WO2016201069A1 - Low-density enzyme-containing particles - Google Patents
Low-density enzyme-containing particles Download PDFInfo
- Publication number
- WO2016201069A1 WO2016201069A1 PCT/US2016/036638 US2016036638W WO2016201069A1 WO 2016201069 A1 WO2016201069 A1 WO 2016201069A1 US 2016036638 W US2016036638 W US 2016036638W WO 2016201069 A1 WO2016201069 A1 WO 2016201069A1
- Authority
- WO
- WIPO (PCT)
- Prior art keywords
- particle
- density
- core
- water
- particles
- Prior art date
- Legal status (The legal status is an assumption and is not a legal conclusion. Google has not performed a legal analysis and makes no representation as to the accuracy of the status listed.)
- Ceased
Links
Classifications
-
- C—CHEMISTRY; METALLURGY
- C11—ANIMAL OR VEGETABLE OILS, FATS, FATTY SUBSTANCES OR WAXES; FATTY ACIDS THEREFROM; DETERGENTS; CANDLES
- C11D—DETERGENT COMPOSITIONS; USE OF SINGLE SUBSTANCES AS DETERGENTS; SOAP OR SOAP-MAKING; RESIN SOAPS; RECOVERY OF GLYCEROL
- C11D17/00—Detergent materials or soaps characterised by their shape or physical properties
- C11D17/0008—Detergent materials or soaps characterised by their shape or physical properties aqueous liquid non soap compositions
- C11D17/0013—Liquid compositions with insoluble particles in suspension
-
- C—CHEMISTRY; METALLURGY
- C11—ANIMAL OR VEGETABLE OILS, FATS, FATTY SUBSTANCES OR WAXES; FATTY ACIDS THEREFROM; DETERGENTS; CANDLES
- C11D—DETERGENT COMPOSITIONS; USE OF SINGLE SUBSTANCES AS DETERGENTS; SOAP OR SOAP-MAKING; RESIN SOAPS; RECOVERY OF GLYCEROL
- C11D3/00—Other compounding ingredients of detergent compositions covered in group C11D1/00
- C11D3/16—Organic compounds
- C11D3/38—Products with no well-defined composition, e.g. natural products
- C11D3/386—Preparations containing enzymes, e.g. protease or amylase
- C11D3/38663—Stabilised liquid enzyme compositions
Definitions
- the present compositions and methods relate to low density enzyme-containing particles for inclusion in cleaning and other low-water compositions.
- the particles remain in suspension without settling, and release active enzyme upon dilution of the low-water compositions with water.
- Enzymes are supplied in both liquid and solid forms for incorporation within products used in a variety of consumer and industrial applications, including laundry and dish cleaning, personal care, textile treatment, pulp and paper production, leather production, food and beverage processing, starch processing, decontamination, oil and gas drilling, production of biofuels, and production (or modification) of biopolymers and other chemicals.
- enzymes are immunogenic molecules and can present problems relating to exposure and sensitization.
- the maximum amount of enzymes that can be added to a liquid cleaning formulation is determined by exposure risk, as opposed to performance or economics.
- [OS] Enzymes can be provide in granular form in liquid detergent but granules invariably settle in liquid formulations such as detergents, resulting in non-uniform distribution of enzymes as well as the unappealing appearance of settled granules. Accordingly, there is a need for improved ways to compartmentalize enzymes in liquid formulations, such that they remain stable, retains catalytic potential until use in an application in which enzyme activity is desired, and remain uniformly suspended in a liquid for prolonged periods of time.
- the invention provides low-density particles for isolating and stabilizing enzymes in aqueous compositions, and methods of use, thereof. Aspects and embodiments of the invention are described in the following numbered paragraphs.
- a particle capable of isolating and stabilizing enzymes in a liquid composition comprising:
- p c is the density of the core in in g/cm 3
- p f is the mass density of the liquid composition in g/cm 3
- Xc is the mass fraction of the core in the particle
- D c is the diameter of the core in ⁇
- Dp is the diameter of the particle in ⁇
- a first coated layer comprising enzyme and/or other active component, and optionally a density modifier having a density less than 1 g/cm 3 ;
- a second coated layer comprising a water-soluble polymer having a solubility of greater than about 1 mg/mL in water at 25°C;
- the second coated layer fully dissolves within about 5 minutes when the liquid composition is diluted 1:1 with water at 25°, allowing the dissolution of the enzyme and/or active component into the diluted liquid composition.
- the particle of paragraph 1 has an overall true density of less than 1.6 mg/mL.
- the particle of paragraph 1 has an overall true density of less than 1.4 mg/mL.
- the particle of paragraph 1 has an overall true density of less man 1.2 mg/mL.
- the core is soluble or dispersible in water.
- the core is non-salt containing. 7. In some embodiments of the particle of any of the proceeding paragraphs, the core comprises sugar, polymer, fat, wax, a salt of an inorganic or organic acid, clays, silica, alluminosilicate, or a combination, thereof.
- the core further comprises enzyme or other active ingredient.
- the core does not comprise enzyme or other active ingredient.
- the core does not comprise enzyme.
- the first coated layer further comprises stabilizer.
- the first coated layer is a plurality of coated layers, optionally comprising the same or different enzyme and/or other active component.
- the first coated layer further comprises polymer.
- the second coated layer comprises a water-soluble polymer having a solubility of greater than 10 mg/ml in water at 25°C.
- the second coated layer comprises a polymer selected from the group consisting of polyvinyl alcohol, polyethylene glycol, polyethylene oxide, methylcellulose, hydroxyl propyl methylcellulose, polyvinyl pyrrolidone, polyacrylates, polymethacrylates, and copolymers and combinations, thereof.
- Figure 1 is a graph showing the leakage of particles A-E in the detergent composition obtained from commercial Tide PODS® at 37°C over 35 days. Leakage was measured as the percentage of protease activity detected in the detergent composition based on the total amount of protease activity expected from the amount of protease coated onto the particle cores.
- Figure 2 is a graph showing the stability of particles A-F in the detergent composition obtained from commercial Tide PODS® at 37°C over 40 days. Stability was measured as the percentage of residual protease activity in the particles based on the total amount of protease activity expected from the amount of protease coated onto the particle cores.
- low-density particles capable of isolating and stabilizing enzymes and other active components in low-water liquid compositions.
- the particles include a core, at least one enzyme and/or other active component-containing layer, and a water- soluble-polymer coating.
- An important feature of the low-density particles is that they have an overall particle density that is close to the density' of low-water liquid compositions, such as laundry detergents. Conventional particles have a significantly higher density. Higher density particles inevitably settle out of a suspension. In contrast, particles having a density similar to their surrounding liquid environment can remain suspended for prolonged periods of time.
- water soluble polymer refers to a polymer that is soluble in water in in an amount of at least 1 mg/g at 25°C.
- an "aqueous medium” or “aqueous solution” is a solution and/or suspension in which the solvent is primarily water (i.e., the solvent is at least 50% water, at least 60% water, at least 70% water, at least 80% water, or even at least 90% water).
- the aqueous medium may include any number of dissolved or suspended components, including but not limited to surfactants, salts, buffers, stabilizers, complexing agents, chelating agents, builders, metal ions, additional enzymes and substrates, and the like.
- Exemplary aqueous media are laundry and dishwashing wash liquors. Materials such as textiles, fabrics, dishes, kitchenware, and other materials may also be present in or in contact with the aqueous medium
- the term "low-water,” with reference to a liquid laundry detergent composition, indicates that the detergent composition contains about 5% to 20% water (w/w).
- the term "substantially non-aqueous,” with reference to a liquid laundry detergent composition, indicates that the detergent composition contains about 2- 5% water (w/w).
- a “non-aqueous” solution contains less than about 2% water (w/w).
- a component is "provided in" a specified form (e.g. , nonaqueous, very low water, solid, and the like)
- this form refers to the final form as the component exists in the unit-dose package, not the form in which it may be added to another component that is then added to the unit-dose package.
- the phrase "insufficient to substantially dissolve water-soluble packaging” means that a subject liquid does not dissolve more than 5% of a water-soluble material over a period of six months at room temperature (i.e., 25°C).
- the term "bounded" with reference to the contents of water-soluble packaging means the specified contents, whether liquid, solid, or a combination, thereof, are physically contained in a compartment, at least a portion of which is defined by water- soluble material. In some cases, the contents are fully bounded by water-soluble material, meaning that the entire compartment is defined by the water-soluble material, as in the case of a pouch made of water-soluble material.
- the contents are only partially bounded by water-soluble material, meaning that only a portion of the compartment is defined by the water soluble material, and the remainder is defined by water-insoluble material, as in the case of a cup or dish covered by a lid made of water-soluble material.
- the terms "suspended” and “dispersed” refer to the distribution of one component in another, for example, the distribution of a solid form of acyl substrate in water-soluble material.
- cold water is water having a temperature between freezing and about 25°C
- room temperature is 25°C.
- warm water is water having a temperature between about 26°C and about 37°C
- hot water is water having a temperature between about 37°C and boiling.
- a "low” pH is a pH of less than about 7.
- a "high" pH is a pH of greater than about 7.
- contacting means bringing into physical contact, such as by placing a unit-dose package in an aqueous solution.
- a "solid" form of a chemical component refers to a powder, crystals, granules, aggregates, paste or wax thereof.
- a "liquid" form of a chemical component refers to a liquid, gel, or slurry.
- true density refers to the mass of a particle divided by its volume, excluding open pores and closed pores.
- the terms “purified” and “isolated” refer to the removal of contaminants from a sample and/or to a material (e.g., a protein, nucleic acid, cell, etc.) that is removed from at least one component with which it is naturally associated.
- a material e.g., a protein, nucleic acid, cell, etc.
- these terms may refer to a material which is substantially or essentially free from components which normally accompany it as found in its native state, such as, for example, an intact biological system
- spray drying refers to a method of producing a dry powder from a liquid or slurry by rapidly drying with a hot gas, as known in the art and discussed for example in US Patent 5,423,997 and WO2008/088751A2.
- d50 refers to the size of the particles measured where 50% are above or below the mid-point within the population measured.
- ULC Solids refers to ultrafiltrate concentrate from a fermentor/bioreactor, and is synonymous with enzyme concentrate solids.
- bleaching refers to the treatment of a material (e.g. , fabric, laundry, pulp, etc.) or surface for a sufficient length of time and under appropriate pH and temperature conditions to effect a brightening (i.e., whitening) and/or cleaning of the material.
- a material e.g. , fabric, laundry, pulp, etc.
- chemicals suitable for bleaching include but are not limited to
- cleaning compositions and “cleaning formulations” refer to compositions that may be used for the removal of undesired compounds from items to be cleaned, such as fabric, dishes, contact lenses, other solid substrates, hair (shampoos), skin (soaps and creams), teeth (mouthwashes, toothpastes) etc.
- the term encompasses any materials/compounds selected for the particular type of cleaning composition desired. The specific selection of cleaning composition materials are readily made by considering the surface, item or fabric to be cleaned, and the desired form of the composition for the cleaning conditions during use.
- the terms further refer to any composition that is suited for cleaning, bleaching, disinfecting, and/or sterilizing any object and/or surface. It is intended that the terms include, but are not limited to detergent compositions (e.g., laundry detergents and fine fabric detergents; hard surface cleaning formulations, such as for glass, wood, ceramic and metal counter tops and windows; carpet cleaners; oven cleaners; fabric fresheners; fabric softeners; and textile and laundry pre-spotters, as well as dish detergents).
- detergent compositions e.g., laundry detergents and fine fabric detergents; hard surface cleaning formulations, such as for glass, wood, ceramic and metal counter tops and windows; carpet cleaners; oven cleaners; fabric fresheners; fabric softeners; and textile and laundry pre-spotters, as well as dish detergents.
- the terms "detergent composition” and “detergent formulation” are used in reference to mixtures which are intended for use in a wash medium for the cleaning of soiled objects.
- the term is used in reference to laundering fabrics and/or garments (e.g., “laundry detergents”).
- the term refers to other detergents, such as those used to clean dishes, cutlery, etc. (e.g., "dishwashing detergents").
- nonionic surfactant refers to a surfactant molecule with a non-electrically charged polar group.
- anionic surfactant refers to a surfactant molecule with a negatively charged polar group at the pH of the composition or the application of use. Salts used to complex or neutralize the surfactant, e.g., forming the monoethanolamine (MEA) salt of linear alkylbenzene sulfonate (LAS) are included I accounting herein for the mass or concentration of anionic surfactant.
- MEA monoethanolamine
- LAS linear alkylbenzene sulfonate
- detergent stability refers to the stability of a detergent composition. In some embodiments, the stability is assessed during the use of the detergent, while in other embodiments, the term refers to the stability of a detergent composition during storage.
