WO2013156129A1 - Polymers containing substituted oligo-triarylamine units and electroluminescence devices containing such polymers - Google Patents
Polymers containing substituted oligo-triarylamine units and electroluminescence devices containing such polymers Download PDFInfo
- Publication number
- WO2013156129A1 WO2013156129A1 PCT/EP2013/001095 EP2013001095W WO2013156129A1 WO 2013156129 A1 WO2013156129 A1 WO 2013156129A1 EP 2013001095 W EP2013001095 W EP 2013001095W WO 2013156129 A1 WO2013156129 A1 WO 2013156129A1
- Authority
- WO
- WIPO (PCT)
- Prior art keywords
- organic
- polymer
- structural units
- substituted
- atoms
- Prior art date
- Legal status (The legal status is an assumption and is not a legal conclusion. Google has not performed a legal analysis and makes no representation as to the accuracy of the status listed.)
- Ceased
Links
- LPLLWKZDMKTEMV-UHFFFAOYSA-N Brc1cccc(-c2cc(Br)ccc2)c1 Chemical compound Brc1cccc(-c2cc(Br)ccc2)c1 LPLLWKZDMKTEMV-UHFFFAOYSA-N 0.000 description 1
- WZQOVZJEWJVWIZ-UHFFFAOYSA-N CC(C)(C(C)(C)O1)OB1S1OC(C)(C)C(C)(C)O1 Chemical compound CC(C)(C(C)(C)O1)OB1S1OC(C)(C)C(C)(C)O1 WZQOVZJEWJVWIZ-UHFFFAOYSA-N 0.000 description 1
- CDDAYWROTQQONU-UHFFFAOYSA-N CC1(C)OB(c2cc(-c3cc(B4OC(C)(C)C(C)(C)O4)ccc3)ccc2)OC1(C)C Chemical compound CC1(C)OB(c2cc(-c3cc(B4OC(C)(C)C(C)(C)O4)ccc3)ccc2)OC1(C)C CDDAYWROTQQONU-UHFFFAOYSA-N 0.000 description 1
- STXAVEHFKAXGOX-UHFFFAOYSA-N N#Cc1cc(Br)ccc1 Chemical compound N#Cc1cc(Br)ccc1 STXAVEHFKAXGOX-UHFFFAOYSA-N 0.000 description 1
- RSNWFRMDVOPUHG-UHFFFAOYSA-N N#Cc1cc(N(c2ccccc2)c2ccccc2)ccc1 Chemical compound N#Cc1cc(N(c2ccccc2)c2ccccc2)ccc1 RSNWFRMDVOPUHG-UHFFFAOYSA-N 0.000 description 1
Classifications
-
- C—CHEMISTRY; METALLURGY
- C08—ORGANIC MACROMOLECULAR COMPOUNDS; THEIR PREPARATION OR CHEMICAL WORKING-UP; COMPOSITIONS BASED THEREON
- C08G—MACROMOLECULAR COMPOUNDS OBTAINED OTHERWISE THAN BY REACTIONS ONLY INVOLVING UNSATURATED CARBON-TO-CARBON BONDS
- C08G73/00—Macromolecular compounds obtained by reactions forming a linkage containing nitrogen with or without oxygen or carbon in the main chain of the macromolecule, not provided for in groups C08G12/00 - C08G71/00
- C08G73/02—Polyamines
- C08G73/026—Wholly aromatic polyamines
-
- C—CHEMISTRY; METALLURGY
- C08—ORGANIC MACROMOLECULAR COMPOUNDS; THEIR PREPARATION OR CHEMICAL WORKING-UP; COMPOSITIONS BASED THEREON
- C08G—MACROMOLECULAR COMPOUNDS OBTAINED OTHERWISE THAN BY REACTIONS ONLY INVOLVING UNSATURATED CARBON-TO-CARBON BONDS
- C08G61/00—Macromolecular compounds obtained by reactions forming a carbon-to-carbon link in the main chain of the macromolecule
- C08G61/02—Macromolecular compounds containing only carbon atoms in the main chain of the macromolecule, e.g. polyxylylenes
- C08G61/10—Macromolecular compounds containing only carbon atoms in the main chain of the macromolecule, e.g. polyxylylenes only aromatic carbon atoms, e.g. polyphenylenes
-
- C—CHEMISTRY; METALLURGY
- C08—ORGANIC MACROMOLECULAR COMPOUNDS; THEIR PREPARATION OR CHEMICAL WORKING-UP; COMPOSITIONS BASED THEREON
- C08G—MACROMOLECULAR COMPOUNDS OBTAINED OTHERWISE THAN BY REACTIONS ONLY INVOLVING UNSATURATED CARBON-TO-CARBON BONDS
- C08G61/00—Macromolecular compounds obtained by reactions forming a carbon-to-carbon link in the main chain of the macromolecule
- C08G61/12—Macromolecular compounds containing atoms other than carbon in the main chain of the macromolecule
-
- C—CHEMISTRY; METALLURGY
- C08—ORGANIC MACROMOLECULAR COMPOUNDS; THEIR PREPARATION OR CHEMICAL WORKING-UP; COMPOSITIONS BASED THEREON
- C08G—MACROMOLECULAR COMPOUNDS OBTAINED OTHERWISE THAN BY REACTIONS ONLY INVOLVING UNSATURATED CARBON-TO-CARBON BONDS
- C08G73/00—Macromolecular compounds obtained by reactions forming a linkage containing nitrogen with or without oxygen or carbon in the main chain of the macromolecule, not provided for in groups C08G12/00 - C08G71/00
- C08G73/02—Polyamines
- C08G73/0273—Polyamines containing heterocyclic moieties in the main chain
-
- C—CHEMISTRY; METALLURGY
- C08—ORGANIC MACROMOLECULAR COMPOUNDS; THEIR PREPARATION OR CHEMICAL WORKING-UP; COMPOSITIONS BASED THEREON
- C08L—COMPOSITIONS OF MACROMOLECULAR COMPOUNDS
- C08L65/00—Compositions of macromolecular compounds obtained by reactions forming a carbon-to-carbon link in the main chain; Compositions of derivatives of such polymers
-
- C—CHEMISTRY; METALLURGY
- C08—ORGANIC MACROMOLECULAR COMPOUNDS; THEIR PREPARATION OR CHEMICAL WORKING-UP; COMPOSITIONS BASED THEREON
- C08L—COMPOSITIONS OF MACROMOLECULAR COMPOUNDS
- C08L79/00—Compositions of macromolecular compounds obtained by reactions forming in the main chain of the macromolecule a linkage containing nitrogen with or without oxygen or carbon only, not provided for in groups C08L61/00 - C08L77/00
- C08L79/02—Polyamines
-
- H—ELECTRICITY
- H10—SEMICONDUCTOR DEVICES; ELECTRIC SOLID-STATE DEVICES NOT OTHERWISE PROVIDED FOR
- H10K—ORGANIC ELECTRIC SOLID-STATE DEVICES
- H10K50/00—Organic light-emitting devices
- H10K50/10—OLEDs or polymer light-emitting diodes [PLED]
- H10K50/11—OLEDs or polymer light-emitting diodes [PLED] characterised by the electroluminescent [EL] layers
-
- H—ELECTRICITY
- H10—SEMICONDUCTOR DEVICES; ELECTRIC SOLID-STATE DEVICES NOT OTHERWISE PROVIDED FOR
- H10K—ORGANIC ELECTRIC SOLID-STATE DEVICES
- H10K85/00—Organic materials used in the body or electrodes of devices covered by this subclass
- H10K85/10—Organic polymers or oligomers
- H10K85/111—Organic polymers or oligomers comprising aromatic, heteroaromatic, or aryl chains, e.g. polyaniline, polyphenylene or polyphenylene vinylene
-
- H—ELECTRICITY
- H10—SEMICONDUCTOR DEVICES; ELECTRIC SOLID-STATE DEVICES NOT OTHERWISE PROVIDED FOR
- H10K—ORGANIC ELECTRIC SOLID-STATE DEVICES
- H10K85/00—Organic materials used in the body or electrodes of devices covered by this subclass
- H10K85/10—Organic polymers or oligomers
- H10K85/111—Organic polymers or oligomers comprising aromatic, heteroaromatic, or aryl chains, e.g. polyaniline, polyphenylene or polyphenylene vinylene
- H10K85/115—Polyfluorene; Derivatives thereof
-
- H—ELECTRICITY
- H10—SEMICONDUCTOR DEVICES; ELECTRIC SOLID-STATE DEVICES NOT OTHERWISE PROVIDED FOR
- H10K—ORGANIC ELECTRIC SOLID-STATE DEVICES
- H10K85/00—Organic materials used in the body or electrodes of devices covered by this subclass
- H10K85/10—Organic polymers or oligomers
- H10K85/151—Copolymers
-
- C—CHEMISTRY; METALLURGY
- C08—ORGANIC MACROMOLECULAR COMPOUNDS; THEIR PREPARATION OR CHEMICAL WORKING-UP; COMPOSITIONS BASED THEREON
- C08G—MACROMOLECULAR COMPOUNDS OBTAINED OTHERWISE THAN BY REACTIONS ONLY INVOLVING UNSATURATED CARBON-TO-CARBON BONDS
- C08G2261/00—Macromolecular compounds obtained by reactions forming a carbon-to-carbon link in the main chain of the macromolecule
- C08G2261/10—Definition of the polymer structure
- C08G2261/12—Copolymers
-
- C—CHEMISTRY; METALLURGY
- C08—ORGANIC MACROMOLECULAR COMPOUNDS; THEIR PREPARATION OR CHEMICAL WORKING-UP; COMPOSITIONS BASED THEREON
- C08G—MACROMOLECULAR COMPOUNDS OBTAINED OTHERWISE THAN BY REACTIONS ONLY INVOLVING UNSATURATED CARBON-TO-CARBON BONDS
- C08G2261/00—Macromolecular compounds obtained by reactions forming a carbon-to-carbon link in the main chain of the macromolecule
- C08G2261/10—Definition of the polymer structure
- C08G2261/13—Morphological aspects
- C08G2261/135—Cross-linked structures
-
- C—CHEMISTRY; METALLURGY
- C08—ORGANIC MACROMOLECULAR COMPOUNDS; THEIR PREPARATION OR CHEMICAL WORKING-UP; COMPOSITIONS BASED THEREON
- C08G—MACROMOLECULAR COMPOUNDS OBTAINED OTHERWISE THAN BY REACTIONS ONLY INVOLVING UNSATURATED CARBON-TO-CARBON BONDS
- C08G2261/00—Macromolecular compounds obtained by reactions forming a carbon-to-carbon link in the main chain of the macromolecule
- C08G2261/10—Definition of the polymer structure
- C08G2261/14—Side-groups
- C08G2261/141—Side-chains having aliphatic units
- C08G2261/1412—Saturated aliphatic units
-
- C—CHEMISTRY; METALLURGY
- C08—ORGANIC MACROMOLECULAR COMPOUNDS; THEIR PREPARATION OR CHEMICAL WORKING-UP; COMPOSITIONS BASED THEREON
- C08G—MACROMOLECULAR COMPOUNDS OBTAINED OTHERWISE THAN BY REACTIONS ONLY INVOLVING UNSATURATED CARBON-TO-CARBON BONDS
- C08G2261/00—Macromolecular compounds obtained by reactions forming a carbon-to-carbon link in the main chain of the macromolecule
- C08G2261/10—Definition of the polymer structure
- C08G2261/14—Side-groups
- C08G2261/148—Side-chains having aromatic units
-
- C—CHEMISTRY; METALLURGY
- C08—ORGANIC MACROMOLECULAR COMPOUNDS; THEIR PREPARATION OR CHEMICAL WORKING-UP; COMPOSITIONS BASED THEREON
- C08G—MACROMOLECULAR COMPOUNDS OBTAINED OTHERWISE THAN BY REACTIONS ONLY INVOLVING UNSATURATED CARBON-TO-CARBON BONDS
- C08G2261/00—Macromolecular compounds obtained by reactions forming a carbon-to-carbon link in the main chain of the macromolecule
- C08G2261/30—Monomer units or repeat units incorporating structural elements in the main chain
- C08G2261/31—Monomer units or repeat units incorporating structural elements in the main chain incorporating aromatic structural elements in the main chain
- C08G2261/312—Non-condensed aromatic systems, e.g. benzene
-
- C—CHEMISTRY; METALLURGY
- C08—ORGANIC MACROMOLECULAR COMPOUNDS; THEIR PREPARATION OR CHEMICAL WORKING-UP; COMPOSITIONS BASED THEREON
- C08G—MACROMOLECULAR COMPOUNDS OBTAINED OTHERWISE THAN BY REACTIONS ONLY INVOLVING UNSATURATED CARBON-TO-CARBON BONDS
- C08G2261/00—Macromolecular compounds obtained by reactions forming a carbon-to-carbon link in the main chain of the macromolecule
- C08G2261/30—Monomer units or repeat units incorporating structural elements in the main chain
- C08G2261/31—Monomer units or repeat units incorporating structural elements in the main chain incorporating aromatic structural elements in the main chain
- C08G2261/314—Condensed aromatic systems, e.g. perylene, anthracene or pyrene
- C08G2261/3142—Condensed aromatic systems, e.g. perylene, anthracene or pyrene fluorene-based, e.g. fluorene, indenofluorene, or spirobifluorene
-
- C—CHEMISTRY; METALLURGY
- C08—ORGANIC MACROMOLECULAR COMPOUNDS; THEIR PREPARATION OR CHEMICAL WORKING-UP; COMPOSITIONS BASED THEREON
- C08G—MACROMOLECULAR COMPOUNDS OBTAINED OTHERWISE THAN BY REACTIONS ONLY INVOLVING UNSATURATED CARBON-TO-CARBON BONDS
- C08G2261/00—Macromolecular compounds obtained by reactions forming a carbon-to-carbon link in the main chain of the macromolecule
- C08G2261/30—Monomer units or repeat units incorporating structural elements in the main chain
- C08G2261/31—Monomer units or repeat units incorporating structural elements in the main chain incorporating aromatic structural elements in the main chain
- C08G2261/316—Monomer units or repeat units incorporating structural elements in the main chain incorporating aromatic structural elements in the main chain bridged by heteroatoms, e.g. N, P, Si or B
- C08G2261/3162—Arylamines
-
- C—CHEMISTRY; METALLURGY
- C08—ORGANIC MACROMOLECULAR COMPOUNDS; THEIR PREPARATION OR CHEMICAL WORKING-UP; COMPOSITIONS BASED THEREON
- C08G—MACROMOLECULAR COMPOUNDS OBTAINED OTHERWISE THAN BY REACTIONS ONLY INVOLVING UNSATURATED CARBON-TO-CARBON BONDS
- C08G2261/00—Macromolecular compounds obtained by reactions forming a carbon-to-carbon link in the main chain of the macromolecule
- C08G2261/40—Polymerisation processes
- C08G2261/41—Organometallic coupling reactions
- C08G2261/411—Suzuki reactions
-
- C—CHEMISTRY; METALLURGY
- C08—ORGANIC MACROMOLECULAR COMPOUNDS; THEIR PREPARATION OR CHEMICAL WORKING-UP; COMPOSITIONS BASED THEREON
- C08G—MACROMOLECULAR COMPOUNDS OBTAINED OTHERWISE THAN BY REACTIONS ONLY INVOLVING UNSATURATED CARBON-TO-CARBON BONDS
- C08G2261/00—Macromolecular compounds obtained by reactions forming a carbon-to-carbon link in the main chain of the macromolecule
- C08G2261/70—Post-treatment
- C08G2261/76—Post-treatment crosslinking
-
- C—CHEMISTRY; METALLURGY
- C08—ORGANIC MACROMOLECULAR COMPOUNDS; THEIR PREPARATION OR CHEMICAL WORKING-UP; COMPOSITIONS BASED THEREON
- C08G—MACROMOLECULAR COMPOUNDS OBTAINED OTHERWISE THAN BY REACTIONS ONLY INVOLVING UNSATURATED CARBON-TO-CARBON BONDS
- C08G2261/00—Macromolecular compounds obtained by reactions forming a carbon-to-carbon link in the main chain of the macromolecule
- C08G2261/90—Applications
- C08G2261/95—Use in organic luminescent diodes
-
- H—ELECTRICITY
- H10—SEMICONDUCTOR DEVICES; ELECTRIC SOLID-STATE DEVICES NOT OTHERWISE PROVIDED FOR
- H10K—ORGANIC ELECTRIC SOLID-STATE DEVICES
- H10K50/00—Organic light-emitting devices
-
- H—ELECTRICITY
- H10—SEMICONDUCTOR DEVICES; ELECTRIC SOLID-STATE DEVICES NOT OTHERWISE PROVIDED FOR
- H10K—ORGANIC ELECTRIC SOLID-STATE DEVICES
- H10K50/00—Organic light-emitting devices
- H10K50/10—OLEDs or polymer light-emitting diodes [PLED]
- H10K50/14—Carrier transporting layers
- H10K50/15—Hole transporting layers
-
- H—ELECTRICITY
- H10—SEMICONDUCTOR DEVICES; ELECTRIC SOLID-STATE DEVICES NOT OTHERWISE PROVIDED FOR
- H10K—ORGANIC ELECTRIC SOLID-STATE DEVICES
- H10K50/00—Organic light-emitting devices
- H10K50/10—OLEDs or polymer light-emitting diodes [PLED]
- H10K50/14—Carrier transporting layers
- H10K50/16—Electron transporting layers
-
- H—ELECTRICITY
- H10—SEMICONDUCTOR DEVICES; ELECTRIC SOLID-STATE DEVICES NOT OTHERWISE PROVIDED FOR
- H10K—ORGANIC ELECTRIC SOLID-STATE DEVICES
- H10K50/00—Organic light-emitting devices
- H10K50/10—OLEDs or polymer light-emitting diodes [PLED]
- H10K50/17—Carrier injection layers
-
- H—ELECTRICITY
- H10—SEMICONDUCTOR DEVICES; ELECTRIC SOLID-STATE DEVICES NOT OTHERWISE PROVIDED FOR
- H10K—ORGANIC ELECTRIC SOLID-STATE DEVICES
- H10K85/00—Organic materials used in the body or electrodes of devices covered by this subclass
- H10K85/10—Organic polymers or oligomers
- H10K85/111—Organic polymers or oligomers comprising aromatic, heteroaromatic, or aryl chains, e.g. polyaniline, polyphenylene or polyphenylene vinylene
- H10K85/113—Heteroaromatic compounds comprising sulfur or selene, e.g. polythiophene
- H10K85/1135—Polyethylene dioxythiophene [PEDOT]; Derivatives thereof
-
- H—ELECTRICITY
- H10—SEMICONDUCTOR DEVICES; ELECTRIC SOLID-STATE DEVICES NOT OTHERWISE PROVIDED FOR
- H10K—ORGANIC ELECTRIC SOLID-STATE DEVICES
- H10K85/00—Organic materials used in the body or electrodes of devices covered by this subclass
- H10K85/30—Coordination compounds
- H10K85/341—Transition metal complexes, e.g. Ru(II)polypyridine complexes
- H10K85/342—Transition metal complexes, e.g. Ru(II)polypyridine complexes comprising iridium
-
- H—ELECTRICITY
- H10—SEMICONDUCTOR DEVICES; ELECTRIC SOLID-STATE DEVICES NOT OTHERWISE PROVIDED FOR
- H10K—ORGANIC ELECTRIC SOLID-STATE DEVICES
- H10K85/00—Organic materials used in the body or electrodes of devices covered by this subclass
- H10K85/60—Organic compounds having low molecular weight
- H10K85/649—Aromatic compounds comprising a hetero atom
- H10K85/654—Aromatic compounds comprising a hetero atom comprising only nitrogen as heteroatom
-
- Y—GENERAL TAGGING OF NEW TECHNOLOGICAL DEVELOPMENTS; GENERAL TAGGING OF CROSS-SECTIONAL TECHNOLOGIES SPANNING OVER SEVERAL SECTIONS OF THE IPC; TECHNICAL SUBJECTS COVERED BY FORMER USPC CROSS-REFERENCE ART COLLECTIONS [XRACs] AND DIGESTS
- Y02—TECHNOLOGIES OR APPLICATIONS FOR MITIGATION OR ADAPTATION AGAINST CLIMATE CHANGE
- Y02E—REDUCTION OF GREENHOUSE GAS [GHG] EMISSIONS, RELATED TO ENERGY GENERATION, TRANSMISSION OR DISTRIBUTION
- Y02E10/00—Energy generation through renewable energy sources
- Y02E10/50—Photovoltaic [PV] energy
- Y02E10/549—Organic PV cells
Definitions
- the present invention relates to polymers comprising substituted oligo- 1- triarylamine repeating units, preferably bis-triarylamine
- OLED Organic Light Emitting Diodes
- Electroluminescent devices containing these polymers Electroluminescent devices containing these polymers.
- OLED organic electroluminescent devices
- OLEDs Components of different functionality needed.
- the different functionalities are usually in different layers.
- multilayer OLED systems include, but are not limited to, charge injecting layers, e.g. electron and
- hole injecting layers e.g. Electron and hole-conducting layers, as well as layers on, the
- CONFIRMATION COPY Lifespan, efficiency, etc. can be achieved.
- Ar 1 to Ar 5 at each occurrence, each same or different, a mono- or polycyclic, aromatic or heteroaromatic ring system having 5 to 60 aromatic ring atoms, which may be substituted by one or more radicals R;
- n 1, 2 or 3, preferably 1 or 2 and more preferably, the dashed lines being bonds to adjacent ones
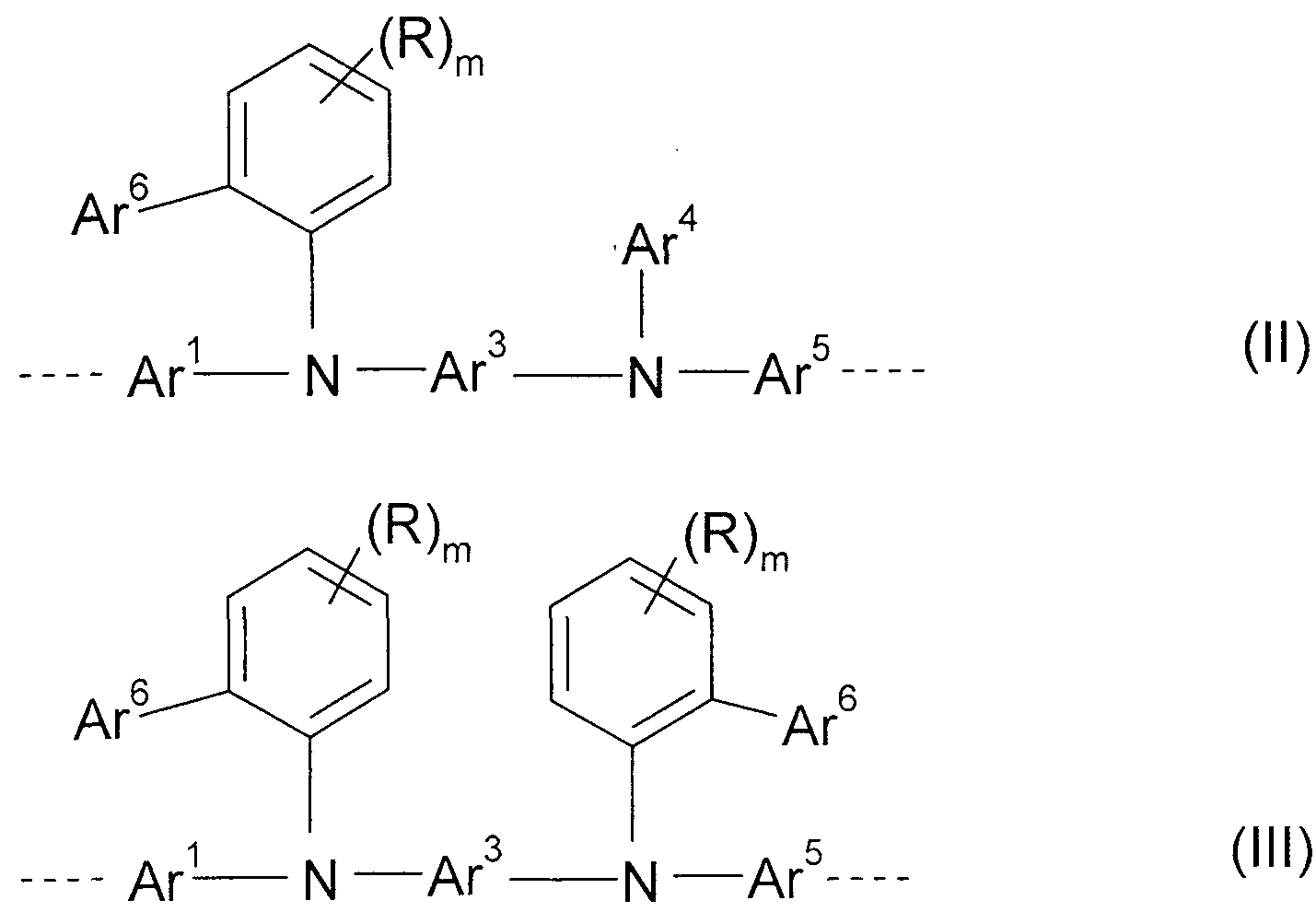
- Ar 2 and / or Ar 4 is in each case substituted in at least one, preferably in one of the two ortho positions, with Ar 6 , Ar 6 being a mono- or polycyclic, aromatic or heteroaromatic ring system with 5 to 60 aromatic ring atoms which may be substituted by one or more R radicals and
- Ar 4 and / or Ar 5 are each substituted in at least one, preferably in one of the two ortho positions, with Ar 6 , wherein Ar 6 is a mono- or polycyclic, aromatic or
- heteroaromatic ring system having 5 to 60 aromatic ring atoms, which may be substituted by one or more R radicals.
- the substituent Ar 6 may be arranged either only on Ar 2 or Ar 4 or on Ar 2 and Ar 4 .
- the substituent Ar 6 may be arranged either only on Ar 4 or Ar 5 or on Ar 4 and Ar 5 .
- Ar 6 can either be linked directly, that is to say via a single bond, with Ar 2 and / or Ar 4 or Ar 4 and / or Ar 5 or else via a linking group X.
- the structural unit of the formula (I) preferably has the structure of the following formulas (I-1a), (1-1b), (I-2a) and (I-2b):
- r 0 or 1, preferably 0.
- the at least one structural unit of the formula (1-1) of the polymer according to the invention is characterized in that Ar 2 and / or Ar 4 is in each case substituted by Ar 6 in one of the two ortho positions, and Ar 2 and / or Ar 4 is additionally linked in each case with Ar 6 in the meta position adjacent to the substituted ortho position.
- the structural units of the formula (1-1) thus preferably have the structure of the following formulas (1-1 c) and (1-1 d):
- n 0, 1, 2 or 3
- polymer is to be understood as meaning both polymeric compounds, oligomeric compounds and dendrimers.
- the polymeric compounds of the present invention preferably have from 10 to 10,000, more preferably from 10 to 5000, and most preferably from 10 to 2000 structural units (i.e., repeating units).
- the oligomeric compounds according to the invention preferably have 3 to 9 structural units.
- the branching factor of the polymers is between 0 (linear polymer, without branching points) and 1 (fully branched dendrimer).
- the polymers of the invention preferably have one
- the polymers according to the invention are either conjugated, partially conjugated or non-conjugated polymers. Preference is given to conjugated or partially conjugated polymers.
- the structural units of the formula (I) can be incorporated according to the invention into the main or the side chain of the polymer. Preferably, however, the structural units of formula (I) are incorporated into the main chain of the polymer. When incorporated into the side chain of the polymer, the structural units of formula (I) may be either mono- or bivalent, i. they have either one or two bonds to adjacent ones
- Polymers which in the main chain mainly sp 2 -hybridized (resp.
- conjugated polymers may also be replaced by correspondingly hybridized heteroatoms.
- conjugated when in the main chain for example arylamine units
- Arylphosphinicaen certain heterocycles (ie conjugation of N, O or S atoms) and / or organometallic complexes (ie conjugation via the metal atom) are located.
- conjugated dendrimers units such as simple alkyl bridges, (thio) ether, ester, amide or imide linkages are clearly defined as non-conjugated segments.
- a partially conjugated polymer is to be understood as meaning a polymer which contains conjugated regions which are separated from one another by nonconjugated sections, targeted conjugation breakers (for example spacer groups) or branchings, for example in which longer conjugated sections in the main chain are replaced by non-conjugated segments.
- Conjugated portions are interrupted, or containing longer conjugated portions in the side chains of a non-conjugated in the main chain polymer.
- Conjugated and partially conjugated polymers may also contain conjugated, partially conjugated or non-conjugated dendrimers.
- dendrimer is to be understood in the present application, a highly branched compound consisting of a
- structural unit in the present application means a unit which, starting from a monomer unit which has at least two, preferably two, reactive groups, is incorporated by reaction under compounding as part of the polymer backbone, and linked thereto present in the produced polymer as a repeat unit.
- mono- or polycyclic aromatic ring system in the present application means an aromatic ring system having 6 to 60, preferably 6 to 30 and particularly preferably 6 to 24 aromatic ring atoms, which does not necessarily contain only aromatic groups but in which also several aromatic units by a short non-aromatic unit ( ⁇ 10% of H
- atoms preferably ⁇ 5% of the atoms other than H
- atoms other than H such as, for example, an sp 3 -hybridized C atom or O- or N- Atom, a CO group, etc.
- systems such as 9,9' spirobifluorene, 9,9-diarylfluorene and 9,9-dialkylfluoren, be taken to mean aromatic ring systems.
- the aromatic ring systems may be mono- or polycyclic, ie they may have one ring (eg phenyl) or several rings which may also be condensed (eg naphthyl) or covalently linked (eg biphenyl) or contain a combination of fused and linked rings ,
- Preferred aromatic ring systems are, for example, phenyl, biphenyl,
- Terphenyl [1, 1 ': 3', 1 "] terphenyl-2'-yl, quarterphenyl, naphthyl, anthracene, binaphthyl, phenanthrene, dihydrophenanthrene, pyrene, dihydropyrene, chrysene, perylene, tetracene, pentacene, benzopyrene, fluorene, indene
- the term "mono- or polycyclic, heteroaromatic ring system” is understood as meaning an aromatic ring system having 5 to 60, preferably 5 to 30 and particularly preferably 5 to 24 aromatic ring atoms, one or more of these atoms a heteroatom is / are.
- the "mono- or polycyclic heteroaromatic ring system” does not necessarily include only aromatic
- heteroaromatic ring systems may be mono- or polycyclic, ie they may have one or more rings, which may also be fused or covalently linked (eg pyridylphenyl), or contain a combination of fused and linked rings. Preference is given to fully conjugated heteroaryl groups.
- Preferred heteroaromatic ring systems are, for example, 5-membered rings such as pyrrole, pyrazole, imidazole, 1, 2,3-triazole, 1, 2,4-triazole, tetrazole, furan, thiophene, selenophen, oxazole, isoxazole, 1, 2-thiazole, 1, 3-thiazole, 1, 2,3- Oxadiazole, 1, 2,4-oxadiazole, 1, 2,5-oxadiazole, 1, 3,4-oxadiazole, 1, 2,3-thiadiazole, 1, 2,4-thiadiazole, 1, 2,5-thiadiazole, 1, 3,4-thiadiazole, 6-membered rings such as pyridine, pyridazine, pyrimidine, pyrazine, 1, 3,5-triazine, 1, 2,4-triazine, 1, 2,3-triazine, 1, 2,4 , 5-tetrazine, 1, 2,3,4-tetrazine, 1, 2,
- the mono- or polycyclic, aromatic or heteroaromatic ring system may be unsubstituted or substituted. Substituted means in the present application that the mono- or polycyclic, aromatic or heteroaromatic ring system has one or more substituents R.
- Heteroaralkyl having 5 to 60 aromatic ring atoms, which may be substituted by one or more radicals R 1 , or a Diaryl- amino group, Diheteroarylaminooeuvre or Arylheteroarylaminooeuvre having 10 to 40 aromatic ring atoms, which may be substituted by one or more radicals R 1 , or a crosslinkable group Q;
- Two or more radicals R may also together form a monocyclic or polycyclic, aliphatic, aromatic and / or benzoannulated ring system.
- Preferred alkyl groups having 1 to 10 carbon atoms are shown in the following table:
- R 1 is preferably identical or different at each occurrence, H, D, F or an aliphatic hydrocarbon radical having 1 to 20 C atoms, an aromatic and / or a heteroaromatic hydrocarbon radical with 5 up to 20 C atoms, in which also one or more H atoms may be replaced by F;
- substituents R can also be a mono- or polycyclic, aliphatic or
- R 1 is more preferably identical or different at each occurrence, H, D or an aliphatic hydrocarbon radical having 1 to 20 carbon atoms, an aromatic and / or a heteroaromatic hydrocarbon radical having 5 to 20 carbon atoms; in this case, two or more substituents R 1 can also be a mono- or polycyclic, aliphatic or
- R is very particularly preferably identical or different at each occurrence, H or an aliphatic hydrocarbon radical having 1 to 10 carbon atoms, an aromatic and / or a heteroaromatic hydrocarbon radical having 5 to 10 carbon atoms.
- Ar 1 , Ar 3 , Ar 5 , Ar 6 , R, m, n and X may have the meanings given above, and
- p 0, 1, 2, 3, 4 or 5.
- the structural units of the formulas (II) and (III) are selected from the structural units of the following formulas (IIa) and (IIIa):
- Ar 1 , Ar 2 , R, m, n and p may have the meanings given above, and
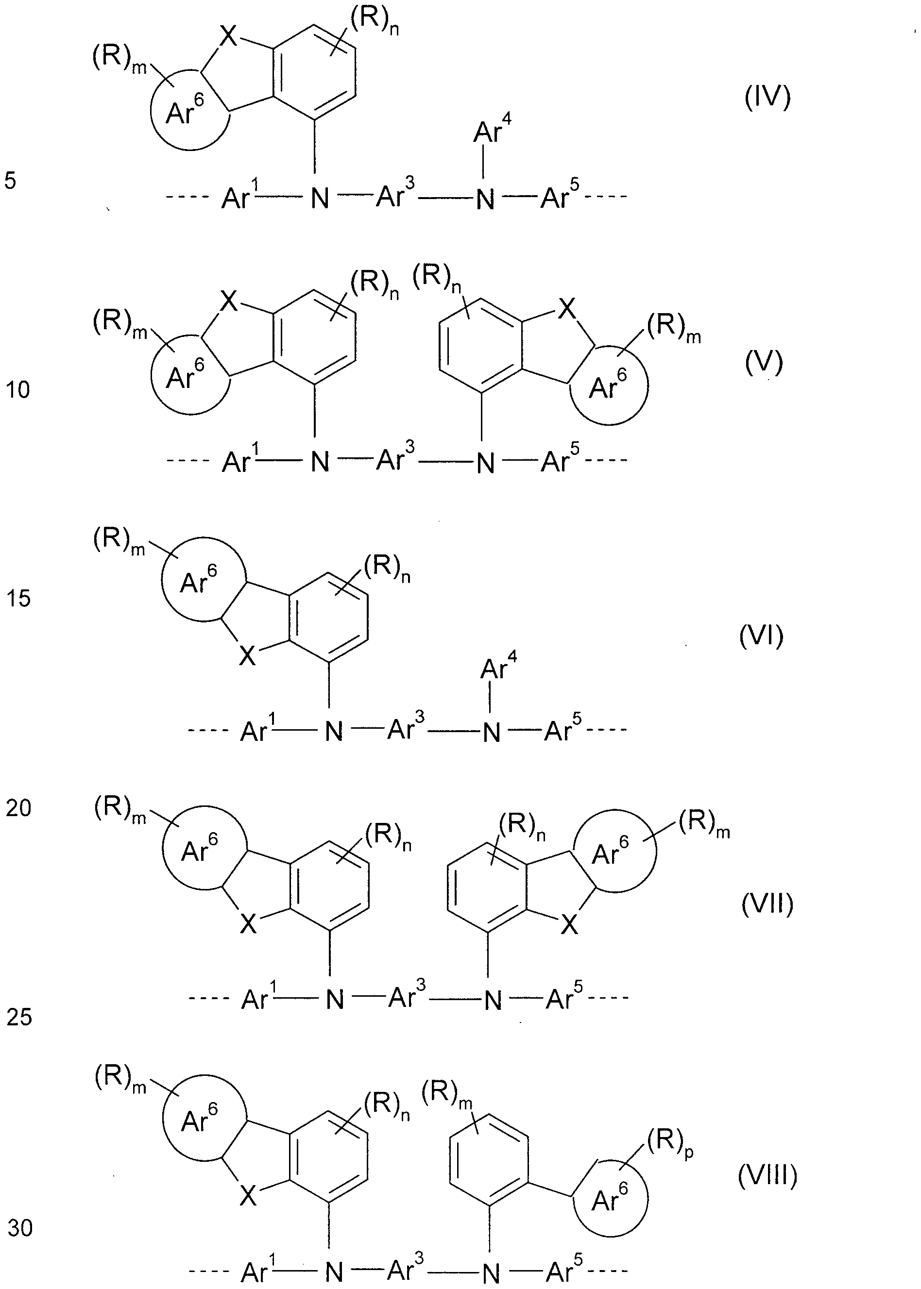
- the structural units of the formulas (IV) and (V) are selected from the structural units of the following formulas (IVa) and (Va):
- Ar 1 , Ar 3 , Ar 5 , R, m, n and X may have the meanings given above.
- Ar 1 , Ar 2 , R, m, n and p can assume the meanings given above.
- Ar 1 , Ar 3 , Ar 5 , R, m, n and X may have the meanings given above.
- Ar 1 , Ar 2 , R, k, m, n and p can assume the meanings given above.
- the structural units of the formulas (IIa) and (IIIa) are selected from the structural units of the following formulas (IIb) and (IIIb):
- R, k, m, n and p can assume the meanings given above.
- the structural units of the formulas (IVa) and (Va) are selected from the structural units of the following formulas (IVb) and (Vb):
- R, X, k, m, n and p can assume the meanings given above, and
- s 1 to 20, preferably 1 to 0, is.
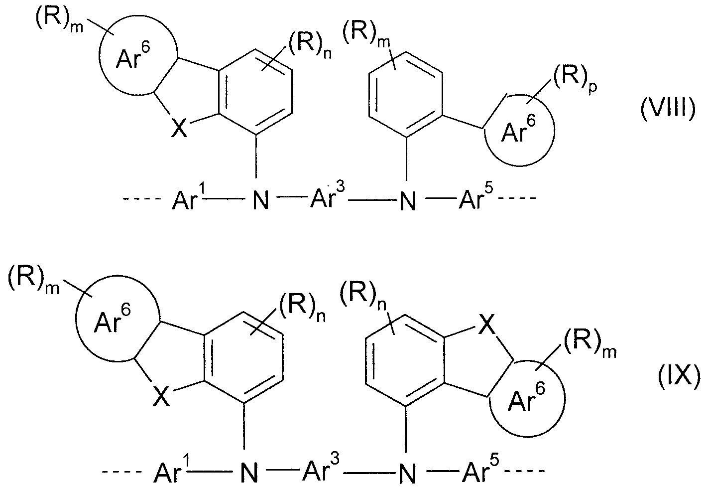
- the structural units of the formulas (VIa) and (VIIa) are selected from the structural units of the following formulas (VIb) and (VIIb):
- R, X, m and n can assume the meanings given above.
- R, X, k, m, and n can assume the meanings given above.
- the proportion of structural units of the formula (I), (II), (III), (IV), (V), (VI), (VII), (VIII) or (IX) in the polymer is in the range from 1 to 100 mol%.
- the polymer according to the invention contains only one structural unit of the formula (I), (II), (III), (IV), (V),
- the polymer according to the invention is a homopolymer.
- the proportion is
- Group 1 units containing the hole injection and / or
- Group 2 units containing the electron injection and / or
- Group 3 Units that are combinations of individual units of the group
- Group 4 units which the emission characteristics so far
- Electrofluorescence can be obtained
- Group 5 units that transition from singlet to
- Group 6 Units indicating the emission color of the resulting
- Group 7 units typically used as polymer backbone
- Group 8 units containing the film morphology and / or the
- Preferred polymers according to the invention are those in which
- At least one structural unit has charge transport properties, i. contain the units from group 1 and / or 2.
