, C2-4alkoxy, Ci-4haloalkoxy, C3-4alkenyloxy, C3-4alkynyloxy, Ci-2alkoxyCi-2alkyl Ci-4alkylthio, Ci-4haloalkylthio, C3-4alkenylthio, C3-4alkyny
- novel compounds of Formula (I) have, for practical purposes, a very advantageous level of biological activity for protecting plants against diseases that are caused by fungi.
- an agrochemical composition comprising a fungicidally effective amount of a compound of Formula (I).
- Such an agricultural composition may further comprise at least one additional active ingredient and/or an agrochemically- acceptable diluent or carrier.
- a method of controlling or preventing infestation of useful plants by phytopathogenic microorganisms wherein a fungicidally effective amount of a compound of Formula (I), or a composition comprising this compound as active ingredient, is applied to the plants, to parts thereof or the locus thereof.
- a compound of Formula (I) as a fungicide.
- the use may exclude methods for the treatment of the human or animal body by surgery or therapy.
- halogen refers to fluorine (fluoro), chlorine (chloro), bromine (bromo) or iodine (iodo), preferably fluorine, chlorine or bromine.
- acyl means a -C(0)CH3 group.
- formyl means a -C(0)H group.
- Ci-4alkyl refers to a straight or branched hydrocarbon chain radical consisting solely of carbon and hydrogen atoms, containing no unsaturation, having from one to four carbon atoms, and which is attached to the rest of the molecule by a single bond.
- d salkyl and Ci-2alkyl are to be construed accordingly.
- Examples of Ci-4alkyl include, but are not limited to, methyl, ethyl, n- propyl, 1-methylethyl (isopropyl), n-butyl, and 1-dimethylethyl (i-butyl).
- a "Ci-4alkylene” group refers to the corresponding definition of Ci-4alkyl, except that such radical is attached to the rest of the molecule by two single bonds. Examples of Ci-4alkylene, are -CH2- and -CH2CH2-.
- Ci-4alkoxy refers to a radical of the formula -OR a where R a is a Ci- 4alkyl radical as generally defined above.
- the terms d salkoxy and Ci-2alkoxy are to be construed accordingly.
- Examples of Ci-4alkoxy include, but are not limited to, methoxy, ethoxy, propoxy, isopropoxy, and i-butoxy.
- Ci-4haloalkyl refers to a d salkyl radical as generally defined above substituted by one or more of the same or different halogen atoms.
- Examples of Ci-4haloalkyl include, but are not limited to fluoromethyl, fluoroethyl, difluoromethyl, trifluoromethyl, 2,2,2-trifluoroethyl, and 3,3,3-trifluoropropyl.
- Cs-salkenyl refers to a straight or branched hydrocarbon chain radical group consisting solely of carbon and hydrogen atoms, containing at least one double bond that can be of either the (E)- or (Z)-configuration, having from three to five carbon atoms, which is attached to the rest of the molecule by a single bond .
- Examples of C3-salkenyl include, but are not limited to, prop-1- enyl, allyl (prop-2-enyl), and but-1-enyl.
- Cs-salkenoxy refers to a radical of the formula -OR a where R a is a C3- 5alkenyl radical as generally defined above.
- C3-4alkynyl refers to a straight or branched hydrocarbon chain radical group consisting solely of carbon and hydrogen atoms, containing at least one triple bond, having three or four carbon atoms, and which is attached to the rest of the molecule by a single bond.
- Examples of C2-6alkynyl include, but are not limited to, prop-1-ynyl, propargyl (prop-2-ynyl).
- C3-4alkynoxy refers to a radical of the formula -OR a where R a is a C3- 4alkynyl radical as generally defined above.
- Ci-4alkoxyCi-4alkyl refers to radical of the formula Rb-0-R a - where Rb is a Ci-4alkyl radical as generally defined above, and R a is a Ci-4alkylene radical as generally defined above.
- C3-6cycloalkyl refers to a stable, monocyclic ring radical which is saturated or partially unsaturated and contains 3 to 6 carbon atoms. C3-scycloalkyl and Cscycloalkyl are to be construed accordingly. Examples of C3-6cycloalkyl include, but are not limited to cyclopropyl, cyclobutyl, cyclopentyl, cyclopenten-1-yl, cyclopenten-3-yl, and cyclohexen-3-yl.
- C3-6cycloalkylCi-4alkyl refers to a C3-6cycloalkyl ring as defined above attached to the rest of the molecule by a Ci-4alkylene radical as defined above.
- Examples of C3- 6cycloalkylCi-3alkyl include, but are not limited to cyclopropyl-methyl and cyclobutyl-ethyl.
- the presence of one or more possible asymmetric carbon atoms in a compound of Formula (I) means that the compounds may occur in chiral isomeric forms, i.e., enantiomeric or diastereomeric forms. Also, atropisomers may occur as a result of restricted rotation about a single bond.
- Formula (I) is intended to include all those possible isomeric forms and mixtures thereof.
- the present invention includes all those possible isomeric forms and mixtures thereof for a compound of Formula (I).
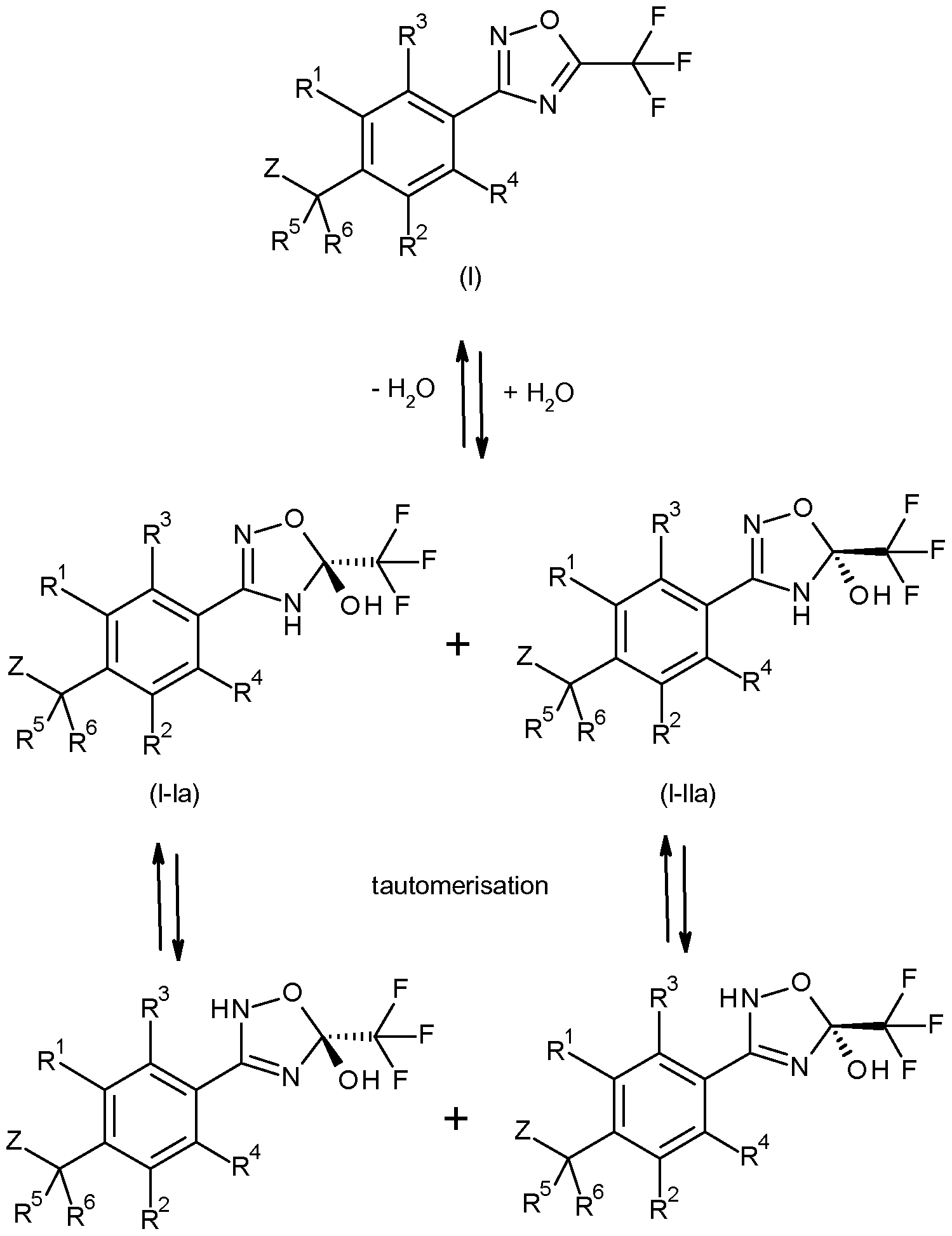
- Formula (I) is intended to include all possible tautomers (including lactam-lactim tautomerism and keto- enol tautomerism) where present.
- the present invention includes all possible tautomeric forms for a compound of Formula (I).
- the compounds of Formula (I) according to the invention are in free form, in oxidized form as an N-oxide, in covalently hydrated form, or in salt form, e.g., an agronomically usable or agrochemically acceptable salt form.
- N-oxides are oxidized forms of tertiary amines or oxidized forms of nitrogen containing heteroaromatic compounds. They are described for instance in the book "Heterocyclic N-oxides" by A. Albini and S. Pietra, CRC Press, Boca Raton 1991.
- the compound of Formula (I) is not:
- R , R 2 , R 3 , R 4 are independently selected from hydrogen or fluoro, wherein 0, 1 or 2 of R , R 2 , R 3 and R 4 are fluoro.
- R , R 2 , R 3 and R 4 are hydrogen;
- R 2 , R 3 and R 4 are hydrogen and R is fluoro;
- R , R 2 and R 4 are hydrogen and R 3 is fluoro;
- R and R 2 are fluoro and R 3 and R 4 are hydrogen;
- R and R 3 are fluoro and R 2 and R 4 are hydrogen, or R and R 2 are hydrogen and R 3 and R 4 are fluoro.
- R to R 4 are hydrogen.
- R 5 and R 6 are independently selected from hydrogen, methyl or fluoro. Preferably, R 5 and R 6 are both hydrogen, or R 5 is hydrogen and R 6 is methyl. More preferably, R 5 and R 6 are both hydrogen.
- Z is selected from Z or Z 2 .
- Z represents a heterocycyl linked to C(R 5 )(R 6 ) via a C-C bond, wherein the heterocycyl moiety is a 6-membered non-aromatic ring which contains 1 or 2 groups independently selected from N or NR 7 , wherein Z is optionally substituted by 1 , 2 or 3 substituents (or optionally substituted by 1 or 2 substituents, or optionally substituted by 1 substituent), which may be the same or different, selected from R 8 .
- Z 2 represents a heteroaryl linked to C(R 5 )(R 6 ) via a C-C bond, wherein the heteroaryl moiety is a 6-membered aromatic ring which contains 1 , 2 or 3 nitrogen atoms in the ring system, wherein Z 3 is optionally substituted by 1 , 2 or 3 substituents (or optionally substituted by 1 or 2 substituents, or optionally substituted by 1 substituent), which may be the same or different, selected from R 9 .
- Z is Z .
- Z is Z 2 .
- R 7 is hydrogen, Ci-4alkyl, Ci-4alkoxy, formyl, Ci-4alkylcarbonyl, Ci-4alkoxycarbonyl, N-Ci- 4alkylaminocarbonyl, N,N-diCi-4alkylaminocarbonyl, d ⁇ alkylsulfonyl, N-Ci-2alkylaminosulfonyl or N,N- diCi-2alkylaminosulfonyl.
- R 7 is selected from hydrogen, Ci-4alkyl, Ci-4alkoxy, formyl, Ci- 4alkylcarbonyl, Ci-4alkoxycarbonyl. More preferably, R 7 is selected from hydrogen, methyl, methoxy, formyl, methylcarbonyl or methoxycarbonyl. Still more preferably, R 7 is selected from hydrogen or methyl.
- R 9 represents cyano, amino, hydroxyl, hydrosulfido (-SH), halogen, methyl, C2-4alkyl, C2- 4alkenyl, C2-4alkynyl, Ci-4haloalkyl, C2-4haloalkenyl, methoxy, C2-4alkoxy, Ci-4haloalkoxy, C3-4alkenyloxy, C3-4alkynyloxy, Ci-2alkoxyCi-2alkyl Ci-4alkylthio, Ci-4haloalkylthio, C3-4alkenylthio, C3-4alkynylthio, N-C1- 4alkylamino, N,N-diCi-4alkylamino, Ci-4alkylcarbonyl, hydroxycarbonyl, Ci-4alkoxycarbonyl, Ci- 4alkylcarbonylamino, N-Ci-4alkylaminocarbonyl, N-(cyclopropyl)aminocarbonyl, N,N-
- R 9 is cyano, amino, hydroxyl, hydrosulfido (-SH), halogen, methyl, C2-4alkyl, C2- 4alkenyl, C2-4alkynyl, Ci-4haloalkyl, C2-4haloalkenyl, methoxy, C2-4alkoxy, Ci-2fluoroalkoxy, C3- 4alkenyloxy, C3-4alkynyloxy, Ci-2alkoxyCi-2alkyl, Ci aalkylthio, Ci-2haloalkylthio, C3-4alkenylthio, C3- 4alkynylthio, N-Ci-2alkylamino, N,N-diCi-2alkylamino, Ci-2alkylcarbonyl, hydroxycarbonyl, Ci- 2alkoxycarbonyl, Ci-2alkylcarbonylamino, N-Ci-2alkylaminocarbonyl, N-(cyclopropyl)aminocarbon
- R 9 is cyano, amino, hydroxyl, hydrosulfido (-SH), halogen, methyl, C2-4alkyl, Ci-2fluoroalkyl, C2-4haloalkenyl, methoxy, C2-4alkoxy, Ci-2fluoroalkoxy, C3-4alkenyloxy, C3-4alkynyloxy, Ci-2alkoxyCi-2alkyl, Ci-2alkylcarbonyl, hydroxycarbonyl, Ci-2alkoxycarbonyl, Ci- 2alkylcarbonylamino or N-Ci-2alkylaminocarbonyl.
- R 9 is hydroxyl, hydrosulfido (- SH), halogen, methyl, C2-4alkyl, Ci-2fluoroalkyl, methoxy, C2-4alkoxy, Ci-2alkoxyCi-2alkyl, Ci- 2alkylcarbonyl, hydroxycarbonyl, Ci-2alkoxycarbonyl, Ci-2alkylcarbonylamino or N-C1- 2alkylaminocarbonyl.
- Z is:
- R 7 is selected from hydrogen, Ci-4alkyl, d ⁇ alkoxy, formyl, Ci-4alkylcarbonyl, Ci- 4alkoxycarbonyl.
- the compound according to Formula (I) is selected from a compound A.1 to A.35 described in Table A (below).
- the compounds of the present invention may be enantiomers of the compound of Formula (I) as represented b a Formula (la) or a Formula (lb), wherein R 5 and R 6 are different substituents.
- the compounds of formula (I) according to the invention may be present in a reversible equilibrium with the corresponding covalently hydrated forms (ie, the compounds of formula (l-la) and formula (l-lla) as shown below, which may exist in tautomeric form as the compounds of formula (l-lb) and formula (l-llb)) at the CF3-oxadiazole motif).
- This dynamic equilibrium may be important for the biological activity of the compounds of Formula (I).
- Compounds of formula (I) can be prepared from compounds of formula (II), wherein X is a halogen, preferably CI, Br, I, SO2CF3, or SO2C4F9, and compounds of formula (III) wherein Met is a metalloid [eg, B(OH)2, BF3K, B(pinacol), B(9-BBN)2, or B-methyl MIDA-boronate], via cross-coupling reaction using a metal (eg, Cu and Pd) in the presence of base (eg, KO-i-Bu, K2CO3, or CS2CO3) and in a suitable solvent (eg, toluene, dimethylformamide, sulfolane, dimethylsulfoxide, or dioxane) at a temperature of between 60°C and 150°C.
- a metalloid eg, B(OH)2, BF3K, B(pinacol), B(9-BBN)2, or B-methyl MIDA-boronate
- base
- Compounds of formula (I) can be prepared from compounds of formula (II) via treatment with an organometallic of formula (IV), wherein Z-[M] represents a organomagnesium or organolithium species (eg, Z-MgBr or Z-Li), in a suitable solvent (eg, tetrahydrofuran) at a temperature between -78°C and 25°C.
- organometallic of formula (IV) wherein Z-[M] represents a organomagnesium or organolithium species (eg, Z-MgBr or Z-Li)
- a suitable solvent eg, tetrahydrofuran
- Compounds of formula (l-A), wherein R 6 represents H or methyl can be prepared from compounds of formula (V) via treatment with compounds of formula (III), wherein Met is a metalloid [eg, B(OH)2, BF3K, B(pinacol), B(9-BBN)2, or B-methyl MIDA-boronate], in the presence of a base (eg, K2CO3, CsCCh, CsF, or K3PO4) in a suitable solvent (eg, dioxane) at a temperature between 50°C and 1 10°C.
- a metalloid eg, B(OH)2, BF3K, B(pinacol), B(9-BBN)2, or B-methyl MIDA-boronate
- a base eg, K2CO3, CsCCh, CsF, or K3PO4
- a suitable solvent eg, dioxane
- Compounds of formula (l-A), wherein R 6 represents H or methyl can be prepared from compounds of formula (VIII) by stoichiometric reduction conditions (eg, EtsSiH in the presence of an acid such as methanesulfonic acid) or catalytic hydrogenation conditions (eg, Pd/C under H2 atmosphere), in a suitable solvent such as MeOH or EtOH, at a temperature between 0°C and 65°C, are optionally applied.