- the term "disinfecting” refers to the removal of contaminants from the surfaces, as well as the inhibition or killing of microbes on the surfaces of items. It is not intended that the present invention be limited to any particular surface, item, or contaminants) or microbes to be removed.
- hard surface cleaning composition refers to detergent compositions for cleaning hard surfaces such as floors, walls, tile, bath and kitchen fixtures, and the like.
- non-fabric cleaning compositions encompass hard surface cleaning compositions, dishwashing compositions, personal care cleaning compositions (e.g., oral cleaning compositions, denture cleaning compositions, personal cleansing compositions, etc.), and compositions suitable for use in the pulp and paper industry.
- personal care products means products used in the cleaning, bleaching and/or disinfecting of hair, skin, scalp, and teeth, including, but not limited to shampoos, body lotions, shower gels, topical moisturizers, toothpaste, and/or other topical cleansers. In some particularly preferred embodiments, these products are utilized on humans, while in other embodiments, these products find use with non-human animals (e.g., in veterinary applications).
- polynucleotide refers to a polymeric form of nucleotides of any length and any three-dimensional structure and single- or multi-stranded (e.g., single- stranded, double-stranded, triple-helical, etc.), which contain deoxy ribonucleotides, ribonucleotides, and/or analogs or modified forms of deoxyribonucleotides or
- ribonucleotides including modified nucleotides or bases or their analogs. Because the genetic code is degenerate, more than one codon may be used to encode a particular amino acid, and the present invention encompasses polynucleotides which encode a particular amino acid sequence. Any type of modified nucleotide or nucleotide analog may be used, so long as the polynucleotide retains the desired functionality under conditions of use, including modifications that increase nuclease resistance (e.g., deoxy, 2'-0-Me, phosphorothioates, etc.). Labels may also be incorporated for purposes of detection or capture, for example, radioactive or nonradioactive labels or anchors, e.g., biotin.
- polynucleotide also includes peptide nucleic acids (PNA).
- PNA peptide nucleic acids
- Polynucleotides may be naturally occurring or non-naturally occurring.
- the terms "polynucleotide” and “nucleic acid” and “oligonucleotide” are used herein interchangeably.
- Polynucleotides of the invention may contain RNA, DNA, or both, and/or modified forms and/or analogs thereof.
- a sequence of nucleotides may be interrupted by non-nucleotide components.
- One or more phosphodiester linkages may be replaced by alternative linking groups.
- linking groups include, but are not limited to, embodiments wherein phosphate is replaced by P(0)S ("thioate”), P(S)S ("dithioate”), (0)NR 2 ("amidate”), P(0)R, P(0)OR', CO or CH 2 (“formacetal”), in which each R or R' is independently H or substituted or
- unsubstituted alkyl (CI -20) optionally containing an ether (-0-) linkage, aryl, alkenyl, cycloalkyl, cycloalkenyl or araldyl. Not all linkages in a polynucleotide need be identical.
- Polynucleotides may be linear or circular or comprise a combination of linear and circular portions.
- polypeptide refers to any composition comprised of amino acids and recognized as a protein by those of skill in the art.
- the conventional one-letter or three- letter code for amino acid residues is used herein.
- polypeptide and protein are used interchangeably herein to refer to polymers of amino acids of any length.
- the polymer may be linear or branched, it may comprise modified amino acids, and it may be interrupted by non-amino acids.
- the terms also encompass an amino acid polymer that has been modified naturally or by intervention; for example, disulfide bond formation, glycosylation, lipidation, acetylation, phosphorylation, or any other manipulation or modification, such as conjugation with a labeling component.
- polypeptides containing one or more analogs of an amino acid including, for example, unnatural amino acids, etc.
- variant proteins encompass "variant" proteins. Variant proteins differ from a parent protein and/or from one another by a small number of amino acid residues. In some embodiments, the number of different amino acid residues is any of about 1, 2, 3, 4, 5, 10, 20, 25, 30, 35, 40, 45, or 50. In some embodiments, variants differ by about 1 to about 10 amino acids.
- related proteins comprise any of at least about 35%, 40%, 45%, 50%, 55%, 60%, 65%, 70%, 75%, 80%, 85%, 90%, 95%, 97%, 98%, 99%, or 99.5% amino acid sequence identity.
- contaminant refers to any substance which by its contact or association with another substance, material, or item makes it undesirable, impure, and/or unfit for use.
- decontamination refers to any item or thing in contact or associated with a contaminant and/or which needs to be decontaminated. It is not intended that the item be limited to any particular thing or type of item
- the item is a hard surface, while in other embodiments, the item is an article of clothing.
- the item is a textile.
- the item is used in the medical and/or veterinary fields.
- the item is a surgical instrument.
- the item is used in transportation (e.g., roads, runways, railways, trains, cars, planes, ships, etc.).
- the term is used in reference to food and/or feedstuff ' s, including but not limited to meat, meat by-products, fish, seafood, vegetables, fruits, dairy products, grains, baking products, silage, hays, forage, etc. Indeed, it is intended mat the term encompass any item that is suitable for decontamination using the methods and compositions provided herein.
- the term "decontamination” refers to the removal of substantially all or all contaminants from a contaminated item. In some preferred embodiments, decontamination encompasses disinfection, while in other embodiments, the term encompasses sterilization. However, it is not intended that the term be limited to these embodiments, as the term is intended to encompass the removal of inanimate contaminants, as well as microbial contamination, (e.g., bacterial, fungal, viral, prions, etc.).
- the term “disinfecting” refers to the removal of contaminants from the surfaces, as well as the inhibition or killing of microbes on the surfaces of items. It is not intended that the present invention be limited to any particular surface, item, or contaminants) or microbes to be removed.
- the term "sterilizing” refers to the killing of all microbial organisms on a surface.
- sporicidal refers to the killing of microbial spores, including but not limited to fungal and bacterial spores.
- the term encompasses compositions mat are effective in preventing germination of spores, as well as those compositions that render spores completely non-viable.
- bactericidal refers to compositions mat kill bacteria, fungi, and viruses, respectively.
- microbiocidal refers to compositions that inhibit the growth and/or replication of any microorganisms, including but not limited to bacteria, fungi, viruses, protozoa, rickettsia, etc.
- bacteriostatic refers to compositions that inhibit the growth and/or replication of bacteria, fungi, and viruses, respectively.
- microbiostatic refers to compositions that inhibit the growth and/or replication of any microorganisms, including but not limited to bacteria, fungi, viruses, protozoa, rickettsia, etc.
- the terms “recovered,” “isolated,” “purified,” and “separated” as used herein refer to a material (e.g., a protein, nucleic acid, or cell) that is removed from at least one component with which it is naturally associated.
- these terms may refer to a material which is substantially or essentially free from components which normally accompany it as found in its native state, such as, for example, an intact biological system.
- Water miscible refers to a liquid forming a single thermodynamic liquid phase or isotropic phase upon mixing with water, at a specified ratio of water to the liquid.
- a "suspension” or “dispersion” as used herein refers to a two phase system wherein a discontinuous solid phase is dispersed within a continuous liquid phase.
- the solid phase can consist of very fine particles or larger granules, and the particles or granules can have a wide variety of shapes, morphologies and structures.
- the solids can be spray dried particles as small as 1 micron in diameter or larger core-shell granules between 100 and 1,000 microns in diameter.
- a "suspension aid” as used herein refers to a material added to a liquid composition to prevent or reduce sedimentation or floating of suspended particles.
- Suspension aids typically work by increasing either the viscosity or the yield stress of a carrier liquid. Fluids with a significant yield stress will flow only when stress is applied which is greater than the yield stress, and thus exhibit shear-thinning or thixotropic behavior.
- Effective suspension agents typically act by forming a reversible network of particles or fibers bridged by weak forces. Examples of suspending agents include, but are not limited to, xanthan gum and microfibrous cellulose, e.g., Cellulon (CP Kelco, San Diego, CA).
- immunogenicity refers to the ability of an immunogen, e.g., an a-amylase polypeptide, to initiate or perpetuate an immune reaction in an animal, thereby causing the animal to develop sensitivity to the immunogen, resulting in the need to avoid or reduce further contact with the immunogen.
- an immunogen e.g., an a-amylase polypeptide
- the term "less immunogenic” means a given composition has a reduced potential to initiate or perpetuate and immune response in a population of animals.
- humans having contact with the detergent composition refers to any number of workers at a detergent manufacturing site or consumers who are exposed to a given detergent composition, including exposure to granules, liquids, and aerosols, such that they have a potential to develop an immune response to components of the composition.
- Low-density particles capable of isolating and stabilizing enzymes and other active components in low-water liquid compositions.
- the particles include a core, at least one enzyme and/or other active component-containing layer, and a water-soluble- polymer coating.
- the low-density particles have an overall particle density close to the density of the low-water liquid composition in which they are intended to be suspended. This distinguishes then from conventional particles, which have a higher density', and tend to settle out of suspension.
- the low density of the particles is achieved by one of two approaches, or a combination of both.
- a first approach is to use low-density cores. Various materials for making low density cores are described, below, and several are exemplified, herein.
- a second approach is to use more conventional medium-to-high-density cores, in combination with a density modifier to reduce the overall density of the particle. These approaches can readily be combined such that the selection of the core material and the use of a density modifier both contribute to the overall low density of the particle.
- a density modifier can be used to fine tune the overall density of a particle based on a preselected core particle, as in the case of tailoring standardized particles for use in different low water compositions having different densities.
- the core of the particle is preferably made from one or more non-toxic and biodegradable materials.
- the cores dissolve or disperse in water.
- the cores may have a density similar to that of the low-water composition in which they are intended to be suspended liquid, such that they remain uniformly suspended in the carrier liquid without substantial settling.
- aqueous liquids have a density between 1.0 g/cm 3 and 1.3 g/cm 3 , depending on the dissolved solutes, and the density of the core should be within 0.5 g/cm 3 , 0.4 g/cm 3 , 0.3 g/cm 3 , 0.2 g/cm 3 , or even 0.1 g/cm 3 of the density of the liquid.
- the desired density of the cores depends on the relative size of the cores compared to the overall size of the particles. A larger core represents a larger portion of the overall particle, making its density more critical. A smaller core may represent only a small portion of the overall particle, making its density less critical.
- the desired density of the core can be selected based on Stoke' s law for calculating the settling velocity of a particle in a viscous medium:
- v is the particle's settling velocity (e.g. , m/s), which is vertically downwards if p and vertically upwards if g is gravitational
- ⁇ is the dynamic viscosity (e.g., kg/m*s) of the water liquid in which the particle is suspended
- R is the particle radius (m).
- particle diameter and radius are preferably expressed in ⁇
- the viscosity ( ⁇ ) is held constant, so to maintain a constant settling viscosity the required density difference scales with the square of the particle radius or diameter and the other coefficients can be ignored since they cancel out of any ratio.
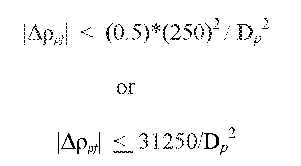
- An exemplary particle has a diameter of 250 um and a radius of 125 um.
- the absolute value of the density difference between particle density (p office) and fluid density should be no more than 0.5 g/cm 3 , so any particle that is
- the above relationship can also be extended to define the constraints on the density of the core (p c ) within the overall particle (p p ).
- the density of the core can be related to the density of the overall particle according to the relationship:
- nv and n3 ⁇ 4 represent the mass of the core and mass of the overall particle, respectively, and ⁇ p and v c represent the respective volumes of the overall particle and the core.
- core density is critical and low density materials are preferable. Where smaller particles are used, the core density is less critical and higher density materials, such as salts can be used.
- Low density materials include sugars (e.g., sucrose and sorbitol, carbohydrates (e.g., starch and glycogen), saturated fatty acids (e.g., stearic acid, myristic acid, palmitic acid, and their derivatives, waxes (e.g., polyethylene wax), polymers (e.g., polyvinyl alcohol (PVA), partially-hydrolylzed polyvinyl alcohol (PHPVA), polyethylene glycol (PEG), polyethylene oxide (PEO), polyvinylpyrrolidone (PVP), hydroxypropylmethyl cellulose (HPMC), hydroxypropylmethylcellulose (HPMC), intermediately-hydrolyzed PVA (IHPVA), fully -hydrolyzed PVA (FHPVA), plasticized PVA, carboxymethyl cellulose (CMC), carb
- the core may include fillers, buffers, stabilizers, plasticizers, distintegrants, extenders, lubricants, dyes, pigments, fragrances and the like, but all such components contribute to the density of the core, and must be selected accordingly.
- the core may include pockets of trapped air or other gases, which lower the density of the core.
