WO2010115021A2 - Compositions and methods comprising alpha-amylase variants with altered properties - Google Patents
Compositions and methods comprising alpha-amylase variants with altered properties Download PDFInfo
- Publication number
- WO2010115021A2 WO2010115021A2 PCT/US2010/029659 US2010029659W WO2010115021A2 WO 2010115021 A2 WO2010115021 A2 WO 2010115021A2 US 2010029659 W US2010029659 W US 2010029659W WO 2010115021 A2 WO2010115021 A2 WO 2010115021A2
- Authority
- WO
- WIPO (PCT)
- Prior art keywords
- amylase
- alpha
- seq
- amino acid
- variant
- Prior art date
- Legal status (The legal status is an assumption and is not a legal conclusion. Google has not performed a legal analysis and makes no representation as to the accuracy of the status listed.)
- Ceased
Links
Classifications
-
- C—CHEMISTRY; METALLURGY
- C11—ANIMAL OR VEGETABLE OILS, FATS, FATTY SUBSTANCES OR WAXES; FATTY ACIDS THEREFROM; DETERGENTS; CANDLES
- C11D—DETERGENT COMPOSITIONS; USE OF SINGLE SUBSTANCES AS DETERGENTS; SOAP OR SOAP-MAKING; RESIN SOAPS; RECOVERY OF GLYCEROL
- C11D3/00—Other compounding ingredients of detergent compositions covered in group C11D1/00
- C11D3/16—Organic compounds
- C11D3/38—Products with no well-defined composition, e.g. natural products
- C11D3/386—Preparations containing enzymes, e.g. protease or amylase
-
- C—CHEMISTRY; METALLURGY
- C11—ANIMAL OR VEGETABLE OILS, FATS, FATTY SUBSTANCES OR WAXES; FATTY ACIDS THEREFROM; DETERGENTS; CANDLES
- C11D—DETERGENT COMPOSITIONS; USE OF SINGLE SUBSTANCES AS DETERGENTS; SOAP OR SOAP-MAKING; RESIN SOAPS; RECOVERY OF GLYCEROL
- C11D3/00—Other compounding ingredients of detergent compositions covered in group C11D1/00
- C11D3/16—Organic compounds
- C11D3/38—Products with no well-defined composition, e.g. natural products
- C11D3/386—Preparations containing enzymes, e.g. protease or amylase
- C11D3/38681—Chemically modified or immobilised enzymes
-
- C—CHEMISTRY; METALLURGY
- C12—BIOCHEMISTRY; BEER; SPIRITS; WINE; VINEGAR; MICROBIOLOGY; ENZYMOLOGY; MUTATION OR GENETIC ENGINEERING
- C12N—MICROORGANISMS OR ENZYMES; COMPOSITIONS THEREOF; PROPAGATING, PRESERVING, OR MAINTAINING MICROORGANISMS; MUTATION OR GENETIC ENGINEERING; CULTURE MEDIA
- C12N9/00—Enzymes; Proenzymes; Compositions thereof; Processes for preparing, activating, inhibiting, separating or purifying enzymes
- C12N9/14—Hydrolases (3)
- C12N9/24—Hydrolases (3) acting on glycosyl compounds (3.2)
- C12N9/2402—Hydrolases (3) acting on glycosyl compounds (3.2) hydrolysing O- and S- glycosyl compounds (3.2.1)
- C12N9/2405—Glucanases
- C12N9/2408—Glucanases acting on alpha -1,4-glucosidic bonds
- C12N9/2411—Amylases
- C12N9/2414—Alpha-amylase (3.2.1.1.)
- C12N9/2417—Alpha-amylase (3.2.1.1.) from microbiological source
-
- C—CHEMISTRY; METALLURGY
- C12—BIOCHEMISTRY; BEER; SPIRITS; WINE; VINEGAR; MICROBIOLOGY; ENZYMOLOGY; MUTATION OR GENETIC ENGINEERING
- C12N—MICROORGANISMS OR ENZYMES; COMPOSITIONS THEREOF; PROPAGATING, PRESERVING, OR MAINTAINING MICROORGANISMS; MUTATION OR GENETIC ENGINEERING; CULTURE MEDIA
- C12N9/00—Enzymes; Proenzymes; Compositions thereof; Processes for preparing, activating, inhibiting, separating or purifying enzymes
- C12N9/14—Hydrolases (3)
- C12N9/48—Hydrolases (3) acting on peptide bonds (3.4)
- C12N9/50—Proteinases, e.g. Endopeptidases (3.4.21-3.4.25)
- C12N9/52—Proteinases, e.g. Endopeptidases (3.4.21-3.4.25) derived from bacteria or Archaea
- C12N9/54—Proteinases, e.g. Endopeptidases (3.4.21-3.4.25) derived from bacteria or Archaea bacteria being Bacillus
-
- C—CHEMISTRY; METALLURGY
- C12—BIOCHEMISTRY; BEER; SPIRITS; WINE; VINEGAR; MICROBIOLOGY; ENZYMOLOGY; MUTATION OR GENETIC ENGINEERING
- C12Y—ENZYMES
- C12Y302/00—Hydrolases acting on glycosyl compounds, i.e. glycosylases (3.2)
- C12Y302/01—Glycosidases, i.e. enzymes hydrolysing O- and S-glycosyl compounds (3.2.1)
- C12Y302/01001—Alpha-amylase (3.2.1.1)
Definitions
- compositions and methods relating to variant alpha- amylases having altered biochemical properties and advantageous performance characteristics as compared to a reference alpha-amylase are suitable for use in various industrial applications such as starch conversion, ethanol production, laundry, dishwashing, pulp and paper production, textile desizing, and/or sweetener production.
- Starch is of a mixture of amylose (15-30% w/w) and amylopectin (70-85% w/w).
- Amylose consists of linear chains of ⁇ -l,4-linked glucose units having a molecular weight (MW) from about 60,000 to about 800,000.
- MW molecular weight
- Amylopectin is a branched polymer containing ⁇ - 1,6 branch points every 24-30 glucose units. Its MW may be as high as 100 million.
- Alpha ( ⁇ )-Amylases ( ⁇ -l,4-glucan-4-glucanohydrolases, E.C. 3.2.1.1) are a group of enzymes that hydrolyze starch, glycogen, and related polysaccharides by cleaving internal ⁇ -1,4- glucosidic bonds at random.
- This enzyme class has a number of important commercial applications in, for example, in the initial stages (liquefaction) of starch processing, in textile desizing, in deinking of recycled paper, in starch modification in the paper and pulp industry, in wet corn milling, in alcohol production, in sweetener (e.g., sugar) manufacture, in the beverage industry, in brewing, in oilfields, in animal feed, and as cleaning agents in detergent matrices.
- starch processing in textile desizing, in deinking of recycled paper, in starch modification in the paper and pulp industry, in wet corn milling, in alcohol production, in sweetener (e.g., sugar) manufacture, in the beverage industry, in brewing, in oilfields, in animal feed, and as cleaning agents in detergent matrices.
- sweetener e.g., sugar
- ⁇ -amylases are isolated from a wide variety of bacterial, fungal, plant and animal sources. Industrially, many important ⁇ -amylases are those isolated from Bacilli.
- One characterized ⁇ -amylase is that of an alkaliphilic Bacillus sp. strain TS-23 which produces at least five kinds of enzymes exhibiting starch hydrolyzing activity. (Lin et al, Biotechnol Appl Biochem, 28:61-68, 1998).
- the ⁇ -amylase of Bacillus sp. no. TS-23 has a pH optimum of 9 although it is stable over a broad pH range (i.e., pH 4.7 to 10.8).
- compositions and methods relating to variant alpha-amylases having altered biochemical properties and advantageous performance characteristics as compared to a reference alpha-amylase are suitable for use in various industrial applications such as starch conversion, ethanol production, laundry, dishwashing, pulp and paper production, textile desizing, and/or sweetener production.
- an isolated alpha-amylase variant wherein the variant is a mature form of alpha-amylase having amylase activity, and comprising a substitution at one or more positions selected from the group consisting of 1, 2, 3, 4, 5, 7, 15, 16, 17, 18, 19, 22, 25, 26, 28, 29, 30, 32, 35, 36, 37, 50, 51, 52, 53, 54, 55, 56, 59, 60, 70, 71, 72, 73, 75, 78, 83, 87, 90, 91, 93, 94, 95, 104, 105, 107, 108, 110, 112, 113, 116, 118, 125, 126, 128, 129, 130, 131, 134, 136, 138, 142, 144, 147, 149, 150, 152, 154, 156, 158, 160, 161, 162, 165, 166, 168, 169, 170, 172, 174, 177, 178, 182, 183, 185,
- the alpha-amylase variant comprises a substitution at one or more positions selected from the group consisting of 7, 29, 35, 53, 60, 72, 87, 108, 116, 126, 128, 129, 130, 131, 134, 136, 138, 142, 156, 161, 165, 178, 182, 185, 189, 192, 195, 197, 202, 210, 214, 217, 221, 234, 246, 269, 303, 310, 337, 340, 374, 401, and 438, and wherein the substitution of the naturally-occurring amino acid residue for a different amino acid residue, produces an alpha-amylase variant having a performance index > 1.5 for a measure of activity and a performance index > 1.0 for a measure of stability.
- the alpha-amylase variant comprises a substitution at one or more positions selected from the group consisting of 2, 7, 22, 25, 28, 30, 37, 70, 75, 83, 87, 91, 93, 108, 128, 160, 165, 178, 182, 183, 217, 269, 270, 279, 283, 298, 305, 306, 310, 320, 374, 375, 376, 407, 419, 475, and 476, wherein the substitution of the naturally-occurring amino acid residue for a different amino acid residue, produces an alpha-amylase variant having a performance index > 1.5 for a measure of stability and a performance index > 1.0 for a measure of activity.
- the alpha-amylase variant comprises a substitution at one or more positions selected from the group consisting of 83, 125, 128, 131, 160, 178, 182, 183, 185, 189, 279, 305, 319, 320, 379, 407, 433, 453, 475, 476, and 483.
- an isolated alpha-amylase variant comprising a substitution at one or more positions selected from the group consisting of 83, 125, 128, 131, 160, 178, 182, 183, 185, 189, 279, 305, 319, 320, 379, 407, 433, 453, 475, 476, and 483, wherein the positions correspond to amino acid residues in the amino acid sequence set forth in SEQ ID NO: 2, and wherein the substitution provides at least one beneficial effect selected from the group consisting of improved cleaning performance, improved detergent stability, improved thermostability, and improved protein expression.
- an isolated alpha-amylase variant is provided, wherein the variant is a mature form of alpha-amylase having amylase activity and comprising a substitution at one or more positions selected from the group consisting of 5, 32, 83, 95, 154, 214, 221, 228, 322, 401, 407, 419, 444, 447, 459, 470, 483, and 484; wherein the positions correspond to amino acid residues in the amino acid sequence set forth in SEQ ID NO: 2; and wherein the substitution of the naturally-occurring amino acid residue for a different amino acid residue, produces an alpha-amylase variant having a performance index value of 0.5 or better for activity at pH 8, activity at pH 10, activity at 16°C, and activity at 32°C, and a performance index value of 0.5 or better for stability in detergent and for thermostability.
- the different amino acid residue is selected from the group consisting of A, C, D, E, F, G, H, I, K, L, M. N, P, Q, R, S, T, V, W, and Y, with the proviso that the different amino acid residue is different from the naturally-occurring amino acid residue.
- the alpha-amylase variant further comprises a substitution at position 243 corresponding to the amino acid sequence set forth in SEQ ID NO: 2.
- any of the aforementioned alpha-amylase variants further comprise a deletion at position 180 and/or position 181, corresponding to the amino acid sequence set forth in SEQ ID NO: 2.
- the alpha-amylase variant is derived from a parent alpha- amylase having an amino acid sequence that is at least 75% identical to an amino acid sequence selected from the group consisting of SEQ ID NO: 2, SEQ ID NO: 5, SEQ ID NO: 6, SEQ ID NO: 7, SEQ ID NO: 8, SEQ ID NO: 9, SEQ ID NO: 10, SEQ ID NO: 11, SEQ ID NO: 12, SEQ ID NO: 13, and SEQ ID NO: 14. [0018] In some embodiments, the alpha-amylase variant has at least 75% sequence identity with the amino acid sequence set forth in SEQ ID NO: 2.
- the alpha- amylase variant has at least 80% sequence identity with the amino acid sequence set forth in SEQ ID NO: 2. In some embodiments, the alpha-amylase variant has at least 90% sequence identity with the amino acid sequence set forth in SEQ ID NO: 2. [0019] In some embodiments, the alpha-amylase variant comprises a substitution at one or more positions selected from the group consisting of 128, 178, 182, 185, and 189 corresponding to the amino acid sequence set forth in SEQ ID: 2, wherein the substitution provides improved cleaning performance or improved detergent stability. [0020] In some embodiments, the alpha-amylase variant comprises:
- the variant optionally further comprises a substitution at position 243 and/or a deletion at position 180 and/or position 181; and wherein the positions correspond to the amino acid sequence set forth in SEQ ID NO: 2.
- the alpha-amylase variant comprises a substitution at position 475.
- the alpha-amylase variant comprises an arginine at position 475.
- the alpha-amylase variant further comprising a substitution at position 243 and/or a deletion at position 180 and/or position 181.
- an isolated alpha-amylase variant wherein the variant is a mature form having amylase activity and comprising a substitution at one or more positions selected from the group consisting of: 1, 2, 3, 4, 5, 7, 15, 16, 17, 18, 19, 22, 25, 26, 28, 29, 30, 32, 35, 36, 37, 50, 51, 52, 53, 54, 55, 56, 57, 59, 60, 70, 71, 72, 73, 75, 78, 82, 83, 87, 90, 91, 93, 94, 95, 103, 104, 105, 107, 108, 110, 112, 113, 114, 115, 116, 118, 121, 123, 125, 126, 127, 128, 129, 130, 131, 132, 134, 135, 136, 138, 140, 142, 144, 147, 149, 150, 152, 154, 156, 158, 159, 160, 161, 162, 164, 165, 166
- the substitution at one or more positions is a substitution at 1, 2, 3, 4, 5, 6, 7, 8, 9, or 10 positions.
- the alpha-amylase variant is derived from a parent alpha- amylase selected from the group consisting of BASE, ACE, ACE-Q, and ACE-QK.
- the alpha-amylase variant is derived from a parent alpha-amylase with the amino acid sequence at least 75% identical to a member of the group consisting of SEQ ID NO: 2, SEQ ID NO: 5, SEQ ID NO: 6, SEQ ID NO: 7, SEQ ID NO: 8, SEQ ID NO: 9, SEQ ID NO: 10, SEQ ID NO: 11, SEQ ID NO: 12, SEQ ID NO: 13, and SEQ ID NO: 14.
- an isolated nucleic acid encoding an alpha-amylase variant is provided.
- an expression vector comprising the isolated nucleic acid in operable combination with a promoter is provided.
- a host cell comprising the expression vector is provided.
- a cleaning composition comprising the alpha-amylase variant.
- the cleaning composition further comprises at least one additional enzyme selected from the group consisting of a protease, a lipase, a cutinase, a carbohydrase, a cellulase, a pectinase, a mannanase, an arabinase, a galactanase, a xylanase, an oxidase, a perhydrolase, a pectate lyase, and a peroxidase.
- the at least one additional enzyme is a protease.
- the at least one additional enzyme is a subtilisin. In some embodiments, the at least one additional enzyme is subtilisin BPN' or a variant, thereof. In particular embodiments, the at least one additional enzyme is subtilisin BPN ⁇ 217L or a variant, thereof. [0026] In another apsect, a method of cleaning a fabric or hard surface is provided, comprising contacting the fabric or hard surface with the cleaning composition as described. In some embodiments, the cleaning composition further comprises at least one surfactant.
- the cleaning composition further comprises at least one additional enzyme selected from the group consisting of a protease, a lipase, a cutinase, a carbohydrase, a cellulase, a pectinase, a mannanase, an arabinase, a galactanase, a xylanase, an oxidase, a perhydrolase, a pectate lyase, and a peroxidase.
- the at least one additional enzyme is a protease.
- the at least one additional enzyme is a subtilisin.
- the at least one additional enzyme is BPN ⁇ 217L subtilisin.
- the alpha-amylase variant comprises the substitutions: N 128C+K178L+T 182G+F202 Y+S243 Q+ Y305R+D319T+G475 K ; S125A+N128C+K178L+T182G+S243Q+Y305R+G475K; or
- the disclosure provides an isolated alpha-amylase variant, wherein the variant is a mature form having amylase activity and comprising a substitution at one or more (preferably 1, 2, 3, 4, 5, 6, 7, 8, 9, 10 or more) positions selected from the group consisting of: 1, 2, 3, 4, 5, 7, 15, 16, 17, 18, 19, 22, 25, 26, 28, 29, 30, 32, 35, 36, 37, 50, 51, 52, 53, 54, 55, 56, 57, 59, 60, 70, 71, 72, 73, 75, 78, 82, 83, 87, 90, 91, 93, 94, 95, 103, 104, 105, 107, 108, 110, 112, 113, 114, 115, 116, 118, 121, 123, 125, 126, 127, 128, 129, 130, 131, 132
- the alpha-amylase variant is derived from a parent alpha-amylase selected from the group consisting of BASE, ACE, ACE- Q, and ACE-QK. In another embodiment, the alpha-amylase variant is derived from a parent alpha-amylase with the amino acid sequence at least 75% (preferably 80%, 85%, 90%, 91%,
- the positions are selected from the group consisting of: 1, 2, 3, 4, 5, 7, 16, 17, 18, 19, 22, 25, 26, 28, 29, 30, 32, 35, 36, 37, 57, 60, 70, 71, 72, 73, 75, 78, 82, 83, 87, 90, 91, 93, 94, 95, 103, 104, 105, 108, 112, 114, 115, 116, 118, 121, 123, 125, 126, 128, 129, 130, 131, 132, 134, 135, 136, 138, 140, 142, 144, 147, 149, 150, 152, 154, 156, 158, 159, 160, 161, 162, 164, 165, 166, 167, 168, 169, 171, 172, 174, 175, 176, 177, 178, 179, 182, 183, 185, 186, 189, 190, 191, 192, 193, 195, 197, 199,
- the positions are selected from the group consisting of: 1, 2, 3, 4, 5, 7, 16, 17, 18, 19, 22, 25, 26, 28, 29, 30, 32, 35, 36, 37, 57, 60, 70, 71, 72, 73, 75, 78, 82, 83, 90, 91, 93, 94, 95, 103, 104, 105, 108, 112, 114, 115, 116, 118, 121, 123, 125, 126, 128, 129, 130, 131, 132, 134, 135, 136, 138, 140, 142, 144, 147, 149, 150, 152, 154, 156, 158, 159, 160, 161, 162, 164, 165, 166, 167, 168, 169, 171, 172, 174, 175, 176, 177, 178, 179, 185, 186, 189, 190, 191, 192, 193, 195, 197, 199, 202, 207, 214,
- the alpha-amylase variant comprises a tyrosine at position 58 and an alanine at position 236, and wherein the positions are numbered by correspondence with the amino acid sequence of a reference alpha-amylase set forth as SEQ ID NO:2.
- the alpha-amylase variant comprises a glutamine at position 243 and a lysine at position 475, and wherein the positions are numbered by correspondence with the amino acid sequence of a reference alpha-amylase set forth as SEQ ID NO:2.
- the disclosure further provides an isolated alpha-amylase variant, wherein the variant is a mature form having amylase activity and comprising a substitution at from one to eight (e.g., 1, 2, 3, 4, 5, 6, 7, or 8) positions selected from the group consisting of: 182, 183, 305, 320, 379, 407, 419 and 475, and wherein the positions are numbered by correspondence with the amino acid sequence of a reference alpha-amylase set forth as SEQ ID NO:2.
- the alpha-amylase variant is derived from a parent alpha-amylase selected from the group consisting of BASE, ACE, ACE-Q, and ACE-QK.
- the alpha-amylase variant is derived from a parent alpha-amylase with the amino acid sequence at least 75% (preferably 80%, 85%, 90%, 91%, 92%, 93%, 94%, 95%, 96%, 97%, 98% or 99%) identical to any member of the group consisting of SEQ ID NO: 2, SEQ ID NO: 5, SEQ ID NO: 6, SEQ ID NO: 7, SEQ ID NO: 8, SEQ ID NO: 9, SEQ ID NO: 10, SEQ ID NO: 11, SEQ ID NO: 12, SEQ ID NO: 13, and SEQ ID NO: 14.
- the substitution comprises from one to eight of the group consisting of: X182N, X183N, X305Q, X320F, X379A, X407D, X419S and X475T. In a subset of these embodiments, the substitution comprises from one to eight (e.g., 1, 2, 3, 4, 5, 6, 7, or 8) of the group consisting of: T182N, G183N, Y305Q, Q320F, P379A, Q407D, T419S and G475T.
- the disclosure provides an isolated alpha-amylase variant, wherein the variant is a mature form having amylase activity and comprising a substitution at from one to seven (e.g., 1, 2, 3, 4, 5, 6, or 7) positions selected from the group consisting of: 160, 182, 183, 189, 305, 379, and 475, and wherein the positions are numbered by correspondence with the amino acid sequence of a reference alpha-amylase set forth as SEQ ID NO:2.
- the alpha-amylase variant is derived from a parent alpha-amylase selected from the group consisting of BASE, ACE, ACE-Q, and ACE-QK.
- the alpha-amylase variant is derived from a parent alpha-amylase with the amino acid sequence at least 75% (preferably
- substitution comprises from one to seven of the group consisting of: X160E, X182G, X183N, X189P, X305G, X379E, and X475T.
- the substitution comprises from one to seven (e.g., 1, 2, 3, 4, 5, 6, or 7) of the group consisting of: Y160E, T182G, G183N, E189P, Y305G, P379E, and G475T.
- the disclosure further provides an isolated alpha-amylase variant, wherein the variant is a mature form having amylase activity and comprising a substitution at from one to eight (e.g.,
- the alpha-amylase variant is derived from a parent alpha-amylase selected from the group consisting of BASE, ACE, ACE-Q, and ACE-QK.
- the alpha- amylase variant is derived from a parent alpha-amylase with the amino acid sequence at least 75% (preferably 80%, 85%, 90%, 91%, 92%, 93%, 94%, 95%, 96%, 97%, 98% or 99%) identical to any member of the group consisting of SEQ ID NO: 2, SEQ ID NO: 5, SEQ ID NO: 6, SEQ ID NO: 7, SEQ ID NO: 8, SEQ ID NO: 9, SEQ ID NO: 10, SEQ ID NO: 11, SEQ ID NO: 12, SEQ ID NO: 13, and SEQ ID NO: 14.
- the substitution comprises from one to eight of the group consisting of: X125A, X182A, X214Q, X279N, X305R, X319T, X320N, and X475R.
- the substitution comprises from one to eight (e.g., 1, 2, 3, 4, 5, 6, 7, or 8) of the group consisting of: S125A, T182A, T214Q, T279N, Y305R, D319T, Q320N, and G475R.
- the disclosure provides another isolated alpha-amylase variant, wherein the variant is a mature form having amylase activity and comprising a substitution at from one to eight (e.g., 1,
- the alpha-amylase variant is derived from a parent alpha-amylase selected from the group consisting of BASE, ACE, ACE-Q, and ACE-QK.
- the alpha-amylase variant is derived from a parent alpha-amylase with the amino acid sequence at least 75% (preferably 80%, 85%, 90%, 91%, 92%, 93%, 94%, 95%, 96%, 97%, 98% or 99%) identical to any member of the group consisting of SEQ ID NO: 2, SEQ ID NO: 5, SEQ ID NO: 6, SEQ ID NO: 7, SEQ ID NO: 8, SEQ ID NO: 9, SEQ ID NO: 10, SEQ ID NO: 11, SEQ ID NO: 12, SEQ ID NO: 13, and SEQ ID NO: 14.
- the substitution comprises from one to eight of the group consisting of: X7H, X182W, X298Q, X376R, X379K, X407W, X419S, and X453W.
- the substitution comprises from one to eight (e.g., 1, 2, 3, 4, 5, 6, 7, or 8) of the group consisting of: E7H, T182W, T298Q, Y376R, P379K, Q407W, T419S, and L453W.
- the disclosure provides an isolated alpha-amylase variant, wherein the variant is a mature form having amylase activity and comprising a substitution at from one to four (e.g., 1, 2, 3, or 4) positions selected from the group consisting of: 128, 178, 182 and 185, and the alpha- amylase variant comprises a serine or a glutamine at position 243, and wherein the positions are numbered by correspondence with the amino acid sequence of a reference alpha-amylase set forth as SEQ ID NO:2.
- the alpha-amylase variant is derived from a parent alpha-amylase selected from the group consisting of BASE, ACE, ACE-Q, and ACE-QK.
- the alpha-amylase variant is derived from a parent alpha-amylase with the amino acid sequence at least 75% (preferably 80%, 85%, 90%, 91%, 92%, 93%, 94%, 95%, 96%, 97%, 98% or 99%) identical to any member of the group consisting of SEQ ID NO: 2, SEQ ID NO: 5, SEQ ID NO: 6, SEQ ID NO: 7, SEQ ID NO: 8, SEQ ID NO: 9, SEQ ID NO: 10, SEQ ID NO: 11, SEQ ID NO: 12, SEQ ID NO: 13, and SEQ ID NO: 14.
- the substitution comprises from one to four (e.g., 1, 2, 3, or 4) of the group consisting of: N128C, K178L, T182G, and A185D.
- the disclosure provides another isolated alpha-amylase variant, wherein the variant is a mature form having amylase activity and comprising a substitution at from one to nine (e.g., 1, 2, 3, 4, 5, 6, 7, 8 or 9) positions selected from the group consisting of: 125, 182, 183, 189, 279, 305, 319, 379 and 475, and the alpha-amylase variant comprises a glutamine, a phenylalanine or an asparagine at position 320, and wherein the positions are numbered by correspondence with the amino acid sequence of a reference alpha-amylase set forth as SEQ ID NO:2.
- the alpha-amylase variant is derived from a parent alpha-amylase selected from the group consisting of BASE, ACE, ACE-Q, and ACE-QK.
- the alpha- amylase variant is derived from a parent alpha-amylase with the amino acid sequence at least 75% (preferably 80%, 85%, 90%, 91%, 92%, 93%, 94%, 95%, 96%, 97%, 98% or 99%) identical to any member of the group consisting of SEQ ID NO: 2, SEQ ID NO: 5, SEQ ID NO: 6, SEQ ID NO: 7, SEQ ID NO: 8, SEQ ID NO: 9, SEQ ID NO: 10, SEQ ID NO: 11, SEQ ID NO: 12, SEQ ID NO: 13, and SEQ ID NO: 14.
- the alpha-amylase variant comprises: a serine or alanine at position 125; a threonine, an asparagine, a glycine or an alanine at position 182; a glycine or an asparagine at position 183; a glutamic acid or a proline at position 189; a threonine or an asparagine at position 279; a tyrosine, a glutamine, a glycine or an arginine at position 305; an aspartic acid or a threonine at position 319; a proline or an alanine at position 379; and a glycine, threonine or an arginine at position 475; and wherein the positions are numbered by correspondence with the amino acid sequence of a reference alpha- amylase set forth as SEQ ID NO:2.
- the disclosure further provides an isolated alpha-amylase variant, wherein the variant is a mature form having amylase activity and comprising a substitution at from one to eleven (e.g., 1, 2, 3, 4, 5, 6, 7, 8, 9, 10 or 11) positions selected from the group consisting of: 125, 128, 178, 182, 183, 189, 279, 305, 319, 379 and 475, and the alpha-amylase variant comprises a serine or a glutamine at position 243, and a glutamine, a phenylalanine or an asparagine at position 320, and wherein the positions are numbered by correspondence with the amino acid sequence of a reference alpha-amylase set forth as SEQ ID NO:2.
- the variant is a mature form having amylase activity and comprising a substitution at from one to eleven (e.g., 1, 2, 3, 4, 5, 6, 7, 8, 9, 10 or 11) positions selected from the group consisting of: 125, 128, 178, 182, 183, 189, 279,
- the alpha-amylase variant is derived from a parent alpha-amylase selected from the group consisting of BASE, ACE, ACE-Q, and ACE-QK.
- the alpha-amylase variant is derived from a parent alpha-amylase with the amino acid sequence at least 75% (preferably 80%, 85%, 90%, 91%, 92%, 93%, 94%, 95%, 96%, 97%, 98% or 99%) identical to any member of the group consisting of SEQ ID NO: 2, SEQ ID NO: 5, SEQ ID NO: 6, SEQ ID NO: 7, SEQ ID NO: 8, SEQ ID NO: 9, SEQ ID NO: 10, SEQ ID NO: 11, SEQ ID NO: 12, SEQ ID NO: 13, and SEQ ID NO: 14.
- the alpha-amylase variant comprises: a serine or alanine at position 125; an asparagine or a cysteine at position 128; a lysine or a leucine at position 178; a threonine, an asparagine, a glycine or an alanine at position 182; a glycine or an asparagine at position 183; a glutamic acid or a proline at position 189; a threonine or an asparagine at position 279; a tyrosine, a glutamine, a glycine or an arginine at position 305; an aspartic acid or a threonine at position 319; a proline or an alanine at position 379; and a glycine, threonine or an arginine at position 475; and wherein the positions are numbered by correspondence with the amino acid sequence of a reference alpha-amylase
- the substitution is selected from the group consisting of: N128C, T131I, T134P, Q138E, Y160I, T165I, T165V, K178L, T182A, T182C, T182D, T182M, T182F, T182N, T182G, T182P, T182Q, A185D, A185E, E189P, S243D, S243E and S243Q.
- the presently described amino acid mutations were made and tested using an exemplary alpha-amylase as a starting point, i.e., a "backbone;” however, it will be appreciated that equivalent amino acid mutations can be made in related alpha-amylases, where they are expected to produce a similar effect and yield similar advantages.
- Other exemplary alpha- amylases for use as a backbone include but are not limited to those identified, herein.
- the disclosure further provides an isolated nucleic acid encoding an alpha-amylase variant of any of the preceding paragraphs.
- an expression vector comprising the isolated nucleic acid in operable combination with a promoter is included.
- a host cell comprising the expression vector is included.
- Another embodiment provides a method for producing an alpha-amylase variant, comprising: transforming a host cell with an expression vector comprising a nucleic acid encoding the alpha- amylase variant; and cultivating the transformed host cell under conditions suitable for the production of the alpha-amylase variant. Another embodiment further comprises the step of harvesting the produced alpha-amylase variant. Yet another embodiment includes as the host cell a Bacillus species, and in yet another embodiment the Bacillus species is B. subtilis. [0038] The disclosure provides a cleaning composition comprising an alpha-amylase variant of any of the preceding paragraphs, further comprising at least one additional enzyme.
- the additional enzyme is selected from the group consisting of a protease (including but not limited to a subtilisin, a neutral metalloprotease, an aspartyl protease, and the like), a lipase, a cutinase, a carbohydrase, a cellulase, a pectinase, a mannanase, an arabinase, a galactanase, a xylanase, an oxidase, a perhydrolase, a pectate lyase, and a peroxidase.
- a protease including but not limited to a subtilisin, a neutral metalloprotease, an aspartyl protease, and the like
- the cleaning composition is a laundry detergent, and in yet another embodiment, the cleaning composition is a dishwashing detergent. In another embodiment, the cleaning composition is a laundry and/or dish detergent with a bleaching agent. In another embodiment, the cleaning composition is a pretreatment for fabrics, e.g., for application prior to washing. In another embodiment, the cleaning composition is a laundry detergent or dishwashing detergent additive.
- the disclosure further provides a method of cleaning, comprising the step of contacting a surface and/or an article comprising a fabric with a cleaning composition comprising the alpha-amylase variant.
- the method is a dishwashing method, comprising the steps of: providing i) the dishwashing composition, and ii) dishware in need of cleaning; and contacting the dishware with the dishwashing composition under conditions effective to provide cleaning of the dishware.
- the method is a fabric cleaning method, comprising the steps of: providing i) the fabric cleaning composition, and ii) laundry in need of cleaning; and contacting the laundry with the fabric cleaning composition under conditions effective to provide cleaning of the laundry.
- the method involves removing material from the yarns in woven fabrics, as in the case of textile desizing.
- Figure 1 provides an alignment of the mature form of various reference amylases set forth as SEQ ID NOS: 2 and 5-14 respectively. Sequences were aligned using the MUSCLE 3.7 multiple sequence alignment algorithm (Edgar, Nucleic Acids Research, 32: 1792-1797, 2004).
- Figure 2 provides a map of the pHPLT vector containing the B. licheniformis LAT promoter (Plat) and additional elements from pUBHO (McKenzie et ah, Plasmid, 15: 93-103, 1986) including a replicase gene (reppUB), a neomycin/kanamycin resistance gene (neo) and a bleomycin resistance marker (bleo).
- Figure 3 provides a map of the pHPLT-BASE plasmid.
- Figure 4 provides a map of the pHPLT-ACE-S243Q plasmid.
- Figure 5 provides a graph showing the wash performance of multiple alpha- amylases in a laundry detergent application.
- the enzymes tested were as follows: W9 (BASE-S125A-
- N128C-K178L-T182G-S243Q-T279N-D319T-Q320N-G475R W10 (BASE-N128C-K178L- T182G-S243Q-Y305R-D319T-G475R; WIl (BASE-S125A-N128C-K178L-T182G-S243Q- Y305R-G475R; and ACE-S243Q-G475K.
- Figure 6 provides a graph showing the wash performance of multiple alpha- amylases in a laundry detergent application.
- the enzymes tested were as follows: BASE-X8C, BASE- WlOEK, ACE-QK and control (benchmark commercial enzyme).
- Figure 7A provides a graph showing the synergy between ACE alpha-amylase and the BPN ⁇ 217L subtilisin protease in laundry applications.
- Figure 7B provides a graph showing the synergy between the ACE-S243Q-G475K (ACE-QK) alpha-amylase and the BPN ⁇ 217L subtilisin protease in a laundry applications.
- Figure 8 provides a graph showing the synergy between BASE-X8C (W11-T131I- T165I) alpha-amylase and the BPN ⁇ 217L subtilisin protease in laundry applications.
- Figure 9 provides a graph showing the synergy between BASE WlOEK (BASE- N128C-K178L-T182G-S243E-Y305R-D319T-G475K) alpha-amylase and the BPN ⁇ 217L subtilisin protease in laundry applications.
- Figure 10 provides a graph showing the synergy between ACE-S243Q-G475K (ACE- QK) alpha-amylase and the BPN ⁇ 217L subtilisin protease in laundry applications.
- compositions and methods involving amylase variants and in particular variants of a Bacillus ⁇ -amylase.
- the amylase variants described herein have altered biochemical characteristics and demonstrate high performance in various industrial applications (e.g., laundry and dishwashing). These and other features of the variants, as well as methods for using the variants, are described in detail.
- starch refers to any material comprised of the complex polysaccharide carbohydrates of plants, comprised of amylose and amylopectin with the formula (C ⁇ HioC ⁇ x , wherein X can be any number.
- the term refers to any plant-based material including but not limited to grains, grasses, tubers and roots and more specifically wheat, barley, corn, rye, rice, sorghum, brans, cassava, millet, potato, sweet potato, and tapioca.
- an "amylase” refers to an enzyme capable of catalyzing the degradation of starch.
- ⁇ -amylases (EC 3.2.1.1; ⁇ -D-(l— >4)-glucan glucanohydrolase) are endo-acting enzymes that cleave ⁇ -D-(l ⁇ 4) O-glycosidic linkages within the starch molecule in a random fashion.
- the exo-acting amylolytic enzymes such as ⁇ - amylases (EC 3.2.1.2; ⁇ -D-(l— >4)-glucan maltohydrolase), and some product- specific amylases like maltogenic ⁇ -amylase (EC 3.2.1.133), cleave the starch molecule from the non-reducing end of the substrate, ⁇ -amylases, ⁇ -glucosidases (EC 3.2.1.20; ⁇ -D-glucoside glucohydrolase), glucoamylases (EC 3.2.1.3; ⁇ -D-(l ⁇ 4)-glucan glucohydrolase), and product-specific amylases can produce malto-oligosaccharides of a specific length from starch.
- ⁇ - amylases EC 3.2.1.2; ⁇ -D-(l— >4)-glucan maltohydrolase
- some product-specific amylases like maltogenic ⁇ -amylase (EC 3.2.1.133
- amylases include any/all amylases, including glucoamylases, ⁇ -amylases, ⁇ -amylases and wild-type ⁇ - amylases, such as those of Bacillus sp., e.g., B. licheniformis and B. subtilis, while ⁇ -amylases include the aforementioned subset of these enymes.
- Bacillus sp. strain TS-23 ⁇ -amylase refers to an ⁇ -amylase derived from Bacillus sp. strain TS-23.
- the gene encoding the ⁇ -amylase can be the wild-type gene or a codon optimized polynucleotide that encodes the ⁇ -amylase.
- the mature ⁇ - amylase of Bacillus sp. strain TS-23 is (amino to carboxy orientation) (SEQ ID NO: 1):
- ⁇ -amylase variants refer to variants/mutants of a reference ⁇ -amylase, which includes an amino acid substitution, insertion, and/or deletion with respect to the parent (wild-type; reference) amino acid sequence of the reference ⁇ -amylase.
- variant is used interchangeably with the term "mutant.”
- the variant ⁇ -amylase may include mutations in the signal sequence with respect to parent signal sequence.
- the variant ⁇ -amylase can be in the form of a fusion protein containing a heterologous ⁇ -amylase signal sequence, such as from B. licheniformis (LAT).
- LAT B. licheniformis
- parent Bacillus sp. strain TS-23 ⁇ -amylase refers to the polypeptide of Bacillus sp. strain TS-23.
- the term may be abbreviated "parent enzyme,” “wild- type enzyme,” “parent polypeptide,” reference polypeptide,” or the like, for convenience.
- the parent Bacillus sp. strain TS-23 ⁇ -amylase may include mutations in the signal sequence of the parent polypeptide.
- the parent Bacillus sp. strain TS-23 ⁇ -amylase can be in the form of a fusion protein containing a heterologous ⁇ -amylase signal sequence, such as from B. licheniformis (LAT).
- LAT B. licheniformis
- nucleic acid/polynucleotide refers to a nucleic acid sequence encoding a parent polypeptide, and a nucleic acid complementary thereto.
- a "variant nucleic acid/polynucleotide” refers to a nucleic acid sequence encoding a vaiant polypeptide or a nucleic acid complementary thereto, or a polynucleotide sequence having at least one base substitution, insertion, or deletion with respect to a parent polynucleotide sequence or a nucleic acid complementary thereto.
- a variant nucleic acid may be optimized to reflect preferred codon usage for a specified host organisms, such as the methylotrophic yeasts ⁇ e.g., Pichia, Hansenula, etc) or filamentous fungi (e.g., Trichoderma (e.g., T. reesei), etc) or other expression hosts (e.g., Bacillus, Streptomyces, etc.).
- a specified host organisms such as the methylotrophic yeasts ⁇ e.g., Pichia, Hansenula, etc) or filamentous fungi (e.g., Trichoderma (e.g., T. reesei), etc) or other expression hosts (e.g., Bacillus, Streptomyces, etc.).
- recombinant cells express genes that are not found within the native (non-recombinant) form of the cell or express native genes that are otherwise abnormally expressed, under expressed or not expressed at all.
- the terms “recovered,” “isolated,” and “separated,” refer to a compound, protein, cell, nucleic acid or amino acid that is removed from at least one component with which it is naturally associated and found in nature.
- the term “purified” refers to material (e.g., an isolated polypeptide or polynucleotide) that is in a relatively pure state, e.g., at least about 90% pure, at least about 95% pure, at least about 98% pure, or even at least about 99% pure.
- thermalostable and “thermostability” refer to the ability of an enzyme to retain activity after exposure to an elevated temperature. The thermostability of an enzyme, such as an ⁇ -amylase enzymes, is measured by its half-life (t 1/2 ) given in minutes, hours, or days, during which half the enzyme activity is lost under defined conditions.
- the half- life may be calculated by measuring residual ⁇ -amylase activity following exposure to (i.e., challenge by) an elevated temperature.
- a "pH range” refers to the range of pH values under which an enzyme exhibits catalytic activity.
- pH stable and “pH stability” relate to the ability of an enzyme to retain activity over a wide range of pH values for a predetermined period of time (e.g., 15 min., 30 min., 1 hour, and the like).
- amino acid sequence is synonymous with the terms
- nucleic acid encompasses DNA, RNA, heteroduplexes, and synthetic molecules capable of encoding a polypeptide. Nucleic acids may be single stranded or double stranded, and may be chemical modifications. The terms “nucleic acid” and “polynucleotide” are used interchangeably.
- nucleic acids are written left to right in 5' to 3' orientation; amino acid sequences are written left to right in amino to carboxy orientation, respectively.
- homologue refers to an amino acid or nucleotide sequence having a certain degree of identity to a reference amino acid or nucleotide sequences, or another specified common structural or functional feature.
- a homologous sequence is taken to include an amino acid sequence that is at least 75%, 80%, 81%, 82%, 83%, 84%, 85%, 86%, 87%, 88%, 89%, 90%, 91%, 92%, 93%, 94%, 95%, 96%, 97%, 98%, or even 99% identical to the subject sequence, using conventional sequence alignment tools (e.g., Clustal, BLAST, and the like).
- homologues will include the same active site residues as the subject amino acid sequence, unless otherwise specified.
- hybridization refers to the process by which one strand of nucleic acid base pairs with a complementary strand, as occurs during blot hybridization techniques and PCR techniques.
