WO2009077497A2 - Azolyl methyl oxiranes, the use thereof, and agents containing them - Google Patents
Azolyl methyl oxiranes, the use thereof, and agents containing them Download PDFInfo
- Publication number
- WO2009077497A2 WO2009077497A2 PCT/EP2008/067539 EP2008067539W WO2009077497A2 WO 2009077497 A2 WO2009077497 A2 WO 2009077497A2 EP 2008067539 W EP2008067539 W EP 2008067539W WO 2009077497 A2 WO2009077497 A2 WO 2009077497A2
- Authority
- WO
- WIPO (PCT)
- Prior art keywords
- compounds
- group
- corresponds
- row
- case
- Prior art date
- Legal status (The legal status is an assumption and is not a legal conclusion. Google has not performed a legal analysis and makes no representation as to the accuracy of the status listed.)
- Ceased
Links
- 0 BC1OC1(*)C[n]1ncnc1* Chemical compound BC1OC1(*)C[n]1ncnc1* 0.000 description 5
Classifications
-
- C—CHEMISTRY; METALLURGY
- C07—ORGANIC CHEMISTRY
- C07D—HETEROCYCLIC COMPOUNDS
- C07D405/00—Heterocyclic compounds containing both one or more hetero rings having oxygen atoms as the only ring hetero atoms, and one or more rings having nitrogen as the only ring hetero atom
- C07D405/14—Heterocyclic compounds containing both one or more hetero rings having oxygen atoms as the only ring hetero atoms, and one or more rings having nitrogen as the only ring hetero atom containing three or more hetero rings
-
- A—HUMAN NECESSITIES
- A01—AGRICULTURE; FORESTRY; ANIMAL HUSBANDRY; HUNTING; TRAPPING; FISHING
- A01N—PRESERVATION OF BODIES OF HUMANS OR ANIMALS OR PLANTS OR PARTS THEREOF; BIOCIDES, e.g. AS DISINFECTANTS, AS PESTICIDES OR AS HERBICIDES; PEST REPELLANTS OR ATTRACTANTS; PLANT GROWTH REGULATORS
- A01N43/00—Biocides, pest repellants or attractants, or plant growth regulators containing heterocyclic compounds
- A01N43/64—Biocides, pest repellants or attractants, or plant growth regulators containing heterocyclic compounds having rings with three nitrogen atoms as the only ring hetero atoms
- A01N43/647—Triazoles; Hydrogenated triazoles
- A01N43/653—1,2,4-Triazoles; Hydrogenated 1,2,4-triazoles
-
- A—HUMAN NECESSITIES
- A61—MEDICAL OR VETERINARY SCIENCE; HYGIENE
- A61P—SPECIFIC THERAPEUTIC ACTIVITY OF CHEMICAL COMPOUNDS OR MEDICINAL PREPARATIONS
- A61P31/00—Antiinfectives, i.e. antibiotics, antiseptics, chemotherapeutics
-
- A—HUMAN NECESSITIES
- A61—MEDICAL OR VETERINARY SCIENCE; HYGIENE
- A61P—SPECIFIC THERAPEUTIC ACTIVITY OF CHEMICAL COMPOUNDS OR MEDICINAL PREPARATIONS
- A61P31/00—Antiinfectives, i.e. antibiotics, antiseptics, chemotherapeutics
- A61P31/10—Antimycotics
-
- C—CHEMISTRY; METALLURGY
- C07—ORGANIC CHEMISTRY
- C07D—HETEROCYCLIC COMPOUNDS
- C07D405/00—Heterocyclic compounds containing both one or more hetero rings having oxygen atoms as the only ring hetero atoms, and one or more rings having nitrogen as the only ring hetero atom
- C07D405/02—Heterocyclic compounds containing both one or more hetero rings having oxygen atoms as the only ring hetero atoms, and one or more rings having nitrogen as the only ring hetero atom containing two hetero rings
- C07D405/04—Heterocyclic compounds containing both one or more hetero rings having oxygen atoms as the only ring hetero atoms, and one or more rings having nitrogen as the only ring hetero atom containing two hetero rings directly linked by a ring-member-to-ring-member bond
-
- C—CHEMISTRY; METALLURGY
- C07—ORGANIC CHEMISTRY
- C07D—HETEROCYCLIC COMPOUNDS
- C07D409/00—Heterocyclic compounds containing two or more hetero rings, at least one ring having sulfur atoms as the only ring hetero atoms
- C07D409/14—Heterocyclic compounds containing two or more hetero rings, at least one ring having sulfur atoms as the only ring hetero atoms containing three or more hetero rings
Definitions
- a or B represents a tri-, tetra-, penta-, hexa-, si-, e-, n- or ten-membered saturated or partially unsaturated heterocycle or five-, six-, seven-, eight-, nine- or ten-membered aromatic heterocycle, wherein the heterocycle each contains one, two, three or four heteroatoms from the group O, N and S;
- a or B meanings or Ci-Ce-Al kyl, d-Cs-haloalkyl, C 2 -C 8 -alkenyl, C 2 -C 8 -haloalkenyl, C 2 -C 8 - alkynyl, C C 2 -C 8 haloalkynyl, C 3 -C 8 cycloalkyl, C 3 -C 8 halo genocycloalkyl, phenyl or benzodioxolyl;
- a and / or B are independently unsubstituted or substituted with one, two, three or four independently selected substituents L;
- L is halogen, cyano, nitro, cyanato (OCN), C 8 -alkyl, C 8 - haloalkyl, Ci-C ⁇ -phenyl-alkyloxy, C 2 -C 8 -alkenyl, C 2 -C 8 - halo alkenyl, C 2 -C 8 -alkyl kinyl, C 2 -C 8 haloalkynyl, C4-Cio-alkadienyl, C 4 - Cio-Halogenalkadienyl, Ci-C8-alkoxy, Ci-C8-haloalkoxy, Ci- C 8 - alkylcarbonyloxy, Ci-C 8 alkylsulfonyloxy, C 2 -C 8 alkenyloxy, C 2 -C 8 -
- n 0, 1 or 2;
- a 1 is hydrogen, hydroxy, C 1 -C 8 -alkyl, C 1 -C -haloalkyl, amino, C 1 -C 6 -alkylamino or C 1 -C 8 -alkylamino,
- a 2 A 1 wherein one of said groups, or C2-C8-alkenyl, C 2 -C 8 - oxy -AIk- 8 haloalkenyl, C 2 -C 8 -alkyl kinyl, C 2 -C 8 haloalkynyl, CrC, Ci- C 8 haloalkoxy, C 2 -C 8 alkenyloxy, C 2 -C 8 alkenyloxy-halo, C2-C8 alkynyloxy, C2-C8 haloalkynyloxy, Cs-C 8 - cycloalkyl, C3-C8 halocycloalkyl, C3-C8-cycloalkoxy or C3-C8 -Halogencycloalkoxy;
- a 3, A 4 are independently hydrogen, Ci-C 8 alkyl, Ci-Cs-haloalkyl, C 2 -C 8 -alkenyl, C 2 -C 8 haloalkenyl, C 2 -C 8 -alkyl kinyl, C 2 - C 8 haloalkynyl, C3-C8 cycloalkyl, C3-C 8 -Halogencyclo- alkyl, C3-C8 cycloalkenyl, or C3-C8 halocycloalkenyl;
- R L is halogen, cyano, nitro, Ci-C 8 alkyl, Ci-C8-haloalkyl, CrC 8 -
- Ci-C8-haloalkoxy C3-C8 cycloalkyl, C3-C 8 -Halogencyclo- alkyl, C3-C8 cycloalkenyl, C3-C8 cycloalkoxy, C3-C 8 -Halogencyclo- alkoxy, Ci- C 8 alkylcarbonyl, Ci-C8-alkylcarbonyloxy, CrC 8 - alkoxycarbonyl, amino, Ci-C8-alkylamino, di-Ci-C 8 alkylamino;
- R is hydrogen, Ci-C 8 alkyl, Ci-C 8 haloalkyl, C 2 -C 8 alkenyl,
- R 3 represents hydrogen, Ci-C 8 alkyl, Ci-C8-haloalkyl, Ci-C8-haloalkoxy or NA 3
- a 4 represents 8 alkoxy, Ci-C
- R 4 is d-Cs-alkyl, phenyl-Ci-C 8 -alkyl or phenyl, wherein the
- Each phenyl group is unsubstituted or substituted by one, two or three groups independently selected from halogen and C 1 -C 4 alkyl;
- R 1 , R 2 independently of one another are C 1 -C 6 -alkyl, C 1 -C -haloalkyl, d-
- M is an alkali metal cation, one equivalent of an alkaline earth metal cation, one equivalent of a copper, zinc, iron or nickel cation or an ammonium cation of the formula (E) z 2
- Z 1 and Z 2 are independently hydrogen or C 1 -C 8 alkyl
- Z 3 and Z 4 are independently hydrogen, C 1 -C 8 alkyl, benzyl or phenyl; wherein the phenyl groups are each unsubstituted or substituted by one, two or three groups independently selected from halogen and C 1 -C 4 alkyl;
- R is hydrogen, Ci-Cs-alkyl, Ci-C 8 haloalkyl, C 2 -C 8 alkenyl,
- R 3 is Ci-Cs-alkyl, Ci-C8-haloalkyl, Ci-C8-alkoxy, CrC 8 - represents halogenoalkoxy or NA 3 A 4;
- R 4 is d-Cs-alkyl, phenyl-Ci-C 8 -alkyl or phenyl, wherein the
- Each phenyl group is unsubstituted or substituted by one, two or three groups independently selected from halogen and C 1 -C 4 -alkyl;
- R 1 , R 2 independently of one another are C 1 -C 6 -alkyl, C 1 -C 5 -haloalkyl, C 1 -C 5 -alkoxy, C 1 -C 5 -alkoxy-C 1 -C 5 -alkoxy, C 1 -C 8 -haloalkoxy, C 1 -C 8 - alkoxy-Ci-C 8 alkyl, Ci-C 8 -alkyl thio, C 2 -C 8 -alkenylthio, C 2 -C 8 -alkyl kinyl- thio, Cs-Cs-cycloalkyl, C 3 -C 8 cycloalkylthio , phenyl, phenyl-Ci-C 4 - alkyl, phenoxy, phenylthio, phenyl-Ci-C4-alkoxy or NR 5 R 6, wherein R 5 is H or Ci-C 8 alkyl and R 6 is
- R 7 is hydrogen or Ci-C 4 alkyl; wherein the aromatic groups in the aforementioned radicals are each independently unsubstituted or substituted by one, two or three groups selected from halogen and C 1 -C 4 -alkyl; or a group SM, where M means:
- M is an alkali metal cation, one equivalent of an alkaline earth metal cation, one equivalent of a copper, zinc, iron or nickel cation or an ammonium cation of the formula (E) Z 2
- Z 1 and Z 2 are independently hydrogen or C 1 -C 8 -alkyl
- Z 3 and Z 4 are independently hydrogen, C 1 -C 8 alkyl, benzyl or phenyl; wherein the phenyl groups are each unsubstituted or substituted by one, two or three groups independently selected from halogen and C 1 -C 4 alkyl; and wherein the remaining substituents are as defined above.
- R wherein R has the meaning defined above;
- the invention relates to the preparation of the compounds I, the intermediates for the preparation of the compounds I and their preparation and the use 113 of the compounds of the invention for combating phytopathogenic fungi and agents containing them.
- Triazolylmethyloxiranes having substituted triazole group e.g. from WO 96/38440, WO 97/41 107, WO 97/42178, WO 97/43269, WO 97/44331, WO 97/443332, WO 99/05149 and WO 99/21853. Furthermore, azolylmethyloxiranes are known from EP 0330132, EP 0421 125, EP 0388871.
- the fungicidal action of the compounds known from the prior art leaves something to be desired, in particular at low application rates in some cases. It is an object of the present invention to provide novel compounds which preferably have improved properties, such as a better fungicidal action and / or better toxicological properties. This object has surprisingly been achieved with the compounds of the formula I described herein.
- the compounds I are able to form salts or adducts with inorganic or organic acids or with metal ions because of the basic character of the nitrogen atoms contained in them. This also applies to most of the precursors for compounds I described herein, the salts and adducts of which are also subject of the present invention.
- inorganic acids are hydrohalic acids such as hydrogen fluoride, hydrogen chloride, hydrogen bromide and hydrogen iodide, carbonic acid, sulfuric acid, phosphoric acid and nitric acid.
- Suitable organic acids are, for example, formic acid and alkanoic acids, such as acetic acid, trifluoroacetic acid, trichloroacetic acid and propionic acid, and also glycolic acid, thiocyanic acid, lactic acid, succinic acid, citric acid, benzoic acid and other arylcarboxylic acids, cinnamic acid, oxalic acid, alkylsulfonic acids (sulfonic acids with straight-chain or branched alkyl radicals with 1 to 20 carbon atoms), arylsulfonic acids or disulfonic acids (aromatic radicals such as phenyl and naphthyl which carry one or two sulfonic acid groups), alkylphosphonic acids (phosphonic acids having straight-chain or
- the metal ions are, in particular, the ions of the elements of the second main group, in particular calcium and magnesium, the third and fourth main groups, in particular aluminum, tin and lead, and the first to eighth transition groups, in particular chromium, manganese, iron, cobalt, nickel, Copper, zinc and others into consideration. Particularly preferred are the metal ions of the elements of the subgroups of the fourth period.
- the metals can be present in the various valences that belong to them.
- the compounds of the formula I according to the invention can be prepared in various ways in analogy to prior art processes known per se (see, for example, the cited prior art and entitledgeber-Nachlet Bayer 57/2004, 2, pages 145-162).
- the compounds of the invention can be prepared by the syntheses shown in the following Schemes.
- Suitable bases are all suitable bases known to those skilled in the art for such reactions.
- strong alkali metal bases such as n-butyl lithium, lithium diisopropylamide, sodium hydride, sodium amide or potassium tert-butoxide are used. It may be preferred to react in the presence of an additive such as e.g. Tetramethylethylenediamine (TMEDA) to perform.
- TEDA Tetramethylethylenediamine
- Suitable solvents are all inert organic solvents which are customary for such reactions, preferably ethers, such as tetrahydrofuran, dioxane, Diethyl ether and 1, 2-dimethoxyethane or liquid ammonia or strongly polar solvents such as dimethyl sulfoxide can be used.
- ethers such as tetrahydrofuran, dioxane, Diethyl ether and 1, 2-dimethoxyethane or liquid ammonia
- strongly polar solvents such as dimethyl sulfoxide
- Sulfur is preferably used as a powder.
- Hydrolysis is carried out using water, optionally in the presence of an organic or inorganic acid, e.g. Acetic acid, dilute sulfuric acid or dilute hydrochloric acid.
- an organic or inorganic acid e.g. Acetic acid, dilute sulfuric acid or dilute hydrochloric acid.
- the reaction temperature is preferably between -70 0 C and + 20 0 C, in particular between -70 ° C and 0 0 C.
- the reaction is generally carried out under atmospheric pressure.
- reaction may be carried out under a protective gas atmosphere, e.g. under nitrogen or argon.
- the workup is carried out according to methods generally known to the person skilled in the art.
- the reaction mixture is extracted with a suitable organic solvent and the residue is optionally purified by recrystallization and / or chromatography.
- an aprotic, polar solvent e.g. an amide (such as dimethylformamide (DMF)) or N-alkylpyrrolidone (such as N-octylpyrrolidone, N-dodecylpyrrolidone or N-methylpyrrolidone (NMP)
- an aprotic, polar solvent e.g. an amide (such as dimethylformamide (DMF)) or N-alkylpyrrolidone (such as N-octylpyrrolidone,
- the reaction is usually carried out at temperatures in the range of 140 ° C to 160 ° C.
- the reaction components are usually employed in amounts such that about 1 to 6 moles of sulfur are used per mole of compound II.
- Sulfur is usually used in the form of powder. During the reaction, air is passed over the reaction mixture.
- R Ci is -Ce-alkyl, Ci-Cs haloalkyl, C2-C8 alkenyl, C2-C8 haloalkenyl, C2-Cs alkynyl, C2-C8 - Haloalkynyl or CN can mean.
- Suitable bases are all suitable bases known to those skilled in the art for such reactions.
- strong alkali metal bases such as n-butyl lithium, lithium diisopropylamide, sodium hydride, sodium amide or potassium tert-butoxide are used. It may be preferred to react in the presence of an additive such as e.g. Tetramethylethylenediamine (TMEDA) to perform.
- TEDA Tetramethylethylenediamine
- the disulfides are commercially available or synthesized by known manufacturing methods.
- a special disulfide is the Dirhodan NC-S-S-CN.
- Suitable solvents are all inert organic solvents which are customary for such reactions, ethers such as tetrahydrofuran, dioxane, diethyl ether and 1, 2-dimethoxyethane or liquid ammonia or strongly polar solvents such as dimethyl sulfoxide preferably being usable.
- the reaction temperature is preferably between -70 0 C and + 20 0 C, in particular between -70 ° C and 0 0 C.
- the reaction is generally carried out under atmospheric pressure. In general, 1 to 3 equivalents, preferably 1 to 2.5 equivalents, of strong base and then an equivalent amount or an excess of disulfide are used per mole of the compound of the formula II.
- the reaction can be carried out under a protective gas atmosphere, for example under nitrogen or argon.
- the workup is carried out according to methods generally known to the person skilled in the art. Usually, the reaction mixture is extracted with a suitable organic solvent and the residue is optionally purified by recrystallization and / or chromatography.
- a or B represents a tri-, tetra-, penta-, hexa-, si-, e-, n- or ten-membered saturated or partially unsaturated heterocycle or five-, six-, seven-, eight-, nine- or ten-membered aromatic heterocycle, wherein the heterocycle each contains one, two, three or four heteroatoms from the group O, N and S and wherein the saturated and partially unsaturated heterocycle is unsubstituted or independently substituted by one, two, three or four L, and wherein the aromatic Heterocycle contains one, two, three or four identical or different groups L; the other variable B or A: three-, four-, five-, six-, seven-, eight-, nine- or ten-membered saturated or partially unsaturated heterocycle, five, six, seven, eight, nine or a ten-membered aromatic heterocycle, the heterocycle containing in each case one, two, three or four heteroatoms from the group consisting of O, N and S, C
- a and B in formula II preferably have the meanings as described in more detail below for compounds of the formula I, provided that they are included in the definition of the variables for the compounds II.
- a and B have the following meanings:
- a or B is a five- or six-membered aromatic heterocycle, wherein the heterocycle contains in each case one, two, three or four heteroatoms from the group O, N and S and is substituted by one, two, three or four independently selected L; and
- variable B or A five- or six-membered saturated or aromatic heterocycle, wherein the heterocycle contains one, two, three or four heteroatoms from the group O, N and S and substituted by one, two, three or four groups L.
- the heterocycle contains one, two, three or four heteroatoms from the group O, N and S and substituted by one, two, three or four groups L.
- a and B preferably have the following meanings:
- a or B is a tri-, tetra-, penta-, hexa-, seven-, eight-, nine- or ten-membered saturated or partially unsaturated heterocycle or five-, six-, seven-, eight-, nine- or ten-membered aromatic Heterocycle, wherein the heterocycle each contains one, two, three or four heteroatoms from the group O, N and S and wherein the saturated and partially unsaturated heterocycle (1) is substituted by either an L selected from fluoro, chloro, methyl or methoxy, and additionally substituted by one, two or three independently selected substituents L other than the first substituent L;
- variable B or A three-, four-, five-, six-, seven-, eight-, nine- or ten-membered saturated or partially unsaturated heterocycle, five, six, seven, eight, nine or a ten-membered aromatic heterocycle, the heterocycle containing in each case one, two, three or four heteroatoms from the group consisting of O, N and S, C 1 -C 6 -alkyl, C 1 -C 5 -haloalkyl, C 2 -C 5 -alkenyl, C 2 -C 8 -synyl Haloalkenyl, C2-Cs-alkynyl, C2-Cs-haloalkynyl, C3-Cs-cycloalkyl or Cs-Cs-halocycloalkyl, wherein this other variable B or A is unsubstituted or substituted by one, two, three or four groups L.
- L has the meanings described herein or preferred meanings for L.
- Compounds II also possess fungicidal activity and the present invention therefore also relates to the use of the compounds II and / or the salts and adducts thereof as fungicides.
- Z is a leaving group X (Compounds III.1, see below) or OH (Compounds III.2, see below) and A and B are as defined below, are important starting compounds to ultimately arrive at the compounds of the invention.
- X is a leaving group such as, for example, halogen (eg Cl or Br) or OSO 2 R, where R is C 1 -C 6 -alkyl, d-Ce-haloalkyl, aryl or substituted aryl, in particular OSO 2 R for a mesylate, triflate, phenyl or toluenesulfonate group.
- a base such as, for example, sodium hydride in, for example, DMF. See also, for example, EP 0 421 125 A2.
- a or B is a five-, six-, seven-, eight-, nine- or ten-membered partially unsaturated heterocycle or five- or six-membered aromatic heterocycle, wherein the heterocycle each contains one, two, three or four heteroatoms from the group consisting of O, N and S. and wherein the partially unsaturated heterocycle is unsubstituted or substituted by one, two, three or four L, and wherein the aromatic heterocycle contains one, two, three or four identical or different groups L;
- variable B or A five-, six-, seven-, eight-, nine- or ten-membered partially unsaturated or aromatic heterocycle, wherein the heterocycle each having one, two, three or four heteroatoms from the group O, N and includes S, Ci-C 8 -alkyl, C 8 haloalkyl, C 2 -C 8 alkenyl, C 2 -C 8 - haloalkenyl, C 2 -C 8 -alkyl kinyl, C 2 -C 8 haloalkynyl , C 3 -C 8 -cycloalkyl, C 3 -C 8 - Halocycloalkyl or phenyl; wherein this other variable B or A is each unsubstituted or substituted by one, two, three or four L groups;
- A is phenyl substituted with two F
- B is unsubstituted pyridyl, thienyl, thiazolyl, oxazolyl or furyl;
- A is phenyl substituted with three F
- B is unsubstituted pyridyl, thienyl, thiazolyl, oxazolyl or furyl;
- A is phenyl which is substituted by one F and one further substituent selected from Cl, C 1 -C 4 -alkyl, C 1 -C 4 -haloalkyl and C 1 -C 4 -alkoxy; and B is unsubstituted pyridyl, thienyl, thiazolyl, oxazolyl or furyl;
- a or B is phenyl which is substituted by one CN and optionally additionally one, two or three substituents independently selected from halogen, NO 2, amino, C 1 -C 4 -alkyl, C 1 -C 4 -alkoxy, C 1 -C 4 -haloalkyl, Ci-C 4 haloalkoxy, Ci-C4-alkylamino, C1-C4-
- variable B or A is unsubstituted 5-membered or 6-membered heteroaryl containing one, two, three or four heteroatoms from the group O, N and S;
- a or B is benzodioxolyl which is unsubstituted or independently selected from one, two, three, four or five substituents selected from halogen, CN, NO 2 , amino, C 1 -C 4 -alkyl, C 1 -C 4 -alkoxy, C 4 haloalkyl, Ci-C4-haloalkoxy, Ci-C 4 alkylamino, Ci-C 4 dialkylamino, thio, and Ci-C 4 alkylthio, substituted,
- X is a leaving group as defined above;
- a and B in formula III.1 preferably have the meanings as described in more detail below for compounds of the formula I, if they are included in the definition of the variables for the compounds III.1.
- L has the meanings described herein or preferred meanings for L.
- a and B in the compounds III.1 have the following meanings:
- a or B is a five- or six-membered aromatic heterocycle containing one, two, three or four heteroatoms from the group O, N and S and containing one, two, three or four identical or different groups L;
- variable B or A five- or six-membered aromatic heterocycle containing one, two, three or four heteroatoms from the group O, N and S, or phenyl; wherein said other variable B or A is substituted by one, two, three or four independently selected groups L;
- a and B in the compounds III.1 have the following meanings:
- a or B is a five- or six-membered aromatic heterocycle containing one, two, three or four heteroatoms from the group O, N and S, preferably the aromatic heterocycle is selected from thienyl, furyl, pyrazolyl, imidazolyl, oxazolyl, isoxazolyl, isothiazolyl, Pyridinyl, pyrimidinyl, pyrazinyl and pyridazinyl, in particular selected from thienyl, furyl, pyrazolyl, imidazolyl, oxazolyl, pyridinyl, pyrimidinyl and pyrazinyl, where the aromatic heterocycle contains one, two, three or four independently selected groups L; and the other variable B or A: a five- or six-membered aromatic heterocycle containing one, two, three or four heteroatoms from the group O, N and S and substituted by one, two, three or four independently selected groups L. or phenyl substituted by
- the compounds III.1 are not [(2RS, 3SR) -3- (2-chloropyridin-3-yl) -2- (4-fluorophenyl) oxiran-2-yl] methyl methanesulfonate or [(2SR, 3RS) -3- (2,5-dichlorothiophen-3-yl) -2- (4-fluorophenyl) oxiran-2-yl] methyl methanesulfonate.
- a and B in the compounds III.1 have the following meanings:
- A is phenyl substituted with two F; Phenyl substituted with three F; or phenyl substituted with one F and another substituent selected from Cl, C 1 -C 4 alkyl, C 1 -C 4 haloalkyl and C 1 -C 4 alkoxy; and B is unsubstituted pyridyl, thienyl, thiazolyl, oxazolyl or furyl.
- compounds of the formula III.1 can be prepared from compounds of the formula III.2, by introducing the leaving group X by methods known to those skilled in the art. Accordingly, a compound of the formula III.2 is obtained, for example, with R-SO 2 Y, where R is as defined for formula III.1 and Y is halogen, where R-SO 2 Y is, for example, mesyl chloride, in the presence of a base (for example NEt. 3) reacted (see also EP386557).
- a and B in formula III.2 preferably have the meanings as described in more detail for compounds of formula I, provided that they are defined by the definition of the formula Variables for the compounds III.2 are included.
- L has the meanings described herein or preferred meanings for L.
- the double bond may be in both (E) and (Z) configurations. This is represented by the jagged bond between B and the double bond.
- Compounds of the formula V are partly new and these are also the subject of the present invention.
- the present invention therefore also relates to compounds of the formula V in which A and B are
- a or B represents a tri-, tetra-, penta-, hexa-, si-, e-, n- or ten-membered saturated or partially unsaturated heterocycle or five-, six-, seven-, eight-, nine- or ten-membered aromatic heterocycle, where the heteroaromatic, if it is five- or six-membered, is selected from thienyl,
- variable B or A three-, four-, five-, six-, seven-, eight-, nine- or ten-membered saturated or partially unsaturated heterocycle, five, six, seven, eight, nine or a ten-membered aromatic heterocycle, where the heterocycle each contains one, two, three or four heteroatoms from the group O, N and S and unsubstituted or substituted by one, two, three or four L groups, C 1 -C 8 -alkyl, C 1 -C 8 -haloalkyl, C 2 -C 8 -alkenyl, C 2 -C 8 -haloalkenyl, C 2 -C 8 Alkynyl, C 2 -C 8 haloalkynyl, Cs-Cs-cycloalkyl, Cs-Cs-halocycloalkyl or phenyl substituted by one, two, three or four L;
- A is phenyl substituted with two F; and B is unsubstituted pyridyl, thienyl, thiazolyl, oxazolyl or furyl;
- A is phenyl substituted with three F; and B is unsubstituted pyridyl, thienyl, thiazolyl, oxazolyl or furyl,
- A is phenyl substituted with one F and another substituent selected from Cl, C 1 -C 4 alkyl, C 1 -C 4 haloalkyl and C 1 -C 4 alkoxy; and B is unsubstituted pyridyl, thienyl, thiazolyl, oxazolyl or furyl,
- a or B is phenyl which is substituted with a CN and, optionally, one, two or three substituents independently selected from halogen, NO 2, amino, Ci-C 4 -alkyl, -C 4 -alkoxy, C 1 -C 4 haloalkyl, C -C 4 haloalkoxy, C 1 -C 4 alkylamino, C 1 -C 4 dialkylamino, thio and C 1 -C 4 alkylthio;
- substituent B or A is unsubstituted or substituted by one, two, three or four identical or different groups L 5- or ⁇ -membered heteroaryl heteroaryl, the one, two, three or four heteroatoms from the group O, N and S contains
- a or B represents benzodioxolyl which is unsubstituted or independently selected from one, two, three, four or five substituents selected from halogen, CN, NO 2 , amino, C 1 -C 4 alkyl, C 1 -C 4 alkoxy, C 1 -C 4 4 -haloalkyl, Ci-C4-haloalkoxy, Ci-C4-alkylamino, Ci-C4-dialkylamino, thio and Ci-C4-alkylthio, is substituted; and the other substituent B or A is 5-membered or 6-membered heteroaryl which contains one, two, three or four heteroatoms from the group O, N and S, where the heteroaryl is in each case unsubstituted or by one, two or three substituents independently selected from halogen, CN, NO 2, amino, C 1 -C 4 -alkyl, C 1 -C 4 -alkyl,
- a and B in formula V preferably have the meanings as described in more detail below for compounds of the formula I, provided that they are included in the definition of the variables for the compounds V. In particular, it may be preferred if A and B mean:
- a or B aromatic heterocycle selected from thienyl, furyl, Pyrazo- IyI, imidazolyl, oxazolyl, isoxazolyl, isothiazolyl, pyridinyl, pyrimidinyl, pyrazinyl and pyridazinyl, in particular selected from thienyl, furyl, pyrazolyl, imidazolyl, oxazolyl , Pyridinyl, pyrimidinyl and pyrazinyl, wherein the
- Heterocycle contains one, two, three or four identical or different groups L;
- variable B or A five- or six-membered aromatic heterocycle containing one, two, three or four heteroatoms from the group O, N and S and unsubstituted or by one, two, three or four independently selected groups
- L is substituted Ci-C 8 alkyl, Ci-C 8 haloalkyl, C 2 -C 8 alkenyl, C 2 -C 8 - haloalkenyl, C 2 -C 8 kinyl -alkyl, C 2 -C 8 haloalkynyl, C 3 -C 8 -cycloalkyl, C 3 -C 8 -HiIo- gencycloalkyl or substituted by one, two, three or four L-substituted phenyl; excluding the compounds mentioned above.
- a and B in the compounds V have the following meanings:
- a or B aromatic heterocycle selected from thienyl, furyl, Pyrazo- IyI, imidazolyl, oxazolyl, isoxazolyl, isothiazolyl, pyridinyl, pyrimidinyl, pyrazinyl and pyridazinyl, in particular selected from thienyl, furyl, pyrazolyl, imidazolyl, oxazolyl, pyridinyl , Pyrimidinyl and pyrazinyl, wherein the heterocycle contains one, two, three or four identical or different groups L; and and the respective other variable B or A: a five- or six-membered aromatic heterocycle which contains one, two, three or four heteroatoms from the group consisting of O, N and S and is substituted by one, two, three or four independently selected groups L, or phenyl substituted by two, three or four independently selected groups L.
- the compounds are (E) -3- (2-chloropyridin-3-yl) -2- (4-fluorophenyl) acrylaldehyde and E) -3- (2,5-dichlorothiophen-3-yl) -2 - (4-fluorophenyl) acrylaldehyde excepted.
- a and B in the compounds V have the following meanings:
- A is phenyl substituted with two F; Phenyl substituted with three F; or phenyl substituted with one F and another substituent selected from Cl, C 1 -C 4 alkyl, C 1 -C 4 haloalkyl and C 1 -C 4 alkoxy; and
- Each R y is independently C 1 -C 4 -alkyl.
- Suitable oxidizing agents and conditions are known to those skilled in the art. For example, a reaction according to Swern (Australian Journal of Chemistry, 57 (6), 537-548, 2004), reactions with hypervalent iodine compounds (Organic Letters, 5 (17), 2989-2992, 2003), with chromium compounds such as, for example, pyridinium di chromate (cf. Tetrahedron, 45 (1), 239-58, 1989) or with manganese oxides such as MnC2 (Journal of the American Chemical Society, 107 (13), 3963-71, 1985). Martin oxidation can be carried out in a solvent such as CH2Cl2.
- the double bond can be in both (E) and (Z) configurations. This is represented by the jagged bond between B and the double bond.
- Compounds of formula VII are partially new and these are also the subject of the present invention.
- the present invention therefore also relates to compounds of the formula VII in which A and B are as defined or preferably defined for formula V, the compounds being (E) -3- (2-chloropyridin-3-yl) -2- ( 4-fluorophenyl) prop-2-en-1-ol and (E) -3- (2,5-dichlorothiophen-3-yl) -2- (4-fluorophenyl) prop-2-en-1-ol ,
- esters of the formula VIII are reduced to the alcohol VII.
- Suitable reduction methods are well known to those skilled in the art.
- the double bond may be in both (E) and (Z) configurations. This is represented by the jagged bond between B and the double bond.
- Some of the compounds of formula VIII are novel and these are also the subject of the present invention.
- the present invention therefore also relates to compounds of the formula VIII in which A and B are as defined or preferably defined for formula V, the compounds being ethyl 3- (2-chloropyridin-3-yl) -2- (4-fluorophenyl ) acrylate and ethyl 3- (2,5-dichlorothiophen-3-yl) -2- (4-fluorophenyl) acrylate are excluded.
- Compounds of the formula VIII can also be reduced in one stage to the acrolein of the formula V, for example with metal hydrides such as diisobutylaluminum hydride at low Temperatures.
- metal hydrides such as diisobutylaluminum hydride at low Temperatures.
- aluminum hydrides preferably lithium alanate (European Journal of Medicinal Chemistry, 40 (6), 529-541, 2005) or dialkylaluminum hydrides such as DIBAL-H (Synlett, (18), 3182-3184, 2006) can be used here.
- the acrylic esters of formula VIII are available from glyoxylic esters of formula IX by reaction with phosphorus compounds, e.g. Horner-Emmons type or Wittig connections.
- Suitable phosphorus compounds can be prepared by known standard methods, for example from a compound of the following type:
- X 1 represents a leaving group such as a halide, preferably chlorine or bromine.
- a leaving group such as a halide, preferably chlorine or bromine.
- the reaction of such halides to the desired Horner-Emmons or Wittig reagents can be carried out as described, for example, in Chemistry of Materials, 13 (9), 3009-3017; 2001, European Journal of Organic Chemistry, (7), 1247-1257; 2005 or WO1992 / 05145.
- alkyl halides are either commercially available or can be prepared by standard methods, e.g. by halogenation of the corresponding methyl compound.
- Suitable halogenating agents for this reaction are N-bromosuccinimide (Chemistry-A European Journal, 12 (21), 5632-5641, 2006) and N-chlorosuccinimide (Tetrahedron Letters, 47 (37), 6607-6609, 2006).
- the double bond may exist in both (E) and (Z) configurations. This is represented by the jagged bond between B and the double bond.
- Another object of the present invention are compounds of formula IVb, wherein A and B are as defined or preferably defined for formula I.
- X is a leaving group as defined above, in particular X is halide, is reacted with 1, 2,4-triazole and a base.
- the reaction conditions can be selected as described above in the preparation of compounds II starting from compounds III.1.
- the compounds IVa have the meanings as described for formula III above.
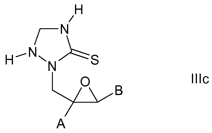
- a further possibility for preparing compounds of the formula I consists, starting with compounds of the formula III (see above), first with hydrazine to give compounds of the formula IIIa
- An object of the present invention are also compounds of the formula IIIa, wherein A and B are as defined or preferably defined for formula I.
- Haloalkynyl comprising the step
- An object of the present invention are also compounds of the formula INb, wherein A and B are as defined or preferably defined for formula I.
- compounds IIIa may be reacted with formaldehyde ((CH 2 O) n ) and a thiocyanate (YSCN, supra) to give
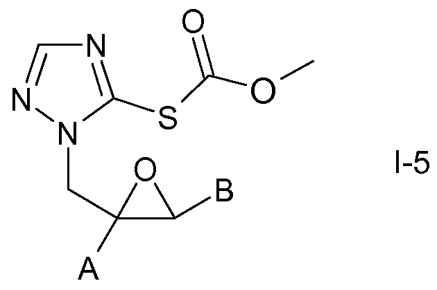
- the invention therefore also comprises a process for the preparation of compounds of the formula I wherein D is SR where R is hydrogen, Ci-C 8 -HaIo- genalkyl, C 2 -C 8 alkenyl, C 2 -C 8 haloalkenyl, C C 2 -C 8 alkynyl or C 2 -C 8 haloalkynyl, comprising the step of (a3) oxidizing a compound of formula INc, wherein A and B are as defined for formula I or preferably defined to obtain a compound 1-1 ; and to obtain compounds I in which D is SR, where R is C 1 -haloalkyl, C 2 -C 8 -alkynyl, C 2 -C 8 -haloalkenyl, C 2 -C 8 -alkynyl or C 2 - C 8 - haloalkynyl means: (b3) reacting compounds 1-1 with RX, wherein X is halogen or trifluoro (C
- An object of the present invention are also compounds of the formula INc, wherein A and B are as defined or preferably defined for formula I.
- R x1 and R x2 are preferably both methyl (compounds IIId-1). See also DE19744401 and WO99 / 18086.
- An object of the present invention are furthermore compounds of the formula INd, wherein A and B are as defined or preferably defined for formula I.
- Halogen fluorine, chlorine, bromine and iodine
- Alkenyl and the alkenyl moieties in a compound group such as alkenyloxy: unsaturated, straight-chain or branched hydrocarbon radicals having 2 to 4, 2 to 6 or 2 to 8 carbon atoms and a double bond in any position.
- alkenyl groups such as (C 2 -C 4) alkenyl, but on the other hand, it may also be preferable to use larger alkenyl groups such as (C 5 -C 8) alkenyl.
- alkenyl groups are e.g.
- C2-C6 alkenyl such as ethenyl, 1-propenyl, 2-propenyl, 1-methylethenyl, 1-butenyl, 2-butenyl, 3-butenyl, 1-methyl-1-propenyl, 2-methyl-1-propenyl, 1 Methyl 2-propenyl, 2-methyl-2-propenyl, 1-pentenyl, 2-pentenyl, 3-pentenyl, 4-pentenyl, 1-methyl-1-butenyl, 2-methyl-1-butenyl, 3-methyl 1-butenyl, 1-methyl-2-butenyl, 2-methyl-2-butenyl, 3-methyl-2-butenyl, 1-methyl-3-butenyl, 2-methyl-3-butenyl, 3-methyl-3-butenyl, 1-ethyl-1-propenyl, 1-ethyl-2-propenyl, 1-ethyl-1-propenyl, 1-ethyl-2-propenyl, 1-ethyl-1-propen
- Haloalkenyl alkenyl as defined above, wherein in these groups the hydrogen atoms are partially or completely replaced by halogen atoms as described above under haloalkyl, in particular fluorine, chlorine or bromine;
- Alkadienyl unsaturated, straight-chain or branched hydrocarbon radicals having 4 to 6 or 4 to 8 carbon atoms and two double bonds in any position;
- Alkynyl and the alkynyl moieties in compound groups straight-chain or branched hydrocarbon groups having 2 to 4, 2 to 6 or 2 to 8 carbon atoms and one or two triple bonds in any position, for example C 2 -C 6 -alkynyl, such as ethynyl, 1-propynyl, 2-propynyl, 1-butynyl, 2-butynyl, 3-butynyl, 1-methyl-2-propynyl, 1-pentynyl , 2-pentynyl, 3-pentynyl, 4-pentynyl, 1-methyl-2-butynyl, 1-methyl-3-butynyl, 2-methyl-3-butynyl, 3-methyl-1-butynyl, 1, 1-dimethyl 2-propynyl, 1-ethyl-2-propynyl, 1-hexynyl, 2-hexynyl, 3-hexynyl, 4-hexynyl,
- Haloalkynyl alkynyl, as defined above, wherein in these groups the hydrogen atoms are partially or completely replaced by halogen atoms, as described above under haloalkyl, in particular fluorine, chlorine or bromine;
- Cycloalkyl and the cycloalkyl moieties in assembled groups mono- or bicyclic, saturated hydrocarbon groups having 3 to 8, in particular 3 to 6, carbon ring members, e.g. C3-C6 cycloalkyl such as cyclopropyl, cyclobutyl, cyclopentyl, cyclohexyl;
- Halogencycloalkyl cycloalkyl as defined above, wherein in these groups the hydrogen atoms are partially or completely replaced by halogen atoms as described above under haloalkyl, in particular fluorine, chlorine or bromine;
- Cycloalkenyl monocyclic, monounsaturated hydrocarbon groups having preferably 3 to 8 or 4 to 6, in particular 5 to 6 carbon ring members, such as cyclopenten-1-yl, cyclopenten-3-yl, cyclohexen-1-yl, cyclohexen-3-yl, Cyclohexene-4-yl and the like;
- Halocycloalkenyl cycloalkenyl as defined above, wherein in these groups the hydrogen atoms are partially or completely replaced by halogen atoms as described above under haloalkyl, in particular fluorine, chlorine or bromine;
- Alkoxy for an oxygen-bonded alkyl group as defined above, preferably with 1 to 8, more preferably 2 to 6 carbon atoms. Examples are: methoxy, ethoxy, n-propoxy, 1-methylethoxy, butoxy, 1-methylpropoxy, 2-methylpropoxy or 1, 1-dimethylethoxy; and also, for example, pentoxy, 1-methylbutoxy, 2-methylbutoxy, 3-methylbutoxy, 1, 1-dimethylpropoxy, 1, 2-dimethylpropoxy, 2,2-dimethylpropoxy, 1-ethylpropoxy, hexoxy, 1-methylpentoxy, 2-methylpentoxy, 3-methylpentoxy, 4-methylpentoxy, 1, 1-dimethylbutoxy, 1, 2-dimethylbutoxy, 1, 3-dimethylbutoxy, 2,2-dimethylbutoxy, 2,3-dimethylbutoxy, 3,3-dimethylbutoxy, 1-ethylbutoxy, 2- Ethyl butoxy, 1, 1, 2 Trimethylpropoxy, 1, 2,2-trimethylpropoxy, 1-ethyl-1-
- Haloalkoxy Alkoxy, as defined above, wherein in these groups, the hydrogen atoms are partially or completely replaced by halogen atoms, as described above under haloalkyl, in particular fluorine, chlorine or bromine.
- halogen atoms as described above under haloalkyl, in particular fluorine, chlorine or bromine.
- examples of these are OCH 2 F, OCHF 2 , OCF 3 , OCH 2 Cl, OCHCl 2 , OCCl 3 , chlorofluoromethoxy, dichlorofluoromethoxy, chlorodifluoromethoxy, 2-fluoroethoxy, 2-chloroethoxy, 2-bromoethoxy, 2-iodoethoxy, 2,2 Difluoroethoxy, 2,2,2-trifluoroethoxy, 2-chloro-2-fluoroethoxy, 2-chloro-2,2-difluoroethoxy, 2,2-dichloro-2-fluoroethoxy,
- Alkylene divalent linear chains of CH 2 groups. Preference is given to (C 1 -C 6) -alkylene, more preferably (C 2 -C 4) -alkylene, and furthermore it may be preferable to use (C 1 -C 3 ) -alkylene groups.
- Examples of preferred alkylene radicals are CH 2 , CH 2 CH 2 , CH 2 CH 2 CH 2 , CH 2 (CH 2 ) 2 CH 2 , CH 2 (CH 2 ) 3 CH 2 and CH 2 (CH 2 ) 4 CH 2 ;
- - three- or four-membered saturated heterocycle (hereinafter also Heterocyc IyI), containing one or two heteroatoms from the group O, N and S as ring members;
- mono- and bicyclic heterocycles having 7 ring members, containing, in addition to carbon ring members, one, two or three nitrogen atoms and / or one oxygen or sulfur atom or one or two oxygen and / or sulfur atoms, for example tetra- and hexahydroazepinyl, such as 2,3,4,5 Tetrahydro [1 H] azepine-1, -2, -3, -4, 5, 6 or 7-yl, 3,4,5,6-tetrahydro [2H] azepine-2-, -3-, -A-, -5-, -6- or -7-yl, 2,3,4,7-tetrahydro [1 H] azepine-1, -2, -3 -, -A-, -5-, -6- or -7-yl, 2,3,6,7-tetrahydro [1 H] azepine-1, -2, -3, -A-, -5-, -6- or -7-yl
- hexahydrooxepinyl such as 2,3,4,5-tetrahydro [1H] oxepin-2, -3, -4, -5, -6 or -7-yl, 2, 3, 4, 7-tetrahydro [1 H] oxepin-2-, -3-, -4-, -5-, -6- or -7-yl, 2,3,6,7-tetrahydro [1 H] oxepin
- 5-membered heteroaryl containing one, two, three or four nitrogen atoms or one, two or three nitrogen atoms and / or a sulfur or oxygen atom, which heteroaryl may be attached via C or N, if present: 5- ring heteroaryl groups which may contain, in addition to carbon atoms, one to four nitrogen atoms or one, two or three nitrogen atoms and / or one sulfur or oxygen atom as ring members, eg Furyl, thienyl, pyrrolyl, pyrazolyl, imidazolyl, triazolyl (1,2,3-; 1,2,4-triazolyl), tetrazolyl, oxazolyl, isoxazolyl, 1, 3,4-oxadiazolyl, thiazolyl, isothiazolyl and thiadiazolyl, in particular 2-furyl, 3-furyl, 2-thienyl, 3-thienyl, 2-pyrrolyl, 3-pyrrolyl, 3-isoxazolyl
- Oxadiazol-5-yl 1, 2,4-thiadiazol-3-yl, 1, 2,4-thiadiazol-5-yl, 1, 2,4-triazol-3-yl, 1, 3,4-oxadiazole 2-yl, 1, 3,4-thiadiazol-2-yl and 1, 3,4-triazol-2-yl;
- -6-membered heteroaryl containing one, two, three or four, preferably one, two or three nitrogen atoms, wherein the heteroaryl can be attached via C or N, if present: 6-ring heteroaryl groups which contain, in addition to carbon atoms, one to four or .
- One, two or three nitrogen atoms may contain as ring members, eg Pyridinyl, pyrimidinyl, pyrazinyl, pyridazinyl, 1, 2,3-triazinyl, 1, 2,4-triazinyl, 1, 3,5-triazinyl, especially 2-pyridinyl, 3-pyridinyl, 4-pyridinyl, 3-pyridazinyl, 4 Pyridazinyl, 2-pyrimidinyl, 4-pyrimidinyl, 5-pyrimidinyl,
- novel compounds of this invention contain chiral centers and are generally obtained in the form of racemates or as diastereomeric mixtures of erythro and threo forms.
- the erythro and threo diastereomers can be separated in the compounds of the invention, for example, due to their different solubility or by column chromatography and isolated in pure form. From such uniform pairs of diastereomers can be obtained by known methods uniform enantiomers.
- antimicrobial agents it is possible to use both the uniform diastereomers or enantiomers and also their mixtures obtained in the synthesis. The same applies to the fungicides.
- the invention therefore relates both to the pure enantiomers or diastereomers and to mixtures thereof.
- the scope of the present invention includes the (R) and (S) isomers and the racemates of the compounds of the invention, in particular of the formula I or II, which have chiral centers.
- Suitable compounds according to the invention, in particular of the formula I or II also include all possible stereoisomers (cis / trans isomers) and mixtures thereof.
- the compounds according to the invention in particular of the formula I or II, can be present in various crystal modifications whose biological activity can be different. These are included in the scope of the present invention.
- a variable of A and B is a five- or six-membered heteroaromatic unsubstituted or substituted by one, two or three identical or different substituents L.
- the respective other substituent of A and B is an optionally substituted five-membered heteroaromatic, as defined herein and preferably defined.
- the other substituent of A and B is an optionally substituted six-membered heteroaromatic, as defined herein and preferably defined.
- one variable of A and B is an optionally substituted five-membered heteroaromatic and the other variable is optionally substituted phenyl.
- a variable of A and B is an optionally substituted six-membered heteroaromatic and the other variable is optionally substituted phenyl.
- the phenyl group preferably carries one, two or three groups L, preferably independently selected from halogen, NO 2, amino, Ci -C4 -alkyl, Ci-C 4 alkoxy, Ci-C4-haloalkyl, Ci- C 4 - haloalkoxy, C 1 -C 4 -alkylamino, C 1 -C 4 -dialkylamino, thiol and C 1 -C 4 -alkylthio, in particular selected from halogen, C 1 -C 4 -alkyl, C 1 -C 4 -alkoxy, C i C 4 haloalkyl and C 1 -C 4 haloalkoxy.
- L preferably independently selected from halogen, NO 2, amino, Ci -C4 -alkyl, Ci-C 4 alkoxy, Ci-C4-haloalkyl, Ci- C 4 - haloalkoxy, C 1 -C 4 -alkylamino, C 1
- L is in each case independently selected from halogen, C 1 -C 4 -alkyl and C 1 -C 4 -alkoxy, in particular selected from F, Cl, methyl and methoxy, in particular independently selected from F and Cl.
- variable of A and B is an optionally substituted five-membered heteroaromatic, and according to yet another In the embodiment, one variable of A and B is an optionally substituted six-membered heteroaromatic, and the other variable of A and B in these embodiments represents saturated or partially unsaturated heterocyclyl, C 1 -C 6 -alkyl, C 2 -C 8 -alkenyl, C 2 -C 8 -cycloalkyl. Alkynyl or Cs-Cs-cycloalkyl, which are each optionally substituted.
- the substituent A is a cyclic system, preferably a heteroaromatic or phenyl, as defined herein, containing a substituent para to the point of attachment to the oxirane ring.
- the para substituent is preferably selected from halogen, Ci-C 4 -alkyl, -C 4 -alkoxy, d- C 4 haloalkyl and Ci-C4-haloalkoxy, in particular selected from halogen, methyl, difluoromethyl, trifluoromethyl, methoxy and trifluoromethoxy
- L is in each case independently selected from halogen, C 1 -C 4 -alkyl and C 1 -C 4 -alkoxy, in particular selected from F, Cl, methyl and methoxy, independently selected in the spectrum from F and Cl.
- the cyclic system may optionally contain further independently selected substituents L, in which case preferably one or two further L are present.
- the substituent A is a cyclic system, preferably a heteroaromatic or phenyl, as defined herein, containing a substituent ortho to the point of attachment to the oxirane ring.
- the cyclic system may optionally contain further independently selected substituents L, in which case preferably one or two further L are present.
- the substituent B is a cyclic system, preferably a heteroaromatic or phenyl, which contains a substituent in the para position to the point of attachment.
- the cyclic system may optionally contain further independently selected substituents L, in which case preferably one or two further L are present.
- the substituent B is a cyclic system, preferably a heteroaromatic or phenyl, which contains a substituent ortho to the point of attachment.
- the ortho substituent is preferably selected from halogen, Ci-C4-alkyl, Ci-C 4 alkoxy, Ci-C4-haloalkyl and Ci-C4-haloalkoxy, in particular selected from halogen, methyl, difluoromethyl, trifluoromethyl, methoxy and trifluoromethoxy.
- L is in each case independently selected from halogen, C 1 -C 4 -alkyl and C 1 -C 4 -alkoxy, in particular selected from F, Cl, methyl and methoxy, in particular independently selected from F and Cl.
- the cyclic system may optionally contain further independently selected substituents L, in which case preferably one or two further L are present.
- a and / or B is a heteroaromatic, each independently selected from thiophene, pyrrole, pyrazole, imidazole, isoxazole, isothiazole, oxazole, thiazole, thiadiazole, oxadiazole, triazole and tetrazole , preferably selected from thiophene, pyrazole, isoxazole and thiazole, which are each optionally substituted.
- the heteroaromatic is in each case independently selected from pyridine, pyrimidine, pyrazinyl, pyridazinyl and triazine, in particular selected from pyridine and pyrimidine, which are each optionally substituted.
- / heteroaromatics According to one aspect of this embodiment carries / carry one, two or three independently selected group L, preferably independently selected from halogen, -C 4 - alkyl, Ci-C 4 -alkoxy, Ci-C4-haloalkyl and d-C4- haloalkoxy.
- L is in each case independently selected from halogen, C 1 -C 4 -alkyl and C 1 -C 4 -alkoxy, in particular selected from F, Cl, methyl and methoxy, independently selected in the spectrum from F and Cl.
- a or B when A or B is phenyl, it is unsubstituted phenyl, and in another embodiment, it is phenyl represented by one, two, or three L groups, independently selected from halogen, NO 2, amino, C 1 -C 4 -alkyl, -C 4 alkoxy, -C 4 haloalkyl, -C 4 -haloalkoxy, -C 4 alkylamino, -C 4 dialkylamino, thiol, and -C 4 -alkylthio, in particular selected from halogen, -C 4 alkyl, -C 4 alkoxy, CrC 4 - Haloalkyl and CrC 4 haloalkoxy substituted.
- each L is independently selected from halogen, C 1 -C 4 -alkyl and C 1 -C 4 -alkoxy, especially selected from F, Cl, methyl and methoxy, in particular independently selected from F and Cl.
- a and B independently of one another each represent a saturated heterocycle which is independently unsubstituted or substituted by one, two or three identical or different groups L and one, two or three heteroatoms selected from N, O and S included.
- B represents a tri-, four-, five-, six- or seven-membered saturated heterocycle.
- the heterocycle is five- or six-membered and contains at least one nitrogen atom as heteroatoms.
- the heterocycle is bonded via C to the oxirane unit.
- B is unsubstituted or substituted morpholine.
- B is unsubstituted or substituted piperidine.
- B is unsubstituted or substituted tetrahydrofuran.
- B is unsubstituted or substituted tetrahydropyran.
- A is a saturated heterocycle and B is an unsubstituted or with a, two or three identical or different groups L substituted partially unsaturated heterocycle containing one, two or three heteroatoms selected from N, O and S.
- B is preferably a four-, five-, six- or seven-membered heterocycle, wherein the heterocycle in particular five - or six-membered.
- the heterocycle is bonded via C to the oxirane moiety.
- A is a saturated heterocycle
- B is an unsubstituted or substituted by one, two or three identical or different groups L heteroaromatic containing one, two or three heteroatoms selected from N , O and S.
- B contains at least one nitrogen atom.
- the heteroaromatic is bonded via C to the oxirane moiety.
- B in the embodiment I-A3 is an unsubstituted or substituted by one, two or three groups L five-membered heteroaromatic.
- B is substituted or unsubstituted thienyl.
- B is substituted or unsubstituted pyrazolyl.
- B is substituted or unsubstituted furyl.
- B represents substituted or unsubstituted pyrrolyl.
- B represents substituted or unsubstituted imidazolyl.
- B represents substituted or unsubstituted oxazolyl.
- B represents substituted or unsubstituted thiazolyl. According to yet another embodiment, B represents substituted or unsubstituted isoxazolyl. According to yet another embodiment, B represents substituted or unsubstituted isothiazolyl. According to yet another embodiment, B represents substituted or unsubstituted thiadiazolyl. In yet another embodiment, B represents substituted or unsubstituted oxadiazolyl. According to yet another embodiment, B represents substituted or unsubstituted triazolyl.
- the five-membered heteroaromatic it comprises one, two or three groups independently selected from halogen, NO2, amino, Ci-C 4 -alkyl, C 4 -alkoxy, Ci-C 4 haloalkyl, Ci-4 haloalkoxy C d , Ci-C 4 alkylamino, Ci-C 4 - dialkylamino, thiol, and Ci-C 4 alkylthio, preferably halogen, Ci-C4-alkyl, Ci-C 4 alkoxy, Ci-C 4 haloalkyl or C C 4 haloalkoxy, more preferably halogen, C 1 -C 4 -alkyl or C 1 -C 4 -alkoxy, in particular F, Cl, methyl and methoxy, in particular F and Cl.
- B in the embodiment I-A3 is a six-membered heteroaromatic which is unsubstituted or substituted by one, two or three L.
- B is pyridyl which is unsubstituted or substituted.
- B is pyrimidinyl, which is unsubstituted or substituted.
- B is pyrazinyl which is unsubstituted or substituted.
- B is pyridazinyl which is unsubstituted or substituted.
- B is triazinyl which is unsubstituted or substituted.
- L is defined as in the embodiment according to which B is a five-membered heteroaromatic.
- A is a saturated heterocycle
- B is phenyl which is unsubstituted or substituted by one, two or three identical or different substituents L.
- phenyl is unsubstituted, according to another embodiment includes phenyl, one, two or three independently selected L.
- Vorzusgweise L is in each case independently selected from halogen, NO2, amino, Ci-C 4 -alkyl, C 4 -alkoxy, Ci-C d-4 haloalkyl, Ci-C 4 haloalkoxy, Ci-C 4 alkylamino, Ci-C 4 - dialkylamino, thiol, and Ci-C 4 alkylthio.
- B is phenyl substituted by one, two or three L, independently selected from halogen, d- C4-alkyl, Ci-C 4 alkoxy, Ci-C4-haloalkyl and Ci-4 haloalkoxy C , is substituted.
- B is halophenyl, in particular phenyl, which is substituted by one, two or three identical or different halogen atoms.
- B is phenyl substituted by one, two or three L independently selected from F, Cl, methyl and methoxy.
- B is phenyl substituted by one, two or three Ls selected from F and Cl.
- B contains at least one substituent L ortho to the point of attachment to the oxirane moiety. It is possible for B to carry one or two further identical or different Ls.
- A is in particular a tri-, four-, five-, six- or seven-membered saturated heterocycle having one, two or three heteroatoms selected from N, O and S.
- the heterocycle is five - or six-membered, preferably the heterocycle contains at least one nitrogen atom.
- the heterocycle is bonded via C to the oxirane moiety.
- the saturated heterocycle is in each case unsubstituted or contains one, two or three groups L as defined herein.
- A is unsubstituted or substituted morpholine.
- B is unsubstituted or substituted piperidine.
- B is unsubstituted or substituted tetrahydrofuran. In another embodiment, B is unsubstituted or substituted tetrahydropyran.
- A is a partially unsaturated heterocycle, and B is a saturated heterocycle as described for A in the embodiments I-A1 to I-A4.
- a and B independently of one another each represent a partially unsaturated heterocycle which are independently unsubstituted or substituted by one, two or three identical or different groups L and one, two or three heteroatoms selected from N, O and S included.
- Inventive embodiments for B are as described in the embodiment I-A2.
- A is a partially unsaturated heterocycle
- B is an unsubstituted or substituted with one, two or three identical or different groups L heteroaromatic, containing one, two or three heteroatoms selected from N, O and S as described for B in the embodiment I-A3.
- A is a partially unsaturated heterocycle
- B is phenyl which is unsubstituted or substituted by one, two or three identical or different L groups, as described for B in the embodiment I-A4 ,
- A is in particular an unsubstituted or substituted by one, two or three identical or different groups L partially unsaturated heterocycle containing one, two or three heteroatoms selected from N, O and S.
- A is preferably a four-, five-, six- or seven-membered heterocycle, wherein the heterocycle is in particular five- or six-membered.
- the heterocycle is bonded via C to the oxirane unit.
- A is an aromatic heterocycle
- B is a saturated heterocycle, as described for A in the embodiments I-A1 to I-A4.
- A is an aromatic heterocycle
- B is a partially unsaturated heterocycle, as described for A in the embodiments I-A5 to I-A8.
- a and B are each independently an aromatic heterocycle which are independently unsubstituted or substituted by one, two or three identical or different groups L, and one, two or three heteroatoms selected from N, O and S included.
- Inventive embodiments for B are as described in the embodiment I-A3.
- A is an aromatic heterocycle
- B is C 1 -C 6 -alkyl which may carry one, two or three independently selected groups L.
- B is C-i-Cs-haloalkyl.
- A is an aromatic heterocycle
- B is Cs-Cs-cycloalkyl which may carry one, two or three independently selected groups L.
- B is Cs-Cs-halocycloalkyl.
- A is an aromatic heterocycle
- B is phenyl which is unsubstituted or substituted by one, two or three identical or different L groups, as described for B in the embodiment I-A4.
- A is an unsubstituted or substituted by one, two or three identical or different groups L heteroaromatic, containing one, two or three heteroatoms selected from N, O and S. According to one embodiment A of the invention contains at least one nitrogen atom. According to another embodiment, the heteroaromatic is bonded via C to the oxirane unit.
- a in embodiments I-A9 to I-A14 is a five-membered heteroaromatic unsubstituted or substituted by one, two or three groups L.
- A is substituted or unsubstituted thienyl.
- A is substituted or unsubstituted pyrazolyl.
- A is substituted or unsubstituted furyl.
- A is substituted or unsubstituted pyrrolyl.
- A is substituted or unsubstituted imidazolyl.
- A is substituted or unsubstituted oxazolyl.
- A is substituted or unsubstituted thiazolyl. According to yet another embodiment, A is substituted or unsubstituted isoxazolyl. According to yet another embodiment, A is substituted or unsubstituted isothiazolyl. According to yet another embodiment, A is substituted or unsubstituted thiadiazolyl. In yet another embodiment, A is substituted or unsubstituted oxadiazolyl. According to yet another embodiment, A is substituted or unsubstituted triazolyl.
- the five-membered heteroaromatic contains one, two or three groups L independently selected from halogen, NO 2, amino, C 1 -C 4 -alkyl, C 1 -C 4 -alkoxy, C 1 -C 4 -haloalkyl, C 1 -C 4 -haloalkoxy, C 1 -C 4 -alkylamino, C 1 -C 4 -dialkylamino, Thiol and C 1 -C 4 -alkylthio, preferably halogen, C 1 -C 4 -alkyl, C 1 -C 4 -alkoxy, C 1 -C 4 -haloalkyl or C 1 -C 4 -haloalkoxy, more preferably halogen, C 1 -C 4 -alkyl or C 1 -C 4 -alkoxy , in particular F, Cl, methyl and methoxy, in particular F and Cl.
- a in the embodiments I-A9 to I-A14 is a six-membered heteroaromatic which is unsubstituted or substituted by one, two or three L.
- A is pyridyl which is unsubstituted or substituted.
- A is pyrimidinyl which is unsubstituted or substituted.
- A is pyrazinyl which is unsubstituted or substituted.
- A is pyridazinyl which is unsubstituted or substituted.
- A is triazinyl which is unsubstituted or substituted.
- L is defined as in the embodiment according to which A is a five-membered heteroaromatic.
- A is C 1 -C 8 -alkyl which is unsubstituted or substituted by one, two or three identical or different groups L, and B is an aromatic heterocycle, such as A in Embodiments I-A9 to I-A14 described. According to one embodiment, A is d-Cs-haloalkyl.
- A is unsubstituted or substituted by one, two or three identical or different groups L Cs-Cs-cycloalkyl, preferably Cs-C ⁇ -cycloalkyl, and B is an aromatic heterocycle, as described in embodiments I-A9 to I-A14 for A.
- A is Cs-Cs-halocycloalkyl.
- A is phenyl
- B is a saturated heterocycle, as described for A in the embodiments I-A1 to I-A4.
- A is phenyl
- B is a partially unsaturated heterocycle, as described for A in the embodiments I-A5 to I-A8.
- A is phenyl
- B is an aromatic heterocycle, as described for A in the embodiments I-A9 to I-A14.
- A is phenyl which is unsubstituted or substituted by one, two or three identical or different L groups.
- phenyl is unsubstituted, according to a further embodiment, phenyl, one, two, or three L, independently selected from halogen, NO2, amino, Ci-C 4 -alkyl, -C 4 -alkoxy, Ci-C 4 haloalkyl, Ci- C 4 haloalkoxy, -C 4 - alkylamino, Ci-C 4 dialkylamino, thiol, and Ci-C 4 alkylthio.
- A is phenyl substituted by one, two or three L is independently selected from halogen, Ci-C4-alkyl, Ci-C 4 alkoxy, Ci-C4-haloalkyl and Ci-C4-halo- alkoxy is substituted.
- A is halophenyl, in particular phenyl, which is substituted by one, two or three identical or different halogen atoms.
- A is phenyl substituted by one, two or three L independently selected from F, Cl, methyl and methoxy.
- A is phenyl substituted by one, two or three Ls selected from F and Cl.
- each L is preferably independently selected from halogen, cyano, nitro, Ci-C4-alkyl, Ci-C4-haloalkyl, phenyl-Ci-C 4 - alkyloxy, C2-C6-alkenyl, C2-C6 haloalkenyl, C2-C6-alkynyl, C2-C6-haloalkynyl, C d- 4 alkoxy, Ci-C4-haloalkoxy, Cs-C ⁇ cycloalkyl, Cs-C ⁇ -halocycloalkyl, amino, Ci-C 4 Alkylamino, di-C 1 -C 4 -alkylamino, phenyl, halophenyl, phenyloxy and halo genophenyloxy.
- L is preferably in each case independently selected from halogen, C 1 -C 6 -alkyl, C 1 -C 5 -haloalkyl, C 2 -C 8 -alkenyl, C 1 -C 6 -alkoxy and C 1 -C 8 -haloalkoxy.
- L is independently selected from halogen, Ci-C4-alkyl, Ci-C4-haloalkyl, Ci-C4-alkoxy, Ci-C4-haloalkoxy, Cs-C ⁇ cycloalkyl, Cs-C ⁇ -halocycloalkyl , phenyl and halophenyl, especially selected from halogen, such as fluorine and chlorine, Ci-C4-alkyl, Ci-C4-haloalkyl and Ci-C4-alkoxy. It may be particularly preferred that the substituents L are independently selected from C 1 -C 4 -alkyl, fluorine and chlorine.
- D is a group SR, where R is hydrogen or C 1 -C 4 -alkyl. According to a specific embodiment, D stands for SH.
- R 3 in this embodiment is C 1 -C 4 -alkyl.
- D is a group SR, where R is CN.
- D is a group SR, where R is SO 2 R 4 and R 4 is C 1 -C 4 -alkyl, phenyl-C 1 -C 4 -alkyl or phenyl, where the phenyl groups are each unsubstituted or are substituted by one, two or three groups independently selected from halogen and C 1 -C 4 -alkyl.
- D is a group SM, wherein M is an alkali metal cation, one equivalent of an alkaline earth metal cation, one equivalent of a copper, zinc, iron or nickel cation or an ammonium cation of the formula (E )
- Z 1 and Z 2 are independently hydrogen or C 1 -C 4 -alkyl; and Z 3 and Z 4 are independently hydrogen, C 1 -C 4 alkyl, benzyl or phenyl.
- M represents Na, 1/2 Cu, 1/3 Fe, HN (C 2 H 5 ) S, N (CHs) 4
- D is a group D 1 (compounds I-2), where A and B are independently defined or preferably defined herein:
- D is a group Dil, where # is the point of attachment to the triazolyl ring and Q, R 1 and R 2 are as defined herein or preferably defined:
- Table 10a Compounds 1-1, wherein A is 5-chloropyridin-3-yl and B corresponds in each case to one group of one row of Table A (Compounds I-1.10aA-1 to I-1.10aA-425)
- Table 15a Compounds 1-1, wherein A is 3-fluoropyridin-2-yl and B corresponds in each case to one group of one row of Table A (Compounds I-1.15aA-1 to 1.15aA-425)
- Table 20a Compounds 1-1, wherein A is 4-fluoropyridin-3-yl and B corresponds in each case to one group of one row of Table A (Compounds 1-1.2OaA-I to 1-1.20aA-425)
- Table 24a Compounds 1-1, wherein A is 3-fluoropyridin-4-yl and B corresponds in each case to one group of one row of Table A (Compounds 1-1.24aA-1 to 1-1.24aA-425)
- Table 29a Compounds 1-1, wherein A is 2-methylpyridin-3-yl and B corresponds in each case to one group of one row of Table A (Compounds 1-1.29aA-1 to 1-1.29aA-425)
- Table 34a Compounds 1-1, wherein A is 3-methylpyridin-4-yl and B corresponds in each case to one group of one row of Table A (Compounds 1-1.34aA-1 to 1-1.34aA-425)
- Row of Table A corresponds (Compounds 1-1.73aA-1 to 1-1.73aA-425)
- Table 88a Compounds 1-1, wherein A is 5-chlorothien-3-yl and B corresponds in each case to one group of one row of Table A (Compounds 1-1.88aA-1 to 1-1.88aA-425)
- Row of Table A corresponds (Compounds I-1.108aA-1 to I-1.108aA-425)
- Line of Table A corresponds (compounds I-1.134aA-1 to I-1.134aA-425)
- Table 139a Compounds 1-1, wherein A is 5-methylisoxazol-3-yl and B corresponds in each case to one group of one row of Table A (Compounds 1-1.139aA-1 to l-1.139aA-425)
- Table 143a Compounds 1-1, wherein A is 3-chloro-5-methylisoxazol-4-yl and B corresponds in each case to one group of one row of Table A (Compounds I-1.143aA-1 to I-1.143aA-425)
- Table A corresponds (Compounds 1-1.155aA-1 to 1-1155aA-425) Table 156a
- Table 165a Compounds 1-1, wherein B is 6-chloropyridin-3-yl and A corresponds in each case to one group of one row of Table A (Compounds 1-1.165aA-1 to l-1.165aA-425)
- Table 170a Compounds 1-1, wherein B is 4-fluoropyridin-2-yl and A corresponds in each case to one group of one row of Table A (Compounds 1-1.170aA-1 to 1-170aA-425)
- Table 175a Compounds 1-1, wherein B is 5-fluoropyridin-3-yl and A corresponds in each case to one group of one row of Table A (Compounds I-1.175aA-1 to 1.175aA-425)
- Table 179a Compounds 1-1, wherein B is 3-methylpyridin-2-yl and A corresponds in each case to one group of one row of Table A (Compounds I-1.179aA-1 to 1.179aA-425)
- Table 182a Compounds 1-1, wherein B is 6-methylpyridin-2-yl and A corresponds in each case to one group of one row of Table A (Compounds I-1.182aA-1 to 1.182aA-425)
- Table 211a Compounds 1-1, wherein B is 3,5-difluoropyridin-4-yl and A corresponds in each case to one group of one row of Table A (Compounds 1-1.211 aA-1 to 1-1.211 aA-425) Table 212a
- Table 237a Compounds 1-1, wherein B is thien-2-yl and A corresponds in each case to one group of one row of Table A (Compounds 1-1.237aA-1 to 1-1.237aA-425)
- Table 242a Compounds 1-1, wherein B is 5-chlorothien-3-yl and A corresponds in each case to one group of one row of Table A (Compounds 1-1.242aA-1 to 1-1.242aA-425)
- Table 247a Compounds 1-1, wherein B is 2-methylthien-4-yl and A corresponds in each case to one group of one row of Table A (Compounds 1-1.247aA-1 to 1-1.247aA-425)
- Table 272a Compounds 1-1, wherein B is 2-chlorothiazol-4-yl and A corresponds in each case to one group of one row of Table A.
- Table 272a Compounds 1-1, where B is 2-chlorothiazol-4-yl and A corresponds in each case to one group of one row of Table A.
- Table 272a Compounds 1-1.271 aA-1 to 1-1.271 aA-425 (Compounds 1-1.272aA-1 to 1-1.272aA-425) Table 273a
- Table 293a Compounds 1-1, wherein B is 5-methylisoxazol-3-yl and A corresponds in each case to one group of one row of Table A (Compounds 1-1.293aA-1 to 1-1.293aA-425)
- Table 297a Compounds 1-1, wherein B is 3-chloro-5-methylisoxazol-4-yl and A corresponds in each case to one group of one row of Table A (Compounds 1-1.297aA-1 to I-1.297aA-425)
- Table 10aa compounds I-2 wherein A is 5-chloropyridin-3-yl and B corresponds in each case to one group of one row of Table A (compounds 1-2.1 OaaA-1 to 1-2.1 OaaA-425)
- Table 15aa compounds I-2 wherein A is 3-fluoropyridin-2-yl and B corresponds in each case to one group of one row of Table A (compounds 1-2.15aaA-1 to 1-2.15aaA-425)
- Table 20aa Compounds I-2, wherein A is 4-fluoropyridin-3-yl and B corresponds in each case to one group of one row of Table A (Compounds I-2.20aaA-1 to I-2.20aaA-425)
- Table 27aa compounds I-2 wherein A is 5-methylpyridin-2-yl and B corresponds in each case to one group of one row of Table A (compounds I-2.27aaA-1 to I-2.27aaA-425)
- Table 70aa Compounds I-2, wherein A is 2,4-dichloro-6-methylpyridin-3-yl and B corresponds in each case to one group of one row of Table A (Compounds I-2.70aaA-1 to I-2.70aaA-425 )
Landscapes
- Chemical & Material Sciences (AREA)
- Organic Chemistry (AREA)
- Health & Medical Sciences (AREA)
- Life Sciences & Earth Sciences (AREA)
- General Health & Medical Sciences (AREA)
- Medicinal Chemistry (AREA)
- General Chemical & Material Sciences (AREA)
- Nuclear Medicine, Radiotherapy & Molecular Imaging (AREA)
- Chemical Kinetics & Catalysis (AREA)
- Pharmacology & Pharmacy (AREA)
- Oncology (AREA)
- Animal Behavior & Ethology (AREA)
- Communicable Diseases (AREA)
- Public Health (AREA)
- Veterinary Medicine (AREA)
- Pest Control & Pesticides (AREA)
- Agronomy & Crop Science (AREA)
- Plant Pathology (AREA)
- Engineering & Computer Science (AREA)
- Dentistry (AREA)
- Wood Science & Technology (AREA)
- Zoology (AREA)
- Environmental Sciences (AREA)
- Plural Heterocyclic Compounds (AREA)
- Agricultural Chemicals And Associated Chemicals (AREA)
- Epoxy Compounds (AREA)
- Pharmaceuticals Containing Other Organic And Inorganic Compounds (AREA)
Abstract
Description
Azolylmethyloxirane, ihre Verwendung sowie sie enthaltende Mittel Azolylmethyloxiranes, their use and agents containing them
Beschreibungdescription
Die vorliegende Erfindung der Formel IThe present invention of the formula I
worin die Variablen folgende Bedeutungen aufweisen: wherein the variables have the following meanings:
A oder B drei-, vier-, fünf-, sechs-, sieben-, acht-, neun- oder zehngliedriger gesättigter oder teilweise ungesättigter Heterocyclus oder fünf-, sechs-, sieben-, acht-, neun- oder zehngliedriger aromatischer Heterocyclus, wobei der Heterocyclus jeweils ein, zwei, drei oder vier He- teroatome aus der Gruppe O, N und S enthält;A or B represents a tri-, tetra-, penta-, hexa-, si-, e-, n- or ten-membered saturated or partially unsaturated heterocycle or five-, six-, seven-, eight-, nine- or ten-membered aromatic heterocycle, wherein the heterocycle each contains one, two, three or four heteroatoms from the group O, N and S;
und die jeweils andere Variable B oder A bedeutetand the other variable B or A means
eine der oben für A bzw. B genannten Bedeutungen oder Ci -Ce-Al kyl, d-Cs-Halogenalkyl, C2-C8-Al kenyl, C2-C8-Halogenalkenyl, C2-C8- Alkinyl, C2-C8-Halogenalkinyl, C3-C8-Cycloalkyl, C3-C8-HaIo- gencycloalkyl, Phenyl oder Benzodioxolyl;one of the above for A or B meanings or Ci-Ce-Al kyl, d-Cs-haloalkyl, C 2 -C 8 -alkenyl, C 2 -C 8 -haloalkenyl, C 2 -C 8 - alkynyl, C C 2 -C 8 haloalkynyl, C 3 -C 8 cycloalkyl, C 3 -C 8 halo genocycloalkyl, phenyl or benzodioxolyl;
wobei A und/oder B unabhängig voneinander unsubstituiert sind oder substituiert sind mit einem, zwei, drei oder vier unabhängig ausgewählten Substituenten L;wherein A and / or B are independently unsubstituted or substituted with one, two, three or four independently selected substituents L;
L Halogen, Cyano, Nitro, Cyanato (OCN), Ci-C8-Al kyl, Ci-C8- Halogenalkyl, Phenyl-Ci-Cβ-alkyloxy, C2-C8-Al kenyl, C2-C8-Halogen- alkenyl, C2-C8-Al kinyl, C2-C8-Halogenalkinyl, C4-Cio-Alkadienyl, C4- Cio-Halogenalkadienyl, Ci-C8-Alkoxy, Ci-C8-Halogenalkoxy, Ci-C8- Alkylcarbonyloxy, Ci-C8-Alkylsulfonyloxy, C2-C8-Alkenyloxy, C2-C8-L is halogen, cyano, nitro, cyanato (OCN), C 8 -alkyl, C 8 - haloalkyl, Ci-Cβ-phenyl-alkyloxy, C 2 -C 8 -alkenyl, C 2 -C 8 - halo alkenyl, C 2 -C 8 -alkyl kinyl, C 2 -C 8 haloalkynyl, C4-Cio-alkadienyl, C 4 - Cio-Halogenalkadienyl, Ci-C8-alkoxy, Ci-C8-haloalkoxy, Ci- C 8 - alkylcarbonyloxy, Ci-C 8 alkylsulfonyloxy, C 2 -C 8 alkenyloxy, C 2 -C 8 -
Halogenalkenyloxy, C2-C8-Alkinyloxy, C2-C8-Halogenalkinyloxy, C3- C8-Cycloalkyl, C3-C8-Halogencycloalkyl, C3-C8-Cycloalkenyl, C3-C8- Halogencycloalkenyl, C3-C8-Cycloalkoxy, C3-C6-Cycloalkenyloxy, Hydroxyimino-Ci-C8-alkyl, Ci-Cβ-Alkylen, Oxy-C2-C4-alkylen, Oxy-d- C3-alkylenoxy, Ci-C8-Alkoximino-Ci-C8-alkyl, C2-C8-Alkenyloximino-Haloalkenyloxy, C 2 -C 8 alkynyloxy, C 2 -C 8 haloalkynyloxy, C 3 - C 8 cycloalkyl, C 3 -C 8 halocycloalkyl, C 3 -C 8 cycloalkenyl, C 3 -C 8 - halocycloalkenyl, 2-C4-alkylene C 3 -C 8 cycloalkoxy, C 3 -C 6 -cycloalkenyloxy, hydroxyimino-Ci-C 8 alkyl, Ci-Cβ alkylene, oxy-C, oxy-d- C 3 alkyleneoxy, Ci- C 8 -Alkoximino-C 8 alkyl, C 2 -C 8 -Alkenyloximino-
Ci-C8-alkyl, C2-C8-Alkinyloximino-Ci-C8-alkyl, S(=O)nA1, C(=O)A2, C(=S)A2, NA3A4, Phenyl, Phenyloxy oder ein fünf- oder sechs- gliedriger gesättigter, teilweise ungesättigter oder aromatischer Hete- rocyclus enthaltend ein, zwei, drei oder vier Heteroatome aus der Gruppe O, N und S; wobei n, A1, A2, A3, A4 bedeuten:Ci-C 8 alkyl, C 2 -C 8 -Alkinyloximino-Ci-C 8 alkyl, S (= O) n A 1, C (= O) A 2, C (= S) A 2 NA 3 A 4 , phenyl, phenyloxy or a five- or six-membered saturated, partially unsaturated or aromatic heteroaryl rocyclus containing one, two, three or four heteroatoms from the group O, N and S; where n, A 1 , A 2 , A 3 , A 4 mean:
n 0, 1 oder 2;n is 0, 1 or 2;
A1 Wasserstoff, Hydroxy, Ci-C8-Alkyl, Ci-Cs-Halogenalkyl, Amino, Ci-Ce-Alkylamino oder Di-Ci-C8-alkylamino,A 1 is hydrogen, hydroxy, C 1 -C 8 -alkyl, C 1 -C -haloalkyl, amino, C 1 -C 6 -alkylamino or C 1 -C 8 -alkylamino,
A2 eine der bei A1 genannten Gruppen oder C2-C8-Alkenyl, C2-C8- Halogenalkenyl, C2-C8-Al kinyl, C2-C8-Halogenalkinyl, CrC8-AIk- oxy, Ci-C8-Halogenalkoxy, C2-C8-Alkenyloxy, C2-C8-Halogen- alkenyloxy, C2-C8-Alkinyloxy, C2-C8-Halogenalkinyloxy, Cs-C8- Cycloalkyl, C3-C8-Halogencycloalkyl, C3-C8-Cycloalkoxy oder C3-C8-Halogencycloalkoxy;A 2 A 1 wherein one of said groups, or C2-C8-alkenyl, C 2 -C 8 - oxy -AIk- 8 haloalkenyl, C 2 -C 8 -alkyl kinyl, C 2 -C 8 haloalkynyl, CrC, Ci- C 8 haloalkoxy, C 2 -C 8 alkenyloxy, C 2 -C 8 alkenyloxy-halo, C2-C8 alkynyloxy, C2-C8 haloalkynyloxy, Cs-C 8 - cycloalkyl, C3-C8 halocycloalkyl, C3-C8-cycloalkoxy or C3-C8 -Halogencycloalkoxy;
A3,A4 unabhängig voneinander Wasserstoff, Ci-C8-Alkyl, Ci-Cs-Halogenalkyl, C2-C8-Al kenyl, C2-C8-Halogenalkenyl, C2-C8-Al kinyl, C2-C8-Halogenalkinyl, C3-C8-Cycloalkyl, C3-C8-Halogencyclo- alkyl, C3-C8-Cycloalkenyl oder C3-C8-Halogencycloalkenyl;A 3, A 4 are independently hydrogen, Ci-C 8 alkyl, Ci-Cs-haloalkyl, C 2 -C 8 -alkenyl, C 2 -C 8 haloalkenyl, C 2 -C 8 -alkyl kinyl, C 2 - C 8 haloalkynyl, C3-C8 cycloalkyl, C3-C 8 -Halogencyclo- alkyl, C3-C8 cycloalkenyl, or C3-C8 halocycloalkenyl;
wobei die aliphatischen und/oder alicyclischen und/oder aromatischen Gruppen der Restedefinitionen von L ihrerseits eine, zwei, drei oder vier gleiche oder verschiedene Gruppen RL tragen können:where the aliphatic and / or alicyclic and / or aromatic groups of the radical definitions of L can themselves carry one, two, three or four identical or different groups R L :
RL Halogen, Cyano, Nitro, Ci-C8-Alkyl, Ci-C8-Halogenalkyl, CrC8-R L is halogen, cyano, nitro, Ci-C 8 alkyl, Ci-C8-haloalkyl, CrC 8 -
Alkoxy, Ci-C8-Halogenalkoxy, C3-C8-Cycloalkyl, C3-C8-Halogencyclo- alkyl, C3-C8-Cycloalkenyl, C3-C8-Cycloalkoxy, C3-C8-Halogencyclo- alkoxy, Ci-C8-Alkylcarbonyl, Ci-C8-Alkylcarbonyloxy, CrC8- Alkoxycarbonyl, Amino, Ci-C8-Alkylamino, Di-Ci-C8-alkylamino;Alkoxy, Ci-C8-haloalkoxy, C3-C8 cycloalkyl, C3-C 8 -Halogencyclo- alkyl, C3-C8 cycloalkenyl, C3-C8 cycloalkoxy, C3-C 8 -Halogencyclo- alkoxy, Ci- C 8 alkylcarbonyl, Ci-C8-alkylcarbonyloxy, CrC 8 - alkoxycarbonyl, amino, Ci-C8-alkylamino, di-Ci-C 8 alkylamino;
wobeiin which
R für Wasserstoff, Ci-C8-Alkyl, Ci-C8-Halogenalkyl, C2-C8-Alkenyl,R is hydrogen, Ci-C 8 alkyl, Ci-C 8 haloalkyl, C 2 -C 8 alkenyl,
C2-C8-Halogenalkenyl, C2-C8-Al kinyl, C2-C8-Halogenalkinyl, C(=O)R3, C(=S)R3, SO2R4 oder CN steht; wobeiC 2 -C 8 -haloalkenyl, C 2 -C 8 -alkynyl, C 2 -C 8 -haloalkynyl, C (= O) R 3 , C (= S) R 3 , SO 2 R 4 or CN; in which
R3 für Wasserstoff, Ci-C8-Alkyl, Ci-C8-Halogenalkyl, Ci-C8-Alkoxy, Ci-C8-Halogenalkoxy oder NA3A4 steht; undR 3 represents hydrogen, Ci-C 8 alkyl, Ci-C8-haloalkyl, Ci-C8-haloalkoxy or NA 3 A 4 represents 8 alkoxy, Ci-C; and
R4 für d-Cs-Alkyl, Phenyl-Ci-C8-alkyl oder Phenyl steht, wobei dieR 4 is d-Cs-alkyl, phenyl-Ci-C 8 -alkyl or phenyl, wherein the
Phenylgruppen jeweils unsubstituiert oder substituiert sind durch eine, zwei oder drei Gruppen unabhängig ausgewählt aus Halogen und Ci-C4-Alkyl;Each phenyl group is unsubstituted or substituted by one, two or three groups independently selected from halogen and C 1 -C 4 alkyl;
wobei A und B wie oben definiert sind; wherein A and B are as defined above;
- eine Gruppe Dil wobei # die Verknüpfungsstelle mit dem Triazolylring ist und Q, R1 und R2 bedeuten:- a group of Dil where # is the point of attachment to the triazolyl ring and Q, R 1 and R 2 are
Q O oder S;Q O or S;
R1, R2 unabhängig voneinander Ci -Ce-Al kyl, d-Cs-Halogenalkyl, d-R 1 , R 2 independently of one another are C 1 -C 6 -alkyl, C 1 -C -haloalkyl, d-
Cs-Alkoxy, Ci-Cs-Alkoxy-d-Cs-Alkoxy, Ci-C8-Halogenalkoxy, Ci-C8- Alkoxy-Ci-C8-alkyl, Ci-C8-Al kyl thio, C2-C8-Alkenylthio, C2-C8-Al kinyl- thio, Cs-Cs-Cycloalkyl, C3-C8-Cycloalkylthio, Phenyl, Phenyl-Ci-C4- alkyl, Phenoxy, Phenylthio, Phenyl-Ci-C4-alkoxy oder NR5R6, wobei R5 H oder d-Cβ-Alkyl bedeutet und R6 für Ci-C8-Alkyl, Phenyl-Ci-C4- alkyl oder Phenyl steht oder R5 und R6 zusammen für eine Alkylen- kette mit vier oder fünf C-Atomen stehen oder einen Rest der Formel -CH2-CH2-O-CH2-CH2- oder -CH2-CH2-NR7-CH2-CH2- bilden, worin R7 Wasserstoff oder Ci-C4-Alkyl bedeutet; wobei die aromatischen Gruppen in den vorgenannten Resten jeweils unabhängig voneinander unsubstituiert oder substituiert sind durch eine, zwei oder drei Gruppen ausgewählt aus Halogen und Ci-C4-Alkyl; oder - eine Gruppe SM, wobei M bedeutet:Cs-alkoxy, Ci-Cs-alkoxy-d-Cs-alkoxy, Ci-C8-haloalkoxy, Ci-C 8 - alkoxy-Ci-C 8 alkyl, Ci-C 8 -alkyl thio, C 2 -C 8- alkenylthio, C 2 -C 8 -alkynylthio, C 5 -C 8 -cycloalkyl, C 3 -C 8 -cycloalkylthio, phenyl, phenyl-C 1 -C 4 -alkyl, phenoxy, phenylthio, phenyl-C 1 -C 4 -cycloalkyl alkoxy or NR 5 R 6 , wherein R 5 is H or C 1 -C 6 -alkyl and R 6 is C 1 -C 8 -alkyl, phenyl-C 1 -C 4 -alkyl or phenyl or R 5 and R 6 together represent an alkylene chain with four or five carbon atoms or form a radical of the formula -CH 2 -CH 2 -O-CH 2 -CH 2 - or -CH 2 -CH 2 -NR 7 -CH 2 -CH 2 -, in which R 7 is hydrogen or C 1 -C 4 -alkyl; wherein the aromatic groups in the aforementioned radicals are each independently unsubstituted or substituted by one, two or three groups selected from halogen and C 1 -C 4 -alkyl; or a group SM, where M means:
M ein Alkalimetallkation, ein Äquivalent eines Erdalkalimetall-Kations, ein Äquivalent eines Kupfer-, Zink-, Eisen- oder Nickel-Kations oder ein Ammonium-Kation der Formel (E) z2 M is an alkali metal cation, one equivalent of an alkaline earth metal cation, one equivalent of a copper, zinc, iron or nickel cation or an ammonium cation of the formula (E) z 2
Z1— N-Z3 (E)Z 1 - NZ 3 (E)
, worinin which
Z1 und Z2 unabhängig Wasserstoff oder CrC8-Alkyl bedeuten; Z3 und Z4 unabhängig Wasserstoff, CrC8-Alkyl, Benzyl oder Phenyl bedeuten; wobei die Phenylgruppen jeweils unsubstituiert sind oder substituiert sind durch eine, zwei oder drei Gruppen unabhängig ausgewählt aus Halogen und Ci-C4-Alkyl;Z 1 and Z 2 are independently hydrogen or C 1 -C 8 alkyl; Z 3 and Z 4 are independently hydrogen, C 1 -C 8 alkyl, benzyl or phenyl; wherein the phenyl groups are each unsubstituted or substituted by one, two or three groups independently selected from halogen and C 1 -C 4 alkyl;
und deren landwirtschaftlich verträglichen Salze.and their agriculturally acceptable salts.
Bevorzugt sind Verbindungen der Formel I, in der die Variable D bedeutet: D - S-R, wobeiPreference is given to compounds of the formula I in which the variable D denotes: D - S-R, where
R für Wasserstoff, Ci-Cs-Alkyl, Ci-C8-Halogenalkyl, C2-C8-Alkenyl,R is hydrogen, Ci-Cs-alkyl, Ci-C 8 haloalkyl, C 2 -C 8 alkenyl,
C2-C8-Halogenalkenyl, C2-C8-Alkinyl, C2-C8-Halogenalkinyl, C(=O)R3, C(=S)R3, SO2R4 oder CN steht; wobeiC 2 -C 8 haloalkenyl, C 2 -C 8 alkynyl, C 2 -C 8 haloalkynyl, C (= O) R 3 , C (= S) R 3 , SO 2 R 4 or CN; in which
R3 für Ci-Cs-Alkyl, Ci-C8-Halogenalkyl, Ci-C8-Alkoxy, CrC8- Halogenalkoxy oder NA3A4 steht; undR 3 is Ci-Cs-alkyl, Ci-C8-haloalkyl, Ci-C8-alkoxy, CrC 8 - represents halogenoalkoxy or NA 3 A 4; and
R4 für d-Cs-Alkyl, Phenyl-Ci-C8-alkyl oder Phenyl steht, wobei dieR 4 is d-Cs-alkyl, phenyl-Ci-C 8 -alkyl or phenyl, wherein the
Phenylgruppen jeweils unsubstituiert oder substituiert sind durch eine, zwei oder drei Gruppen unabhängig ausgewählt aus Halogen und CrC4-AIkVl;Each phenyl group is unsubstituted or substituted by one, two or three groups independently selected from halogen and C 1 -C 4 -alkyl;
- eine Gruppe Dl- a group Dl
wobei A und B wie oben definiert sind; wherein A and B are as defined above;
- eine Gruppe Dil wobei # die Verknüpfungsstelle mit dem Triazolylring ist und Q, R1 und R2 bedeuten: Q O oder S;- a group of Dil where # is the point of attachment to the triazolyl ring and Q, R 1 and R 2 are QO or S;
R1, R2 unabhängig voneinander Ci -Ce-Al kyl, d-Cs-Halogenalkyl, d- Cs-Alkoxy, Ci-Cs-Alkoxy-d-Cs-Alkoxy, Ci-C8-Halogenalkoxy, Ci-C8- Alkoxy-Ci-C8-alkyl, Ci-C8-Al kyl thio, C2-C8-Alkenylthio, C2-C8-Al kinyl- thio, Cs-Cs-Cycloalkyl, C3-C8-Cycloalkylthio, Phenyl, Phenyl-Ci-C4- alkyl, Phenoxy, Phenylthio, Phenyl-Ci-C4-alkoxy oder NR5R6, wobei R5 H oder Ci-C8-Alkyl bedeutet und R6 für Ci-C8-Al kyl, Phenyl-Ci-C4- alkyl oder Phenyl steht oder R5 und R6 zusammen für eine Alkylen- kette mit vier oder fünf C-Atomen stehen oder einen Rest der FormelR 1 , R 2 independently of one another are C 1 -C 6 -alkyl, C 1 -C 5 -haloalkyl, C 1 -C 5 -alkoxy, C 1 -C 5 -alkoxy-C 1 -C 5 -alkoxy, C 1 -C 8 -haloalkoxy, C 1 -C 8 - alkoxy-Ci-C 8 alkyl, Ci-C 8 -alkyl thio, C 2 -C 8 -alkenylthio, C 2 -C 8 -alkyl kinyl- thio, Cs-Cs-cycloalkyl, C 3 -C 8 cycloalkylthio , phenyl, phenyl-Ci-C 4 - alkyl, phenoxy, phenylthio, phenyl-Ci-C4-alkoxy or NR 5 R 6, wherein R 5 is H or Ci-C 8 alkyl and R 6 is C 8 - Al kyl, phenyl-Ci-C 4 - alkyl or phenyl or R 5 and R 6 together represent an alkylene chain having four or five carbon atoms or a radical of the formula
-CH2-CH2-O-CH2-CH2- oder -CH2-CH2-NR7-CH2-CH2- bilden, worin R7 Wasserstoff oder Ci-C4-Alkyl bedeutet; wobei die aromatischen Gruppen in den vorgenannten Resten jeweils unabhängig voneinander unsubstituiert oder substituiert sind durch eine, zwei oder drei Gruppen ausgewählt aus Halogen und Ci-C4-Alkyl; oder - eine Gruppe SM, wobei M bedeutet:-CH 2 -CH 2 -O-CH 2 -CH 2 - or -CH 2 -CH 2 -NR 7 -CH 2 -CH 2 - form, wherein R 7 is hydrogen or Ci-C 4 alkyl; wherein the aromatic groups in the aforementioned radicals are each independently unsubstituted or substituted by one, two or three groups selected from halogen and C 1 -C 4 -alkyl; or a group SM, where M means:
M ein Alkalimetallkation, ein Äquivalent eines Erdalkalimetall-Kations, ein Äquivalent eines Kupfer-, Zink-, Eisen- oder Nickel-Kations oder ein Ammonium-Kation der Formel (E) Z2 M is an alkali metal cation, one equivalent of an alkaline earth metal cation, one equivalent of a copper, zinc, iron or nickel cation or an ammonium cation of the formula (E) Z 2
Z1— N-Z3 (E)Z 1 - NZ 3 (E)
, worinin which
Z1 und Z2 unabhängig Wasserstoff oder Ci-C8-Alkyl bedeuten; Z3 und Z4 unabhängig Wasserstoff, Ci-C8-Alkyl, Benzyl oder Phenyl bedeuten; wobei die Phenylgruppen jeweils unsubstituiert sind oder substituiert sind durch eine, zwei oder drei Gruppen unabhängig ausgewählt aus Halogen und Ci-C4-Alkyl; und worin die restlichen Substituenten die oben definierte Bedeutung haben.Z 1 and Z 2 are independently hydrogen or C 1 -C 8 -alkyl; Z 3 and Z 4 are independently hydrogen, C 1 -C 8 alkyl, benzyl or phenyl; wherein the phenyl groups are each unsubstituted or substituted by one, two or three groups independently selected from halogen and C 1 -C 4 alkyl; and wherein the remaining substituents are as defined above.
Die Verbindungen der Formel I können in der "Thiol"-Form der Formel Ia oder in der "Thiono"-Form deThe compounds of formula I can in the "thiol" form of the formula Ia or in the "Thiono" form de
!a Ib worin D* bedeutet: ! a Ib wherein D * means:
- R, wobei R die oben definierte Bedeutung hat;R, wherein R has the meaning defined above;
- eine Gruppe Dil* wobei # die Verknüpfungsstelle mit dem Schwefelatom in Formel Ia bzw. Azo- lylring in Formel Ib ist und Q, R1 und R2 die oben definierte Bedeutung haben; oder- a group of dil * where # is the point of attachment with the sulfur atom in formula Ia or azolyl ring in formula Ib and Q, R 1 and R 2 have the meaning defined above; or
- eine Gruppe M, wobei M die oben definierte Bedeutung hat, und worin die restlichen Substituenten die oben definierte Bedeutung haben.- a group M, wherein M has the meaning defined above, and wherein the remaining substituents have the meaning defined above.
Der Einfachheit halber wird hier in der Regel jeweils nur die "Thiol"-Form aufgeführt.For the sake of simplicity, only the "thiol" form is usually listed here in each case.
Weiterhin betrifft die Erfindung die Herstellung der Verbindungen I, die Zwischenprodukte zur Herstellung der Verbindungen I und deren Herstellung sowie die Verwen- düng der erfindungsgemäßen Verbindungen zur Bekämpfung von pflanzenpathogenen Pilzen und sie enthaltende Mittel.Furthermore, the invention relates to the preparation of the compounds I, the intermediates for the preparation of the compounds I and their preparation and the use düng of the compounds of the invention for combating phytopathogenic fungi and agents containing them.
Es sind Triazolylmethyloxirane mit substituierter Triazolgruppe z.B. aus WO 96/38440, WO 97/41 107, WO 97/42178, WO 97/43269, WO 97/44331 , WO 97/443332, WO 99/05149 und WO 99/21853 bekannt. Ferner sind Azolylmethyloxirane aus EP 0330132, EP 0421 125, EP 0388871 bekannt.Triazolylmethyloxiranes having substituted triazole group e.g. from WO 96/38440, WO 97/41 107, WO 97/42178, WO 97/43269, WO 97/44331, WO 97/443332, WO 99/05149 and WO 99/21853. Furthermore, azolylmethyloxiranes are known from EP 0330132, EP 0421 125, EP 0388871.
Die fungizide Wirkung der aus dem Stand der Technik bekannten Verbindungen lässt insbesondere bei niedrigen Aufwandmengen in manchen Fällen jedoch zu Wünschen übrig. Der vorliegenden Erfindung lag daher die Aufgabe zugrunde, neue Verbindungen bereitzustellen, welche vorzugsweise verbesserte Eigenschaften wie eine bessere fungizide Wirkung und/oder bessere toxikologische Eigenschaften aufweisen. Diese Aufgabe wurde überraschenderweise mit den hierin beschriebenen Verbindungen der Formel I gelöst.The fungicidal action of the compounds known from the prior art, however, leaves something to be desired, in particular at low application rates in some cases. It is an object of the present invention to provide novel compounds which preferably have improved properties, such as a better fungicidal action and / or better toxicological properties. This object has surprisingly been achieved with the compounds of the formula I described herein.
Die Verbindungen I sind wegen des basischen Charakters der in ihnen enthaltenen Stickstoffatome in der Lage, mit anorganischen oder organischen Säuren oder mit Metallionen Salze oder Addukte zu bilden. Dies trifft ebenso auf die meisten der hierin beschriebenen Vorstufen für Verbindungen I zu, wovon die Salze und Addukte eben- falls Gegenstand der vorliegenedn Erfindung sind.The compounds I are able to form salts or adducts with inorganic or organic acids or with metal ions because of the basic character of the nitrogen atoms contained in them. This also applies to most of the precursors for compounds I described herein, the salts and adducts of which are also subject of the present invention.
Beispiele für anorganische Säuren sind Halogenwasserstoffsäuren wie Fluorwasserstoff, Chlorwasserstoff, Bromwasserstoff und Jodwasserstoff, Kohlensäure, Schwefelsäure, Phosphorsäure und Salpetersäure. Als organische Säuren kommen beispielsweise Ameisensäure und Alkansäuren wie Essigsäure, Trifluoressigsäure, Trichloressigsäure und Propionsäure sowie Glycolsäu- re, Thiocyansäure, Milchsäure, Bernsteinsäure, Zitronensäure, Benzoesäure und andere Arylcarbonsäuren, Zimtsäure, Oxalsäure, Alkylsulfonsäuren (Sulfonsäuren mit ge- radkettigen oder verzweigten Alkylresten mit 1 bis 20 Kohlenstoffatomen), Arylsulfon- säuren oder -disulfonsäuren (aromatische Reste wie Phenyl und Naphthyl, welche eine oder zwei Sulfonsäuregruppen tragen), Alkylphosphonsäuren (Phosphonsäuren mit geradkettigen oder verzweigten Alkylresten mit 1 bis 20 Kohlenstoffatomen), A- rylphosphonsäuren oder -diphosphonsäuren (aromatische Reste wie Phenyl und Naphthyl, welche eine oder zwei Phosphorsäurereste tragen), wobei die Alkyl- bzw. Arylreste weitere Substituenten tragen können, z.B. p-Toluolsulfonsäure, Salizylsäure, p-Aminosalizylsäure, 2-Phenoxybenzoesäure, 2-Acetoxybenzoesäure etc.Examples of inorganic acids are hydrohalic acids such as hydrogen fluoride, hydrogen chloride, hydrogen bromide and hydrogen iodide, carbonic acid, sulfuric acid, phosphoric acid and nitric acid. Suitable organic acids are, for example, formic acid and alkanoic acids, such as acetic acid, trifluoroacetic acid, trichloroacetic acid and propionic acid, and also glycolic acid, thiocyanic acid, lactic acid, succinic acid, citric acid, benzoic acid and other arylcarboxylic acids, cinnamic acid, oxalic acid, alkylsulfonic acids (sulfonic acids with straight-chain or branched alkyl radicals with 1 to 20 carbon atoms), arylsulfonic acids or disulfonic acids (aromatic radicals such as phenyl and naphthyl which carry one or two sulfonic acid groups), alkylphosphonic acids (phosphonic acids having straight-chain or branched alkyl radicals having 1 to 20 carbon atoms), arylphosphonic acids or diphosphonic acids (aromatic Radicals such as phenyl and naphthyl which carry one or two phosphoric acid radicals), where the alkyl or aryl radicals may carry further substituents, for example p-toluenesulfonic acid, salicylic acid, p-aminosalicylic acid, 2-phenoxybenzoic acid, 2-acetoxybenzoic acid, etc.
Als Metallionen kommen insbesondere die Ionen der Elemente der zweiten Haupt- gruppe, insbesondere Calzium und Magnesium, der dritten und vierten Hauptgruppe, insbesondere Aluminium, Zinn und Blei, sowie der ersten bis achten Nebengruppe, insbesondere Chrom, Mangan, Eisen, Kobalt, Nickel, Kupfer, Zink und andere in Betracht. Besonders bevorzugt sind die Metallionen der Elemente der Nebengruppen der vierten Periode. Die Metalle können dabei in den verschiedenen ihnen zukommenden Wertigkeiten vorliegen.The metal ions are, in particular, the ions of the elements of the second main group, in particular calcium and magnesium, the third and fourth main groups, in particular aluminum, tin and lead, and the first to eighth transition groups, in particular chromium, manganese, iron, cobalt, nickel, Copper, zinc and others into consideration. Particularly preferred are the metal ions of the elements of the subgroups of the fourth period. The metals can be present in the various valences that belong to them.
Die erfindungsgemäßen Verbindungen der Formel I können auf verschiedenen Wegen in Analogie zu an sich bekannten Verfahren des Standes der Technik (siehe z.B. den eingangs zitierten Stand der Technik und Pflanzenschutz-Nachrichten Bayer 57/2004, 2, Seiten 145-162) hergestellt werden. Beispielsweise können die erfindungsgemäßen Verbindungen nach den in den folgenden Schemata dargestellten Synthesen hergestellt werden.The compounds of the formula I according to the invention can be prepared in various ways in analogy to prior art processes known per se (see, for example, the cited prior art and Pflanzenschutz-Nachrichten Bayer 57/2004, 2, pages 145-162). For example, the compounds of the invention can be prepared by the syntheses shown in the following Schemes.
Die erfindungsgemäßen Verbindungen können vorteilhaft ausgehend von Verbindun- gen der Formel IlThe compounds according to the invention can advantageously be prepared starting from compounds of the formula II
worin A und B wie hierin beschrieben definiert sind, durch Umsetzung mit einer starken Base und Schwefelpulver hergestellt werden. Dabei entstehen Verbindungen der Formel I, worin D SH bedeutet (Verbindungen 1-1 ): wherein A and B are defined as described herein by reaction with a strong base and sulfur powder. Compounds of the formula I are formed in which D is SH (compounds 1-1):
Die Erfindung umfasst daher auch ein Verfahren zur Herstellung von erfindungsgemäßen Verbindungen der Formel I, worin D für SR steht mit R = Wasserstoff, Ci-C8-HaIo- genalkyl, C2-C8-Alkenyl, C2-C8-Halogenalkenyl, C2-C8-Alkinyl oder C2-C8- Halogenalkinyl, umfassend den SchrittThe invention therefore also encompasses a process for the preparation of compounds of the formula I according to the invention in which D is SR with R = hydrogen, C 1 -C 8 -haloalkyl, C 2 -C 8 -alkenyl, C 2 -C 8 -haloalkenyl, C 2 - C 8 alkynyl or C 2 -C 8 haloalkynyl comprising the step
(a5) Umsetzen einer Verbindung der Formel II, worin A und B wie für Formel I definiert oder bevorzugt definiert sind, mit einer starken Base und Schwefelpulver, um eine Verbindung 1-1 wie hier definiert zu erhalten; und, um Verbindungen I zu erhalten, worin D für SR steht, wobei R d-Cs-Halogenalkyl, C2- Cs-Alkenyl, C2-C8-Halogenalkenyl, C2-C8-Alkinyl oder C2-C8-Halogenalkinyl bedeutet,(a5) reacting a compound of formula II wherein A and B are as defined or preferably defined for formula I with a strong base and sulfur powder to obtain a compound 1-1 as defined herein; and in order to obtain compounds I in which D stands for SR, where R d-Cs-haloalkyl, C 2 - Cs alkenyl, C2-C8 haloalkenyl, C 2 -C 8 alkynyl, or C2-C8-haloalkynyl,
(b5) Umsetzen von Verbindungen 1-1 mit R-X, wobei X für Halogen oder Trifluor(Ci- C8)alkylsulfonat steht.(b5) reacting compounds 1-1 with R-X, wherein X is halogen or trifluoro (Ci- C8) alkylsulfonate.
Die Erfindung umfasst daher auch ein Verfahren zur Herstellung von erfindungsgemäßen Verbindungen der Formel I, worin D für SR steht mit R = Wasserstoff, d-Cs-Alkyl, Ci-Cβ-Halogenalkyl, C2-C8-Al kenyl, C2-C8-Halogenalkenyl, C2-C8-Alkinyl oder C2-C8- Halogenalkinyl, umfassend den Schritt (a5) Umsetzen einer Verbindung der Formel II, worin A und B wie für Formel I definiert oder bevorzugt definiert sind, mit einer starken Base und Schwefelpulver, um eine Verbindung 1-1 wie hier definiert zu erhalten; und, um Verbindungen I zu erhalten, worin D für SR steht, wobei R Ci -Ce-Al kyl, Ci-C8-HaIo- genalkyl, C2-C8-Al kenyl, C2-C8-Halogenalkenyl, C2-C8-Alkinyl oder C2-C8-Halogenalkinyl bedeutet,The invention therefore also encompasses a process for the preparation of compounds of the formula I according to the invention in which D is SR where R = hydrogen, C 1 -C 8 -alkyl, C 1 -C 6 -haloalkyl, C 2 -C 8 -alkynyl, C 2 - C 8 haloalkenyl, C 2 -C 8 alkynyl or C 2 -C 8 haloalkynyl, comprising the step of (a5) reacting a compound of formula II, wherein A and B are as defined or preferably defined for formula I, with a strong base and sulfur powder to obtain a compound 1-1 as defined herein; and, to obtain compounds I wherein D is SR, wherein R is Ci -Ce-Al kyl, Ci-C 8 -HaIo- genalkyl, C 2 -C 8 -alkenyl, C 2 -C 8 haloalkenyl, C C 2 -C 8 -alkynyl or C 2 -C 8 -haloalkynyl,
(b5) Umsetzen von Verbindungen 1-1 mit R-X, wobei X für Halogen oder Trifluor(Ci- C8)alkylsulfonat steht.(b5) reaction of compounds 1-1 with RX, where X is halogen or trifluoro (CI-C8) is alkylsulfonate.
Als Basen kommen alle dem Fachmann für derartige Reaktionen bekannten geeigneten Basen in Frage. Vorzugsweise werden starke Alkalimetall-Basen, wie beispielsweise n-Butyllithium, Lithiumdiisopropylamid, Natriumhydrid, Natriumamid oder Kalium- tert-butanolat verwendet. Es kann bevorzugt sein, die Reaktion in Gegenwart eines Additivs, wie z.B. Tetramethylethylendiamin (TMEDA), durchzuführen.Suitable bases are all suitable bases known to those skilled in the art for such reactions. Preferably, strong alkali metal bases such as n-butyl lithium, lithium diisopropylamide, sodium hydride, sodium amide or potassium tert-butoxide are used. It may be preferred to react in the presence of an additive such as e.g. Tetramethylethylenediamine (TMEDA) to perform.
Als Lösungsmittel kommen alle für solche Umsetzungen üblichen inerten organischen Lösungsmittel in Betracht, wobei vorzugsweise Ether wie Tetrahydrofuran, Dioxan, Diethylether und 1 ,2-Dimethoxyethan oder flüssiger Ammoniak oder stark polare Lösungsmittel wie Dimethylsulfoxid verwendet werden können.Suitable solvents are all inert organic solvents which are customary for such reactions, preferably ethers, such as tetrahydrofuran, dioxane, Diethyl ether and 1, 2-dimethoxyethane or liquid ammonia or strongly polar solvents such as dimethyl sulfoxide can be used.
Schwefel wird vorzugsweise als Pulver eingesetzt. Zur Hydrolyse verwendet man Wasser, gegebenenfalls in Gegenwart einer organischen oder anorganischen Säure wie z.B. Essigsäure, verdünnte Schwefelsäure oder verdünnte Salzsäure.Sulfur is preferably used as a powder. Hydrolysis is carried out using water, optionally in the presence of an organic or inorganic acid, e.g. Acetic acid, dilute sulfuric acid or dilute hydrochloric acid.
Die Reaktionstemperatur beträgt vorzugsweise zwischen -700C und +200C, insbesondere zwischen -70°C und 00C. Die Reaktion wird im Allgemeinen unter Normaldruck durchgeführt.The reaction temperature is preferably between -70 0 C and + 20 0 C, in particular between -70 ° C and 0 0 C. The reaction is generally carried out under atmospheric pressure.
Es werden im Allgemeinen auf 1 Mol der Verbindung der Formel Il 1 bis 3 Äquivalente, vorzugsweise 1 bis 2,5 Äquivalente, an starker Base und anschließend eine äquivalente Menge oder ein Überschuß an Schwefel eingesetzt. Die Reaktion kann unter Schutzgasatmosphäre, wie z.B. unter Stickstoff oder Argon, durchgeführt werden. Die Aufarbeitung erfolgt nach dem Fachmann allgemein bekannten Vorgehensweisen. Üblicherweise wird das Reaktionsgemisch mit einem geeigneten organischen Lösungsmittel extrahiert und der Rückstand gegebenenfalls durch Umkristallisation und/oder Chromatographie aufgereinigt.In general, 1 to 3 equivalents, preferably 1 to 2.5 equivalents, of strong base and then an equivalent amount or an excess of sulfur are used per mole of the compound of the formula II. The reaction may be carried out under a protective gas atmosphere, e.g. under nitrogen or argon. The workup is carried out according to methods generally known to the person skilled in the art. Usually, the reaction mixture is extracted with a suitable organic solvent and the residue is optionally purified by recrystallization and / or chromatography.
Es ist auch möglich, Verbindungen I durch direkte Umsetzung mit Schwefel, vorzugsweise Schwefelpulver, ohne die Verwendung einer starken Base wie Butyllithium, herzustellen.It is also possible to prepare compounds I by direct reaction with sulfur, preferably sulfur powder, without the use of a strong base such as butyllithium.
Eine weitere Möglichkeit, ausgehend von Verbindungen Il erfindungsgemäße Verbindungen I herzustellen ist, Verbindungen Il mit Schwefel in Gegenwart eines aproti- schen, polaren Lösungsmittels, wie z.B. einem Amid (wie Dimethylformamid (DMF)) oder N-Alkylpyrrolidon (wie N-Octylpyrrolidon, N-Dodecylpyrrolidon oder N- Methylpyrrolidon (NMP)) umzusetzen. Siehe auch WO 99/19307, WO 97/06151 , WO 97/051 19 und WO 96/41804.Another possibility, starting from compounds II to prepare compounds I according to the invention, is to prepare compounds II with sulfur in the presence of an aprotic, polar solvent, e.g. an amide (such as dimethylformamide (DMF)) or N-alkylpyrrolidone (such as N-octylpyrrolidone, N-dodecylpyrrolidone or N-methylpyrrolidone (NMP)) implement. See also WO 99/19307, WO 97/06151, WO 97/051 19 and WO 96/41804.
Die Reaktion wird in der Regel bei Temperaturen im Bereich von 140°C bis 160°C durchgeführt. Die Reaktionskomponenten werden üblicherweise in solchen Mengen eingesetzt, dass auf 1 Mol der Verbindung Il etwa 6 bis 15 Mol Schwefel verwendet werden. Schwefel wird in der Regel in Form von Pulver eingesetzt. Während der Umsetzung wird Luft über das Reaktionsgemisch geleitet.The reaction is usually carried out at temperatures in the range of 140 ° C to 160 ° C. The reaction components are usually employed in amounts such that about 1 to 6 moles of sulfur are used per mole of compound II. Sulfur is usually used in the form of powder. During the reaction, air is passed over the reaction mixture.
Die erfindungsgemäßen Verbindungen können außerdem vorteilhaft ausgehend von Verbindungen der Formel Il durch Umsetzung mit Disulfiden oder Dirhodan hergestellt werden: The compounds according to the invention can also be prepared advantageously starting from compounds of the formula II by reaction with disulphides or dirhodane:
Il I-2 worin A und B wie hierin beschrieben definiert sind, und R Ci -Ce-Al kyl, Ci-Cs- Halogenalkyl, C2-C8-Alkenyl, C2-C8-Halogenalkenyl, C2-Cs-Alkinyl, C2-C8- Halogenalkinyl oder CN bedeuten kann.II-2 wherein A and B are defined as described herein, and R Ci is -Ce-alkyl, Ci-Cs haloalkyl, C2-C8 alkenyl, C2-C8 haloalkenyl, C2-Cs alkynyl, C2-C8 - Haloalkynyl or CN can mean.
Als Basen kommen alle dem Fachmann für derartige Reaktionen bekannten geeigneten Basen in Frage. Vorzugsweise werden starke Alkalimetall-Basen, wie beispielsweise n-Butyllithium, Lithiumdiisopropylamid, Natriumhydrid, Natriumamid oder Kalium- tert-butanolat verwendet. Es kann bevorzugt sein, die Reaktion in Gegenwart eines Additivs, wie z.B. Tetramethylethylendiamin (TMEDA), durchzuführen.Suitable bases are all suitable bases known to those skilled in the art for such reactions. Preferably, strong alkali metal bases such as n-butyl lithium, lithium diisopropylamide, sodium hydride, sodium amide or potassium tert-butoxide are used. It may be preferred to react in the presence of an additive such as e.g. Tetramethylethylenediamine (TMEDA) to perform.
Die Disulfide sind käuflich erhältlich oder nach bekannten Herstellverfahren synthetisierbar. Ein spezielles Disulfid ist das Dirhodan NC-S-S-CN.The disulfides are commercially available or synthesized by known manufacturing methods. A special disulfide is the Dirhodan NC-S-S-CN.
Als Lösungsmittel kommen alle für solche Umsetzungen üblichen inerten organischen Lösungsmittel in Betracht, wobei vorzugsweise Ether wie Tetrahydrofuran, Dioxan, Diethylether und 1 ,2-Dimethoxyethan oder flüssiger Ammoniak oder stark polare Lösungsmittel wie Dimethylsulfoxid verwendet werden können.Suitable solvents are all inert organic solvents which are customary for such reactions, ethers such as tetrahydrofuran, dioxane, diethyl ether and 1, 2-dimethoxyethane or liquid ammonia or strongly polar solvents such as dimethyl sulfoxide preferably being usable.
Die Reaktionstemperatur beträgt vorzugsweise zwischen -700C und +200C, insbesondere zwischen -70°C und 00C. Die Reaktion wird im Allgemeinen unter Normaldruck durchgeführt. Es werden im Allgemeinen auf 1 Mol der Verbindung der Formel Il 1 bis 3 Äquivalente, vorzugsweise 1 bis 2,5 Äquivalente, an starker Base und anschließend eine äquivalente Menge oder ein Überschuß an Disulfid eingesetzt. Die Reaktion kann unter Schutzgasatmosphäre, wie z.B. unter Stickstoff oder Argon, durchgeführt werden. Die Aufarbeitung erfolgt nach dem Fachmann allgemein bekannten Vorgehensweisen. UbIi- cherweise wird das Reaktionsgemisch mit einem geeigneten organischen Lösungsmittel extrahiert und der Rückstand gegebenenfalls durch Umkristallisation und/oder Chromatographie aufgereinigt.The reaction temperature is preferably between -70 0 C and + 20 0 C, in particular between -70 ° C and 0 0 C. The reaction is generally carried out under atmospheric pressure. In general, 1 to 3 equivalents, preferably 1 to 2.5 equivalents, of strong base and then an equivalent amount or an excess of disulfide are used per mole of the compound of the formula II. The reaction can be carried out under a protective gas atmosphere, for example under nitrogen or argon. The workup is carried out according to methods generally known to the person skilled in the art. Usually, the reaction mixture is extracted with a suitable organic solvent and the residue is optionally purified by recrystallization and / or chromatography.
Durch weitere Umsetzung von Verbindungen 1-1 mit R-X, wobei R wie hierin an ande- rer Stelle definiert ist und X für eine Abgangsgruppe steht wie z.B. Halogen, wie Cl, Br oder I, oder Trifluor-Ci-Cβ-alkylsulfonat, können verschiedene erfindungsgemäße Verbindungen der Formel I hergestellt werden. Zur Herstellung von Verbindungen mit D = SR mit R= Ci -Ce-Al kyl, vorzugsweise Ci-C4-Alkyl, vorzugsweise Methyl oder Ethyl, wird eine Verbindung 1-1 mit dem entsprechenden Alkylhalogenid umgesetzt (siehe auch WO 96/38440). Verbindungen der Formel I, worin D für S-C(=O)NA3A4 steht, können in Analogie zu dem in WO 99/21853 beschriebenen Verfahren synthetisiert werden.By further reacting compounds 1-1 with RX, wherein R is defined elsewhere herein and X is a leaving group such as halogen, such as Cl, Br or I, or trifluoro-Ci-Cβ-alkyl sulfonate, various Compounds according to the invention of formula I are prepared. For the preparation of compounds with D = SR with R = Ci -Ce-Al alkyl, preferably Ci-C4-alkyl, preferably methyl or ethyl, a compound 1-1 is reacted with the corresponding alkyl halide (see also WO 96/38440). Compounds of the formula I in which D is SC (OO) NA 3 A 4 can be synthesized in analogy to the process described in WO 99/21853.
Verbindungen der Formel I, worin D für eine Gruppe Dil steht, können in Analogie zu dem in WO 99/05149 beschriebenen Verfahren synthetisiert werden.Compounds of the formula I in which D is a group Dil can be synthesized in analogy to the process described in WO 99/05149.
Verbindungen der Formel I, worin D für S-SO2R4 steht, können in Analogie zu dem in WO 97/44332 beschriebenen Verfahren synthetisiert werden.Compounds of the formula I in which D is S-SO 2 R 4 can be synthesized in analogy to the process described in WO 97/44332.
Verbindungen der Formel I, worin D für S-CN steht, können in Analogie zu dem in WO 99/44331 beschriebenen Verfahren synthetisiert werden.Compounds of the formula I in which D is S-CN can be synthesized in analogy to the process described in WO 99/44331.
Verbindungen der Formel I, worin D für eine Gruppe Dl steht, können in Analogie zu dem in WO 97/43269 beschriebenen Verfahren synthetisiert werden.Compounds of the formula I in which D is a group D1 can be synthesized in analogy to the process described in WO 97/43269.
Verbindungen der Formel I, worin D für eine Gruppe S-C(=O)R3 mit R3= Ci -Ce-Al kyl, Ci-Cδ-Halogenalkyl, Ci-Cs-Alkoxy oder Ci-Cs-Halogenalkoxy, steht, können in Analogie zu dem in WO 97/42178 beschriebenen Verfahren synthetisiert werden.Compounds of the formula I in which D is a group SC (OO) R 3 where R 3 CiC 1 -C -alkyl, C 1 -C 6 -haloalkyl, C 1 -C -alkoxy or C 1 -C -haloalkoxy, can be mentioned in Analogous to the method described in WO 97/42178 be synthesized.
Verbindungen der Formel I, worin D für eine Gruppe SM steht, können in Analogie zu dem in WO 97/41 107 beschriebenen Verfahren synthetisiert werden.Compounds of the formula I in which D is a group SM can be synthesized in analogy to the process described in WO 97/41 107.
Die Synthese der Verbindungen der Formel Il kann in Anlehnung an den eingangs zitierten Stand der Technik erfolgen. Verbindungen der Formel Il und deren Herstellung werden außerdem teilweise in den internationalen Patentanmeldungen PCT/EP2007/055932, PCT/EP2007/055870, PCT/EP2007/056124, PCT/EP2007/056403, PCT/EP2007/056306, PCT/EP2007/057404 und PCT/EP2007/057353 beschrieben.The synthesis of the compounds of the formula II can be carried out on the basis of the cited prior art. Compounds of formula II and their preparation are also described in part in international patent applications PCT / EP2007 / 055932, PCT / EP2007 / 055870, PCT / EP2007 / 056124, PCT / EP2007 / 056403, PCT / EP2007 / 056306, PCT / EP2007 / 057404 and PCT / EP2007 / 057353.
Verbindungen der Formel Il sind teilweise neu und diese und ihre landwirtschaftlich verträglichen Salze und Addukte sind ebenfalls Gegenstand der vorliegenden Erfindung. Die vorliegende Erfindung bezieht sich daher auch auf Verbindungen der Formel II, worin A und B bedeuten:Some of the compounds of the formula II are novel and these and their agriculturally acceptable salts and adducts are likewise provided by the present invention. The present invention therefore also relates to compounds of the formula II in which A and B are
A oder B drei-, vier-, fünf-, sechs-, sieben-, acht-, neun- oder zehngliedriger gesättigter oder teilweise ungesättigter Heterocyclus oder fünf-, sechs-, sieben-, acht-, neun- oder zehngliedriger aromatischer Heterocyclus, wobei der Heterocyclus jeweils ein, zwei, drei oder vier Heteroatome aus der Gruppe O, N und S enthält und wobei der gesättigte und teilweise ungesättigte Hete- rocyclus unsubstituiert oder unabhängig durch ein, zwei, drei oder vier L substituiert ist, und wobei der aromatische Heterocyclus eine, zwei, drei oder vier gleiche oder verschiedene Gruppen L enthält; die jeweils andere Variable B oder A: drei-, vier-, fünf-, sechs-, sieben-, acht-, neun- oder zehngliedriger gesättigter oder teilweise ungesättigter Heterocyclus, fünf-, sechs-, sieben-, acht-, neun- oder zehngliedriger aromatischer Hete- rocyclus, wobei der Heterocyclus jeweils ein, zwei, drei oder vier Hetero- atome aus der Gruppe O, N und S enthält, Ci -Ce-Al kyl, d-Cs-Halogenalkyl, C2-C8-Alkenyl, C2-C8-Halogenalkenyl, C2-Cs-Alkinyl, C2-C8-Halogenalkinyl, Cs-Cs-Cycloalkyl oder Cs-Cs-Halogencycloalkyl, wobei diese andere Variable B oder A jeweils unsubstituiert oder durch eine, zwei, drei oder vier Gruppen L substituiert ist;A or B represents a tri-, tetra-, penta-, hexa-, si-, e-, n- or ten-membered saturated or partially unsaturated heterocycle or five-, six-, seven-, eight-, nine- or ten-membered aromatic heterocycle, wherein the heterocycle each contains one, two, three or four heteroatoms from the group O, N and S and wherein the saturated and partially unsaturated heterocycle is unsubstituted or independently substituted by one, two, three or four L, and wherein the aromatic Heterocycle contains one, two, three or four identical or different groups L; the other variable B or A: three-, four-, five-, six-, seven-, eight-, nine- or ten-membered saturated or partially unsaturated heterocycle, five, six, seven, eight, nine or a ten-membered aromatic heterocycle, the heterocycle containing in each case one, two, three or four heteroatoms from the group consisting of O, N and S, C 1 -C 6 -alkyl, C 1 -C 12 -haloalkyl, C 2 -C 8 -alkenyl, C 2 -C 8 haloalkenyl, C 2 -C 8 alkynyl, C 2 -C 8 haloalkynyl, C 3 -C 8 cycloalkyl or C 5 -C 8 halocycloalkyl, where this other variable B or A is unsubstituted or denoted by one, two, three or four groups L is substituted;
wobei Verbindungen der Formel II, worin A oder B ausgewählt ist aus 2-Chlorpyridin-4- yl, 3-Chlorpyridin-4-yl, 2,6-Dichlorpyridin-4-yl, 3,5-Dichlorpyridin-4-yl, 3,6-Dichlor- pyridin-4-yl, 2-Fluorpyridin-4-yl, 3-Fluorpyridin-4-yl, 2-Chlorpyridin-3-yl, 4-Chlorpyridin- 3-yl, 5-Chlorpyridin-3-yl, 6-Chlorpyridin-3-yl, 2,4-Dichlorpyridin-3-yl, 2,5-Dichlorpyridin- 3-yl, 2,6-Dichlorpyridin-3-yl, 2-Fluorpyridin-3-yl, 4-Fluorpyridin-3-yl, 5-Fluorpyridin-3-yl, 6-Fluorpyridin-3-yl, 3-Chlorpyridin-2-yl, 4-Chlorpyridin-2-yl, 5-Chlorpyridin-2-yl, 6-Chlor- pyridin-2-yl, 3-Fluorpyridin-2-yl, 4-Fluorpyridin-2-yl, 5-Fluorpyridin-2-yl, 6-Fluorpyridin-2- yl, 2-Methylpyridin-4-yl, 3-Methylpyridin-4-yl, 2-Methylpyridin-3-yl, 4-Methylpyridin-3-yl, 5-Methylpyridin-3-yl, 6-Methylpyridin-3-yl, 3-Methylpyridin-2-yl, 4-Methylpyridin-2-yl, 5- Methylpyridin-2-yl, 6-Methylpyridin-2-yl, 2-Methoxypyridin-4-yl, 3-Methoxypyridin-4-yl, 2-Methoxypyridin-3-yl, 4-Methoxypyridin-3-yl, 5-Methoxypyridin-3-yl, 6-Methoxypyridin- 3-yl, 3-Methoxypyridin-2-yl, 4-Methoxypyridin-2-yl, 5-Methoxypyridin-2-yl, 6-Methoxy- pyridin-2-yl, 6-Chlorpyrimidin-3-yl, 6-Methylpyrimidin-3-yl, 6-Methoxypyrimidin-3-yl, 2,4- Dichlorpyrimidin-3-yl, 2,6-Dichlorpyrimidin-3-yl, 2,4-Difluorpyrimidin-3-yl, 2,6-Difluor- pyrimidin-3-yl, 2-Chlorthien-3-yl, 4-Chlorthien-3-yl, 5-Chlorthien-3-yl, 2,5-Dichlorthien-3- yl, 2,4,5-Trichlorthien-3-yl, 2-Bromthien-3-yl, 4-Bromthien-3-yl, 5-Bromthien-3-yl, 2,5- Dibromthien-3-yl, 2,4,5-Tribromthien-3-yl, 3-Brom-fur-2-yl, 4-Bromfur-2-yl, 5-Bromfur-2- yl, 4,5-Dibromfur-2-yl, 4-Chlorfur-2-yl, 5-Chlorfur-2-yl, 3,4-Dichlorfur-2-yl, 2-Chlorthia- zol-5-yl, 4-Chlorthiazol-5-yl, 2,4-Dichlorthiazol-5-yl, 2-Bromthiazol-5-yl, 2-Chlorthiazol- 4-yl, 2-Bromthiazol-4-yl, 1-Methylpyrazol-4-yl, 1 ,3-Dimethylpyrazol-4-yl, 1 ,5-Dimethyl- pyrazol-4-yl, 1 ,3,5-Trimethylpyrazol-4-yl, 1-Methylpyrazol-3-yl, 1-Methylimidazol-4-yl, 1 ,5-Dimethylimidazol-4-yl, 1-Methylpyrazol-5-yl, 1 ,2-Dimethylimidazol-5-yl und 1 ,4- Dimethylimidazol-5-yl, und die jeweils andere Variable B oder A für unsubstituiertes 2- Pyridinyl, 3-Pyridinyl, 4-Pyridinyl, 4-Pyridinyl, 2-Thienyl, 3-Thienyl, Thiazol-4-yl, Thiazol- 5-yl, Oxazol-4-yl, Oxazol-5-yl oder 2-Furyl steht, ausgenommen sind.wherein compounds of formula II wherein A or B is selected from 2-chloropyridin-4-yl, 3-chloropyridin-4-yl, 2,6-dichloropyridin-4-yl, 3,5-dichloropyridin-4-yl, 3 , 6-dichloropyridin-4-yl, 2-fluoropyridin-4-yl, 3-fluoropyridin-4-yl, 2-chloropyridin-3-yl, 4-chloropyridin-3-yl, 5-chloropyridin-3-yl , 6-Chloropyridin-3-yl, 2,4-dichloropyridin-3-yl, 2,5-dichloropyridin-3-yl, 2,6-dichloropyridin-3-yl, 2-fluoropyridin-3-yl, 4-fluoropyridine 3-yl, 5-fluoropyridin-3-yl, 6-fluoropyridin-3-yl, 3-chloropyridin-2-yl, 4-chloropyridin-2-yl, 5-chloropyridin-2-yl, 6-chloropyridine -2-yl, 3-fluoropyridin-2-yl, 4-fluoropyridin-2-yl, 5-fluoropyridin-2-yl, 6-fluoropyridin-2-yl, 2-methylpyridin-4-yl, 3-methylpyridine-4 -yl, 2-methylpyridin-3-yl, 4-methylpyridin-3-yl, 5-methylpyridin-3-yl, 6-methylpyridin-3-yl, 3-methylpyridin-2-yl, 4-methylpyridin-2-yl , 5-Methylpyridin-2-yl, 6-methylpyridin-2-yl, 2-methoxypyridin-4-yl, 3-methoxypyridin-4-yl, 2-methoxypyridin-3-yl, 4-methoxypyridin-3-yl, 5 -Methoxypyridin-3-yl, 6-methoxypyridine 3-yl, 3-methoxypyridin-2-yl, 4-methoxypyridin-2-yl, 5-methoxypyridin-2-yl, 6-methoxypyridin-2-yl, 6-chloropyrimidin-3-yl, 6-methylpyrimidine 3-yl, 6-methoxypyrimidin-3-yl, 2,4-dichloropyrimidin-3-yl, 2,6-dichloropyrimidin-3-yl, 2,4-difluoropyrimidin-3-yl, 2,6-difluoropyrimidine 3-yl, 2-chlorothien-3-yl, 4-chlorothien-3-yl, 5-chlorothien-3-yl, 2,5-dichlorothien-3-yl, 2,4,5-trichlorothien-3-yl, 2-bromothien-3-yl, 4-bromothien-3-yl, 5-bromothien-3-yl, 2,5-dibromothien-3-yl, 2,4,5-tribromothien-3-yl, 3-bromo- fur-2-yl, 4-bromo-fur-2-yl, 5-bromo-fur-2-yl, 4,5-dibromo-fur-2-yl, 4-chlorofur-2-yl, 5-chlorofur-2-yl, 3 4-Dichlorofur-2-yl, 2-chlorothiazol-5-yl, 4-chlorothiazol-5-yl, 2,4-dichlorothiazol-5-yl, 2-bromothiazol-5-yl, 2-chlorothiazole; yl, 2-bromothiazol-4-yl, 1-methylpyrazol-4-yl, 1, 3-dimethylpyrazol-4-yl, 1, 5-dimethylpyrazol-4-yl, 1, 3,5-trimethylpyrazole-4 yl, 1-methylpyrazol-3-yl, 1-methylimidazol-4-yl, 1, 5-dimethylimidazol-4-yl, 1-methylpyrazol-5-yl, 1, 2-dimethylimidazol-5-yl and 1, 4 Dimethylimi dazol-5-yl, and the other variable B or A is unsubstituted 2-pyridinyl, 3-pyridinyl, 4-pyridinyl, 4-pyridinyl, 2-thienyl, 3-thienyl, thiazol-4-yl, thiazole-5 yl, oxazol-4-yl, oxazol-5-yl or 2-furyl are excluded.
A und B in Formel Il haben dabei bevorzugt die Bedeutungen, wie sie für Verbindungen der Formel I hierin näher beschrieben werden, sofern sie von der Definition der Variablen für die Verbindungen Il umfasst sind. Insbesondere kann es bevorzugt sein, dass A und B folgende Bedeutungen aufweisen: A oder B fünf- oder sechsgliedriger aromatischer Heterocyclus, wobei der Heterocyc- lus jeweils ein, zwei, drei oder vier Heteroatome aus der Gruppe O, N und S enthält und durch ein, zwei, drei oder vier unabhängig ausgewählte L substituiert ist; undA and B in formula II preferably have the meanings as described in more detail below for compounds of the formula I, provided that they are included in the definition of the variables for the compounds II. In particular, it may be preferred that A and B have the following meanings: A or B is a five- or six-membered aromatic heterocycle, wherein the heterocycle contains in each case one, two, three or four heteroatoms from the group O, N and S and is substituted by one, two, three or four independently selected L; and
die jeweils andere Variable B oder A: fünf- oder sechsgliedriger gesättigter oder aromatischer Heterocyclus, wobei der Heterocyclus jeweils ein, zwei, drei oder vier Heteroatome aus der Gruppe O, N und S enthält und durch eine, zwei, drei oder vier Gruppen L substituiert ist, oder Ci -Ce-Al kyl, d-Cs-Halogenalkyl, C2-C8-Alkenyl, C2-C8- Halogenalkenyl, C2-Cs-Alkinyl, C2-C8-Halogenalkinyl, Cs-Cs-Cycloalkyl oder Cs-Cs-HaIo- gencycloalkyl, welche jeweils unsubstituiert oder durch eine, zwei, drei oder vier Gruppen L substituiert sind.the other variable B or A: five- or six-membered saturated or aromatic heterocycle, wherein the heterocycle contains one, two, three or four heteroatoms from the group O, N and S and substituted by one, two, three or four groups L. is C 1 -C 6 -alkyl, C 1 -C 12 -haloalkyl, C 2 -C 8 -alkenyl, C 2 -C 8 -haloalkenyl, C 2 -C -alkynyl, C 2 -C 8 -haloalkynyl, C 1 -C -cycloalkyl or C 3 -C 5 -substituted Halocycloalkyl, which are each unsubstituted or substituted by one, two, three or four groups L.
A und B haben dabei bevorzugt die folgende Bedeutungen:A and B preferably have the following meanings:
A oder B drei-, vier-, fünf-, sechs-, sieben-, acht-, neun- oder zehngliedriger gesättig- ter oder teilweise ungesättigter Heterocyclus oder fünf-, sechs-, sieben-, acht-, neun- oder zehngliedriger aromatischer Heterocyclus, wobei der Heterocyclus jeweils ein, zwei, drei oder vier Heteroatome aus der Gruppe O, N und S enthält und wobei der gesättigte und teilweise ungesättigte Heterocyclus (1 ) entweder durch ein L ausgewählt aus Fluor, Chlor, Methyl oder Methoxy substituiert ist und zusätzlich durch ein, zwei oder drei unabhängig ausgewählte Substituenten L substituiert ist, die verschieden vom ersten Substi- tuenten L sind;A or B is a tri-, tetra-, penta-, hexa-, seven-, eight-, nine- or ten-membered saturated or partially unsaturated heterocycle or five-, six-, seven-, eight-, nine- or ten-membered aromatic Heterocycle, wherein the heterocycle each contains one, two, three or four heteroatoms from the group O, N and S and wherein the saturated and partially unsaturated heterocycle (1) is substituted by either an L selected from fluoro, chloro, methyl or methoxy, and additionally substituted by one, two or three independently selected substituents L other than the first substituent L;
(2) oder durch zwei, drei oder vier gleiche L substituiert ist, die verschieden sind von Chlor, Brom und Fluor;(2) or is substituted by two, three or four identical L's other than chlorine, bromine and fluorine;
(3) oder durch ein L substituiert sind, das verschieden von Fluor, Chlor, Methyl oder Methoxy ist;(3) or substituted by an L other than fluoro, chloro, methyl or methoxy;
die jeweils andere Variable B oder A: drei-, vier-, fünf-, sechs-, sieben-, acht-, neun- oder zehngliedriger gesättigter oder teilweise ungesättigter Heterocyclus, fünf-, sechs-, sieben-, acht-, neun- oder zehngliedriger aromatischer Heterocyclus, wobei der Heterocyclus jeweils ein, zwei, drei oder vier Heteroatome aus der Gruppe O, N und S enthält, Ci -Ce-Al kyl, d-Cs-Halogenalkyl, C2-Cs-Alkenyl, C2-Cs-Halogenalkenyl, C2-Cs-Alkinyl, C2-Cs-Halogenalkinyl, C3-Cs-Cycloalkyl oder Cs-Cs-Halogencycloalkyl, wobei diese andere Variable B oder A jeweils unsubstituiert oder durch eine, zwei, drei oder vier Gruppen L substituiert ist.the other variable B or A: three-, four-, five-, six-, seven-, eight-, nine- or ten-membered saturated or partially unsaturated heterocycle, five, six, seven, eight, nine or a ten-membered aromatic heterocycle, the heterocycle containing in each case one, two, three or four heteroatoms from the group consisting of O, N and S, C 1 -C 6 -alkyl, C 1 -C 5 -haloalkyl, C 2 -C 5 -alkenyl, C 2 -C 8 -synyl Haloalkenyl, C2-Cs-alkynyl, C2-Cs-haloalkynyl, C3-Cs-cycloalkyl or Cs-Cs-halocycloalkyl, wherein this other variable B or A is unsubstituted or substituted by one, two, three or four groups L.
L besitzt die hierin beschriebenen Bedeutungen bzw. bevorzugten Bedeutungen für L. Verbindungen Il besitzen auch fungizide Aktivität und die vorliegende Erfindung bezieht sich daher auch auf die Verwendung der Verbindungen Il und/oder der Salze und Ad- dukte davon als Fungizide.L has the meanings described herein or preferred meanings for L. Compounds II also possess fungicidal activity and the present invention therefore also relates to the use of the compounds II and / or the salts and adducts thereof as fungicides.
Verbindungen der Formel IIICompounds of the formula III
worin Z für eine Abgangsgruppe X (Verbindungen III.1 , siehe unten) oder OH (Verbindungen III.2, siehe unten) steht und A und B wie unten definiert sind, stellen wichtige Ausgangsverbindungen dar, um letztlich zu den erfindungsgemäßen Verbindungen zu gelangen. wherein Z is a leaving group X (Compounds III.1, see below) or OH (Compounds III.2, see below) and A and B are as defined below, are important starting compounds to ultimately arrive at the compounds of the invention.
So können Verbindungen Il beispielsweise ausgehend von Verbindungen III.1Thus, compounds II, for example, starting from compounds III.1
hergestellt werden, wobei X für eine Abgangsgruppe steht, wie beispielsweise Halogen (z.B. Cl oder Br) oder OSO2R, worin R für Ci -C6-Al kyl, d-Ce-Haloalkyl, Aryl oder substituiertes Aryl steht, insbesondere steht OSO2R für eine Mesylat-, Triflat-, Phenyl- oder Toluolsulfonatgruppe. Um Verbindungen der Formel Il zu erhalten, werden Verbindungen der Formel III.1 mit 1 ,2,4-Triazol und einer Base wie beispielsweise Natriumhydrid in z.B. DMF umgesetzt. Siehe auch z.B. EP O 421 125 A2. where X is a leaving group such as, for example, halogen (eg Cl or Br) or OSO 2 R, where R is C 1 -C 6 -alkyl, d-Ce-haloalkyl, aryl or substituted aryl, in particular OSO 2 R for a mesylate, triflate, phenyl or toluenesulfonate group. In order to obtain compounds of the formula II, compounds of the formula III.1 are reacted with 1, 2,4-triazole and a base such as, for example, sodium hydride in, for example, DMF. See also, for example, EP 0 421 125 A2.
Verbindungen der Formel III.1 sind teilweise neu und diese sind ebenfalls Gegenstand der vorliegenden Erfindung. Die vorliegende Erfindung bezieht sich daher auch auf Verbindungen der Formel III.1 , worin X, A und B bedeuten:Compounds of the formula III.1 are partly new and these are likewise the subject of the present invention. The present invention therefore also relates to compounds of the formula III.1, in which X, A and B are
A oder B fünf-, sechs-, sieben-, acht-, neun- oder zehngliedriger teilweise ungesättigter Heterocyclus oder fünf- oder sechsgliedriger aromatischer Heterocyclus, wobei der Heterocyclus jeweils ein, zwei, drei oder vier Heteroatome aus der Gruppe O, N und S enthält und wobei der teilweise ungesättigte Heterocyclus unsubstituiert oder durch ein, zwei, drei oder vier L substituiert ist, und wobei der aromatische Heterocyclus jeweils eine, zwei, drei oder vier gleiche oder verschiedene Gruppen L enthält;A or B is a five-, six-, seven-, eight-, nine- or ten-membered partially unsaturated heterocycle or five- or six-membered aromatic heterocycle, wherein the heterocycle each contains one, two, three or four heteroatoms from the group consisting of O, N and S. and wherein the partially unsaturated heterocycle is unsubstituted or substituted by one, two, three or four L, and wherein the aromatic heterocycle contains one, two, three or four identical or different groups L;
und die jeweils andere Variable B oder A: fünf-, sechs-, sieben-, acht-, neun- oder zehngliedriger teilweise ungesättigter oder aromatischen Heterocyclus, wobei der Heterocyclus jeweils ein, zwei, drei oder vier Heteroatome aus der Gruppe O, N und S enthält, Ci-C8-Al kyl, Ci-C8-Halogenalkyl, C2-C8-Alkenyl, C2-C8- Halogenalkenyl, C2-C8-Al kinyl, C2-C8-Halogenalkinyl, C3-C8-Cycloalkyl, C3-C8- Halogencycloalkyl oder Phenyl; wobei diese andere Variable B oder A jeweils unsubstituiert oder durch eine, zwei, drei oder vier Gruppen L substituiert ist;and the other variable B or A: five-, six-, seven-, eight-, nine- or ten-membered partially unsaturated or aromatic heterocycle, wherein the heterocycle each having one, two, three or four heteroatoms from the group O, N and includes S, Ci-C 8 -alkyl, C 8 haloalkyl, C 2 -C 8 alkenyl, C 2 -C 8 - haloalkenyl, C 2 -C 8 -alkyl kinyl, C 2 -C 8 haloalkynyl , C 3 -C 8 -cycloalkyl, C 3 -C 8 - Halocycloalkyl or phenyl; wherein this other variable B or A is each unsubstituted or substituted by one, two, three or four L groups;
oderor
A steht für Phenyl, das mit zwei F substituiert ist; undA is phenyl substituted with two F; and
B steht für unsubstituiertes Pyridyl, Thienyl, Thiazolyl, Oxazolyl oder Furyl;B is unsubstituted pyridyl, thienyl, thiazolyl, oxazolyl or furyl;
oderor
A steht für Phenyl, das mit drei F substituiert ist; undA is phenyl substituted with three F; and
B steht für unsubstituiertes Pyridyl, Thienyl, Thiazolyl, Oxazolyl oder Furyl;B is unsubstituted pyridyl, thienyl, thiazolyl, oxazolyl or furyl;
oderor
A steht für Phenyl, das mit einem F und einem weiteren Substituenten substituiert ist, ausgewählt aus Cl, Ci-C4-AIkVl, Ci-C4-Halogenalkyl und CrC4-AIkOXy; und B steht für unsubstituiertes Pyridyl, Thienyl, Thiazolyl, Oxazolyl oder Furyl;A is phenyl which is substituted by one F and one further substituent selected from Cl, C 1 -C 4 -alkyl, C 1 -C 4 -haloalkyl and C 1 -C 4 -alkoxy; and B is unsubstituted pyridyl, thienyl, thiazolyl, oxazolyl or furyl;
oderor
A oder B bedeutet Phenyl, das mit einem CN substituiert ist und gegebenenfalls zusätzlich einen, zwei oder drei Substituenten unabhängig ausgewählt aus Halogen, NO2, Amino, Ci-C4-Alkyl, Ci-C4-Alkoxy, C1-C4- Halogenalkyl, Ci-C4-Halogenalkoxy, Ci-C4-Alkylamino, C1-C4-A or B is phenyl which is substituted by one CN and optionally additionally one, two or three substituents independently selected from halogen, NO 2, amino, C 1 -C 4 -alkyl, C 1 -C 4 -alkoxy, C 1 -C 4 -haloalkyl, Ci-C 4 haloalkoxy, Ci-C4-alkylamino, C1-C4-
Dialkylamino, Thio und Ci -C4-Al kylthio, enthält;Dialkylamino, thio and C 1 -C 4 -alkylthio;
und die jeweils andere Variable B oder A bedeutet: unsubstituiertes 5-gliedriges oder 6-gliedriges Heteroaryl, das ein, zwei, drei oder vier Heteroatome aus der Gruppe O, N und S enthält;and the other variable B or A is unsubstituted 5-membered or 6-membered heteroaryl containing one, two, three or four heteroatoms from the group O, N and S;
oderor
A oder B bedeutet Benzodioxolyl, das unsubstituiert ist oder durch einen, zwei, drei, vier oder fünf Substituenten unabhängig ausgewählt aus Halogen, CN, NO2, Amino, Ci -C4-Al kyl, Ci-C4-Alkoxy, Ci-C4-Halogenalkyl, Ci-C4-Halogenalkoxy, Ci-C4-Alkylamino, Ci-C4-Dialkylamino, Thio und Ci-C4-Alkylthio, substituiert ist,A or B is benzodioxolyl which is unsubstituted or independently selected from one, two, three, four or five substituents selected from halogen, CN, NO 2 , amino, C 1 -C 4 -alkyl, C 1 -C 4 -alkoxy, C 4 haloalkyl, Ci-C4-haloalkoxy, Ci-C 4 alkylamino, Ci-C 4 dialkylamino, thio, and Ci-C 4 alkylthio, substituted,
und der jeweils andere Substituent B oder A 5-gliedriges oder 6-gliedriges Heteroaryl, das ein, zwei, drei oder vier Heteroatome aus der Gruppe O, N und S enthält, wobei das Heteroaryl jeweils unsubstituiert ist oder durch einen, zwei oder drei Substituenten unabhängig ausgewählt aus Halogen, CN, NO2, Amino, Ci -C4-Al kyl, Ci-C4-Alkoxy, Ci-C4- Halogenalkyl, Ci-C4-Halogenalkoxy, Ci-C4-Alkylamino, Ci-C4- Dialkylamino, Thio und CrC4-AI kyl thio, substituiert ist;and the other substituent B or A 5-membered or 6-membered heteroaryl containing one, two, three or four heteroatoms from the group O, N and S, wherein the heteroaryl is in each case unsubstituted or by one, two or three substituents independently selected from halogen, CN, NO 2, amino, Ci -C4 -alkyl, Ci-C 4 alkoxy, Ci-C 4 - haloalkyl, Ci-C4-haloalkoxy, Ci- C 4 alkylamino, Ci-C 4 - dialkylamino, thio and CrC 4 -AI kyl thio, is substituted;
und X steht für eine Abgangsgruppe, wie oben definiert;and X is a leaving group as defined above;
wobei die Verbindungen [(2RS,3SR)-3-(2-Chlorpyridin-3-yl)-2-(4-fluorphenyl)oxiran-2- yl]methyl methansulfonat und [(2SR,3RS)-3-(2,5-Dichlorthiophen-3-yl)-2-(4- fluorphenyl)oxiran-2-yl]methylmethansulfonat ausgenommen sind.wherein the compounds [(2RS, 3SR) -3- (2-chloropyridin-3-yl) -2- (4-fluorophenyl) oxiran-2-yl] methyl methanesulfonate and [(2SR, 3RS) -3- (2, 5-dichlorothiophene-3-yl) -2- (4-fluorophenyl) oxiran-2-yl] methyl methanesulfonate are excluded.
A und B in Formel III.1 haben dabei bevorzugt die Bedeutungen, wie sie für Verbindungen der Formel I hierin näher beschrieben werden, sofern sie von der Definition der Variablen für die Verbindungen III.1 umfasst sind. L besitzt die hierin beschriebenen Bedeutungen bzw. bevorzugten Bedeutungen für L.A and B in formula III.1 preferably have the meanings as described in more detail below for compounds of the formula I, if they are included in the definition of the variables for the compounds III.1. L has the meanings described herein or preferred meanings for L.
Es kann gemäß einer Ausführungsform der Erfindung bevorzugt sein, wenn A und B in den Verbindungen III.1 folgende Bedeutungen aufweisen:It may be preferred according to one embodiment of the invention if A and B in the compounds III.1 have the following meanings:
A oder B fünf- oder sechsgliedriger aromatischer Heterocyclus, der ein, zwei, drei oder vier Heteroatome aus der Gruppe O, N und S enthält und eine, zwei, drei oder vier gleiche oder verschiedene Gruppen L enthält;A or B is a five- or six-membered aromatic heterocycle containing one, two, three or four heteroatoms from the group O, N and S and containing one, two, three or four identical or different groups L;
und die jeweils andere Variable B oder A: fünf- oder sechsgliedriger aromatischer Heterocyclus, der ein, zwei, drei oder vier Heteroatome aus der Gruppe O, N und S enthält, oder Phenyl; wobei diese andere Variable B oder A durch eine, zwei, drei oder vier unabhängig ausgewählte Gruppen L substituiert ist;and the other variable B or A: five- or six-membered aromatic heterocycle containing one, two, three or four heteroatoms from the group O, N and S, or phenyl; wherein said other variable B or A is substituted by one, two, three or four independently selected groups L;
wobei die Verbindungen [(2RS,3SR)-3-(2-Chlorpyridin-3-yl)-2-(4-fluorphenyl)oxiran-2- yl]methyl methansulfonat und [(2SR,3RS)-3-(2,5-Dichlorthiophen-3-yl)-2-(4- fluorphenyl)oxiran-2-yl]methylmethansulfonat ausgenommen sind.wherein the compounds [(2RS, 3SR) -3- (2-chloropyridin-3-yl) -2- (4-fluorophenyl) oxiran-2-yl] methyl methanesulfonate and [(2SR, 3RS) -3- (2, 5-dichlorothiophene-3-yl) -2- (4-fluorophenyl) oxiran-2-yl] methyl methanesulfonate are excluded.
Gemäß einer weiteren Ausführungsform weisen A und B in den Verbindungen III.1 folgende Bedeutungen auf:According to a further embodiment, A and B in the compounds III.1 have the following meanings:
A oder B fünf- oder sechsgliedriger aromatischer Heterocyclus, der ein, zwei, drei oder vier Heteroatome aus der Gruppe O, N und S enthält, vorzugsweise ist der aromatische Heterocyclus ausgewählt aus Thienyl, Furyl, Pyrazolyl, Imidazolyl, Oxazolyl, Isoxazolyl, Isothiazolyl, Pyridinyl, Pyrimidinyl, Pyrazi- nyl und Pyridazinyl, insbesondere ausgewählt aus Thienyl, Furyl, Pyrazolyl, Imidazolyl, Oxazolyl, Pyridinyl, Pyrimidinyl und Pyrazinyl, wobei der aromatische Heterocyclus eine, zwei, drei oder vier unabhängig ausgewählte Gruppen L enthält; und die jeweils andere Variable B oder A: fünf- oder sechsgliedriger aromatischer Heterocyclus, der ein, zwei, drei oder vier Heteroatome aus der Gruppe O, N und S enthält und durch eine, zwei, drei oder vier unabhängig ausgewählte Gruppen L substi- tuiert ist, oder Phenyl, das durch zwei, drei oder vier unabhängig ausgewählte Gruppen L substituiert ist.A or B is a five- or six-membered aromatic heterocycle containing one, two, three or four heteroatoms from the group O, N and S, preferably the aromatic heterocycle is selected from thienyl, furyl, pyrazolyl, imidazolyl, oxazolyl, isoxazolyl, isothiazolyl, Pyridinyl, pyrimidinyl, pyrazinyl and pyridazinyl, in particular selected from thienyl, furyl, pyrazolyl, imidazolyl, oxazolyl, pyridinyl, pyrimidinyl and pyrazinyl, where the aromatic heterocycle contains one, two, three or four independently selected groups L; and the other variable B or A: a five- or six-membered aromatic heterocycle containing one, two, three or four heteroatoms from the group O, N and S and substituted by one, two, three or four independently selected groups L. or phenyl substituted by two, three or four independently selected L groups.
In dieser Ausführungsform sind besonders die Bedeutungen bevorzugt, bei denen die Verbindungen III.1 nicht [(2RS,3SR)-3-(2-Chlorpyridin-3-yl)-2-(4-fluorphenyl)oxiran-2- yl]methyl methansulfonat oder [(2SR,3RS)-3-(2,5-Dichlorthiophen-3-yl)-2-(4- fluorphenyl)oxiran-2-yl]methylmethansulfonat sind.In this embodiment, particular preference is given to the meanings in which the compounds III.1 are not [(2RS, 3SR) -3- (2-chloropyridin-3-yl) -2- (4-fluorophenyl) oxiran-2-yl] methyl methanesulfonate or [(2SR, 3RS) -3- (2,5-dichlorothiophen-3-yl) -2- (4-fluorophenyl) oxiran-2-yl] methyl methanesulfonate.
Gemäß noch einer weiteren Ausführungsform weisen A und B in den Verbindungen III.1 folgende Bedeutungen auf:According to yet another embodiment, A and B in the compounds III.1 have the following meanings:
A Phenyl, das mit zwei F substituiert ist; Phenyl, das mit drei F substituiert ist; oder Phenyl, das mit einem F und einem weiteren Substituenten, ausgewählt aus Cl, Ci-C4-Alkyl, Ci-C4-Halogenalkyl und d-C4-Alkoxy, substituiert ist; und B unsubstituiertes Pyridyl, Thienyl, Thiazolyl, Oxazolyl oder Furyl.A is phenyl substituted with two F; Phenyl substituted with three F; or phenyl substituted with one F and another substituent selected from Cl, C 1 -C 4 alkyl, C 1 -C 4 haloalkyl and C 1 -C 4 alkoxy; and B is unsubstituted pyridyl, thienyl, thiazolyl, oxazolyl or furyl.
Verbindungen der Formel III.1 wiederum können aus Verbindungen der Formel III.2, durch Einführen der Abgangsgruppe X mittels dem Fachmann bekannter Methoden erhalten werden. Dementsprechend wird eine Verbindung der Formel III.2 beispiels- weise mit R-SO2Y, wobei R wie für Formel III.1 definiert ist und Y für Halogen steht, wobei R-SO2Y bspw. Mesylchlorid bedeutet, in Gegenwart einer Base (z.B. NEt.3) umgesetzt (siehe auch EP386557). Um Verbindungen III.1 zu erhalten, worin X für Halogen steht, kann die entsprechende Verbindung III.2 mit C(HaI)4 (HaI = Br oder Cl) mit PPhi3 in bspw. CH2CI2 zu einer Verbindung III.1 umgesetzt werden. Alternativ kann eine Verbindung III.2 mit SOCb/Pyridin umgesetzt werden (siehe auch WO 2005/056548).In turn, compounds of the formula III.1 can be prepared from compounds of the formula III.2, by introducing the leaving group X by methods known to those skilled in the art. Accordingly, a compound of the formula III.2 is obtained, for example, with R-SO 2 Y, where R is as defined for formula III.1 and Y is halogen, where R-SO 2 Y is, for example, mesyl chloride, in the presence of a base (for example NEt. 3) reacted (see also EP386557). In order to obtain compounds III.1 in which X is halogen, the corresponding compound III.2 can be reacted with C (Hal) 4 (Hal = Br or Cl) with PPhi 3 in, for example, CH 2 Cl 2 to give a compound III.1. Alternatively, a compound III.2 can be reacted with SOCb / pyridine (see also WO 2005/056548).
Verbindungen der Formel III.2 sind teilweise neu und diese sind ebenfalls Gegenstand der vorliegenden Erfindung. Die vorliegende Erfindung bezieht sich daher auch auf Verbindungen der Formel III.2, worin A und B wie für Formel III.1 oben definiert bzw. bevorzugt definiert sind, wobei die Verbindungen {(2RS,3SR)-[3-(2-Chlorpyridin-3-yl)-2- (4-fluorphenyl)oxiran-2-yl]methanol und [(2SR,3RS)-3-(2,5-Dichlorthiophen-3-yl)-2-(4- fluorphenyl)oxiran-2-yl)methanol ausgenommen sind.Compounds of the formula III.2 are partly new and these are likewise the subject of the present invention. The present invention therefore also relates to compounds of formula III.2, wherein A and B are as defined or preferred for formula III.1 above, wherein the compounds {(2RS, 3SR) - [3- (2-chloropyridine 3-yl) -2- (4-fluorophenyl) oxiran-2-yl] methanol and [(2SR, 3RS) -3- (2,5-dichlorothiophen-3-yl) -2- (4-fluorophenyl) oxirane -2-yl) methanol are excluded.
Ferner haben A und B in Formel III.2 bevorzugt die Bedeutungen, wie sie für Verbin- düngen der Formel I hierin näher beschrieben werden, sofern sie von der Definition der Variablen für die Verbindungen III.2 umfasst sind. L besitzt die hierin beschriebenen Bedeutungen bzw. bevorzugten Bedeutungen für L.Furthermore, A and B in formula III.2 preferably have the meanings as described in more detail for compounds of formula I, provided that they are defined by the definition of the formula Variables for the compounds III.2 are included. L has the meanings described herein or preferred meanings for L.
Verbindungen der Formel III.2 können ausgehend von α,ß-disubstituierten Acroleinen vom Typ der Formel VCompounds of the formula III.2 can be prepared from α, β-disubstituted acroleins of the formula V
erhalten werden, indem zunächst epoxidiert wird beispielsweise mit H2O2 in Gegenwart einer Base wie z.B. NaOH oder durch Umsetzung mit einer Persäure (z.B. MCPBA=m- Chlorperoxybenzoesäure) oder tert-Butylhydroperoxid). Dabei entstehen Verbindungen der Formel Va are obtained by first epoxidizing example with H2O2 in the presence of a base such as NaOH or by reaction with a peracid (eg MCPBA = m-chloroperoxybenzoic acid) or tert-butyl hydroperoxide). This gives rise to compounds of the formula Va
Durch Reduktion der Aldehydgruppe in Verbindungen Va, beispielsweise mit NaBH4 (siehe auch EP 0 386 557A1 ), entstehen Verbindungen III.2. Verfahren zur Epoxidie- rung und Reduktion der Aldehydgruppe sind dem Fachmann wohlbekannt.By reduction of the aldehyde group in compounds Va, for example with NaBH 4 (see also EP 0 386 557 A1), compounds III.2 are formed. Methods for epoxidizing and reducing the aldehyde group are well known to those skilled in the art.
In Formel V kann die Doppelbindung sowohl in (E) als auch in (Z) Konfiguration vorliegen. Dies wird durch die gezackte Bindung zwischen B und der Doppelbindung dargestellt. Verbindungen der Formel V sind teilweise neu und diese sind ebenfalls Gegenstand der vorliegenden Erfindung. Die vorliegende Erfindung bezieht sich daher auch auf Verbindungen der Formel V, worin A und B bedeuten:In Formula V, the double bond may be in both (E) and (Z) configurations. This is represented by the jagged bond between B and the double bond. Compounds of the formula V are partly new and these are also the subject of the present invention. The present invention therefore also relates to compounds of the formula V in which A and B are
A oder B drei-, vier-, fünf-, sechs-, sieben-, acht-, neun- oder zehngliedriger gesättigter oder teilweise ungesättigter Heterocyclus oder fünf-, sechs-, sieben-, acht-, neun- oder zehngliedriger aromatischer Heterocyclus, wobei der He- teroaromat, wenn er fünf- oder sechsgliedrig ist, ausgewählt ist aus Thienyl,A or B represents a tri-, tetra-, penta-, hexa-, si-, e-, n- or ten-membered saturated or partially unsaturated heterocycle or five-, six-, seven-, eight-, nine- or ten-membered aromatic heterocycle, where the heteroaromatic, if it is five- or six-membered, is selected from thienyl,
Furyl, Pyrazolyl, Imidazolyl, Oxazolyl, Isoxazolyl und Isothiazolyl bzw. Pyri- dinyl, Pyrimidinyl, Pyrazinyl und Pyridazinyl, wobei der Heterocyclus jeweils ein, zwei, drei oder vier Heteroatome aus der Gruppe O, N und S enthält und wobei der teilweise ungesättigte Heterocyclus unsubstituiert oder un- abhängig durch ein, zwei, drei oder vier L substituiert ist, und wobei der gesättigte und aromatische Heterocyclus jeweils eine, zwei, drei oder vier gleiche oder verschiedene Gruppen L enthält; undFuryl, pyrazolyl, imidazolyl, oxazolyl, isoxazolyl and isothiazolyl or pyridinyl, pyrimidinyl, pyrazinyl and pyridazinyl, wherein the heterocycle each contains one, two, three or four heteroatoms from the group O, N and S and wherein the partially unsaturated heterocycle unsubstituted or independently substituted by one, two, three or four L, and wherein the saturated and aromatic heterocycle each contains one, two, three or four identical or different groups L; and
die jeweils andere Variable B oder A: drei-, vier-, fünf-, sechs-, sieben-, acht-, neun- oder zehngliedriger gesättigter oder teilweise ungesättigter Heterocyclus, fünf-, sechs-, sieben-, acht-, neun- oder zehngliedriger aromatischer Heterocyclus, wobei der Heterocyclus jeweils ein, zwei, drei oder vier Heteroatome aus der Gruppe O, N und S ent- hält und unsubstituiert oder durch eine, zwei, drei oder vier Gruppen L substituiert ist, d-Cs-Alkyl, C-i-Cs-Halogenalkyl, C2-C8-Alkenyl, C2-C8-Halogenalkenyl, C2-C8-Al kinyl, C2-C8-Halogenalkinyl, Cs-Cs-Cycloalkyl, Cs-Cs-Halogencycloalkyl oder durch ein, zwei, drei oder vier L substituiertes Phenyl;the other variable B or A: three-, four-, five-, six-, seven-, eight-, nine- or ten-membered saturated or partially unsaturated heterocycle, five, six, seven, eight, nine or a ten-membered aromatic heterocycle, where the heterocycle each contains one, two, three or four heteroatoms from the group O, N and S and unsubstituted or substituted by one, two, three or four L groups, C 1 -C 8 -alkyl, C 1 -C 8 -haloalkyl, C 2 -C 8 -alkenyl, C 2 -C 8 -haloalkenyl, C 2 -C 8 Alkynyl, C 2 -C 8 haloalkynyl, Cs-Cs-cycloalkyl, Cs-Cs-halocycloalkyl or phenyl substituted by one, two, three or four L;
oderor
A steht für Phenyl, das mit zwei F substituiert ist; und B steht für unsubstituiertes Pyridyl, Thienyl, Thiazolyl, Oxazolyl oder Furyl;A is phenyl substituted with two F; and B is unsubstituted pyridyl, thienyl, thiazolyl, oxazolyl or furyl;
oderor
A steht für Phenyl, das mit drei F substituiert ist; und B steht für unsubstituiertes Pyridyl, Thienyl, Thiazolyl, Oxazolyl oder Furyl,A is phenyl substituted with three F; and B is unsubstituted pyridyl, thienyl, thiazolyl, oxazolyl or furyl,
oderor
A steht für Phenyl, das mit einem F und einem weiteren Substituenten, ausgewählt aus Cl, Ci-C4-Alkyl, Ci-C4-Halogenalkyl und CrC4-AIkOXy, substituiert ist; und B steht für unsubstituiertes Pyridyl, Thienyl, Thiazolyl, Oxazolyl oder Furyl,A is phenyl substituted with one F and another substituent selected from Cl, C 1 -C 4 alkyl, C 1 -C 4 haloalkyl and C 1 -C 4 alkoxy; and B is unsubstituted pyridyl, thienyl, thiazolyl, oxazolyl or furyl,
oderor
A oder B bedeutet Phenyl, das mit einem CN substituiert ist und gegebenenfalls zusätzlich einen, zwei oder drei Substituenten unabhängig ausgewählt aus Halogen, NO2, Amino, Ci-C4-AIkVl, CrC4-AIkOXy, C1-C4- Halogenalkyl, Ci-C4-Halogenalkoxy, Ci-C4-Alkylamino, C1-C4- Dialkylamino, Thio und Ci-C4-Alkylthio, enthält;A or B is phenyl which is substituted with a CN and, optionally, one, two or three substituents independently selected from halogen, NO 2, amino, Ci-C 4 -alkyl, -C 4 -alkoxy, C 1 -C 4 haloalkyl, C -C 4 haloalkoxy, C 1 -C 4 alkylamino, C 1 -C 4 dialkylamino, thio and C 1 -C 4 alkylthio;
und der jeweils andere Substituent B oder A bedeutet unsubstituiertes oder durch eine, zwei, drei oder vier gleiche oder verschiedene Gruppen L substituiertes 5- oder θ-gliedriges Heteroaryl Heteroaryl, das ein, zwei, drei oder vier Heteroatome aus der Gruppe O, N und S enthältand the other substituent B or A is unsubstituted or substituted by one, two, three or four identical or different groups L 5- or θ-membered heteroaryl heteroaryl, the one, two, three or four heteroatoms from the group O, N and S contains
oderor
A oder B bedeutet Benzodioxolyl, das unsubstituiert ist oder durch einen, zwei, drei, vier oder fünf Substituenten unabhängig ausgewählt aus Halogen, CN, NO2, Amino, Ci-C4-Alkyl, Ci-C4-Alkoxy, Ci-C4-Halogenalkyl, Ci-C4-Halogenalkoxy, Ci-C4-Alkylamino, Ci-C4-Dialkylamino, Thio und Ci-C4-Alkylthio, substituiert ist; und der jeweils andere Substituent B oder A bedeutet 5-gliedriges oder 6- gliedriges Heteroaryl, das ein, zwei, drei oder vier Heteroatome aus der Gruppe O, N und S enthält, wobei das Heteroaryl jeweils unsub- stituiert ist oder durch einen, zwei oder drei Substituenten unabhän- gig ausgewählt aus Halogen, CN, NO2, Amino, Ci-C4-AIkVl, C1-C4-A or B represents benzodioxolyl which is unsubstituted or independently selected from one, two, three, four or five substituents selected from halogen, CN, NO 2 , amino, C 1 -C 4 alkyl, C 1 -C 4 alkoxy, C 1 -C 4 4 -haloalkyl, Ci-C4-haloalkoxy, Ci-C4-alkylamino, Ci-C4-dialkylamino, thio and Ci-C4-alkylthio, is substituted; and the other substituent B or A is 5-membered or 6-membered heteroaryl which contains one, two, three or four heteroatoms from the group O, N and S, where the heteroaryl is in each case unsubstituted or by one, two or three substituents independently selected from halogen, CN, NO 2, amino, C 1 -C 4 -alkyl, C 1 -C 4 -alkyl,
Alkoxy, Ci-C4-Halogenalkyl, Ci-C4-Halogenalkoxy, Ci-C4-Alkylamino, Ci-C4-Dialkylamino, Thio und Ci-C4-Alkylthio, substituiert ist;Alkoxy, C 1 -C 4 haloalkyl, C 1 -C 4 haloalkoxy, C 1 -C 4 alkylamino, C 1 -C 4 dialkylamino, thio and C 1 -C 4 alkylthio;
mit Ausnahme der Verbindungen (E)-3-(2-Chlorpyridin-3-yl)-2-(4-fluorphenyl)acryl- aldehyd und E)-3-(2,5-Dichlorthiophen-3-yl)-2-(4-fluorphenyl)acrylaldehyd.with the exception of the compounds (E) -3- (2-chloropyridin-3-yl) -2- (4-fluorophenyl) acrylaldehyde and E) -3- (2,5-dichlorothiophene-3-yl) -2- (4-fluorophenyl) acrylaldehyde.
A und B in Formel V haben dabei bevorzugt die Bedeutungen, wie sie für Verbindungen der Formel I hierin näher beschrieben werden, sofern sie von der Definition der Variablen für die Verbindungen V umfasst sind. Insbesondere kann es bevorzugt sein, wenn A und B bedeuten:A and B in formula V preferably have the meanings as described in more detail below for compounds of the formula I, provided that they are included in the definition of the variables for the compounds V. In particular, it may be preferred if A and B mean:
A oder B aromatischer Heterocyclus, der ausgewählt ist aus Thienyl, Furyl, Pyrazo- IyI, Imidazolyl, Oxazolyl, Isoxazolyl, Isothiazolyl, Pyridinyl, Pyrimidinyl, Py- razinyl und Pyridazinyl, insbesondere ausgewählt aus Thienyl, Furyl, Pyra- zolyl, Imidazolyl, Oxazolyl, Pyridinyl, Pyrimidinyl und Pyrazinyl, wobei derA or B aromatic heterocycle selected from thienyl, furyl, Pyrazo- IyI, imidazolyl, oxazolyl, isoxazolyl, isothiazolyl, pyridinyl, pyrimidinyl, pyrazinyl and pyridazinyl, in particular selected from thienyl, furyl, pyrazolyl, imidazolyl, oxazolyl , Pyridinyl, pyrimidinyl and pyrazinyl, wherein the
Heterocyclus eine, zwei, drei oder vier gleiche oder verschiedene Gruppen L enthält; undHeterocycle contains one, two, three or four identical or different groups L; and
die jeweils andere Variable B oder A: fünf- oder sechsgliedriger aromatischer Hete- rocyclus, der ein, zwei, drei oder vier Heteroatome aus der Gruppe O, N und S enthält und unsubstituiert oder durch eine, zwei, drei oder vier unabhängig ausgewählte Gruppen L substituiert ist, Ci-C8-Alkyl, Ci-C8-Halogenalkyl, C2-C8-Alkenyl, C2-C8- Halogenalkenyl, C2-C8-Al kinyl, C2-C8-Halogenalkinyl, C3-C8-Cycloalkyl, C3-C8-HaIo- gencycloalkyl oder durch ein, zwei, drei oder vier L substituiertes Phenyl; ausgenom- men die oben genannten Verbindungen.the other variable B or A: five- or six-membered aromatic heterocycle containing one, two, three or four heteroatoms from the group O, N and S and unsubstituted or by one, two, three or four independently selected groups L is substituted Ci-C 8 alkyl, Ci-C 8 haloalkyl, C 2 -C 8 alkenyl, C 2 -C 8 - haloalkenyl, C 2 -C 8 kinyl -alkyl, C 2 -C 8 haloalkynyl, C 3 -C 8 -cycloalkyl, C 3 -C 8 -HiIo- gencycloalkyl or substituted by one, two, three or four L-substituted phenyl; excluding the compounds mentioned above.
Gemäß einer weiteren Ausführungsform weisen A und B in den Verbindungen V folgende Bedeutungen auf:According to a further embodiment, A and B in the compounds V have the following meanings:
A oder B aromatischer Heterocyclus, der ausgewählt ist aus Thienyl, Furyl, Pyrazo- IyI, Imidazolyl, Oxazolyl, Isoxazolyl, Isothiazolyl, Pyridinyl, Pyrimidinyl, Pyrazinyl und Pyridazinyl, insbesondere ausgewählt aus Thienyl, Furyl, Pyra- zolyl, Imidazolyl, Oxazolyl, Pyridinyl, Pyrimidinyl und Pyrazinyl, wobei der Heterocyclus eine, zwei, drei oder vier gleiche oder verschiedene Gruppen L enthält; und und die jeweils andere Variable B oder A: fünf- oder sechsgliedriger aromatischer Heterocyclus, der ein, zwei, drei oder vier Heteroatome aus der Gruppe O, N und S enthält und durch eine, zwei, drei oder vier unabhängig ausgewählte Gruppen L substituiert ist, oder Phenyl, das durch zwei, drei oder vier unabhängig ausgewählte Gruppen L substituiert ist.A or B aromatic heterocycle selected from thienyl, furyl, Pyrazo- IyI, imidazolyl, oxazolyl, isoxazolyl, isothiazolyl, pyridinyl, pyrimidinyl, pyrazinyl and pyridazinyl, in particular selected from thienyl, furyl, pyrazolyl, imidazolyl, oxazolyl, pyridinyl , Pyrimidinyl and pyrazinyl, wherein the heterocycle contains one, two, three or four identical or different groups L; and and the respective other variable B or A: a five- or six-membered aromatic heterocycle which contains one, two, three or four heteroatoms from the group consisting of O, N and S and is substituted by one, two, three or four independently selected groups L, or phenyl substituted by two, three or four independently selected groups L.
Gemäß einer besonderen Ausführungsform sind die Verbindungen (E)-3-(2- Chlorpyridin-3-yl)-2-(4-fluorphenyl)acrylaldehyd und E)-3-(2,5-Dichlorthiophen-3-yl)-2- (4-fluorphenyl)acrylaldehyd ausgenommen.In a particular embodiment, the compounds are (E) -3- (2-chloropyridin-3-yl) -2- (4-fluorophenyl) acrylaldehyde and E) -3- (2,5-dichlorothiophen-3-yl) -2 - (4-fluorophenyl) acrylaldehyde excepted.
Gemäß noch einer weiteren Ausführungsform weisen A und B in den Verbindungen V folgende Bedeutungen auf:According to yet another embodiment, A and B in the compounds V have the following meanings:
A Phenyl, das mit zwei F substituiert ist; Phenyl, das mit drei F substituiert ist; oder Phenyl, das mit einem F und einem weiteren Substituenten, ausgewählt aus Cl, Ci-C4-Alkyl, Ci-C4-Halogenalkyl und CrC4-AIkOXy, substituiert ist; undA is phenyl substituted with two F; Phenyl substituted with three F; or phenyl substituted with one F and another substituent selected from Cl, C 1 -C 4 alkyl, C 1 -C 4 haloalkyl and C 1 -C 4 alkoxy; and
B unsubstituiertes Pyridyl, Thienyl, Thiazolyl, Oxazolyl oder Furyl.B unsubstituted pyridyl, thienyl, thiazolyl, oxazolyl or furyl.
L besitzt die hierin beschriebenen Bedeutungen bzw. bevorzugten Bedeutungen.L has the meanings or preferred meanings described herein.
Verbindungen Va, worin A und B so definiert sind bzw. bevorzugt definiert sind, wie es hierin für Verbindungen der Formel I beschrieben ist, sind ebenfalls ein Gegenstand der vorliegenden Erfindung. Bevorzugt sind die Verbindungen Va, worin A und B so definiert sind bzw. bevorzugt definiert sind, wie es hierin für Verbindungen der Formel V beschrieben ist.Compounds Va wherein A and B are so defined or preferably defined as described herein for compounds of formula I are also an object of the present invention. Preferred are the compounds Va wherein A and B are so defined or preferably defined as described herein for compounds of formula V.
Die Synthese der Verbindungen V kann z.B. in Anlehnung an die in DE3601927 beschriebene Vorschrift erfolgen, nämlich durch Reaktion von Verbindungen des Typs der Formel VIThe synthesis of compounds V can e.g. based on the procedure described in DE3601927, namely by reaction of compounds of the type of formula VI
mit entsprechenden Phosphorverbindungen vom Wittig oder Horner-Emmons-Typ mit anschliessender saurer Spaltung des Acetals. Ry steht dabei jeweils unabhängig für Ci-C4-Alkyl. with corresponding phosphorus compounds of the Wittig or Horner-Emmons type with subsequent acid cleavage of the acetal. Each R y is independently C 1 -C 4 -alkyl.
Eine Alternative, um Verbindungen V herzustellen, besteht darin, Verbindungen der Formel VIIAn alternative to prepare compounds V is to prepare compounds of formula VII
HO- \_ / V| | zu oxidieren. Geeignete Oxidationsmittel und -bedingungen sind dem Fachmann bekannt. Beispielsweise eine Umsetzung nach Swern (Australian Journal of Chemistry, 57(6), 537-548; 2004), Umsetzungen mit hypervalenten lodverbindungen (Organic Letters, 5(17), 2989-2992; 2003), mit Chromverbindungen wie z.B. Pyridiniumdi Chromat (Tetrahedron, 45(1), 239-58; 1989) oder mit Manganoxiden, wie z.B. MnC"2 (Journal of the American Chemical Society, 107(13), 3963-71 ; 1985). Die Oxidation kann auch über eine Dess-Martin-Oxidation in einem Lösungsmittel wie z.B. CH2CI2 durchgeführt werden.HO \ _ / V | | to oxidize. Suitable oxidizing agents and conditions are known to those skilled in the art. For example, a reaction according to Swern (Australian Journal of Chemistry, 57 (6), 537-548, 2004), reactions with hypervalent iodine compounds (Organic Letters, 5 (17), 2989-2992, 2003), with chromium compounds such as, for example, pyridinium di chromate (cf. Tetrahedron, 45 (1), 239-58, 1989) or with manganese oxides such as MnC2 (Journal of the American Chemical Society, 107 (13), 3963-71, 1985). Martin oxidation can be carried out in a solvent such as CH2Cl2.
In Formel VII kann die Doppelbindung sowohl in (E) als auch in (Z) Konfiguration vorliegen. Dies wird durch die gezackte Bindung zwischen B und der Doppelbindung dargestellt. Verbindungen der Formel VII sind teilweise neu und diese sind ebenfalls Gegenstand der vorliegenden Erfindung. Die vorliegende Erfindung bezieht sich daher auch auf Verbindungen der Formel VII, worin A und B wie für Formel V definiert bzw. bevorzugt definiert sind, wobei die Verbindungen (E)-3-(2-Chlorpyridin-3-yl)-2-(4- fluorphenyl)prop-2-en-1 -ol und (E)-3-(2,5-Dichlorthiophen-3-yl)-2-(4-fluorphenyl)prop-2- en-1-ol ausgenommen sind.In formula VII, the double bond can be in both (E) and (Z) configurations. This is represented by the jagged bond between B and the double bond. Compounds of formula VII are partially new and these are also the subject of the present invention. The present invention therefore also relates to compounds of the formula VII in which A and B are as defined or preferably defined for formula V, the compounds being (E) -3- (2-chloropyridin-3-yl) -2- ( 4-fluorophenyl) prop-2-en-1-ol and (E) -3- (2,5-dichlorothiophen-3-yl) -2- (4-fluorophenyl) prop-2-en-1-ol ,
Ausgehend von Verbindungen VII können auch direkt Verbindungen III.2 hergestellt werden durch Epoxidierung in Gegenwart eines Übergangsmetallalkoxylats wie z.B. V(O)(OR)3 oder Ti(OR)4 (R=Ci-C6-Alkyl) und eines Oxidationsmittels wie z.B. tBuOOH in Analogie zu US 5,399,708.Starting from compounds VII, compounds III.2 can also be prepared directly by epoxidation in the presence of a transition metal alkoxylate such as, for example, V (O) (OR) 3 or Ti (OR) 4 (R = C 1 -C 6 -alkyl) and an oxidizing agent such as, for example tBuOOH in analogy to US Pat. No. 5,399,708.
Verbindungen der Formel VII können aus α,ß-ungesättigten Acrylsäureestern der For- mel VIII hergestellt werden:Compounds of the formula VII can be prepared from α, β-unsaturated acrylic esters of the formula VIII:
Dafür werden Ester der Formel VIII zum Alkohol VII reduziert. Geeignete Reduktionsverfahren sind dem Fachmann wohlbekannt.For this purpose, esters of the formula VIII are reduced to the alcohol VII. Suitable reduction methods are well known to those skilled in the art.
In Formel VIII kann die Doppelbindung sowohl in (E) als auch in (Z) Konfiguration vorliegen. Dies wird durch die gezackte Bindung zwischen B und der Doppelbindung dargestellt. Verbindungen der Formel VIII sind teilweise neu und diese sind ebenfalls Gegenstand der vorliegenden Erfindung. Die vorliegende Erfindung bezieht sich daher auch auf Verbindungen der Formel VIII, worin A und B wie für Formel V definiert bzw. vorzugsweise definiert sind, wobei die Verbindungen Ethyl 3-(2-Chlorpyridin-3-yl)-2-(4- fluorphenyl)acrylat und Ethyl 3-(2,5-Dichlorthiophen-3-yl)-2-(4-fluorphenyl)acrylat ausgenommen sind.In Formula VIII, the double bond may be in both (E) and (Z) configurations. This is represented by the jagged bond between B and the double bond. Some of the compounds of formula VIII are novel and these are also the subject of the present invention. The present invention therefore also relates to compounds of the formula VIII in which A and B are as defined or preferably defined for formula V, the compounds being ethyl 3- (2-chloropyridin-3-yl) -2- (4-fluorophenyl ) acrylate and ethyl 3- (2,5-dichlorothiophen-3-yl) -2- (4-fluorophenyl) acrylate are excluded.
Verbindungen der Formel VIII können auch in einer Stufe zum Acrolein der Formel V reduziert werden, z.B. mit Metallhydriden wie z.B. Diisobutylaluminiumhydrid bei tiefen Temperaturen. Insbesondere Aluminiumhydride, bevorzugt Lithiumalanat (European Journal of Medicinal Chemistry, 40(6), 529-541 ; 2005) oder Dialkylaluminiumhydride wie z.B. DIBAL-H (Synlett, (18), 3182-3184; 2006) sind hierbei einsetzbar.Compounds of the formula VIII can also be reduced in one stage to the acrolein of the formula V, for example with metal hydrides such as diisobutylaluminum hydride at low Temperatures. In particular, aluminum hydrides, preferably lithium alanate (European Journal of Medicinal Chemistry, 40 (6), 529-541, 2005) or dialkylaluminum hydrides such as DIBAL-H (Synlett, (18), 3182-3184, 2006) can be used here.
Die Acrylsäureester der Formel VIII sind zugänglich aus Glyoxalsäureestern der Formel IX durch Reaktion mit Phosporverbindungen, z.B. vom Horner-Emmons-Typ oder Wittig-Verbindungen.The acrylic esters of formula VIII are available from glyoxylic esters of formula IX by reaction with phosphorus compounds, e.g. Horner-Emmons type or Wittig connections.
Solche Umsetzungen sind beschrieben u.a. in Tetrahedron, 46(13-14), 4951-94; 1990, Tetrahedron Letters, 47(16), 2675-2678; 2006, Synthesis, (12), 1797-1802; 2003, WO9929645 oder Synthetic Communications, 20(12), 1781-91 ; 1990.Such reactions are described, inter alia. in Tetrahedron, 46 (13-14), 4951-94; 1990, Tetrahedron Letters, 47 (16), 2675-2678; 2006, Synthesis, (12), 1797-1802; 2003, WO9929645 or Synthetic Communications, 20 (12), 1781-91; 1990th
Die Synthese von Glyoxalsäureestern ist beschrieben u.a. in Journal of Organic Chemistry, 52(22), 5026-30; 1987 durch Umsetzung von Grignard-Verbindungen (ausge- hend von kommerziell erhältlichen Halogenverbindungen und Magnesium) X1MgA mit Oxalsäureestern der FormelThe synthesis of glyoxylic acid esters is described, inter alia, in Journal of Organic Chemistry, 52 (22), 5026-30; 1987 by reaction of Grignard compounds (starting from commercially available halogen compounds and magnesium) X 1 MgA with oxalic acid esters of the formula
Geeignete Phosphorverbindungen (Horner-Emmons-Typ und Wittig-Typ) sind darstellbar nach bekannten Standardmethoden, z.B. aus einer Verbindung des folgenden Typs: Suitable phosphorus compounds (Horner-Emmons type and Wittig type) can be prepared by known standard methods, for example from a compound of the following type:
B ist wie oben definiert, X1 steht für eine Abgangsgruppe wie z.B. ein Halogenid, bevorzugt Chlor oder Brom. Die Umsetzung solcher Halogenide zu den gewünschten Horner-Emmons oder Wittig-Reagenzien kann erfolgen wie z.B. in Chemistry of Mate- rials, 13(9), 3009-3017; 2001 , European Journal of Organic Chemistry, (7), 1247-1257; 2005 oder WO1992/05145 beschrieben.B is as defined above, X 1 represents a leaving group such as a halide, preferably chlorine or bromine. The reaction of such halides to the desired Horner-Emmons or Wittig reagents can be carried out as described, for example, in Chemistry of Materials, 13 (9), 3009-3017; 2001, European Journal of Organic Chemistry, (7), 1247-1257; 2005 or WO1992 / 05145.
Die Alkylhalogenide sind entweder käuflich oder herstellbar nach Standardmethoden, z.B. durch Halogenierung der entsprechenden Methylverbindung. Geeignete Haloge- nierungsmittel für diese Reaktion sind N-Bromsuccinimid (Chemistry-A European Journal, 12(21 ), 5632-5641 ; 2006) bzw. N-Chlorsuccinimid (Tetrahedron Letters, 47(37), 6607-6609; 2006).The alkyl halides are either commercially available or can be prepared by standard methods, e.g. by halogenation of the corresponding methyl compound. Suitable halogenating agents for this reaction are N-bromosuccinimide (Chemistry-A European Journal, 12 (21), 5632-5641, 2006) and N-chlorosuccinimide (Tetrahedron Letters, 47 (37), 6607-6609, 2006).
Gemäß einer Alternative können Verbindungen der Formel V auch über eine Aldol- Synthese gemäß dem folgenden Schema hergestellt werden: In an alternative, compounds of formula V may also be prepared via aldol synthesis according to the following scheme:
Eine weitere Möglichkeit, Verbindungen der Formel Il herzustellen, besteht darin, eine Verbindung der Formel IVbAnother possibility of preparing compounds of the formula II is to prepare a compound of the formula IVb
zu epoxidieren. Geeignete Epoxidierungsverfahren sind dem Fachmann bekannt, siehe auch Herstellung der Verbindungen III.2 ausgehend von Verbindungen V. to epoxidize. Suitable epoxidation processes are known to the person skilled in the art, see also preparation of compounds III.2 starting from compounds V.
In Formel IVb kann die Doppelbindung sowohl in (E) als auch in (Z) Konfiguration vor- liegen. Dies wird durch die gezackte Bindung zwischen B und der Doppelbindung dargestellt. Ein weiterer Gegenstand der vorliegenden Erfindung sind Verbindungen der Formel IVb, worin A und B wie für Formel I definiert bzw. bevorzugt definiert sind.In formula IVb, the double bond may exist in both (E) and (Z) configurations. This is represented by the jagged bond between B and the double bond. Another object of the present invention are compounds of formula IVb, wherein A and B are as defined or preferably defined for formula I.
Verbindungen der Formel IVb können erhalten werden, indem eine Verbindung der Formel IVaCompounds of formula IVb can be obtained by reacting a compound of formula IVa
worin X für eine Abgangsgruppe steht, wie oben definiert, insbesondere steht X für Halogenid, mit 1 ,2,4-Triazol und einer Base umgesetzt wird. Die Reaktionsbedingungen können so gewählt werden, wie es oben bei der Herstellung von Verbindungen Il ausgehend von Verbindungen III.1 beschreiben ist. Die Verbindungen IVa haben dabei die Bedeutungen, wie sie für Formel III oben beschrieben sind. wherein X is a leaving group as defined above, in particular X is halide, is reacted with 1, 2,4-triazole and a base. The reaction conditions can be selected as described above in the preparation of compounds II starting from compounds III.1. The compounds IVa have the meanings as described for formula III above.
Eine weitere Möglichkeit, Verbindungen der Formel I herzustellen, besteht darin, ausgehend von Verbindungen der Formel III (siehe oben) zunächst mit Hydrazin zu Ver- bindungen der Formel lilaA further possibility for preparing compounds of the formula I consists, starting with compounds of the formula III (see above), first with hydrazine to give compounds of the formula IIIa
Ein Gegenstand der vorliegenden Erfindung sind auch Verbindungen der Formel lila, worin A und B wie für Formel I definiert bzw. bevorzugt definiert sind.An object of the present invention are also compounds of the formula IIIa, wherein A and B are as defined or preferably defined for formula I.
Anschließend können Verbindungen der Formel lila mit einem Thiocyanat YSCN, worin Y für ein Alkalimetall oder Ammonium, vorzugsweise für Natrium, Kalium oder Am- monium, steht, zur Reaktion gebracht werden, wobei insbesondere bevorzugt NH4SCN verwendet wird. Man erhält Thiosemicarbazid-Verbindungen IHbSubsequently, compounds of the formula IIIa can be reacted with a thiocyanate YSCN in which Y is an alkali metal or ammonium, preferably sodium, potassium or ammonium. monium, are reacted, with particular preference NH 4 SCN is used. Thiosemicarbazide compounds IHb are obtained
Durch Umsetzung mit Ameisensäure kann der Triazolylring gebildet werden, und man erhält die Thion-Form der entsprechenden erfindungsgemäßen Verbindung der Formel I (D=SH), welche gegebenenfalls weiter umgesetzt werden können (siehe oben). Siehe auch DE19744400 (WO99/18088).By reaction with formic acid, the triazolyl ring can be formed to give the thione form of the corresponding compound of formula I (D = SH) according to the invention, which can optionally be reacted further (see above). See also DE19744400 (WO99 / 18088).
Die Erfindung umfasst daher auch ein Verfahren zur Herstellung von erfindungsgemä- ßen Verbindungen der Formel I, worin D für SR steht mit R = Wasserstoff, Ci-C8-HaIo- genalkyl, C2-C8-Alkenyl, C2-C8-Halogenalkenyl, C2-C8-Alkinyl oder C2-C8-The invention therefore also encompasses a process for the preparation of compounds of the formula I according to the invention in which D is SR with R = hydrogen, C 1 -C 8 -haloalkyl, C 2 -C 8 -alkenyl, C 2 -C 8 -haloalkenyl, C 2 -C 8 alkynyl or C 2 -C 8 -
Halogenalkinyl, umfassend den SchrittHaloalkynyl comprising the step
(a1 ) Umsetzen einer Verbindung INb, worin A und B wie für Formel I definiert oder bevorzugt definiert sind, mit Ameisensäu- re, um Verbindungen 1-1(a1) reacting a compound INb, wherein A and B are as defined or preferably defined for formula I, with formic acid to compounds 1-1
zu erhalten; und, um Verbindungen I zu erhalten, worin D für SR steht, wobei R Ci-C8- Halogenalkyl, C2-C8-Alkenyl, C2-C8-Halogenalkenyl, C2-C8-Alkinyl oder C2-C8- Halogenalkinyl bedeutet: (b1 ) Umsetzen von Verbindungen 1-1 mit R-X, wobei X für Halogen oder Trifluor(Ci- C8)alkylsulfonat steht. to obtain; and, to obtain compounds I wherein D is SR, wherein R is Ci-C 8 - haloalkyl, C2-C8-alkenyl, C2-C8-haloalkenyl, C2-C 8 alkynyl, or C 2 -C 8 - haloalkynyl means (b1) reacting compounds 1-1 with RX, wherein X is halogen or trifluoro (Ci- C8) alkylsulfonate.
Die Erfindung umfasst auch ein Verfahren zur Herstellung von erfindungsgemäßen Verbindungen der Formel I, worin D für SR steht mit R = Wasserstoff, Ci-Cs-Alkyl, d- Cs-Halogenalkyl, C2-C8-Alkenyl, C2-C8-Halogenalkenyl, C2-C8-Alkinyl oder C2-C8- Halogenalkinyl, umfassend den Schritt (a1 ) Umsetzen einer Verbindung INb, worin A und B wie für Formel I definiert oder bevorzugt definiert sind, mit Ameisensäure, um Verbindungen 1-1 (D=SH) zu erhalten; und, um Verbindungen I zu erhalten, worin D für SR steht, wobei R Ci-C8- Alkyl, C-i-Cs-Halogenalkyl, C2-C8-Alkenyl, C2-C8-Halogenalkenyl, C2-C8-Alkinyl oder C2- Cs-Halogenalkinyl bedeutet: (b1 ) Umsetzen von Verbindungen 1-1 mit R-X, wobei X für Halogen oder Trifluor(Ci- C8)alkylsulfonat steht.The invention also encompasses a process for preparing compounds of the formula I according to the invention in which D is SR with R = hydrogen, C 1 -C 8 -alkyl, C 1 -C 5 -haloalkyl, C 2 -C 8 -alkenyl, C 2 -C 8 haloalkenyl, C 2 -C 8 alkynyl, or C 2 -C 8 - haloalkynyl, comprising the step of (a1) reacting a compound IIIb, wherein a and B are as defined for formula I or preferably as defined, with formic acid to give compounds 1 -1 (D = SH) to obtain; and, to obtain compounds I wherein D is SR, wherein R is Ci-C 8 - alkyl, Ci-Cs-haloalkyl, C 2 -C 8 alkenyl, C 2 -C 8 haloalkenyl, C 2 -C 8 Alkynyl or C 2 - Cs -haloalkynyl means: (b1) reacting compounds 1-1 with RX, wherein X is halogen or trifluoro (C 1 -C 8) alkylsulfonate.
Ein Gegenstand der vorliegenden Erfindung sind ferner Verbindungen der Formel INb, worin A und B wie für Formel I definiert bzw. bevorzugt definiert sind.An object of the present invention are also compounds of the formula INb, wherein A and B are as defined or preferably defined for formula I.
Gemäß einer weiteren Alternative können Verbindungen lila mit Formaldehyd ((CH2O)n) und einen Thiocyanat (YSCN, siehe oben) umgesetzt werden, wodurch manIn another alternative, compounds IIIa may be reacted with formaldehyde ((CH 2 O) n ) and a thiocyanate (YSCN, supra) to give
Verbindungen der Formel INc erhältCompounds of formula INc receives
Durch Oxidation mit z.B. Eisen(lll)chlorid in wässriger HCl (siehe auch DE19961603 bzw. WO 00/146158) oder durch Sauerstoff in Gegenwart von KOH und Schwefel (siehe auch WO 99/18087) wird dann der Triazolylring und somit die entsprechende Verbindung der Formel I gebildet. By oxidation with, for example, iron (III) chloride in aqueous HCl (see also DE19961603 or WO 00/146158) or by oxygen in the presence of KOH and sulfur (see also WO 99/18087), the triazolyl ring and thus the corresponding compound of Formula I formed.
Die Erfindung umfasst daher auch ein Verfahren zur Herstellung von erfindungsgemäßen Verbindungen der Formel I, worin D für SR steht mit R = Wasserstoff, Ci-C8-HaIo- genalkyl, C2-C8-Alkenyl, C2-C8-Halogenalkenyl, C2-C8-Alkinyl oder C2-C8- Halogenalkinyl, umfassend den Schritt (a3) Oxidation einer Verbindung der Formel INc, worin A und B wie für Formel I definiert oder bevorzugt definiert sind, um eine Verbindung 1-1 zu erhalten; und, um Verbindungen I zu erhalten, worin D für SR steht, wobei R d-Cs-Halogenalkyl, C2-C8-Al kenyl, C2-C8-Halogenalkenyl, C2-C8-Alkinyl oder C2-C8- Halogenalkinyl bedeutet: (b3) Umsetzen von Verbindungen 1-1 mit R-X, wobei X für Halogen oder Trifluor(Ci- C8)alkylsulfonat steht.The invention therefore also comprises a process for the preparation of compounds of the formula I wherein D is SR where R is hydrogen, Ci-C 8 -HaIo- genalkyl, C 2 -C 8 alkenyl, C 2 -C 8 haloalkenyl, C C 2 -C 8 alkynyl or C 2 -C 8 haloalkynyl, comprising the step of (a3) oxidizing a compound of formula INc, wherein A and B are as defined for formula I or preferably defined to obtain a compound 1-1 ; and to obtain compounds I in which D is SR, where R is C 1 -haloalkyl, C 2 -C 8 -alkynyl, C 2 -C 8 -haloalkenyl, C 2 -C 8 -alkynyl or C 2 - C 8 - haloalkynyl means: (b3) reacting compounds 1-1 with RX, wherein X is halogen or trifluoro (C 1 -C 8 ) alkylsulfonate.
Die Erfindung umfasst daher auch ein Verfahren zur Herstellung von erfindungsgemäßen Verbindungen der Formel I worin D für SR steht mit R = Wasserstoff, Ci-C8-Alkyl, Ci-Cβ-Halogenalkyl, C2-C8-Al kenyl, C2-C8-Halogenalkenyl, C2-C8-Alkinyl oder C2-C8- Halogenalkinyl, umfassend den Schritt (a3) Oxidation einer Verbindung der Formel INc, worin A und B wie für Formel I definiert oder bevorzugt definiert sind, um eine Verbin- düng 1-1 zu erhalten; und, um Verbindungen I zu erhalten, worin D für SR steht, wobei R Ci-Cβ-Alkyl, Ci-Cβ-Halogenalkyl, C2-C8-Alkenyl, C2-C8-Halogenalkenyl, C2-C8-Alkinyl oder C2-C8-Halogenalkinyl bedeutet:The invention therefore also encompasses a process for preparing compounds of the formula I according to the invention in which D is SR with R = hydrogen, C 1 -C 8 -alkyl, Ci-Cβ-haloalkyl, C 2 -C 8 -alkenyl -alkyl, C 2 -C 8 haloalkenyl, C 2 -C 8 alkynyl, or C 2 -C 8 - haloalkynyl, comprising the step (a3) oxidizing a compound of formula INc, wherein A and B are as defined for formula I or preferably defined to obtain a compound fertil 1-1; and to obtain compounds I in which D is SR, wherein R is C 1 -C 6 -alkyl, C 1 -C 6 -haloalkyl, C 2 -C 8 -alkenyl, C 2 -C 8 -haloalkenyl, C 2 -C 8 - Alkynyl or C 2 -C 8 haloalkynyl means:
(b3) Umsetzen von Verbindungen 1-1 mit R-X, wobei X für Halogen oder Trifluor(Ci- C8)alkylsulfonat steht.(b3) reacting compounds 1-1 with RX, wherein X is halogen or trifluoro (Ci- C 8 ) alkylsulfonate.
Ein Gegenstand der vorliegenden Erfindung sind ferner Verbindungen der Formel INc, worin A und B wie für Formel I definiert bzw. bevorzugt definiert sind.An object of the present invention are also compounds of the formula INc, wherein A and B are as defined or preferably defined for formula I.
Noch eine weitere Synthesemöglichkeit besteht darin, eine Verbindung lila mit einer Carbonylverbindung (Rx1Rx2)C=O (Rx1 = Ci -C4-Al kyl oder Phenyl, Rx2 = Wasserstoff oder Ci-C4-Al kyl oder Rx1 und Rx2 bilden zusammen eine -(CH2)5-Kette), z.B. mit Aceton ((CHs)2CO), und einem Thiocyanat YSCN, worin Y für Natrium, Kalium oder Ammonium steht, zuYet another possibility for synthesis is a compound IIIa with a carbonyl compound (R x1 R x2 ) C = O (R x1 = C 1 -C 4 -alkyl or phenyl, R x2 = hydrogen or C 1 -C 4 -alkyl or R x1 and R x2 together form a - (CH 2) 5 chain), for example with acetone ((CH) 2 CO), and a thiocyanate YSCN, wherein Y stands for sodium, potassium or ammonium, to
und die so gebildete Verbindung dann mit Ameisensäure, gegebenenfalls in Gegenwart eines Katalysators (z.B. HCl, H2SO4, p-Toluolsulfonsäure, Metalloxide wie z.B. amorphes TiO2) zu der entsprechenden Triazolverbindung I umzuwandeln. Rx1 und Rx2 bedeuten dabei vorzugsweise beide Methyl (Verbindungen llld-1 ). Siehe auch DE19744401 und WO 99/18086. and then converting the compound so formed with formic acid, optionally in the presence of a catalyst (eg, HCl, H 2 SO 4 , p-toluenesulfonic acid, metal oxides such as amorphous TiO 2 ) to the corresponding triazole compound I. R x1 and R x2 are preferably both methyl (compounds IIId-1). See also DE19744401 and WO99 / 18086.
Die Erfindung umfasst daher auch ein Verfahren zur Herstellung von erfindungsgemäßen Verbindungen der Formel I, worin D für SR steht mit R = Wasserstoff, Ci-C8-HaIo- genalkyl, C2-C8-Al kenyl, C2-C8-Halogenalkenyl, C2-C8-Alkinyl oder C2-C8- Halogenalkinyl, umfassend den Schritt:The invention therefore also comprises a process for the preparation of compounds of the formula I wherein D is SR with R = hydrogen, Ci-C 8 -HaIo- genalkyl, C 2 -C 8 -alkenyl, C 2 -C 8 - haloalkenyl, C 2 -C 8 alkynyl, or C 2 -C 8 - haloalkynyl, comprising the step of:
(a4) Umsetzen einer Verbindung INd wobei Rx1 = Ci-C4-Al kyl oder Phenyl, Rx2 = Wasserstoff oder Ci-C4-Al kyl, oder Rx1 und Rx2 zusammen eine -(CH2)5-Kette bilden und A und B wie für Formel I definiert oder bevorzugt definiert sind, mit Ameisensäure, um Verbindungen 1-1 wie hierin definiert oder bevorzugt definiert zu erhalten; und, um Verbindungen I zu erhalten, worin D für SR steht, wobei R Ci -C8-Al kyl, Ci-C8-Halogenalkyl, C2-C8-Alkenyl, C2-C8- Halogenalkenyl, C2-C8-Alkinyl oder C2-C8-Halogenalkinyl bedeutet:(a4) Reaction of a compound INd where R x1 = C 1 -C 4 -alkyl or phenyl, R x2 = hydrogen or C 1 -C 4 -alkyl, or R x1 and R x2 together form a - (CH 2 ) 5 -chain form and A and B are as defined for formula I or preferably defined with formic acid to obtain compounds 1-1 as herein defined or preferably defined; and to obtain compounds I wherein D is SR, where R is C -C 8 -alkyl, C 8 haloalkyl, C 2 -C 8 alkenyl, C 2 -C 8 - haloalkenyl, C2-C 8 alkynyl, or means C2-C8 haloalkynyl :
(b4) Umsetzen von Verbindungen 1-1 mit R-X, wobei X für Halogen oder Trifluor(Ci- C8)alkylsulfonat steht.(b4) reacting compounds 1-1 with RX, wherein X is halogen or trifluoro (Ci- C 8 ) alkylsulfonate.
Die Erfindung umfasst daher auch ein Verfahren zur Herstellung von erfindungsgemäßen Verbindungen der Formel I, worin D für SR steht mit R = Wasserstoff, Ci-C8-Alkyl, Ci-Cβ-Halogenalkyl, C2-C8-Al kenyl, C2-C8-Halogenalkenyl, C2-C8-Alkinyl oder C2-C8- Halogenalkinyl, umfassend den Schritt:The invention therefore also comprises a process for the preparation of compounds of the formula I wherein D is SR with R = hydrogen, Ci-C 8 alkyl, Ci-Cβ-haloalkyl, C 2 -C 8 -alkenyl -alkyl, C 2 C 8 haloalkenyl, C 2 -C 8 alkynyl or C 2 -C 8 haloalkynyl, comprising the step:
(a4) Umsetzen einer Verbindung INd wobei Rx1 = Ci-C4-Al kyl oder Phenyl, Rx2 = Wasserstoff oder Ci-C4-Al kyl, oder Rx1 und Rx2 zusammen eine -(CH2)5-Kette bilden und A und B wie für Formel I definiert oder bevorzugt definiert sind, mit Ameisensäure, um Verbindungen 1-1 wie hierin definiert oder bevorzugt definiert zu erhalten; und, um Verbindungen I zu erhalten, worin D für SR steht, wobei R Ci-C8-Al kyl, Ci-C8-Halogenalkyl, C2-C8-Alkenyl, C2-C8- Halogenalkenyl, C2-C8-Alkinyl oder C2-C8-Halogenalkinyl bedeutet:(a4) Reaction of a compound INd where R x1 = C 1 -C 4 -alkyl or phenyl, R x2 = hydrogen or C 1 -C 4 -alkyl, or R x1 and R x2 together form a - (CH 2 ) 5 -chain form and A and B are as defined for formula I or preferably defined with formic acid to obtain compounds 1-1 as herein defined or preferably defined; and, to obtain compounds I wherein D is SR, wherein R is Ci-C 8 -alkyl, C 8 haloalkyl, C 2 -C 8 alkenyl, C 2 -C 8 - haloalkenyl, C 2 - C 8 alkynyl or C 2 -C 8 haloalkynyl means:
(b4) Umsetzen von Verbindungen 1-1 mit R-X, wobei X für Halogen oder Trifluor(Ci- C8)alkylsulfonat steht.(b4) reacting compounds 1-1 with RX, wherein X is halogen or trifluoro (Ci- C 8 ) alkylsulfonate.
Ein Gegenstand der vorliegenden Erfindung sind ferner Verbindungen der Formel INd, worin A und B wie für Formel I definiert bzw. bevorzugt definiert sind.An object of the present invention are furthermore compounds of the formula INd, wherein A and B are as defined or preferably defined for formula I.
Bei den Definitionen der Symbole in den hierin angegebenen Formeln werden teilweise Sammelbegriffe verwendet, die allgemein repräsentativ für die folgenden Substituenten stehen:In the definitions of the symbols in the formulas given herein, partial collective terms are used which are generally representative of the following substituents:
Halogen: Fluor, Chlor, Brom und Jod;Halogen: fluorine, chlorine, bromine and iodine;
Alkyl sowie die Alkylteile von zusammengesetzten Gruppen wie beispielsweise Alky- lamino: gesättigte, geradkettige oder verzweigte Kohlenwasserstoffreste mit 1 bis 4, 6, 8 oder 12 Kohlenstoffatomen, z.B. Ci-C6-Alkyl wie Methyl, Ethyl, Propyl, 1-Methylethyl, Butyl, 1-Methyl-propyl, 2-Methylpropyl, 1 ,1-Dimethylethyl, Pentyl, 1-Methylbutyl, 2-Me- thylbutyl, 3-Methylbutyl, 2,2-Di-methylpropyl, 1-Ethylpropyl, Hexyl, 1 ,1-Dimethylpropyl, 1 ,2-Dimethylpropyl, 1-Methylpentyl, 2-Methylpentyl, 3-Methylpentyl, 4-Methylpentyl, 1 ,1-Dimethylbutyl, 1 ,2-Dimethylbutyl, 1 ,3-Dimethylbutyl, 2,2-Dimethylbutyl, 2,3-Dime- thylbutyl, 3,3-Dimethylbutyl, 1-Ethylbutyl, 2-Ethylbutyl, 1 ,1 ,2-Trimethylpropyl, 1 ,2,2-Tri- methylpropyl, 1-Ethyl-1-methylpropyl und 1-Ethyl-2-methylpropyl; Halogenalkyl: Alkyl wie vorstehend genannt, wobei in diesen Gruppen teilweise oder vollständig die Wasserstoffatome durch Halogenatome wie vorstehend genannt ersetzt sind; insbesondere Ci-C2-Halogenalkyl wie Chlormethyl, Brommethyl, Dichlormethyl, Trichlormethyl, Fluormethyl, Difluormethyl, Trifluormethyl, Chlorfluormethyl, Dichlorflu- ormethyl, Chlordifluormethyl, 1-Chlorethyl, 1-Bromethyl, 1-Fluorethyl, 2-Fluorethyl, 2,2- Difluorethyl, 2,2,2-Trifluorethyl, 2-Chlor-2-fluorethyl, 2-Chlor-2,2-difluorethyl, 2,2- Dichlor-2-fluorethyl, 2,2,2-Trichlorethyl, Pentafluorethyl oder 1 ,1 ,1-Trifluorprop-2-yl;Alkyl and the alkyl moieties of compound groups such as alkylamino: saturated, straight-chain or branched hydrocarbon radicals having 1 to 4, 6, 8 or 12 carbon atoms, for example Ci-C 6 alkyl such as methyl, ethyl, propyl, 1-methylethyl, butyl , 1-methylpropyl, 2-methylpropyl, 1, 1-dimethylethyl, pentyl, 1-methylbutyl, 2-methylbutyl, 3-methylbutyl, 2,2-dimethylpropyl, 1-ethylpropyl, hexyl, 1, 1 -Dimethylpropyl, 1, 2-dimethylpropyl, 1-methylpentyl, 2-methylpentyl, 3-methylpentyl, 4-methylpentyl, 1, 1-dimethylbutyl, 1, 2-dimethylbutyl, 1, 3-dimethylbutyl, 2,2-dimethylbutyl, 2 , 3-dimethylbutyl, 3,3-dimethylbutyl, 1-ethylbutyl, 2-ethylbutyl, 1, 1, 2-trimethylpropyl, 1, 2,2-trimethylpropyl, 1-ethyl-1-methylpropyl and 1-ethyl -2-methylpropyl; Haloalkyl: alkyl as mentioned above, wherein in these groups partially or completely the hydrogen atoms are replaced by halogen atoms as mentioned above; in particular C 1 -C 2 -haloalkyl, such as chloromethyl, bromomethyl, dichloromethyl, trichloromethyl, fluoromethyl, difluoromethyl, trifluoromethyl, chlorofluoromethyl, dichlorofluoromethyl, chlorodifluoromethyl, 1-chloroethyl, 1-bromoethyl, 1-fluoroethyl, 2-fluoroethyl, 2,2-difluoroethyl , 2,2,2-trifluoroethyl, 2-chloro-2-fluoroethyl, 2-chloro-2,2-difluoroethyl, 2,2-dichloro-2-fluoroethyl, 2,2,2-trichloroethyl, pentafluoroethyl or 1, 1 , 1-trifluoroprop-2-yl;
Alkenyl sowie die Alkenylteile in zusammengesetzten Gruppen, wie Alkenyloxy: unge- sättigte, geradkettige oder verzweigte Kohlenwasserstoffreste mit 2 bis 4, 2 bis 6 oder 2 bis 8 Kohlenstoffatomen und einer Doppelbindung in einer beliebigen Position. Erfindungsgemäß kann es bevorzugt sein, kleine Alkenylgruppen wie (C2-C4)-Alkenyl zu verwenden, andererseits kann es auch bevorzugt sein, größere Alkenylgruppen wie (C5-C8)-Alkenyl einzusetzen. Beipiele für Alkenylgruppen sind z.B. C2-C6-Alkenyl wie Ethenyl, 1-Propenyl, 2-Propenyl, 1-Methylethenyl, 1-Butenyl, 2-Butenyl, 3-Butenyl, 1- Methyl-1-propenyl, 2-Methyl-1-propenyl, 1-Methyl-2-propenyl, 2-Methyl-2-propenyl, 1- Pentenyl, 2-Pentenyl, 3-Pentenyl, 4-Pentenyl, 1-Methyl-1-butenyl, 2-Methyl-1-butenyl, 3-Methyl-1-butenyl, 1-Methyl-2-butenyl, 2-Methyl-2-butenyl, 3-Methyl-2-butenyl, 1- Methyl-3-butenyl, 2-Methyl-3-butenyl, 3-Methyl-3-butenyl, 1 ,1-Dimethyl-2-propenyl, 1 ,2- Dimethyl-1-propenyl, 1 ,2-Dimethyl-2-propenyl, 1-Ethyl-1 propenyl, 1-Ethyl-2-propenyl, 1-Hexenyl, 2-Hexenyl, 3-Hexenyl, 4-Hexenyl, 5-Hexenyl, 1-Methyl-1-pentenyl, 2- Methyl-1-pentenyl, 3-Methyl-1-pentenyl, 4-Methyl-1-pentenyl, 1-Methyl-2-pentenyl, 2- Methyl-2-pentenyl, 3-Methyl-2-pentenyl, 4-Methyl-2-pentenyl, 1-Methyl-3-pentenyl, 2- Methyl-3pentenyl, 3-Methyl-3-pentenyl, 4-Methyl-3-pentenyl, 1-Methyl-4-pentenyl, 2- Methyl-4-pentenyl, 3-Methyl-4-pentenyl, 4-Methyl-4-pentenyl, 1 ,1-Dimethyl-2-butenyl, 1 ,1-Dimethyl-3-butenyl, 1 ,2-Dimethyl-1-butenyl, 1 ,2-Dimethyl-2-butenyl, 1 ,2-Dimethyl- 3-butenyl, 1 ,3-Dimethyl-1-butenyl, 1 ,3-Dimethyl-2-butenyl, 1 ,3-Dimethyl-3-butenyl, 2,2- Dimethyl-3-butenyl, 2,3-Dimethyl-1-butenyl, 2,3-Dimethyl-2-butenyl, 2,3-Dimethyl-3- butenyl, 3,3-Dimethyl-1-butenyl, 3,3-Dimethyl-2-butenyl, 1-Ethyl-1-butenyl, 1-Ethyl-2- butenyl, 1-Ethyl-3-butenyl, 2-Ethyl-1-butenyl, 2-Ethyl-2-butenyl, 2-Ethyl-3-butenyl, 1 ,1 ,2-Trimethyl-2-propenyl, 1 -Ethyl-1 -methyl-2-propenyl, 1 -Ethyl-2-methyl-1 propenyl und 1-Ethyl-2-methyl-2-propenyl;Alkenyl and the alkenyl moieties in a compound group, such as alkenyloxy: unsaturated, straight-chain or branched hydrocarbon radicals having 2 to 4, 2 to 6 or 2 to 8 carbon atoms and a double bond in any position. In the present invention, it may be preferable to use small alkenyl groups such as (C 2 -C 4) alkenyl, but on the other hand, it may also be preferable to use larger alkenyl groups such as (C 5 -C 8) alkenyl. Examples of alkenyl groups are e.g. C2-C6 alkenyl such as ethenyl, 1-propenyl, 2-propenyl, 1-methylethenyl, 1-butenyl, 2-butenyl, 3-butenyl, 1-methyl-1-propenyl, 2-methyl-1-propenyl, 1 Methyl 2-propenyl, 2-methyl-2-propenyl, 1-pentenyl, 2-pentenyl, 3-pentenyl, 4-pentenyl, 1-methyl-1-butenyl, 2-methyl-1-butenyl, 3-methyl 1-butenyl, 1-methyl-2-butenyl, 2-methyl-2-butenyl, 3-methyl-2-butenyl, 1-methyl-3-butenyl, 2-methyl-3-butenyl, 3-methyl-3- butenyl, 1, 1-dimethyl-2-propenyl, 1, 2-dimethyl-1-propenyl, 1, 2-dimethyl-2-propenyl, 1-ethyl-1-propenyl, 1-ethyl-2-propenyl, 1-hexenyl , 2-hexenyl, 3-hexenyl, 4-hexenyl, 5-hexenyl, 1-methyl-1-pentenyl, 2-methyl-1-pentenyl, 3-methyl-1-pentenyl, 4-methyl-1-pentenyl, 1 Methyl 2-pentenyl, 2-methyl-2-pentenyl, 3-methyl-2-pentenyl, 4-methyl-2-pentenyl, 1-methyl-3-pentenyl, 2-methyl-3-pentenyl, 3-methyl-3 pentenyl, 4-methyl-3-pentenyl, 1-methyl-4-pentenyl, 2-methyl-4-pentenyl, 3-methyl-4-pentenyl, 4-methyl-4-pentenyl, 1, 1-dimethyl-2 Butenyl, 1, 1-dimethyl-3-butenyl, 1, 2-dimethyl-1-butene yl, 1, 2-dimethyl-2-butenyl, 1, 2-dimethyl-3-butenyl, 1, 3-dimethyl-1-butenyl, 1, 3-dimethyl-2-butenyl, 1, 3-dimethyl-3 butenyl, 2,2-dimethyl-3-butenyl, 2,3-dimethyl-1-butenyl, 2,3-dimethyl-2-butenyl, 2,3-dimethyl-3-butenyl, 3,3-dimethyl-1 butenyl, 3,3-dimethyl-2-butenyl, 1-ethyl-1-butenyl, 1-ethyl-2-butenyl, 1-ethyl-3-butenyl, 2-ethyl-1-butenyl, 2-ethyl-2- butenyl, 2-ethyl-3-butenyl, 1, 1, 2-trimethyl-2-propenyl, 1-ethyl-1-methyl-2-propenyl, 1-ethyl-2-methyl-1-propenyl and 1-ethyl-2 -methyl-2-propenyl;
Halogenalkenyl: Alkenyl wie vorstehend definiert, wobei in diesen Gruppen die Was- serstoffatome teilweise oder vollständig gegen Halogenatome, wie vorstehend unter Halogenalkyl beschrieben, insbesondere Fluor, Chlor oder Brom, ersetzt sind;Haloalkenyl: alkenyl as defined above, wherein in these groups the hydrogen atoms are partially or completely replaced by halogen atoms as described above under haloalkyl, in particular fluorine, chlorine or bromine;
Alkadienyl: ungesättigte, geradkettige oder verzweigte Kohlenwasserstoffreste mit 4 bis 6 oder 4 bis 8 Kohlenstoffatomen und zwei Doppelbindungen in beliebiger Position;Alkadienyl: unsaturated, straight-chain or branched hydrocarbon radicals having 4 to 6 or 4 to 8 carbon atoms and two double bonds in any position;
Alkinyl sowie die Alkinylteile in zusammengesetzten Gruppen: geradkettige oder verzweigte Kohlenwasserstoffgruppen mit 2 bis 4, 2 bis 6 oder 2 bis 8 Kohlenstoffatomen und einer oder zwei Dreifachbindungen in einer beliebigen Position, z.B. C2-C6-Alkinyl wie Ethinyl, 1-Propinyl, 2-Propinyl, 1-Butinyl, 2-Butinyl, 3-Butinyl, 1-Methyl-2-propinyl, 1-Pentinyl, 2-Pentinyl, 3-Pentinyl, 4-Pentinyl, 1-Methyl-2-butinyl, 1 -Methyl-3-butinyl, 2- Methyl-3-butinyl, 3-Methyl-1 -butinyl, 1 ,1-Dimethyl-2-propinyl, 1 -Ethyl-2-propinyl, 1- Hexinyl, 2-Hexinyl, 3-Hexinyl, 4-Hexinyl, 5-Hexinyl, 1-Methyl-2-pentinyl, 1 -Methyl-3- pentinyl, 1-Methyl-4-pentinyl, 2-Methyl-3-pentinyl, 2-Methyl-4-pentinyl, 3-Methyl-1- pentinyl, 3-Methyl-4-pentinyl, 4-Methyl-1-pentinyl, 4-Methyl-2-pentinyl, 1 ,1-Dimethyl-2- butinyl, 1 ,1-Dimethyl-3-butinyl, 1 ,2-Dimethyl-3-butinyl, 2,2-Dimethyl-3-butinyl, 3,3- Dimethyl-1 -butinyl, 1-Ethyl-2-butinyl, 1-Ethyl-3-butinyl, 2-Ethyl-3-butinyl und 1 -Ethyl-1 - methyl-2-propinyl;Alkynyl and the alkynyl moieties in compound groups: straight-chain or branched hydrocarbon groups having 2 to 4, 2 to 6 or 2 to 8 carbon atoms and one or two triple bonds in any position, for example C 2 -C 6 -alkynyl, such as ethynyl, 1-propynyl, 2-propynyl, 1-butynyl, 2-butynyl, 3-butynyl, 1-methyl-2-propynyl, 1-pentynyl , 2-pentynyl, 3-pentynyl, 4-pentynyl, 1-methyl-2-butynyl, 1-methyl-3-butynyl, 2-methyl-3-butynyl, 3-methyl-1-butynyl, 1, 1-dimethyl 2-propynyl, 1-ethyl-2-propynyl, 1-hexynyl, 2-hexynyl, 3-hexynyl, 4-hexynyl, 5-hexynyl, 1-methyl-2-pentynyl, 1-methyl-3-pentynyl, 1 Methyl 4-pentynyl, 2-methyl-3-pentynyl, 2-methyl-4-pentynyl, 3-methyl-1-pentynyl, 3-methyl-4-pentynyl, 4-methyl-1-pentynyl, 4-methyl 2-pentynyl, 1, 1-dimethyl-2-butynyl, 1, 1-dimethyl-3-butynyl, 1, 2-dimethyl-3-butynyl, 2,2-dimethyl-3-butynyl, 3,3-dimethyl 1-butynyl, 1-ethyl-2-butynyl, 1-ethyl-3-butynyl, 2-ethyl-3-butynyl and 1-ethyl-1-methyl-2-propynyl;
Halogenalkinyl: Alkinyl, wie vorstehend definiert, wobei in diesen Gruppen die Wasserstoffatome teilweise oder vollständig gegen Halogenatome, wie vorstehend unter HaIo- genalkyl beschrieben, insbesondere Fluor, Chlor oder Brom, ersetzt sind;Haloalkynyl: alkynyl, as defined above, wherein in these groups the hydrogen atoms are partially or completely replaced by halogen atoms, as described above under haloalkyl, in particular fluorine, chlorine or bromine;
Cycloalkyl sowie die Cycloalkylteile in zusammengesetzten Gruppen: mono- oder bi- cyclische, gesättigte Kohlenwasserstoffgruppen mit 3 bis 8, insbesondere 3 bis 6 Kohlenstoffringgliedern, z.B. C3-C6-Cycloalkyl wie Cyclopropyl, Cyclobutyl, Cyclopentyl, Cyclohexyl;Cycloalkyl and the cycloalkyl moieties in assembled groups: mono- or bicyclic, saturated hydrocarbon groups having 3 to 8, in particular 3 to 6, carbon ring members, e.g. C3-C6 cycloalkyl such as cyclopropyl, cyclobutyl, cyclopentyl, cyclohexyl;
Halogencycloalkyl: Cycloalkyl, wie vorstehend definiert, wobei in diesen Gruppen die Wasserstoffatome teilweise oder vollständig gegen Halogenatome, wie vorstehend unter Halogenalkyl beschrieben, insbesondere Fluor, Chlor oder Brom, ersetzt sind;Halogencycloalkyl: cycloalkyl as defined above, wherein in these groups the hydrogen atoms are partially or completely replaced by halogen atoms as described above under haloalkyl, in particular fluorine, chlorine or bromine;
Cycloalkenyl: monocyclische, einfach ungesättigte Kohlenwasserstoffgruppen mit vorzugsweise 3 bis 8 oder 4 bis 6, insbesondere 5 bis 6 Kohlenstoffringgliedern, wie Cyc- lopenten-1-yl, Cyclopenten-3-yl, Cyclohexen-1-yl, Cyclohexen-3-yl, Cyclohexen-4-yl und dergleichen;Cycloalkenyl: monocyclic, monounsaturated hydrocarbon groups having preferably 3 to 8 or 4 to 6, in particular 5 to 6 carbon ring members, such as cyclopenten-1-yl, cyclopenten-3-yl, cyclohexen-1-yl, cyclohexen-3-yl, Cyclohexene-4-yl and the like;
Halogencycloalkenyl: Cycloalkenyl, wie vorstehend definiert, wobei in diesen Gruppen die Wasserstoffatome teilweise oder vollständig gegen Halogenatome, wie vorstehend unter Halogenalkyl beschrieben, insbesondere Fluor, Chlor oder Brom, ersetzt sind;Halocycloalkenyl: cycloalkenyl as defined above, wherein in these groups the hydrogen atoms are partially or completely replaced by halogen atoms as described above under haloalkyl, in particular fluorine, chlorine or bromine;
Alkoxy: für eine über ein Sauerstoff gebundene Alkylgruppe wie oben definiert, bevor- zugt mit 1 bis 8, mehr bevorzugt 2 bis 6 C-Atomen. Beispiele sind: Methoxy, Ethoxy, n- Propoxy, 1 -Methylethoxy, Butoxy, 1-Methylpropoxy, 2-Methylpropoxy oder 1 ,1- Dimethylethoxy; sowie z.B. Pentoxy, 1-Methylbutoxy, 2-Methylbutoxy, 3-Methylbutoxy, 1 ,1-Dimethylpropoxy, 1 ,2-Dimethylpropoxy, 2,2-Dimethylpropoxy, 1-Ethylpropoxy, He- xoxy, 1-Methylpentoxy, 2-Methylpentoxy, 3-Methylpentoxy, 4-Methylpentoxy, 1 ,1- Dimethylbutoxy, 1 ,2-Dimethylbutoxy, 1 ,3-Dimethylbutoxy, 2,2-Dimethylbutoxy, 2,3- Dimethylbutoxy, 3,3-Dimethylbutoxy, 1-Ethylbutoxy, 2-Ethyl butoxy, 1 ,1 ,2- Trimethylpropoxy, 1 ,2,2-Trimethylpropoxy, 1-Ethyl-1-methylpropoxy oder 1 -Ethyl-2- methylpropoxy;Alkoxy: for an oxygen-bonded alkyl group as defined above, preferably with 1 to 8, more preferably 2 to 6 carbon atoms. Examples are: methoxy, ethoxy, n-propoxy, 1-methylethoxy, butoxy, 1-methylpropoxy, 2-methylpropoxy or 1, 1-dimethylethoxy; and also, for example, pentoxy, 1-methylbutoxy, 2-methylbutoxy, 3-methylbutoxy, 1, 1-dimethylpropoxy, 1, 2-dimethylpropoxy, 2,2-dimethylpropoxy, 1-ethylpropoxy, hexoxy, 1-methylpentoxy, 2-methylpentoxy, 3-methylpentoxy, 4-methylpentoxy, 1, 1-dimethylbutoxy, 1, 2-dimethylbutoxy, 1, 3-dimethylbutoxy, 2,2-dimethylbutoxy, 2,3-dimethylbutoxy, 3,3-dimethylbutoxy, 1-ethylbutoxy, 2- Ethyl butoxy, 1, 1, 2 Trimethylpropoxy, 1, 2,2-trimethylpropoxy, 1-ethyl-1-methylpropoxy or 1-ethyl-2-methylpropoxy;
Halogenalkoxy: Alkoxy, wie vorstehend definiert, wobei in diesen Gruppen die Wasser- stoffatome teilweise oder vollständig gegen Halogenatome, wie vorstehend unter HaIo- genalkyl beschrieben, insbesondere Fluor, Chlor oder Brom, ersetzt sind. Beispiele für sind OCH2F, OCHF2, OCF3, OCH2CI, OCHCI2, OCCI3, Chlorfluormethoxy, Dichlorflu- ormethoxy, Chlordifluormethoxy, 2-Fluorethoxy, 2-Chlorethoxy, 2-Bromethoxy, 2- lodethoxy, 2,2-Difluorethoxy, 2,2,2-Trifluorethoxy, 2-Chlor-2-fluorethoxy, 2-Chlor-2,2- difluorethoxy, 2,2-Dichlor-2-fluorethoxy, 2,2,2-Trichlorethoxy, OC2F5, 2-Fluorpropoxy, 3-Fluorpropoxy, 2,2-Difluorpropoxy, 2,3-Difluorpropoxy, 2-Chlorpropoxy, 3- Chlorpropoxy, 2,3-Dichlorpropoxy, 2-Brompropoxy, 3-Brompropoxy, 3,3,3- Trifluorpropoxy, 3,3,3-Trichlorpropoxy, OCH2-C2F5, OCF2-C2F5, 1-(CH2F)-2-fluorethoxy, 1-(CH2CI)-2-chlorethoxy, 1-(CH2Br)-2-bromethoxy, 4-Fluorbutoxy, 4-Chlorbutoxy, 4- Brombutoxy oder Nonafluorbutoxy; sowie 5-Fluorpentoxy, 5-Chlorpentoxy, 5-Haloalkoxy: Alkoxy, as defined above, wherein in these groups, the hydrogen atoms are partially or completely replaced by halogen atoms, as described above under haloalkyl, in particular fluorine, chlorine or bromine. Examples of these are OCH 2 F, OCHF 2 , OCF 3 , OCH 2 Cl, OCHCl 2 , OCCl 3 , chlorofluoromethoxy, dichlorofluoromethoxy, chlorodifluoromethoxy, 2-fluoroethoxy, 2-chloroethoxy, 2-bromoethoxy, 2-iodoethoxy, 2,2 Difluoroethoxy, 2,2,2-trifluoroethoxy, 2-chloro-2-fluoroethoxy, 2-chloro-2,2-difluoroethoxy, 2,2-dichloro-2-fluoroethoxy, 2,2,2-trichloroethoxy, OC 2 F 5 , 2-fluoropropoxy, 3-fluoropropoxy, 2,2-difluoropropoxy, 2,3-difluoropropoxy, 2-chloropropoxy, 3-chloropropoxy, 2,3-dichloropropoxy, 2-bromopropoxy, 3-bromopropoxy, 3,3,3- Trifluoropropoxy, 3,3,3-trichloropropoxy, OCH 2 -C 2 F 5 , OCF 2 -C 2 F 5 , 1- (CH 2 F) -2-fluoroethoxy, 1- (CH 2 Cl) -2-chloroethoxy, 1- (CH 2 Br) -2-bromoethoxy, 4-fluorobutoxy, 4-chlorobutoxy, 4-bromobutoxy or nonafluorobutoxy; and 5-fluoropentoxy, 5-chloropentoxy, 5-
Brompentoxy, 5-lodpentoxy, Undecafluorpentoxy, 6-Fluorhexoxy, 6-Chlorhexoxy, 6- Bromhexoxy, 6-lodhexoxy oder Dodecafluorhexoxy.Bromopentoxy, 5-iodopentoxy, undecafluoropentoxy, 6-fluorohexoxy, 6-chlorohexoxy, 6-bromohexoxy, 6-iodohexoxy or dodecafluorohexoxy.