- Have hole transport properties are, for example, triarylamine, benzidine, tetraaryl-para-phenylenediamine, triarylphosphine, phenothiazine, Phenoxazine, dihydrophenazine, thianthrene, dibenzo-para-dioxin, phenoxathiin, carbazole, azulene, thiophene, pyrrole and furan derivatives, and other O, S or N containing heterocycles.
- Preferred structural units from group 1 are the structural units of the following formulas (1a) to (1 q):
- Structural unit one or two, preferably two, bonds to
- the structural unit has one, two or three, preferably two, bonds to adjacent structural units. If four dashed lines are present in the formulas, the structural unit has one, two, three or four, preferably two, bonds to adjacent structural units. They can be arranged independently, identically or differently, in ortho, meta or para position.
- Group 2 structural units having electron injection and / or electron transport properties are, for example, pyridine, Pyrimidine, pyridazine, pyrazine, oxadiazole, quinoline, quinoxaline,
- the polymers according to the invention comprise units from group 3 in which structures which increase hole mobility and which electron mobility increase (ie units from groups 1 and 2) are directly bonded to one another or contain structures which both the hole mobility and the
- Some of these units can serve as emitters and shift the emission color to green, yellow or red. Their use is thus suitable, for example, for the production of other emission colors from originally blue-emitting polymers.
- Group 4 structural units are those which are also included in
- Group 5 structural units are those which improve the singlet to triplet state transition and which, assisting with the Group 4 structural elements, improve the phosphorescence properties of these structural elements.
- carbazole and bridged carbazole dimer units are suitable for this purpose, as described, for example, in WO 2004/070772 A2 and WO 2004/1 3468 A1 to be discribed.
- ketones, phosphine oxides, sulfoxides, sulfones, silane derivatives and similar compounds as described, for example, in WO 2005/040302 A1.
- Structural units of group 6 are, in addition to those mentioned above, those which have at least one further aromatic or another conjugated structure which is not classified under the above-mentioned. Fall groups, d. H. which only slightly influence the charge carrier mobility, the none
- organometallic complexes are or which do not affect the
- Aromatic structures having from 6 to 40 carbon atoms or else toluenes, stilbene or bisstyrylarylene derivatives which may each be substituted by one or more radicals R are preferred. Particularly preferred is the incorporation of 1, 4 or 9,10-anthrylene, 1, 6, 2,7 or 4,9-pyrenylene, 3,9 or 3,10-perylenylene, 4, 4'-tolanylene, 4,4'-stilbenylene, benzothiadiazole and corresponding oxygen derivatives, quinoxaline, phenothiazine,
- Oligo (thiophenylene), phenazine, rubrene, pentacene or
- Perylene derivatives which are preferably substituted, or preferably conjugated push-pull systems (systems containing donor and
- Group 7 structural units are units containing aromatic structures having from 6 to 40 carbon atoms, which are typically used as a backbone polymer. These are, for example, 4,5-dihydropyrene derivatives, 4,5,9,10-tetrahydropyrene derivatives, fluorene derivatives, 9,9'-spirobifluorene derivatives, phenanthrene derivatives, 9,10-dihydrophenanthrene derivatives, 5,7-dihydrodibenzooxepine derivatives and cis- and trans-indenofluorene derivatives but also 1, 2, 1, 3 or 1, 4-phenylene, 1, 2, 1, 3 or 1, 4-naphthylene, 2,2'-, 3,3'- or 4, 4'-biphenylylene, 2,2 ", 3,3" or 4,4 "-terphenyls, 2,2 ', 3,3' or 4,4'-bi-1,1 '-naphthylylene or 2,2 "', 3,3"' or
- R, k, m, n and p can assume the meanings given above.
- the dashed lines represent possible bonds to the adjacent structural units in the polymer. If two dashed lines are present in the formulas, then the
- Structural unit one or two, preferably two, bonds to
- the structural units have one, two, three or four, preferably two, bonds to adjacent structural units. They can be arranged independently, identically or differently, in ortho, meta or para position.
- Group 8 structural units are those which affect the film morphology and / or the rheological properties of the polymers, e.g. Siloxanes, alkyl chains or fluorinated groups, but also particularly rigid or flexible units, liquid-crystalline units or crosslinkable groups.
- polymers according to the invention which, in addition to structural units of the formulas (I), (II), (III), (IV), (V), (VI), (VII), (VIII) and / or (IX), additionally additionally contain one or more units selected from Groups 1 to 8. It may likewise be preferred if more than one further structural unit from a group is present at the same time.
- Preferred polymers according to the invention are those which have, in addition to at least one structural unit of the formulas (I), (II), (III), (IV), (V), (VI), (VII), (VIII) and / or (IX) still contain units from group 7. It is likewise preferred if the polymers according to the invention
- Contain units that improve the charge transport or the charge injection ie units from the group 1 and / or 2.
- the polymers according to the invention are either homopolymers of structural units of the formula (I), (II), (III), (IV), (V), (VI), (VII), (VIII) or (IX) 10 or copolymers.
- the polymers of the invention may be linear or branched, preferably linear.
- Copolymers of the invention may in addition to one or more structural units of the formulas (I), (II), (III), (IV), (V), (VI), (VII), (VIII) and / or (IX) potentially one or several other structures from the groups 1 to 8 listed above.
- copolymers according to the invention can have random, alternating or block-like structures or alternatively have several of these structures in turn.
- the copolymers according to the invention particularly preferably have random or alternating structures.
- the copolymers are random or alternating copolymers. How to obtain copolymers with block-like structures
- the polymer can also have dendritic structures.
- the polymers according to the invention contain, in addition to one or more
- Crosslinkable group Q in the sense of the present invention means a functional group which is able to undergo a reaction and thus form an insoluble compound, the reaction being able to react with another, identical group Q, another, different group Q. or any other part of it or another
- the crosslinkable group is thus a reactive group.
- a correspondingly crosslinked compound is obtained.
- the chemical reaction can also be carried out in the layer, resulting in an insoluble layer.
- the crosslinking can usually be assisted by heat or by UV, microwave, X-ray or electron radiation, if appropriate in the presence of an initiator.
- "Insoluble" in the sense of the present invention preferably means that the polymer according to the invention after the crosslinking reaction, ie after the reaction the crosslinkable groups, at room temperature in an organic solvent having a solubility which is at least a factor of 3, preferably at least a factor of 10, lower than that of the corresponding non-crosslinked polymer of the invention in the same organic solvent.
- the structural unit bearing the crosslinkable group Q may in a first embodiment be selected from the structural units of the formulas (I), (II), (III), (IV), (V), (VI), (VII) , (VIII) and / or (IX).
- Preferred structural units bearing the crosslinkable group Q are the following, from the structural units of the formulas (I-1a), (1-1b), (1-1c) and (1-1d), respectively, of the structural units of the Formulas (Xla), (Xlb), (Xlc) and (Xld):
- o, s, t, u and v are each 0 or 1, and the sum (o + s +
- t + u + v) 1, 2, 3, 4 or 5; preferably 1, 2 or 3; more preferably 1 or 2, and most preferably 1.
- o, s, t, u, v and w are each 0 or 1, and the sum (o + s +
- t + u + v + w 1,2,3,4,5 or 6, preferably 1,2,3 or 4, more preferably 1, 2 or 3, and most preferably 1 or 2.
- the structural units of the formula (IV), (V), (VI) and (VII) can also have crosslinkable groups Q.
- the structural unit bearing the crosslinkable group Q may be selected from the structural units disclosed in Groups 1-8.
- a preferred structural unit bearing the crosslinkable group Q is the following structural unit of the formula (XII) derived from the triarylamine units of group 1:
- Ar 1 , Ar 2 and Ar 3 may have the meanings given above in relation to formula (I).
- Another preferred structural unit bearing the crosslinkable group Q is the following group 7-derived structural unit of the formula (XIII):
- the crosslinkable group Q is a functional group capable of undergoing a chemical reaction to form an insoluble polymeric compound. It is generally possible to use all groups Q known to the person skilled in the art for this purpose. In particular, it is the task of this group to link the polymeric compounds according to the invention, if appropriate with further reactive polymeric compounds, by means of a crosslinking reaction. This results in a crosslinked compound or, when the reaction is carried out in one layer, to a crosslinked layer.
- a crosslinked layer in the sense of the present invention is understood to mean a layer which can be obtained by carrying out the crosslinking reaction from a layer of the crosslinkable, polymeric compound according to the invention.
- Crosslinking reaction can generally be effected by heat and / or by UV, microwave, X-ray or electron radiation and / or by the use of radical formers, anions, cations, acids and / or Photoacids are initiated. Likewise, the presence of
- Crosslinkable groups Q preferred in accordance with the invention are those in the
- Suitable units are a terminal or cyclic double bond, a terminal dienyl group or a
- terminal triple bond in particular terminal or cyclic alkenyl, terminal dienyl or terminal alkynyl groups having 2 to 40 carbon atoms, preferably having 2 to 10 carbon atoms, wherein also individual CH 2 groups and / or individual H atoms the above groups R can be replaced.
- alkenyloxy Dienyloxy- or
- Alkynyloxy groups preferably alkenyloxy groups.
- acrylic acid units in the broadest sense, preferably acrylic esters, acrylamides, methacrylic esters and
- Methacrylamides Particularly preferably Ci -10 alkyl acrylate and C 1 0 alkyl methacrylate.
- the crosslinking reaction of the groups mentioned above under a) to c) can be carried out via a radical, a cationic or an anionic mechanism but also via cycloaddition. It may be useful to add a suitable initiator for the crosslinking reaction.
- Suitable initiators for free-radical crosslinking are, for example, dibenzoyl peroxide, AIBN or TEMPO.
- Suitable initiators for the cationic crosslinking are, for example, AICI 3 , BF 3 , triphenylmethyl perchlorate or tropylium hexachloroantimonate.
- Suitable initiators for the anionic crosslinking are bases, in particular
- the crosslinking is carried out without the addition of an initiator and is exclusively thermally initiated. This preference is based on the fact that the absence of the initiator prevents contamination of the layer, which could lead to a deterioration of the device properties.
- crosslinkable groups Q are oxetanes and oxiranes, which crosslink cationically by ring opening.
- silane groups SiR 3 are also suitable as a class of crosslinkable groups.
- SiR 3 where at least two groups R, preferably all three groups
- R is Cl or an alkoxy group having 1 to 20 carbon atoms.
- crosslinkable groups Q are generally known to those skilled in the art, as are the suitable reaction conditions used to react these groups.
- Preferred crosslinkable groups Q include alkenyl groups of the following formula Q1, dienyl groups of the following formula Q2,
- Alkynyl groups of the following formula Q3 alkenyloxy groups of the following formula Q4, dienyloxy groups of the following formulas Q5,
- Alkynyloxy groups of the following formula Q6 acrylic acid groups of the following formulas Q7 and Q8, oxetane groups of the following formulas Q9 and Q10, oxirane groups of the following formula Q 1 and
- the radicals R 11 , R 2 and R 3 in the formulas Q1 to Q8 and Q1 1 in each occurrence, identical or different, is H, a straight-chain or branched alkyl group having 1 to 6 C atoms, preferably 1 to 4 C atoms ,
- the radicals R 11 , R 12 and R 13 are particularly preferably H, methyl, ethyl, n-propyl, isopropyl, n-butyl, sec-butyl or tert-butyl and very particularly preferably H or methyl.
- the dashed bond in the formulas Q1 to Q11 and the dashed bonds in the formula Q12 represent the attachment of the crosslinkable group to the structural units.
- crosslinkable groups of the formulas Q1 to Q12 may be linked directly to the structural unit, or indirectly, via a further, mono- or polycyclic, aromatic or heteroaromatic
- Ring system Ar 10 as shown in the following formulas Q13 to Q24:
- Ar 10 in the formulas Q 13 to Q 24 can assume the same meanings as Ar 1 .
- crosslinkable groups Q are the following:
- the radicals R 11 and R 2 in the formulas Q7a and Q13a to Q19a in each occurrence, identical or different, are H or a straight-chain or branched alkyl group having 1 to 6 C atoms, preferably 1 to 4 C atoms.
- the radicals R 1 and R 12 are particularly preferably methyl, ethyl, n-propyl, isopropyl, n-butyl, sec-butyl or tert-butyl and very particularly preferably methyl.
- the radical R 13 in the formulas Q7b and Q19b at each occurrence is a straight-chain or branched alkyl group having 1 to 6 C atoms, preferably 1 to 4 C atoms.
- the radical R 3 is particularly preferably methyl, ethyl, n-propyl, isopropyl, n-butyl, sec-butyl or tert-butyl and very particularly preferably methyl.
- crosslinkable groups Q are the following:
- groups Q12, Q12a, Q12b, and Q24 each have two bonds to two having adjacent ring carbon atoms of the structural unit. All other crosslinkable groups merely have a bond to the structural unit.
- the proportion of crosslinkable structural units in the polymer is in the range from 0.01 to 50 mol%, preferably in the range from 0.1 to 30 mol%, particularly preferably in the range from 0.5 to 20 mol% and very particularly preferably in the range from 1 to 15 mol% based on 100 mol% of all the copolymerized monomers contained in the polymer as structural units.
- the polymers according to the invention comprising structural units of the formulas (I), (II), (III), (IV), (V), (VI), (VII), (VIII) and / or (IX) are generally prepared by polymerization of one or more types of monomer, of which at least one monomer in the polymer to
- the CC linkages are preferably selected from the groups of the SUZUKI coupling, the YAMAMOTO coupling and the STILLE coupling; the CN linkage is preferably a HARTWIG-BUCHWALD coupling.
- the present invention thus also provides a process for the preparation of the polymers according to the invention, which is characterized
- Ar 1 , Ar 2 , Ar 3 , Ar 4 and Ar 5 may assume the meanings given in relation to the structural unit of the formula (I).
- the monomers of the formulas (MI-1) and (MI-2) which lead to structural units of the formula (1-1) or (I-2) in the polymers according to the invention are compounds which are correspondingly substituted and to two
- Positions have suitable functionalities that allow to incorporate this monomer unit in the polymer.
- These monomers of the formulas (MI-1) and (Ml-2) are thus also the subject of the present invention.
- the group Y represents, for one or the other, one for one Polymerization reaction suitable leaving group, so that the incorporation of the monomer units in polymeric compounds is made possible.
- Y represents a chemical functionality which is identically or differently selected from the class of halogens, O-tosylates, O-triflates, O-sulfonates, boric acid esters, partially fluorinated silyl groups,
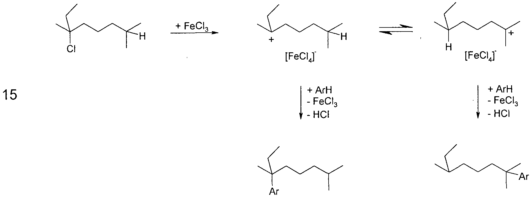
- the backbone of the monomer compounds can be functionalized by standard methods, for example by Friedel-Crafts alkylation or acylation. Furthermore, the skeleton can be after
- halo- genated compounds can optionally be further implemented in additional functionalization steps.
- additional functionalization steps for example, the
- halogenated compounds are used either directly or after conversion into a boronic acid derivative or organotin derivative as starting materials for the reaction to polymers, oligomers or dendrimers.
- the polymers of the invention can be used as a pure substance, but also as a mixture together with any other polymeric, oligomeric, dendritic or low molecular weight substances.
- a low molecular weight substance is understood as meaning compounds having a molecular weight in the range from 100 to 3000 g / mol, preferably 200 to 2000 g / mol. These other substances may e.g. improve the electronic properties or self-emit.
- Another object of the present invention is thus a polymer blend comprising one or more polymers of the invention, and one or more further polymeric, oligomeric, dendritic and / or low molecular weight substances.
- the invention further provides solutions and formulations of one or more polymers of the invention or a polymer blend in one or more solvents. How such solutions can be prepared is known to the person skilled in the art and described, for example, in WO 02/072714 A1, WO 03/019694 A2 and the literature cited therein.
- These solutions can be used to prepare thin polymer layers, for example, by area-coating methods (e.g., spin-coating) or by printing methods (e.g., ink-jet printing).
- area-coating methods e.g., spin-coating
- printing methods e.g., ink-jet printing
- Polymers containing structural units which have a crosslinkable group Q are particularly suitable for the production of films or coatings, in particular for the production of structured
- Coatings for example by thermal or light-induced in situ polymerization and in situ crosslinking, such as in situ UV photopolymerization or photopatterning.
- both corresponding polymers can be used in pure substance, but it is also possible to use formulations or mixtures of these polymers as described above. These can be used with or without the addition of solvents and / or binders. Suitable materials, methods and devices for the methods described above are described, for example, in WO 2005/083812 A2.
- Possible binders are, for example, polystyrene, polycarbonate, poly (meth) acrylates, polyacrylates, polyvinyl butyral and similar, optoelectronically neutral polymers.
- Suitable and preferred solvents are, for example, toluene, anisole, o-, m- or p-xylene, methyl benzoate, mesitylene, tetralin, veratrole, THF, methyl THF, THP, chlorobenzene, dioxane, phenoxytoluene, in particular 3-phenoxytoluene, (-) -Fenchone, 1, 2,3,5-tetramethylbenzene, 1, 2,4,5-tetramethylbenzene, 1-methylnaphthalene, 2-methylbenzothiazole, 2-phenoxyethanol, 2-pyrrolidinone, 3-methylanisole, 4-methylanisole, 3,4 Dimethylanisole, 3,5-dimethylanisole, acetophenone, a-terpineol,
- Another object of the present invention is thus the
- the crosslinkable group more preferably one
- Vinyl group or alkenyl group is preferably incorporated into the polymer by the WITTIG reaction or a WITTIG analogous reaction. If the crosslinkable group is a vinyl group or alkenyl group, the crosslinking can take place by free-radical or ionic polymerization, which can be induced thermally or by radiation.
- the free-radical polymerization which is thermally induced is preferably at temperatures of less than 250 ° C, more preferably at temperatures of less than 200 ° C.
- an additional styrenic monomer is added during the crosslinking process to achieve a higher degree of crosslinking.
- the proportion of styrene monomer added is in the range of 0.01 to 50 mol%, particularly preferably 0.1 to 30 mol%, based on 100 mol% of all the copolymerized monomers contained in the polymer as structural units.
- Radical or ionic crosslinking preferably radical crosslinking, which can be induced both thermally and by radiation, preferably thermally.
- crosslinked polymers produced by the process according to the invention are insoluble in all common solvents. In this way, defined layer thicknesses can be produced, which are also due to the
- the present invention thus also relates to a crosslinked polymer obtainable by the aforementioned method.
- the crosslinked polymer is preferably prepared in the form of a crosslinked polymer layer as described above.
- On the surface of such a crosslinked polymer layer due to the insolubility of the crosslinked polymer in all solvents, another layer of a solvent can be applied by the techniques described above.
- the present invention also includes so-called hybrid devices in which one or more layers which are processed from solution and layers which are produced by vapor deposition of low molecular weight substances may occur.
- the polymers according to the invention can be used in electronic or optoelectronic devices or for their preparation.
- Another object of the present invention is thus the
- Electroluminescent devices OLED
- OFETs organic field effect Transistors
- O-ICs organic integrated circuits
- TFTs organic thin-film transistors
- O-SCs organic solar cells
- O-lasers organic laser diodes
- O-lasers organic photovoltaic elements or devices or organic photoreceptors (OPCs) , particularly preferably in organic electroluminescent devices (OLED).
- OLEDs can be produced is known to the person skilled in the art and is described in detail, for example, as a general method in WO 2004/070772 A2, which is to be adapted accordingly for the individual case.
- the polymers according to the invention are very particularly suitable as electroluminescent materials in OLEDs or displays produced in this way.
- Active layer means that the layer is able to emit light upon application of an electric field (light-emitting layer) and / or that it improves the injection and / or the transport of the positive and / or negative charges (charge injection or
- a preferred subject of the present invention is therefore also the use of the polymers according to the invention in OLEDs, in particular as electroluminescent material.
- the present invention furthermore relates to electronic or optoelectronic components, preferably organic electroluminescent devices (OLED), organic field-effect transistors (OFETs), organic integrated circuits (O-ICs), organic
- TFTs Thin film transistors
- O-SCs organic solar cells
- O-lasers organic laser diodes
- O-PAV organic photovoltaic
- OPCs organic photoreceptors
- the active layer may, for example, be a light-emitting layer, a charge-transport layer and / or a charge-injection layer.
- the main aim is the use of the polymers according to the invention in relation to OLEDs and corresponding displays.
- the polymers of the invention as semiconductors for the other, described above
- alkylated aromatics takes place by means of a Friedel-Crafts reaction in accordance with methods A and B described below by way of example.
- the mixture is filtered through about 750 g of silica gel, which is washed with about 500 ml of dichloromethane.
- the yellow solution is completely freed from solvent on a rotary evaporator, the remaining orange solid is stirred with about 2 l of ethanol at 60 ° C.
- the mixture is cooled to 0 ° C. for 1 h, then the solid is filtered off with suction and washed twice with 300 ml of cold ethanol each time. After drying in a vacuum oven, 827 g (78% of theory) remain as a pale yellow crystalline solid.
- the pale yellow solution is completely freed from solvent on a rotary evaporator, leaving a yellow oil. This is over a distillation bridge without cooling at 10 "2 mbar and a head temperature of up to 170 ° C of excess 3-chloro-3,7-dimethyioctane and monosubstituted biphenyl freed.
- the organic phase is washed twice with saturated aqueous sodium thiosulfate solution and twice with saturated aqueous sodium bicarbonate solution, dried over sodium sulfate and freed from the solvent on a rotary evaporator.
- the residue is taken up in 50 ml of heptane and filtered through about 50 g of silica gel, which is washed with 100 ml of heptane.
- the solvent is removed on a rotary evaporator.
- the remaining residue is purified in a short path distillation at 10 -3 mbar and a gradually increased jacket temperature of up to 180 ° C. This leaves 60.6 g (81% of theory) of a yellowish solid.
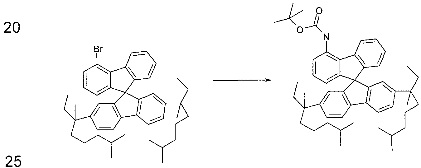
- bromides Bro2 and Bro3 can be represented:
- 7'-dialkylated 4-bromo-9,9-spirobifluorenes can be prepared by reaction of 4,4'-dialkyl-substituted 2-bromobiphenyl and 4-bromofluorenone, as exemplified by the compounds Spi2 and Spi3 shown:
- the solid is filtered off and washed with toluene.
- the filtrates are concentrated, stirred hot with ethanol, filtered off with suction and dried together with the precipitated solid in a vacuum oven. It remains 28.3 g (68% of theory) as a yellow solid.
- the reaction mixture is concentrated. The residue is stirred hot in ethanol.
- the solid is filtered and recrystallized three times in ethyl acetate (0.8 L each). After sucking off the solid and drying in a vacuum drying oven, it is tempered at 10 ⁇ 5 mbar and 180 ° C. to remove residues of solvents and volatile impurities. This gives 22.0 g (71% of theory) of the product as a yellow powder with a purity of 99.8% by HPLC.
- Step 1
- Hot extractor extracted over a bed of alumina (basic, activity level 1). After cooling, the precipitated solid is filtered off, washed twice with about 200 ml of heptane and dried under vacuum. There remain 53.0 g (66% of theory) as a slightly colored solid. Level 2:
- the mixture is with aqueous sodium hydroxide solution neutral.
- the organic phase is separated, washed twice with about 350 ml of water and once with 350 ml of saturated sodium chloride solution and dried over magnesium sulfate.
- the solvent is removed on a rotary evaporator. This leaves a yellow oil that crystallizes within 24 hours.
- the solid is extracted with about 300 ml of heptane in a continuous hot extractor over a bed of alumina (basic, activity level 1) and filtered off after cooling. It is recrystallized three times from isopropanol. After drying in vacuo, 13.0 g (18% of theory) remain as a yellow solid.
- N4, N4'-bis-biphenyl-4-yl-N4, N4'-diphenyl-biphenyl-4,4'-diamine (12 mmol) (CAS: 134008-76-7) are dissolved in 1.5 l of dried tetrahydro - Furan (THF) dissolved and cooled to 0 ° C. 40 g of N-bromosuccinimide
- the solid is filtered through silica gel and Celite and the solution is concentrated.
- the residue is treated with 800 ml of dichloromethane.
- the phases are separated.
- the organic phase is washed three times with 300 ml of water and dried over Na 2 S0 4 , then filtered and concentrated by rotary evaporation.
- the product is filtered through silica gel (toluene as eluent).
- the clean fractions (about 35 g) are recrystallized from a mixture of 50 ml of heptane and 170 ml of toluene.
- the solid is filtered, washed with heptane and dried. This gives 33.5 g (52% of theory) of the product as a colorless powder with a purity of 99.1% by HPLC.
- Step 1
- Stage 3 Preparation of Mo16.Br 97.8 g (346 mmol) of 1-bromo-3-iodobenzene, 96.1 g (157 mmol) of 4-amino-2'7'-bis- (37-dimethyloctan-3-yl) -9,9'-spirobifluorene, 2.4 g (12.6 mmol)
- Heptane extracted for about 16 h After cooling to room temperature, the solid is filtered off with suction and the mother liquor is concentrated to dryness on a rotary evaporator. Both solids are combined and re-extracted as described; the extraction sleeves used are only weakly colored after the second extraction. The mother liquor is concentrated again to dryness and combined with the precipitated solids. It is taken up in about 250 ml of heptane, the suspension is heated to reflux and added dropwise to complete toluene solution (about 190 ml). After cooling to room temperature, the solid formed is filtered off with suction and recrystallized again as described.
- Polymers Po to Po14 are prepared by SUZUKI coupling according to the method described in WO 2010/097155 from the monomers shown in Part A.
- these are converted into crosslinkable vinyl groups after the polymerization by means of the WITTIG reaction in accordance with the process described in WO 2010/097155.
- the polymers listed correspondingly in the following table and used in Part C thus have crosslinkable vinyl groups instead of the aldehyde groups originally present.
- the palladium and bromine contents of the polymers are determined by ICP-MS. The determined values are below 10 ppm.
- the molecular weights M w and the polydispersities D are determined by means of gel permeation chromatography (GPC) (Model: Agilent HPLC System Series 1100) (column: PL-RapidH from Polymer Laboratories;
- Part C Device examples
- the polymers according to the invention can be processed from solution and, compared to vacuum-processed OLEDs, lead to OLEDs which are much easier to produce and nevertheless have good properties.
- crosslinkable variants of the polymers according to the invention give a completely insoluble layer after crosslinking is tested analogously to WO 2010/097155.
- Table C1 shows the remaining layer thickness of the original 20 nm according to the washing process described in WO 2010/097155.
- the layer thickness does not decrease, the polymer is insoluble and thus the crosslinking is sufficient.
- the comparative polymer V1 which carries no crosslinking group, hardly crosslinks at 220 ° C.
- the comparative polymer V2 and the inventive polymers Po01, Po02, Po05, Po13 and Po14 completely crosslink at 220 ° C.
- the polymers of the invention are in two different
- Structure A is as follows:
- HTL Hole transport layer
- Emission layer (60 nm)
- HBL hole blocking layer
- Electron transport layer (ETL) (40 nm),
- Structure B is as follows:
- HTL Hole transport layer
- Emission layer (30 nm)
- Electron transport layer (20 nm)
- the substrate used is glass plates coated with structured ITO (indium tin oxide) of thickness 50 nm. For better processing, they are coated with PEDOTPSS. The spin-on takes place in air from water. The layer is baked for 10 minutes at 180 ° C.
- structured ITO indium tin oxide
- PEDOTPSS is procured from Heraeus Precious Metals GmbH & Co. KG, Germany. On these coated glass slides are the
- the compounds of the invention and comparative compounds are used, each dissolved in toluene.
- the typical Feststoffgehait of such solutions is about 5 g / l, if, as here, the typical for a device layer thicknesses of 20 or 40 nm means Spincoating is to be achieved.
- the layers are in one
- Inertgasatmospstone in this case argon, spin-on and baked for 60 minutes at 180 ° C or 220 ° C.
- the emission layer is always composed of at least one matrix material (host material, host material) and an emitting dopant (dopant, emitter). Furthermore, mixtures of several matrix materials and co-dopants can occur.
- the mixture for the emission layer is dissolved for Structure A in toluene. The typical solids content of such
- Solutions is about 18 g / l, if, as here, the typical for a device layer thickness of 60nm is to be achieved by spin coating.
- Layers are spin-coated in an inert gas atmosphere, in this case argon, and baked at 180 ° C. for 10 minutes.
- the emission layer is formed by thermal evaporation in a
- the layer may consist of more than one material, the other by co-evaporation in one
- H3 Dotand (95%: 5%) means here that the materials H3 and dopant are present in a volume fraction of 95%: 5% in the layer.
- the materials for the hole blocking layer and electron transport layer are also thermally evaporated in a vacuum chamber and are shown in Table C3.
- the hole blocking layer consists of ETM1.
- the electron transport layer consists of the two materials ETM1 and ETM2, which are admixed by co-evaporation in a volume fraction of 50% each.
- the cathode is formed by the thermal evaporation of a 100nm thick aluminum layer.
- the OLEDs are characterized by default.
- the electroluminescence spectra, current-voltage-luminance characteristics are determined assuming a lambertian radiation characteristic and the (operating) life. Key figures are determined from the lUL characteristic curves, such as the operating voltage (in V) and the external quantum efficiency (in%) at a specific brightness.
- LD50 @ 1000cd / m 2 is the lifetime until the OLED has dropped to 50% of the initial intensity, ie 500 cd / m 2 , at a starting brightness of 1000 cd / m 2 .
- LD80 @ 0000cd / m 2 is the lifetime until the OLED has dropped to 80% of the initial intensity, ie 8000 cd / m 2 , at a starting brightness of 10000 cd / m 2 .
- the polymers according to the invention when used as hole transport layers in OLEDs, give improvements over the prior art, in particular with regard to service life and operational stress. Green and blue emitting OLEDs are produced with the materials according to the invention.
Landscapes
- Chemical & Material Sciences (AREA)
- Health & Medical Sciences (AREA)
- Chemical Kinetics & Catalysis (AREA)
- Medicinal Chemistry (AREA)
- Polymers & Plastics (AREA)
- Organic Chemistry (AREA)
- Engineering & Computer Science (AREA)
- Materials Engineering (AREA)
- Physics & Mathematics (AREA)
- Optics & Photonics (AREA)
- Electroluminescent Light Sources (AREA)
- Polyoxymethylene Polymers And Polymers With Carbon-To-Carbon Bonds (AREA)
- Compositions Of Macromolecular Compounds (AREA)
- Processes Of Treating Macromolecular Substances (AREA)
- Other Resins Obtained By Reactions Not Involving Carbon-To-Carbon Unsaturated Bonds (AREA)
Description
Polymere enthaltend substituierte Oligo-triarylamin-Einheiten sowie Elektrolumineszenzvorrichtungen enthaltend diese Polymere Polymers containing substituted oligo-triarylamine units and electroluminescent devices containing these polymers
Die vorliegende Erfindung betrifft Polymere enthaltend substituierte Oligo1 triarylamin-Wiederholungseinheiten, vorzugsweise Bis-triarylamin-The present invention relates to polymers comprising substituted oligo- 1- triarylamine repeating units, preferably bis-triarylamine
Wiederholungseinheiten, Verfahren zu deren Herstellung sowie deren Verwendung in elektronischen bzw. optoelektronischen Vorrichtungen, insbesondere in organischen Elektrolumineszenz-vorrichtungen, Repeating units, processes for their preparation and their use in electronic or optoelectronic devices, in particular in organic electroluminescent devices,
sogenannten OLEDs (OLED = Organic Light Emitting Diodes). Darüber hinaus betrifft die vorliegende Erfindung auch organische so-called OLEDs (OLED = Organic Light Emitting Diodes). Moreover, the present invention also relates to organic
Elektrolumineszenzvorrichtungen enthaltend diese Polymere. Electroluminescent devices containing these polymers.
In elektronischen bzw. optoelektronischen Vorrichtungen, insbesondere in organischen Elektrolumineszenzvorrichtungen (OLED) werden In electronic or optoelectronic devices, in particular in organic electroluminescent devices (OLED)
Komponenten verschiedener Funktionalität benötigt. In OLEDs liegen die verschiedenen Funktionalitäten dabei normalerweise in verschiedenen Schichten vor. Man spricht in diesem Fall von mehrschichtigen OLED- Systemen. Diese mehrschichtigen OLED-Systeme weisen dabei unter anderem ladungsinjizierende Schichten, wie z.B. elektronen- und Components of different functionality needed. In OLEDs, the different functionalities are usually in different layers. In this case one speaks of multilayer OLED systems. These multilayer OLED systems include, but are not limited to, charge injecting layers, e.g. electron and
lochinjizierende Schichten, ladungstransportierende Schichten, wie z.B. elektronen- und lochleitende Schichten, sowie Schichten auf, die hole injecting layers, charge transporting layers, e.g. Electron and hole-conducting layers, as well as layers on, the
lichtemittierende Komponenten enthalten. Diese mehrschichtigen OLED-contain light-emitting components. These multilayer OLEDs
Systeme werden in der Regel durch das aufeinanderfolgende schichtweise Aufbringen hergestellt. Systems are typically made by sequential layer-by-layer application.
Werden dabei mehrere Schichten aus Lösung aufgebracht, ist darauf zu achten, dass eine bereits aufgebrachte Schicht nach deren Trocknung nicht durch das nachfolgende Aufbringen der Lösung zur Herstellung der nächsten Schicht zerstört wird. Dies kann beispielsweise dadurch erreicht werden, dass eine Schicht unlöslich gemacht wird, beispielsweise durch Vernetzung. Solche Verfahren werden z.B. in der EP 0 637 899 und der WO 96/20253 offenbart. If several layers of solution are applied, care must be taken to ensure that an already applied layer after it has been dried is not destroyed by the subsequent application of the solution to produce the next layer. This can be achieved, for example, by rendering a layer insoluble, for example by crosslinking. Such methods are e.g. in EP 0 637 899 and WO 96/20253.
Darüber hinaus ist es aber auch notwendig, die Funktionalitäten der einzelnen Schichten von der Materialseite her so aufeinander In addition, it is also necessary, the functionalities of the individual layers of the material side so to each other
abzustimmen, dass möglichst gute Ergebnisse, z.B. hinsichtlich to agree that the best possible results, e.g. regarding
BESTÄTIGUNGSKOPIE Lebensdauer, Effizienz, etc. erreicht werden. So haben insbesondere die Schichten, die direkt an eine emittierende Schicht angrenzen, insbesondere die lochtransportierende Schicht (HTL = Hole Transport Layer), einen signifikanten Einfluss auf die Eigenschaften der angrenzenden CONFIRMATION COPY Lifespan, efficiency, etc. can be achieved. In particular, the layers which directly adjoin an emitting layer, in particular the hole transporting layer (HTL = Hole Transport Layer), have a significant influence on the properties of the adjacent layers
emittierenden Schicht. emitting layer.
Eine der Aufgaben der vorliegenden Erfindung lag deshalb in der One of the objects of the present invention was therefore in the
Bereitstellung von Verbindungen, die einerseits aus Lösung verarbeitet werden können und die andererseits bei der Verwendung in elektronischen bzw. opto-elektronischen Vorrichtungen, vorzugsweise in OLEDs, und hier insbesondere in deren Lochtransportschicht, zu einer Verbesserung der Eigenschaften der Vorrichtung, d.h. insbesondere der OLED, führen. Providing compounds which can be processed from solution on the one hand and, on the other hand, when used in electronic or optoelectronic devices, preferably in OLEDs, and in particular in their hole transport layer, improve the properties of the device, i. especially the OLED lead.
Überraschenderweise wurde gefunden, dass Polymere, welche Oligo- triarylamin-Wiederholungseinheiten aufweisen, von denen mindestens eine Arylgruppe in ortho-Position substituiert ist, insbesondere bei Verwendung in der lochtransportierenden Schicht von OLEDs zu einer deutlichen Erhöhung der Lebensdauer dieser OLEDs führen. Surprisingly, it has been found that polymers which have oligotriarylamine repeat units of which at least one aryl group is substituted in the ortho position, in particular when used in the hole-transporting layer of OLEDs, lead to a significant increase in the lifetime of these OLEDs.
Gegenstand der vorliegenden Anmeldung ist somit ein Polymer, das mindestens eine Struktureinheit der folgenden Formel (I) aufweist: The subject matter of the present application is thus a polymer which has at least one structural unit of the following formula (I):
dabei ist is there
Ar1 bis Ar5 bei jedem Auftreten, jeweils gleich oder verschieden, ein mono- oder polycyclisches, aromatisches oder heteroaromatisches Ringsystem mit 5 bis 60 aromatischen Ringatomen, das mit einem oder mehreren Resten R substituiert sein kann; Ar 1 to Ar 5 at each occurrence, each same or different, a mono- or polycyclic, aromatic or heteroaromatic ring system having 5 to 60 aromatic ring atoms, which may be substituted by one or more radicals R;
i und j jeweils 0 oder 1 ist, wobei die Summe (i + j) = 1 ist; i and j are each 0 or 1, the sum (i + j) = 1;
R bei jedem Auftreten gleich oder verschieden H, D, F, Cl, Br, I, N(R1)2, CN, NO2, Si(R1)3, B(OR1)2, C(=O)R1, P(=O)(R1)2, S(=O)R1 , S(=O)2R1 , OS02R1 , eine geradkettige Alkyl-, Alkoxy- oder Thioalkoxygruppe mit 1 bis 40 C-Atomen oder eine verzweigte oder cyclische Alkyl-, Alkoxy- oder Thioalkoxygruppe mit 3 bis 40 C-Atomen, die jeweils mit einem oder mehreren Resten R1 substituiert sein kann, wobei eine oder mehrere nicht benachbarte CH2-Gruppen durch R1C=CR1 , C^C,R for each occurrence are identical or different H, D, F, Cl, Br, I, N (R 1 ) 2 , CN, NO 2 , Si (R 1 ) 3 , B (OR 1 ) 2 , C (= O) R 1 , P (= O) (R 1 ) 2 , S (= O) R 1 , S (= O) 2 R 1 , OSO 2 R 1 , a straight-chain alkyl, alkoxy or thioalkoxy group having 1 to 40 C atoms or a branched or cyclic alkyl, alkoxy or thioalkoxy group having 3 to 40 C atoms, each containing one or more radicals R 1 may be substituted, wherein one or more non-adjacent CH 2 groups by R 1 C = CR 1 , C ^ C,
Si(R1)2, C=0, C=S, C=NR1, P(=0)(R1), SO, SO2l NR1, O, S oder CONR ersetzt sein können und wobei ein oder mehrere H-Atome durch D, F, Cl, Br, I oder CN ersetzt sein können, oder ein mono- oder polycyclisches, aromatisches oder heteroaromatisches Ringsystem mit 5 bis 60 aromatischen Ringatomen, das jeweils durch einen oder mehrere Reste R1 substituiert sein kann, oder eine Aryloxy- oderSi (R 1 ) 2 , C = O, C = S, C = NR 1 , P (= O) (R 1 ), SO, SO 2l, NR 1 , O, S or CONR may be substituted and where one or more H atoms may be replaced by D, F, Cl, Br, I or CN, or a mono- or polycyclic, aromatic or heteroaromatic ring system having 5 to 60 aromatic ring atoms, each of which may be substituted by one or more radicals R 1 , or an aryloxy or
Heteroaryloxygruppe mit 5 bis 60 aromatischen Ringatomen, die durch einen oder mehrere Reste R1 substituiert sein kann, oder eine Aralkyl- oder Heteroaralkylgruppe mit 5 bis 60 aromatischen Ringatomen, die durch einen oder mehrere Reste R1 substituiert sein kann, oder eine Diarylaminogruppe, Diheteroarylaminogruppe oder Arylheteroarylaminogruppe mit 10 bis 40 aromatischen Ringatomen, welche durch einen oder mehrere Reste R substituiert sein kann, oder eine vernetzbare Gruppe Q, wobei zwei oder mehrere Reste R auch miteinander ein mono- oder polycyclisches, aliphatisches, aromatisches und/oder benzoannelliertes Ringsystem bilden können; R bei jedem Auftreten gleich oder verschieden H, D, F oder ein Heteroaryloxygruppe having 5 to 60 aromatic ring atoms, which may be substituted by one or more radicals R 1 , or an aralkyl or heteroaralkyl group having 5 to 60 aromatic ring atoms which may be substituted by one or more radicals R 1 , or a Diarylaminogruppe, Diheteroarylaminogruppe or Arylheteroarylaminogruppe having 10 to 40 aromatic ring atoms, which may be substituted by one or more radicals R, or a crosslinkable group Q, wherein two or more radicals R may also together form a mono- or polycyclic, aliphatic, aromatic and / or benzoannelliertes ring system ; R is the same or different at each occurrence H, D, F or a
aliphatischer Kohlenwasserstoffrest mit 1 bis 20 C-Atomen, ein aromatischer und/oder ein heteroaromatischer Kohlenwasserstoffrest mit 5 bis 20 C-Atomen ist, in dem auch ein oder mehrere H-Atome durch F ersetzt sein können; wobei zwei oder mehrere Substituenten R1 auch miteinander ein mono- oder polycyclisches, aliphatisches oder aromatisches Ringsystem bilden können; und aliphatic hydrocarbon radical having 1 to 20 C atoms, an aromatic and / or a heteroaromatic hydrocarbon radical having 5 to 20 carbon atoms, in which also one or more H atoms may be replaced by F; where two or more substituents R 1 can also together form a mono- or polycyclic, aliphatic or aromatic ring system; and
n = 1 , 2 oder 3, vorzugsweise 1 oder 2 und besonders bevorzugt , wobei die gestrichelten Linien Bindungen zu benachbarten n = 1, 2 or 3, preferably 1 or 2 and more preferably, the dashed lines being bonds to adjacent ones
Struktureinheiten im Polymer darstellen, Represent structural units in the polymer,
dadurch gekennzeichnet, dass im Fall i = 0 und j =1 , Ar2 und/oder Ar4 jeweils in mindestens einer, vorzugsweise in einer der beiden ortho- Positionen, mit Ar6 substituiert ist, wobei Ar6 ein mono- oder polycyclisches, aromatisches oder heteroaromatisches Ringsystem mit 5 bis 60 aromatischen Ringatomen ist, das mit einem oder mehreren Resten R substituiert sein kann und characterized in that in the case i = 0 and j = 1, Ar 2 and / or Ar 4 is in each case substituted in at least one, preferably in one of the two ortho positions, with Ar 6 , Ar 6 being a mono- or polycyclic, aromatic or heteroaromatic ring system with 5 to 60 aromatic ring atoms which may be substituted by one or more R radicals and
dass im Fall i = 1 und j = 0, Ar4 und/oder Ar5 jeweils in mindestens einer, vorzugsweise in einer der beiden ortho-Positionen, mit Ar6 substituiert ist, wobei Ar6 ein mono- oder polycyclisches, aromatisches oder in the case i = 1 and j = 0, Ar 4 and / or Ar 5 are each substituted in at least one, preferably in one of the two ortho positions, with Ar 6 , wherein Ar 6 is a mono- or polycyclic, aromatic or
heteroaromatisches Ringsystem mit 5 bis 60 aromatischen Ringatomen ist, das mit einem oder mehreren Resten R substituiert sein kann. heteroaromatic ring system having 5 to 60 aromatic ring atoms, which may be substituted by one or more R radicals.