- a "synthetic" molecule is produced by in vitro chemical or enzymatic synthesis rather than by an organism.
- the terms “transformed,” “stably transformed,” and “transgenic,” used with reference to a cell means that the cell has a non-native (e.g., heterologous) nucleic acid sequence integrated into its genome or carried as an episomal plasmid that is maintained through multiple generations.
- the term “introduced” in the context of inserting a nucleic acid sequence into a cell means “transfection”, “transformation” or “transduction,” as known in the art.
- host strain or "host cell” refer to an organism into which an expression vector, phage, virus, or other DNA construct including a polynucleotide encoding a polypeptide of interest (e.g., a variant ⁇ -amylase) has been introduced.
- exemplary host strains are bacterial cells.
- host cell includes protoplasts created from cells, such as those of a Bacillus sp.
- heterologous with reference to a polynucleotide or protein refers to a polynucleotide or protein that does not naturally occur in a host cell.
- endogenous with reference to a polynucleotide or protein refers to a polynucleotide or protein that occurs naturally in the host cell.
- the term "expression” refers to the process by which a polypeptide is produced based on the nucleic acid sequence of a gene. The process includes both transcription and translation.
- a "selective marker” or “selectable marker” refers to a gene capable of being expressed in a host to facilitate selection of host cells carrying the gene. Examples of selectable markers include but are not limited to antimicrobials (e.g., hygromycin, bleomycin, or neomycin) and/or genes that confer a metabolic advantage, such as a nutritional advantage on the host cell.
- culturing refers to growing a population of microbial cells under suitable conditions in a liquid or solid medium. Culturing includes fermentative bioconversion of a starch substrate containing granular starch to an end-product (typically in a vessel or reactor).
- end-product typically in a vessel or reactor.
- fermentation is the enzymatic breakdown of organic substances by microorganisms to produce simpler organic compounds. While fermentation generally occurs under anaerobic conditions it is not intended that the term be solely limited to strict anaerobic conditions, as fermentation also occurs in the presence of oxygen.
- a "gene” refers to a DNA segment that is involved in producing a polypeptide, and includes coding regions, regions preceding and following the coding regions, and, intervening sequences (introns) between individual coding segments (exons).
- a "vector” refers to a polynucleotide sequence designed to introduce nucleic acids into one or more cell types. Vectors include cloning vectors, expression vectors, shuttle vectors, plasmids, phage particles, cassettes and the like.
- an "expression vector” refers to a DNA construct comprising a DNA sequence encoding a polypeptide of interest, which is operably linked to a suitable control sequence capable of effecting expression of the DNA in a suitable host.
- control sequences may include a promoter to effect transcription, an optional operator sequence to control transcription, a sequence encoding suitable ribosome binding sites on the mRNA, enhancers and sequences which control termination of transcription and translation.
- a "promoter” is a regulatory sequence that is involved in binding RNA polymerase to initiate transcription of a gene.
- the promoter may be an inducible promoter or a constitutive promoter.
- An exemplary promoter is the Bacillus licheniformis ⁇ -amylase (AmyL) promoter.
- the term "operably linked” means that specified components are in a relationship (including but not limited to juxtaposition) permitting them to function in an intended manner.
- a regulatory sequence is operably linked to a coding sequence such that expression of the coding sequence is under control of the regulatory sequences.
- under transcriptional control means that transcription of a polynucleotide sequence, usually a DNA sequence, depends on its being operably linked to an element which contributes to the initiation of, or promotes transcription.
- under translational control means that translation of a polynucleotide sequence, usually an RNA sequence, into a polypeptide depends on its being operably linked to an element which contributes to the initiation of, or promotes translation.
- a “signal sequence” is a sequence of amino acids attached to the N- terminal portion of a protein, which facilitates the secretion of the protein outside the cell.
- biologically active refers to a sequence having a specified biological activity, such an enzymatic activity. In the case of the present amylases, the activity is ⁇ - amylase activity.
- water hardness is a measure of the minerals (e.g., calcium and magnesium) present in water.
- cold water refers to water at a temperature below about
- cold water refers to water at a temperature below about 20 0 C.
- Exemplary cold water ranges are from about 15 0 C to about 25 0 C and from about 15 0 C to about
- performance index refers to the ratio of performance of a variant to a parent or reference amylase. Measures of performance (i.e., properties) include thermal stability, cleaning ability, expression levels, and the like, and will be apparent from context.
- mutations that improve performance are known as “up mutations,” and have a PI > 1 for a specified property.
- Negtral mutations have a PI > 0.5 for a specified property.
- Non-deleterious mutations have a PI > 0.05 for a specified property.
- Deleterious mutations have a PI ⁇ 0.05 for a specified property.
- Combinable mutations have a PI > 0.5 for at least one property, and >0.05 for all properties. Combinable mutations can be present together in the same variant to produce an enzyme having at least one beneficial property.
- the term "measure of activity” refers to a measure of enzymatic acitivity as described here. Such measures of activity include cleaning performance at pH 8, cleaning performance at pH 10, cleaning performance at 16°C, cleaning performance at 32°C, and activity using a synthetic suubstrate.
- the term "measure of stability” refers to a measure of enzmatic stability as described here. Such measures of stability include stability in detergents and thermostability.
- the term “co-formulation” means that subject ingredients, such as enzymes, are present together in the same liquid, semi-solid, or dry composition.
- sacharification refers to the enzymatic conversion of starch to glucose.
- gelatinization refers to solubilization of a starch molecule by cooking to form a viscous suspension.
- liquefaction refers to the stage in starch conversion in which gelatinized starch is hydrolyzed to give low molecular weight soluble dextrins.
- primary liquefaction refers to a step of liquefaction when the slurry's temperature is raised to or near its gelatinization temperature. Subsequent to the raising of the temperature, the slurry is sent through a heat exchanger or jet to temperatures from 200-300 0 F, e.g., 220-235 0 F. Subsequent to application to a heat exchange or jet temperature, the slurry is held for a period of 3-10 minutes at that temperature. This step of holding the slurry at 200-300 0 F is primary liquefaction.
- secondary liquefaction refers the liquefaction step subsequent to primary liquefaction (heating to 200-300 0 F), when the slurry is allowed to cool to atmospheric temperature. This cooling step can be 30 minutes to 180 minutes (3 hours), e.g. 90 minutes to 120 minutes (2 hours).
- minutes of secondary liquefaction refers to the time that has elapsed from the start of secondary liquefaction, to the time that the DE is measured.
- degree of polymerization (DP) refers to the number (n) of anhydroglucopyranose units in a given saccharide.
- DPI examples of DPI are the monosaccharides, such as glucose and fructose.
- DP2 examples of DP2 are the disaccharides, such as maltose and sucrose.
- a DP>3 denotes polymers with a degree of polymerization of greater than 3.
- end-product or “desired end-product” refer to specified carbon-source-derived molecules, which are enzymatically converted from a starch substrate.
- dry solids content (ds) refers to the total solids in a slurry, expressed in % dry weight.
- slurry refers to an aqueous mixture containing insoluble solids.
- residual starch refers to the remaining starch (soluble or insoluble) in a composition after fermentation or enzymatic hydrolysis of a starch containing substrate.
- a recycling step refers to the recycling of mash components, which may include residual starch, enzymes and/or microorganisms to ferment substrates comprising starch.
- mash refers to an aqueous mixture including a fermentable carbon source (e.g., carbohydrate), which may be used to produce a fermented product, such as an alcohol.
- a fermentable carbon source e.g., carbohydrate
- beer and “mash” may be used interchangeability.
- distillage refers to a mixture of non- fermented solids and water, which represents the residue following removal of alcohol from a fermented mash.
- DDG distalmost fine grain
- DDGS distalmost fine grain with solubles
- ethanologenic microorganism refers to a microorganism with the ability to convert a sugar or oligosaccharide to ethanol.
- the ethanologenic microorganisms are ethanologenic by virtue of their ability to express one or more enzymes that individually or together convert sugar to ethanol.
- ethanol producer or ethanol producing microorganism refers to any organism or cell that is capable of producing ethanol from a hexose or pentose.
- ethanol-producing cells contain an alcohol dehydrogenase and a pyruvate decarboxylase.
- examples of ethanol producing microorganisms include fungal microorganisms such as yeast.
- a preferred yeast includes strains of Sacchromyces, particularly, S. cerevisiae.
- contacting refers to the placing of the enzyme in sufficiently close proximity to the substrate to enable the enzyme to convert the substrate to an end-product. Contacting may include mixing. [00118] As used herein, the term “derived from” means “originated from,” “based on,”
- enzyme conversion generally refers to the modification of a substrate (e.g., starch) by enzyme action (e.g., amylase).
- disintegration refers to the hydrolysis of polysaccharides in a biofilm matrix connecting and binding together individual microbial cells in the biofilm, whereby the microbial cells can be released and removed from the biofilm.
- a "swatch" is a piece of material, such as a fabric, to which a stain may be applied for evaluating the cleaing efficiency of a composition.
- specific activity refers to the number of moles of substrate converted to product by an enzyme preparation per unit time under specific conditions. Specific activity is expressed as units (U)/mg of protein.
- yield refers to the amount of end-product produced by a process, e.g., expressed in concentration, volume, amount, or a percentage of staring material.
- ATCC refers to American Type Culture Collection located at Manassas, Va. 20108 (ATCC).
- NRRL refers to the Agricultural Research Service Culture Collection, National Center for Agricultural Utilization Research (and previously known as USDA Northern Regional Research Laboratory), Peoria, IL.
- substitution of serine by an alanine in position 242 is shown as: Ser242Ala or S242A.
- a deletion of alanine in position 30 is shown as: Ala30* or A30* or ⁇ A30.
- An insertion of an additional amino acid residue, such as lysine, is shown as: Ala30AlaLys or A30AK.
- 30-33 is indicated as (30-33)* or ⁇ (A30-N33) or ⁇ 30-33.
- a specific ⁇ -amylase contains a "deletion" in comparison with other ⁇ -amylases and an insertion is made in such a position this is indicated as: *36Asp or *36D for insertion of an aspartic acid in position 36.
- any amino acid residue may be substituted for the amino acid residue present in the position.
- the alanine may be deleted or substituted for any other amino acid, i.e.,, any one of: R, N,
- A30X means any one of the following substitutions: A30R, A30N, A30D, A30C, A30Q, A30E, A30G, A30H, A30I, A30L, A30K, A30M, A30F, A30P, A30S, A30T, A30W, A30Y, or A30 V; or in short: A30R,N,D,C,Q,E,G,H,I,L,K,M,F,P,S,T,W,Y,V.
- Charged amino acids include: Asp, GIu, Arg, Lys, and His. Negatively charged amino acids (with the most negative residue first) are Asp and GIu. Positively charged amino acids (with the most positive residue first) are Arg, Lys, and His.
- Neutral amino acids include: GIy, Ala, VaI, Leu, lie, Phe, Tyr, Trp, Met, Cys, Asn, GIn, Ser, Thr, and Pro.
- Hydrophobic amino acid residues include: GIy, Ala, VaI, Pro, Met, Leu, lie, Tyr, Phe, and Trp.
- Hydrophilic amino acids include: Thr, Ser, Cys, GIn, and Asn.
- a polynucleotide or a polypeptide having a certain percent (e.g., 75%, 80%, 81%, 82%, 83%, 84%, 85%, 86%, 87%, 88%, 89%, 90%, 91%, 92%, 93%, 94%, 95%, 96%, 97%, 98%, or even 99%) of sequence identity with another sequence means that, when aligned, that percentage of bases or amino acid residues are the same in comparing the two sequences.
- This alignment and the percent homology or identity can be determined using any suitable software program known in the art, for example those described in CURRENT PROTOCOLS IN MOLECULAR BIOLOGY (F. M. Ausubel et al.
- Preferred programs include the Vector NTI AdvanceTM 9.0 (Invitrogen Corp. Carlsbad, CA), GCG Pileup program, FASTA (Pearson et al. (1988) Proc. Natl, Acad. Sci USA 85:2444-2448), and BLAST (BLAST Manual, Altschul et al. , Natl Cent. Biotechnol. Inf., Natl Lib. Med. (NCIB NLM NIH), Bethesda, Md., and Altschul et al., (1997) NAR 25:3389-3402).
- Another preferred alignment program is ALIGN Plus (Scientific and Educational Software, PA), preferably using default parameters.
- Another sequence software program that finds use is the TFASTA Data Searching Program available in the Sequence Software Package Version 6.0 (Genetics Computer Group, University of Wisconsin, Madison, WI).
- the homology may be determined as the degree of identity between the two sequences indicating a derivation of the first sequence from the second.
- the homology may suitably be determined by means of computer programs known in the art such as GAP provided in the GCG program package (described above).
- GAP GCG v8 may be used with the default scoring matrix for identity and the following default parameters: gap creation penalty of 5.0 and gap extension penalty of 0.3, respectively for nucleic acidic sequence comparison, and gap creation penalty of 3.0 and gap extension penalty of 0.1, respectively, for protein sequence comparison.
- GAP uses the method of Needleman and Wunsch, (1970), J.Mol. Biol. 48:443-453, to make alignments and to calculate the identity.
- a structural alignment between BASE (SEQ ID NO: 2) or a BASE variant and, e.g., another ⁇ -amylase may be used to identify equivalent/corresponding positions in other ⁇ - amylases having a high degree of homology, e.g., about 75%, 80%, 81%, 82%, 83%, 84%, 85%, 86%, 87%, 88%, 89%, 90%, 91%, 92%, 93%, 94%, 95%, 96%, 97%, 98%, or even 99%, with AmyTS23.
- One method of obtaining the structural alignment is to use the Pile Up programme from the GCG package using default values of gap penalties, i.e., a gap creation penalty of 3.0 and gap extension penalty of 0.1.
- FIG. 1 An exemplary alignment of the mature form of various reference amylases is provided as Figure 1.
- the reference amylases include: a truncated Bacillus sp. TS-23 alpha-amylase referred to herein as AmyTS23t or BASE, SEQ ID NO: 2 (GENBANK Accession No. AAA63900); B.
- AmyL or LAT licheniformis alpha-amylase referred to herein as AmyL or LAT, SEQ ID NO: 5 (GENBANK Accession No. AAA22240); Geobacillus (formerly Bacillus) stearothermophilus alpha-amylase AmyS, SEQ ID NO: 6 (GENBANK Accession No. AAA22241), B. amyloliquefaciens alpha-amylase BACAM, SEQ ID NO: 7 (GENBANK Accession No. AAA22191); Bacillus sp. #707 alpha-amylase referred to herein as AmyG6 or Amy#707, SEQ ID NO: 8 (GENBANK Accession No. AAA22231); B.
- megaterium alpha-amylase AmyG5 or AmyBm SEQ ID NO: 9 (GENBANK Accession No. AAK00598); Bacillus sp. alpha-amylase ALBA, SEQ ID NO: 10 (GENBANK Accession No. CAL48155 and WO 2006/037484); B. halmapalus amylase AmyBh, SEQ ID NO: 11 (GENBANK Accession No. AAE00432 and US Patent No. 5,856,164); Bacillus sp. amylase AA560, SEQ ID NO: 12 (GENBANK Accession No. CAC16486 and WO 2000/060060); Bacillus sp.
- KSM-AP1378 alpha-amylase AmyKSM1378 SEQ ID NO: 13 (GENBANK Accession No. CAD35985 and EP No. 1199356 A); and Bacillus sp. pHSP-K38 amylase AmyK38, SEQ ID NO: 14 (GENBANK Accession No. CAJ00040 and WO 2005/045045). Sequences were aligned using the MUSCLE 3.7 multiple sequence alignment algorithm (Edgar, Nucleic Acids Research, 32:1792-1797, 2004). A matrix showing the percent identity of alpha- amylases of the sequence alignment of Figure 1 is provided in Table 1.
- the oligonucleotide probe used in the characterization of AmyTS23, above, may suitably be prepared on the basis of the full or partial nucleotide or amino acid sequence of the ⁇ -amylase in question.
- Suitable conditions for testing hybridization involve pre-soaking in 5X SSC and prehybridizing for 1 hour at 40 0 C in a solution of 20% formamide, 5X Denhardt's solution, 50 mM sodium phosphate, pH 6.8, and 50 mg of denatured sonicated calf thymus DNA, followed by hybridization in the same solution supplemented with 100 mM ATP for 18 hours at 40 0 C, followed by three times washing of the filter in 2X SSC, 0.2% SDS at 40 0 C for 30 minutes (low stringency), preferred at 50 0 C (medium stringency), more preferably at 65°C (high stringency), even more preferably at 75°C (very high stringency).
- derived from is intended not only to indicate an ⁇ -amylase produced or producible by a strain of the organism in question, but also an ⁇ -amylase encoded by a DNA sequence isolated from such strain and produced in a host organism transformed with the DNA sequence.
- the term is intended to indicate an ⁇ -amylase, which is encoded by a DNA sequence of synthetic and/or cDNA origin and which has the identifying characteristics of the ⁇ -amylase in question.
- the parent ⁇ -amylase may be a variant of a naturally occurring ⁇ -amylase, i.e., a variant, which is the result of a modification (insertion, substitution, deletion) of one or more amino acid residues of the naturally occurring ⁇ -amylase.
- sequences encompassed by the present compositions and methods are also defined by the ability to hybridize under stringent hybridization conditions with the exemplified base sequence (e.g., SEQ ID NO: 4).
- a nucleic acid is hybridizable to another nucleic acid sequence when a single stranded form of the nucleic acid can anneal to the other nucleic acid under appropriate conditions of temperature and solution ionic strength.
- Hybridization and washing conditions are well known in the art (See, e.g., Sambrook (1989) supra, particularly chapters 9 and 11).
- stringent conditions correspond to a Tm of 65°C and 0.IxSSC, 0.1% SDS.
- any ⁇ -amylase may be used as the parent (i.e., backbone) ⁇ -amylase.
- the parent ⁇ -amylase is BASE (AmyTS23t) having the amino acid sequence shown in SEQ ID NO: 2.
- compositions and methods relate to ⁇ -amylases derived or derivable from a Bacillus sp strain ⁇ -amylase, including variants/mutants having altered properties with respect to parent amylases.
- Parent amylases are the above-mentioned parent ⁇ -amylase and hybrid or chimeric amylases that include at least a portion of an ⁇ - amylase, such as amino acid sequences of the mature polypeptide.
- BASE ⁇ -amylase SEQ ID NO: 2
- SEQ ID NO: 2 is used as a starting point for discussing variant amylases
- Bacillus ⁇ -amylases having a high degree of homology to the BASE ⁇ -amylase may serve as a parental amylase without defeating the scope of the compositions and methods.
- the alpha-amylase variant is a mature form having amylase activity and comprising a substitution at one or more (preferably 1, 2, 3, 4, 5, 6, 7, 8, 9, 10 or more) positions selected from the group consisting of: 1, 2, 3, 4, 5, 7, 15, 16, 17, 18, 19, 22, 25, 26, 28, 29, 30, 32, 35, 36, 37, 50, 51, 52, 53, 54, 55, 56, 57, 59, 60, 70, 71, 72, 73, 75, 78, 82, 83, 87, 90, 91, 93, 94, 95, 103, 104, 105, 107, 108, 110, 112, 113, 114, 115, 116, 118, 121, 123, 125, 126, 127, 128, 129, 130, 131, 132, 134, 135, 136, 138, 140,
- the positions are numbered by correspondence (e.g., same position in an alignment of alpha-amylase sequences such as that provided in Figure 1) with the amino acid sequence of a reference alpha- amylase set forth as SEQ ID NO: 2 (BASE).
- the alpha-amylase variant is derived from a parent alpha-amylase selected from the group consisting of BASE, ACE, ACE-Q, and ACE-QK.
- the alpha-amylase variant is derived from a parent alpha-amylase with the amino acid sequence at least 75% (preferably 80%, 85%, 90%, 91%, 92%, 93%, 94%, 95%, 96%, 97%, 98% or 99%) identical to any member of the group consisting of SEQ ID NO: 2, SEQ ID NO: 5, SEQ ID NO: 6, SEQ ID NO: 7, SEQ ID NO: 8, SEQ ID NO: 9, SEQ ID NO: 10, SEQ ID NO: 11, SEQ ID NO: 12, SEQ ID NO: 13, and SEQ ID NO: 14.
- the alpha-amylase variant comprises a tyrosine at position 58 and an alanine at position 236.
- the alpha-amylase variant comprises a glutamine at position 243 and a lysine at position 475.
- an isolated alpha-amylase variant wherein the variant is a mature form having amylase activity and comprising a substitution at from one to eight (e.g., 1, 2, 3, 4, 5, 6, 7, or 8) positions selected from the group consisting of: 182, 183, 305, 320, 379, 407, 419 and 475.
- the alpha-amylase variant is derived from a parent alpha-amylase selected from the group consisting of BASE, ACE, ACE-Q, and ACE-QK, and/or the substitution comprises from one to eight (e.g., 1, 2, 3, 4, 5, 6, 7, or 8) of the group consisting of: T182N, G183N, Y305Q, Q320F, P379A, Q407D, T419S and G475T (e.g., variants of BASE combinatorial library 1).
- the present disclosure provides an isolated alpha-amylase variant, wherein the variant is a mature form having amylase activity and comprising a substitution at from one to seven (e.g., 1, 2, 3, 4, 5, 6, or 7) positions selected from the group consisting of: 160, 182, 183, 189, 305, 379, and 475.
- the alpha-amylase variant is derived from a parent alpha-amylase selected from the group consisting of BASE, ACE, ACE- Q, and ACE-QK, and/or the substitution comprises from one to seven (e.g., 1, 2, 3, 4, 5, 6, or 7) of the group consisting of: Y160E, T182G, G183N, E189P, Y305G, P379E, and G475T (e.g., variants of BASE combinatorial library T).
- the present disclosure provides an isolated alpha-amylase variant, wherein the variant is a mature form having amylase activity and comprising a substitution at from one to eight (e.g., 1, 2, 3, 4, 5, 6, 7, or 8) positions selected from the group consisting of: 125, 182, 214, 279, 305, 319, 320, and 475.
- the alpha-amylase variant is derived from a parent alpha-amylase selected from the group consisting of BASE, ACE, ACE- Q, and ACE-QK, and/or the substitution comprises from one to eight (e.g., 1, 2, 3, 4, 5, 6, 7, or 8) of the group consisting of: S125A, T182A, T214Q, T279N, Y305R, D319T, Q320N, and G475R (e.g., variants of BASE combinatorial library 3).
- the present disclosure provides an isolated alpha-amylase variant, wherein the variant is a mature form having amylase activity and comprising a substitution at from one to eight (e.g., 1, 2, 3, 4, 5, 6, 7, or 8) positions selected from the group consisting of: 7, 182, 298, 376, 379, 407, 419, and 453.
- the alpha-amylase variant is derived from a parent alpha-amylase selected from the group consisting of BASE, ACE, ACE-Q, and ACE-QK, and/or the substitution comprises from one to eight (e.g., 1, 2, 3, 4, 5, 6, 7, or 8) of the group consisting of: E7H, T182W, T298Q, Y376R, P379K, Q407W, T419S, and L453W (e.g., variants of BASE combinatorial library 4).
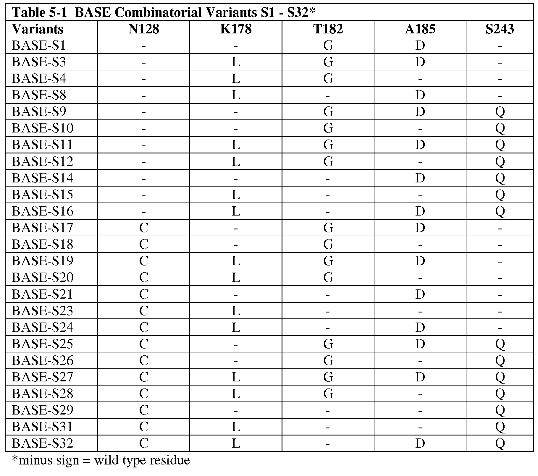
- the present disclosure provides an an isolated alpha-amylase variant, wherein the variant is a mature form having amylase activity and comprising a substitution at from one to four (e.g., 1, 2, 3, or 4) positions selected from the group consisting of: 128, 178, 182 and 185, and the alpha-amylase variant comprises a serine or a glutamine at position 243.
- the variant is a mature form having amylase activity and comprising a substitution at from one to four (e.g., 1, 2, 3, or 4) positions selected from the group consisting of: 128, 178, 182 and 185, and the alpha-amylase variant comprises a serine or a glutamine at position 243.
- the alpha-amylase variant is derived from a parent alpha-amylase selected from the group consisting of BASE, ACE, ACE-Q, and ACE-QK, and/or the substitution comprises from one to four (e.g., 1, 2, 3, or 4) of the group consisting of: N128C, K178L, T182G, and A185D (e.g., BASE-Sl to S32 variants).
- the present disclosure provides an isolated alpha- amylase variant, wherein the variant is a mature form having amylase activity and comprising a substitution at from one to nine (e.g., 1, 2, 3, 4, 5, 6, 7, 8 or 9) positions selected from the group consisting of: 125, 182, 183, 189, 279, 305, 319, 379 and 475, and the alpha-amylase variant comprises a glutamine, a phenylalanine or an asparagine at position 320.
- the alpha-amylase variant is derived from a parent alpha-amylase selected from the group consisting of BASE, ACE, ACE-Q, and ACE-QK.
- the alpha-amylase variant comprises: a serine or alanine at position 125; a threonine, an asparagine, a glycine or an alanine at position 182; a glycine or an asparagine at position 183; a glutamic acid or a proline at position 189; a threonine or an asparagine at position 279; a tyrosine, a glutamine, a glycine or an arginine at position 305; an aspartic acid or a threonine at position 319; a proline or an alanine at position 379; and a glycine, threonine or an arginine at position 475; (e.g., BASE-Pl to P12 variants).
- the present disclosure also provides an isolated alpha-amylase variant, wherein the variant is a mature form having amylase activity and comprising a substitution at from one to eleven (e.g., 1, 2, 3, 4, 5, 6, 7, 8, 9, 10 or 11) positions selected from the group consisting of: 125, 128, 178, 182, 183, 189, 279, 305, 319, 379 and 475, and the alpha-amylase variant comprises a serine or a glutamine at position 243, and a glutamine, a phenylalanine or an asparagine at position 320.
- the variant is a mature form having amylase activity and comprising a substitution at from one to eleven (e.g., 1, 2, 3, 4, 5, 6, 7, 8, 9, 10 or 11) positions selected from the group consisting of: 125, 128, 178, 182, 183, 189, 279, 305, 319, 379 and 475
- the alpha-amylase variant comprises a serine or a glutamine at position
- the alpha-amylase variant is derived from a parent alpha-amylase selected from the group consisting of BASE, ACE, ACE- Q, and ACE-QK.
- the alpha-amylase variant comprises: a serine or alanine at position 125; an asparagine or a cysteine at position 128; a lysine or a leucine at position 178; a threonine, an asparagine, a glycine or an alanine at position 182; a glycine or an asparagine at position 183; a glutamic acid or a proline at position 189; a threonine or an asparagine at position 279; a tyrosine, a glutamine, a glycine or an arginine at position 305; an aspartic acid or a threonine at position 319; a proline or an alanine
- alpha-amylase variants are disclosed for use in the claimed compositions and methods.
- the following alpha-amylase variants are exemplary alpha-amylase variants: BASE SEL variants, ACE-Q SEL variants, BASE combinatorial library 1 variants, BASE combinatorial library 2 variants, BASE combinatorial library 3 variants, BASE combinatorial library 4 variants, BASE-Sl to S32 combinatorial variants, BASE-Pl to P12 combinatorial variants, BASE-Wl to W13 combinatorial variants, and ACE-QK variant.
- the alpha-amylase variants of the present disclosure are not limited to the exemplary variants, and include variants of other Bacillus sp.
- alpha-amylases having substitutions at corresponding positions. Based on the alignment and other data provided herein, it will also be appreciated that corresponding substitutions can be made in other alpha-amylase polypeptides, i.e., in other "backbones," and that the resulting amylase variants are expected to possess similar properties to those exemplified.
- mutations including amino acid substitutions and deletions of importance with respect to achieving altered stability (i.e., higher or lower), in particular improved stability, at especially high temperatures (i.e., 70-120 0 C) and/or extreme pH (i.e., low or high pH, i.e., pH 4-6 or pH 8-11, respectively), in particular at free (i.e., unbound, therefore in solution) calcium concentrations below 60 ppm, include any of the mutations described herein.
- the stability may be determined as described in the "Methods" section below.
- Altered Ca + stability means the stability of the enzyme under Ca + depletion has been improved, i.e., higher or lower stability.
- mutations including amino acid substitutions and deletions
- improved Ca 2+ stability i.e., higher or lower stability, at especially high pH (i.e., pH 8-10.5) include any of the mutations described herein.
- important mutations with respect to obtaining variants exhibiting altered specific activity, in particular increased or decreased specific activity, especially at temperatures from 10-60 0 C, preferably 20- 50 0 C, especially 30-40 0 C, include any of the mutations described herein.
- the specific activity may be determined as described in the "Methods" section below.
- the described variants may have altered oxidation stability, in particular higher oxidation stability, in comparison to the parent ⁇ -amylase. Increased oxidation stability is advantageous in, e.g., detergent compositions and decreased oxidation stability may be advantageous in composition for starch liquefaction. Oxidation stability may be determined as described in the "Methods" section below.
- Important positions and mutations with respect to obtaining variants with altered pH profile, in particular improved activity at especially high pH (i.e., pH 8-10.5) or low pH (i.e., pH 4-6) include mutations of amino residues located close to the active site residues.
- Preferred mutations are the ones described herein. Suitable assays are described in the "Methods" section below.
- Important positions and mutations with respect to obtaining variants with improved wash performance at especially high pH include the specific mutations described herein.
- the wash performance may be tested as described below in the "Methods" section.
- compositions and methods is a method for preparing the present ⁇ -amylase variants having specified substitutions, deletions, transversions, insertions, and combinations, thereof. These variants may have posses advantageous features, such as , increased pH stability, increased temperature stability, reduced requirements for Ca 2+ , increased specific activity, increased dishwashing or washing performance, increased solubility, increased storage stability, or combinations thereof.
- advantageous features such as , increased pH stability, increased temperature stability, reduced requirements for Ca 2+ , increased specific activity, increased dishwashing or washing performance, increased solubility, increased storage stability, or combinations thereof.
- Several methods for introducing mutations into genes and expressing mutated polypeptides encoded by these genes are known in the art. After a brief discussion of the cloning of ⁇ -amylase-encoding DNA sequences, methods for generating mutations at specific sites within the ⁇ -amylase-encoding sequence will be discussed.
- DNA sequences encoding a parent ⁇ -amylase may be isolated from any cell or microorganism producing the ⁇ -amylase in question, using various methods well known in the art.
- a genomic DNA and/or cDNA library may be constructed using chromosomal DNA or messenger RNA from the organism that produces the ⁇ -amylase to be studied.
- homologous, labeled oligonucleotide probes may be synthesized and used to identify ⁇ -amylase-encoding clones from a genomic library prepared from the organism in question.
- oligonucleotide probe containing sequences homologous to a known ⁇ -amylase gene could be used as a probe to identify ⁇ -amylase-encoding clones, using hybridization and washing conditions of lower stringency.
- Yet another method for identifying ⁇ -amylase-encoding clones involves inserting fragments of genomic DNA into an expression vector, such as a plasmid, transforming ⁇ - amylase-negative bacteria with the resulting genomic DNA library, and then plating the transformed bacteria onto agar containing a substrate for ⁇ -amylase, thereby allowing clones expressing the ⁇ -amylase to be identified.
- an expression vector such as a plasmid
- transforming ⁇ - amylase-negative bacteria with the resulting genomic DNA library
- plating the transformed bacteria onto agar containing a substrate for ⁇ -amylase thereby allowing clones expressing the ⁇ -amylase to be identified.
- the DNA sequence encoding the enzyme may be prepared synthetically by established standard methods, e.g. the phosphoamidite method described by S. L. Beaucage and M. H. Caruthers (1981) or the method described by Matthes et al. (1984).
- the DNA sequence may be of mixed genomic and synthetic origin, mixed synthetic and cDNA origin or mixed genomic and cDNA origin, prepared by ligating fragments of synthetic, genomic or cDNA origin (as appropriate, the fragments corresponding to various parts of the entire DNA sequence), in accordance with standard techniques.
- the DNA sequence may also be prepared by polymerase chain reaction (PCR) using specific primers, for instance as described in U.S. Pat. No. 4,683,202 or R. K. Saiki et al. (1988).
- mutations may be introduced using synthetic oligonucleotides. These oligonucleotides contain nucleotide sequences flanking the desired mutation sites; mutant nucleotides are inserted during oligonucleotide synthesis.
- a single- stranded gap of DNA, bridging the ⁇ -amylase-encoding sequence is created in a vector carrying the ⁇ - amylase gene. Then the synthetic nucleotide, bearing the desired mutation, is annealed to a homologous portion of the single-stranded DNA.
- variants include gene shuffling, e.g., as described in WO 95/22625 (from Affymax Technologies N. V.) or in WO 96/00343 (from Novo Nordisk A/S), or other corresponding techniques resulting in a hybrid enzyme comprising the mutation(s), e.g., substitution(s) and/or deletion(s), in question.
- a DNA sequence encoding an ⁇ -amylase variant produced by methods described above, or by any alternative methods known in the art, can be use to express a variant ⁇ -amylase (i.e., an enzyme) using an expression vector, which typically includes control sequences, such as a promoter, operator, ribosome binding site, translation initiation signal, and, optionally, a repressor gene or various activator genes.
- a variant ⁇ -amylase i.e., an enzyme
- an expression vector typically includes control sequences, such as a promoter, operator, ribosome binding site, translation initiation signal, and, optionally, a repressor gene or various activator genes.
- a recombinant expression vector carrying DNA sequences encoding an ⁇ -amylase variant may be any vector, which may conveniently be subjected to recombinant DNA procedures, and the choice of vector will often depend on the host cell into which it is to be introduced.
- the vector may be an autonomously replicating vector, i.e., a vector which exists as an extrachromosomal entity, the replication of which is independent of chromosomal replication, e.g., a plasmid, a bacteriophage or an extrachromosomal element, minichromosome or an artificial chromosome.
- the vector may be one which, when introduced into a host cell, is integrated into the host cell genome and replicated together with the chromosome(s) into which it has been integrated.
- the DNA sequence should be operably connected to a suitable promoter sequence.
- the promoter may be any DNA sequence, which shows transcriptional activity in the host cell of choice and may be derived from genes encoding proteins either homologous or heterologous to the host cell.
- suitable promoters for directing the transcription of the DNA sequence encoding an ⁇ -amylase variant of the present compositions and methods, especially in a bacterial host are the promoter of the lac operon of E.
- coli the Streptomyces coelicolor agarase gene dagA promoters, the promoters of the Bacillus licheniformis ⁇ -amylase gene (amyL), the promoters of the Geobacillus stearothermophilus maltogenic amylase gene (amyM), the promoters of the Bacillus amyloliquefaciens ⁇ -amylase (amyQ), the promoters of the Bacillus subtilis xylA and xylB genes etc.
- useful promoters are those derived from the gene encoding A. oryzae TAKA amylase, Rhizomucor miehei aspartic proteinase, A.
- niger neutral ⁇ -amylase A. niger acid stable ⁇ - amylase
- A. niger glucoamylase Rhizomucor miehei lipase
- Rhizomucor miehei lipase Rhizomucor miehei lipase
- Rhizomucor miehei lipase Rhizomucor miehei lipase
- Rhizomucor miehei lipase Rhizomucor miehei lipase
- Rhizomucor miehei lipase Rhizomucor miehei lipase
- Rhizomucor miehei lipase Rhizomucor miehei lipase
- Rhizomucor miehei lipase Rhizomucor miehei lipase
- Rhizomucor miehei lipase Rhizomucor miehei lipase
- the expression vector may also comprise a suitable transcription terminator and, in eukaryotes, polyadenylation sequences operably connected to the DNA sequence encoding the ⁇ -amylase variant of the present compositions and methods. Termination and polyadenylation sequences may suitably be derived from the same sources as the promoter.
- the vector may further comprise a DNA sequence enabling the vector to replicate in the host cell in question. Examples of such sequences are the origins of replication of plasmids pUC19, pACYC177, pUBHO, pE194, pAMBl and pIJ702.
- the vector may also comprise a selectable marker, e.g.
- the vector may comprise Aspergillus selection markers such as amdS, argB, niaD and sC, a marker giving rise to hygromycin resistance, or the selection may be accomplished by co-transformation, e.g., as described in WO 91/17243.
- Bacillus ⁇ -amylases mentioned herein comprise a preregion or signal sequence permitting secretion of the expressed protease into the culture medium. If desirable, this preregion may be replaced by a different preregion or signal sequence, conveniently accomplished by substitution of the DNA sequences encoding the respective preregions.
- the cell is advantageously used as a host cell in the recombinant production of an ⁇ -amylase variant.
- the cell may be transformed with the DNA construct of the present compositions and methods encoding the variant, conveniently by integrating the DNA construct (in one or more copies) in the host chromosome. This integration is generally considered to be an advantage as the DNA sequence is more likely to be stably maintained in the cell. Integration of the DNA constructs into the host chromosome may be performed according to conventional methods, e.g., by homologous or heterologous recombination. Alternatively, the cell may be transformed with an expression vector as described above in connection with the different types of host cells.
- the cell may be a cell of a higher organism such as a mammal or an insect, but is preferably a microbial cell, e.g., a bacterial or a fungal (including yeast) cell.
- suitable bacteria are Gram-positive bacteria such as Bacillus subtilis, Bacillus licheniformis, Bacillus lentus, Bacillus brevis, Geobacillus stearothermophilus, Bacillus alkalophilus, Bacillus amyloliquefaciens, Bacillus coagulans, Bacillus circulans, Bacillus lautus, Bacillus megaterium, Bacillus thuringiensis, or Streptomyces lividans or Streptomyces murinus, or gram-negative bacteria such as E. coli.
- the transformation of the bacteria may, for instance, be effected by protoplast transformation or by using competent cells in a manner known per se.
- the yeast organism may favorably be selected from a species of Saccharomyces or Schizosaccharomyces, e.g. Saccharomyces cerevisiae.
- the filamentous fungus may advantageously belong to a species of Aspergillus, e.g., Aspergillus oryzae or Aspergillus niger.
- Fungal cells may be transformed by a process involving protoplast formation and transformation of the protoplasts followed by regeneration of the cell wall in a manner known per se. A suitable procedure for transformation of Aspergillus host cells is described in EP 238 023.
- the medium used to cultivate the cells may be any conventional medium suitable for growing the host cell in question and obtaining expression of the ⁇ -amylase variant.
- Suitable media are available from commercial suppliers or may be prepared according to published recipes (e.g., as described in catalogues of the American Type Culture Collection).
- the ⁇ -amylase variant secreted from the host cells may conveniently be recovered from the culture medium by well-known procedures, including separating the cells from the medium by centrifugation or filtration, and precipitating proteinaceous components of the medium by means of a salt such as ammonium sulfate, followed by the use of chromatographic procedures such as ion exchange chromatography, affinity chromatography, or the like.
- the present ⁇ -amylase variants possess advantageous properties allowing for a variety of industrial applications.
- the enzyme variants are applicable as a component in washing, dishwashing, and hard surface cleaning detergent compositions.
- the variants may also be used for starch processes, in particular starch conversion, especially liquefaction of starch (see, e.g., U.S. Pat. No. 3,912,590, EP patent application nos.
- compositions for starch conversion purposes which may beside the variant of the present compositions and methods also comprise a glucoamylase, pullulanase, and other ⁇ -amylases.
- variants may also be used in the production of sweeteners and ethanol (see, e.g.,
- the variants may also be used for desizing of textiles, fabrics and garments (see, e.g.,
- a depolymerization process may consist of a pre-treatment step and two or three consecutive process steps, such as a liquefaction process, a saccharification process and (depending on the desired end product), an optional isomerization process.
- Native starch consists of microscopic granules, which are insoluble in water at room temperature. When an aqueous starch slurry is heated, the granules swell and eventually burst, dispersing the starch molecules into the solution. During this "gelatinization” process there is a dramatic increase in viscosity. As the solids level is 30-40% in a typical industrial process, the starch has to be thinned or "liquefied” so that it can be handled. This reduction in viscosity is today mostly obtained by enzymatic degradation.
- liquefaction step long-chain starch molecules are degraded into shorter branched and linear molecules (maltodextrins) by ⁇ - amylase.
- the liquefaction process is typically carried out at 105-110 0 C for 5 to 10 minutes followed by 1-2 hours at 95°C at a pH between 5.5 and 6.2.
- 1 mM of calcium is added (40 ppm free calcium ions) is typically added.
- the liquefied starch will have a "dextrose equivalent" (DE) of about 10-15.
- the maltodextrins are converted into dextrose by addition of a glucoamylase (e.g., OPTID EX® L-400) and a debranching enzyme, such as an isoamylase (U.S. Pat. No. 4,335,208) or a pullulanase.
- a glucoamylase e.g., OPTID EX® L-400
- a debranching enzyme such as an isoamylase (U.S. Pat. No. 4,335,208) or a pullulanase.
- the pH is reduced to a value below 4.5, while maintaining the high temperature (above 95°C) to inactivate the liquefying ⁇ -amylase, thereby reducing the formation of short oligosaccharides called "panose precursors," which cannot be hydrolyzed properly by the debranching enzyme.
- the temperature is lowered to 60 0 C, and glucoamylase and debranching enzyme are added.
- the saccharification process proceeds for 24-72 hours.
- the dextrose syrup may be converted into fructose.