Alkylen: divalente unverzweigte Ketten aus CH2-Gruppen. Bevorzugt ist (Ci-Cβ)- Alkylen, mehr bevorzugt ist (C2-C4)-Alkylen, weiterhin kann es bevorzugt sein, (Ci-C3)- Alkylen-Gruppen einzusetzen. Beispiele für bevorzugte Alkylenreste sind CH2, CH2CH2, CH2CH2CH2, CH2(CH2)2CH2, CH2(CH2)3CH2 und CH2(CH2)4CH2;Alkylene: divalent linear chains of CH 2 groups. Preference is given to (C 1 -C 6) -alkylene, more preferably (C 2 -C 4) -alkylene, and furthermore it may be preferable to use (C 1 -C 3 ) -alkylene groups. Examples of preferred alkylene radicals are CH 2 , CH 2 CH 2 , CH 2 CH 2 CH 2 , CH 2 (CH 2 ) 2 CH 2 , CH 2 (CH 2 ) 3 CH 2 and CH 2 (CH 2 ) 4 CH 2 ;
3-, 4-, 5-, 6-, 7-, 8-, 9- oder 10-gliedriger gesättigter oder partiell ungesättigter Hetero- cyclus, enthaltend 1 , 2, 3 oder 4 Heteroatome aus der Gruppe O, N und S, wobei der jeweilige Heterocyclus über ein Kohlenstoffatom oder über ein Stickstoffatom, falls enthalten, angebunden sein kann. Es kann erfindungsgemäß bevorzugt sein, dass der jeweilige Heterocyclus über Kohlenstoff gebunden ist, andererseits kann es auch bevorzugt sein, dass der Heterocyclus über Stickstoff gebunden ist. Insbesondere: - drei- oder viergliedriger gesättigter Heterocyclus (im Folgenden auch Heterocyc- IyI), enthaltend ein oder zwei Heteroatome aus der Gruppe O, N und S als Ringglieder; fünf- oder sechsgliedriger gesättigter oder partiell ungesättigter Heterocyclus enthaltend ein, zwei, drei oder vier Heteroatome aus der Gruppe O, N und S als Ringglieder: z.B. monocyclische gesättigte oder partiell ungesättigte Heterocyc- len, enthaltend neben Kohlenstoffringgliedern einen, zwei oder drei Stickstoffatome und/oder ein Sauerstoff- oder Schwefelatom oder ein oder zwei Sauerstoff- und/oder Schwefelatome, z.B. 2-Tetrahydrofuranyl, 3-Tetrahydrofuranyl, 2- Tetrahydrothienyl, 3-Tetrahydrothienyl, 2-Pyrrolidinyl, 3-Pyrrolidinyl, 3- Isoxazolidinyl, 4-lsoxazolidinyl, 5-lsoxazolidinyl, 3-lsothiazolidinyl, 4-3-, 4-, 5-, 6-, 7-, 8-, 9- or 10-membered saturated or partially unsaturated heterocycle containing 1, 2, 3 or 4 heteroatoms from the group O, N and S, wherein the respective heterocycle may be attached via a carbon atom or via a nitrogen atom, if present. It may be preferred according to the invention that the respective heterocycle is bonded via carbon, on the other hand it may also be preferred that the heterocycle is bonded via nitrogen. In particular: - three- or four-membered saturated heterocycle (hereinafter also Heterocyc IyI), containing one or two heteroatoms from the group O, N and S as ring members; A five- or six-membered saturated or partially unsaturated heterocycle containing one, two, three or four heteroatoms from the group O, N and S as ring members: e.g. monocyclic saturated or partially unsaturated heterocycles containing, in addition to carbon ring members, one, two or three nitrogen atoms and / or one oxygen or sulfur atom or one or two oxygen and / or sulfur atoms, e.g. 2-tetrahydrofuranyl, 3-tetrahydrofuranyl, 2-tetrahydrothienyl, 3-tetrahydrothienyl, 2-pyrrolidinyl, 3-pyrrolidinyl, 3-isoxazolidinyl, 4-isoxazolidinyl, 5-isoxazolidinyl, 3-isothiazolidinyl, 4-
Isothiazolidinyl, 5-lsothiazolidinyl, 3-Pyrazolidinyl, 4-Pyrazolidinyl, 5-Pyrazolidinyl, 2-Oxazolidinyl, 4-Oxazolidinyl, 5-Oxazolidinyl, 2-Thiazolidinyl, 4-Thiazolidinyl, 5- Thiazolidinyl, 2-lmidazolidinyl, 4-lmidazolidinyl, 1 ,2,4-Oxadiazolidin-3-yl, 1 ,2,4- Oxadiazolidin-5-yl, 1 ,2,4-Thiadiazolidin-3-yl, 1 ,2,4-Thiadiazolidin-5-yl, 1 ,2,4-Triazolidin-3-yl, 1 ,3,4-Oxadiazolidin-2-yl, 1 ,3,4-Thiadiazolidin-2-yl, 1 ,3,4-Triazolidin-2-yl, 2,3-Dihydrofur-2-yl, 2,3-Dihydrofur-3-yl, 2,4-Dihydrofur-2-yl, 2,4-Dihydrofur-3-yl, 2,3-Dihydrothien-2-yl, 2,3-Dihydrothien-3-yl,Isothiazolidinyl, 5-isothiazolidinyl, 3-pyrazolidinyl, 4-pyrazolidinyl, 5-pyrazolidinyl, 2-oxazolidinyl, 4-oxazolidinyl, 5-oxazolidinyl, 2-thiazolidinyl, 4-thiazolidinyl, 5- Thiazolidinyl, 2-imidazolidinyl, 4-imidazolidinyl, 1, 2,4-oxadiazolidin-3-yl, 1, 2,4-oxadiazolidin-5-yl, 1, 2,4-thiadiazolidin-3-yl, 1, 2, 4-thiadiazolidin-5-yl, 1, 2,4-triazolidin-3-yl, 1, 3,4-oxadiazolidin-2-yl, 1, 3,4-thiadiazolidin-2-yl, 1, 3,4- Triazolidin-2-yl, 2,3-dihydrofur-2-yl, 2,3-dihydrofur-3-yl, 2,4-dihydrofur-2-yl, 2,4-dihydrofur-3-yl, 2,3- Dihydrothien-2-yl, 2,3-dihydro-thien-3-yl,
2,4-Dihydrothien-2-yl, 2,4-Dihydrothien-3-yl, 2-Pyrrolin-2-yl, 2-Pyrrolin-3-yl, 3-Pyrrolin-2-yl, 3-Pyrrolin-3-yl, 2-lsoxazolin-3-yl, 3-lsoxazolin-3-yl, 4-lsoxazolin-3- yl, 2-lsoxazolin-4-yl, 3-lsoxazolin-4-yl, 4-lsoxazolin-4-yl, 2-lsoxazolin-5-yl, 3- lsoxazolin-5-yl, 4-lsoxazolin-5-yl, 2-lsothiazolin-3-yl, 3-lsothiazolin-3-yl, 4- lsothiazolin-3-yl, 2-lsothiazolin-4-yl, 3-lsothiazolin-4-yl, 4-lsothiazolin-4-yl, 2- lsothiazolin-5-yl, 3-lsothiazolin-5-yl, 4-lsothiazolin-5-yl, 2,3-Dihydropyrazol-1-yl, 2,3-Dihydropyrazol-2-yl, 2,3-Dihydropyrazol-3-yl, 2,3-Dihydropyrazol-4-yl, 2,3- Dihydropyrazol-5-yl, 3,4-Dihydropyrazol-1-yl, 3,4-Dihydropyrazol-3-yl, 3,4-Di- hydropyrazol-4-yl, 3,4-Dihydropyrazol-5-yl, 4,5-Dihydropyrazol-1-yl, 4,5-Dihydro- pyrazol-3-yl, 4,5-Dihydropyrazol-4-yl, 4,5-Dihydropyrazol-5-yl, 2,3-Dihydrooxazol-2,4-dihydro-thien-2-yl, 2,4-dihydro-thien-3-yl, 2-pyrrolin-2-yl, 2-pyrrolin-3-yl, 3-pyrrolin-2-yl, 3-pyrroline-3 yl, 2-isoxazolin-3-yl, 3-isoxazolin-3-yl, 4-isoxazolin-3-yl, 2-isoxazolin-4-yl, 3-isoxazolin-4-yl, 4-isoxazolin-4-yl, 2-isoxazolin-5-yl, 3-isoxazolin-5-yl, 4-isoxazolin-5-yl, 2-isothiazolin-3-yl, 3-isothiazolin-3-yl, 4-isothiazolin-3-yl, 2 isothiazolin-4-yl, 3-isothiazolin-4-yl, 4-isothiazolin-4-yl, 2-isothiazolin-5-yl, 3-isothiazolin-5-yl, 4-isothiazolin-5-yl, 2,3- Dihydropyrazol-1-yl, 2,3-dihydropyrazol-2-yl, 2,3-dihydropyrazol-3-yl, 2,3-dihydropyrazol-4-yl, 2,3-dihydropyrazol-5-yl, 3,4- Dihydropyrazol-1-yl, 3,4-dihydropyrazol-3-yl, 3,4-dihydropyrazol-4-yl, 3,4-dihydropyrazol-5-yl, 4,5-dihydropyrazol-1-yl, 4, 5-dihydropyrazol-3-yl, 4,5-dihydropyrazol-4-yl, 4,5-dihydropyrazol-5-yl, 2,3-dihydrooxazole
2-yl, 2,3-Dihydrooxazol-3-yl, 2,3-Dihydrooxazol-4-yl, 2,3-Dihydrooxazol-5-yl, 3,4- Dihydrooxazol-2-yl, 3,4-Dihydrooxazol-3-yl, 3,4-Dihydrooxazol-4-yl, 3,4-Dihydro- oxazol-5-yl, 3,4-Dihydrooxazol-2-yl, 3,4-Dihydrooxazol-3-yl, 3,4-Dihydrooxazol-4- yl, 2-Piperidinyl, 3-Piperidinyl, 4-Piperidinyl, 1 ,3-Dioxan-5-yl, 2-Tetrahydropyra- nyl, 4-Tetrahydropyranyl, 2-Tetrahydrothienyl, 3-Hexahydropyridazinyl, 4-Hexa- hydropyridazinyl, 2-Hexahydropyrimidinyl, 4-Hexahydropyrimidinyl, 5-Hexahydro- pyrimidinyl, 2-Piperazinyl, 1 ,3,5-Hexahydro-triazin-2-yl und 1 ,2,4-Hexahydro- triazin-3-yl sowie die entsprechenden -yliden-Reste; siebengliedriger gesättigter oder partiell ungesättigter Heterocyclus, enthaltend ein, zwei, drei oder vier Heteroatome aus der Gruppe O, N und S als Ringglieder: z.B. mono- und bicyclische Heterocyclen mit 7 Ringgliedern, enthaltend neben Kohlenstoffringgliedern einen, zwei oder drei Stickstoffatome und/oder ein Sauerstoff- oder Schwefelatom oder ein oder zwei Sauerstoff- und/oder Schwefelatome, beispielsweise Tetra- und Hexahydroazepinyl wie 2,3,4,5- Tetrahydro[1 H]azepin-1 -, -2-, -3-, -4-, -5-, -6- oder -7-yl, 3,4,5,6-Tetra- hydro[2H]azepin-2-, -3-, -A-, -5-, -6- oder -7-yl, 2,3,4,7-Tetrahydro[1 H]azepin-1-, - 2-, -3-, -A-, -5-, -6- oder -7-yl, 2,3,6,7-Tetrahydro[1 H]azepin-1-, -2-, -3-, -A-, -5-, - 6- oder -7-yl, Hexahydroazepin-1-, -2-, -3- oder -4-yl, Tetra-. und Hexahydrooxe- pinyl wie 2,3,4,5-Tetrahydro[1 H]oxepin-2-, -3-, -4-, -5-, -6- oder -7-yl, 2, 3, 4, 7-Te- trahydro[1 H]oxepin-2-, -3-, -4-, -5-, -6- oder -7-yl, 2,3,6,7-Tetrahydro[1 H]oxepin-2-yl, 2,3-dihydrooxazol-3-yl, 2,3-dihydrooxazol-4-yl, 2,3-dihydrooxazol-5-yl, 3,4-dihydrooxazol-2-yl, 3,4-dihydrooxazole 3-yl, 3,4-dihydrooxazol-4-yl, 3,4-dihydrooxazol-5-yl, 3,4-dihydrooxazol-2-yl, 3,4-dihydrooxazol-3-yl, 3,4- Dihydrooxazol-4-yl, 2-piperidinyl, 3-piperidinyl, 4-piperidinyl, 1, 3-dioxan-5-yl, 2-tetrahydropyranyl, 4-tetrahydropyranyl, 2-tetrahydrothienyl, 3-hexahydropyridazinyl, 4-hexa hydropyridazinyl, 2-hexahydropyrimidinyl, 4-hexahydropyrimidinyl, 5-hexahydro-pyrimidinyl, 2-piperazinyl, 1, 3,5-hexahydro-triazin-2-yl and 1,2,4-hexahydro-triazin-3-yl, and the like -ylidene residues; Seven-membered saturated or partially unsaturated heterocycle containing one, two, three or four heteroatoms from the group O, N and S as ring members: e.g. mono- and bicyclic heterocycles having 7 ring members, containing, in addition to carbon ring members, one, two or three nitrogen atoms and / or one oxygen or sulfur atom or one or two oxygen and / or sulfur atoms, for example tetra- and hexahydroazepinyl, such as 2,3,4,5 Tetrahydro [1 H] azepine-1, -2, -3, -4, 5, 6 or 7-yl, 3,4,5,6-tetrahydro [2H] azepine-2-, -3-, -A-, -5-, -6- or -7-yl, 2,3,4,7-tetrahydro [1 H] azepine-1, -2, -3 -, -A-, -5-, -6- or -7-yl, 2,3,6,7-tetrahydro [1 H] azepine-1, -2, -3, -A-, - 5-, 6- or -7-yl, hexahydroazepine-1, -2-, -3- or -4-yl, tetra-. and hexahydrooxepinyl, such as 2,3,4,5-tetrahydro [1H] oxepin-2, -3, -4, -5, -6 or -7-yl, 2, 3, 4, 7-tetrahydro [1 H] oxepin-2-, -3-, -4-, -5-, -6- or -7-yl, 2,3,6,7-tetrahydro [1 H] oxepin
2-, -3-, -A-, -5-, -6- oder -7-yl, Hexahydroazepin-1-, -2-, -3- oder -4-yl, Tetra- und Hexahydro-1 ,3-diazepinyl, Tetra- und Hexahydro-1 ,4-diazepinyl, Tetra- und He- xahydro-1 ,3-oxazepinyl, Tetra- und Hexahydro-1 ,4-oxazepinyl, Tetra- und Hexa- hydro-1 ,3-dioxepinyl, Tetra- und Hexahydro-1 ,4-dioxepinyl und die entsprechen- den yliden-Reste; 5-, 6-, 7-, 8-, 9- oder 10-gliedriger aromatischer Heterocyclus, enthaltend 1 , 2, 3 oder 4 Heteroatome aus der Gruppe O, N und S: Insbesondere fünf- oder sechsgliedriger a- romatischer mono- oder bicyclischer Heterocyclus, enthaltend ein, zwei, drei oder vier Heteroatome aus der Gruppe O, N und S: Der jeweilige Heterocyclus kann über ein Kohlenstoffatom oder über ein Stickstoffatom, falls enthalten, angebunden sein. Es kann erfindungsgemäß bevorzugt sein, dass der jeweilige Heterocyclus über Kohlenstoff gebunden ist, andererseits kann es auch bevorzugt sein, dass der Heterocyclus über Stickstoff gebunden ist. Der Heterocyclus bedeutet insbesondere:2-, -3-, -A-, -5-, -6- or -7-yl, hexahydroazepine-1, -2-, -3- or -4-yl, tetra- and hexahydro-1, 3 diazepinyl, tetra- and hexahydro-1,4-diazepinyl, tetra- and hexahydro-1,3-oxazepinyl, tetra- and hexahydro-1,4-oxazepinyl, tetra- and hexa-hydro-1,3-dioxepinyl Tetra- and hexahydro-1,4-dioxepinyl and the corresponding ylidene radicals; 5-, 6-, 7-, 8-, 9- or 10-membered aromatic heterocycle containing 1, 2, 3 or 4 heteroatoms from the group O, N and S: in particular five- or six-membered aromatic mono- or Bicyclic heterocycle containing one, two, three or four heteroatoms from the group O, N and S: The respective heterocycle may be attached via a carbon atom or via a nitrogen atom, if present. It may be preferred according to the invention that the respective heterocycle is bonded via carbon, on the other hand it may also be preferred that the heterocycle is bonded via nitrogen. The heterocycle means in particular:
-5-gliedriges Heteroaryl, enthaltend ein, zwei, drei oder vier Stickstoffatome oder ein, zwei oder drei Stickstoffatome und/oder ein Schwefel- oder Sauerstoffatom, wobei das Heteroaryl über C oder N, falls vorhanden, angebunden sein kann: 5- Ring Heteroarylgruppen, welche neben Kohlenstoffatomen ein bis vier Stickstoffatome oder einen, zwei oder drei Stickstoffatome und/oder ein Schwefel- oder Sauerstoffatom als Ringglieder enthalten können, z.B. Furyl, Thienyl, Pyrrolyl, Pyrazolyl, Imidazolyl, Triazolyl (1 ,2,3-; 1 ,2,4-Triazolyl), Tetrazolyl, Oxazolyl, Iso- xazolyl, 1 ,3,4-Oxadiazolyl, Thiazolyl, Isothiazolyl und Thiadiazolyl, insbesondere 2-Furyl, 3-Furyl, 2-Thienyl, 3-Thienyl, 2-Pyrrolyl, 3-Pyrrolyl, 3-lsoxazolyl, 4- Isoxazolyl, 5-lsoxazolyl, 3-lsothiazolyl, 4-lsothiazolyl, 5-lsothiazolyl, 3-Pyrazolyl, 4-Pyrazolyl, 5-Pyrazolyl, 2-Oxazolyl, 4-Oxazolyl, 5-Oxazolyl, 2-Thiazolyl, 4- Thiazolyl, 5-Thiazolyl, 2-lmidazolyl, 4-lmidazolyl, 1 ,2,4-Oxadiazol-3-yl, 1 ,2,4-5-membered heteroaryl containing one, two, three or four nitrogen atoms or one, two or three nitrogen atoms and / or a sulfur or oxygen atom, which heteroaryl may be attached via C or N, if present: 5- ring heteroaryl groups which may contain, in addition to carbon atoms, one to four nitrogen atoms or one, two or three nitrogen atoms and / or one sulfur or oxygen atom as ring members, eg Furyl, thienyl, pyrrolyl, pyrazolyl, imidazolyl, triazolyl (1,2,3-; 1,2,4-triazolyl), tetrazolyl, oxazolyl, isoxazolyl, 1, 3,4-oxadiazolyl, thiazolyl, isothiazolyl and thiadiazolyl, in particular 2-furyl, 3-furyl, 2-thienyl, 3-thienyl, 2-pyrrolyl, 3-pyrrolyl, 3-isoxazolyl, 4-isoxazolyl, 5-isoxazolyl, 3-isothiazolyl, 4-isothiazolyl, 5-isothiazolyl, 3 Pyrazolyl, 4-pyrazolyl, 5-pyrazolyl, 2-oxazolyl, 4-oxazolyl, 5-oxazolyl, 2-thiazolyl, 4-thiazolyl, 5-thiazolyl, 2-imidazolyl, 4-imidazolyl, 1, 2,4-oxadiazole -3-yl, 1, 2,4-
Oxadiazol-5-yl, 1 ,2,4-Thiadiazol-3-yl, 1 ,2,4-Thiadiazol-5-yl, 1 ,2,4-Triazol-3-yl, 1 ,3,4-Oxadiazol-2-yl, 1 ,3,4-Thiadiazol-2-yl und 1 ,3,4-Triazol-2-yl;Oxadiazol-5-yl, 1, 2,4-thiadiazol-3-yl, 1, 2,4-thiadiazol-5-yl, 1, 2,4-triazol-3-yl, 1, 3,4-oxadiazole 2-yl, 1, 3,4-thiadiazol-2-yl and 1, 3,4-triazol-2-yl;
-6-gliedriges Heteroaryl, enthaltend ein, zwei, drei oder vier, vorzugsweise ein, zwei oder drei Stickstoffatome, wobei das Heteroaryl über C oder N, falls vorhanden, angebunden sein kann: 6-Ring Heteroarylgruppen, welche neben Kohlenstoffatomen ein bis vier bzw. einen, zwei oder drei Stickstoffatome als Ringglieder enthalten können, z.B. Pyridinyl, Pyrimidinyl, Pyrazinyl, Pyridazinyl, 1 ,2,3- Triazinyl, 1 ,2,4-Triazinyl, 1 ,3,5-Triazinyl, insbesondere 2-Pyridinyl, 3-Pyridinyl, 4- Pyridinyl, 3-Pyridazinyl, 4-Pyridazinyl, 2-Pyrimidinyl, 4-Pyrimidinyl, 5-Pyrimidinyl,-6-membered heteroaryl containing one, two, three or four, preferably one, two or three nitrogen atoms, wherein the heteroaryl can be attached via C or N, if present: 6-ring heteroaryl groups which contain, in addition to carbon atoms, one to four or . One, two or three nitrogen atoms may contain as ring members, eg Pyridinyl, pyrimidinyl, pyrazinyl, pyridazinyl, 1, 2,3-triazinyl, 1, 2,4-triazinyl, 1, 3,5-triazinyl, especially 2-pyridinyl, 3-pyridinyl, 4-pyridinyl, 3-pyridazinyl, 4 Pyridazinyl, 2-pyrimidinyl, 4-pyrimidinyl, 5-pyrimidinyl,
2-Pyrazinyl, 1 ,3,5-Triazin-2-yl und 1 ,2,4-Triazin-3-yl.2-pyrazinyl, 1, 3,5-triazin-2-yl and 1, 2,4-triazin-3-yl.
Die neuen erfindungsgemäßen Verbindungen enthalten chirale Zentren und werden im Allgemeinen in Form von Racematen oder als Diastereomerengemische von erythro- sowie threo-Formen erhalten. Die erythro- und threo-Diastereomeren lassen sich bei den erfindungsgemäßen Verbindungen beispielsweise aufgrund ihrer unterschiedlichen Löslichkeit oder durch Säulenchromatographie trennen und in reiner Form isolieren. Aus solchen einheitlichen Diastereomerenpaaren kann man mit bekannten Methoden einheitliche Enantiomere erhalten. Als antimikrobielle Mittel kann man sowohl die ein- heitlichen Diastereomere bzw. Enantiomere wie auch deren bei der Synthese anfallende Gemische verwenden. Entsprechendes gilt für die fungiziden Mittel. Gegenstand der Erfindung sind daher sowohl die reinen Enantiomere oder Diastereo- mere als auch Gemische davon. Dies gilt für die erfindungsgemäßen Verbindungen der Formel I sowie gegebenenfalls entsprechend für deren Vorprodukte. Insbesondere sind im Umfang der vorliegenden Erfindung die (R)- und (S)-Isomere und die Razemate der erfindungsgemäßen Verbindungen, insbesondere der Formel I oder II, eingeschlossen, die chirale Zentren aufweisen. Geeignete erfindungsgemäße Verbindungen, insbesondere der Formel I oder II, umfassen auch alle möglichen Stereoisomere (cis/trans- Isomere) und Gemische davon.The novel compounds of this invention contain chiral centers and are generally obtained in the form of racemates or as diastereomeric mixtures of erythro and threo forms. The erythro and threo diastereomers can be separated in the compounds of the invention, for example, due to their different solubility or by column chromatography and isolated in pure form. From such uniform pairs of diastereomers can be obtained by known methods uniform enantiomers. As antimicrobial agents it is possible to use both the uniform diastereomers or enantiomers and also their mixtures obtained in the synthesis. The same applies to the fungicides. The invention therefore relates both to the pure enantiomers or diastereomers and to mixtures thereof. This applies to the compounds of the formula I according to the invention and, if appropriate, correspondingly to their precursors. In particular, the scope of the present invention includes the (R) and (S) isomers and the racemates of the compounds of the invention, in particular of the formula I or II, which have chiral centers. Suitable compounds according to the invention, in particular of the formula I or II, also include all possible stereoisomers (cis / trans isomers) and mixtures thereof.
Die erfindungsgemäßen Verbindungen, insbesondere der Formel I oder II, können in verschiedenen Kristallmodifikationen vorliegen, deren biologische Aktivität unterschiedlich sein kann. Diese sind in den Umfang der vorliegenden Erfindung eingeschlossen.The compounds according to the invention, in particular of the formula I or II, can be present in various crystal modifications whose biological activity can be different. These are included in the scope of the present invention.
In den erfindungsgemäßen Verbindungen I sind die folgenden Bedeutungen der Sub- stituenten, und zwar jeweils für sich allein oder in Kombination, besonders bevorzugt.In the compounds I according to the invention, the following meanings of the substituents, in each case alone or in combination, are particularly preferred.
Gemäß einer Ausführungsform der Erfindung ist eine Variable von A und B ein unsub- stituierter oder mit einem, zwei oder drei gleichen oder verschiedenen Substituenten L substituierter fünf- oder sechsgliedriger Heteroaromat. Gemäß einer weiteren Ausfüh- rungsform ist dabei der jeweils andere Substituent von A und B ein gegebenenfalls substituierter fünfgliedriger Heteroaromat, wie hierin definiert und bevorzugt definiert. Gemäß noch einer weiteren Ausführungsform ist dabei der jeweils andere Substituent von A und B ein gegebenenfalls substituierter sechsgliedriger Heteroaromat, wie hierin definiert und bevorzugt definiert.According to one embodiment of the invention, a variable of A and B is a five- or six-membered heteroaromatic unsubstituted or substituted by one, two or three identical or different substituents L. In another embodiment, the respective other substituent of A and B is an optionally substituted five-membered heteroaromatic, as defined herein and preferably defined. In yet another embodiment, the other substituent of A and B is an optionally substituted six-membered heteroaromatic, as defined herein and preferably defined.
Gemäß einer weiteren Ausführungsform der Erfindung ist eine Variable von A und B ein gegebenenfalls substituierter fünfgliedriger Heteroaromat und die jeweils andere Variable steht für gegebenenfalls substituiertes Phenyl. Gemäß einer weiteren Ausführungsform der Erfindung ist eine Variable von A und B ein gegebenenfalls substituierter sechsgliedriger Heteroaromat und die jeweils andere Variable steht für gegebenenfalls substituiertes Phenyl. In diesen Ausführungsformen trägt die Phenylgruppe vorzugsweise eine, zwei oder drei Gruppen L, vorzugsweise unabhängig ausgewählt aus Halogen, NO2, Amino, Ci -C4-Al kyl, Ci-C4-Alkoxy, Ci-C4-Halogenalkyl, Ci-C4- Halogenalkoxy, Ci-C4-Alkylamino, Ci-C4-Dialkylamino, Thiol und Ci-C4-Alkylthio, ins- besondere ausgewählt aus Halogen, Ci-C4-Alkyl, Ci-C4-Alkoxy, Ci-C4-Halogenalkyl und Ci-C4-Halogenalkoxy. Gemäß einer speziellen Ausgestaltung ist L jeweils unabhängig ausgewählt aus Halogen, Ci-C4-Alkyl und Ci-C4-Alkoxy, insbesondere ausgewählt aus F, Cl, Methyl und Methoxy, im Speziellen unabhängig ausgewählt aus F und Cl.According to another embodiment of the invention, one variable of A and B is an optionally substituted five-membered heteroaromatic and the other variable is optionally substituted phenyl. According to another embodiment of the invention, a variable of A and B is an optionally substituted six-membered heteroaromatic and the other variable is optionally substituted phenyl. In these embodiments, the phenyl group preferably carries one, two or three groups L, preferably independently selected from halogen, NO 2, amino, Ci -C4 -alkyl, Ci-C 4 alkoxy, Ci-C4-haloalkyl, Ci- C 4 - haloalkoxy, C 1 -C 4 -alkylamino, C 1 -C 4 -dialkylamino, thiol and C 1 -C 4 -alkylthio, in particular selected from halogen, C 1 -C 4 -alkyl, C 1 -C 4 -alkoxy, C i C 4 haloalkyl and C 1 -C 4 haloalkoxy. According to a specific embodiment, L is in each case independently selected from halogen, C 1 -C 4 -alkyl and C 1 -C 4 -alkoxy, in particular selected from F, Cl, methyl and methoxy, in particular independently selected from F and Cl.
Gemäß noch einer weiteren Ausführungsform ist eine Variable von A und B ein gegebenenfalls substituierter fünfgliedriger Heteroaromat, und gemäß noch einer weiteren Ausführungsform ist eine Variable von A und B ein gegebenenfalls substituierter sechsgliedriger Heteroaromat, und die jeweils andere Variable von A und B in diesen Ausführungsformen steht für gesättigtes oder teilweise ungesättigtes Heterocyclyl, d- Cβ-Alkyl, C2-C8-Alkenyl, C2-C8-Alkinyl oder Cs-Cs-Cycloalkyl, welche jeweils gegebe- nenfalls substituiert sind.In yet another embodiment, a variable of A and B is an optionally substituted five-membered heteroaromatic, and according to yet another In the embodiment, one variable of A and B is an optionally substituted six-membered heteroaromatic, and the other variable of A and B in these embodiments represents saturated or partially unsaturated heterocyclyl, C 1 -C 6 -alkyl, C 2 -C 8 -alkenyl, C 2 -C 8 -cycloalkyl. Alkynyl or Cs-Cs-cycloalkyl, which are each optionally substituted.
Gemäß einer weiteren Ausführungsform ist der Substituent A ein cyclisches System, vorzugsweise ein Heteroaromat oder Phenyl, wie hierin definiert, das in para-Stellung zur Verknüpfungsstelle mit dem Oxiran-Ring einen Substituenten enthält. Der para- Substituent ist vorzugsweise ausgewählt aus Halogen, Ci-C4-AIkVl, CrC4-AIkOXy, d- C4-Halogenalkyl und Ci-C4-Halogenalkoxy, insbesondere ausgewählt aus Halogen, Methyl, Difluormethyl, Trifluormethyl, Methoxy und Trifluormethoxy. Gemäß einer speziellen Ausgestaltung ist L jeweils unabhängig ausgewählt aus Halogen, Ci-C4-Alkyl und Ci-C4-Alkoxy, insbesondere ausgewählt aus F, Cl, Methyl und Methoxy, im Spe- ziehen unabhängig ausgewählt aus F und Cl. Dabei kann das cyclische System gegebenenfalls noch weitere unabhängig ausgewählte Substituenten L enthalten, wobei in diesem Fall vorzugsweise ein oder zwei weitere L vorhanden sind.In another embodiment, the substituent A is a cyclic system, preferably a heteroaromatic or phenyl, as defined herein, containing a substituent para to the point of attachment to the oxirane ring. The para substituent is preferably selected from halogen, Ci-C 4 -alkyl, -C 4 -alkoxy, d- C 4 haloalkyl and Ci-C4-haloalkoxy, in particular selected from halogen, methyl, difluoromethyl, trifluoromethyl, methoxy and trifluoromethoxy , According to a specific embodiment, L is in each case independently selected from halogen, C 1 -C 4 -alkyl and C 1 -C 4 -alkoxy, in particular selected from F, Cl, methyl and methoxy, independently selected in the spectrum from F and Cl. In this case, the cyclic system may optionally contain further independently selected substituents L, in which case preferably one or two further L are present.
Gemäß einer weiteren Ausführungsform ist der Substituent A ein cyclisches System, vorzugsweise ein Heteroaromat oder Phenyl, wie hierin definiert, das in ortho-Stellung zur Verknüpfungsstelle mit dem Oxiran-Ring einen Substituenten enthält. Dabei kann das cyclische System gegebenenfalls noch weitere unabhängig ausgewählte Substituenten L enthalten, wobei in diesem Fall vorzugsweise ein oder zwei weitere L vorhanden sind.In another embodiment, the substituent A is a cyclic system, preferably a heteroaromatic or phenyl, as defined herein, containing a substituent ortho to the point of attachment to the oxirane ring. In this case, the cyclic system may optionally contain further independently selected substituents L, in which case preferably one or two further L are present.
Gemäß einer weiteren Ausführungsform ist der Substituent B ein cyclisches System, vorzugsweise ein Heteroaromat oder Phenyl, das in para-Stellung zur Verknüpfungsstelle einen Substituenten enthält. Dabei kann das cyclische System gegebenenfalls noch weitere unabhängig ausgewählte Substituenten L enthalten, wobei in diesem Fall vorzugsweise ein oder zwei weitere L vorhanden sind.According to a further embodiment, the substituent B is a cyclic system, preferably a heteroaromatic or phenyl, which contains a substituent in the para position to the point of attachment. In this case, the cyclic system may optionally contain further independently selected substituents L, in which case preferably one or two further L are present.
Gemäß einer weiteren Ausführungsform ist der Substituent B ein cyclisches System, vorzugsweise ein Heteroaromat oder Phenyl, das in ortho-Stellung zur Verknüpfungsstelle einen Substituenten enthält. Der ortho-Substituent ist vorzugsweise ausgewählt aus Halogen, Ci-C4-Alkyl, Ci-C4-Alkoxy, Ci-C4-Halogenalkyl und Ci-C4-Halogenalkoxy, insbesondere ausgewählt aus Halogen, Methyl, Difluormethyl, Trifluormethyl, Methoxy und Trifluormethoxy. Gemäß einer speziellen Ausgestaltung ist L jeweils unabhängig ausgewählt aus Halogen, Ci-C4-Alkyl und Ci-C4-Alkoxy, insbesondere ausgewählt aus F, Cl, Methyl und Methoxy, im Speziellen unabhängig ausgewählt aus F und Cl. Dabei kann das cyclische System gegebenenfalls noch weitere unabhängig ausgewählte Substituenten L enthalten, wobei in diesem Fall vorzugsweise ein oder zwei weitere L vorhanden sind. Gemäß einer weiteren Ausführungsform der Erfindung ist, wenn A und/oder B einen Heteroaromaten darstellen, dieser jeweils unabhängig ausgewählt aus Thiophen, Pyr- rol, Pyrazol, Imidazol, Isoxazol, Isothiazol, Oxazol, Thiazol, Thiadiazol, Oxadiazol, Tria- zol und Tetrazol, vorzugsweise ausgewählt aus Thiophen, Pyrazol, Isoxazol und Thiazol, welche jeweils gegebenenfalls substituiert sind. Gemäß einer weiteren Ausführungsform ist der Heteroaromat jeweils unabhängig ausgewählt aus Pyridin, Pyrimidin, Pyrazinyl, Pyridazinyl und Triazin, insbesondere ausgewählt aus Pyridin und Pyrimidin, welche jeweils gegebenenfalls substituiert sind. Gemäß einer Ausgestaltung dieser Ausführungsform trägt/tragen der/die Heteroaromaten eine, zwei oder drei unabhängig ausgewählte Gruppe L, vorzugsweise unabhängig ausgewählt aus Halogen, CrC4- Alkyl, Ci-C4-AIkOXy, Ci-C4-Halogenalkyl und d-C4-Halogenalkoxy. Gemäß einer speziellen Ausgestaltung ist L jeweils unabhängig ausgewählt aus Halogen, CrC4-AIkVl und CrC4-AIkOXy, insbesondere ausgewählt aus F, Cl, Methyl und Methoxy, im Spe- ziehen unabhängig ausgewählt aus F und Cl.In another embodiment, the substituent B is a cyclic system, preferably a heteroaromatic or phenyl, which contains a substituent ortho to the point of attachment. The ortho substituent is preferably selected from halogen, Ci-C4-alkyl, Ci-C 4 alkoxy, Ci-C4-haloalkyl and Ci-C4-haloalkoxy, in particular selected from halogen, methyl, difluoromethyl, trifluoromethyl, methoxy and trifluoromethoxy. According to a specific embodiment, L is in each case independently selected from halogen, C 1 -C 4 -alkyl and C 1 -C 4 -alkoxy, in particular selected from F, Cl, methyl and methoxy, in particular independently selected from F and Cl. In this case, the cyclic system may optionally contain further independently selected substituents L, in which case preferably one or two further L are present. According to another embodiment of the invention, when A and / or B is a heteroaromatic, each independently selected from thiophene, pyrrole, pyrazole, imidazole, isoxazole, isothiazole, oxazole, thiazole, thiadiazole, oxadiazole, triazole and tetrazole , preferably selected from thiophene, pyrazole, isoxazole and thiazole, which are each optionally substituted. According to a further embodiment, the heteroaromatic is in each case independently selected from pyridine, pyrimidine, pyrazinyl, pyridazinyl and triazine, in particular selected from pyridine and pyrimidine, which are each optionally substituted. Of / heteroaromatics According to one aspect of this embodiment carries / carry one, two or three independently selected group L, preferably independently selected from halogen, -C 4 - alkyl, Ci-C 4 -alkoxy, Ci-C4-haloalkyl and d-C4- haloalkoxy. According to a specific embodiment, L is in each case independently selected from halogen, C 1 -C 4 -alkyl and C 1 -C 4 -alkoxy, in particular selected from F, Cl, methyl and methoxy, independently selected in the spectrum from F and Cl.
Wenn A oder B Phenyl bedeutet, ist dieses gemäß einer Ausführungsform unsubstitu- iertes Phenyl und gemäß einer weiteren Ausführungsform ist es Phenyl, das durch eine, zwei oder drei Gruppen L, unabhängig ausgewählt aus Halogen, NO2, Amino, Cr C4-AIkVl, CrC4-Alkoxy, CrC4-Halogenalkyl, CrC4-Halogenalkoxy, CrC4-Alkylamino, CrC4-Dialkylamino, Thiol und CrC4-Alkylthio, insbesondere ausgewählt aus Halogen, CrC4-Alkyl, CrC4-Alkoxy, CrC4-Halogenalkyl und CrC4-Halogenalkoxy, substituiert ist. Gemäß einer speziellen Ausgestaltung ist L jeweils unabhängig ausgewählt aus Halogen, CrC4-Alkyl und CrC4-Alkoxy, insbesondere ausgewählt aus F, Cl, Methyl und Methoxy, im Speziellen unabhängig ausgewählt aus F und Cl.In one embodiment, when A or B is phenyl, it is unsubstituted phenyl, and in another embodiment, it is phenyl represented by one, two, or three L groups, independently selected from halogen, NO 2, amino, C 1 -C 4 -alkyl, -C 4 alkoxy, -C 4 haloalkyl, -C 4 -haloalkoxy, -C 4 alkylamino, -C 4 dialkylamino, thiol, and -C 4 -alkylthio, in particular selected from halogen, -C 4 alkyl, -C 4 alkoxy, CrC 4 - Haloalkyl and CrC 4 haloalkoxy substituted. According to a specific embodiment, each L is independently selected from halogen, C 1 -C 4 -alkyl and C 1 -C 4 -alkoxy, especially selected from F, Cl, methyl and methoxy, in particular independently selected from F and Cl.
Gemäß einer bevorzugten Ausführungsform (I-A1) der Erfindung stehen A und B unabhängig voneinander jeweils für einen gesättigten Heterocyclus, der unabhängig voneinander unsubstituiert oder substituiert ist mit einer, zwei oder drei gleichen oder ver- schiedenen Gruppen L und ein, zwei oder drei Heteroatome ausgewählt aus N, O und S enthalten. Gemäß einer Ausführungsform bedeutet B einen drei-, vier-, fünf-, sechs- oder siebengliedrigen gesättigten Heterocyclus. Insbesondere ist der Heterocyclus fünf- oder sechsgliedrig und enthält als Heteroatome mindestens ein Stickstoffatom. Gemäß einer bevorzugten Ausführungsform ist der Heterocyclus über C an die Oxiran- Einheit gebunden. Gemäß einer Ausgestaltung steht B für unsubstituiertes oder substituiertes Morpholin. Gemäß einer weiteren Ausgestaltung steht B für unsubstituiertes oder substituiertes Piperidin. Gemäß einer weiteren Ausgestaltung steht B für unsubstituiertes oder substituiertes Tetrahydrofuran. Gemäß einer weiteren Ausgestaltung steht B für unsubstituiertes oder substituiertes Tetrahydropyran.According to a preferred embodiment (I-A1) of the invention, A and B independently of one another each represent a saturated heterocycle which is independently unsubstituted or substituted by one, two or three identical or different groups L and one, two or three heteroatoms selected from N, O and S included. In one embodiment, B represents a tri-, four-, five-, six- or seven-membered saturated heterocycle. In particular, the heterocycle is five- or six-membered and contains at least one nitrogen atom as heteroatoms. According to a preferred embodiment, the heterocycle is bonded via C to the oxirane unit. In one embodiment, B is unsubstituted or substituted morpholine. In another embodiment, B is unsubstituted or substituted piperidine. In another embodiment, B is unsubstituted or substituted tetrahydrofuran. In another embodiment, B is unsubstituted or substituted tetrahydropyran.
Gemäß einer weiteren bevorzugten Ausführungsform (I-A2) der Erfindung steht A für einen gesättigten Heterocyclus und B steht für einen unsubstituierten oder mit einer, zwei oder drei gleichen oder verschiedenen Gruppen L substituierten teilweise ungesättigten Heterocyclus, enthaltend ein, zwei oder drei Heteroatome ausgewählt aus N, O und S. B ist dabei bevorzugt ein vier-, fünf-, sechs- oder siebengliedriger Heterocyclus, wobei der Heterocyclus insbesondere fünf- oder sechsgliedrig ist. Gemäß einer bevorzugten Ausführungsform ist der Heterocyclus über C an die Oxiran-Einheit gebunden.According to a further preferred embodiment (I-A2) of the invention, A is a saturated heterocycle and B is an unsubstituted or with a, two or three identical or different groups L substituted partially unsaturated heterocycle containing one, two or three heteroatoms selected from N, O and S. B is preferably a four-, five-, six- or seven-membered heterocycle, wherein the heterocycle in particular five - or six-membered. According to a preferred embodiment, the heterocycle is bonded via C to the oxirane moiety.
Gemäß einer weiteren bevorzugten Ausführungsform (I-A3) der Erfindung steht A für einen gesättigten Heterocyclus, und B steht für einen unsubstituierten oder mit einer, zwei oder drei gleichen oder verschiedenen Gruppen L substituierten Heteroaromaten, enthaltend ein, zwei oder drei Heteroatome ausgewählt aus N, O und S. Gemäß einer Ausführungsform der Erfindung enthält B mindestens ein Stickstoffatom. Gemäß einer weiteren Ausführungsform ist der Heteroaromat über C an die Oxiran-Einheit gebunden.According to another preferred embodiment (I-A3) of the invention, A is a saturated heterocycle, and B is an unsubstituted or substituted by one, two or three identical or different groups L heteroaromatic containing one, two or three heteroatoms selected from N , O and S. According to one embodiment of the invention, B contains at least one nitrogen atom. According to another embodiment, the heteroaromatic is bonded via C to the oxirane moiety.
Gemäß einer Ausgestaltung ist B in der Ausführungsform I-A3 ein unsubstituierter oder durch eine, zwei oder drei Gruppen L substituierter fünfgliedriger Heteroaromat. Gemäß einer weiteren Ausgestaltung bedeutet B substituiertes oder unsubstituiertes Thienyl. Gemäß einer weiteren Ausgestaltung bedeutet B substituiertes oder unsubsti- tuiertes Pyrazolyl. Gemäß noch einer weiteren Ausgestaltung bedeutet B substituiertes oder unsubstituiertes Furyl. Gemäß noch einer weiteren Ausgestaltung bedeutet B substituiertes oder unsubstituiertes Pyrrolyl. Gemäß noch einer weiteren Ausgestaltung bedeutet B substituiertes oder unsubstituiertes Imidazolyl. Gemäß noch einer weiteren Ausgestaltung bedeutet B substituiertes oder unsubstituiertes Oxazolyl. Gemäß noch einer weiteren Ausgestaltung bedeutet B substituiertes oder unsubstituiertes Thiazolyl. Gemäß noch einer weiteren Ausgestaltung bedeutet B substituiertes oder unsubstituiertes Isoxazolyl. Gemäß noch einer weiteren Ausgestaltung bedeutet B substituiertes oder unsubstituiertes Isothiazolyl. Gemäß noch einer weiteren Ausgestaltung bedeutet B substituiertes oder unsubstituiertes Thiadiazolyl. Gemäß noch einer weiteren Aus- gestaltung bedeutet B substituiertes oder unsubstituiertes Oxadiazolyl. Gemäß noch einer weiteren Ausgestaltung bedeutet B substituiertes oder unsubstituiertes Triazolyl. Gemäß einer Ausgestaltung enthält der fünfgliedrige Heteroaromat dabei eine, zwei oder drei Gruppen unabhängig ausgewählt aus Halogen, NO2, Amino, Ci-C4-AIkVl, d- C4-AIkOXy, Ci-C4-Halogenalkyl, Ci-C4-Halogenalkoxy, Ci-C4-Alkylamino, Ci-C4- Dialkylamino, Thiol und Ci-C4-Alkylthio, bevorzugt Halogen, Ci-C4-Alkyl, Ci-C4-Alkoxy, Ci-C4-Halogenalkyl oder Ci-C4-Halogenalkoxy, mehr bevorzugt Halogen, Ci-C4-Alkyl oder Ci-C4-Alkoxy, insbesondere F, Cl, Methyl und Methoxy, insbesondere F und Cl.In one embodiment, B in the embodiment I-A3 is an unsubstituted or substituted by one, two or three groups L five-membered heteroaromatic. In another embodiment, B is substituted or unsubstituted thienyl. According to another embodiment, B is substituted or unsubstituted pyrazolyl. In yet another embodiment, B is substituted or unsubstituted furyl. According to yet another embodiment, B represents substituted or unsubstituted pyrrolyl. In yet another embodiment, B represents substituted or unsubstituted imidazolyl. In yet another embodiment, B represents substituted or unsubstituted oxazolyl. According to yet another embodiment, B represents substituted or unsubstituted thiazolyl. According to yet another embodiment, B represents substituted or unsubstituted isoxazolyl. According to yet another embodiment, B represents substituted or unsubstituted isothiazolyl. According to yet another embodiment, B represents substituted or unsubstituted thiadiazolyl. In yet another embodiment, B represents substituted or unsubstituted oxadiazolyl. According to yet another embodiment, B represents substituted or unsubstituted triazolyl. According to one embodiment of the five-membered heteroaromatic it comprises one, two or three groups independently selected from halogen, NO2, amino, Ci-C 4 -alkyl, C 4 -alkoxy, Ci-C 4 haloalkyl, Ci-4 haloalkoxy C d , Ci-C 4 alkylamino, Ci-C 4 - dialkylamino, thiol, and Ci-C 4 alkylthio, preferably halogen, Ci-C4-alkyl, Ci-C 4 alkoxy, Ci-C 4 haloalkyl or C C 4 haloalkoxy, more preferably halogen, C 1 -C 4 -alkyl or C 1 -C 4 -alkoxy, in particular F, Cl, methyl and methoxy, in particular F and Cl.
Gemäß einer weiteren Ausgestaltung steht B in der Ausführungsform I-A3 für einen sechsgliedrigen Heteroaromaten, welcher unsubstituiert ist oder durch einen, zwei oder drei L substituiert sind. Gemäß einer Ausgestaltung steht B für Pyridyl, das unsubstituiert oder substituiert ist. Gemäß einer weiteren Ausgestaltung steht B für Pyrimidinyl, das unsubstituiert oder substituiert ist. Gemäß noch einer weiteren Ausgestaltung steht B für Pyrazinyl, das unsubstituiert oder substituiert ist. Gemäß noch einer weiteren Ausgestaltung steht B für Pyridazinyl, das unsubstituiert oder substituiert ist. Gemäß noch einer weiteren Ausgestaltung steht B für Triazinyl, das unsubstituiert oder substi- tuiert ist. L ist so definiert wie in der Ausführungsform, gemäß welcher B ein fünfgliedri- ger Heteroaromat ist.In another embodiment, B in the embodiment I-A3 is a six-membered heteroaromatic which is unsubstituted or substituted by one, two or three L. In one embodiment, B is pyridyl which is unsubstituted or substituted. According to another embodiment, B is pyrimidinyl, which is unsubstituted or substituted. In yet another embodiment, B is pyrazinyl which is unsubstituted or substituted. In yet another embodiment, B is pyridazinyl which is unsubstituted or substituted. In yet another embodiment, B is triazinyl which is unsubstituted or substituted. L is defined as in the embodiment according to which B is a five-membered heteroaromatic.
Gemäß einer weiteren bevorzugten Ausführungsform (I-A4) der Erfindung steht A für einen gesättigten Heterocyclus, und B bedeutet Phenyl, das unsubstituiert oder substi- tuiert ist mit einem, zwei oder drei gleichen oder verschiedenen Substituenten L. Gemäß einer Ausführungsform ist Phenyl unsubstituiert, gemäß einer weiteren Ausführungsform enthält Phenyl ein, zwei oder drei unabhängig ausgewählte L. Vorzusgweise ist L dabei jeweils unabhängig ausgewählt aus Halogen, NO2, Amino, Ci-C4-AIkVl, d- C4-AIkOXy, Ci-C4-Halogenalkyl, Ci-C4-Halogenalkoxy, Ci-C4-Alkylamino, Ci-C4- Dialkylamino, Thiol und Ci-C4-Alkylthio. Gemäß einer weiteren Ausgestaltung steht B für Phenyl, das durch ein, zwei oder drei L, unabhängig ausgewählt aus Halogen, d- C4-Alkyl, Ci-C4-Alkoxy, Ci-C4-Halogenalkyl und Ci-C4-Halogenalkoxy, substituiert ist. Gemäß einer Ausgestaltung bedeutet B Halogenphenyl, insbesondere Phenyl, das durch ein, zwei oder drei gleiche oder verschiedene Halogenatome substituiert ist. Gemäß einer weiteren Ausführungsform steht B für Phenyl, das durch ein, zwei oder drei L, unabhängig ausgewählt aus F, Cl, Methyl und Methoxy, substituiert ist. Gemäß noch einer weiteren Ausführungsform steht B für Phenyl, das durch ein, zwei oder drei L ausgewählt aus F und Cl substituiert ist. Gemäß einer weiteren Ausführungsform enthält B mindestens einen Substituenten L in ortho-Position zu der Verknüpfungsstelle mit der Oxiran-Einheit. Dabei kann B gegebenenfalls noch ein oder zwei weitere gleiche oder verschiedene L tragen.According to a further preferred embodiment (I-A4) of the invention, A is a saturated heterocycle, and B is phenyl which is unsubstituted or substituted by one, two or three identical or different substituents L. According to one embodiment, phenyl is unsubstituted, according to another embodiment includes phenyl, one, two or three independently selected L. Vorzusgweise L is in each case independently selected from halogen, NO2, amino, Ci-C 4 -alkyl, C 4 -alkoxy, Ci-C d-4 haloalkyl, Ci-C 4 haloalkoxy, Ci-C 4 alkylamino, Ci-C 4 - dialkylamino, thiol, and Ci-C 4 alkylthio. According to another embodiment, B is phenyl substituted by one, two or three L, independently selected from halogen, d- C4-alkyl, Ci-C 4 alkoxy, Ci-C4-haloalkyl and Ci-4 haloalkoxy C , is substituted. According to one embodiment, B is halophenyl, in particular phenyl, which is substituted by one, two or three identical or different halogen atoms. In another embodiment, B is phenyl substituted by one, two or three L independently selected from F, Cl, methyl and methoxy. In yet another embodiment, B is phenyl substituted by one, two or three Ls selected from F and Cl. In another embodiment, B contains at least one substituent L ortho to the point of attachment to the oxirane moiety. It is possible for B to carry one or two further identical or different Ls.
In den Ausführungsformen I-A1 bis I-A4 steht A insbesondere für einen drei-, vier-, fünf-, sechs- oder siebengliedrigen gesättigten Heterocyclus mit einem, zwei oder drei Heteroatomen ausgewählt aus N, O und S. Insbesondere ist der Heterocyclus fünf- oder sechsgliedrig, vorzugsweise enthält der Heterocyclus mindestens ein Stickstoffatom. Gemäß einer bevorzugten Ausführungsform ist der Heterocyclus über C an die Oxiran-Einheit gebunden. Der gesättigte Heterocyclus ist jeweils unsubstituiert oder enthält eine, zwei oder drei Gruppen L wie hierin definiert. Gemäß einer Ausgestaltung steht A für unsubstituiertes oder substituiertes Morpholin. Gemäß einer weiteren Ausgestaltung steht B für unsubstituiertes oder substituiertes Piperidin. Gemäß einer weiteren Ausgestaltung steht B für unsubstituiertes oder substituiertes Tetrahydrofuran. Gemäß einer weiteren Ausgestaltung steht B für unsubstituiertes oder substituiertes Tetrahydropyran. Gemäß einer weiteren bevorzugten Ausführungsform (I-A5) der Erfindung steht A für einen teilweise ungesättigten Heterocyclus, und B bedeutet einen gesättigten Hetero- cyclus, wie in den Ausführungsformen I-A1 bis I-A4 für A beschrieben.In the embodiments I-A1 to I-A4, A is in particular a tri-, four-, five-, six- or seven-membered saturated heterocycle having one, two or three heteroatoms selected from N, O and S. In particular, the heterocycle is five - or six-membered, preferably the heterocycle contains at least one nitrogen atom. According to a preferred embodiment, the heterocycle is bonded via C to the oxirane moiety. The saturated heterocycle is in each case unsubstituted or contains one, two or three groups L as defined herein. In one embodiment, A is unsubstituted or substituted morpholine. In another embodiment, B is unsubstituted or substituted piperidine. In another embodiment, B is unsubstituted or substituted tetrahydrofuran. In another embodiment, B is unsubstituted or substituted tetrahydropyran. According to a further preferred embodiment (I-A5) of the invention, A is a partially unsaturated heterocycle, and B is a saturated heterocycle as described for A in the embodiments I-A1 to I-A4.
Gemäß einer weiteren bevorzugten Ausführungsform (I-A6) der Erfindung stehen A und B unabhängig voneinander jeweils für einen teilweise ungesättigten Heterocyclus, die unabhängig voneinander unsubstituiert oder substituiert sind mit einer, zwei oder drei gleichen oder verschiedenen Gruppen L und ein, zwei oder drei Heteroatome ausgewählt aus N, O und S enthalten. Erfindungsgemäße Ausgestaltungen für B sind wie in der Ausführungsform I-A2 beschrieben.According to a further preferred embodiment (I-A6) of the invention, A and B independently of one another each represent a partially unsaturated heterocycle which are independently unsubstituted or substituted by one, two or three identical or different groups L and one, two or three heteroatoms selected from N, O and S included. Inventive embodiments for B are as described in the embodiment I-A2.
Gemäß einer weiteren bevorzugten Ausführungsform (I-A7) der Erfindung steht A für einen teilweise ungesättigten Heterocyclus, und B steht für einen unsubstituierten oder mit einer, zwei oder drei gleichen oder verschiedenen Gruppen L substituierten Hete- roaromaten, enthaltend ein, zwei oder drei Heteroatome ausgewählt aus N, O und S, wie in der Ausführungsform I-A3 für B beschrieben.According to a further preferred embodiment (I-A7) of the invention, A is a partially unsaturated heterocycle, and B is an unsubstituted or substituted with one, two or three identical or different groups L heteroaromatic, containing one, two or three heteroatoms selected from N, O and S as described for B in the embodiment I-A3.
Gemäß einer weiteren bevorzugten Ausführungsform (I-A8) der Erfindung steht A für einen teilweise ungesättigten Heterocyclus, und B steht für unsubstituiertes oder mit einer, zwei oder drei gleichen oder verschiedenen Gruppen L substituiertes Phenyl, wie in der Ausführungsform I-A4 für B beschrieben.According to a further preferred embodiment (I-A8) of the invention, A is a partially unsaturated heterocycle, and B is phenyl which is unsubstituted or substituted by one, two or three identical or different L groups, as described for B in the embodiment I-A4 ,
In den Ausführungsformen I-A5 bis I-A8 steht A insbesondere für einen unsubstituierten oder mit einer, zwei oder drei gleichen oder verschiedenen Gruppen L substituier- ten teilweise ungesättigten Heterocyclus, enthaltend ein, zwei oder drei Heteroatome ausgewählt aus N, O und S. A ist dabei bevorzugt ein vier-, fünf-, sechs- oder sieben- gliedriger Heterocyclus, wobei der Heterocyclus insbesondere fünf- oder sechsgliedrig ist. Gemäß einer bevorzugten Ausführungsform ist der Heterocyclus über C an die Oxi- ran-Einheit gebunden.In the embodiments I-A5 to I-A8, A is in particular an unsubstituted or substituted by one, two or three identical or different groups L partially unsaturated heterocycle containing one, two or three heteroatoms selected from N, O and S. A is preferably a four-, five-, six- or seven-membered heterocycle, wherein the heterocycle is in particular five- or six-membered. According to a preferred embodiment, the heterocycle is bonded via C to the oxirane unit.
Gemäß einer weiteren bevorzugten Ausführungsform (I-A9) der Erfindung steht A für einen aromatischen Heterocyclus, und B bedeutet einen gesättigten Heterocyclus, wie in den Ausführungsformen I-A1 bis I-A4 für A beschrieben.According to a further preferred embodiment (I-A9) of the invention, A is an aromatic heterocycle, and B is a saturated heterocycle, as described for A in the embodiments I-A1 to I-A4.
Gemäß einer weiteren bevorzugten Ausführungsform (I-A10) der Erfindung steht A für einen aromatischen Heterocyclus, und B bedeutet einen teilweise ungesättigten Heterocyclus, wie in den Ausführungsformen I-A5 bis I-A8 für A beschrieben.According to a further preferred embodiment (I-A10) of the invention, A is an aromatic heterocycle, and B is a partially unsaturated heterocycle, as described for A in the embodiments I-A5 to I-A8.
Gemäß einer weiteren bevorzugten Ausführungsform (I-A11 ) der Erfindung stehen A und B unabhängig voneinander jeweils für einen aromatischen Heterocyclus, die unabhängig voneinander unsubstituiert oder substituiert sind mit einer, zwei oder drei gleichen oder verschiedenen Gruppen L, und ein, zwei oder drei Heteroatome ausgewählt aus N, O und S enthalten. Erfindungsgemäße Ausgestaltungen für B sind wie in der Ausführungsform I-A3 beschrieben.According to a further preferred embodiment (I-A11) of the invention, A and B are each independently an aromatic heterocycle which are independently unsubstituted or substituted by one, two or three identical or different groups L, and one, two or three heteroatoms selected from N, O and S included. Inventive embodiments for B are as described in the embodiment I-A3.
Gemäß einer weiteren bevorzugten Ausführungsform (I-A12) der Erfindung steht A für einen aromatischen Heterocyclus, und B steht für Ci -Ce-Al kyl, das eine, zwei oder drei unabhängig ausgewählte Gruppen L tragen kann. Gemäß einer Ausgestaltung bedeutet B C-i-Cs-Halogenalkyl.According to a further preferred embodiment (I-A12) of the invention, A is an aromatic heterocycle, and B is C 1 -C 6 -alkyl which may carry one, two or three independently selected groups L. According to one embodiment, B is C-i-Cs-haloalkyl.
Gemäß einer weiteren bevorzugten Ausführungsform (I-A13) der Erfindung steht A für einen aromatischen Heterocyclus, und B steht für Cs-Cs-Cycloalkyl, das eine, zwei oder drei unabhängig ausgewählte Gruppen L tragen kann. Gemäß einer Ausgestaltung bedeutet B Cs-Cs-Halogencycloalkyl.According to a further preferred embodiment (I-A13) of the invention, A is an aromatic heterocycle, and B is Cs-Cs-cycloalkyl which may carry one, two or three independently selected groups L. In one embodiment, B is Cs-Cs-halocycloalkyl.
Gemäß einer weiteren bevorzugten Ausführungsform (I-A18) der Erfindung steht A für einen aromatischen Heterocyclus, und B steht für unsubstituiertes oder mit einer, zwei oder drei gleichen oder verschiedenen Gruppen L substituiertes Phenyl, wie in der Ausführungsform I-A4 für B beschrieben.According to a further preferred embodiment (I-A18) of the invention, A is an aromatic heterocycle, and B is phenyl which is unsubstituted or substituted by one, two or three identical or different L groups, as described for B in the embodiment I-A4.
In den Ausführungsformen I-A9 bis I-A14 steht A für einen unsubstituierten oder mit einer, zwei oder drei gleichen oder verschiedenen Gruppen L substituierten Hetero- aromaten, enthaltend ein, zwei oder drei Heteroatome ausgewählt aus N, O und S. Gemäß einer Ausführungsform der Erfindung enthält A mindestens ein Stickstoffatom. Gemäß einer weiteren Ausführungsform ist der Heteroaromat über C an die Oxiran- Einheit gebunden.In the embodiments I-A9 to I-A14, A is an unsubstituted or substituted by one, two or three identical or different groups L heteroaromatic, containing one, two or three heteroatoms selected from N, O and S. According to one embodiment A of the invention contains at least one nitrogen atom. According to another embodiment, the heteroaromatic is bonded via C to the oxirane unit.
Gemäß einer Ausgestaltung ist A in den Ausführungsformen I-A9 bis I-A14 ein unsub- stituierter oder durch eine, zwei oder drei Gruppen L substituierter fünfgliedriger Heteroaromat. Gemäß einer Ausgestaltung bedeutet A substituiertes oder unsubstituiertes Thienyl. Gemäß einer weiteren Ausgestaltung bedeutet A substituiertes oder unsubsti- tuiertes Pyrazolyl. Gemäß noch einer weiteren Ausgestaltung bedeutet A substituiertes oder unsubstituiertes Furyl. Gemäß noch einer weiteren Ausgestaltung bedeutet A substituiertes oder unsubstituiertes Pyrrolyl. Gemäß noch einer weiteren Ausgestaltung bedeutet A substituiertes oder unsubstituiertes Imidazolyl. Gemäß noch einer weiteren Ausgestaltung bedeutet A substituiertes oder unsubstituiertes Oxazolyl. Gemäß noch einer weiteren Ausgestaltung bedeutet A substituiertes oder unsubstituiertes Thiazolyl. Gemäß noch einer weiteren Ausgestaltung bedeutet A substituiertes oder unsubstituiertes Isoxazolyl. Gemäß noch einer weiteren Ausgestaltung bedeutet A substituiertes oder unsubstituiertes Isothiazolyl. Gemäß noch einer weiteren Ausgestaltung bedeutet A substituiertes oder unsubstituiertes Thiadiazolyl. Gemäß noch einer weiteren Aus- gestaltung bedeutet A substituiertes oder unsubstituiertes Oxadiazolyl. Gemäß noch einer weiteren Ausgestaltung bedeutet A substituiertes oder unsubstituiertes Triazolyl. Gemäß einer Ausführungsform enthält der fünfgliedrige Heteroaromat dabei eine, zwei oder drei Gruppen L unabhängig ausgewählt aus Halogen, NO2, Amino, Ci-C4-Alkyl, Ci-C4-AIkOXy, Ci-C4-Halogenalkyl, Ci-C4-Halogenalkoxy, Ci-C4-Alkylamino, C1-C4- Dialkylamino, Thiol und Ci-C4-Alkylthio, bevorzugt Halogen, Ci-C4-Alkyl, Ci-C4-Alkoxy, Ci-C4-Halogenalkyl oder Ci-C4-Halogenalkoxy, mehr bevorzugt Halogen, Ci-C4-Alkyl oder Ci-C4-Alkoxy, insbesondere F, Cl, Methyl und Methoxy, insbesondere F und Cl.According to one embodiment, A in embodiments I-A9 to I-A14 is a five-membered heteroaromatic unsubstituted or substituted by one, two or three groups L. In one embodiment, A is substituted or unsubstituted thienyl. According to a further embodiment, A is substituted or unsubstituted pyrazolyl. According to yet another embodiment, A is substituted or unsubstituted furyl. According to yet another embodiment, A is substituted or unsubstituted pyrrolyl. According to yet another embodiment, A is substituted or unsubstituted imidazolyl. According to yet another embodiment, A is substituted or unsubstituted oxazolyl. According to yet another embodiment, A is substituted or unsubstituted thiazolyl. According to yet another embodiment, A is substituted or unsubstituted isoxazolyl. According to yet another embodiment, A is substituted or unsubstituted isothiazolyl. According to yet another embodiment, A is substituted or unsubstituted thiadiazolyl. In yet another embodiment, A is substituted or unsubstituted oxadiazolyl. According to yet another embodiment, A is substituted or unsubstituted triazolyl. In one embodiment, the five-membered heteroaromatic contains one, two or three groups L independently selected from halogen, NO 2, amino, C 1 -C 4 -alkyl, C 1 -C 4 -alkoxy, C 1 -C 4 -haloalkyl, C 1 -C 4 -haloalkoxy, C 1 -C 4 -alkylamino, C 1 -C 4 -dialkylamino, Thiol and C 1 -C 4 -alkylthio, preferably halogen, C 1 -C 4 -alkyl, C 1 -C 4 -alkoxy, C 1 -C 4 -haloalkyl or C 1 -C 4 -haloalkoxy, more preferably halogen, C 1 -C 4 -alkyl or C 1 -C 4 -alkoxy , in particular F, Cl, methyl and methoxy, in particular F and Cl.
Gemäß einer weiteren Ausgestaltung steht A in den Ausführungsformen I-A9 bis I-A14 für einen sechsgliedrigen Heteroaromaten, welcher unsubstituiert ist oder durch einen, zwei oder drei L substituiert sind. Gemäß einer Ausgestaltung steht A für Pyridyl, das unsubstituiert oder substituiert ist. Gemäß einer weiteren Ausgestaltung steht A für Pyrimidinyl, das unsubstituiert oder substituiert ist. Gemäß noch einer weiteren Ausgestaltung steht A für Pyrazinyl, das unsubstituiert oder substituiert ist. Gemäß noch einer weiteren Ausgestaltung steht A für Pyridazinyl, das unsubstituiert oder substituiert ist. Gemäß noch einer weiteren Ausgestaltung steht A für Triazinyl, das unsubstituiert oder substituiert ist. L ist so definiert wie in der Ausführungsform, gemäß welcher A ein fünfgliedriger Heteroaromat ist.According to a further embodiment, A in the embodiments I-A9 to I-A14 is a six-membered heteroaromatic which is unsubstituted or substituted by one, two or three L. In one embodiment, A is pyridyl which is unsubstituted or substituted. In another embodiment, A is pyrimidinyl which is unsubstituted or substituted. In yet another embodiment, A is pyrazinyl which is unsubstituted or substituted. In yet another embodiment, A is pyridazinyl which is unsubstituted or substituted. According to yet another embodiment, A is triazinyl which is unsubstituted or substituted. L is defined as in the embodiment according to which A is a five-membered heteroaromatic.
Gemäß einer weiteren bevorzugten Ausführungsform (I-A15) der Erfindung steht A für Ci-Cs-Alkyl, das unsubstituiert oder substituiert ist mit einer, zwei oder drei gleichen oder verschiedenen Gruppen L, und B steht für einen aromatischen Heterocyclus, wie für A in den Ausführungsformen I-A9 bis I-A14 beschrieben. Gemäß einer Ausgestaltung bedeutet A dabei d-Cs-Halogenalkyl.According to a further preferred embodiment (I-A15) of the invention, A is C 1 -C 8 -alkyl which is unsubstituted or substituted by one, two or three identical or different groups L, and B is an aromatic heterocycle, such as A in Embodiments I-A9 to I-A14 described. According to one embodiment, A is d-Cs-haloalkyl.
Gemäß einer weiteren bevorzugten Ausführungsform (I-A16) der Erfindung steht A für unsubstituiertes oder durch eine, zwei oder drei gleiche oder verschiedene Gruppen L substituiertes Cs-Cs-Cycloalkyl, vorzugsweise Cs-Cβ-Cycloalkyl, und B steht für einen aromatischen Heterocyclus, wie in den Ausführungsformen I-A9 bis I-A14 für A beschrieben. Gemäß einer Ausgestaltung bedeutet A dabei Cs-Cs-Halogencycloalkyl.According to a further preferred embodiment (I-A16) of the invention A is unsubstituted or substituted by one, two or three identical or different groups L Cs-Cs-cycloalkyl, preferably Cs-Cβ-cycloalkyl, and B is an aromatic heterocycle, as described in embodiments I-A9 to I-A14 for A. According to one embodiment, A is Cs-Cs-halocycloalkyl.
Gemäß einer weiteren bevorzugten Ausführungsform (I-A17) der Erfindung steht A für Phenyl, und B steht für einen gesättigten Heterocyclus, wie in den Ausführungsformen I-A1 bis I-A4 für A beschrieben.According to a further preferred embodiment (I-A17) of the invention, A is phenyl, and B is a saturated heterocycle, as described for A in the embodiments I-A1 to I-A4.
Gemäß einer weiteren bevorzugten Ausführungsform (I-A18) der Erfindung steht A für Phenyl, und B steht für einen teilweise ungesättigten Heterocyclus, wie in den Ausführungsformen I-A5 bis I-A8 für A beschrieben.According to a further preferred embodiment (I-A18) of the invention, A is phenyl, and B is a partially unsaturated heterocycle, as described for A in the embodiments I-A5 to I-A8.
Gemäß einer weiteren bevorzugten Ausführungsform (I-A19) der Erfindung steht A für Phenyl, und B steht für einen aromatischen Heterocyclus, wie in den Ausführungsfor- men I-A9 bis I-A14 für A beschrieben. In den Ausführungsformen I-A17 bis I-A19 steht A für unsubstituiertes oder durch eine, zwei oder drei gleiche oder verschiedene Gruppen L substituiertes Phenyl. Gemäß einer Ausführungsform ist Phenyl unsubstituiert, gemäß einer weiteren Ausführungsform enthält Phenyl ein, zwei oder drei L, unabhängig ausgewählt aus Halogen, NO2, Amino, Ci-C4-AIkVl, CrC4-AIkOXy, Ci-C4-Halogenalkyl, Ci-C4-Halogenalkoxy, CrC4- Alkylamino, Ci-C4-Dialkylamino, Thiol und Ci-C4-Alkylthio. Gemäß einer weiteren Ausführungsform steht A für Phenyl, das durch ein, zwei oder drei L unabhängig ausgewählt aus Halogen, Ci-C4-Alkyl, Ci-C4-Alkoxy, Ci-C4-Halogenalkyl und Ci-C4-Halogen- alkoxy substituiert ist. Gemäß einer Ausgestaltung bedeutet A Halogenphenyl, insbe- sondere Phenyl, das durch ein, zwei oder drei gleiche oder verschiedene Halogenatome substituiert ist. Gemäß einer weiteren Ausführungsform steht A für Phenyl, das durch ein, zwei oder drei L, unabhängig ausgewählt aus F, Cl, Methyl und Methoxy, substituiert ist. Gemäß noch einer weiteren Ausführungsform steht A für Phenyl, das durch ein, zwei oder drei L ausgewählt aus F und Cl substituiert ist.According to a further preferred embodiment (I-A19) of the invention, A is phenyl, and B is an aromatic heterocycle, as described for A in the embodiments I-A9 to I-A14. In the embodiments I-A17 to I-A19, A is phenyl which is unsubstituted or substituted by one, two or three identical or different L groups. In one embodiment, phenyl is unsubstituted, according to a further embodiment, phenyl, one, two, or three L, independently selected from halogen, NO2, amino, Ci-C 4 -alkyl, -C 4 -alkoxy, Ci-C 4 haloalkyl, Ci- C 4 haloalkoxy, -C 4 - alkylamino, Ci-C 4 dialkylamino, thiol, and Ci-C 4 alkylthio. According to a further embodiment, A is phenyl substituted by one, two or three L is independently selected from halogen, Ci-C4-alkyl, Ci-C 4 alkoxy, Ci-C4-haloalkyl and Ci-C4-halo- alkoxy is substituted. According to one embodiment, A is halophenyl, in particular phenyl, which is substituted by one, two or three identical or different halogen atoms. In another embodiment, A is phenyl substituted by one, two or three L independently selected from F, Cl, methyl and methoxy. In yet another embodiment, A is phenyl substituted by one, two or three Ls selected from F and Cl.
Wenn es hierin nicht anderes angegeben ist, ist L jeweils vorzugsweise unabhängig ausgewählt aus Halogen, Cyano, Nitro, Ci-C4-Alkyl, Ci-C4-Halogenalkyl, Phenyl-Ci-C4- alkyloxy, C2-C6-Alkenyl, C2-C6-Halogenalkenyl, C2-C6-Alkinyl, C2-C6-Halogenalkinyl, d- C4-Alkoxy, Ci-C4-Halogenalkoxy, Cs-Cβ-Cycloalkyl, Cs-Cβ-Halogencycloalkyl, Amino, Ci-C4-Alkylamino, Di-Ci-C4-alkylamino, Phenyl, Halogenphenyl, Phenyloxy und HaIo- genphenyloxy. Gemäß einer Ausführungsform der Erfindung ist L vorzugsweise jeweils unabhängig ausgewählt aus Halogen, Ci -Ce-Al kyl, Ci-Cs-Halogenalkyl, C2-C8-Alkenyl, Ci-Cβ-Alkoxy und Ci-Cs-Halogenalkoxy. Gemäß einer weiteren Ausführungsform ist L unabhängig ausgewählt aus Halogen, Ci-C4-Alkyl, Ci-C4-Halogenalkyl, Ci-C4-Alkoxy, Ci-C4-Halogenalkoxy, Cs-Cβ-Cycloalkyl, Cs-Cβ-Halogencycloalkyl, Phenyl und Halogenphenyl, insbesondere ausgewählt aus Halogen, wie Fluor und Chlor, Ci-C4-Alkyl, Ci-C4-Halogenalkyl und Ci-C4-Alkoxy. Es kann besonders bevorzugt sein, dass die Substituenten L unabhängig ausgewählt sind aus Ci-C4-Alkyl, Fluor und Chlor.If it is not otherwise indicated herein, each L is preferably independently selected from halogen, cyano, nitro, Ci-C4-alkyl, Ci-C4-haloalkyl, phenyl-Ci-C 4 - alkyloxy, C2-C6-alkenyl, C2-C6 haloalkenyl, C2-C6-alkynyl, C2-C6-haloalkynyl, C d- 4 alkoxy, Ci-C4-haloalkoxy, Cs-Cβ cycloalkyl, Cs-Cβ-halocycloalkyl, amino, Ci-C 4 Alkylamino, di-C 1 -C 4 -alkylamino, phenyl, halophenyl, phenyloxy and halo genophenyloxy. According to one embodiment of the invention, L is preferably in each case independently selected from halogen, C 1 -C 6 -alkyl, C 1 -C 5 -haloalkyl, C 2 -C 8 -alkenyl, C 1 -C 6 -alkoxy and C 1 -C 8 -haloalkoxy. According to a further embodiment, L is independently selected from halogen, Ci-C4-alkyl, Ci-C4-haloalkyl, Ci-C4-alkoxy, Ci-C4-haloalkoxy, Cs-Cβ cycloalkyl, Cs-Cβ-halocycloalkyl , phenyl and halophenyl, especially selected from halogen, such as fluorine and chlorine, Ci-C4-alkyl, Ci-C4-haloalkyl and Ci-C4-alkoxy. It may be particularly preferred that the substituents L are independently selected from C 1 -C 4 -alkyl, fluorine and chlorine.
Die vorangehend beschriebenen Bedeutungen der Variablen A, B und L für Verbindungen I gelten entsprechend für die Vorstufen der erfindungsgemäßen Verbindungen, sofern vom Umfang der Definitionen umfasst (wie oben beschrieben).The above-described meanings of the variables A, B and L for compounds I apply mutatis mutandis to the precursors of the compounds of the invention, if included in the scope of the definitions (as described above).
Gemäß einer Ausführungsform der Erfindung steht D für eine Gruppe SR, wobei R für Wasserstoff oder Ci-C4-Alkyl steht. Gemäß einer speziellen Ausgestaltung steht D für SH.According to one embodiment of the invention, D is a group SR, where R is hydrogen or C 1 -C 4 -alkyl. According to a specific embodiment, D stands for SH.
Gemäß einer weiteren Ausführungsform der Erfindung steht D für eine Gruppe SR, wobei R C(=O)R3 bedeutet und R3 für NA3A4 steht, wobei A3 und A4 unabhängig von- einander Wasserstoff oder d-Cs-Alkyl bedeuten. Gemäß einer weiteren Ausführungsform der Erfindung steht D für eine Gruppe SR, wobei R für C(=O)R3 steht und R3 Ci-C4-Alkyl, Ci-C4-Halogenalkyl, Ci-C4-Alkoxy oder Ci-C4-Halogenalkoxy bedeutet. Insbesondere bedeutet R3 in dieser Ausführungsform Ci-C4-Alkyl.According to another embodiment of the invention, D is a group SR, where RC (= O) R 3 and R 3 is NA 3 A 4 , where A 3 and A 4 independently of one another are hydrogen or C 1 -C 8 -alkyl , According to a further embodiment of the invention, D is a group SR, where R is C (= O) R, and R 3 3 Ci-C4 alkyl, Ci-C4-haloalkyl, Ci-C 4 alkoxy or C C 4 haloalkoxy means. In particular, R 3 in this embodiment is C 1 -C 4 -alkyl.
Gemäß einer weiteren Ausführungsform der Erfindung steht D für eine Gruppe SR, wobei R für CN steht.According to another embodiment of the invention, D is a group SR, where R is CN.
Gemäß einer weiteren Ausführungsform der Erfindung steht D für eine Gruppe SR, wobei R SO2R4 bedeutet und R4 für Ci -C4-Al kyl, Phenyl-Ci-C4-alkyl oder Phenyl steht, wobei die Phenylgruppen jeweils unsubstituiert oder substituiert sind durch eine, zwei oder drei Gruppen unabhängig ausgewählt aus Halogen und Ci-C4-Alkyl.According to a further embodiment of the invention, D is a group SR, where R is SO 2 R 4 and R 4 is C 1 -C 4 -alkyl, phenyl-C 1 -C 4 -alkyl or phenyl, where the phenyl groups are each unsubstituted or are substituted by one, two or three groups independently selected from halogen and C 1 -C 4 -alkyl.
Gemäß einer weiteren Ausführungsform der Erfindung steht D für eine Gruppe SM, wobei M für ein Alkalimetallkation, ein Äquivalent eines Erdalkalimetall-Kations, ein Äquivalent eines Kupfer-, Zink-, Eisen- oder Nickel-Kations oder ein Ammonium-Kation der Formel (E)According to another embodiment of the invention, D is a group SM, wherein M is an alkali metal cation, one equivalent of an alkaline earth metal cation, one equivalent of a copper, zinc, iron or nickel cation or an ammonium cation of the formula (E )
Z2 Z 2
Z1— N-Z3 (E) steht, worinZ 1 - NZ 3 (E), wherein
Z1 und Z2 unabhängig Wasserstoff oder Ci-C4-Alkyl bedeuten; und Z3 und Z4 unabhängig Wasserstoff, Ci-C4-Alkyl, Benzyl oder Phenyl bedeuten.Z 1 and Z 2 are independently hydrogen or C 1 -C 4 -alkyl; and Z 3 and Z 4 are independently hydrogen, C 1 -C 4 alkyl, benzyl or phenyl.
Gemäß einer Ausführungsform bedeutet M Na, 1/2 Cu, 1/3 Fe, HN(C2H5)S, N(CHs)4 In one embodiment, M represents Na, 1/2 Cu, 1/3 Fe, HN (C 2 H 5 ) S, N (CHs) 4
Gemäß einer weiteren Ausführungsform der Erfindung steht D für eine Gruppe Dl (Verbindungen I-2), wobei A und B unabhängig wie hierin definiert bzw. bevorzugt definiert sind:According to a further embodiment of the invention, D is a group D 1 (compounds I-2), where A and B are independently defined or preferably defined herein:
Dl I-2Dl I-2
Vorzugsweise haben beide A bzw. beide B in den Verbindungen I-2 die gleiche Bedeutung. Gemäß einer weiteren Ausführungsform der Erfindung steht D für eine Gruppe Dil, wobei # die Verknüpfungsstelle mit dem Triazolylring ist und Q, R1 und R2 wie hierin definiert bzw. bevorzugt definiert sind: Preferably both A and B have the same meaning in compounds I-2. According to another embodiment of the invention, D is a group Dil, where # is the point of attachment to the triazolyl ring and Q, R 1 and R 2 are as defined herein or preferably defined:
I-2I-2
Insbesondere sind im Hinblick auf ihre Verwendung die in den folgenden Tabellen 1a bis 308a und Tabellen 1aa bis 308aa zusammengestellten erfindungsgemäßen Verbindungen I bevorzugt. Die in den Tabellen für einen Substituenten genannten Gruppen stellen außerdem für sich betrachtet, unabhängig von der Kombination, in der sie genannt sind, eine besonders bevorzugte Ausgestaltung des betreffenden Substituenten dar.In particular, with regard to their use, the compounds I according to the invention which are compiled in the following Tables 1a to 308a and Tables 1aa to 308aa are preferred. The groups mentioned in the tables for a substituent are also considered individually, regardless of the combination in which they are mentioned, a particularly preferred embodiment of the substituent in question.
Tabelle 1 aTable 1 a
Verbindungen 1-1 , worin A für Pyridin-2-yl steht und B jeweils einer Gruppe einer Zeile der Tabelle A entspricht (Verbindungen 1-1.1 aA-1 bis l-1.1aA-425) Tabelle 2a Verbindungen 1-1 , worin A für Pyridin-3-yl steht und B jeweils einer Gruppe einerCompounds 1-1, wherein A is pyridin-2-yl and B in each case corresponds to one group of one row of Table A (Compounds 1-1.1 aA-1 to l-1.1aA-425) Table 2a Compounds 1-1, wherein A is pyridin-3-yl and B is each a group of one
Zeile der Tabelle A entspricht (Verbindungen 1-1.2aA-1 bis 1-1.2aA-425) Tabelle 3aRow of Table A corresponds (Compounds 1-1.2aA-1 to 1-1.2aA-425) Table 3a
Verbindungen 1-1 , worin A für Pyridin-4-yl steht und B jeweils einer Gruppe einer Zeile der Tabelle A entspricht (Verbindungen 1-1.3aA-1 bis 1-1.3aA-425) Tabelle 4aCompounds 1-1, wherein A is pyridin-4-yl and B corresponds in each case to one group of one row of Table A (Compounds 1-1.3aA-1 to 1-1.3aA-425) Table 4a
Verbindungen 1-1 , worin A für 3-Chlorpyridin-2-yl steht und B jeweils einer Gruppe einer Zeile der Tabelle A entspricht (Verbindungen 1-1.4aA-1 bis 1-1.4aA-425) Tabelle 5aCompounds 1-1, wherein A is 3-chloropyridin-2-yl and B corresponds in each case to one group of one row of Table A (Compounds 1-1.4aA-1 to 1-1.4aA-425) Table 5a
Verbindungen 1-1 , worin A für 4-Chlorpyridin-2-yl steht und B jeweils einer Gruppe einer Zeile der Tabelle A entspricht (Verbindungen 1-1.5aA-1 bis 1-1.5aA-425)Compounds 1-1, wherein A is 4-chloropyridin-2-yl and B corresponds in each case to one group of one row of Table A (Compounds 1-1.5aA-1 to 1-1.5aA-425)
Tabelle 6aTable 6a
Verbindungen 1-1 , worin A für 5-Chlorpyridin-2-yl steht und B jeweils einer Gruppe einer Zeile der Tabelle A entspricht (Verbindungen 1-1.6aA-1 bis 1-1.6aA-425) Tabelle 7a Verbindungen 1-1 , worin A für 6-Chlorpyridin-2-yl steht und B jeweils einer Gruppe einer Zeile der Tabelle A entspricht (Verbindungen 1-1.7aA-1 bis 1-1.7aA-425) Tabelle 8aCompounds 1-1, wherein A is 5-chloropyridin-2-yl and B corresponds in each case to one group of one row of Table A (Compounds 1-1.6aA-1 to 1-1.6aA-425) Table 7a Compounds 1-1, where A is 6-chloropyridin-2-yl and B corresponds in each case to one group of one row of Table A (Compounds 1-1.7aA-1 to 1-1.7aA-425) Table 8a
Verbindungen 1-1 , worin A für 2-Chlorpyridin-3-yl steht und B jeweils einer Gruppe einer Zeile der Tabelle A entspricht (Verbindungen 1-1.8aA-1 bis 1-1.8aA-425) Tabelle 9aCompounds 1-1, wherein A is 2-chloropyridin-3-yl and B corresponds in each case to one group of one row of Table A (Compounds 1-1.8aA-1 to 1-1.8aA-425) Table 9a
Verbindungen 1-1 , worin A für 4-Chlorpyridin-3-yl steht und B jeweils einer Gruppe einer Zeile der Tabelle A entspricht (Verbindungen 1-1.9aA-1 bis 1-1.9aA-425)Compounds 1-1, wherein A is 4-chloropyridin-3-yl and B corresponds in each case to one group of one row of Table A (Compounds 1-1.9aA-1 to 1-1.9aA-425)
Tabelle 10a Verbindungen 1-1 , worin A für 5-Chlorpyridin-3-yl steht und B jeweils einer Gruppe einer Zeile der Tabelle A entspricht (Verbindungen l-1.10aA-1 bis l-1.10aA-425)Table 10a Compounds 1-1, wherein A is 5-chloropyridin-3-yl and B corresponds in each case to one group of one row of Table A (Compounds I-1.10aA-1 to I-1.10aA-425)
Tabelle 1 1aTable 1 1a
Verbindungen 1-1 , worin A für 6-Chlorpyridin-3-yl steht und B jeweils einer Gruppe einer Zeile der Tabelle A entspricht (Verbindungen 1-1.11 aA- 1 bis 1-1.11 aA-425) Tabelle 12aCompounds 1-1, wherein A is 6-chloropyridin-3-yl and B corresponds in each case to one group of one row of Table A (Compounds 1-1.11 aA-1 to 1-1.11 aA-425) Table 12a
Verbindungen 1-1 , worin A für 2-Chlorpyridin-4-yl steht und B jeweils einer Gruppe einer Zeile der Tabelle A entspricht (Verbindungen 1-1.12aA-1 bis 1-1.12aA-425)Compounds 1-1, wherein A is 2-chloropyridin-4-yl and B corresponds in each case to one group of one row of Table A (Compounds 1-1.12aA-1 to 1-1.12aA-425)
Tabelle 13aTable 13a
Verbindungen 1-1 , worin A für 3-Chlorpyridin-4-yl steht und B jeweils einer Gruppe einer Zeile der Tabelle A entspricht (Verbindungen l-1.13aA-1 bis l-1.13aA-425)Compounds 1-1, wherein A is 3-chloropyridin-4-yl and B corresponds in each case to one group of one row of Table A (Compounds I-1.13aA-1 to I-1.13aA-425)
Tabelle 14aTable 14a
Verbindungen 1-1 , worin A für 4-Chlorpyridin-5-yl steht und B jeweils einer Gruppe einer Zeile der Tabelle A entspricht (Verbindungen 1-1.14aA-1 bis 1-1.14aA-425)Compounds 1-1, wherein A is 4-chloropyridin-5-yl and B corresponds in each case to one group of one row of Table A (Compounds 1-1.14aA-1 to 1-1.14aA-425)
Tabelle 15a Verbindungen 1-1 , worin A für 3-Fluorpyridin-2-yl steht und B jeweils einer Gruppe einer Zeile der Tabelle A entspricht (Verbindungen l-1.15aA-1 bis l-1.15aA-425)Table 15a Compounds 1-1, wherein A is 3-fluoropyridin-2-yl and B corresponds in each case to one group of one row of Table A (Compounds I-1.15aA-1 to 1.15aA-425)
Tabelle 16aTable 16a
Verbindungen 1-1 , worin A für 4-Fluorpyridin-2-yl steht und B jeweils einer Gruppe einer Zeile der Tabelle A entspricht (Verbindungen l-1.16aA-1 bis l-1.16aA-425) Tabelle 17aCompounds 1-1, wherein A is 4-fluoropyridin-2-yl and B corresponds in each case to one group of one row of Table A (Compounds I-1.16aA-1 to I-1.16aA-425) Table 17a
Verbindungen 1-1 , worin A für 5-Fluorpyridin-2-yl steht und B jeweils einer Gruppe einer Zeile der Tabelle A entspricht (Verbindungen l-1.17aA-1 bis l-1.17aA-425)Compounds 1-1, wherein A is 5-fluoropyridin-2-yl and B corresponds in each case to one group of one row of Table A (compounds I-1.17aA-1 to I-1.17aA-425)
Tabelle 18aTable 18a
Verbindungen 1-1 , worin A für 6-Fluorpyridin-2-yl steht und B jeweils einer Gruppe einer Zeile der Tabelle A entspricht (Verbindungen l-1.18aA-1 bis l-1.18aA-425)Compounds 1-1, wherein A is 6-fluoropyridin-2-yl and B corresponds in each case to one group of one row of Table A (Compounds I-1.18aA-1 to 1.18aA-425)
Tabelle 19aTable 19a
Verbindungen 1-1 , worin A für 2-Fluorpyridin-3-yl steht und B jeweils einer Gruppe einer Zeile der Tabelle A entspricht (Verbindungen l-1.19aA-1 bis l-1.19aA-425)Compounds 1-1, wherein A is 2-fluoropyridin-3-yl and B corresponds in each case to one group of one row of Table A (Compounds I-1.19aA-1 to I-1.19aA-425)
Tabelle 20a Verbindungen 1-1 , worin A für 4-Fluorpyridin-3-yl steht und B jeweils einer Gruppe einer Zeile der Tabelle A entspricht (Verbindungen 1-1.2OaA-I bis 1-1.20aA-425)Table 20a Compounds 1-1, wherein A is 4-fluoropyridin-3-yl and B corresponds in each case to one group of one row of Table A (Compounds 1-1.2OaA-I to 1-1.20aA-425)
Tabelle 21aTable 21a
Verbindungen 1-1 , worin A für 5-Fluorpyridin-3-yl steht und B jeweils einer Gruppe einer Zeile der Tabelle A entspricht (Verbindungen 1-1.21 aA-1 bis 1-1.21 aA-425) Tabelle 22aCompounds 1-1, wherein A is 5-fluoropyridin-3-yl and B corresponds in each case to one group of one row of Table A (Compounds 1-1.21 aA-1 to 1-1.21 aA-425) Table 22a
Verbindungen 1-1 , worin A für 6-Fluorpyridin-3-yl steht und B jeweils einer Gruppe einer Zeile der Tabelle A entspricht (Verbindungen 1-1.22aA-1 bis 1-1.22aA-425) Tabelle 23aCompounds 1-1, wherein A is 6-fluoropyridin-3-yl and B corresponds in each case to one group of one row of Table A (Compounds 1-1.22aA-1 to 1-1.22aA-425) Table 23a
Verbindungen 1-1 , worin A für 2-Fluorpyridin-4-yl steht und B jeweils einer Gruppe einer Zeile der Tabelle A entspricht (Verbindungen 1-1.23aA-1 bis 1-1.23aA-425)Compounds 1-1, wherein A is 2-fluoropyridin-4-yl and B corresponds in each case to one group of one row of Table A (Compounds 1-1.23aA-1 to 1-1.23aA-425)
Tabelle 24a Verbindungen 1-1 , worin A für 3-Fluorpyridin-4-yl steht und B jeweils einer Gruppe einer Zeile der Tabelle A entspricht (Verbindungen 1-1.24aA-1 bis 1-1.24aA-425)Table 24a Compounds 1-1, wherein A is 3-fluoropyridin-4-yl and B corresponds in each case to one group of one row of Table A (Compounds 1-1.24aA-1 to 1-1.24aA-425)
Tabelle 25aTable 25a
Verbindungen 1-1 , worin A für 3- Methylpyridin-2-yl steht und B jeweils einer Gruppe einer Zeile der Tabelle A entspricht (Verbindungen 1-1.25aA-1 bis 1-1.25aA-425) Tabelle 26aCompounds 1-1, wherein A is 3-methylpyridin-2-yl and B corresponds in each case to one group of one row of Table A (Compounds 1-1.25aA-1 to 1-1.25aA-425) Table 26a
Verbindungen 1-1 , worin A für 4-Methylpyridin-2-yl steht und B jeweils einer Gruppe einer Zeile der Tabelle A entspricht (Verbindungen 1-1.26aA-1 bis 1-1.26aA-425)Compounds 1-1, wherein A is 4-methylpyridin-2-yl and B corresponds in each case to one group of one row of Table A (Compounds 1-1.26aA-1 to 1-1.26aA-425)
Tabelle 27aTable 27a
Verbindungen 1-1 , worin A für 5-Methylpyridin-2-yl steht und B jeweils einer Gruppe einer Zeile der Tabelle A entspricht (Verbindungen 1-1.27aA-1 bis 1-1.27aA-425)Compounds 1-1, wherein A is 5-methylpyridin-2-yl and B corresponds in each case to one group of one row of Table A (Compounds 1-1.27aA-1 to 1-1.27aA-425)
Tabelle 28aTable 28a
Verbindungen 1-1 , worin A für 6-Methylpyridin-2-yl steht und B jeweils einer Gruppe einer Zeile der Tabelle A entspricht (Verbindungen 1-1.28aA-1 bis 1-1.28aA-425)Compounds 1-1, wherein A is 6-methylpyridin-2-yl and B corresponds in each case to one group of one row of Table A (Compounds 1-1.28aA-1 to 1-1.28aA-425)
Tabelle 29a Verbindungen 1-1 , worin A für 2-Methylpyridin-3-yl steht und B jeweils einer Gruppe einer Zeile der Tabelle A entspricht (Verbindungen 1-1.29aA-1 bis 1-1.29aA-425)Table 29a Compounds 1-1, wherein A is 2-methylpyridin-3-yl and B corresponds in each case to one group of one row of Table A (Compounds 1-1.29aA-1 to 1-1.29aA-425)
Tabelle 30aTable 30a
Verbindungen 1-1 , worin A für 4-Methylpyridin-3-yl steht und B jeweils einer Gruppe einer Zeile der Tabelle A entspricht (Verbindungen 1-1.3OaA-I bis 1-1.30aA-425) Tabelle 31aCompounds 1-1, wherein A is 4-methylpyridin-3-yl and B corresponds in each case to one group of one row of Table A (Compounds 1-1.3OaA-I to 1-1.30aA-425) Table 31a
Verbindungen 1-1 , worin A für 5-Methylpyridin-3-yl steht und B jeweils einer Gruppe einer Zeile der Tabelle A entspricht (Verbindungen 1-1.31 aA-1 bis 1-1.31 aA-425)Compounds 1-1, wherein A is 5-methylpyridin-3-yl and B corresponds in each case to one group of one row of Table A (Compounds 1-1.31 aA-1 to 1-1.31 aA-425)
Tabelle 32aTable 32a
Verbindungen 1-1 , worin A für 6-Methylpyridin-3-yl steht und B jeweils einer Gruppe einer Zeile der Tabelle A entspricht (Verbindungen 1-1.32aA-1 bis 1-1.32aA-425)Compounds 1-1, wherein A is 6-methylpyridin-3-yl and B corresponds in each case to one group of one row of Table A (Compounds 1-1.32aA-1 to 1-1.32aA-425)
Tabelle 33aTable 33a
Verbindungen 1-1 , worin A für 2-Methylpyridin-4-yl steht und B jeweils einer Gruppe einer Zeile der Tabelle A entspricht (Verbindungen 1-1.33aA-1 bis 1-1.33aA-425)Compounds 1-1, wherein A is 2-methylpyridin-4-yl and B corresponds in each case to one group of one row of Table A (Compounds 1-1.33aA-1 to 1-1.33aA-425)
Tabelle 34a Verbindungen 1-1 , worin A für 3-Methylpyridin-4-yl steht und B jeweils einer Gruppe einer Zeile der Tabelle A entspricht (Verbindungen 1-1.34aA-1 bis 1-1.34aA-425)Table 34a Compounds 1-1, wherein A is 3-methylpyridin-4-yl and B corresponds in each case to one group of one row of Table A (Compounds 1-1.34aA-1 to 1-1.34aA-425)
Tabelle 35aTable 35a
Verbindungen 1-1 , worin A für 4-Methylpyridin-5-yl steht und B jeweils einer Gruppe einer Zeile der Tabelle A entspricht (Verbindungen 1-1.35aA-1 bis 1-1.35aA-425) Tabelle 36aCompounds 1-1, wherein A is 4-methylpyridin-5-yl and B corresponds in each case to one group of one row of Table A (Compounds 1-1.35aA-1 to 1-1.35aA-425) Table 36a
Verbindungen 1-1 , worin A für 3-Methoxypyridin-2-yl steht und B jeweils einer Gruppe einer Zeile der Tabelle A entspricht (Verbindungen 1-1.36aA-1 bis 1-1.36aA-Compounds 1-1, wherein A is 3-methoxypyridin-2-yl and B are each one Group of a row corresponds to Table A (compounds 1-1.36aA-1 to 1-1.36aA-
425) Tabelle 37a425) Table 37a
Verbindungen 1-1 , worin A für 4-Methoxypyridin-2-yl steht und B jeweils einer Gruppe einer Zeile der Tabelle A entspricht (Verbindungen 1-1.37aA-1 bis 1-1.37aA-Compounds 1-1, wherein A is 4-methoxypyridin-2-yl and B corresponds in each case to one group of one row of Table A (Compounds 1-1.37aA-1 to 1-1.37aA-
425) Tabelle 38a425) Table 38a
Verbindungen 1-1 , worin A für 5-Methoxypyridin-2-yl steht und B jeweils einerCompounds 1-1, wherein A is 5-methoxypyridin-2-yl and B are each one
Gruppe einer Zeile der Tabelle A entspricht (Verbindungen 1-1.38aA-1 bis 1-1.38aA- 425)Group of a row corresponds to Table A (compounds 1-1.38aA-1 to 1-1.38aA-425)
Tabelle 39aTable 39a
Verbindungen 1-1 , worin A für 6-Methoxypyridin-2-yl steht und B jeweils einerCompounds 1-1, wherein A is 6-methoxypyridin-2-yl and B are each one
Gruppe einer Zeile der Tabelle A entspricht (Verbindungen 1-1.39aA-1 bis 1-1.39aA-Group of a row corresponds to Table A (compounds 1-1.39aA-1 to 1-1.39aA-
425) Tabelle 40a425) Table 40a
Verbindungen 1-1 , worin A für 2-Methoxypyridin-3-yl steht und B jeweils einerCompounds 1-1, wherein A is 2-methoxypyridin-3-yl and B are each one
Gruppe einer Zeile der Tabelle A entspricht (Verbindungen 1-1.4OaA-I bis 1-1.4OaA-Group of a row corresponds to Table A (compounds 1-1.4OaA-I to 1-1.4OaA-
425)425)
Tabelle 41a Verbindungen 1-1 , worin A für 4-Methoxypyridin-3-yl steht und B jeweils einerTable 41a Compounds 1-1, wherein A is 4-methoxypyridin-3-yl and B are each one
Gruppe einer Zeile der Tabelle A entspricht (Verbindungen 1-1.41 aA-1 bis 1-1.41 aA-Group of a row corresponds to Table A (Compounds 1-1.41 aA-1 to 1-1.41 aA-
425) Tabelle 42a425) Table 42a
Verbindungen 1-1 , worin A für 5-Methoxypyridin-3-yl steht und B jeweils einer Gruppe einer Zeile der Tabelle A entspricht (Verbindungen 1-1.42aA-1 bis 1-1.42aA-Compounds 1-1, wherein A is 5-methoxypyridin-3-yl and B corresponds in each case to one group of one row of Table A (Compounds 1-1.42aA-1 to 1-1.42aA-
425) Tabelle 43a425) Table 43a
Verbindungen 1-1 , worin A für 6-Methoxypyridin-3-yl steht und B jeweils einerCompounds 1-1, wherein A is 6-methoxypyridin-3-yl and B are each one
Gruppe einer Zeile der Tabelle A entspricht (Verbindungen 1-1.43aA-1 bis 1-1.43aA- 425)Group of a row corresponds to Table A (Compounds 1-1.43aA-1 to 1-1.43aA-425)
Tabelle 44aTable 44a
Verbindungen 1-1 , worin A für 2-Methoxypyridin-4-yl steht und B jeweils einerCompounds 1-1, wherein A is 2-methoxypyridin-4-yl and B are each one
Gruppe einer Zeile der Tabelle A entspricht (Verbindungen 1-1.44aA-1 bis 1-1.44aA-Group of a row corresponds to Table A (compounds 1-1.44aA-1 to 1-1.44aA-
425) Tabelle 45a425) Table 45a
Verbindungen 1-1 , worin A für 3-Methoxypyridin-4-yl steht und B jeweils einerCompounds 1-1, wherein A is 3-methoxypyridin-4-yl and B are each one
Gruppe einer Zeile der Tabelle A entspricht (Verbindungen 1-1.45aA-1 bis 1-1.45aA-Group of a row corresponds to Table A (compounds 1-1.45aA-1 to 1-1.45aA-
425)425)
Tabelle 46a Verbindungen 1-1 , worin A für 3,5-Dichlorpyridin-2-yl steht und B jeweils einerTable 46a Compounds 1-1, wherein A is 3,5-dichloropyridin-2-yl and B are each one
Gruppe einer Zeile der Tabelle A entspricht (Verbindungen 1-1.46aA-1 bis 1-1.46aA-Group of a row corresponds to Table A (compounds 1-1.46aA-1 to 1-1.46aA-
425) Tabelle 47a425) Table 47a
Verbindungen 1-1 , worin A für 2,4-Dichlorpyridin-3-yl steht und B jeweils einer Gruppe einer Zeile der Tabelle A entspricht (Verbindungen 1-1.47aA-1 bis 1-1.47aA- 425) Tabelle 48aCompounds 1-1, wherein A is 2,4-dichloropyridin-3-yl and B corresponds in each case to one group of one row of Table A (Compounds 1-1.47aA-1 to 1-1.47aA-425) Table 48a
Verbindungen 1-1 , worin A für 2,5-Dichlorpyridin-3-yl steht und B jeweils einer Gruppe einer Zeile der Tabelle A entspricht (Verbindungen 1-1.48aA-1 bis 1-1.48aA- 425)Compounds 1-1, wherein A is 2,5-dichloropyridin-3-yl and B corresponds in each case to one group of one row of Table A (Compounds 1-1.48aA-1 to 1-1.48aA-425)
Tabelle 49a Verbindungen 1-1 , worin A für 2,6-Dichlorpyridin-3-yl steht und B jeweils einerTable 49a compounds 1-1, wherein A is 2,6-dichloropyridin-3-yl and B are each one
Gruppe einer Zeile der Tabelle A entspricht (Verbindungen 1-1.49aA-1 bis 1-1.49aA- 425)Group of one row corresponds to Table A (Compounds 1-1.49aA-1 to 1-1.49aA-425)
Tabelle 50aTable 50a
Verbindungen 1-1 , worin A für 2,6-Dichlorpyridin-4-yl steht und B jeweils einer Gruppe einer Zeile der Tabelle A entspricht (Verbindungen 1-1.5OaA-I bis 1-1.5OaA-Compounds 1-1, wherein A is 2,6-dichloropyridin-4-yl and B corresponds in each case to one group of one row of Table A (Compounds 1-1.5OaA-I to 1-1.5OaA-
425)425)
Tabelle 51aTable 51a
Verbindungen 1-1 , worin A für 3,5-Dichlorpyridin-4-yl steht und B jeweils einer Gruppe einer Zeile der Tabelle A entspricht (Verbindungen 1-1.51 aA-1 bis 1-1.51 aA- 425)Compounds 1-1, wherein A is 3,5-dichloropyridin-4-yl and B corresponds in each case to one group of one row of Table A (Compounds 1-1.51 aA-1 to 1-1.51 aA-425)
Tabelle 52aTable 52a
Verbindungen 1-1 , worin A für 3,6-Dichlorpyridin-4-yl steht und B jeweils einer Gruppe einer Zeile der Tabelle A entspricht (Verbindungen 1-1.52aA-1 bis 1-1.52aA- 425) Tabelle 53aCompounds 1-1, wherein A is 3,6-dichloropyridin-4-yl and B corresponds in each case to one group of one row of Table A (Compounds 1-1.52aA-1 to 1-1.52aA-425) Table 53a
Verbindungen 1-1 , worin A für 2,5-Dichlorpyridin-4-yl steht und B jeweils einer Gruppe einer Zeile der Tabelle A entspricht (Verbindungen 1-1.53aA-1 bis 1-1.53aA- 425)Compounds 1-1, wherein A is 2,5-dichloropyridin-4-yl and B corresponds in each case to one group of one row of Table A (Compounds 1-1.53aA-1 to 1-1.53aA-425)
Tabelle 54a Verbindungen 1-1 , worin A für 2,3-Dichlorpyridin-4-yl steht und B jeweils einerTable 54a Compounds 1-1 wherein A is 2,3-dichloropyridin-4-yl and B are each one
Gruppe einer Zeile der Tabelle A entspricht (Verbindungen 1-1.54aA-1 bis 1-1.54aA- 425)Group of a row corresponds to Table A (Compounds 1-1.54aA-1 to 1-1.54aA-425)
Tabelle 55aTable 55a
Verbindungen 1-1 , worin A für 2,4-Dichlorpyridin-5-yl steht und B jeweils einer Gruppe einer Zeile der Tabelle A entspricht (Verbindungen 1-1.55aA-1 bis 1-1.55aA-Compounds 1-1, wherein A is 2,4-dichloropyridin-5-yl and B corresponds in each case to one group of one row of Table A (Compounds 1-1.55aA-1 to 1-1.55aA-
425)425)
Tabelle 56aTable 56a
Verbindungen 1-1 , worin A für 3,5-Difluorpyridin-2-yl steht und B jeweils einer Gruppe einer Zeile der Tabelle A entspricht (Verbindungen 1-1.56aA-1 bis 1-1.56aA-425) Tabelle 57aCompounds 1-1, wherein A is 3,5-difluoropyridin-2-yl and B corresponds in each case to one group of one row of Table A (Compounds 1-1.56aA-1 to 1-1.56aA-425) Table 57a
Verbindungen 1-1 , worin A für 3,5-Difluorpyridin-4-yl steht und B jeweils einer Gruppe einer Zeile der Tabelle A entspricht (Verbindungen 1-1.57aA-1 bis 1-1.57aA-425) Tabelle 58aCompounds 1-1, wherein A is 3,5-difluoropyridin-4-yl and B corresponds in each case to one group of one row of Table A (Compounds 1-1.57aA-1 to 1-1.57aA-425) Table 58a
Verbindungen 1-1 , worin A für 2,3-Difluorpyridin-4-yl steht und B jeweils einer Gruppe einer Zeile der Tabelle A entspricht (Verbindungen 1-1.58aA-1 bis 1-1.58aA-425)Compounds 1-1, wherein A is 2,3-difluoropyridin-4-yl and B corresponds in each case to one group of one row of Table A (Compounds 1-1.58aA-1 to 1-1.58aA-425)
Tabelle 59a Verbindungen 1-1 , worin A für 3,5-Dimethylpyridin-2-yl steht und B jeweils einerTable 59a Compounds 1-1, wherein A is 3,5-dimethylpyridin-2-yl and B are each one
Gruppe einer Zeile der Tabelle A entspricht (Verbindungen 1-1.59aA-1 bis 1-1.59aA- 425)Group of a row corresponds to Table A (Compounds 1-1.59aA-1 to 1-1.59aA-425)
Tabelle 60aTable 60a
Verbindungen 1-1 , worin A für 3,4-Dimethylpyridin-2-yl steht und B jeweils einer Gruppe einer Zeile der Tabelle A entspricht (Verbindungen 1-1.6OaA-I bis 1-1.6OaA-Compounds 1-1, wherein A is 3,4-dimethylpyridin-2-yl and B corresponds in each case to one group of one row of Table A (Compounds 1-1.6OaA-I to 1-1.6OaA-
425)425)
Tabelle 61aTable 61a
Verbindungen 1-1 , worin A für 4,6-Dimethylpyridin-3-yl steht und B jeweils einer Gruppe einer Zeile der Tabelle A entspricht (Verbindungen 1-1.61 aA-1 bis 1-1.61 aA- 425)Compounds 1-1, wherein A is 4,6-dimethylpyridin-3-yl and B corresponds in each case to one group of one row of Table A (Compounds 1-1.61 aA-1 to 1-1.61 aA-425)
Tabelle 62aTable 62a
Verbindungen 1-1 , worin A für 2,4-Dimethylpyridin-3-yl steht und B jeweils einer Gruppe einer Zeile der Tabelle A entspricht (Verbindungen 1-1.62aA-1 bis 1-1.62aA- 425) Tabelle 63aCompounds 1-1, wherein A is 2,4-dimethylpyridin-3-yl and B corresponds in each case to one group of one row of Table A (Compounds 1-1.62aA-1 to 1-1.62aA-425) Table 63a
Verbindungen 1-1 , worin A für 3,5-Dimethylpyridin-4-yl steht und B jeweils einer Gruppe einer Zeile der Tabelle A entspricht (Verbindungen 1-1.63aA-1 bis 1-1.63aA- 425)Compounds 1-1, wherein A is 3,5-dimethylpyridin-4-yl and B corresponds in each case to one group of one row of Table A (Compounds 1-1.63aA-1 to 1-1.63aA-425)
Tabelle 64a Verbindungen 1-1 , worin A für 2-Chlor-3-fluorpyridin-4-yl steht und B jeweils einerTable 64a compounds 1-1, wherein A is 2-chloro-3-fluoropyridin-4-yl and B are each one
Gruppe einer Zeile der Tabelle A entspricht (Verbindungen 1-1.64aA-1 bis 1-1.64aA- 425)Group of one row corresponds to Table A (Compounds 1-1.64aA-1 to 1-1.64aA-425)
Tabelle 65aTable 65a
Verbindungen 1-1 , worin A für 4-Chlor-3-methylpyridin-2-yl steht und B jeweils einer Gruppe einer Zeile der Tabelle A entspricht (Verbindungen 1-1.65aA-1 bis 1-1.65aA-Compounds 1-1, wherein A is 4-chloro-3-methylpyridin-2-yl and B corresponds in each case to one group of one row of Table A (Compounds 1-1.65aA-1 to 1-1.65aA-
425)425)
Tabelle 66aTable 66a
Verbindungen 1-1 , worin A für 5-Chlor-3-methylpyridin-2-yl steht und B jeweils einer Gruppe einer Zeile der Tabelle A entspricht (Verbindungen 1-1.66aA-1 bis 1-1.66aA- 425)Compounds 1-1, wherein A is 5-chloro-3-methylpyridin-2-yl and B corresponds in each case to one group of one row of Table A (Compounds 1-1.66aA-1 to 1-1.66aA-425)
Tabelle 67aTable 67a
Verbindungen 1-1 , worin A für 5-Fluor-3-methylpyridin-2-yl steht und B jeweils einer Gruppe einer Zeile der Tabelle A entspricht (Verbindungen 1-1.67aA-1 bis 1-1.67aA- 425) Tabelle 68aCompounds 1-1, wherein A is 5-fluoro-3-methylpyridin-2-yl and B corresponds in each case to one group of one row of Table A (Compounds 1-1.67aA-1 to 1-1.67aA-425) Table 68a
Verbindungen 1-1 , worin A für 3-Chlor-5-trifluormethylpyridin-2-yl steht und B je- weils einer Gruppe einer Zeile der Tabelle A entspricht (Verbindungen 1-1.68aA-1 bis 1-1.68aA-425)Compounds 1-1, wherein A is 3-chloro-5-trifluoromethylpyridin-2-yl and B is each because one group corresponds to one row of Table A (Compounds 1-1.68aA-1 to 1-1.68aA-425)
Tabelle 69aTable 69a
Verbindungen 1-1 , worin A für 2-Chlor-6-trifluormethylpyridin-3-yl steht und B je- weils einer Gruppe einer Zeile der Tabelle A entspricht (Verbindungen 1-1.69aA-1 bis 1-1.69aA-425)Compounds 1-1, wherein A is 2-chloro-6-trifluoromethylpyridin-3-yl and B corresponds in each case to one group of one row of Table A (Compounds 1-1.69aA-1 to 1-1.69aA-425)
Tabelle 70aTable 70a
Verbindungen 1-1 , worin A für 2,4-Dichlor-6-methylpyridin-3-yl steht und B jeweils einer Gruppe einer Zeile der Tabelle A entspricht (Verbindungen 1-1.7OaA-I bis I- 1.70aA-425)Compounds 1-1, wherein A is 2,4-dichloro-6-methylpyridin-3-yl and B corresponds in each case to one group of one row of Table A (Compounds 1-1.7OaA-I to I-1.70aA-425)
Tabelle 71aTable 71a
Verbindungen 1-1 , worin A für 3,4,5-Trichlorpyridin-2-yl steht und B jeweils einer Gruppe einer Zeile der Tabelle A entspricht (Verbindungen 1-1.71 aA-1 bis 1-1.71 aA- 425) Tabelle 72aCompounds 1-1, wherein A is 3,4,5-trichloropyridin-2-yl and B corresponds in each case to one group of one row of Table A (Compounds 1-1.71 aA-1 to 1-1.71 aA-425) Table 72a
Verbindungen 1-1 , worin A für 2,4,6-Trichlorpyridin-3-yl steht und B jeweils einer Gruppe einer Zeile der Tabelle A entspricht (Verbindungen 1-1.72aA-1 bis 1-1.72aA- 425)Compounds 1-1, wherein A is 2,4,6-trichloropyridin-3-yl and B corresponds in each case to one group of one row of Table A (Compounds 1-1.72aA-1 to 1-1.72aA-425)
Tabelle 73a Verbindungen 1-1 , worin A für Pyrimidin-2-yl steht und B jeweils einer Gruppe einerTable 73a Compounds 1-1, wherein A is pyrimidin-2-yl and B are each a group of one
Zeile der Tabelle A entspricht (Verbindungen 1-1.73aA-1 bis 1-1.73aA-425)Row of Table A corresponds (Compounds 1-1.73aA-1 to 1-1.73aA-425)
Tabelle 74aTable 74a
Verbindungen 1-1 , worin A für Pyrimidin-5-yl steht und B jeweils einer Gruppe einer Zeile der Tabelle A entspricht (Verbindungen 1-1.74aA-1 bis 1-1.74aA-425) Tabelle 75aCompounds 1-1, wherein A is pyrimidin-5-yl and B corresponds in each case to one group of one row of Table A (Compounds 1-1.74aA-1 to 1-1.74aA-425) Table 75a
Verbindungen 1-1 , worin A für 6-Chlorpyrimidin-3-yl steht und B jeweils einer Gruppe einer Zeile der Tabelle A entspricht (Verbindungen 1-1.75aA-1 bis 1-1.75aA-425)Compounds 1-1, wherein A is 6-chloropyrimidin-3-yl and B corresponds in each case to one group of one row of Table A (Compounds 1-1.75aA-1 to 1-1.75aA-425)
Tabelle 76aTable 76a
Verbindungen 1-1 , worin A für 6-Methylpyrimidin-3-yl steht und B jeweils einer Gruppe einer Zeile der Tabelle A entspricht (Verbindungen 1-1.76aA-1 bis 1-1.76aA-Compounds 1-1, wherein A is 6-methylpyrimidin-3-yl and B corresponds in each case to one group of one row of Table A (Compounds 1-1.76aA-1 to 1-1.76aA-
425)425)
Tabelle 77aTable 77a
Verbindungen 1-1 , worin A für 6-Methoxypyrimidin-3-yl steht und B jeweils einer Gruppe einer Zeile der Tabelle A entspricht (Verbindungen 1-1.77aA-1 bis 1-1.77aA- 425)Compounds 1-1, wherein A is 6-methoxypyrimidin-3-yl and B corresponds in each case to one group of one row of Table A (Compounds 1-1.77aA-1 to 1-1.77aA-425)
Tabelle 78aTable 78a
Verbindungen 1-1 , worin A für 2,4-Dichlorpyrimidin-3-yl steht und B jeweils einer Gruppe einer Zeile der Tabelle A entspricht (Verbindungen 1-1.78aA-1 bis 1-1.78aA- 425) Tabelle 79aCompounds 1-1, wherein A is 2,4-dichloropyrimidin-3-yl and B corresponds in each case to one group of one row of Table A (Compounds 1-1.78aA-1 to 1-1.78aA-425) Table 79a
Verbindungen 1-1 , worin A für 2,6-Dichlorpyrimidin-3-yl steht und B jeweils einer Gruppe einer Zeile der Tabelle A entspricht (Verbindungen 1-1.79aA-1 bis 1-1.79aA- 425)Compounds 1-1, wherein A is 2,6-dichloropyrimidin-3-yl and B are each one Group of a row corresponds to Table A (Compounds 1-1.79aA-1 to 1-1.79aA-425)
Tabelle 80aTable 80a
Verbindungen 1-1 , worin A für 2,4-Difluorpyrimidin-3-yl steht und B jeweils einer Gruppe einer Zeile der Tabelle A entspricht (Verbindungen 1-1.8OaA-I bis 1-1.8OaA-Compounds 1-1, wherein A is 2,4-difluoropyrimidin-3-yl and B corresponds in each case to one group of one row of Table A (Compounds 1-1.8OaA-I to 1-1.8OaA-
425)425)
Tabelle 81aTable 81a
Verbindungen 1-1 , worin A für 2,6-Difluorpyrimidin-3-yl steht und B jeweils einer Gruppe einer Zeile der Tabelle A entspricht (Verbindungen 1-1.81 aA-1 bis 1-1.81 aA- 425)Compounds 1-1, wherein A is 2,6-difluoropyrimidin-3-yl and B corresponds in each case to one group of one row of Table A (Compounds 1-1.81 aA-1 to 1-1.81 aA-425)
Tabelle 82aTable 82a
Verbindungen 1-1 , worin A für 1 ,3,5-Triazin-2-yl steht und B jeweils einer Gruppe einer Zeile der Tabelle A entspricht (Verbindungen 1-1.82aA-1 bis 1-1.82aA-425)Compounds 1-1, wherein A is 1, 3,5-triazin-2-yl and B corresponds in each case to one group of one row of Table A (Compounds 1-1.82aA-1 to 1-1.82aA-425)
Tabelle 83a Verbindungen 1-1 , worin A für Thien-2-yl steht und B jeweils einer Gruppe einer Zeile der Tabelle A entspricht (Verbindungen 1-1.83aA-1 bis 1-1.83aA-425)Table 83a Compounds 1-1, wherein A is thien-2-yl and B corresponds in each case to one group of one row of Table A (Compounds 1-1.83aA-1 to 1-1.83aA-425)
Tabelle 84aTable 84a
Verbindungen 1-1 , worin A für Thien-3-yl steht und B jeweils einer Gruppe einer Zeile der Tabelle A entspricht (Verbindungen 1-1.84aA-1 bis 1-1.84aA-425) Tabelle 85aCompounds 1-1, wherein A is thien-3-yl and B corresponds in each case to one group of one row of Table A (Compounds 1-1.84aA-1 to 1-1.84aA-425) Table 85a
Verbindungen 1-1 , worin A für 5-Chlorthien-2-yl steht und B jeweils einer Gruppe einer Zeile der Tabelle A entspricht (Verbindungen 1-1.85aA-1 bis 1-1.85aA-425)Compounds 1-1, wherein A is 5-chlorothien-2-yl and B corresponds in each case to one group of one row of Table A (Compounds 1-1.85aA-1 to 1-1.85aA-425)
Tabelle 86aTable 86a
Verbindungen 1-1 , worin A für 2-Chlorthien-3-yl steht und B jeweils einer Gruppe einer Zeile der Tabelle A entspricht (Verbindungen 1-1.86aA-1 bis 1-1.86aA-425)Compounds 1-1, wherein A is 2-chlorothien-3-yl and B corresponds in each case to one group of one row of Table A (Compounds 1-1.86aA-1 to 1-1.86aA-425)
Tabelle 87aTable 87a
Verbindungen 1-1 , worin A für 4-Chlorthien-3-yl steht und B jeweils einer Gruppe einer Zeile der Tabelle A entspricht (Verbindungen 1-1.87aA-1 bis 1-1.87aA-425)Compounds 1-1, wherein A is 4-chlorothien-3-yl and B corresponds in each case to one group of one row of Table A (Compounds 1-1.87aA-1 to 1-1.87aA-425)
Tabelle 88a Verbindungen 1-1 , worin A für 5-Chlorthien-3-yl steht und B jeweils einer Gruppe einer Zeile der Tabelle A entspricht (Verbindungen 1-1.88aA-1 bis 1-1.88aA-425)Table 88a Compounds 1-1, wherein A is 5-chlorothien-3-yl and B corresponds in each case to one group of one row of Table A (Compounds 1-1.88aA-1 to 1-1.88aA-425)
Tabelle 89aTable 89a
Verbindungen 1-1 , worin A für 2-Bromthien-3-yl steht und B jeweils einer Gruppe einer Zeile der Tabelle A entspricht (Verbindungen 1-1.89aA-1 bis 1-1.89aA-425) Tabelle 90aCompounds 1-1, wherein A is 2-bromothien-3-yl and B corresponds in each case to one group of one row of Table A (Compounds 1-1.89aA-1 to 1-1.89aA-425) Table 90a
Verbindungen 1-1 , worin A für 4-Bromthien-3-yl steht und B jeweils einer Gruppe einer Zeile der Tabelle A entspricht (Verbindungen 1-1.9OaA-I bis 1-1.90aA-425)Compounds 1-1, wherein A is 4-bromothien-3-yl and B corresponds in each case to one group of one row of Table A (Compounds 1-1.9OaA-I to 1-1.90aA-425)
Tabelle 91aTable 91a
Verbindungen 1-1 , worin A für 5-Bromthien-3-yl steht und B jeweils einer Gruppe einer Zeile der Tabelle A entspricht (Verbindungen 1-1.91 aA-1 bis 1-1.91 aA-425) Tabelle 92aCompounds 1-1, wherein A is 5-bromothien-3-yl and B corresponds in each case to one group of one row of Table A (Compounds 1-1.91 aA-1 to 1-1.91 aA-425) Table 92a
Verbindungen 1-1 , worin A für 5-Methylthien-2-yl steht und B jeweils einer Gruppe einer Zeile der Tabelle A entspricht (Verbindungen 1-1.92aA-1 bis 1-1.92aA-425)Compounds 1-1, wherein A is 5-methylthien-2-yl and B corresponds in each case to one group of one row of Table A (Compounds 1-1.92aA-1 to 1-1.92aA-425)
Tabelle 93a Verbindungen 1-1 , worin A für 2-Methylthien-4-yl steht und B jeweils einer Gruppe einer Zeile der Tabelle A entspricht (Verbindungen 1-1.93aA-1 bis 1-1.93aA-425)Table 93a Compounds 1-1, wherein A is 2-methylthien-4-yl and B corresponds in each case to one group of one row of Table A (Compounds 1-1.93aA-1 to 1-1.93aA-425)
Tabelle 94aTable 94a
Verbindungen 1-1 , worin A für 4,5-Dichlorthien-2-yl steht und B jeweils einer Gruppe einer Zeile der Tabelle A entspricht (Verbindungen 1-1.94aA-1 bis 1-1.94aA-425) Tabelle 95aCompounds 1-1, wherein A is 4,5-dichlorothien-2-yl and B corresponds in each case to one group of one row of Table A (Compounds 1-1.94aA-1 to 1-1.94aA-425) Table 95a
Verbindungen 1-1 , worin A für 2,5-Dichlorthien-3-yl steht und B jeweils einer Gruppe einer Zeile der Tabelle A entspricht (Verbindungen 1-1.95aA-1 bis 1-1.95aA-425)Compounds 1-1, wherein A is 2,5-dichlorothien-3-yl and B corresponds in each case to one group of one row of Table A (Compounds 1-1.95aA-1 to 1-1.95aA-425)
Tabelle 96aTable 96a
Verbindungen 1-1 , worin A für 2,3-Dichlorthien-4-yl steht und B jeweils einer Gruppe einer Zeile der Tabelle A entspricht (Verbindungen 1-1.96aA-1 bis 1-1.96aA-425)Compounds 1-1, wherein A is 2,3-dichlorothien-4-yl and B corresponds in each case to one group of one row of Table A (Compounds 1-1.96aA-1 to 1-1.96aA-425)
Tabelle 97aTable 97a
Verbindungen 1-1 , worin A für 2,5-Dibromthien-3-yl steht und B jeweils einer Gruppe einer Zeile der Tabelle A entspricht (Verbindungen 1-1.97aA-1 bis 1-1.97aA-425)Compounds 1-1, wherein A is 2,5-dibromothien-3-yl and B corresponds in each case to one group of one row of Table A (Compounds 1-1.97aA-1 to 1-1.97aA-425)
Tabelle 98a Verbindungen 1-1 , worin A für 4,5-Dimethylthien-2-yl steht und B jeweils einerTable 98a compounds 1-1, wherein A is 4,5-dimethylthien-2-yl and B are each one
Gruppe einer Zeile der Tabelle A entspricht (Verbindungen 1-1.98aA-1 bis 1-1.98aA- 425)Group of a row corresponds to Table A (Compounds 1-1.98aA-1 to 1-1.98aA-425)
Tabelle 99aTable 99a
Verbindungen 1-1 , worin A für 2,5-Dimethylthien-3-yl steht und B jeweils einer Gruppe einer Zeile der Tabelle A entspricht (Verbindungen 1-1.99aA-1 bis 1-1.99aA-Compounds 1-1, wherein A is 2,5-dimethylthien-3-yl and B corresponds in each case to one group of one row of Table A (Compounds 1-1.99aA-1 to 1-1.99aA-
425)425)
Tabelle 100aTable 100a
Verbindungen 1-1 , worin A für 2,3-Dimethylthien-4-yl steht und B jeweils einer Gruppe einer Zeile der Tabelle A entspricht (Verbindungen l-1.100aA-1 bis I- 1.100aA-425)Compounds 1-1, wherein A is 2,3-dimethylthien-4-yl and B corresponds in each case to one group of one row of Table A (Compounds I-1.100aA-1 to I-1.100aA-425)
Tabelle 101 aTable 101 a
Verbindungen 1-1 , worin A für 3,4,5-Trichlorthien-2-yl steht und B jeweils einer Gruppe einer Zeile der Tabelle A entspricht (Verbindungen 1-1.101 aA-1 bis I- 1.101aA-425) Tabelle 102aCompounds 1-1, wherein A is 3,4,5-trichlorothien-2-yl and B corresponds in each case to one group of one row of Table A (Compounds 1-1.101 aA-1 to I-1.101aA-425) Table 102a
Verbindungen 1-1 , worin A für 2,4,5-Trichlorthien-3-yl steht und B jeweils einer Gruppe einer Zeile der Tabelle A entspricht (Verbindungen 1-1.102aA-1 bis I- 1.102aA-425)Compounds 1-1, wherein A is 2,4,5-trichlorothien-3-yl and B corresponds in each case to one group of one row of Table A (Compounds 1-1.102aA-1 to I-1.102aA-425)
Tabelle 103a Verbindungen 1-1 , worin A für 2,4,5-Tribromthien-3-yl steht und B jeweils einerTable 103a compounds 1-1, wherein A is 2,4,5-tribromothien-3-yl and B are each one
Gruppe einer Zeile der Tabelle A entspricht (Verbindungen l-1.103aA-1 bis I- 1.103aA-425) Tabelle 104aGroup of one row corresponds to Table A (Compounds I-1.103aA-1 to I-1.103aA-425) Table 104a
Verbindungen 1-1 , worin A für 3,4,5-Trimethylthien-2-yl steht und B jeweils einer Gruppe einer Zeile der Tabelle A entspricht (Verbindungen 1-1.104aA-1 bis I- 1.104aA-425) Tabelle 105aCompounds 1-1, wherein A is 3,4,5-trimethylthien-2-yl and B corresponds in each case to one group of one row of Table A (Compounds 1-1.104aA-1 to I-1.104aA-425) Table 105a
Verbindungen 1-1 , worin A für 4-Chlorfur-2-yl steht und B jeweils einer Gruppe einer Zeile der Tabelle A entspricht (Verbindungen l-1.105aA-1 bis l-1.105aA-425)Compounds 1-1, wherein A is 4-chlorofur-2-yl and B corresponds in each case to one group of one row of Table A (Compounds I-1.105aA-1 to 1.105aA-425)
Tabelle 106aTable 106a
Verbindungen 1-1 , worin A für 5-Chlorfur-2-yl steht und B jeweils einer Gruppe einer Zeile der Tabelle A entspricht (Verbindungen l-1.106aA-1 bis l-1.106aA-425)Compounds 1-1, wherein A is 5-chlorofur-2-yl and B corresponds in each case to one group of one row of Table A (Compounds I-1.106aA-1 to 1.106aA-425)
Tabelle 107aTable 107a
Verbindungen 1-1 , worin A für 3-Bromfur-2-yl steht und B jeweils einer Gruppe einer Zeile der Tabelle A entspricht (Verbindungen l-1.107aA-1 bis l-1.107aA-425)Compounds 1-1, wherein A is 3-bromo-fur-2-yl and B corresponds in each case to one group of one row of Table A (Compounds I-1.107aA-1 to 1.107aA-425)
Tabelle 108a Verbindungen 1-1 , worin A für 4-Bromfur-2-yl steht und B jeweils einer Gruppe einerTable 108a Compounds 1-1 wherein A is 4-bromo-fur-2-yl and B each represents a group of one
Zeile der Tabelle A entspricht (Verbindungen l-1.108aA-1 bis l-1.108aA-425)Row of Table A corresponds (Compounds I-1.108aA-1 to I-1.108aA-425)
Tabelle 109aTable 109a
Verbindungen 1-1 , worin A für 5-Bromfur-2-yl steht und B jeweils einer Gruppe einer Zeile der Tabelle A entspricht (Verbindungen l-1.109aA-1 bis l-1.109aA-425) Tabelle 1 10aCompounds 1-1, wherein A is 5-bromo-fur-2-yl and B corresponds in each case to one group of one row of Table A (Compounds I-1.109aA-1 to 1.109aA-425) Table 1 10a
Verbindungen 1-1 , worin A für 3,4-Dichlorfur-2-yl steht und B jeweils einer Gruppe einer Zeile der Tabelle A entspricht (Verbindungen 1-1.1 10aA-1 bis 1-1.1 10aA-425)Compounds 1-1, wherein A is 3,4-dichloropur-2-yl and B corresponds in each case to one group of one row of Table A (Compounds 1-1.1 10aA-1 to 1-1.1 10aA-425)
Tabelle 1 11 aTable 1 11 a
Verbindungen 1-1 , worin A für 4,5-Dichlorfur-2-yl steht und B jeweils einer Gruppe einer Zeile der Tabelle A entspricht (Verbindungen 1-1.1 11 aA- 1 bis 1-1.1 11 aA-425)Compounds 1-1, wherein A is 4,5-dichloropur-2-yl and B in each case corresponds to one group of one row of Table A (Compounds 1-1.1 11 aA-1 to 1-1.1 11 aA-425)
Tabelle 1 12aTable 1 12a
Verbindungen 1-1 , worin A für Thiazol-2-yl steht und B jeweils einer Gruppe einer Zeile der Tabelle A entspricht (Verbindungen 1-1.1 12aA-1 bis 1-1.1 12aA-425)Compounds 1-1, wherein A is thiazol-2-yl and B corresponds in each case to one group of one row of Table A (Compounds 1-1.1 12aA-1 to 1-1.1 12aA-425)
Tabelle 1 13a Verbindungen 1-1 , worin A für Thiazol-4-yl steht und B jeweils einer Gruppe einerTable 1 13a Compounds 1-1, wherein A is thiazol-4-yl and B are each a group of one
Zeile der Tabelle A entspricht (Verbindungen 1-1.1 13aA-1 bis 1-1.1 13aA-425)Row of Table A corresponds (Compounds 1-1.1 13aA-1 to 1-1.1 13aA-425)
Tabelle 1 14aTable 1 14a
Verbindungen 1-1 , worin A für Thiazol-5-yl steht und B jeweils einer Gruppe einer Zeile der Tabelle A entspricht (Verbindungen 1-1.1 14aA-1 bis 1-1.1 14aA-425) Tabelle 1 15aCompounds 1-1, wherein A is thiazol-5-yl and B corresponds in each case to one group of one row of Table A (Compounds 1-1.1 14aA-1 to 1-1.1 14aA-425). Table 1 15a
Verbindungen 1-1 , worin A für lsothiazol-3-yl steht und B jeweils einer Gruppe einer Zeile der Tabelle A entspricht (Verbindungen 1-1.1 15aA-1 bis 1-1.1 15aA-425)Compounds 1-1, wherein A is isothiazol-3-yl and B in each case corresponds to one group of one row of Table A (Compounds 1-1.1 15aA-1 to 1-1.1 15aA-425)
Tabelle 1 16aTable 1 16a
Verbindungen 1-1 , worin A für lsothiazol-4-yl steht und B jeweils einer Gruppe einer Zeile der Tabelle A entspricht (Verbindungen 1-1.1 16aA-1 bis 1-1.1 16aA-425) Tabelle 1 17aCompounds 1-1, wherein A is isothiazol-4-yl and B corresponds in each case to one group of one row of Table A (Compounds 1-1.1 16aA-1 to 1-1.1 16aA-425) Table 1 17a
Verbindungen 1-1 , worin A für lsothiazol-5-yl steht und B jeweils einer Gruppe einerCompounds 1-1 wherein A is isothiazol-5-yl and B is each a group of one
Zeile der Tabelle A entspricht (Verbindungen 1-1.1 17aA-1 bis 1-1.1 17aA-425) Tabelle 1 18a Verbindungen 1-1 , worin A für 2-Chlorthiazol-4-yl steht und B jeweils einer Gruppe einer Zeile der Tabelle A entspricht (Verbindungen 1-1.1 18aA-1 bis 1-1.1 18aA-425) Tabelle 1 19aLine of Table A corresponds (Compounds 1-1.1 17aA-1 to 1-1.1 17aA-425) Table 1 18a Compounds 1-1, wherein A is 2-chlorothiazol-4-yl and B is in each case one group of a row of Table A. corresponds (compounds 1-1.1 18aA-1 to 1-1.1 18aA-425) Table 1 19a
Verbindungen 1-1 , worin A für 2-Chlorthiazol-5-yl steht und B jeweils einer Gruppe einer Zeile der Tabelle A entspricht (Verbindungen 1-1.1 19aA-1 bis 1-1.1 19aA-425) Tabelle 120aCompounds 1-1, wherein A is 2-chlorothiazol-5-yl and B corresponds in each case to one group of one row of Table A (Compounds 1-1.1 19aA-1 to 1-1.1 19aA-425) Table 120a
Verbindungen 1-1 , worin A für 4-Chlorthiazol-5-yl steht und B jeweils einer Gruppe einer Zeile der Tabelle A entspricht (Verbindungen 1-1.12OaA-I bis l-1.120aA-425) Tabelle 121 aCompounds 1-1, wherein A is 4-chlorothiazol-5-yl and B corresponds in each case to one group of one row of Table A (Compounds 1-1.12OaA-I to l-1,120aA-425). Table 121a
Verbindungen 1-1 , worin A für 2-Bromthiazol-4-yl steht und B jeweils einer Gruppe einer Zeile der Tabelle A entspricht (Verbindungen 1-1.121 aA-1 bis 1-1.121 aA-425)Compounds 1-1, wherein A is 2-bromothiazol-4-yl and B corresponds in each case to one group of one row of Table A (Compounds 1-1.121 aA-1 to 1-1.121 aA-425)
Tabelle 122aTable 122a
Verbindungen 1-1 , worin A für 2-Bromthiazol-5-yl steht und B jeweils einer Gruppe einer Zeile der Tabelle A entspricht (Verbindungen l-1.122aA-1 bis l-1.122aA-425) Tabelle 123a Verbindungen 1-1 , worin A für 2,4-Dichlorthiazol-5-yl steht und B jeweils einerCompounds 1-1, wherein A is 2-bromothiazol-5-yl and B corresponds in each case to one group of one row of Table A (Compounds I-1.122aA-1 to 1.122aA-425) Table 123a Compounds 1-1, wherein A is 2,4-dichlorothiazol-5-yl and B are each one
Gruppe einer Zeile der Tabelle A entspricht (Verbindungen l-1.123aA-1 bis I-Group of a row corresponds to Table A (Compounds I-1.123aA-1 to I-
1.123aA-425) Tabelle 124a1.123aA-425) Table 124a
Verbindungen 1-1 , worin A für 3-Chlorisothiazol-4-yl steht und B jeweils einer Grup- pe einer Zeile der Tabelle A entspricht (Verbindungen l-1.124aA-1 bis l-1.124aA-Compounds 1-1, wherein A is 3-chloroisothiazol-4-yl and B corresponds in each case to one group of one row of Table A (compounds I-1.124aA-1 to I-1.124aA-
425) Tabelle 125a425) Table 125a
Verbindungen 1-1 , worin A für 5-Methylisothiazol-3-yl steht und B jeweils einerCompounds 1-1, wherein A is 5-methylisothiazol-3-yl and B are each one
Gruppe einer Zeile der Tabelle A entspricht (Verbindungen l-1.125aA-1 bis I- 1.125aA-425)Group of a row corresponds to Table A (compounds I-1.125aA-1 to I-1.125aA-425)
Tabelle 126aTable 126a
Verbindungen 1-1 , worin A für 3-Methylisothiazol-4-yl steht und B jeweils einerCompounds 1-1, wherein A is 3-methylisothiazol-4-yl and B are each one
Gruppe einer Zeile der Tabelle A entspricht (Verbindungen l-1.126aA-1 bis I-Group of a row corresponds to Table A (compounds I-1.126aA-1 to I-
1.126aA-425) Tabelle 127a1.126aA-425) Table 127a
Verbindungen 1-1 , worin A für 3-Methylisothiazol-5-yl steht und B jeweils einerCompounds 1-1, wherein A is 3-methylisothiazol-5-yl and B are each one
Gruppe einer Zeile der Tabelle A entspricht (Verbindungen l-1.127aA-1 bis I-Group of a row corresponds to Table A (compounds I-1.127aA-1 to I-
1.127aA-425) Tabelle 128a Verbindungen 1-1 , worin A für 4,5-Dichlorisothiazol-3-yl steht und B jeweils einer1.127aA-425) Table 128a Compounds 1-1 wherein A is 4,5-dichloroisothiazol-3-yl and B is each one
Gruppe einer Zeile der Tabelle A entspricht (Verbindungen l-1.128aA-1 bis I-Group of a row corresponds to Table A (compounds I-1.128aA-1 to I-
1.128aA-425) Tabelle 129a1.128aA-425) Table 129a
Verbindungen 1-1 , worin A für 4,5-Dimethylisothiazol-3-yl steht und B jeweils einer Gruppe einer Zeile der Tabelle A entspricht (Verbindungen l-1.129aA-1 bis I- 1.129aA-425) Tabelle 130aCompounds 1-1, wherein A is 4,5-dimethylisothiazol-3-yl and B corresponds in each case to one group of one row of Table A (Compounds I-1.129aA-1 to I-1.129aA-425) Table 130a
Verbindungen 1-1 , worin A für 3,5-Dimethylisothiazol-4-yl steht und B jeweils einer Gruppe einer Zeile der Tabelle A entspricht (Verbindungen 1-1.130aA-1 bis I- 1.130aA-425)Compounds 1-1, wherein A is 3,5-dimethylisothiazol-4-yl and B corresponds in each case to one group of one row of Table A (Compounds 1-1.130aA-1 to I-1.130aA-425)
Tabelle 131 a Verbindungen 1-1 , worin A für 3,4-Dichlorisothiazol-5-yl steht und B jeweils einerTable 131a Compounds 1-1, wherein A is 3,4-dichloroisothiazol-5-yl and B are each one
Gruppe einer Zeile der Tabelle A entspricht (Verbindungen 1-1.131 aA-1 bis I- 1.131aA-425)Group of a row corresponds to Table A (compounds 1-1.131 aA-1 to I-1.131aA-425)
Tabelle 132aTable 132a
Verbindungen 1-1 , worin A für Oxazol-2-yl steht und B jeweils einer Gruppe einer Zeile der Tabelle A entspricht (Verbindungen l-1.132aA-1 bis l-1.132aA-425)Compounds 1-1, wherein A is oxazol-2-yl and B corresponds in each case to one group of one row of Table A (Compounds I-1.132aA-1 to 1.132aA-425)
Tabelle 133aTable 133a
Verbindungen 1-1 , worin A für Oxazol-4-yl steht und B jeweils einer Gruppe einer Zeile der Tabelle A entspricht (Verbindungen l-1.133aA-1 bis l-1.133aA-425)Compounds 1-1, wherein A is oxazol-4-yl and B corresponds in each case to one group of one row of Table A (compounds I-1.133aA-1 to 1.133aA-425)
Tabelle 134a Verbindungen 1-1 , worin A für Oxazol-5-yl steht und B jeweils einer Gruppe einerTable 134a compounds 1-1, wherein A is oxazol-5-yl and B each represents a group of one
Zeile der Tabelle A entspricht (Verbindungen l-1.134aA-1 bis l-1.134aA-425)Line of Table A corresponds (compounds I-1.134aA-1 to I-1.134aA-425)
Tabelle 135aTable 135a
Verbindungen 1-1 , worin A für lsoxazol-3-yl steht und B jeweils einer Gruppe einer Zeile der Tabelle A entspricht (Verbindungen l-1.135aA-1 bis l-1.135aA-425) Tabelle 136aCompounds 1-1, wherein A is isoxazol-3-yl and B corresponds in each case to one group of one row of Table A (Compounds I-1.135aA-1 to I-1.135aA-425) Table 136a
Verbindungen 1-1 , worin A für lsoxazol-4-yl steht und B jeweils einer Gruppe einer Zeile der Tabelle A entspricht (Verbindungen l-1.136aA-1 bis l-1.136aA-425)Compounds 1-1, wherein A is isoxazol-4-yl and B corresponds in each case to one group of one row of Table A (Compounds I-1.136aA-1 to 1.136aA-425)
Tabelle 137aTable 137a
Verbindungen 1-1 , worin A für lsoxazol-5-yl steht und B jeweils einer Gruppe einer Zeile der Tabelle A entspricht (Verbindungen l-1.137aA-1 bis l-1.137aA-425)Compounds 1-1, wherein A is isoxazol-5-yl and B corresponds in each case to one group of one row of Table A (Compounds I-1.137aA-1 to 1.137aA-425)
Tabelle 138aTable 138a
Verbindungen 1-1 , worin A für 3-Chlorisoxazol-5-yl steht und B jeweils einer Gruppe einer Zeile der Tabelle A entspricht (Verbindungen 1-1.138aA-1 bis l-1.138aA-425)Compounds 1-1, wherein A is 3-chloroisoxazol-5-yl and B corresponds in each case to one group of one row of Table A (Compounds 1-1.138aA-1 to l-1.138aA-425)
Tabelle 139a Verbindungen 1-1 , worin A für 5-Methylisoxazol-3-yl steht und B jeweils einer Gruppe einer Zeile der Tabelle A entspricht (Verbindungen 1-1.139aA-1 bis l-1.139aA- 425)Table 139a Compounds 1-1, wherein A is 5-methylisoxazol-3-yl and B corresponds in each case to one group of one row of Table A (Compounds 1-1.139aA-1 to l-1.139aA-425)
Tabelle 140aTable 140a
Verbindungen 1-1 , worin A für 5-Methylisoxazol-4-yl steht und B jeweils einer Grup- pe einer Zeile der Tabelle A entspricht (Verbindungen 1-1.14OaA-I bis 1-1.14OaA-Compounds 1-1, wherein A is 5-methylisoxazol-4-yl and B corresponds in each case to one group of one row of Table A (Compounds 1-1.14OaA-I to 1-1.14OaA-
425) Tabelle 141 a425) Table 141 a
Verbindungen 1-1 , worin A für 3-Methylisoxazol-5-yl steht und B jeweils einer Gruppe einer Zeile der Tabelle A entspricht (Verbindungen 1-1.141 aA-1 bis 1-1.141 aA- 425) Tabelle 142aCompounds 1-1, wherein A is 3-methylisoxazol-5-yl and B corresponds in each case to one group of one row of Table A (Compounds 1-1,141 aA-1 to 1-1,141 aA-425) Table 142a
Verbindungen 1-1 , worin A für 3,5-Dimethylisoxazol-4-yl steht und B jeweils einer Gruppe einer Zeile der Tabelle A entspricht (Verbindungen l-1.142aA-1 bis I- 1.142aA-425)Compounds 1-1, wherein A is 3,5-dimethylisoxazol-4-yl and B corresponds in each case to one group of one row of Table A (compounds I-1.142aA-1 to I-1.142aA-425)
Tabelle 143a Verbindungen 1-1 , worin A für 3-Chlor-5-methylisoxazol-4-yl steht und B jeweils einer Gruppe einer Zeile der Tabelle A entspricht (Verbindungen l-1.143aA-1 bis I- 1.143aA-425)Table 143a Compounds 1-1, wherein A is 3-chloro-5-methylisoxazol-4-yl and B corresponds in each case to one group of one row of Table A (Compounds I-1.143aA-1 to I-1.143aA-425)
Tabelle 144aTable 144a
Verbindungen 1-1 , worin A für 3-Methyl-4-chlorisoxazol-5-yl steht und B jeweils ei- ner Gruppe einer Zeile der Tabelle A entspricht (Verbindungen l-1.144aA-1 bis I-Compounds 1-1, wherein A is 3-methyl-4-chloroisoxazol-5-yl and B corresponds in each case to one group of one row of Table A (compounds I-1.144aA-1 to I-1)
1.144aA-425)1.144aA-425)
Tabelle 145aTable 145a
Verbindungen 1-1 , worin A für 1-Methylpyrazol-3-yl steht und B jeweils einer Gruppe einer Zeile der Tabelle A entspricht (Verbindungen l-1.145aA-1 bis l-1.145aA- 425)Compounds 1-1, wherein A is 1-methylpyrazol-3-yl and B corresponds in each case to one group of one row of Table A (compounds I-1.145aA-1 to I-1.145aA-425)
Tabelle 146aTable 146a
Verbindungen 1-1 , worin A für 1 -Methylpyrazol-4-yl steht und B jeweils einer Gruppe einer Zeile der Tabelle A entspricht (Verbindungen l-1.146aA-1 bis l-1.146aA- 425) Tabelle 147aCompounds 1-1, wherein A is 1-methylpyrazol-4-yl and B corresponds in each case to one group of one row of Table A (Compounds I-1.146aA-1 to 1.146aA-425) Table 147a
Verbindungen 1-1 , worin A für 1 -Methylpyrazol-5-yl steht und B jeweils einer Gruppe einer Zeile der Tabelle A entspricht (Verbindungen l-1.147aA-1 bis l-1.147aA- 425)Compounds 1-1, wherein A is 1-methylpyrazol-5-yl and B corresponds in each case to one group of one row of Table A (compounds I-1.147aA-1 to 1.147aA-425)
Tabelle 148a Verbindungen 1-1 , worin A für 1 ,3-Dimethylpyrazol-4-yl steht und B jeweils einerTable 148a compounds 1-1, wherein A is 1, 3-dimethylpyrazol-4-yl and B are each one
Gruppe einer Zeile der Tabelle A entspricht (Verbindungen l-1.148aA-1 bis I- 1.148aA-425)Group of a row corresponds to Table A (compounds I-1.148aA-1 to I-1.148aA-425)
Tabelle 149aTable 149a
Verbindungen 1-1 , worin A für 1 ,5-Dimethylpyrazol-4-yl steht und B jeweils einer Gruppe einer Zeile der Tabelle A entspricht (Verbindungen l-1.149aA-1 bis I-Compounds 1-1, wherein A is 1,5-dimethylpyrazol-4-yl and B corresponds in each case to one group of one row of Table A (compounds I-1.149aA-1 to I-1)
1.149aA-425)1.149aA-425)
Tabelle 150aTable 150a
Verbindungen 1-1 , worin A für 1 ,3,5-Trimethylpyrazol-4-yl steht und B jeweils einer Gruppe einer Zeile der Tabelle A entspricht (Verbindungen 1-1.150aA-1 bis I- 1.150aA-425)Compounds 1-1, wherein A is 1, 3,5-trimethylpyrazol-4-yl and B corresponds in each case to one group of one row of Table A (Compounds 1-1.150aA-1 to I-1.150aA-425)
Tabelle 151 aTable 151 a
Verbindungen 1-1 , worin A für 1 -Methylimidazol-4-yl steht und B jeweils einer Grup- pe einer Zeile der Tabelle A entspricht (Verbindungen 1-1.151 aA-1 bis 1-1.151 aA-Compounds 1-1, wherein A is 1-methylimidazol-4-yl and B is in each case a group pe corresponds to one row of Table A (compounds 1-1.151 aA-1 to 1-1.151 aA-
425) Tabelle 152a425) Table 152a
Verbindungen 1-1 , worin A für 1 ,5-Dimethylimidazol-4-yl steht und B jeweils einer Gruppe einer Zeile der Tabelle A entspricht (Verbindungen 1-1.152aA-1 bis I-Compounds 1-1, wherein A is 1,5-dimethylimidazol-4-yl and B corresponds in each case to one group of one row of Table A (Compounds 1-1.152aA-1 to I-
1.152aA-425) Tabelle 153a1.152aA-425) Table 153a
Verbindungen 1-1 , worin A für 1 ,2-Dimethylimidazol-5-yl steht und B jeweils einerCompounds 1-1 wherein A is 1,2-dimethylimidazol-5-yl and B is each one
Gruppe einer Zeile der Tabelle A entspricht (Verbindungen l-1.153aA-1 bis I- 1.153aA-425)Group of one row corresponds to Table A (Compounds I-1.153aA-1 to I-1.153aA-425)
Tabelle 154aTable 154a
Verbindungen 1-1 , worin A für 1 ,4-Dimethylimidazol-5-yl steht und B jeweils einerCompounds 1-1 wherein A is 1,4-dimethylimidazol-5-yl and B is one each
Gruppe einer Zeile der Tabelle A entspricht (Verbindungen l-1.154aA-1 bis I-Group of a row corresponds to Table A (compounds I-1.154aA-1 to I-
1.154aA-425) Tabelle 155a1.154aA-425) Table 155a
Verbindungen 1-1 , worin B für Pyridin-2-yl steht und A jeweils einer Gruppe einerCompounds 1-1, wherein B is pyridin-2-yl and A is each a group of one
Zeile der Tabelle A entspricht (Verbindungen 1-1.155aA-1 bis l-1.155aA-425) Tabelle 156aRow of Table A corresponds (Compounds 1-1.155aA-1 to 1-1155aA-425) Table 156a
Verbindungen 1-1 , worin B für Pyridin-3-yl steht und A jeweils einer Gruppe einer Zeile der Tabelle A entspricht (Verbindungen l-1.156aA-1 bis l-1.156aA-425)Compounds 1-1, wherein B is pyridin-3-yl and A corresponds in each case to one group of one row of Table A (Compounds I-1.156aA-1 to 1.156aA-425)
Tabelle 157aTable 157a
Verbindungen 1-1 , worin B für Pyridin-4-yl steht und A jeweils einer Gruppe einerCompounds 1-1 wherein B is pyridin-4-yl and A is each a group of one
Zeile der Tabelle A entspricht (Verbindungen l-1.157aA-1 bis l-1.157aA-425) Tabelle 158a Verbindungen 1-1 , worin B für 3-Chlorpyridin-2-yl steht und A jeweils einer Gruppe einer Zeile der Tabelle A entspricht (Verbindungen l-1.158aA-1 bis l-1.158aA-425) Tabelle 159aLine of Table A corresponds (Compounds 1-1157aA-1 to 1-1157aA-425) Table 158a Compounds 1-1, wherein B is 3-chloropyridin-2-yl and A corresponds in each case to one group of one line of Table A. (Compounds I-1.158aA-1 to I-1.158aA-425) Table 159a
Verbindungen 1-1 , worin B für 4-Chlorpyridin-2-yl steht und A jeweils einer Gruppe einer Zeile der Tabelle A entspricht (Verbindungen l-1.159aA-1 bis l-1.159aA-425) Tabelle 160aCompounds 1-1, wherein B is 4-chloropyridin-2-yl and A corresponds in each case to one group of one row of Table A (Compounds I-1.159aA-1 to 1.159aA-425) Table 160a
Verbindungen 1-1 , worin B für 5-Chlorpyridin-2-yl steht und A jeweils einer Gruppe einer Zeile der Tabelle A entspricht (Verbindungen l-1.160aA-1 bis l-1.160aA-425) Tabelle 161 aCompounds 1-1, wherein B is 5-chloropyridin-2-yl and A corresponds in each case to one group of one row of Table A (Compounds I-1.160aA-1 to 1-160aA-425) Table 161a
Verbindungen 1-1 , worin B für 6-Chlorpyridin-2-yl steht und A jeweils einer Gruppe einer Zeile der Tabelle A entspricht (Verbindungen 1-1.161 aA-1 bis 1-1.161 aA-425)Compounds 1-1, wherein B is 6-chloropyridin-2-yl and A corresponds in each case to one group of one row of Table A (Compounds 1-1.161 aA-1 to 1-1.161 aA-425)
Tabelle 162aTable 162a
Verbindungen 1-1 , worin B für 2-Chlorpyridin-3-yl steht und A jeweils einer Gruppe einer Zeile der Tabelle A entspricht (Verbindungen l-1.162aA-1 bis l-1.162aA-425) Tabelle 163a Verbindungen 1-1 , worin B für 4-Chlorpyridin-3-yl steht und A jeweils einer Gruppe einer Zeile der Tabelle A entspricht (Verbindungen l-1.163aA-1 bis l-1.163aA-425) Tabelle 164aCompounds 1-1, wherein B is 2-chloropyridin-3-yl and A corresponds in each case to one group of one row of Table A (Compounds I-1.162aA-1 to 1.162aA-425) Table 163a Compounds 1-1, in which B is 4-chloropyridin-3-yl and A corresponds in each case to one group of one row of Table A (compounds I-1.163aA-1 to 1.163aA-425) Table 164a
Verbindungen 1-1 , worin B für 5-Chlorpyridin-3-yl steht und A jeweils einer Gruppe einer Zeile der Tabelle A entspricht (Verbindungen 1-1.164aA-1 bis l-1.164aA-425)Compounds 1-1, wherein B is 5-chloropyridin-3-yl and A corresponds in each case to one group of one row of Table A (Compounds 1-1.164aA-1 to l-1.164aA-425)
Tabelle 165a Verbindungen 1-1 , worin B für 6-Chlorpyridin-3-yl steht und A jeweils einer Gruppe einer Zeile der Tabelle A entspricht (Verbindungen 1-1.165aA-1 bis l-1.165aA-425)Table 165a Compounds 1-1, wherein B is 6-chloropyridin-3-yl and A corresponds in each case to one group of one row of Table A (Compounds 1-1.165aA-1 to l-1.165aA-425)
Tabelle 166aTable 166a
Verbindungen 1-1 , worin B für 2-Chlorpyridin-4-yl steht und A jeweils einer Gruppe einer Zeile der Tabelle A entspricht (Verbindungen l-1.166aA-1 bis l-1.166aA-425) Tabelle 167aCompounds 1-1, wherein B is 2-chloropyridin-4-yl and A corresponds in each case to one group of one row of Table A (Compounds I-1.166aA-1 to 1.166aA-425) Table 167a
Verbindungen 1-1 , worin B für 3-Chlorpyridin-4-yl steht und A jeweils einer Gruppe einer Zeile der Tabelle A entspricht (Verbindungen l-1.167aA-1 bis l-1.167aA-425)Compounds 1-1, wherein B is 3-chloropyridin-4-yl and A corresponds in each case to one group of one row of Table A (Compounds I-1.167aA-1 to 1.167aA-425)
Tabelle 168aTable 168a
Verbindungen 1-1 , worin B für 4-Chlorpyridin-5-yl steht und A jeweils einer Gruppe einer Zeile der Tabelle A entspricht (Verbindungen l-1.168aA-1 bis l-1.168aA-425)Compounds 1-1, wherein B is 4-chloropyridin-5-yl and A corresponds in each case to one group of one row of Table A (Compounds I-1.168aA-1 to 1.168aA-425)
Tabelle 169aTable 169a
Verbindungen 1-1 , worin B für 3-Fluorpyridin-2-yl steht und A jeweils einer Gruppe einer Zeile der Tabelle A entspricht (Verbindungen 1-1.169aA-1 bis l-1.169aA-425)Compounds 1-1, wherein B is 3-fluoropyridin-2-yl and A corresponds in each case to one group of one row of Table A (Compounds 1-1.169aA-1 to l-1.169aA-425)
Tabelle 170a Verbindungen 1-1 , worin B für 4-Fluorpyridin-2-yl steht und A jeweils einer Gruppe einer Zeile der Tabelle A entspricht (Verbindungen 1-1.170aA-1 bis l-1.170aA-425)Table 170a Compounds 1-1, wherein B is 4-fluoropyridin-2-yl and A corresponds in each case to one group of one row of Table A (Compounds 1-1.170aA-1 to 1-170aA-425)
Tabelle 171 aTable 171 a
Verbindungen 1-1 , worin B für 5-Fluorpyridin-2-yl steht und A jeweils einer Gruppe einer Zeile der Tabelle A entspricht (Verbindungen 1-1.171 aA-1 bis 1-1.171 aA-425) Tabelle 172aCompounds 1-1, wherein B is 5-fluoropyridin-2-yl and A corresponds in each case to one group of one row of Table A (Compounds 1-1.171 aA-1 to 1-1.171 aA-425) Table 172a
Verbindungen 1-1 , worin B für 6-Fluorpyridin-2-yl steht und A jeweils einer Gruppe einer Zeile der Tabelle A entspricht (Verbindungen l-1.172aA-1 bis l-1.172aA-425)Compounds 1-1, wherein B is 6-fluoropyridin-2-yl and A corresponds in each case to one group of one row of Table A (Compounds I-1.172aA-1 to 1.172aA-425)
Tabelle 173aTable 173a
Verbindungen 1-1 , worin B für 2-Fluorpyridin-3-yl steht und A jeweils einer Gruppe einer Zeile der Tabelle A entspricht (Verbindungen l-1.173aA-1 bis l-1.173aA-425)Compounds 1-1, wherein B is 2-fluoropyridin-3-yl and A corresponds in each case to one group of one row of Table A (Compounds I-1.173aA-1 to 1.173aA-425)
Tabelle 174aTable 174a
Verbindungen 1-1 , worin B für 4-Fluorpyridin-3-yl steht und A jeweils einer Gruppe einer Zeile der Tabelle A entspricht (Verbindungen l-1.174aA-1 bis l-1.174aA-425)Compounds 1-1, wherein B is 4-fluoropyridin-3-yl and A corresponds in each case to one group of one row of Table A (Compounds I-1.174aA-1 to 1.174aA-425)
Tabelle 175a Verbindungen 1-1 , worin B für 5-Fluorpyridin-3-yl steht und A jeweils einer Gruppe einer Zeile der Tabelle A entspricht (Verbindungen l-1.175aA-1 bis l-1.175aA-425)Table 175a Compounds 1-1, wherein B is 5-fluoropyridin-3-yl and A corresponds in each case to one group of one row of Table A (Compounds I-1.175aA-1 to 1.175aA-425)
Tabelle 176aTable 176a
Verbindungen 1-1 , worin B für 6-Fluorpyridin-3-yl steht und A jeweils einer Gruppe einer Zeile der Tabelle A entspricht (Verbindungen 1-1.176aA-1 bis l-1.176aA-425) Tabelle 177aCompounds 1-1, wherein B is 6-fluoropyridin-3-yl and A corresponds in each case to one group of one row of Table A (Compounds 1-1.176aA-1 to l-1.176aA-425) Table 177a
Verbindungen 1-1 , worin B für 2-Fluorpyridin-4-yl steht und A jeweils einer Gruppe einer Zeile der Tabelle A entspricht (Verbindungen l-1.177aA-1 bis l-1.177aA-425) Tabelle 178aCompounds 1-1, wherein B is 2-fluoropyridin-4-yl and A corresponds in each case to one group of one row of Table A (Compounds I-1.177aA-1 to 1.177aA-425) Table 178a
Verbindungen 1-1 , worin B für 3-Fluorpyridin-4-yl steht und A jeweils einer Gruppe einer Zeile der Tabelle A entspricht (Verbindungen 1-1.178aA-1 bis l-1.178aA-425)Compounds 1-1, wherein B is 3-fluoropyridin-4-yl and A corresponds in each case to one group of one row of Table A (Compounds 1-1.178aA-1 to 1.178aA-425)
Tabelle 179a Verbindungen 1-1 , worin B für 3- Methylpyridin-2-yl steht und A jeweils einer Gruppe einer Zeile der Tabelle A entspricht (Verbindungen l-1.179aA-1 bis l-1.179aA- 425)Table 179a Compounds 1-1, wherein B is 3-methylpyridin-2-yl and A corresponds in each case to one group of one row of Table A (Compounds I-1.179aA-1 to 1.179aA-425)
Tabelle 180aTable 180a
Verbindungen 1-1 , worin B für 4-Methylpyridin-2-yl steht und A jeweils einer Gruppe einer Zeile der Tabelle A entspricht (Verbindungen l-1.180aA-1 bis l-1.180aA-425)Compounds 1-1, wherein B is 4-methylpyridin-2-yl and A corresponds in each case to one group of one row of Table A (Compounds 1-1,180aA-1 to 1,180aA-425)
Tabelle 181 aTable 181 a
Verbindungen 1-1 , worin B für 5-Methylpyridin-2-yl steht und A jeweils einer Gruppe einer Zeile der Tabelle A entspricht (Verbindungen 1-1.181 aA-1 bis 1-1.181 aA-425)Compounds 1-1, wherein B is 5-methylpyridin-2-yl and A corresponds in each case to one group of one row of Table A (Compounds 1-1.181 aA-1 to 1-1.181 aA-425)
Tabelle 182a Verbindungen 1-1 , worin B für 6-Methylpyridin-2-yl steht und A jeweils einer Gruppe einer Zeile der Tabelle A entspricht (Verbindungen l-1.182aA-1 bis l-1.182aA-425)Table 182a Compounds 1-1, wherein B is 6-methylpyridin-2-yl and A corresponds in each case to one group of one row of Table A (Compounds I-1.182aA-1 to 1.182aA-425)
Tabelle 183aTable 183a
Verbindungen 1-1 , worin B für 2-Methylpyridin-3-yl steht und A jeweils einer Gruppe einer Zeile der Tabelle A entspricht (Verbindungen 1-1.183aA-1 bis l-1.183aA-425) Tabelle 184aCompounds 1-1, wherein B is 2-methylpyridin-3-yl and A corresponds in each case to one group of a row of Table A (Compounds 1-1.183aA-1 to l-1.183aA-425) Table 184a
Verbindungen 1-1 , worin B für 4-Methylpyridin-3-yl steht und A jeweils einer Gruppe einer Zeile der Tabelle A entspricht (Verbindungen 1-1.184aA-1 bis l-1.184aA-425)Compounds 1-1, wherein B is 4-methylpyridin-3-yl and A corresponds in each case to one group of one row of Table A (Compounds 1-1.184aA-1 to 1.184aA-425)
Tabelle 185aTable 185a
Verbindungen 1-1 , worin B für 5-Methylpyridin-3-yl steht und A jeweils einer Gruppe einer Zeile der Tabelle A entspricht (Verbindungen l-1.185aA-1 bis l-1.185aA-425)Compounds 1-1, wherein B is 5-methylpyridin-3-yl and A corresponds in each case to one group of one row of Table A (Compounds I-1.185aA-1 to 1.185aA-425)
Tabelle 186aTable 186a
Verbindungen 1-1 , worin B für 6-Methylpyridin-3-yl steht und A jeweils einer Gruppe einer Zeile der Tabelle A entspricht (Verbindungen l-1.186aA-1 bis l-1.186aA-425)Compounds 1-1, wherein B is 6-methylpyridin-3-yl and A corresponds in each case to one group of one row of Table A (Compounds I-1.186aA-1 to 1.186aA-425)
Tabelle 187a Verbindungen 1-1 , worin B für 2-Methylpyridin-4-yl steht und A jeweils einer Gruppe einer Zeile der Tabelle A entspricht (Verbindungen l-1.187aA-1 bis l-1.187aA-425)Table 187a Compounds 1-1, wherein B is 2-methylpyridin-4-yl and A corresponds in each case to one group of one row of Table A (Compounds I-1.187aA-1 to 1.187aA-425)
Tabelle 188aTable 188a
Verbindungen 1-1 , worin B für 3-Methylpyridin-4-yl steht und A jeweils einer Gruppe einer Zeile der Tabelle A entspricht (Verbindungen 1-1.188aA-1 bis l-1.188aA-425) Tabelle 189aCompounds 1-1, wherein B is 3-methylpyridin-4-yl and A corresponds in each case to one group of a row of Table A (Compounds 1-1.188aA-1 to l-1.188aA-425) Table 189a
Verbindungen 1-1 , worin B für 4-Methylpyridin-5-yl steht und A jeweils einer Gruppe einer Zeile der Tabelle A entspricht (Verbindungen 1-1.189aA-1 bis l-1.189aA-425)Compounds 1-1, wherein B is 4-methylpyridin-5-yl and A corresponds in each case to one group of one row of Table A (Compounds 1-1.189aA-1 to 1.189aA-425)
Tabelle 190aTable 190a
Verbindungen 1-1 , worin B für 3-Methoxypyridin-2-yl steht und A jeweils einer Gruppe einer Zeile der Tabelle A entspricht (Verbindungen 1-1.190aA-1 bis I-Compounds 1-1, wherein B is 3-methoxypyridin-2-yl and A in each case corresponds to one group of one row of Table A (Compounds 1-1.190aA-1 to I-
1.190aA-425) Tabelle 191 a1.190aA-425) Table 191 a
Verbindungen 1-1 , worin B für 4-Methoxypyridin-2-yl steht und A jeweils einerCompounds 1-1 wherein B is 4-methoxypyridin-2-yl and A is each one
Gruppe einer Zeile der Tabelle A entspricht (Verbindungen 1-1.191 aA-1 bis I-Group of one row of Table A (compounds 1-1.191 aA-1 to I-
1.191aA-425) Tabelle 192a1.191aA-425) Table 192a
Verbindungen 1-1 , worin B für 5-Methoxypyridin-2-yl steht und A jeweils einerCompounds 1-1 wherein B is 5-methoxypyridin-2-yl and A is each one
Gruppe einer Zeile der Tabelle A entspricht (Verbindungen 1-1.192aA-1 bis I-Group of a row corresponds to Table A (compounds 1-1.192aA-1 to I-
1.192aA-425) Tabelle 193a Verbindungen 1-1 , worin B für 6-Methoxypyridin-2-yl steht und A jeweils einer1.192aA-425) Table 193a Compounds 1-1 wherein B is 6-methoxypyridin-2-yl and A is each one
Gruppe einer Zeile der Tabelle A entspricht (Verbindungen l-1.193aA-1 bis I-Group of a row corresponds to Table A (compounds I-1.193aA-1 to I-
1.193aA-425) Tabelle 194a1.193aA-425) Table 194a
Verbindungen 1-1 , worin B für 2-Methoxypyridin-3-yl steht und A jeweils einer Gruppe einer Zeile der Tabelle A entspricht (Verbindungen l-1.194aA-1 bis I-Compounds 1-1, wherein B is 2-methoxypyridin-3-yl and A in each case corresponds to one group of one row of Table A (Compounds I-1.194aA-1 to I-
1.194aA-425) Tabelle 195a1.194aA-425) Table 195a
Verbindungen 1-1 , worin B für 4-Methoxypyridin-3-yl steht und A jeweils einerCompounds 1-1 wherein B is 4-methoxypyridin-3-yl and A is each one
Gruppe einer Zeile der Tabelle A entspricht (Verbindungen 1-1.195aA-1 bis I- 1.195aA-425)Group of one row corresponds to Table A (Compounds 1-1.195aA-1 to I-1.195aA-425)
Tabelle 196aTable 196a
Verbindungen 1-1 , worin B für 5-Methoxypyridin-3-yl steht und A jeweils einerCompounds 1-1 wherein B is 5-methoxypyridin-3-yl and A is each one
Gruppe einer Zeile der Tabelle A entspricht (Verbindungen 1-1.196aA-1 bis I-Group of a row corresponds to Table A (Compounds 1-1.196aA-1 to I-
1.196aA-425) Tabelle 197a1.196aA-425) Table 197a
Verbindungen 1-1 , worin B für 6-Methoxypyridin-3-yl steht und A jeweils einerCompounds 1-1, wherein B is 6-methoxypyridin-3-yl and A is each one
Gruppe einer Zeile der Tabelle A entspricht (Verbindungen l-1.197aA-1 bis I-Group of a row corresponds to Table A (compounds I-1.197aA-1 to I-
1.197aA-425) Tabelle 198a Verbindungen 1-1 , worin B für 2-Methoxypyridin-4-yl steht und A jeweils einer1.197aA-425) Table 198a Compounds 1-1 wherein B is 2-methoxypyridin-4-yl and A is each one
Gruppe einer Zeile der Tabelle A entspricht (Verbindungen 1-1.198aA-1 bis I-Group of a row corresponds to Table A (compounds 1-1.198aA-1 to I-
1.198aA-425) Tabelle 199a1.198aA-425) Table 199a
Verbindungen 1-1 , worin B für 3-Methoxypyridin-4-yl steht und A jeweils einer Gruppe einer Zeile der Tabelle A entspricht (Verbindungen 1-1.199aA-1 bis I-Compounds 1-1, in which B is 3-methoxypyridin-4-yl and A corresponds in each case to one group of one row of Table A (Compounds 1-1.199aA-1 to I-
1.199aA-425) Tabelle 200a1.199aA-425) Table 200a
Verbindungen 1-1 , worin B für 3,5-Dichlorpyridin-2-yl steht und A jeweils einerCompounds 1-1 wherein B is 3,5-dichloropyridin-2-yl and A is each one
Gruppe einer Zeile der Tabelle A entspricht (Verbindungen 1-1.20OaA-I bis I- 1.200aA-425)Group of a row corresponds to Table A (Compounds 1-1.20OaA-I to I-1.200aA-425)
Tabelle 201 aTable 201 a
Verbindungen 1-1 , worin B für 2,4-Dichlorpyridin-3-yl steht und A jeweils einer Gruppe einer Zeile der Tabelle A entspricht (Verbindungen 1-1.201 aA-1 bis I- 1.201aA-425)Compounds 1-1 wherein B is 2,4-dichloropyridin-3-yl and A is each one Group of a row corresponds to Table A (Compounds 1-1.201 aA-1 to I-1.201aA-425)
Tabelle 202aTable 202a
Verbindungen 1-1 , worin B für 2,5-Dichlorpyridin-3-yl steht und A jeweils einer Gruppe einer Zeile der Tabelle A entspricht (Verbindungen 1-1.202aA-1 bis I-Compounds 1-1, wherein B is 2,5-dichloropyridin-3-yl and A in each case corresponds to one group of one row of Table A (Compounds 1-1,202aA-1 to I-
1.202aA-425)1.202aA-425)
Tabelle 203aTable 203a
Verbindungen 1-1 , worin B für 2,6-Dichlorpyridin-3-yl steht und A jeweils einer Gruppe einer Zeile der Tabelle A entspricht (Verbindungen 1-1.203aA-1 bis I- 1.203aA-425)Compounds 1-1, wherein B is 2,6-dichloropyridin-3-yl and A corresponds in each case to one group of one row of Table A (Compounds 1-1.203aA-1 to I-1.203aA-425)
Tabelle 204aTable 204a
Verbindungen 1-1 , worin B für 2,6-Dichlorpyridin-4-yl steht und A jeweils einer Gruppe einer Zeile der Tabelle A entspricht (Verbindungen 1-1.204aA-1 bis I- 1.204aA-425) Tabelle 205aCompounds 1-1, wherein B is 2,6-dichloropyridin-4-yl and A corresponds in each case to one group of one row of Table A (Compounds 1-1.204aA-1 to I-1.204aA-425) Table 205a
Verbindungen 1-1 , worin B für 3,5-Dichlorpyridin-4-yl steht und A jeweils einer Gruppe einer Zeile der Tabelle A entspricht (Verbindungen 1-1.205aA-1 bis I- 1.205aA-425)Compounds 1-1, wherein B is 3,5-dichloropyridin-4-yl and A corresponds in each case to one group of one row of Table A (Compounds 1-1.205aA-1 to I-1.205aA-425)
Tabelle 206a Verbindungen 1-1 , worin B für 3,6-Dichlorpyridin-4-yl steht und A jeweils einerTable 206a compounds 1-1 wherein B is 3,6-dichloropyridin-4-yl and A is each one
Gruppe einer Zeile der Tabelle A entspricht (Verbindungen 1-1.206aA-1 bis I- 1.206aA-425)Group of a row corresponds to Table A (Compounds 1-1.206aA-1 to I-1.206aA-425)
Tabelle 207aTable 207a
Verbindungen 1-1 , worin B für 2,5-Dichlorpyridin-4-yl steht und A jeweils einer Gruppe einer Zeile der Tabelle A entspricht (Verbindungen 1-1.207aA-1 bis I-Compounds 1-1, wherein B is 2,5-dichloropyridin-4-yl and A in each case corresponds to one group of one row of Table A (Compounds 1-1,207aA-1 to I-
1.207aA-425)1.207aA-425)
Tabelle 208aTable 208a
Verbindungen 1-1 , worin B für 2,3-Dichlorpyridin-4-yl steht und A jeweils einer Gruppe einer Zeile der Tabelle A entspricht (Verbindungen 1-1.208aA-1 bis I- 1.208aA-425)Compounds 1-1, wherein B is 2,3-dichloropyridin-4-yl and A corresponds in each case to one group of one row of Table A (Compounds 1-1.208aA-1 to I-1.208aA-425)
Tabelle 209aTable 209a
Verbindungen 1-1 , worin B für 2,4-Dichlorpyridin-5-yl steht und A jeweils einer Gruppe einer Zeile der Tabelle A entspricht (Verbindungen 1-1.209aA-1 bis I- 1.209aA-425) Tabelle 210aCompounds 1-1, wherein B is 2,4-dichloropyridin-5-yl and A in each case corresponds to one group of one row of Table A (Compounds 1-1.209aA-1 to I-1.209aA-425) Table 210a
Verbindungen 1-1 , worin B für 3,5-Difluorpyridin-2-yl steht und A jeweils einer Gruppe einer Zeile der Tabelle A entspricht (Verbindungen 1-1.21 OaA-I bis 1-1.21 OaA- 425)Compounds 1-1, wherein B is 3,5-difluoropyridin-2-yl and A corresponds in each case to one group of one row of Table A (Compounds 1-1.21 OaA-I to 1-1.21 OaA-425)
Tabelle 211 a Verbindungen 1-1 , worin B für 3,5-Difluorpyridin-4-yl steht und A jeweils einer Gruppe einer Zeile der Tabelle A entspricht (Verbindungen 1-1.211 aA-1 bis 1-1.211 aA- 425) Tabelle 212aTable 211a Compounds 1-1, wherein B is 3,5-difluoropyridin-4-yl and A corresponds in each case to one group of one row of Table A (Compounds 1-1.211 aA-1 to 1-1.211 aA-425) Table 212a
Verbindungen 1-1 , worin B für 2,3-Difluorpyridin-4-yl steht und A jeweils einer Gruppe einer Zeile der Tabelle A entspricht (Verbindungen 1-1.212aA-1 bis 1-1.212aA-Compounds 1-1, wherein B is 2,3-difluoropyridin-4-yl and A corresponds in each case to one group of one row of Table A (Compounds 1-1.212aA-1 to 1-1.212aA-
425) Tabelle 213a425) Table 213a
Verbindungen 1-1 , worin B für 3,5-Dimethylpyridin-2-yl steht und A jeweils einerCompounds 1-1 wherein B is 3,5-dimethylpyridin-2-yl and A is each one
Gruppe einer Zeile der Tabelle A entspricht (Verbindungen 1-1.213aA-1 bis I-Group of one row of Table A (Compounds 1-1.213aA-1 to I-
1.213aA-425) Tabelle 214a Verbindungen 1-1 , worin B für 3,4-Dimethylpyridin-2-yl steht und A jeweils einer1.213aA-425) Table 214a compounds 1-1 wherein B is 3,4-dimethylpyridin-2-yl and A is each one
Gruppe einer Zeile der Tabelle A entspricht (Verbindungen 1-1.214aA-1 bis I-Group of one row of Table A (compounds 1-1.214aA-1 to I-
1.214aA-425) Tabelle 215a1.214aA-425) Table 215a
Verbindungen 1-1 , worin B für 4,6-Dimethylpyridin-3-yl steht und A jeweils einer Gruppe einer Zeile der Tabelle A entspricht (Verbindungen l-1.215aA-1 bis I-Compounds 1-1, in which B is 4,6-dimethylpyridin-3-yl and A corresponds in each case to one group of one row of Table A (Compounds I-1.215aA-1 to I-
1.215aA-425) Tabelle 216a1.215aA-425) Table 216a
Verbindungen 1-1 , worin B für 2,4-Dimethylpyridin-3-yl steht und A jeweils einerCompounds 1-1, wherein B is 2,4-dimethylpyridin-3-yl and A is one each
Gruppe einer Zeile der Tabelle A entspricht (Verbindungen 1-1.216aA-1 bis I- 1.216aA-425)Group of one row corresponds to Table A (Compounds 1-1.216aA-1 to I-1.216aA-425)
Tabelle 217aTable 217a
Verbindungen 1-1 , worin B für 3,5-Dimethylpyridin-4-yl steht und A jeweils einerCompounds 1-1 wherein B is 3,5-dimethylpyridin-4-yl and A is each one
Gruppe einer Zeile der Tabelle A entspricht (Verbindungen l-1.217aA-1 bis I-Group of a row corresponds to Table A (Compounds I-1.217aA-1 to I-
1.217aA-425) Tabelle 218a1.217aA-425) Table 218a
Verbindungen 1-1 , worin B für 2-Chlor-3-fluorpyridin-4-yl steht und A jeweils einerCompounds 1-1 wherein B is 2-chloro-3-fluoropyridin-4-yl and A is each one
Gruppe einer Zeile der Tabelle A entspricht (Verbindungen l-1.218aA-1 bis I-Group of a row corresponds to Table A (compounds I-1.218aA-1 to I-
1.218aA-425) Tabelle 219a Verbindungen 1-1 , worin B für 4-Chlor-3-methylpyridin-2-yl steht und A jeweils einer1.218aA-425). Table 219a Compounds 1-1 wherein B is 4-chloro-3-methylpyridin-2-yl and A is each one
Gruppe einer Zeile der Tabelle A entspricht (Verbindungen l-1.219aA-1 bis I-Group of a row corresponds to Table A (compounds I-1.219aA-1 to I-
1.219aA-425) Tabelle 220a1.219aA-425) Table 220a
Verbindungen 1-1 , worin B für 5-Chlor-3-methylpyridin-2-yl steht und A jeweils einer Gruppe einer Zeile der Tabelle A entspricht (Verbindungen 1-1.22OaA-I bis I-Compounds 1-1, wherein B is 5-chloro-3-methylpyridin-2-yl and A corresponds in each case to one group of one row of Table A (Compounds 1-1.22 OaA-I to I-
1.220aA-425) Tabelle 221 a1.220aA-425) Table 221 a
Verbindungen 1-1 , worin B für 5-Fluor-3-methylpyridin-2-yl steht und A jeweils einerCompounds 1-1 wherein B is 5-fluoro-3-methylpyridin-2-yl and A is each one
Gruppe einer Zeile der Tabelle A entspricht (Verbindungen 1-1.221 aA-1 bis I- 1.221aA-425)Group of a row corresponds to Table A (Compounds 1-1.221 aA-1 to I-1.221aA-425)
Tabelle 222aTable 222a
Verbindungen 1-1 , worin B für 3-Chlor-5-trifluormethylpyridin-2-yl steht und A je- weils einer Gruppe einer Zeile der Tabelle A entspricht (Verbindungen 1-1.222aA-1 bis 1-1.222aA-425) Tabelle 223aCompounds 1-1, wherein B is 3-chloro-5-trifluoromethylpyridin-2-yl and A is each because one group corresponds to one row of Table A (Compounds 1-1.222aA-1 to 1-1.222aA-425) Table 223a
Verbindungen 1-1 , worin B für 2-Chlor-6-trifluormethylpyridin-3-yl steht und A je- weils einer Gruppe einer Zeile der Tabelle A entspricht (Verbindungen 1-1.223aA-1 bis l-1.223aA-425) Tabelle 224aCompounds 1-1, wherein B is 2-chloro-6-trifluoromethylpyridin-3-yl and A in each case corresponds to one group of one row of Table A (Compounds 1-1.223aA-1 to l-1.223aA-425) 224a
Verbindungen 1-1 , worin B für 2,4-Dichlor-6-methylpyridin-3-yl steht und A jeweils einer Gruppe einer Zeile der Tabelle A entspricht (Verbindungen 1-1.224aA-1 bis I- 1.224aA-425)Compounds 1-1, wherein B is 2,4-dichloro-6-methylpyridin-3-yl and A in each case corresponds to one group of one row of Table A (Compounds 1-1.224aA-1 to I-1.224aA-425)
Tabelle 225aTable 225a
Verbindungen 1-1 , worin B für 3,4,5-Trichlorpyridin-2-yl steht und A jeweils einerCompounds 1-1 wherein B is 3,4,5-trichloropyridin-2-yl and A is each one
Gruppe einer Zeile der Tabelle A entspricht (Verbindungen 1-1.225aA-1 bis I-Group of a row corresponds to Table A (compounds 1-1.225aA-1 to I-
1.225aA-425) Tabelle 226a1.225aA-425) Table 226a
Verbindungen 1-1 , worin B für 2,4,6-Trichlorpyridin-3-yl steht und A jeweils einerCompounds 1-1 wherein B is 2,4,6-trichloropyridin-3-yl and A is each one
Gruppe einer Zeile der Tabelle A entspricht (Verbindungen 1-1.226aA-1 bis I-Group of a row corresponds to Table A (Compounds 1-1.226aA-1 to I-
1.226aA-425) Tabelle 227a Verbindungen 1-1 , worin B für Pyrimidin-2-yl steht und A jeweils einer Gruppe einer1.226aA-425). Table 227a Compounds 1-1 wherein B is pyrimidin-2-yl and A is each a group of one
Zeile der Tabelle A entspricht (Verbindungen 1-1.227aA-1 bis 1-1.227aA-425) Tabelle 228aRow of Table A corresponds (Compounds 1-1.227aA-1 to 1-1.227aA-425) Table 228a
Verbindungen 1-1 , worin B für Pyrimidin-5-yl steht und A jeweils einer Gruppe einerCompounds 1-1 wherein B is pyrimidin-5-yl and A is a group of each
Zeile der Tabelle A entspricht (Verbindungen 1-1.228aA-1 bis 1-1.228aA-425) Tabelle 229aRow of Table A corresponds (Compounds 1-1.228aA-1 to 1-1.228aA-425) Table 229a
Verbindungen 1-1 , worin B für 6-Chlorpyrimidin-3-yl steht und A jeweils einer Gruppe einer Zeile der Tabelle A entspricht (Verbindungen 1-1.229aA-1 bis 1-1.229aA-Compounds 1-1, wherein B is 6-chloropyrimidin-3-yl and A corresponds in each case to one group of one row of Table A (Compounds 1-1.229aA-1 to 1-1.229aA-
425)425)
Tabelle 230a Verbindungen 1-1 , worin B für 6-Methylpyrimidin-3-yl steht und A jeweils einerTable 230a Compounds 1-1 wherein B is 6-methylpyrimidin-3-yl and A is each one
Gruppe einer Zeile der Tabelle A entspricht (Verbindungen 1-1.23OaA-I bis I-Group of a row corresponds to Table A (compounds 1-1.23OaA-I to I-
1.230aA-425) Tabelle 231 a1.230aA-425) Table 231 a
Verbindungen 1-1 , worin B für 6-Methoxypyrimidin-3-yl steht und A jeweils einer Gruppe einer Zeile der Tabelle A entspricht (Verbindungen 1-1.231 aA-1 bis I-Compounds 1-1, wherein B is 6-methoxypyrimidin-3-yl and A corresponds in each case to one group of one row of Table A (Compounds 1-1.231 aA-1 to I-
1.231aA-425) Tabelle 232a1.231aA-425) Table 232a
Verbindungen 1-1 , worin B für 2,4-Dichlorpyrimidin-3-yl steht und A jeweils einerCompounds 1-1 wherein B is 2,4-dichloropyrimidin-3-yl and A is each one
Gruppe einer Zeile der Tabelle A entspricht (Verbindungen 1-1.232aA-1 bis I- 1.232aA-425)Group of a row corresponds to Table A (Compounds 1-1.232aA-1 to I-1.232aA-425)
Tabelle 233aTable 233a
Verbindungen 1-1 , worin B für 2,6-Dichlorpyrimidin-3-yl steht und A jeweils einer Gruppe einer Zeile der Tabelle A entspricht (Verbindungen 1-1.233aA-1 bis I- 1.233aA-425)Compounds 1-1 wherein B is 2,6-dichloropyrimidin-3-yl and A is each one Group of a row corresponds to Table A (Compounds 1-1.233aA-1 to I-1.233aA-425)
Tabelle 234aTable 234a
Verbindungen 1-1 , worin B für 2,4-Difluorpyrimidin-3-yl steht und A jeweils einer Gruppe einer Zeile der Tabelle A entspricht (Verbindungen 1-1.234aA-1 bis I-Compounds 1-1, wherein B is 2,4-difluoropyrimidin-3-yl and A corresponds in each case to one group of one row of Table A (Compounds 1-1.234aA-1 to I-
1.234aA-425)1.234aA-425)
Tabelle 235aTable 235a
Verbindungen 1-1 , worin B für 2,6-Difluorpyrimidin-3-yl steht und A jeweils einer Gruppe einer Zeile der Tabelle A entspricht (Verbindungen 1-1.235aA-1 bis I- 1.235aA-425)Compounds 1-1, wherein B is 2,6-difluoropyrimidin-3-yl and A corresponds in each case to one group of one row of Table A (Compounds 1-1.235aA-1 to I-1.235aA-425)
Tabelle 236aTable 236a
Verbindungen 1-1 , worin B für 1 ,3,5-Triazin-2-yl steht und A jeweils einer Gruppe einer Zeile der Tabelle A entspricht (Verbindungen 1-1.236aA-1 bis 1-1.236aA-425)Compounds 1-1, wherein B is 1, 3,5-triazin-2-yl and A corresponds in each case to one group of one row of Table A (Compounds 1-1.236aA-1 to 1-1.236aA-425)
Tabelle 237a Verbindungen 1-1 , worin B für Thien-2-yl steht und A jeweils einer Gruppe einer Zeile der Tabelle A entspricht (Verbindungen 1-1.237aA-1 bis 1-1.237aA-425)Table 237a Compounds 1-1, wherein B is thien-2-yl and A corresponds in each case to one group of one row of Table A (Compounds 1-1.237aA-1 to 1-1.237aA-425)
Tabelle 238aTable 238a
Verbindungen 1-1 , worin B für Thien-3-yl steht und A jeweils einer Gruppe einer Zeile der Tabelle A entspricht (Verbindungen 1-1.238aA-1 bis 1-1.238aA-425) Tabelle 239aCompounds 1-1, wherein B is thien-3-yl and A corresponds in each case to one group of one row of Table A (Compounds 1-1.238aA-1 to 1-1.238aA-425) Table 239a
Verbindungen 1-1 , worin B für 5-Chlorthien-2-yl steht und A jeweils einer Gruppe einer Zeile der Tabelle A entspricht (Verbindungen 1-1.239aA-1 bis 1-1.239aA-425)Compounds 1-1, wherein B is 5-chlorothien-2-yl and A corresponds in each case to one group of one row of Table A (Compounds 1-1.239aA-1 to 1-1.239aA-425)
Tabelle 240aTable 240a
Verbindungen 1-1 , worin B für 2-Chlorthien-3-yl steht und A jeweils einer Gruppe einer Zeile der Tabelle A entspricht (Verbindungen 1-1.24OaA-I bis 1-1.240aA-425)Compounds 1-1, wherein B is 2-chlorothien-3-yl and A corresponds in each case to one group of one row of Table A (Compounds 1-1.24OaA-I to 1-1.240aA-425)
Tabelle 241 aTable 241 a
Verbindungen 1-1 , worin B für 4-Chlorthien-3-yl steht und A jeweils einer Gruppe einer Zeile der Tabelle A entspricht (Verbindungen 1-1.241 aA-1 bis 1-1.241 aA-425)Compounds 1-1, wherein B is 4-chlorothien-3-yl and A corresponds in each case to one group of one row of Table A (Compounds 1-1.241 aA-1 to 1-1.241 aA-425)
Tabelle 242a Verbindungen 1-1 , worin B für 5-Chlorthien-3-yl steht und A jeweils einer Gruppe einer Zeile der Tabelle A entspricht (Verbindungen 1-1.242aA-1 bis 1-1.242aA-425)Table 242a Compounds 1-1, wherein B is 5-chlorothien-3-yl and A corresponds in each case to one group of one row of Table A (Compounds 1-1.242aA-1 to 1-1.242aA-425)
Tabelle 243aTable 243a
Verbindungen 1-1 , worin B für 2-Bromthien-3-yl steht und A jeweils einer Gruppe einer Zeile der Tabelle A entspricht (Verbindungen 1-1.243aA-1 bis 1-1.243aA-425) Tabelle 244aCompounds 1-1, wherein B is 2-bromothien-3-yl and A corresponds in each case to one group of a row of Table A (Compounds 1-1.243aA-1 to 1-1.243aA-425) Table 244a
Verbindungen 1-1 , worin B für 4-Bromthien-3-yl steht und A jeweils einer Gruppe einer Zeile der Tabelle A entspricht (Verbindungen 1-1.244aA-1 bis 1-1.244aA-425)Compounds 1-1, wherein B is 4-bromothien-3-yl and A corresponds in each case to one group of one row of Table A (Compounds 1-1.244aA-1 to 1-1.244aA-425)
Tabelle 245aTable 245a
Verbindungen 1-1 , worin B für 5-Bromthien-3-yl steht und A jeweils einer Gruppe einer Zeile der Tabelle A entspricht (Verbindungen 1-1.245aA-1 bis 1-1.245aA-425) Tabelle 246aCompounds 1-1, wherein B is 5-bromothien-3-yl and A corresponds in each case to one group of one row of Table A (Compounds 1-1.245aA-1 to 1-1.245aA-425) Table 246a
Verbindungen 1-1 , worin B für 5-Methylthien-2-yl steht und A jeweils einer Gruppe einer Zeile der Tabelle A entspricht (Verbindungen 1-1.246aA-1 bis 1-1.246aA-425)Compounds 1-1, wherein B is 5-methylthien-2-yl and A corresponds in each case to one group of one row of Table A (Compounds 1-1.246aA-1 to 1-1.246aA-425)
Tabelle 247a Verbindungen 1-1 , worin B für 2-Methylthien-4-yl steht und A jeweils einer Gruppe einer Zeile der Tabelle A entspricht (Verbindungen 1-1.247aA-1 bis 1-1.247aA-425)Table 247a Compounds 1-1, wherein B is 2-methylthien-4-yl and A corresponds in each case to one group of one row of Table A (Compounds 1-1.247aA-1 to 1-1.247aA-425)
Tabelle 248aTable 248a
Verbindungen 1-1 , worin B für 4,5-Dichlorthien-2-yl steht und A jeweils einer Gruppe einer Zeile der Tabelle A entspricht (Verbindungen 1-1.248aA-1 bis 1-1.248aA-425) Tabelle 249aCompounds 1-1, wherein B is 4,5-dichlorothien-2-yl and A corresponds in each case to one group of one row of Table A (Compounds 1-1.248aA-1 to 1-1.248aA-425) Table 249a
Verbindungen 1-1 , worin B für 2,5-Dichlorthien-3-yl steht und A jeweils einer Gruppe einer Zeile der Tabelle A entspricht (Verbindungen 1-1.249aA-1 bis 1-1.249aA-425)Compounds 1-1, wherein B is 2,5-dichlorothien-3-yl and A corresponds in each case to one group of one row of Table A (Compounds 1-1.249aA-1 to 1-1.249aA-425)
Tabelle 250aTable 250a
Verbindungen 1-1 , worin B für 2,3-Dichlorthien-4-yl steht und A jeweils einer Gruppe einer Zeile der Tabelle A entspricht (Verbindungen 1-1.25OaA-I bis 1-1.250aA-425)Compounds 1-1, wherein B is 2,3-dichlorothien-4-yl and A corresponds in each case to one group of one row of Table A (Compounds 1-1.25OaA-I to 1-1.250aA-425)
Tabelle 251 aTable 251 a
Verbindungen 1-1 , worin B für 2,5-Dibromthien-3-yl steht und A jeweils einer Gruppe einer Zeile der Tabelle A entspricht (Verbindungen 1-1.251 aA-1 bis 1-1.251 aA- 425) Tabelle 252aCompounds 1-1, wherein B is 2,5-dibromothien-3-yl and A in each case corresponds to one group of a row of Table A (Compounds 1-1.251 aA-1 to 1-1.251 aA-425) Table 252a
Verbindungen 1-1 , worin B für 4,5-Dimethylthien-2-yl steht und A jeweils einer Gruppe einer Zeile der Tabelle A entspricht (Verbindungen 1-1.252aA-1 bis I- 1.252aA-425)Compounds 1-1, wherein B is 4,5-dimethylthien-2-yl and A in each case corresponds to one group of one row of Table A (Compounds 1-1.252aA-1 to I-1.252aA-425)
Tabelle 253a Verbindungen 1-1 , worin B für 2,5-Dimethylthien-3-yl steht und A jeweils einerTable 253a Compounds 1-1 wherein B is 2,5-dimethylthien-3-yl and A is each one
Gruppe einer Zeile der Tabelle A entspricht (Verbindungen 1-1.253aA-1 bis I- 1.253aA-425)Group of a row corresponds to Table A (Compounds 1-1.253aA-1 to I-1.253aA-425)
Tabelle 254aTable 254a
Verbindungen 1-1 , worin B für 2,3-Dimethylthien-4-yl steht und A jeweils einer Gruppe einer Zeile der Tabelle A entspricht (Verbindungen 1-1.254aA-1 bis I-Compounds 1-1, wherein B is 2,3-dimethylthien-4-yl and A in each case corresponds to one group of one row of Table A (Compounds 1-1.254aA-1 to I-
1.254aA-425)1.254aA-425)
Tabelle 255aTable 255a
Verbindungen 1-1 , worin B für 3,4,5-Trichlorthien-2-yl steht und A jeweils einer Gruppe einer Zeile der Tabelle A entspricht (Verbindungen 1-1.255aA-1 bis I- 1.255aA-425)Compounds 1-1, wherein B is 3,4,5-trichlorothien-2-yl and A corresponds in each case to one group of one row of Table A (Compounds 1-1.255aA-1 to I-1.255aA-425)
Tabelle 256aTable 256a
Verbindungen 1-1 , worin B für 2,4,5-Trichlorthien-3-yl steht und A jeweils einer Gruppe einer Zeile der Tabelle A entspricht (Verbindungen 1-1.256aA-1 bis I- 1.256aA-425) Tabelle 257aCompounds 1-1, wherein B is 2,4,5-trichlorothien-3-yl and A corresponds in each case to one group of a row of Table A (Compounds 1-1.256aA-1 to I-1.256aA-425) Table 257a
Verbindungen 1-1 , worin B für 2,4,5-Tribromthien-3-yl steht und A jeweils einer Gruppe einer Zeile der Tabelle A entspricht (Verbindungen 1-1.257aA-1 bis I- 1.257aA-425)Compounds 1-1 wherein B is 2,4,5-tribromothien-3-yl and A is each one Group of one row corresponds to Table A (Compounds 1-1.257aA-1 to I-1.257aA-425)
Tabelle 258aTable 258a
Verbindungen 1-1 , worin B für 3,4,5-Trimethylthien-2-yl steht und A jeweils einer Gruppe einer Zeile der Tabelle A entspricht (Verbindungen 1-1.258aA-1 bis I-Compounds 1-1, wherein B is 3,4,5-trimethylthien-2-yl and A in each case corresponds to one group of one row of Table A (Compounds 1-1.258aA-1 to I-
1.258aA-425)1.258aA-425)
Tabelle 259aTable 259a
Verbindungen 1-1 , worin B für 4-Chlorfur-2-yl steht und A jeweils einer Gruppe einer Zeile der Tabelle A entspricht (Verbindungen 1-1.259aA-1 bis 1-1.259aA-425) Tabelle 260aCompounds 1-1, wherein B is 4-chlorofur-2-yl and A corresponds in each case to one group of one row of Table A (Compounds 1-1.259aA-1 to 1-1.259aA-425) Table 260a
Verbindungen 1-1 , worin B für 5-Chlorfur-2-yl steht und A jeweils einer Gruppe einer Zeile der Tabelle A entspricht (Verbindungen 1-1.26OaA-I bis 1-1.260aA-425)Compounds 1-1, wherein B is 5-chlorofur-2-yl and A corresponds in each case to one group of one row of Table A (Compounds 1-1.26OaA-I to 1-1.260aA-425)
Tabelle 261 aTable 261 a
Verbindungen 1-1 , worin B für 3-Bromfur-2-yl steht und A jeweils einer Gruppe einer Zeile der Tabelle A entspricht (Verbindungen 1-1.261 aA-1 bis 1-1.261 aA-425)Compounds 1-1, wherein B is 3-bromo-fur-2-yl and A corresponds in each case to one group of one row of Table A (Compounds 1-1.261 aA-1 to 1-1.261 aA-425)
Tabelle 262aTable 262a
Verbindungen 1-1 , worin B für 4-Bromfur-2-yl steht und A jeweils einer Gruppe einer Zeile der Tabelle A entspricht (Verbindungen 1-1.262aA-1 bis 1-1.262aA-425)Compounds 1-1, wherein B is 4-bromo-fur-2-yl and A corresponds in each case to one group of one row of Table A (Compounds 1-1.262aA-1 to 1-1.262aA-425)
Tabelle 263a Verbindungen 1-1 , worin B für 5-Bromfur-2-yl steht und A jeweils einer Gruppe einerTable 263a Compounds 1-1 wherein B is 5-bromo-fur-2-yl and A is each a group of one
Zeile der Tabelle A entspricht (Verbindungen 1-1.263aA-1 bis 1-1.263aA-425)Row of Table A corresponds (Compounds 1-1.263aA-1 to 1-1.263aA-425)
Tabelle 264aTable 264a
Verbindungen 1-1 , worin B für 3,4-Dichlorfur-2-yl steht und A jeweils einer Gruppe einer Zeile der Tabelle A entspricht (Verbindungen 1-1.264aA-1 bis 1-1.264aA-425) Tabelle 265aCompounds 1-1, wherein B is 3,4-dichloropur-2-yl and A corresponds in each case to one group of one row of Table A (Compounds 1-1.264aA-1 to 1-1.264aA-425) Table 265a
Verbindungen 1-1 , worin B für 4,5-Dichlorfur-2-yl steht und A jeweils einer Gruppe einer Zeile der Tabelle A entspricht (Verbindungen 1-1.265aA-1 bis 1-1.265aA-425)Compounds 1-1, wherein B is 4,5-dichloropur-2-yl and A corresponds in each case to one group of one row of Table A (Compounds 1-1.265aA-1 to 1-1.265aA-425)
Tabelle 266aTable 266a
Verbindungen 1-1 , worin B für Thiazol-2-yl steht und A jeweils einer Gruppe einer Zeile der Tabelle A entspricht (Verbindungen 1-1.266aA-1 bis 1-1.266aA-425)Compounds 1-1, wherein B is thiazol-2-yl and A corresponds in each case to one group of one row of Table A (Compounds 1-1.266aA-1 to 1-1.266aA-425)
Tabelle 267aTable 267a
Verbindungen 1-1 , worin B für Thiazol-4-yl steht und A jeweils einer Gruppe einer Zeile der Tabelle A entspricht (Verbindungen 1-1.267aA-1 bis 1-1.267aA-425)Compounds 1-1, wherein B is thiazol-4-yl and A corresponds in each case to one group of one row of Table A (Compounds 1-1.267aA-1 to 1-1.267aA-425)
Tabelle 268a Verbindungen 1-1 , worin B für Thiazol-5-yl steht und A jeweils einer Gruppe einerTable 268a Compounds 1-1 wherein B is thiazol-5-yl and A is each a group of one
Zeile der Tabelle A entspricht (Verbindungen 1-1.268aA-1 bis 1-1.268aA-425)Row of Table A corresponds (Compounds 1-1.268aA-1 to 1-1.268aA-425)
Tabelle 269aTable 269a
Verbindungen 1-1 , worin B für lsothiazol-3-yl steht und A jeweils einer Gruppe einer Zeile der Tabelle A entspricht (Verbindungen 1-1.269aA-1 bis 1-1.269aA-425) Tabelle 270aCompounds 1-1, wherein B is isothiazol-3-yl and A corresponds in each case to one group of one row of Table A (Compounds 1-1.269aA-1 to 1-1.269aA-425) Table 270a
Verbindungen 1-1 , worin B für lsothiazol-4-yl steht und A jeweils einer Gruppe einer Zeile der Tabelle A entspricht (Verbindungen 1-1.27OaA-I bis 1-1.270aA-425) Tabelle 271 aCompounds 1-1, wherein B is isothiazol-4-yl and A corresponds in each case to one group of one row of Table A (Compounds 1-1.27OaA-I to 1-1.270aA-425) Table 271 a
Verbindungen 1-1 , worin B für lsothiazol-5-yl steht und A jeweils einer Gruppe einerCompounds 1-1 wherein B is isothiazol-5-yl and A is each a group of one
Zeile der Tabelle A entspricht (Verbindungen 1-1.271 aA-1 bis 1-1.271 aA-425) Tabelle 272a Verbindungen 1-1 , worin B für 2-Chlorthiazol-4-yl steht und A jeweils einer Gruppe einer Zeile der Tabelle A entspricht (Verbindungen 1-1.272aA-1 bis 1-1.272aA-425) Tabelle 273aTable 272a Compounds 1-1, wherein B is 2-chlorothiazol-4-yl and A corresponds in each case to one group of one row of Table A. Table 272a Compounds 1-1, where B is 2-chlorothiazol-4-yl and A corresponds in each case to one group of one row of Table A. Table 272a Compounds 1-1.271 aA-1 to 1-1.271 aA-425 (Compounds 1-1.272aA-1 to 1-1.272aA-425) Table 273a
Verbindungen 1-1 , worin B für 2-Chlorthiazol-5-yl steht und A jeweils einer Gruppe einer Zeile der Tabelle A entspricht (Verbindungen 1-1.273aA-1 bis 1-1.273aA-425) Tabelle 274aCompounds 1-1, wherein B is 2-chlorothiazol-5-yl and A corresponds in each case to one group of one row of Table A (Compounds 1-1.273aA-1 to 1-1.273aA-425) Table 274a
Verbindungen 1-1 , worin B für 4-Chlorthiazol-5-yl steht und A jeweils einer Gruppe einer Zeile der Tabelle A entspricht (Verbindungen 1-1.274aA-1 bis 1-1.274aA-425) Tabelle 275aCompounds 1-1, wherein B is 4-chlorothiazol-5-yl and A corresponds in each case to one group of one row of Table A (Compounds 1-1.274aA-1 to 1-1.274aA-425) Table 275a
Verbindungen 1-1 , worin B für 2-Bromthiazol-4-yl steht und A jeweils einer Gruppe einer Zeile der Tabelle A entspricht (Verbindungen 1-1.275aA-1 bis 1-1.275aA-425)Compounds 1-1, wherein B is 2-bromothiazol-4-yl and A corresponds in each case to one group of one row of Table A (Compounds 1-1.275aA-1 to 1-1.275aA-425)
Tabelle 276aTable 276a
Verbindungen 1-1 , worin B für 2-Bromthiazol-5-yl steht und A jeweils einer Gruppe einer Zeile der Tabelle A entspricht (Verbindungen 1-1.276aA-1 bis 1-1.276aA-425) Tabelle 277a Verbindungen 1-1 , worin B für 2,4-Dichlorthiazol-5-yl steht und A jeweils einerCompounds 1-1, wherein B is 2-bromothiazol-5-yl and A in each case corresponds to one group of one row of Table A (Compounds 1-1.276aA-1 to 1-1.276aA-425) Table 277a Compounds 1-1, wherein B is 2,4-dichlorothiazol-5-yl and A is each one
Gruppe einer Zeile der Tabelle A entspricht (Verbindungen 1-1.277aA-1 bis I-Group of one row of Table A (Compounds 1-1.277aA-1 to I-
1.277aA-425) Tabelle 278a1.277aA-425) Table 278a
Verbindungen 1-1 , worin B für 3-Chlorisothiazol-4-yl steht und A jeweils einer Grup- pe einer Zeile der Tabelle A entspricht (Verbindungen 1-1.278aA-1 bis 1-1.278aA-Compounds 1-1, wherein B is 3-chloroisothiazol-4-yl and A in each case corresponds to one group of one row of Table A (Compounds 1-1.278aA-1 to 1-1.278aA-
425) Tabelle 279a425) Table 279a
Verbindungen 1-1 , worin B für 5-Methylisothiazol-3-yl steht und A jeweils einerCompounds 1-1 wherein B is 5-methylisothiazol-3-yl and A is each one
Gruppe einer Zeile der Tabelle A entspricht (Verbindungen 1-1.279aA-1 bis I- 1.279aA-425)Group of a row corresponds to Table A (Compounds 1-1.279aA-1 to I-1.279aA-425)
Tabelle 280aTable 280a
Verbindungen 1-1 , worin B für 3-Methylisothiazol-4-yl steht und A jeweils einerCompounds 1-1 wherein B is 3-methylisothiazol-4-yl and A is each one
Gruppe einer Zeile der Tabelle A entspricht (Verbindungen 1-1.28OaA-I bis I-Group of a row corresponds to Table A (Compounds 1-1.28OaA-I to I-
1.280aA-425) Tabelle 281 a1.280aA-425) Table 281 a
Verbindungen 1-1 , worin B für 3-Methylisothiazol-5-yl steht und A jeweils einerCompounds 1-1 wherein B is 3-methylisothiazol-5-yl and A is each one
Gruppe einer Zeile der Tabelle A entspricht (Verbindungen 1-1.281 aA-1 bis I-Group of a row corresponds to Table A (compounds 1-1.281 aA-1 to I-
1.281aA-425) Tabelle 282a Verbindungen 1-1 , worin B für 4,5-Dichlorisothiazol-3-yl steht und A jeweils einer1.281aA-425). Table 282a Compounds 1-1 wherein B is 4,5-dichloroisothiazol-3-yl and A is each one
Gruppe einer Zeile der Tabelle A entspricht (Verbindungen 1-1.282aA-1 bis I-Group of a row corresponds to Table A (Compounds 1-1.282aA-1 to I-
1.282aA-425) Tabelle 283a1.282aA-425) Table 283a
Verbindungen 1-1 , worin B für 4,5-Dimethylisothiazol-3-yl steht und A jeweils einer Gruppe einer Zeile der Tabelle A entspricht (Verbindungen 1-1.283aA-1 bis I- 1.283aA-425) Tabelle 284aCompounds 1-1, wherein B is 4,5-dimethylisothiazol-3-yl and A corresponds in each case to one group of one row of Table A (compounds 1-1.283aA-1 to I-1.283aA-425) Table 284a
Verbindungen 1-1 , worin B für 3,5-Dimethylisothiazol-4-yl steht und A jeweils einer Gruppe einer Zeile der Tabelle A entspricht (Verbindungen 1-1.284aA-1 bis I- 1.284aA-425)Compounds 1-1, wherein B is 3,5-dimethylisothiazol-4-yl and A in each case corresponds to one group of one row of Table A (compounds 1-1.284aA-1 to I-1.284aA-425)
Tabelle 285a Verbindungen 1-1 , worin B für 3,4-Dichlorisothiazol-5-yl steht und A jeweils einerTable 285a Compounds 1-1 wherein B is 3,4-dichloroisothiazol-5-yl and A is each one
Gruppe einer Zeile der Tabelle A entspricht (Verbindungen 1-1.285aA-1 bis I- 1.285aA-425)Group of a row corresponds to Table A (Compounds 1-1.285aA-1 to I-1.285aA-425)
Tabelle 286aTable 286a
Verbindungen 1-1 , worin B für Oxazol-2-yl steht und A jeweils einer Gruppe einer Zeile der Tabelle A entspricht (Verbindungen 1-1.286aA-1 bis 1-1.286aA-425)Compounds 1-1, wherein B is oxazol-2-yl and A corresponds in each case to one group of one row of Table A (Compounds 1-1.286aA-1 to 1-1.286aA-425)
Tabelle 287aTable 287a
Verbindungen 1-1 , worin B für Oxazol-4-yl steht und A jeweils einer Gruppe einer Zeile der Tabelle A entspricht (Verbindungen 1-1.287aA-1 bis 1-1.287aA-425)Compounds 1-1, wherein B is oxazol-4-yl and A corresponds in each case to one group of one row of Table A (Compounds 1-1.287aA-1 to 1-1.287aA-425)
Tabelle 288a Verbindungen 1-1 , worin B für Oxazol-5-yl steht und A jeweils einer Gruppe einerTable 288a compounds 1-1 wherein B is oxazol-5-yl and A is each a group of one
Zeile der Tabelle A entspricht (Verbindungen 1-1.288aA-1 bis 1-1.288aA-425)Row of Table A corresponds (Compounds 1-1.288aA-1 to 1-1.288aA-425)
Tabelle 289aTable 289a
Verbindungen 1-1 , worin B für lsoxazol-3-yl steht und A jeweils einer Gruppe einer Zeile der Tabelle A entspricht (Verbindungen 1-1.289aA-1 bis 1-1.289aA-425) Tabelle 290aCompounds 1-1, wherein B is isoxazol-3-yl and A corresponds in each case to one group of one row of Table A (Compounds 1-1.289aA-1 to 1-1.289aA-425) Table 290a
Verbindungen 1-1 , worin B für lsoxazol-4-yl steht und A jeweils einer Gruppe einer Zeile der Tabelle A entspricht (Verbindungen 1-1.29OaA-I bis 1-1.290aA-425)Compounds 1-1, wherein B is isoxazol-4-yl and A corresponds in each case to one group of one line of Table A (Compounds 1-1.29OaA-I to 1-1.290aA-425)
Tabelle 291 aTable 291 a
Verbindungen 1-1 , worin B für lsoxazol-5-yl steht und A jeweils einer Gruppe einer Zeile der Tabelle A entspricht (Verbindungen l-1.291 aA-1 bis l-1.291aA-425)Compounds 1-1, wherein B is isoxazol-5-yl and A corresponds in each case to one group of one row of Table A (compounds I-1.291 aA-1 to I-1.291aA-425)
Tabelle 292aTable 292a
Verbindungen 1-1 , worin B für 3-Chlorisoxazol-5-yl steht und A jeweils einer Gruppe einer Zeile der Tabelle A entspricht (Verbindungen 1-1.292aA-1 bis 1-1.292aA-425)Compounds 1-1, wherein B is 3-chloroisoxazol-5-yl and A corresponds in each case to one group of one row of Table A (Compounds 1-1.292aA-1 to 1-1.292aA-425)
Tabelle 293a Verbindungen 1-1 , worin B für 5-Methylisoxazol-3-yl steht und A jeweils einer Gruppe einer Zeile der Tabelle A entspricht (Verbindungen 1-1.293aA-1 bis 1-1.293aA- 425)Table 293a Compounds 1-1, wherein B is 5-methylisoxazol-3-yl and A corresponds in each case to one group of one row of Table A (Compounds 1-1.293aA-1 to 1-1.293aA-425)
Tabelle 294aTable 294a
Verbindungen 1-1 , worin B für 5-Methylisoxazol-4-yl steht und A jeweils einer Grup- pe einer Zeile der Tabelle A entspricht (Verbindungen 1-1.294aA-1 bis 1-1.294aA-Compounds 1-1, in which B is 5-methylisoxazol-4-yl and A corresponds in each case to one group of one row of Table A (Compounds 1-1.294aA-1 to 1-1.294aA-
425) Tabelle 295a425) Table 295a
Verbindungen 1-1 , worin B für 3-Methylisoxazol-5-yl steht und A jeweils einer Gruppe einer Zeile der Tabelle A entspricht (Verbindungen 1-1.295aA-1 bis 1-1.295aA- 425) Tabelle 296aCompounds 1-1, wherein B is 3-methylisoxazol-5-yl and A corresponds in each case to one group of one row of Table A (Compounds 1-1.295aA-1 to 1-1.295aA-425) Table 296a
Verbindungen 1-1 , worin B für 3,5-Dimethylisoxazol-4-yl steht und A jeweils einer Gruppe einer Zeile der Tabelle A entspricht (Verbindungen 1-1.296aA-1 bis I- 1.296aA-425)Compounds 1-1, wherein B is 3,5-dimethylisoxazol-4-yl and A in each case corresponds to one group of one row of Table A (Compounds 1-1.296aA-1 to I-1.296aA-425)
Tabelle 297a Verbindungen 1-1 , worin B für 3-Chlor-5-methylisoxazol-4-yl steht und A jeweils einer Gruppe einer Zeile der Tabelle A entspricht (Verbindungen 1-1.297aA-1 bis I- 1.297aA-425)Table 297a Compounds 1-1, wherein B is 3-chloro-5-methylisoxazol-4-yl and A corresponds in each case to one group of one row of Table A (Compounds 1-1.297aA-1 to I-1.297aA-425)
Tabelle 298aTable 298a
Verbindungen 1-1 , worin B für 3-Methyl-4-chlorisoxazol-5-yl steht und A jeweils ei- ner Gruppe einer Zeile der Tabelle A entspricht (Verbindungen 1-1.298aA-1 bis I-Compounds 1-1 in which B is 3-methyl-4-chloroisoxazol-5-yl and A in each case corresponds to one group of one row of Table A (Compounds 1-1.298aA-1 to I-
1.298aA-425)1.298aA-425)
Tabelle 299aTable 299a
Verbindungen 1-1 , worin B für 1-Methylpyrazol-3-yl steht und A jeweils einer Gruppe einer Zeile der Tabelle A entspricht (Verbindungen 1-1.299aA-1 bis 1-1.299aA- 425)Compounds 1-1, wherein B is 1-methylpyrazol-3-yl and A corresponds in each case to one group of one row of Table A (Compounds 1-1.299aA-1 to 1-1.299aA-425)
Tabelle 300aTable 300a
Verbindungen 1-1 , worin B für 1-Methylpyrazol-4-yl steht und A jeweils einer Gruppe einer Zeile der Tabelle A entspricht (Verbindungen 1-1.30OaA-I bis 1-1.30OaA- 425) Tabelle 301 aCompounds 1-1, wherein B is 1-methylpyrazol-4-yl and A corresponds in each case to one group of one row of Table A (Compounds 1-1.30OaA-I to 1-1.30OaA-425) Table 301a
Verbindungen 1-1 , worin B für 1-Methylpyrazol-5-yl steht und A jeweils einer Gruppe einer Zeile der Tabelle A entspricht (Verbindungen 1-1.301 aA-1 bis 1-1.301 aA- 425)Compounds 1-1, wherein B is 1-methylpyrazol-5-yl and A corresponds in each case to one group of one row of Table A (Compounds 1-1.301 aA-1 to 1-1.301 aA-425)
Tabelle 302a Verbindungen 1-1 , worin B für 1 ,3-Dimethylpyrazol-4-yl steht und A jeweils einerTable 302a compounds 1-1, wherein B is 1, 3-dimethylpyrazol-4-yl and A is one each
Gruppe einer Zeile der Tabelle A entspricht (Verbindungen 1-1.302aA-1 bis I- 1.302aA-425)Group of one row corresponds to Table A (Compounds 1-1.302aA-1 to I-1.302aA-425)
Tabelle 303aTable 303a
Verbindungen 1-1 , worin B für 1 ,5-Dimethylpyrazol-4-yl steht und A jeweils einer Gruppe einer Zeile der Tabelle A entspricht (Verbindungen 1-1.303aA-1 bis I-Compounds 1-1 in which B is 1,5-dimethylpyrazol-4-yl and A in each case corresponds to one group of one row of Table A (Compounds 1-1.303aA-1 to I-
1.303aA-425)1.303aA-425)
Tabelle 304aTable 304a
Verbindungen 1-1 , worin B für 1 ,3,5-Trimethylpyrazol-4-yl steht und A jeweils einer Gruppe einer Zeile der Tabelle A entspricht (Verbindungen 1-1.304aA-1 bis I- 1.304aA-425)Compounds 1-1, wherein B is 1, 3,5-trimethylpyrazol-4-yl and A corresponds in each case to one group of one row of Table A (Compounds 1-1.304aA-1 to I-1.304aA-425)
Tabelle 305aTable 305a
Verbindungen 1-1 , worin B für 1-Methylimidazol-4-yl steht und A jeweils einer Grup- pe einer Zeile der Tabelle A entspricht (Verbindungen 1-1.305aA-1 bis 1-1.305aA-Compounds 1-1, wherein B is 1-methylimidazol-4-yl and A is in each case a group pe corresponds to one line of Table A (compounds 1-1.305aA-1 to 1-1.305aA-
425) Tabelle 306a425) Table 306a
Verbindungen 1-1 , worin B für 1 ,5-Dimethylimidazol-4-yl steht und A jeweils einer Gruppe einer Zeile der Tabelle A entspricht (Verbindungen 1-1.306aA-1 bis I-Compounds 1-1, wherein B is 1,5-dimethylimidazol-4-yl and A corresponds in each case to one group of one row of Table A (Compounds 1-1.306aA-1 to I-
1.306aA-425) Tabelle 307a1.306aA-425) Table 307a
Verbindungen 1-1 , worin B für 1 ,2-Dimethylimidazol-5-yl steht und A jeweils einerCompounds 1-1, wherein B is 1, 2-dimethylimidazol-5-yl and A is one each
Gruppe einer Zeile der Tabelle A entspricht (Verbindungen 1-1.307aA-1 bis I- 1.307aA-425)Group of one row corresponds to Table A (Compounds 1-1.307aA-1 to I-1.307aA-425)
Tabelle 308aTable 308a
Verbindungen 1-1 , worin B für 1 ,4-Dimethylimidazol-5-yl steht und A jeweils einerCompounds 1-1 wherein B is 1,4-dimethylimidazol-5-yl and A is each one
Gruppe einer Zeile der Tabelle A entspricht (Verbindungen 1-1.308aA-1 bis I-Group of a row corresponds to Table A (Compounds 1-1.308aA-1 to I-
1.308aA-425)1.308aA-425)
Tabelle 1 aaTable 1 aa
Verbindungen I-2, worin A für Pyridin-2-yl steht und B jeweils einer Gruppe einer Zeile der Tabelle A entspricht (Verbindungen 1-2.1 aaA-1 bis 1-2.1 aaA-425) Tabelle 2aaCompounds I-2, wherein A is pyridin-2-yl and B in each case corresponds to one group of one row of Table A (Compounds 1-2.1 aaA-1 to 1-2.1 aaA-425) Table 2aa
Verbindungen I-2, worin A für Pyridin-3-yl steht und B jeweils einer Gruppe einer Zeile der Tabelle A entspricht (Verbindungen l-2.2aaA-1 bis l-2.2aaA-425) Tabelle 3aaCompounds I-2, wherein A is pyridin-3-yl and B in each case corresponds to one group of one row of Table A (Compounds I-2.2aaA-1 to l-2.2aaA-425) Table 3aa
Verbindungen I-2, worin A für Pyridin-4-yl steht und B jeweils einer Gruppe einer Zeile der Tabelle A entspricht (Verbindungen l-2.3aaA-1 bis l-2.3aaA-425)Compounds I-2 in which A is pyridin-4-yl and B corresponds in each case to one group of one row of Table A (Compounds I-2.3aaA-1 to I-2.3aaA-425)
Tabelle 4aaTable 4aa
Verbindungen I-2, worin A für 3-Chlorpyridin-2-yl steht und B jeweils einer Gruppe einer Zeile der Tabelle A entspricht (Verbindungen l-2.4aaA-1 bis l-2.4aaA-425) Tabelle 5aa Verbindungen I-2, worin A für 4-Chlorpyridin-2-yl steht und B jeweils einer Gruppe einer Zeile der Tabelle A entspricht (Verbindungen l-2.5aaA-1 bis l-2.5aaA-425) Tabelle 6aaCompounds I-2, wherein A is 3-chloropyridin-2-yl and B corresponds in each case to one group of one row of Table A (Compounds I-2.4aaA-1 to L-2.4aaA-425) Table 5aa Compounds I-2, in which A is 4-chloropyridin-2-yl and B corresponds in each case to one group of one row of Table A (compounds I-2.5aaA-1 to I-2.5aaA-425) Table 6aa
Verbindungen I-2, worin A für 5-Chlorpyridin-2-yl steht und B jeweils einer Gruppe einer Zeile der Tabelle A entspricht (Verbindungen l-2.6aaA-1 bis l-2.6aaA-425) Tabelle 7aaCompounds I-2, wherein A is 5-chloropyridin-2-yl and B corresponds in each case to one group of one row of Table A (Compounds I-2.6aaA-1 to L-2.6aaA-425). TABLE 7aa
Verbindungen I-2, worin A für 6-Chlorpyridin-2-yl steht und B jeweils einer Gruppe einer Zeile der Tabelle A entspricht (Verbindungen l-2.7aaA-1 bis l-2.7aaA-425) Tabelle 8aaCompounds I-2, wherein A is 6-chloropyridin-2-yl and B corresponds in each case to one group of one row of Table A (Compounds I-2.7aaA-1 to I-2.7aaA-425) Table 8aa
Verbindungen I-2, worin A für 2-Chlorpyridin-3-yl steht und B jeweils einer Gruppe einer Zeile der Tabelle A entspricht (Verbindungen l-2.8aaA-1 bis l-2.8aaA-425) Tabelle 9aaCompounds I-2 in which A is 2-chloropyridin-3-yl and B corresponds in each case to one group of one row of Table A (compounds I-2.8aaA-1 to l-2.8aaA-425) Table 9aa
Verbindungen I-2, worin A für 4-Chlorpyridin-3-yl steht und B jeweils einer Gruppe einer Zeile der Tabelle A entspricht (Verbindungen l-2.9aaA-1 bis l-2.9aaA-425)Compounds I-2 in which A is 4-chloropyridin-3-yl and B corresponds in each case to one group of one row of Table A (compounds I-2.9aaA-1 to I-2.9aaA-425)
Tabelle 10aa Verbindungen I-2, worin A für 5-Chlorpyridin-3-yl steht und B jeweils einer Gruppe einer Zeile der Tabelle A entspricht (Verbindungen 1-2.1 OaaA-1 bis 1-2.1 OaaA-425)Table 10aa compounds I-2, wherein A is 5-chloropyridin-3-yl and B corresponds in each case to one group of one row of Table A (compounds 1-2.1 OaaA-1 to 1-2.1 OaaA-425)
Tabelle 1 1aaTable 1 1aa
Verbindungen I-2, worin A für 6-Chlorpyridin-3-yl steht und B jeweils einer Gruppe einer Zeile der Tabelle A entspricht (Verbindungen 1-2.1 1aaA-1 bis 1-2.1 1aaA-425) Tabelle 12aaCompounds I-2, wherein A is 6-chloropyridin-3-yl and B corresponds in each case to one group of one row of Table A (Compounds 1-2.1 1aaA-1 to 1-2.1 1aaA-425) Table 12aa
Verbindungen I-2, worin A für 2-Chlorpyridin-4-yl steht und B jeweils einer Gruppe einer Zeile der Tabelle A entspricht (Verbindungen 1-2.12aaA-1 bis 1-2.12aaA-425)Compounds I-2, wherein A is 2-chloropyridin-4-yl and B corresponds in each case to one group of one row of Table A (Compounds 1-2.12aaA-1 to 1-2.12aaA-425)
Tabelle 13aaTable 13aa
Verbindungen I-2, worin A für 3-Chlorpyridin-4-yl steht und B jeweils einer Gruppe einer Zeile der Tabelle A entspricht (Verbindungen 1-2.13aaA-1 bis 1-2.13aaA-425)Compounds I-2, wherein A is 3-chloropyridin-4-yl and B corresponds in each case to one group of one row of Table A (Compounds 1-2.13aaA-1 to 1-2.13aaA-425)
Tabelle 14aaTable 14aa
Verbindungen I-2, worin A für 4-Chlorpyridin-5-yl steht und B jeweils einer Gruppe einer Zeile der Tabelle A entspricht (Verbindungen 1-2.14aaA-1 bis 1-2.14aaA-425)Compounds I-2, wherein A is 4-chloropyridin-5-yl and B corresponds in each case to one group of one row of Table A (Compounds 1-2.14aaA-1 to 1-2.14aaA-425)
Tabelle 15aa Verbindungen I-2, worin A für 3-Fluorpyridin-2-yl steht und B jeweils einer Gruppe einer Zeile der Tabelle A entspricht (Verbindungen 1-2.15aaA-1 bis 1-2.15aaA-425)Table 15aa compounds I-2, wherein A is 3-fluoropyridin-2-yl and B corresponds in each case to one group of one row of Table A (compounds 1-2.15aaA-1 to 1-2.15aaA-425)
Tabelle 16aaTable 16aa
Verbindungen I-2, worin A für 4-Fluorpyridin-2-yl steht und B jeweils einer Gruppe einer Zeile der Tabelle A entspricht (Verbindungen 1-2.16aaA-1 bis 1-2.16aaA-425) Tabelle 17aaCompounds I-2, wherein A is 4-fluoropyridin-2-yl and B corresponds in each case to one group of one row of Table A (Compounds 1-2.16aaA-1 to 1-2.16aaA-425) Table 17aa
Verbindungen I-2, worin A für 5-Fluorpyridin-2-yl steht und B jeweils einer Gruppe einer Zeile der Tabelle A entspricht (Verbindungen 1-2.17aaA-1 bis 1-2.17aaA-425)Compounds I-2, wherein A is 5-fluoropyridin-2-yl and B corresponds in each case to one group of one row of Table A (Compounds 1-2.17aaA-1 to 1-2.17aaA-425)
Tabelle 18aaTable 18aa
Verbindungen I-2, worin A für 6-Fluorpyridin-2-yl steht und B jeweils einer Gruppe einer Zeile der Tabelle A entspricht (Verbindungen 1-2.18aaA-1 bis 1-2.18aaA-425)Compounds I-2, wherein A is 6-fluoropyridin-2-yl and B corresponds in each case to one group of one row of Table A (Compounds 1-2.18aaA-1 to 1-2.18aaA-425)
Tabelle 19aaTable 19aa
Verbindungen I-2, worin A für 2-Fluorpyridin-3-yl steht und B jeweils einer Gruppe einer Zeile der Tabelle A entspricht (Verbindungen 1-2.19aaA-1 bis 1-2.19aaA-425)Compounds I-2, wherein A is 2-fluoropyridin-3-yl and B corresponds in each case to one group of one row of Table A (Compounds 1-2.19aaA-1 to 1-2.19aaA-425)
Tabelle 20aa Verbindungen I-2, worin A für 4-Fluorpyridin-3-yl steht und B jeweils einer Gruppe einer Zeile der Tabelle A entspricht (Verbindungen l-2.20aaA-1 bis l-2.20aaA-425)Table 20aa Compounds I-2, wherein A is 4-fluoropyridin-3-yl and B corresponds in each case to one group of one row of Table A (Compounds I-2.20aaA-1 to I-2.20aaA-425)
Tabelle 21aaTable 21aa
Verbindungen I-2, worin A für 5-Fluorpyridin-3-yl steht und B jeweils einer Gruppe einer Zeile der Tabelle A entspricht (Verbindungen 1-2.21 aaA-1 bis 1-2.21 aaA-425) Tabelle 22aaCompounds I-2, wherein A is 5-fluoropyridin-3-yl and B corresponds in each case to one group of one row of Table A (Compounds 1-2.21 aaA-1 to 1-2.21 aaA-425) Table 22aa
Verbindungen I-2, worin A für 6-Fluorpyridin-3-yl steht und B jeweils einer Gruppe einer Zeile der Tabelle A entspricht (Verbindungen l-2.22aaA-1 bis l-2.22aaA-425) Tabelle 23aaCompounds I-2, wherein A is 6-fluoropyridin-3-yl and B corresponds in each case to one group of one row of Table A (Compounds I-2.22aaA-1 to I-2.22aaA-425) Table 23aa
Verbindungen 1-2, worin A für 2-Fluorpyridin-4-yl steht und B jeweils einer Gruppe einer Zeile der Tabelle A entspricht (Verbindungen l-2.23aaA-1 bis l-2.23aaA-425)Compounds 1-2, wherein A is 2-fluoropyridin-4-yl and B corresponds in each case to one group of one row of Table A (compounds I-2.23aaA-1 to l-2.23aaA-425)
Tabelle 24aa Verbindungen I-2, worin A für 3-Fluorpyridin-4-yl steht und B jeweils einer Gruppe einer Zeile der Tabelle A entspricht (Verbindungen l-2.24aaA-1 bis l-2.24aaA-425)Table 24aa compounds I-2, wherein A is 3-fluoropyridin-4-yl and B corresponds in each case to one group of one row of Table A (compounds I-2.24aaA-1 to l-2.24aaA-425)
Tabelle 25aaTable 25aa
Verbindungen I-2, worin A für 3- Methylpyridin-2-yl steht und B jeweils einer Gruppe einer Zeile der Tabelle A entspricht (Verbindungen l-2.25aaA-1 bis l-2.25aaA- 425)Compounds I-2 in which A is 3-methylpyridin-2-yl and B corresponds in each case to one group of one row of Table A (compounds I-2.25aaA-1 to I-2.25aaA-425)
Tabelle 26aaTable 26aa
Verbindungen I-2, worin A für 4-Methylpyridin-2-yl steht und B jeweils einer Gruppe einer Zeile der Tabelle A entspricht (Verbindungen l-2.26aaA-1 bis l-2.26aaA-425)Compounds I-2 in which A is 4-methylpyridin-2-yl and B corresponds in each case to one group of one row of Table A (compounds I-2.26aaA-1 to I-2.26aaA-425)
Tabelle 27aa Verbindungen I-2, worin A für 5-Methylpyridin-2-yl steht und B jeweils einer Gruppe einer Zeile der Tabelle A entspricht (Verbindungen l-2.27aaA-1 bis l-2.27aaA-425)Table 27aa compounds I-2, wherein A is 5-methylpyridin-2-yl and B corresponds in each case to one group of one row of Table A (compounds I-2.27aaA-1 to I-2.27aaA-425)
Tabelle 28aaTable 28aa
Verbindungen I-2, worin A für 6-Methylpyridin-2-yl steht und B jeweils einer Gruppe einer Zeile der Tabelle A entspricht (Verbindungen l-2.28aaA-1 bis l-2.28aaA-425) Tabelle 29aaCompounds I-2, wherein A is 6-methylpyridin-2-yl and B corresponds in each case to one group of one row of Table A (Compounds I-2.28aaA-1 to I-2.28aaA-425) Table 29aa
Verbindungen I-2, worin A für 2-Methylpyridin-3-yl steht und B jeweils einer Gruppe einer Zeile der Tabelle A entspricht (Verbindungen l-2.29aaA-1 bis l-2.29aaA-425)Compounds I-2, wherein A is 2-methylpyridin-3-yl and B corresponds in each case to one group of one row of Table A (compounds I-2.29aaA-1 to I-2.29aaA-425)
Tabelle 30aaTable 30aa
Verbindungen I-2, worin A für 4-Methylpyridin-3-yl steht und B jeweils einer Gruppe einer Zeile der Tabelle A entspricht (Verbindungen l-2.30aaA-1 bis l-2.30aaA-425)Compounds I-2 in which A is 4-methylpyridin-3-yl and B corresponds in each case to one group of one row of Table A (Compounds I-2.30aaA-1 to I-2.30aaA-425)
Tabelle 31aaTable 31aa
Verbindungen I-2, worin A für 5-Methylpyridin-3-yl steht und B jeweils einer Gruppe einer Zeile der Tabelle A entspricht (Verbindungen 1-2.31 aaA-1 bis 1-2.31 aaA-425)Compounds I-2, wherein A is 5-methylpyridin-3-yl and B corresponds in each case to one group of one row of Table A (compounds 1-2.31 aaA-1 to 1-2.31 aaA-425)
Tabelle 32aa Verbindungen I-2, worin A für 6-Methylpyridin-3-yl steht und B jeweils einer Gruppe einer Zeile der Tabelle A entspricht (Verbindungen l-2.32aaA-1 bis l-2.32aaA-425)Table 32aa compounds I-2, wherein A is 6-methylpyridin-3-yl and B corresponds in each case to one group of one row of Table A (compounds I-2.32aaA-1 to l-2.32aaA-425)
Tabelle 33aaTable 33aa
Verbindungen I-2, worin A für 2-Methylpyridin-4-yl steht und B jeweils einer Gruppe einer Zeile der Tabelle A entspricht (Verbindungen l-2.33aaA-1 bis l-2.33aaA-425) Tabelle 34aaCompounds I-2 in which A is 2-methylpyridin-4-yl and B corresponds in each case to one group of one row of Table A (Compounds I-2.33aaA-1 to I-2.33aaA-425) Table 34aa
Verbindungen I-2, worin A für 3-Methylpyridin-4-yl steht und B jeweils einer Gruppe einer Zeile der Tabelle A entspricht (Verbindungen l-2.34aaA-1 bis l-2.34aaA-425)Compounds I-2 in which A is 3-methylpyridin-4-yl and B corresponds in each case to one group of one row of Table A (Compounds I-2.34aaA-1 to I-2.34aaA-425)
Tabelle 35aaTable 35aa
Verbindungen I-2, worin A für 4-Methylpyridin-5-yl steht und B jeweils einer Gruppe einer Zeile der Tabelle A entspricht (Verbindungen l-2.35aaA-1 bis l-2.35aaA-425)Compounds I-2 in which A is 4-methylpyridin-5-yl and B corresponds in each case to one group of one row of Table A (compounds I-2.35aaA-1 to I-2.35aaA-425)
Tabelle 36aaTable 36aa
Verbindungen I-2, worin A für 3-Methoxypyridin-2-yl steht und B jeweils einer Gruppe einer Zeile der Tabelle A entspricht (Verbindungen l-2.36aaA-1 bis I-Compounds I-2 wherein A is 3-methoxypyridin-2-yl and B are each one Group of a row corresponds to Table A (compounds I-2.36aaA-1 to I-
2.36aaA-425) Tabelle 37aa2.36aaA-425) Table 37aa
Verbindungen I-2, worin A für 4-Methoxypyridin-2-yl steht und B jeweils einer Gruppe einer Zeile der Tabelle A entspricht (Verbindungen l-2.37aaA-1 bis I-Compounds I-2, in which A is 4-methoxypyridin-2-yl and B corresponds in each case to one group of one row of Table A (Compounds I-2.37aaA-1 to I-
2.37aaA-425) Tabelle 38aa2.37aaA-425) Table 38aa
Verbindungen I-2, worin A für 5-Methoxypyridin-2-yl steht und B jeweils einerCompounds I-2 wherein A is 5-methoxypyridin-2-yl and B are each one
Gruppe einer Zeile der Tabelle A entspricht (Verbindungen l-2.38aaA-1 bis I- 2.38aaA-425)Group of a row corresponds to Table A (compounds I-2.38aaA-1 to I-2.38aaA-425)
Tabelle 39aaTable 39aa
Verbindungen I-2, worin A für 6-Methoxypyridin-2-yl steht und B jeweils einerCompounds I-2 wherein A is 6-methoxypyridin-2-yl and B are each one
Gruppe einer Zeile der Tabelle A entspricht (Verbindungen l-2.39aaA-1 bis I-Group of a row corresponds to Table A (compounds I-2.39aaA-1 to I-
2.39aaA-425) Tabelle 40aa2.39aaA-425) Table 40aa
Verbindungen I-2, worin A für 2-Methoxypyridin-3-yl steht und B jeweils einerCompounds I-2 wherein A is 2-methoxypyridin-3-yl and B are each one
Gruppe einer Zeile der Tabelle A entspricht (Verbindungen l-2.40aaA-1 bis I-Group of a row corresponds to Table A (Compounds I-2.40aaA-1 to I-
2.40aaA-425) Tabelle 41aa Verbindungen I-2, worin A für 4-Methoxypyridin-3-yl steht und B jeweils einer2.40aaA-425) Table 41aa compounds I-2 wherein A is 4-methoxypyridin-3-yl and B is one each
Gruppe einer Zeile der Tabelle A entspricht (Verbindungen 1-2.41 aaA-1 bis I-Group of a row corresponds to Table A (Compounds 1-2.41 aaA-1 to I-
2.41 aaA-425) Tabelle 42aa2.41 aaA-425) Table 42aa
Verbindungen I-2, worin A für 5-Methoxypyridin-3-yl steht und B jeweils einer Gruppe einer Zeile der Tabelle A entspricht (Verbindungen l-2.42aaA-1 bis I-Compounds I-2, in which A is 5-methoxypyridin-3-yl and B corresponds in each case to one group of one row of Table A (compounds I-2.42aaA-1 to I-
2.42aaA-425) Tabelle 43aa2.42aaA-425) Table 43aa
Verbindungen I-2, worin A für 6-Methoxypyridin-3-yl steht und B jeweils einerCompounds I-2 wherein A is 6-methoxypyridin-3-yl and B are each one
Gruppe einer Zeile der Tabelle A entspricht (Verbindungen l-2.43aaA-1 bis I- 2.43aaA-425)Group of a row corresponds to Table A (compounds I-2.43aaA-1 to I-2.43aaA-425)
Tabelle 44aaTable 44aa
Verbindungen I-2, worin A für 2-Methoxypyridin-4-yl steht und B jeweils einerCompounds I-2 wherein A is 2-methoxypyridin-4-yl and B are each one
Gruppe einer Zeile der Tabelle A entspricht (Verbindungen l-2.44aaA-1 bis I-Group of a row corresponds to Table A (compounds I-2.44aaA-1 to I-
2.44aaA-425) Tabelle 45aa2.44aaA-425) Table 45aa
Verbindungen I-2, worin A für 3-Methoxypyridin-4-yl steht und B jeweils einerCompounds I-2 wherein A is 3-methoxypyridin-4-yl and B are each one
Gruppe einer Zeile der Tabelle A entspricht (Verbindungen l-2.45aaA-1 bis I-Group of a row corresponds to Table A (compounds I-2.45aaA-1 to I-
2.45aaA-425) Tabelle 46aa Verbindungen I-2, worin A für 3,5-Dichlorpyridin-2-yl steht und B jeweils einer2.45aaA-425) Table 46aa compounds I-2 wherein A is 3,5-dichloropyridin-2-yl and B is one each
Gruppe einer Zeile der Tabelle A entspricht (Verbindungen l-2.46aaA-1 bis I-Group of a row corresponds to Table A (compounds I-2.46aaA-1 to I-
2.46aaA-425) Tabelle 47aa2.46aaA-425) Table 47aa
Verbindungen 1-2, worin A für 2,4-Dichlorpyridin-3-yl steht und B jeweils einerCompounds 1-2 wherein A is 2,4-dichloropyridin-3-yl and B are each one
Gruppe einer Zeile der Tabelle A entspricht (Verbindungen l-2.47aaA-1 bis I-Group of a row corresponds to Table A (Compounds I-2.47aaA-1 to I-
2.47aaA-425) Tabelle 48aa2.47aaA-425) Table 48aa
Verbindungen I-2, worin A für 2,5-Dichlorpyridin-3-yl steht und B jeweils einerCompounds I-2 wherein A is 2,5-dichloropyridin-3-yl and B are each one
Gruppe einer Zeile der Tabelle A entspricht (Verbindungen l-2.48aaA-1 bis I-Group of one row of Table A (Compounds I-2.48aaA-1 to I-
2.48aaA-425) Tabelle 49aa Verbindungen I-2, worin A für 2,6-Dichlorpyridin-3-yl steht und B jeweils einer2.48aaA-425) Table 49aa compounds I-2 wherein A is 2,6-dichloropyridin-3-yl and B is one each
Gruppe einer Zeile der Tabelle A entspricht (Verbindungen l-2.49aaA-1 bis I-Group of one row of Table A (Compounds I-2.49aaA-1 to I-
2.49aaA-425) Tabelle 50aa2.49aaA-425) Table 50aa
Verbindungen I-2, worin A für 2,6-Dichlorpyridin-4-yl steht und B jeweils einer Gruppe einer Zeile der Tabelle A entspricht (Verbindungen l-2.50aaA-1 bis I-Compounds I-2, in which A is 2,6-dichloropyridin-4-yl and B corresponds in each case to one group of one row of Table A (Compounds I-2.50aaA-1 to I-
2.50aaA-425) Tabelle 51 aa2.50aaA-425) Table 51 aa
Verbindungen I-2, worin A für 3,5-Dichlorpyridin-4-yl steht und B jeweils einerCompounds I-2 wherein A is 3,5-dichloropyridin-4-yl and B are each one
Gruppe einer Zeile der Tabelle A entspricht (Verbindungen 1-2.51 aaA-1 bis I- 2.51 aaA-425)Group of a row corresponds to Table A (Compounds 1-2.51 aaA-1 to I-2.51 aaA-425)
Tabelle 52aaTable 52aa
Verbindungen I-2, worin A für 3,6-Dichlorpyridin-4-yl steht und B jeweils einerCompounds I-2 wherein A is 3,6-dichloropyridin-4-yl and B are each one
Gruppe einer Zeile der Tabelle A entspricht (Verbindungen l-2.52aaA-1 bis I-Group of a row corresponds to Table A (compounds I-2.52aaA-1 to I-
2.52aaA-425) Tabelle 53aa2.52aaA-425) Table 53aa
Verbindungen I-2, worin A für 2,5-Dichlorpyridin-4-yl steht und B jeweils einerCompounds I-2 wherein A is 2,5-dichloropyridin-4-yl and B are each one
Gruppe einer Zeile der Tabelle A entspricht (Verbindungen l-2.53aaA-1 bis I-Group of a row corresponds to Table A (compounds I-2.53aaA-1 to I-
2.53aaA-425) Tabelle 54aa Verbindungen I-2, worin A für 2,3-Dichlorpyridin-4-yl steht und B jeweils einer2.53aaA-425) Table 54aa compounds I-2 wherein A is 2,3-dichloropyridin-4-yl and B is one each
Gruppe einer Zeile der Tabelle A entspricht (Verbindungen l-2.54aaA-1 bis I-Group of a row corresponds to Table A (compounds I-2.54aaA-1 to I-
2.54aaA-425) Tabelle 55aa2.54aaA-425) Table 55aa
Verbindungen I-2, worin A für 2,4-Dichlorpyridin-5-yl steht und B jeweils einer Gruppe einer Zeile der Tabelle A entspricht (Verbindungen l-2.55aaA-1 bis I-Compounds I-2, in which A is 2,4-dichloropyridin-5-yl and B corresponds in each case to one group of one row of Table A (Compounds I-2.55aaA-1 to I-
2.55aaA-425) Tabelle 56aa2.55aaA-425) Table 56aa
Verbindungen I-2, worin A für 3,5-Difluorpyridin-2-yl steht und B jeweils einer Gruppe einer Zeile der Tabelle A entspricht (Verbindungen l-2.56aaA-1 bis l-2.56aaA- 425)Compounds I-2 in which A is 3,5-difluoropyridin-2-yl and B corresponds in each case to one group of one row of Table A (Compounds I-2.56aaA-1 to I-2.56aaA-425)
Tabelle 57aaTable 57aa
Verbindungen I-2, worin A für 3,5-Difluorpyridin-4-yl steht und B jeweils einer Grup- pe einer Zeile der Tabelle A entspricht (Verbindungen l-2.57aaA-1 bis l-2.57aaA-Compounds I-2, wherein A is 3,5-difluoropyridin-4-yl and B is in each case a group pe corresponds to one line of Table A (compounds I-2.57aaA-1 to I-2.57aaA-
425) Tabelle 58aa425) Table 58aa
Verbindungen I-2, worin A für 2,3-Difluorpyridin-4-yl steht und B jeweils einer Grup- pe einer Zeile der Tabelle A entspricht (Verbindungen l-2.58aaA-1 bis l-2.58aaA-Compounds I-2, in which A is 2,3-difluoropyridin-4-yl and B corresponds in each case to one group of one row of Table A (compounds I-2.58aaA-1 to I-2.58aaA-
425) Tabelle 59aa425) Table 59aa
Verbindungen I-2, worin A für 3,5-Dimethylpyridin-2-yl steht und B jeweils einerCompounds I-2 wherein A is 3,5-dimethylpyridin-2-yl and B are each one
Gruppe einer Zeile der Tabelle A entspricht (Verbindungen l-2.59aaA-1 bis I- 2.59aaA-425)Group of a row corresponds to Table A (compounds I-2.59aaA-1 to I-2.59aaA-425)
Tabelle 60aaTable 60aa
Verbindungen I-2, worin A für 3,4-Dimethylpyridin-2-yl steht und B jeweils einerCompounds I-2 wherein A is 3,4-dimethylpyridin-2-yl and B are each one
Gruppe einer Zeile der Tabelle A entspricht (Verbindungen l-2.60aaA-1 bis I-Group of a row corresponds to Table A (compounds I-2.60aaA-1 to I-
2.60aaA-425) Tabelle 61 aa2.60aaA-425) Table 61 aa
Verbindungen I-2, worin A für 4,6-Dimethylpyridin-3-yl steht und B jeweils einerCompounds I-2 wherein A is 4,6-dimethylpyridin-3-yl and B are each one
Gruppe einer Zeile der Tabelle A entspricht (Verbindungen 1-2.61 aaA-1 bis I-Group of a row corresponds to Table A (Compounds 1-2.61 aaA-1 to I-
2.61 aaA-425) Tabelle 62aa Verbindungen I-2, worin A für 2,4-Dimethylpyridin-3-yl steht und B jeweils einer2.61 aaA-425) Table 62aa Compounds I-2, wherein A is 2,4-dimethylpyridin-3-yl and B are each one
Gruppe einer Zeile der Tabelle A entspricht (Verbindungen l-2.62aaA-1 bis I-Group of a row corresponds to Table A (compounds I-2.62aaA-1 to I-
2.62aaA-425) Tabelle 63aa2.62aaA-425) Table 63aa
Verbindungen I-2, worin A für 3,5-Dimethylpyridin-4-yl steht und B jeweils einer Gruppe einer Zeile der Tabelle A entspricht (Verbindungen l-2.63aaA-1 bis I-Compounds I-2, in which A is 3,5-dimethylpyridin-4-yl and B corresponds in each case to one group of one row of Table A (Compounds I-2.63aaA-1 to I-
2.63aaA-425) Tabelle 64aa2.63aaA-425) Table 64aa
Verbindungen I-2, worin A für 2-Chlor-3-fluorpyridin-4-yl steht und B jeweils einerCompounds I-2 wherein A is 2-chloro-3-fluoropyridin-4-yl and B is one each
Gruppe einer Zeile der Tabelle A entspricht (Verbindungen l-2.64aaA-1 bis I- 2.64aaA-425)Group of a row corresponds to Table A (compounds I-2.64aaA-1 to I-2.64aaA-425)
Tabelle 65aaTable 65aa
Verbindungen I-2, worin A für 4-Chlor-3-methylpyridin-2-yl steht und B jeweils einerCompounds I-2 wherein A is 4-chloro-3-methylpyridin-2-yl and B is one each
Gruppe einer Zeile der Tabelle A entspricht (Verbindungen l-2.65aaA-1 bis I-Group of a row corresponds to Table A (compounds I-2.65aaA-1 to I-
2.65aaA-425) Tabelle 66aa2.65aaA-425) Table 66aa