Die Struktureinheit der Formel (I) weist demnach 2 Bindungen zu The structural unit of the formula (I) accordingly has 2 bonds
benachbarten Struktureinheiten im Polymer auf. Dabei kann i = 1 und j = 0 sein, oder i = 0 und j = 1 sein. adjacent structural units in the polymer. Where i = 1 and j = 0, or i = 0 and j = 1.
Die Struktureinheit der Formel (I) entspricht damit eine der beiden folgenden Struktureinheiten: The structural unit of the formula (I) thus corresponds to one of the following two structural units:
oder or
Im Fall der Formel (1-1 ) kann der Substituent Ar6 dabei entweder nur an Ar2 oder Ar4 oder an Ar2 und Ar4 angeordnet sein. In the case of the formula (1-1), the substituent Ar 6 may be arranged either only on Ar 2 or Ar 4 or on Ar 2 and Ar 4 .
Im Fall der Formel (I-2) kann der Substituent Ar6 dabei entweder nur an Ar4 oder Ar5 oder an Ar4 und Ar5 angeordnet sein. In the case of the formula (I-2), the substituent Ar 6 may be arranged either only on Ar 4 or Ar 5 or on Ar 4 and Ar 5 .
Ar6 kann dabei entweder direkt, das heißt über eine Einfachbindung, mit Ar2 und/oder Ar4 bzw. Ar4 und/oder Ar5 verknüpft sein oder aber über eine Verknüpfungsgruppe X. Die Struktureinheit der Formel (I) weist somit vorzugsweise die Struktur der folgenden Formeln (l-1a), (1-1 b), (l-2a) und (l-2b) auf: Ar 6 can either be linked directly, that is to say via a single bond, with Ar 2 and / or Ar 4 or Ar 4 and / or Ar 5 or else via a linking group X. Thus, the structural unit of the formula (I) preferably has the structure of the following formulas (I-1a), (1-1b), (I-2a) and (I-2b):
wobei Ar1 , Ar2, Ar3, Ar4, Ar5, Ar6 und R die oben angegebenen wherein Ar 1 , Ar 2 , Ar 3 , Ar 4 , Ar 5 , Ar 6 and R are as indicated above
Bedeutungen annehmen können, To be able to assume meanings
m = 0, 1 , 2, 3 oder 4 ist, m = 0, 1, 2, 3 or 4,
X = CR2, NR, SiR2, O, S, C=0 oder P=0, vorzugsweise CR2, NR, O oder S, ist, und X = CR 2 , NR, SiR 2 , O, S, C = O or P = O, preferably CR 2 , NR, O or S, and
r = 0 oder 1 , vorzugsweise 0, ist. r = 0 or 1, preferably 0.
Besonders bevorzugt sind die Formel (1-1 a) und ( b). In einer weiteren Ausführungsform der vorliegenden Erfindung ist die mindestens eine Struktureinheit der Formel (1-1 ) des erfindungsgemäßen Polymeren dadurch gekennzeichnet, dass Ar2 und/oder Ar4 jeweils in einer der beiden ortho-Positionen mit Ar6 substituiert ist, und Ar2 und/oder Ar4 jeweils mit Ar6 zusätzlich noch in der zur substituierten ortho-Position benachbarten meta-Position verknüpft ist. Particularly preferred are the formula (1-1 a) and (b). In a further embodiment of the present invention, the at least one structural unit of the formula (1-1) of the polymer according to the invention is characterized in that Ar 2 and / or Ar 4 is in each case substituted by Ar 6 in one of the two ortho positions, and Ar 2 and / or Ar 4 is additionally linked in each case with Ar 6 in the meta position adjacent to the substituted ortho position.
Die Struktureinheiten der Formel (1-1 ) weist somit vorzugsweise die Struktur der folgenden Formeln (1-1 c) und (1-1 d): The structural units of the formula (1-1) thus preferably have the structure of the following formulas (1-1 c) and (1-1 d):
wobei Ar1, Ar2, Ar3, Ar4, Ar5, Ar6, R und m die oben angegebenen wherein Ar 1 , Ar 2 , Ar 3 , Ar 4 , Ar 5 , Ar 6 , R and m are as indicated above
Bedeutungen annehmen können, To be able to assume meanings
n = 0, 1 , 2 oder 3 ist, n = 0, 1, 2 or 3,
X = CR2, NR, SiR2> O, S, C=0 oder P=0, vorzugsweise CR2, NR, O oder S, ist, und X = CR 2 , NR, SiR 2> O, S, C = O or P = O, preferably CR 2 , NR, O or S, and
p und q jeweils 0 oder 1 sind, wobei die Summe (p + q) = 1 oder 2, vorzugsweise 1 , ist. p and q are each 0 or 1, the sum being (p + q) = 1 or 2, preferably 1.
In der vorliegenden Anmeldung sind unter dem Begriff Polymer sowohl polymere Verbindungen, oligomere Verbindungen sowie Dendrimere zu verstehen. Die erfindungsgemäßen polymeren Verbindungen weisen vorzugsweise 10 bis 10000, besonders bevorzugt 10 bis 5000 und ganz besonders bevorzugt 10 bis 2000 Struktureinheiten (d.h. Wiederholungseinheiten) auf. Die erfindungsgemäßen oligomeren Verbindungen weisen vorzugsweise 3 bis 9 Struktureinheiten auf. Der Verzweigungs-Faktor der Polymere liegt dabei zwischen 0 (lineares Polymer, ohne Verzweigungsstellen) und 1 (vollständig verzweigtes Dendrimer). In the present application, the term polymer is to be understood as meaning both polymeric compounds, oligomeric compounds and dendrimers. The polymeric compounds of the present invention preferably have from 10 to 10,000, more preferably from 10 to 5000, and most preferably from 10 to 2000 structural units (i.e., repeating units). The oligomeric compounds according to the invention preferably have 3 to 9 structural units. The branching factor of the polymers is between 0 (linear polymer, without branching points) and 1 (fully branched dendrimer).
Die erfindungsgemäßen Polymere weisen vorzugsweise ein The polymers of the invention preferably have one
Molekulargewicht Mw im Bereich von 1.000 bis 2.000.000 g/mol, besonders bevorzugt ein Molekulargewicht Mw im Bereich von 10.000 bis 1 .500.000 g/mol und ganz besonders bevorzugt ein Molekulargewicht Mw im Bereich von 50.000 bis 1 .000.000 g/mol auf. Die Bestimmung des Molekular- gewichte Mw erfolgt mttels GPC (= Gelpermeationschromatographie) gegen einen internen Polystyrolstandard. Molecular weight M w in the range from 1000 to 2,000,000 g / mol, particularly preferably a molecular weight M w in the range from 10,000 to 1,500,000 g / mol, and very particularly preferably a molecular weight M w in the range from 50,000 to 1,000,000 g / mol on. The determination of the molecular weights M w are carried out by GPC (= gel permeation chromatography) against an internal polystyrene standard.
Bei den erfindungsgemäßen Polymeren handelt es sich entweder um konjugierte, teilkonjugierte oder nicht-konjugierte Polymere. Bevorzugt sind konjugierte oder teilkonjugierte Polymere. The polymers according to the invention are either conjugated, partially conjugated or non-conjugated polymers. Preference is given to conjugated or partially conjugated polymers.
Die Struktureinheiten der Formel (I) können erfindungsgemäß in die Hauptoder in die Seitenkette des Polymeren eingebaut werden. Vorzugsweise werden die Struktureinheiten der Formel (I) jedoch in die Hauptkette des Polymers eingebaut. Bei Einbau in die Seitenkette des Polymeren können die Struktureinheiten der Formel (I) entweder mono- oder bivalent sein, d.h. sie weisen entweder eine oder zwei Bindungen zu benachbarten The structural units of the formula (I) can be incorporated according to the invention into the main or the side chain of the polymer. Preferably, however, the structural units of formula (I) are incorporated into the main chain of the polymer. When incorporated into the side chain of the polymer, the structural units of formula (I) may be either mono- or bivalent, i. they have either one or two bonds to adjacent ones
Struktureinheiten im Polymer auf. Structural units in the polymer.
„Konjugierte Polymere" im Sinne der vorliegenden Anmeldung sind "Conjugated polymers" within the meaning of the present application
Polymere, die in der Hauptkette hauptsächlich sp2-hybridisierte (bzw. Polymers which in the main chain mainly sp 2 -hybridized (resp.
gegebenenfalls auch sp-hybridisierte) Kohlenstoffatome enthalten, die auch durch entsprechend hybridisierte Heteroatome ersetzt sein können. Dies bedeutet im einfachsten Fall abwechselndes Vorliegen von Doppel- und Einfachbindungen in der Hauptkette, aber auch Polymere mit Einheiten wie beispielsweise einem meta-verknüpften Phenylen sollen im Sinne dieser Anmeldung als konjugierte Polymere gelten.„Hauptsächlich" meint, dass natürlich (unwillkürlich) auftretende Defekte, die zu Konju'gations- unterbrechungen führen, den Begriff "konjugiertes Polymer" nicht entwerten. Als konjugierte Polymere gelten ebenfalls Polymere mit einer konjugierten Hauptkette und nicht-konjugierten Seitenketten. Des Weiteren wird in der vorliegenden Anmeldung ebenfalls als konjugiert bezeichnet, wenn sich in der Hauptkette beispielsweise Arylamineinheiten, optionally also sp-hybridized) contain carbon atoms, which may also be replaced by correspondingly hybridized heteroatoms. In the simplest case, this means alternating presence of double and single bonds in the main chain, but also polymers with units such as a meta-linked phenylene are to be considered as conjugated polymers for the purposes of this application. "Main" means that naturally (involuntarily) occurring defects which gation to Konju 'interruptions result, do not invalidate the term "conjugated polymer." as the conjugated polymers also polymers are having a conjugated backbone and non-conjugated side chains. Furthermore, in the present application also referred to as conjugated when in the main chain, for example arylamine units,
Arylphosphineinheiten, bestimmte Heterocyclen (d.h. Konjugation über N-, O- oder S-Atome) und/oder metallorganische Komplexe (d.h. Konjugation über das Metallatom) befinden. Analoges gilt für konjugierte Dendrimere. Hingegen werden Einheiten wie beispielsweise einfache Alkylbrücken, (Thio)Ether-, Ester-, Amid- oder Imidverknüpfungen eindeutig als nicht- konjugierte Segmente definiert. Unter einem teilkonjugierten Polymer soll in der vorliegenden Anmeldung ein Polymer verstanden werden, das konjugierte Regionen enthält, die durch nicht-konjugierte Abschnitte, gezielte Konjugationsunterbrecher (z.B. Abstandsgruppen) oder Verzweigungen voneinander getrennt sind, z.B. in dem längere konjugierte Abschnitte in der Hauptkette durch nicht- konjugierte Abschnitte unterbrochen sind, bzw. das längere konjugierte Abschnitte in den Seitenketten eines in der Hauptkette nicht-konjugierten Polymers enthält. Konjugierte und teilkonjugierte Polymere können auch konjugierte, teilkonjugierte oder nicht-konjugierte Dendrimere enthalten. Unter dem Begriff "Dendrimer" soll in der vorliegenden Anmeldung eine hochverzweigte Verbindung verstanden werden, die aus einem Arylphosphineinheiten, certain heterocycles (ie conjugation of N, O or S atoms) and / or organometallic complexes (ie conjugation via the metal atom) are located. The same applies to conjugated dendrimers. In contrast, units such as simple alkyl bridges, (thio) ether, ester, amide or imide linkages are clearly defined as non-conjugated segments. In the present application, a partially conjugated polymer is to be understood as meaning a polymer which contains conjugated regions which are separated from one another by nonconjugated sections, targeted conjugation breakers (for example spacer groups) or branchings, for example in which longer conjugated sections in the main chain are replaced by non-conjugated segments. Conjugated portions are interrupted, or containing longer conjugated portions in the side chains of a non-conjugated in the main chain polymer. Conjugated and partially conjugated polymers may also contain conjugated, partially conjugated or non-conjugated dendrimers. The term "dendrimer" is to be understood in the present application, a highly branched compound consisting of a
multifunktionellen Zentrum (core) aufgebaut ist, an das in einem multifunctional center (core) is built on that in one
regelmäßigen Aufbau verzweigte Monomere gebunden werden, so dass eine baumartige Struktur erhalten wird. Dabei können sowohl das Zentrum als auch die Monomere beliebige verzweigte Strukturen annehmen, die sowohl aus rein organischen Einheiten als auch Organometallverbindungen oder Koordinationsverbindungen bestehen. "Dendrimer" soll hier allgemein so verstanden werden, wie dies z.B. von M. Fischer und F. Vögtle (Angew. Chem., Int. Ed. 1999, 38, 885) beschrieben ist. regular structure branched monomers are bound, so that a tree-like structure is obtained. Both the center and the monomers can assume any branched structures consisting of purely organic units as well as organometallic compounds or coordination compounds. As used herein, "dendrimer" is to be understood as meaning e.g. by M. Fischer and F. Vögtle (Angew Chem, Int Ed., 1999, 38, 885).
Unter dem Begriff„Struktureinheit" wird in der vorliegenden Anmeldung eine Einheit verstanden, die, ausgehend von einer Monomereinheit, die mindestens zwei, vorzugsweise zwei, reaktive Gruppen aufweist, durch Reaktion unter Verbindungsknüpfung als ein Teil des Polymergrundgerüstes in dieses eingebaut wird, und damit verknüpft im hergestellten Polymer als Wiederholungseinheit vorliegt. The term "structural unit" in the present application means a unit which, starting from a monomer unit which has at least two, preferably two, reactive groups, is incorporated by reaction under compounding as part of the polymer backbone, and linked thereto present in the produced polymer as a repeat unit.
Unter dem Begriff„mono- oder polycyclisches, aromatisches Ringsystem" wird in der vorliegenden Anmeldung ein aromatisches Ringsystem mit 6 bis 60, vorzugsweise 6 bis 30 und besonders bevorzugt 6 bis 24 aromatischen Ringatomen verstanden, das nicht notwendigerweise nur aromatische Gruppen enthält, sondern in dem auch mehrere aromatische Einheiten durch eine kurze nicht-aromatische Einheit (< 10 % der von H The term "mono- or polycyclic aromatic ring system" in the present application means an aromatic ring system having 6 to 60, preferably 6 to 30 and particularly preferably 6 to 24 aromatic ring atoms, which does not necessarily contain only aromatic groups but in which also several aromatic units by a short non-aromatic unit (<10% of H
verschiedenen Atome, vorzugsweise < 5 % der von H verschiedenen Atome), wie beispielsweise ein sp3-hybridisiertes C-Atom bzw. O- oder N- Atom, eine CO-Gruppe etc., unterbrochen sein können. So sollen beispielsweise auch Systeme wie z.B. 9,9'-Spirobifluoren, 9,9-Diarylfluoren und 9,9-Dialkylfluoren, als aromatische Ringsysteme verstanden werden. Die aromatischen Ringsysteme können mono- oder polycyclisch sein, d.h. sie können einen Ring (z.B. Phenyl) oder mehrere Ringe aufweisen, welche auch kondensiert (z.B. Naphthyl) oder kovalent verknüpft sein können (z.B. Biphenyl), oder eine Kombination von kondensierten und verknüpften Ringen enthalten. Bevorzugte aromatische Ringsysteme sind z.B. Phenyl, Biphenyl, different atoms, preferably <5% of the atoms other than H), such as, for example, an sp 3 -hybridized C atom or O- or N- Atom, a CO group, etc., can be interrupted. They shall example, systems such as 9,9' spirobifluorene, 9,9-diarylfluorene and 9,9-dialkylfluoren, be taken to mean aromatic ring systems. The aromatic ring systems may be mono- or polycyclic, ie they may have one ring (eg phenyl) or several rings which may also be condensed (eg naphthyl) or covalently linked (eg biphenyl) or contain a combination of fused and linked rings , Preferred aromatic ring systems are, for example, phenyl, biphenyl,
Terphenyl, [1 ,1 ':3',1"]Terphenyl-2'-yl, Quarterphenyl, Naphthyl, Anthracen, Binaphthyl, Phenanthren, Dihydrophenanthren, Pyren, Dihydropyren, Chrysen, Perylen, Tetracen, Pentacen, Benzpyren, Fluoren, Inden, Indenofluoren und Spirobifluoren. Unter dem Begriff„mono- oder polycyclisches, heteroaromatisches Ringsystem" wird in der vorliegenden Anmeldung ein aromatisches Ringsystem mit 5 bis 60, vorzugsweise 5 bis 30 und besonders bevorzugt 5 bis 24 aromatischen Ringatomen verstanden, wobei ein oder mehrere dieser Atome ein Heteroatom ist/sind. Das„mono- oder polycyclische, heteroaromatische Ringsystem" enthält nicht notwendigerweise nur aromatische Terphenyl, [1, 1 ': 3', 1 "] terphenyl-2'-yl, quarterphenyl, naphthyl, anthracene, binaphthyl, phenanthrene, dihydrophenanthrene, pyrene, dihydropyrene, chrysene, perylene, tetracene, pentacene, benzopyrene, fluorene, indene In the present application, the term "mono- or polycyclic, heteroaromatic ring system" is understood as meaning an aromatic ring system having 5 to 60, preferably 5 to 30 and particularly preferably 5 to 24 aromatic ring atoms, one or more of these atoms a heteroatom is / are. The "mono- or polycyclic heteroaromatic ring system" does not necessarily include only aromatic
Gruppen, sondern kann auch durch eine kurze nicht-aromatische Einheit (< 10 % der von H verschiedenen Atome, vorzugsweise < 5 % der von H verschiedenen Atome), wie beispielsweise ein sp3-hybridisiertes C-Atom bzw. O- oder N-Atom, eine CO-Gruppe etc., unterbrochen sein. Die heteroaromatischen Ringsysteme können mono- oder polycyclisch sein, d.h. sie können einen Ring oder mehrere Ringe aufweisen, welche auch kondensiert oder kovalent verknüpft sein können (z.B. Pyridylphenyl), oder eine Kombination von kondensierten und verknüpften Ringen enthalten. Bevorzugt sind vollständig konjugierte Heteroarylgruppen. But may also be replaced by a short non-aromatic moiety (<10% of the atoms other than H, preferably <5% of the atoms other than H), such as an sp 3 -hybridized carbon atom, or O- or N- Atom, a CO group, etc., be interrupted. The heteroaromatic ring systems may be mono- or polycyclic, ie they may have one or more rings, which may also be fused or covalently linked (eg pyridylphenyl), or contain a combination of fused and linked rings. Preference is given to fully conjugated heteroaryl groups.
Bevorzugte heteroaromatische Ringsysteme sind z.B. 5-gliedrige Ringe wie Pyrrol, Pyrazol, Imidazol, 1 ,2,3-Triazol, 1 ,2,4-Triazol, Tetrazol, Furan, Thiophen, Selenophen, Oxazol, Isoxazol, 1 ,2-Thiazol, 1 ,3-Thiazol, 1 ,2,3- Oxadiazol, 1 ,2,4-Oxadiazol, 1 ,2,5-Oxadiazol, 1 ,3,4-Oxadiazol, 1 ,2,3- Thiadiazol, 1 ,2,4-Thiadiazol, 1 ,2,5-Thiadiazol, 1 ,3,4-Thiadiazol, 6-gliedrige Ringe wie Pyridin, Pyridazin, Pyrimidin, Pyrazin, 1 ,3,5-Triazin, 1 ,2,4-Triazin, 1 ,2,3-Triazin, 1 ,2,4,5-Tetrazin, 1 ,2,3,4-Tetrazin, 1 ,2,3,5-Tetrazin, oder Gruppen mit mehreren Ringen, wie Carbazol, Indenocarbazol, Indol, Isoindol, Indolizin, Indazol, Benzimidazol, Benzotriazol, Purin, Preferred heteroaromatic ring systems are, for example, 5-membered rings such as pyrrole, pyrazole, imidazole, 1, 2,3-triazole, 1, 2,4-triazole, tetrazole, furan, thiophene, selenophen, oxazole, isoxazole, 1, 2-thiazole, 1, 3-thiazole, 1, 2,3- Oxadiazole, 1, 2,4-oxadiazole, 1, 2,5-oxadiazole, 1, 3,4-oxadiazole, 1, 2,3-thiadiazole, 1, 2,4-thiadiazole, 1, 2,5-thiadiazole, 1, 3,4-thiadiazole, 6-membered rings such as pyridine, pyridazine, pyrimidine, pyrazine, 1, 3,5-triazine, 1, 2,4-triazine, 1, 2,3-triazine, 1, 2,4 , 5-tetrazine, 1, 2,3,4-tetrazine, 1, 2,3,5-tetrazine, or multi-ring groups such as carbazole, indenocarbazole, indole, isoindole, indolizine, indazole, benzimidazole, benzotriazole, purine,
Naphthimidazol, Phenanthrimidazol, Pyridimidazol, Pyrazinimidazol, Chinoxalinimidazol, Benzoxazol, Naphthoxazol, Anthroxazol, Naphthimidazole, phenanthrimidazole, pyridimidazole, pyrazine imidazole, quinoxaline imidazole, benzoxazole, naphthoxazole, anthroxazole,
Phenanthroxazol, Isoxazol, Benzothiazol, Benzofuran, Isobenzofuran, Dibenzofuran, Chinolin, Isochinolin, Pteridin, Benzo-5,6-chinolin, Benzo- 6,7-chinolin, Benzo-7,8-chinolin, Benzoisochinolin, Acridin, Phenothiazin, Phenoxazin, Benzopyridazin, Benzopyrimidin, Chinoxalin, Phenazin, Naphthyridin, Azacarbazol, Benzocarbolin, Phenanthridin, Phenanthrolin, Thieno[2,3b]thiophen, Thieno[3,2b]thiophen, Dithienothiophen, Phenanthroxazole, isoxazole, benzothiazole, benzofuran, isobenzofuran, dibenzofuran, quinoline, isoquinoline, pteridine, benzo-5,6-quinoline, benzo-6,7-quinoline, benzo-7,8-quinoline, benzoisoquinoline, acridine, phenothiazine, phenoxazine, Benzopyridazine, benzopyrimidine, quinoxaline, phenazine, naphthyridine, azacarbazole, benzocarboline, phenanthridine, phenanthroline, thieno [2,3b] thiophene, thieno [3,2b] thiophene, dithienothiophene,
Isobenzothiophen, Dibenzothiophen, Benzothiadiazothiophen oder Isobenzothiophene, dibenzothiophene, benzothiadiazothiophene or
Kombinationen dieser Gruppen. Combinations of these groups.
Das mono- oder polycyclische, aromatische oder heteroaromatische Ringsystem kann unsubstituiert oder substituiert sein. Substituiert heißt in der vorliegenden Anmeldung, dass das mono- oder polycyclische, aromatische oder heteroaromatische Ringsystem einen oder mehrere Substituenten R aufweist. The mono- or polycyclic, aromatic or heteroaromatic ring system may be unsubstituted or substituted. Substituted means in the present application that the mono- or polycyclic, aromatic or heteroaromatic ring system has one or more substituents R.
R ist bei jedem Auftreten vorzugsweise gleich oder verschieden H, D, F, Cl, Br, I, N(R1)2, CN, N02, Si(R1)3> B(OR1)2, C(=0)R1 , P(=0)(R1)2, S(=0)R , S(=0)2R1 , OS02R1, eine geradkettige Alkyl-, Alkoxy- oder Thio- alkoxygruppe mit 1 bis 40 C-Atomen oder eine Alkenyl- oder Alkinylgruppe mit 2 bis 40 C-Atomen oder eine verzweigte oder cyclische Alkyl-, Alkoxy- oder Thioalkoxygruppe mit 3 bis 40 C-Atomen, die jeweils mit einem oder mehreren Resten R1 substituiert sein kann, wobei eine oder mehrere nicht benachbarte CH2-Gruppen durch R C=CR1 , C^C, Si(R1)2, C=0, C=S, C=NR1, P(=0)(R1), SO, SO2, NR1 , O, S oder CONR1 ersetzt sein können und wobei ein oder mehrere H-Atome durch D, F, Cl, Br, I oder CN ersetzt sein können, oder ein aromatisches oder heteroaromatisches Ringsystem mit 5 bis 60 aromatischen Ringatomen, das jeweils durch einen oder mehrere Reste R1 substituiert sein kann, oder eine Aryloxy- oder Hetero- aryloxygruppe mit 5 bis 60 aromatischen Ringatomen, die durch einen oder mehrere Reste R substituiert sein kann, oder eine Aralkyl- oder R is preferably identical or different at each occurrence H, D, F, Cl, Br, I, N (R 1 ) 2 , CN, NO 2 , Si (R 1 ) 3> B (OR 1 ) 2 , C (= 0) R 1 , P (= O) (R 1 ) 2 , S (= O) R, S (= O) 2 R 1 , OSO 2 R 1 , a straight-chain alkyl, alkoxy or thio-alkoxy group with 1 to 40 carbon atoms or an alkenyl or alkynyl group having 2 to 40 carbon atoms or a branched or cyclic alkyl, alkoxy or thioalkoxy group having 3 to 40 carbon atoms, each of which may be substituted by one or more radicals R 1 wherein one or more non-adjacent CH 2 groups are represented by RC = CR 1 , C 1 -C 4 , Si (R 1 ) 2 , C = O, C = S, C = NR 1 , P (= O) (R 1 ) , SO, SO 2 , NR 1 , O, S or CONR 1 may be replaced and wherein one or more H atoms may be replaced by D, F, Cl, Br, I or CN, or an aromatic or heteroaromatic ring system with 5 to 60 aromatic ring atoms, each of which may be substituted by one or more radicals R 1 , or an aryloxy or heteroaromatic radical aryloxy group having 5 to 60 aromatic ring atoms which may be substituted by one or more R, or an aralkyl or
Heteroaralkylgruppe mit 5 bis 60 aromatischen Ringatomen, die durch einen oder mehrere Reste R1 substituiert sein kann, oder eine Diaryl- aminogruppe, Diheteroarylaminogruppe oder Arylheteroarylaminogruppe mit 10 bis 40 aromatischen Ringatomen, welche durch einen oder mehrere Reste R1 substituiert sein kann, oder eine vernetzbare Gruppe Q; dabei können zwei oder mehrere Reste R auch miteinander ein mono- oder poly- cyclisches, aliphatisches, aromatisches und/oder benzoannelliertes Ringsystem bilden. Heteroaralkylgruppe having 5 to 60 aromatic ring atoms, which may be substituted by one or more radicals R 1 , or a Diaryl- amino group, Diheteroarylaminogruppe or Arylheteroarylaminogruppe having 10 to 40 aromatic ring atoms, which may be substituted by one or more radicals R 1 , or a crosslinkable group Q; Two or more radicals R may also together form a monocyclic or polycyclic, aliphatic, aromatic and / or benzoannulated ring system.
R ist bei jedem Auftreten besonders bevorzugt gleich oder verschieden H, D, F, Cl, Br, I, N(R1)2, Si(R1)3, B(OR )2, C(=0)R1, P(=0)(R1)2, eine geradkettige Alkyl- oder Alkoxygruppe mit 1 bis 20 C-Atomen oder eine Alkenyl- oder Alkinylgruppe mit 2 bis 20 C-Atomen oder eine verzweigte oder cyclische Alkyl- oder Alkoxygruppe mit 3 bis 20 C-Atomen, die jeweils mit einem oder mehreren Resten R substituiert sein kann, wobei eine oder mehrere nicht benachbarte CH2-Gruppen durch R1C=CR1, C=C, Si(R1)2, C=0, C=NR1, P(=0)(R1), NR1, O oder CONR1 ersetzt sein können und wobei ein oder mehrere H-Atome durch F, Cl, Br oder I ersetzt sein können, oder ein aromatisches oder heteroaromatisches Ringsystem mit 5 bis 30 aromatischen Ringatomen, das jeweils durch einen oder mehrere Reste R1 substituiert sein kann, oder eine Aryloxy- oder Heteroaryloxygruppe mit 5 bis 30 aromatischen Ringatomen, die durch einen oder mehrere Reste R1 substituiert sein kann, oder eine Aralkyl- oder Heteroaralkylgruppe mit 5 bis 30 aromatischen Ringatomen, die durch einen oder mehrere Reste R1 substituiert sein kann, oder eine Diarylaminogruppe, Diheteroaryl- aminogruppe oder Arylheteroarylaminogruppe mit 10 bis 20 aromatischen Ringatomen, welche durch einen oder mehrere Reste R1 substituiert sein kann, oder eine vernetzbare Gruppe Q; dabei können zwei oder mehrere Reste R auch miteinander ein mono- oder polycyclisches, aliphatisches, aromatisches und/oder benzoannelliertes Ringsystem bilden. R ist bei jedem Auftreten ganz besonders bevorzugt gleich oder R is more preferably identical or different at each occurrence H, D, F, Cl, Br, I, N (R 1 ) 2 , Si (R 1 ) 3 , B (OR) 2 , C (= O) R 1 , P (= O) (R 1 ) 2 , a straight-chain alkyl or alkoxy group having 1 to 20 C atoms or an alkenyl or alkynyl group having 2 to 20 C atoms or a branched or cyclic alkyl or alkoxy group having 3 to 20 C atoms, each of which may be substituted by one or more R radicals, wherein one or more non-adjacent CH 2 groups is represented by R 1 C = CR 1 , C = C, Si (R 1 ) 2 , C = O, C = NR 1 , P (= O) (R 1 ), NR 1 , O or CONR 1 may be replaced and wherein one or more H atoms may be replaced by F, Cl, Br or I, or an aromatic or heteroaromatic ring system with 5 to 30 aromatic ring atoms, which may each be substituted by one or more radicals R 1 , or an aryloxy or heteroaryloxy group having 5 to 30 aromatic ring atoms, which may be substituted by one or more radicals R 1 , or an aralky L or heteroaralkyl group having 5 to 30 aromatic ring atoms which may be substituted by one or more radicals R 1 , or a Diarylaminogruppe, Diheteroaryl- amino group or Arylheteroarylaminogruppe having 10 to 20 aromatic ring atoms, which may be substituted by one or more radicals R 1 , or a crosslinkable group Q; two or more radicals R may also together form a mono- or polycyclic, aliphatic, aromatic and / or benzoannulated ring system. R is most preferably the same at each occurrence
verschieden H, eine geradkettige Alkyl- oder Alkoxygruppe mit 1 bis 10 C-Atomen oder eine Alkenyl- oder Alkinylgruppe mit 2 bis 10 C-Atomen oder eine verzweigte oder cyclische Alkyl- oder Alkoxygruppe mit 3 bis 10 C-Atomen, die jeweils mit einem oder mehreren Resten R1 substituiert sein kann, wobei eine oder mehrere nicht benachbarte CH2-Gruppen durch R1C=CR1 , CsC, C=0, C=NR1, NR1 , O oder CONR1 ersetzt sein können, oder ein aromatisches oder heteroaromatisches Ringsystem mit 5 bis 20 aromatischen Ringatomen, das jeweils durch einen oder mehrere Reste R1 substituiert sein kann, oder eine Aryloxy- oder Heteroaryloxygruppe mit 5 bis 20 aromatischen Ringatomen, die durch einen oder mehrere Reste R substituiert sein kann, oder eine Aralkyl- oder Heteroaralkylgruppe mit 5 bis 20 aromatischen Ringatomen, die durch einen oder mehrere Reste R1 substituiert sein kann, oder eine Diarylaminogruppe, Diheteroaryl- aminogruppe oder Arylheteroarylaminogruppe mit 10 bis 20 aromatischen Ringatomen, welche durch einen oder mehrere Reste R substituiert sein kann, oder eine vernetzbare Gruppe Q; dabei können zwei oder mehrere Reste R auch miteinander ein mono- oder polycyclisches, aliphatisches, aromatisches und/oder benzoannelliertes Ringsystem bilden. different H, a straight-chain alkyl or alkoxy group having 1 to 10 carbon atoms or an alkenyl or alkynyl group having 2 to 10 carbon atoms or a branched or cyclic alkyl or alkoxy group having 3 to 10 C atoms, each of which may be substituted by one or more radicals R 1 , wherein one or more non-adjacent CH 2 groups is represented by R 1 C = CR 1 , CsC, C = 0, C = NR 1 , NR 1 , O or CONR 1 may be replaced, or an aromatic or heteroaromatic ring system having 5 to 20 aromatic ring atoms, each of which may be substituted by one or more radicals R 1 , or an aryloxy or heteroaryloxy group having 5 to 20 aromatic ring atoms which may be substituted by one or more R groups, or an aralkyl or heteroaralkyl group having 5 to 20 aromatic ring atoms which may be substituted by one or more R 1 groups, or a diarylamino group, diheteroaryl amino group or arylheteroarylamino group having 10 to 20 aromatic ring atoms, which may be substituted by one or more radicals R, or a crosslinkable group Q; two or more radicals R may also together form a mono- or polycyclic, aliphatic, aromatic and / or benzoannulated ring system.
Bevorzugte Alkylgruppen mit 1 bis 10 C-Atomen sind in der folgenden Tabelle abgebildet: Preferred alkyl groups having 1 to 10 carbon atoms are shown in the following table:
R1 ist bei jedem Auftreten vorzugsweise gleich oder verschieden H, D, F oder ein aliphatischer Kohlenwasserstoffrest mit 1 bis 20 C-Atomen, ein aromatischer und/oder ein heteroaromatischer Kohlenwasserstoffrest mit 5 bis 20 C-Atomen, in dem auch ein oder mehrere H-Atome durch F ersetzt sein können; dabei können zwei oder mehrere Substituenten R auch miteinander ein mono- oder polycyclisches, aliphatisches oder R 1 is preferably identical or different at each occurrence, H, D, F or an aliphatic hydrocarbon radical having 1 to 20 C atoms, an aromatic and / or a heteroaromatic hydrocarbon radical with 5 up to 20 C atoms, in which also one or more H atoms may be replaced by F; In this case, two or more substituents R can also be a mono- or polycyclic, aliphatic or
aromatisches Ringsystem bilden. form aromatic ring system.
R1 ist bei jedem Auftreten besonders bevorzugt gleich oder verschieden H, D oder ein aliphatischer Kohlenwasserstoffrest mit 1 bis 20 C-Atomen, ein aromatischer und/oder ein heteroaromatischer Kohlenwasserstoffrest mit 5 bis 20 C-Atomen; dabei können zwei oder mehrere Substituenten R1 auch miteinander ein mono- oder polycyclisches, aliphatisches oder R 1 is more preferably identical or different at each occurrence, H, D or an aliphatic hydrocarbon radical having 1 to 20 carbon atoms, an aromatic and / or a heteroaromatic hydrocarbon radical having 5 to 20 carbon atoms; in this case, two or more substituents R 1 can also be a mono- or polycyclic, aliphatic or
aromatisches Ringsystem bilden. form aromatic ring system.
R ist bei jedem Auftreten ganz besonders bevorzugt gleich oder verschieden H oder ein aliphatischer Kohlenwasserstoffrest mit 1 bis 10 C- Atomen, ein aromatischer und/oder ein heteroaromatischer Kohlenwasserstoffrest mit 5 bis 10 C-Atomen. R is very particularly preferably identical or different at each occurrence, H or an aliphatic hydrocarbon radical having 1 to 10 carbon atoms, an aromatic and / or a heteroaromatic hydrocarbon radical having 5 to 10 carbon atoms.
In einer bevorzugten Ausführungsform ist die mindestens eine In a preferred embodiment, the at least one
Struktureinheit der Formel (1-1 a), (1-1 b), (1-1 c) oder (1-1 d) ausgewählt aus den Struktureinheiten der folgenden Formeln (II), (III), (IV), (V), (VI), (VII), (VIII) und (IX): Structural unit of the formula (1-1 a), (1-1 b), (1-1 c) or (1-1 d) selected from the structural units of the following formulas (II), (III), (IV), ( V), (VI), (VII), (VIII) and (IX):
- 15- - 15-
wobei Ar1, Ar3, Ar5, Ar6, R, m, n und X die oben angegebenen Bedeutungen annehmen können, und wherein Ar 1 , Ar 3 , Ar 5 , Ar 6 , R, m, n and X may have the meanings given above, and
p = 0, 1 , 2, 3, 4 oder 5 ist. p = 0, 1, 2, 3, 4 or 5.
In einer besonders bevorzugten Ausführungsform sind die Struktureinheiten der Formeln (II) und (III) ausgewählt aus den Struktureinheiten der folgenden Formeln (IIa) und (lila): In a particularly preferred embodiment, the structural units of the formulas (II) and (III) are selected from the structural units of the following formulas (IIa) and (IIIa):
annehmen können. can accept.