- the core may include enzymes or enzymes may be coated onto a core that either includes or does not include enzymes.
- the nominal diameter and size distribution of the particles is not critical but can be tailored to suit manufacturing, performance, safety, and other requirements. Smaller particles having an enzyme/active coating generally have a higher payload to core weight ratio but are more readily aerosolized.
- Particles smaller than 10 ⁇ m., and especially smaller than S ⁇ m., should be avoided for respiratory tract safety reasons.
- Particles smaller than about 40 ⁇ m. are not visible to the human eye.
- Larger particles, e.g., greater than about 100 ⁇ m., 150 ⁇ m., or even 200 ⁇ m., are visible to the human eye and may be brightly colored such that they are prominently visible in the enzyme suspension.
- Exemplary size ranges are 50-100 ⁇ m., 50-150 ⁇ m., 100-150 ⁇ m., 100-200 ⁇ m., 150-250 ⁇ m., 200-250 ⁇ m., 200-300 ⁇ m., 250-300 ⁇ m., 300-350 ⁇ m., 300-400 ⁇ m., 350-500 ⁇ m., 400-550 ⁇ m., and the like.
- the size distribution range is narrow, such that the particles are uniform in size. In some cases, the size distribution is not critical.
- the cores dissolve or disperse in water within 15 min, 10 min, 5 min, 3 min, 2 min, or even 1, min following the dilution of the low-water liquid composition with at least one volume of water.
- the cores dissolve during the cleaning application (e.g., laundry cycle) but they are preferably biodegradable such that they do not accumulate in the environment.
- the overall density of the particles can be modified by the incorporation of density' modifiers.
- Density modifiers can be included in the core, itself, or provided in a coating layer.
- Density modifiers can be included in the core, itself, or provided in an
- An advantage of providing the density' modifier in an enzyme/active-layer or coating layer is mat a preselected core can be fine-tuned for use in a given low-water composition simply by varying the amount of density modifier in a subsequently-applied coating.
- Exemplary density modifiers are materials having a density of less than 1 g/cm 3 , and include starch, cellulose fibers, diatomaceous earth, feather particles, zeolites (such as used for molecular sieving), flour, milled plant derived fragments such as corn cobs, soy grit, com syrup solids, among other small-particle, highly-porous materials.
- Other acceptable density modifiers include perlite and fumed silica (particularly, fumed silica that has been treated so as to be hydrophobic). It has been found that perlite and starch are especially useful for making roughly spherical low-density granules having a diameter of less than 700 ⁇ via a fluidized-bed spray coating process.
- Other possible density modifiers include fly ash, borosilicate glass hollow spheres, fused glass hollowspheres, ceramic hollowspheres, plastic hollowspheres, hollow fibers (e.g., DACRON® (DuPont)), low density forms of silicates (such as sodium aluminosilicates used as flow aids for powders), low density forms of silicon dioxide (such as those used as flow aids for powders), sawdust, and/or aerogel shards.
- silicates such as sodium aluminosilicates used as flow aids for powders
- silicon dioxide such as those used as flow aids for powders
- sawdust and/or aerogel shards.
- the cores are coated with, or contain, one or more of a wide variety of enzymes or other actives. While the present description is focused on the isolation and stabilization of enzymes, it will be apparent that a myriad of other active components can be provided in a low-water composition using the same particles.
- Exemplary enzymes include acyl transferases, a-amylases, ⁇ -amylases, a- galactosidases, arabinosidases, aryl esterases, ⁇ -galactosidases, carrageenases, catalases, cellobiohydrolases, cellulases, chondroitinases, cutinases, endo- ⁇ -1, 4-glucanases, endo- beta-mannanases, esterases, exo-mannanases, galactanases, glucoamylases, hemicellulases, hyaluromdases, keratinases, laccases, lactases, ligninases, lipases, lipoxygenases, mannanases, oxidases, oxidoreductases, pectate lyases, pectin acetyl esterases, pectinases, pentos
- subtilisins examples include but are not limited to subtilisins, such as those derived from Bacillus (e.g., subtilisin, lentus, amyloliquefaciens, subtilisin Carlsberg, subtilisin 309, subtilisin 147 and subtilisin 168), including variants as described in, e.g., U.S. Pat. Nos. RE 34,606, 5,955,340, 5,700,676, 6,312,936, and 6,482,628, all of which are incorporated herein by reference.
- Additional protease include trypsin (e.g., of porcine or bovine origin) and the Fusarium protease described in WO 89/06270. In some aspects of subtilisins, such as those derived from Bacillus (e.g., subtilisin, lentus, amyloliquefaciens, subtilisin Carlsberg, subtilisin 309, subtilisin 147 and subtilisin 168), including variants as described in,
- protease is one or more of MAXATASE®, MAXACALTM,
- PURAFECT® OXP PURAMAXTM, EXCELLASETM, and PURAFASTTM (Genencor); ALCALASE®, SAVINASE®, PRIMASE®, DURAZYMTM, POLARZYME®,
- Suitable proteases include neutral metalloproteases including those described in WO 07/044993 and WO 09/058661.
- Other exemplary metalloproteases include nprE, the recombinant form of neutral metalloprotease expressed in Bacillus subtilis (see e.g., WO 07/044993), and PMN, the purified neutral metalloprotease from Bacillus
- Suitable lipases include, but are not limited to Humicola lanuginosa lipase (see e.g. , EP 258068, and EP 305216), Rhizomucor miehei lipase (See e.g., EP 238023), Candida lipase, such as C. antarctica lipase (e.g., the C. antarctica lipase A or B; See e.g., EP 214 761), Pseudomonas lipases such as P. alcaligenes lipase and P. pseudoalcaligenes lipase (See e.g., EP 218272), P.
- Humicola lanuginosa lipase see e.g. , EP 258068, and EP 305216
- Rhizomucor miehei lipase See e.g., EP 238023
- Candida lipase such as C. antarctica lipase (e.
- cepacia lipase See e.g., EP 331 376
- P. stutzeri lipase See e.g., GB 1,372,034
- P. fluoresceins lipase Bacillus lipase (e.g., B. subtilis lipase (Dartois et al. (1993) Biochem. Biophys. Acta 1131:253-260); B. stearothermophilus lipase (see e.g., JP 64/744992); and B. pumilus lipase (see e.g., WO 91/16422)).
- Additional suitable lipases include Penicillium camembertii lipase (Y amaguchi et al. (1991) Gene 103:61-67), Geotricum candidum lipase (See, Schimadaet al. (1989) J.
- Rhizopus lipases such as R delemar lipase (Hass et al. (1991) Gene 109: 117-113), aR niveus lipase (Kugimiya et al. (1992) Biosci. Biotech. Biochem. 56:716-719) and R. oryzae lipase.
- Additional lipases are the cutinase derived from Pseudomonas mendocina (See, WO 88/09367), and the cutinase derived from
- the protease is one or more of Ml LIPASETM, LUMA FASTTM, and LIPOMAXTM (Genencor); LIPEX®, LIPOLASE® and LIPOLASE® ULTRA (Novozymes); and LIPASE PTM "Amano” (Amano Pharmaceutical Co. Ltd., Japan).
- Suitable amylases include, but are not limited to those of bacterial or fungal origin, or even mammalian origin. Numerous suitable are described in W09510603, W09526397,
- amylases include, but are not limited to one or more of
- DURAMYL® TERMAMYL®, FUNGAMYL®, STAINZYME®, STAINZYME PLUS®, STAINZYME ULTRA®, and BANTM (Novozymes), as well as POWERASETM,
- RAPID ASE® and MAXAMYL® P RAPID ASE® and MAXAMYL® P, PREFERENZ® S100, PREFERENZ® SI 10, and PREFERENZ® S1000 (Genencor).
- Suitable cellulases include but are not limited to those having color care benefits (see e.g., EP 0495257). Examples include Humicola insolens cellulases (See e.g., U.S. Pat. No. 4,435,307) and commercially available cellulases such as CELLUZYME®, CAREZYME® (Novozymes), and KAC-500(B)TM (Kao Corporation), and Primafast® GOLD (DuPont). In some embodiments, cellulases are incorporated as portions or fragments of mature wild-type or variant cellulases, wherein a portion of the N-terminus is deleted (See e.g., U.S. Pat. No. 5,874,276). Additional suitable cellulases include those found in WO2005054475, WO2005056787, U.S. Pat. No. 7,449,318, and U.S. Pat. No. 7,833,773.
- Suitable mannanases are described in U.S. Pat. Nos. 6,566,114, 6,602,842, 5, 476, and 775, 6,440,991, and U.S. Patent Application Number 61/739267, all of which are incorporated herein by reference).
- Commercially available include, but are not limited to MANNASTAR®, PURABRITETM, and MANN AWAY®.
- peroxidases are used in combination with hydrogen peroxide or a source thereof (e.g., a percarbonate, perborate or persulfate) in the compositions of the present teachings.
- oxidases are used in combination with oxygen. Both types of enzymes are used for "solution bleaching" (i.e., to prevent transfer of a textile dye from a dyed fabric to another fabric when the fabrics are washed together in a wash liquor), preferably together with an enhancing agent (See e.g., WO 94/12621 and WO 95/01426).
- Suitable peroxidases/oxidases include, but are not limited to those of plant, bacterial or fungal origin. Chemically or genetically modified mutants are included in some embodiments.
- Suitable perhydrolases include the enzyme from Mycobacterium srnegmatis. This enzyme, its enzymatic properties, its structure, and numerous variants and homologs, thereof, are described in detail in International Patent Application Publications WO 05/056782A and WO 08/063400A, and U.S. Patent Publications US2008145353 and US2007167344, which are incorporated by reference.
- the Mycobacterium srnegmatis include the enzyme from Mycobacterium srnegmatis. This enzyme, its enzymatic properties, its structure, and numerous variants and homologs, thereof, are described in detail in International Patent Application Publications WO 05/056782A and WO 08/063400A, and U.S. Patent Publications US2008145353 and US2007167344, which are incorporated by reference.
- the Mycobacterium srnegmatis are described in detail in International Patent Application Publications WO 05/056782A and WO 08/0
- peihydrolase or homolog
- S54V substitution includes the S54V substitution.
- CE-7 family carbohydrate family esterase family 7
- CE-7 family carbohydrate family esterase family 7
- CE-7 family carbohydrate family esterase family 7
- CE-7 esterase family include cephalosporin C deacetylases (CAHs; E.C. 3.1.1.41) and acetyl xylan esterases (AXEs; E.C. 3.1.1.72).
- CAHs cephalosporin C deacetylases
- AXEs acetyl xylan esterases
- CE-7 esterase family share a conserved signature motif (Vincent etal, J. Mol. Biol, 330:593-606 (2003)).
- Suitable perhydrolase enzymes include those from Sinorhizobium meliloti, Mesorhizobium loti, Moraxella bovis, Agrobacterium tumefaciens, or Prosthecobacter dejongeii (WO2005056782), Pseudomonas mendocina (U.S. Patent No. 5,389,536), or Pseudomonas putida (U.S. Patent Nos. 5,030,240 and 5,108,457).
- the enzymes may be crystalized, precipitated, spray dried, lyophilized, and/or compressed and provided in dry form, or resuspended liquid form, thereof.
- the enzymes may be provided as an ultrafiltration concentrate. They may be purified to a preselected level.
- the present low density particles may further include one or more actives, such as bleach catalysts, other enzymes, enzyme stabilizing systems, chelants, optical brighteners, soil release polymers, dye transfer agents, dispersants, suds suppressors, dyes, perfumes, colorants, filler salts, photoactivators, fluorescers, fabric conditioners, hydrolyzable surfactants, preservatives, anti-oxidants, anti-shrinkage agents, anti-wrinkle agents, germicides, fungicides, color speckles, silvercare, anti-tarnish and/or anti-corrosion agents, alkalinity sources, solubilizing agents, carriers, processing aids, pigments, and pH control agents, surfactants, builders, dye transfer inhibiting agents, deposition aids, catalytic materials, bleach activators, bleach boosters, hydrogen peroxide, sources of hydrogen peroxide, preformed peracids, polymeric dispersing agents, clay soil removal/anti-red
- actives such as bleach catalysts, other enzymes, enzyme stabilizing
- WO2006002755 WO2006088535, and US20110263475, all of which are hereby incorporated by reference.
- Such adjuvants can be included in the core, the enzyme layer, or the polymer coating, so long as they do not adversely affect the described desired properties of the particles.
- At least one non-aqueous, water-soluble coating is applied to the core or coated core to protect the enzyme and/or other active component layer from water present in the low- water liquid compositions in which the particles are intended to be suspended.
- the coating should be non-toxic and biodegradable.