Verbindungen I-2, worin A für 5-Chlor-3-methylpyridin-2-yl steht und B jeweils einerCompounds I-2 wherein A is 5-chloro-3-methylpyridin-2-yl and B is one each
Gruppe einer Zeile der Tabelle A entspricht (Verbindungen l-2.66aaA-1 bis I-Group of a row corresponds to Table A (Compounds I-2.66aaA-1 to I-
2.66aaA-425) Tabelle 67aa Verbindungen I-2, worin A für 5-Fluor-3-methylpyridin-2-yl steht und B jeweils einer2.66aaA-425) Table 67a Compounds I-2 wherein A is 5-fluoro-3-methylpyridin-2-yl and B is one each
Gruppe einer Zeile der Tabelle A entspricht (Verbindungen l-2.67aaA-1 bis I-Group of a row corresponds to Table A (Compounds I-2.67aaA-1 to I-
2.67aaA-425) Tabelle 68aa2.67aaA-425) Table 68aa
Verbindungen 1-2, worin A für 3-Chlor-5-trifluormethylpyridin-2-yl steht und B jeweils einer Gruppe einer Zeile der Tabelle A entspricht (Verbindungen l-2.68aaA-1 bis l-2.68aaA-425) Tabelle 69aaCompounds 1-2, wherein A is 3-chloro-5-trifluoromethylpyridin-2-yl and B corresponds in each case to one group of one row of Table A (Compounds I-2.68aaA-1 to I-2.68aaA-425) Table 69aa
Verbindungen I-2, worin A für 2-Chlor-6-trifluormethylpyridin-3-yl steht und B jeweils einer Gruppe einer Zeile der Tabelle A entspricht (Verbindungen l-2.69aaA-1 bis l-2.69aaA-425)Compounds I-2 in which A is 2-chloro-6-trifluoromethylpyridin-3-yl and B corresponds in each case to one group of one row of Table A (Compounds I-2.69aaA-1 to I-2.69aaA-425)
Tabelle 70aa Verbindungen I-2, worin A für 2,4-Dichlor-6-methylpyridin-3-yl steht und B jeweils einer Gruppe einer Zeile der Tabelle A entspricht (Verbindungen l-2.70aaA-1 bis I- 2.70aaA-425)Table 70aa Compounds I-2, wherein A is 2,4-dichloro-6-methylpyridin-3-yl and B corresponds in each case to one group of one row of Table A (Compounds I-2.70aaA-1 to I-2.70aaA-425 )
Tabelle 71 aaTable 71 aa
Verbindungen I-2, worin A für 3,4,5-Trichlorpyridin-2-yl steht und B jeweils einer Gruppe einer Zeile der Tabelle A entspricht (Verbindungen 1-2.71 aaA-1 bis I-Compounds I-2, in which A is 3,4,5-trichloropyridin-2-yl and B corresponds in each case to one group of one row of Table A (Compounds 1-2.71 aaA-1 to I-
2.71 aaA-425)2.71 aaA-425)
Tabelle 72aaTable 72aa
Verbindungen I-2, worin A für 2,4,6-Trichlorpyridin-3-yl steht und B jeweils einer Gruppe einer Zeile der Tabelle A entspricht (Verbindungen l-2.72aaA-1 bis I- 2.72aaA-425)Compounds I-2, in which A is 2,4,6-trichloropyridin-3-yl and B corresponds in each case to one group of one row of Table A (Compounds I-2.72aaA-1 to I-2.72aaA-425)
Tabelle 73aaTable 73aa
Verbindungen I-2, worin A für Pyrimidin-2-yl steht und B jeweils einer Gruppe einer Zeile der Tabelle A entspricht (Verbindungen l-2.73aaA-1 bis l-2.73aaA-425)Compounds I-2, in which A is pyrimidin-2-yl and B corresponds in each case to one group of one row of Table A (compounds I-2.73aaA-1 to I-2.73aaA-425)
Tabelle 74aa Verbindungen I-2, worin A für Pyrimidin-5-yl steht und B jeweils einer Gruppe einerTable 74aa Compounds I-2 wherein A is pyrimidin-5-yl and B is each a group of one
Zeile der Tabelle A entspricht (Verbindungen l-2.74aaA-1 bis l-2.74aaA-425)Line of Table A corresponds (compounds I-2.74aaA-1 to I-2.74aaA-425)
Tabelle 75aaTable 75aa
Verbindungen I-2, worin A für 6-Chlorpyrimidin-3-yl steht und B jeweils einer Gruppe einer Zeile der Tabelle A entspricht (Verbindungen l-2.75aaA-1 bis l-2.75aaA- 425)Compounds I-2 in which A is 6-chloropyrimidin-3-yl and B corresponds in each case to one group of one row of Table A (compounds I-2.75aaA-1 to I-2.75aaA-425)
Tabelle 76aaTable 76aa
Verbindungen I-2, worin A für 6-Methylpyrimidin-3-yl steht und B jeweils einer Gruppe einer Zeile der Tabelle A entspricht (Verbindungen l-2.76aaA-1 bis I- 2.76aaA-425) Tabelle 77aaCompounds I-2, wherein A is 6-methylpyrimidin-3-yl and B corresponds in each case to one group of one row of Table A (Compounds I-2.76aaA-1 to I-2.76aaA-425) Table 77aa
Verbindungen I-2, worin A für 6-Methoxypyrimidin-3-yl steht und B jeweils einer Gruppe einer Zeile der Tabelle A entspricht (Verbindungen l-2.77aaA-1 bis I- 2.77aaA-425)Compounds I-2 in which A is 6-methoxypyrimidin-3-yl and B corresponds in each case to one group of one row of Table A (Compounds I-2.77aaA-1 to I-2.77aaA-425)
Tabelle 78aa Verbindungen I-2, worin A für 2,4-Dichlorpyrimidin-3-yl steht und B jeweils einerTable 78aa Compounds I-2 wherein A is 2,4-dichloropyrimidin-3-yl and B are each one
Gruppe einer Zeile der Tabelle A entspricht (Verbindungen l-2.78aaA-1 bis I- 2.78aaA-425) Tabelle 79aaGroup of a row corresponds to Table A (compounds I-2.78aaA-1 to I-2.78aaA-425) Table 79aa
Verbindungen 1-2, worin A für 2,6-Dichlorpyrimidin-3-yl steht und B jeweils einer Gruppe einer Zeile der Tabelle A entspricht (Verbindungen l-2.79aaA-1 bis I- 2.79aaA-425) Tabelle 80aaCompounds 1-2, wherein A is 2,6-dichloropyrimidin-3-yl and B corresponds in each case to one group of one row of Table A (Compounds I-2.79aaA-1 to I-2.79aaA-425) Table 80aa
Verbindungen I-2, worin A für 2,4-Difluorpyrimidin-3-yl steht und B jeweils einer Gruppe einer Zeile der Tabelle A entspricht (Verbindungen l-2.80aaA-1 bis I- 2.80aaA-425)Compounds I-2 in which A is 2,4-difluoropyrimidin-3-yl and B corresponds in each case to one group of one row of Table A (compounds I-2.80aaA-1 to I-2.80aaA-425)
Tabelle 81 aa Verbindungen I-2, worin A für 2,6-Difluorpyrimidin-3-yl steht und B jeweils einerTable 81 aa Compounds I-2, wherein A is 2,6-difluoropyrimidin-3-yl and B are each one
Gruppe einer Zeile der Tabelle A entspricht (Verbindungen 1-2.81 aaA-1 bis I- 2.81 aaA-425)Group of a row corresponds to Table A (Compounds 1-2.81 aaA-1 to I-2.81 aaA-425)
Tabelle 82aaTable 82aa
Verbindungen I-2, worin A für 1 ,3,5-Triazin-2-yl steht und B jeweils einer Gruppe einer Zeile der Tabelle A entspricht (Verbindungen l-2.82aaA-1 bis l-2.82aaA-425)Compounds I-2 in which A is 1, 3,5-triazin-2-yl and B corresponds in each case to one group of one row of Table A (Compounds I-2.82aaA-1 to I-2.82aaA-425)
Tabelle 83aaTable 83aa
Verbindungen I-2, worin A für Thien-2-yl steht und B jeweils einer Gruppe einer Zeile der Tabelle A entspricht (Verbindungen l-2.83aaA-1 bis l-2.83aaA-425)Compounds I-2, in which A is thien-2-yl and B corresponds in each case to one group of one row of Table A (Compounds I-2.83aaA-1 to I-2.83aaA-425)
Tabelle 84aa Verbindungen I-2, worin A für Thien-3-yl steht und B jeweils einer Gruppe einer Zeile der Tabelle A entspricht (Verbindungen l-2.84aaA-1 bis l-2.84aaA-425)Table 84aa compounds I-2, in which A is thien-3-yl and B corresponds in each case to one group of one row of Table A (compounds I-2.84aaA-1 to I-2.84aaA-425)
Tabelle 85aaTable 85aa
Verbindungen I-2, worin A für 5-Chlorthien-2-yl steht und B jeweils einer Gruppe einer Zeile der Tabelle A entspricht (Verbindungen l-2.85aaA-1 bis l-2.85aaA-425) Tabelle 86aaCompounds I-2 in which A is 5-chlorothien-2-yl and B corresponds in each case to one group of one row of Table A (Compounds I-2.85aaA-1 to I-2.85aaA-425) Table 86aa
Verbindungen I-2, worin A für 2-Chlorthien-3-yl steht und B jeweils einer Gruppe einer Zeile der Tabelle A entspricht (Verbindungen l-2.86aaA-1 bis l-2.86aaA-425)Compounds I-2, wherein A is 2-chlorothien-3-yl and B corresponds in each case to one group of one row of Table A (Compounds I-2.86aaA-1 to I-2.86aaA-425)
Tabelle 87aaTable 87aa
Verbindungen I-2, worin A für 4-Chlorthien-3-yl steht und B jeweils einer Gruppe einer Zeile der Tabelle A entspricht (Verbindungen l-2.87aaA-1 bis l-2.87aaA-425)Compounds I-2 in which A is 4-chlorothien-3-yl and B corresponds in each case to one group of one row of Table A (compounds I-2.87aaA-1 to I-2.87aaA-425)
Tabelle 88aaTable 88aa
Verbindungen I-2, worin A für 5-Chlorthien-3-yl steht und B jeweils einer Gruppe einer Zeile der Tabelle A entspricht (Verbindungen l-2.88aaA-1 bis l-2.88aaA-425)Compounds I-2, wherein A is 5-chlorothien-3-yl and B corresponds in each case to one group of one row of Table A (compounds I-2.88aaA-1 to l-2.88aaA-425)
Tabelle 89aa Verbindungen I-2, worin A für 2-Bromthien-3-yl steht und B jeweils einer Gruppe einer Zeile der Tabelle A entspricht (Verbindungen l-2.89aaA-1 bis l-2.89aaA-425)Table 89aa Compounds I-2, wherein A is 2-bromothien-3-yl and B corresponds in each case to one group of one row of Table A (compounds I-2.89aaA-1 to I-2.89aaA-425)
Tabelle 90aaTable 90aa
Verbindungen I-2, worin A für 4-Bromthien-3-yl steht und B jeweils einer Gruppe einer Zeile der Tabelle A entspricht (Verbindungen l-2.90aaA-1 bis l-2.90aaA-425) Tabelle 91aaCompounds I-2 in which A is 4-bromothien-3-yl and B corresponds in each case to one group of one row of Table A (Compounds I-2.90aaA-1 to I-2.90aaA-425) Table 91aa
Verbindungen I-2, worin A für 5-Bromthien-3-yl steht und B jeweils einer Gruppe einer Zeile der Tabelle A entspricht (Verbindungen 1-2.91 aaA-1 bis 1-2.91 aaA-425) Tabelle 92aaCompounds I-2, wherein A is 5-bromothien-3-yl and B corresponds in each case to one group of one row of Table A (compounds 1-2.91 aaA-1 to 1-2.91 aaA-425) Table 92aa
Verbindungen 1-2, worin A für 5-Methylthien-2-yl steht und B jeweils einer Gruppe einer Zeile der Tabelle A entspricht (Verbindungen l-2.92aaA-1 bis l-2.92aaA-425)Compounds 1-2, wherein A is 5-methylthien-2-yl and B corresponds in each case to one group of one row of Table A (compounds I-2.92aaA-1 to I-2.92aaA-425)
Tabelle 93aa Verbindungen I-2, worin A für 2-Methylthien-4-yl steht und B jeweils einer Gruppe einer Zeile der Tabelle A entspricht (Verbindungen l-2.93aaA-1 bis l-2.93aaA-425)Table 93aa compounds I-2 in which A is 2-methylthien-4-yl and B corresponds in each case to one group of one row of Table A (compounds I-2.93aaA-1 to I-2.93aaA-425)
Tabelle 94aaTable 94aa
Verbindungen I-2, worin A für 4,5-Dichlorthien-2-yl steht und B jeweils einer Gruppe einer Zeile der Tabelle A entspricht (Verbindungen l-2.94aaA-1 bis l-2.94aaA-425) Tabelle 95aaCompounds I-2, wherein A is 4,5-dichlorothien-2-yl and B corresponds in each case to one group of one row of Table A (Compounds I-2.94aaA-1 to I-2.94aaA-425) Table 95aa
Verbindungen I-2, worin A für 2,5-Dichlorthien-3-yl steht und B jeweils einer Gruppe einer Zeile der Tabelle A entspricht (Verbindungen l-2.95aaA-1 bis l-2.95aaA-425)Compounds I-2, wherein A is 2,5-dichlorothien-3-yl and B corresponds in each case to one group of one row of Table A (Compounds I-2.95aaA-1 to I-2.95aaA-425)
Tabelle 96aaTable 96aa
Verbindungen I-2, worin A für 2,3-Dichlorthien-4-yl steht und B jeweils einer Gruppe einer Zeile der Tabelle A entspricht (Verbindungen l-2.96aaA-1 bis l-2.96aaA-425)Compounds I-2, wherein A is 2,3-dichlorothien-4-yl and B corresponds in each case to one group of one row of Table A (Compounds I-2.96aaA-1 to I-2.96aaA-425)
Tabelle 97aaTable 97aa
Verbindungen I-2, worin A für 2,5-Dibromthien-3-yl steht und B jeweils einer Gruppe einer Zeile der Tabelle A entspricht (Verbindungen l-2.97aaA-1 bis l-2.97aaA- 425) Tabelle 98aaCompounds I-2, wherein A is 2,5-dibromothien-3-yl and B corresponds in each case to one group of one row of Table A (Compounds I-2.97aaA-1 to I-2.97aaA-425). Table 98aa
Verbindungen I-2, worin A für 4,5-Dimethylthien-2-yl steht und B jeweils einer Gruppe einer Zeile der Tabelle A entspricht (Verbindungen l-2.98aaA-1 bis I- 2.98aaA-425)Compounds I-2, wherein A is 4,5-dimethylthien-2-yl and B corresponds in each case to one group of one row of Table A (compounds I-2.98aaA-1 to I-2.98aaA-425)
Tabelle 99aa Verbindungen I-2, worin A für 2,5-Dimethylthien-3-yl steht und B jeweils einerTable 99aa Compounds I-2 wherein A is 2,5-dimethylthien-3-yl and B are each one
Gruppe einer Zeile der Tabelle A entspricht (Verbindungen l-2.99aaA-1 bis I- 2.99aaA-425)Group of a row corresponds to Table A (compounds I-2.99aaA-1 to I-2.99aaA-425)
Tabelle 100aaTable 100aa
Verbindungen I-2, worin A für 2,3-Dimethylthien-4-yl steht und B jeweils einer Gruppe einer Zeile der Tabelle A entspricht (Verbindungen 1-2.100aaA-1 bis I-Compounds I-2, in which A is 2,3-dimethylthien-4-yl and B corresponds in each case to one group of one row of Table A (Compounds 1-2.100aaA-1 to I-
2.100aaA-425)2.100aaA-425)
Tabelle 101 aaTable 101 aa
Verbindungen I-2, worin A für 3,4,5-Trichlorthien-2-yl steht und B jeweils einer Gruppe einer Zeile der Tabelle A entspricht (Verbindungen l-2.101aaA-1 bis I- 2.101 aaA-425)Compounds I-2 in which A is 3,4,5-trichlorothien-2-yl and B corresponds in each case to one group of one row of Table A (Compounds I-2.101aaA-1 to I-2.101 aaA-425)
Tabelle 102aaTable 102aa
Verbindungen I-2, worin A für 2,4,5-Trichlorthien-3-yl steht und B jeweils einer Gruppe einer Zeile der Tabelle A entspricht (Verbindungen 1-2.102aaA-1 bis I- 2.102aaA-425) Tabelle 103aaCompounds I-2, wherein A is 2,4,5-trichlorothien-3-yl and B corresponds in each case to one group of one row of Table A (Compounds 1-2.102aaA-1 to I-2.102aaA-425) Table 103aa
Verbindungen I-2, worin A für 2,4,5-Tribromthien-3-yl steht und B jeweils einer Gruppe einer Zeile der Tabelle A entspricht (Verbindungen l-2.103aaA-1 bis I-Compounds I-2 wherein A is 2,4,5-tribromothien-3-yl and B are each one Group of a row corresponds to Table A (compounds I-2.103aaA-1 to I-
2.103aaA-425) Tabelle 104aa2.103aaA-425) Table 104aa
Verbindungen I-2, worin A für 3,4,5-Trimethylthien-2-yl steht und B jeweils einer Gruppe einer Zeile der Tabelle A entspricht (Verbindungen 1-2.104aaA-1 bis I-Compounds I-2, in which A is 3,4,5-trimethylthien-2-yl and B corresponds in each case to one group of one row of Table A (compounds 1-2.104aaA-1 to I-
2.104aaA-425) Tabelle 105aa2.104aaA-425) Table 105aa
Verbindungen I-2, worin A für 4-Chlorfur-2-yl steht und B jeweils einer Gruppe einerCompounds I-2 wherein A is 4-chlorofur-2-yl and B are each a group of one
Zeile der Tabelle A entspricht (Verbindungen 1-2.105aaA-1 bis 1-2.105aaA-425) Tabelle 106aaRow of Table A corresponds (Compounds 1-2.105aaA-1 to 1-2.105aaA-425) Table 106aa
Verbindungen I-2, worin A für 5-Chlorfur-2-yl steht und B jeweils einer Gruppe einerCompounds I-2 wherein A is 5-chlorofur-2-yl and B are each a group of one
Zeile der Tabelle A entspricht (Verbindungen 1-2.106aaA-1 bis 1-2.106aaA-425) Tabelle 107aaRow of Table A corresponds (Compounds 1-2.106aaA-1 to 1-2.106aaA-425) Table 107aa
Verbindungen I-2, worin A für 3-Bromfur-2-yl steht und B jeweils einer Gruppe einer Zeile der Tabelle A entspricht (Verbindungen 1-2.107aaA-1 bis 1-2.107aaA-425)Compounds I-2, wherein A is 3-bromo-fur-2-yl and B corresponds in each case to one group of one row of Table A (Compounds 1-2.107aaA-1 to 1-2.107aaA-425)
Tabelle 108aaTable 108aa
Verbindungen I-2, worin A für 4-Bromfur-2-yl steht und B jeweils einer Gruppe einerCompounds I-2 wherein A is 4-bromo-fur-2-yl and B are each a group of one
Zeile der Tabelle A entspricht (Verbindungen l-2.108aaA-1 bis 1-2.108aaA-425) Tabelle 109aa Verbindungen I-2, worin A für 5-Bromfur-2-yl steht und B jeweils einer Gruppe einerLine of Table A corresponds (compounds I-2.108aaA-1 to 1-2.108aaA-425). Table 109aa compounds I-2 wherein A is 5-bromo-fur-2-yl and B is each a group of one
Zeile der Tabelle A entspricht (Verbindungen 1-2.109aaA-1 bis 1-2.109aaA-425) Tabelle 1 10aaRow of Table A corresponds (Compounds 1-2.109aaA-1 to 1-2.109aaA-425). Table 1 10aa
Verbindungen I-2, worin A für 3,4-Dichlorfur-2-yl steht und B jeweils einer Gruppe einer Zeile der Tabelle A entspricht (Verbindungen 1-2.110aaA-1 bis 1-2.110aaA- 425)Compounds I-2, wherein A is 3,4-dichloropur-2-yl and B corresponds in each case to one group of one line of Table A (compounds 1-2.110aaA-1 to 1-2.110aaA-425)
Tabelle 1 11 aaTable 1 11 aa
Verbindungen I-2, worin A für 4,5-Dichlorfur-2-yl steht und B jeweils einer Gruppe einer Zeile der Tabelle A entspricht (Verbindungen 1-2.11 1 aaA-1 bis 1-2.11 1 aaA-Compounds I-2, wherein A is 4,5-dichloropur-2-yl and B in each case corresponds to one group of one row of Table A (Compounds 1-2.11 1 aaA-1 to 1-2.11 1 aaA-
425) Tabelle 1 12aa425) Table 1 12aa
Verbindungen I-2, worin A für Thiazol-2-yl steht und B jeweils einer Gruppe einerCompounds I-2 wherein A is thiazol-2-yl and B are each a group of one
Zeile der Tabelle A entspricht (Verbindungen 1-2.1 12aaA-1 bis 1-2.1 12aaA-425) Tabelle 1 13aaRow of Table A corresponds (Compounds 1-2.1 12aaA-1 to 1-2.1 12aaA-425) Table 1 13aa
Verbindungen I-2, worin A für Thiazol-4-yl steht und B jeweils einer Gruppe einer Zeile der Tabelle A entspricht (Verbindungen 1-2.1 13aaA-1 bis 1-2.1 13aaA-425)Compounds I-2, wherein A is thiazol-4-yl and B corresponds in each case to one group of one row of Table A (Compounds 1-2.1 13aaA-1 to 1-2.1 13aaA-425)
Tabelle 1 14aaTable 1 14aa
Verbindungen I-2, worin A für Thiazol-5-yl steht und B jeweils einer Gruppe einerCompounds I-2 wherein A is thiazol-5-yl and B are each a group of one
Zeile der Tabelle A entspricht (Verbindungen 1-2.1 14aaA-1 bis 1-2.1 14aaA-425) Tabelle 1 15aa Verbindungen I-2, worin A für lsothiazol-3-yl steht und B jeweils einer Gruppe einerLine of Table A corresponds (compounds 1-2.1 14aaA-1 to 1-2.1 14aaA-425). Table 1 15aa Compounds I-2 wherein A is isothiazol-3-yl and B is each a group of one
Zeile der Tabelle A entspricht (Verbindungen 1-2.1 15aaA-1 bis 1-2.1 15aaA-425) Tabelle 1 16aaRow of Table A corresponds (Compounds 1-2.1 15aaA-1 to 1-2.1 15aaA-425) Table 1 16aa
Verbindungen I-2, worin A für lsothiazol-4-yl steht und B jeweils einer Gruppe einer Zeile der Tabelle A entspricht (Verbindungen 1-2.1 16aaA-1 bis 1-2.1 16aaA-425)Compounds I-2, wherein A is isothiazol-4-yl and B corresponds in each case to one group of one row of Table A (Compounds 1-2.1 16aaA-1 to 1-2.1 16aaA-425)
Tabelle 1 17aa Verbindungen I-2, worin A für lsothiazol-5-yl steht und B jeweils einer Gruppe einer17aa compounds I-2 wherein A is isothiazol-5-yl and B is each a group of one
Zeile der Tabelle A entspricht (Verbindungen 1-2.1 17aaA-1 bis 1-2.1 17aaA-425)Line of Table A corresponds (compounds 1-2.1 17aaA-1 to 1-2.1 17aaA-425)
Tabelle 1 18aaTable 1 18aa
Verbindungen I-2, worin A für 2-Chlorthiazol-4-yl steht und B jeweils einer Gruppe einer Zeile der Tabelle A entspricht (Verbindungen 1-2.118aaA-1 bis 1-2.118aaA- 425)Compounds I-2, wherein A is 2-chlorothiazol-4-yl and B corresponds in each case to one group of one row of Table A (Compounds 1-2.118aaA-1 to 1-2.118aaA-425)
Tabelle 1 19aaTable 1 19aa
Verbindungen I-2, worin A für 2-Chlorthiazol-5-yl steht und B jeweils einer Gruppe einer Zeile der Tabelle A entspricht (Verbindungen 1-2.119aaA-1 bis 1-2.119aaA- 425) Tabelle 120aaCompounds I-2, wherein A is 2-chlorothiazol-5-yl and B corresponds in each case to one group of one row of Table A (Compounds 1-2.119aaA-1 to 1-2.119aaA-425) Table 120aa
Verbindungen I-2, worin A für 4-Chlorthiazol-5-yl steht und B jeweils einer Gruppe einer Zeile der Tabelle A entspricht (Verbindungen 1-2.120aaA-1 bis 1-2.120aaA- 425)Compounds I-2 in which A is 4-chlorothiazol-5-yl and B corresponds in each case to one group of one row of Table A (Compounds 1-2.120aaA-1 to 1-2.120aaA-425)
Tabelle 121 aa Verbindungen I-2, worin A für 2-Bromthiazol-4-yl steht und B jeweils einer Gruppe einer Zeile der Tabelle A entspricht (Verbindungen l-2.121aaA-1 bis l-2.121aaA- 425)Table 121a Compounds I-2, wherein A is 2-bromothiazol-4-yl and B corresponds in each case to one group of one row of Table A (compounds I-2.121aaA-1 to l-2.121aaA-425)
Tabelle 122aaTable 122aa
Verbindungen I-2, worin A für 2-Bromthiazol-5-yl steht und B jeweils einer Gruppe einer Zeile der Tabelle A entspricht (Verbindungen 1-2.122aaA-1 bis 1-2.122aaA-Compounds I-2, wherein A is 2-bromothiazol-5-yl and B corresponds in each case to one group of one row of Table A (compounds 1-2.122aaA-1 to 1-2.122aaA-
425)425)
Tabelle 123aaTable 123aa
Verbindungen I-2, worin A für 2,4-Dichlorthiazol-5-yl steht und B jeweils einer Gruppe einer Zeile der Tabelle A entspricht (Verbindungen 1-2.123aaA-1 bis I- 2.123aaA-425)Compounds I-2, wherein A is 2,4-dichlorothiazol-5-yl and B corresponds in each case to one group of one row of Table A (compounds 1-2.123aaA-1 to I-2.123aaA-425)
Tabelle 124aaTable 124aa
Verbindungen I-2, worin A für 3-Chlorisothiazol-4-yl steht und B jeweils einer Gruppe einer Zeile der Tabelle A entspricht (Verbindungen 1-2.124aaA-1 bis 1-2.124aaA- 425) Tabelle 125aaCompounds I-2, wherein A is 3-chloroisothiazol-4-yl and B corresponds in each case to one group of one row of Table A (Compounds 1-2.124aaA-1 to 1-2.124aaA-425) Table 125aa
Verbindungen I-2, worin A für 5-Methylisothiazol-3-yl steht und B jeweils einer Gruppe einer Zeile der Tabelle A entspricht (Verbindungen 1-2.125aaA-1 bis I- 2.125aaA-425)Compounds I-2, wherein A is 5-methylisothiazol-3-yl and B corresponds in each case to one group of one row of Table A (compounds 1-2.125aaA-1 to I-2.125aaA-425)
Tabelle 126aa Verbindungen I-2, worin A für 3-Methylisothiazol-4-yl steht und B jeweils einerTable 126aa Compounds I-2 wherein A is 3-methylisothiazol-4-yl and B are each one
Gruppe einer Zeile der Tabelle A entspricht (Verbindungen 1-2.126aaA-1 bis I- 2.126aaA-425) Tabelle 127aaGroup of a row corresponds to Table A (compounds 1-2.126aaA-1 to I-2.126aaA-425) Table 127aa
Verbindungen I-2, worin A für 3-Methylisothiazol-5-yl steht und B jeweils einerCompounds I-2 wherein A is 3-methylisothiazol-5-yl and B are each one
Gruppe einer Zeile der Tabelle A entspricht (Verbindungen 1-2.127aaA-1 bis I-Group of a row corresponds to Table A (compounds 1-2.127aaA-1 to I-
2.127aaA-425) Tabelle 128aa2.127aaA-425) Table 128aa
Verbindungen I-2, worin A für 4,5-Dichlorisothiazol-3-yl steht und B jeweils einerCompounds I-2 wherein A is 4,5-dichloroisothiazol-3-yl and B are each one
Gruppe einer Zeile der Tabelle A entspricht (Verbindungen 1-2.128aaA-1 bis I-Group of a row corresponds to Table A (Compounds 1-2.128aaA-1 to I-
2.128aaA-425) Tabelle 129aa Verbindungen I-2, worin A für 4,5-Dimethylisothiazol-3-yl steht und B jeweils einer2.128aaA-425). Table 129aa compounds I-2 wherein A is 4,5-dimethylisothiazol-3-yl and B is each one
Gruppe einer Zeile der Tabelle A entspricht (Verbindungen 1-2.129aaA-1 bis I-Group of a row corresponds to Table A (compounds 1-2.129aaA-1 to I-
2.129aaA-425) Tabelle 130aa2.129aaA-425) Table 130aa
Verbindungen I-2, worin A für 3,5-Dimethylisothiazol-4-yl steht und B jeweils einer Gruppe einer Zeile der Tabelle A entspricht (Verbindungen 1-2.130aaA-1 bis I-Compounds I-2, in which A is 3,5-dimethylisothiazol-4-yl and B corresponds in each case to one group of one row of Table A (Compounds 1-2.130aaA-1 to I-
2.130aaA-425) Tabelle 131 aa2.130aaA-425) Table 131aa
Verbindungen I-2, worin A für 3,4-Dichlorisothiazol-5-yl steht und B jeweils einerCompounds I-2 wherein A is 3,4-dichloroisothiazol-5-yl and B are each one
Gruppe einer Zeile der Tabelle A entspricht (Verbindungen l-2.131aaA-1 bis I- 2.131 aaA-425)Group of a row corresponds to Table A (compounds I-2.131aaA-1 to I-2.131 aaA-425)
Tabelle 132aaTable 132aa
Verbindungen I-2, worin A für Oxazol-2-yl steht und B jeweils einer Gruppe einerCompounds I-2 wherein A is oxazol-2-yl and B each represents a group of one
Zeile der Tabelle A entspricht (Verbindungen 1-2.132aaA-1 bis 1-2.132aaA-425) Tabelle 133aa Verbindungen I-2, worin A für Oxazol-4-yl steht und B jeweils einer Gruppe einerLine of Table A corresponds (Compounds 1-2.132aaA-1 to 1-2.132aaA-425) Table 133aa Compounds I-2 wherein A is oxazol-4-yl and B is each a group of one
Zeile der Tabelle A entspricht (Verbindungen 1-2.133aaA-1 bis 1-2.133aaA-425) Tabelle 134aaRow of Table A corresponds (Compounds 1-2.133aaA-1 to 1-2.133aaA-425) Table 134aa
Verbindungen I-2, worin A für Oxazol-5-yl steht und B jeweils einer Gruppe einerCompounds I-2, wherein A is oxazol-5-yl and B each represents a group of one
Zeile der Tabelle A entspricht (Verbindungen l-2.134aaA-1 bis 1-2.134aaA-425) Tabelle 135aaRow of Table A corresponds (Compounds I-2.134aaA-1 to 1-2.134aaA-425) Table 135aa
Verbindungen I-2, worin A für lsoxazol-3-yl steht und B jeweils einer Gruppe einerCompounds I-2 wherein A is isoxazol-3-yl and B are each a group of one
Zeile der Tabelle A entspricht (Verbindungen 1-2.135aaA-1 bis 1-2.135aaA-425) Tabelle 136aaRow of Table A corresponds (Compounds 1-2.135aaA-1 to 1-2.135aaA-425) Table 136aa
Verbindungen I-2, worin A für lsoxazol-4-yl steht und B jeweils einer Gruppe einer Zeile der Tabelle A entspricht (Verbindungen 1-2.136aaA-1 bis 1-2.136aaA-425)Compounds I-2, wherein A is isoxazol-4-yl and B corresponds in each case to one group of one row of Table A (compounds 1-2.136aaA-1 to 1-2.136aaA-425)
Tabelle 137aaTable 137aa
Verbindungen I-2, worin A für lsoxazol-5-yl steht und B jeweils einer Gruppe einerCompounds I-2 wherein A is isoxazol-5-yl and B are each a group of one
Zeile der Tabelle A entspricht (Verbindungen 1-2.137aaA-1 bis 1-2.137aaA-425) Tabelle 138aa Verbindungen I-2, worin A für 3-Chlorisoxazol-5-yl steht und B jeweils einer Gruppe einer Zeile der Tabelle A entspricht (Verbindungen 1-2.138aaA-1 bis 1-2.138aaA-Row of Table A corresponds (Compounds 1-2.137aaA-1 to 1-2.137aaA-425) Table 138aa Compounds I-2 wherein A is 3-chloroisoxazol-5-yl and B corresponds in each case to one group of one row of Table A. (Compounds 1-2.138aaA-1 to 1-2.138aaA-
425) Tabelle 139aa425) Table 139aa
Verbindungen I-2, worin A für 5-Methylisoxazol-3-yl steht und B jeweils einer Gruppe einer Zeile der Tabelle A entspricht (Verbindungen 1-2.139aaA-1 bis 1-2.139aaA- 425) Tabelle 140aaCompounds I-2, wherein A is 5-methylisoxazol-3-yl and B corresponds in each case to one group of one row of Table A (Compounds 1-2.139aaA-1 to 1-2.139aaA-425) Table 140aa
Verbindungen I-2, worin A für 5-Methylisoxazol-4-yl steht und B jeweils einer Gruppe einer Zeile der Tabelle A entspricht (Verbindungen 1-2.140aaA-1 bis 1-2.140aaA- 425)Compounds I-2, wherein A is 5-methylisoxazol-4-yl and B corresponds in each case to one group of one row of Table A (compounds 1-2.140aaA-1 to 1-2.140aaA-425)
Tabelle 141 aa Verbindungen I-2, worin A für 3-Methylisoxazol-5-yl steht und B jeweils einer Gruppe einer Zeile der Tabelle A entspricht (Verbindungen l-2.141aaA-1 bis l-2.141aaA- 425)Table 141a Compounds I-2, wherein A is 3-methylisoxazol-5-yl and B corresponds in each case to one group of one row of Table A (Compounds I-2.141aaA-1 to l-2.141aaA-425)
Tabelle 142aaTable 142aa
Verbindungen I-2, worin A für 3,5-Dimethylisoxazol-4-yl steht und B jeweils einer Gruppe einer Zeile der Tabelle A entspricht (Verbindungen 1-2.142aaA-1 bis I-Compounds I-2, in which A is 3,5-dimethylisoxazol-4-yl and B corresponds in each case to one group of one row of Table A (compounds 1-2.142aaA-1 to I-2)
2.142aaA-425)2.142aaA-425)
Tabelle 143aaTable 143aa
Verbindungen I-2, worin A für 3-Chlor-5-methylisoxazol-4-yl steht und B jeweils einer Gruppe einer Zeile der Tabelle A entspricht (Verbindungen 1-2.143aaA-1 bis I- 2.143aaA-425)Compounds I-2, wherein A is 3-chloro-5-methylisoxazol-4-yl and B corresponds in each case to one group of one row of Table A (Compounds 1-2.143aaA-1 to I-2.143aaA-425)
Tabelle 144aaTable 144aa
Verbindungen I-2, worin A für 3-Methyl-4-chlorisoxazol-5-yl steht und B jeweils einer Gruppe einer Zeile der Tabelle A entspricht (Verbindungen 1-2.144aaA-1 bis I- 2.144aaA-425) Tabelle 145aaCompounds I-2, wherein A is 3-methyl-4-chloroisoxazol-5-yl and B corresponds in each case to one group of one row of Table A (Compounds 1-2.144aaA-1 to I-2.144aaA-425) Table 145aa
Verbindungen I-2, worin A für 1 -Methylpyrazol-3-yl steht und B jeweils einer Gruppe einer Zeile der Tabelle A entspricht (Verbindungen 1-2.145aaA-1 bis 1-2.145aaA- 425)Compounds I-2 in which A is 1-methylpyrazol-3-yl and B corresponds in each case to one group of one row of Table A (compounds 1-2.145aaA-1 to 1-2.145aaA-425)
Tabelle 146aa Verbindungen I-2, worin A für 1 -Methylpyrazol-4-yl steht und B jeweils einer Gruppe einer Zeile der Tabelle A entspricht (Verbindungen 1-2.146aaA-1 bis 1-2.146aaA- 425)Table 146aa compounds I-2, wherein A is 1-methylpyrazol-4-yl and B corresponds in each case to one group of one row of Table A (compounds 1-2.146aaA-1 to 1-2.146aaA-425)
Tabelle 147aaTable 147aa
Verbindungen I-2, worin A für 1-Methylpyrazol-5-yl steht und B jeweils einer Grup- pe einer Zeile der Tabelle A entspricht (Verbindungen 1-2.147aaA-1 bis 1-2.147aaA-Compounds I-2, wherein A is 1-methylpyrazol-5-yl and B corresponds in each case to one group of one row of Table A (compounds 1-2.147aaA-1 to 1-2.147aaA-
425)425)
Tabelle 148aaTable 148aa
Verbindungen I-2, worin A für 1 ,3-Dimethylpyrazol-4-yl steht und B jeweils einer Gruppe einer Zeile der Tabelle A entspricht (Verbindungen 1-2.148aaA-1 bis I- 2.148aaA-425)Compounds I-2, wherein A is 1, 3-dimethylpyrazol-4-yl and B corresponds in each case to one group of one row of Table A (compounds 1-2.148aaA-1 to I-2.148aaA-425)
Tabelle 149aaTable 149aa
Verbindungen I-2, worin A für 1 ,5-Dimethylpyrazol-4-yl steht und B jeweils einer Gruppe einer Zeile der Tabelle A entspricht (Verbindungen l-2.149aaA-1 bis I- 2.149aaA-425)Compounds I-2, wherein A is 1, 5-dimethylpyrazol-4-yl and B are each one Group of a row corresponds to Table A (compounds I-2.149aaA-1 to I-2.149aaA-425)
Tabelle 150aaTable 150aa
Verbindungen I-2, worin A für 1 ,3,5-Trimethylpyrazol-4-yl steht und B jeweils einer Gruppe einer Zeile der Tabelle A entspricht (Verbindungen 1-2.150aaA-1 bis I-Compounds I-2, in which A is 1, 3,5-trimethylpyrazol-4-yl and B corresponds in each case to one group of one row of Table A (compounds 1-2.150aaA-1 to I-
2.150aaA-425)2.150aaA-425)
Tabelle 151 aaTable 151 aa
Verbindungen I-2, worin A für 1-Methylimidazol-4-yl steht und B jeweils einer Gruppe einer Zeile der Tabelle A entspricht (Verbindungen 1-2.151 aaA-1 bis 1-2.151 aaA- 425)Compounds I-2, wherein A is 1-methylimidazol-4-yl and B corresponds in each case to one group of one row of Table A (compounds 1-2.151 aaA-1 to 1-2.151 aaA-425)
Tabelle 152aaTable 152aa
Verbindungen I-2, worin A für 1 ,5-Dimethylimidazol-4-yl steht und B jeweils einer Gruppe einer Zeile der Tabelle A entspricht (Verbindungen 1-2.152aaA-1 bis I- 2.152aaA-425) Tabelle 153aaCompounds I-2, wherein A is 1, 5-dimethylimidazol-4-yl and B corresponds in each case to one group of one row of Table A (Compounds 1-2.152aaA-1 to I-2.152aaA-425) Table 153aa
Verbindungen I-2, worin A für 1 ,2-Dimethylimidazol-5-yl steht und B jeweils einer Gruppe einer Zeile der Tabelle A entspricht (Verbindungen 1-2.153aaA-1 bis I- 2.153aaA-425)Compounds I-2 in which A is 1,2-dimethylimidazol-5-yl and B corresponds in each case to one group of one row of Table A (compounds 1-2.153aaA-1 to I-2.153aaA-425)
Tabelle 154aa Verbindungen I-2, worin A für 1 ,4-Dimethylimidazol-5-yl steht und B jeweils einerTable 154aa Compounds I-2 wherein A is 1,4-dimethylimidazol-5-yl and B is each one
Gruppe einer Zeile der Tabelle A entspricht (Verbindungen 1-2.154aaA-1 bis I- 2.154aaA-425)Group of a row corresponds to Table A (compounds 1-2.154aaA-1 to I-2.154aaA-425)
Tabelle 155aaTable 155aa
Verbindungen I-2, worin B für Pyridin-2-yl steht und A jeweils einer Gruppe einer Zeile der Tabelle A entspricht (Verbindungen 1-2.155aaA-1 bis 1-2.155aaA-425)Compounds I-2, wherein B is pyridin-2-yl and A corresponds in each case to one group of one row of Table A (Compounds 1-2.155aaA-1 to 1-2.155aaA-425)
Tabelle 156aaTable 156aa
Verbindungen I-2, worin B für Pyridin-3-yl steht und A jeweils einer Gruppe einer Zeile der Tabelle A entspricht (Verbindungen 1-2.156aaA-1 bis 1-2.156aaA-425)Compounds I-2, wherein B is pyridin-3-yl and A corresponds in each case to one group of one row of Table A (Compounds 1-2.156aaA-1 to 1-2.156aaA-425)
Tabelle 157aa Verbindungen I-2, worin B für Pyridin-4-yl steht und A jeweils einer Gruppe einerTable 157aa compounds I-2 wherein B is pyridin-4-yl and A is each a group of one
Zeile der Tabelle A entspricht (Verbindungen 1-2.157aaA-1 bis 1-2.157aaA-425)Row of Table A corresponds (Compounds 1-2.157aaA-1 to 1-2.157aaA-425)
Tabelle 158aaTable 158aa
Verbindungen I-2, worin B für 3-Chlorpyridin-2-yl steht und A jeweils einer Gruppe einer Zeile der Tabelle A entspricht (Verbindungen 1-2.158aaA-1 bis 1-2.158aaA- 425)Compounds I-2, wherein B is 3-chloropyridin-2-yl and A corresponds in each case to one group of one row of Table A (Compounds 1-2.158aaA-1 to 1-2.158aaA-425)
Tabelle 159aaTable 159aa
Verbindungen I-2, worin B für 4-Chlorpyridin-2-yl steht und A jeweils einer Gruppe einer Zeile der Tabelle A entspricht (Verbindungen 1-2.159aaA-1 bis 1-2.159aaA- 425) Tabelle 160aaCompounds I-2, wherein B is 4-chloropyridin-2-yl and A corresponds in each case to one group of one row of Table A (Compounds 1-2.159aaA-1 to 1-2.159aaA-425) Table 160aa
Verbindungen I-2, worin B für 5-Chlorpyridin-2-yl steht und A jeweils einer Gruppe einer Zeile der Tabelle A entspricht (Verbindungen l-2.160aaA-1 bis 1-2.160aaA-Compounds I-2 wherein B is 5-chloropyridin-2-yl and A are each a group corresponds to one line of Table A (compounds I-2.160aaA-1 to 1-2.160aaA-
425) Tabelle 161 aa425) Table 161 aa
Verbindungen I-2, worin B für 6-Chlorpyridin-2-yl steht und A jeweils einer Gruppe einer Zeile der Tabelle A entspricht (Verbindungen 1-2.161 aaA-1 bis 1-2.161 aaA-Compounds I-2, wherein B is 6-chloropyridin-2-yl and A in each case corresponds to one group of one row of Table A (Compounds 1-2.161 aaA-1 to 1-2.161 aaA-
425) Tabelle 162aa425) Table 162aa
Verbindungen I-2, worin B für 2-Chlorpyridin-3-yl steht und A jeweils einer Gruppe einer Zeile der Tabelle A entspricht (Verbindungen 1-2.162aaA-1 bis 1-2.162aaA- 425)Compounds I-2, wherein B is 2-chloropyridin-3-yl and A corresponds in each case to one group of one row of Table A (Compounds 1-2.162aaA-1 to 1-2.162aaA-425)
Tabelle 163aaTable 163aa
Verbindungen I-2, worin B für 4-Chlorpyridin-3-yl steht und A jeweils einer Gruppe einer Zeile der Tabelle A entspricht (Verbindungen 1-2.163aaA-1 bis 1-2.163aaA-Compounds I-2, wherein B is 4-chloropyridin-3-yl and A in each case corresponds to one group of one row of Table A (Compounds 1-2.163aaA-1 to 1-2.163aaA-
425) Tabelle 164aa425) Table 164aa
Verbindungen I-2, worin B für 5-Chlorpyridin-3-yl steht und A jeweils einer Gruppe einer Zeile der Tabelle A entspricht (Verbindungen 1-2.164aaA-1 bis 1-2.164aaA-Compounds I-2, wherein B is 5-chloropyridin-3-yl and A corresponds in each case to one group of one row of Table A (compounds 1-2.164aaA-1 to 1-2.164aaA-
425)425)
Tabelle 165aa Verbindungen I-2, worin B für 6-Chlorpyridin-3-yl steht und A jeweils einer Gruppe einer Zeile der Tabelle A entspricht (Verbindungen 1-2.165aaA-1 bis 1-2.165aaA-Table 165aa compounds I-2, wherein B is 6-chloropyridin-3-yl and A corresponds in each case to one group of one row of Table A (compounds 1-2.165aaA-1 to 1-2.165aaA-
425) Tabelle 166aa425) Table 166aa
Verbindungen I-2, worin B für 2-Chlorpyridin-4-yl steht und A jeweils einer Gruppe einer Zeile der Tabelle A entspricht (Verbindungen 1-2.166aaA-1 bis 1-2.166aaA-Compounds I-2, wherein B is 2-chloropyridin-4-yl and A corresponds in each case to one group of one row of Table A (compounds 1-2.166aaA-1 to 1-2.166aaA-
425) Tabelle 167aa425) Table 167aa
Verbindungen I-2, worin B für 3-Chlorpyridin-4-yl steht und A jeweils einer Gruppe einer Zeile der Tabelle A entspricht (Verbindungen 1-2.167aaA-1 bis 1-2.167aaA- 425)Compounds I-2, wherein B is 3-chloropyridin-4-yl and A corresponds in each case to one group of one row of Table A (Compounds 1-2.167aaA-1 to 1-2.167aaA-425)
Tabelle 168aaTable 168aa
Verbindungen I-2, worin B für 4-Chlorpyridin-5-yl steht und A jeweils einer Gruppe einer Zeile der Tabelle A entspricht (Verbindungen 1-2.168aaA-1 bis 1-2.168aaA-Compounds I-2, wherein B is 4-chloropyridin-5-yl and A corresponds in each case to one group of one row of Table A (compounds 1-2.168aaA-1 to 1-2.168aaA-
425) Tabelle 169aa425) Table 169aa
Verbindungen I-2, worin B für 3-Fluorpyridin-2-yl steht und A jeweils einer Gruppe einer Zeile der Tabelle A entspricht (Verbindungen 1-2.169aaA-1 bis 1-2.169aaA-Compounds I-2, wherein B is 3-fluoropyridin-2-yl and A corresponds in each case to one group of one row of Table A (Compounds 1-2.169aaA-1 to 1-2.169aaA-
425)425)
Tabelle 170aa Verbindungen I-2, worin B für 4-Fluorpyridin-2-yl steht und A jeweils einer Gruppe einer Zeile der Tabelle A entspricht (Verbindungen 1-2.170aaA-1 bis 1-2.170aaA-Table 170aa Compounds I-2, wherein B is 4-fluoropyridin-2-yl and A corresponds in each case to one group of one row of Table A (Compounds 1-2.170aaA-1 to 1-2.170aaA-
425) Tabelle 171 aa425) Table 171 aa
Verbindungen I-2, worin B für 5-Fluorpyridin-2-yl steht und A jeweils einer Gruppe einer Zeile der Tabelle A entspricht (Verbindungen 1-2.171 aaA-1 bis 1-2.171 aaA-Compounds I-2, wherein B is 5-fluoropyridin-2-yl and A in each case corresponds to one group of one row of Table A (compounds 1-2.171 aaA-1 to 1-2.171 aaA-
425) Tabelle 172aa425) Table 172aa
Verbindungen I-2, worin B für 6-Fluorpyridin-2-yl steht und A jeweils einer Gruppe einer Zeile der Tabelle A entspricht (Verbindungen 1-2.172aaA-1 bis 1-2.172aaA-Compounds I-2, wherein B is 6-fluoropyridin-2-yl and A corresponds in each case to one group of one row of Table A (Compounds 1-2.172aaA-1 to 1-2.172aaA-
425)425)
Tabelle 173aa Verbindungen I-2, worin B für 2-Fluorpyridin-3-yl steht und A jeweils einer Gruppe einer Zeile der Tabelle A entspricht (Verbindungen 1-2.173aaA-1 bis 1-2.173aaA-Table 173aa Compounds I-2, wherein B is 2-fluoropyridin-3-yl and A corresponds in each case to one group of one row of Table A (Compounds 1-2.173aaA-1 to 1-2.173aaA-
425) Tabelle 174aa425) Table 174aa
Verbindungen I-2, worin B für 4-Fluorpyridin-3-yl steht und A jeweils einer Gruppe einer Zeile der Tabelle A entspricht (Verbindungen 1-2.174aaA-1 bis 1-2.174aaA-Compounds I-2, wherein B is 4-fluoropyridin-3-yl and A corresponds in each case to one group of one row of Table A (compounds 1-2.174aaA-1 to 1-2.174aaA-
425) Tabelle 175aa425) Table 175aa
Verbindungen I-2, worin B für 5-Fluorpyridin-3-yl steht und A jeweils einer Gruppe einer Zeile der Tabelle A entspricht (Verbindungen 1-2.175aaA-1 bis 1-2.175aaA- 425)Compounds I-2, wherein B is 5-fluoropyridin-3-yl and A corresponds in each case to one group of one row of Table A (compounds 1-2.175aaA-1 to 1-2.175aaA-425)
Tabelle 176aaTable 176aa
Verbindungen I-2, worin B für 6-Fluorpyridin-3-yl steht und A jeweils einer Gruppe einer Zeile der Tabelle A entspricht (Verbindungen 1-2.176aaA-1 bis 1-2.176aaA-Compounds I-2, wherein B is 6-fluoropyridin-3-yl and A corresponds in each case to one group of one row of Table A (compounds 1-2.176aaA-1 to 1-2.176aaA-
425) Tabelle 177aa425) Table 177aa
Verbindungen I-2, worin B für 2-Fluorpyridin-4-yl steht und A jeweils einer Gruppe einer Zeile der Tabelle A entspricht (Verbindungen 1-2.177aaA-1 bis 1-2.177aaA-Compounds I-2, wherein B is 2-fluoropyridin-4-yl and A corresponds in each case to one group of one row of Table A (compounds 1-2.177aaA-1 to 1-2.177aaA-
425)425)
Tabelle 178aa Verbindungen I-2, worin B für 3-Fluorpyridin-4-yl steht und A jeweils einer Gruppe einer Zeile der Tabelle A entspricht (Verbindungen 1-2.178aaA-1 bis 1-2.178aaA-Table 178aa Compounds I-2, wherein B is 3-fluoropyridin-4-yl and A corresponds in each case to one group of one row of Table A (Compounds 1-2.178aaA-1 to 1-2.178aaA-
425) Tabelle 179aa425) Table 179aa
Verbindungen I-2, worin B für 3- Methylpyridin-2-yl steht und A jeweils einer Grup- pe einer Zeile der Tabelle A entspricht (Verbindungen 1-2.179aaA-1 bis 1-2.179aaA-Compounds I-2 in which B is 3-methylpyridin-2-yl and A corresponds in each case to one group of one row of Table A (Compounds 1-2.179aaA-1 to 1-2.179aaA-
425) Tabelle 180aa425) Table 180aa
Verbindungen I-2, worin B für 4-Methylpyridin-2-yl steht und A jeweils einer Gruppe einer Zeile der Tabelle A entspricht (Verbindungen 1-2.180aaA-1 bis 1-2.180aaA- 425)Compounds I-2, wherein B is 4-methylpyridin-2-yl and A corresponds in each case to one group of one row of Table A (Compounds 1-2.180aaA-1 to 1-2.180aaA-425)
Tabelle 181 aaTable 181 aa
Verbindungen I-2, worin B für 5-Methylpyridin-2-yl steht und A jeweils einer Gruppe einer Zeile der Tabelle A entspricht (Verbindungen 1-2.181 aaA-1 bis 1-2.181 aaA-Compounds I-2 wherein B is 5-methylpyridin-2-yl and A is each a group corresponds to one line of Table A (compounds 1-2.181 aaA-1 to 1-2.181 aaA-
425) Tabelle 182aa425) Table 182aa
Verbindungen I-2, worin B für 6-Methylpyridin-2-yl steht und A jeweils einer Gruppe einer Zeile der Tabelle A entspricht (Verbindungen 1-2.182aaA-1 bis 1-2.182aaA-Compounds I-2 in which B is 6-methylpyridin-2-yl and A corresponds in each case to one group of one row of Table A (Compounds 1-2.182aaA-1 to 1-2.182aaA-
425) Tabelle 183aa425) Table 183aa
Verbindungen I-2, worin B für 2-Methylpyridin-3-yl steht und A jeweils einer Gruppe einer Zeile der Tabelle A entspricht (Verbindungen 1-2.183aaA-1 bis 1-2.183aaA- 425)Compounds I-2, wherein B is 2-methylpyridin-3-yl and A corresponds in each case to one group of one row of Table A (Compounds 1-2.183aaA-1 to 1-2.183aaA-425)
Tabelle 184aaTable 184aa
Verbindungen I-2, worin B für 4-Methylpyridin-3-yl steht und A jeweils einer Gruppe einer Zeile der Tabelle A entspricht (Verbindungen 1-2.184aaA-1 bis 1-2.184aaA-Compounds I-2, wherein B is 4-methylpyridin-3-yl and A corresponds in each case to one group of one row of Table A (compounds 1-2.184aaA-1 to 1-2.184aaA-
425) Tabelle 185aa425) Table 185aa
Verbindungen I-2, worin B für 5-Methylpyridin-3-yl steht und A jeweils einer Gruppe einer Zeile der Tabelle A entspricht (Verbindungen 1-2.185aaA-1 bis 1-2.185aaA-Compounds I-2, wherein B is 5-methylpyridin-3-yl and A corresponds in each case to one group of one row of Table A (compounds 1-2.185aaA-1 to 1-2.185aaA-
425)425)
Tabelle 186aa Verbindungen I-2, worin B für 6-Methylpyridin-3-yl steht und A jeweils einer Gruppe einer Zeile der Tabelle A entspricht (Verbindungen 1-2.186aaA-1 bis 1-2.186aaA-Table 186aa compounds I-2, wherein B is 6-methylpyridin-3-yl and A corresponds in each case to one group of one row of Table A (compounds 1-2.186aaA-1 to 1-2.186aaA-
425) Tabelle 187aa425) Table 187aa
Verbindungen I-2, worin B für 2-Methylpyridin-4-yl steht und A jeweils einer Gruppe einer Zeile der Tabelle A entspricht (Verbindungen 1-2.187aaA-1 bis 1-2.187aaA-Compounds I-2, wherein B is 2-methylpyridin-4-yl and A corresponds in each case to one group of one row of Table A (Compounds 1-2.187aaA-1 to 1-2.187aaA-
425) Tabelle 188aa425) Table 188aa
Verbindungen I-2, worin B für 3-Methylpyridin-4-yl steht und A jeweils einer Gruppe einer Zeile der Tabelle A entspricht (Verbindungen 1-2.188aaA-1 bis 1-2.188aaA- 425)Compounds I-2, wherein B is 3-methylpyridin-4-yl and A corresponds in each case to one group of one row of Table A (compounds 1-2.188aaA-1 to 1-2.188aaA-425)
Tabelle 189aaTable 189aa
Verbindungen I-2, worin B für 4-Methylpyridin-5-yl steht und A jeweils einer Gruppe einer Zeile der Tabelle A entspricht (Verbindungen 1-2.189aaA-1 bis 1-2.189aaA-Compounds I-2, wherein B is 4-methylpyridin-5-yl and A corresponds in each case to one group of one row of Table A (compounds 1-2.189aaA-1 to 1-2.189aaA-
425) Tabelle 190aa425) Table 190aa
Verbindungen I-2, worin B für 3-Methoxypyridin-2-yl steht und A jeweils einerCompounds I-2 wherein B is 3-methoxypyridin-2-yl and A is each one
Gruppe einer Zeile der Tabelle A entspricht (Verbindungen 1-2.190aaA-1 bis I-Group of a row corresponds to Table A (Compounds 1-2.190aaA-1 to I-
2.190aaA-425) Tabelle 191 aa Verbindungen I-2, worin B für 4-Methoxypyridin-2-yl steht und A jeweils einer2.190aaA-425). Table 191aa Compounds I-2 wherein B is 4-methoxypyridin-2-yl and A is each one
Gruppe einer Zeile der Tabelle A entspricht (Verbindungen l-2.191aaA-1 bis I-Group of a row corresponds to Table A (compounds I-2.191aaA-1 to I-
2.191 aaA-425) Tabelle 192aa2.191 aaA-425) Table 192aa
Verbindungen I-2, worin B für 5-Methoxypyridin-2-yl steht und A jeweils einerCompounds I-2 wherein B is 5-methoxypyridin-2-yl and A is each one
Gruppe einer Zeile der Tabelle A entspricht (Verbindungen 1-2.192aaA-1 bis I-Group of a row corresponds to Table A (compounds 1-2.192aaA-1 to I-
2.192aaA-425) Tabelle 193aa2.192aaA-425) Table 193aa
Verbindungen I-2, worin B für 6-Methoxypyridin-2-yl steht und A jeweils einerCompounds I-2 wherein B is 6-methoxypyridin-2-yl and A is each one
Gruppe einer Zeile der Tabelle A entspricht (Verbindungen 1-2.193aaA-1 bis I-Group of a row corresponds to Table A (compounds 1-2.193aaA-1 to I-
2.193aaA-425) Tabelle 194aa Verbindungen I-2, worin B für 2-Methoxypyridin-3-yl steht und A jeweils einer2.193aaA-425) Table 194aa compounds I-2 wherein B is 2-methoxypyridin-3-yl and A is each one
Gruppe einer Zeile der Tabelle A entspricht (Verbindungen 1-2.194aaA-1 bis I-Group of a row corresponds to Table A (compounds 1-2.194aaA-1 to I-
2.194aaA-425) Tabelle 195aa2.194aaA-425) Table 195aa
Verbindungen I-2, worin B für 4-Methoxypyridin-3-yl steht und A jeweils einer Gruppe einer Zeile der Tabelle A entspricht (Verbindungen 1-2.195aaA-1 bis I-Compounds I-2, wherein B is 4-methoxypyridin-3-yl and A in each case corresponds to one group of one row of Table A (Compounds 1-2.195aaA-1 to I-
2.195aaA-425) Tabelle 196aa2.195aaA-425) Table 196aa
Verbindungen I-2, worin B für 5-Methoxypyridin-3-yl steht und A jeweils einerCompounds I-2 wherein B is 5-methoxypyridin-3-yl and A is each one
Gruppe einer Zeile der Tabelle A entspricht (Verbindungen 1-2.196aaA-1 bis I- 2.196aaA-425)Group of a row corresponds to Table A (Compounds 1-2.196aaA-1 to I-2.196aaA-425)
Tabelle 197aaTable 197aa
Verbindungen I-2, worin B für 6-Methoxypyridin-3-yl steht und A jeweils einerCompounds I-2 wherein B is 6-methoxypyridin-3-yl and A is each one
Gruppe einer Zeile der Tabelle A entspricht (Verbindungen 1-2.197aaA-1 bis I-Group of a row corresponds to Table A (compounds 1-2.197aaA-1 to I-
2.197aaA-425) Tabelle 198aa2.197aaA-425) Table 198aa
Verbindungen I-2, worin B für 2-Methoxypyridin-4-yl steht und A jeweils einerCompounds I-2 wherein B is 2-methoxypyridin-4-yl and A is each one
Gruppe einer Zeile der Tabelle A entspricht (Verbindungen 1-2.198aaA-1 bis I-Group of a row corresponds to Table A (compounds 1-2.198aaA-1 to I-
2.198aaA-425) Tabelle 199aa Verbindungen I-2, worin B für 3-Methoxypyridin-4-yl steht und A jeweils einer2.198aaA-425) Table 199aa compounds I-2 wherein B is 3-methoxypyridin-4-yl and A is each one
Gruppe einer Zeile der Tabelle A entspricht (Verbindungen 1-2.199aaA-1 bis I-Group of a row corresponds to Table A (Compounds 1-2.199aaA-1 to I-
2.199aaA-425) Tabelle 200aa2.199aaA-425) Table 200aa
Verbindungen I-2, worin B für 3,5-Dichlorpyridin-2-yl steht und A jeweils einer Gruppe einer Zeile der Tabelle A entspricht (Verbindungen l-2.200aaA-1 bis I-Compounds I-2, in which B is 3,5-dichloropyridin-2-yl and A in each case corresponds to one group of one row of Table A (Compounds I-2.200aaA-1 to I-2)
2.200aaA-425) Tabelle 201 aa2.200aaA-425) Table 201 aa
Verbindungen I-2, worin B für 2,4-Dichlorpyridin-3-yl steht und A jeweils einerCompounds I-2 wherein B is 2,4-dichloropyridin-3-yl and A is each one
Gruppe einer Zeile der Tabelle A entspricht (Verbindungen 1-2.201 aaA-1 bis I- 2.201 aaA-425)Group of a row corresponds to Table A (compounds 1-2.201 aaA-1 to I-2.201 aaA-425)
Tabelle 202aaTable 202aa
Verbindungen I-2, worin B für 2,5-Dichlorpyridin-3-yl steht und A jeweils einer Gruppe einer Zeile der Tabelle A entspricht (Verbindungen l-2.202aaA-1 bis I- 2.202aaA-425)Compounds I-2 wherein B is 2,5-dichloropyridin-3-yl and A is one each Group of a row corresponds to Table A (compounds I-2.202aaA-1 to I-2.202aaA-425)
Tabelle 203aaTable 203aa
Verbindungen I-2, worin B für 2,6-Dichlorpyridin-3-yl steht und A jeweils einer Gruppe einer Zeile der Tabelle A entspricht (Verbindungen l-2.203aaA-1 bis I-Compounds I-2, in which B is 2,6-dichloropyridin-3-yl and A corresponds in each case to one group of one row of Table A (Compounds I-2.203aaA-1 to I-
2.203aaA-425)2.203aaA-425)
Tabelle 204aaTable 204aa
Verbindungen I-2, worin B für 2,6-Dichlorpyridin-4-yl steht und A jeweils einer Gruppe einer Zeile der Tabelle A entspricht (Verbindungen l-2.204aaA-1 bis I- 2.204aaA-425)Compounds I-2 in which B is 2,6-dichloropyridin-4-yl and A in each case corresponds to one group of one row of Table A (Compounds I-2.204aaA-1 to I-2.204aaA-425)
Tabelle 205aaTable 205aa
Verbindungen I-2, worin B für 3,5-Dichlorpyridin-4-yl steht und A jeweils einer Gruppe einer Zeile der Tabelle A entspricht (Verbindungen l-2.205aaA-1 bis I- 2.205aaA-425) Tabelle 206aaCompounds I-2, wherein B is 3,5-dichloropyridin-4-yl and A corresponds in each case to one group of one row of Table A (compounds I-2.205aaA-1 to I-2.205aaA-425) Table 206aa
Verbindungen I-2, worin B für 3,6-Dichlorpyridin-4-yl steht und A jeweils einer Gruppe einer Zeile der Tabelle A entspricht (Verbindungen l-2.206aaA-1 bis I- 2.206aaA-425)Compounds I-2 in which B is 3,6-dichloropyridin-4-yl and A corresponds in each case to one group of one row of Table A (Compounds I-2.206aaA-1 to I-2.206aaA-425)
Tabelle 207aa Verbindungen I-2, worin B für 2,5-Dichlorpyridin-4-yl steht und A jeweils einerTable 207aa Compounds I-2 wherein B is 2,5-dichloropyridin-4-yl and A is each one
Gruppe einer Zeile der Tabelle A entspricht (Verbindungen l-2.207aaA-1 bis I- 2.207aaA-425)Group of one row corresponds to Table A (compounds I-2.207aaA-1 to I-2.207aaA-425)
Tabelle 208aaTable 208aa
Verbindungen I-2, worin B für 2,3-Dichlorpyridin-4-yl steht und A jeweils einer Gruppe einer Zeile der Tabelle A entspricht (Verbindungen l-2.208aaA-1 bis I-Compounds I-2, in which B is 2,3-dichloropyridin-4-yl and A corresponds in each case to one group of one row of Table A (Compounds I-2.208aaA-1 to I-
2.208aaA-425)2.208aaA-425)
Tabelle 209aaTable 209aa
Verbindungen I-2, worin B für 2,4-Dichlorpyridin-5-yl steht und A jeweils einer Gruppe einer Zeile der Tabelle A entspricht (Verbindungen l-2.209aaA-1 bis I- 2.209aaA-425)Compounds I-2 in which B is 2,4-dichloropyridin-5-yl and A corresponds in each case to one group of one row of Table A (Compounds I-2.209aaA-1 to I-2.209aaA-425)
Tabelle 21 OaaTable 21aa
Verbindungen I-2, worin B für 3,5-Difluorpyridin-2-yl steht und A jeweils einer Gruppe einer Zeile der Tabelle A entspricht (Verbindungen 1-2.210aaA-1 bis 1-2.21 OaaA- 425) Tabelle 211 aaCompounds I-2, wherein B is 3,5-difluoropyridin-2-yl and A corresponds in each case to one group of one row of Table A (Compounds 1-2.210aaA-1 to 1-2.21 OaaA-425) Table 211aa
Verbindungen I-2, worin B für 3,5-Difluorpyridin-4-yl steht und A jeweils einer Gruppe einer Zeile der Tabelle A entspricht (Verbindungen 1-2.21 1aaA-1 bis 1-2.21 1aaA- 425)Compounds I-2, wherein B is 3,5-difluoropyridin-4-yl and A corresponds in each case to one group of one row of Table A (Compounds 1-2.21 1aaA-1 to 1-2.21 1aaA-425)
Tabelle 212aa Verbindungen I-2, worin B für 2,3-Difluorpyridin-4-yl steht und A jeweils einer Gruppe einer Zeile der Tabelle A entspricht (Verbindungen 1-2.212aaA-1 bis 1-2.212aaA- 425) Tabelle 213aaTable 212aa Compounds I-2, wherein B is 2,3-difluoropyridin-4-yl and A corresponds in each case to one group of one row of Table A (Compounds 1-2.212aaA-1 to 1-2.212aaA-425) Table 213aa
Verbindungen I-2, worin B für 3,5-Dimethylpyridin-2-yl steht und A jeweils einerCompounds I-2 wherein B is 3,5-dimethylpyridin-2-yl and A is one each
Gruppe einer Zeile der Tabelle A entspricht (Verbindungen 1-2.213aaA-1 bis I-Group of a row corresponds to Table A (compounds 1-2.213aaA-1 to I-
2.213aaA-425) Tabelle 214aa2.213aaA-425) Table 214aa
Verbindungen I-2, worin B für 3,4-Dimethylpyridin-2-yl steht und A jeweils einerCompounds I-2 wherein B is 3,4-dimethylpyridin-2-yl and A is each one
Gruppe einer Zeile der Tabelle A entspricht (Verbindungen 1-2.214aaA-1 bis I-Group of a row corresponds to Table A (compounds 1-2.214aaA-1 to I-
2.214aaA-425) Tabelle 215aa Verbindungen I-2, worin B für 4,6-Dimethylpyridin-3-yl steht und A jeweils einer2.214aaA-425) Table 215aa Compounds I-2 wherein B is 4,6-dimethylpyridin-3-yl and A is each one
Gruppe einer Zeile der Tabelle A entspricht (Verbindungen 1-2.215aaA-1 bis I-Group of a row corresponds to Table A (compounds 1-2.215aaA-1 to I-
2.215aaA-425) Tabelle 216aa2.215aaA-425) Table 216aa
Verbindungen I-2, worin B für 2,4-Dimethylpyridin-3-yl steht und A jeweils einer Gruppe einer Zeile der Tabelle A entspricht (Verbindungen 1-2.216aaA-1 bis I-Compounds I-2 in which B is 2,4-dimethylpyridin-3-yl and A in each case corresponds to one group of one row of Table A (Compounds 1-2.216aaA-1 to I-
2.216aaA-425) Tabelle 217aa2.216aaA-425) Table 217aa
Verbindungen I-2, worin B für 3,5-Dimethylpyridin-4-yl steht und A jeweils einerCompounds I-2 wherein B is 3,5-dimethylpyridin-4-yl and A is each one
Gruppe einer Zeile der Tabelle A entspricht (Verbindungen 1-2.217aaA-1 bis I- 2.217aaA-425)Group of a row corresponds to Table A (compounds 1-2.217aaA-1 to I-2.217aaA-425)
Tabelle 218aaTable 218aa
Verbindungen I-2, worin B für 2-Chlor-3-fluorpyridin-4-yl steht und A jeweils einerCompounds I-2 wherein B is 2-chloro-3-fluoropyridin-4-yl and A is each one
Gruppe einer Zeile der Tabelle A entspricht (Verbindungen 1-2.218aaA-1 bis I-Group of a row corresponds to Table A (compounds 1-2.218aaA-1 to I-
2.218aaA-425) Tabelle 219aa2.218aaA-425) Table 219aa
Verbindungen I-2, worin B für 4-Chlor-3-methylpyridin-2-yl steht und A jeweils einerCompounds I-2 wherein B is 4-chloro-3-methylpyridin-2-yl and A is each one
Gruppe einer Zeile der Tabelle A entspricht (Verbindungen 1-2.219aaA-1 bis I-Group of a row corresponds to Table A (Compounds 1-2.219aaA-1 to I-
2.219aaA-425) Tabelle 220aa Verbindungen I-2, worin B für 5-Chlor-3-methylpyridin-2-yl steht und A jeweils einer2.219aaA-425) Table 220aa compounds I-2 wherein B is 5-chloro-3-methylpyridin-2-yl and A is each one
Gruppe einer Zeile der Tabelle A entspricht (Verbindungen l-2.220aaA-1 bis I-Group of a row corresponds to Table A (compounds I-2.220aaA-1 to I-
2.220aaA-425) Tabelle 221 aa2.220aaA-425) Table 221 aa
Verbindungen I-2, worin B für 5-Fluor-3-methylpyridin-2-yl steht und A jeweils einer Gruppe einer Zeile der Tabelle A entspricht (Verbindungen 1-2.221 aaA-1 bis I-Compounds I-2 in which B is 5-fluoro-3-methylpyridin-2-yl and A in each case corresponds to one group of one row of Table A (Compounds 1-2.221 aaA-1 to I-
2.221 aaA-425) Tabelle 222aa2.221 aaA-425) Table 222aa
Verbindungen I-2, worin B für 3-Chlor-5-trifluormethylpyridin-2-yl steht und A jeweils einer Gruppe einer Zeile der Tabelle A entspricht (Verbindungen l-2.222aaA- 1 bis l-2.222aaA-425)Compounds I-2 in which B is 3-chloro-5-trifluoromethylpyridin-2-yl and A in each case corresponds to one group of one row of Table A (Compounds I-2.222aaA-1 to I-2.222aaA-425)
Tabelle 223aaTable 223aa
Verbindungen I-2, worin B für 2-Chlor-6-trifluormethylpyridin-3-yl steht und A je- weils einer Gruppe einer Zeile der Tabelle A entspricht (Verbindungen l-2.223aaA-Compounds I-2, wherein B is 2-chloro-6-trifluoromethylpyridin-3-yl and A is each because one group corresponds to one row of Table A (compounds I-2.223aaA-
1 bis l-2.223aaA-425) Tabelle 224aa1 to l-2.223aaA-425) Table 224aa
Verbindungen I-2, worin B für 2,4-Dichlor-6-methylpyridin-3-yl steht und A jeweils einer Gruppe einer Zeile der Tabelle A entspricht (Verbindungen l-2.224aaA-1 bis I-Compounds I-2 in which B is 2,4-dichloro-6-methylpyridin-3-yl and A in each case corresponds to one group of one row of Table A (Compounds I-2.224aaA-1 to I-
2.224aaA-425) Tabelle 225aa2.224aaA-425) Table 225aa
Verbindungen I-2, worin B für 3,4,5-Trichlorpyridin-2-yl steht und A jeweils einerCompounds I-2 wherein B is 3,4,5-trichloropyridin-2-yl and A is each one
Gruppe einer Zeile der Tabelle A entspricht (Verbindungen l-2.225aaA-1 bis I- 2.225aaA-425)Group of a row corresponds to Table A (compounds I-2.225aaA-1 to I-2.225aaA-425)
Tabelle 226aaTable 226aa
Verbindungen I-2, worin B für 2,4,6-Trichlorpyridin-3-yl steht und A jeweils einerCompounds I-2 wherein B is 2,4,6-trichloropyridin-3-yl and A is each one
Gruppe einer Zeile der Tabelle A entspricht (Verbindungen l-2.226aaA-1 bis I-Group of one row of Table A (Compounds I-2.226aaA-1 to I-
2.226aaA-425) Tabelle 227aa2.226aaA-425) Table 227aa
Verbindungen I-2, worin B für Pyrimidin-2-yl steht und A jeweils einer Gruppe einerCompounds I-2 wherein B is pyrimidin-2-yl and A is each a group of one
Zeile der Tabelle A entspricht (Verbindungen l-2.227aaA-1 bis l-2.227aaA-425) Tabelle 228aaRow of Table A corresponds (Compounds l-2.227aaA-1 to l-2.227aaA-425) Table 228aa
Verbindungen I-2, worin B für Pyrimidin-5-yl steht und A jeweils einer Gruppe einer Zeile der Tabelle A entspricht (Verbindungen l-2.228aaA-1 bis l-2.228aaA-425)Compounds I-2 in which B is pyrimidin-5-yl and A in each case corresponds to one group of one row of Table A (Compounds I-2.228aaA-1 to I-2.228aaA-425)
Tabelle 229aaTable 229aa
Verbindungen I-2, worin B für 6-Chlorpyrimidin-3-yl steht und A jeweils einer Gruppe einer Zeile der Tabelle A entspricht (Verbindungen l-2.229aaA-1 bis l-2.229aaA-Compounds I-2 in which B is 6-chloropyrimidin-3-yl and A corresponds in each case to one group of one row of Table A (Compounds I-2.229aaA-1 to I-2.229aaA-
425) Tabelle 230aa425) Table 230aa
Verbindungen I-2, worin B für 6-Methylpyrimidin-3-yl steht und A jeweils einerCompounds I-2 wherein B is 6-methylpyrimidin-3-yl and A is each one
Gruppe einer Zeile der Tabelle A entspricht (Verbindungen l-2.230aaA-1 bis I-Group of a row corresponds to Table A (compounds I-2.230aaA-1 to I-
2.230aaA-425) Tabelle 231 aa Verbindungen I-2, worin B für 6-Methoxypyrimidin-3-yl steht und A jeweils einer2.230aaA-425) Table 231aa compounds I-2 wherein B is 6-methoxypyrimidin-3-yl and A is each one
Gruppe einer Zeile der Tabelle A entspricht (Verbindungen 1-2.231 aaA-1 bis I-Group of a row corresponds to Table A (Compounds 1-2.231 aaA-1 to I-
2.231 aaA-425) Tabelle 232aa2.231 aaA-425) Table 232aa
Verbindungen I-2, worin B für 2,4-Dichlorpyrimidin-3-yl steht und A jeweils einer Gruppe einer Zeile der Tabelle A entspricht (Verbindungen l-2.232aaA-1 bis I-Compounds I-2, wherein B is 2,4-dichloropyrimidin-3-yl and A in each case corresponds to one group of one row of Table A (Compounds I-2.232aaA-1 to I-
2.232aaA-425) Tabelle 233aa2.232aaA-425) Table 233aa
Verbindungen I-2, worin B für 2,6-Dichlorpyrimidin-3-yl steht und A jeweils einerCompounds I-2 wherein B is 2,6-dichloropyrimidin-3-yl and A is each one
Gruppe einer Zeile der Tabelle A entspricht (Verbindungen l-2.233aaA-1 bis I- 2.233aaA-425)Group of a row corresponds to Table A (compounds I-2.233aaA-1 to I-2.233aaA-425)
Tabelle 234aaTable 234aa
Verbindungen I-2, worin B für 2,4-Difluorpyrimidin-3-yl steht und A jeweils einer Gruppe einer Zeile der Tabelle A entspricht (Verbindungen l-2.234aaA-1 bis I- 2.234aaA-425)Compounds I-2 wherein B is 2,4-difluoropyrimidin-3-yl and A is each one Group of a row corresponds to Table A (compounds I-2.234aaA-1 to I-2.234aaA-425)
Tabelle 235aaTable 235aa
Verbindungen I-2, worin B für 2,6-Difluorpyrimidin-3-yl steht und A jeweils einer Gruppe einer Zeile der Tabelle A entspricht (Verbindungen l-2.235aaA-1 bis I-Compounds I-2 in which B is 2,6-difluoropyrimidin-3-yl and A corresponds in each case to one group of one row of Table A (Compounds I-2.235aaA-1 to I-
2.235aaA-425)2.235aaA-425)
Tabelle 236aaTable 236aa
Verbindungen I-2, worin B für 1 ,3,5-Triazin-2-yl steht und A jeweils einer Gruppe einer Zeile der Tabelle A entspricht (Verbindungen l-2.236aaA-1 bis l-2.236aaA- 425)Compounds I-2, wherein B is 1, 3,5-triazin-2-yl and A corresponds in each case to one group of one row of Table A (Compounds 1-.226aaA-1 to l-2,236aaA-425)
Tabelle 237aaTable 237aa
Verbindungen I-2, worin B für Thien-2-yl steht und A jeweils einer Gruppe einer Zeile der Tabelle A entspricht (Verbindungen l-2.237aaA-1 bis l-2.237aaA-425)Compounds I-2, wherein B is thien-2-yl and A corresponds in each case to one group of one row of Table A (Compounds 1-2237aaA-1 to l-2.237aaA-425)
Tabelle 238aa Verbindungen I-2, worin B für Thien-3-yl steht und A jeweils einer Gruppe einer Zeile der Tabelle A entspricht (Verbindungen l-2.238aaA-1 bis l-2.238aaA-425)Table 238aa Compounds I-2, wherein B is thien-3-yl and A corresponds in each case to one group of one row of Table A (compounds I-2.238aaA-1 to I-2.238aaA-425)
Tabelle 239aaTable 239aa
Verbindungen I-2, worin B für 5-Chlorthien-2-yl steht und A jeweils einer Gruppe einer Zeile der Tabelle A entspricht (Verbindungen l-2.239aaA-1 bis l-2.239aaA- 425)Compounds I-2 in which B is 5-chlorothien-2-yl and A corresponds in each case to one group of one row of Table A (compounds I-2.239aaA-1 to I-2.239aaA-425)
Tabelle 240aaTable 240aa
Verbindungen I-2, worin B für 2-Chlorthien-3-yl steht und A jeweils einer Gruppe einer Zeile der Tabelle A entspricht (Verbindungen l-2.240aaA-1 bis l-2.240aaA- 425) Tabelle 241 aaCompounds I-2, wherein B is 2-chlorothien-3-yl and A in each case corresponds to one group of one row of Table A (Compounds l-2.240aaA-1 to l-2.240aa-425) Table 241aa
Verbindungen I-2, worin B für 4-Chlorthien-3-yl steht und A jeweils einer Gruppe einer Zeile der Tabelle A entspricht (Verbindungen 1-2.241 aaA-1 bis 1-2.241 aaA- 425)Compounds I-2, wherein B is 4-chlorothien-3-yl and A corresponds in each case to one group of one row of Table A (compounds 1-2.241 aaA-1 to 1-2.241 aaA-425)
Tabelle 242aa Verbindungen I-2, worin B für 5-Chlorthien-3-yl steht und A jeweils einer Gruppe einer Zeile der Tabelle A entspricht (Verbindungen l-2.242aaA-1 bis l-2.242aaA- 425)Table 242aa Compounds I-2, wherein B is 5-chlorothien-3-yl and A corresponds in each case to one group of one row of Table A (compounds I-2.242aaA-1 to l-2.242aaA-425)
Tabelle 243aaTable 243aa
Verbindungen I-2, worin B für 2-Bromthien-3-yl steht und A jeweils einer Gruppe einer Zeile der Tabelle A entspricht (Verbindungen l-2.243aaA-1 bis l-2.243aaA-Compounds I-2 in which B is 2-bromothien-3-yl and A corresponds in each case to one group of one row of Table A (compounds I-2.243aaA-1 to I-2.243aaA-
425)425)
Tabelle 244aaTable 244aa
Verbindungen I-2, worin B für 4-Bromthien-3-yl steht und A jeweils einer Gruppe einer Zeile der Tabelle A entspricht (Verbindungen l-2.244aaA-1 bis l-2.244aaA- 425)Compounds I-2, wherein B is 4-bromothien-3-yl and A corresponds in each case to one group of one row of Table A (Compounds 1-2244aaA-1 to l-2.244aaA-425)
Tabelle 245aaTable 245aa
Verbindungen I-2, worin B für 5-Bromthien-3-yl steht und A jeweils einer Gruppe einer Zeile der Tabelle A entspricht (Verbindungen l-2.245aaA-1 bis l-2.245aaA-Compounds I-2 wherein B is 5-bromothien-3-yl and A is each a group corresponds to one line of Table A (compounds l-2.245aaA-1 to l-2.245aaA-
425) Tabelle 246aa425) Table 246aa
Verbindungen I-2, worin B für 5-Methylthien-2-yl steht und A jeweils einer Gruppe einer Zeile der Tabelle A entspricht (Verbindungen l-2.246aaA-1 bis l-2.246aaA-Compounds I-2 in which B is 5-methylthien-2-yl and A in each case corresponds to one group of one row of Table A (Compounds I-2.246aaA-1 to I-2.246aaA-
425) Tabelle 247aa425) Table 247aa
Verbindungen I-2, worin B für 2-Methylthien-4-yl steht und A jeweils einer Gruppe einer Zeile der Tabelle A entspricht (Verbindungen l-2.247aaA-1 bis l-2.247aaA- 425)Compounds I-2 in which B is 2-methylthien-4-yl and A in each case corresponds to one group of one row of Table A (Compounds I-2.247aaA-1 to I-2.247aaA-425)
Tabelle 248aaTable 248aa
Verbindungen I-2, worin B für 4,5-Dichlorthien-2-yl steht und A jeweils einer Gruppe einer Zeile der Tabelle A entspricht (Verbindungen l-2.248aaA-1 bis l-2.248aaA-Compounds I-2, in which B is 4,5-dichlorothien-2-yl and A corresponds in each case to one group of one row of Table A (compounds I-2.248aaA-1 to I-2.248aaA-
425) Tabelle 249aa425) Table 249aa
Verbindungen I-2, worin B für 2,5-Dichlorthien-3-yl steht und A jeweils einer Gruppe einer Zeile der Tabelle A entspricht (Verbindungen l-2.249aaA-1 bis l-2.249aaA-Compounds I-2, in which B is 2,5-dichlorothien-3-yl and A corresponds in each case to one group of one row of Table A (Compounds I-2.249aaA-1 to I-2.249aaA-
425)425)
Tabelle 250aa Verbindungen I-2, worin B für 2,3-Dichlorthien-4-yl steht und A jeweils einer Gruppe einer Zeile der Tabelle A entspricht (Verbindungen l-2.250aaA-1 bis l-2.250aaA-Table 250aa Compounds I-2, wherein B is 2,3-dichlorothien-4-yl and A corresponds in each case to one group of one row of Table A (Compounds I-2,250aaA-1 to l-2,250aaA-
425) Tabelle 251 aa425) Table 251 aa
Verbindungen I-2, worin B für 2,5-Dibromthien-3-yl steht und A jeweils einer Grup- pe einer Zeile der Tabelle A entspricht (Verbindungen 1-2.251 aaA-1 bis 1-2.251 aaA-Compounds I-2, where B is 2,5-dibromothien-3-yl and A corresponds in each case to one group of one row of Table A (compounds 1-2.251 aaA-1 to 1-2.251 aaA-
425) Tabelle 252aa425) Table 252aa
Verbindungen I-2, worin B für 4,5-Dimethylthien-2-yl steht und A jeweils einerCompounds I-2 wherein B is 4,5-dimethylthien-2-yl and A is each one
Gruppe einer Zeile der Tabelle A entspricht (Verbindungen l-2.252aaA-1 bis I- 2.252aaA-425)Group of a row corresponds to Table A (compounds I-2.252aaA-1 to I-2.252aaA-425)
Tabelle 253aaTable 253aa
Verbindungen I-2, worin B für 2,5-Dimethylthien-3-yl steht und A jeweils einerCompounds I-2 wherein B is 2,5-dimethylthien-3-yl and A is each one
Gruppe einer Zeile der Tabelle A entspricht (Verbindungen l-2.253aaA-1 bis I-Group of a row corresponds to Table A (compounds I-2.253aaA-1 to I-
2.253aaA-425) Tabelle 254aa2.253aaA-425) Table 254aa
Verbindungen I-2, worin B für 2,3-Dimethylthien-4-yl steht und A jeweils einerCompounds I-2 wherein B is 2,3-dimethylthien-4-yl and A is each one
Gruppe einer Zeile der Tabelle A entspricht (Verbindungen l-2.254aaA-1 bis I-Group of a row corresponds to Table A (compounds I-2.254aaA-1 to I-
2.254aaA-425) Tabelle 255aa Verbindungen I-2, worin B für 3,4,5-Trichlorthien-2-yl steht und A jeweils einer2.254aaA-425) Table 255aa compounds I-2 wherein B is 3,4,5-trichlorothien-2-yl and A is each one
Gruppe einer Zeile der Tabelle A entspricht (Verbindungen l-2.255aaA-1 bis I-Group of a row corresponds to Table A (compounds I-2.255aaA-1 to I-
2.255aaA-425) Tabelle 256aa2.255aaA-425) Table 256aa
Verbindungen 1-2, worin B für 2,4,5-Trichlorthien-3-yl steht und A jeweils einerCompounds 1-2 wherein B is 2,4,5-trichlorothien-3-yl and A is each one
Gruppe einer Zeile der Tabelle A entspricht (Verbindungen l-2.256aaA-1 bis I-Group of a row corresponds to Table A (compounds I-2.256aaA-1 to I-
2.256aaA-425) Tabelle 257aa2.256aaA-425) Table 257aa
Verbindungen I-2, worin B für 2,4,5-Tribromthien-3-yl steht und A jeweils einerCompounds I-2 wherein B is 2,4,5-tribromothien-3-yl and A is each one
Gruppe einer Zeile der Tabelle A entspricht (Verbindungen l-2.257aaA-1 bis I-Group of a row corresponds to Table A (compounds I-2.257aaA-1 to I-
2.257aaA-425) Tabelle 258aa Verbindungen I-2, worin B für 3,4,5-Trimethylthien-2-yl steht und A jeweils einer2.257aaA-425) Table 258aa compounds I-2 wherein B is 3,4,5-trimethylthien-2-yl and A is each one
Gruppe einer Zeile der Tabelle A entspricht (Verbindungen l-2.258aaA-1 bis I-Group of a row corresponds to Table A (compounds I-2.258aaA-1 to I-
2.258aaA-425) Tabelle 259aa2.258aaA-425) Table 259aa
Verbindungen I-2, worin B für 4-Chlorfur-2-yl steht und A jeweils einer Gruppe einer Zeile der Tabelle A entspricht (Verbindungen l-2.259aaA-1 bis l-2.259aaA-425)Compounds I-2 in which B is 4-chlorofur-2-yl and A corresponds in each case to one group of one row of Table A (Compounds I-2.259aaA-1 to 1.2559aaA-425)
Tabelle 260aaTable 260aa
Verbindungen I-2, worin B für 5-Chlorfur-2-yl steht und A jeweils einer Gruppe einerCompounds I-2 wherein B is 5-chlorofur-2-yl and A is each a group of one
Zeile der Tabelle A entspricht (Verbindungen l-2.260aaA-1 bis l-2.260aaA-425) Tabelle 261 aa Verbindungen I-2, worin B für 3-Bromfur-2-yl steht und A jeweils einer Gruppe einerLine of Table A corresponds (Compounds l-2.260aaA-1 to l-2.260aaA-425) Table 261aa Compounds I-2 wherein B is 3-bromo-fur-2-yl and A is each a group of one
Zeile der Tabelle A entspricht (Verbindungen 1-2.261 aaA-1 bis 1-2.261 aaA-425) Tabelle 262aaRow of Table A corresponds (Compounds 1-2.261 aaA-1 to 1-2.261 aaA-425) Table 262aa
Verbindungen I-2, worin B für 4-Bromfur-2-yl steht und A jeweils einer Gruppe einerCompounds I-2 wherein B is 4-bromo-fur-2-yl and A is each a group of one
Zeile der Tabelle A entspricht (Verbindungen l-2.262aaA-1 bis l-2.262aaA-425) Tabelle 263aaLine of Table A corresponds (compounds I-2.262aaA-1 to I-2.262aaA-425) Table 263aa
Verbindungen I-2, worin B für 5-Bromfur-2-yl steht und A jeweils einer Gruppe einerCompounds I-2 wherein B is 5-bromo-fur-2-yl and A is each a group of one
Zeile der Tabelle A entspricht (Verbindungen l-2.263aaA-1 bis l-2.263aaA-425) Tabelle 264aaLine of Table A corresponds (compounds I-2.263aaA-1 to I-2.263aaA-425) Table 264aa
Verbindungen I-2, worin B für 3,4-Dichlorfur-2-yl steht und A jeweils einer Gruppe einer Zeile der Tabelle A entspricht (Verbindungen l-2.264aaA-1 bis l-2.264aaA-Compounds I-2 in which B is 3,4-dichloropur-2-yl and A corresponds in each case to one group of one row of Table A (compounds I-2.264aaA-1 to I-2.264aaA-
425) Tabelle 265aa425) Table 265aa
Verbindungen I-2, worin B für 4,5-Dichlorfur-2-yl steht und A jeweils einer Gruppe einer Zeile der Tabelle A entspricht (Verbindungen l-2.265aaA-1 bis l-2.265aaA- 425)Compounds I-2, wherein B is 4,5-dichloropur-2-yl and A corresponds in each case to one group of one row of Table A (compounds I-2.265aaA-1 to l-2.265aaA-425)
Tabelle 266aaTable 266aa
Verbindungen I-2, worin B für Thiazol-2-yl steht und A jeweils einer Gruppe einerCompounds I-2 wherein B is thiazol-2-yl and A is a group of each
Zeile der Tabelle A entspricht (Verbindungen l-2.266aaA-1 bis l-2.266aaA-425) Tabelle 267aa Verbindungen I-2, worin B für Thiazol-4-yl steht und A jeweils einer Gruppe einerTable 267aa Compounds I-2 where B is thiazol-4-yl and A is each a group of one of the following: Compounds 1-2266aaA-1 to l-2.266aaA-425
Zeile der Tabelle A entspricht (Verbindungen l-2.267aaA-1 bis l-2.267aaA-425) Tabelle 268aaLine of Table A corresponds (compounds I-2.267aaA-1 to I-2.267aaA-425) Table 268aa
Verbindungen 1-2, worin B für Thiazol-5-yl steht und A jeweils einer Gruppe einer Zeile der Tabelle A entspricht (Verbindungen l-2.268aaA-1 bis l-2.268aaA-425)Compounds 1-2, wherein B is thiazol-5-yl and A in each case corresponds to one group of one row of Table A (Compounds 1-2,628aaA-1 to l-2,268aaA-425)
Tabelle 269aa Verbindungen I-2, worin B für lsothiazol-3-yl steht und A jeweils einer Gruppe einerTable 269aa compounds I-2 wherein B is isothiazol-3-yl and A is each a group of one
Zeile der Tabelle A entspricht (Verbindungen l-2.269aaA-1 bis l-2.269aaA-425)Line of Table A corresponds (Compounds l-2.269aaA-1 to l-2.269aaA-425)
Tabelle 270aaTable 270aa
Verbindungen I-2, worin B für lsothiazol-4-yl steht und A jeweils einer Gruppe einer Zeile der Tabelle A entspricht (Verbindungen l-2.270aaA-1 bis l-2.270aaA-425) Tabelle 271 aaCompounds I-2, wherein B is isothiazol-4-yl and A corresponds in each case to one group of one row of Table A (Compounds I-2,270aaA-1 to I-2,270aaA-425) Table 271aa
Verbindungen I-2, worin B für lsothiazol-5-yl steht und A jeweils einer Gruppe einer Zeile der Tabelle A entspricht (Verbindungen 1-2.271 aaA-1 bis 1-2.271 aaA-425)Compounds I-2, wherein B is isothiazol-5-yl and A corresponds in each case to one group of one row of Table A (compounds 1-2.271 aaA-1 to 1-2.271 aaA-425)
Tabelle 272aaTable 272aa
Verbindungen I-2, worin B für 2-Chlorthiazol-4-yl steht und A jeweils einer Gruppe einer Zeile der Tabelle A entspricht (Verbindungen l-2.272aaA-1 bis l-2.272aaA-Compounds I-2, in which B is 2-chlorothiazol-4-yl and A corresponds in each case to one group of one row of Table A (compounds I-2.272aaA-1 to I-2.272aaA-
425)425)
Tabelle 273aaTable 273aa
Verbindungen I-2, worin B für 2-Chlorthiazol-5-yl steht und A jeweils einer Gruppe einer Zeile der Tabelle A entspricht (Verbindungen l-2.273aaA-1 bis l-2.273aaA- 425)Compounds I-2, wherein B is 2-chlorothiazol-5-yl and A corresponds in each case to one group of one row of Table A (Compounds 1-2273aaA-1 to l-2.273aaA-425)
Tabelle 274aaTable 274aa
Verbindungen I-2, worin B für 4-Chlorthiazol-5-yl steht und A jeweils einer Gruppe einer Zeile der Tabelle A entspricht (Verbindungen l-2.274aaA-1 bis l-2.274aaA- 425) Tabelle 275aaCompounds I-2, wherein B is 4-chlorothiazol-5-yl and A corresponds in each case to one group of one row of Table A (Compounds 1-2274aaA-1 to l-2.274aaA-425) Table 275aa
Verbindungen I-2, worin B für 2-Bromthiazol-4-yl steht und A jeweils einer Gruppe einer Zeile der Tabelle A entspricht (Verbindungen l-2.275aaA-1 bis l-2.275aaA- 425)Compounds I-2 in which B is 2-bromothiazol-4-yl and A corresponds in each case to one group of one row of Table A (Compounds I-2,275aaA-1 to I-2,275aaA-425)
Tabelle 276aa Verbindungen I-2, worin B für 2-Bromthiazol-5-yl steht und A jeweils einer Gruppe einer Zeile der Tabelle A entspricht (Verbindungen l-2.276aaA-1 bis l-2.276aaA- 425)Table 276aa Compounds I-2, wherein B is 2-bromothiazol-5-yl and A corresponds in each case to one group of one row of Table A (compounds I-2.276aaA-1 to l-2.276aaA-425)
Tabelle 277aaTable 277aa
Verbindungen I-2, worin B für 2,4-Dichlorthiazol-5-yl steht und A jeweils einer Gruppe einer Zeile der Tabelle A entspricht (Verbindungen l-2.277aaA-1 bis I-Compounds I-2 in which B is 2,4-dichlorothiazol-5-yl and A in each case corresponds to one group of one row of Table A (Compounds I-2.277aaA-1 to I-2)
2.277aaA-425)2.277aaA-425)
Tabelle 278aaTable 278aa
Verbindungen I-2, worin B für 3-Chlorisothiazol-4-yl steht und A jeweils einer Gruppe einer Zeile der Tabelle A entspricht (Verbindungen l-2.278aaA-1 bis l-2.278aaA- 425)Compounds I-2 in which B is 3-chloroisothiazol-4-yl and A in each case corresponds to one group of one row of Table A (compounds I-2.278aaA-1 to I-2.278aaA-425)
Tabelle 279aaTable 279aa
Verbindungen I-2, worin B für 5-Methylisothiazol-3-yl steht und A jeweils einer Gruppe einer Zeile der Tabelle A entspricht (Verbindungen l-2.279aaA-1 bis I-Compounds I-2 wherein B is 5-methylisothiazol-3-yl and A is each one Group of a row corresponds to Table A (compounds I-2.279aaA-1 to I-
2.279aaA-425) Tabelle 280aa2.279aaA-425) Table 280aa
Verbindungen I-2, worin B für 3-Methylisothiazol-4-yl steht und A jeweils einer Gruppe einer Zeile der Tabelle A entspricht (Verbindungen l-2.280aaA-1 bis I-Compounds I-2 in which B is 3-methylisothiazol-4-yl and A in each case corresponds to one group of one row of Table A (Compounds I-2.280aaA-1 to I-2)
2.280aaA-425) Tabelle 281 aa2.280aaA-425) Table 281 aa
Verbindungen I-2, worin B für 3-Methylisothiazol-5-yl steht und A jeweils einerCompounds I-2 wherein B is 3-methylisothiazol-5-yl and A is each one
Gruppe einer Zeile der Tabelle A entspricht (Verbindungen 1-2.281 aaA-1 bis I- 2.281 aaA-425)Group of a row corresponds to Table A (Compounds 1-2.281 aaA-1 to I-2.281 aaA-425)
Tabelle 282aaTable 282aa
Verbindungen I-2, worin B für 4,5-Dichlorisothiazol-3-yl steht und A jeweils einerCompounds I-2 wherein B is 4,5-dichloroisothiazol-3-yl and A is each one
Gruppe einer Zeile der Tabelle A entspricht (Verbindungen l-2.282aaA-1 bis I-Group of a row corresponds to Table A (compounds I-2.282aaA-1 to I-
2.282aaA-425) Tabelle 283aa2.282aaA-425) Table 283aa
Verbindungen I-2, worin B für 4,5-Dimethylisothiazol-3-yl steht und A jeweils einerCompounds I-2 wherein B is 4,5-dimethylisothiazol-3-yl and A is each one
Gruppe einer Zeile der Tabelle A entspricht (Verbindungen l-2.283aaA-1 bis I-Group of a row corresponds to Table A (compounds I-2.283aaA-1 to I-
2.283aaA-425) Tabelle 284aa Verbindungen I-2, worin B für 3,5-Dimethylisothiazol-4-yl steht und A jeweils einer2.283aaA-425) Table 284aa compounds I-2 wherein B is 3,5-dimethylisothiazol-4-yl and A is each one
Gruppe einer Zeile der Tabelle A entspricht (Verbindungen l-2.284aaA-1 bis I-Group of a row corresponds to Table A (compounds I-2.284aaA-1 to I-
2.284aaA-425) Tabelle 285aa2.284aaA-425) Table 285aa
Verbindungen I-2, worin B für 3,4-Dichlorisothiazol-5-yl steht und A jeweils einer Gruppe einer Zeile der Tabelle A entspricht (Verbindungen l-2.285aaA-1 bis I-Compounds I-2, in which B is 3,4-dichloroisothiazol-5-yl and A in each case corresponds to one group of one row of Table A (compounds I-2.285aaA-1 to I-2)
2.285aaA-425) Tabelle 286aa2.285aaA-425) Table 286aa
Verbindungen I-2, worin B für Oxazol-2-yl steht und A jeweils einer Gruppe einerCompounds I-2 wherein B is oxazol-2-yl and A is a group of each
Zeile der Tabelle A entspricht (Verbindungen l-2.286aaA-1 bis l-2.286aaA-425) Tabelle 287aaRow of Table A corresponds (Compounds l-2.286aaA-1 to l-2.286aaA-425) Table 287aa
Verbindungen I-2, worin B für Oxazol-4-yl steht und A jeweils einer Gruppe einerCompounds I-2 wherein B is oxazol-4-yl and A is a group of each
Zeile der Tabelle A entspricht (Verbindungen l-2.287aaA-1 bis l-2.287aaA-425) Tabelle 288aaRow of Table A corresponds (Compounds l-2.287aaA-1 to l-2.287aaA-425) Table 288aa
Verbindungen I-2, worin B für Oxazol-5-yl steht und A jeweils einer Gruppe einer Zeile der Tabelle A entspricht (Verbindungen l-2.288aaA-1 bis l-2.288aaA-425)Compounds I-2 in which B is oxazol-5-yl and A in each case corresponds to one group of one row of Table A (Compounds 1-2288aaA-1 to l-2.288aaA-425)
Tabelle 289aaTable 289aa
Verbindungen I-2, worin B für lsoxazol-3-yl steht und A jeweils einer Gruppe einerCompounds I-2 wherein B is isoxazol-3-yl and A is each a group of one
Zeile der Tabelle A entspricht (Verbindungen l-2.289aaA-1 bis l-2.289aaA-425) Tabelle 290aa Verbindungen I-2, worin B für lsoxazol-4-yl steht und A jeweils einer Gruppe einerTable 290aa Compounds I-2 wherein B is isoxazol-4-yl and A is each a group of one
Zeile der Tabelle A entspricht (Verbindungen l-2.290aaA-1 bis l-2.290aaA-425) Tabelle 291 aaRow of Table A corresponds (Compounds l-2.290aaA-1 to l-2.290aaA-425) Table 291 aa
Verbindungen I-2, worin B für lsoxazol-5-yl steht und A jeweils einer Gruppe einer Zeile der Tabelle A entspricht (Verbindungen 1-2.291 aaA-1 bis 1-2.291 aaA-425)Compounds I-2, wherein B is isoxazol-5-yl and A corresponds in each case to one group of one row of Table A (Compounds 1-2.291 aaA-1 to 1-2.291 aaA-425)
Tabelle 292aa Verbindungen I-2, worin B für 3-Chlorisoxazol-5-yl steht und A jeweils einer Gruppe einer Zeile der Tabelle A entspricht (Verbindungen l-2.292aaA-1 bis l-2.292aaA- 425)Table 292aa Compounds I-2, wherein B is 3-chloroisoxazol-5-yl and A corresponds in each case to one group of one row of Table A (compounds I-2.292aaA-1 to l-2.292aaA-425)
Tabelle 293aaTable 293aa
Verbindungen I-2, worin B für 5-Methylisoxazol-3-yl steht und A jeweils einer Grup- pe einer Zeile der Tabelle A entspricht (Verbindungen l-2.293aaA-1 bis l-2.293aaA-Compounds I-2 in which B is 5-methylisoxazol-3-yl and A corresponds in each case to one group of one row of Table A (compounds I-2.293aaA-1 to I-2.293aaA-
425)425)
Tabelle 294aaTable 294aa
Verbindungen I-2, worin B für 5-Methylisoxazol-4-yl steht und A jeweils einer Gruppe einer Zeile der Tabelle A entspricht (Verbindungen l-2.294aaA-1 bis l-2.294aaA- 425)Compounds I-2 in which B is 5-methylisoxazol-4-yl and A corresponds in each case to one group of one row of Table A (Compounds I-2.294aaA-1 to 1.2994aa-425)
Tabelle 295aaTable 295aa
Verbindungen I-2, worin B für 3-Methylisoxazol-5-yl steht und A jeweils einer Gruppe einer Zeile der Tabelle A entspricht (Verbindungen l-2.295aaA-1 bis l-2.295aaA- 425) Tabelle 296aaCompounds I-2, wherein B is 3-methylisoxazol-5-yl and A corresponds in each case to one group of one row of Table A (compounds I-2.295aaA-1 to I-2.295aaA-425) Table 296aa
Verbindungen I-2, worin B für 3,5-Dimethylisoxazol-4-yl steht und A jeweils einer Gruppe einer Zeile der Tabelle A entspricht (Verbindungen l-2.296aaA-1 bis I- 2.296aaA-425)Compounds I-2 in which B is 3,5-dimethylisoxazol-4-yl and A in each case corresponds to one group of one row of Table A (compounds I-2.296aaA-1 to I-2.296aaA-425)
Tabelle 297aa Verbindungen I-2, worin B für 3-Chlor-5-methylisoxazol-4-yl steht und A jeweils einer Gruppe einer Zeile der Tabelle A entspricht (Verbindungen l-2.297aaA-1 bis I- 2.297aaA-425)Table 297aa compounds I-2, wherein B is 3-chloro-5-methylisoxazol-4-yl and A corresponds in each case to one group of one row of Table A (compounds I-2.297aaA-1 to I-2.297aaA-425)
Tabelle 298aaTable 298aa
Verbindungen I-2, worin B für 3-Methyl-4-chlorisoxazol-5-yl steht und A jeweils ei- ner Gruppe einer Zeile der Tabelle A entspricht (Verbindungen l-2.298aaA-1 bis I-Compounds I-2 in which B is 3-methyl-4-chloroisoxazol-5-yl and A in each case corresponds to one group of one row of Table A (compounds I-2.298aaA-1 to I-
2.298aaA-425)2.298aaA-425)
Tabelle 299aaTable 299aa
Verbindungen I-2, worin B für 1-Methylpyrazol-3-yl steht und A jeweils einer Gruppe einer Zeile der Tabelle A entspricht (Verbindungen l-2.299aaA-1 bis l-2.299aaA- 425)Compounds I-2, wherein B is 1-methylpyrazol-3-yl and A corresponds in each case to one group of one row of Table A (compounds I-2.299aaA-1 to I-2.299aaA-425)
Tabelle 300aaTable 300aa
Verbindungen I-2, worin B für 1-Methylpyrazol-4-yl steht und A jeweils einer Gruppe einer Zeile der Tabelle A entspricht (Verbindungen l-2.300aaA-1 bis l-2.300aaA- 425) Tabelle 301 aaCompounds I-2, wherein B is 1-methylpyrazol-4-yl and A corresponds in each case to one group of one row of Table A (Compounds I-2,300aaA-1 to l-2,300aaA-425) Table 301 aa
Verbindungen I-2, worin B für 1-Methylpyrazol-5-yl steht und A jeweils einer Grup- pe einer Zeile der Tabelle A entspricht (Verbindungen 1-2.301 aaA-1 bis 1-2.301 aaA- 425)Compounds I-2, wherein B is 1-methylpyrazol-5-yl and A is in each case a group pe corresponds to one line of Table A (compounds 1-2.301 aaA-1 to 1-2.301 aaA-425)
Tabelle 302aaTable 302aa
Verbindungen I-2, worin B für 1 ,3-Dimethylpyrazol-4-yl steht und A jeweils einer Gruppe einer Zeile der Tabelle A entspricht (Verbindungen l-2.302aaA-1 bis I-Compounds I-2, wherein B is 1, 3-dimethylpyrazol-4-yl and A in each case corresponds to one group of one row of Table A (compounds I-2.302aaA-1 to I-
2.302aaA-425)2.302aaA-425)
Tabelle 303aaTable 303aa
Verbindungen I-2, worin B für 1 ,5-Dimethylpyrazol-4-yl steht und A jeweils einer Gruppe einer Zeile der Tabelle A entspricht (Verbindungen l-2.303aaA-1 bis I- 2.303aaA-425)Compounds I-2, wherein B is 1, 5-dimethylpyrazol-4-yl and A in each case corresponds to one group of one row of Table A (Compounds I-2.303aaA-1 to I-2.303aaA-425)
Tabelle 304aaTable 304aa
Verbindungen I-2, worin B für 1 ,3,5-Trimethylpyrazol-4-yl steht und A jeweils einer Gruppe einer Zeile der Tabelle A entspricht (Verbindungen l-2.304aaA-1 bis I- 2.304aaA-425) Tabelle 305aaCompounds I-2, wherein B is 1, 3,5-trimethylpyrazol-4-yl and A corresponds in each case to one group of one row of Table A (Compounds I-2.304aaA-1 to I-2.304aaA-425) Table 305aa
Verbindungen I-2, worin B für 1-Methylimidazol-4-yl steht und A jeweils einer Gruppe einer Zeile der Tabelle A entspricht (Verbindungen l-2.305aaA-1 bis l-2.305aaA- 425)Compounds I-2 in which B is 1-methylimidazol-4-yl and A corresponds in each case to one group of one row of Table A (Compounds I-2.305aaA-1 to 1.305aaA-425)
Tabelle 306aa Verbindungen I-2, worin B für 1 ,5-Dimethylimidazol-4-yl steht und A jeweils einerTable 306aa compounds I-2 wherein B is 1,5-dimethylimidazol-4-yl and A is each one
Gruppe einer Zeile der Tabelle A entspricht (Verbindungen l-2.306aaA-1 bis I- 2.306aaA-425)Group of a row corresponds to Table A (compounds I-2.306aaA-1 to I-2.306aaA-425)
Tabelle 307aaTable 307aa
Verbindungen I-2, worin B für 1 ,2-Dimethylimidazol-5-yl steht und A jeweils einer Gruppe einer Zeile der Tabelle A entspricht (Verbindungen l-2.307aaA-1 bis I-Compounds I-2, wherein B is 1, 2-dimethylimidazol-5-yl and A in each case corresponds to one group of one row of Table A (Compounds I-2.307aaA-1 to I-
2.307aaA-425)2.307aaA-425)
Tabelle 308aaTable 308aa
Verbindungen I-2, worin B für 1 ,4-Dimethylimidazol-5-yl steht und A jeweils einer Gruppe einer Zeile der Tabelle A entspricht (Verbindungen l-2.308aaA-1 bis I- 2.308aaA-425)Compounds I-2 in which B is 1,4-dimethylimidazol-5-yl and A in each case corresponds to one group of one row of Table A (Compounds I-2.308aaA-1 to I-2.308aaA-425)
Tabelle ATable A
Ebenso bevorzugt sind die Verbindungen der Formel I-3, insbesondere die Verbindungen l-3.1aA1 bis I-3.308-A-425, die sich von den entsprechenden Verbindungen I- 1.1aA-1 bis l-1.308aA-425, die in Tabelle 1a bis Tabelle 308a genannt wurden, dadurch unterscheiden, dassLikewise preferred are the compounds of the formula I-3, in particular the compounds I-3.1aA1 to I-3.308-A-425, which are different from the corresponding compounds I-1.1aA-1 to I-1.308aA-425, which are shown in Table 1a to Table 308a, differ in that
Ebenso bevorzugt sind die Verbindungen der Formel I-4, insbesondere die Verbindungen 1-4.1 aA1 bis I-4.308-A-425, die sich von den entsprechenden Verbindungen I- 1.1aA-1 bis l-1.308aA-425, die in Tabelle 1 a bis Tabelle 308a genannt wurden, dadurch unterscheiden, dass D S-CO-CH3 ist:Likewise preferred are the compounds of formula I-4, in particular the compounds 1-4.1 aA1 to I-4.308-A-425, which are different from the corresponding compounds I-1.1aA-1 to l-1.308aA-425, which are shown in Table 1 a to Table 308a, differ in that D is S-CO-CH 3:
Ebenso bevorzugt sind die Verbindungen der Formel I-5, insbesondere die Verbindungen 1-5.1 aA1 bis I-5.308-A-425, die sich von den entsprechenden Verbindungen I- 1.1aA-1 bis l-1.308aA-425, die in Tabelle 1 a bis Tabelle 308a genannt wurden, dadurch unterscheiden, dass D S-CO-OCH3 ist:Likewise preferred are the compounds of the formula I-5, in particular the compounds 1-5.1 aA1 to I-5.308-A-425, which are different from the corresponding compounds I-5. 1.1aA-1 to l-1.308aA-425, which are listed in Table 1 a to Table 308a, differing in that D is S-CO-OCH 3:
Ebenso bevorzugt sind die Verbindungen der Formel I-6, insbesondere die Verbindungen 1-6.1 aA1 bis I-6.308-A-425, die sich von den entsprechenden Verbindungen I- 1.1aA-1 bis l-1.308aA-425, die in Tabelle 1 a bis Tabelle 308a genannt wurden, dadurch unterscheiden, dass D S-CN ist:Also preferred are the compounds of formula I-6, in particular the compounds 1-6.1 aA1 to I-6.308-A-425, which are different from the corresponding compounds I-1.1aA-1 to l-1.308aA-425, which are listed in Table 1 a to Table 308a, differ in that D is S-CN:
Insbesondere sind im Hinblick auf ihre Verwendung die in den folgenden Tabellen 1 b bis 324b zusammengestellten erfindungsgemäßen Verbindungen Il bevorzugt.In particular, with regard to their use, the compounds II according to the invention which are combined in the following Tables 1 b to 324 b are preferred.
Die in den Tabellen für einen Substituenten genannten Gruppen stellen außerdem für sich betrachtet, unabhängig von der Kombination, in der sie genannt sind, eine besonders bevorzugte Ausgestaltung des betreffenden Substituenten dar. The groups mentioned in the tables for a substituent are also considered individually, regardless of the combination in which they are mentioned, a particularly preferred embodiment of the substituent in question.
Tabelle 1 b Verbindungen II, worin A für Pyridin-2-yl steht und B jeweils einer Gruppe einer Zeile der Tabelle B entspricht (Verbindungen II.1 bB- 1 bis ll.1 bB-134) Tabelle 2bTable 1 b Compounds II, wherein A is pyridin-2-yl and B corresponds in each case to one group of one row of Table B (Compounds II.1 bB-1 to ll.1 bB-134)
Verbindungen II, worin A für Pyridin-3-yl steht und B jeweils einer Gruppe einer Zeile der Tabelle B entspricht (Verbindungen N.2bB-1 bis N.2bB-134) Tabelle 3bCompounds II, wherein A is pyridin-3-yl and B corresponds in each case to one group of one row of Table B (Compounds N.2bB-1 to N.2bB-134). Table 3b
Verbindungen II, worin A für Pyridin-4-yl steht und B jeweils einer Gruppe einer Zeile der Tabelle B entspricht (Verbindungen N.3bB-1 bis N.3bB-134) Tabelle 4bCompounds II, wherein A is pyridin-4-yl and B corresponds in each case to one group of one row of Table B (Compounds N.3bB-1 to N.3bB-134) Table 4b
Verbindungen II, worin A für 3-Chlorpyridin-2-yl steht und B jeweils einer Gruppe einer Zeile der Tabelle B entspricht (Verbindungen N.4bB-1 bis M.4bB-134)Compounds II, wherein A is 3-chloropyridin-2-yl and B corresponds in each case to one group of one row of Table B (Compounds N.4bB-1 to M.4bB-134)
Tabelle 5b Verbindungen II, worin A für 4-Chlorpyridin-2-yl steht und B jeweils einer Gruppe einer Zeile der Tabelle B entspricht (Verbindungen N.5bB-1 bis M.5bB-134)Table 5b Compounds II, wherein A is 4-chloropyridin-2-yl and B corresponds in each case to one group of one row of Table B (Compounds N.5bB-1 to M.5bB-134)
Tabelle 6bTable 6b
Verbindungen II, worin A für 5-Chlorpyridin-2-yl steht und B jeweils einer Gruppe einer Zeile der Tabelle B entspricht (Verbindungen ll.6bB-1 bis N.6bB-134) Tabelle 7bCompounds II, wherein A is 5-chloropyridin-2-yl and B corresponds in each case to one group of one row of Table B (Compounds II.6bB-1 to N.6bB-134) Table 7b
Verbindungen II, worin A für 6-Chlorpyridin-2-yl steht und B jeweils einer Gruppe einer Zeile der Tabelle B entspricht (Verbindungen N.7bB-1 bis N.7bB-134)Compounds II in which A is 6-chloropyridin-2-yl and B corresponds in each case to one group of one row of Table B (Compounds N.7bB-1 to N.7bB-134)
Tabelle 8bTable 8b
Verbindungen II, worin A für 2-Chlorpyridin-3-yl steht und B jeweils einer Gruppe einer Zeile der Tabelle B entspricht (Verbindungen ll.8bB-1 bis ll.8bB-134)Compounds II in which A is 2-chloropyridin-3-yl and B corresponds in each case to one group of one row of Table B (Compounds II.8bB-1 to II.8bB-134)
Tabelle 9bTable 9b
Verbindungen II, worin A für 4-Chlorpyridin-3-yl steht und B jeweils einer Gruppe einer Zeile der Tabelle B entspricht (Verbindungen N.9bB-1 bis M.9bB-134)Compounds II in which A is 4-chloropyridin-3-yl and B corresponds in each case to one group of one row of Table B (Compounds N.9bB-1 to M.9bB-134)
Tabelle 10b Verbindungen II, worin A für 5-Chlorpyridin-3-yl steht und B jeweils einer Gruppe einer Zeile der Tabelle B entspricht (Verbindungen IM ObB-1 bis ll.10bB-134)Table 10b Compounds II, wherein A is 5-chloropyridin-3-yl and B corresponds in each case to one group of one row of Table B (Compounds IM ObB-1 to II.10bB-134)
Tabelle 1 1 bTable 1 1 b
Verbindungen II, worin A für 6-Chlorpyridin-3-yl steht und B jeweils einer Gruppe einer Zeile der Tabelle B entspricht (Verbindungen 11.1 1 bB-1 bis 11.1 1 bB-134) Tabelle 12bCompounds II, wherein A is 6-chloropyridin-3-yl and B corresponds in each case to one group of one row of Table B (Compounds 11.1 1 bB-1 to 11.1 1 bB-134) Table 12b
Verbindungen II, worin A für 2-Chlorpyridin-4-yl steht und B jeweils einer Gruppe einer Zeile der Tabelle B entspricht (Verbindungen N.12bB-1 bis N.12bB-134)Compounds II, wherein A is 2-chloropyridin-4-yl and B corresponds in each case to one group of one row of Table B (Compounds N.12bB-1 to N.12bB-134)
Tabelle 13bTable 13b
Verbindungen II, worin A für 3-Chlorpyridin-4-yl steht und B jeweils einer Gruppe einer Zeile der Tabelle B entspricht (Verbindungen 11.13bB-1 bis N.13bB-134)Compounds II, wherein A is 3-chloropyridin-4-yl and B corresponds in each case to one group of one row of Table B (Compounds 11.13bB-1 to N.13bB-134)
Tabelle 14bTable 14b
Verbindungen II, worin A für 4-Chlorpyridin-5-yl steht und B jeweils einer Gruppe einer Zeile der Tabelle B entspricht (Verbindungen N.14bB-1 bis 11.14bB-134)Compounds II, wherein A is 4-chloropyridin-5-yl and B corresponds in each case to one group of one row of Table B (Compounds N.14bB-1 to 11.14bB-134)
Tabelle 15b Verbindungen II, worin A für 3-Fluorpyridin-2-yl steht und B jeweils einer Gruppe einer Zeile der Tabelle B entspricht (Verbindungen N.15bB-1 bis 11.15bB-134)Table 15b Compounds II, wherein A is 3-fluoropyridin-2-yl and B corresponds in each case to one group of one row of Table B (Compounds N.15bB-1 to 11.15bB-134)
Tabelle 16bTable 16b
Verbindungen II, worin A für 4-Fluorpyridin-2-yl steht und B jeweils einer Gruppe einer Zeile der Tabelle B entspricht (Verbindungen N.16bB-1 bis 11.16bB-134) Tabelle 17bCompounds II, wherein A is 4-fluoropyridin-2-yl and B corresponds in each case to one group of one row of Table B (Compounds N.16bB-1 to 11.16bB-134) Table 17b
Verbindungen II, worin A für 5-Fluorpyridin-2-yl steht und B jeweils einer Gruppe einer Zeile der Tabelle B entspricht (Verbindungen N.17bB-1 bis N.17bB-134) Tabelle 18bCompounds II in which A is 5-fluoropyridin-2-yl and B corresponds in each case to one group of one row of Table B (Compounds N.17bB-1 to N.17bB-134) Table 18b
Verbindungen II, worin A für 6-Fluorpyridin-2-yl steht und B jeweils einer Gruppe einer Zeile der Tabelle B entspricht (Verbindungen 11.18bB-1 bis 11.18bB-134)Compounds II in which A is 6-fluoropyridin-2-yl and B corresponds in each case to one group of one row of Table B (Compounds 11.18bB-1 to 11.18bB-134)
Tabelle 19b Verbindungen II, worin A für 2-Fluorpyridin-3-yl steht und B jeweils einer Gruppe einer Zeile der Tabelle B entspricht (Verbindungen N.19bB-1 bis 11.19bB-134)Table 19b Compounds II, wherein A is 2-fluoropyridin-3-yl and B corresponds in each case to one group of one row of Table B (Compounds N.19bB-1 to 11.19bB-134)
Tabelle 20bTable 20b
Verbindungen II, worin A für 4-Fluorpyridin-3-yl steht und B jeweils einer Gruppe einer Zeile der Tabelle B entspricht (Verbindungen N.20bB-1 bis M.20bB-134) Tabelle 21 bCompounds II, wherein A is 4-fluoropyridin-3-yl and B corresponds in each case to one group of one row of Table B (Compounds N.20bB-1 to M.20bB-134). Table 21b
Verbindungen II, worin A für 5-Fluorpyridin-3-yl steht und B jeweils einer Gruppe einer Zeile der Tabelle B entspricht (Verbindungen 11.21 bB-1 bis 11.21 bB-134)Compounds II in which A is 5-fluoropyridin-3-yl and B corresponds in each case to one group of one row of Table B (Compounds 11.21 bB-1 to 11.21 bB-134)
Tabelle 22bTable 22b
Verbindungen II, worin A für 6-Fluorpyridin-3-yl steht und B jeweils einer Gruppe einer Zeile der Tabelle B entspricht (Verbindungen N.22bB-1 bis N.22bB-134)Compounds II, wherein A is 6-fluoropyridin-3-yl and B corresponds in each case to one group of one row of Table B (Compounds N.22bB-1 to N.22bB-134)
Tabelle 23bTable 23b
Verbindungen II, worin A für 2-Fluorpyridin-4-yl steht und B jeweils einer Gruppe einer Zeile der Tabelle B entspricht (Verbindungen N.23bB-1 bis N.23bB-134)Compounds II, wherein A is 2-fluoropyridin-4-yl and B corresponds in each case to one group of one row of Table B (Compounds N.23bB-1 to N.23bB-134)
Tabelle 24b Verbindungen II, worin A für 3-Fluorpyridin-4-yl steht und B jeweils einer Gruppe einer Zeile der Tabelle B entspricht (Verbindungen N.24bB-1 bis N.24bB-134)Table 24b Compounds II, wherein A is 3-fluoropyridin-4-yl and B corresponds in each case to one group of one row of Table B (Compounds N.24bB-1 to N.24bB-134)
Tabelle 25bTable 25b
Verbindungen II, worin A für 3- Methylpyridin-2-yl steht und B jeweils einer Gruppe einer Zeile der Tabelle B entspricht (Verbindungen N.25bB-1 bis M.25bB-134) Tabelle 26bCompounds II, wherein A is 3-methylpyridin-2-yl and B corresponds in each case to one group of one row of Table B (Compounds N.25bB-1 to M.25bB-134) Table 26b
Verbindungen II, worin A für 4-Methylpyridin-2-yl steht und B jeweils einer Gruppe einer Zeile der Tabelle B entspricht (Verbindungen N.26bB-1 bis N.26bB-134)Compounds II in which A is 4-methylpyridin-2-yl and B corresponds in each case to one group of one row of Table B (Compounds N.26bB-1 to N.26bB-134)
Tabelle 27bTable 27b
Verbindungen II, worin A für 5-Methylpyridin-2-yl steht und B jeweils einer Gruppe einer Zeile der Tabelle B entspricht (Verbindungen N.27bB-1 bis N.27bB-134)Compounds II, wherein A is 5-methylpyridin-2-yl and B corresponds in each case to one group of one row of Table B (Compounds N.27bB-1 to N.27bB-134)
Tabelle 28bTable 28b
Verbindungen II, worin A für 6-Methylpyridin-2-yl steht und B jeweils einer Gruppe einer Zeile der Tabelle B entspricht (Verbindungen N.28bB-1 bis N.28bB-134)Compounds II in which A is 6-methylpyridin-2-yl and B corresponds in each case to one group of one row of Table B (Compounds N.28bB-1 to N.28bB-134)
Tabelle 29b Verbindungen II, worin A für 2-Methylpyridin-3-yl steht und B jeweils einer Gruppe einer Zeile der Tabelle B entspricht (Verbindungen N.29bB-1 bis N.29bB-134)Table 29b Compounds II, wherein A is 2-methylpyridin-3-yl and B corresponds in each case to one group of one row of Table B (compounds N.29bB-1 to N.29bB-134)
Tabelle 30bTable 30b
Verbindungen II, worin A für 4-Methylpyridin-3-yl steht und B jeweils einer Gruppe einer Zeile der Tabelle B entspricht (Verbindungen N.30bB-1 bis N.30bB-134) Tabelle 31 bCompounds II, wherein A is 4-methylpyridin-3-yl and B corresponds in each case to one group of one row of Table B (Compounds N.30bB-1 to N.30bB-134). Table 31 b
Verbindungen II, worin A für 5-Methylpyridin-3-yl steht und B jeweils einer Gruppe einer Zeile der Tabelle B entspricht (Verbindungen 11.31 bB-1 bis 11.31 bB-134) Tabelle 32bCompounds II in which A is 5-methylpyridin-3-yl and B corresponds in each case to one group of one row of Table B (Compounds 11.31 bB-1 to 11.31 bB-134) Table 32b
Verbindungen II, worin A für 6-Methylpyridin-3-yl steht und B jeweils einer Gruppe einer Zeile der Tabelle B entspricht (Verbindungen N.32bB-1 bis N.32bB-134)Compounds II, wherein A is 6-methylpyridin-3-yl and B corresponds in each case to one group of one row of Table B (Compounds N.32bB-1 to N.32bB-134)
Tabelle 33b Verbindungen II, worin A für 2-Methylpyridin-4-yl steht und B jeweils einer Gruppe einer Zeile der Tabelle B entspricht (Verbindungen N.33bB-1 bis N.33bB-134)Table 33b Compounds II, in which A is 2-methylpyridin-4-yl and B corresponds in each case to one group of one row of Table B (Compounds N.33bB-1 to N.33bB-134)
Tabelle 34bTable 34b
Verbindungen II, worin A für 3-Methylpyridin-4-yl steht und B jeweils einer Gruppe einer Zeile der Tabelle B entspricht (Verbindungen N.34bB-1 bis N.34bB-134) Tabelle 35bCompounds II, wherein A is 3-methylpyridin-4-yl and B corresponds in each case to one group of one row of Table B (Compounds N.34bB-1 to N.34bB-134) Table 35b
Verbindungen II, worin A für 4-Methylpyridin-5-yl steht und B jeweils einer Gruppe einer Zeile der Tabelle B entspricht (Verbindungen N.35bB-1 bis N.35bB-134)Compounds II, wherein A is 4-methylpyridin-5-yl and B corresponds in each case to one group of one row of Table B (Compounds N.35bB-1 to N.35bB-134)
Tabelle 36bTable 36b
Verbindungen II, worin A für 3-Methoxypyridin-2-yl steht und B jeweils einer Gruppe einer Zeile der Tabelle B entspricht (Verbindungen N.36bB-1 bis N.36bB-134)Compounds II in which A is 3-methoxypyridin-2-yl and B corresponds in each case to one group of one row of Table B (Compounds N.36bB-1 to N.36bB-134)
Tabelle 37bTable 37b
Verbindungen II, worin A für 4-Methoxypyridin-2-yl steht und B jeweils einer Gruppe einer Zeile der Tabelle B entspricht (Verbindungen N.37bB-1 bis M.37bB-134)Compounds II in which A is 4-methoxypyridin-2-yl and B corresponds in each case to one group of one row of Table B (Compounds N.37bB-1 to M.37bB-134)
Tabelle 38b Verbindungen II, worin A für 5-Methoxypyridin-2-yl steht und B jeweils einer Gruppe einer Zeile der Tabelle B entspricht (Verbindungen N.38bB-1 bis N.38bB-134)Table 38b Compounds II in which A is 5-methoxypyridin-2-yl and B corresponds in each case to one group of one row of Table B (Compounds N.38bB-1 to N.38bB-134)
Tabelle 39bTable 39b
Verbindungen II, worin A für 6-Methoxypyridin-2-yl steht und B jeweils einer Gruppe einer Zeile der Tabelle B entspricht (Verbindungen N.39bB-1 bis N.39bB-134) Tabelle 40bCompounds II, wherein A is 6-methoxypyridin-2-yl and B corresponds in each case to one group of one row of Table B (compounds N.39bB-1 to N.39bB-134) Table 40b
Verbindungen II, worin A für 2-Methoxypyridin-3-yl steht und B jeweils einer Gruppe einer Zeile der Tabelle B entspricht (Verbindungen N.40bB-1 bis N.40bB-134)Compounds II in which A is 2-methoxypyridin-3-yl and B corresponds in each case to one group of one row of Table B (Compounds N.40bB-1 to N.40bB-134)
Tabelle 41 bTable 41 b
Verbindungen II, worin A für 4-Methoxypyridin-3-yl steht und B jeweils einer Gruppe einer Zeile der Tabelle B entspricht (Verbindungen 11.41 bB-1 bis 11.41 bB-134)Compounds II in which A is 4-methoxypyridin-3-yl and B corresponds in each case to one group of one row of Table B (compounds 11.41 bB-1 to 11.41 bB-134)
Tabelle 42bTable 42b
Verbindungen II, worin A für 5-Methoxypyridin-3-yl steht und B jeweils einer Gruppe einer Zeile der Tabelle B entspricht (Verbindungen N.42bB-1 bis N.42bB-134)Compounds II in which A is 5-methoxypyridin-3-yl and B corresponds in each case to one group of one row of Table B (Compounds N.42bB-1 to N.42bB-134)
Tabelle 43b Verbindungen II, worin A für 6-Methoxypyridin-3-yl steht und B jeweils einer Gruppe einer Zeile der Tabelle B entspricht (Verbindungen N.43bB-1 bis M.43bB-134)Table 43b Compounds II, wherein A is 6-methoxypyridin-3-yl and B corresponds in each case to one group of one row of Table B (Compounds N.43bB-1 to M.43bB-134)
Tabelle 44bTable 44b
Verbindungen II, worin A für 2-Methoxypyridin-4-yl steht und B jeweils einer Gruppe einer Zeile der Tabelle B entspricht (Verbindungen N.44bB-1 bis M.44bB-134) Tabelle 45bCompounds II, wherein A is 2-methoxypyridin-4-yl and B corresponds in each case to one group of one row of Table B (Compounds N.44bB-1 to M.44bB-134) Table 45b
Verbindungen II, worin A für 3-Methoxypyridin-4-yl steht und B jeweils einer Gruppe einer Zeile der Tabelle B entspricht (Verbindungen N.45bB-1 bis N.45bB-134) Tabelle 46bCompounds II in which A is 3-methoxypyridin-4-yl and B corresponds in each case to one group of one row of Table B (Compounds N.45bB-1 to N.45bB-134) Table 46b
Verbindungen II, worin A für 3,5-Dichlorpyridin-2-yl steht und B jeweils einer Gruppe einer Zeile der Tabelle B entspricht (Verbindungen N.46bB-1 bis M.46bB-134)Compounds II in which A is 3,5-dichloropyridin-2-yl and B corresponds in each case to one group of one row of Table B (Compounds N.46bB-1 to M.46bB-134)
Tabelle 47b Verbindungen II, worin A für 2,4-Dichlorpyridin-3-yl steht und B jeweils einer Gruppe einer Zeile der Tabelle B entspricht (Verbindungen N.47bB-1 bis M.47bB-134)Table 47b Compounds II, wherein A is 2,4-dichloropyridin-3-yl and B corresponds in each case to one group of one row of Table B (Compounds N.47bB-1 to M.47bB-134)
Tabelle 48bTable 48b
Verbindungen II, worin A für 2,5-Dichlorpyridin-3-yl steht und B jeweils einer Gruppe einer Zeile der Tabelle B entspricht (Verbindungen N.48bB-1 bis N.48bB-134) Tabelle 49bCompounds II, wherein A is 2,5-dichloropyridin-3-yl and B corresponds in each case to one group of one row of Table B (Compounds N.48bB-1 to N.48bB-134) Table 49b
Verbindungen II, worin A für 2,6-Dichlorpyridin-3-yl steht und B jeweils einer Gruppe einer Zeile der Tabelle B entspricht (Verbindungen N.49bB-1 bis N.49bB-134)Compounds II in which A is 2,6-dichloropyridin-3-yl and B corresponds in each case to one group of one row of Table B (Compounds N.49bB-1 to N.49bB-134)
Tabelle 50bTable 50b
Verbindungen II, worin A für 2,6-Dichlorpyridin-4-yl steht und B jeweils einer Grup- pe einer Zeile der Tabelle B entspricht (Verbindungen N.50bB-1 bis N.50bB-134)Compounds II in which A is 2,6-dichloropyridin-4-yl and B corresponds in each case to one group of one row of Table B (Compounds N.50bB-1 to N.50bB-134)
Tabelle 51 bTable 51 b
Verbindungen II, worin A für 3,5-Dichlorpyridin-4-yl steht und B jeweils einer Gruppe einer Zeile der Tabelle B entspricht (Verbindungen 11.51 bB-1 bis 11.51 bB-134)Compounds II, wherein A is 3,5-dichloropyridin-4-yl and B corresponds in each case to one group of one row of Table B (Compounds 11.51 bB-1 to 11.51 bB-134)
Tabelle 52b Verbindungen II, worin A für 3,6-Dichlorpyridin-4-yl steht und B jeweils einer Gruppe einer Zeile der Tabelle B entspricht (Verbindungen N.52bB-1 bis M.52bB-134)Table 52b Compounds II, wherein A is 3,6-dichloropyridin-4-yl and B corresponds in each case to one group of one row of Table B (compounds N.52bB-1 to M.52bB-134)
Tabelle 53bTable 53b
Verbindungen II, worin A für 2,5-Dichlorpyridin-4-yl steht und B jeweils einer Gruppe einer Zeile der Tabelle B entspricht (Verbindungen N.53bB-1 bis M.53bB-134) Tabelle 54bCompounds II, wherein A is 2,5-dichloropyridin-4-yl and B corresponds in each case to one group of one row of Table B (Compounds N.53bB-1 to M.53bB-134) Table 54b
Verbindungen II, worin A für 2,3-Dichlorpyridin-4-yl steht und B jeweils einer Gruppe einer Zeile der Tabelle B entspricht (Verbindungen N.54bB-1 bis N.54bB-134)Compounds II, wherein A is 2,3-dichloropyridin-4-yl and B corresponds in each case to one group of one row of Table B (Compounds N.54bB-1 to N.54bB-134)
Tabelle 55bTable 55b
Verbindungen II, worin A für 2,4-Dichlorpyridin-5-yl steht und B jeweils einer Grup- pe einer Zeile der Tabelle B entspricht (Verbindungen N.55bB-1 bis N.55bB-134)Compounds II in which A is 2,4-dichloropyridin-5-yl and B corresponds in each case to one group of one row of Table B (Compounds N.55bB-1 to N.55bB-134)
Tabelle 56bTable 56b
Verbindungen II, worin A für 3,5-Difluorpyridin-2-yl steht und B jeweils einer Gruppe einer Zeile der Tabelle B entspricht (Verbindungen N.56bB-1 bis M.56bB-134)Compounds II in which A is 3,5-difluoropyridin-2-yl and B corresponds in each case to one group of one row of Table B (Compounds N.56bB-1 to M.56bB-134)
Tabelle 57b Verbindungen II, worin A für 3,5-Difluorpyridin-4-yl steht und B jeweils einer Gruppe einer Zeile der Tabelle B entspricht (Verbindungen N.57bB-1 bis M.57bB-134)Table 57b Compounds II, wherein A is 3,5-difluoropyridin-4-yl and B corresponds in each case to one group of one row of Table B (Compounds N.57bB-1 to M.57bB-134)
Tabelle 58bTable 58b
Verbindungen II, worin A für 2,3-Difluorpyridin-4-yl steht und B jeweils einer Gruppe einer Zeile der Tabelle B entspricht (Verbindungen N.58bB-1 bis M.58bB-134) Tabelle 59bCompounds II, wherein A is 2,3-difluoropyridin-4-yl and B corresponds in each case to one group of one row of Table B (Compounds N.58bB-1 to M.58bB-134) Table 59b
Verbindungen II, worin A für 3,5-Dimethylpyridin-2-yl steht und B jeweils einer Gruppe einer Zeile der Tabelle B entspricht (Verbindungen N.59bB-1 bis M.59bB-Compounds II wherein A is 3,5-dimethylpyridin-2-yl and B are each one Group of a row of Table B corresponds (compounds N.59bB-1 to M.59bB-
134) Tabelle 60b134) Table 60b
Verbindungen II, worin A für 3,4-Dimethylpyridin-2-yl steht und B jeweils einer Gruppe einer Zeile der Tabelle B entspricht (Verbindungen N.60bB-1 bis 11.6ObB-Compounds II, in which A is 3,4-dimethylpyridin-2-yl and B corresponds in each case to one group of one row of Table B (compounds N.60bB-1 to 11.6ObB-
134) Tabelle 61 b134) Table 61 b
Verbindungen II, worin A für 4,6-Dimethylpyridin-3-yl steht und B jeweils einerCompounds II wherein A is 4,6-dimethylpyridin-3-yl and B are each one
Gruppe einer Zeile der Tabelle B entspricht (Verbindungen 11.61 bB-1 bis 11.61 bB- 134)Group of a row corresponds to Table B (compounds 11.61 bB-1 to 11.61 bB-134)
Tabelle 62bTable 62b
Verbindungen II, worin A für 2,4-Dimethylpyridin-3-yl steht und B jeweils einerCompounds II, wherein A is 2,4-dimethylpyridin-3-yl and B are each one
Gruppe einer Zeile der Tabelle B entspricht (Verbindungen N.62bB-1 bis N.62bB-Group of a row of Table B corresponds (compounds N.62bB-1 to N.62bB-
134) Tabelle 63b134) Table 63b
Verbindungen II, worin A für 3,5-Dimethylpyridin-4-yl steht und B jeweils einerCompounds II wherein A is 3,5-dimethylpyridin-4-yl and B are each one
Gruppe einer Zeile der Tabelle B entspricht (Verbindungen N.63bB-1 bis N.63bB-Group of a row corresponds to Table B (compounds N.63bB-1 to N.63bB-
134)134)
Tabelle 64b Verbindungen II, worin A für 2-Chlor-3-fluorpyridin-4-yl steht und B jeweils einerTable 64b Compounds II wherein A is 2-chloro-3-fluoropyridin-4-yl and B are each one
Gruppe einer Zeile der Tabelle B entspricht (Verbindungen N.64bB-1 bis N.64bB-Group of a row corresponds to Table B (compounds N.64bB-1 to N.64bB-
134) Tabelle 65b134) Table 65b
Verbindungen II, worin A für 4-Chlor-3-methylpyridin-2-yl steht und B jeweils einer Gruppe einer Zeile der Tabelle B entspricht (Verbindungen N.65bB-1 bis N.65bB-Compounds II, wherein A is 4-chloro-3-methylpyridin-2-yl and B corresponds in each case to one group of one row of Table B (compounds N.65bB-1 to N.65bB-
134) Tabelle 66b134) Table 66b
Verbindungen II, worin A für 5-Chlor-3-methylpyridin-2-yl steht und B jeweils einerCompounds II wherein A is 5-chloro-3-methylpyridin-2-yl and B is one each
Gruppe einer Zeile der Tabelle B entspricht (Verbindungen N.66bB-1 bis N.66bB- 134)Group of a row corresponds to Table B (compounds N.66bB-1 to N.66bB-134)
Tabelle 67bTable 67b
Verbindungen II, worin A für 5-Fluor-3-methylpyridin-2-yl steht und B jeweils einerCompounds II wherein A is 5-fluoro-3-methylpyridin-2-yl and B are each one
Gruppe einer Zeile der Tabelle B entspricht (Verbindungen N.67bB-1 bis M.67bB-Group of a row corresponds to Table B (compounds N.67bB-1 to M.67bB-
134) Tabelle 68b134) Table 68b
Verbindungen II, worin A für 3-Chlor-5-trifluormethylpyridin-2-yl steht und B jeweils einer Gruppe einer Zeile der Tabelle B entspricht (Verbindungen N.68bB-1 bisCompounds II, wherein A is 3-chloro-5-trifluoromethylpyridin-2-yl and B corresponds in each case to one group of one row of Table B (compounds N.68bB-1 to
N.68bB-134) Tabelle 69b Verbindungen II, worin A für 2-Chlor-6-trifluormethylpyridin-3-yl steht und B jeweils einer Gruppe einer Zeile der Tabelle B entspricht (Verbindungen N.69bB-1 bisN.68bB-134). Table 69b Compounds II, wherein A is 2-chloro-6-trifluoromethylpyridin-3-yl and B corresponds in each case to one group of one row of Table B (Compounds N.69bB-1 to
N.69bB-134) Tabelle 70bN.69bB-134) Table 70b
Verbindungen II, worin A für 2,4-Dichlor-6-methylpyridin-3-yl steht und B jeweils einer Gruppe einer Zeile der Tabelle B entspricht (Verbindungen N.70bB-1 bis M.70bB-134) Tabelle 71 bCompounds II, wherein A is 2,4-dichloro-6-methylpyridin-3-yl and B corresponds in each case to one group of one row of Table B (Compounds N.70bB-1 to M.70bB-134) Table 71b
Verbindungen II, worin A für 3,4,5-Trichlorpyridin-2-yl steht und B jeweils einer Gruppe einer Zeile der Tabelle B entspricht (Verbindungen 11.71 bB-1 bis 11.71 bB- 134)Compounds II in which A is 3,4,5-trichloropyridin-2-yl and B corresponds in each case to one group of one row of Table B (Compounds 11.71 bB-1 to 11.71 bB-134)
Tabelle 72b Verbindungen II, worin A für 2,4,6-Trichlorpyridin-3-yl steht und B jeweils einerTable 72b Compounds II, wherein A is 2,4,6-trichloropyridin-3-yl and B are each one
Gruppe einer Zeile der Tabelle B entspricht (Verbindungen N.72bB-1 bis N.72bB- 134)Group of a row corresponds to Table B (compounds N.72bB-1 to N.72bB-134)
Tabelle 73bTable 73b
Verbindungen II, worin A für Pyrimidin-2-yl steht und B jeweils einer Gruppe einer Zeile der Tabelle B entspricht (Verbindungen N.73bB-1 bis N.73bB-134)Compounds II in which A is pyrimidin-2-yl and B corresponds in each case to one group of one row of Table B (Compounds N.73bB-1 to N.73bB-134)
Tabelle 74bTable 74b
Verbindungen II, worin A für Pyrimidin-5-yl steht und B jeweils einer Gruppe einer Zeile der Tabelle B entspricht (Verbindungen N.74bB-1 bis N.74bB-134)Compounds II in which A is pyrimidin-5-yl and B corresponds in each case to one group of one row of Table B (Compounds N.74bB-1 to N.74bB-134)
Tabelle 75b Verbindungen II, worin A für 6-Chlorpyrimidin-3-yl steht und B jeweils einer Gruppe einer Zeile der Tabelle B entspricht (Verbindungen N.75bB-1 bis M.75bB-134)Table 75b Compounds II, wherein A is 6-chloropyrimidin-3-yl and B corresponds in each case to one group of one row of Table B (Compounds N.75bB-1 to M.75bB-134)
Tabelle 76bTable 76b
Verbindungen II, worin A für 6-Methylpyrimidin-3-yl steht und B jeweils einer Gruppe einer Zeile der Tabelle B entspricht (Verbindungen N.76bB-1 bis M.76bB-134) Tabelle 77bCompounds II, wherein A is 6-methylpyrimidin-3-yl and B corresponds in each case to one group of one row of Table B (Compounds N.76bB-1 to M.76bB-134) Table 77b
Verbindungen II, worin A für 6-Methoxypyrimidin-3-yl steht und B jeweils einer Gruppe einer Zeile der Tabelle B entspricht (Verbindungen N.77bB-1 bis N.77bB- 134)Compounds II in which A is 6-methoxypyrimidin-3-yl and B corresponds in each case to one group of one row of Table B (Compounds N.77bB-1 to N.77bB-134)
Tabelle 78b Verbindungen II, worin A für 2,4-Dichlorpyrimidin-3-yl steht und B jeweils einerTable 78b Compounds II, wherein A is 2,4-dichloropyrimidin-3-yl and B are each one
Gruppe einer Zeile der Tabelle B entspricht (Verbindungen N.78bB-1 bis N.78bB- 134)Group of one row corresponds to Table B (compounds N.78bB-1 to N.78bB-134)
Tabelle 79bTable 79b
Verbindungen II, worin A für 2,6-Dichlorpyrimidin-3-yl steht und B jeweils einer Gruppe einer Zeile der Tabelle B entspricht (Verbindungen N.79bB-1 bis N.79bB-Compounds II, in which A is 2,6-dichloropyrimidin-3-yl and B corresponds in each case to one group of one row of Table B (compounds N.79bB-1 to N.79bB-
134)134)
Tabelle 80bTable 80b
Verbindungen II, worin A für 2,4-Difluorpyrimidin-3-yl steht und B jeweils einer Gruppe einer Zeile der Tabelle B entspricht (Verbindungen N.80bB-1 bis 11.8ObB- 134)Compounds II in which A is 2,4-difluoropyrimidin-3-yl and B corresponds in each case to one group of one row of Table B (compounds N80bB-1 to 11.8ObB-134)
Tabelle 81 bTable 81 b
Verbindungen II, worin A für 2,6-Difluorpyrimidin-3-yl steht und B jeweils einer Gruppe einer Zeile der Tabelle B entspricht (Verbindungen 11.81 bB-1 bis 11.81 bB- 134)Compounds II wherein A is 2,6-difluoropyrimidin-3-yl and B are each one Group of a row corresponds to Table B (compounds 11.81 bB-1 to 11.81 bB-134)
Tabelle 82bTable 82b
Verbindungen II, worin A für 1 ,3,5-Triazin-2-yl steht und B jeweils einer Gruppe ei- ner Zeile der Tabelle B entspricht (Verbindungen N.82bB-1 bis N.82bB-134)Compounds II in which A is 1, 3,5-triazin-2-yl and B corresponds in each case to one group of one row of Table B (Compounds N.82bB-1 to N.82bB-134)
Tabelle 83bTable 83b
Verbindungen II, worin A für Thien-2-yl steht und B jeweils einer Gruppe einer Zeile der Tabelle B entspricht (Verbindungen N.83bB-1 bis N.83bB-134)Compounds II, wherein A is thien-2-yl and B corresponds in each case to one group of one row of Table B (Compounds N.83bB-1 to N.83bB-134)
Tabelle 84b Verbindungen II, worin A für Thien-3-yl steht und B jeweils einer Gruppe einer Zeile der Tabelle B entspricht (Verbindungen N.84bB-1 bis N.84bB-134)Table 84b Compounds II, wherein A is thien-3-yl and B corresponds in each case to one group of one row of Table B (Compounds N.84bB-1 to N.84bB-134)
Tabelle 85bTable 85b
Verbindungen II, worin A für 5-Chlorthien-2-yl steht und B jeweils einer Gruppe einer Zeile der Tabelle B entspricht (Verbindungen N.85bB-1 bis N.85bB-134) Tabelle 86bCompounds II, wherein A is 5-chlorothien-2-yl and B corresponds in each case to one group of one row of Table B (Compounds N.85bB-1 to N.85bB-134) Table 86b
Verbindungen II, worin A für 2-Chlorthien-3-yl steht und B jeweils einer Gruppe einer Zeile der Tabelle B entspricht (Verbindungen N.86bB-1 bis N.86bB-134)Compounds II, wherein A is 2-chlorothien-3-yl and B corresponds in each case to one group of one row of Table B (Compounds N.86bB-1 to N.86bB-134)
Tabelle 87bTable 87b
Verbindungen II, worin A für 4-Chlorthien-3-yl steht und B jeweils einer Gruppe ei- ner Zeile der Tabelle B entspricht (Verbindungen N.87bB-1 bis N.87bB-134)Compounds II in which A is 4-chlorothien-3-yl and B corresponds in each case to one group of one row of Table B (Compounds N.87bB-1 to N87bB-134)
Tabelle 88bTable 88b
Verbindungen II, worin A für 5-Chlorthien-3-yl steht und B jeweils einer Gruppe einer Zeile der Tabelle B entspricht (Verbindungen N.88bB-1 bis N.88bB-134)Compounds II, wherein A is 5-chlorothien-3-yl and B corresponds in each case to one group of one row of Table B (Compounds N.88bB-1 to N.88bB-134)
Tabelle 89b Verbindungen II, worin A für 2-Bromthien-3-yl steht und B jeweils einer Gruppe einer Zeile der Tabelle B entspricht (Verbindungen N.89bB-1 bis N.89bB-134)Table 89b Compounds II, wherein A is 2-bromothien-3-yl and B corresponds in each case to one group of one row of Table B (Compounds N.89bB-1 to N.89bB-134)
Tabelle 90bTable 90b
Verbindungen II, worin A für 4-Bromthien-3-yl steht und B jeweils einer Gruppe einer Zeile der Tabelle B entspricht (Verbindungen N.90bB-1 bis N.90bB-134) Tabelle 91 bCompounds II, wherein A is 4-bromothien-3-yl and B corresponds in each case to one group of one row of Table B (Compounds N.90bB-1 to N.90bB-134). Table 91b
Verbindungen II, worin A für 5-Bromthien-3-yl steht und B jeweils einer Gruppe einer Zeile der Tabelle B entspricht (Verbindungen 11.91 bB-1 bis 11.91 bB-134)Compounds II, wherein A is 5-bromothien-3-yl and B corresponds in each case to one group of one row of Table B (Compounds 11.91 bB-1 to 11.91 bB-134)
Tabelle 92bTable 92b
Verbindungen II, worin A für 5-Methylthien-2-yl steht und B jeweils einer Gruppe ei- ner Zeile der Tabelle B entspricht (Verbindungen N.92bB-1 bis N.92bB-134)Compounds II in which A is 5-methylthien-2-yl and B corresponds in each case to one group of one row of Table B (Compounds N.92bB-1 to N92bB-134)
Tabelle 93bTable 93b
Verbindungen II, worin A für 2-Methylthien-4-yl steht und B jeweils einer Gruppe einer Zeile der Tabelle B entspricht (Verbindungen N.93bB-1 bis N.93bB-134)Compounds II in which A is 2-methylthien-4-yl and B corresponds in each case to one group of one row of Table B (compounds N93bB-1 to N93bB-134)
Tabelle 94b Verbindungen II, worin A für 4,5-Dichlorthien-2-yl steht und B jeweils einer Gruppe einer Zeile der Tabelle B entspricht (Verbindungen N.94bB-1 bis N.94bB-134) Tabelle 95bTable 94b Compounds II, wherein A is 4,5-dichlorothien-2-yl and B corresponds in each case to one group of one row of Table B (compounds N94bB-1 to N94bB-134) Table 95b
Verbindungen II, worin A für 2,5-Dichlorthien-3-yl steht und B jeweils einer Gruppe einer Zeile der Tabelle B entspricht (Verbindungen N.95bB-1 bis M.95bB-134)Compounds II in which A is 2,5-dichlorothien-3-yl and B corresponds in each case to one group of one row of Table B (Compounds N.95bB-1 to M.95bB-134)
Tabelle 96b Verbindungen II, worin A für 2,3-Dichlorthien-4-yl steht und B jeweils einer Gruppe einer Zeile der Tabelle B entspricht (Verbindungen N.96bB-1 bis N.96bB-134)Table 96b Compounds II in which A is 2,3-dichlorothien-4-yl and B corresponds in each case to one group of one row of Table B (compounds N96bB-1 to N96bB-134)
Tabelle 97bTable 97b
Verbindungen II, worin A für 2,5-Dibromthien-3-yl steht und B jeweils einer Gruppe einer Zeile der Tabelle B entspricht (Verbindungen N.97bB-1 bis M.97bB-134) Tabelle 98bCompounds II in which A is 2,5-dibromothien-3-yl and B corresponds in each case to one group of one row of Table B (compounds N97bB-1 to M.97bB-134) Table 98b
Verbindungen II, worin A für 4,5-Dimethylthien-2-yl steht und B jeweils einer Gruppe einer Zeile der Tabelle B entspricht (Verbindungen N.98bB-1 bis N.98bB-134)Compounds II in which A is 4,5-dimethylthien-2-yl and B corresponds in each case to one group of one row of Table B (compounds N98bB-1 to N98bB-134)
Tabelle 99bTable 99b
Verbindungen II, worin A für 2,5-Dimethylthien-3-yl steht und B jeweils einer Grup- pe einer Zeile der Tabelle B entspricht (Verbindungen 11.99bB-1 bis 11.99bB-134)Compounds II in which A is 2,5-dimethylthien-3-yl and B corresponds in each case to one group of one row of Table B (Compounds 11.99bB-1 to 11.99bB-134)
Tabelle 10ObTable 10b
Verbindungen II, worin A für 2,3-Dimethylthien-4-yl steht und B jeweils einer Gruppe einer Zeile der Tabelle B entspricht (Verbindungen II.100bB-1 bis ll.100bB-134)Compounds II in which A is 2,3-dimethylthien-4-yl and B corresponds in each case to one group of one row of Table B (Compounds II.100bB-1 to II.100bB-134)
Tabelle 101 b Verbindungen II, worin A für 3,4,5-Trichlorthien-2-yl steht und B jeweils einer Gruppe einer Zeile der Tabelle B entspricht (Verbindungen 11.101 bB-1 bis N.101 bB-134)Table 101b Compounds II, wherein A is 3,4,5-trichlorothien-2-yl and B corresponds in each case to one group of one row of Table B (Compounds 11.101 bB-1 to N.101 bB-134)
Tabelle 102bTable 102b
Verbindungen II, worin A für 2,4,5-Trichlorthien-3-yl steht und B jeweils einer Gruppe einer Zeile der Tabelle B entspricht (Verbindungen N.102bB-1 bis 11.102bB-134) Tabelle 103bCompounds II wherein A is 2,4,5-trichlorothien-3-yl and B corresponds in each case to one group of one row of Table B (Compounds N.102bB-1 to 11.102bB-134) Table 103b
Verbindungen II, worin A für 2,4,5-Tribromthien-3-yl steht und B jeweils einer Gruppe einer Zeile der Tabelle B entspricht (Verbindungen N.103bB-1 bis 11.103bB-134)Compounds II in which A is 2,4,5-tribromothien-3-yl and B corresponds in each case to one group of one row of Table B (Compounds N.103bB-1 to 11.103bB-134)
Tabelle 104bTable 104b
Verbindungen II, worin A für 3,4,5-Trimethylthien-2-yl steht und B jeweils einer Gruppe einer Zeile der Tabelle B entspricht (Verbindungen N.104bB-1 bis M.104bB-Compounds II in which A is 3,4,5-trimethylthien-2-yl and B corresponds in each case to one group of one row of Table B (compounds N104bB-1 to M.104bB-
134)134)
Tabelle 105bTable 105b
Verbindungen II, worin A für 4-Chlorfur-2-yl steht und B jeweils einer Gruppe einer Zeile der Tabelle B entspricht (Verbindungen M.105bB-1 bis 11.105bB-134) Tabelle 106bCompounds II, wherein A is 4-chlorofur-2-yl and B corresponds in each case to one group of one row of Table B (Compounds M.105bB-1 to 11.105bB-134). Table 106b
Verbindungen II, worin A für 5-Chlorfur-2-yl steht und B jeweils einer Gruppe einer Zeile der Tabelle B entspricht (Verbindungen M.106bB-1 bis 11.106bB-134)Compounds II in which A is 5-chlorofur-2-yl and B corresponds in each case to one group of one row of Table B (Compounds M.106bB-1 to 11.106bB-134)
Tabelle 107bTable 107b
Verbindungen II, worin A für 3-Bromfur-2-yl steht und B jeweils einer Gruppe einer Zeile der Tabelle B entspricht (Verbindungen M.107bB-1 bis 11.107bB-134) Tabelle 108bCompounds II, wherein A is 3-bromo-fur-2-yl and B corresponds in each case to one group of one row of Table B (Compounds M.107bB-1 to 11.107bB-134) Table 108b
Verbindungen II, worin A für 4-Bromfur-2-yl steht und B jeweils einer Gruppe einer Zeile der Tabelle B entspricht (Verbindungen M.108bB-1 bis 11.108bB-134)Compounds II, wherein A is 4-bromo-fur-2-yl and B corresponds in each case to one group of one row of Table B (Compounds M.108bB-1 to 11.108bB-134)
Tabelle 109b Verbindungen II, worin A für 5-Bromfur-2-yl steht und B jeweils einer Gruppe einerTable 109b compounds II wherein A is 5-bromo-fur-2-yl and B each represents a group of one
Zeile der Tabelle B entspricht (Verbindungen M.109bB-1 bis 11.109bB-134)Line of Table B corresponds (compounds M.109bB-1 to 11.109bB-134)
Tabelle 1 1ObTable 1 1Ob
Verbindungen II, worin A für 3,4-Dichlorfur-2-yl steht und B jeweils einer Gruppe einer Zeile der Tabelle B entspricht (Verbindungen 11.1 10bB-1 bis ll.1 10bB-134) Tabelle 1 11 bCompounds II in which A is 3,4-dichloropur-2-yl and B in each case corresponds to one group of one row of Table B (Compounds 11.1 10bB-1 to II.1 10bB-134)
Verbindungen II, worin A für 4,5-Dichlorfur-2-yl steht und B jeweils einer Gruppe einer Zeile der Tabelle B entspricht (Verbindungen 11.1 11 bB- 1 bis 11.1 11 bB-134)Compounds II, where A is 4,5-dichloropur-2-yl and B corresponds in each case to one group of one row of Table B (compounds 11.1 11 bB-1 to 11.111 bB-134)
Tabelle 1 12bTable 1 12b
Verbindungen II, worin A für Thiazol-2-yl steht und B jeweils einer Gruppe einer Zeile der Tabelle B entspricht (Verbindungen 11.1 12bB-1 bis 11.1 12bB-134)Compounds II, wherein A is thiazol-2-yl and B corresponds in each case to one group of one row of Table B (Compounds 11.1 12bB-1 to 11.1 12bB-134)
Tabelle 1 13bTable 1 13b
Verbindungen II, worin A für Thiazol-4-yl steht und B jeweils einer Gruppe einer Zeile der Tabelle B entspricht (Verbindungen 11.1 13bB-1 bis 11.1 13bB-134)Compounds II, wherein A is thiazol-4-yl and B corresponds in each case to one group of one row of Table B (Compounds 11.1 13bB-1 to 11.1 13bB-134)
Tabelle 1 14b Verbindungen II, worin A für Thiazol-5-yl steht und B jeweils einer Gruppe einerTable 1 14b Compounds II, wherein A is thiazol-5-yl and B are each a group of one
Zeile der Tabelle B entspricht (Verbindungen 11.1 14bB-1 bis 11.1 14bB-134)Line of Table B corresponds (connections 11.1 14bB-1 to 11.1 14bB-134)
Tabelle 1 15bTable 1 15b
Verbindungen II, worin A für lsothiazol-3-yl steht und B jeweils einer Gruppe einer Zeile der Tabelle B entspricht (Verbindungen 11.115bB-1 bis 11.1 15bB-134) Tabelle 1 16bCompounds II, wherein A is isothiazol-3-yl and B corresponds in each case to one group of one row of Table B (Compounds 11.115bB-1 to 11.1 15bB-134). Table 1 16b
Verbindungen II, worin A für lsothiazol-4-yl steht und B jeweils einer Gruppe einer Zeile der Tabelle B entspricht (Verbindungen 11.116bB-1 bis 11.1 16bB-134)Compounds II in which A is isothiazol-4-yl and B corresponds in each case to one group of one row of Table B (Compounds 11.116bB-1 to 11.1 16bB-134)
Tabelle 1 17bTable 1 17b
Verbindungen II, worin A für lsothiazol-5-yl steht und B jeweils einer Gruppe einer Zeile der Tabelle B entspricht (Verbindungen N.1 17bB-1 bis 11.1 17bB-134)Compounds II in which A is isothiazol-5-yl and B in each case corresponds to one group of one row of Table B (Compounds N.1 17bB-1 to 11.1 17bB-134)
Tabelle 1 18bTable 1 18b
Verbindungen II, worin A für 2-Chlorthiazol-4-yl steht und B jeweils einer Gruppe einer Zeile der Tabelle B entspricht (Verbindungen 11.118bB-1 bis 11.1 18bB-134)Compounds II, wherein A is 2-chlorothiazol-4-yl and B corresponds in each case to one group of one row of Table B (Compounds 11.118bB-1 to 11.1 18bB-134)
Tabelle 1 19b Verbindungen II, worin A für 2-Chlorthiazol-5-yl steht und B jeweils einer Gruppe einer Zeile der Tabelle B entspricht (Verbindungen 11.119bB-1 bis 11.1 19bB-134)Table 1 19b Compounds II in which A is 2-chlorothiazol-5-yl and B corresponds in each case to one group of one row of Table B (Compounds 11.119bB-1 to 11.1 19bB-134)
Tabelle 120bTable 120b
Verbindungen II, worin A für 4-Chlorthiazol-5-yl steht und B jeweils einer Gruppe einer Zeile der Tabelle B entspricht (Verbindungen II.12ObB- 1 bis M.120bB-134) Tabelle 121 bCompounds II, wherein A is 4-chlorothiazol-5-yl and B corresponds in each case to one group of one row of Table B (Compounds II.12ObB-1 to M.120bB-134). Table 121 b
Verbindungen II, worin A für 2-Bromthiazol-4-yl steht und B jeweils einer Gruppe einer Zeile der Tabelle B entspricht (Verbindungen 11.121 bB-1 bis 11.121 bB-134) Tabelle 122bCompounds II in which A is 2-bromothiazol-4-yl and B corresponds in each case to one group of one row of Table B (Compounds 11.121 bB-1 to 11.121 bB-134) Table 122b
Verbindungen II, worin A für 2-Bromthiazol-5-yl steht und B jeweils einer Gruppe einer Zeile der Tabelle B entspricht (Verbindungen N.122bB-1 bis N.122bB-134)Compounds II in which A is 2-bromothiazol-5-yl and B corresponds in each case to one group of one row of Table B (Compounds N.122bB-1 to N.122bB-134)
Tabelle 123b Verbindungen II, worin A für 2,4-Dichlorthiazol-5-yl steht und B jeweils einer Gruppe einer Zeile der Tabelle B entspricht (Verbindungen N.123bB-1 bis N.123bB-134)Table 123b Compounds II in which A is 2,4-dichlorothiazol-5-yl and B corresponds in each case to one group of one row of Table B (Compounds N.123bB-1 to N.123bB-134)
Tabelle 124bTable 124b
Verbindungen II, worin A für 3-Chlorisothiazol-4-yl steht und B jeweils einer Gruppe einer Zeile der Tabelle B entspricht (Verbindungen N.124bB-1 bis N.124bB-134) Tabelle 125bCompounds II in which A is 3-chloroisothiazol-4-yl and B corresponds in each case to one group of one row of Table B (Compounds N.124bB-1 to N.124bB-134) Table 125b
Verbindungen II, worin A für 5-Methylisothiazol-3-yl steht und B jeweils einer Gruppe einer Zeile der Tabelle B entspricht (Verbindungen N.125bB-1 bis N.125bB-134)Compounds II in which A is 5-methylisothiazol-3-yl and B corresponds in each case to one group of one row of Table B (Compounds N.125bB-1 to N.125bB-134)
Tabelle 126bTable 126b
Verbindungen II, worin A für 3-Methylisothiazol-4-yl steht und B jeweils einer Grup- pe einer Zeile der Tabelle B entspricht (Verbindungen N.126bB-1 bis N.126bB-134)Compounds II in which A is 3-methylisothiazol-4-yl and B corresponds in each case to one group of one row of Table B (Compounds N.126bB-1 to N.126bB-134)
Tabelle 127bTable 127b
Verbindungen II, worin A für 3-Methylisothiazol-5-yl steht und B jeweils einer Gruppe einer Zeile der Tabelle B entspricht (Verbindungen N.127bB-1 bis N.127bB-134)Compounds II in which A is 3-methylisothiazol-5-yl and B corresponds in each case to one group of one row of Table B (Compounds N.127bB-1 to N.127bB-134)
Tabelle 128b Verbindungen II, worin A für 4,5-Dichlorisothiazol-3-yl steht und B jeweils einerTable 128b Compounds II, wherein A is 4,5-dichloroisothiazol-3-yl and B are each one
Gruppe einer Zeile der Tabelle B entspricht (Verbindungen N.128bB-1 bis 11.128bB- 134)Group of a row corresponds to Table B (compounds N.128bB-1 to 11.128bB-134)
Tabelle 129bTable 129b
Verbindungen II, worin A für 4,5-Dimethylisothiazol-3-yl steht und B jeweils einer Gruppe einer Zeile der Tabelle B entspricht (Verbindungen N.129bB-1 bis N.129bB-Compounds II, wherein A is 4,5-dimethylisothiazol-3-yl and B corresponds in each case to one group of one row of Table B (Compounds N.129bB-1 to N.129bB-
134)134)
Tabelle 130bTable 130b
Verbindungen II, worin A für 3,5-Dimethylisothiazol-4-yl steht und B jeweils einer Gruppe einer Zeile der Tabelle B entspricht (Verbindungen N.130bB-1 bis II.13ObB- 134)Compounds II in which A is 3,5-dimethylisothiazol-4-yl and B corresponds in each case to one group of one row of Table B (Compounds N.130bB-1 to II.13ObB-134)
Tabelle 131 bTable 131 b
Verbindungen II, worin A für 3,4-Dichlorisothiazol-5-yl steht und B jeweils einer Gruppe einer Zeile der Tabelle B entspricht (Verbindungen 11.131 bB-1 bis 11.131 bB- 134) Tabelle 132bCompounds II, wherein A is 3,4-dichloroisothiazol-5-yl and B corresponds in each case to one group of one row of Table B (Compounds 11.131 bB-1 to 11.131 bB-134) Table 132b
Verbindungen II, worin A für Oxazol-2-yl steht und B jeweils einer Gruppe einer Zeile der Tabelle B entspricht (Verbindungen N.132bB-1 bis 11.132bB-134)Compounds II in which A is oxazol-2-yl and B corresponds in each case to one group of one row of Table B (Compounds N.132bB-1 to 11.132bB-134)
Tabelle 133bTable 133b
Verbindungen II, worin A für Oxazol-4-yl steht und B jeweils einer Gruppe einer Zei- Ie der Tabelle B entspricht (Verbindungen N.133bB-1 bis 11.133bB-134) Tabelle 134bCompounds II, wherein A is oxazol-4-yl and B corresponds in each case to a group of a row of Table B (Compounds N.133bB-1 to 11.133bB-134) Table 134b
Verbindungen II, worin A für Oxazol-5-yl steht und B jeweils einer Gruppe einer Zeile der Tabelle B entspricht (Verbindungen N.134bB-1 bis N.134bB-134)Compounds II, wherein A is oxazol-5-yl and B corresponds in each case to one group of one row of Table B (Compounds N.134bB-1 to N.134bB-134)
Tabelle 135b Verbindungen II, worin A für lsoxazol-3-yl steht und B jeweils einer Gruppe einerTable 135b Compounds II wherein A is isoxazol-3-yl and B is each a group of one
Zeile der Tabelle B entspricht (Verbindungen N.135bB-1 bis 11.135bB-134)Line of Table B corresponds (connections N.135bB-1 to 11.135bB-134)
Tabelle 136bTable 136b
Verbindungen II, worin A für lsoxazol-4-yl steht und B jeweils einer Gruppe einer Zeile der Tabelle B entspricht (Verbindungen N.136bB-1 bis 11.136bB-134) Tabelle 137bCompounds II, wherein A is isoxazol-4-yl and B corresponds in each case to one group of one row of Table B (Compounds N.136bB-1 to 11.136bB-134) Table 137b
Verbindungen II, worin A für lsoxazol-5-yl steht und B jeweils einer Gruppe einer Zeile der Tabelle B entspricht (Verbindungen N.137bB-1 bis 11.137bB-134)Compounds II in which A is isoxazol-5-yl and B corresponds in each case to one group of one row of Table B (Compounds N.137bB-1 to 11.137bB-134)
Tabelle 138bTable 138b
Verbindungen II, worin A für 3-Chlorisoxazol-5-yl steht und B jeweils einer Gruppe einer Zeile der Tabelle B entspricht (Verbindungen N.138bB-1 bis 11.138bB-134)Compounds II in which A is 3-chloroisoxazol-5-yl and B corresponds in each case to one group of one row of Table B (Compounds N.138bB-1 to 11.138bB-134)
Tabelle 139bTable 139b
Verbindungen II, worin A für 5-Methylisoxazol-3-yl steht und B jeweils einer Gruppe einer Zeile der Tabelle B entspricht (Verbindungen N.139bB-1 bis 11.139bB-134)Compounds II in which A is 5-methylisoxazol-3-yl and B corresponds in each case to one group of one row of Table B (Compounds N.139bB-1 to 11.139bB-134)
Tabelle 140b Verbindungen II, worin A für 5-Methylisoxazol-4-yl steht und B jeweils einer Gruppe einer Zeile der Tabelle B entspricht (Verbindungen N.140bB-1 bis M.140bB-134)Table 140b Compounds II, wherein A is 5-methylisoxazol-4-yl and B corresponds in each case to one group of one row of Table B (Compounds N.140bB-1 to M.140bB-134)
Tabelle 141 bTable 141 b
Verbindungen II, worin A für 3-Methylisoxazol-5-yl steht und B jeweils einer Gruppe einer Zeile der Tabelle B entspricht (Verbindungen 11.141 bB-1 bis 11.141 bB-134) Tabelle 142bCompounds II, wherein A is 3-methylisoxazol-5-yl and B corresponds in each case to one group of one row of Table B (Compounds 11.141 bB-1 to 11.141 bB-134) Table 142b
Verbindungen II, worin A für 3,5-Dimethylisoxazol-4-yl steht und B jeweils einer Gruppe einer Zeile der Tabelle B entspricht (Verbindungen N.142bB-1 bis N.142bB- 134)Compounds II in which A is 3,5-dimethylisoxazol-4-yl and B corresponds in each case to one group of one row of Table B (Compounds N.142bB-1 to N.142bB-134)
Tabelle 143b Verbindungen II, worin A für 3-Chlor-5-methylisoxazol-4-yl steht und B jeweils einerTable 143b Compounds II wherein A is 3-chloro-5-methylisoxazol-4-yl and B are each one
Gruppe einer Zeile der Tabelle B entspricht (Verbindungen N.143bB-1 bis N.143bB- 134)Group of a row corresponds to Table B (compounds N.143bB-1 to N.143bB-134)
Tabelle 144bTable 144b
Verbindungen II, worin A für 3-Methyl-4-chlorisoxazol-5-yl steht und B jeweils einer Gruppe einer Zeile der Tabelle B entspricht (Verbindungen 11.144bB-1 bis 11.144bB-Compounds II, wherein A is 3-methyl-4-chloroisoxazol-5-yl and B corresponds in each case to one group of one row of Table B (Compounds 11.144bB-1 to 11.144bB-
134)134)
Tabelle 145bTable 145b
Verbindungen II, worin A für 1-Methylpyrazol-3-yl steht und B jeweils einer Gruppe einer Zeile der Tabelle B entspricht (Verbindungen N.145bB-1 bis 11.145bB-134) Tabelle 146bCompounds II, wherein A is 1-methylpyrazol-3-yl and B corresponds in each case to one group of one row of Table B (Compounds N.145bB-1 to 11.145bB-134) Table 146b
Verbindungen II, worin A für 1-Methylpyrazol-4-yl steht und B jeweils einer Gruppe einer Zeile der Tabelle B entspricht (Verbindungen N.146bB-1 bis N.146bB-134) Tabelle 147bCompounds II in which A is 1-methylpyrazol-4-yl and B corresponds in each case to one group of one row of Table B (Compounds N.146bB-1 to N.146bB-134) Table 147b
Verbindungen II, worin A für 1-Methylpyrazol-5-yl steht und B jeweils einer Gruppe einer Zeile der Tabelle B entspricht (Verbindungen N.147bB-1 bis 11.147bB-134)Compounds II, wherein A is 1-methylpyrazol-5-yl and B corresponds in each case to one group of one row of Table B (Compounds N.147bB-1 to 11.147bB-134)
Tabelle 148b Verbindungen II, worin A für 1 ,3-Dimethylpyrazol-4-yl steht und B jeweils einerTable 148b Compounds II wherein A is 1, 3-dimethylpyrazol-4-yl and B are each one
Gruppe einer Zeile der Tabelle B entspricht (Verbindungen II.148bB-1 bis 11.148bB- 134)Group of a row corresponds to Table B (compounds II.148bB-1 to 11.148bB-134)
Tabelle 149bTable 149b
Verbindungen II, worin A für 1 ,5-Dimethylpyrazol-4-yl steht und B jeweils einer Gruppe einer Zeile der Tabelle B entspricht (Verbindungen N.149bB-1 bis M.149bB-Compounds II in which A is 1,5-dimethylpyrazol-4-yl and B corresponds in each case to one group of one row of Table B (Compounds N.149bB-1 to M.149bB-
134)134)
Tabelle 150bTable 150b
Verbindungen II, worin A für 1 ,3,5-Trimethylpyrazol-4-yl steht und B jeweils einer Gruppe einer Zeile der Tabelle B entspricht (Verbindungen N.150bB-1 bis II.15ObB- 134)Compounds II in which A is 1, 3,5-trimethylpyrazol-4-yl and B corresponds in each case to one group of one row of Table B (Compounds N.150bB-1 to II.15ObB-134)
Tabelle 151 bTable 151 b
Verbindungen II, worin A für 1-Methylimidazol-4-yl steht und B jeweils einer Gruppe einer Zeile der Tabelle B entspricht (Verbindungen 11.151 bB-1 bis 11.151 bB-134)Compounds II in which A is 1-methylimidazol-4-yl and B corresponds in each case to one group of one row of Table B (Compounds 11.151 bB-1 to 11.151 bB-134)
Tabelle 152b Verbindungen II, worin A für 1 ,5-Dimethylimidazol-4-yl steht und B jeweils einerTable 152b compounds II, wherein A is 1, 5-dimethylimidazol-4-yl and B are each one
Gruppe einer Zeile der Tabelle B entspricht (Verbindungen N.152bB-1 bis 11.152bB- 134)Group of a row corresponds to Table B (compounds N.152bB-1 to 11.152bB-134)
Tabelle 153bTable 153b
Verbindungen II, worin A für 1 ,2-Dimethylimidazol-5-yl steht und B jeweils einer Gruppe einer Zeile der Tabelle B entspricht (Verbindungen 11.153bB-1 bis 11.153bB-Compounds II in which A is 1,2-dimethylimidazol-5-yl and B corresponds in each case to one group of one row of Table B (compounds 11.153bB-1 to 11.153bB-
134)134)
Tabelle 154bTable 154b
Verbindungen II, worin A für 1 ,4-Dimethylimidazol-5-yl steht und B jeweils einer Gruppe einer Zeile der Tabelle B entspricht (Verbindungen N.154bB-1 bis 11.154bB- 134)Compounds II in which A is 1,4-dimethylimidazol-5-yl and B corresponds in each case to one group of one row of Table B (compounds N.154bB-1 to 11.154bB-134)
Tabelle 155bTable 155b
Verbindungen II, worin B für Pyridin-2-yl steht und A jeweils einer Gruppe einer Zeile der Tabelle B entspricht (Verbindungen N.155bB-1 bis 11.155bB-134)Compounds II, wherein B is pyridin-2-yl and A corresponds in each case to one group of one row of Table B (Compounds N.155bB-1 to 11.155bB-134)
Tabelle 156b Verbindungen II, worin B für Pyridin-3-yl steht und A jeweils einer Gruppe einer Zeile der Tabelle B entspricht (Verbindungen N.156bB-1 bis 11.156bB-134)Table 156b Compounds II, wherein B is pyridin-3-yl and A corresponds in each case to one group of one row of Table B (Compounds N.156bB-1 to 11.156bB-134)
Tabelle 157bTable 157b
Verbindungen II, worin B für Pyridin-4-yl steht und A jeweils einer Gruppe einer Zeile der Tabelle B entspricht (Verbindungen N.157bB-1 bis 11.157bB-134) Tabelle 158bCompounds II, wherein B is pyridin-4-yl and A corresponds in each case to one group of a row of Table B (Compounds N.157bB-1 to 11.157bB-134) Table 158b
Verbindungen II, worin B für 3-Chlorpyridin-2-yl steht und A jeweils einer Gruppe einer Zeile der Tabelle B entspricht (Verbindungen N.158bB-1 bis 11.158bB-134) Tabelle 159bCompounds II, wherein B is 3-chloropyridin-2-yl and A corresponds in each case to one group of one row of Table B (Compounds N.158bB-1 to 11.158bB-134) Table 159b
Verbindungen II, worin B für 4-Chlorpyridin-2-yl steht und A jeweils einer Gruppe einer Zeile der Tabelle B entspricht (Verbindungen N.159bB-1 bis 11.159bB-134)Compounds II in which B is 4-chloropyridin-2-yl and A corresponds in each case to one group of one row of Table B (Compounds N.159bB-1 to 11.159bB-134)
Tabelle 160b Verbindungen II, worin B für 5-Chlorpyridin-2-yl steht und A jeweils einer Gruppe einer Zeile der Tabelle B entspricht (Verbindungen N.160bB-1 bis 11.160bB-134)Table 160b Compounds II in which B is 5-chloropyridin-2-yl and A corresponds in each case to one group of one row of Table B (Compounds N.160bB-1 to 11.160bB-134)
Tabelle 161 bTable 161 b
Verbindungen II, worin B für 6-Chlorpyridin-2-yl steht und A jeweils einer Gruppe einer Zeile der Tabelle B entspricht (Verbindungen 11.161 bB-1 bis 11.161 bB-134) Tabelle 162bCompounds II, wherein B is 6-chloropyridin-2-yl and A corresponds in each case to one group of one row of Table B (Compounds 11.161 bB-1 to 11.161 bB-134) Table 162b
Verbindungen II, worin B für 2-Chlorpyridin-3-yl steht und A jeweils einer Gruppe einer Zeile der Tabelle B entspricht (Verbindungen N.162bB-1 bis 11.162bB-134)Compounds II, wherein B is 2-chloropyridin-3-yl and A corresponds in each case to one group of one row of Table B (Compounds N.162bB-1 to 11.162bB-134)
Tabelle 163bTable 163b
Verbindungen II, worin B für 4-Chlorpyridin-3-yl steht und A jeweils einer Gruppe einer Zeile der Tabelle B entspricht (Verbindungen N.163bB-1 bis 11.163bB-134)Compounds II, wherein B is 4-chloropyridin-3-yl and A corresponds in each case to one group of one row of Table B (Compounds N.163bB-1 to 11.163bB-134)
Tabelle 164bTable 164b
Verbindungen II, worin B für 5-Chlorpyridin-3-yl steht und A jeweils einer Gruppe einer Zeile der Tabelle B entspricht (Verbindungen N.164bB-1 bis 11.164bB-134)Compounds II in which B is 5-chloropyridin-3-yl and A corresponds in each case to one group of one row of Table B (Compounds N.164bB-1 to 11.164bB-134)
Tabelle 165b Verbindungen II, worin B für 6-Chlorpyridin-3-yl steht und A jeweils einer Gruppe einer Zeile der Tabelle B entspricht (Verbindungen N.165bB-1 bis 11.165bB-134)Table 165b Compounds II, wherein B is 6-chloropyridin-3-yl and A corresponds in each case to one group of one row of Table B (Compounds N.165bB-1 to 11.165bB-134)
Tabelle 166bTable 166b
Verbindungen II, worin B für 2-Chlorpyridin-4-yl steht und A jeweils einer Gruppe einer Zeile der Tabelle B entspricht (Verbindungen N.166bB-1 bis 11.166bB-134) Tabelle 167bCompounds II, wherein B is 2-chloropyridin-4-yl and A corresponds in each case to one group of one row of Table B (Compounds N.166bB-1 to 11.166bB-134) Table 167b
Verbindungen II, worin B für 3-Chlorpyridin-4-yl steht und A jeweils einer Gruppe einer Zeile der Tabelle B entspricht (Verbindungen M.167bB-1 bis 11.167bB-134)Compounds II in which B is 3-chloropyridin-4-yl and A corresponds in each case to one group of one row of Table B (Compounds M.167bB-1 to 11.167bB-134)
Tabelle 168bTable 168b
Verbindungen II, worin B für 4-Chlorpyridin-5-yl steht und A jeweils einer Gruppe einer Zeile der Tabelle B entspricht (Verbindungen N.168bB-1 bis 11.168bB-134)Compounds II, wherein B is 4-chloropyridin-5-yl and A corresponds in each case to one group of one row of Table B (Compounds N.168bB-1 to 11.168bB-134)
Tabelle 169bTable 169b
Verbindungen II, worin B für 3-Fluorpyridin-2-yl steht und A jeweils einer Gruppe einer Zeile der Tabelle B entspricht (Verbindungen N.169bB-1 bis 11.169bB-134)Compounds II in which B is 3-fluoropyridin-2-yl and A corresponds in each case to one group of one row of Table B (Compounds N.169bB-1 to 11.169bB-134)
Tabelle 170b Verbindungen II, worin B für 4-Fluorpyridin-2-yl steht und A jeweils einer Gruppe einer Zeile der Tabelle B entspricht (Verbindungen N.170bB-1 bis 11.170bB-134)Table 170b Compounds II, wherein B is 4-fluoropyridin-2-yl and A corresponds in each case to one group of one row of Table B (Compounds N.170bB-1 to 11.170bB-134)
Tabelle 171 bTable 171 b
Verbindungen II, worin B für 5-Fluorpyridin-2-yl steht und A jeweils einer Gruppe einer Zeile der Tabelle B entspricht (Verbindungen 11.171 bB-1 bis 11.171 bB-134) Tabelle 172bCompounds II, wherein B is 5-fluoropyridin-2-yl and A corresponds in each case to one group of one row of Table B (Compounds 11.171 bB-1 to 11.171 bB-134) Table 172b
Verbindungen II, worin B für 6-Fluorpyridin-2-yl steht und A jeweils einer Gruppe einer Zeile der Tabelle B entspricht (Verbindungen N.172bB-1 bis 11.172bB-134) Tabelle 173bCompounds II, wherein B is 6-fluoropyridin-2-yl and A corresponds in each case to one group of one row of Table B (Compounds N.172bB-1 to 11.172bB-134) Table 173b
Verbindungen II, worin B für 2-Fluorpyridin-3-yl steht und A jeweils einer Gruppe einer Zeile der Tabelle B entspricht (Verbindungen N.173bB-1 bis 11.173bB-134)Compounds II in which B is 2-fluoropyridin-3-yl and A corresponds in each case to one group of one row of Table B (Compounds N.173bB-1 to 11.173bB-134)
Tabelle 174b Verbindungen II, worin B für 4-Fluorpyridin-3-yl steht und A jeweils einer Gruppe einer Zeile der Tabelle B entspricht (Verbindungen N.174bB-1 bis 11.174bB-134)Table 174b Compounds II, wherein B is 4-fluoropyridin-3-yl and A corresponds in each case to one group of one row of Table B (Compounds N.174bB-1 to 11.174bB-134)
Tabelle 175bTable 175b
Verbindungen II, worin B für 5-Fluorpyridin-3-yl steht und A jeweils einer Gruppe einer Zeile der Tabelle B entspricht (Verbindungen N.175bB-1 bis 11.175bB-134) Tabelle 176bCompounds II, wherein B is 5-fluoropyridin-3-yl and A corresponds in each case to one group of one row of Table B (Compounds N.175bB-1 to 11.175bB-134) Table 176b
Verbindungen II, worin B für 6-Fluorpyridin-3-yl steht und A jeweils einer Gruppe einer Zeile der Tabelle B entspricht (Verbindungen N.176bB-1 bis 11.176bB-134)Compounds II, wherein B is 6-fluoropyridin-3-yl and A corresponds in each case to one group of one row of Table B (Compounds N.176bB-1 to 11.176bB-134)
Tabelle 177bTable 177b
Verbindungen II, worin B für 2-Fluorpyridin-4-yl steht und A jeweils einer Gruppe einer Zeile der Tabelle B entspricht (Verbindungen N.177bB-1 bis 11.177bB-134)Compounds II in which B is 2-fluoropyridin-4-yl and A corresponds in each case to one group of one row of Table B (Compounds N.177bB-1 to 11.177bB-134)
Tabelle 178bTable 178b
Verbindungen II, worin B für 3-Fluorpyridin-4-yl steht und A jeweils einer Gruppe einer Zeile der Tabelle B entspricht (Verbindungen 11.178bB-1 bis 11.178bB-134)Compounds II, wherein B is 3-fluoropyridin-4-yl and A corresponds in each case to one group of one row of Table B (Compounds 11.178bB-1 to 11.178bB-134)
Tabelle 179b Verbindungen II, worin B für 3- Methylpyridin-2-yl steht und A jeweils einer Gruppe einer Zeile der Tabelle B entspricht (Verbindungen N.179bB-1 bis 11.179bB-134)Table 179b Compounds II in which B is 3-methylpyridin-2-yl and A in each case corresponds to one group of one row of Table B (Compounds N.179bB-1 to 11.179bB-134)
Tabelle 180bTable 180b
Verbindungen II, worin B für 4-Methylpyridin-2-yl steht und A jeweils einer Gruppe einer Zeile der Tabelle B entspricht (Verbindungen N.180bB-1 bis 11.180bB-134) Tabelle 181 bCompounds II, wherein B is 4-methylpyridin-2-yl and A corresponds in each case to one group of one row of Table B (Compounds N.180bB-1 to 11.180bB-134). Table 181 b
Verbindungen II, worin B für 5-Methylpyridin-2-yl steht und A jeweils einer Gruppe einer Zeile der Tabelle B entspricht (Verbindungen N.181 bB-1 bis 11.181 bB-134)Compounds II, wherein B is 5-methylpyridin-2-yl and A corresponds in each case to one group of one row of Table B (Compounds N.181 bB-1 to 11.181 bB-134)
Tabelle 182bTable 182b
Verbindungen II, worin B für 6-Methylpyridin-2-yl steht und A jeweils einer Gruppe einer Zeile der Tabelle B entspricht (Verbindungen N.182bB-1 bis 11.182bB-134)Compounds II in which B is 6-methylpyridin-2-yl and A corresponds in each case to one group of one row of Table B (Compounds N.182bB-1 to 11.182bB-134)
Tabelle 183bTable 183b
Verbindungen II, worin B für 2-Methylpyridin-3-yl steht und A jeweils einer Gruppe einer Zeile der Tabelle B entspricht (Verbindungen N.183bB-1 bis 11.183bB-134)Compounds II in which B is 2-methylpyridin-3-yl and A corresponds in each case to one group of one row of Table B (Compounds N.183bB-1 to 11.183bB-134)
Tabelle 184b Verbindungen II, worin B für 4-Methylpyridin-3-yl steht und A jeweils einer Gruppe einer Zeile der Tabelle B entspricht (Verbindungen N.184bB-1 bis 11.184bB-134)Table 184b Compounds II in which B is 4-methylpyridin-3-yl and A corresponds in each case to one group of one row of Table B (Compounds N.184bB-1 to 11.184bB-134)
Tabelle 185bTable 185b
Verbindungen II, worin B für 5-Methylpyridin-3-yl steht und A jeweils einer Gruppe einer Zeile der Tabelle B entspricht (Verbindungen N.185bB-1 bis 11.185bB-134) Tabelle 186bCompounds II, wherein B is 5-methylpyridin-3-yl and A corresponds in each case to one group of a row of Table B (Compounds N.185bB-1 to 11.185bB-134) Table 186b
Verbindungen II, worin B für 6-Methylpyridin-3-yl steht und A jeweils einer Gruppe einer Zeile der Tabelle B entspricht (Verbindungen N.186bB-1 bis 11.186bB-134) Tabelle 187bCompounds II in which B is 6-methylpyridin-3-yl and A corresponds in each case to one group of one row of Table B (Compounds N.186bB-1 to 11.186bB-134) Table 187b
Verbindungen II, worin B für 2-Methylpyridin-4-yl steht und A jeweils einer Gruppe einer Zeile der Tabelle B entspricht (Verbindungen N.187bB-1 bis 11.187bB-134)Compounds II in which B is 2-methylpyridin-4-yl and A corresponds in each case to one group of one row of Table B (Compounds N.187bB-1 to 11.187bB-134)
Tabelle 188b Verbindungen II, worin B für 3-Methylpyridin-4-yl steht und A jeweils einer Gruppe einer Zeile der Tabelle B entspricht (Verbindungen N.188bB-1 bis 11.188bB-134)Table 188b Compounds II, wherein B is 3-methylpyridin-4-yl and A corresponds in each case to one group of one row of Table B (Compounds N.188bB-1 to 11.188bB-134)
Tabelle 189bTable 189b
Verbindungen II, worin B für 4-Methylpyridin-5-yl steht und A jeweils einer Gruppe einer Zeile der Tabelle B entspricht (Verbindungen N.189bB-1 bis 11.189bB-134) Tabelle 190bCompounds II, wherein B is 4-methylpyridin-5-yl and A corresponds in each case to one group of one row of Table B (Compounds N.189bB-1 to 11.189bB-134) Table 190b
Verbindungen II, worin B für 3-Methoxypyridin-2-yl steht und A jeweils einer Gruppe einer Zeile der Tabelle B entspricht (Verbindungen N.190bB-1 bis 11.190bB-134)Compounds II, wherein B is 3-methoxypyridin-2-yl and A corresponds in each case to one group of one row of Table B (Compounds N.190bB-1 to 11.190bB-134)
Tabelle 191 bTable 191 b
Verbindungen II, worin B für 4-Methoxypyridin-2-yl steht und A jeweils einer Gruppe einer Zeile der Tabelle B entspricht (Verbindungen 11.191 bB-1 bis 11.191 bB-134)Compounds II in which B is 4-methoxypyridin-2-yl and A in each case corresponds to one group of one row of Table B (Compounds 11.191 bB-1 to 11.191 bB-134)
Tabelle 192bTable 192b
Verbindungen II, worin B für 5-Methoxypyridin-2-yl steht und A jeweils einer Gruppe einer Zeile der Tabelle B entspricht (Verbindungen N.192bB-1 bis 11.192bB-134)Compounds II, wherein B is 5-methoxypyridin-2-yl and A corresponds in each case to one group of one row of Table B (Compounds N.192bB-1 to 11.192bB-134)
Tabelle 193b Verbindungen II, worin B für 6-Methoxypyridin-2-yl steht und A jeweils einer Gruppe einer Zeile der Tabelle B entspricht (Verbindungen N.193bB-1 bis 11.193bB-134)Table 193b Compounds II in which B is 6-methoxypyridin-2-yl and A in each case corresponds to one group of one row of Table B (Compounds N.193bB-1 to 11.193bB-134)
Tabelle 194bTable 194b
Verbindungen II, worin B für 2-Methoxypyridin-3-yl steht und A jeweils einer Gruppe einer Zeile der Tabelle B entspricht (Verbindungen N.194bB-1 bis 11.194bB-134) Tabelle 195bCompounds II, wherein B is 2-methoxypyridin-3-yl and A corresponds in each case to one group of one row of Table B (Compounds N.194bB-1 to 11.194bB-134) Table 195b
Verbindungen II, worin B für 4-Methoxypyridin-3-yl steht und A jeweils einer Gruppe einer Zeile der Tabelle B entspricht (Verbindungen N.195bB-1 bis 11.195bB-134)Compounds II in which B is 4-methoxypyridin-3-yl and A corresponds in each case to one group of one row of Table B (Compounds N.195bB-1 to 11.195bB-134)
Tabelle 196bTable 196b
Verbindungen II, worin B für 5-Methoxypyridin-3-yl steht und A jeweils einer Gruppe einer Zeile der Tabelle B entspricht (Verbindungen N.196bB-1 bis 11.196bB-134)Compounds II in which B is 5-methoxypyridin-3-yl and A in each case corresponds to one group of one row of Table B (Compounds N.196bB-1 to 11.196bB-134)
Tabelle 197bTable 197b
Verbindungen II, worin B für 6-Methoxypyridin-3-yl steht und A jeweils einer Gruppe einer Zeile der Tabelle B entspricht (Verbindungen N.197bB-1 bis 11.197bB-134)Compounds II, wherein B is 6-methoxypyridin-3-yl and A corresponds in each case to one group of one row of Table B (Compounds N.197bB-1 to 11.197bB-134)
Tabelle 198b Verbindungen II, worin B für 2-Methoxypyridin-4-yl steht und A jeweils einer Gruppe einer Zeile der Tabelle B entspricht (Verbindungen N.198bB-1 bis 11.198bB-134)Table 198b Compounds II in which B is 2-methoxypyridin-4-yl and A in each case corresponds to one group of one row of Table B (Compounds N.198bB-1 to 11.198bB-134)
Tabelle 199bTable 199b
Verbindungen II, worin B für 3-Methoxypyridin-4-yl steht und A jeweils einer Gruppe einer Zeile der Tabelle B entspricht (Verbindungen N.199bB-1 bis 11.199bB-134) Tabelle 200bCompounds II, wherein B is 3-methoxypyridin-4-yl and A corresponds in each case to one group of one row of Table B (Compounds N.199bB-1 to 11.199bB-134) Table 200b
Verbindungen II, worin B für 3,5-Dichlorpyridin-2-yl steht und A jeweils einer Gruppe einer Zeile der Tabelle B entspricht (Verbindungen N.200bB-1 bis M.200bB-134) Tabelle 201 bCompounds II in which B is 3,5-dichloropyridin-2-yl and A in each case corresponds to one group of one row of Table B (Compounds N.200bB-1 to M.200bB-134) Table 201 b
Verbindungen II, worin B für 2,4-Dichlorpyridin-3-yl steht und A jeweils einer Gruppe einer Zeile der Tabelle B entspricht (Verbindungen 11.201 bB-1 bis 11.201 bB-134)Compounds II, wherein B is 2,4-dichloropyridin-3-yl and A in each case corresponds to one group of one row of Table B (Compounds 11.201 bB-1 to 11.201 bB-134)
Tabelle 202b Verbindungen II, worin B für 2,5-Dichlorpyridin-3-yl steht und A jeweils einer Gruppe einer Zeile der Tabelle B entspricht (Verbindungen N.202bB-1 bis M.202bB-134)Table 202b Compounds II in which B is 2,5-dichloropyridin-3-yl and A in each case corresponds to one group of one row of Table B (Compounds N.202bB-1 to M.202bB-134)
Tabelle 203bTable 203b
Verbindungen II, worin B für 2,6-Dichlorpyridin-3-yl steht und A jeweils einer Gruppe einer Zeile der Tabelle B entspricht (Verbindungen N.203bB-1 bis M.203bB-134) Tabelle 204bCompounds II, wherein B is 2,6-dichloropyridin-3-yl and A corresponds in each case to one group of one row of Table B (Compounds N.203bB-1 to M.203bB-134) Table 204b
Verbindungen II, worin B für 2,6-Dichlorpyridin-4-yl steht und A jeweils einer Gruppe einer Zeile der Tabelle B entspricht (Verbindungen N.204bB-1 bis M.204bB-134)Compounds II in which B is 2,6-dichloropyridin-4-yl and A in each case corresponds to one group of one row of Table B (Compounds N.204bB-1 to M.204bB-134)
Tabelle 205bTable 205b
Verbindungen II, worin B für 3,5-Dichlorpyridin-4-yl steht und A jeweils einer Grup- pe einer Zeile der Tabelle B entspricht (Verbindungen N.205bB-1 bis M.205bB-134)Compounds II, where B is 3,5-dichloropyridin-4-yl and A corresponds in each case to one group of one row of Table B (compounds N.205bB-1 to M.205bB-134)
Tabelle 206bTable 206b
Verbindungen II, worin B für 3,6-Dichlorpyridin-4-yl steht und A jeweils einer Gruppe einer Zeile der Tabelle B entspricht (Verbindungen N.206bB-1 bis M.206bB-134)Compounds II in which B is 3,6-dichloropyridin-4-yl and A in each case corresponds to one group of one row of Table B (Compounds N.206bB-1 to M.206bB-134)
Tabelle 207b Verbindungen II, worin B für 2,5-Dichlorpyridin-4-yl steht und A jeweils einer Gruppe einer Zeile der Tabelle B entspricht (Verbindungen N.207bB-1 bis M.207bB-134)Table 207b Compounds II in which B is 2,5-dichloropyridin-4-yl and A in each case corresponds to one group of one row of Table B (Compounds N.207bB-1 to M.207bB-134)
Tabelle 208bTable 208b
Verbindungen II, worin B für 2,3-Dichlorpyridin-4-yl steht und A jeweils einer Gruppe einer Zeile der Tabelle B entspricht (Verbindungen N.208bB-1 bis M.208bB-134) Tabelle 209bCompounds II, wherein B is 2,3-dichloropyridin-4-yl and A corresponds in each case to one group of one row of Table B (Compounds N.208bB-1 to M.208bB-134) Table 209b
Verbindungen II, worin B für 2,4-Dichlorpyridin-5-yl steht und A jeweils einer Gruppe einer Zeile der Tabelle B entspricht (Verbindungen M.209bB-1 bis M.209bB-134)Compounds II in which B is 2,4-dichloropyridin-5-yl and A in each case corresponds to one group of one row of Table B (Compounds M.209bB-1 to M.209bB-134)
Tabelle 210bTable 210b
Verbindungen II, worin B für 3,5-Difluorpyridin-2-yl steht und A jeweils einer Gruppe einer Zeile der Tabelle B entspricht (Verbindungen 11.21 ObB- 1 bis M.210bB-134)Compounds II in which B is 3,5-difluoropyridin-2-yl and A in each case corresponds to one group of one row of Table B (Compounds 11.21 ObB-1 to M.210bB-134)
Tabelle 211 bTable 211 b
Verbindungen II, worin B für 3,5-Difluorpyridin-4-yl steht und A jeweils einer Gruppe einer Zeile der Tabelle B entspricht (Verbindungen 11.21 1 bB- 1 bis 11.211 bB-134)Compounds II in which B is 3,5-difluoropyridin-4-yl and A in each case corresponds to one group of one row of Table B (Compounds 11.21 1 bB-1 to 11,211 bB-134)
Tabelle 212b Verbindungen II, worin B für 2,3-Difluorpyridin-4-yl steht und A jeweils einer Gruppe einer Zeile der Tabelle B entspricht (Verbindungen N.212bB-1 bis N.212bB-134)Table 212b Compounds II in which B is 2,3-difluoropyridin-4-yl and A corresponds in each case to one group of one row of Table B (Compounds N.212bB-1 to N.212bB-134)
Tabelle 213bTable 213b
Verbindungen II, worin B für 3,5-Dimethylpyridin-2-yl steht und A jeweils einer Gruppe einer Zeile der Tabelle B entspricht (Verbindungen 11.213bB-1 bis 11.213bB- 134)Compounds II in which B is 3,5-dimethylpyridin-2-yl and A in each case corresponds to one group of one row of Table B (Compounds 11.213bB-1 to 11.213bB-134)
Tabelle 214bTable 214b
Verbindungen II, worin B für 3,4-Dimethylpyridin-2-yl steht und A jeweils einer Gruppe einer Zeile der Tabelle B entspricht (Verbindungen 11.214bB-1 bis M.214bB-Compounds II wherein B is 3,4-dimethylpyridin-2-yl and A is each one Group of a row corresponds to Table B (compounds 11.214bB-1 to M.214bB-
134) Tabelle 215b134) Table 215b
Verbindungen II, worin B für 4,6-Dimethylpyridin-3-yl steht und A jeweils einer Gruppe einer Zeile der Tabelle B entspricht (Verbindungen 11.215bB-1 bis 11.215bB-Compounds II, wherein B is 4,6-dimethylpyridin-3-yl and A corresponds in each case to one group of one row of Table B (compounds 11.215bB-1 to 11.215bB-
134) Tabelle 216b134) Table 216b
Verbindungen II, worin B für 2,4-Dimethylpyridin-3-yl steht und A jeweils einerCompounds II wherein B is 2,4-dimethylpyridin-3-yl and A is one each
Gruppe einer Zeile der Tabelle B entspricht (Verbindungen 11.216bB-1 bis N.216bB- 134)Group of a row corresponds to Table B (compounds 11.216bB-1 to N.216bB-134)
Tabelle 217bTable 217b
Verbindungen II, worin B für 3,5-Dimethylpyridin-4-yl steht und A jeweils einerCompounds II wherein B is 3,5-dimethylpyridin-4-yl and A is each one
Gruppe einer Zeile der Tabelle B entspricht (Verbindungen 11.217bB-1 bis M.217bB-Group of a row corresponds to Table B (compounds 11.217bB-1 to M.217bB-
134) Tabelle 218b134) Table 218b
Verbindungen II, worin B für 2-Chlor-3-fluorpyridin-4-yl steht und A jeweils einerCompounds II wherein B is 2-chloro-3-fluoropyridin-4-yl and A is each one
Gruppe einer Zeile der Tabelle B entspricht (Verbindungen 11.218bB-1 bis 11.218bB-Group of a row of Table B corresponds (compounds 11.218bB-1 to 11.218bB-
134)134)
Tabelle 219b Verbindungen II, worin B für 4-Chlor-3-methylpyridin-2-yl steht und A jeweils einerTable 219b Compounds II wherein B is 4-chloro-3-methylpyridin-2-yl and A is each one
Gruppe einer Zeile der Tabelle B entspricht (Verbindungen 11.219bB-1 bis 11.219bB-Group corresponds to one row of Table B (compounds 11.219bB-1 to 11.219bB-
134) Tabelle 220b134) Table 220b
Verbindungen II, worin B für 5-Chlor-3-methylpyridin-2-yl steht und A jeweils einer Gruppe einer Zeile der Tabelle B entspricht (Verbindungen N.220bB-1 bis M.220bB-Compounds II in which B is 5-chloro-3-methylpyridin-2-yl and A corresponds in each case to one group of one row of Table B (Compounds N.220bB-1 to M.220bB-
134) Tabelle 221 b134) Table 221 b
Verbindungen II, worin B für 5-Fluor-3-methylpyridin-2-yl steht und A jeweils einerCompounds II wherein B is 5-fluoro-3-methylpyridin-2-yl and A is one each
Gruppe einer Zeile der Tabelle B entspricht (Verbindungen 11.221 bB-1 bis 11.221 bB- 134)Group of a row corresponds to Table B (connections 11.221 bB-1 to 11.221 bB-134)
Tabelle 222bTable 222b
Verbindungen II, worin B für 3-Chlor-5-trifluormethylpyridin-2-yl steht und A jeweils einer Gruppe einer Zeile der Tabelle B entspricht (Verbindungen N.222bB-1 bisCompounds II, wherein B is 3-chloro-5-trifluoromethylpyridin-2-yl and A corresponds in each case to one group of a row of Table B (Compounds N.222bB-1 to
N.222bB-134) Tabelle 223bN.222bB-134) Table 223b
Verbindungen II, worin B für 2-Chlor-6-trifluormethylpyridin-3-yl steht und A jeweils einer Gruppe einer Zeile der Tabelle B entspricht (Verbindungen N.223bB-1 bisCompounds II, wherein B is 2-chloro-6-trifluoromethylpyridin-3-yl and A corresponds in each case to one group of one row of Table B (Compounds N.223bB-1 to
N.223bB-134) Tabelle 224b Verbindungen II, worin B für 2,4-Dichlor-6-methylpyridin-3-yl steht und A jeweils einer Gruppe einer Zeile der Tabelle B entspricht (Verbindungen N.224bB-1 bisN.223bB-134) Table 224b Compounds II, wherein B is 2,4-dichloro-6-methylpyridin-3-yl and A corresponds in each case to one group of one row of Table B (Compounds N.224bB-1 to
N.224bB-134) Tabelle 225bN.224bB-134) Table 225b
Verbindungen II, worin B für 3,4,5-Trichlorpyridin-2-yl steht und A jeweils einerCompounds II wherein B is 3,4,5-trichloropyridin-2-yl and A is one each
Gruppe einer Zeile der Tabelle B entspricht (Verbindungen N.225bB-1 bis N.225bB-Group of one row of Table B corresponds (connections N.225bB-1 to N.225bB-
134) Tabelle 226b134) Table 226b
Verbindungen II, worin B für 2,4,6-Trichlorpyridin-3-yl steht und A jeweils einerCompounds II wherein B is 2,4,6-trichloropyridin-3-yl and A is one each
Gruppe einer Zeile der Tabelle B entspricht (Verbindungen N.226bB-1 bis N.226bB-Group of one row of Table B corresponds (compounds N.226bB-1 to N.226bB-
134)134)
Tabelle 227b Verbindungen II, worin B für Pyrimidin-2-yl steht und A jeweils einer Gruppe einerTable 227b Compounds II wherein B is pyrimidin-2-yl and A is each a group of one
Zeile der Tabelle B entspricht (Verbindungen N.227bB-1 bis N.227bB-134) Tabelle 228bRow of Table B corresponds (Compounds N.227bB-1 to N.227bB-134) Table 228b
Verbindungen II, worin B für Pyrimidin-5-yl steht und A jeweils einer Gruppe einerCompounds II wherein B is pyrimidin-5-yl and A is each a group of one
Zeile der Tabelle B entspricht (Verbindungen N.228bB-1 bis N.228bB-134) Tabelle 229bRow of Table B corresponds (Compounds N.228bB-1 to N.228bB-134) Table 229b
Verbindungen II, worin B für 6-Chlorpyrimidin-3-yl steht und A jeweils einer Gruppe einer Zeile der Tabelle B entspricht (Verbindungen N.229bB-1 bis M.229bB-134) Tabelle 230bCompounds II in which B is 6-chloropyrimidin-3-yl and A corresponds in each case to one group of one row of Table B (Compounds N.229bB-1 to M.229bB-134) Table 230b
Verbindungen II, worin B für 6-Methylpyrimidin-3-yl steht und A jeweils einer Grup- pe einer Zeile der Tabelle B entspricht (Verbindungen N.230bB-1 bis N.230bB-134)Compounds II in which B is 6-methylpyrimidin-3-yl and A corresponds in each case to one group of one row of Table B (Compounds N.230bB-1 to N.230bB-134)
Tabelle 231 bTable 231 b
Verbindungen II, worin B für 6-Methoxypyrimidin-3-yl steht und A jeweils einerCompounds II wherein B is 6-methoxypyrimidin-3-yl and A is each one
Gruppe einer Zeile der Tabelle B entspricht (Verbindungen 11.231 bB-1 bis 11.231 bB-Group of a row corresponds to Table B (connections 11.231 bB-1 to 11.231 bB-
134) Tabelle 232b134) Table 232b
Verbindungen II, worin B für 2,4-Dichlorpyrimidin-3-yl steht und A jeweils einerCompounds II wherein B is 2,4-dichloropyrimidin-3-yl and A is each one
Gruppe einer Zeile der Tabelle B entspricht (Verbindungen N.232bB-1 bis N.232bB-Group of a row corresponds to Table B (compounds N.232bB-1 to N.232bB-
134)134)
Tabelle 233b Verbindungen II, worin B für 2,6-Dichlorpyrimidin-3-yl steht und A jeweils einerTable 233b Compounds II wherein B is 2,6-dichloropyrimidin-3-yl and A is each one
Gruppe einer Zeile der Tabelle B entspricht (Verbindungen N.233bB-1 bis N.233bB-Group of one row of Table B corresponds (compounds N.233bB-1 to N.233bB-
134) Tabelle 234b134) Table 234b
Verbindungen II, worin B für 2,4-Difluorpyrimidin-3-yl steht und A jeweils einer Gruppe einer Zeile der Tabelle B entspricht (Verbindungen N.234bB-1 bis N.234bB-Compounds II in which B is 2,4-difluoropyrimidin-3-yl and A corresponds in each case to one group of one row of Table B (Compounds N.234bB-1 to N.234bB-
134) Tabelle 235b134) Table 235b
Verbindungen II, worin B für 2,6-Difluorpyrimidin-3-yl steht und A jeweils einerCompounds II wherein B is 2,6-difluoropyrimidin-3-yl and A is each one
Gruppe einer Zeile der Tabelle B entspricht (Verbindungen N.235bB-1 bis N.235bB- 134) Tabelle 236bGroup of a row corresponds to Table B (compounds N.235bB-1 to N.235bB-134) Table 236b
Verbindungen II, worin B für 1 ,3,5-Triazin-2-yl steht und A jeweils einer Gruppe einer Zeile der Tabelle B entspricht (Verbindungen N.236bB-1 bis N.236bB-134)Compounds II in which B is 1, 3,5-triazin-2-yl and A corresponds in each case to one group of one row of Table B (Compounds N.236bB-1 to N.236bB-134)
Tabelle 237b Verbindungen II, worin B für Thien-2-yl steht und A jeweils einer Gruppe einer Zeile der Tabelle B entspricht (Verbindungen N.237bB-1 bis M.237bB-134)Table 237b Compounds II in which B is thien-2-yl and A corresponds in each case to one group of one row of Table B (Compounds N.237bB-1 to M.237bB-134)
Tabelle 238bTable 238b
Verbindungen II, worin B für Thien-3-yl steht und A jeweils einer Gruppe einer Zeile der Tabelle B entspricht (Verbindungen N.238bB-1 bis N.238bB-134) Tabelle 239bCompounds II, wherein B is thien-3-yl and A corresponds in each case to one group of one row of Table B (Compounds N.238bB-1 to N.238bB-134) Table 239b
Verbindungen II, worin B für 5-Chlorthien-2-yl steht und A jeweils einer Gruppe einer Zeile der Tabelle B entspricht (Verbindungen N.239bB-1 bis M.239bB-134)Compounds II, wherein B is 5-chlorothien-2-yl and A corresponds in each case to one group of one row of Table B (Compounds N.239bB-1 to M.239bB-134)
Tabelle 240bTable 240b
Verbindungen II, worin B für 2-Chlorthien-3-yl steht und A jeweils einer Gruppe ei- ner Zeile der Tabelle B entspricht (Verbindungen M.240bB-1 bis M.240bB-134)Compounds II, where B is 2-chlorothien-3-yl and A corresponds in each case to one group of one row of Table B (Compounds M.240bB-1 to M.240bB-134)
Tabelle 241 bTable 241 b
Verbindungen II, worin B für 4-Chlorthien-3-yl steht und A jeweils einer Gruppe einer Zeile der Tabelle B entspricht (Verbindungen 11.241 bB-1 bis 11.241 bB-134)Compounds II, wherein B is 4-chlorothien-3-yl and A corresponds in each case to one group of one row of Table B (Compounds 11.241 bB-1 to 11.241 bB-134)
Tabelle 242b Verbindungen II, worin B für 5-Chlorthien-3-yl steht und A jeweils einer Gruppe einer Zeile der Tabelle B entspricht (Verbindungen N.242bB-1 bis N.242bB-134)Table 242b Compounds II in which B is 5-chlorothien-3-yl and A in each case corresponds to one group of one row of Table B (Compounds N.242bB-1 to N.242bB-134)
Tabelle 243bTable 243b
Verbindungen II, worin B für 2-Bromthien-3-yl steht und A jeweils einer Gruppe einer Zeile der Tabelle B entspricht (Verbindungen N.243bB-1 bis N.243bB-134) Tabelle 244bCompounds II, wherein B is 2-bromothien-3-yl and A corresponds in each case to one group of one row of Table B (Compounds N.243bB-1 to N.243bB-134) Table 244b
Verbindungen II, worin B für 4-Bromthien-3-yl steht und A jeweils einer Gruppe einer Zeile der Tabelle B entspricht (Verbindungen N.244bB-1 bis N.244bB-134)Compounds II in which B is 4-bromothien-3-yl and A in each case corresponds to one group of one row of Table B (Compounds N.244bB-1 to N.244bB-134)
Tabelle 245bTable 245b
Verbindungen II, worin B für 5-Bromthien-3-yl steht und A jeweils einer Gruppe ei- ner Zeile der Tabelle B entspricht (Verbindungen N.245bB-1 bis N.245bB-134)Compounds II, where B is 5-bromothien-3-yl and A corresponds in each case to one group of one row of Table B (Compounds N.245bB-1 to N.245bB-134)
Tabelle 246bTable 246b
Verbindungen II, worin B für 5-Methylthien-2-yl steht und A jeweils einer Gruppe einer Zeile der Tabelle B entspricht (Verbindungen N.246bB-1 bis N.246bB-134)Compounds II, wherein B is 5-methylthien-2-yl and A corresponds in each case to one group of one row of Table B (Compounds N.246bB-1 to N.246bB-134)
Tabelle 247b Verbindungen II, worin B für 2-Methylthien-4-yl steht und A jeweils einer Gruppe einer Zeile der Tabelle B entspricht (Verbindungen N.247bB-1 bis N.247bB-134)Table 247b Compounds II in which B is 2-methylthien-4-yl and A corresponds in each case to one group of one row of Table B (Compounds N.247bB-1 to N.247bB-134)
Tabelle 248bTable 248b
Verbindungen 11 , worin B für 4,5-Dichlorthien-2-yl steht und A jeweils einer Gruppe einer Zeile der Tabelle B entspricht (Verbindungen N.248bB-1 bis N.248bB-134) Tabelle 249bCompounds 11, wherein B is 4,5-dichlorothien-2-yl and A corresponds in each case to one group of one row of Table B (Compounds N.248bB-1 to N.248bB-134) Table 249b
Verbindungen 11 , worin B für 2,5-Dichlorthien-3-yl steht und A jeweils einer Gruppe einer Zeile der Tabelle B entspricht (Verbindungen N.249bB-1 bis M.249bB-134) Tabelle 250bCompounds 11, wherein B is 2,5-dichlorothien-3-yl and A corresponds in each case to one group of one row of Table B (Compounds N.249bB-1 to M.249bB-134) Table 250b
Verbindungen 11 , worin B für 2,3-Dichlorthien-4-yl steht und A jeweils einer Gruppe einer Zeile der Tabelle B entspricht (Verbindungen N.250bB-1 bis N.250bB-134)Compounds 11, wherein B is 2,3-dichlorothien-4-yl and A corresponds in each case to one group of one row of Table B (Compounds N.250bB-1 to N.250bB-134)
Tabelle 251 b Verbindungen 11 , worin B für 2,5-Dibromthien-3-yl steht und A jeweils einer Gruppe einer Zeile der Tabelle B entspricht (Verbindungen 11.251 bB-1 bis 11.251 bB-134)Table 251b Compounds 11, wherein B is 2,5-dibromothien-3-yl and A corresponds in each case to one group of one row of Table B (Compounds 11.251 bB-1 to 11.251 bB-134)
Tabelle 252bTable 252b
Verbindungen II, worin B für 4,5-Dimethylthien-2-yl steht und A jeweils einer Gruppe einer Zeile der Tabelle B entspricht (Verbindungen N.252bB-1 bis M.252bB-134) Tabelle 253bCompounds II, wherein B is 4,5-dimethylthien-2-yl and A corresponds in each case to one group of one row of Table B (Compounds N.252bB-1 to M.252bB-134) Table 253b
Verbindungen II, worin B für 2,5-Dimethylthien-3-yl steht und A jeweils einer Gruppe einer Zeile der Tabelle B entspricht (Verbindungen N.253bB-1 bis N.253bB-134)Compounds II in which B is 2,5-dimethylthien-3-yl and A in each case corresponds to one group of one row of Table B (Compounds N.253bB-1 to N.253bB-134)
Tabelle 254bTable 254b
Verbindungen 11 , worin B für 2,3-Dimethylthien-4-yl steht und A jeweils einer Grup- pe einer Zeile der Tabelle B entspricht (Verbindungen N.254bB-1 bis N.254bB-134)Compounds 11, wherein B is 2,3-dimethylthien-4-yl and A corresponds in each case to one group of one row of Table B (compounds N.254bB-1 to N.254bB-134)
Tabelle 255bTable 255b
Verbindungen II, worin B für 3,4,5-Trichlorthien-2-yl steht und A jeweils einer Gruppe einer Zeile der Tabelle B entspricht (Verbindungen N.255bB-1 bis N.255bB-134)Compounds II in which B is 3,4,5-trichlorothien-2-yl and A corresponds in each case to one group of one row of Table B (Compounds N.255bB-1 to N.255bB-134)
Tabelle 256b Verbindungen II, worin B für 2,4,5-Trichlorthien-3-yl steht und A jeweils einer Gruppe einer Zeile der Tabelle B entspricht (Verbindungen N.256bB-1 bis N.256bB-134)Table 256b Compounds II in which B is 2,4,5-trichlorothien-3-yl and A corresponds in each case to one group of one row of Table B (Compounds N.256bB-1 to N.256bB-134)
Tabelle 257bTable 257b
Verbindungen II, worin B für 2,4,5-Tribromthien-3-yl steht und A jeweils einer Gruppe einer Zeile der Tabelle B entspricht (Verbindungen N.257bB-1 bis M.257bB-134) Tabelle 258bCompounds II, wherein B is 2,4,5-tribromothien-3-yl and A corresponds in each case to one group of a row of Table B (Compounds N.257bB-1 to M.257bB-134) Table 258b
Verbindungen II, worin B für 3,4,5-Trimethylthien-2-yl steht und A jeweils einer Gruppe einer Zeile der Tabelle B entspricht (Verbindungen N.258bB-1 bis N.258bB- 134)Compounds II in which B is 3,4,5-trimethylthien-2-yl and A in each case corresponds to one group of one row of Table B (Compounds N.258bB-1 to N.258bB-134)
Tabelle 259b Verbindungen II, worin B für 4-Chlorfur-2-yl steht und A jeweils einer Gruppe einerTable 259b Compounds II wherein B is 4-chlorofur-2-yl and A is each a group of one
Zeile der Tabelle B entspricht (Verbindungen N.259bB-1 bis M.259bB-134)Line of Table B corresponds (compounds N.259bB-1 to M.259bB-134)
Tabelle 260bTable 260b
Verbindungen II, worin B für 5-Chlorfur-2-yl steht und A jeweils einer Gruppe einer Zeile der Tabelle B entspricht (Verbindungen N.260bB-1 bis M.260bB-134) Tabelle 261 bCompounds II, wherein B is 5-chlorofur-2-yl and A corresponds in each case to one group of one row of Table B (Compounds N.260bB-1 to M.260bB-134). Table 261 b
Verbindungen II, worin B für 3-Bromfur-2-yl steht und A jeweils einer Gruppe einer Zeile der Tabelle B entspricht (Verbindungen 11.261 bB-1 bis 11.261 bB-134)Compounds II, wherein B is 3-bromo-fur-2-yl and A corresponds in each case to one group of one row of Table B (Compounds 11.261 bB-1 to 11.261 bB-134)
Tabelle 262bTable 262b
Verbindungen II, worin B für 4-Bromfur-2-yl steht und A jeweils einer Gruppe einer Zeile der Tabelle B entspricht (Verbindungen N.262bB-1 bis N.262bB-134) Tabelle 263bCompounds II in which B is 4-bromo-fur-2-yl and A corresponds in each case to one group of one row of Table B (Compounds N.262bB-1 to N.262bB-134) Table 263b
Verbindungen II, worin B für 5-Bromfur-2-yl steht und A jeweils einer Gruppe einer Zeile der Tabelle B entspricht (Verbindungen N.263bB-1 bis N.263bB-134)Compounds II, wherein B is 5-bromo-fur-2-yl and A corresponds in each case to one group of one row of Table B (Compounds N.263bB-1 to N.263bB-134)
Tabelle 264b Verbindungen II, worin B für 3,4-Dichlorfur-2-yl steht und A jeweils einer Gruppe einer Zeile der Tabelle B entspricht (Verbindungen N.264bB-1 bis N.264bB-134)Table 264b Compounds II in which B is 3,4-dichloropur-2-yl and A corresponds in each case to one group of one row of Table B (Compounds N.264bB-1 to N.264bB-134)
Tabelle 265bTable 265b
Verbindungen II, worin B für 4,5-Dichlorfur-2-yl steht und A jeweils einer Gruppe einer Zeile der Tabelle B entspricht (Verbindungen N.265bB-1 bis N.265bB-134) Tabelle 266bCompounds II, wherein B is 4,5-dichloropur-2-yl and A corresponds in each case to one group of one row of Table B (Compounds N.265bB-1 to N.265bB-134) Table 266b
Verbindungen II, worin B für Thiazol-2-yl steht und A jeweils einer Gruppe einer Zeile der Tabelle B entspricht (Verbindungen N.266bB-1 bis N.266bB-134)Compounds II in which B is thiazol-2-yl and A in each case corresponds to one group of one row of Table B (Compounds N.266bB-1 to N.266bB-134)
Tabelle 267bTable 267b
Verbindungen II, worin B für Thiazol-4-yl steht und A jeweils einer Gruppe einer Zeile der Tabelle B entspricht (Verbindungen M.267bB-1 bis M.267bB-134)Compounds II in which B is thiazol-4-yl and A in each case corresponds to one group of one row of Table B (Compounds M.267bB-1 to M.267bB-134)
Tabelle 268bTable 268b
Verbindungen II, worin B für Thiazol-5-yl steht und A jeweils einer Gruppe einer Zeile der Tabelle B entspricht (Verbindungen N.268bB-1 bis N.268bB-134)Compounds II, wherein B is thiazol-5-yl and A corresponds in each case to one group of one row of Table B (Compounds N.268bB-1 to N.268bB-134)
Tabelle 269b Verbindungen II, worin B für lsothiazol-3-yl steht und A jeweils einer Gruppe einerTable 269b Compounds II wherein B is isothiazol-3-yl and A is each a group of one
Zeile der Tabelle B entspricht (Verbindungen N.269bB-1 bis N.269bB-134)Line of Table B corresponds (compounds N.269bB-1 to N.269bB-134)
Tabelle 270bTable 270b
Verbindungen II, worin B für lsothiazol-4-yl steht und A jeweils einer Gruppe einer Zeile der Tabelle B entspricht (Verbindungen N.270bB-1 bis M.270bB-134) Tabelle 271 bCompounds II, wherein B is isothiazol-4-yl and A corresponds in each case to one group of one row of Table B (Compounds N.270bB-1 to M.270bB-134). Table 271 b
Verbindungen II, worin B für lsothiazol-5-yl steht und A jeweils einer Gruppe einer Zeile der Tabelle B entspricht (Verbindungen 11.271 bB-1 bis 11.271 bB-134)Compounds II in which B is isothiazol-5-yl and A in each case corresponds to one group of one row of Table B (Compounds 11.271 bB-1 to 11.271 bB-134)
Tabelle 272bTable 272b
Verbindungen II, worin B für 2-Chlorthiazol-4-yl steht und A jeweils einer Gruppe einer Zeile der Tabelle B entspricht (Verbindungen N.272bB-1 bis N.272bB-134)Compounds II in which B is 2-chlorothiazol-4-yl and A corresponds in each case to one group of one row of Table B (Compounds N.272bB-1 to N.272bB-134)
Tabelle 273bTable 273b
Verbindungen II, worin B für 2-Chlorthiazol-5-yl steht und A jeweils einer Gruppe einer Zeile der Tabelle B entspricht (Verbindungen N.273bB-1 bis N.273bB-134)Compounds II, wherein B is 2-chlorothiazol-5-yl and A corresponds in each case to one group of one row of Table B (Compounds N.273bB-1 to N.273bB-134)
Tabelle 274b Verbindungen II, worin B für 4-Chlorthiazol-5-yl steht und A jeweils einer Gruppe einer Zeile der Tabelle B entspricht (Verbindungen N.274bB-1 bis N.274bB-134)Table 274b Compounds II in which B is 4-chlorothiazol-5-yl and A corresponds in each case to one group of one row of Table B (Compounds N.274bB-1 to N.274bB-134)
Tabelle 275bTable 275b
Verbindungen II, worin B für 2-Bromthiazol-4-yl steht und A jeweils einer Gruppe einer Zeile der Tabelle B entspricht (Verbindungen N.275bB-1 bis N.275bB-134) Tabelle 276bCompounds II, wherein B is 2-bromothiazol-4-yl and A corresponds in each case to one group of one row of Table B (Compounds N.275bB-1 to N.275bB-134) Table 276b
Verbindungen II, worin B für 2-Bromthiazol-5-yl steht und A jeweils einer Gruppe einer Zeile der Tabelle B entspricht (Verbindungen N.276bB-1 bis N.276bB-134) Tabelle 277bCompounds II in which B is 2-bromothiazol-5-yl and A in each case corresponds to one group of one row of Table B (Compounds N.276bB-1 to N.276bB-134) Table 277b
Verbindungen II, worin B für 2,4-Dichlorthiazol-5-yl steht und A jeweils einer Gruppe einer Zeile der Tabelle B entspricht (Verbindungen N.277bB-1 bis N.277bB-134)Compounds II in which B is 2,4-dichlorothiazol-5-yl and A in each case corresponds to one group of one row of Table B (Compounds N.277bB-1 to N.277bB-134)
Tabelle 278b Verbindungen II, worin B für 3-Chlorisothiazol-4-yl steht und A jeweils einer Gruppe einer Zeile der Tabelle B entspricht (Verbindungen N.278bB-1 bis N.278bB-134)Table 278b Compounds II in which B is 3-chloroisothiazol-4-yl and A in each case corresponds to one group of one row of Table B (Compounds N.278bB-1 to N.278bB-134)
Tabelle 279bTable 279b
Verbindungen II, worin B für 5-Methylisothiazol-3-yl steht und A jeweils einer Gruppe einer Zeile der Tabelle B entspricht (Verbindungen N.279bB-1 bis M.279bB-134) Tabelle 280bCompounds II, wherein B is 5-methylisothiazol-3-yl and A in each case corresponds to one group of one row of Table B (Compounds N.279bB-1 to M.279bB-134) Table 280b
Verbindungen II, worin B für 3-Methylisothiazol-4-yl steht und A jeweils einer Gruppe einer Zeile der Tabelle B entspricht (Verbindungen N.280bB-1 bis M.280bB-134)Compounds II in which B is 3-methylisothiazol-4-yl and A in each case corresponds to one group of one row of Table B (Compounds N.280bB-1 to M.280bB-134)
Tabelle 281 bTable 281 b
Verbindungen II, worin B für 3-Methylisothiazol-5-yl steht und A jeweils einer Grup- pe einer Zeile der Tabelle B entspricht (Verbindungen 11.281 bB-1 bis 11.281 bB-134)Compounds II in which B is 3-methylisothiazol-5-yl and A in each case corresponds to one group of one row of Table B (Compounds 11.281 bB-1 to 11.281 bB-134)
Tabelle 282bTable 282b
Verbindungen II, worin B für 4,5-Dichlorisothiazol-3-yl steht und A jeweils einer Gruppe einer Zeile der Tabelle B entspricht (Verbindungen N.282bB-1 bis N.282bB- 134) Tabelle 283bCompounds II, wherein B is 4,5-dichloroisothiazol-3-yl and A corresponds in each case to one group of one row of Table B (Compounds N.282bB-1 to N.282bB-134) Table 283b
Verbindungen II, worin B für 4,5-Dimethylisothiazol-3-yl steht und A jeweils einer Gruppe einer Zeile der Tabelle B entspricht (Verbindungen N.283bB-1 bis N.283bB- 134)Compounds II in which B is 4,5-dimethylisothiazol-3-yl and A in each case corresponds to one group of one row of Table B (Compounds N.283bB-1 to N.283bB-134)
Tabelle 284b Verbindungen II, worin B für 3,5-Dimethylisothiazol-4-yl steht und A jeweils einerTable 284b Compounds II wherein B is 3,5-dimethylisothiazol-4-yl and A is each one
Gruppe einer Zeile der Tabelle B entspricht (Verbindungen N.284bB-1 bis M.284bB- 134)Group of a row corresponds to Table B (compounds N.284bB-1 to M.284bB-134)
Tabelle 285bTable 285b
Verbindungen II, worin B für 3,4-Dichlorisothiazol-5-yl steht und A jeweils einer Gruppe einer Zeile der Tabelle B entspricht (Verbindungen N.285bB-1 bis M.285bB-Compounds II in which B is 3,4-dichloroisothiazol-5-yl and A corresponds in each case to one group of one row of Table B (Compounds N.285bB-1 to M.285bB-
134)134)
Tabelle 286bTable 286b
Verbindungen II, worin B für Oxazol-2-yl steht und A jeweils einer Gruppe einer Zeile der Tabelle B entspricht (Verbindungen N.286bB-1 bis N.286bB-134) Tabelle 287bCompounds II, wherein B is oxazol-2-yl and A corresponds in each case to one group of one row of Table B (Compounds N.286bB-1 to N.286bB-134) Table 287b
Verbindungen II, worin B für Oxazol-4-yl steht und A jeweils einer Gruppe einer Zeile der Tabelle B entspricht (Verbindungen N.287bB-1 bis N.287bB-134)Compounds II, wherein B is oxazol-4-yl and A corresponds in each case to one group of one row of Table B (Compounds N.287bB-1 to N.287bB-134)
Tabelle 288bTable 288b
Verbindungen II, worin B für Oxazol-5-yl steht und A jeweils einer Gruppe einer Zei- Ie der Tabelle B entspricht (Verbindungen N.288bB-1 bis N.288bB-134) Tabelle 289bCompounds II in which B is oxazol-5-yl and A in each case corresponds to a group in a row of Table B (Compounds N.288bB-1 to N.288bB-134) Table 289b
Verbindungen II, worin B für lsoxazol-3-yl steht und A jeweils einer Gruppe einer Zeile der Tabelle B entspricht (Verbindungen N.289bB-1 bis M.289bB-134)Compounds II in which B is isoxazol-3-yl and A in each case corresponds to one group of one row of Table B (Compounds N.289bB-1 to M.289bB-134)
Tabelle 290b Verbindungen II, worin B für lsoxazol-4-yl steht und A jeweils einer Gruppe einerTable 290b Compounds II wherein B is isoxazol-4-yl and A is each a group of one
Zeile der Tabelle B entspricht (Verbindungen N.290bB-1 bis M.290bB-134)Line of Table B corresponds (compounds N.290bB-1 to M.290bB-134)
Tabelle 291 bTable 291 b
Verbindungen II, worin B für lsoxazol-5-yl steht und A jeweils einer Gruppe einer Zeile der Tabelle B entspricht (Verbindungen 11.291 bB-1 bis 11.291 bB-134) Tabelle 292bCompounds II, wherein B is isoxazol-5-yl and A corresponds in each case to one group of one row of Table B (Compounds 11.291 bB-1 to 11.291 bB-134) Table 292b
Verbindungen II, worin B für 3-Chlorisoxazol-5-yl steht und A jeweils einer Gruppe einer Zeile der Tabelle B entspricht (Verbindungen N.292bB-1 bis M.292bB-134)Compounds II in which B is 3-chloroisoxazol-5-yl and A in each case corresponds to one group of one row of Table B (Compounds N.292bB-1 to M.292bB-134)
Tabelle 293bTable 293b
Verbindungen II, worin B für 5-Methylisoxazol-3-yl steht und A jeweils einer Gruppe einer Zeile der Tabelle B entspricht (Verbindungen N.293bB-1 bis M.293bB-134)Compounds II in which B is 5-methylisoxazol-3-yl and A in each case corresponds to one group of one row of Table B (Compounds N.293bB-1 to M.293bB-134)
Tabelle 294bTable 294b
Verbindungen II, worin B für 5-Methylisoxazol-4-yl steht und A jeweils einer Gruppe einer Zeile der Tabelle B entspricht (Verbindungen N.294bB-1 bis M.294bB-134)Compounds II in which B is 5-methylisoxazol-4-yl and A in each case corresponds to one group of one row of Table B (Compounds N.294bB-1 to M.294bB-134)
Tabelle 295b Verbindungen II, worin B für 3-Methylisoxazol-5-yl steht und A jeweils einer Gruppe einer Zeile der Tabelle B entspricht (Verbindungen N.295bB-1 bis N.295bB-134)Table 295b Compounds II in which B is 3-methylisoxazol-5-yl and A corresponds in each case to one group of one row of Table B (Compounds N.295bB-1 to N.295bB-134)
Tabelle 296bTable 296b
Verbindungen II, worin B für 3,5-Dimethylisoxazol-4-yl steht und A jeweils einer Gruppe einer Zeile der Tabelle B entspricht (Verbindungen N.296bB-1 bis N.296bB- 134)Compounds II in which B is 3,5-dimethylisoxazol-4-yl and A in each case corresponds to one group of one row of Table B (Compounds N.296bB-1 to N.296bB-134)
Tabelle 297bTable 297b
Verbindungen II, worin B für 3-Chlor-5-methylisoxazol-4-yl steht und A jeweils einer Gruppe einer Zeile der Tabelle B entspricht (Verbindungen N.297bB-1 bis N.297bB- 134) Tabelle 298bCompounds II, wherein B is 3-chloro-5-methylisoxazol-4-yl and A corresponds in each case to one group of one row of Table B (Compounds N.297bB-1 to N.297bB-134) Table 298b
Verbindungen II, worin B für 3-Methyl-4-chlorisoxazol-5-yl steht und A jeweils einer Gruppe einer Zeile der Tabelle B entspricht (Verbindungen N.298bB-1 bis M.298bB- 134)Compounds II in which B is 3-methyl-4-chloroisoxazol-5-yl and A in each case corresponds to one group of one row of Table B (Compounds N.298bB-1 to M.298bB-134)
Tabelle 299b Verbindungen II, worin B für 1-Methylpyrazol-3-yl steht und A jeweils einer Gruppe einer Zeile der Tabelle B entspricht (Verbindungen N.299bB-1 bis N.299bB-134)Table 299b Compounds II in which B is 1-methylpyrazol-3-yl and A in each case corresponds to one group of one row of Table B (Compounds N.299bB-1 to N.299bB-134)
Tabelle 300bTable 300b
Verbindungen II, worin B für 1-Methylpyrazol-4-yl steht und A jeweils einer Gruppe einer Zeile der Tabelle B entspricht (Verbindungen N.300bB-1 bis N.300bB-134) Tabelle 301 bCompounds II, wherein B is 1-methylpyrazol-4-yl and A corresponds in each case to one group of one row of Table B (Compounds N.300bB-1 to N.300bB-134) Table 301b
Verbindungen II, worin B für 1-Methylpyrazol-5-yl steht und A jeweils einer Gruppe einer Zeile der Tabelle B entspricht (Verbindungen 11.301 bB-1 bis 11.301 bB-134) Tabelle 302bCompounds II in which B is 1-methylpyrazol-5-yl and A in each case corresponds to one group of one row of Table B (Compounds 11.301 bB-1 to 11.301 bB-134) Table 302b
Verbindungen II, worin B für 1 ,3-Dimethylpyrazol-4-yl steht und A jeweils einer Gruppe einer Zeile der Tabelle B entspricht (Verbindungen N.302bB-1 bis M.302bB- 134) Tabelle 303bCompounds II, wherein B is 1, 3-dimethylpyrazol-4-yl and A corresponds in each case to one group of one row of Table B (Compounds N.302bB-1 to M.302bB-134) Table 303b
Verbindungen II, worin B für 1 ,5-Dimethylpyrazol-4-yl steht und A jeweils einer Gruppe einer Zeile der Tabelle B entspricht (Verbindungen N.303bB-1 bis M.303bB- 134)Compounds II in which B is 1,5-dimethylpyrazol-4-yl and A in each case corresponds to one group of one row of Table B (Compounds N.303bB-1 to M.303bB-134)
Tabelle 304b Verbindungen II, worin B für 1 ,3,5-Trimethylpyrazol-4-yl steht und A jeweils einerTable 304b Compounds II wherein B is 1, 3,5-trimethylpyrazol-4-yl and A is each one
Gruppe einer Zeile der Tabelle B entspricht (Verbindungen N.304bB-1 bis M.304bB- 134)Group of a row corresponds to Table B (compounds N.304bB-1 to M.304bB-134)
Tabelle 305bTable 305b
Verbindungen II, worin B für 1-Methylimidazol-4-yl steht und A jeweils einer Gruppe einer Zeile der Tabelle B entspricht (Verbindungen N.305bB-1 bis M.305bB-134)Compounds II in which B is 1-methylimidazol-4-yl and A in each case corresponds to one group of one row of Table B (Compounds N.305bB-1 to M.305bB-134)
Tabelle 306bTable 306b
Verbindungen II, worin B für 1 ,5-Dimethylimidazol-4-yl steht und A jeweils einer Gruppe einer Zeile der Tabelle B entspricht (Verbindungen N.306bB-1 bis M.306bB- 134) Tabelle 307bCompounds II, wherein B is 1, 5-dimethylimidazol-4-yl and A corresponds in each case to one group of one row of Table B (Compounds N.306bB-1 to M.306bB-134) Table 307b
Verbindungen II, worin B für 1 ,2-Dimethylimidazol-5-yl steht und A jeweils einer Gruppe einer Zeile der Tabelle B entspricht (Verbindungen M.307bB-1 bis M.307bB- 134)Compounds II, where B is 1, 2-dimethylimidazol-5-yl and A in each case corresponds to one group of one row of Table B (Compounds M.307bB-1 to M.307bB-134)
Tabelle 308b Verbindungen II, worin B für 1 ,4-Dimethylimidazol-5-yl steht und A jeweils einerTable 308b Compounds II wherein B is 1,4-dimethylimidazol-5-yl and A is each one
Gruppe einer Zeile der Tabelle B entspricht (Verbindungen N.308bB-1 bis M.308bB- 134)Group of one row corresponds to Table B (compounds N.308bB-1 to M.308bB-134)
Tabelle 309bTable 309b
Verbindungen II, worin B für 2-Furyl steht und A jeweils einer Gruppe einer Zeile der Tabelle B entspricht (Verbindungen M.309bB-1 bis M.309bB-134)Compounds II in which B is 2-furyl and A in each case corresponds to one group of one row of Table B (Compounds M.309bB-1 to M.309bB-134)
Tabelle 310bTable 310b
Verbindungen II, worin B für Cyclopropyl steht und A jeweils einer Gruppe einer Zeile der Tabelle B entspricht (Verbindungen N.310bB-1 bis M.310bB-134)Compounds II in which B is cyclopropyl and A in each case corresponds to one group of one row of Table B (Compounds N.310bB-1 to M.310bB-134)
Tabelle 311 b Verbindungen II, worin B für Cyclopentyl steht und A jeweils einer Gruppe einerTable 311b Compounds II wherein B is cyclopentyl and A is each a group of one
Zeile der Tabelle B entspricht (Verbindungen 11.311 bB-1 bis 11.311 bB- 134)Line of Table B corresponds (connections 11.311 bB-1 to 11.311 bB-134)
Tabelle 312bTable 312b
Verbindungen II, worin B für Cyclohexyl steht und A jeweils einer Gruppe einer Zeile der Tabelle B entspricht (Verbindungen N.312bB-1 bis N.312bB-134) Tabelle 313bCompounds II, wherein B is cyclohexyl and A in each case corresponds to one group of one row of Table B (Compounds N.312bB-1 to N.312bB-134) Table 313b
Verbindungen II, worin B für 1 -Methylcycloprop-1 -yl steht und A jeweils einer Gruppe einer Zeile der Tabelle B entspricht (Verbindungen N.313bB-1 bis N.313bB-134) Tabelle 314bCompounds II, wherein B is 1-methylcycloprop-1-yy and A in each case corresponds to one group of one row of Table B (Compounds N.313bB-1 to N.313bB-134) Table 314b
Verbindungen II, worin B für 1-Methylcyclopent-i-yl steht und A jeweils einer Gruppe einer Zeile der Tabelle B entspricht (Verbindungen 11.314bB-1 bis N.314bB-134)Compounds II in which B is 1-methylcyclopent-1-yl and A in each case corresponds to one group of one row of Table B (Compounds 11.314bB-1 to N.314bB-134)
Tabelle 315b Verbindungen II, worin B für 1-Methylcyclohex-i-yl steht und A jeweils einer Gruppe einer Zeile der Tabelle B entspricht (Verbindungen 11.315bB-1 bis 11.315bB-134)Table 315b Compounds II in which B is 1-methylcyclohex-1-yl and A in each case corresponds to one group of one row of Table B (Compounds 11.315bB-1 to 11.315bB-134)
Tabelle 316bTable 316b
Verbindungen II, worin B für 1-Chlorcycloprop-1-yl steht und A jeweils einer Gruppe einer Zeile der Tabelle B entspricht (Verbindungen N.316bB-1 bis N.316bB-134) Tabelle 317bCompounds II, wherein B is 1-chlorocycloprop-1-yl and A corresponds in each case to one group of one row of Table B (Compounds N.316bB-1 to N.316bB-134) Table 317b
Verbindungen II, worin B für Methyl steht und A jeweils einer Gruppe einer Zeile der Tabelle B entspricht (Verbindungen M.317bB-1 bis M.317bB-134)Compounds II, wherein B is methyl and A in each case corresponds to one group of a row of Table B (Compounds M.317bB-1 to M.317bB-134)
Tabelle 318bTable 318b
Verbindungen II, worin B für Ethyl steht und A jeweils einer Gruppe einer Zeile der Tabelle B entspricht (Verbindungen M.318bB-1 bis N.318bB-134)Compounds II, wherein B is ethyl and A corresponds in each case to one group of one row of Table B (Compounds M.318bB-1 to N.318bB-134)
Tabelle 319bTable 319b
Verbindungen II, worin B für n-Propyl steht und A jeweils einer Gruppe einer Zeile der Tabelle B entspricht (Verbindungen N.319bB-1 bis N.319bB-134)Compounds II in which B is n-propyl and A in each case corresponds to one group of one row of Table B (Compounds N.319bB-1 to N.319bB-134)
Tabelle 320b Verbindungen II, worin B für i-Propyl steht und A jeweils einer Gruppe einer Zeile der Tabelle B entspricht (Verbindungen N.320bB-1 bis M.320bB-134)Table 320b Compounds II, wherein B is i-propyl and A in each case corresponds to one group of one row of Table B (Compounds N.320bB-1 to M.320bB-134)
Tabelle 321 bTable 321 b
Verbindungen II, worin B für n-Butyl steht und A jeweils einer Gruppe einer Zeile der Tabelle B entspricht (Verbindungen 11.321 bB-1 bis 11.321 bB-134) Tabelle 322bCompounds II, wherein B is n-butyl and A corresponds in each case to one group of one row of Table B (Compounds 11.321 bB-1 to 11.321 bB-134) Table 322b
Verbindungen II, worin B für sec-Butyl steht und A jeweils einer Gruppe einer Zeile der Tabelle B entspricht (Verbindungen N.322bB-1 bis M.322bB-134)Compounds II, where B is sec-butyl and A in each case corresponds to one group of one row of Table B (Compounds N.322bB-1 to M.322bB-134)
Tabelle 323bTable 323b
Verbindungen II, worin B für tert-Butyl steht und A jeweils einer Gruppe einer Zeile der Tabelle B entspricht (Verbindungen N.323bB-1 bis M.323bB-134)Compounds II in which B is tert-butyl and A in each case corresponds to one group of one row of Table B (Compounds N.323bB-1 to M.323bB-134)
Tabelle 324bTable 324b
Verbindungen II, worin B für iso-Butyl steht und A jeweils einer Gruppe einer Zeile der Tabelle B entspricht (Verbindungen N.324bB-1 bis M.324bB-134)Compounds II, wherein B is iso-butyl and A in each case corresponds to one group of a row of Table B (Compounds N.324bB-1 to M.324bB-134)
Tabelle BTable B
1.1-1 1.1-2 1.1-3 1.1-1 1.1-2 1.1-3
1.1-4 I.21.1-4 I.2
Insbesondere sind im Hinblick auf ihre Verwendung die in den folgenden Tabellen 1c bis 308c zusammengestellten erfindungsgemäßen Verbindungen III (Verbindungen III.1-1 , III.1-2, III.1-3, III.1-4, III.2) bevorzugt. Die in den Tabellen für einen Substituen- ten genannten Gruppen stellen außerdem für sich betrachtet, unabhängig von der Kombination, in der sie genannt sind, eine besonders bevorzugte Ausgestaltung des betreffenden Substituenten dar.In particular, with regard to their use, the compounds III according to the invention which are compiled in the following Tables 1c to 308c (compounds III.1-1, III.1-2, III.1-3, III.1-4, III.2) are preferred , The groups mentioned in the tables for a substituent also individually, independently of the combination in which they are mentioned, represent a particularly preferred embodiment of the relevant substituent.