Beispiele für bevorzugte Struktureinheiten der Formeln (IIa) und (lila) sind in der folgenden Tabelle abgebildet: - 17- Examples of preferred structural units of the formulas (IIa) and (IIIa) are shown in the following table: - 17-
wobei Ar1 , Ar2, R, m, n und p die oben angegebenen Bedeutungen annehmen können, und wherein Ar 1 , Ar 2 , R, m, n and p may have the meanings given above, and
k = 0, 1 oder 2 ist. k = 0, 1 or 2.
In einer weiteren besonders bevorzugten Ausführungsform sind die Struktureinheiten der Formeln (IV) und (V) ausgewählt aus den Struktureinheiten der folgenden Formeln (IVa) und (Va): In a further particularly preferred embodiment, the structural units of the formulas (IV) and (V) are selected from the structural units of the following formulas (IVa) and (Va):
wobei Ar1, Ar3, Ar5, R, m, n und X die oben angegebenen Bedeutungen annehmen können. wherein Ar 1 , Ar 3 , Ar 5 , R, m, n and X may have the meanings given above.
Beispiele für bevorzugte Struktureinheiten der Formeln (IVa) und (Va) sind in der folgenden Tabelle abgebildet: Examples of preferred structural units of the formulas (IVa) and (Va) are shown in the following table:
-21 - -21 -
wobei Ar1, Ar2, R, m, n und p die oben angegebenen Bedeutungen annehmen können. where Ar 1 , Ar 2 , R, m, n and p can assume the meanings given above.
In noch einer weiteren besonders bevorzugten Ausführungsform sind die Struktureinheiten der Formeln (VI) und (VII) ausgewählt aus den In yet another particularly preferred embodiment, the structural units of the formulas (VI) and (VII) are selected from the
Struktureinheiten der folgenden Formeln (Via) und (Vlla): Structural units of the following formulas (Via) and (VIIa):
---- Ar1 N— Ar3 N— Ar5 ---- wobei Ar1, Ar3, Ar5, R, m, n und X die oben angegebenen Bedeutungen annehmen können. - Ar 1 N - Ar 3 N - Ar 5 ---- wherein Ar 1 , Ar 3 , Ar 5 , R, m, n and X may have the meanings given above.
Beispiele für bevorzugte Struktureinheiten der Formeln (Via) und (Vlla) sind in der folgenden Tabelle abgebildet: Examples of preferred structural units of the formulas (Via) and (VIIa) are shown in the following table:
wobei Ar1 , Ar2, R, k, m, n und p die oben angegebenen Bedeutunge annehmen können. where Ar 1 , Ar 2 , R, k, m, n and p can assume the meanings given above.
In einer ganz besonders bevorzugten Ausführungsform sind die Struktureinheiten der Formeln (IIa) und (lila) ausgewählt aus den Struktureinheiten der folgenden Formeln (IIb) und (lllb): In a very particularly preferred embodiment, the structural units of the formulas (IIa) and (IIIa) are selected from the structural units of the following formulas (IIb) and (IIIb):
wobei Ar3, R, m und p die oben angegebenen Bedeutungen annehmen können. where Ar 3 , R, m and p can assume the meanings given above.
Beispiele für bevorzugte Struktureinheiten der Formeln (IIb) und (lllb) sind in der folgenden Tabelle abgebildet: Examples of preferred structural units of the formulas (IIb) and (IIIb) are shown in the following table:
30 wobei R, k, m, n und p die oben angegebenen Bedeutungen annehmen können. 30 where R, k, m, n and p can assume the meanings given above.
In einer weiteren ganz besonders bevorzugten Ausführungsform sind die Struktureinheiten der Formeln (IVa) und (Va) ausgewählt aus den Struktureinheiten der folgenden Formeln (IVb) und (Vb): In a further very particularly preferred embodiment, the structural units of the formulas (IVa) and (Va) are selected from the structural units of the following formulas (IVb) and (Vb):
wobei Ar3, R, X, m und n die oben angegebenen Bedeutungen annehmen können. where Ar 3 , R, X, m and n can assume the meanings given above.
wobei R, X, k, m, n und p die oben angegebenen Bedeutungen annehmen können, und wherein R, X, k, m, n and p can assume the meanings given above, and
s = 1 bis 20, vorzugsweise 1 bis 0, ist. s = 1 to 20, preferably 1 to 0, is.
In noch einer weiteren ganz besonders bevorzugten Ausführungsform sind die Struktureinheiten der Formeln (Via) und (Vlla) ausgewählt aus den Struktureinheiten der folgenden Formeln (Vlb) und (Vllb): In yet another very particularly preferred embodiment, the structural units of the formulas (VIa) and (VIIa) are selected from the structural units of the following formulas (VIb) and (VIIb):
wobei R, X, m und n die oben angegebenen Bedeutungen annehmen können. where R, X, m and n can assume the meanings given above.
Beispiele für bevorzugte Struktureinheiten der Formel (VIb) und (Vllb) sind in der folgenden Tabelle abgebildet: Examples of preferred structural units of the formula (VIb) and (VIIb) are shown in the following table:
wobei R, X, k, m, und n die oben angegebenen Bedeutungen annehmen können. where R, X, k, m, and n can assume the meanings given above.
In den Formeln (IIb) bis (Vllb), stellen die gestrichelten Linien die In the formulas (IIb) to (VIIb), the dashed lines represent the
Bindungen zu den benachbarten Struktureinheiten im Polymer dar. Sie können dabei unabhängig voneinander, gleich oder verschieden, in ortho-, meta- oder para-Position angeordnet sein, vorzugsweise gleich in ortho-, meta- oder para-Position, besonders bevorzugt in meta- oder para-Position und ganz besonders bevorzugt in para-Position. Der Anteil an Struktureinheiten der Formel (I), (II), (III), (IV), (V), (VI), (VII), (VIII) oder (IX) im Polymer liegt im Bereich von 1 bis 100 mol%. They can be arranged independently of one another, identically or differently, in the ortho, meta or para position, preferably in the ortho, meta or para position, particularly preferably in the meta position. or para position, and most preferably in the para position. The proportion of structural units of the formula (I), (II), (III), (IV), (V), (VI), (VII), (VIII) or (IX) in the polymer is in the range from 1 to 100 mol%.
In einer ersten bevorzugten Ausführungsform enthält das erfindungsgemäße Polymer nur eine Struktureinheit der Formel (I), (II), (III), (IV), (V),In a first preferred embodiment, the polymer according to the invention contains only one structural unit of the formula (I), (II), (III), (IV), (V),
(VI) , (VII), (VIII) oder (IX), d.h. deren Anteil im Polymer beträgt 100 mol%. Es handelt sich in diesem Fall bei dem erfindungsgemäßen Polymer um ein Homopolymer. (VI), (VII), (VIII) or (IX), i. their proportion in the polymer is 100 mol%. In this case, the polymer according to the invention is a homopolymer.
In einer zweiten bevorzugten Ausführungsform liegt der Anteil an In a second preferred embodiment, the proportion is
Struktureinheiten der Formeln (I), (II), (III), (IV), (V), (VI), (VII), (VIII) und/oder (IX) im Polymer im Bereich von 50 bis 95 mol%, besonders bevorzugt im Bereich von 60 bis 95 mol%, bezogen auf 100 mol% aller copolymerisierbaren Monomere, die im Polymer als Struktureinheiten enthalten sind, d.h., dass das erfindungsgemäße Polymer neben einer oder mehrerer Struktureinheiten der Formeln (I), (II), (III), (IV), (V), (VI), (VII), (VIII) und/oder (IX) noch weitere, von den Struktureinheiten der Formel (I), (II), (III), (IV), (V), (VI), (VII), (VIII) und (IX) verschiedene Struktureinheiten aufweist. Structural units of the formulas (I), (II), (III), (IV), (V), (VI), (VII), (VIII) and / or (IX) in the polymer in the range from 50 to 95 mol% , particularly preferably in the range of 60 to 95 mol%, based on 100 mol% of all copolymerizable monomers which are contained in the polymer as structural units, ie that the polymer according to the invention in addition to one or more structural units of the formulas (I), (II), (III), (IV), (V), (VI), (VII), (VIII) and / or (IX) further, from the structural units of the formula (I), (II), (III), ( IV), (V), (VI), (VII), (VIII) and (IX) has various structural units.
In einer dritten bevorzugten Ausführungsform liegt der Anteil an In a third preferred embodiment, the proportion is
Struktureinheiten der Formeln (I), (II), (III), (IV), (V), (VI), (VII), (VIII) und/oder (IX) im Polymer im Bereich von 5 bis 50 mol%, besonders bevorzugt im Bereich von 25 bis 50 mol%, bezogen auf 100 mol% aller copolymerisierbaren Monomere, die im Polymer als Struktureinheiten enthalten sind, d.h., dass das erfindungsgemäße Polymer neben einer oder mehrerer Struktureinheiten der Formeln (I), (II), (III), (IV), (V), (VI), (VII), (VIII) und/oder (IX) noch weitere, von den Struktureinheiten der Formeln (I), (II), (III), (IV), (V), (VI), (VII), (VIII) und (IX) verschiedene Structural units of the formulas (I), (II), (III), (IV), (V), (VI), (VII), (VIII) and / or (IX) in the polymer in the range from 5 to 50 mol% , particularly preferably in the range from 25 to 50 mol%, based on 100 mol% of all copolymerizable monomers which are contained in the polymer as structural units, ie that the polymer according to the invention in addition to one or more structural units of the formulas (I), (II), (III), (IV), (V), (VI), (VII), (VIII) and / or (IX) further, from the structural units of the formulas (I), (II), (III), ( IV), (V), (VI), (VII), (VIII) and (IX) different
Struktureinheiten aufweist. Has structural units.
Diese, von den Struktureinheiten der Formeln (I), (II), (III), (IV), (V), (VI),These, from the structural units of the formulas (I), (II), (III), (IV), (V), (VI),
(VII) , (VIII) und (IX) verschiedene Struktureinheiten, sind unter anderem solche, wie sie in der WO 02/077060 A1 und in der WO 2005/014689 A2 offenbart und umfangreich aufgelistet sind. Diese werden via Zitat als Bestandteil der vorliegenden Erfindung betrachtet. Die weiteren Struktureinheiten können beispielsweise aus den folgenden Klassen stammen: (VII), (VIII) and (IX) various structural units are, inter alia, those as disclosed in WO 02/077060 A1 and in WO 2005/014689 A2 and listed extensively. These are considered via quotation as part of the present invention. The others For example, structural units can come from the following classes:
Gruppe 1 : Einheiten, welche die Lochinjektions- und/oder Group 1: units containing the hole injection and / or
Lochtransporteigenschaften der Polymere beeinflussen; Affect hole transport properties of the polymers;
Gruppe 2: Einheiten, welche die Elektroneninjektions- und/oder Group 2: units containing the electron injection and / or
Elektronentransporteigenschaften der Polymere beeinflussen; Influence the electron transport properties of the polymers;
Gruppe 3: Einheiten, die Kombinationen von Einzeleinheiten der Gruppe Group 3: Units that are combinations of individual units of the group
1 und Gruppe 2 aufweisen; 1 and group 2 have;
Gruppe 4: Einheiten, welche die Emissionscharakteristik insoweit Group 4: units which the emission characteristics so far
verändern, dass Elektrophosphoreszenz statt change that electrophosphorescence instead
Elektrofluoreszenz erhalten werden kann; Electrofluorescence can be obtained;
Gruppe 5: Einheiten, welche den Übergang vom Singulett- zum Group 5: units that transition from singlet to
Triplettzustand verbessern; Improve triplet state;
Gruppe 6: Einheiten, welche die Emissionsfarbe der resultierenden Group 6: Units indicating the emission color of the resulting
Polymere beeinflussen; Influence polymers;
Gruppe 7: Einheiten, welche typischerweise als Polymergrundgerüst Group 7: units typically used as polymer backbone
(Backbone) verwendet werden; (Backbone) can be used;
Gruppe 8: Einheiten, welche die Filmmorphologie und/oder die Group 8: units containing the film morphology and / or the
rheologischen Eigenschaften der resultierenden Polymere beeinflussen. influence rheological properties of the resulting polymers.
Bevorzugte erfindungsgemäße Polymere sind solche, bei denen Preferred polymers according to the invention are those in which
mindestens eine Struktureinheit Ladungstransporteigenschaften aufweist, d.h. die Einheiten aus der Gruppe 1 und/oder 2 enthalten. at least one structural unit has charge transport properties, i. contain the units from group 1 and / or 2.
Struktureinheiten aus der Gruppe 1 , die Lochinjektions- und/oder Structural units from group 1, the hole injection and / or
Lochtransporteigenschaften aufweisen, sind beispielsweise Triarylamin-, Benzidin-, Tetraaryl-para-phenylendiamin-, Triarylphosphin-, Phenothiazin-, Phenoxazin-, Dihydrophenazin-, Thianthren-, Dibenzo-para-dioxin-, Phenoxathiin-, Carbazol-, Azulen-, Thiophen-, Pyrrol- und Furanderivate und weitere O-, S- oder N-haltige Heterocyclen. Have hole transport properties, are, for example, triarylamine, benzidine, tetraaryl-para-phenylenediamine, triarylphosphine, phenothiazine, Phenoxazine, dihydrophenazine, thianthrene, dibenzo-para-dioxin, phenoxathiin, carbazole, azulene, thiophene, pyrrole and furan derivatives, and other O, S or N containing heterocycles.
Bevorzugte Struktureinheiten aus der Gruppe 1 sind die Struktureinheiten der folgenden Formeln (1a) bis (1 q): Preferred structural units from group 1 are the structural units of the following formulas (1a) to (1 q):
wobei R, k, m und n die oben angegebenen Bedeutungen annehmen können. In den Formeln (1a) bis (1 q) stellen die gestrichelten Linien mögliche where R, k, m and n can assume the meanings given above. In the formulas (1a) to (1q), the dashed lines represent possible
Bindungen zu den benachbarten Struktureinheiten im Polymer dar. Sofern in den Formeln zwei gestrichelte Linien vorhanden sind, weist die Bonds to the adjacent structural units in the polymer. If in the formulas two dashed lines are present, the
Struktureinheit ein oder zwei, vorzugsweise zwei, Bindungen zu Structural unit one or two, preferably two, bonds to
benachbarten Struktureinheiten auf. Sofern in den Formeln drei gestrichelte Linien vorhanden sind, weist die Struktureinheit ein, zwei oder drei, vorzugsweise zwei, Bindungen zu benachbarten Struktureinheiten auf. Sofern in den Formeln vier gestrichelte Linien vorhanden sind, weist die Struktureinheit ein, zwei, drei oder vier, vorzugsweise zwei, Bindungen zu benachbarten Struktureinheiten auf. Sie können dabei unabhängig voneinander, gleich oder verschieden, in ortho-, meta- oder para-Position angeordnet sein. adjacent structural units on. If three dotted lines are present in the formulas, the structural unit has one, two or three, preferably two, bonds to adjacent structural units. If four dashed lines are present in the formulas, the structural unit has one, two, three or four, preferably two, bonds to adjacent structural units. They can be arranged independently, identically or differently, in ortho, meta or para position.
Struktureinheiten aus der Gruppe 2, die Elektroneninjektions- und/oder Elektronentransporteigenschaften aufweisen, sind beispielsweise Pyridin-, Pyrimidin-, Pyridazin-, Pyrazin-, Oxadiazol-, Chinolin-, Chinoxalin-, Group 2 structural units having electron injection and / or electron transport properties are, for example, pyridine, Pyrimidine, pyridazine, pyrazine, oxadiazole, quinoline, quinoxaline,
Anthracen-, Benzanthracen-, Pyren-, Perylen-, Benzimidazol-, Triazin-, Keton-, Phosphinoxid- und Phenazinderivate, aber auch Triarylborane und weitere O-, S- oder N-haltige Heterocyclen. Anthracene, benzanthracene, pyrene, perylene, benzimidazole, triazine, ketone, phosphine oxide and phenazine derivatives, but also triarylboranes and other O, S or N-containing heterocycles.
Es kann bevorzugt sein, wenn in den erfindungsgemäßen Polymeren Einheiten aus der Gruppe 3 enthalten sind, in denen Strukturen, welche die Lochmobilität und welche die Elektronenmobilität erhöhen (also Einheiten aus Gruppe 1 und 2), direkt aneinander gebunden sind oder Strukturen enthalten sind, die sowohl die Lochmobilität als auch die It may be preferred if the polymers according to the invention comprise units from group 3 in which structures which increase hole mobility and which electron mobility increase (ie units from groups 1 and 2) are directly bonded to one another or contain structures which both the hole mobility and the
Elektronenmobilität erhöhen. Einige dieser Einheiten können als Emitter dienen und verschieben die Emissionsfarbe ins Grüne, Gelbe oder Rote. Ihre Verwendung eignet sich also beispielsweise für die Erzeugung anderer Emissionsfarben aus ursprünglich blau emittierenden Polymeren. Increase electron mobility. Some of these units can serve as emitters and shift the emission color to green, yellow or red. Their use is thus suitable, for example, for the production of other emission colors from originally blue-emitting polymers.
Struktureinheiten der Gruppe 4 sind solche, welche auch bei Group 4 structural units are those which are also included in
Raumtemperatur mit hoher Effizienz aus dem Triplettzustand Licht emittieren können, also Elektrophosphoreszenz statt Elektrofluoreszenz zeigen, was häufig eine Steigerung der Energieeffizienz bewirkt. Hierfür eignen sich zunächst Verbindungen, welche Schweratome mit einer Ordnungszahl von mehr als 36 enthalten. Bevorzugt sind Verbindungen, welche d- oder f-Übergangsmetalle enthalten, die die o. g. Bedingung erfüllen. Besonders bevorzugt sind hier entsprechende Struktureinheiten, welche Elemente der Gruppen 8 bis 10 (Ru, Os, Rh, Ir, Pd, Pt) enthalten. Als Struktureinheiten für die erfindungsgemäßen Polymere kommen hier z.B. verschiedene Komplexe in Frage, wie sie z.B. in der WO 02/068435 A1 , der WO 02/081488 A1 , der EP 1239526 A2 und der WO 2004/026886 A2 beschrieben werden. Entsprechende Monomere werden in der Room temperature with high efficiency from the triplet state can emit light, so show electrophosphorescence instead of electrofluorescence, which often causes an increase in energy efficiency. Compounds which contain heavy atoms with an atomic number of more than 36 are suitable for this purpose. Preference is given to compounds which contain d- or f-transition metals which contain the o. G. Fulfill condition. Particular preference is given here to corresponding structural units which contain elements of groups 8 to 10 (Ru, Os, Rh, Ir, Pd, Pt). As structural units for the polymers according to the invention, e.g. various complexes, such as e.g. in WO 02/068435 A1, WO 02/081488 A1, EP 1239526 A2 and WO 2004/026886 A2. Corresponding monomers are used in the
WO 02/068435 A1 und in der WO 2005/042548 A1 beschrieben. WO 02/068435 A1 and described in WO 2005/042548 A1.
Struktureinheiten der Gruppe 5 sind solche, welche den Übergang vom Singulett- zum Triplettzustand verbessern und welche, unterstützend zu den Strukturelementen der Gruppe 4 eingesetzt, die Phosphoreszenzeigenschaften dieser Strukturelemente verbessern. Hierfür kommen insbesondere Carbazol- und überbrückte Carbazoldimereinheiten in Frage, wie sie z.B. in der WO 2004/070772 A2 und der WO 2004/1 3468 A1 beschrieben werden. Weiterhin kommen hierfür Ketone, Phosphinoxide, Sulfoxide, Sulfone, Silan-Derivate und ähnliche Verbindungen in Frage, wie sie z.B. in der WO 2005/040302 A1 beschrieben werden. Group 5 structural units are those which improve the singlet to triplet state transition and which, assisting with the Group 4 structural elements, improve the phosphorescence properties of these structural elements. In particular, carbazole and bridged carbazole dimer units are suitable for this purpose, as described, for example, in WO 2004/070772 A2 and WO 2004/1 3468 A1 to be discribed. Also suitable for this purpose are ketones, phosphine oxides, sulfoxides, sulfones, silane derivatives and similar compounds, as described, for example, in WO 2005/040302 A1.
Struktureinheiten der Gruppe 6 sind neben den oben genannten solche, die mindestens noch eine weitere aromatische oder eine andere konjugierte Struktur aufweisen, welche nicht unter die o. g. Gruppen fallen, d. h. die die Ladungsträgermobilitäten nur wenig beeinflussen, die keine Structural units of group 6 are, in addition to those mentioned above, those which have at least one further aromatic or another conjugated structure which is not classified under the above-mentioned. Fall groups, d. H. which only slightly influence the charge carrier mobility, the none
metallorganischen Komplexe sind oder die keinen Einfluss auf den organometallic complexes are or which do not affect the
Singulett-Triplett-Übergang haben. Derartige Strukturelemente können die Emissionsfarbe der resultierenden Polymere beeinflussen. Je nach Einheit können sie daher auch als Emitter eingesetzt werden. Bevorzugt sind dabei aromatische Strukturen mit 6 bis 40 C-Atomen oder auch Tolan-, Stilbenoder Bisstyrylarylenderivate, die jeweils mit einem oder mehreren Resten R substituiert sein können. Besonders bevorzugt ist dabei der Einbau von 1 ,4- oder 9,10-Anthrylen-, 1 ,6-, 2,7- oder 4,9-Pyrenylen-, 3,9- oder 3,10- Perylenylen-, 4,4'-Tolanylen-, 4,4'-Stilbenylen-, Benzothiadiazol- und entsprechenden Sauerstoffderivaten, Chinoxalin-, Phenothiazin-, Have singlet-triplet transition. Such structural elements can influence the emission color of the resulting polymers. Depending on the unit, they can therefore also be used as emitters. Aromatic structures having from 6 to 40 carbon atoms or else toluenes, stilbene or bisstyrylarylene derivatives which may each be substituted by one or more radicals R are preferred. Particularly preferred is the incorporation of 1, 4 or 9,10-anthrylene, 1, 6, 2,7 or 4,9-pyrenylene, 3,9 or 3,10-perylenylene, 4, 4'-tolanylene, 4,4'-stilbenylene, benzothiadiazole and corresponding oxygen derivatives, quinoxaline, phenothiazine,
Phenoxazin-, Dihydrophenazin-, Bis(thiophenyl)arylen-, Phenoxazine, dihydrophenazine, bis (thiophenyl) arylene,
Oligo(thiophenylen)-, Phenazin-, Rubren-, Pentacen- oder Oligo (thiophenylene), phenazine, rubrene, pentacene or
Perylenderivaten, die vorzugsweise substituiert sind, oder vorzugsweise konjugierte Push-Pull-Systeme (Systeme, die mit Donor- und Perylene derivatives, which are preferably substituted, or preferably conjugated push-pull systems (systems containing donor and
Akzeptorsubstituenten substituiert sind) oder Systeme wie Squarine oder Chinacridone, die vorzugsweise substituiert sind. Acceptor substituents) or systems such as squarins or quinacridones, which are preferably substituted.
Struktureinheiten der Gruppe 7 sind Einheiten, die aromatische Strukturen mit 6 bis 40 C-Atomen beinhalten, welche typischerweise als Polymergrundgerüst (Backbone) verwendet werden. Dies sind beispielsweise 4,5- Dihydropyrenderivate, 4,5,9, 10-Tetrahydropyrenderivate, Fluorenderivate, 9,9'-Spirobifluorenderivate, Phenanthrenderivate, 9,10-Dihydro- phenanthrenderivate, 5,7-Dihydrodibenzooxepinderivate und eis- und trans- Indenofluorenderivate aber auch 1 ,2-, 1 ,3- oder 1 ,4-Phenylen-, 1 ,2-, 1 ,3- oder 1 ,4-Naphthylen-, 2,2'-, 3,3'- oder 4,4'-Biphenylylen-, 2,2"-, 3,3"- oder 4,4"-Terphenylylen, 2,2'-, 3,3'- oder 4,4'-Bi-1 ,1 '-naphthylylen- oder 2,2"'-, 3,3"'- oder 4,4"'-Quarterphenylylenderivate. Bevorzugte Struktureinheiten aus der Gruppe 7 sind die Struktureinheiten der folgenden Formeln (7a) bis (7o):Group 7 structural units are units containing aromatic structures having from 6 to 40 carbon atoms, which are typically used as a backbone polymer. These are, for example, 4,5-dihydropyrene derivatives, 4,5,9,10-tetrahydropyrene derivatives, fluorene derivatives, 9,9'-spirobifluorene derivatives, phenanthrene derivatives, 9,10-dihydrophenanthrene derivatives, 5,7-dihydrodibenzooxepine derivatives and cis- and trans-indenofluorene derivatives but also 1, 2, 1, 3 or 1, 4-phenylene, 1, 2, 1, 3 or 1, 4-naphthylene, 2,2'-, 3,3'- or 4, 4'-biphenylylene, 2,2 ", 3,3" or 4,4 "-terphenyls, 2,2 ', 3,3' or 4,4'-bi-1,1 '-naphthylylene or 2,2 "', 3,3"' or 4,4 "'quarterphenylylene derivatives. Preferred structural units from group 7 are the structural units of the following formulas (7a) to (7o):
wobei R, k, m, n und p die oben angegebenen Bedeutungen annehmen können. where R, k, m, n and p can assume the meanings given above.
In den Formeln (7a) bis (7o) stellen die gestrichelten Linien mögliche Bindungen zu den benachbarten Struktureinheiten im Polymer dar. Sofern in den Formeln zwei gestrichelte Linien vorhanden sind, weist die In the formulas (7a) to (7o), the dashed lines represent possible bonds to the adjacent structural units in the polymer. If two dashed lines are present in the formulas, then the
Struktureinheit ein oder zwei, vorzugsweise zwei, Bindungen zu Structural unit one or two, preferably two, bonds to
benachbarten Struktureinheiten auf. Sofern in den Formeln vier oder mehr gestrichelte Linien vorhanden sind (Formeln (7g), (7h) und (7j)), weisen die Struktureinheiten ein, zwei, drei oder vier, vorzugsweise zwei, Bindungen zu benachbarten Struktureinheiten auf. Sie können dabei unabhängig voneinander, gleich oder verschieden, in ortho-, meta- oder para-Position angeordnet sein. adjacent structural units on. If four or more dashed lines are present in the formulas (formulas (7g), (7h) and (7j)), the structural units have one, two, three or four, preferably two, bonds to adjacent structural units. They can be arranged independently, identically or differently, in ortho, meta or para position.
Struktureinheiten der Gruppe 8 sind solche, die die Filmmorphologie und/oder die Theologischen Eigenschaften der Polymere beeinflussen, wie z.B. Siloxane, Alkylketten oder fluorierte Gruppen, aber auch besonders steife oder flexible Einheiten, flüssigkristallbildende Einheiten oder vernetzbare Gruppen. Group 8 structural units are those which affect the film morphology and / or the rheological properties of the polymers, e.g. Siloxanes, alkyl chains or fluorinated groups, but also particularly rigid or flexible units, liquid-crystalline units or crosslinkable groups.
Bevorzugt sind erfindungsgemäße Polymere, die gleichzeitig neben Struktureinheiten der Formeln (I), (II), (III), (IV), (V), (VI), (VII), (VIII) und/oder (IX) zusätzlich noch ein oder mehrere Einheiten ausgewählt aus den Gruppen 1 bis 8 enthalten. Es kann ebenfalls bevorzugt sein, wenn gleichzeitig mehr als eine weitere Struktureinheit aus einer Gruppe vorliegt. Preference is given to polymers according to the invention which, in addition to structural units of the formulas (I), (II), (III), (IV), (V), (VI), (VII), (VIII) and / or (IX), additionally additionally contain one or more units selected from Groups 1 to 8. It may likewise be preferred if more than one further structural unit from a group is present at the same time.
Bevorzugt sind dabei erfindungsgemäße Polymere, die neben mindestens einer Struktureinheit der Formeln (I), (II), (III), (IV), (V), (VI), (VII), (VIII) und/oder (IX) noch Einheiten aus der Gruppe 7 enthalten. Ebenfalls bevorzugt ist es, wenn die erfindungsgemäßen Polymere Preferred polymers according to the invention are those which have, in addition to at least one structural unit of the formulas (I), (II), (III), (IV), (V), (VI), (VII), (VIII) and / or (IX) still contain units from group 7. It is likewise preferred if the polymers according to the invention
Einheiten enthalten, die den Ladungstransport oder die Ladungsinjektion verbessern, also Einheiten aus der Gruppe 1 und/oder 2. Contain units that improve the charge transport or the charge injection, ie units from the group 1 and / or 2.
5 Besonders bevorzugt ist es weiterhin, wenn die erfindungsgemäßen It is also particularly preferred if the inventive
Polymere Struktureinheiten aus der Gruppe 7 und Einheiten aus der Gruppe 1 und/oder 2 enthalten. Contain polymer structural units from group 7 and units from group 1 and / or 2.
Die erfindungsgemäßen Polymere sind entweder Homopolymere aus Struktureinheiten der Formel (I), (II), (III), (IV), (V), (VI), (VII), (VIII) oder (IX) 10 oder Copolymere. Die erfindungsgemäßen Polymere können linear oder verzweigt sein, vorzugsweise linear. Erfindungsgemäße Copolymere können dabei neben einer oder mehreren Struktureinheiten der Formeln (I), (II), (III), (IV), (V), (VI), (VII), (VIII) und/oder (IX) potentiell eine oder mehrere weitere Strukturen aus den oben aufgeführten Gruppen 1 bis 8 besitzen. The polymers according to the invention are either homopolymers of structural units of the formula (I), (II), (III), (IV), (V), (VI), (VII), (VIII) or (IX) 10 or copolymers. The polymers of the invention may be linear or branched, preferably linear. Copolymers of the invention may in addition to one or more structural units of the formulas (I), (II), (III), (IV), (V), (VI), (VII), (VIII) and / or (IX) potentially one or several other structures from the groups 1 to 8 listed above.
^ 5 Die erfindungsgemäßen Copolymere können statistische, alternierende oder blockartige Strukturen aufweisen oder auch mehrere dieser Strukturen abwechselnd besitzen. Besonders bevorzugt weisen die erfindungsgemäßen Copolymere statistische oder alternierende Strukturen auf. The copolymers according to the invention can have random, alternating or block-like structures or alternatively have several of these structures in turn. The copolymers according to the invention particularly preferably have random or alternating structures.
Besonders bevorzugt sind die Copolymere statistische oder alternierende Copolymere. Wie Copolymere mit blockartigen Strukturen erhalten werden More preferably, the copolymers are random or alternating copolymers. How to obtain copolymers with block-like structures
^ können und welche weiteren Strukturelemente dafür besonders bevorzugt sind, ist beispielsweise ausführlich in der WO 2005/014688 A2 and which further structural elements are particularly preferred for this purpose are described in detail, for example, in WO 2005/014688 A2
beschrieben. Diese ist via Zitat Bestandteil der vorliegenden Anmeldung. Ebenso sei an dieser Stelle nochmals hervorgehoben, dass das Polymer auch dendritische Strukturen haben kann. described. This is via quote part of the present application. It should also be emphasized once again that the polymer can also have dendritic structures.
25 25
In einer weiteren Ausführungsform der vorliegenden Erfindung enthalten die erfindungsgemäßen Polymere neben einer oder mehrerer In a further embodiment of the present invention, the polymers according to the invention contain, in addition to one or more
Struktureinheiten der Formeln (I), (II), (III), (IV), (V), (VI), (VII), (VIII) und/oder (IX) sowie gegebenenfalls weiteren Struktureinheiten ausgewählt aus den oben genannten Gruppen 1 bis 8 noch mindestens eine, Structural units of the formulas (I), (II), (III), (IV), (V), (VI), (VII), (VIII) and / or (IX) and, if appropriate, further structural units selected from the abovementioned groups 1 to 8 at least one,
30 vorzugsweise eine Struktureinheit, die eine vernetzbare Gruppe Q aufweist. „Vernetzbare Gruppe Q" im Sinne der vorliegenden Erfindung bedeutet eine funktionelle Gruppe, die in der Lage ist, eine Reaktion einzugehen und so eine unlösliche Verbindung zu bilden. Die Reaktion kann dabei mit einer weiteren, gleichen Gruppe Q, einer weiteren, verschiedenen Gruppe Q oder einem beliebigen anderen Teil derselben oder einer anderen Preferably a structural unit having a crosslinkable group Q. "Crosslinkable group Q" in the sense of the present invention means a functional group which is able to undergo a reaction and thus form an insoluble compound, the reaction being able to react with another, identical group Q, another, different group Q. or any other part of it or another
Polymerkette erfolgen. Bei der vernetzbaren Gruppe handelt es sich somit um eine reaktive Gruppe. Dabei erhält man als Ergebnis der Reaktion der vernetzbaren Gruppe eine entsprechend vernetzte Verbindung. Die chemische Reaktion kann auch in der Schicht durchgeführt werden, wobei eine unlösliche Schicht entsteht. Die Vernetzung kann gewöhnlich durch Wärme oder durch UV-, Mikrowellen-, Röntgen- oder Elektronenstrahlung unterstützt werden, gegebenenfalls in Gegenwart eines Initiators.„Unlöslich" im Sinne der vorliegenden Erfindung bedeutet vorzugsweise, dass das erfindungsgemäße Polymer nach der Vernetzungsreaktion, also nach der Reaktion der vernetzbaren Gruppen, bei Raumtemperatur in einem organischen Lösungsmittel eine Löslichkeit aufweist, die mindestens einen Faktor 3, vorzugsweise mindestens einen Faktor 10, geringer ist als die des entsprechenden, nicht-vernetzten, erfindungsgemäßen Polymers in demselben organischen Lösungsmittel. Polymer chain done. The crosslinkable group is thus a reactive group. As a result of the reaction of the crosslinkable group, a correspondingly crosslinked compound is obtained. The chemical reaction can also be carried out in the layer, resulting in an insoluble layer. The crosslinking can usually be assisted by heat or by UV, microwave, X-ray or electron radiation, if appropriate in the presence of an initiator. "Insoluble" in the sense of the present invention preferably means that the polymer according to the invention after the crosslinking reaction, ie after the reaction the crosslinkable groups, at room temperature in an organic solvent having a solubility which is at least a factor of 3, preferably at least a factor of 10, lower than that of the corresponding non-crosslinked polymer of the invention in the same organic solvent.
Die Struktureinheit, die die vernetzbare Gruppe Q trägt, kann dabei in einer ersten Ausführungsform ausgewählt werden aus den Struktureinheiten der Formeln (I), (II), (III), (IV), (V), (VI), (VII), (VIII) und/oder (IX). The structural unit bearing the crosslinkable group Q may in a first embodiment be selected from the structural units of the formulas (I), (II), (III), (IV), (V), (VI), (VII) , (VIII) and / or (IX).
Bevorzugte Struktureinheiten, die die vernetzbare Gruppe Q tragen, sind die folgenden, aus den Struktureinheiten der Formeln (l-1a), (1-1 b), (1-1 c) und (1-1 d) die respektive abgeleiteten Struktureinheiten der Formeln (Xla), (Xlb), (Xlc) und (Xld): Preferred structural units bearing the crosslinkable group Q are the following, from the structural units of the formulas (I-1a), (1-1b), (1-1c) and (1-1d), respectively, of the structural units of the Formulas (Xla), (Xlb), (Xlc) and (Xld):
(Xla) wobei Ar1 , Ar2, Ar3, Ar4, Ar5, Ar6, Q, R, n, r und X die oben angegebenen Bedeutungen annehmen können, (XIa) where Ar 1 , Ar 2 , Ar 3 , Ar 4 , Ar 5 , Ar 6 , Q, R, n, r and X can assume the meanings indicated above,
o, s, t, u und v jeweils 0 oder 1 sind, und die Summe (o + s + o, s, t, u and v are each 0 or 1, and the sum (o + s +
t + u + v ) = 1 , 2, 3, 4 oder 5; vorzugsweise 1 , 2 oder 3; besonders bevorzugt 1 oder 2 und ganz besonders bevorzugt 1 , ist. t + u + v) = 1, 2, 3, 4 or 5; preferably 1, 2 or 3; more preferably 1 or 2, and most preferably 1.
Wenn die Summe 2 ist, sind vorzugsweise (o + v) = 2 oder (s + v) = 2. Wenn die Summe 1 ist, sind vorzugsweise o = 1 , s = 1 oder v = 1 , besonders bevorzugt ist s = 1 oder v = 1. When the sum is 2, preferably (o + v) = 2 or (s + v) = 2. When the sum is 1, preferably o = 1, s = 1 or v = 1, more preferably s = 1 or v = 1.
wobei Ar1, Ar2, Ar3, Ar4, Ar5, Ar6, Q, R, n, r und X die oben angegebenen Bedeutungen annehmen können, where Ar 1 , Ar 2 , Ar 3 , Ar 4 , Ar 5 , Ar 6 , Q, R, n, r and X can assume the meanings indicated above,
o, s, t, u, v, w und x jeweils 0 oder 1 sind, und die Summe (o + s + t + u + v + w + x) = 1 , 2, 3, 4, 5, 6 oder 7; vorzugsweise 1 , 2, 3 oder 4; besonders bevorzugt 1 , 2 oder 3 und ganz besonders bevorzugt 1 oder 2 ist. o, s, t, u, v, w and x are each 0 or 1, and the sum (o + s + t + u + v + w + x) = 1, 2, 3, 4, 5, 6 or 7; preferably 1, 2, 3 or 4; more preferably 1, 2 or 3, and most preferably 1 or 2.
Wenn die Summe 2 ist, sind vorzugsweise (o + x) = 2, (t + v) = 2 oder (s + w) = 2. When the sum is 2, it is preferable that (o + x) = 2, (t + v) = 2 or (s + w) = 2.
Wenn die Summe 1 ist, sind vorzugsweise o = 1 , s = 1 , u = 1 , w = 1 oder x = 1 , besonders bevorzugt s = 1 , u = 1 oder w = 1. When the sum is 1, preferably o = 1, s = 1, u = 1, w = 1 or x = 1, more preferably s = 1, u = 1 or w = 1.
(Xlc) wobei Ar1, Ar2, Ar3, Ar4, Ar5, Ar6, Q, R, k, n, p, q und X die oben (XIc) wherein Ar 1 , Ar 2 , Ar 3 , Ar 4 , Ar 5 , Ar 6 , Q, R, k, n, p, q and X are as above
angegebenen Bedeutungen annehmen können, can assume given meanings,
o, s, t, u, v und w jeweils 0 oder 1 sind, und die Summe (o + s + o, s, t, u, v and w are each 0 or 1, and the sum (o + s +
t+u + v + w) = 1,2, 3, 4, 5 oder 6, vorzugsweise 1,2,3 oder 4, besonders bevorzugt 1 , 2 oder 3 und ganz besonders bevorzugt 1 oder 2 ist. t + u + v + w) = 1,2,3,4,5 or 6, preferably 1,2,3 or 4, more preferably 1, 2 or 3, and most preferably 1 or 2.
Wenn die Summe 2 ist, sind vorzugsweise (o + w) = 2, (s + w) = 2, When the sum is 2, it is preferable that (o + w) = 2, (s + w) = 2,
(t + w) = 2, (u + w) = 2 oder (o + v) = 2. (t + w) = 2, (u + w) = 2 or (o + v) = 2.
Wenn die Summe 1 ist, sind vorzugsweise o= 1,s= 1,t=1,v= 1 oder w = 1 besonders bevorzugt o = 1 s = 1 , t = 1 oder w = 1. When the sum is 1, o = 1, s = 1, t = 1, v = 1 or w = 1 are preferably o = 1 s = 1, t = 1 or w = 1.
wobei Ar1, Ar2, Ar3, Ar4, Ar5, Ar6, Q, R, k, n, p, q und X die oben wherein Ar 1 , Ar 2 , Ar 3 , Ar 4 , Ar 5 , Ar 6 , Q, R, k, n, p, q and X are as above
angegebenen Bedeutungen annehmen können, can assume given meanings,
o, s, t, u, v, w, x, y und z jeweils 0 oder 1 sind, und die Summe (o + s + t + u + v + w + x + y + z) = 1 , 2, 3, 4, 5, 6, 7, 8 oder 9, vorzugsweise 1,2,3 oder 4, besonders bevorzugt 1 , 2 oder 3 und ganz besonders bevorzugt 1 oder 2 ist. o, s, t, u, v, w, x, y and z are each 0 or 1, and the sum (o + s + t + u + v + w + x + y + z) = 1, 2, 3, 4, 5, 6, 7, 8 or 9, preferably 1, 2, 3 or 4, more preferably 1, 2 or 3 and most preferably 1 or 2.