- the pH is increased to a value in the range of 6-8, preferably pH 7.5, and the calcium is removed by ion exchange.
- the dextrose syrup is then converted into high fructose syrup using, e.g., an immobilized glucose isomerase (such as GENSWEET® IGI-HF).
- alcohol production from whole grain can be separated into 4 main steps: milling; liquefaction; saccharification; and fermentation.
- the grain is milled in order to open up the structure and allow for further processing.
- Two processes used are wet or dry milling. In dry milling the whole kernel is milled and used in the remaining part of the process. Wet milling gives a very good separation of germ and meal (starch granules and protein) and is with a few exceptions applied at locations where there is a parallel production of syrups.
- the starch granules are solubilized by hydrolysis to maltodextrins mostly of a DP higher than 4.
- the hydrolysis may be carried out by acid treatment or enzymatically by ⁇ -amylase. Acid hydrolysis is used on a limited basis.
- the raw material can be milled whole grain or a side stream from starch processing.
- Enzymatic liquefaction is typically carried out as a three-step hot slurry process.
- the slurry is heated to between 60-95 0 C, preferably 80-85 0 C, and the enzyme(s) is (are) added.
- the slurry is jet-cooked at between 95-140 0 C, preferably 105-125 0 C, cooled to 60-95 0 C and more enzyme(s) is (are) added to obtain the final hydrolysis.
- the liquefaction process is carried out at pH 4.5-6.5, typically at a pH between 5 and 6. Milled and liquefied grain is also known as mash. 3.7.3 Saccharification
- the maltodextrin from the liquefaction must be further hydrolyzed.
- the hydrolysis is typically performed enzymatically by glucoamylases, alternatively ⁇ -glucosidases or acid ⁇ -amylases can be used.
- a full saccharification step may last up to 72 hours, however, it is common only to do a pre-saccharification of typically 40-90 minutes and then complete saccharification during fermentation (SSF). Saccharification is typically carried out at temperatures from 30-65 0 C, typically around 60 0 C, and at pH 4.5.
- Yeast typically from Saccharomyces spp. is added to the mash and the fermentation is ongoing for 24-96 hours, such as typically 35-60 hours.
- the temperature is between 26-34°C, typically at about 32°C, and the pH is from pH 3-6, preferably around pH 4-5.
- SSF simultaneous saccharification and fermentation
- yeast and enzyme is added together.
- SSF simultaneous saccharification and fermentation
- the ethanol obtained according to the process may be used as, e.g., fuel ethanol; drinking ethanol, i.e., potable neutral spirits; or industrial ethanol.
- the present ⁇ -amylases may also be used in the production of lignocellulosic materials, such as pulp, paper and cardboard, from starch reinforced waste paper and cardboard, especially where repulping occurs at pH above 7 and where amylases facilitate the disintegration of the waste material through degradation of the reinforcing starch.
- the ⁇ -amylases are especially useful in a process for producing a papermaking pulp from starch-coated printed-paper.
- the process may be performed as described in WO 95/14807, comprising the following steps: a) disintegrating the paper to produce a pulp, b) treating with a starch-degrading enzyme before, during or after step a), and c) separating ink particles from the pulp after steps a) and b).
- the ⁇ -amylases may also be used in modifying starch where enzymatically modified starch is used in papermaking together with alkaline fillers such as calcium carbonate, kaolin and clays.
- alkaline fillers such as calcium carbonate, kaolin and clays.
- the present ⁇ -amylases may also be very useful in textile, fabric or garment desizing.
- ⁇ -amylases are traditionally used as auxiliaries in the desizing process to facilitate the removal of starch-containing size, which has served as a protective coating on weft yarns during weaving. Complete removal of the size coating after weaving is important to ensure optimum results in the subsequent processes, in which the fabric is scoured, bleached and dyed. Enzymatic starch breakdown is preferred because it does not involve any harmful effect on the fiber material.
- the desizing processing is sometimes combined with the scouring and bleaching steps.
- non-enzymatic auxiliaries such as alkali or oxidation agents are typically used to break down the starch, because traditional ⁇ -amylases are not very compatible with high pH levels and bleaching agents.
- the non-enzymatic breakdown of the starch size does lead to some fiber damage because of the rather aggressive chemicals used. Accordingly, it would be desirable to use the ⁇ -amylases of the present compositions and methods as they have an improved performance in alkaline solutions.
- the ⁇ -amylases may be used alone or in combination with a cellulase when desizing cellulose-containing fabric or textile.
- Desizing and bleaching processes are well known in the art. For instance, such processes are described in WO 95/21247, U.S. Pat. No. 4,643,736, EP 119,920 hereby incorporated by reference, and commercially available products for desizing include OPTISIZE® FLEX from Genencor.
- compositions and methods of treating fabrics e.g., to desize a textile
- the enzyme can be used in any fabric-treating method known in the art, see, e.g., U.S. Patent No. 6,077,316.
- the feel and appearance of a fabric is improved by a method comprising contacting the fabric with an ⁇ -amylase in solution.
- the fabric is treated with the solution under pressure.
- the enzymes are applied during or after the weaving of textiles, or during the desizing stage, or one or more additional fabric processing steps.
- the threads are exposed to considerable mechanical strain.
- warp yarns Prior to weaving on mechanical looms, warp yarns are often coated with sizing starch or starch derivatives in order to increase their tensile strength and to prevent breaking.
- the enzymes can be applied to remove these sizing starch or starch derivatives.
- a fabric can proceed to a desizing stage. This can be followed by one or more additional fabric processing steps. Desizing is the act of removing size from textiles.
- the size coating must be removed before further processing the fabric in order to ensure a homogeneous and wash- proof result.
- a method of desizing comprising enzymatic hydrolysis of the size by the action of an -amylase.
- the enzymes can be used alone or with other desizing chemical reagents and/or desizing enzymes to desize fabrics, including cotton-containing fabrics, as detergent additives, e.g., in aqueous compositions.
- An ⁇ -amylase can also be used in compositions and methods for producing a stonewashed look on indigo-dyed denim fabric and garments.
- the fabric can be cut and sewn into clothes or garments, which are afterwards finished.
- the finishing of denim garment normally is initiated with an enzymatic desizing step, during which garments are subjected to the action of amylolytic enzymes in order to provide softness to the fabric and make the cotton more accessible to the subsequent enzymatic finishing steps.
- the enzymes can be used in methods of finishing denim garments (e.g., a "bio-stoning process"), enzymatic desizing and providing softness to fabrics, and/or finishing process. Dosage of the amylase varies depending on the process type. Smaller dosages would require more time than larger dosages of the same enzyme.
- the limit of the enzyme may be the amount capable of solubilization in the solution.
- desizing enzymes such as ⁇ -amylases
- ⁇ -amylases are incorporated in to the treating composition in an amount from about 0.00001% to about 2% of enzyme protein by weight of the fabric; or from about 0.0001% to about 1% of enzyme protein by weight of the fabric; or from about 0.001% to about 0.5% of enzyme protein by weight of the fabric; and in another example would be from about 0.01% to about 0.2% of enzyme protein by weight of the fabric.
- the present ⁇ -amylases may also be useful in a beer-making process, wherein the enzymes are added during the mashing process.
- the present ⁇ -amylases may be added to and thus become a component of a detergent composition.
- the detergent composition may be formulated as a hand or machine laundry detergent composition, a laundry additive composition suitable for pretreatment of stained fabrics, a rinse added fabric softener composition, a detergent composition for general household hard surface cleaning, or a hand or machine dishwashing composition.
- a detergent additive comprising a variant enzyme described herein.
- the detergent additive as well as the detergent composition may comprise one or more other enzymes such as a protease, a lipase, a peroxidase, another amylolytic enzyme, e.g., another ⁇ -amylase, glucoamylase, maltogenic amylase, CGTase and/or a cellulose, mannanase (such as MANNASTARTM from Danisco U.S.A., Inc., Genencor Division), pectinase, pectin lyase, cutinase, and/or laccase.
- enzymes such as a protease, a lipase, a peroxidase, another amylolytic enzyme, e.g., another ⁇ -amylase, glucoamylase, maltogenic amylase, CGTase and/or a cellulose, mannanase (such as MANNASTARTM from Danisco U.S.A.
- the properties of the chosen enzyme(s) should be compatible with the selected detergent, ⁇ i.e., pH-optimum, compatibility with other enzymatic and non-enzymatic ingredients, etc.), and the enzyme(s) should be present in effective amounts.
- proteases include those of animal, vegetable or microbial origin. Microbial origin is preferred. Chemically modified or protein engineered mutants are included.
- the protease may be a serine protease or a metallo protease, preferably an alkaline microbial protease or a trypsin-like protease or a chymotrypsin-like protease.
- alkaline proteases are subtilisins, especially those derived from Bacillus, e.g., subtilisin lentus, subtilisin amyloliquefaciens, subtilisin Novo, subtilisin Carlsberg, subtilisin 309, subtilisin 147 and subtilisin 168 (described in WO 89/06279).
- trypsin-like proteases are trypsin ⁇ e.g., of porcine or bovine origin) and the Fusarium protease described in WO 89/06270 and WO 94/25583.
- useful proteases also include but are not limited to the variants described in U.S. Patent Nos.
- WO98/23732 WO99/20770, WO 92/19729, WO 98/20115, WO 98/20116, WO 98/34946, WO95/23221, WO 92/21760, and WO 89/06270, especially variants with substitutions in one or more of the following positions: 27, 36, 57, 76, 87, 97, 101, 104, 120, 123, 167, 170, 194, 206, 218, 222, 224, 235 and 274.
- Exemplary commercially available protease enzymes include ALCALASE®,
- lipases include those of bacterial or fungal origin. Chemically modified or protein engineered mutants are included. Examples of useful lipases include but are not limited to lipases from Humicola (synonym Thermomyces), e.g., from H. lanuginosa (T. lanuginosus) as described in EP 258 068 and EP 305 216 or from H. insolens as described in WO 96/13580, a Pseudomonas lipase, e.g., from P.
- Additional exemplary lipase variants contemplated for use in the formulations include those described in WO 92/05249, WO 94/01541, EP 407 225, EP 260 105, WO 95/35381, WO 96/00292, WO 95/30744, WO 94/25578, WO 95/14783, WO 95/22615, WO 97/04079 and WO 97/07202.
- Commercially available lipase enzymes include LIPOLASETM and LIPOLASE ULTRATM (Novozymes A/S).
- Polyesterases suitable polyesterases can be included in composition. Suitable polyesterases include for example those described in WO 01/34899 and WO 01/14629.
- Amylases One or more additional amylases (in addition to the variant amylase(s) described herein) may also be included. Suitable amylases ( ⁇ and/or ⁇ ) include those of bacterial or fungal origin. Chemically modified or protein engineered mutants are included. Amylases include, for example, ⁇ -amylases obtained from Bacillus, e.g., a special strain of B. licheniformis, described in more detail in GB 1,296,839.
- ⁇ -amylases examples are the variants described in WO 94/18314, WO 96/39528, WO 94/02597, WO 94/18314, WO 96/23873, and WO 97/43424, especially the variants with substitutions in one or more of the following positions: 15, 23, 105, 106, 124, 128, 133, 154, 156, 181, 188, 190, 197, 202, 208, 209, 243, 264, 304, 305, 391, 408, and 444.
- ⁇ -amylases are DURAMYLTM, L1QUEZYMETM TERMAMYLTM, NATALASETM, STAINZYMETM PLUS, STAINZYMETM ULTRA, FUNGAMYLTM and BANTM (Novozymes A/S), RAPID ASETM and PURASTARTM (from Genencor).
- Cellulases may be added to the compositions. Suitable cellulases include those of bacterial or fungal origin. Chemically modified or protein engineered mutants are included. Suitable cellulases include but are not limited to cellulases from the genera Bacillus, Pseudomonas, Trichoderma, Humicola, Fusarium, Thielavia, Acremonium, e.g., the fungal cellulases produced from Humicola insolens, Myceliophthora thermophila and Fusarium oxysporum disclosed in U.S. Pat. No. 4,435,307, U.S. Pat. No. 5,648,263, U.S. Pat. No. 5,691,178, U.S.
- Exemplary Trichoderma reesei cellulases are disclosed in U.S. Pat. No. 4,689,297, U.S. Pat. No. 5,814,501, U.S. Pat. No. 5,324,649, WO 92/06221 and WO 92/06165.
- Exemplary Bacillus cellulases are disclosed in U.S. Pat. No. 6,562,612.
- Commercially available cellulases include CELLUZYME®, and CAREZYME® (Novozymes A/S), CLAZINASE®, and PURADAX HA® (Genencor International Inc.), and KAC-500(B)® (Kao Corporation).
- Peroxidases/Oxidases include those of plant, bacterial or fungal origin. Chemically modified or protein engineered mutants are included. Examples of useful peroxidases include peroxidases from Coprinus, e.g., from C. cinereus, and variants thereof as those described in WO 93/24618, WO 95/10602, and WO 98/15257. Commercially available peroxidases include GUARDZYME® (Novozymes A/S).
- the detergent enzyme(s) may be included in a detergent composition by adding separate additives containing one or more enzymes, or by adding a combined additive comprising all of these enzymes.
- a detergent additive of the present compositions and methods i.e., a separate additive or a combined additive, can be formulated, e.g., granulate, a liquid, a slurry, etc.
- Preferred detergent additive formulations are granulates, in particular non-dusting granulates, liquids, in particular stabilized liquids, or slurries.
- Non-dusting granulates may be produced, e.g., as disclosed in U.S. Pat. Nos. 4,106,991 and 4,661,452 and may optionally be coated by methods known in the art.
- waxy coating materials are poly(ethylene oxide) products (polyethyleneglycol, PEG) with mean molar weights of 1000 to 20000; ethoxylated nonyl-phenols having from 16 to 50 ethylene oxide units; ethoxylated fatty alcohols in which the alcohol contains from 12 to 20 carbon atoms and in which there are 15 to 80 ethylene oxide units; fatty alcohols; fatty acids; and mono- and di- and triglycerides of fatty acids.
- Liquid enzyme preparations may, for instance, be stabilized by adding a polyol such as propylene glycol, a sugar or sugar alcohol, lactic acid or boric acid according to established methods.
- Protected enzymes may be prepared according to the method disclosed in EP 238,216.
- the detergent composition may be in any convenient form, e.g., a bar, a tablet, a powder, a granule, a paste, or a liquid.
- a liquid detergent may be aqueous, typically containing up to about 70% water, and 0% to about 30% organic solvent.
- Compact detergent gels contained for example about 30% water or less.
- Persil, TIDE® 2X coldwater, and Ariel detergents are exemplary detergents used herein to test exemplary alpha-amylase variants.
- the present alpha-amylase variants are not restricted to the exemplary compositions, as they are contemplated to be functional in the presence of a broad range of commonly used cleaning compositions.
- the detergent composition comprises one or more surfactants, which may be non-ionic including semi-polar and/or anionic and/or cationic and/or zwitterionic.
- the surfactants are typically present at a level of from 0.1% to 60% by weight.
- Exemplary alpha-amylase variants were tested in detergent compositions containing anionic and nonionic surfactants.
- the alpha- amylase variants described herein are contemplated to be active in compositions containing other surfactants that are commonly used in detergents.
- the detergent When included therein the detergent will usually contain from about 1% to about 40% of an anionic surfactant such as linear alkylbenzenesulfonate, ⁇ -olefinsulfonate, alkyl sulfate (fatty alcohol sulfate), alcohol ethoxysulfate, secondary alkanesulfonate, ⁇ -sulfo fatty acid methyl ester, alkyl- or alkenylsuccinic acid or soap.
- an anionic surfactant such as linear alkylbenzenesulfonate, ⁇ -olefinsulfonate, alkyl sulfate (fatty alcohol sulfate), alcohol ethoxysulfate, secondary alkanesulfonate, ⁇ -sulfo fatty acid methyl ester, alkyl- or alkenylsuccinic acid or soap.
- the detergent When included therein the detergent will usually contain from about 0.2% to about 40% of a non-ionic surfactant such as alcohol ethoxylate, nonyl-phenol ethoxylate, alkylpolyglycoside, alkyldimethylamine-oxide, ethoxylated fatty acid monoethanol-amide, fatty acid monoethanolamide, polyhydroxy alkyl fatty acid amide, or N-acyl N-alkyl derivatives of glucosamine (“glucamides").
- a non-ionic surfactant such as alcohol ethoxylate, nonyl-phenol ethoxylate, alkylpolyglycoside, alkyldimethylamine-oxide, ethoxylated fatty acid monoethanol-amide, fatty acid monoethanolamide, polyhydroxy alkyl fatty acid amide, or N-acyl N-alkyl derivatives of glucosamine (“glucamides”).
- the detergent may contain 0-65% of a detergent builder or complexing agent such as zeolite, diphosphate, triphosphate, phosphonate, carbonate, citrate, nitrilotriacetic acid, ethylenediaminetetraacetic acid, diethylenetriaminepentaacetic acid, alkyl- or alkenylsuccinic acid, soluble silicates or layered silicates ⁇ e.g. SKS-6 from Hoechst).
- a detergent builder or complexing agent such as zeolite, diphosphate, triphosphate, phosphonate, carbonate, citrate, nitrilotriacetic acid, ethylenediaminetetraacetic acid, diethylenetriaminepentaacetic acid, alkyl- or alkenylsuccinic acid, soluble silicates or layered silicates ⁇ e.g. SKS-6 from Hoechst).
- the detergent may comprise one or more polymers.
- the detergent may contain a bleaching system that may comprise a H 2 O 2 source, such as perborate or percarbonate, which may be combined with a peracid-forming bleach activator (e.g., tetraacetylethylenediamine or nonanoyloxybenzenesulfonate).
- a bleaching system may comprise a H 2 O 2 source, such as perborate or percarbonate, which may be combined with a peracid-forming bleach activator (e.g., tetraacetylethylenediamine or nonanoyloxybenzenesulfonate).
- the bleaching system may comprise peroxyacids (e.g. the amide, imide, or sulfone type peroxyacids).
- the bleaching system can also be an enzymatic bleaching system. See, for example, WO 05/056782.
- the enzyme(s) of the detergent composition of the present compositions and methods may be stabilized using conventional stabilizing agents, e.g., a polyol such as propylene glycol or glycerol, a sugar or sugar alcohol, lactic acid, boric acid, or a boric acid derivative, e.g., an aromatic borate ester, or a phenyl boronic acid derivative such as 4-formylphenyl boronic acid, and the composition may be formulated as described in, e.g., WO 92/19709 and WO 92/19708.
- the detergent may also contain other conventional detergent ingredients such as e.g.
- the present ⁇ -amylases may be added in an amount corresponding to about 0.01 to about 100 mg of enzyme protein per liter of wash liquor, for example about 0.05 to about 5.0 mg of enzyme protein per liter of wash liquor, or about 0.1 to about 1.0 mg of enzyme protein per liter of wash liquor.
- present ⁇ -amylases may additionally be incorporated in the detergent formulations disclosed in WO 97/07202, which is hereby incorporated as reference.
- the present ⁇ -amylases may also be used in methods relating to detergent compositions and cleaning, in particular laundry detergent compositions, dishwashing detergent compositions, hard surface cleaning compositions, composition for desizing of textiles, fabrics or garments, compositions for production of pulp and paper, beer making, ethanol production, and starch conversion , and the like.
- detergent compositions and cleaning in particular laundry detergent compositions, dishwashing detergent compositions, hard surface cleaning compositions, composition for desizing of textiles, fabrics or garments, compositions for production of pulp and paper, beer making, ethanol production, and starch conversion , and the like.
- One embodiment, of the present ⁇ -amylases compositions and method is a laundry detergent composition and method of use, thereof.
- the detergent composition may be in the form of a non-dusting granulate, a stabilized liquid, or a protected enzyme.
- the dry formulations may be in the form of a granulate or a microgranulate.
- Non-dusting granulates may be produced, e.g. as disclosed in U.S. Patent Nos. 4,106,991 and 4,661,452 and may optionally be coated by methods known in the art.
- waxy coating materials are poly(ethylene oxide) products (polyethyleneglycol, PEG) with mean molar weights of 1,000 to 20,000; ethoxylated nonylphenols having from 16 to 50 ethylene oxide units; ethoxylated fatty alcohols in which the alcohol contains from 12 to 20 carbon atoms and in which there are 15 to 80 ethylene oxide units; fatty alcohols; fatty acids; and mono- and di- and triglycerides of fatty acids.
- PEG poly(ethylene oxide) products
- PEG polyethyleneglycol
- Liquid enzyme preparations may, for instance, be stabilized by adding a polyol such as propylene glycol, a sugar or sugar alcohol, lactic acid or boric acid according to established methods.
- a polyol such as propylene glycol, a sugar or sugar alcohol, lactic acid or boric acid
- Other enzyme stabilizers are well known in the art.
- Protected enzymes may be prepared according to the method disclosed in for example EP Appln. No. 238,216. Polyols have long been recognized as stabilizers of proteins as well as improving solubility of proteins. See, e.g., J. K. Kaushik et al. J. Biol. Chem. 278: 26458-65 (2003) and the references cited therein; and Monica Conti et al. J. Chromatography 757: 237-245 (1997).
- the composition may comprise one or more of the present amylases as the major enzymatic component, e.g., a. mono-component composition.
- the composition may comprise multiple enzymatic activities, such as an aminopeptidase, amylase, carbohydrase, carboxypeptidase, catalase, cellulase, chitinase, cutinase, cyclodextrin glycosyltransferase, deoxyribonuclease, esterase, ⁇ -galactosidase, ⁇ -galactosidase, glucoamylase, ⁇ -glucosidase, ⁇ - glucosidase, haloperoxidase, invertase, laccase, lipase, mannosidase, oxidase, pectinolytic enzyme, peptidoglutaminase, peroxidase, phytase, poly
- the additional enzyme(s) may be producible by means of a microorganism belonging to the genera Aspergillus, Trichoderm ⁇ , Humicol ⁇ ⁇ e.g., H. insolens), and Fus ⁇ rium.
- Exemplary members of the Aspergillus genus include Aspergillus ⁇ cule ⁇ tus, Aspergillus ⁇ w ⁇ mori, Aspergillus niger, or Aspergillus oryz ⁇ e.
- Exemplary members of the genus Fus ⁇ rium include Fus ⁇ rium bactridioides, Fusarium cerealis, Fusarium crookwellense, Fusarium culmorum, Fusarium gr amine arum, Fusarium graminum, Fusarium heterosporum, Fusarium negundinis, Fusarium oxysporum, Fusarium reticulatum, Fusarium roseum, Fusarium sambucinum, Fusarium sarcochroum, Fusarium sulphureum, Fusarium torulosum, Fusarium trichothecioides, and Fusarium venenatum.
- the detergent composition may be in any useful form, e.g., powders, granules, pastes, or liquids.
- a liquid detergent may be aqueous, typically containing up to about 70% of water, and 0% to about 30% of organic solvent. It can also be a in the form of a compact gel type containing only about 30% water.
- Enzymes may be used in any detergent composition compatible with the stability of the enzyme. Enzymes can be protected against generally deleterious components by known forms of encapsulation as for example by granulation or sequestration in hydro gels. Enzymes and specifically ⁇ -amylases are not limited to laundry and dishwashing applications, but can also be used in surface cleaners, ethanol production from starch or biomass.
- the detergent composition comprises one or more surfactants, each of which may be anionic, nonionic, cationic, or zwitterionic.
- the detergent will usually contain 0% to about 50% of anionic surfactant, such as linear alkylbenzenesulfonate (LAS); ⁇ -olefinsulfonate (AOS); alkyl sulfate (fatty alcohol sulfate) (AS); alcohol ethoxysulfate (AEOS or AES); secondary alkanesulfonates (SAS); ⁇ -sulfo fatty acid methyl esters; alkyl- or alkenylsuccinic acid; or soap.
- anionic surfactant such as linear alkylbenzenesulfonate (LAS); ⁇ -olefinsulfonate (AOS); alkyl sulfate (fatty alcohol sulfate) (AS); alcohol ethoxysulfate (AEOS or AES); secondary alkanesulfonates (SAS);
- the composition may also contain 0% to about 40% of nonionic surfactant such as alcohol ethoxylate (AEO or AE), carboxylated alcohol ethoxylates, nonylphenol ethoxylate, alkylpolyglycoside, alkyldimethylamineoxide, ethoxylated fatty acid monoethanolamide, fatty acid monoethanolamide, or polyhydroxy alkyl fatty acid amide (as described for example in WO 92/06154).
- the detergent composition may additionally comprise one or more other enzymes, such as lipase, cutinase, protease, cellulase, peroxidase, and/or laccase in any combination. See supra.
- the detergent may optionally contain about 1% to about 65% of a detergent builder or complexing agent such as zeolite, diphosphate, triphosphate, phosphonate, citrate, nitrilotriacetic acid (NTA), ethylenediaminetetraacetic acid (EDTA), diethylenetriaminepentaacetic acid
- a detergent builder or complexing agent such as zeolite, diphosphate, triphosphate, phosphonate, citrate, nitrilotriacetic acid (NTA), ethylenediaminetetraacetic acid (EDTA), diethylenetriaminepentaacetic acid
- the detergent may also be unbuilt, i.e., essentially free of detergent builder.
- the detergent may optionally comprise one or more polymers. Examples include carboxymethylcellulose (CMC), poly(vinylpyrrolidone) (PVP), polyethyleneglycol (PEG), poly(vinyl alcohol) (PVA), polycarboxylates such as polyacrylates, maleic/acrylic acid copolymers and lauryl methacrylate/acrylic acid copolymers.
- the detergent may optionally contain a bleaching system, which may comprise a H 2 O 2 source such as perborate or percarbonate, which may be combined with a peracid-forming bleach activator such as tetraacetylethylenediamine (TAED) or nonanoyloxybenzenesulfonate (NOBS).
- TAED tetraacetylethylenediamine
- NOBS nonanoyloxybenzenesulfonate
- the bleaching system may comprise peroxy acids of e.g. the amide, imide, or sulfone type.
- the bleaching system can also be an enzymatic bleaching system, where a perhydrolase activates peroxide, as described in for example WO 2005/056783.
- the enzymes of the detergent composition may be stabilized using conventional stabilizing agents, e.g., a polyol such as propylene glycol or glycerol; a sugar or sugar alcohol; lactic acid; boric acid or a boric acid derivative such as, e.g., an aromatic borate ester; and the composition may be formulated as described in, e.g., WO 92/19709 and WO 92/19708.
- stabilizing agents e.g., a polyol such as propylene glycol or glycerol
- a sugar or sugar alcohol lactic acid
- boric acid or a boric acid derivative such as, e.g., an aromatic borate ester
- the composition may be formulated as described in, e.g., WO 92/19709 and WO 92/19708.
- the detergent may also contain other conventional detergent ingredients such as, e.g., fabric conditioners including clays, foam boosters, suds suppressors, anti-corrosion agents, soil- suspending agents, anti-soil redeposition agents, dyes, bactericides, optical brighteners, or perfume.
- fabric conditioners including clays, foam boosters, suds suppressors, anti-corrosion agents, soil- suspending agents, anti-soil redeposition agents, dyes, bactericides, optical brighteners, or perfume.
- the pH (measured in aqueous solution at use concentration) is usually neutral or alkaline, e.g., pH about 7.0 to about 11.0.
- Particular forms of detergent compositions comprising a the ⁇ -amylase variants can be formulated to include:
- a detergent composition formulated as a granulate having a bulk density of at least 600 g/L comprising linear alkylbenzenesulfonate (calculated as acid) about 7% to about 12%; alcohol ethoxysulfate (e.g., Ci 2-I8 alcohol, 1-2 ethylene oxide (EO)) or alkyl sulfate (e.g., Ci6-i 8 ) about 1% to about 4%; alcohol ethoxylate (e.g., C 14 _ 15 alcohol, 7 EO) about 5% to about 9%; sodium carbonate (e.g., Na 2 CO 3 ) about 14% to about 20%; soluble silicate (e.g., Na 2 O, 2SiO 2 ) about 2 to about 6%; zeolite (e.g., NaAlSiO 4 ) about 15% to about 22%; sodium sulfate (e.g., Na 2 SO 4 ) 0% to about 6%; sodium citrate
- a detergent composition formulated as a granulate having a bulk density of at least 600 g/L comprising linear alkylbenzenesulfonate (calculated as acid) about 6% to about 11%; alcohol ethoxysulfate (e.g., Ci 2-I8 alcohol, 1-2 EO) or alkyl sulfate (e.g., Ci6-i 8 ) about 1% to about 3%; alcohol ethoxylate (e.g., Cu-is alcohol, 7 EO) about 5% to about 9%; sodium carbonate (e.g., Na 2 CO 3 ) about 15% to about 21%; soluble silicate (e.g., Na 2 O, 2SiO 2 ) about 1% to about 4%; zeolite (e.g., NaAlSiO 4 ) about 24% to about 34%; sodium sulfate (e.g., Na 2 SO 4 ) about 4% to about 10%; sodium citrate/citric acid
- a detergent composition formulated as a granulate having a bulk density of at least 600 g/L comprising linear alkylbenzenesulfonate (calculated as acid) about 8% to about 12%; alcohol ethoxylate (e.g., Cu- 1 5 alcohol, 7 EO) about 10% to about 25%; sodium carbonate (as Na 2 CO 3 ) about 14% to about 22%; soluble silicate (e.g., Na 2 O, 2SiO 2 ) about 1% to about 5%; zeolite (e.g., NaAlSiO 4 ) about 25% to about 35%; sodium sulfate (e.g., Na 2 SO 4 ) 0% to about 10%; carboxymethylcellulose (CMC) 0% to about 2%; polymers (e.g., maleic/acrylic acid copolymer, PVP, PEG) 1-3%; enzymes (calculated as pure enzyme protein) 0.0001-0.1%; and minor ingredients (e.g.,
- An aqueous liquid detergent composition comprising linear alkylbenzenesulfonate (calculated as acid) about 15% to about 21%; alcohol ethoxylate (e.g., Cu- 1 5 alcohol, 7 EO or Ci 2 _i 5 alcohol, 5 EO) about 12% to about 18%; soap as fatty acid (e.g., oleic acid) about 3% to about 13%; alkenylsuccinic acid (Ci 2-I4 ) 0% to about 13%; aminoethanol about 8% to about 18%; citric acid about 2% to about 8%; phosphonate 0% to about 3%; polymers (e.g., PVP,
- PEG 0% to about 3%
- borate e.g., B 4 O 7
- ethanol 0% to about 3%
- propylene glycol about 8% to about 14%
- enzymes calculated as pure enzyme protein
- minor ingredients e.g., dispersants, suds suppressors, perfume, optical brightener
- An aqueous structured liquid detergent composition comprising linear alkylbenzenesulfonate (calculated as acid) about 15% to about 21%; alcohol ethoxylate (e.g., Ci 2 -i5 alcohol, 7 EO, or C 12 - 1 5 alcohol, 5 EO) 3-9%; soap as fatty acid (e.g., oleic acid) about 3% to about 10%; zeolite (as NaAlSiO 4 ) about 14% to about 22%; potassium citrate about 9% to about 18%; borate (e.g., B 4 O 7 ) 0% to about 2%; carboxymethylcellulose (CMC) 0% to about 2%; polymers (e.g., PEG, PVP) 0% to about 3%; anchoring polymers such as, e.g., lauryl methacrylate/acrylic acid copolymer; molar ratio 25:1, MW 3800) 0% to about 3%; glycerol 0%
- a detergent composition formulated as a granulate having a bulk density of at least 600 g/L comprising fatty alcohol sulfate about 5% to about 10%; ethoxylated fatty acid monoethanolamide about 3% to about 9%; soap as fatty acid 0-3%; sodium carbonate (e.g., Na 2 CO 3 ) about 5% to about 10%; Soluble silicate (e.g., Na 2 O, 2SiO 2 ) about 1% to about 4%; zeolite (e.g., NaAlSiO 4 ) about 20% to about 40%; Sodium sulfate (e.g., Na 2 SO 4 ) about 2% to about 8%; sodium perborate (e.g., NaBO 3 H 2 O) about 12% to about 18%; TAED about 2% to about 7%; polymers (e.g., maleic/acrylic acid copolymer, PEG) about 1% to about 5%; enzymes (calculated as pure
- a detergent composition formulated as a granulate comprising linear alkylbenzenesulfonate (calculated as acid) about 8% to about 14%; ethoxylated fatty acid monoethanolamide about 5% to about 11%; soap as fatty acid 0% to about 3%; sodium carbonate (e.g., Na 2 CO 3 ) about 4% to about 10%; soluble silicate (Na 2 O, 2SiO 2 ) about 1% to about 4%; zeolite (e.g., NaAlSiO 4 ) about 30% to about 50%; sodium sulfate (e.g., Na 2 SO 4 ) about 3% to about 11%; sodium citrate (e.g., CoH 5 Na 3 O 7 ) about 5% to about 12%; polymers (e.g., PVP, maleic/acrylic acid copolymer, PEG) about 1% to about 5%; enzymes (calculated as pure enzyme protein) 0.0001-0.1%; and minor ingredients
- a detergent composition formulated as a granulate comprising linear alkylbenzenesulfonate (calculated as acid) about 6% to about 12%; nonionic surfactant about 1% to about 4%; soap as fatty acid about 2% to about 6%; sodium carbonate (e.g., Na 2 CO 3 ) about 14% to about 22%; zeolite (e.g., NaAlSiO 4 ) about 18% to about 32%; sodium sulfate (e.g., Na 2 SO 4 ) about 5% to about 20%; sodium citrate (e.g., C 6 H 5 Na 3 O 7 ) about 3% to about 8%; sodium perborate (e.g., NaBO 3 H 2 O) about 4% to about 9%; bleach activator (e.g., NOBS or TAED) about 1% to about 5%; carboxymethylcellulose (CMC) 0% to about 2%; polymers (e.g., polycarboxylate or P
- An aqueous liquid detergent composition comprising linear alkylbenzenesulfonate (calculated as acid) about 15% to about 23%; alcohol ethoxysulfate (e.g., C 12 - 1 5 alcohol, 2-3 EO) about 8% to about 15%; alcohol ethoxylate (e.g., C 12 - 1 5 alcohol, 7 EO, or C 12 - 1 5 alcohol, 5 EO) about 3% to about 9%; soap as fatty acid (e.g., lauric acid) 0% to about 3%; aminoethanol about 1% to about 5%; sodium citrate about 5% to about 10%; hydrotrope (e.g., sodium toluensulfonate) about 2% to about 6%; borate (e.g., B 4 O 7 ) 0% to about 2%; carboxymethylcellulose 0% to about 1%; ethanol about 1% to about 3%; propylene glycol about 2% to about 5%; enzymes (calculated as acid) about 15% to about
- An aqueous liquid detergent composition comprising linear alkylbenzenesulfonate (calculated as acid) about 20% to about 32%; alcohol ethoxylate (e.g., C 12 - 15 alcohol, 7 EO, or C 12 - 15 alcohol, 5 EO) 6-12%; aminoethanol about 2% to about 6%; citric acid about 8% to about 14%; borate (e.g., B 4 O 7 ) about 1% to about 3%; polymer (e.g., maleic/acrylic acid copolymer, anchoring polymer such as, e.g., lauryl methacrylate/acrylic acid copolymer) 0% to about 3%; glycerol about 3% to about 8%; enzymes (calculated as pure enzyme protein) 0.0001-0.1%; and minor ingredients (e.g., hydrotropes, dispersants, perfume, optical brighteners) 0-5%.
- alcohol ethoxylate e.g., C 12 - 15 alcohol, 7
- a detergent composition formulated as a granulate having a bulk density of at least 600 g/L comprising anionic surfactant (linear alkylbenzenesulfonate, alkyl sulfate, ⁇ - olefinsulfonate, ⁇ -sulfo fatty acid methyl esters, alkanesulfonates, soap) about 25% to about 40%; nonionic surfactant (e.g., alcohol ethoxylate) about 1% to about 10%; sodium carbonate (e.g., Na 2 CO 3 ) about 8% to about 25%; soluble silicates (e.g., Na 2 O, 2SiO 2 ) about 5% to about 15%; sodium sulfate (e.g., Na 2 SO 4 ) 0% to about 5%; zeolite (NaAlSiO 4 ) about 15% to about 28%; sodium perborate (e.g., NaBO 3 4H 2 O) 0% to about 20%; bleach
- compositions 1-12) supra wherein all or part of the linear alkylbenzenesulfonate is replaced by (Ci 2 -Ci 8 ) alkyl sulfate.
- a detergent composition formulated as a granulate having a bulk density of at least 600 g/L comprising (Ci 2 -CiS) alkyl sulfate about 9% to about 15%; alcohol ethoxylate about 3% to about 6%; polyhydroxy alkyl fatty acid amide about 1% to about 5%; zeolite (e.g., NaAlSiO 4 ) about 10% to about 20%; layered disilicate (e.g., SK56 from Hoechst) about 10% to about 20%; sodium carbonate (e.g., Na 2 CO 3 ) about 3% to about 12%; soluble silicate (e.g., Na 2 O, 2SiO 2 ) 0% to about 6%; sodium citrate about 4% to about 8%; sodium percarbonate about 13% to about 22%; TAED about 3% to about 8%; polymers (e.g., polycarboxylates and PVP) 0% to about 5%; enzymes (calculfate 9% to
- a detergent composition formulated as a granulate having a bulk density of at least 600 g/L comprising (C 12 -C 18 ) alkyl sulfate about 4% to about 8%; alcohol ethoxylate about 11% to about 15%; soap about 1% to about 4%; zeolite MAP or zeolite A about 35% to about 45%; sodium carbonate (as Na 2 COs) about 2% to about 8%; soluble silicate (e.g., Na 2 O, 2SiO 2 ) 0% to about 4%; sodium percarbonate about 13% to about 22%; TAED 1-8%; carboxymethylcellulose (CMC) 0% to about 3%; polymers (e.g., polycarboxylates and PVP) 0% to about 3%; enzymes (calculated as pure enzyme protein) 0.0001-0.1%; and minor ingredients (e.g., optical brightener, phosphonate, perfume) 0-3%.
- CMC carboxymethylcellulose
- polymers e
- Detergent composition formulated as a non-aqueous detergent liquid comprising a liquid nonionic surfactant such as, e.g., linear alkoxylated primary alcohol, a builder system (e.g., phosphate), an enzyme(s), and alkali.
- the detergent may also comprise anionic surfactant and/or a bleach system.
- One or more of the present ⁇ -amylases may be incorporated in concentrations conventionally employed in detergents. It is at present contemplated that, in the detergent composition, an ⁇ -amylase or variant thereof, may be added in an amount corresponding to 0.00001-1.0 mg (calculated as pure enzyme protein) of enzyme per liter of wash liquor.
- a 2,6- ⁇ -D-fructan hydrolase can be incorporated in detergent compositions and used for removal/cleaning of biofilm present on household and/or industrial textile/laundry.
- the detergent composition may for example be formulated as a hand or machine laundry detergent composition, including a laundry additive composition suitable for pre- treatment of stained fabrics and a rinse added fabric softener composition, or be formulated as a detergent composition for use in general household hard surface cleaning operations, or be formulated for manual or machine laundry operations.
- the detergent composition can further comprise 2,6- ⁇ -D-fructan hydrolase, one or more additional ⁇ -amylases in addition to one or more of the present ⁇ - amylase variants, and one or more other cleaning enzymes, such as a protease, a lipase, a cutinase, a carbohydrase, a cellulase, a pectinase, a mannanase, an arabinase, a galactanase, a xylanase, an oxidase, a laccase, and/or a peroxidase, and/or combinations thereof.
- 2,6- ⁇ -D-fructan hydrolase one or more additional ⁇ -amylases in addition to one or more of the present ⁇ - amylase variants
- one or more other cleaning enzymes such as a protease, a lipase, a cutinase, a carbohydr
- the properties of the chosen enzyme(s) should be compatible with the selected detergent, (e.g., pH-optimum, compatibility with other enzymatic and non-enzymatic ingredients, etc.), and the enzyme(s) should be present in effective amounts.
- the present ⁇ -amylases may also be used in dishwash detergent compositions, including the following:
- Nonionic surfactant 0.4-2.5%
- NTA Nitrilotrisodium acetate
- Nonionic surfactant 0.5-2.0%
- TED Tetraacetyl ethylene diamine
- Nonionic surfactant 0-1.5%
- Ci 2 -Ci S ethoxylated alcohols with an 0-6.5% average degree of ethoxylation of 9
- Alkali metal silicate 3.0-15.0%
- Liquid carrier selected from higher 25.0-45.0% glycols, poly glycols, polyoxides, glycolethers Stabilizer (e.g. a partial ester of phosphoric acid and a 0.5-7.0% C16-C18 alkanol)
- Foam suppressor e.g. silicone 0-1.5%
- Liquid nonionic surfactant e.g. alcohol ethoxylates 2.0-10.0%
- Stabilizing system e.g. mixtures of finely divided 0.5-7.0% silicone and low molecular weight dialkyl polyglycol ethers
- Clay gel thickener e.g. bentonite 0.0-10.0%
- Liquid carrier selected from higher lycols, polyglycols, Balance polyoxides and glycol ethers [00290] 9) THIXOTROPIC LIQUID AUTOMATIC DISHWASHING COMPOSITION
- Ci 2 -Ci 4 fatty acid 0-0.5%
- Alkyl polyglycoside 0-21% Oleic acid 0-10%
- TAED Tetraacetyl ethylene diamine
- the manganese catalyst may, e.g., be one of the compounds described in Hage et al, Nature 369: 637-639 (1994).
- a composition for removing or disintegrating a biofilm comprising a one or more of the present ⁇ -amylases.
- the composition may include one or more of the present ⁇ -amylases as the only enzymatic activity, making it a mono-component composition for use in removing of disintegrating biofilms.