Tabelle 1 cTable 1 c
Verbindungen III.1-1 , III.1-2, III.1-3, III.1-4 und III.2, worin A für Pyridin-2-yl steht und B jeweils einer Gruppe einer Zeile der Tabelle C entspricht (Verbindungen III.1- 1.1 cC-1 bis 111.1-1.1 cC-389; IM.1 -2.1 cC-1 bis 111.1-2.1 cC-389; 111.1-3.1 cC-1 bis III.1- 3.1 cC-389; 111.1 -4.1 cC-1 bis 111.1-4.1 cC-389; IN.2.1cC-1 bis IN.2.1cC-389)Compounds III.1-1, III.1-2, III.1-3, III.1-4 and III.2, in which A is pyridin-2-yl and B corresponds in each case to one group of one row of Table C ( Compounds III.1- 1.1 cC-1 to 111.1-1.1 cC-389; IM.1 -2.1 cC-1 to 111.1-2.1 cC-389; 111.1-3.1 cC-1 to III.1- 3.1 cC-389; 111.1 -4.1 cC-1 to 111.1-4.1 cC-389; IN.2.1cC-1 to IN.2.1cC-389)
Tabelle 2cTable 2c
Verbindungen III.1-1 , III.1-2, III.1-3, III.1-4 und III.2, worin A für Pyridin-3-yl steht und B jeweils einer Gruppe einer Zeile der Tabelle C entspricht (Verbindungen III.1- 1.2cC-1 bis lll.1-1.2cC-389; IN.1-2.2cC-1 bis IN.1-2.2cC-389; 111.1 -3.2cC-1 bis III.1- 3.2cC-389; 111.1 -4.2cC-1 bis IN.1-4.2cC-389; IN.2.2cC-1 bis IN.2.2cC-389)Compounds III.1-1, III.1-2, III.1-3, III.1-4 and III.2, in which A is pyridin-3-yl and B corresponds in each case to one group of one row of Table C ( Compounds III.1-1.2cC-1 to III.1-1.2cC-389; IN.1-2.2cC-1 to IN.1-2.2cC-389; 111.1 -3.2cC-1 to III.1-3.2cC -389; 111.1 -4.2cC-1 to IN.1-4.2cC-389; IN.2.2cC-1 to IN.2.2cC-389)
Tabelle 3cTable 3c
Verbindungen III.1-1 , III.1-2, III.1-3, III.1-4 und III.2, worin A für Pyridin-4-yl steht und B jeweils einer Gruppe einer Zeile der Tabelle C entspricht (Verbindungen III.1- 1.3cC-1 bis lll.1-1.3cC-389; 111.1 -2.3cC-1 bis lll.1-2.3cC-389; 111.1 -3.3cC-1 bis III.1- 3.3cC-389; 111.1 -4.3cC-1 bis IN.1-4.3cC-389; IN.2.3cC-1 bis IN.2.3cC-389)Compounds III.1-1, III.1-2, III.1-3, III.1-4 and III.2, in which A is pyridin-4-yl and B corresponds in each case to one group of one line of Table C ( Compounds III.1- 1.3cC-1 to III.1-1.3cC-389; 111.1 -2.3cC-1 to lll.1-2.3cC-389; 111.1-3.3cC-1 to III.1- 3.3cC-389; 111.1 -4.3cC-1 to IN.1-4.3cC-389; IN.2.3cC-1 to IN.2.3cC-389)
Tabelle 4cTable 4c
Verbindungen III.1-1 , III.1-2, III.1-3, III.1-4 und III.2, worin A für 3-Chlorpyridin-2-yl steht und B jeweils einer Gruppe einer Zeile der Tabelle C entspricht (Verbindungen 111.1 -1 .4cC-1 bis 111.1 -1 .4cC-389; 111.1 -2.4cC-1 bis IN.1 -2.4cC-389; 111.1 -3.4cC-1 bis lll.1-3.4cC-389; 111.1 -4.4cC-1 bis IN.1-4.4cC-389; IN.2.4cC-1 bis IN.2.4cC-389)Compounds III.1-1, III.1-2, III.1-3, III.1-4 and III.2, wherein A is 3-chloropyridin-2-yl and B are each a group of one row of Table C. corresponds (compounds 111.1 -1 .4cC-1 to 111.1 -1 .4cC-389; 111.1 -2.4cC-1 to IN.1 -2.4cC-389; 111.1 -3.4cC-1 to III.1-3.4cC-389) ; 111.1 -4.4cC-1 to IN.1-4.4cC-389; IN.2.4cC-1 to IN.2.4cC-389)
Tabelle 5cTable 5c
Verbindungen III.1-1 , III.1-2, III.1-3, III.1-4 und III.2, worin A für 4-Chlorpyridin-2-yl steht und B jeweils einer Gruppe einer Zeile der Tabelle C entspricht ( (Verbindungen lll.1-1.5cC-1 bis 111.1-1.5cC-389; IN.1-2.5cC-1 bis IN.1-2.5cC-389; 111.1 -3.5cC-1 bis lll.1-3.5cC-389; 111.1 -4.5cC-1 bis IN.1-4.5cC-389; IN.2.5cC-1 bis IN.2.5cC-389)Compounds III.1-1, III.1-2, III.1-3, III.1-4 and III.2, wherein A is 4-chloropyridin-2-yl and B is in each case one group of one row of Table C. corresponds to ((compounds III.1-1.5cC-1 to 111.1-1.5cC-389; IN.1-2.5cC-1 to IN.1-2.5cC-389; 111.1 -3.5cC-1 to III.1-3.5 cC-389; 111.1 -4.5cC-1 to IN.1-4.5cC-389; IN.2.5cC-1 to IN.2.5cC-389)
Tabelle 6cTable 6c
Verbindungen III.1-1 , III.1-2, III.1-3, III.1-4 und III.2, worin A für 5-Chlorpyridin-2-yl steht und B jeweils einer Gruppe einer Zeile der Tabelle C entspricht (Verbindungen lll.1-1.6cC-1 bis 111.1-1.6cC-389; 111.1 -2.6cC-1 bis IN.1-2.6cC-389; 111.1 -3.6cC-1 bis lll.1-3.6cC-389; 111.1 -4.6cC-1 bis IN.1-4.6cC-389; IN.2.6cC-1 bis IN.2.6cC-389)Compounds III.1-1, III.1-2, III.1-3, III.1-4 and III.2, wherein A is 5-chloropyridin-2-yl and B are each a group of one row of Table C. corresponds (Compounds lll.1-1.6cC-1 to 111.1-1.6cC-389; 111.1 -2.6cC-1 to IN.1-2.6cC-389; 111.1 -3.6cC-1 to lll.1-3.6cC-389 111.1 -4.6cC-1 to IN.1-4.6cC-389; IN.2.6cC-1 to IN.2.6cC-389)
Tabelle 7cTable 7c
Verbindungen III.1-1 , III.1-2, III.1-3, III.1-4 und III.2, worin A für 6-Chlorpyridin-2-yl steht und B jeweils einer Gruppe einer Zeile der Tabelle C entspricht (Verbindungen lll.1-1.7cC-1 bis lll.1-1.7cC-389; IN.1-2.7cC-1 bis IN.1-2.7cC-389; IN.1-3.7cC-1 bis lll.1-3.7cC-389; IN.1-4.7cC-1 bis IN.1-4.7cC-389; IN.2.7cC-1 bis IN.2.7cC-389)Compounds III.1-1, III.1-2, III.1-3, III.1-4 and III.2, wherein A is 6-chloropyridin-2-yl and B are each a group of one line of Table C. (Compounds III.1-1.7cC-1 to III.1-1.7cC-389; IN.1-2.7cC-1 to IN.1-2.7cC-389; IN.1-3.7cC-1 to III. 1-3.7cC-389; IN.1-4.7cC-1 to IN.1-4.7cC-389; IN.2.7cC-1 to IN.2.7cC-389)
Tabelle 8cTable 8c
Verbindungen III.1-1 , III.1-2, III.1-3, III.1-4 und III.2, worin A für 2-Chlorpyridin-3-yl steht und B jeweils einer Gruppe einer Zeile der Tabelle C entspricht (Verbindungen lll.1-1.8cC-1 bis 111.1-1.8cC-389; 111.1 -2.8cC-1 bis IN.1-2.8cC-389; 111.1 -3.8cC-1 bis lll.1-3.8cC-389; 111.1 -4.8cC-1 bis IN.1-4.8cC-389; IN.2.8cC-1 bis IN.2.8cC-389)Compounds III.1-1, III.1-2, III.1-3, III.1-4 and III.2, wherein A is 2-chloropyridin-3-yl and B are each a group of one row of Table C. corresponds (compounds III.1-1.8cC-1 to 111.1-1.8cC-389; 111.1 -2.8cC-1 to IN.1-2.8cC-389; 111.1 -3.8cC-1 to III.1-3.8cC-389) 111.1 -4.8cC-1 to IN.1-4.8cC-389; IN.2.8cC-1 to IN.2.8cC-389)
Tabelle 9cTable 9c
Verbindungen III.1-1 , III.1-2, III.1-3, III.1-4 und III.2, worin A für 4-Chlorpyridin-3-yl steht und B jeweils einer Gruppe einer Zeile der Tabelle C entspricht (Verbindungen 111.1-1.9cC-1 bis 111.1-1.9cC-389; 111.1 -2.9cC-1 bis IN.1-2.9cC-389; 111.1 -3.9cC-1 bis lll.1-3.9cC-389; 111.1 -4.9cC-1 bis IN.1-4.9cC-389; IN.2.9cC-1 bis IN.2.9cC-389)Compounds III.1-1, III.1-2, III.1-3, III.1-4 and III.2, wherein A is 4-chloropyridin-3-yl and B are each a group of one row of Table C. corresponds (Compounds 111.1-1.9cC-1 to 111.1-1.9cC-389; 111.1 -2.9cC-1 to IN.1-2.9cC-389; 111.1 -3.9cC-1 to lll.1-3.9cC-389; 111.1 -4.9cC-1 to IN.1-4.9cC-389; IN.2.9cC-1 to IN.2.9cC-389)
Tabelle 10cTable 10c
Verbindungen III.1-1 , III.1-2, III.1-3, III.1-4 und III.2, worin A für 5-Chlorpyridin-3-yl steht und B jeweils einer Gruppe einer Zeile der Tabelle C entspricht (Verbindungen 111.1-1.1OcC-I bis 111.1-1.10cC-389; 111.1 -2.1 OcC-1 bis IN.1-2.10cC-389; III.1- 3.10cC-1 bis lll.1-3.10cC-389; 111.1 -4.1 OcC-1 bis 111.1-4.1 OcC-389; IN.2.10cC-1 bis III.2.10CC-389)Compounds III.1-1, III.1-2, III.1-3, III.1-4 and III.2, wherein A is 5-chloropyridin-3-yl and B are each a group of one row of Table C. corresponds (compounds 111.1-1.1OcC-I to 111.1-1.10cC-389; 111.1 -2.1 OcC-1 to IN.1-2.10cC-389; III.1-3.10cC-1 to III.1-3.10cC-389) 111.1 -4.1 OcC-1 to 111.1-4.1 OcC-389; IN.2.10cC-1 to III.2.10CC-389)
Tabelle 11 c Verbindungen III.1-1 , III.1-2, III.1-3, III.1-4 und III.2, worin A für 6-Chlorpyridin-3-yl steht und B jeweils einer Gruppe einer Zeile der Tabelle C entspricht (Verbindungen 111.1-1.11 cC-1 bis 111.1-1.11 cC-389; III.1-2.1 1cC-1 bis 111.1-2.11 cC-389; III.1- 3.11 cC-1 bis IM.1-3.11 cC-389; 111.1 -4.11 cC-1 bis III.1-4.1 1cC-389; 111.2.11 cC-1 bisTable 11c Compounds III.1-1, III.1-2, III.1-3, III.1-4 and III.2 wherein A is 6-chloropyridin-3-yl and B is each a group of one line Table C corresponds to (Compounds 111.1-1.11 cC-1 to 111.1-1.11 cC-389; III.1-2.1 1cC-1 to 111.1-2.11 cC-389; III.1- 3.11 cC-1 to IM.1-3.11 cC-389; 111.1 -4.11 cC-1 to III.1-4.1 1cC-389; 111.2.11 cC-1 to
III.2.11 CC-389) Tabelle 12cIII.2.11 CC-389) Table 12c
Verbindungen III.1-1 , III.1-2, III.1-3, III.1-4 und III.2, worin A für 2-Chlorpyridin-4-yl steht und B jeweils einer Gruppe einer Zeile der Tabelle C entspricht (Verbindungen lll.1-1.12cC-1 bis IN.1-1.12cC-389; 111.1 -2.12cC-1 bis IN.1-2.12cC-389; III.1- 3.12cC-1 bis IM.1-3.12cC-389; 111.1 -4.12cC-1 bis IN.1-4.12cC-389; IN.2.12cC-1 bis lll.2.12cC-389) Tabelle 13c Verbindungen III.1-1 , III.1-2, III.1-3, III.1-4 und III.2, worin A für 3-Chlorpyridin-4-yl steht und B jeweils einer Gruppe einer Zeile der Tabelle C entspricht (Verbindungen 111.1-1.13cC-1 bis 111.1 -1.13cC-389; 111.1 -2.13cC-1 bis IN.1-2.13cC-389; III.1- 3.13cC-1 bis IN.1-3.13cC-389; 111.1 -4.13cC-1 bis 111.1-4.13cC-389; IN.2.13cC-1 bis lll.2.13cC-389) Tabelle 14cCompounds III.1-1, III.1-2, III.1-3, III.1-4 and III.2, wherein A is 2-chloropyridin-4-yl and B are each a group of one line of Table C. corresponds (compounds III.1-1.12cC-1 to IN.1-1.12cC-389; 111.1 -2.12cC-1 to IN.1-2.12cC-389; III.1-3.12cC-1 to IM.1- 3.12cC-389; 111.1 -4.12cC-1 to IN.1-4.12cC-389; IN.2.12cC-1 to lll.2.12cC-389) Table 13c Compounds III.1-1, III.1-2, III.1-3, III.1-4 and III.2, wherein A is 3-chloropyridin-4-yl and B corresponds in each case to one group of one row of Table C (Compounds 111.1-1.13cC-1 to 111.1 -1.13 cC-389; 111.1 -2.13cC-1 to IN.1-2.13cC-389; III.1- 3.13cC-1 to IN.1-3.13cC-389; 111.1 -4.13cC-1 to 111.1-4.13cC- 389, IN.2.13cC-1 to III.2.13cC-389) Table 14c
Verbindungen III.1-1 , III.1-2, III.1-3, III.1-4 und III.2, worin A für 4-Chlorpyridin-5-yl steht und B jeweils einer Gruppe einer Zeile der Tabelle C entspricht (Verbindungen 111.1-1.14cC-1 bis 111.1-1.14cC-389; 111.1 -2.14cC-1 bis IN.1-2.14cC-389; III.1- 3.14cC-1 bis IM.1-3.14cC-389; IN.1-4.14cC-1 bis IN.1-4.14cC-389; IN.2.14cC-1 bis lll.2.14cC-389)Compounds III.1-1, III.1-2, III.1-3, III.1-4 and III.2, wherein A is 4-chloropyridin-5-yl and B is in each case one group of one row of Table C. (Compounds 111.1-1.14cC-1 to 111.1-1.14cC-389; 111.1 -2.14cC-1 to IN.1-2.14cC-389; III.1- 3.14cC-1 to IM.1-3.14cC-389 IN.1-4.14cC-1 to IN.1-4.14cC-389; IN.2.14cC-1 to III.2.14cC-389)
Tabelle 15cTable 15c
Verbindungen III.1-1 , III.1-2, III.1-3, III.1-4 und III.2, worin A für 3-Fluorpyridin-2-yl steht und B jeweils einer Gruppe einer Zeile der Tabelle C entspricht (Verbindungen lll.1-1.15cC-1 bis IN.1-1.15cC-389; 111.1 -2.15cC-1 bis IN.1-2.15cC-389; III.1- 3.15cC-1 bis IN.1 -3.15cC-389; 111.1 -4.15cC-1 bis 111.1 -4.15cC-389; IN.2.15cC-1 bisCompounds III.1-1, III.1-2, III.1-3, III.1-4 and III.2, wherein A is 3-fluoropyridin-2-yl and B are each a group of one line of Table C. (Compounds III.1-1.15cC-1 to IN.1-1.15cC-389; 111.1 -2.15cC-1 to IN.1-2.15cC-389; III.1- 3.15cC-1 to IN.1). 3.15cC-389; 111.1 -4.15cC-1 to 111.1 -4.15cC-389; IN.2.15cC-1 to
III.2.15CC-389) Tabelle 16cIII.2.15CC-389) Table 16c
Verbindungen III.1-1 , III.1-2, III.1-3, III.1-4 und III.2, worin A für 4-Fluorpyridin-2-yl steht und B jeweils einer Gruppe einer Zeile der Tabelle C entspricht (Verbindun- gen 111.1-1.16cC-1 bis 111.1-1.16cC-389; 111.1 -2.16cC-1 bis IN.1-2.16cC-389; III.1-Compounds III.1-1, III.1-2, III.1-3, III.1-4 and III.2, wherein A is 4-fluoropyridin-2-yl and B are each a group of one line of Table C. corresponds (compounds 111.1-1.16cC-1 to 111.1-1.16cC-389; 111.1 -2.16cC-1 to IN.1-2.16cC-389; III.1-
3.16cC-1 bis lll.1 -3.16cC-389; 111.1 -4.16cC-1 bis 111.1 -4.16cC-389; IN.2.16cC-1 bis lll.2.16cC-389) Tabelle 17c3.16cC-1 to III.1 -3.16cC-389; 111.1 -4.16cC-1 to 111.1 -4.16cC-389; IN.2.16cC-1 to III.2.16cC-389) Table 17c
Verbindungen III.1-1 , III.1-2, III.1-3, III.1-4 und III.2, worin A für 5-Fluorpyridin-2-yl steht und B jeweils einer Gruppe einer Zeile der Tabelle C entspricht (Verbindungen lll.1-1.17cC-1 bis lll.1-1.17cC-389; 111.1 -2.17cC-1 bis lll.1-2.17cC-389; III.1- 3.17cC-1 bis lll.1-3.17cC-389; 111.1 -4.17cC-1 bis 111.1-4.17cC-389; lll.2.17cC-1 bis III.2.17CC-389) Tabelle 18c Verbindungen III.1-1 , III.1-2, III.1-3, III.1-4 und III.2, worin A für 6-Fluorpyridin-2-yl steht und B jeweils einer Gruppe einer Zeile der Tabelle C entspricht (Verbindungen 111.1-1.18cC-1 bis 111.1-1.18cC-389; 111.1 -2.18cC-1 bis IN.1-2.18cC-389; III.1- 3.18cC-1 bis MI.1 -3.18cC-389; 111.1 -4.18cC-1 bis 111.1 -4.18cC-389; MI.2.18cC-1 bis III.2.18CC-389) Tabelle 19cCompounds III.1-1, III.1-2, III.1-3, III.1-4 and III.2, wherein A is 5-fluoropyridin-2-yl and B are each a group of one line of Table C. (Compounds III.1-1.17CC-1 to III.1-1.17CC-389; 111.1 -2.17CC-1 to III.1-2.17CC-389; III.1- 3.17CC-1 to III.1- 3.17cC-389; 111.1 -4.17cC-1 to 111.1-4.17cC-389; lll.2.17cC-1 to III.2.17CC-389). Table 18c Compounds III.1-1, III.1-2, III. 1-3, III.1-4 and III.2, in which A is 6-fluoropyridin-2-yl and B corresponds in each case to one group of one row of Table C (compounds III.1-1.18cC-1 to 111.1-1.18cC- 389; 111.1 -2.18cC-1 to IN.1-2.18cC-389; III.1- 3.18cC-1 to MI.1 -3.18cC-389; 111.1 -4.18cC-1 to 111.1 -4.18cC-389; MI.2.18cC-1 to III.2.18CC-389) Table 19c
Verbindungen III.1-1 , III.1-2, III.1-3, III.1-4 und III.2, worin A für 2-Fluorpyridin-3-yl steht und B jeweils einer Gruppe einer Zeile der Tabelle C entspricht (Verbindungen lll.1-1.19cC-1 bis 111.1 -1.19cC-389; 111.1 -2.19cC-1 bis IN.1-2.19cC-389; III.1- 3.19cC-1 bis IN.1-3.19cC-389; 111.1 -4.19cC-1 bis 111.1-4.19cC-389; IN.2.19cC-1 bis III.2.19CC-389) Tabelle 20c Verbindungen III.1-1 , III.1-2, III.1-3, III.1-4 und III.2, worin A für 4-Fluorpyridin-3-yl steht und B jeweils einer Gruppe einer Zeile der Tabelle C entspricht (Verbindungen III.1-1.2OcC-I bis 111.1-1.20cC-389; IM.1-2.20cC-1 bis IM.1-2.20cC-389; III.1- 3.20cC-1 bis IN.1-3.20cC-389; IN.1-4.20cC-1 bis IN.1-4.20cC-389; IN.2.20cC-1 bis lll.2.20cC-389) Tabelle 21 cCompounds III.1-1, III.1-2, III.1-3, III.1-4 and III.2, wherein A is 2-fluoropyridin-3-yl and B each represents a group of one row of Table C. (Compounds Ill.1-1.19cC-1 to 111.1 -1.19cC-389; 111.1 -2.19cC-1 to IN.1-2.19cC-389; III.1- 3.19cC-1 to IN.1-3.19cC -389; 111.1 -4.19cC-1 to 111.1-4.19cC-389; IN.2.19cC-1 to III.2.19CC-389) Table 20c Compounds III.1-1, III.1-2, III.1- 3, III.1-4 and III.2, where A is 4-fluoropyridin-3-yl and B corresponds in each case to one group of one row of Table C (compounds III.1-1.2OcC-I to III.1-1.20cC- 389; IM.1-2.20cC-1 to IM.1-2.20cC-389; III.1- 3.20cC-1 to IN.1-3.20cC-389; IN.1-4.20cC-1 to IN.1 -4.20cC-389; IN.2.20cC-1 to lll.2.20cC-389) Table 21c
Verbindungen III.1-1 , III.1-2, III.1-3, III.1-4 und III.2, worin A für 5-Fluorpyridin-3-yl steht und B jeweils einer Gruppe einer Zeile der Tabelle C entspricht (Verbindungen 111.1 -1 .21 cC-1 bis 111.1 -1 .21 cC-389; 111.1 -2.21 cC-1 bis 111.1 -2.21 cC-389; III.1 - 3.21 cC-1 bis 111.1-3.21 cC-389; 111.1 -4.21 cC-1 bis IN.1-4.21cC-389; IN.2.21 cC-1 bis lll.2.21 cC-389)Compounds III.1-1, III.1-2, III.1-3, III.1-4 and III.2, wherein A is 5-fluoropyridin-3-yl and B each represents a group of one row of Table C. (Compounds 111.1 -1 .21 cC-1 to 111.1 -1 .21 cC-389; 111.1 -2.21 cC-1 to 111.1 -2.21 cC-389; III.1 to 3.21 cC-1 to 111.1-3.21 cC-389 111.1 -4.21 cC-1 to IN.1-4.21cC-389, IN.2.21 cC-1 to III.2.21 cC-389)
Tabelle 22cTable 22c
Verbindungen III.1-1 , III.1-2, III.1-3, III.1-4 und III.2, worin A für 6-Fluorpyridin-3-yl steht und B jeweils einer Gruppe einer Zeile der Tabelle C entspricht (Verbindungen lll.1-1.22cC-1 bis 111.1-1.22cC-389; IN.1-2.22cC-1 bis IN.1-2.22cC-389; III.1- 3.22cC-1 bis IN.1-3.22cC-389; 111.1 -4.22cC-1 bis IN.1-4.22cC-389; IN.2.22cC-1 bis lll.2.22cC-389) Tabelle 23cCompounds III.1-1, III.1-2, III.1-3, III.1-4 and III.2, wherein A is 6-fluoropyridin-3-yl and B each represents a group of one row of Table C. corresponds (compounds III.1-1.22cC-1 to 111.1-1.22cC-389; IN.1-2.22cC-1 to IN.1-2.22cC-389; III.1- 3.22cC-1 to IN.1- 3.22cC-389; 111.1 -4.22cC-1 to IN.1-4.22cC-389; IN.2.22cC-1 to lll.2.22cC-389) Table 23c
Verbindungen III.1-1 , III.1-2, III.1-3, III.1-4 und III.2, worin A für 2-Fluorpyridin-4-yl steht und B jeweils einer Gruppe einer Zeile der Tabelle C entspricht (Verbindun- gen 111.1-1.23cC-1 bis 111.1-1.23cC-389; IN.1-2.23cC-1 bis IN.1-2.23cC-389; III.1-Compounds III.1-1, III.1-2, III.1-3, III.1-4 and III.2, wherein A is 2-fluoropyridin-4-yl and B are each a group of one row of Table C. corresponds (compounds 111.1-1.23cC-1 to 111.1-1.23cC-389; IN.1-2.23cC-1 to IN.1-2.23cC-389; III.1-
3.23cC-1 bis IN.1-3.23cC-389; 111.1 -4.23cC-1 bis IN.1-4.23cC-389; IN.2.23cC-1 bis lll.2.23cC-389) Tabelle 24c3.23cC-1 to IN.1-3.23cC-389; 111.1 -4.23cC-1 to IN.1-4.23cC-389; IN.2.23cC-1 to III.2.23cC-389) Table 24c
Verbindungen III.1-1 , III.1-2, III.1-3, III.1-4 und III.2, worin A für 3-Fluorpyridin-4-yl steht und B jeweils einer Gruppe einer Zeile der Tabelle C entspricht (Verbindungen lll.1-1.24cC-1 bis 111.1-1.24cC-389; IN.1-2.24cC-1 bis IN.1-2.24cC-389; III.1- 3.24cC-1 bis IN.1-3.24cC-389; 111.1 -4.24cC-1 bis IN.1-4.24cC-389; IN.2.24cC-1 bis III.2.24CC-389) Tabelle 25c Verbindungen III.1-1 , III.1-2, III.1-3, III.1-4 und III.2, worin A für 3- Methylpyridin-2-yl steht und B jeweils einer Gruppe einer Zeile der Tabelle C entspricht (Verbindungen lll.1-1.25cC-1 bis 111.1-1.25cC-389; 111.1 -2.25cC-1 bis IN.1-2.25cC-389; III.1- 3.25cC-1 bis IM.1-3.25cC-389; 111.1 -4.25cC-1 bis lll.1-4.25cC-389; MI.2.25cC-1 bis III.2.25CC-389) Tabelle 26cCompounds III.1-1, III.1-2, III.1-3, III.1-4 and III.2, wherein A is 3-fluoropyridin-4-yl and B are each a group of one line of Table C. corresponds (compounds III.1-1.24cC-1 to 111.1-1.24cC-389; IN.1-2.24cC-1 to IN.1-2.24cC-389; III.1- 3.24cC-1 to IN.1- 3.24cC-389; 111.1 -4.24cC-1 to IN.1-4.24cC-389; IN.2.24cC-1 to III.2.24CC-389) Table 25c Compounds III.1-1, III.1-2, III.1-3, III.1-4 and III.2, wherein A is 3-methylpyridin-2-yl and B corresponds in each case to one group of one row of Table C (compounds III.1-1.25cC-1 to 111.1 -1.25cC-389; 111.1 -2.25cC-1 to IN.1-2.25cC-389; III.1- 3.25cC-1 to IM.1-3.25cC-389; 111.1 -4.25cC-1 to lll.1-4.25cC-389; MI.2.25cC-1 to III.2.25CC-389) Table 26c
Verbindungen III.1-1 , III.1-2, III.1-3, III.1-4 und III.2, worin A für 4-Methylpyridin-2-yl steht und B jeweils einer Gruppe einer Zeile der Tabelle C entspricht (Verbindungen lll.1-1.26cC-1 bis 111.1-1.26cC-389; 111.1 -2.26cC-1 bis IM.1-2.26cC-389; III.1- 3.26cC-1 bis IM.1-3.26cC-389; IN.1-4.26cC-1 bis IN.1-4.26cC-389; MI.2.26cC-1 bis III.2.26CC-389) Tabelle 27c Verbindungen III.1-1 , III.1-2, III.1-3, III.1-4 und III.2, worin A für 5-Methylpyridin-2-yl steht und B jeweils einer Gruppe einer Zeile der Tabelle C entspricht (Verbindungen lll.1-1.27cC-1 bis III.1-1.27CC-389; 111.1 -2.27cC-1 bis IM.1-2.27cC-389; III.1- 3.27cC-1 bis III.1-3.27CC-389; 111.1 -4.27cC-1 bis IN.1-4.27cC-389; MI.2.27cC-1 bis III.2.27CC-389) Tabelle 28cCompounds III.1-1, III.1-2, III.1-3, III.1-4 and III.2, wherein A is 4-methylpyridin-2-yl and B are each a group of one line of Table C. corresponds (compounds III.1-1.26cC-1 to 111.1-1.26cC-389; 111.1 -2.26cC-1 to IM.1-2.26cC-389; III.1- 3.26cC-1 to IM.1-3.26cC -389; IN.1-4.26cC-1 to IN.1-4.26cC-389; MI.2.26cC-1 to III.2.26CC-389) Table 27c Compounds III.1-1, III.1-2, III.1-3, III.1-4 and III.2, wherein A is 5-methylpyridin-2-yl and B corresponds in each case to one group of one row of Table C (compounds III.1-1.27cC-1 to III .1-1.27CC-389; 111.1 -2.27cC-1 to IM.1-2.27cC-389; III.1-3.27cC-1 to III.1-3.27CC-389; 111.1 -4.27cC-1 to IN .1-4.27cC-389; MI.2.27cC-1 to III.2.27CC-389) Table 28c
Verbindungen III.1-1 , III.1-2, III.1-3, III.1-4 und III.2, worin A für 6-Methylpyridin-2-yl steht und B jeweils einer Gruppe einer Zeile der Tabelle C entspricht (Verbindungen 111.1-1.28cC-1 bis 111.1-1.28cC-389; 111.1 -2.28cC-1 bis IM.1-2.28cC-389; III.1- 3.28cC-1 bis IM.1-3.28cC-389; IN.1-4.28cC-1 bis IN.1-4.28cC-389; IM.2.28cC-1 bis III.2.28CC-389)Compounds III.1-1, III.1-2, III.1-3, III.1-4 and III.2, wherein A is 6-methylpyridin-2-yl and B are each a group of one line of Table C. corresponds (compounds 111.1-1.28cC-1 to 111.1-1.28cC-389; 111.1 -2.28cC-1 to IM.1-2.28cC-389; III.1-3.28cC-1 to IM.1-3.28cC-389) IN.1-4.28cC-1 to IN.1-4.28cC-389; IM.2.28cC-1 to III.2.28CC-389)
Tabelle 29cTable 29c
Verbindungen III.1-1 , III.1-2, III.1-3, III.1-4 und III.2, worin A für 2-Methylpyridin-3-yl steht und B jeweils einer Gruppe einer Zeile der Tabelle C entspricht (Verbindungen lll.1-1.29cC-1 bis 111.1-1.29cC-389; IM.1-2.29cC-1 bis IM.1-2.29cC-389; III.1- 3.29cC-1 bis IM.1-3.29cC-389; 111.1 -4.29cC-1 bis IN.1-4.29cC-389; MI.2.29cC-1 bis lll.2.29cC-389) Tabelle 30cCompounds III.1-1, III.1-2, III.1-3, III.1-4 and III.2, wherein A is 2-methylpyridin-3-yl and B are each a group of one line of Table C. (Compounds III.1-1.29cC-1 to 111.1-1.29cC-389; IM.1-2.29cC-1 to IM.1-2.29cC-389; III.1- 3.29cC-1 to IM.1- 3.29cC-389; 111.1 -4.29cC-1 to IN.1-4.29cC-389; MI.2.29cC-1 to lll.2.29cC-389) Table 30c
Verbindungen III.1-1 , III.1-2, III.1-3, III.1-4 und III.2, worin A für 4-Methylpyridin-3-yl steht und B jeweils einer Gruppe einer Zeile der Tabelle C entspricht (Verbindun- gen III.1-1.3OcC-I bis 111.1-1.30cC-389; 111.1 -2.30cC-1 bis IM.1-2.30cC-389; III.1-Compounds III.1-1, III.1-2, III.1-3, III.1-4 and III.2, wherein A is 4-methylpyridin-3-yl and B are each a group of one line of Table C. corresponds (Compounds III.1-1.3OcC-I to 111.1-1.30cC-389; 111.1 -2.30cC-1 to IM.1-2.30cC-389; III.1-
3.30cC-1 bis IM.1-3.30cC-389; IN.1-4.30cC-1 bis IN.1-4.30cC-389; MI.2.30cC-1 bis lll.2.30cC-389) Tabelle 31 c3.30cC-1 to IM.1-3.30cC-389; IN.1-4.30cC-1 to IN.1-4.30cC-389; MI.2.30cC-1 to lll.2.30cC-389) Table 31 c
Verbindungen III.1-1 , III.1-2, III.1-3, III.1-4 und III.2, worin A für 5-Methylpyridin-3-yl steht und B jeweils einer Gruppe einer Zeile der Tabelle C entspricht (Verbindungen lll.1-1.31 cC-1 bis 111.1 -1.31 cC-389; 111.1 -2.31 cC-1 bis 111.1-2.31 cC-389; III.1- 3.31 cC-1 bis 111.1-3.31 cC-389; 111.1 -4.31 cC-1 bis IN.1-4.31cC-389; MI.2.31 cC-1 bis III.2.31 CC-389) Tabelle 32c Verbindungen III.1-1 , III.1-2, III.1-3, III.1-4 und III.2, worin A für 6-Methylpyridin-3-yl steht und B jeweils einer Gruppe einer Zeile der Tabelle C entspricht (Verbindungen 111.1-1.32cC-1 bis 111.1-1.32cC-389; IM.1-2.32cC-1 bis IM.1-2.32cC-389; III.1- 3.32cC-1 bis IM.1-3.32cC-389; 111.1 -4.32cC-1 bis lll.1-4.32cC-389; MI.2.32cC-1 bis III.2.32CC-389) Tabelle 33cCompounds III.1-1, III.1-2, III.1-3, III.1-4 and III.2, wherein A is 5-methylpyridin-3-yl and B are each a group of one line of Table C. (Compounds III.1-1.31 cC-1 to 111.1 -1.31 cC-389; 111.1 -2.31 cC-1 to 111.1-2.31 cC-389; III.1- 3.31 cC-1 to 111.1-3.31 cC-389; 111.1 -4.31 cC-1 to IN.1-4.31cC-389; MI.2.31 cC-1 to III.2.31 CC-389) Table 32c Compounds III.1-1, III.1-2, III.1-3, III.1-4 and III.2, wherein A is 6-methylpyridin-3-yl and B corresponds in each case to one group of one row of Table C (Compounds 111.1-1.32cC-1 to 111.1-1.32cC-389, IM. 1-2.32cC-1 to IM.1-2.32cC-389; III.1- 3.32cC-1 to IM.1-3.32cC-389; 111.1 -4.32cC-1 to III.1-4.32cC-389; MI.2.32cC-1 to III.2.32CC-389) Table 33c
Verbindungen III.1-1 , III.1-2, III.1-3, III.1-4 und III.2, worin A für 2-Methylpyridin-4-yl steht und B jeweils einer Gruppe einer Zeile der Tabelle C entspricht (Verbindungen lll.1-1.33cC-1 bis 111.1-1.33cC-389) Tabelle 34cCompounds III.1-1, III.1-2, III.1-3, III.1-4 and III.2, wherein A is 2-methylpyridin-4-yl and B are each a group of one line of Table C. corresponds (Compounds lll.1-1.33cC-1 to 111.1-1.33cC-389) Table 34c
Verbindungen III.1-1 , III.1-2, III.1-3, III.1-4 und III.2, worin A für 3-Methylpyridin-4-yl steht und B jeweils einer Gruppe einer Zeile der Tabelle C entspricht (Verbindun- gen 111.1-1.34cC-1 bis 111.1-1.34cC-389; IM.1-2.34cC-1 bis IM.1-2.34cC-389; III.1-Compounds III.1-1, III.1-2, III.1-3, III.1-4 and III.2, wherein A is 3-methylpyridin-4-yl and B are each a group of one line of Table C. corresponds (Compounds 111.1-1.34cC-1 to 111.1-1.34cC-389; IM.1-2.34cC-1 to IM.1-2.34cC-389; III.1-
3.34cC-1 bis IM.1-3.34cC-389; 111.1 -4.34cC-1 bis IN.1-4.34cC-389; MI.2.34cC-1 bis lll.2.34cC-389) Tabelle 35c3.34cC-1 to IM.1-3.34cC-389; 111.1 -4.34cC-1 to IN.1-4.34cC-389; MI.2.34cC-1 to III.2.34cC-389) Table 35c
Verbindungen III.1-1 , III.1-2, III.1-3, III.1-4 und III.2, worin A für 4-Methylpyridin-5-yl steht und B jeweils einer Gruppe einer Zeile der Tabelle C entspricht (Verbindungen lll.1-1.35cC-1 bis 111.1-1.35cC-389; IM.1-2.35cC-1 bis IM.1-2.35cC-389; III.1- 3.35cC-1 bis MI.1-3.35cC-389; 111.1 -4.35cC-1 bis IN.1-4.35cC-389; MI.2.35cC-1 bis III.2.35CC-389) Tabelle 36c Verbindungen III.1-1 , III.1-2, III.1-3, III.1-4 und III.2, worin A für 3-Methoxypyridin-2- yl steht und B jeweils einer Gruppe einer Zeile der Tabelle C entspricht (Verbindungen lll.1-1.36cC-1 bis 111.1-1.36cC-389; 111.1 -2.36cC-1 bis IN.1-2.36cC-389; III.1- 3.36cC-1 bis IM.1-3.36cC-389; IN.1-4.36cC-1 bis IN.1-4.36cC-389; MI.2.36cC-1 bis III.2.36CC-389) Tabelle 37cCompounds III.1-1, III.1-2, III.1-3, III.1-4 and III.2, wherein A is 4-methylpyridin-5-yl and B are each a group of one line of Table C. corresponds (compounds III.1-1.35cC-1 to 111.1-1.35cC-389; IM.1-2.35cC-1 to IM.1-2.35cC-389; III.1- 3.35cC-1 to MI.1- 3.35cC-389; 111.1 -4.35cC-1 to IN.1-4.35cC-389; MI.2.35cC-1 to III.2.35CC-389) Table 36c Compounds III.1-1, III.1-2, III.1-3, III.1-4 and III.2, wherein A is 3-methoxypyridin-2-yl and B corresponds in each case to one group of one row of Table C (compounds III.1.1.36cC-1 to 111.1 -1.36cC-389; 111.1 -2.36cC-1 to IN.1-2.36cC-389; III.1-3.36cC-1 to IM.1-3.36cC-389; IN.1-4.36cC-1 to IN .1-4.36cC-389; MI.2.36cC-1 to III.2.36CC-389) Table 37c
Verbindungen III.1-1 , III.1-2, III.1-3, III.1-4 und III.2, worin A für 4-Methoxypyridin-2- yl steht und B jeweils einer Gruppe einer Zeile der Tabelle C entspricht (Verbindungen lll.1-1.37cC-1 bis lll.1-1.37cC-389; 111.1 -2.37cC-1 bis 111.1 -2.37cC-389; III.1- 3.37cC-1 bis III.1-3.37CC-389; 111.1 -4.37cC-1 bis IN.1-4.37cC-389; MI.2.37cC-1 bis III.2.37CC-389)Compounds III.1-1, III.1-2, III.1-3, III.1-4 and III.2, wherein A is 4-methoxypyridin-2-yl and B are each a group of one row of Table C. (Compounds III.1-1.37cC-1 to III.1-1.37cC-389; 111.1 -2.37cC-1 to 111.1 -2.37cC-389; III.1- 3.37cC-1 to III.1-3.37CC -389; 111.1 -4.37cC-1 to IN.1-4.37cC-389; MI.2.37cC-1 to III.2.37CC-389)
Tabelle 38cTable 38c
Verbindungen III.1-1 , III.1-2, III.1-3, III.1-4 und III.2, worin A für 5-Methoxypyridin-2- yl steht und B jeweils einer Gruppe einer Zeile der Tabelle C entspricht (Verbindungen lll.1-1.38cC-1 bis 111.1-1.38cC-389; 111.1 -2.38cC-1 bis IN.1-2.38cC-389; III.1- 3.38cC-1 bis IM.1-3.38cC-389; 111.1 -4.38cC-1 bis IN.1-4.38cC-389; MI.2.38cC-1 bisCompounds III.1-1, III.1-2, III.1-3, III.1-4 and III.2, wherein A is 5-methoxypyridin-2-yl and B are each a group of one line of Table C. (Compounds III.1-1.38cC-1 to 111.1-1.38cC-389; 111.1 -2.38cC-1 to IN.1-2.38cC-389; III.1- 3.38cC-1 to IM.1-3.38cC -389; 111.1 -4.38cC-1 to IN.1-4.38cC-389; MI.2.38cC-1 to
III.2.38CC-389) Tabelle 39cIII.2.38CC-389) Table 39c
Verbindungen III.1-1 , III.1-2, III.1-3, III.1-4 und III.2, worin A für 6-Methoxypyridin-2- yl steht und B jeweils einer Gruppe einer Zeile der Tabelle C entspricht (Verbin- düngen 111.1-1.39cC-1 bis 111.1-1.39cC-389; IM.1-2.39cC-1 bis IN.1-2.39cC-389; III.1-Compounds III.1-1, III.1-2, III.1-3, III.1-4 and III.2, wherein A is 6-methoxypyridin-2-yl and B are each a group of one line of Table C. corresponds (compound 111.1-1.39cC-1 to 111.1-1.39cC-389; IM.1-2.39cC-1 to IN.1-2.39cC-389; III.1-
3.39cC-1 bis IM.1-3.39cC-389; 111.1 -4.39cC-1 bis IN.1-4.39cC-389; MI.2.39cC-1 bis lll.2.39cC-389) Tabelle 40c3.39cC-1 to IM.1-3.39cC-389; 111.1 -4.39cC-1 to IN.1-4.39cC-389; MI.2.39cC-1 to III.2.39cC-389) Table 40c
Verbindungen III.1-1 , III.1-2, III.1-3, III.1-4 und III.2, worin A für 2-Methoxypyridin-3- yl steht und B jeweils einer Gruppe einer Zeile der Tabelle C entspricht (Verbindungen lll.1-1.40cC-1 bis 111.1-1.40cC-389; IM.1-2.40cC-1 bis IM.1-2.40cC-389; III.1- 3.40cC-1 bis IM.1-3.40cC-389; IN.1-4.40cC-1 bis IN.1-4.40cC-389; MI.2.40cC-1 bisCompounds III.1-1, III.1-2, III.1-3, III.1-4 and III.2, wherein A is 2-methoxypyridin-3-yl and B each represents a group of one line of Table C. corresponds (compounds III.1-1.40cC-1 to 111.1-1.40cC-389; IM.1-2.40cC-1 to IM.1-2.40cC-389; III.1-3.40cC-1 to IM.1- 3.40cC-389; IN.1-4.40cC-1 to IN.1-4.40cC-389; MI.2.40cC-1 to
III.2.40CC-389) Tabelle 41 cIII.2.40CC-389) Table 41 c
Verbindungen III.1-1 , III.1-2, III.1-3, III.1-4 und III.2, worin A für 4-Methoxypyridin-3- yl steht und B jeweils einer Gruppe einer Zeile der Tabelle C entspricht (Verbin- düngen IM.1-1.41cC-1 bis 111.1 -1.41 cC-389; 111.1 -2.41 cC-1 bis 111.1-2.41 cC-389; III.1-Compounds III.1-1, III.1-2, III.1-3, III.1-4 and III.2, wherein A is 4-methoxypyridin-3-yl and B are each a group of one row of Table C. corresponds (compound fertilize IM.1-1.41cC-1 to 111.1 -1.41 cC-389; 111.1 -2.41 cC-1 to 111.1-2.41 cC-389; III.1-
3.41 cC-1 bis 111.1-3.41 cC-389; 111.1 -4.41 cC-1 bis IN.1-4.41cC-389; IN.2.41 cC-1 bis lll.2.41 cC-389) Tabelle 42c3.41 cC-1 to 111.1-3.41 cC-389; 111.1 -4.41 cC-1 to IN.1-4.41cC-389; IN.2.41 cC-1 to III.2.41 cC-389) Table 42c
Verbindungen III.1-1 , III.1-2, III.1-3, III.1-4 und III.2, worin A für 5-Methoxypyridin-3- yl steht und B jeweils einer Gruppe einer Zeile der Tabelle C entspricht (Verbindungen lll.1-1.42cC-1 bis 111.1-1.42cC-389; IN.1-2.42cC-1 bis IN.1-2.42cC-389; III.1- 3.42cC-1 bis IN.1-3.42cC-389; 111.1 -4.42cC-1 bis IN.1-4.42cC-389; IN.2.42cC-1 bis III.2.42CC-389) Tabelle 43c Verbindungen III.1-1 , III.1-2, III.1-3, III.1-4 und III.2, worin A für 6-Methoxypyridin-3- yl steht und B jeweils einer Gruppe einer Zeile der Tabelle C entspricht (Verbindungen lll.1-1.43cC-1 bis 111.1-1.43cC-389; 111.1 -2.43cC-1 bis IN.1-2.43cC-389; III.1- 3.43cC-1 bis IN.1-3.43cC-389; 111.1 -4.43cC-1 bis IN.1-4.43cC-389; IN.2.43cC-1 bis III.2.43CC-389) Tabelle 44cCompounds III.1-1, III.1-2, III.1-3, III.1-4 and III.2, wherein A is 5-methoxypyridin-3-yl and B each represents a group of one row of Table C. (Compounds III.1-1.42cC-1 to 111.1-1.42cC-389; IN.1-2.42cC-1 to IN.1-2.42cC-389; III.1- 3.42cC-1 to IN.1- 3.42cC-389; 111.1 -4.42cC-1 to IN.1-4.42cC-389; IN.2.42cC-1 to III.2.42CC-389) Table 43c Compounds III.1-1, III.1-2, III.1-3, III.1-4 and III.2, wherein A is 6-methoxypyridin-3-yl and B corresponds in each case to one group of one row of Table C (compounds III.1-1.43cC-1 to 111.1 -1.43cC-389; 111.1 -2.43cC-1 to IN.1-2.43cC-389; III.1- 3.43cC-1 to IN.1-3.43cC-389; 111.1 -4.43cC-1 to IN.1 -4.43cC-389; IN.2.43cC-1 to III.2.43CC-389) Table 44c
Verbindungen III.1-1 , III.1-2, III.1-3, III.1-4 und III.2, worin A für 2-Methoxypyridin-4- yl steht und B jeweils einer Gruppe einer Zeile der Tabelle C entspricht (Verbindungen lll.1-1.44cC-1 bis 111.1-1.44cC-389; IN.1-2.44cC-1 bis IN.1-2.44cC-389; III.1- 3.44cC-1 bis IN.1-3.44cC-389; IN.1-4.44cC-1 bis IN.1-4.44cC-389; IN.2.44cC-1 bis lll.2.44cC-389)Compounds III.1-1, III.1-2, III.1-3, III.1-4 and III.2, wherein A is 2-methoxypyridin-4-yl and B are each a group of one row of Table C. corresponds (compounds III.1-1.44cC-1 to 111.1-1.44cC-389; IN.1-2.44cC-1 to IN.1-2.44cC-389; III.1- 3.44cC-1 to IN.1- 3.44cC-389; IN.1-4.44cC-1 to IN.1-4.44cC-389; IN.2.44cC-1 to lll.2.44cC-389)
Tabelle 45cTable 45c
Verbindungen III.1-1 , III.1-2, III.1-3, III.1-4 und III.2, worin A für 3-Methoxypyridin-4- yl steht und B jeweils einer Gruppe einer Zeile der Tabelle C entspricht (Verbindungen lll.1-1.45cC-1 bis 111.1-1.45cC-389; IN.1-2.45cC-1 bis IN.1-2.45cC-389; III.1- 3.45cC-1 bis IN.1-3.45cC-389; IN.1-4.45cC-1 bis IN.1-4.45cC-389; IN.2.45cC-1 bisCompounds III.1-1, III.1-2, III.1-3, III.1-4 and III.2, wherein A is 3-methoxypyridin-4-yl and B are each a group of one line of Table C. (Compounds III.1-1.45cC-1 to 111.1-1.45cC-389; IN.1-2.45cC-1 to IN.1-2.45cC-389; III.1- 3.45cC-1 to IN.1- 3.45cC-389; IN.1-4.45cC-1 to IN.1-4.45cC-389; IN.2.45cC-1 to
III.2.45CC-389) Tabelle 46cIII.2.45CC-389) Table 46c
Verbindungen III.1-1 , III.1-2, III.1-3, III.1-4 und III.2, worin A für 3,5-Dichlorpyridin-2- yl steht und B jeweils einer Gruppe einer Zeile der Tabelle C entspricht (Verbin- düngen 111.1 -1.46cC-1 bis 111.1-1.46cC-389; 111.1 -2.46cC-1 bis IN.1-2.46cC-389; III.1-Compounds III.1-1, III.1-2, III.1-3, III.1-4 and III.2, wherein A is 3,5-dichloropyridin-2-yl and B is in each case a group of one line of Table C corresponds to (compound 111.1 -1.46cC-1 to 111.1-1.46cC-389; 111.1 -2.46cC-1 to IN.1-2.46cC-389; III.1-
3.46cC-1 bis IN.1-3.46cC-389; IN.1-4.46cC-1 bis IN.1-4.46cC-389; IN.2.46cC-1 bis lll.2.46cC-389) Tabelle 47c3.46cC-1 to IN.1-3.46cC-389; IN.1-4.46cC-1 to IN.1-4.46cC-389; IN.2.46cC-1 to III.2.46cC-389) Table 47c
Verbindungen III.1-1 , III.1-2, III.1-3, III.1-4 und III.2, worin A für 2,4-Dichlorpyridin-3- yl steht und B jeweils einer Gruppe einer Zeile der Tabelle C entspricht (Verbindungen lll.1-1.47cC-1 bis lll.1-1.47cC-389; 111.1 -2.47cC-1 bis IN.1-2.47cC-389; III.1- 3.47cC-1 bis IN.1-3.47cC-389; IN.1-4.47cC-1 bis IN.1-4.47cC-389; IN.2.47cC-1 bisCompounds III.1-1, III.1-2, III.1-3, III.1-4 and III.2, wherein A is 2,4-dichloropyridin-3-yl and B is in each case a group of one line of Table C corresponds to (compounds III.1-1.47cC-1 to III.1-1.47cC-389; III.1 -2.47cC-1 to IN.1-2.47cC-389; III.1- 3.47cC-1 to IN. 1-3.47cC-389; IN.1-4.47cC-1 to IN.1-4.47cC-389; IN.2.47cC-1 to
III.2.47CC-389) Tabelle 48cIII.2.47CC-389) Table 48c
Verbindungen III.1-1 , III.1-2, III.1-3, III.1-4 und III.2, worin A für 2,5-Dichlorpyridin-3- yl steht und B jeweils einer Gruppe einer Zeile der Tabelle C entspricht (Verbin- düngen 111.1-1.48cC-1 bis 111.1-1.48cC-389; 111.1 -2.48cC-1 bis IN.1-2.48cC-389; III.1-Compounds III.1-1, III.1-2, III.1-3, III.1-4 and III.2, wherein A is 2,5-dichloropyridin-3-yl and B is in each case a group of a line of Table C corresponds to (Compound 111.1-1.48cC-1 to 111.1-1.48cC-389; 111.1 -2.48cC-1 to IN.1-2.48cC-389; III.1-
3.48cC-1 bis IM.1-3.48cC-389; IN.1-4.48cC-1 bis IN.1-4.48cC-389; MI.2.48cC-1 bis lll.2.48cC-389) Tabelle 49c3.48cC-1 to IM.1-3.48cC-389; IN.1-4.48cC-1 to IN.1-4.48cC-389; MI.2.48cC-1 to lll.2.48cC-389) Table 49c
Verbindungen III.1-1 , III.1-2, III.1-3, III.1-4 und III.2, worin A für 2,6-Dichlorpyridin-3- yl steht und B jeweils einer Gruppe einer Zeile der Tabelle C entspricht (Verbindungen lll.1-1.49cC-1 bis 111.1-1.49cC-389; IM.1-2.49cC-1 bis IN.1-2.49cC-389; III.1- 3.49cC-1 bis IM.1-3.49cC-389; 111.1 -4.49cC-1 bis IN.1-4.49cC-389; MI.2.49cC-1 bis III.2.49CC-389) Tabelle 50c Verbindungen III.1-1 , III.1-2, III.1-3, III.1-4 und III.2, worin A für 2,6-Dichlorpyridin-4- yl steht und B jeweils einer Gruppe einer Zeile der Tabelle C entspricht (Verbindungen 111.1-1.5OcC-I bis 111.1-1.50cC-389; IM.1-2.50cC-1 bis IN.1-2.50cC-389; III.1- 3.50cC-1 bis IM.1-3.50cC-389; IN.1-4.50cC-1 bis IN.1-4.50cC-389; MI.2.50cC-1 bis III.2.50CC-389) Tabelle 51 cCompounds III.1-1, III.1-2, III.1-3, III.1-4 and III.2, wherein A is 2,6-dichloropyridin-3-yl and B each represents a group of a line of Table C corresponds to (Compounds III.1-1.49cC-1 to 111.1-1.49cC-389; IM.1-2.49cC-1 to IN.1-2.49cC-389; III.1-3.49cC-1 to IM. 1-3.49cC-389; 111.1 -4.49cC-1 to IN.1-4.49cC-389; MI.2.49cC-1 to III.2.49CC-389) Table 50c Compounds III.1-1, III.1- 2, III.1-3, III.1-4 and III.2, wherein A is 2,6-dichloropyridin-4-yl and B corresponds in each case to one group of one row of Table C (compounds III.1-1.5OcC-I to III.1- 3.50cC-1 to IM.1-3.50cC-389; IN.1-4.50cC -1 to IN.1-4.50cC-389; MI.2.50cC-1 to III.2.50CC-389) Table 51c
Verbindungen III.1-1 , III.1-2, III.1-3, III.1-4 und III.2, worin A für 3,5-Dichlorpyridin-4- yl steht und B jeweils einer Gruppe einer Zeile der Tabelle C entspricht (Verbindungen 111.1 -1.51 cC-1 bis 111.1 -1 .51 cC-389; 111.1 -2.51 cC-1 bis 111.1 -2.51 cC-389; III.1 - 3.51 cC-1 bis 111.1-3.51 cC-389; 111.1 -4.51 cC-1 bis IN.1-4.51cC-389; MI.2.51 cC-1 bis lll.2.51 cC-389)Compounds III.1-1, III.1-2, III.1-3, III.1-4 and III.2, wherein A is 3,5-dichloropyridin-4-yl and B is in each case a group of one line of Table C corresponds to (Compounds 111.1 -1.51 cC-1 to 111.1 -1 .51 cC-389; 111.1 to -2.51 cC-1 to 111.1 to -2.51 cC-389; III.1 to 3.51 cC-1 to 111.1 to 3.51 cC-389 111.1 -4.51 cC-1 to IN.1-4.51cC-389; MI.2.51 cC-1 to III.2.51 cC-389)
Tabelle 52cTable 52c
Verbindungen III.1-1 , III.1-2, III.1-3, III.1-4 und III.2, worin A für 3,6-Dichlorpyridin-4- yl steht und B jeweils einer Gruppe einer Zeile der Tabelle C entspricht (Verbindungen lll.1-1.52cC-1 bis 111.1-1.52cC-389; IM.1-2.52cC-1 bis IN.1-2.52cC-389; III.1- 3.52cC-1 bis IM.1-3.52cC-389; 111.1 -4.52cC-1 bis IN.1-4.52cC-389; MI.2.52cC-1 bisCompounds III.1-1, III.1-2, III.1-3, III.1-4 and III.2, wherein A is 3,6-dichloropyridin-4-yl and B is in each case a group of one line of Table C corresponds (Compounds III.1-1.52cC-1 to 111.1-1.52cC-389; IM.1-2.52cC-1 to IN.1-2.52cC-389; III.1- 3.52cC-1 to IM. 1-3.52cC-389; 111.1 -4.52cC-1 to IN.1-4.52cC-389; MI.2.52cC-1 to
III.2.52CC-389) Tabelle 53cIII.2.52CC-389) Table 53c
Verbindungen III.1-1 , III.1-2, III.1-3, III.1-4 und III.2, worin A für 2,5-Dichlorpyridin-4- yl steht und B jeweils einer Gruppe einer Zeile der Tabelle C entspricht (Verbin- düngen IM.1-1.53cC-1 bis 111.1-1.53cC-389; IM.1-2.53cC-1 bis IN.1-2.53cC-389; III.1-Compounds III.1-1, III.1-2, III.1-3, III.1-4 and III.2, wherein A is 2,5-dichloropyridin-4-yl and B is in each case a group of a line of Table C corresponds to (compound IM.1-1.53cC-1 to 111.1-1.53cC-389; IM.1-2.53cC-1 to IN.1-2.53cC-389; III.1-
3.53cC-1 bis IM.1-3.53cC-389; 111.1 -4.53cC-1 bis IN.1-4.53cC-389; MI.2.53cC-1 bis lll.2.53cC-389) Tabelle 54c3.53cC-1 to IM.1-3.53cC-389; 111.1 -4.53cC-1 to IN.1-4.53cC-389; MI.2.53cC-1 to III.2.53cC-389) Table 54c
Verbindungen III.1-1 , III.1-2, III.1-3, III.1-4 und III.2, worin A für 2,3-Dichlorpyridin-4- yl steht und B jeweils einer Gruppe einer Zeile der Tabelle C entspricht (Verbindungen lll.1-1.54cC-1 bis 111.1-1.54cC-389; IM.1-2.54cC-1 bis IN.1-2.54cC-389; III.1- 3.54cC-1 bis IM.1-3.54cC-389; 111.1 -4.54cC-1 bis IN.1-4.54cC-389; MI.2.54cC-1 bisCompounds III.1-1, III.1-2, III.1-3, III.1-4 and III.2, wherein A is 2,3-dichloropyridin-4-yl and B each represents a group of a line of Table C corresponds (Compounds III.1-1.54cC-1 to 111.1-1.54cC-389; IM.1-2.54cC-1 to IN.1-2.54cC-389; III.1- 3.54cC-1 to IM. 1-3.54cC-389; 111.1 -4.54cC-1 to IN.1-4.54cC-389; MI.2.54cC-1 to
III.2.54CC-389) Tabelle 55cIII.2.54CC-389) Table 55c
Verbindungen III.1-1 , III.1-2, III.1-3, III.1-4 und III.2, worin A für 2,4-Dichlorpyridin-5- yl steht und B jeweils einer Gruppe einer Zeile der Tabelle C entspricht (Verbin- düngen IM.1-1.55cC-1 bis 111.1-1.55cC-389; IM.1-2.55cC-1 bis IN.1-2.55cC-389; III.1-Compounds III.1-1, III.1-2, III.1-3, III.1-4 and III.2, wherein A is 2,4-dichloropyridin-5-yl and B is in each case a group of one line of Table C corresponds to (compound IM.1-1.55cC-1 to 111.1-1.55cC-389; IM.1-2.55cC-1 to IN.1-2.55cC-389; III.1-
3.55cC-1 bis IN.1-3.55cC-389; IN.1-4.55cC-1 bis IN.1-4.55cC-389; IN.2.55cC-1 bis III.2.55CC-389) Tabelle 56c3.55cC-1 to IN.1-3.55cC-389; IN.1-4.55cC-1 to IN.1-4.55cC-389; IN.2.55cC-1 to III.2.55CC-389) Table 56c
Verbindungen III.1-1 , III.1-2, III.1-3, III.1-4 und III.2, worin A für 3,5-Difluorpyridin-2- yl steht und B jeweils einer Gruppe einer Zeile der Tabelle C entspricht (Verbindungen lll.1-1.56cC-1 bis 111.1-1.56cC-389; 111.1 -2.56cC-1 bis IN.1-2.56cC-389; III.1- 3.56cC-1 bis IN.1-3.56cC-389; IN.1-4.56cC-1 bis IN.1-4.56cC-389; IN.2.56cC-1 bis III.2.56CC-389) Tabelle 57c Verbindungen III.1-1 , III.1-2, III.1-3, III.1-4 und III.2, worin A für 3,5-Difluorpyridin-4- yl steht und B jeweils einer Gruppe einer Zeile der Tabelle C entspricht (Verbindungen lll.1-1.57cC-1 bis lll.1-1.57cC-389; 111.1 -2.57cC-1 bis IN.1-2.57cC-389; III.1- 3.57cC-1 bis lll.1-3.57cC-389; 111.1 -4.57cC-1 bis IN.1-4.57cC-389; IN.2.57cC-1 bis III.2.57CC-389) Tabelle 58cCompounds III.1-1, III.1-2, III.1-3, III.1-4 and III.2, wherein A is 3,5-difluoropyridin-2-yl and B each represents a group of a line of Table C corresponds (Compounds III.1-1.56cC-1 to 111.1-1.56cC-389; 111.1 -2.56cC-1 to IN.1-2.56cC-389; III.1- 3.56cC-1 to IN.1- 3.56cC-389; IN.1-4.56cC-1 to IN.1-4.56cC-389; IN.2.56cC-1 to III.2.56CC-389) Table 57c Compounds III.1-1, III.1- 2, III.1-3, III.1-4 and III.2, wherein A is 3,5-difluoropyridin-4-yl and B corresponds in each case to one group of one row of Table C (compounds III.1-1.57cC -1 to III.1-1.57cC-389; 111.1 -2.57cC-1 to IN.1-2.57cC-389; III.1- 3.57cC-1 to III.1-3.57cC-389; 111.1 -4.57cC -1 to IN.1-4.57cC-389; IN.2.57cC-1 to III.2.57CC-389) Table 58c
Verbindungen III.1-1 , III.1-2, III.1-3, III.1-4 und III.2, worin A für 2,3-Difluorpyridin-4- yl steht und B jeweils einer Gruppe einer Zeile der Tabelle C entspricht (Verbindungen lll.1-1.58cC-1 bis 111.1-1.58cC-389; 111.1 -2.58cC-1 bis IN.1-2.58cC-389; III.1- 3.58cC-1 bis IN.1-3.58cC-389; IN.1-4.58cC-1 bis IN.1-4.58cC-389; IN.2.58cC-1 bis lll.2.58cC-389)Compounds III.1-1, III.1-2, III.1-3, III.1-4 and III.2, wherein A is 2,3-difluoropyridin-4-yl and B each represents a group of a line of Table C corresponds (compounds III.1-1.58cC-1 to 111.1-1.58cC-389; 111.1 -2.58cC-1 to IN.1-2.58cC-389; III.1- 3.58cC-1 to IN.1- 3.58cC-389, IN.1-4.58cC-1 to IN.1-4.58cC-389, IN.2.58cC-1 to III.2.58cC-389)
Tabelle 59cTable 59c
Verbindungen III.1-1 , III.1-2, III.1-3, III.1-4 und III.2, worin A für 3,5-Dimethylpyridin- 2-yl steht und B jeweils einer Gruppe einer Zeile der Tabelle C entspricht (Verbindungen lll.1-1.59cC-1 bis 111.1-1.59cC-389; 111.1 -2.59cC-1 bis IN.1-2.59cC-389; III.1- 3.59cC-1 bis IN.1-3.59cC-389; IN.1-4.59cC-1 bis IN.1-4.59cC-389; IN.2.59cC-1 bisCompounds III.1-1, III.1-2, III.1-3, III.1-4 and III.2, wherein A is 3,5-dimethylpyridin-2-yl and B each represents a group of a line of Table C corresponds (Compounds III.1-1.59cC-1 to 111.1-1.59cC-389; 111.1 -2.59cC-1 to IN.1-2.59cC-389; III.1- 3.59cC-1 to IN.1- 3.59cC-389; IN.1-4.59cC-1 to IN.1-4.59cC-389; IN.2.59cC-1 to
III.2.59CC-389) Tabelle 60cIII.2.59CC-389) Table 60c
Verbindungen III.1-1 , III.1-2, III.1-3, III.1-4 und III.2, worin A für 3,4-Dimethylpyridin- 2-yl steht und B jeweils einer Gruppe einer Zeile der Tabelle C entspricht (Verbin- düngen 111.1-1.6OcC-I bis 111.1-1.60cC-389; 111.1 -2.60cC-1 bis IM.1-2.60cC-389; III.1-Compounds III.1-1, III.1-2, III.1-3, III.1-4 and III.2, wherein A is 3,4-dimethylpyridin-2-yl and B each represents a group of a line of Table C corresponds (Compound 111.1-1.6 OcC-I to 111.1-1.60cC-389; 111.1 -2.60cC-1 to IM.1-2.60cC-389; III.1-
3.60cC-1 bis IM.1-3.60cC-389; 111.1 -4.60cC-1 bis IN.1-4.60cC-389; MI.2.60cC-1 bis lll.2.60cC-389) Tabelle 61 c3.60cC-1 to IM.1-3.60cC-389; 111.1 -4.60cC-1 to IN.1-4.60cC-389; MI.2.60cC-1 to lll.2.60cC-389) Table 61 c
Verbindungen III.1-1 , III.1-2, III.1-3, III.1-4 und III.2, worin A für 4,6-Dimethylpyridin- 3-yl steht und B jeweils einer Gruppe einer Zeile der Tabelle C entspricht (Verbindungen lll.1-1.61cC-1 bis 111.1-1.61 cC-389; 111.1 -2.61 cC-1 bis 111.1-2.61 cC-389; III.1- 3.61 cC-1 bis 111.1-3.61 cC-389; 111.1 -4.61 cC-1 bis IN.1-4.61cC-389; IN.2.61 cC-1 bisCompounds III.1-1, III.1-2, III.1-3, III.1-4 and III.2, wherein A is 4,6-dimethylpyridin-3-yl and B is in each case a group of one line of Table C corresponds (Compounds Ill.1-1.61cC-1 to 111.1-1.61 cC-389; 111.1 -2.61 cC-1 to 111.1-2.61 cC-389; III.1-3.61 cC-1 to 111.1-3.61 cC-389 111.1 -4.61 cC-1 to IN.1-4.61cC-389; IN.2.61 cC-1 to
III.2.61 CC-389) Tabelle 62cIII.2.61 CC-389) Table 62c
Verbindungen III.1-1 , III.1-2, III.1-3, III.1-4 und III.2, worin A für 2,4-Dimethylpyridin- 3-yl steht und B jeweils einer Gruppe einer Zeile der Tabelle C entspricht (Verbin- düngen IN.1-1.62cC-1 bis 111.1-1.62cC-389; 111.1 -2.62cC-1 bis IN.1-2.62cC-389; III.1-Compounds III.1-1, III.1-2, III.1-3, III.1-4 and III.2, wherein A is 2,4-dimethylpyridin-3-yl and B each represents a group of a line of Table C corresponds to (compound IN.1-1.62cC-1 to 111.1-1.62cC-389; 111.1 -2.62cC-1 to IN.1-2.62cC-389; III.1-
3.62cC-1 bis IN.1-3.62cC-389; IN.1-4.62cC-1 bis IN.1-4.62cC-389; IN.2.62cC-1 bis lll.2.62cC-389) Tabelle 63c3.62cC-1 to IN.1-3.62cC-389; IN.1-4.62cC-1 to IN.1-4.62cC-389; IN.2.62cC-1 to III.2.62cC-389) Table 63c
Verbindungen III.1-1 , III.1-2, III.1-3, III.1-4 und III.2, worin A für 3,5-Dimethylpyridin- 4-yl steht und B jeweils einer Gruppe einer Zeile der Tabelle C entspricht (Verbindungen lll.1-1.63cC-1 bis 111.1-1.63cC-389; 111.1 -2.63cC-1 bis IN.1-2.63cC-389; III.1- 3.63cC-1 bis IN.1-3.63cC-389; IN.1-4.63cC-1 bis IN.1-4.63cC-389; IN.2.63cC-1 bis III.2.63CC-389) Tabelle 64c Verbindungen III.1-1 , III.1-2, III.1-3, III.1-4 und III.2, worin A für 2-Chlor-3- fluorpyridin-4-yl steht und B jeweils einer Gruppe einer Zeile der Tabelle C entspricht (Verbindungen 111.1-1.64cC-1 bis 111.1-1.64cC-389; 111.1 -2.64cC-1 bis III.1- 2.64cC-389; 111.1 -3.64cC-1 bis IN.1-3.64cC-389; IN.1-4.64cC-1 bis IN.1-4.64cC-389; lll.2.64cC-1 bis IN.2.64cC-389) Tabelle 65cCompounds III.1-1, III.1-2, III.1-3, III.1-4 and III.2, wherein A is 3,5-dimethylpyridin-4-yl and B each represents a group of a line of Table C corresponds to (Compounds III.1-1.63cC-1 to 111.1-1.63cC-389; 111.1 -2.63cC-1 to IN.1-2.63cC-389; III.1- 3.63cC-1 to IN.1- 3.63cC-389; IN.1-4.63cC-1 to IN.1-4.63cC-389; IN.2.63cC-1 to III.2.63CC-389) Table 64c Compounds III.1-1, III.1- 2, III.1-3, III.1-4 and III.2, wherein A is 2-chloro-3-fluoropyridin-4-yl and B corresponds in each case to one group of one row of Table C (Compounds 111.1-1.64cC -1 to 111.1-1.64cC-389; 111.1 -2.64cC-1 to III.1- 2.64cC-389; 111.1 -3.64cC-1 to IN.1-3.64cC-389; IN.1-4.64cC-1 to IN.1-4.64cC-389; III.2.64cC-1 to IN.2.64cC-389) Table 65c
Verbindungen III.1-1 , III.1-2, III.1-3, III.1-4 und III.2, worin A für 4-Chlor-3- methylpyridin-2-yl steht und B jeweils einer Gruppe einer Zeile der Tabelle C entspricht (Verbindungen 111.1-1.65cC-1 bis 111.1-1.65cC-389; 111.1 -2.65cC-1 bis III.1- 2.65cC-389; 111.1 -3.65cC-1 bis IN.1-3.65cC-389; IN.1-4.65cC-1 bis IN.1-4.65cC-389; III.2.65CC-1 bis IN.2.65cC-389)Compounds III.1-1, III.1-2, III.1-3, III.1-4 and III.2, wherein A is 4-chloro-3-methylpyridin-2-yl and B is each a group of one Row of Table C corresponds (Compounds 111.1-1.65cC-1 to 111.1-1.65cC-389; 111.1 -2.65cC-1 to III.1- 2.65cC-389; 111.1 -3.65cC-1 to IN.1-3.65cC -389; IN.1-4.65cC-1 to IN.1-4.65cC-389; III.2.65CC-1 to IN.2.65cC-389)
Tabelle 66cTable 66c
Verbindungen III.1-1 , III.1-2, III.1-3, III.1-4 und III.2, worin A für 5-Chlor-3- methylpyridin-2-yl steht und B jeweils einer Gruppe einer Zeile der Tabelle C entspricht (Verbindungen 111.1-1.66cC-1 bis 111.1-1.66cC-389; 111.1 -2.66cC-1 bis III.1- 2.66cC-389; 111.1 -3.66cC-1 bis IN.1-3.66cC-389; 111.1 -4.66cC-1 bis IN.1-4.66cC-389; lll.2.66cC-1 bis IN.2.66cC-389) Tabelle 67cCompounds III.1-1, III.1-2, III.1-3, III.1-4 and III.2, wherein A is 5-chloro-3-methylpyridin-2-yl and B is each a group of one Row of Table C corresponds (Compounds 111.1-1.66cC-1 to 111.1-1.66cC-389; 111.1 -2.66cC-1 to III.1-2.6cC-389; 111.1 -3.66cC-1 to IN.1-3.66cC -389; 111.1 -4.66cC-1 to IN.1-4.66cC-389; III.2.66cC-1 to IN.2.66cC-389) Table 67c
Verbindungen III.1-1 , III.1-2, III.1-3, III.1-4 und III.2, worin A für 5-Fluor-3- methylpyridin-2-yl steht und B jeweils einer Gruppe einer Zeile der Tabelle C ent- spricht (Verbindungen IN.1-1.67cC-1 bis 111.1-1.67cC-389; IN.1-2.67cC-1 bis III.1-Compounds III.1-1, III.1-2, III.1-3, III.1-4 and III.2, wherein A is 5-fluoro-3-methylpyridin-2-yl and B is each a group of one Corresponds to the row of Table C (compounds IN.1-1.67cC-1 to 111.1-1.67cC-389; IN.1-2.67cC-1 to III.1-
2.67cC-389; IN.1-3.67cC-1 bis IN.1-3.67cC-389; 111.1 -4.67cC-1 bis IN.1-4.67cC-389; lll.2.67cC-1 bis IN.2.67cC-389) Tabelle 68c2.67cC-389; IN.1-3.67cC-1 to IN.1-3.67cC-389; 111.1 -4.67cC-1 to IN.1-4.67cC-389; Ill.2.67cC-1 to IN.2.67cC-389) Table 68c
Verbindungen III.1-1 , III.1-2, III.1-3, III.1-4 und III.2, worin A für 3-Chlor-5- trifluormethylpyridin-2-yl steht und B jeweils einer Gruppe einer Zeile der Tabelle C entspricht (Verbindungen 111.1-1.68cC-1 bis 111.1-1.68cC-389; 111.1 -2.68cC-1 bis III.1- 2.68cC-389; 111.1 -3.68cC-1 bis IM.1-3.68cC-389; 111.1 -4.68cC-1 bis IN.1-4.cC-389;Compounds III.1-1, III.1-2, III.1-3, III.1-4 and III.2, wherein A is 3-chloro-5-trifluoromethylpyridin-2-yl and B is each a group of one Row of Table C corresponds (Compounds 111.1-1.68cC-1 to 111.1-1.68cC-389; 111.1 -2.68cC-1 to III.1- 2.68cC-389; 111.1 -3.68cC-1 to IM.1-3.68cC -389; 111.1 -4.68cC-1 to IN.1-4.cC-389;
III.2.68CC-1 bis IM.2.68cC-389) Tabelle 69cIII.2.68CC-1 to IM.2.68cC-389) Table 69c
Verbindungen III.1-1 , III.1-2, III.1-3, III.1-4 und III.2, worin A für 2-Chlor-6- trifluormethylpyridin-3-yl steht und B jeweils einer Gruppe einer Zeile der Tabelle C entspricht (Verbindungen 111.1-1.69cC-1 bis 111.1-1.69cC-389; 111.1 -2.69cC-1 bis III.1-Compounds III.1-1, III.1-2, III.1-3, III.1-4 and III.2, wherein A is 2-chloro-6-trifluoromethylpyridin-3-yl and B are each a group of one Line of Table C corresponds (compounds 111.1-1.69cC-1 to 111.1-1.69cC-389; 111.1 -2.69cC-1 to III.1-
2.69cC-389; 111.1 -3.69cC-1 bis IM.1-3.69cC-389; IN.1-4.69cC-1 bis IN.1-4.69cC-389; lll.2.69cC-1 bis IM.2.69cC-389) Tabelle 70c2.69cC-389; 111.1 -3.69cC-1 to IM.1-3.69cC-389; IN.1-4.69cC-1 to IN.1-4.69cC-389; Ill.2.69cC-1 to IM.2.69cC-389) Table 70c
Verbindungen III.1-1 , III.1-2, III.1-3, III.1-4 und III.2, worin A für 2,4-Dichlor-6- methylpyridin-3-yl steht und B jeweils einer Gruppe einer Zeile der Tabelle C entspricht (Verbindungen III.1-1.7OcC-I bis 111.1-1.70cC-389; IN.1-2.70cC-1 bis III.1- 2.70cC-389; 111.1-3.7OcC-I bis IM.1-3.70cC-389; 111.1 -4.70cC-1 bis IN.1-4.70cC-389; III.2.70CC-1 bis IM.2.70cC-389) Tabelle 71 c Verbindungen III.1-1 , III.1-2, III.1-3, III.1-4 und III.2, worin A für 3,4,5-Compounds III.1-1, III.1-2, III.1-3, III.1-4 and III.2, wherein A is 2,4-dichloro-6-methylpyridin-3-yl and B are each one Group of a row of Table C corresponds (Compounds III.1-1.7OcC-I to 111.1-1.70cC-389; IN.1-2.70cC-1 to III.1- 2.70cC-389; 111.1-3.7OcC-I to IM.1-3.70cC-389; 111.1 -4.70cC-1 to IN.1-4.70cC-389; III.2.70CC-1 to IM.2.70cC-389). Table 71c Compounds III.1-1, III .1-2, III.1-3, III.1-4 and III.2, wherein A is 3,4,5-
Trichlorpyridin-2-yl steht und B jeweils einer Gruppe einer Zeile der Tabelle C entspricht (Verbindungen 111.1-1.7I cC-I bis 111.1 -1.71 cC-389; 111.1 -2.71 cC-1 bis III.1- 2.71 cC-389; 111.1 -3.71 cC-1 bis 111.1-3.71 cC-389; I Il .1 -4.71 cC-1 bis 111.1 -4.71 cC-389; lll.2.71 cC-1 bis 111.2.71 cC-389) Tabelle 72cTrichloropyridin-2-yl and B corresponds in each case to one group of one row of Table C (Compounds 111.1-1.7I cC-I to 111.1 -1.71 cC-389; 111.1 -2.71 cC-1 to III.1- 2.71 cC-389; 111.1-3.71 cC-1 to 111.1-3.71 cC-389; I Il .1 -4.71 cC-1 to 111.1 -4.71 cC-389; ll.2.71 cC-1 to 111.2.71 cC-389) Table 72c
Verbindungen III.1-1 , III.1-2, III.1-3, III.1-4 und III.2, worin A für 2,4,6- Trichlorpyridin-3-yl steht und B jeweils einer Gruppe einer Zeile der Tabelle C entspricht (Verbindungen 111.1-1.72cC-1 bis 111.1-1.72cC-389; 111.1 -2.72cC-1 bis III.1- 2.72cC-389; 111.1 -3.72cC-1 bis IM.1-3.72cC-389; 111.1 -4.72cC-1 bis IN.1-4.72cC-389; lll.2.72cC-1 bis IM.2.72cC-389)Compounds III.1-1, III.1-2, III.1-3, III.1-4 and III.2, wherein A is 2,4,6-trichloropyridin-3-yl and B each represents a group of one Row of Table C corresponds (Compounds 111.1-1.72cC-1 to 111.1-1.72cC-389; 111.1 -2.72cC-1 to III.1-2.72cC-389; 111.1 -3.72cC-1 to IM.1-3.72cC -389; 111.1 -4.72cC-1 to IN.1-4.72cC-389; III.2.72cC-1 to IM.2.72cC-389)
Tabelle 73cTable 73c
Verbindungen III.1-1 , III.1-2, III.1-3, III.1-4 und III.2, worin A für Pyrimidin-2-yl steht und B jeweils einer Gruppe einer Zeile der Tabelle C entspricht (Verbindungen III.1- 1.73cC-1 bis lll.1-1.73cC-389; 111.1 -2.73cC-1 bis IM.1-2.73cC-389; 111.1 -3.73cC-1 bis lll.1-3.73cC-389; 111.1 -4.73cC-1 bis IN.1-4.73cC-389; IM.2.73cC-1 bis MI.2.73cC-389)Compounds III.1-1, III.1-2, III.1-3, III.1-4 and III.2, in which A is pyrimidin-2-yl and B in each case corresponds to one group of one row of Table C ( Compounds III.1- 1.73cC-1 to III.1-1.73cC-389; 111.1 -2.73cC-1 to IM.1-2.73cC-389; 111.1 -3.73cC-1 to III.1-3.73cC-389 ; 111.1 -4.73cC-1 to IN.1-4.73cC-389; IM.2.73cC-1 to MI.2.73cC-389)
Tabelle 74cTable 74c
Verbindungen III.1-1 , III.1-2, III.1-3, III.1-4 und III.2, worin A für Pyrimidin-5-yl steht und B jeweils einer Gruppe einer Zeile der Tabelle C entspricht (Verbindungen III.1- 1.74cC-1 bis lll.1-1.74cC-389; 111.1 -2.74cC-1 bis IM.1-2.74cC-389; 111.1 -3.74cC-1 bis lll.1-3.74cC-389; 111.1 -4.74cC-1 bis IN.1-4.74cC-389; IM.2.74cC-1 bis IM.2.74cC-389)Compounds III.1-1, III.1-2, III.1-3, III.1-4 and III.2, in which A is pyrimidin-5-yl and B corresponds in each case to one group of one row of Table C ( Compounds III.1- 1.74cC-1 to III.1-1.74cC-389; 111.1 -2.74cC-1 to IM.1-2.74cC-389; 111.1 -3.74cC-1 to III.1-3.74cC-389 ; 111.1 -4.74cC-1 to IN.1-4.74cC-389; IM.2.74cC-1 to IM.2.74cC-389)
Tabelle 75cTable 75c
Verbindungen III.1-1 , III.1-2, III.1-3, III.1-4 und III.2, worin A für 6-Chlorpyrimidin-3- yl steht und B jeweils einer Gruppe einer Zeile der Tabelle C entspricht (Verbindungen III.1-1.75CC-1 bis III.1-1.75CC-389; 111.1 -2.75cC-1 bis IN.1-2.75cC-389; III.1- 3.75cC-1 bis lll.1-3.75cC-389; 111.1 -4.75cC-1 bis IN.1-4.75cC-389; MI.2.75cC-1 bis III.2.75CC-389) Tabelle 76cCompounds III.1-1, III.1-2, III.1-3, III.1-4 and III.2, wherein A is 6-chloropyrimidine-3 yl and B corresponds in each case to one group of one row of Table C (Compounds III.1-1.75CC-1 to III.1-1.75CC-389; 111.1 -2.75cC-1 to IN.1-2.75cC-389; III 111-4.75cC-1 to IN.1-4.75cC-389, MI.2.75cC-1 to III.2.75CC-389) Table 76c
Verbindungen III.1-1 , III.1-2, III.1-3, III.1-4 und III.2, worin A für 6-Methylpyrimidin-3- yl steht und B jeweils einer Gruppe einer Zeile der Tabelle C entspricht (Verbindungen lll.1-1.76cC-1 bis 111.1-1.76cC-389; 111.1 -2.76cC-1 bis IN.1-2.76cC-389; III.1- 3.76cC-1 bis lll.1-3.76cC-389; 111.1 -4.76cC-1 bis IN.1-4.76cC-389; IN.2.76cC-1 bis lll.2.76cC-389)Compounds III.1-1, III.1-2, III.1-3, III.1-4 and III.2, wherein A is 6-methylpyrimidin-3-yl and B are each a group of one line of Table C. corresponds (Compounds lll.1-1.76cC-1 to 111.1-1.76cC-389; 111.1 -2.76cC-1 to IN.1-2.76cC-389; III.1- 3.76cC-1 to lll.1-3.76cC -389; 111.1 -4.76cC-1 to IN.1-4.76cC-389; IN.2.76cC-1 to III.2.76cC-389)
Tabelle 77cTable 77c
Verbindungen III.1-1 , III.1-2, III.1-3, III.1-4 und III.2, worin A für 6-Methoxypyrimidin- 3-yl steht und B jeweils einer Gruppe einer Zeile der Tabelle C entspricht (Verbindungen lll.1-1.77cC-1 bis 111.1-1.77cC-389; 111.1 -2.77cC-1 bis IN.1-2.77cC-389; III.1- 3.77cC-1 bis IN.1-3.77cC-389; 111.1 -4.77cC-1 bis IN.1-4.77cC-389; IN.2.77cC-1 bisCompounds III.1-1, III.1-2, III.1-3, III.1-4 and III.2, wherein A is 6-methoxypyrimidin-3-yl and B are each a group of one row of Table C. (Compounds III.1-1.77cC-1 to 111.1-1.77cC-389; 111.1 -2.77cC-1 to IN.1-2.77cC-389; III.1- 3.77cC-1 to IN.1-3.77cC -389; 111.1 -4.77cC-1 to IN.1-4.77cC-389; IN.2.77cC-1 to
III.2.77CC-389) Tabelle 78cIII.2.77CC-389) Table 78c
Verbindungen III.1-1 , III.1-2, III.1-3, III.1-4 und 111.2, worin A für 2,4- Dichlorpyrimidin-3-yl steht und B jeweils einer Gruppe einer Zeile der Tabelle C entspricht (Verbindungen 111.1-1.78cC-1 bis 111.1-1.78cC-389; IN.1-2.78cC-1 bis III.1-Compounds III.1-1, III.1-2, III.1-3, III.1-4 and 111.2, wherein A is 2,4-dichloropyrimidin-3-yl and B is in each case one group of one line of Table C. corresponds (compounds 111.1-1.78cC-1 to 111.1-1.78cC-389; IN.1-2.78cC-1 to III.1-
2.78cC-389; IN.1-3.78cC-1 bis IN.1-3.78cC-389; 111.1 -4.78cC-1 bis IN.1-4.78cC-389; lll.2.78cC-1 bis IN.2.78cC-389) Tabelle 79c2.78cC-389; IN.1-3.78cC-1 to IN.1-3.78cC-389; 111.1 -4.78cC-1 to IN.1-4.78cC-389; lll.2.78cC-1 to IN.2.78cC-389) Table 79c
Verbindungen III.1-1 , III.1-2, III.1-3, III.1-4 und 111.2, worin A für 2,6- Dichlorpyrimidin-3-yl steht und B jeweils einer Gruppe einer Zeile der Tabelle C entspricht (Verbindungen 111.1-1.79cC-1 bis 111.1-1.79cC-389; 111.1 -2.79cC-1 bis III.1- 2.79cC-389; 111.1 -3.79cC-1 bis 111.1 -3.79cC-389; 111.1 -4.79cC-1 bis IN.1-4.79cC-389; lll.2.79cC-1 bis IN.2.79cC-389) Tabelle 80c Verbindungen III.1-1 , III.1-2, III.1-3, III.1-4 und III.2, worin A für 2,4-Difluorpyrimidin-Compounds III.1-1, III.1-2, III.1-3, III.1-4 and 111.2, wherein A is 2,6-dichloropyrimidin-3-yl and B is in each case one group of one line of Table C. (Compounds 111.1-1.79cC-1 to 111.1-1.79cC-389; 111.1 -2.79cC-1 to III.1-2.79cC-389; 111.1 -3.79cC-1 to 111.1 -3.79cC-389; 111.1 -4.79 cC-1 to IN.1-4.79cC-389; III.2.79cC-1 to IN.2.79cC-389). Table 80c Compounds III.1-1, III.1-2, III.1-3, III. 1-4 and III.2, wherein A is 2,4-difluoropyrimidine
3-yl steht und B jeweils einer Gruppe einer Zeile der Tabelle C entspricht (Verbindungen 111.1-1.8OcC-I bis 111.1-1.80cC-389; 111.1 -2.80cC-1 bis IN.1-2.80cC-389; III.1- 3.80cC-1 bis IN.1-3.80cC-389; 111.1 -4.80cC-1 bis IN.1-4.80cC-389; IN.2.80cC-1 bis III.2.80CC-389) Tabelle 81 c3-yl and B corresponds in each case to one group of one row of Table C (Compounds 111.1-1.8OcC-I to 111.1-1.80cC-389; 111.1 -2.80cC-1 to IN.1-2.80cC-389; III.1 - 3.80cC-1 to IN.1-3.80cC-389; 111.1 -4.80cC-1 to IN.1-4.80cC-389; IN.2.80cC-1 to III.2.80CC-389). Table 81c
Verbindungen III.1-1 , III.1-2, III.1-3, III.1-4 und III.2, worin A für 2,6-Difluorpyrimidin- 3-yl steht und B jeweils einer Gruppe einer Zeile der Tabelle C entspricht (Verbindungen 111.1-1.81cC-1 bis 111.1-1.81 cC-389; 111.1 -2.81 cC-1 bis 111.1-2.81 cC-389; III.1- 3.81 cC-1 bis 111.1-3.81 cC-389; 111.1 -4.81 cC-1 bis IN.1-4.81cC-389; IN.2.81 cC-1 bis III.2.81 CC-389)Compounds III.1-1, III.1-2, III.1-3, III.1-4 and III.2, wherein A is 2,6-difluoropyrimidin-3-yl and B each represents a group of a line of Table C corresponds (Compounds 111.1-1.81cC-1 to 111.1-1.81 cC-389; 111.1 -2.81 cC-1 to 111.1-2.81 cC-389; III.1-3.81 cC-1 to 111.1-3.81 cC-389; 111.1 -4.81 cC-1 to IN.1-4.81cC-389; IN.2.81 cC-1 to III.2.81 CC-389)
Tabelle 82cTable 82c
Verbindungen III.1-1 , III.1-2, III.1-3, III.1-4 und III.2, worin A für 1 ,3,5-Triazin-2-yl steht und B jeweils einer Gruppe einer Zeile der Tabelle C entspricht (Verbindungen lll.1-1.82cC-1 bis 111.1-1.82cC-389; 111.1 -2.82cC-1 bis IM.1-2.82cC-389; III.1- 3.82cC-1 bis IM.1-3.82cC-389; IN.1-4.82cC-1 bis IN.1-4.82cC-389; MI.2.82cC-1 bis III.2.82CC-389) Tabelle 83cCompounds III.1-1, III.1-2, III.1-3, III.1-4 and III.2, wherein A is 1, 3,5-triazin-2-yl and B corresponds in each case to one group of one row of Table C (compounds III.1-1.82cC-1 to 111.1-1.82cC-389; 111.1 -2.82cC-1 to IM.1-2.82cC-389; III.1- 3.82cC-1 to IM.1-3.82cC-389; IN.1-4.82cC-1 to IN.1-4.82cC-389; MI.2.82cC-1 to III.2.82CC-389) Table 83c
Verbindungen III.1-1 , III.1-2, III.1-3, III.1-4 und III.2, worin A für Thien-2-yl steht und B jeweils einer Gruppe einer Zeile der Tabelle C entspricht (Verbindungen III.1- 1.83cC-1 bis 111.1-1.83cC-389; IN.1-2.83cC-1 bis IN.1-2.83cC-389; 111.1 -3.83cC-1 bis lll.1-3.83cC-389; IN.1-4.83cC-1 bis IN.1-4.83cC-389; IN.2.83cC-1 bis IN.2.83cC-389) Tabelle 84cCompounds III.1-1, III.1-2, III.1-3, III.1-4 and III.2, in which A is thien-2-yl and B corresponds in each case to one group of one row of Table C ( Compounds III.1- 1.83cC-1 to 111.1-1.83cC-389; IN.1-2.83cC-1 to IN.1-2.83cC-389; 111.1 -3.83cC-1 to III.1-3.83cC-389 IN.1-4.83cC-1 to IN.1-4.83cC-389; IN.2.83cC-1 to IN.2.83cC-389) Table 84c
Verbindungen III.1-1 , III.1-2, III.1-3, III.1-4 und III.2, worin A für Thien-3-yl steht und B jeweils einer Gruppe einer Zeile der Tabelle C entspricht (Verbindungen III.1- 1.84cC-1 bis 111.1-1.84cC-389; IN.1-2.84cC-1 bis IN.1-2.84cC-389; 111.1 -3.84cC-1 bis lll.1-3.84cC-389; IN.1-4.84cC-1 bis IN.1-4.84cC-389; IN.2.84cC-1 bis IN.2.84cC-389) Tabelle 85cCompounds III.1-1, III.1-2, III.1-3, III.1-4 and III.2, in which A is thien-3-yl and B corresponds in each case to one group of one row of Table C ( Compounds III.1- 1.84cC-1 to 111.1-1.84cC-389; IN.1-2.84cC-1 to IN.1-2.84cC-389; 111.1 -3.84cC-1 to III.1-3.84cC-389 IN.1-4.84cC-1 to IN.1-4.84cC-389; IN.2.84cC-1 to IN.2.84cC-389) Table 85c
Verbindungen III.1-1 , III.1-2, III.1-3, III.1-4 und III.2, worin A für 5-Chlorthien-2-yl steht und B jeweils einer Gruppe einer Zeile der Tabelle C entspricht (Verbindungen III.1-1.85CC-1 bis 111.1-1.85cC-389; IN.1-2.85cC-1 bis IN.1-2.85cC-389; III.1- 3.85cC-1 bis IN.1-3.85cC-389; IN.1-4.85cC-1 bis IN.1-4.85cC-389; IN.2.85cC-1 bis III.2.85CC-389)Compounds III.1-1, III.1-2, III.1-3, III.1-4 and III.2, wherein A is 5-chlorothien-2-yl and B are each a group of one row of Table C. (Compounds III.1-1.85CC-1 to 111.1-1.85cC-389; IN.1-2.85cC-1 to IN.1-2.85cC-389; III.1- 3.85cC-1 to IN.1- 3.85cC-389; IN.1-4.85cC-1 to IN.1-4.85cC-389; IN.2.85cC-1 to III.2.85CC-389)
Tabelle 86cTable 86c
Verbindungen III.1-1 , III.1-2, III.1-3, III.1-4 und III.2, worin A für 2-Chlorthien-3-yl steht und B jeweils einer Gruppe einer Zeile der Tabelle C entspricht (Verbindungen lll.1-1.86cC-1 bis 111.1-1.86cC-389; 111.1 -2.86cC-1 bis IN.1-2.86cC-389; III.1- 3.86cC-1 bis IN.1-3.86cC-389; 111.1 -4.86cC-1 bis IN.1-4.86cC-389; IN.2.86cC-1 bis lll.2.86cC-389) Tabelle 87cCompounds III.1-1, III.1-2, III.1-3, III.1-4 and III.2, wherein A is 2-chlorothien-3-yl and B are each a group of one row of Table C. corresponds (Compounds lll.1-1.86cC-1 to 111.1-1.86cC-389; 111.1 -2.86cC-1 to IN.1-2.86cC-389; III.1- 3.86cC-1 to IN.1-3.86cC -389; 111.1 -4.86cC-1 to IN.1-4.86cC-389; IN.2.86cC-1 to lll.2.86cC-389) Table 87c
Verbindungen III.1-1 , III.1-2, III.1-3, III.1-4 und III.2, worin A für 4-Chlorthien-3-yl steht und B jeweils einer Gruppe einer Zeile der Tabelle C entspricht (Verbindun- gen MI.1-1.87cC-1 bis 111.1-1.87cC-389; IM.1-2.87cC-1 bis IM.1-2.87cC-389; III.1-Compounds III.1-1, III.1-2, III.1-3, III.1-4 and III.2, wherein A is 4-chlorothien-3-yl and B are each a group of one row of Table C. corresponds (compounds MI.1-1.87cC-1 to 111.1-1.87cC-389; IM.1-2.87cC-1 to IM.1-2.87cC-389; III.1-
3.87cC-1 bis III.1-3.87CC-389; IN.1-4.87cC-1 bis IN.1-4.87cC-389; IN.2.87cC-1 bis III.2.87CC-389) Tabelle 88c3.87cC-1 to III.1-3.87CC-389; IN.1-4.87cC-1 to IN.1-4.87cC-389; IN.2.87cC-1 to III.2.87CC-389) Table 88c
Verbindungen III.1-1 , III.1-2, III.1-3, III.1-4 und III.2, worin A für 5-Chlorthien-3-yl steht und B jeweils einer Gruppe einer Zeile der Tabelle C entspricht (Verbindungen lll.1-1.88cC-1 bis 111.1-1.88cC-389; 111.1 -2.88cC-1 bis IN.1-2.88cC-389; III.1- 3.88cC-1 bis IN.1-3.88cC-389; 111.1 -4.88cC-1 bis IN.1-4.88cC-389; IN.2.88cC-1 bis III.2.88CC-389) Tabelle 89c Verbindungen III.1-1 , III.1-2, III.1-3, III.1-4 und III.2, worin A für 2-Bromthien-3-yl steht und B jeweils einer Gruppe einer Zeile der Tabelle C entspricht (Verbindungen 111.1-1.89cC-1 bis 111.1-1.89cC-389; 111.1 -2.89cC-1 bis IN.1-2.89cC-389; III.1- 3.89cC-1 bis IM.1-3.89cC-389; IN.1-4.89cC-1 bis lll.1-4.89cC-389; MI.2.89cC-1 bis III.2.89CC-389) Tabelle 90cCompounds III.1-1, III.1-2, III.1-3, III.1-4 and III.2, wherein A is 5-chlorothien-3-yl and B are each a group of one row of Table C. (Compounds III.1-1.88cC-1 to 111.1-1.88cC-389; 111.1 -2.88cC-1 to IN.1-2.88cC-389; III.1- 3.88cC-1 to IN.1-3.88cC -389; 111.1 -4.88cC-1 to IN.1-4.88cC-389; IN.2.88cC-1 to III.2.88CC-389). Table 89c Compounds III.1-1, III.1-2, III. 1-3, III.1-4 and III.2, in which A is 2-bromothien-3-yl and B corresponds in each case to one group of one row of Table C (compounds III.1-1.89cC-1 to 111.1-1.89cC- 389; 111.1 -2.89cC-1 to IN.1-2.89cC-389; III.1- 3.89cC-1 to IM.1-3.89cC-389; IN.1-4.89cC-1 to III.1-4.89cC-389; MI.2.89cC-1 to III.2.89CC-389) Table 90c
Verbindungen III.1-1 , III.1-2, III.1-3, III.1-4 und III.2, worin A für 4-Bromthien-3-yl steht und B jeweils einer Gruppe einer Zeile der Tabelle C entspricht (Verbindungen III.1-1.9OcC-I bis 111.1-1.90cC-389; IM.1-2.90cC-1 bis IM.1-2.90cC-389; III.1- 3.90cC-1 bis IN.1-3.90cC-389; IN.1-4.90cC-1 bis IN.1-4.90cC-389; IN.2.90cC-1 bis III.2.90CC-389) Tabelle 91 c Verbindungen III.1-1 , III.1-2, III.1-3, III.1-4 und III.2, worin A für 5-Bromthien-3-yl steht und B jeweils einer Gruppe einer Zeile der Tabelle C entspricht (Verbindungen lll.1-1.91 cC-1 bis 111.1 -1.91 cC-389; 111.1 -2.91 cC-1 bis 111.1-2.91 cC-389; III.1- 3.91 cC-1 bis 111.1-3.91 cC-389; 111.1 -4.91 cC-1 bis IN.1-4.91cC-389; IN.2.91 cC-1 bis lll.2.91 cC-389) Tabelle 92cCompounds III.1-1, III.1-2, III.1-3, III.1-4 and III.2, wherein A is 4-bromothien-3-yl and B are each a group of one row of Table C. (Compounds III.1-1.9OcC-I to 111.1-1.90cC-389; IM.1-2.90cC-1 to IM.1-2.90cC-389; III.1- 3.90cC-1 to IN.1- 3.90cC-389; IN.1-4.90cC-1 to IN.1-4.90cC-389; IN.2.90cC-1 to III.2.90CC-389). Table 91c Compounds III.1-1, III.1 -2, III.1-3, III.1-4 and III.2, in which A is 5-bromothien-3-yl and B corresponds in each case to one group of one row of Table C (compounds III.1-1.91 cC- 1 to 111.1 -1.91 cC-389; 111.1 -2.91 cC-1 to 111.1-2.91 cC-389; III.1- 3.91 cC-1 to 111.1-3.91 cC-389; 111.1 -4.91 cC-1 to IN.1- 4.91cC-389; IN.2.91 cC-1 to III.2.91 cC-389) Table 92c
Verbindungen III.1-1 , III.1-2, III.1-3, III.1-4 und III.2, worin A für 5-Methylthien-2-yl steht und B jeweils einer Gruppe einer Zeile der Tabelle C entspricht (Verbindungen lll.1-1.92cC-1 bis 111.1-1.92cC-389; IN.1-2.92cC-1 bis IN.1-2.92cC-389; III.1- 3.92cC-1 bis IN.1-3.92cC-389; 111.1 -4.92cC-1 bis IN.1-4.92cC-389; IN.2.92cC-1 bis III.2.92CC-389)Compounds III.1-1, III.1-2, III.1-3, III.1-4 and III.2, wherein A is 5-methylthien-2-yl and B are each a group of one line of Table C. (Compounds III.1-1.92cC-1 to 111.1-1.92cC-389; IN.1-2.92cC-1 to IN.1-2.92cC-389; III.1- 3.92cC-1 to IN.1- 3.92cC-389; 111.1 -4.92cC-1 to IN.1-4.92cC-389; IN.2.92cC-1 to III.2.92CC-389)
Tabelle 93cTable 93c
Verbindungen III.1-1 , III.1-2, III.1-3, III.1-4 und III.2, worin A für 2-Methylthien-4-yl steht und B jeweils einer Gruppe einer Zeile der Tabelle C entspricht (Verbindungen lll.1-1.93cC-1 bis 111.1-1.93cC-389; IN.1-2.93cC-1 bis IN.1-2.93cC-389; III.1- 3.93cC-1 bis IN.1-3.93cC-389; 111.1 -4.93cC-1 bis IN.1-4.93cC-389; IN.2.93cC-1 bis lll.2.93cC-389) Tabelle 94cCompounds III.1-1, III.1-2, III.1-3, III.1-4 and III.2, wherein A is 2-methylthien-4-yl and B is in each case a group of one line of Table C. (Compounds III.1-1.93cC-1 to 111.1-1.93cC-389; IN.1-2.93cC-1 to IN.1-2.93cC-389; III.1- 3.93cC-1 to IN.1- 3.93cC-389; 111.1 -4.93cC-1 to IN.1-4.93cC-389; IN.2.93cC-1 to III.2.93cC-389) Table 94c
Verbindungen III.1-1 , III.1-2, III.1-3, III.1-4 und III.2, worin A für 4,5-Dichlorthien-2-yl steht und B jeweils einer Gruppe einer Zeile der Tabelle C entspricht (Verbindun- gen 111.1-1.94cC-1 bis 111.1-1.94cC-389; IN.1-2.94cC-1 bis IN.1-2.94cC-389; III.1-Compounds III.1-1, III.1-2, III.1-3, III.1-4 and III.2, wherein A is 4,5-dichlorothien-2-yl and B is in each case a group of a line of Table C corresponds (Compounds 111.1-1.94cC-1 to 111.1-1.94cC-389; IN.1-2.94cC-1 to IN.1-2.94cC-389; III.1-
3.94cC-1 bis IN.1-3.94cC-389; 111.1 -4.94cC-1 bis IN.1-4.94cC-389; IN.2.94cC-1 bis lll.2.94cC-389) Tabelle 95c3.94cC-1 to IN.1-3.94cC-389; 111.1 -4.94cC-1 to IN.1-4.94cC-389; IN.2.94cC-1 to III.2.94cC-389) Table 95c
Verbindungen III.1-1 , III.1-2, III.1-3, III.1-4 und III.2, worin A für 2,5-Dichlorthien-3-yl steht und B jeweils einer Gruppe einer Zeile der Tabelle C entspricht (Verbindungen III.1-1.95CC-1 bis 111.1-1.95cC-389; IN.1-2.95cC-1 bis IN.1-2.95cC-389; III.1- 3.95cC-1 bis IN.1-3.95cC-389; 111.1 -4.95cC-1 bis IN.1-4.95cC-389; IN.2.95cC-1 bis III.2.95CC-389) Tabelle 96c Verbindungen III.1-1 , III.1-2, III.1-3, III.1-4 und III.2, worin A für 2,3-Dichlorthien-4-yl steht und B jeweils einer Gruppe einer Zeile der Tabelle C entspricht (Verbindungen 111.1-1.96cC-1 bis 111.1-1.96cC-389; 111.1 -2.96cC-1 bis IN.1-2.96cC-389; III.1- 3.96cC-1 bis IM.1-3.96cC-389; IN.1-4.96cC-1 bis lll.1-4.96cC-389; IM.2.96cC-1 bis III.2.96CC-389) Tabelle 97cCompounds III.1-1, III.1-2, III.1-3, III.1-4 and III.2, wherein A is 2,5-dichlorothien-3-yl and B is in each case a group of a line of Table C corresponds to (Compounds III.1-1.95CC-1 to 111.1-1.95cC-389; IN.1-2.95cC-1 to IN.1-2.95cC-389; III.1-3.95cC-1 to IN. 1-3.95cC-389; 111.1 -4.95cC-1 to IN.1-4.95cC-389; IN.2.95cC-1 to III.2.95CC-389). Table 96c Compounds III.1-1, III.1- 2, III.1-3, III.1-4 and III.2, wherein A is 2,3-dichlorothien-4-yl and B corresponds in each case to one group of one row of Table C (compounds III.1-1.96cC-1 to 111.1-1.96cC-389; 111.1 -2.96cC-1 to IN.1-2.96cC-389; III.1- 3.96cC-1 to IM.1-3.96cC-389; IN.1-4.96cC-1 to III.1-4.96cC-389; IM.2.96cC-1 to III.2.96CC-389) Table 97c
Verbindungen III.1-1 , III.1-2, III.1-3, III.1-4 und III.2, worin A für 2,5-Dibromthien-3-yl steht und B jeweils einer Gruppe einer Zeile der Tabelle C entspricht (Verbindungen lll.1-1.97cC-1 bis lll.1-1.97cC-389; 111.1 -2.97cC-1 bis IM.1-2.97cC-389; III.1- 3.97cC-1 bis III.1-3.97CC-389; 111.1 -4.97cC-1 bis IN.1-4.97cC-389; MI.2.97cC-1 bis III.2.97CC-389) Tabelle 98c Verbindungen III.1-1 , III.1-2, III.1-3, III.1-4 und III.2, worin A für 4,5-Dimethylthien-2- yl steht und B jeweils einer Gruppe einer Zeile der Tabelle C entspricht (Verbindungen lll.1-1.98cC-1 bis 111.1-1.98cC-389; 111.1 -2.98cC-1 bis IN.1-2.98cC-389; III.1- 3.98cC-1 bis IM.1-3.98cC-389; IN.1-4.98cC-1 bis IN.1-4.98cC-389; MI.2.98cC-1 bis lll.2.98cC-389) Tabelle 99cCompounds III.1-1, III.1-2, III.1-3, III.1-4 and III.2, wherein A is 2,5-dibromothien-3-yl and B each represents a group of a line of Table C corresponds to (Compounds Ill.1-1.97cC-1 to Ill.1-1.97cC-389; 111.1 -2.97cC-1 to IM.1-2.97cC-389; III.1-3.97cC-1 to III. 1-3.97CC-389; 111.1 -4.97cC-1 to IN.1-4.97cC-389; MI.2.97cC-1 to III.2.97CC-389) Table 98c Compounds III.1-1, III.1- 2, III.1-3, III.1-4 and III.2, wherein A is 4,5-dimethylthien-2-yl and B corresponds in each case to one group of one row of Table C (compounds III.1-1.98cC -1 to 111.1-1.98cC-389; 111.1 -2.98cC-1 to IN.1-2.98cC-389; III.1- 3.98cC-1 to IM.1-3.98cC-389; IN.1-4.98cC -1 to IN.1-4.98cC-389; MI.2.98cC-1 to III.2.98cC-389) Table 99c
Verbindungen III.1-1 , III.1-2, III.1-3, III.1-4 und III.2, worin A für 2,5-Dimethylthien-3- yl steht und B jeweils einer Gruppe einer Zeile der Tabelle C entspricht (Verbindungen lll.1-1.99cC-1 bis 111.1-1.99cC-389; IM.1-2.99cC-1 bis IN.1-2.99cC-389; III.1- 3.99cC-1 bis IM.1-3.99cC-389; 111.1 -4.99cC-1 bis IN.1-4.99cC-389; MI.2.99cC-1 bis III.2.99CC-389)Compounds III.1-1, III.1-2, III.1-3, III.1-4 and III.2, wherein A is 2,5-dimethylthien-3-yl and B each represents a group of a line of Table C corresponds to (Compounds III.1-1.99cC-1 to 111.1-1.99cC-389; IM.1-2.99cC-1 to IN.1-2.99cC-389; III.1-3.99cC-1 to IM. 1-3.99cC-389; 111.1 -4.99cC-1 to IN.1-4.99cC-389; MI.2.99cC-1 to III.2.99CC-389)
Tabelle 10OcTable 10Oc
Verbindungen III.1-1 , III.1-2, III.1-3, III.1-4 und III.2, worin A für 2,3-Dimethylthien-4- yl steht und B jeweils einer Gruppe einer Zeile der Tabelle C entspricht (Verbindungen 111.1-1.10OcC-I bis 111.1-1.1 OOcC-389; 111.1-2.100cC-1 bis IM.1-2.100cC-389; 111.1-3.10OcC-I bis 111.1-3.1 OOcC-389; 111.1 -4.100cC-1 bis IN.1-4.100cC-389; lll.2.100cC-1 bis 111.2.1 OOcC-389) Tabelle 101 cCompounds III.1-1, III.1-2, III.1-3, III.1-4 and III.2, wherein A is 2,3-dimethylthien-4-yl and B is in each case a group of one line of Table C corresponds (Compounds 111.1-1.10OcC-I to 111.1-1.1 OOcC-389; 111.1-2.100cC-1 to IM.1-2.100cC-389; 111.1-3.10OcC-I to 111.1-3.1 OOcC-389; 111.1 -4.100cC-1 to IN.1-4.100cC-389; lll.2.100cC-1 to 111.2.1 OOcC-389) Table 101c
Verbindungen III.1-1 , III.1-2, III.1-3, III.1-4 und III.2, worin A für 3,4,5-Trichlorthien- 2-yl steht und B jeweils einer Gruppe einer Zeile der Tabelle C entspricht (Verbin- düngen 111.1-1.10I cC-I bis 111.1-1.101 cC-389; 111.1-2.101 cC-1 bis 111.1-2.101 cC-389; lll.1-3.101 cC-1 bis 111.1-3.101 cC-389; 111.1 -4.101 cC-1 bis 111.1-4.101 cC-389; lll.2.101 cC-1 bis 111.2.101cC-389) Tabelle 102cCompounds III.1-1, III.1-2, III.1-3, III.1-4 and III.2, wherein A is 3,4,5-trichlorothien-2-yl and B each represents a group of one Line of Table C corresponds to (Compound 111.1-1.10I cC-I to 111.1-1.101 cC-389; 111.1-2.101 cC-1 to 111.1-2.101 cC-389; lll.1-3.101 cC-1 to 111.1-3.101 cC-389; 111.1 -4.101 cC-1 to 111.1-4.101 cC-389; lll.2.101 cC-1 to 111.2.101cC-389) Table 102c
Verbindungen III.1-1 , III.1-2, III.1-3, III.1-4 und III.2, worin A für 2,4,5-Trichlorthien- 3-yl steht und B jeweils einer Gruppe einer Zeile der Tabelle C entspricht (Verbindungen lll.1-1.102cC-1 bis 111.1-1.102cC-389; 111.1-2.102cC-1 bis 111.1-2.102cC-389; lll.1-3.102cC-1 bis 111.1-3.102cC-389; 111.1 -4.102cC-1 bis 111.1-4.102cC-389; lll.2.102cC-1 bis IM.2.102cC-389) Tabelle 103c Verbindungen III.1-1 , III.1-2, III.1-3, III.1-4 und III.2, worin A für 2,4,5-Tribromthien-Compounds III.1-1, III.1-2, III.1-3, III.1-4 and III.2, wherein A is 2,4,5-trichlorothien-3-yl and B each represents a group of one Row of Table C corresponds (Compounds III.1-1.102cC-1 to 111.1-1.102cC-389; 111.1-2.102cC-1 to 111.1-2.102cC-389; III.1-3.102cC-1 to 111.1-3.102cC -389; 111.1 -4.102cC-1 to 111.1-4.102cC-389; lll.2.102cC-1 to IM.2.102cC-389) Table 103c Compounds III.1-1, III.1-2, III.1- 3, III.1-4 and III.2, wherein A is 2,4,5-tribromothienes
3-yl steht und B jeweils einer Gruppe einer Zeile der Tabelle C entspricht (Verbindungen 111.1-1.103cC-1 bis 111.1 -1.103cC-389; 111.1-2.103cC-1 bis 111.1-2.103cC-389; lll.1 -3.103cC-1 bis 111.1 -3.103cC-389; 111.1 -4.103cC-1 bis 111.1 -4.103cC-389; III.2.103CC-1 bis 111.2.103cC-389) Tabelle 104c3-yl and B corresponds in each case to one group of one row of Table C (Compounds 111.1-1.103cC-1 to 111.1 -1.103cC-389; 111.1-2.103cC-1 to 111.1-2.103cC-389; III.1 -3.103cC-1 to 111.1 -3.103cC-389; 111.1 -4.103cC-1 to 111.1 -4.103cC-389; III.2.103CC-1 to 111.2.103cC-389) Table 104c
Verbindungen III.1-1 , III.1-2, III.1-3, III.1-4 und III.2, worin A für 3,4,5- Trimethylthien-2-yl steht und B jeweils einer Gruppe einer Zeile der Tabelle C entspricht (Verbindungen IM.1-1.104cC-1 bis 111.1-1.104cC-389; 111.1 -2.104cC-1 bis lll.1-2.104cC-389; 111.1 -3.104cC-1 bis IM.1-3.104cC-389; 111.1 -4.104cC-1 bis III.1- 4.104cC-389; 111.2.104cC-1 bis IN.2.104cC-389) Tabelle 105c Verbindungen III.1-1 , III.1-2, III.1-3, III.1-4 und III.2, worin A für 4-Chlorfur-2-yl steht und B jeweils einer Gruppe einer Zeile der Tabelle C entspricht (Verbindungen III.1- 1.105cC-1 bis 111.1-1.105cC-389; 111.1-2.105cC-1 bis 111.1-2.105cC-389; III.1- 3.105cC-1 bis 111.1-3.105cC-389; 111.1-4.105cC-1 bis 111.1-4.105cC-389; IM.2.105cC- 1 bis lll.2.105cC-389) Tabelle 106cCompounds III.1-1, III.1-2, III.1-3, III.1-4 and III.2, wherein A is 3,4,5-trimethylthien-2-yl and B each represents a group of one Line of Table C corresponds (compounds IM.1-1.104cC-1 to 111.1-1.104cC-389; 111.1 -2.104cC-1 to III.1-2.104cC-389; 111.1 -3.104cC-1 to IM.1- 3.104cC-389; 111.1 -4.104cC-1 to III.1- 4.104cC-389; 111.2.104cC-1 to IN.2.104cC-389). Table 105c Compounds III.1-1, III.1-2, III .1-3, III.1-4 and III.2, in which A is 4-chlorofur-2-yl and B corresponds in each case to one group of one row of Table C (compounds III.1- 1.105cC-1 to III.1- III.1- 3.105cC-1 to 111.1-3.105cC-389; 111.1-4.105cC-1 to 111.1-4.105cC-389; IM.105cC-389; 111.1-2.105cC-1 to 111.1-2.105cC-389; III.1-3.105cC-1 to 111.1-3.105cC-389; .2.105cC-1 to III.2.105cC-389) Table 106c
Verbindungen III.1-1 , III.1-2, III.1-3, III.1-4 und III.2, worin A für 5-Chlorfur-2-yl steht und B jeweils einer Gruppe einer Zeile der Tabelle C entspricht (Verbindungen III.1- 1.106cC-1 bis 111.1 -1.106cC-389; 111.1-2.106cC-1 bis 111.1-2.106cC-389; III.1- 3.106cC-1 bis 111.1-3.106cC-389; 111.1-4.106cC-1 bis 111.1-4.106cC-389; IM.2.106cC- 1 bis lll.2.106cC-389)Compounds III.1-1, III.1-2, III.1-3, III.1-4 and III.2, wherein A is 5-chlorofur-2-yl and B are each a group of one row of Table C. (Compounds III.1- 1.106cC-1 to 111.1 -1.106cC-389; 111.1-2.106cC-1 to 111.1-2.106cC-389; III.1- 3.106cC-1 to 111.1-3.106cC-389; 111.1 -4.106cC-1 to 111.1-4.106cC-389; IM.2.106cC-1 to lll.2.106cC-389)
Tabelle 107cTable 107c
Verbindungen III.1-1 , III.1-2, III.1-3, III.1-4 und III.2, worin A für 3-Bromfur-2-yl steht und B jeweils einer Gruppe einer Zeile der Tabelle C entspricht (Verbindungen III.1- 1.107cC-1 bis III.1-1.107CC-389; Il 1.1 -2.107cC-1 bis 111.1 -2.107cC-389; III.1- 3.107cC-1 bis IM.1-3.107cC-389; Il 1.1 -4.107cC-1 bis 111.1-4.107cC-389; IM.2.107cC-Compounds III.1-1, III.1-2, III.1-3, III.1-4 and III.2, wherein A is 3-bromo-fur-2-yl and B are each a group of one line of Table C. (Compounds III.1-1.107cC-1 to III.1-1.107CC-389; II 1.1 -2.107cC-1 to 111.1 -2.107cC-389; III.1-3.107cC-1 to IM.1-3.107 cC-389; II 1.1 -4.107cC-1 to 111.1-4.107cC-389; IM.2.107cC-
1 bis III.2.107CC-389) Tabelle 108c1 to III.2.107CC-389) Table 108c
Verbindungen III.1-1 , III.1-2, III.1-3, III.1-4 und III.2, worin A für 4-Bromfur-2-yl steht und B jeweils einer Gruppe einer Zeile der Tabelle C entspricht (Verbindungen III.1- 1.108cC-1 bis 111.1 -1.108cC-389; 111.1-2.108cC-1 bis IN.1-2.108cC-389; III.1-Compounds III.1-1, III.1-2, III.1-3, III.1-4 and III.2, wherein A is 4-bromo-fur-2-yl and B are each a group of one line of Table C. corresponds (Compounds III.1- 1.108cC-1 to 111.1 -1.108cC-389; 111.1-2.108cC-1 to IN.1-2.108cC-389; III.1-
3.108cC-1 bis 111.1-3.108cC-389; 111.1-4.108cC-1 bis 111.1-4.108cC-389; IM.2.108cC- 1 bis lll.2.108cC-38θ) Tabelle 109c3.108cC-1 to 111.1-3.108cC-389; 111.1-4.108cC-1 to 111.1-4.108cC-389; IM.2.108cC-1 to lll.2.108cC-38θ) Table 109c
Verbindungen III.1-1 , III.1-2, III.1-3, III.1-4 und III.2, worin A für 5-Bromfur-2-yl steht und B jeweils einer Gruppe einer Zeile der Tabelle C entspricht (Verbindungen III.1-Compounds III.1-1, III.1-2, III.1-3, III.1-4 and III.2, wherein A is 5-bromo-fur-2-yl and B are each a group of one line of Table C. corresponds (compounds III.1-
1.109cC-1 bis 111.1-1.109cC-389; 111.1 -2.109cC-1 bis 111.1-2.109cC-389; III.1- 3.109cC-1 bis 111.1-3.109cC-389; 111.1 -4.109cC-1 bis 111.1-4.109cC-389; IM.2.109cC- 1 bis lll.2.109cC-38θ) Tabelle 1 1Oc Verbindungen III.1-1 , III.1-2, III.1-3, III.1-4 und III.2, worin A für 3,4-Dichlorfur-2-yl steht und B jeweils einer Gruppe einer Zeile der Tabelle C entspricht (Verbindungen 111.1-1.1 10cC-1 bis 111.1-1.1 10cC-389; 111.1-2.1 1OcC-I bis 111.1-2.1 10cC-389; 111.1-3.1 1OcC-I bis IM.1-3.1 10cC-389; III.1-4.11 OcC- 1 bis 111.1-4.1 10cC-389; 111.2.1 10cC-1 bis 111.2.1 10cC-389) Tabelle 1 11 c1.109cC-1 to 111.1-1.109cC-389; 111.1 -2.109cC-1 to 111.1-2.109cC-389; III.1-3.109cC-1 to 111.1-3.109cC-389; 111.1 -4.109cC-1 to 111.1-4.109cC-389; IM.2.109cC-1 to lll.2.109cC-38θ) Table 1 1Oc Compounds III.1-1, III.1-2, III.1-3, III.1-4 and III.2, wherein A is 3 , 4-dichloropur-2-yl and B corresponds in each case to one group of one row of Table C (Compounds 111.1-1.1 10cC-1 to 111.1-1.1 10cC-389; 111.1-2.1 1OcC-1 to 111.1-2.1 10cC-389; 111.1-3.1 1OcC-I to IM.1-3.1 10cC-389; III.1-4.11 OcC-1 to 111.1-4.1 10cC-389; 111.2.1 10cC-1 to 111.2.1 10cC-389) Table 1 11 c
Verbindungen III.1-1 , III.1-2, III.1-3, III.1-4 und III.2, worin A für 4,5-Dichlorfur-2-yl steht und B jeweils einer Gruppe einer Zeile der Tabelle C entspricht (Verbindungen 111.1-1.1 11 cC-1 bis 111.1-1.1 11 cC-389; 111.1-2.1 11 cC-1 bis 111.1-2.1 11 cC-389; 111.1-3.1 11 cC-1 bis 111.1-3.1 11 cC-389; 111.1-4.11 1cC-1 bis 111.1-4.1 11 cC-389; 111.2.1 11 cC-1 bis 111.2.1 1 1cC-389) Tabelle 1 12c Verbindungen III.1-1 , III.1-2, III.1-3, III.1-4 und III.2, worin A für Thiazol-2-yl steht und B jeweils einer Gruppe einer Zeile der Tabelle C entspricht (Verbindungen III.1- 1.112cC-1 bis 111.1-1.1 12cC-389; 111.1-2.1 12cC-1 bis III.1-2.1 12cC-389; III.1- 3.112cC-1 bis 111.1-3.1 12cC-389; 111.1-4.1 12cC-1 bis III.1-4.1 12cC-389; 111.2.112cC- 1 bis lll.2.1 12cC-389) Tabelle 1 13cCompounds III.1-1, III.1-2, III.1-3, III.1-4 and III.2, wherein A is 4,5-dichloropur-2-yl and B is in each case a group of one line of Table C corresponds (Compounds 111.1-1.1 11 cC-1 to 111.1-1.1 11 cC-389; 111.1-2.1 11 cC-1 to 111.1-2.1 11 cC-389; 111.1-3.1 11 cC-1 to 111.1-3.1 11 cC -389; 111.1-4.11 1cC-1 to 111.1-4.1 11 cC-389; 111.2.1 11 cC-1 to 111.2.1 1 1cC-389) Table 1 12c Compounds III.1-1, III.1-2, III.1-3, III.1-4 and III.2, wherein A is thiazol-2-yl and B corresponds in each case to one group of one row of Table C (Compounds III.1- 1.112cC-1 to 111.1-1.1 12cC-389; 111.1-2.1 12cC-1 to III.1-2.1 12cC-389; III.1-3.112cC-1 to 111.1-3.1 12cC-389; 111.1-4.1 12cC-1 to III.1-4.1 12cC- 389; 111.2.112cC-1 to lll.2.1 12cC-389) Table 1 13c
Verbindungen III.1-1 , III.1-2, III.1-3, III.1-4 und III.2, worin A für Thiazol-4-yl steht und B jeweils einer Gruppe einer Zeile der Tabelle C entspricht (Verbindungen III.1- 1.113cC-1 bis 111.1-1.1 13cC-389; 111.1-2.1 13cC-1 bis III.1-2.1 13cC-389; III.1- 3.113cC-1 bis 111.1-3.1 13cC-389; 111.1-4.1 13cC-1 bis III.1-4.1 13cC-389; 111.2.113cC- 1 bis lll.2.1 13cC-389)Compounds III.1-1, III.1-2, III.1-3, III.1-4 and III.2, in which A is thiazol-4-yl and B corresponds in each case to one group of one row of Table C ( Compounds III.1- 1.113cC-1 to 111.1-1.1 13cC-389; 111.1-2.1 13cC-1 to III.1-2.1 13cC-389; III.1- 3.113cC-1 to 111.1-3.1 13cC-389; 111.1 -4.1 13cC-1 to III.1-4.1 13cC-389; 111.2.113cC-1 to III.2.1 13cC-389)
Tabelle 1 14cTable 1 14c
Verbindungen III.1-1 , III.1-2, III.1-3, III.1-4 und III.2, worin A für Thiazol-5-yl steht und B jeweils einer Gruppe einer Zeile der Tabelle C entspricht (Verbindungen III.1- 1.114cC-1 bis 111.1-1.1 14cC-389; 111.1-2.1 14cC-1 bis III.1-2.1 14cC-389; III.1- 3.114cC-1 bis III.1-3.1 14cC-389; III.1-4.1 14cC-1 bis III.1-4.1 14cC-389; 111.2.114cC-Compounds III.1-1, III.1-2, III.1-3, III.1-4 and III.2, in which A is thiazol-5-yl and B corresponds in each case to one group of one row of Table C ( Compounds III.1- 1.114cC-1 to 111.1-1.1 14cC-389; 111.1-2.1 14cC-1 to III.1-2.1 14cC-389; III.1-3.114cC-1 to III.1-3.1 14cC-389 III.1-4.1 14cC-1 to III.1-4.1 14cC-389; 111.2.114cC-
1 bis lll.2.1 14cC-389) Tabelle 1 15c1 to III.2.1 14cC-389) Table 1 15c
Verbindungen III.1-1 , III.1-2, III.1-3, III.1-4 und III.2, worin A für lsothiazol-3-yl steht und B jeweils einer Gruppe einer Zeile der Tabelle C entspricht (Verbindungen III.1- 1.115cC-1 bis III.1-1.1 15cC-389; III.1-2.1 15cC-1 bis III.1-2.1 15cC-389; III.1-Compounds III.1-1, III.1-2, III.1-3, III.1-4 and III.2, in which A is isothiazol-3-yl and B corresponds in each case to one group of one row of Table C ( Compounds III.1- 1.115cC-1 to III.1-1.1 15cC-389; III.1-2.1 15cC-1 to III.1-2.1 15cC-389; III.1-
3.115cC-1 bis 111.1-3.1 15cC-389; 111.1-4.1 15cC-1 bis III.1-4.1 15cC-389; 111.2.115cC- 1 bis lll.2.1 15cC-389) Tabelle 1 16c3.115cC-1 to 111.1-3.1 15cC-389; 111.1-4.1 15cC-1 to III.1-4.1 15cC-389; 111.2.115cC-1 to III.2.1 15cC-389) Table 1 16c
Verbindungen III.1-1 , III.1-2, III.1-3, III.1-4 und III.2, worin A für lsothiazol-4-yl steht und B jeweils einer Gruppe einer Zeile der Tabelle C entspricht (Verbindungen III.1-Compounds III.1-1, III.1-2, III.1-3, III.1-4 and III.2, wherein A is isothiazol-4-yl and B corresponds in each case to one group of one row of Table C ( Compounds III.1-
1.116cC-1 bis 111.1-1.1 16cC-389; 111.1-2.1 16cC-1 bis III.1-2.1 16cC-389; III.1- 3.116cC-1 bis 111.1-3.1 16cC-389; 111.1-4.1 16cC-1 bis III.1-4.1 16cC-389; IN.2.116cC- 1 bis lll.2.1 16cC-389) Tabelle 1 17c Verbindungen III.1-1 , III.1-2, III.1-3, III.1-4 und III.2, worin A für lsothiazol-5-yl steht und B jeweils einer Gruppe einer Zeile der Tabelle C entspricht (Verbindungen III.1- 1.117cC-1 bis 111.1-1.1 17cC-389; lll.1-2.1 17cC-1 bis III.1-2.1 17cC-389; III.1- 3.117cC-1 bis 111.1-3.1 17cC-389; III.1-4.1 17cC-1 bis III.1-4.1 17cC-389; 111.2.117cC- 1 bis III.2.1 17CC-389) Tabelle 1 18c1.116cC-1 to 111.1-1.1 16cC-389; 111.1-2.1 16cC-1 to III.1-2.1 16cC-389; III.1-3.16cC-1 to 111.1-3.1 16cC-389; 111.1-4.1 16cC-1 to III.1-4.1 16cC-389; IN.2.116cC-1 to III.2.1 16cC-389) Table 1 17c Compounds III.1-1, III.1-2, III.1-3, III.1-4 and III.2, wherein A is isothiazole -5-yl and B in each case corresponds to one group of one row of Table C (Compounds III.1- 1.117cC-1 to 111.1-1.1 17cC-389; lll.1-2.1 17cC-1 to III.1-2.1 17cC- 389, III.1- 3.117cC-1 to 111.1-3.1 17cC-389; III.1-4.1 17cC-1 to III.1-4.1 17cC-389; III.2.117cC-1 to III.2.1 17CC-389) Table 1 18c
Verbindungen III.1-1 , III.1-2, III.1-3, III.1-4 und III.2, worin A für 2-Chlorthiazol-4-yl steht und B jeweils einer Gruppe einer Zeile der Tabelle C entspricht (Verbindungen 111.1-1.1 18cC-1 bis III.1-1.1 18cC-389; III.1-2.1 18cC-1 bis 111.1-2.1 18cC-389; 111.1-3.1 18cC-1 bis IM.1-3.1 18cC-389; III.1-4.118cC-1 bis 111.1-4.1 18cC-389; 111.2.1 18cC-1 bis 111.2.1 18cC-389) Tabelle 1 19c Verbindungen III.1-1 , III.1-2, III.1-3, III.1-4 und III.2, worin A für 2-Chlorthiazol-5-yl steht und B jeweils einer Gruppe einer Zeile der Tabelle C entspricht (Verbindungen 111.1-1.1 19cC-1 bis 111.1-1.1 19cC-389; 111.1-2.1 19cC-1 bis 111.1-2.1 19cC-389; 111.1-3.1 19cC-1 bis IM.1-3.1 19cC-389; III.1-4.119cC-1 bis 111.1-4.1 19cC-389; 111.2.1 19cC-1 bis 111.2.1 19cC-389) Tabelle 120cCompounds III.1-1, III.1-2, III.1-3, III.1-4 and III.2, wherein A is 2-chlorothiazol-4-yl and B each represents a group of one line of Table C. (Compounds 111.1-1.1 18cC-1 to III.1-1.1 18cC-389; III.1-2.1 18cC-1 to 111.1-2.1 18cC-389; 111.1-3.1 18cC-1 to IM.1-3.1 18cC-389 ; III.1-4.118cC-1 to 111.1-4.1 18cC-389; 111.2.1 18cC-1 to 111.2.1 18cC-389). Table 1 19c Compounds III.1-1, III.1-2, III.1 -3, III.1-4 and III.2, wherein A is 2-chlorothiazol-5-yl and B corresponds in each case to one group of one row of Table C (Compounds 111.1-1.1 19cC-1 to 111.1-1.1 19cC-389 111.1-2.1 19cC-1 to 111.1-2.1 19cC-389; 111.1-3.1 19cC-1 to IM.1-3.1 19cC-389; III.1-4.119cC-1 to 111.1-4.1 19cC-389; 111.2.1 19cC-1 to 111.2.1 19cC-389) Table 120c
Verbindungen III.1-1 , III.1-2, III.1-3, III.1-4 und III.2, worin A für 4-Chlorthiazol-5-yl steht und B jeweils einer Gruppe einer Zeile der Tabelle C entspricht (Verbindungen 111.1-1.12OcC-I bis 111.1-1.120cC-389; 111.1 -2.120cC-1 bis IM.1-2.120cC-389; lll.1-3.120cC-1 bis IN.1-3.120cC-389; 111.1 -4.120cC-1 bis IN.1-4.120cC-389; lll.2.120cC-1 bis IN.2.120cC-389)Compounds III.1-1, III.1-2, III.1-3, III.1-4 and III.2, wherein A is 4-chlorothiazol-5-yl and B are each a group of one row of Table C. corresponds (compounds 111.1-1.12OcC-I to 111.1-1.120cC-389; 111.1 -2.120cC-1 to IM.1-2.120cC-389; III.1-3.120cC-1 to IN.1-3.120cC-389) ; 111.1 -4.120cC-1 to IN.1-4.120cC-389; III.2.120cC-1 to IN.2.120cC-389)
Tabelle 121 cTable 121 c
Verbindungen III.1-1 , III.1-2, III.1-3, III.1-4 und III.2, worin A für 2-Bromthiazol-4-yl steht und B jeweils einer Gruppe einer Zeile der Tabelle C entspricht (Verbindungen lll.1-1.121 cC-1 bis 111.1 -1.121 cC-389; 111.1 -2.121 cC-1 bis 111.1-2.121 cC-389; lll.1-3.121 cC-1 bis 111.1-3.121 cC-389; 111.1 -4.121 cC-1 bis 111.1-4.121 cC-389; lll.2.121 cC-1 bis IN.2.121cC-389) Tabelle 122cCompounds III.1-1, III.1-2, III.1-3, III.1-4 and III.2, wherein A is 2-bromothiazol-4-yl and B are each a group of one line of Table C. (Compounds III.1-1.121 cC-1 to 111.1 -1.121 cC-389; 111.1 -2.121 cC-1 to 111.1-2.121 cC-389; III.1-3.121 cC-1 to 111.1-3.121 cC-389; 111.1 -4,121 cC-1 to 111.1-4,121 cC-389; III.2.121 cC-1 to IN.2.121cC-389) Table 122c
Verbindungen III.1-1 , III.1-2, III.1-3, III.1-4 und III.2, worin A für 2-Bromthiazol-5-yl steht und B jeweils einer Gruppe einer Zeile der Tabelle C entspricht (Verbindun- gen 111.1-1.122cC-1 bis 111.1-1.122cC-389; 111.1-2.122cC-1 bis IN.1-2.122cC-389; lll.1-3.122cC-1 bis IN.1-3.122cC-389; IN.1-4.122cC-1 bis IN.1-4.122cC-389; lll.2.122cC-1 bis IN.2.122cC-389) Tabelle 123cCompounds III.1-1, III.1-2, III.1-3, III.1-4 and III.2, wherein A is 2-bromothiazol-5-yl and B are each a group of one row of Table C. corresponds (compounds 111.1-1.122cC-1 to 111.1-1.122cC-389; 111.1-2.122cC-1 to IN.1-2.122cC-389; III.1-3.122cC-1 to IN.1-3.122cC -389; IN.1-4.122cC-1 to IN.1-4.122cC-389; III.2.122cC-1 to IN.2.122cC-389) Table 123c
Verbindungen III.1-1 , III.1-2, III.1-3, III.1-4 und III.2, worin A für 2,4-Dichlorthiazol-5- yl steht und B jeweils einer Gruppe einer Zeile der Tabelle C entspricht (Verbindungen 111.1-1.123cC-1 bis 111.1-1.123cC-389; IN.1-2.123cC-1 bis IN.1-2.123cC-389; lll.1-3.123cC-1 bis IN.1-3.123cC-389; 111.1 -4.123cC-1 bis IN.1-4.123cC-389; lll.2.123cC-1 bis IN.2.123cC-389) Tabelle 124c Verbindungen III.1-1 , III.1-2, III.1-3, III.1-4 und III.2, worin A für 3-Chlorisothiazol-4- yl steht und B jeweils einer Gruppe einer Zeile der Tabelle C entspricht (Verbindungen 111.1-1.124cC-1 bis 111.1-1.124cC-389; IN.1-2.124cC-1 bis IN.1-2.124cC-389; lll.1-3.124cC-1 bis IN.1-3.124cC-389; IN.1-4.124cC-1 bis lll.1-4.124cC-389; lll.2.124cC-1 bis IM.2.124cC-389) Tabelle 125cCompounds III.1-1, III.1-2, III.1-3, III.1-4 and III.2, wherein A is 2,4-dichlorothiazol-5-yl and B each represents a group of a line of Table C corresponds (Compounds 111.1-1.123cC-1 to 111.1-1.123cC-389; IN.1-2.123cC-1 to IN.1-2.123cC-389; III.1-3.123cC-1 to IN.1- 3.123cC-389; 111.1 -4.123cC-1 to IN.1-4.123cC-389; lll.2.123cC-1 to IN.2.123cC-389) Table 124c Compounds III.1-1, III.1-2, III.1-3, III.1-4 and III.2, wherein A is 3-chloroisothiazol-4-yl and B corresponds in each case to one group of one row of Table C (Compounds III.1-1.124cC-1 to 111.1-1.124 cC-389; IN.1-2.124cC-1 to IN.1-2.124cC-389; III.1-3.124cC-1 to IN.1-3.124cC-389; IN.1-4.124cC-1 to III.1-4.124cC-389; lll.2.124cC-1 to IM.2.124cC-389) Table 125c
Verbindungen III.1-1 , III.1-2, III.1-3, III.1-4 und III.2, worin A für 5-Methylisothiazol- 3-yl steht und B jeweils einer Gruppe einer Zeile der Tabelle C entspricht (Verbindungen lll.1-1.125cC-1 bis 111.1-1.125cC-389; IN.1-2.125cC-1 bis IN.1-2.125cC-389; lll.1-3.125cC-1 bis IN.1-3.125cC-389; IN.1-4.125cC-1 bis IN.1-4.125cC-389; lll.2.125cC-1 bis IN.2.125cC-389) Tabelle 126c Verbindungen III.1-1 , III.1-2, III.1-3, III.1-4 und III.2, worin A für 3-Methylisothiazol-Compounds III.1-1, III.1-2, III.1-3, III.1-4 and III.2, wherein A is 5-methylisothiazol-3-yl and B is in each case one group of one row of Table C. (Compounds III.1-1.125cC-1 to 111.1-1.125cC-389; IN.1-2.125cC-1 to IN.1-2.125cC-389; III.1-3.125cC-1 to IN.1- 3.125cC-389; IN.1-4.125cC-1 to IN.1-4.125cC-389; III.2.125cC-1 to IN.2.125cC-389) Table 126c Compounds III.1-1, III.1- 2, III.1-3, III.1-4 and III.2, wherein A is 3-methylisothiazole
4-yl steht und B jeweils einer Gruppe einer Zeile der Tabelle C entspricht (Verbindungen lll.1-1.126cC-1 bis 111.1-1.126cC-389; IN.1-2.126cC-1 bis IN.1-2.126cC-389; lll.1-3.126cC-1 bis IN.1-3.126cC-389; IN.1-4.126cC-1 bis IN.1-4.126cC-389; lll.2.126cC-1 bis IN.2.126cC-389) Tabelle 127c4-yl and B corresponds in each case to one group of one row of Table C (compounds III.1-1.126cC-1 to 111.1-1.126cC-389; IN.1-2.126cC-1 to IN.1-2.126cC-389) lll.1-3.126cC-1 to IN.1-3.126cC-389; IN.1-4.126cC-1 to IN.1-4.126cC-389; lll.2.126cC-1 to IN.2.126cC-389 ) Table 127c
Verbindungen III.1-1 , III.1-2, III.1-3, III.1-4 und III.2, worin A für 3-Methylisothiazol- 5-yl steht und B jeweils einer Gruppe einer Zeile der Tabelle C entspricht (Verbindungen lll.1-1.127cC-1 bis 111.1-1.127cC-389; IN.1-2.127cC-1 bis IN.1-2.127cC-389; lll.1-3.127cC-1 bis IN.1-3.127cC-389; IN.1-4.127cC-1 bis IN.1-4.127cC-389; lll.2.127cC-1 bis IN.2.127cC-389)Compounds III.1-1, III.1-2, III.1-3, III.1-4 and III.2, wherein A is 3-methylisothiazol-5-yl and B are each a group of one row of Table C. (Compounds III.1-1.127cC-1 to 111.1-1.127cC-389; IN.1-2.127cC-1 to IN.1-2.127cC-389; III.1-3.127cC-1 to IN.1- 3.127cC-389; IN.1-4.127cC-1 to IN.1-4.127cC-389; lll.2.127cC-1 to IN.2.127cC-389)
Tabelle 128cTable 128c
Verbindungen III.1-1 , III.1-2, III.1-3, III.1-4 und 111.2, worin A für 4,5- Dichlorisothiazol-3-yl steht und B jeweils einer Gruppe einer Zeile der Tabelle C entspricht (Verbindungen III.1-1.128cC-1 bis 111.1-1.128cC-389; 111.1 -2.128cC-1 bis lll.1 -2.128cC-389; 111.1 -3.128cC-1 bis IN.1 -3.128cC-389; 111.1 -4.128cC-1 bis III.1 -Compounds III.1-1, III.1-2, III.1-3, III.1-4 and 111.2, wherein A is 4,5-dichloroisothiazol-3-yl and B is in each case one group of one row of Table C. corresponds (Compounds III.1-1.128cC-1 to 111.1-1.128cC-389; 111.1 -2.128cC-1 to lll.1 -2.128cC-389; 111.1 -3.128cC-1 to IN.1 -3.128cC-389 111.1 -4.128cC-1 to III.1 -
4.128cC-389; IN.2.128cC-1 bis IN.2.128cC-389) Tabelle 129c4.128cC-389; IN.2.128cC-1 to IN.2.128cC-389) Table 129c
Verbindungen III.1-1 , III.1-2, III.1-3, III.1-4 und 111.2, worin A für 4,5- Dimethylisothiazol-3-yl steht und B jeweils einer Gruppe einer Zeile der Tabelle C entspricht (Verbindungen IN.1 -1 .129cC-1 bis 111.1 -1 .129cC-389; 111.1 -2.129cC-1 bis lll.1 -2.129cC-389; 111.1 -3.129cC-1 bis IN.1 -3.129cC-389; 111.1 -4.129cC-1 bis III.1 - 4.129cC-389; IN.2.129cC-1 bis IN.2.129cC-389) Tabelle 130cCompounds III.1-1, III.1-2, III.1-3, III.1-4 and 111.2, wherein A is 4,5-dimethylisothiazol-3-yl and B is in each case a group of one line of Table C. corresponds (compounds IN.1 -1 .129cC-1 to 111.1 -1 .129cC-389; 111.1 -2.129cC-1 to III.1 -2.129cC-389; 111.1 -3.129cC-1 to IN.1 -3.129cC -389; 111.1 -4.129cC-1 to III.1 - 4.129cC-389; IN.2.129cC-1 to IN.2.129cC-389) Table 130c
Verbindungen III.1 -1 , III.1 -2, III.1 -3, III.1 -4 und 111.2, worin A für 3,5- Dimethylisothiazol-4-yl steht und B jeweils einer Gruppe einer Zeile der Tabelle C entspricht (Verbindungen 111.1 -1 .13OcC-I bis 111.1 -1 .130cC-389; 111.1 -2.130cC-1 bis lll.1 -2.130cC-389; 111.1 -3.130cC-1 bis IN.1 -3.130cC-389; 111.1 -4.130cC-1 bis III.1 - 4.130cC-389; 111.2.130cC-1 bis 111.2.130cC-389) Tabelle 131 c Verbindungen III.1 -1 , III.1 -2, III.1 -3, III.1 -4 und III.2, worin A für 3,4-Compounds III.1 -1, III.1 -2, III.1-3, III.1 -4 and 111.2, wherein A is 3,5-dimethylisothiazol-4-yl and B is in each case one group of one row of Table C. corresponds (compounds 111.1 -1 .13OcC-I to 111.1 -1 .130cC-389; 111.1 -2.130cC-1 to lll.1 -2.130cC-389; 111.1 -3.130cC-1 to IN.1 -3.130cC-389) ; 111.1 -4.130cC-1 to III.1 - 4.130cC-389; 111.2.130cC-1 to 111.2.130cC-389) Table 131c Compounds III.1 -1, III.1 -2, III.1 -3 , III.1 -4 and III.2, where A is 3,4-
Dichlorisothiazol-5-yl steht und B jeweils einer Gruppe einer Zeile der Tabelle C entspricht (Verbindungen III.1 -1 .131 cC-1 bis 111.1 -1 .131 cC-389; 111.1 -2.131 cC-1 bis lll.1 -2.131 cC-389; 111.1 -3.13I cC-I bis 111.1 -3.131 cC-389; 111.1 -4.131 cC-1 bis III.1 - 4.131 cC-389; 111.2.131 cC-1 bis 111.2.131 cC-389) Tabelle 132cDichloroisothiazol-5-yl and B in each case corresponds to one group of one row of Table C (Compounds III.1 -1 .131 cC-1 to 111.1 -1 .131 cC-389; 111.1 -2,131 cC-1 to lll.1 -2,131 cC-389; 111.1 -3.13I cC-I to 111.1-3.131 cC-389; 111.1 -4,131 cC-1 to III.1 - 4,131 cC-389; 111.2.131 cC-1 to 111.2.131 cC-389) Table 132c
Verbindungen III.1-1 , III.1-2, III.1-3, III.1-4 und III.2, worin A für Oxazol-2-yl steht und B jeweils einer Gruppe einer Zeile der Tabelle C entspricht (Verbindungen III.1-Compounds III.1-1, III.1-2, III.1-3, III.1-4 and III.2, in which A is oxazol-2-yl and B corresponds in each case to one group of one row of Table C ( Compounds III.1-
1.132cC-1 bis 111.1-1.132cC-389; 111.1 -2.132cC-1 bis 111.1-2.132cC-389; III.1- 3.132cC-1 bis 111.1-3.132cC-389; 111.1 -4.132cC-1 bis 111.1-4.132cC-389; IN.2.132cC- 1 bis lll.2.132cC-389) Tabelle 133c Verbindungen III.1-1 , III.1-2, III.1-3, III.1-4 und III.2, worin A für Oxazol-4-yl steht und B jeweils einer Gruppe einer Zeile der Tabelle C entspricht (Verbindungen III.1- 1.133cC-1 bis 111.1 -1.133cC-389; 111.1 -2.133cC-1 bis 111.1-2.133cC-389; III.1- 3.133cC-1 bis 111.1-3.133cC-389; 111.1 -4.133cC-1 bis 111.1-4.133cC-389; IN.2.133cC- 1 bis IM.2.133cC-389) Tabelle 134c1.132cC-1 to 111.1-1.132cC-389; 111.1 -2.132cC-1 to 111.1-2.132cC-389; III.1-3.322cC-1 to 111.1-3.132cC-389; 111.1 -4.132cC-1 to 111.1-4.132cC-389; IN.2.132cC-1 to III.2.132cC-389) Table 133c Compounds III.1-1, III.1-2, III.1-3, III.1-4 and III.2, wherein A is oxazole 4-yl and B corresponds in each case to one group of one row of Table C (Compounds III.1- 1.133cC-1 to 111.1 -1.133cC-389; 111.1 -2.133cC-1 to 111.1-2.133cC-389; III.1 - 3.133cC-1 to 111.1-3.133cC-389; 111.1 -4.133cC-1 to 111.1-4.133cC-389; IN.2.133cC-1 to IM.2.133cC-389) Table 134c
Verbindungen III.1-1 , III.1-2, III.1-3, III.1-4 und III.2, worin A für Oxazol-5-yl steht und B jeweils einer Gruppe einer Zeile der Tabelle C entspricht (Verbindungen III.1- 1.134cC-1 bis 111.1-1.134cC-389; 111.1 -2.134cC-1 bis 111.1-2.134cC-389; III.1- 3.134cC-1 bis 111.1-3.134cC-389; 111.1 -4.134cC-1 bis 111.1-4.134cC-389; IN.2.134cC- 1 bis lll.2.134cC-389)Compounds III.1-1, III.1-2, III.1-3, III.1-4 and III.2, in which A is oxazol-5-yl and B corresponds in each case to one group of one row of Table C ( Compounds III.1- 1.134cC-1 to 111.1-1.134cC-389; 111.1 -2.134cC-1 to 111.1-2.134cC-389; III.1-3.134cC-1 to 111.1-3.134cC-389; 111.1 -4.134 cC-1 to 111.1-4.134cC-389; IN.2.134cC-1 to III.2.134cC-389)
Tabelle 135cTable 135c
Verbindungen III.1-1 , III.1-2, III.1-3, III.1-4 und III.2, worin A für lsoxazol-3-yl steht und B jeweils einer Gruppe einer Zeile der Tabelle C entspricht (Verbindungen III.1- 1.135cC-1 bis 111.1-1.135cC-389; 111.1 -2.135cC-1 bis 111.1-2.135cC-389; III.1- 3.135cC-1 bis 111.1-3.135cC-389; 111.1 -4.135cC-1 bis 111.1-4.135cC-389; IN.2.135cC-Compounds III.1-1, III.1-2, III.1-3, III.1-4 and III.2, in which A is isoxazol-3-yl and B corresponds in each case to one group of one row of Table C ( Compounds III.1- 1.135cC-1 to 111.1-1.135cC-389; 111.1 -2.135cC-1 to 111.1-2.135cC-389; III.1- 3.135cC-1 to 111.1-3.135cC-389; 111.1 -4.135 cC-1 to 111.1-4.135cC-389; IN.2.135cC-
1 bis lll.2.135cC-389) Tabelle 136c1 to III.2.135cC-389) Table 136c
Verbindungen III.1-1 , III.1-2, III.1-3, III.1-4 und III.2, worin A für lsoxazol-4-yl steht und B jeweils einer Gruppe einer Zeile der Tabelle C entspricht (Verbindungen III.1- 1 .136cC-1 bis 111.1 -1 .136cC-389; 111.1 -2.136cC-1 bis 111.1 -2.136cC-389; III.1 -Compounds III.1-1, III.1-2, III.1-3, III.1-4 and III.2, in which A is isoxazol-4-yl and B corresponds in each case to one group of one row of Table C ( Compounds III.1- 1 .136cC-1 to 111.1 -1 .136cC-389; 111.1 -2.136cC-1 to 111.1 -2.136cC-389; III.1 -
3.136cC-1 bis 111.1 -3.136cC-389; 111.1 -4.136cC-1 bis 111.1 -4.136cC-389; IN.2.136cC- 1 bis IM.2.136cC-389) Tabelle 137c3.136cC-1 to 111.1 -3.136cC-389; 111.1 -4.136cC-1 to 111.1 -4.136cC-389; IN.2.136cC-1 to IM.2.136cC-389) Table 137c
Verbindungen III.1-1 , III.1-2, III.1-3, III.1-4 und III.2, worin A für lsoxazol-5-yl steht und B jeweils einer Gruppe einer Zeile der Tabelle C entspricht (Verbindungen III.1-Compounds III.1-1, III.1-2, III.1-3, III.1-4 and III.2, in which A is isoxazol-5-yl and B corresponds in each case to one group of one row of Table C ( Compounds III.1-
1.137cC-1 bis lll.1-1.137cC-389; 111.1 -2.137cC-1 bis 111.1 -2.137cC-389; III.1- 3.137cC-1 bis 111.1-3.137cC-389; 111.1 -4.137cC-1 bis 111.1 -4.137cC-389; IN.2.137cC- 1 bis III.2.137CC-389) Tabelle 138c Verbindungen III.1-1 , III.1-2, III.1-3, III.1-4 und III.2, worin A für 3-Chlorisoxazol-5-yl steht und B jeweils einer Gruppe einer Zeile der Tabelle C entspricht (Verbindungen 111.1-1.138cC-1 bis 111.1-1.138cC-389; 111.1 -2.138cC-1 bis 111.1-2.138cC-389; lll.1-3.138cC-1 bis 111.1-3.138cC-389; 111.1 -4.138cC-1 bis 111.1-4.138cC-389; III.2.138CC-1 bis 111.2.138cC-389)1.137cC-1 to lll.1-1.137cC-389; 111.1 -2.137cC-1 to 111.1 -2.137cC-389; III.1-3.137cC-1 to 111.1-3.137cC-389; 111.1 -4.137cC-1 to 111.1 -4.137cC-389; IN.2.137cC-1 to III.2.137CC-389) Table 138c Compounds III.1-1, III.1-2, III.1-3, III.1-4 and III.2, wherein A is for 3- Chloroisoxazol-5-yl and B corresponds in each case to one group of one row of Table C (Compounds 111.1-1.138cC-1 to 111.1-1.138cC-389; 111.1 -2.138cC-1 to 111.1-2.138cC-389; III.1-3.138cC-1 to 111.1-3.138cC-389; 111.1 -4.138cC-1 to 111.1-4.138cC-389; III.2.138CC-1 to 111.2.138cC-389)
Tabelle 139cTable 139c
Verbindungen III.1-1 , III.1-2, III.1-3, III.1-4 und III.2, worin A für 5-Methylisoxazol-3- yl steht und B jeweils einer Gruppe einer Zeile der Tabelle C entspricht (Verbindungen 111.1-1.139cC-1 bis 111.1-1.139cC-389; 111.1-2.139cC-1 bis 111.1-2.139cC-389; lll.1-3.139cC-1 bis 111.1-3.139cC-389; 111.1 -4.139cC-1 bis 111.1-4.139cC-389; lll.2.139cC-1 bis IM.2.139cC-389) Tabelle 140c Verbindungen III.1-1 , III.1-2, III.1-3, III.1-4 und III.2, worin A für 5-Methylisoxazol-4- yl steht und B jeweils einer Gruppe einer Zeile der Tabelle C entspricht (Verbindungen 111.1-1.14OcC-I bis 111.1-1.140cC-389; IN.1-2.140cC-1 bis IN.1-2.140cC-389; lll.1-3.140cC-1 bis IN.1-3.140cC-389; IN.1-4.140cC-1 bis IN.1-4.140cC-389; lll.2.140cC-1 bis IN.2.140cC-389) Tabelle 141 cCompounds III.1-1, III.1-2, III.1-3, III.1-4 and III.2, wherein A is 5-methylisoxazol-3-yl and B is in each case one group of a row of Table C. corresponds (Compounds 111.1-1.139cC-1 to 111.1-1.139cC-389; 111.1-2.139cC-1 to 111.1-2.139cC-389; III.1-3.139cC-1 to 111.1-3.139cC-389; 111.1 -4.139 cC-1 to 111.1-4.139cC-389; III.2.139cC-1 to IM.2.139cC-389) Table 140c Compounds III.1-1, III.1-2, III.1-3, III.1- 4 and III.2, wherein A is 5-methylisoxazol-4-yl and B corresponds in each case to one group of one row of Table C (Compounds 111.1-1.14OcC-I to 111.1-1.140cC-389; IN.1-2.140cC -1 to IN.1-2.140cC-389; III.1-3.140cC-1 to IN.1-3.140cC-389; IN.1-4.140cC-1 to IN.1-4.140cC-389; III. 2.140cC-1 to IN.2.140cC-389) Table 141c
Verbindungen III.1-1 , III.1-2, III.1-3, III.1-4 und III.2, worin A für 3-Methylisoxazol-5- yl steht und B jeweils einer Gruppe einer Zeile der Tabelle C entspricht (Verbindungen lll.1-1.141 cC-1 bis 111.1-1.141 cC-389; 111.1-2.141 cC-1 bis 111.1-2.141 cC-389; lll.1-3.141 cC-1 bis 111.1-3.141 cC-389; 111.1 -4.141 cC-1 bis IM.1-4.141 cC-389; lll.2.141 cC-1 bis IN.2.141cC-389)Compounds III.1-1, III.1-2, III.1-3, III.1-4 and III.2, wherein A is 3-methylisoxazol-5-yl and B each represents a group of one line of Table C. (Compounds III.1-1.141 cC-1 to 111.1-1.141 cC-389; 111.1-2.141 cC-1 to 111.1-2.141 cC-389; III.1-3.141 cC-1 to 111.1-3.141 cC-389; 111.1 -4,141 cC-1 to IM.1-4,141 cC-389; lll.2.141 cC-1 to IN.2.141cC-389)
Tabelle 142cTable 142c
Verbindungen III.1-1 , III.1-2, III.1-3, III.1-4 und 111.2, worin A für 3,5- Dimethylisoxazol-4-yl steht und B jeweils einer Gruppe einer Zeile der Tabelle C entspricht (Verbindungen III.1-1.142cC-1 bis 111.1-1.142cC-389; 111.1-2.142cC-1 bis lll.1-2.142cC-389; 111.1 -3.142cC-1 bis IN.1-3.142cC-389; IN.1-4.142cC-1 bis III.1-Compounds III.1-1, III.1-2, III.1-3, III.1-4 and 111.2, wherein A is 3,5-dimethylisoxazol-4-yl and B is in each case one group of one row of Table C. corresponds (Compounds III.1-1.142cC-1 to 111.1-1.142cC-389; 111.1-2.142cC-1 to lll.1-2.142cC-389; 111.1 -3.142cC-1 to IN.1-3.142cC-389) IN.1-4.142cC-1 to III.1-
4.142cC-389; IN.2.142cC-1 bis IN.2.142cC-389) Tabelle 143c4.142cC-389; IN.2.142cC-1 to IN.2.142cC-389) Table 143c
Verbindungen III.1-1 , III.1-2, III.1-3, III.1-4 und III.2, worin A für 3-Chlor-5- methylisoxazol-4-yl steht und B jeweils einer Gruppe einer Zeile der Tabelle C ent- spricht (Verbindungen 111.1-1.143cC-1 bis 111.1-1.143cC-389; 111.1 -2.143cC-1 bis lll.1-2.143cC-389; 111.1 -3.143cC-1 bis IN.1-3.143cC-389; IN.1-4.143cC-1 bis III.1- 4.143cC-389; IN.2.143cC-1 bis IN.2.143cC-389) Tabelle 144cCompounds III.1-1, III.1-2, III.1-3, III.1-4 and III.2, wherein A is 3-chloro-5-methylisoxazol-4-yl and B is each a group of one Corresponds to the line of Table C (compounds 111.1-1.143cC-1 to 111.1-1.143cC-389; 111.1 -2.143cC-1 to lll.1-2.143cC-389; 111.1 -3.143cC-1 to IN.1- 3.143cC-389; IN.1-4.143cC-1 to III.1-4143cC-389; IN.2.143cC-1 to IN.2.143cC-389) Table 144c
Verbindungen III.1-1 , III.1-2, III.1-3, III.1-4 und III.2, worin A für 3-Methyl-4- chlorisoxazol-5-yl steht und B jeweils einer Gruppe einer Zeile der Tabelle C entspricht (Verbindungen 111.1-1.144cC-1 bis IN.1-1.144cC-389; IN.1-2.144cC-1 bis lll.1-2.144cC-389; 111.1-3.144cC-1 bis IN.1-3.144cC-389; IN.1-4.144cC-1 bis III.1- 4.144cC-389; IN.2.144cC-1 bis IN.2.144cC-389) Tabelle 145c Verbindungen III.1-1 , III.1-2, III.1-3, III.1-4 und III.2, worin A für 1-Methylpyrazol-3-yl steht und B jeweils einer Gruppe einer Zeile der Tabelle C entspricht (Verbindungen 111.1-1.145cC-1 bis 111.1-1.145cC-389; 111.1-2.145cC-1 bis IN.1-2.145cC-389; III.1-3.145CC-1 bis IN.1-3.145cC-389; IN.1-4.145cC-1 bis lll.1-4.145cC-389; III.2.145CC-1 bis IM.2.145cC-389) Tabelle 146cCompounds III.1-1, III.1-2, III.1-3, III.1-4 and III.2, wherein A is 3-methyl-4-chloroisoxazol-5-yl and B are each a group of one Row of Table C corresponds (Compounds 111.1-1.144cC-1 to IN.1-1.144cC-389; IN.1-2.144cC-1 to lll.1-2.144cC-389; 111.1-3.144cC-1 to IN. 1-3.144cC-389; IN.1-4.144cC-1 to III.1-4144cC-389; IN.2.144cC-1 to IN.2.144cC-389). Table 145c Compounds III.1-1, III. 1-2, III.1-3, III.1-4 and III.2, wherein A is 1-methylpyrazol-3-yl and B corresponds in each case to one group of one row of Table C (compounds III.1-1.145cC-1) to 111.1-1.145cC-389; 111.1-2.145cC-1 to IN.1-2.145cC-389; III.1-3.145CC-1 to IN.1-3.145cC-389; IN.1-4.145cC-1 to III.1-4.145cC-389; III.2.145CC-1 to IM.2.145cC-389) Table 146c
Verbindungen III.1-1 , III.1-2, III.1-3, III.1-4 und III.2, worin A für 1-Methylpyrazol-4-yl steht und B jeweils einer Gruppe einer Zeile der Tabelle C entspricht (Verbindungen lll.1-1.146cC-1 bis 111.1-1.146cC-389; 111.1 -2.146cC-1 bis IN.1-2.146cC-389; lll.1-3.146cC-1 bis IN.1-3.146cC-389; IN.1-4.146cC-1 bis IN.1-4.146cC-389; lll.2.146cC-1 bis IN.2.146cC-389) Tabelle 147c Verbindungen III.1-1 , III.1-2, III.1-3, III.1-4 und III.2, worin A für 1-Methylpyrazol-5-yl steht und B jeweils einer Gruppe einer Zeile der Tabelle C entspricht (Verbindungen lll.1-1.147cC-1 bis 111.1-1.147cC-389; 111.1 -2.147cC-1 bis 111.1 -2.147cC-389; lll.1-3.147cC-1 bis IN.1-3.147cC-389; IN.1-4.147cC-1 bis IN.1-4.147cC-389; lll.2.147cC-1 bis IN.2.147cC-389) Tabelle 148cCompounds III.1-1, III.1-2, III.1-3, III.1-4 and III.2, wherein A is 1-methylpyrazol-4-yl and B are each a group of one line of Table C. corresponds (Compounds lll.1-1.146cC-1 to 111.1-1.146cC-389; 111.1 -2.146cC-1 to IN.1-2.146cC-389; lll.1-3.146cC-1 to IN.1-3.146cC -389; IN.1-4.146cC-1 to IN.1-4.146cC-389; III.2.146cC-1 to IN.2.146cC-389) Table 147c Compounds III.1-1, III.1-2, III.1-3, III.1-4 and III.2, wherein A is 1-methylpyrazol-5-yl and B corresponds in each case to one group of one row of Table C (compounds III.1.1.147cC-1 to 111.1 -1.147cC-389; 111.1 -2.147cC-1 to 111.1 -2.147cC-389; lll.1-3.147cC-1 to IN.1-3.147cC-389; IN.1-4.147cC-1 to IN.1 -4.147cC-389; III.2.147cC-1 to IN.2.147cC-389) Table 148c
Verbindungen III.1-1 , III.1-2, III.1-3, III.1-4 und 111.2, worin A für 1 ,3- Dimethylpyrazol-4-yl steht und B jeweils einer Gruppe einer Zeile der Tabelle C entspricht (Verbindungen III.1-1.148cC-1 bis 111.1-1.148cC-389; 111.1 -2.148cC-1 bis lll.1-2.148cC-389; 111.1 -3.148cC-1 bis IN.1-3.148cC-389; IN.1-4.148cC-1 bis III.1- 4.148cC-389; IN.2.148cC-1 bis IN.2.148cC-389)Compounds III.1-1, III.1-2, III.1-3, III.1-4 and 111.2, wherein A is 1, 3-dimethylpyrazol-4-yl and B are each a group of one row of Table C. corresponds (Compounds III.1-1.148cC-1 to 111.1-1.148cC-389; 111.1 -2.148cC-1 to lll.1-2.148cC-389; 111.1 -3.148cC-1 to IN.1-3.148cC-389 IN.1-4.148cC-1 to III.1-4148cC-389; IN.2.148cC-1 to IN.2.148cC-389)
Tabelle 149cTable 149c
Verbindungen III.1-1 , III.1-2, III.1-3, III.1-4 und 111.2, worin A für 1 ,5- Dimethylpyrazol-4-yl steht und B jeweils einer Gruppe einer Zeile der Tabelle C entspricht (Verbindungen III.1-1.149cC-1 bis 111.1-1.149cC-389; 111.1-2.149cC-1 bis lll.1-2.149cC-389; IM .1 -3.149cC-1 bis IN.1-3.149cC-389; IN.1-4.149cC-1 bis III.1-Compounds III.1-1, III.1-2, III.1-3, III.1-4 and 111.2, wherein A is 1, 5-dimethylpyrazol-4-yl and B are each a group of one row of Table C. corresponds (Compounds III.1-1.149cC-1 to 111.1-1.149cC-389; 111.1-2.149cC-1 to lll.1-2.149cC-389; IM .1 -3.149cC-1 to IN.1-3.149cC -389; IN.1-4.149cC-1 to III.1-
4.149cC-389; IN.2.149cC-1 bis IN.2.149cC-389) Tabelle 150c4.149cC-389; IN.2.149cC-1 to IN.2.149cC-389) Table 150c
Verbindungen III.1-1 , III.1-2, III.1-3, III.1-4 und III.2, worin A für 1 ,3,5- Trimethylpyrazol-4-yl steht und B jeweils einer Gruppe einer Zeile der Tabelle C entspricht (Verbindungen 111.1-1.15OcC-I bis 111.1-1.150cC-389; 111.1 -2.150cC-1 bis lll.1-2.150cC-389; 111.1 -3.150cC-1 bis IN.1-3.150cC-389; 111.1 -4.150cC-1 bis III.1- 4.150cC-389; 111.2.150cC-1 bis IN.2.150cC-389) Tabelle 151 cCompounds III.1-1, III.1-2, III.1-3, III.1-4 and III.2, wherein A is 1, 3,5-trimethylpyrazol-4-yl and B are each a group of one Row of Table C corresponds (compounds 111.1-1.15OcC-I to 111.1-1.150cC-389; 111.1 -2.150cC-1 to lll.1-2.150cC-389; 111.1 -3.150cC-1 to IN.1-3.150cC -389; 111.1 -4.150cC-1 to III.1-4,150cC-389; 111.2.150cC-1 to IN.2.150cC-389). Table 151c
Verbindungen III.1-1 , III.1-2, III.1-3, III.1-4 und III.2, worin A für 1-Methylimidazol-4- yl steht und B jeweils einer Gruppe einer Zeile der Tabelle C entspricht (Verbindungen lll.1-1.151 cC-1 bis 111.1-1.151 cC-389; 111.1-2.151 cC-1 bis 111.1-2.151 cC-389; lll.1-3.151 cC-1 bis 111.1-3.151 cC-389; 111.1 -4.151 cC-1 bis 111.1-4.151 cC-389; lll.2.151 cC-1 bis 111.2.151cC-389) Tabelle 152c Verbindungen III.1-1 , III.1-2, III.1-3, III.1-4 und 111.2, worin A für 1 ,5-Compounds III.1-1, III.1-2, III.1-3, III.1-4 and III.2, wherein A is 1-methylimidazol-4-yl and B are each a group of one line of Table C. (Compounds III.1-1.151 cC-1 to 111.1-1.151 cC-389; 111.1-2.151 cC-1 to 111.1-2.151 cC-389; III.1-3.151 cC-1 to 111.1-3.151 cC-389; 111.1 -4,151 cC-1 to 111.1-4,151 cC-389; III.2.151 cC-1 to 111.2.151cC-389) Table 152c Compounds III.1-1, III.1-2, III.1-3, III.1 -4 and 111.2, wherein A is 1, 5
Dimethylimidazol-4-yl steht und B jeweils einer Gruppe einer Zeile der Tabelle C entspricht (Verbindungen III.1-1.152cC-1 bis 111.1-1.152cC-389; 111.1-2.152cC-1 bis lll.1-2.152cC-389; 111.1-3.152cC-1 bis IM.1-3.152cC-389; Il 1.1 -4.152cC-1 bis III.1- 4.152cC-389; IM.2.152cC-1 bis IM.2.152cC-389) Tabelle 153cDimethylimidazol-4-yl and B each corresponds to a group of one row of Table C (Compounds III.1-1.152cC-1 to 111.1-1.152cC-389; 111.1-2.152cC-1 to lll.1-2.152cC-389; 111.1-3.152cC-1 to IM.1-3.152cC-389; II 1.1 -4.152cC-1 to III.1-4152cC-389; IM.2.152cC-1 to IM.2.152cC-389) Table 153c
Verbindungen III.1-1 , III.1-2, III.1-3, III.1-4 und 111.2, worin A für 1 ,2- Dimethylimidazol-5-yl steht und B jeweils einer Gruppe einer Zeile der Tabelle C entspricht (Verbindungen III.1-1.153cC-1 bis 111.1-1.153cC-389; 111.1-2.153cC-1 bis lll.1-2.153cC-389; 111.1 -3.153cC-1 bis IN.1-3.153cC-389; 111.1 -4.153cC-1 bis III.1- 4.153cC-389; 111.2.153cC-1 bis 111.2.153cC-389) Tabelle 154c Verbindungen III.1-1 , III.1-2, III.1-3, III.1-4 und 111.2, worin A für 1 ,4-Compounds III.1-1, III.1-2, III.1-3, III.1-4 and 111.2, wherein A is 1, 2-dimethylimidazol-5-yl and B is in each case one group of a row of Table C. corresponds (Compounds III.1-1.153cC-1 to 111.1-1.153cC-389; 111.1-2.153cC-1 to lll.1-2.153cC-389; 111.1 -3.153cC-1 to IN.1-3.153cC-389 111.1 -4.153cC-1 to III.1- 4.153cC-389; 111.2.153cC-1 to 111.2.153cC-389) Table 154c Compounds III.1-1, III.1-2, III.1-3, III.1-4 and 111.2, wherein A is 1, 4-
Dimethylimidazol-5-yl steht und B jeweils einer Gruppe einer Zeile der Tabelle C entspricht (Verbindungen III.1-1.154cC-1 bis 111.1-1.154cC-389; 111.1-2.154cC-1 bis lll.1-2.154cC-389; 111.1-3.154cC-1 bis IN.1-3.154cC-389; IM.1-4.154cC-1 bis III.1- 4.154cC-389; IN.2.154cC-1 bis IN.2.154cC-389) Tabelle 155cDimethylimidazol-5-yl and B corresponds in each case to one group of one row of Table C (Compounds III.1-1.154cC-1 to 111.1-1.154cC-389; 111.1-2.154cC-1 to III.1-2.154cC-389 ; 111.1-3.154cC-1 to IN.1-3.154cC-389; IM.1-4.154cC-1 to III.1-4154cC-389; IN.2.154cC-1 to IN.2.154cC-389) 155c
Verbindungen III.1-1 , III.1-2, III.1-3, III.1-4 und III.2, worin B für Pyridin-2-yl steht und A jeweils einer Gruppe einer Zeile der Tabelle C entspricht (Verbindungen III.1- 1.155cC-1 bis 111.1-1.155cC-389; 111.1 -2.155cC-1 bis 111.1-2.155cC-389; III.1- 3.155cC-1 bis 111.1-3.155cC-389; 111.1 -4.155cC-1 bis IM.1-4.155cC-389; IN.2.155cC- 1 bis III.2.155CC-389)Compounds III.1-1, III.1-2, III.1-3, III.1-4 and III.2, wherein B is pyridin-2-yl and A in each case corresponds to one group of one row of Table C ( Compounds III.1-1555cC-1 to 111.1-1.155cC-389; 111.1 -2.155cC-1 to 111.1-2.155cC-389; III.1-3.155cC-1 to 111.1-3.155cC-389; 111.1-4.155 cC-1 to IM.1-4.155cC-389; IN.2.155cC-1 to III.2.155CC-389)
Tabelle 156cTable 156c
Verbindungen III.1-1 , III.1-2, III.1-3, III.1-4 und III.2, worin B für Pyridin-3-yl steht und A jeweils einer Gruppe einer Zeile der Tabelle C entspricht (Verbindungen III.1- 1.156cC-1 bis 111.1-1.156cC-389; 111.1-2.156cC-1 bis 111.1-2.156cC-389; III.1- 3.156cC-1 bis 111.1-3.156cC-389; IM.1-4.156cC-1 bis IM.1-4.156cC-389; IN.2.156cC-Compounds III.1-1, III.1-2, III.1-3, III.1-4 and III.2, in which B is pyridin-3-yl and A corresponds in each case to one group of one row of Table C ( Compounds III.1- 1.156cC-1 to 111.1-1.156cC-389; 111.1-2.156cC-1 to 111.1-2.156cC-389; III.1-3.156cC-1 to 111.1-3.156cC-389; IM.1 -4.156cC-1 to IM.1-4.156cC-389; IN.2.156cC-
1 bis MI.2.156cC-389) Tabelle 157c1 to MI.2.156cC-389) Table 157c
Verbindungen III.1-1 , III.1-2, III.1-3, III.1-4 und III.2, worin B für Pyridin-4-yl steht und A jeweils einer Gruppe einer Zeile der Tabelle C entspricht (Verbindungen III.1- 1.157cC-1 bis MI.1-1.157cC-389; MI.1 -2.157cC-1 bis IM.1-2.157cC-389; III.1-Compounds III.1-1, III.1-2, III.1-3, III.1-4 and III.2, in which B is pyridin-4-yl and A corresponds in each case to one group of one row of Table C ( Compounds III.1-1557cC-1 to MI.1-1.157cC-389; MI.1 -2.157cC-1 to IM.1-2.157cC-389; III.1-
3.157cC-1 bis IM.1-3.157cC-389; MI.1 -4.157cC-1 bis IM.1-4.157cC-389; IM.2.157cC- 1 bis IM.2.157CC-389) Tabelle 158c3.157cC-1 to IM.1-3.157cC-389; MI.1 -4.157cC-1 to IM.1-4.157cC-389; IM.2.157cC-1 to IM.2.157CC-389) Table 158c
Verbindungen MI.1-1 , IM.1-2, IM.1-3, IM.1-4 und III.2, worin B für 3-Chlorpyridin-2-yl steht und A jeweils einer Gruppe einer Zeile der Tabelle C entspricht (Verbindungen MI.1-1.158cC-1 bis MI.1-1.158cC-389; 111.1 -2.158cC-1 bis IM.1-2.158cC-389; IM.1-3.158cC-1 bis IM.1-3.158cC-389; MI.1 -4.158cC-1 bis IM.1-4.158cC-389; IM.2.158CC-1 bis IM.2.158cC-389) Tabelle 159c Verbindungen MI.1-1 , IM.1-2, IM.1-3, IM.1-4 und III.2, worin B für 4-Chlorpyridin-2-yl steht und A jeweils einer Gruppe einer Zeile der Tabelle C entspricht (Verbindungen MI.1-1.159cC-1 bis MI.1-1.159cC-389; IM.1-2.159cC-1 bis IM.1-2.159cC-389; lll.1 -3.159cC-1 bis 111.1 -3.159cC-389; 111.1 -4.159cC-1 bis 111.1 -4.159cC-389; III.2.159CC-1 bis 111.2.159cC-389) Tabelle 160cCompounds MI.1-1, IM.1-2, IM.1-3, IM.1-4 and III.2, wherein B is 3-chloropyridin-2-yl and A is in each case one group of one row of Table C corresponds (compounds MI.1-1.158cC-1 to MI.1-1.158cC-389; 111.1 -2.158cC-1 to IM.1-2.158cC-389; IM.1-3.158cC-1 to IM.1- 3.158cC-389; MI.1 -4.158cC-1 to IM.1-4.158cC-389; IM.2.158CC-1 to IM.2.158cC-389) Table 159c Compounds MI.1-1, IM.1- 2, IM.1-3, IM.1-4 and III.2, wherein B is 4-chloropyridin-2-yl and A corresponds in each case to one group of a row of Table C (compounds MI.1-1.159cC-1 to MI.1-1.159cC-389; IM.1-2.159cC-1 to IM.1-2.159cC-389; III.1 -3.159cC-1 to 111.1 -3.159cC-389; 111.1 -4.159cC-1 to 111.1 -4.159cC-389; III.2.159CC-1 to 111.2.159cC-389) Table 160c
Verbindungen III.1-1 , III.1-2, III.1-3, III.1-4 und III.2, worin B für 5-Chlorpyridin-2-yl steht und A jeweils einer Gruppe einer Zeile der Tabelle C entspricht (Verbindungen 111.1-1.16OcC-I bis 111.1 -1.160cC-389; 111.1 -2.160cC-1 bis 111.1-2.160cC-389; lll.1-3.160cC-1 bis 111.1-3.160cC-389; 111.1 -4.160cC-1 bis IN.1-4.160cC-389; lll.2.160cC-1 bis 111.2.160cC-389) Tabelle 161 c Verbindungen III.1-1 , III.1-2, III.1-3, III.1-4 und III.2, worin B für 6-Chlorpyridin-2-yl steht und A jeweils einer Gruppe einer Zeile der Tabelle C entspricht (Verbindungen 111.1-1.161 cC-1 bis 111.1 -1.161 cC-389; 111.1 -2.161 cC-1 bis 111.1-2.161 cC-389; lll.1-3.161 cC-1 bis IN.1-3.161cC-389; 111.1 -4.161 cC-1 bis 111.1-4.161 cC-389; lll.2.161 cC-1 bis 111.2.161cC-389) Tabelle 162cCompounds III.1-1, III.1-2, III.1-3, III.1-4 and III.2, wherein B is 5-chloropyridin-2-yl and A is in each case one group of one row of Table C. corresponds (Compounds 111.1-1.16OcC-I to 111.1 -1.160cC-389; 111.1 -2.160cC-1 to 111.1-2.160cC-389; III.1-3.160cC-1 to 111.1-3.160cC-389; 111.1 -4.160 cC-1 to IN.1-4.160cC-389; III.2.160cC-1 to III.2.160cC-389). Table 161c Compounds III.1-1, III.1-2, III.1-3, III. 1-4 and III.2, wherein B is 6-chloropyridin-2-yl and A corresponds in each case to one group of one row of Table C (Compounds 111.1-1.161 cC-1 to 111.1 -1.161 cC-389; 111.1 -2.161 cC -1 to 111.1-2.161 cC-389; III.1-3.161 cC-1 to IN.1-3.161cC-389; 111.1 -4.161 cC-1 to 111.1-4.161 cC-389; III.2.161 cC-1 to 111.2 .161cC-389) Table 162c
Verbindungen III.1-1 , III.1-2, III.1-3, III.1-4 und III.2, worin B für 2-Chlorpyridin-3-yl steht und A jeweils einer Gruppe einer Zeile der Tabelle C entspricht (Verbindungen lll.1-1.162cC-1 bis 111.1-1.162cC-389; 111.1 -2.162cC-1 bis IN.1-2.162cC-389; lll.1-3.162cC-1 bis 111.1-3.162cC-389; 111.1 -4.162cC-1 bis 111.1-4.162cC-389; lll.2.162cC-1 bis 111.2.162cC-389)Compounds III.1-1, III.1-2, III.1-3, III.1-4 and III.2, wherein B is 2-chloropyridin-3-yl and A is in each case one group of one row of Table C. corresponds (Compounds lll.1-1.162cC-1 to 111.1-1.162cC-389; 111.1 -2.162cC-1 to IN.1-2.162cC-389; lll.1-3.162cC-1 to 111.1-3.162cC-389 111.1 -4.162cC-1 to 111.1-4.162cC-389; III.2.162cC-1 to 111.2.162cC-389)
Tabelle 163cTable 163c
Verbindungen III.1-1 , III.1-2, III.1-3, III.1-4 und III.2, worin B für 4-Chlorpyridin-3-yl steht und A jeweils einer Gruppe einer Zeile der Tabelle C entspricht (Verbindungen 111.1-1.163cC-1 bis 111.1-1.163cC-389; 111.1 -2.163cC-1 bis 111.1-2.163cC-389; lll.1 -3.163cC-1 bis 111.1 -3.163cC-389; 111.1 -4.163cC-1 bis 111.1 -4.163cC-389; lll.2.163cC-1 bis IN.2.163cC-389) Tabelle 164cCompounds III.1-1, III.1-2, III.1-3, III.1-4 and III.2, wherein B is 4-chloropyridin-3-yl and A is in each case one group of one row of Table C. corresponds (Compounds 111.1-1.163cC-1 to 111.1-1.163cC-389; 111.1 -2.163cC-1 to 111.1-2.163cC-389; lll.1 -3.163cC-1 to 111.1 -3.163cC-389; 111.1 -4.163 cC-1 to 111.1 -4.163cC-389; III.2.163cC-1 to IN.2.163cC-389) Table 164c
Verbindungen III.1-1 , III.1-2, III.1-3, III.1-4 und III.2, worin B für 5-Chlorpyridin-3-yl steht und A jeweils einer Gruppe einer Zeile der Tabelle C entspricht (Verbindun- gen 111.1 -1 .164cC-1 bis 111.1 -1 .164cC-389; 111.1 -2.164cC-1 bis IN.1 -2.164cC-389; lll.1 -3.164cC-1 bis 111.1 -3.164cC-389; 111.1 -4.164cC-1 bis 111.1 -4.164cC-389; lll.2.164cC-1 bis IN.2.164cC-389) Tabelle 165cCompounds III.1-1, III.1-2, III.1-3, III.1-4 and III.2, wherein B is 5-chloropyridin-3-yl and A is in each case one group of one row of Table C. corresponds (Compounds 111.1 -1 .164cC-1 to 111.1 -1 .164cC-389; 111.1 -2.164cC-1 to IN.1 -2.164cC-389; III.1 -3.164cC-1 to 111.1 -3.164cC -389; 111.1 -4.164cC-1 to 111.1 -4.164cC-389; III.2.164cC-1 to IN.2.164cC-389) Table 165c