- stoichiometric reduction conditions eg, EtsSiH in the presence of an acid such as methanesulfonic acid
- catalytic hydrogenation conditions eg, Pd/C under H2 atmosphere
- Compounds of formula (I-A1 ), wherein R 6 represents H or methyl can be prepared by treating compounds of formula (VIII) with diethylaminosulfur trifluoride (DAST), in a suitable solvent such as dichloromethane, or trichloroethane, at a temperature between -20°C and 40°C.
- DAST diethylaminosulfur trifluoride
- a suitable solvent such as dichloromethane, or trichloroethane
- Compounds of formula (VIII), wherein R 6 represents H or methyl can be prepared from compounds of formula (VI) via treatment with an organometallic of formula (IV), wherein Z-[M] represents a organomagnesium or organolithium species (eg, Z-MgBr or Z-Li), in a suitable solvent (e.g. tetrahydrofuran) at a temperature between -78°C and 25°C.
- a suitable solvent e.g. tetrahydrofuran
- Compounds of formula (IV) are commercially available or can be prepared in situ from the corresponding organo halide via metal- halogen exchange with a suitable organometallic species (eg, iPrMgCI-LiCI, n-BuLi, or t-BuLi).
- Compounds of formula (X), wherein R 8a represents methyl, ethyl, O-methyl or O-ethyl, can be prepared from compounds of formula (VI) via condensation reaction with an ⁇ -di-carbonyl-derivative of formula (IX), wherein R 5 represents H or methyl, in the presence of base (eg, piperidine) in a suitable solvent (eg, benzene, toluene, acetic acid) at a temperature between 50°C and 1 10°C.
- base eg, piperidine
- a suitable solvent eg, benzene, toluene, acetic acid
- Compounds of formula (XI) can be prepared from compounds of Formula (X) by hydrogenation (eg, Pd/C under H2 atmosphere), in a suitable solvent such as MeOH or EtOH.
- suitable solvent such as MeOH or EtOH.
- Scheme 8 Alternatively compounds of formula (XI), wherein R 8a represents methyl, ethyl, O-methyl or diethyl, can be prepared from compounds of formula (II) by treatment with an ⁇ -di-carbonyl-derivative of formula (IX), in the presence of base (eg, K2CO3, CsCCb, or Na2CC>3) in a suitable solvent (eg, dimethylformamide, acetone, or acetonitrile) at a temperature between 20°C and 130°C.
- base eg, K2CO3, CsCCb, or Na2CC>3
- a suitable solvent eg, dimethylformamide, acetone, or acetonitrile
- Compounds of formula (l-B) can be prepared from compounds of formula (XI) via condensation reaction with a compound of Formula (XII), wherein R 8a represents methyl, ethyl, O-methyl or O-ethyl and R 9 represents OH, SH, NH2, hydrogen, methyl, ethyl or propyl, in the presence of an acid (eg, HCI or acetic acid) in a suitable solvent (eg, methanol, ethanol, propanol) at a reflux temperature.
- an acid eg, HCI or acetic acid
- a suitable solvent eg, methanol, ethanol, propanol
- Compounds of formula (l-C) can be prepared from compounds of formula (XIV) via condensation reaction with a compound of Formula (IXb), wherein R 8a represents methyl, ethyl, O-methyl or O-ethyl and R 0 represents hydrogen, methyl, ethyl or propyl, in the presence of an acid (eg, HCI, acetic acid) in a suitable solvent (eg, methanol, ethanol, propanol) at a reflux temperature.
- an acid eg, HCI, acetic acid
- suitable solvent eg, methanol, ethanol, propanol
- compounds of formula (I) can be prepared from compounds of formula (XV) by treatment with trifluoroacetic anhydride, trifluoroacetyl chloride, or trifluoroacetyl fluoride in the presence of a base (eg, pyridine or 4-dimethylaminopyridine) in a suitable solvent, such as tetrahydrofuran or ethanol, at a temperature between 25°C and 75°C.
- a base eg, pyridine or 4-dimethylaminopyridine
- suitable solvent such as tetrahydrofuran or ethanol
- Compounds of formula (XV) can be prepared from compounds of formula (XVI) by treatment with a hydroxylamine hydrochloride salt in the presence of a base, such as triethylamine, in a suitable solvent, such as methanol, at a temperature between 0°C and 100°C.
- a base such as triethylamine
- a suitable solvent such as methanol
- Compounds of formula (XVI) can be prepared from compounds of formula (XVII), wherein Y is Br or I, via metal-promoted reaction with a suitable cyanide reagent, such as Pd(0)/Zn(CN)2 or CuCN, in a suitable solvent (eg, dimethylformamide or N-methylpyrrolidone) at elevated temperature between 100°C and 120°C.
- a suitable cyanide reagent such as Pd(0)/Zn(CN)2 or CuCN
- a suitable solvent eg, dimethylformamide or N-methylpyrrolidone
- Compounds of formula (II), wherein X is CI or Br can be prepared from compounds of formula (XVIII) by treatment with a halogen source (eg, /V-bromosuccinimide (NBS) or A/-chlorosuccinimide (NCS)) and a radical initiator (eg, (PhC02)2 or azobisisobutyronitrile (AIBN)) in a suitable solvent, such as tetrachloromethane, at temperatures between 55° and 100°C in the presence of ultraviolet light.
- a halogen source eg, /V-bromosuccinimide (NBS) or A/-chlorosuccinimide (NCS)
- a radical initiator eg, (PhC02)2 or azobisisobutyronitrile (AIBN)
- suitable solvent such as tetrachloromethane
- compounds of formula (II) can be prepared from compounds of formula (XIX) by treatment with trifluoroacetic anhydride, trifluoroacetyl chloride, or trifluoroacetyl fluoride in the presence of a base (eg, pyridine or 4-dimethylaminopyridine) in a suitable solvent, such as tetrahydrofuran or ethanol, at a temperature between 25°C and 75°C.
- a base eg, pyridine or 4-dimethylaminopyridine
- suitable solvent such as tetrahydrofuran or ethanol
- Compounds of formula (XIX) can be prepared from compounds of formula (XX) by treatment with a hydroxylamine hydrochloride salt in the presence of a base, such as triethylamine, in a suitable solvent, such as methanol, at a temperature between 0°C and 100°C.
- a base such as triethylamine
- a suitable solvent such as methanol
- compounds of formula (XXI), wherein X is CI, Br, I or OSCteMe and Y is Br, I or CN are either commercially available or can be prepared from compounds of formula (XXIII), by treatment with a halogen source (eg, CC Br, CCU or ) in the presence of triphenylphosphine, or with methanesulfonyl chloride (CISC Me), in a suitable solvent, (eg, dichloromethane) at a temperature between 0°C and 100°C.
- a halogen source eg, CC Br, CCU or
- CISC Me methanesulfonyl chloride
- suitable solvent eg, dichloromethane
- the compounds of Formula (I) of the present invention have, for practical purposes, a very advantageous level of biological activity for protecting plants against diseases that are caused by fungi.
- the compounds of Formula (I) can be used in the agricultural sector and related fields of use, e.g., as active ingredients for controlling plant pests or on non-living materials for the control of spoilage microorganisms or organisms potentially harmful to man.
- the novel compounds are distinguished by excellent activity at low rates of application, by being well tolerated by plants and by being environmentally safe. They have very useful curative, preventive and systemic properties and can be used for protecting numerous cultivated plants.
- the compounds of Formula (I) can be used to inhibit or destroy the pests that occur on plants or parts of plants (fruit, blossoms, leaves, stems, tubers, roots) of different crops of useful plants, while at the same time protecting also those parts of the plants that grow later, e.g., from phytopathogenic microorganisms.
- the present invention further relates to a method for controlling or preventing infestation of plants or plant propagation material and/or harvested food crops susceptible to microbial attack by treating plants or plant propagation material and/or harvested food crops wherein an effective amount a compound of Formula (I) is applied to the plants, to parts thereof or the locus thereof.
- fungicide as used herein means a compound that controls, modifies, or prevents the growth of fungi.
- fungicidally effective amount where used means the quantity of such a compound or combination of such compounds that is capable of producing an effect on the growth of fungi. Controlling or modifying effects include all dew ' ation from natural development, such as killing, retardation and the like, and prevention includes barrier or other defensive formation in or on a plant to prevent fungal infection.
- compositions of Formula (I) can be used as dressing agents for the treatment of plant propagation material, e.g., seed, such as fruits, tubers or grains, or plant cuttings, for the protection against fungal infections as well as against phytopathogenic fungi occurring in the soil.
- the propagation material can be treated with a composition comprising a compound of Formula (I) before planting: seed, for example, can be dressed before being sown.
- the active compounds of Formula (I) can also be applied to grains (coating), either by impregnating the seeds in a liquid formulation or by coating them with a solid formulation.
- the composition can also be applied to the planting site when the propagation material is being planted, for example, to the seed furrow during sowing.
- the invention relates also to such methods of treating plant propagation material and to the plant propagation material so treated.
- the compounds of Formula (I) can be used for controlling fungi in related areas, for example in the protection of technical materials, including wood and wood related technical products, in food storage, in hygiene management.
- the invention could be used to protect non-living materials from fungal attack, e.g. lumber, wall boards and paint.
- the compounds of Formula (I) are for example, effective against fungi and fungal vectors of disease as well as phytopathogenic bacteria and viruses. These fungi and fungal vectors of disease as well as phytopathogenic bacteria and viruses are for example:
- Absidia corymbifera Alternaria spp, Aphanomyces spp, Ascochyta spp, Aspergillus spp. including A. flavus, A. fumigatus, A. nidulans, A. niger, A. terms, Aureobasidium spp. including A. pullulans, Blastomyces dermatitidis, Blumeria graminis, Bremia lactucae, Botryosphaeria spp. including B. dothidea, B. obtusa, Botrytis spp. comprising B. cinerea, Candida spp. including C. albicans, C. glabrata, C. krusei, C.
- capsulatum Laetisaria fuciformis, Leptographium lindbergi, Leveillula taurica, Lophodermium seditiosum, Microdochium nivale, Microsporum spp, Monilinia spp, Mucor spp, Mycosphaerella spp. including M. graminicola, M. pomi, Oncobasidium theobromaeon, Ophiostoma piceae, Paracoccidioides spp, Penicillium spp. including P. digitatum, P. italicum, Petriellidium spp, Peronosclerospora spp. Including P. maydis, P.
- leucotricha Polymyxa graminis, Polymyxa betae, Pseudocercosporella herpotrichoides, Pseudomonas spp, Pseudoperonospora spp. including P. cubensis, P. humuli, Pseudopeziza tracheiphila, Puccinia Spp. including P. hordei, P. recondita, P. striiformis, P. triticina, Pyrenopeziza spp, Pyrenophora spp, Pyricularia spp. including P. oryzae, Pythium spp. including P.
- target crops and/or useful plants to be protected typically comprise perennial and annual crops, such as berry plants for example blackberries, blueberries, cranberries, raspberries and strawberries; cereals for example barley, maize (corn), millet, oats, rice, rye, sorghum triticale and wheat; fibre plants for example cotton, flax, hemp, jute and sisal; field crops for example sugar and fodder beet, coffee, hops, mustard, oilseed rape (canola), poppy, sugar cane, sunflower, tea and tobacco; fruit trees for example apple, apricot, avocado, banana, cherry, citrus, nectarine, peach, pear and plum; grasses for example Bermuda grass, bluegrass, bentgrass, centipede grass,
- Augustine grass and Zoysia grass herbs such as basil, borage, chives, coriander, lavender, lovage, mint, oregano, parsley, rosemary, sage and thyme; legumes for example beans, lentils, peas and soya beans; nuts for example almond, cashew, ground nut, hazelnut, peanut, pecan, pistachio and walnut; palms for example oil palm; ornamentals for example flowers, shrubs and trees; other trees, for example cacao, coconut, olive and rubber; vegetables for example asparagus, aubergine, broccoli, cabbage, carrot, cucumber, garlic, lettuce, marrow, melon, okra, onion, pepper, potato, pumpkin, rhubarb, spinach and tomato; and vines for example grapes.
- herbs such as basil, borage, chives, coriander, lavender, lovage, mint, oregano, parsley, rosemary, sage and thyme
- legumes for example beans, lentils, peas and soya beans
- useful plants is to be understood as also including useful plants that have been rendered tolerant to herbicides like bromoxynil or classes of herbicides (such as, for example, HPPD inhibitors, ALS inhibitors, for example primisulfuron, prosulfuron and trifloxysulfuron, EPSPS (5-enol- pyrovyl-shikimate-3-phosphate-synthase) inhibitors, GS (glutamine synthetase) inhibitors or PPO (protoporphyrinogen-oxidase) inhibitors) as a result of conventional methods of breeding or genetic engineering.
- herbicides like bromoxynil or classes of herbicides
- EPSPS (5-enol- pyrovyl-shikimate-3-phosphate-synthase) inhibitors
- GS glutamine synthetase
- PPO protoporphyrinogen-oxidase
- imazamox by conventional methods of breeding (mutagenesis) is Clearfield® summer rape (Canola).
- crops that have been rendered tolerant to herbicides or classes of herbicides by genetic engineering methods include glyphosate- and glufosinate-resistant maize varieties commercially available under the trade names RoundupReady®, Herculex I® and LibertyLink®.
- useful plants is to be understood as also including useful plants which have been so transformed by the use of recombinant DNA techniques that they are capable of synthesising one or more selectively acting toxins, such as are known, for example, from toxin-producing bacteria, especially those of the genus Bacillus.
- YieldGard® (maize variety that expresses a CrylA(b) toxin); YieldGard Rootworm® (maize variety that expresses a CrylllB(bl ) toxin); YieldGard Plus® (maize variety that expresses a CrylA(b) and a CrylllB(bl ) toxin); Starlink® (maize variety that expresses a Cry9(c) toxin); Herculex I® (maize variety that expresses a CrylF(a2) toxin and the enzyme phosphinothricine N-acetyltransferase (PAT) to achieve tolerance to the herbicide glufosinate ammonium); NuCOTN 33B® (cotton variety that expresses a CrylA(c) toxin); Bollgard I® (cotton variety that expresses a CrylA(c) toxin); Bollgard II® (cotton variety that
- crops is to be understood as including also crop plants which have been so transformed by the use of recombinant DNA techniques that they are capable of synthesising one or more selectively acting toxins, such as are known, for example, from toxin-producing bacteria, especially those of the genus Bacillus.
- Toxins that can be expressed by such transgenic plants include, for example, insecticidal proteins from Bacillus cereus or Bacillus popilliae; or insecticidal proteins from Bacillus thuringiensis, such as ⁇ -endotoxins, e.g. CrylAb, CrylAc, Cryl F, Cry1 Fa2, Cry2Ab, Cry3A, Cry3Bb1 or Cry9C, or vegetative insecticidal proteins (Vip), e.g. Vip1 , Vip2, Vip3 or Vip3A; or insecticidal proteins of bacteria colonising nematodes, for example Photorhabdus spp.
- insecticidal proteins from Bacillus cereus or Bacillus popilliae such as ⁇ -endotoxins, e.g. CrylAb, CrylAc, Cryl F, Cry1 Fa2, Cry2Ab, Cry3A, Cry3Bb1 or Cry9C, or vegetative insecticidal proteins
- Xenorhabdus spp. such as Photorhabdus luminescens, Xenorhabdus nematophilus
- toxins produced by animals such as scorpion toxins, arachnid toxins, wasp toxins and other insect-specific neurotoxins
- toxins produced by fungi such as Streptomycetes toxins, plant lectins, such as pea lectins, barley lectins or snowdrop lectins
- agglutinins proteinase inhibitors, such as trypsin inhibitors, serine protease inhibitors, patatin, cystatin, papain inhibitors
- ribosome-inactivating proteins (RIP) such as ricin, maize-RIP, abrin, luffin, saporin or bryodin
- steroid metabolism enzymes such as 3-hydroxysteroidoxidase, ecdysteroid-UDP-glycosyl- transferase, cholesterol oxidases, ecdy
- ⁇ -endotoxins for example CrylAb, CrylAc, Cryl F, Cry1 Fa2, Cry2Ab, Cry3A, Cry3Bb1 or Cry9C, or vegetative insecticidal proteins (Vip), for example Vip1 , Vip2, Vip3 or Vip3A, expressly also hybrid toxins, truncated toxins and modified toxins.
- Hybrid toxins are produced recombinantly by a new combination of different domains of those proteins (see, for example, WO 02/15701 ).
- Truncated toxins for example a truncated CrylAb, are known.
- modified toxins one or more amino acids of the naturally occurring toxin are replaced.
- amino acid replacements preferably non-naturally present protease recognition sequences are inserted into the toxin, such as, for example, in the case of Cry3A055, a cathepsin-G-recognition sequence is inserted into a Cry3A toxin (see WO 03/018810).
- Examples of such toxins or transgenic plants capable of synthesising such toxins are disclosed, for example, in EP-A-0 374 753, WO93/07278, W095/34656, EP-A-0 427 529, EP-A-451 878 and WO 03/052073.
- Cryl-type deoxyribonucleic acids and their preparation are known, for example, from WO 95/34656, EP-A-0 367 474, EP-A-0 401 979 and WO 90/13651.