Wenn die Summe 2 ist, sind vorzugsweise (o + z) = 2, (s + x) = 2, When the sum is 2, preferably (o + z) = 2, (s + x) = 2,
(t + y) = 2, (o + w) = 2 oder (u + w) = 2 (t + y) = 2, (o + w) = 2 or (u + w) = 2
Wenn die Summe 1 ist, sind vorzugsweise o= 1,s= 1,t=1,v= 1,x= 1, y = 1 oder z = 1 besonders bevorzugt o= 1,s= 1,t=1,v= 1,x= 1,y= 1 oder z = 1. When the sum is 1, o = 1, s = 1, t = 1, v = 1, x = 1, y = 1 or z = 1 are preferably o = 1, s = 1, t = 1, v = 1, x = 1, y = 1 or z = 1.
Analog können auch die Struktureinheiten der Formel (IV), (V), (VI) und (VII) vernetzbare Gruppen Q aufweisen. Desweiteren kann die Struktureinheit, die die vernetzbare Gruppe Q trägt, in einer zweiten Ausführungsform ausgewählt werden aus den in den Gruppen 1 bis 8 offenbarten Struktureinheiten. Analogously, the structural units of the formula (IV), (V), (VI) and (VII) can also have crosslinkable groups Q. Furthermore, in a second embodiment, the structural unit bearing the crosslinkable group Q may be selected from the structural units disclosed in Groups 1-8.
Eine bevorzugte Struktureinheit, die die vernetzbare Gruppe Q tragen, ist die folgende, aus den Triarylamineinheiten der Gruppe 1 abgeleitete Struktureinheit der Formel (XII): A preferred structural unit bearing the crosslinkable group Q is the following structural unit of the formula (XII) derived from the triarylamine units of group 1:
wobei Ar1 , Ar2 und Ar3 die oben in Bezug auf Formel (I) angegebenen Bedeutungen annehmen können. wherein Ar 1 , Ar 2 and Ar 3 may have the meanings given above in relation to formula (I).
Beispiele für bevorzugte Struktureinheiten der Formel (XII) sind in der folgenden Tabelle abgebildet: Examples of preferred structural units of the formula (XII) are shown in the following table:
Eine weitere bevorzugte Struktureinheit, die die vernetzbare Gruppe Q tragen, ist die folgende, aus der Gruppe 7 abgeleitete Struktureinheit der Formel (XIII): Another preferred structural unit bearing the crosslinkable group Q is the following group 7-derived structural unit of the formula (XIII):
Q Q
-Ar - (XIII) wobei Ar1 die in Bezug auf die Struktureinheit der Formel (I) angegebenen Bedeutungen annehmen kann. -Ar - (XIII) where Ar 1 can assume the meanings given in relation to the structural unit of the formula (I).
Beispiele für bevorzugte Struktureinheiten der Formel (XIII) sind in der folgenden Tabelle abgebildet: Examples of preferred structural units of the formula (XIII) are shown in the following table:
Wie oben beschrieben, handelt es sich bei der vernetzbaren Gruppe Q um eine funktionelle Gruppe, die in der Lage ist, eine chemische Reaktion einzugehen und so eine unlösliche polymere Verbindung zu bilden. Es können generell alle Gruppen Q eingesetzt werden, die dem Fachmann für diesen Zweck bekannt sind. Es ist insbesondere die Aufgabe dieser Gruppe, durch eine Vemetzungsreaktion die erfindungsgemäßen polymeren Verbindungen, gegebenenfalls mit weiteren reaktiven polymeren Verbindungen, miteinander zu verknüpfen. Dies führt zu einer vernetzten Verbindung, bzw., wenn die Reaktion in einer Schicht durchgeführt wird, zu einer vernetzten Schicht. Unter einer vernetzten Schicht im Sinne der vorliegenden Erfindung wird eine Schicht verstanden, die erhältlich ist durch Durchführung der Vernetzungsreaktion aus einer Schicht der erfindungsgemäßen, vernetzbaren, polymeren Verbindung. Die As described above, the crosslinkable group Q is a functional group capable of undergoing a chemical reaction to form an insoluble polymeric compound. It is generally possible to use all groups Q known to the person skilled in the art for this purpose. In particular, it is the task of this group to link the polymeric compounds according to the invention, if appropriate with further reactive polymeric compounds, by means of a crosslinking reaction. This results in a crosslinked compound or, when the reaction is carried out in one layer, to a crosslinked layer. A crosslinked layer in the sense of the present invention is understood to mean a layer which can be obtained by carrying out the crosslinking reaction from a layer of the crosslinkable, polymeric compound according to the invention. The
Vernetzungsreaktion kann im Allgemeinen durch Wärme und/oder durch UV-, Mikrowellen-, Röntgen- oder Elektronenstrahlung und/oder durch den Einsatz von Radikalbildnern, Anionen, Kationen, Säuren und/oder Photosäuren initiiert werden. Ebenso kann die Anwesenheit von Crosslinking reaction can generally be effected by heat and / or by UV, microwave, X-ray or electron radiation and / or by the use of radical formers, anions, cations, acids and / or Photoacids are initiated. Likewise, the presence of
Katalysatoren sinnvoll oder notwendig sein. Bevorzugt ist die Catalysts be useful or necessary. Preferably, the
Vernetzungsreaktion eine Reaktion, für die kein Initiator und kein Crosslinking Reaction for which no initiator and no
Katalysator zugesetzt werden muss. Catalyst must be added.
Erfindungsgemäß bevorzugte vernetzbare Gruppen Q sind die im Crosslinkable groups Q preferred in accordance with the invention are those in the
Folgenden aufgeführten Gruppen: a) Endständiqe oder cyclische Alkenyl- bzw. endständiqe Dienyl- und Alkinylqruppen: The following groups are listed: a) End-stage or cyclic alkenyl or terminal dienyl and alkynyl groups:
Geeignet sind Einheiten, die eine endständige oder cyclische Doppelbindung, eine endständige Dienylgruppe oder eine Suitable units are a terminal or cyclic double bond, a terminal dienyl group or a
endständige Dreifachbindung enthalten, insbesondere endständige oder cyclische Alkenyl-, endständige Dienyl- bzw. endständige Alkinylgruppen mit 2 bis 40 C-Atomen, vorzugsweise mit 2 bis 10 C- Atomen, wobei auch einzelne CH2-Gruppen und/oder einzelne H- Atome durch die oben genannten Gruppen R ersetzt sein können. Weiterhin eignen sich auch Gruppen, die als Vorstufen zu betrachten sind und die in situ zu einer Bildung einer Doppel- oder containing terminal triple bond, in particular terminal or cyclic alkenyl, terminal dienyl or terminal alkynyl groups having 2 to 40 carbon atoms, preferably having 2 to 10 carbon atoms, wherein also individual CH 2 groups and / or individual H atoms the above groups R can be replaced. Furthermore, groups which are to be regarded as precursors and which are suitable in situ for the formation of a double or
Dreifachbindung in der Lage sind. b) Alkenyloxy- , Dienyloxy- bzw. Alkinyloxyqruppen: Triple bond are able. b) alkenyloxy, dienyloxy or alkinyloxy groups:
Weiterhin geeignet sind Alkenyloxy-, Dienyloxy- bzw. Also suitable are alkenyloxy, Dienyloxy- or
Alkinyloxygruppen, vorzugsweise Alkenyloxygruppen. Alkynyloxy groups, preferably alkenyloxy groups.
Acrylsäureqruppen: Acrylsäureqruppen:
Weiterhin geeignet sind Acrylsäureeinheiten im weitesten Sinne, vorzugsweise Acrylester, Acrylamide, Methacrylester und Also suitable are acrylic acid units in the broadest sense, preferably acrylic esters, acrylamides, methacrylic esters and
Methacrylamide. Besonders bevorzugt sind Ci-10-Alkylacrylat und Ci 10-Alkylmethacrylat. Methacrylamides. Particularly preferably Ci -10 alkyl acrylate and C 1 0 alkyl methacrylate.
Die Vernetzungsreaktion der oben unter a) bis c) genannten Gruppen kan über einen radikalischen, einen kationischen oder einen anionischen Mechanismus aber auch über Cycloaddition erfolgen. Es kann sinnvoll sein, einen entsprechenden Initiator für die Vernetzungsreaktion zuzugeben. Geeignete Initiatoren für die radikalische Vernetzung sind beispielsweise Dibenzoylperoxid, AIBN oder TEMPO. Geeignete Initiatoren für die kationische Vernetzung sind beispielsweise AICI3, BF3, Triphenylmethylperchlorat oder Tropyliumhexachlorantimonat. Geeignete Initiatoren für die anionische Vernetzung sind Basen, insbesondere The crosslinking reaction of the groups mentioned above under a) to c) can be carried out via a radical, a cationic or an anionic mechanism but also via cycloaddition. It may be useful to add a suitable initiator for the crosslinking reaction. Suitable initiators for free-radical crosslinking are, for example, dibenzoyl peroxide, AIBN or TEMPO. Suitable initiators for the cationic crosslinking are, for example, AICI 3 , BF 3 , triphenylmethyl perchlorate or tropylium hexachloroantimonate. Suitable initiators for the anionic crosslinking are bases, in particular
Butyllithium. Butyl lithium.
In einer bevorzugten Ausführungsform der vorliegenden Erfindung wird die Vernetzung jedoch ohne den Zusatz eines Initiators durchgeführt und aus- schließlich thermisch initiiert. Diese Bevorzugung wird dadurch begründet, dass die Abwesenheit des Initiators Verunreinigungen der Schicht verhindert, die zu einer Verschlechterung der Deviceeigenschaften führen könnten. d) Oxetane und Oxirane: In a preferred embodiment of the present invention, however, the crosslinking is carried out without the addition of an initiator and is exclusively thermally initiated. This preference is based on the fact that the absence of the initiator prevents contamination of the layer, which could lead to a deterioration of the device properties. d) Oxetanes and oxiranes:
Eine weitere geeignete Klasse vernetzbarer Gruppen Q sind Oxetane und Oxirane, die durch Ringöffnung kationisch vernetzen. Another suitable class of crosslinkable groups Q are oxetanes and oxiranes, which crosslink cationically by ring opening.
Es kann sinnvoll sein, einen entsprechenden Initiator für die It may be useful to have a suitable initiator for the
Vernetzungs-reaktion zuzugeben. Geeignete Initiatoren sind Add crosslinking reaction. Suitable initiators are
beispielsweise AICI3, BF3, Triphenylmethylperchlorat oder for example, AICI 3 , BF 3 , triphenylmethyl perchlorate or
Tropyliumhexachlorantimonat. Ebenso können Photosäuren als Initiatoren zugegeben werden. e) Silane: Tropyliumhexachlorantimonat. Likewise, photoacids can be added as initiators. e) silanes:
Weiterhin geeignet als Klasse vernetzbarer Gruppen sind Silangruppen SiR3, wobei mindestens zwei Gruppen R, bevorzugt alle drei GruppenAlso suitable as a class of crosslinkable groups are silane groups SiR 3 , where at least two groups R, preferably all three groups
R für Cl oder eine Alkoxygruppe mit 1 bis 20 C-Atomen stehen. R is Cl or an alkoxy group having 1 to 20 carbon atoms.
Diese Gruppe reagiert in der Anwesenheit von Wasser zu einem Oligo- oder Polysiloxan. f) Cyclobutangruppen This group reacts in the presence of water to form an oligo- or polysiloxane. f) cyclobutane groups
Die oben genannten vernetzbaren Gruppen Q sind dem Fachmann generell bekannt, ebenso wie die geeigneten Reaktionsbedingungen, die zur Reaktion dieser Gruppen verwendet werden. Bevorzugte vernetzbare Gruppen Q umfassen Alkenylgruppen der folgenden Formel Q1 , Dienylgruppen der folgenden Formel Q2, The above-mentioned crosslinkable groups Q are generally known to those skilled in the art, as are the suitable reaction conditions used to react these groups. Preferred crosslinkable groups Q include alkenyl groups of the following formula Q1, dienyl groups of the following formula Q2,
Alkinylgruppen der folgenden Formel Q3, Alkenyloxygruppen der folgenden Formel Q4, Dienyloxygruppen der folgenden Formeln Q5, Alkynyl groups of the following formula Q3, alkenyloxy groups of the following formula Q4, dienyloxy groups of the following formulas Q5,
Alkinyloxygruppen der folgenden Formel Q6, Acrylsäuregruppen der folgenden Formeln Q7 und Q8, Oxetangruppen der folgenden Formeln Q9 und Q10, Oxirangruppen der folgenden Formel Q 1 und Alkynyloxy groups of the following formula Q6, acrylic acid groups of the following formulas Q7 and Q8, oxetane groups of the following formulas Q9 and Q10, oxirane groups of the following formula Q 1 and
Cyclobutangruppen der folgenden Formel Q12: Cyclobutane groups of the following formula Q12:
0 H2X 0 H 2X
/ CH2 / CH 2
Ζ 2Κ r11 Ζ 2 Κ r11
Q1 1 Q12 Q1 1 Q12
Die Reste R11, R 2 und R 3 in den Formeln Q1 bis Q8 und Q1 1 sind bei jedem Auftreten, gleich oder verschieden, H, eine geradkettige oder verzweigte Alkylgruppe mit 1 bis 6 C-Atomen, vorzugsweise 1 bis 4 C- Atomen. Besonders bevorzugt sind die Reste R11 , R12 und R13 H, Methyl, Ethyl, n-Propyl, iso-Propyl, n-Butyl, sec-Butyl oder tert-Butyl und ganz besonders bevorzugt H oder Methyl. Die verwendeten Indices haben die folgende Bedeutung: s = 0 bis 8; und t = 1 bis 8. The radicals R 11 , R 2 and R 3 in the formulas Q1 to Q8 and Q1 1 in each occurrence, identical or different, is H, a straight-chain or branched alkyl group having 1 to 6 C atoms, preferably 1 to 4 C atoms , The radicals R 11 , R 12 and R 13 are particularly preferably H, methyl, ethyl, n-propyl, isopropyl, n-butyl, sec-butyl or tert-butyl and very particularly preferably H or methyl. The indices used have the following meaning: s = 0 to 8; and t = 1 to 8.
Die gestrichelte Bindung in den Formeln Q1 bis Q1 1 sowie die gestrichelten Bindungen in der Formel Q12 stellen die Anknüpfung der vernetzbaren Gruppe an die Struktureinheiten dar. The dashed bond in the formulas Q1 to Q11 and the dashed bonds in the formula Q12 represent the attachment of the crosslinkable group to the structural units.
Die vernetzbaren Gruppen der Formeln Q1 bis Q12 können dabei direkt mit der Struktureinheit verknüpft sein, oder aber indirekt, über ein weiteres, mono- oder polycyclisches, aromatisches oder heteroaromatisches The crosslinkable groups of the formulas Q1 to Q12 may be linked directly to the structural unit, or indirectly, via a further, mono- or polycyclic, aromatic or heteroaromatic
Ringsystem Ar10, wie in den folgenden Formeln Q13 bis Q24 dargestellt: Ring system Ar 10 as shown in the following formulas Q13 to Q24:
wobei Ar10 in den Formeln Q13 bis Q24 die gleichen Bedeutungen annehmen kann wie Ar1. where Ar 10 in the formulas Q 13 to Q 24 can assume the same meanings as Ar 1 .
Besonders bevorzugte vernetzbare Gruppen Q sind die folgenden: Particularly preferred crosslinkable groups Q are the following:
Die Reste R11 und R 2 in den Formeln Q7a und Q13a bis Q19a sind bei jedem Auftreten, gleich oder verschieden, H oder eine geradkettige oder verzweigte Alkylgruppe mit 1 bis 6 C-Atomen, vorzugsweise 1 bis 4 C- Atomen. Besonders bevorzugt sind die Reste R 1 und R12 Methyl, Ethyl, n Propyl, iso-Propyl, n-Butyl, sec-Butyl oder tert-Butyl und ganz besonders bevorzugt Methyl. The radicals R 11 and R 2 in the formulas Q7a and Q13a to Q19a in each occurrence, identical or different, are H or a straight-chain or branched alkyl group having 1 to 6 C atoms, preferably 1 to 4 C atoms. The radicals R 1 and R 12 are particularly preferably methyl, ethyl, n-propyl, isopropyl, n-butyl, sec-butyl or tert-butyl and very particularly preferably methyl.
Der Rest R13 in den Formeln Q7b und Q19b ist bei jedem Auftreten eine geradkettige oder verzweigte Alkylgruppe mit 1 bis 6 C-Atomen, vorzugsweise 1 bis 4 C-Atomen. Besonders bevorzugt ist der Rest R 3 Methyl, Ethyl, n-Propyl, iso-Propyl, n-Butyl, sec-Butyl oder tert-Butyl und ganz besonders bevorzugt Methyl. Die verwendeten Indices haben die folgende Bedeutung: s = 0 bis 8 und t = 1 bis 8. The radical R 13 in the formulas Q7b and Q19b at each occurrence is a straight-chain or branched alkyl group having 1 to 6 C atoms, preferably 1 to 4 C atoms. The radical R 3 is particularly preferably methyl, ethyl, n-propyl, isopropyl, n-butyl, sec-butyl or tert-butyl and very particularly preferably methyl. The indices used have the following meaning: s = 0 to 8 and t = 1 to 8.
Ganz besonders bevorzugte vernetzbare Gruppen Q sind die folgenden: Very particularly preferred crosslinkable groups Q are the following:
In den bevorzugten Gruppen Q1 bis Q24, in den besonders bevorzugten Gruppen Q1a bis Q24a sowie in den ganz besonders bevorzugten Gruppen Q1 b bis Q24c stellen die gestrichelten Linien die Bindungen zu den In the preferred groups Q1 to Q24, in the particularly preferred groups Q1a to Q24a and in the most preferred groups Q1 b to Q24c, the dashed lines represent the bonds to the
Struktureinheiten dar. Anzumerken ist in diesem Zusammenhang, dass die Gruppen Q12, Q12a, Q12b und Q24 jeweils zwei Bindungen zu zwei benachbarten Ring-Kohlenstoffatomen der Struktureinheit aufweisen. Alle anderen vernetzbaren Gruppen weisen lediglich eine Bindung zu der Struktureinheit auf. In this context, it should be noted that groups Q12, Q12a, Q12b, and Q24 each have two bonds to two having adjacent ring carbon atoms of the structural unit. All other crosslinkable groups merely have a bond to the structural unit.
Der Anteil vernetzbarer Struktureinheiten liegt im Polymer im Bereich von 0,01 bis 50 mol%, vorzugsweise im Bereich von 0,1 bis 30 mol%, besonders bevorzugt im Bereich von 0,5 bis 20 mol% und ganz besonders bevorzugt im Bereich von 1 bis 15 mol%, bezogen auf 100 mol% aller copolymerisierten Monomere, die im Polymer als Struktureinheiten enthalten sind. The proportion of crosslinkable structural units in the polymer is in the range from 0.01 to 50 mol%, preferably in the range from 0.1 to 30 mol%, particularly preferably in the range from 0.5 to 20 mol% and very particularly preferably in the range from 1 to 15 mol% based on 100 mol% of all the copolymerized monomers contained in the polymer as structural units.
Die erfindungsgemäßen Polymere enthaltend Struktureinheiten der Formeln (I), (II), (III), (IV), (V), (VI), (VII), (VIII) und/oder (IX) werden in der Regel durch Polymerisation von einer oder mehreren Monomersorten hergestellt, von denen mindestens ein Monomer im Polymer zu The polymers according to the invention comprising structural units of the formulas (I), (II), (III), (IV), (V), (VI), (VII), (VIII) and / or (IX) are generally prepared by polymerization of one or more types of monomer, of which at least one monomer in the polymer to
Struktureinheiten der Formeln (I), (II), (III), (IV), (V), (VI), (VII), (VIII) und/oder (IX) führt. Geeignete Polymerisationsreaktionen sind dem Structural units of the formulas (I), (II), (III), (IV), (V), (VI), (VII), (VIII) and / or (IX). Suitable polymerization reactions are the
Fachmann bekannt und in der Literatur beschrieben. Besonders geeignete und bevorzugte Polymerisationsreaktionen, die zu C-C- bzw. C-N- Verknüpfungen führen, sind folgende: Known and described in the literature. Particularly suitable and preferred polymerization reactions which lead to C-C or C-N linkages are the following:
(A) SUZUKUPolymerisation; (A) SUZUK polymerization;
(B) YAMAMOTO-Polymerisation; (B) YAMAMOTO polymerization;
(C) STILLE-Polymerisation; (C) SILENT polymerization;
(D) HECK-Polymerisation; (D) Heck polymerization;
(E) NEGISHI-Polymerisation; (E) NEGISHI polymerization;
(F) SONOGASHIRA-Polymerisation; (F) SONOGASHIRA polymerization;
(G) HIYAMA-Polymerisation; und (G) HIYAMA polymerization; and
(H) HART IG-BUCHWALD-Polymerisation (H) HART IG-BUCHWALD polymerization
Wie die Polymerisation nach diesen Methoden durchgeführt werden kann und wie die Polymere dann vom Reaktionsmedium abgetrennt und aufgereinigt werden können, ist dem Fachmann bekannt und in der Literatur, beispielsweise in der WO 03/048225 A2, der WO 2004/037887 A2 und der WO 2004/037887 A2 im Detail beschrieben. Die C-C-Verknüpfungen sind vorzugsweise ausgewählt aus den Gruppen der SUZUKI-Kupplung, der YAMAMOTO-Kupplung und der STILLE- Kupplung; die C-N-Verknüpfung ist vorzugsweise eine Kupplung gemäß HARTWIG-BUCHWALD. How the polymerization can be carried out by these methods and how the polymers can then be separated off from the reaction medium and purified is known to the person skilled in the art and in the literature, for example in WO 03/048225 A2, WO 2004/037887 A2 and WO 2004 / 037887 A2 described in detail. The CC linkages are preferably selected from the groups of the SUZUKI coupling, the YAMAMOTO coupling and the STILLE coupling; the CN linkage is preferably a HARTWIG-BUCHWALD coupling.
Gegenstand der vorliegenden Erfindung ist somit auch ein Verfahren zur Herstellung der erfindungsgemäßen Polymere, das dadurch The present invention thus also provides a process for the preparation of the polymers according to the invention, which is characterized
gekennzeichnet ist, dass sie durch Polymerisation gemäß SUZUKI, characterized in that it is produced by polymerization according to SUZUKI,
Polymerisation gemäß YAMAMOTO, Polymerisation gemäß STILLE oder Polymerisation gemäß HARTWIG-BUCHWALD hergestellt werden. Polymerization according to YAMAMOTO, polymerization according to SILENCE or polymerization according to HARTWIG-BUCHWALD.
Zur Synthese der erfindungsgemäßen Polymere werden die For the synthesis of the polymers according to the invention, the
entsprechenden Monomere der Formel (MI) benötigt, corresponding monomers of the formula (MI) are required,
Y Y
wobei Ar1, Ar2, Ar3, Ar4 und Ar5 die in Bezug auf die Struktureinheit der Formel (I) angegebenen Bedeutungen annehmen kann. wherein Ar 1 , Ar 2 , Ar 3 , Ar 4 and Ar 5 may assume the meanings given in relation to the structural unit of the formula (I).
Die Monomere der Formeln (MI-1 ) und (MI-2), die in den erfindungsgemäßen Polymeren zu Struktureinheiten der Formel (1-1) bzw. (I-2) führen, sind Verbindungen, die entsprechend substituiert sind und an zwei The monomers of the formulas (MI-1) and (MI-2) which lead to structural units of the formula (1-1) or (I-2) in the polymers according to the invention are compounds which are correspondingly substituted and to two
Positionen geeignete Funktionalitäten aufweisen, die es erlauben, diese Monomereinheit in das Polymer einzubauen. Diese Monomere der Formeln (MI-1) und (M-l-2) sind somit ebenfalls Gegenstand der vorliegenden Erfindung. Die Gruppe Y stellt, gleich oder verschieden, eine für eine Polymerisationsreaktion geeignete Abgangsgruppe dar, so dass der Einbau der Monomerbausteine in polymere Verbindungen ermöglicht wird. Positions have suitable functionalities that allow to incorporate this monomer unit in the polymer. These monomers of the formulas (MI-1) and (Ml-2) are thus also the subject of the present invention. The group Y represents, for one or the other, one for one Polymerization reaction suitable leaving group, so that the incorporation of the monomer units in polymeric compounds is made possible.
Vorzugsweise stellt Y eine chemische Funktionalität dar, welche gleich oder verschieden ausgewählt ist aus der Klasse der Halogene, O-Tosylate, O- Triflate, O-Sulfonate, Borsäureester, teilfluorierten Silylgruppen, Preferably, Y represents a chemical functionality which is identically or differently selected from the class of halogens, O-tosylates, O-triflates, O-sulfonates, boric acid esters, partially fluorinated silyl groups,
Diazoniumgruppen und zinnorganischen Verbindungen. Diazonium groups and organotin compounds.
Das Grundgerüst der Monomerverbindungen lässt sich nach Standardmethoden funktionalisieren, beispielsweise durch Friedel-Crafts-Alkylierung oder -Acylierung. Weiterhin lässt sich das Grundgerüst nach The backbone of the monomer compounds can be functionalized by standard methods, for example by Friedel-Crafts alkylation or acylation. Furthermore, the skeleton can be after
Standardmethoden der organischen Chemie halogenieren. Die halo- genierten Verbindungen lassen sich in zusätzlichen Funktionalisierungs- schritten wahlweise weiter umsetzen. Beispielsweise können die Halogenate standard methods of organic chemistry. The halo- genated compounds can optionally be further implemented in additional functionalization steps. For example, the
halogenierten Verbindungen entweder direkt oder nach Überführung in ein Boronsäurederivat oder zinnorganisches Derivat als Ausgangsstoffe für die Umsetzung zu Polymeren, Oligomeren oder Dendrimeren eingesetzt werden. halogenated compounds are used either directly or after conversion into a boronic acid derivative or organotin derivative as starting materials for the reaction to polymers, oligomers or dendrimers.
Die genannten Methoden stellen lediglich eine Auswahl aus den dem Fachmann bekannten Reaktionen dar, welche dieser, ohne erfinderisch tätig zu werden, zur Synthese der erfindungsgemäßen Verbindungen einsetzen kann. The methods mentioned are merely a selection of the reactions known to the person skilled in the art which, without being inventive, can be used for the synthesis of the compounds according to the invention.
Die erfindungsgemäßen Polymere können als Reinsubstanz, aber auch als Mischung zusammen mit weiteren beliebigen polymeren, oligomeren, dendritischen oder niedermolekularen Substanzen verwendet werden. Als niedermolekulare Substanz versteht man in der vorliegenden Erfindung Verbindungen mit einem Molekulargewicht im Bereich von 100 bis 3000 g/mol, vorzugsweise 200 bis 2000 g/mol. Diese weiteren Substanzen können z.B. die elektronischen Eigenschaften verbessern oder selbst emittieren. Als Mischung wird vor- und nachstehend eine Mischung enthaltend mindestens eine polymere Komponente bezeichnet. Auf diese Art können eine oder mehrere Polymerschichten bestehend aus einer Mischung (Blend) aus einem oder mehreren erfindungsgemäßen The polymers of the invention can be used as a pure substance, but also as a mixture together with any other polymeric, oligomeric, dendritic or low molecular weight substances. In the present invention, a low molecular weight substance is understood as meaning compounds having a molecular weight in the range from 100 to 3000 g / mol, preferably 200 to 2000 g / mol. These other substances may e.g. improve the electronic properties or self-emit. The mixture referred to above and below as a mixture containing at least one polymeric component. In this way, one or more polymer layers consisting of a mixture (blend) of one or more inventive
Polymeren mit einer Struktureinheit der Formeln (I), (II), (III), (IV), (V), (VI), (VII), (VIII) und/oder (IX) und optional einem oder mehreren weiteren Polymeren mit einer oder mehreren niedermolekularen Substanzen hergestellt werden. Polymers having a structural unit of the formulas (I), (II), (III), (IV), (V), (VI), (VII), (VIII) and / or (IX) and optionally one or more others Polymers are prepared with one or more low molecular weight substances.
Ein weiterer Gegenstand der vorliegenden Erfindung ist somit ein Polymer Blend enthaltend ein oder mehrere erfindungsgemäße Polymere, sowie eine oder mehrere weitere polymere, oligomere, dendritische und/oder niedermolekulare Substanzen. Another object of the present invention is thus a polymer blend comprising one or more polymers of the invention, and one or more further polymeric, oligomeric, dendritic and / or low molecular weight substances.
Gegenstand der Erfindung sind weiterhin Lösungen und Formulierungen aus einem oder mehreren erfindungsgemäßen Polymeren oder einem Polymer Blend in einem oder mehreren Lösungsmitteln. Wie solche Lösungen hergestellt werden können, ist dem Fachmann bekannt und beispielsweise in der WO 02/072714 A1 , der WO 03/019694 A2 und der darin zitierten Literatur beschrieben. The invention further provides solutions and formulations of one or more polymers of the invention or a polymer blend in one or more solvents. How such solutions can be prepared is known to the person skilled in the art and described, for example, in WO 02/072714 A1, WO 03/019694 A2 and the literature cited therein.
Diese Lösungen können verwendet werden, um dünne Polymerschichten herzustellen, zum Beispiel durch Flächenbeschichtungsverfahren (z.B. Spin-coating) oder durch Druckverfahren (z.B. InkJet Printing). These solutions can be used to prepare thin polymer layers, for example, by area-coating methods (e.g., spin-coating) or by printing methods (e.g., ink-jet printing).
Polymere enthaltend Struktureinheiten, die eine vernetzbare Gruppe Q aufweisen, eignen sich besonders zur Herstellung von Filmen oder Beschichtungen, insbesondere zur Herstellung von strukturierten Polymers containing structural units which have a crosslinkable group Q are particularly suitable for the production of films or coatings, in particular for the production of structured
Beschichtungen, z.B. durch thermische oder lichtinduzierte in-situ- Polymerisation und in-situ-Vernetzung, wie beispielsweise in-situ-UV- Photopolymerisation oder Photopatterning. Dabei können sowohl entsprechende Polymere in Reinsubstanz verwendet werden, es können aber auch Formulierungen oder Mischungen dieser Polymere wie oben beschrieben verwendet werden. Diese können mit oder ohne Zusatz von Lösungsmitteln und/oder Bindemitteln verwendet werden. Geeignete Materialien, Verfahren und Vorrichtungen für die oben beschriebenen Methoden sind z.B. in der WO 2005/083812 A2 beschrieben. Mögliche Bindemittel sind beispielsweise Polystyrol, Polycarbonat, Poly(meth)- acrylate, Polyacrylate, Polyvinylbutyral und ähnliche, optoelektronisch neutrale Polymere. Geeignete und bevorzugte Lösungsmittel sind beispielsweise Toluol, Anisol, o-, m- oder p-Xylol, Methylbenzoat, Mesitylen, Tetralin, Veratrol, THF, Methyl-THF, THP, Chlorbenzol, Dioxan, Phenoxytoluol, insbesondere 3-Phenoxytoluol, (-)-Fenchon, 1 ,2,3,5-Tetramethylbenzol, 1 ,2,4,5- tetramethylbenzol, 1-Methylnaphtalin, 2-Methylbenzothiazol, 2- Phenoxyethanol, 2-Pyrrolidinon, 3-Methylanisol, 4-Methylanisol, 3,4- Dimethylanisol, 3,5-Dimethylanisol, Acetophenon, a-Terpineol, Coatings, for example by thermal or light-induced in situ polymerization and in situ crosslinking, such as in situ UV photopolymerization or photopatterning. In this case, both corresponding polymers can be used in pure substance, but it is also possible to use formulations or mixtures of these polymers as described above. These can be used with or without the addition of solvents and / or binders. Suitable materials, methods and devices for the methods described above are described, for example, in WO 2005/083812 A2. Possible binders are, for example, polystyrene, polycarbonate, poly (meth) acrylates, polyacrylates, polyvinyl butyral and similar, optoelectronically neutral polymers. Suitable and preferred solvents are, for example, toluene, anisole, o-, m- or p-xylene, methyl benzoate, mesitylene, tetralin, veratrole, THF, methyl THF, THP, chlorobenzene, dioxane, phenoxytoluene, in particular 3-phenoxytoluene, (-) -Fenchone, 1, 2,3,5-tetramethylbenzene, 1, 2,4,5-tetramethylbenzene, 1-methylnaphthalene, 2-methylbenzothiazole, 2-phenoxyethanol, 2-pyrrolidinone, 3-methylanisole, 4-methylanisole, 3,4 Dimethylanisole, 3,5-dimethylanisole, acetophenone, a-terpineol,
Benzothiazol, Butylbenzoat, Cumol, Cyclohexanol, Cyclohexanon, Benzothiazole, butyl benzoate, cumene, cyclohexanol, cyclohexanone,
Cyclohexylbenzol, Decalin, Dodecylbenzol, Ethylbenzoat, Indan, Cyclohexylbenzene, decalin, dodecylbenzene, ethyl benzoate, indane,
Methylbenzoat, NMP, p-Cymol, Phenetol, 1 ,4-Diisopropylbenzol, Dibenzyl ether, Diethylenglycolbutylmethylether, Triethylenglycolbutylmethylether, Diethylenglycoldibutylether, Triethylenglycoldimethylether, Diethylen- glycolmonobutylether, Tripropylenglycoldimethylether, Tetraethylenglycol- dimethylether, 2-lsopropylnaphthalin, Pentylbenzol, Hexylbenzol, Methyl benzoate, NMP, p-cymene, phenetole, 1,4-diisopropylbenzene, dibenzyl ether, diethylene glycol butyl methyl ether, triethylene glycol butyl methyl ether, diethylene glycol dibutyl ether, triethylene glycol dimethyl ether, diethylene glycol monobutyl ether, tripropylene glycol dimethyl ether, tetraethylene glycol dimethyl ether, 2-isopropylnaphthalene, pentylbenzene, hexylbenzene,
Heptylbenzol, Octylbenzol, 1 ,1-Bis(3,4-Dimethylphenyl)ethan oder Heptylbenzene, octylbenzene, 1, 1-bis (3,4-dimethylphenyl) ethane or
Mischungen dieser Lösungsmittel. Mixtures of these solvents.
Ein weiterer Gegenstand der vorliegenden Erfindung ist somit die Another object of the present invention is thus the
Verwendung eines Polymers, das Struktureinheiten enthält, die eine vernetzbare Gruppe Q aufweisen, zur Herstellung eines vernetzten Use of a polymer containing structural units having a crosslinkable group Q to produce a crosslinked one
Polymers. Die vernetzbare Gruppe, die besonders bevorzugt eine Polymer. The crosslinkable group, more preferably one
Vinylgruppe oder Alkenylgruppe ist, wird vorzugsweise durch die WITTIG- Reaktion oder eine WITTIG-analoge Reaktion in das Polymer eingebaut. Ist die vernetzbare Gruppe eine Vinylgruppe oder Alkenylgruppe, so kann die Vernetzung durch radikalische oder ionische Polymerisation stattfinden, wobei diese thermisch oder durch Strahlung induziert werden kann. Vinyl group or alkenyl group is preferably incorporated into the polymer by the WITTIG reaction or a WITTIG analogous reaction. If the crosslinkable group is a vinyl group or alkenyl group, the crosslinking can take place by free-radical or ionic polymerization, which can be induced thermally or by radiation.
Bevorzugt ist die radikalische Polymerisation, die thermisch induziert wird, vorzugsweise bei Temperaturen von weniger als 250°C, besonders bevorzugt bei Temperaturen von weniger als 200°C. Preferably, the free-radical polymerization which is thermally induced is preferably at temperatures of less than 250 ° C, more preferably at temperatures of less than 200 ° C.
Wahlweise wird während des Vernetzungsverfahrens ein zusätzliches Styrol-Monomer zugesetzt, um einen höheren Grad der Vernetzung zu erzielen. Vorzugsweise ist der Anteil des zugesetzten Styrol-Monomers im Bereich von 0,01 bis 50 mol%, besonders bevorzugt 0, 1 bis 30 mol%, bezogen auf 100 mol% aller copolymerisierten Monomere, die im Polymer als Struktureinheiten enthalten sind. Gegenstand der vorliegenden Erfindung ist somit auch ein Verfahren zur Herstellung eines vernetzten Polymers, das folgende Schritte umfasst: Optionally, an additional styrenic monomer is added during the crosslinking process to achieve a higher degree of crosslinking. Preferably, the proportion of styrene monomer added is in the range of 0.01 to 50 mol%, particularly preferably 0.1 to 30 mol%, based on 100 mol% of all the copolymerized monomers contained in the polymer as structural units. The present invention thus also provides a process for producing a crosslinked polymer which comprises the following steps:
(a) Bereitstellen von Polymeren, die Struktureinheiten enthalten, die eine 5 oder mehrere vernetzbare Gruppen Q aufweisen; und (a) providing polymers containing structural units having 5 or more crosslinkable groups Q; and
(b) Radikalische oder ionische Vernetzung, vorzugsweise radikalische Vernetzung, die sowohl thermisch als auch durch Strahlung, vorzugsweise thermisch, induziert werden kann. (b) Radical or ionic crosslinking, preferably radical crosslinking, which can be induced both thermally and by radiation, preferably thermally.
Die durch das erfindungsgemäße Verfahren hergestellten vernetzten 10 Polymere sind in allen gängigen Lösungsmitteln unlöslich. Auf diese Weise lassen sich definierte Schichtdicken herstellen, die auch durch das The crosslinked polymers produced by the process according to the invention are insoluble in all common solvents. In this way, defined layer thicknesses can be produced, which are also due to the
Aufbringen nachfolgender Schichten nicht wieder gelöst bzw. angelöst werden. Application of subsequent layers can not be solved again or dissolved.
Die vorliegende Erfindung betrifft somit auch ein vernetztes Polymer, das ^ durch das zuvor genannte Verfahren erhältlich ist. Das vernetzte Polymer wird - wie vorstehend beschrieben - vorzugsweise in Form einer vernetzen Polymerschicht hergestellt. Auf die Oberfläche einer solchen vernetzten Polymerschicht kann aufgrund der Unlöslichkeit des vernetzten Polymers in sämtlichen Lösungsmitteln eine weitere Schicht aus einem Lösungsmittel ^ mit den oben beschriebenen Techniken aufgebracht werden. The present invention thus also relates to a crosslinked polymer obtainable by the aforementioned method. The crosslinked polymer is preferably prepared in the form of a crosslinked polymer layer as described above. On the surface of such a crosslinked polymer layer, due to the insolubility of the crosslinked polymer in all solvents, another layer of a solvent can be applied by the techniques described above.
Die vorliegende Erfindung umfasst auch sogenannte Hybridvorrichtungen, in der eine oder mehrere Schichten, die aus Lösung prozessiert werden, und Schichten, die durch Aufdampfen von niedermolekularen Substanzen hergestellt werden, vorkommen können. The present invention also includes so-called hybrid devices in which one or more layers which are processed from solution and layers which are produced by vapor deposition of low molecular weight substances may occur.
25 25
Die erfindungsgemäßen Polymere können in elektronischen oder optoelektronischen Vorrichtungen bzw. zu deren Herstellung verwendet werden. The polymers according to the invention can be used in electronic or optoelectronic devices or for their preparation.
Ein weiterer Gegenstand der vorliegenden Erfindung ist somit die Another object of the present invention is thus the
30 Verwendung der erfindungsgemäßen Polymere in elektronischen oder optoelektronischen Vorrichtungen, vorzugsweise in organischen 30 Use of the polymers of the invention in electronic or optoelectronic devices, preferably in organic
Elektrolumineszenzvorrichtungen (OLED), organischen Feld-Effekt- Transistoren (OFETs), organischen integrierten Schaltungen (O-ICs), organischen Dünnfilmtransistoren (TFTs), organischen Solarzellen (O- SCs), organischen Laserdioden (O-Laser), organischen photovoltaischen (OPV) Elementen oder Vorrichtungen oder organischen Photorezeptoren (OPCs), besonders bevorzugt in organischen Elektrolumineszenz- vorrichtungen (OLED). Electroluminescent devices (OLED), organic field effect Transistors (OFETs), organic integrated circuits (O-ICs), organic thin-film transistors (TFTs), organic solar cells (O-SCs), organic laser diodes (O-lasers), organic photovoltaic (OPV) elements or devices or organic photoreceptors (OPCs) , particularly preferably in organic electroluminescent devices (OLED).