Verbindungen III.1-1 , III.1-2, III.1-3, III.1-4 und III.2, worin B für 6-Chlorpyridin-3-yl steht und A jeweils einer Gruppe einer Zeile der Tabelle C entspricht (Verbindungen lll.1-1.165cC-1 bis 111.1-1.165cC-389; 111.1 -2.165cC-1 bis IN.1-2.165cC-389; lll.1-3.165cC-1 bis 111.1-3.165cC-389; 111.1 -4.165cC-1 bis 111.1-4.165cC-389; lll.2.165cC-1 bis 111.2.165cC-389) Tabelle 166c Verbindungen III.1-1 , III.1-2, III.1-3, III.1-4 und III.2, worin B für 2-Chlorpyridin-4-yl steht und A jeweils einer Gruppe einer Zeile der Tabelle C entspricht (Verbindungen 111.1-1.166cC-1 bis 111.1 -1.166cC-389; 111.1 -2.166cC-1 bis IN.1-2.166cC-389; lll.1 -3.166cC-1 bis 111.1 -3.166cC-389; 111.1 -4.166cC-1 bis lll.1 -4.166cC-389; III.2.166CC-1 bis 111.2.166cC-389) Tabelle 167cCompounds III.1-1, III.1-2, III.1-3, III.1-4 and III.2, wherein B is 6-chloropyridin-3-yl and A is in each case one group of one row of Table C. corresponds (Compounds lll.1-1.165cC-1 to 111.1-1.165cC-389; 111.1 -2.165cC-1 to IN.1-2.165cC-389; lll.1-3.165cC-1 to 111.1-3.165cC-389 ; 111.1 -4.165cC-1 to 111.1-4.165cC-389; lll.2.165cC-1 to 111.2.165cC-389) Table 166c Compounds III.1-1, III.1-2, III.1-3, III .1-4 and III.2, in which B is 2-chloropyridin-4-yl and A corresponds in each case to one group of one row of Table C (Compounds 111.1-1.166cC-1 to 111.1 -1.166cC-389; 111.1 -2.166 cC-1 to IN.1-2.166cC-389; III.1 -3.166cC-1 to 111.1 -3.166cC-389; 111.1 -4.166cC-1 to III.1 -4.166cC-389; III.2.166CC-1 to 111.2.166cC-389) Table 167c
Verbindungen III.1-1 , III.1-2, III.1-3, III.1-4 und III.2, worin B für 3-Chlorpyridin-4-yl steht und A jeweils einer Gruppe einer Zeile der Tabelle C entspricht (Verbindungen lll.1-1.167cC-1 bis 111.1-1.167cC-389; 111.1 -2.167cC-1 bis 111.1-2.167cC-389; III.1-3.167CC-1 bis 111.1-3.167cC-389; Il 1.1 -4.167cC-1 bis 111.1 -4.167cC-389; III.2.167CC-1 bis 111.2.167cC-389) Tabelle 168c Verbindungen III.1-1 , III.1-2, III.1-3, III.1-4 und III.2, worin B für 4-Chlorpyridin-5-yl steht und A jeweils einer Gruppe einer Zeile der Tabelle C entspricht (Verbindungen lll.1-1.168cC-1 bis 111.1 -1.168cC-389; 111.1 -2.168cC-1 bis 111.1-2.168cC-389; lll.1-3.168cC-1 bis 111.1-3.168cC-389; 111.1 -4.168cC-1 bis IN.1-4.168cC-389; lll.2.168cC-1 bis IN.2.168cC-389) Tabelle 169cCompounds III.1-1, III.1-2, III.1-3, III.1-4 and III.2, wherein B is 3-chloropyridin-4-yl and A is in each case one group of one row of Table C. corresponds (compounds III.1-1.167cC-1 to 111.1-1.167cC-389; 111.1 -2.167cC-1 to 111.1-2.167cC-389; III.1-3.167CC-1 to 111.1-3.167cC-389; II 1.1 -467cC-1 to 111.1 -4.167cC-389; III.2.167CC-1 to 111.2.167cC-389) Table 168c Compounds III.1-1, III.1-2, III.1-3, III. 1-4 and III.2, in which B is 4-chloropyridin-5-yl and A corresponds in each case to one group of one row of Table C (compounds III.1-1.168cC-1 to 111.1 -1.168cC-389; 111.1 - 2.168cC-1 to 111.1-2.168cC-389; III.1-3.168cC-1 to 111.1-3.168cC-389; 111.1 -4.168cC-1 to IN.1-4.168cC-389; III.2.168cC-1 to IN.2.168cC-389) Table 169c
Verbindungen III.1-1 , III.1-2, III.1-3, III.1-4 und III.2, worin B für 3-Fluorpyridin-2-yl steht und A jeweils einer Gruppe einer Zeile der Tabelle C entspricht (Verbindungen 111.1-1.169cC-1 bis 111.1-1.169cC-389; 111.1 -2.169cC-1 bis 111.1-2.169cC-389; lll.1-3.169cC-1 bis 111.1-3.169cC-389; 111.1 -4.169cC-1 bis 111.1-4.169cC-389; lll.2.169cC-1 bis 111.2.169cC-389)Compounds III.1-1, III.1-2, III.1-3, III.1-4 and III.2, wherein B is 3-fluoropyridin-2-yl and A is in each case one group of a row of Table C. (Compounds 111.1-1.169cC-1 to 111.1-1.169cC-389; 111.1 -2.169cC-1 to 111.1-2.169cC-389; lll.1-3.169cC-1 to 111.1-3.169cC-389; 111.1 -4.169 cC-1 to 111.1-4.169cC-389; lll.2.169cC-1 to 111.2.169cC-389)
Tabelle 17OcTable 17Oc
Verbindungen III.1-1 , III.1-2, III.1-3, III.1-4 und III.2, worin B für 4-Fluorpyridin-2-yl steht und A jeweils einer Gruppe einer Zeile der Tabelle C entspricht (Verbindungen 111.1-1.17OcC-I bis 111.1 -1.170cC-389; 111.1 -2.170cC-1 bis 111.1-2.170cC-389; lll.1-3.170cC-1 bis 111.1-3.170cC-389; Il 1.1 -4.170cC-1 bis 111.1-4.170cC-389; lll.2.170cC-1 bis 111.2.170cC-389) Tabelle 171 cCompounds III.1-1, III.1-2, III.1-3, III.1-4 and III.2, wherein B is 4-fluoropyridin-2-yl and A is in each case one group of one row of Table C. (Compounds 111.1-1.17OcC-I to 111.1 -1.170cC-389; 111.1 -2.170cC-1 to 111.1-2.170cC-389; lll.1-3.170cC-1 to 111.1-3.170cC-389; IL 1.1 - 4.170cC-1 to 111.1-4.170cC-389; lll.2.170cC-1 to 111.2.170cC-389). Table 171c
Verbindungen III.1-1 , III.1-2, III.1-3, III.1-4 und III.2, worin B für 5-Fluorpyridin-2-yl steht und A jeweils einer Gruppe einer Zeile der Tabelle C entspricht (Verbindun- gen 111.1-1.171 cC-1 bis 111.1-1.171 cC-389; 111.1 -2.171 cC-1 bis 111.1-2.171 cC-389; lll.1 -3.171 cC-1 bis 111.1 -3.171 cC-389; Il 1.1 -4.171 cC-1 bis 111.1 -4.171 cC-389; lll.2.171 cC-1 bis 111.2.171 cC-389) Tabelle 172cCompounds III.1-1, III.1-2, III.1-3, III.1-4 and III.2, wherein B is 5-fluoropyridin-2-yl and A is in each case one group of a row of Table C. corresponds (compounds 111.1-1.171 cC-1 to 111.1-1.171 cC-389; 111.1 -2.171 cC-1 to 111.1-2.171 cC-389; lll.1 -3.171 cC-1 to 111.1 -3.171 cC-389; 1.1 -4.171 cC-1 to 111.1 -4.171 cC-389; III.2.171 cC-1 to 111.2.171 cC-389) Table 172c
Verbindungen III.1-1 , III.1-2, III.1-3, III.1-4 und III.2, worin B für 6-Fluorpyridin-2-yl steht und A jeweils einer Gruppe einer Zeile der Tabelle C entspricht (Verbindungen 111.1-1.172cC-1 bis 111.1-1.172cC-389; 111.1 -2.172cC-1 bis 111.1 -2.172cC-389; lll.1-3.172cC-1 bis 111.1-3.172cC-389; 111.1 -4.172cC-1 bis 111.1-4.172cC-389; lll.2.172cC-1 bis IN.2.172cC-389) Tabelle 173c Verbindungen III.1-1 , III.1-2, III.1-3, III.1-4 und III.2, worin B für 2-Fluorpyridin-3-yl steht und A jeweils einer Gruppe einer Zeile der Tabelle C entspricht (Verbindungen 111.1-1.173cC-1 bis 111.1-1.173cC-389; 111.1 -2.173cC-1 bis 111.1 -2.173cC-389; lll.1-3.173cC-1 bis 111.1-3.173cC-389; IM.1 -4.173cC-1 bis 111.1 -4.173cC-389; lll.2.173cC-1 bis IM.2.173cC-389) Tabelle 174cCompounds III.1-1, III.1-2, III.1-3, III.1-4 and III.2, wherein B is 6-fluoropyridin-2-yl and A is in each case one group of a row of Table C. corresponds (Compounds 111.1-1.172cC-1 to 111.1-1.172cC-389; 111.1 -2.172cC-1 to 111.1 -2.172cC-389; III.1-3.172cC-1 to 111.1-3.172cC-389; 111.1 -4.172 cC-1 to 111.1-4.172cC-389; III.2.172cC-1 to IN.2.172cC-389) Table 173c Compounds III.1-1, III.1-2, III.1-3, III.1- 4 and III.2, wherein B is 2-fluoropyridin-3-yl and A corresponds in each case to one group of one row of Table C (Compounds 111.1-1.173cC-1 to 111.1-1.173cC-389; 111.1 to -2.173cC-1 to 111.1 -2.173cC-389; III.1-3.173cC-1 to 111.1-3.173cC-389; IM.1 -4.173cC-1 to 111.1 -4.173cC-389; lll.2.173cC-1 to IM.2.173cC-389) Table 174c
Verbindungen III.1-1 , III.1-2, III.1-3, III.1-4 und III.2, worin B für 4-Fluorpyridin-3-yl steht und A jeweils einer Gruppe einer Zeile der Tabelle C entspricht (Verbindungen lll.1-1.174cC-1 bis 111.1-1.174cC-389; 111.1 -2.174cC-1 bis 111.1 -2.174cC-389; lll.1-3.174cC-1 bis 111.1-3.174cC-389; 111.1 -4.174cC-1 bis IM.1-4.174cC-389; lll.2.174cC-1 bis IN.2.174cC-389) Tabelle 175c Verbindungen III.1-1 , III.1-2, III.1-3, III.1-4 und III.2, worin B für 5-Fluorpyridin-3-yl steht und A jeweils einer Gruppe einer Zeile der Tabelle C entspricht (Verbindungen III.1-1.175CC-1 bis 111.1-1.175cC-389; 111.1 -2.175cC-1 bis 111.1 -2.175cC-389; III.1-3.175CC-1 bis 111.1-3.175cC-389; 111.1 -4.175cC-1 bis IM.1-4.175cC-389; III.2.175CC-1 bis IN.2.175cC-389) Tabelle 176cCompounds III.1-1, III.1-2, III.1-3, III.1-4 and III.2, wherein B is 4-fluoropyridin-3-yl and A is in each case one group of one line of Table C. corresponds (Compounds lll.1-1.174cC-1 to 111.1-1.174cC-389; 111.1 -2.174cC-1 to 111.1 -2.174cC-389; lll.1-3.174cC-1 to 111.1-3.174cC-389; 111.1 -4.174cC-1 to IM.1-4.174cC-389; lll.2.174cC-1 to IN.2.174cC-389) Table 175c Compounds III.1-1, III.1-2, III.1-3, III.1-4 and III.2, wherein B is 5-fluoropyridin-3-yl and A corresponds in each case to one group of a row of Table C (Compounds III.1-1.175CC-1 to 111.1-1.175cC-389; III.1-3.175CC-1 to 111.1-3.175cC-389; 111.1 -4.175cC-1 to IM.1-4.175cC-389; III.2.175CC -1 to IN.2.175cC-389) Table 176c
Verbindungen III.1-1 , III.1-2, III.1-3, III.1-4 und III.2, worin B für 6-Fluorpyridin-3-yl steht und A jeweils einer Gruppe einer Zeile der Tabelle C entspricht (Verbindungen MI.1-1.176cC-1 bis MI.1-1.176cC-389; MI.1 -2.176cC-1 bis IM.1-2.176cC-389; lll.1-3.176cC-1 bis IM.1-3.176cC-389; M 1.1 -4.176cC-1 bis IM.1 -4.176cC-389; lll.2.176cC-1 bis 111.2.176cC-389)Compounds III.1-1, III.1-2, III.1-3, III.1-4 and III.2, wherein B is 6-fluoropyridin-3-yl and A is in each case one group of a row of Table C. (Compounds MI.1-1.176cC-1 to MI.1-1.176cC-389; MI.1 -2.176cC-1 to IM.1-2.176cC-389; III.1-3.176cC-1 to IM. 1-3.176cC-389, M 1.1 -4.176cC-1 to IM.1 -4.176cC-389, III.2.176cC-1 to 111.2.176cC-389)
Tabelle 177cTable 177c
Verbindungen III.1-1 , III.1-2, III.1-3, III.1-4 und III.2, worin B für 2-Fluorpyridin-4-yl steht und A jeweils einer Gruppe einer Zeile der Tabelle C entspricht (Verbindungen MI.1-1.177cC-1 bis MI.1 -1.177cC-389; 111.1 -2.177cC-1 bis 111.1 -2.177cC-389; IM.1-3.177CC-1 bis 111.1 -3.177cC-389; 111.1 -4.177cC-1 bis IM.1-4.177cC-389;Compounds III.1-1, III.1-2, III.1-3, III.1-4 and III.2, wherein B is 2-fluoropyridin-4-yl and A is in each case one group of a row of Table C. corresponds (compounds MI.1-1.177cC-1 to MI.1 -1.177cC-389; 111.1 -2.177cC-1 to 111.1 -2.177cC-389; IM.1-3.177CC-1 to 111.1-3.177cC-389 111.1 -4.177cC-1 to IM.1-4.177cC-389;
IM.2.177CC-1 bis 111.2.177cC-389) Tabelle 178cIM.2.177CC-1 to 111.2.177cC-389) Table 178c
Verbindungen MI.1-1 , IM.1-2, IM.1-3, IM.1-4 und III.2, worin B für 3-Fluorpyridin-4-yl steht und A jeweils einer Gruppe einer Zeile der Tabelle C entspricht (Verbindun- gen MI.1-1.178cC-1 bis MI.1-1.178cC-389; IM.1-2.178cC-1 bis IM.1-2.178cC-389;Compounds MI.1-1, IM.1-2, IM.1-3, IM.1-4 and III.2, wherein B is 3-fluoropyridin-4-yl and A is in each case one group of one row of Table C. corresponds (compounds MI.1-1.178cC-1 to MI.1-1.178cC-389, IM.1-2.178cC-1 to IM.1-2.178cC-389;
IM.1-3.178cC-1 bis IM.1-3.178cC-389; Il 1.1 -4.178cC-1 bis 111.1 -4.178cC-389; IM.2.178cC-1 bis 111.2.178cC-389) Tabelle 179cIM.1-3.178cC-1 to IM.1-3.178cC-389; II 1.1 -4.178cC-1 to 111.1 -4.178cC-389; IM.2.178cC-1 to 111.2.178cC-389) Table 179c
Verbindungen MI.1-1 , IM.1-2, IM.1-3, IM.1-4 und III.2, worin B für 3- Methylpyridin-2-yl steht und A jeweils einer Gruppe einer Zeile der Tabelle C entspricht (Verbindungen MI.1-1.179cC-1 bis MI.1-1.179cC-389; MI.1 -2.179cC-1 bis 111.1 -2.179cC-389; IM.1-3.179cC-1 bis IM.1-3.179cC-389; IM.1 -4.179cC-1 bis 111.1 -4.179cC-389; IM.2.179cC-1 bis IM.2.179cC-389) Tabelle 180c Verbindungen MI.1-1 , IM.1-2, IM.1-3, IM.1-4 und III.2, worin B für 4-Methylpyridin-2-yl steht und A jeweils einer Gruppe einer Zeile der Tabelle C entspricht (Verbindungen MI.1-1.18OcC-I bis MI.1 -1.180cC-389; MI.1 -2.180cC-1 bis IM.1-2.180cC-389; 111.1 -3.18OcC-I bis 111.1 -3.180cC-389; 111.1 -4.180cC-1 bis lll.1 -4.180cC-389; lll.2.180cC-1 bis 111.2.180cC-389) Tabelle 181 cCompounds MI.1-1, IM.1-2, IM.1-3, IM.1-4 and III.2, wherein B is 3-methylpyridin-2-yl and A is in each case one group of one row of Table C (Compounds MI.1-1.179cC-1 to MI.1-1.179cC-389; MI.1 -2.179cC-1 to 111.1 -2.179cC-389; IM.1-3.179cC-1 to IM.1- 3.179cC-389; IM.1 -4.179cC-1 to 111.1 -4.179cC-389; IM.2.179cC-1 to IM.2.179cC-389) Table 180c Compounds MI.1-1, IM.1-2, IM.1-3, IM.1-4 and III.2, wherein B is 4-methylpyridin-2-yl and A corresponds in each case to one group of a row of Table C (compounds MI.1-1.18OcC-I to MI .1 -1.180cC-389; MI.1 -2.180cC-1 to IM.1-2.180cC-389; 111.1 -3.18 OCC-I to 111.1 -3.180cC-389; 111.1 -4.180cC-1 to III.1 -4.180cC-389; lll.2.180cC-1 to 111.2.180cC-389) Table 181 c
Verbindungen III.1-1 , III.1-2, III.1-3, III.1-4 und III.2, worin B für 5-Methylpyridin-2-yl steht und A jeweils einer Gruppe einer Zeile der Tabelle C entspricht (Verbindungen lll.1-1.181 cC-1 bis 111.1 -1.181 cC-389; 111.1 -2.181 cC-1 bis 111.1-2.181 cC-389; lll.1-3.181 cC-1 bis 111.1-3.181 cC-389; 111.1 -4.181 cC-1 bis 111.1-4.181 cC-389; lll.2.181 cC-1 bis 111.2.181cC-389) Tabelle 182c Verbindungen III.1-1 , III.1-2, III.1-3, III.1-4 und III.2, worin B für 6-Methylpyridin-2-yl steht und A jeweils einer Gruppe einer Zeile der Tabelle C entspricht (Verbindungen lll.1-1.182cC-1 bis 111.1-1.182cC-389; 111.1 -2.182cC-1 bis 111.1-2.182cC-389; lll.1-3.182cC-1 bis 111.1-3.182cC-389; 111.1 -4.182cC-1 bis 111.1-4.182cC-389; lll.2.182cC-1 bis IN.2.182cC-389) Tabelle 183cCompounds III.1-1, III.1-2, III.1-3, III.1-4 and III.2, wherein B is 5-methylpyridin-2-yl and A is in each case one group of a row of Table C. (Compounds III.1-1.181 cC-1 to 111.1 -1.181 cC-389; 111.1 -2.181 cC-1 to 111.1-2.181 cC-389; III.1-3.181 cC-1 to 111.1-3.181 cC-389; 111.1 -4,181 cC-1 to 111.1-4,181 cC-389; III.2.181 cC-1 to 111.2.181cC-389). Table 182c Compounds III.1-1, III.1-2, III.1-3, III.1 -4 and III.2, wherein B is 6-methylpyridin-2-yl and A corresponds in each case to one group of a row of Table C (compounds III.1-1.182cC-1 to 111.1-1.182cC-389; 111.1 to 2.182 cC-1 to 111.1-2.182cC-389; III.1-3.182cC-1 to 111.1-3.182cC-389; 111.1 -4.182cC-1 to 111.1-4.182cC-389; III.2.182cC-1 to IN. 2.182cC-389) Table 183c
Verbindungen III.1-1 , III.1-2, III.1-3, III.1-4 und III.2, worin B für 2-Methylpyridin-3-yl steht und A jeweils einer Gruppe einer Zeile der Tabelle C entspricht (Verbindungen 111.1-1.183cC-1 bis 111.1-1.183cC-389; 111.1 -2.183cC-1 bis 111.1-2.183cC-389; lll.1-3.183cC-1 bis 111.1-3.183cC-389; 111.1 -4.183cC-1 bis 111.1-4.183cC-389; lll.2.183cC-1 bis 111.2.183cC-389)Compounds III.1-1, III.1-2, III.1-3, III.1-4 and III.2, wherein B is 2-methylpyridin-3-yl and A is in each case one group of one line of Table C. (Compounds 111.1-1.183cC-1 to 111.1-1.183cC-389; 111.1 -2.183cC-1 to 111.1-2.183cC-389; III.1-3.183cC-1 to 111.1-3.183cC-389; 111.1 -4.183 cC-1 to 111.1-4.183cC-389; lll.2.183cC-1 to 111.2.183cC-389)
Tabelle 184cTable 184c
Verbindungen III.1-1 , III.1-2, III.1-3, III.1-4 und III.2, worin B für 4-Methylpyridin-3-yl steht und A jeweils einer Gruppe einer Zeile der Tabelle C entspricht (Verbindungen 111.1-1.184cC-1 bis 111.1-1.184cC-389; 111.1 -2.184cC-1 bis IN.1-2.184cC-389; lll.1 -3.184cC-1 bis IN.1 -3.184cC-389; 111.1 -4.184cC-1 bis 111.1 -4.184cC-389; lll.2.184cC-1 bis IN.2.184cC-389) Tabelle 185cCompounds III.1-1, III.1-2, III.1-3, III.1-4 and III.2, wherein B is 4-methylpyridin-3-yl and A is in each case one group of one line of Table C. (Compounds 111.1-1.184cC-1 to 111.1-1.184cC-389; 111.1 -2.184cC-1 to IN.1-2.184cC-389; III.1 -3.184cC-1 to IN.1 -3.184cC-389 ; 111.1 -4.184cC-1 to 111.1 -4.184cC-389; III.2.184cC-1 to IN.2.184cC-389) Table 185c
Verbindungen III.1-1 , III.1-2, III.1-3, III.1-4 und III.2, worin B für 5-Methylpyridin-3-yl steht und A jeweils einer Gruppe einer Zeile der Tabelle C entspricht (Verbindun- gen IN.1-1.185cC-1 bis 111.1-1.185cC-389; 111.1 -2.185cC-1 bis IN.1-2.185cC-389; lll.1-3.185cC-1 bis 111.1-3.185cC-389; 111.1 -4.185cC-1 bis 111.1-4.185cC-389; lll.2.185cC-1 bis IN.2.185cC-389) Tabelle 186cCompounds III.1-1, III.1-2, III.1-3, III.1-4 and III.2, wherein B is 5-methylpyridin-3-yl and A is in each case one group of one row of Table C. corresponds (compounds IN.1-1.185cC-1 to 111.1-1.185cC-389; 111.1 -2.185cC-1 to IN.1-2.185cC-389; III.1-3.185cC-1 to 111.1-3.185cC -389; 111.1 -4.185cC-1 to 111.1-4.185cC-389; III.2.185cC-1 to IN.2.185cC-389) Table 186c
Verbindungen III.1-1 , III.1-2, III.1-3, III.1-4 und III.2, worin B für 6-Methylpyridin-3-yl steht und A jeweils einer Gruppe einer Zeile der Tabelle C entspricht (Verbindungen lll.1-1.186cC-1 bis 111.1 -1.186cC-389; 111.1 -2.186cC-1 bis 111.1-2.186cC-389; lll.1-3.186cC-1 bis 111.1-3.186cC-389; 111.1 -4.186cC-1 bis IN.1-4.186cC-389; lll.2.186cC-1 bis 111.2.186cC-389) Tabelle 187c Verbindungen III.1-1 , III.1-2, III.1-3, III.1-4 und III.2, worin B für 2-Methylpyridin-4-yl steht und A jeweils einer Gruppe einer Zeile der Tabelle C entspricht (Verbindungen lll.1-1.187cC-1 bis 111.1-1.187cC-389; 111.1 -2.187cC-1 bis 111.1-2.187cC-389; III.1-3.187CC-1 bis 111.1-3.187cC-389; Il 1.1 -4.187cC-1 bis 111.1 -4.187cC-389; III.2.187CC-1 bis 111.2.187cC-389) Tabelle 188cCompounds III.1-1, III.1-2, III.1-3, III.1-4 and III.2, wherein B is 6-methylpyridin-3-yl and A is in each case one group of one row of Table C. (Compounds III.1-1.186cC-1 to 111.1 -1.186cC-389; 111.1 -2.186cC-1 to 111.1-2.186cC-389; III.1-3.186cC-1 to 111.1-3.186cC-389; 111.1 -4.186cC-1 to IN.1-4.186cC-389; lll.2.186cC-1 to 111.2.186cC-389) Table 187c Compounds III.1-1, III.1-2, III.1-3, III .1-4 and III.2, wherein B is 2-methylpyridin-4-yl and A corresponds in each case to one group of one row of Table C (compounds III.1-1.187cC-1 to 111.1-1.187cC-389; 111.1 -2.187cC-1 to 111.1-2.187cC-389; III.1-3.187CC-1 to 111.1-3.187cC-389; II 1.1 -4.187cC-1 to 111.1 -4.187cC-389; III.2.187CC-1 to 111.2.187cC-389) Table 188c
Verbindungen III.1-1 , III.1-2, III.1-3, III.1-4 und III.2, worin B für 3-Methylpyridin-4-yl steht und A jeweils einer Gruppe einer Zeile der Tabelle C entspricht (Verbindungen lll.1-1.188cC-1 bis 111.1 -1.188cC-389; 111.1 -2.188cC-1 bis 111.1-2.188cC-389; lll.1-3.188cC-1 bis 111.1-3.188cC-389; 111.1 -4.188cC-1 bis IN.1-4.188cC-389; III.2.188CC-1 bis 111.2.188cC-389) Tabelle 189c Verbindungen III.1-1 , III.1-2, III.1-3, III.1-4 und III.2, worin B für 4-Methylpyridin-5-yl steht und A jeweils einer Gruppe einer Zeile der Tabelle C entspricht (Verbindungen lll.1-1.189cC-1 bis 111.1-1.189cC-389; 111.1 -2.189cC-1 bis 111.1-2.189cC-389; lll.1-3.189cC-1 bis 111.1-3.189cC-389; 111.1 -4.189cC-1 bis 111.1-4.189cC-389; lll.2.189cC-1 bis IN.2.189cC-389) Tabelle 190cCompounds III.1-1, III.1-2, III.1-3, III.1-4 and III.2, wherein B is 3-methylpyridin-4-yl and A is in each case one group of one row of Table C. (Compounds III.1-1.188cC-1 to 111.1 -1.188cC-389; 111.1 -2.188cC-1 to 111.1-2.188cC-389; III.1-3.188cC-1 to 111.1-3.188cC-389; 111.1 III.188cC-1 to IN.1-4.188cC-389; III.2.188CC-1 to 111.2.188cC-389). Table 189c Compounds III.1-1, III.1-2, III.1-3, III .1-4 and III.2, wherein B is 4-methylpyridin-5-yl and A corresponds in each case to one group of one row of Table C (compounds III.1-1.189cC-1 to 111.1-1.189cC-389; 111.1 Lll.1-3.189cC-1 to 111.1-3.189cC-389; 111.1 -4.189cC-1 to 111.1-4.189cC-389; lll.2.189cC-1 to IN.2.189cC-389) Table 190c
Verbindungen III.1-1 , III.1-2, III.1-3, III.1-4 und III.2, worin B für 3-Methoxypyridin-2- yl steht und A jeweils einer Gruppe einer Zeile der Tabelle C entspricht (Verbindungen 111.1-1.19OcC-I bis 111.1 -1.190cC-389; 111.1-2.190cC-1 bis 111.1-2.190cC-389; lll.1-3.190cC-1 bis 111.1-3.190cC-389; 111.1 -4.190cC-1 bis 111.1-4.190cC-389; III.2.190CC-1 bis 111.2.190cC-389)Compounds III.1-1, III.1-2, III.1-3, III.1-4 and III.2, wherein B is 3-methoxypyridin-2-yl and A is in each case one group of one row of Table C (Compounds 111.1-1.19 OcC-I to 111.1 -1.190cC-389; 111.1-2.190cC-1 to 111.1-2.190cC-389; III.1-3.190cC-1 to 111.1-3.190cC-389; 111.1 -4.190 cC-1 to 111.1-4.190cC-389; III.2.190CC-1 to 111.2.190cC-389)
Tabelle 191 cTable 191 c
Verbindungen III.1-1 , III.1-2, III.1-3, III.1-4 und III.2, worin B für 4-Methoxypyridin-2- yl steht und A jeweils einer Gruppe einer Zeile der Tabelle C entspricht (Verbindungen lll.1-1.191 cC-1 bis 111.1 -1.191 cC-389; 111.1-2.191 cC-1 bis 111.1-2.191 cC-389; lll.1-3.191 cC-1 bis 111.1 -3.191 cC-389; 111.1 -4.191 cC-1 bis 111.1-4.191 cC-389; lll.2.191 cC-1 bis 111.2.191cC-389) Tabelle 192cCompounds III.1-1, III.1-2, III.1-3, III.1-4 and III.2, wherein B is 4-methoxypyridin-2-yl and A is in each case one group of one line of Table C. (Compounds III.1-1.191 cC-1 to 111.1 -1.191 cC-389; 111.1-2.191 cC-1 to 111.1-2.191 cC-389; III.1-3.191 cC-1 to 111.1 -3.191 cC-389; 111.1 -4,191 cC-1 to 111.1-4,191 cC-389; III.2.191 cC-1 to 111.2.191cC-389) Table 192c
Verbindungen III.1-1 , III.1-2, III.1-3, III.1-4 und III.2, worin B für 5-Methoxypyridin-2- yl steht und A jeweils einer Gruppe einer Zeile der Tabelle C entspricht (Verbin- düngen IN.1-1.192cC-1 bis 111.1-1.192cC-389; 111.1-2.192cC-1 bis 111.1-2.192cC-389; lll.1-3.192cC-1 bis 111.1-3.192cC-389; 111.1 -4.192cC-1 bis 111.1-4.192cC-389; lll.2.192cC-1 bis 111.2.192cC-389) Tabelle 193cCompounds III.1-1, III.1-2, III.1-3, III.1-4 and III.2, wherein B is 5-methoxypyridin-2-yl and A is in each case one group of a row of Table C. corresponds (compound IN.1-1.192cC-1 to 111.1-1.192cC-389; 111.1-2.192cC-1 to 111.1-2.192cC-389; III.1-3.192cC-1 to 111.1-3.192cC-389) ; 111.1 -4.192cC-1 to 111.1-4.192cC-389; III.2.192cC-1 to 111.2.192cC-389) Table 193c
Verbindungen III.1-1 , III.1-2, III.1-3, III.1-4 und III.2, worin B für 6-Methoxypyridin-2- yl steht und A jeweils einer Gruppe einer Zeile der Tabelle C entspricht (Verbindungen 111.1-1.193cC-1 bis 111.1-1.193cC-389; 111.1-2.193cC-1 bis 111.1-2.193cC-389; lll.1-3.193cC-1 bis 111.1-3.193cC-389; 111.1 -4.193cC-1 bis 111.1-4.193cC-389; lll.2.193cC-1 bis IM.2.193cC-389) Tabelle 194c Verbindungen III.1-1 , III.1-2, III.1-3, III.1-4 und III.2, worin B für 2-Methoxypyridin-3- yl steht und A jeweils einer Gruppe einer Zeile der Tabelle C entspricht (Verbindungen 111.1-1.194cC-1 bis 111.1-1.194cC-389; 111.1-2.194cC-1 bis 111.1-2.194cC-389; lll.1-3.194cC-1 bis 111.1-3.194cC-389; IN.1-4.194cC-1 bis 111.1-4.194cC-389; lll.2.194cC-1 bis 111.2.194cC-389) Tabelle 195cCompounds III.1-1, III.1-2, III.1-3, III.1-4 and III.2, wherein B is 6-methoxypyridin-2-yl and A is in each case one group of a row of Table C. (Compounds 111.1-1.193cC-1 to 111.1-1.193cC-389; 111.1-2.193cC-1 to 111.1-2.193cC-389; III.1-3.193cC-1 to 111.1-3.193cC-389; 111.1 -4.193 cC-1 to 111.1-4.193cC-389; lll.2.193cC-1 to IM.2.193cC-389) Table 194c Compounds III.1-1, III.1-2, III.1-3, III.1- 4 and III.2, wherein B is 2-methoxypyridin-3-yl and A corresponds in each case to one group of one row of Table C (Compounds 111.1-1.194cC-1 to 111.1-1.194cC-389; 111.1-2.194cC-1 to 111.1-2.194cC-389; III.1-3.194cC-1 to 111.1-3.194cC-389; IN.1-4.194cC-1 to 111.1-4.194cC-389; lll.2.194cC-1 to 111.2.194cC-389) Table 195c
Verbindungen III.1-1 , III.1-2, III.1-3, III.1-4 und III.2, worin B für 4-Methoxypyridin-3- yl steht und A jeweils einer Gruppe einer Zeile der Tabelle C entspricht (Verbindungen lll.1-1.195cC-1 bis 111.1-1.195cC-389; 111.1-2.195cC-1 bis 111.1-2.195cC-389; lll.1-3.195cC-1 bis 111.1-3.195cC-389; 111.1 -4.195cC-1 bis 111.1-4.195cC-389; lll.2.195cC-1 bis 111.2.195cC-389) Tabelle 196c Verbindungen III.1-1 , III.1-2, III.1-3, III.1-4 und III.2, worin B für 5-Methoxypyridin-3- yl steht und A jeweils einer Gruppe einer Zeile der Tabelle C entspricht (Verbindungen 111.1-1.196cC-1 bis 111.1 -1.196cC-389; 111.1-2.196cC-1 bis 111.1-2.196cC-389; lll.1-3.196cC-1 bis 111.1-3.196cC-389; 111.1 -4.196cC-1 bis 111.1-4.196cC-389; lll.2.196cC-1 bis IN.2.196cC-389) Tabelle 197cCompounds III.1-1, III.1-2, III.1-3, III.1-4 and III.2, wherein B is 4-methoxypyridin-3-yl and A is in each case one group of one row of Table C. corresponds (Compounds lll.1-1.195cC-1 to 111.1-1.195cC-389; 111.1-2.195cC-1 to 111.1-2.195cC-389; lll.1-3.195cC-1 to 111.1-3.195cC-389; 111.1 -4.195cC-1 to 111.1-4.195cC-389; lll.2.195cC-1 to 111.2.195cC-389) Table 196c Compounds III.1-1, III.1-2, III.1-3, III.1 4 and III.2, in which B is 5-methoxypyridin-3-yl and A corresponds in each case to one group of one row of Table C (Compounds III.1-1.196cC-1 to 111.1 -1.196cC-389; 111.1-2.196cC- 1 to 111.1-2.196cC-389; III.1-3.196cC-1 to 111.1-3.196cC-389; 111.1 -4.196cC-1 to 111.1-4.196cC-389; III.2.196cC-1 to IN.2.196cC -389) Table 197c
Verbindungen III.1-1 , III.1-2, III.1-3, III.1-4 und III.2, worin B für 6-Methoxypyridin-3- yl steht und A jeweils einer Gruppe einer Zeile der Tabelle C entspricht (Verbindungen lll.1-1.197cC-1 bis 111.1-1.197cC-389; 111.1-2.197cC-1 bis 111.1 -2.197cC-389; III.1-3.197CC-1 bis 111.1-3.197cC-389; IM.1 -4.197cC-1 bis 111.1 -4.197cC-389; lll.2.197cC-1 bis IN.2.197cC-389)Compounds III.1-1, III.1-2, III.1-3, III.1-4 and III.2, wherein B is 6-methoxypyridin-3-yl and A is in each case one group of one row of Table C. corresponds (Compounds lll.1-1.197cC-1 to 111.1-1.197cC-389; 111.1-2.197cC-1 to 111.1 -2.197cC-389; III.1-3.197CC-1 to 111.1-3.197cC-389; IM .1 -4.197cC-1 to 111.1 -4.197cC-389; lll.2.197cC-1 to IN.2.197cC-389)
Tabelle 198cTable 198c
Verbindungen III.1-1 , III.1-2, III.1-3, III.1-4 und III.2, worin B für 2-Methoxypyridin-4- yl steht und A jeweils einer Gruppe einer Zeile der Tabelle C entspricht (Verbindungen 111.1-1.198cC-1 bis 111.1 -1.198cC-389; 111.1-2.198cC-1 bis 111.1-2.198cC-389; lll.1-3.198cC-1 bis 111.1-3.198cC-389; 111.1 -4.198cC-1 bis 111.1-4.198cC-389; lll.2.198cC-1 bis IN.2.198cC-389) Tabelle 199cCompounds III.1-1, III.1-2, III.1-3, III.1-4 and III.2, wherein B is 2-methoxypyridin-4-yl and A is in each case one group of a row of Table C. (Compounds 111.1-1.198cC-1 to 111.1 -1.198cC-389; 111.1-2.198cC-1 to 111.1-2.198cC-389; III.1-3.198cC-1 to 111.1-3.198cC-389; 111.1 -4.198 cC-1 to 111.1-4.198cC-389; III.2.198cC-1 to IN.2.198cC-389) Table 199c
Verbindungen III.1-1 , III.1-2, III.1-3, III.1-4 und III.2, worin B für 3-Methoxypyridin-4- yl steht und A jeweils einer Gruppe einer Zeile der Tabelle C entspricht (Verbin- düngen 111.1-1.199cC-1 bis 111.1-1.199cC-389; 111.1-2.199cC-1 bis 111.1-2.199cC-389; lll.1-3.199cC-1 bis 111.1-3.199cC-389; 111.1 -4.199cC-1 bis 111.1-4.199cC-389; lll.2.199cC-1 bis 111.2.199cC-389) Tabelle 200cCompounds III.1-1, III.1-2, III.1-3, III.1-4 and III.2, wherein B is 3-methoxypyridin-4-yl and A is in each case one group of one row of Table C (Compound 111.1-1.199cC-1 to 111.1-1.199cC-389; 111.1-2.199cC-1 to 111.1-2.199cC-389; lll.1-3.199cC-1 to 111.1-3.199cC-389; 111.1 -4.199cC-1 to 111.1-4.199cC-389; lll.2.199cC-1 to 111.2.199cC-389) Table 200c
Verbindungen III.1-1 , III.1-2, III.1-3, III.1-4 und III.2, worin B für 3,5-Dichlorpyridin-2- yl steht und A jeweils einer Gruppe einer Zeile der Tabelle C entspricht (Verbindungen III.1-1.20OcC-I bis 111.1-1.200cC-389; IN.1-2.200cC-1 bis IN.1-2.200cC-389; lll.1-3.200cC-1 bis IN.1-3.200cC-389; IN.1-4.200cC-1 bis IN.1-4.200cC-389; lll.2.200cC-1 bis IN.2.200cC-389) Tabelle 201 c Verbindungen III.1-1 , III.1-2, III.1-3, III.1-4 und III.2, worin B für 2,4-Dichlorpyridin-3- yl steht und A jeweils einer Gruppe einer Zeile der Tabelle C entspricht (Verbindungen III.1-1.201 CC-1 bis 111.1-1.201 cC-389; 111.1-2.201 cC-1 bis IN.1-2.201 cC-389; lll.1-3.201 cC-1 bis 111.1-3.201 cC-389; 111.1 -4.201 cC-1 bis lll.1-4.201 cC-389; lll.2.201 cC-1 bis IM.2.201cC-389) Tabelle 202cCompounds III.1-1, III.1-2, III.1-3, III.1-4 and III.2, wherein B is 3,5-dichloropyridin-2-yl and A is in each case a group of a line of Table C corresponds to (Compounds III.1-1.20OcC-I to 111.1-1.200cC-389; IN.1-2.200cC-1 to IN.1-2.200cC-389; III.1-3.200cC-1 to IN. 1-3.200cC-389; IN.1-4.200cC-1 to IN.1-4.200cC-389; lll.2.200cC-1 to IN.2.200cC-389) Table 201c Compounds III.1-1, III .1-2, III.1-3, III.1-4 and III.2, wherein B is 2,4-dichloropyridin-3-yl and A in each case corresponds to one group of one row of Table C (Compounds III.1 -1.201 CC-1 to 111.1-1.201 cC-389; 111.1-2.201 cC-1 to IN.1-2.201 cC-389; lll.1-3.201 cC-1 to 111.1-3.201 cC-389; 111.1 -4.201 cC-1 to lll.1-4.201 cC-389; lll.2.201 cC-1 to IM.2.201cC-389) Table 202c
Verbindungen III.1-1 , III.1-2, III.1-3, III.1-4 und III.2, worin B für 2,5-Dichlorpyridin-3- yl steht und A jeweils einer Gruppe einer Zeile der Tabelle C entspricht (Verbindungen lll.1-1.202cC-1 bis 111.1-1.202cC-389; IN.1-2.202cC-1 bis IM.1-2.202cC-389; lll.1-3.202cC-1 bis IN.1-3.202cC-389; IN.1-4.202cC-1 bis IN.1-4.202cC-389; lll.2.202cC-1 bis IN.2.202cC-389) Tabelle 203c Verbindungen III.1-1 , III.1-2, III.1-3, III.1-4 und III.2, worin B für 2,6-Dichlorpyridin-3- yl steht und A jeweils einer Gruppe einer Zeile der Tabelle C entspricht (Verbindungen lll.1-1.203cC-1 bis 111.1-1.203cC-389; IM.1-2.203cC-1 bis IN.1-2.203cC-389; lll.1-3.203cC-1 bis IN.1-3.203cC-389; IN.1-4.203cC-1 bis IN.1-4.203cC-389; lll.2.203cC-1 bis IM.2.203cC-389) Tabelle 204cCompounds III.1-1, III.1-2, III.1-3, III.1-4 and III.2, wherein B is 2,5-dichloropyridin-3-yl and A is in each case a group of a line of Table C corresponds (Compounds III.1-1.202cC-1 to 111.1-1.202cC-389; IN.1-2.202cC-1 to IM.1-2.202cC-389; III.1-3.202cC-1 to IN. 1-3.202cC-389; IN.1-4.202cC-1 to IN.1-4.202cC-389; lll.2.202cC-1 to IN.2.202cC-389) Table 203c Compounds III.1-1, III. 1-2, III.1-3, III.1-4 and III.2, in which B is 2,6-dichloropyridin-3-yl and A corresponds in each case to one group of one row of Table C (compounds III.1- 1.203cC-1 to 111.1-1.203cC-389; IM.1-2.203cC-1 to IN.1-2.203cC-389; lll.1-3.203cC-1 to IN.1-3.203cC-389; IN. 1-4.203cC-1 to IN.1-4.203cC-389; lll.2.203cC-1 to IM.2.203cC-389) Table 204c
Verbindungen III.1-1 , III.1-2, III.1-3, III.1-4 und III.2, worin B für 2,6-Dichlorpyridin-4- yl steht und A jeweils einer Gruppe einer Zeile der Tabelle C entspricht (Verbindungen lll.1-1.204cC-1 bis 111.1-1.204cC-389; IN.1-2.204cC-1 bis IN.1-2.204cC-389; lll.1-3.204cC-1 bis IN.1-3.204cC-389; IN.1-4.204cC-1 bis IN.1-4.204cC-389; lll.2.204cC-1 bis IM.2.204cC-389)Compounds III.1-1, III.1-2, III.1-3, III.1-4 and III.2, wherein B is 2,6-dichloropyridin-4-yl and A is in each case a group of a line of Table C corresponds to (Compounds III.1-1.204cC-1 to 111.1-1.204cC-389; IN.1-2.204cC-1 to IN.1-2.204cC-389; III.1-3.204cC-1 to IN. 1-3.204cC-389; IN.1-4.204cC-1 to IN.1-4.204cC-389; lll.2.204cC-1 to IM.2.204cC-389)
Tabelle 205cTable 205c
Verbindungen III.1-1 , III.1-2, III.1-3, III.1-4 und III.2, worin B für 3,5-Dichlorpyridin-4- yl steht und A jeweils einer Gruppe einer Zeile der Tabelle C entspricht (Verbindungen lll.1-1.205cC-1 bis 111.1-1.205cC-389; IN.1-2.205cC-1 bis IN.1-2.205cC-389; lll.1-3.205cC-1 bis IN.1-3.205cC-389; IN.1-4.205cC-1 bis IN.1-4.205cC-389; lll.2.205cC-1 bis IN.2.205cC-389) Tabelle 206cCompounds III.1-1, III.1-2, III.1-3, III.1-4 and III.2, wherein B is 3,5-dichloropyridin-4-yl and A is in each case a group of a line of Table C corresponds to (Compounds III.1-1.205cC-1 to 111.1-1.205cC-389; IN.1-2.205cC-1 to IN.1-2.205cC-389; III.1-3.205cC-1 to IN. 1-3.205cC-389; IN.1-4.205cC-1 to IN.1-4.205cC-389; lll.2.205cC-1 to IN.2.205cC-389) Table 206c
Verbindungen III.1-1 , III.1-2, III.1-3, III.1-4 und III.2, worin B für 3,6-Dichlorpyridin-4- yl steht und A jeweils einer Gruppe einer Zeile der Tabelle C entspricht (Verbin- düngen IM.1-1.206cC-1 bis 111.1-1.206cC-389; IM.1-2.206cC-1 bis IN.1-2.206cC-389; lll.1-3.206cC-1 bis IN.1-3.206cC-389; IN.1-4.206cC-1 bis IN.1-4.206cC-389; lll.2.206cC-1 bis IN.2.206cC-389) Tabelle 207cCompounds III.1-1, III.1-2, III.1-3, III.1-4 and III.2, wherein B is 3,6-dichloropyridin-4-yl and A is in each case a group of a line of Table C corresponds to (compound IM.1-1.206cC-1 to 111.1-1.206cC-389; IM.1-2.206cC-1 to IN.1-2.206cC-389; III.1-3.206cC-1 to IN.1-3.206cC-389, IN.1-4.206cC-1 to IN.1-4.206cC-389, III.2.206cC-1 to IN.2.206cC-389) Table 207c
Verbindungen III.1-1 , III.1-2, III.1-3, III.1-4 und III.2, worin B für 2,5-Dichlorpyridin-4- yl steht und A jeweils einer Gruppe einer Zeile der Tabelle C entspricht (Verbindungen lll.1-1.207cC-1 bis 111.1-1.207cC-389; IM.1-2.207cC-1 bis IN.1-2.207cC-389; lll.1-3.207cC-1 bis IN.1-3.207cC-389; 111.1 -4.207cC-1 bis IN.1-4.207cC-389; lll.2.207cC-1 bis IM.2.207cC-389) Tabelle 208c Verbindungen III.1-1 , III.1-2, III.1-3, III.1-4 und III.2, worin B für 2,3-Dichlorpyridin-4- yl steht und A jeweils einer Gruppe einer Zeile der Tabelle C entspricht (Verbindungen lll.1-1.208cC-1 bis 111.1-1.208cC-389; IN.1-2.208cC-1 bis IM.1-2.208cC-389; lll.1-3.208cC-1 bis IN.1-3.208cC-389; IN.1-4.208cC-1 bis lll.1-4.208cC-389; III.2.208CC-1 bis IM.2.208cC-389) Tabelle 209cCompounds III.1-1, III.1-2, III.1-3, III.1-4 and III.2, wherein B is 2,5-dichloropyridin-4-yl and A is in each case a group of a line of Table C corresponds to (Compounds III.1-1.207cC-1 to 111.1-1.207cC-389; IM.1-2.207cC-1 to IN.1-2.207cC-389; III.1-3.207cC-1 to IN. 1-3.207cC-389; 111.1 -4.207cC-1 to IN.1-4.207cC-389; lll.2.207cC-1 to IM.2.207cC-389) Table 208c Compounds III.1-1, III.1- 2, III.1-3, III.1-4 and III.2, wherein B is 2,3-dichloropyridin-4-yl and A corresponds in each case to one group of one row of Table C (compounds III.1-1.208cC -1 to 111.1-1.208cC-389; IN.1-2.208cC-1 to IM.1-2.208cC-389; III.1-3.208cC-1 to IN.1-3.208cC-389; IN.1-4.208cC-1 to III.1-4.208cC-389; III.2.208CC-1 to IM.2.208cC-389) Table 209c
Verbindungen III.1-1 , III.1-2, III.1-3, III.1-4 und III.2, worin B für 2,4-Dichlorpyridin-5- yl steht und A jeweils einer Gruppe einer Zeile der Tabelle C entspricht (Verbindungen lll.1-1.209cC-1 bis 111.1-1.209cC-389; IM.1-2.209cC-1 bis IM.1-2.209cC-389; lll.1-3.209cC-1 bis IN.1-3.209cC-389; IN.1-4.209cC-1 bis IN.1-4.209cC-389; III.2.209CC-1 bis IM.2.209cC-389) Tabelle 210c Verbindungen III.1-1 , III.1-2, III.1-3, III.1-4 und III.2, worin B für 3,5-Difluorpyridin-2- yl steht und A jeweils einer Gruppe einer Zeile der Tabelle C entspricht (Verbindungen III.1-1.21OcC-I bis 111.1-1.210cC-389; 111.1-2.21 OcC-1 bis IM.1-2.210cC-389; lll.1-3.210cC-1 bis IN.1-3.210cC-389; 111.1 -4.21 OcC-1 bis IN.1-4.210cC-389; lll.2.210cC-1 bis IM.2.210cC-389) Tabelle 211 cCompounds III.1-1, III.1-2, III.1-3, III.1-4 and III.2, wherein B is 2,4-dichloropyridin-5-yl and A is in each case a group of a line of Table C corresponds to (Compounds III.1-1.209cC-1 to 111.1-1.209cC-389; IM.1-2.209cC-1 to IM.1-2.209cC-389; III.1-3.209cC-1 to IN. 1-3.209cC-389; IN.1-4.209cC-1 to IN.1-4.209cC-389; III.2.209CC-1 to IM.2.209cC-389) Table 210c Compounds III.1-1, III. 1-2, III.1-3, III.1-4 and III.2, wherein B is 3,5-difluoropyridin-2-yl and A in each case corresponds to one group of one row of Table C (compounds III.1- 1.21OcC-I to 111.1-1.210cC-389; 111.1-2.21 OcC-1 to IM.1-2.210cC-389; lll.1-3.210cC-1 to IN.1-3.210cC-389; 111.1 -4.21 OcC -1 to IN.1-4.210cC-389; III.2.210cC-1 to IM.2.210cC-389) Table 211c
Verbindungen III.1-1 , III.1-2, III.1-3, III.1-4 und III.2, worin B für 3,5-Difluorpyridin-4- yl steht und A jeweils einer Gruppe einer Zeile der Tabelle C entspricht (Verbindungen 111.1-1.21 I cC-I bis IM.1-1.211 cC-389; III.1-2.21 1 cC-1 bis 111.1-2.211 cC-389; III.1-3.211 cC-1 bis 111.1-3.211 cC-389; III.1-4.21 1cC-1 bis 111.1-4.211 cC-389; lll.2.211 cC-1 bis 111.2.21 1 cC-389)Compounds III.1-1, III.1-2, III.1-3, III.1-4 and III.2, wherein B is 3,5-difluoropyridin-4-yl and A is in each case a group of a line of Table C corresponds to (Compounds 111.1-1.21 I cC-I to IM.1-1.211 cC-389, III.1-2.21 1 cC-1 to 111.1-2.211 cC-389, III.1-3.211 cC-1 to 111.1- 3.211 cC-389, III.1-4.21 1cC-1 to 111.1-4.211 cC-389, lll.2.211 cC-1 to 111.2.21 1 cC-389)
Tabelle 212cTable 212c
Verbindungen III.1-1 , III.1-2, III.1-3, III.1-4 und III.2, worin B für 2,3-Difluorpyridin-4- yl steht und A jeweils einer Gruppe einer Zeile der Tabelle C entspricht (Verbindungen 111.1-1.212cC-1 bis 111.1-1.212cC-389; 111.1-2.212cC-1 bis IM.1-2.212cC-389; lll.1-3.212cC-1 bis IN.1-3.212cC-389; Il 1.1 -4.212cC-1 bis IN.1-4.212cC-389; lll.2.212cC-1 bis IM.2.212cC-389) Tabelle 213cCompounds III.1-1, III.1-2, III.1-3, III.1-4 and III.2, wherein B is 2,3-difluoropyridin-4-yl and A is each a group of a line of Table C corresponds (Compounds 111.1-1.212cC-1 to 111.1-1.212cC-389; 111.1-2.212cC-1 to IM.1-2.212cC-389; III.1-3.212cC-1 to IN.1-3.212cC II-4-212cC-1 to IN.1-4.212cC-389; III.2.212cC-1 to IM.2.212cC-389) Table 213c
Verbindungen III.1-1 , III.1-2, III.1-3, III.1-4 und III.2, worin B für 3,5-Dimethylpyridin- 2-yl steht und A jeweils einer Gruppe einer Zeile der Tabelle C entspricht (Verbin- düngen 111.1-1.213cC-1 bis 111.1-1.213cC-389; 111.1-2.213cC-1 bis IM.1-2.213cC-389; lll.1-3.213cC-1 bis IN.1-3.213cC-389; 111.1 -4.213cC-1 bis IN.1-4.213cC-389; lll.2.213cC-1 bis IN.2.213cC-389) Tabelle 214cCompounds III.1-1, III.1-2, III.1-3, III.1-4 and III.2, wherein B is 3,5-dimethylpyridin-2-yl and A is in each case a group of a line of Table C corresponds to (compound 111.1-1.213cC-1 to 111.1-1.213cC-389; 111.1-2.213cC-1 to IM.1-2.213cC-389; III.1-3.213cC-1 to IN.1- 3.213cC-389; 111.1 -4.213cC-1 to IN.1-4.213cC-389; III.2.213cC-1 to IN.2.213cC-389) Table 214c
Verbindungen III.1-1 , III.1-2, III.1-3, III.1-4 und III.2, worin B für 3,4-Dimethylpyridin- 2-yl steht und A jeweils einer Gruppe einer Zeile der Tabelle C entspricht (Verbindungen 111.1-1.214cC-1 bis 111.1-1.214cC-389; 111.1-2.214cC-1 bis IN.1-2.214cC-389; lll.1-3.214cC-1 bis IN.1-3.214cC-389; IN.1-4.214cC-1 bis IN.1-4.214cC-389; lll.2.214cC-1 bis IN.2.214cC-389) Tabelle 215c Verbindungen III.1-1 , III.1-2, III.1-3, III.1-4 und III.2, worin B für 4,6-Dimethylpyridin-Compounds III.1-1, III.1-2, III.1-3, III.1-4 and III.2, wherein B is 3,4-dimethylpyridin-2-yl and A is in each case a group of a line of Table C corresponds (Compounds 111.1-1.214cC-1 to 111.1-1.214cC-389; 111.1-2.214cC-1 to IN.1-2.214cC-389; III.1-3.214cC-1 to IN.1-3.214cC -389; IN.1-4.214cC-1 to IN.1-4.214cC-389; III.2.214cC-1 to IN.2.214cC-389) Table 215c Compounds III.1-1, III.1-2, III.1-3, III.1-4 and III.2, wherein B is 4,6-dimethylpyridine
3-yl steht und A jeweils einer Gruppe einer Zeile der Tabelle C entspricht (Verbindungen 111.1-1.215cC-1 bis 111.1-1.215cC-389; 111.1-2.215cC-1 bis IN.1-2.215cC-389; III.1-3.215CC-1 bis IN.1-3.215cC-389; 111.1-4.215cC-1 bis lll.1-4.215cC-389; III.2.215CC-1 bis IM.2.215cC-389) Tabelle 216c3-yl and A corresponds in each case to one group of one row of Table C (Compounds 111.1-1.215cC-1 to 111.1-1.215cC-389; 111.1-2.215cC-1 to IN.1-2.215cC-389; III.1-3.215CC-1 to IN.1-3.215cC-389; 111.1-4.215cC-1 to lll.1-4.215cC-389; III.2.215CC-1 to IM.2.215cC-389) Table 216c
Verbindungen III.1-1 , III.1-2, III.1-3, III.1-4 und III.2, worin B für 2,4-Dimethylpyridin- 3-yl steht und A jeweils einer Gruppe einer Zeile der Tabelle C entspricht (Verbindungen lll.1-1.216cC-1 bis 111.1-1.216cC-389; 111.1-2.216cC-1 bis IN.1-2.216cC-389; lll.1-3.216cC-1 bis IN.1-3.216cC-389; 111.1 -4.216cC-1 bis IN.1-4.216cC-389; lll.2.216cC-1 bis IN.2.216cC-389) Tabelle 217c Verbindungen III.1-1 , III.1-2, III.1-3, III.1-4 und III.2, worin B für 3,5-Dimethylpyridin-Compounds III.1-1, III.1-2, III.1-3, III.1-4 and III.2, wherein B is 2,4-dimethylpyridin-3-yl and A is in each case a group of a line of Table C corresponds to (Compounds III.1-1.216cC-1 to 111.1-1.216cC-389; 111.1-2.216cC-1 to IN.1-2.216cC-389; III.1-3.216cC-1 to IN.1- 3.216cC-389; 111.1 -4.216cC-1 to IN.1-4.216cC-389; III.2.216cC-1 to IN.2.216cC-389) Table 217c Compounds III.1-1, III.1-2, III.1-3, III.1-4 and III.2, wherein B is 3,5-dimethylpyridine
4-yl steht und A jeweils einer Gruppe einer Zeile der Tabelle C entspricht (Verbindungen lll.1-1.217cC-1 bis 111.1-1.217cC-389; 111.1-2.217cC-1 bis IM.1-2.217cC-389; III.1-3.217CC-1 bis IN.1-3.217cC-389; 111.1 -4.217cC-1 bis IN.1-4.217cC-389; lll.2.217cC-1 bis IN.2.217cC-389) Tabelle 218c4-yl and A in each case corresponds to one group of a row of Table C (compounds III.1-1.217cC-1 to 111.1-1.217cC-389; 111.1-2.217cC-1 to IM.1-2.217cC-389; III .1-3.217CC-1 to IN.1-3.217cC-389; 111.1 -4.217cC-1 to IN.1-4.217cC-389; III.2.217cC-1 to IN.2.217cC-389) Table 218c
Verbindungen III.1-1 , III.1-2, III.1-3, III.1-4 und III.2, worin B für 2-Chlor-3- fluorpyridin-4-yl steht und A jeweils einer Gruppe einer Zeile der Tabelle C entspricht (Verbindungen 111.1-1.218cC-1 bis 111.1-1.218cC-389; 111.1 -2.218cC-1 bis lll.1-2.218cC-389; 111.1 -3.218cC-1 bis 111.1-3.218cC-389; 111.1 -4.218cC-1 bis III.1- 4.218cC-389; 111.2.218cC-1 bis IN.2.218cC-389)Compounds III.1-1, III.1-2, III.1-3, III.1-4 and III.2, wherein B is 2-chloro-3-fluoropyridin-4-yl and A is each a group of one Row of Table C corresponds (Compounds 111.1-1.218cC-1 to 111.1-1.218cC-389; 111.1 -2.218cC-1 to lll.1-2.218cC-389; 111.1-3.218cC-1 to 111.1-3.218cC-389 111.1 -4.218cC-1 to III.1-4.218cC-389; 111.2.218cC-1 to IN.2.218cC-389)
Tabelle 219cTable 219c
Verbindungen III.1-1 , III.1-2, III.1-3, III.1-4 und III.2, worin B für 4-Chlor-3- methylpyridin-2-yl steht und A jeweils einer Gruppe einer Zeile der Tabelle C entspricht (Verbindungen 111.1-1.219cC-1 bis 111.1-1.219cC-389; 111.1 -2.219cC-1 bis lll.1-2.219cC-389; IM .1 -3.219cC-1 bis 111.1-3.219cC-389; 111.1 -4.219cC-1 bis III.1-Compounds III.1-1, III.1-2, III.1-3, III.1-4 and III.2, wherein B is 4-chloro-3-methylpyridin-2-yl and A is each a group of one Row of Table C corresponds (Compounds 111.1-1.219cC-1 to 111.1-1.219cC-389; 111.1 -2.219cC-1 to lll.1-2.219cC-389; IM .1 -3.219cC-1 to 111.1-3.219cC -389; 111.1 -4.219cC-1 to III.1-
4.219cC-389; 111.2.219cC-1 bis IN.2.219cC-389) Tabelle 220c4.219cC-389; 111.2.219cC-1 to IN.2.219cC-389) Table 220c
Verbindungen III.1-1 , III.1-2, III.1-3, III.1-4 und III.2, worin B für 5-Chlor-3- methylpyridin-2-yl steht und A jeweils einer Gruppe einer Zeile der Tabelle C ent- spricht (Verbindungen III.1-1.22OcC-I bis 111.1-1.220cC-389; IN.1-2.220cC-1 bis lll.1-2.220cC-389; IN.1-3.220cC-1 bis IN.1-3.220cC-389; IN.1-4.220cC-1 bis III.1- 4.220cC-389; IN.2.220cC-1 bis IN.2.220cC-389) Tabelle 221 cCompounds III.1-1, III.1-2, III.1-3, III.1-4 and III.2, wherein B is 5-chloro-3-methylpyridin-2-yl and A is each a group of one Corresponding to the line of Table C (Compounds III.1-1.22OcC-I to 111.1-1.220cC-389; IN.1-2.220cC-1 to lll.1-2.220cC-389; IN.1-3.220cC- 1 to IN.1-3.220cC-389; IN.1-4.220cC-1 to III.1-4.220cC-389; IN.2.220cC-1 to IN.2.220cC-389). Table 221c
Verbindungen III.1-1 , III.1-2, III.1-3, III.1-4 und III.2, worin B für 5-Fluor-3- methylpyridin-2-yl steht und A jeweils einer Gruppe einer Zeile der Tabelle C entspricht (Verbindungen 111.1-1.221 cC-1 bis 111.1-1.221 cC-389; 111.1-2.221 cC-1 bis lll.1-2.221 cC-389; 111.1-3.221 cC-1 bis IN.1-3.221cC-389; 111.1-4.221 cC-1 bis III.1- 4.221 cC-389; 111.2.221 cC-1 bis IN.2.221 cC-389) Tabelle 222c Verbindungen III.1-1 , III.1-2, III.1-3, III.1-4 und III.2, worin B für 3-Chlor-5- trifluormethylpyridin-2-yl steht und A jeweils einer Gruppe einer Zeile der Tabelle C entspricht (Verbindungen 111.1-1.222cC-1 bis 111.1-1.222cC-389; IN.1-2.222cC-1 bis lll.1-2.222cC-389; IM.1-3.222cC-1 bis IM.1-3.222cC-389; 111.1 -4.222cC-1 bis III.1- 4.222cC-389; IM.2.222cC-1 bis IM.2.222cC-389) Tabelle 223cCompounds III.1-1, III.1-2, III.1-3, III.1-4 and III.2, wherein B is 5-fluoro-3-methylpyridin-2-yl and A is each a group of one Row of Table C corresponds (Compounds 111.1-1.221 cC-1 to 111.1-1.221 cC-389; 111.1-2.221 cC-1 to lll.1-2.221 cC-389; 111.1-3.221 cC-1 to IN.1-3.221cC -389; 111.1-4.221 cC-1 to III.1- 4.221 cC-389; 111.2.221 cC-1 to IN.2.221 cC-389) Table 222c Compounds III.1-1, III.1-2, III. 1-3, III.1-4 and III.2, wherein B is 3-chloro-5-trifluoromethylpyridin-2-yl and A in each case corresponds to one group of one row of Table C (Compounds III.1-1.222cC-1 to 111.1 -1.222cC-389; IN.1-2.222cC-1 to lll.1-2.222cC-389; IM.1-3.222cC-1 to IM.1-3.222cC-389; 111.1 -4.222cC-1 to III.1- 4.222cC-389; IM.2.222cC-1 to IM.2.222cC-389) Table 223c
Verbindungen III.1-1 , III.1-2, III.1-3, III.1-4 und III.2, worin B für 2-Chlor-6- trifluormethylpyridin-3-yl steht und A jeweils einer Gruppe einer Zeile der Tabelle C entspricht (Verbindungen 111.1-1.223cC-1 bis 111.1-1.223cC-389; IN.1-2.223cC-1 bis lll.1-2.223cC-389; 111.1 -3.223cC-1 bis IN.1-3.223cC-389; IN.1-4.223cC-1 bis III.1- 4.223cC-389; IN.2.223cC-1 bis IN.2.223cC-389) Tabelle 224c Verbindungen III.1-1 , III.1-2, III.1-3, III.1-4 und III.2, worin B für 2,4-Dichlor-6- methylpyridin-3-yl steht und A jeweils einer Gruppe einer Zeile der Tabelle C entspricht (Verbindungen 111.1-1.224cC-1 bis 111.1-1.224cC-389; IN.1-2.224cC-1 bis lll.1-2.224cC-389; IN.1-3.224cC-1 bis IN.1-3.224cC-389; IN.1-4.224cC-1 bis III.1- 4.224cC-389; IN.2.224cC-1 bis IN.2.224cC-389) Tabelle 225cCompounds III.1-1, III.1-2, III.1-3, III.1-4 and III.2, wherein B is 2-chloro-6-trifluoromethylpyridin-3-yl and A is each a group of one Line of Table C corresponds (compounds 111.1-1.223cC-1 to 111.1-1.223cC-389; IN.1-2.223cC-1 to lll.1-2.223cC-389; 111.1 -3.223cC-1 to IN.1- 3.223cC-389; IN.1-4.223cC-1 to III.1- 4.223cC-389; IN.2.223cC-1 to IN.2.223cC-389) Table 224c Compounds III.1-1, III.1- 2, III.1-3, III.1-4 and III.2, wherein B is 2,4-dichloro-6-methylpyridin-3-yl and A in each case corresponds to one group of one row of Table C (compounds III.1- IN.1-2.224cC-1 to III.1-2.224cC-389; IN.1-3.224cC-1 to IN.1-3.224cC-389; IN. 1-4.224cC-1 to III.1-4,224cC-389; IN.2.224cC-1 to IN.2.224cC-389) Table 225c
Verbindungen III.1-1 , III.1-2, III.1-3, III.1-4 und III.2, worin B für 3,4,5- Trichlorpyridin-2-yl steht und A jeweils einer Gruppe einer Zeile der Tabelle C entspricht (Verbindungen 111.1-1.225cC-1 bis 111.1-1.225cC-389; IN.1-2.225cC-1 bis III.1-2.225CC-389; IN.1-3.225cC-1 bis IN.1-3.225cC-389; IN.1-4.225cC-1 bis III.1- 4.225cC-389; IN.2.225cC-1 bis IN.2.225cC-389)Compounds III.1-1, III.1-2, III.1-3, III.1-4 and III.2, wherein B is 3,4,5-trichloropyridin-2-yl and A is each a group of one Row of Table C corresponds (Compounds 111.1-1.225cC-1 to 111.1-1.225cC-389; IN.1-2.225cC-1 to III.1-2.225CC-389; IN.1-3.225cC-1 to IN. 1-3.225cC-389; IN.1-4.225cC-1 to III.1-4.225cC-389; IN.2.225cC-1 to IN.2.225cC-389)
Tabelle 226cTable 226c
Verbindungen III.1-1 , III.1-2, III.1-3, III.1-4 und III.2, worin B für 2,4,6- Trichlorpyridin-3-yl steht und A jeweils einer Gruppe einer Zeile der Tabelle C entspricht (Verbindungen 111.1-1.226cC-1 bis 111.1-1.226cC-389; IN.1-2.226cC-1 bis lll.1-2.226cC-389; 111.1 -3.226cC-1 bis IN.1-3.226cC-389; 111.1 -4.226cC-1 bis III.1-Compounds III.1-1, III.1-2, III.1-3, III.1-4 and III.2, wherein B is 2,4,6-trichloropyridin-3-yl and A is each a group of one Line of Table C corresponds (compounds 111.1-1.226cC-1 to 111.1-1.226cC-389; IN.1-2.226cC-1 to lll.1-2.226cC-389; 111.1 -3.226cC-1 to IN.1- 3.226cC-389; 111.1 -4.226cC-1 to III.1-
4.226cC-389; IN.2.226cC-1 bis IN.2.226cC-389) Tabelle 227c4.226cC-389; IN.2.226cC-1 to IN.2.226cC-389) Table 227c
Verbindungen III.1-1 , III.1-2, III.1-3, III.1-4 und III.2, worin B für Pyrimidin-2-yl steht und A jeweils einer Gruppe einer Zeile der Tabelle C entspricht (Verbindungen III.1- 1.227cC-1 bis 111.1-1.227cC-389; 111.1 -2.227cC-1 bis IN.1-2.227cC-389; III.1-Compounds III.1-1, III.1-2, III.1-3, III.1-4 and III.2, wherein B is pyrimidin-2-yl and A in each case corresponds to one group of one row of Table C ( Compounds III.1- 1.227cC-1 to 111.1-1.227cC-389; 111.1 -2.227cC-1 to IN.1-2.227cC-389; III.1-
3.227cC-1 bis IN.1-3.227cC-389; 111.1 -4.227cC-1 bis IN.1-4.227cC-389; IN.2.227cC- 1 bis III.2.227CC-389) Tabelle 228c3.227cC-1 to IN.1-3.227cC-389; 111.1 -4.227cC-1 to IN.1-4.227cC-389; IN.2.227cC-1 to III.2.227CC-389) Table 228c
Verbindungen III.1-1 , III.1-2, III.1-3, III.1-4 und III.2, worin B für Pyrimidin-5-yl steht und A jeweils einer Gruppe einer Zeile der Tabelle C entspricht (Verbindungen III.1-Compounds III.1-1, III.1-2, III.1-3, III.1-4 and III.2, wherein B is pyrimidin-5-yl and A in each case corresponds to one group of one line of Table C ( Compounds III.1-
1.228cC-1 bis 111.1-1.228cC-389; IN.1-2.228cC-1 bis IN.1-2.228cC-389; III.1- 3.228cC-1 bis IN.1-3.228cC-389; IN.1-4.228cC-1 bis IN.1-4.228cC-389; IN.2.228cC- 1 bis III.2.228CC-389) Tabelle 229c Verbindungen III.1-1 , III.1-2, III.1-3, III.1-4 und III.2, worin B für 6-Chlorpyrimidin-3- yl steht und A jeweils einer Gruppe einer Zeile der Tabelle C entspricht (Verbindungen lll.1-1.229cC-1 bis 111.1-1.229cC-389; IN.1-2.229cC-1 bis IN.1-2.229cC-389; lll.1-3.229cC-1 bis IN.1-3.229cC-389; IN.1-4.229cC-1 bis lll.1-4.229cC-389; lll.2.229cC-1 bis IM.2.229cC-389) Tabelle 230c1.228cC-1 to 111.1-1.228cC-389; IN.1-2.228cC-1 to IN.1-2.228cC-389; III.1-3.228cC-1 to IN.1-3.228cC-389; IN.1-4.228cC-1 to IN.1-4.228cC-389; IN.2.228cC-1 to III.2.228CC-389) Table 229c Compounds III.1-1, III.1-2, III.1-3, III.1-4 and III.2, wherein B is for 6- Chloropyrimidin-3-yl and A corresponds in each case to one group of one row of Table C (compounds III.1-1.229cC-1 to 111.1-1.229cC-389; IN.1-2.229cC-1 to IN.1-2.229cC -389; III.1-3.229cC-1 to IN.1-3.229cC-389; IN.1-4.229cC-1 to III.1-4.229cC-389; lll.2.229cC-1 to IM.2.229cC-389) Table 230c
Verbindungen III.1-1 , III.1-2, III.1-3, III.1-4 und III.2, worin B für 6-Methylpyrimidin-3- yl steht und A jeweils einer Gruppe einer Zeile der Tabelle C entspricht (Verbindungen III.1-1.23OcC-I bis 111.1-1.230cC-389; IM.1-2.230cC-1 bis IM.1-2.230cC-389; lll.1-3.230cC-1 bis IN.1-3.230cC-389; IN.1-4.230cC-1 bis IN.1-4.230cC-389; lll.2.230cC-1 bis IN.2.230cC-389) Tabelle 231 c Verbindungen III.1-1 , III.1-2, III.1-3, III.1-4 und III.2, worin B für 6-Methoxypyrimidin-Compounds III.1-1, III.1-2, III.1-3, III.1-4 and III.2, wherein B is 6-methylpyrimidin-3-yl and A is in each case one group of one row of Table C. (Compounds III.1-1.23OcC-I to 111.1-1.230cC-389; IM.1-2.230cC-1 to IM.1-2.230cC-389; III.1-3.230cC-1 to IN.1- 3.230cC-389; IN.1-4.230cC-1 to IN.1-4.230cC-389; lll.2.230cC-1 to IN.2.230cC-389) Table 231c Compounds III.1-1, III.1 -2, III.1-3, III.1-4 and III.2, wherein B is 6-methoxypyrimidine
3-yl steht und A jeweils einer Gruppe einer Zeile der Tabelle C entspricht (Verbindungen lll.1-1.231 cC-1 bis 111.1-1.231 cC-389; 111.1-2.231 cC-1 bis 111.1-2.231 cC-389; lll.1-3.231 cC-1 bis 111.1-3.231 cC-389; 111.1 -4.231 cC-1 bis 111.1-4.231 cC-389; lll.2.231 cC-1 bis IN.2.231cC-389) Tabelle 232c3-yl and A in each case corresponds to one group of one row of Table C (compounds III.1-1.231 cC-1 to 111.1-1.231 cC-389; 111.1-2.231 cC-1 to 111.1-2.231 cC-389; -3,231 cC-1 to 111.1-3,231 cC-389; 111.1 -4,231 cC-1 to 111.1-4,231 cC-389; III.2,231 cC-1 to IN.2,231cC-389) Table 232c
Verbindungen III.1-1 , III.1-2, III.1-3, III.1-4 und III.2, worin B für 2,4- Dichlorpyrimidin-3-yl steht und A jeweils einer Gruppe einer Zeile der Tabelle C entspricht (Verbindungen 111.1-1.232cC-1 bis 111.1-1.232cC-389; IN.1-2.232cC-1 bis lll.1-2.232cC-389; 111.1 -3.232cC-1 bis IN.1-3.232cC-389; IN.1-4.232cC-1 bis III.1- 4.232cC-389; IN.2.232cC-1 bis IN.2.232cC-389)Compounds III.1-1, III.1-2, III.1-3, III.1-4 and III.2, wherein B is 2,4-dichloropyrimidin-3-yl and A is in each case a group of a line of Table C corresponds (Compounds 111.1-1.232cC-1 to 111.1-1.232cC-389; IN.1-2.232cC-1 to lll.1-2.232cC-389; 111.1 -3.232cC-1 to IN.1-3.232cC -389; IN.1-4.232cC-1 to III.1-4.232cC-389; IN.2.232cC-1 to IN.2.232cC-389)
Tabelle 233cTable 233c
Verbindungen III.1-1 , III.1-2, III.1-3, III.1-4 und III.2, worin B für 2,6- Dichlorpyrimidin-3-yl steht und A jeweils einer Gruppe einer Zeile der Tabelle C entspricht (Verbindungen 111.1-1.233cC-1 bis 111.1-1.233cC-389; 111.1 -2.233cC-1 bis lll.1-2.233cC-389; 111.1 -3.233cC-1 bis IN.1-3.233cC-389; 111.1 -4.233cC-1 bis III.1-Compounds III.1-1, III.1-2, III.1-3, III.1-4 and III.2, wherein B is 2,6-dichloropyrimidin-3-yl and A is in each case a group of a line of Table C corresponds (Compounds 111.1-1.233cC-1 to 111.1-1.233cC-389; 111.1 -2.233cC-1 to lll.1-2.233cC-389; 111.1-3.233cC-1 to IN.1-3.233cC-389 111.1 -4.233cC-1 to III.1-
4.233cC-389; IN.2.233cC-1 bis IN.2.233cC-389) Tabelle 234c4.233cC-389; IN.2.233cC-1 to IN.2.233cC-389) Table 234c
Verbindungen III.1-1 , III.1-2, III.1-3, III.1-4 und III.2, worin B für 2,4-Difluorpyrimidin- 3-yl steht und A jeweils einer Gruppe einer Zeile der Tabelle C entspricht (Verbin- düngen 111.1-1.234cC-1 bis 111.1-1.234cC-389; IN.1-2.234cC-1 bis IN.1-2.234cC-389; lll.1-3.234cC-1 bis IN.1-3.234cC-389; IN.1-4.234cC-1 bis IN.1-4.234cC-389; lll.2.234cC-1 bis IN.2.234cC-389) Tabelle 235cCompounds III.1-1, III.1-2, III.1-3, III.1-4 and III.2, wherein B is 2,4-difluoropyrimidin-3-yl and A is in each case a group of a line of Table C corresponds to (Compound 111.1-1.234cC-1 to 111.1-1.234cC-389; IN.1-2.234cC-1 to IN.1-2.234cC-389; III.1-3.234cC-1 to IN. 1-3.234cC-389, IN.1-4.234cC-1 to IN.1-4.234cC-389, III.2.234cC-1 to IN.2.234cC-389) Table 235c
Verbindungen III.1-1 , III.1-2, III.1-3, III.1-4 und III.2, worin B für 2,6-Difluorpyrimidin- 3-yl steht und A jeweils einer Gruppe einer Zeile der Tabelle C entspricht (Verbindungen lll.1-1.235cC-1 bis 111.1-1.235cC-389; IN.1-2.235cC-1 bis IN.1-2.235cC-389; lll.1-3.235cC-1 bis IN.1-3.235cC-389; IN.1-4.235cC-1 bis IN.1-4.235cC-389; III.2.235CC-1 bis IN.2.235cC-389) Tabelle 236c Verbindungen III.1-1 , III.1-2, III.1-3, III.1-4 und III.2, worin B für 1 ,3,5-Triazin-2-yl steht und A jeweils einer Gruppe einer Zeile der Tabelle C entspricht (Verbindungen lll.1-1.236cC-1 bis 111.1-1.236cC-389; IN.1-2.236cC-1 bis IN.1-2.236cC-389; lll.1-3.236cC-1 bis IN.1-3.236cC-389; IN.1-4.236cC-1 bis lll.1-4.236cC-389; III.2.236CC-1 bis IM.2.236cC-389) Tabelle 237cCompounds III.1-1, III.1-2, III.1-3, III.1-4 and III.2, wherein B is 2,6-difluoropyrimidin-3-yl and A is in each case a group of a line of Table C corresponds (Compounds III.1-1.235cC-1 to 111.1-1.235cC-389; IN.1-2.235cC-1 to IN.1-2.235cC-389; III.1-3.235cC-1 to IN. 1-3.235cC-389; IN.1-4.235cC-1 to IN.1-4.235cC-389; III.2.235CC-1 to IN.2.235cC-389). Table 236c Compounds III.1-1, III. 1-2, III.1-3, III.1-4 and III.2, wherein B is 1, 3,5-triazin-2-yl and A in each case corresponds to one group of a row of Table C (compounds III. 1-1.236cC-1 to 111.1-1.236cC-389; IN.1-2.236cC-1 to IN.1-2.236cC-389; III.1-3.236cC-1 to IN.1-3.236cC-389; IN.1-4.236cC-1 to III.1-4.236cC-389; III.2.236CC-1 to IM.2.236cC-389) Table 237c
Verbindungen III.1-1 , III.1-2, III.1-3, III.1-4 und III.2, worin B für Thien-2-yl steht und A jeweils einer Gruppe einer Zeile der Tabelle C entspricht (Verbindungen III.1-Compounds III.1-1, III.1-2, III.1-3, III.1-4 and III.2, in which B is thien-2-yl and A corresponds in each case to one group of one row of Table C ( Compounds III.1-
1.237cC-1 bis 111.1-1.237cC-389; 111.1 -2.237cC-1 bis IN.1-2.237cC-389; III.1- 3.237cC-1 bis IN.1-3.237cC-389; 111.1 -4.237cC-1 bis IN.1-4.237cC-389; IN.2.237cC- 1 bis III.2.237CC-389) Tabelle 238c Verbindungen III.1-1 , III.1-2, III.1-3, III.1-4 und III.2, worin B für Thien-3-yl steht und1.237cC-1 to 111.1 to 1.237cC-389; 111.1 -2.237cC-1 to IN.1-2.237cC-389; III.1-3.237cC-1 to IN.1-3.237cC-389; 111.1 -4.237cC-1 to IN.1-4.237cC-389; IN.2.237cC-1 to III.2.237CC-389) Table 238c Compounds III.1-1, III.1-2, III.1-3, III.1-4 and III.2, wherein B is for thienes 3-yl stands and
A jeweils einer Gruppe einer Zeile der Tabelle C entspricht (Verbindungen III.1- 1.238cC-1 bis 111.1-1.238cC-389; IM.1-2.238cC-1 bis IM.1-2.238cC-389; III.1- 3.238cC-1 bis IM.1-3.238cC-389; IN.1-4.238cC-1 bis IN.1-4.238cC-389; IM.2.238cC- 1 bis lll.2.238cC-389) Tabelle 239cA corresponds in each case to one group of one row of Table C (Compounds III.1- 1.238cC-1 to 111.1-1.238cC-389; IM.1-2.238cC-1 to IM.1-2.238cC-389; III.1- 3.238cC-1 to IM.1-3.238cC-389; IN.1-4.238cC-1 to IN.1-4.238cC-389; IM.2.238cC-1 to lll.2.238cC-389) Table 239c
Verbindungen III.1-1 , III.1-2, III.1-3, III.1-4 und III.2, worin B für 5-Chlorthien-2-yl steht und A jeweils einer Gruppe einer Zeile der Tabelle C entspricht (Verbindungen lll.1-1.239cC-1 bis 111.1-1.239cC-389; 111.1 -2.239cC-1 bis IM.1-2.239cC-389; lll.1-3.239cC-1 bis IN.1-3.239cC-389; 111.1 -4.239cC-1 bis IN.1-4.239cC-389; III.2.239CC-1 bis IM.2.239cC-389)Compounds III.1-1, III.1-2, III.1-3, III.1-4 and III.2, wherein B is 5-chlorothien-2-yl and A is in each case one group of a row of Table C. corresponds (Compounds lll.1-1.239cC-1 to 111.1-1.239cC-389; 111.1 -2.239cC-1 to IM.1-2.239cC-389; lll.1-3.239cC-1 to IN.1-3.239cC -389; 111.1 -4.239cC-1 to IN.1-4.239cC-389; III.2.239CC-1 to IM.2.239cC-389)
Tabelle 240cTable 240c
Verbindungen III.1-1 , III.1-2, III.1-3, III.1-4 und III.2, worin B für 2-Chlorthien-3-yl steht und A jeweils einer Gruppe einer Zeile der Tabelle C entspricht (Verbindungen III.1-1.24OcC-I bis 111.1-1.240cC-389; IM.1-2.240cC-1 bis IM.1-2.240cC-389; lll.1-3.240cC-1 bis IN.1-3.240cC-389; 111.1 -4.240cC-1 bis IN.1-4.240cC-389; lll.2.240cC-1 bis IM.2.240cC-389) Tabelle 241 cCompounds III.1-1, III.1-2, III.1-3, III.1-4 and III.2, wherein B is 2-chlorothien-3-yl and A is in each case one group of a row of Table C. (Compounds III.1-1.24OcC-I to 111.1-1.240cC-389; IM.1-2.240cC-1 to IM.1-2.240cC-389; lll.1-3.240cC-1 to IN.1- 3.240cC-389; 111.1 -4.240cC-1 to IN.1-4.240cC-389; III.2.240cC-1 to IM.2.240cC-389) Table 241c
Verbindungen III.1-1 , III.1-2, III.1-3, III.1-4 und III.2, worin B für 4-Chlorthien-3-yl steht und A jeweils einer Gruppe einer Zeile der Tabelle C entspricht (Verbindun- gen MI.1 -1 .241 cC-1 bis 111.1 -1 .241 cC-389; 111.1 -2.241 cC-1 bis 111.1 -2.241 cC-389; lll.1 -3.241 cC-1 bis 111.1 -3.241 cC-389; IM.1 -4.241 cC-1 bis 111.1 -4.241 cC-389; lll.2.241 cC-1 bis IM.2.241 cC-389) Tabelle 242cCompounds III.1-1, III.1-2, III.1-3, III.1-4 and III.2, wherein B is 4-chlorothien-3-yl and A is in each case one group of a row of Table C. corresponds (compounds MI.1 -1 .241 cC-1 to 111.1 -1 .241 cC-389; 111.1 -2,241 cC-1 to 111.1 -2,241 cC-389; lll.1 -3,241 cC-1 to 111.1) 3,241 cC-389, IM.1 -4,241 cC-1 to 111.1 -4,241 cC-389, III.2.241 cC-1 to IM.2.241 cC-389) Table 242c
Verbindungen III.1-1 , III.1-2, III.1-3, III.1-4 und III.2, worin B für 5-Chlorthien-3-yl steht und A jeweils einer Gruppe einer Zeile der Tabelle C entspricht (Verbindungen lll.1-1.242cC-1 bis 111.1-1.242cC-389; 111.1 -2.242C-1 bis IM.1-2.242cC-389; III.1- 3.242cC-1 bis IM.1-3.242cC-389; IN.1-4.242cC-1 bis IN.1-4.242cC-389; IM.2.242cC- 1 bis III.2.242CC-389) Tabelle 243c Verbindungen III.1-1 , III.1-2, III.1-3, III.1-4 und III.2, worin B für 2-Bromthien-3-yl steht und A jeweils einer Gruppe einer Zeile der Tabelle C entspricht (Verbindungen 111.1-1.243cC-1 bis 111.1-1.243cC-389; IM.1-2.243cC-1 bis IM.1-2.243cC-389; lll.1-3.243cC-1 bis IN.1-3.243cC-389; IN.1-4.243cC-1 bis lll.1-4.243cC-389; lll.2.243cC-1 bis IM.2.243cC-389) Tabelle 244cCompounds III.1-1, III.1-2, III.1-3, III.1-4 and III.2, wherein B is 5-chlorothien-3-yl and A is in each case one group of a row of Table C. corresponds (Compounds lll.1-1.242cC-1 to 111.1-1.242cC-389; 111.1 -2.242C-1 to IM.1-2.242cC-389; III.1-3.242cC-1 to IM.1-3.242cC -389; IN.1-4.242cC-1 to IN.1-4.242cC-389; IM.2.242cC-1 to III.2.242CC-389) Table 243c Compounds III.1-1, III.1-2, III.1-3, III.1-4 and III.2, wherein B is 2-bromothien-3-yl and A in each case corresponds to one group of a row of Table C (compounds III.1-1.243cC-1 to 111.1-1.243 cC-389; IM.1-2.243cC-1 to IM.1-2.243cC-389; III.1-3.243cC-1 to IN.1-3.243cC-389; IN.1-4.243cC-1 to III.1-4.243cC-389; lll.2.243cC-1 to IM.2.243cC-389) Table 244c
Verbindungen III.1-1 , III.1-2, III.1-3, III.1-4 und III.2, worin B für 4-Bromthien-3-yl steht und A jeweils einer Gruppe einer Zeile der Tabelle C entspricht (Verbindungen lll.1-1.244cC-1 bis 111.1-1.244cC-389; IM.1-2.244cC-1 bis IM.1-2.244cC-389; lll.1-3.244cC-1 bis IN.1-3.244cC-389; IN.1-4.244cC-1 bis IN.1-4.244cC-389; lll.2.244cC-1 bis IM.2.244cC-389) Tabelle 245c Verbindungen III.1-1 , III.1-2, III.1-3, III.1-4 und III.2, worin B für 5-Bromthien-3-yl steht und A jeweils einer Gruppe einer Zeile der Tabelle C entspricht (Verbindungen III.1-1.245CC-1 bis 111.1-1.245cC-389; IM.1-2.245cC-1 bis IM.1-2.245cC-389; III.1-3.245CC-1 bis IN.1-3.245cC-389; IN.1-4.245cC-1 bis IN.1-4.245cC-389; III.2.245CC-1 bis IM.2.245cC-389) Tabelle 246cCompounds III.1-1, III.1-2, III.1-3, III.1-4 and III.2, wherein B is 4-bromothien-3-yl and A is in each case one group of a row of Table C. (Compounds III.1-1.244cC-1 to 111.1-1.244cC-389; IM.1-2.244cC-1 to IM.1-2.244cC-389; III.1-3.244cC-1 to IN.1- 3.244cC-389; IN.1-4.244cC-1 to IN.1-4.244cC-389; lll.2.244cC-1 to IM.2.244cC-389) Table 245c Compounds III.1-1, III.1- 2, III.1-3, III.1-4 and III.2, wherein B is 5-bromothien-3-yl and A in each case corresponds to one group of one row of Table C (Compounds III.1-1.245CC-1 to III.1-3.245CC-1 to IN.1-3.245cC-389; IN.1-4.245cC -1 to IN.1-4.245cC-389; III.2.245CC-1 to IM.2.245cC-389) Table 246c
Verbindungen III.1-1 , III.1-2, III.1-3, III.1-4 und III.2, worin B für 5-Methylthien-2-yl steht und A jeweils einer Gruppe einer Zeile der Tabelle C entspricht (Verbindungen lll.1-1.246cC-1 bis 111.1-1.246cC-389; IM.1-2.246cC-1 bis IM.1-2.246cC-389; lll.1-3.246cC-1 bis IN.1-3.246cC-389; IN.1-4.246cC-1 bis IN.1-4.246cC-389; lll.2.246cC-1 bis IM.2.246cC-389)Compounds III.1-1, III.1-2, III.1-3, III.1-4 and III.2, wherein B is 5-methylthien-2-yl and A is in each case one group of a row of Table C. (Compounds III.1-1.246cC-1 to 111.1-1.246cC-389; IM.1-2.246cC-1 to IM.1-2.246cC-389; III.1-3.246cC-1 to IN.1- 3.246cC-389; IN.1-4.246cC-1 to IN.1-4.246cC-389; lll.2.246cC-1 to IM.2.246cC-389)
Tabelle 247cTable 247c
Verbindungen III.1-1 , III.1-2, III.1-3, III.1-4 und III.2, worin B für 2-Methylthien-4-yl steht und A jeweils einer Gruppe einer Zeile der Tabelle C entspricht (Verbindungen lll.1-1.247cC-1 bis 111.1-1.247cC-389; 111.1 -2.247cC-1 bis IM.1-2.247cC-389; III.1-3.247CC-1 bis IN.1-3.247cC-389; 111.1 -4.247cC-1 bis IN.1-4.247cC-389;Compounds III.1-1, III.1-2, III.1-3, III.1-4 and III.2, wherein B is 2-methylthien-4-yl and A is in each case one group of one row of Table C. corresponds (compounds III.1-1.247cC-1 to 111.1-1.247cC-389; 111.1 -2.247cC-1 to IM.1-2.247cC-389; III.1-3.247CC-1 to IN.1-3.247cC -389; 111.1 -4.247cC-1 to IN.1-4.247cC-389;
III.2.257CC-1 bis IM.2.247cC-389) Tabelle 248cIII.2.257CC-1 to IM.2.247cC-389) Table 248c
Verbindungen III.1-1 , III.1-2, III.1-3, III.1-4 und III.2, worin B für 4,5-Dichlorthien-2-yl steht und A jeweils einer Gruppe einer Zeile der Tabelle C entspricht (Verbindun- gen MI.1-1.248cC-1 bis 111.1-1.248cC-389; IM.1-2.248cC-1 bis IM.1-2.248cC-389; lll.1-3.248cC-1 bis IN.1-3.248cC-389; IN.1-4.248cC-1 bis IN.1-4.248cC-389; lll.2.248cC-1 bis IM.2.248cC-389) Tabelle 249cCompounds III.1-1, III.1-2, III.1-3, III.1-4 and III.2, wherein B is 4,5-dichlorothien-2-yl and A is in each case a group of a line of Table C corresponds to (Compounds MI.1-1.248cC-1 to 111.1-1.248cC-389, IM.1-2.248cC-1 to IM.1-2.248cC-389, III.1-3.248cC-1 to IN.1-3.248cC-389; IN.1-4.248cC-1 to IN.1-4.248cC-389; III.2.248cC-1 to IM.2.28cC-389) Table 249c
Verbindungen III.1-1 , III.1-2, III.1-3, III.1-4 und I II.2, worin B für 2,5-Dichlorthien-3-yl steht und A jeweils einer Gruppe einer Zeile der Tabelle C entspricht (Verbindungen 111.1-1.249cC-1 bis 111.1-1.249cC-389; IM.1-2.249cC-1 bis IM.1-2.249cC-389; lll.1-3.249cC-1 bis IN.1-3.249cC-389; IN.1-4.249cC-1 bis IN.1-4.249cC-389; lll.2.249cC-1 bis IM.2.249cC-389) Tabelle 250c Verbindungen III.1-1 , III.1-2, III.1-3, III.1-4 und III.2, worin B für 2,3-Dichlorthien-4-yl steht und A jeweils einer Gruppe einer Zeile der Tabelle C entspricht (Verbindungen III.1-1.25OcC-I bis 111.1-1.250cC-389; IM.1-2.250cC-1 bis IM.1-2.250cC-389; lll.1-3.250cC-1 bis IN.1-3.250cC-389; IN.1-4.250cC-1 bis lll.1-4.250cC-389; III.2.250CC-1 bis IM.2.250cC-389) Tabelle 251 cCompounds III.1-1, III.1-2, III.1-3, III.1-4 and I II.2, wherein B is 2,5-dichlorothien-3-yl and A is each a group of one line Table C (Compounds 111.1-1.249cC-1 to 111.1-1.249cC-389, IM.1-2.249cC-1 to IM.1-2.249cC-389, III.1-3.249cC-1 to IN.1 -3.249cC-389; IN.1-4.249cC-1 to IN.1-4.249cC-389; III.2.249cC-1 to IM.2.249cC-389) Table 250c Compounds III.1-1, III.1 -2, III.1-3, III.1-4 and III.2, wherein B is 2,3-dichlorothien-4-yl and A corresponds in each case to one group of one row of Table C (Compounds III.1-1.25 OcC-I to 111.1-1.250cC-389; IM.1-2.250cC-1 to IM.1-2.250cC-389; III.1-3.250cC-1 to IN.1-3.250cC-389; IN.1-4.250cC-1 to III.1-4.250cC-389; III.2.250CC-1 to IM.2.250cC-389) Table 251 c
Verbindungen III.1-1 , III.1-2, III.1-3, III.1-4 und III.2, worin B für 2,5-Dibromthien-3-yl steht und A jeweils einer Gruppe einer Zeile der Tabelle C entspricht (Verbindungen lll.1-1.251 cC-1 bis 111.1-1.251 cC-389; 111.1-2.251 cC-1 bis 111.1-2.251 cC-389; lll.1-3.251 cC-1 bis 111.1-3.251 cC-389; IN.1-4.251cC-1 bis 111.1-4.251 cC-389; lll.2.251 cC-1 bis IN.2.251cC-389) Tabelle 252c Verbindungen III.1-1 , III.1-2, III.1-3, III.1-4 und III.2, worin B für 4,5-Dimethylthien-2- yl steht und A jeweils einer Gruppe einer Zeile der Tabelle C entspricht (Verbindungen lll.1-1.252cC-1 bis 111.1-1.252cC-389; IM.1-2.252cC-1 bis IM.1-2.252cC-389; lll.1-3.252cC-1 bis IN.1-3.252cC-389; IN.1-4.252cC-1 bis IN.1-4.252cC-389; lll.2.252cC-1 bis IM.2.252cC-389) Tabelle 253cCompounds III.1-1, III.1-2, III.1-3, III.1-4 and III.2, wherein B is 2,5-dibromothien-3-yl and A is each a group of a line of Table C corresponds to (compounds III.1-1.251CC-1 to 111.1-1.251CC-389; 111.1-2.251CC-1 to 111.1-2.251CC-389; III.1-3.251CC-1 to 111.1-3.251CC-389 IN.1-4.251cC-1 to 111.1-4.251 cC-389; III.2.251 cC-1 to IN.2.251cC-389) Table 252c Compounds III.1-1, III.1-2, III.1- 3, III.1-4 and III.2, wherein B is 4,5-dimethylthien-2-yl and A in each case corresponds to one group of a row of Table C (compounds III.1-1.252cC-1 to 111.1-1.252 cC-389; IM.1-2.252cC-1 to IM.1-2.252cC-389; III.1-3.252cC-1 to IN.1-3.252cC-389; IN.1-4.252cC-1 to IN .1-4.252cC-389; III.2.252cC-1 to IM.2.252cC-389) Table 253c
Verbindungen III.1-1 , III.1-2, III.1-3, III.1-4 und III.2, worin B für 2,5-Dimethylthien-3- yl steht und A jeweils einer Gruppe einer Zeile der Tabelle C entspricht (Verbindungen lll.1-1.253cC-1 bis 111.1-1.253cC-389; IM.1-2.253cC-1 bis IM.1-2.253cC-389; lll.1-3.253cC-1 bis IN.1-3.253cC-389; IN.1-4.253cC-1 bis IN.1-4.253cC-389; III.2.253CC-1 bis IM.2.253cC-389)Compounds III.1-1, III.1-2, III.1-3, III.1-4 and III.2, wherein B is 2,5-dimethylthien-3-yl and A is in each case a group of a line of Table C corresponds (Compounds III.1-1.253cC-1 to 111.1-1.253cC-389; IM.1-2.253cC-1 to IM.1-2.253cC-389; III.1-3.253cC-1 to IN. 1-3.253cC-389; IN.1-4.253cC-1 to IN.1-4.253cC-389; III.2.253CC-1 to IM.2.253cC-389)
Tabelle 254cTable 254c
Verbindungen III.1-1 , III.1-2, III.1-3, III.1-4 und III.2, worin B für 2,3-Dimethylthien-4- yl steht und A jeweils einer Gruppe einer Zeile der Tabelle C entspricht (Verbindungen lll.1-1.254cC-1 bis 111.1-1.254cC-389; IM.1-2.254cC-1 bis IM.1-2.254cC-389; lll.1-3.254cC-1 bis IN.1-3.254cC-389; 111.1 -4.254cC-1 bis IN.1-4.254cC-389; lll.2.254cC-1 bis IM.2.254cC-389) Tabelle 255cCompounds III.1-1, III.1-2, III.1-3, III.1-4 and III.2, wherein B is 2,3-dimethylthien-4-yl and A is in each case a group of a line of Table C corresponds to (compounds III.1-1.254cC-1 to 111.1-1.254cC-389; IM.1-2.254cC-1 to IM.1-2.254cC-389; III.1-3.254cC-1 to IN. 1-3.254cC-389; 111.1 -4.254cC-1 to IN.1-4.254cC-389; III.2.254cC-1 to IM.2.254cC-389) Table 255c
Verbindungen III.1-1 , III.1-2, III.1-3, III.1-4 und III.2, worin B für 3,4,5-Trichlorthien- 2-yl steht und A jeweils einer Gruppe einer Zeile der Tabelle C entspricht (Verbin- düngen IM.1-1.255cC-1 bis 111.1-1.255cC-389; IM.1-2.255cC-1 bis IM.1-2.255cC-389;Compounds III.1-1, III.1-2, III.1-3, III.1-4 and III.2, wherein B is 3,4,5-trichlorothien-2-yl and A is each a group of one Row of Table C corresponds (compound IM.1-1.255cC-1 to 111.1-1.255cC-389; IM.1-2.255cC-1 to IM.1-2.255cC-389;
III.1-3.255CC-1 bis IN.1-3.255cC-389; IN.1-4.255cC-1 bis IN.1-4.255cC-389; III.2.255CC-1 bis IM.2.255cC-389) Tabelle 256cIII.1-3.255CC-1 to IN.1-3.255cC-389; IN.1-4.255cC-1 to IN.1-4.255cC-389; III.2.255CC-1 to IM.2.255cC-389) Table 256c
Verbindungen III.1-1 , III.1-2, III.1-3, III.1-4 und III.2, worin B für 2,4,5-Trichlorthien- 3-yl steht und A jeweils einer Gruppe einer Zeile der Tabelle C entspricht (Verbindungen lll.1-1.256cC-1 bis 111.1-1.256cC-389; IM.1-2.256cC-1 bis IM.1-2.256cC-389; III.1-3.256CC-1 bis IN.1-3.256cC-389; IN.1-4.256cC-1 bis IN.1-4.256cC-389; III.2.256CC-1 bis IM.2.256cC-389) Tabelle 257c Verbindungen III.1-1 , III.1-2, III.1-3, III.1-4 und III.2, worin B für 2,4,5-Tribromthien-Compounds III.1-1, III.1-2, III.1-3, III.1-4 and III.2, wherein B is 2,4,5-trichlorothien-3-yl and A is each a group of one Row of Table C corresponds (compounds III.1-1.256cC-1 to 111.1-1.256cC-389; IM.1-2.256cC-1 to IM.1-2.256cC-389; III.1-3.256CC-1 to IN.1-3.256cC-389; IN.1-4.256cC-1 to IN.1-4.256cC-389; III.2.256CC-1 to IM.2.256cC-389) Table 257c Compounds III.1-1, III.1-2, III.1-3, III.1-4 and III.2, wherein B is 2,4,5-tribromothienium
3-yl steht und A jeweils einer Gruppe einer Zeile der Tabelle C entspricht (Verbindungen lll.1-1.257cC-1 bis 111.1-1.257cC-389; IM.1-2.257cC-1 bis IM.1-2.257cC-389; III.1-3.257CC-1 bis IN.1-3.257cC-389; 111.1 -4.257cC-1 bis lll.1-4.257cC-389; III.2.257CC-1 bis IM.2.257cC-389) Tabelle 258c3-yl and A corresponds in each case to one group of one row of Table C (compounds III.1-1.257cC-1 to 111.1-1.257cC-389; IM.1-2.257cC-1 to IM.1-2.257cC-389) ; III.1-3.257CC-1 to IN.1-3.257cC-389; 111.1 -4.257cC-1 to lll.1-4.257cC-389; III.2.257CC-1 to IM.2.257cC-389) Table 258c
Verbindungen III.1-1 , III.1-2, III.1-3, III.1-4 und III.2, worin B für 3,4,5- Trimethylthien-2-yl steht und A jeweils einer Gruppe einer Zeile der Tabelle C entspricht (Verbindungen 111.1-1.258cC-1 bis 111.1-1.258cC-389; IN.1-2.258cC-1 bis lll.1-2.258cC-389; 111.1 -3.258cC-1 bis IM.1-3.258cC-389; IN.1-4.258cC-1 bis III.1- 4.258cC-389; IM.2.258cC-1 bis IM.2.258cC-389) Tabelle 259c Verbindungen III.1-1 , III.1-2, III.1-3, III.1-4 und III.2, worin B für 4-Chlorfur-2-yl steht und A jeweils einer Gruppe einer Zeile der Tabelle C entspricht (Verbindungen III.1- 1.259cC-1 bis 111.1-1.259cC-389; IN.1-2.259cC-1 bis IN.1-2.259cC-389; III.1- 3.259cC-1 bis IN.1-3.259cC-389; IN.1-4.259cC-1 bis IN.1-4.259cC-389; IN.2.259cC- 1 bis lll.2.259cC-389) Tabelle 260cCompounds III.1-1, III.1-2, III.1-3, III.1-4 and III.2, wherein B is 3,4,5-trimethylthien-2-yl and A is each a group of one Line of Table C corresponds (compounds 111.1-1.258cC-1 to 111.1-1.258cC-389; IN.1-2.258cC-1 to lll.1-2.258cC-389; 111.1 -3.258cC-1 to IM.1- 3.258cC-389; IN.1-4.258cC-1 to III.1- 4.258cC-389; IM.2.258cC-1 to IM.2.258cC-389) Table 259c Compounds III.1-1, III.1- 2, III.1-3, III.1-4 and III.2, wherein B is 4-chlorofur-2-yl and A in each case corresponds to one group of one row of Table C (Compounds III.1- 1.259cC-1 to 111.1-1.259cC-389; IN.1-2.259cC-1 to IN.1-2.259cC-389; III.1-3.259cC-1 to IN.1-3.259cC-389; IN.1-4.259cC -1 to IN.1-4.259cC-389; IN.2.259cC-1 to III.2.259cC-389) Table 260c
Verbindungen III.1-1 , III.1-2, III.1-3, III.1-4 und III.2, worin B für 5-Chlorfur-2-yl steht und A jeweils einer Gruppe einer Zeile der Tabelle C entspricht (Verbindungen III.1- 1.26OcC-I bis 111.1-1.260cC-389; IM.1-2.260cC-1 bis IN.1-2.260cC-389; III.1- 3.260cC-1 bis IN.1-3.260cC-389; IN.1-4.260cC-1 bis IN.1-4.260cC-389; IM.2.260cC- 1 bis III.2.260CC-389)Compounds III.1-1, III.1-2, III.1-3, III.1-4 and III.2, wherein B is 5-chlorofur-2-yl and A is in each case one group of a row of Table C. corresponds (compounds III.1- 1.26OcC-I to 111.1-1.260cC-389; IM.1-2.260cC-1 to IN.1-2.260cC-389; III.1-3.260cC-1 to IN.1- 3.260cC-389; IN.1-4.260cC-1 to IN.1-4.260cC-389; IM.2.260cC-1 to III.2.260CC-389)
Tabelle 261 cTable 261 c
Verbindungen III.1-1 , III.1-2, III.1-3, III.1-4 und III.2, worin B für 3-Bromfur-2-yl steht und A jeweils einer Gruppe einer Zeile der Tabelle C entspricht (Verbindungen III.1- 1.261 cC-1 bis 111.1-1.261 cC-389; 111.1-2.261 cC-1 bis IN.1-2.261 cC-389; III.1- 3.261 cC-1 bis 111.1-3.261 cC-389; 111.1-4.261 cC-1 bis 111.1-4.261 cC-389; IN.2.261cC-Compounds III.1-1, III.1-2, III.1-3, III.1-4 and III.2, wherein B is 3-bromo-fur-2-yl and A is in each case one group of one row of Table C. corresponds (Compounds III.1- 1.261 cC-1 to 111.1-1.261 cC-389; 111.1-2.261 cC-1 to IN.1-2.261 cC-389; III.1-3.261 cC-1 to 111.1-3.261 cC-389 111.1-4.261 cC-1 to 111.1-4.261 cC-389; IN.2.261cC-
1 bis IM.2.261 cC-389) Tabelle 262c1 to IM.2.261 cC-389) Table 262c
Verbindungen III.1-1 , III.1-2, III.1-3, III.1-4 und III.2, worin B für 4-Bromfur-2-yl steht und A jeweils einer Gruppe einer Zeile der Tabelle C entspricht (Verbindungen III.1- 1.262cC-1 bis 111.1-1.262cC-389; IN.1-2.262cC-1 bis IN.1-2.262cC-389; III.1-Compounds III.1-1, III.1-2, III.1-3, III.1-4 and III.2, wherein B is 4-bromo-fur-2-yl and A is in each case one group of one row of Table C. corresponds (Compounds III.1- 1.262cC-1 to 111.1-1.262cC-389; IN.1-2.262cC-1 to IN.1-2.262cC-389; III.1-
3.262cC-1 bis IN.1-3.262cC-389; IN.1-4.262cC-1 bis IN.1-4.262cC-389; IN.2.262cC- 1 bis lll.2.262cC-389) Tabelle 263c3.262cC-1 to IN.1-3.262cC-389; IN.1-4.262cC-1 to IN.1-4.262cC-389; IN.2.262cC-1 to III.2.262cC-389) Table 263c
Verbindungen III.1-1 , III.1-2, III.1-3, III.1-4 und III.2, worin B für 5-Bromfur-2-yl steht und A jeweils einer Gruppe einer Zeile der Tabelle C entspricht (Verbindungen III.1-Compounds III.1-1, III.1-2, III.1-3, III.1-4 and III.2, wherein B is 5-bromo-fur-2-yl and A is in each case one group of one row of Table C. corresponds (compounds III.1-
1.263cC-1 bis 111.1-1.263cC-389; IN.1-2.263cC-1 bis IN.1-2.263cC-389; III.1- 3.263cC-1 bis IN.1-3.263cC-389; IN.1-4.263cC-1 bis IN.1-4.263cC-389; IN.2.263cC- 1 bis lll.2.263cC-389) Tabelle 264c Verbindungen III.1-1 , III.1-2, III.1-3, III.1-4 und III.2, worin B für 3,4-Dichlorfur-2-yl steht und A jeweils einer Gruppe einer Zeile der Tabelle C entspricht (Verbindungen lll.1-1.264cC-1 bis 111.1-1.264cC-389; IN.1-2.264cC-1 bis IN.1-2.264cC-389; lll.1-3.264cC-1 bis IN.1-3.264cC-389; IN.1-4.264cC-1 bis lll.1-4.264cC-389; lll.2.264cC-1 bis IM.2.264cC-389) Tabelle 265c1.263cC-1 to 111.1-1.263cC-389; IN.1-2.263cC-1 to IN.1-2.263cC-389; III.1- 3.263cC-1 to IN.1-3.263cC-389; IN.1-4.263cC-1 to IN.1-4.263cC-389; IN.2.263cC-1 to III.2.263cC-389) Table 264c Compounds III.1-1, III.1-2, III.1-3, III.1-4 and III.2, wherein B is 3, 4-dichloropur-2-yl and A in each case corresponds to one group of one row of Table C (compounds III.1-1.264cC-1 to 111.1-1.264cC-389; IN.1-2.264cC-1 to IN.1- 2.264cC-389; III.1-3.264cC-1 to IN.1-3.264cC-389; IN.1-4.264cC-1 to III.1-4.264cC-389; lll.2.264cC-1 to IM.2.264cC-389) Table 265c
Verbindungen III.1-1 , III.1-2, III.1-3, III.1-4 und III.2, worin B für 4,5-Dichlorfur-2-yl steht und A jeweils einer Gruppe einer Zeile der Tabelle C entspricht (Verbindungen III.1-1.265CC-1 bis 111.1-1.265cC-389; IM.1-2.265cC-1 bis IM.1-2.265cC-389; III.1-3.265CC-1 bis IN.1-3.265cC-389; IN.1-4.265cC-1 bis IN.1-4.265cC-389; III.2.265CC-1 bis IM.2.265cC-389) Tabelle 266c Verbindungen III.1-1 , III.1-2, III.1-3, III.1-4 und III.2, worin B für Thiazol-2-yl steht und A jeweils einer Gruppe einer Zeile der Tabelle C entspricht (Verbindungen III.1- 1.266cC-1 bis 111.1-1.266cC-389; IM.1-2.266cC-1 bis IM.1-2.266cC-389; III.1- 3.266cC-1 bis IM.1-3.266cC-389; IN.1-4.266cC-1 bis IN.1-4.266cC-389; IM.2.266cC- 1 bis lll.2.266cC-389) Tabelle 267cCompounds III.1-1, III.1-2, III.1-3, III.1-4 and III.2, wherein B is 4,5-dichloropur-2-yl and A is in each case a group of a line of Table C corresponds (Compounds III.1-1.265CC-1 to 111.1-1.265cC-389; IM.1-2.265cC-1 to IM.1-2.265cC-389; III.1-3.265CC-1 to IN. 1-3.265cC-389; IN.1-4.265cC-1 to IN.1-4.265cC-389; III.2.265CC-1 to IM.2.265cC-389). Table 266c Compounds III.1-1, III. 1-2, III.1-3, III.1-4 and III.2, wherein B is thiazol-2-yl and A in each case corresponds to one group of one row of Table C (Compounds III.1- 1.266cC-1 to III.1-3.266cC-1 to IM.1-3.266cC-389; IN.1-4.266cC -1 to IN.1-4.266cC-389; IM.2.266cC-1 to III.2.266cC-389) Table 267c
Verbindungen III.1-1 , III.1-2, III.1-3, III.1-4 und III.2, worin B für Thiazol-4-yl steht und A jeweils einer Gruppe einer Zeile der Tabelle C entspricht (Verbindungen III.1- 1.267cC-1 bis 111.1-1.267cC-389; 111.1 -2.267cC-1 bis IM.1-2.267cC-389; III.1- 3.267cC-1 bis IM.1-3.267cC-389; 111.1 -4.267cC-1 bis IN.1-4.267cC-389; IM.2.267cC- 1 bis III.2.267CC-389)Compounds III.1-1, III.1-2, III.1-3, III.1-4 and III.2, in which B is thiazol-4-yl and A corresponds in each case to one group of one row of Table C ( Compounds III.1- 1.267cC-1 to 111.1-1.267cC-389; 111.1 -2.267cC-1 to IM.1-2.267cC-389; III.1- 3.267cC-1 to IM.1-3.267cC-389 ; 111.1 -4.267cC-1 to IN.1-4.267cC-389; IM.2.267cC-1 to III.2.267CC-389)
Tabelle 268cTable 268c
Verbindungen III.1-1 , III.1-2, III.1-3, III.1-4 und III.2, worin B für Thiazol-5-yl steht und A jeweils einer Gruppe einer Zeile der Tabelle C entspricht (Verbindungen III.1- 1.268cC-1 bis 111.1-1.268cC-389; IM.1-2.268cC-1 bis IM.1-2.268cC-389; III.1- 3.268cC-1 bis IM.1-3.268cC-389; IN.1-4.268cC-1 bis IN.1-4.268cC-389; IM.2.268cC-Compounds III.1-1, III.1-2, III.1-3, III.1-4 and III.2, in which B is thiazol-5-yl and A in each case corresponds to one group of one row of Table C ( Compounds III.1- 1.268cC-1 to 111.1-1.268cC-389; IM.1-2.268cC-1 to IM.1-2.268cC-389; III.1- 3.268cC-1 to IM.1-3.268cC -389; IN.1-4.268cC-1 to IN.1-4.268cC-389; IM.2.268cC-
1 bis lll.2.268cC-389) Tabelle 269c1 to III.2.268cC-389) Table 269c
Verbindungen III.1-1 , III.1-2, III.1-3, III.1-4 und III.2, worin B für lsothiazol-3-yl steht und A jeweils einer Gruppe einer Zeile der Tabelle C entspricht (Verbindungen III.1- 1.269cC-1 bis 111.1-1.269cC-389; IM.1-2.269cC-1 bis IM.1-2.269cC-389; III.1-Compounds III.1-1, III.1-2, III.1-3, III.1-4 and III.2, wherein B is isothiazol-3-yl and A in each case corresponds to one group of one row of Table C ( Compounds III.1- 1.269cC-1 to 111.1-1.269cC-389; IM.1-2.269cC-1 to IM.1-2.269cC-389; III.1-
3.269cC-1 bis IM.1-3.269cC-389; IN.1-4.269cC-1 bis IN.1-4.269cC-389; IM.2.269cC- 1 bis lll.2.269cC-389) Tabelle 270c3.269cC-1 to IM.1-3.269cC-389; IN.1-4.269cC-1 to IN.1-4.269cC-389; IM.2.269cC-1 to III.2.269cC-389) Table 270c
Verbindungen III.1-1 , III.1-2, III.1-3, III.1-4 und III.2, worin B für lsothiazol-4-yl steht und A jeweils einer Gruppe einer Zeile der Tabelle C entspricht (Verbindungen III.1-Compounds III.1-1, III.1-2, III.1-3, III.1-4 and III.2, wherein B is isothiazol-4-yl and A in each case corresponds to one group of one row of Table C ( Compounds III.1-
1.27OcC-I bis lll.1-1.270cC-389; 111.1 -2.270cC-1 bis IM.1-2.270cC-389; III.1- 3.270cC-1 bis IM.1-3.270cC-389; 111.1 -4.270cC-1 bis IN.1-4.270cC-389; IM.2.270cC- 1 bis III.2.270CC-389) Tabelle 271 c Verbindungen III.1-1 , III.1-2, III.1-3, III.1-4 und III.2, worin B für lsothiazol-5-yl steht und A jeweils einer Gruppe einer Zeile der Tabelle C entspricht (Verbindungen III.1- 1.271 cC-1 bis lll.1-1.271 cC-389; 111.1-2.271 cC-1 bis 111.1-2.271 cC-389; III.1- 3.271 cC-1 bis 111.1-3.271 cC-389; 111.1 -4.271 cC-1 bis 111.1-4.271 cC-389; IM.2.271cC- 1 bis lll.2.271 cC-389) Tabelle 272c1.27OcC-I to lll.1-1.270cC-389; 111.1 -2.270cC-1 to IM.1-2.270cC-389; III.1-3.270cC-1 to IM.1-3.270cC-389; 111.1 -4.270cC-1 to IN.1-4.270cC-389; IM.2.270cC-1 to III.2.270CC-389) Table 271c Compounds III.1-1, III.1-2, III.1-3, III.1-4 and III.2, wherein B is isothiazole -5-yl and A in each case corresponds to one group of one row of Table C (Compounds III.1- 1.271 cC-1 to lll.1-1.271 cC-389; 111.1-2.271 cC-1 to 111.1-2.271 cC-389; III.1- 3,271 cC-1 to 111.1-3,271 cC-389; 111.1 -4,271 cC-1 to 111.1-4,271 cC-389; IM.2.271cC-1 to III.2.271 cC-389) Table 272c
Verbindungen III.1-1 , III.1-2, III.1-3, III.1-4 und III.2, worin B für 2-Chlorthiazol-4-yl steht und A jeweils einer Gruppe einer Zeile der Tabelle C entspricht (Verbindungen lll.1-1.272cC-1 bis 111.1-1.272cC-389; 111.1 -2.272cC-1 bis IN.1-2.272cC-389; lll.1-3.272cC-1 bis IN.1-3.272cC-389; 111.1 -4.272cC-1 bis IN.1-4.272cC-389; lll.2.272cC-1 bis IN.2.272cC-389) Tabelle 273c Verbindungen III.1-1 , III.1-2, III.1-3, III.1-4 und III.2, worin B für 2-Chlorthiazol-5-yl steht und A jeweils einer Gruppe einer Zeile der Tabelle C entspricht (Verbindungen lll.1-1.273cC-1 bis 111.1-1.273cC-389; 111.1 -2.273cC-1 bis IN.1-2.273cC-389; lll.1-3.273cC-1 bis IN.1-3.273cC-389; 111.1 -4.273cC-1 bis IN.1-4.273cC-389; lll.2.273cC-1 bis IN.2.273cC-389) Tabelle 274cCompounds III.1-1, III.1-2, III.1-3, III.1-4 and III.2, wherein B is 2-chlorothiazol-4-yl and A is in each case one group of one row of Table C corresponds (Compounds lll.1-1.272cC-1 to 111.1-1.272cC-389; 111.1 -2.272cC-1 to IN.1-2.272cC-389; lll.1-3.272cC-1 to IN.1-3.272cC -389; 111.1 -4.272cC-1 to IN.1-4.272cC-389; III.2.272cC-1 to IN.2.272cC-389). Table 273c Compounds III.1-1, III.1-2, III. 1-3, III.1-4 and III.2, wherein B is 2-chlorothiazol-5-yl and A in each case corresponds to one group of a row of Table C (compounds III.1-1.273cC-1 to 111.1-1.273 cC-389; 111.1 -2.273cC-1 to IN.1-2.273cC-389; III.1-3.273cC-1 to IN.1-3.273cC-389; 111.1 -4.273cC-1 to IN.1-4.273 cC-389; lll.2273cC-1 to IN.2273cC-389) Table 274c
Verbindungen III.1-1 , III.1-2, III.1-3, III.1-4 und III.2, worin B für 4-Chlorthiazol-5-yl steht und A jeweils einer Gruppe einer Zeile der Tabelle C entspricht (Verbindungen lll.1-1.274cC-1 bis 111.1-1.274cC-389; 111.1 -2.274cC-1 bis IN.1-2.274cC-389; lll.1-3.274cC-1 bis IN.1-3.274cC-389; 111.1 -4.274cC-1 bis IN.1-4.274cC-389; lll.2.274cC-1 bis IN.2.274cC-389)Compounds III.1-1, III.1-2, III.1-3, III.1-4 and III.2, wherein B is 4-chlorothiazol-5-yl and A is in each case one group of a row of Table C. (Compounds III.1-1.274cC-1 to 111.1-1.274cC-389; 111.1 -2.274cC-1 to IN.1-2.274cC-389; III.1-3.274cC-1 to IN.1-3.274cC -389; 111.1 -4.274cC-1 to IN.1-4.274cC-389; III.2.274cC-1 to IN.2.274cC-389)
Tabelle 275cTable 275c
Verbindungen III.1-1 , III.1-2, III.1-3, III.1-4 und III.2, worin B für 2-Bromthiazol-4-yl steht und A jeweils einer Gruppe einer Zeile der Tabelle C entspricht (Verbindungen III.1-1.275CC-1 bis 111.1-1.275cC-389; IN.1-2.275cC-1 bis IN.1-2.275cC-389; III.1-3.275CC-1 bis IN.1-3.275cC-389; 111.1 -4.275cC-1 bis IN.1-4.275cC-389;Compounds III.1-1, III.1-2, III.1-3, III.1-4 and III.2, wherein B is 2-bromothiazol-4-yl and A is in each case one group of one row of Table C (Compounds III.1-1.275CC-1 to 111.1-1.275cC-389; IN.1-2.275cC-1 to IN.1-2.275cC-389; III.1-3.275CC-1 to IN.1- 3.275cC-389; 111.1 -4.275cC-1 to IN.1-4.275cC-389;
III.2.275CC-1 bis IN.2.275cC-389) Tabelle 276cIII.2.275CC-1 to IN.2.275cC-389) Table 276c
Verbindungen III.1-1 , III.1-2, III.1-3, III.1-4 und III.2, worin B für 2-Bromthiazol-5-yl steht und A jeweils einer Gruppe einer Zeile der Tabelle C entspricht (Verbindun- gen 111.1-1.276cC-1 bis 111.1-1.276cC-389; IN.1-2.276cC-1 bis IN.1-2.276cC-389; lll.1-3.276cC-1 bis IN.1-3.276cC-389; 111.1 -4.276cC-1 bis IN.1-4.276cC-389; lll.2.276cC-1 bis IN.2.276cC-389) Tabelle 277cCompounds III.1-1, III.1-2, III.1-3, III.1-4 and III.2, wherein B is 2-bromothiazol-5-yl and A is in each case one group of one row of Table C (Compounds 111.1-1.276cC-1 to 111.1-1.276cC-389; IN.1-2.276cC-1 to IN.1-2.276cC-389; lll.1-3.276cC-1 to IN.1- 3.276cC-389; 111.1 -4.276cC-1 to IN.1-4.276cC-389; III.2.276cC-1 to IN.2.276cC-389) Table 277c
Verbindungen III.1-1 , III.1-2, III.1-3, III.1-4 und III.2, worin B für 2,4-Dichlorthiazol-5- yl steht und A jeweils einer Gruppe einer Zeile der Tabelle C entspricht (Verbindungen lll.1-1.277cC-1 bis 111.1 -1.277cC-389; IN.1-2.277cC-1 bis IN.1-2.277cC-389; lll.1-3.277cC-1 bis IN.1-3.277cC-389; 111.1 -4.277cC-1 bis IN.1-4.277cC-389; lll.2.277cC-1 bis IN.2.277cC-389) Tabelle 278c Verbindungen III.1-1 , III.1-2, III.1-3, III.1-4 und III.2, worin B für 3-Chlorisothiazol-4- yl steht und A jeweils einer Gruppe einer Zeile der Tabelle C entspricht (Verbindungen lll.1-1.278cC-1 bis 111.1-1.278cC-389; IN.1-2.278cC-1 bis IN.1-2.278cC-389; lll.1-3.278cC-1 bis IN.1-3.278cC-389; 111.1 -4.278cC-1 bis lll.1-4.278cC-389; lll.2.278cC-1 bis IM.2.278cC-389) Tabelle 279cCompounds III.1-1, III.1-2, III.1-3, III.1-4 and III.2, wherein B is 2,4-dichlorothiazol-5-yl and A is in each case a group of a line of Table C corresponds to (compounds III.1-1.277cC-1 to 111.1 -1.277cC-389; IN.1-2.277cC-1 to IN.1-2.277cC-389; III.1-3.277cC-1 to IN. 1-3.277cC-389; 111.1 -4.277cC-1 to IN.1-4.277cC-389; III.2.277cC-1 to IN.2.277cC-389) Table 278c Compounds III.1-1, III.1- 2, III.1-3, III.1-4 and III.2, wherein B is 3-chloroisothiazol-4-yl and A corresponds in each case to one group of one row of Table C (compounds III.1-1.278cC-1 to 111.1-1.278cC-389; IN.1-2.278cC-1 to IN.1-2.278cC-389; III.1-3.278cC-1 to IN.1-3.278cC-389; 111.1 -4.278cC-1 to lll.1-4.278cC-389; lll.2.278cC-1 to IM.2.278cC-389) Table 279c
Verbindungen III.1-1 , III.1-2, III.1-3, III.1-4 und III.2, worin B für 5-Methylisothiazol- 3-yl steht und A jeweils einer Gruppe einer Zeile der Tabelle C entspricht (Verbindungen 111.1-1.279cC-1 bis 111.1-1.279cC-389; IM.1-2.279cC-1 bis IM.1-2.279cC-389; lll.1-3.279cC-1 bis IN.1-3.279cC-389; 111.1 -4.279cC-1 bis IN.1-4.279cC-389; lll.2.279cC-1 bis IM.2.279cC-389) Tabelle 280c Verbindungen III.1-1 , III.1-2, III.1-3, III.1-4 und III.2, worin B für 3-Methylisothiazol-Compounds III.1-1, III.1-2, III.1-3, III.1-4 and III.2, wherein B is 5-methylisothiazol-3-yl and A is in each case one group of one row of Table C. (Compounds 111.1-1.279cC-1 to 111.1-1.279cC-389; IM.1-2.279cC-1 to IM.1-2.279cC-389; III.1-3.279cC-1 to IN.1-3.279cC -389; 111.1 -4.279cC-1 to IN.1-4.279cC-389; III.2.279cC-1 to IM.2.279cC-389) Table 280c Compounds III.1-1, III.1-2, III. 1-3, III.1-4 and III.2, wherein B is 3-methylisothiazole
4-yl steht und A jeweils einer Gruppe einer Zeile der Tabelle C entspricht (Verbindungen III.1-1.28OcC-I bis 111.1-1.280cC-389; IM.1-2.280cC-1 bis IM.1-2.280cC-389; lll.1-3.280cC-1 bis IN.1-3.280cC-389; IN.1-4.280cC-1 bis IN.1-4.280cC-389; lll.2.280cC-1 bis IM.2.280cC-389) Tabelle 281 c4-yl and A corresponds in each case to one group of one row of Table C (Compounds III.1-1.28OcC-I to 111.1-1.280cC-389; IM.1-2.280cC-1 to IM.1-2.280cC-389 lll.1-3.280cC-1 to IN.1-3.280cC-389; IN.1-4.280cC-1 to IN.1-4.280cC-389; l.2.280cC-1 to IM.2.280cC-389 ) Table 281 c
Verbindungen III.1-1 , III.1-2, III.1-3, III.1-4 und III.2, worin B für 3-Methylisothiazol- 5-yl steht und A jeweils einer Gruppe einer Zeile der Tabelle C entspricht (Verbindungen lll.1-1.281 cC-1 bis 111.1-1.281 cC-389; 111.1-2.281 cC-1 bis IM.1-2.281 cC-389; lll.1-3.281 cC-1 bis 111.1-3.281 cC-389; 111.1 -4.281 cC-1 bis IN.1-4.281 cC-389; lll.2.281 cC-1 bis IM.2.281cC-389)Compounds III.1-1, III.1-2, III.1-3, III.1-4 and III.2, wherein B is 3-methylisothiazol-5-yl and A is in each case one group of one row of Table C. (Compounds III.1-1.281CC-1 to 111.1-1.281CC-389; 111.1-2.281CC-1 to IM.1-2.281CC-389; III.1-3.281CC-1 to 111.1-3.281CC-389 111.1 -4.281 cC-1 to IN.1-4.281 cC-389; 111.2.281 cC-1 to IM.2.281cC-389)
Tabelle 282cTable 282c
Verbindungen III.1-1 , III.1-2, III.1-3, III.1-4 und III.2, worin B für 4,5- Dichlorisothiazol-3-yl steht und A jeweils einer Gruppe einer Zeile der Tabelle C entspricht (Verbindungen 111.1-1.282cC-1 bis 111.1-1.282cC-389; IM.1-2.282cC-1 bis lll.1-2.282cC-389; 111.1 -3.282cC-1 bis IM.1-3.282cC-389; 111.1 -4.282cC-1 bis III.1-Compounds III.1-1, III.1-2, III.1-3, III.1-4 and III.2, wherein B is 4,5-dichloroisothiazol-3-yl and A is in each case a group of a line of Table C corresponds (Compounds 111.1-1.282cC-1 to 111.1-1.282cC-389; IM.1-2.282cC-1 to lll.1-2.282cC-389; 111.1 -3.282cC-1 to IM.1-3.282cC -389; 111.1 -4.282cC-1 to III.1-
4.282cC-389; IM.2.282cC-1 bis IM.2.282cC-389) Tabelle 283c4.282cC-389; IM.2.282cC-1 to IM.2.282cC-389) Table 283c
Verbindungen III.1-1 , III.1-2, III.1-3, III.1-4 und III.2, worin B für 4,5- Dimethylisothiazol-3-yl steht und A jeweils einer Gruppe einer Zeile der Tabelle C entspricht (Verbindungen 111.1-1.283cC-1 bis 111.1-1.283cC-389; IM.1-2.283cC-1 bis lll.1-2.283cC-389; 111.1 -3.283cC-1 bis IM.1-3.283cC-389; IN.1-4.283cC-1 bis III.1- 4.283cC-389; IM.2.283cC-1 bis IM.2.283cC-389) Tabelle 284cCompounds III.1-1, III.1-2, III.1-3, III.1-4 and III.2, wherein B is 4,5-dimethylisothiazol-3-yl and A is in each case a group of a line of Table C corresponds (Compounds 111.1-1.283cC-1 to 111.1-1.283cC-389; IM.1-2.283cC-1 to lll.1-2.283cC-389; 111.1 -3.283cC-1 to IM.1-3.283cC -389; IN.1-4.283cC-1 to III.1- 4.283cC-389; IM.2.283cC-1 to IM.2.283cC-389) Table 284c
Verbindungen III.1-1 , III.1-2, III.1-3, III.1-4 und III.2, worin B für 3,5- Dimethylisothiazol-4-yl steht und A jeweils einer Gruppe einer Zeile der Tabelle C entspricht (Verbindungen 111.1-1.284cC-1 bis 111.1-1.284cC-389; IM.1-2.284cC-1 bis lll.1-2.284cC-389; 111.1 -3.284cC-1 bis IM.1-3.284cC-389; 111.1 -4.284cC-1 bis III.1- 4.284cC-389; IM.2.284cC-1 bis IM.2.284cC-389) Tabelle 285c Verbindungen III.1-1 , III.1-2, III.1-3, III.1-4 und III.2, worin B für 3,4-Compounds III.1-1, III.1-2, III.1-3, III.1-4 and III.2, wherein B is 3,5-dimethylisothiazol-4-yl and A is in each case a group of a line of Table C corresponds (Compounds 111.1-1.284cC-1 to 111.1-1.284cC-389; IM.1-2.284cC-1 to lll.1-2.284cC-389; 111.1 -3.284cC-1 to IM.1-3.284cC -389; 111.1 -4.284cC-1 to III.1-4284cC-389; IM.2.284cC-1 to IM.2.284cC-389) Table 285c Compounds III.1-1, III.1-2, III. 1-3, III.1-4 and III.2, where B is 3,4-
Dichlorisothiazol-5-yl steht und A jeweils einer Gruppe einer Zeile der Tabelle C entspricht (Verbindungen 111.1-1.285cC-1 bis 111.1-1.285cC-389; IM.1-2.285cC-1 bis III.1-2.285CC-389; 111.1 -3.285cC-1 bis IM.1-3.285cC-389; IN.1-4.285cC-1 bis III.1- 4.285cC-389; IM.2.285cC-1 bis IM.2.285cC-389) Tabelle 286cDichloroisothiazol-5-yl and A is in each case one group of one row of Table C (Compounds III.1-1.285cC-1 to 111.1-1.285cC-389; IM.1-2.285cC-1 to III.1-2.285CC-389; 111.1-3.285cC-1 to IM.1-3.285cC-389; IN.1-4.285cC-1 to III.1-4.285cC-389; IM.2.285cC-1 to IM.2.285cC-389) Table 286c
Verbindungen III.1-1 , III.1-2, III.1-3, III.1-4 und III.2, worin B für Oxazol-2-yl steht und A jeweils einer Gruppe einer Zeile der Tabelle C entspricht (Verbindungen III.1-Compounds III.1-1, III.1-2, III.1-3, III.1-4 and III.2, wherein B is oxazol-2-yl and A in each case corresponds to one group of one row of Table C ( Compounds III.1-
1.286cC-1 bis 111.1-1.286cC-389; IN.1-2.286cC-1 bis IN.1-2.286cC-389; III.1- 3.286cC-1 bis IN.1-3.286cC-389; IN.1-4.286cC-1 bis IN.1-4.286cC-389; IN.2.286cC- 1 bis III.2.286CC-389) Tabelle 287c Verbindungen III.1-1 , III.1-2, III.1-3, III.1-4 und III.2, worin B für Oxazol-4-yl steht und A jeweils einer Gruppe einer Zeile der Tabelle C entspricht (Verbindungen III.1- 1.287cC-1 bis 111.1-1.287cC-389; 111.1 -2.287cC-1 bis IN.1-2.287cC-389; III.1- 3.287cC-1 bis IN.1-3.287cC-389; 111.1 -4.287cC-1 bis IN.1-4.287cC-389; IN.2.287cC- 1 bis III.2.287CC-389) Tabelle 288c1.286cC-1 to 111.1-1.286cC-389; IN.1-2.286cC-1 to IN.1-2.286cC-389; III.1-3.286cC-1 to IN.1-3.286cC-389; IN.1-4.286cC-1 to IN.1-4.286cC-389; IN.2.286cC-1 to III.2.286CC-389) Table 287c Compounds III.1-1, III.1-2, III.1-3, III.1-4 and III.2, wherein B is oxazole 4-yl and A in each case corresponds to one group of one row of Table C (Compounds III.1- 1.287cC-1 to 111.1-1.287cC-389; 111.1 -2.287cC-1 to IN.1-2.287cC-389; III .1-3287cC-1 to IN.1-3.287cC-389; 111.1 -4.287cC-1 to IN.1-4.287cC-389; IN.2.287cC-1 to III.2.287CC-389) Table 288c
Verbindungen III.1-1 , III.1-2, III.1-3, III.1-4 und III.2, worin B für Oxazol-5-yl steht und A jeweils einer Gruppe einer Zeile der Tabelle C entspricht (Verbindungen III.1- 1.288cC-1 bis 111.1-1.288cC-389; IN.1-2.288cC-1 bis IN.1-2.288cC-389; III.1- 3.288cC-1 bis IN.1-3.288cC-389; IN.1-4.288cC-1 bis IN.1-4.288cC-389; IN.2.288cC- 1 bis III.2.288CC-389)Compounds III.1-1, III.1-2, III.1-3, III.1-4 and III.2, wherein B is oxazol-5-yl and A in each case corresponds to one group of one row of Table C ( Compounds III.1- 1.288cC-1 to 111.1-1.288cC-389; IN.1-2.288cC-1 to IN.1-2.288cC-389; III.1-3.288cC-1 to IN.1-3.288cC -389; IN.1-4.288cC-1 to IN.1-4.288cC-389; IN.2.288cC-1 to III.2.288CC-389)
Tabelle 289cTable 289c
Verbindungen III.1-1 , III.1-2, III.1-3, III.1-4 und III.2, worin B für lsoxazol-3-yl steht und A jeweils einer Gruppe einer Zeile der Tabelle C entspricht (Verbindungen III.1- 1.289cC-1 bis 111.1-1.289cC-389; IN.1-2.289cC-1 bis IN.1-2.289cC-389; III.1- 3.289cC-1 bis IN.1-3.289cC-389; IN.1-4.289cC-1 bis IN.1-4.289cC-389; IN.2.289cC-Compounds III.1-1, III.1-2, III.1-3, III.1-4 and III.2, wherein B is isoxazol-3-yl and A in each case corresponds to one group of one line of Table C ( Compounds III.1- 1.289cC-1 to 111.1-1.289cC-389; IN.1-2.289cC-1 to IN.1-2.289cC-389; III.1-3.289cC-1 to IN.1-3.289cC -389; IN.1-4.289cC-1 to IN.1-4.289cC-389; IN.2.289cC-
1 bis lll.2.289cC-389) Tabelle 290c1 to III.2.289cC-389) Table 290c
Verbindungen III.1-1 , III.1-2, III.1-3, III.1-4 und III.2, worin B für lsoxazol-4-yl steht und A jeweils einer Gruppe einer Zeile der Tabelle C entspricht (Verbindungen III.1- 1.29OcC-I bis 111.1-1.290cC-389; IM.1-2.290cC-1 bis IN.1-2.290cC-389; III.1-Compounds III.1-1, III.1-2, III.1-3, III.1-4 and III.2, wherein B is isoxazol-4-yl and A in each case corresponds to one group of one row of Table C ( Compounds III.1- 1.29OcC-I to 111.1-1.290cC-389; IM.1-2.290cC-1 to IN.1-2.290cC-389; III.1-
3.290cC-1 bis IN.1-3.290cC-389; IN.1-4.290cC-1 bis IN.1-4.290cC-389; IM.2.290cC- 1 bis lll.2.290cC-389) Tabelle 291 c3.290cC-1 to IN.1-3.290cC-389; IN.1-4.290cC-1 to IN.1-4.290cC-389; IM.2.290cC-1 to III.2.290cC-389) Table 291 c
Verbindungen III.1-1 , III.1-2, III.1-3, III.1-4 und III.2, worin B für lsoxazol-5-yl steht und A jeweils einer Gruppe einer Zeile der Tabelle C entspricht (Verbindungen III.1-Compounds III.1-1, III.1-2, III.1-3, III.1-4 and III.2, wherein B is isoxazol-5-yl and A in each case corresponds to one group of one line of Table C ( Compounds III.1-
1.291 cC-1 bis 111.1-1.291 cC-389; 111.1 -2.291 cC-1 bis 111.1-2.291 cC-389; III.1- 3.291 cC-1 bis 111.1-3.291 cC-389; 111.1 -4.291 cC-1 bis 111.1-4.291 cC-389; IN.2.291cC- 1 bis lll.2.291 cC-389) Tabelle 292c Verbindungen III.1-1 , III.1-2, III.1-3, III.1-4 und III.2, worin B für 3-Chlorisoxazol-5-yl steht und A jeweils einer Gruppe einer Zeile der Tabelle C entspricht (Verbindungen 111.1-1.292cC-1 bis 111.1-1.292cC-389; IN.1-2.292cC-1 bis IN.1-2.292cC-389; lll.1-3.292cC-1 bis IN.1-3.292cC-389; IN.1-4.292cC-1 bis lll.1-4.292cC-389; lll.2.292cC-1 bis IM.2.292cC-389) Tabelle 293c1,291 cC-1 to 111.1 to 1,291 cC-389; 111.1-2.291 cC-1 to 111.1-2.291 cC-389; III.1-3,291 cC-1 to 111.1-3.291 cC-389; 111.1 -4,291 cC-1 to 111.1-4,291 cC-389; IN.2.291cC-1 to III.2.291 cC-389) Table 292c Compounds III.1-1, III.1-2, III.1-3, III.1-4 and III.2, wherein B is 3- Chloroisoxazol-5-yl and A corresponds in each case to one group of one row of Table C (Compounds 111.1-1.292cC-1 to 111.1-1.292cC-389; IN.1-2.292cC-1 to IN.1-2.292cC-389 ; III.1-3.292cC-1 to IN.1-3.292cC-389; IN.1-4.292cC-1 to III.1-4.292cC-389; Ill.2.292cC-1 to IM.2.292cC-389) Table 293c
Verbindungen III.1-1 , III.1-2, III.1-3, III.1-4 und III.2, worin B für 5-Methylisoxazol-3- yl steht und A jeweils einer Gruppe einer Zeile der Tabelle C entspricht (Verbindungen lll.1-1.293cC-1 bis 111.1-1.293cC-389; IM.1-2.293cC-1 bis IM.1-2.293cC-389; lll.1-3.293cC-1 bis IN.1-3.293cC-389; 111.1 -4.293cC-1 bis IN.1-4.293cC-389; III.2.293CC-1 bis IM.2.293cC-389) Tabelle 294c Verbindungen III.1-1 , III.1-2, III.1-3, III.1-4 und III.2, worin B für 5-Methylisoxazol-4- yl steht und A jeweils einer Gruppe einer Zeile der Tabelle C entspricht (Verbindungen lll.1-1.294cC-1 bis 111.1-1.294cC-389; IM.1-2.294cC-1 bis IM.1-2.294cC-389; lll.1-3.294cC-1 bis IN.1-3.294cC-389; IN.1-4.294cC-1 bis IN.1-4.294cC-389; lll.2.294cC-1 bis IM.2.294cC-389) Tabelle 295cCompounds III.1-1, III.1-2, III.1-3, III.1-4 and III.2, wherein B is 5-methylisoxazol-3-yl and A is in each case one group of a row of Table C. (Compounds III.1-1.293cC-1 to 111.1-1.293cC-389; IM.1-2.293cC-1 to IM.1-2.293cC-389; III.1-3.293cC-1 to IN.1- 3.293cC-389; 111.1 -4.293cC-1 to IN.1-4.293cC-389; III.2.293CC-1 to IM.2.293cC-389) Table 294c Compounds III.1-1, III.1-2, III.1-3, III.1-4 and III.2, wherein B is 5-methylisoxazol-4-yl and A in each case corresponds to one group of a row of Table C (compounds III.1-1.294cC-1 to 111.1 -1.294cC-389; IM.1-2.294cC-1 to IM.1-2.294cC-389; lll.1-3.294cC-1 to IN.1-3.294cC-389; IN.1-4.294cC-1 to IN.1-4.294cC-389; III.2.294cC-1 to IM.2.294cC-389) Table 295c
Verbindungen III.1-1 , III.1-2, III.1-3, III.1-4 und III.2, worin B für 3-Methylisoxazol-5- yl steht und A jeweils einer Gruppe einer Zeile der Tabelle C entspricht (Verbindungen III.1-1.295CC-1 bis 111.1-1.295cC-389; IM.1-2.295cC-1 bis IM.1-2.295cC-389; III.1-3.295CC-1 bis IN.1-3.295cC-389; IN.1-4.295cC-1 bis IN.1-4.295cC-389; III.2.295CC-1 bis IM.2.295cC-389)Compounds III.1-1, III.1-2, III.1-3, III.1-4 and III.2, wherein B is 3-methylisoxazol-5-yl and A is in each case one group of one row of Table C. corresponds (compounds III.1-1.295CC-1 to 111.1-1.295cC-389; IM.1-2.295cC-1 to IM.1-2.295cC-389; III.1-3.295CC-1 to IN.1- 3,295cC-389; IN.1-4,295cC-1 to IN.1-4,295cC-389; III.2.295CC-1 to IM.2.295cC-389)
Tabelle 296cTable 296c
Verbindungen III.1-1 , III.1-2, III.1-3, III.1-4 und III.2, worin B für 3,5- Dimethylisoxazol-4-yl steht und A jeweils einer Gruppe einer Zeile der Tabelle C entspricht (Verbindungen 111.1-1.296cC-1 bis 111.1-1.296cC-389; MI.1-2.296cC-1 bis lll.1-2.296cC-389; 111.1 -3.296cC-1 bis IM.1-3.296cC-389; 111.1 -4.296cC-1 bis III.1-Compounds III.1-1, III.1-2, III.1-3, III.1-4 and III.2, wherein B is 3,5-dimethylisoxazol-4-yl and A is in each case a group of a line of Table C corresponds (Compounds 111.1-1.296cC-1 to 111.1-1.296cC-389; MI.1-2.296cC-1 to lll.1-2.296cC-389; 111.1-3.296cC-1 to IM.1-3.296cC -389; 111.1 -4.296cC-1 to III.1-
4.296cC-389; IM.2.296cC-1 bis IM.2.296cC-389) Tabelle 297c4.296cC-389; IM.2.296cC-1 to IM.2.296cC-389) Table 297c
Verbindungen III.1-1 , III.1-2, III.1-3, III.1-4 und III.2, worin B für 3-Chlor-5- methylisoxazol-4-yl steht und A jeweils einer Gruppe einer Zeile der Tabelle C ent- spricht (Verbindungen 111.1-1.297cC-1 bis 111.1-1.297cC-389; IM.1-2.297cC-1 bisCompounds III.1-1, III.1-2, III.1-3, III.1-4 and III.2, wherein B is 3-chloro-5-methylisoxazol-4-yl and A is each a group of one Corresponds to the line of Table C (Compounds 111.1-1.297cC-1 to 111.1-1.297cC-389; IM.1-2.297cC-1 to
III.1-2.297CC-389; 111.1 -3.297cC-1 bis IM.1-3.297cC-389; 111.1 -4.297cC-1 bis III.1- 4.297cC-389; IM.2.297cC-1 bis IM.2.297cC-389) Tabelle 298cIII.1-2.297CC-389; 111.1-3.297cC-1 to IM.1-3.297cC-389; 111.1 -4.297cC-1 to III.1-4,297cC-389; IM.2.297cC-1 to IM.2.297cC-389) Table 298c
Verbindungen III.1-1 , III.1-2, III.1-3, III.1-4 und III.2, worin B für 3-Methyl-4- chlorisoxazol-5-yl steht und A jeweils einer Gruppe einer Zeile der Tabelle C entspricht (Verbindungen 111.1-1.298cC-1 bis 111.1-1.298cC-389; IM.1-2.298cC-1 bis lll.1-2.298cC-389; 111.1 -3.298cC-1 bis IM.1-3.298cC-389; IN.1-4.298cC-1 bis III.1- 4.298cC-389; IM.2.298cC-1 bis IM.2.298cC-389) Tabelle 299c Verbindungen III.1-1 , III.1-2, III.1-3, III.1-4 und III.2, worin B für 1-Methylpyrazol-3-yl steht und A jeweils einer Gruppe einer Zeile der Tabelle C entspricht (Verbindungen lll.1-1.299cC-1 bis 111.1-1.299cC-389; 111.1 -2.299cC-1 bis IM.1-2.299cC-389; lll.1-3.299cC-1 bis IN.1-3.299cC-389; 111.1 -4.299cC-1 bis lll.1-4.299cC-389; III.2.299CC-1 bis IM.2.299cC-389) Tabelle 300cCompounds III.1-1, III.1-2, III.1-3, III.1-4 and III.2, wherein B is 3-methyl-4-chloroisoxazol-5-yl and A is each a group of one Line of Table C corresponds (compounds 111.1-1.298cC-1 to 111.1-1.298cC-389; IM.1-2.298cC-1 to lll.1-2.298cC-389; 111.1 -3.298cC-1 to IM.1- 3.298cC-389; IN.1-4.298cC-1 to III.1- 4.298cC-389; IM.2.298cC-1 to IM.2.298cC-389) Table 299c Compounds III.1-1, III.1- 2, III.1-3, III.1-4 and III.2, wherein B is 1-methylpyrazol-3-yl and A in each case corresponds to one group of a row of Table C (compounds III.1-1.299cC-1 to 111.1-1.299cC-389; 111.1 -2.299cC-1 to IM.1-2.299cC-389; III.1-3.299cC-1 to IN.1-3.299cC-389; 111.1 -4,299cC-1 to lll.1-4,299cC-389; III.2.299CC-1 to IM.2.299cC-389) Table 300c
Verbindungen III.1-1 , III.1-2, III.1-3, III.1-4 und III.2, worin B für 1-Methylpyrazol-4-yl steht und A jeweils einer Gruppe einer Zeile der Tabelle C entspricht (Verbindungen III.1-1.30OcC-I bis 111.1-1.300cC-389; IM.1-2.300cC-1 bis IM.1-2.300cC-389; III.1-3.300CC-1 bis IN.1-3.300cC-389; IN.1-4.300cC-1 bis IN.1-4.300cC-389; III.2.300CC-1 bis IM.2.300cC-389) Tabelle 301 c Verbindungen III.1-1 , III.1-2, III.1-3, III.1-4 und III.2, worin B für 1-Methylpyrazol-5-yl steht und A jeweils einer Gruppe einer Zeile der Tabelle C entspricht (Verbindungen 111.1-1.301 cC-1 bis 111.1-1.301 cC-389; 111.1 -2.301 cC-1 bis 111.1-2.301 cC-389; lll.1-3.301 cC-1 bis 111.1-3.301 cC-389; 111.1 -4.301cC-1 bis 111.1-4.301 cC-389; lll.2.301 cC-1 bis IM.2.301cC-389) Tabelle 302cCompounds III.1-1, III.1-2, III.1-3, III.1-4 and III.2, wherein B is 1-methylpyrazol-4-yl and A is in each case one group of one row of Table C corresponds (compounds III.1-1.30OcC-I to 111.1-1.300cC-389; IM.1-2.300cC-1 to IM.1-2.300cC-389; III.1-3.300CC-1 to IN.1- 3.300cC-389, IN.1-4.300cC-1 to IN.1-4.300cC-389, III.2.300CC-1 to IM.2.300cC-389) Table 301c Compounds III.1-1, III.1 -2, III.1-3, III.1-4 and III.2, wherein B is 1-methylpyrazol-5-yl and A corresponds in each case to one group of one row of Table C (Compounds 111.1-1.301 cC-1 to 111.1-1.301 cC-389; 111.1 -2.301 cC-1 to 111.1-2.301 cC-389; lll.1-3.301 cC-1 to 111.1-3.301 cC-389; 111.1 -4.301cC-1 to 111.1-4.301 cC-389 ; lll.2.301 cC-1 to IM.2.301cC-389) Table 302c
Verbindungen III.1-1 , III.1-2, III.1-3, III.1-4 und III.2, worin B für 1 ,3- Dimethylpyrazol-4-yl steht und A jeweils einer Gruppe einer Zeile der Tabelle C entspricht (Verbindungen 111.1-1.302cC-1 bis 111.1-1.302cC-389; IN.1-2.302cC-1 bis lll.1-2.302cC-389; IN.1-3.302cC-1 bis IN.1-3.302cC-389; IN.1-4.302cC-1 bis III.1- 4.302cC-389; IN.2.302cC-1 bis IM.2.302cC-389)Compounds III.1-1, III.1-2, III.1-3, III.1-4 and III.2, wherein B is 1, 3-dimethylpyrazol-4-yl and A is a group of a line of Table C corresponds (Compounds 111.1-1.302cC-1 to 111.1-1.302cC-389; IN.1-2.302cC-1 to lll.1-2.302cC-389; IN.1-3.302cC-1 to IN.1- 3.302cC-389; IN.1-4.302cC-1 to III.1-4.302cC-389; IN.2.302cC-1 to IM.2.302cC-389)
Tabelle 303cTable 303c
Verbindungen III.1-1 , III.1-2, III.1-3, III.1-4 und III.2, worin B für 1 ,5- Dimethylpyrazol-4-yl steht und A jeweils einer Gruppe einer Zeile der Tabelle C entspricht (Verbindungen 111.1-1.303cC-1 bis 111.1-1.303cC-389; IN.1-2.303cC-1 bis lll.1-2.303cC-389; 111.1 -3.303cC-1 bis IN.1-3.303cC-389; IN.1-4.303cC-1 bis III.1-Compounds III.1-1, III.1-2, III.1-3, III.1-4 and III.2, wherein B is 1, 5-dimethylpyrazol-4-yl and A is in each case a group of a line of Table C corresponds (Compounds 111.1-1.303cC-1 to 111.1-1.303cC-389; IN.1-2.303cC-1 to lll.1-2.303cC-389; 111.1 -3.303cC-1 to IN.1-3.303cC -389; IN.1-4.303cC-1 to III.1-
4.303cC-389; IM.2.303cC-1 bis IN.2.303cC-389) Tabelle 304c4.303cC-389; IM.2.303cC-1 to IN.2.303cC-389) Table 304c
Verbindungen III.1-1 , III.1-2, III.1-3, III.1-4 und III.2, worin B für 1 ,3,5- Trimethylpyrazol-4-yl steht und A jeweils einer Gruppe einer Zeile der Tabelle C entspricht (Verbindungen 111.1-1.304cC-1 bis 111.1-1.304cC-389; IN.1-2.304cC-1 bis lll.1-2.304cC-389; IN.1-3.304cC-1 bis IM.1-3.304cC-389; IN.1-4.304cC-1 bis III.1- 4.304cC-389; IN.2.304cC-1 bis IN.2.304cC-389) Tabelle 305cCompounds III.1-1, III.1-2, III.1-3, III.1-4 and III.2 wherein B is 1, 3,5-trimethylpyrazol-4-yl and A is each a group of one Row of Table C corresponds (Compounds 111.1-1.304cC-1 to 111.1-1.304cC-389; IN.1-2.304cC-1 to lll.1-2.304cC-389; IN.1-3.304cC-1 to IM. 1-3.304cC-389; IN.1-4.304cC-1 to III.1-4304cC-389; IN.2.304cC-1 to IN.2.304cC-389) Table 305c
Verbindungen III.1-1 , III.1-2, III.1-3, III.1-4 und III.2, worin B für 1-Methylimidazol-4- yl steht und A jeweils einer Gruppe einer Zeile der Tabelle C entspricht (Verbindungen III.1-1.305CC-1 bis 111.1-1.305cC-389; IM.1-2.305cC-1 bis IN.1-2.305cC-389; III.1-3.305CC-1 bis IN.1-3.305cC-389; IN.1-4.305cC-1 bis IN.1-4.305cC-389; III.2.305CC-1 bis IN.2.305cC-389) Tabelle 306c Verbindungen III.1-1 , III.1-2, III.1-3, III.1-4 und III.2, worin B für 1 ,5-Compounds III.1-1, III.1-2, III.1-3, III.1-4 and III.2, wherein B is 1-methylimidazol-4-yl and A is in each case one group of a row of Table C. corresponds (compounds III.1-1.305CC-1 to 111.1-1.305cC-389; IM.1-2.305cC-1 to IN.1-2.305cC-389; III.1-3.305CC-1 to IN.1- 3.305cC-389; IN.1-4.305cC-1 to IN.1-4.305cC-389; III.2.305CC-1 to IN.2.305cC-389) Table 306c Compounds III.1-1, III.1- 2, III.1-3, III.1-4 and III.2, where B is for 1, 5
Dimethylimidazol-4-yl steht und A jeweils einer Gruppe einer Zeile der Tabelle C entspricht (Verbindungen 111.1-1.306cC-1 bis 111.1-1.306cC-389; IN.1-2.306cC-1 bis III.1-2.306CC-389; IM.1-3.306cC-1 bis IM.1-3.306cC-389; IN.1-4.306cC-1 bis III.1- 4.306cC-389; IM.2.306cC-1 bis IM.2.306cC-389) Tabelle 307cDimethylimidazol-4-yl and A is in each case one group of one row of Table C (Compounds 111.1-1.306cC-1 to 111.1-1.306cC-389; IN.1-2.306cC-1 to III.1-2.306CC-389; IM.1-3.306cC-1 to IM.1-3.306cC-389; IN.1-4.306cC-1 to III.1-4,306cC-389; IM.2.306cC-1 to IM.2.306cC-389) Table 307c
Verbindungen III.1-1 , III.1-2, III.1-3, III.1-4 und III.2, worin B für 1 ,2- Dimethylimidazol-5-yl steht und A jeweils einer Gruppe einer Zeile der Tabelle C entspricht (Verbindungen 111.1-1.307cC-1 bis 111.1-1.307cC-389; IM.1-2.307cC-1 bis III.1-2.307CC-389; 111.1 -3.307cC-1 bis IN.1-3.307cC-389; 111.1 -4.307cC-1 bis III.1- 4.307cC-389; IN.2.307cC-1 bis IM.2.307cC-389) Tabelle 308c Verbindungen III.1-1 , III.1-2, III.1-3, III.1-4 und III.2, worin B für 1 ,4-Compounds III.1-1, III.1-2, III.1-3, III.1-4 and III.2, wherein B is 1, 2-dimethylimidazol-5-yl and A is in each case a group of a line of Table C corresponds (Compounds 111.1-1.307cC-1 to 111.1-1.307cC-389; IM.1-2.307cC-1 to III.1-2.307CC-389; 111.1 -3.307cC-1 to IN.1-3.307cC -389; 111.1 -4.307cC-1 to III.1-4307cC-389; IN.2.307cC-1 to IM.2.307cC-389). Table 308c Compounds III.1-1, III.1-2, III. 1-3, III.1-4 and III.2, where B is 1, 4-
Dimethylimidazol-5-yl steht und A jeweils einer Gruppe einer Zeile der Tabelle C entspricht (Verbindungen 111.1-1.308cC-1 bis 111.1-1.308cC-389; IN.1-2.308cC-1 bis lll.1-2.308cC-389; IN.1-3.308cC-1 bis IN.1-3.308cC-389; IN.1-4.308cC-1 bis III.1- 4.308cC-389; IN.2.308cC-1 bis IM.2.308cC-389) Tabelle 309cDimethylimidazol-5-yl and A in each case corresponds to one group of a row of Table C (Compounds 111.1-1.308cC-1 to 111.1-1.308cC-389; IN.1-2.308cC-1 to lll.1-2.308cC-389 IN.1-3.308cC-1 to IN.1-3.308cC-389; IN.1-4.308cC-1 to III.1-4.308cC-389; IN.2.308cC-1 to IM.2.308cC-389 ) Table 309c
Verbindungen III.1-1 , III.1-2, III.1-3, III.1-4 und III.2, worin B für 2-Furyl steht und A jeweils einer Gruppe einer Zeile der Tabelle C entspricht (Verbindungen III.1- 1.309cC-1 bis 111.1-1.309cC-389; IN.1-2.309cC-1 bis IN.1-2.309cC-389; III.1- 3.309cC-1 bis IN.1-3.309cC-389; IN.1-4.309cC-1 bis IN.1-4.309cC-389; IM.2.309cC- 1 bis III.2.309CC-389)Compounds III.1-1, III.1-2, III.1-3, III.1-4 and III.2, wherein B is 2-furyl and A in each case corresponds to one group of one row of Table C (Compounds III .1- 1.309cC-1 to 111.1-1.309cC-389; IN.1-2.309cC-1 to IN.1-2.309cC-389; III.1-3.309cC-1 to IN.1-3.309cC-389 IN.1-4.309cC-1 to IN.1-4.309cC-389; IM.2.309cC-1 to III.2.309CC-389)
Tabelle 310cTable 310c
Verbindungen III.1-1 , III.1-2, III.1-3, III.1-4 und III.2, worin B für Cyclopropyl steht und A jeweils einer Gruppe einer Zeile der Tabelle C entspricht (Verbindungen III.1- 1.31 OcC-I bis 111.1-1.310cC-389; 111.1 -2.31 OcC-1 bis IM.1-2.310cC-389; III.1- 3.310cC-1 bis IN.1-3.310cC-389; 111.1 -4.31 OcC-1 bis IN.1-4.310cC-389; 111.2.31 OcC-Compounds III.1-1, III.1-2, III.1-3, III.1-4 and III.2, wherein B is cyclopropyl and A in each case corresponds to one group of one row of Table C (Compounds III.1 - 1.31 OcC-I to 111.1-1.310cC-389; 111.1 -2.31 OcC-1 to IM.1-2.310cC-389; III.1- 3.310cC-1 to IN.1-3.310cC-389; 111.1-4.31 OcC-1 to IN.1-4.310cC-389; 111.2.31 OcC-
1 bis lll.2.310cC-38θ) Tabelle 311 c1 to III.2.310cC-38θ) Table 311c
Verbindungen III.1-1 , III.1-2, III.1-3, III.1-4 und III.2, worin B für Cyclopentyl steht und A jeweils einer Gruppe einer Zeile der Tabelle C entspricht (Verbindungen III.1- 1 .31 1 cC-1 bis 111.1 -1 .31 1 cC-389; 111.1 -2.31 1 cC-1 bis 111.1 -2.31 1 cC-389; III.1 -Compounds III.1-1, III.1-2, III.1-3, III.1-4 and III.2, wherein B is cyclopentyl and A in each case corresponds to one group of one row of Table C (Compounds III.1 - 1 .31 1 cC-1 to 111.1 -1 .31 1 cC-389; 111.1 -2.31 1 cC-1 to 111.1 -2.31 1 cC-389; III.1 -
3.31 1 cC-1 bis 111.1 -3.31 1 cC-389; III.1 -4.31 1 cC-1 bis 111.1 -4.31 1 cC-389; 111.2.31 1 cC- 1 bis lll.2.31 1 cC-389) Tabelle 312c3.31 1 cC-1 to 111.1-3.31 1 cC-389; III.1 -4.31 1 cC-1 to 111.1 -4.31 1 cC-389; 111.2.31 1 cC-1 to lll.2.31 1 cC-389) Table 312c
Verbindungen III.1-1 , III.1-2, III.1-3, III.1-4 und III.2, worin B für Cyclohexyl steht und A jeweils einer Gruppe einer Zeile der Tabelle C entspricht (Verbindungen III.1-Compounds III.1-1, III.1-2, III.1-3, III.1-4 and III.2, wherein B is cyclohexyl and A in each case corresponds to one group of a row of Table C (Compounds III.1 -
1.312cC-1 bis 111.1-1.312cC-389; 111.1 -2.312cC-1 bis IN.1-2.312cC-389; III.1- 3.312cC-1 bis IN.1-3.312cC-389; 111.1 -4.312cC-1 bis IN.1-4.312cC-389; IN.2.312cC- 1 bis lll.2.312cC-389) Tabelle 313c Verbindungen III.1-1 , III.1-2, III.1-3, III.1-4 und III.2, worin B für 1 -Methylcycloprop-1.312cC-1 to 111.1-1.312cC-389; 111.1 -2.312cC-1 to IN.1-2.312cC-389; III.1-3.312cC-1 to IN.1-3.312cC-389; 111.1 -4.312cC-1 to IN.1-4.312cC-389; IN.2.312cC-1 to III.2.312cC-389) Table 313c Compounds III.1-1, III.1-2, III.1-3, III.1-4 and III.2, wherein B is for 1 - Methylcycloprop-
1-yl steht und A jeweils einer Gruppe einer Zeile der Tabelle C entspricht (Verbindungen 111.1-1.313cC-1 bis 111.1-1.313cC-389; 111.1-2.313cC-1 bis IN.1-2.313cC-389; lll.1-3.313cC-1 bis IN.1-3.313cC-389; 111.1 -4.313cC-1 bis lll.1-4.313cC-389; III.2.313CC-1 bis IM.2.313cC-389) Tabelle 314c1-yl and A corresponds in each case to one group of one row of Table C (Compounds 111.1-1.313cC-1 to 111.1-1.313cC-389; 111.1-2.313cC-1 to IN.1-2.313cC-389; III.1-3.313cC-1 to IN.1-3.313cC-389; 111.1 -4.313cC-1 to lll.1-4.313cC-389; III.2.313CC-1 to IM.2.313cC-389) Table 314c
Verbindungen III.1-1 , III.1-2, III.1-3, III.1-4 und III.2, worin B für 1 -Methylcyclopent- 1 -yl steht und A jeweils einer Gruppe einer Zeile der Tabelle C entspricht (Verbindungen lll.1-1.314cC-1 bis 111.1-1.314cC-389; 111.1-2.314cC-1 bis IN.1-2.314cC-389; lll.1-3.314cC-1 bis IN.1-3.314cC-389; 111.1 -4.314cC-1 bis IN.1-4.314cC-389; lll.2.314cC-1 bis IN.2.314cC-389) Tabelle 315c Verbindungen III.1-1 , III.1-2, III.1-3, III.1-4 und III.2, worin B für 1-Methylcyclohex-1- yl steht und A jeweils einer Gruppe einer Zeile der Tabelle C entspricht (Verbindungen lll.1-1.315cC-1 bis 111.1-1.315cC-389; 111.1-2.315cC-1 bis IN.1-2.315cC-389; lll.1-3.315cC-1 bis IN.1-3.315cC-389; 111.1 -4.315cC-1 bis IN.1-4.315cC-389; lll.2.315cC-1 bis IN.2.315cC-389) Tabelle 316cCompounds III.1-1, III.1-2, III.1-3, III.1-4 and III.2, wherein B is 1-methylcyclopent-1-yl and A is in each case one group of one row of Table C. corresponds (Compounds lll.1-1.314cC-1 to 111.1-1.314cC-389; 111.1-2.314cC-1 to IN.1-2.314cC-389; lll.1-3.314cC-1 to IN.1-3.314cC -389; 111.1 -4.314cC-1 to IN.1-4.314cC-389; III.2.314cC-1 to IN.2.314cC-389). Table 315c Compounds III.1-1, III.1-2, III. 1-3, III.1-4 and III.2, wherein B is 1-methylcyclohex-1-yl and A in each case corresponds to one group of a row of Table C (compounds III.1-1.315cC-1 to 111.1-1.315 cC-389; 111.1-2.315cC-1 to IN.1-2.315cC-389; III.1-3.315cC-1 to IN.1-3.315cC-389; 111.1-4.315cC-1 to IN.1-4.315 cC-389; III.2.315cC-1 to IN.2.315cC-389) Table 316c
Verbindungen III.1-1 , III.1-2, III.1-3, III.1-4 und III.2, worin B für 1-Chlorcycloprop-i- yl steht und A jeweils einer Gruppe einer Zeile der Tabelle C entspricht (Verbindungen 111.1-1.316cC-1 bis 111.1 -1.316cC-389; 111.1-2.316cC-1 bis IN.1-2.316cC-389; lll.1-3.316cC-1 bis IN.1-3.316cC-389; 111.1 -4.316cC-1 bis IN.1-4.316cC-389; III.2.316CC-1 bis 111.2.316cC-389)Compounds III.1-1, III.1-2, III.1-3, III.1-4 and III.2, wherein B is 1-chlorocycloprop-i-yl and A is in each case one group of a row of Table C. (Compounds 111.1-1.316cC-1 to 111.1 -1.316cC-389; 111.1-2.316cC-1 to IN.1-2.316cC-389; III.1-3.316cC-1 to IN.1-3.316cC-389) III.1.316CC-1 to 111.2.316cC-389)
Tabelle 317cTable 317c
Verbindungen III.1-1 , III.1-2, III.1-3, III.1-4 und III.2, worin B für Methyl steht und A jeweils einer Gruppe einer Zeile der Tabelle C entspricht (Verbindungen III.1- 1.317cC-1 bis lll.1-1.317cC-389; 111.1 -2.317cC-1 bis 111.1 -2.317cC-389; III.1- 3.317cC-1 bis IN.1-3.317cC-389; 111.1 -4.317cC-1 bis 111.1 -4.317cC-389; IN.2.317cC-Compounds III.1-1, III.1-2, III.1-3, III.1-4 and III.2, wherein B is methyl and A in each case corresponds to one group of a row of Table C (Compounds III.1 - 1.317cC-1 to lll.1-1.317cC-389; 111.1 -2.317cC-1 to 111.1 -2.317cC-389; III.1-3.317cC-1 to IN.1-3.317cC-389; 111.1 -4.317 cC-1 to 111.1 -4.317cC-389; IN.2.317cC-
1 bis lll.2.317cC-389) Tabelle 318c1 to III.2.317cC-389) Table 318c
Verbindungen III.1-1 , III.1-2, III.1-3, III.1-4 und III.2, worin B für Ethyl steht und A jeweils einer Gruppe einer Zeile der Tabelle C entspricht (Verbindungen III.1- 1.318cC-1 bis 111.1-1.318cC-389; 111.1 -2.318cC-1 bis IN.1-2.318cC-389; III.1-Compounds III.1-1, III.1-2, III.1-3, III.1-4 and III.2, wherein B is ethyl and A in each case corresponds to one group of one row of Table C (Compounds III.1 - 1.318cC-1 to 111.1-1.318cC-389; 111.1 -2.318cC-1 to IN.1-2.318cC-389; III.1-
3.318cC-1 bis IN.1-3.318cC-389; 111.1 -4.318cC-1 bis IN.1-4.318cC-389; IN.2.318cC- 1 bis MI.2.318cC-389) Tabelle 319c3.318cC-1 to IN.1-3.318cC-389; 111.1 -4.318cC-1 to IN.1-4.318cC-389; IN.2.318cC-1 to MI.2.318cC-389) Table 319c
Verbindungen III.1-1 , III.1-2, III.1-3, III.1-4 und III.2, worin B für n-Propyl steht und A jeweils einer Gruppe einer Zeile der Tabelle C entspricht (Verbindungen III.1-Compounds III.1-1, III.1-2, III.1-3, III.1-4 and III.2, wherein B is n-propyl and A in each case corresponds to one group of one row of Table C (Compounds III .1-
1.319cC-1 bis 111.1 -1.319cC-389; 111.1 -2.319cC-1 bis IN.1-2.319cC-389; III.1- 3.319cC-1 bis IN.1-3.319cC-389; 111.1 -4.319cC-1 bis IN.1-4.319cC-389; IN.2.319cC- 1 bis lll.2.319cC-389) Tabelle 320c Verbindungen III.1-1 , III.1-2, III.1-3, III.1-4 und III.2, worin B für i-Propyl steht und A jeweils einer Gruppe einer Zeile der Tabelle C entspricht (Verbindungen III.1- 1.320cC-1 bis 111.1-1.320cC-389; IN.1-2.320cC-1 bis IN.1-2.320cC-389; III.1- 3.320cC-1 bis IM.1-3.320cC-389; .1-4.32OcC-I bis IN.1-4.320cC-389; IM.2.320cC-1.319cC-1 to 111.1 -1.319cC-389; 111.1 -2.319cC-1 to IN.1-2.319cC-389; III.1-3.319cC-1 to IN.1-3.319cC-389; 111.1 -4.319cC-1 to IN.1-4.319cC-389; IN.2.319cC-1 to III.2.319cC-389) Table 320c Compounds III.1-1, III.1-2, III.1-3, III.1-4 and III.2, wherein B is for i Propyl and A corresponds in each case to one group of one row of Table C (Compounds III.1-1320cC-1 to 111.1-1.320cC-389; IN.1-2.320cC-1 to IN.1-2.320cC-389; III .1- 3.320cC-1 to IM.1-3.320cC-389; .1-4.32 OcC-I to IN.1-4.320cC-389; IM.2.320cC-
1 bis III.2.320CC-389) Tabelle 321 c1 to III.2.320CC-389) Table 321 c
Verbindungen III.1-1 , III.1-2, III.1-3, III.1-4 und 111.2, worin B für n-Butyl steht und A jeweils einer Gruppe einer Zeile der Tabelle C entspricht (Verbindungen III.1-Compounds III.1-1, III.1-2, III.1-3, III.1-4 and III.2, wherein B is n-butyl and A in each case corresponds to one group of one row of Table C (Compounds III.1 -
1.321 cC-1 bis 111.1-1.321 cC-389; 111.1 -2.321 cC -1 bis IM.1-2.321 cC-389; III.1- 3.321 cC-1 bis 111.1-3.321 cC-389; 111.1 -4.321 cC -1 bis lll.1-4.321 cC-389; IN.2.321cC- 1 bis III.2.321 CC-38Θ) Tabelle 322c Verbindungen III.1-1 , III.1-2, III.1-3, III.1-4 und 111.2, worin B für sec-Butyl steht und1,321 cC-1 to 111.1 to 1,321 cC-389; 111.1 -2,321 cC -1 to IM.1-2,321 cC-389; III.1-3.221 cC-1 to 111.1-3.321 cC-389; 111.1 -4.321 cC -1 to 111.1-4.321 cC-389; IN.2.321cC-1 to III.2.321 CC-38Θ) Table 322c Compounds III.1-1, III.1-2, III.1-3, III.1-4 and III.2, wherein B is sec-butyl and
A jeweils einer Gruppe einer Zeile der Tabelle C entspricht (Verbindungen III.1- 1.322cC-1 bis 111.1-1.322cC-389; IN.1-2.322cC -1 bis IM.1-2.322cC-389; III.1- 3.322cC-1 bis IN.1-3.322cC-389; IN.1-4.322cC -1 bis lll.1-4.322cC-389; IN.2.322cC- 1 bis lll.2.322cC-389) Tabelle 323cA corresponds in each case to one group of one row of Table C (Compounds III.1- 1.322cC-1 to 111.1-1.322cC-389; IN.1-2.322cC -1 to IM.1-2.322cC-389; III.1- 3.322cC-1 to IN.1-3.322cC-389; IN.1-4.322cC -1 to III.1-4.322cC-389; IN.2.322cC-1 to III.2.322cC-389) Table 323c
Verbindungen III.1-1 , III.1-2, III.1-3, III.1-4 und III.2, worin B für tert-Butyl steht und A jeweils einer Gruppe einer Zeile der Tabelle C entspricht (Verbindungen III.1- 1.323cC-1 bis 111.1-1.323cC-389; 111.1 -2.323cC -1 bis IM.1-2.323cC-389; III.1- 3.323cC-1 bis IN.1-3.323cC-389; IN.1-4.323cC -1 bis lll.1-4.323cC-389; IN.2.323cC- 1 bis III.2.323CC-389)Compounds III.1-1, III.1-2, III.1-3, III.1-4 and III.2, wherein B is tert-butyl and A in each case corresponds to one group of a row of Table C (compounds III .1- 1.323cC-1 to 111.1-1.323cC-389; 111.1 -2.323cC-1 to IM.1-2.323cC-389; III.1-3.323cC-1 to IN.1-3.323cC-389; IN .1-4.323cC -1 to lll.1-4.323cC-389; IN.2.323cC-1 to III.2.323CC-389)
Tabelle 324cTable 324c
Verbindungen III.1-1 , III.1-2, III.1-3, III.1-4 und 111.2, worin B für iso-Butyl steht und A jeweils einer Gruppe einer Zeile der Tabelle C entspricht (Verbindungen III.1- 1.324cC-1 bis 111.1-1.324cC-389; IN.1-2.324cC -1 bis lll.1-2.324cC-389; III.1- 3.324cC-1 bis IN.1-3.324cC-389; IN.1-4.324cC -1 bis lll.1-4.324cC-389; IN.2.324cC-Compounds III.1-1, III.1-2, III.1-3, III.1-4 and 111.2, wherein B is iso-butyl and A in each case corresponds to one group of one row of Table C (Compounds III.1 IN.1-2.324cC-1 to III.1-2.324cC-389, III.1-3.224cC-1 to IN.1-3.324cC-389, IN .1-4.324cC -1 to lll.1-4.324cC-389; IN.2.324cC-
1 bis lll.2.324cC-389) Tabelle C1 to III.2.324cC-389) Table C
Insbesondere sind im Hinblick auf ihre Verwendung die in den folgenden Tabellen 1d bis 308d zusammengestellten erfindungsgemäßen Verbindungen V, IVa-1 , IVb und VII bevorzugt. Die in den Tabellen für einen Substituenten genannten Gruppen stellen außerdem für sich betrachtet, unabhängig von der Kombination, in der sie genannt sind, eine besonders bevorzugte Ausgestaltung des betreffenden Substituenten dar.In particular, in view of their use, the compounds V, IVa-1, IVb and VII according to the invention which are compiled in the following Tables 1d to 308d are preferred. The groups mentioned in the tables for a substituent are also considered individually, regardless of the combination in which they are mentioned, a particularly preferred embodiment of the substituent in question.