- the toxin contained in the transgenic plants imparts to the plants tolerance to harmful insects.
- insects can occur in any taxonomic group of insects, but are especially commonly found in the beetles (Coleoptera), two-winged insects (Diptera) and butterflies (Lepidoptera).
- Transgenic plants containing one or more genes that code for an insecticidal resistance and express one or more toxins are known and some of them are commercially available. Examples of such plants are: YieldGard® (maize variety that expresses a Cry1 Ab toxin); YieldGard Rootworm® (maize variety that expresses a Cry3Bb1 toxin); YieldGard Plus® (maize variety that expresses a Cry1 Ab and a Cry3Bb1 toxin); Starlink® (maize variety that expresses a Cry9C toxin); Herculex I® (maize variety that expresses a Cry1 Fa2 toxin and the enzyme phosphinothricine N-acetyltransferase (PAT) to achieve tolerance to the herbicide glufosinate ammonium); NuCOTN 33B® (cotton variety that expresses a CrylAc toxin); Bollgard I® (cotton variety that expresses
- transgenic crops are:
- Bt11 Maize from Syngenta Seeds SAS, Chemin de I'Hobit 27, F-31 790 St. Sauveur, France, registration number C/FR/96/05/10. Genetically modified Zea mays which has been rendered resistant to attack by the European corn borer (Ostrinia nubilalis and Sesamia nonagrioides) by transgenic expression of a truncated CrylAb toxin. Bt1 1 maize also transgenically expresses the enzyme PAT to achieve tolerance to the herbicide glufosinate ammonium. 2. Bt176 Maize from Syngenta Seeds SAS, Chemin de I'Hobit 27, F-31 790 St. Sauveur, France, registration number C/FR/96/05/10.
- MIR604 Maize from Syngenta Seeds SAS, Chemin de I'Hobit 27, F-31 790 St. Sauveur, France, registration number C/FR/96/05/10. Maize which has been rendered insect-resistant by transgenic expression of a modified Cry3A toxin. This toxin is Cry3A055 modified by insertion of a cathepsin-G- protease recognition sequence. The preparation of such transgenic maize plants is described in WO 03/018810.
- MON 863 Maize from Monsanto Europe S.A. 270-272 Avenue de Tervuren, B-1 150 Brussels, Belgium, registration number C/DE/02/9. MON 863 expresses a Cry3Bb1 toxin and has resistance to certain Coleoptera insects.
- NK603 * MON 810 Maize from Monsanto Europe S.A. 270-272 Avenue de Tervuren, B-1 150 Brussels, Belgium, registration number C/GB/02/M3/03. Consists of conventionally bred hybrid maize varieties by crossing the genetically modified varieties NK603 and MON 810.
- NK603 * MON 810 Maize transgenically expresses the protein CP4 EPSPS, obtained from Agrobacterium sp. strain CP4, which imparts tolerance to the herbicide Roundup® (contains glyphosate), and also a Cry1 Ab toxin obtained from Bacillus thuringiensis subsp. kurstaki which brings about tolerance to certain Lepidoptera, include the European corn borer.
- the compounds of Formula (I) may be used in controlling or preventing phytopathogenic diseases, especially phytopathogenic fungi (such as Phakopsora pachyrhizi) on soy bean plants.
- transgenic soybean plants expressing toxins for example insecticidal proteins such as delta-endotoxins, e.g. CrylAc (CrylAc Bt protein).
- toxins for example insecticidal proteins such as delta-endotoxins, e.g. CrylAc (CrylAc Bt protein).
- this may include transgenic soybean plants comprising event MON87701 (see U.S. Patent No. 8,049,071 and related applications and patents, as well as WO 2014/170327 A1 (eg, see paragraph [008] reference to Intacta RR2 PROTM soybean)), event MON87751 (US. Patent Application Publication No. 2014/0373191 ) or event DAS- 81419 (U.S. Patent No. 8632978 and related applications and patents).
- event MON87701 see U.S. Patent No. 8,049,071 and related applications and patents, as well as WO 2014/170327 A1 (eg, see paragraph [008] reference to In
- transgenic soybean plants may comprise event SYHT0H2 - HPPD tolerance (U.S. Patent Application Publication No. 2014/0201860 and related applications and patents), event MON89788 - glyphosate tolerance (U.S. Pat. No. 7,632,985 and related applications and patents), event MON87708 - dicamba tolerance (U.S. Patent Application Publication No. US 201 1/0067134 and related applications and patents), event DP-356043-5 - glyphosate and ALS tolerance (U.S. Patent Application Publication No. US 2010/0184079 and related applications and patents), event A2704-12 - glufosinate tolerance (U.S. Patent Application Publication No.
- event DAS-40278-9 - tolerance to 2,4- dichlorophenoxyacetic acid and aryloxyphenoxypropionate see WO 201 1/022469, WO 201 1/022470, WO 201 1/022471 , and related applications and patents
- event 127 - ALS tolerance WO 2010/080829 and related applications and patents
- event GTS 40-3-2 - glyphosate tolerance event DAS-68416-4- 2,4-dichlorophenoxyacetic acid and glufosinate tolerance
- event FG72 - glyphosate and isoxaflutole tolerance event BPS-CV127-9 - ALS tolerance and GU262 - glufosinate tolerance or event SYHT04R - HPPD tolerance.
- compounds of Formula (I) according to the present invention when used in controlling or preventing phytopathogenic diseases, especially phytopathogenic fungi (such as Phakopsora pachyrhizi) on soy bean plants (in particular any of the transgenic soybean plants as described above), may display a synergistic interaction between the active ingredients.
- phytopathogenic diseases especially phytopathogenic fungi (such as Phakopsora pachyrhizi) on soy bean plants (in particular any of the transgenic soybean plants as described above
- fungicidal-resistant strains of Phakopsora pachyrhizi have been reported in the scientific literature, with strains resistant to one or more fungicides from at least each of the following fungicidal mode of action classes being observed: sterol demethylation-inhibitors (DMI), quinone-outside- inhibitors (Qol) and succinate dehydrogenase inhibitors (SDHI).
- DMI sterol demethylation-inhibitors
- Qol quinone-outside- inhibitors
- SDHI succinate dehydrogenase inhibitors
- the compounds of Formula (I) (including any one of compounds A.1 to A.35 described in Table A (below)), or fungicidal compositions according to the present invention comprising a compound of Formula (I), are used to control Phakopsora pachyrhizi which are resistant to one or more fungicides from any of the following fungicidal MoA classes: sterol demethylation- inhibitors (DMI), quinone-outside-inhibitors (Qol) and succinate dehydrogenase inhibitors (SDHI).
- DMI sterol demethylation- inhibitors
- Qol quinone-outside-inhibitors
- SDHI succinate dehydrogenase inhibitors
- the compounds of Formula (I) may be used in controlling or preventing phytopathogenic diseases, especially phytopathogenic fungi (such as Phakopsora pachyrhizi) on soy bean plants.
- phytopathogenic diseases especially phytopathogenic fungi (such as Phakopsora pachyrhizi)
- soy bean plants there are known in the scientific literature certain Elite soybean plant varieties where R-gene stacks, conferring a degree of immunity or resistance to specific Phakopsora pachyrhizi, have been been introgressed in the plant genome, see for example: “Fighting Asian Soybean Rust", Langenbach C, ef al, Front Plant Science 7(797) 2016).
- An elite plant is any plant from an elite line, such that an elite plant is a representative plant from an elite variety.
- elite soybean varieties that are commercially available to farmers or soybean breeders include: AG00802, A0868, AG0902, A1923, AG2403, A2824, A3704, A4324, A5404, AG5903, AG6202 AG0934; AG1435; AG2031 ; AG2035; AG2433; AG2733; AG2933; AG3334; AG3832; AG4135; AG4632; AG4934; AG5831 ; AG6534; and AG7231 (Asgrow Seeds, Des Moines, Iowa, USA); BPR0144RR, BPR 4077NRR and BPR 4390NRR (Bio Plant Research, Camp Point, III., USA); DKB17-51 and DKB37-51 (DeKalb Genetics, DeKalb, III., USA); DP 4546 RR, and DP 7870 RR (Delta & Pine Land Company, Lubbock,
- the compounds of Formula (I) (including any one of compounds A.1 to A.35 described in Table A (below)), or fungicidal compositions according to the present invention comprising a compound of Formula (I), are used to control Phakopsora pachyrhizi, (including fungicidally-resistant strains thereof, as outlined above) on Elite soybean plant varieties where R-gene stacks, conferring a degree of immunity or resistance to specific Phakopsora pachyrhizi, have been been introgressed in the plant genome. Numerous benefits may be expected to ensue from said use, e.g. improved biological activity, an advantageous or broader spectrum of activity (inc.
- Phakopsora pachyrhizi sensitive and resistant strains of Phakopsora pachyrhizi
- an increased safety profile improved crop tolerance, synergistic interactions or potentiating properties, improved onset of action or a longer lasting residual activity, a reduction in the number of applications and/or a reduction in the application rate of the compounds and compositions required for effective control of the phytopathogen (Phakopsora pachyrhizi), thereby enabling beneficial resistance-management practices, reduced environmental impact and reduced operator exposure.
- locus means fields in or on which plants are growing, or where seeds of cultivated plants are sown, or where seed will be placed into the soil. It includes soil, seeds, and seedlings, as well as established vegetation.
- plants refers to all physical parts of a plant, including seeds, seedlings, saplings, roots, tubers, stems, stalks, foliage, and fruits.
- plant propagation material is understood to denote generative parts of the plant, such as seeds, which can be used for the multiplication of the latter, and vegetative material, such as cuttings or tubers, for example potatoes.
- vegetative material such as cuttings or tubers, for example potatoes.
- seeds in the strict sense
- roots in the strict sense
- fruits in the tubers
- bulbs rhizomes
- parts of plants there can be mentioned for example seeds (in the strict sense), roots, fruits, tubers, bulbs, rhizomes and parts of plants.
- Germinated plants and young plants which are to be transplanted after germination or after emergence from the soil may also be mentioned. These young plants can be protected before transplantation by a total or partial treatment by immersion.
- plant propagation material is understood to denote seeds.
- the compounds of Formula (I) may be used in unmodified form or, preferably, together with the adjuvants conventionally employed in the art of formulation. To this end they may be conveniently Formulated in known manner to emulsifiable concentrates, coatable pastes, directly sprayable or dilutable solutions or suspensions, dilute emulsions, wettable powders, soluble powders, dusts, granulates, and also encapsulations e.g. in polymeric substances. As with the type of the compositions, the methods of application, such as spraying, atomising, dusting, scattering, coating or pouring, are chosen in accordance with the intended objectives and the prevailing circumstances. The compositions may also contain further adjuvants such as stabilizers, antifoams, viscosity regulators, binders or tackifiers as well as fertilizers, micronutrient donors or other formulations for obtaining special effects.
- Suitable carriers and adjuvants can be solid or liquid and are substances useful in formulation technology, e.g. natural or regenerated mineral substances, solvents, dispersants, wetting agents, tackifiers, thickeners, binders or fertilizers.
- Such carriers are for example described in WO 97/33890.
- Suspension concentrates are aqueous formulations in which finely divided solid particles of the active compound are suspended. Such formulations include anti-settling agents and dispersing agents and may further include a wetting agent to enhance activity as well an anti-foam and a crystal growth inhibitor. In use, these concentrates are diluted in water and normally applied as a spray to the area to be treated. The amount of active ingredient may range from 0.5% to 95% of the concentrate.
- Wettable powders are in the form of finely divided particles which disperse readily in water or other liquid carriers.
- the particles contain the active ingredient retained in a solid matrix.
- Typical solid matrices include fuller's earth, kaolin clays, silicas and other readily wet organic or inorganic solids. Wettable powders normally contain from 5% to 95% of the active ingredient plus a small amount of wetting, dispersing or emulsifying agent.
- Emulsifiable concentrates are homogeneous liquid compositions dispersible in water or other liquid and may consist entirely of the active compound with a liquid or solid emulsifying agent, or may also contain a liquid carrier, such as xylene, heavy aromatic naphthas, isophorone and other nonvolatile organic solvents. In use, these concentrates are dispersed in water or other liquid and normally applied as a spray to the area to be treated. The amount of active ingredient may range from 0.5% to 95% of the concentrate.
- Granular formulations include both extrudates and relatively coarse particles and are usually applied without dilution to the area in which treatment is required.
- Typical carriers for granular Formulations include sand, fuller's earth, attapulgite clay, bentonite clays, montmorillonite clay, vermiculite, perlite, calcium carbonate, brick, pumice, pyrophyllite, kaolin, dolomite, plaster, wood flour, ground corn cobs, ground peanut hulls, sugars, sodium chloride, sodium sulphate, sodium silicate, sodium borate, magnesia, mica, iron oxide, zinc oxide, titanium oxide, antimony oxide, cryolite, gypsum, diatomaceous earth, calcium sulphate and other organic or inorganic materials which absorb or which can be coated with the active compound.
- Granular Formulations normally contain 5% to 25% of active ingredients which may include surface-active agents such as heavy aromatic naphthas, kerosene and other petroleum fractions, or vegetable oils
- Dusts are free-flowing admixtures of the active ingredient with finely divided solids such as talc, clays, flours and other organic and inorganic solids which act as dispersants and carriers.
- Microcapsules are typically droplets or granules of the active ingredient enclosed in an inert porous shell which allows escape of the enclosed material to the surroundings at controlled rates.
- Encapsulated droplets are typically 1 to 50 microns in diameter.
- the enclosed liquid typically constitutes 50 to 95% of the weight of the capsule and may include solvent in addition to the active compound.
- Encapsulated granules are generally porous granules with porous membranes sealing the granule pore openings, retaining the active species in liquid form inside the granule pores.
- Granules typically range from 1 millimetre to 1 centimetre and preferably 1 to 2 millimetres in diameter. Granules are formed by extrusion, agglomeration or prilling, or are naturally occurring.
- Shell or membrane materials include natural and synthetic rubbers, cellulosic materials, styrene-butadiene copolymers, polyacrylonitriles, polyacrylates, polyesters, polyamides, polyureas, polyurethanes and starch xanthates.
- compositions for agrochemical applications include simple solutions of the active ingredient in a solvent in which it is completely soluble at the desired concentration, such as acetone, alkylated naphthalenes, xylene and other organic solvents.
- Pressurised sprayers wherein the active ingredient is dispersed in finely-divided form as a result of vaporisation of a low boiling dispersant solvent carrier, may also be used.
- Suitable agricultural adjuvants and carriers that are useful in formulating the compositions of the invention in the formulation types described above are well known to those skilled in the art.
- Liquid carriers that can be employed include, for example, water, toluene, xylene, petroleum naphtha, crop oil, acetone, methyl ethyl ketone, cyclohexanone, acetic anhydride, acetonitrile, acetophenone, amyl acetate, 2-butanone, chlorobenzene, cyclohexane, cyclohexanol, alkyl acetates, diacetonalcohol, 1 ,2-dichloropropane, diethanolamine, p-diethylbenzene, diethylene glycol, diethylene glycol abietate, diethylene glycol butyl ether, diethylene glycol ethyl ether, diethylene glycol methyl ether, ⁇ , ⁇ -dimethyl formamide, dimethyl sulfoxide, 1 ,4-dioxane, dipropylene glycol, dipropylene glycol methyl ether, dipropylene glyco
- Suitable solid carriers include, for example, talc, titanium dioxide, pyrophyllite clay, silica, attapulgite clay, kieselguhr, chalk, diatomaxeous earth, lime, calcium carbonate, bentonite clay, fuller's earth, cotton seed hulls, wheat flour, soybean flour, pumice, wood flour, walnut shell flour and lignin.
- a broad range of surface-active agents are advantageously employed in both said liquid and solid compositions, especially those designed to be diluted with carrier before application.
- These agents when used, normally comprise from 0.1 % to 15% by weight of the formulation. They can be anionic, cationic, non-ionic or polymeric in character and can be employed as emulsifying agents, wetting agents, suspending agents or for other purposes.
- Typical surface active agents include salts of alkyl sulfates, such as diethanolammonium lauryl sulphate; alkylarylsulfonate salts, such as calcium dodecylbenzenesulfonate; alkylphenol-alkylene oxide addition products, such as nonylphenol-C.sub.
- alcohol-alkylene oxide addition products such as tridecyl alcohol-C.sub. 16 ethoxylate
- soaps such as sodium stearate
- alkylnaphthalenesulfonate salts such as sodium dibutylnaphthalenesulfonate
- dialkyl esters of sulfosuccinate salts such as sodium di(2-ethylhexyl) sulfosuccinate
- sorbitol esters such as sorbitol oleate
- quaternary amines such as lauryl trimethylammonium chloride
- polyethylene glycol esters of fatty acids such as polyethylene glycol stearate
- salts of mono and dialkyl phosphate esters such as mono and dialkyl phosphate esters.
- adjuvants commonly utilized in agricultural compositions include crystallisation inhibitors, viscosity modifiers, suspending agents, spray droplet modifiers, pigments, antioxidants, foaming agents, anti-foaming agents, light-blocking agents, compatibilizing agents, antifoam agents, sequestering agents, neutralising agents and buffers, corrosion inhibitors, dyes, odorants, spreading agents, penetration aids, micronutrients, emollients, lubricants and sticking agents.