Im Fall der zuvor genannten Hybridvorrichtung spricht man in Verbindung mit organischen Elektrolumineszenzvorrichtungen von kombinierten PLED/SMOLED (Polymerie Light Emitting Diode/Small Molecule Organic Light Emitting Diode) Systemen. In the case of the aforementioned hybrid device, combined PLED / SMOLED (Polymer Light Emitting Diode / Small Molecule Organic Light Emitting Diode) systems are used in conjunction with organic electroluminescent devices.
Wie OLEDs hergestellt werden können, ist dem Fachmann bekannt und wird beispielsweise als allgemeines Verfahren ausführlich in der WO 2004/070772 A2 beschrieben, das entsprechend für den Einzelfall anzupassen ist. How OLEDs can be produced is known to the person skilled in the art and is described in detail, for example, as a general method in WO 2004/070772 A2, which is to be adapted accordingly for the individual case.
Wie oben beschrieben, eignen sich die erfindungsgemäßen Polymere ganz besonders als Elektrolumineszenzmatenalien in derart hergestellten OLEDs oder Displays. As described above, the polymers according to the invention are very particularly suitable as electroluminescent materials in OLEDs or displays produced in this way.
Als Elektrolumineszenzmatenalien im Sinne der vorliegenden Erfindung gelten Materialien, die als aktive Schicht Verwendung finden können. Aktive Schicht bedeutet, dass die Schicht befähigt ist, bei Anlegen eines elektrischen Feldes Licht abzustrahlen (lichtemittierende Schicht) und/oder dass sie die Injektion und/oder den Transport der positiven und/oder negativen Ladungen verbessert (Ladungsinjektions- oder As Elektrolumineszenzmatenalien in the context of the present invention apply materials that can be used as the active layer. Active layer means that the layer is able to emit light upon application of an electric field (light-emitting layer) and / or that it improves the injection and / or the transport of the positive and / or negative charges (charge injection or
Ladungstransportschicht). Charge transport layer).
Ein bevorzugter Gegenstand der vorliegenden Erfindung ist daher auch die Verwendung der erfindungsgemäßen Polymere in OLEDs, insbesondere als Elektrolumineszenzmaterial. Gegenstand der vorliegenden Erfindung sind ferner elektronische oder optoelektronische Bauteile, vorzugsweise organische Elektrolumineszenz- vorrichtungen (OLED), organische Feld-Effekt-Transistoren (OFETs), organische integrierte Schaltungen (O-ICs), organische A preferred subject of the present invention is therefore also the use of the polymers according to the invention in OLEDs, in particular as electroluminescent material. The present invention furthermore relates to electronic or optoelectronic components, preferably organic electroluminescent devices (OLED), organic field-effect transistors (OFETs), organic integrated circuits (O-ICs), organic
Dünnfilmtransistoren (TFTs), organische Solarzellen (O-SCs), organische Laserdioden (O-Laser), organische photovoltaische (OPV) Elemente oder Vorrichtungen und organische Photorezeptoren (OPCs), besonders bevorzugt organische Elektrolumineszenzvorrichtungen, mit einer oder mehreren aktiven Schichten, wobei mindestens eine dieser aktiven Thin film transistors (TFTs), organic solar cells (O-SCs), organic laser diodes (O-lasers), organic photovoltaic (OPV) elements or devices, and organic photoreceptors (OPCs), more preferably organic electroluminescent devices, having at least one active layer one of these active
Schichten ein oder mehrere erfindungsgemäße Polymere enthält. Die aktive Schicht kann beispielsweise eine lichtemittierende Schicht, eine Ladungstransportschicht und/oder eine Ladungsinjektionsschicht sein. Layers one or more polymers of the invention contains. The active layer may, for example, be a light-emitting layer, a charge-transport layer and / or a charge-injection layer.
Im vorliegenden Anmeldungstext und auch in den im Weiteren folgenden Beispielen wird hauptsächlich auf die Verwendung der erfindungsgemäßen Polymere in Bezug auf OLEDs und entsprechende Displays abgezielt. Trotz dieser Beschränkung der Beschreibung ist es für den Fachmann ohne weiteres erfinderisches Zutun möglich, die erfindungsgemäßen Polymere als Halbleiter auch für die weiteren, oben beschriebenen In the present application text and also in the examples below, the main aim is the use of the polymers according to the invention in relation to OLEDs and corresponding displays. Despite this limitation of the description, it is possible for the skilled person without further inventive step, the polymers of the invention as semiconductors for the other, described above
Verwendungen in anderen elektronischen Vorrichtungen zu benutzen. Uses in other electronic devices.
Die folgenden Beispiele sollen die Erfindung erläutern, ohne sie The following examples are intended to illustrate the invention without it
einzuschränken. Insbesondere sind die darin beschriebenen Merkmale, Eigenschaften und Vorteile der dem betreffenden Beispiel zu Grunde liegenden definierten Verbindungen auch auf andere, nicht im Detail aufgeführte, aber unter den Schutzbereich der Ansprüche fallende limit. In particular, the features, properties and advantages of the defined compounds underlying the example in question are also applicable to other, not detailed, but falling within the scope of the claims
Verbindungen anwendbar, sofern an anderer Stelle nichts Gegenteiliges gesagt wird. Compounds, unless otherwise stated elsewhere.
Beispiele: Examples:
Teil A: Synthese der Monomere Part A: Synthesis of the monomers
Alle Synthesen werden in einer Argon-Atmosphäre und in trockenen Lösungsmitteln durchgeführt, soweit nichts anderes beschrieben wird. All syntheses are carried out in an argon atmosphere and in dry solvents, unless otherwise described.
A1 Herstellung von Vorstufen A1 Preparation of precursors
A1.1 Herstellung von 3-Chlor-3,7-dimethyloctan A1.1 Preparation of 3-chloro-3,7-dimethyloctane
100 ml (522 mmol) 3,7-Dimethyloctanol (CAS 78-69-3) werden vorgelegt, mit 0.2 ml (2 mmol) Pyridin versetzt und auf -5°C abgekühlt. 45.6 ml (628 mmol) Thionylchlorid werden unter Rühren so zugetropft, daß die Temperatur 5°C nicht übersteigt. Entstehendes HCl- und S02-Gas wird mit einem Argon-Strom aus der Apparatur getrieben und über einen Waschturm abgeleitet. Nach beendeter Zugabe wird 2 h gerührt, dann wird die Kühlung entfernt und für 12 h nachgerührt. Über eine Vigreux-Kolonne (etwa 10 cm Länge) wird bei Raumtemperatur unter reduziertem Druck zunächst überschüssiges Thionylchlorid abdestilliert. Dann wird das Produkt bei 2 mbar und einer Kopftemperatur von 60-65°C fraktioniert destilliert. Man erhält 88.9 g (96% der Theorie) des Produkts als farbloses Öl. 100 ml (522 mmol) of 3,7-dimethyloctanol (CAS 78-69-3) are initially charged, admixed with 0.2 ml (2 mmol) of pyridine and cooled to -5 ° C. 45.6 ml (628 mmol) of thionyl chloride are added dropwise with stirring so that the temperature does not exceed 5 ° C. Resulting HCl and S0 2 gas is driven with an argon stream from the apparatus and discharged through a scrubbing tower. After the addition is stirred for 2 h, then the cooling is removed and stirred for 12 h. About a Vigreux column (about 10 cm in length) is initially distilled off at room temperature under reduced pressure excess thionyl chloride. Then the product is fractionally distilled at 2 mbar and a head temperature of 60-65 ° C. This gives 88.9 g (96% of theory) of the product as a colorless oil.
A1.2 Herstellung der alkylierten Aromaten Alk1 bis Alk3 A1.2 Preparation of the Alkylated Aromatics Alk1 to Alk3
Die Herstellung alkyiierter Aromaten erfolgt mittels Friedel-Crafts-Reaktion gemäß der im folgenden beispielhaft beschriebenen Verfahren A und B. The preparation of alkylated aromatics takes place by means of a Friedel-Crafts reaction in accordance with methods A and B described below by way of example.
Verfahren A: Method A:
Alkylierung mit f-Butylchlorid zu 4,4'-Di-i-butylbiphenyl (Alk1 ) 613 g Biphenyl (3.975 mol) werden in 2.5 I Dichlormethan gelöst und mit 24.5 g (0.15 mol) Eisen(lll)chlorid versetzt. Bei Raumtemperatur werden unter kräftigem Rühren 1227 ml f-Butylchlorid (11.130 mol) innerhalb von 3 h zugetropft. Entstehendes HCI-Gas wird dabei mit einem Argon-Strom aus der Apparatur getrieben und über einen Waschturm abgeleitet. Nach vollständiger Zugabe wird die Mischung für 4 h zum Rückfluß erhitzt. Dann wird die Heizung entfernt und für weitere 12 h nachgerührt. Die Mischung wird über etwa 750 g Kieselgel filtriert, das mit etwa 500 ml Dichlormethan nachgewaschen wird. Die gelbe Lösung wird am Rotationsverdampfer vollständig vom Lösungsmittel befreit, der verbleibende orangefarbene Fest- Stoff wird mit etwa 2 I Ethanol bei 60°C ausgerührt. Die Mischung wird für 1 h auf 0°C abgekühlt, dann wird der Feststoff abgesaugt und zweimal mit je 300 ml kaltem Ethanol gewaschen. Nach Trocknen im Vakuumtrocken- schrank verbleiben 827 g (78% der Theorie) als hellgelber kristalliner Feststoff. Alkylation with f-butyl chloride to 4,4'-di-i-butylbiphenyl (Alk1) 613 g of biphenyl (3.975 mol) are dissolved in 2.5 l of dichloromethane and admixed with 24.5 g (0.15 mol) of iron (III) chloride. At room temperature, 1227 ml of f-butyl chloride (11,130 mol) are added dropwise with vigorous stirring within 3 h. Resulting HCI gas is driven with an argon stream from the apparatus and discharged through a scrubbing tower. After complete addition, the mixture is heated to reflux for 4 h. Then the heater is removed and stirred for another 12 h. The mixture is filtered through about 750 g of silica gel, which is washed with about 500 ml of dichloromethane. The yellow solution is completely freed from solvent on a rotary evaporator, the remaining orange solid is stirred with about 2 l of ethanol at 60 ° C. The mixture is cooled to 0 ° C. for 1 h, then the solid is filtered off with suction and washed twice with 300 ml of cold ethanol each time. After drying in a vacuum oven, 827 g (78% of theory) remain as a pale yellow crystalline solid.
Verfahren B: Method B:
Alkylierung mit 3-Chlor-3,7-dimethyloctan zu Di-(3,7-dimethyloctan-3-yl)- biphenyl (Alk2) Alkylation with 3-chloro-3,7-dimethyloctane to give di (3,7-dimethyloctan-3-yl) biphenyl (Alk2)
24.7 g (160 mmol) Biphenyl und 26.0 g (160 mmol) Eisen(lll)chlorid werden ohne Lösungsmittel vorgelegt, mit einem KPG-Rührer durchmischt. Unter Kühlung mit einem Eisbad werden 85.0 g (480 mmol) 6-Chlor-3,7-dimethyl- octan innerhalb von 30 min zugetropft, wobei das Gemisch zunehmend besser rührbar wird. Entstehendes HCI-Gas wird dabei mit einem Argon- Strom aus der Apparatur getrieben und über einen Waschturm abgeleitet. Nach vollständiger Zugabe wird noch 4 h gerührt und dann mit etwa 100 ml Heptan versetzt. Die Suspension wird über etwa 30 g Kieselgel filtriert, das mit etwa 500 ml Heptan nachgewaschen wird. Die hellgelbe Lösung wird am Rotationsverdampfer vollständig vom Lösungsmittel befreit, es verbleibt ein gelbes Öl. Dieses wird über eine Destillationsbrücke ohne Kühlung bei 10"2 mbar und einer Kopftemperatur von bis zu 170°C von überschüssigem 3-Chlor-3,7-dimethyioctan und monosubstituiertem Biphenyl befreit. 24.7 g (160 mmol) of biphenyl and 26.0 g (160 mmol) of iron (III) chloride are initially charged without solvent, mixed with a KPG stirrer. While cooling with an ice bath 85.0 g (480 mmol) of 6-chloro-3,7-dimethyl-octane are added dropwise within 30 min, the mixture is increasingly better stirrable. Resulting HCI gas is driven out of the apparatus with an argon stream and discharged through a scrubbing tower. After complete addition is stirred for 4 h and then treated with about 100 ml of heptane. The suspension is filtered through about 30 g of silica gel, which is washed with about 500 ml of heptane. The pale yellow solution is completely freed from solvent on a rotary evaporator, leaving a yellow oil. This is over a distillation bridge without cooling at 10 "2 mbar and a head temperature of up to 170 ° C of excess 3-chloro-3,7-dimethyioctane and monosubstituted biphenyl freed.
Gegebenenfalls können auch geringe Mengen von nicht umgesetztem Biphenyl in der Brücke kristallisieren. Im Sumpf verbleiben 54.9 g (79% der Theorie als Isomerengemisch) als gelbes Öl. Optionally, even small amounts of unreacted biphenyl can crystallize in the bridge. In the bottom remain 54.9 g (79% of theory as a mixture of isomers) as a yellow oil.
Eine GC-MS Analyse von Alk2 zeigt drei Verbindungen im Verhältnis von etwa 60:35:5 Flächenprozent der Peaks im GC mit der für das Produkt zu erwartenden Masse. NMR-Spektroskopie und die intermediär anzunehmenden tertiären Carbokationen während der Alkylierung machen die folgenden Substitutionsmuster wahrscheinlich (Stereoisomere werden ver- nachlässigt). GC-MS analysis of Alk2 shows three compounds in the ratio of about 60: 35: 5 area percent of the peaks in the GC with the expected mass for the product. NMR spectroscopy and the intermediate tertiary carbocations during alkylation make the following substitution patterns likely (stereoisomers are neglected).
Daher sollen nachfolgend die abgebildeten do-Alkylsubstituenten stellvertretend für die möglichen Isomere und/oder deren Gemische in beliebiger prozentualer Zusammensetzung stehen. Therefore, below the illustrated do-alkyl substituents are representative of the possible isomers and / or their mixtures in any percentage composition.
In analo er Weise kann Fluoren zu Alk3 alkyliert werden: In a similar way fluorene can be alkylated to Alk3:
A1.3 Herstellung der Bromide Bröl bis Bro5 A1.3 Preparation of Bromides Bröl to Bro5
A1.3.1 Bromierung der Verbindungen Alk1 bis Alk3 Herstellung von 2-Brom-4,4'-di-f-butylbiphenyl (Bröl) A1.3.1 Bromination of the Compounds Alk1 to Alk3 Preparation of 2-bromo-4,4'-di-f-butylbiphenyl (bromo)
54.9 g (126 mmol) 4,4'-Di-f-butylbiphenyl werden in 120 ml gelöst. 12.9 ml (253 mmol) Brom in 40 ml Dichlormethan werden bei Raumtemperatur unter Rühren innerhalb von 15 min zugetropft, wobei die Mischung zu sieden beginnt. Es wird noch 3 h zum Rückfluß erhitzt. Dann wird die Mischung auf 0°C abgekühlt und unter kräftigem Rühren mit 50 ml gesättigter wäßriger Natriumthiosulfat-Lösung versetzt und 15 min nachgerührt. Die Phasen werden getrennt. Die organische Phase wird zweimal mit gesättigter wäßriger Natriumthiosulfat-Lösung und zweimal mit gesättigter wäßriger Natriumhydrogencarbonat-Lösung gewaschen, über Natriumsulfat getrocknet und am Rotationsverdampfer vom Lösungsmittel befreit. Der Rückstand wird in 50 ml Heptan aufgenommen und über etwa 50 g Kieselgel filtriert, das mit 100 ml Heptan nachgewaschen wird. Das Lösungsmittel wird am Rotationsverdampfer entfernt. Der verbleibende Rückstand wird in einer Kurzwegdestillation bei 10"3 mbar und einer stufenweise erhöhten Manteltemperatur von bis zu 180°C gereinigt. Es verbleiben 60.6 g (81 % der Theorie) als gelblicher Feststoff. 54.9 g (126 mmol) of 4,4'-di-f-butylbiphenyl are dissolved in 120 ml. 12.9 ml (253 mmol) of bromine in 40 ml of dichloromethane are added dropwise at room temperature with stirring over 15 min, during which the mixture begins to boil. It is heated to reflux for 3 h. Then the mixture is cooled to 0 ° C and treated with vigorous stirring with 50 ml of saturated aqueous sodium thiosulfate solution and stirred for 15 min. The phases are separated. The organic phase is washed twice with saturated aqueous sodium thiosulfate solution and twice with saturated aqueous sodium bicarbonate solution, dried over sodium sulfate and freed from the solvent on a rotary evaporator. The residue is taken up in 50 ml of heptane and filtered through about 50 g of silica gel, which is washed with 100 ml of heptane. The solvent is removed on a rotary evaporator. The remaining residue is purified in a short path distillation at 10 -3 mbar and a gradually increased jacket temperature of up to 180 ° C. This leaves 60.6 g (81% of theory) of a yellowish solid.
In analoger Weise können die Bromide Bro2 und Bro3 dargestellt werden: In an analogous manner, the bromides Bro2 and Bro3 can be represented:
.2 Herstellung von Bro4 .2 Production of Bro4
4-Brom-2,7-di-f-butylfluoren (Bro3) kann gemäß Bull. Chem. Soc. Jpn. 1986, 59, 97-103 zu 4-Bromfluoren (Bro5) dealkyliert werden: 4-Bromo-2,7-di-f-butylfluorene (Bro3) can be prepared according to Bull. Chem. Soc. Jpn. 1986, 59, 97-103 are dealkylated to 4-bromofluorene (Bro5):
A1.3.3 Herstellung von Bro5 A1.3.3 Production of Bro5
4-Brom-fluoren (Bro4) kann analog zu Organometallics 2013, 32, 460-467 mit 1-lodoctan (CAS 629-27-6) zu 4-Brom-9,9-di-n-octylfluoren (Bro5) alkyliert werden. Die Ausbeute beträgt 87% 4-Bromofluorene (Bro4) can be alkylated analogously to Organometallics 2013, 32, 460-467 with 1-iodooctane (CAS 629-27-6) to form 4-bromo-9,9-di-n-octylfluorene (Bro5) , The yield is 87%
A1.5 Herstellung der Spirobifluorene Spi1 bis Spi3 A1.5 Preparation of spirobifluorenes Spi1 to Spi3
4-Brom-9,9'-spirobifluoren (Spi1) kann analog zu Organic Letters 2009, 77, 2607-2610 nach folgendem Schema mit einer Ausbeute von 77% über beide Stufen hergestellt werden. 4-bromo-9,9'-spirobifluorene (Spi1) can be prepared analogously to Organic Letters 2009, 77, 2607-2610 according to the following scheme with a yield of 77% over both stages.
HOAc, HCI conc, 80HOAc, HCI conc, 80
In einem analogen Verfahren können durch Reaktion von 4,4'-dialkylsubsti- tuiertem 2-Brombiphenyl und 4-Bromfluorenon 2',7'-dialkylierte 4-Brom-9,9- spirobifluorene hergestellt werden, wie beispielhaft für die Verbindungen Spi2 und Spi3 gezeigt: In an analogous process 2 ', 7'-dialkylated 4-bromo-9,9-spirobifluorenes can be prepared by reaction of 4,4'-dialkyl-substituted 2-bromobiphenyl and 4-bromofluorenone, as exemplified by the compounds Spi2 and Spi3 shown:
A1.6 Synthese von diarylaminen ArA1 und ArA2: A1.6 Synthesis of diarylamines ArA1 and ArA2:
A1 .6.1 Synthese von ArA : A1 .6.1 Synthesis of ArA:
60.0 g (220 mmol) Bro5 werden in 0,8 I getrocknetem Toluol gelöst, 20.5 g (220 mmol) Anilin und 42 g (0.44 mol) Natrium fe/f-butoxid werden sukzessive zugegeben und die Lösung mit Stickstoff gesättigt. 1 .8 g (2.2 mmol) [1 ,1 '-Bis(diphenylphosphino)ferrocen]dichloropalladium(ll) werden zugegeben und die Reaktionsmischung unter Rückfluß 24 Stunden gerührt. Der Feststoff wird abfiltriert und mit Toluol gewaschen. Die Filtrate werden eingeengt und über Kieselgel mit einer Mischung Toluol-Heptan : 1-1 als Laufmittel gesäult. Dann wird das Lösungsmittel am Rotationsverdampfer so weit wie möglich entfernt und der Rückstand abschließend im 60.0 g (220 mmol) of Bro5 are dissolved in 0.8 l of dried toluene, 20.5 g (220 mmol) of aniline and 42 g (0.44 mol) of sodium fe / f-butoxide are added successively and the solution is saturated with nitrogen. 1 .8 g (2.2 mmol) of [1,1'-bis (diphenylphosphino) ferrocene] dichloropalladium (II) are added and the reaction mixture is stirred under reflux for 24 hours. The solid is filtered off and washed with toluene. The filtrates are concentrated and columned on silica gel with a mixture of toluene-heptane: 1-1 as the eluent. Then the solvent is removed on the rotary evaporator as far as possible and the residue in the final
Vakuumtrockenschrank getrocknet. Es verbleiben 51.4 g (82% der Theorie) als zähes Öl. Dryed vacuum oven. There remain 51.4 g (82% of theory) as a viscous oil.
A1.6.2 Synthese von ArA2: A1.6.2 Synthesis of ArA 2:
50.0 g (126 mmol) Spi1 werden in 0,5 I getrocknetem Toluol gelöst, 1 1.8 g (126 mmol) Anilin und 24.3 g (253 mmol) Natrium feAf-butoxid werden sukzessive zugegeben und die Lösung mit Stickstoff gesättigt. 1.0 g (1 .2 mmol) [1 ,1 '-Bis(diphenylphosphino)ferrocen]dichloropalladium(ll) werden zugegeben und die Reaktionsmischung unter Rückfluß 24 Stunden gerührt. Der Feststoff wird abfiltriert und mit Toluol gewaschen. Die Filtrate werden eingeengt, mit Ethanol heiß verrührt, und in Essigester umkristallisiert. Der Feststoff wird abgesaugt und im Vakuumtrockenschrank getrocknet. Es verbleiben 40.2 g (78% der Theorie) als weißer Feststoff. A1.6 Herstellung der Triarylamine Mol .A, Mo4.A, M06.A, M0II .A, Mo13.A und Mo15.A 50.0 g (126 mmol) of Spi1 are dissolved in 0.5 l of dried toluene, 1.8 g (126 mmol) of aniline and 24.3 g (253 mmol) of sodium FeAf-butoxide are added successively and the solution is saturated with nitrogen. 1.0 g (1 .2 mmol) of [1,1'-bis (diphenylphosphino) ferrocene] dichloropalladium (II) are added and the reaction mixture is stirred at reflux for 24 hours. The solid is filtered off and washed with toluene. The filtrates are concentrated, stirred hot with ethanol, and recrystallized in ethyl acetate. The solid is filtered off and dried in a vacuum oven. There remain 40.2 g (78% of theory) as a white solid. A1.6 Preparation of Triarylamines Mol. A, Mo4.A, M06.A, M0II .A, Mo13.A and Mo15.A
Verfahren A: Method A:
30.0 g (34.9 mmol) 2,8-Dibromo-6,6,12, 12-tetraoctyl-6,12-dihydro-indeno- [1 ,2-b]fluoren werden in 0.3 I getrocknetem Toluol gelöst, 18.1 g 30.0 g (34.9 mmol) of 2,8-dibromo-6,6,12,12-tetraoctyl-6,12-dihydro-indeno [1,2-b] fluorene are dissolved in 0.3 l of dried toluene, 18.1 g
(72.6 mmol) Biphenyl-2-yl-phenyl-amine (CAS 35887-50-4), 36.7 g (72.6 mmol) biphenyl-2-yl-phenyl-amine (CAS 35887-50-4), 36.7 g
(11 1 mmol) Cäsiumcarbonat und 0.32 g (1.4 mmol) Palladium(ll)acetat werden als Feststoff sukzessive zugegeben und die Lösung mit Stickstoff gesättigt. 2.8 ml (2.8 mmol) Tri-f-butylphosphin-Lösung (1 M in Toluol) werden zugegeben und die Reaktionsmischung unter Rückfluß 24 Stunden gerührt. (11 1 mmol) cesium carbonate and 0.32 g (1.4 mmol) of palladium (II) acetate are added as a solid successively and the solution is saturated with nitrogen. 2.8 ml (2.8 mmol) of tri-f-butylphosphine solution (1 M in toluene) are added and the reaction mixture is stirred at reflux for 24 hours.
Der Feststoff wird abfiltriert und mit Toluol gewaschen. Die Filtrate werden eingeengt, mit Ethanol heiß verrührt, abgesaugt und zusammen mit dem ausgefallenen Feststoff im Vakuumtrockenschrank getrocknet. Es verblei- ben 28.3 g (68% der Theorie) als gelber Feststoff. The solid is filtered off and washed with toluene. The filtrates are concentrated, stirred hot with ethanol, filtered off with suction and dried together with the precipitated solid in a vacuum oven. It remains 28.3 g (68% of theory) as a yellow solid.
Verfahren B: Method B:
Für Verbindungen, die auch nach längerem Rühren mit Ethanol (bis zu 24 h) nicht als Feststoff oder nach Umkristallisation nicht in ausreichender Reinheit anfallen, wird eine säulenchromatographische Reinigung über Kieselgel (etwa 20 g pro Gramm Substanz) mit Toluol als Laufmittel durch- geführt. Dann wird das Lösungsmittel am Rotationsverdampfer so weit wie möglich entfernt und abschließend im Vakuumtrockenschrank getrocknet. For compounds which are not obtained in sufficient purity even after prolonged stirring with ethanol (up to 24 hours) as a solid or after recrystallization, purification by column chromatography on silica gel (about 20 g per gram of substance) with toluene as the eluent is carried out. guided. Then the solvent is removed on the rotary evaporator as far as possible and finally dried in a vacuum oven.
Analog zu den beschriebenen Verfahren können folgende Verbindungen hergestellt werden: The following compounds can be prepared analogously to the processes described:
A2. Herstellung der erfindungsgemäßen Bis-triarylamine mit 4- Bromphenyl-Resten Mo1.Br, Mo4.Br, M06.Br, Mo11.Br, Mo13.Br, Mo15.Br Verfahren A: Herstellung von Mo1.Br A2. Preparation of the bis-triarylamines according to the invention with 4-bromophenyl radicals Mo1.Br, Mo4.Br, M06.Br, Mo11.Br, Mo13.Br, Mo15.Br Method A: Preparation of Mo1.Br
28.3 g (23 mmol) 2,8-Di[(biphenyl-2-yl)-phenyl-amino]-6,6,12,12-tetraoctyl- 6H,12H-indeno[1 ,2-b]fluoren (Mo1.A) werden in 0.7 I getrocknetem 28.3 g (23 mmol) of 2,8-di [(biphenyl-2-yl) -phenyl-amino] -6,6,12,12-tetraoctyl-6H, 12H-indeno [1,2-b] fluorene (Mo1 .A) are dried in 0.7 l
Tetrahydrofuran (THF) gelöst und auf 0°C abgekühlt. 8.5 g (47 mmol) N- Brom-succinimid werden als Feststoff portionsweise zugegeben und die Lösung bei 20°C 14 Stunden gerührt. Dissolved tetrahydrofuran (THF) and cooled to 0 ° C. 8.5 g (47 mmol) of N-bromo-succinimide are added in portions as a solid and the solution is stirred at 20.degree. C. for 14 hours.
Die Reaktionsmischung wird eingeengt. Der Rückstand wird in Ethanol heiß verrührt. Der Feststoff wird filtriert und dreimal in Ethylacetat umkristallisiert (jeweils 0.8 I). Nach Absaugen des Feststoffs und Trocknen im Vakuum- trockenschrank wird dieser bei 10~5 mbar und 180 °C getempert, um Reste von Lösungsmitteln und flüchtige Verunreinigungen zu entfernen. Man erhält 22.0 g (71 % der Theorie) des Produkts als gelbes Pulver mit einer Reinheit von 99.8% nach HPLC. The reaction mixture is concentrated. The residue is stirred hot in ethanol. The solid is filtered and recrystallized three times in ethyl acetate (0.8 L each). After sucking off the solid and drying in a vacuum drying oven, it is tempered at 10 ~ 5 mbar and 180 ° C. to remove residues of solvents and volatile impurities. This gives 22.0 g (71% of theory) of the product as a yellow powder with a purity of 99.8% by HPLC.
Verfahren B: Method B:
Für Verbindungen, die auch nach längerem Rühren mit Ethanol (bis zu 24 h) nicht als Feststoff oder nach Umkristallisation nicht in ausreichender Reinheit anfallen, wird eine säulenchromatographische Reinigung über Kieselgel (etwa 20 g pro Gramm Substanz) mit Toluol als Laufmittel durchgeführt. Dann wird das Lösungsmittel am Rotationsverdampfer so weit wie möglich entfernt und abschließend bei 10"5 mbar und 180 °C getempert, um Reste von Lösungsmitteln und flüchtige Verunreinigungen zu entfernen. For compounds which are not obtained in sufficient purity even after prolonged stirring with ethanol (up to 24 h) as a solid or after recrystallization, a column chromatographic purification over silica gel (about 20 g per gram of substance) with toluene as the eluent. Then the solvent is removed on the rotary evaporator as far as possible and finally annealed at 10 "5 mbar and 180 ° C to remove residues of solvents and volatile impurities.
Analog zu den beschriebenen Verfahren können folgende Verbindungen hergestellt werden: The following compounds can be prepared analogously to the processes described:
A3. Herstellung der erfindungsgemäße Bis-triarylamine mit 4- Pinacolatoboranyl-phenyl Resten Mol .Bo, Mo4.Bo, M06.B0, Mo11.Bo, Mo13.Bo, M0I5.B0 A3. Preparation of bis-triarylamines according to the invention having 4-pinacolato borananyl-phenyl radicals mol .Bo, Mo.sub.4.Bo, M.sub.6.B0, Mo.sub.11.Bo, Mo.sub.13.Bo, M.sub.105.B.sub.0
Verfahren A: Herstellung von Mol .Bo Method A: Preparation of Mol. Bo
22.0 g (16.3 mmol) 2,8-Di[(biphenyl-2-yl)-(4-Bromphenyl)-amino]-6,6,12,12- tetraoctyl-6H,12H-indeno[1 ,2-b]fluoren (Mo1.Br), 8.8 g (35 mmol) 22.0 g (16.3 mmol) of 2,8-di [(biphenyl-2-yl) - (4-bromophenyl) -amino] -6,6,12,12-tetraoctyl-6H, 12H-indeno [1,2-b ] fluorene (Mo1.Br), 8.8 g (35 mmol)
Bis(pinacolato)diboran und 8.0 g (82 mmol) Kaliumacetat werden in 200 ml Dioxan vorgelegt. Das Gemisch wird mit Argon gesättigt, mit 0.38 g Bis (pinacolato) diborane and 8.0 g (82 mmol) of potassium acetate are placed in 200 ml of dioxane. The mixture is saturated with argon, with 0.38 g
(0.69 mmol) 1 ,1'-Bis(diphenylphosphino)ferrocen und 0.15 g (0.69 mmol) Palladium(ll)acetat versetzt und für 14 h zum Rückfluß erhitzt. Nach (0.69 mmol) 1, 1'-bis (diphenylphosphino) ferrocene and 0.15 g (0.69 mmol) palladium (II) acetate and heated to reflux for 14 h. To
Abkühlen auf Raumtemperatur wird über etwa 50 g Celite filtriert und das Lösungsmittel am Rotationsverdampfer so weit wie möglich entfernt. Der verbleibende dunkelbraune Rückstand wird mit etwa 150 ml Heptan aufgenommen und für 3 h kräftig gerührt. Nach Absaugen wird der Feststoff aus zwei ineinandergesteckten Extraktionshülsen in einem kontinuierlichen Heißextraktor ohne Adsorptionsmittel mit etwa 200 ml Heptan etwa 16 h extrahiert. Nach Abkühlen auf Raumtemperatur wird der Feststoff abgesaugt und die Mutterlauge am Rotationsverdampfer bis zur Trockne eingeengt. Beide Feststoffe werden vereinigt und in etwa 150 ml Heptan aufgenommen. Man erhitzt die Suspension zum Rückfluß und tropft bis zur vollständigen Lösung Toluol zu (etwa 40 ml). Nach Abkühlen auf Raumtemperatur wird der gebildete Feststoff abgesaugt und erneut wie beschrieben umkristallisiert. Nach Absaugen des Feststoffs und Trocknen im Cool to room temperature, filter over about 50 g of Celite and remove the solvent on a rotary evaporator as much as possible. The remaining dark brown residue is taken up in about 150 ml of heptane and stirred vigorously for 3 h. After aspiration, the solid is extracted from two nested extraction tubes in a continuous hot extractor without adsorbent with about 200 ml of heptane for about 16 h. After cooling to room temperature, the solid is filtered off with suction and the mother liquor is concentrated to dryness on a rotary evaporator. Both solids are combined and taken up in about 150 ml of heptane. The suspension is heated to reflux and added dropwise until complete toluene solution (about 40 ml). After cooling to room temperature, the solid formed is filtered off with suction and recrystallized again as described. After sucking off the solid and drying in
Vakuumtrockenschrank wird dieser bei 10"5 mbar und 200 °C getempert, um Reste von Lösungsmitteln und flüchtige Verunreinigungen zu entfernen. Es verbleiben 11.7 g (50% der Theorie) als gelber Feststoff mit einer Reinheit von 99.8% nach HPLC. This is tempered 5 mbar and 200 ° C at 10 "in order to remove residues of solvents and volatile impurities vacuum drying cabinet. There remain 11.7 g (50% of theory) as a yellow solid with a purity of 99.8% by HPLC.
Verfahren B: Method B:
Für Verbindungen, die auch nach längerem Rühren mit Heptan (bis zu 24 h) nicht als Feststoff oder nach Umkristallisation nicht in ausreichender Reinheit anfallen, wird eine säulenchromatographische Reinigung über Kieselgel (etwa 20 g pro Gramm Substanz) mit Toluol als Laufmittel durchgeführt. Dann wird das Lösungsmittel am Rotationsverdampfer so weit wie möglich entfernt und abschließend wird der Rückstand bei 10"5 mbar und 180 °C getempert, um Reste von Lösungsmitteln und flüchtige For compounds which, even after prolonged stirring with heptane (up to 24 h) not as a solid or after recrystallization is not sufficient Purity is obtained, a column chromatographic purification over silica gel (about 20 g per gram of substance) with toluene as the eluent. Then the solvent is removed on the rotary evaporator as far as possible and finally the residue at 10 "5 mbar and 180 ° C annealed to remove residues of solvents and volatile
Verunreinigungen zu entfernen. Remove impurities.
Analog zu den beschriebenen Verfahren können folgende Verbindungen hergestellt werden: The following compounds can be prepared analogously to the processes described:
A4. Herstellung der weiteren eingesetzten Monomere Mo7.Bo, Μοδ.Βο, Mo9.Br, Mo9.Bo, Mo12.Br, Mo12.Bo und Mo16.Bo A4. Preparation of the other monomers used Mo7.Bo, Μοδ.Βο, Mo9.Br, Mo9.Bo, Mo12.Br, Mo12.Bo and Mo16.Bo
A4.1 Herstellung von 3,3'-Bis(pinacolatoboranyl)biphenyl (Mo7.Bo) A4.1 Preparation of 3,3'-bis (pinacolato borananyl) biphenyl (Mo7.Bo)
100.0 g (321 mmol) 3,3'-dibromo-1 ,1 '-biphenyl (CAS 16400-51 -4),· 244.2 g Bis(pinacolato)diboran (963 mmol), 125.8 g (1.3 mol) Kaliumacetat) und 5.24 g (6 mmol) 1 ,1-Bis(diphenylphosphino)ferrocen-dichloropalladium(ll) werden in 1 I Tetra hydrofu ran unter kräftigem Rühren für 2 Tage zum Rückfluß erhitzt. Die Reaktionsmischung wird bei Raumtemperatur über Celite filtriert. Das Lösungsmittel wird im Vakuum entfernt, der verbleibende Feststoff in Acetonitril umkristallisiert. Der dabei entstehende Feststoff wird abfiltriert, im Vakuum getrocknet und anschließend bei 140 °C und einem Druck von 10"5 mbar sublimiert. Man erhält 55.7 g (43% der Theorie) des Produkts als farbloses Pulver mit einer Reinheit von 99.7% nach HPLC. 100.0 g (321 mmol) of 3,3'-dibromo-1,1'-biphenyl (CAS 16400-51 -4), 244.2 g of bis (pinacolato) diborane (963 mmol), 125.8 g (1.3 mol) of potassium acetate) and 5.24 g (6 mmol) of 1,1-bis (diphenylphosphino) ferrocene-dichloropalladium (II) are heated in 1 l of tetrahydrofuran with vigorous stirring for 2 days to reflux. The reaction mixture is filtered through Celite at room temperature. The solvent is removed in vacuo, the remaining solid recrystallized in acetonitrile. The resulting solid is filtered off, dried in vacuo and then sublimed at 140 ° C and a pressure of 10 "5 mbar. This gives 55.7 g (43% of theory) of the product as a colorless powder having a purity of 99.7% by HPLC.
A4.2 Herstellung von M08.Br A4.2 Production of M08.Br
Stufe 1 : Herstellung von M08.A Stage 1: Preparation of M08.A
50.7 g (100 mmol) Spi2, 16.9 g (100 mmol) Diphenylamin und 14.4 g (150 mmol) Natrium-f-butylat werden in 0.4 I Toluol suspendiert. Das50.7 g (100 mmol) of Spi 2, 16.9 g (100 mmol) of diphenylamine and 14.4 g (150 mmol) of sodium f-butoxide are suspended in 0.4 l of toluene. The
Gemisch wird mit Argon gesättigt, mit 2 ml (2 mmol) Tri-f-butylphosphin (1 M in Toluol) und 0.2 g (1 mmol) Palladium(ll)acetat versetzt und für 6 h zum Rückfluß erhitzt. Nach Abkühlen auf Raumtemperatur werden feste Bestandteile abfiltriert; die organische Phase wird dreimal mit je 100 ml Wasser gewaschen, über Natriumsulfat getrocknet und am Rotationsver- dampfer vom Lösungsmittel befreit. Der verbleibende Feststoff wird zweimal mit je 50 ml Heptan für 30 min gerührt, abfiltriert und im Vakuum- trockenschrank getrocknet. Es verbleiben 54.8 g (92% der Theorie) als beigefarbener Feststoff. Stufe 2: Herstellung von Mo8.Br Mixture is saturated with argon, treated with 2 ml (2 mmol) of tri-f-butylphosphine (1 M in toluene) and 0.2 g (1 mmol) of palladium (II) acetate and heated to reflux for 6 h. After cooling to room temperature, solid components are filtered off; The organic phase is washed three times with 100 ml of water, dried over sodium sulfate and freed from solvent on a rotary evaporator. The remaining solid is stirred twice with 50 ml of heptane for 30 min, filtered off and dried in a vacuum drying oven. There remain 54.8 g (92% of theory) as a beige solid. Stage 2: Preparation of Mo8.Br
54.8 g (92 mmol) M08.A werden in 600 ml THF vorgelegt und auf 0 °C gekühlt. Dann werden unter kräftigem Rühren portionsweise 32.7 g ( 84 mmol) /V-Bromsuccinimid als Feststoff so zugegeben, daß die 54.8 g (92 mmol) of M08.A are initially charged in 600 ml of THF and cooled to 0 ° C. Then with vigorous stirring in portions 32.7 g (84 mmol) / V-bromosuccinimide are added as a solid so that the
Temperatur der Mischung 5 °C nicht übersteigt. Die Kühlung wird entfernt und die Mischung weitere 12 h gerührt. Das Lösungsmittel wird am Temperature of the mixture does not exceed 5 ° C. The cooling is removed and the mixture stirred for a further 12 h. The solvent is dissolved on
Rotationsverdampfer vollständig entfernt. Der Rückstand wird in etwa 350 ml Toluol gelöst, über Aluminiumoxid (basisch, Aktivitätsstufe 1 ) filtriert und erneut am Rotationsverdampfer bis zur Trockne eingeengt. Der verbleibende Feststoff wird dreimal aus etwa 1 I Heptan umkristallisiert. Reste von Succinimid werden durch mehrfaches warmes Ausrühren des Feststoffs mit Ethanol entfernt werden. Nach Absaugen und Trocknen im Vakuumtrockenschrank wird dieser zweimal bei 10"5 mbar und 270 °C fraktioniert sublimiert. Es verbleiben 43.0 g (62% der Theorie) als farbloser glasartiger Feststoff mit einer Reinheit von 99.9% nach HPLC. Rotary evaporator completely removed. The residue is dissolved in about 350 ml of toluene, filtered through alumina (basic, activity level 1) and again concentrated to dryness on a rotary evaporator. The remaining solid is recrystallized three times from about 1 L of heptane. Residues of succinimide are removed by multiple warm stirring of the solid with ethanol. After suction filtration and drying in a vacuum desiccator this is washed twice at 10 "5 mbar and 270 ° C fractionated sublimated. There remain 43.0 g (62% of theory) as a colorless glassy solid with a purity of 99.9% by HPLC.