- the solubility of the coating in water should be greater man 1, greater man 2, greater than 3, greater man 4, greater than 5, greater than 6, greater man 7, greater than 8, greater than 9, or even greater man 10 mg/mL at 25°C.
- the coating should dissolve within 5 minutes, within 4 minutes, within 3 minutes, within 2 minutes, within 1 minute, within 30 seconds, or even within 15 seconds when the low-water liquid composition in which they are suspended is diluted with at least one volume of water
- Exemplary materials are linear or branched polymers having a molecular weight such that the polymer (or mixture of different polymers) is/are solid at room temperature).
- Specific exemplary materials include but are not limited to synthetic polymers, such as polyvinyl alcohol (PVA), polyvinyl acetate, polyvinyl pyrrolidone (PVP), polyethylene glycol (PEG), polyethylene oxide (PEO), poly acrylic acid, poly methacrylic acid, pyrrolidone carboxylic acid, polystyrene sulfonates, and polyelectrolytes; fatty acids, such as stearic acid, oleic acid, myristic acid, and palmitic acid; gums, such as acacia, guar, xanthan, agarose, karaya, tragacanth, and locust bean; cellulosic materials, such as hydroxy propyl cellulose, hydroxypropyl methylcellulose, ethyl cellulose, cellulose a
- the present low-density particles are defined by the formulae provided above.
- the particles have an overall true density (i.e., the mass of a particle divided by its volume, excluding open pores and closed pores) of less than 1.6 g/cm 3 , less than 1.5 g/cm 3 , less than 1.4 g/cm 3 , less than 1.3 g/cm 3 , or even less than 1.2 g/cm 3 , for example, 1.0-1.6 g/cm 3 , 1.0-1.5 g/cm 3 , 1.0-1.4 g/cm 3 , 1.0-1.3 g/cm 3 , and 1.0-1.2 g/cm 3 , and the difference between the overall true density of the particles and the density the low-water liquid composition in which they are intended to be suspended is less than ⁇ 0.5 g/cm 3 , less than ⁇ 0.4 g/cm 3 , less man ⁇ 0.3 g/cm 3 , less than ⁇
- the particles can be sufficiently large to be visible to the human eye, e.g., to compliment the appearance of the low-water composition in which they are intended to be dissolved, or can sufficiently small to be invisible to the human eye.
- the particles can include dyes and pigments.
- enzymes When present in the liquid suspension, enzymes are dissolved at less than 1 gram per liter in the carrier liquid for at least the first 30 days of storage at 25°C, and less than 20% of the enzyme is dissolved within the carrier liquid phase.
- the enzyme are catalytically active upon dilution of the particles in suspension with at least one volume of water and exhibit most of their original catalytic potential within minutes of dilution.
- the enzymes exhibit at least about 50, 60, 70, 80, 90, 95% or essentially all of their original catalytic potential in less than 1, less than 2, less than 3, less than 4, or less than 5 minutes at a preselected temperature.
- the present particles can be made by methods known to those skilled in the art of particle generation, including but not limited to fluid-bed coating, prilling, spray drying, drum granulation, high shear agglomeration, or combinations of these techniques. Most preferably, the granules are made by a fluidized-bed spray coating process (as exemplified below).
- compositions containing the liquid enzyme suspensions are provided.
- the low-density particles may be included in low-water compositions, such as those used for cleaning, disinfection, decontamination, textile processing, feed, and food.
- the compositions may 5-20% water by weight.
- the composition containing an enzyme suspension contains any of about 5-10%, 10-15%, or 15-20% water by weight (w/w).
- Exemplary liquid laundry detergent composition in which the particles may be suspended include but are not limited to PUREX® ULTRAPACKS (Henkel), FINISH® QUANTUM (Reckitt Benckiser), CLOROXTM 2 PACKS (Clorox), OXICLEAN MAX FORCE POWER PAKS (Church & Dwight), TIDE® STAIN RELEASE,
- Enzyme(s) of interest present in the low-density particles are stable in low- water compositions for at least 9 days at 37°C and are catalytically active upon dilution of the low water compositions with at least one volume of water.
- an enzyme of interest is stable in the low water for about 2 weeks, 1 month, 2 months, or 3 months or longer at 25°C and exhibits at least about 50, 60, 70, 80, 90, 95% or essentially all of its initial catalytic potential upon dilution in water.
- an enzyme of interest is stable in the low water for about 2 weeks, 1 month, 2 months, or 3 months or longer at 37°C and exhibits at least about 50, 60, 70, 80, 90, 95% or essentially all of its initial catalytic potential upon dilution in water.
- the low water composition is a detergent composition
- it may contain one or more surfactants, builders, bleaches, bleach precursors, bleach activators, enzyme stabilizers, complexing agents, chelating agents, foam regulators, corrosion inhibitors, anti- electrostatic agents, dyes, perfumes, bactericides, fungicides, and activators, and any other ingredients typically found in laundry, dishwashing (including automatic and hand dishwashing), and other cleaning compositions.
- the detergent composition does not contain boron or borate.
- the detergent contains a low (e.g., submillimolar) level of calcium.
- the detergent composition contains low (e.g., submillimolar) levels of period IV metals, e.g., K, Ca, Mn, Fe, Co, Ni, Cu, Zn.
- An advantage of the present low-density particles is that they allow the use of greater amounts of enzymes in a given application without creating increased risk of sensitization as the result of immunoreactivity, while avoiding the particle settling that occurs with conventional particles. This is an important consideration for, e.g., workers in laundry detergent manufacturing facilities and consumers of laundry detergents.
- the use of the particles in liquid enzyme suspensions allows the inclusion of 1.5-fold, 2-fold, 3-fold, 4-fold, 5-fold, or more enzymes that would be acceptable in a comparable detergent composition that did not include the particles.
- the described low-density particles may be used in any application where enzymatic activity is desired from a low-water liquid compositions intended to be diluted prior with at least one volume of water in use. Upon dilution, at least about 50, 60, 70, 80, 90, or 95% of the enzyme is soluble and catalytically active in the diluted composition.
- the application is cleaning and activation is performed in a bucket or other container, including a container to be cleaned.
- activation is typically performed in a washing machine.
- activation is typically performed in a dishwasher.
- activation is typically performed in a suitable bath.
- activation is performed where needed to deliver active enzyme to the site of application.
- the low-density enzyme containing particles are particularly useful as components of a cleaning composition, such as a detergent composition, e.g., a laundry detergent composition or a dishwashing detergent composition.
- a liquid laundry detergent composition typically comprise a cleaning adjunct, or preferably a combination of cleaning adjuncts.
- the cleaning adjunct will be present in the composition in an amount from 0.001 to 99.9 wt%, more typically from 0.01 to 80 wt% cleaning adjunct.
- An exemplary formulation with suitable cleaning adjuncts in the form of a unit dose laundry detergent composition is provided, below.
- Such a unit dose formulations can comprise one, two three or more compartments. The components in each compartment may be different or the same, but the overall/total ingredients of the unit dose formulation have the same composition:
- B. subtilis (NprE protease) was diluted to concentrations below 6 ppm (6 ⁇ g/mL).
- AAPF substrate stock 160 mM (i.e., 100 mg/mL) sue- AAPF-pNA dissolved in
- DMSO dimethylsulfoxide
- Stability buffer 100 mM MES (pH 5.5) with 0.005% v/v Tween 80 (may optionally include 10 mM CaCl 2 )
- Activity buffer 100 mM Tris (pH 8.5 or 8.6) with 0.005% v/v Tween-80 (may optionally include 10 mM CaCl 2 )
- Assay solution substrate stock diluted 1:100 into activity buffe)r: 1.6 mM AAPF-pNA in 100 mlM Tris (pH 8.5 or 8.6).
- the assay was performed by adding 10 ul of diluted protease enzyme solution to each well of the assay solution plate. The solutions were mixed for 10 seconds, and the absorbance change was measured at 410 nm in a microplate reader at 25 T (set in kinetic mode, over 2 minutes).
- the subtilisin protease activity (AU activity units) was calculated as mOD 4 i 5 /min x dilution factor, where mOD 4 io refers to the optical density of the reaction product multiplied times 1000 as measured at 410 nm
- This assay is a modification of the Megazyme alpha amylase assay procedure (Ceralpha method) (ICC Standard No. 303) (Megazyme International Ireland). Entire contents of one vial of the substrate, [non-reducing end-blocked p-nitrophenyl
- Aryl esterase activity was measured by hydrolysis of /Miitrophenylbutyrate (Sigma, N9876, 4-Nitrophenyl butyrate) dissolved in DMSO (Sigma #154938).
- the reaction mixture was prepared by adding 40 ⁇ , of 100 mM pNB to 10 mL of assay buffer (0.1 M Tris-HCl pH 9.2). The background rate of hydrolysis was measured before the addition of enzyme at 405 nm
- the reaction was initiated by the addition of 10 ⁇ , of diluted enzyme samples to 190 ⁇ , of the reaction mixture and the change in absorbance at 410nm was measured at room temperature.
- average particle size was determined using a RO-TAP® sieve shaker (W.S. Tyler, Mentor, Ohio, USA) and compatible 16, 20, 25, 30, 35, 40, 45, 50, 60, 70, 80, and 100 mesh sieves. 50 grams of particles was loaded into the shaker with the sieve stack installed in order of decreasing mesh size and shaker was run for five minutes. The weight of particles collected by each sieve was determined using an open pan balance, and the percentage of the total weight of particles is calculated. The relationship between the mesh size and the particle size cut-off is provided in Table 2.
- particle size was measured by laser diffraction, using a Malvern Instruments Mastersizer 2000 and associated Scirocco 2000 sample handling unit. The intensity of light (which is scattered as a laser beam as it passes through a dispersed particulate sample) is measured. The scattering pattern created is used to calculate the distribution of particle sizes that created the pattern. Approximately 1 g dry
- powder/granular sample is dispersed in a controlled manner by vibrating the sample along the Scirocco 200 sample tray, and forcing it into the measurement chamber, or optical bench, under a pressure of 1 Bar. Whilst traversing the optical bench, a laser beam illuminates the dispersed particles. A series of detectors measure the intensity of light scattered by the particles over a range of angles. This scattering data is analyzed to produce the particle size range of the dispersed particles. For these calculations the refractive index of the sample is required (a standard of 1.52 was used). Both background and sample measurements were taken over a 12 second period, with a total of 12000 measurements being taken per sample.
- the density of hexane is first determined experimentally to take into account any impact of temperature on the measurements. On an analytical balance, 5 ml of hexane is added to a 5 ml volumetric flask and the value recorded. The density of hexane in g/ml is determined by dividing the mass by the volume. The calculated density will be used to calculate the volume of hexane when determining the density of particles.
- volume of hexane added mass of hexane added / calculated hexane density
- a visual qualitative examination is generally sufficient to make the determination of whether the particles are settling or non-settling.
- the top 20% of the sample is carefully removed by pipetting and transferred to a fresh 15 ml test tube.
- the relative amount of particles in the top 20% and bottom 80% of the sample are measured based on absorbance at 600 nm and comparing the amounts to a standard curve. If less than 10% of the particles remain in the top 20% of the sample after 1 month, the particles are considered settling.
- n/d no data
- enz enzyme
- PVA poly vinyl alcohol
- exp Expancel
- the particles were tested for several performance criteria in laundry detergents, including (i) settling, (ii) leakage of enzyme, and (iii) release of enzyme. Several of the particles were observed to have excellent overall performance in low-water detergent formulations.
- Table 4 summarizes the settling properties of particles A-F (described in Table 3) in the detergent composition from commercial Tide PODS® (i.e., the semi-opaque white component of the multi-chamber unit-dose product).
- Particle G refers to a commercially available competitor's product that includes the protease SAVINASE® (Novozymes). The settling assay was performed and scored as described in Example 4.
- Particles B-F remained in suspension in the detergent compositions for at least a month.
- the leakage particles of A-E in the detergent composition obtained from commercial Tide PODS® at 37°C over 35 days is shown in the graph in Figure 1. Leakage was measured as the percentage of protease activity detected in the detergent composition based on the total amount of protease activity expected from the amount of protease coated onto the particle cores. Particle A (with a normal-density core) demonstrated very low leakage. Particle B demonstrated the greatest amount of leakage among the low-density particles with Particles C-E showing an intermediate an intermediate amount of leakage. The stability of particles A-F in the detergent composition obtained from commercial Tide PODS® at 37°C over 40 days is shown in the graph in Figure 2.
- Stability is measured as the percentage of residual protease activity in the particles based on the total amount of protease activity expected from the amount of protease coated onto the particle cores.
- Particles A, B, D, and F demonstrated the greatest stability, with particles F and particularly C demonstrating somewhat lower stability.