- biocidally active ingredients or compositions may be combined with the compositions of the invention and used in the methods of the invention and applied simultaneously or sequentially with the compositions of the invention. When applied simultaneously, these further active ingredients may be formulated together with the compositions of the invention or mixed in, for example, the spray tank. These further biocidally active ingredients may be fungicides, herbicides, insecticides, bactericides, acaricides, nematicides and/or plant growth regulators.
- Pesticidal agents are referred to herein using their common name are known, for example, from “The Pesticide Manual”, 15th Ed., British Crop Protection Council 2009.
- compositions of the invention may also be applied with one or more systemically acquired resistance inducers ("SAR" inducer).
- SAR inducers are known and described in, for example, United States Patent No. US 6,919,298 and include, for example, salicylates and the commercial SAR inducer acibenzolar-S-methyl.
- the compounds of Formula (I) are normally used in the form of agrochemical compositions and can be applied to the crop area or plant to be treated, simultaneously or in succession with further compounds. These further compounds can be e.g. fertilizers or micronutrient donors or other preparations, which influence the growth of plants.
- They can also be selective herbicides or nonselective herbicides as well as insecticides, fungicides, bactericides, nematicides, molluscicides or mixtures of several of these preparations, if desired together with further carriers, surfactants or application promoting adjuvants customarily employed in the art of formulation.
- the compounds of Formula (I) may be used in the form of (fungicidal) compositions for controlling or protecting against phytopathogenic microorganisms, comprising as active ingredient at least one compound of Formula (I) or of at least one preferred individual compound as defined herein, in free form or in agrochemically usable salt form, and at least one of the above-mentioned adjuvants.
- the invention therefore provides a composition, preferably a fungicidal composition, comprising at least one compound Formula (I) an agriculturally acceptable carrier and optionally an adjuvant.
- An agricultural acceptable carrier is for example a carrier that is suitable for agricultural use.
- Agricultural carriers are well known in the art.
- said composition may comprise at least one or more pesticidally-active compounds, for example an additional fungicidal active ingredient in addition to the compound of Formula (I).
- the compound of Formula (I) may be the sole active ingredient of a composition or it may be admixed with one or more additional active ingredients such as a pesticide, fungicide, synergist, herbicide or plant growth regulator where appropriate.
- An additional active ingredient may, in some cases, result in unexpected synergistic activities.
- Suitable additional active ingredients include the following: acycloamino acid fungicides, aliphatic nitrogen fungicides, amide fungicides, anilide fungicides, antibiotic fungicides, aromatic fungicides, arsenical fungicides, aryl phenyl ketone fungicides, benzamide fungicides, benzanilide fungicides, benzimidazole fungicides, benzothiazole fungicides, botanical fungicides, bridged diphenyl fungicides, carbamate fungicides, carbanilate fungicides, conazole fungicides, copper fungicides, dicarboximide fungicides, dinitrophenol fungicides, dithiocarbamate fungicides, dithiolane fungicides, furamide fungicides, furanilide fungicides, hydrazide fungicides, imidazole fungicides, mercury fungicides, morpholine fung
- Suitable additional active ingredients also include the following: 3-difluoromethyl-
- the compounds of the invention may also be used in combination with anthelmintic agents.
- anthelmintic agents include, compounds selected from the macrocyclic lactone class of compounds such as ivermectin, avermectin, abamectin, emamectin, eprinomectin, doramectin, selamectin, moxidectin, nemadectin and milbemycin derivatives as described in EP- 357460, EP- 444964 and EP-594291.
- Additional anthelmintic agents include semisynthetic and biosynthetic avermectin/milbemycin derivatives such as those described in US-5015630, WO-9415944 and WO- 9522552. Additional anthelmintic agents include the benzimidazoles such as albendazole, cambendazole, fenbendazole, flubendazole, mebendazole, oxfendazole, oxibendazole, parbendazole, and other members of the class. Additional anthelmintic agents include imidazothiazoles and tetrahydropyrimidines such as tetramisole, levamisole, pyrantel pamoate, oxantel or morantel. Additional anthelmintic agents include flukicides, such as triclabendazole and clorsulon and the cestocides, such as praziquantel and epsiprantel.
- the compounds of the invention may be used in combination with derivatives and analogues of the paraherquamide/marcfortine class of anthelmintic agents, as well as the antiparasitic oxazolines such as those disclosed in US-5478855, US- 4639771 and DE-19520936.
- the compounds of the invention may be used in combination with derivatives and analogues of the general class of dioxomorpholine antiparasitic agents as described in WO 96/15121 and also with anthelmintic active cyclic depsipeptides such as those described in WO 96/11945, WO 93/19053, WO 93/25543, EP 0 626 375, EP 0 382 173, WO 94/19334, EP 0 382 173, and EP 0 503 538.
- the compounds of the invention may be used in combination with other ectoparasiticides; for example, fipronil; pyrethroids; organophosphates; insect growth regulators such as lufenuron; ecdysone agonists such as tebufenozide and the like; neonicotinoids such as imidacloprid and the like.
- ectoparasiticides for example, fipronil; pyrethroids; organophosphates; insect growth regulators such as lufenuron; ecdysone agonists such as tebufenozide and the like; neonicotinoids such as imidacloprid and the like.
- terpene alkaloids for example those described in International Patent Application Publication Numbers WO 95/19363 or WO 04/72086, particularly the compounds disclosed therein.
- Organophosphates acephate, azamethiphos, azinphos-ethyl, azinphos- methyl, bromophos, bromophos-ethyl, cadusafos, chlorethoxyphos, chlorpyrifos, chlorfenvinphos, chlormephos, demeton, demeton-S-methyl, demeton-S-methyl sulphone, dialifos, diazinon, dichlorvos, dicrotophos, dimethoate, disulfoton, ethion, ethoprophos, etrimfos, famphur, fenamiphos, fenitrothion, fensulfothion, fenthion, flupyrazofos, fonofos, formothion, fosthiazate, heptenophos, isazophos, isothioate, isoxathion, malathion, me
- Carbamates alanycarb, aldicarb, 2-sec-butylphenyl methylcarbamate, benfuracarb, carbaryl, carbofuran, carbosulfan, cloethocarb, ethiofencarb, fenoxycarb, fenthiocarb, furathiocarb, HCN-801 , isoprocarb, indoxacarb, methiocarb, methomyl, 5-methyl-m-cumenylbutyryl(methyl)carbamate, oxamyl, pirimicarb, propoxur, thiodicarb, thiofanox, triazamate, UC-51717.
- Pyrethroids acrinathin, allethrin, alphametrin, 5-benzyl-3-furylmethyl (E)-(1 R)-cis-2,2- dimethyl-3-(2-oxothiolan-3-ylidenemethyl)cyclopropanecarboxylate, bifenthrin, beta-cyfluthrin, cyfluthrin, a-cypermethrin, beta-cypermethrin, bioallethrin, bioallethrin((S)-cyclopentylisomer), bioresmethrin, bifenthrin, NCI-85193, cycloprothrin, cyhalothrin, cythithrin, cyphenothrin, deltamethrin, empenthrin, esfenvalerate, ethofenprox, fenfluthrin, fenpropathrin, fenvalerate,
- Arthropod growth regulators a) chitin synthesis inhibitors: benzoylureas: chlorfluazuron, diflubenzuron, fluazuron, flucycloxuron, flufenoxuron, hexaflumuron, lufenuron, novaluron, teflubenzuron, triflumuron, buprofezin, diofenolan, hexythiazox, etoxazole, chlorfentazine; b) ecdysone antagonists: halofenozide, methoxyfenozide, tebufenozide; c) juvenoids: pyriproxyfen, methoprene (including S-methoprene), fenoxycarb; d) lipid biosynthesis inhibitors: spirodiclofen.
- antiparasitics acequinocyl, amitraz, AKD-1022, ANS-1 18, azadirachtin, Bacillus thuringiensis, bensultap, bifenazate, binapacryl, bromopropylate, BTG-504, BTG-505, camphechlor, cartap, chlorobenzilate, chlordimeform, chlorfenapyr, chromafenozide, clothianidine, cyromazine, diacloden, diafenthiuron, DBI-3204, dinactin, dihydroxymethyldihydroxypyrrolidine, dinobuton, dinocap, endosulfan, ethiprole, ethofenprox, fenazaquin, flumite, MTI- 800, fenpyroximate, fluacrypyrim, flubenzimine, flubrocythrinate, flufenzine, flufenprox, fluproxyfen, halofenprox, hydra
- Biological agents Bacillus thuringiensis ssp aizawai, kurstaki, Bacillus thuringiensis delta endotoxin, baculovirus, entomopathogenic bacteria, virus and fungi.
- Bactericides chlortetracycline, oxytetracycline, streptomycin.
- TX means one compound selected from the group consisting of the compounds T-2.01 to T-2.08 to T-47.01 to T-47.08 shown in Tables 2 to 47 (below) and compounds A.1 to A.35 described in Table A (below).
- an adjuvant selected from the group of substances consisting of petroleum oils (alternative name) (628) + TX,
- an acaricide selected from the group of substances consisting of 1 , 1-bis(4-chlorophenyl)-2- ethoxyethanol (lUPAC name) (910) + TX, 2,4-dichlorophenyl benzenesulfonate (lUPAC/Chemical Abstracts name) (1059) + TX, 2-fluoro-A/-methyl-A/-1-naphthylacetamide (lUPAC name) (1295) + TX, 4-chlorophenyl phenyl sulfone (lUPAC name) (981 ) + TX, abamectin (1 ) + TX, acequinocyl (3) + TX, acetoprole [CCN] + TX, acrinathrin (9) + TX, aldicarb (16) + TX, aldoxycarb (863) + TX, alpha- cypermethrin (202) + TX, amidithion (870) + TX, amid
- an algicide selected from the group of substances consisting of bethoxazin [CCN] + TX, copper dioctanoate (lUPAC name) (170) + TX, copper sulfate (172) + TX, cybutryne [CCN] + TX, dichlone (1052) + TX, dichlorophen (232) + TX, endothal (295) + TX, fentin (347) + TX, hydrated lime [CCN] + TX, nabam (566) + TX, quinoclamine (714) + TX, quinonamid (1379) + TX, simazine (730) + TX, triphenyltin acetate (lUPAC name) (347) and triphenyltin hydroxide (lUPAC name) (347) + TX,
- an anthelmintic selected from the group of substances consisting of abamectin (1 ) + TX, crufomate (101 1 ) + TX, doramectin (alternative name) [CCN] + TX, emamectin (291 ) + TX, emamectin benzoate (291 ) + TX, eprinomectin (alternative name) [CCN] + TX, ivermectin (alternative name) [CCN] + TX, milbemycin oxime (alternative name) [CCN] + TX, moxidectin (alternative name) [CCN] + TX, piperazine [CCN] + TX, selamectin (alternative name) [CCN] + TX, spinosad (737) and thiophanate (1435) + TX,
- an avicide selected from the group of substances consisting of chloralose (127) + TX, endrin (1 122) + TX, fenthion (346) + TX, pyridin-4-amine (lUPAC name) (23) and strychnine (745) + TX, a bactericide selected from the group of substances consisting of 1-hydroxy-1 /- -pyridine-2- thione (lUPAC name) (1222) + TX, 4-(quinoxalin-2-ylamino)benzenesulfonamide (lUPAC name) (748) + TX, 8-hydroxyquinoline sulfate (446) + TX, bronopol (97) + TX, copper dioctanoate (lUPAC name) (170) + TX, copper hydroxide (lUPAC name) (169) + TX, cresol [CCN] + TX, dichlorophen (232) + TX, dipyrithione (1 105) + TX, dodicin (1 1 12) +
- a soil sterilant selected from the group of substances consisting of iodomethane (lUPAC name) (542) and methyl bromide (537) + TX,
- a chemosterilant selected from the group of substances consisting of apholate [CCN] + TX, bisazir (alternative name) [CCN] + TX, busulfan (alternative name) [CCN] + TX, diflubenzuron (250) + TX, dimatif (alternative name) [CCN] + TX, hemel [CCN] + TX, hempa [CCN] + TX, metepa [CCN] + TX, methiotepa [CCN] + TX, methyl apholate [CCN] + TX, morzid [CCN] + TX, penfluron (alternative name) [CCN] + TX, tepa [CCN] + TX, thiohempa (alternative name) [CCN] + TX, thiotepa (alternative name) [CCN] + TX, tretamine (alternative name) [CCN] and
- an insect repellent selected from the group of substances consisting of 2-(octylthio)ethanol (lUPAC name) (591 ) + TX, butopyronoxyl (933) + TX, butoxy(polypropylene glycol) (936) + TX, dibutyl adipate (lUPAC name) (1046) + TX, dibutyl phthalate (1047) + TX, dibutyl succinate (lUPAC name) (1048) + TX, diethylamide [CCN] + TX, dimethyl carbate [CCN] + TX, dimethyl phthalate [CCN] + TX, ethyl hexanediol (1137) + TX, hexamide [CCN] + TX, methoquin-butyl (1276) + TX, methylneodecanamide [CCN] + TX, oxamate [CCN] and picaridin [CCN] + TX,
- an insecticide selected from the group of substances consisting of 1-dichloro-1-nitroethane (lUPAC/Chemical Abstracts name) (1058) + TX, 1 ,1-dichloro-2,2-bis(4-ethylphenyl)ethane (lUPAC name) (1056), + TX, 1 ,2-dichloropropane (lUPAC/Chemical Abstracts name) (1062) + TX, 1 ,2- dichloropropane with 1 ,3-dichloropropene (lUPAC name) (1063) + TX, 1-bromo-2-chloroethane (lUPAC/Chemical Abstracts name) (916) + TX, 2,2,2-trichloro-1-(3,4-dichlorophenyl)ethyl acetate (lUPAC name) (1451 ) + TX, 2,2-dichlorovinyl 2-ethylsulfinylethyl methyl phosphate (lUPAC
- a molluscicide selected from the group of substances consisting of bis(tributyltin) oxide (lUPAC name) (913) + TX, bromoacetamide [CCN] + TX, calcium arsenate [CCN] + TX, cloethocarb (999) + TX, copper acetoarsenite [CCN] + TX, copper sulfate (172) + TX, fentin (347) + TX, ferric phosphate (lUPAC name) (352) + TX, metaldehyde (518) + TX, methiocarb (530) + TX, niclosamide (576) + TX, niclosamide-olamine (576) + TX, pentachlorophenol (623) + TX, sodium pentachlorophenoxide (623) + TX, tazimcarb (1412) + TX, thiodicarb (799) + TX, tributyltin oxide (913)
- a nematicide selected from the group of substances consisting of AKD-3088 (compound code) + TX, 1 ,2-dibromo-3-chloropropane (lUPAC/Chemical Abstracts name) (1045) + TX, 1 ,2- dichloropropane (lUPAC/ Chemical Abstracts name) (1062) + TX, 1 ,2-dichloropropane with 1 ,3- dichloropropene (lUPAC name) (1063) + TX, 1 ,3-dichloropropene (233) + TX, 3,4- dichlorotetrahydrothiophene 1 , 1-dioxide (lUPAC/Chemical Abstracts name) (1065) + TX, 3-(4- chlorophenyl)-5-methylrhodanine (lUPAC name) (980) + TX, 5-methyl-6-thioxo-1 ,3,5-thiadiazinan-3- ylacetic acid (lUPAC name) (1286)
- a nitrification inhibitor selected from the group of substances consisting of potassium ethylxanthate [CCN] and nitrapyrin (580) + TX,
- a plant activator selected from the group of substances consisting of acibenzolar (6) + TX, acibenzolar-S-methyl (6) + TX, probenazole (658) and Reynoutria sachalinensis extract (alternative name) (720) + TX,
- a rodenticide selected from the group of substances consisting of 2-isovalerylindan-1 ,3-dione
- a synergist selected from the group of substances consisting of 2-(2-butoxyethoxy)ethyl piperonylate (lUPAC name) (934) + TX, 5-(1 ,3-benzodioxol-5-yl)-3-hexylcyclohex-2-enone (lUPAC name) (903) + TX, farnesol with nerolidol (alternative name) (324) + TX, MB-599 (development code) (498) + TX, MGK 264 (development code) (296) + TX, piperonyl butoxide (649) + TX, piprotal (1343) + TX, propyl isomer (1358) + TX, S421 (development code) (724) + TX, sesamex (1393) + TX, sesasmolin (1394) and sulfoxide (1406) + TX,
- an animal repellent selected from the group of substances consisting of anthraquinone (32) + TX, chloralose (127) + TX, copper naphthenate [CCN] + TX, copper oxychloride (171 ) + TX, diazinon (227) + TX, dicyclopentadiene (chemical name) (1069) + TX, guazatine (422) + TX, guazatine acetates (422) + TX, methiocarb (530) + TX, pyridin-4-amine (lUPAC name) (23) + TX, thiram (804) + TX, trimethacarb (840) + TX, zinc naphthenate [CCN] and ziram (856) + TX, a virucide selected from the group of substances consisting of imanin (alternative name) [CCN] and ribavirin (alternative name) [CCN] + TX,
- a wound protectant selected from the group of substances consisting of mercuric oxide (512) + TX, octhilinone (590) and thiophanate-methyl (802) + TX,
- the mixtures as described above can be used in a method for controlling pests, which comprises applying a composition comprising a mixture as described above to the pests or their environment, with the exception of a method for treatment of the human or animal body by surgery or therapy and diagnostic methods practised on the human or animal body.