- the composition may comprise multiple enzymatic activities, such as multiple amylases, or a cocktail of enzymes including any combination of the following: aminopeptidase, amylase ( ⁇ -, or ⁇ -, or gluco-amylase), carbohydrase, carboxypeptidase, catalase, cellulase, chitinase, cutinase, cyclodextrin glycosyltransferase, deoxyribonuclease, esterase, ⁇ -galactosidase, ⁇ -galactosidase, glucoamylase, ⁇ -glucosidase, ⁇ -glucosidase, haloperoxidase, invertase, laccase, lipase, mannosidase, oxidase, pectinolytic enzyme, peptidoglutaminase, peroxidase, phytase, polyphenoloxidase, proteo
- a particular enzyme is a 2,6- ⁇ -D-fructan hydrolase.
- the additional enzyme(s) may be producible by means of a microorganism belonging to the genera Aspergillus, Trichoderma, Humicola (e.g., H. insolens), and Fusarium.
- Exemplary members from the Aspergillus genus include Aspergillus aculeatus, A. awamori, A. niger, and A. oryzae.
- Exemplary members of the Fusarium genus include F. bactridioides, F. cerealis, F. crookwellense, F. culmorum, F. gr amine arum, F. graminum, F. heterosporum, F.
- the biofilm removal or disintergration composition may be in the form of a liquid or a dry composition.
- the ⁇ -amylase may be in the form of a granulate or a microgranulate or may be stabilized in accordance with methods known in the art.
- the biofilm is typically present at a surface and the disintegration of the biofilm can be achieved by bringing the surface in contact, e.g., by immersing, covering or splashing the surface with an aqueous medium comprising one or more of the present ⁇ -amylases.
- the composition can be used to hydrolyse slime, e.g., in white waters in the pulping and paper industry.
- the ⁇ -amylases may be present in the amount of 0.0001 to 10000 mg/L; 0.001-1000 mg/L; 0.01-100 mg/L; or 0.1-10 mg/L. Additional enzymes and enzyme variants may be present in similar amounts or less.
- the process may suitably be performed at temperatures from about ambient temperature to about 70 0 C.
- Exemplary temperature ranges include from about 30 0 C to about 60 0 C, e.g., about 40 0 C to about 50 0 C.
- a suitable pH for the hydrolyzing biofilms lies within from about 3.5 to about 8.5.
- Exemplary pH ranges include from about 5.5 to about 8, e.g. from about 6.5 to about 7.5.
- the contact time or reaction time for the enzyme to effectively removing a biofilm may vary considerably, depending on the biofilm properties and the frequency of which a surface is treated with the enzyme alone or in combination with other biofilm degrading enzymes.
- Exemplary reaction times include within about 0.25 to about 25 hours, and from about 1 to about 10 hours, e.g. about 2 hours.
- the ⁇ -amylase can further be combined with antimicrobial agents such as enzymatic or non-enzymatic biocides.
- An enzymatic biocide may, e.g., be a composition comprising an oxidoreductase, e.g. a laccase or a peroxidase, especially haloperoxidase, and optionally an enhancing agent, such as an alkyl syringate, as described for example in International PCT applications WO 97/42825 and DK 97/1273.
- the surface from which a biofilm for example can be removed and/or cleaned off is a hard surface, which by definition relates to any surface that is essentially non-permeable to microorganisms.
- surfaces are surfaces made from metal, e.g. stainless steel alloys, plastics/synthetic polymers, rubber, board, glass, wood, paper, textile, concrete, rock, marble, gypsum and ceramic materials which optionally may be coated, e.g. with paint, enamel, polymers and the like.
- the surface may be a member of a system holding, transporting, processing, or in contact with aqueous solutions such as water supply systems, food processing systems, cooling systems, chemical processing systems or pharmaceutical processing systems.
- the surface may a member of a system unit such as pipes, tanks, pumps, membranes, filters, heat exchangers, centrifuges, evaporators, mixers, spray towers, valves and reactors.
- the surface may also be or be a part of utensils used in the medical science and industry such as contaminated endoscopes, prosthetic devices or medical implants.
- compositions for biofilm removal is also contemplated for preventing so-called bio-corrosion occurring when a metal surface, e.g. a pipeline, is attacked by a microbial biofilm, that is by disintegrating the biofilm thereby preventing the microbial cells of the biofilm from creating a biofilm environment, which corrodes the metal surface to which it is attached.
- Another application for anti-biofilm compositions is for oral care.
- the surface may however also be of biological origin, such as mucous membranes, skin, teeth, hair, nails etc.
- Teeth with dental plaque e.g., by incorporating the enzymes into toothpaste, and contaminated contact lenses are encompassed as surfaces.
- one or more of the present ⁇ -amylases can be used for compositions and processes for making a medicament for disintegration of plaque present on a human or animal tooth.
- a further use is disintegration of biofilm from mucous membranes, such as biofilm in lungs in patients suffering from cystic fibrosis.
- an oral care composition comprising a recombinant enzyme, such as a purified enzyme that is essentially free of any active contaminants.
- An oral care composition may suitably comprise an amount of a recombinant enzyme.
- biofilm degrading enzymes for use in oral care compositions include but are not limited to 2,6- ⁇ -D-fructan hydrolase activity in the oral care composition.
- Contemplated enzyme activities include activities from the group of enzymes comprising dextranase; mutanases; oxidases, such as glucose oxidase, L-amino acid oxidase, peroxidases, such as e.g. the Coprinus sp. peroxidases described in WO 95/10602, or lactoperoxidase, haloperoxidases, especially haloperoxidase derivable from Curvularia sp., in particular C. verruculosa and C.
- the oral care composition may have any suitable physical form ⁇ i.e., powder, paste, gel, liquid, ointment, tablet etc.).
- oral care composition includes a composition, which can be used for maintaining or improving the oral hygiene in the mouth of humans and animals, by preventing dental caries, preventing the formation of dental plaque and tartar, removing dental plaque and tartar, preventing and/or treating dental diseases etc. At least in the context oral care compositions do also encompass products for cleaning dentures, artificial teeth and the like. Examples of such oral care compositions includes toothpaste, dental cream, gel or tooth powder, odontic mouth washes, pre- or post brushing rinse formulations, chewing gum, lozenges, and candy.
- Toothpastes and tooth gels typically include abrasive polishing materials, foaming agents, flavoring agents, humectants, binders, thickeners, sweetening agents, whitening/bleaching/stain removing agents, water, and optionally additional enzymes and enzyme combinations.
- Mouthwashes including plaque -removing liquids, typically comprise a water/alcohol solution, flavor, humectant, sweetener, foaming agent, colorant, and optionally additional enzymes or enzyme combinations.
- Abrasive polishing material might also be incorporated into the oral care composition such as a dentifrice.
- Abrasive polishing materials include alumina and hydrates thereof, such as ⁇ alumina trihydrate; magnesium trisilicate; magnesium carbonate; kaolin; aluminosilicates, such as calcined aluminum silicate and aluminum silicate; calcium carbonate; zirconium silicate; and also powdered plastics, such as polyvinyl chloride; polyamides; polymethyl methacrylate; polystyrene; phenol-formaldehyde resins; melamine-formaldehyde resins; urea-formaldehyde resins; epoxy resins; powdered polyethylene; silica xerogels; hydrogels and aerogels and the like.
- alumina and hydrates thereof such as ⁇ alumina trihydrate; magnesium trisilicate; magnesium carbonate; kaolin; aluminosilicates, such as calcined aluminum silicate and aluminum silicate; calcium carbonate; zirconium silicate; and also powdered plastics, such
- abrasive agents are calcium pyrophosphate; water-insoluble alkali metaphosphates; dicalcium phosphate and/or its dihydrate, dicalcium orthophosphate; tricalcium phosphate; particulate hydroxyapatite and the like. It is also possible to employ mixtures of these substances.
- the abrasive product may be present in from about 0% to about 70% by weight, or from about 1% to about 70%.
- the abrasive material content typically lies in the range of from 10% to 70% by weight of the final toothpaste.
- Humectants are employed to prevent loss of water from e.g. tooth pastes.
- Suitable humectants for use in oral care compositions include the following compounds and mixtures thereof: glycerol; polyol; sorbitol; polyethylene glycols (PEG); propylene glycol; 1,3- propanediol; 1,4-butanediol; hydrogenated partially hydrolyzed polysaccharides and the like.
- Humectants are in general present in from 0% to about 80%, or from about 5% to about 70% by weight in toothpaste.
- Silica, starch, tragacanth gum, xanthan gum, extracts of Irish moss, alginates, pectin, cellulose derivatives, such as hydroxyethyl cellulose, sodium carboxymethyl cellulose and hydroxypropyl cellulose, polyacrylic acid and its salts, polyvinylpyrrolidone, can be mentioned as examples of suitable thickeners and binders, which helps stabilizing a dentifrice product.
- Thickeners may be present in toothpaste creams and gels in an amount of from about 0.1% to about 20% by weight, and binders to the extent of from about 0.01 to about 10% by weight of the final product.
- foaming agent soap anionic, cationic, non-ionic, amphoteric and/or zwitterionic surfactants can be used. These may be present at levels of from 0% to about 15%, from about 0.1% to about 13%, or from about 0.25% to about 10% by weight of the final product.
- Surfactants are suitable to the extent that they do not exert an inactivation effect on the ⁇ -amylase.
- Surfactants include fatty alcohol sulfates, salts of sulfonated mono-glycerides or fatty acids having 10 to 20 carbon atoms, fatty acid-albumen condensation products, salts of fatty acids amides and taurines and/or salts of fatty acid esters of isethionic acid.
- Suitable sweeteners include saccharin for use in the formulations. Flavors, such as spearmint, are usually present in low amounts, such as from about 0.01% to about 5% by weight, especially from about 0.1% to about 5%.
- Whitening/bleaching agents include H 2 O 2 and may be added in amounts less that about 5%, or from about 0.25% to about 4%, calculated by the weight of the final product.
- the whitening/bleaching agents may be an enzyme, such as an oxidoreductase. Examples of suitable teeth bleaching enzymes, such as those described in WO 97/06775.
- Water is usually added in an amount giving e.g. toothpaste a flowable form.
- Further water-soluble anti-bacterial agents such as chlorohexidine digluconate, hexetidine, alexidine, Triclosan®, quaternary ammonium anti-bacterial compounds and water-soluble sources of certain metal ions such as zinc, copper, silver and stannous (e.g., zinc, copper and stannous chloride, and silver nitrate) may also be included.
- Biofilm degrading enzymes provide several benefits when used for cleansing of the oral cavity. Proteases break down salivary proteins, which are adsorbed onto the tooth surface and form the pellicle, the first layer of resulting plaque. Proteases along with lipases destroy bacteria by lysing proteins and lipids, which form the structural components of bacterial cell walls and membranes.
- Dextranase and other carbohydrases such as the 2,6- ⁇ -D-fructan hydrolase, break down the organic skeletal structure produced by bacteria that forms a matrix for bacterial adhesion.
- Proteases and amylases not only prevent plaque formation, but also prevent the development of calculus by breaking-up the carbohydrate-protein complex that binds calcium, preventing mineralization.
- a toothpaste may typically comprise the following ingredients (in weight % of the final toothpaste composition): abrasive material to about 70%; humectant: 0% to about 80%; thickener: about 0.1% to about 20%; binder: about 0.01% to about 10%; sweetener: about 0.1% to about 5%; foaming agent: 0% to about 15%; whitener: 0% to about 5%; and enzymes: about 0.0001% to about 20%.
- a toothpaste has a pH in the range from about 6.0 to about 8.0, and comprises: a) about 10% to about 70% abrasive material; b) 0% to about 80% humectant; c) 0.1% to about 20% thickener; d) 0.01% to about 10% binder; e) about 0.1% to about 5% sweetener; f) 0% to about 15% foaming agent; g) 0% to about 5% whitener; i) about 0.0001% to about 20% enzymes.
- a mouth wash may typically comprise the following ingredients (in weight % of the final mouth wash composition): 0% to about 20% humectant; 0% to about 2% surfactant; 0% to about 5% enzymes; 0% to about 20% ethanol; 0% to about 2% other ingredients (e.g. flavor, sweetener active ingredients such as fluorides).
- the composition can also contain from about 0% to about 70% water.
- the mouth wash composition may be buffered with an appropriate buffer e.g. sodium citrate or phosphate in the pH-range of about 6.0 to about 7.5.
- the mouth wash may be in non- diluted form (i.e., must be diluted before use).
- the oral care compositions may be produced using any conventional method known to the art of oral care.
- compositions comprising the present ⁇ -amylases can be utilized for starch liquefaction or saccharification.
- the compositions are used to produce sweeteners from starch.
- a "traditional" process for conversion of starch to fructose syrups normally consists of three consecutive enzymatic processes, viz. a liquefaction process followed by a saccharification process, and an isomerization process.
- starch is degraded to dextrins by an ⁇ -amylase, at pH values between about 5.5 and about 6.2, and at temperatures of about 95°C to about 160 0 C for a period of approximately 2 hours.
- 1 mM of calcium is added (40 ppm free calcium ions).
- Starch processing is useful for producing alcohol (e.g., cereal liquefaction for fuel and potable alcohol, alcohol brewing), starch liquefaction for sweetener production, cane sugar processing, and other food related starch processing goals.
- alcohol e.g., cereal liquefaction for fuel and potable alcohol, alcohol brewing
- starch liquefaction for sweetener production cane sugar processing
- cane sugar processing cane sugar processing
- Other food related starch processing goals can be used for different ⁇ - amylases or variants thereof.
- the dextrins are converted into dextrose by addition of a glucoamylase (e.g., AMGTM) and a debranching enzyme, such as an isoamylase or a pullulanase (e.g., PROMOZYME®).
- a glucoamylase e.g., AMGTM
- a debranching enzyme such as an isoamylase or a pullulanase (e.g., PROMOZYME®).
- the pH is reduced to a value below about 4.5, maintaining the high temperature (above 95°C), and the liquefying ⁇ -amylase activity is denatured.
- the temperature is lowered to 60 0 C, and a glucoamylase and a debranching enzyme can be added.
- the saccharification process proceeds typically for about 24 to about 72 hours.
- the pH is increased to a value in the range of about 6.0 to about 8.0, e.g., pH 7.5, and the calcium is removed by ion exchange.
- the dextrose syrup is then converted into high fructose syrup using, e.g., an immobilized glucose isomerase (such as Sweetzyme®).
- compositions and methods involve reduced calcium dependency of the liquefying ⁇ -amylase.
- Addition of free calcium is required to ensure adequately stability of the ⁇ -amylase but free calcium strongly inhibits the activity of the glucose isomerase and needs to be removed, by means of an expensive unit operation, to an extent that reduces the level of free calcium to below 3-5 ppm. Cost savings can be obtained if such an operation could be avoided, and the liquefaction process could be performed without addition of free calcium ions.
- ⁇ -Amylases having reduced calcium-dependence, and which are stable and active at low concentrations of free calcium ( ⁇ 40 ppm), can be utilized in the composition and procedures. Such an ⁇ -amylase or variant thereof should have a pH optimum at a pH in the range of about 4.5 to about 6.5, or in the range of about 4.5 to about 5.5.
- One of more of the present ⁇ -amylases can be used in laboratory and in industrial settings to hydrolyze starch or any maltodextrine-comprising compound for a variety of purposes. The ⁇ -amylases can be used alone to provide specific hydrolysis or can be combined with other amylases to provide a "cocktail" with a broad spectrum of activity.
- Exemplary uses include the removal or partial or complete hydrolysis of starch or any maltodextrine-comprising compound from biological, food, animal feed, pharmaceutical, or industrial samples.
- One of more of the present ⁇ -amylases can be used in a fermentation process, wherein a starch substrate is liquefied and/or saccharified to produce glucose and/or maltose suitable for conversion into a fermentation product by a fermenting organism, such as a yeast.
- Such fermentation processes include a process for producing ethanol for fuel or drinking ethanol (potable alcohol), a process for producing a beverage, a process for producing desired organic compounds (e.g., such as citric acid, itaconic acid, lactic acid, gluconic acid, sodium gluconate, calcium gluconate, potassium gluconate, glucono delta lactone, or sodium erythorbate), ketones, amino acids (such as glutamic acid, sodium monoglutaminate), but also more complex compounds (e.g., antibiotics, such as penicillin, tetracyclin), enzymes, vitamins (e.g., riboflavin, vitamin B ⁇ , ⁇ -carotene), and hormones, which are difficult to produce synthetically.
- desired organic compounds e.g., such as citric acid, itaconic acid, lactic acid, gluconic acid, sodium gluconate, calcium gluconate, potassium gluconate, glucono delta lactone, or sodium erythorbat
- the starch to be processed may be a highly refined starch quality, such as at least 90%, at least 95%, at least 97%, or at least 99.5% pure.
- the starch can be a more crude starch containing material comprising milled whole grain including non-starch fractions such as germ residues and fibers.
- the raw material, such as whole grain is milled in order to open up the structure and allowing for further processing. Two milling processes can be used: wet and dry milling. Also, corn grits such as milled corn grits may be applied.
- Dry milled grain will, in addition to starch, comprise significant amounts of non-starch carbohydrate compounds.
- the present ⁇ -amylases have high activity towards ungelatinized starch, they may be advantageously applied in a process involving the liquefaction and/or saccharification of jet-cooked, dry-milled starch. [00336] Furthermore, due to the superior hydrolysis activity of the present ⁇ -amylases, the need for glucoamylase during the saccharification step is greatly reduced, allowing saccharification to be performed at very low levels of glucoamylase activity.
- Glucoamylase activity is either absent or present in an amount of no more than or even less than 0.5 AGU/g DS, or no more than or even less than 0.4 AGU/g DS, or no more than or even less than about 0.3 AGU/g DS, or less than 0.1 AGU, such as no more than or even less than about 0.05 AGU/g DS of starch substrate.
- DS is the unit of enzyme added per gram of dry solid substrate.
- the enzyme having glucoamylase activity is either absent or present in an in an amount of no more than or even less than about 0.5 mg EP/g DS, or no more than or even less than about 0.4 mg EP/g DS, or no more than or even less than about 0.3 mg EP/g DS, or no more than or even less than about 0.1 mg EP/g DS (e.g. , no more than or even less than about 0.05 mg EP/g DS or no more than or even less than 0.02 mg EP/g DS of starch substrate).
- the glucoamylase may be derived from an Aspergillus spp., a Talaromyces spp., a Pachykytospora spp., or a Trametes spp., with exemplary examples being Aspergillus niger, Talaromyces emersonii, Trametes cingulata, and Pachykytospora papyracea.
- the process may comprise a) contacting a starch substrate with one or more of the present ⁇ -amylases comprising a catalytic module having ⁇ -amylase activity and a carbohydrate- binding module, e.g., the polypeptide of the first aspect; b) incubating the starch substrate with the enzyme for a time and at a temperature sufficient to achieve conversion of at least 90%, at least 91%, at least 92%, at least 93%, at least 94%, at least 95%, at least 96%, at least 97%, at least 98%, at least 99%, or even at least 99.5% w/w of the starch substrate into fermentable sugars; c) fermenting to produce a fermentation product; and d) optionally recovering the fermentation product.
- the present ⁇ -amylases comprising a catalytic module having ⁇ -amylase activity and a carbohydrate- binding module, e.g., the polypeptide of the first aspect
- an enzyme having glucoamylase activity is either absent or present in an amount from 0.001 to 2.0 AGU/g DS, from 0.01 to 1.5 AGU/g DS, from 0.05 to 1.0 AGU/g DS, from 0.01 to 0.5 AGU/g DS.
- the enzyme having glucoamylase activity can either absent or present in an amount of no more than or even less than 0.5 AGU/g DS, or no more than or even less than 0.4 AGU/g DS, or no more than or even less than 0.3 AGU/g DS, or no more than or even less than 0.1 AGU/g DS ⁇ e.g., no more than or even less than 0.05 AGU/g DS of starch substrate).
- the enzyme having glucoamylase activity is either absent or present in an in an amount of no more than or even less than 0.5 mg EP/g DS, or no more than or even less than 0.4 mg EP/g DS, or no more than or even less than 0.3 mg EP/g DS, or no more than or even less than 0.1 mg EP/g DS ⁇ e.g., no more than or even less than 0.05 mg EP/g DS or no more than or even less than 0.02 mg EP/g DS of starch substrate).
- steps a), b), c), and/or d) may be performed separately or simultaneously.
- the process comprises: a) contacting a starch substrate with a yeast cell transformed to express one or more of the present ⁇ -amylases comprising a catalytic module having ⁇ -amylase activity and a carbohydrate -binding module; b) incubating the starch substrate with the yeast for a time and at a temperature sufficient to achieve conversion of at least 90% w/w of the starch substrate into fermentable sugars; c) fermenting to produce ethanol; d) optionally recovering ethanol.
- the steps a), b), and c) may performed separately or simultaneously.
- the process comprising hydrolysis of a slurry of gelatinized or granular starch, in particular hydrolysis of granular starch into a soluble starch hydrolysate at a temperature below the initial gelatinization temperature of the granular starch.
- a polypeptide comprising a catalytic module having ⁇ -amylase activity and a carbohydrate-binding module.
- the starch can be contacted with any one or more of the following a fungal ⁇ -amylase (EC 3.2.1.1) and one or more of the following: a ⁇ -amylase (EC 3.2.1.2), and a glucoamylase (EC 3.2.1.3).
- amylolytic enzyme or a debranching enzyme such as an isoamylase (EC 3.2.1.68), or a pullulanases (EC 3.2.1.41) may be combined with the present ⁇ -amylase(s).
- the process is conducted at a temperature below the initial gelatinization temperature.
- Such processes are oftentimes conducted at least at 30 0 C, at least 31°C, at least 32°C, at least 33°C, at least 34°C, at least 35°C, at least 36°C, at least 37°C, at least 38°C, at least 39°C, at least 40 0 C, at least 41°C, at least 42°C, at least 43°C, at least 44°C, at least 45°C, at least 46°C, at least 47°C, at least 48°C, at least 49°C, at least 50 0 C, at least 51 0 C, at least 52°C, at least 53°C, at least 54°C, at least 55°C, at least 56°C, at least 57°C, at least 58°C, at least 59°C, or at least 60 0 C.
- the pH at which the process is conducted may in be in the range of about 3.0 to about 7.0, or from about 3.5 to about 6.0, or from about 4.0 to about 5.0.
- One aspect contemplates a process comprising fermentation, e.g. with a yeast to produce ethanol, e.g., at a temperature around 32°C, such as from 30 0 C to 35°C.
- the process comprises simultaneous saccharification and fermentation, e.g., with a yeast to produce ethanol, or another suitable fermentation organism to produce a desired organic compound, such as at a temperature from 30 0 C to 35 0 C, e.g., at around 32°C.
- the ethanol content reaches at least about 7%, at least about 8%, at least about 9%, at least about 10%, at least about 11%, at least about 12%, at least about 13%, at least about 14%, at least about 15% such as at least about 16% ethanol.
- the starch slurry to be used in any of the above aspects may have about 20% to about 55% dry solids granular starch, about 25% to about 40% dry solids granular starch, or from about 30% to about 35% dry solids granular starch.
- the enzyme After being contacted with an ⁇ -amylase, the enzyme converts the soluble starch into a soluble starch hydrolysate of the granular starch in the amount of at least 85%, at least 86%, at least 87%, at least 88%, at least 89%, at least 90%, at least 91 %, at least 92%, at least 93%, at least 94%, at least 95%, at least 96%, at least 97%, at least 98%, or at least 99%.
- an ⁇ -amylase comprises a catalytic module having ⁇ -amylase activity and a carbohydrate -binding module is used in a process for liquefaction, saccharification of a gelatinized starch, e.g. , but not limited to gelatinization by jet cooking.
- the process may comprise fermentation to produce a fermentation product, e.g. , ethanol.
- Such a process for producing ethanol from starch-containing material by fermentation comprises: (i) liquefying the starch-containing material with a polypeptide comprising a catalytic module having ⁇ -amylase activity and a carbohydrate -binding module, e.g., the polypeptide of the first aspect; (ii) saccharifying the liquefied mash obtained; and (iii) fermenting the material obtained in step (ii) in the presence of a fermenting organism.
- the process further comprises recovery of the ethanol.
- the saccharification and fermentation processes may be carried out as a simultaneous saccharification and fermentation process (SSF process).
- the ethanol content reaches at least about 7%, at least about 8%, at least about 9%, at least about 10% such as at least about 11%, at least about 12%, at least about 13%, at least about 14%, at least 15% such as at least 16% ethanol.
- the starch to be processed in the processes of the above aspects may in particular be obtained from tubers, roots, stems, legumes, cereals or whole grain. More specifically, the granular starch may be obtained from corns, cobs, wheat, barley, rye, milo, sago, cassava, tapioca, sorghum, rice, peas, bean, banana, or potatoes. Also contemplated are both waxy and non-waxy types of corn and barley.
- composition described above may be used for liquefying and/or saccharifying a gelatinized or a granular starch, and a partly gelatinized starch.
- a partly gelatinized starch is a starch that to some extent is gelatinized, i.e., wherein part of the starch has irreversibly swelled and gelatinized and part of the starch is still present in a granular state.
- composition described above may comprise an acid ⁇ -amylase variant present in an amount of 0.01 to 10.0 AFAU/g DS, or 0.1 to 5.0 AFAU/g DS, or 0.5 to 3.0 AFAU/AGU, or 0.3 to 2.0 AFAU/g DS.
- the composition may be applied in any of the starch processes described above.
- a ⁇ -amylase (EC 3.2.1.2), i.e., an exo-acting maltogenic amylase, may be added to catalyze the hydrolysis of 1,4- ⁇ -glucosidic linkages in amylose, amylopectin, and related glucose polymers, thereby releasing maltose, ⁇ -amylases have been isolated from various plants and microorganisms (W. M. Fogarty and C. T. Kelly, PROGRESS IN INDUSTRIAL MICROBIOLOGY, vol. 15, pp. 112-115, 1979).
- ⁇ -amylases are characterized by having optimum temperatures in the range from 40 0 C to 65 0 C, and optimum pH in the range from about 4.5 to about 7.0.
- Contemplated ⁇ -amylases include, but are not limited to, ⁇ -amylases from barley SPEZYME® BBA 1500, SPEZYME® DBA, OPTIMALT® ME, OPTIMALT® BBA (Genencor International Inc.) and NOVOZYMTM WBA (Novozymes A/S).
- a glucoamylase (EC 3.2.1.3) may also be included in the compositions.
- the glucoamylases may be derived from a microorganism or a plant.
- Exemplary glucoamylases are of fungal or bacterial origin.
- Exemplary fungal glucoamylases are Aspergillus glucoamylases, in particular A. niger Gl or G2 glucoamylase (Boel et al, EMBO J. 3(5): 1097-1102 (1984), or variants thereof, such as disclosed in WO 92/00381; and WO 00/04136; the A. awamori glucoamylase (WO 84/02921); A. oryzae (Agric. Biol. Chem., 55(4): 941-949 (1991)), or variants or fragments thereof.
- Aspergillus glucoamylase variants include variants to enhance the thermal stability: G137A and G139A (Chen et al, Prot. Eng. 9: 499-505 (1996)); D257E and D293E/Q (Chen et al., Prot. Eng. 8: 575-582 (1995)); N182 (Chen et al., Biochem. J. 301: 275-281 (1994)); disulfide bonds, A246C (Fierobe et al., Biochemistry, 35: 8698-8704 (1996)); and introduction of Pro residues in positions A435 and S436 (Li et al., Protein Eng. 10: 1199-1204 (1997)).
- glucoamylases include and Talaromyces glucoamylases, in particular derived from Talaromyces emersonii (WO 99/28448), Talaromyces leycettanus (U.S. Patent No. RE 32,153), Talaromyces duponti, Talaromyces thermophilus (U.S. Patent No. 4,587,215).
- Bacterial glucoamylases include glucoamylases from the genus Clostridium, in particular C. thermoamylolyticum (EP 135138) and C. thermohydrosulfuricum (WO 86/01831). Also contemplated are the commercial glucoamylases such as AMG 200L; AMG 300 L; SANTM SUPER and AMGTM E (Novozymes); OPTIDEXO300 (from Genencor International, Inc.); AMIGASE® and AMIGASE® PLUS (DSM); G-ZYME® G900 (Enzyme Bio-Systems); G- ZYME® G990 ZR (A. niger glucoamylase and low protease content).
- AMG 200L AMG 300 L
- SANTM SUPER and AMGTM E Novozymes
- OPTIDEXO300 from Genencor International, Inc.
- AMIGASE® and AMIGASE® PLUS DSM
- G-ZYME® G900 Enzyme Bio-System
- glucoamylases may be added in an amount of 0.02-2.0 AGU/g DS, or 0.1-1.0 AGU/g DS, such as 0.2 AGU/g DS.
- Another enzyme that can optionally be added is a debranching enzyme, such as an isoamylase (EC 3.2.1.68) or a pullulanase (EC 3.2.1.41).
- Isoamylase hydrolyses ⁇ -l,6-D- glucosidic branch linkages in amylopectin and ⁇ -limit dextrins and can be distinguished from pullulanases by the inability of isoamylase to attack pullulan, and by the limited action on ⁇ - limit dextrins.
- Debranching enzymes may be added in effective amounts well known to the person skilled in the art.
- the exact composition of the products of the process depends on the combination of enzymes applied as well as the type of granular starch processed.
- the soluble hydrolysate can be maltose with a purity of at least about 85%, at least about 90%, at least about 95.0%, at least about 95.5%, at least about 96.0%, at least about 96.5%, at least about 97.0%, at least about 97.5%, at least about 98.0%, at least about 98.5, at least about 99.0% or at least about 99.5%.
- the soluble starch hydrolysate can be glucose or the starch hydrolysate has a DX (glucose percent of total solubilized dry solids) of at least 94.5%, at least 95.0%, at least 95.5%, at least 96.0%, at least 96.5%, at least 97.0%, at least 97.5%, at least 98.0%, at least 98.5, at least 99.0% or at least 99.5%.
- the process can include a product which is a specialty syrup, such as a specialty syrup containing a mixture of glucose, maltose, DP3 and DPn for use in the manufacture of ice creams, cakes, candies, canned fruit.
- Two milling processes are: wet and dry milling.
- dry milling the whole kernel is milled and used.
- Wet milling gives a good separation of germ and meal (starch granules and protein), and is with a few exceptions, applied at locations where the starch hydrolysate is used in production of syrups.
- Both dry and wet milling are well known in the art of starch processing and are equally contemplated for use with the compositions and methods disclosed.
- the process may be conducted in an ultrafiltration system where the retentate is held under recirculation in presence of enzymes, raw starch and water and where the permeate is the soluble starch hydrolysate.
- Equally contemplated is the process conducted in a continuous membrane reactor with ultrafiltration membranes and where the retentate is held under recirculation in presence of enzymes, raw starch and water, and where the permeate is the soluble starch hydrolysate. Also contemplated is the process conducted in a continuous membrane reactor with microfiltration membranes and where the retentate is held under recirculation in presence of enzymes, raw starch and water, and where the permeate is the soluble starch hydrolysate.
- the soluble starch hydrolysate of the process is subjected to conversion into high fructose starch-based syrup (HFSS), such as high fructose corn syrup (HFCS).
- HFSS high fructose starch-based syrup
- HFCS high fructose corn syrup
- This conversion can be achieved using a glucose isomerase, and by an immobilized glucose isomerase supported on a solid support.
- Exemplary isomerases include the commercial products Sweetzyme®, IT (Novozymes A/S); G-ZYME® IMGI, and G-ZYME® G993, KETOMAXTM, G-ZYME® G993 (Rhodia); G-ZYME® G993 liquid, GENSWEET® IGI (Genencor International, Inc.).
- the soluble starch hydrolysate produced by these methods can be used in the production of fuel or potable ethanol. Fermentation may be carried out simultaneously or separately/sequential with respect to hydrolysis. When the fermentation is performed simultaneous to hydrolysis, the temperature is between 30 0 C and 35°C, or between 31 0 C and 34°C.
- the process may be conducted in an ultrafiltration system where the retentate is held under recirculation in presence of enzymes, raw starch, yeast, yeast nutrients and water and where the permeate is an ethanol containing liquid.
- the process may also be conducted in a continuous membrane reactor with ultrafiltration membranes and where the retentate is held under recirculation in presence of enzymes, raw starch, yeast, yeast nutrients and water and where the permeate is an ethanol containing liquid.
- the soluble starch hydrolysate of the process may also be used for production of a fermentation product comprising fermenting the treated starch into a fermentation product, such as citric acid, monosodium glutamate, gluconic acid, sodium gluconate, calcium gluconate, potassium gluconate, glucono delta lactone, or sodium erythorbate.
- a fermentation product such as citric acid, monosodium glutamate, gluconic acid, sodium gluconate, calcium gluconate, potassium gluconate, glucono delta lactone, or sodium erythorbate.
- the amylolytic activity of one of more of the present ⁇ -amylases may be determined using potato starch as substrate. This method is based on the break-down of modified potato starch by the enzyme, and the reaction is followed by mixing samples of the starch/enzyme solution with an iodine solution. Initially, a blackish-blue color is formed, but during the breakdown of the starch, the blue color gets weaker and gradually turns into a reddish-brown, which is compared to a colored glass standard.
- the assays discussed below may be used in the screening of the present ⁇ -amylases to identify variants having altered stability at high or low pH and/or under Ca 2+ depleted conditions compared to a parent or reference ⁇ -amylase.
- Bacillus libraries are plated on a sandwich of cellulose acetate (OE 67, Schleicher & Schuell, Dassel, Germany) and nitrocellulose filters (Protran-Ba 85, Schleicher & Schuell, Dassel, Germany) on TY agar plates with 10 ⁇ g/ml kanamycin at 37°C for at least 21 hours.
- the cellulose acetate layer is located on the TY agar plate.
- Each filter sandwich is specifically marked with a needle after plating, but before incubation in order to be able to localize positive variants on the filter and the nitrocellulose filter with bound variants is transferred to a container with glycin-NaOH buffer, pH 8.6-10.6 and incubated at room temperature (can be altered from 10-60 0 C) for 15 min.
- the cellulose acetate filters with colonies are stored on the TY-plates at room temperature until use. After incubation, residual activity is detected on plates containing 1% agarose, 0.2% starch in glycin-NaOH buffer, pH 8.6-10.6.
- the assay plates with nitrocellulose filters are marked the same way as the filter sandwich and incubated for 2 hours at room temperature.
- Bacillus libraries are plated on a sandwich of cellulose acetate (OE 67, Schleicher & Schuell, Dassel, Germany) and nitrocellulose filters (Protran-Ba 85, Schleicher & Schuell, Dassel, Germany) on TY agar plates with a relevant antibiotic, e.g., kanamycin or neomycin, at 37°C for at least 21 hours.
- a relevant antibiotic e.g., kanamycin or neomycin
- Each filter sandwich is specifically marked with a needle after plating, but before incubation in order to be able to localize positive variants on the filter and the nitrocellulose filter with bound variants is transferred to a container with carbonate/bicarbonate buffer pH 8.5- 10 and with different EDTA concentrations (0.001 mM-100 mM).
- the filters are incubated at room temperature for 1 hour.
- the cellulose acetate filters with colonies are stored on the TY- plates at room temperature until use.
- residual activity is detected on plates containing 1% agarose, 0.2% starch in carbonate/bicarbonate buffer pH 8.5-10.
- the assay plates with nitrocellulose filters are marked the same way as the filter sandwich and incubated for 2 hours at room temperature. After removal of the filters the assay plates are stained with 10% Lugol solution. Starch degrading variants are detected as white spots on dark blue background and then identified on the storage plates. Positive variants are rescreened twice under the same conditions as the first screen.
- Bacillus libraries are plated on a sandwich of cellulose acetate (OE 67, Schleicher & Schuell, Dassel, Germany) and nitrocellulose filters (Protran-Ba 85, Schleicher & Schuell,
- TY agar plates with 10 micro g/ml neomycin at 37°C for at least 21 hours.
- the cellulose acetate layer is located on the TY agar plate.
- Each filter sandwich is specifically marked with a needle after plating, but before incubation in order to be able to localize positive variants on the filter, and the nitrocellulose filter with bound variants is transferred to a container with citrate buffer, pH 4.5 and incubated at 80 0 C for 20 minutes (when screening for variants in the wild type backbone) or 85°C for 60 minutes (when screening for variants of the parent ⁇ -amylase).
- the cellulose acetate filters with colonies are stored on the TY-plates at room temperature until use. After incubation, residual activity is detected on assay plates containing 1% agarose, 0.2% starch in citrate buffer, pH 6.0.
- the assay plates with nitrocellulose filters are marked the same way as the filter sandwich and incubated for 2 hours at 50 0 C. After removal of the filters the assay plates are stained with 10% Lugol solution. Starch degrading variants are detected as white spots on dark blue background and then identified on the storage plates. Positive variants are re-screened twice under the same conditions as the first screen.
- Positive transformants after rescreening are picked from the storage plate and tested in a secondary plate assay. Positive transformants are grown for 22 hours at 37°C in 5 ml LB+neomycin. The Bacillus culture of each positive transformant and as a control a clone expressing the corresponding backbone are incubated in citrate buffer, pH 4.5 at 90 0 C and samples are taken at 0, 10, 20, 30, 40, 60 and 80 minutes. A 3 micro liter sample is spotted on an assay plate. The assay plate is stained with 10% Lugol solution. Improved variants are seen as variants with higher residual activity (detected as halos on the assay plate) than the backbone. The improved variants are determined by nucleotide sequencing.
- the stability of the variants may be assayed as follows: Bacillus cultures expressing the variants to be analyzed are grown for 21 hours at 37°C in 10 ml LB+neomycin. 800 micro liter culture is mixed with 200 ⁇ L citrate buffer, pH 4.5. A number of 70 ⁇ L aliquots corresponding to the number of sample time points are made in PCR tubes and incubated at 70 0 C or 90 0 C for various time points (typically 5, 10, 15, 20, 25 and 30 minutes) in a PCR machine. The 0 min sample is not incubated at high temperature.
- Activity in the sample is measured by transferring 20 ⁇ L to 200 ⁇ L of the ⁇ -amylase PNP-G 7 substrate MPR3 ((Boehringer Mannheim Cat. no. 1660730) as described below under "Assays for Alpha-amylase Activity". Results are plotted as percentage activity (relative to the 0 time point) versus time, or stated as percentage residual activity after incubation for a certain period of time.
- a B. subtilis strain harboring the relevant expression plasmid may be fermented and purified as follows: The strain is streaked on a LB-agar plate with 10 ⁇ g/ml kanamycin from - 8O 0 C stock, and grown overnight at 37°C. The colonies are transferred to 100 ml PS-I media supplemented with 10 ⁇ g/ml neomycin in a 500 ml shaking flask. Composition of PS-I medium:
- the culture is shaken at 37°C at 270 rpm for 5 days.
- Cells and cell debris are removed from the fermentation broth by centrifugation at 4500 rpm in 20-25 minutes. Afterwards the supernatant is filtered to obtain a completely clear solution.
- the filtrate is concentrated and washed on a UF- filter (10,000 MW cut off membrane) and the buffer is changed to 20 mM Acetate pH 5.5.
- the UF-filtrate is applied on a S-sepharose F.F. and elution is carried out by step elution with 0.2M NaCl in the same buffer.
- the eluate is dialysed against 10 mM Tris, pH 9.0 and applied on a Q-sepharose F.F.
- the pi is determined by isoelectric focusing (ex: Pharmacia, Ampholine, pH 3.5-9.3).
- Phadebas tablets (PHADEBAS® Amylase Test, supplied by Pharmacia Diagnostic) contain a cross-linked insoluble blue-colored starch polymer, which has been mixed with bovine serum albumin and a buffer substance and tabletted.
- Phadebas tablets (PHADEBAS® Amylase Test, supplied by Pharmacia Diagnostic) contain a cross-linked insoluble blue-colored starch polymer, which has been mixed with bovine serum albumin and a buffer substance and tabletted.
- PHABAS® Amylase Test supplied by Pharmacia Diagnostic
- For every single measurement one tablet is suspended in a tube containing 5 ml 50 mM Britton-Robinson buffer (50 mM acetic acid, 50 mM phosphoric add, 50 mM boric acid, 0.1 mM CaCl 2 , pH adjusted to the value of interest with NaOH). The test is performed in a water bath at the temperature of interest.
- the ⁇ -amylase to be tested is diluted in x ml of 50 mM Britton- Robinson buffer. 1 ml of this ⁇ -amylase solution is added to the 5 ml 50 mM Britton-Robinson buffer. The starch is hydrolyzed by the ⁇ -amylase giving soluble blue fragments. The absorbance of the resulting blue solution, measured spectrophotometrically at 620 nm, is a function of the ⁇ -amylase activity.
- the measured 620 nm absorbance after 10 or 15 minutes of incubation is in the range of 0.2 to 2.0 absorbance units at 620 nm. In this absorbance range there is linearity between activity and absorbance (Lambert-Beer law). The dilution of the enzyme must therefore be adjusted to fit this criterion. Under a specified set of conditions (temp., pH, reaction time, buffer conditions) 1 mg of a given ⁇ -amylase will hydrolyze a certain amount of substrate and a blue color will be produced. The color intensity is measured at 620 nm. The measured absorbance is directly proportional to the specific activity (activity /mg of pure ⁇ -amylase protein) of the ⁇ -amylase in question under the given set of conditions.
- ⁇ -Amylase activity is determined by a method employing p-nitrophenyl- ⁇ -D- maltoheptaoside (PNP-G 7 ) substrate, which is a blocked oligosaccharide that can be cleaved by an endo-amylase.