Tabelle 1 dTable 1 d
Verbindungen V, IVa-1 , IVb und VII, worin A für Pyridin-2-yl steht und B jeweils einer Gruppe einer Zeile der Tabelle A entspricht (Verbindungen V.1 dA- 1 bis V.1dA- 425; IVa-1.1dA-1 bis IVa-1.1 dA-425; IVb.1dA-1 bis IVb.1dA-425; VIMdA-1 bis VII.1dA-425) Tabelle 2dCompounds V, IVa-1, IVb and VII, wherein A is pyridin-2-yl and B corresponds in each case to one group of one row of Table A (compounds V.1 dA-1 to V.1dA-425; IVa-1.1dA -1 to IVa-1.1 dA-425; IVb.1dA-1 to IVb.1dA-425; VIMdA-1 to VII.1dA-425) Table 2d
Verbindungen V, IVa-1 , IVb und VII, worin A für Pyridin-3-yl steht und B jeweils einer Gruppe einer Zeile der Tabelle A entspricht (Verbindungen V.2dA-1 bis V.2dA- 425; IVa-1.2dA-1 bis IVa-1.2dA-425; IVb.2dA-1 bis IVb.2dA-425; VII.2dA-1 bis VII.2dA-425) Tabelle 3dCompounds V, IVa-1, IVb and VII, in which A is pyridin-3-yl and B corresponds in each case to one group of one row of Table A (compounds V.2dA-1 to V.2dA-425; IVa-1.2dA- 1 to IVa-1.2dA-425; IVb.2dA-1 to IVb.2dA-425; VII.2dA-1 to VII.2dA-425) 3d table
Verbindungen V, IVa-1 , IVb und VII, worin A für Pyridin-4-yl steht und B jeweils einer Gruppe einer Zeile der Tabelle A entspricht (Verbindungen V.3dA-1 bis V.3dA- 425; IVa-1.3dA-1 bis IVa-1.3dA-425; IVb.3dA-1 bis IVb.3dA-425; VII.3dA-1 bis VII.3dA-425)Compounds V, IVa-1, IVb and VII, in which A is pyridin-4-yl and B corresponds in each case to one group of one row of Table A (compounds V.3dA-1 to V.3dA-425; IVa-1.3dA- 1 to IVa-1.3dA-425; IVb.3dA-1 to IVb.3dA-425; VII.3dA-1 to VII.3dA-425)
Tabelle 4dTable 4d
Verbindungen V, IVa-1 , IVb und VII, worin A für 3-Chlorpyridin-2-yl steht und B jeweils einer Gruppe einer Zeile der Tabelle A entspricht (Verbindungen V.4dA-1 bis V.4dA-425; IVa-1.4dA-1 bis IVa-1.4dA-425; IVb.4dA-1 bis IVb.4dA-425; VII.4dA-1 bis VII.4dA-425)Compounds V, IVa-1, IVb and VII, wherein A is 3-chloropyridin-2-yl and B corresponds in each case to one group of one row of Table A (compounds V.4dA-1 to V.4dA-425; IVa-1.4 dA-1 to IVa-1.4dA-425; IVb.4dA-1 to IVb.4dA-425; VII.4dA-1 to VII.4dA-425)
Tabelle 5dTable 5d
Verbindungen V, IVa-1 , IVb und VII, worin A für 4-Chlorpyridin-2-yl steht und B jeweils einer Gruppe einer Zeile der Tabelle A entspricht ( (Verbindungen V.5dA-1 bis V.5dA-425; IVa-1.5dA-1 bis IVa-1.5dA-425; IVb.5dA-1 bis IVb.5dA-425; VII.5dA-1 bis VII.5dA-425)Compounds V, IVa-1, IVb and VII in which A is 4-chloropyridin-2-yl and B corresponds in each case to one group of one row of Table A (compounds V.5dA-1 to V.5dA-425; 1.5dA-1 to IVa-1.5dA-425; IVb.5dA-1 to IVb.5dA-425; VII.5dA-1 to VII.5dA-425)
Tabelle 6dTable 6d
Verbindungen V, IVa-1 , IVb und VII, worin A für 5-Chlorpyridin-2-yl steht und B jeweils einer Gruppe einer Zeile der Tabelle A entspricht (Verbindungen V.6dA-1 bis V.6dA-425; IVa-1.6dA-1 bis IVa-1.6dA-425; IVb.6dA-1 bis IVb.6dA-425; VII.6dA-1 bis VII.6dA-425)Compounds V, IVa-1, IVb and VII, wherein A is 5-chloropyridin-2-yl and B corresponds in each case to one group of one row of Table A (Compounds V.6dA-1 to V.6dA-425; IVa-1.6 dA-1 to IVa-1.6dA-425; IVb.6dA-1 to IVb.6dA-425; VII.6dA-1 to VII.6dA-425)
Tabelle 7dTable 7d
Verbindungen V, IVa-1 , IVb und VII, worin A für 6-Chlorpyridin-2-yl steht und B jeweils einer Gruppe einer Zeile der Tabelle A entspricht (Verbindungen V.7dA-1 bis V.7dA-425; IVa-1.7dA-1 bis IVa-1.7dA-425; IVb.7dA-1 bis IVb.7dA-425; VII.7dA-1 bis VII.7dA-425)Compounds V, IVa-1, IVb and VII in which A is 6-chloropyridin-2-yl and B corresponds in each case to one group of one row of Table A (Compounds V.7dA-1 to V.7dA-425; IVa-1.7 dA-1 to IVa-1.7dA-425; IVb.7dA-1 to IVb.7dA-425; VII.7dA-1 to VII.7dA-425)
Tabelle 8dTable 8d
Verbindungen V, IVa-1 , IVb und VII, worin A für 2-Chlorpyridin-3-yl steht und B jeweils einer Gruppe einer Zeile der Tabelle A entspricht (Verbindungen V.8dA-1 bis V.8dA-425; IVa-1.8dA-1 bis IVa-1.8dA-425; IVb.8dA-1 bis IVb.8dA-425; VII.8dA-1 bis VII.8dA-425)Compounds V, IVa-1, IVb and VII, wherein A is 2-chloropyridin-3-yl and B corresponds in each case to one group of one row of Table A (Compounds V.8dA-1 to V.8dA-425; IVa-1.8 dA-1 to IVa-1.8dA-425; IVb.8dA-1 to IVb.8dA-425; VII.8dA-1 to VII.8dA-425)
Tabelle 9dTable 9d
Verbindungen V, IVa-1 , IVb und VII, worin A für 4-Chlorpyridin-3-yl steht und B jeweils einer Gruppe einer Zeile der Tabelle A entspricht (Verbindungen V.9dA-1 bis V.9dA-425; IVa-1.9dA-1 bis IVa-1.9dA-425; IVb.9dA-1 bis IVb.9dA-425; VII.9dA-1 bis VII.9dA-425)Compounds V, IVa-1, IVb and VII in which A is 4-chloropyridin-3-yl and B corresponds in each case to one group of one row of Table A (Compounds V.9dA-1 to V.9dA-425; IVa-1.9 dA-1 to IVa-1.9dA-425; IVb.9dA-1 to IVb.9dA-425; VII.9dA-1 to VII.9dA-425)
Tabelle 1 OdTable 1 Od
Verbindungen V, IVa-1 , IVb und VII, worin A für 5-Chlorpyridin-3-yl steht und B jeweils einer Gruppe einer Zeile der Tabelle A entspricht (Verbindungen V.1 OdA- 1 bis V.10dA-425; IVa-1.10dA-1 bis IVa-1.10dA-425; IVb.10dA-1 bis IVb.10dA-425; VII.10dA-1 bis VII.10dA-425)Compounds V, IVa-1, IVb and VII, wherein A is 5-chloropyridin-3-yl and B corresponds in each case to one group of one row of Table A (compounds V.1 OdA-1 to V.10dA-425; 1.10dA-1 to IVa-1.10dA-425; IVb.10dA-1 to IVb.10dA-425; VII.10dA-1 to VII.10dA-425)
Tabelle 1 1dTable 1 1d
Verbindungen V, IVa-1 , IVb und VII, worin A für 6-Chlorpyridin-3-yl steht und B je- weils einer Gruppe einer Zeile der Tabelle A entspricht (Verbindungen V.1 1dA-1 bis V.1 1dA-425; IVa-1.1 1dA-1 bis IVa-1.1 1dA-425; IVb.11 dA-1 bis IVb.1 1dA-425; VII.1 1dA-1 bis VII.11 dA-425)Compounds V, IVa-1, IVb and VII, wherein A is 6-chloropyridin-3-yl and B is each because one group corresponds to one row of Table A (compounds V.1 1dA-1 to V.1 1dA-425; IVa-1.1 1dA-1 to IVa-1.1 1dA-425; IVb.11 dA-1 to IVb.1 1dA -425; VII.1 1dA-1 to VII.11 dA-425)
Tabelle 12d Verbindungen V, IVa-1 , IVb und VII, worin A für 2-Chlorpyridin-4-yl steht und B jeweils einer Gruppe einer Zeile der Tabelle A entspricht (Verbindungen V.12dA-1 bis V.12dA-425; IVa-1.12dA-1 bis IVa-1.12dA-425; IVb.12dA-1 bis IVb.12dA-425; VII.12dA-1 bis VII.12dA-425)Table 12d Compounds V, IVa-1, IVb and VII, wherein A is 2-chloropyridin-4-yl and B corresponds in each case to one group of one row of Table A (Compounds V.12dA-1 to V.12dA-425; IVa -1.12dA-1 to IVa-1.12dA-425; IVb.12dA-1 to IVb.12dA-425; VII.12dA-1 to VII.12dA-425)
Tabelle 13d Verbindungen V, IVa-1 , IVb und VII, worin A für 3-Chlorpyridin-4-yl steht und B jeweils einer Gruppe einer Zeile der Tabelle A entspricht (Verbindungen V.13dA-1 bis V.13dA-425; IVa-1.13dA-1 bis IVa-1.13dA-425; IVb.13dA-1 bis IVb.13dA-425; VII.13dA-1 bis VII.13dA-425)Table 13d Compounds V, IVa-1, IVb and VII, wherein A is 3-chloropyridin-4-yl and B corresponds in each case to one group of one row of Table A (compounds V.13dA-1 to V.13dA-425; IVa -1.13dA-1 to IVa-1.13dA-425; IVb.13dA-1 to IVb.13dA-425; VII.13dA-1 to VII.13dA-425)
Tabelle 14d Verbindungen V, IVa-1 , IVb und VII, worin A für 4-Chlorpyridin-5-yl steht und B jeweils einer Gruppe einer Zeile der Tabelle A entspricht (Verbindungen V.14dA-1 bis V.14dA-425; IVa-1.14dA-1 bis IVa-1.14dA-425; IVb.14dA-1 bis IVb.14dA-425; VII.14dA-1 bis VII.14dA-425)Table 14d compounds V, IVa-1, IVb and VII, wherein A is 4-chloropyridin-5-yl and B corresponds in each case to one group of one row of Table A (compounds V.14dA-1 to V.14dA-425; IVa -1.14dA-1 to IVa-1.14dA-425; IVb.14dA-1 to IVb.14dA-425; VII.14dA-1 to VII.14dA-425)
Tabelle 15d Verbindungen V, IVa-1 , IVb und VII, worin A für 3-Fluorpyridin-2-yl steht und B jeweils einer Gruppe einer Zeile der Tabelle A entspricht (Verbindungen V.15dA-1 bis V.15dA-425; IVa-1.15dA-1 bis IVa-1.15dA-425; IVb.15dA-1 bis IVb.15dA-425; VII.15dA-1 bis VII.15dA-425)Table 15d compounds V, IVa-1, IVb and VII, wherein A is 3-fluoropyridin-2-yl and B corresponds in each case to one group of a row of Table A (compounds V.15dA-1 to V.15dA-425; IVa -1.15dA-1 to IVa-1.15dA-425; IVb.15dA-1 to IVb.15dA-425; VII.15dA-1 to VII.15dA-425)
Tabelle 16d Verbindungen V, IVa-1 , IVb und VII, worin A für 4-Fluorpyridin-2-yl steht und B jeweils einer Gruppe einer Zeile der Tabelle A entspricht (Verbindungen V.16dA-1 bis V.16dA-425; IVa-1.16dA-1 bis IVa-1.16dA-425; IVb.16dA-1 bis IVb.16dA-425; VII.16dA-1 bis VII.16dA-425)Table 16d Compounds V, IVa-1, IVb and VII, wherein A is 4-fluoropyridin-2-yl and B corresponds in each case to one group of one row of Table A (Compounds V.16dA-1 to V.16dA-425; IVa -1.16dA-1 to IVa-1.16dA-425; IVb.16dA-1 to IVb.16dA-425; VII.16dA-1 to VII.16dA-425)
Tabelle 17d Verbindungen V, IVa-1 , IVb und VII, worin A für 5-Fluorpyridin-2-yl steht und B jeweils einer Gruppe einer Zeile der Tabelle A entspricht (Verbindungen V.17dA-1 bis V.17dA-425; IVa-1.17dA-1 bis IVa-1.17dA-425; IVb.17dA-1 bis IVb.17dA-425; VII.17dA-1 bis VII.17dA-425)Table 17d Compounds V, IVa-1, IVb and VII, wherein A is 5-fluoropyridin-2-yl and B corresponds in each case to one group of one row of Table A (Compounds V.17dA-1 to V.17dA-425; IVa -1.17dA-1 to IVa-1.17dA-425; IVb.17dA-1 to IVb.17dA-425; VII.17dA-1 to VII.17dA-425)
Tabelle 18d Verbindungen V, IVa-1 , IVb und VII, worin A für 6-Fluorpyridin-2-yl steht und B jeweils einer Gruppe einer Zeile der Tabelle A entspricht (Verbindungen V.18dA-1 bis V.18dA-425; IVa-1.18dA-1 bis IVa-1.18dA-425; IVb.18dA-1 bis IVb.18dA-425; VII.18dA-1 bis VII.18dA-425)Table 18d Compounds V, IVa-1, IVb and VII, wherein A is 6-fluoropyridin-2-yl and B corresponds in each case to one group of one row of Table A (Compounds V.18dA-1 to V.18dA-425; IVa -1.18dA-1 to IVa-1.18dA-425; IVb.18dA-1 to IVb.18dA-425; VII.18dA-1 to VII.18dA-425)
Tabelle 19d Verbindungen V, IVa-1 , IVb und VII, worin A für 2-Fluorpyridin-3-yl steht und B jeweils einer Gruppe einer Zeile der Tabelle A entspricht (Verbindungen V.19dA-1 bis V.19dA-425; IVa-1.19dA-1 bis IVa-1.19dA-425; IVb.19dA-1 bis IVb.19dA-425;Table 19d Compounds V, IVa-1, IVb and VII, wherein A is 2-fluoropyridin-3-yl and B corresponds in each case to one group of one row of Table A (Compounds V.19dA-1 to V.19dA-425; IVa-1.19dA-1 to IVa-1.19dA-425; IVb.19dA-1 to IVb.19dA-425;
VII.19dA-1 bis VII.19dA-425) Tabelle 2OdVII.19dA-1 to VII.19dA-425) Table 2Od
Verbindungen V, IVa-1 , IVb und VII, worin A für 4-Fluorpyridin-3-yl steht und B je- weils einer Gruppe einer Zeile der Tabelle A entspricht (Verbindungen V.20dA-1 bisCompounds V, IVa-1, IVb and VII, wherein A is 4-fluoropyridin-3-yl and B corresponds in each case to one group of one row of Table A (compounds V.20dA-1 to
V.20dA-425; IVa-1.2OdA-I bis IVa-1.20dA-425; IVb.20dA-1 bis IVb.20dA-425;V.20dA-425; IVa-1.2OdA-I to IVa-1.20dA-425; IVb.20dA-1 to IVb.20dA-425;
VII.20dA-1 bis VII.20dA-425) Tabelle 21dVII.20dA-1 to VII.20dA-425) Table 21d
Verbindungen V, IVa-1 , IVb und VII, worin A für 5-Fluorpyridin-3-yl steht und B je- weils einer Gruppe einer Zeile der Tabelle A entspricht (Verbindungen V.21dA-1 bisCompounds V, IVa-1, IVb and VII, wherein A is 5-fluoropyridin-3-yl and B corresponds in each case to one group of one row of Table A (compounds V.21dA-1 to
V.21dA-425; IVa-1.21 dA-1 bis IVa-1.21 dA-425; IVb.21 dA-1 bis IVb.21dA-425;V.21dA-425; IVa-1.21 dA-1 to IVa-1.21 dA-425; IVb.21 dA-1 to IVb.21dA-425;
VII.21dA-1 bis VII.21 dA-425) Tabelle 22dVII.21dA-1 to VII.21 dA-425) Table 22d
Verbindungen V, IVa-1 , IVb und VII, worin A für 6-Fluorpyridin-3-yl steht und B je- weils einer Gruppe einer Zeile der Tabelle A entspricht (Verbindungen V.22dA-1 bisCompounds V, IVa-1, IVb and VII, wherein A is 6-fluoropyridin-3-yl and B corresponds in each case to one group of one row of Table A (compounds V.22dA-1 to
V.22dA-425; IVa-1.22dA-1 bis IVa-1.22dA-425; IVb.22dA-1 bis IVb.22dA-425;V.22dA-425; IVa-1.22dA-1 to IVa-1.22dA-425; IVb.22dA-1 to IVb.22dA-425;
VII.22dA-1 bis VII.22dA-425) Tabelle 23dVII.22dA-1 to VII.22dA-425) Table 23d
Verbindungen V, IVa-1 , IVb und VII, worin A für 2-Fluorpyridin-4-yl steht und B je- weils einer Gruppe einer Zeile der Tabelle A entspricht (Verbindungen V.23dA-1 bisCompounds V, IVa-1, IVb and VII, wherein A is 2-fluoropyridin-4-yl and B corresponds in each case to one group of one row of Table A (compounds V.23dA-1 to
V.23dA-425; IVa-1.23dA-1 bis IVa-1.23dA-425; IVb.23dA-1 bis IVb.23dA-425;V.23dA-425; IVa-1.23dA-1 to IVa-1.23dA-425; IVb.23dA-1 to IVb.23dA-425;
VII.23dA-1 bis VII.23dA-425) Tabelle 24dVII.23dA-1 to VII.23dA-425) Table 24d
Verbindungen V, IVa-1 , IVb und VII, worin A für 3-Fluorpyridin-4-yl steht und B je- weils einer Gruppe einer Zeile der Tabelle A entspricht (Verbindungen V.24dA-1 bisCompounds V, IVa-1, IVb and VII, wherein A is 3-fluoropyridin-4-yl and B corresponds in each case to one group of one row of Table A (compounds V.24dA-1 to
V.24dA-425; IVa-1.24dA-1 bis IVa-1.24dA-425; IVb.24dA-1 bis IVb.24dA-425;V.24dA-425; IVa-1.24dA-1 to IVa-1.24dA-425; IVb.24dA-1 to IVb.24dA-425;
VII.24dA-1 bis VII.24dA-425) Tabelle 25dVII.24dA-1 to VII.24dA-425) Table 25d
Verbindungen V, IVa-1 , IVb und VII, worin A für 3- Methylpyridin-2-yl steht und B jeweils einer Gruppe einer Zeile der Tabelle A entspricht (Verbindungen V.25dA-1 bis V.25dA-425; IVa-1.25dA-1 bis IVa-1.25dA-425; IVb.25dA-1 bis IVb.25dA-425;Compounds V, IVa-1, IVb and VII, wherein A is 3-methylpyridin-2-yl and B corresponds in each case to one group of one row of Table A (compounds V.25dA-1 to V.25dA-425; IVa-1.25 dA-1 to IVa-1.25dA-425; IVb.25dA-1 to IVb.25dA-425;
VII.25dA-1 bis VII.25dA-425) Tabelle 26dVII.25dA-1 to VII.25dA-425) Table 26d
Verbindungen V, IVa-1 , IVb und VII, worin A für 4-Methylpyridin-2-yl steht und B jeweils einer Gruppe einer Zeile der Tabelle A entspricht (Verbindungen V.26dA-1 bis V.26dA-425; IVa-1.26dA-1 bis IVa-1.26dA-425; IVb.26dA-1 bis IVb.26dA-425;Compounds V, IVa-1, IVb and VII, wherein A is 4-methylpyridin-2-yl and B corresponds in each case to one group of one row of Table A (compounds V.26dA-1 to V.26dA-425; IVa-1.26 dA-1 to IVa-1.26dA-425; IVb.26dA-1 to IVb.26dA-425;
VII.26dA-1 bis VII.26dA-425) Tabelle 27dVII.26dA-1 to VII.26dA-425) Table 27d
Verbindungen V, IVa-1 , IVb und VII, worin A für 5-Methylpyridin-2-yl steht und B jeweils einer Gruppe einer Zeile der Tabelle A entspricht (Verbindungen V.27dA-1 bis V.27dA-425; IVa-1.27dA-1 bis IVa-1.27dA-425; IVb.27dA-1 bis IVb.27dA-425;Compounds V, IVa-1, IVb and VII, wherein A is 5-methylpyridin-2-yl and B corresponds in each case to one group of one row of Table A (compounds V.27dA-1 to V.27dA-425; IVa-1.27 dA-1 to IVa-1.27dA-425; IVb.27dA-1 to IVb.27dA-425;
VII.27dA-1 bis VII.27dA-425) Tabelle 28dVII.27dA-1 to VII.27dA-425) Table 28d
Verbindungen V, IVa-1 , IVb und VII, worin A für 6-Methylpyridin-2-yl steht und B jeweils einer Gruppe einer Zeile der Tabelle A entspricht (Verbindungen V.28dA-1 bis V.28dA-425; IVa-1.28dA-1 bis IVa-1.28dA-425; IVb.28dA-1 bis IVb.28dA-425; VII.28dA-1 bis VII.28dA-425)Compounds V, IVa-1, IVb and VII, wherein A is 6-methylpyridin-2-yl and B corresponds in each case to one group of one row of Table A (compounds V.28dA-1 to V.28dA-425; IVa-1.28 dA-1 to IVa-1.28dA-425; IVb.28dA-1 to IVb.28dA-425; VII.28dA-1 to VII.28dA-425)
Tabelle 29dTable 29d
Verbindungen V, IVa-1 , IVb und VII, worin A für 2-Methylpyridin-3-yl steht und B jeweils einer Gruppe einer Zeile der Tabelle A entspricht (Verbindungen V.29dA-1 bis V.29dA-425; IVa-1.29dA-1 bis IVa-1.29dA-425; IVb.29dA-1 bis IVb.29dA-425; VII.29dA-1 bis VII.29dA-425)Compounds V, IVa-1, IVb and VII in which A is 2-methylpyridin-3-yl and B corresponds in each case to one group of one row of Table A (compounds V.29dA-1 to V.29dA-425; IVa-1.29 dA-1 to IVa-1.29dA-425; IVb.29dA-1 to IVb.29dA-425; VII.29dA-1 to VII.29dA-425)
Tabelle 3OdTable 3Od
Verbindungen V, IVa-1 , IVb und VII, worin A für 4-Methylpyridin-3-yl steht und B jeweils einer Gruppe einer Zeile der Tabelle A entspricht (Verbindungen V.30dA-1 bis V.30dA-425; IVa-1.3OdA-I bis IVa-1.30dA-425; IVb.30dA-1 bis IVb.30dA-425; VII.30dA-1 bis VII.30dA-425)Compounds V, IVa-1, IVb and VII, wherein A is 4-methylpyridin-3-yl and B corresponds in each case to one group of one row of Table A (Compounds V.30dA-1 to V.30dA-425; IVa-1.3 OdA-I to IVa-1.30dA-425; IVb.30dA-1 to IVb.30dA-425; VII.30dA-1 to VII.30dA-425)
Tabelle 31dTable 31d
Verbindungen V, IVa-1 , IVb und VII, worin A für 5-Methylpyridin-3-yl steht und B jeweils einer Gruppe einer Zeile der Tabelle A entspricht (Verbindungen V.31dA-1 bis V.31dA-425; IVa-1.31 dA-1 bis IVa-1.31 dA-425; IVb.31 dA-1 bis IVb.31 dA-425; VII.31dA-1 bis VII.31 dA-425)Compounds V, IVa-1, IVb and VII, wherein A is 5-methylpyridin-3-yl and B corresponds in each case to one group of one row of Table A (compounds V.31dA-1 to V.31dA-425; IVa-1.31 dA-1 to IVa-1.31 dA-425; IVb.31 dA-1 to IVb.31 dA-425; VII.31dA-1 to VII.31 dA-425)
Tabelle 32dTable 32d
Verbindungen V, IVa-1 , IVb und VII, worin A für 6-Methylpyridin-3-yl steht und B jeweils einer Gruppe einer Zeile der Tabelle A entspricht (Verbindungen V.32dA-1 bis V.32dA-425; IVa-1.32dA-1 bis IVa-1.32dA-425; IVb.32dA-1 bis IVb.32dA-425; VII.32dA-1 bis VII.32dA-425)Compounds V, IVa-1, IVb and VII, wherein A is 6-methylpyridin-3-yl and B corresponds in each case to one group of one row of Table A (compounds V.32dA-1 to V.32dA-425; IVa-1.32 dA-1 to IVa-1.32dA-425; IVb.32dA-1 to IVb.32dA-425; VII.32dA-1 to VII.32dA-425)
Tabelle 33dTable 33d
Verbindungen V, IVa-1 , IVb und VII, worin A für 2-Methylpyridin-4-yl steht und B jeweils einer Gruppe einer Zeile der Tabelle A entspricht (Verbindungen V.33dA-1 bis V.33dA-425; IVa-1.33dA-1 bis IVa-1.33dA-425; IVb.33dA-1 bis IVb.33dA-425; VII.33dA-1 bis VII.33dA-425)Compounds V, IVa-1, IVb and VII, wherein A is 2-methylpyridin-4-yl and B corresponds in each case to one group of one row of Table A (compounds V.33dA-1 to V.33dA-425; IVa-1.33 dA-1 to IVa-1.33dA-425; IVb.33dA-1 to IVb.33dA-425; VII.33dA-1 to VII.33dA-425)
Tabelle 34dTable 34d
Verbindungen V, IVa-1 , IVb und VII, worin A für 3-Methylpyridin-4-yl steht und B jeweils einer Gruppe einer Zeile der Tabelle A entspricht (Verbindungen V.34dA-1 bis V.34dA-425; IVa-1.34dA-1 bis IVa-1.34dA-425; IVb.34dA-1 bis IVb.34dA-425; VII.34dA-1 bis VII.34dA-425)Compounds V, IVa-1, IVb and VII, wherein A is 3-methylpyridin-4-yl and B corresponds in each case to one group of one row of Table A (compounds V.34dA-1 to V.34dA-425; IVa-1.34 dA-1 to IVa-1.34dA-425; IVb.34dA-1 to IVb.34dA-425; VII.34dA-1 to VII.34dA-425)
Tabelle 35dTable 35d
Verbindungen V, IVa-1 , IVb und VII, worin A für 4-Methylpyridin-5-yl steht und B jeweils einer Gruppe einer Zeile der Tabelle A entspricht (Verbindungen V.35dA-1 bis V.35dA-425; IVa-1.35dA-1 bis IVa-1.35dA-425; IVb.35dA-1 bis IVb.35dA-425; VII.35dA-1 bis VII.35dA-425)Compounds V, IVa-1, IVb and VII, wherein A is 4-methylpyridin-5-yl and B corresponds in each case to one group of a row of Table A (compounds V.35dA-1 to V.35dA-425; IVa-1.35 dA-1 to IVa-1.35dA-425; IVb.35dA-1 to IVb.35dA-425; VII.35dA-1 to VII.35dA-425)
Tabelle 36dTable 36d
Verbindungen V, IVa-1 , IVb und VII, worin A für 3-Methoxypyridin-2-yl steht und B jeweils einer Gruppe einer Zeile der Tabelle A entspricht (Verbindungen V.36dA-1 bis V.36dA-425; IVa-1.36dA-1 bis IVa-1.36dA-425; IVb.36dA-1 bis IVb.36dA-425;Compounds V, IVa-1, IVb and VII, wherein A is 3-methoxypyridin-2-yl and B each corresponds to one group of one row of Table A (Compounds V.36dA-1 to V.36dA-425; IVa-1.36dA-1 to IVa-1.36dA-425; IVb.36dA-1 to IVb.36dA-425;
VII.36dA-1 bis VII.36dA-425) Tabelle 37d Verbindungen V, IVa-1 , IVb und VII, worin A für 4-Methoxypyridin-2-yl steht und B jeweils einer Gruppe einer Zeile der Tabelle A entspricht (Verbindungen V.37dA-1 bis V.37dA-425; IVa-1.37dA-1 bis IVa-1.37dA-425; IVb.37dA-1 bis IVb.37dA-425;VII.36dA-1 to VII.36dA-425) Table 37d Compounds V, IVa-1, IVb and VII, wherein A is 4-methoxypyridin-2-yl and B corresponds in each case to one group of one row of Table A (compounds V .37dA-1 to V.37dA-425; IVa-1.37dA-1 to IVa-1.37dA-425; IVb.37dA-1 to IVb.37dA-425;
VII.37dA-1 bis VII.37dA-425) Tabelle 38d Verbindungen V, IVa-1 , IVb und VII, worin A für 5-Methoxypyridin-2-yl steht und B jeweils einer Gruppe einer Zeile der Tabelle A entspricht (Verbindungen V.38dA-1 bis V.38dA-425; IVa-1.38dA-1 bis IVa-1.38dA-425; IVb.38dA-1 bis IVb.38dA-425;VII.37dA-1 to VII.37dA-425) Table 38d Compounds V, IVa-1, IVb and VII, wherein A is 5-methoxypyridin-2-yl and B corresponds in each case to one group of one row of Table A (Compounds V .38dA-1 to V.38dA-425; IVa-1.38dA-1 to IVa-1.38dA-425; IVb.38dA-1 to IVb.38dA-425;
VII.38dA-1 bis VII.38dA-425) Tabelle 39d Verbindungen V, IVa-1 , IVb und VII, worin A für 6-Methoxypyridin-2-yl steht und B jeweils einer Gruppe einer Zeile der Tabelle A entspricht (Verbindungen V.39dA-1 bis V.39dA-425; IVa-1.39dA-1 bis IVa-1.39dA-425; IVb.39dA-1 bis IVb.39dA-425;VII.38dA-1 to VII.38dA-425) Table 39d Compounds V, IVa-1, IVb and VII, wherein A is 6-methoxypyridin-2-yl and B corresponds in each case to one group of one row of Table A (compounds V IVa-1.39dA-1 to IVa-1.39dA-425; IVb.39dA-1 to IVb.39dA-425;
VII.39dA-1 bis VII.39dA-425) Tabelle 4Od Verbindungen V, IVa-1 , IVb und VII, worin A für 2-Methoxypyridin-3-yl steht und B jeweils einer Gruppe einer Zeile der Tabelle A entspricht (Verbindungen V.40dA-1 bis V.40dA-425; IVa-1.4OdA-I bis IVa-1.40dA-425; IVb.40dA-1 bis IVb.40dA-425;VII.39dA-1 to VII.39dA-425) Table 4Od Compounds V, IVa-1, IVb and VII, wherein A is 2-methoxypyridin-3-yl and B corresponds in each case to one group of one row of Table A (Compounds V .40dA-1 to V.40dA-425; IVa-1.4OdA-I to IVa-1.40dA-425; IVb.40dA-1 to IVb.40dA-425;
VII.40dA-1 bis VII.40dA-425) Tabelle 41d Verbindungen V, IVa-1 , IVb und VII, worin A für 4-Methoxypyridin-3-yl steht und B jeweils einer Gruppe einer Zeile der Tabelle A entspricht (Verbindungen V.41dA-1 bis V.41dA-425; IVa-1.41dA-1 bis IVa-1.41dA-425; IVb.41 dA-1 bis IVb.41 dA-425;VII.40dA-1 to VII.40dA-425) Table 41d Compounds V, IVa-1, IVb and VII, wherein A is 4-methoxypyridin-3-yl and B corresponds in each case to one group of one row of Table A (compounds V .41dA-1 to V.41dA-425; IVa-1.41dA-1 to IVa-1.41dA-425; IVb.41 dA-1 to IVb.41 dA-425;
VII.41dA-1 bis VII.41 dA-425) Tabelle 42d Verbindungen V, IVa-1 , IVb und VII, worin A für 5-Methoxypyridin-3-yl steht und B jeweils einer Gruppe einer Zeile der Tabelle A entspricht (Verbindungen V.42dA-1 bis V.42dA-425; IVa-1.42dA-1 bis IVa-1.42dA-425; IVb.42dA-1 bis IVb.42dA-425;VII.41dA-1 to VII.41 dA-425) Table 42d Compounds V, IVa-1, IVb and VII, wherein A is 5-methoxypyridin-3-yl and B corresponds in each case to one group of one row of Table A (Compounds V.42dA-1 to V.42dA-425; IVa-1.42dA-1 to IVa-1.42dA-425; IVb.42dA-1 to IVb.42dA-425;
VII.42dA-1 bis VII.42dA-425) Tabelle 43d Verbindungen V, IVa-1 , IVb und VII, worin A für 6-Methoxypyridin-3-yl steht und B jeweils einer Gruppe einer Zeile der Tabelle A entspricht (Verbindungen V.43dA-1 bis V.43dA-425; IVa-1.43dA-1 bis IVa-1.43dA-425; IVb.43dA-1 bis IVb.43dA-425;VII.42dA-1 to VII.42dA-425) Table 43d Compounds V, IVa-1, IVb and VII, wherein A is 6-methoxypyridin-3-yl and B corresponds in each case to one group of one row of Table A (compounds V IVa-1.43dA-1 to IVa-1.43dA-425; IVb.43dA-1 to IVb.43dA-425;
VII.43dA-1 bis VII.43dA-425) Tabelle 44d Verbindungen V, IVa-1 , IVb und VII, worin A für 2-Methoxypyridin-4-yl steht und B jeweils einer Gruppe einer Zeile der Tabelle A entspricht (Verbindungen V.44dA-1 bis V.44dA-425; IVa-1.44dA-1 bis IVa-1.44dA-425; IVb.44dA-1 bis IVb.44dA-425;VII.43dA-1 to VII.43dA-425) Table 44d Compounds V, IVa-1, IVb and VII, wherein A is 2-methoxypyridin-4-yl and B corresponds in each case to one group of one row of Table A (Compounds V .44dA-1 to V.44dA-425; IVa-1.44dA-1 to IVa-1.44dA-425; IVb.44dA-1 to IVb.44dA-425;
VII.44dA-1 bis VII.44dA-425) Tabelle 45dVII.44dA-1 to VII.44dA-425) Table 45d
Verbindungen V, IVa-1 , IVb und VII, worin A für 3-Methoxypyridin-4-yl steht und B jeweils einer Gruppe einer Zeile der Tabelle A entspricht (Verbindungen V.45dA-1 bis V.45dA-425; IVa-1.45dA-1 bis IVa-1.45dA-425; IVb.45dA-1 bis IVb.45dA-425;Compounds V, IVa-1, IVb and VII, wherein A is 3-methoxypyridin-4-yl and B corresponds in each case to one group of one row of Table A (Compounds V.45dA-1 to V.45dA-425; IVa-1.45 dA-1 to IVa-1.45dA-425; IVb.45dA-1 to IVb.45dA-425;
VII.45dA-1 bis VII.45dA-425) Tabelle 46dVII.45dA-1 to VII.45dA-425) Table 46d
Verbindungen V, IVa-1 , IVb und VII, worin A für 3,5-Dichlorpyridin-2-yl steht und B jeweils einer Gruppe einer Zeile der Tabelle A entspricht (Verbindungen V.46dA-1 bis V.46dA-425; IVa-1.46dA-1 bis IVa-1.46dA-425; IVb.46dA-1 bis IVb.46dA-425;Compounds V, IVa-1, IVb and VII, wherein A is 3,5-dichloropyridin-2-yl and B corresponds in each case to one group of one row of Table A (compounds V.46dA-1 to V.46dA-425; IVa -1.46dA-1 to IVa-1.46dA-425; IVb.46dA-1 to IVb.46dA-425;
VII.46dA-1 bis VII.46dA-425) Tabelle 47dVII.46dA-1 to VII.46dA-425) Table 47d
Verbindungen V, IVa-1 , IVb und VII, worin A für 2,4-Dichlorpyridin-3-yl steht und B jeweils einer Gruppe einer Zeile der Tabelle A entspricht (Verbindungen V.47dA-1 bis V.47dA-425; IVa-1.47dA-1 bis IVa-1.47dA-425; IVb.47dA-1 bis IVb.47dA-425;Compounds V, IVa-1, IVb and VII, wherein A is 2,4-dichloropyridin-3-yl and B corresponds in each case to one group of one row of Table A (Compounds V.47dA-1 to V.47dA-425; IVa -1.47dA-1 to IVa-1.47dA-425; IVb.47dA-1 to IVb.47dA-425;
VII.47dA-1 bis VII.47dA-425) Tabelle 48dVII.47dA-1 to VII.47dA-425) Table 48d
Verbindungen V, IVa-1 , IVb und VII, worin A für 2,5-Dichlorpyridin-3-yl steht und B jeweils einer Gruppe einer Zeile der Tabelle A entspricht (Verbindungen V.48dA-1 bis V.48dA-425; IVa-1.48dA-1 bis IVa-1.48dA-425; IVb.48dA-1 bis IVb.48dA-425;Compounds V, IVa-1, IVb and VII, wherein A is 2,5-dichloropyridin-3-yl and B corresponds in each case to one group of one row of Table A (Compounds V.48dA-1 to V.48dA-425; IVa -1.48dA-1 to IVa-1.48dA-425; IVb.48dA-1 to IVb.48dA-425;
VII.48dA-1 bis VII.48dA-425) Tabelle 49dVII.48dA-1 to VII.48dA-425) Table 49d
Verbindungen V, IVa-1 , IVb und VII, worin A für 2,6-Dichlorpyridin-3-yl steht und B jeweils einer Gruppe einer Zeile der Tabelle A entspricht (Verbindungen V.49dA-1 bis V.49dA-425; IVa-1.49dA-1 bis IVa-1.49dA-425; IVb.49dA-1 bis IVb.49dA-425;Compounds V, IVa-1, IVb and VII, wherein A is 2,6-dichloropyridin-3-yl and B corresponds in each case to one group of one row of Table A (Compounds V.49dA-1 to V.49dA-425; IVa -1.49dA-1 to IVa-1.49dA-425; IVb.49dA-1 to IVb.49dA-425;
VII.49dA-1 bis VII.49dA-425) Tabelle 5OdVII.49dA-1 to VII.49dA-425) Table 5Od
Verbindungen V, IVa-1 , IVb und VII, worin A für 2,6-Dichlorpyridin-4-yl steht und B jeweils einer Gruppe einer Zeile der Tabelle A entspricht (Verbindungen V.50dA-1 bis V.50dA-425; IVa-1.5OdA-I bis IVa-1.50dA-425; IVb.50dA-1 bis IVb.50dA-425;Compounds V, IVa-1, IVb and VII in which A is 2,6-dichloropyridin-4-yl and B corresponds in each case to one group of one row of Table A (compounds V.50dA-1 to V.50dA-425; IVa -1.5 OdA-I to IVa-1.50dA-425; IVb.50dA-1 to IVb.50dA-425;
VII.50dA-1 bis VII.50dA-425) Tabelle 51 dVII.50dA-1 to VII.50dA-425) Table 51 d
Verbindungen V, IVa-1 , IVb und VII, worin A für 3,5-Dichlorpyridin-4-yl steht und B jeweils einer Gruppe einer Zeile der Tabelle A entspricht (Verbindungen V.51 dA-1 bis V.51dA-425; IVa-1.51 dA-1 bis IVa-1.51 dA-425; IVb.51 dA-1 bis IVb.51 dA-425;Compounds V, IVa-1, IVb and VII, wherein A is 3,5-dichloropyridin-4-yl and B corresponds in each case to one group of one row of Table A (Compounds V.51 dA-1 to V.51dA-425; IVa-1.51 dA-1 to IVa-1.51 dA-425; IVb.51 dA-1 to IVb.51 dA-425;
VII.51dA-1 bis VII.51 dA-425) Tabelle 52dVII.51dA-1 to VII.51 dA-425) Table 52d
Verbindungen V, IVa-1 , IVb und VII, worin A für 3,6-Dichlorpyridin-4-yl steht und B jeweils einer Gruppe einer Zeile der Tabelle A entspricht (Verbindungen V.52dA-1 bis V.52dA-425; IVa-1.52dA-1 bis IVa-1.52dA-425; IVb.52dA-1 bis IVb.52dA-425;Compounds V, IVa-1, IVb and VII, wherein A is 3,6-dichloropyridin-4-yl and B corresponds in each case to one group of one row of Table A (Compounds V.52dA-1 to V.52dA-425; IVa -1.52dA-1 to IVa-1.52dA-425; IVb.52dA-1 to IVb.52dA-425;
VII.52dA-1 bis VII.52dA-425) Tabelle 53dVII.52dA-1 to VII.52dA-425) Table 53d
Verbindungen V, IVa-1 , IVb und VII, worin A für 2,5-Dichlorpyridin-4-yl steht und B jeweils einer Gruppe einer Zeile der Tabelle A entspricht (Verbindungen V.53dA-1 bis V.53dA-425; IVa-1.53dA-1 bis IVa-1.53dA-425; IVb.53dA-1 bis IVb.53dA-425; VII.53dA-1 bis VII.53dA-425)Compounds V, IVa-1, IVb and VII, wherein A is 2,5-dichloropyridin-4-yl and B corresponds in each case to one group of one row of Table A (compounds V.53dA-1 to V.53dA-425; IVa -1.53dA-1 to IVa-1.53dA-425; IVb.53dA-1 to IVb.53dA-425; VII.53dA-1 to VII.53dA-425)
Tabelle 54dTable 54d
Verbindungen V, IVa-1 , IVb und VII, worin A für 2,3-Dichlorpyridin-4-yl steht und B jeweils einer Gruppe einer Zeile der Tabelle A entspricht (Verbindungen V.54dA-1 bis V.54dA-425; IVa-1.54dA-1 bis IVa-1.54dA-425; IVb.54dA-1 bis IVb.54dA-425; VII.54dA-1 bis VII.54dA-425)Compounds V, IVa-1, IVb and VII, wherein A is 2,3-dichloropyridin-4-yl and B corresponds in each case to one group of one row of Table A (compounds V.54dA-1 to V.54dA-425; IVa -1.54dA-1 to IVa-1.54dA-425; IVb.54dA-1 to IVb.54dA-425; VII.54dA-1 to VII.54dA-425)
Tabelle 55dTable 55d
Verbindungen V, IVa-1 , IVb und VII, worin A für 2,4-Dichlorpyridin-5-yl steht und B jeweils einer Gruppe einer Zeile der Tabelle A entspricht (Verbindungen V.55dA-1 bis V.55dA-425; IVa-1.55dA-1 bis IVa-1.55dA-425; IVb.55dA-1 bis IVb.55dA-425; VII.55dA-1 bis VII.55dA-425)Compounds V, IVa-1, IVb and VII, wherein A is 2,4-dichloropyridin-5-yl and B corresponds in each case to one group of one row of Table A (Compounds V.55dA-1 to V.55dA-425; IVa -1.55dA-1 to IVa-1.55dA-425; IVb.55dA-1 to IVb.55dA-425; VII.55dA-1 to VII.55dA-425)
Tabelle 56dTable 56d
Verbindungen V, IVa-1 , IVb und VII, worin A für 3,5-Difluorpyridin-2-yl steht und B jeweils einer Gruppe einer Zeile der Tabelle A entspricht (Verbindungen V.56dA-1 bis V.56dA-425; IVa-1.56dA-1 bis IVa-1.56dA-425; IVb.56dA-1 bis IVb.56dA-425; VII.56dA-1 bis VII.56dA-425)Compounds V, IVa-1, IVb and VII in which A is 3,5-difluoropyridin-2-yl and B corresponds in each case to one group of one row of Table A (Compounds V.56dA-1 to V.56dA-425; IVa -1.56dA-1 to IVa-1.56dA-425; IVb.56dA-1 to IVb.56dA-425; VII.56dA-1 to VII.56dA-425)
Tabelle 57dTable 57d
Verbindungen V, IVa-1 , IVb und VII, worin A für 3,5-Difluorpyridin-4-yl steht und B jeweils einer Gruppe einer Zeile der Tabelle A entspricht (Verbindungen V.57dA-1 bis V.57dA-425; IVa-1.57dA-1 bis IVa-1.57dA-425; IVb.57dA-1 bis IVb.57dA-425; VII.57dA-1 bis VII.57dA-425)Compounds V, IVa-1, IVb and VII, wherein A is 3,5-difluoropyridin-4-yl and B corresponds in each case to one group of one row of Table A (compounds V.57dA-1 to V.57dA-425; IVa -1.57dA-1 to IVa-1.57dA-425; IVb.57dA-1 to IVb.57dA-425; VII.57dA-1 to VII.57dA-425)
Tabelle 58dTable 58d
Verbindungen V, IVa-1 , IVb und VII, worin A für 2,3-Difluorpyridin-4-yl steht und B jeweils einer Gruppe einer Zeile der Tabelle A entspricht (Verbindungen V.58dA-1 bis V.58dA-425; IVa-1.58dA-1 bis IVa-1.58dA-425; IVb.58dA-1 bis IVb.58dA-425; VII.58dA-1 bis VII.58dA-425)Compounds V, IVa-1, IVb and VII, wherein A is 2,3-difluoropyridin-4-yl and B corresponds in each case to one group of one row of Table A (compounds V.58dA-1 to V.58dA-425; IVa -1.58dA-1 to IVa-1.58dA-425; IVb.58dA-1 to IVb.58dA-425; VII.58dA-1 to VII.58dA-425)
Tabelle 59dTable 59d
Verbindungen V, IVa-1 , IVb und VII, worin A für 3,5-Dimethylpyridin-2-yl steht und B jeweils einer Gruppe einer Zeile der Tabelle A entspricht (Verbindungen V.59dA- 1 bis V.59dA-425; IVa-1.59dA-1 bis IVa-1.59dA-425; IVb.59dA-1 bis IVb.59dA-425; VII.59dA-1 bis VII.59dA-425)Compounds V, IVa-1, IVb and VII, wherein A is 3,5-dimethylpyridin-2-yl and B corresponds in each case to one group of one row of Table A (Compounds V.59dA-1 to V.59dA-425; IVa -1.59dA-1 to IVa-1.59dA-425; IVb.59dA-1 to IVb.59dA-425; VII.59dA-1 to VII.59dA-425)
Tabelle 6OdTable 6Od
Verbindungen V, IVa-1 , IVb und VII, worin A für 3,4-Dimethylpyridin-2-yl steht und B jeweils einer Gruppe einer Zeile der Tabelle A entspricht (Verbindungen V.6OdA- 1 bis V.60dA-425; IVa-1.6OdA-I bis IVa-1.60dA-425; IVb.60dA-1 bis IVb.60dA-425; VII.60dA-1 bis VII.60dA-425)Compounds V, IVa-1, IVb and VII, wherein A is 3,4-dimethylpyridin-2-yl and B corresponds in each case to one group of one row of Table A (Compounds V.6OdA-1 to V.60dA-425; IVa -1.6 OdA-I to IVa-1.60dA-425; IVb.60dA-1 to IVb.60dA-425; VII.60dA-1 to VII.60dA-425)
Tabelle 61 dTable 61 d
Verbindungen V, IVa-1 , IVb und VII, worin A für 4,6-Dimethylpyridin-3-yl steht und B jeweils einer Gruppe einer Zeile der Tabelle A entspricht (Verbindungen V.61 dA- 1 bis V.61dA-425; IVa-1.61 dA-1 bis IVa-1.61 dA-425; IVb.61 dA-1 bis IVb.61 dA-425; VII.61dA-1 bis VII.61 dA-425)Compounds V, IVa-1, IVb and VII, wherein A is 4,6-dimethylpyridin-3-yl and B corresponds in each case to one group of one row of Table A (compounds V.61 dA-1 to V.61dA-425, IVa-1.61 dA-1 to IVa-1.61 dA-425, IVb.61 dA-1 to IVb.61 dA -425; VII.61dA-1 to VII.61 dA-425)
Tabelle 62d Verbindungen V, IVa-1 , IVb und VII, worin A für 2,4-Dimethylpyridin-3-yl steht undTable 62d compounds V, IVa-1, IVb and VII, wherein A is 2,4-dimethylpyridin-3-yl and
B jeweils einer Gruppe einer Zeile der Tabelle A entspricht (Verbindungen V.62dA- 1 bis V.62dA-425; IVa-1.62dA-1 bis IVa-1.62dA-425; IVb.62dA-1 bis IVb.62dA-425; VII.62dA-1 bis VII.62dA-425)B corresponds in each case to one group of one row of Table A (compounds V.62dA-1 to V.62dA-425; IVa-1.62dA-1 to IVa-1.62dA-425; IVb.62dA-1 to IVb.62dA-425; VII.62dA-1 to VII.62dA-425)
Tabelle 63d Verbindungen V, IVa-1 , IVb und VII, worin A für 3,5-Dimethylpyridin-4-yl steht undTable 63d compounds V, IVa-1, IVb and VII, wherein A is 3,5-dimethylpyridin-4-yl and
B jeweils einer Gruppe einer Zeile der Tabelle A entspricht (Verbindungen V.63dA- 1 bis V.63dA-425; IVa-1.63dA-1 bis IVa-1.63dA-425; IVb.63dA-1 bis IVb.63dA-425; VII.63dA-1 bis VII.63dA-425)B corresponds in each case to one group of one row of Table A (compounds V.63dA-1 to V.63dA-425; IVa-1.63dA-1 to IVa-1.63dA-425; IVb.63dA-1 to IVb.63dA-425; VII.63dA-1 to VII.63dA-425)
Tabelle 64d Verbindungen V, IVa-1 , IVb und VII, worin A für 2-Chlor-3-fluorpyridin-4-yl steht undTable 64d Compounds V, IVa-1, IVb and VII, wherein A is 2-chloro-3-fluoropyridin-4-yl and
B jeweils einer Gruppe einer Zeile der Tabelle A entspricht (Verbindungen V.64dA- 1 bis V.64dA-425; IVa-1.64dA-1 bis IVa-1.64dA-425; IVb.64dA-1 bis IVb.64dA-425; VII.64dA-1 bis VII.64dA-425)B corresponds in each case to one group of one row of Table A (compounds V.64dA-1 to V.64dA-425; IVa-1.64dA-1 to IVa-1.64dA-425; IVb.64dA-1 to IVb.64dA-425; VII.64dA-1 to VII.64dA-425)
Tabelle 65d Verbindungen V, IVa-1 , IVb und VII, worin A für 4-Chlor-3-methylpyridin-2-yl steht und B jeweils einer Gruppe einer Zeile der Tabelle A entspricht (Verbindungen V.65bB-1 bis V.65bB-134; IVa-1.65dA-1 bis IVa-1.65dA-425; IVb.65dA-1 bis IVb.65dA-425; VII.65dA-1 bis VII.65dA-425)Table 65d Compounds V, IVa-1, IVb and VII, wherein A is 4-chloro-3-methylpyridin-2-yl and B corresponds in each case to one group of one row of Table A (Compounds V.65bB-1 to V.65bB IVa-1.65dA-1 to IVa-1.65dA-425; IVb.65dA-1 to IVb.65dA-425; VII.65dA-1 to VII.65dA-425)
Tabelle 66d Verbindungen V, IVa-1 , IVb und VII, worin A für 5-Chlor-3-methylpyridin-2-yl steht und B jeweils einer Gruppe einer Zeile der Tabelle A entspricht (Verbindungen M.66bB-1 bis M.66bB-134; IVa-1.66dA-1 bis IVa-1.66dA-425; IVb.66dA-1 bis IVb.66dA-425; VII.66dA-1 bis VII.66dA-425)Table 66d Compounds V, IVa-1, IVb and VII, wherein A is 5-chloro-3-methylpyridin-2-yl and B corresponds in each case to one group of one row of Table A (compounds M.66bB-1 to M.66bB IVa-1.66dA-1 to IVa-1.66dA-425; IVb.66dA-1 to IVb.66dA-425; VII.66dA-1 to VII.66dA-425)
Tabelle 67d Verbindungen V, IVa-1 , IVb und VII, worin A für 5-Fluor-3-methylpyridin-2-yl steht und B jeweils einer Gruppe einer Zeile der Tabelle A entspricht (Verbindungen V.67bB-1 bis V.67bB-134; IVa-1.67dA-1 bis IVa-1.67dA-425; IVb.67dA-1 bis IVb.67dA-425; VII.67dA-1 bis VII.67dA-425)Table 67d Compounds V, IVa-1, IVb and VII, wherein A is 5-fluoro-3-methylpyridin-2-yl and B corresponds in each case to one group of one row of Table A (Compounds V.67bB-1 to V.67bB IVa-1.67dA-1 to IVa-1.67dA-425; IVb.67dA-1 to IVb.67dA-425; VII.67dA-1 to VII.67dA-425)
Tabelle 68d Verbindungen V, IVa-1 , IVb und VII, worin A für 3-Chlor-5-trifluormethylpyridin-2-yl steht und B jeweils einer Gruppe einer Zeile der Tabelle A entspricht (Verbindungen V.68bB-1 bis V.68bB-134; IVa-1.68dA-1 bis IVa-1.68dA-425; IVb.68dA-1 bis IVb.68dA-425; VII.68dA-1 bis VII.68dA-425)Table 68d compounds V, IVa-1, IVb and VII, wherein A is 3-chloro-5-trifluoromethylpyridin-2-yl and B corresponds in each case to one group of one row of Table A (compounds V.68bB-1 to V.68bB IVa-1.68dA-1 to IVa-1.68dA-425; IVb.68dA-1 to IVb.68dA-425; VII.68dA-1 to VII.68dA-425)
Tabelle 69d Verbindungen II, worin A für 2-Chlor-6-trifluormethylpyridin-3-yl steht und B jeweils einer Gruppe einer Zeile der Tabelle A entspricht (Verbindungen V.69bB-1 bis V.69bB-134; IVa-1.69dA-1 bis IVa-1.69dA-425; IVb.69dA-1 bis IVb.69dA-425;Table 69d Compounds II, wherein A is 2-chloro-6-trifluoromethylpyridin-3-yl and B corresponds in each case to one group of one row of Table A (Compounds V.69bB-1 to V.69bB-134; IVa-1.69dA-1 to IVa-1.69dA-425; IVb.69dA-1 to IVb.69dA-425;
VII.69dA-1 bis VII.69dA-425) Tabelle 7OdVII.69dA-1 to VII.69dA-425) Table 7Od
Verbindungen V, IVa-1 , IVb und VII, worin A für 2,4-Dichlor-6-methylpyridin-3-yl steht und B jeweils einer Gruppe einer Zeile der Tabelle A entspricht (Verbindungen V.70bB-1 bis V.70bB-134; IVa-1.7OdA-I bis IVa-1.70dA-425; IVb.70dA-1 bisCompounds V, IVa-1, IVb and VII, wherein A is 2,4-dichloro-6-methylpyridin-3-yl and B corresponds in each case to one group of one row of Table A (Compounds V.70bB-1 to V.70bB IVa-1.7OdA-I to IVa-1.70dA-425; IVb.70dA-1 to
IVb.70dA-425; VII.70dA-1 bis VII.70dA-425) Tabelle 71 dIVb.70dA-425; VII.70dA-1 to VII.70dA-425) Table 71 d
Verbindungen V, IVa-1 , IVb und VII, worin A für 3,4,5-Trichlorpyridin-2-yl steht und B jeweils einer Gruppe einer Zeile der Tabelle A entspricht (Verbindungen V.71 dA-Compounds V, IVa-1, IVb and VII, wherein A is 3,4,5-trichloropyridin-2-yl and B corresponds in each case to one group of one row of Table A (compounds V.71 dA-
1 bis V.71dA-425; IVa-1.71 dA-1 bis IVa-1.71 dA-425; IVb.71 dA-1 bis IVb.71 dA-425;1 to V.71dA-425; IVa-1.71 dA-1 to IVa-1.71 dA-425; IVb.71 dA-1 to IVb.71 dA-425;
VII.71 dA-1 bis VII.71 dA-425) Tabelle 72dVII.71 dA-1 to VII.71 dA-425) Table 72d
Verbindungen V, IVa-1 , IVb und VII, worin A für 2,4,6-Trichlorpyridin-3-yl steht und B jeweils einer Gruppe einer Zeile der Tabelle A entspricht (Verbindungen V.72dA-Compounds V, IVa-1, IVb and VII, wherein A is 2,4,6-trichloropyridin-3-yl and B corresponds in each case to one group of one row of Table A (Compounds V.72dA-
1 bis V.72dA-425; IVa-1.72dA-1 bis IVa-1.72dA-425; IVb.72dA-1 bis IVb.72dA-425;1 to V.72dA-425; IVa-1.72dA-1 to IVa-1.72dA-425; IVb.72dA-1 to IVb.72dA-425;
VII.72dA-1 bis VII.72dA-425) Tabelle 73dVII.72dA-1 to VII.72dA-425) Table 73d
Verbindungen V, IVa-1 , IVb und VII, worin A für Pyrimidin-2-yl steht und B jeweils einer Gruppe einer Zeile der Tabelle A entspricht (Verbindungen V.73dA-1 bisCompounds V, IVa-1, IVb and VII, wherein A is pyrimidin-2-yl and B corresponds in each case to one group of one row of Table A (Compounds V.73dA-1 to
V.73dA-425; IVa-1.73dA-1 bis IVa-1.73dA-425; IVb.73dA-1 bis IVb.73dA-425;V.73dA-425; IVa-1.73dA-1 to IVa-1.73dA-425; IVb.73dA-1 to IVb.73dA-425;
VII.73dA-1 bis VII.73dA-425) Tabelle 74dVII.73dA-1 to VII.73dA-425) Table 74d
Verbindungen V, IVa-1 , IVb und VII, worin A für Pyrimidin-5-yl steht und B jeweils einer Gruppe einer Zeile der Tabelle A entspricht (Verbindungen V.74dA-1 bisCompounds V, IVa-1, IVb and VII, wherein A is pyrimidin-5-yl and B corresponds in each case to one group of one row of Table A (compounds V.74dA-1 to
V.74dA-425; IVa-1.74dA-1 bis IVa-1.74dA-425; IVb.74dA-1 bis IVb.74dA-425;V.74dA-425; IVa-1.74dA-1 to IVa-1.74dA-425; IVb.74dA-1 to IVb.74dA-425;
VII.74dA-1 bis VII.74dA-425) Tabelle 75dVII.74dA-1 to VII.74dA-425) Table 75d
Verbindungen V, IVa-1 , IVb und VII, worin A für 6-Chlorpyrimidin-3-yl steht und B jeweils einer Gruppe einer Zeile der Tabelle A entspricht (Verbindungen V.75dA-1 bis V.75dA-425; IVa-1.75dA-1 bis IVa-1.75dA-425; IVb.75dA-1 bis IVb.75dA-425;Compounds V, IVa-1, IVb and VII, wherein A is 6-chloropyrimidin-3-yl and B corresponds in each case to one group of one row of Table A (Compounds V.75dA-1 to V.75dA-425; IVa-1.75 dA-1 to IVa-1.75dA-425; IVb.75dA-1 to IVb.75dA-425;
VII.75dA-1 bis VII.75dA-425) Tabelle 76dVII.75dA-1 to VII.75dA-425) Table 76d
Verbindungen V, IVa-1 , IVb und VII, worin A für 6-Methylpyrimidin-3-yl steht und B jeweils einer Gruppe einer Zeile der Tabelle A entspricht (Verbindungen V.76dA-1 bis V.76dA-425; IVa-1.76dA-1 bis IVa-1.76dA-425; IVb.76dA-1 bis IVb.76dA-425;Compounds V, IVa-1, IVb and VII, wherein A is 6-methylpyrimidin-3-yl and B corresponds in each case to one group of one row of Table A (Compounds V.76dA-1 to V.76dA-425; IVa-1.76 dA-1 to IVa-1.76dA-425; IVb.76dA-1 to IVb.76dA-425;
VII.76dA-1 bis VII.76dA-425) Tabelle 77dVII.76dA-1 to VII.76dA-425) Table 77d
Verbindungen V, IVa-1 , IVb und VII, worin A für 6-Methoxypyrimidin-3-yl steht und B jeweils einer Gruppe einer Zeile der Tabelle A entspricht (Verbindungen V.77dA-Compounds V, IVa-1, IVb and VII, wherein A is 6-methoxypyrimidin-3-yl and B corresponds in each case to one group of one row of Table A (compounds V.77dA-
1 bis V.77dA-425; IVa-1.77dA-1 bis IVa-1.77dA-425; IVb.77dA-1 bis IVb.77dA-425;1 to V.77dA-425; IVa-1.77dA-1 to IVa-1.77dA-425; IVb.77dA-1 to IVb.77dA-425;
VII.77dA-1 bis VII.77dA-425) Tabelle 78dVII.77dA-1 to VII.77dA-425) Table 78d
Verbindungen V, IVa-1 , IVb und VII, worin A für 2,4-Dichlorpyrimidin-3-yl steht und B jeweils einer Gruppe einer Zeile der Tabelle A entspricht (Verbindungen V.78dA- 1 bis V.78dA-425; IVa-1.78dA-1 bis IVa-1.78dA-425; IVb.78dA-1 bis IVb.78dA-425; VII.78dA-1 bis VII.78dA-425)Compounds V, IVa-1, IVb and VII, wherein A is 2,4-dichloropyrimidin-3-yl and B corresponds in each case to one group of one row of Table A (Compounds V.78dA-1 to V.78dA-425; IVa -1.78dA-1 to IVa-1.78dA-425; IVb.78dA-1 to IVb.78dA-425; VII.78dA-1 to VII.78dA-425)
Tabelle 79dTable 79d
Verbindungen V, IVa-1 , IVb und VII, worin A für 2,6-Dichlorpyrimidin-3-yl steht und B jeweils einer Gruppe einer Zeile der Tabelle A entspricht (Verbindungen V.79dA- 1 bis V.79dA-425; IVa-1.79dA-1 bis IVa-1.79dA-425; IVb.79dA-1 bis IVb.79dA-425; VII.79dA-1 bis VII.79dA-425)Compounds V, IVa-1, IVb and VII, wherein A is 2,6-dichloropyrimidin-3-yl and B corresponds in each case to one group of one row of Table A (Compounds V.79dA-1 to V.79dA-425; IVa -1.79dA-1 to IVa-1.79dA-425; IVb.79dA-1 to IVb.79dA-425; VII.79dA-1 to VII.79dA-425)
Tabelle 8OdTable 8Od
Verbindungen V, IVa-1 , IVb und VII, worin A für 2,4-Difluorpyrimidin-3-yl steht und B jeweils einer Gruppe einer Zeile der Tabelle A entspricht (Verbindungen V.8OdA- 1 bis V.80dA-425; IVa-1.8OdA-I bis IVa-1.80dA-425; IVb.80dA-1 bis IVb.80dA-425; VII.80dA-1 bis VII.80dA-425)Compounds V, IVa-1, IVb and VII, wherein A is 2,4-difluoropyrimidin-3-yl and B corresponds in each case to one group of one row of Table A (Compounds V.8OdA-1 to V.80dA-425; IVa -1.8 OdA-I to IVa-1.80dA-425; IVb.80dA-1 to IVb.80dA-425; VII.80dA-1 to VII.80dA-425)
Tabelle 81 dTable 81 d
Verbindungen V, IVa-1 , IVb und VII, worin A für 2,6-Difluorpyrimidin-3-yl steht und B jeweils einer Gruppe einer Zeile der Tabelle A entspricht (Verbindungen V.81dA- 1 bis V.81dA-425; IVa-1.81 dA-1 bis IVa-1.81 dA-425; IVb.81 dA-1 bis IVb.81 dA-425; VII.81dA-1 bis VII.81 dA-425)Compounds V, IVa-1, IVb and VII, wherein A is 2,6-difluoropyrimidin-3-yl and B corresponds in each case to one group of one row of Table A (Compounds V.81dA-1 to V.81dA-425; IVa -1.81 dA-1 to IVa-1.81 dA-425; IVb.81 dA-1 to IVb.81 dA-425; VII.81dA-1 to VII.81 dA-425)
Tabelle 82dTable 82d
Verbindungen V, IVa-1 , IVb und VII, worin A für 1 ,3,5-Triazin-2-yl steht und B jeweils einer Gruppe einer Zeile der Tabelle A entspricht (Verbindungen V.82dA-1 bis V.82dA-425; IVa-1.82dA-1 bis IVa-1.82dA-425; IVb.82dA-1 bis IVb.82dA-425; VII.82dA-1 bis VII.82dA-425)Compounds V, IVa-1, IVb and VII, wherein A is 1, 3,5-triazin-2-yl and B corresponds in each case to one group of a row of Table A (compounds V.82dA-1 to V.82dA-425 IVa-1.82dA-1 to IVa-1.82dA-425; IVb.82dA-1 to IVb.82dA-425; VII.82dA-1 to VII.82dA-425)
Tabelle 83dTable 83d
Verbindungen V, IVa-1 , IVb und VII, worin A für Thien-2-yl steht und B jeweils einer Gruppe einer Zeile der Tabelle A entspricht (Verbindungen V.83dA-1 bis V.83dA- 425; IVa-1.83dA-1 bis IVa-1.83dA-425; IVb.83dA-1 bis IVb.83dA-425; VII.83dA-1 bis VII.83dA-425)Compounds V, IVa-1, IVb and VII, wherein A is thien-2-yl and B corresponds in each case to one group of one row of Table A (compounds V.83dA-1 to V.83dA-425; IVa-1.83dA- 1 to IVa-1.83dA-425; IVb.83dA-1 to IVb.83dA-425; VII.83dA-1 to VII.83dA-425)
Tabelle 84dTable 84d
Verbindungen V, IVa-1 , IVb und VII, worin A für Thien-3-yl steht und B jeweils einer Gruppe einer Zeile der Tabelle A entspricht (Verbindungen V.84dA-1 bis V.84dA- 425; IVa-1.84dA-1 bis IVa-1.84dA-425; IVb.84dA-1 bis IVb.84dA-425; VII.84dA-1 bis VII.84dA-425)Compounds V, IVa-1, IVb and VII, wherein A is thien-3-yl and B corresponds in each case to one group of one row of Table A (compounds V.84dA-1 to V.84dA-425; IVa-1.84dA- 1 to IVa-1.84dA-425; IVb.84dA-1 to IVb.84dA-425; VII.84dA-1 to VII.84dA-425)
Tabelle 85dTable 85d
Verbindungen V, IVa-1 , IVb und VII, worin A für 5-Chlorthien-2-yl steht und B jeweils einer Gruppe einer Zeile der Tabelle A entspricht (Verbindungen V.85dA-1 bis V.85dA-425; IVa-1.85dA-1 bis IVa-1.85dA-425; IVb.85dA-1 bis IVb.85dA-425; VII.85dA-1 bis VII.85dA-425)Compounds V, IVa-1, IVb and VII, wherein A is 5-chlorothien-2-yl and B corresponds in each case to one group of one row of Table A (Compounds V.85dA-1 to V.85dA-425; IVa-1.85 dA-1 to IVa-1.85dA-425; IVb.85dA-1 to IVb.85dA-425; VII.85dA-1 to VII.85dA-425)
Tabelle 86dTable 86d
Verbindungen V, IVa-1 , IVb und VII, worin A für 2-Chlorthien-3-yl steht und B je- weils einer Gruppe einer Zeile der Tabelle A entspricht (Verbindungen V.86dA-1 bis V.86dA-425; IVa-1.86dA-1 bis IVa-1.86dA-425; IVb.86dA-1 bis IVb.86dA-425; VII.86dA-1 bis VII.86dA-425)Compounds V, IVa-1, IVb and VII, wherein A is 2-chlorothien-3-yl and B is each because one group corresponds to one row of Table A (Compounds V.86dA-1 to V.86dA-425; IVa-1.86dA-1 to IVa-1.86dA-425; IVb.86dA-1 to IVb.86dA-425; VII .86dA-1 to VII.86dA-425)
Tabelle 87d Verbindungen V, IVa-1 , IVb und VII, worin A für 4-Chlorthien-3-yl steht und B jeweils einer Gruppe einer Zeile der Tabelle A entspricht (Verbindungen V.87dA-1 bis V.87dA-425; IVa-1.87dA-1 bis IVa-1.87dA-425; IVb.87dA-1 bis IVb.87dA-425; VII.87dA-1 bis VII.87dA-425)Table 87d Compounds V, IVa-1, IVb and VII, wherein A is 4-chlorothien-3-yl and B corresponds in each case to one group of one row of Table A (Compounds V.87dA-1 to V.87dA-425; IVa -1.87dA-1 to IVa-1.87dA-425; IVb.87dA-1 to IVb.87dA-425; VII.87dA-1 to VII.87dA-425)
Tabelle 88d Verbindungen V, IVa-1 , IVb und VII, worin A für 5-Chlorthien-3-yl steht und B jeweils einer Gruppe einer Zeile der Tabelle A entspricht (Verbindungen V.88dA-1 bis V.88dA-425; IVa-1.88dA-1 bis IVa-1.88dA-425; IVb.88dA-1 bis IVb.88dA-425; VII.88dA-1 bis VII.88dA-425)Table 88d Compounds V, IVa-1, IVb and VII, wherein A is 5-chlorothien-3-yl and B corresponds in each case to one group of one row of Table A (Compounds V.88dA-1 to V.88dA-425; IVa -1.88dA-1 to IVa-1.88dA-425; IVb.88dA-1 to IVb.88dA-425; VII.88dA-1 to VII.88dA-425)
Tabelle 89d Verbindungen V, IVa-1 , IVb und VI I , worin A für 2-Bromthien-3-yl steht und B jeweils einer Gruppe einer Zeile der Tabelle A entspricht (Verbindungen V.89dA-1 bis V.89dA-425; IVa-1.89dA-1 bis IVa-1.89dA-425; IVb.89dA-1 bis IVb.89dA-425; VII.89dA-1 bis VII.89dA-425)Table 89d compounds V, IVa-1, IVb and VI I, wherein A is 2-bromothien-3-yl and B corresponds in each case to one group of one row of Table A (compounds V.89dA-1 to V.89dA-425; IVa-1.89dA-1 to IVa-1.89dA-425; IVb.89dA-1 to IVb.89dA-425; VII.89dA-1 to VII.89dA-425)
Tabelle 9Od Verbindungen V, IVa-1 , IVb und VII, worin A für 4-Bromthien-3-yl steht und B jeweils einer Gruppe einer Zeile der Tabelle A entspricht (Verbindungen V.90dA-1 bis V.90dA-425; IVa-1.9OdA-I bis IVa-1.90dA-425; IVb.90dA-1 bis IVb.90dA-425; VII.90dA-1 bis VII.90dA-425)Table 9Od Compounds V, IVa-1, IVb and VII, wherein A is 4-bromothien-3-yl and B corresponds in each case to one group of one row of Table A (Compounds V.90dA-1 to V.90dA-425; IVa -1.9 OdA-I to IVa-1.90dA-425; IVb.90dA-1 to IVb.90dA-425; VII.90dA-1 to VII.90dA-425)
Tabelle 91d Verbindungen V, IVa-1 , IVb und VII, worin A für 5-Bromthien-3-yl steht und B jeweils einer Gruppe einer Zeile der Tabelle A entspricht (Verbindungen V.91dA-1 bis V.91dA-425; IVa-1.91 dA-1 bis IVa-1.91 dA-425; IVb.91 dA-1 bis IVb.91dA-425; VII.91dA-1 bis VII.91 dA-425)Table 91d Compounds V, IVa-1, IVb and VII, wherein A is 5-bromothien-3-yl and B corresponds in each case to one group of one row of Table A (Compounds V.91dA-1 to V.91dA-425; IVa -1.91 dA-1 to IVa-1.91 dA-425; IVb.91 dA-1 to IVb.91dA-425; VII.91dA-1 to VII.91 dA-425)
Tabelle 92d Verbindungen V, IVa-1 , IVb und VII, worin A für 5-Methylthien-2-yl steht und B jeweils einer Gruppe einer Zeile der Tabelle A entspricht (Verbindungen V.92dA-1 bis V.92dA-425; IVa-1.92dA-1 bis IVa-1.92dA-425; IVb.92dA-1 bis IVb.92dA-425; VII.92dA-1 bis VII.92dA-425)Table 92d Compounds V, IVa-1, IVb and VII, wherein A is 5-methylthien-2-yl and B corresponds in each case to one group of one row of Table A (Compounds V.92dA-1 to V.92dA-425; IVa -1.92dA-1 to IVa-1.92dA-425; IVb.92dA-1 to IVb.92dA-425; VII.92dA-1 to VII.92dA-425)
Tabelle 93d Verbindungen V, IVa-1 , IVb und VII, worin A für 2-Methylthien-4-yl steht und B jeweils einer Gruppe einer Zeile der Tabelle A entspricht (Verbindungen V.93dA-1 bis V.93dA-425; IVa-1.93dA-1 bis IVa-1.93dA-425; IVb.93dA-1 bis IVb.93dA-425; VII.93dA-1 bis VII.93dA-425)Table 93d Compounds V, IVa-1, IVb and VII, wherein A is 2-methylthien-4-yl and B corresponds in each case to one group of one row of Table A (Compounds V.93dA-1 to V.93dA-425; IVa -1.93dA-1 to IVa-1.93dA-425; IVb.93dA-1 to IVb.93dA-425; VII.93dA-1 to VII.93dA-425)
Tabelle 94d Verbindungen V, IVa-1 , IVb und VII, worin A für 4,5-Dichlorthien-2-yl steht und B jeweils einer Gruppe einer Zeile der Tabelle A entspricht (Verbindungen V.94dA-1 bis V.94dA-425; IVa-1.94dA-1 bis IVa-1.94dA-425; IVb.94dA-1 bis IVb.94dA-425;Table 94d compounds V, IVa-1, IVb and VII, wherein A is 4,5-dichlorothien-2-yl and B corresponds in each case to one group of one row of Table A (compounds V.94dA-1 to V. 94dA-425; IVa-1.94dA-1 to IVa-1.94dA-425; IVb.94dA-1 to IVb.94dA-425;
VII.94dA-1 bis VII.94dA-425) Tabelle 95dVII.94dA-1 to VII.94dA-425) Table 95d
Verbindungen V, IVa-1 , IVb und VII, worin A für 2,5-Dichlorthien-3-yl steht und B jeweils einer Gruppe einer Zeile der Tabelle A entspricht (Verbindungen V.95dA-1 bis V.95dA-425; IVa-1.95dA-1 bis IVa-1.95dA-425; IVb.95dA-1 bis IVb.95dA-425;Compounds V, IVa-1, IVb and VII, wherein A is 2,5-dichlorothien-3-yl and B corresponds in each case to one group of one row of Table A (Compounds V.95dA-1 to V.95dA-425; IVa -1.95dA-1 to IVa-1.95dA-425; IVb.95dA-1 to IVb.95dA-425;
VII.95dA-1 bis VII.95dA-425) Tabelle 96dVII.95dA-1 to VII.95dA-425) Table 96d
Verbindungen V, IVa-1 , IVb und VII, worin A für 2,3-Dichlorthien-4-yl steht und B jeweils einer Gruppe einer Zeile der Tabelle A entspricht (Verbindungen V.96dA-1 bis V.96dA-425; IVa-1.96dA-1 bis IVa-1.96dA-425; IVb.96dA-1 bis IVb.96dA-425;Compounds V, IVa-1, IVb and VII, wherein A is 2,3-dichlorothien-4-yl and B corresponds in each case to one group of one row of Table A (compounds V.96dA-1 to V.96dA-425; IVa -1.96dA-1 to IVa-1.96dA-425; IVb.96dA-1 to IVb.96dA-425;
VII.96dA-1 bis VII.96dA-425) Tabelle 97dVII.96dA-1 to VII.96dA-425) Table 97d
Verbindungen V, IVa-1 , IVb und VII, worin A für 2,5-Dibromthien-3-yl steht und B jeweils einer Gruppe einer Zeile der Tabelle A entspricht (Verbindungen V.97dA-1 bis V.97dA-425; IVa-1.97dA-1 bis IVa-1.97dA-425; IVb.97dA-1 bis IVb.97dA-425;Compounds V, IVa-1, IVb and VII, wherein A is 2,5-dibromothien-3-yl and B corresponds in each case to one group of one row of Table A (Compounds V.97dA-1 to V.97dA-425; IVa -1.97dA-1 to IVa-1.97dA-425; IVb.97dA-1 to IVb.97dA-425;
VII.97dA-1 bis VII.97dA-425) Tabelle 98dVII.97dA-1 to VII.97dA-425) Table 98d
Verbindungen V, IVa-1 , IVb und VII, worin A für 4,5-Dimethylthien-2-yl steht und B jeweils einer Gruppe einer Zeile der Tabelle A entspricht (Verbindungen V.98dA-1 bis V.98dA-425; IVa-1.98dA-1 bis IVa-1.98dA-425; IVb.98dA-1 bis IVb.98dA-425;Compounds V, IVa-1, IVb and VII, wherein A is 4,5-dimethylthien-2-yl and B corresponds in each case to one group of one row of Table A (Compounds V.98dA-1 to V.98dA-425; IVa -1.98dA-1 to IVa-1.98dA-425; IVb.98dA-1 to IVb.98dA-425;
VII.98dA-1 bis VII.98dA-425) Tabelle 99dVII.98dA-1 to VII.98dA-425) Table 99d
Verbindungen V, IVa-1 , IVb und VII, worin A für 2,5-Dimethylthien-3-yl steht und B jeweils einer Gruppe einer Zeile der Tabelle A entspricht (Verbindungen V.99dA-1 bis V.99dA-425; IVa-1.99dA-1 bis IVa-1.99dA-425; IVb.99dA-1 bis IVb.99dA-425;Compounds V, IVa-1, IVb and VII, wherein A is 2,5-dimethylthien-3-yl and B corresponds in each case to one group of one row of Table A (Compounds V.99dA-1 to V.99dA-425; IVa -1.99dA-1 to IVa-1.99dA-425; IVb.99dA-1 to IVb.99dA-425;
VII.99dA-1 bis VII.99dA-425) Tabelle 10OdVII.99dA-1 to VII.99dA-425) Table 10Od
Verbindungen V, IVa-1 , IVb und VII, worin A für 2,3-Dimethylthien-4-yl steht und B jeweils einer Gruppe einer Zeile der Tabelle A entspricht (Verbindungen V.1 OOdA-1 bis V.100dA-425; IVa-1.100dA-1 bis IVa-1.100dA425; IVb.100dA-1 bis IVb.100dA-Compounds V, IVa-1, IVb and VII, wherein A is 2,3-dimethylthien-4-yl and B corresponds in each case to one group of one row of Table A (compounds V.1 OOdA-1 to V.100dA-425; IVa-1.100dA-1 to IVa-1.100dA425; IVb.100dA-1 to IVb.100dA-
425; VII.100dA-1 bis VII.100dA-425) Tabelle 101 d425; VII.100dA-1 to VII.100dA-425) Table 101 d
Verbindungen V, IVa-1 , IVb und VII, worin A für 3,4,5-Trichlorthien-2-yl steht und B jeweils einer Gruppe einer Zeile der Tabelle A entspricht (Verbindungen V.101 dA-1 bis V.101 dA-425; IVa-1.101 dA-1 bis IVa-1.101 dA-425; IVb.101 dA-1 bis IVb.101 dA-Compounds V, IVa-1, IVb and VII, wherein A is 3,4,5-trichlorothien-2-yl and B corresponds in each case to one group of one row of Table A (compounds V.101 dA-1 to V.101 dA IVa-1.101 dA-1 to IVa-1.101 dA-425; IVb.101 dA-1 to IVb.101 dA-
425; VII.101dA-1 bis VII.101 dA-425) Tabelle 102d425; VII.101dA-1 to VII.101 dA-425) Table 102d
Verbindungen V, IVa-1 , IVb und VII, worin A für 2,4,5-Trichlorthien-3-yl steht und B jeweils einer Gruppe einer Zeile der Tabelle A entspricht (Verbindungen V.102dA-1 bis V.102dA-425; IVa-1.102dA-1 bis IVa-1.102dA-425; IVb.102dA-1 bis IVb.102dA-Compounds V, IVa-1, IVb and VII, wherein A is 2,4,5-trichlorothien-3-yl and B corresponds in each case to one group of one row of Table A (Compounds V.102dA-1 to V. 102dA-425 IVa-1.102dA-1 to IVa-1.102dA-425; IVb.102dA-1 to IVb.102dA-
425; VII.102dA-1 bis VII.102dA-425) Tabelle 103d425; VII.102dA-1 to VII.102dA-425) Table 103d
Verbindungen V, IVa-1 , IVb und VII, worin A für 2,4,5-Tribromthien-3-yl steht und B jeweils einer Gruppe einer Zeile der Tabelle A entspricht (Verbindungen V.103dA-1 bis V.103dA-425; IVa-1.103dA-1 bis IVa-1.103dA-425; IVb.103dA-1 bis IVb.103dA- 425; VII.103dA-1 bis VII.103dA-425)Compounds V, IVa-1, IVb and VII, wherein A is 2,4,5-tribromothien-3-yl and B corresponds in each case to one group of one row of Table A (Compounds V.103dA-1 to V.103dA-425 IVa-1.103dA-1 to IVa-1.103dA-425; IVb.103dA-1 to IVb.103dA-425; VII.103dA-1 to VII.103dA-425)
Tabelle 104dTable 104d
Verbindungen V, IVa-1 , IVb und VII, worin A für 3,4,5-Trimethylthien-2-yl steht und B jeweils einer Gruppe einer Zeile der Tabelle A entspricht (Verbindungen V.104dA-1 bis V.104dA-425; IVa-1.104dA-1 bis IVa-1.104dA-425; IVb.104dA-1 bis IVb.104dA-425; VII.104dA-1 bis VII.104dA-425)Compounds V, IVa-1, IVb and VII, wherein A is 3,4,5-trimethylthien-2-yl and B corresponds in each case to one group of one row of Table A (compounds V.104dA-1 to V.104dA-425 IVa-1.104dA-1 to IVa-1.104dA-425; IVb.104dA-1 to IVb.104dA-425; VII.104dA-1 to VII.104dA-425)
Tabelle 105dTable 105d
Verbindungen V, IVa-1 , IVb und VII, worin A für 4-Chlorfur-2-yl steht und B jeweils einer Gruppe einer Zeile der Tabelle A entspricht (Verbindungen V.105dA-1 bis V.105dA-425; IVa-1.105dA-1 bis IVa-1.105dA-425; IVb.105dA-1 bis IVb.105dA- 425; VII.105dA-1 bis VII.105dA-425)Compounds V, IVa-1, IVb and VII, wherein A is 4-chlorofur-2-yl and B corresponds in each case to one group of one row of Table A (Compounds V.105dA-1 to V.105dA-425; IVa-1.105 dA-1 to IVa-1.105dA-425; IVb.105dA-1 to IVb.105dA-425; VII.105dA-1 to VII.105dA-425)
Tabelle 106dTable 106d
Verbindungen V, IVa-1 , IVb und VII, worin A für 5-Chlorfur-2-yl steht und B jeweils einer Gruppe einer Zeile der Tabelle A entspricht (Verbindungen V.106dA-1 bis V.106dA-425; IVa-1.106dA-1 bis IVa-1.106dA-425; IVb.106dA-1 bis IVb.106dA- 425; VII.106dA-1 bis VII.106dA-425)Compounds V, IVa-1, IVb and VII, wherein A is 5-chlorofur-2-yl and B corresponds in each case to one group of one row of Table A (Compounds V.106dA-1 to V.106dA-425; IVa-1.106 dA-1 to IVa-1.106dA-425; IVb.106dA-1 to IVb.106dA-425; VII.106dA-1 to VII.106dA-425)
Tabelle 107dTable 107d
Verbindungen V, IVa-1 , IVb und VII, worin A für 3-Bromfur-2-yl steht und B jeweils einer Gruppe einer Zeile der Tabelle A entspricht (Verbindungen V.107dA-1 bis V.107dA-425; IVa-1.107dA-1 bis IVa-1.107dA-425; IVb.107dA-1 bis IVb.107dA- 425; VII.107dA-1 bis VII.107dA-425)Compounds V, IVa-1, IVb and VII wherein A is 3-bromo-fur-2-yl and B is each a group of one line of Table A (Compounds V.107dA-1 to V.107dA-425; IVa-1.107 dA-1 to IVa-1.107dA-425; IVb.107dA-1 to IVb.107dA-425; VII.107dA-1 to VII.107dA-425)
Tabelle 108dTable 108d
Verbindungen V, IVa-1 , IVb und VII, worin A für 4-Bromfur-2-yl steht und B jeweils einer Gruppe einer Zeile der Tabelle A entspricht (Verbindungen V.108dA-1 bis V.108dA-425; IVa-1.108dA-1 bis IVa-1.108dA-425; IVb.108dA-1 bis IVb.108dA- 425; VII.108dA-1 bis VII.108dA-425)Compounds V, IVa-1, IVb and VII, wherein A is 4-bromo-fur-2-yl and B corresponds in each case to one group of one row of Table A (Compounds V.108dA-1 to V.108dA-425; IVa-1.108 dA-1 to IVa-1.108dA-425; IVb.108dA-1 to IVb.108dA-425; VII.108dA-1 to VII.108dA-425)
Tabelle 109dTable 109d
Verbindungen V, IVa-1 , IVb und VII, worin A für 5-Bromfur-2-yl steht und B jeweils einer Gruppe einer Zeile der Tabelle A entspricht (Verbindungen V.109dA-1 bis V.109dA-425; IVa-1.109dA-1 bis IVa-1.109dA-425; IVb.109dA-1 bis IVb.109dA- 425; VII.109dA-1 bis VII.109dA-425)Compounds V, IVa-1, IVb and VII wherein A is 5-bromo-fur-2-yl and B is each a group of one line of Table A (Compounds V.109dA-1 to V.109dA-425; IVa-1.109 dA-1 to IVa-1.109dA-425; IVb.109dA-1 to IVb.109dA-425; VII.109dA-1 to VII.109dA-425)
Tabelle 1 1OdTable 1 1Od
Verbindungen V, IVa-1 , IVb und VII, worin A für 3,4-Dichlorfur-2-yl steht und B jeweils einer Gruppe einer Zeile der Tabelle A entspricht (Verbindungen V.110dA-1 bis V.1 10dA-425; IVa-1.1 10dA-1 bis IVa-1.1 1 OdA-425; IVb.110dA-1 bis IVb.11 OdA- 425; VI 1.110dA-1 bis VII.110dA-425)Compounds V, IVa-1, IVb and VII, wherein A is 3,4-dichloropur-2-yl and B corresponds in each case to one group of one row of Table A (Compounds V.110dA-1 to V.1 10dA-425; IVa-1.1 10dA-1 to IVa-1.1 1 OdA-425; IVb.110dA-1 to IVb.11 OdA-425; VI 1.110dA-1 to VII.110dA-425)
Tabelle 1 11 dTable 1 11 d
Verbindungen V, IVa-1 , IVb und VII, worin A für 4,5-Dichlorfur-2-yl steht und B je- weils einer Gruppe einer Zeile der Tabelle A entspricht (Verbindungen V.1 11 dA-1 bis V.11 1 dA-425; IVa-1.1 11 dA-1 bis IVa-1.1 1 1dA-425; IVb.11 1 dA-1 bis IVb.H idA- 425; VI 1.11 1dA-1 bis VI 1.11 1 dA-425)Compounds V, IVa-1, IVb and VII, wherein A is 4,5-dichloropur-2-yl and B is because one group corresponds to one row of Table A (Compounds V.1 11 dA-1 to V.11 1 dA-425; IVa-1.1 11 dA-1 to IVa-1.1 1 1dA-425; IVb.11 1 dA-1 to IVb.H idA-425, VI 1.11 1dA-1 to VI 1.11 1 dA-425)
Tabelle 1 12d Verbindungen V, IVa-1 , IVb und VII, worin A für Thiazol-2-yl steht und B jeweils einer Gruppe einer Zeile der Tabelle A entspricht (Verbindungen V.112dA-1 bis V.112dA-425; IVa-1.1 12dA-1 bis IVa-1.1 12dA-425; IVb.1 12dA-1 bis IVb.112dA- 425; VII.112dA-1 bis VII.112dA-425)Table 1 12d Compounds V, IVa-1, IVb and VII, wherein A is thiazol-2-yl and B corresponds in each case to one group of one row of Table A (Compounds V.112dA-1 to V.112dA-425; 1.1 12dA-1 to IVa-1.1 12dA-425; IVb.1 12dA-1 to IVb.112dA-425; VII.112dA-1 to VII.112dA-425)
Tabelle 1 13d Verbindungen V, IVa-1 , IVb und VII, worin A für Thiazol-4-yl steht und B jeweils einer Gruppe einer Zeile der Tabelle A entspricht (Verbindungen V.113dA-1 bis V.113dA-425; IVa-1.1 13dA-1 bis IVa-1.1 13dA-425; IVb.1 13dA-1 bis IVb.113dA- 425; VII.113dA-1 bis VII.113dA-425)Table 1 shows compounds V, IVa-1, IVb and VII in which A is thiazol-4-yl and B corresponds in each case to one group of one row of Table A (compounds V.113dA-1 to V.113dA-425; 1.1 13dA-1 to IVa-1.1 13dA-425; IVb.1 13dA-1 to IVb.113dA-425; VII.113dA-1 to VII.113dA-425)
Tabelle 1 14d Verbindungen V, IVa-1 , IVb und VII, worin A für Thiazol-5-yl steht und B jeweils einer Gruppe einer Zeile der Tabelle A entspricht (Verbindungen V.114dA-1 bis V.114dA-425; IVa-1.1 14dA-1 bis IVa-1.1 14dA-425; IVb.1 14dA-1 bis IVb.114dA- 425; VII.114dA-1 bis VII.114dA-425)Table 1 14d Compounds V, IVa-1, IVb and VII, wherein A is thiazol-5-yl and B corresponds in each case to one group of one row of Table A (compounds V.114dA-1 to V.114dA-425; 1.1 14dA-1 to IVa-1.1 14dA-425; IVb.1 14dA-1 to IVb.114dA-425; VII.114dA-1 to VII.114dA-425)
Tabelle 1 15d Verbindungen V, IVa-1 , IVb und VII, worin A für lsothiazol-3-yl steht und B jeweils einer Gruppe einer Zeile der Tabelle A entspricht (Verbindungen V.1 15dA-1 bis V.115dA-425; IVa-1.1 15dA-1 bis IVa-1.1 15dA-425; IVb.1 15dA-1 bis IVb.115dA- 425; VII.115dA-1 bis VII.115dA-425)Table 1 shows compounds V, IVa-1, IVb and VII in which A is isothiazol-3-yl and B corresponds in each case to one group of one row of Table A (Compounds V.1 15dA-1 to V.115dA-425; -1.1 15dA-1 to IVa-1.1 15dA-425; IVb.1 15dA-1 to IVb.115dA-425; VII.115dA-1 to VII.115dA-425)
Tabelle 1 16d Verbindungen V, IVa-1 , IVb und VII, worin A für lsothiazol-4-yl steht und B jeweils einer Gruppe einer Zeile der Tabelle A entspricht (Verbindungen V.1 16dA-1 bis V.116dA-425; IVa-1.1 16dA-1 bis IVa-1.1 16dA-425; IVb.1 16dA-1 bis IVb.116dA- 425; VII.116dA-1 bis VII.116dA-425)Table 16d Compounds V, IVa-1, IVb and VII, wherein A is isothiazol-4-yl and B corresponds in each case to one group of one row of Table A (Compounds V.1 16dA-1 to V.116dA-425; IVa -1.1 16dA-1 to IVa-1.1 16dA-425; IVb.1 16dA-1 to IVb.116dA-425; VII.116dA-1 to VII.116dA-425)
Tabelle 1 17d Verbindungen V, IVa-1 , IVb und VII, worin A für lsothiazol-5-yl steht und B jeweils einer Gruppe einer Zeile der Tabelle A entspricht (Verbindungen V.1 17dA-1 bis V.117dA-425; IVa-1.1 17dA-1 bis IVa-1.1 17dA-425; IVb.1 17dA-1 bis IVb.117dA- 425; VII.117dA-1 bis VII.117dA-425)Table 1 shows compounds V, IVa-1, IVb and VII in which A is isothiazol-5-yl and B corresponds in each case to one group of one row of Table A (compounds V.1 17dA-1 to V.117dA-425; -1.1 17dA-1 to IVa-1.1 17dA-425; IVb.1 17dA-1 to IVb.117dA-425; VII.117dA-1 to VII.117dA-425)
Tabelle 1 18d Verbindungen V, IVa-1 , IVb und VII, worin A für 2-Chlorthiazol-4-yl steht und B jeweils einer Gruppe einer Zeile der Tabelle A entspricht (Verbindungen V.118dA-1 bis V.118dA-425; IVa-1.1 18dA-1 bis IVa-1.1 18dA-425; IVb.118dA-1 bis IVb.118dA- 425; VII.118dA-1 bis VII.118dA-425)Table 1 shows compounds V, IVa-1, IVb and VII in which A is 2-chlorothiazol-4-yl and B corresponds in each case to one group of one row of Table A (compounds V.118dA-1 to V.118dA-425; IVa-1.1 18dA-1 to IVa-1.1 18dA-425; IVb.118dA-1 to IVb.118dA-425; VII.118dA-1 to VII.118dA-425)
Tabelle 1 19d Verbindungen V, IVa-1 , IVb und VII, worin A für 2-Chlorthiazol-5-yl steht und B jeweils einer Gruppe einer Zeile der Tabelle A entspricht (Verbindungen V.119dA-1 bis V.119dA-425; IVa-1.1 19dA-1 bis IVa-1.1 19dA-425; IVb.119dA-1 bis IVb.119dA-Table 1 19d Compounds V, IVa-1, IVb and VII, wherein A is 2-chlorothiazol-5-yl and B corresponds in each case to one group of one row of Table A (Compounds V.119dA-1 to V.119dA-425; IVa-1.1 19dA-1 to IVa-1.1 19dA-425; IVb.119dA-1 to IVb.119dA-
425; VII.119dA-1 bis VII.1 19dA-425) Tabelle 12Od425; VII.119dA-1 to VII.1 19dA-425) Table 12Od
Verbindungen V, IVa-1 , IVb und VII, worin A für 4-Chlorthiazol-5-yl steht und B je- weils einer Gruppe einer Zeile der Tabelle A entspricht (Verbindungen V.120dA-1 bis V.120dA-425; IVa-1.120dA-1 bis IVa-1.120dA-425; IVb.120dA-1 bis IVb.120dA-Compounds V, IVa-1, IVb and VII, wherein A is 4-chlorothiazol-5-yl and B corresponds in each case to one group of one row of Table A (compounds V.120dA-1 to V.120dA-425; IVa -1.120dA-1 to IVa-1.120dA-425; IVb.120dA-1 to IVb.120dA-
425; VII.120dA-1 bis VII.120dA-425) Tabelle 121 d425; VII.120dA-1 to VII.120dA-425) Table 121 d
Verbindungen V, IVa-1 , IVb und VII, worin A für 2-Bromthiazol-4-yl steht und B je- weils einer Gruppe einer Zeile der Tabelle A entspricht (Verbindungen V.121dA-1 bis V.121 dA-425; IVa-1.121 dA-1 bis IVa-1.121 dA-425; IVb.121 dA-1 bis IVb.121dA-Compounds V, IVa-1, IVb and VII, wherein A is 2-bromothiazol-4-yl and B corresponds in each case to one group of one row of Table A (compounds V.121dA-1 to V.121 dA-425; IVa-1.121 dA-1 to IVa-1.121 dA-425; IVb.121 dA-1 to IVb.121dA-
425; VII.121dA-1 bis VI 1.121 dA-425) Tabelle 122d425; VII.121dA-1 to VI 1.121 dA-425) Table 122d
Verbindungen V, IVa-1 , IVb und VII, worin A für 2-Bromthiazol-5-yl steht und B je- weils einer Gruppe einer Zeile der Tabelle A entspricht (Verbindungen V.122dA-1 bis V.122dA-425; IVa-1.122dA-1 bis IVa-1.122dA-425; IVb.122dA-1 bis IVb.122dA-Compounds V, IVa-1, IVb and VII, wherein A is 2-bromothiazol-5-yl and B in each case corresponds to one group of one row of Table A (Compounds V.122dA-1 to V.122dA-425; IVa -1.122dA-1 to IVa-1.122dA-425; IVb.122dA-1 to IVb.122dA-
425; VII.122dA-1 bis VII.122dA-425) Tabelle 123d425; VII.122dA-1 to VII.122dA-425) Table 123d
Verbindungen V, IVa-1 , IVb und VII, worin A für 2,4-Dichlorthiazol-5-yl steht und B jeweils einer Gruppe einer Zeile der Tabelle A entspricht (Verbindungen V.123dA-1 bis V.123dA-425; IVa-1.123dA-1 bis IVa-1.123dA425; IVb.123dA-1 bis IVb.123dA-Compounds V, IVa-1, IVb and VII in which A is 2,4-dichlorothiazol-5-yl and B corresponds in each case to one group of one row of Table A (compounds V.123dA-1 to V.123dA-425; IVa -1.123dA-1 to IVa-1.123dA425; IVb.123dA-1 to IVb.123dA-
425; VII.123dA-1 bis VII.123dA-425) Tabelle 124d425; VII.123dA-1 to VII.123dA-425) Table 124d
Verbindungen V, IVa-1 , IVb und VII, worin A für 3-Chlorisothiazol-4-yl steht und B jeweils einer Gruppe einer Zeile der Tabelle A entspricht (Verbindungen V.124dA-1 bis V.124dA-425; IVa-1.124dA-1 bis IVa-1.124dA-425; IVb.124dA-1 bis IVb.124dA-Compounds V, IVa-1, IVb and VII, wherein A is 3-chloroisothiazol-4-yl and B corresponds in each case to one group of one row of Table A (Compounds V.124dA-1 to V.124dA-425; IVa-1.124 dA-1 to IVa-1.124dA-425; IVb.124dA-1 to IVb.124dA-
425; VII.124dA-1 bis VII.124dA-425) Tabelle 125d425; VII.124dA-1 to VII.124dA-425) Table 125d
Verbindungen V, IVa-1 , IVb und VII, worin A für 5-Methylisothiazol-3-yl steht und B jeweils einer Gruppe einer Zeile der Tabelle A entspricht (Verbindungen V.125dA-1 bis V.125dA-425; IVa-1.125dA-1 bis IVa-1.125dA-425; IVb.125dA-1 bis IVb.125dA-Compounds V, IVa-1, IVb and VII in which A is 5-methylisothiazol-3-yl and B corresponds in each case to one group of one row of Table A (Compounds V.125dA-1 to V.125dA-425; IVa-1.125 dA-1 to IVa-1.125dA-425; IVb.125dA-1 to IVb.125dA-
425; VII.125dA-1 bis VII.125dA-425) Tabelle 126d425; VII.125dA-1 to VII.125dA-425) Table 126d
Verbindungen V, IVa-1 , IVb und VII, worin A für 3-Methylisothiazol-4-yl steht und B jeweils einer Gruppe einer Zeile der Tabelle A entspricht (Verbindungen V.126dA-1 bis V.126dA-425; IVa-1.126dA-1 bis IVa-1.126dA-425; IVb.126dA-1 bis IVb.126dA-Compounds V, IVa-1, IVb and VII in which A is 3-methylisothiazol-4-yl and B corresponds in each case to one group of one row of Table A (Compounds V.126dA-1 to V.126dA-425; IVa-1.126 dA-1 to IVa-1.126dA-425; IVb.126dA-1 to IVb.126dA-
425; VII.126dA-1 bis VII.126dA-425) Tabelle 127d425; VII.126dA-1 to VII.126dA-425) Table 127d
Verbindungen V, IVa-1 , IVb und VII, worin A für 3-Methylisothiazol-5-yl steht und B jeweils einer Gruppe einer Zeile der Tabelle A entspricht (Verbindungen V.127dA-1 bis V.127dA-425; IVa-1.127dA-1 bis IVa-1.127dA-425; IVb.127dA-1 bis IVb.127dA-Compounds V, IVa-1, IVb and VII in which A is 3-methylisothiazol-5-yl and B corresponds in each case to one group of one row of Table A (Compounds V.127dA-1 to V.127dA-425; IVa-1.127 dA-1 to IVa-1.127dA-425; IVb.127dA-1 to IVb.127dA-
425; VII.127dA-1 bis VII.127dA-425) Tabelle 128d425; VII.127dA-1 to VII.127dA-425) Table 128d
Verbindungen V, IVa-1 , IVb und VII, worin A für 4,5-Dichlorisothiazol-3-yl steht und B jeweils einer Gruppe einer Zeile der Tabelle A entspricht (Verbindungen V.128dA-1 bis V.128dA-425; IVa-1.128dA-1 bis IVa-1.128dA-425; IVb.128dA-1 bis IVb.128dA-425; VII.128A-1 bis VII.128dA-425)Compounds V, IVa-1, IVb and VII, wherein A is 4,5-dichloroisothiazol-3-yl and B corresponds in each case to one group of one row of Table A (compounds V.128dA-1 to V.128dA-425; IVa -1.128dA-1 to IVa-1.128dA-425; IVb.128dA-1 to IVb.128dA-425; VII.128A-1 to VII.128dA-425)
Tabelle 129dTable 129d
Verbindungen V, IVa-1 , IVb und VII, worin A für 4,5-Dimethylisothiazol-3-yl steht und B jeweils einer Gruppe einer Zeile der Tabelle A entspricht (Verbindungen V.129dA-1 bis V.129dA-425; IVa-1.129dA-1 bis IVa-1.129dA-425; IVb.129dA-1 bis IVb.129dA-425; VII.129dA-1 bis VII.129dA-425)Compounds V, IVa-1, IVb and VII in which A is 4,5-dimethylisothiazol-3-yl and B corresponds in each case to one group of one row of Table A (Compounds V.129dA-1 to V.129dA-425; IVa -1.129dA-1 to IVa-1.129dA-425; IVb.129dA-1 to IVb.129dA-425; VII.129dA-1 to VII.129dA-425)
Tabelle 13OdTable 13Od
Verbindungen V, IVa-1 , IVb und VII, worin A für 3,5-Dimethylisothiazol-4-yl steht und B jeweils einer Gruppe einer Zeile der Tabelle A entspricht (Verbindungen V.130dA-1 bis V.130dA-425; IVa-1.130dA-1 bis IVa-1.130dA-425; IVb.130dA-1 bis IVb.130dA-425; VII.130dA-1 bis VII.130dA-425)Compounds V, IVa-1, IVb and VII in which A is 3,5-dimethylisothiazol-4-yl and B corresponds in each case to one group of one row of Table A (Compounds V.130dA-1 to V.130dA-425; IVa -1.130dA-1 to IVa-1.130dA-425; IVb.130dA-1 to IVb.130dA-425; VII.130dA-1 to VII.130dA-425)
Tabelle 131 dTable 131 d
Verbindungen V, IVa-1 , IVb und VII, worin A für 3,4-Dichlorisothiazol-5-yl steht und B jeweils einer Gruppe einer Zeile der Tabelle A entspricht (Verbindungen V.131dA-1 bis V.131 dA-425; IVa-1.131 dA-1 bis IVa-1.131 dA-425; IVb.131dA-1 bis IVb.131 dA-425; VII.131 dA-1 bis VI 1.131 dA-425)Compounds V, IVa-1, IVb and VII, wherein A is 3,4-dichloroisothiazol-5-yl and B corresponds in each case to one group of one row of Table A (compounds V.131dA-1 to V.131 dA-425; IVa-1.131 dA-1 to IVa-1.131 dA-425; IVb.131dA-1 to IVb.131 dA-425; VII.131 dA-1 to VI 1.131 dA-425)
Tabelle 132dTable 132d
Verbindungen V, IVa-1 , IVb und VII, worin A für Oxazol-2-yl steht und B jeweils einer Gruppe einer Zeile der Tabelle A entspricht (Verbindungen V.132dA-1 bis V.132dA-425; IVa-1.132dA-1 bis IVa-1.132dA-425; IVb.132dA-1 bis IVb.132dA- 425; VII.132dA-1 bis VII.132dA-425)Compounds V, IVa-1, IVb and VII in which A is oxazol-2-yl and B corresponds in each case to one group of one row of Table A (compounds V.132dA-1 to V.132dA-425; IVa-1.132dA- 1 to IVa-1.132dA-425; IVb.132dA-1 to IVb.132dA-425; VII.132dA-1 to VII.132dA-425)
Tabelle 133dTable 133d
Verbindungen V, IVa-1 , IVb und VII, worin A für Oxazol-4-yl steht und B jeweils einer Gruppe einer Zeile der Tabelle A entspricht (Verbindungen V.133dA-1 bis V.133dA-425; IVa-1.133dA-1 bis IVa-1.133dA-425; IVb.133dA-1 bis IVb.133dA- 425; VII.133dA-1 bis VII.133dA-425)Compounds V, IVa-1, IVb and VII, in which A is oxazol-4-yl and B corresponds in each case to one group of one row of Table A (compounds V.133dA-1 to V.133dA-425; IVa-1.133dA- 1 to IVa-1.133dA-425; IVb.133dA-1 to IVb.133dA-425; VII.133dA-1 to VII.133dA-425)
Tabelle 134dTable 134d
Verbindungen V, IVa-1 , IVb und VII, worin A für Oxazol-5-yl steht und B jeweils einer Gruppe einer Zeile der Tabelle A entspricht (Verbindungen V.134dA-1 bis V.134dA-425; IVa-1.134dA-1 bis IVa-1.134dA-425; IVb.134dA-1 bis IVb.134dA- 425; VII.134dA-1 bis VII.134dA-425)Compounds V, IVa-1, IVb and VII, wherein A is oxazol-5-yl and B corresponds in each case to one group of one row of Table A (compounds V.134dA-1 to V.134dA-425; IVa-1.134dA- 1 to IVa-1.134dA-425; IVb.134dA-1 to IVb.134dA-425; VII.134dA-1 to VII.134dA-425)
Tabelle 135dTable 135d
Verbindungen V, IVa-1 , IVb und VII, worin A für lsoxazol-3-yl steht und B jeweils einer Gruppe einer Zeile der Tabelle A entspricht (Verbindungen V.135dA-1 bis V.135dA-425; IVa-1.135dA-1 bis IVa-1.135dA-425; IVb.135dA-1 bis IVb.135dA- 425; VII.135dA-1 bis VII.135dA-425)Compounds V, IVa-1, IVb and VII, wherein A is isoxazol-3-yl and B corresponds in each case to one group of one row of Table A (compounds V.135dA-1 to V.135dA-425; IVa-1.135dA- 1 to IVa-1,135dA-425; IVb.135dA-1 to IVb.135dA-425; VII.135dA-1 to VII.135dA-425)
Tabelle 136dTable 136d
Verbindungen V, IVa-1 , IVb und VII, worin A für lsoxazol-4-yl steht und B jeweils einer Gruppe einer Zeile der Tabelle A entspricht (Verbindungen V.136dA-1 bisCompounds V, IVa-1, IVb and VII wherein A is isoxazol-4-yl and B are each corresponds to a group of a row of Table A (compounds V.136dA-1 to
V.136dA-425; IVa-1.136dA-1 bis IVa-1.136dA-425; IVb.136dA-1 bis IVb.136dA-V.136dA-425; IVa-1.136dA-1 to IVa-1.136dA-425; IVb.136dA-1 to IVb.136dA-
425; VII.136dA-1 bis VII.136dA-425) Tabelle 137d Verbindungen V, IVa-1 , IVb und VII, worin A für lsoxazol-5-yl steht und B jeweils einer Gruppe einer Zeile der Tabelle A entspricht (Verbindungen V.137dA-1 bis425; VII.136dA-1 to VII.136dA-425) Table 137d Compounds V, IVa-1, IVb and VII, wherein A is isoxazol-5-yl and B corresponds in each case to one group of one row of Table A (compounds V.137dA -1 to
V.137dA-425; IVa-1.137dA-1 bis IVa-1.137dA-425; IVb.137dA-1 bis IVb.137dA-V.137dA-425; IVa-1.137dA-1 to IVa-1.137dA-425; IVb.137dA-1 to IVb.137dA-
425; VII.137dA-1 bis VII.137dA-425) Tabelle 138d Verbindungen V, IVa-1 , IVb und VII, worin A für 3-Chlorisoxazol-5-yl steht und B jeweils einer Gruppe einer Zeile der Tabelle A entspricht (Verbindungen V.138dA-1 bis V.138dA-425; IVa-1.138dA-1 bis IVa-1.138dA-425; IVb.138dA-1 bis IVb.138dA-425; VII.137dA-1 to VII.137dA-425) Table 138d Compounds V, IVa-1, IVb and VII, wherein A is 3-chloroisoxazol-5-yl and B corresponds in each case to one group of one row of Table A (compounds V IVA-1.138dA-1 to IVa-1.138dA-425; IVb.138dA-1 to IVb.138dA-
425; VII.138dA-1 bis VII.138dA-425) Tabelle 139d Verbindungen V, IVa-1 , IVb und VII, worin A für 5-Methylisoxazol-3-yl steht und B jeweils einer Gruppe einer Zeile der Tabelle A entspricht (Verbindungen V.139dA-1 bis V.139dA-425; IVa-1.139dA-1 bis IVa-1.139dA-425; IVb.139dA-1 bis IVb.139dA-425; VII.138dA-1 to VII.138dA-425) Table 139d Compounds V, IVa-1, IVb and VII, wherein A is 5-methylisoxazol-3-yl and B corresponds in each case to one group of one row of Table A (compounds V IVA-1.139dA-1 to IVa-1.139dA-425; IVb.139dA-1 to IVb.139dA-
425; VII.139dA-1 bis VII.139dA-425) Tabelle 14Od Verbindungen V, IVa-1 , IVb und VII, worin A für 5-Methylisoxazol-4-yl steht und B jeweils einer Gruppe einer Zeile der Tabelle A entspricht (Verbindungen V.140dA-1 bis V.140dA-425; IVa-1.140dA-1 bis IVa-1.140dA-425; IVb.140dA-1 bis IVb.140dA-425; VII.139dA-1 to VII.139dA-425) Table 14Od Compounds V, IVa-1, IVb and VII, wherein A is 5-methylisoxazol-4-yl and B corresponds in each case to one group of one row of Table A (compounds V IVA-1,140dA-1 to IVa-1,140dA-425; IVb.140dA-1 to IVb.140dA-
425; VII.140dA-1 bis VII.140dA-425) Tabelle 141 d Verbindungen V, IVa-1 , IVb und VII, worin A für 3-Methylisoxazol-5-yl steht und B jeweils einer Gruppe einer Zeile der Tabelle A entspricht (Verbindungen V.141dA-1 bis V.141 dA-425; IVa-1.141 dA-1 bis IVa-1.141dA-425; IVb.141 dA-1 bis IVb.141 dA-425; VII.140dA-1 to VII.140dA-425) Table 141d Compounds V, IVa-1, IVb and VII, wherein A is 3-methylisoxazol-5-yl and B corresponds in each case to one group of one row of Table A (Compounds V.141dA-1 to V.141 dA-425; IVa-1.141 dA-1 to IVa-1.141dA-425; IVb.141 dA-1 to IVb.141 dA-
425; VII.141dA-1 bis VII.141 dA-425) Tabelle 142d Verbindungen V, IVa-1 , IVb und VII, worin A für 3,5-Dimethylisoxazol-4-yl steht und425; VII.141dA-1 to VII.141 dA-425) Table 142d compounds V, IVa-1, IVb and VII, wherein A is 3,5-dimethylisoxazol-4-yl and
B jeweils einer Gruppe einer Zeile der Tabelle A entspricht (VerbindungenB corresponds in each case to one group of a row of Table A (compounds
V.142dA-1 bis V.142dA-425; IVa-1.142dA-1 bis IVa-1.142dA-425; IVb.142dA-1 bisV.142dA-1 to V.142dA-425; IVa-1.142dA-1 to IVa-1.142dA-425; IVb.142dA-1 to
IVb.142dA-425; VII.142dA-1 bis VII.142dA-425) Tabelle 143d Verbindungen V, IVa-1 , IVb und VII, worin A für 3-Chlor-5-methylisoxazol-4-yl steht und B jeweils einer Gruppe einer Zeile der Tabelle A entspricht (VerbindungenIVb.142dA-425; VII.142dA-1 to VII.142dA-425) Table 143d Compounds V, IVa-1, IVb and VII, wherein A is 3-chloro-5-methylisoxazol-4-yl and B is in each case one group of a row of Table A. corresponds (connections
V.143dA-1 bis V.143dA-425; IVa-1.143dA-1 bis IVa-1.143dA-425; IVb.143dA-1 bisV.143dA-1 to V.143dA-425; IVa-1.143dA-1 to IVa-1.143dA-425; IVb.143dA-1 to
IVb.143dA-425; VII.143dA-1 bis VII.143dA-425) Tabelle 144d Verbindungen V, IVa-1 , IVb und VII, worin A für 3-Methyl-4-chlorisoxazol-5-yl steht und B jeweils einer Gruppe einer Zeile der Tabelle A entspricht (Verbindungen V.144dA-1 bis V.144dA-425; IVa-1.144dA-1 bis IVa-1.144dA-425; IVb.144dA-1 bisIVb.143dA-425; VII.143dA-1 to VII.143dA-425) Table 144d Compounds V, IVa-1, IVb and VII, wherein A is 3-methyl-4-chloroisoxazol-5-yl and B is in each case one group of a row of Table A. corresponds (connections V.144dA-1 to V.144dA-425; IVa-1.144dA-1 to IVa-1.144dA-425; IVb.144dA-1 to
IVb.144dA-425; VII.144dA-1 bis VII.144dA-425) Tabelle 145dIVb.144dA-425; VII.144dA-1 to VII.144dA-425) Table 145d
Verbindungen V, IVa-1 , IVb und VII, worin A für 1 -Methyl pyrazol-3-yl steht und B jeweils einer Gruppe einer Zeile der Tabelle A entspricht (Verbindungen V.145dA-1 bis V.145dA-425; IVa-1.145dA-1 bis IVa-1.145dA-425; IVb.145dA-1 bis IVb.145dA-Compounds V, IVa-1, IVb and VII, in which A is 1-methylpyrazol-3-yl and B corresponds in each case to one group of one row of Table A (compounds V.145dA-1 to V.145dA-425; IVa 1.145dA-1 to IVa-1.145dA-425; IVb.145dA-1 to IVb.145dA-
425; VII.145dA-1 bis VII.145dA-425) Tabelle 146d425; VII.145dA-1 to VII.145dA-425) Table 146d
Verbindungen V, IVa-1 , IVb und VII, worin A für 1 -Methyl pyrazol-4-yl steht und B jeweils einer Gruppe einer Zeile der Tabelle A entspricht (Verbindungen V.146dA-1 bis V.146dA-425; IVa-1.146dA-1 bis IVa-1.146dA-425; IVb.146dA-1 bis IVb.146dA-Compounds V, IVa-1, IVb and VII, in which A is 1-methylpyrazol-4-yl and B corresponds in each case to one group of one row of Table A (compounds V.146dA-1 to V.146dA-425; IVa 1.146dA-1 to IVa-1.146dA-425; IVb.146dA-1 to IVb.146dA-
425; VII.146dA-1 bis VII.146dA-425) Tabelle 147d425; VII.146dA-1 to VII.146dA-425) Table 147d
Verbindungen V, IVa-1 , IVb und VII, worin A für 1 -Methyl pyrazol-5-yl steht und B jeweils einer Gruppe einer Zeile der Tabelle A entspricht (Verbindungen V.147dA-1 bis V.147dA-425; IVa-1.147dA-1 bis IVa-1.147dA-425; IVb.147dA-1 bis IVb.147dA-Compounds V, IVa-1, IVb and VII, in which A is 1-methylpyrazol-5-yl and B corresponds in each case to one group of one row of Table A (compounds V.147dA-1 to V.147dA-425; IVa 1.147dA-1 to IVa-1.147dA-425; IVb.147dA-1 to IVb.147dA-
425; VII.147dA-1 bis VII.147dA-425) Tabelle 148d425; VII.147dA-1 to VII.147dA-425) Table 148d
Verbindungen V, IVa-1 , IVb und VII, worin A für 1 ,3-Dimethylpyrazol-4-yl steht und B jeweils einer Gruppe einer Zeile der Tabelle A entspricht (VerbindungenCompounds V, IVa-1, IVb and VII, wherein A is 1, 3-dimethylpyrazol-4-yl and B in each case corresponds to one group of a row of Table A (compounds
V.148dA-1 bis V.148dA-425; IVa-1.148dA-1 bis IVa-1.148dA-425; IVb.148dA-1 bisV.148dA-1 to V.148dA-425; IVa-1.148dA-1 to IVa-1.148dA-425; IVb.148dA-1 to
IVb.148dA-425; VII.148dA-1 bis VII.148dA-425) Tabelle 149dIVb.148dA-425; VII.148dA-1 to VII.148dA-425) Table 149d
Verbindungen V, IVa-1 , IVb und VII, worin A für 1 ,5-Dimethylpyrazol-4-yl steht und B jeweils einer Gruppe einer Zeile der Tabelle A entspricht (VerbindungenCompounds V, IVa-1, IVb and VII, wherein A is 1, 5-dimethylpyrazol-4-yl and B corresponds in each case to one group of one row of Table A (Compounds
V.149dA-1 bis V.149dA-425; IVa-1.149dA-1 bis IVa-1.149dA-425; IVb.149dA-1 bisV.149dA-1 to V.149dA-425; IVa-1.149dA-1 to IVa-1.149dA-425; IVb.149dA-1 bis
IVb.149dA-425; VII.149dA-1 bis VII.149dA-425) Tabelle 15OdIVb.149dA-425; VII.149dA-1 to VII.149dA-425) Table 15Od
Verbindungen V, IVa-1 , IVb und VII, worin A für 1 ,3,5-Trimethylpyrazol-4-yl steht und B jeweils einer Gruppe einer Zeile der Tabelle A entspricht (VerbindungenCompounds V, IVa-1, IVb and VII, wherein A is 1, 3,5-trimethylpyrazol-4-yl and B in each case corresponds to one group of a row of Table A (compounds
V.150dA-1 bis V.150dA-425; IVa-1.150dA-1 bis IVa-1.150dA-425; IVb.150dA-1 bisV.150dA-1 to V.150dA-425; IVa-1,150dA-1 to IVa-1,150dA-425; IVb.150dA-1 to
IVb.150dA-425; VII.150dA-1 bis VII.150dA-425) Tabelle 151 dIVb.150dA-425; VII.150dA-1 to VII.150dA-425) Table 151 d
Verbindungen V, IVa-1 , IVb und VII, worin A für 1-Methylimidazol-4-yl steht und B jeweils einer Gruppe einer Zeile der Tabelle A entspricht (Verbindungen V.151dA-1 bis V.151 dA-425; IVa-1.151 dA-1 bis IVa-1.151 dA-425; IVb.151 dA-1 bis IVb.151dA-Compounds V, IVa-1, IVb and VII, wherein A is 1-methylimidazol-4-yl and B corresponds in each case to one group of one row of Table A (compounds V.151dA-1 to V.151 dA-425; 1.151 dA-1 to IVa-1.151 dA-425; IVb.151 dA-1 to IVb.151dA-
425; VII.151dA-1 bis VII.151 dA-425) Tabelle 152d425; VII.151dA-1 to VII.151 dA-425) Table 152d
Verbindungen V, IVa-1 , IVb und VII, worin A für 1 ,5-Dimethylimidazol-4-yl steht und B jeweils einer Gruppe einer Zeile der Tabelle A entspricht (VerbindungenCompounds V, IVa-1, IVb and VII, wherein A is 1, 5-dimethylimidazol-4-yl and B corresponds in each case to one group of one row of Table A (compounds
V.152dA-1 bis V.152dA-425; IVa-1.152dA-1 bis IVa-1.152dA-425; IVb.152dA-1 bisV.152dA-1 to V.152dA-425; IVa-1.152dA-1 to IVa-1.152dA-425; IVb.152dA-1 bis
IVb.152dA-425; VII.152dA-1 bis VII.152dA-425) Tabelle 153dIVb.152dA-425; VII.152dA-1 to VII.152dA-425) Table 153d
Verbindungen V, IVa-1 , IVb und VII, worin A für 1 ,2-Dimethylimidazol-5-yl steht und B jeweils einer Gruppe einer Zeile der Tabelle A entspricht (Verbindungen V.153dA-1 bis V.153dA-425; IVa-1.153dA-1 bis IVa-1.153dA-425; IVb.153dA-1 bis I Vb.153dA-425; VI 1.153dA-1 bis VI 1.153dA-425)Compounds V, IVa-1, IVb and VII, wherein A is 1, 2-dimethylimidazol-5-yl and B corresponds in each case to one group of one row of Table A (compounds V.153dA-1 to V.153dA-425; IVa -1.153dA-1 to IVa-1.153dA-425; IVb.153dA-1 to I Vb.153dA-425; VI 1.153dA-1 to VI 1.153dA-425)
Tabelle 154dTable 154d
Verbindungen V, IVa-1 , IVb und VII, worin A für 1 ,4-Dimethylimidazol-5-yl steht und B jeweils einer Gruppe einer Zeile der Tabelle A entspricht (Verbindungen V.154dA-1 bis V.154dA-425; IVa-1.154dA-1 bis IVa-1.154dA-425; IVb.154dA-1 bis IVb.154dA-425; VII.154dA-1 bis VII.154dA-425)Compounds V, IVa-1, IVb and VII, wherein A is 1,4-dimethylimidazol-5-yl and B corresponds in each case to one group of one row of Table A (compounds V.154dA-1 to V.154dA-425; IVa -1.154dA-1 to IVa-1.154dA-425; IVb.154dA-1 to IVb.154dA-425; VII.154dA-1 to VII.154dA-425)
Tabelle 155dTable 155d
Verbindungen V, IVa-1 , IVb und VII, worin B für Pyridin-2-yl steht und A jeweils einer Gruppe einer Zeile der Tabelle A entspricht (Verbindungen V.155dA-1 bis V.155dA-425; IVa-1.155dA-1 bis IVa-1.155dA-425; IVb.155dA-1 bis IVb.155dA- 425; VII.155dA-1 bis VII.155dA-425)Compounds V, IVa-1, IVb and VII, wherein B is pyridin-2-yl and A corresponds in each case to one group of one row of Table A (compounds V.155dA-1 to V.155dA-425; IVa-1.155dA- 1 to IVa-1.155dA-425; IVb.155dA-1 to IVb.155dA-425; VII.155dA-1 to VII.155dA-425)
Tabelle 156dTable 156d
Verbindungen V, IVa-1 , IVb und VII, worin B für Pyridin-3-yl steht und A jeweils einer Gruppe einer Zeile der Tabelle A entspricht (Verbindungen V.156dA-1 bis V.156dA-425; IVa-1.156dA-1 bis IVa-1.156dA-425; IVb.156dA-1 bis IVb.156dA- 425; VII.156dA-1 bis VII.156dA-425)Compounds V, IVa-1, IVb and VII, wherein B is pyridin-3-yl and A corresponds in each case to one group of one row of Table A (compounds V.156dA-1 to V.156dA-425; IVa-1.156dA- 1 to IVa-1.156dA-425; IVb.156dA-1 to IVb.156dA-425; VII.156dA-1 to VII.156dA-425)
Tabelle 157dTable 157d
Verbindungen V, IVa-1 , IVb und VII, worin B für Pyridin-4-yl steht und A jeweils einer Gruppe einer Zeile der Tabelle A entspricht (Verbindungen V.157dA-1 bis V.157dA-425; IVa-1.157dA-1 bis IVa-1.157dA-425; IVb.157dA-1 bis IVb.157dA- 425; VII.157dA-1 bis VII.157dA-425)Compounds V, IVa-1, IVb and VII, wherein B is pyridin-4-yl and A corresponds in each case to one group of one row of Table A (compounds V.157dA-1 to V.157dA-425; IVa-1.157dA- 1 to IVa-1.157dA-425; IVb.157dA-1 to IVb.157dA-425; VII.157dA-1 to VII.157dA-425)
Tabelle 158dTable 158d
Verbindungen V, IVa-1 , IVb und VII, worin B für 3-Chlorpyridin-2-yl steht und A jeweils einer Gruppe einer Zeile der Tabelle A entspricht (Verbindungen V.158dA-1 bis V.158dA-425; IVa-1.158dA-1 bis IVa-1.158dA-425; IVb.158dA-1 bis IVb.158dA- 425; VII.158dA-1 bis VII.158dA-425)Compounds V, IVa-1, IVb and VII, wherein B is 3-chloropyridin-2-yl and A corresponds in each case to one group of one row of Table A (Compounds V.158dA-1 to V.158dA-425; IVa-1.158 dA-1 to IVa-1.158dA-425; IVb.158dA-1 to IVb.158dA-425; VII.158dA-1 to VII.158dA-425)
Tabelle 159dTable 159d
Verbindungen V, IVa-1 , IVb und VII, worin B für 4-Chlorpyridin-2-yl steht und A jeweils einer Gruppe einer Zeile der Tabelle A entspricht (Verbindungen V.159dA-1 bis V.159dA-425; IVa-1.159dA-1 bis IVa-1.159dA-425; IVb.159dA-1 bis IVb.159dA- 425; VII.159dA-1 bis VII.159dA-425)Compounds V, IVa-1, IVb and VII in which B is 4-chloropyridin-2-yl and A corresponds in each case to one group of one row of Table A (Compounds V.159dA-1 to V.159dA-425; IVa-1.159 dA-1 to IVa-1.159dA-425; IVb.159dA-1 to IVb.159dA-425; VII.159dA-1 to VII.159dA-425)
Tabelle 16OdTable 16Od
Verbindungen V, IVa-1 , IVb und VII, worin B für 5-Chlorpyridin-2-yl steht und A jeweils einer Gruppe einer Zeile der Tabelle A entspricht (Verbindungen V.160dA-1 bis V.160dA-425; IVa-1.160dA-1 bis IVa-1.160dA-425; IVb.160dA-1 bis IVb.16OdA- 425; VII.160dA-1 bis VII.160dA-425)Compounds V, IVa-1, IVb and VII, wherein B is 5-chloropyridin-2-yl and A corresponds in each case to one group of a row of Table A (Compounds V.160dA-1 to V.160dA-425; IVa-1.160 dA-1 to IVa-1.160dA-425; IVb.160dA-1 to IVb.16OdA-425; VII.160dA-1 to VII.160dA-425)
Tabelle 161 dTable 161 d
Verbindungen V, IVa-1 , IVb und VII, worin B für 6-Chlorpyridin-2-yl steht und A je- weils einer Gruppe einer Zeile der Tabelle A entspricht (Verbindungen V.161dA-1 bis V.161 dA-425; IVa-1.161 dA-1 bis IVa-1.161dA-425; IVb.161 dA-1 bis IVb.161dA- 425; VII.161dA-1 bis VII.161 dA-425)Compounds V, IVa-1, IVb and VII, wherein B is 6-chloropyridin-2-yl and A is each because one group corresponds to one row of Table A (compounds V.161dA-1 to V.161 dA-425; IVa-1.161 dA-1 to IVa-1.161dA-425; IVb.161 dA-1 to IVb.161dA-425 VII.161dA-1 to VII.161 dA-425)
Tabelle 162d Verbindungen V, IVa-1 , IVb und VII, worin B für 2-Chlorpyridin-3-yl steht und A jeweils einer Gruppe einer Zeile der Tabelle A entspricht (Verbindungen V.162dA-1 bis V.162dA-425; IVa-1.162dA-1 bis IVa-1.162dA-425; IVb.162dA-1 bis IVb.162dA- 425; VII.162dA-1 bis VII.162dA-425)Table 162d Compounds V, IVa-1, IVb and VII, wherein B is 2-chloropyridin-3-yl and A corresponds in each case to one group of one row of Table A (Compounds V.162dA-1 to V.162dA-425; IVa -1.162dA-1 to IVa-1.162dA-425; IVb.162dA-1 to IVb.162dA-425; VII.162dA-1 to VII.162dA-425)
Tabelle 163d Verbindungen V, IVa-1 , IVb und VII, worin B für 4-Chlorpyridin-3-yl steht und A jeweils einer Gruppe einer Zeile der Tabelle A entspricht (Verbindungen V.163dA-1 bis V.163dA-425; IVa-1.163dA-1 bis IVa-1.163dA-425; IVb.163dA-1 bis IVb.163dA- 425; VII.163dA-1 bis VII.163dA-425)Table 163d Compounds V, IVa-1, IVb and VII, wherein B is 4-chloropyridin-3-yl and A corresponds in each case to one group of one row of Table A (Compounds V.163dA-1 to V.163dA-425; IVa -1.163dA-1 to IVa-1.163dA-425; IVb.163dA-1 to IVb.163dA-425; VII.163dA-1 to VII.163dA-425)
Tabelle 164d Verbindungen V, IVa-1 , IVb und VII, worin B für 5-Chlorpyridin-3-yl steht und A jeweils einer Gruppe einer Zeile der Tabelle A entspricht (Verbindungen V.164dA-1 bis V.164dA-425; IVa-1.164dA-1 bis IVa-1.164dA-425; IVb.164dA-1 bis IVb.164dA- 425; VII.164dA-1 bis VII.164dA-425)Table 164d Compounds V, IVa-1, IVb and VII, wherein B is 5-chloropyridin-3-yl and A corresponds in each case to one group of one row of Table A (Compounds V.164dA-1 to V.164dA-425; IVa -1.164dA-1 to IVa-1.164dA-425; IVb.164dA-1 to IVb.164dA-425; VII.164dA-1 to VII.164dA-425)
Tabelle 165d Verbindungen V, IVa-1 , IVb und VII, worin B für 6-Chlorpyridin-3-yl steht und A jeweils einer Gruppe einer Zeile der Tabelle A entspricht (Verbindungen V.165dA-1 bis V.165dA-425; IVa-1.165dA-1 bis IVa-1.165dA-425; IVb.165dA-1 bis IVb.165dA- 425; VII.165dA-1 bis VII.165dA-425)Table 165d Compounds V, IVa-1, IVb and VII, wherein B is 6-chloropyridin-3-yl and A corresponds in each case to one group of one row of Table A (Compounds V.165dA-1 to V.165dA-425; IVa -1.165dA-1 to IVa-1.165dA-425; IVb.165dA-1 to IVb.165dA-425; VII.165dA-1 to VII.165dA-425)
Tabelle 166d Verbindungen V, IVa-1 , IVb und VII, worin B für 2-Chlorpyridin-4-yl steht und A jeweils einer Gruppe einer Zeile der Tabelle A entspricht (Verbindungen V.166dA-1 bis V.166dA-425; IVa-1.166dA-1 bis IVa-1.166dA-425; IVb.166dA-1 bis IVb.166dA- 425; VII.166dA-1 bis VII.166dA-425)Table 166d Compounds V, IVa-1, IVb and VII, wherein B is 2-chloropyridin-4-yl and A corresponds in each case to one group of one row of Table A (Compounds V.166dA-1 to V.166dA-425; IVa -1.166dA-1 to IVa-1.166dA-425; IVb.166dA-1 to IVb.166dA-425; VII.166dA-1 to VII.166dA-425)
Tabelle 167d Verbindungen V, IVa-1 , IVb und VII, worin B für 3-Chlorpyridin-4-yl steht und A jeweils einer Gruppe einer Zeile der Tabelle A entspricht (Verbindungen V.167dA-1 bis V.167dA-425; IVa-1.167dA-1 bis IVa-1.167dA-425; IVb.167dA-1 bis IVb.167dA- 425; VII.167dA-1 bis VII.167dA-425)Table 167d Compounds V, IVa-1, IVb and VII, wherein B is 3-chloropyridin-4-yl and A corresponds in each case to one group of one row of Table A (Compounds V.167dA-1 to V.167dA-425; IVa -1.167dA-1 to IVa-1.167dA-425; IVb.167dA-1 to IVb.167dA-425; VII.167dA-1 to VII.167dA-425)
Tabelle 168d Verbindungen V, IVa-1 , IVb und VII, worin B für 4-Chlorpyridin-5-yl steht und A jeweils einer Gruppe einer Zeile der Tabelle A entspricht (Verbindungen V.168dA-1 bis V.168dA-425; IVa-1.168dA-1 bis IVa-1.168dA-425; IVb.168dA-1 bis IVb.168dA- 425; VII.168dA-1 bis VII.168dA-425)Table 168d Compounds V, IVa-1, IVb and VII, wherein B is 4-chloropyridin-5-yl and A corresponds in each case to one group of one row of Table A (Compounds V.168dA-1 to V.168dA-425; IVa -1.168dA-1 to IVa-1.168dA-425; IVb.168dA-1 to IVb.168dA-425; VII.168dA-1 to VII.168dA-425)
Tabelle 169d Verbindungen V, IVa-1 , IVb und VII, worin B für 3-Fluorpyridin-2-yl steht und A jeweils einer Gruppe einer Zeile der Tabelle A entspricht (Verbindungen V.169dA-1 bis V.169dA-425; IVa-1.169dA-1 bis IVa-1.169dA-425; IVb.169dA-1 bis IVb.169dA-Table 169d compounds V, IVa-1, IVb and VII, wherein B is 3-fluoropyridin-2-yl and A corresponds in each case to one group of a row of Table A (compounds V.169dA-1 to V.169dA-425; IVa-1.169dA-1 to IVa-1.169dA-425; IVb.169dA-1 to IVb.169dA-
425; VII.169dA-1 bis VII.169dA-425) Tabelle 17Od425; VII.169dA-1 to VII.169dA-425) Table 17Od
Verbindungen V, IVa-1 , IVb und VII, worin B für 4-Fluorpyridin-2-yl steht und A je- weils einer Gruppe einer Zeile der Tabelle A entspricht (Verbindungen V.170dA-1 bis V.170dA-425; IVa-1.170dA-1 bis IVa-1.170dA-425; IVb.170dA-1 bis IVb.17OdA-Compounds V, IVa-1, IVb and VII, wherein B is 4-fluoropyridin-2-yl and A corresponds in each case to one group of one row of Table A (compounds V.170dA-1 to V.170dA-425; IVa -1.170dA-1 to IVa-1.170dA-425; IVb.170dA-1 to IVb.17OdA-
425; VII.170dA-1 bis VII.170dA-425) Tabelle 171 d425; VII.170dA-1 to VII.170dA-425) Table 171 d
Verbindungen V, IVa-1 , IVb und VII, worin B für 5-Fluorpyridin-2-yl steht und A je- weils einer Gruppe einer Zeile der Tabelle A entspricht (Verbindungen V.171 dA-1 bis V.171 dA-425; IVa-1.171 dA-1 bis IVa-1.171 dA-425; IVb.171 dA-1 bis IVb.171dA-Compounds V, IVa-1, IVb and VII, wherein B is 5-fluoropyridin-2-yl and A in each case corresponds to one group of one row of Table A (compounds V.171 dA-1 to V.171 dA-425 IVa-1.171 dA-1 to IVa-1.171 dA-425; IVb.171 dA-1 to IVb.171dA-
425; VI 1.171 dA-1 bis VI 1.171 dA-425) Tabelle 172d425; VI 1.171 dA-1 to VI 1.171 dA-425) Table 172d
Verbindungen V, IVa-1 , IVb und VII, worin B für 6-Fluorpyridin-2-yl steht und A je- weils einer Gruppe einer Zeile der Tabelle A entspricht (Verbindungen V.172dA-1 bis V.172dA-425; IVa-1.172dA-1 bis IVa-1.172dA-425; IVb.172dA-1 bis IVb.172dA-Compounds V, IVa-1, IVb and VII, wherein B is 6-fluoropyridin-2-yl and A corresponds in each case to one group of one row of Table A (compounds V.172dA-1 to V.172dA-425; IVa -1.172dA-1 to IVa-1.172dA-425; IVb.172dA-1 to IVb.172dA-
425; VII.172dA-1 bis VII.172dA-425) Tabelle 173d425; VII.172dA-1 to VII.172dA-425) Table 173d
Verbindungen V, IVa-1 , IVb und VII, worin B für 2-Fluorpyridin-3-yl steht und A je- weils einer Gruppe einer Zeile der Tabelle A entspricht (Verbindungen V.173dA-1 bis V.173dA-425; IVa-1.173dA-1 bis IVa-1.173dA-425; IVb.173dA-1 bis IVb.173dA-Compounds V, IVa-1, IVb and VII, wherein B is 2-fluoropyridin-3-yl and A corresponds in each case to one group of one row of Table A (compounds V.173dA-1 to V.173dA-425; IVa -1.173dA-1 to IVa-1.173dA-425; IVb.173dA-1 to IVb.173dA-
425; VII.173dA-1 bis VII.173dA-425) Tabelle 174d425; VII.173dA-1 to VII.173dA-425) Table 174d
Verbindungen V, IVa-1 , IVb und VII, worin B für 4-Fluorpyridin-3-yl steht und A je- weils einer Gruppe einer Zeile der Tabelle A entspricht (Verbindungen V.174dA-1 bis V.174dA-425; IVa-1.174dA-1 bis IVa-1.174dA-425; IVb.174dA-1 bis IVb.174dA-Compounds V, IVa-1, IVb and VII, wherein B is 4-fluoropyridin-3-yl and A corresponds in each case to one group of one row of Table A (compounds V.174dA-1 to V.174dA-425; IVa -1.174dA-1 to IVa-1.174dA-425; IVb.174dA-1 to IVb.174dA-
425; VII.174dA-1 bis VII.174dA-425) Tabelle 175d425; VII.174dA-1 to VII.174dA-425) Table 175d
Verbindungen V, IVa-1 , IVb und VII, worin B für 5-Fluorpyridin-3-yl steht und A je- weils einer Gruppe einer Zeile der Tabelle A entspricht (Verbindungen V.175dA-1 bis V.175dA-425; IVa-1.175dA-1 bis IVa-1.175dA-425; IVb.175dA-1 bis IVb.175dA-Compounds V, IVa-1, IVb and VII, wherein B is 5-fluoropyridin-3-yl and A corresponds in each case to one group of one row of Table A (compounds V.175dA-1 to V.175dA-425; IVa -1.175dA-1 to IVa-1.175dA-425; IVb.175dA-1 to IVb.175dA-
425; VII.175dA-1 bis VII.175dA-425) Tabelle 176d425; VII.175dA-1 to VII.175dA-425) Table 176d
Verbindungen V, IVa-1 , IVb und VII, worin B für 6-Fluorpyridin-3-yl steht und A je- weils einer Gruppe einer Zeile der Tabelle A entspricht (Verbindungen V.176dA-1 bis V.176dA-425; IVa-1.176dA-1 bis IVa-1.176dA-425; IVb.176dA-1 bis IVb.176dA-Compounds V, IVa-1, IVb and VII, wherein B is 6-fluoropyridin-3-yl and A corresponds in each case to one group of one row of Table A (compounds V.176dA-1 to V.176dA-425; IVa -1.176dA-1 to IVa-1.176dA-425; IVb.176dA-1 to IVb.176dA-
425; VII.176dA-1 bis VII.176dA-425) Tabelle 177d425; VII.176dA-1 to VII.176dA-425) Table 177d
Verbindungen V, IVa-1 , IVb und VII, worin B für 2-Fluorpyridin-4-yl steht und A je- weils einer Gruppe einer Zeile der Tabelle A entspricht (Verbindungen V.177dA-1 bis V.177dA-425; IVa-1.177dA-1 bis IVa-1.177dA-425; IVb.177dA-1 bis IVb.177dA-Compounds V, IVa-1, IVb and VII, wherein B is 2-fluoropyridin-4-yl and A corresponds in each case to one group of one row of Table A (compounds V.177dA-1 to V.177dA-425; IVa -1.177dA-1 to IVa-1.177dA-425; IVb.177dA-1 to IVb.177dA-
425; VII.177dA-1 bis VII.177dA-425) Tabelle 178d425; VII.177dA-1 to VII.177dA-425) Table 178d
Verbindungen V, IVa-1 , IVb und VII, worin B für 3-Fluorpyridin-4-yl steht und A jeweils einer Gruppe einer Zeile der Tabelle A entspricht (Verbindungen V.178dA-1 bis V.178dA-425; IVa-1.178dA-1 bis IVa-1.178dA-425; IVb.178dA-1 bis IVb.178dA- 425; VII.178dA-1 bis VII.178dA-425)Compounds V, IVa-1, IVb and VII, wherein B is 3-fluoropyridin-4-yl and A corresponds in each case to one group of one row of Table A (Compounds V.178dA-1 to V.178dA-425; IVa-1.178 dA-1 to IVa-1.178dA-425; IVb.178dA-1 to IVb.178dA-425; VII.178dA-1 to VII.178dA-425)
Tabelle 179dTable 179d
Verbindungen V, IVa-1 , IVb und VII, worin B für 3- Methylpyridin-2-yl steht und A jeweils einer Gruppe einer Zeile der Tabelle A entspricht (Verbindungen V.179dA-1 bis V.179dA-425; IVa-1.179dA-1 bis IVa-1.179dA-425; IVb.179dA-1 bis IVb.179dA- 425; VII.179dA-1 bis VII.179dA-425)Compounds V, IVa-1, IVb and VII, wherein B is 3-methylpyridin-2-yl and A corresponds in each case to one group of one row of Table A (Compounds V.179dA-1 to V.179dA-425; IVa-1.179 dA-1 to IVa-1.179dA-425; IVb.179dA-1 to IVb.179dA-425; VII.179dA-1 to VII.179dA-425)
Tabelle 18OdTable 18Od
Verbindungen V, IVa-1 , IVb und VII, worin B für 4-Methylpyridin-2-yl steht und A jeweils einer Gruppe einer Zeile der Tabelle A entspricht (Verbindungen V.180dA-1 bis V.180dA-425; IVa-1.180dA-1 bis IVa-1.180dA-425; IVb.180dA-1 bis IVb.18OdA- 425; VII.180dA-1 bis VII.180dA-425)Compounds V, IVa-1, IVb and VII, wherein B is 4-methylpyridin-2-yl and A corresponds in each case to one group of one row of Table A (Compounds V.180dA-1 to V.180dA-425; IVa-1.180 dA-1 to IVa-1,180dA-425; IVb.180dA-1 to IVb.18OdA-425; VII.180dA-1 to VII.180dA-425)
Tabelle 181 dTable 181 d
Verbindungen V, IVa-1 , IVb und VII, worin B für 5-Methylpyridin-2-yl steht und A jeweils einer Gruppe einer Zeile der Tabelle A entspricht (Verbindungen V.181dA-1 bis V.181 dA-425; IVa-1.181 dA-1 bis IVa-1.181 dA-425; IVb.181 dA-1 bis IVb.181dA- 425; VII.181dA-1 bis VI 1.181 dA-425)Compounds V, IVa-1, IVb and VII, wherein B is 5-methylpyridin-2-yl and A corresponds in each case to one group of one row of Table A (compounds V.181dA-1 to V.181 dA-425; 1.181 dA-1 to IVa-1.181 dA-425; IVb.181 dA-1 to IVb.181dA-425; VII.181dA-1 to VI 1.181 dA-425)
Tabelle 182dTable 182d
Verbindungen V, IVa-1 , IVb und VII, worin B für 6-Methylpyridin-2-yl steht und A jeweils einer Gruppe einer Zeile der Tabelle A entspricht (Verbindungen V.182dA-1 bis V.182dA-425; IVa-1.182dA-1 bis IVa-1.182dA-425; IVb.182dA-1 bis IVb.182dA- 425; VII.182dA-1 bis VII.182dA-425)Compounds V, IVa-1, IVb and VII wherein B is 6-methylpyridin-2-yl and A is each a group of one line of Table A (Compounds V.182dA-1 to V.182dA-425; IVa-1.182 dA-1 to IVa-1.182dA-425; IVb.182dA-1 to IVb.182dA-425; VII.182dA-1 to VII.182dA-425)
Tabelle 183dTable 183d
Verbindungen V, IVa-1 , IVb und VII, worin B für 2-Methylpyridin-3-yl steht und A jeweils einer Gruppe einer Zeile der Tabelle A entspricht (Verbindungen V.183dA-1 bis V.183dA-425; IVa-1.183dA-1 bis IVa-1.183dA-425; IVb.183dA-1 bis IVb.183dA- 425; VII.183dA-1 bis VII.183dA-425)Compounds V, IVa-1, IVb and VII wherein B is 2-methylpyridin-3-yl and A is each a group of one line of Table A (Compounds V.183dA-1 to V.183dA-425; IVa-1.183 dA-1 to IVa-1.183dA-425; IVb.183dA-1 to IVb.183dA-425; VII.183dA-1 to VII.183dA-425)
Tabelle 184dTable 184d
Verbindungen V, IVa-1 , IVb und VII, worin B für 4-Methylpyridin-3-yl steht und A jeweils einer Gruppe einer Zeile der Tabelle A entspricht (Verbindungen V.184dA-1 bis V.184dA-425; IVa-1.184dA-1 bis IVa-1.184dA-425; IVb.184dA-1 bis IVb.184dA- 425; VII.184dA-1 bis VII.184dA-425)Compounds V, IVa-1, IVb and VII wherein B is 4-methylpyridin-3-yl and A is each a group of one line of Table A (Compounds V.184dA-1 to V.184dA-425; IVa-1.184 dA-1 to IVa-1.184dA-425; IVb.184dA-1 to IVb.184dA-425; VII.184dA-1 to VII.184dA-425)
Tabelle 185dTable 185d
Verbindungen V, IVa-1 , IVb und VII, worin B für 5-Methylpyridin-3-yl steht und A jeweils einer Gruppe einer Zeile der Tabelle A entspricht (Verbindungen V.185dA-1 bis V.185dA-425; IVa-1.185dA-1 bis IVa-1.185dA-425; IVb.185dA-1 bis IVb.185dA- 425; VII.185dA-1 bis VII.185dA-425)Compounds V, IVa-1, IVb and VII, wherein B is 5-methylpyridin-3-yl and A corresponds in each case to one group of one row of Table A (Compounds V.185dA-1 to V.185dA-425; IVa-1.185 dA-1 to IVa-1.185dA-425; IVb.185dA-1 to IVb.185dA-425; VII.185dA-1 to VII.185dA-425)
Tabelle 186dTable 186d
Verbindungen V, IVa-1 , IVb und VII, worin B für 6-Methylpyridin-3-yl steht und A jeweils einer Gruppe einer Zeile der Tabelle A entspricht (Verbindungen V.186dA-1 bis V.186dA-425; IVa-1.186dA-1 bis IVa-1.186dA-425; IVb.186dA-1 bis IVb.186dA-Compounds V, IVa-1, IVb and VII, wherein B is 6-methylpyridin-3-yl and A corresponds in each case to one group of one row of Table A (compounds V.186dA-1 to V.186dA-425, IVa-1.186dA-1 to IVa-1.186dA-425, IVb.186dA-1 to IVb.186dA-
425; VII.186dA-1 bis VII.186dA-425) Tabelle 187d Verbindungen V, IVa-1 , IVb und VII, worin B für 2-Methylpyridin-4-yl steht und A jeweils einer Gruppe einer Zeile der Tabelle A entspricht (Verbindungen V.187dA-1 bis V.187dA-425; IVa-1.187dA-1 bis IVa-1.187dA-425; IVb.187dA-1 bis IVb.187dA-425; VII.186dA-1 to VII.186dA-425). Table 187d Compounds V, IVa-1, IVb and VII, wherein B is 2-methylpyridin-4-yl and A corresponds in each case to one group of one row of Table A (compounds V IVA-1.187dA-1 to IVa-1.187dA-425; IVb.187dA-1 to IVb.187dA-
425; VII.187dA-1 bis VII.187dA-425) Tabelle 188d Verbindungen V, IVa-1 , IVb und VII, worin B für 3-Methylpyridin-4-yl steht und A jeweils einer Gruppe einer Zeile der Tabelle A entspricht (Verbindungen V.188dA-1 bis V.188dA-425; IVa-1.188dA-1 bis IVa-1.188dA-425; IVb.188dA-1 bis IVb.188dA-425; VII.187dA-1 to VII.187dA-425) Table 188d Compounds V, IVa-1, IVb and VII, wherein B is 3-methylpyridin-4-yl and A in each case corresponds to one group of a row of Table A (Compounds V IVa-1.188dA-1 to IVa-1.188dA-425; IVb.188dA-1 to IVb.188dA-
425; VII.188dA-1 bis VII.188dA-425) Tabelle 189d Verbindungen V, IVa-1 , IVb und VII, worin B für 4-Methylpyridin-5-yl steht und A jeweils einer Gruppe einer Zeile der Tabelle A entspricht (Verbindungen V.189dA-1 bis V.189dA-425; IVa-1.189dA-1 bis IVa-1.189dA-425; IVb.189dA-1 bis IVb.189dA-425; VII.188dA-1 to VII.188dA-425) Table 189d Compounds V, IVa-1, IVb and VII, wherein B is 4-methylpyridin-5-yl and A corresponds in each case to one group of one row of Table A (compounds V IVa-1.189dA-1 to IVa-1.189dA-425; IVb.189dA-1 to IVb.189dA-
425; VII.189dA-1 bis VII.189dA-425) Tabelle 19Od Verbindungen V, IVa-1 , IVb und VII, worin B für 3-Methoxypyridin-2-yl steht und A jeweils einer Gruppe einer Zeile der Tabelle A entspricht (Verbindungen V.190dA-1 bis V.190dA-425; IVa-1.190dA-1 bis IVa-1.190dA-425; IVb.190dA-1 bis IVb.190dA-425; VII.189dA-1 to VII.189dA-425) Table 19Od Compounds V, IVa-1, IVb and VII, wherein B is 3-methoxypyridin-2-yl and A in each case corresponds to one group of a row of Table A (Compounds V IVA-1,190dA-1 to IVa-1,190dA-425; IVb.190dA-1 to IVb.190dA-
425; VII.190dA-1 bis VII.190dA-425) Tabelle 191 d Verbindungen V, IVa-1 , IVb und VII, worin B für 4-Methoxypyridin-2-yl steht und A jeweils einer Gruppe einer Zeile der Tabelle A entspricht (Verbindungen V.191dA-1 bis V.191 dA-425; IVa-1.191 dA-1 bis IVa-1.191dA-425; IVb.191dA-1 bis IVb.191 dA-425; VII.190dA-1 to VII.190dA-425) Table 191d Compounds V, IVa-1, IVb and VII, wherein B is 4-methoxypyridin-2-yl and A in each case corresponds to one group of one row of Table A (Compounds V.191dA-1 to V.191 dA-425; IVa-1.191 dA-1 to IVa-1.191dA-425; IVb.191dA-1 to IVb.191 dA-
425; VII.191dA-1 bis VII.191 dA-425) Tabelle 192d Verbindungen V, IVa-1 , IVb und VII, worin B für 5-Methoxypyridin-2-yl steht und A jeweils einer Gruppe einer Zeile der Tabelle A entspricht (Verbindungen V.192dA-1 bis V.192dA-425; IVa-1.192dA-1 bis IVa-1.192dA-425; IVb.192dA-1 bis IVb.192dA-425; VII.191dA-1 to VII.191 dA-425) Table 192d Compounds V, IVa-1, IVb and VII, wherein B is 5-methoxypyridin-2-yl and A in each case corresponds to one group of a row of Table A (Compounds V.192dA-1 to V.192dA-425; IVa-1.192dA-1 to IVa-1.192dA-425; IVb.192dA-1 to IVb.192dA-
425; VII.192dA-1 bis VII.192dA-425) Tabelle 193d Verbindungen V, IVa-1 , IVb und VII, worin B für 6-Methoxypyridin-2-yl steht und A jeweils einer Gruppe einer Zeile der Tabelle A entspricht (Verbindungen V.193dA-1 bis V.193dA-425; IVa-1.193dA-1 bis IVa-1.193dA-425; IVb.193dA-1 bis IVb.193dA-425; VII.192dA-1 to VII.192dA-425) Table 193d Compounds V, IVa-1, IVb and VII, wherein B is 6-methoxypyridin-2-yl and A corresponds in each case to one group of one row of Table A (compounds V IVA-1,193dA-1 to IVa-1,193dA-425; IVb.193dA-1 to IVb.193dA-
425; VII.193dA-1 bis VII.193dA-425) Tabelle 194d Verbindungen V, IVa-1 , IVb und VII, worin B für 2-Methoxypyridin-3-yl steht und A jeweils einer Gruppe einer Zeile der Tabelle A entspricht (Verbindungen V.194dA-1 bis V.194dA-425; IVa-1.194dA-1 bis IVa-1.194dA-425; IVb.194dA-1 bis IVb.194dA-425; VII.193dA-1 to VII.193dA-425) Table 194d Compounds V, IVa-1, IVb and VII, wherein B is 2-methoxypyridin-3-yl and A corresponds in each case to one group of one row of Table A (Compounds V .194dA-1 to V.194dA-425; IVa-1.194dA-1 to IVa-1.194dA-425; IVb.194dA-1 to IVb.194dA
425; VII.194dA-1 bis VII.194dA-425) Tabelle 195d425; VII.194dA-1 to VII.194dA-425) Table 195d
Verbindungen V, IVa-1 , IVb und VII, worin B für 4-Methoxypyridin-3-yl steht und A jeweils einer Gruppe einer Zeile der Tabelle A entspricht (Verbindungen V.195dA-1 bis V.195dA-425; IVa-1.195dA-1 bis IVa-1.195dA-425; IVb.195dA-1 bis IVb.195dA-Compounds V, IVa-1, IVb and VII in which B is 4-methoxypyridin-3-yl and A corresponds in each case to one group of one row of Table A (Compounds V.195dA-1 to V.195dA-425; IVa-1.195 dA-1 to IVa-1.195dA-425; IVb.195dA-1 to IVb.195dA-
425; VII.195dA-1 bis VII.195dA-425) Tabelle 196d425; VII.195dA-1 to VII.195dA-425) Table 196d
Verbindungen V, IVa-1 , IVb und VII, worin B für 5-Methoxypyridin-3-yl steht und A jeweils einer Gruppe einer Zeile der Tabelle A entspricht (Verbindungen V.196dA-1 bis V.196dA-425; IVa-1.196dA-1 bis IVa-1.196dA-425; IVb.196dA-1 bis IVb.196dA-Compounds V, IVa-1, IVb and VII, wherein B is 5-methoxypyridin-3-yl and A corresponds in each case to one group of one row of Table A (Compounds V.196dA-1 to V.196dA-425; IVa-1.196 dA-1 to IVa-1.196dA-425; IVb.196dA-1 to IVb.196dA-
425; VII.196dA-1 bis VII.196dA-425) Tabelle 197d425; VII.196dA-1 to VII.196dA-425) Table 197d
Verbindungen V, IVa-1 , IVb und VII, worin B für 6-Methoxypyridin-3-yl steht und A jeweils einer Gruppe einer Zeile der Tabelle A entspricht (Verbindungen V.197dA-1 bis V.197dA-425; IVa-1.197dA-1 bis IVa-1.197dA-425; IVb.197dA-1 bis IVb.197dA-Compounds V, IVa-1, IVb and VII, wherein B is 6-methoxypyridin-3-yl and A corresponds in each case to one group of one row of Table A (Compounds V.197dA-1 to V.197dA-425; IVa-1.197 dA-1 to IVa-1.197dA-425; IVb.197dA-1 to IVb.197dA-
425; VII.197dA-1 bis VII.197dA-425) Tabelle 198d425; VII.197dA-1 to VII.197dA-425) Table 198d
Verbindungen V, IVa-1 , IVb und VII, worin B für 2-Methoxypyridin-4-yl steht und A jeweils einer Gruppe einer Zeile der Tabelle A entspricht (Verbindungen V.198dA-1 bis V.198dA-425; IVa-1.198dA-1 bis IVa-1.198dA-425; IVb.198dA-1 bis IVb.198dA-Compounds V, IVa-1, IVb and VII, wherein B is 2-methoxypyridin-4-yl and A corresponds in each case to one group of one row of Table A (Compounds V.198dA-1 to V.198dA-425; IVa-1.198 dA-1 to IVa-1.198dA-425; IVb.198dA-1 to IVb.198dA-
425; VII.198dA-1 bis VII.198dA-425) Tabelle 199d425; VII.198dA-1 to VII.198dA-425) Table 199d
Verbindungen V, IVa-1 , IVb und VII, worin B für 3-Methoxypyridin-4-yl steht und A jeweils einer Gruppe einer Zeile der Tabelle A entspricht (Verbindungen V.199dA-1 bis V.199dA-425; IVa-1.199dA-1 bis IVa-1.199dA425; IVb.199dA-1 bis IVb.199dA-Compounds V, IVa-1, IVb and VII, wherein B is 3-methoxypyridin-4-yl and A corresponds in each case to one group of one row of Table A (Compounds V.199dA-1 to V.199dA-425; IVa-1.199 dA-1 to IVa-1.199dA425; IVb.199dA-1 to IVb.199dA-
425; VII.199dA-1 bis VII.199dA-425) Tabelle 20Od425; VII.199dA-1 to VII.199dA-425) Table 20Od
Verbindungen V, IVa-1 , IVb und VII, worin B für 3,5-Dichlorpyridin-2-yl steht und A jeweils einer Gruppe einer Zeile der Tabelle A entspricht (Verbindungen V.200dA-1 bis V.200dA-425; IVa-1.20OdA-I bis IVa-1.200dA-425; IVb.200dA-1 bis IVb.200dA-Compounds V, IVa-1, IVb and VII, wherein B is 3,5-dichloropyridin-2-yl and A corresponds in each case to one group of one row of Table A (compounds V.200dA-1 to V.200dA-425; IVa -1.20OdA-I to IVa-1.200dA-425; IVb.200dA-1 to IVb.200dA-
425; VII.200dA-1 bis VII.200dA-425) Tabelle 201 d425; VII.200dA-1 to VII.200dA-425) Table 201 d
Verbindungen V, IVa-1 , IVb und VII, worin B für 2,4-Dichlorpyridin-3-yl steht und A jeweils einer Gruppe einer Zeile der Tabelle A entspricht (Verbindungen V.201dA-1 bis V.201 dA-425; IVa-1.201 dA-1 bis IVa-1.201dA-425; IVb.201 dA-1 bis IVb.201dA-Compounds V, IVa-1, IVb and VII, wherein B is 2,4-dichloropyridin-3-yl and A corresponds in each case to one group of one row of Table A (Compounds V.201dA-1 to V.201 dA-425; IVa-1.201 dA-1 to IVa-1.201dA-425; IVb.201 dA-1 to IVb.201dA-
425; VII.201dA-1 bis VI 1.201 dA-425) Tabelle 202d425; VII.201dA-1 to VI 1.201 dA-425) Table 202d
Verbindungen V, IVa-1 , IVb und VII, worin B für 2,5-Dichlorpyridin-3-yl steht und A jeweils einer Gruppe einer Zeile der Tabelle A entspricht (Verbindungen V.202dA-1 bis V.202dA-425; IVa-1.202dA-1 bis IVa-1.202dA-425; IVb.202dA-1 bis IVb.202dA-Compounds V, IVa-1, IVb and VII, wherein B is 2,5-dichloropyridin-3-yl and A corresponds in each case to one group of one row of Table A (Compounds V.202dA-1 to V.202dA-425; IVa -1.202dA-1 to IVa-1.202dA-425; IVb.202dA-1 to IVb.202dA-
425; VII.202dA-1 bis VII.202dA-425) Tabelle 203d425; VII.202dA-1 to VII.202dA-425) Table 203d
Verbindungen V, IVa-1 , IVb und VII, worin B für 2,6-Dichlorpyridin-3-yl steht und A jeweils einer Gruppe einer Zeile der Tabelle A entspricht (Verbindungen V.203dA-1 bis V.203dA-425; IVa-1.203dA-1 bis IVa-1.203dA-425; IVb.203dA-1 bis IVb.203dA- 425; VII.203dA-1 bis VII.203dA-425)Compounds V, IVa-1, IVb and VII, wherein B is 2,6-dichloropyridin-3-yl and A corresponds in each case to one group of one row of Table A (compounds V.203dA-1 to V.203dA-425; IVa -1.203dA-1 to IVa-1.203dA-425; IVb.203dA-1 to IVb.203dA-425; VII.203dA-1 to VII.203dA-425)
Tabelle 204dTable 204d
Verbindungen V, IVa-1 , IVb und VII, worin B für 2,6-Dichlorpyridin-4-yl steht und A jeweils einer Gruppe einer Zeile der Tabelle A entspricht (Verbindungen V.204dA-1 bis V.204dA-425; IVa-1.204dA-1 bis IVa-1.204dA-425; IVb.204dA-1 bis IVb.204dA- 425; VII.204dA-1 bis VII.204dA-425)Compounds V, IVa-1, IVb and VII, wherein B is 2,6-dichloropyridin-4-yl and A corresponds in each case to one group of one row of Table A (compounds V.204dA-1 to V.204dA-425; IVa -1.204dA-1 to IVa-1.204dA-425; IVb.204dA-1 to IVb.204dA-425; VII.204dA-1 to VII.204dA-425)
Tabelle 205dTable 205d
Verbindungen V, IVa-1 , IVb und VII, worin B für 3,5-Dichlorpyridin-4-yl steht und A jeweils einer Gruppe einer Zeile der Tabelle A entspricht (Verbindungen V.205dA-1 bis V.205dA-425; IVa-1.205dA-1 bis IVa-1.205dA-425; IVb.205dA-1 bis IVb.205dA- 425; VII.205dA-1 bis VII.205dA-425)Compounds V, IVa-1, IVb and VII, wherein B is 3,5-dichloropyridin-4-yl and A corresponds in each case to one group of one row of Table A (compounds V.205dA-1 to V.205dA-425; IVa -1205dA-1 to IVa-1.205dA-425; IVb.205dA-1 to IVb.205dA-425; VII.205dA-1 to VII.205dA-425)
Tabelle 206dTable 206d
Verbindungen V, IVa-1 , IVb und VII, worin B für 3,6-Dichlorpyridin-4-yl steht und A jeweils einer Gruppe einer Zeile der Tabelle A entspricht (Verbindungen V.206dA-1 bis V.206dA-425; IVa-1.206dA-1 bis IVa-1.206dA-425; IVb.206dA-1 bis IVb.206dA- 425; VII.206dA-1 bis VII.206dA-425)Compounds V, IVa-1, IVb and VII, wherein B is 3,6-dichloropyridin-4-yl and A corresponds in each case to one group of one row of Table A (Compounds V.206dA-1 to V.206dA-425; IVa -1.206dA-1 to IVa-1.206dA-425; IVb.206dA-1 to IVb.206dA-425; VII.206dA-1 to VII.206dA-425)
Tabelle 207dTable 207d
Verbindungen V, IVa-1 , IVb und VII, worin B für 2,5-Dichlorpyridin-4-yl steht und A jeweils einer Gruppe einer Zeile der Tabelle A entspricht (Verbindungen V.207dA-1 bis V.207dA-425; IVa-1.207dA-1 bis IVa-1.207dA-425; IVb.207dA-1 bis IVb.207dA- 425; VII.207dA-1 bis VII.207dA-425)Compounds V, IVa-1, IVb and VII, wherein B is 2,5-dichloropyridin-4-yl and A corresponds in each case to one group of one row of Table A (compounds V.207dA-1 to V.207dA-425; IVa -1.207dA-1 to IVa-1.207dA-425; IVb.207dA-1 to IVb.207dA-425; VII.207dA-1 to VII.207dA-425)
Tabelle 208dTable 208d
Verbindungen V, IVa-1 , IVb und VII, worin B für 2,3-Dichlorpyridin-4-yl steht und A jeweils einer Gruppe einer Zeile der Tabelle A entspricht (Verbindungen V.208dA-1 bis V.208dA-425; IVa-1.208dA-1 bis IVa-1.208dA-425; IVb.208dA-1 bis IVb.208dA- 425; VII.208dA-1 bis VII.208dA-425)Compounds V, IVa-1, IVb and VII, wherein B is 2,3-dichloropyridin-4-yl and A corresponds in each case to one group of one row of Table A (compounds V.208dA-1 to V.208dA-425; IVa -1.208dA-1 to IVa-1.208dA-425; IVb.208dA-1 to IVb.208dA-425; VII.208dA-1 to VII.208dA-425)
Tabelle 209dTable 209d
Verbindungen V, IVa-1 , IVb und VII, worin B für 2,4-Dichlorpyridin-5-yl steht und A jeweils einer Gruppe einer Zeile der Tabelle A entspricht (Verbindungen V.209dA-1 bis V.209dA-425; IVa-1.209dA-1 bis IVa-1.209dA-425; IVb.209dA-1 bis IVb.209dA- 425; VII.209dA-1 bis VII.209dA-425)Compounds V, IVa-1, IVb and VII, wherein B is 2,4-dichloropyridin-5-yl and A corresponds in each case to one group of one row of Table A (Compounds V.209dA-1 to V.209dA-425; IVa -1.209dA-1 to IVa-1.209dA-425; IVb.209dA-1 to IVb.209dA-425; VII.209dA-1 to VII.209dA-425)
Tabelle 21OdTable 21d
Verbindungen V, IVa-1 , IVb und VII, worin B für 3,5-Difluorpyridin-2-yl steht und A jeweils einer Gruppe einer Zeile der Tabelle A entspricht (Verbindungen V.210dA-1 bis V.210dA-425; IVa-1.21OdA-I bis IVa-1.21 OdA-425; IVb.210dA-1 bis IVb.210dA- 425; VII.210dA-1 bis VII.21 OdA-425)Compounds V, IVa-1, IVb and VII, wherein B is 3,5-difluoropyridin-2-yl and A corresponds in each case to one group of one row of Table A (Compounds V.210dA-1 to V.210dA-425; IVa -1.21OdA-I to IVa-1.21 OdA-425; IVb.210dA-1 to IVb.210dA-425; VII.210dA-1 to VII.21 OdA-425)
Tabelle 211 dTable 211 d
Verbindungen V, IVa-1 , IVb und VII, worin B für 3,5-Difluorpyridin-4-yl steht und A jeweils einer Gruppe einer Zeile der Tabelle A entspricht (Verbindungen V.211dA- 1 bis V.21 1 dA-425; IVa-1.211 dA-1 bis IVa-1.21 1dA-425; IVb.21 1 dA-1 bis IVb.21 1dA-Compounds V, IVa-1, IVb and VII, wherein B is 3,5-difluoropyridin-4-yl and A corresponds in each case to one group of one row of Table A (compounds V.211dA-1 to V.21 1 dA-425; IVa-1.211 dA-1 to IVa-1.21 1dA-425; IVb.21 1 dA-1 to IVb.21 1dA-
425; VII.21 1dA- 1 bis VII.21 1 dA-425) Tabelle 212d Verbindungen V, IVa-1 , IVb und VII, worin B für 2,3-Difluorpyridin-4-yl steht und A jeweils einer Gruppe einer Zeile der Tabelle A entspricht (Verbindungen V.212dA-1 bis V.212dA-425; IVa-1.212dA-1 bis IVa-1.212dA-425; IVb.212dA-1 bis IVb.212dA-425; VII.21 1dA-1 to VII.21 1 dA-425) Table 212d Compounds V, IVa-1, IVb and VII, wherein B is 2,3-difluoropyridin-4-yl and A is in each case one group of one row of the table A corresponds to (compounds V.212dA-1 to V.212dA-425; IVa-1.212dA-1 to IVa-1.212dA-425; IVb.212dA-1 to IVb.212dA-
425; VII.212dA-1 bis VII.212dA-425) Tabelle 213d Verbindungen V, IVa-1 , IVb und VII, worin B für 3,5-Dimethylpyridin-2-yl steht und425; VII.212dA-1 to VII.212dA-425) Table 213d Compounds V, IVa-1, IVb and VII, wherein B is 3,5-dimethylpyridin-2-yl and
A jeweils einer Gruppe einer Zeile der Tabelle A entspricht (VerbindungenA corresponds in each case to one group of a row of Table A (compounds
V.213dA-1 bis V.213dA-425; IVa-1.213dA-1 bis IVa-1.213dA-425; IVb.213dA-1 bisV.213dA-1 to V.213dA-425; IVa-1.213dA-1 to IVa-1.213dA-425; IVb.213dA-1 to
IVb.213dA-425; VII.213dA-1 bis VII.213dA-425) Tabelle 214d Verbindungen V, IVa-1 , IVb und VII, worin B für 3,4-Dimethylpyridin-2-yl steht undIVb.213dA-425; VII.213dA-1 to VII.213dA-425) Table 214d compounds V, IVa-1, IVb and VII, wherein B is 3,4-dimethylpyridin-2-yl and
A jeweils einer Gruppe einer Zeile der Tabelle A entspricht (VerbindungenA corresponds in each case to one group of a row of Table A (compounds
V.214dA-1 bis V.214dA-425; IVa-1.214dA-1 bis IVa-1.214dA-425; IVb.214dA-1 bisV.214dA-1 to V.214dA-425; IVa-1.214dA-1 to IVa-1.214dA-425; IVb.214dA-1 to
IVb.214dA-425; VII.214dA-1 bis VII.214dA-425) Tabelle 215d Verbindungen V, IVa-1 , IVb und VII, worin B für 4,6-Dimethylpyridin-3-yl steht undIVb.214dA-425; VII.214dA-1 to VII.214dA-425) Table 215d Compounds V, IVa-1, IVb and VII, wherein B is 4,6-dimethylpyridin-3-yl and
A jeweils einer Gruppe einer Zeile der Tabelle A entspricht (VerbindungenA corresponds in each case to one group of a row of Table A (compounds
V.215dA-1 bis V.215dA-425; IVa-1.215dA-1 bis IVa-1.215dA-425; IVb.215dA-1 bisV.215dA-1 to V.215dA-425; IVa-1.215dA-1 to IVa-1.215dA-425; IVb.215dA-1 to
IVb.215dA-425; VII.215dA-1 bis VII.215dA-425) Tabelle 216d Verbindungen V, IVa-1 , IVb und VII, worin B für 2,4-Dimethylpyridin-3-yl steht undIVb.215dA-425; VII.215dA-1 to VII.215dA-425) Table 216d compounds V, IVa-1, IVb and VII, wherein B is 2,4-dimethylpyridin-3-yl and
A jeweils einer Gruppe einer Zeile der Tabelle A entspricht (VerbindungenA corresponds in each case to one group of a row of Table A (compounds
V.216dA-1 bis V.216dA-425; IVa-1.216dA-1 bis IVa-1.216dA-425; IVb.216dA-1 bisV.216dA-1 to V.216dA-425; IVa-1.216dA-1 to IVa-1.216dA-425; IVb.216dA-1 to
IVb.216dA-425; VII.216dA-1 bis VII.216dA-425) Tabelle 217d Verbindungen V, IVa-1 , IVb und VII, worin B für 3,5-Dimethylpyridin-4-yl steht undIVb.216dA-425; VII.216dA-1 to VII.216dA-425) Table 217d Compounds V, IVa-1, IVb and VII, wherein B is 3,5-dimethylpyridin-4-yl and
A jeweils einer Gruppe einer Zeile der Tabelle A entspricht (VerbindungenA corresponds in each case to one group of a row of Table A (compounds
V.217dA-1 bis V.217dA-425; IVa-1.217dA-1 bis IVa-1.217dA-425; IVb.217dA-1 bisV.217dA-1 to V.217dA-425; IVa-1.217dA-1 to IVa-1.217dA-425; IVb.217dA-1 to
IVb.217dA-425; VII.217dA-1 bis VII.217dA-425) Tabelle 218d Verbindungen V, IVa-1 , IVb und VII, worin B für 2-Chlor-3-fluorpyridin-4-yl steht undIVb.217dA-425; VII.217dA-1 to VII.217dA-425) Table 218d Compounds V, IVa-1, IVb and VII, wherein B is 2-chloro-3-fluoropyridin-4-yl and
A jeweils einer Gruppe einer Zeile der Tabelle A entspricht (VerbindungenA corresponds in each case to one group of a row of Table A (compounds
V.218dA-1 bis V.218dA-425; IVa-1.218dA-1 bis IVa-1.218dA-425; IVb.218dA-1 bisV.218dA-1 to V.218dA-425; IVa-1.218dA-1 to IVa-1.218dA-425; IVb.218dA-1 to
IVb.218dA-425; VII.218dA-1 bis VII.218dA-425) Tabelle 219d Verbindungen V, IVa-1 , IVb und VII, worin B für 4-Chlor-3-methylpyridin-2-yl steht und A jeweils einer Gruppe einer Zeile der Tabelle A entspricht (Verbindungen V.219dA-1 bis V.219dA-425; IVa-1.219dA-1 bis IVa-1.219dA-425; IVb.219dA-1 bisIVb.218dA-425; VII.218dA-1 to VII.218dA-425) Table 219d Compounds V, IVa-1, IVb and VII, wherein B is 4-chloro-3-methylpyridin-2-yl and A is in each case one group of a row of Table A. corresponds (connections V.219dA-1 to V.219dA-425; IVa-1.219dA-1 to IVa-1.219dA-425; IVb.219dA-1 to
IVb.219dA-425; VII.219dA-1 bis VII.219dA-425) Tabelle 22OdIVb.219dA-425; VII.219dA-1 to VII.219dA-425) Table 22Od
Verbindungen V, IVa-1 , IVb und VII, worin B für 5-Chlor-3-methylpyridin-2-yl steht und A jeweils einer Gruppe einer Zeile der Tabelle A entspricht (VerbindungenCompounds V, IVa-1, IVb and VII, wherein B is 5-chloro-3-methylpyridin-2-yl and A in each case corresponds to one group of a row of Table A (Compounds
V.220dA-1 bis V.220dA-425; IVa-1.22OdA-I bis IVa-1.220dA-425; IVb.220dA-1 bisV.220dA-1 to V.220dA-425; IVa-1.22OdA-I to IVa-1.220dA-425; IVb.220dA-1 to
IVb.220dA-425; VII.220dA-1 bis VII.220dA-425) Tabelle 221 dIVb.220dA-425; VII.220dA-1 to VII.220dA-425) Table 221 d
Verbindungen V, IVa-1 , IVb und VII, worin B für 5-Fluor-3-methylpyridin-2-yl steht und A jeweils einer Gruppe einer Zeile der Tabelle A entspricht (VerbindungenCompounds V, IVa-1, IVb and VII, wherein B is 5-fluoro-3-methylpyridin-2-yl and A in each case corresponds to one group of a row of Table A (Compounds
V.221dA-1 bis V.221 dA-425; IVa-1.221 dA-1 bis IVa-1.221 dA-425; IVb.221dA-1 bisV.221dA-1 to V.221 dA-425; IVa-1.221 dA-1 to IVa-1.221 dA-425; IVb.221dA-1 to
IVb.221dA-425; VII.221 dA-1 bis VI 1.221 dA-425) Tabelle 222dIVb.221dA-425; VII.221 dA-1 to VI 1.221 dA-425) Table 222d
Verbindungen V, IVa-1 , IVb und VII, worin B für 3-Chlor-5-trifluormethylpyridin-2-yl steht und A jeweils einer Gruppe einer Zeile der Tabelle A entspricht (Verbindungen V.222dA-1 bis V.222dA-425; IVa-1.222dA-1 bis IVa-1.222dA-425; IVb.222dA-1 bis IVb.222dA-425; VII.222dA-1 bis VII.222dA-425) Tabelle 223dCompounds V, IVa-1, IVb and VII, wherein B is 3-chloro-5-trifluoromethylpyridin-2-yl and A corresponds in each case to one group of one row of Table A (Compounds V.222dA-1 to V.222dA-425 IVa-1.222dA-1 to IVa-1.222dA-425; IVb.222dA-1 to IVb.222dA-425; VII.222dA-1 to VII.222dA-425) Table 223d
Verbindungen V, IVa-1 , IVb und VII, worin B für 2-Chlor-6-trifluormethylpyridin-3-yl steht und A jeweils einer Gruppe einer Zeile der Tabelle A entspricht (Verbindungen V.223dA-1 bis V.223dA-425; IVa-1.223dA-1 bis IVa-1.223dA-425; IVb.223dA-1 bis IVb.223dA-425; VII.223dA-1 bis VII.223dA-425) Tabelle 224dCompounds V, IVa-1, IVb and VII, wherein B is 2-chloro-6-trifluoromethylpyridin-3-yl and A in each case corresponds to one group of a row of Table A (compounds V.223dA-1 to V.223dA-425 IVa-1.223dA-1 to IVa-1.223dA-425; IVb.223dA-1 to IVb.223dA-425; VII.223dA-1 to VII.223dA-425) Table 224d
Verbindungen V, IVa-1 , IVb und VII, worin B für 2,4-Dichlor-6-methylpyridin-3-yl steht und A jeweils einer Gruppe einer Zeile der Tabelle A entspricht (Verbindungen V.224dA-1 bis V.224dA-425; IVa-1.224dA-1 bis IVa-1.224dA-425; IVb.224dA-1 bis IVb.224dA-425; VII.224dA-1 bis VII.224dA-425) Tabelle 225dCompounds V, IVa-1, IVb and VII, wherein B is 2,4-dichloro-6-methylpyridin-3-yl and A in each case corresponds to one group of a row of Table A (compounds V.224dA-1 to V.224dA IVb-1,224dA-1 to IVa-1,224dA-425; IVb.224dA-1 to IVb.224dA-425; VII.224dA-1 to VII.224dA-425) Table 225d
Verbindungen V, IVa-1 , IVb und VII, worin B für 3,4,5-Trichlorpyridin-2-yl steht und A jeweils einer Gruppe einer Zeile der Tabelle A entspricht (VerbindungenCompounds V, IVa-1, IVb and VII, wherein B is 3,4,5-trichloropyridin-2-yl and A in each case corresponds to one group of a row of Table A (compounds
V.225dA-1 bis V.225dA-425; IVa-1.225dA-1 bis IVa-1.225dA-425; IVb.225dA-1 bisV.225dA-1 to V.225dA-425; IVa-1.225dA-1 to IVa-1.225dA-425; IVb.225dA-1 to
IVb.225dA-425; VII.225dA-1 bis VII.225dA-425) Tabelle 226dIVb.225dA-425; VII.225dA-1 to VII.225dA-425) Table 226d
Verbindungen V, IVa-1 , IVb und VII, worin B für 2,4,6-Trichlorpyridin-3-yl steht und A jeweils einer Gruppe einer Zeile der Tabelle A entspricht (VerbindungenCompounds V, IVa-1, IVb and VII, wherein B is 2,4,6-trichloropyridin-3-yl and A in each case corresponds to one group of a row of Table A (Compounds
V.226dA-1 bis V.226dA-425; IVa-1.226dA-1 bis IVa-1.226dA-425; IVb.226dA-1 bisV.226dA-1 to V.226dA-425; IVa-1.226dA-1 to IVa-1.226dA-425; IVb.226dA-1 to
IVb.226dA-425; VII.226dA-1 bis VII.226dA-425) Tabelle 227dIVb.226dA-425; VII.226dA-1 to VII.226dA-425) Table 227d
Verbindungen V, IVa-1 , IVb und VII, worin B für Pyrimidin-2-yl steht und A jeweils einer Gruppe einer Zeile der Tabelle A entspricht (Verbindungen V.227dA-1 bisCompounds V, IVa-1, IVb and VII, wherein B is pyrimidin-2-yl and A in each case corresponds to one group of a row of Table A (compounds V.227dA-1 to
V.227dA-425; IVa-1.227dA-1 bis IVa-1.227dA-425; IVb.227dA-1 bis IVb.227dA-V.227dA-425; IVa-1.227dA-1 to IVa-1.227dA-425; IVb.227dA-1 to IVb.227dA-
425; VII.227dA-1 bis VII.227dA-425) Tabelle 228d425; VII.227dA-1 to VII.227dA-425) Table 228d
Verbindungen V, IVa-1 , IVb und VII, worin B für Pyrimidin-5-yl steht und A jeweils einer Gruppe einer Zeile der Tabelle A entspricht (Verbindungen V.228dA-1 bis V.228dA-425; IVa-1.228dA-1 bis IVa-1.228dA-425; IVb.228dA-1 bis IVb.228dA- 425; VII.228dA-1 bis VII.228dA-425)Compounds V, IVa-1, IVb and VII, wherein B is pyrimidin-5-yl and A in each case corresponds to one group of one row of Table A (compounds V.228dA-1 to V.228dA-425; IVa-1.228dA- 1 to IVa-1.228dA-425; IVb.228dA-1 to IVb.228dA-425; VII.228dA-1 to VII.228dA-425)
Tabelle 229dTable 229d
Verbindungen V, IVa-1 , IVb und VII, worin B für 6-Chlorpyrimidin-3-yl steht und A jeweils einer Gruppe einer Zeile der Tabelle A entspricht (Verbindungen V.229dA-1 bis V.229dA-425; IVa-1.229dA-1 bis IVa-1.229dA-425; IVb.229dA-1 bis IVb.229dA- 425; VII.229dA-1 bis VII.229dA-425)Compounds V, IVa-1, IVb and VII in which B is 6-chloropyrimidin-3-yl and A corresponds in each case to one group of one row of Table A (Compounds V.229dA-1 to V.229dA-425; IVa-1.229 dA-1 to IVa-1.229dA-425; IVb.229dA-1 to IVb.229dA-425; VII.229dA-1 to VII.229dA-425)
Tabelle 23OdTable 23Od
Verbindungen V, IVa-1 , IVb und VII, worin B für 6-Methylpyrimidin-3-yl steht und A jeweils einer Gruppe einer Zeile der Tabelle A entspricht (Verbindungen V.230dA-1 bis V.230dA-425; IVa-1.23OdA-I bis IVa-1.230dA-425; IVb.230dA-1 bis IVb.230dA- 425; VII.230dA-1 bis VII.230dA-425)Compounds V, IVa-1, IVb and VII, wherein B is 6-methylpyrimidin-3-yl and A corresponds in each case to one group of one row of Table A (compounds V.230dA-1 to V.230dA-425; IVa-1.23 OdA-I to IVa-1.230dA-425; IVb.230dA-1 to IVb.230dA-425; VII.230dA-1 to VII.230dA-425)
Tabelle 231 dTable 231 d
Verbindungen V, IVa-1 , IVb und VII, worin B für 6-Methoxypyrimidin-3-yl steht und A jeweils einer Gruppe einer Zeile der Tabelle A entspricht (Verbindungen V.231dA-1 bis V.231 dA-425; IVa-1.231 dA-1 bis IVa-1.231 dA-425; IVb.231dA-1 bis IVb.231 dA-425; VII.231 dA-1 bis VI 1.231 dA-425)Compounds V, IVa-1, IVb and VII in which B is 6-methoxypyrimidin-3-yl and A in each case corresponds to one group of one row of Table A (compounds V.231dA-1 to V.231 dA-425; 1,231 dA-1 to IVa-1,231 dA-425; IVb.231dA-1 to IVb.231 dA-425; VII.231 dA-1 to VI 1,231 dA-425)
Tabelle 232dTable 232d
Verbindungen V, IVa-1 , IVb und VII, worin B für 2,4-Dichlorpyrimidin-3-yl steht und A jeweils einer Gruppe einer Zeile der Tabelle A entspricht (Verbindungen V.232dA-1 bis V.232dA-425; IVa-1.232dA-1 bis IVa-1.232dA-425; IVb.232dA-1 bis I Vb.232dA-425; VI 1.232dA-1 bis VI 1.232dA-425)Compounds V, IVa-1, IVb and VII, wherein B is 2,4-dichloropyrimidin-3-yl and A corresponds in each case to one group of one row of Table A (Compounds V.232dA-1 to V.232dA-425; IVa -1.232dA-1 to IVa-1.232dA-425; IVb.232dA-1 to I Vb.232dA-425; VI 1.232dA-1 to VI 1.232dA-425)
Tabelle 233dTable 233d
Verbindungen V, IVa-1 , IVb und VII, worin B für 2,6-Dichlorpyrimidin-3-yl steht und A jeweils einer Gruppe einer Zeile der Tabelle A entspricht (Verbindungen V.233dA-1 bis V.233dA-425; IVa-1.233dA-1 bis IVa-1.233dA-425; IVb.233dA-1 bis I Vb.233dA-425; VI 1.233dA-1 bis VI 1.233dA-425)Compounds V, IVa-1, IVb and VII, wherein B is 2,6-dichloropyrimidin-3-yl and A corresponds in each case to one group of one row of Table A (Compounds V.233dA-1 to V.233dA-425; IVa -1.233dA-1 to IVa-1.233dA-425; IVb.233dA-1 to I Vb.233dA-425; VI 1.233dA-1 to VI 1.233dA-425)
Tabelle 234dTable 234d
Verbindungen V, IVa-1 , IVb und VII, worin B für 2,4-Difluorpyrimidin-3-yl steht und A jeweils einer Gruppe einer Zeile der Tabelle A entspricht (Verbindungen V.234dA-1 bis V.234dA-425; IVa-1.234dA-1 bis IVa-1.234dA-425; IVb.234dA-1 bis I Vb.234dA-425; VI 1.234dA-1 bis VI 1.234dA-425)Compounds V, IVa-1, IVb and VII, wherein B is 2,4-difluoropyrimidin-3-yl and A corresponds in each case to one group of one row of Table A (Compounds V.234dA-1 to V.234dA-425; IVa -1.234dA-1 to IVa-1.234dA-425; IVb.234dA-1 to I Vb.234dA-425; VI 1.234dA-1 to VI 1.234dA-425)
Tabelle 235dTable 235d
Verbindungen V, IVa-1 , IVb und VII, worin B für 2,6-Difluorpyrimidin-3-yl steht und A jeweils einer Gruppe einer Zeile der Tabelle A entspricht (Verbindungen V.235dA-1 bis V.235dA-425; IVa-1.235dA-1 bis IVa-1.235dA-425; IVb.235dA-1 bis I Vb.235dA-425; VI 1.235dA-1 bis VI 1.235dA-425)Compounds V, IVa-1, IVb and VII, wherein B is 2,6-difluoropyrimidin-3-yl and A corresponds in each case to one group of one row of Table A (compounds V.235dA-1 to V.235dA-425; IVa -1.235dA-1 to IVa-1.235dA-425; IVb.235dA-1 to I Vb.235dA-425; VI 1.235dA-1 to VI 1.235dA-425)
Tabelle 236dTable 236d
Verbindungen V, IVa-1 , IVb und VII, worin B für 1 ,3,5-Triazin-2-yl steht und A je- weils einer Gruppe einer Zeile der Tabelle A entspricht (Verbindungen V.236dA-1 bis V.236dA-425; IVa-1.236dA-1 bis IVa-1.236dA-425; IVb.236dA-1 bis IVb.236dA- 425; VII.236dA-1 bis VII.236dA-425)Compounds V, IVa-1, IVb and VII, wherein B is 1, 3,5-triazin-2-yl and A is each because one group corresponds to one row of Table A (compounds V.236dA-1 to V.236dA-425; IVa-1.236dA-1 to IVa-1.236dA-425; IVb.236dA-1 to IVb.236dA-425; VII .236dA-1 to VII.236dA-425)
Tabelle 237d Verbindungen V, IVa-1 , IVb und VII, worin B für Thien-2-yl steht und A jeweils einerTable 237d Compounds V, IVa-1, IVb and VII, wherein B is thien-2-yl and A are each one
Gruppe einer Zeile der Tabelle A entspricht (Verbindungen V.237dA-1 bis V.237dA- 425; IVa-1.237dA-1 bis IVa-1.237dA-425; IVb.237dA-1 bis IVb.237dA-425; VII.237dA-1 bis VII.237dA-425)Group of one row of Table A corresponds (Compounds V.237dA-1 to V.237dA-425; IVa-1.237dA-1 to IVa-1.237dA-425; IVb.237dA-1 to IVb.237dA-425; VII.237dA -1 to VII.237dA-425)
Tabelle 238d Verbindungen V, IVa-1 , IVb und VII, worin B für Thien-3-yl steht und A jeweils einerTable 238d Compounds V, IVa-1, IVb and VII, wherein B is thien-3-yl and A are each one
Gruppe einer Zeile der Tabelle A entspricht (Verbindungen V.238dA-1 bis V.238dA- 425; IVa-1.238dA-1 bis IVa-1.238dA-425; IVb.238dA-1 bis IVb.238dA-425; VII.238dA-1 bis VII.238dA-425)Group of one line of Table A corresponds (compounds V.238dA-1 to V.238dA-425; IVa-1.238dA-1 to IVa-1.238dA-425; IVb.238dA-1 to IVb.238dA-425; VII.238dA -1 to VII.238dA-425)
Tabelle 239d Verbindungen V, IVa-1 , IVb und VII, worin B für 5-Chlorthien-2-yl steht und A jeweils einer Gruppe einer Zeile der Tabelle A entspricht (Verbindungen V.239dA-1 bis V.239dA-425; IVa-1.239dA-1 bis IVa-1.239dA-425; IVb.239dA-1 bis IVb.239dA- 425; VII.239dA-1 bis VII.239dA-425)Table 239d Compounds V, IVa-1, IVb and VII, wherein B is 5-chlorothien-2-yl and A corresponds in each case to one group of one row of Table A (Compounds V.239dA-1 to V.239dA-425; IVa -1.239dA-1 to IVa-1.239dA-425; IVb.239dA-1 to IVb.239dA-425; VII.239dA-1 to VII.239dA-425)
Tabelle 24Od Verbindungen V, IVa-1 , IVb und VII, worin B für 2-Chlorthien-3-yl steht und A jeweils einer Gruppe einer Zeile der Tabelle A entspricht (Verbindungen V.240dA-1 bis V.240dA-425; IVa-1.24OdA-I bis IVa-1.240dA-425; IVb.240dA-1 bis IVb.240dA- 425; VII.240dA-1 bis VII.240dA-425)Table 24Od compounds V, IVa-1, IVb and VII, wherein B is 2-chlorothien-3-yl and A in each case corresponds to one group of a row of Table A (compounds V.240dA-1 to V.240dA-425; IVa -1.24OdA-I to IVa-1.240dA-425; IVb.240dA-1 to IVb.240dA-425; VII.240dA-1 to VII.240dA-425)
Tabelle 241 d Verbindungen V, IVa-1 , IVb und VII, worin B für 4-Chlorthien-3-yl steht und A jeweils einer Gruppe einer Zeile der Tabelle A entspricht (Verbindungen V.241dA-1 bis V.241 dA-425; IVa-1.241 dA-1 bis IVa-1.241dA-425; IVb.241 dA-1 bis IVb.241dA- 425; VII.241dA-1 bis VII.241 dA-425)Table 241d Compounds V, IVa-1, IVb and VII, wherein B is 4-chlorothien-3-yl and A in each case corresponds to one group of a row of Table A (compounds V.241dA-1 to V.241 dA-425 IVa-1.241 dA-1 to IVa-1.241dA-425; IVb.241 dA-1 to IVb.241dA-425; VII.241dA-1 to VII.241 dA-425)
Tabelle 242d Verbindungen V, IVa-1 , IVb und VII, worin B für 5-Chlorthien-3-yl steht und A jeweils einer Gruppe einer Zeile der Tabelle A entspricht (Verbindungen V.242dA-1 bis V.242dA-425; IVa-1.242dA-1 bis IVa-1.242dA-425; IVb.242dA-1 bis IVb.242dA- 425; VII.242dA-1 bis VII.242dA-425)Table 242d Compounds V, IVa-1, IVb and VII, wherein B is 5-chlorothien-3-yl and A corresponds in each case to one group of one row of Table A (Compounds V.242dA-1 to V.242dA-425; IVa IV.242dA-1 to IVb.242dA-425; VII.242dA-1 to VII.242dA-425)
Tabelle 243d Verbindungen V, IVa-1 , IVb und VII, worin B für 2-Bromthien-3-yl steht und A jeweils einer Gruppe einer Zeile der Tabelle A entspricht (Verbindungen V.243dA-1 bis V.243dA-425; IVa-1.243dA-1 bis IVa-1.243dA-425; IVb.243dA-1 bis IVb.243dA- 425; VII.243dA-1 bis VII.243dA-425)Table 243d Compounds V, IVa-1, IVb and VII, wherein B is 2-bromothien-3-yl and A corresponds in each case to one group of one row of Table A (compounds V.243dA-1 to V.243dA-425; IVa -1.243dA-1 to IVa-1.243dA-425; IVb.243dA-1 to IVb.243dA-425; VII.243dA-1 to VII.243dA-425)
Tabelle 244d Verbindungen V, IVa-1 , IVb und VII, worin B für 4-Bromthien-3-yl steht und A jeweils einer Gruppe einer Zeile der Tabelle A entspricht (Verbindungen V.244dA-1 bis V.244dA-425; IVa-1.244dA-1 bis IVa-1.244dA-425; IVb.244dA-1 bis IVb.244dA-Table 244d Compounds V, IVa-1, IVb and VII, wherein B is 4-bromothien-3-yl and A corresponds in each case to one group of one row of Table A (compounds V.244dA-1 to V.244dA-425; IVa-1.244dA-1 to IVa-1.244dA-425; IVb.244dA-1 to IVb.244dA-
425; VII.244dA-1 bis VII.244dA-425) Tabelle 245d425; VII.244dA-1 to VII.244dA-425) Table 245d
Verbindungen V, IVa-1 , IVb und VII, worin B für 5-Bromthien-3-yl steht und A je- weils einer Gruppe einer Zeile der Tabelle A entspricht (Verbindungen V.245dA-1 bis V.245dA-425; IVa-1.245dA-1 bis IVa-1.245dA-425; IVb.245dA-1 bis IVb.245dA-Compounds V, IVa-1, IVb and VII in which B is 5-bromothien-3-yl and A in each case corresponds to one group of one row of Table A (compounds V.245dA-1 to V.245dA-425; IVa -1.245dA-1 to IVa-1.245dA-425; IVb.245dA-1 to IVb.245dA-
425; VII.245dA-1 bis VII.245dA-425) Tabelle 246d425; VII.245dA-1 to VII.245dA-425) Table 246d
Verbindungen V, IVa-1 , IVb und VII, worin B für 5-Methylthien-2-yl steht und A je- weils einer Gruppe einer Zeile der Tabelle A entspricht (Verbindungen V.246dA-1 bis V.246dA-425; IVa-1.246dA-1 bis IVa-1.246dA-425; IVb.246dA-1 bis IVb.246dA-Compounds V, IVa-1, IVb and VII in which B is 5-methylthien-2-yl and A in each case corresponds to one group of one row of Table A (compounds V.246dA-1 to V.246dA-425; IVa -1.246dA-1 to IVa-1.246dA-425; IVb.246dA-1 to IVb.246dA-
425; VII.246dA-1 bis VII.246dA-425) Tabelle 247d425; VII.246dA-1 to VII.246dA-425) Table 247d
Verbindungen V, IVa-1 , IVb und VII, worin B für 2-Methylthien-4-yl steht und A je- weils einer Gruppe einer Zeile der Tabelle A entspricht (Verbindungen V.247dA-1 bis V.247dA-425; IVa-1.247dA-1 bis IVa-1.247dA-425; IVb.247dA-1 bis IVb.247dA-Compounds V, IVa-1, IVb and VII, wherein B is 2-methylthien-4-yl and A in each case corresponds to one group of one row of Table A (compounds V.247dA-1 to V.247dA-425; IVa -1,247dA-1 to IVa-1,247dA-425; IVb.247dA-1 to IVb.247dA-
425; VII.247dA-1 bis VII.247dA-425) Tabelle 248d425; VII.247dA-1 to VII.247dA-425) Table 248d
Verbindungen V, IVa-1 , IVb und VII, worin B für 4,5-Dichlorthien-2-yl steht und A jeweils einer Gruppe einer Zeile der Tabelle A entspricht (Verbindungen V.248dA-1 bis V.248dA-425; IVa-1.248dA-1 bis IVa-1.248dA-425; IVb.248dA-1 bis IVb.248dA-Compounds V, IVa-1, IVb and VII, wherein B is 4,5-dichlorothien-2-yl and A corresponds in each case to one group of one row of Table A (Compounds V.248dA-1 to V.248dA-425; IVa -1.248dA-1 to IVa-1.248dA-425; IVb.248dA-1 to IVb.248dA-
425; VII.248dA-1 bis VII.248dA-425) Tabelle 249d425; VII.248dA-1 to VII.248dA-425) Table 249d
Verbindungen V, IVa-1 , IVb und VII, worin B für 2,5-Dichlorthien-3-yl steht und A jeweils einer Gruppe einer Zeile der Tabelle A entspricht (Verbindungen V.249dA-1 bis V.249dA-425; IVa-1.249dA-1 bis IVa-1.249dA-425; IVb.249dA-1 bis IVb.249dA-Compounds V, IVa-1, IVb and VII, wherein B is 2,5-dichlorothien-3-yl and A corresponds in each case to one group of a row of Table A (compounds V.249dA-1 to V.249dA-425; IVa -1.249dA-1 to IVa-1.249dA-425; IVb.249dA-1 to IVb.249dA-
425; VII.249dA-1 bis VII.249dA-425) Tabelle 25Od425; VII.249dA-1 to VII.249dA-425) Table 25Od
Verbindungen V, IVa-1 , IVb und VII, worin B für 2,3-Dichlorthien-4-yl steht und A jeweils einer Gruppe einer Zeile der Tabelle A entspricht (Verbindungen V.250dA-1 bis V.250dA-425; IVa-1.25OdA-I bis IVa-1.250dA-425; IVb.250dA-1 bis IVb.250dA-Compounds V, IVa-1, IVb and VII, wherein B is 2,3-dichlorothien-4-yl and A corresponds in each case to one group of one row of Table A (Compounds V.250dA-1 to V.250dA-425; IVa -1.25OdA-I to IVa-1.250dA-425; IVb.250dA-1 to IVb.250dA-
425; VII.250dA-1 bis VII.250dA-425) Tabelle 251 d425; VII.250dA-1 to VII.250dA-425) Table 251 d
Verbindungen V, IVa-1 , IVb und VII, worin B für 2,5-Dibromthien-3-yl steht und A jeweils einer Gruppe einer Zeile der Tabelle A entspricht (Verbindungen V.251dA-1 bis V.251 dA-425; IVa-1.251 dA-1 bis IVa-1.251 dA-425; IVb.251 dA-1 bis IVb.251dA-Compounds V, IVa-1, IVb and VII, wherein B is 2,5-dibromothien-3-yl and A corresponds in each case to one group of a row of Table A (compounds V.251dA-1 to V.251 dA-425; IVa-1.251 dA-1 to IVa-1.251 dA-425; IVb.251 dA-1 to IVb.251dA-
425; VII.251dA-1 bis VII.251 dA-425) Tabelle 252d425; VII.251dA-1 to VII.251 dA-425) Table 252d
Verbindungen V, IVa-1 , IVb und VII, worin B für 4,5-Dimethylthien-2-yl steht und A jeweils einer Gruppe einer Zeile der Tabelle A entspricht (Verbindungen V.252dA-1 bis V.252dA-425; IVa-1.252dA-1 bis IVa-1.252dA-425; IVb.252dA-1 bis IVb.252dA-Compounds V, IVa-1, IVb and VII, wherein B is 4,5-dimethylthien-2-yl and A corresponds in each case to one group of a row of Table A (compounds V.252dA-1 to V.252dA-425; IVa -1.252dA-1 to IVa-1.252dA-425; IVb.252dA-1 to IVb.252dA-
425; VII.252dA-1 bis VII.252dA-425) Tabelle 253d425; VII.252dA-1 to VII.252dA-425) Table 253d
Verbindungen V, IVa-1 , IVb und VII, worin B für 2,5-Dimethylthien-3-yl steht und A jeweils einer Gruppe einer Zeile der Tabelle A entspricht (Verbindungen V.253dA-1 bis V.253dA-425; IVa-1.253dA-1 bis IVa-1.253dA-425; IVb.253dA-1 bis IVb.253dA- 425; VI 1.253dA-1 bis VI 1.253dA-425)Compounds V, IVa-1, IVb and VII, wherein B is 2,5-dimethylthien-3-yl and A corresponds in each case to one group of a row of Table A (Compounds V.253dA-1 to V.253dA-425; IVa 1.253dA-1 to IVa-1.253dA-425; IVb.253dA-1 to IVb.253dA-425; VI 1.253dA-1 to VI 1.253dA-425)
Tabelle 254dTable 254d
Verbindungen V, IVa-1 , IVb und VII, worin B für 2,3-Dimethylthien-4-yl steht und A jeweils einer Gruppe einer Zeile der Tabelle A entspricht (Verbindungen V.254dA-1 bis V.254dA-425; IVa-1.254dA-1 bis IVa-1.254dA-425; IVb.254dA-1 bis IVb.254dA- 425; VII.254dA-1 bis VII.254dA-425)Compounds V, IVa-1, IVb and VII, wherein B is 2,3-dimethylthien-4-yl and A corresponds in each case to one group of a row of Table A (Compounds V.254dA-1 to V.254dA-425; IVa -1.254dA-1 to IVa-1.254dA-425; IVb.254dA-1 to IVb.254dA-425; VII.254dA-1 to VII.254dA-425)
Tabelle 255dTable 255d
Verbindungen V, IVa-1 , IVb und VII, worin B für 3,4,5-Trichlorthien-2-yl steht und A jeweils einer Gruppe einer Zeile der Tabelle A entspricht (Verbindungen V.255dA-1 bis V.255dA-425; IVa-1.255dA-1 bis IVa-1.255dA-425; IVb.255dA-1 bis IVb.255dA- 425; VII.255dA-1 bis VII.255dA-425)Compounds V, IVa-1, IVb and VII, wherein B is 3,4,5-trichlorothien-2-yl and A corresponds in each case to one group of a row of Table A (compounds V.255dA-1 to V.255dA-425 IVa-1.255dA-1 to IVa-1.255dA-425; IVb.255dA-1 to IVb.255dA-425; VII.255dA-1 to VII.255dA-425)
Tabelle 256dTable 256d
Verbindungen V, IVa-1 , IVb und VII, worin B für 2,4,5-Trichlorthien-3-yl steht und A jeweils einer Gruppe einer Zeile der Tabelle A entspricht (Verbindungen V.256dA-1 bis V.256dA-425; IVa-1.256dA-1 bis IVa-1.256dA-425; IVb.256dA-1 bis IVb.256dA- 425; VII.256dA-1 bis VII.256dA-425)Compounds V, IVa-1, IVb and VII, wherein B is 2,4,5-trichlorothien-3-yl and A in each case corresponds to one group of a row of Table A (compounds V.256dA-1 to V.256dA-425 IVa-1.256dA-1 to IVa-1.256dA-425; IVb.256dA-1 to IVb.256dA-425; VII.256dA-1 to VII.256dA-425)
Tabelle 257dTable 257d
Verbindungen V, IVa-1 , IVb und VII, worin B für 2,4,5-Tribromthien-3-yl steht und A jeweils einer Gruppe einer Zeile der Tabelle A entspricht (Verbindungen V.257dA-1 bis V.257dA-425; IVa-1.257dA-1 bis IVa-1.257dA-425; IVb.257dA-1 bis IVb.257dA- 425; VII.257dA-1 bis VII.257dA-425)Compounds V, IVa-1, IVb and VII, wherein B is 2,4,5-tribromothien-3-yl and A in each case corresponds to one group of a row of Table A (compounds V.257dA-1 to V.257dA-425 IVa-1.257dA-1 to IVa-1.257dA-425; IVb.257dA-1 to IVb.257dA-425; VII.257dA-1 to VII.257dA-425)
Tabelle 258dTable 258d
Verbindungen V, IVa-1 , IVb und VII, worin B für 3,4,5-Trimethylthien-2-yl steht und A jeweils einer Gruppe einer Zeile der Tabelle A entspricht (Verbindungen V.258dA-1 bis V.258dA-425; IVa-1.258dA-1 bis IVa-1.258dA-425; IVb.258dA-1 bis I Vb.258dA-425; VI 1.258dA-1 bis VI 1.258dA-425)Compounds V, IVa-1, IVb and VII, wherein B is 3,4,5-trimethylthien-2-yl and A corresponds in each case to one group of one row of Table A (compounds V.258dA-1 to V.258dA-425 IVa-1.258dA-1 to IVa-1.258dA-425; IVb.258dA-1 to I Vb.258dA-425; VI 1.258dA-1 to VI 1.258dA-425)
Tabelle 259dTable 259d
Verbindungen V, IVa-1 , IVb und VII, worin B für 4-Chlorfur-2-yl steht und A jeweils einer Gruppe einer Zeile der Tabelle A entspricht (Verbindungen V.259dA-1 bis V.259dA-425; IVa-1.259dA-1 bis IVa-1.259dA-425; IVb.259dA-1 bis IVb.259 dA- 425; VII.259dA-1 bis VII.259dA-425)Compounds V, IVa-1, IVb and VII, wherein B is 4-chlorofur-2-yl and A corresponds in each case to one group of one row of Table A (compounds V.259dA-1 to V.259dA-425; IVa-1.259 dA-1 to IVa-1.259dA-425; IVb.259dA-1 to IVb.259 dA-425; VII.259dA-1 to VII.259dA-425)
Tabelle 26OdTable 26Od
Verbindungen V, IVa-1 , IVb und VII, worin B für 5-Chlorfur-2-yl steht und A jeweils einer Gruppe einer Zeile der Tabelle A entspricht (Verbindungen V.260dA-1 bis V.260dA-425; IVa-1.26OdA-I bis IVa-1.260dA-425; IVb.260dA-1 bis IVb.260dA- 425; VII.260dA-1 bis VII.260dA-425)Compounds V, IVa-1, IVb and VII, wherein B is 5-chlorofur-2-yl and A corresponds in each case to one group of a row of Table A (Compounds V.260dA-1 to V.260dA-425; IVa-1.26 OdA-I to IVa-1.260dA-425; IVb.260dA-1 to IVb.260dA-425; VII.260dA-1 to VII.260dA-425)
Tabelle 261 dTable 261 d
Verbindungen V, IVa-1 , IVb und VII, worin B für 3-Bromfur-2-yl steht und A jeweils einer Gruppe einer Zeile der Tabelle A entspricht (Verbindungen V.261 dA-1 bis V.261dA-425; IVa-1.261 dA-1 bis IVa-1.261 dA-425; IVb.261 dA-1 bis IVb.261dA- 425; VII.261dA-1 bis VII.261 dA-425)Compounds V, IVa-1, IVb and VII wherein B is 3-bromo-fur-2-yl and A are each a group corresponding to one row of Table A (compounds V.261 dA-1 to V.261dA-425; IVa-1.261 dA-1 to IVa-1.261 dA-425; IVb.261 dA-1 to IVb.261dA-425; VII.261dA-1 to VII.261 dA-425)
Tabelle 262d Verbindungen V, IVa-1 , IVb und VII, worin B für 4-Bromfur-2-yl steht und A jeweils einer Gruppe einer Zeile der Tabelle A entspricht (Verbindungen V.262dA-1 bis V.262dA-425; IVa-1.262dA-1 bis IVa-1.262dA-425; IVb.262dA-1 bis IVb.262dA- 425; VII.262dA-1 bis VII.262dA-425)Table 262d Compounds V, IVa-1, IVb and VII, wherein B is 4-bromo-fur-2-yl and A corresponds in each case to one group of one row of Table A (compounds V.262dA-1 to V.262dA-425; IVa -1.262dA-1 to IVa-1.262dA-425; IVb.262dA-1 to IVb.262dA-425; VII.262dA-1 to VII.262dA-425)
Tabelle 263d Verbindungen V, IVa-1 , IVb und VII, worin B für 5-Bromfur-2-yl steht und A jeweils einer Gruppe einer Zeile der Tabelle A entspricht (Verbindungen V.263dA-1 bis V.263dA-425; IVa-1.263dA-1 bis IVa-1.263dA-425; IVb.263dA-1 bis IVb.263dA- 425; VII.263dA-1 bis VII.263dA-425)Table 263d Compounds V, IVa-1, IVb and VII, wherein B is 5-bromo-fur-2-yl and A corresponds in each case to one group of one row of Table A (Compounds V.263dA-1 to V.263dA-425; IVa -1.263dA-1 to IVa-1.263dA-425; IVb.263dA-1 to IVb.263dA-425; VII.263dA-1 to VII.263dA-425)
Tabelle 264d Verbindungen V, IVa-1 , IVb und VII, worin B für 3, 4-Dichlorfur-2-yl steht und A jeweils einer Gruppe einer Zeile der Tabelle A entspricht (Verbindungen V.264dA-1 bis V.264dA-425; IVa-1.264dA-1 bis IVa-1.264dA-425; IVb.264dA-1 bis IVb.264dA- 425; VII.264dA-1 bis VII.264dA-425)Table 264d Compounds V, IVa-1, IVb and VII, wherein B is 3,4-dichloropur-2-yl and A corresponds in each case to one group of one row of Table A (compounds V.264dA-1 to V.264dA-425 IVa-1.264dA-1 to IVa-1.264dA-425; IVb.264dA-1 to IVb.264dA-425; VII.264dA-1 to VII.264dA-425)
Tabelle 265d Verbindungen V, IVa-1 , IVb und VII, worin B für 4, 5-Dichlorfur-2-yl steht und A jeweils einer Gruppe einer Zeile der Tabelle A entspricht (Verbindungen V.265dA-1 bis V.265dA-425; IVa-1.265dA-1 bis IVa-1.265dA-425; IVb.265dA-1 bis IVb.265dA- 425; VII.265dA-1 bis VII.265dA-425)Table 265d Compounds V, IVa-1, IVb and VII, wherein B is 4,5-dichloropur-2-yl and A in each case corresponds to one group of one row of Table A (Compounds V.265dA-1 to V.265dA-425 IVa-1.265dA-1 to IVa-1.265dA-425; IVb.265dA-1 to IVb.265dA-425; VII.265dA-1 to VII.265dA-425)
Tabelle 266d Verbindungen V, IVa-1 , IVb und VII, worin B für Thiazol-2-yl steht und A jeweils einer Gruppe einer Zeile der Tabelle A entspricht (Verbindungen V.266dA-1 bis V.266dA-425; IVa-1.266dA-1 bis IVa-1.266dA-425; IVb.266dA-1 bis IVb.266dA- 425; VII.266dA-1 bis VII.266dA-425)Table 266d Compounds V, IVa-1, IVb and VII, wherein B is thiazol-2-yl and A corresponds in each case to one group of one row of Table A (Compounds V.266dA-1 to V.266dA-425; IVa-1.266 dA-1 to IVa-1.266dA-425; IVb.266dA-1 to IVb.266dA-425; VII.266dA-1 to VII.266dA-425)
Tabelle 267d Verbindungen V, IVa-1 , IVb und VII, worin B für Thiazol-4-yl steht und A jeweils einer Gruppe einer Zeile der Tabelle A entspricht (Verbindungen V.267dA-1 bis V.267dA-425; IVa-1.267dA-1 bis IVa-1.267dA-425; IVb.267dA-1 bis IVb.267dA- 425; VII.267dA-1 bis VII.267dA-425)Table 267d Compounds V, IVa-1, IVb and VII, wherein B is thiazol-4-yl and A corresponds in each case to one group of one row of Table A (Compounds V.267dA-1 to V.267dA-425; IVa-1.267 dA-1 to IVa-1.267dA-425; IVb.267dA-1 to IVb.267dA-425; VII.267dA-1 to VII.267dA-425)
Tabelle 268d Verbindungen V, IVa-1 , IVb und VII, worin B für Thiazol-5-yl steht und A jeweils einer Gruppe einer Zeile der Tabelle A entspricht (Verbindungen V.268dA-1 bis V.268dA-425; IVa-1.268dA-1 bis IVa-1.268dA-425; IVb.268dA-1 bis IVb.268dA- 425; VII.268dA-1 bis VII.268dA-425)Table 268d Compounds V, IVa-1, IVb and VII, wherein B is thiazol-5-yl and A corresponds in each case to one group of one row of Table A (compounds V.268dA-1 to V.268dA-425; IVa-1.268 dA-1 to IVa-1.268dA-425; IVb.268dA-1 to IVb.268dA-425; VII.268dA-1 to VII.268dA-425)
Tabelle 269d Verbindungen V, IVa-1 , IVb und VII, worin B für lsothiazol-3-yl steht und A jeweils einer Gruppe einer Zeile der Tabelle A entspricht (Verbindungen V.269dA-1 bis V.269dA-425; IVa-1.269dA-1 bis IVa-1.269dA-425; IVb.269dA-1 bis IVb.269dA-Table 269d compounds V, IVa-1, IVb and VII, wherein B is isothiazol-3-yl and A in each case corresponds to one group of a row of Table A (compounds V.269dA-1 to V.269dA-425; IVa-1.269dA-1 to IVa-1.269dA-425; IVb.269dA-1 to IVb.269dA-
425; VII.269dA-1 bis VII.269dA-425) Tabelle 27Od425; VII.269dA-1 to VII.269dA-425) Table 27Od
Verbindungen V, IVa-1 , IVb und VII, worin B für lsothiazol-4-yl steht und A jeweils einer Gruppe einer Zeile der Tabelle A entspricht (Verbindungen V.270dA-1 bisCompounds V, IVa-1, IVb and VII, wherein B is isothiazol-4-yl and A in each case corresponds to one group of a row of Table A (compounds V.270dA-1 to
V.270dA-425; IVa-1.27OdA-I bis IVa-1.270dA-425; IVb.270dA-1 bis IVb.270dA-V.270dA-425; IVa-1.27OdA-I to IVa-1.270dA-425; IVb.270dA-1 to IVb.270dA-
425; VII.270dA-1 bis VII.270dA-425) Tabelle 271 d425; VII.270dA-1 to VII.270dA-425) Table 271 d
Verbindungen V, IVa-1 , IVb und VII, worin B für lsothiazol-5-yl steht und A jeweils einer Gruppe einer Zeile der Tabelle A entspricht (Verbindungen V.271 dA-1 bisCompounds V, IVa-1, IVb and VII, wherein B is isothiazol-5-yl and A in each case corresponds to one group of a row of Table A (compounds V.271 dA-1 to
V.271dA-425; IVa-1.271 dA-1 bis IVa-1.271 dA-425; IVb.271 dA-1 bis IVb.271dA-V.271dA-425; IVa-1.271 dA-1 to IVa-1.271 dA-425; IVb.271 dA-1 to IVb.271dA-
425; VI 1.271 dA-1 bis VII.271 dA-425) Tabelle 272d425; VI 1.271 dA-1 to VII.271 dA-425) Table 272d
Verbindungen V, IVa-1 , IVb und VII, worin B für 2-Chlorthiazol-4-yl steht und A je- weils einer Gruppe einer Zeile der Tabelle A entspricht (Verbindungen V.272dA-1 bis V.272dA-425; IVa-1.272dA-1 bis IVa-1.272dA-425; IVb.272dA-1 bis IVb.272dA-Compounds V, IVa-1, IVb and VII, wherein B is 2-chlorothiazol-4-yl and A in each case corresponds to one group of one row of Table A (compounds V.272dA-1 to V.272dA-425; IVa -1.272dA-1 to IVa-1.272dA-425; IVb.272dA-1 to IVb.272dA-
425; VII.272dA-1 bis VII.272dA-425) Tabelle 273d425; VII.272dA-1 to VII.272dA-425) Table 273d
Verbindungen V, IVa-1 , IVb und VII, worin B für 2-Chlorthiazol-5-yl steht und A je- weils einer Gruppe einer Zeile der Tabelle A entspricht (Verbindungen V.273dA-1 bis V.273dA-425; IVa-1.273dA-1 bis IVa-1.273dA-425; IVb.273dA-1 bis IVb.273dA-Compounds V, IVa-1, IVb and VII, wherein B is 2-chlorothiazol-5-yl and A in each case corresponds to one group of one row of Table A (compounds V.273dA-1 to V.273dA-425; IVa -1.273dA-1 to IVa-1.273dA-425; IVb.273dA-1 to IVb.273dA-
425; VII.273dA-1 bis VII.273dA-425) Tabelle 274d425; VII.273dA-1 to VII.273dA-425) Table 274d
Verbindungen V, IVa-1 , IVb und VII, worin B für 4-Chlorthiazol-5-yl steht und A je- weils einer Gruppe einer Zeile der Tabelle A entspricht (Verbindungen V.274dA-1 bis V.274dA-425; IVa-1.274dA-1 bis IVa-1.274dA-425; IVb.274dA-1 bis IVb.274dA-Compounds V, IVa-1, IVb and VII, wherein B is 4-chlorothiazol-5-yl and A in each case corresponds to one group of one line of Table A (compounds V.274dA-1 to V.274dA-425; IVa -1,274dA-1 to IVa-1,274dA-425; IVb.274dA-1 to IVb.274dA-
425; VII.274dA-1 bis VII.274dA-425) Tabelle 275d425; VII.274dA-1 to VII.274dA-425) Table 275d
Verbindungen V, IVa-1 , IVb und VII, worin B für 2-Bromthiazol-4-yl steht und A je- weils einer Gruppe einer Zeile der Tabelle A entspricht (Verbindungen V.275dA-1 bis V.275dA-425; IVa-1.275dA-1 bis IVa-1.275dA-425; IVb.275dA-1 bis IVb.275dA-Compounds V, IVa-1, IVb and VII, wherein B is 2-bromothiazol-4-yl and A in each case corresponds to one group of one line of Table A (compounds V.275dA-1 to V.275dA-425; IVa -1.275dA-1 to IVa-1.275dA-425; IVb.275dA-1 to IVb.275dA-
425; VII.275dA-1 bis VII.275dA-425) Tabelle 276d425; VII.275dA-1 to VII.275dA-425) Table 276d
Verbindungen V, IVa-1 , IVb und VII, worin B für 2-Bromthiazol-5-yl steht und A je- weils einer Gruppe einer Zeile der Tabelle A entspricht (Verbindungen V.276dA-1 bis V.276dA-425; IVa-1.276dA-1 bis IVa-1.276dA-425; IVb.276dA-1 bis IVb.276dA-Compounds V, IVa-1, IVb and VII, in which B is 2-bromothiazol-5-yl and A in each case corresponds to one group of one row of Table A (compounds V.276dA-1 to V.276dA-425; IVa -1.276dA-1 to IVa-1.276dA-425; IVb.276dA-1 to IVb.276dA-
425; VII.276dA-1 bis VII.276dA-425) Tabelle 277d425; VII.276dA-1 to VII.276dA-425) Table 277d
Verbindungen V, IVa-1 , IVb und VII, worin B für 2,4-Dichlorthiazol-5-yl steht und A jeweils einer Gruppe einer Zeile der Tabelle A entspricht (Verbindungen V.277dA-1 bis V.277dA-425; IVa-1.277dA-1 bis IVa-1.277dA-425; IVb.277dA-1 bis IVb.277dA-Compounds V, IVa-1, IVb and VII, wherein B is 2,4-dichlorothiazol-5-yl and A corresponds in each case to one group of one row of Table A (Compounds V.277dA-1 to V.277dA-425; IVa -1.277dA-1 to IVa-1.277dA-425; IVb.277dA-1 to IVb.277dA-
425; VII.277dA-1 bis VII.277dA-425) Tabelle 278d425; VII.277dA-1 to VII.277dA-425) Table 278d
Verbindungen V, IVa-1 , IVb und VII, worin B für 3-Chlorisothiazol-4-yl steht und A jeweils einer Gruppe einer Zeile der Tabelle A entspricht (Verbindungen V.278dA-1 bis V.278dA-425; IVa-1.278dA-1 bis IVa-1.278dA-425; IVb.278dA-1 bis IVb.278dA- 425; VII.278dA-1 bis VII.278dA-425)Compounds V, IVa-1, IVb and VII, wherein B is 3-chloroisothiazol-4-yl and A corresponds in each case to one group of one row of Table A (compounds V.278dA-1 to V.278dA-425; IVa-1.278 dA-1 to IVa-1.278dA-425; IVb.278dA-1 to IVb.278dA-425; VII.278dA-1 to VII.278dA-425)
Tabelle 279dTable 279d
Verbindungen V, IVa-1 , IVb und VII, worin B für 5-Methylisothiazol-3-yl steht und A jeweils einer Gruppe einer Zeile der Tabelle A entspricht (Verbindungen V.279dA-1 bis V.279dA-425; IVa-1.279dA-1 bis IVa-1.279dA-425; IVb.279dA-1 bis IVb.279dA- 425; VII.279dA-1 bis VII.279dA-425)Compounds V, IVa-1, IVb and VII, wherein B is 5-methylisothiazol-3-yl and A corresponds in each case to one group of a row of Table A (compounds V.279dA-1 to V.279dA-425; IVa-1.279 dA-1 to IVa-1.279dA-425; IVb.279dA-1 to IVb.279dA-425; VII.279dA-1 to VII.279dA-425)
Tabelle 28OdTable 28Od
Verbindungen V, IVa-1 , IVb und VII, worin B für 3-Methylisothiazol-4-yl steht und A jeweils einer Gruppe einer Zeile der Tabelle A entspricht (Verbindungen V.280dA-1 bis V.280dA-425; IVa-1.28OdA-I bis IVa-1.280dA-425; IVb.280dA-1 bis IVb.280dA- 425; VII.280dA-1 bis VII.280dA-425)Compounds V, IVa-1, IVb and VII, wherein B is 3-methylisothiazol-4-yl and A corresponds in each case to one group of one row of Table A (Compounds V.280dA-1 to V.280dA-425; IVa-1.28 OdA-I to IVa-1.280dA-425; IVb.280dA-1 to IVb.280dA-425; VII.280dA-1 to VII.280dA-425)
Tabelle 281 dTable 281 d
Verbindungen V, IVa-1 , IVb und VII, worin B für 3-Methylisothiazol-5-yl steht und A jeweils einer Gruppe einer Zeile der Tabelle A entspricht (Verbindungen V.281dA-1 bis V.281 dA-425; IVa-1.281 dA-1 bis IVa-1.281 dA-425; IVb.281 dA-1 bis IVb.281dA- 425; VI 1.281 dA-1 bis VII.281 dA-425)Compounds V, IVa-1, IVb and VII in which B is 3-methylisothiazol-5-yl and A in each case corresponds to one group of one row of Table A (compounds V.281dA-1 to V.281 dA-425; 1.281 dA-1 to IVa-1.281 dA-425; IVb.281 dA-1 to IVb.281dA-425; VI 1.281 dA-1 to VII.281 dA-425)
Tabelle 282dTable 282d
Verbindungen V, IVa-1 , IVb und VII, worin B für 4,5-Dichlorisothiazol-3-yl steht und A jeweils einer Gruppe einer Zeile der Tabelle A entspricht (Verbindungen V.282dA-1 bis V.282dA-425; IVa-1.282dA-1 bis IVa-1.282dA-425; IVb.282dA-1 bis I Vb.282dA-425; VI 1.282dA-1 bis VI 1.282dA-425)Compounds V, IVa-1, IVb and VII, wherein B is 4,5-dichloroisothiazol-3-yl and A corresponds in each case to one group of one row of Table A (compounds V.282dA-1 to V.282dA-425; IVa 1.282dA-1 to IVa-1.282dA-425; IVb.282dA-1 to I Vb.282dA-425; VI 1.282dA-1 to VI 1.282dA-425)
Tabelle 283dTable 283d
Verbindungen V, IVa-1 , IVb und VII, worin B für 4,5-Dimethylisothiazol-3-yl steht und A jeweils einer Gruppe einer Zeile der Tabelle A entspricht (Verbindungen V.283dA-1 bis V.283dA-425; IVa-1.283dA-1 bis IVa-1.283dA-425; IVb.283dA-1 bis I Vb.283dA-425; VI 1.283dA-1 bis VI 1.283dA-425)Compounds V, IVa-1, IVb and VII, wherein B is 4,5-dimethylisothiazol-3-yl and A corresponds in each case to one group of a row of Table A (compounds V.283dA-1 to V.283dA-425; IVa 1.283dA-1 to IVa-1.283dA-425; IVb.283dA-1 to I Vb.283dA-425; VI 1.283dA-1 to VI 1.283dA-425)
Tabelle 284dTable 284d
Verbindungen V, IVa-1 , IVb und VII, worin B für 3,5-Dimethylisothiazol-4-yl steht und A jeweils einer Gruppe einer Zeile der Tabelle A entspricht (Verbindungen V.284dA-1 bis V.284dA-425; IVa-1.284dA-1 bis IVa-1.284dA-425; IVb.284dA-1 bis I Vb.284dA-425; VI 1.284dA-1 bis VI 1.284dA-425)Compounds V, IVa-1, IVb and VII, wherein B is 3,5-dimethylisothiazol-4-yl and A corresponds in each case to one group of a row of Table A (Compounds V.284dA-1 to V.284dA-425; IVa -1.284dA-1 to IVa-1.284dA-425; IVb.284dA-1 to I Vb.284dA-425; VI 1.284dA-1 to VI 1.284dA-425)
Tabelle 285dTable 285d
Verbindungen V, IVa-1 , IVb und VII, worin B für 3,4-Dichlorisothiazol-5-yl steht und A jeweils einer Gruppe einer Zeile der Tabelle A entspricht (Verbindungen V.285dA-1 bis V.285dA-425; IVa-1.285dA-1 bis IVa-1.285dA-425; IVb.285dA-1 bis I Vb.285dA-425; VI 1.285dA-1 bis VI 1.285dA-425)Compounds V, IVa-1, IVb and VII, wherein B is 3,4-dichloroisothiazol-5-yl and A corresponds in each case to one group of one row of Table A (compounds V.285dA-1 to V.285dA-425; IVa 1.285dA-1 to IVa-1.285dA-425; IVb.285dA-1 to I Vb.285dA-425; VI 1.285dA-1 to VI 1.285dA-425)
Tabelle 286dTable 286d
Verbindungen V, IVa-1 , IVb und VII, worin B für Oxazol-2-yl steht und A jeweils ei- ner Gruppe einer Zeile der Tabelle A entspricht (Verbindungen V.286dA-1 bis V.286dA-425; IVa-1.286dA-1 bis IVa-1.286dA-425; IVb.286dA-1 bis IVb.286dA- 425; VII.286dA-1 bis VII.286dA-425)Compounds V, IVa-1, IVb and VII, wherein B is oxazol-2-yl and A is in each case a group corresponds to one row of Table A (compounds V.286dA-1 to V.286dA-425; IVa-1.286dA-1 to IVa-1.286dA-425; IVb.286dA-1 to IVb.286dA-425; VII. 286dA-1 to VII.286dA-425)
Tabelle 287d Verbindungen V, IVa-1 , IVb und VII, worin B für Oxazol-4-yl steht und A jeweils einer Gruppe einer Zeile der Tabelle A entspricht (Verbindungen V.287dA-1 bis V.287dA-425; IVa-1.287dA-1 bis IVa-1.287dA-425; IVb.287dA-1 bis IVb.287dA- 425; VII.287dA-1 bis VII.287dA-425)Table 287d Compounds V, IVa-1, IVb and VII, wherein B is oxazol-4-yl and A corresponds in each case to one group of one row of Table A (Compounds V.287dA-1 to V.287dA-425; IVa-1.287 dA-1 to IVa-1.287dA-425; IVb.287dA-1 to IVb.287dA-425; VII.287dA-1 to VII.287dA-425)
Tabelle 288d Verbindungen V, IVa-1 , IVb und VII, worin B für Oxazol-5-yl steht und A jeweils einer Gruppe einer Zeile der Tabelle A entspricht (Verbindungen V.288dA-1 bis V.288dA-425; IVa-1.288dA-1 bis IVa-1.288dA-425; IVb.288dA-1 bis IVb.288dA- 425; VII.288dA-1 bis VII.288dA-425)Table 288d Compounds V, IVa-1, IVb and VII, wherein B is oxazol-5-yl and A corresponds in each case to one group of one row of Table A (compounds V.288dA-1 to V.288dA-425; IVa-1.288 dA-1 to IVa-1.288dA-425; IVb.288dA-1 to IVb.288dA-425; VII.288dA-1 to VII.288dA-425)
Tabelle 289d Verbindungen V, IVa-1 , IVb und VII, worin B für lsoxazol-3-yl steht und A jeweils einer Gruppe einer Zeile der Tabelle A entspricht (Verbindungen V.289dA-1 bis V.289dA-425; IVa-1.289dA-1 bis IVa-1.289dA-425; IVb.289dA-1 bis IVb.289dA- 425; VII.289dA-1 bis VII.289dA-425)Table 289d Compounds V, IVa-1, IVb and VII, wherein B is isoxazol-3-yl and A corresponds in each case to one group of a row of Table A (compounds V.289dA-1 to V.289dA-425; IVa-1.289 dA-1 to IVa-1.289dA-425; IVb.289dA-1 to IVb.289dA-425; VII.289dA-1 to VII.289dA-425)
Tabelle 29Od Verbindungen V, IVa-1 , IVb und VII, worin B für lsoxazol-4-yl steht und A jeweils einer Gruppe einer Zeile der Tabelle A entspricht (Verbindungen V.290dA-1 bis V.290dA-425; IVa-1.29OdA-I bis IVa-1.290dA-425; IVb.290dA-1 bis IVb.290dA- 425; VII.290dA-1 bis VII.290dA-425)Table 29Od Compounds V, IVa-1, IVb and VII, wherein B is isoxazol-4-yl and A corresponds in each case to one group of a row of Table A (compounds V.290dA-1 to V.290dA-425; IVa-1.29 OdA-I to IVa-1.290dA-425; IVb.290dA-1 to IVb.290dA-425; VII.290dA-1 to VII.290dA-425)
Tabelle 291 d Verbindungen V, IVa-1 , IVb und VII, worin B für lsoxazol-5-yl steht und A jeweils einer Gruppe einer Zeile der Tabelle A entspricht (Verbindungen V.291 dA-1 bis V.291dA-425; IVa-1.291 dA-1 bis IVa-1.291 dA-425; IVb.291 dA-1 bis IVb.291dA- 425; VII.291dA-1 bis VII.291 dA-425)Table 291d Compounds V, IVa-1, IVb and VII, wherein B is isoxazol-5-yl and A corresponds in each case to one group of one row of Table A (Compounds V.291 dA-1 to V.291dA-425; IVa -1,291 dA-1 to IVa-1,291 dA-425; IVb.291 dA-1 to IVb.291dA-425; VII.291dA-1 to VII.291 dA-425)
Tabelle 292d Verbindungen V, IVa-1 , IVb und VII, worin B für 3-Chlorisoxazol-5-yl steht und A jeweils einer Gruppe einer Zeile der Tabelle A entspricht (Verbindungen V.292dA-1 bis V.292dA-425; IVa-1.292dA-1 bis IVa-1.292dA-425; IVb.292dA-1 bis IVb.292dA- 425; VII.292dA-1 bis VII.292dA-425)Table 292d Compounds V, IVa-1, IVb and VII, wherein B is 3-chloroisoxazol-5-yl and A corresponds in each case to one group of one row of Table A (Compounds V.292dA-1 to V.292dA-425; IVa -1.292dA-1 to IVa-1.292dA-425; IVb.292dA-1 to IVb.292dA-425; VII.292dA-1 to VII.292dA-425)
Tabelle 293d Verbindungen V, IVa-1 , IVb und VII, worin B für 5-Methylisoxazol-3-yl steht und A jeweils einer Gruppe einer Zeile der Tabelle A entspricht (Verbindungen V.293dA-1 bis V.293dA-425; IVa-1.293dA-1 bis IVa-1.293dA-425; IVb.293dA-1 bis IVb.293dA- 425; VII.293dA-1 bis VII.293dA-425)Table 293d Compounds V, IVa-1, IVb and VII, wherein B is 5-methylisoxazol-3-yl and A corresponds in each case to one group of a row of Table A (compounds V.293dA-1 to V.293dA-425; IVa -1.293dA-1 to IVa-1.293dA-425; IVb.293dA-1 to IVb.293dA-425; VII.293dA-1 to VII.293dA-425)
Tabelle 294d Verbindungen V, IVa-1 , IVb und VII, worin B für 5-Methylisoxazol-4-yl steht und A jeweils einer Gruppe einer Zeile der Tabelle A entspricht (Verbindungen V.294dA-1 bis V.294dA-425; IVa-1.294dA-1 bis IVa-1.294dA-425; IVb.294dA-1 bis IVb.294dA-Table 294d Compounds V, IVa-1, IVb and VII, wherein B is 5-methylisoxazol-4-yl and A corresponds in each case to one group of a row of Table A (compounds V.294dA-1 to V.294dA-425; IVa-1.294dA-1 to IVa-1.294dA-425; IVb.294dA-1 to IVb.294dA-
425; VII.294dA-1 bis VII.294dA-425) Tabelle 295d425; VII.294dA-1 to VII.294dA-425) Table 295d
Verbindungen V, IVa-1 , IVb und VII, worin B für 3-Methylisoxazol-5-yl steht und A jeweils einer Gruppe einer Zeile der Tabelle A entspricht (Verbindungen V.295dA-1 bis V.295dA-425; IVa-1.295dA-1 bis IVa-1.295dA-425; IVb.295dA-1 bis IVb.295dA-Compounds V, IVa-1, IVb and VII, wherein B is 3-methylisoxazol-5-yl and A corresponds in each case to one group of one row of Table A (compounds V.295dA-1 to V.295dA-425; IVa-1.295 dA-1 to IVa-1.295dA-425; IVb.295dA-1 to IVb.295dA-
425; VII.295dA-1 bis VII.295dA-425) Tabelle 296d425; VII.295dA-1 to VII.295dA-425) Table 296d
Verbindungen V, IVa-1 , IVb und VII, worin B für 3,5-Dimethylisoxazol-4-yl steht und A jeweils einer Gruppe einer Zeile der Tabelle A entspricht (VerbindungenCompounds V, IVa-1, IVb and VII, wherein B is 3,5-dimethylisoxazol-4-yl and A in each case corresponds to one group of a row of Table A (Compounds
V.296dA-1 bis V.296dA-425; IVa-1.296dA-1 bis IVa-1.296dA-425; IVb.296dA-1 bisV.296dA-1 to V.296dA-425; IVa-1.296dA-1 to IVa-1.296dA-425; IVb.296dA-1 to
IVb.296dA-425; VII.296dA-1 bis VII.296dA-425) Tabelle 297dIVb.296dA-425; VII.296dA-1 to VII.296dA-425) Table 297d
Verbindungen V, IVa-1 , IVb und VII, worin B für 3-Chlor-5-methylisoxazol-4-yl steht und A jeweils einer Gruppe einer Zeile der Tabelle A entspricht (VerbindungenCompounds V, IVa-1, IVb and VII, wherein B is 3-chloro-5-methylisoxazol-4-yl and A in each case corresponds to one group of a row of Table A (Compounds
V.297dA-1 bis V.297dA-425; IVa-1.297dA-1 bis IVa-1.297dA-425; IVb.297dA-1 bisV.297dA-1 to V.297dA-425; IVa-1.297dA-1 to IVa-1.297dA-425; IVb.297dA-1 bis
IVb.297dA-425; VII.297dA-1 bis VII.297dA-425) Tabelle 298dIVb.297dA-425; VII.297dA-1 to VII.297dA-425) Table 298d
Verbindungen V, IVa-1 , IVb und VII, worin B für 3-Methyl-4-chlorisoxazol-5-yl steht und A jeweils einer Gruppe einer Zeile der Tabelle A entspricht (VerbindungenCompounds V, IVa-1, IVb and VII, wherein B is 3-methyl-4-chloroisoxazol-5-yl and A in each case corresponds to one group of a row of Table A (Compounds
V.298dA-1 bis V.298dA-425; IVa-1.298dA-1 bis IVa-1.298dA-425; IVb.298dA-1 bisV.298dA-1 to V.298dA-425; IVa-1.298dA-1 to IVa-1.298dA-425; IVb.298dA-1 bis
IVb.298dA-425; VII.298dA-1 bis VII.298dA-425) Tabelle 299dIVb.298dA-425; VII.298dA-1 to VII.298dA-425) Table 299d
Verbindungen V, IVa-1 , IVb und VII, worin B für 1-Methylpyrazol-3-yl steht und A jeweils einer Gruppe einer Zeile der Tabelle A entspricht (Verbindungen V.299dA-1 bis V.299dA-425; IVa-1.299dA-1 bis IVa-1.299dA-425; IVb.299dA-1 bis IVb.299dA-Compounds V, IVa-1, IVb and VII, wherein B is 1-methylpyrazol-3-yl and A corresponds in each case to one group of one row of Table A (compounds V.299dA-1 to V.299dA-425; IVa-1.299 dA-1 to IVa-1.299dA-425; IVb.299dA-1 to IVb.299dA-
425; VII.299dA-1 bis VII.299dA-425) Tabelle 30Od425; VII.299dA-1 to VII.299dA-425) Table 30Od
Verbindungen V, IVa-1 , IVb und VII, worin B für 1 -Methyl pyrazol-4-yl steht und A jeweils einer Gruppe einer Zeile der Tabelle A entspricht (Verbindungen V.300dA-1 bis V.300dA-425; IVa-1.30OdA-I bis IVa-1.300dA-425; IVb.300dA-1 bis IVb.300dA-Compounds V, IVa-1, IVb and VII, in which B is 1-methylpyrazol-4-yl and A in each case corresponds to one group of one row of Table A (compounds V.300dA-1 to V.300dA-425; 1.30OdA-I to IVa-1.300dA-425; IVb.300dA-1 to IVb.300dA-
425; VII.300dA-1 bis VII.300dA-425) Tabelle 301 d425; VII.300dA-1 to VII.300dA-425) Table 301 d
Verbindungen V, IVa-1 , IVb und VII, worin B für 1 -Methyl pyrazol-5-yl steht und A jeweils einer Gruppe einer Zeile der Tabelle A entspricht (Verbindungen V.301dA-1 bis V.301 dA-425; IVa-1.301 dA-1 bis IVa-1.301dA-425; IVb.301 dA-1 bis IVb.301dA-Compounds V, IVa-1, IVb and VII, wherein B is 1-methyl-pyrazol-5-yl and A corresponds in each case to one group of one row of Table A (Compounds V.301dA-1 to V.301 dA-425; IVa -1.301 dA-1 to IVa-1.301dA-425; IVb.301 dA-1 to IVb.301dA-
425; VII.301dA-1 bis VI 1.301 dA-425) Tabelle 302d425; VII.301dA-1 to VI 1.301 dA-425) Table 302d
Verbindungen V, IVa-1 , IVb und VII, worin B für 1 ,3-Dimethylpyrazol-4-yl steht und A jeweils einer Gruppe einer Zeile der Tabelle A entspricht (VerbindungenCompounds V, IVa-1, IVb and VII, wherein B is 1, 3-dimethylpyrazol-4-yl and A in each case corresponds to one group of a row of Table A (Compounds
V.302dA-1 bis V.302dA-425; IVa-1.302dA-1 bis IVa-1.302dA-425; IVb.302dA-1 bisV.302dA-1 to V.302dA-425; IVa-1.302dA-1 to IVa-1.302dA-425; IVb.302dA-1 to
IVb.302dA-425; VII.302dA-1 bis VII.302dA-425) Tabelle 303dIVb.302dA-425; VII.302dA-1 to VII.302dA-425) Table 303d
Verbindungen V, IVa-1 , IVb und VII, worin B für 1 ,5-Dimethylpyrazol-4-yl steht und A jeweils einer Gruppe einer Zeile der Tabelle A entspricht (Verbindungen V.303dA-1 bis V.303dA-425; IVa-1.303dA-1 bis IVa-1.303dA-425; IVb.303dA-1 bis I Vb.303dA-425; VI 1.303dA-1 bis VI 1.303dA-425)Compounds V, IVa-1, IVb and VII, wherein B is 1, 5-dimethylpyrazol-4-yl and A corresponds in each case to one group of one row of Table A (Compounds V.303dA-1 to V.303dA-425; IVa -1.303dA-1 to IVa-1.303dA-425; IVb.303dA-1 to I Vb.303dA-425; VI 1.303dA-1 to VI 1.303dA-425)
Tabelle 304dTable 304d
Verbindungen V, IVa-1 , IVb und VII, worin B für 1 ,3,5-Trimethylpyrazol-4-yl steht und A jeweils einer Gruppe einer Zeile der Tabelle A entspricht (Verbindungen V.304dA-1 bis V.304dA-425; IVa-1.304dA-1 bis IVa-1.304dA-425; IVb.304dA-1 bis I Vb.304dA-425; VI 1.304dA-1 bis VI 1.304dA-425)Compounds V, IVa-1, IVb and VII, wherein B is 1, 3,5-trimethylpyrazol-4-yl and A corresponds in each case to one group of one row of Table A (Compounds V.304dA-1 to V.304dA-425 IVa-1.304dA-1 to IVa-1.304dA-425; IVb.304dA-1 to I Vb.304dA-425; VI 1.304dA-1 to VI 1.304dA-425)
Tabelle 305dTable 305d
Verbindungen V, IVa-1 , IVb und VII, worin B für 1-Methylimidazol-4-yl steht und A jeweils einer Gruppe einer Zeile der Tabelle A entspricht (Verbindungen V.305dA-1 bis V.305dA-425; IVa-1.305dA-1 bis IVa-1.305dA-425; IVb.305dA-1 bis IVb.305dA- 425; VII.305dA-1 bis VII.305dA-425)Compounds V, IVa-1, IVb and VII, wherein B is 1-methylimidazol-4-yl and A corresponds in each case to one group of one row of Table A (Compounds V.305dA-1 to V.305dA-425; IVa-1.305 dA-1 to IVa-1.305dA-425; IVb.305dA-1 to IVb.305dA-425; VII.305dA-1 to VII.305dA-425)
Tabelle 306dTable 306d
Verbindungen V, IVa-1 , IVb und VII, worin B für 1 ,5-Dimethylimidazol-4-yl steht und A jeweils einer Gruppe einer Zeile der Tabelle A entspricht (Verbindungen V.306dA-1 bis V.306dA-425; IVa-1.306dA-1 bis IVa-1.306dA-425; IVb.306dA-1 bis I Vb.306dA-425; VI 1.306dA-1 bis VI 1.306dA-425)Compounds V, IVa-1, IVb and VII, wherein B is 1, 5-dimethylimidazol-4-yl and A corresponds in each case to one group of one row of Table A (Compounds V.306dA-1 to V.306dA-425; IVa -1.306dA-1 to IVa-1.306dA-425; IVb.306dA-1 to I Vb.306dA-425; VI 1.306dA-1 to VI 1.306dA-425)
Tabelle 307dTable 307d
Verbindungen V, IVa-1 , IVb und VII, worin B für 1 ,2-Dimethylimidazol-5-yl steht und A jeweils einer Gruppe einer Zeile der Tabelle A entspricht (Verbindungen V.307dA-1 bis V.307dA-425; IVa-1.307dA-1 bis IVa-1.307dA-425; IVb.307dA-1 bis I Vb.307dA-425; VI 1.307dA-1 bis VI 1.307dA-425)Compounds V, IVa-1, IVb and VII, wherein B is 1, 2-dimethylimidazol-5-yl and A corresponds in each case to one group of a row of Table A (Compounds V.307dA-1 to V.307dA-425; IVa -1.307dA-1 to IVa-1.307dA-425; IVb.307dA-1 to I Vb.307dA-425; VI 1.307dA-1 to VI 1.307dA-425)
Tabelle 308dTable 308d
Verbindungen V, IVa-1 , IVb und VII, worin B für 1 ,4-Dimethylimidazol-5-yl steht und A jeweils einer Gruppe einer Zeile der Tabelle A entspricht (Verbindungen V.308dA-1 bis V.308dA-425; IVa-1.308dA-1 bis IVa-1.308dA-425; IVb.308dA-1 bis I Vb.308dA-425; VI 1.308dA-1 bis VI 1.308dA-425)Compounds V, IVa-1, IVb and VII, wherein B is 1, 4-dimethylimidazol-5-yl and A corresponds in each case to one group of a row of Table A (Compounds V.308dA-1 to V.308dA-425; IVa -1.308dA-1 to IVa-1.308dA-425; IVb.308dA-1 to I Vb.308dA-425; VI 1.308dA-1 to VI 1.308dA-425)
Insbesondere sind im Hinblick auf ihre Verwendung die in den folgenden Tabellen 309a bis 616a zusammengestellten erfindungsgemäßen Verbindungen llla, INb, INc und llld-1 bevorzugt. Die in den Tabellen für einen Substituenten genannten Gruppen stellen außerdem für sich betrachtet, unabhängig von der Kombination, in der sie genannt sind, eine besonders bevorzugte Ausgestaltung des betreffenden Substituenten dar.In particular, in view of their use, Compounds IIIa, INb, INc and IIId-1 compiled in the following Tables 309a to 616a are preferred. The groups mentioned in the tables for a substituent Furthermore, independently of the combination in which they are mentioned, they represent a particularly preferred embodiment of the substituent in question.