- the mixtures comprising a compound selected from compounds T-2.01 to T-2.08 to T-47.01 to T-47.08 shown in Tables 2 to 47 (below) and compounds A.1 to A.35 described in Table A (below), and one or more active ingredients as described above can be applied, for example, in a single "ready- mix” form, in a combined spray mixture composed from separate formulations of the single active ingredient components, such as a "tank-mix", and in a combined use of the single active ingredients when applied in a sequential manner, i.e. one after the other with a reasonably short period, such as a few hours or days.
- compositions according to the invention can also comprise further solid or liquid auxiliaries, such as stabilizers, for example unepoxidized or epoxidized vegetable oils (for example epoxidized coconut oil, rapeseed oil or soya oil), antifoams, for example silicone oil, preservatives, viscosity regulators, binders and/or tackifiers, fertilizers or other active ingredients for achieving specific effects, for example bactericides, fungicides, nematocides, plant activators, molluscicides or herbicides.
- auxiliaries such as stabilizers, for example unepoxidized or epoxidized vegetable oils (for example epoxidized coconut oil, rapeseed oil or soya oil), antifoams, for example silicone oil, preservatives, viscosity regulators, binders and/or tackifiers, fertilizers or other active ingredients for achieving specific effects, for example bactericides, fungicides, nematocides
- compositions according to the invention are prepared in a manner known per se, in the absence of auxiliaries for example by grinding, screening and/or compressing a solid active ingredient and in the presence of at least one auxiliary for example by intimately mixing and/or grinding the active ingredient with the auxiliary (auxiliaries).
- auxiliaries for example by grinding, screening and/or compressing a solid active ingredient and in the presence of at least one auxiliary for example by intimately mixing and/or grinding the active ingredient with the auxiliary (auxiliaries).
- Another aspect of the invention is related to the use of a compound of Formula (I) or of a preferred individual compound as defined herein, of a composition comprising at least one compound of Formula (I) or at least one preferred individual compound as above-defined, or of a fungicidal or insecticidal mixture comprising at least one compound of Formula (I) or at least one preferred individual compound as above-defined, in admixture with other fungicides or insecticides as described above, for controlling or preventing infestation of plants, e.g. useful plants such as crop plants, propagation material thereof, e.g. seeds, harvested crops, e.g. harvested food crops, or non-living materials by insects or by phytopathogenic microorganisms, preferably fungal organisms.
- useful plants such as crop plants, propagation material thereof, e.g. seeds, harvested crops, e.g. harvested food crops, or non-living materials by insects or by phytopathogenic microorganisms, preferably fungal organisms.
- a further aspect of the invention is related to a method of controlling or preventing an infestation of plants, e.g., useful plants such as crop plants, propagation material thereof, e.g. seeds, harvested crops, e.g., harvested food crops, or of non-living materials by insects or by phytopathogenic or spoilage microorganisms or organisms potentially harmful to man, especially fungal organisms, which comprises the application of a compound of Formula (I) or of a preferred individual compound as above-defined as active ingredient to the plants, to parts of the plants or to the locus thereof, to the propagation material thereof, or to any part of the non-living materials.
- useful plants such as crop plants, propagation material thereof, e.g. seeds, harvested crops, e.g., harvested food crops, or of non-living materials by insects or by phytopathogenic or spoilage microorganisms or organisms potentially harmful to man, especially fungal organisms
- a compound of Formula (I) or of a preferred individual compound as above-defined as active ingredient to the plants, to parts
- Controlling or preventing means reducing infestation by phytopathogenic or spoilage microorganisms or organisms potentially harmful to man, especially fungal organisms, to such a level that an improvement is demonstrated.
- a preferred method of controlling or preventing an infestation of crop plants by phytopathogenic microorganisms, especially fungal organisms, or insects which comprises the application of a compound of Formula (I), or an agrochemical composition which contains at least one of said compounds, is foliar application.
- the frequency of application and the rate of application will depend on the risk of infestation by the corresponding pathogen or insect.
- the compounds of Formula (I) can also penetrate the plant through the roots via the soil (systemic action) by drenching the locus of the plant with a liquid Formulation, or by applying the compounds in solid form to the soil, e.g. in granular form (soil application). In crops of water rice such granulates can be applied to the flooded rice field.
- the compounds of Formula (I) may also be applied to seeds (coating) by impregnating the seeds or tubers either with a liquid formulation of the fungicide or coating them with a solid formulation.
- a formulation e.g. a composition containing the compound of Formula (I), and, if desired, a solid or liquid adjuvant or monomers for encapsulating the compound of Formula (I), may be prepared in a known manner, typically by intimately mixing and/or grinding the compound with extenders, for example solvents, solid carriers and, optionally, surface active compounds (surfactants).
- extenders for example solvents, solid carriers and, optionally, surface active compounds (surfactants).
- Advantageous rates of application are normally from 5g to 2kg of active ingredient (a.i.) per hectare (ha), preferably from 10g to 1 kg a.i./ha, most preferably from 20g to 600g a.i./ha.
- convenient dosages are from 10mg to 1g of active substance per kg of seeds.
- rates of 0.001 to 50 g of a compound of Formula (I) per kg of seed preferably from 0.01 to 10g per kg of seed are generally sufficient.
- composition comprising a compound of Formula (I) according to the present invention is applied either preventative, meaning prior to disease development or curative, meaning after disease development.
- compositions of the invention may be employed in any conventional form, for example in the form of a twin pack, a powder for dry seed treatment (DS), an emulsion for seed treatment (ES), a flowable concentrate for seed treatment (FS), a solution for seed treatment (LS), a water dispersible powder for seed treatment (WS), a capsule suspension for seed treatment (CF), a gel for seed treatment (GF), an emulsion concentrate (EC), a suspension concentrate (SC), a suspo-emulsion (SE), a capsule suspension (CS), a water dispersible granule (WG), an emulsifiable granule (EG), an emulsion, water in oil (EO), an emulsion, oil in water (EW), a micro-emulsion (ME), an oil dispersion (OD), an oil miscible flowable (OF), an oil miscible liquid (OL), a soluble concentrate (SL), an ultra-low volume suspension (SU), an ultra-low volume liquid (UL), a technical concentrate (TK
- compositions may be produced in conventional manner, e.g. by mixing the active ingredients with appropriate formulation inerts (diluents, solvents, fillers and optionally other formulating ingredients such as surfactants, biocides, anti-freeze, stickers, thickeners and compounds that provide adjuvancy effects).
- appropriate formulation inerts diiluents, solvents, fillers and optionally other formulating ingredients such as surfactants, biocides, anti-freeze, stickers, thickeners and compounds that provide adjuvancy effects.
- conventional slow release formulations may be employed where long lasting efficacy is intended.
- Particularly Formulations to be applied in spraying forms such as water dispersible concentrates (e.g. EC, SC, DC, OD, SE, EW, EO and the like), wettable powders and granules, may contain surfactants such as wetting and dispersing agents and other compounds that provide adjuvancy effects, e.g.
- a seed dressing formulation is applied in a manner known per se to the seeds employing the combination of the invention and a diluent in suitable seed dressing formulation form, e.g. as an aqueous suspension or in a dry powder form having good adherence to the seeds.
- suitable seed dressing formulation form e.g. as an aqueous suspension or in a dry powder form having good adherence to the seeds.
- seed dressing formulations are known in the art.
- Seed dressing formulations may contain the single active ingredients or the combination of active ingredients in encapsulated form, e.g. as slow release capsules or microcapsules.
- the formulations include from 0.01 to 90% by weight of active agent, from 0 to 20% agriculturally acceptable surfactant and 10 to 99.99% solid or liquid formulation inerts and adjuvant(s), the active agent consisting of at least the compound of Formula (I) optionally together with other active agents, particularly microbiocides or conservatives or the like.
- Concentrated forms of compositions generally contain in between about 2 and 80%, preferably between about 5 and 70% by weight of active agent.
- Application forms of formulation may for example contain from 0.01 to 20% by weight, preferably from 0.01 to 5% by weight of active agent. Whereas commercial products will preferably be formulated as concentrates, the end user will normally employ diluted formulations.
- Table 1 discloses 8 combinations (compounds 1.01 to 1.08) of substituents R , R 2 , R 3 , R 4 , R 5 and R 6 in accordance with compounds as defined for Formula (T-1 ).
- Formula (T-1 ) corresponds to formula (I) as defined for the resent invention.
- Tables 2 to 47 make available 8 additional individual compounds of the formula (T-1 ) in which Z is as specifically defined in Tables 2 to 47 (Formula T-2 to T-47), which refer to Table 1 wherein R , R 2 , R 3 , R 4 , R 5 and R 6 are specifically defined.
- Table 2 This table discloses compounds T-2.01 to T-2.08 of the formula (T-2), which is a compound of formula (I) wherein R , R 2 , R 3 , R 4 , R 5 and R 6 have the specific meanings given in the Table 1.
- Table 3 This table discloses compounds T-3.01 to T-3.08 of the formula (T-3), which is a compound of formula (I) wherein R ⁇ R 2 , R 3 , R 4 , R 5 and R 6 have the specific meanings given in the Table 1.
- Table 4 discloses compounds T-4.01 to T-4.08 of the formula (T-4), which is a compound of formula (I) wherein R , R 2 , R 3 , R 4 , R 5 and R 6 have the specific meanings given in the Table 1.
- Table 5 This table discloses compounds T-5.01 to T-5.08 of the formula (T-5), which is a compound of formula (I) wherein R , R 2 , R 3 , R 4 , R 5 and R 6 have the specific meanings given in the Table 1.
- Table 6 This table discloses compounds T-6.01 to T-6.08 of the formula (T-6), which is a compound of formula (I) wherein R ⁇ R 2 , R 3 , R 4 , R 5 and R 6 have the specific meanings given in the Table 1.
- Table 7 discloses compounds T-7.01 to T-7.08 of the formula (T-7), which is a compound of formula (I) wherein R ⁇ R 2 , R 3 , R 4 , R 5 and R 6 have the specific meanings given in the Table 1.
- Table 8 This table discloses compounds T-8.01 to T-8.08 of the formula (T-8), which is a compound of formula (I) wherein R , R 2 , R 3 , R 4 , R 5 and R 6 have the specific meanings given in the Table 1.
- Table 9 discloses compounds T-9.01 to T-9.08 of the formula (T-9), which is a compound of formula (I) wherein R , R 2 , R 3 , R 4 , R 5 and R 6 have the specific meanings given in the Table 1.
- Table 10 This table discloses compounds T-10.01 to T-10.08 of the formula (T-9), which is a compound of formula (I) wherein R ⁇ R 2 , R 3 , R 4 , R 5 and R 6 have the specific meanings given in the Table 1.
- Table 1 1 discloses compounds T-1 1.01 to T-1 1.08 of the formula (T-1 1 ), which is a compound of formula (I) wherein R ⁇ R 2 , R 3 , R 4 , R 5 and R 6 have the specific meanings given in the Table 1.
- Table 12 This table discloses compounds T-12.01 to T-12.08 of the formula (T-12), which is a compound of formula (I) wherein R , R 2 , R 3 , R 4 , R 5 and R 6 have the specific meanings given in the Table 1.
- Table 13 This table discloses compounds T-13.01 to T-13.08 of the formula (T-13), which is a compound of formula (I) wherein R ⁇ R 2 , R 3 , R 4 , R 5 and R 6 have the specific meanings given in the Table 1.
- Table 14 This table discloses compounds T-14.01 to T-14.08 of the formula (T-14), which is a compound of formula (I) wherein R ⁇ R 2 , R 3 , R 4 , R 5 and R 6 have the specific meanings given in the Table 1.
- Table 15 This table discloses compounds T-15.01 to T-15.08 of the formula (T-15), which is a compound of formula (I) wherein R , R 2 , R 3 , R 4 , R 5 and R 6 have the specific meanings given in the Table 1.
- Table 16 This table discloses compounds T-16.01 to T-16.08 of the formula (T-16), which is a compound of formula (I) wherein R , R 2 , R 3 , R 4 , R 5 and R 6 have the specific meanings given in the Table 1.
- Table 17 This table discloses compounds T-17.01 to T-17.08 of the formula (T-17), which is a compound of formula (I) wherein R ⁇ R 2 , R 3 , R 4 , R 5 and R 6 have the specific meanings given in the Table 1.
- Table 18 This table discloses compounds T-18.01 to T-18.08 of the formula (T-18), which is a compound of formula (I) wherein R , R 2 , R 3 , R 4 , R 5 and R 6 have the specific meanings given in the Table 1.
- Table 19 discloses compounds T-19.01 to T-19.08 of the formula (T-19), which is a compound of formula (I) wherein R , R 2 , R 3 , R 4 , R 5 and R 6 have the specific meanings given in the Table 1.
- Table 20 This table discloses compounds T-20.01 to T-20.08 of the formula (T-20), which is a compound of formula (I) wherein R ⁇ R 2 , R 3 , R 4 , R 5 and R 6 have the specific meanings given in the Table 1.
- Table 21 This table discloses compounds T-21.01 to T-21.08 of the formula (T-21 ), which is a compound of formula (I) wherein R , R 2 , R 3 , R 4 , R 5 and R 6 have the specific meanings given in the Table 1.
- Table 22 This table discloses compounds T-22.01 to T-22.08 of the formula (T-22), which is a compound of formula (I) wherein R , R 2 , R 3 , R 4 , R 5 and R 6 have the specific meanings given in the Table 1.
- Table 23 discloses compounds T-23.01 to T-23.08 of the formula (T-23), which is a compound of formula (I) wherein R , R 2 , R 3 , R 4 , R 5 and R 6 have the specific meanings given in the Table 1.
- Table 25 This table discloses compounds T-25.01 to T-25.08 of the formula (T-25), which is a compound of formula (I) wherein R ⁇ R 2 , R 3 , R 4 , R 5 and R 6 have the specific meanings given in the Table 1.
- Table 26 This table discloses compounds T-26.01 to T-26.08 of the formula (T-26), which is a compound of formula (I) wherein R , R 2 , R 3 , R 4 , R 5 and R 6 have the specific meanings given in the Table 1.
- Table 27 This table discloses compounds T-27.01 to T-27.08 of the formula (T-27), which is a compound of formula (I) wherein R ⁇ R 2 , R 3 , R 4 , R 5 and R 6 have the specific meanings given in the Table 1.
- Table 28 This table discloses compounds T-28.01 to T-28.08 of the formula (T-28), which is a compound of formula (I) wherein R , R 2 , R 3 , R 4 , R 5 and R 6 have the specific meanings given in the Table 1.
- Table 29 This table discloses compounds T-29.01 to T-29.08 of the formula (T-29), which is a compound of formula (I) wherein R , R 2 , R 3 , R 4 , R 5 and R 6 have the specific meanings given in the Table 1.
- Table 30 This table discloses compounds T-30.01 to T-30.08 of the formula (T-30), which is a compound of formula (I) wherein R , R 2 , R 3 , R 4 , R 5 and R 6 have the specific meanings given in the Table 1.
- Table 31 discloses compounds T-31.01 to T-31.08 of the formula (T-31 ), which is a compound of formula (I) wherein R ⁇ R 2 , R 3 , R 4 , R 5 and R 6 have the specific meanings given in the Table 1.
- Table 32 This table discloses compounds T-32.01 to T-32.08 of the formula (T-32), which is a compound of formula (I) wherein R , R 2 , R 3 , R 4 , R 5 and R 6 have the specific meanings given in the Table 1.
- Table 33 This table discloses compounds T-33.01 to T-33.08 of the formula (T-33), which is a compound of formula (I) wherein R , R 2 , R 3 , R 4 , R 5 and R 6 have the specific meanings given in the Table 1.
- Table 34 discloses compounds T-34.01 to T-34.08 of the formula (T-34), which is a compound of formula (I) wherein R ⁇ R 2 , R 3 , R 4 , R 5 and R 6 have the specific meanings given in the Table 1.
- Table 35 This table discloses compounds T-35.01 to T-35.08 of the formula (T-35), which is a compound of formula (I) wherein R ⁇ R 2 , R 3 , R 4 , R 5 and R 6 have the specific meanings given in the Table 1.
- Table 36 This table discloses compounds T-36.01 to T-36.08 of the formula (T-36), which is a compound of formula (I) wherein R , R 2 , R 3 , R 4 , R 5 and R 6 have the specific meanings given in the Table 1.
- Table 37 discloses compounds T-37.01 to T-37.08 of the formula (T-37), which is a compound of formula (I) wherein R , R 2 , R 3 , R 4 , R 5 and R 6 have the specific meanings given in the Table 1.
- Table 38 discloses compounds T-38.01 to T-38.08 of the formula (T-38), which is a compound of formula (I) wherein R ⁇ R 2 , R 3 , R 4 , R 5 and R 6 have the specific meanings given in the Table 1.
- Table 39 discloses compounds T-39.01 to T-39.08 of the formula (T-39), which is a compound of formula (I) wherein R , R 2 , R 3 , R 4 , R 5 and R 6 have the specific meanings given in the Table 1.
- Table 40 This table discloses compounds T-40.01 to T-40.08 of the formula (T-40), which is a compound of formula (I) wherein R , R 2 , R 3 , R 4 , R 5 and R 6 have the specific meanings given in the Table 1.
- Table 41 discloses compounds T-41.01 to T-41.08 of the formula (T-41 ), which is a compound of formula (I) wherein R ⁇ R 2 , R 3 , R 4 , R 5 and R 6 have the specific meanings given in the Table 1.