- PNP-G 7 p-nitrophenyl- ⁇ -D- maltoheptaoside
- Kits containing PNP-G 7 substrate and ⁇ - glucosidase are manufactured by Boehringer-Mannheim (cat. No.1054635).
- reagent solution 10 ml of substrate/buffer solution is added to 50 ml enzyme/buffer solution as recommended by the manufacturer.
- the assay is performed by transferring a 20 ⁇ L sample to a 96 well microtitre plate and incubating at 25°C. 200 ⁇ L reagent solution pre-equilibrated to 25°C is added. The solution is mixed and pre-incubated 1 minute and absorption is measured every 30 seconds over 4 minutes at OD 405 nm in an ELISA reader.
- the slope of the time dependent absorption-curve is directly proportional to the activity of the ⁇ -amylase in question under the given set of conditions.
- a Launder-O-meter (Atlas Company, Atlanta, Georgia) was used to simulate washing conditions typical in Europe.
- a dose efficiency curve (DEC) of the mutant enzyme of interest was conducted at 40 0 C using standard European testing detergents, IEC A and IEC A with Bleach ( TAED-Tetra- Acetyl-ethylene-diamine acetate) and Sodium Perborate.
- a corresponding DEC curve of a comparative mutant enzyme was then conducted to compare the stain removal performance of the inventive mutant enzyme. This process was repeated at higher wash temperature if desirable.
- EMPA 161 Maize starch (EMPA, Switzerland) were placed in a steel container with 250 ml of DI water containing 6.8g/L of the IEC A detergent or 8.0g/L of the IEC A with Bleach detergent. Two replicates were run at the same time. Unless otherwise stated the tests were carried out for 45 minutes and rinsed for 5 minutes. After washing, the swatches were air-dried and the reflectance of the test swatches was measured with a Chroma Meter Model CR-410. The data collected were treated with appropriate statistical analysis.
- ⁇ -amylase cleaning assays are known in the art.
- Exemplary cleaning assays involve swatches, which are pieces of material, such as a fabric, to which a stain may be applied.
- the material can be, for example, fabrics made of cotton, polyester or mixtures of natural and synthetic fibers.
- the swatch can further be paper, such as filter paper or nitrocellulose, or a piece of a hard material such as ceramic, metal, or glass.
- the stain is starch based, but can include blood, milk, ink, grass, tea, wine, spinach, gravy, chocolate, egg, cheese, clay, pigment, oil, or mixtures of these compounds.
- Some assays may utilize a smaller portion of a larger swatch that has been cut with a single-hole punch device, or has been cut with a custom manufactured 96-hole punch device, where the pattern of the multi-hole punch is matched to standard 96-well microtiter plates, or the section has been otherwise removed from the swatch.
- the swatch can be of textile, paper, metal, or other suitable material.
- the smaller swatch can have the stain affixed either before or after it is placed into the well of a 24-, 48- or 96-well microtiter plate. Smaller swatches can also be made by applying a stain to a small piece of material.
- a smaller swatch can be a stained piece of fabric 5/8" or 0.25" in diameter.
- the custom manufactured punch is designed in such a manner that it delivers 96 swatches simultaneously to all wells of a 96-well plate.
- the device allows delivery of more than one swatch per well by simply loading the same 96-well plate multiple times.
- Multi-hole punch devices can be conceived of to deliver simultaneously swatches to any format plate, including but not limited to 24-well, 48-well, and 96-well plates.
- the soiled test platform can be a bead made of either metal, plastic, glass, ceramic, or other suitable material that is coated with the soil substrate for use in testing cleaning compositions for materials other than textiles.
- the one or more coated beads are then placed into wells of 96-, 48-, or 24- well plates or larger formats, containing suitable buffer and enzyme.
- supernatant can be examined for released soil either by direct absorbance measurement or after a secondary color development reaction. Analysis of the released soil might also be taken by mass spectral analysis.
- a further microscreening assay can be to deliver and secure a swatch, for example an indigo dyed denim, to a well of a multi-well plate, and add particles such as sand or larger particles such as for example garnet sieved to include particle 6 to 8, or 9 gauge, and agitate the plate so as to cause abrasion of the swatch by the added particles.
- This assay has found use in the assessment of cellulases in stone washing applications.
- the effectiveness of the enzyme can be judged by either color release (e.g., released indigo is dissolved in dimethylsulfoxide and absorbance at A 6 oo nm is measured) to the reaction buffer or by reflectance measurements of the abraded swatch.
- Swatches having stains of known "strength" on various types of material are commercially available (EMPA, St. Gallen, Switzerland; wfk— Testgewebe GmbH, Krefeld Germany; or Center for Test Materials, Vlaardingen, The Netherlands) and/or can be made by the practitioner (Morris and Prato, Textile Research Journal 52(4): 280 286 (1982)).
- Other test swatches include but are not limited to blood/milk/ink (BMI) stain(s) on a cotton-containing fabric, a spinach stain on a cotton-containing fabric, or grass on a cotton-containing fabric, and chocolate/milk/soot on a cotton-containing fabric.
- BMI stain can be fixed to cotton with 0.0003% to 0.3% hydrogen peroxide.
- Other combinations include grass or spinach fixed with 0.001% to 1% glutar aldehyde, gelatin and
- the swatch can also be agitated during incubation with the enzyme and/or detergent formulation. Wash performance data is dependent on the orientation of the swatches in the wells (horizontal versus vertical), particularly in the 96-well plate. This would indicate that mixing was insufficient during the incubation period.
- a plate holder in which the microtiter plate is sandwiched between two plates of aluminum can be constructed. This can be as simple as placing, for example, an adhesive plate sealer over the wells then clamping the two aluminum plates to the 96-well plate with any type of appropriate, commercially available clamps. It can then be mounted in a commercial incubator shaker.
- Trinitrobenzenesulfonic acid can be used to quantify the concentration of amino groups in the wash liquor. This can serve as a measure of the amount of protein that was removed from the swatch ⁇ see e.g., Cayot and Tainturier, Anal. Biochem. 249: 184-200 (1997)). However, if a detergent or an enzyme sample leads to the formation of unusually small peptide fragments (for example, from the presence of peptidases in the sample), then one will obtain a larger TNBS signal, i.e., more "noise".
- Another means of measuring wash performance of blood/milk/ink or other stain that is based on ink release Proteolysis of protein on the swatches leads to the release of ink particles that can be quantified by measuring the absorbance of the wash liquor.
- the absorbance can be measured at any wavelength between 350 and 800 nm. The wavelength is measured at 410 nm or 620 nm.
- the wash liquor can also be examined to determine the wash performance on stains containing grass, spinach, gelatin or Coomassie Brilliant Blue stain. Exemplary wavelengths for these stains include and 670 nm for spinach or grass and 620 nm for gelatin or Coomassie Brilliant Blue.
- an aliquot of the wash liquor (typically 100 to 150 ⁇ L from a 96- well microplate, for example) is removed and placed in a cuvette or multiwell microplate. This is then placed in a spectrophotometer and the absorbance is read at an appropriate wavelength.
- the system can also be used to determine an enhanced enzyme and/or detergent composition for dishwashing, for example, using a blood/milk/ink stain on a suitable substrate such as cloth, plastic or ceramic.
- the a BMI stain is fixed to cotton by applying 0.3% hydrogen peroxide to the BMI/cotton swatch for 30 minutes at 25 0 C or by applying 0.03% hydrogen peroxide to the BMI/cotton swatch for 30 minutes at 60 0 C.
- Smaller swatches of approximately 0.25" are cut from the BMI/cotton swatch and placed in the wells of a 96-well microtiter plate. Into each well, a known mixture of a detergent composition and an enzyme such as a variant protein is placed.
- the microtiter plate After placing an adhesive plate sealer onto the top of the microtiter plate, the microtiter plate is clamped to an aluminum plate and agitated on an orbital shaker at approximately 250 rpm for about 10 to 60 minutes. At the end of this time, the supernatants are transferred to wells in a new microtiter plate and the absorbance of the ink at 620 nm is measured.
- This can be similarly tested with spinach stains or grass stains fixed to cotton by applying 0.01% glutaraldehyde to the spinach/cotton swatch or grass/cotton swatch for 30 minutes at 25 0 C. The same can be performed with chocolate, milk, and/or soot stains. Additional blood/milk/ink assays and conditions are provided in U.S. Patent No. 7,122,334 (Genencor International, Inc.).
- the variant is incubated with different concentrations of LAS (linear alkyl benzene sulphonate; Nansa 1169/P) for 10 minutes at 40 0 C.
- LAS linear alkyl benzene sulphonate; Nansa 1169/P
- Phadebas® assay method or the alternative method employing the PNP-G 7 substrate is diluted in 0.1 M phosphate buffer pH 7.5. The following concentrations are used: 500 ppm, 250 ppm, 100 ppm, 50 ppm, 25 ppm, and 10 ppm or no LAS.
- the variant is diluted in the different LAS buffers to concentration of 0.01-5 mg/1 in a total volume of 10 ml and incubated for 10 minutes in a temperature controlled water bath. The incubation is stopped by transferring a small aliquot into cold assay buffer. It is important that during activity measurement the LAS concentration is below 1 ppm, in order not to affect the activity measurement.
- the residual activity is determined in duplicate using the above mentioned PHADEBAS® assay or alternative method.
- the activity is measured after subtraction of the blank.
- the activity with no LAS is 100%.
- This assay was performed using filtered culture supernatant from microtiter plates (MTPs) grown 3 days at 37°C with shaking at 300 rpm and 80% humidity. A fresh 96-well flat bottom MTP containing 50 ⁇ l supernatant per well was used for the protein assay by a High Performance Liquid Chromatography method. Supernatants were diluted three fold into 10 mM potassium phosphate buffer pH 7.25 containing 5% acetonitrile and 10% sodium chloride and lO ⁇ l of each diluted sample was analzyed. An Agilent 1100 (Hewlet Packard) HPLC equipped with a SwiftTM RP-all PN 68-1030-041 (Teledyne Isco, Inc.) column was used.
- MTPs microtiter plates
- the solvent system consisted of 0.1% trifluoroacetic acid in aqueous phase and 0.07% trifluoroacetic acid in acetonitrile. Absorbance was read at 222 nm and protein concentration of samples was determined based on a standard curve of purified BASE (AmyTS23t) protein.
- the principle of this ⁇ -amylase assay is based on the hydrolysis of a defined oligosaccharide (BPNPG7) in the presence of excess levels of a thermostable ⁇ -glucosidase to glucose and free p-nitrophenol. The absorbance at 400 nm is measured and this relates directly to the level of active amylase in the sample analysed.
- BPNPG7 defined oligosaccharide
- the absorbance at 400 nm is measured and this relates directly to the level of active amylase in the sample analysed.
- the equipment used was a Biomek FX Robot (Beckman Coulter); a SpectraMAX MTP Reader (type 340-Molecular Devices) and iEMS incubator/shaker (Thermo/Labsystems). In this assay system, the reagent and solutions used were:
- BPNPG7 p-nitrophenyl maltoheptaoside
- a vial containing 54.5 mg BPNPG7 substrate was dissolved in 10 ml of milliQ water.
- the amylase samples (fermentation supernatant) were diluted in MOPS buffer.
- the assay was performed by adding 25 ⁇ l of diluted amylase solution into the wells of a MTP followed by the addition of 25 ⁇ l 5.45 mg/ml BPNPG7 substrate solution.
- the solutions were mixed and the microtiter plate was sealed with a plate seal and placed in an incubator/shaker (iEMS-
- Thermo/Labsystems for 30 minutes at 25°C and 900 rpm.
- the reaction was terminated by adding 50 ⁇ l STOP buffer and the absorbance was read at wavelength 400 nm in an MTP- Reader.
- a non-enzyme control was used to correct for background absorbance values.
- the principle of this ⁇ -amylase assay is based on the liberation of an orange-dye due to the hydrolysis of rice starch incorporated in a microswatch. The absorbance at 488 nm is measured and this relates to the level of amylase activity in the sample analysed, at the desired conditions (pH, temperature, and buffer).
- the equipment used was a Biomek FX Robot (Beckman Coulter), a SpectraMAX MTP Reader (type 340-Molecular Devices) and iEMS incubator/shaker (Thermo/Labsystems). In this assay system the reagent and solutions used were:
- CS-28 Microswatches of 1 A" circular diameter were delivered by the Center for Testmaterials (CFT, Vlaardingen, The Netherlands). Two microswatches were placed in each well of a 96- well microtiter plate vertically to expose the whole surface area ⁇ e.g. , not flat on the bottom of the well).
- the amylase samples (fermentation supernatant) were tested at appropriate concentrations in several conditions, pre-diluted in 10 mM NaCl, 0.1 mM CaCl 2 , 0.005% TWEENO80 solution:
- TWEEN® 80 to 2OX the desired final concentration.
- 190 ⁇ l of either HEPES or CAPS buffer was added to each well of a micros watch- MTP and subsequently 10 ⁇ l of enzyme solution was added to each well resulting in a total volume of 200 ⁇ l/well.
- the MTP was sealed with a plate seal and placed in the incubator/shaker and incubated for 60 minutes at 1150 rpm at the desired temperature (16°, 32° or 50 0 C). Following incubation under the appropriate conditions, 100 ⁇ l of solution from each well was transferred to a new MTP, and the absorbance at 488 nm was measured using a MTP-spectrophotometer. Controls containing two microswatches and buffer but no enzyme were included for background subtraction.
- the obtained absorbance value was corrected for the blank value (obtained after incubation of microswatches in the absence of enzyme), and the resulting absorbance is a measure of hydrolytic activity.
- the performance index PI was calculated.
- the performance index compares the performance of the variant (actual value) and the reference enzyme (theoretical value) at the same protein concentration.
- the theoretical values can be calculated, using the parameters of the Langmuir equation of the reference enzyme.
- PI identifies winners, as well as variants that are less desirable for use under certain circumstances.
- thermostability of the amylase variant in relation to a reference amylase was determined by incubating the amylase samples under defined conditions in MOPS buffer, pH 7.15. The temperature of the incubation was chosen such that approximately 70% of the initial reference amylase activity was lost. The initial and residual amylase activities were determined using the Ceralpha method.
- the equipment used was a Biomek FX Robot (Beckman Coulter); a SpectraMAX MTP Reader (type 340-Molecular Devices) and iEMS incubator/shaker (Thermo/Labsystems).
- the reagent solutions used were:
- BPNPG7 p-nitrophenyl maltoheptaoside
- a "master dilution" plate was prepared by diluting the culture supernatant 2OX in 10 mM NaCl, 0.1 mM CaCl 2 , 0.005% TWEEN® 80 buffer, followed by a 42X dilution step in MOPS buffer. From the master dilution 25 ⁇ l was used to determine the initial amylase activity and lOO ⁇ l was used for heat incubation. The 100 ⁇ l sample was put in a MTP (Greiner 655.101) that was sealed with aluminum tape and incubated at 65.5 0 C for 60 minutes with agitation at 900 rpm in an iEMS incubator. After incubation the MTP was cooled on ice water before determining the residual amylase activity.
- MTP Gibreiner 655.101
- thermostability [t_ 6 o value] / [Loo value].
- Thermostability [t_ 6 o value] / [Loo value].
- the performance index which compares the thermostability of the variant to the reference (standard) enzyme, was also calculated.
- the PI identifies winners, as well as variants that are less stable for use under certain circumstances.
- thermostability assay described in Section D above, can only rank variants that lose activity under given conditions. Variants that are 100% stable at the given condition cannot be distinguished from one another. Thus, determination of the T 50 value, the incubation temperature by which 50% of the initial activity is lost, is a more suitable assay to rank variants with significantly increased thermostability.
- the equipment used was a Biomek FX Robot (Beckman Coulter); a SpectraMAX MTP Reader (type 340-Molecular Devices) and Eppendorf Mastercycler. Culture supernatant containing the amylase variant was diluted IOOOX in MOPS buffer and the initial amylase activity was determined using the Ceralpha amylase assay described above in Section B. Using the diluted amylase sample, PCR plates were prepared containing lOO ⁇ l/well. The plates were incubated for 60 min on a Eppendorf Mastercycler on temperature gradient spanning 60°C-80°C (single site mutants) or 6O 0 C-IOO 0 C (combinatorial mutants).
- the MTPs were cooled down to 4°C before determining the residual amylase activity.
- the T50- value for each amylase variant was calculated (e.g., temperature at which the residual activity is 50%).
- the T 50 value is a measure for the thermostability of the variant, and can rank the variants in relation to the reference amylase and to one another.
- the equipment used was a Biomek FX Robot (Beckman Coulter); a SpectraMAX MTP Reader (type 340-Molecular Devices) and iEMS incubator/shaker (Thermo/Labsystems).
- the reagent solutions used were: 1) p-nitrophenyl maltoheptaoside (BPNPG7) substrate (Megazyme HR kit):
- liquid detergent (HDL commercial product, enzyme- inactivated, 2 hrs at 95 0 C);
- amylase culture supernatants containing 50-150 ⁇ g/ml protein 6
- PI performance index
- BPNPG7 p-nitrophenyl maltoheptaoside
- Liquid Detergent (HDL commercial product - inactivated by heating at 95 0 C for 2 hrs);
- amylase culture supernatants containing 50-150 ⁇ g/ml protein 5-10% amylase culture supernatants containing 50-150 ⁇ g/ml protein.
- Amylase culture supernatants were diluted 2OX in HDL Detergent and mixed thoroughly. The initial amylase activity was determined using the Ceralpha amylase assay described above in Section B. Using the diluted amylase-HDL sample, PCR plates were prepared containing 100 ⁇ l/well. The plates were incubated for 30 min on an Eppendorf Master cycler on a temperature gradient spanning 30°C-70°C. After incubation the MTPs were cooled down to 4°C before determining the residual amylase activity as described above.
- AAPF N-succinyl-L-alanyl-L-alanyl-L-prolyl-L-phenyl-p- nitroanilide
- BASE Bacillus subtilis strains expressing BASE (a truncated form of Bacillus sp. TS-23 alpha-amylase or AmyTS23t) and variants thereof are described.
- BASE the mature form of a truncated amylase originated from the TS-23 alpha- amylase (AmyTS23) of an alkaliphilic and thermophilic Bacillus sp. strain TS-23 (Lin et al., J Appl Microbiol, 82:325-334, 1997).
- amino acid sequence of the mature form of AmyTS23 is set forth as SEQ ID NO:1:
- a codon-modified nucleic acid sequence encoding the mature form of AmyTS23 is set forth as SEQ ID NO:3:
- BASE was created by deleting both the first 90 bp of the 5 '-sequence region encoding the signal peptide and 297 bp of the 3 '-sequence encoding the carboxyl-terminal end of the enzyme, yielding a truncated alpha-amylase.
- the amino acid sequence of the mature form of BASE (AmyTS23t) is set forth as SEQ ID NO:2:
- a synthetic DNA fragment (0723013) produced by GENEART and containing a codon-modified BASE gene for expression in B. subtilis served as template DNA (SEQ ID NO: 4) for the construction of Bacillus subtilis strains expressing BASE and variants thereof.
- SEQ ID NO: 4 template DNA
- the BASE DNA fragment was cloned into the pHPLT vector (Solingen et al., Extremophiles 5:333-341, 2001) by GENEART using the unique Pstl and Hpal restriction sites.
- the pHPLT expression vector contains the B.
- LAT signal peptide The coding region for the LAT signal peptide is set forth as SEQ ID NO: 15: atgaaacaacaaaacggctttacgcccgattgctgacgctgttattttgcgctcatcttcttgctgcctcattctgcagcttcagca.
- amino acid sequence of the LAT signal peptide is set forth as SEQ ID NO: 16:
- a map of the pHPLT expression vector is shown in Figure 2, while a map of the pHPLT vector containing the BASE gene is shown in Figure 3.
- the codon-modified nucleic acid sequence produced by GENEART, encoding the mature form of BASE (AmyTS23t), is set forth as SEQ ID NO: 4, with the NOOl N-terminal codon and the K484 C-terminal codon shown in bold:
- GENEART transformed a B. subtilis strain (genotype: AaprE, AnprE, Aepr, AispA, Abpr) and (degU Hy 32, oppA, AspoIIE3501, amyE::xylRPxylAcomK-ermC), using the pHPLT- BASE vector DNA. Transformation of B. subtilis was performed as known in the art (WO
- B. subtilis transformants were selected on agar plates containing Heart infusion agar (Difco, Catalog No. 244400) and 10 mg/L neomycin sulfate (Sigma, Catalog No. N-1876; contains 732 ⁇ g neomycin per mg). Selective growth of B. subtilis transformants harboring the pHPLT-BASE GENEART vector was performed in shake flasks containing MBD medium (a MOPS based defined medium), 5 mM CaCl 2 and 10 mg/L neomycin.
- MBD medium a MOPS based defined medium
- MBD medium was made essentially as known in the art (Neidhardt et al., J Bacterid, 119: 736-747, 1974), except that NH 4 CI 2 , FeSO 4 , and CaCl 2 were omitted from the base medium, 3 mM K 2 HPO 4 was used, and the base medium was supplemented with 60 mM urea, 75 g/L glucose, and 1 % soytone.
- the micronutrients were made up as a IOOX stock solution containing in one liter, 400 mg FeSO 4 7H 2 O, 100 mg MnSO 4 .H 2 O, 100 mg ZnSO 4 7H 2 O, 50 mg CuCl 2 2H 2 O, 100 mg CoCl 2 6H 2 O, 100 mg NaMoO 4 2H 2 O, 100 mg Na 2 B 4 O 7 10H 2 O, 10 ml of IM CaCl 2 , and 10 ml of 0.5 M sodium citrate. Growth resulted in the production of secreted BASE amylase with starch hydrolyzing activity.
- SEL Site evaluation library
- GENEART Site evaluation library
- Methods and devices for optimizing a nucleotide sequence for the purpose of expression of a protein by PCR, and the manufacture of DNA molecules utilized technology owned by or licensed to GENEART (European Patent Nos. 0 200 362 and 0 201 184; and US Patent Nos. 4,683,195, 4,683,202 and 6,472,184).
- the construction of BASE SELs described in this example was performed by GENEART using their technology platform for gene optimization, gene synthesis and library generation under proprietary GENEART know how and/or intellectual property.
- the sequential permutation approach of GENEART, to produce SELs, is described in general on the company's web site.
- the pHPLT-BASE plasmid DNA served as template to produce the SELs.
- BASE SELs were produced by GENEART at positions (Table 3-1) pre-selected by the inventors. The corresponding DNA codons were each substituted with codons for at least 16 (out of a possible 19) different amino acids.
- the codon mutagenized pHPLT-BASE mixes were used to transform competent B. subtilis cells (genotype; ⁇ aprE, ⁇ nprE, oppA, AspoIIE, degUHy32, ⁇ amyE::[xylR,pxylA-comK]) as known in the art (WO 2002/014490) to generate the BASE SELs. Transformation mixes were plated on HI-agar plates (Heart Infusion agar) containing 10 mg/L neomycin sulfate. For each library, single colonies were picked and grown in TSB
- Synthetic BASE combinatorial libraries contain a mix of synthetic BASE genes in which two or more selected codons of the mature sequence are replaced by specific DNA sequences.
- Four synthetic BASE combinatorial libraries were produced by GENEART under contract to Genencor, using GENEART' s technology platform for gene optimization, gene synthesis and library generation under proprietary GENEART know how and/or intellectual property. The advanced mutagenesis approach of GENEART to produce combinatorial libraries is described in general on the company's web site.
- Tables 4-1 to 4-4 list the substitutions that could be present in members of the synthetic BASE combinatorial libraries (numbered according to the BASE mature amino acid sequence of SEQ ID NO: T). In each library the targeted BASE positions have an equal chance to remain wild type (wt) or to be substituted with the specific amino acid listed in Tables 4-1 to 4-4.
- the BASE combinatorial libraries were produced by cloning the mutagenized BASE genes in the pHPLT vector to create variants of pHPLT-BASE plasmid DNA, and subsequently transforming B. subtilis cells.
- Transformation mixes were plated on HI-agar plates (Heart Infusion agar) containing 10 mg/L neomycin sulfate and 0.5 % RBB-starch (Sigma-Aldrich Product No. S7629, Potato starch covalently linked with Remazol Brilliant Blue R).
- HI-agar plates Heart Infusion agar
- RBB-starch Potato starch covalently linked with Remazol Brilliant Blue R
- TSB tryptone and soy based broth
- liquid medium containing 10 mg/ml neomycin.
- selective growth of the BASE combinatorial libraries members was performed in 96 well MTPs at 37°C for 68 hours in MBD medium.
- BASE variant DNA fragments were cloned in the pHPLT vector, by using the unique Pstl and HindlII restriction sites, and subsequently introduced into a Bacillus subtilis strain.
- the BASE DNA variant fragments were constructed as described below.
- PCR reactions were performed using the primers listed in Table 5-2 and Table 5-3.
- final concentrations of 0.2 ⁇ M DNA primers and 0.1 - 10 ng of plasmid DNA template were used.
- Table 5-2 lists the specific pDNA template and primer pairs used to construct each of the variants.
- all PCR reactions were completed in a volume of 50 ⁇ L, using Finnzymes (Finnzymes OY, Espoo, Finland) Phusion High-Fidelity DNA Polymerase (Catalog No. F-530L). All PCR reaction mixes contained 10 ⁇ L of 5X Phusion HF buffer, 1 ⁇ L of 10 mM dNTP mixture, 0.75 ⁇ L of Phusion DNA polymerase (2 units/ ⁇ L), 1 ⁇ L of 100% DMSO and de-ionised, autoclaved water for a total volume of 50 ⁇ L.
- PCR programs were run using a MJ Research PTC-200 Peltier thermal cycler (MJ Research, Waltham, MA) as follows: 30 sec at 98°C, 25X (10 sec at 98°C, 20 sec at 55°C, 25 sec at 72°C), and finally 5 min at 72°C.
- MJ Research PTC-200 Peltier thermal cycler MJ Research, Waltham, MA
- the amplified DNA fragments generated by PCR 1 and 2 were fused by a third PCR.
- a 0.5 ⁇ L aliguot of the amplified DNA fragments of both PCRl and PCR 2 were added to the third reaction mixture containing primers Pstl-FW and HindIII-RV.
- the amplified linear 1.5 kb DNA fragments were purified (Qiagen® Qiaquick PCR purification kit, Catalog No. 28106) and digested with Pstl and HincHII restriction enzymes. Subsequently, the BASE combinatorial variant DNA fragments Sl to S 16 and pHPLT pDNA (50 ng/ ⁇ L digested with Pstl and HincHII restriction enzymes) were purified (Qiagen® Qiaquick PCR purification kit, Catalog No. 28106) and ligated.
- the reaction conditions were as follows: 4 ⁇ L of purified, Pstl and Hpal digested BASE variant fragment, 2 ⁇ L of purified, Pstl and HindlII digested pHPLT DNA fragment, 8 ⁇ L T4 DNA Ligase buffer (Invitrogen® Catalog No. 46300-018), 25 ⁇ L de-ionised, autoclaved water and 1 ⁇ L T4 DNA Ligase, 1 unit/ ⁇ L (Invitrogen® Catalog No. 15224-017). The ligation reaction was performed for 16-20 hours at 20 0 C.
- the ligated pHPLT- BASE variant DNA was amplified using the TempliPhi kit (Amersham Catalog No. 25-6400).
- 1 ⁇ L of the ligation reaction mix was mixed with 5 ⁇ L of sample buffer from the TempliPhi kit and heated for 3 minutes at 95 °C to denature the DNA.
- the reaction mixture was placed on ice to cool for 2 minutes and then spun down briefly.
- 5 ⁇ L of reaction buffer and 0.2 ⁇ L of phi29 polymerase from the TempliPhi kit were added, and the reactions were incubated at 30°C in an MJ Research PCR machine for 4 hours.
- the phi29 enzyme was heat inactivated by incubation at 65 °C for 10 min.
- 0.1 ⁇ L of the TempliPhi amplification reaction product was mixed with 500 ⁇ L of competent B.
- subtilis cells [(genotype: ⁇ aprE, ⁇ nprE, oppA, AspoIIE, degUHy32, AamyE: :(xylR,pxylA-comK)] followed by vigorous shaking at 37°C for 1 hour and 100 ⁇ L and 500 ⁇ L was plated on Heart infusion agar (Difco, Cat.no 244400) plates containing 10 mg/L neomycin sulfate and 0.5 % RBB-starch. For each variant, clearing zone producing single colonies were picked and grown in TSB (tryptone and soy based broth) liquid medium with 10 mg/L neomycin selection for subsequent plasmid DNA isolation and gene sequence analysis.
- TSB tryptone and soy based broth
- the identities of the BASE combinatorial variants were determined by sequence analysis.
- the pHPLT-BASE Sl to S 16 plasmid DNA served as template DNA to construct BASE combinatorial variants S 17 to S32 as described herein.
- BASE combinatorial variants Wl to W13 were constructed by making use of BASE combinatorial variants Pl to P12.
- the P1-P12 variants of Table 5-4 were selected from the BASE combinatorial libraries 1-4 described in Example 4.
- PCR reactions were performed using the primers listed in Table 5-6. All PCR reaction conditions were similar to the protocol used for generating BASE combinatorial variants Sl to S32, set forth above.
- a phi29 polymerase amplified ligation mixture was introduced into B.subtilis.
- clear zone producing single colonies were picked and grown in TSB (tryptone and soy based broth) liquid medium containing 10 mg/L neomycin for subsequent plasmid DNA isolation and gene sequence analysis.
- Identity of the BASE combinatorial variants was confirmed by sequence analysis.
- selective growth of the BASE combinatorial variants was performed in 96 well MTPs at 37°C for 68 hours in MBD medium.
- BASE- ⁇ R180- ⁇ S181 also known as AmyTS23t ⁇ RS or ACE
- BASE- ⁇ R180- ⁇ S181-S243Q also known as AmyTS23t ⁇ RS-S243Q, named ACE-S243Q or ACE-Q
- SELs ACE-Q site evaluation libraries
- This BASE DNA fragment was cloned into the pHPLT vector (Solingen et al, Extremophiles, 5:333-341, 2001) using the unique Pstl and Hpal restriction sites.
- the pHPLT expression vector contains the B. licheniformis LAT promoter (Plat) followed by Pstl and Hpal restriction sites for cloning BASE, and additional elements from pUBl lO (McKenzie et al., Plasmid, 15: 93-103, 1986) including a replicase gene (reppUB), a neomycin/kanamycin resistance gene (neo) and a bleomycin resistance marker (bleo).
- reppUB replicase gene
- neo neomycin/kanamycin resistance gene
- bleo bleomycin resistance marker
- BASE DNA with codons 180 (CGG) and 181 (AGC) deleted (BASE- ⁇ R180- ⁇ S181, also named ACE) was generated using pHPLT-BASE as template DNA and the DNA primers listed in Table 6-1.
- the DNA primers were synthesized and desalted by Sigma (Sigma- Aldrich Chemie B.V., Zwijndrecht, The Netherlands).
- Two PCR reactions were performed using pHPLT-BASE template DNA using primer pairs TS-delRS-FW/pHPLT-Hpal-RV and TS-delRS-RV/pHPLT-Pstl-FW.
- 1 ⁇ l unpurified PCR mix from both reactions was added to a third PCR reaction in which primers pHPLT-Pstl-FW and pHPLT-Hpal-RV were added.
- the amplified linear 1.5 kb DNA fragment was purified (using Qiagen ® Qiaquick PCR purification kit Cat. no. 28106) and digested with Pstl and Hpal restriction enzymes.
- PCR programs using a MJ Research PTC-200 Peltier thermal cycler (MJ Research, Waltham, MA) were performed as described by Finnzymes (30 sec at 98°C, 30X[10 sec at 98°C, 20 sec at 55°C, 22 sec/kb at 72°C] with a final step of 5 min at 72°C).
- the BASE- ⁇ R180- ⁇ S181 DNA fragment and pHPLT plasmid DNA (50 ng/ ⁇ L, digested with Pstl and Hpal restriction enzymes) were both purified (using Qiagen® Qiaquick PCR purification kit Cat. no. 28106) and then ligated at the Pstl and Hpal ends using the following reaction conditions: 4 ⁇ L of purified, Pstl and Hpal digested BASE- ⁇ R180- ⁇ S 181 DNA fragment, 2 ⁇ L of purified, Pstl and Hpal digested pHPLT DNA fragment, 8 ⁇ L T4 DNA Ligase buffer (Invitrogen® Cat. no.
- subtilis strain (genotype: ⁇ aprE, ⁇ nprE, ⁇ epr, ⁇ ispA, ⁇ bpr) and (degUHy32, oppA, ⁇ spoIIE3501, amyE: :xylRPxylAcomK-ermC, ( ⁇ vpr, ⁇ wprA, ⁇ mpr-ybfJ, ⁇ nprB)) as described in WO 02/14490, incorporated herein by reference for the teaching of bacterial transformation.
- the B. subtilis transformants were selected on agar plates containing Heart infusion agar (Difco, Cat. no 244400) and 10 mg/L neomycin. Selective growth of B.
- subtilis transformants harboring the pHPLT-BASE- ⁇ R180- ⁇ S181 plasmid was performed in shake flasks containing 25 ml MBD medium (MOPS based defined medium) and 10 mg/L neomycin. This resulted in the production of secreted BASE- ⁇ R180- ⁇ S181 amylase with starch hydrolyzing activity.
- the pHPLT-BASE- ⁇ R180- ⁇ S181 plasmid is also referred to herein as pHPLT-ACE.
- the pHPLT-ACE-S243Q plasmid DNA served as a template for the production of site evaluation libraries (SELs).
- the amino acid positions selected for the ACE-Q SELs are numbered according to the mature BASE amino acid sequence (SEQ ID NO: 2) and include: R127, Y305, Q320, P379, T419, L453 and G475.
- the corresponding DNA codons were each replaced with mutated codons encoding a maximum of 20 different amino acids.
- This pHPLT- ACE-S243Q plasmid contained a unique BgIII restriction site, which was utilized during SEL construction. Sequences of the primers (commercially synthesized and desalted) used to generate the libraries are listed in Table 6-2.
- ACE-Q SELs To construct ACE-Q SELs, three reactions were performed: two mutagenesis reactions to introduce the mutated codon of interest in the ACE-Q DNA sequence, and a third reaction to fuse the two PCR fragments.
- the method of mutagenesis was based on the codon- specific mutation approach. In this method, the creation of all possible mutations in a specific DNA triplet is accomplished using a forward and reverse oligonucleotide primer encoding a specific designed triplet DNA sequence NNS ((A, C, T or G), (A, C, T or G), (C or G)) that corresponds with the sequence of the codon to be mutated and guarantees random incorporation of nucleotides at the codon of interest.
- NNS ((A, C, T or G), (A, C, T or G), (C or G)
- the number listed in the primer names of Table 6-2 corresponds with the specific ACE-Q codon position (based on the numbering of the mature BASE amino acid sequence).
- Two additional oligonucleotide primers that were used to construct the SEL encode the unique BgIII restriction site and pHPLT DNA sequence flanking the BgIII restriction site.
- each SEL began with two primary amplification reactions: a first PCR using the pHPLT-Bglll-FW primer and a specific ACE-Q reverse mutagenesis primer; and a second PCR using the pHPLT-Bglll-RV primer and a specific ACE-Q forward mutagenesis primer.
- the introduction of the mutations in the mature ACE-Q sequence was performed using Finnzymes Phusion High-Fidelity DNA Polymerase (Finnzymes OY, Espoo, Finland) (Cat. no. F-530L). All reactions were performed according to the protocol supplied by the manufacturer The PCR conditions for the primary reactions were as follows.
- For primary PCR 1 the pHPLT- BgIII-FW primer and a specific ACE-Q reverse mutagenesis primer - both 1 ⁇ L (10 ⁇ M), and 0.1 - 10 ng of DNA template (pHPLT-ACE-S243Q), 10 ⁇ L of 5X Phusion HF buffer, 1 ⁇ L of 10 mM dNTP mixture, 0.75 ⁇ L of Phusion DNA polymerase (2 units/ ⁇ L), 1 ⁇ L of 100% DMSO and de-ionised, autoclaved water to a total final volume of 50 ⁇ L.
- a PTC-200 Peltier thermal cycler (MJ Research, Inc. Waltham, MA) with the following program was used: 30 seconds 98°C, 30X cycles (10 seconds 98°C, 20 seconds 55°C, 1 minute 72°C) and 5 min 72°C.
- 30 seconds 98°C 30X cycles (10 seconds 98°C, 20 seconds 55°C, 1 minute 72°C) and 5 min 72°C.
- For each SEL primary amplification reaction two DNA fragments of approximately 2-3 kb with an approximately 30 nucleotide overlap around the ACE-Q codon of interest were produced.
- 1 ⁇ L unpurified PCR mix from both reactions was added to a third amplification reaction to which primers pHPLT-Bglll-FW and pHPLT-Bglll-RV were added.
- the amplified linear 5.2 kb DNA fragments were purified (using Qiagen® Qiaquick PCR purification kit Cat. no. 28106) and digested with a BgIII restriction enzyme to create cohesive ends on both sides of the fusion fragment.
- the restriction digest contained 35 ⁇ L purified linear DNA fragment, 4 ⁇ L React® 3 buffer (Invitrogen, Paisley PA4 9RF, UK) and 1 ⁇ L BgIII, 10 units/ml (Invitrogen, Paisley PA4 9RF, UK) as was incubated at 30 0 C for 1 hour.
- results of experiments conducted to determine cleaning performance (CS-28 microswatch assay at pH 10/32 0 C, pH 10/50 0 C, pH 8/16°C and pH 8/32°C), detergent stability, thermostability, BPNPG7 amylase activity and HPLC protein concentration (tests of properties of interest) of BASE and variants thereof are described.
- the results were obtained using the methods of Example 1.
- functionality of BASE variants was quantified as a performance index (PI), which is the ratio of performance of a variant to a parent protein.
- Table 10-1 shows the PI values for numerous BASE variants for the properties tested. The mutations introduced at the various amino acid positions are indicated. Performance indices less than or equal to 0.05 were fixed to 0.05.
- up mutations have a PI > 1; neutral mutations have a PI > 0.5, non-deleterious mutations have a PI > 0.05; deleterious mutations have a PI ⁇ 0.05; combinable mutations are those mutations for which the variant has PI > 0.5 for at least one property, and >0.05 for all properties. Combinable mutations are mutations that can be combined to deliver proteins with appropriate PIs for one or more desired properties. [00461] Positions at which mutations occur are classed as follows: non-restrictive positions have > 20% neutral mutations for at least one property; and restrictive positions have ⁇ 20% neutral mutations for activity and stability.
- Table 8-1 shows the restrictive positions where less than 20% neutral mutations (PI>0.5) for activity and stability were detected.
- Table 8-2 shows the non-restrictive positions where > 20% neutral mutations (PI>0.5) for at least one property tested were detected.
- % percent of variants evaluated that meet definition of neutral mutation.
- restrictive positions should not be mutated, as there are only few substitutions at these positions that are neutral for any property. When these positions must be changed, they require that the amino acid replacement be a conservative replacement. For example two mutations at position 58, i.e., A58G and A58T, are combinable, and two mutations at position 236, i.e., Y236F and Y236W, are combinable.
- Non-restrictive positions are the positions that are most suitable for use in constructing combinatorial libraries, since they have a large number of combinable mutations. Since homologous proteins share the same structure, restrictive positions are restrictive in all homologous amylases, since they are important for the structure and/or function of the protein.
- restrictive positions can only be identified by testing the possible amino acid mutations and measuring the properties of one of the proteins (e.g., alpha-amylase). Note that the two restrictive sites are conserved in the sequence alignment in Figure 1, but that conservation itself is not an indicator that a position is restrictive. For example, Q71, K72, and G73 are all conserved in the sequence alignment, but all three positions have several mutations that are better than the parent for activity, stability, or both. Non-restrictive positions with more than 20% neutral mutations for each property are generally very good choices for combinatorial mutations. There are 115 positions out of the 198 positions tested in alpha-amylase that meet this condition.
- EXAMPLE 9 Detergent Stability of ACE-Q Amylase Variants
- the detergent stability of ACE-Q (ACE-S243Q) amylase variants was measured after incubation under defined conditions in the presence of 10% detergent (commercial detergent; inactivated) at 70 0 C, and the initial and residual amylase activities were determined using the Ceralpha method (BPNPG7) as described in Example 1.
- the numbering of amino acid residues corresponds to that of the BASE alpha-amylase.
- Table 9-1 are shown as a performance index (PI) for each variant in relation to ACE alpha mylase.
- variants shown are the combinable mutations identified in the SEL data. Only variants with a PI > 0.5 are shown. These mutations can be combined to give a desired combination of stability and activity.
- thermostability compared to WT BASE.
- combinatorial variants also demonstrated significantly increased thermostability, with six variants (BASE-S26, BASE-S20, BASE-S31, BASE-S12, BASE-S27, BASE-S28) showing more than a 50% increase in stability.
- EMPA swatches were measured before and after treatment by optical reflectance using a Tristimulus Minolta Meter CR- 400.
- the difference in the L, a, b values was converted to total color difference (dE), as defined by the CIE-LAB color space.
- Cleaning of the stains is expressed as percent stain removal index (%SRI) by taking a ratio between the color difference before and after washing and comparing it to the difference of unwashed soils (before wash) to unsoiled fabric.
- Wash treatment was conducted in a launder-o-meter at 30 0 C. The wash time was 45 minutes (15 minutes to reach 30 0 C, then 30 minutes at 30 0 C) with a rinse time of 5 minutes with cold tap water.
- the water hardness was adjusted to 8.5° GH and heat inactivated Ariel was used at 4.5 ml/L.