A4.3 Herstellung von Mo9.Br A4.3 Production of Mo9.Br
Stufe 1 : Step 1 :
50.0 g (295 mmol) Diphenylamin werden mit 64.5 g (355 mmol) 3-Brom- benzonitril, 20 ml (20 mmol) Tri-f-butylphosphin-Lösung (1 M in Toluol) 2.65 g (11 mmol) Palladium(ll)acetat und 85.2 g (886 mmol) Natrium- f-butylat in 1000 ml Toluol vorgelegt und unter Rühren für 15 Stunden zum Rückfluß erhitzt. Nach Abkühlen wird die organische Phase dreimal mit jeweils 1000 ml Wasser gewaschen, über Natriumsulfat getrocknet und anschließend im Vakuum bis zur Trockne eingeengt. Der verbleibende Feststoff wird mit etwa 400 ml Heptan in einem kontinuierlichen 50.0 g (295 mmol) of diphenylamine are mixed with 64.5 g (355 mmol) of 3-bromobenzonitrile, 20 ml (20 mmol) of tri-f-butylphosphine solution (1 M in toluene) 2.65 g (11 mmol) of palladium (II) acetate and 85.2 g (886 mmol) of sodium f-butoxide in 1000 ml of toluene and heated with stirring for 15 hours to reflux. After cooling, the organic phase is washed three times with 1000 ml of water, dried over sodium sulfate and then concentrated in vacuo to dryness. The remaining solid is mixed with about 400 ml of heptane in a continuous
Heißextraktor über ein Bett aus Aluminiumoxid (basisch, Aktivitätsstufe 1 ) extrahiert. Nach Abkühlen wird der ausgefallene Feststoff abfiltriert, zweimal mit etwa 200 ml Heptan gewaschen und unter Vakuum getrocknet. Es verbleiben 53.0 g (66% der Theorie) als schwach gefärbter Feststoff. Stufe 2: Hot extractor extracted over a bed of alumina (basic, activity level 1). After cooling, the precipitated solid is filtered off, washed twice with about 200 ml of heptane and dried under vacuum. There remain 53.0 g (66% of theory) as a slightly colored solid. Level 2:
53.0 g (196 mmol) 3-Diphenylaminobenzonitril werden in 500 ml trockenem Tetra hydrofu ran gelöst und auf 0 °C abgekühlt. Unter Eiskühlung und kräftigem Rühren werden 69.8 g (392 mmol) /V-Bromsuccinimid als Feststoff portionsweise so zugegeben, daß die Temperatur 5 °C nicht übersteigt. Die Kühlung wird entfernt und die Mischung 12 Stunden gerührt. Das Lösungsmittel wird im Vakuum entfernt und der verbleibende Feststoff in möglichst wenig Essigester gelöst. Die Lösung wird dreimal mit etwa 500 ml wäßriger Natriumhydroxid-Lösung (5%) und zweimal mit Wasser gewaschen. Die organische Phase wird bis zur Trockne eingeengt. Es verbleiben 70.8 g (84% der Theorie) als farbloser Feststoff. 53.0 g (196 mmol) of 3-diphenylaminobenzonitrile are dissolved in 500 ml of dry tetrahydrofuran and cooled to 0 ° C. With ice-cooling and vigorous stirring, 69.8 g (392 mmol) / V-bromosuccinimide are added in portions as a solid in such a way that the temperature does not exceed 5 ° C. The cooling is removed and the mixture is stirred for 12 hours. The solvent is removed in vacuo and the remaining solid dissolved in as little ethyl acetate. The solution is washed three times with about 500 ml of aqueous sodium hydroxide solution (5%) and twice with water. The organic phase is concentrated to dryness. There remain 70.8 g (84% of theory) as a colorless solid.
Stufe 3: Level 3:
70.8 g (165 mmol) 3-[Bis-(4-bromophenyl)]-benzonitril werden in 700 ml trockenem Dichlormethan gelöst und auf -78 °C gekühlt. 174 ml (174 mmol) einer 1 M Lösung von Di-iso-butylaluminiumhydrid in Toluol werden so zugetropft, dass die Temperatur -50 °C nicht übersteigt. Man entfernt die Kühlung, läßt das Gemisch auf 10 °C aufwärmen und kühlt erneut auf -10 °C ab. Nach Zugabe von 175 ml Tetrahydrofuran wird zügig mit einer Mischung aus 43 g konzentrierter Schwefelsäure und 175 ml Wasser versetzt und für 12 Stunden ohne weitere Kühlung gerührt. Das Gemisch wird mit wäßriger Natronlauge neutral gestellt. Die organische Phase wird abgetrennt, zweimal mit etwa 350 ml Wasser und einmal mit 350 ml gesättigter Natriumchlorid-Lösung gewaschen und über Magnesiumsulfat getrocknet. Das Lösungsmittel wird am Rotationsverdampfer entfernt. Dabei verbleibt ein gelbes Öl, das innerhalb von 24 Stunden kristallisiert. Der Feststoff wird mit etwa 300 ml Heptan in einem kontinuierlichen Heißextraktor über ein Bett von Aluminiumoxid (basisch, Aktivitätsstufe 1 ) extrahiert und nach Abkühlen abfiltriert. Es wird dreimal aus Isopropanol umkristallisiert. Nach Trocknen im Vakuum verbleiben 13.0 g (18% der Theorie) als gelber Feststoff. 70.8 g (165 mmol) of 3- [bis (4-bromophenyl)] - benzonitrile are dissolved in 700 ml of dry dichloromethane and cooled to -78 ° C. 174 ml (174 mmol) of a 1 M solution of diisobutylaluminum hydride in toluene are added dropwise so that the temperature does not exceed -50 ° C. The cooling is removed, the mixture is allowed to warm to 10 ° C and cooled again to -10 ° C from. After addition of 175 ml of tetrahydrofuran is rapidly mixed with a mixture of 43 g of concentrated sulfuric acid and 175 ml of water and stirred for 12 hours without further cooling. The mixture is with aqueous sodium hydroxide solution neutral. The organic phase is separated, washed twice with about 350 ml of water and once with 350 ml of saturated sodium chloride solution and dried over magnesium sulfate. The solvent is removed on a rotary evaporator. This leaves a yellow oil that crystallizes within 24 hours. The solid is extracted with about 300 ml of heptane in a continuous hot extractor over a bed of alumina (basic, activity level 1) and filtered off after cooling. It is recrystallized three times from isopropanol. After drying in vacuo, 13.0 g (18% of theory) remain as a yellow solid.
A4.4 Herstellung von Mo9.Bo A4.4 Production of Mo9.Bo
13.0 g (30 mmol) 3-[Bis-(4-bromophenyl)amino]benzaldehyd, 33.7 g (137 mmol) Bis(pinacolato)diboran, 14.8 g (151 mmol) Kaliumacetat, 0.27 g (1.2 mmol) Palladium(ll)acetat und 0.69 g (1.2 mmol) Bis(diphenylphos- phino)ferrocen werden in 500 ml Dioxan unter kräftigem Rühren für 14 h zum Rückfluß erhitzt. Das Lösungsmittel wird im Vakuum entfernt, der verbleibende Feststoff in möglichst wenig Essigester aufgenommen und mit einer Mischung von Essigester und Heptan (1 :1) über Kieselgel filtriert. Das Lösungsmittel wird im Vakuum entfernt und das verbleibende Öl mit etwa 100 ml Heptan für 2 Stunden gerührt. Der dabei entstehende Feststoff wird abfiltriert, im Vakuum getrocknet und anschließend bei 200 °C und einem Druck von 10"5 mbar fraktioniert sublimiert. Man erhält 3.5 g (22% der Theorie) des Produkts als farbloses Pulver mit einer Reinheit von 99.8% nach HPLC. A4.5 Herstellung von Mo12.Br 13.0 g (30 mmol) of 3- [bis (4-bromophenyl) amino] benzaldehyde, 33.7 g (137 mmol) of bis (pinacolato) diborane, 14.8 g (151 mmol) of potassium acetate, 0.27 g (1.2 mmol) of palladium (II) acetate and 0.69 g (1.2 mmol) of bis (diphenylphosphino) ferrocene are heated to reflux in 500 ml of dioxane with vigorous stirring for 14 h. The solvent is removed in vacuo, the remaining solid taken up in as little ethyl acetate as possible and filtered through silica gel with a mixture of ethyl acetate and heptane (1: 1). The solvent is removed in vacuo and the remaining oil is stirred with about 100 ml of heptane for 2 hours. The resulting solid is filtered off, dried in vacuo and then at 200 ° C and a pressure of 10 "5 mbar fractionated sublimated. This gives 3.5 g (22% of theory) of the product as a colorless powder having a purity of 99.8% according to HPLC , A4.5 Preparation of Mo12.Br
71.5 g N4,N4'-Bis-biphenyl-4-yl-N4,N4'-diphenyl-biphenyl-4,4'-diamin (1 12 mmol) (CAS: 134008-76-7) werden in 1.5 I getrocknetem Tetrahydro- furan (THF) gelöst und auf 0 °C abgekühlt. 40 g N-Bromsuccinimid 71.5 g of N4, N4'-bis-biphenyl-4-yl-N4, N4'-diphenyl-biphenyl-4,4'-diamine (12 mmol) (CAS: 134008-76-7) are dissolved in 1.5 l of dried tetrahydro - Furan (THF) dissolved and cooled to 0 ° C. 40 g of N-bromosuccinimide
(224 mmol) werden als Feststoff portionsweise zugegeben und die Lösung bei 20°C 14 Stunden gerührt. (224 mmol) are added in portions as a solid and the solution stirred at 20 ° C for 14 hours.
Der Feststoff wird filtriert und mit THF gewaschen. Die Filtrate werden zusammen eingeengt, mit Wasser verrührt, abgesaugt und im The solid is filtered and washed with THF. The filtrates are concentrated together, stirred with water, filtered with suction and in
Vakuumtrockenschrank getrocknet. Der Rückstand wird zweimal in Dryed vacuum oven. The residue will be twice in
Dimethylformamid (DMF) umkristallisiert (700 ml und 500 ml). Der Feststoff wird danach dreimal mit 700 ml Ethanol gerührt und anschließend im Trockenschrank getrocknet. Es verbleiben 72.7 g (82% der Theorie) als schwach gefärbter Feststoff mit einer Reinheit von 99.0% nach HPLC Recrystallized dimethylformamide (DMF) (700 ml and 500 ml). The solid is then stirred three times with 700 ml of ethanol and then dried in a drying oven. There remain 72.7 g (82% of theory) as a slightly colored solid with a purity of 99.0% by HPLC
A4.6 Herstellung von Mo12.Bo A4.6 Production of Mo12.Bo
58.3 g N4,N4'-Bis-biphenyl-4-yl-N4,N4'-bis-(4-bromo-phenyl)-biphenyl-4,4'- diamin (73 mmol) werden in 1.5 I getrocknetem THF gelöst, 44.5 g 58.3 g of N4, N4'-bis-biphenyl-4-yl-N4, N4'-bis (4-bromo-phenyl) -biphenyl-4,4'-diamine (73 mmol) are dissolved in 1.5 l of dried THF, 44.5 g
Bis(pinacolato)diboron (175.2 mmol) und 43 g Kaliumacetat (438 mmol) werden als Feststoff sukzessive zugegeben und die Lösung mit Argon gesättigt. 1 .2 g 1 ,1-Bis(diphenylphosphino)ferrocendichlor-Pd(ll) Komplex wird zugegeben und die Reaktionsmischung unter Rückfluss 22 Stunden gerührt. Bis (pinacolato) diboron (175.2 mmol) and 43 g potassium acetate (438 mmol) are added successively as a solid and the solution is saturated with argon. 1 .2 g of 1, 1-bis (diphenylphosphino) ferrocenedichloro-Pd (II) complex is added and the reaction mixture stirred under reflux for 22 hours.
Der Feststoff wird über Kieselgel und Celite filtriert und die Lösung eingeengt. Der Rückstand wird mit 800 ml Dichlormethan versetzt. Die Phasen werden getrennt. Die organische Phase wird dreimal mit 300 ml Wasser gewaschen und über Na2S04 getrocknet, dann filtriert und einrotiert. Das Produkt wird über Kieselgel filtriert (Toluol als Laufmittel). Die sauberen Fraktionen (ca. 35 g) werden aus einer Mischung von 50 ml Heptan und 170 ml Toluol umkristallisiert. Der Feststoff wird filtriert, mit Heptan gewaschen und getrocknet. Man erhält 33.5 g (52% der Theorie) des Produkts als farbloses Pulver mit einer Reinheit von 99.1 % nach HPLC. The solid is filtered through silica gel and Celite and the solution is concentrated. The residue is treated with 800 ml of dichloromethane. The phases are separated. The organic phase is washed three times with 300 ml of water and dried over Na 2 S0 4 , then filtered and concentrated by rotary evaporation. The product is filtered through silica gel (toluene as eluent). The clean fractions (about 35 g) are recrystallized from a mixture of 50 ml of heptane and 170 ml of toluene. The solid is filtered, washed with heptane and dried. This gives 33.5 g (52% of theory) of the product as a colorless powder with a purity of 99.1% by HPLC.
A4.7 Herstellung von Mo16.Bo Herstellung von 2',7'-Bis-(3,7-dimethyloctan-3-yl)-9,9'-spirobifluoren-4-yl- bis-(3-bromphenyl)amin (M0I6.B0) A4.7 Preparation of Mo16.Bo Preparation of 2 ', 7'-bis (3,7-dimethyloctan-3-yl) -9,9'-spirobifluorene-4-yl-bis (3-bromophenyl) amine ( M0I6.B0)
Stufe 1 : Step 1 :
180.0 g (266 mmol) 4-Brom-2',7'-bis-(3,7-dimethyloctan-3-yl)-9,9'-spirobi- fluoren (Spi3) werden in 2 I getrocknetem Dioxan gelöst, 56.2 g (480 mmol) Carbamidsäure-f-butylester (CAS 4248-19-5), 182.5 g (560 mmol) Cäsium- carbonat und 12.3 g (21.3 mmol) 4,5-Bis(diphenyIphosphino)-9,9-dimethyl- xanthen (Xantphos) werden als Feststoffe sukzessive zugegeben, dann wird die Lösung mit Stickstoff gesättigt. 3.6 g (16 mmol) Palladium(ll)acetat werden zugegeben und die Reaktionsmischung 2 Tage unter Rückfluß ge- rührt. Das Lösungsmittel wird am Rotationsverdampfer so weit wie möglich entfernt und der dunkle Rückstand mit Heptan heißextrahiert. Das Lösungsmittel wird am Rotationsverdampfer vollständig entfernt und der verbleibende Feststoff in einem Toluol-Heptan Gemisch (1 :1) umkristallisiert. Der Feststoff wird abgesaugt und im Vakuumtrockenschrank getrocknet. Es verbleiben 119.5 g (63% der Theorie) als hellgelber Feststoff. 180.0 g (266 mmol) of 4-bromo-2 ', 7'-bis- (3,7-dimethyloctan-3-yl) -9,9'-spirobifluorene (Spi3) are dissolved in 2 l of dried dioxane, 56.2 g (480 mmol) f-butyl carbamate (CAS 4248-19-5), 182.5 g (560 mmol) cesium carbonate and 12.3 g (21.3 mmol) of 4,5-bis (diphenylphosphino) -9,9-dimethyl- xanthene (xantphos) are added as solids gradually, then the solution is saturated with nitrogen. 3.6 g (16 mmol) of palladium (II) acetate are added and the reaction mixture is refluxed for 2 days. stir. The solvent is removed on a rotary evaporator as far as possible and the dark residue is hot-extracted with heptane. The solvent is completely removed on a rotary evaporator and the remaining solid recrystallized in a toluene-heptane mixture (1: 1). The solid is filtered off and dried in a vacuum oven. There remain 119.5 g (63% of theory) as a light yellow solid.
Stufe 2: Level 2:
119.0 g (167.2 mmol) A/-[2',7'-Bis-(3,7-dimethyloctan-3-yl)-9,9'-spirobi- fluoren-4-yl]carbamidsäure-f-butylester werden in 500 ml getrocknetem Dichlormethan gelöst, 51.5 ml (670 mmol) Trifluoressigsäure werden vorsichtig zugetropft. Die Reaktionsmischung wird 2 h bei Raumtemperatur gerührt. Die Reaktionsmischung wird eingeengt und der Rückstand in 300 ml Toluol gelöst. Die organische Phase wird zweimal mit je 300 ml NaOH (1 M Lösung) und dann mit 400 ml Wasser gewaschen. Die organische Phase wird über Natriumsulfat getrocknet und am Rotationsverdampfer vom Lösungsmittel befreit. Es verbleiben 96.2 g (94% der Theorie) als weißer Feststoff. 119.0 g (167.2 mmol) of A / - [2 ', 7'-bis- (3,7-dimethyloctan-3-yl) -9,9'-spirobi-fluoren-4-yl] -carbamic acid-f-butyl ester are obtained in Dissolved 500 ml of dried dichloromethane, 51.5 ml (670 mmol) of trifluoroacetic acid are carefully added dropwise. The reaction mixture is stirred for 2 h at room temperature. The reaction mixture is concentrated and the residue is dissolved in 300 ml of toluene. The organic phase is washed twice with 300 ml of NaOH (1 M solution) and then with 400 ml of water. The organic phase is dried over sodium sulfate and freed from the solvent on a rotary evaporator. There remain 96.2 g (94% of theory) as a white solid.
Stufe 3: Herstellung von Mo16.Br 97.8 g (346 mmol) 1-Brom-3-iodbenzol, 96.1 g (157 mmol) 4-Amino-2\7'- bis-(37-dimethyloctan-3-yl)-9,9'-spirobifluoren, 2.4 g (12.6 mmol) Stage 3: Preparation of Mo16.Br 97.8 g (346 mmol) of 1-bromo-3-iodobenzene, 96.1 g (157 mmol) of 4-amino-2'7'-bis- (37-dimethyloctan-3-yl) -9,9'-spirobifluorene, 2.4 g (12.6 mmol)
Kupfer(l)iodid, 70.4 g (1.26 mol) Kaliumhydroxid und 2.27 g (12.6 mmol) 1 ,10-Phenanthrolin werden in 750 ml o-Xylol suspendiert. Die Reaktionsmischung wird mit Argon gesättigt und über Nacht unter Rückfluß gerührt. Das Gemisch wird auf Raumtemperatur abgekühlt und anschließend mit Toluol über Kieselgel und Aluminiumoxid filtriert und einrotiert. Der hellbraune Feststoff wird abgesaugt. Der Feststoff wird dann säulenchromato- graphisch gereinigt (Heptan). Das Produkt wird in einem Heptan-Toluol- Gemisch (1 :1) umkristallisiert. Man erhält 76.8 g (53% der Theorie) des Produkts als farbloses Pulver mit einer Reinheit von 99.7% nach HPLC. Copper (I) iodide, 70.4 g (1.26 mol) of potassium hydroxide and 2.27 g (12.6 mmol) of 1, 10-phenanthroline are suspended in 750 mL of o-xylene. The reaction mixture is saturated with argon and stirred at reflux overnight. The mixture is cooled to room temperature and then filtered with toluene over silica gel and alumina and concentrated by rotary evaporation. The light brown solid is sucked off. The solid is then purified by column chromatography (heptane). The product is recrystallized in a heptane-toluene mixture (1: 1). This gives 76.8 g (53% of theory) of the product as a colorless powder with a purity of 99.7% by HPLC.
Stufe 4: Herstellung von Mo16.Bo: Stage 4: Preparation of Mo16.Bo:
70.0 g (76 mmol) Mo16.Br, 41.0 g (161 mmol) Bis(pinacolato)diboran und 37.6 g (383 mmol) Kaliumacetat werden in 0.8 I Dioxan vorgelegt. Das Gemisch wird mit Argon gesättigt, mit 1 .75 g (3.22 mmol) 1 ,1 '- Bis(diphenylphosphino)ferrocen und 0.72 g (3.22 mmol) Pa!ladium(ll)acetat versetzt und für 14 h zum Rückfluß erhitzt. Nach Abkühlen auf 70.0 g (76 mmol) of Mo16.Br, 41.0 g (161 mmol) of bis (pinacolato) diborane and 37.6 g (383 mmol) of potassium acetate are initially introduced in 0.8 l of dioxane. The mixture is saturated with argon, combined with 1.75 g (3.22 mmol) of 1,1'-bis (diphenylphosphino) ferrocene and 0.72 g (3.22 mmol) of palladium (II) acetate and heated to reflux for 14 h. After cooling to
Raumtemperatur wird über etwa 50 g Celite filtriert und das Lösungsmittel am Rotationsverdampfer so weit wie möglich entfernt. Der verbleibenden dunkel Rückstand wird mit etwa 700 ml Heptan aufgenommen und für 3 h kräftig gerührt, wobei ein brauner Feststoff ausfällt. Nach Absaugen wird der Feststoff aus zwei ineinandergesteckten Extraktionshülsen in einem kontinuierlichen Heißextraktor ohne Adsorptionsmittel mit etwa 1000 ml Room temperature is filtered through about 50 g of Celite and the solvent removed on a rotary evaporator as far as possible. The remaining dark residue is taken up in about 700 ml of heptane and stirred vigorously for 3 h, whereby a brown solid precipitates. After aspiration, the solid from two nested extraction sleeves in a continuous hot extractor without adsorbent with about 1000 ml
Heptan etwa 16 h extrahiert. Nach Abkühlen auf Raumtemperatur wird der Feststoff abgesaugt und die Mutterlauge am Rotationsverdampfer bis zur Trockne eingeengt. Beide Feststoffe werden vereinigt und erneut wie beschrieben heißextrahiert; die verwendeten Extraktionshülsen sind nach der zweiten Extraktion nur noch schwach gefärbt. Die Mutterlauge wird erneut zur Trockne eingeengt und mit dem ausgefallenen Feststoffe vereinigt. Man nimmt in etwa 250 ml Heptan auf, erhitzt die Suspension zum Rückfluß und tropft bis zur vollständigen Lösung Toluol zu (etwa 190 ml). Nach Abkühlen auf Raumtemperatur wird der gebildete Feststoff abgesaugt und erneut wie beschrieben umkristallisiert. Nach Absaugen des Feststoffs und Trocknen im Vakuumtrockenschrank wird dieser bei 10"5 mbar und 180 °C getempert, um Reste von Lösungsmitteln und flüchtige Verunreinigungen zu entfernen. Es verbleiben 38.7 g (48% der Theorie) als farbloser glasartiger Feststoff mit einer Reinheit von 99.7% nach HPLC. Heptane extracted for about 16 h. After cooling to room temperature, the solid is filtered off with suction and the mother liquor is concentrated to dryness on a rotary evaporator. Both solids are combined and re-extracted as described; the extraction sleeves used are only weakly colored after the second extraction. The mother liquor is concentrated again to dryness and combined with the precipitated solids. It is taken up in about 250 ml of heptane, the suspension is heated to reflux and added dropwise to complete toluene solution (about 190 ml). After cooling to room temperature, the solid formed is filtered off with suction and recrystallized again as described. After suction filtration of the solid and drying in a vacuum desiccator this is tempered 5 mbar and 180 ° C at 10 "in order to remove residues of solvents and volatile impurities. There remain 38.7 g (48% of theory) as a colorless glassy solid with a purity of 99.7 % by HPLC.
A2.5 Weitere Monomere A2.5 Other monomers
Weitere Monomere zur Herstellung der erfindungsgemäßen Polymere sind bereits im Stand der Technik beschrieben, kommerziell erhältlich oder werden gemäß Literaturvorschrift hergestellt und sind in der nachfolgenden Tabelle zusammengefaßt: Mo17.Br WO 02/077060 A1 Further monomers for the preparation of the polymers according to the invention are already described in the prior art, are commercially available or are prepared according to the literature procedure and are summarized in the following table: Mo17.Br WO 02/077060 A1
Teil B: Synthese der Polymere Part B: Synthesis of Polymers
Herstellung der Vergleichspolymere V1 und V2 sowie der erfindungsgemäßen Polymere Pol bis Po14. Preparation of the Comparative Polymers V1 and V2 and the Polymers Pol to Po14 According to the Invention.
Die Vergleichspolymere V1 und V2 sowie die erfindungsgemäßen The comparative polymers V1 and V2 and the inventive
Polymere Po bis Po14 werden durch SUZUKI-Kupplung gemäß dem in der WO 2010/097155 beschriebenen Verfahren aus den im Teil A abgebildeten Monomeren hergestellt. Polymers Po to Po14 are prepared by SUZUKI coupling according to the method described in WO 2010/097155 from the monomers shown in Part A.
Die auf diese Weise hergestellten Polymere V1 und V2 sowie Pol bis Pol 5 enthalten die Struktureinheiten nach Abspaltung der Abgangsgruppen in den in der Tabelle 2 angegebenen prozentualen Anteilen (Prozentangaben = mol%). Bei den Polymeren, die aus Monomeren hergestellt werden, die Aldehydgruppen aufweisen, werden diese nach der Polymerisation durch WITTIG Reaktion gemäß dem in der WO 2010/097155 beschriebenen Verfahren in vernetzbare Vinylgruppen überführt. Die entsprechend in der folgenden Tabelle aufgeführten sowie im Teil C eingesetzten Polymere weisen somit vernetzbare Vinylgruppen anstelle der ursprünglich vorhandenen Aldehydgruppen auf. The polymers V1 and V2 and Pol to Pol 5 prepared in this manner contain the structural units after removal of the leaving groups in the percentages indicated in Table 2 (percentages = mol%). In the case of the polymers which are prepared from monomers which have aldehyde groups, these are converted into crosslinkable vinyl groups after the polymerization by means of the WITTIG reaction in accordance with the process described in WO 2010/097155. The polymers listed correspondingly in the following table and used in Part C thus have crosslinkable vinyl groups instead of the aldehyde groups originally present.
Die Palladium- und Bromgehalte der Polymeren werden per ICP-MS bestimmt. Die ermittelten Werte liegen unter 10 ppm. Die Molekulargewichte Mw sowie die Polydispersitäten D werden mittels Gelpermeationschromatographie (GPC) (Model: Agilent HPLC System Series 1100) ermittelt (Säule: PL-RapidH von Polymer Laboratories; The palladium and bromine contents of the polymers are determined by ICP-MS. The determined values are below 10 ppm. The molecular weights M w and the polydispersities D are determined by means of gel permeation chromatography (GPC) (Model: Agilent HPLC System Series 1100) (column: PL-RapidH from Polymer Laboratories;
Lösungsmittel: THF mit 0,12 Vol% o-Dichlorbenzol; Detektion: UV und Brechungsindex; Temperatur: 40°C). Kalibriert wird mit Polystyrolstandards. Die Ergebnisse sind in der nachfolgenden Tabelle zusammengefasst . Solvent: THF with 0.12% by volume o-dichlorobenzene; Detection: UV and refractive index; Temperature: 40 ° C). Calibration is with polystyrene standards. The results are summarized in the table below.
Tabelle table
Teil C: Device-Beispiele Part C: Device examples
Die erfindungsgemäßen Polymere können aus Lösung verarbeitet werden und führen gegenüber vakuumprozessierten OLEDs zu wesentlich einfacher herstellbaren OLEDs mit dennoch guten Eigenschaften. The polymers according to the invention can be processed from solution and, compared to vacuum-processed OLEDs, lead to OLEDs which are much easier to produce and nevertheless have good properties.
Ob die vernetzbaren Varianten der erfindungsgemäßen Polymere nach Vernetzung eine vollständig unlösliche Schicht ergeben, wird analog zu WO 2010/097155 getestet. Whether the crosslinkable variants of the polymers according to the invention give a completely insoluble layer after crosslinking is tested analogously to WO 2010/097155.
In Tabelle C1 ist die verbliebene Schichtdicke der ursprünglich 20 nm nach dem in WO 2010/097155 beschriebenen Waschvorgang aufgeführt. Table C1 shows the remaining layer thickness of the original 20 nm according to the washing process described in WO 2010/097155.
Verringert sich die Schichtdicke nicht, so ist das Polymer unlöslich und somit die Vernetzung ausreichend. If the layer thickness does not decrease, the polymer is insoluble and thus the crosslinking is sufficient.
Tabelle C1 : Table C1:
Kontrolle der Restschichtdicke von ursprünglich 20 nm nach Waschtest Control of the residual layer thickness of originally 20 nm after washing test
Wie Tabelle C1 zu entnehmen ist, vernetzt das Vergleichspolymer V1 , das keine Vernetzungsgruppe trägt, bei 220°C fast gar nicht. Das Vergleichspolymer V2 sowie die erfindungsgemäßen Polymere Po01 , Po02, Po05, Po13 und Po14 vernetzen bei 220°C vollständig. As can be seen from Table C1, the comparative polymer V1, which carries no crosslinking group, hardly crosslinks at 220 ° C. The comparative polymer V2 and the inventive polymers Po01, Po02, Po05, Po13 and Po14 completely crosslink at 220 ° C.
Die Herstellung solcher lösungsbasierter OLEDs ist in der Literatur bereits vielfach beschrieben, z.B. in der WO 2004/037887 und der WO 2010/097 55. Das Verfahren wird auf die im Folgenden beschriebenen Gegebenheiten (Schichtdickenvariation, Materialien) angepasst. The preparation of such solution-based OLEDs has already been described many times in the literature, for example in WO 2004/037887 and WO 2010/097 55. The procedure is adapted to the conditions described below (layer thickness variation, materials).
Die erfindungsgemäßen Polymere werden in zwei verschiedenen The polymers of the invention are in two different
Schichtabfolgen verwendet: Layer sequences used:
Aufbau A ist wie folgt: Structure A is as follows:
- Substrat, Substrate,
- ITO .(50 nm), - ITO (50 nm),
- PEDOT (80 nm), PEDOT (80 nm),
- Lochtransportschicht (HTL) (20 nm), Hole transport layer (HTL) (20 nm),
- Emissionsschicht (EML) (60 nm), Emission layer (EML) (60 nm),
- Lochblockierschicht (HBL) (10 nm) - hole blocking layer (HBL) (10 nm)
- Elektronentransportschicht (ETL) (40 nm), Electron transport layer (ETL) (40 nm),
- Kathode. - cathode.
Aufbau B ist wie folgt: Structure B is as follows:
- Substrat, Substrate,
- ITO (50 nm), ITO (50 nm),
- PEDOT (20 nm), PEDOT (20 nm),
- Lochtransportschicht (HTL) (40 nm), Hole transport layer (HTL) (40 nm),
- Emissionsschicht (EML) (30 nm), Emission layer (EML) (30 nm),
- Elektronentransportschicht (ETL) (20 nm), Electron transport layer (ETL) (20 nm),
- Kathode. - cathode.
Als Substrat dienen Glasplättchen, die mit strukturiertem ITO (Indium-Zinn- Oxid) der Dicke 50 nm beschichtet sind. Zur besseren Prozessierung werden diese mit PEDOTPSS beschichtet. Das Aufschleudern erfolgt an Luft aus Wasser. Die Schicht wird für 10 Minuten bei 180°C ausgeheizt. The substrate used is glass plates coated with structured ITO (indium tin oxide) of thickness 50 nm. For better processing, they are coated with PEDOTPSS. The spin-on takes place in air from water. The layer is baked for 10 minutes at 180 ° C.
PEDOTPSS wird bezogen von Heraeus Precious Metals GmbH & Co. KG, Deutschland. Auf diese beschichteten Glasplättchen werden die PEDOTPSS is procured from Heraeus Precious Metals GmbH & Co. KG, Germany. On these coated glass slides are the
Lochtransport- sowie die Emissionsschicht aufgebracht. Lochtransport- and the emission layer applied.
Als Lochtransportschicht werden die erfindungsgemäßen Verbindungen sowie Vergleichsverbindungen verwendet, jeweils in Toluol gelöst. Der typische Feststoffgehait solcher Lösungen liegt bei ca. 5 g/l, wenn, wie hier, die für eine Device typische Schichtdicken von 20 bzw. 40 nm mittels Spincoating erzielt werden soll. Die Schichten werden in einer As a hole transport layer, the compounds of the invention and comparative compounds are used, each dissolved in toluene. The typical Feststoffgehait of such solutions is about 5 g / l, if, as here, the typical for a device layer thicknesses of 20 or 40 nm means Spincoating is to be achieved. The layers are in one
Inertgasatmosphäre, im vorliegenden Fall Argon, aufgeschleudert und 60 Minuten bei 180°C oder 220°C ausgeheizt. Inertgasatmosphäre, in this case argon, spin-on and baked for 60 minutes at 180 ° C or 220 ° C.
Die Emissionsschicht setzt sich immer aus mindestens einem Matrixmaterial (Hostmaterial, Wirtsmaterial) und einem emittierenden Dotierstoff (Dotand, Emitter) zusammen. Weiterhin aufreten können Mischungen aus mehreren Matrixmaterialien sowie Co-Dotanden. Eine Angabe wie H1 (92%) : Dotand (8%) bedeutet hierbei, dass das Material H1 in einem Gewichtsanteil von 92% und der Dotand in einem Gewichtsanteil von 8% in der Emissionsschicht vorliegt. Die Mischung für die Emissionsschicht wird für Aufbau A in Toluol gelöst. Der typische Feststoffgehalt solcher The emission layer is always composed of at least one matrix material (host material, host material) and an emitting dopant (dopant, emitter). Furthermore, mixtures of several matrix materials and co-dopants can occur. An indication such as H1 (92%): Dotand (8%) here means that the material H1 is present in a weight fraction of 92% and the dopant in a weight fraction of 8% in the emission layer. The mixture for the emission layer is dissolved for Structure A in toluene. The typical solids content of such
Lösungen liegt bei ca. 18 g/l, wenn, wie hier, die für eine Device typische Schichtdicke von 60nm mittels Spincoating erzielt werden soll. Die Solutions is about 18 g / l, if, as here, the typical for a device layer thickness of 60nm is to be achieved by spin coating. The
Schichten werden in einer Inertgasatmosphäre, im vorliegenden Fall Argon, aufgeschleudert und 10 Minuten bei 180°C ausgeheizt. In Aufbau B wird die Emissionsschicht durch thermische Verdampfung in einer Layers are spin-coated in an inert gas atmosphere, in this case argon, and baked at 180 ° C. for 10 minutes. In structure B, the emission layer is formed by thermal evaporation in a
Vakuumkammer gebildet. Dabei kann die Schicht aus mehr als einem Material bestehen, die einander durch Co-Verdampfung in einem Vacuum chamber formed. In this case, the layer may consist of more than one material, the other by co-evaporation in one
bestimmten Volumenanteil beigemischt werden. Eine Angabe wie be added to certain volume fraction. An indication like
H3:Dotand (95%:5%) bedeutet hierbei, dass die Materialien H3 und Dotand in einem Volumenanteil von 95%:5% in der Schicht vorliegen. H3: Dotand (95%: 5%) means here that the materials H3 and dopant are present in a volume fraction of 95%: 5% in the layer.
Die im vorliegenden Fall verwendeten Materialien sind in Tabelle C2 gezeigt. The materials used in the present case are shown in Table C2.
Tabelle C2: Table C2:
Strukturformeln der in der Emissionsschicht verwendeten Materialien Structural formulas of the materials used in the emission layer
Die Materialien für die Lochblockierschicht und Elektronentransportschicht werden ebenfalls in einer Vakuumkammer thermisch aufgedampft und sind in Tabelle C3 gezeigt. Die Lochblockierschicht besteht aus ETM1. Die Elektronentransportschicht besteht aus den zwei Materialien ETM1 und ETM2, die einander durch Co-Verdampfung in einem Volumenanteil von jeweils 50% beigemischt werden. Tabelle C3: The materials for the hole blocking layer and electron transport layer are also thermally evaporated in a vacuum chamber and are shown in Table C3. The hole blocking layer consists of ETM1. The electron transport layer consists of the two materials ETM1 and ETM2, which are admixed by co-evaporation in a volume fraction of 50% each. Table C3:
Verwendete HBL- und ETL-Materialien Used HBL and ETL materials
Die Kathode wird durch die thermische Verdampfung einer 100nm dicken Aluminiumschicht gebildet. The cathode is formed by the thermal evaporation of a 100nm thick aluminum layer.
Der genaue Aufbau der OLEDs ist Tabelle C4 zu entnehmen. In der Spalte HTL wird das verwendete Polymer aufgeführt, sowie die Temperatur, bei der die Schicht ausgeheizt und ggf. vernetzt wird. The exact structure of the OLEDs can be found in Table C4. In the column HTL the polymer used is listed, as well as the temperature at which the layer is baked out and optionally crosslinked.
Tabelle C4: Table C4:
Aufbau der OLEDs Structure of the OLEDs
Beispiel HTL Aufbau EML Example HTL Structure EML
Zusammensetzung composition
Polymer T [°C] Polymer T [° C]
C01 V1 180°C B H3 95%; SEB 5% C01 V1 180 ° C B H3 95%; SEB 5%
C02 V2 180°C A H1 30%; H2 55%; TEG 15% C02 V2 180 ° C A H1 30%; H2 55%; TEG 15%
C03 Po03 220°C A H1 30%; H2 55%; TEG 15% C03 PoO3 220 ° C AH1 30%; H2 55%; TEG 15%
C04 Po04 180°C B H3 95%; SEB 5% C04 Po04 180 ° C B H3 95%; SEB 5%
C05 Po05 220°C A H1 30%; H2 55%; TEG 15% C05 Po05 220 ° C A H1 30%; H2 55%; TEG 15%
C06 Po10 180°C B H3 95%; SEB 5% C07 Pol l 180°C B H3 95%; SEB 5% C06 Po10 180 ° CB H3 95%; SEB 5% C07 pole 180 ° CB H3 95%; SEB 5%
C08 Po13 180°C A H1 30%; H2 55%; TEG 15% C08 Po13 180 ° C A H1 30%; H2 55%; TEG 15%
Die OLEDs werden standardmäßig charakterisiert. Hierfür werden die Elektrolumineszenzspektren, Strom-Spannungs-Leuchtdichte-Kennlinien (lUL-Kennlinien) unter Annahme einer Lambert'schen Abstrahlcharakteristik sowie die (Betriebs-)Lebensdauer bestimmt. Aus den lUL-Kennlinien werden Kennzahlen bestimmt wie die Betriebsspannung (in V) und die externe Quanteneffizienz (in %) bei einer bestimmten Helligkeit. LD50 @ 1000cd/m2 ist die Lebensdauer, bis die OLED bei einer Starthelligkeit von 1000 cd/m2 auf 50 % der Anfangsintensität, also auf 500 cd/m2, abgefallen ist. Entsprechend ist LD80 @ 0000cd/m2 die Lebensdauer, bis die OLED bei einer Starthelligkeit von 10000 cd/m2 auf 80 % der Anfangsintensität, also auf 8000cd/m2, abgefallen ist. The OLEDs are characterized by default. For this purpose, the electroluminescence spectra, current-voltage-luminance characteristics (LUL characteristics) are determined assuming a lambertian radiation characteristic and the (operating) life. Key figures are determined from the lUL characteristic curves, such as the operating voltage (in V) and the external quantum efficiency (in%) at a specific brightness. LD50 @ 1000cd / m 2 is the lifetime until the OLED has dropped to 50% of the initial intensity, ie 500 cd / m 2 , at a starting brightness of 1000 cd / m 2 . Accordingly, LD80 @ 0000cd / m 2 is the lifetime until the OLED has dropped to 80% of the initial intensity, ie 8000 cd / m 2 , at a starting brightness of 10000 cd / m 2 .