Landscapes
- Chemical & Material Sciences (AREA)
- Life Sciences & Earth Sciences (AREA)
- Engineering & Computer Science (AREA)
- Chemical Kinetics & Catalysis (AREA)
- Oil, Petroleum & Natural Gas (AREA)
- Wood Science & Technology (AREA)
- Organic Chemistry (AREA)
- Detergent Compositions (AREA)
Abstract
Description
Claims
Applications Claiming Priority (2)
| Application Number | Priority Date | Filing Date | Title |
|---|---|---|---|
| US201562173260P | 2015-06-09 | 2015-06-09 | |
| US62/173,260 | 2015-06-09 |
Publications (1)
| Publication Number | Publication Date |
|---|---|
| WO2016201069A1 true WO2016201069A1 (en) | 2016-12-15 |
Family
ID=56292895
Family Applications (1)
| Application Number | Title | Priority Date | Filing Date |
|---|---|---|---|
| PCT/US2016/036638 Ceased WO2016201069A1 (en) | 2015-06-09 | 2016-06-09 | Low-density enzyme-containing particles |
Country Status (1)
| Country | Link |
|---|---|
| WO (1) | WO2016201069A1 (en) |
Cited By (1)
| Publication number | Priority date | Publication date | Assignee | Title |
|---|---|---|---|---|
| WO2019006077A1 (en) * | 2017-06-30 | 2019-01-03 | Danisco Us Inc | Low-agglomeration, enzyme-containing particles |
Citations (133)
| Publication number | Priority date | Publication date | Assignee | Title |
|---|---|---|---|---|
| GB1372034A (en) | 1970-12-31 | 1974-10-30 | Unilever Ltd | Detergent compositions |
| US4435307A (en) | 1980-04-30 | 1984-03-06 | Novo Industri A/S | Detergent cellulase |
| EP0214761A2 (en) | 1985-08-07 | 1987-03-18 | Novo Nordisk A/S | An enzymatic detergent additive, a detergent, and a washing method |
| EP0218272A1 (en) | 1985-08-09 | 1987-04-15 | Gist-Brocades N.V. | Novel lipolytic enzymes and their use in detergent compositions |
| EP0238023A2 (en) | 1986-03-17 | 1987-09-23 | Novo Nordisk A/S | Process for the production of protein products in Aspergillus oryzae and a promoter for use in Aspergillus |
| EP0258068A2 (en) | 1986-08-29 | 1988-03-02 | Novo Nordisk A/S | Enzymatic detergent additive |
| WO1988009367A1 (en) | 1987-05-29 | 1988-12-01 | Genencor, Inc. | Cutinase cleaning composition |
| EP0305216A1 (en) | 1987-08-28 | 1989-03-01 | Novo Nordisk A/S | Recombinant Humicola lipase and process for the production of recombinant humicola lipases |
| JPS6474992A (en) | 1987-09-16 | 1989-03-20 | Fuji Oil Co Ltd | Dna sequence, plasmid and production of lipase |
| WO1989006270A1 (en) | 1988-01-07 | 1989-07-13 | Novo-Nordisk A/S | Enzymatic detergent |
| EP0331376A2 (en) | 1988-02-28 | 1989-09-06 | Amano Pharmaceutical Co., Ltd. | Recombinant DNA, bacterium of the genus pseudomonas containing it, and process for preparing lipase by using it |
| WO1990009446A1 (en) | 1989-02-17 | 1990-08-23 | Plant Genetic Systems N.V. | Cutinase |
| WO1991000353A2 (en) | 1989-06-29 | 1991-01-10 | Gist-Brocades N.V. | MUTANT MICROBIAL α-AMYLASES WITH INCREASED THERMAL, ACID AND/OR ALKALINE STABILITY |
| US5030240A (en) | 1986-06-09 | 1991-07-09 | The Clorox Company | Enzymatic peracid bleaching system |
| WO1991016422A1 (en) | 1990-04-14 | 1991-10-31 | Kali-Chemie Aktiengesellschaft | Alkaline bacillus lipases, coding dna sequences therefor and bacilli which produce these lipases |
| US5108457A (en) | 1986-11-19 | 1992-04-28 | The Clorox Company | Enzymatic peracid bleaching system with modified enzyme |
| EP0495257A1 (en) | 1991-01-16 | 1992-07-22 | The Procter & Gamble Company | Compact detergent compositions with high activity cellulase |
| WO1992021760A1 (en) | 1991-05-29 | 1992-12-10 | Cognis, Inc. | Mutant proteolytic enzymes from bacillus |
| WO1993007263A2 (en) * | 1991-10-07 | 1993-04-15 | Genencor International, Inc. | Coated enzyme containing granule |
| WO1994002597A1 (en) | 1992-07-23 | 1994-02-03 | Novo Nordisk A/S | MUTANT α-AMYLASE, DETERGENT, DISH WASHING AGENT, AND LIQUEFACTION AGENT |
| WO1994012621A1 (en) | 1992-12-01 | 1994-06-09 | Novo Nordisk | Enhancement of enzyme reactions |
| WO1994018314A1 (en) | 1993-02-11 | 1994-08-18 | Genencor International, Inc. | Oxidatively stable alpha-amylase |
| WO1995001426A1 (en) | 1993-06-29 | 1995-01-12 | Novo Nordisk A/S | Enhancement of laccase reactions |
| US5389536A (en) | 1986-11-19 | 1995-02-14 | Genencor, Inc. | Lipase from Pseudomonas mendocina having cutinase activity |
| WO1995010603A1 (en) | 1993-10-08 | 1995-04-20 | Novo Nordisk A/S | Amylase variants |
| US5423997A (en) | 1991-05-31 | 1995-06-13 | Colgate Palmolive Co. | Spray dried powdered automatic dishwashing composition containing enzymes |
| WO1995023221A1 (en) | 1994-02-24 | 1995-08-31 | Cognis, Inc. | Improved enzymes and detergents containing them |
| WO1995026397A1 (en) | 1994-03-29 | 1995-10-05 | Novo Nordisk A/S | Alkaline bacillus amylase |
| WO1995035382A2 (en) | 1994-06-17 | 1995-12-28 | Genecor International Inc. | NOVEL AMYLOLYTIC ENZYMES DERIVED FROM THE B. LICHENIFORMIS α-AMYLASE, HAVING IMPROVED CHARACTERISTICS |
| WO1996005295A2 (en) | 1994-08-11 | 1996-02-22 | Genencor International, Inc. | An improved cleaning composition |
| WO1996023873A1 (en) | 1995-02-03 | 1996-08-08 | Novo Nordisk A/S | Amylase variants |
| WO1996023874A1 (en) | 1995-02-03 | 1996-08-08 | Novo Nordisk A/S | A method of designing alpha-amylase mutants with predetermined properties |
| WO1996030481A1 (en) | 1995-03-24 | 1996-10-03 | Genencor International, Inc. | An improved laundry detergent composition comprising amylase |
| WO1997010342A1 (en) | 1995-09-13 | 1997-03-20 | Genencor International, Inc. | Alkaliphilic and thermophilic microorganisms and enzymes obtained therefrom |
| WO1997023606A1 (en) * | 1995-12-22 | 1997-07-03 | Genencor International, Inc. | Enzyme containing coated granules |
| WO1997041213A1 (en) | 1996-04-30 | 1997-11-06 | Novo Nordisk A/S | α-AMYLASE MUTANTS |
| WO1997043424A1 (en) | 1996-05-14 | 1997-11-20 | Genencor International, Inc. | MODIFIED α-AMYLASES HAVING ALTERED CALCIUM BINDING PROPERTIES |
| WO1998026078A1 (en) | 1996-12-09 | 1998-06-18 | Genencor International, Inc. | H mutant alpha-amylase enzymes |
| US5801039A (en) | 1994-02-24 | 1998-09-01 | Cognis Gesellschaft Fuer Bio Und Umwelttechnologie Mbh | Enzymes for detergents |
| US5855625A (en) | 1995-01-17 | 1999-01-05 | Henkel Kommanditgesellschaft Auf Aktien | Detergent compositions |
| WO1999002702A1 (en) | 1997-07-11 | 1999-01-21 | Genencor International, Inc. | MUTANT α-AMYLASE HAVING INTRODUCED THEREIN A DISULFIDE BOND |
| US5874276A (en) | 1993-12-17 | 1999-02-23 | Genencor International, Inc. | Cellulase enzymes and systems for their expressions |
| WO1999009183A1 (en) | 1997-08-19 | 1999-02-25 | Genencor International, Inc. | MUTANT α-AMYLASE COMPRISING MODIFICATION AT RESIDUES CORRESPONDING TO A210, H405 AND/OR T412 IN $i(BACILLUS LICHENIFORMIS) |
| WO1999019467A1 (en) | 1997-10-13 | 1999-04-22 | Novo Nordisk A/S | α-AMYLASE MUTANTS |
| WO1999023211A1 (en) | 1997-10-30 | 1999-05-14 | Novo Nordisk A/S | α-AMYLASE MUTANTS |
| WO1999029876A2 (en) | 1997-12-09 | 1999-06-17 | Genencor International, Inc. | Mutant bacillus licheniformis alpha-amylase |
| WO1999042567A1 (en) | 1998-02-18 | 1999-08-26 | Novo Nordisk A/S | Alkaline bacillus amylase |
| WO1999043794A1 (en) | 1998-02-27 | 1999-09-02 | Novo Nordisk A/S | Maltogenic alpha-amylase variants |
| WO1999043793A1 (en) | 1998-02-27 | 1999-09-02 | Novo Nordisk A/S | Amylolytic enzyme variants |
| WO1999046399A1 (en) | 1998-03-09 | 1999-09-16 | Novo Nordisk A/S | Enzymatic preparation of glucose syrup from starch |
| WO2000029560A1 (en) | 1998-11-16 | 2000-05-25 | Novozymes A/S | α-AMYLASE VARIANTS |
| WO2000029534A1 (en) * | 1998-11-13 | 2000-05-25 | Genencor International, Inc. | Fluidized bed low density granule |
| WO2000040689A2 (en) * | 1999-01-08 | 2000-07-13 | Genencor International, Inc. | Low-density compositions and particulates including same |
| WO2000060059A2 (en) | 1999-03-30 | 2000-10-12 | NovozymesA/S | Alpha-amylase variants |
| WO2000060060A2 (en) | 1999-03-31 | 2000-10-12 | Novozymes A/S | Polypeptides having alkaline alpha-amylase activity and nucleic acids encoding same |
| WO2000060058A2 (en) | 1999-03-31 | 2000-10-12 | Novozymes A/S | Polypeptides having alkaline alpha-amylase activity and nucleic acids encoding same |
| WO2001014532A2 (en) | 1999-08-20 | 2001-03-01 | Novozymes A/S | Alkaline bacillus amylase |
| WO2001034784A1 (en) | 1999-11-10 | 2001-05-17 | Novozymes A/S | Fungamyl-like alpha-amylase variants |
| WO2001064852A1 (en) | 2000-03-03 | 2001-09-07 | Novozymes A/S | Polypeptides having alkaline alpha-amylase activity and nucleic acids encoding same |
| WO2001066712A2 (en) | 2000-03-08 | 2001-09-13 | Novozymes A/S | Variants with altered properties |
| WO2001088107A2 (en) | 2000-05-12 | 2001-11-22 | Novozymes A/S | Alpha-amylase variants with altered 1,6-activity |
| WO2001096537A2 (en) | 2000-06-14 | 2001-12-20 | Novozymes A/S | Pre-oxidized alpha-amylase |
| WO2002010355A2 (en) | 2000-08-01 | 2002-02-07 | Novozymes A/S | Alpha-amylase mutants with altered stability |
| WO2002031124A2 (en) | 2000-10-13 | 2002-04-18 | Novozymes A/S | Alpha-amylase variant with altered properties |
| US6413749B1 (en) | 1998-10-27 | 2002-07-02 | Genencor International, Inc. | Granule containing protein and corn starch layered on an inert particle |
| WO2002092797A2 (en) | 2001-05-15 | 2002-11-21 | Novozymes A/S | Alpha-amylase variant with altered properties |
| WO2002099026A1 (en) * | 2001-06-01 | 2002-12-12 | Genencor International, Inc. | Methods and formulations for enhancing the dissolution of a solid material in liquid |
| WO2004113551A1 (en) | 2003-06-25 | 2004-12-29 | Novozymes A/S | Process for the hydrolysis of starch |
| WO2005001064A2 (en) | 2003-06-25 | 2005-01-06 | Novozymes A/S | Polypeptides having alpha-amylase activity and polypeptides encoding same |
| WO2005003311A2 (en) | 2003-06-25 | 2005-01-13 | Novozymes A/S | Enzymes for starch processing |
| WO2005019443A2 (en) | 2003-08-22 | 2005-03-03 | Novozymes A/S | Fungal alpha-amylase variants |
| WO2005018336A1 (en) | 2003-08-22 | 2005-03-03 | Novozymes A/S | Process for preparing a dough comprising a starch-degrading glucogenic exo-amylase of family 13 |