- the presence of BASE variant in an amount of from about 0.05 to about 0.5 ppm improved performance compared to the control, with the relative performance of the BASE variants following the pattern W10>Wl 1>W9>ACE-Q.
- BASE-X8C i.e. , Wl 1-T131I- T165I
- BASE-WlOEK i.e., BASE-N128C-K178L-T182G-S243E-Y305R-D319T-G475K
- ACE-S243Q-G475K i.e., ACE-QK
- Heat inactivation of commercial detergents serves to destroy the activity of enzymatic components while retaining the properties of nonenzymatic components. Heat inactivation was performed by placing pre- weighed liquid detergent (in a glass bottle) in a water bath at 95 0 C for 2 hours. The detergent was purchased from local supermarkets. Both unheated and heated detergents were assayed within 5 minutes of dissolving the detergent, to accurately determine the percentage deactivated. Enzyme activity was tested by AAPF and Ceralpha assays.
- EMPA swatches were measured before and after treatment by optical reflectance using a Minolta Reflectometer CR-410 set to a D65 (6500 0 K) standard illuminant.
- the difference in the L, a, b values was converted to total color difference (dE), as defined by the CIE-LAB color space.
- Cleaning of the stains was expressed as percent stain removal index (%SRI) by taking a ratio between the color difference before and after washing and comparing it to the difference of unwashed soils (before wash) to unsoiled fabric. Wash treatment was conducted in 44L in a Kenmore Washing Machine.
- the washing machine was filled using the 'Cold Auto Temperature' setting and the water hardness was adjusted to 6gpg using a 15,000gpg 3:1 Ca:Mg water hardness stock solution.
- TIDE® coldwater inactivated detergent 43.12 g was added and the temperature adjusted to 32°C.
- Subtilisin protease was added to a final concentration of 0.6 ppm and ACE amylase was added to a final concentration of 0.1 ppm.
- Four swatches were used per wash condition and bleached cotton interlock knit was added as ballast to provide 40g/L total fabric load.
- the wash conditions were as follows: normal cycle (15.5 min) with second rinse (3 min), wash/rinse temperature of 89.6°F/32°C, fast agitation, and fast spin. After washing, the swatches were machine dried on low heat and read by optical reflectance as described above.
- a dose efficiency curve of selected concentrations of ACE-S243Q and subtilisin protease (B. amyloliquefaciens subtilisin BPN'-Y217L; BPN' Swissprot Accession Number P00782) were generated using a Terg-o-tometer. The performance evaluation was conducted at both 20 0 C and 40 0 C. Typically, 2 ea. swatches of CS-28 Rice Starch (Center for Testmaterials BV, Vlaardingen, Netherlands), AS-10 Pigment Oil Milk (CFT of Holland), EMPA 161 Maize Starch, EMPA 160 Chocolate Cream, and EMPA 163 Porridge, (EMPA Testmaterials AG, St.
- BASE-X8C i.e., W11-T131I-T165I
- BASE WlOEK i.e., BASE-N128C-K178L-T182G-S243E-Y305R- D319T-G475K
- ACE-S243Q-G475K i.e., ACE-QK
Landscapes
- Chemical & Material Sciences (AREA)
- Life Sciences & Earth Sciences (AREA)
- Health & Medical Sciences (AREA)
- Engineering & Computer Science (AREA)
- Organic Chemistry (AREA)
- Wood Science & Technology (AREA)
- Bioinformatics & Cheminformatics (AREA)
- Zoology (AREA)
- Genetics & Genomics (AREA)
- Biotechnology (AREA)
- Molecular Biology (AREA)
- Biomedical Technology (AREA)
- Biochemistry (AREA)
- General Engineering & Computer Science (AREA)
- General Health & Medical Sciences (AREA)
- Microbiology (AREA)
- Medicinal Chemistry (AREA)
- Chemical Kinetics & Catalysis (AREA)
- Oil, Petroleum & Natural Gas (AREA)
- Detergent Compositions (AREA)
- Enzymes And Modification Thereof (AREA)
- Micro-Organisms Or Cultivation Processes Thereof (AREA)
Abstract
Description
Claims
Priority Applications (10)
| Application Number | Priority Date | Filing Date | Title |
|---|---|---|---|
| DK10712273.1T DK2414514T3 (en) | 2009-04-01 | 2010-04-01 | FORMATIONS AND PROCEDURES COMPREHENSIVE Alpha- amylase variants WITH CHANGED PROPERTIES |
| CA2757343A CA2757343A1 (en) | 2009-04-01 | 2010-04-01 | Compositions and methods comprising alpha-amylase variants with altered properties |
| BRPI1010238-8A BRPI1010238A2 (en) | 2009-04-01 | 2010-04-01 | Compositions and methods comprising alpha-amylase variants with altered properties |
| JP2012503709A JP5651682B2 (en) | 2009-04-01 | 2010-04-01 | Compositions and methods comprising alpha-amylase variants having altered properties |
| CN201080014543.9A CN102378813B (en) | 2009-04-01 | 2010-04-01 | Compositions and methods comprising alpha-amylase variants with altered properties |
| RU2011144134/10A RU2011144134A (en) | 2009-04-01 | 2010-04-01 | COMPOSITIONS AND METHODS INCLUDING ALFA AMILASE OPTIONS WITH CHANGED PROPERTIES |
| US13/260,146 US8852912B2 (en) | 2009-04-01 | 2010-04-01 | Compositions and methods comprising alpha-amylase variants with altered properties |
| MX2011010041A MX2011010041A (en) | 2009-04-01 | 2010-04-01 | Compositions and methods comprising alpha-amylase variants with altered properties. |
| EP10712273.1A EP2414514B1 (en) | 2009-04-01 | 2010-04-01 | Compositions and methods comprising alpha-amylase variants with altered properties |
| US14/472,149 US20150087573A1 (en) | 2009-04-01 | 2014-08-28 | Compositions and Methods Comprising Alpha-Amylase Variants with Altered Properties |
Applications Claiming Priority (2)
| Application Number | Priority Date | Filing Date | Title |
|---|---|---|---|
| US16581309P | 2009-04-01 | 2009-04-01 | |
| US61/165,813 | 2009-04-01 |
Related Child Applications (2)
| Application Number | Title | Priority Date | Filing Date |
|---|---|---|---|
| US13/260,146 A-371-Of-International US8852912B2 (en) | 2009-04-01 | 2010-04-01 | Compositions and methods comprising alpha-amylase variants with altered properties |
| US14/472,149 Division US20150087573A1 (en) | 2009-04-01 | 2014-08-28 | Compositions and Methods Comprising Alpha-Amylase Variants with Altered Properties |
Publications (2)
| Publication Number | Publication Date |
|---|---|
| WO2010115021A2 true WO2010115021A2 (en) | 2010-10-07 |
| WO2010115021A3 WO2010115021A3 (en) | 2010-12-16 |
Family
ID=42358353
Family Applications (2)
| Application Number | Title | Priority Date | Filing Date |
|---|---|---|---|
| PCT/US2010/029659 Ceased WO2010115021A2 (en) | 2009-04-01 | 2010-04-01 | Compositions and methods comprising alpha-amylase variants with altered properties |
| PCT/US2010/029666 Ceased WO2010115028A2 (en) | 2009-04-01 | 2010-04-01 | Cleaning system comprising an alpha-amylase and a protease |
Family Applications After (1)
| Application Number | Title | Priority Date | Filing Date |
|---|---|---|---|
| PCT/US2010/029666 Ceased WO2010115028A2 (en) | 2009-04-01 | 2010-04-01 | Cleaning system comprising an alpha-amylase and a protease |
Country Status (10)
| Country | Link |
|---|---|
| US (3) | US8852912B2 (en) |
| EP (3) | EP2902487A3 (en) |
| JP (2) | JP5651682B2 (en) |
| CN (3) | CN103923895A (en) |
| BR (2) | BRPI1010238A2 (en) |
| CA (2) | CA2757347A1 (en) |
| DK (1) | DK2414514T3 (en) |
| MX (2) | MX2011010040A (en) |
| RU (2) | RU2011143721A (en) |
| WO (2) | WO2010115021A2 (en) |
Cited By (136)
| Publication number | Priority date | Publication date | Assignee | Title |
|---|---|---|---|---|
| WO2012149325A1 (en) | 2011-04-29 | 2012-11-01 | Danisco Us Inc. | Detergent compositions containing geobacillus tepidamans mannanase and methods of use thereof |
| WO2012149317A1 (en) | 2011-04-29 | 2012-11-01 | Danisco Us Inc. | Detergent compositions containing bacillus agaradhaerens mannanase and methods of use thereof |
| EP2540824A1 (en) * | 2011-06-30 | 2013-01-02 | The Procter & Gamble Company | Cleaning compositions comprising amylase variants reference to a sequence listing |
| WO2013096305A1 (en) * | 2011-12-22 | 2013-06-27 | Danisco Us Inc. | Variant alpha-amylases and methods of use, thereof |
| WO2013057143A3 (en) * | 2011-10-17 | 2013-09-06 | Novozymes A/S | Alpha-amylase variants and polynucleotides encoding same |
| WO2013057141A3 (en) * | 2011-10-17 | 2013-11-14 | Novozymes A/S | Alpha-amylase variants and polynucleotides encoding same |
| WO2014074997A1 (en) * | 2012-11-12 | 2014-05-15 | C5-6 Technologies, Inc. | Enzymes for inhibiting growth of biofilms and degrading same |
| WO2014099523A1 (en) * | 2012-12-21 | 2014-06-26 | Danisco Us Inc. | Alpha-amylase variants |
| JP2014520517A (en) * | 2011-06-30 | 2014-08-25 | ノボザイムス アクティーゼルスカブ | Screening method for α-amylase |
| US20140287477A1 (en) * | 2011-10-28 | 2014-09-25 | Danisco Us Inc. | Variant Maltohexaose-Forming Alpha-Amylase Variants |
| WO2014164777A1 (en) | 2013-03-11 | 2014-10-09 | Danisco Us Inc. | Alpha-amylase combinatorial variants |
| WO2014169129A1 (en) * | 2013-04-10 | 2014-10-16 | Novozymes A/S | Process for preparation of sugars and syrups |
| EP2803725A1 (en) * | 2013-05-14 | 2014-11-19 | The Procter & Gamble Company | Pouch comprising a cleaning composition |
| EP2803719A1 (en) | 2013-05-14 | 2014-11-19 | The Procter & Gamble Company | Cleaning composition |
| WO2014194034A2 (en) | 2013-05-29 | 2014-12-04 | Danisco Us Inc. | Novel metalloproteases |
| WO2014194054A1 (en) | 2013-05-29 | 2014-12-04 | Danisco Us Inc. | Novel metalloproteases |
| WO2014194117A2 (en) | 2013-05-29 | 2014-12-04 | Danisco Us Inc. | Novel metalloproteases |
| WO2014194032A1 (en) | 2013-05-29 | 2014-12-04 | Danisco Us Inc. | Novel metalloproteases |
| WO2015050723A1 (en) * | 2013-10-03 | 2015-04-09 | Danisco Us Inc. | Alpha-amylases from exiguobacterium, and methods of use, thereof |
| WO2015077126A1 (en) | 2013-11-20 | 2015-05-28 | Danisco Us Inc. | Variant alpha-amylases having reduced susceptibility to protease cleavage, and methods of use, thereof |
| WO2015089447A1 (en) | 2013-12-13 | 2015-06-18 | Danisco Us Inc. | Serine proteases of the bacillus gibsonii-clade |
| WO2015089441A1 (en) | 2013-12-13 | 2015-06-18 | Danisco Us Inc. | Serine proteases of bacillus species |
| WO2015095358A1 (en) | 2013-12-18 | 2015-06-25 | E. I. Du Pont De Nemours And Company | Cationic poly alpha-1,3-glucan ethers |
| WO2015123323A1 (en) | 2014-02-14 | 2015-08-20 | E. I. Du Pont De Nemours And Company | Poly-alpha-1,3-1,6-glucans for viscosity modification |
| WO2015138283A1 (en) | 2014-03-11 | 2015-09-17 | E. I. Du Pont De Nemours And Company | Oxidized poly alpha-1,3-glucan as detergent builder |
| EP2924108A1 (en) | 2014-03-28 | 2015-09-30 | The Procter and Gamble Company | Water soluble unit dose article |
| EP2924105A1 (en) | 2014-03-28 | 2015-09-30 | The Procter and Gamble Company | Water soluble unit dose article |
| WO2015157656A1 (en) * | 2014-04-10 | 2015-10-15 | Novozymes A/S | Alpha-amylase variants and polynucleotides encoding same |
| WO2015185689A1 (en) * | 2014-06-04 | 2015-12-10 | Novozymes A/S | Detergent composition |
| WO2015195960A1 (en) | 2014-06-19 | 2015-12-23 | E. I. Du Pont De Nemours And Company | Compositions containing one or more poly alpha-1,3-glucan ether compounds |
| WO2015195777A1 (en) | 2014-06-19 | 2015-12-23 | E. I. Du Pont De Nemours And Company | Compositions containing one or more poly alpha-1,3-glucan ether compounds |
| WO2016061438A1 (en) | 2014-10-17 | 2016-04-21 | Danisco Us Inc. | Serine proteases of bacillus species |
| WO2016069552A1 (en) | 2014-10-27 | 2016-05-06 | Danisco Us Inc. | Serine proteases |
| WO2016069544A1 (en) | 2014-10-27 | 2016-05-06 | Danisco Us Inc. | Serine proteases |
| WO2016069569A2 (en) | 2014-10-27 | 2016-05-06 | Danisco Us Inc. | Serine proteases |
| WO2016069557A1 (en) | 2014-10-27 | 2016-05-06 | Danisco Us Inc. | Serine proteases of bacillus species |
| WO2016069548A2 (en) | 2014-10-27 | 2016-05-06 | Danisco Us Inc. | Serine proteases |
| WO2016106011A1 (en) | 2014-12-23 | 2016-06-30 | E. I. Du Pont De Nemours And Company | Enzymatically produced cellulose |
| EP2984174A4 (en) * | 2013-04-10 | 2016-11-30 | Novozymes As | PROCESS FOR STARCH HYDROLYSIS |
| EP3101103A1 (en) | 2015-06-05 | 2016-12-07 | The Procter and Gamble Company | Compacted liquid laundry detergent composition |
| WO2016201040A1 (en) | 2015-06-09 | 2016-12-15 | Danisco Us Inc. | Water-triggered enzyme suspension |
| WO2016201044A1 (en) | 2015-06-09 | 2016-12-15 | Danisco Us Inc | Osmotic burst encapsulates |
| WO2016201069A1 (en) | 2015-06-09 | 2016-12-15 | Danisco Us Inc | Low-density enzyme-containing particles |
| WO2016205755A1 (en) | 2015-06-17 | 2016-12-22 | Danisco Us Inc. | Bacillus gibsonii-clade serine proteases |
| WO2017035100A1 (en) * | 2015-08-22 | 2017-03-02 | Neozyme International, Inc. | Papermaking additive compositions and methods and uses thereof |
| WO2017079756A1 (en) | 2015-11-05 | 2017-05-11 | Danisco Us Inc | Paenibacillus and bacillus spp. mannanases |
| WO2017079751A1 (en) | 2015-11-05 | 2017-05-11 | Danisco Us Inc | Paenibacillus sp. mannanases |
| WO2017083226A1 (en) | 2015-11-13 | 2017-05-18 | E. I. Du Pont De Nemours And Company | Glucan fiber compositions for use in laundry care and fabric care |
| WO2017083228A1 (en) | 2015-11-13 | 2017-05-18 | E. I. Du Pont De Nemours And Company | Glucan fiber compositions for use in laundry care and fabric care |
| WO2017083229A1 (en) | 2015-11-13 | 2017-05-18 | E. I. Du Pont De Nemours And Company | Glucan fiber compositions for use in laundry care and fabric care |
| WO2017106676A1 (en) | 2015-12-18 | 2017-06-22 | Danisco Us Inc | Polypeptides with endoglucanase activity and uses thereof |
| DK201600210A1 (en) * | 2016-04-08 | 2017-10-23 | Novozymes As | Stabilized Alpha-Amylase Variants and use of the same |
| WO2017192300A1 (en) | 2016-05-05 | 2017-11-09 | Danisco Us Inc | Protease variants and uses thereof |
| WO2017192692A1 (en) | 2016-05-03 | 2017-11-09 | Danisco Us Inc | Protease variants and uses thereof |
| WO2017210295A1 (en) | 2016-05-31 | 2017-12-07 | Danisco Us Inc. | Protease variants and uses thereof |
| WO2017219011A1 (en) | 2016-06-17 | 2017-12-21 | Danisco Us Inc | Protease variants and uses thereof |
| WO2018085524A2 (en) | 2016-11-07 | 2018-05-11 | Danisco Us Inc | Laundry detergent composition |
| WO2018118917A1 (en) | 2016-12-21 | 2018-06-28 | Danisco Us Inc. | Protease variants and uses thereof |
| WO2018118950A1 (en) | 2016-12-21 | 2018-06-28 | Danisco Us Inc. | Bacillus gibsonii-clade serine proteases |
| WO2018169750A1 (en) | 2017-03-15 | 2018-09-20 | Danisco Us Inc | Trypsin-like serine proteases and uses thereof |
| WO2018183662A1 (en) | 2017-03-31 | 2018-10-04 | Danisco Us Inc | Delayed release enzyme formulations for bleach-containing detergents |
| EP3415592A1 (en) | 2017-06-15 | 2018-12-19 | The Procter & Gamble Company | Water-soluble unit dose article comprising a solid laundry detergent composition |
| WO2019006077A1 (en) | 2017-06-30 | 2019-01-03 | Danisco Us Inc | Low-agglomeration, enzyme-containing particles |
| WO2019108599A1 (en) | 2017-11-29 | 2019-06-06 | Danisco Us Inc | Subtilisin variants having improved stability |
| WO2019125683A1 (en) | 2017-12-21 | 2019-06-27 | Danisco Us Inc | Enzyme-containing, hot-melt granules comprising a thermotolerant desiccant |
| US10334856B2 (en) | 2012-05-29 | 2019-07-02 | Neozyme International, Inc. | Non-toxic pest control compositions and methods and uses thereof |
| WO2019156670A1 (en) | 2018-02-08 | 2019-08-15 | Danisco Us Inc. | Thermally-resistant wax matrix particles for enzyme encapsulation |
| WO2019245705A1 (en) | 2018-06-19 | 2019-12-26 | Danisco Us Inc | Subtilisin variants |
| WO2019245704A1 (en) | 2018-06-19 | 2019-12-26 | Danisco Us Inc | Subtilisin variants |
| EP3587569A1 (en) | 2014-03-21 | 2020-01-01 | Danisco US Inc. | Serine proteases of bacillus species |
| US10557234B2 (en) | 2012-05-29 | 2020-02-11 | Neozyme International, Inc. | Papermaking additive compositions and methods and uses thereof |
| WO2020047215A1 (en) | 2018-08-30 | 2020-03-05 | Danisco Us Inc | Enzyme-containing granules |
| WO2020068486A1 (en) | 2018-09-27 | 2020-04-02 | Danisco Us Inc | Compositions for medical instrument cleaning |
| WO2020112599A1 (en) | 2018-11-28 | 2020-06-04 | Danisco Us Inc | Subtilisin variants having improved stability |
| US10681914B2 (en) | 2012-05-29 | 2020-06-16 | Neozyme International, Inc. | Non-toxic plant agent compositions and methods and uses thereof |
| CN111601887A (en) * | 2017-12-08 | 2020-08-28 | 诺维信公司 | Alpha-amylase variants and polynucleotides encoding same |
| WO2020186030A1 (en) | 2019-03-14 | 2020-09-17 | The Procter & Gamble Company | Cleaning compositions comprising enzymes |
| WO2020186052A1 (en) | 2019-03-14 | 2020-09-17 | The Procter & Gamble Company | Method for treating cotton |
| WO2020193532A1 (en) * | 2019-03-25 | 2020-10-01 | Basf Se | Cleaning composition having amylase enzymes |
| EP3134521B1 (en) | 2014-04-25 | 2020-10-28 | Basf Se | Amylase variants |
| EP3741283A1 (en) | 2019-05-22 | 2020-11-25 | The Procter & Gamble Company | Automatic dishwashing method |
| WO2020242858A1 (en) | 2019-05-24 | 2020-12-03 | Danisco Us Inc | Subtilisin variants and methods of use |
| WO2020247582A1 (en) | 2019-06-06 | 2020-12-10 | Danisco Us Inc | Methods and compositions for cleaning |
| WO2020264552A1 (en) * | 2019-06-24 | 2020-12-30 | The Procter & Gamble Company | Cleaning compositions comprising amylase variants |
| EP3786269A1 (en) | 2013-06-06 | 2021-03-03 | Novozymes A/S | Alpha-amylase variants and polynucleotides encoding same |
| EP3872174A1 (en) | 2015-05-13 | 2021-09-01 | Danisco US Inc. | Aprl-clade protease variants and uses thereof |
| EP2825643B1 (en) | 2012-06-08 | 2021-11-03 | Danisco US Inc. | Variant alpha amylases with enhanced activity on starch polymers |
| WO2021247801A1 (en) | 2020-06-05 | 2021-12-09 | The Procter & Gamble Company | Detergent compositions containing a branched surfactant |
| WO2022047149A1 (en) | 2020-08-27 | 2022-03-03 | Danisco Us Inc | Enzymes and enzyme compositions for cleaning |
| WO2022094590A1 (en) | 2020-10-29 | 2022-05-05 | The Procter & Gamble Company | Cleaning compositions containing alginate lyase enzymes |
| WO2022136389A1 (en) | 2020-12-23 | 2022-06-30 | Basf Se | Amphiphilic alkoxylated polyamines and their uses |
| US11384347B2 (en) | 2017-12-08 | 2022-07-12 | Novozymes A/S | Alpha-amylase variants and polynucleotides encoding same |
| WO2022165107A1 (en) | 2021-01-29 | 2022-08-04 | Danisco Us Inc | Compositions for cleaning and methods related thereto |
| JP2022553295A (en) * | 2019-10-24 | 2022-12-22 | ザ プロクター アンド ギャンブル カンパニー | Automatic dishwashing detergent composition containing amylase |
| WO2022272255A1 (en) | 2021-06-22 | 2022-12-29 | The Procter & Gamble Company | Cleaning or treatment compositions containing nuclease enzymes |
| WO2023278297A1 (en) | 2021-06-30 | 2023-01-05 | Danisco Us Inc | Variant lipases and uses thereof |
| WO2023034486A2 (en) | 2021-09-03 | 2023-03-09 | Danisco Us Inc. | Laundry compositions for cleaning |
| WO2023039270A2 (en) | 2021-09-13 | 2023-03-16 | Danisco Us Inc. | Bioactive-containing granules |
| EP4163305A1 (en) | 2013-12-16 | 2023-04-12 | Nutrition & Biosciences USA 4, Inc. | Use of poly alpha-1,3-glucan ethers as viscosity modifiers |
| WO2023064749A1 (en) | 2021-10-14 | 2023-04-20 | The Procter & Gamble Company | A fabric and home care product comprising cationic soil release polymer and lipase enzyme |
| EP4194537A1 (en) | 2021-12-08 | 2023-06-14 | The Procter & Gamble Company | Laundry treatment cartridge |
| WO2023107803A1 (en) | 2021-12-08 | 2023-06-15 | The Procter & Gamble Company | Laundry treatment cartridge |
| WO2023114932A2 (en) | 2021-12-16 | 2023-06-22 | Danisco Us Inc. | Subtilisin variants and methods of use |
| WO2023114936A2 (en) | 2021-12-16 | 2023-06-22 | Danisco Us Inc. | Subtilisin variants and methods of use |
| WO2023114939A2 (en) | 2021-12-16 | 2023-06-22 | Danisco Us Inc. | Subtilisin variants and methods of use |
| WO2023168234A1 (en) | 2022-03-01 | 2023-09-07 | Danisco Us Inc. | Enzymes and enzyme compositions for cleaning |
| US11772996B2 (en) | 2012-05-29 | 2023-10-03 | Neozyme International, Inc. | Process for treating contaminated water |
| WO2023215679A1 (en) | 2022-05-04 | 2023-11-09 | The Procter & Gamble Company | Detergent compositions containing enzymes |
| WO2023215680A1 (en) | 2022-05-04 | 2023-11-09 | The Procter & Gamble Company | Machine-cleaning compositions containing enzymes |
| WO2023225459A2 (en) | 2022-05-14 | 2023-11-23 | Novozymes A/S | Compositions and methods for preventing, treating, supressing and/or eliminating phytopathogenic infestations and infections |
| WO2023250301A1 (en) | 2022-06-21 | 2023-12-28 | Danisco Us Inc. | Methods and compositions for cleaning comprising a polypeptide having thermolysin activity |
| US11920170B2 (en) | 2015-12-09 | 2024-03-05 | Danisco Us Inc. | Alpha-amylase combinatorial variants |
| WO2024050346A1 (en) | 2022-09-02 | 2024-03-07 | Danisco Us Inc. | Detergent compositions and methods related thereto |
| WO2024050339A1 (en) | 2022-09-02 | 2024-03-07 | Danisco Us Inc. | Mannanase variants and methods of use |
| WO2024050343A1 (en) | 2022-09-02 | 2024-03-07 | Danisco Us Inc. | Subtilisin variants and methods related thereto |
| WO2024102698A1 (en) | 2022-11-09 | 2024-05-16 | Danisco Us Inc. | Subtilisin variants and methods of use |
| US12010992B2 (en) | 2020-04-26 | 2024-06-18 | Neozyme International, Inc. | Dry powdered compositions and methods and uses thereof |
| WO2024137704A2 (en) | 2022-12-19 | 2024-06-27 | Novozymes A/S | Processes for producing fermentation products using fiber-degrading enzymes with engineered yeast |
| WO2024137248A1 (en) | 2022-12-19 | 2024-06-27 | Novozymes A/S | Compositions comprising arabinofuranosidases and a xylanase, and use thereof for increasing hemicellulosic fiber solubilization |
| WO2024137246A1 (en) | 2022-12-19 | 2024-06-27 | Novozymes A/S | Carbohydrate esterase family 1 (ce1) polypeptides having ferulic acid esterase and/or acetyl xylan esterase activity and polynucleotides encoding same |
| WO2024137252A1 (en) | 2022-12-19 | 2024-06-27 | Novozymes A/S | Process for reducing syrup viscosity in the backend of a process for producing a fermentation product |
| WO2024137250A1 (en) | 2022-12-19 | 2024-06-27 | Novozymes A/S | Carbohydrate esterase family 3 (ce3) polypeptides having acetyl xylan esterase activity and polynucleotides encoding same |
| EP4410941A1 (en) | 2023-02-01 | 2024-08-07 | The Procter & Gamble Company | Detergent compositions containing enzymes |
| WO2024163584A1 (en) | 2023-02-01 | 2024-08-08 | Danisco Us Inc. | Subtilisin variants and methods of use |
| WO2024186819A1 (en) | 2023-03-06 | 2024-09-12 | Danisco Us Inc. | Subtilisin variants and methods of use |
| WO2024191711A1 (en) | 2023-03-16 | 2024-09-19 | Nutrition & Biosciences USA 4, Inc. | Brevibacillus fermentate extracts for cleaning and malodor control and use thereof |
| US12161901B2 (en) | 2020-04-26 | 2024-12-10 | Neozyme International, Inc. | Non-toxic fire extinguishing compositions, devices and methods of using same |
| WO2024258820A2 (en) | 2023-06-13 | 2024-12-19 | Novozymes A/S | Processes for producing fermentation products using engineered yeast expressing a beta-xylosidase |
| US12173260B2 (en) | 2017-02-01 | 2024-12-24 | The Procter & Gamble Company | Cleaning compositions comprising amylase variants |
| EP4481027A1 (en) | 2023-06-19 | 2024-12-25 | The Procter & Gamble Company | Cleaning compositions containing enzymes |
| EP4488351A1 (en) | 2023-07-03 | 2025-01-08 | The Procter & Gamble Company | Compositions containing a porphyrin binding protein |
| WO2025071996A1 (en) | 2023-09-28 | 2025-04-03 | Danisco Us Inc. | Variant cutinase enzymes with improved solubility and uses thereof |
| WO2025085351A1 (en) | 2023-10-20 | 2025-04-24 | Danisco Us Inc. | Subtilisin variants and methods of use |
| WO2025128568A1 (en) | 2023-12-11 | 2025-06-19 | Novozymes A/S | Composition and use thereof for increasing hemicellulosic fiber solubilization |
| WO2026008449A2 (en) | 2024-07-04 | 2026-01-08 | Novozymes A/S | A process for producing a fermentation product and a concentrated protein co-product |
| WO2026024922A1 (en) | 2024-07-25 | 2026-01-29 | Danisco Us Inc. | Subtilisin variants and methods of use |
Families Citing this family (61)
| Publication number | Priority date | Publication date | Assignee | Title |
|---|---|---|---|---|
| WO2008143889A1 (en) | 2007-05-14 | 2008-11-27 | Research Foundation Of State University Of New York | Induction of a physiological dispersion response in bacterial cells in a biofilm |
| BRPI0913402B1 (en) * | 2008-06-06 | 2019-07-02 | Danisco Us Inc. | ALPHA AMYLASES (AMYS) VARIANTS OF GEOBACILLUS STEAROTHERMOPHILUS WITH IMPROVED PROPERTIES |
| MX2011010040A (en) * | 2009-04-01 | 2011-11-18 | Danisco Us Inc | Cleaning system comprising an alpha-amylase and a protease. |
| WO2013001078A1 (en) | 2011-06-30 | 2013-01-03 | Novozymes A/S | Alpha-amylase variants |
| JP6271534B2 (en) * | 2012-07-13 | 2018-01-31 | ビーエーエスエフ ソシエタス・ヨーロピアBasf Se | Use of alkoxylated nonionic surfactants as additives in aqueous membrane cleaning compositions |
| CN104769106A (en) * | 2012-10-10 | 2015-07-08 | 丹尼斯科美国公司 | Method of using alpha-amylase from talaromyces emersonii for saccharification |
| MX381779B (en) * | 2012-12-07 | 2025-03-13 | Novozymes As | PREVENTION OF BACTERIAL ADHESION. |
| EP2941485B1 (en) * | 2013-01-03 | 2018-02-21 | Novozymes A/S | Alpha-amylase variants and polynucleotides encoding same |
| EP3052622B1 (en) | 2013-10-03 | 2018-09-19 | Danisco US Inc. | Alpha-amylases from a subset of exiguobacterium, and methods of use, thereof |
| CN103695386B (en) * | 2013-12-25 | 2015-09-16 | 南宁邦尔克生物技术有限责任公司 | A kind of acid resistance high temperature beta-amylase mutant and application thereof |
| EP3097175B1 (en) | 2014-01-22 | 2018-10-17 | The Procter and Gamble Company | Fabric treatment composition |
| WO2015112340A1 (en) | 2014-01-22 | 2015-07-30 | The Procter & Gamble Company | Method of treating textile fabrics |
| EP3097172A1 (en) | 2014-01-22 | 2016-11-30 | The Procter & Gamble Company | Method of treating textile fabrics |
| WO2015112339A1 (en) | 2014-01-22 | 2015-07-30 | The Procter & Gamble Company | Fabric treatment composition |
| CN103789285B (en) * | 2014-02-19 | 2016-01-20 | 江南大学 | The amylase mutant that a kind of thermostability improves and construction process thereof and application |
| CN106103708A (en) * | 2014-04-01 | 2016-11-09 | 诺维信公司 | There is the polypeptide of alpha amylase activity |
| WO2016034591A2 (en) * | 2014-09-01 | 2016-03-10 | Vib Vzw | Mutant pores |
| US20160137956A1 (en) | 2014-11-17 | 2016-05-19 | The Procter & Gamble Company | Benefit agent delivery compositions |
| WO2016176240A1 (en) | 2015-04-29 | 2016-11-03 | The Procter & Gamble Company | Method of treating a fabric |
| CN107548415A (en) | 2015-04-29 | 2018-01-05 | 宝洁公司 | Ways to Wash Fabrics |
| EP3088503B1 (en) | 2015-04-29 | 2018-05-23 | The Procter and Gamble Company | Method of treating a fabric |
| CN107820515A (en) | 2015-04-29 | 2018-03-20 | 宝洁公司 | Detergent composition |
| PL3088502T3 (en) | 2015-04-29 | 2018-10-31 | The Procter & Gamble Company | Method of treating a fabric |
| CN107750275A (en) | 2015-05-08 | 2018-03-02 | 诺维信公司 | Alpha-amylase variants and the polynucleotides for encoding them |
| EP3294881B1 (en) | 2015-05-08 | 2022-12-28 | Novozymes A/S | Alpha-amylase variants and polynucleotides encoding same |
| EP3101107B1 (en) | 2015-06-05 | 2019-04-24 | The Procter and Gamble Company | Compacted liquid laundry detergent composition |
| EP3101102B2 (en) | 2015-06-05 | 2023-12-13 | The Procter & Gamble Company | Compacted liquid laundry detergent composition |
| EP3101100B1 (en) | 2015-06-05 | 2018-02-07 | The Procter and Gamble Company | Compacted liquid laundry detergent composition |
| WO2017066510A1 (en) * | 2015-10-14 | 2017-04-20 | Novozymes A/S | Cleaning of water filtration membranes |
| MX388896B (en) | 2015-10-28 | 2025-03-20 | Novozymes As | DETERGENT COMPOSITION INCLUDING VARIANTS OF AMYLASE AND PROTEASE. |
| JP2019502779A (en) | 2015-11-26 | 2019-01-31 | ザ プロクター アンド ギャンブル カンパニー | Liquid detergent composition containing protease and encapsulated lipase |
| JP2017132901A (en) * | 2016-01-27 | 2017-08-03 | 株式会社ベネフィット−イオン | Washing pretreatment agent and washing method |
| US11104909B2 (en) | 2016-02-26 | 2021-08-31 | Nanjing Bestzyme Bio-Engineering Co., Ltd. | α-amylase variant and use thereof |
| DE102016208466A1 (en) | 2016-05-18 | 2017-11-23 | Henkel Ag & Co. Kgaa | Improved washing performance with a new Rhizoctonia solani alpha-amylase |
| DE102016209880A1 (en) | 2016-06-06 | 2017-12-07 | Henkel Ag & Co. Kgaa | New amylases |
| CN117721095A (en) | 2016-06-30 | 2024-03-19 | 诺维信公司 | Lipase variants and compositions comprising surfactants and lipase variants |
| DE102016221851A1 (en) | 2016-11-08 | 2018-05-09 | Henkel Ag & Co. Kgaa | Amylase for washing and cleaning agent applications |
| DK3330349T3 (en) | 2016-12-02 | 2024-07-15 | Procter & Gamble | CLEANING COMPOSITIONS INCLUDING ENZYMES |
| US10550443B2 (en) | 2016-12-02 | 2020-02-04 | The Procter & Gamble Company | Cleaning compositions including enzymes |
| CN110088261B (en) | 2016-12-02 | 2022-05-06 | 宝洁公司 | Cleaning compositions containing enzymes |
| EP3601553B1 (en) | 2017-03-31 | 2025-12-03 | Danisco US Inc. | Alpha-amylase combinatorial variants |
| CN107254454A (en) * | 2017-05-16 | 2017-10-17 | 中国科学院成都生物研究所 | A kind of carbonyl reduction enzyme mutant and its application |
| EP3668973A2 (en) | 2017-08-18 | 2020-06-24 | Danisco US Inc. | Alpha-amylase variants |
| DE102017220757A1 (en) | 2017-11-21 | 2019-05-23 | Henkel Ag & Co. Kgaa | Amylase and such containing detergent or cleaning agent |
| DE102018208445A1 (en) | 2018-05-29 | 2019-12-05 | Henkel Ag & Co. Kgaa | Improved washing performance with a new alpha-amylase from Fomitopsis pinicola (Fpi) |
| DE102018208444A1 (en) | 2018-05-29 | 2019-12-05 | Henkel Ag & Co. Kgaa | Improved washing performance with a new alpha-amylase from Trametes hirsuta (Thi) |
| DE102018208443A1 (en) | 2018-05-29 | 2019-12-05 | Henkel Ag & Co. Kgaa | Improved washing performance with a new alpha-amylase Irpex lacteus (IIa) |
| DE102018208446A1 (en) | 2018-05-29 | 2019-12-05 | Henkel Ag & Co. Kgaa | Improved washing performance with a new alpha-amylase from Fomes fomentarius (Ffo) |
| US11541105B2 (en) | 2018-06-01 | 2023-01-03 | The Research Foundation For The State University Of New York | Compositions and methods for disrupting biofilm formation and maintenance |
| US20230174962A1 (en) | 2018-07-31 | 2023-06-08 | Danisco Us Inc | Variant alpha-amylases having amino acid substitutions that lower the pka of the general acid |
| WO2020077331A2 (en) | 2018-10-12 | 2020-04-16 | Danisco Us Inc | Alpha-amylases with mutations that improve stability in the presence of chelants |
| WO2020193535A2 (en) * | 2019-03-25 | 2020-10-01 | Basf Se | Amylase enzymes |
| BR112022007697A2 (en) | 2019-10-24 | 2022-07-12 | Danisco Us Inc | VARIANT ALPHA-AMYLASE THAT FORMS MALTOPENTAOSE/MALTOHEXAOSE |
| JP2023506927A (en) * | 2019-12-19 | 2023-02-20 | ノボザイムス アクティーゼルスカブ | α-amylase mutant |
| CN114829565A (en) * | 2019-12-19 | 2022-07-29 | 宝洁公司 | Cleaning compositions comprising polypeptides having alpha amylase activity |
| CN111304114B (en) * | 2019-12-27 | 2022-03-15 | 西北大学 | Bacterial strain capable of inhibiting carbon steel corrosion and degrading crude oil, screening culture method and application thereof |
| WO2022199418A1 (en) | 2021-03-26 | 2022-09-29 | Novozymes A/S | Detergent composition with reduced polymer content |
| US20230063888A1 (en) * | 2021-08-24 | 2023-03-02 | Henkel IP & Holding GmbH | Fabric Conditioning Compositions Including Highly Branched Cyclic Dextrin and Methods for Using the Same |
| WO2023114988A2 (en) | 2021-12-16 | 2023-06-22 | Danisco Us Inc. | Variant maltopentaose/maltohexaose-forming alpha-amylases |
| CN116904321B (en) * | 2023-06-25 | 2024-12-13 | 黑龙江省科学院微生物研究所 | A strain of Talaromyces fungus W10 and its application |
| WO2025255017A1 (en) * | 2024-06-03 | 2025-12-11 | Neogen Corporation | Development of a novel, rapid, and quantitative method for the measurement of carry-over α-amylase content in sugar samples |
Citations (109)
| Publication number | Priority date | Publication date | Assignee | Title |
|---|---|---|---|---|
| GB1296839A (en) | 1969-05-29 | 1972-11-22 | ||
| GB1372034A (en) | 1970-12-31 | 1974-10-30 | Unilever Ltd | Detergent compositions |
| US3912590A (en) | 1973-01-03 | 1975-10-14 | Novo Industri As | Procedure for liquefying starch |
| GB1483591A (en) | 1973-07-23 | 1977-08-24 | Novo Industri As | Process for coating water soluble or water dispersible particles by means of the fluid bed technique |
| US4106991A (en) | 1976-07-07 | 1978-08-15 | Novo Industri A/S | Enzyme granulate composition and process for forming enzyme granulates |
| US4335208A (en) | 1980-03-11 | 1982-06-15 | Novo Industri A/S | Saccharification of starch hydrolysates |
| EP0063909A1 (en) | 1981-04-20 | 1982-11-03 | Novo Nordisk A/S | Debranching enzyme product, preparation and use thereof |
| US4435307A (en) | 1980-04-30 | 1984-03-06 | Novo Industri A/S | Detergent cellulase |
| WO1984002921A2 (en) | 1983-01-28 | 1984-08-02 | Cetus Corp | Glucoamylase cdna |
| EP0119920A2 (en) | 1983-03-22 | 1984-09-26 | Elf Atochem S.A. | Process for the simultaneous desizing and bleaching of textiles |
| EP0135138A2 (en) | 1983-08-17 | 1985-03-27 | Cpc International Inc. | A novel thermostable glucoamylase and method for its production |
| WO1986001831A1 (en) | 1984-09-18 | 1986-03-27 | Michigan Biotechnology Institute | Thermostable starch converting enzymes |
| US4587215A (en) | 1984-06-25 | 1986-05-06 | Uop Inc. | Highly thermostable amyloglucosidase |
| USRE32153E (en) | 1978-09-01 | 1986-05-20 | Cpc International Inc. | Highly thermostable glucoamylaseand process for its production |
| EP0200362A2 (en) | 1985-03-28 | 1986-11-05 | F. Hoffmann-La Roche Ag | Process for amplifying, detecting, and/or cloning nucleic acid sequences |
| EP0201184A2 (en) | 1985-03-28 | 1986-11-12 | F. Hoffmann-La Roche Ag | Process for amplifying nucleic acid sequences |