- Table 42 This table discloses compounds T-42.01 to T-42.08 of the formula (T-42), which is a compound of formula (I) wherein R ⁇ R 2 , R 3 , R 4 , R 5 and R 6 have the specific meanings given in the Table 1.
- Table 43 This table discloses compounds T-43.01 to T-43.08 of the formula (T-43), which is a compound of formula (I) wherein R , R 2 , R 3 , R 4 , R 5 and R 6 have the specific meanings given in the Table 1.
- Table 44 This table discloses compounds T-44.01 to T-44.08 of the formula (T-44), which is a compound of formula (I) wherein R , R 2 , R 3 , R 4 , R 5 and R 6 have the specific meanings given in the Table 1.
- Table 46 This table discloses compounds T-46.01 to T-46.08 of the formula (T-46), which is a compound of formula (I) wherein R ⁇ R 2 , R 3 , R 4 , R 5 and R 6 have the specific meanings given in the Table 1.
- Table 47 discloses compounds T-47.01 to T-47.08 of the formula (T-47), which is a compound of formula (I) wherein R , R 2 , R 3 , R 4 , R 5 and R 6 have the specific meanings given in the Table 1.
- the compounds of the invention can be distinguished from known compounds by virtue of greater efficacy at low application rates, which can be verified by the person skilled in the art using the experimental procedures outlined in the Examples, using lower application rates if necessary, for example 50 ppm, 12.5 ppm, 6 ppm, 3 ppm, 1.5 ppm, 0.8 ppm or 0.2 ppm.
- Compounds of Formula (I) may possess any number of benefits including, inter alia, advantageous levels of biological activity for protecting plants against diseases that are caused by fungi or superior properties for use as agrochemical active ingredients (for example, greater biological activity, an advantageous spectrum of activity, an increased safety profile (including improved crop tolerance), improved physico-chemical properties, or increased biodegradability).
- Type of column Waters ACQUITY UPLC HSS T3; Column length: 30 mm; Internal diameter of column: 2.1 mm; Particle Size: 1.8 micron; Temperature: 60°C.
- enantiomerically pure final compounds may be obtained from racemic materials as appropriate via standard physical separation techniques, such as reverse phase chiral chromatography, or through stereoselective synthetic techniques, eg, by using chiral starting materials.
- Active ingredient [compound of Formula (I)] 25 % 50 % 75 %
- the active ingredient is thoroughly mixed with the adjuvants and the mixture is thoroughly ground in a suitable mill, affording wettable powders that can be diluted with water to give suspensions of the desired concentration.
- Active ingredient [compound of Formula (I)] 25 % 50 % 75 %
- the active ingredient is thoroughly mixed with the adjuvants and the mixture is thoroughly ground in a suitable mill, affording powders that can be used directly for seed treatment.
- Emulsions of any required dilution, which can be used in plant protection, can be obtained from this concentrate by dilution with water.
- Active ingredient [compound of Formula (I)] 5 % 6 % 4 %
- Ready-for-use dusts are obtained by mixing the active ingredient with the carrier and grinding the mixture in a suitable mill. Such powders can also be used for dry dressings for seed.
- the active ingredient is mixed and ground with the adjuvants, and the mixture is moistened with water.
- the mixture is extruded and then dried in a stream of air.
- polyethylene glycol (mol. wt. 200) 3 %
- the finely ground active ingredient is uniformly applied, in a mixer, to the kaolin moistened with polyethylene glycol. Non-dusty coated granules are obtained in this manner.
- Active ingredient [compound of Formula (I)] 40 %
- nonylphenol polyethylene glycol ether (15 mol of ethylene oxide) 6 %
- Silicone oil (in the form of a 75 % emulsion in water) 1 %
- the finely ground active ingredient is intimately mixed with the adjuvants, giving a suspension concentrate from which suspensions of any desired dilution can be obtained by dilution with water.
- a suspension concentrate from which suspensions of any desired dilution can be obtained by dilution with water.
- living plants as well as plant propagation material can be treated and protected against infestation by microorganisms, by spraying, pouring or immersion.
- Active ingredient [compound of Formula (I)] 40 %
- Silicone oil (in the form of a 75 % emulsion in water) 0.2 %
- the finely ground active ingredient is intimately mixed with the adjuvants, giving a suspension concentrate from which suspensions of any desired dilution can be obtained by dilution with water.
- a suspension concentrate from which suspensions of any desired dilution can be obtained by dilution with water.
- living plants as well as plant propagation material can be treated and protected against infestation by microorganisms, by spraying, pouring or immersion.
- 28 parts of a combination of the compound of Formula I are mixed with 2 parts of an aromatic solvent and 7 parts of toluene diisocyanate/polymethylene-polyphenylisocyanate-mixture (8: 1 ).
- This mixture is emulsified in a mixture of 1.2 parts of polyvinylalcohol, 0.05 parts of a defoamer and 51.6 parts of water until the desired particle size is achieved.
- a mixture of 2.8 parts 1 ,6- diaminohexane in 5.3 parts of water is added. The mixture is agitated until the polymerization reaction is completed.
- the obtained capsule suspension is stabilized by adding 0.25 parts of a thickener and 3 parts of a dispersing agent.
- the capsule suspension Formulation contains 28% of the active ingredients.
- the medium capsule diameter is 8-15 microns.
- the resulting formulation is applied to seeds as an aqueous suspension in an apparatus suitable for that purpose.
- DIPEA N,N-di-isopropylethylamine
- Example 1 This example illustrates the preparation of N,4-dimethyl-2-[[4-[5-(trifluoromethyl)-1 ,2,4- oxadiazol-3-yl]phenyl]methyl]pyrimidine-5-carboxamide (Compound A.1 of Table A)
- Step 1 Preparation of 2-[4-[5-(trifluoromethyl)-1 ,2,4-oxadiazol-3-yl]phenyl]acetonitrile.
- Step 4 Preparation of ethyl 4-methyl-2-[[4-[5-(trifluoromethyl)-1 ,2,4-oxadiazol-3- yl]phenyl]methyl]pyrimidine-5-carboxylate.
- Step 5 Preparation of N,4-dimethyl-2-[[4-[5-(trifluoromethyl)-1 ,2,4-oxadiazol-3- yl]phenyl]methyl]pyrimidine-5-carboxamide.
- Example 2 This example illustrates the preparation of 3-[4-[[4-methyl-6-(trifluoromethyl)pyrimidin-2- yl]methyl]phenyl]-5-(trifluoromethyl)-1 ,2,4-oxadiazole (Compound A.4 of Table A).
- Example 3 This example illustrates the preparation of 3-[4-[(2-methoxy-4,6-dimethyl-pyrimidin-5- yl)methyl]phenyl]-5-(trifluoromethyl)-1 ,2,4-oxadiazole (Compound A.10 of Table A)
- Step 1 Preparation of 3-[[4-[5-(trifluoromethyl)-1 ,2,4-oxadiazol-3-yl]phenyl]methyl]pentane-2,4-dione
- Step 3 Preparation of 3-[4-[(2-chloro-4,6-dimethyl-pyrimidin-5-yl)methyl]phenyl]-5-(trifluoromethyl)- 1 ,2,4-oxadiazole (Compound A.9 of Table A)
- Step 4 Preparation of 3-[4-[(2-methoxy-4,6-dimethyl-pyrimidin-5-yl)methyl]phenyl]-5-(trifluoromethyl)- 1 ,2,4-oxadiazole(Compound A.10 of Table A)
- Example 4 This example illustrates the preparation of 1 ,4,6-trimethyl-5-[[4-[5-(trifluoromethyl)-1 ,2,4- oxadiazol-3-yl]phenyl]methyl]pyrimidin-2-one (Compound A.1 1 of Table A)
- Example 5 This example illustrates the preparation of tert-butyl 4-[[4-[5-(trifluoromethyl)-1 ,2,4- oxadiazol-3-yl]phenyl]methyl]piperidine-1-carboxylate (Compound A.17 of Table A)
- Step 1 Preparation of 4-[[4-[(Z)-N'-hydroxycarbamimidoyl]phenyl]methyl]piperidine-1-carboxylate
- Step 2 Preparation of tert-butyl 4-[[4-[5-(trifluoromethyl)-1 ,2,4-oxadiazol-3-yl]phenyl]methyl]piperidine- 1 -carboxylate (Com pou nd A.17 of Table A).
- Leaf disks or leaf segments of various plant species are cut from plants grown in a greenhouse.
- the cut leaf disks or segments are placed in multiwell plates (24-well format) onto water agar.
- the leaf disks are sprayed with a test solution before (preventative) or after (curative) inoculation.
- Compounds to be tested are prepared as DMSO solutions (max. 10 mg/ml) which are diluted to the appropriate concentration with 0.025% Tween20 just before spraying .
- the inoculated leaf disks or segments are incubated under defined conditions (temperature, relative humidity, light, etc.) according to the respective test system.
- a single evaluation of disease level is carried out 3 to 14 days after inoculation, depending on the pathosystem. Percent disease control relative to the untreated check leaf disks or segments is then calculated.
- Mycelia fragments or conidia suspensions of a fungus prepared either freshly from liquid cultures of the fungus or from cryogenic storage, are directly mixed into nutrient broth.
- DMSO solutions of the test compound (max. 10 mg/ml) are diluted with 0.025% Tween20 by a factor of 50 and 10 ⁇ of this solution is pipetted into a microtiter plate (96-well format). The nutrient broth containing the fungal spores/mycelia fragments is then added to give an end concentration of the tested compound.
- the test plates are incubated in the dark at 24°C and 96% relative humidity.
- Example 1 Fungicidal activity against Puccinia recondita f. sp. tritici I wheat / leaf disc preventative (Brown rust)
- Wheat leaf segments cv. Kanzler were placed on agar in multiwell plates (24-well format) and sprayed with the formulated test compound diluted in water.
- the leaf disks were inoculated with a spore suspension of the fungus 1 day after application.
- the inoculated leaf segments were incubated at 19 C and 75% relative humidity (rh) under a light regime of 12 hours light / 12 hours darkness in a climate cabinet and the activity of a compound was assessed as percent disease control compared to untreated when an appropriate level of disease damage appears in untreated check leaf segments (7 to 9 days after application).
- the following compounds at 200 ppm in the applied formulation give at least 80% disease control in this test when compared to untreated control leaf disks under the same conditions, which show extensive disease development.
- Example 2 Fungicidal activity against Puccinia recondita f. sp. tritici/ wheat / leaf disc curative (Brown rust) Wheat leaf segments cv. Kanzler are placed on agar in multiwell plates (24-well format). The leaf segments are then inoculated with a spore suspension of the fungus. Plates were stored in darkness at 19°C and 75% relative humidity. The formulated test compound diluted in water was applied 1 day after inoculation.
- the leaf segments were incubated at 19°C and 75% relative humidity under a light regime of 12 hours light / 12 hours darkness in a climate cabinet and the activity of a compound was assessed as percent disease control compared to untreated when an appropriate level of disease damage appears in untreated check leaf segments (6 to 8 days after application).
- the following compounds at 200 ppm in the applied formulation give at least 80% disease control in this test when compared to untreated control leaf disks under the same conditions, which show extensive disease development.
- Example 3 Fungicidal activity against Phakopsora pachyrhizi I soybean / leaf disc preventative (Asian soybean rust) Soybean leaf disks are placed on water agar in multiwell plates (24-well format) and sprayed with the formulated test compound diluted in water. One day after application leaf discs are inoculated by spraying a spore suspension on the lower leaf surface. After an incubation period in a climate cabinet of 24-36 hours in darkness at 20°C and 75% rh leaf disc are kept at 20°C with 12 h light/day and 75% rh. The activity of a compound is assessed as percent disease control compared to untreated when an appropriate level of disease damage appears in untreated check leaf disks (12 to 14 days after application).
- the following compounds at 200 ppm in the applied formulation give at least 80% disease control in this test when compared to untreated control leaf disks under the same conditions, which show extensive disease development.
- Example 4 Fungicidal activity against Glomerella lagenarium (Colletotrichum lagenarium) liguid culture / cucumber / preventative (Anthracnose)
- Conidia of the fungus from cryogenic storage are directly mixed into nutrient broth (PDB - potato dextrose broth). After placing a (DMSO) solution of test compound into a microtiter plate (96- well format), the nutrient broth containing the fungal spores is added. The test plates are incubated at 24 C and the inhibition of growth is measured photometrically 3 to 4 days after application.
- nutrient broth PDB - potato dextrose broth
- the following compounds at 20 ppm in the applied formulation give at least 80% disease control in this test when compared to untreated control under the same conditions, which show extensive disease development.