Die Eigenschaften der verschiedenen OLEDs sind in den Tabellen C5 a und b zusammengefasst. Die Beispiele C01 und C02 sind The properties of the different OLEDs are summarized in Tables C5 a and b. Examples C01 and C02 are
Vergleichsbeispiele, alle anderen Beispiele zeigen Eigenschaften von erfindungsgemäßen OLEDs. Comparative examples, all other examples show properties of OLEDs according to the invention.
Tabellen C5 a-b: Eigenschaften der OLEDs Tables C5 a-b: Properties of the OLEDs
Tabelle C5 a Table C5 a
Effizienz bei Spannung bei LD80 bei Efficiency at Voltage at LD80 at
Beispiel example
1000 cd/m2 1000 cd/m2 10000 cd/m2 1000 cd / m 2 1000 cd / m 2 10000 cd / m 2
% EQE [V] [h] % EQE [V] [h]
C02 17.0 4.2 1 10 C02 17.0 4.2 1 10
C03 16.6 4.8 240 C03 16.6 4.8 240
C05 18.5 4.5 290 C05 18.5 4.5 290
C08 17.2 4.6 270 Tabelle C5 b C08 17.2 4.6 270 Table C5 b
Wie die Tabellen C5 a-b zeigen, ergeben die erfindungsgemäßen Polymere bei Einsatz als Lochtransportschicht in OLEDs Verbesserungen gegenüber dem Stand der Technik, vor allem bezüglich Lebensdauer und operativer Spannung. Es werden grün und blau emittierende OLEDs mit den erfindungsgemäßen Materialien erzeugt. As shown in Tables C5 a-b, the polymers according to the invention, when used as hole transport layers in OLEDs, give improvements over the prior art, in particular with regard to service life and operational stress. Green and blue emitting OLEDs are produced with the materials according to the invention.
Claims
Priority Applications (5)
| Application Number | Priority Date | Filing Date | Title |
|---|---|---|---|
| EP13717171.6A EP2838930B1 (en) | 2012-04-17 | 2013-04-15 | Polymers containing substituted oligo-triarylamine units and electroluminescence devices containing such polymers |
| US14/394,288 US9745420B2 (en) | 2012-04-17 | 2013-04-15 | Polymers containing substituted oligo-triarylamine units and electroluminescence devices containing such polymers |
| JP2015506112A JP6352245B2 (en) | 2012-04-17 | 2013-04-15 | Polymers containing substituted oligotriarylene units and electroluminescent devices containing these polymers |
| CN201380020590.8A CN104245784B (en) | 2012-04-17 | 2013-04-15 | Polymer containing substituted oligomeric triaryl amine unit and include the electroluminescent device of these polymer |
| KR1020147032016A KR102055118B1 (en) | 2012-04-17 | 2013-04-15 | Polymers containing substituted oligo-triarylamine units and electroluminescence devices containing such polymers |
Applications Claiming Priority (2)
| Application Number | Priority Date | Filing Date | Title |
|---|---|---|---|
| EP12002655.4 | 2012-04-17 | ||
| EP12002655 | 2012-04-17 |
Publications (1)
| Publication Number | Publication Date |
|---|---|
| WO2013156129A1 true WO2013156129A1 (en) | 2013-10-24 |
Family
ID=48095788
Family Applications (3)
| Application Number | Title | Priority Date | Filing Date |
|---|---|---|---|
| PCT/EP2013/001067 Ceased WO2013156125A1 (en) | 2012-04-17 | 2013-04-12 | Cross-linkable and cross-linked polymers, methods for the production thereof, and use thereof |
| PCT/EP2013/001096 Ceased WO2013156130A1 (en) | 2012-04-17 | 2013-04-15 | Polymers containing substituted triarylamine units and electroluminescent devices containing said polymers |
| PCT/EP2013/001095 Ceased WO2013156129A1 (en) | 2012-04-17 | 2013-04-15 | Polymers containing substituted oligo-triarylamine units and electroluminescence devices containing such polymers |
Family Applications Before (2)
| Application Number | Title | Priority Date | Filing Date |
|---|---|---|---|
| PCT/EP2013/001067 Ceased WO2013156125A1 (en) | 2012-04-17 | 2013-04-12 | Cross-linkable and cross-linked polymers, methods for the production thereof, and use thereof |
| PCT/EP2013/001096 Ceased WO2013156130A1 (en) | 2012-04-17 | 2013-04-15 | Polymers containing substituted triarylamine units and electroluminescent devices containing said polymers |
Country Status (7)
| Country | Link |
|---|---|
| US (3) | US9644070B2 (en) |
| EP (3) | EP2838931A1 (en) |
| JP (5) | JP6430367B2 (en) |
| KR (3) | KR102040350B1 (en) |
| CN (3) | CN104245785B (en) |
| TW (1) | TWI586699B (en) |
| WO (3) | WO2013156125A1 (en) |
Cited By (7)
| Publication number | Priority date | Publication date | Assignee | Title |
|---|---|---|---|---|
| CN104151130A (en) * | 2014-07-15 | 2014-11-19 | 烟台万润精细化工股份有限公司 | Novel method for preparing high-purity 4-bromofluorene |
| WO2014170839A3 (en) * | 2013-04-19 | 2015-02-26 | Basf Se | New spiro compounds and their use in organic electronics applications and devices |
| JP2018502959A (en) * | 2014-12-30 | 2018-02-01 | メルク、パテント、ゲゼルシャフト、ミット、ベシュレンクテル、ハフツングMerck Patent GmbH | Composition comprising at least one polymer and at least one metal complex, and electroluminescent device comprising the composition |
| WO2018114882A1 (en) | 2016-12-22 | 2018-06-28 | Merck Patent Gmbh | Materials for electronic devices |
| WO2019007825A1 (en) | 2017-07-03 | 2019-01-10 | Merck Patent Gmbh | Organic electroluminescent device |
| TWI684579B (en) * | 2014-10-24 | 2020-02-11 | 德商麥克專利有限公司 | Material, layer, formulation and electronic device comprising the material, and use thereof |
| WO2020036434A1 (en) | 2018-08-16 | 2020-02-20 | 주식회사 엘지화학 | Polymers, use thereof as hole transport material, and organic electronic devices comprising same |
Families Citing this family (68)
| Publication number | Priority date | Publication date | Assignee | Title |
|---|---|---|---|---|
| CN103429370B (en) * | 2011-03-17 | 2016-08-24 | 住友化学株式会社 | Composite metal compositions and mixture thereof |
| GB201108864D0 (en) | 2011-05-26 | 2011-07-06 | Ct For Process Innovation The Ltd | Transistors and methods of making them |
| GB201108865D0 (en) * | 2011-05-26 | 2011-07-06 | Ct For Process Innovation The Ltd | Semiconductor compounds |
| EP2838931A1 (en) | 2012-04-17 | 2015-02-25 | Merck Patent GmbH | Cross-linkable and cross-linked polymers, methods for the production thereof, and use thereof |
| CN105793779A (en) * | 2013-08-25 | 2016-07-20 | 分子玻璃公司 | Molecular glass mixtures for organic electronics applications |
| US10240084B2 (en) * | 2014-03-25 | 2019-03-26 | Molecular Glasses, Inc. | Non-crystallizable pi-conjugated molecular glass mixtures, charge transporting molecular glass mixtures, luminescent molecular glass mixtures, or combinations thereof for organic light emitting diodes and other organic electronics and photonics applications |
| US10593886B2 (en) | 2013-08-25 | 2020-03-17 | Molecular Glasses, Inc. | OLED devices with improved lifetime using non-crystallizable molecular glass mixture hosts |
| US10211409B2 (en) * | 2014-02-02 | 2019-02-19 | Molecular Glasses, Inc. | Noncrystallizable sensitized layers for OLED and OEDs |
| KR20170013939A (en) * | 2014-05-29 | 2017-02-07 | 에이제트 일렉트로닉 머티어리얼스 (룩셈부르크) 에스.에이.알.엘. | Void forming composition, semiconductor device provided with voids formed using composition, and method for manufacturing semiconductor device using composition |
| DE102014112038B4 (en) * | 2014-08-22 | 2018-06-14 | Fraunhofer-Gesellschaft zur Förderung der angewandten Forschung e.V. | Organic electronic component having a crosslinked organic-electronic functional layer and alkynyl ethers which can be used for producing this component |
| EP3187522B1 (en) * | 2014-08-28 | 2019-12-04 | Sumitomo Chemical Company Limited | Polymer compound and light-emitting element using same |
| GB201418869D0 (en) * | 2014-10-23 | 2014-12-03 | Cambridge Display Tech Ltd | Polymer and organic light emitting device |
| KR102545336B1 (en) * | 2014-12-09 | 2023-06-19 | 메르크 파텐트 게엠베하 | Electronic device |
| KR102433462B1 (en) * | 2014-12-30 | 2022-08-17 | 메르크 파텐트 게엠베하 | Compositions comprising at least one polymer and at least one salt, and electroluminescent devices containing said compositions |
| CN107108862B (en) | 2015-01-13 | 2019-08-02 | 广州华睿光电材料有限公司 | Conjugated polymers containing acetylene crosslinking groups, mixtures containing them, compositions, organic electronic devices and applications thereof |
| CN104628915A (en) * | 2015-02-12 | 2015-05-20 | 邯郸汉光科技股份有限公司 | Preparation method and application of high-polymer hole transmission functional materials with TPD side group |
| WO2016180511A1 (en) * | 2015-05-13 | 2016-11-17 | Merck Patent Gmbh | Metal complexes and electroluminescent devices comprising these metal complexes |
| CN107667439B (en) * | 2015-05-22 | 2021-01-05 | 默克专利有限公司 | Formulations comprising organic semiconductors and metal complexes |
| EP3138858B1 (en) | 2015-09-01 | 2019-10-30 | Samsung Electronics Co., Ltd. | Amino fluorene polymer and organic light-emitting device including the same |
| WO2017047644A1 (en) | 2015-09-18 | 2017-03-23 | 住友化学株式会社 | Polymer compound and light-emitting element using same |
| CN106892857B (en) * | 2015-12-18 | 2020-02-18 | 昆山国显光电有限公司 | Thermally Activated Delayed Fluorescent Materials and Their Applications in Organic Electroluminescent Devices |
| WO2017133829A1 (en) | 2016-02-05 | 2017-08-10 | Merck Patent Gmbh | Materials for electronic devices |
| EP3208863B1 (en) * | 2016-02-22 | 2019-10-23 | Novaled GmbH | Charge transporting semi-conducting material and electronic device comprising it |
| DE102016111062A1 (en) * | 2016-06-16 | 2017-12-21 | Merck Patent Gmbh | Cross-linking p-dopants for the p-doping of organic hole conductors |
| CN109715642A (en) | 2016-09-21 | 2019-05-03 | 默克专利有限公司 | PROCESS FOR PRODUCTION OF BINUCLEAR as the illuminator in organic electroluminescence device |
| WO2018065357A1 (en) | 2016-10-06 | 2018-04-12 | Merck Patent Gmbh | Materials for organic electroluminescent devices |
| WO2018069197A1 (en) | 2016-10-12 | 2018-04-19 | Merck Patent Gmbh | Metal complexes |
| WO2018069196A1 (en) | 2016-10-12 | 2018-04-19 | Merck Patent Gmbh | Binuclear metal complexes and electronic devices, in particular organic electroluminescent devices containing said metal complexes |
| JP7023946B2 (en) | 2016-10-13 | 2022-02-22 | メルク パテント ゲゼルシャフト ミット ベシュレンクテル ハフツング | Metal complex |
| JP7101670B2 (en) | 2016-11-25 | 2022-07-15 | メルク パテント ゲゼルシャフト ミット ベシュレンクテル ハフツング | Bisbenzofuran Condensation 2,8-diaminoindeno [1,2-B] Fluorene Derivatives and Related Compounds as Materials for Organic Electroluminescence Devices (OLEDs) |
| JP6942724B2 (en) * | 2016-11-30 | 2021-09-29 | 保土谷化学工業株式会社 | High molecular weight compounds containing substituted triarylamine structural units |
| JP7023957B2 (en) | 2016-11-30 | 2022-02-22 | メルク パテント ゲゼルシャフト ミット ベシュレンクテル ハフツング | Polymers with repeating units of asymmetry |
| KR102472751B1 (en) | 2016-12-06 | 2022-11-30 | 메르크 파텐트 게엠베하 | Manufacturing method of electronic device |
| CN109792003B (en) | 2016-12-22 | 2020-10-16 | 广州华睿光电材料有限公司 | Diels-Alder Reaction-Based Crosslinkable Polymers and Their Applications in Organic Electronic Devices |
| CN109792000B (en) | 2016-12-22 | 2021-04-20 | 广州华睿光电材料有限公司 | Organic functional compounds, mixtures, compositions, organic functional thin films, methods for their preparation, and organic electronic devices |
| JP2018104593A (en) * | 2016-12-27 | 2018-07-05 | 三星電子株式会社Samsung Electronics Co.,Ltd. | Polymer compound, and organic electroluminescent element material and organic electroluminescent element that employ the same |
| WO2018198975A1 (en) | 2017-04-27 | 2018-11-01 | 住友化学株式会社 | Light-emitting element |
| TW201920343A (en) * | 2017-06-21 | 2019-06-01 | 德商麥克專利有限公司 | Materials for electronic devices |
| KR102385225B1 (en) * | 2017-07-12 | 2022-04-11 | 삼성디스플레이 주식회사 | Composition for fabricating organic film, display device using the same and method for manufacturing the display device |
| WO2019097714A1 (en) * | 2017-11-20 | 2019-05-23 | 日立化成株式会社 | Method for manufacturing organic thin film, organic thin film, and utilization thereof |
| TWI838352B (en) | 2017-11-24 | 2024-04-11 | 德商麥克專利有限公司 | Materials for organic electroluminescent devices |
| TWI820057B (en) | 2017-11-24 | 2023-11-01 | 德商麥克專利有限公司 | Materials for organic electroluminescent devices |
| TW201938761A (en) | 2018-03-06 | 2019-10-01 | 德商麥克專利有限公司 | Materials for organic electroluminescent devices |
| KR102443861B1 (en) * | 2018-05-24 | 2022-09-15 | 주식회사 엘지화학 | Organic light emitting device |
| TWI823993B (en) | 2018-08-28 | 2023-12-01 | 德商麥克專利有限公司 | Materials for organic electroluminescent devices |
| CN109232277B (en) * | 2018-09-17 | 2020-06-05 | 北京鼎材科技有限公司 | Organic compounds and organic electroluminescent devices |
| EP3877443A1 (en) | 2018-11-07 | 2021-09-15 | Merck Patent GmbH | Polymers with amine-group-containing repeating units |
| TW202035345A (en) | 2019-01-17 | 2020-10-01 | 德商麥克專利有限公司 | Materials for organic electroluminescent devices |
| TW202200529A (en) | 2020-03-13 | 2022-01-01 | 德商麥克專利有限公司 | Materials for organic electroluminescent devices |
| WO2022017997A1 (en) | 2020-07-22 | 2022-01-27 | Merck Patent Gmbh | Materials for organic electroluminescent devices |
| TW202216953A (en) | 2020-07-22 | 2022-05-01 | 德商麥克專利有限公司 | Materials for organic electroluminescent devices |
| EP4196486B1 (en) | 2020-08-13 | 2025-07-09 | UDC Ireland Limited | Metal complexes |
| CN114075116B (en) * | 2020-08-20 | 2024-12-06 | 江苏三月科技股份有限公司 | A spirofluorene compound and an organic electroluminescent device containing the compound |
| CN114075115A (en) * | 2020-08-20 | 2022-02-22 | 江苏三月科技股份有限公司 | An amine compound and an organic electroluminescent device comprising the compound |
| CN112126057B (en) * | 2020-09-24 | 2021-04-13 | 天津理工大学 | Binaphthyl organic polymer hole transport material and synthetic method and application thereof |
| WO2022096172A1 (en) * | 2020-11-03 | 2022-05-12 | Merck Patent Gmbh | Materials for electronic devices |
| TW202237797A (en) | 2020-11-30 | 2022-10-01 | 德商麥克專利有限公司 | Materials for organic electroluminescent devices |
| JP7650148B2 (en) | 2020-12-18 | 2025-03-24 | 三星電子株式会社 | Copolymer, and electroluminescent device material and electroluminescent device using said copolymer |
| EP4320649A1 (en) | 2021-04-09 | 2024-02-14 | Merck Patent GmbH | Materials for organic electroluminescent devices |
| KR20230165916A (en) | 2021-04-09 | 2023-12-05 | 메르크 파텐트 게엠베하 | Materials for organic electroluminescent devices |
| WO2022223675A1 (en) | 2021-04-23 | 2022-10-27 | Merck Patent Gmbh | Formulation of an organic functional material |
| CN113248974A (en) * | 2021-04-25 | 2021-08-13 | 中科院长春应化所黄埔先进材料研究院 | Ink-jet printing ink and preparation method and application thereof |
| WO2022229234A1 (en) | 2021-04-30 | 2022-11-03 | Merck Patent Gmbh | Nitrogenous heterocyclic compounds for organic electroluminescent devices |
| JP7756570B2 (en) * | 2022-01-05 | 2025-10-20 | 三星電子株式会社 | Polymer compound, and electroluminescent device material and electroluminescent device using said polymer compound |
| US20250221144A1 (en) * | 2022-03-16 | 2025-07-03 | The University Of Chicago | Stretchable light-emitting polymers |
| CN119137181A (en) * | 2022-05-04 | 2024-12-13 | 默克专利有限公司 | Polymers containing specifically substituted triarylamine units and electroluminescent devices containing said polymers |
| TW202440819A (en) | 2022-12-16 | 2024-10-16 | 德商麥克專利有限公司 | Formulation of an organic functional material |
| KR102836487B1 (en) * | 2023-11-15 | 2025-07-21 | 한국과학기술원 | Hole transport layer and inverted perovskite solar cell using the same and method for preparing the inverted perovskite solar cell |
Citations (26)
| Publication number | Priority date | Publication date | Assignee | Title |
|---|---|---|---|---|
| EP0637899A1 (en) | 1993-08-02 | 1995-02-08 | BASF Aktiengesellschaft | Electroluminescent arrangement |
| WO1996020253A1 (en) | 1994-12-28 | 1996-07-04 | Cambridge Display Technology Ltd. | Polymers for use in optical devices |
| WO2000055927A1 (en) * | 1999-03-12 | 2000-09-21 | Cambridge Display Technology Limited | Polymers, their preparation and uses |
| WO2002068435A1 (en) | 2001-02-24 | 2002-09-06 | Covion Organic Semiconductors Gmbh | Rhodium and iridium complexes |
| EP1239526A2 (en) | 2001-03-08 | 2002-09-11 | Canon Kabushiki Kaisha | Metal coordination compound, luminescene device and display apparatus |
| WO2002072714A1 (en) | 2001-03-10 | 2002-09-19 | Covion Organic Semiconductors Gmbh | Solutions and dispersions of organic semiconductors |
| WO2002077060A1 (en) | 2001-03-24 | 2002-10-03 | Covion Organic Semiconductors Gmbh | Conjugated polymers containing spirobifluorene units and fluorene units, and the use thereof |
| WO2002081488A1 (en) | 2001-04-05 | 2002-10-17 | Covion Organic Semiconductors Gmbh | Rhodium and iridium complexes |
| WO2003019694A2 (en) | 2001-08-24 | 2003-03-06 | Covion Organic Semiconductors Gmbh | Solutions of polymer semiconductors |
| WO2003048225A2 (en) | 2001-12-06 | 2003-06-12 | Covion Organic Semiconductors Gmbh | Process for producing aryl-aryl coupled compounds |
| JP2004087395A (en) * | 2002-08-28 | 2004-03-18 | Fuji Xerox Co Ltd | Organic electroluminescent element |
| WO2004026886A2 (en) | 2002-08-24 | 2004-04-01 | Covion Organic Semiconductors Gmbh | Rhodium and iridium complexes |
| WO2004037887A2 (en) | 2002-10-25 | 2004-05-06 | Covion Organic Semiconductors Gmbh | Conjugated polymers containing arylamine units, the representation thereof and the use of the same |
| WO2004070772A2 (en) | 2003-02-06 | 2004-08-19 | Covion Organic Semiconductors Gmbh | Conjugated polymers and blends containing carbazole, representation and use thereof |
| WO2004113468A1 (en) | 2003-06-26 | 2004-12-29 | Covion Organic Semiconductors Gmbh | Novel materials for electroluminescence |
| WO2005014689A2 (en) | 2003-08-12 | 2005-02-17 | Covion Organic Semiconductors Gmbh | Conjugated polymers containing dihydrophenanthrene units and use thereof |
| WO2005014688A2 (en) | 2003-08-12 | 2005-02-17 | Covion Organic Semiconductors Gmbh | Conjugated copolymers, representation and use thereof |
| WO2005040302A1 (en) | 2003-10-22 | 2005-05-06 | Merck Patent Gmbh | New materials for electroluminescence and the utilization thereof |
| WO2005042548A1 (en) | 2003-10-30 | 2005-05-12 | Merck Patent Gmbh | Method for the production of heteroleptic ortho-metallated organometallic compounds |
| WO2005056638A1 (en) * | 2003-12-13 | 2005-06-23 | Merck Patent Gmbh | Oligomers and polymers |
| WO2005083812A2 (en) | 2004-02-26 | 2005-09-09 | Merck Patent Gmbh | Method for cross-linking an organic semi-conductor |
| WO2006070184A1 (en) * | 2004-12-29 | 2006-07-06 | Cambridge Display Technology Limited | Blue-shifted triarylamine polymer |
| EP1724294A1 (en) * | 2004-02-26 | 2006-11-22 | Sumitomo Chemical Company, Limited | Polymer and polymeric luminescent element comprising the same |
| EP1892258A1 (en) * | 2005-06-10 | 2008-02-27 | Sumitomo Chemical Company, Limited | Process for producing polymer |
| WO2010097155A1 (en) | 2009-02-27 | 2010-09-02 | Merck Patent Gmbh | Polymer having aldehyde groups, converting and cross-linking of said polymer, cross-linked polymer, and electroluminescent device comprising said polymer |
| WO2010109715A1 (en) | 2009-03-24 | 2010-09-30 | シャープ株式会社 | Touch panel input system, and input pen |
Family Cites Families (32)
| Publication number | Priority date | Publication date | Assignee | Title |
|---|---|---|---|---|
| GB0031634D0 (en) | 2000-12-23 | 2001-02-07 | Johnson Matthey Plc | Organic materials |
| GB0104177D0 (en) | 2001-02-20 | 2001-04-11 | Isis Innovation | Aryl-aryl dendrimers |
| US6723828B2 (en) * | 2001-05-23 | 2004-04-20 | Sri International | Conjugated electroluminescent polymers and associated methods of preparation and use |
| JP2004115761A (en) * | 2002-09-30 | 2004-04-15 | Toyo Ink Mfg Co Ltd | Light-emitting material for organic electroluminescence device and organic electroluminescence device using the same |
| GB0229659D0 (en) * | 2002-12-20 | 2003-01-22 | Avecia Ltd | Electronic devices |
| WO2004107077A1 (en) | 2003-05-28 | 2004-12-09 | Koninklijke Philips Electronics N.V. | Circuit for a data carrier having reference parameter generation means with supply voltage limiting means |
| WO2005026144A1 (en) | 2003-09-12 | 2005-03-24 | Sumitomo Chemical Company, Limited | Dendrimer compound and organic luminescent element employing the same |
| GB0325324D0 (en) * | 2003-10-30 | 2003-12-03 | Avecia Ltd | Process for producing semiconducting layers and devices containing the same |
| JP4736471B2 (en) * | 2004-02-26 | 2011-07-27 | 住友化学株式会社 | Polymer compound and polymer light emitting device using the same |
| CN100516108C (en) * | 2004-02-26 | 2009-07-22 | 住友化学株式会社 | Polymer compound and polymer light-emitting device using the same |
| US20050240197A1 (en) | 2004-04-23 | 2005-10-27 | Kmiec Stanley J Jr | Device and method for inserting, positioning and removing an implant |
| DE102004020299A1 (en) * | 2004-04-26 | 2005-12-01 | Covion Organic Semiconductors Gmbh | Conjugated polymers, their preparation and use |
| GB0409806D0 (en) | 2004-04-30 | 2004-06-09 | Univ Brunel | Nerve blocking method and system |
| GB0423528D0 (en) * | 2004-10-22 | 2004-11-24 | Cambridge Display Tech Ltd | Monomer for making a crosslinked polymer |
| KR100492628B1 (en) | 2005-03-30 | 2005-06-03 | (주)엔돌핀에프앤비 | Funtional corn silk tea and method for preparing the same |
| DE102005060473A1 (en) * | 2005-12-17 | 2007-06-28 | Merck Patent Gmbh | Conjugated polymers, their preparation and use |
| US8440324B2 (en) * | 2005-12-27 | 2013-05-14 | E I Du Pont De Nemours And Company | Compositions comprising novel copolymers and electronic devices made with such compositions |
| DE102006038683A1 (en) * | 2006-08-17 | 2008-02-21 | Merck Patent Gmbh | Conjugated polymers, their preparation and use |
| JPWO2008120470A1 (en) * | 2007-03-29 | 2010-07-15 | 山本化成株式会社 | Sulfo group-containing polymer compound and intermediate thereof, and organic electroluminescent device containing the compound |
| JP2009043896A (en) * | 2007-08-08 | 2009-02-26 | Canon Inc | Organic light emitting device and display |
| US8063399B2 (en) * | 2007-11-19 | 2011-11-22 | E. I. Du Pont De Nemours And Company | Electroactive materials |
| KR101323557B1 (en) | 2008-02-15 | 2013-10-29 | 미쓰비시 가가꾸 가부시키가이샤 | Conjugated polymer, insolubilized polymer, organic electroluminescent device material, composition for organic electroluminescent device, method for producing polymer, organic electroluminescent device, organic el display, and organic el illuminator |
| WO2009123269A1 (en) * | 2008-04-02 | 2009-10-08 | 三菱化学株式会社 | Polymer compound, reticulated polymer compound produced by crosslinking the polymer compound, composition for organic electroluminescent element, organic electroluminescent element, organic el display, and organic el lighting |
| JP5748660B2 (en) * | 2008-06-23 | 2015-07-15 | ビーエーエスエフ ソシエタス・ヨーロピアBasf Se | New polymer |
| KR101653801B1 (en) * | 2008-10-27 | 2016-09-05 | 솔베이 유에스에이 인크. | Polyarylamine ketones |
| US8455042B2 (en) * | 2009-11-17 | 2013-06-04 | General Electric Company | Method for making material useful in optoelectronic device, the material and the optoelectronic device |
| KR20110090263A (en) * | 2010-02-03 | 2011-08-10 | 경북대학교 산학협력단 | Conjugated Polymer and Electroluminescent Device Using the Same |
| DE102010033778A1 (en) * | 2010-08-09 | 2012-02-09 | Merck Patent Gmbh | Polymers with carbazole structural units |
| EP2732479B1 (en) * | 2011-07-11 | 2019-09-11 | Merck Patent GmbH | Compounds for organic electroluminescent devices |
| JP2013155294A (en) * | 2012-01-30 | 2013-08-15 | Toyo Ink Sc Holdings Co Ltd | Material for organic electroluminescence element and use of the same |
| JP2013209300A (en) * | 2012-03-30 | 2013-10-10 | Toyo Ink Sc Holdings Co Ltd | Material for organic electroluminescence device, and its use |
| EP2838931A1 (en) | 2012-04-17 | 2015-02-25 | Merck Patent GmbH | Cross-linkable and cross-linked polymers, methods for the production thereof, and use thereof |
-
2013
- 2013-04-12 EP EP13718113.7A patent/EP2838931A1/en not_active Withdrawn
- 2013-04-12 CN CN201380020644.0A patent/CN104245785B/en active Active
- 2013-04-12 US US14/391,409 patent/US9644070B2/en active Active
- 2013-04-12 JP JP2015506111A patent/JP6430367B2/en active Active
- 2013-04-12 WO PCT/EP2013/001067 patent/WO2013156125A1/en not_active Ceased
- 2013-04-12 KR KR1020147032101A patent/KR102040350B1/en active Active
- 2013-04-15 EP EP13716209.5A patent/EP2838929B1/en active Active
- 2013-04-15 JP JP2015506113A patent/JP6305982B2/en not_active Expired - Fee Related
- 2013-04-15 KR KR1020147032195A patent/KR102055120B1/en active Active
- 2013-04-15 JP JP2015506112A patent/JP6352245B2/en active Active
- 2013-04-15 US US14/394,306 patent/US9815940B2/en not_active Expired - Fee Related
- 2013-04-15 KR KR1020147032016A patent/KR102055118B1/en active Active
- 2013-04-15 EP EP13717171.6A patent/EP2838930B1/en not_active Not-in-force
- 2013-04-15 CN CN201380020590.8A patent/CN104245784B/en active Active
- 2013-04-15 WO PCT/EP2013/001096 patent/WO2013156130A1/en not_active Ceased
- 2013-04-15 US US14/394,288 patent/US9745420B2/en not_active Expired - Fee Related
- 2013-04-15 WO PCT/EP2013/001095 patent/WO2013156129A1/en not_active Ceased
- 2013-04-15 CN CN201380020676.0A patent/CN104271632B/en active Active
- 2013-04-16 TW TW102113502A patent/TWI586699B/en not_active IP Right Cessation
-
2017
- 2017-07-18 JP JP2017139155A patent/JP6567612B2/en active Active
- 2017-07-18 JP JP2017139148A patent/JP6657146B2/en not_active Expired - Fee Related
Patent Citations (26)
| Publication number | Priority date | Publication date | Assignee | Title |
|---|---|---|---|---|
| EP0637899A1 (en) | 1993-08-02 | 1995-02-08 | BASF Aktiengesellschaft | Electroluminescent arrangement |
| WO1996020253A1 (en) | 1994-12-28 | 1996-07-04 | Cambridge Display Technology Ltd. | Polymers for use in optical devices |
| WO2000055927A1 (en) * | 1999-03-12 | 2000-09-21 | Cambridge Display Technology Limited | Polymers, their preparation and uses |
| WO2002068435A1 (en) | 2001-02-24 | 2002-09-06 | Covion Organic Semiconductors Gmbh | Rhodium and iridium complexes |
| EP1239526A2 (en) | 2001-03-08 | 2002-09-11 | Canon Kabushiki Kaisha | Metal coordination compound, luminescene device and display apparatus |
| WO2002072714A1 (en) | 2001-03-10 | 2002-09-19 | Covion Organic Semiconductors Gmbh | Solutions and dispersions of organic semiconductors |
| WO2002077060A1 (en) | 2001-03-24 | 2002-10-03 | Covion Organic Semiconductors Gmbh | Conjugated polymers containing spirobifluorene units and fluorene units, and the use thereof |
| WO2002081488A1 (en) | 2001-04-05 | 2002-10-17 | Covion Organic Semiconductors Gmbh | Rhodium and iridium complexes |
| WO2003019694A2 (en) | 2001-08-24 | 2003-03-06 | Covion Organic Semiconductors Gmbh | Solutions of polymer semiconductors |
| WO2003048225A2 (en) | 2001-12-06 | 2003-06-12 | Covion Organic Semiconductors Gmbh | Process for producing aryl-aryl coupled compounds |
| WO2004026886A2 (en) | 2002-08-24 | 2004-04-01 | Covion Organic Semiconductors Gmbh | Rhodium and iridium complexes |
| JP2004087395A (en) * | 2002-08-28 | 2004-03-18 | Fuji Xerox Co Ltd | Organic electroluminescent element |
| WO2004037887A2 (en) | 2002-10-25 | 2004-05-06 | Covion Organic Semiconductors Gmbh | Conjugated polymers containing arylamine units, the representation thereof and the use of the same |
| WO2004070772A2 (en) | 2003-02-06 | 2004-08-19 | Covion Organic Semiconductors Gmbh | Conjugated polymers and blends containing carbazole, representation and use thereof |
| WO2004113468A1 (en) | 2003-06-26 | 2004-12-29 | Covion Organic Semiconductors Gmbh | Novel materials for electroluminescence |
| WO2005014689A2 (en) | 2003-08-12 | 2005-02-17 | Covion Organic Semiconductors Gmbh | Conjugated polymers containing dihydrophenanthrene units and use thereof |
| WO2005014688A2 (en) | 2003-08-12 | 2005-02-17 | Covion Organic Semiconductors Gmbh | Conjugated copolymers, representation and use thereof |
| WO2005040302A1 (en) | 2003-10-22 | 2005-05-06 | Merck Patent Gmbh | New materials for electroluminescence and the utilization thereof |
| WO2005042548A1 (en) | 2003-10-30 | 2005-05-12 | Merck Patent Gmbh | Method for the production of heteroleptic ortho-metallated organometallic compounds |
| WO2005056638A1 (en) * | 2003-12-13 | 2005-06-23 | Merck Patent Gmbh | Oligomers and polymers |
| WO2005083812A2 (en) | 2004-02-26 | 2005-09-09 | Merck Patent Gmbh | Method for cross-linking an organic semi-conductor |
| EP1724294A1 (en) * | 2004-02-26 | 2006-11-22 | Sumitomo Chemical Company, Limited | Polymer and polymeric luminescent element comprising the same |
| WO2006070184A1 (en) * | 2004-12-29 | 2006-07-06 | Cambridge Display Technology Limited | Blue-shifted triarylamine polymer |
| EP1892258A1 (en) * | 2005-06-10 | 2008-02-27 | Sumitomo Chemical Company, Limited | Process for producing polymer |
| WO2010097155A1 (en) | 2009-02-27 | 2010-09-02 | Merck Patent Gmbh | Polymer having aldehyde groups, converting and cross-linking of said polymer, cross-linked polymer, and electroluminescent device comprising said polymer |
| WO2010109715A1 (en) | 2009-03-24 | 2010-09-30 | シャープ株式会社 | Touch panel input system, and input pen |
Non-Patent Citations (5)
| Title |
|---|
| BULL. CHEM. SOC. JPN., vol. 59, 1986, pages 97 - 103 |
| M. FISCHER; F. VÖGTLE, ANGEW. CHEM., INT. ED., vol. 38, 1999, pages 885 |
| MACROMOLECULES, vol. 33, 2000, pages 2016 - 2020 |
| ORGANIC LETTERS, vol. 11, 2009, pages 2607 - 2610 |
| ORGANOMETALLICS, vol. 32, 2013, pages 460 - 467 |
Cited By (10)
| Publication number | Priority date | Publication date | Assignee | Title |
|---|---|---|---|---|
| WO2014170839A3 (en) * | 2013-04-19 | 2015-02-26 | Basf Se | New spiro compounds and their use in organic electronics applications and devices |
| CN104151130A (en) * | 2014-07-15 | 2014-11-19 | 烟台万润精细化工股份有限公司 | Novel method for preparing high-purity 4-bromofluorene |
| TWI684579B (en) * | 2014-10-24 | 2020-02-11 | 德商麥克專利有限公司 | Material, layer, formulation and electronic device comprising the material, and use thereof |
| JP2018502959A (en) * | 2014-12-30 | 2018-02-01 | メルク、パテント、ゲゼルシャフト、ミット、ベシュレンクテル、ハフツングMerck Patent GmbH | Composition comprising at least one polymer and at least one metal complex, and electroluminescent device comprising the composition |
| US10651388B2 (en) | 2014-12-30 | 2020-05-12 | Merck Patent Gmbh | Compositions comprising at least one polymer and at least one metal complex and to electroluminescent devices containing said compositions |
| WO2018114882A1 (en) | 2016-12-22 | 2018-06-28 | Merck Patent Gmbh | Materials for electronic devices |
| US11261291B2 (en) | 2016-12-22 | 2022-03-01 | Merck Patent Gmbh | Materials for electronic devices |
| WO2019007825A1 (en) | 2017-07-03 | 2019-01-10 | Merck Patent Gmbh | Organic electroluminescent device |
| US11456420B2 (en) | 2017-07-03 | 2022-09-27 | Merck Patent Gmbh | Organic electroluminescent device |
| WO2020036434A1 (en) | 2018-08-16 | 2020-02-20 | 주식회사 엘지화학 | Polymers, use thereof as hole transport material, and organic electronic devices comprising same |
Also Published As
Similar Documents
| Publication | Publication Date | Title |
|---|---|---|
| EP2838930B1 (en) | Polymers containing substituted oligo-triarylamine units and electroluminescence devices containing such polymers | |
| EP3241250B1 (en) | Compositions comprising at least one polymer and at least one salt, and electroluminescent devices containing said compositions | |
| EP2052006B1 (en) | Conjugated polymers, process for their preparation and their use | |
| EP1961016B1 (en) | Triarylamine-arylvinylene moiety-containing conjugated polymers, their production and use | |
| EP2315792B1 (en) | Electroluminescent polymers, method for the production thereof, and use thereof | |
| WO2014000860A1 (en) | Polymers containing 2,7-pyrene structure units | |
| WO2010136111A1 (en) | Composition, containing at least one emitter compound and at least one polymer with conjugation-interrupting units | |
| DE102010048498A1 (en) | Materials for organic electroluminescent devices | |
| WO2010136110A2 (en) | Polymers comprising substituted indenofluorene derivates as structural units, method for the production thereof, and use thereof | |
| WO2012089294A1 (en) | Materials for organic electroluminescence devices | |
| EP3642258A1 (en) | Materials for electronic devices | |
| WO2011098205A1 (en) | Electroluminescent polymers, methods for producing same and use thereof | |
| WO2010097156A1 (en) | Cross-linkable and cross-linked polymers, method for the production thereof, and use thereof | |
| EP2889320A2 (en) | Polymers with structure units having electron transport properties | |
| EP3294835B1 (en) | Metal complexes of bismuth and electroluminescent devices comprising these metal complexes | |
| EP3241249B1 (en) | Compositions comprising at least one polymer and at least one metal complex and electroluminescent devices containing said compositions | |
| EP2817350A2 (en) | Polymers containing dibenzocycloheptene structural units | |
| WO2011009522A2 (en) | Materials for electronic devices | |
| WO2023213759A1 (en) | Polymers containing specially substituted triarylamine units and electroluminescent devices containing said polymers | |
| WO2024115426A1 (en) | Polymers containing spirotruxene derivatives as the repeating units, and electroluminescent devices containing said polymers | |
| EP3877443A1 (en) | Polymers with amine-group-containing repeating units |
Legal Events
| Date | Code | Title | Description |
|---|---|---|---|
| 121 | Ep: the epo has been informed by wipo that ep was designated in this application |
Ref document number: 13717171 Country of ref document: EP Kind code of ref document: A1 |
|
| WWE | Wipo information: entry into national phase |
Ref document number: 2013717171 Country of ref document: EP |
|
| WWE | Wipo information: entry into national phase |
Ref document number: 14394288 Country of ref document: US |
|
| ENP | Entry into the national phase |
Ref document number: 2015506112 Country of ref document: JP Kind code of ref document: A |
|
| NENP | Non-entry into the national phase |
Ref country code: DE |
|
| ENP | Entry into the national phase |
Ref document number: 20147032016 Country of ref document: KR Kind code of ref document: A |






































































