| WO2005054475A1 (en) | 2003-12-03 | 2005-06-16 | Meiji Seika Kaisha, Ltd. | Endoglucanase stce and cellulase preparation containing the same |
| WO2005056787A1 (en) | 2003-12-08 | 2005-06-23 | Meiji Seika Kaisha, Ltd. | Surfactant-tolerant cellulase and method of converting the same |
| WO2005056782A2 (en) | 2003-12-03 | 2005-06-23 | Genencor International, Inc. | Perhydrolase |
| WO2005066338A1 (en) | 2004-01-08 | 2005-07-21 | Novozymes A/S | Amylase |
| WO2006012902A2 (en) | 2004-08-02 | 2006-02-09 | Novozymes A/S | Creation of diversity in polypeptides |
| WO2006012899A1 (en) | 2004-08-02 | 2006-02-09 | Novozymes A/S | Maltogenic alpha-amylase variants |
| WO2006031554A2 (en) | 2004-09-10 | 2006-03-23 | Novozymes North America, Inc. | Methods for preventing, removing, reducing, or disrupting biofilm |
| WO2006063594A1 (en) | 2004-12-15 | 2006-06-22 | Novozymes A/S | Alkaline bacillus amylase |
| WO2006066596A2 (en) | 2004-12-22 | 2006-06-29 | Novozymes A/S | Hybrid enzymes consisting of an endo-amylase first amino acid sequence and a carbohydrate -binding module as second amino acid sequence |
| WO2006066594A2 (en) | 2004-12-23 | 2006-06-29 | Novozymes A/S | Alpha-amylase variants |
| WO2006136161A2 (en) | 2005-06-24 | 2006-12-28 | Novozymes A/S | Amylases for pharmaceutical use |
| WO2007044993A2 (en) | 2005-10-12 | 2007-04-19 | Genencor International, Inc. | Use and production of storage-stable neutral metalloprotease |
| WO2007070609A2 (en) | 2005-12-13 | 2007-06-21 | E. I. Du Pont De Nemours And Company | Production of peracids using an enzyme having perhydrolysis activity |
| WO2008000825A1 (en) | 2006-06-30 | 2008-01-03 | Novozymes A/S | Bacterial alpha-amylase variants |
| US20080090747A1 (en) | 2006-07-18 | 2008-04-17 | Pieter Augustinus | Protease variants active over a broad temperature range |
| WO2008088493A2 (en) | 2006-12-21 | 2008-07-24 | Danisco Us, Inc., Genencor Division | Compositions and uses for an alpha-amylase polypeptide of bacillus species 195 |
| WO2008088751A2 (en) | 2007-01-12 | 2008-07-24 | Danisco Us, Inc., Genencor Division | Improved spray drying process |
| US20080176299A1 (en) | 2005-12-13 | 2008-07-24 | Dicosimo Robert | Production of peracids using an enzyme having perhydrolysis activity |
| US20080176783A1 (en) | 2005-12-13 | 2008-07-24 | Dicosimo Robert | Production of Peracids Using An Enzyme Having Perhydrolysis Activity |
| WO2008092919A1 (en) | 2007-02-01 | 2008-08-07 | Novozymes A/S | Alpha-amylase and its use |
| WO2008101894A1 (en) | 2007-02-19 | 2008-08-28 | Novozymes A/S | Polypeptides with starch debranching activity |
| WO2008112459A2 (en) | 2007-03-09 | 2008-09-18 | Danisco Us Inc., Genencor Division | Alkaliphilic bacillus species a-amylase variants, compositions comprising a-amylase variants, and methods of use |
| US7449318B2 (en) | 2003-04-30 | 2008-11-11 | Danisco A/S, Genencor Division | Bacillus mHKcel cellulase |
| US20090005590A1 (en) | 2005-12-13 | 2009-01-01 | Dicosimo Robert | Production Of Peracids Using An Enzyme Having Perhydrolysis Activity |
| WO2009058661A1 (en) | 2007-10-31 | 2009-05-07 | Danisco Us Inc., Genencor Division | Use and production of citrate-stable neutral metalloproteases |
| WO2009061381A2 (en) | 2007-11-05 | 2009-05-14 | Danisco Us Inc., Genencor Division | Alpha-amylase variants with altered properties |
| WO2009061380A2 (en) | 2007-11-05 | 2009-05-14 | Danisco Us Inc., Genencor Division | VARIANTS OF BACILLUS sp. TS-23 ALPHA-AMYLASE WITH ALTERED PROPERTIES |
| WO2009100102A2 (en) | 2008-02-04 | 2009-08-13 | Danisco Us Inc., Genencor Division | Ts23 alpha-amylase variants with altered properties |
| WO2009140504A1 (en) | 2008-05-16 | 2009-11-19 | Novozymes A/S | Polypeptides having alpha-amylase activity and polynucleotides encoding same |
| WO2009149144A2 (en) | 2008-06-06 | 2009-12-10 | Danisco Us Inc. | Compositions and methods comprising variant microbial proteases |
| WO2009149419A2 (en) | 2008-06-06 | 2009-12-10 | Danisco Us Inc. | Variant alpha-amylases from bacillus subtilis and methods of use, thereof |
| WO2010056653A2 (en) | 2008-11-11 | 2010-05-20 | Danisco Us Inc. | Proteases comprising one or more combinable mutations |
| WO2010056640A2 (en) | 2008-11-11 | 2010-05-20 | Danisco Us Inc. | Compositions and methods comprising serine protease variants |
| WO2010059413A2 (en) | 2008-11-20 | 2010-05-27 | Novozymes, Inc. | Polypeptides having amylolytic enhancing activity and polynucleotides encoding same |
| WO2010065455A2 (en) | 2008-12-01 | 2010-06-10 | Danisco Us Inc. | Enzymes with lipase activity |
| WO2010088447A1 (en) | 2009-01-30 | 2010-08-05 | Novozymes A/S | Polypeptides having alpha-amylase activity and polynucleotides encoding same |
| WO2010091221A1 (en) | 2009-02-06 | 2010-08-12 | Novozymes A/S | Polypeptides having alpha-amylase activity and polynucleotides encoding same |
| WO2010104675A1 (en) | 2009-03-10 | 2010-09-16 | Danisco Us Inc. | Bacillus megaterium strain dsm90-related alpha-amylases, and methods of use, thereof |
| WO2010107560A2 (en) | 2009-03-18 | 2010-09-23 | Danisco Us Inc. | Fungal cutinase from magnaporthe grisea |
| WO2010115028A2 (en) | 2009-04-01 | 2010-10-07 | Danisco Us Inc. | Cleaning system comprising an alpha-amylase and a protease |
| WO2010117511A1 (en) | 2009-04-08 | 2010-10-14 | Danisco Us Inc. | Halomonas strain wdg195-related alpha-amylases, and methods of use, thereof |
| WO2011005943A1 (en) * | 2009-07-10 | 2011-01-13 | The Procter & Gamble Company | Compositions containing benefit agent delivery particles |
| WO2011072099A2 (en) | 2009-12-09 | 2011-06-16 | Danisco Us Inc. | Compositions and methods comprising protease variants |
| WO2011076897A1 (en) | 2009-12-22 | 2011-06-30 | Novozymes A/S | Use of amylase variants at low temperature |
| WO2011076123A1 (en) | 2009-12-22 | 2011-06-30 | Novozymes A/S | Compositions comprising boosting polypeptide and starch degrading enzyme and uses thereof |
| WO2011080353A1 (en) | 2010-01-04 | 2011-07-07 | Novozymes A/S | Stabilization of alpha-amylases towards calcium depletion and acidic ph |
| WO2011084412A1 (en) | 2009-12-21 | 2011-07-14 | Danisco Us Inc. | Detergent compositions containing thermobifida fusca lipase and methods of use thereof |
| WO2011084599A1 (en) | 2009-12-21 | 2011-07-14 | Danisco Us Inc. | Detergent compositions containing bacillus subtilis lipase and methods of use thereof |
| WO2011084417A1 (en) | 2009-12-21 | 2011-07-14 | Danisco Us Inc. | Detergent compositions containing geobacillus stearothermophilus lipase and methods of use thereof |
| WO2011098531A1 (en) | 2010-02-10 | 2011-08-18 | Novozymes A/S | Variants and compositions comprising variants with high stability in presence of a chelating agent |
| WO2011111143A1 (en) | 2010-03-12 | 2011-09-15 | Nakamura Hideto | Medicament for rheumatoid arthritis |
| WO2011140364A1 (en) | 2010-05-06 | 2011-11-10 | Danisco Us Inc. | Compositions and methods comprising subtilisin variants |
| WO2011150157A2 (en) | 2010-05-28 | 2011-12-01 | Danisco Us Inc. | Detergent compositions containing streptomyces griseus lipase and methods of use thereof |
| WO2012151534A1 (en) | 2011-05-05 | 2012-11-08 | Danisco Us Inc. | Compositions and methods comprising serine protease variants |
| WO2013033318A1 (en) | 2011-08-31 | 2013-03-07 | Danisco Us Inc. | Compositions and methods comprising a lipolytic enzyme variant |
| WO2013063460A2 (en) | 2011-10-28 | 2013-05-02 | Danisco Us Inc. | Variant maltohexaose-forming alpha-amylase variants |
| WO2013096305A1 (en) | 2011-12-22 | 2013-06-27 | Danisco Us Inc. | Variant alpha-amylases and methods of use, thereof |
| WO2013184577A1 (en) | 2012-06-08 | 2013-12-12 | Danisco Us Inc. | Alpha-amylase variants derived from the alpha amylase of cytophaga sp.amylase|(cspamy2). |
| WO2014099523A1 (en) | 2012-12-21 | 2014-06-26 | Danisco Us Inc. | Alpha-amylase variants |
| WO2014164777A1 (en) | 2013-03-11 | 2014-10-09 | Danisco Us Inc. | Alpha-amylase combinatorial variants |
| WO2015077126A1 (en) | 2013-11-20 | 2015-05-28 | Danisco Us Inc. | Variant alpha-amylases having reduced susceptibility to protease cleavage, and methods of use, thereof |
-
2016
- 2016-06-09 WO PCT/US2016/036638 patent/WO2016201069A1/en not_active Ceased
Patent Citations (144)
| Publication number | Priority date | Publication date | Assignee | Title |
|---|---|---|---|---|
| GB1372034A (en) | 1970-12-31 | 1974-10-30 | Unilever Ltd | Detergent compositions |
| US4435307A (en) | 1980-04-30 | 1984-03-06 | Novo Industri A/S | Detergent cellulase |
| EP0214761A2 (en) | 1985-08-07 | 1987-03-18 | Novo Nordisk A/S | An enzymatic detergent additive, a detergent, and a washing method |
| EP0218272A1 (en) | 1985-08-09 | 1987-04-15 | Gist-Brocades N.V. | Novel lipolytic enzymes and their use in detergent compositions |
| EP0238023A2 (en) | 1986-03-17 | 1987-09-23 | Novo Nordisk A/S | Process for the production of protein products in Aspergillus oryzae and a promoter for use in Aspergillus |
| US5030240A (en) | 1986-06-09 | 1991-07-09 | The Clorox Company | Enzymatic peracid bleaching system |
| EP0258068A2 (en) | 1986-08-29 | 1988-03-02 | Novo Nordisk A/S | Enzymatic detergent additive |
| US5108457A (en) | 1986-11-19 | 1992-04-28 | The Clorox Company | Enzymatic peracid bleaching system with modified enzyme |
| US5389536A (en) | 1986-11-19 | 1995-02-14 | Genencor, Inc. | Lipase from Pseudomonas mendocina having cutinase activity |
| WO1988009367A1 (en) | 1987-05-29 | 1988-12-01 | Genencor, Inc. | Cutinase cleaning composition |
| EP0305216A1 (en) | 1987-08-28 | 1989-03-01 | Novo Nordisk A/S | Recombinant Humicola lipase and process for the production of recombinant humicola lipases |
| JPS6474992A (en) | 1987-09-16 | 1989-03-20 | Fuji Oil Co Ltd | Dna sequence, plasmid and production of lipase |
| WO1989006270A1 (en) | 1988-01-07 | 1989-07-13 | Novo-Nordisk A/S | Enzymatic detergent |
| EP0331376A2 (en) | 1988-02-28 | 1989-09-06 | Amano Pharmaceutical Co., Ltd. | Recombinant DNA, bacterium of the genus pseudomonas containing it, and process for preparing lipase by using it |