| US4643736A (en) | 1981-01-23 | 1987-02-17 | Produits Chimiques Ugine Kuhlmann | Desizing and bleaching woven fabrics in a single operation in a bath based on sodium chlorite |
| EP0218272A1 (en) | 1985-08-09 | 1987-04-15 | Gist-Brocades N.V. | Novel lipolytic enzymes and their use in detergent compositions |
| US4661452A (en) | 1984-05-29 | 1987-04-28 | Novo Industri A/S | Enzyme containing granulates useful as detergent additives |
| US4683195A (en) | 1986-01-30 | 1987-07-28 | Cetus Corporation | Process for amplifying, detecting, and/or-cloning nucleic acid sequences |
| US4689297A (en) | 1985-03-05 | 1987-08-25 | Miles Laboratories, Inc. | Dust free particulate enzyme formulation |
| EP0238216A1 (en) | 1986-02-20 | 1987-09-23 | Albright & Wilson Limited | Protected enzyme systems |
| EP0238023A2 (en) | 1986-03-17 | 1987-09-23 | Novo Nordisk A/S | Process for the production of protein products in Aspergillus oryzae and a promoter for use in Aspergillus |
| EP0252730A2 (en) | 1986-07-09 | 1988-01-13 | Novo Nordisk A/S | Alpha-Amylase mixtures for starch liquefaction |
| EP0258068A2 (en) | 1986-08-29 | 1988-03-02 | Novo Nordisk A/S | Enzymatic detergent additive |
| EP0260105A2 (en) | 1986-09-09 | 1988-03-16 | Genencor, Inc. | Preparation of enzymes having altered activity |
| US4760025A (en) | 1984-05-29 | 1988-07-26 | Genencor, Inc. | Modified enzymes and methods for making same |
| EP0305216A1 (en) | 1987-08-28 | 1989-03-01 | Novo Nordisk A/S | Recombinant Humicola lipase and process for the production of recombinant humicola lipases |
| JPS6474992A (en) | 1987-09-16 | 1989-03-20 | Fuji Oil Co Ltd | Dna sequence, plasmid and production of lipase |
| WO1989006270A1 (en) | 1988-01-07 | 1989-07-13 | Novo-Nordisk A/S | Enzymatic detergent |
| WO1989006279A1 (en) | 1988-01-07 | 1989-07-13 | Novo-Nordisk A/S | Mutated subtilisin genes |
| EP0331376A2 (en) | 1988-02-28 | 1989-09-06 | Amano Pharmaceutical Co., Ltd. | Recombinant DNA, bacterium of the genus pseudomonas containing it, and process for preparing lipase by using it |
| WO1989009259A1 (en) | 1988-03-24 | 1989-10-05 | Novo-Nordisk A/S | A cellulase preparation |
| EP0407225A1 (en) | 1989-07-07 | 1991-01-09 | Unilever Plc | Enzymes and enzymatic detergent compositions |
| WO1991016422A1 (en) | 1990-04-14 | 1991-10-31 | Kali-Chemie Aktiengesellschaft | Alkaline bacillus lipases, coding dna sequences therefor and bacilli which produce these lipases |
| WO1991017243A1 (en) | 1990-05-09 | 1991-11-14 | Novo Nordisk A/S | A cellulase preparation comprising an endoglucanase enzyme |
| WO1992000381A1 (en) | 1990-06-29 | 1992-01-09 | Novo Nordisk A/S | Enzymatic hydrolysis of starch to glucose, using a genetically engineered enzyme |
| WO1992005249A1 (en) | 1990-09-13 | 1992-04-02 | Novo Nordisk A/S | Lipase variants |
| WO1992006165A1 (en) | 1991-06-11 | 1992-04-16 | Genencor International, Inc. | Detergent compositions containing cellulase compositions deficient in cbh i type components |
| WO1992006154A1 (en) | 1990-09-28 | 1992-04-16 | The Procter & Gamble Company | Polyhydroxy fatty acid amide surfactants to enhance enzyme performance |
| WO1992006221A1 (en) | 1990-10-05 | 1992-04-16 | Genencor International, Inc. | Methods for treating cotton-containing fabrics with cellulase |
| WO1992019709A1 (en) | 1991-04-30 | 1992-11-12 | The Procter & Gamble Company | Built liquid detergents with boric-polyol complex to inhibit proteolytic enzyme |
| WO1992019708A1 (en) | 1991-04-30 | 1992-11-12 | The Procter & Gamble Company | Liquid detergents with aromatic borate ester to inhibit proteolytic enzyme |
| WO1992019729A1 (en) | 1991-05-01 | 1992-11-12 | Novo Nordisk A/S | Stabilized enzymes and detergent compositions |
| WO1992021760A1 (en) | 1991-05-29 | 1992-12-10 | Cognis, Inc. | Mutant proteolytic enzymes from bacillus |
| US5231017A (en) | 1991-05-17 | 1993-07-27 | Solvay Enzymes, Inc. | Process for producing ethanol |
| WO1993024618A1 (en) | 1992-06-01 | 1993-12-09 | Novo Nordisk A/S | Peroxidase variants with improved hydrogen peroxide stability |
| WO1994001541A1 (en) | 1992-07-06 | 1994-01-20 | Novo Nordisk A/S | C. antarctica lipase and lipase variants |
| WO1994002597A1 (en) | 1992-07-23 | 1994-02-03 | Novo Nordisk A/S | MUTANT α-AMYLASE, DETERGENT, DISH WASHING AGENT, AND LIQUEFACTION AGENT |
| US5324649A (en) | 1991-10-07 | 1994-06-28 | Genencor International, Inc. | Enzyme-containing granules coated with hydrolyzed polyvinyl alcohol or copolymer thereof |
| WO1994018314A1 (en) | 1993-02-11 | 1994-08-18 | Genencor International, Inc. | Oxidatively stable alpha-amylase |
| WO1994025578A1 (en) | 1993-04-27 | 1994-11-10 | Gist-Brocades N.V. | New lipase variants for use in detergent applications |
| WO1994025583A1 (en) | 1993-05-05 | 1994-11-10 | Novo Nordisk A/S | A recombinant trypsin-like protease |
| WO1995002044A1 (en) | 1993-07-06 | 1995-01-19 | Novo Nordisk A/S | An enzyme with protease activity |
| WO1995006720A1 (en) | 1993-08-30 | 1995-03-09 | Showa Denko K.K. | Novel lipase, microorganism producing the lipase, process for producing the lipase, and use of the lipase |
| WO1995010602A1 (en) | 1993-10-13 | 1995-04-20 | Novo Nordisk A/S | H2o2-stable peroxidase variants |
| WO1995014807A1 (en) | 1993-11-23 | 1995-06-01 | Novo Nordisk A/S | Deinking of waste paper by treatment with starch degrading enzyme e.g. amylase |
| WO1995014783A1 (en) | 1993-11-24 | 1995-06-01 | Showa Denko K.K. | Lipase gene and variant lipase |
| WO1995021247A1 (en) | 1994-02-02 | 1995-08-10 | Novo Nordisk A/S | The use of an alpha-amylase modified to improve oxidation stability in a combined desizing and bleaching process |
| WO1995022625A1 (en) | 1994-02-17 | 1995-08-24 | Affymax Technologies N.V. | Dna mutagenesis by random fragmentation and reassembly |
| WO1995022615A1 (en) | 1994-02-22 | 1995-08-24 | Novo Nordisk A/S | A method of preparing a variant of a lipolytic enzyme |
| WO1995023221A1 (en) | 1994-02-24 | 1995-08-31 | Cognis, Inc. | Improved enzymes and detergents containing them |
| WO1995030744A2 (en) | 1994-05-04 | 1995-11-16 | Genencor International Inc. | Lipases with improved surfactant resistance |
| WO1995035381A1 (en) | 1994-06-20 | 1995-12-28 | Unilever N.V. | Modified pseudomonas lipases and their use |
| WO1996000292A1 (en) | 1994-06-23 | 1996-01-04 | Unilever N.V. | Modified pseudomonas lipases and their use |
| WO1996000343A1 (en) | 1994-06-24 | 1996-01-04 | Audi Ag | Method of controlling the electric heating of a catalytic converter |
| WO1996012012A1 (en) | 1994-10-14 | 1996-04-25 | Solvay S.A. | Lipase, microorganism producing same, method for preparing said lipase and uses thereof |
| WO1996013580A1 (en) | 1994-10-26 | 1996-05-09 | Novo Nordisk A/S | An enzyme with lipolytic activity |
| WO1996023873A1 (en) | 1995-02-03 | 1996-08-08 | Novo Nordisk A/S | Amylase variants |
| WO1996027002A1 (en) | 1995-02-27 | 1996-09-06 | Novo Nordisk A/S | Novel lipase gene and process for the production of lipase with the use of the same |
| WO1996028567A1 (en) | 1995-03-09 | 1996-09-19 | Genencor International, Inc. | Method for liquefying starch |
| WO1996039528A2 (en) | 1995-06-06 | 1996-12-12 | Genencor International, Inc. | MUTANT α-AMYLASE |
| WO1997004079A1 (en) | 1995-07-14 | 1997-02-06 | Novo Nordisk A/S | A modified enzyme with lipolytic activity |
| WO1997007202A1 (en) | 1995-08-11 | 1997-02-27 | Novo Nordisk A/S | Novel lipolytic enzymes |
| WO1997006775A1 (en) | 1995-08-18 | 1997-02-27 | Novo Nordisk A/S | Tooth bleaching |
| US5648263A (en) | 1988-03-24 | 1997-07-15 | Novo Nordisk A/S | Methods for reducing the harshness of a cotton-containing fabric |
| WO1997042825A1 (en) | 1996-05-09 | 1997-11-20 | Novo Nordisk A/S | Antimicrobial peroxidase compositions |
| WO1997043424A1 (en) | 1996-05-14 | 1997-11-20 | Genencor International, Inc. | MODIFIED α-AMYLASES HAVING ALTERED CALCIUM BINDING PROPERTIES |
| US5700676A (en) | 1984-05-29 | 1997-12-23 | Genencor International Inc. | Modified subtilisins having amino acid alterations |
| WO1998015257A1 (en) | 1996-10-08 | 1998-04-16 | Novo Nordisk A/S | Diaminobenzoic acid derivatives as dye precursors |
| WO1998020116A1 (en) | 1996-11-04 | 1998-05-14 | Novo Nordisk A/S | Subtilase variants and compositions |
| WO1998020115A1 (en) | 1996-11-04 | 1998-05-14 | Novo Nordisk A/S | Subtilase variants and compositions |
| WO1998023732A2 (en) | 1996-11-26 | 1998-06-04 | Genencor International, Inc. | Chemically modified enzymes |
| WO1998034946A1 (en) | 1997-02-12 | 1998-08-13 | Massachusetts Institute Of Technology | Daxx, a novel fas-binding protein that activates jnk and apoptosis |
| US5801039A (en) | 1994-02-24 | 1998-09-01 | Cognis Gesellschaft Fuer Bio Und Umwelttechnologie Mbh | Enzymes for detergents |
| US5814501A (en) | 1990-06-04 | 1998-09-29 | Genencor International, Inc. | Process for making dust-free enzyme-containing particles from an enzyme-containing fermentation broth |
| US5855625A (en) | 1995-01-17 | 1999-01-05 | Henkel Kommanditgesellschaft Auf Aktien | Detergent compositions |
| US5856164A (en) | 1994-03-29 | 1999-01-05 | Novo Nordisk A/S | Alkaline bacillus amylase |
| WO1999019467A1 (en) | 1997-10-13 | 1999-04-22 | Novo Nordisk A/S | α-AMYLASE MUTANTS |
| WO1999020770A2 (en) | 1997-10-23 | 1999-04-29 | Genencor International, Inc. | Multiply-substituted protease variants |
| WO1999028448A1 (en) | 1997-11-26 | 1999-06-10 | Novo Nordisk A/S | Thermostable glucoamylase |
| US5955340A (en) | 1984-05-29 | 1999-09-21 | Genencor International, Inc. | Modified subtilisins having amino acid alterations |
| WO2000004136A1 (en) | 1998-07-15 | 2000-01-27 | Novozymes A/S | Glucoamylase variants |
| US6077316A (en) | 1995-07-19 | 2000-06-20 | Novo Nordisk A/S | Treatment of fabrics |
| WO2000060060A2 (en) | 1999-03-31 | 2000-10-12 | Novozymes A/S | Polypeptides having alkaline alpha-amylase activity and nucleic acids encoding same |
| WO2001014629A1 (en) | 1999-08-20 | 2001-03-01 | Genencor International, Inc. | Enzymatic modification of the surface of a polyester fiber or article |
| WO2001034899A1 (en) | 1999-11-05 | 2001-05-17 | Genencor International, Inc. | Enzymes useful for changing the properties of polyester |
| WO2002014490A2 (en) | 2000-08-11 | 2002-02-21 | Genencor International, Inc. | Bacillus transformation, transformants and mutant libraries |
| EP1199356A2 (en) | 2000-10-11 | 2002-04-24 | Kao Corporation | Highly productive alpha-amylases |
| US6472184B1 (en) | 1997-08-22 | 2002-10-29 | Peter Hegemann | Method for producing nucleic acid polymers |
| US6562612B2 (en) | 1997-11-19 | 2003-05-13 | Genencor International, Inc. | Cellulase producing actinomycetes, cellulase produced therefrom and method of producing same |
| WO2004059556A2 (en) | 2002-12-23 | 2004-07-15 | Geneart Gmbh | Method and device for optimizing a nucleotide sequence for the purpose of expression of a protein |
| WO2005045045A2 (en) | 2003-11-07 | 2005-05-19 | Kao Corporation | Recombinant microorganism |
| WO2005056783A1 (en) | 2003-12-05 | 2005-06-23 | Government Of The United States Of America As Represented By The Secretary Of The Department Of Health And Human Services | Catalytic domains of beta(1,4)-galactosyltransferase i having altered metal ion specificity |
| WO2005056782A2 (en) | 2003-12-03 | 2005-06-23 | Genencor International, Inc. | Perhydrolase |
| WO2006037484A2 (en) | 2004-10-01 | 2006-04-13 | Henkel Kommanditgesellschaft Auf Aktien | Alpha amylase variants having an elevated solvent stability, method for the production thereof and detergents and cleansers containing these alpha amylase variants |
| US7122334B2 (en) | 1997-12-24 | 2006-10-17 | Genencor International, Inc. | Method of assaying wash performance of enzymes on a microtiter plate |
| WO2007044993A2 (en) | 2005-10-12 | 2007-04-19 | Genencor International, Inc. | Use and production of storage-stable neutral metalloprotease |
| US20080090747A1 (en) | 2006-07-18 | 2008-04-17 | Pieter Augustinus | Protease variants active over a broad temperature range |
Family Cites Families (30)
| Publication number | Priority date | Publication date | Assignee | Title |
|---|---|---|---|---|
| GB1240058A (en) * | 1968-04-12 | 1971-07-21 | Procter & Gamble | Enzyme-containing detergent compositions |
| CN101381712A (en) * | 1995-02-03 | 2009-03-11 | 诺维信公司 | Amylase variant |
| JP4156666B2 (en) | 1995-08-11 | 2008-09-24 | ノボザイムス アクティーゼルスカブ | Methods for preparing polypeptide variants |
| US6211134B1 (en) * | 1996-05-14 | 2001-04-03 | Genecor International, Inc. | Mutant α-amylase |
| CN1222938A (en) * | 1996-05-14 | 1999-07-14 | 金克克国际有限公司 | Modified alpha-amylase with altered calcium ion binding properties |
| DE19700327A1 (en) | 1997-01-08 | 1998-07-09 | Henkel Kgaa | Protease and amylase detergent |
| AU2001258229A1 (en) * | 2000-05-12 | 2001-11-26 | Novozymes A/S | Alpha-amylase variants with altered 1,6-activity |
| ATE443752T1 (en) * | 2000-07-22 | 2009-10-15 | Genencor Int | ENZYME STABILIZATION |
| CA2438205C (en) * | 2001-02-21 | 2015-11-03 | Diversa Corporation | Enzymes having alpha amylase activity and methods of use thereof |
| CA2441595C (en) * | 2001-03-23 | 2012-07-03 | Genencor International, Inc. | Proteins producing an altered immunogenic response and methods of making and using the same |
| US20020165158A1 (en) | 2001-03-27 | 2002-11-07 | King George L. | Methods of modulating angiogenesis |
| EP2159279A3 (en) * | 2001-05-15 | 2010-05-12 | Novozymes A/S | Alpha-amylase variant with altered properties |
| JP4778418B2 (en) * | 2003-03-06 | 2011-09-21 | ヴェレニウム コーポレイション | Amylase, nucleic acid encoding the same, and production and use thereof |
| CA2523219C (en) | 2003-05-02 | 2012-06-12 | Johnson Matthey Plc | Production of hydrocarbons by steam reforming and fischer-tropsch reaction |
| ES2517245T3 (en) * | 2003-06-25 | 2014-11-03 | Novozymes A/S | Enzymes for the treatment of starch |
| JP2007532117A (en) * | 2004-04-08 | 2007-11-15 | ジェネンコー・インターナショナル・インク | α-amylase mutant |
| GB0415905D0 (en) * | 2004-07-16 | 2004-08-18 | Reckitt Benckiser Nv | Enzymes as active oxygen generators in cleaning compositions |
| DE102004047776B4 (en) * | 2004-10-01 | 2018-05-09 | Basf Se | Stabilized against di- and / or multimerization alpha-amylase variants, processes for their preparation and their use |
| WO2007052309A2 (en) * | 2005-11-03 | 2007-05-10 | Morepen Laboratories Limited | Improved process for manufacturing statins |
| US7629158B2 (en) * | 2006-06-16 | 2009-12-08 | The Procter & Gamble Company | Cleaning and/or treatment compositions |
| US20080004186A1 (en) * | 2006-06-23 | 2008-01-03 | Estell David A | Systematic evaluation of sequence and activity relationships using site evaluation libraries for engineering multiple properties |
| US9133425B2 (en) * | 2007-06-06 | 2015-09-15 | Danisco Us Inc. | Methods for improving multiple protein properties |
| AU2008325250B2 (en) | 2007-11-05 | 2013-06-13 | Danisco Us Inc. | Variants of Bacillus sp. TS-23 alpha-amylase with altered properties |
| MX2010004674A (en) | 2007-11-05 | 2010-05-20 | Danisco Us Inc | ALFA-AMYLASE VARIANTS WITH ALTERED PROPERTIES. |
| AU2008325248B2 (en) | 2007-11-05 | 2013-11-07 | Danisco Us Inc. | Variants of Bacillus licheniformis alpha-amylase with increased thermostability and/or decreased calcium dependence |
| BRPI0908768A2 (en) | 2008-02-04 | 2015-07-28 | Danisco Us Inc | Ts23 olfa amylase variants with altered properties |
| BRPI0913402B1 (en) | 2008-06-06 | 2019-07-02 | Danisco Us Inc. | ALPHA AMYLASES (AMYS) VARIANTS OF GEOBACILLUS STEAROTHERMOPHILUS WITH IMPROVED PROPERTIES |
| MX2011003178A (en) | 2008-09-25 | 2011-04-21 | Danisco Inc | Alpha-amylase blends and methods for using said blends. |
| MX2011010040A (en) * | 2009-04-01 | 2011-11-18 | Danisco Us Inc | Cleaning system comprising an alpha-amylase and a protease. |
| US10009209B2 (en) | 2013-03-28 | 2018-06-26 | Huawei Technologies Co., Ltd. | System and method for generalized multi-carrier frequency division multiplexing |
-
2010
- 2010-04-01 MX MX2011010040A patent/MX2011010040A/en not_active Application Discontinuation
- 2010-04-01 US US13/260,146 patent/US8852912B2/en active Active
- 2010-04-01 WO PCT/US2010/029659 patent/WO2010115021A2/en not_active Ceased
- 2010-04-01 DK DK10712273.1T patent/DK2414514T3/en active
- 2010-04-01 JP JP2012503709A patent/JP5651682B2/en active Active
- 2010-04-01 US US13/260,421 patent/US20120045822A1/en not_active Abandoned
- 2010-04-01 WO PCT/US2010/029666 patent/WO2010115028A2/en not_active Ceased
- 2010-04-01 MX MX2011010041A patent/MX2011010041A/en active IP Right Grant
- 2010-04-01 RU RU2011143721/10A patent/RU2011143721A/en not_active Application Discontinuation
- 2010-04-01 EP EP15156595.9A patent/EP2902487A3/en not_active Withdrawn
- 2010-04-01 CN CN201410144033.3A patent/CN103923895A/en active Pending
- 2010-04-01 EP EP10712273.1A patent/EP2414514B1/en not_active Revoked
- 2010-04-01 CA CA2757347A patent/CA2757347A1/en not_active Abandoned
- 2010-04-01 BR BRPI1010238-8A patent/BRPI1010238A2/en not_active IP Right Cessation
- 2010-04-01 CN CN201080014543.9A patent/CN102378813B/en not_active Expired - Fee Related
- 2010-04-01 JP JP2012503713A patent/JP2012522875A/en active Pending
- 2010-04-01 CA CA2757343A patent/CA2757343A1/en not_active Abandoned
- 2010-04-01 BR BRPI1013388A patent/BRPI1013388A2/en not_active IP Right Cessation
- 2010-04-01 RU RU2011144134/10A patent/RU2011144134A/en not_active Application Discontinuation
- 2010-04-01 EP EP10712274A patent/EP2414515A2/en not_active Withdrawn
- 2010-04-01 CN CN2010800151406A patent/CN102388132A/en active Pending
-
2014
- 2014-08-28 US US14/472,149 patent/US20150087573A1/en not_active Abandoned
Patent Citations (119)
| Publication number | Priority date | Publication date | Assignee | Title |
|---|---|---|---|---|
| GB1296839A (en) | 1969-05-29 | 1972-11-22 | ||
| GB1372034A (en) | 1970-12-31 | 1974-10-30 | Unilever Ltd | Detergent compositions |
| US3912590A (en) | 1973-01-03 | 1975-10-14 | Novo Industri As | Procedure for liquefying starch |
| GB1483591A (en) | 1973-07-23 | 1977-08-24 | Novo Industri As | Process for coating water soluble or water dispersible particles by means of the fluid bed technique |
| US4106991A (en) | 1976-07-07 | 1978-08-15 | Novo Industri A/S | Enzyme granulate composition and process for forming enzyme granulates |
| USRE32153E (en) | 1978-09-01 | 1986-05-20 | Cpc International Inc. | Highly thermostable glucoamylaseand process for its production |
| US4335208A (en) | 1980-03-11 | 1982-06-15 | Novo Industri A/S | Saccharification of starch hydrolysates |
| US4435307A (en) | 1980-04-30 | 1984-03-06 | Novo Industri A/S | Detergent cellulase |
| US4643736A (en) | 1981-01-23 | 1987-02-17 | Produits Chimiques Ugine Kuhlmann | Desizing and bleaching woven fabrics in a single operation in a bath based on sodium chlorite |
| EP0063909A1 (en) | 1981-04-20 | 1982-11-03 | Novo Nordisk A/S | Debranching enzyme product, preparation and use thereof |
| WO1984002921A2 (en) | 1983-01-28 | 1984-08-02 | Cetus Corp | Glucoamylase cdna |
| EP0119920A2 (en) | 1983-03-22 | 1984-09-26 | Elf Atochem S.A. | Process for the simultaneous desizing and bleaching of textiles |
| EP0135138A2 (en) | 1983-08-17 | 1985-03-27 | Cpc International Inc. | A novel thermostable glucoamylase and method for its production |
| US4760025A (en) | 1984-05-29 | 1988-07-26 | Genencor, Inc. | Modified enzymes and methods for making same |
| US5955340A (en) | 1984-05-29 | 1999-09-21 | Genencor International, Inc. | Modified subtilisins having amino acid alterations |
| USRE34606E (en) | 1984-05-29 | 1994-05-10 | Genencor, Inc. | Modified enzymes and methods for making same |
| US5700676A (en) | 1984-05-29 | 1997-12-23 | Genencor International Inc. | Modified subtilisins having amino acid alterations |
| US4661452A (en) | 1984-05-29 | 1987-04-28 | Novo Industri A/S | Enzyme containing granulates useful as detergent additives |
| US4587215A (en) | 1984-06-25 | 1986-05-06 | Uop Inc. | Highly thermostable amyloglucosidase |
| WO1986001831A1 (en) | 1984-09-18 | 1986-03-27 | Michigan Biotechnology Institute | Thermostable starch converting enzymes |
| US4689297A (en) | 1985-03-05 | 1987-08-25 | Miles Laboratories, Inc. | Dust free particulate enzyme formulation |
| US4683202B1 (en) | 1985-03-28 | 1990-11-27 | Cetus Corp | |
| US4683202A (en) | 1985-03-28 | 1987-07-28 | Cetus Corporation | Process for amplifying nucleic acid sequences |
| EP0201184A2 (en) | 1985-03-28 | 1986-11-12 | F. Hoffmann-La Roche Ag | Process for amplifying nucleic acid sequences |
| EP0200362A2 (en) | 1985-03-28 | 1986-11-05 | F. Hoffmann-La Roche Ag | Process for amplifying, detecting, and/or cloning nucleic acid sequences |
| EP0218272A1 (en) | 1985-08-09 | 1987-04-15 | Gist-Brocades N.V. | Novel lipolytic enzymes and their use in detergent compositions |
| US4683195A (en) | 1986-01-30 | 1987-07-28 | Cetus Corporation | Process for amplifying, detecting, and/or-cloning nucleic acid sequences |
| US4683195B1 (en) | 1986-01-30 | 1990-11-27 | Cetus Corp | |
| EP0238216A1 (en) | 1986-02-20 | 1987-09-23 | Albright & Wilson Limited | Protected enzyme systems |
| EP0238023A2 (en) | 1986-03-17 | 1987-09-23 | Novo Nordisk A/S | Process for the production of protein products in Aspergillus oryzae and a promoter for use in Aspergillus |
| EP0252730A2 (en) | 1986-07-09 | 1988-01-13 | Novo Nordisk A/S | Alpha-Amylase mixtures for starch liquefaction |
| EP0258068A2 (en) | 1986-08-29 | 1988-03-02 | Novo Nordisk A/S | Enzymatic detergent additive |
| EP0260105A2 (en) | 1986-09-09 | 1988-03-16 | Genencor, Inc. | Preparation of enzymes having altered activity |
| EP0305216A1 (en) | 1987-08-28 | 1989-03-01 | Novo Nordisk A/S | Recombinant Humicola lipase and process for the production of recombinant humicola lipases |
| JPS6474992A (en) | 1987-09-16 | 1989-03-20 | Fuji Oil Co Ltd | Dna sequence, plasmid and production of lipase |
| WO1989006279A1 (en) | 1988-01-07 | 1989-07-13 | Novo-Nordisk A/S | Mutated subtilisin genes |
| WO1989006270A1 (en) | 1988-01-07 | 1989-07-13 | Novo-Nordisk A/S | Enzymatic detergent |
| EP0331376A2 (en) | 1988-02-28 | 1989-09-06 | Amano Pharmaceutical Co., Ltd. | Recombinant DNA, bacterium of the genus pseudomonas containing it, and process for preparing lipase by using it |
| US5691178A (en) | 1988-03-22 | 1997-11-25 | Novo Nordisk A/S | Fungal cellulase composition containing alkaline CMC-endoglucanase and essentially no cellobiohydrolase |
| US5648263A (en) | 1988-03-24 | 1997-07-15 | Novo Nordisk A/S | Methods for reducing the harshness of a cotton-containing fabric |
| US5776757A (en) | 1988-03-24 | 1998-07-07 | Novo Nordisk A/S | Fungal cellulase composition containing alkaline CMC-endoglucanase and essentially no cellobiohydrolase and method of making thereof |
| WO1989009259A1 (en) | 1988-03-24 | 1989-10-05 | Novo-Nordisk A/S | A cellulase preparation |
| EP0407225A1 (en) | 1989-07-07 | 1991-01-09 | Unilever Plc | Enzymes and enzymatic detergent compositions |
| WO1991016422A1 (en) | 1990-04-14 | 1991-10-31 | Kali-Chemie Aktiengesellschaft | Alkaline bacillus lipases, coding dna sequences therefor and bacilli which produce these lipases |
| WO1991017243A1 (en) | 1990-05-09 | 1991-11-14 | Novo Nordisk A/S | A cellulase preparation comprising an endoglucanase enzyme |
| US5814501A (en) | 1990-06-04 | 1998-09-29 | Genencor International, Inc. | Process for making dust-free enzyme-containing particles from an enzyme-containing fermentation broth |
| WO1992000381A1 (en) | 1990-06-29 | 1992-01-09 | Novo Nordisk A/S | Enzymatic hydrolysis of starch to glucose, using a genetically engineered enzyme |
| WO1992005249A1 (en) | 1990-09-13 | 1992-04-02 | Novo Nordisk A/S | Lipase variants |
| WO1992006154A1 (en) | 1990-09-28 | 1992-04-16 | The Procter & Gamble Company | Polyhydroxy fatty acid amide surfactants to enhance enzyme performance |
| WO1992006221A1 (en) | 1990-10-05 | 1992-04-16 | Genencor International, Inc. | Methods for treating cotton-containing fabrics with cellulase |
| WO1992019709A1 (en) | 1991-04-30 | 1992-11-12 | The Procter & Gamble Company | Built liquid detergents with boric-polyol complex to inhibit proteolytic enzyme |
| WO1992019708A1 (en) | 1991-04-30 | 1992-11-12 | The Procter & Gamble Company | Liquid detergents with aromatic borate ester to inhibit proteolytic enzyme |
| WO1992019729A1 (en) | 1991-05-01 | 1992-11-12 | Novo Nordisk A/S | Stabilized enzymes and detergent compositions |
| US5231017A (en) | 1991-05-17 | 1993-07-27 | Solvay Enzymes, Inc. | Process for producing ethanol |
| US5340735A (en) | 1991-05-29 | 1994-08-23 | Cognis, Inc. | Bacillus lentus alkaline protease variants with increased stability |
| US5500364A (en) | 1991-05-29 | 1996-03-19 | Cognis, Inc. | Bacillus lentus alkaline protease varints with enhanced stability |
| WO1992021760A1 (en) | 1991-05-29 | 1992-12-10 | Cognis, Inc. | Mutant proteolytic enzymes from bacillus |
| WO1992006165A1 (en) | 1991-06-11 | 1992-04-16 | Genencor International, Inc. | Detergent compositions containing cellulase compositions deficient in cbh i type components |
| US5324649A (en) | 1991-10-07 | 1994-06-28 | Genencor International, Inc. | Enzyme-containing granules coated with hydrolyzed polyvinyl alcohol or copolymer thereof |
| WO1993024618A1 (en) | 1992-06-01 | 1993-12-09 | Novo Nordisk A/S | Peroxidase variants with improved hydrogen peroxide stability |
| WO1994001541A1 (en) | 1992-07-06 | 1994-01-20 | Novo Nordisk A/S | C. antarctica lipase and lipase variants |
| WO1994002597A1 (en) | 1992-07-23 | 1994-02-03 | Novo Nordisk A/S | MUTANT α-AMYLASE, DETERGENT, DISH WASHING AGENT, AND LIQUEFACTION AGENT |
| WO1994018314A1 (en) | 1993-02-11 | 1994-08-18 | Genencor International, Inc. | Oxidatively stable alpha-amylase |
| WO1994025578A1 (en) | 1993-04-27 | 1994-11-10 | Gist-Brocades N.V. | New lipase variants for use in detergent applications |
| WO1994025583A1 (en) | 1993-05-05 | 1994-11-10 | Novo Nordisk A/S | A recombinant trypsin-like protease |
| WO1995002044A1 (en) | 1993-07-06 | 1995-01-19 | Novo Nordisk A/S | An enzyme with protease activity |
| WO1995006720A1 (en) | 1993-08-30 | 1995-03-09 | Showa Denko K.K. | Novel lipase, microorganism producing the lipase, process for producing the lipase, and use of the lipase |
| WO1995010602A1 (en) | 1993-10-13 | 1995-04-20 | Novo Nordisk A/S | H2o2-stable peroxidase variants |
| WO1995014807A1 (en) | 1993-11-23 | 1995-06-01 | Novo Nordisk A/S | Deinking of waste paper by treatment with starch degrading enzyme e.g. amylase |
| WO1995014783A1 (en) | 1993-11-24 | 1995-06-01 | Showa Denko K.K. | Lipase gene and variant lipase |
| WO1995021247A1 (en) | 1994-02-02 | 1995-08-10 | Novo Nordisk A/S | The use of an alpha-amylase modified to improve oxidation stability in a combined desizing and bleaching process |
| WO1995022625A1 (en) | 1994-02-17 | 1995-08-24 | Affymax Technologies N.V. | Dna mutagenesis by random fragmentation and reassembly |
| WO1995022615A1 (en) | 1994-02-22 | 1995-08-24 | Novo Nordisk A/S | A method of preparing a variant of a lipolytic enzyme |
| US5801039A (en) | 1994-02-24 | 1998-09-01 | Cognis Gesellschaft Fuer Bio Und Umwelttechnologie Mbh | Enzymes for detergents |
| WO1995023221A1 (en) | 1994-02-24 | 1995-08-31 | Cognis, Inc. | Improved enzymes and detergents containing them |
| US5856164A (en) | 1994-03-29 | 1999-01-05 | Novo Nordisk A/S | Alkaline bacillus amylase |
| WO1995030744A2 (en) | 1994-05-04 | 1995-11-16 | Genencor International Inc. | Lipases with improved surfactant resistance |
| WO1995035381A1 (en) | 1994-06-20 | 1995-12-28 | Unilever N.V. | Modified pseudomonas lipases and their use |
| WO1996000292A1 (en) | 1994-06-23 | 1996-01-04 | Unilever N.V. | Modified pseudomonas lipases and their use |
| WO1996000343A1 (en) | 1994-06-24 | 1996-01-04 | Audi Ag | Method of controlling the electric heating of a catalytic converter |
| WO1996012012A1 (en) | 1994-10-14 | 1996-04-25 | Solvay S.A. | Lipase, microorganism producing same, method for preparing said lipase and uses thereof |
| WO1996013580A1 (en) | 1994-10-26 | 1996-05-09 | Novo Nordisk A/S | An enzyme with lipolytic activity |
| US5855625A (en) | 1995-01-17 | 1999-01-05 | Henkel Kommanditgesellschaft Auf Aktien | Detergent compositions |
| WO1996023873A1 (en) | 1995-02-03 | 1996-08-08 | Novo Nordisk A/S | Amylase variants |
| WO1996027002A1 (en) | 1995-02-27 | 1996-09-06 | Novo Nordisk A/S | Novel lipase gene and process for the production of lipase with the use of the same |
| WO1996028567A1 (en) | 1995-03-09 | 1996-09-19 | Genencor International, Inc. | Method for liquefying starch |
| WO1996039528A2 (en) | 1995-06-06 | 1996-12-12 | Genencor International, Inc. | MUTANT α-AMYLASE |
| WO1997004079A1 (en) | 1995-07-14 | 1997-02-06 | Novo Nordisk A/S | A modified enzyme with lipolytic activity |
| US6077316A (en) | 1995-07-19 | 2000-06-20 | Novo Nordisk A/S | Treatment of fabrics |
| WO1997007202A1 (en) | 1995-08-11 | 1997-02-27 | Novo Nordisk A/S | Novel lipolytic enzymes |
| WO1997006775A1 (en) | 1995-08-18 | 1997-02-27 | Novo Nordisk A/S | Tooth bleaching |
| WO1997042825A1 (en) | 1996-05-09 | 1997-11-20 | Novo Nordisk A/S | Antimicrobial peroxidase compositions |
| WO1997043424A1 (en) | 1996-05-14 | 1997-11-20 | Genencor International, Inc. | MODIFIED α-AMYLASES HAVING ALTERED CALCIUM BINDING PROPERTIES |
| WO1998015257A1 (en) | 1996-10-08 | 1998-04-16 | Novo Nordisk A/S | Diaminobenzoic acid derivatives as dye precursors |
| WO1998020116A1 (en) | 1996-11-04 | 1998-05-14 | Novo Nordisk A/S | Subtilase variants and compositions |
| WO1998020115A1 (en) | 1996-11-04 | 1998-05-14 | Novo Nordisk A/S | Subtilase variants and compositions |
| WO1998023732A2 (en) | 1996-11-26 | 1998-06-04 | Genencor International, Inc. | Chemically modified enzymes |
| WO1998034946A1 (en) | 1997-02-12 | 1998-08-13 | Massachusetts Institute Of Technology | Daxx, a novel fas-binding protein that activates jnk and apoptosis |
| US6472184B1 (en) | 1997-08-22 | 2002-10-29 | Peter Hegemann | Method for producing nucleic acid polymers |
| WO1999019467A1 (en) | 1997-10-13 | 1999-04-22 | Novo Nordisk A/S | α-AMYLASE MUTANTS |
| WO1999020770A2 (en) | 1997-10-23 | 1999-04-29 | Genencor International, Inc. | Multiply-substituted protease variants |
| US6482628B1 (en) | 1997-10-23 | 2002-11-19 | Genencor International, Inc. | Multiply-substituted protease variants |
| US6312936B1 (en) | 1997-10-23 | 2001-11-06 | Genencor International, Inc. | Multiply-substituted protease variants |
| US6562612B2 (en) | 1997-11-19 | 2003-05-13 | Genencor International, Inc. | Cellulase producing actinomycetes, cellulase produced therefrom and method of producing same |
| WO1999028448A1 (en) | 1997-11-26 | 1999-06-10 | Novo Nordisk A/S | Thermostable glucoamylase |
| US7122334B2 (en) | 1997-12-24 | 2006-10-17 | Genencor International, Inc. | Method of assaying wash performance of enzymes on a microtiter plate |
| WO2000004136A1 (en) | 1998-07-15 | 2000-01-27 | Novozymes A/S | Glucoamylase variants |
| WO2000060060A2 (en) | 1999-03-31 | 2000-10-12 | Novozymes A/S | Polypeptides having alkaline alpha-amylase activity and nucleic acids encoding same |
| WO2001014629A1 (en) | 1999-08-20 | 2001-03-01 | Genencor International, Inc. | Enzymatic modification of the surface of a polyester fiber or article |
| WO2001034899A1 (en) | 1999-11-05 | 2001-05-17 | Genencor International, Inc. | Enzymes useful for changing the properties of polyester |
| WO2002014490A2 (en) | 2000-08-11 | 2002-02-21 | Genencor International, Inc. | Bacillus transformation, transformants and mutant libraries |
| EP1199356A2 (en) | 2000-10-11 | 2002-04-24 | Kao Corporation | Highly productive alpha-amylases |
| WO2004059556A2 (en) | 2002-12-23 | 2004-07-15 | Geneart Gmbh | Method and device for optimizing a nucleotide sequence for the purpose of expression of a protein |
| WO2005045045A2 (en) | 2003-11-07 | 2005-05-19 | Kao Corporation | Recombinant microorganism |
| WO2005056782A2 (en) | 2003-12-03 | 2005-06-23 | Genencor International, Inc. | Perhydrolase |
| WO2005056783A1 (en) | 2003-12-05 | 2005-06-23 | Government Of The United States Of America As Represented By The Secretary Of The Department Of Health And Human Services | Catalytic domains of beta(1,4)-galactosyltransferase i having altered metal ion specificity |
| WO2006037484A2 (en) | 2004-10-01 | 2006-04-13 | Henkel Kommanditgesellschaft Auf Aktien | Alpha amylase variants having an elevated solvent stability, method for the production thereof and detergents and cleansers containing these alpha amylase variants |
| WO2007044993A2 (en) | 2005-10-12 | 2007-04-19 | Genencor International, Inc. | Use and production of storage-stable neutral metalloprotease |
| US20080090747A1 (en) | 2006-07-18 | 2008-04-17 | Pieter Augustinus | Protease variants active over a broad temperature range |
Non-Patent Citations (29)
| Title |
|---|
| "GENBANK", Database accession no. CAD35985 |
| AGRIC. BIOL. CHEM., vol. 55, no. 4, 1991, pages 941 - 949 |
| ALTSCHUL ET AL., NAR, vol. 25, 1997, pages 3389 - 3402 |
| AUSUBEL ET AL.: "CURRENT PROTOCOLS IN MOLECULAR BIOLOGY", 1994 |
| BOEL ET AL., EMBO J., vol. 3, no. 5, 1984, pages 1097 - 1102 |
| CAYOT; TAINTURIER, ANAL. BIOCHEM., vol. 249, 1997, pages 184 - 200 |
| CHEN ET AL., BIOCHEM. J., vol. 301, 1994, pages 275 - 281 |
| CHEN ET AL., PROT. ENG., vol. 8, 1995, pages 575 - 582 |
| CHEN ET AL., PROT. ENG., vol. 9, 1996, pages 499 - 505 |
| DARTOIS ET AL., BIOCHEMICA ET BIOPHYSICA ACTA, vol. 1131, 1993, pages 253 - 360 |
| EDGAR, NUCLEIC ACIDS RESEARCH, vol. 32, 2004, pages 1792 - 1797 |
| FIEROBE ET AL., BIOCHEMISTRY, vol. 35, 1996, pages 8698 - 8704 |
| GABORIAUD ET AL., FEBS LETTERS, vol. 224, 1987, pages 149 - 155 |
| HAGE ET AL., NATURE, vol. 369, 1994, pages 637 - 639 |
| HUBER; TORDA, PROTEIN SCIENCE, vol. 7, no. 1, 1998, pages 142 - 149 |
| J. K. KAUSHIK ET AL., J. BIOL. CHEM., vol. 278, 2003, pages 26458 - 65 |
| KREIGLER: "GENE TRANSFER AND EXPRESSION; A LABORATORY MANUAL", 1990 |
| LI ET AL., PROTEIN ENG., vol. 10, 1997, pages 1199 - 1204 |