Landscapes
- Chemical & Material Sciences (AREA)
- Organic Chemistry (AREA)
- Life Sciences & Earth Sciences (AREA)
- Health & Medical Sciences (AREA)
- Pest Control & Pesticides (AREA)
- Plant Pathology (AREA)
- Agronomy & Crop Science (AREA)
- Engineering & Computer Science (AREA)
- Dentistry (AREA)
- General Health & Medical Sciences (AREA)
- Wood Science & Technology (AREA)
- Zoology (AREA)
- Environmental Sciences (AREA)
- Agricultural Chemicals And Associated Chemicals (AREA)
- Plural Heterocyclic Compounds (AREA)
Abstract
Description
Claims
Priority Applications (1)
| Application Number | Priority Date | Filing Date | Title |
|---|---|---|---|
| BR112020000414-6A BR112020000414A2 (en) | 2017-07-12 | 2018-07-11 | microbicidal oxadiazole derivatives |
Applications Claiming Priority (2)
| Application Number | Priority Date | Filing Date | Title |
|---|---|---|---|
| EP17181043 | 2017-07-12 | ||
| EP17181043.5 | 2017-07-12 |
Publications (1)
| Publication Number | Publication Date |
|---|---|
| WO2019012001A1 true WO2019012001A1 (en) | 2019-01-17 |
Family
ID=59325235
Family Applications (1)
| Application Number | Title | Priority Date | Filing Date |
|---|---|---|---|
| PCT/EP2018/068822 Ceased WO2019012001A1 (en) | 2017-07-12 | 2018-07-11 | MICROBIOCIDE OXADIAZOLE DERIVATIVES |
Country Status (2)
| Country | Link |
|---|---|
| BR (1) | BR112020000414A2 (en) |
| WO (1) | WO2019012001A1 (en) |
Cited By (2)
| Publication number | Priority date | Publication date | Assignee | Title |
|---|---|---|---|---|
| WO2021033133A1 (en) | 2019-08-19 | 2021-02-25 | Pi Industries Ltd. | Novel oxadiazole compounds containing 5- membered heteroaromatic ring for controlling or preventing phytopathogenic fungi |
| WO2022133114A1 (en) * | 2020-12-17 | 2022-06-23 | Fmc Corporation | Fungicidal oxadiazoles and their mixtures |
Citations (87)
| Publication number | Priority date | Publication date | Assignee | Title |
|---|---|---|---|---|
| US4639771A (en) | 1984-10-31 | 1987-01-27 | Kabushiki Kaisha Toshiba | Image processing system |
| EP0357460A2 (en) | 1988-09-02 | 1990-03-07 | Sankyo Company Limited | 13-Substituted milbemycin derivatives, their preparation and use |
| EP0367474A1 (en) | 1988-11-01 | 1990-05-09 | Mycogen Corporation | Novel bacillus thuringiensis isolate denoted b.t. ps81gg, active against lepidopteran pests, and a gene encoding a lepidopteran-active toxin |
| EP0374753A2 (en) | 1988-12-19 | 1990-06-27 | American Cyanamid Company | Insecticidal toxines, genes coding therefor, antibodies binding them, transgenic plant cells and plants expressing these toxines |
| EP0382173A2 (en) | 1989-02-07 | 1990-08-16 | Meiji Seika Kaisha Ltd. | PF 1022 substance, method of producing same and anthelmintic composition containing same |
| WO1990013651A1 (en) | 1989-05-09 | 1990-11-15 | Imperial Chemical Industries Plc | Bacterial genes |
| EP0401979A2 (en) | 1989-05-18 | 1990-12-12 | Mycogen Corporation | Novel bacillus thuringiensis isolates active against lepidopteran pests, and genes encoding novel lepidopteran-active toxins |
| US5015630A (en) | 1989-01-19 | 1991-05-14 | Merck & Co., Inc. | 5-oxime avermectin derivatives |
| EP0427529A1 (en) | 1989-11-07 | 1991-05-15 | Pioneer Hi-Bred International, Inc. | Larvicidal lectins and plant insect resistance based thereon |
| EP0444964A1 (en) | 1990-03-01 | 1991-09-04 | Sankyo Company Limited | Milbemycin ether derivatives, their preparation and their anthelmintic uses |
| EP0451878A1 (en) | 1985-01-18 | 1991-10-16 | Plant Genetic Systems, N.V. | Modifying plants by genetic engineering to combat or control insects |
| EP0503538A1 (en) | 1991-03-08 | 1992-09-16 | Meiji Seika Kaisha Ltd. | Medicinal composition containing an anthelmintic cyclic depsipeptide |
| WO1993007278A1 (en) | 1991-10-04 | 1993-04-15 | Ciba-Geigy Ag | Synthetic dna sequence having enhanced insecticidal activity in maize |
| WO1993019053A1 (en) | 1992-03-17 | 1993-09-30 | Fujisawa Pharmaceutical Co., Ltd. | Depsipeptide derivative, production thereof and use thereof |
| WO1993025543A2 (en) | 1992-06-11 | 1993-12-23 | Bayer Aktiengesellschaft | Enniatines and enniatine derivates used to control endoparasites |
| EP0594291A1 (en) | 1992-09-01 | 1994-04-27 | Sankyo Company Limited | Novel processes for the production of 13-ether derivatives of milbemycins, and novel intermediates therefor |
| WO1994015944A1 (en) | 1993-01-18 | 1994-07-21 | Pfizer Limited | New antiparasitic agents related to the milbemycins and avermectins |
| WO1994019334A1 (en) | 1993-02-19 | 1994-09-01 | Meiji Seika Kaisha, Ltd. | Pf1022 derivative, cyclic depsipeptide |
| EP0626375A1 (en) | 1993-05-26 | 1994-11-30 | Bayer Ag | Octacyclodepsipeptides having endoparasiticidal activity |
| WO1995019363A1 (en) | 1994-01-14 | 1995-07-20 | Pfizer Inc. | Antiparasitic pyrrolobenzoxazine compounds |
| WO1995022552A1 (en) | 1994-02-16 | 1995-08-24 | Pfizer Limited | Antiparasitic agents |
| WO1995034656A1 (en) | 1994-06-10 | 1995-12-21 | Ciba-Geigy Ag | Novel bacillus thuringiensis genes coding toxins active against lepidopteran pests |
| US5478855A (en) | 1992-04-28 | 1995-12-26 | Yashima Chemical Industry Co., Ltd. | 2-(2,6-difluorophenyl)-4-(2-ethoxy-4-tert-butylphenyl)-2-oxazoline |
| WO1996011945A2 (en) | 1994-10-18 | 1996-04-25 | Bayer Aktiengesellschaft | Cyclic depsipeptide sulfonylation, sulfenylation and phosphorylation process |
| WO1996015121A1 (en) | 1994-11-10 | 1996-05-23 | Bayer Aktiengesellschaft | Use of dioxomorpholines to combat endoparasites, novel dioxomorpholines and process for their production |
| DE19520936A1 (en) | 1995-06-08 | 1996-12-12 | Bayer Ag | Ectoparasiticides means |
| WO1997030047A1 (en) * | 1996-02-17 | 1997-08-21 | Agrevo Uk Limited | Fungicidal 1,2,4-oxadiazoles and analogues |
| WO1997033890A1 (en) | 1996-03-11 | 1997-09-18 | Novartis Ag | Pyrimidin-4-one derivatives as pesticide |
| WO2002015701A2 (en) | 2000-08-25 | 2002-02-28 | Syngenta Participations Ag | Bacillus thuringiensis crystal protein hybrids |
| WO2003018810A2 (en) | 2001-08-31 | 2003-03-06 | Syngenta Participations Ag | Modified cry3a toxins and nucleic acid sequences coding therefor |
| WO2003028729A2 (en) | 2001-10-03 | 2003-04-10 | Pharmacia Corporation | Prodrugs of substituted polycyclic compounds useful for selective inhibition of the coagulation cascade |
| WO2003035617A2 (en) | 2001-10-23 | 2003-05-01 | Dow Agrosciences Llc Patent Department | Derivatives of uk-2a |
| WO2003052073A2 (en) | 2001-12-17 | 2003-06-26 | Syngenta Participations Ag | Novel corn event |
| WO2004072086A2 (en) | 2003-02-14 | 2004-08-26 | Pfizer Limited | Antiparasitic terpene alkaloids |
| WO2005054201A1 (en) | 2003-11-20 | 2005-06-16 | Janssen Pharmaceutica N.V. | 6-alkenyl and 6-phenylalkyl substituted 2-quinolinones and 2-quinoxalinones as poly(adp-ribose) polymerase inhibitors |
| US6919298B2 (en) | 2002-04-04 | 2005-07-19 | Valent Biosciences Corporation | Enhanced herbicide composition |
| WO2005070917A1 (en) | 2004-01-23 | 2005-08-04 | Sankyo Agro Company, Limited | 3-(dihydro(tetrahydro)isoquinolin-1-yl)quinolines |
| WO2005121104A1 (en) | 2004-06-09 | 2005-12-22 | Sumitomo Chemical Company, Limited | Pyridazine compound and use thereof |
| WO2006087343A1 (en) | 2005-02-16 | 2006-08-24 | Basf Aktiengesellschaft | Pyrazole carboxylic acid anilides, method for the production thereof and agents containing them for controlling pathogenic fungi |
| US20070060644A1 (en) | 2004-02-12 | 2007-03-15 | Vander Jagt David L | Therapeutic curcumin derivatives |
| WO2007031513A1 (en) | 2005-09-13 | 2007-03-22 | Bayer Cropscience Ag | Pesticide thiazolyloxy substituted phenylamidine derivatives |
| WO2007048556A1 (en) | 2005-10-25 | 2007-05-03 | Syngenta Participations Ag | Heterocyclic amide derivatives useful as microbiocides |
| WO2007072999A1 (en) | 2005-12-22 | 2007-06-28 | Nihon Nohyaku Co., Ltd | Pyrazinecarboxamide derivatives and plant disease controlling agents containing the same |
| US20070155739A1 (en) | 2005-12-30 | 2007-07-05 | Alantos Pharmaceuticals, Inc. | Substituted bis-amide metalloprotease inhibitors |
| WO2007129454A1 (en) | 2006-05-08 | 2007-11-15 | Kumiai Chemical Industry Co., Ltd. | 1,2-benzisothiazole derivative, and agricultural or horticultural plant disease-controlling agent |
| US20080196127A1 (en) | 2005-04-11 | 2008-08-14 | Bayer Bioscience N.V. | Elite Event A5547-127 and Methods and Kits For Identifying Such Event in Biological Samples |
| US20080312082A1 (en) | 2006-10-31 | 2008-12-18 | Kinney Anthony J | Soybean event dp-305423-1 and compositions and methods for the identification and/or detection thereof |
| US20080320616A1 (en) | 2005-04-08 | 2008-12-25 | Bayer Bioscience N.V. | Elite Event A2407-12 and Methods and Kits for Identifying Such Event in Biological Samples |
| WO2009022746A1 (en) | 2007-08-10 | 2009-02-19 | Nippon Soda Co., Ltd. | Nitrogen-containing heterocyclic compound and pest control agent |
| US7632985B2 (en) | 2005-05-27 | 2009-12-15 | Monsanto Technology Llc | Soybean event MON89788 and methods for detection thereof |
| WO2010000841A1 (en) | 2008-07-04 | 2010-01-07 | Bayer Cropscience Sa | Fungicide hydroximoyl-tetrazole derivatives |
| WO2010045251A2 (en) | 2008-10-17 | 2010-04-22 | Xenon Pharmaceuticals, Inc. | Spiro-oxindole compounds and their use as therapeutic agents |
| WO2010080829A1 (en) | 2009-01-07 | 2010-07-15 | Basf Agrochemical Products B.V. | Soybean event 127 and methods related thereto |
| US20100184079A1 (en) | 2006-06-28 | 2010-07-22 | Pioneer Hi-Bred International, Inc. | Soybean event 3560.4.3.5 and compositions and methods for the identification and detection thereof |
| WO2010093059A1 (en) | 2009-02-16 | 2010-08-19 | 住友化学株式会社 | Method for producing phenylacetamide compound |
| WO2010130767A2 (en) | 2009-05-15 | 2010-11-18 | Bayer Cropscience Ag | Fungicide pyrazole carboxamides derivatives |
| WO2010146031A2 (en) | 2009-06-16 | 2010-12-23 | Basf Se | Fungicidal mixtures |
| WO2011022470A1 (en) | 2009-08-19 | 2011-02-24 | Dow Agrosciences Llc | Control of aad-1 monocot volunteers in fields of dicot crops |
| WO2011022469A2 (en) | 2009-08-19 | 2011-02-24 | Dow Agrosciences Llc | Aad-1 event das-40278-9, related transgenic corn lines, and event-specific identification thereof |
| WO2011022471A1 (en) | 2009-08-19 | 2011-02-24 | Dow Agrosciences Llc | Detection of aad-1 event das-40278-9 |
| US20110067134A1 (en) | 2009-09-17 | 2011-03-17 | Brinker Ronald J | Soybean transgenic event mon 87708 and methods of use thereof |
| WO2011081174A1 (en) | 2010-01-04 | 2011-07-07 | 日本曹達株式会社 | Nitrogen-containing heterocyclic compound and agricultural/horticultural germicide |
| US8049071B2 (en) | 2007-11-15 | 2011-11-01 | Monsanto Technology Llc | Soybean plant and seed corresponding to transgenic event MON87701 and methods for detection thereof |
| WO2011138281A2 (en) | 2010-05-06 | 2011-11-10 | Bayer Cropscience Ag | Process for the preparation of dithiine tetracarboxydiimides |
| WO2011162397A1 (en) | 2010-06-24 | 2011-12-29 | Sumitomo Chemical Company, Limited | Plant disease control composition and method of controlling plant disease |
| WO2012020774A1 (en) | 2010-08-10 | 2012-02-16 | 住友化学株式会社 | Plant disease control composition and application for same |
| WO2012025557A1 (en) | 2010-08-25 | 2012-03-01 | Bayer Cropscience Ag | Heteroarylpiperidine and -piperazine derivatives as fungicides |
| WO2012031061A2 (en) | 2010-09-01 | 2012-03-08 | E. I. Du Pont De Nemours And Company | Fungicidal pyrazoles and their mixtures |
| WO2012084812A1 (en) | 2010-12-20 | 2012-06-28 | Isagro Ricerca S.R.L. | Aminoindanes amides having a high fungicidal activity and their phytosanitary compositions |
| WO2012092115A1 (en) | 2010-12-29 | 2012-07-05 | E. I. Du Pont De Nemours And Company | Mesoionic pyrido [1,2 -a] pyrimidine pesticides |
| WO2013024082A1 (en) | 2011-08-15 | 2013-02-21 | Basf Se | Fungicidal substituted 1-{2-cyclyloxy-2-[2-halo-4-(4-halogen-phenoxy)-phenyl]-ethyl}-1h-[1,2,4]triazole compounds |
| WO2013066838A1 (en) | 2011-10-31 | 2013-05-10 | Glaxosmithkline Llc | Compounds and methods |
| WO2013162072A1 (en) | 2012-04-27 | 2013-10-31 | Sumitomo Chemical Company, Limited | Tetrazolinone compounds and its use as pesticides |
| WO2013170072A2 (en) | 2012-05-09 | 2013-11-14 | Neurop, Inc. | Compounds for the treatment of neurological disorders |
| US8632978B2 (en) | 2011-07-26 | 2014-01-21 | Dow Agrosciences, Llc. | Soybean event pDAB9582.814.19.1 detection method |
| WO2014013842A1 (en) | 2012-07-20 | 2014-01-23 | 住友化学株式会社 | Composition for controlling plant disease and application therefor |
| WO2014020350A1 (en) | 2012-08-01 | 2014-02-06 | Proximagen Limited | Par2 receptor antagonists |
| WO2014051165A1 (en) | 2012-09-28 | 2014-04-03 | Sumitomo Chemical Company, Limited | Tetrazolinone compounds and their use as pesticides |
| WO2014095675A1 (en) | 2012-12-19 | 2014-06-26 | Bayer Cropscience Ag | Difluoromethyl-nicotinic-indanyl carboxamides as fungicides |
| US20140201860A1 (en) | 2010-12-15 | 2014-07-17 | Syngenta Participations Ag | Soybean event syht0h2 and compositions and methods for detection thereof |
| WO2014170327A1 (en) | 2013-04-19 | 2014-10-23 | Bayer Cropscience Ag | Method for combating pests |
| US20140373191A1 (en) | 2013-06-14 | 2014-12-18 | Monsanto Technology, Llc | Soybean transgenic event mon87751 and methods for detection and use thereof |
| WO2015185485A1 (en) * | 2014-06-06 | 2015-12-10 | Basf Se | Use of substituted oxadiazoles for combating phytopathogenic fungi |
| WO2016139189A1 (en) | 2015-03-05 | 2016-09-09 | Bayer Cropscience Aktiengesellschaft | Fungicidally active compound combinations |
| WO2017076742A1 (en) * | 2015-11-05 | 2017-05-11 | Basf Se | Substituted oxadiazoles for combating phytopathogenic fungi |
| WO2017085100A1 (en) * | 2015-11-19 | 2017-05-26 | Basf Se | Substituted oxadiazoles for combating phytopathogenic fungi |
| WO2017093348A1 (en) * | 2015-12-02 | 2017-06-08 | Syngenta Participations Ag | Microbiocidal oxadiazole derivatives |
-
2018
- 2018-07-11 WO PCT/EP2018/068822 patent/WO2019012001A1/en not_active Ceased
- 2018-07-11 BR BR112020000414-6A patent/BR112020000414A2/en not_active Application Discontinuation
Patent Citations (87)
| Publication number | Priority date | Publication date | Assignee | Title |
|---|---|---|---|---|
| US4639771A (en) | 1984-10-31 | 1987-01-27 | Kabushiki Kaisha Toshiba | Image processing system |
| EP0451878A1 (en) | 1985-01-18 | 1991-10-16 | Plant Genetic Systems, N.V. | Modifying plants by genetic engineering to combat or control insects |
| EP0357460A2 (en) | 1988-09-02 | 1990-03-07 | Sankyo Company Limited | 13-Substituted milbemycin derivatives, their preparation and use |
| EP0367474A1 (en) | 1988-11-01 | 1990-05-09 | Mycogen Corporation | Novel bacillus thuringiensis isolate denoted b.t. ps81gg, active against lepidopteran pests, and a gene encoding a lepidopteran-active toxin |
| EP0374753A2 (en) | 1988-12-19 | 1990-06-27 | American Cyanamid Company | Insecticidal toxines, genes coding therefor, antibodies binding them, transgenic plant cells and plants expressing these toxines |
| US5015630A (en) | 1989-01-19 | 1991-05-14 | Merck & Co., Inc. | 5-oxime avermectin derivatives |
| EP0382173A2 (en) | 1989-02-07 | 1990-08-16 | Meiji Seika Kaisha Ltd. | PF 1022 substance, method of producing same and anthelmintic composition containing same |
| WO1990013651A1 (en) | 1989-05-09 | 1990-11-15 | Imperial Chemical Industries Plc | Bacterial genes |
| EP0401979A2 (en) | 1989-05-18 | 1990-12-12 | Mycogen Corporation | Novel bacillus thuringiensis isolates active against lepidopteran pests, and genes encoding novel lepidopteran-active toxins |
| EP0427529A1 (en) | 1989-11-07 | 1991-05-15 | Pioneer Hi-Bred International, Inc. | Larvicidal lectins and plant insect resistance based thereon |