| WO1990009446A1 (en) | 1989-02-17 | 1990-08-23 | Plant Genetic Systems N.V. | Cutinase |
| WO1991000353A2 (en) | 1989-06-29 | 1991-01-10 | Gist-Brocades N.V. | MUTANT MICROBIAL α-AMYLASES WITH INCREASED THERMAL, ACID AND/OR ALKALINE STABILITY |
| WO1991016422A1 (en) | 1990-04-14 | 1991-10-31 | Kali-Chemie Aktiengesellschaft | Alkaline bacillus lipases, coding dna sequences therefor and bacilli which produce these lipases |
| EP0495257A1 (en) | 1991-01-16 | 1992-07-22 | The Procter & Gamble Company | Compact detergent compositions with high activity cellulase |
| WO1992021760A1 (en) | 1991-05-29 | 1992-12-10 | Cognis, Inc. | Mutant proteolytic enzymes from bacillus |
| US5340735A (en) | 1991-05-29 | 1994-08-23 | Cognis, Inc. | Bacillus lentus alkaline protease variants with increased stability |
| US5500364A (en) | 1991-05-29 | 1996-03-19 | Cognis, Inc. | Bacillus lentus alkaline protease varints with enhanced stability |
| US5423997A (en) | 1991-05-31 | 1995-06-13 | Colgate Palmolive Co. | Spray dried powdered automatic dishwashing composition containing enzymes |
| WO1993007263A2 (en) * | 1991-10-07 | 1993-04-15 | Genencor International, Inc. | Coated enzyme containing granule |
| WO1994002597A1 (en) | 1992-07-23 | 1994-02-03 | Novo Nordisk A/S | MUTANT α-AMYLASE, DETERGENT, DISH WASHING AGENT, AND LIQUEFACTION AGENT |
| WO1994012621A1 (en) | 1992-12-01 | 1994-06-09 | Novo Nordisk | Enhancement of enzyme reactions |
| WO1994018314A1 (en) | 1993-02-11 | 1994-08-18 | Genencor International, Inc. | Oxidatively stable alpha-amylase |
| WO1995001426A1 (en) | 1993-06-29 | 1995-01-12 | Novo Nordisk A/S | Enhancement of laccase reactions |
| WO1995010603A1 (en) | 1993-10-08 | 1995-04-20 | Novo Nordisk A/S | Amylase variants |
| US5874276A (en) | 1993-12-17 | 1999-02-23 | Genencor International, Inc. | Cellulase enzymes and systems for their expressions |
| WO1995023221A1 (en) | 1994-02-24 | 1995-08-31 | Cognis, Inc. | Improved enzymes and detergents containing them |
| US5801039A (en) | 1994-02-24 | 1998-09-01 | Cognis Gesellschaft Fuer Bio Und Umwelttechnologie Mbh | Enzymes for detergents |
| WO1995026397A1 (en) | 1994-03-29 | 1995-10-05 | Novo Nordisk A/S | Alkaline bacillus amylase |
| WO1995035382A2 (en) | 1994-06-17 | 1995-12-28 | Genecor International Inc. | NOVEL AMYLOLYTIC ENZYMES DERIVED FROM THE B. LICHENIFORMIS α-AMYLASE, HAVING IMPROVED CHARACTERISTICS |
| WO1996005295A2 (en) | 1994-08-11 | 1996-02-22 | Genencor International, Inc. | An improved cleaning composition |
| US5855625A (en) | 1995-01-17 | 1999-01-05 | Henkel Kommanditgesellschaft Auf Aktien | Detergent compositions |
| WO1996023874A1 (en) | 1995-02-03 | 1996-08-08 | Novo Nordisk A/S | A method of designing alpha-amylase mutants with predetermined properties |
| WO1996023873A1 (en) | 1995-02-03 | 1996-08-08 | Novo Nordisk A/S | Amylase variants |
| WO1996030481A1 (en) | 1995-03-24 | 1996-10-03 | Genencor International, Inc. | An improved laundry detergent composition comprising amylase |
| WO1997010342A1 (en) | 1995-09-13 | 1997-03-20 | Genencor International, Inc. | Alkaliphilic and thermophilic microorganisms and enzymes obtained therefrom |
| WO1997023606A1 (en) * | 1995-12-22 | 1997-07-03 | Genencor International, Inc. | Enzyme containing coated granules |
| WO1997041213A1 (en) | 1996-04-30 | 1997-11-06 | Novo Nordisk A/S | α-AMYLASE MUTANTS |
| WO1997043424A1 (en) | 1996-05-14 | 1997-11-20 | Genencor International, Inc. | MODIFIED α-AMYLASES HAVING ALTERED CALCIUM BINDING PROPERTIES |
| WO1998026078A1 (en) | 1996-12-09 | 1998-06-18 | Genencor International, Inc. | H mutant alpha-amylase enzymes |
| WO1999002702A1 (en) | 1997-07-11 | 1999-01-21 | Genencor International, Inc. | MUTANT α-AMYLASE HAVING INTRODUCED THEREIN A DISULFIDE BOND |
| WO1999009183A1 (en) | 1997-08-19 | 1999-02-25 | Genencor International, Inc. | MUTANT α-AMYLASE COMPRISING MODIFICATION AT RESIDUES CORRESPONDING TO A210, H405 AND/OR T412 IN $i(BACILLUS LICHENIFORMIS) |
| WO1999019467A1 (en) | 1997-10-13 | 1999-04-22 | Novo Nordisk A/S | α-AMYLASE MUTANTS |
| WO1999023211A1 (en) | 1997-10-30 | 1999-05-14 | Novo Nordisk A/S | α-AMYLASE MUTANTS |
| WO1999029876A2 (en) | 1997-12-09 | 1999-06-17 | Genencor International, Inc. | Mutant bacillus licheniformis alpha-amylase |
| WO1999042567A1 (en) | 1998-02-18 | 1999-08-26 | Novo Nordisk A/S | Alkaline bacillus amylase |
| WO1999043794A1 (en) | 1998-02-27 | 1999-09-02 | Novo Nordisk A/S | Maltogenic alpha-amylase variants |
| WO1999043793A1 (en) | 1998-02-27 | 1999-09-02 | Novo Nordisk A/S | Amylolytic enzyme variants |
| WO1999046399A1 (en) | 1998-03-09 | 1999-09-16 | Novo Nordisk A/S | Enzymatic preparation of glucose syrup from starch |
| US6413749B1 (en) | 1998-10-27 | 2002-07-02 | Genencor International, Inc. | Granule containing protein and corn starch layered on an inert particle |
| WO2000029534A1 (en) * | 1998-11-13 | 2000-05-25 | Genencor International, Inc. | Fluidized bed low density granule |
| WO2000029560A1 (en) | 1998-11-16 | 2000-05-25 | Novozymes A/S | α-AMYLASE VARIANTS |
| WO2000040689A2 (en) * | 1999-01-08 | 2000-07-13 | Genencor International, Inc. | Low-density compositions and particulates including same |
| WO2000060059A2 (en) | 1999-03-30 | 2000-10-12 | NovozymesA/S | Alpha-amylase variants |
| WO2000060060A2 (en) | 1999-03-31 | 2000-10-12 | Novozymes A/S | Polypeptides having alkaline alpha-amylase activity and nucleic acids encoding same |
| WO2000060058A2 (en) | 1999-03-31 | 2000-10-12 | Novozymes A/S | Polypeptides having alkaline alpha-amylase activity and nucleic acids encoding same |
| WO2001014532A2 (en) | 1999-08-20 | 2001-03-01 | Novozymes A/S | Alkaline bacillus amylase |
| WO2001034784A1 (en) | 1999-11-10 | 2001-05-17 | Novozymes A/S | Fungamyl-like alpha-amylase variants |
| WO2001064852A1 (en) | 2000-03-03 | 2001-09-07 | Novozymes A/S | Polypeptides having alkaline alpha-amylase activity and nucleic acids encoding same |
| WO2001066712A2 (en) | 2000-03-08 | 2001-09-13 | Novozymes A/S | Variants with altered properties |
| WO2001088107A2 (en) | 2000-05-12 | 2001-11-22 | Novozymes A/S | Alpha-amylase variants with altered 1,6-activity |
| WO2001096537A2 (en) | 2000-06-14 | 2001-12-20 | Novozymes A/S | Pre-oxidized alpha-amylase |
| WO2002010355A2 (en) | 2000-08-01 | 2002-02-07 | Novozymes A/S | Alpha-amylase mutants with altered stability |
| WO2002031124A2 (en) | 2000-10-13 | 2002-04-18 | Novozymes A/S | Alpha-amylase variant with altered properties |
| WO2002092797A2 (en) | 2001-05-15 | 2002-11-21 | Novozymes A/S | Alpha-amylase variant with altered properties |
| WO2002099026A1 (en) * | 2001-06-01 | 2002-12-12 | Genencor International, Inc. | Methods and formulations for enhancing the dissolution of a solid material in liquid |
| US7449318B2 (en) | 2003-04-30 | 2008-11-11 | Danisco A/S, Genencor Division | Bacillus mHKcel cellulase |
| US7833773B2 (en) | 2003-04-30 | 2010-11-16 | Danisco Us Inc. | Bacillus mHKcel cellulase |
| WO2004113551A1 (en) | 2003-06-25 | 2004-12-29 | Novozymes A/S | Process for the hydrolysis of starch |
| WO2005001064A2 (en) | 2003-06-25 | 2005-01-06 | Novozymes A/S | Polypeptides having alpha-amylase activity and polypeptides encoding same |
| WO2005003311A2 (en) | 2003-06-25 | 2005-01-13 | Novozymes A/S | Enzymes for starch processing |
| WO2005019443A2 (en) | 2003-08-22 | 2005-03-03 | Novozymes A/S | Fungal alpha-amylase variants |
| WO2005018336A1 (en) | 2003-08-22 | 2005-03-03 | Novozymes A/S | Process for preparing a dough comprising a starch-degrading glucogenic exo-amylase of family 13 |
| WO2005054475A1 (en) | 2003-12-03 | 2005-06-16 | Meiji Seika Kaisha, Ltd. | Endoglucanase stce and cellulase preparation containing the same |
| WO2005056782A2 (en) | 2003-12-03 | 2005-06-23 | Genencor International, Inc. | Perhydrolase |
| WO2005056787A1 (en) | 2003-12-08 | 2005-06-23 | Meiji Seika Kaisha, Ltd. | Surfactant-tolerant cellulase and method of converting the same |
| WO2005066338A1 (en) | 2004-01-08 | 2005-07-21 | Novozymes A/S | Amylase |
| WO2006012902A2 (en) | 2004-08-02 | 2006-02-09 | Novozymes A/S | Creation of diversity in polypeptides |
| WO2006012899A1 (en) | 2004-08-02 | 2006-02-09 | Novozymes A/S | Maltogenic alpha-amylase variants |
| WO2006031554A2 (en) | 2004-09-10 | 2006-03-23 | Novozymes North America, Inc. | Methods for preventing, removing, reducing, or disrupting biofilm |
| WO2006063594A1 (en) | 2004-12-15 | 2006-06-22 | Novozymes A/S | Alkaline bacillus amylase |
| WO2006066596A2 (en) | 2004-12-22 | 2006-06-29 | Novozymes A/S | Hybrid enzymes consisting of an endo-amylase first amino acid sequence and a carbohydrate -binding module as second amino acid sequence |
| WO2006066594A2 (en) | 2004-12-23 | 2006-06-29 | Novozymes A/S | Alpha-amylase variants |
| WO2006136161A2 (en) | 2005-06-24 | 2006-12-28 | Novozymes A/S | Amylases for pharmaceutical use |
| WO2007044993A2 (en) | 2005-10-12 | 2007-04-19 | Genencor International, Inc. | Use and production of storage-stable neutral metalloprotease |
| WO2007070609A2 (en) | 2005-12-13 | 2007-06-21 | E. I. Du Pont De Nemours And Company | Production of peracids using an enzyme having perhydrolysis activity |
| US20080176299A1 (en) | 2005-12-13 | 2008-07-24 | Dicosimo Robert | Production of peracids using an enzyme having perhydrolysis activity |
| US20080176783A1 (en) | 2005-12-13 | 2008-07-24 | Dicosimo Robert | Production of Peracids Using An Enzyme Having Perhydrolysis Activity |
| US20090005590A1 (en) | 2005-12-13 | 2009-01-01 | Dicosimo Robert | Production Of Peracids Using An Enzyme Having Perhydrolysis Activity |
| WO2008000825A1 (en) | 2006-06-30 | 2008-01-03 | Novozymes A/S | Bacterial alpha-amylase variants |
| US20080090747A1 (en) | 2006-07-18 | 2008-04-17 | Pieter Augustinus | Protease variants active over a broad temperature range |
| WO2008088493A2 (en) | 2006-12-21 | 2008-07-24 | Danisco Us, Inc., Genencor Division | Compositions and uses for an alpha-amylase polypeptide of bacillus species 195 |
| WO2008088751A2 (en) | 2007-01-12 | 2008-07-24 | Danisco Us, Inc., Genencor Division | Improved spray drying process |