Tabelle 309aTable 309a
Verbindungen lila, INb, INc und llld-1 , worin A für Pyridin-2-yl steht und B jeweils einer Gruppe in einer Zeile der Tabelle A entspricht (Verbindungen Wa.309aA-1 bis Nla.309eaA-425, Nlb.309aA-1 bis Nlb.309aA-425, lllc.309aA-1 bis lllc.309aA-425 und llld-1.309aA-1 bis llld-1.309aA-425) Tabelle 310aCompounds IIIa, INb, INc and IIId-1, in which A is pyridin-2-yl and B corresponds in each case to one group in one row of Table A (Compounds Wa.309aA-1 to Nla.309eaA-425, Nlb.309aA- 1 to Nlb.309aA-425, lllc.309aA-l to lllc.309aA-425 and llld-1.309aA-l to llld-1.309aA-425) Table 310a
Verbindungen lila, INb, INc und llld-1 , worin A für Pyridin-3-yl steht und B jeweils einer Gruppe in Zeile der Tabelle A entspricht (Verbindungen Nla.310aA-1 bis Nla.310eaA-425, Nlb.310aA-1 bis Nlb.310aA-425, lllc.310aA-1 bis lllc.310aA-425 und llld-1.31OaA-I bis llld-1.310aA-425) Tabelle 311 aCompounds IIIa, INb, INc and IIId-1, in which A is pyridin-3-yl and B corresponds in each case to one group in the row of Table A (compounds Nla.310aA-1 to Nla.310eaA-425, Nlb.310aA-1 to Nlb.310aA-425, lllc.310aA-l to lllc.310aA-425 and llld-1.31OaA-l to llld-1.310aA-425). Table 311 a
Verbindungen lila, INb, INc und llld-1 , worin A für Pyridin-4-yl steht und B jeweils einer Gruppe in einer Zeile der Tabelle A entspricht (Verbindungen Nla.311 aA-1 bis Nla.311 eaA-425, Nlb.311 aA-1 bis Nlb.31 1aA-425, Nlc.311 aA-1 bis Nlc.311 aA-425 und IMd-1.311aA-1 bis llld-1.311 aA-425) Tabelle 312aCompounds IIIa, INb, INc and IIId-1, in which A is pyridin-4-yl and B in each case corresponds to one group in a row of Table A (Compounds Nla.311 aA-1 to Nla.311 eaA-425, Nlb. 311 aA-1 to Nlb.31 1aA-425, Nlc.311 aA-1 to Nlc.311 aA-425 and IMd-1.311aA-1 to llld-1.311 aA-425) Table 312a
Verbindungen lila, INb, INc und llld-1 , worin A für 3-Chlorpyridin-2-yl steht und B jeweils einer Gruppe in einer Zeile der Tabelle A entspricht (Verbindungen Mla.312aA-1 bis Nla.312aA-425, Mlb.312aA-1 bis Nlb.312aA-425, lllc.312aA-1 bis lllc.312aA-425 und llld-1.312aA-1 bis llld-1.312aA-425) Tabelle 313aCompounds IIIa, INb, INc and IIId-1, where A is 3-chloropyridin-2-yl and B corresponds in each case to one group in one row of Table A (Compounds Mla.312aA-1 to Nla.312aA-425, Mlb. 312aA-1 to Nlb.312aA-425, lllc.312aA-l to lllc.312aA-425 and llld-1.312aA-l to llld-1.312aA-425) Table 313a
Verbindungen lila, INb, INc und llld-1 , worin A für 4-Chlorpyridin-2-yl steht und B jeweils einer Gruppe in einer Zeile der Tabelle A entspricht (Verbindungen Nla.313aA-1 bis Nla.313aA-425, Nlb.313aA-1 bis Nlb.313aA-425, lllc.313aA-1 bis lllc.313aA-425 und llld-1.313aA-1 bis llld-1.313aA-425) Tabelle 314aCompounds IIIa, INb, INc and IIId-1, in which A is 4-chloropyridin-2-yl and B corresponds in each case to one group in one row of Table A (Compounds Nla.313aA-1 to Nla.313aA-425, Nlb. 313aA-1 to Nlb.313aA-425, lllc.313aA-l to lllc.313aA-425 and llld-1.313aA-l to llld-1.313aA-425) Table 314a
Verbindungen lila, INb, INc und llld-1 , worin A für 5-Chlorpyridin-2-yl steht und B jeweils einer Gruppe in einer Zeile der Tabelle A entspricht (Verbindungen Nla.314aA-1 bis Nla.314aA-425, Nlb.314aA-1 bis Nlb.314aA-425, lllc.314aA-1 bis lllc.314aA-425 und llld-1.314aA-1 bis llld-1.314aA-425) Tabelle 315aCompounds IIIa, INb, INc and IIId-1, in which A is 5-chloropyridin-2-yl and B corresponds in each case to one group in one row of Table A (Compounds Nla.314aA-1 to Nla.314aA-425, Nlb. 314aA-1 to Nlb.314aA-425, lllc.314aA-l to lllc.314aA-425 and llld-1.314aA-l to llld-1.314aA-425) Table 315a
Verbindungen lila, INb, INc und llld-1 , worin A für 6-Chlorpyridin-2-yl steht und B jeweils einer Gruppe in einer Zeile der Tabelle A entspricht (Verbindungen Nla.315aA-1 bis Nla.315aA-425, Nlb.315aA-1 bis Nlb.315aA-425, lllc.315aA-1 bis lllc.315aA-425 und llld-1.315aA-1 bis llld-1.315aA-425) Tabelle 316aCompounds IIIa, INb, INc and IIId-1, where A is 6-chloropyridin-2-yl and B corresponds in each case to one group in one row of Table A (Compounds Nla.315aA-1 to Nla.315aA-425, Nlb. 315aA-1 to Nlb.315aA-425, lllc.315aA-l to lllc.315aA-425 and llld-1.315aA-l to llld-1.315aA-425) Table 316a
Verbindungen lila, INb, INc und llld-1 , worin A für 2-Chlorpyridin-3-yl steht und B jeweils einer Gruppe in einer Zeile der Tabelle A entspricht (Verbindungen Mla.316aA-1 bis Nla.316aA-425, Mlb.316aA-1 bis lllb.316aA-425, IMc.316aA-1 bis lllc.316aA-425 und llld-1.316aA-1 bis llld-1.316aA-425) Tabelle 317aCompounds purple, INb, INc and llld-1, wherein A is 2-chloro-pyridin-3-yl and B in each case corresponds to a group in a row of Table A (Compounds Mla.316aA-1 to Nla.316aA-425, Mlb.316aA-l to lllb.316aA-425, IMc.316aA-l to lllc.316aA-425 and llld-1.316aA-l to llld-1.316aA-425) Table 317a
Verbindungen lila, INb, INc und llld-1 , worin A für 4-Chlorpyridin-3-yl steht und B jeweils einer Gruppe in einer Zeile der Tabelle A entspricht (VerbindungenCompounds purple, INb, INc and llld-1, wherein A is 4-chloropyridin-3-yl and B each corresponds to a group in a row of Table A (Compounds
Mla.317aA-1 bis Nla.317aA-425, Mlb.317aA-1 bis Nlb.317aA-425, lllc.317aA-1 bis lllc.317aA-425 und llld-1.317aA-1 bis llld-1.317aA-425) Tabelle 318aMla.317aA-1 to Nla.317aA-425, Mlb.317aA-1 to Nlb.317aA-425, lllc.317aA-l to lllc.317aA-425 and llld-1.317aA-1 to llld-1.317aA-425) Table 318a
Verbindungen lila, INb, INc und llld-1 , worin A für 5-Chlorpyridin-3-yl steht und B jeweils einer Gruppe in einer Zeile der Tabelle A entspricht (VerbindungenCompounds purple, INb, INc and llld-1, wherein A is 5-chloropyridin-3-yl and B corresponds in each case to one group in a row of Table A (Compounds
Mla.318aA-1 bis Nla.318aA-425, Mlb.318aA-1 bis Nlb.318aA-425, IMc.318aA-1 bis lllc.318aA-425 und llld-1.318aA-1 bis llld-1.318aA-425) Tabelle 319aMla.318aA-1 to Nla.318aA-425, Mlb.318aA-1 to Nlb.318aA-425, IMc.318aA-1 to lllc.318aA-425 and IIId-1.318aA-1 to IIId-1.318aA-425) Table 319a
Verbindungen lila, INb, INc und llld-1 , worin A für 6-Chlorpyridin-3-yl steht und B jeweils einer Gruppe in einer Zeile der Tabelle A entspricht (VerbindungenCompounds lilac, INb, INc and llld-1, wherein A is 6-chloropyridin-3-yl and B in each case corresponds to a group in a row of Table A (Compounds
Mla.319aA-1 bis Nla.319aA-425, Mlb.319aA-1 bis Nlb.319aA-425, lllc.319aA-1 bis lllc.319aA-425 und llld-1.319aA-1 bis llld-1.319aA-425) Tabelle 320aMla.319aA-1 to Nla.319aA-425, Mlb.319aA-1 to Nlb.319aA-425, lllc.319aA-l to lllc.319aA-425 and llld-1.319aA-l to llld-1.319aA-425) Table 320a
Verbindungen lila, INb, INc und llld-1 , worin A für 2-Chlorpyridin-4-yl steht und B jeweils einer Gruppe in einer Zeile der Tabelle A entspricht (VerbindungenCompounds purple, INb, INc and llld-1, wherein A is 2-chloropyridin-4-yl and B in each case corresponds to a group in a row of Table A (Compounds
Mla.320aA-1 bis Nla.320aA-425, Mlb.320aA-1 bis Nlb.320aA-425, lllc.320aA-1 bis lllc.320aA-425 und llld-1.32OaA-I bis llld-1.320aA-425) Tabelle 321 aMla.320aA-1 to Nla.320aA-425, Mlb.320aA-1 to Nlb.320aA-425, lllc.320aA-l to lllc.320aA-425 and llld-1.32OaA-l to llld-1.320aA-425) Table 321 a
Verbindungen lila, INb, INc und llld-1 , worin A für 3-Chlorpyridin-4-yl steht und B jeweils einer Gruppe in einer Zeile der Tabelle A entspricht (VerbindungenCompounds purple, INb, INc and llld-1, wherein A is 3-chloropyridin-4-yl and B each corresponds to a group in a row of Table A (Compounds
Mla.321aA-1 bis Nla.321aA-425, Mlb.321aA-1 bis Nlb.321 aA-425, lllc.321aA-1 bis lllc.321 aA-425 und llld-1.321 aA-1 bis llld-1.321 aA-425) Tabelle 322aMla.321aA-1 to Nla.321aA-425, Mlb.321aA-1 to Nb.321 aA-425, lllc.321aA-l to lllc.321 aA-425 and llld-1.321 aA-1 to llld-1.321 aA- 425) Table 322a
Verbindungen lila, INb, INc und llld-1 , worin A für 4-Chlorpyridin-5-yl steht und B jeweils einer Gruppe in einer Zeile der Tabelle A entspricht (VerbindungenCompounds purple, INb, INc and llld-1, wherein A is 4-chloropyridin-5-yl and B corresponds in each case to one group in a row of Table A (Compounds
Mla.322aA-1 bis Nla.322aA-425, Mlb.322aA-1 bis Nlb.322aA-425, lllc.322aA-1 bis lllc.322aA-425 und llld-1.322aA-1 bis llld-1.322aA-425) Tabelle 323aMla.322aA-1 to Nla.322aA-425, Mlb.322aA-1 to Nlb.322aA-425, lllc.322aA-l to lllc.322aA-425 and llld-1.322aA-l to llld-1.322aA-425) Table 323a
Verbindungen lila, INb, INc und llld-1 , worin A für 3-Fluorpyridin-2-yl steht und B jeweils einer Gruppe in einer Zeile der Tabelle A entspricht (VerbindungenCompounds purple, INb, INc and llld-1, wherein A is 3-fluoropyridin-2-yl and B each corresponds to a group in a row of Table A (compounds
Nla.323aA-1 bis Nla.323aA-425, Nlb.323aA-1 bis Nlb.323aA-425, lllc.323aA-1 bis lllc.323aA-425 und llld-1.323aA-1 bis llld-1.323aA-425) Tabelle 324aNla.323aA-1 to Nla.323aA-425, Nlb.323aA-1 to Nb.323aA-425, lllc.323aA-l to lllc.323aA-425 and llld-1.323aA-l to llld-1.323aA-425) Table 324a
Verbindungen lila, INb, INc und llld-1 , worin A für 4-Fluorpyridin-2-yl steht und B jeweils einer Gruppe in einer Zeile der Tabelle A entspricht (VerbindungenCompounds purple, INb, INc and llld-1, wherein A is 4-fluoropyridin-2-yl and B each corresponds to a group in a row of Table A (compounds
Nla.324aA-1 bis Nla.324aA-425, Nlb.324aA-1 bis Nlb.324aA-425, lllc.324aA-1 bis lllc.324aA-425 und llld-1.324aA-1 bis llld-1.324aA-425) Tabelle 325aNla.324aA-1 to Nla.324aA-425, Nlb.324aA-1 to Nb.324aA-425, lllc.324aA-l to lllc.324aA-425 and llld-1.324aA-l to llld-1.324aA-425) Table 325a
Verbindungen lila, INb, INc und llld-1 , worin A für 5-Fluorpyridin-2-yl steht und B jeweils einer Gruppe in einer Zeile der Tabelle A entspricht (Verbindungen Mla.325aA-1 bis Nla.325aA-425, Mlb.325aA-1 bis Nlb.325aA-425, IMc.325aA-1 bis lllc.325aA-425 und llld-1.325aA-1 bis llld-1.325aA-425)Compounds IIIa, INb, INc and IIId-1, where A is 5-fluoropyridin-2-yl and B corresponds in each case to one group in one row of Table A (Compounds Mla.325aA-1 to Nla.325aA-425, Mlb. 325aA-1 to Nlb.325aA-425, IMc.325aA-l to lllc.325aA-425 and llld-1.325aA-1 to llld-1.325aA-425)
Tabelle 326aTable 326a
Verbindungen lila, INb, INc und llld-1 , worin A für 6-Fluorpyridin-2-yl steht und B jeweils einer Gruppe in einer Zeile der Tabelle A entspricht (Verbindungen Mla.326aA-1 bis Nla.326aA-425, Mlb.326aA-1 bis Nlb.326aA-425, lllc.326aA-1 bis lllc.326aA-425 und llld-1.326aA-1 bis llld-1.326aA-425)Compounds IIIa, INb, INc and IIId-1, where A is 6-fluoropyridin-2-yl and B corresponds in each case to one group in one row of Table A (Compounds Mla.326aA-1 to Nla.326aA-425, Mlb. 326aA-1 to Nlb.326aA-425, lllc.326aA-l to lllc.326aA-425 and llld-1.326aA-l to llld-1.326aA-425)
Tabelle 327aTable 327a
Verbindungen lila, INb, INc und llld-1 , worin A für 2-Fluorpyridin-3-yl steht und B jeweils einer Gruppe in einer Zeile der Tabelle A entspricht (Verbindungen Mla.327aA-1 bis Nla.327aA-425, Mlb.327aA-1 bis Nlb.327aA-425, lllc.327aA-1 bis lllc.327aA-425 und llld-1.327aA-1 bis llld-1.327aA-425)Compounds IIIa, INb, INc and IIId-1, where A is 2-fluoropyridin-3-yl and B in each case corresponds to one group in a row of Table A (Compounds Mla.327aA-1 to Nla.327aA-425, Mlb. 327aA-1 to Nlb.327aA-425, lllc.327aA-l to lllc.327aA-425 and llld-1.327aA-l to llld-1.327aA-425)
Tabelle 328aTable 328a
Verbindungen lila, INb, INc und llld-1 , worin A für 4-Fluorpyridin-3-yl steht und B jeweils einer Gruppe in einer Zeile der Tabelle A entspricht (Verbindungen Mla.328aA-1 bis Nla.328aA-425, Mlb.328aA-1 bis Nlb.328aA-425, IMc.328aA-1 bis lllc.328aA-425 und llld-1.328aA-1 bis llld-1.328aA-425)Compounds IIIa, INb, INc and IIId-1, where A is 4-fluoropyridin-3-yl and B corresponds in each case to one group in a row of Table A (Compounds Mla.328aA-1 to Nla.328aA-425, Mlb. 328aA-1 to Nlb.328aA-425, IMc.328aA-1 to lllc.328aA-425 and llld-1.328aA-1 to llld-1.328aA-425)
Tabelle 329aTable 329a
Verbindungen lila, INb, INc und llld-1 , worin A für 5-Fluorpyridin-3-yl steht und B jeweils einer Gruppe in einer Zeile der Tabelle A entspricht (Verbindungen Mla.329aA-1 bis Nla.329aA-425, Mlb.329aA-1 bis Nlb.329aA-425, lllc.329aA-1 bis lllc.329aA-425 und llld-1.329aA-1 bis llld-1.329aA-425)Compounds IIIa, INb, INc and IIId-1, where A is 5-fluoropyridin-3-yl and B corresponds in each case to one group in a row of Table A (Compounds Mla.329aA-1 to Nla.329aA-425, Mlb. 329aA-1 to Nlb.329aA-425, lllc.329aA-l to lllc.329aA-425 and llld-1.329aA-l to llld-1.329aA-425)
Tabelle 330aTable 330a
Verbindungen lila, INb, INc und llld-1 , worin A für 6-Fluorpyridin-3-yl steht und B jeweils einer Gruppe in einer Zeile der Tabelle A entspricht (Verbindungen Mla.330aA-1 bis Nla.330aA-425, Mlb.330aA-1 bis Nlb.330aA-425, Mlc.330aA-1 bis lllc.330aA-425 und llld-1.33OaA-I bis llld-1.330aA-425)Compounds IIIa, INb, INc and IIId-1, where A is 6-fluoropyridin-3-yl and B corresponds in each case to one group in one row of Table A (Compounds Mla.330aA-1 to Nla.330aA-425, Mlb. 330aA-1 to Nlb.330aA-425, Mlc.330aA-l to lllc.330aA-425 and llld-1.33OaA-l to llld-1.330aA-425)
Tabelle 331 aTable 331 a
Verbindungen lila, INb, INc und llld-1 , worin A für 2-Fluorpyridin-4-yl steht und B jeweils einer Gruppe in einer Zeile der Tabelle A entspricht (Verbindungen Mla.331aA-1 bis Nla.331aA-425, Mlb.331aA-1 bis Nlb.331 aA-425, lllc.331aA-1 bis lllc.331 aA-425 und llld-1.331 aA-1 bis llld-1.331 aA-425)Compounds IIIa, INb, INc and IIId-1, where A is 2-fluoropyridin-4-yl and B corresponds in each case to one group in one row of Table A (Compounds Mla.331aA-1 to Nla.331aA-425, Mlb. 331aA-1 to Nlb.331 aA-425, lllc.331aA-l to lllc.331 aA-425 and llld-1.331 aA-1 to llld-1.331 aA-425)
Tabelle 332aTable 332a
Verbindungen lila, INb, INc und llld-1 , worin A für 3-Fluorpyridin-4-yl steht und B jeweils einer Gruppe in einer Zeile der Tabelle A entspricht (Verbindungen Mla.332aA-1 bis Nla.332aA-425, Mlb.332aA-1 bis Nlb.332aA-425, lllc.332aA-1 bis lllc.332aA-425 und llld-1.332aA-1 bis llld-1.332aA-425)Compounds purple, INb, INc and llld-1, wherein A is 3-fluoropyridin-4-yl and B corresponds in each case to one group in a row of Table A (Compounds Mla.332aA-1 to Nla.332aA-425, Mlb. 332aA-1 to Nlb.332aA-425, lllc.332aA-1 to lllc.332aA-425 and llld-1.332aA-1 to llld-1.332aA-425)
Tabelle 333aTable 333a
Verbindungen lila, INb, INc und llld-1 , worin A für 3- Methylpyridin-2-yl steht und B jeweils einer Gruppe in einer Zeile der Tabelle A entspricht (VerbindungenCompounds purple, INb, INc and llld-1, wherein A is 3-methylpyridin-2-yl and B each corresponds to a group in a row of Table A (compounds
Mla.333aA-1 bis Nla.333aA-425, Mlb.333aA-1 bis Nlb.333aA-425, IMc.333aA-1 bis lllc.333aA-425 und IMd-1.333aA-1 bis Nld-1.333aA-425) Tabelle 334a Verbindungen lila, INb, INc und llld-1 , worin A für 4-Methylpyridin-2-yl steht und B jeweils einer Gruppe in einer Zeile der Tabelle A entspricht (VerbindungenMla.333aA-1 to Nla.333aA-425, Mlb.333aA-1 to Nlb.333aA-425, IMc.333aA-1 to lllc.333aA-425 and IMd-1.333aA-1 to Nld-1.333aA-425) Table 334a Compounds IIIa, INb, INc and IIId-1, wherein A is 4-methylpyridin-2-yl and B in each case corresponds to one group in a row of Table A (Compounds
Mla.334aA-1 bis Nla.334aA-425, Mlb.334aA-1 bis Nlb.334aA-425, IMc.334aA-1 bis lllc.334aA-425 und llld-1.334aA-1 bis llld-1.334aA-425) Tabelle 335a Verbindungen lila, INb, INc und llld-1 , worin A für 5-Methylpyridin-2-yl steht und B jeweils einer Gruppe in einer Zeile der Tabelle A entspricht (VerbindungenMla.334aA-1 to Nla.334aA-425, Mlb.334aA-1 to Nlb.334aA-425, IMc.334aA-1 to lllc.334aA-425 and IIId-1.334aA-1 to IIId-1.334aA-425) Table 335a Compounds IIIa, INb, INc and IIId-1, wherein A is 5-methylpyridin-2-yl and B in each case corresponds to a group in a row of Table A (Compounds
Mla.335aA-1 bis Nla.335aA-425, Mlb.335aA-1 bis Nlb.335aA-425, IMc.335aA-1 bis lllc.335aA-425 und llld-1.335aA-1 bis llld-1.335aA-425) Tabelle 336a Verbindungen lila, INb, INc und llld-1 , worin A für 6-Methylpyridin-2-yl steht und B jeweils einer Gruppe in einer Zeile der Tabelle A entspricht (VerbindungenMla.335aA-1 to Nla.335aA-425, Mlb.335aA-1 to Nlb.335aA-425, IMc.335aA-1 to lllc.335aA-425 and IIId-1.335aA-1 to IIId-1.335aA-425) Table 336a Compounds IIIa, INb, INc and IIId-1, wherein A is 6-methylpyridin-2-yl and B in each case corresponds to one group in a row of Table A (Compounds
Mla.336aA-1 bis Nla.336aA-425, Mlb.336aA-1 bis Nlb.336aA-425, IMc.336aA-1 bis lllc.336aA-425 und llld-1.336aA-1 bis llld-1.336aA-425) Tabelle 337a Verbindungen lila, INb, INc und llld-1 , worin A für 2-Methylpyridin-3-yl steht und B jeweils einer Gruppe in einer Zeile der Tabelle A entspricht (VerbindungenMla.336aA-1 to Nla.336aA-425, Mlb.336aA-1 to Nlb.336aA-425, IMc.336aA-1 to lllc.336aA-425 and IIId-1.336aA-1 to IIId-1.336aA-425) Table 337a Compounds IIIa, INb, INc and IIId-1, wherein A is 2-methylpyridin-3-yl and B in each case corresponds to one group in a row of Table A (Compounds
Mla.337aA-1 bis Nla.337aA-425, Mlb.337aA-1 bis Nlb.337aA-425, lllc.337aA-1 bis lllc.337aA-425 und llld-1.337aA-1 bis llld-1.337aA-425) Tabelle 338a Verbindungen lila, INb, INc und llld-1 , worin A für 4-Methylpyridin-3-yl steht und B jeweils einer Gruppe in einer Zeile der Tabelle A entspricht (VerbindungenMla.337aA-1 to Nla.337aA-425, Mlb.337aA-1 to Nlb.337aA-425, lllc.337aA-l to lllc.337aA-425 and llld-1.337aA-1 to llld-1.337aA-425) Table 338a Compounds IIIa, INb, INc and IIId-1, wherein A is 4-methylpyridin-3-yl and B in each case corresponds to one group in a row of Table A (Compounds
Mla.338aA-1 bis Nla.338aA-425, Mlb.338aA-1 bis Nlb.338aA-425, IMc.338aA-1 bis lllc.338aA-425 und llld-1.338aA-1 bis llld-1.338aA-425) Tabelle 339a Verbindungen lila, INb, INc und llld-1 , worin A für 5-Methylpyridin-3-yl steht und B jeweils einer Gruppe in einer Zeile der Tabelle A entspricht (VerbindungenMla.338aA-1 to Nla.338aA-425, Mlb.338aA-1 to Nlb.338aA-425, IMc.338aA-1 to lllc.338aA-425 and IIId-1.338aA-1 to IIId-1.338aA-425) Table 339a Compounds IIIa, INb, INc and IIId-1, where A is 5-methylpyridin-3-yl and B in each case corresponds to one group in a row of Table A (Compounds
Mla.339aA-1 bis Nla.339aA-425, Mlb.339aA-1 bis Nlb.339aA-425, IMc.339aA-1 bis lllc.339aA-425 und llld-1.339aA-1 bis llld-1.339aA-425) Tabelle 340a Verbindungen lila, INb, INc und llld-1 , worin A für 6-Methylpyridin-3-yl steht und B jeweils einer Gruppe in einer Zeile der Tabelle A entspricht (VerbindungenMla.339aA-1 to Nla.339aA-425, Mlb.339aA-1 to Nlb.339aA-425, IMc.339aA-1 to lllc.339aA-425 and llld-1.339aA-1 to llld-1.339aA-425) Table 340a Compounds IIIa, INb, INc and IIId-1, wherein A is 6-methylpyridin-3-yl and B corresponds in each case to one group in a row of Table A (Compounds
Mla.340aA-1 bis Nla.340aA-425, Mlb.340aA-1 bis Nlb.340aA-425, IMc.340aA-1 bis lllc.340aA-425 und llld-1.34OaA-I bis llld-1.340aA-425) Tabelle 341 a Verbindungen lila, INb, INc und llld-1 , worin A für 2-Methylpyridin-4-yl steht und B jeweils einer Gruppe in einer Zeile der Tabelle A entspricht (Verbindungen Mla.341aA-1 bis Nla.341aA-425, Mlb.341aA-1 bis lllb.341 aA-425, IMc.341aA-1 bis lllc.341 aA-425 und llld-1.341 aA-1 bis llld-1.341 aA-425) Tabelle 342aMla.340aA-1 to Nla.340aA-425, Mlb.340aA-1 to Nlb.340aA-425, IMc.340aA-l to lllc.340aA-425 and llld-1.34OaA-l to llld-1.340aA-425) Table 341 a Compounds purple, INb, INc and llld-1, wherein A is 2-methylpyridin-4-yl and B each corresponds to a group in a row of Table A (Compounds Mla.341aA-1 to Nla.341aA-425, Mlb.341aA-l to lllb.341 a-425, IMc.341aA-l to lllc.341 aA-425 and llld-1.341 aA-1 to llld-1.341 aA- 425) Table 342a
Verbindungen lila, INb, INc und llld-1 , worin A für 3-Methylpyridin-4-yl steht und B jeweils einer Gruppe in einer Zeile der Tabelle A entspricht (VerbindungenCompounds purple, INb, INc and llld-1, wherein A is 3-methylpyridin-4-yl and B each corresponds to a group in a row of Table A (Compounds
Mla.342aA-1 bis Nla.342aA-425,lllb.342aA-1 bis Nlb.342aA-425, lllc.342aA-1 bis lllc.342aA-425 und llld-1.342aA-1 bis llld-1.342aA-425) Tabelle 343aMla.342aA-1 to Nla.342aA-425, IIIb.342aA-1 to Nlb.342aA-425, IIIc. 342aA-l to lllc.342aA-425 and llld-1.342aA-l to llld-1.342aA-425) Table 343a
Verbindungen lila, INb, INc und llld-1 , worin A für 4-Methylpyridin-5-yl steht und B jeweils einer Gruppe in einer Zeile der Tabelle A entspricht (VerbindungenCompounds purple, INb, INc and llld-1, wherein A is 4-methylpyridin-5-yl and B each corresponds to a group in a row of Table A (Compounds
Mla.343aA-1 bis Nlb.343aA-425, Mlb.343aA-1 bis Nlb.343aA-425, lllc.343aA-1 bis lllc.343aA-425 und llld-1.343aA-1 bis llld-1.343aA-425) Tabelle 344aMla.343aA-1 to Nlb.343aA-425, Mlb.343aA-1 to Nlb.343aA-425, lllc.343aA-l to lllc.343aA-425 and llld-1.343aA-l to llld-1.343aA-425) Table 344a
Verbindungen lila, INb, INc und llld-1 , worin A für 3-Methoxypyridin-2-yl steht und B jeweils einer Gruppe in einer Zeile der Tabelle A entspricht (VerbindungenCompounds purple, INb, INc and llld-1, wherein A is 3-methoxypyridin-2-yl and B each corresponds to a group in a row of Table A (compounds
Mla.344aA-1 bis Nla.344aA-425, Mlb.344aA-1 bis Nlb.344aA-425, lllc.344aA-1 bis lllc.344aA-425 und llld-1.344aA-1 bis llld-1.344aA-425) Tabelle 345aMla.344aA-1 to Nla.344aA-425, Mlb.344aA-1 to Nlb.344aA-425, lllc.344aA-l to lllc.344aA-425 and llld-1.344aA-1 to llld-1.344aA-425) Table 345a
Verbindungen lila, INb, INc und llld-1 , worin A für 4-Methoxypyridin-2-yl steht und B jeweils einer Gruppe in einer Zeile der Tabelle A entspricht (VerbindungenCompounds purple, INb, INc and llld-1, wherein A is 4-methoxypyridin-2-yl and B each corresponds to a group in a row of Table A (Compounds
Mla.345aA-1 bis Nla.345aA-425, Mlb.345aA-1 bis Nlb.345aA-425, lllc.345aA-1 bis lllc.345aA-425 und llld-1.345aA-1 bis llld-1.334aA-425) Tabelle 346aMla.345aA-1 to Nla.345aA-425, Mlb.345aA-1 to Nlb.345aA-425, lllc.345aA-l to lllc.345aA-425 and llld-1.345aA-1 to llld-1.334aA-425) Table 346a
Verbindungen lila, INb, INc und llld-1 , worin A für 5-Methoxypyridin-2-yl steht und B jeweils einer Gruppe in einer Zeile der Tabelle A entspricht (VerbindungenCompounds purple, INb, INc and llld-1, wherein A is 5-methoxypyridin-2-yl and B in each case corresponds to a group in a row of Table A (Compounds
Mla.346aA-1 bis Nla.346aA-425, Mlb.346aA-1 bis Nlb.346aA-425, lllc.346aA-1 bis lllc.346aA-425 und llld-1.346aA-1 bis llld-1.346aA-425) Tabelle 347aMla.346aA-1 to Nla.346aA-425, Mlb.346aA-1 to Nlb.346aA-425, lllc.346aA-l to lllc.346aA-425 and llld-1.346aA-l to llld-1.346aA-425) Table 347a
Verbindungen lila, INb, INc und llld-1 , worin A für 6-Methoxypyridin-2-yl steht und B jeweils einer Gruppe in einer Zeile der Tabelle A entspricht (VerbindungenCompounds purple, INb, INc and llld-1, wherein A is 6-methoxypyridin-2-yl and B each corresponds to a group in a row of Table A (Compounds
Mla.347aA-1 bis Nla.347aA-425, Mlb.347aA-1 bis Nlb.347aA-425, lllc.347aA-1 bis lllc.347aA-425 und llld-1.347aA-1 bis llld-1.347aA-425) Tabelle 348aMla.347aA-1 to Nla.347aA-425, Mlb.347aA-1 to Nlb.347aA-425, lllc.347aA-l to lllc.347aA-425 and llld-1.347aA-l to llld-1.347aA-425) Table 348a
Verbindungen lila, INb, INc und llld-1 , worin A für 2-Methoxypyridin-3-yl steht und B jeweils einer Gruppe in einer Zeile der Tabelle A entspricht (VerbindungenCompounds lilac, INb, INc and llld-1, wherein A is 2-methoxypyridin-3-yl and B in each case corresponds to a group in a row of Table A (Compounds
Mla.348aA-1 bis Nla.348aA-425, Mlb.348aA-1 bis Nlb.348aA-425, IMc.348aA-1 bis lllc.348aA-425 und llld-1.348aA-1 bis llld-1.348aA-425) Tabelle 349aMla.348aA-1 to Nla.348aA-425, Mlb.348aA-1 to Nlb.348aA-425, IMc.348aA-1 to lllc.348aA-425 and IIId-1.348aA-1 to IIId-1.348aA-425) Table 349a
Verbindungen lila, INb, INc und llld-1 , worin A für 4-Methoxypyridin-3-yl steht und B jeweils einer Gruppe in einer Zeile der Tabelle A entspricht (VerbindungenCompounds purple, INb, INc and llld-1, wherein A is 4-methoxypyridin-3-yl and B corresponds in each case to one group in a row of Table A (Compounds
Mla.349aA-1 bis Nla.349aA-425, Mlb.349aA-1 bis Nlb.349aA-425, lllc.349aA-1 bis lllc.349aA-425 und llld-1.349aA-1 bis llld-1.349aA-425) Tabelle 350aMla.349aA-1 to Nla.349aA-425, Mlb.349aA-1 to Nlb.349aA-425, lllc.349aA-l to lllc.349aA-425 and llld-1.349aA-l to llld-1.349aA-425) Table 350a
Verbindungen lila, INb, INc und llld-1 , worin A für 5-Methoxypyridin-3-yl steht und B jeweils einer Gruppe in einer Zeile der Tabelle A entspricht (Verbindungen Mla.350aA-1 bis Nla.350aA-425, Mlb.350aA-1 bis Nlb.350aA-425, IMc.350aA-1 bis lllc.350aA-425 und llld-1.35OaA-I bis llld-1.350aA-425)Compounds IIIa, INb, INc and IIId-1, where A is 5-methoxypyridin-3-yl and B corresponds in each case to one group in one row of Table A (Compounds Mla.350aA-1 to Nla.350aA-425, Mlb. 350aA-1 to Nlb.350aA-425, IMc.350aA-l to lllc.350aA-425 and llld-1.35OaA-l to llld-1.350aA-425)
Tabelle 351 aTable 351 a
Verbindungen lila, INb, INc und llld-1 , worin A für 6-Methoxypyridin-3-yl steht und B jeweils einer Gruppe in einer Zeile der Tabelle A entspricht (Verbindungen Mla.351aA-1 bis Nla.351aA-425, Mlb.351aA-1 bis Nlb.351 aA-425, lllc.351aA-1 bis lllc.351 aA-425 und llld-1.351 aA-1 bis llld-1.351 aA-425)Compounds IIIa, INb, INc and IIId-1, where A is 6-methoxypyridin-3-yl and B corresponds in each case to one group in a row of Table A (Compounds Mla.351aA-1 to Nla.351aA-425, Mlb. 351aA-1 to Nlb.351 aA-425, lllc.351aA-1 to lllc.351 aA-425 and llld-1.351 aA-1 to llld-1.351 aA-425)
Tabelle 352aTable 352a
Verbindungen lila, INb, INc und llld-1 , worin A für 2-Methoxypyridin-4-yl steht und B jeweils einer Gruppe in einer Zeile der Tabelle A entspricht (Verbindungen Mla.352aA-1 bis Nla.352aA-425, Mlb.352aA-1 bis Nlb.352aA-425, lllc.352aA-1 bis lllc.352aA-425 und llld-1.352aA-1 bis llld-1.352aA-425)Compounds IIIa, INb, INc and IIId-1, where A is 2-methoxypyridin-4-yl and B corresponds in each case to one group in one row of Table A (Compounds Mla.352aA-1 to Nla.352aA-425, Mlb. 352aA-1 to Nlb.352aA-425, lllc.352aA-l to lllc.352aA-425 and llld-1.352aA-l to llld-1.352aA-425)
Tabelle 353aTable 353a
Verbindungen lila, INb, INc und llld-1 , worin A für 3-Methoxypyridin-4-yl steht und B jeweils einer Gruppe in einer Zeile der Tabelle A entspricht (Verbindungen Mla.353aA-1 bis Nla.353aA-425, Mlb.353aA-1 bis Nlb.353aA-425, lllc.353aA-1 bis lllc.353aA-425 und llld-1.353aA-1 bis llld-1.353aA-425)Compounds IIIa, INb, INc and IIId-1, where A is 3-methoxypyridin-4-yl and B corresponds in each case to one group in one row of Table A (Compounds Mla.353aA-1 to Nla.353aA-425, Mlb. 353aA-1 to Nlb.353aA-425, lllc.353aA-l to lllc.353aA-425 and llld-1.353aA-l to llld-1.353aA-425)
Tabelle 354aTable 354a
Verbindungen lila, INb, INc und llld-1 , worin A für 3,5-Dichlorpyridin-2-yl steht und B jeweils einer Gruppe in einer Zeile der Tabelle A entspricht (Verbindungen Mla.354aA-1 bis Nla.354aA-425, Mlb.354aA-1 bis Nlb.354aA-425, lllc.354aA-1 bis lllc.354aA-425 und llld-1.354aA-1 bis llld-1.354aA-425)Compounds IIIa, INb, INc and IIId-1, where A is 3,5-dichloropyridin-2-yl and B corresponds in each case to one group in one row of Table A (compounds Mla.354aA-1 to Nla.354aA-425, Mlb.354aA-1 to Nlb.354aA-425, lllc.354aA-l to lllc.354aA-425 and llld-1.354aA-l to llld-1.354aA-425)
Tabelle 355aTable 355a
Verbindungen lila, INb, INc und llld-1 , worin A für 2,4-Dichlorpyridin-3-yl steht und B jeweils einer Gruppe in einer Zeile der Tabelle A entspricht (Verbindungen Nla.355aA-1 bis Nla.355aA-425, Nlb.355aA-1 bis Nlb.355aA-425, lllc.355aA-1 bis lllc.355aA-425 und llld-1.355aA-1 bis llld-1.355aA-425)Compounds IIIa, INb, INc and IIId-1, in which A is 2,4-dichloropyridin-3-yl and B corresponds in each case to one group in one row of Table A (compounds Nla.355aA-1 to Nla.355aA-425, Nlb.355aA-1 to Nlb.355aA-425, lllc.355aA-l to lllc.355aA-425 and llld-1.355aA-l to llld-1.355aA-425)
Tabelle 356aTable 356a
Verbindungen lila, INb, INc und llld-1 , worin A für 2,5-Dichlorpyridin-3-yl steht und B jeweils einer Gruppe in einer Zeile der Tabelle A entspricht (Verbindungen Nla.356aA-1 bis Nla.356aA-425, Nlb.356aA-1 bis Nlb.356aA-425, lllc.356aA-1 bis lllc.356aA-425 und llld-1.356aA-1 bis llld-1.356aA-425)Compounds IIIa, INb, INc and IIId-1, where A is 2,5-dichloropyridin-3-yl and B corresponds in each case to one group in one row of Table A (compounds Nla.356aA-1 to Nla.356aA-425, Nlb.356aA-1 to Nlb.356aA-425, lllc.356aA-l to lllc.356aA-425 and llld-1.356aA-l to llld-1.356aA-425)
Tabelle 357aTable 357a
Verbindungen lila, INb, INc und llld-1 , worin A für 2,6-Dichlorpyridin-3-yl steht und B jeweils einer Gruppe in einer Zeile der Tabelle A entspricht (Verbindungen Nla.357aA-1 bis Nla.357aA-425, Nlb.357aA-1 bis Nlb.357aA-425, lllc.357aA-1 bis lllc.357aA-425 und llld-1.357aA-1 bis llld-1.357aA-425)Compounds IIIa, INb, INc and IIId-1, in which A is 2,6-dichloropyridin-3-yl and B corresponds in each case to one group in one row of Table A (compounds Nla.357aA-1 to Nla.357aA-425, Nlb.357aA-1 to Nlb.357aA-425, lllc.357aA-l to lllc.357aA-425 and llld-1.357aA-l to llld-1.357aA-425)
Tabelle 358aTable 358a
Verbindungen lila, INb, INc und llld-1 , worin A für 2,6-Dichlorpyridin-4-yl steht und B jeweils einer Gruppe in einer Zeile der Tabelle A entspricht (VerbindungenCompounds purple, INb, INc and llld-1, wherein A is 2,6-dichloropyridin-4-yl and B each corresponds to a group in a row of Table A (compounds
Mla.358aA-1 bis Nlb.358aA-425, Mlb.358aA-1 bis Nlb.358aA-425, IMc.358aA-1 bis lllc.358aA-425 und IMd-1.358aA-1 bis Nld-1.358aA-425) Tabelle 359a Verbindungen lila, INb, INc und llld-1 , worin A für 3,5-Dichlorpyridin-4-yl steht und B jeweils einer Gruppe in einer Zeile der Tabelle A entspricht (VerbindungenMla.358aA-1 to Nlb.358aA-425, Mlb.358aA-1 to Nlb.358aA-425, IMc.358aA-1 to lllc.358aA-425 and IMd-1.358aA-1 to Nld-1.358aA-425) Table 359a Compounds IIIa, INb, INc and IIId-1, wherein A is 3,5-dichloropyridin-4-yl and B in each case corresponds to one group in a row of Table A (Compounds
Mla.359aA-1 bis Nla.359aA-425, Mlb.359aA-1 bis Nlb.359aA-425, IMc.359aA-1 bis lllc.359aA-425 und llld-1.359aA-1 bis llld-1.359aA-425) Tabelle 360a Verbindungen lila, INb, INc und llld-1 , worin A für 3,6-Dichlorpyridin-4-yl steht und B jeweils einer Gruppe in einer Zeile der Tabelle A entspricht (VerbindungenMla.359aA-1 to Nla.359aA-425, Mlb.359aA-1 to Nlb.359aA-425, IMc.359aA-1 to lllc.359aA-425 and llld-1.359aA-1 to llld-1.359aA-425) Table 360a Compounds IIIa, INb, INc and IIId-1, in which A is 3,6-dichloropyridin-4-yl and B corresponds in each case to one group in one row of Table A (Compounds
Mla.360aA-1 bis Nla.360aA-425, Mlb.360aA-1 bis Nlb.360aA-425, IMc.360aA-1 bis lllc.360aA-425 und llld-1.36OaA-I bis llld-1.360aA-425) Tabelle 361 a Verbindungen lila, INb, INc und llld-1 , worin A für 2,5-Dichlorpyridin-4-yl steht und B jeweils einer Gruppe in einer Zeile der Tabelle A entspricht (VerbindungenMla.360aA-1 to Nla.360aA-425, Mlb.360aA-1 to Nlb.360aA-425, IMc.360aA-l to lllc.360aA-425 and llld-1.36OaA-l to llld-1.360aA-425) Table 361 a Compounds purple, INb, INc and llld-1, wherein A is 2,5-dichloropyridin-4-yl and B in each case corresponds to a group in a row of Table A (Compounds
Mla.361aA-1 bis Nla.361aA-425, Mlb.361aA-1 bis Nlb.361 aA-425, lllc.361aA-1 bis lllc.361 aA-425 und llld-1.361 aA-1 bis llld-1.361 aA-425) Tabelle 362a Verbindungen lila, INb, INc und llld-1 , worin A für 2,3-Dichlorpyridin-4-yl steht und B jeweils einer Gruppe in einer Zeile der Tabelle A entspricht (VerbindungenMla.361aA-1 to Nla.361aA-425, Mlb.361aA-1 to Nlb.361 aA-425, lllc.361aA-1 to lllc.361 aA-425 and llld-1.361 aA-1 to llld-1.361 aA- 425). Compounds IIIa, INb, INc and IIId-1, wherein A is 2,3-dichloropyridin-4-yl and B in each case corresponds to one group in a row of Table A (Compounds
Mla.362aA-1 bis Nla.362aA-425, Mlb.362aA-1 bis Nlb.362aA-425, lllc.362aA-1 bis lllc.362aA-425 und llld-1.362aA-1 bis llld-1.362aA-425) Tabelle 363a Verbindungen lila, INb, INc und llld-1 , worin A für 2,4-Dichlorpyridin-5-yl steht und B jeweils einer Gruppe in einer Zeile der Tabelle A entspricht (VerbindungenMla.362aA-1 to Nla.362aA-425, Mlb.362aA-1 to Nlb.362aA-425, lllc.362aA-l to lllc.362aA-425 and llld-1.362aA-l to llld-1.362aA-425) Table 363a Compounds IIIa, INb, INc and IIId-1, wherein A is 2,4-dichloropyridin-5-yl and B in each case corresponds to one group in a row of Table A (Compounds
Mla.363aA-1 bis Nla.363aA-425, Mlb.363aA-1 bis Nlb.363aA-425, lllc.363aA-1 bis lllc.363aA-425 und llld-1.363aA-1 bis llld-1.363aA-425) Tabelle 364a Verbindungen lila, INb, INc und llld-1 , worin A für 3,5-Difluorpyridin-2-yl steht und B jeweils einer Gruppe in einer Zeile der Tabelle A entspricht (VerbindungenMla.363aA-1 to Nla.363aA-425, Mlb.363aA-1 to Nlb.363aA-425, lllc.363aA-l to lllc.363aA-425 and llld-1.363aA-l to llld-1.363aA-425) Table 364a Compounds IIIa, INb, INc and IIId-1, wherein A is 3,5-difluoropyridin-2-yl and B in each case corresponds to one group in a row of Table A (Compounds
Mla.364aA-1 bis Nla.364aA-425, Mlb.364aA-1 bis Nlb.364aA-425, lllc.364aA-1 bis lllc.364aA-425 und llld-1.364aA-1 bis llld-1.364aA-425) Tabelle 365a Verbindungen lila, INb, INc und llld-1 , worin A für 3,5-Difluorpyridin-4-yl steht und B jeweils einer Gruppe in einer Zeile der Tabelle A entspricht (VerbindungenMla.364aA-1 to Nla.364aA-425, Mlb.364aA-1 to Nlb.364aA-425, lllc.364aA-l to lllc.364aA-425 and llld-1.364aA-l to llld-1.364aA-425) Table 365a Compounds IIIa, INb, INc and IIId-1, wherein A is 3,5-difluoropyridin-4-yl and B in each case corresponds to one group in a row of Table A (Compounds
Mla.365aA-1 bis Nla.365aA-425, Mlb.365aA-1 bis Nlb.365aA-425, lllc.365aA-1 bis lllc.365aA-425 und llld-1.365aA-1 bis llld-1.365aA-425) Tabelle 366a Verbindungen lila, INb, INc und llld-1 , worin A für 2,3-Difluorpyridin-4-yl steht und B jeweils einer Gruppe in einer Zeile der Tabelle A entspricht (Verbindungen Mla.366aA-1 bis Nla.366aA-425, Mlb.366aA-1 bis lllb.366aA-425, IMc.366aA-1 bis lllc.366aA-425 und llld-1.366aA-1 bis llld-1.366aA-425) Tabelle 367aMla. 365aA-1 to Nla. 3,665aA-425, Mlb. Table 366a Compounds IIIa, INb, INc and IIId-1, wherein A is 2,3-difluoropyridin-4-yl and B in each case corresponds to one group in a row of Table A (Compounds Mla.366aA-1 to Nla.366aA-425, Mlb.366aA-1 to IIIb.366aA-425, IMc.366aA-1 to lllc.366aA-425 and IIId-1.366aA-1 to IIId-1.366aA-425) Table 367a
Verbindungen lila, INb, INc und llld-1 , worin A für 3, 5-Dimethylpyridin-2-yl steht und B jeweils einer Gruppe in einer Zeile der Tabelle A entspricht (VerbindungenCompounds purple, INb, INc and llld-1, wherein A is 3, 5-dimethylpyridin-2-yl and B each corresponds to a group in a row of Table A (Compounds
Mla.367aA-1 bis Nla.367aA-425, Mlb.367aA-1 bis Nlb.367aA-425, lllc.367aA-1 bis lllc.367aA-425 und llld-1.367aA-1 bis llld-1.367aA-425) Tabelle 368aMla.367aA-1 to Nla.367aA-425, Mlb.367aA-1 to Nlb.367aA-425, lllc.367aA-l to lllc.367aA-425 and llld-1.367aA-l to llld-1.367aA-425) Table 368a
Verbindungen lila, INb, INc und llld-1 , worin A für 3,4-Dimethylpyridin-2-yl steht und B jeweils einer Gruppe in einer Zeile der Tabelle A entspricht (VerbindungenCompounds purple, INb, INc and llld-1, wherein A is 3,4-dimethylpyridin-2-yl and B in each case corresponds to a group in a row of Table A (Compounds
Mla.368aA-1 bis Nla.368aA-425, Mlb.368aA-1 bis Nlb.368aA-425, IMc.368aA-1 bis lllc.368aA-425 und llld-1.368aA-1 bis llld-1.368aA-425) Tabelle 369aMla.368aA-1 to Nla.368aA-425, Mlb.368aA-1 to Nlb.368aA-425, IMc.368aA-1 to lllc.368aA-425 and llld-1.368aA-1 to llld-1.368aA-425) Table 369a
Verbindungen lila, INb, INc und llld-1 , worin A für 4,6-Dimethylpyridin-3-yl steht und B jeweils einer Gruppe in einer Zeile der Tabelle A entspricht (VerbindungenCompounds IIIa, INb, INc and IIId-1, where A is 4,6-dimethylpyridin-3-yl and B corresponds in each case to one group in a row of Table A (Compounds
Mla.369aA-1 bis Nla.369aA-425, Mlb.369aA-1 bis Nlb.369aA-425, IMc.369aA-1 bis lllc.369aA-425 und llld-1.369aA-1 bis llld-1.369aA-425) Tabelle 370aMla.369aA-1 to Nla.369aA-425, Mlb.369aA-1 to Nlb.369aA-425, IMc.369aA-l to lllc.369aA-425 and llld-1.369aA-l to llld-1.369aA-425) Table 370a
Verbindungen lila, INb, INc und llld-1 , worin A für 2,4-Dimethylpyridin-3-yl steht und B jeweils einer Gruppe in einer Zeile der Tabelle A entspricht (VerbindungenCompounds purple, INb, INc and llld-1, wherein A is 2,4-dimethylpyridin-3-yl and B in each case corresponds to a group in a row of Table A (Compounds
Mla.370aA-1 bis Nla.370aA-425,lllb.370aA-1 bis Nlb.370aA-425, Mlc.370aA-1 bis lllc.370aA-425 und llld-1.37OaA-I bis llld-1.370aA-425) Tabelle 371 aMla.370aA-1 to Nla.370aA-425, IIIb.370aA-1 to Nlb.370aA-425, Mlc.370aA-l to lllc.370aA-425 and llld-1.37OaA-l to llld-1.370aA-425) Table 371 a
Verbindungen lila, INb, INc und llld-1 , worin A für 3,5-Dimethylpyridin-4-yl steht und B jeweils einer Gruppe in einer Zeile der Tabelle A entspricht (VerbindungenCompounds purple, INb, INc and llld-1, wherein A is 3,5-dimethylpyridin-4-yl and B each corresponds to a group in a row of Table A (Compounds
Mla.371aA-1 bis Nla.371aA-425, Mlb.371aA-1 bis Nlb.371 aA-425, lllc.371aA-1 bis lllc.371 aA-425 und llld-1.371 aA-1 bis llld-1.371 aA-425) Tabelle 372aMla.371aA-1 to Nla.371aA-425, Mlb.371aA-1 to Nlb.371 aA-425, lllc.371aA-l to lllc.371 aA-425 and llld-1.371 aA-1 to llld-1.371 aA- 425) Table 372a
Verbindungen lila, INb, INc und llld-1 , worin A für 2-Chlor-3-fluorpyridin-4-yl steht und B jeweils einer Gruppe in einer Zeile der Tabelle A entspricht (VerbindungenCompounds purple, INb, INc and llld-1, wherein A is 2-chloro-3-fluoropyridin-4-yl and B corresponds in each case to one group in a row of Table A (Compounds
Mla.372aA-1 bis Nla.372aA-425, Mlb.372aA-1 bis Nlb.372aA-425, lllc.372aA-1 bis lllc.372aA-425 und llld-1.372aA-1 bis llld-1.372aA-425) Tabelle 373aMla.372aA-1 to Nla.372aA-425, Mlb.372aA-1 to Nlb.372aA-425, lllc.372aA-l to lllc.372aA-425 and llld-1.372aA-l to llld-1.372aA-425) Table 373a
Verbindungen lila, INb, INc und llld-1 , worin A für 4-Chlor-3-methylpyridin-2-yl steht und B jeweils einer Gruppe einer Zeile der Tabelle A entspricht (VerbindungenCompounds purple, INb, INc and llld-1, wherein A is 4-chloro-3-methylpyridin-2-yl and B corresponds in each case to one group of one row of Table A (Compounds
Mla.373aA-1 bis Nla.373aA-425, Mlb.373aA-1 bis Nlb.373aA-425, lllc.373aA-1 bis lllc.373aA-425 und llld-1.373aA-1 bis llld-1.373aA-425) Tabelle 374aMla.373aA-1 to Nla.373aA-425, Mlb.373aA-1 to Nlb.373aA-425, lllc.373aA-l to lllc.373aA-425 and llld-1.373aA-l to llld-1.373aA-425) Table 374a
Verbindungen lila, INb, INc und llld-1 , worin A für 5-Chlor-3-methylpyridin-2-yl steht und B jeweils einer Gruppe einer Zeile der Tabelle A entspricht (VerbindungenCompounds purple, INb, INc and llld-1, wherein A is 5-chloro-3-methylpyridin-2-yl and B corresponds in each case to one group of one row of Table A (Compounds
Mla.374aA-1 bis Nla.374aA-425, Mlb.374aA-1 bis Nlb.374aA-425, lllc.374aA-1 bis lllc.374aA-425 und llld-1.374aA-1 bis llld-1.374aA-425) Tabelle 375aMla.374aA-1 to Nla.374aA-425, Mlb.374aA-1 to Nlb.374aA-425, lllc.374aA-l to lllc.374aA-425 and llld-1.374aA-l to llld-1.374aA-425) Table 375a
Verbindungen lila, INb, INc und llld-1 , worin A für 5-Fluor-3-methylpyridin-2-yl steht und B jeweils einer Gruppe einer Zeile der Tabelle A entspricht (Verbindungen Mla.375aA-1 bis Nla.375aA-425, Mlb.375aA-1 bis Nlb.375aA-425, IMc.375aA-1 bis lllc.375aA-425 und llld-1.375aA-1 bis llld-1.375aA-425)Compounds purple, INb, INc and llld-1, wherein A is 5-fluoro-3-methylpyridin-2-yl and B corresponds in each case to one group of one row of Table A (Compounds Mla.375aA-1 to Nla.375aA-425 , Mlb.375aA-1 to Nlb.375aA-425, IMc.375aA-l to lllc.375aA-425 and llld-1.375aA-1 to llld-1.375aA-425)
Tabelle 376aTable 376a
Verbindungen lila, INb, INc und llld-1 , worin A für 3-Chlor-5-trifluormethylpyridin-2-yl steht und B jeweils einer Gruppe einer Zeile der Tabelle A entspricht (Verbindungen Mla.376aA-1 bis Nla.376aA-425, Mlb.376aA-1 bis Nlb.376aA-425, lllc.376aA-1 bis lllc.376aA-425 und llld-1.376aA-1 bis llld-1.376aA-425)Compounds IIIa, INb, INc and IIId-1, wherein A is 3-chloro-5-trifluoromethylpyridin-2-yl and B corresponds in each case to one group of one row of Table A (Compounds Mla.376aA-1 to Nla.376aA-425 , Mlb.376aA-1 to Nlb.376aA-425, lllc.376aA-1 to lllc.376aA-425 and llld-1.376aA-1 to llld-1.376aA-425)
Tabelle 377aTable 377a
Verbindungen lila, INb, INc und llld-1 , worin A für 2-Chlor-6-trifluormethylpyridin-3-yl steht und B jeweils einer Gruppe einer Zeile der Tabelle A entspricht (Verbindungen Mla.377aA-1 bis Nla.377aA-425, Mlb.377aA-1 bis Nlb.377aA-425, lllc.377aA-1 bis lllc.377aA-425 und llld-1.377aA-1 bis llld-1.377aA-425)Compounds purple, INb, INc and llld-1, wherein A is 2-chloro-6-trifluoromethylpyridin-3-yl and B corresponds in each case to one group of one row of Table A (Compounds Mla.377aA-1 to Nla.377aA-425 , Mlb.377aA-1 to Nlb.377aA-425, lllc.377aA-1 to lllc.377aA-425 and llld-1.377aA-1 to llld-1.377aA-425)
Tabelle 378aTable 378a
Verbindungen lila, INb, INc und llld-1 , worin A für 2, 4-Dichlor-6-methylpyridin-3-yl steht und B jeweils einer Gruppe einer Zeile der Tabelle A entspricht (Verbindungen Mla.378aA-1 bis Nla.378aA-425, Mlb.378aA-1 bis Nlb.378aA-425, Mlc.378aA-1 bis lllc.378aA-425 und llld-1.378aA-1 bis llld-1.378aA-425)Compounds purple, INb, INc and llld-1, wherein A is 2, 4-dichloro-6-methylpyridin-3-yl and B corresponds in each case to one group of one row of Table A (Compounds Mla.378aA-1 to Nla.378aA -425, Mlb.378aA-1 to Nlb.378aA-425, Mlc.378aA-1 to lllc.378aA-425 and llld-1.378aA-1 to llld-1.378aA-425)
Tabelle 379aTable 379a
Verbindungen lila, INb, INc und llld-1 , worin A für 3,4,5-Trichlorpyridin-2-yl steht und B jeweils einer Gruppe in einer Zeile der Tabelle A entspricht (Verbindungen Mla.379aA-1 bis Nla.379aA-425, Mlb.379aA-1 bis Nlb.379aA-425, lllc.379aA-1 bis lllc.379aA-425 und llld-1.379aA-1 bis llld-1.379aA-425)Compounds IIIa, INb, INc and IIId-1, where A is 3,4,5-trichloropyridin-2-yl and B corresponds in each case to one group in one row of Table A (Compounds Mla.379aA-1 to Nla.379aA- 425, Mlb.379aA-1 to Nlb.379aA-425, lllc.379aA-l to lllc.379aA-425 and llld-1.379aA-l to llld-1.379aA-425)
Tabelle 380aTable 380a
Verbindungen lila, INb, INc und llld-1 , worin A für 2,4,6-Trichlorpyridin-3-yl steht und B jeweils einer Gruppe in einer Zeile der Tabelle A entspricht (Verbindungen Mla.380aA-1 bis Nla.380aA-425, Mlb.380aA-1 bis Nlb.380aA-425, IMc.380aA-1 bis lllc.380aA-425 und llld-1.38OaA-I bis llld-1.380aA-425)Compounds IIIa, INb, INc and IIId-1, in which A is 2,4,6-trichloropyridin-3-yl and B corresponds in each case to one group in one row of Table A (compounds Mla.380aA-1 to Nla.380aA- 425, Mlb.380aA-1 to Nlb.380aA-425, IMc.380aA-l to lllc.380aA-425 and llld-1.38OaA-l to llld-1.380aA-425)
Tabelle 381 aTable 381 a
Verbindungen lila, INb, INc und llld-1 , worin A für Pyrimidin-2-yl steht und B jeweils einer Gruppe in einer Zeile der Tabelle A entspricht (Verbindungen lila.381 aA-1 bis Nla.381aA-425, Mlb.381aA-1 bis Nlb.381aA-425, lllc.381aA-1 bis lllc.381aA-425 und llld-1.381aA-1 bis llld-1.381 aA-425)Compounds IIIa, INb, INc and IIId-1, where A is pyrimidin-2-yl and B in each case corresponds to one group in a row of Table A (compounds III -1 to Nlb.381aA-425, lllc.381aA-l to lllc.381aA-425 and llld-1.381aA-l to llld-1.381 aA-425)
Tabelle 382aTable 382a
Verbindungen lila, INb, INc und llld-1 , worin A für Pyrimidin-5-yl steht und B jeweils einer Gruppe in einer Zeile der Tabelle A entspricht (Verbindungen Nla.382aA-1 bis Nla.382aA-425,lllb.382aA-1 bis Nlb.382aA-425, lllc.382aA-1 bis lllc.382aA-425 und llld-1.382aA-1 bis llld-1.382aA-425)Compounds IIIa, INb, INc and IIId-1, in which A is pyrimidin-5-yl and B corresponds in each case to a group in one row of Table A (compounds Nla.382aA-1 to Nla.382aA-425, IIIb.382aA- 1 to Nlb.382aA-425, lllc.382aA-1 to lllc.382aA-425 and llld-1.382aA-1 to llld-1.382aA-425)
Tabelle 383aTable 383a
Verbindungen lila, INb, INc und llld-1 , worin A für 6-Chlorpyrimidin-3-yl steht und B jeweils einer Gruppe in einer Zeile der Tabelle A entspricht (VerbindungenCompounds purple, INb, INc and llld-1, wherein A is 6-chloropyrimidin-3-yl and B each corresponds to a group in a row of Table A (compounds
Mla.383aA-1 bis Nla.383aA-425, Mlb.383aA-1 bis Nlb.383aA-425, Mlc.383aA-1 bis lllc.383aA-425 und IMd-1.383aA-1 bis Nld-1.383aA-425) Tabelle 384a Verbindungen lila, INb, INc und llld-1 , worin A für 6-Methylpyrimidin-3-yl steht und B jeweils einer Gruppe in einer Zeile der Tabelle A entspricht (VerbindungenMla.383aA-1 to Nla.383aA-425, Mlb.383aA-1 to Nlb.383aA-425, Mlc.383aA-1 to lllc.383aA-425 and IMd-1.383aA-1 to Nld-1.383aA-425) Table 384a Compounds IIIa, INb, INc and IIId-1, wherein A is 6-methylpyrimidin-3-yl and B in each case corresponds to one group in a row of Table A (Compounds
Mla.384aA-1 bis Nla.384aA-425, Mlb.384aA-1 bis Nlb.384aA-425, IMc.384aA-1 bis lllc.384aA-425 und llld-1.384aA-1 bis llld-1.384aA-425) Tabelle 385a Verbindungen lila, INb, INc und llld-1 , worin A für 6-Methoxypyrimidin-3-yl steht undMla.384aA-1 to Nla.384aA-425, Mlb.384aA-1 to Nlb.384aA-425, IMc.384aA-l to lllc.384aA-425 and llld-1.384aA-l to llld-1.384aA-425) Table 385a Compounds IIIa, INb, INc and IIId-1 wherein A is 6-methoxypyrimidin-3-yl and
B jeweils einer Gruppe in einer Zeile der Tabelle A entspricht (VerbindungenB corresponds in each case to a group in a row of Table A (compounds
Mla.385aA-1 bis Nla.385aA-425, Mlb.385aA-1 bis Nlb.385aA-425, IMc.385aA-1 bis lllc.385aA-425 und llld-1.385aA-1 bis llld-1.385aA-425) Tabelle 386a Verbindungen lila, INb, INc und llld-1 , worin A für 2, 4-Dichlorpyrimidin-3-yl steht und B jeweils einer Gruppe in einer Zeile der Tabelle A entspricht (VerbindungenMla.385aA-1 to Nla.385aA-425, Mlb.385aA-1 to Nlb.385aA-425, IMc.385aA-1 to lllc.385aA-425 and llld-1.385aA-1 to llld-1.385aA-425) Table 386a Compounds IIIa, INb, INc and IIId-1, wherein A is 2,4-dichloropyrimidin-3-yl and B in each case corresponds to one group in a row of Table A (Compounds
Mla.386aA-1 bis Nla.386aA-425,lllb.386aA-1 bis Nlb.386aA-425, Mlc.386aA-1 bis lllc.386aA-425 und llld-1.386aA-1 bis llld-1.386aA-425) Tabelle 387a Verbindungen lila, INb, INc und llld-1 , worin A für 2,6-Dichlorpyrimidin-3-yl steht und B jeweils einer Gruppe in einer Zeile der Tabelle A entspricht (VerbindungenMla.386aA-1 to Nla.386aA-425, IIIb.386aA-1 to Nlb.386aA-425, Mlc.386aA-1 to lllc.386aA-425, and IIId-1.386aA-1 to IIId-1.386aA-425) Table 387a Compounds IIIa, INb, INc and IIId-1, wherein A is 2,6-dichloropyrimidin-3-yl and B in each case corresponds to one group in a row of Table A (Compounds
Mla.387aA-1 bis Nla.387aA-425, Mlb.387aA-1 bis Nlb.387aA-425, IMc.387aA-1 bis lllc.387aA-425 und llld-1.387aA-1 bis llld-1.387aA-425) Tabelle 388a Verbindungen lila, INb, INc und llld-1 , worin A für 2,4-Difluorpyrimidin-3-yl steht undMla.387aA-1 to Nla.387aA-425, Mlb.387aA-1 to Nlb.387aA-425, IMc.387aA-1 to lllc.387aA-425 and llld-1.387aA-1 to llld-1.387aA-425) Table 388a Compounds IIIa, INb, INc and IIId-1, wherein A is 2,4-difluoropyrimidin-3-yl and
B jeweils einer Gruppe in einer Zeile der Tabelle A entspricht (VerbindungenB corresponds in each case to a group in a row of Table A (compounds
Mla.388aA-1 bis Nla.388aA-425, Mlb.388aA-1 bis Nlb.388aA-425, Mlc.388aA-1 bis lllc.388aA-425 und llld-1.388aA-1 bis llld-1.388aA-425) Tabelle 389a Verbindungen lila, INb, INc und llld-1 , worin A für 2,6-Difluorpyrimidin-3-yl steht undMla.388aA-1 to Nla.388aA-425, Mlb.388aA-1 to Nb388aA-425, Mlc.388aA-l to lllc.388aA-425 and llld-1.388aA-1 to llld-1.388aA-425) Table 389a Compounds IIIa, INb, INc and IIId-1, wherein A is 2,6-difluoropyrimidin-3-yl and
B jeweils einer Gruppe in einer Zeile der Tabelle A entspricht (VerbindungenB corresponds in each case to a group in a row of Table A (compounds
Mla.389aA-1 bis Nla.389aA-425, Mlb.389aA-1 bis Nlb.389aA-425, IMc.389aA-1 bis lllc.389aA-425 und llld-1.389aA-1 bis llld-1.389aA-425) Tabelle 390a Verbindungen lila, INb, INc und llld-1 , worin A für 1 ,3,5-Triazin-2-yl steht und B jeweils einer Gruppe in einer Zeile der Tabelle A entspricht (VerbindungenMla.389aA-1 to Nla.389aA-425, Mlb.389aA-1 to Nlb.389aA-425, IMc.389aA-1 to lllc.389aA-425 and llld-1.389aA-1 to llld-1.389aA-425) Table 390a Compounds IIIa, INb, INc and IIId-1, wherein A is 1, 3,5-triazin-2-yl and B in each case corresponds to a group in a row of Table A (Compounds
Mla.390aA-1 bis Nla.390aA-425, Mlb.390aA-1 bis Nlb.390aA-425, IMc.390aA-1 bis lllc.390aA-425 und llld-1.39OaA-I bis llld-1.390aA-425) Tabelle 391 a Verbindungen lila, INb, INc und llld-1 , worin A für Thien-2-yl steht und B jeweils einer Gruppe in einer Zeile der Tabelle A entspricht (Verbindungen Mla.391aA-1 bis Nla.391aA-425, Mlb.391aA-1 bis lllb.391 aA-425, IMc.391aA-1 bis lllc.391 aA-425 und llld-1.391 aA-1 bis llld-1.391 aA-425) Tabelle 392aMla.390aA-1 to Nla.390aA-425, Mlb.390aA-1 to Nlb.390aA-425, IMc.390aA-l to lllc.390aA-425 and llld-1.39OaA-l to llld-1.390aA-425) Table 391 a Compounds IIIa, INb, INc and IIId-1, in which A is thien-2-yl and B in each case corresponds to a group in a row of Table A (Compounds Mla.391aA-1 to Nla.391aA-425, Mlb.391aA-1 to IIIb.391 aA-425, IMc.391aA-1 to IIIc. 391 aA-425 and IIId-1.391 aA-1 to IIId-1.391 aA- 425) Table 392a
Verbindungen lila, INb, INc und llld-1 , worin A für Thien-3-yl steht und B jeweils einer Gruppe in einer Zeile der Tabelle A entspricht (Verbindungen Nla.392aA-1 bisCompounds IIIa, INb, INc and IIId-1, in which A is thien-3-yl and B corresponds in each case to one group in one row of Table A (Compounds Nla.392aA-1 to
Nla.392aA-425, Mlb.392aA-1 bis Nlb.392aA-425, lllc.392aA-1 bis lllc.392aA-425 und llld-1.392aA-1 bis llld-1.392aA-425) Tabelle 393aNla.392aA-425, Mlb.392aA-1 to Nlb.392aA-425, lllc.392aA-1 to lllc.392aA-425 and llld-1.392aA-1 to llld-1.392aA-425) Table 393a
Verbindungen lila, INb, INc und llld-1 , worin A für 5-Chlorthien-2-yl steht und B jeweils einer Gruppe in einer Zeile der Tabelle A entspricht (VerbindungenCompounds purple, INb, INc and llld-1, wherein A is 5-chlorothien-2-yl and B in each case corresponds to a group in a row of Table A (Compounds
Mla.393aA-1 bis Nla.393aA-425, Mlb.393aA-1 bis Nlb.393aA-425, IMc.393aA-1 bis lllc.393aA-425 und llld-1.393aA-1 bis llld-1.393aA-425) Tabelle 394aMla.393aA-1 to Nla.393aA-425, Mlb.393aA-1 to Nlb.393aA-425, IMc.393aA-1 to lllc.393aA-425 and llld-1.393aA-1 to llld-1.393aA-425) Table 394a
Verbindungen lila, INb, INc und llld-1 , worin A für 2-Chlorthien-3-yl steht und B jeweils einer Gruppe in einer Zeile der Tabelle A entspricht (VerbindungenCompounds purple, INb, INc and llld-1, wherein A is 2-chlorothien-3-yl and B each corresponds to a group in a row of Table A (Compounds
Mla.394aA-1 bis Nla.394aA-425, Mlb.394aA-1 bis Nlb.394aA-425, lllc.394aA-1 bis lllc.394aA-425 und llld-1.394aA-1 bis llld-1.394aA-425) Tabelle 395aMla.394aA-1 to Nla.394aA-425, Mlb.394aA-1 to Nlb.394aA-425, lllc.394aA-l to lllc.394aA-425 and llld-1.394aA-l to llld-1.394aA-425) Table 395a
Verbindungen lila, INb, INc und llld-1 , worin A für 4-Chlorthien-3-yl steht und B jeweils einer Gruppe in einer Zeile der Tabelle A entspricht (VerbindungenCompounds purple, INb, INc and llld-1, wherein A is 4-chlorothien-3-yl and B each corresponds to a group in a row of Table A (Compounds
Mla.395aA-1 bis Nla.395aA-425, Mlb.395aA-1 bis Nlb.395aA-425, IMc.395aA-1 bis lllc.395aA-425 und llld-1.395aA-1 bis llld-1.395aA-425) Tabelle 396aMla.395aA-1 to Nla.395aA-425, Mlb.395aA-1 to Nlb.395aA-425, IMc.395aA-l to lllc.395aA-425 and llld-1.395aA-1 to llld-1.395aA-425) Table 396a
Verbindungen lila, INb, INc und llld-1 , worin A für 5-Chlorthien-3-yl steht und B jeweils einer Gruppe in einer Zeile der Tabelle A entspricht (VerbindungenCompounds purple, INb, INc and llld-1, wherein A is 5-chlorothien-3-yl and B each corresponds to a group in a row of Table A (compounds
Mla.396aA-1 bis Nla.396aA-425, Mlb.396aA-1 bis Nlb.396aA-425, Mlc.396aA-1 bis lllc.396aA-425 und llld-1.396aA-1 bis llld-1.396aA-425) Tabelle 397aMla.396aA-1 to Nla.396aA-425, Mlb.396aA-1 to Nlb.396aA-425, Mlc.396aA-1 to lllc.396aA-425 and llld-1.396aA-1 to llld-1.396aA-425) Table 397a
Verbindungen lila, INb, INc und llld-1 , worin A für 2-Bromthien-3-yl steht und B jeweils einer Gruppe in einer Zeile der Tabelle A entspricht (VerbindungenCompounds purple, INb, INc and llld-1, wherein A is 2-bromothien-3-yl and B in each case corresponds to a group in a row of Table A (Compounds
Mla.397aA-1 bis Nla.397aA-425, Mlb.397aA-1 bis Nlb.397aA-425, lllc.397aA-1 bis lllc.397aA-425 und llld-1.397aA-1 bis llld-1.397aA-425) Tabelle 398aMla.397aA-1 to Nla.397aA-425, Mlb.397aA-1 to Nb.397aA-425, lllc.397aA-l to lllc.397aA-425 and llld-1.397aA-l to llld-1.397aA-425) Table 398a
Verbindungen lila, INb, INc und llld-1 , worin A für 4-Bromthien-3-yl steht und B jeweils einer Gruppe in einer Zeile der Tabelle A entspricht (VerbindungenCompounds purple, INb, INc and llld-1, wherein A is 4-bromothien-3-yl and B each corresponds to a group in a row of Table A (Compounds
Mla.398aA-1 bis Nla.398aA-425, Mlb.398aA-1 bis Nlb.398aA-425, IMc.398aA-1 bis lllc.398aA-425 und llld-1.398aA-1 bis llld-1.398aA-425) Tabelle 399aMla.398aA-1 to Nla.398aA-425, Mlb.398aA-1 to Nlb.398aA-425, IMc.398aA-1 to lllc.398aA-425 and llld-1.398aA-1 to llld-1.398aA-425) Table 399a
Verbindungen lila, INb, INc und llld-1 , worin A für 5-Bromthien-3-yl steht und B jeweils einer Gruppe in einer Zeile der Tabelle A entspricht (VerbindungenCompounds purple, INb, INc and llld-1, wherein A is 5-bromothien-3-yl and B each corresponds to a group in a row of Table A (Compounds
Mla.399aA-1 bis Nla.399aA-425, Mlb.399aA-1 bis Nlb.399aA-425, IMc.399aA-1 bis lllc.399aA-425 und llld-1.399aA-1 bis llld-1.399aA-425) Tabelle 400aMla.399aA-1 to Nla.399aA-425, Mlb.399aA-1 to Nlb.399aA-425, IMc.399aA-1 to lllc.399aA-425 and IIId-1.399aA-1 to IIId-1.399aA-425) Table 400a
Verbindungen lila, INb, INc und llld-1 , worin A für 5-Methylthien-2-yl steht und B jeweils einer Gruppe in einer Zeile der Tabelle A entspricht (Verbindungen Mla.400aA-1 bis Nla.400aA-425, Mlb.400aA-1 bis Nlb.400aA-425, IMc.400aA-1 bis lllc.400aA-425 und llld-1.40OaA-I bis llld-1.400aA-425)Compounds IIIa, INb, INc and IIId-1, where A is 5-methylthien-2-yl and B corresponds in each case to one group in one row of Table A (Compounds Mla.400aA-1 to Nla.400aA-425, Mlb. 400aA-1 to Nlb.400aA-425, IMc.400aA-1 to lllc.400aA-425 and llld-1.40OaA-l to llld-1.400aA-425)
Tabelle 401 aTable 401 a
Verbindungen lila, INb, INc und llld-1 , worin A für 2-Methylthien-4-yl steht und B jeweils einer Gruppe in einer Zeile der Tabelle A entspricht (Verbindungen Mla.401aA-1 bis Nla.4019aA-425, Mlb.401 aA-1 bis Nlb.4019aA-425, IMc.401aA-1 bis lllc.401 aA-425 und llld-1.401 aA-1 bis llld-1.401 aA-425)Compounds IIIa, INb, INc and IIId-1, where A is 2-methylthien-4-yl and B corresponds in each case to one group in one row of Table A (Compounds Mla.401aA-1 to Nla.4019aA-425, Mlb. 401 aA-1 to Nlb.4019aA-425, IMc.401aA-1 to lllc.401 aA-425 and llld-1.401 aA-1 to llld-1.401 aA-425)
Tabelle 402aTable 402a
Verbindungen lila, INb, INc und llld-1 , worin A für 4,5-Dichlorthien-2-yl steht und B jeweils einer Gruppe in einer Zeile der Tabelle A entspricht (Verbindungen Mla.402aA-1 bis Nla.402aA-425, Mlb.402aA-1 bis Nlb.402aA-425, lllc.402aA-1 bis lllc.402aA-425 und llld-1.402aA-1 bis llld-1.402aA-425)Compounds IIIa, INb, INc and IIId-1, in which A is 4,5-dichlorothien-2-yl and B corresponds in each case to one group in one row of Table A (Compounds Mla.402aA-1 to Nla.402aA-425, Mlb.402aA-1 to Nlb.402aA-425, lllc.402aA-l to lllc.402aA-425 and llld-1.402aA-l to llld-1.402aA-425)
Tabelle 403aTable 403a
Verbindungen lila, INb, INc und llld-1 , worin A für 2,5-Dichlorthien-3-yl steht und B jeweils einer Gruppe in einer Zeile der Tabelle A entspricht (Verbindungen Mla.403aA-1 bis Nla.403aA-425, Mlb.403aA-1 bis Nlb.403aA-425, IMc.403aA-1 bis lllc.403aA-425 und llld-1.403aA-1 bis llld-1.403aA-425)Compounds IIIa, INb, INc and IIId-1, in which A is 2,5-dichlorothien-3-yl and B corresponds in each case to one group in one row of Table A (Compounds Mla.403aA-1 to Nla.403aA-425, Mlb.403aA-1 to Nlb.403aA-425, IMc.403aA-l to lllc.403aA-425 and llld-1.403aA-l to llld-1.403aA-425)
Tabelle 404aTable 404a
Verbindungen lila, INb, INc und llld-1 , worin A für 2,3-Dichlorthien-4-yl steht und B jeweils einer Gruppe in einer Zeile der Tabelle A entspricht (Verbindungen Mla.404aA-1 bis Nla.404aA-425, Mlb.404aA-1 bis Nlb.404aA-425, lllc.404aA-1 bis lllc.404aA-425 und llld-1.404aA-1 bis llld-1.404aA-425)Compounds IIIa, INb, INc and IIId-1, where A is 2,3-dichlorothien-4-yl and B corresponds in each case to one group in a row of Table A (compounds Mla.404aA-1 to Nla.404aA-425, Mlb.404aA-1 to Nlb.404aA-425, lllc.404aA-l to lllc.404aA-425 and llld-1.404aA-l to llld-1.404aA-425)
Tabelle 405aTable 405a
Verbindungen lila, INb, INc und llld-1 , worin A für 2,5-Dibromthien-3-yl steht und B jeweils einer Gruppe in einer Zeile der Tabelle A entspricht (Verbindungen Mla.405aA-1 bis Nla.405aA-425, Mlb.405aA-1 bis Nlb.405aA-425, lllc.405aA-1 bis lllc.405aA-425 und llld-1.405aA-1 bis llld-1.405aA-425)Compounds IIIa, INb, INc and IIId-1, in which A is 2,5-dibromothien-3-yl and B corresponds in each case to one group in one row of Table A (Compounds Mla.405aA-1 to Nla.405aA-425, Mlb.405aA-1 to Nlb.405aA-425, lllc.405aA-l to lllc.405aA-425 and llld-1.405aA-l to llld-1.405aA-425)
Tabelle 406aTable 406a
Verbindungen lila, INb, INc und llld-1 , worin A für 4,5-Dimethylthien-2-yl steht und B jeweils einer Gruppe in einer Zeile der Tabelle A entspricht (Verbindungen Mla.406aA-1 bis Nla.406aA-425, Mlb.406aA-1 bis Nlb.406aA-425, IMc.406aA-1 bis lllc.406aA-425 und llld-1.406aA-1 bis llld-1.406aA-425)Compounds IIIa, INb, INc and IIId-1, in which A is 4,5-dimethylthien-2-yl and B corresponds in each case to one group in one row of Table A (Compounds Mla.406aA-1 to Nla.406aA-425, Mlb.406aA-1 to Nlb.406aA-425, IMc.406aA-l to lllc.406aA-425 and llld-1.406aA-l to llld-1.406aA-425)
Tabelle 407aTable 407a
Verbindungen lila, INb, INc und llld-1 , worin A für 2,5-Dimethylthien-3-yl steht und B jeweils einer Gruppe in einer Zeile der Tabelle A entspricht (Verbindungen Mla.407aA-1 bis Nla.407aA-425, Mlb.407aA-1 bis Nlb.407aA-425, lllc.407aA-1 bis lllc.407aA-425 und llld-1.407aA-1 bis llld-1.407aA-425)Compounds IIIa, INb, INc and IIId-1, in which A is 2,5-dimethylthien-3-yl and B corresponds in each case to one group in one row of Table A (Compounds Mla.407aA-1 to Nla.407aA-425, Mlb.407aA-1 to Nlb.407aA-425, lllc.407aA-l to lllc.407aA-425 and llld-1.407aA-l to llld-1.407aA-425)
Tabelle 408aTable 408a
Verbindungen lila, INb, INc und llld-1 , worin A für 2,3-Dimethylthien-4-yl steht und B jeweils einer Gruppe in einer Zeile der Tabelle A entspricht (VerbindungenCompounds IIIa, INb, INc and IIId-1, wherein A is 2,3-dimethylthien-4-yl and B each corresponds to a group in a row of Table A (compounds
Mla.408aA-1 bis Nla.408aA-425, Mlb.408aA-1 bis Nlb.408aA-425, IMc.408aA-1 bis lllc.408aA-425 und IMd-1.408aA-1 bis Nld-1.408aA-425) Tabelle 409a Verbindungen lila, INb, INc und llld-1 , worin A für 3,4,5-Trichlorthien-2-yl steht undMla.408aA-1 to Nla.408aA-425, Mlb.408aA-1 to Nlb.408aA-425, IMc.408aA-1 to lllc.408aA-425 and IMd-1.408aA-1 to Nld-1.408aA-425) Table 409a Compounds IIIa, INb, INc and IIId-1, wherein A is 3,4,5-trichlorothien-2-yl and
B jeweils einer Gruppe in einer Zeile der Tabelle A entspricht (VerbindungenB corresponds in each case to a group in a row of Table A (compounds
Mla.409aA-1 bis Nla.409aA-425, Mlb.409aA-1 bis Nlb.409aA-425, IMc.409aA-1 bis lllc.409aA-425 und llld-1.409aA-1 bis llld-1.409aA-425) Tabelle 410a Verbindungen lila, INb, INc und llld-1 , worin A für 2,4,5-Trichlorthien-3-yl steht undMla.409aA-1 to Nla.409aA-425, Mlb.409aA-1 to Nlb.409aA-425, IMc.409aA-l to lllc.409aA-425 and llld-1.409aA-l to llld-1.409aA-425) Table 410a Compounds IIIa, INb, INc and IIId-1, wherein A is 2,4,5-trichlorothien-3-yl and
B jeweils einer Gruppe in einer Zeile der Tabelle A entspricht (VerbindungenB corresponds in each case to a group in a row of Table A (compounds
Mla.410aA-1 bis Nla.410aA-425, Mlb.410aA-1 bis Nlb.410aA-425, IMc.410aA-1 bis lllc.410aA-425 und llld-1.41 OaA-I bis llld-1.410aA-425) Tabelle 411 a Verbindungen lila, INb, INc und llld-1 , worin A für 2,4,5-Tribromthien-3-yl steht undMla.410aA-1 to Nla.410aA-425, Mlb.410aA-1 to Nlb.410aA-425, IMc.410aA-l to lllc.410aA-425 and llld-1.41 OaA-l to llld-1.410aA-425) Table 411 a Compounds purple, INb, INc and llld-1, wherein A is 2,4,5-tribromothien-3-yl and
B jeweils einer Gruppe in einer Zeile der Tabelle A entspricht (VerbindungenB corresponds in each case to a group in a row of Table A (compounds
Mla.41 1aA-1 bis Nla.41 1aA-425, Mlb.41 1aA-1 bis lllb.41 1 aA-425, Mlc.41 1aA-1 bisMla.41 1aA-1 to Nla.41 1aA-425, Mlb.41 1aA-1 to Illb.41 1 aA-425, Mlc.41 1aA-1 to
Nlc.411 aA-425 und llld-1.41 1aA-1 bis llld-1.411 aA-425) Tabelle 412a Verbindungen lila, INb, INc und llld-1 , worin A für 3,4,5-Trimethylthien-2-yl steht und B jeweils einer Gruppe in einer Zeile der Tabelle A entspricht (VerbindungenNlc.411 aA-425 and llld-1.41 1aA-1 to llld-1,411 aA-425). Table 412a Compounds IIIa, INb, INc and IIId-1, wherein A is 3,4,5-trimethylthien-2-yl and B corresponds in each case to a group in a row of Table A (compounds
Mla.412aA-1 bis Nla.412aA-425, Mlb.412aA-1 bis Nlb.412aA-425, lllc.412aA-1 bis lllc.412aA-425 und llld-1.412aA-1 bis llld-1.412aA-425) Tabelle 413a Verbindungen lila, INb, INc und llld-1 , worin A für 4-Chlorfur-2-yl steht und B jeweils einer Gruppe in einer Zeile der Tabelle A entspricht (Verbindungen Nla.413aA-1 bisMla.412aA-1 to Nla.412aA-425, Mlb.412aA-1 to Nlb.412aA-425, lllc.412aA-l to lllc.412aA-425 and llld-1.412aA-1 to llld-1.412aA-425) Table 413a Compounds IIIa, INb, INc and IIId-1, wherein A is 4-chlorofur-2-yl and B in each case corresponds to one group in a row of Table A (Compounds Nla.413aA-1 to
Nla.413aA-425,lllb.413aA-1 bis lllb.413aA-425, lllc.413aA-1 bis lllc.413-425 und llld-1.413aA-1 bis llld-1.413aA-425) Tabelle 414a Verbindungen lila, INb, INc und llld-1 , worin A für 5-Chlorfur-2-yl steht und B jeweils einer Gruppe in einer Zeile der Tabelle A entspricht (Verbindungen Nla.414aA-1 bisNla.413aA-425, Illb.413aA-1 to Illb.413aA-425, Illc.413aA-1 to Illc.413-425 and Illd-1.413aA-1 to Illd-1.413aA-425). Table 414a Compounds IIIa, INb , INc and llld-1, wherein A is 5-chlorofur-2-yl and B each corresponds to a group in a row of Table A (Compounds Nla.414aA-1 to
Mla.414aA-425, Mlb.414aA-1 bis Nlb.414aA-425, lllc.414aA-1 bis lllc.414aA-425 und llld-1.414aA-1 bis llld-1.414aA-425) Tabelle 415a Verbindungen lila, INb, INc und llld-1 , worin A für 3-Bromfur-2-yl steht und B jeweils einer Gruppe in einer Zeile der Tabelle A entspricht (Verbindungen Nla.415aA-1 bisMla.414aA-425, Mlb.414aA-1 to Nlb.414aA-425, lllc.414aA-l to lllc.414aA-425 and llld-1.414aA-l to llld-1.414aA-425). Table 415a Compounds IIIa, INb , INc and llld-1, wherein A is 3-bromo-fur-2-yl and B each corresponds to a group in a row of Table A (Compounds Nla.415aA-1 to
Nla.415aA-425, Verbindungen lllb.415aA-1 bis lllb.415aA-425, lllc.415aA-1 bis lllc.415aA-425 und llld-1.415aA-1 bis llld-1.415aA-425) Tabelle 416a Verbindungen lila, INb, INc und llld-1 , worin A für 4-Bromfur-2-yl steht und B jeweils einer Gruppe in einer Zeile der Tabelle A entspricht (Verbindungen Nla.416aA-1 bis Nla.416aA-425,Verbindungen Mlb.416aA-1 bis Nlb.416aA-425, IMc.416aA-1 bis lllc.416aA-425 und llld-1.416aA-1 bis llld-1.416aA-425) Tabelle 417aNla.415aA-425, Compounds Illb.415aA-1 to Illb.415aA-425, Illc.415aA-1 to Illc.415aA-425 and Illd-1.415aA-1 to Illd-1.415aA-425). Table 416a Compounds IIIa INb, INc and llld-1, wherein A is 4-bromo-fur-2-yl and B corresponds in each case to one group in a row of Table A (Compounds Nla.416aA-1 to Nla.416aA-425, Compounds Mlb.416aA-1 to Nlb.416aA-425, IMc.416aA-l to lllc.416aA-425 and llld-1.416aA-1 to llld-1.416aA-425) Table 417a
Verbindungen lila, INb, INc und llld-1 , worin A für 5-Bromfur-2-yl steht und B jeweils einer Gruppe in einer Zeile der Tabelle A entspricht (Verbindungen Nla.417aA-1 bisCompounds IIIa, INb, INc and IIId-1, in which A is 5-bromo-fur-2-yl and B corresponds in each case to one group in one row of Table A (Compounds Nla.417aA-1 to
Nla.417aA-425, Mlb.417aA-1 bis Nlb.417aA-425, lllc.417aA-1 bis lllc.417aA-425 und llld-1.417aA-1 bis llld-1.417aA-425) Tabelle 418aNla.417aA-425, Mlb.417aA-1 to Nlb.417aA-425, lllc.417aA-l to lllc.417aA-425, and llld-1.417aA-l to llld-1.417aA-425) Table 418a
Verbindungen lila, INb, INc und llld-1 , worin A für 3,4-Dichlorfur-2-yl steht und B jeweils einer Gruppe in einer Zeile der Tabelle A entspricht (VerbindungenCompounds purple, INb, INc and llld-1, wherein A is 3,4-dichloropur-2-yl and B each corresponds to a group in a row of Table A (Compounds
Nla.418aA-1 bis Nla.418aA-425, Nlb.418aA-1 bis Nlb.418aA-425, lllc.418aA-1 bis lllc.418aA-425 und llld-1.418aA-1 bis llld-1.418aA-425) Tabelle 419aNla.418aA-1 to Nla.418aA-425, Nlb.418aA-1 to Nlb.418aA-425, lllc.418aA-l to lllc.418aA-425, and llld-1.418aA-1 to llld-1.418aA-425) Table 419a
Verbindungen lila, INb, INc und llld-1 , worin A für 4,5-Dichlorfur-2-yl steht und B jeweils einer Gruppe in einer Zeile der Tabelle A entspricht (VerbindungenCompounds lilac, INb, INc and llld-1, wherein A is 4,5-dichloropur-2-yl and B in each case corresponds to a group in a row of Table A (compounds
Nla.419aA-1 bis Nla.419aA-425, Nlb.419aA-1 bis Nlb.419aA-425, lllc.419aA-1 bis lllc.419aA-425 und llld-1.419aA-1 bis llld-1.419aA-425) Tabelle 420aNla.419aA-1 to Nla.419aA-425, Nlb.419aA-1 to Nlb.419aA-425, lllc.419aA-l to lllc.419aA-425, and llld-1.419aA-1 to llld-1.419aA-425) Table 420a
Verbindungen lila, INb, INc und llld-1 , worin A für Thiazol-2-yl steht und B jeweils einer Gruppe in einer Zeile der Tabelle A entspricht (Verbindungen Nla.420aA-1 bisCompounds purple, INb, INc and llld-1, wherein A is thiazol-2-yl and B each corresponds to a group in a row of Table A (compounds Nla.420aA-1 to
Nla.420aA-425, Nlb.420aA-1 bis Nlb.420aA-425, lllc.420aA-1 bis lllc.420aA-425 und llld-1.42OaA-I bis llld-1.420aA-425) Tabelle 421 aNla.420aA-425, Nlb.420aA-1 to Nlb.420aA-425, lllc.420aA-l to lllc.420aA-425 and llld-1.42OaA-l to llld-1.420aA-425) Table 421 a
Verbindungen lila, INb, INc und llld-1 , worin A für Thiazol-4-yl steht und B jeweils einer Gruppe in einer Zeile der Tabelle A entspricht (Verbindungen lila.421 aA-1 bisCompounds IIIa, INb, INc and IIId-1, in which A is thiazol-4-yl and B corresponds in each case to one group in one row of Table A (compounds III.421 aA-1 to
Nla.421aA-425, Nlb.421aA-1 bis Nlb.421aA-425, lllc.421aA-1 bis lllc.421aA-425 und llld-1.421aA-1 bis llld-1.421 aA-425) Tabelle 422aNla.421aA-425, Nlb.421aA-1 to Nlb.421aA-425, lllc.421aA-l to lllc.421aA-425 and llld-1.421aA-l to llld-1.421 aA-425) Table 422a
Verbindungen lila, INb, INc und llld-1 , worin A für Thiazol-5-yl steht und B jeweils einer Gruppe in einer Zeile der Tabelle A entspricht (Verbindungen Nla.422aA-1 bisCompounds IIIa, INb, INc and IIId-1, in which A is thiazol-5-yl and B corresponds in each case to one group in one row of Table A (Compounds Nla.422aA-1 to
Nla.422aA-425, Verbindungen Nlb.422aA-1 bis Nlb.422aA-425, lllc.422aA-1 bis lllc.422aA-425 und llld-1.422aA-1 bis llld-1.422aA-425) Tabelle 423aNla.422aA-425, compounds Nlb.422aA-1 to Nlb.422aA-425, lllc.422aA-l to lllc.422aA-425 and llld-1.422aA-l to llld-1.422aA-425) Table 423a
Verbindungen lila, INb, INc und llld-1 , worin A für lsothiazol-3-yl steht und B jeweils einer Gruppe in einer Zeile der Tabelle A entspricht (Verbindungen Nla.423aA-1 bisCompounds IIIa, INb, INc and IIId-1, where A is isothiazol-3-yl and B corresponds in each case to one group in one row of Table A (Compounds Nla.423aA-1 to
Nla.423aA-425, Nlb.423aA-1 bis Nlb.423aA-425, lllc.423aA-1 bis lllc.423aA-425 und llld-1.423aA-1 bis llld-1.423aA-425) Tabelle 424aNla.423aA-425, Nlb.423aA-1 to Nlb.423aA-425, lllc.423aA-l to lllc.423aA-425, and llld-1.423aA-l to llld-1.423aA-425) Table 424a
Verbindungen lila, INb, INc und llld-1 , worin A für lsothiazol-4-yl steht und B jeweils einer Gruppe in einer Zeile der Tabelle A entspricht (Verbindungen Nla.424aA-1 bisCompounds IIIa, INb, INc and IIId-1, where A is isothiazol-4-yl and B in each case corresponds to one group in a row of Table A (Compounds Nla.424aA-1 to
Nla.424aA-425, Verbindungen Nlb.424aA-1 bis Nlb.424aA-425, lllc.424aA-1 bis lllc.424aA-425 und llld-1.424aA-1 bis llld-1.424aA-425) Tabelle 425aNla.424aA-425, compounds Nlb.424aA-1 to Nlb.424aA-425, lllc.424aA-l to lllc.424aA-425 and llld-1.424aA-1 to llld-1.424aA-425) Table 425a
Verbindungen lila, INb, INc und llld-1 , worin A für lsothiazol-5-yl steht und B jeweils einer Gruppe in einer Zeile der Tabelle A entspricht (Verbindungen Nla.425aA-1 bis Nla.425aA-425, Mlb.425aA-1 bis Nlb.425aA-425, Mlc.425aA-1 bis lllc.425aA-425 und llld-1.425aA-1 bis llld-1.425aA-425)Compounds IIIa, INb, INc and IIId-1, where A is isothiazol-5-yl and B in each case corresponds to one group in a row of Table A (Compounds Nla.425aA-1 to Nla.425aA-425, Mlb.425aA- 1 to Nlb.425aA-425, Mlc.425aA-1 to lllc.425aA-425 and llld-1.425aA-1 to llld-1.425aA-425)
Tabelle 426aTable 426a
Verbindungen lila, INb, INc und llld-1 , worin A für 2-Chlorthiazol-4-yl steht und B jeweils einer Gruppe in einer Zeile der Tabelle A entspricht (Verbindungen Mla.426aA-1 bis Nla.426aA-425, Mlb.426aA-1 bis Nlb.426aA-425, lllc.426aA-1 bis lllc.426aA-425 und llld-1.426aA-1 bis llld-1.426aA-425)Compounds IIIa, INb, INc and IIId-1, in which A is 2-chlorothiazol-4-yl and B in each case corresponds to one group in a row of Table A (Compounds Mla.426aA-1 to Nla.426aA-425, Mlb. 426aA-1 to Nlb.426aA-425, lllc.426aA-l to lllc.426aA-425 and llld-1.426aA-l to llld-1.426aA-425)
Tabelle 427aTable 427a
Verbindungen lila, INb, INc und llld-1 , worin A für 2-Chlorthiazol-5-yl steht und B jeweils einer Gruppe in einer Zeile der Tabelle A entspricht (Verbindungen Mla.427aA-1 bis Nla.427aA-425, Mlb.427aA-1 bis Nlb.427aA-425, lllc.427aA-1 bis lllc.427aA-425 und llld-1.427aA-1 bis llld-1.427aA-425)Compounds IIIa, INb, INc and IIId-1, where A is 2-chlorothiazol-5-yl and B corresponds in each case to one group in one row of Table A (Compounds Mla.427aA-1 to Nla.427aA-425, Mlb. 427aA-1 to Nlb.427aA-425, lllc.427aA-l to lllc.427aA-425 and llld-1.427aA-l to llld-1.427aA-425)
Tabelle 428aTable 428a
Verbindungen lila, INb, INc und llld-1 , worin A für 4-Chlorthiazol-5-yl steht und B jeweils einer Gruppe in einer Zeile der Tabelle A entspricht (Verbindungen Mla.428aA-1 bis Nla.428aA-425, Mlb.428aA-1 bis Nlb.428aA-425, IMc.428aA-1 bis lllc.428aA-425 und llld-1.428aA-1 bis llld-1.428aA-425)Compounds purple, INb, INc and llld-1, wherein A is 4-chlorothiazol-5-yl and B in each case corresponds to a group in a row of Table A (Compounds Mla.428aA-1 to Nla.428aA-425, Mlb. 428aA-1 to Nlb.428aA-425, IMc.428aA-1 to lllc.428aA-425 and llld-1.428aA-1 to llld-1.428aA-425)
Tabelle 429aTable 429a
Verbindungen lila, INb, INc und llld-1 , worin A für 2-Bromthiazol-4-yl steht und B jeweils einer Gruppe in einer Zeile der Tabelle A entspricht (Verbindungen Mla.429aA-1 bis Nla.429aA-425, Mlb.429aA-1 bis Nlb.429aA-425, lllc.429aA-1 bis lllc.429aA-425 und llld-1.429aA-1 bis llld-1.429aA-425)Compounds IIIa, INb, INc and IIId-1, where A is 2-bromothiazol-4-yl and B corresponds in each case to one group in one row of Table A (Compounds Mla.429aA-1 to Nla.429aA-425, Mlb. 429aA-1 to Nlb.429aA-425, lllc.429aA-l to lllc.429aA-425 and llld-1.429aA-l to llld-1429aA-425)
Tabelle 430aTable 430a
Verbindungen lila, INb, INc und llld-1 , worin A für 2-Bromthiazol-5-yl steht und B jeweils einer Gruppe in einer Zeile der Tabelle A entspricht (Verbindungen Mla.430aA-1 bis Nla.430aA-425, Mlb.430aA-1 bis Nlb.430aA-425, IMc.430aA-1 bis lllc.430aA-425 und llld-1.43OaA-I bis llld-1.430aA-425)Compounds IIIa, INb, INc and IIId-1, where A is 2-bromothiazol-5-yl and B corresponds in each case to one group in one row of Table A (Compounds Mla.430aA-1 to Nla.430aA-425, Mlb. 430aA-1 to Nlb.430aA-425, IMc.430aA-l to lllc.430aA-425 and llld-1.43OaA-l to llld-1.430aA-425)
Tabelle 431 aTable 431 a
Verbindungen lila, INb, INc und llld-1 , worin A für 2,4-Dichlorthiazol-5-yl steht und B jeweils einer Gruppe in einer Zeile der Tabelle A entspricht (Verbindungen Mla.431aA-1 bis Nla.431aA-425, Mlb.431aA-1 bis Nlb.431 aA-425, lllc.431aA-1 bis lllc.431 aA-425 und llld-1.431 aA-1 bis llld-1.431 aA-425)Compounds IIIa, INb, INc and IIId-1, where A is 2,4-dichlorothiazol-5-yl and B corresponds in each case to one group in one row of Table A (Compounds Mla.431aA-1 to Nla.431aA-425, Mlb.431aA-1 to Nlb.431 aA-425, lllc.431aA-1 to lllc.431 aA-425 and llld-1.431 aA-1 to llld-1.431 aA-425)
Tabelle 432aTable 432a
Verbindungen lila, INb, INc und llld-1 , worin A für 3-Chlorisothiazol-4-yl steht und B jeweils einer Gruppe in einer Zeile der Tabelle A entspricht (Verbindungen Mla.432aA-1 bis Nla.432aA-425, Mlb.432aA-1 bis Nlb.432aA-425, lllc.432aA-1 bis lllc.432aA-425 und llld-1.432aA-1 bis llld-1.432aA-425)Compounds purple, INb, INc and llld-1, wherein A is 3-chloroisothiazol-4-yl and B in each case corresponds to a group in a row of Table A (Compounds Mla.432aA-1 to Nla.432aA-425, Mlb. 432aA-1 to Nlb.432aA-425, lllc.432aA-l to lllc.432aA-425 and llld-1.432aA-l to llld-1.432aA-425)
Tabelle 433aTable 433a
Verbindungen lila, INb, INc und llld-1 , worin A für 5-Methylisothiazol-3-yl steht und B jeweils einer Gruppe in einer Zeile der Tabelle A entspricht (VerbindungenCompounds purple, INb, INc and llld-1, wherein A is 5-methylisothiazol-3-yl and B corresponds in each case to a group in a row of Table A (compounds
Mla.433aA-1 bis Nla.433aA-425, Mlb.433aA-1 bis Nlb.433aA-425, Mlc.433aA-1 bis lllc.433aA-425 und IMd-1.433aA-1 bis Nld-1.433aA-425) Tabelle 434a Verbindungen lila, INb, INc und llld-1 , worin A für 3-Methylisothiazol-4-yl steht undMla.433aA-1 to Nla.433aA-425, Mlb.433aA-1 to Nlb.433aA-425, Mlc.433aA-1 to lllc.433aA-425 and IMd-1.433aA-1 to Nld-1.433aA-425) Table 434a Compounds IIIa, INb, INc and IIId-1, wherein A is 3-methylisothiazol-4-yl and
B jeweils einer Gruppe in einer Zeile der Tabelle A entspricht (VerbindungenB corresponds in each case to a group in a row of Table A (compounds
Mla.434aA-1 bis Nla.434aA-425, Mlb.434aA-1 bis Nlb.434aA-425, IMc.434aA-1 bis lllc.434aA-425 und llld-1.434aA-1 bis llld-1.434aA-425) Tabelle 435a Verbindungen lila, INb, INc und llld-1 , worin A für 3-Methylisothiazol-5-yl steht undMla.434aA-1 to Nla.434aA-425, Mlb.434aA-1 to Nlb.434aA-425, IMc.434aA-1 to lllc.434aA-425 and llld-1.434aA-1 to llld-1.434aA-425) Table 435a Compounds IIIa, INb, INc and IIId-1, wherein A is 3-methylisothiazol-5-yl and
B jeweils einer Gruppe in einer Zeile der Tabelle A entspricht (VerbindungenB corresponds in each case to a group in a row of Table A (compounds
Mla.435aA-1 bis Nla.435aA-425, Mlb.435aA-1 bis Nlb.435aA-425, lllc.435aA-1 bis lllc.435aA-425 und llld-1.435aA-1 bis llld-1.435aA-425) Tabelle 436a Verbindungen lila, INb, INc und llld-1 , worin A für 4,5-Dichlorisothiazol-3-yl steht und B jeweils einer Gruppe in einer Zeile der Tabelle A entspricht (VerbindungenMla.435aA-1 to Nla.435aA-425, Mlb.435aA-1 to Nlb.435aA-425, lllc.435aA-1 to lllc.435aA-425 and llld-1.435aA-1 to llld-1.435aA-425) Table 436a Compounds IIIa, INb, INc and IIId-1, wherein A is 4,5-dichloroisothiazol-3-yl and B in each case corresponds to one group in a row of Table A (Compounds
Mla.436aA-1 bis Nla.436aA-425, Mlb.436aA-1 bis Nlb.436aA-425, lllc.436aA-1 bis lllc.436aA-425 und llld-1.436aA-1 bis llld-1.436aA-425) Tabelle 437a Verbindungen lila, INb, INc und llld-1 , worin A für 4,5-Dimethylisothiazol-3-yl steht und B jeweils einer Gruppe in einer Zeile der Tabelle A entspricht (VerbindungenMla.436aA-1 to Nla.436aA-425, Mlb.436aA-1 to Nlb.436aA-425, lllc.436aA-1 to lllc.436aA-425 and llld-1.436aA-1 to llld-1.436aA-425) Table 437a Compounds IIIa, INb, INc and IIId-1, wherein A is 4,5-dimethylisothiazol-3-yl and B in each case corresponds to one group in a row of Table A (Compounds
Mla.437aA-1 bis Nla.437aA-425,lllb.437aA-1 bis Nlb.437aA-425, lllc.437aA-1 bis lllc.437aA-425 und llld-1.437aA-1 bis llld-1.437aA-425) Tabelle 438a Verbindungen lila, INb, INc und llld-1 , worin A für 3,5-Dimethylisothiazol-4-yl steht und B jeweils einer Gruppe in einer Zeile der Tabelle A entspricht (VerbindungenMla.437aA-1 to Nla.437aA-425, IIIb.437aA-1 to Nlb.437aA-425, lllc.437aA-l to lllc.437aA-425 and llld-1.437aA-l to llld-1.437aA-425) Table 438a Compounds IIIa, INb, INc and IIId-1, wherein A is 3,5-dimethylisothiazol-4-yl and B in each case corresponds to one group in a row of Table A (Compounds
Mla.438aA-1 bis Nla.438aA-425, Mlb.438aA-1 bis Nlb.438aA-425, Mlc.438aA-1 bis lllc.438aA-425 und llld-1.438aA-1 bis llld-1.438aA-425) Tabelle 439a Verbindungen lila, INb, INc und llld-1 , worin A für 3,4-Dichlorisothiazol-5-yl steht und B jeweils einer Gruppe in einer Zeile der Tabelle A entspricht (VerbindungenMla.438aA-1 to Nla.438aA-425, Mlb.438aA-1 to Nlb.438aA-425, Mlc.438aA-1 to lllc.438aA-425 and llld-1.438aA-1 to llld-1.438aA-425) Table 439a Compounds IIIa, INb, INc and IIId-1, wherein A is 3,4-dichloroisothiazol-5-yl and B in each case corresponds to one group in a row of Table A (Compounds
Mla.439aA-1 bis Nla.439aA-425, Mlb.439aA-1 bis Nlb.439aA-425, lllc.439aA-1 bis lllc.439aA-425 und llld-1.439aA-1 bis llld-1.439aA-425) Tabelle 440a Verbindungen lila, INb, INc und llld-1 , worin A für Oxazol-2-yl steht und B jeweils einer Gruppe in einer Zeile der Tabelle A entspricht (Verbindungen Nla.440aA-1 bisMla.439aA-1 to Nla.439aA-425, Mlb.439aA-1 to Nlb.439aA-425, lllc.439aA-l to lllc.439aA-425 and llld-1.439aA-l to llld-1.439aA-425) Table 440a Compounds IIIa, INb, INc and IIId-1, in which A is oxazol-2-yl and B in each case corresponds to a group in a row of Table A (Compounds Nla.440aA-1 to
Nla.440aA-425, Mlb.440aA-1 bis Nlb.440aA-425, Mlc.440aA-1 bis lllc.440aA-425 und llld-1.44OaA-I bis llld-1.440aA-425) Tabelle 441 a Verbindungen lila, INb, INc und llld-1 , worin A für Oxazol-4-yl steht und B jeweils einer Gruppe in einer Zeile der Tabelle A entspricht (Verbindungen lila.441 aA-1 bis Hla.441aA-425,lllb.441 aA-1 bis Nlb.441aA-425, lllc.441 aA-1 bis lllc.441 aA-425 und llld-1.441aA-1 bis |||d-1.441 aA-425) Tabelle 442aNla.440aA-425, Mlb.440aA-1 to Nlb.440aA-425, Mlc.440aA-l to lllc.440aA-425 and llld-1.44OaA-l to llld-1.440aA-425) Table 441 a Compounds purple, INb, INc and llld-1, in which A is oxazol-4-yl and B corresponds in each case to one group in one row of Table A (compounds III.441 aA-1 to Hla.441aA-425, Illb.441 aA-1 to Nlb.441aA-425, Illc.441 aA-1 to Ill. 441 aA-425 and Ill. 1.441aA-1 to ||| d-1.441 aA-425) Table 442a
Verbindungen lila, INb, INc und llld-1 , worin A für Oxazol-5-yl steht und B jeweils einer Gruppe in einer Zeile der Tabelle A entspricht (Verbindungen Nla.442aA-1 bisCompounds purple, INb, INc and llld-1, wherein A is oxazol-5-yl and B each corresponds to a group in a row of Table A (compounds Nla.442aA-1 to
Nla.442aA-425,lllb.442aA-1 bis Nlb.442aA-425, lllc.442aA-1 bis lllc.442aA-425 undNla.442aA-425, lllb.442aA-1 to Nlb.442aA-425, lllc.442aA-l to lllc.442aA-425, and
Nld-1.442aA-1 bis llld-1.442aA-425) Tabelle 443aNld-1.442aA-1 to llld-1.442aA-425) Table 443a
Verbindungen lila, INb, INc und llld-1 , worin A für lsoxazol-3-yl steht und B jeweils einer Gruppe in einer Zeile der Tabelle A entspricht (Verbindungen Nla.443aA-1 bisCompounds IIIa, INb, INc and IIId-1, where A is isoxazol-3-yl and B corresponds in each case to one group in one row of Table A (Compounds Nla.443aA-1 to
Nla.443aA-425,lllb.443aA-1 bis Nlb.443aA-425, lllc.443aA-1 bis lllc.443aA-425 undNla.443aA-425, lllb.443aA-1 to Nlb.443aA-425, lllc.443aA-l to lllc.443aA-425, and
Nld-1.443aA-1 bis Nld-1.443aA-425) Tabelle 444aNld-1.443aA-1 to Nld-1.443aA-425) Table 444a
Verbindungen lila, INb, INc und llld-1 , worin A für lsoxazol-4-yl steht und B jeweils einer Gruppe in einer Zeile der Tabelle A entspricht (Verbindungen Nla.444aA-1 bisCompounds IIIa, INb, INc and IIId-1, wherein A is isoxazol-4-yl and B corresponds in each case to one group in one row of Table A (Compounds Nla.444aA-1 to
Mla.444aA-425,Verbindungen Nlb.444aA-1 bis Nlb.444aA-425, lllc.444aA-1 bisMla.444aA-425, Compounds Nlb.444aA-1 to Nlb.444aA-425, lllc.444aA-1 to
IHc.444aA-425 und llld-1.444aA-1 bis llld-1.444aA-425) Tabelle 445aIHC 444aA-425 and IIId-1.444aA-1 to IIId-1.444aA-425) Table 445a
Verbindungen lila, INb, INc und llld-1 , worin A für lsoxazol-5-yl steht und B jeweils einer Gruppe in einer Zeile der Tabelle A entspricht (Verbindungen Nla.445aA-1 bisCompounds IIIa, INb, INc and IIId-1, where A is isoxazol-5-yl and B corresponds in each case to one group in one row of Table A (Compounds Nla.445aA-1 to
Nla.445aA-425,Verbindungen Nlb.445aA-1 bis Nlb.445aA-425, lllc.445aA-1 bis lllc.445aA-425 und llld-1.445aA-1 bis llld-1.445aA-425) Tabelle 446aNla.445aA-425, Compounds Nlb.445aA-1 to Nlb.445aA-425, lllc.445aA-l to lllc.445aA-425 and llld-1.445aA-1 to llld-1.445aA-425) Table 446a
Verbindungen lila, INb, INc und llld-1 , worin A für 3-Chlorisoxazol-5-yl steht und B jeweils einer Gruppe in einer Zeile der Tabelle A entspricht (VerbindungenCompounds purple, INb, INc and llld-1, wherein A is 3-chloroisoxazol-5-yl and B in each case corresponds to a group in a row of Table A (Compounds
Nla.446aA-1 bis Nla.446aA-425, Nlb.446aA-1 bis Nlb.446aA-425, lllc.446aA-1 bis lllc.446aA-425 und llld-1.446aA-1 bis llld-1.446aA-425) Tabelle 447aNla.446aA-1 to Nla.446aA-425, Nlb.446aA-1 to Nlb.446aA-425, lllc.446aA-l to lllc.446aA-425 and llld-1.446aA-l to llld-1.446aA-425) Table 447a
Verbindungen lila, INb, INc und llld-1 , worin A für 5-Methylisoxazol-3-yl steht und B jeweils einer Gruppe in einer Zeile der Tabelle A entspricht (VerbindungenCompounds purple, INb, INc and llld-1, wherein A is 5-methylisoxazol-3-yl and B each corresponds to a group in a row of Table A (Compounds
Nla.447aA-1 bis Nla.447aA-425, Nlb.447aA-1 bis Nlb.447aA-425, lllc.447aA-1 bis lllc.447aA-425 und llld-1.447aA-1 bis llld-1.447aA-425) Tabelle 448aNla.447aA-1 to Nla.447aA-425, Nlb.447aA-1 to Nlb.447aA-425, lllc.447aA-l to lllc.447aA-425 and llld-1.447aA-l to llld-1.447aA-425) Table 448a
Verbindungen lila, INb, INc und llld-1 , worin A für 5-Methylisoxazol-4-yl steht und B jeweils einer Gruppe in einer Zeile der Tabelle A entspricht (VerbindungenCompounds purple, INb, INc and llld-1, wherein A is 5-methylisoxazol-4-yl and B each corresponds to a group in a row of Table A (Compounds
Nla.448aA-1 bis Nla.448aA-425, Nlb.448aA-1 bis Nlb.448aA-425, lllc.448aA-1 bis lllc.448aA-425 und llld-1.448aA-1 bis llld-1.448aA-425) Tabelle 449aNla.448aA-1 to Nla.448aA-425, Nlb.448aA-1 to Nlb.448aA-425, lllc.448aA-1 to lllc.448aA-425 and lld-1.448aA-1 to lld-1.448aA-425) Table 449a
Verbindungen lila, INb, INc und llld-1 , worin A für 3-Methylisoxazol-5-yl steht und B jeweils einer Gruppe in einer Zeile der Tabelle A entspricht (VerbindungenCompounds purple, INb, INc and llld-1, wherein A is 3-methylisoxazol-5-yl and B each corresponds to a group in a row of Table A (compounds
Nla.449aA-1 bis Nla.449aA-425, Nlb.449aA-1 bis Nlb.449aA-425, lllc.449aA-1 bis lllc.449aA-425 und llld-1.449aA-1 bis llld-1.449aA-425) Tabelle 450aNla.449aA-1 to Nla.449aA-425, Nlb.449aA-1 to Nlb.449aA-425, lllc.449aA-l to lllc.449aA-425 and llld-1.449aA-l to llld-1.449aA-425) Table 450a
Verbindungen lila, INb, INc und llld-1 , worin A für 3,5-Dimethylisoxazol-4-yl steht und B jeweils einer Gruppe in einer Zeile der Tabelle A entspricht (Verbindungen Mla.450aA-1 bis Nla.450aA-425, Mlb.450aA-1 bis Nlb.450aA-425, IMc.450aA-1 bis lllc.450aA-425 und llld-1.45OaA-I bis llld-1.450aA-425)Compounds IIIa, INb, INc and IIId-1, in which A is 3,5-dimethylisoxazol-4-yl and B corresponds in each case to one group in one row of Table A (Compounds Mla.450aA-1 to Nla.450aA-425, Mlb.450aA-1 to Nlb.450aA-425, IMc.450aA-l to lllc.450aA-425 and llld-1.45OaA-l to llld-1.450aA-425)
Tabelle 451 aTable 451 a
Verbindungen lila, INb, INc und llld-1 , worin A für 3-Chlor-5-methylisoxazol-4-yl steht und B jeweils einer Gruppe in einer Zeile der Tabelle A entspricht (Verbindungen Mla.451 aA-1 bis Nla.451 aA-425, Mlb.451aA-1 bis Nlb.451 aA-425, lllc.451 aA-1 bis lllc.451 aA-425 und llld-1.451 aA-1 bis llld-1.451aA-425)Compounds IIIa, INb, INc and IIId-1, in which A is 3-chloro-5-methylisoxazol-4-yl and B corresponds in each case to one group in one row of Table A (Compounds Mla.451 aA-1 to Nla.451 aA-425, Mlb.451aA-1 to Nlb.451 aA-425, lllc.451 aA-1 to lllc.451 aA-425 and llld-1.451 aA-1 to llld-1.451aA-425)
Tabelle 452aTable 452a
Verbindungen lila, INb, INc und llld-1 , worin A für 3-Methyl-4-chlorisoxazol-5-yl steht und B jeweils einer Gruppe in einer Zeile der Tabelle A entspricht (Verbindungen Mla.452aA-1 bis Nla.452aA-425, Mlb.452aA-1 bis Nlb.452aA-425, lllc.452aA-1 bis lllc.452aA-425 und llld-1.452aA-1 bis llld-1.452aA-425)Compounds IIIa, INb, INc and IIId-1, in which A is 3-methyl-4-chloroisoxazol-5-yl and B corresponds in each case to one group in one row of Table A (Compounds Mla.452aA-1 to Nla.452aA- 425, Mlb.452aA-1 to Nlb.452aA-425, lllc.452aA-l to lllc.452aA-425 and llld-1.452aA-l to llld-1.452aA-425)
Tabelle 453aTable 453a
Verbindungen lila, INb, INc und llld-1 , worin A für 1-Methylpyrazol-3-yl steht und B jeweils einer Gruppe in einer Zeile der Tabelle A entspricht (Verbindungen Mla.453aA-1 bis Nla.453aA-425, Mlb.453aA-1 bis Nlb.453aA-425, lllc.453aA-1 bis lllc.453aA-425 und llld-1.453aA-1 bis llld-1.453aA-425)Compounds IIIa, INb, INc and IIId-1, in which A is 1-methylpyrazol-3-yl and B corresponds in each case to one group in one row of Table A (Compounds Mla.453aA-1 to Nla.453aA-425, Mlb. 453aA-1 to Nlb.453aA-425, lllc.453aA-l to lllc.453aA-425 and llld-1.453aA-l to llld-1.453aA-425)
Tabelle 454aTable 454a
Verbindungen lila, INb, INc und llld-1 , worin A für 1-Methylpyrazol-4-yl steht und B jeweils einer Gruppe in einer Zeile der Tabelle A entspricht (Verbindungen Mla.454aA-1 bis Nla.454aA-425, Mlb.454aA-1 bis Nlb.454aA-425, lllc.454aA-1 bis lllc.454aA-425 und llld-1.454aA-1 bis llld-1.454aA-425)Compounds IIIa, INb, INc and IIId-1, wherein A is 1-methylpyrazol-4-yl and B in each case corresponds to one group in a row of Table A (Compounds Mla.454aA-1 to Nla.454aA-425, Mlb. 454aA-1 to Nlb.454aA-425, lllc.454aA-l to lllc.454aA-425 and llld-1.454aA-l to llld-1.454aA-425)
Tabelle 455aTable 455a
Verbindungen lila, INb, INc und llld-1 , worin A für 1-Methylpyrazol-5-yl steht und B jeweils einer Gruppe in einer Zeile der Tabelle A entspricht (Verbindungen Mla.455aA-1 bis Nla.455aA-425, Mlb.455aA-1 bis Nlb.455aA-425, lllc.455aA-1 bis lllc.455aA-425 und llld-1.455aA-1 bis llld-1.455aA-425)Compounds IIIa, INb, INc and IIId-1, wherein A is 1-methylpyrazol-5-yl and B corresponds in each case to one group in a row of Table A (Compounds Mla.455aA-1 to Nla.455aA-425, Mlb. 455aA-1 to Nlb.455aA-425, lllc.455aA-l to lllc.455aA-425 and llld-1.455aA-l to llld-1.455aA-425)
Tabelle 456aTable 456a
Verbindungen lila, INb, INc und llld-1 , worin A für 1 ,3-Dimethylpyrazol-4-yl steht und B jeweils einer Gruppe in einer Zeile der Tabelle A entspricht (Verbindungen Mla.456aA-1 bis Nla.456aA-425, Mlb.456aA-1 bis Nlb.456aA-425, lllc.456aA-1 bis lllc.456aA-425 und llld-1.456aA-1 bis llld-1.456aA-425)Compounds IIIa, INb, INc and IIId-1, in which A is 1,3-dimethylpyrazol-4-yl and B corresponds in each case to one group in one row of Table A (Compounds Mla.456aA-1 to Nla.456aA-425, Mlb.456aA-1 to Nlb.456aA-425, lllc.456aA-l to lllc.456aA-425 and llld-1.456aA-l to llld-1.456aA-425)
Tabelle 457aTable 457a
Verbindungen lila, INb, INc und llld-1 , worin A für 1 ,5-Dimethylpyrazol-4-yl steht und B jeweils einer Gruppe in einer Zeile der Tabelle A entspricht (Verbindungen Mla.457aA-1 bis Nla.457aA-425, Mlb.457aA-1 bis Nlb.457aA-425, lllc.457aA-1 bis lllc.457aA-425 und llld-1.457aA-1 bis llld-1.457aA-425)Compounds IIIa, INb, INc and IIId-1, in which A is 1,5-dimethylpyrazol-4-yl and B corresponds in each case to one group in a row of Table A (compounds Mla.457aA-1 to Nla.457aA-425, Mlb.457aA-1 to Nlb.457aA-425, lllc.457aA-l to lllc.457aA-425 and llld-1.457aA-l to llld-1.457aA-425)
Tabelle 458aTable 458a
Verbindungen lila, INb, INc und llld-1 , worin A für 1 ,3,5-Trimethylpyrazol-4-yl steht und B jeweils einer Gruppe in einer Zeile der Tabelle A entspricht (VerbindungenCompounds purple, INb, INc and llld-1, wherein A is 1, 3,5-trimethylpyrazol-4-yl and B corresponds in each case to a group in a row of Table A (compounds
Mla.458aA-1 bis Nla.458aA-425, Mlb.458aA-1 bis Nlb.458aA-425, IMc.458aA-1 bis lllc.458aA-425 und IMd-1.458aA-1 bis Nld-1.458aA-425) Tabelle 459a Verbindungen lila, INb, INc und llld-1 , worin A für 1-Methylimidazol-4-yl steht und B jeweils einer Gruppe in einer Zeile der Tabelle A entspricht (VerbindungenMla.458aA-1 to Nla.458aA-425, Mlb.458aA-1 to Nlb.458aA-425, IMc.458aA-1 to lllc.458aA-425 and IMd-1.458aA-1 to Nld-1.458aA-425) Table 459a Compounds IIIa, INb, INc and IIId-1, wherein A is 1-methylimidazol-4-yl and B in each case corresponds to one group in a row of Table A (Compounds
Mla.459aA-1 bis Nla.459aA-425, Mlb.459aA-1 bis Nlb.459aA-425, IMc.459aA-1 bis lllc.459aA-425 und llld-1.459aA-1 bis llld-1.459aA-425) Tabelle 460a Verbindungen lila, INb, INc und llld-1 , worin A für 1 ,5-Dimethylimidazol-4-yl steht und B jeweils einer Gruppe in einer Zeile der Tabelle A entspricht (VerbindungenMla.459aA-1 to Nla.459aA-425, Mlb.459aA-1 to Nlb.459aA-425, IMc.459aA-1 to lllc.459aA-425 and lllld-1.459aA-1 to llld-1.459aA-425) Table 460a Compounds purple, INb, INc and llld-1, wherein A is 1, 5-dimethylimidazol-4-yl and B each corresponds to a group in a row of Table A (Compounds
Mla.460aA-1 bis Nla.460aA-425, Mlb.460aA-1 bis Nlb.460aA-425, IMc.460aA-1 bis lllc.460aA-425 und llld-1.46OaA-I bis llld-1.460aA-425) Tabelle 461 a Verbindungen lila, INb, INc und llld-1 , worin A für 1 ,2-Dimethylimidazol-5-yl steht und B jeweils einer Gruppe in einer Zeile der Tabelle A entspricht (VerbindungenMla.460aA-1 to Nla.460aA-425, Mlb.460aA-1 to Nlb.460aA-425, IMc.460aA-1 to lllc.460aA-425 and llld-1.46OaA-l to llld-1.460aA-425) Table 461 a Compounds purple, INb, INc and llld-1, wherein A is 1, 2-dimethylimidazol-5-yl and B in each case corresponds to a group in a row of Table A (Compounds
Mla.461aA-1 bis Nla.461aA-425, Mlb.461aA-1 bis Nlb.461 aA-425, lllc.461aA-1 bis lllc.461 aA-425 und llld-1.461 aA-1 bis llld-1.461 aA-425) Tabelle 462a Verbindungen lila, INb, INc und llld-1 , worin A für 1 ,4-Dimethylimidazol-5-yl steht und B jeweils einer Gruppe in einer Zeile der Tabelle A entspricht (VerbindungenMla.461aA-1 to Nla.461aA-425, Mlb.461aA-1 to Nlb.461 aA-425, lllc.461aA-l to lllc.461 aA-425 and llld-1.461 aA-1 to llld-1.461 aA- 425). Table 462a Compounds IIIa, INb, INc and IIId-1, wherein A is 1,4-dimethylimidazol-5-yl and B in each case corresponds to one group in a row of Table A (Compounds
Mla.462aA-1 bis Nla.462aA-425, Mlb.462aA-1 bis Nlb.462aA-425, lllc.462aA-1 bis lllc.462aA-425 und llld-1.462aA-1 bis llld-1.462aA-425) Tabelle 463a Verbindungen lila, INb, INc und llld-1 , worin B für Pyridin-2-yl steht und A jeweils einer Gruppe in einer Zeile der Tabelle A entspricht (Verbindungen Nla.463aA-1 bisMla.462aA-1 to Nla.462aA-425, Mlb.462aA-1 to Nlb.462aA-425, lllc.462aA-l to lllc.462aA-425 and llld-1.462aA-l to llld-1.462aA-425) Table 463a Compounds IIIa, INb, INc and IIId-1, wherein B is pyridin-2-yl and A in each case corresponds to one group in a row of Table A (Compounds Nla.463aA-1 to
Nla.463aA-425, Mlb.463aA-1 bis Nlb.463aA-425, lllc.463aA-1 bis lllc.463aA-425 und llld-1.463aA-1 bis llld-1.463aA-425) Tabelle 464a Verbindungen lila, INb, INc und llld-1 , worin B für Pyridin-3-yl steht und A jeweils einer Gruppe in einer Zeile der Tabelle A entspricht (Verbindungen Nla.464aA-1 bisNla.463aA-425, Mlb.463aA-1 to Nlb.463aA-425, lllc.463aA-l to lllc.463aA-425 and llld-1.463aA-l to llld-1.463aA-425). Table 464a Compounds IIIa, INb , INc and llld-1, wherein B is pyridin-3-yl and A corresponds in each case to one group in a row of Table A (Compounds Nla.464aA-1 to
Nla.464aA-425, Mlb.464aA-1 bis Nlb.464aA-425, lllc.464aA-1 bis lllc.464aA-425 und llld-1.464aA-1 bis llld-1.464aA-425) Tabelle 465a Verbindungen lila, INb, INc und llld-1 , worin B für Pyridin-4-yl steht und A jeweils einer Gruppe in einer Zeile der Tabelle A entspricht (Verbindungen Nla.465aA-1 bisNla.464aA-425, Mlb.464aA-1 to Nlb.464aA-425, lllc.464aA-1 to lllc.464aA-425 and llld-1.464aA-1 to llld-1.464aA-425). Table 465a Compounds IIIa, INb , INc and llld-1, wherein B is pyridin-4-yl and A corresponds in each case to one group in a row of Table A (Compounds Nla.465aA-1 to
Nla.465aA-425, Mlb.465aA-1 bis Nlb.465aA-425, lllc.465aA-1 bis lllc.465aA-425 und llld-1.465aA-1 bis llld-1.465aA-425) Tabelle 466a Verbindungen lila, INb, INc und llld-1 , worin B für 3-Chlorpyridin-2-yl steht und A jeweils einer Gruppe in einer Zeile der Tabelle A entspricht (Verbindungen Mla.466aA-1 bis Nla.466aA-425, Mlb.466aA-1 bis lllb.466aA-425, IMc.466aA-1 bis lllc.466aA-425 und llld-1.466aA-1 bis llld-1.466aA-425) Tabelle 467aNla.465aA-425, Mlb.465aA-1 to Nlb.465aA-425, lllc.465aA-l to lllc.465aA-425 and llld-1.465aA-l to llld-1.465aA-425). Table 466a Compounds IIIa, INb , INc and llld-1, wherein B is 3-chloropyridin-2-yl and A in each case corresponds to one group in a row of Table A (Compounds Mla.466aA-1 to Nla.466aA-425, Mlb.466aA-l to lllb.466aA-425, IMc.466aA-l to lllc.466aA-425 and llld-1.466aA-l to llld-1.466aA-425) Table 467a
Verbindungen lila, INb, INc und llld-1 , worin B für 4-Chlorpyridin-2-yl steht und A jeweils einer Gruppe in einer Zeile der Tabelle A entspricht (VerbindungenCompounds purple, INb, INc and llld-1, wherein B is 4-chloropyridin-2-yl and A in each case corresponds to one group in a row of Table A (Compounds
Mla.467aA-1 bis Nla.467aA-425,lllb.467aA-1 bis Nlb.467aA-425, lllc.467aA-1 bis lllc.467aA-425 und llld-1.467aA-1 bis llld-1.467aA-425) Tabelle 468aMla.467aA-1 to Nla.467aA-425, IIIb.467aA-1 to Nlb.467aA-425, lllc.467aA-l to lllc.467aA-425 and llld-1.467aA-l to llld-1.467aA-425) Table 468a
Verbindungen lila, INb, INc und llld-1 , worin B für 5-Chlorpyridin-2-yl steht und A jeweils einer Gruppe in einer Zeile der Tabelle A entspricht (VerbindungenCompounds IIIa, INb, INc and IIId-1, wherein B is 5-chloropyridin-2-yl and A in each case corresponds to one group in a row of Table A (Compounds
Mla.468aA-1 bis Nla.468aA-425, Mlb.468aA-1 bis Nlb.468aA-425, IMc.468aA-1 bis lllc.468aA-425 und llld-1.468aA-1 bis llld-1.468aA-425) Tabelle 469aMla.468aA-1 to Nla.468aA-425, Mlb.468aA-1 to Nlb.468aA-425, IMc.468aA-1 to lllc.468aA-425 and llld-1.468aA-1 to llld-1.468aA-425) Table 469a
Verbindungen lila, INb, INc und llld-1 , worin B für 6-Chlorpyridin-2-yl steht und A jeweils einer Gruppe in einer Zeile der Tabelle A entspricht (VerbindungenCompounds IIIa, INb, INc and IIId-1, wherein B is 6-chloropyridin-2-yl and A in each case corresponds to one group in a row of Table A (Compounds
Mla.469aA-1 bis Nla.469aA-425, Mlb.469aA-1 bis Nlb.469aA-425, lllc.469aA-1 bis lllc.469aA-425 und llld-1.469aA-1 bis llld-1.469aA-425) Tabelle 470aMla.469aA-1 to Nla.469aA-425, Mlb.469aA-1 to Nlb.469aA-425, lllc.469aA-l to lllc.469aA-425 and llld-1.469aA-l to llld-1.469aA-425) Table 470a
Verbindungen lila, INb, INc und llld-1 , worin B für 2-Chlorpyridin-3-yl steht und A jeweils einer Gruppe in einer Zeile der Tabelle A entspricht (VerbindungenCompounds purple, INb, INc and llld-1, wherein B is 2-chloropyridin-3-yl and A in each case corresponds to one group in a row of Table A (Compounds
Mla.470aA-1 bis Nla.470aA-425, Mlb.470aA-1 bis Nlb.470aA-425, IMc.470aA-1 bis lllc.470aA-425 und llld-1.47OaA-I bis llld-1.470aA-425) Tabelle 471 aMla.470aA-1 to Nla.470aA-425, Mlb.470aA-1 to Nlb.470aA-425, IMc.470aA-1 to lllc.470aA-425 and llld-1.47OaA-l to llld-1.470aA-425) Table 471 a
Verbindungen lila, INb, INc und llld-1 , worin B für 4-Chlorpyridin-3-yl steht und A jeweils einer Gruppe in einer Zeile der Tabelle A entspricht (VerbindungenCompounds IIIa, INb, INc and IIId-1, wherein B is 4-chloropyridin-3-yl and A in each case corresponds to one group in a row of Table A (Compounds
Mla.471aA-1 bis Nla.471aA-425, Mlb.471aA-1 bis Nlb.471 aA-425, lllc.471aA-1 bis lllc.471 aA-425 und llld-1.471 aA-1 bis llld-1.471 aA-425) Tabelle 472aMla.471aA-1 to Nla.471aA-425, Mlb.471aA-1 to Nlb.471 aA-425, lllc.471aA-1 to lllc.471 aA-425 and llld-1.471 aA-1 to llld-1.471 aA- 425) Table 472a
Verbindungen lila, INb, INc und llld-1 , worin B für 5-Chlorpyridin-3-yl steht und A jeweils einer Gruppe in einer Zeile der Tabelle A entspricht (VerbindungenCompounds IIIa, INb, INc and IIId-1, wherein B is 5-chloropyridin-3-yl and A in each case corresponds to one group in a row of Table A (Compounds
Mla.472aA-1 bis Nla.472aA-425, IMb.472aA-1 bis Nlb.472aA-425, lllc.472aA-1 bis lllc.472aA-425 und llld-1.472aA-1 bis llld-1.472aA-425) Tabelle 473aMla.472aA-1 to Nla.472aA-425, IMb.472aA-1 to Nlb.472aA-425, lllc.472aA-l to lllc.472aA-425 and llld-1.472aA-l to llld-1.472aA-425) Table 473a
Verbindungen lila, INb, INc und llld-1 , worin B für 6-Chlorpyridin-3-yl steht und A jeweils einer Gruppe in einer Zeile der Tabelle A entspricht (VerbindungenCompounds IIIa, INb, INc and IIId-1, wherein B is 6-chloropyridin-3-yl and A in each case corresponds to one group in a row of Table A (Compounds
Mla.473aA-1 bis Nla.473aA-425, Mlb.473aA-1 bis Nlb.473aA-425, lllc.473aA-1 bis lllc.473aA-425 und llld-1.473aA-1 bis llld-1.473aA-425) Tabelle 474aMla.473aA-1 to Nla.473aA-425, Mlb.473aA-1 to Nlb.473aA-425, lllc.473aA-l to lllc.473aA-425 and llld-1.473aA-l to llld-1.473aA-425) Table 474a
Verbindungen lila, INb, INc und llld-1 , worin B für 2-Chlorpyridin-4-yl steht und A jeweils einer Gruppe in einer Zeile der Tabelle A entspricht (VerbindungenCompounds IIIa, INb, INc and IIId-1, where B is 2-chloropyridin-4-yl and A in each case corresponds to one group in a row of Table A (Compounds
Mla.474aA-1 bis Nla.474aA-425, Mlb.474aA-1 bis Nlb.474aA-425, lllc.474aA-1 bis lllc.474aA-425 und llld-1.474aA-1 bis llld-1.474aA-425) Tabelle 475aMla.474aA-1 to Nla.474aA-425, Mlb.474aA-1 to Nlb.474aA-425, lllc.474aA-l to lllc.474aA-425 and llld-1.474aA-l to llld-1.474aA-425) Table 475a
Verbindungen lila, INb, INc und llld-1 , worin B für 3-Chlorpyridin-4-yl steht und A jeweils einer Gruppe in einer Zeile der Tabelle A entspricht (Verbindungen Mla.475aA-1 bis Nla.475aA-425, Mlb.475aA-1 bis Nlb.475aA-425, IMc.475aA-1 bis lllc.475aA-425 und llld-1.475aA-1 bis llld-1.475aA-425)Compounds IIIa, INb, INc and IIId-1, where B is 3-chloropyridin-4-yl and A in each case corresponds to one group in a row of Table A (Compounds Mla.475aA-1 to Nla.475aA-425, Mlb. 475aA-1 to Nlb.475aA-425, IMc.475aA-l to lllc.475aA-425 and llld-1.475aA-l to llld-1.475aA-425)
Tabelle 476aTable 476a
Verbindungen lila, INb, INc und llld-1 , worin B für 4-Chlorpyridin-5-yl steht und A jeweils einer Gruppe in einer Zeile der Tabelle A entspricht (Verbindungen Mla.476aA-1 bis Nla.476aA-425, Mlb.476aA-1 bis Nlb.476aA-425, lllc.476aA-1 bis lllc.476aA-425 und llld-1.476aA-1 bis llld-1.476aA-425)Compounds IIIa, INb, INc and IIId-1, wherein B is 4-chloropyridin-5-yl and A in each case corresponds to one group in a row of Table A (Compounds Mla.476aA-1 to Nla.476aA-425, Mlb. 476aA-1 to Nlb.476aA-425, lllc.476aA-l to lllc.476aA-425 and llld-1.476aA-l to llld-1.476aA-425)
Tabelle 477aTable 477a
Verbindungen lila, INb, INc und llld-1 , worin B für 3-Fluorpyridin-2-yl steht und A jeweils einer Gruppe in einer Zeile der Tabelle A entspricht (Verbindungen Mla.477aA-1 bis Nla.477aA-425, Mlb.477aA-1 bis Nlb.477aA-425, lllc.477aA-1 bis lllc.477aA-425 und llld-1.477aA-1 bis llld-1.477aA-425)Compounds IIIa, INb, INc and IIId-1, where B is 3-fluoropyridin-2-yl and A in each case corresponds to one group in a row of Table A (Compounds Mla.477aA-1 to Nla.477aA-425, Mlb. 477aA-1 to Nlb.477aA-425, lllc.477aA-l to lllc.477aA-425 and llld-1.477aA-l to llld-1.477aA-425)
Tabelle 478aTable 478a
Verbindungen lila, INb, INc und llld-1 , worin B für 4-Fluorpyridin-2-yl steht und A jeweils einer Gruppe in einer Zeile der Tabelle A entspricht (Verbindungen Mla.478aA-1 bis Nla.478aA-425, Mlb.478aA-1 bis Nlb.478aA-425, IMc.478aA-1 bis lllc.478aA-425 und llld-1.478aA-1 bis llld-1.478aA-425)Compounds IIIa, INb, INc and IIId-1, where B is 4-fluoropyridin-2-yl and A in each case corresponds to one group in a row of Table A (Compounds Mla.478aA-1 to Nla.478aA-425, Mlb. 478aA-1 to Nlb.478aA-425, IMc.478aA-1 to lllc.478aA-425 and llld-1.478aA-1 to llld-1.478aA-425)
Tabelle 479aTable 479a
Verbindungen lila, INb, INc und llld-1 , worin B für 5-Fluorpyridin-2-yl steht und A jeweils einer Gruppe in einer Zeile der Tabelle A entspricht (Verbindungen Mla.479aA-1 bis Nla.479aA-425, Mlb.479aA-1 bis Nlb.479aA-425, lllc.479aA-1 bis lllc.479aA-425 und llld-1.479aA-1 bis llld-1.479aA-425)Compounds IIIa, INb, INc and IIId-1, where B is 5-fluoropyridin-2-yl and A in each case corresponds to one group in a row of Table A (Compounds Mla.479aA-1 to Nla.479aA-425, Mlb. 479aA-1 to Nlb.479aA-425, lllc.479aA-l to lllc.479aA-425 and llld-1.479aA-l to llld-1.479aA-425)
Tabelle 480aTable 480a
Verbindungen lila, INb, INc und llld-1 , worin B für 6-Fluorpyridin-2-yl steht und A jeweils einer Gruppe in einer Zeile der Tabelle A entspricht (Verbindungen Mla.480aA-1 bis Nla.480aA-425, Mlb.480aA-1 bis Nlb.480aA-425, IMc.480aA-1 bis lllc.480aA-425 und llld-1.48OaA-I bis llld-1.480aA-425)Compounds IIIa, INb, INc and IIId-1, where B is 6-fluoropyridin-2-yl and A in each case corresponds to one group in a row of Table A (Compounds Mla.480aA-1 to Nla.480aA-425, Mlb. 480aA-1 to Nlb.480aA-425, IMc.480aA-l to lllc.480aA-425 and llld-1.48OaA-l to llld-1.480aA-425)
Tabelle 481 aTable 481 a
Verbindungen lila, INb, INc und llld-1 , worin B für 2-Fluorpyridin-3-yl steht und A jeweils einer Gruppe in einer Zeile der Tabelle A entspricht (Verbindungen Mla.481aA-1 bis Nla.481aA-425, Mlb.481aA-1 bis Nlb.481 aA-425, IMc.481aA-1 bis lllc.481 aA-425 und llld-1.481 aA-1 bis llld-1.481 aA-425)Compounds IIIa, INb, INc and IIId-1, wherein B is 2-fluoropyridin-3-yl and A in each case corresponds to one group in a row of Table A (Compounds Mla.481aA-1 to Nla.481aA-425, Mlb. 481aA-1 to Nlb.481 aA-425, IMc.481aA-1 to lllc.481 aA-425 and llld-1.481 aA-1 to llld-1.481 aA-425)
Tabelle 482aTable 482a
Verbindungen lila, INb, INc und llld-1 , worin B für 4-Fluorpyridin-3-yl steht und A jeweils einer Gruppe in einer Zeile der Tabelle A entspricht (Verbindungen Mla.482aA-1 bis Nla.482aA-425, Mlb.482aA-1 bis Nlb.482aA-425, lllc.482aA-1 bis lllc.482aA-425 und llld-1.482aA-1 bis llld-1.482aA-425)Compounds IIIa, INb, INc and IIId-1, wherein B is 4-fluoropyridin-3-yl and A in each case corresponds to one group in a row of Table A (Compounds Mla.482aA-1 to Nla.482aA-425, Mlb. 482aA-1 to Nlb.482aA-425, lllc.482aA-l to lllc.482aA-425 and llld-1.482aA-l to llld-1.482aA-425)
Tabelle 483aTable 483a
Verbindungen lila, INb, INc und llld-1 , worin B für 5-Fluorpyridin-3-yl steht und A jeweils einer Gruppe in einer Zeile der Tabelle A entspricht (VerbindungenCompounds purple, INb, INc and llld-1, wherein B is 5-fluoropyridin-3-yl and A each corresponds to a group in a row of Table A (compounds
Mla.483aA-1 bis Nla.483aA-425, Mlb.483aA-1 bis Nlb.483aA-425, IMc.483aA-1 bis lllc.483aA-425 und IMd-1.483aA-1 bis Nld-1.483aA-425) Tabelle 484a Verbindungen lila, INb, INc und llld-1 , worin B für 6-Fluorpyridin-3-yl steht und A jeweils einer Gruppe in einer Zeile der Tabelle A entspricht (VerbindungenMla.483aA-1 to Nla.483aA-425, Mlb.483aA-1 to Nlb.483aA-425, IMc.483aA-1 to lllc.483aA-425 and IMd-1.483aA-1 to Nld-1.483aA-425) Table 484a Compounds IIIa, INb, INc and IIId-1, wherein B is 6-fluoropyridin-3-yl and A in each case corresponds to one group in a row of Table A (Compounds
Mla.484aA-1 bis Nla.484aA-425, Mlb.484aA-1 bis Nlb.484aA-425, IMc.484aA-1 bis lllc.484aA-425 und llld-1.484aA-1 bis llld-1.484aA-425) Tabelle 485a Verbindungen lila, INb, INc und llld-1 , worin B für 2-Fluorpyridin-4-yl steht und A jeweils einer Gruppe in einer Zeile der Tabelle A entspricht (VerbindungenMla.484aA-1 to Nla.484aA-425, Mlb.484aA-1 to Nlb.484aA-425, IMc.484aA-l to lllc.484aA-425 and llld-1.484aA-1 to llld-1.484aA-425) Table 485a Compounds IIIa, INb, INc and IIId-1, wherein B is 2-fluoropyridin-4-yl and A in each case corresponds to one group in a row of Table A (Compounds
Mla.485aA-1 bis Nla.485aA-425, Mlb.485aA-1 bis Nlb.485aA-425, IMc.485aA-1 bis lllc.485aA-425 und llld-1.485aA-1 bis llld-1.485aA-425) Tabelle 486a Verbindungen lila, INb, INc und llld-1 , worin B für 3-Fluorpyridin-4-yl steht und A jeweils einer Gruppe in einer Zeile der Tabelle A entspricht (VerbindungenMla.485aA-1 to Nla.485aA-425, Mlb.485aA-1 to Nlb.485aA-425, IMc.485aA-1 to lllc.485aA-425 and llld-1.485aA-1 to llld-1.485aA-425) Table 486a Compounds IIIa, INb, INc and IIId-1, wherein B is 3-fluoropyridin-4-yl and A in each case corresponds to one group in a row of Table A (Compounds
Mla.486aA-1 bis Nla.486aA-425, Mlb.486aA-1 bis Nlb.486aA-425, IMc.486aA-1 bis lllc.486aA-425 und llld-1.486aA-1 bis llld-1.486aA-425) Tabelle 487a Verbindungen lila, INb, INc und llld-1 , worin B für 3- Methylpyridin-2-yl steht und A jeweils einer Gruppe in einer Zeile der Tabelle A entspricht (VerbindungenMla.486aA-1 to Nla.486aA-425, Mlb.486aA-1 to Nlb.486aA-425, IMc.486aA-1 to lllc.486aA-425 and llld-1.486aA-1 to llld-1.486aA-425) Table 487a Compounds IIIa, INb, INc and IIId-1, wherein B is 3-methylpyridin-2-yl and A in each case corresponds to one group in a row of Table A (Compounds
Mla.487aA-1 bis Nla.487aA-425, Mlb.487aA-1 bis Nlb.487aA-425, IMc.487aA-1 bis lllc.487aA-425 und llld-1.487aA-1 bis llld-1.487aA-425) Tabelle 488a Verbindungen lila, INb, INc und llld-1 , worin B für 4-Methylpyridin-2-yl steht und A jeweils einer Gruppe in einer Zeile der Tabelle A entspricht (VerbindungenMla.487aA-1 to Nla.487aA-425, Mlb.487aA-1 to Nlb.487aA-425, IMc.487aA-1 to lllc.487aA-425 and llld-1.487aA-1 to llld-1.487aA-425) Table 488a Compounds IIIa, INb, INc and IIId-1, wherein B is 4-methylpyridin-2-yl and A in each case corresponds to one group in a row of Table A (Compounds
Mla.488aA-1 bis Nla.488aA-425, Mlb.488aA-1 bis Nlb.488aA-425, IMc.488aA-1 bis lllc.488aA-425 und llld-1.488aA-1 bis llld-1.488aA-425) Tabelle 489a Verbindungen lila, INb, INc und llld-1 , worin B für 5-Methylpyridin-2-yl steht und A jeweils einer Gruppe in einer Zeile der Tabelle A entspricht (VerbindungenMla.488aA-1 to Nla.488aA-425, Mlb.488aA-1 to Nlb.488aA-425, IMc.488aA-1 to lllc.488aA-425 and llld-1.488aA-1 to llld-1.488aA-425) Table 489a Compounds IIIa, INb, INc and IIId-1, wherein B is 5-methylpyridin-2-yl and A in each case corresponds to one group in a row of Table A (Compounds
Mla.489aA-1 bis Nla.489aA-425, Mlb.489aA-1 bis Nlb.489aA-425, IMc.489aA-1 bis lllc.489aA-425 und llld-1.489aA-1 bis llld-1.489aA-425) Tabelle 490a Verbindungen lila, INb, INc und llld-1 , worin B für 6-Methylpyridin-2-yl steht und A jeweils einer Gruppe in einer Zeile der Tabelle A entspricht (VerbindungenMla.489aA-1 to Nla.489aA-425, Mlb.489aA-1 to Nlb.489aA-425, IMc.489aA-1 to lllc.489aA-425 and llld-1.489aA-1 to llld-1.489aA-425) Table 490a Compounds IIIa, INb, INc and IIId-1, wherein B is 6-methylpyridin-2-yl and A in each case corresponds to one group in a row of Table A (Compounds
Mla.490aA-1 bis Nla.490aA-425, Mlb.490aA-1 bis Nlb.490aA-425, lllc.490aA-1 bis lllc.490aA-425 und llld-1.49OaA-I bis llld-1.490aA-425) Tabelle 491 a Verbindungen lila, INb, INc und llld-1 , worin B für 2-Methylpyridin-3-yl steht und A jeweils einer Gruppe in einer Zeile der Tabelle A entspricht (Verbindungen Mla.491aA-1 bis Nla.491aA-425, Mlb.491aA-1 bis lllb.491 aA-425, IMc.491aA-1 bis lllc.491 aA-425 und llld-1.491 aA-1 bis llld-1.491 aA-425) Tabelle 492aMla.490aA-1 to Nla.490aA-425, Mlb.490aA-1 to Nlb.490aA-425, lllc.490aA-l to lllc.490aA-425 and llld-1.49OaA-l to llld-1.490aA-425) Table 491 a Compounds purple, INb, INc and llld-1, wherein B is 2-methylpyridin-3-yl and A in each case corresponds to a group in a row of Table A (Compounds Mla.491aA-1 to Nla.491aA-425, Mlb.491aA-l to lb.491 aA-425, IMc.491aA-l to lllc.491 aA-425 and llld-1.491 aA-1 to llld-1.491 aA- 425) Table 492a
Verbindungen lila, INb, INc und llld-1 , worin B für 4-Methylpyridin-3-yl steht und A jeweils einer Gruppe in einer Zeile der Tabelle A entspricht (VerbindungenCompounds IIIa, INb, INc and IIId-1, wherein B is 4-methylpyridin-3-yl and A in each case corresponds to one group in a row of Table A (Compounds
Mla.492aA-1 bis Nla.492aA-425, Mlb.492aA-1 bis Nlb.492aA-425, lllc.492aA-1 bis lllc.492aA-425 und llld-1.492aA-1 bis llld-1.492aA-425) Tabelle 493aMla.492aA-1 to Nla.492aA-425, Mlb.492aA-1 to Nlb.492aA-425, lllc.492aA-l to lllc.492aA-425 and llld-1.492aA-l to llld-1.492aA-425) Table 493a
Verbindungen lila, INb, INc und llld-1 , worin B für 5-Methylpyridin-3-yl steht und A jeweils einer Gruppe in einer Zeile der Tabelle A entspricht (VerbindungenCompounds IIIa, INb, INc and IIId-1, wherein B is 5-methylpyridin-3-yl and A in each case corresponds to one group in a row of Table A (Compounds
Mla.493aA-1 bis Nla.493aA-425, Mlb.493aA-1 bis Nlb.493aA-425, lllc.493aA-1 bis lllc.493aA-425 und llld-1.493aA-1 bis llld-1.493aA-425) Tabelle 494aMla.493aA-1 to Nla.493aA-425, Mlb.493aA-1 to Nlb.493aA-425, lllc.493aA-l to lllc.493aA-425 and llld-1.493aA-l to llld-1.493aA-425) Table 494a
Verbindungen lila, INb, INc und llld-1 , worin B für 6-Methylpyridin-3-yl steht und A jeweils einer Gruppe in einer Zeile der Tabelle A entspricht (VerbindungenCompounds purple, INb, INc and llld-1, wherein B is 6-methylpyridin-3-yl and A in each case corresponds to one group in a row of Table A (Compounds
Mla.494aA-1 bis Nla.494aA-425, Mlb.494aA-1 bis Nlb.494aA-425, lllc.494aA-1 bis lllc.494aA-425 und llld-1.494aA-1 bis llld-1.494aA-425) Tabelle 495aMla.494aA-1 to Nla.494aA-425, Mlb.494aA-1 to Nlb.494aA-425, lllc.494aA-l to lllc.494aA-425 and llld-1.494aA-l to llld-1.494aA-425) Table 495a
Verbindungen lila, INb, INc und llld-1 , worin B für 2-Methylpyridin-4-yl steht und A jeweils einer Gruppe in einer Zeile der Tabelle A entspricht (VerbindungenCompounds IIIa, INb, INc and IIId-1, where B is 2-methylpyridin-4-yl and A in each case corresponds to one group in a row of Table A (Compounds
Mla.495aA-1 bis Nla.495aA-425, Mlb.495aA-1 bis Nlb.495aA-425, lllc.495aA-1 bis lllc.495aA-425 und llld-1.495aA-1 bis llld-1.495aA-425) Tabelle 496aMla.495aA-1 to Nla.495aA-425, Mlb.495aA-1 to Nlb.495aA-425, lllc.495aA-l to lllc.495aA-425 and llld-1.495aA-l to llld-1.495aA-425) Table 496a
Verbindungen lila, INb, INc und llld-1 , worin B für 3-Methylpyridin-4-yl steht und A jeweils einer Gruppe in einer Zeile der Tabelle A entspricht (VerbindungenCompounds IIIa, INb, INc and IIId-1, wherein B is 3-methylpyridin-4-yl and A in each case corresponds to one group in a row of Table A (Compounds
Mla.496aA-1 bis Nla.496aA-425, Mlb.496aA-1 bis Nlb.496aA-425, lllc.496aA-1 bis lllc.496aA-425 und llld-1.496aA-1 bis llld-1.496aA-425) Tabelle 497aMla.496aA-1 to Nla.496aA-425, Mlb.496aA-1 to Nlb.496aA-425, lllc.496aA-l to lllc.496aA-425 and llld-1.496aA-l to llld-1.496aA-425) Table 497a
Verbindungen lila, INb, INc und llld-1 , worin B für 4-Methylpyridin-5-yl steht und A jeweils einer Gruppe in einer Zeile der Tabelle A entspricht (VerbindungenCompounds purple, INb, INc and llld-1, wherein B is 4-methylpyridin-5-yl and A in each case corresponds to a group in a row of Table A (Compounds
Mla.497aA-1 bis Nla.497aA-425, Mlb.497aA-1 bis Nlb.497aA-425, lllc.497aA-1 bis lllc.497aA-425 und llld-1.497aA-1 bis llld-1.497aA-425) Tabelle 498aMla.497aA-1 to Nla.497aA-425, Mlb.497aA-1 to Nlb.497aA-425, lllc.497aA-l to lllc.497aA-425 and llld-1.497aA-l to llld-1.497aA-425) Table 498a
Verbindungen lila, INb, INc und llld-1 , worin B für 3-Methoxypyridin-2-yl steht und A jeweils einer Gruppe in einer Zeile der Tabelle A entspricht (VerbindungenCompounds IIIa, INb, INc and IIId-1, where B is 3-methoxypyridin-2-yl and A in each case corresponds to one group in a row of Table A (Compounds
Mla.498aA-1 bis Nla.498aA-425, Mlb.498aA-1 bis Nlb.498aA-425, IMc.498aA-1 bis lllc.498aA-425 und llld-1.498aA-1 bis llld-1.498aA-425) Tabelle 499aMla.498aA-1 to Nla.498aA-425, Mlb.498aA-1 to Nlb.498aA-425, IMc.498aA-1 to lllc.498aA-425 and llld-1.498aA-1 to llld-1.498aA-425) Table 499a
Verbindungen lila, INb, INc und llld-1 , worin B für 4-Methoxypyridin-2-yl steht und A jeweils einer Gruppe in einer Zeile der Tabelle A entspricht (VerbindungenCompounds IIIa, INb, INc and IIId-1, wherein B is 4-methoxypyridin-2-yl and A in each case corresponds to one group in a row of Table A (Compounds
Mla.499aA-1 bis Nla.499aA-425, Mlb.499aA-1 bis Nlb.499aA-425, lllc.499aA-1 bis lllc.499aA-425 und llld-1.499aA-1 bis llld-1.499aA-425) Tabelle 500aMla.499aA-1 to Nla.499aA-425, Mlb.499aA-1 to Nlb.499aA-425, lllc.499aA-l to lllc.499aA-425 and llld-1.499aA-l to llld-1.499aA-425) Table 500a
Verbindungen lila, INb, INc und llld-1 , worin B für 5-Methoxypyridin-2-yl steht und A jeweils einer Gruppe in einer Zeile der Tabelle A entspricht (Verbindungen Mla.500aA-1 bis Nla.500aA-425, Mlb.500aA-1 bis Mlb.500aA-425, IMc.500aA-1 bis lllc.500aA-425 und llld-1.50OaA-I bis llld-1.500aA-425)Compounds IIIa, INb, INc and IIId-1, wherein B is 5-methoxypyridin-2-yl and A in each case corresponds to one group in a row of Table A (Compounds Mla.500aA-1 to Nla.500aA-425, Mlb. 500aA-1 to Mlb.500aA-425, IMc.500aA-1 to lllc.500aA-425 and llld-1.50OaA-l to llld-1500aA-425)
Tabelle 501 aTable 501 a
Verbindungen lila, INb, INc und llld-1 , worin B für 6-Methoxypyridin-2-yl steht und A jeweils einer Gruppe in einer Zeile der Tabelle A entspricht (Verbindungen Mla.501aA-1 bis Nla.501aA-425, Mlb.501aA-1 bis Nlb.501 aA-425, lllc.501aA-1 bis lllc.501 aA-425 und llld-1.501 aA-1 bis llld-1.501 aA-425)Compounds IIIa, INb, INc and IIId-1, wherein B is 6-methoxypyridin-2-yl and A corresponds in each case to one group in a row of Table A (Compounds Mla.501aA-1 to Nla.501aA-425, Mlb. 501aA-1 to Nlb.501 aA-425, lllc.501aA-1 to lllc.501 aA-425 and llld-1.501 aA-1 to llld-1.501 aA-425)
Tabelle 502aTable 502a
Verbindungen lila, INb, INc und llld-1 , worin B für 2-Methoxypyridin-3-yl steht und A jeweils einer Gruppe in einer Zeile der Tabelle A entspricht (Verbindungen Mla.502aA-1 bis Nla.502aA-425, Mlb.502aA-1 bis Nlb.502aA-425, lllc.502aA-1 bis lllc.502aA-425 und llld-1.502aA-1 bis llld-1.502aA-425)Compounds IIIa, INb, INc and IIId-1, wherein B is 2-methoxypyridin-3-yl and A in each case corresponds to one group in a row of Table A (Compounds Mla.502aA-1 to Nla.502aA-425, Mlb. 502aA-1 to Nlb.502aA-425, lllc.502aA-1 to lllc.502aA-425 and llld-1.502aA-1 to llld-1.502aA-425)
Tabelle 503aTable 503a
Verbindungen lila, INb, INc und llld-1 , worin B für 4-Methoxypyridin-3-yl steht und A jeweils einer Gruppe in einer Zeile der Tabelle A entspricht (Verbindungen Mla.503aA-1 bis Nla.503aA-425, Mlb.503aA-1 bis Nlb.503aA-425, lllc.503aA-1 bis lllc.503aA-425 und llld-1.503aA-1 bis llld-1.503aA-425)Compounds IIIa, INb, INc and IIId-1, wherein B is 4-methoxypyridin-3-yl and A in each case corresponds to one group in a row of Table A (Compounds Mla.503aA-1 to Nla.503aA-425, Mlb. 503aA-1 to Nlb.503aA-425, lllc.503aA-l to lllc.503aA-425 and llld-1.503aA-l to llld-1.503aA-425)
Tabelle 504aTable 504a
Verbindungen lila, INb, INc und llld-1 , worin B für 5-Methoxypyridin-3-yl steht und A jeweils einer Gruppe in einer Zeile der Tabelle A entspricht (Verbindungen Mla.504aA-1 bis Nla.504aA-425, Mlb.504aA-1 bis Nlb.504aA-425, lllc.504aA-1 bis lllc.504aA-425 und llld-1.504aA-1 bis llld-1.504aA-425)Compounds IIIa, INb, INc and IIId-1, wherein B is 5-methoxypyridin-3-yl and A in each case corresponds to one group in a row of Table A (Compounds Mla.504aA-1 to Nla.504aA-425, Mlb. 504aA-1 to Nlb.504aA-425, lllc.504aA-l to lllc.504aA-425 and llld-1.504aA-l to llld-1.504aA-425)
Tabelle 505aTable 505a
Verbindungen lila, INb, INc und llld-1 , worin B für 6-Methoxypyridin-3-yl steht und A jeweils einer Gruppe in einer Zeile der Tabelle A entspricht (Verbindungen Mla.505aA-1 bis Nla.505aA-425, Mlb.505aA-1 bis Nlb.505aA-425, lllc.505aA-1 bis lllc.505aA-425 und llld-1.505aA-1 bis llld-1.505aA-425)Compounds IIIa, INb, INc and IIId-1, wherein B is 6-methoxypyridin-3-yl and A in each case corresponds to one group in a row of Table A (Compounds Mla.505aA-1 to Nla.505aA-425, Mlb. 505aA-1 to Nlb.505aA-425, lllc.505aA-l to lllc.505aA-425 and llld-1.505aA-l to llld-1.505aA-425)
Tabelle 506aTable 506a
Verbindungen lila, INb, INc und llld-1 , worin B für 2-Methoxypyridin-4-yl steht und A jeweils einer Gruppe in einer Zeile der Tabelle A entspricht (Verbindungen Nla.506aA-1 bis Nla.506aA-425, Nlb.506aA-1 bis Nlb.506aA-425, lllc.506aA-1 bis lllc.506aA-425 und llld-1.506aA-1 bis llld-1.506aA-425)Compounds IIIa, INb, INc and IIId-1, wherein B is 2-methoxypyridin-4-yl and A corresponds in each case to one group in a row of Table A (Compounds Nla.506aA-1 to Nla.506aA-425, Nlb. 506aA-1 to Nlb.506aA-425, lllc.506aA-l to lllc.506aA-425 and llld-1.506aA-l to llld-1.506aA-425)
Tabelle 507aTable 507a
Verbindungen lila, INb, INc und llld-1 , worin B für 3-Methoxypyridin-4-yl steht und A jeweils einer Gruppe in einer Zeile der Tabelle A entspricht (Verbindungen Nla.507aA-1 bis Nla.507aA-425, Nlb.507aA-1 bis Nlb.507aA-425, lllc.507aA-1 bis lllc.507aA-425 und llld-1.507aA-1 bis llld-1.507aA-425)Compounds IIIa, INb, INc and IIId-1, wherein B is 3-methoxypyridin-4-yl and A in each case corresponds to one group in a row of Table A (Compounds Nla.507aA-1 to Nla.507aA-425, Nlb. 507aA-1 to Nlb.507aA-425, lllc.507aA-l to lllc.507aA-425 and llld-1.507aA-l to llld-1.507aA-425)
Tabelle 508aTable 508a
Verbindungen lila, INb, INc und llld-1 , worin B für 3,5-Dichlorpyridin-2-yl steht und A jeweils einer Gruppe in einer Zeile der Tabelle A entspricht (VerbindungenCompounds IIIa, INb, INc and IIId-1, wherein B is 3,5-dichloropyridin-2-yl and A each corresponds to a group in a row of Table A (compounds
Mla.508aA-1 bis Nla.508aA-425, Mlb.508aA-1 bis Nlb.508aA-425, IMc.508aA-1 bis lllc.508aA-425 und IMd-1.508aA-1 bis Nld-1.508aA-425) Tabelle 509a Verbindungen lila, INb, INc und llld-1 , worin B für 2,4-Dichlorpyridin-3-yl steht und A jeweils einer Gruppe in einer Zeile der Tabelle A entspricht (VerbindungenMla.508aA-1 to Nla.508aA-425, Mlb.508aA-1 to Nlb.508aA-425, IMc.508aA-1 to lllc.508aA-425 and IMd-1.508aA-1 to Nld-1.508aA-425) Table 509a Compounds IIIa, INb, INc and IIId-1, wherein B is 2,4-dichloropyridin-3-yl and A in each case corresponds to one group in a row of Table A (Compounds
Mla.509aA-1 bis Nla.509aA-425, Mlb.509aA-1 bis Nlb.509aA-425, IMc.509aA-1 bis lllc.509aA-425 und llld-1.509aA-1 bis llld-1.509aA-425) Tabelle 510a Verbindungen lila, INb, INc und llld-1 , worin B für 2,5-Dichlorpyridin-3-yl steht und A jeweils einer Gruppe in einer Zeile der Tabelle A entspricht (VerbindungenMla.509aA-1 to Nla.509aA-425, Mlb.509aA-1 to Nlb.509aA-425, IMc.509aA-1 to lllc.509aA-425 and llld-1.509aA-1 to llld-1.509aA-425) Table 510a Compounds IIIa, INb, INc and IIId-1, wherein B is 2,5-dichloropyridin-3-yl and A in each case corresponds to one group in a row of Table A (Compounds
Mla.510aA-1 bis Nla.510aA-425, Mlb.510aA-1 bis Nlb.510aA-425, lllc.510aA-1 bis lllc.510aA-425 und llld-1.51 OaA-I bis llld-1.510aA-425) Tabelle 511 a Verbindungen lila, INb, INc und llld-1 , worin B für 2,6-Dichlorpyridin-3-yl steht und A jeweils einer Gruppe in einer Zeile der Tabelle A entspricht (VerbindungenMla.510aA-1 to Nla.510aA-425, Mlb.510aA-1 to Nlb.510aA-425, lllc.510aA-1 to lllc.510aA-425 and llld-1.51 OaA-l to llld-1.510aA-425) Table 511 a Compounds purple, INb, INc and llld-1, wherein B is 2,6-dichloropyridin-3-yl and A in each case corresponds to one group in a row of Table A (Compounds
Mla.51 1aA-1 bis Nla.51 1aA-425, Mlb.511aA-1 bis lllb.51 1 aA-425, Mlc.51 1aA-1 bisMla.51 1aA-1 to Nla.51 1aA-425, Mlb.511aA-1 to Illb.51 1 aA-425, Mlc.51 1aA-1 to
Nlc.511 aA-425 und llld-1.51 1aA-1 bis llld-1.511 aA-425) Tabelle 512a Verbindungen lila, INb, INc und llld-1 , worin B für 2,6-Dichlorpyridin-4-yl steht und A jeweils einer Gruppe in einer Zeile der Tabelle A entspricht (VerbindungenNlc.511 aA-425 and llld-1.51 1aA-1 to llld-1.511 aA-425). Table 512a Compounds IIIa, INb, INc and IIId-1 wherein B is 2,6-dichloropyridin-4-yl and A is each corresponds to a group in a row of Table A (compounds
Mla.512aA-1 bis Nla.512aA-425, Mlb.512aA-1 bis Nlb.512aA-425, lllc.512aA-1 bis lllc.512aA-425 und llld-1.512aA-1 bis llld-1.512aA-425) Tabelle 513a Verbindungen lila, INb, INc und llld-1 , worin B für 3,5-Dichlorpyridin-4-yl steht und A jeweils einer Gruppe in einer Zeile der Tabelle A entspricht (VerbindungenMla.512aA-1 to Nla.512aA-425, Mlb.512aA-1 to Nlb.512aA-425, lllc.512aA-1 to lllc.512aA-425 and llld-1.512aA-1 to llld-1.512aA-425) Table 513a Compounds IIIa, INb, INc and IIId-1, wherein B is 3,5-dichloropyridin-4-yl and A in each case corresponds to one group in a row of Table A (Compounds
Mla.513aA-1 bis Nla.513aA-425, Mlb.513aA-1 bis lllb.513aA-425, lllc.513aA-1 bis lllc.513aA-425 und llld-1.513aA-1 bis llld-1.513aA-425) Tabelle 514a Verbindungen lila, INb, INc und llld-1 , worin B für 3,6-Dichlorpyridin-4-yl steht und A jeweils einer Gruppe in einer Zeile der Tabelle A entspricht (VerbindungenMla.513aA-1 to Nla.513aA-425, Mlb.513aA-l to lllb.513aA-425, lllc.513aA-l to lllc.513aA-425 and llld-1.513aA-l to llld-1.513aA-425) Table 514a Compounds IIIa, INb, INc and IIId-1, where B is 3,6-dichloropyridin-4-yl and A in each case corresponds to one group in a row of Table A (Compounds
Mla.514aA-1 bis Nla.514aA-425, Mlb.514aA-1 bis Nlb.514aA-425, lllc.514aA-1 bis lllc.514aA-425 und llld-1.514aA-1 bis llld-1.514aA-425) Tabelle 515a Verbindungen lila, INb, INc und llld-1 , worin B für 2,5-Dichlorpyridin-4-yl steht und A jeweils einer Gruppe in einer Zeile der Tabelle A entspricht (VerbindungenMla.514aA-1 to Nla.514aA-425, Mlb.514aA-1 to Nlb.514aA-425, lllc.514aA-1 to lllc.514aA-425 and llld-1.514aA-1 to llld-1.514aA-425) Table 515a Compounds IIIa, INb, INc and IIId-1, wherein B is 2,5-dichloropyridin-4-yl and A in each case corresponds to one group in a row of Table A (Compounds
Mla.515aA-1 bis Nla.515aA-425, Mlb.515aA-1 bis lllb.515aA-425, lllc.515aA-1 bis lllc.515aA-425 und llld-1.515aA-1 bis llld-1.515aA-425) Tabelle 516a Verbindungen lila, INb, INc und llld-1 , worin B für 2,3-Dichlorpyridin-4-yl steht und A jeweils einer Gruppe in einer Zeile der Tabelle A entspricht (Verbindungen Mla.516aA-1 bis Nla.516aA-425, IMb.516aA-1 bis lllb.516aA-425, IMc.516aA-1 bis lllc.516aA-425 und llld-1.516aA-1 bis llld-1.516aA-425) Tabelle 517aMla.515aA-1 to Nla.515aA-425, Mlb.515aA-l to lllb.515aA-425, lllc.515aA-l to lllc.515aA-425 and llld-1.515aA-l to llld-1.515aA-425) Table 516a Compounds IIIa, INb, INc and IIId-1, wherein B is 2,3-dichloropyridin-4-yl and A in each case corresponds to one group in a row of Table A (Compounds Mla.516aA-1 to Nla.516aA-425, IMb.516aA-1 to IIIb.516aA-425, IMc.516aA-1 to IIIc516aA-425, and IIId-1.516aA-1 to IIId-1.516aA-425) Table 517a
Verbindungen lila, INb, INc und llld-1 , worin B für 2,4-Dichlorpyridin-5-yl steht und A jeweils einer Gruppe in einer Zeile der Tabelle A entspricht (VerbindungenCompounds purple, INb, INc and llld-1, wherein B is 2,4-dichloropyridin-5-yl and A in each case corresponds to one group in a row of Table A (Compounds
Mla.517aA-1 bis Nla.517aA-425, Mlb.517aA-1 bis Nlb.517aA-425, lllc.517aA-1 bis lllc.517aA-425 und llld-1.517aA-1 bis llld-1.517aA-425) Tabelle 518aMla.517aA-1 to Nla.517aA-425, Mlb.517aA-1 to Nlb.517aA-425, lllc.517aA-1 to lllc.517aA-425 and llld-1.517aA-1 to llld-1.517aA-425) Table 518a
Verbindungen lila, INb, INc und llld-1 , worin B für 3,5-Difluorpyridin-2-yl steht und A jeweils einer Gruppe in einer Zeile der Tabelle A entspricht (VerbindungenCompounds IIIa, INb, INc and IIId-1, wherein B is 3,5-difluoropyridin-2-yl and A in each case corresponds to one group in a row of Table A (Compounds
Mla.518aA-1 bis Nla.518aA-425, Mlb.518aA-1 bis Nlb.518aA-425, IMc.518aA-1 bis lllc.518aA-425 und llld-1.518aA-1 bis llld-1.518aA-425) Tabelle 519aMla.518aA-1 to Nla.518aA-425, Mlb.518aA-1 to Nlb.518aA-425, IMc.518aA-1 to lllc.518aA-425, and IIId-1.518aA-1 to IIId-1.518aA-425) Table 519a
Verbindungen lila, INb, INc und llld-1 , worin B für 3,5-Difluorpyridin-4-yl steht und A jeweils einer Gruppe in einer Zeile der Tabelle A entspricht (VerbindungenCompounds IIIa, INb, INc and IIId-1, wherein B is 3,5-difluoropyridin-4-yl and A in each case corresponds to one group in a row of Table A (Compounds
Mla.519aA-1 bis Nla.519aA-425, Mlb.519aA-1 bis Nlb.519aA-425, lllc.519aA-1 bis lllc.519aA-425 und llld-1.519aA-1 bis llld-1.519aA-425) Tabelle 520aMla.519aA-1 to Nla.519aA-425, Mlb.519aA-1 to Nlb.519aA-425, lllc.519aA-1 to lllc.519aA-425 and llld-1.519aA-1 to llld-1.519aA-425) Table 520a
Verbindungen lila, INb, INc und llld-1 , worin B für 2,3-Difluorpyridin-4-yl steht und A jeweils einer Gruppe in einer Zeile der Tabelle A entspricht (VerbindungenCompounds IIIa, INb, INc and IIId-1, wherein B is 2,3-difluoropyridin-4-yl and A in each case corresponds to one group in a row of Table A (Compounds
Mla.520aA-1 bis Nla.520aA-425, Mlb.520aA-1 bis Nlb.520aA-425, IMc.520aA-1 bis lllc.520aA-425 und llld-1.52OaA-I bis llld-1.520aA-425) Tabelle 521 aMla.520aA-1 to Nla.520aA-425, Mlb.520aA-1 to Nlb.520aA-425, IMc.520aA-1 to lllc.520aA-425, and IIId-1.52OaA-I to IIId-1.520aA-425) Table 521 a
Verbindungen lila, INb, INc und llld-1 , worin B für 3,5-Dimethylpyridin-2-yl steht und A jeweils einer Gruppe in einer Zeile der Tabelle A entspricht (VerbindungenCompounds purple, INb, INc and llld-1, wherein B is 3,5-dimethylpyridin-2-yl and A in each case corresponds to one group in a row of Table A (Compounds
Mla.521aA-1 bis Nla.521aA-425, Mlb.521aA-1 bis Nlb.521 aA-425, lllc.521aA-1 bis lllc.521 aA-425 und llld-1.521aA-1 bis llld-1.521 aA-425) Tabelle 522aMla.521aA-1 to Nla.521aA-425, Mlb.521aA-1 to Nlb.521 aA-425, lllc.521aA-l to lllc.521 aA-425 and llld-1.521aA-1 to llld-1.521 aA- 425) Table 522a
Verbindungen lila, INb, INc und llld-1 , worin B für 3,4-Dimethylpyridin-2-yl steht und A jeweils einer Gruppe in einer Zeile der Tabelle A entspricht (VerbindungenCompounds purple, INb, INc and llld-1, wherein B is 3,4-dimethylpyridin-2-yl and A in each case corresponds to a group in a row of Table A (Compounds
Mla.522aA-1 bis Nla.522aA-425, Mlb.522aA-1 bis Nlb.522aA-425, lllc.522aA-1 bis lllc.522aA-425 und llld-1.522aA-1 bis llld-1.522aA-425) Tabelle 523aMla.522aA-1 to Nla.522aA-425, Mlb.522aA-1 to Nlb.522aA-425, lllc.522aA-1 to lllc.522aA-425 and llld-1.522aA-1 to llld-1.522aA-425) Table 523a
Verbindungen lila, INb, INc und llld-1 , worin B für 4,6-Dimethylpyridin-3-yl steht und A jeweils einer Gruppe in einer Zeile der Tabelle A entspricht (VerbindungenCompounds purple, INb, INc and llld-1, wherein B is 4,6-dimethylpyridin-3-yl and A in each case corresponds to one group in a row of Table A (Compounds
Mla.523aA-1 bis Nla.523aA-425, Mlb.523aA-1 bis Nlb.523aA-425, lllc.523aA-1 bis lllc.523aA-425 und llld-1.523aA-1 bis llld-1.523aA-425) Tabelle 524aMla.523aA-1 to Nla.523aA-425, Mlb.523aA-1 to Nlb.523aA-425, lllc.523aA-1 to lllc.523aA-425 and llld-1.523aA-1 to llld-1.523aA-425) Table 524a
Verbindungen lila, INb, INc und llld-1 , worin B für 2,4-Dimethylpyridin-3-yl steht und A jeweils einer Gruppe in einer Zeile der Tabelle A entspricht (VerbindungenCompounds purple, INb, INc and llld-1, wherein B is 2,4-dimethylpyridin-3-yl and A in each case corresponds to one group in a row of Table A (Compounds
Mla.524aA-1 bis Nla.524aA-425, Mlb.524aA-1 bis Nlb.524aA-425, lllc.524aA-1 bis lllc.524aA-425 und llld-1.524aA-1 bis llld-1.524aA-425) Tabelle 525aMla.524aA-1 to Nla.524aA-425, Mlb.524aA-1 to Nlb.524aA-425, lllc.524aA-1 to lllc.524aA-425 and llld-1.524aA-1 to llld-1.524aA-425) Table 525a
Verbindungen lila, INb, INc und llld-1 , worin B für 3,5-Dimethylpyridin-4-yl steht und A jeweils einer Gruppe in einer Zeile der Tabelle A entspricht (Verbindungen Mla.525aA-1 bis Nla.525aA-425, Mlb.525aA-1 bis Nlb.525aA-425, IMc.525aA-1 bis lllc.525aA-425 und llld-1.525aA-1 bis llld-1.525aA-425)Compounds IIIa, INb, INc and IIId-1, in which B is 3,5-dimethylpyridin-4-yl and A in each case corresponds to one group in a row of Table A (compounds Mla.525aA-1 to Nla.525aA-425, Mlb.525aA-1 to Nlb.525aA-425, IMc.525aA-1 to lllc.525aA-425 and llld-1.525aA-1 to llld-1.525aA-425)
Tabelle 526aTable 526a
Verbindungen lila, INb, INc und llld-1 , worin B für 2-Chlor-3-fluorpyridin-4-yl steht und A jeweils einer Gruppe in einer Zeile der Tabelle A entspricht (Verbindungen Mla.526aA-1 bis Nla.526aA-425, Mlb.526aA-1 bis Nlb.526aA-425, lllc.526aA-1 bis lllc.526aA-425 und llld-1.526aA-1 bis llld-1.526aA-425)Compounds IIIa, INb, INc and IIId-1, where B is 2-chloro-3-fluoropyridin-4-yl and A in each case corresponds to one group in a row of Table A (Compounds Mla.526aA-1 to Nla.526aA- 425, Mlb.526aA-1 to Nlb.526aA-425, lllc.526aA-1 to lllc.526aA-425 and llld-1.526aA-1 to llld-1.526aA-425)
Tabelle 527aTable 527a
Verbindungen lila, INb, INc und llld-1 , worin B für 4-Chlor-3-methylpyridin-2-yl steht und A jeweils einer Gruppe in einer Zeile der Tabelle A entspricht (Verbindungen Mla.527aA-1 bis Nla.527aA-425, Mlb.527aA-1 bis Nlb.527aA-425, lllc.527aA-1 bis lllc.527aA-425 und llld-1.527aA-1 bis llld-1.527aA-425)Compounds IIIa, INb, INc and IIId-1, where B is 4-chloro-3-methylpyridin-2-yl and A in each case corresponds to one group in a row of Table A (Compounds Mla.527aA-1 to Nla.527aA- 425, Mlb.527aA-1 to Nlb.527aA-425, lllc.527aA-l to lllc.527aA-425 and llld-1.527aA-l to llld-1.527aA-425)
Tabelle 528aTable 528a
Verbindungen lila, INb, INc und llld-1 , worin B für 5-Chlor-3-methylpyridin-2-yl steht und A jeweils einer Gruppe in einer Zeile der Tabelle A entspricht (Verbindungen Mla.528aA-1 bis Nla.528aA-425, Mlb.528aA-1 bis Nlb.528aA-425, IMc.528aA-1 bis lllc.528aA-425 und llld-1.528aA-1 bis llld-1.528aA-425)Compounds IIIa, INb, INc and IIId-1, where B is 5-chloro-3-methylpyridin-2-yl and A in each case corresponds to one group in a row of Table A (compounds Mla.528aA-1 to Nla.528aA- 425, Mlb.528aA-1 to Nlb.528aA-425, IMc.528aA-1 to lllc.528aA-425 and llld-1.528aA-1 to llld-1.528aA-425)
Tabelle 529aTable 529a
Verbindungen lila, INb, INc und llld-1 , worin B für 5-Fluor-3-methylpyridin-2-yl steht und A jeweils einer Gruppe in einer Zeile der Tabelle A entspricht (Verbindungen Mla.529aA-1 bis Nla.529aA-425, Mlb.529aA-1 bis Nlb.529aA-425, lllc.529aA-1 bis lllc.529aA-425 und llld-1.529aA-1 bis llld-1.529aA-425)Compounds IIIa, INb, INc and IIId-1, where B is 5-fluoro-3-methylpyridin-2-yl and A in each case corresponds to one group in a row of Table A (Compounds Mla.529aA-1 to Nla.529aA- 425, Mlb.529aA-1 to Nlb.529aA-425, lllc.529aA-l to lllc.529aA-425 and llld-1.529aA-l to llld-1.529aA-425)
Tabelle 530aTable 530a
Verbindungen lila, INb, INc und llld-1 , worin B für 3-Chlor-5-trifluormethylpyridin-2-yl steht und A jeweils einer Gruppe in einer Zeile der Tabelle A entspricht (Verbindungen Mla.530aA-1 bis Nla.530aA-425, Mlb.530aA-1 bis Nlb.530aA-425, Mlc.530aA-1 bis lllc.530aA-425 und llld-1.53OaA-I bis llld-1.530aA-425)Compounds IIIa, INb, INc and IIId-1, in which B is 3-chloro-5-trifluoromethylpyridin-2-yl and A in each case corresponds to one group in a row of Table A (Compounds Mla.530aA-1 to Nla.530aA- 425, Mlb.530aA-1 to Nlb.530aA-425, Mlc.530aA-l to lllc.530aA-425 and llld-1.53OaA-l to llld-1.530aA-425)
Tabelle 531 aTable 531 a
Verbindungen lila, INb, INc und llld-1 , worin B für 2-Chlor-6-trifluormethylpyridin-3-yl steht und A jeweils einer Gruppe in einer Zeile der Tabelle A entspricht (Verbindungen Mla.531 aA-1 bis Nla.531 aA-425, Mlb.531aA-1 bis Nlb.531 aA-425, lllc.531 aA-1 bis lllc.531 aA-425 und llld-1.531 aA-1 bis llld-1.531aA-425)Compounds IIIa, INb, INc and IIId-1, wherein B is 2-chloro-6-trifluoromethylpyridin-3-yl and A in each case corresponds to one group in a row of Table A (Compounds Mla.531 aA-1 to Nla.531 aA-425, Mlb.531aA-1 to Nlb.531 aA-425, lllc.531 aA-1 to lllc.531 aA-425 and llld-1.531 aA-1 to llld-1.531aA-425)
Tabelle 532aTable 532a
Verbindungen lila, INb, INc und llld-1 , worin B für 2,4-Dichlor-6-methylpyridin-3-yl steht und A jeweils einer Gruppe in einer Zeile der Tabelle A entspricht (Verbindungen Mla.532aA-1 bis Nla.532aA-425, Mlb.532aA-1 bis Nlb.532aA-425, lllc.532aA-1 bis lllc.532aA-425 und llld-1.532aA-1 bis llld-1.532aA-425)Compounds IIIa, INb, INc and IIId-1, where B is 2,4-dichloro-6-methylpyridin-3-yl and A in each case corresponds to one group in a row of Table A (Compounds Mla.532aA-1 to Nla. 532aA-425, Mlb.532aA-1 to Nlb.532aA-425, lllc.532aA-1 to lllc.532aA-425 and llld-1.532aA-1 to llld-1.532aA-425)
Tabelle 533aTable 533a
Verbindungen lila, INb, INc und llld-1 , worin B für 3,4,5-Trichlorpyridin-2-yl steht und A jeweils einer Gruppe in einer Zeile der Tabelle A entspricht (VerbindungenCompounds purple, INb, INc and llld-1, wherein B is 3,4,5-trichloropyridin-2-yl and A corresponds to a group in a row of Table A (Compounds
Mla.533aA-1 bis Nla.533aA-425, Mlb.533aA-1 bis Nlb.533aA-425, IMc.533aA-1 bis lllc.533aA-425 und IMd-1.533aA-1 bis Nld-1.533aA-425) Tabelle 534a Verbindungen lila, INb, INc und llld-1 , worin B für 2,4,6-Trichlorpyridin-3-yl steht und A jeweils einer Gruppe in einer Zeile der Tabelle A entspricht (VerbindungenMla.533aA-1 to Nla.533aA-425, Mlb.533aA-1 to Nlb.533aA-425, IMc.533aA-1 to lllc.533aA-425 and IMd-1.533aA-1 to Nld-1.533aA-425) Table 534a Compounds IIIa, INb, INc and IIId-1, wherein B is 2,4,6-trichloropyridin-3-yl and A in each case corresponds to one group in a row of Table A (Compounds
Mla.534aA-1 bis Nla.534aA-425, Mlb.534aA-1 bis Nlb.534aA-425, IMc.534aA-1 bis lllc.534aA-425 und llld-1.534aA-1 bis llld-1.534aA-425) Tabelle 535a Verbindungen lila, INb, INc und llld-1 , worin B für Pyrimidin-2-yl steht und A jeweils einer Gruppe in einer Zeile der Tabelle A entspricht (Verbindungen Nla.535aA-1 bisMla.534aA-1 to Nla.534aA-425, Mlb.534aA-1 to Nlb.534aA-425, IMc.534aA-1 to lllc.534aA-425, and IIId-1.534aA-1 to IIId-1.534aA-425) Table 535a Compounds IIIa, INb, INc and IIId-1, wherein B is pyrimidin-2-yl and A in each case corresponds to one group in a row of Table A (Compounds Nla.535aA-1 to
Nla.535aA-425, Mlb.535aA-1 bis Nlb.535aA-425, Mlc.535aA-1 bis lllc.535aA-425 und llld-1.535aA-1 bis llld-1.535aA-425) Tabelle 536a Verbindungen lila, INb, INc und llld-1 , worin B für Pyrimidin-5-yl steht und A jeweils einer Gruppe in einer Zeile der Tabelle A entspricht (Verbindungen Nla.536aA-1 bisNla.535aA-425, Mlb.535aA-1 to Nlb.535aA-425, Mlc.535aA-1 to lllc.535aA-425 and IIId-1.535aA-1 to IIId-1.535aA-425). Table 536a Compounds IIIa, INb , INc and llld-1, wherein B is pyrimidin-5-yl and A in each case corresponds to one group in a row of Table A (Compounds Nla.536aA-1 to
Nla.536aA-425, Mlb.536aA-1 bis Nlb.536aA-425, Mlc.536aA-1 bis lllc.536aA-425 und llld-1.536aA-1 bis llld-1.536aA-425) Tabelle 537a Verbindungen lila, INb, INc und llld-1 , worin B für 6-Chlorpyrimidin-3-yl steht und A jeweils einer Gruppe in einer Zeile der Tabelle A entspricht (VerbindungenNla.536aA-425, Mlb.536aA-1 to Nlb.536aA-425, Mlc.536aA-1 to lllc.536aA-425 and llld-1.536aA-1 to llld-1.536aA-425). Table 537a Compounds IIIa, INb , INc and llld-1, wherein B is 6-chloropyrimidin-3-yl and A in each case corresponds to one group in a row of Table A (Compounds
Mla.537aA-1 bis Nla.537aA-425, Mlb.537aA-1 bis Nlb.537aA-425, lllc.537aA-1 bis lllc.537aA-425 und llld-1.537aA-1 bis llld-1.537aA-425) Tabelle 538a Verbindungen lila, INb, INc und llld-1 , worin B für 6-Methylpyrimidin-3-yl steht und A jeweils einer Gruppe in einer Zeile der Tabelle A entspricht (VerbindungenMla.537aA-1 to Nla.537aA-425, Mlb.537aA-1 to Nlb.537aA-425, lllc.537aA-1 to lllc.537aA-425 and IIId-1.537aA-1 to IIId-1.537aA-425) Table 538a Compounds IIIa, INb, INc and IIId-1, where B is 6-methylpyrimidin-3-yl and A in each case corresponds to one group in a row of Table A (Compounds
Mla.538aA-1 bis Nla.538aA-425, Mlb.538aA-1 bis Nlb.538aA-425, IMc.538aA-1 bis lllc.538aA-425 und llld-1.538aA-1 bis llld-1.538aA-425) Tabelle 539a Verbindungen lila, INb, INc und llld-1 , worin B für 6-Methoxypyrimidin-3-yl steht undMla.538aA-1 to Nla.538aA-425, Mlb.538aA-1 to Nlb.538aA-425, IMc.538aA-1 to lllc.538aA-425, and IIId-1.538aA-1 to IIId-1.538aA-425) Table 539a Compounds IIIa, INb, INc and IIId-1, wherein B is 6-methoxypyrimidin-3-yl and
A jeweils einer Gruppe in einer Zeile der Tabelle A entspricht (VerbindungenA corresponds in each case to a group in a row of Table A (compounds
Mla.539aA-1 bis Nla.539aA-425, Mlb.539aA-1 bis Nlb.539aA-425, IMc.539aA-1 bis lllc.539aA-425 und llld-1.539aA-1 bis llld-1.539aA-425) Tabelle 540a Verbindungen lila, INb, INc und llld-1 , worin B für 2,4-Dichlorpyrimidin-3-yl steht und A jeweils einer Gruppe in einer Zeile der Tabelle A entspricht (VerbindungenMla.539aA-1 to Nla.539aA-425, Mlb.539aA-1 to Nlb.539aA-425, IMc.539aA-1 to lllc.539aA-425 and IIId-1.539aA-1 to IIId-1.539aA-425) Table 540a Compounds IIIa, INb, INc and IIId-1, wherein B is 2,4-dichloropyrimidin-3-yl and A in each case corresponds to one group in a row of Table A (Compounds
Mla.540aA-1 bis Nla.540aA-425, Mlb.540aA-1 bis Nlb.540aA-425, lllc.540aA-1 bis lllc.540aA-425 und llld-1.54OaA-I bis llld-1.540aA-425) Tabelle 541 a Verbindungen lila, INb, INc und llld-1 , worin B für 2,6-Dichlorpyrimidin-3-yl steht und A jeweils einer Gruppe in einer Zeile der Tabelle A entspricht (Verbindungen Mla.541aA-1 bis Nla.541aA-425, Mlb.541aA-1 bis lllb.541 aA-425, IMc.541aA-1 bis lllc.541 aA-425 und llld-1.541aA-1 bis llld-1.541 aA-425) Tabelle 542aMla.540aA-1 to Nla.540aA-425, Mlb.540aA-1 to Nlb.540aA-425, lllc.540aA-1 to lllc.540aA-425 and llld-1.54OaA-l to llld-1.540aA-425) Table 541a Compounds IIIa, INb, INc and IIId-1, wherein B is 2,6-dichloropyrimidin-3-yl and A in each case corresponds to one group in a row of Table A (Compounds Mla.541aA-1 to Nla.541aA-425, Mlb.541aA-1 to Illb.541 aA-425, IMc.541aA-1 to Illc.541 aA-425 and Ill-1.541aA-1 to Ill-1.541 aA- 425) Table 542a
Verbindungen lila, INb, INc und llld-1 , worin B für 2,4-Difluorpyrimidin-3-yl steht und A jeweils einer Gruppe in einer Zeile der Tabelle A entspricht (VerbindungenCompounds IIIa, INb, INc and IIId-1, wherein B is 2,4-difluoropyrimidin-3-yl and A in each case corresponds to one group in a row of Table A (Compounds
Mla.542aA-1 bis Nla.542aA-425, Mlb.542aA-1 bis Nlb.542aA-425, IMc.542aA-1 bis lllc.542aA-425 und llld-1.542aA-1 bis llld-1.542aA-425) Tabelle 543aMla.542aA-1 to Nla.542aA-425, Mlb.542aA-1 to Nlb.542aA-425, IMc.542aA-1 to lllc.542aA-425, and IIId-1.542aA-1 to IIId-1.542aA-425) Table 543a
Verbindungen lila, INb, INc und llld-1 , worin B für 2,6-Difluorpyrimidin-3-yl steht und A jeweils einer Gruppe in einer Zeile der Tabelle A entspricht (VerbindungenCompounds purple, INb, INc and llld-1, wherein B is 2,6-difluoropyrimidin-3-yl and A in each case corresponds to a group in a row of Table A (Compounds
Mla.543aA-1 bis Nla.543aA-425, Mlb.543aA-1 bis Nlb.543aA-425, lllc.543aA-1 bis lllc.543aA-425 und llld-1.543aA-1 bis llld-1.543aA-425) Tabelle 544aMla.543aA-1 to Nla.543aA-425, Mlb.543aA-1 to Nlb.543aA-425, lllc.543aA-1 to lllc.543aA-425 and llld-1.543aA-1 to llld-1.543aA-425) Table 544a
Verbindungen lila, INb, INc und llld-1 , worin B für 1 ,3,5-Triazin-2-yl steht und A jeweils einer Gruppe in einer Zeile der Tabelle A entspricht (VerbindungenCompounds purple, INb, INc and llld-1, wherein B is 1, 3,5-triazin-2-yl and A in each case corresponds to a group in a row of Table A (Compounds
Mla.544aA-1 bis Nla.544aA-425, Mlb.544aA-1 bis Nlb.544aA-425, lllc.544aA-1 bis lllc.544aA-425 und llld-1.544aA-1 bis llld-1.544aA-425) Tabelle 545aMla.544aA-1 to Nla.544aA-425, Mlb.544aA-1 to Nlb.544aA-425, lllc.544aA-1 to lllc.544aA-425 and llld-1.544aA-1 to llld-1.544aA-425) Table 545a
Verbindungen lila, INb, INc und llld-1 , worin B für Thien-2-yl steht und A jeweils einer Gruppe in einer Zeile der Tabelle A entspricht (Verbindungen Nla.545aA-1 bisCompounds IIIa, INb, INc and IIId-1, in which B is thien-2-yl and A in each case corresponds to one group in a row of Table A (Compounds Nla.545aA-1 to
Nla.545aA-425, Mlb.545aA-1 bis Nlb.545aA-425, lllc.545aA-1 bis lllc.545aA-425 und llld-1.545aA-1 bis llld-1.545aA-425) Tabelle 546aNla.545aA-425, Mlb.545aA-1 to Nlb.545aA-425, lllc.545aA-l to lllc.545aA-425 and llld-1.545aA-l to llld-1.545aA-425) Table 546a
Verbindungen lila, INb, INc und llld-1 , worin B für Thien-3-yl steht und A jeweils einer Gruppe in einer Zeile der Tabelle A entspricht (Verbindungen Nla.546aA-1 bisCompounds IIIa, INb, INc and IIId-1, wherein B is thien-3-yl and A in each case corresponds to one group in a row of Table A (Compounds Nla.546aA-1 to
Nla.546aA-425, Mlb.546aA-1 bis Nlb.546aA-425, lllc.546aA-1 bis lllc.546aA-425 und llld-1.546aA-1 bis llld-1.546aA-425) Tabelle 547aNla.546aA-425, Mlb.546aA-1 to Nlb.546aA-425, lllc.546aA-l to lllc.546aA-425, and llld-1.546aA-l to llld-1.546aA-425) Table 547a
Verbindungen lila, INb, INc und llld-1 , worin B für 5-Chlorthien-2-yl steht und A jeweils einer Gruppe in einer Zeile der Tabelle A entspricht (VerbindungenCompounds IIIa, INb, INc and IIId-1, where B is 5-chlorothien-2-yl and A in each case corresponds to one group in a row of Table A (Compounds
Mla.547aA-1 bis Nla.547aA-425, Mlb.547aA-1 bis Nlb.547aA-425, lllc.547aA-1 bis lllc.547aA-425 und llld-1.547aA-1 bis llld-1.547aA-425) Tabelle 548aMla.547aA-1 to Nla.547aA-425, Mlb.547aA-1 to Nlb.547aA-425, lllc.547aA-1 to lllc.547aA-425 and llld-1.547aA-1 to llld-1.547aA-425) Table 548a
Verbindungen lila, INb, INc und llld-1 , worin B für 2-Chlorthien-3-yl steht und A jeweils einer Gruppe in einer Zeile der Tabelle A entspricht (VerbindungenCompounds purple, INb, INc and llld-1, wherein B is 2-chlorothien-3-yl and A in each case corresponds to one group in a row of Table A (Compounds
Mla.548aA-1 bis Nla.548aA-425, Mlb.548aA-1 bis Nlb.548aA-425, IMc.548aA-1 bis lllc.548aA-425 und llld-1.548aA-1 bis llld-1.548aA-425) Tabelle 549aMla.548aA-1 to Nla.548aA-425, Mlb.548aA-1 to Nlb.548aA-425, IMc.548aA-1 to lllc.548aA-425, and IIId-1.548aA-1 to IIId-1.548aA-425) Table 549a
Verbindungen lila, INb, INc und llld-1 , worin B für 4-Chlorthien-3-yl steht und A jeweils einer Gruppe in einer Zeile der Tabelle A entspricht (VerbindungenCompounds purple, INb, INc and llld-1, wherein B is 4-chlorothien-3-yl and A in each case corresponds to one group in a row of Table A (Compounds
Mla.549aA-1 bis Nla.549aA-425, Mlb.549aA-1 bis Nlb.549aA-425, lllc.549aA-1 bis lllc.549aA-425 und llld-1.549aA-1 bis llld-1.549aA-425) Tabelle 550aMla.549aA-1 to Nla.549aA-425, Mlb.549aA-1 to Nlb.549aA-425, Illc.549aA-1 to Illc.549aA-425, and IIId-1.549aA-1 to IIId-1.549aA-425) Table 550a
Verbindungen lila, INb, INc und llld-1 , worin B für 5-Chlorthien-3-yl steht und A jeweils einer Gruppe in einer Zeile der Tabelle A entspricht (Verbindungen Mla.550aA-1 bis Nla.550aA-425, Mlb.550aA-1 bis Nlb.550aA-425, IMc.550aA-1 bis lllc.550aA-425 und llld-1.55OaA-I bis llld-1.550aA-425)Compounds IIIa, INb, INc and IIId-1, wherein B is 5-chlorothien-3-yl and A in each case corresponds to one group in a row of Table A (Compounds Mla.550aA-1 to Nla.550aA-425, Mlb. 550aA-1 to Nlb.550aA-425, IMc.550aA-1 to lllc.550aA-425 and llld-1.55OaA-l to llld-1.550aA-425)
Tabelle 551 aTable 551 a
Verbindungen lila, INb, INc und llld-1 , worin B für 2-Bromthien-3-yl steht und A jeweils einer Gruppe in einer Zeile der Tabelle A entspricht (Verbindungen Mla.551aA-1 bis Nla.551aA-425, Mlb.551aA-1 bis Nlb.551 aA-425, lllc.551aA-1 bis lllc.551 aA-425 und llld-1.551aA-1 bis llld-1.551 aA-425)Compounds IIIa, INb, INc and IIId-1, wherein B is 2-bromothien-3-yl and A in each case corresponds to one group in a row of Table A (Compounds Mla.551aA-1 to Nla.551aA-425, Mlb. 551aA-1 to Nlb.551 aA-425, lllc.551aA-1 to lllc.551 aA-425 and llld-1.551aA-1 to llld-1.551 aA-425)
Tabelle 552aTable 552a
Verbindungen lila, INb, INc und llld-1 , worin B für 4-Bromthien-3-yl steht und A jeweils einer Gruppe in einer Zeile der Tabelle A entspricht (Verbindungen Mla.552aA-1 bis Nla.552aA-425, Mlb.552aA-1 bis Nlb.552aA-425, lllc.552aA-1 bis lllc.552aA-425 und llld-1.552aA-1 bis llld-1.552aA-425)Compounds IIIa, INb, INc and IIId-1, wherein B is 4-bromothien-3-yl and A in each case corresponds to one group in a row of Table A (Compounds Mla.552aA-1 to Nla.552aA-425, Mlb. 552aA-1 to Nlb.552aA-425, lllc.552aA-l to lllc.552aA-425 and llld-1.552aA-l to llld-1.552aA-425)
Tabelle 553aTable 553a
Verbindungen lila, INb, INc und llld-1 , worin B für 5-Bromthien-3-yl steht und A jeweils einer Gruppe in einer Zeile der Tabelle A entspricht (Verbindungen Mla.553aA-1 bis Nla.553aA-425, Mlb.553aA-1 bis Nlb.553aA-425, lllc.553aA-1 bis lllc.553aA-425 und llld-1.553aA-1 bis llld-1.553aA-425)Compounds IIIa, INb, INc and IIId-1, wherein B is 5-bromothien-3-yl and A in each case corresponds to one group in a row of Table A (Compounds Mla.553aA-1 to Nla.553aA-425, Mlb. 553aA-1 to Nlb.553aA-425, lllc.553aA-l to lllc.553aA-425 and llld-1.553aA-l to llld-1.553aA-425)
Tabelle 554aTable 554a
Verbindungen lila, INb, INc und llld-1 , worin B für 5-Methylthien-2-yl steht und A jeweils einer Gruppe in einer Zeile der Tabelle A entspricht (Verbindungen Mla.554aA-1 bis Nla.554aA-425, Mlb.554aA-1 bis Nlb.554aA-425, lllc.554aA-1 bis lllc.554aA-425 und llld-1.554aA-1 bis llld-1.554aA-425)Compounds IIIa, INb, INc and IIId-1, wherein B is 5-methylthien-2-yl and A in each case corresponds to one group in a row of Table A (Compounds Mla.554aA-1 to Nla.554aA-425, Mlb. 554aA-1 to Nlb.554aA-425, lllc.554aA-l to lllc.554aA-425 and llld-1.554aA-l to llld-1.554aA-425)
Tabelle 555aTable 555a
Verbindungen lila, INb, INc und llld-1 , worin B für 2-Methylthien-4-yl steht und A jeweils einer Gruppe in einer Zeile der Tabelle A entspricht (Verbindungen Mla.555aA-1 bis Nla.555aA-425, Mlb.555aA-1 bis Nlb.555aA-425, lllc.555aA-1 bis lllc.555aA-425 und llld-1.555aA-1 bis llld-1.555aA-425)Compounds IIIa, INb, INc and IIId-1, wherein B is 2-methylthien-4-yl and A in each case corresponds to one group in a row of Table A (Compounds Mla.555aA-1 to Nla.555aA-425, Mlb. 555aA-1 to Nlb.555aA-425, lllc.555aA-l to lllc.555aA-425 and llld-1.555aA-l to llld-1.555aA-425)
Tabelle 556aTable 556a
Verbindungen lila, INb, INc und llld-1 , worin B für 4,5-Dichlorthien-2-yl steht und A jeweils einer Gruppe in einer Zeile der Tabelle A entspricht (Verbindungen Mla.556aA-1 bis Nla.556aA-425, Mlb.556aA-1 bis Nlb.556aA-425, lllc.556aA-1 bis lllc.556aA-425 und llld-1.556aA-1 bis llld-1.556aA-425)Compounds IIIa, INb, INc and IIId-1, in which B is 4,5-dichlorothien-2-yl and A corresponds in each case to one group in one row of Table A (Compounds Mla.556aA-1 to Nla.556aA-425, Mlb.556aA-1 to Nlb.556aA-425, lllc.556aA-l to lllc.556aA-425 and llld-1.556aA-l to llld-1.556aA-425)
Tabelle 557aTable 557a
Verbindungen lila, INb, INc und llld-1 , worin B für 2,5-Dichlorthien-3-yl steht und A jeweils einer Gruppe in einer Zeile der Tabelle A entspricht (Verbindungen Mla.557aA-1 bis Nla.557aA-425, Mlb.557aA-1 bis Nlb.557aA-425, lllc.557aA-1 bis lllc.557aA-425 und llld-1.557aA-1 bis llld-1.557aA-425)Compounds IIIa, INb, INc and IIId-1, where B is 2,5-dichlorothien-3-yl and A in each case corresponds to one group in a row of Table A (compounds Mla.557aA-1 to Nla.557aA-425, Mlb.557aA-1 to Nlb.557aA-425, lllc.557aA-l to lllc.557aA-425 and llld-1.557aA-l to llld-1.557aA-425)
Tabelle 558aTable 558a
Verbindungen lila, INb, INc und llld-1 , worin B für 2,3-Dichlorthien-4-yl steht und A jeweils einer Gruppe in einer Zeile der Tabelle A entspricht (VerbindungenCompounds IIIa, INb, INc and IIId-1, wherein B is 2,3-dichlorothien-4-yl and A each corresponds to a group in a row of Table A (compounds
Mla.558aA-1 bis Nla.558aA-425, Mlb.558aA-1 bis Nlb.558aA-425, Mlc.558aA-1 bis lllc.558aA-425 und IMd-1.558aA-1 bis Nld-1.558aA-425) Tabelle 559a Verbindungen lila, INb, INc und llld-1 , worin B für 2,5-Dibromthien-3-yl steht und A jeweils einer Gruppe in einer Zeile der Tabelle A entspricht (VerbindungenMla.558aA-1 to Nla.558aA-425, Mlb.558aA-1 to Nlb.558aA-425, Mlc.558aA-1 to lllc.558aA-425 and IMd-1.558aA-1 to Nld-1.558aA-425) Table 559a Compounds IIIa, INb, INc and IIId-1, wherein B is 2,5-dibromothien-3-yl and A in each case corresponds to one group in a row of Table A (Compounds
Mla.559aA-1 bis Nla.559aA-425, Mlb.559aA-1 bis Nlb.559aA-425, IMc.559aA-1 bis lllc.559aA-425 und llld-1.559aA-1 bis llld-1.559aA-425) Tabelle 560a Verbindungen lila, INb, INc und llld-1 , worin B für 4,5-Dimethylthien-2-yl steht und A jeweils einer Gruppe in einer Zeile der Tabelle A entspricht (VerbindungenMla.559aA-1 to Nla.559aA-425, Mlb.559aA-1 to Nlb.559aA-425, IMc.559aA-1 to lllc.559aA-425, and IIId-1.559aA-1 to IIId-1.559aA-425) Table 560a Compounds IIIa, INb, INc and IIId-1, wherein B is 4,5-dimethylthien-2-yl and A in each case corresponds to one group in a row of Table A (Compounds
Mla.560aA-1 bis Nla.560aA-425, Mlb.560aA-1 bis Nlb.560aA-425, IMc.560aA-1 bis lllc.560aA-425 und llld-1.56OaA-I bis llld-1.560aA-425) Tabelle 561 a Verbindungen lila, INb, INc und llld-1 , worin B für 2,5-Dimethylthien-3-yl steht und A jeweils einer Gruppe in einer Zeile der Tabelle A entspricht (VerbindungenMla.560aA-1 to Nla.560aA-425, Mlb.560aA-1 to Nlb.560aA-425, IMc.560aA-1 to lllc.560aA-425 and IIId-1.56OaA-I to IIId-1.560aA-425) Table 561a Compounds IIIa, INb, INc and IIId-1, wherein B is 2,5-dimethylthien-3-yl and A in each case corresponds to one group in a row of Table A (Compounds
Mla.561aA-1 bis Nla.561aA-425, Mlb.561aA-1 bis Nlb.561 aA-425, lllc.561aA-1 bis lllc.561 aA-425 und llld-1.561 aA-1 bis llld-1.561 aA-425) Tabelle 562a Verbindungen lila, INb, INc und llld-1 , worin B für 2,3-Dimethylthien-4-yl steht und A jeweils einer Gruppe in einer Zeile der Tabelle A entspricht (VerbindungenMla.561aA-1 to Nla.561aA-425, Mlb.561aA-1 to Nlb.561 aA-425, lllc.561aA-l to lllc.561 aA-425 and llld-1.561 aA-1 to llld-1.561 aA- 425) Table 562a Compounds IIIa, INb, INc and IIId-1, wherein B is 2,3-dimethylthien-4-yl and A in each case corresponds to one group in a row of Table A (Compounds
Mla.562aA-1 bis Nla.562aA-425, Mlb.562aA-1 bis Nlb.562aA-425, lllc.562aA-1 bis lllc.562aA-425 und llld-1.562aA-1 bis llld-1.562aA-425) Tabelle 563a Verbindungen lila, INb, INc und llld-1 , worin B für 3,4,5-Trichlorthien-2-yl steht undMla.562aA-1 to Nla.562aA-425, Mlb.562aA-1 to Nlb.562aA-425, lllc.562aA-1 to lllc.562aA-425 and llld-1.562aA-1 to llld-1.562aA-425) Table 563a Compounds IIIa, INb, INc and IIId-1, wherein B is 3,4,5-trichlorothien-2-yl and
A jeweils einer Gruppe in einer Zeile der Tabelle A entspricht (VerbindungenA corresponds in each case to a group in a row of Table A (compounds
Mla.563aA-1 bis Nla.563aA-425, Mlb.563aA-1 bis Nlb.563aA-425, lllc.563aA-1 bis lllc.563aA-425 und llld-1.563aA-1 bis llld-1.563aA-425) Tabelle 564a Verbindungen lila, INb, INc und llld-1 , worin B für 2,4,5-Trichlorthien-3-yl steht undMla.563aA-1 to Nla.563aA-425, Mlb.563aA-1 to Nlb.563aA-425, lllc.563aA-1 to lllc.563aA-425 and llld-1.563aA-1 to llld-1.563aA-425) Table 564a Compounds IIIa, INb, INc and IIId-1 wherein B is 2,4,5-trichlorothien-3-yl and
A jeweils einer Gruppe in einer Zeile der Tabelle A entspricht (VerbindungenA corresponds in each case to a group in a row of Table A (compounds
Mla.564aA-1 bis Nla.564aA-425, Mlb.564aA-1 bis Nlb.564aA-425, lllc.564aA-1 bis lllc.564aA-425 und llld-1.564aA-1 bis llld-1.564aA-425) Tabelle 565a Verbindungen lila, INb, INc und llld-1 , worin B für 2,4,5-Tribromthien-3-yl steht undMla.564aA-1 to Nla.564aA-425, Mlb.564aA-1 to Nlb.564aA-425, lllc.564aA-1 to lllc.564aA-425 and llld-1.564aA-1 to llld-1.564aA-425) Table 565a Compounds IIIa, INb, INc and IIId-1, wherein B is 2,4,5-tribromothien-3-yl and
A jeweils einer Gruppe in einer Zeile der Tabelle A entspricht (VerbindungenA corresponds in each case to a group in a row of Table A (compounds
Mla.565aA-1 bis Nla.565aA-425, Mlb.565aA-1 bis Nlb.565aA-425, lllc.565aA-1 bis lllc.565aA-425 und llld-1.565aA-1 bis llld-1.565aA-425) Tabelle 566a Verbindungen lila, INb, INc und llld-1 , worin B für 3,4,5-Trimethylthien-2-yl steht und A jeweils einer Gruppe in einer Zeile der Tabelle A entspricht (Verbindungen Mla.566aA-1 bis Nla.566aA-425, Mlb.566aA-1 bis lllb.566aA-425, IMc.566aA-1 bis lllc.566aA-425 und llld-1.566aA-1 bis llld-1.566aA-425) Tabelle 567aMla.565aA-1 to Nla.565aA-425, Mlb.565aA-1 to Nlb.565aA-425, lllc.565aA-1 to lllc.565aA-425 and llld-1.565aA-1 to llld-1.565aA-425) Table 566a Compounds IIIa, INb, INc and IIId-1, wherein B is 3,4,5-trimethylthien-2-yl and A in each case corresponds to one group in a row of Table A (Compounds Mla.566aA-1 to Nla.566aA-425, Mlb.566aA-1 to Illb.566aA-425, IMc.566aA-1 to Ill. 566aA-425, and IIId-1.566aA-1 to IIId-1.566aA-425) Table 567a
Verbindungen lila, INb, INc und llld-1 , worin B für 4-Chlorfur-2-yl steht und A jeweils einer Gruppe in einer Zeile der Tabelle A entspricht (Verbindungen Nla.567aA-1 bisCompounds IIIa, INb, INc and IIId-1, wherein B is 4-chlorofur-2-yl and A corresponds in each case to one group in a row of Table A (Compounds Nla.567aA-1 to
Nla.567aA-425, Mlb.567aA-1 bis Nlb.567aA-425, lllc.567aA-1 bis lllc.567aA-425 und llld-1.567aA-1 bis llld-1.567aA-425) Tabelle 568aNla.567aA-425, Mlb.567aA-1 to Nlb.567aA-425, lllc.567aA-l to lllc.567aA-425 and llld-1.567aA-l to llld-1.567aA-425) Table 568a
Verbindungen lila, INb, INc und llld-1 , worin B für 5-Chlorfur-2-yl steht und A jeweils einer Gruppe in einer Zeile der Tabelle A entspricht (Verbindungen Nla.568aA-1 bisCompounds IIIa, INb, INc and IIId-1, wherein B is 5-chlorofur-2-yl and A corresponds in each case to one group in a row of Table A (Compounds Nla.568aA-1 to
Nla.568aA-425, Mlb.568aA-1 bis Nlb.568aA-425, Mlc.568aA-1 bis lllc.568aA-425 und llld-1.568aA-1 bis llld-1.568aA-425) Tabelle 569aNla.568aA-425, Mlb.568aA-1 to Nlb.568aA-425, Mlc.568aA-1 to lllc.568aA-425 and lld-1.568aA-1 to llld-1.568aA-425) Table 569a
Verbindungen lila, INb, INc und llld-1 , worin B für 3-Bromfur-2-yl steht und A jeweils einer Gruppe in einer Zeile der Tabelle A entspricht (Verbindungen Nla.569aA-1 bisCompounds IIIa, INb, INc and IIId-1, wherein B is 3-bromo-fur-2-yl and A in each case corresponds to one group in a row of Table A (Compounds Nla.569aA-1 to
Nla.569aA-425, Mlb.569aA-1 bis Nlb.569aA-425, IMc.569aA-1 bis lllc.569aA-425 und llld-1.569aA-1 bis llld-1.569aA-425) Tabelle 570aNla.569aA-425, Mlb.569aA-1 to Nlb.569aA-425, IMc.569aA-1 to lllc.569aA-425 and IIId-1.569aA-1 to IIId-1.569aA-425) Table 570a
Verbindungen lila, INb, INc und llld-1 , worin B für 4-Bromfur-2-yl steht und A jeweils einer Gruppe in einer Zeile der Tabelle A entspricht (Verbindungen Nla.570aA-1 bisCompounds IIIa, INb, INc and IIId-1, wherein B is 4-bromo-fur-2-yl and A corresponds in each case to one group in a row of Table A (Compounds Nla.570aA-1 to
Nla.570aA-425, Mlb.570aA-1 bis Nlb.570aA-425, Mlc.570aA-1 bis lllc.570aA-425 und llld-1.57OaA-I bis llld-1.570aA-425) Tabelle 571 aNla.570aA-425, Mlb.570aA-1 to Nlb.570aA-425, Mlc.570aA-1 to lllc.570aA-425, and IIId-1.57OaA-I to IIId-1.570aA-425). Table 571a
Verbindungen lila, INb, INc und llld-1 , worin B für 5-Bromfur-2-yl steht und A jeweils einer Gruppe in einer Zeile der Tabelle A entspricht (Verbindungen lila.571 aA-1 bisCompounds IIIa, INb, INc and IIId-1, where B is 5-bromo-fur-2-yl and A in each case corresponds to one group in a row of Table A (compounds III.571 aA-1 to
Nla.571aA-425, Mlb.571aA-1 bis Nlb.571aA-425, lllc.571aA-1 bis lllc.571aA-425 und llld-1.571aA-1 bis llld-1.571 aA-425) Tabelle 572aNla.571aA-425, Mlb.571aA-1 to Nlb.571aA-425, lllc.571aA-l to lllc.571aA-425, and llld-1.571aA-l to llld-1.571 aA-425) Table 572a
Verbindungen lila, INb, INc und llld-1 , worin B für 3,4-Dichlorfur-2-yl steht und A jeweils einer Gruppe in einer Zeile der Tabelle A entspricht (VerbindungenCompounds purple, INb, INc and llld-1, wherein B is 3,4-dichloropur-2-yl and A in each case corresponds to one group in a row of Table A (Compounds
Mla.572aA-1 bis Nla.572aA-425, Mlb.572aA-1 bis Nlb.572aA-425, lllc.572aA-1 bis lllc.572aA-425 und llld-1.572aA-1 bis llld-1.572aA-425) Tabelle 573aMla.572aA-1 to Nla.572aA-425, Mlb.572aA-1 to Nlb.572aA-425, lllc.572aA-1 to lllc.572aA-425 and llld-1.572aA-1 to llld-1.572aA-425) Table 573a
Verbindungen lila, INb, INc und llld-1 , worin B für 4,5-Dichlorfur-2-yl steht und A jeweils einer Gruppe in einer Zeile der Tabelle A entspricht (VerbindungenCompounds purple, INb, INc and llld-1, wherein B is 4,5-dichloropur-2-yl and A in each case corresponds to one group in a row of Table A (Compounds
Mla.573aA-1 bis Nla.573aA-425, Mlb.573aA-1 bis Nlb.573aA-425, lllc.573aA-1 bis lllc.573aA-425 und llld-1.573aA-1 bis llld-1.573aA-425) Tabelle 574aMla.573aA-1 to Nla.573aA-425, Mlb.573aA-1 to Nlb.573aA-425, lllc.573aA-1 to lllc.573aA-425 and llld-1.573aA-1 to llld-1.573aA-425) Table 574a
Verbindungen lila, INb, INc und llld-1 , worin B für Thiazol-2-yl steht und A jeweils einer Gruppe in einer Zeile der Tabelle A entspricht (Verbindungen Nla.574aA-1 bisCompounds IIIa, INb, INc and IIId-1, wherein B is thiazol-2-yl and A in each case corresponds to one group in a row of Table A (Compounds Nla.574aA-1 to
Nla.574aA-425, Mlb.574aA-1 bis Nlb.574aA-425, lllc.574aA-1 bis lllc.574aA-425 und llld-1.574aA-1 bis llld-1.574aA-425) Tabelle 575aNla.574aA-425, Mlb.574aA-1 to Nlb.574aA-425, lllc.574aA-1 to lllc.574aA-425 and llld-1.574aA-1 to llld-1.574aA-425) Table 575a
Verbindungen lila, INb, INc und llld-1 , worin B für Thiazol-4-yl steht und A jeweils einer Gruppe in einer Zeile der Tabelle A entspricht (Verbindungen Nla.575aA-1 bis Nla.575aA-425, Mlb.575aA-1 bis Nlb.575aA-425, Mlc.575aA-1 bis lllc.575aA-425 und llld-1.575aA-1 bis llld-1.575aA-425)Compounds IIIa, INb, INc and IIId-1, where B is thiazol-4-yl and A in each case corresponds to one group in a row of Table A (Compounds Nla.575aA-1 to Nla.575aA-425, Mlb.575aA- 1 to Nlb.575aA-425, Mlc.575aA-1 to lllc.575aA-425 and llld-1.575aA-1 to llld-1.575aA-425)
Tabelle 576aTable 576a
Verbindungen lila, INb, INc und llld-1 , worin B für Thiazol-5-yl steht und A jeweils einer Gruppe in einer Zeile der Tabelle A entspricht (Verbindungen Nla.576aA-1 bis Nla.576aA-425, Mlb.576aA-1 bis Nlb.576aA-425, lllc.576aA-1 bis lllc.576aA-425 und llld-1.576aA-1 bis llld-1.576aA-425)Compounds IIIa, INb, INc and IIId-1, in which B is thiazol-5-yl and A in each case corresponds to one group in a row of Table A (Compounds Nla.576aA-1 to Nla.576aA-425, Mlb.576aA- 1 to Nlb.576aA-425, lllc.576aA-1 to lllc.576aA-425 and llld-1.576aA-1 to llld-1.576aA-425)
Tabelle 577aTable 577a
Verbindungen lila, INb, INc und llld-1 , worin B für lsothiazol-3-yl steht und A jeweils einer Gruppe in einer Zeile der Tabelle A entspricht (Verbindungen Nla.577aA-1 bis Nla.577aA-425, Mlb.577aA-1 bis Nlb.577aA-425, lllc.577aA-1 bis lllc.577aA-425 und llld-1.577aA-1 bis llld-1.577aA-425)Compounds IIIa, INb, INc and IIId-1, where B is isothiazol-3-yl and A in each case corresponds to one group in a row of Table A (Compounds Nla.577aA-1 to Nla.577aA-425, Mlb.577aA- 1 to Nlb.577aA-425, lllc.577aA-1 to lllc.577aA-425 and llld-1.577aA-1 to llld-1.577aA-425)
Tabelle 578aTable 578a
Verbindungen lila, INb, INc und llld-1 , worin B für lsothiazol-4-yl steht und A jeweils einer Gruppe in einer Zeile der Tabelle A entspricht (Verbindungen Nla.578aA-1 bis Nla.578aA-425, Nlb.578aA-1 bis Nlb.578aA-425, lllc.578aA-1 bis lllc.578aA-425 und llld-1.578aA-1 bis llld-1.578aA-425)Compounds IIIa, INb, INc and IIId-1, where B is isothiazol-4-yl and A in each case corresponds to one group in a row of Table A (Compounds Nla.578aA-1 to Nla.578aA-425, Nlb.578aA- 1 to Nlb.578aA-425, lllc.578aA-1 to lllc.578aA-425 and llld-1.578aA-1 to llld-1.578aA-425)
Tabelle 579aTable 579a
Verbindungen lila, INb, INc und llld-1 , worin B für lsothiazol-5-yl steht und A jeweils einer Gruppe in einer Zeile der Tabelle A entspricht (Verbindungen Nla.579aA-1 bis Nla.579aA-425, Nlb.579aA-1 bis Nlb.579aA-425, lllc.579aA-1 bis lllc.579aA-425 und llld-1.579aA-1 bis llld-1.579aA-425)Compounds IIIa, INb, INc and IIId-1, where B is isothiazol-5-yl and A in each case corresponds to one group in a row of Table A (Compounds Nla.579aA-1 to Nla.579aA-425, Nlb.579aA- 1 to Nlb.579aA-425, lllc.579aA-1 to lllc.579aA-425 and llld-1.579aA-1 to llld-1.579aA-425)
Tabelle 580aTable 580a
Verbindungen lila, INb, INc und llld-1 , worin B für 2-Chlorthiazol-4-yl steht und A jeweils einer Gruppe in einer Zeile der Tabelle A entspricht (Verbindungen Nla.580aA-1 bis Nla.580aA-425, Nlb.580aA-1 bis Nlb.580aA-425, lllc.580aA-1 bis lllc.580aA-425 und llld-1.58OaA-I bis llld-1.580aA-425)Compounds IIIa, INb, INc and IIId-1, wherein B is 2-chlorothiazol-4-yl and A in each case corresponds to one group in a row of Table A (Compounds Nla.580aA-1 to Nla.580aA-425, Nlb. 580aA-1 to Nlb.580aA-425, lllc.580aA-l to lllc.580aA-425 and llld-1.58OaA-l to llld-1.580aA-425)
Tabelle 581 aTable 581 a
Verbindungen lila, INb, INc und llld-1 , worin B für 2-Chlorthiazol-5-yl steht und A jeweils einer Gruppe in einer Zeile der Tabelle A entspricht (Verbindungen Nla.581aA-1 bis Nla.581aA-425, Nlb.581aA-1 bis Nlb.581 aA-425, lllc.581aA-1 bis lllc.581 aA-425 und llld-1.581 aA-1 bis llld-1.581 aA-425)Compounds IIIa, INb, INc and IIId-1, wherein B is 2-chlorothiazol-5-yl and A in each case corresponds to one group in a row of Table A (Compounds Nla.581aA-1 to Nla.581aA-425, Nlb. 581aA-1 to Nlb.581 aA-425, lllc.581aA-l to lllc.581 aA-425 and llld-1.581 aA-1 to llld-1.581 aA-425)
Tabelle 582aTable 582a
Verbindungen lila, INb, INc und llld-1 , worin B für 4-Chlorthiazol-5-yl steht und A jeweils einer Gruppe in einer Zeile der Tabelle A entspricht (Verbindungen Nla.582aA-1 bis Nla.582aA-425, Nlb.582aA-1 bis Nlb.582aA-425, lllc.582aA-1 bis lllc.582aA-425 und llld-1.582aA-1 bis llld-1.582aA-425)Compounds IIIa, INb, INc and IIId-1, wherein B is 4-chlorothiazol-5-yl and A in each case corresponds to one group in a row of Table A (Compounds Nla.582aA-1 to Nla.582aA-425, Nlb. 582aA-1 to Nlb.582aA-425, lllc.582aA-1 to lllc.582aA-425 and llld-1.582aA-1 to llld-1.582aA-425)
Tabelle 583aTable 583a
Verbindungen lila, INb, INc und llld-1 , worin B für 2-Bromthiazol-4-yl steht und A jeweils einer Gruppe in einer Zeile der Tabelle A entspricht (VerbindungenCompounds lilac, INb, INc and llld-1, wherein B is 2-bromothiazol-4-yl and A each corresponds to a group in a row of Table A (compounds
Mla.583aA-1 bis Nla.583aA-425, Mlb.583aA-1 bis Nlb.583aA-425, IMc.583aA-1 bis lllc.583aA-425 und IMd-1.583aA-1 bis Nld-1.583aA-425) Tabelle 584a Verbindungen lila, INb, INc und llld-1 , worin B für 2-Bromthiazol-5-yl steht und A jeweils einer Gruppe in einer Zeile der Tabelle A entspricht (VerbindungenMla.583aA-1 to Nla.583aA-425, Mlb.583aA-1 to Nlb.583aA-425, IMc.583aA-1 to lllc.583aA-425 and IMd-1.583aA-1 to Nld-1.583aA-425) Table 584a Compounds IIIa, INb, INc and IIId-1, wherein B is 2-bromothiazol-5-yl and A in each case corresponds to one group in a row of Table A (Compounds
Mla.584aA-1 bis Nla.584aA-425, Mlb.584aA-1 bis Nlb.584aA-425, IMc.584aA-1 bis lllc.584aA-425 und llld-1.584aA-1 bis llld-1.584aA-425) Tabelle 585a Verbindungen lila, INb, INc und llld-1 , worin B für 2,4-Dichlorthiazol-5-yl steht und A jeweils einer Gruppe in einer Zeile der Tabelle A entspricht (VerbindungenMla.584aA-1 to Nla.584aA-425, Mlb.584aA-1 to Nlb.584aA-425, IMc.584aA-1 to lllc.584aA-425, and IIId-1.584aA-1 to IIId-1.584aA-425) Table 585a Compounds IIIa, INb, INc and IIId-1, wherein B is 2,4-dichlorothiazol-5-yl and A in each case corresponds to one group in a row of Table A (Compounds
Mla.585aA-1 bis Nla.585aA-425, Mlb.585aA-1 bis Nlb.585aA-425, IMc.585aA-1 bis lllc.585aA-425 und llld-1.585aA-1 bis llld-1.585aA-425) Tabelle 586a Verbindungen lila, INb, INc und llld-1 , worin B für 3-Chlorisothiazol-4-yl steht und A jeweils einer Gruppe in einer Zeile der Tabelle A entspricht (VerbindungenMla.585aA-1 to Nla.585aA-425, Mlb.585aA-1 to Nlb.585aA-425, IMc.585aA-1 to lllc.585aA-425 and IIId-1.585aA-1 to IIId-1.585aA-425) Table 586a Compounds IIIa, INb, INc and IIId-1, where B is 3-chloroisothiazol-4-yl and A in each case corresponds to one group in a row of Table A (Compounds
Mla.586aA-1 bis Nla.586aA-425, Mlb.586aA-1 bis Nlb.586aA-425, IMc.586aA-1 bis lllc.586aA-425 und llld-1.586aA-1 bis llld-1.586aA-425) Tabelle 587a Verbindungen lila, INb, INc und llld-1 , worin B für 5-Methylisothiazol-3-yl steht undMla.586aA-1 to Nla.586aA-425, Mlb.586aA-1 to Nlb.586aA-425, IMc.586aA-1 to lllc.586aA-425 and IIId-1.586aA-1 to IIId-1.586aA-425) Table 587a Compounds IIIa, INb, INc and IIId-1, wherein B is 5-methylisothiazol-3-yl and
A jeweils einer Gruppe in einer Zeile der Tabelle A entspricht (VerbindungenA corresponds in each case to a group in a row of Table A (compounds
Mla.587aA-1 bis Nla.587aA-425, Mlb.587aA-1 bis Nlb.587aA-425, IMc.587aA-1 bis lllc.587aA-425 und llld-1.587aA-1 bis llld-1.587aA-425) Tabelle 588a Verbindungen lila, INb, INc und llld-1 , worin B für 3-Methylisothiazol-4-yl steht undMla.587aA-1 to Nla.587aA-425, Mlb.587aA-1 to Nlb.587aA-425, IMc.587aA-1 to lllc.587aA-425 and IIId-1.587aA-1 to IIId-1.587aA-425) Table 588a Compounds IIIa, INb, INc and IIId-1, wherein B is 3-methylisothiazol-4-yl and
A jeweils einer Gruppe in einer Zeile der Tabelle A entspricht (VerbindungenA corresponds in each case to a group in a row of Table A (compounds
Mla.588aA-1 bis Nla.588aA-425, Mlb.588aA-1 bis Nlb.588aA-425, IMc.588aA-1 bis lllc.588aA-425 und llld-1.588aA-1 bis llld-1.588aA-425) Tabelle 589a Verbindungen lila, INb, INc und llld-1 , worin B für 3-Methylisothiazol-5-yl steht undMla.588aA-1 to Nla.588aA-425, Mlb.588aA-1 to Nlb.588aA-425, IMc.588aA-1 to lllc.588aA-425 and IIId-1.588aA-1 to IIId-1.588aA-425) Table 589a Compounds IIIa, INb, INc and IIId-1, wherein B is 3-methylisothiazol-5-yl and
A jeweils einer Gruppe in einer Zeile der Tabelle A entspricht (VerbindungenA corresponds in each case to a group in a row of Table A (compounds
Mla.589aA-1 bis Nla.589aA-425, Mlb.589aA-1 bis Nlb.589aA-425, IMc.589aA-1 bis lllc.589aA-425 und llld-1.589aA-1 bis llld-1.589aA-425) Tabelle 590a Verbindungen lila, INb, INc und llld-1 , worin B für 4,5-Dichlorisothiazol-3-yl steht und A jeweils einer Gruppe in einer Zeile der Tabelle A entspricht (VerbindungenMla.589aA-1 to Nla.589aA-425, Mlb.589aA-1 to Nlb.589aA-425, IMc.589aA-1 to lllc.589aA-425, and IIId-1.589aA-1 to IIId-1.589aA-425) Table 590a Compounds IIIa, INb, INc and IIId-1, wherein B is 4,5-dichloroisothiazol-3-yl and A in each case corresponds to one group in a row of Table A (Compounds
Mla.590aA-1 bis Nla.590aA-425, Mlb.590aA-1 bis Nlb.590aA-425, IMc.590aA-1 bis lllc.590aA-425 und llld-1.59OaA-I bis llld-1.590aA-425) Tabelle 591 a Verbindungen lila, INb, INc und llld-1 , worin B für 4,5-Dimethylisothiazol-3-yl steht und A jeweils einer Gruppe in einer Zeile der Tabelle A entspricht (Verbindungen Mla.591aA-1 bis Nla.591aA-425, Mlb.591aA-1 bis lllb.591 aA-425, IMc.591aA-1 bis lllc.591 aA-425 und llld-1.591 aA-1 bis llld-1.591 aA-425) Tabelle 592aMla.590aA-1 to Nla.590aA-425, Mlb.590aA-1 to Nlb.590aA-425, IMc.590aA-1 to lllc.590aA-425, and IIId-1.59OaA-I to IIId-1.590aA-425) Table 591 a Compounds purple, INb, INc and llld-1, wherein B is 4,5-dimethylisothiazol-3-yl and A in each case corresponds to one group in a row of Table A (Compounds Mla.591aA-1 to Nla.591aA-425, Mlb.591aA-1 to Illb.591 aA-425, IMc.591aA-1 to Ill. 591 aA-425 and Ill d-1.591 aA-1 to Ill d-1.591 aA- 425) Table 592a
Verbindungen lila, INb, INc und llld-1 , worin B für 3,5-Dimethylisothiazol-4-yl steht und A jeweils einer Gruppe in einer Zeile der Tabelle A entspricht (VerbindungenCompounds purple, INb, INc and llld-1, wherein B is 3,5-dimethylisothiazol-4-yl and A in each case corresponds to one group in a row of Table A (Compounds
Mla.592aA-1 bis Nla.592aA-425, Mlb.592aA-1 bis Nlb.592aA-425, lllc.592aA-1 bis lllc.592aA-425 und llld-1.592aA-1 bis llld-1.592aA-425) Tabelle 593aMla.592aA-1 to Nla.592aA-425, Mlb.592aA-1 to Nlb.592aA-425, lllc.592aA-1 to lllc.592aA-425, and IIId-1.592aA-1 to IIId-1.592aA-425) Table 593a
Verbindungen lila, INb, INc und llld-1 , worin B für 3,4-Dichlorisothiazol-5-yl steht und A jeweils einer Gruppe in einer Zeile der Tabelle A entspricht (VerbindungenCompounds purple, INb, INc and llld-1, wherein B is 3,4-dichloroisothiazol-5-yl and A in each case corresponds to one group in a row of Table A (Compounds
Mla.593aA-1 bis Nla.593aA-425, Mlb.593aA-1 bis Nlb.593aA-425, IMc.593aA-1 bis lllc.593aA-425 und llld-1.593aA-1 bis llld-1.593aA-425) Tabelle 594aMla.593aA-1 to Nla.593aA-425, Mlb.593aA-1 to Nlb.593aA-425, IMc.593aA-1 to lllc.593aA-425 and IIId-1.593aA-1 to IIId-1.593aA-425) Table 594a
Verbindungen lila, INb, INc und llld-1 , worin B für Oxazol-2-yl steht und A jeweils einer Gruppe in einer Zeile der Tabelle A entspricht (Verbindungen Nla.594aA-1 bisCompounds IIIa, INb, INc and IIId-1, wherein B is oxazol-2-yl and A in each case corresponds to one group in a row of Table A (Compounds Nla.594aA-1 to
Nla.594aA-425, Verbindungen Mlb.594aA-1 bis Nlb.594aA-425, lllc.594aA-1 bis lllc.594aA-425 und llld-1.594aA-1 bis llld-1.594aA-425) Tabelle 595aNla.594aA-425, compounds Mlb.594aA-1 to Nlb.594aA-425, lllc.594aA-l to lllc.594aA-425 and llld-1.594aA-l to llld-1.594aA-425) Table 595a
Verbindungen lila, INb, INc und llld-1 , worin B für Oxazol-4-yl steht und A jeweils einer Gruppe in einer Zeile der Tabelle A entspricht (Verbindungen Nla.595aA-1 bisCompounds IIIa, INb, INc and IIId-1, wherein B is oxazol-4-yl and A in each case corresponds to one group in a row of Table A (Compounds Nla.595aA-1 to
Nla.595aA-425, Mlb.595aA-1 bis Nlb.595aA-425, Mlc.595aA-1 bis lllc.595aA-425 und llld-1.595aA-1 bis llld-1.595aA-425) Tabelle 596aNla.595aA-425, Mlb.595aA-1 to Nlb.595aA-425, Mlc.595aA-l to lllc.595aA-425 and llld-1.595aA-l to llld-1.595aA-425) Table 596a
Verbindungen lila, INb, INc und llld-1 , worin B für Oxazol-5-yl steht und A jeweils einer Gruppe in einer Zeile der Tabelle A entspricht (Verbindungen Nla.596aA-1 bisCompounds IIIa, INb, INc and IIId-1, wherein B is oxazol-5-yl and A in each case corresponds to one group in a row of Table A (Compounds Nla.596aA-1 to
Nla.596aA-425, Verbindungen Mlb.596aA-1 bis Nlb.596aA-425, Mlc.596aA-1 bis lllc.596aA-425 und llld-1.596aA-1 bis llld-1.596aA-425) Tabelle 597aNla.596aA-425, compounds Mlb.596aA-1 to Nlb.596aA-425, Mlc.596aA-1 to lllc.596aA-425 and IIId-1.596aA-1 to IIId-1.596aA-425) Table 597a
Verbindungen lila, INb, INc und llld-1 , worin B für lsoxazol-3-yl steht und A jeweils einer Gruppe in einer Zeile der Tabelle A entspricht (Verbindungen Nla.597aA-1 bisCompounds IIIa, INb, INc and IIId-1, wherein B is isoxazol-3-yl and A in each case corresponds to one group in a row of Table A (Compounds Nla.597aA-1 to
Nla.597aA-425, Mlb.597aA-1 bis Nlb.597aA-425, lllc.597aA-1 bis lllc.597aA-425 und llld-1.597aA-1 bis llld-1.597aA-425) Tabelle 598aNla.597aA-425, Mlb.597aA-1 to Nlb.597aA-425, IIIc. 597aA-1 to lllc.597aA-425, and IIId-1.597aA-1 to IIId-1.597aA-425) Table 598a
Verbindungen lila, INb, INc und llld-1 , worin B für lsoxazol-4-yl steht und A jeweils einer Gruppe in einer Zeile der Tabelle A entspricht (Verbindungen Nla.598aA-1 bisCompounds IIIa, INb, INc and IIId-1, wherein B is isoxazol-4-yl and A in each case corresponds to one group in a row of Table A (Compounds Nla.598aA-1 to
Nla.598aA-425, Mlb.598aA-1 bis Nlb.598aA-425, Mlc.598aA-1 bis lllc.598aA-425 und llld-1.598aA-1 bis llld-1.598aA-425) Tabelle 599aNla.598aA-425, Mlb.598aA-1 to Nlb.598aA-425, Mlc.598aA-l to lllc.598aA-425 and llld-1.598aA-l to llld-1.598aA-425) Table 599a
Verbindungen lila, INb, INc und llld-1 , worin B für lsoxazol-5-yl steht und A jeweils einer Gruppe in einer Zeile der Tabelle A entspricht (Verbindungen Nla.599aA-1 bisCompounds IIIa, INb, INc and IIId-1, wherein B is isoxazol-5-yl and A in each case corresponds to one group in a row of Table A (Compounds Nla.599aA-1 to
Nla.599aA-425, Mlb.599aA-1 bis Nlb.599aA-425, Mlc.599aA-1 bis lllc.599aA-425 und llld-1.599aA-1 bis llld-1.599aA-425) Tabelle 600aNla.599aA-425, Mlb.599aA-1 to Nlb.599aA-425, Mlc.599aA-1 to lllc.599aA-425 and llld-1.599aA-1 to llld-1.599aA-425) Table 600a
Verbindungen lila, INb, INc und llld-1 , worin B für 3-Chlorisoxazol-5-yl steht und A jeweils einer Gruppe in einer Zeile der Tabelle A entspricht (Verbindungen Mla.600aA-1 bis Nla.600aA-425, Mlb.600aA-1 bis Mlb.600aA-425, IMc.600aA-1 bis lllc.600aA-425 und llld-1.60OaA-I bis llld-1.600aA-425)Compounds IIIa, INb, INc and IIId-1, wherein B is 3-chloroisoxazol-5-yl and A in each case corresponds to one group in a row of Table A (Compounds Mla.600aA-1 to Nla.600aA-425, Mlb. 600aA-1 to Mlb.600aA-425, IMc.600aA-1 to lllc.600aA-425 and llld-1.60OaA-l to llld-1.600aA-425)
Tabelle 601 aTable 601 a
Verbindungen lila, INb, INc und llld-1 , worin B für 5-Methylisoxazol-3-yl steht und A jeweils einer Gruppe in einer Zeile der Tabelle A entspricht (Verbindungen Mla.601aA-1 bis Nla.601aA-425, Mlb.601aA-1 bis Nlb.601 aA-425, lllc.601aA-1 bis lllc.601 aA-425 und llld-1.601aA-1 bis llld-1.601 aA-425)Compounds IIIa, INb, INc and IIId-1, wherein B is 5-methylisoxazol-3-yl and A in each case corresponds to one group in a row of Table A (Compounds Mla.601aA-1 to Nla.601aA-425, Mlb. 601aA-1 to Nlb.601 aA-425, lllc.601aA-l to lllc.601 aA-425 and llld-1.601aA-l to llld-1.601 aA-425)
Tabelle 602aTable 602a
Verbindungen lila, INb, INc und llld-1 , worin B für 5-Methylisoxazol-4-yl steht und A jeweils einer Gruppe in einer Zeile der Tabelle A entspricht (Verbindungen Mla.602aA-1 bis Nla.602aA-425, Mlb.602aA-1 bis Nlb.602aA-425, lllc.602aA-1 bis lllc.602aA-425 und llld-1.602aA-1 bis llld-1.602aA-425)Compounds IIIa, INb, INc and IIId-1, wherein B is 5-methylisoxazol-4-yl and A in each case corresponds to one group in a row of Table A (Compounds Mla.602aA-1 to Nla.602aA-425, Mlb. 602aA-1 to Nlb.602aA-425, lllc.602aA-1 to lllc.602aA-425 and llld-1.602aA-1 to llld-1.602aA-425)
Tabelle 603aTable 603a
Verbindungen lila, INb, INc und llld-1 , worin B für 3-Methylisoxazol-5-yl steht und A jeweils einer Gruppe in einer Zeile der Tabelle A entspricht (Verbindungen Mla.603aA-1 bis Nla.603aA-425, Mlb.603aA-1 bis Nlb.603aA-425, lllc.603aA-1 bis lllc.603aA-425 und llld-1.603aA-1 bis llld-1.603aA-425)Compounds IIIa, INb, INc and IIId-1, wherein B is 3-methylisoxazol-5-yl and A in each case corresponds to one group in a row of Table A (Compounds Mla.603aA-1 to Nla.603aA-425, Mlb. 603aA-1 to Nlb.603aA-425, lllc.603aA-l to lllc.603aA-425 and llld-1.603aA-l to llld-1.603aA-425)
Tabelle 604aTable 604a
Verbindungen lila, INb, INc und llld-1 , worin B für 3,5-Dimethylisoxazol-4-yl steht und A jeweils einer Gruppe in einer Zeile der Tabelle A entspricht (Verbindungen Mla.604aA-1 bis Nla.604aA-425, Mlb.604aA-1 bis Nlb.604aA-425, IMc.604aA-1 bis lllc.604aA-425 und llld-1.604aA-1 bis llld-1.604aA-425)Compounds IIIa, INb, INc and IIId-1, where B is 3,5-dimethylisoxazol-4-yl and A in each case corresponds to one group in a row of Table A (compounds Mla.604aA-1 to Nla.604aA-425, Mlb.604aA-1 to Nlb.604aA-425, IMc.604aA-l to lllc.604aA-425 and llld-1.604aA-l to llld-1.604aA-425)
Tabelle 605aTable 605a
Verbindungen lila, INb, INc und llld-1 , worin B für 3-Chlor-5-methylisoxazol-4-yl steht und A jeweils einer Gruppe in einer Zeile der Tabelle A entspricht (Verbindungen Mla.605aA-1 bis Nla.605aA-425, Mlb.605aA-1 bis Nlb.605aA-425, lllc.605aA-1 bis lllc.605aA-425 und llld-1.605aA-1 bis llld-1.605aA-425)Compounds IIIa, INb, INc and IIId-1, in which B is 3-chloro-5-methylisoxazol-4-yl and A in each case corresponds to one group in a row of Table A (Compounds Mla.605aA-1 to Nla.605aA- 425, Mlb.605aA-1 to Nlb.605aA-425, lllc.605aA-l to lllc.605aA-425 and llld-1.605aA-l to llld-1.605aA-425)
Tabelle 606aTable 606a
Verbindungen lila, INb, INc und llld-1 , worin B für 3-Methyl-4-chlorisoxazol-5-yl steht und A jeweils einer Gruppe in einer Zeile der Tabelle A entspricht (Verbindungen Mla.606aA-1 bis Nla.606aA-425, Mlb.606aA-1 bis Nlb.606aA-425, Mlc.606aA-1 bis lllc.606aA-425 und llld-1.606aA-1 bis llld-1.606aA-425)Compounds IIIa, INb, INc and IIId-1, in which B is 3-methyl-4-chloroisoxazol-5-yl and A in each case corresponds to one group in a row of Table A (Compounds Mla.606aA-1 to Nla.606aA- 425, Mlb.606aA-1 to Nlb.606aA-425, Mlc.606aA-1 to lllc.606aA-425 and llld-1.606aA-1 to llld-1.606aA-425)
Tabelle 607aTable 607a
Verbindungen lila, INb, INc und llld-1 , worin B für 1-Methylpyrazol-3-yl steht und A jeweils einer Gruppe in einer Zeile der Tabelle A entspricht (Verbindungen Mla.607aA-1 bis Nla.607aA-425, Mlb.607aA-1 bis Nlb.607aA-425, IMc.607aA-1 bis lllc.607aA-425 und llld-1.607aA-1 bis llld-1.607aA-425)Compounds IIIa, INb, INc and IIId-1, wherein B is 1-methylpyrazol-3-yl and A in each case corresponds to one group in a row of Table A (Compounds Mla.607aA-1 to Nla.607aA-425, Mlb. 607aA-1 to Nlb.607aA-425, IMc.607aA-l to lllc.607aA-425 and llld-1.607aA-l to llld-1.607aA-425)
Tabelle 608aTable 608a
Verbindungen lila, INb, INc und llld-1 , worin B für 1-Methylpyrazol-4-yl steht und A jeweils einer Gruppe in einer Zeile der Tabelle A entspricht (VerbindungenCompounds purple, INb, INc and llld-1, wherein B is 1-methylpyrazol-4-yl and A each corresponds to a group in a row of Table A (compounds
Mla.608aA-1 bis Nla.608aA-425, Mlb.608aA-1 bis Nlb.608aA-425, IMc.608aA-1 bis lllc.608aA-425 und IMd-1.608aA-1 bis Nld-1.608aA-425) Tabelle 609a Verbindungen lila, INb, INc und llld-1 , worin B für 1-Methylpyrazol-5-yl steht und A jeweils einer Gruppe in einer Zeile der Tabelle A entspricht (VerbindungenMla.608aA-1 to Nla.608aA-425, Mlb.608aA-1 to Nlb.608aA-425, IMc.608aA-1 to lllc.608aA-425 and IMd-1.608aA-1 to Nld-1.608aA-425) Table 609a Compounds IIIa, INb, INc and IIId-1, wherein B is 1-methylpyrazol-5-yl and A in each case corresponds to one group in a row of Table A (Compounds
Mla.609aA-1 bis Nla.609aA-425, Mlb.609aA-1 bis Nlb.609aA-425, IMc.609aA-1 bis lllc.609aA-425 und llld-1.609aA-1 bis llld-1.609aA-425) Tabelle 610a Verbindungen lila, INb, INc und llld-1 , worin B für 1 ,3-Dimethylpyrazol-4-yl steht und A jeweils einer Gruppe in einer Zeile der Tabelle A entspricht (VerbindungenMla.609aA-1 to Nla.609aA-425, Mlb.609aA-1 to Nlb.609aA-425, IMc.609aA-1 to lllc.609aA-425 and llld-1.609aA-1 to llld-1.609aA-425) Table 610a Compounds IIIa, INb, INc and IIId-1, wherein B is 1, 3-dimethylpyrazol-4-yl and A in each case corresponds to one group in a row of Table A (Compounds
Mla.610aA-1 bis Nla.610aA-425, Mlb.610aA-1 bis Nlb.610aA-425, lllc.610aA-1 bis lllc.610aA-425 und llld-1.61 OaA-I bis llld-1.610aA-425) Tabelle 611 a Verbindungen lila, INb, INc und llld-1 , worin B für 1 ,5-Dimethylpyrazol-4-yl steht und A jeweils einer Gruppe in einer Zeile der Tabelle A entspricht (VerbindungenMla.610aA-1 to Nla.610aA-425, Mlb.610aA-1 to Nlb.610aA-425, lllc.610aA-l to lllc.610aA-425 and llld-1.61 OaA-l to llld-1.610aA-425) Table 611 a Compounds purple, INb, INc and llld-1, wherein B is 1, 5-dimethylpyrazol-4-yl and A in each case corresponds to one group in a row of Table A (Compounds
Mla.61 1aA-1 bis Nla.61 1aA-425, Mlb.611aA-1 bis Nlb.61 1 aA-425, Nlc.61 1aA-1 bisMla.61 1aA-1 to Nla.61 1aA-425, Mlb.611aA-1 to Nlb.61 1 aA-425, Nlc.61 1aA-1 to
Nlc.611 aA-425 und llld-1.61 1aA-1 bis llld-1.611 aA-425) Tabelle 612a Verbindungen lila, INb, INc und llld-1 , worin B für 1 ,3,5-Trimethylpyrazol-4-yl steht und A jeweils einer Gruppe in einer Zeile der Tabelle A entspricht (VerbindungenNlc.611 aA-425 and llld-1.61 1aA-1 to llld-1.611 aA-425). Table 612a Compounds IIIa, INb, INc and IIId-1 wherein B is 1, 3,5-trimethylpyrazol-4-yl and A corresponds in each case to a group in a row of Table A (compounds
Mla.612aA-1 bis Nla.612aA-425, Mlb.612aA-1 bis Nlb.612aA-425, lllc.612aA-1 bis lllc.612aA-425 und llld-1.612aA-1 bis llld-1.612aA-425) Tabelle 613a Verbindungen lila, INb, INc und llld-1 , worin B für 1-Methylimidazol-4-yl steht und A jeweils einer Gruppe in einer Zeile der Tabelle A entspricht (VerbindungenMla.612aA-1 to Nla.612aA-425, Mlb.612aA-1 to Nlb.612aA-425, lllc.612aA-1 to lllc.612aA-425 and llld-1.612aA-1 to llld-1.612aA-425) Table 613a Compounds IIIa, INb, INc and IIId-1, where B is 1-methylimidazol-4-yl and A in each case corresponds to one group in a row of Table A (Compounds
Mla.613aA-1 bis Nla.613aA-425, Mlb.613aA-1 bis Nlb.613aA-425, lllc.613aA-1 bis lllc.613aA-425 und llld-1.613aA-1 bis llld-1.613aA-425) Tabelle 614a Verbindungen lila, INb, INc und llld-1 , worin B für 1 ,5-Dimethylimidazol-4-yl steht und A jeweils einer Gruppe in einer Zeile der Tabelle A entspricht (VerbindungenMla.613aA-1 to Nla.613aA-425, Mlb.613aA-1 to Nlb.613aA-425, lllc.613aA-1 to lllc.613aA-425 and llld-1.613aA-1 to llld-1.613aA-425) Table 614a Compounds IIIa, INb, INc and IIId-1, wherein B is 1, 5-dimethylimidazol-4-yl and A in each case corresponds to one group in a row of Table A (Compounds
Mla.614aA-1 bis Nla.614aA-425, Mlb.614aA-1 bis Nlb.614aA-425, lllc.614aA-1 bis lllc.614aA-425 und llld-1.614aA-1 bis llld-1.614aA-425) Tabelle 615a Verbindungen lila, INb, INc und llld-1 , worin B für 1 ,2-Dimethylimidazol-5-yl steht und A jeweils einer Gruppe in einer Zeile der Tabelle A entspricht (VerbindungenMla.614aA-1 to Nla.614aA-425, Mlb.614aA-1 to Nlb.614aA-425, lllc.614aA-1 to lllc.614aA-425 and llld-1.614aA-1 to llld-1.614aA-425) Table 615a Compounds IIIa, INb, INc and IIId-1, wherein B is 1, 2-dimethylimidazol-5-yl and A in each case corresponds to one group in a row of Table A (Compounds
Mla.615aA-1 bis Nla.615aA-425, Mlb.615aA-1 bis Nlb.615aA-425, lllc.615aA-1 bis lllc.615aA-425 und llld-1.615aA-1 bis llld-1.615aA-425) Tabelle 616a Verbindungen lila, INb, INc und llld-1 , worin B für 1 ,4-Dimethylimidazol-5-yl steht und A jeweils einer Gruppe in einer Zeile der Tabelle A entspricht (Verbindungen Mla.616aA-1 bis Nla.616aA-425, Mlb.616aA-1 bis lllb.616aA-425, IMc.616aA-1 bis lllc.616aA-425 und llld-1.616aA-1 bis llld-1.616aA-425)Mla.615aA-1 to Nla.615aA-425, Mlb.615aA-1 to Nlb.615aA-425, lllc.615aA-1 to lllc.615aA-425 and llld-1.615aA-1 to llld-1.615aA-425) Table 616a Compounds IIIa, INb, INc and IIId-1, wherein B is 1,4-dimethylimidazol-5-yl and A in each case corresponds to one group in a row of Table A (Compounds Mla.616aA-1 to Nla.616aA-425, Mlb.616aA-l to lllb.616aA-425, IMc.616aA-l to lllc.616aA-425 and llld-1.616aA-1 to llld-1.616aA-425)
Aus den vorangehenden Tabellen leiten sich die Verbindungsnamen für die einzelnen Verbindungen wie folgt ab: Bspw. ist die "Verbindung M^i aA-^K)" (Markierungen hinzugefügt) die erfindungsgemäße Verbindung der Formel M_, worin A für Pyridin-2-yl (wie in Tabelle 1 a angegeben) steht und B für 5-Chlorpyridin-3-yl steht (wie in Zeile 1_0 von Tabelle A angegeben).From the preceding tables, the connection names for the individual connections are derived as follows: eg. is the "compound M ^ i aA- ^ K)" (markers added) the compound of the formula M_ according to the invention, in which A is pyridin-2-yl (as indicated in Table 1a) and B is 5-chloropyridine-3 yl (as indicated in line 1_0 of Table A).