| EP0444964A1 (en) | 1990-03-01 | 1991-09-04 | Sankyo Company Limited | Milbemycin ether derivatives, their preparation and their anthelmintic uses |
| EP0503538A1 (en) | 1991-03-08 | 1992-09-16 | Meiji Seika Kaisha Ltd. | Medicinal composition containing an anthelmintic cyclic depsipeptide |
| WO1993007278A1 (en) | 1991-10-04 | 1993-04-15 | Ciba-Geigy Ag | Synthetic dna sequence having enhanced insecticidal activity in maize |
| WO1993019053A1 (en) | 1992-03-17 | 1993-09-30 | Fujisawa Pharmaceutical Co., Ltd. | Depsipeptide derivative, production thereof and use thereof |
| US5478855A (en) | 1992-04-28 | 1995-12-26 | Yashima Chemical Industry Co., Ltd. | 2-(2,6-difluorophenyl)-4-(2-ethoxy-4-tert-butylphenyl)-2-oxazoline |
| WO1993025543A2 (en) | 1992-06-11 | 1993-12-23 | Bayer Aktiengesellschaft | Enniatines and enniatine derivates used to control endoparasites |
| EP0594291A1 (en) | 1992-09-01 | 1994-04-27 | Sankyo Company Limited | Novel processes for the production of 13-ether derivatives of milbemycins, and novel intermediates therefor |
| WO1994015944A1 (en) | 1993-01-18 | 1994-07-21 | Pfizer Limited | New antiparasitic agents related to the milbemycins and avermectins |
| WO1994019334A1 (en) | 1993-02-19 | 1994-09-01 | Meiji Seika Kaisha, Ltd. | Pf1022 derivative, cyclic depsipeptide |
| EP0626375A1 (en) | 1993-05-26 | 1994-11-30 | Bayer Ag | Octacyclodepsipeptides having endoparasiticidal activity |
| WO1995019363A1 (en) | 1994-01-14 | 1995-07-20 | Pfizer Inc. | Antiparasitic pyrrolobenzoxazine compounds |
| WO1995022552A1 (en) | 1994-02-16 | 1995-08-24 | Pfizer Limited | Antiparasitic agents |
| WO1995034656A1 (en) | 1994-06-10 | 1995-12-21 | Ciba-Geigy Ag | Novel bacillus thuringiensis genes coding toxins active against lepidopteran pests |
| WO1996011945A2 (en) | 1994-10-18 | 1996-04-25 | Bayer Aktiengesellschaft | Cyclic depsipeptide sulfonylation, sulfenylation and phosphorylation process |
| WO1996015121A1 (en) | 1994-11-10 | 1996-05-23 | Bayer Aktiengesellschaft | Use of dioxomorpholines to combat endoparasites, novel dioxomorpholines and process for their production |
| DE19520936A1 (en) | 1995-06-08 | 1996-12-12 | Bayer Ag | Ectoparasiticides means |
| WO1997030047A1 (en) * | 1996-02-17 | 1997-08-21 | Agrevo Uk Limited | Fungicidal 1,2,4-oxadiazoles and analogues |
| WO1997033890A1 (en) | 1996-03-11 | 1997-09-18 | Novartis Ag | Pyrimidin-4-one derivatives as pesticide |
| WO2002015701A2 (en) | 2000-08-25 | 2002-02-28 | Syngenta Participations Ag | Bacillus thuringiensis crystal protein hybrids |
| WO2003018810A2 (en) | 2001-08-31 | 2003-03-06 | Syngenta Participations Ag | Modified cry3a toxins and nucleic acid sequences coding therefor |
| WO2003028729A2 (en) | 2001-10-03 | 2003-04-10 | Pharmacia Corporation | Prodrugs of substituted polycyclic compounds useful for selective inhibition of the coagulation cascade |
| WO2003035617A2 (en) | 2001-10-23 | 2003-05-01 | Dow Agrosciences Llc Patent Department | Derivatives of uk-2a |
| WO2003052073A2 (en) | 2001-12-17 | 2003-06-26 | Syngenta Participations Ag | Novel corn event |
| US6919298B2 (en) | 2002-04-04 | 2005-07-19 | Valent Biosciences Corporation | Enhanced herbicide composition |
| WO2004072086A2 (en) | 2003-02-14 | 2004-08-26 | Pfizer Limited | Antiparasitic terpene alkaloids |
| WO2005054201A1 (en) | 2003-11-20 | 2005-06-16 | Janssen Pharmaceutica N.V. | 6-alkenyl and 6-phenylalkyl substituted 2-quinolinones and 2-quinoxalinones as poly(adp-ribose) polymerase inhibitors |
| WO2005070917A1 (en) | 2004-01-23 | 2005-08-04 | Sankyo Agro Company, Limited | 3-(dihydro(tetrahydro)isoquinolin-1-yl)quinolines |
| US20070060644A1 (en) | 2004-02-12 | 2007-03-15 | Vander Jagt David L | Therapeutic curcumin derivatives |
| WO2005121104A1 (en) | 2004-06-09 | 2005-12-22 | Sumitomo Chemical Company, Limited | Pyridazine compound and use thereof |
| WO2006087343A1 (en) | 2005-02-16 | 2006-08-24 | Basf Aktiengesellschaft | Pyrazole carboxylic acid anilides, method for the production thereof and agents containing them for controlling pathogenic fungi |
| US20080320616A1 (en) | 2005-04-08 | 2008-12-25 | Bayer Bioscience N.V. | Elite Event A2407-12 and Methods and Kits for Identifying Such Event in Biological Samples |
| US20080196127A1 (en) | 2005-04-11 | 2008-08-14 | Bayer Bioscience N.V. | Elite Event A5547-127 and Methods and Kits For Identifying Such Event in Biological Samples |
| US7632985B2 (en) | 2005-05-27 | 2009-12-15 | Monsanto Technology Llc | Soybean event MON89788 and methods for detection thereof |
| WO2007031513A1 (en) | 2005-09-13 | 2007-03-22 | Bayer Cropscience Ag | Pesticide thiazolyloxy substituted phenylamidine derivatives |
| WO2007048556A1 (en) | 2005-10-25 | 2007-05-03 | Syngenta Participations Ag | Heterocyclic amide derivatives useful as microbiocides |
| WO2007072999A1 (en) | 2005-12-22 | 2007-06-28 | Nihon Nohyaku Co., Ltd | Pyrazinecarboxamide derivatives and plant disease controlling agents containing the same |
| US20070155739A1 (en) | 2005-12-30 | 2007-07-05 | Alantos Pharmaceuticals, Inc. | Substituted bis-amide metalloprotease inhibitors |
| WO2007129454A1 (en) | 2006-05-08 | 2007-11-15 | Kumiai Chemical Industry Co., Ltd. | 1,2-benzisothiazole derivative, and agricultural or horticultural plant disease-controlling agent |
| US20100184079A1 (en) | 2006-06-28 | 2010-07-22 | Pioneer Hi-Bred International, Inc. | Soybean event 3560.4.3.5 and compositions and methods for the identification and detection thereof |
| US20080312082A1 (en) | 2006-10-31 | 2008-12-18 | Kinney Anthony J | Soybean event dp-305423-1 and compositions and methods for the identification and/or detection thereof |
| WO2009022746A1 (en) | 2007-08-10 | 2009-02-19 | Nippon Soda Co., Ltd. | Nitrogen-containing heterocyclic compound and pest control agent |
| US8049071B2 (en) | 2007-11-15 | 2011-11-01 | Monsanto Technology Llc | Soybean plant and seed corresponding to transgenic event MON87701 and methods for detection thereof |
| WO2010000841A1 (en) | 2008-07-04 | 2010-01-07 | Bayer Cropscience Sa | Fungicide hydroximoyl-tetrazole derivatives |
| WO2010045251A2 (en) | 2008-10-17 | 2010-04-22 | Xenon Pharmaceuticals, Inc. | Spiro-oxindole compounds and their use as therapeutic agents |
| WO2010080829A1 (en) | 2009-01-07 | 2010-07-15 | Basf Agrochemical Products B.V. | Soybean event 127 and methods related thereto |
| WO2010093059A1 (en) | 2009-02-16 | 2010-08-19 | 住友化学株式会社 | Method for producing phenylacetamide compound |
| WO2010130767A2 (en) | 2009-05-15 | 2010-11-18 | Bayer Cropscience Ag | Fungicide pyrazole carboxamides derivatives |
| WO2010146031A2 (en) | 2009-06-16 | 2010-12-23 | Basf Se | Fungicidal mixtures |
| WO2011022469A2 (en) | 2009-08-19 | 2011-02-24 | Dow Agrosciences Llc | Aad-1 event das-40278-9, related transgenic corn lines, and event-specific identification thereof |
| WO2011022471A1 (en) | 2009-08-19 | 2011-02-24 | Dow Agrosciences Llc | Detection of aad-1 event das-40278-9 |
| WO2011022470A1 (en) | 2009-08-19 | 2011-02-24 | Dow Agrosciences Llc | Control of aad-1 monocot volunteers in fields of dicot crops |
| US20110067134A1 (en) | 2009-09-17 | 2011-03-17 | Brinker Ronald J | Soybean transgenic event mon 87708 and methods of use thereof |
| WO2011081174A1 (en) | 2010-01-04 | 2011-07-07 | 日本曹達株式会社 | Nitrogen-containing heterocyclic compound and agricultural/horticultural germicide |
| WO2011138281A2 (en) | 2010-05-06 | 2011-11-10 | Bayer Cropscience Ag | Process for the preparation of dithiine tetracarboxydiimides |
| WO2011162397A1 (en) | 2010-06-24 | 2011-12-29 | Sumitomo Chemical Company, Limited | Plant disease control composition and method of controlling plant disease |
| WO2012020774A1 (en) | 2010-08-10 | 2012-02-16 | 住友化学株式会社 | Plant disease control composition and application for same |
| WO2012025557A1 (en) | 2010-08-25 | 2012-03-01 | Bayer Cropscience Ag | Heteroarylpiperidine and -piperazine derivatives as fungicides |
| WO2012031061A2 (en) | 2010-09-01 | 2012-03-08 | E. I. Du Pont De Nemours And Company | Fungicidal pyrazoles and their mixtures |
| US20140201860A1 (en) | 2010-12-15 | 2014-07-17 | Syngenta Participations Ag | Soybean event syht0h2 and compositions and methods for detection thereof |
| WO2012084812A1 (en) | 2010-12-20 | 2012-06-28 | Isagro Ricerca S.R.L. | Aminoindanes amides having a high fungicidal activity and their phytosanitary compositions |
| WO2012092115A1 (en) | 2010-12-29 | 2012-07-05 | E. I. Du Pont De Nemours And Company | Mesoionic pyrido [1,2 -a] pyrimidine pesticides |
| US8632978B2 (en) | 2011-07-26 | 2014-01-21 | Dow Agrosciences, Llc. | Soybean event pDAB9582.814.19.1 detection method |
| WO2013024082A1 (en) | 2011-08-15 | 2013-02-21 | Basf Se | Fungicidal substituted 1-{2-cyclyloxy-2-[2-halo-4-(4-halogen-phenoxy)-phenyl]-ethyl}-1h-[1,2,4]triazole compounds |
| WO2013066838A1 (en) | 2011-10-31 | 2013-05-10 | Glaxosmithkline Llc | Compounds and methods |
| WO2013162072A1 (en) | 2012-04-27 | 2013-10-31 | Sumitomo Chemical Company, Limited | Tetrazolinone compounds and its use as pesticides |
| WO2013170072A2 (en) | 2012-05-09 | 2013-11-14 | Neurop, Inc. | Compounds for the treatment of neurological disorders |
| WO2014013842A1 (en) | 2012-07-20 | 2014-01-23 | 住友化学株式会社 | Composition for controlling plant disease and application therefor |
| WO2014020350A1 (en) | 2012-08-01 | 2014-02-06 | Proximagen Limited | Par2 receptor antagonists |
| WO2014051165A1 (en) | 2012-09-28 | 2014-04-03 | Sumitomo Chemical Company, Limited | Tetrazolinone compounds and their use as pesticides |
| WO2014095675A1 (en) | 2012-12-19 | 2014-06-26 | Bayer Cropscience Ag | Difluoromethyl-nicotinic-indanyl carboxamides as fungicides |
| WO2014170327A1 (en) | 2013-04-19 | 2014-10-23 | Bayer Cropscience Ag | Method for combating pests |
| US20140373191A1 (en) | 2013-06-14 | 2014-12-18 | Monsanto Technology, Llc | Soybean transgenic event mon87751 and methods for detection and use thereof |
| WO2015185485A1 (en) * | 2014-06-06 | 2015-12-10 | Basf Se | Use of substituted oxadiazoles for combating phytopathogenic fungi |
| WO2016139189A1 (en) | 2015-03-05 | 2016-09-09 | Bayer Cropscience Aktiengesellschaft | Fungicidally active compound combinations |
| WO2017076742A1 (en) * | 2015-11-05 | 2017-05-11 | Basf Se | Substituted oxadiazoles for combating phytopathogenic fungi |
| WO2017085100A1 (en) * | 2015-11-19 | 2017-05-26 | Basf Se | Substituted oxadiazoles for combating phytopathogenic fungi |
| WO2017093348A1 (en) * | 2015-12-02 | 2017-06-08 | Syngenta Participations Ag | Microbiocidal oxadiazole derivatives |
Non-Patent Citations (23)
| Title |
|---|
| "The Pesticide Manual - A World Compendium", THE BRITISH CROP PROTECTION COUNCIL |
| "The Pesticide Manual", 2009, BRITISH CROP PROTECTION COUNCIL |
| A. ALBINI; S. PIETRA: "Heterocyclic N-oxides", 1991, CRC PRESS |
| A. WOOD, COMPENDIUM OF PESTICIDE COMMON NAMES, 1995 |
| BARLUENGA J., NATURE CHEMISTRY, vol. 1, 2009, pages 494 - 499 |
| BARLUENGA J.: "Metal-free carbon-carbon bond- forming reductive coupling between boronic acids and tosylhydrazones", NATURE CHEMISTRY, vol. 1, 2009, pages 494 - 499 |
| J. ORG. CHEM., vol. 18, 1953, pages 588 |
| J. ORG. CHEM., vol. 30, 1965, pages 3321 |
| KITAMURA, S. ET AL., CHEM. PHARM. BULL., vol. 49, 2001, pages 268 |
| KLOSOWSKI AC ET AL.: "Competitive fitness of Phakopsora pachyrhizi isolates with mutations in the CYP51 and CYTB genes", PHYTOPATHOLOGY, vol. 106, 2016, pages 1278 - 1284 |
| KLOSOWSKI AC ET AL.: "Detection of the F129L mutation in the cytochrome b gene in Phakopsora pachyrhizi", PEST MANAG SCI, vol. 72, 2016, pages 1211 - 1215 |
| KOMPELLA, A. ET AL., BIOORG. MED. CHEM. LETT., vol. 1, 2001, pages 3161 |
| KOMPELLA, A. ET AL., ORG. PROC. RES. DEV., vol. 16, 2012, pages 1794 |
| KURIYAMA, MASAMI ET AL., J. ORG. CHEM., vol. 79, 2014, pages 5921 |
| LANGENBACH C ET AL.: "Fighting Asian Soybean Rust", FRONT PLANT SCIENCE, vol. 7, no. 797, 2016 |
| LEROUX. F.; SCHLOSSER. M.; ZOHAR. E.; MAREK. I.: "The Preparation of Organolithium Reagents and Intermediates", 2004, WILEY |
| LIU, H. ET AL., BIOORG. MED. CHEM., vol. 16, 2008, pages 10013 |
| LIU, S. ET AL., SYNTHEIS, vol. 14, 2001, pages 2078 |
| LIU, S. ET AL., SYNTHESIS, vol. 14, 2001, pages 2078 |
| PROC. BCPC, INT. CONGR., vol. 1, 2003, pages 93 |
| SCHMITZ HK ET AL.: "Sensitivity of Phakopsora pachyrhizi towards quinone-outside-inhibitors and demethylation-inhibitors, and corresponding resistance mechanisms", PEST MANAG SCI, vol. 70, 2014, pages 378 - 388 |
| SIMÕES K ET AL.: "First detection of a SDH variant with reduced SDHI sensitivity in Phakopsora pachyrhizl", J PLANT DIS PROT, vol. 125, 2018, pages 21 - 2 |
| TETRAHEDRON LETT., vol. 25, 1984, pages 5227 - 5230 |
Cited By (2)
| Publication number | Priority date | Publication date | Assignee | Title |
|---|---|---|---|---|
| WO2021033133A1 (en) | 2019-08-19 | 2021-02-25 | Pi Industries Ltd. | Novel oxadiazole compounds containing 5- membered heteroaromatic ring for controlling or preventing phytopathogenic fungi |
| WO2022133114A1 (en) * | 2020-12-17 | 2022-06-23 | Fmc Corporation | Fungicidal oxadiazoles and their mixtures |
Also Published As
| Publication number | Publication date |
|---|---|
| BR112020000414A2 (en) | 2020-07-21 |
Similar Documents
| Publication | Publication Date | Title |
|---|---|---|
| EP3522715B1 (en) | Microbiocidal oxadiazole derivatives | |
| WO2018158365A1 (en) | Microbiocidal oxadiazole derivatives | |
| EP3458446A1 (en) | Microbiocidal oxadiazole derivatives | |
| WO2017178549A1 (en) | Microbiocidal oxadiazole derivatives | |
| WO2017157962A1 (en) | Microbiocidal oxadiazole derivatives | |
| EP3464251A1 (en) | Microbiocidal oxadiazole derivatives | |
| EP3487842A1 (en) | Microbiocidal oxadiazole derivatives | |
| EP3390399A1 (en) | Microbiocidal oxadiazole derivatives | |
| EP3592738A1 (en) | Microbiocidal oxadiazole derivatives | |
| WO2019012011A1 (en) | Microbiocidal oxadiazole derivatives | |
| WO2019012003A1 (en) | Microbiocidal oxadiazole derivatives | |
| EP3487855A1 (en) | Microbiocidal oxadiazole derivatives | |
| WO2019097054A1 (en) | Microbiocidal oxadiazole derivatives | |
| WO2018029242A1 (en) | Microbiocidal oxadiazole derivatives | |
| WO2020007658A1 (en) | 3-(2-thienyl)-5-(trifluoromethyl)-1,2,4-oxadiazole derivatives as agrochemical fungicides | |
| WO2019011923A1 (en) | Microbiocidal oxadiazole derivatives | |
| WO2019011928A1 (en) | Microbiocidal oxadiazole derivatives | |
| EP3630753A1 (en) | Microbiocidal oxadiazole derivatives | |
| WO2019012001A1 (en) | MICROBIOCIDE OXADIAZOLE DERIVATIVES | |
| WO2019011929A1 (en) | Microbiocidal oxadiazole derivatives | |
| WO2019011926A1 (en) | Microbiocidal oxadiazole derivatives | |
| WO2018184984A1 (en) | Microbiocidal oxadiazole derivatives | |
| WO2018184985A1 (en) | Microbiocidal oxadiazole derivatives | |
| WO2018184982A1 (en) | Microbiocidal oxadiazole derivatives | |
| EP3823966A1 (en) | Microbiocidal oxadiazole derivatives |
Legal Events
| Date | Code | Title | Description |
|---|---|---|---|
| 121 | Ep: the epo has been informed by wipo that ep was designated in this application |
Ref document number: 18736950 Country of ref document: EP Kind code of ref document: A1 |
|
| NENP | Non-entry into the national phase |
Ref country code: DE |
|
| REG | Reference to national code |
Ref country code: BR Ref legal event code: B01A Ref document number: 112020000414 Country of ref document: BR |
|
| ENP | Entry into the national phase |
Ref document number: 112020000414 Country of ref document: BR Kind code of ref document: A2 Effective date: 20200108 |
|
| 122 | Ep: pct application non-entry in european phase |
Ref document number: 18736950 Country of ref document: EP Kind code of ref document: A1 |





































































