| WO2008092919A1 (en) | 2007-02-01 | 2008-08-07 | Novozymes A/S | Alpha-amylase and its use |
| WO2008101894A1 (en) | 2007-02-19 | 2008-08-28 | Novozymes A/S | Polypeptides with starch debranching activity |
| WO2008112459A2 (en) | 2007-03-09 | 2008-09-18 | Danisco Us Inc., Genencor Division | Alkaliphilic bacillus species a-amylase variants, compositions comprising a-amylase variants, and methods of use |
| WO2009058661A1 (en) | 2007-10-31 | 2009-05-07 | Danisco Us Inc., Genencor Division | Use and production of citrate-stable neutral metalloproteases |
| WO2009061381A2 (en) | 2007-11-05 | 2009-05-14 | Danisco Us Inc., Genencor Division | Alpha-amylase variants with altered properties |
| WO2009061380A2 (en) | 2007-11-05 | 2009-05-14 | Danisco Us Inc., Genencor Division | VARIANTS OF BACILLUS sp. TS-23 ALPHA-AMYLASE WITH ALTERED PROPERTIES |
| WO2009100102A2 (en) | 2008-02-04 | 2009-08-13 | Danisco Us Inc., Genencor Division | Ts23 alpha-amylase variants with altered properties |
| WO2009140504A1 (en) | 2008-05-16 | 2009-11-19 | Novozymes A/S | Polypeptides having alpha-amylase activity and polynucleotides encoding same |
| WO2009149144A2 (en) | 2008-06-06 | 2009-12-10 | Danisco Us Inc. | Compositions and methods comprising variant microbial proteases |
| WO2009149419A2 (en) | 2008-06-06 | 2009-12-10 | Danisco Us Inc. | Variant alpha-amylases from bacillus subtilis and methods of use, thereof |
| WO2009149200A2 (en) | 2008-06-06 | 2009-12-10 | Danisco Us Inc. | Compositions and methods comprising variant microbial proteases |
| WO2009149145A2 (en) | 2008-06-06 | 2009-12-10 | Danisco Us Inc., Genencor Division | Compositions and methods comprising variant microbial proteases |
| WO2010056653A2 (en) | 2008-11-11 | 2010-05-20 | Danisco Us Inc. | Proteases comprising one or more combinable mutations |
| WO2010056640A2 (en) | 2008-11-11 | 2010-05-20 | Danisco Us Inc. | Compositions and methods comprising serine protease variants |
| WO2010059413A2 (en) | 2008-11-20 | 2010-05-27 | Novozymes, Inc. | Polypeptides having amylolytic enhancing activity and polynucleotides encoding same |
| WO2010065455A2 (en) | 2008-12-01 | 2010-06-10 | Danisco Us Inc. | Enzymes with lipase activity |
| WO2010088447A1 (en) | 2009-01-30 | 2010-08-05 | Novozymes A/S | Polypeptides having alpha-amylase activity and polynucleotides encoding same |
| WO2010091221A1 (en) | 2009-02-06 | 2010-08-12 | Novozymes A/S | Polypeptides having alpha-amylase activity and polynucleotides encoding same |
| WO2010104675A1 (en) | 2009-03-10 | 2010-09-16 | Danisco Us Inc. | Bacillus megaterium strain dsm90-related alpha-amylases, and methods of use, thereof |
| WO2010107560A2 (en) | 2009-03-18 | 2010-09-23 | Danisco Us Inc. | Fungal cutinase from magnaporthe grisea |
| WO2010115028A2 (en) | 2009-04-01 | 2010-10-07 | Danisco Us Inc. | Cleaning system comprising an alpha-amylase and a protease |
| WO2010115021A2 (en) | 2009-04-01 | 2010-10-07 | Danisco Us Inc. | Compositions and methods comprising alpha-amylase variants with altered properties |
| WO2010117511A1 (en) | 2009-04-08 | 2010-10-14 | Danisco Us Inc. | Halomonas strain wdg195-related alpha-amylases, and methods of use, thereof |
| WO2011005943A1 (en) * | 2009-07-10 | 2011-01-13 | The Procter & Gamble Company | Compositions containing benefit agent delivery particles |
| WO2011072099A2 (en) | 2009-12-09 | 2011-06-16 | Danisco Us Inc. | Compositions and methods comprising protease variants |
| WO2011084417A1 (en) | 2009-12-21 | 2011-07-14 | Danisco Us Inc. | Detergent compositions containing geobacillus stearothermophilus lipase and methods of use thereof |
| WO2011084599A1 (en) | 2009-12-21 | 2011-07-14 | Danisco Us Inc. | Detergent compositions containing bacillus subtilis lipase and methods of use thereof |
| WO2011084412A1 (en) | 2009-12-21 | 2011-07-14 | Danisco Us Inc. | Detergent compositions containing thermobifida fusca lipase and methods of use thereof |
| WO2011076897A1 (en) | 2009-12-22 | 2011-06-30 | Novozymes A/S | Use of amylase variants at low temperature |
| WO2011076123A1 (en) | 2009-12-22 | 2011-06-30 | Novozymes A/S | Compositions comprising boosting polypeptide and starch degrading enzyme and uses thereof |
| WO2011087836A2 (en) | 2009-12-22 | 2011-07-21 | Novozymes A/S | Pullulanase variants and uses thereof |
| WO2011082429A1 (en) | 2010-01-04 | 2011-07-07 | Novozymes A/S | Alpha-amylases |
| WO2011082425A2 (en) | 2010-01-04 | 2011-07-07 | Novozymes A/S | Alpha-amylase variants and polynucleotides encoding same |
| WO2011080354A1 (en) | 2010-01-04 | 2011-07-07 | Novozymes A/S | Alpha-amylases |
| WO2011080352A1 (en) | 2010-01-04 | 2011-07-07 | Novozymes A/S | Alpha-amylases |
| WO2011080353A1 (en) | 2010-01-04 | 2011-07-07 | Novozymes A/S | Stabilization of alpha-amylases towards calcium depletion and acidic ph |
| WO2011098531A1 (en) | 2010-02-10 | 2011-08-18 | Novozymes A/S | Variants and compositions comprising variants with high stability in presence of a chelating agent |
| WO2011111143A1 (en) | 2010-03-12 | 2011-09-15 | Nakamura Hideto | Medicament for rheumatoid arthritis |
| WO2011140364A1 (en) | 2010-05-06 | 2011-11-10 | Danisco Us Inc. | Compositions and methods comprising subtilisin variants |
| WO2011150157A2 (en) | 2010-05-28 | 2011-12-01 | Danisco Us Inc. | Detergent compositions containing streptomyces griseus lipase and methods of use thereof |
| WO2012151534A1 (en) | 2011-05-05 | 2012-11-08 | Danisco Us Inc. | Compositions and methods comprising serine protease variants |
| WO2013033318A1 (en) | 2011-08-31 | 2013-03-07 | Danisco Us Inc. | Compositions and methods comprising a lipolytic enzyme variant |
| WO2013063460A2 (en) | 2011-10-28 | 2013-05-02 | Danisco Us Inc. | Variant maltohexaose-forming alpha-amylase variants |
| WO2013096305A1 (en) | 2011-12-22 | 2013-06-27 | Danisco Us Inc. | Variant alpha-amylases and methods of use, thereof |
| WO2013184577A1 (en) | 2012-06-08 | 2013-12-12 | Danisco Us Inc. | Alpha-amylase variants derived from the alpha amylase of cytophaga sp.amylase|(cspamy2). |
| WO2014099523A1 (en) | 2012-12-21 | 2014-06-26 | Danisco Us Inc. | Alpha-amylase variants |
| WO2014164777A1 (en) | 2013-03-11 | 2014-10-09 | Danisco Us Inc. | Alpha-amylase combinatorial variants |
| WO2015077126A1 (en) | 2013-11-20 | 2015-05-28 | Danisco Us Inc. | Variant alpha-amylases having reduced susceptibility to protease cleavage, and methods of use, thereof |
Non-Patent Citations (6)
| Title |
|---|
| DARTOIS ET AL., BIOCHEM. BIOPHYS. ACTA, vol. 1131, 1993, pages 253 - 260 |
| HASS ET AL., GENE, vol. 109, 1991, pages 117 - 113 |
| KUGIMIYA ET AL., BIOSCI. BIOTECH. BIOCHEM., vol. 56, 1992, pages 716 - 719 |
| SCHIMADA ET AL., J. BIOCHEM., vol. 106, 1989, pages 383 - 388 |
| VINCENT ET AL., J. MOL. BIOL., vol. 330, 2003, pages 593 - 606 |
| YAMAGUCHI ET AL., GENE, vol. 103, 1991, pages 61 - 67 |
Cited By (4)
| Publication number | Priority date | Publication date | Assignee | Title |
|---|---|---|---|---|
| WO2019006077A1 (en) * | 2017-06-30 | 2019-01-03 | Danisco Us Inc | Low-agglomeration, enzyme-containing particles |
| CN110809624A (en) * | 2017-06-30 | 2020-02-18 | 丹尼斯科美国公司 | Enzyme-containing particles with low agglomeration |
| JP2020527339A (en) * | 2017-06-30 | 2020-09-10 | ダニスコ・ユーエス・インク | Low-aggregation enzyme-containing particles |
| JP7680825B2 (en) | 2017-06-30 | 2025-05-21 | ダニスコ・ユーエス・インク | Low-aggregation enzyme-containing particles |
Similar Documents
| Publication | Publication Date | Title |
|---|---|---|
| JP6585698B2 (en) | Serine protease of Bacillus species | |
| JP6612398B2 (en) | Novel metalloprotease | |
| JP6120815B2 (en) | Protease containing one or more combination mutations | |
| CN108350441B (en) | Polypeptides | |
| EP3310911B1 (en) | Bacillus gibsonii-clade serine proteases | |
| EP2285823B1 (en) | Recovery of insoluble enzyme from fermentation broth and formulation of insoluble enzyme | |
| JP6018044B2 (en) | Compositions and methods comprising protease variants | |
| ES2707869T3 (en) | Compositions and methods comprising serine protease variants | |
| BR112020008711A2 (en) | polypeptides and compositions comprising such polypeptides | |
| ES2809509T3 (en) | Compositions and Methods Comprising Serine Protease Variants | |
| JP5412523B2 (en) | Compositions containing subtilisin variants and methods of use | |
| JP2018524970A (en) | AprL-CLADE protease mutant and use thereof | |
| KR20150067336A (en) | Compositions and methods comprising a lipolytic enzyme variant | |
| JP2013527272A (en) | Automatic dishwashing detergent composition | |
| ES2417754T3 (en) | Washing and cleaning agents | |
| WO2016201040A1 (en) | Water-triggered enzyme suspension | |
| WO2016201069A1 (en) | Low-density enzyme-containing particles | |
| JP7680825B2 (en) | Low-aggregation enzyme-containing particles | |
| EP3181676A1 (en) | Automatic dishwashing detergent composition | |
| CN111742041B (en) | Enzyme-containing hot-melt granules containing a heat-resistant desiccant | |
| CN119522274A (en) | Lipase variants and compositions comprising such lipase variants |
Legal Events
| Date | Code | Title | Description |
|---|---|---|---|
| 121 | Ep: the epo has been informed by wipo that ep was designated in this application |
Ref document number: 16733771 Country of ref document: EP Kind code of ref document: A1 |
|
| NENP | Non-entry into the national phase |
Ref country code: DE |
|
| 122 | Ep: pct application non-entry in european phase |
Ref document number: 16733771 Country of ref document: EP Kind code of ref document: A1 |
|
| REG | Reference to national code |
Ref country code: BR Ref legal event code: B01A Ref document number: 112018075270 Country of ref document: BR |
|
| ENPW | Started to enter national phase and was withdrawn or failed for other reasons |
Ref document number: 112018075270 Country of ref document: BR Free format text: PEDIDO RETIRADO EM RELACAO AO BRASIL POR TER SIDO INTEMPESTIVO, JA QUE A SOLICITACAO DE RESTABELECIMENTO DE DIREITO FOI NEGADA CONFORME PARECER DISPONIVEL NNA RPI 2596 E NAO TENDO O DEPOSITANTE ENTRADO COM NENHUMA MANIFESTACAO CONTRA A DECISAO. |

