| LIN ET AL., BIOTECHNOL APPL BIOCHEM, vol. 28, 1998, pages 61 - 68 |
| LIN ET AL., J APPL MICROBIOL, vol. 82, 1997, pages 325 - 334 |
| MCKENZIE ET AL., PLASMID, vol. 15, 1986, pages 93 - 103 |
| MONICA CONTI ET AL., J. CHROMATOGRAPHY, vol. 757, 1997, pages 237 - 245 |
| NEEDLEMAN; WUNSCH, J.MOI. BIOL., vol. 48, 1970, pages 443 - 453 |
| NEIDHARDT ET AL., J BACTERIOL, vol. 119, 1974, pages 736 - 747 |
| PEARSON ET AL., PROC. NATL, ACAD. SCI USA, vol. 85, 1988, pages 2444 - 2448 |
| SAMBROOK ET AL.: "MOLECULAR CLONING: A LABORATORY MANUAL", 1989 |
| SAMBROOK ET AL.: "Molecular Cloning: A Laboratory Manual,2nd Ed.,", 1989, COLD SPRING HARBOR |
| SOLINGEN ET AL., EXTREMOPHILES, vol. 5, 2001, pages 333 - 341 |
| W. M. FOGARTY; C. T. KELLY, PROGRESS IN INDUSTRIAL MICROBIOLOGY, vol. 15, 1979, pages 112 - 115 |
Cited By (240)
| Publication number | Priority date | Publication date | Assignee | Title |
|---|---|---|---|---|
| US8802388B2 (en) | 2011-04-29 | 2014-08-12 | Danisco Us Inc. | Detergent compositions containing Bacillus agaradhaerens mannanase and methods of use thereof |
| WO2012149317A1 (en) | 2011-04-29 | 2012-11-01 | Danisco Us Inc. | Detergent compositions containing bacillus agaradhaerens mannanase and methods of use thereof |
| WO2012149325A1 (en) | 2011-04-29 | 2012-11-01 | Danisco Us Inc. | Detergent compositions containing geobacillus tepidamans mannanase and methods of use thereof |
| US8986970B2 (en) | 2011-04-29 | 2015-03-24 | Danisco Us Inc. | Detergent compositions containing Bacillus agaradhaerens mannanase and methods of use thereof |
| EP2540824A1 (en) * | 2011-06-30 | 2013-01-02 | The Procter & Gamble Company | Cleaning compositions comprising amylase variants reference to a sequence listing |
| WO2013003659A1 (en) * | 2011-06-30 | 2013-01-03 | The Procter & Gamble Company | Cleaning compositions comprising amylase variants reference to a sequence listing |
| EP2540825A3 (en) * | 2011-06-30 | 2013-03-20 | The Procter & Gamble Company | Cleaning compositions comprising amylase variants reference to a sequence listing |
| EP3121270A3 (en) * | 2011-06-30 | 2017-03-08 | The Procter & Gamble Company | Cleaning compositions comprising amylase variants reference to a sequence listing |
| US11718840B2 (en) | 2011-06-30 | 2023-08-08 | Novozymes A/S | Method for screening alpha-amylases |
| JP2014520517A (en) * | 2011-06-30 | 2014-08-25 | ノボザイムス アクティーゼルスカブ | Screening method for α-amylase |
| EP3495479A1 (en) * | 2011-10-17 | 2019-06-12 | Novozymes A/S | Alpha-amylase variants and polynucleotides encoding same |
| US10724022B2 (en) | 2011-10-17 | 2020-07-28 | Novozymes A/S | Alpha-amylase variants and polynucleotides encoding same |
| KR20140081855A (en) * | 2011-10-17 | 2014-07-01 | 노보자임스 에이/에스 | Alpha-amylase variants and polynucleotides encoding same |
| KR20140081854A (en) * | 2011-10-17 | 2014-07-01 | 노보자임스 에이/에스 | Alpha-amylase variants and polynucleotides encoding same |
| CN103890170A (en) * | 2011-10-17 | 2014-06-25 | 诺维信公司 | Alpha-amylase variants and polynucleotides encoding same |
| CN103857794A (en) * | 2011-10-17 | 2014-06-11 | 诺维信公司 | Alpha-amylase variants and polynucleotides encoding same |
| US9334485B2 (en) | 2011-10-17 | 2016-05-10 | Novozymes A/S | Alpha-amylase variants and polynucleotides encoding same |
| US10017752B2 (en) | 2011-10-17 | 2018-07-10 | Novozymes A/S | Alpha-amylase variants and polynucleotides encoding same |
| US11180745B2 (en) | 2011-10-17 | 2021-11-23 | Novozymes A/S | Alpha-amylase variants and polynucleotides encoding same |
| US11174472B2 (en) | 2011-10-17 | 2021-11-16 | Novozymes A/S | Alpha-amylase variants and polynucleotides encoding same |
| CN103890170B (en) * | 2011-10-17 | 2018-02-02 | 诺维信公司 | Alpha-amylase variants and the polynucleotides encoded to it |
| EP2768957B1 (en) * | 2011-10-17 | 2018-05-09 | Novozymes A/S | Alpha-amylase variants and polynucleotides encoding same |
| EP4253534A3 (en) * | 2011-10-17 | 2024-02-07 | Novozymes A/S | Alpha-amylase variants and polynucleotides encoding same |
| US10351836B2 (en) | 2011-10-17 | 2019-07-16 | Novozymes A/S | Alpha-amylase variants and polynucleotides encoding same |
| KR102034007B1 (en) | 2011-10-17 | 2019-10-18 | 노보자임스 에이/에스 | Alpha-amylase variants and polynucleotides encoding same |
| KR102046075B1 (en) | 2011-10-17 | 2019-11-18 | 노보자임스 에이/에스 | Alpha-amylase variants and polynucleotides encoding same |
| US10619141B2 (en) | 2011-10-17 | 2020-04-14 | Novozymes A/S | Alpha-amylase variants and polynucleotides encoding same |
| WO2013057143A3 (en) * | 2011-10-17 | 2013-09-06 | Novozymes A/S | Alpha-amylase variants and polynucleotides encoding same |
| WO2013057141A3 (en) * | 2011-10-17 | 2013-11-14 | Novozymes A/S | Alpha-amylase variants and polynucleotides encoding same |
| US10689635B2 (en) | 2011-10-17 | 2020-06-23 | Novozymes A/S | Alpha-amylase variants and polynucleotides encoding same |
| EP4345161A3 (en) * | 2011-10-28 | 2024-06-12 | Danisco Us Inc | Variant maltohexaose-forming alpha-amylase variants |
| US20140287477A1 (en) * | 2011-10-28 | 2014-09-25 | Danisco Us Inc. | Variant Maltohexaose-Forming Alpha-Amylase Variants |
| US11898177B2 (en) | 2011-10-28 | 2024-02-13 | Danisco Us Inc. | Variant maltohexaose-forming alpha-amylase variants |
| US10457924B2 (en) | 2011-10-28 | 2019-10-29 | Danisco Us Inc | Variant maltohexaose-forming alpha-amylase variants |
| US12338467B2 (en) | 2011-10-28 | 2025-06-24 | Danisco Us Inc. | Variant maltohexaose-forming α-amylase variants |
| EP3845641A1 (en) * | 2011-10-28 | 2021-07-07 | Danisco US Inc. | Variant maltohexaose-forming alpha-amylase variants |
| WO2013096305A1 (en) * | 2011-12-22 | 2013-06-27 | Danisco Us Inc. | Variant alpha-amylases and methods of use, thereof |
| CN104066838A (en) * | 2011-12-22 | 2014-09-24 | 丹尼斯科美国公司 | Variant alpha-amylases and methods of use thereof |
| US10334856B2 (en) | 2012-05-29 | 2019-07-02 | Neozyme International, Inc. | Non-toxic pest control compositions and methods and uses thereof |
| US11772996B2 (en) | 2012-05-29 | 2023-10-03 | Neozyme International, Inc. | Process for treating contaminated water |
| US11930823B2 (en) | 2012-05-29 | 2024-03-19 | Neozyme International, Inc. | Non-toxic pest control compositions and methods and uses thereof |
| US10557234B2 (en) | 2012-05-29 | 2020-02-11 | Neozyme International, Inc. | Papermaking additive compositions and methods and uses thereof |
| US10681914B2 (en) | 2012-05-29 | 2020-06-16 | Neozyme International, Inc. | Non-toxic plant agent compositions and methods and uses thereof |
| US11773535B2 (en) | 2012-05-29 | 2023-10-03 | Neozyme International, Inc. | Papermaking additive compositions and methods and uses thereof |
| US11116224B2 (en) | 2012-05-29 | 2021-09-14 | Neozyme International, Inc. | Non-toxic pest control compositions and methods and uses thereof |
| US12358819B2 (en) | 2012-05-29 | 2025-07-15 | Neozyme International, Inc. | Liquid bio-catalytic composition |
| US12258708B2 (en) | 2012-05-29 | 2025-03-25 | Neozyme International, Inc. | Papermaking additive compositions and methods and uses thereof |
| US12342827B2 (en) | 2012-05-29 | 2025-07-01 | Neozyme International, Inc. | Non-toxic pest control compositions and methods and uses thereof |
| US11771091B2 (en) | 2012-05-29 | 2023-10-03 | Neozyme International, Inc. | Non-toxic plant agent compositions and methods and uses thereof |
| US12364268B2 (en) | 2012-05-29 | 2025-07-22 | Neozyme International, Inc. | Non-toxic plant agent compositions and methods and uses thereof |
| EP4026902B1 (en) | 2012-06-08 | 2025-04-16 | Danisco US Inc. | Variant alpha amylases with enhanced activity on starch polymers |
| EP2825643B1 (en) | 2012-06-08 | 2021-11-03 | Danisco US Inc. | Variant alpha amylases with enhanced activity on starch polymers |
| WO2014074997A1 (en) * | 2012-11-12 | 2014-05-15 | C5-6 Technologies, Inc. | Enzymes for inhibiting growth of biofilms and degrading same |
| US9480729B2 (en) | 2012-11-12 | 2016-11-01 | C5-6 Technologies, Inc. | Enzymes for inhibiting growth of biofilms and degrading same |
| WO2014099523A1 (en) * | 2012-12-21 | 2014-06-26 | Danisco Us Inc. | Alpha-amylase variants |
| EP3354728A1 (en) * | 2012-12-21 | 2018-08-01 | Danisco US Inc. | Alpha-amylase variants |
| CN104884614A (en) * | 2012-12-21 | 2015-09-02 | 丹尼斯科美国公司 | Alpha-amylase variants |
| WO2014164800A1 (en) | 2013-03-11 | 2014-10-09 | Danisco Us Inc. | Alpha-amylase combinatorial variants |
| EP3336183A1 (en) | 2013-03-11 | 2018-06-20 | Danisco US Inc. | Alpha-amylase conbinatorial variants |
| WO2014164777A1 (en) | 2013-03-11 | 2014-10-09 | Danisco Us Inc. | Alpha-amylase combinatorial variants |
| EP3978604A1 (en) | 2013-03-11 | 2022-04-06 | Danisco US Inc. | Alpha-amylase combinatorial variants |
| US9982282B2 (en) | 2013-04-10 | 2018-05-29 | Novozymes A/S | Process for preparation of sugars and syrups |
| EP2984174A4 (en) * | 2013-04-10 | 2016-11-30 | Novozymes As | PROCESS FOR STARCH HYDROLYSIS |
| WO2014169129A1 (en) * | 2013-04-10 | 2014-10-16 | Novozymes A/S | Process for preparation of sugars and syrups |
| EP2984173A4 (en) * | 2013-04-10 | 2016-12-07 | Novozymes As | PROCESS FOR THE PREPARATION OF SUGARS AND SYRUPS |
| WO2014186183A1 (en) | 2013-05-14 | 2014-11-20 | The Procter & Gamble Company | Pouch comprising a cleaning composition |
| EP2803725A1 (en) * | 2013-05-14 | 2014-11-19 | The Procter & Gamble Company | Pouch comprising a cleaning composition |
| EP2803719A1 (en) | 2013-05-14 | 2014-11-19 | The Procter & Gamble Company | Cleaning composition |
| EP3636662A1 (en) | 2013-05-29 | 2020-04-15 | Danisco US Inc. | Novel metalloproteases |
| EP3260538A1 (en) | 2013-05-29 | 2017-12-27 | Danisco US Inc. | Novel metalloproteases |
| WO2014194054A1 (en) | 2013-05-29 | 2014-12-04 | Danisco Us Inc. | Novel metalloproteases |
| WO2014194034A2 (en) | 2013-05-29 | 2014-12-04 | Danisco Us Inc. | Novel metalloproteases |
| WO2014194117A2 (en) | 2013-05-29 | 2014-12-04 | Danisco Us Inc. | Novel metalloproteases |
| WO2014194032A1 (en) | 2013-05-29 | 2014-12-04 | Danisco Us Inc. | Novel metalloproteases |
| EP3882346A1 (en) | 2013-05-29 | 2021-09-22 | Danisco US Inc. | Novel metalloproteases |
| EP4159854A1 (en) | 2013-05-29 | 2023-04-05 | Danisco US Inc | Novel metalloproteases |
| EP3786269A1 (en) | 2013-06-06 | 2021-03-03 | Novozymes A/S | Alpha-amylase variants and polynucleotides encoding same |
| WO2015050723A1 (en) * | 2013-10-03 | 2015-04-09 | Danisco Us Inc. | Alpha-amylases from exiguobacterium, and methods of use, thereof |
| WO2015077126A1 (en) | 2013-11-20 | 2015-05-28 | Danisco Us Inc. | Variant alpha-amylases having reduced susceptibility to protease cleavage, and methods of use, thereof |
| EP3910057A1 (en) | 2013-12-13 | 2021-11-17 | Danisco US Inc. | Serine proteases of the bacillus gibsonii-clade |
| EP3553173A1 (en) | 2013-12-13 | 2019-10-16 | Danisco US Inc. | Serine proteases of the bacillus gibsonii-clade |
| EP3514230A1 (en) | 2013-12-13 | 2019-07-24 | Danisco US Inc. | Serine proteases of bacillus species |
| WO2015089447A1 (en) | 2013-12-13 | 2015-06-18 | Danisco Us Inc. | Serine proteases of the bacillus gibsonii-clade |
| WO2015089441A1 (en) | 2013-12-13 | 2015-06-18 | Danisco Us Inc. | Serine proteases of bacillus species |
| EP4163305A1 (en) | 2013-12-16 | 2023-04-12 | Nutrition & Biosciences USA 4, Inc. | Use of poly alpha-1,3-glucan ethers as viscosity modifiers |
| WO2015095358A1 (en) | 2013-12-18 | 2015-06-25 | E. I. Du Pont De Nemours And Company | Cationic poly alpha-1,3-glucan ethers |
| EP3789407A1 (en) | 2013-12-18 | 2021-03-10 | Nutrition & Biosciences USA 4, Inc. | Cationic poly alpha-1,3-glucan ethers |
| WO2015123323A1 (en) | 2014-02-14 | 2015-08-20 | E. I. Du Pont De Nemours And Company | Poly-alpha-1,3-1,6-glucans for viscosity modification |
| WO2015138283A1 (en) | 2014-03-11 | 2015-09-17 | E. I. Du Pont De Nemours And Company | Oxidized poly alpha-1,3-glucan as detergent builder |
| EP4155398A1 (en) | 2014-03-21 | 2023-03-29 | Danisco US Inc. | Serine proteases of bacillus species |
| EP3587569A1 (en) | 2014-03-21 | 2020-01-01 | Danisco US Inc. | Serine proteases of bacillus species |
| EP2924106A1 (en) | 2014-03-28 | 2015-09-30 | The Procter and Gamble Company | Water soluble unit dose article |
| WO2015148780A1 (en) | 2014-03-28 | 2015-10-01 | The Procter & Gamble Company | Water soluble unit dose article |
| EP2924105A1 (en) | 2014-03-28 | 2015-09-30 | The Procter and Gamble Company | Water soluble unit dose article |
| EP2924108A1 (en) | 2014-03-28 | 2015-09-30 | The Procter and Gamble Company | Water soluble unit dose article |
| EP2924107A1 (en) | 2014-03-28 | 2015-09-30 | The Procter and Gamble Company | Water soluble unit dose article |
| WO2015148777A1 (en) | 2014-03-28 | 2015-10-01 | The Procter & Gamble Company | Water soluble unit dose article |
| US11072786B2 (en) | 2014-04-10 | 2021-07-27 | Novozymes A/S | Alpha-amylase variants and polynucleotides encoding same |
| WO2015157656A1 (en) * | 2014-04-10 | 2015-10-15 | Novozymes A/S | Alpha-amylase variants and polynucleotides encoding same |
| EP3134521B1 (en) | 2014-04-25 | 2020-10-28 | Basf Se | Amylase variants |
| WO2015185689A1 (en) * | 2014-06-04 | 2015-12-10 | Novozymes A/S | Detergent composition |
| US10647947B2 (en) | 2014-06-04 | 2020-05-12 | Novozymes A/S | Detergent composition |
| CN106414698A (en) * | 2014-06-04 | 2017-02-15 | 诺维信公司 | Detergent composition |
| WO2015195960A1 (en) | 2014-06-19 | 2015-12-23 | E. I. Du Pont De Nemours And Company | Compositions containing one or more poly alpha-1,3-glucan ether compounds |
| WO2015195777A1 (en) | 2014-06-19 | 2015-12-23 | E. I. Du Pont De Nemours And Company | Compositions containing one or more poly alpha-1,3-glucan ether compounds |
| EP3919599A1 (en) | 2014-06-19 | 2021-12-08 | Nutrition & Biosciences USA 4, Inc. | Compositions containing one or more poly alpha-1,3-glucan ether compounds |
| WO2016061438A1 (en) | 2014-10-17 | 2016-04-21 | Danisco Us Inc. | Serine proteases of bacillus species |
| WO2016069569A2 (en) | 2014-10-27 | 2016-05-06 | Danisco Us Inc. | Serine proteases |
| EP3550017A1 (en) | 2014-10-27 | 2019-10-09 | Danisco US Inc. | Serine proteases |
| WO2016069552A1 (en) | 2014-10-27 | 2016-05-06 | Danisco Us Inc. | Serine proteases |
| WO2016069544A1 (en) | 2014-10-27 | 2016-05-06 | Danisco Us Inc. | Serine proteases |
| EP4403631A2 (en) | 2014-10-27 | 2024-07-24 | Danisco US Inc. | Serine proteases |
| WO2016069557A1 (en) | 2014-10-27 | 2016-05-06 | Danisco Us Inc. | Serine proteases of bacillus species |
| WO2016069548A2 (en) | 2014-10-27 | 2016-05-06 | Danisco Us Inc. | Serine proteases |
| WO2016106011A1 (en) | 2014-12-23 | 2016-06-30 | E. I. Du Pont De Nemours And Company | Enzymatically produced cellulose |
| EP3872174A1 (en) | 2015-05-13 | 2021-09-01 | Danisco US Inc. | Aprl-clade protease variants and uses thereof |
| EP4219704A2 (en) | 2015-05-13 | 2023-08-02 | Danisco US Inc | Aprl-clade protease variants and uses thereof |
| EP3101103A1 (en) | 2015-06-05 | 2016-12-07 | The Procter and Gamble Company | Compacted liquid laundry detergent composition |
| WO2016196705A1 (en) | 2015-06-05 | 2016-12-08 | The Procter & Gamble Company | Compacted liquid laundry detergent composition |
| WO2016201040A1 (en) | 2015-06-09 | 2016-12-15 | Danisco Us Inc. | Water-triggered enzyme suspension |
| WO2016201069A1 (en) | 2015-06-09 | 2016-12-15 | Danisco Us Inc | Low-density enzyme-containing particles |
| WO2016201044A1 (en) | 2015-06-09 | 2016-12-15 | Danisco Us Inc | Osmotic burst encapsulates |
| WO2016205755A1 (en) | 2015-06-17 | 2016-12-22 | Danisco Us Inc. | Bacillus gibsonii-clade serine proteases |
| EP4234693A2 (en) | 2015-06-17 | 2023-08-30 | Danisco US Inc | Bacillus gibsonii-clade serine proteases |
| CN108347946A (en) * | 2015-08-22 | 2018-07-31 | 尼奥齐姆国际有限公司 | Papermaking additive compositions and methods and uses thereof |
| WO2017035100A1 (en) * | 2015-08-22 | 2017-03-02 | Neozyme International, Inc. | Papermaking additive compositions and methods and uses thereof |
| RU2721135C2 (en) * | 2015-08-22 | 2020-05-18 | Неозайм Интернэшнл, Инк. | Composition for making paper, method and use thereof |
| EP4141113A1 (en) | 2015-11-05 | 2023-03-01 | Danisco US Inc | Paenibacillus sp. mannanases |
| WO2017079751A1 (en) | 2015-11-05 | 2017-05-11 | Danisco Us Inc | Paenibacillus sp. mannanases |
| EP4483721A2 (en) | 2015-11-05 | 2025-01-01 | Danisco US Inc. | Paenibacillus and bacillus spp. mannanases |
| WO2017079756A1 (en) | 2015-11-05 | 2017-05-11 | Danisco Us Inc | Paenibacillus and bacillus spp. mannanases |
| US10822574B2 (en) | 2015-11-13 | 2020-11-03 | Dupont Industrial Biosciences Usa, Llc | Glucan fiber compositions for use in laundry care and fabric care |
| WO2017083229A1 (en) | 2015-11-13 | 2017-05-18 | E. I. Du Pont De Nemours And Company | Glucan fiber compositions for use in laundry care and fabric care |
| WO2017083228A1 (en) | 2015-11-13 | 2017-05-18 | E. I. Du Pont De Nemours And Company | Glucan fiber compositions for use in laundry care and fabric care |
| US10876074B2 (en) | 2015-11-13 | 2020-12-29 | Dupont Industrial Biosciences Usa, Llc | Glucan fiber compositions for use in laundry care and fabric care |
| WO2017083226A1 (en) | 2015-11-13 | 2017-05-18 | E. I. Du Pont De Nemours And Company | Glucan fiber compositions for use in laundry care and fabric care |
| US10844324B2 (en) | 2015-11-13 | 2020-11-24 | Dupont Industrial Biosciences Usa, Llc | Glucan fiber compositions for use in laundry care and fabric care |
| US12480110B2 (en) | 2015-12-09 | 2025-11-25 | Danisco Us Inc. | Alpha-amylase combinatorial variants |
| US11920170B2 (en) | 2015-12-09 | 2024-03-05 | Danisco Us Inc. | Alpha-amylase combinatorial variants |
| WO2017106676A1 (en) | 2015-12-18 | 2017-06-22 | Danisco Us Inc | Polypeptides with endoglucanase activity and uses thereof |
| US10519405B2 (en) | 2016-04-08 | 2019-12-31 | Novozymes A/S | Stabilized alpha-amylase variants and use of the same |
| DK201600210A1 (en) * | 2016-04-08 | 2017-10-23 | Novozymes As | Stabilized Alpha-Amylase Variants and use of the same |
| US11248193B2 (en) | 2016-04-08 | 2022-02-15 | Novozymes A/S | Stabilized alpha-amylase variants and use of the same |
| WO2017192692A1 (en) | 2016-05-03 | 2017-11-09 | Danisco Us Inc | Protease variants and uses thereof |
| EP3845642A1 (en) | 2016-05-05 | 2021-07-07 | Danisco US Inc. | Protease variants and uses thereof |
| WO2017192300A1 (en) | 2016-05-05 | 2017-11-09 | Danisco Us Inc | Protease variants and uses thereof |
| WO2017210295A1 (en) | 2016-05-31 | 2017-12-07 | Danisco Us Inc. | Protease variants and uses thereof |
| EP4151726A1 (en) | 2016-06-17 | 2023-03-22 | Danisco US Inc | Protease variants and uses thereof |
| EP4527923A2 (en) | 2016-06-17 | 2025-03-26 | Danisco US Inc | Protease variants and uses thereof |
| WO2017219011A1 (en) | 2016-06-17 | 2017-12-21 | Danisco Us Inc | Protease variants and uses thereof |
| WO2018085524A2 (en) | 2016-11-07 | 2018-05-11 | Danisco Us Inc | Laundry detergent composition |
| WO2018085524A3 (en) * | 2016-11-07 | 2018-07-26 | Danisco Us Inc | Laundry detergent composition |
| WO2018112123A1 (en) | 2016-12-15 | 2018-06-21 | Danisco Us Inc. | Polypeptides with endoglucanase activity and uses thereof |
| WO2018118950A1 (en) | 2016-12-21 | 2018-06-28 | Danisco Us Inc. | Bacillus gibsonii-clade serine proteases |
| EP4424805A2 (en) | 2016-12-21 | 2024-09-04 | Danisco Us Inc | Bacillus gibsonii-clade serine proteases |
| WO2018118917A1 (en) | 2016-12-21 | 2018-06-28 | Danisco Us Inc. | Protease variants and uses thereof |
| EP4212622A2 (en) | 2016-12-21 | 2023-07-19 | Danisco US Inc. | Bacillus gibsonii-clade serine proteases |
| EP4520820A2 (en) | 2016-12-21 | 2025-03-12 | Danisco Us Inc | Protease variants and uses thereof |
| US12173260B2 (en) | 2017-02-01 | 2024-12-24 | The Procter & Gamble Company | Cleaning compositions comprising amylase variants |
| WO2018169750A1 (en) | 2017-03-15 | 2018-09-20 | Danisco Us Inc | Trypsin-like serine proteases and uses thereof |
| WO2018183662A1 (en) | 2017-03-31 | 2018-10-04 | Danisco Us Inc | Delayed release enzyme formulations for bleach-containing detergents |
| EP3415592A1 (en) | 2017-06-15 | 2018-12-19 | The Procter & Gamble Company | Water-soluble unit dose article comprising a solid laundry detergent composition |
| WO2018231798A1 (en) | 2017-06-15 | 2018-12-20 | The Procter & Gamble Company | Water-soluble unit dose article comprising a solid laundry detergent composition |
| WO2019006077A1 (en) | 2017-06-30 | 2019-01-03 | Danisco Us Inc | Low-agglomeration, enzyme-containing particles |
| WO2019108599A1 (en) | 2017-11-29 | 2019-06-06 | Danisco Us Inc | Subtilisin variants having improved stability |
| US11384347B2 (en) | 2017-12-08 | 2022-07-12 | Novozymes A/S | Alpha-amylase variants and polynucleotides encoding same |
| CN111601887A (en) * | 2017-12-08 | 2020-08-28 | 诺维信公司 | Alpha-amylase variants and polynucleotides encoding same |
| US11326153B2 (en) | 2017-12-08 | 2022-05-10 | Novozymes A/S | Alpha-amylase variants and polynucleotides encoding same |
| WO2019125683A1 (en) | 2017-12-21 | 2019-06-27 | Danisco Us Inc | Enzyme-containing, hot-melt granules comprising a thermotolerant desiccant |
| WO2019156670A1 (en) | 2018-02-08 | 2019-08-15 | Danisco Us Inc. | Thermally-resistant wax matrix particles for enzyme encapsulation |
| WO2019245705A1 (en) | 2018-06-19 | 2019-12-26 | Danisco Us Inc | Subtilisin variants |
| WO2019245704A1 (en) | 2018-06-19 | 2019-12-26 | Danisco Us Inc | Subtilisin variants |
| WO2020047215A1 (en) | 2018-08-30 | 2020-03-05 | Danisco Us Inc | Enzyme-containing granules |
| WO2020068486A1 (en) | 2018-09-27 | 2020-04-02 | Danisco Us Inc | Compositions for medical instrument cleaning |
| WO2020112599A1 (en) | 2018-11-28 | 2020-06-04 | Danisco Us Inc | Subtilisin variants having improved stability |
| WO2020186030A1 (en) | 2019-03-14 | 2020-09-17 | The Procter & Gamble Company | Cleaning compositions comprising enzymes |
| WO2020186052A1 (en) | 2019-03-14 | 2020-09-17 | The Procter & Gamble Company | Method for treating cotton |
| WO2020193532A1 (en) * | 2019-03-25 | 2020-10-01 | Basf Se | Cleaning composition having amylase enzymes |
| WO2020237253A1 (en) | 2019-05-22 | 2020-11-26 | The Procter & Gamble Company | Automatic dishwashing method |
| EP3741283A1 (en) | 2019-05-22 | 2020-11-25 | The Procter & Gamble Company | Automatic dishwashing method |
| WO2020242858A1 (en) | 2019-05-24 | 2020-12-03 | Danisco Us Inc | Subtilisin variants and methods of use |
| WO2020247582A1 (en) | 2019-06-06 | 2020-12-10 | Danisco Us Inc | Methods and compositions for cleaning |
| JP2023116664A (en) * | 2019-06-24 | 2023-08-22 | ザ プロクター アンド ギャンブル カンパニー | Cleaning compositions comprising amylase variants |
| WO2020264552A1 (en) * | 2019-06-24 | 2020-12-30 | The Procter & Gamble Company | Cleaning compositions comprising amylase variants |
| JP2022537215A (en) * | 2019-06-24 | 2022-08-24 | ザ プロクター アンド ギャンブル カンパニー | Cleaning compositions containing amylase variants |
| US12410385B2 (en) | 2019-10-24 | 2025-09-09 | The Procter & Gamble Company | Automatic dishwashing detergent composition comprising an amylase |
| JP2022553295A (en) * | 2019-10-24 | 2022-12-22 | ザ プロクター アンド ギャンブル カンパニー | Automatic dishwashing detergent composition containing amylase |
| US12010992B2 (en) | 2020-04-26 | 2024-06-18 | Neozyme International, Inc. | Dry powdered compositions and methods and uses thereof |
| US12161901B2 (en) | 2020-04-26 | 2024-12-10 | Neozyme International, Inc. | Non-toxic fire extinguishing compositions, devices and methods of using same |
| US12356985B2 (en) | 2020-04-26 | 2025-07-15 | Neozyme International, Inc. | Dry powdered compositions and methods and uses thereof |
| WO2021247801A1 (en) | 2020-06-05 | 2021-12-09 | The Procter & Gamble Company | Detergent compositions containing a branched surfactant |
| WO2022047149A1 (en) | 2020-08-27 | 2022-03-03 | Danisco Us Inc | Enzymes and enzyme compositions for cleaning |
| WO2022094164A1 (en) | 2020-10-29 | 2022-05-05 | The Procter & Gamble Company | Cleaning composition comprising alginate lyase enzymes |
| WO2022094590A1 (en) | 2020-10-29 | 2022-05-05 | The Procter & Gamble Company | Cleaning compositions containing alginate lyase enzymes |
| WO2022094589A1 (en) | 2020-10-29 | 2022-05-05 | The Procter & Gamble Company | Cleaning compositions containing alginase enzymes |
| WO2022094163A1 (en) | 2020-10-29 | 2022-05-05 | The Procter & Gamble Company | Cleaning composition comprising alginate lyase enzymes |
| WO2022094588A1 (en) | 2020-10-29 | 2022-05-05 | The Procter & Gamble Company | Cleaning compositions containing alginate lyase enzymes |
| WO2022136389A1 (en) | 2020-12-23 | 2022-06-30 | Basf Se | Amphiphilic alkoxylated polyamines and their uses |
| WO2022165107A1 (en) | 2021-01-29 | 2022-08-04 | Danisco Us Inc | Compositions for cleaning and methods related thereto |
| WO2022272255A1 (en) | 2021-06-22 | 2022-12-29 | The Procter & Gamble Company | Cleaning or treatment compositions containing nuclease enzymes |
| WO2023278297A1 (en) | 2021-06-30 | 2023-01-05 | Danisco Us Inc | Variant lipases and uses thereof |
| WO2023034486A2 (en) | 2021-09-03 | 2023-03-09 | Danisco Us Inc. | Laundry compositions for cleaning |
| WO2023039270A2 (en) | 2021-09-13 | 2023-03-16 | Danisco Us Inc. | Bioactive-containing granules |
| WO2023064749A1 (en) | 2021-10-14 | 2023-04-20 | The Procter & Gamble Company | A fabric and home care product comprising cationic soil release polymer and lipase enzyme |
| EP4194537A1 (en) | 2021-12-08 | 2023-06-14 | The Procter & Gamble Company | Laundry treatment cartridge |
| WO2023107804A1 (en) | 2021-12-08 | 2023-06-15 | The Procter & Gamble Company | Laundry treatment cartridge |
| WO2023107803A1 (en) | 2021-12-08 | 2023-06-15 | The Procter & Gamble Company | Laundry treatment cartridge |
| WO2023114939A2 (en) | 2021-12-16 | 2023-06-22 | Danisco Us Inc. | Subtilisin variants and methods of use |
| WO2023114936A2 (en) | 2021-12-16 | 2023-06-22 | Danisco Us Inc. | Subtilisin variants and methods of use |
| WO2023114932A2 (en) | 2021-12-16 | 2023-06-22 | Danisco Us Inc. | Subtilisin variants and methods of use |
| WO2023168234A1 (en) | 2022-03-01 | 2023-09-07 | Danisco Us Inc. | Enzymes and enzyme compositions for cleaning |
| WO2023215679A1 (en) | 2022-05-04 | 2023-11-09 | The Procter & Gamble Company | Detergent compositions containing enzymes |
| WO2023215680A1 (en) | 2022-05-04 | 2023-11-09 | The Procter & Gamble Company | Machine-cleaning compositions containing enzymes |
| WO2023225459A2 (en) | 2022-05-14 | 2023-11-23 | Novozymes A/S | Compositions and methods for preventing, treating, supressing and/or eliminating phytopathogenic infestations and infections |
| WO2023250301A1 (en) | 2022-06-21 | 2023-12-28 | Danisco Us Inc. | Methods and compositions for cleaning comprising a polypeptide having thermolysin activity |
| WO2024050343A1 (en) | 2022-09-02 | 2024-03-07 | Danisco Us Inc. | Subtilisin variants and methods related thereto |
| WO2024050339A1 (en) | 2022-09-02 | 2024-03-07 | Danisco Us Inc. | Mannanase variants and methods of use |
| WO2024050346A1 (en) | 2022-09-02 | 2024-03-07 | Danisco Us Inc. | Detergent compositions and methods related thereto |
| WO2024102698A1 (en) | 2022-11-09 | 2024-05-16 | Danisco Us Inc. | Subtilisin variants and methods of use |
| WO2024137248A1 (en) | 2022-12-19 | 2024-06-27 | Novozymes A/S | Compositions comprising arabinofuranosidases and a xylanase, and use thereof for increasing hemicellulosic fiber solubilization |
| WO2024137704A2 (en) | 2022-12-19 | 2024-06-27 | Novozymes A/S | Processes for producing fermentation products using fiber-degrading enzymes with engineered yeast |
| WO2024137246A1 (en) | 2022-12-19 | 2024-06-27 | Novozymes A/S | Carbohydrate esterase family 1 (ce1) polypeptides having ferulic acid esterase and/or acetyl xylan esterase activity and polynucleotides encoding same |
| WO2024137250A1 (en) | 2022-12-19 | 2024-06-27 | Novozymes A/S | Carbohydrate esterase family 3 (ce3) polypeptides having acetyl xylan esterase activity and polynucleotides encoding same |
| WO2024137252A1 (en) | 2022-12-19 | 2024-06-27 | Novozymes A/S | Process for reducing syrup viscosity in the backend of a process for producing a fermentation product |
| WO2024163584A1 (en) | 2023-02-01 | 2024-08-08 | Danisco Us Inc. | Subtilisin variants and methods of use |
| WO2024163695A1 (en) | 2023-02-01 | 2024-08-08 | The Procter & Gamble Company | Detergent compositions containing enzymes |
| EP4410941A1 (en) | 2023-02-01 | 2024-08-07 | The Procter & Gamble Company | Detergent compositions containing enzymes |
| WO2024186819A1 (en) | 2023-03-06 | 2024-09-12 | Danisco Us Inc. | Subtilisin variants and methods of use |
| WO2024191711A1 (en) | 2023-03-16 | 2024-09-19 | Nutrition & Biosciences USA 4, Inc. | Brevibacillus fermentate extracts for cleaning and malodor control and use thereof |
| WO2024258820A2 (en) | 2023-06-13 | 2024-12-19 | Novozymes A/S | Processes for producing fermentation products using engineered yeast expressing a beta-xylosidase |
| WO2024263486A2 (en) | 2023-06-19 | 2024-12-26 | The Procter & Gamble Company | Cleaning compositions containing enzymes |
| EP4481027A1 (en) | 2023-06-19 | 2024-12-25 | The Procter & Gamble Company | Cleaning compositions containing enzymes |
| EP4488351A1 (en) | 2023-07-03 | 2025-01-08 | The Procter & Gamble Company | Compositions containing a porphyrin binding protein |
| WO2025010322A1 (en) | 2023-07-03 | 2025-01-09 | The Procter & Gamble Company | Compositions containing a porphyrin binding protein |
| WO2025071996A1 (en) | 2023-09-28 | 2025-04-03 | Danisco Us Inc. | Variant cutinase enzymes with improved solubility and uses thereof |
| WO2025085351A1 (en) | 2023-10-20 | 2025-04-24 | Danisco Us Inc. | Subtilisin variants and methods of use |
| WO2025128568A1 (en) | 2023-12-11 | 2025-06-19 | Novozymes A/S | Composition and use thereof for increasing hemicellulosic fiber solubilization |
| WO2026008449A2 (en) | 2024-07-04 | 2026-01-08 | Novozymes A/S | A process for producing a fermentation product and a concentrated protein co-product |
| WO2026024922A1 (en) | 2024-07-25 | 2026-01-29 | Danisco Us Inc. | Subtilisin variants and methods of use |
| WO2026024921A1 (en) | 2024-07-25 | 2026-01-29 | The Procter & Gamble Company | Detergent composition comprising a subtilisin variant and methods of use |
Also Published As
| Publication number | Publication date |
|---|---|
| EP2414515A2 (en) | 2012-02-08 |
| RU2011144134A (en) | 2013-05-10 |
| CN102378813B (en) | 2014-05-14 |
| CN102388132A (en) | 2012-03-21 |
| BRPI1010238A2 (en) | 2015-08-25 |
| MX2011010040A (en) | 2011-11-18 |
| WO2010115021A3 (en) | 2010-12-16 |
| CN103923895A (en) | 2014-07-16 |
| US20150087573A1 (en) | 2015-03-26 |
| JP2012522514A (en) | 2012-09-27 |
| JP2012522875A (en) | 2012-09-27 |
| EP2902487A3 (en) | 2015-11-18 |
| US20120045822A1 (en) | 2012-02-23 |
| BRPI1013388A2 (en) | 2019-04-09 |
| CA2757343A1 (en) | 2010-10-07 |
| EP2414514B1 (en) | 2015-05-27 |
| CN102378813A (en) | 2012-03-14 |
| WO2010115028A2 (en) | 2010-10-07 |
| US20120045817A1 (en) | 2012-02-23 |
| US8852912B2 (en) | 2014-10-07 |
| MX2011010041A (en) | 2011-11-18 |
| EP2414514A2 (en) | 2012-02-08 |
| WO2010115028A3 (en) | 2010-12-16 |
| RU2011143721A (en) | 2013-05-10 |
| CA2757347A1 (en) | 2010-10-07 |
| JP5651682B2 (en) | 2015-01-14 |
| DK2414514T3 (en) | 2015-08-24 |
| EP2902487A2 (en) | 2015-08-05 |
Similar Documents
| Publication | Publication Date | Title |
|---|---|---|
| DK2414514T3 (en) | FORMATIONS AND PROCEDURES COMPREHENSIVE Alpha- amylase variants WITH CHANGED PROPERTIES | |
| US8962283B2 (en) | TS-23 alpha-amylase variants with altered properties | |
| AU2008325250B2 (en) | Variants of Bacillus sp. TS-23 alpha-amylase with altered properties | |
| AU2008325248B2 (en) | Variants of Bacillus licheniformis alpha-amylase with increased thermostability and/or decreased calcium dependence | |
| EP2428572A2 (en) | Alkaliphilic Bacillus species alpha-amylase variants, compositions comprising alpha-amylase variants, and methods of use | |
| HK1154264B (en) | Ts23 alpha-amylase variants with altered properties |
Legal Events
| Date | Code | Title | Description |
|---|---|---|---|
| WWE | Wipo information: entry into national phase |
Ref document number: 201080014543.9 Country of ref document: CN |
|
| 121 | Ep: the epo has been informed by wipo that ep was designated in this application |
Ref document number: 10712273 Country of ref document: EP Kind code of ref document: A2 |
|
| WWE | Wipo information: entry into national phase |
Ref document number: 6259/DELNP/2011 Country of ref document: IN |
|
| WWE | Wipo information: entry into national phase |
Ref document number: MX/A/2011/010041 Country of ref document: MX |
|
| WWE | Wipo information: entry into national phase |
Ref document number: 2757343 Country of ref document: CA |
|
| WWE | Wipo information: entry into national phase |
Ref document number: 2012503709 Country of ref document: JP |
|
| NENP | Non-entry into the national phase |
Ref country code: DE |
|
| REEP | Request for entry into the european phase |
Ref document number: 2010712273 Country of ref document: EP |
|
| WWE | Wipo information: entry into national phase |
Ref document number: 2010712273 Country of ref document: EP |
|
| ENP | Entry into the national phase |
Ref document number: 2011144134 Country of ref document: RU Kind code of ref document: A |
|
| WWE | Wipo information: entry into national phase |
Ref document number: 13260146 Country of ref document: US |
|
| REG | Reference to national code |
Ref country code: BR Ref legal event code: B01A Ref document number: PI1010238 Country of ref document: BR |
|
| ENP | Entry into the national phase |
Ref document number: PI1010238 Country of ref document: BR Kind code of ref document: A2 Effective date: 20110929 |












































































































