Die Verbindungen der Erfindung und ihre erfindungsgemäßen Zusammensetzungen eignen sich als Fungizide zur Bekämpfung von Schadpilzen. Sie zeichnen sich aus durch eine hervorragende Wirksamkeit gegen ein breites Spektrum von pflanzen- pathogenen einschließlich bodenbürtiger Pathogene, welche insbesondere aus den Klassen der Plasmodiophoromyceten, Peronosporomyceten (Syn. Oomyceten), Chytrhdiomyceten, Zygomyceten, Ascomyceten, Basidiomyceten und Deuteromyceten (Syn. Fungi imperfecti) stammen. Sie sind zum Teil systemisch wirksam und können im Pflanzenschutz als Blatt-, Beiz- und Bodenfungizide eingesetzt werden. Darüber hinaus sind sie geeignet für die Bekämpfung von Pilzen, die unter anderem das Holz oder die Wurzeln von Pflanzen befallen. In einer bevorzugten Ausführungsform sind die Verbindungen der Erfindung die Verbindungen der Formel I.The compounds of the invention and their compositions of the invention are useful as fungicides for controlling harmful fungi. They are distinguished by outstanding activity against a broad spectrum of plant-pathogenic, including soil-borne pathogens, which in particular belong to the classes of the Plasmodiophoromycetes, Peronosporomycetes (Syn. Oomyceten), Chytrhdiomycetes, Zygomycetes, Ascomycetes, Basidiomycetes and Deuteromycetes (Syn. Fungi imperfecti) come. They are partially systemically effective and can be used in crop protection as foliar, pickling and soil fungicides. In addition, they are suitable for controlling fungi that attack, among other things, the wood or the roots of plants. In a preferred embodiment, the compounds of the invention are the compounds of formula I.
In einer weiteren bevorzugten Ausführungsform sind die Verbindungen der Erfindung die Verbindungen der Formel II.In a further preferred embodiment, the compounds of the invention are the compounds of the formula II.
Besondere Bedeutung haben die erfindungsgemäßen Verbindungen für die Bekämpfung einer Vielzahl von pathogenen Pilzen an verschiedenen Kulturpflanzen wie Getreide, z. B. Weizen, Roggen, Gerste, Triticale, Hafer oder Reis, Rüben, z. B. Zucker oder Futterrüben; Kern-, Stein und Beerenobst, z. B. Äpfel, Birnen, Pflaumen, Pfirsiche, Mandeln, Kirschen, Erdbeeren, Himbeeren, Johannisbeeren oder Stachel- beeren; Leguminosen, z. B. Bohnen, Linsen, Erbsen, Luzerne oder Soja; Ölpflanzen, z. B. Raps, Senf, Oliven, Sonnenblumen, Kokosnuss, Kakao, Rizinusbohnen, Ölpalme, Erdnüsse oder Soja; Kürbisgewächse, z. B. Kürbissse, Gurken oder Melonen; Faserpflanzen, z. B. Baumwolle, Flachs, Hanf oder Jute; Zitrusfrüchte, z. B. Orangen, Zitronen, Pampelmusen oder Mandarinen; Gemüsepflanzen, z. B. Spinat, Salat, Spargel, Kohlpflanzen, Möhren, Zwiebeln, Tomaten, Kartoffeln, Kürbis oder Paprika; Lorbeergewächse, z. B. Avocados, Zimt oder Kampher; Energie- und Rohstoffpflanzen, z. B. Mais, Soja, Weizen, Raps, Zuckerrohr oder Ölpalme; Mais; Tabak; Nüsse; Kaffee; Tee; Bananen; Wein (Tafel- und Weintrauben); Hopfen; Gras, z. B. Rasen; Kautschukpflanzen; Zier- und Forstpflanzen, z. B. Blumen, Sträucher, Laub- und Nadelbäume sowie an dem Vermehrungsmaterial, z. B. Samen, und dem Erntegut dieser Pflanzen.Particular importance of the compounds of the invention for the control of a variety of pathogenic fungi on various crops such as cereals, eg. As wheat, rye, barley, triticale, oats or rice, beets, z. Sugar or fodder beets; Kernel, stone and berry fruits, z. Apples, pears, plums, peaches, almonds, cherries, strawberries, raspberries, currants or gooseberries; Legumes, z. Beans, lentils, peas, alfalfa or soybeans; Oil plants, e.g. Rapeseed, mustard, olives, sunflowers, coconut, cocoa, castor beans, oil palm, peanuts or soya; Cucurbits, z. Pumpkins, cucumbers or melons; Fiber plants, z. Cotton, flax, hemp or jute; Citrus fruits, z. Oranges, lemons, grapefruit or mandarins; Vegetables, z. Spinach, lettuce, asparagus, cabbages, carrots, onions, tomatoes, potatoes, squash or paprika; Laurel family, z. Avocados, cinnamon or camphor; Energy and raw material plants, eg. Corn, soy, wheat, rapeseed, sugarcane or oil palm; Corn; Tobacco; Nuts; Coffee; Tea; bananas; Wine (table and grapes); Hop; Grass, z. B. lawn; Rubber plants; Ornamental and forest plants, z. As flowers, shrubs, deciduous and coniferous trees and on the propagation material, for. B. seeds, and the crop of these plants.
Vorzugsweise werden die erfindungsgemäßen Verbindungen I bzw. die erfindungsgemäßen Zusammensetzungen zur Bekämpfung einer Vielzahl von pilzlichen Patho- genen in Ackerbaukulturen, z. B. Kartoffeln, Zuckerrüben, Tabak, Weizen, Roggen, Gerste, Hafer, Reis, Mais, Baumwolle, Soja, Raps, Hülsenfrüchte, Sonnenblumen, Kaffee oder Zuckerrohr; Obst-, Wein- und Zierpflanzen und Gemüsepflanzen, z. B. Gurken, Tomaten, Bohnen und Kürbisse sowie an dem Vermehrungsmaterial, z. B. Sa- men, und dem Erntegut dieser Pflanzen verwendet.The compounds I or the compositions according to the invention are preferably used for combating a multiplicity of fungal pathological conditions. genes in agricultural crops, eg. Potatoes, sugar beets, tobacco, wheat, rye, barley, oats, rice, corn, cotton, soybeans, rape, legumes, sunflowers, coffee or sugarcane; Fruit, vine and ornamental plants and vegetables, eg. As cucumbers, tomatoes, beans and pumpkins and on the propagation material, for. B. seeds, and used the crop of these plants.
Der Begriff pflanzliche Vermehrungsmaterialien umfasst alle generativen Teile der Pflanze, z. B. Samen, und vegetative Pflanzenteile, wie Stecklinge und Knollen (z. B. Kartoffeln), die zur Vermehrung einer Pflanze genutzt werden können. Dazu gehören Samen, Wurzeln, Früchte, Knollen, Zwiebeln, Rhizome, Triebe und andere Pflanzentei- Ie, einschließlich Keimlingen und Jungpflanzen, die nach der Keimung oder dem Auflaufen umgepflanzt werden. Die Jungpflanzen können durch eine teilweise oder vollständige Behandlung, z. B. durch Eintauchen oder Gießen, vor Schadpilzen geschützt werden.The term plant propagating materials includes all generative parts of the plant, e.g. As seeds, and vegetative plant parts, such as cuttings and tubers (eg., Potatoes), which can be used to propagate a plant. These include seeds, roots, fruits, tubers, bulbs, rhizomes, shoots and other plant parts, including seedlings and young plants, which are transplanted after germination or emergence. The young plants can be treated by a partial or complete treatment, eg. B. by immersion or pouring, are protected from harmful fungi.
Die Behandlung von pflanzlichen Vermehrungsmaterialien mit den erfindungsge- mäßen Verbindungen bzw. den erfindungsgemäßen Zusammensetzungen wird zur Bekämpfung einer Vielzahl von pilzlichen Pathogenen in Getreidekulturen, z. B. Weizen, Roggen, Gerste oder Hafer; Reis, Mais, Baumwolle und Soja eingesetzt.The treatment of plant propagation materials with the compounds according to the invention or the compositions according to the invention is used for controlling a multiplicity of fungal pathogens in cereal crops, eg. Wheat, rye, barley or oats; Rice, corn, cotton and soy used.
Der Begriff Kulturpflanzen schließt auch solche Pflanzen ein, die durch Züchtung, Mutagenese oder gentechnische Methoden verändert wurden einschließlich der auf dem Markt oder in Entwicklung befindlichen biotechnologischen Agrarprodukte (siehe z.B. http://www.bio.org/speeches/pubs/er/agrLproducts.asp). Gentechnisch veränderte Pflanzen sind Pflanzen, deren genetisches Material in einer Weise verändert worden ist, wie sie unter natürlichen Bedingungen durch Kreuzen, Mutationen oder natürliche Rekombination (d.h. Neuzusammenstellung der Erbinformation) nicht vorkommt. Dabei werden in der Regel ein oder mehrere Gene in das Erbgut der Pflanze integriert, um die Eigenschaften der Pflanze zu verbessern. Derartige gentechnische Veränderungen umfassen auch posttranslationale Modifikationen von Proteinen, Oligo- oder Polypeptiden z.B. mittels Glykolsylierung oder Bindung von Polymeren wie z.B. prenylierter, ace- tylierter oder farnelysierter Reste oder PEG-Reste. Beispielhaft seien Pflanzen genannt, die durch züchterische und gentechnischeThe term "crops" also includes those plants which have been modified by breeding, mutagenesis or genetic engineering, including biotechnological agricultural products currently on the market or under development (see for example http://www.bio.org/speeches/pubs/er/agrLproducts .asp). Genetically engineered plants are plants whose genetic material has been altered in a manner that does not occur under natural conditions by crossing, mutations or natural recombination (i.e., rearrangement of genetic information). As a rule, one or more genes are integrated into the genome of the plant in order to improve the properties of the plant. Such genetic engineering also includes post-translational modifications of proteins, oligo- or polypeptides, e.g. by glycolylation or binding of polymers such as e.g. prenylated, acetylated or farnelysierter residues or PEG residues. By way of example plants are mentioned, which are by breeding and genetic engineering
Maßnahmen eine Toleranz gegen bestimmter Herbizidklassen, wie Hydroxyphenylpy- ruvat-Dioxygenase (HPPD)-Inhibitoren, Acetolactat-Synthase (ALS)-I nhibitoren wie z. B. Sulfonylharnstoffe (EP-A 257 993, US 5,013,659) oder Imidazolinone (z. B. US 6,222,100, WO 01/82685, WO 00/26390, WO 97/41218, WO 98/02526, WO 98/02527, WO 04/106529, WO 05/20673, WO 03/14357, WO 03/13225,Measures a tolerance to certain herbicide classes, such as hydroxyphenylpyruvate dioxygenase (HPPD) inhibitors, acetolactate synthase (ALS) -I inhibitors such. Sulfonylureas (EP-A 257 993, US Pat. No. 5,013,659) or imidazolinones (for example US Pat. No. 6,222,100, WO 01/82685, WO 00/26390, WO 97/41218, WO 98/02526, WO 98/02527, WO 04 / 106529, WO 05/20673, WO 03/14357, WO 03/13225,
WO 03/14356, WO 04/16073), Enolpyruvylshikimat-3-Phosphat-Synthase (EPSPS)- Inhibitoren wie z. B. Glyphosat (siehe z. B. WO 92/00377), Glutaminsynthetase (GS)- Inhibitoren wie z. B. Glufosinat (siehe z. B. EP-A 242 236, EP-A 242 246) oder Oxynil- Herbizide (siehe z. B. US 5,559,024) erworben haben. Durch Züchtung und Mutagene- se wurde z. B. Clearfield®-Raps (BASF SE, Deutschland) erzeugt, der eine Toleranz gegen Imidazolinone, z. B. Imazamox, hat. Mit Hilfe gentechnischer Methoden wurden Kulturpflanzen, wie Soja, Baumwolle, Mais, Rüben und Raps, erzeugt, die resistent gegen Glyphosat oder Glufosinat sind, erzeugt, welche unter den Handelsnamen Rou- dupReady® (Glyphosat-resistent, Monsanto, U. S.A.) und Liberty Link® (Glufosinat- resistent, Bayer CropScience, Deutschland) erhältlich sind.WO 03/14356, WO 04/16073), Enolpyruvylshikimat-3-phosphate synthase (EPSPS) - inhibitors such. Glyphosate (see, for example, WO 92/00377), glutamine synthetase (GS) inhibitors such as. Glufosinate (see eg EP-A 242 236, EP-A 242 246) or oxynil herbicides (see eg US 5,559,024). By breeding and Mutagene- se was z. B. Clearfield ® rapeseed (BASF SE, Germany) produced, the tolerance to imidazolinones, z. As imazamox, has. Using genetic engineering methods, crops such as soybeans, cotton, corn, beets and oilseed rape have been produced which are resistant are raised against glyphosate or glufosinate, which (, Germany glufosinate-resistant, Bayer CropScience) are available under the trade names rou- dupReady ® (glyphosate-resistant, Monsanto, USA) and Liberty Link ®.
Weiterhin sind auch Pflanzen umfasst, die mit Hilfe gentechnischer Maßnahmen ein oder mehrere Toxine, z. B. solche aus dem Bakterienstamm Bacillus, produzieren. Toxine, die durch solche gentechnisch veränderten Pflanzen hergestellt werden, umfassen z. B. insektizide Proteine von Bacillus spp., insbesondere von B. thuringiensis, wie die Endotoxine CrylAb, CrylAc, Cryl F, Cry1 Fa2, Cry2Ab, Cry3A, Cry3Bb1 , Cry9c, Cry34Ab1 oder Cry35Ab1 ; oder vegetative insektizide Proteine (VIPs), z. B. VIP1 , VIP2, VIP3, oder VIP3A; insektizide Proteine von Nematoden-kolonisierenden Bakterien, z. B. Photorhabdus spp. oder Xenorhabdus spp.; Toxine aus tierischen Organismen, z. B. Wepsen,-, Spinnen- oder Skorpionstoxine; pilzliche Toxine, z. B. aus Strep- tomyceten; pflanzliche Lektine, z. B. aus Erbse oder Gerste; Agglutinine; Proteinase- Inhibitoren, z. B. Trypsin-Inhibitoren, Serinprotease-Inhibitoren, Patatin, Cystatin oder Papain-Inhibitoren; Ribosomen-inaktivierende Proteine (RIPs), z. B. Ricin, Mais-RIP, Abrin, Luffin, Saporin oder Bryodin; Steroid-metabolisierende Enzyme, z. B. 3-Hydroxy- steroid-Oxidase, Ecdysteroid-IDP-Glycosyl-Transferase, Cholesterinoxidase, Ecdyson- Inhibitoren oder HMG-CoA-Reduktase; lonenkanalblocker, z. B. Inhibitoren von Natrium- oder Calziumkanälen; Juvenilhormon-Esterase; Rezeptoren für das diuretischen Hormon (Helicokininrezeptoren); Stilbensynthase, Bibenzylsynthase, Chitinasen und Glucanasen. Diese Toxine können in den Pflanzen auch als Prätoxine, Hybridproteine, verkürzte oder anderweitig modfizierte Proteine produziert werden. Hybridproteine zeichnen sich durch eine neue Kombination von verschiedenen Proteindomänen aus (siehe z. B. WO 2002/015701 ). Weitere Besipiele für derartige Toxine oder gentech- nisch veränderte Pflanzen, die diese Toxine produzieren, sind in EP-A 374 753, WO 93/07278, WO 95/34656, EP-A 427 529, EP-A 451 878, WO 03/18810 und WO 03/52073 offenbart. Die Methoden zur Herstellung dieser gentechnisch veränderten Pflanzen sind dem Fachmann bekannt und z. B. in den oben erwähnten Publikationen dargelegt. Zahlreiche der zuvor genannten Toxine verleihen den Pflanzen, die die- se produzieren, eine Toleranz gegen Schädlinge aus allen taxonomischen Arthropo- denklassen, insbesondere gegen Käfer (Coeleropta), Zweiflügler (Diptera) und Schmetterlinge (Lepidoptera) und gegen Nematoden (Nematoda). Gentechnisch veränderte Pflanzen, die ein oder mehrere Gene, die für insektizide Toxine kodieren, produzieren sind z. B. in den oben erwähnten Publikationen beschrieben und zum Teil kommerziell erhältlich, wie z. B. YieldGard® (Maissorten, die das Toxin CrylAb produzieren), YieldGard® Plus (Maissorten, die die Toxine CrylAb und Cry3Bb1 produzieren), Starlink® (Maissorten, die das Toxin Cry9c produzieren), Herculex® RW (Maissorten, die die Toxine Cry34Ab1 , Cry35Ab1 und das Enzym Phosphinothricin-N-Acetyl- transferase [PAT] produzieren); NuCOTN® 33B (Baumwollsorten, die das Toxin CrylAc produzieren), Bollgard® I (Baumwollsorten, die das Toxin CrylAc produzieren), Bollgard® Il (Baumwollsorten, die die Toxine CrylAc und Cry2Ab2 produzieren); VIP- COT® (Baumwollsorten, die ein VIP-Toxin produzieren); NewLeaf® (Kartoffelsorten, die das Toxin Cry3A produzieren); Bt-Xtra®, NatureGard®, KnockOut®, BiteGard®, Protec- ta®, Bt11 (z. B. Agrisure® CB) und Bt176 von Syngenta Seeds SAS, Frankreich, (Maissorten, die das Toxin CrylAb und das PAT-Enyzm produzieren), MIR604 von Syngenta Seeds SAS, Frankreich (Maissorten, die ein modifizierte Version des Toxins Cry3A produzieren, siehe hierzu WO 03/018810), MON 863 von Monsanto Europe S.A., Belgien (Maissorten, die das Toxin Cry3Bb1 produzieren), IPC 531 von Monsanto Europe S.A., Belgien (Baumwollsorten, die eine modifizierte Version des Toxins CrylAc produzieren) und 1507 von Pioneer Overseas Corporation, Belgien (Maissorten, die das Toxin Cryl F und das PAT-Enyzm produzieren). Weiterhin sind auch Pflanzen umfasst, die mit Hilfe gentechnische Maßnahmen ein oder mehrere Proteine produzieren, die eine erhöhte Resistenz oder Widerstandfähigkeit gegen bakterielle, virale oder pilzliche Pathogene bewirken, wie z. B. sogenannte Pathogenesis-related-Proteine (PR-Proteine, siehe EP-A O 392 225), Resistenzproteine (z. B. Kartoffelsorten, die zwei Resistenzgene gegen Phytophthora infestans aus der mexikanischen Wildkartoffel Solanum bulbocastanum produzieren) oder T4-Lyso- zym (z. B. Kartoffelsorten, die durch die Produktion diese Proteins resistent gegen Bakterien wie Erwinia amylvora ist).Furthermore, plants are included which, with the aid of genetic engineering measures one or more toxins, eg. B. those from the bacterial strain Bacillus produce. Toxins produced by such genetically engineered plants include e.g. B. insecticidal proteins of Bacillus spp., In particular of B. thuringiensis, such as the endotoxins CrylAb, CrylAc, Cryl F, Cry1 Fa2, Cry2Ab, Cry3A, Cry3Bb1, Cry9c, Cry34Ab1 or Cry35Ab1; or vegetative insecticidal proteins (VIPs), e.g. VIP1, VIP2, VIP3, or VIP3A; insecticidal proteins of nematode-colonizing bacteria, e.g. B. Photorhabdus spp. or Xenorhabdus spp .; Toxins from animal organisms, eg. B. Wepsen, spider or scorpion toxins; fungal toxins, e.g. Eg from Streptomyces; herbal lectins, e.g. From pea or barley; agglutinins; Proteinase inhibitors, e.g. Trypsin inhibitors, serine protease inhibitors, patatin, cystatin or papain inhibitors; Ribosome Inactivating Proteins (RIPs), e.g. Ricin, corn RIP, abrin, luffin, saporin or bryodin; Steroid metabolizing enzymes, e.g. 3-hydroxy steroid oxidase, ecdysteroid IDP glycosyltransferase, cholesterol oxidase, ecdysone inhibitors, or HMG-CoA reductase; ion channel blocker, e.g. B. inhibitors of sodium or calcium channels; Juvenile hormone esterase; Receptors for the diuretic hormone (helicokinin receptors); Stilbene synthase, bibenzyl synthase, chitinases and glucanases. These toxins can also be produced in the plants as proteoxins, hybrid proteins, truncated or otherwise modified proteins. Hybrid proteins are characterized by a novel combination of different protein domains (see, for example, WO 2002/015701). Further examples of such toxins or genetically modified plants which produce these toxins are described in EP-A 374 753, WO 93/07278, WO 95/34656, EP-A 427 529, EP-A 451 878, WO 03 / 18810 and WO 03/52073. The methods for producing these genetically modified plants are known in the art and z. As set forth in the publications mentioned above. Many of the aforementioned toxins confer on the plants that produce them tolerance to pests of all taxonomic arthropod classes, in particular to beetles (Coeleropta), diptera and butterflies (Lepidoptera) and nematodes (Nematoda). Genetically engineered plants that produce one or more genes encoding insecticidal toxins, e.g. As described in the publications mentioned above and partly commercially available, such as. B. YieldGard ® (corn cultivars producing the toxin CrylAb), YieldGard ® Plus (corn cultivars producing the toxins CrylAb and Cry3Bb1), StarLink ® (corn cultivars producing the toxin Cry9c), Herculex ® RW (corn cultivars toxins which Cry34Ab1, Cry35Ab1 and the enzyme phosphinothricin N-acetyltransferase [PAT] produce); NuCOTN ® 33B (cotton cultivars producing the toxin CrylAc), Bollgard ® I (cotton cultivars producing the toxin CrylAc), Bollgard ® Il (cotton cultivars producing the toxins CrylAc and Cry2Ab2); VIP COT ® (cotton cultivars producing a VIP-toxin); NewLeaf ® (potato varieties, the produce the toxin Cry3A); Bt Xtra ®, NatureGard® ®, KnockOut ®, BiteGard ®, Protec ta ®, Bt11 (z. B. Agrisure ® CB) and Bt176 from Syngenta Seeds SAS, France (corn varieties which the toxin CrylAb and the PAT enzyme MIR604 from Syngenta Seeds SAS, France (maize strains producing a modified version of the toxin Cry3A, see WO 03/018810), MON 863 from Monsanto Europe SA, Belgium (maize strains producing the toxin Cry3Bb1), IPC 531 from Monsanto Europe SA, Belgium (cottons producing a modified version of the toxin CrylAc) and 1507 from Pioneer Overseas Corporation, Belgium (maize varieties producing the toxin Cryl F and the PAT enzyme). Furthermore, plants are included, which produce by genetic engineering measures one or more proteins that cause increased resistance or resistance to bacterial, viral or fungal pathogens, such as. B. so-called pathogenesis-related proteins (PR proteins, see EP-A O 392 225), resistance proteins (eg, potato varieties that produce two resistance genes against Phytophthora infestans from the Mexican wild potato Solanum bulbocastanum) or T4 lysozyme (For example, potato varieties that are resistant to bacteria such as Erwinia amylvora through the production of this protein).
Weiterhin sind auch Pflanzen umfasst, deren Produktivität mit Hilfe gentechnischer Methoden verbessert wurde, indem z. B. die Ertragsfähigkeit (z. B. Biomasse, Korner- trag, Stärke-, Öl- oder Proteingehalt), die Toleranz gegenüber Trockenheit, Salz oder anderen begrenzenden Umweltfaktoren oder die Widerstandsfähigkeit gegenüber Schädlingen und pilzlichen, bakteriellen und viralen Pathogenen gesteigert wird.Furthermore, plants are included whose productivity has been improved by genetic engineering methods by z. For example, the productivity (eg biomass, grain yield, starch, oil or protein content), the tolerance to drought, salt or other limiting environmental factors or the resistance to pests and fungal, bacterial and viral pathogens is increased.
Weiterhin sind auch Pflanzen umfasst, deren Inhaltsstoffe insbesondere zur Verbesserung der menschlichen oder tierischen Ernährung mit Hilfe gentechnischer Me- thoden verändert wurden, indem z. B. Ölpflanzen gesundheitsfördernde langkettige Omega-3-Fettsäuren oder einfach ungesättigte Omega-9-Fettsäuren (z. B. Nexera®- Raps, DOW Agro Sciences, Kanada) produzieren.Furthermore, plants are also included whose ingredients have been modified, in particular to improve the human or animal diet with the aid of genetic engineering methods by z. As oil plants producing health long-chain omega-3 fatty acids or monounsaturated omega-9 fatty acids (eg Nexera ® - rape, DOW Agro Sciences, Canada.) Produce.
Weiterhin sind auch Pflanzen umfasst, die zur verbesserten Produktion von Rohstoffen mit Hilfe gentechnischer Methoden verändert wurden, indem z. B. der Amylo- pektin-Gehalt von Kartoffeln (Amflora®-Kartoffel, BASF SE, Deutschland) erhöht wurde.Furthermore, plants are included, which have been modified for the improved production of raw materials by means of genetic engineering methods by z. B. the amylopectin content of potatoes (Amflora ® potato, BASF SE, Germany) was increased.
Die vorliegende Erfindung umfasst daher auch die Verwendung von erfindungsgemäßen Verbindungen oder ihren Zusammensetzungen zur Behandlung von transge- nen Pflanzen, insbesondere transgenen Sojapflanzen oder transgenen Maispflanzen. Transgene Pflanzen sind Pflanzen wie oben beschrieben, die mit Hilfe gentechnischer Methoden verändert wurden, insbesondere Pflanzen, deren Eigenschaften mit Hilfe gentechnischer Methoden verbessert wurden. Die Erfindung umfasst insbesondere die Verwendung von erfindungsgemäßen Verbindungen oder ihren Zusammensetzungen zur Behandlung von transgenen Pflanzen, die gegen Glyphosate, Glufosinate oder Glufosinate-ammonium resistent sind. In einer weiteren Ausführungsform umfasst die Erfindung auch die Verwendung von erfindungsgemäßen Verbindungen oder ihren Zusammensetzungen zur Behandlung von herbizid-resistenten Pflanzen. In einer wei- teren Ausführungsform umfasst die Erfindung auch die Verwendung von erfindungsgemäßen Verbindungen oder ihren Zusammensetzungen zur Behandlung von herbi- zid-sensitiven Pflanzen.The present invention therefore also encompasses the use of compounds according to the invention or their compositions for the treatment of transgenic plants, in particular transgenic soya plants or transgenic maize plants. Transgenic plants are plants as described above, which have been modified by genetic engineering methods, especially plants whose properties have been improved by genetic engineering methods. In particular, the invention encompasses the use of compounds of the invention or their compositions for the treatment of transgenic plants which are resistant to glyphosate, glufosinate or glufosinate-ammonium. In a further embodiment, the invention also encompasses the use of compounds according to the invention or their compositions for the treatment of herbicide-resistant plants. In a In a further embodiment, the invention also encompasses the use of compounds according to the invention or their compositions for the treatment of herbicide-sensitive plants.
Speziell eignen sich die erfindungsgemäßen Verbindungen bzw. ihre erfindungsgemäßen Zusammensetzungen zur Bekämpfung folgender Pflanzenkrankheiten:In particular, the compounds according to the invention or their compositions according to the invention are suitable for controlling the following plant diseases:
Albugo spp. (Weißer Rost) an Zierpflanzen, Gemüsekulturen (z.B: A. Candida) und Sonnenblumen (z. B. A. tragopogonis); Alternaria spp. (Schwärze, Schwarzfleckigkeit) an Gemüse, Raps (z. B. A. brassicola oder A. brassicae), Zuckerrüben (z. B. A. tenuis), Obst, Reis, Sojabohnen sowie an Kartoffeln (z. B. A. solani oder A. alternata) und Tomaten (z. B. A. solani oder A. alternata) und Alternaria spp. (Ährenschwärze) an Weizen; Aphanomyces spp. an Zuckerrüben und Gemüse; Ascochyta spp. an Getreide und Gemüse, z. B. A. tritici (Blattdürre) an Weizen und A. hordei an Gerste; Bipolaris und Drechslera spp. (Teleomorph: Cochliobolus spp.) z. B. Blattfleckenkrankheiten (D. maydis und B. zeicola) an Mais, z. B. Braunfleckigkeit (B. sorokiniana) an Getreide und z.B. B. oryzae an Reis und an Rasen; Blumeria (früher: Erysiphe) graminis (Echter Mehltau) an Getreide (z. B. Weizen oder Gerste); Botryosphaeria spp. ('Black Dead Arm Disease') an Weinreben (z. B. B. obtusa); Botrytis cinerea (Teleomorph: Botryoti- nia fuckeliana: Grauschimmel, Graufäule) an Beeren- und Kernobst (u.a. Erdbeeren), Gemüse (u.a. Salat, Möhren, Sellerie und Kohl), Raps, Blumen, Weinreben, Forstkulturen und Weizen (Ährenschimmel); Bremia lactucae (Falscher Mehltau) an Salat; Cera- tocystis (Syn. Ophiostoma) spp. (Bläuepilz) an Laub- und Nadelgehölzen, z. B. C. ulmi (Ulmensterben, Holländische Ulmenkrankheit) an Ulmen; Cercospora spp. (Cercospo- ra-Blattflecken) an Mais (z. B. C. zeae-maydis), Reis, Zuckerrüben (z. B. C. beticola), Zuckerrohr, Gemüse, Kaffee, Sojabohnen (z. B. C. sojina oder C. kikuchii) und Reis; Cladosporium spp. an Tomate (z. B. C. fulvum: Samtflecken-Krankheit) und Getreide, z. B. C. herbarum (Ährenschwärze) an Weizen; Claviceps purpurea (Mutterkorn) an Getreide; Cochliobolus (Anamorph: Helminthosporium oder Bipolaris) spp. (Blattflecken) an Mais (z. B. C. carbonum) , Getreide (z. B. C. sativus, Anamorph: B. sorokinia- na: Braunfleckigkeit) und Reis (z. B. C. miyabeanus, Anamorph: H. oryzae); Colletotri- chum (Teleomorph: Glomerella) spp. (Brennflecken, Anthraknose) an Baumwolle (z. B. C. gossypii), Mais (z. B. C. graminicola: Stängelfäule und Brennflecken), Beerenobst, Kartoffeln (z. B. C. coccodes: Welke), Bohnen (z. B. C. lindemuthianum) und Sojabohnen (z. B. C. truncatum); Corticium spp., z. B. C. sasakii (Blattscheidenbrand) an Reis; Corynespora cassiicola (Blattflecken) an Sojabohnen und Zierpflanzen; Cycloconium spp., z. B. C. oleaginum an Olive; Cylindrocarpon spp. (z. B. Obstbaum-Krebs oder Rebensterben, Teleomorph: Nectria oder Neonectria spp.) an Obstgehölzen, Weinreben (z. B. C. liriodendri, Teleomorph: Neonectria liriodendri, .Black Foot Disease') und vielen Ziergehölzen; Dematophora (Teleomorph: Rosellinia) necatrix (Wurzel-/Stängel- faule) an Sojabohnen; Diaporthe spp. z. B. D. phaseolorum (Stängelkrankheit) an Sojabohnen; Drechslera (Syn. Helminthosporium, Teleomorph: Pyrenophora) spp. an Mais, Getreide, wie Gerste (z. B. D. teres, Netzflecken) und an Weizen (z. B. D. tritici- repentis: DTR-Blattdürre), Reis und Rasen; Esca-Krankheit (Rebstocksterben, Apoplexie) an Weinrebe, verursacht durch Formitiporia (Syn. Phellinus) punctata, F. mediter- ranea, Phaeomoniella chlamydospora (früher Phaeoacremonium chlamydosporum), Phaeoacremonium aleophilum und/oder Botryosphaeria obtusa; Elsinoe spp. an Kern- (E. pyri) und Beerenobst (E. veneta: Brennflecken) sowie Weinrebe (E. ampelina: Brennflecken); Entyloma oryzae (Blattbrand) an Reis; Epicoccum spp. (Ährenschwärze) an Weizen; Erysiphe spp. (Echter Mehltau) an Zuckerrübe (E. betae), Gemüse (z. B. E. pisi), wie Gurken- (z. B. E. cichoracearum) und Kohlgewächsen, wie Raps (z. B. E. cruciferarum).; Eutypa lata (Eutypa-Krebs oder -Absterben, Anamorph: Cy- tosporina lata, Syn. Libertella blepharis) an Obstgehölzen, Weinreben und vielen Ziergehölzen; Exserohilum (Syn. Helminthosporium) spp. an Mais (z. B. E. turcicum); Fu- sarium (Teleomorph: Gibberella) spp. (Welke, Wurzel- und Stängelfäule) an verschiedenen Pflanzen, wie z. B. F. graminearum oder F. culmorum (Wurzelfäule und Tauboder Weißährigkeit) an Getreide (z. B. Weizen oder Gerste), F. oxysporum an Toma- ten, F. solani an Sojabohnen und F. verticillioides an Mais; Gaeumannomyces graminis (Schwarzbeinigkeit) an Getreide (z. B. Weizen oder Gerste) und Mais; Gibberella spp. an Getreide (z. B. G. zeae) und Reis (z. B. G. fujikuroi: Bakanae-Krankheit); Glomerella cingulata an Weinrebe, Kernobst und anderen Pflanzen und G. gossypii an Baumwolle; Grainstaining complex an Reis; Guignardia bidwellii (Schwarzfäule) an Weinrebe; Gymnosporangium spp. an Rosaceen und Wacholder, z. B. G. sabinae (Birnengitterrost) an Birnen; Helminthosporium spp. (Syn. Drechslera, Teleomorph: Cochliobolus) an Mais, Getreide und Reis; Hemileia spp., z. B. H. vastatrix (Kaffeeblattrost) an Kaffee; lsariopsis clavispora (Syn. Cladosporium vitis) an Weinrebe; Macrophomina pha- seolina (Syn. phaseoli) (Wurzel-/Stängelfäule) an Sojabohnen und Baumwolle; Micro- dochium (Syn. Fusarium) nivale (Schneeschimmel) an Getreide (z. B. Weizen oderAlbugo spp. (White rust) on ornamental plants, vegetable crops (eg A. Candida) and sunflowers (eg BA tragopogonis); Alternaria spp. (Blackness, black spotiness) on vegetables, oilseed rape (for example BA brassicola or A. brassicae), sugar beet (for example BA tenuis), fruit, rice, soybeans and on potatoes (eg A. solani or A. alternata) and tomatoes (eg BA solani or A. alternata) and Alternaria spp. (Earwires) on wheat; Aphanomyces spp. on sugar beets and vegetables; Ascochyta spp. on cereals and vegetables, eg. BA tritici (leaf drought) on wheat and A. hordei on barley; Bipolaris and Drechslera spp. (Teleomorph: Cochliobolus spp.) Z. B. leaf spot diseases (D. maydis and B. zeicola) on maize, e.g. B. brown spot (B. sorokiniana) on cereals and B. B. oryzae on rice and on lawn; Blumeria (formerly: Erysiphe) graminis (powdery mildew) on cereals (eg wheat or barley); Botryosphaeria spp. ('Black Dead Arm Disease') on vines (eg BB obtusa); Botrytis cinerea (Teleomorph: Botryotina fuckeliana: gray mold, gray mold) on berry and pome fruit (including strawberries), vegetables (including lettuce, carrots, celery and cabbage), oilseed rape, flowers, vines, forestry crops and wheat (ear fungus); Bremia lactucae (downy mildew) on salad; Ceratocystis (Syn. Ophiostoma) spp. (Bläuepilz) on deciduous and coniferous trees, z. BC ulmi (elm dying, Dutch elm disease) on elms; Cercospora spp. (Cercospora leaf spot) on maize (eg BC zeae-maydis), rice, sugar beets (eg BC beticola), sugarcane, vegetables, coffee, soybeans (eg BC sojina or C. kikuchii) and rice; Cladosporium spp. on tomato (eg BC fulvum: velvet spot disease) and cereals, eg. BC herbarum (earwax) on wheat; Claviceps purpurea (ergot) on cereals; Cochliobolus (Anamorph: Helminthosporium or Bipolaris) spp. (Leaf spot) on maize (for example BC carbonum), cereals (for example B. sativus, anamorph: B. sorokinia-na: brown spot) and rice (for example BC miyabeanus, anamorph: H. oryzae); Colletotricum (teleomorph: Glomerella) spp. (Burning stains, anthracnose) on cotton (eg BC gossypii), corn (eg BC graminicola: stalk rot and stinging spots), soft fruit, potatoes (eg BC coccodes: wilting), beans (eg BC lindemuthianum) and soybeans (eg. BC truncatum); Corticium spp., Z. BC sasakii (leaf sheath burn) on rice; Corynespora cassiicola (leaf spot) on soybeans and ornamental plants; Cycloconium spp., Z. BC oleaginum on olive; Cylindrocarpon spp. (for example, fruit tree crayfish or vine dying, Teleomorph: Nectria or Neonectria spp.) on fruit trees, grapevines (eg C. liriodendri, Teleomorph: Neonectria liriodendri, 'Black Foot Disease') and many ornamental shrubs; Dematophora (Teleomorph: Rosellinia) necatrix (root / stem rot) on soybeans; Diaporthe spp. z. BD phaseolorum (stalk disease) on soybeans; Drechslera (Syn. Helminthosporium, Teleomorph: Pyrenophora) spp. maize, cereals such as barley (for example BD teres, nettles) and wheat (eg BD triticale) repentis: DTR leaf drought), rice and turf; Esca disease (grapevine dying, apoplexy) on grapevine caused by Formitiporia (Syn. Phellinus) punctata, F. mediterranea, Phaeomoniella chlamydospora (formerly Phaeoacremonium chlamydosporum), Phaeoacremonium aleophilum and / or Botryosphaeria obtusa; Elsinoe spp. on nuclear (E. pyri) and soft fruit (E. veneta: burning spots) and grapevine (E. ampelina: burning spots); Entyloma oryzae (leaf sting) on rice; Epicoccum spp. (Earwires) on wheat; Erysiphe spp. (Powdery mildew) on sugar beet (E. betae), vegetables (eg BE pisi), such as cucumber (for example BE cichoracearum) and cabbage plants, such as rapeseed (for example, B. cruciferarum); Eutypa lata (Eutypa crab or extinction, anamorphic Cytosporina lata, Syn. Libertella blepharis) on fruit trees, vines and many ornamental shrubs; Exserohilum (Syn. Helminthosporium) spp. on maize (eg BE turcicum); Fusarium (Teleomorph: Gibberella) spp. (Wilt, root and stalk rot) on various plants, such. BF graminearum or F. culmorum (root rot and Tauboder whiteness) on cereals (eg wheat or barley), F. oxysporum on tomatoes, F. solani on soybeans and F. verticillioides on maize; Gaeumannomyces graminis (blackleg) on cereals (eg wheat or barley) and maize; Gibberella spp. cereals (eg BG zeae) and rice (eg BG fujikuroi: Bakanae disease); Glomerella cingulata on grapevine, pome fruit and other plants and G. gossypii on cotton; Grainstaining complex of rice; Guignardia bidwellii (black rot) on grapevine; Gymnosporangium spp. on rosaceae and juniper, eg. BG sabinae (pear grid) on pears; Helminthosporium spp. (Syn. Drechslera, Teleomorph: Cochliobolus) on corn, cereals and rice; Hemileia spp., E.g. BH vastatrix (coffee leaf rust) of coffee; Isariopsis clavispora (Syn. Cladosporium vitis) on grapevine; Macrophomina phasolina (Syn. Phaseoli) (root / stem rot) on soybeans and cotton; Microsium (Syn. Fusarium) nivale (snow mold) on cereals (eg wheat or
Gerste); Microsphaera diffusa (Echter Mehltau) an Sojabohnen; Monilinia spp., z. B. M. laxa, M. fructicola und M. fructigena (Blüten- und Spitzendürre) an Steinobst und anderen Rosaceen; Mycosphaerella spp. an Getreide, Bananen, Beerenobst und Erdnüssen, wie z. B. M. graminicola (Anamorph: Septoria tritici, Septoria-Blattdürre) an Wei- zen oder M. fijiensis (Schwarze Sigatoka-Krankheit) an Bananen; Peronospora spp. (Falscher Mehltau) an Kohl (z. B. P. brassicae), Raps (z. B. P. parasitica), Zwiebelgewächsen (z. B. P. destructor), Tabak (P. tabacina) und Sojabohnen (z. B. P. manshuri- ca); Phakopsora pachyrhizi und P. meibomiae (Sojabohnenrost) an Sojabohnen; Phia- lophora spp. z. B. an Weinreben (z. B. P. tracheiphila und P. tetraspora) und Sojaboh- nen (z. B. P. gregata: Stängelkrankheit); Phoma Ungarn (Wurzel- und Stängelfäule) an Raps und Kohl und P. betae (Blattflecken) an Zuckerrüben; Phomopsis spp. an Sonnenblumen, Weinrebe (z. B. P. viticola: Schwarzflecken-Krankheit) und Sojabohnen (z. B. Stielfäule: P. phaseoli, Teleomorph: Diaporthe phaseolorum); Physoderma may- dis (Braunfleckigkeit) an Mais; Phytophthora spp. (Welke, Wurzel-, Blatt-, Stängel- und Fruchtfäule) an verschiedenen Pflanzen, wie an Paprika und Gurkengewächsen (z. B. P. capsici), Sojabohnen (z. B. P. megasperma, Syn. P. sojae), Kartoffeln und Tomaten (z. B. P. infestans: Kraut- und Braunfäule) und Laubgehölzen (z. B. P. ramorum: Plötz- liches Eichensterben); Plasmodiophora brassicae (Kohlhernie) an Kohl, Raps, Rettich und anderen Pflanzen; Plasmopara spp., z. B. P. viticola (Reben-Peronospora, Falscher Mehltau) an Weinreben und P. halstedii an Sonnenblumen; Podosphaera spp. (Echter Mehltau) an Rosaceen, Hopfen, Kern- und Beerenobst, z. B. P. leucotricha an Apfel; Polymyxa spp., z. B. an Getreide, wie Gerste und Weizen (P. graminis) und Zuckerrüben (P. betae) und die dadurch übertragenen Viruserkrankungen; Pseudocer- cosporella herpotrichoides (Halmbruch, Teleomorph: Tapesia yallundae) an Getreide, z. B. Weizen oder Gerste; Pseudoperonospora (Falscher Mehltau) an verschiedenen Pflanzen, z. B. P. cubensis an Gurkengewächsen oder P. humili an Hopfen; Pseudo- pezicula tracheiphila (Roter Brenner, Anamorph: Phialophora) an Weinrebe; Puccinia spp. (Rostkrankheit) an verschiedenen Pflanzen, z. B. P. triticina (Weizenbraunrost), P. striiformis (Gelbrost), P. hordei (Zwergrost), P. graminis (Schwarzrost) oder P. recondi- ta (Roggenbraunrost) an Getreide, wie z. B. Weizen, Gerste oder Roggen, und an Spargel (z. B. P. asparagi); Pyrenophora (Anamorph: Drechslera) tritici-repentis (Blatt- dürre) an Weizen oder P. teres (Netzflecken) an Gerste; Pyricularia spp., z. B. P. ory- zae (Teleomorph: Magnaporthe grisea, Reis-Blattbrand) an Reis und P. grisea an Rasen und Getreide; Pythium spp. (Umfallkrankheit) an Rasen, Reis, Mais, Weizen, Baumwolle, Raps, Sonnenblumen, Zuckerrüben, Gemüse und anderen Pflanzen (z. B. P. ultimum oder P. aphanidermatum); Ramularia spp., z. B. R. collo-cygni (Sprenkel- krankheit/Sonnenbrand-Komplex/Physiological leaf spots) an Gerste und R. beticola an Zuckerrüben; Rhizoctonia spp. an Baumwolle, Reis, Kartoffeln, Rasen, Mais, Raps, Kartoffeln, Zuckerrüben, Gemüse und an verschiedenen weiteren Pflanzen, z. B. R. solani (Wurzel-/Stängelfäule) an Sojabohnen, R. solani (Blattscheidenbrand) an Reis oder R. cerealis (Spitzer Augenfleck) an Weizen oder Gerste; Rhizopus stolonifer (Weichfäule) an Erdbeeren, Karotten, Kohl, Weinrebe und Tomate; Rhynchosporium secalis (Blattflecken) an Gerste, Roggen und Triticale; Sarocladium oryzae und S. at- tenuatum (Blattscheidenfäule) an Reis; Sclerotinia spp. (Stängel- oder Weißfäule) an Gemüse- und Ackerbaukulturen, wie Raps, Sonnenblumen (z. B. Sclerotinia sclerotio- rum) und Sojabohnen (z. B. S. rolfsii); Septoria spp. an verschiedenen Pflanzen, z. B. S. glycines (Blattflecken) an Sojabohnen, S. tritici (Septoria-Blattdürre) an Weizen und S. (Syn. Stagonospora) nodorum (Blatt- und Spelzbräune) an Getreide; Uncinula (Syn. Erysiphe) necator (Echter Mehltau, Anamorph: Oidium tuckeri) an Weinrebe; Se- tospaeria spp. (Blattflecken) an Mais (z. B. S. turcicum, Syn. Helminthosporium turci- cum) und Rasen; Sphacelotheca spp. (Staubbrand) an Mais, (z. B. S. reiliana: Kolben- brand), Hirse und Zuckerrohr; Sphaerotheca fuliginea (Echter Mehltau) an Gurkengewächsen; Spongospora subterranea (Pulverschorf) an Kartoffeln und die dadurch übertragenen Viruserkrankungen; Stagonospora spp. an Getreide, z. B. S. nodorum (Blatt- und Spelzbräune, Teleomorph: Leptosphaeria [Syn. Phaeosphaeria] nodorum) an Weizen; Synchytrium endobioticum an Kartoffeln (Kartoffelkrebs); Taphrina spp., z. B. T. deformans (Kräuselkrankheit) an Pfirsich und T. pruni (Taschenkrankheit) an Pflaumen; Thielaviopsis spp. (Schwarze Wurzelfäule) an Tabak, Kernobst, Gemüsekulturen, Sojabohnen und Baumwolle, z. B. T. basicola (Syn. Chalara elegans); Tilletia spp. (Stein- oder Stinkbrand) an Getreide, wie z. B. T. tritici (Syn. T. caries, Weizensteinbrand) und T. controversa (Zwergsteinbrand) an Weizen; Typhula incarnata (Schneefäule) an Gerste oder Weizen; Urocystis spp., z. B. U. occulta (Stängelbrand) an Roggen; Uromyces spp. (Rost) an Gemüsepflanzen, wie Bohnen (z. B. U. appendiculatus, Syn. U. phaseoli) und Zuckerrüben (z. B. U. betae); Ustilago spp. (Flugbrand) an Getreide (z. B. U. nuda und U. avaenae), Mais (z. B. U. maydis: Maisbeulenbrand) und Zuckerrohr; Venturia spp. (Schorf) an Äpfeln (z. B. V. inaequalis) und Birnen; und Ver- ticillium spp. (Laub- und Triebwelke) an verschiedenen Pflanzen, wie Obst- und Ziergehölzen, Weinreben, Beerenobst, Gemüse- und Ackerbaukulturen, wie z. B. V. dahli- ae an Erdbeeren, Raps, Kartoffeln und Tomaten.Barley); Microsphaera diffusa (powdery mildew) on soybeans; Monilinia spp., Z. BM laxa, M. fructicola and M. fructigena (flower and lace drought) on stone fruits and other rosaceae; Mycosphaerella spp. on cereals, bananas, berry fruits and peanuts, such as. BM graminicola (Anamorph: Septoria tritici, Septoria leaf drought) on wheat or M. fijiensis (Black sigatoka disease) on bananas; Peronospora spp. (Downy mildew) on cabbage (for example BP brassicae), oilseed rape (for example P. parasitica), onion plants (for example B. destructor), tobacco (P. tabacina) and soybeans (for example P. manshurica); Phakopsora pachyrhizi and P. meibomiae (soybean rust) on soybeans; Phallophora spp. z. On grapevines (eg BP tracheiphila and P. tetraspora) and soybeans (eg BP gregata: stalk disease); Phoma Hungary (root and stem rot) on oilseed rape and cabbage and P. betae (leaf spots) on sugar beet; Phomopsis spp. on sunflowers, grapevine (eg BP viticola: black spot disease) and soybeans (eg stalk rot: P. phaseoli, teleomorph: Diaporthe phaseolorum); Physoderma maydis (brown spot) on maize; Phytophthora spp. (Wilt, root, leaf, stem and fruit rot) on various plants, such as on paprika and cucurbits (eg BP capsici), soybeans (eg BP megasperma, Syn. P. sojae), potatoes and tomatoes (eg. BP infestans: cabbage and brown rot) and deciduous trees (eg BP ramorum: Plötz- oak dying); Plasmodiophora brassicae (cabbage hernia) on cabbage, oilseed rape, radish and other plants; Plasmopara spp., E.g. BP viticola (vine peronospora, downy mildew) on vines and P. halstedii on sunflowers; Podosphaera spp. (Powdery mildew) of rosaceae, hops, kernels and berries, eg. BP leucotricha to apple; Polymyxa spp., Z. To cereals such as barley and wheat (P. graminis) and sugar beet (P. betae) and the viral diseases conferred thereby; Pseudocercosporella herpotrichoides (straw break, teleomorph: Tapesia yallundae) on cereals, e.g. Wheat or barley; Pseudoperonospora (downy mildew) on various plants, e.g. BP cubensis on cucurbits or P. humili on hops; Pseudo-pezicula tracheiphila (red burner, anamorph: Phialophora) on grapevine; Puccinia spp. (Rust disease) on various plants, eg. BP triticina (wheat brown rust), P. striiformis (yellow rust), P. hordei (dwarf rust), P. graminis (black rust) or P. recondita (rye brown rust) on cereals, such as. Wheat, barley or rye, and asparagus (eg BP asparagi); Pyrenophora (anamorph: Drechslera) tritici-repentis (leaf drought) on wheat or P. teres (netted spots) on barley; Pyricularia spp., E.g. BP oryzae (Teleomorph: Magnaporthe grisea, rice leaf-fire) on rice and P. grisea on lawn and crops; Pythium spp. (Turnip disease) on turf, rice, corn, wheat, cotton, oilseed rape, sunflower, sugar beets, vegetables and other plants (eg BP ultimum or P. aphanidermatum); Ramularia spp., Z. BR collo-cygni (speckled disease / sunburn complex / Physiological leaf spots) on barley and R. beticola on sugar beets; Rhizoctonia spp. on cotton, rice, potatoes, turf, corn, oilseed rape, potatoes, sugar beets, vegetables and various other plants, eg. BR solani (root / stem rot) on soybeans, R. solani (leaf-sheathing) on rice or R. cerealis (pointed eye-spot) on wheat or barley; Rhizopus stolonifer (soft rot) on strawberries, carrots, cabbage, grapevine and tomato; Rhynchosporium secalis (leaf spot) on barley, rye and triticale; Sarocladium oryzae and S. attenuatum (sheath rot) on rice; Sclerotinia spp. (Stem or white rot) in vegetables and crops such as oilseed rape, sunflowers (eg Sclerotinia sclerotium rum) and soybeans (eg BS rolfsii); Septoria spp. on different plants, eg. BS glycines (leaf spot) on soybeans, S. tritici (Septoria leaf drought) on wheat and S. (Syn. Stagonospora) nodorum (leaf and spelled tan) on cereals; Uncinula (Syn. Erysiphe) necator (powdery mildew, anamorphic: Oidium tuckeri) on grapevine; Sexspaeria spp. (Leaf spot) on corn (for example, S. turcicum, Syn. Helminthosporium turcicum) and turf; Sphacelotheca spp. (Dust fires) on maize, (for example BS reiliana: flask brandy), millet and sugarcane; Sphaerotheca fuliginea (powdery mildew) on cucurbits; Spongospora subterranea (powder scab) on potatoes and the viral diseases transmitted thereby; Stagonospora spp. on cereals, z. BS nodorum (leaf and tan, Teleomorph: Leptosphaeria [Syn. Phaeosphaeria] nodorum) on wheat; Synchytrium endobioticum on potatoes (potato cancer); Taphrina spp., Z. BT deformans (curling disease) on peach and T. pruni (pocket disease) on plums; Thielaviopsis spp. (Black root rot) on tobacco, pome fruit, vegetable crops, soybeans and cotton, eg. BT basicola (Syn: Chalara elegans); Tilletia spp. (Stone or Stinkbrand) of cereals, such. BT tritici (Syn. T. caries, Weizensteinbrand) and T. controversa (Zwergsteinbrand) on wheat; Typhula incarnata (snow) on barley or wheat; Urocystis spp., E.g. BU occulta (stalk brandy) on rye; Uromyces spp. (Rust) on vegetables, such as beans (for example, appendiculatus appendix, Syn. U. phaseoli) and sugar beet (for example, Betae); Ustilago spp. (Firefighting) on cereals (for example BU nuda and U. avaenae), maize (for example BU maydis: maize buckthorn brandy) and sugarcane; Venturia spp. (Scab) on apples (eg BV inaequalis) and pears; and Verticillium spp. (Deciduous and cloudy wilt) on various plants, such as fruit and ornamental trees, vines, soft fruit, vegetables and crops, such. BV dahliae on strawberries, rapeseed, potatoes and tomatoes.
Die erfindungsgemäßen Verbindungen eignen sich außerdem zur Bekämpfung von Schadpilzen im Material- und Bautenschutz (z. B. Holz, Papier, Dispersionen für den Anstrich, Fasern bzw. Gewebe) und im Vorratsschutz. Im Holz- und Bautenschutz fin- den insbesondere folgende Schadpilze Beachtung: Ascomyceten wie Ophiostoma spp., Ceratocystis spp., Aureobasidium pullulans, Sclerophoma spp., Chaetomium spp., Humicola spp., Petriella spp., Trichurus spp.; Basidiomyceten wie Coniophora spp., Coriolus spp., Gloeophyllum spp., Lentinus spp., Pleurotus spp., Poria spp., Ser- pula spp. und Tyromyces spp., Deuteromyceten wie Aspergillus spp., Cladosporium spp., Penicillium spp., Trichoderma spp., Alternaria spp., Paecilomyces spp. und Zy- gomyceten wie Mucor spp., darüber hinaus im Materialschutz folgende Hefepilze: Candida spp. und Saccharomyces cerevisae.The compounds according to the invention are also suitable for controlling harmful fungi in the protection of materials and buildings (eg wood, paper, paint dispersions, fibers or fabrics) and in the protection of stored products. In particular, the following harmful fungi are considered in wood and building protection: Ascomycetes such as Ophiostoma spp., Ceratocystis spp., Aureobasidium pullulans, Sclerophoma spp., Chaetomium spp., Humicola spp., Petriella spp., Trichurus spp .; Basidiomycetes such as Coniophora spp., Coriolus spp., Gloeophyllum spp., Lentinus spp., Pleurotus spp., Poria spp., Serpula spp. and Tyromyces spp., Deuteromycetes such as Aspergillus spp., Cladosporium spp., Penicillium spp., Trichoderma spp., Alternaria spp., Paecilomyces spp. and Zygomycetes such as Mucor spp., moreover, in the protection of the following yeasts: Candida spp. and Saccharomyces cerevisae.
Die erfindungsgemäßen Verbindungen und ihre erfindungsgemäßen Zusammen- Setzungen eignen sich zur Steigerung der Pflanzengesundheit. Außerdem betrifft die Erfindung ein Verfahren zur Steigerung der Pflanzengesundheit, indem die Pflanzen, das pflanzliche Vermehrungsmaterial und/oder der Ort, an dem die Pflanzen wachsen oder wachsen sollen, mit einer wirksamen Menge der erfindungsgemäßen Verbindungen bzw. ihrer erfindungsgemäßen behandelt werden. Der Begriff "Pflanzengesundheit" umfasst solche Zustände einer Pflanze und/oder ihres Erntegutes, die durch verschiedene Indikatoren einzeln oder in Kombination miteinander bestimmt werden, wie bspw. Ertrag (z. B. erhöhte Biomasse und/oder erhöhter Gehalt verwertbarer Inhaltsstoffe), Pflanzenvitalität (z. B. erhöhtes Pflanzenwachstum und/oder grünere Blätter ("greening effect")), Qualität (z. B. erhöhter Gehalt oder Zusammensetzung bestimmter Inhaltsstoffe) und Toleranz gegenüber biotischem und/oder abiotischem Stress. Diese hier genannten Indikatoren für einen Pflanzengesundheitszustand können unabhängig voneinander auftreten oder sich gegenseitig bedingen.The compounds according to the invention and their compositions according to the invention are suitable for increasing plant health. Moreover, the invention relates to a method of enhancing plant health by treating the plants, the plant propagating material and / or the place where the plants are to grow or grow with an effective amount of the compounds of the invention or their invention. The term "plant health" includes those conditions of a plant and / or its crop which are determined by various indicators individually or in combination with one another, such as yield (eg, increased biomass and / or increased content of utilizable ingredients), plant vitality ( eg increased plant growth and / or greener leaves), quality (eg increased content or composition of certain ingredients) and tolerance to biotic and / or abiotic stress. These plant health status indicators referred to herein may be independent or mutually exclusive.
Gegenstand der Erfindung ist daher auch die Verwendung von erfindungsgemäßen Verbindungen und/oder ihrer landwirtschaftlich verträglichen Salze zur Bekämpfung von phytopathogenen Pilzen. Ein weiterer Gegenstand der Erfindung ist ferner ein Verfahren zur Bekämpfung von phytopathogenen Pilzen, dadurch gekennzeichnet, dass man die Pilze oder die vor Pilzbefall zu schützenden Materialien, Pflanzen, den Boden oder Saatgüter mit einer wirksamen Menge einer erfindungsgemäßen Verbindung und/oder einem landwirtschaftlich verträglichen Salz davon behandelt.The invention therefore also relates to the use of compounds according to the invention and / or their agriculturally acceptable salts for controlling phytopathogenic fungi. The invention furthermore relates to a method for controlling phytopathogenic fungi, which comprises treating the fungi or the materials, plants, the soil or seeds to be protected against fungal attack with an effective amount of a compound according to the invention and / or an agriculturally acceptable salt treated by it.
Die erfindungsgemäßen Verbindungen werden als solche oder in Form einer Zusammensetzung angewendet, indem man die Schadpilze, deren Lebensraum oder die vor Pilzbefall zu schützenden Pflanzen, pflanzlichen Vermehrungsmaterialien, z. B. Saatgüter, den Erdboden, Flächen, Materialien oder Räume mit einer fungizid wirksamen Menge der erfindungsgemäßen Verbindungen behandelt. Die Anwendung kann sowohl vor als auch nach der Infektion der Pflanzen, pflanzlichen Vermehrungsmaterialien, z. B. Saatgüter, des Erdboden, der Flächen, Materialien oder Räume durch die Pilze erfolgen.The compounds of the invention are used as such or in the form of a composition by the harmful fungi, their habitat or the plants to be protected against fungal attack, plant propagation materials, eg. As seeds, the soil, surfaces, materials or rooms treated with a fungicidally effective amount of the compounds of the invention. The application may be both before and after the infection of the plants, plant propagation materials, eg. As seeds, the soil, the surfaces, materials or spaces made by the fungi.
Pflanzliche Vermehrungsmaterialien können vorbeugend zusammen mit oder bereits vor der Aussaat bzw. zusammen mit oder bereits vor dem Umpflanzen mit erfindungsgemäßen Verbindungen bzw. mit erfindungsgemäßen Zusammensetzungen davon behandelt werden. Außerdem betrifft die Erfindung Mittel bzw. agrochemische Zusammensetzungen, enthaltend ein Lösungsmittel oder festen Trägerstoff und mindestens eine erfindungsgemäße Verbindung, vorzugsweise Verbindungen der Formel I oder vorzugsweise Verbindungen der Formel II, und die Verwendung dieser Zusammensetzungen zur Bekämpfung von Schadpilzen. Gegenstand dieser Erfindung ist auch ein Mittel bzw. eine agrochemische Zusammensetzung umfassend mindestens eine erfindungsgemäße Verbindung und/oder einem landwirtschaftlich verträglichen Salz davon zur Verwendung im Pflanzenschutz. Ein solches Mittel enthält üblicherweise mindestens einen flüssigen oder festen Träger.Plant propagation materials may be preventively treated with or in advance of sowing, or together with, or even before transplanting, with compounds of the invention or with compositions of the invention thereof. In addition, the invention relates to compositions or agrochemical compositions containing a solvent or solid carrier and at least one compound of the invention, preferably compounds of formula I or preferably compounds of formula II, and the use of these compositions for controlling harmful fungi. The subject of this invention is also an agent or an agrochemical composition comprising at least one compound according to the invention and / or an agriculturally acceptable salt thereof for use in crop protection. Such an agent usually contains at least one liquid or solid carrier.
Die Erfindung umfasst daher auch Mittel bzw. agrochemische Zusammensetzun- gen, die einen festen oder flüssigen Träger und eine erfindungsgemäße fungizide Verbindung enthalten. Die Bezeichnung „flüssiger Träger" wird in diesem Zusammenhang gleichbedeutend mit Lösungsmittel verwendet.The invention therefore also encompasses agents or agrochemical compositions which comprise a solid or liquid carrier and a fungicidal compound according to the invention. The term "liquid carrier" is used in this context synonymous with solvents.
Eine agrochemische Zusammensetzung enthält eine fungizid wirksame Menge einer erfindungsgemäßen Verbindung. Der Ausdruck „wirksame Menge" bedeutet eine Menge der agrochemischen Zusammensetzung bzw. der erfindungsgemäßen Verbindung, die zur Bekämpfung von Schadpilzen an Kulturpflanzen oder im Material- und Bautenschutz ausreichend ist und nicht zu einem beträchtlichen Schaden an den behandelten Kulturpflanzen führt. Eine derartige Menge kann innerhalb eines breiten Bereichs variieren und wird von zahlreichen Faktoren, wie z. B. dem zu bekämpfenden Schadpilz, der jeweiligen behandelten Kulturpflanze oder Materialien, den klimatischen Bedingungen und Verbindungen, beeinflusst. Die erfindungsgemäßen Verbindungen, ihre N-Oxide und ihre Salze können in die für agrochemische Zusammensetzungen üblichen Typen überführt werden, z. B. Lösungen, Emulsionen, Suspensionen, Stäube, Pulver, Pasten und Granulate. Der Zusammensetzungstyp richtet sich nach dem jeweiligen Verwendungszweck; sie soll in jedem Fall eine feine und gleichmäßige Verteilung der erfindungsgemäßen Verbindung gewährleisten.An agrochemical composition contains a fungicidally effective amount of a compound of the invention. The term "effective amount" means an amount of the agrochemical composition or compound of the invention which is sufficient to control harmful fungi on crop plants or in material and building protection and does not result in significant damage to the treated crops vary widely and are influenced by numerous factors, such as the harmful fungus to be controlled, the particular crop or material being treated, climatic conditions and compounds. The compounds according to the invention, their N-oxides and their salts can be converted into the types customary for agrochemical compositions, e.g. As solutions, emulsions, suspensions, dusts, powders, pastes and granules. The type of composition depends on the respective purpose; It should in any case ensure a fine and uniform distribution of the compound according to the invention.
Der Begriff „Mittel" wird in diesem Zusammenhang gleichbedeutend mit dem Begriff „Zusammensetzung", insbesondere „agrochemische Zusammensetzung", und „Formulierung" verwendet. Beispiele für Zusammensetzungstypen sind hier Suspensionen (SC, OD, FS), Pasten, Pastillen, benetzbare Pulver oder Stäube (WP, SP, SS, WS, DP, DS) oder Granulate (GR, FG, GG, MG), die entweder in Wasser löslich (soluble) oder dispergierbar (wettable) sein können sowie Gele für die Behandlung pflanzlicher Vermehrungsmaterialien wie Saatgut (GF). Im Allgemeinen werden die Zusammensetzungstypen (z. B. SC, OD, FS, WG, SG,The term "agent" in this context is used synonymously with the term "composition", in particular "agrochemical composition", and "formulation". Examples of composition types here are suspensions (SC, OD, FS), pastes, pastilles, wettable powders or dusts (WP, SP, SS, WS, DP, DS) or granules (GR, FG, GG, MG) which are either in Water may be soluble or dispersible, and gels for the treatment of plant propagating materials such as seed (GF). In general, the composition types (eg SC, OD, FS, WG, SG,
WP, SP, SS, WS, GF) verdünnt eingesetzt. Zusammensetzungstypen wie DP, DS, GR, FG, GG und MG werden in der Regel unverdünnt eingesetzt.WP, SP, SS, WS, GF) diluted. Composition types such as DP, DS, GR, FG, GG and MG are generally used undiluted.
Die agrochemischen Zusammensetzungen werden in bekannter Weise hergestellt (s. z. B. US 3,060,084, EP-A 707 445 (für flüssige Konzentrate), Browning, "Agglomeration", Chemical Engineering, Dec. 4, 1967, 147-48, Perry's Chemical Engineer's Handbook, 4. Aufl., McGraw-Hill, New York, 1963, 8-57 und ff., WO 91/13546, US 4,172,714, US 4,144,050, US 3,920,442, US 5,180,587, US 5,232,701 , US 5,208,030, GB 2,095,558, US 3,299,566, Klingman: Weed Control as a Science (John Wiley & Sons, New York, 1961), Hance et al.: Weed Control Handbook (8th Ed., Blackwell Scientific Publications, Oxford, 1989) und Mollet, H. und Grubemann, A.: Formulation technology (Wiley VCH Verlag, Weinheim, 2001 ).The agrochemical compositions are prepared in a known manner (see, for example, US 3,060,084, EP-A 707,445 (for liquid concentrates), Browning, "Agglomeration", Chemical Engineering, Dec. 4, 1967, 147-48, Perry's Chemical Engineer's Handbook, 4th ed., McGraw-Hill, New York, 1963, 8-57 and et seq., WO 91/13546, US 4,172,714, US 4,144,050, US 3,920,442, US 5,180,587, US 5,232,701, US 5,208,030, GB 2,095,558, US 3,299,566, Klingman: Weed Control as a Science (John Wiley & Sons, New York, 1961), Hance et al .: Weed Control Handbook (8th Ed., Blackwell Scientific Publications, Oxford, 1989) and Mollet, H. and Grubemann, A. : Formulation technology (Wiley VCH Verlag, Weinheim, 2001).
Die agrochemischen Zusammensetzungen können weiterhin auch für Pflanzenschutzmittel übliche Hilfsmittel enthalten, wobei sich die Wahl der Hilfsmittel nach der konkreten Anwendungsform bzw. dem Wirkstoff richtet.The agrochemical compositions can furthermore also contain auxiliaries customary for crop protection agents, the choice of auxiliaries being based on the specific application form or the active substance.
Beispiele für geeignete Hilfsmittel sind Lösungsmittel, feste Trägerstoffe, oberflächenaktive Stoffe (wie weitere Solubilisatoren, Schutzkolloide, Netzmittel und Haftmittel), organische und anorganische Verdicker, Bakterizide, Frostschutzmittel, Entschäumer, ggf. Farbstoffe und Kleber (z. B. für Saatgutbehandlung). Als Lösungsmittel kommen Wasser, organische Lösungsmittel wie Mineralölfraktionen von mittlerem bis hohem Siedepunkt wie Kerosin und Dieselöl, ferner Kohlenteer- öle sowie Öle pflanzlichen oder tierischen Ursprungs, aliphatische, cyclische und aromatische Kohlenwasserstoffe, z.B. Paraffine, Tetrahydronaphthalin, alkylierte Naphtha- line und deren Derivate, alkylierte Benzole und deren Derivate, Alkohole wie Methanol, Ethanol, Propanol, Butanol und Cyclohexanol, Gykole, Ketone wie Cyclohexanon, gamma-Butyrolacton, Dimethylfettsäureamide, Fettsäuren und Fettsäureester und stark polare Lösungsmittel, z.B. Amine wie N-Methylpyrrolidon, in Betracht. Grundsatz- lieh können auch Lösungsmittelgemische verwendet werden sowie Gemische aus den vorstehend genannten Lösungsmitteln und Wasser.Examples of suitable auxiliaries are solvents, solid carriers, surface-active substances (such as further solubilizers, protective colloids, wetting agents and adhesives), organic and inorganic thickeners, bactericides, antifreeze agents, defoamers, if appropriate dyes and adhesives (for example for seed treatment). Suitable solvents are water, organic solvents such as mineral oil fractions of medium to high boiling point such as kerosene and diesel oil, coal tar oils and oils of vegetable or animal origin, aliphatic, cyclic and aromatic hydrocarbons, for example paraffins, tetrahydronaphthalene, alkylated naphtha line and derivatives thereof, alkylated benzenes and their derivatives, alcohols such as methanol, ethanol, propanol, butanol and cyclohexanol, gycols, ketones such as cyclohexanone, gamma-butyrolactone, dimethyl fatty acid amides, fatty acids and fatty acid esters and highly polar solvents, for example amines such as N-methylpyrrolidone into consideration. Principle- It is also possible to use solvent mixtures and mixtures of the abovementioned solvents and water.
Feste Trägerstoffe sind Mineralerden wie Kieselsäuren, Kieselgele, Silikate, Talkum, Kaolin, Kalkstein, Kalk, Kreide, Bolus, Löß, Ton, Dolomit, Diatomeenerde, Calci- um- und Magnesiumsulfat, Magnesiumoxid, gemahlene Kunststoffe, Düngemittel, wie Ammoniumsulfat, Ammoniumphosphat, Ammoniumnitrat, Harnstoffe und pflanzliche Produkte wie Getreidemehl, Baumrinden-, Holz- und Nußschalenmehl, Cellulosepulver oder andere feste Trägerstoffe.Solid carriers are mineral earths such as silicic acids, silica gels, silicates, talc, kaolin, limestone, lime, chalk, bolus, loess, clay, dolomite, diatomaceous earth, calcium and magnesium sulfate, magnesium oxide, ground plastics, fertilizers such as ammonium sulfate, ammonium phosphate, Ammonium nitrate, ureas and vegetable products such as cereal flour, tree bark, wood and nutshell flour, cellulose powder or other solid carriers.
Als oberflächenaktive Stoffe (Adjuvanzien, Netz-, Haft-, Dispergier- oder Emulgier- mittel) kommen die Alkali-, Erdalkali-, Ammoniumsalze von aromatischen Sulfonsäu- ren, z. B. von Lignin-(Borresperse®-Typen, Borregaard, Norwegen), Phenol-, Naphtha- lin-(Morwet®-Typen, Akzo Nobel, USA) und Dibutylnaphthalinsulfonsäure (Nekal®- Typen, BASF, Deutschland), sowie von Fettsäuren, Alkyl- und Alkylarylsulfonaten, Al- kyl-, Laurylether- und Fettalkoholsulfaten, sowie Salze sulfatierter Hexa-, Hepta- und Octadecanole sowie von Fettalkoholglykolethern, Kondensationsprodukte von sulfo- niertem Naphthalin und seiner Derivate mit Formaldehyd, Kondensationsprodukte des Naphthalins bzw. der Naphthalinsulfonsäuren mit Phenol und Formaldehyd, Polyoxye- thylenoctylphenolether, ethoxyliertes Isooctyl-, Octyl- oder Nonylphenol, Alkylphenyl-, Tributylphenylpolyglykolether, Alkylarylpolyetheralkohole, Isotridecylalkohol, Fettalko- holethylenoxid-Kondensate, ethoxyliertes Rizinusöl, Polyoxyethylen- oder Polyoxypro- pylenalkylether, Laurylalkoholpolyglykoletheracetat, Sorbitester, Lignin-Sulfitablaugen sowie Proteine, denaturierte Proteine, Polysaccharide (z.B. Methylcellulose), hydrophob modifizierte Stärken, Polyvinylalkohol (Mowiol®-Typen, Clariant, Schweiz), PoIy- carboxylate (Sokalan®-Typen, BASF, Deutschland), Polyalkoxylate, Polyvinylamin (Lu- pamin®-Typen, BASF, Deutschland), Polyethylenimin (Lupasol®-Typen, BASF, Deutschland), Polyvinylpyrrolidon und deren Copolymere in Betracht.Suitable surface-active substances (adjuvants, wetting, adhesion, dispersing or emulsifying agents) are the alkali metal, alkaline earth metal, ammonium salts of aromatic sulfonic acids, eg. B. of lignin (Borresperse ® grades, Borregaard, Norway), phenol, naphtha lin (Morwet ® types, Akzo Nobel, USA) and dibutyl (nekal ® - types, BASF, Germany), and of fatty acids , Alkyl and alkylaryl sulfonates, alkyl, lauryl ether and fatty alcohol sulfates, as well as salts of sulfated hexa-, hepta- and octadecanols and of fatty alcohol glycol ethers, condensation products of sulfonated naphthalene and its derivatives with formaldehyde, condensation products of naphthalene or of naphthalenesulfonic acids with Phenol and formaldehyde, polyoxyethylene octylphenol ethers, ethoxylated isooctyl, octyl or nonylphenol, alkylphenyl, tributylphenyl polyglycol ethers, alkylarylpolyether alcohols, isotridecylalcohol, fatty alcohol ethylene oxide condensates, ethoxylated castor oil, polyoxyethylene or polyoxypropylene alkyl ethers, lauryl alcohol polyglycol ether acetate, sorbitol esters, lignin sulphite liquors and Proteins, denatured proteins, polysaccharides (eg methylc ellulose), hydrophobically modified starches, polyvinyl alcohol (Mowiol ® types, Clariant, Switzerland), poly-carboxylate (Sokalan ® types, BASF, Germany), polyalkoxylates, polyvinylamine (Lu pamin ® types, BASF, Germany), polyethylenimine (Lupasol ® types, BASF, Germany), polyvinylpyrrolidone and copolymers thereof.
Beispiele für Verdicker (d. h. Verbindungen, die der Zusammensetzung ein modifiziertes Fließverhalten verleihen, d. h. hohe Viskosität im Ruhezustand und niedrige Viskosität im bewegten Zustand) sind Polysaccharide sowie organische und anorgani- sehe Schichtmineralien wie Xanthan Gum (Kelzan®, CP Kelco, USA), Rhodopol® 23 (Rhodia, Frankreich) oder Veegum® (R.T. Vanderbilt, USA) oder Attaclay® (Engelhard Corp., NJ, USA).Examples of thickeners (ie, compounds that give the composition a modified flow properties, ie high viscosity at rest and low viscosity in motion) are polysaccharides and organic and inorganic see layered minerals, such as xanthan gum (Kelzan ®, CP Kelco, U.S.A.), Rhodopol ® 23 (Rhodia, France) or Veegum ® (RT Vanderbilt, USA) or attaclay ® (Engelhard Corp., NJ, USA).
Bakterizide können zur Stabilisierung der Zusammensetzung zugesetzt werden. Beispiele für Bakterizide sind solche basierend auf Diclorophen und Benzylalkoholhe- miformal (Proxel® der Fa. ICI oder Acticide® RS der Fa. Thor Chemie und Kathon® MK der Fa. Rohm & Haas) sowie Isothiazolinonderivaten wie Alkylisothiazolinonen und Benzisothiazolinonen (Acticide® MBS der Fa. Thor Chemie).Bactericides may be added to stabilize the composition. Examples of bactericides are those based on dichlorophen and benzyl alcohol hemiformal (Proxel ®.. Of Messrs. ICI or Acetide ® RS from Thor Chemie and Kathon ® MK from Rohm & Haas) and isothiazolinone derivatives such as alkylisothiazolinones and benzisothiazolinones (Acetide ® MBS Fa. Thor Chemie).
Beispiele für geeignete Frostschutzmittel sind Ethylenglycol, Propylenglycol, Harnstoff und Glycerin. Beispiele für Entschäumer sind Silikonemulsionen (wie z. B. Silikon® SRE, Wacker,Examples of suitable antifreeze agents are ethylene glycol, propylene glycol, urea and glycerin. Examples of defoamers are silicone emulsions (such as, for example, Silikon® SRE, Wacker,
Deutschland oder Rhodorsil®, Rhodia, Frankreich), langkettige Alkohole, Fettsäuren, Salze von Fettsäuren, fluororganische Verbindungen und deren Gemische. Beispiele für Farbmittel sind sowohl in Wasser wenig lösliche Pigmente als auch in Wasser lösliche Farbstoffe. Als Beispiele genannt seien die unter den Bezeichnungen Rhodamin B, C. I. Pigment Red 112 und C. I. Solvent Red 1 , Pigment blue 15:4, Pigment blue 15:3, Pigment blue 15:2, Pigment blue 15:1 , Pigment blue 80, Pigment yel- low 1 , Pigment yellow 13, Pigment red 48:2, Pigment red 48:1 , Pigment red 57:1 , Pigment red 53:1 , Pigment orange 43, Pigment orange 34, Pigment orange 5, Pigment green 36, Pigment green 7, Pigment white 6, Pigment brown 25, Basic violet 10, Basic violet 49, Acid red 51 , Acid red 52, Acid red 14, Acid blue 9, Acid yellow 23, Basic red 10, Basic red 108 bekannten Farbstoffe und Pigmente. Beispiele für Kleber sind Polyvinylpyrrolidon, Polyvinylacetat, Polyvinylalkohol undGermany or Rhodorsil ®, Rhodia, France), long chain alcohols, fatty acids, salts of fatty acids, organofluorine compounds and mixtures thereof. Examples of colorants are both water-insoluble pigments and water-soluble dyes. Examples which may be mentioned are those under the names Rhodamine B, CI Pigment Red 112 and CI Solvent Red 1, Pigment Blue 15: 4, Pigment Blue 15: 3, Pigment Blue 15: 2, Pigment Blue 15: 1, Pigment Blue 80, Pigment yel- low 1, Pigment yellow 13, Pigment red 48: 2, Pigment red 48: 1, Pigment red 57: 1, Pigment red 53: 1, Pigment orange 43, Pigment orange 34, Pigment orange 5, Pigment green 36, Pigment green 7, Pigment white 6, Pigment brown 25, Basic violet 10, Basic violet 49, Acid red 51, Acid red 52, Acid red 14, Acid blue 9, Acid yellow 23, Basic red 10, Basic red 108 well-known dyes and pigments , Examples of adhesives are polyvinyl pyrrolidone, polyvinyl acetate, polyvinyl alcohol and
Celluloseether (Tylose®, Shin-Etsu, Japan).Cellulose ethers (Tylose ®, Shin-Etsu, Japan).
Zur Herstellung von direkt versprühbaren Lösungen, Emulsionen, Pasten oder Öl- dispersionen kommen Mineralölfraktionen von mittlerem bis hohem Siedepunkt, wie Kerosin oder Dieselöl, ferner Kohlenteeröle sowie Öle pflanzlichen oder tierischen Ur- sprungs, aliphatische, cyclische und aromatische Kohlenwasserstoffe, z.B. Toluol, Xy- lol, Paraffin, Tetrahydronaphthalin, alkylierte Naphthaline oder deren Derivate, Methanol, Ethanol, Propanol, Butanol, Cyclohexanol, Cyclohexanon, Isophoron, stark polare Lösungsmittel, z.B. Dimethylsulfoxid, N-Methylpyrrolidon oder Wasser in Betracht.For the preparation of directly sprayable solutions, emulsions, pastes or oil dispersions, there are mineral oil fractions of medium to high boiling point, such as kerosene or diesel oil, coal tar oils and oils of vegetable or animal origin, aliphatic, cyclic and aromatic hydrocarbons, e.g. Toluene, xylene, paraffin, tetrahydronaphthalene, alkylated naphthalenes or their derivatives, methanol, ethanol, propanol, butanol, cyclohexanol, cyclohexanone, isophorone, strong polar solvents, e.g. Dimethylsulfoxide, N-methylpyrrolidone or water into consideration.
Pulver-, Streu- und Stäubemittel können durch Mischen oder gemeinsames Ver- mahlen der Verbindungen I sowie, soweit vorhanden, weiteren Wirkstoffen mit mindestens einem festen Trägerstoff hergestellt werden.Powders, dispersants and dusts can be prepared by mixing or grinding together the compounds I and, where present, further active compounds with at least one solid carrier.
Granulate, z. B. Umhüllungs-, Imprägnierungs- und Homogengranulate, können durch Bindung der Wirkstoffe an mindestens einen festen Trägerstoff hergestellt werden. Feste Trägerstoffe sind z. B. Mineralerden, wie Kieselgele, Silikate, Talkum, Kao- Nn, Attaclay, Kalkstein, Kalk, Kreide, Bolus, Löß, Ton, Dolomit, Diatomeenerde, Calzi- um- und Magnesiumsulfat, Magnesiumoxid, gemahlene Kunststoffe, Düngemittel wie Ammoniumsulfat, Ammoniumphosphat, Ammoniumnitrat, Harnstoffe und pflanzliche Produkte, wie Getreidemehl, Baumrinden-, Holz- und Nussschalenmehl, Cellulosepul- ver und andere feste Trägerstoffe. Beispiele für Zusammensetzungstypen sind:Granules, for. As coated, impregnated and homogeneous granules can be prepared by binding the active ingredients to at least one solid carrier. Solid carriers are z. As mineral earths, such as silica gels, silicates, talc, kaolin, Attaclay, limestone, lime, chalk, bolus, loess, clay, dolomite, diatomaceous earth, calcium and magnesium sulfate, magnesium oxide, ground plastics, fertilizers such as ammonium sulfate, ammonium phosphate , Ammonium nitrate, ureas and vegetable products such as cereal flour, bark, wood and nutshell flour, cellulose powders and other solid carriers. Examples of composition types are:
1. Zusammensetzungstypen zur Verdünnung in Wasser i) Wasserlösliche Konzentrate (SL, LS)1. Compositions for dilution in water i) Water-soluble concentrates (SL, LS)
10 Gew.-Teile der Wirkstoffe werden mit 90 Gew.-Teilen Wasser oder einem wasserlöslichen Lösungsmittel gelöst. Alternativ werden Netzmittel oder andere Hilfsmittel zugefügt. Bei der Verdünnung in Wasser löst sich der Wirkstoff. Man erhält auf diese Weise eine Zusammensetzung mit 10 Gew.-% Wirkstoffgehalt. ii) Dispergierbare Konzentrate (DC)10 parts by weight of the active ingredients are dissolved with 90 parts by weight of water or a water-soluble solvent. Alternatively, wetting agents or other adjuvants are added. When diluted in water, the active ingredient dissolves. This gives a composition with 10 wt .-% active ingredient content. ii) Dispersible Concentrates (DC)
20 Gew.-Teile der Wirkstoffe werden in 70 Gew.-Teilen Cyclohexanon unter Zusatz von 10 Gew.-Teilen eines Dispergiermittels z. B. Polyvinylpyrrolidon gelöst. Bei Ver- dünnung in Wasser ergibt sich eine Dispersion. Der Wirkstoffgehalt beträgt 20 Gew.-% iii) Emulgierbare Konzentrate (EC)20 parts by weight of the active ingredients are dissolved in 70 parts by weight of cyclohexanone with the addition of 10 parts by weight of a dispersant z. B. dissolved polyvinylpyrrolidone. Dilution in water results in a dispersion. The active ingredient content is 20% by weight iii) Emulsifiable Concentrates (EC)
15 Gew.-Teile der Wirkstoffe werden in 75 Gew.-Teilen XyIoI unter Zusatz von Ca- Dodecylbenzolsulfonat und Ricinusölethoxylat (jeweils 5 Gew.-Teile) gelöst. Bei der Verdünnung in Wasser ergibt sich eine Emulsion. Die Zusammensetzung hat 15 Gew.- % Wirkstoffgehalt. iv) Emulsionen (EW, EO, ES) 25 Gew.-Teile der Wirkstoffe werden in 35 Gew.-Teile XyIoI unter Zusatz von Ca-15 parts by weight of the active compounds are dissolved in 75 parts by weight of xylene with the addition of Dodecylbenzenesulfonate and castor oil ethoxylate (each 5 parts by weight) dissolved. Dilution in water results in an emulsion. The composition has 15% by weight active ingredient content. iv) Emulsions (EW, EO, ES) 25 parts by weight of the active compounds are dissolved in 35 parts by weight of xylene with the addition of calcium
Dodecylbenzolsulfonat und Ricinusölethoxylat (jeweils 5 Gew.-Teile) gelöst. Diese Mischung wird mittels einer Emulgiermaschine (z. B. Ultra-Turrax) in 30 Gew.-Teile Wasser gegeben und zu einer homogenen Emulsion gebracht. Bei der Verdünnung in Wasser ergibt sich eine Emulsion. Die Zusammensetzung hat einen Wirkstoffgehalt von 25 Gew.-%. v) Suspensionen (SC, OD, FS)Dodecylbenzenesulfonate and castor oil ethoxylate (each 5 parts by weight) dissolved. This mixture is added by means of an emulsifying machine (eg Ultra-Turrax) in 30 parts by weight of water and brought to a homogeneous emulsion. Dilution in water results in an emulsion. The composition has an active ingredient content of 25 wt .-%. v) suspensions (SC, OD, FS)
20 Gew.-Teile der Wirkstoffe werden unter Zusatz von 10 Gew.-Teilen Dispergier- und Netzmitteln und 70 Gew.-Teilen Wasser oder einem organischen Lösungsmittel in einer Rührwerkskugelmühle zu einer feinen Wirkstoffsuspension zerkleinert. Bei der Verdünnung in Wasser ergibt sich eine stabile Suspension des Wirkstoffs. Der Wirkstoffgehalt in der Zusammensetzung beträgt 20 Gew.-%. vi) Wasserdispergierbare und wasserlösliche Granulate (WG, SG)20 parts by weight of the active ingredients are comminuted with the addition of 10 parts by weight of dispersants and wetting agents and 70 parts by weight of water or an organic solvent in a stirred ball mill to a fine active substance suspension. Dilution in water results in a stable suspension of the active ingredient. The active ingredient content in the composition is 20% by weight. vi) Water-dispersible and water-soluble granules (WG, SG)
50 Gew.-Teile der Wirkstoffe werden unter Zusatz von 50 Gew.-Teilen Dispergier- und Netzmitteln fein gemahlen und mittels technischer Geräte (z. B. Extrusion, Sprüh- türm, Wirbelschicht) als wasserdispergierbare oder wasserlösliche Granulate hergestellt. Bei der Verdünnung in Wasser ergibt sich eine stabile Dispersion oder Lösung des Wirkstoffs. Die Zusammensetzung hat einen Wirkstoffgehalt von 50 Gew.-%. vii) Wasserdispergierbare und wasserlösliche Pulver (WP, SP, SS, WS)50 parts by weight of the active compounds are finely ground with the addition of 50 parts by weight of dispersants and wetting agents and prepared by means of technical equipment (for example extrusion, spray tower, fluidized bed) as water-dispersible or water-soluble granules. Dilution in water results in a stable dispersion or solution of the active ingredient. The composition has an active substance content of 50% by weight. vii) Water-dispersible and water-soluble powders (WP, SP, SS, WS)
75 Gew.-Teile der Wirkstoffe werden unter Zusatz von 25 Gew.-Teilen Dispergier- und Netzmitteln sowie Kieselsäuregel in einer Rotor-Strator Mühle vermählen. Bei der Verdünnung in Wasser ergibt sich eine stabile Dispersion oder Lösung des Wirkstoffs. Der Wirkstoffgehalt der Zusammensetzung beträgt 75 Gew.-%. viii) Gele (GF)75 parts by weight of the active ingredients are ground with the addition of 25 parts by weight of dispersing and wetting agents and silica gel in a rotor-Strator mill. Dilution in water results in a stable dispersion or solution of the active ingredient. The active ingredient content of the composition is 75% by weight. viii) gels (GF)
In einer Kugelmühle werden 20 Gew.-Teile der Wirkstoffe, 10 Gew.-Teile Dispergier- mittel, 1 Gew.-Teil Quellmittel („gelling agent") und 70 Gew.-Teile Wasser oder eines organischen Lösungsmittels zu einer feinen Suspension vermählen. Bei der Verdünnung mit Wasser ergibt sich eine stabile Suspension mit 20 Gew.-% Wirkstoffgehalt. 2. Zusammensetzungstypen für die Direktapplikation ix) Stäube (DP, DS) 5 Gew.-Teile der Wirkstoffe werden fein gemahlen und mit 95 Gew.-Teilen feinteili- gem Kaolin innig vermischt. Man erhält dadurch ein Stäubemittel mit 5 Gew.-% Wirkstoffgehalt. x)Granulate (GR, FG, GG, MG)In a ball mill, 20 parts by weight of the active ingredients, 10 parts by weight of dispersant, 1 part by weight of swelling agent ("gelling agent") and 70 parts by weight of water or an organic solvent are ground to a fine suspension. Dilution with water results in a stable suspension containing 20% by weight of active ingredient 2. Compositions for Direct Application ix) Dusts (DP, DS) 5 parts by weight of the active ingredients are finely ground and finely divided with 95 parts by weight intimately mixed with kaolin, thereby obtaining a dust with 5% by weight of active ingredient x) Granules (GR, FG, GG, MG)
0,5 Gew.-Teile der Wirkstoffe werden fein gemahlen und mit 99,5 Gewichtsteilen Trägerstoffe verbunden. Gängige Verfahren sind dabei die Extrusion, die Sprühtrocknung oder die Wirbelschicht. Man erhält dadurch ein Granulat für die Direktapplikation mit 0,5 Gew.-% Wirkstoffgehalt. xi) ULV- Lösungen (UL)0.5 part by weight of the active ingredients are finely ground and combined with 99.5 parts by weight of carriers. Common processes are extrusion, spray drying or fluidized bed. This gives a granulate for direct application with 0.5 wt .-% active ingredient content. xi) ULV solutions (UL)
10 Gew.-Teile der Wirkstoffe werden in 90 Gew.-Teilen eines organischen Lösungsmittel z. B. XyIoI gelöst. Dadurch erhält man eine Zusammensetzung für die Direktapplikation mit 10 Gew.-% Wirkstoffgehalt.10 parts by weight of the active compounds are dissolved in 90 parts by weight of an organic solvent z. B. XyIoI solved. This gives a composition for direct application with 10 wt .-% active ingredient content.
Die Zusammensetzungen der erfindungsgemäßen Verbindungen enthalten im Allgemeinen zwischen 0,1 und 95 Gew.-%, vorzugsweise zwischen 0,1 und 90 Gew.-%, vorzugsweise zwischen 0,5 und 90 Gew.-% Wirkstoff (erfindungsgemäße Verbindung). Die Verbindungen I und Il werden dabei in einer Reinheit von 90% bis 100%, vorzugs- weise 95% bis 100% (nach NMR-Spektrum) eingesetzt.The compositions of the compounds according to the invention generally contain between 0.1 and 95% by weight, preferably between 0.1 and 90% by weight, preferably between 0.5 and 90% by weight of active compound (compound according to the invention). The compounds I and II are used in a purity of 90% to 100%, preferably 95% to 100% (according to NMR spectrum).
Für die Behandlung pflanzlicher Vermehrungsmaterialien, insbesondere Saatgut, werden üblicherweise wasserlösliche Konzentrate (LS), Suspensionen (FS), Stäube (DS), wasserdispergierbare und wasserlösliche Pulver (WS, SS), Emulsionen (ES), emulgierbare Konzentrate (EC) und Gele (GF) verwendet. Diese Zusammensetzungen können auf die Vermehrungsmaterialien, insbesondere Saatgut, unverdünnt oder, bevorzugt, verdünnt angewendet werden. Hierbei kann die entsprechende Zusammensetzung 2 bis 10fach verdünnt werden, so dass in den für die Beize zu verwendeten Zusammensetzungen 0,01 to 60% Gew.-%, vorzugsweise 0,1 to 40% Gew.-% Wirk- stoff vorhanden sind. Die Anwendung kann vor oder während der Aussaat erfolgen.For the treatment of plant propagation materials, in particular seed, usually water-soluble concentrates (LS), suspensions (FS), dusts (DS), water-dispersible and water-soluble powders (WS, SS), emulsions (ES), emulsifiable concentrates (EC) and gels ( GF). These compositions can be applied to the propagating materials, in particular seeds, undiluted or, preferably, diluted. In this case, the corresponding composition can be diluted 2 to 10 times, so that 0.01 to 60% by weight, preferably 0.1 to 40% by weight, of active substance is present in the compositions to be used for the stain. The application can be done before or during sowing.
Die Behandlung von pflanzlichem Vermehrungsmaterial, insbesondere die Behandlung von Saatgut, sind dem Fachmann bekannt, und erfolgen durch Bestäuben, Beschichten, Pelletieren, Eintauchen oder Tränken des pflanzlichen Vermehrungsmaterial, wobei die Behandlung bevorzugt durch Pelletieren, Beschichten und Bestäuben oder durch Furchenbehandlung erfolgt, so dass z. B. eine vorzeitige Keimung des Saatguts verhindert wird.The treatment of plant propagation material, in particular the treatment of seed, are known to the person skilled in the art and are carried out by dusting, coating, pelleting, dipping or impregnating the plant propagation material, wherein the treatment preferably takes place by pelleting, coating and dusting or by furrow treatment, so that z. B. premature germination of the seed is prevented.
Für die Saatgutbehandlung werden bevorzugt Suspensionen verwendet. Üblicherweise enthalten solche Zusammensetzungen 1 bis 800 g/l Wirkstoff, 1 bis 200 g/l Ten- side, 0 bis 200 g/l Frostschutzmittel, 0 bis 400 g/l Bindemittel, 0 bis 200 g/l Farbstoffe und Lösungsmittel, vorzugsweise Wasser.For seed treatment, suspensions are preferably used. Typically, such compositions contain 1 to 800 g / l active ingredient, 1 to 200 g / l surfactants, 0 to 200 g / l antifreeze, 0 to 400 g / l binder, 0 to 200 g / l dyes and solvents, preferably water ,
Die Verbindungen können als solche oder in Form ihrer Zusammensetzungen, z. B. in Form von direkt versprühbaren Lösungen, Pulvern, Suspensionen, Dispersionen, Emulsionen, Öldispersionen, Pasten, Stäubemitteln, Streumitteln oder Granulaten durch Versprühen, Vernebeln, Verstäuben, Verstreuen, Einstreichen, Eintauchen oder Gießen angewendet werden. Die Zusammensetzungstypen richten sich ganz nach den Verwendungszwecken; sie sollten in jedem Fall möglichst die feinste Verteilung der erfindungsgemäßen Wirkstoffe gewährleisten.The compounds may be used as such or in the form of their compositions, e.g. B. in the form of directly sprayable solutions, powders, suspensions, dispersions, emulsions, oil dispersions, pastes, dusts, scattering agents or granules by spraying, atomizing, dusting, scattering, coating, dipping or pouring. The composition types depend entirely on the intended use; In any case, they should ensure the finest possible distribution of the active compounds according to the invention.
Wässrige Anwendungsformen können aus Emulsionskonzentraten, Pasten oder netzbaren Pulvern (Spritzpulver, Öldispersionen) durch Zusatz von Wasser bereitet werden. Zur Herstellung von Emulsionen, Pasten oder Öldispersionen können dieAqueous application forms can be prepared from emulsion concentrates, pastes or wettable powders (wettable powders, oil dispersions) by adding water. For the preparation of emulsions, pastes or oil dispersions, the
Substanzen als solche oder in einem Öl oder Lösungsmittel gelöst, mittels Netz-, Haft-, Dispergier- oder Emulgiermitttel in Wasser homogenisiert werden. Es können aber auch aus wirksamer Substanz Netz-, Haft-, Dispergier- oder Emulgiermittel und eventuell Lösungsmittel oder Öl bestehende Konzentrate hergestellt werden, die zur Verdünnung mit Wasser geeignet sind.Substances as such or dissolved in an oil or solvent, are homogenized in water by means of wetting agents, tackifiers, dispersants or emulsifiers. But it can also from effective substance wetting agents, adhesives, dispersants or emulsifiers and possibly solvent or oil concentrates are prepared, which are suitable for dilution with water.
Die Wirkstoffkonzentrationen in den anwendungsfertigen Zubereitungen können in größeren Bereichen variiert werden. Im Allgemeinen liegen sie zwischen 0,0001 und 10%, vorzugsweise zwischen 0,01 und 1 %.The active compound concentrations in the ready-to-use preparations can be varied within wide ranges. In general, they are between 0.0001 and 10%, preferably between 0.01 and 1%.
Die Wirkstoffe können auch mit Erfolg im Ultra-Low-Volume-Verfahren (ULV) verwendet werden, wobei es möglich ist, Zusammensetzungen mit mehr als 95 Gew.-% Wirkstoff oder sogar den Wirkstoff ohne Zusätze auszubringen.The active ingredients can also be successfully used in the ultra-low-volume (ULV) process, whereby it is possible to apply compositions containing more than 95% by weight of active ingredient or even the active ingredient without additives.
Die Aufwandmengen der erfindungsgemäßen Verbindungen liegen bei der Anwendung im Pflanzenschutz je nach Art des gewünschten Effektes zwischen 0,001 und 2,0 kg Wirkstoff pro ha, bevorzugt zwischen 0,005 und 2 kg pro ha, bevorzugt zwischen 0,01 und 2,0 kg Wirkstoff pro ha, besonders bevorzugt zwischen 0,05 und 0,9 kg pro ha, insbesondere zwischen 0,1 und 0,75 kg pro ha.The application rates of the compounds of the invention are in the application in crop protection, depending on the nature of the desired effect between 0.001 and 2.0 kg of active ingredient per ha, preferably between 0.005 and 2 kg per ha, preferably between 0.01 and 2.0 kg of active ingredient per ha , more preferably between 0.05 and 0.9 kg per ha, in particular between 0.1 and 0.75 kg per ha.
Bei der Behandlung von pflanzlichen Vermehrungsmaterialien, z. B. Staatgut, werden im Allgemeinen Wirkstoffmengen von 0,1 bis 1000 g/100 kg Vermehrungsmaterial bzw. Saatgut, bevorzugt 1 bis 1000 g/100 kg, besonders bevorzugt 1 bis 100 g/100 kg, ins- besondere 5 bis 100 g/100 kg Vermehrungsmaterial bzw. Saatgut verwendet. Ein weiterer Gegenstand der Erfindung ist daher Saatgut, enthaltend wenigstens eine erfindungsgemäße Verbindung und/oder ein landwirtschaftlich verträgliches Salz davon in einer Menge von 1 bis 1000 g pro 100 kg.In the treatment of plant propagation materials, eg. B. State goods, are generally active amounts of from 0.1 to 1000 g / 100 kg of propagating material or seed, preferably 1 to 1000 g / 100 kg, more preferably 1 to 100 g / 100 kg, in particular 5 to 100 g / 100 kg of propagating material or seed used. Another object of the invention is therefore seed containing at least one compound of the invention and / or an agriculturally acceptable salt thereof in an amount of 1 to 1000 g per 100 kg.
Bei der Anwendung im Material- bzw. Vorratsschutz richtet sich die Aufwandmenge an Wirkstoff nach der Art des Einsatzgebietes und des gewünschten Effekts. Übliche Aufwandmengen sind im Materialschutz beispielsweise 0,001 g bis 2 kg, vorzugsweise 0,005 g bis 1 kg Wirkstoff pro Kubikmeter behandelten Materials.When used in material or storage protection, the application rate of active ingredient depends on the type of application and the desired effect. Usual application rates are, for example, 0.001 g to 2 kg, preferably 0.005 g to 1 kg of active ingredient per cubic meter of material treated in the material protection.
Zu den erfindungsgemäßen Verbindungen (Wirkstoffen) oder den diese enhaltenden Zusammensetzungen können Öle verschiedenen Typs, Netzmittel, Adjuvanzien, Herbizide, Bakterizide, weitere Fungizide, und/oder andere Schädlingsbekämpfungsmittel, gegebenenfalls auch erst unmittelbar vor der Anwendung (Tankmix), zugesetzt werden. Diese Mittel können zu den erfindungsgemäßen Mitteln im Gewichtsverhältnis 1 :100 bis 100:1 , bevorzugt 1 :10 bis 10:1 zugemischt werden.Oils of various types, wetting agents, adjuvants, herbicides, bactericides, other fungicides, and / or other pesticides, if appropriate also immediately before use (tank mix), can be added to the compounds (active substances) or the compositions containing them. These agents can be added to the compositions according to the invention in a weight ratio of 1: 100 to 100: 1, preferably 1:10 to 10: 1.
Als Adjuvanzien in diesem Sinne kommen insbesondere in Frage: organisch modifizierte Polysiloxane, z.B. Break Thru S 240®; Alkoholalkoxylate, z. B. Atplus 245®, Atplus MBA 1303®, Plurafac LF 300® und Lutensol ON 30®; EO-PO-Blockpolymerisate, z. B. Pluronic RPE 2035® und Genapol B®; Alkoholethoxylate, z. B. Lutensol XP 80®; und Natriumdioctylsulfosuccinat, z. B. Leophen RA®. Die erfindungsgemäßen Verbindungen bzw. ihre Zusammensetzungen können in der Anwendungsform als Fungizide auch zusammen mit anderen Wirkstoffen vorliegen, z.B. mit Herbiziden, Insektiziden, Wachstumsregulatoren, Fungiziden oder auch mit Düngemitteln, als Prä-Mix oder gegebenenfalls auch erst unmittelbar vor der Anwen- düng (Tankmix). Beim Vermischen der erfindungsgemäßen Verbindungen bzw. der sie enthaltenden Zusammensetzungen mit einem oder mehreren weiteren Wirkstoffen, insbesondere Fungiziden, kann beispielsweise in vielen Fällen das Wirkungsspektrum verbreitert werden oder Resistenzentwicklungen vorgebeugt werden. In vielen Fällen erhält man dabei synergistische Effekte.Suitable adjuvants in this sense are in particular: organically modified polysiloxanes, for example Break Thru S 240® ; Alcohol alkoxylates, eg. As Atplus 245 ®, Atplus MBA 1303 ®, Plurafac LF 300 ® and Lutensol ON 30 ®; EO-PO block polymers, eg. B. Pluronic RPE 2035 ® and Genapol B ®; Alcohol ethoxylates, eg. As Lutensol XP 80 ®; and sodium dioctylsulfosuccinate, e.g. B. Leophen RA ®. The compounds according to the invention or their compositions can also be present in the application form as fungicides together with other active compounds, for example with herbicides, insecticides, growth regulators, fungicides or else with fertilizers, as a pre-mix or optionally only immediately before the application (tank mix ). When mixing the compounds according to the invention or the compositions containing them with one or more further active compounds, in particular fungicides, it is possible, for example, in many cases to widen the activity spectrum or to prevent development of resistance. In many cases, synergistic effects are obtained.
Ein weiterer Gegenstand der Erfindung ist daher ein Mittel für den Pflanzenschutz, umfassend eine erfindungsgemäße Verbindung, insbesondere eine Verbindung I oder eine Verbindung II, und mindestens einen weiteren fungiziden, insektiziden und/oder herbiziden Wirkstoff, gemäß einer Ausgestaltung ist der weitere Wirkstoff ein fungizider Wirkstoff, insbesondere einer, der aus der folgenden Liste ausgewählt ist. Die Wirkstoffe liegen dabei vorzugsweise in synergistischen Mengen vor.Another object of the invention is therefore an agent for crop protection, comprising a compound of the invention, in particular a compound I or a compound II, and at least one further fungicidal, insecticidal and / or herbicidal active ingredient, according to one embodiment, the further active ingredient is a fungicidal active ingredient , in particular one selected from the following list. The active ingredients are preferably present in synergistic amounts.
Ein weiterer Gegenstand der Erfindung betrifft eine Zusammensetzung, umfassend eine erfindungsgemäße Verbindung und/oder ein Säureadditions- oder Metallsalz da- von. Diese Zusammensetzung enthält ferner als Pflanzenschutzmittel mindestens einen festen oder flüssigen Trägerstoff. Gemäß einer weiteren Ausführungsform können die genannten Zusammensetzungen ferner mindestens einen weiteren fungiziden, insektiziden und/oder herbiziden Wirkstoff umfassen.Another object of the invention relates to a composition comprising a compound of the invention and / or an acid addition or metal salt thereof. This composition also contains as plant protection agent at least one solid or liquid carrier. According to a further embodiment, said compositions may further comprise at least one further fungicidal, insecticidal and / or herbicidal active ingredient.
Die Fungizide werden bevorzugt ausgewählt aus den folgenden Gruppen:The fungicides are preferably selected from the following groups:
Strobilurine, Carbonsäureamide wie Carbonsäureanilide, Carbonsäuremorpholide, Benzoesäureamide, sonstige Carbonsäureamide, Azole wie Triazole, Imidazole, Ben- zimidazole, Sonstige, stickstoffhaltige Heterocyclylverbindungen wie Pyridine, Pyrimi- dine, Pyrrole, Morpholine, Dicarboximide, sonstige stickstoffhaltige Heterocyclylverbin- düngen, Thio- und Dithiocarbamate, Carbamate, Guanidine, Antibiotika, Nitrophenylde- rivate, Organometallverbindungen, Schwefelhaltige Heterocyclylverbindungen, Organophosphorverbindungen, Organochlorverbindungen, anorganische Wirkstoffe, Sonstige Fungizide.Strobilurins, carboxylic acid amides such as carboxylic anilides, carboxylic acid morpholides, benzoic acid amides, other carboxamides, azoles such as triazoles, imidazoles, benzimidazoles, others, nitrogen-containing heterocyclyl compounds such as pyridines, pyrimidines, pyrroles, morpholines, dicarboximides, other nitrogen-containing heterocyclyl compounds, thio- and dithiocarbamates , Carbamates, guanidines, antibiotics, nitrophenyl derivatives, organometallic compounds, sulfur-containing heterocyclyl compounds, organophosphorus compounds, organochlorine compounds, inorganic active substances, other fungicides.
Die folgende Liste von Fungiziden, mit denen die erfindungsgemäßen Verbindungen gemeinsam angewendet werden können, soll die Kombinationsmöglichkeiten erläutern, nicht aber einschränken:The following list of fungicides with which the compounds according to the invention can be used together is intended to illustrate, but not limit, the possible combinations.
A) Strobilurine Azoxystrobin, Dimoxystrobin, Enestroburin, Fluoxastrobin, Kresoxim-methyl, Methomi- nostrobin, Orysastrobin, Picoxystrobin, Pyraclostrobin, Pyribencarb, Trifloxystrobin, 2- (2-(6-(3-Chlor-2-methyl-phenoxy)-5-fluor-pyrimidin-4-yloxy)-phenyl)-2-methoxyimino-N- methyl-acetamid, 2-(ortho-((2,5-Dimethylphenyl-oxymethylen)phenyl)-3-methoxy-acryl- säuremethylester, 3-Methoxy-2-(2-(N-(4-methoxy-phenyl)-cyclopropancarboximidoyl- sulfanylmethyl)-phenyl)-acrylsäuremethylester, 2-(2-(3-(2,6-dichlorphenyl)-1-methyl- allylideneaminooxymethyl)-phenyl)-2-methoxyimino-N-methyl-acetamide;A) strobilurins azoxystrobin, dimoxystrobin, enestroburine, fluoxastrobin, kresoxim-methyl, methyminostrobin, orysastrobin, picoxystrobin, pyraclostrobin, pyribencarb, trifloxystrobin, 2- (2- (6- (3-chloro-2-methyl-phenoxy) -5 -fluoro-pyrimidin-4-yloxy) -phenyl) -2-methoxyimino-N- methyl-acetamide, 2- (ortho - ((2,5-dimethylphenyl-oxymethylene) -phenyl) -3-methoxy-acrylic acid methyl ester, 3-methoxy-2- (2- (N- (4-methoxy-phenyl) - cyclopropanecarboximidoylsulfanylmethyl) -phenyl) -acrylic acid methyl ester, 2- (2- (3- (2,6-dichlorophenyl) -1-methyl-allylideneaminooxymethyl) -phenyl) -2-methoxyimino-N-methyl-acetamide;
B) CarbonsäureamideB) Carboxylic acid amides
- Carbonsäureanilide: Benalaxyl, Benalaxyl-M, Benodanil, Bixafen, Boscalid, Carbo- xin, Fenfuram, Fenhexamid, Flutolanil, Furametpyr, Isopyrazam, Isotianil, Kiralaxyl, Mepronil, Metalaxyl, Metalaxyl-M (Mefenoxam), Ofurace , Oxadixyl, Oxycarboxin , Penthiopyrad, Sedaxane, Tecloftalam, Thifluzamide, Tiadinil, 2-Amino-4-methyl- thiazol-5-carbonsäureanilid, 2-Chlor-N-(1 ,1 ,3-trimethyl-indan-4-yl)-nicotinamid, N- (3',4'-Dichlor-5-fluor-biphenyl-2-yl)-3-difluormethyl-1-methyl-1 H-pyrazol-4- carbonsäureamid, 5-Fluor-1 ,3-dimethyl-1 H-pyrazol-4-carbonsäure [2-(1 ,3-dimethyl- butyl)-phenyl]-amid, N-(4'-Chlor-3',5-difluor-biphenyl-2-yl)-3-difluormethyl-1-methyl- 1 H-pyrazol-4-carbonsäureamid, N-(4'-Chlor-3',5-difluor-biphenyl-2-yl)-3- trifluormethyl-1-methyl-1 H-pyrazol-4-carbonsäureamid, N-(3',4'-Dichlor-4-fluor- biphenyl-2-yl)-3-trifluormethyl-1-methyl-1 H-pyrazol-4-carbonsäureamid, N-(3',5- Difluor-4'-methyl-biphenyl-2-yl)-3-difluormethyl-1-methyl-1 H-pyrazol-4- carbonsäureamid, N-(3',5-Difluor-4'-methyl-biphenyl-2-yl)-3-trifluormethyl-1-methyl- 1 H-pyrazol-4-carbonsäureamid, N-(2-Bicyclopropyl-2-yl-phenyl)-3-difluormethyl-1- methyl-1 H-pyrazol-4-carbonsäureamid, N-(cis-2-Bicyclopropyl-2-yl-phenyl)-3-di- fluormethyl-1 -methyl-1 H-pyrazol-4-carbonsäureamid, N-(trans-2-Bicyclopropyl-2-yl- phenyl)-3-difluormethyl-1-methyl-1 H-pyrazol-4-carbonsäureamid, N-(4'-Brombi- phenyl-2-yl)-4-difluormethyl-2-methylthiazol-5-carbonsäureamid, N-(4'-trifluor- methyl-bi-phenyl-2-yl)-4-difluormethyl-2-methylthiazol-5-carbonsäureamid, N-(4'-- carboxylic acid anilides: benalaxyl, benalaxyl-M, benodanil, bixafen, boscalid, carbo-xin, fenfuram, fenhexamide, flutolanil, furametpyr, isopyrazam, isotianil, kiralaxyl, mepronil, metalaxyl, metalaxyl-M (mefenoxam), ofurace, oxadixyl, oxycarboxin, Penthiopyrad, Sedaxane, Tecloftalam, Thifluzamide, Tiadinil, 2-Amino-4-methylthiazole-5-carboxylic acid anilide, 2-Chloro-N- (1, 1, 3-trimethyl-indan-4-yl) -nicotinamide, N- (3 ', 4'-dichloro-5-fluoro-biphenyl-2-yl) -3-difluoromethyl-1-methyl-1H-pyrazole-4-carboxylic acid amide, 5-fluoro-1,3-dimethyl-1H- pyrazole-4-carboxylic acid [2- (1, 3-dimethyl-butyl) -phenyl] -amide, N- (4'-chloro-3 ', 5-difluoro-biphenyl-2-yl) -3-difluoromethyl-1 -methyl-1H-pyrazole-4-carboxylic acid amide, N- (4'-chloro-3 ', 5-difluoro-biphenyl-2-yl) -3-trifluoromethyl-1-methyl-1H-pyrazole-4-carboxylic acid amide , N- (3 ', 4'-dichloro-4-fluorobiphenyl-2-yl) -3-trifluoromethyl-1-methyl-1H-pyrazole-4-carboxylic acid amide, N- (3', 5-difluoro- 4'-methyl-biphenyl-2-yl) -3-difluoromethyl-1-methyl-1H-pyrazole-4-carboxylic acid amide, N- (3 ', 5-Difluoro-4'-methyl-biphenyl-2-yl) -3-trifluoromethyl-1-methyl-1H-pyrazole-4-carboxylic acid amide, N- (2-bicyclopropyl-2-yl-phenyl) -3 -difluoromethyl-1-methyl-1H-pyrazole-4-carboxylic acid amide, N- (cis-2-bicyclopropyl-2-yl-phenyl) -3-di-fluoromethyl-1-methyl-1H-pyrazole-4-carboxylic acid amide , N- (trans-2-bicyclopropyl-2-ylphenyl) -3-difluoromethyl-1-methyl-1H-pyrazole-4-carboxylic acid amide, N- (4'-bromophenyl-2-yl) -4 -difluoromethyl-2-methylthiazole-5-carboxamide, N- (4'-trifluoromethyl-bi-phenyl-2-yl) -4-difluoromethyl-2-methylthiazole-5-carboxylic acid amide, N- (4'-trifluoromethyl) -2-methylthiazole-5-carboxylic acid amide
Chlor-S'-fluorbiphenyl^-yO^-difluormethyl^-methylthiazol-δ-carbonsäureamid, 3,4- Dichlor-N-(2-cyanophenyl)isothiazol-5-carbonsäureamid, N-(2',4'-Difluorbiphenyl-2- yl)-1 -methyl-3-trifluormethyl-1 H-pyrazol-4-carbonsäureamid, N-(2',4'-Dichlorbi- phenyl-2-yl)-1 -methyl-3-trifluormethyl-1 H-pyrazol-4-carbonsäureamid, N-(2',4'-Di- fluorbiphenyl-2-yl)-3-difluormethyl-1 -methyl-1 H-pyrazol-4-carbonsäureamid, N-(2',4'-Chloro-S'-fluorobiphenyl-Y-O-difluoromethyl-methyl-thiazole-δ-carboxamide, 3,4-dichloro-N- (2-cyanophenyl) -isothiazole-5-carboxamide, N- (2 ', 4'-difluorobiphenyl- 2-yl) -1-methyl-3-trifluoromethyl-1H-pyrazole-4-carboxylic acid amide, N- (2 ', 4'-dichlorophenyl-2-yl) -1-methyl-3-trifluoromethyl-1H pyrazole-4-carboxylic acid amide, N- (2 ', 4'-difluorobiphenyl-2-yl) -3-difluoromethyl-1-methyl-1H-pyrazole-4-carboxylic acid amide, N- (2', 4 ' -
Dichlorbiphenyl-2-yl)-3-difluormethyl-1 -methyl-1 H-pyrazol-4-carbonsäureamid, N- (2',5'-Difluorbiphenyl-2-yl)-1-methyl-3-trifluormethyl-1 H-pyrazol-4-carbonsäureamid, N-(2',5'-Dichlorbiphenyl-2-yl)-1-methyl-3-trifluormethyl-1 H-pyrazol-4-carbonsäure- amid, N-(2',5'-Difluorbiphenyl-2-yl)-3-difluormethyl-1 -methyl-1 H-pyrazol-4-carbon- säureamid, N-(2',5'-Dichlorbiphenyl-2-yl)-3-difluormethyl-1 -methyl-1 H-pyrazol-4- carbonsäureamid, N-(3',5'-Difluorbiphenyl-2-yl)-1 -methyl-3-trifluormethyl-1 H-pyrazol- 4-carbonsäureamid, N-(3',5'-Dichlorbiphenyl-2-yl)-1 -methyl-3-trifluormethyl-1 H- pyrazol-4-carbonsäureamid, N-(3',5'-Difluorbiphenyl-2-yl)-3-difluormethyl-1-methyl- 1 H-pyrazol-4-carbox-amid, N-(3',5'-Dichlorbiphenyl-2-yl)-3-difluormethyl-1 -methyl- 1 H-pyrazol-4-carbonsäureamid, N-(3'-Fluorbiphenyl-2-yl)-1-methyl-3-trifluor-methyl-Dichlorobiphenyl-2-yl) -3-difluoromethyl-1-methyl-1H-pyrazole-4-carboxylic acid amide, N- (2 ', 5'-difluorobiphenyl-2-yl) -1-methyl-3-trifluoromethyl-1H pyrazole-4-carboxylic acid amide, N- (2 ', 5'-dichlorobiphenyl-2-yl) -1-methyl-3-trifluoromethyl-1H-pyrazole-4-carboxylic acid amide, N- (2', 5 ' -Difluorobiphenyl-2-yl) -3-difluoromethyl-1-methyl-1H-pyrazole-4-carboxylic acid amide, N- (2 ', 5'-dichlorobiphenyl-2-yl) -3-difluoromethyl-1-methyl -1 H -pyrazole-4-carboxylic acid amide, N- (3 ', 5'-difluorobiphenyl-2-yl) -1-methyl-3-trifluoromethyl-1H-pyrazole-4-carboxylic acid amide, N- (3', 5 '-Dichlorobiphenyl-2-yl) -1-methyl-3-trifluoromethyl-1H-pyrazole-4-carboxylic acid amide, N- (3', 5'-difluorobiphenyl-2-yl) -3-difluoromethyl-1-methyl- 1 H-pyrazole-4-carboxamide, N- (3 ', 5'-dichlorobiphenyl-2-yl) -3-difluoromethyl-1-methyl-1H-pyrazole-4-carboxylic acid amide, N- (3'- fluorobiphenyl-2-yl) -1-methyl-3-trifluoro-methyl-
1 H-pyrazol-4-carbonsäureamid, N-(3'-Chlorbiphenyl-2-yl)-1 -methyl-3-trifluormethyl- 1 H-pyrazol-4-carbonsäureamid, N-(3'-Fluorbiphenyl-2-yl)-3-difluormethyl-1 -methyl- 1 H-pyrazol-4-carbonsäureamid, N-(3'-Chlorbiphenyl-2-yl)-3-difluormethyl-1 -methyl- 1 H-pyrazol-4-carbonsäureamide, N-(2'-Fluor-biphenyl-2-yl)-1 -methyl-3-trifluor- methyl-1 H-pyrazol-4-carbonsäureamid, N-(2'-Chlorbiphenyl-2-yl)-1 -methyl-3-trifluor- methyl-1 H-pyrazol-4-carbonsäureamid, N-(2'-Fluorbiphenyl-2-yl)-3-difluormethyl-1 - methyl-1 H-pyrazol-4-carbonsäureamid, N-(2'-Chlorbiphenyl-2-yl)-3-difluormethyl-1- methyl-1 H-pyrazol-4-carbonsäureamid, N-(2'-Fluor-4'-chlor-5'-methyl-biphenyl-2-yl)- 1 -methyl-3-trifluormethyl-1 H-pyrazol-4-carbonsäureamid, N-(3',4',5'-Trifluorbiphenyl- 2-yl)-1 -methyl-3-trifluormethyl-1 H-pyrazol-4-carbonsäureamid, N-(3',4',5'-Trifluorbi- phenyl-2-yl)-1 -methyl-3-difluormethyl-1 H-pyrazol-4-carbonsäureamid, N-(2',4',5'-Tri- fluorbiphenyl-2-yl)-1-methyl-3-difluormethyl-1 H-pyrazol-4-carbonsäureamid, N-1 H-pyrazole-4-carboxylic acid amide, N- (3'-chlorobiphenyl-2-yl) -1-methyl-3-trifluoromethyl-1H-pyrazole-4-carboxylic acid amide, N- (3'-fluorobiphenyl-2-yl ) -3-difluoromethyl-1-methyl 1 H-pyrazole-4-carboxylic acid amide, N- (3'-chlorobiphenyl-2-yl) -3-difluoromethyl-1-methyl-1H-pyrazole-4-carboxylic acid amide, N- (2'-fluorobiphenyl-2 -yl) -1-methyl-3-trifluoromethyl-1H-pyrazole-4-carboxylic acid amide, N- (2'-chlorobiphenyl-2-yl) -1-methyl-3-trifluoromethyl-1H-pyrazole 4-carboxamide, N- (2'-fluorobiphenyl-2-yl) -3-difluoromethyl-1-methyl-1H-pyrazole-4-carboxylic acid amide, N- (2'-chlorobiphenyl-2-yl) -3- difluoromethyl-1-methyl-1H-pyrazole-4-carboxylic acid amide, N- (2'-fluoro-4'-chloro-5'-methyl-biphenyl-2-yl) -1-methyl-3-trifluoromethyl-1H pyrazole-4-carboxylic acid amide, N- (3 ', 4', 5'-trifluorobiphenyl-2-yl) -1-methyl-3-trifluoromethyl-1H-pyrazole-4-carboxylic acid amide, N- (3 ', 4 ', 5'-trifluorophenyl-2-yl) -1-methyl-3-difluoromethyl-1H-pyrazole-4-carboxylic acid amide, N- (2', 4 ', 5'-trifluorobiphenyl-2-yl ) -1-methyl-3-difluoromethyl-1H-pyrazole-4-carboxylic acid amide, N-
(3',4', 5'-T rifluorbiphenyl-2-yl)-3-chlorfluormethyl-1 -methyl-1 H-pyrazol-4-carbonsäure- amid, N-[2-(1 ,1 ,2,3,3,3-Hexafluorpropoxy)phenyl]-1-methyl-3-trifluormethyl-1 H- pyrazol-4-carbonsäureamid, N-[2-(1 ,1 , 2,3,3, 3-Hexafluorpropoxy)-phenyl]-3-difluor- methyl-1 -methyl-1 H-pyrazol-4-carbonsäureamid, N-[2-(2-Chlor-1 ,1 ,2-trifluorethoxy)- phenyl]-1-methyl-3-trifluormethyl-1 H-pyrazol-4-carbonsäureamid, N-[2-(2-Chlor-(3 ', 4', 5'-Trifluorobiphenyl-2-yl) -3-chlorofluoromethyl-1-methyl-1H-pyrazole-4-carboxylic acid amide, N- [2- (1,1,2,3 , 3,3-hexafluoropropoxy) phenyl] -1-methyl-3-trifluoromethyl-1H-pyrazole-4-carboxylic acid amide, N- [2- (1,1,3,3,3,3-hexafluoropropoxy) -phenyl] 3-difluoromethyl-1-methyl-1H-pyrazole-4-carboxylic acid amide, N- [2- (2-chloro-1,2,3-trifluoroethoxy) phenyl] -1-methyl-3-trifluoromethyl- 1 H-pyrazole-4-carboxylic acid amide, N- [2- (2-chloro)
1 ,1 ,2-trifluorethoxy)phenyl]- 3-difluormethyl-1 -methyl-1 H-pyrazol-4-carbonsäure- amid, N-[2-(1 ,1 ,2,2-Tetrafluorethoxy)phenyl]-3-difluormethyl-1 -methyl-1 H-pyrazol-4- carbonsäureamid, N-[2-(1 ,1 ,2,2-Tetrafluorethoxy)phenyl]-1-methyl-3-trifluormethyl- 1 H-pyrazol-4-carbonsäureamid, N-(4'-(Trifluormethylthio)biphenyl-2-yl)-3-difluor- methyl-1 -methyl-1 H-pyrazol-4-carbonsäureamid, N-(4'-(Trifluormethylthio)biphenyl-1, 1, 2-trifluoroethoxy) phenyl] -3-difluoromethyl-1-methyl-1H-pyrazole-4-carboxylic acid amide, N- [2- (1,1,2,2-tetrafluoroethoxy) phenyl] -3 -difluoromethyl-1-methyl-1H-pyrazole-4-carboxylic acid amide, N- [2- (1, 1, 2,2-tetrafluoroethoxy) phenyl] -1-methyl-3-trifluoromethyl-1H-pyrazole-4 carboxylic acid amide, N- (4 '- (trifluoromethylthio) biphenyl-2-yl) -3-difluoromethyl-1-methyl-1H-pyrazole-4-carboxamide, N- (4' - (trifluoromethylthio) biphenyl-
2-yl)-1 -methyl-3-trifluormethyl-1 H-pyrazol-4-carbonsäureamid, 5-Fluor-1 ,3-dimethyl- 1 H-pyrazol-4-carbonsäure-[2-(1 ,2-dimethyl-propyl)-phenyl]-amid, N-(2-{4-[3-(4- Chlorphenyl)prop-2-ynyloxy]-3-methoxyphenyl}ethyl)-2-methansulfonylamino-3- methylbutyramid, N-(2-{4-[3-(4-Chlorphenyl)-prop-2-ynyloxy]-3-methoxyphenyl}- ethyl)-2-ethansulfonylamino-3-methyl-butyramid, N-(3',4'-Dichlor-5-fluor-biphenyl-2- yl)-3-trifluormethyl-1 -methyl-1 H-pyrazol-4-carbonsäureamid, N-(2-(1 ,3,3-Trimethyl- butyl)-phenyl)-1 ,3-dimethyl-5-fluor-1 H-pyrazol-4-carboxamid, N-[1 ,2,3,4-Tetrahydro- 9-(1 -methylethyl)-1 ,4-methanonaphthalen-5-yl]-3-(difluormethyl)-1 -methyl-1 H- pyrazol-4-carboxamid, N'-(4-(4-chloro-3-trifluoromethyl-phenoxy)-2,5-dimethyl- phenyl)-N-ethyl-N-methyl formamidine, N'-(4-(4-fluoro-3-trifluoromethyl-phenoxy)-2-yl) -1-methyl-3-trifluoromethyl-1H-pyrazole-4-carboxylic acid amide, 5-fluoro-1,3-dimethyl-1H-pyrazole-4-carboxylic acid [2- (1,2-dimethyl -propyl) -phenyl] -amide, N- (2- {4- [3- (4-chlorophenyl) -prop-2-ynyloxy] -3-methoxyphenyl} ethyl) -2-methanesulfonylamino-3-methylbutyramide, N- ( 2- {4- [3- (4-Chloro-phenyl) -prop-2-ynyloxy] -3-methoxyphenyl} -ethyl) -2-ethanesulfonyl-amino-3-methyl-butyramide, N- (3 ', 4'-dichloro) 5-fluoro-biphenyl-2-yl) -3-trifluoromethyl-1-methyl-1H-pyrazole-4-carboxylic acid amide, N- (2- (1,3,3-trimethyl-butyl) -phenyl) -1, 3-dimethyl-5-fluoro-1H-pyrazole-4-carboxamide, N- [1,2,3,4-tetrahydro-9- (1-methylethyl) -1, 4-methanonaphthalene-5-yl] -3 - (difluoromethyl) -1-methyl-1H-pyrazole-4-carboxamide, N '- (4- (4-chloro-3-trifluoromethyl-phenoxy) -2,5-dimethyl-phenyl) -N-ethyl-N Methyl formamidine, N '- (4- (4-fluoro-3-trifluoromethyl-phenoxy) -
2,5-dimethyl-phenyl)-N-ethyl-N-methyl formamidine, N'-(2-methyl-5-trifluormethyl-4- (3-trimethylsilanyl-propoxy)-phenyl)-N-ethyl-N-methyl formamidine and N'-(5- difluormethyl-2-methyl-4-(3-trimethylsilanyl-propoxy)-phenyl)-N-ethyl-N-methyl formamidine; - Carbonsäuremorpholide: Dimethomorph, Flumorph, Pyrimorph;2,5-dimethylphenyl) -N-ethyl-N-methylformamidine, N '- (2-methyl-5-trifluoromethyl-4- (3-trimethylsilanyl-propoxy) -phenyl) -N-ethyl-N-methyl formamidine and N '- (5-difluoromethyl-2-methyl-4- (3-trimethylsilanyl-propoxy) -phenyl) -N-ethyl-N-methylformamidine; - Carboxylic acid morpholides: dimethomorph, flumorph, pyrimorph;
- Benzoesäureamide: Flumetover, Fluopicolide, Fluopyram, Zoxamide, N-(3-Ethyl- 3,5,5-trimethyl-cyclohexyl)-3-formylamino-2-hydroxy-benzamid;Benzoic acid amides: flumetover, fluopicolide, fluopyram, zoxamide, N- (3-ethyl-3,5,5-trimethylcyclohexyl) -3-formylamino-2-hydroxybenzamide;
- Sonstige Carbonsäureamide: Carpropamid, Diclocymet, Mandipropamid, Oxytetracyclin, Silthiofam, N-(6-methoxy-pyridin-3-yl)cyclopropancarbonsäureamid; C) AzoleOther carboxamides: carpropamide, diclocymet, mandipropamide, oxytetracycline, silthiofam, N- (6-methoxypyridin-3-yl) cyclopropanecarboxamide; C) Azoles
- Triazole: Azaconazole, Bitertanol, Bromuconazole, Cyproconazole, Difenoconazole, Diniconazole, Diniconazole-M, Epoxiconazole, Fenbuconazole, Fluquinconazole, Flusilazole, Flutriafol, Hexaconazol, Imibenconazole, Ipconazole, Metconazol, Myc- lobutanil, Oxpoconazol, Paclobutrazol, Penconazole, Propiconazole, Prothioconazo-- Triazoles: azaconazole, bitertanol, bromuconazole, cyproconazole, difenoconazole, diniconazole, diniconazole-M, epoxiconazole, fenbuconazole, fluquinconazole, flusilazole, flutriafol, hexaconazole, imibenconazole, ipconazole, metconazole, mycelobutanil, oxpoconazole, paclobutrazole, penconazole, propiconazole, prothioconazo -
Ie, Simeconazole, Tebuconazole, Tetraconazole, Triadimefon, Triadimenol, Tritico- nazole, Uniconazol, 1-(4-Chlor-phenyl)-2-([1 ,2,4]triazol-1-yl)-cycloheptanol;Ie, simeconazole, tebuconazole, tetraconazole, triadimefon, triadimenol, triticonazole, uniconazole, 1- (4-chlorophenyl) -2 - ([1, 2,4] triazol-1-yl) -cycloheptanol;
- Imidazole: Cyazofamid, Imazalil, Imazalil-sulfat, Pefurazoate, Prochloraz, Triflumizo- Ie; - Benzimidazole: Benomyl, Carbendazim , Fuberidazole , Thiabendazole;- imidazoles: cyazofamide, imazalil, imazalil sulfate, pefurazoate, prochloraz, triflumizo- Ie; Benzimidazoles: benomyl, carbendazim, fuberidazole, thiabendazole;
- Sonstige: Ethaboxam, Etridiazole, Hymexazole, 1-(4-Chlor-phenyl)-1-(propin-2- yloxy)-3-(4-(3,4-dimethoxy-phenyl)-isoxazol-5-yl)-propan-2-on, 2-(4-Chlor-phenyl)- N-[4-(3,4-dimethoxy-phenyl)-isoxazol-5-yl]-2-prop-2-inyloxy-acetamid;- Other: Ethaboxam, Etridiazole, Hymexazole, 1- (4-Chloro-phenyl) -1- (propyn-2-yloxy) -3- (4- (3,4-dimethoxyphenyl) -isoxazol-5-yl) -propan-2-one, 2- (4-chloro-phenyl) -N- [4- (3,4-dimethoxyphenyl) -isoxazol-5-yl] -2-prop-2-ynyloxy-acetamide;
D) Stickstoffhaltige HeterocyclylverbindungenD) Nitrogen-containing heterocyclyl compounds
- Pyridine: Fluazinam, Pyrifenox, 3-[5-(4-Chlor-phenyl)-2,3-dimethyl-isoxazolidin-3-yl]- pyridin, 3-[5-(4-Methyl-phenyl)-2,3-dimethyl-isoxazolidin-3-yl]-pyridin, 2,3,5,6- Tetrachlor-4-methansulfonyl-pyridin, 3,4,5-Trichlor-pyridin-2,6-dicarbonitril, N-(1 -(5- Brom-3-chlor-pyridin-2-yl)-ethyl)-2,4-dichlor-nicotinamid, N-((5-Brom-3-chlor-pyridin- 2-yl)-methyl)-2,4-dichlor-nicotinamid;Pyridines: fluazinam, pyrifenox, 3- [5- (4-chloro-phenyl) -2,3-dimethyl-isoxazolidin-3-yl] -pyridine, 3- [5- (4-methyl-phenyl) -2, 3-dimethyl-isoxazolidin-3-yl] -pyridine, 2,3,5,6-tetrachloro-4-methanesulfonyl-pyridine, 3,4,5-trichloropyridine-2,6-dicarbonitrile, N- (1 - (5-bromo-3-chloro-pyridin-2-yl) -ethyl) -2,4-dichloro-nicotinamide, N - ((5-bromo-3-chloro-pyridin-2-yl) -methyl) -2 , 4-dichloro-nicotinamide;
- Pyrimidine: Bupirimate, Cyprodinil, Diflumetorim, Fenarimol, Ferimzone, Mepanipy- rim, Nitrapyrin, Nuarimol, Pyrimethanil;- pyrimidines: bupirimate, cyprodinil, diflumetorim, fenarimol, ferimzone, mepanipyrimine, nitrapyrin, nuarimol, pyrimethanil;
- Piperazine: Triforine;- piperazines: triforins;
- Pyrrole: Fludioxonil, Fenpiclonil; - Morpholine: Aldimorph, Dodemorph, Dodemorph-Acetat, Fenpropimorph, Tride- morph;- Pyrroles: fludioxonil, fenpiclonil; - Morpholines: aldimorph, dodemorph, dodemorph acetate, fenpropimorph, tride- morph;
- Piperidine: Fenpropidin;- piperidines: fenpropidine;
- Dicarboximide: Fluorimid, Iprodione, Procymidone, Vinclozolin;Dicarboximides: fluorimide, iprodione, procymidone, vinclozolin;
- nichtaromatische 5-Ring-Heterocyclen: Famoxadon, Fenamidon, Flutianil, Octhili- non, Probenazol, 5-Amino-2-isopropyl-3-oxo-4-ortho-tolyl-2,3-dihydropyrazol-1- thiocarbonsäureS-allylester;non-aromatic 5-membered heterocycles: famoxadone, fenamidone, flutianil, octhi- non, probenazole, 5-amino-2-isopropyl-3-oxo-4-ortho-tolyl-2,3-dihydropyrazole-1-thiocarboxylic acid allyl ester;
- sonstige: Acibenzolar-S-methyl, Amisulbrom, Anilazin, Blasticidin-S, Captafol, Cap- tan, Chinomethionat, Dazomet, Debacarb, Diclomezine, Difenzoquat, Difenzoquat- methylsulphat, Fenoxanil, Folpet, Oxolinsäure, Piperalin, Proquinazid, Pyroquilon, Quinoxyfen, Triazoxid, Tricyclazole, 5-Chlor-7-(4-methyl-piperidin-1-yl)-6-(2,4,6- trifluor-phenyl)-[1 ,2,4]triazolo[1 ,5-a]pyrimidin, 6-(4-tert-Butylphenyl)-5-methyl- [1 ,2,4]triazolo[1 ,5-a]pyrimidin-7-ylamin, 5-Methyl-6-(3,5,5-trimethylhexyl)- [1 ,2,4]triazolo[1 ,5-a]pyrimidin-7-ylamin, 5-Methyl-6-octyl-[1 ,2,4]triazolo[1 ,5- a]pyτimidin-7-yl-amin, 6-Methyl-5-octyl-[1 ,2,4]triazolo[1 ,5-a]pyrimidin-7-yl-amin, 6- Ethyl-5-octyl-[1 ,2,4]triazolo[1 ,5-a]pyrimidin-7-yl-amin, 5-Ethyl-6-octyl-- Other: acibenzolar-S-methyl, amisulbrom, anilazine, blasticidin-S, captafol, captan, quinomethionate, dazomet, debacarb, diclomethine, difenzoquat, difenzoquat-methylsulphate, fenoxanil, folpet, oxolinic acid, piperaline, proquinazid, pyroquilone, quinoxyfen , Triazoxide, tricyclazole, 5-chloro-7- (4-methylpiperidin-1-yl) -6- (2,4,6-trifluorophenyl) - [1, 2,4] triazolo [1, 5- a] pyrimidine, 6- (4-tert-butylphenyl) -5-methyl- [1,2,4] triazolo [1,5-a] pyrimidin-7-ylamine, 5-methyl-6- (3,5, 5-trimethylhexyl) - [1,2,4] triazolo [1,5-a] pyrimidin-7-ylamine, 5-methyl-6-octyl- [1,2,4] triazolo [1,5-a] pyiminimide -7-yl-amine, 6-methyl-5-octyl- [1,2,4] triazolo [1,5-a] pyrimidin-7-yl-amine, 6-ethyl-5-octyl- [1, 2 , 4] triazolo [1,5-a] pyrimidin-7-yl-amine, 5-ethyl-6-octyl-
[1 ,2,4]triazolo[1 ,5-a]pyrimidin-7-ylamin, 5-Ethyl-6-(3,5,5-trimethylhexyl)- [1 ,2,4]triazolo[1 ,5-a]pyrimidin-7-ylamin, 6-Octyl-5-propyl-[1 ,2,4]triazolo[1 ,5- a]pyτimidin-7-yl-amin, 5-Methoxymethyl-6-octyl-[1 ,2,4]triazolo[1 ,5-a]pyrimidin-7- yl-amin, 6-Octyl-5-trifluormethyl[1 ,2,4]triazolo[1 ,5-a]pyrimidin-7-yl-amin, 5- Trifluormethyl-6-(3,5,5-trimethylhexyl)-[1 ,2,4]triazolo[1 ,5-a]pyτimidin-7-ylamin, 2- Butoxy-6-iodo-3-propyl-chromen-4-on, 5-Chlor-1-(4,6-dimethoxy-pyrimidin-2-yl)-2- methyl-1 H-benzoimidazol, 6-(3,4-Dichlorphenyl)-5-methyl-[1 ,2,4]triazolo[1 ,5- a]pyτimidin-7-ylamin;[1, 2,4] triazolo [1,5-a] pyrimidin-7-ylamine, 5-ethyl-6- (3,5,5-trimethylhexyl) - [1, 2,4] triazolo [1, 5 a] pyrimidin-7-ylamine, 6-octyl-5-propyl- [1,2,4] triazolo [1,5] a] pyimidin-7-yl-amine, 5-methoxymethyl-6-octyl- [1,2,4] triazolo [1,5-a] pyrimidin-7-yl-amine, 6-octyl-5-trifluoromethyl [1 , 2,4] triazolo [1,5-a] pyrimidin-7-yl-amine, 5-trifluoromethyl-6- (3,5,5-trimethylhexyl) - [1, 2,4] triazolo [1,5] a] pyiminimid-7-ylamine, 2-butoxy-6-iodo-3-propyl-chromen-4-one, 5-chloro-1- (4,6-dimethoxy-pyrimidin-2-yl) -2-methyl- 1 H-benzoimidazole, 6- (3,4-dichlorophenyl) -5-methyl- [1,2,4] triazolo [1,5-a] pyimidin-7-ylamine;
E) Carbamate und DithiocarbamateE) carbamates and dithiocarbamates
- Thio- und Dithiocarbamate: Ferbam, Mancozeb, Maneb, Metam, Methasulphocarb, Metiram, Propineb, Thiram, Zineb, Ziram;Thio and dithiocarbamates: Ferbam, Mancozeb, Maneb, Metam, Methasulphocarb, Metiram, Propineb, Thiram, Zineb, Ziram;
- Carbamate: Diethofencarb, Benthiavalicarb, Iprovalicarb, Propamocarb, Propamo- carb hydrochlorid, Valiphenal, N-(1-(1-(4-Cyanophenyl)ethansulfonyl)-but-2-yl)carb- aminsäure-(4-fluorphenyl)ester;Carbamates: Diethofencarb, Benthiavalicarb, Iprovalicarb, Propamocarb, Propamocarb hydrochloride, Valiphenal, N- (1- (1- (4-cyanophenyl) ethanesulfonyl) -but-2-yl) carbamic acid (4-fluorophenyl) ester ;
F) Sonstige FungizideF) Other fungicides
- Guanidine: Dodine, Dodine freie Base, Guazatine, Guazatine-Acetat, Iminoctadine, Iminoctadine-Triacetat, Iminoctadine-tris(albesilat);Guanidines: dodine, dodine free base, guazatine, guazatine acetate, iminoctadine, iminoctadine triacetate, iminoctadine tris (albesilat);
- Antibiotika: Kasugamycin, Kasugamycin-hydrochlorid-Hydrat, Polyoxine, Streptom- ycin, Validamycin A;Antibiotics: kasugamycin, kasugamycin hydrochloride hydrate, polyoxines, streptomycin, validamycin A;
- Nitrophenylderivate:Nitrophenyl derivatives:
Binapacryl, Dicloran, Dinobuton, Dinocap, Nitrothal-isopropyl, Tecnazen;Binapacryl, dicloran, dinobutone, dinocap, nitrothal-isopropyl, tecnazene;
- Organometallverbindungen: Fentin Salze wie beispielsweise Fentin-Acetat, Fentin- Chlorid, Fentin-Hydroxid; - Schwefelhaltige Heterocyclylverbindungen: Isoprothiolane, Dithianon;Organometallic compounds: Fentin salts such as, for example, fentin acetate, fentin chloride, fentin hydroxide; Sulfur-containing heterocyclyl compounds: isoprothiolanes, dithianone;
- Organophosphorverbindungen: Edifenphos, Fosetyl, Fosetyl-aluminium, Iprobenfos, Pyrazophos, Tolclofos-methyl;Organophosphorus compounds: edifenphos, fosetyl, fosetyl-aluminum, Iprobenfos, pyrazophos, tolclofos-methyl;
- Organochlorverbindungen: Chlorthalonil, Dichlofluanid, Dichlorphen, Flusulfamide, Hexachlorbenzene, Pencycuron, Pentachlorphenol und dessen Salze, Phthalid, Quintozene, Thiophanate-Methyl, Tolylfluanid, N-(4-Chlor-2-nitro-phenyl)-N-ethyl-4- methyl-benzolsulfonamid;Organochlorine compounds: chlorothalonil, dichlofluanid, dichlorophene, flusulphamide, hexachlorobenzene, pencycuron, pentachlorophenol and its salts, phthalide, quintozene, thiophanate-methyl, tolylfluanid, N- (4-chloro-2-nitro-phenyl) -N-ethyl-4- methyl-benzenesulfonamide;
- Anorganische Wirkstoffe: Phosphorige Säure und ihre Salze, Schwefel, Bordeaux Brühe, Kupfersalze wie beispielsweise Kupferacetat, Kupferhydroxid, Kupferoxy- chlorid, basisches Kupfersulfat; - Sonstige: Biphenyl, Bronopol, Cyflufenamid, Cymoxanil, Diphenylamin, Metrafeno- ne, Mildiomycin, Oxin-Kupfer, Prohexadione-Calcium, Spiroxamine, Tolylfluanid, N- (Cyclopropylmethoxyimino-(6-difluormethoxy-2,3-difluor-phenyl)-methyl)-2-phenyl acetamid, N'-(4-(4-Chlor-3-trifluormethyl-phenoxy)-2,5-dimethyl-phenyl)-N-ethyl-N- methylformamidin, N'-(4-(4-Fluor-3-trifluormethyl-phenoxy)-2,5-dimethyl-phenyl)-N- ethyl-N-methylformamidin, N'-(2-Methyl-5-trifluormethyl-4-(3-trimethylsilanyl-prop- oxy)-phenyl)-N-ethyl-N-methylformamidin, N'-(5-Difluormethyl-2-methyl-4-(3-tri- methylsilanyl-propoxy)-phenyl)-N-ethyl-N-methylformamidin, 2-{1-[2-(5-Methyl-3- trifluormethyl-pyrazol-i-yO-acetyO-piperidin^-ylJ-thiazol^-carboxylsäure-methyl- (1 ,2,3,4-tetrahydronaphthalen-1 -yl)-amid, 2-{1 -[2-(5-Methyl-3-trifluormethyl-pyrazol- 1-yl)-acetyl]-piperidin-4-yl}-thiazol-4-carboxylsäure-methyl-(R)-1 ,2,3,4- tetrahydronaphthalen-1-yl-amid, Essigsäure-6-tert.-butyl-8-fluor-2,3-dimethyl- quinolin-4-yl-ester, Methoxy-essigsäure-6-tert.-butyl-8-fluor-2,3-dimethyl-quinolin-4- yl-ester;- Inorganic active substances: Phosphorous acid and its salts, sulfur, Bordeaux broth, copper salts such as copper acetate, copper hydroxide, copper oxychloride, basic copper sulfate; - Other: biphenyl, bronopol, cyflufenamid, cymoxanil, diphenylamine, metrafenone, mildiomycin, oxine-copper, prohexadione-calcium, spiroxamine, tolylfluanid, N- (cyclopropylmethoxyimino- (6-difluoromethoxy-2,3-difluorophenyl) - methyl) -2-phenylacetamide, N '- (4- (4-chloro-3-trifluoromethyl-phenoxy) -2,5-dimethylphenyl) -N-ethyl-N-methylformamidine, N' - 4-fluoro-3-trifluoromethyl-phenoxy) -2,5-dimethyl-phenyl) -N-ethyl-N-methylformamidine, N '- (2-methyl-5-trifluoromethyl-4- (3-trimethylsilanyl-propoxy) ) -phenyl) -N-ethyl-N-methylformamidine, N '- (5-difluoromethyl-2-methyl-4- (3-trimethylsilanyl-propoxy) -phenyl) -N-ethyl-N-methylformamidine, 2- {1- [2- (5-methyl-3- trifluoromethyl-pyrazol-i-y-acyl-piperidine-1-yl-1-thiazole-1-carboxylate-methyl (1,2,3,4-tetrahydronaphthalen-1-yl) -amide, 2- {1 - [2- (5 -Methyl-3-trifluoromethyl-pyrazol-1-yl) -acetyl] -piperidin-4-yl} -thiazole-4-carboxylic acid-methyl- (R) -1, 2,3,4-tetrahydronaphthalen-1-yl amide, acetic acid 6-tert-butyl-8-fluoro-2,3-dimethyl-quinolin-4-yl-ester, methoxy-acetic acid 6-tert-butyl-8-fluoro-2,3-dimethyl quinoline-4-yl-ester;
G) WachstumsreglerG) growth regulator
Abscisinsäure, Amidochlor, Ancymidol , 6-Benzylaminopurin, Brassinolid, Butralin, Chlormequat (Chlormequatchlorid), Cholinchlorid, Cyclanilid, Daminozid, Dikegulac, Dimethipin, 2,6-Dimethylpuridin, Ethephon, Flumetralin, Flurprimidol , Fluthiacet, For- chlorfenuron, Gibberellinsäure, Inabenfid, lndol-3-essigsäure, Maleinsäurehydrazid, Mefluidid, Mepiquat (Mepiquatchlorid), Metconazol, Naphthalenessigsäure, N-6-Ben- zyladenin, Paclobutrazol, Prohexadion (Prohexadion-Calcium), Prohydrojasmon, Thidi- azuron, Triapenthenol, Tributylphosphorotrithioat, 2,3,5-tri-Jodbenzoesäure, Trinexa- pac-ethyl und Uniconazol; H) HerbizideAbscisic acid, amidochlor, ancymidol, 6-benzylaminopurine, brassinolide, butraline, chlormequat (chlorequat chloride), choline chloride, cyclanilide, daminozide, dikegulac, dimethipine, 2,6-dimethylpuridine, ethephon, flumetralin, flurprimidol, fluthiacet, forchlorfenuron, gibberellic acid, inabenfid , indole-3-acetic acid, maleic hydrazide, mefluidide, mepiquat (mepiquat chloride), metconazole, naphthalene acetic acid, N-6-benzyladenine, paclobutrazole, prohexadione (prohexadione-calcium), Prohydrojasmon, thidiazoron, tri-penthenol, tributyl phosphorotrithioate, 2,3 5-tri-iodobenzoic acid, trinexapac-ethyl and uniconazole; H) herbicides
- Acetamide: Acetochlor, Alachlor, Butachlor, Dimethachlor, Dimethenamid, Flufena- cet, Mefenacet, Metolachlor, Metazachlor, Napropamid, Naproanilid, Pethoxamid, Pretilachlor, Propachlor, Thenylchlor; - Aminosäureanaloga: Bilanafos, Glyphosat, Glufosinat, Sulfosat;Acetamides: acetochlor, alachlor, butachlor, dimethachlor, dimethenamid, flufenacet, mefenacet, metolachlor, metazachlor, napropamide, naproanilide, pethoxamide, pretilachlor, propachlor, thenylchloro; Amino acid analogues: bilanafos, glyphosate, glufosinate, sulfosate;
- Aryloxyphenoxypropionate: Clodinafop, Cyhalofop-butyl, Fenoxaprop, Fluazifop, Ha- loxyfop, Metamifop, Propaquizafop, Quizalofop, Quizalofop-P-tefuryl;Aryloxyphenoxypropionates: Clodinafop, Cyhalofop-butyl, Fenoxaprop, Fluazifop, Haloxyfop, Metamifop, Propaquizafop, Quizalofop, Quizalofop-P-tefuryl;
- Bipyridyle: Diquat, Paraquat;Bipyridyls: diquat, paraquat;
- Carbamate und Thiocarbamate: Asulam, Butylate, Carbetamide, Desmedipham, Di- mepiperat, Eptam (EPTC), Esprocarb, Molinate, Orbencarb, Phenmedipham, Prosul- focarb, Pyributicarb, Thiobencarb, Triallate;Carbamates and thiocarbamates: asulam, butylates, carbamides, desmedipham, dimepiperate, eptam (EPTC), esprocarb, molinates, orbencarb, phenmedipham, prosulphocarb, pyributicarb, thiobencarb, triallates;
- Cyclohexanedione: Butroxydim, Clethodim, Cycloxydim, Profoxydim, Sethoxydim, Tepraloxydim, Tralkoxydim;- cyclohexanediones: butroxydim, clethodim, cycloxydim, profoxydim, sethoxydim, tepraloxydim, tralkoxydim;
- Dinitroaniline: Benfluralin, Ethalfluralin, Oryzalin, Pendimethalin, Prodiamine, Triflura- Nn;- Dinitroanilines: Benfluralin, Ethalfluralin, Oryzalin, Pendimethalin, Prodiamine, Triflura- Nn;
- Diphenylether: Acifluorfen, Aclonifen, Bifenox, Diclofop, Ethoxyfen, Fomesafen, Lac- tofen, Oxyfluorfen;Diphenyl ether: acifluorfen, aclonifen, bifenox, diclofop, ethoxyfen, fomesafen, lactofen, oxyfluorfen;
- Hydroxybenzonitrile: Bromoxynil, Dichlobenil, loxynil;Hydroxybenzonitriles: bromoxynil, dichlobenil, loxynil;
- Imidazolinone: Imazamethabenz, Imazamox, Imazapic, Imazapyr, Imazaquin, Imaze- thapyr;Imidazolinone: imazamethabenz, imazamox, imazapic, imazapyr, imazaquin, imazethapyr;
- Phenoxyessigsäuren: Clomeprop, 2,4-Dichlorphenoxyessigsäure (2,4-D), 2,4-DB, Dichlorprop, MCPA, MCPA-thioethyl, MCPB, Mecoprop;Phenoxyacetic acids: clomeprop, 2,4-dichlorophenoxyacetic acid (2,4-D), 2,4-DB, dichlorprop, MCPA, MCPA-thioethyl, MCPB, mecoprop;
- Pyrazine: Chloridazon, Flufenpyr-ethyl, Fluthiacet, Norflurazon, Pyridat;- Pyrazines: Chloridazon, Flufenpyr-ethyl, Fluthiacet, Norflurazon, Pyridate;
- Pyridine: Aminopyralid, Clopyralid, Diflufenican, Dithiopyr, Fluridone, Fluroxypyr, Pi- cloram, Picolinafen, Thiazopyr;- pyridines: aminopyralid, clopyralid, diflufenican, dithiopyr, fluridone, fluroxypyr, pilinoram, picolinafen, thiazopyr;
- Sulfonylharnstoffe: Amidosulfuron, Azimsulfuron, Bensulfuron, Chlorimuron-Ethyl, Chlorsulfuron, Cinosulfuron, Cyclosulfamuron, Ethoxysulfuron, Flazasulfuron, Fluce- tosulfuron, Flupyrsulfuron, Foramsulfuron, Halosulfuron, Imazosulfuron, lodosulfuron, Mesosulfuron, Metsulfuron-methyl, Nicosulfuron, Oxasulfuron, Primisulfuron, Prosul- furon, Pyrazosulfuron, Rimsulfuron, Sulfometuron, Sulfosulfuron, Thifensulfuron, Triasulfuron, Tribenuron, Trifloxysulfuron, Triflusulfuron, Tritosulfuron, 1-((2-Chlor- 6-propyl-imidazo[1 ,2-b]pyridazin-3-yl)sulfonyl)-3-(4,6-dimethoxy-pyrimidin-2-yl)harn- stoff;Sulfonylureas: amidosulfuron, azimsulfuron, bensulfuron, chlorimuron-ethyl, chlorosulfuron, cinosulfuron, cyclosulfamuron, ethoxysulfuron, flazasulfuron, fluce- tosulfuron, flupyrsulfuron, foramsulfuron, halosulfuron, imazosulfuron, lodosulfuron, mesosulfuron, metsulfuron-methyl, nicosulfuron, oxasulfuron, primisulfuron, prosulfuron, pyrazosulfuron, rimsulfuron, sulfometuron, sulfosulfuron, thifensulfuron, triasulfuron, tribenuron, trifloxysulfuron, triflusulfuron, tritosulfuron, 1- ((2-chloro-6-propyl-imidazo [1,2-b] pyridazin-3-yl) sulfonyl) -3- (4,6-dimethoxypyrimidin-2-yl) urea;
- Triazine: Ametryn, Atrazin, Cyanazin, Dimethametryn, Ethiozin, Hexazinon, Meta- mitron, Metribuzin, Prometryn, Simazin, Terbuthylazin, Terbutryn, Triaziflam;Triazines: ametryn, atrazine, cyanazine, dimethametryn, ethiozine, hexazinone, metachronon, metribuzin, prometryn, simazine, terbuthylazine, terbutryn, triaziflam;
- Harnstoffe: Chlorotoluron, Daimuron, Diuron, Fluometuron, Isoproturon, Linuron, Me- thabenzthiazuron,Tebuthiuron;Ureas: chlorotoluron, da- muron, diuron, fluometuron, isoproturon, linuron, methabenzthiazuron, tebuthiuron;
- andere Hemmstoffe der Acetolactatsynthase: Bispyribac-Natrium, Cloransulam- Methyl, Diclosulam, Florasulam, Flucarbazone, Flumetsulam, Metosulam, Ortho- sulfamuron, Penoxsulam, Propoxycarbazone, Pyribambenz-Propyl, Pyribenzoxim, Pyriftalid, Pyriminobac-methyl, Pyrimisulfan, Pyrithiobac, Pyroxasulfon, Pyroxsulam; - Sonstige: Amicarbazon, Aminotriazol, Anilofos, Beflubutamid, Benazolin, Bencarba- zon, Benfluresat, Benzofenap, Bentazon, Benzobicyclon, Bromacil, Bromobutid, Bu- tafenacil, Butamifos, Cafenstrole, Carfentrazone, Cinidon-Ethlyl, Chlorthal, Cinme- thylin, Clomazone, Cumyluron, Cyprosulfamid, Dicamba, Difenzoquat, Diflufenzopyr, Drechslera monoceras, Endothal, Ethofumesat, Etobenzanid, Fentrazamide, Flumi- clorac-Pentyl, Flumioxazin, Flupoxam, Fluorochloridon, Flurtamon, Indanofan, Isoxa- ben, Isoxaflutol, Lenacil, Propanil, Propyzamid, Quinclorac, Quinmerac, Mesotrion, Methylarsensäure, Naptalam, Oxadiargyl, Oxadiazon, Oxaziclomefon, Pentoxazon, Pinoxaden, Pyraclonil, Pyraflufen-Ethyl, Pyrasulfotol, Pyrazoxyfen, Pyrazolynat, Qui- noclamin, Saflufenacil, Sulcotrion, Sulfentrazon, Terbacil, Tefuryltrion, Tembotrion, Thiencarbazon, Topramezon, 4-Hydroxy-3-[2-(2-methoxy-ethoxymethyl)-6- trifluormethyl-pyridin-3-carbonyl]-bicyclo[3.2.1]oct-3-en-2-on, (3-[2-Chlor-4-fluor-5-(3-methyl-2,6-dioxo-4-trifluormethyl-3,6-dihydro-2H-pyrimidin- 1-yl)-phenoxy]-pyridin-2-yloxy)-essigsäureethylester, θ-Amino-δ-chlor^-cyclopropyl- pyrimidin-4-carboxylsäuremethylester, 6-Chlor-3-(2-cyclopropyl-6-methyl-phenoxy)- pyridazin-4-ol, 4-Amino-3-chlor-6-(4-chlor-phenyl)-5-fluor-pyridin-2-carboxylsäure,- other inhibitors of acetolactate synthase: bispyribac sodium, cloransulam methyl, diclosulam, florasulam, flucarbazone, flumetsulam, metosulam, orthosulphamuron, penoxsulam, propoxycarbazone, pyribambenz-propyl, pyribenzoxime, pyriftalid, pyriminobac-methyl, pyrimisulphane, pyrithiobac, pyroxasulphone, pyroxsulam; - Other: Amicarbazone, Aminotriazole, Anilofos, Beflubutamide, Benazoline, Bencarbazone, Benfluresat, Benzofenap, Bentazone, Benzobicyclone, Bromacil, Bromobutide, Bu- tattacil, Butamifos, Cafenstrole, Carfentrazone, Cinidone-Ethlyl, Chlorthal, Cinnamethyl-, Clomazone , Cumyluron, cyprosulfamide, dicamba, difenzoquat, diflufenzopyr, Drechslera monoceras, endothal, ethofumesate, etobenzanide, fentrazamide, flumigorac-pentyl, flumioxazine, flupoxam, fluorochloridone, flurtamone, indanofan, isoxaben, isoxaflutole, lenacil, propanil, propyzamide, Quinclorac, quinmerac, mesotrione, methylarsenoic acid, naptalam, oxadiargyl, oxadiazon, oxaziclomefon, pentoxazone, pinoxaden, pyraclonil, pyraflufen-ethyl, pyrasulfotol, pyrazoxyfen, pyrazolynate, quinoclamin, saflufenacil, sulcotrione, sulfentrazone, terbacil, tefuryltrione, tembotrione, thiencarbazone, Topramezone, 4-hydroxy-3- [2- (2-methoxy-ethoxymethyl) -6-trifluoromethyl-pyridine-3-carbonyl] -bicyclo [3.2.1] oct-3-en-2-one, (3- [ 2-chloro-4-fluoro-5- (3-methyl-2,6-di oxo-4-trifluoromethyl-3,6-dihydro-2H-pyrimidin-1-yl) -phenoxy] -pyridin-2-yloxy) -acetic acid ethyl ester, θ-amino-δ-chloro-cyclopropyl-pyrimidine-4-carboxylic acid methyl ester, 6-Chloro-3- (2-cyclopropyl-6-methyl-phenoxy) -pyridazin-4-ol, 4-amino-3-chloro-6- (4-chloro-phenyl) -5-fluoro-pyridin-2 carboxylic acid,
4-Amino-3-chlor-6-(4-chlor-2-fluor-3-methoxy-phenyl)-pyridin-2-carboxylsäuremethyl- ester und 4-Amino-3-chlor-6-(4-chloro-3-dimethylamino-2-fluor-phenyl)-pyridin-2- carboxylsäuremethylester; I) Insektizide - Organo(thio)phosphate: Acephat, Azamethiphos, Azinphos-methyl, Chlorpyrifos,4-Amino-3-chloro-6- (4-chloro-2-fluoro-3-methoxy-phenyl) -pyridine-2-carboxylic acid methyl ester and 4-amino-3-chloro-6- (4-chloro-3 -dimethylamino-2-fluoro-phenyl) -pyridine-2-carboxylic acid methyl ester; I) Insecticides - Organo (thio) phosphates: Acephate, Azamethiphos, Azinphos-methyl, Chlorpyrifos,
Chlorpyrifos-Methyl, Chlorfenvinphos, Diazinon, Dichlorvos, Dicrotophos, Dimetho- at, Disulfoton, Ethion, Fenitrothion, Fenthion, Isoxathion, Malathion, Methamido- phos, Methidathion, Methyl-Parathion, Mevinphos, Monocrotophos, Oxydemeton- Methyl, Paraoxon, Parathion, Phenthoate, Phosalone, Phosmet, Phosphamidon, Phorate, Phoxim, Pirimiphos-Methyl, Profenofos, Prothiofos, Sulprophos, Tetra- chlorvinphos, Terbufos, Triazophos, Trichlorfon;Chlorpyrifos-methyl, chlorfenvinphos, diazinon, dichlorvos, dicrotophos, dimethoate, disulphoton, ethion, fenitrothion, fenthione, isoxathione, malathion, methamidophosphate, methidathion, methyl parathion, mevinphos, monocrotophos, oxydemeton-methyl, paraoxon, parathion, Phenthoate, Phosalone, Phosmet, Phosphamidone, Phorate, Phoxim, Pirimiphos-Methyl, Profenofos, Prothiofos, Sulprophos, Tetrachlorvinphos, Terbufos, Triazophos, Trichlorfon;
- Carbamate: Alanycarb, Aldicarb, Bendiocarb, Benfuracarb, Carbaryl, Carbofuran, Carbosulfan, Fenoxycarb, Furathiocarb, Methiocarb, Methomyl, Oxamyl, Pirimicarb, Propoxur, Thiodicarb, Triazamate;Carbamates: alanycarb, aldicarb, bendiocarb, benfuracarb, carbaryl, carbofuran, Carbosulfan, fenoxycarb, furathiocarb, methiocarb, methomyl, oxamyl, pirimicarb, propoxur, thiodicarb, triazamates;
Pyrethroide: Allethrin, Bifenthrin, Cyfluthrin, Cyhalothrin, Cyphenothrin, Cyper- methrin, alpha-Cypermethrin, beta-Cypermethrin, zeta-Cypermethrin, Deltamethrin, Esfenvalerat, Etofenprox, Fenpropathrin, Fenvalerate, Imiprothrin, Lambda-Cyhalo- thrin, Permethrin, Prallethrin, Pyrethrin I und II, Resmethrin, Silafluofen, tau-Fluva- linat, Tefluthrin, Tetramethrin, Tralomethrin, Transfluthrin, Profluthrin, Dimefluthrin, Hemmstoffe des Insektenwachstums: a) Chitinsynthese-Hemmstoffe: Benzoylharn- stoffe: Chlorfluazuron, Cyramazin, Diflubenzuron, Flucycloxuron, Flufenoxuron, He- xaflumuron, Lufenuron, Novaluron, Teflubenzuron, Triflumuron; Buprofezin, Diofe- nolan, Hexythiazox, Etoxazol, Clofentazin; b) Ecdyson-Antagonisten: Halofenozid, Methoxyfenozid, Tebufenozid, Azadirachtin; c) Juvenoide: Pyriproxyfen, Methoprene, Fenoxycarb; d) Lipidbiosynthese-Hemmstoffe: Spirodiclofen, Spiromesifen, Spi- rotetramat; - Nikotinreceptor-Agonisten/Antagonisten: Clothianidin, Dinotefuran, Imidacloprid, Thiamethoxam, Nitenpyram, Acetamiprid, Thiacloprid, 1-(2-chloro-thiazol-5-yl- methyl)-2-nitrimino-3,5-dimethyl-[1 ,3,5]triazinan;Pyrethroids: allethrin, bifenthrin, cyfluthrin, cyhalothrin, cyphenothrin, cypermethrin, alpha-cypermethrin, beta-cypermethrin, zeta-cypermethrin, deltamethrin, esfenvalerate, etofenprox, fenpropathrin, fenvalerate, imiprothrin, lambda-cyhalothrin, permethrin, prallethrin, Pyrethrin I and II, resmethrin, silafluofen, tau-fluva- linate, tefluthrin, tetramethrin, tralomethrin, transfluthrin, profluthrin, dimefluthrin, insect growth inhibitors: a) chitin synthesis inhibitors: benzoylureas: chlorofluorazuron, cyramazine, diflubenzuron, flucycloxuron, flufenoxuron Hexaflumuron, Lufenuron, Novaluron, Teflubenzuron, Triflumuron; Buprofezin, diofenolan, hexythiazox, etoxazole, clofentazine; b) ecdysone antagonists: halofenozide, methoxyfenozide, tebufenozide, azadirachtin; c) Juvenoids: Pyriproxyfen, Methoprene, Fenoxycarb; d) lipid biosynthesis inhibitors: spirodiclofen, spiromesifen, spinotetramat; Nicotine receptor agonists / antagonists: clothianidin, dinotefuran, imidacloprid, thiamethoxam, nitenpyram, acetamiprid, thiacloprid, 1- (2-chlorothiazol-5-ylmethyl) -2-nitrimino-3,5-dimethyl- [1, 3,5] triazinane;
- GABA-Antagonisten: Endosulfan, Ethiprol, Fipronil, Vaniliprol, Pyrafluprol, Pyriprol, 5-Amino-1-(2,6-dichlor-4-methyl-phenyl)-4-sulfinamoyl-1 H-pyrazol-3-thiocarbon- säureamid;GABA antagonists: endosulfan, ethiprole, fipronil, vaniliprole, pyrafluprole, pyriprole, 5-amino-1- (2,6-dichloro-4-methylphenyl) -4-sulfinamoyl-1H-pyrazole-3-thiocarbon acid amide;
Macrocyclische Lactone: Abamectin, Emamectin, Milbemectin, Lepimectin, Spino- sad, Spinetoram;Macrocyclic lactones: abamectin, emamectin, milbemectin, lepimectin, spinosad, spinetoram;
Mitochondriale Elektronentransportketten-Inhibitor (METI) I Akarizide: Fenazaquin,Mitochondrial Electron Transport Chain Inhibitor (METI) I Acaricides: Fenazaquin,
Pyridaben, Tebufenpyrad, Tolfenpyrad, Flufenerim; - METI Il und III Substanzen: Acequinocyl, Fluacyprim, Hydramethylnon;Pyridaben, Tebufenpyrad, Tolfenpyrad, Flufenerim; - METI II and III substances: Acequinocyl, Fluacyprim, Hydramethylnon;
- Entkoppler: Chlorfenapyr;- decoupler: chlorfenapyr;
- Hemmstoffe der oxidativen Phosphorylierung: Cyhexatin, Diafenthiuron, Fenbutatin- oxid, Propargit;- inhibitors of oxidative phosphorylation: cyhexatin, diafenthiuron, fenbutatin oxide, propargite;
- Hemmstoffe der Häutung der Insekten: Cryomazin; - Hemmstoffe von ,mixed function oxidases': Piperonylbutoxid;Inhibitors of the sloughing of insects: Cryomazine; Inhibitors of mixed function oxidases: piperonyl butoxide;
- Natriumkanalblocker: Indoxacarb, Metaflumizon;Sodium channel blocker: indoxacarb, metaflumizone;
- Sonstige: Benclothiaz, Bifenazate, Cartap, Flonicamid, Pyridalyl, Pymetrozin, Schwefel, Thiocyclam, Flubendiamid, Chlorantraniliprol, Cyazypyr (HGW86); Cye- nopyrafen, Flupyrazofos, Cyflumetofen, Amidoflumet, Imicyafos, Bistrifluron und Py- rifluquinazon.- Other: Benclothiaz, Bifenazate, Cartap, Flonicamid, Pyridalyl, Pymetrozine, Sulfur, Thiocyclam, Flubendiamid, Chlorantraniliprole, Cyazypyr (HGW86); Cynopyphron, Flupyrazofos, Cyflumetofen, Amidoflumet, Imicyafos, Bistrifluron and Pyrifluquinazone.
Die vorliegende Erfindung betrifft insbesondere auch fungizide Zusammensetzungen, die wenigstens eine Verbindung der allgemeinen Formel I und wenigstens einen weiteren Pflanzenschutzwirkstoff, z. B. ausgewählt aus den Wirkstoffen der vorgenannten Gruppen A) bis I), insbesondere wenigstens einen fungiziden Wirkstoff, insbesondere ausgewählt aus den Wirkstoffen der vorgenannten Gruppen A) bis F), und gegebenenfalls einen oder mehrere landwirtschaftlich geeignete Träger enthalten. Im Hinblick auf eine Senkung der Aufwandmengen sind diese Mischungen von Interesse, da viele bei verringerter Gesamtmenge an ausgebrachten Wirkstoffen eine verbesserte Wirkung gegen Schadpilze, insbesondere für bestimmte Indikationen, zeigen. Durch gleichzeitige gemeinsame oder getrennte Anwendung von Verbindung(en) I mit mindestens ei- nem Wirkstoff der Gruppen A) bis I) kann die fungizide Wirksamkeit in überadditivem Maße erhöht werden.In particular, the present invention also relates to fungicidal compositions comprising at least one compound of the general formula I and at least one further crop protection active ingredient, eg. B. selected from the active ingredients of the aforementioned groups A) to I), in particular at least one fungicidal active ingredient, in particular selected from the active compounds of the aforementioned groups A) to F), and optionally one or more agriculturally suitable carriers. With regard a reduction in the application rates, these mixtures are of interest, as many with reduced total amount of applied drugs show an improved activity against harmful fungi, especially for certain indications. By simultaneous joint or separate application of compound (s) I with at least one active compound of groups A) to I), the fungicidal activity can be increased to a superadditive extent.
Gemeinsame Anwendung im Sinne dieser Anmeldung bedeutet, dass der wenigstens eine Verbindung I und der wenigstens eine weitere Wirkstoff gleichzeitig am Wirkort (d.h. die zu bekämpfenden planzenschädigenden Pilzen und deren Lebensraum wie befallene Pflanzen, Pflanzenvermehrungsmaterialien, insebesondere Saatgut, Erdböden, Materialien oder Räume sowie die vor Pilzbefall zu schützenden Pflanzen, Pflanzenvermehrungsmaterialien, insbesondere Saatgut, Erdböden, Materialien oder Räume) in einer für eine wirksame Kontrolle des Pilzwachstums ausreichenden Menge vorliegen. Dies kann dadurch erreicht werden, dass man die Verbindungen I und min- destens einen weiteren Wirkstoff gemeinsam in einer gemeinsamen Wirkstoffaufbereitung oder in mindestens zwei getrennten Wirkstoffaufbereitungen gleichzeitig ausbringt oder indem man die Wirkstoffe nacheinander am Wirkort appliziert, wobei der zeitliche Abstand der einzelnen Wirkstoffapplikationen so gewählt wird, dass der zuerst ausgebrachte Wirkstoff zum Zeitpunkt der Applikation des/der weiteren Wirkstoffs/stoffe in ausreichender Menge am Wirkort vorliegt. Die zeitliche Reihenfolge des Ausbringens der Wirkstoffe ist von untergeordneter Bedeutung.Common application within the meaning of this application means that the at least one compound I and the at least one other active ingredient at the same time at the site of action (ie the attacking plant-damaging fungi and their habitat such as infested plants, plant propagation materials, insebesondere seed, soil, materials or rooms and the before Fungal attack on plants to be protected, plant propagation materials, in particular seeds, soil, materials or spaces) in an amount sufficient for effective control of fungal growth. This can be achieved by simultaneously applying the compounds I and at least one further active ingredient together in a common active ingredient preparation or in at least two separate active ingredient preparations or by applying the active ingredients one after the other at the site of action, whereby the time interval of the individual active substance applications is selected is that the first applied active ingredient at the time of application of / the other drug / substances in sufficient amount is present at the site of action. The time sequence of the application of the active ingredients is of minor importance.
In binären Mischungen, d. h. erfindungsgemäßen Zusammensetzungen, die eine Verbindung I und einen weiteren Wirkstoff, z.B. einen Wirkstoff aus den Gruppen A) bis I) enthalten, liegt das Gewichtsverhältnis von Verbindung I zum weiteren Wirkstoff hängt das Gewichtsverhältnis von Verbindung I zum 1. weiteren Wirkstoff von den Eigenschaften der jeweiligen Wirkstoffe ab, üblicherweise liegt es im Bereich von 1 :100 bis 100:1 , häufig im Bereich von 1 :50 bis 50:1 , vorzugsweise im Bereich von 1 :20 bis 20:1 , besonders bevorzugt im Bereich von 1 :10 bis 10:1 , insbesondere im Bereich von 1 :3 zu 3:1. Die Komponenten der erfindungsgemäßen Zusammensetzung können einzeln oder bereits gemischt oder als Teile nach dem Baukastenprinzip (kit of parts) verpackt und weiterverwendet werden.In binary mixtures, d. H. Compositions of the invention comprising a compound I and another active agent, e.g. contain an active compound from groups A) to I), the weight ratio of compound I to the other active ingredient depends on the weight ratio of compound I to 1 further active ingredient on the properties of the respective active ingredients, it is usually in the range of 1: 100 bis 100: 1, often in the range from 1:50 to 50: 1, preferably in the range from 1:20 to 20: 1, particularly preferably in the range from 1:10 to 10: 1, in particular in the range from 1: 3 to 3 :1. The components of the composition according to the invention can be mixed individually or already mixed or packaged as parts according to the kit of parts and reused.
In einer Ausgestaltung der Erfindung können die Kits (Baukästen) ein oder mehrere, auch alle, Komponenten enthalten, die zur Herstellung einer erfindungsgemäßen agro- chemischen Zusammensetzung verwendet werden können. Bespielsweise können diese Kits ein oder mehrere Fungizid-Komponente(n) und/oder eine Adjuvans-Komponen- te und/oder eine Insektizid-Komponente und/oder eine Wachstumsregulator-Komponente und/oder ein Herbizid enthalten. Ein oder mehrere Komponenten können miteinander kombiniert oder vorformuliert vorliegen. In den Ausgestaltungen, in denen mehr als zwei Komponenten in einem Kit bereitgestellt werden, können die Komponenten miteinander kombiniert und in einem einzelnen Behältnis wie einem Gefäß, Flasche, Dose, Beutel, Sack oder Kanister verpackt vorliegen. In anderen Ausgestaltungen, können zwei oder mehr Komponenten eines Kits getrennt verpackt sein, d. h. nicht vorformuliert bzw. gemischt. Kits können ein oder mehrere gesonderte Behältnisse wie Gefäße, Flaschen, Dosen, Beutel, Säcke oder Kanister enthalten, wobei jedes Behältnis eine gesonderte Komponente der agrochemischen Zusammensetzung enthält. Die Komponenten der erfindungsgemäßen Zusammensetzung können einzeln oder bereits gemischt oder als Teile nach dem Baukastenprinzip (,kit of parts') verpackt und weiterverwendet werden. In beiden Formen kann eine Komponente getrennt oder zusammen mit den weiteren Komponenten oder als Bestandteil eines erfindungsgemäßen ,kit of parts' zur Herstellung der erfindungsgemäßen Mischung verwendet werden. Der Anwender verwendet die erfindungsgemäße Zusammensetzung üblicherweise für die Anwendung in einer Vordosiereinrichtung, im Rückenspritzer, im Spritztank oder im Sprühflugzeug. Dabei wird die agrochemische Zusammensetzung mit Wasser und/oder Puffer auf die gewünschte Anwendungskonzentration gebracht, wobei gegebenenfalls weitere Hilfsstoffe zugegeben werden, und so die anwendungsbereite Spritzbrühe bzw. die erfindungsgemäße agrochemische Zusammensetzung erhalten wird. Üblicherweise werden 50 bis 500 Liter der anwendungsbereiten Spritzbrühe pro Hektar landwirtschaftlicher Nutzfläche aufgebracht, bevorzugt 100 bis 400 Liter. Nach einer Ausführungsform kann der Anwender einzelne Komponenten wie z. B. Teile eines Kits oder einer Mischung der erfindungsgemäßen Zusammensetzung selber im Spritztank mischen und gegebenenfalls weitere Hilfsstoffe zugeben (Tankmix).In one embodiment of the invention, the kits (kits) may contain one or more, even all, components which can be used to prepare an agrochemical composition according to the invention. For example, these kits may contain one or more fungicidal component (s) and / or an adjuvant component and / or an insecticidal component and / or a growth regulator component and / or a herbicide. One or more components may be combined or pre-formulated. In embodiments where more than two components are provided in a kit, the components may be combined together and packaged in a single container such as a vessel, bottle, can, bag, sack or canister. In other embodiments, For example, two or more components of a kit may be packaged separately, ie, not pre-formulated or mixed. Kits may contain one or more separate containers such as containers, bottles, cans, bags, sacks or canisters, each container containing a separate component of the agrochemical composition. The components of the composition according to the invention can be mixed individually or already mixed or packaged as parts according to the "kit of parts" and reused. In both forms, one component can be used separately or together with the other components or as part of a kit of parts according to the invention for the preparation of the mixture according to the invention. The user usually uses the composition according to the invention for use in a pre-metering device, in the back splash, in the spray tank or in the spray plane. In this case, the agrochemical composition with water and / or buffer is brought to the desired application concentration, optionally further adjuvants are added, and thus the ready-spray mixture or the agrochemical composition according to the invention is obtained. Usually, 50 to 500 liters of ready-spray mixture per hectare of agricultural land, preferably 100 to 400 liters. In one embodiment, the user may include individual components such as B. mix parts of a kit or a mixture of the composition of the invention itself in the spray tank and optionally add further auxiliaries (tank mix).
In einer weiteren Ausführungsform kann der Anwender sowohl einzelne Komponenten der erfindungsgemäßen Zusammensetzung als auch teilweise vorgemischte Komponenten, beispielsweise Komponenten enthaltend Verbindungen I und/oder Wirkstoffe aus den Gruppen A) bis I), im Spritztank mischen und gegebenenfalls weitere Hilfsmit- tel zugeben (Tankmix).In a further embodiment, the user can mix both individual components of the composition according to the invention and partially premixed components, for example components containing compounds I and / or active compounds from groups A) to I), in the spray tank and optionally add further auxiliaries (tank mix). ,
In einer weiteren Ausführungsform kann der Anwender sowohl einzelne Komponenten der erfindungsgemäßen Zusammensetzung als auch teilweise vorgemischte Komponenten, beispielsweise Komponenten enthaltend Verbindungen I und/oder Wirkstoffe aus den Gruppen A) bis I), gemeinsam (z. B. als Tankmix) oder nacheinander anwen- den.In a further embodiment, the user can use both individual components of the composition according to the invention and partially premixed components, for example components containing compounds I and / or active compounds from groups A) to I), together (for example as a tank mix) or successively. the.
Bevorzugt sind Zusammensetzungen einer Verbindung I (Komponente I) mit mindestens einem Wirkstoff aus der Gruppe A) (Komponente 2) der Strobilurine und besonders ausgewählt aus Azoxystrobin, Dimoxystrobin, Fluoxastrobin, Kresoxim-methyl, Orysastrobin, Picoxystrobin, Pyraclostrobin und Trifloxystrobin. Bevorzugt sind auch Zusammensetzungen einer Verbindung I (Komponente I) mit mindestens einem Wirkstoff ausgewählt aus der Gruppe B) (Komponente 2) der Carboxa- mide und besonders ausgewählt aus Bixafen, Boscalid, Sedaxane, Fenhexamid, Meta- laxyl, Mefenoxam, Ofurace, Dimethomorph, Flumorph, Fluopicolid (Picobenzamid), Zoxamid, Carpropamid und Mandipropamid. Bevorzugt sind auch Zusammensetzungen einer Verbindung I (Komponente I) mit mindestens einem Wirkstoff ausgewählt aus der Gruppe C) (Komponente 2) der Azole und besonders ausgewählt aus Cyproconazol, Difenoconazol, Epoxiconazol, Fluquincona- zol, Flusilazol, Flutriafol, Metconazol, Myclobutanil, Penconazol, Propiconazol, Prothio- conazol, Triadimefon, Triadimenol, Tebuconazol, Tetraconazol, Triticonazol, Prochlo- raz, Cyazofamid, Benomyl, Carbendazim und Ethaboxam.Preference is given to compositions of a compound I (component I) with at least one active ingredient from group A) (component 2) of strobilurins and especially selected from azoxystrobin, dimoxystrobin, fluoxastrobin, kresoxim-methyl, orysastrobin, picoxystrobin, pyraclostrobin and trifloxystrobin. Preference is also given to compositions of a compound I (component I) having at least one active compound selected from group B) (component 2) of the carboxamides and especially selected from bixafen, boscalid, sedaxane, fenhexamide, metaxaxyl, mefenoxam, ofurace, dimethomorph , Flumorph, fluopicolide (picobenzamide), zoxamide, carpropamide and mandipropamide. Also preferred are compositions of a compound I (component I) with at least one active compound selected from the group C) (component 2) of the azoles and especially selected from cyproconazole, difenoconazole, epoxiconazole, fluquincona zol, flusilazole, flutriafol, metconazole, myclobutanil, penconazole, propiconazole, prothio- conazole, triadimefon, triadimenol, tebuconazole, tetraconazole, triticonazole, proclo- raz, cyazofamide, benomyl, carbendazim and ethaboxam.
Bevorzugt sind auch Zusammensetzungen einer Verbindung I (Komponente I) mit min- destens einem Wirkstoff ausgewählt aus der Gruppe D) (Komponente 2) der stickstoffhaltigen Heterocyclylverbindungen und besonders ausgewählt aus Fluazinam, Cypro- dinil, Fenarimol, Mepanipyrim, Pyrimethanil, Triforin, Fludioxonil, Fodemorph, Fenpro- pimorph, Tridemorph, Fenpropidin, Iprodion, Vinclozolin, Famoxadon, Fenamidon, Probenazol, Proquinazid, Acibenzolar-S-methyl, Captafol, Folpet, Fenoxanil und Quin- oxyfen.Also preferred are compositions of a compound I (component I) with at least one active ingredient selected from group D) (component 2) of the nitrogen-containing heterocyclyl compounds and especially selected from fluazinam, cyprinil, fenarimol, mepanipyrim, pyrimethanil, triforin, fludioxonil, Fodemorph, fenpropimorph, tridemorph, fenpropidin, iprodione, vinclozolin, famoxadone, fenamidone, probenazole, proquinazid, acibenzolar-S-methyl, captafol, folpet, fenoxanil and quinoxyfen.
Bevorzugt sind auch Zusammensetzungen einer Verbindung I (Komponente I) mit mindestens einem Wirkstoff ausgewählt aus der Gruppe E) (Komponente 2) der Carbama- te und besonders ausgewählt aus Mancozeb, Metiram, Propineb, Thiram, Iprovalicarb, Benthiavalicarb und Propamocarb. Bevorzugt sind auch Zusammensetzungen einer Verbindung I (Komponente I) mit mindestens einem Wirkstoff ausgewählt aus den Fungiziden der Gruppe F) (Komponente 2) und besonders ausgewählt aus Dithianon, Fentin-Salze, wie Fentinacetat, Fosetyl, Fosetyl-Aluminium, H3PO3 und deren Salze, Chlorothalonil, Dichlofluanid, Thiophanat- methyl, Kupferacetat, Kupferhydroxid, Kupferoxychlorid, Kupfersulfat, Schwefel, Cymo- xanil, Metrafenon, Spiroxamin und 5-chloro-7-(4-methylpiperidin-1-yl)-6-(2,4,6- trifluorophenyl)-[1 ,2,4]-triazolo[1 ,5-a]pyrimidin.Preference is also given to compositions of a compound I (component I) having at least one active compound selected from the group E) (component 2) of the carbamates and especially selected from mancozeb, metiram, propineb, thiram, iprovalicarb, benthiavalicarb and propamocarb. Preference is also given to compositions of a compound I (component I) having at least one active ingredient selected from the fungicides of group F) (component 2) and especially selected from dithianone, fentin salts such as fentin acetate, fosetyl, fosetyl-aluminum, H3PO3 and salts thereof , Chlorothalonil, dichlofluanid, thiophanate-methyl, copper acetate, copper hydroxide, copper oxychloride, copper sulfate, sulfur, cymoxanil, metrafenone, spiroxamine and 5-chloro-7- (4-methylpiperidin-1-yl) -6- (2,4, 6-trifluorophenyl) - [1, 2,4] -triazolo [1,5-a] pyrimidine.
Demgemäß betrifft die vorliegenden Erfindung ferner Zusammensetzungen einer Verbindung I (Komponente 1) mit einem weiteren Wirkstoff (Komponente 2), letzterer aus- gewählt aus den Zeilen D-1 bis D-416 in der Spalte „Komponente 2" der Tabelle D. Eine weitere Ausgestaltung der Erfindung betrifft die in der Tabelle D aufgeführten Zusammensetzungen D-1 bis D-416, wobei jeweils eine Zeile der Tabelle D einer agrochemischen Zusammensetzung entspricht, umfassend eine Verbindung der Formel I (Komponente 1), welche vorzugsweise eine der hierin als bevorzugt beschriebenen Verbindungen ist, und den jeweils in der betreffenden Zeile angegebenen weiteren Wirkstoff aus den Gruppen A bis I (Komponente 2). Gemäß einer Ausgestaltung der Erfindung ist Komponente 1 in jeder Zeile der Tabelle D jeweils eine der in den Tabellen 1 a bis 308a spezifisch individualisierten Verbindungen der Formel I. Die Wirkstoffe in den beschriebenen Zusammensetzungen liegen jeweils vorzugsweise in syner- gistisch wirksamen Mengen vor.Accordingly, the present invention further relates to compositions of a compound I (component 1) with a further active ingredient (component 2), the latter selected from the lines D-1 to D-416 in the column "component 2" of Table D. Embodiment of the invention relates to the compositions D-1 to D-416 listed in Table D, wherein in each case one row of Table D corresponds to an agrochemical composition comprising a compound of formula I (component 1), which is preferably one of those described herein as preferred Compounds, and the further active ingredient specified in each row from groups A to I (component 2) According to one embodiment of the invention, component 1 in each row of table D is in each case one of the individualized ones in tables 1a to 308a Compounds of the formula I. The active compounds in the compositions described are each preferably in synergistic wi effective quantities.
Tabelle D: Wirkstoffzusammensetzung, umfassend eine individualisierte Verbindung I und einen weiteren Wirkstoff aus den Gruppen A) bis I).Table D: Active ingredient composition comprising an individualized compound I and another active compound from groups A) to I).
Die vorstehend als Komponente 2 genannten Wirkstoffe, ihre Herstellung und ihre Wirkung gegen Schadpilze sind bekannt (vgl. :http://www.hclrss. demon.co.uk/index. html; http://www.alanwood.net/pesticides/); sie sind kommerziell erhältlich. Die nach IUPAC benannten Verbindungen, ihre Herstellung und ihre fungizide Wirkung sind ebenfalls bekannt (vgl. Can. J. Plant Sei. 48(6), 587-94, 1968; EP-A 141 317; EP-A 152 031 ; EP- A 226 917; EP-A 243 970; EP-A 256 503; EP-A 428 941 ; EP-A 532 022; EP-A 1 028 125; EP-A 1 035 122; EP-A 1 201 648; EP-A 1 122 244, JP 2002316902; DE 19650197; DE 10021412; DE 102005009458; US 3,296,272; US 3,325,503; WO 98/46608; WO 99/14187; WO 99/24413; WO 99/27783; WO 00/29404; WO 00/46148; WO 00/65913; WO 01/54501 ; WO 01/56358; WO 02/22583; WO 02/40431 ; WO 03/10149; WO 03/11853; WO 03/14103; WO 03/16286; WO 03/53145; WO 03/61388; WO 03/66609; WO 03/74491 ; WO 04/49804; WO 05/120234; WO 05/123689; WO 05/123690; WO 05/63721 ; WO 05/87772; WO 05/87773; WO 06/15866; WO 06/87325; WO 06/87343; WO 07/82098; WO 07/90624).The active ingredients mentioned above as component 2, their preparation and their action against harmful fungi are known (see: http: //www.hclrss. Demon.co.uk/index.html; http://www.alanwood.net/pesticides /); they are commercially available. The compounds named after IUPAC, their preparation and their fungicidal action are also known (see Can. J. Plant Sci 48 (6), 587-94, 1968; EP-A 141 317; EP-A 152 031; A 226 917, EP-A 243 970, EP-A 256 503, EP-A 428 941, EP-A 532 022, EP-A 1 028 125, EP-A 1 035 122, EP-A 1 201 648, EP DE 1 922 244, JP 2002316902, DE 19650197, DE 10021412, DE 102005009458, US 3,296,272, US 3,325,503, WO 98/46608, WO 99/14187, WO 99/24413, WO 99/27783, WO 00/29404, WO WO 00/65913, WO 01/54501, WO 01/56358, WO 02/22583, WO 02/40431, WO 03/10149, WO 03/11853, WO 03/14103, WO 03/16286, WO WO 03/63688, WO 03/61388, WO 03/66609, WO 03/74491, WO 04/49804, WO 05/120234, WO 05/123689, WO 05/123690, WO 05/63721, WO 05/87772, WO WO 06/15866, WO 06/87325, WO 06/87343, WO 07/82098, WO 07/90624).
Die Herstellung der Zusammensetzungen für Mischungen von Wirkstoffen erfolgt in bekannter Weise in Form von Zusammensetzungen enthaltend neben den Wirkstoffen ein Lösungsmittel oder festen Trägerstoff, z. B. in der Weise wie für Zusammensetzungen der Verbindungen I angegeben.The preparation of the compositions for mixtures of active ingredients in a known manner in the form of compositions containing in addition to the active ingredients, a solvent or solid carrier, for. B. in the manner as indicated for compositions of the compounds I.
Bezüglich der üblichen Inhaltsstoffe solcher Zusammensetzungen wird auf die Ausführungen zu den Zusammensetzungen enthaltend die Verbindungen I verwiesen. Die Zusammensetzungen für Mischungen von Wirkstoffen eignen sich als Fungizide zur Bekämpfung von Schadpilzen. Sie zeichnen sich aus durch eine hervorragende Wirksamkeit gegen ein breites Spektrum von pflanzenpathogenen Pilzen einschließlich bodenbürtiger Pathogene, welche insbesondere aus den Klassen der Plasmodiopho- rcnmyceten, Peronosporomyceten (Syn. Oomyceten), Chytridiomyceten, Zygomyce- ten, Ascomyceten, Basidiomyceten und Deuteromyceten (Syn. Fungi imperfecti) stammen. Desweiteren wird auf die Ausführungen zur Wirksamkeit der Verbindungen I und der Zusammensetzungen enthaltend die Verbindungen I verwiesen.With regard to the usual ingredients of such compositions, reference is made to the comments on the compositions containing the compounds I. The compositions for mixtures of active substances are suitable as fungicides for controlling harmful fungi. They are distinguished by outstanding activity against a broad spectrum of phytopathogenic fungi, including soil-borne pathogens, which in particular from the classes of the Plasmodiophore mycetes, Peronosporomycetes (Syn. Oomycetes), Chytridiomycetes, Zygomyces, Ascomycetes, Basidiomycetes and Deuteromycetes (Syn. Fungi imperfecti). Furthermore, reference is made to the comments on the effectiveness of the compounds I and the compositions containing the compounds I.
Ein weiterer Gegenstand der vorliegenden Erfindung ist die Verwendung von Verbindungen I und deren pharmazeutisch verträglichen Salzen zur Behandlung von Krankheiten, insbesondere die Verwendung der Verbindungen I als Antimykotikum. Somit betrifft eine Ausführungsform der Erfindung ein Arzneimittel, umfassend mindestens eine Verbindung der Formel I und/oder ein pharmazeutisch verträgliches Salz davon. Eine weitere Ausführungsform betrifft die Verwendung einer Verbindung I und/oder eines pharmazeutisch wirksamen Salzes davon zur Herstellung eines Antimykotikums.Another object of the present invention is the use of compounds I and their pharmaceutically acceptable salts for the treatment of diseases, in particular the use of the compounds I as an antimycotic. Thus, one embodiment of the invention relates to a pharmaceutical composition comprising at least one compound of the formula I and / or a pharmaceutically acceptable salt thereof. Another embodiment relates to the use of a compound I and / or a pharmaceutically active salt thereof for the manufacture of an antimycotic.
Noch ein weiterer Gegenstand der vorliegenden Erfindung ist die Verwendung von Verbindungen Il und deren pharmazeutisch verträglichen Salzen zur Behandlung von Krankheiten, insbesondere die Verwendung der Verbindungen Il als Antimykotikum. Somit betrifft eine Ausführungsform der Erfindung ein Arzneimittel, umfassend mindestens eine Verbindung der Formel Il und/oder ein pharmazeutisch verträgliches Salz davon. Eine weitere Ausführungsform betrifft die Verwendung einer Verbindung Il und/oder eines pharmazeutisch wirksamen Salzes davon zur Herstellung eines Anti- mykotikums.Yet another object of the present invention is the use of compounds II and their pharmaceutically acceptable salts for the treatment of diseases, in particular the use of the compounds II as an antifungal. Thus, one embodiment of the invention relates to a pharmaceutical composition comprising at least one compound of the formula II and / or a pharmaceutically acceptable salt thereof. A further embodiment relates to the use of a compound II and / or a pharmaceutically active salt thereof for the production of an antimycotic.
Noch ein weiterer Gegenstand der vorliegenden Erfindung ist die Verwendung von Verbindungen I und deren pharmazeutisch verträglichen Salzen zur Behandlung von Tumoren bei Säugetieren, wie zum Beispiel bei Menschen. Somit betrifft eine Ausfüh- rungsform der Erfindung die Verwendung einer Verbindung I und/oder eines pharmazeutisch wirksamen Salzes davon zur Herstellung eines Mittels, das das Wachstum von Tumoren und Krebs in Säugetieren inhibiert. Mit "Krebs" ist insbesondere ein bösartiger oder maligner Tumor gemeint, z.B. Brustkrebs, Prostatakrebs, Lungenkrebs, ZNS-Krebs, Melanokarzinome, Ovarialkarzinom oder Nierenkrebs, insbesondere beim Menschen.Yet another object of the present invention is the use of compounds I and their pharmaceutically acceptable salts for the treatment of tumors in mammals, such as humans. Thus, one embodiment of the invention relates to the use of a compound I and / or a pharmaceutically acceptable salt thereof for the manufacture of an agent which inhibits the growth of tumors and cancer in mammals. By "cancer" is meant in particular a malignant or malignant tumor, e.g. Breast cancer, prostate cancer, lung cancer, CNS cancer, melanocarcinoma, ovarian cancer or kidney cancer, especially in humans.
Noch ein weiterer Gegenstand der vorliegenden Erfindung ist die Verwendung von Verbindungen I und deren pharmazeutisch verträglichen Salzen zur Behandlung von Virusinfektionen, insbesondere Virusinfektionen, welche zu Erkrankungen beim Warm- blüter führen. Somit betrifft eine Ausführungsform der Erfindung die Verwendung einer Verbindung I und/oder eines pharmazeutisch wirksamen Salzes davon zur Herstellung eines Mittels zur Behandlung von Virusinfektionen. Die zu behandelnden Viruserkran- kungen schließen Retroviruserkrankungen wie z.B: HIV und HTLV, Influenzavirus, Rhi- noviruserkrankungen, Herpes und dergleichen ein.Yet another object of the present invention is the use of compounds I and their pharmaceutically acceptable salts for the treatment of viral infections, in particular viral infections, which lead to diseases in warm-blooded animals. Thus, one embodiment of the invention relates to the use of a compound I and / or a pharmaceutically active salt thereof for the manufacture of an agent for the treatment of viral infections. The viral diseases to be treated diseases include, for example, HIV and HTLV, influenza virus, rhinovirus diseases, herpes and the like.
Synthesebeispiele:Synthesis Examples:
Die in den folgenden Synthesebeispielen angegebenen Vorschriften wurden unter entsprechender Abwandlung der Ausgangsverbindungen zur Gewinnung weiterer Verbindungen der Formel I bzw. der Vorstufen davon benutzt. Schmelzpunkte wurden auf auf einem Mel-Temp 11 Gerät erhalten und sind unkorrigiert. 1 H-NMR Spektren wurden auf einem Bruker AC 300 Spektrometer bei 300 MHz gemessen und sind auf Tetramethylsilan als internen Standard bezogen (bezogen von Aldrich oder Cambridge Isotope Laboratories). ESI Massenspektren wurden auf einem Shimadzu LCMS-2010 EV Massenspektrome- ter gemessen. APCI Massenspektren wurden auf einem Shimadzu LCMS-2010 EV Massenspektrometer gemessen.The instructions given in the following synthesis examples were used with appropriate modification of the starting compounds to obtain further compounds of the formula I or the precursors thereof. Melting points were obtained on a Mel-Temp 11 instrument and are uncorrected. 1 H-NMR spectra were measured on a Bruker AC 300 spectrometer at 300 MHz and are based on tetramethylsilane as internal standard (obtained from Aldrich or Cambridge Isotope Laboratories). ESI mass spectra were measured on a Shimadzu LCMS-2010 EV mass spectrometer. APCI mass spectra were measured on a Shimadzu LCMS-2010 EV mass spectrometer.
Beispiel 1 Synthese von 1-{[(2SR,3RS)-3-(2-Chlor-3-fluorpyridin-4-yl)-2-(4- fluorphenyl)oxiran-2-yl]methyl}-1 H-1 ,2,4-triazol-5(4H)-thion (= 1 -{[rel-Example 1 Synthesis of 1 - {[(2SR, 3RS) -3- (2-chloro-3-fluoropyridin-4-yl) -2- (4-fluorophenyl) oxiran-2-yl] methyl} -1 H-1 , 2,4-triazole-5 (4H) -thione (= 1 - {[relative
(2S,3R)-3-(2-Chlor-3-fluorpyridin-4-yl)-2-(4-fluorphenyl)oxiran-2-yl]methyl}- 1 H-1 ,2,4-triazol-5(4H)-thion)(2S, 3R) -3- (2-chloro-3-fluoropyridin-4-yl) -2- (4-fluorophenyl) oxiran-2-yl] methyl} -1H-1,2,4-triazole-5 (4H) -thione)
Zu einer Lösung von 1-{[(2SR,3RS)-3-(2-Chlor-3-fluorpyridin-4-yl)-2-(4-fluorphenyl)- oxiran-2-yl]methyl}-1 H-1 ,2,4-triazol (90 mg, 0.26 mmol) in wasserfreiem Tetrahydro- furan (3 mL) wurde bei -78 0C langsam n-Butyllithium (0.2 mL einer 1.6 M Lösung in Hexan, 0.32 mmol) zugegeben. Das Reaktionsgemisch wurde 10 min bei dieser Temperatur gerührt und mit Schwefel (16 mg, 0.516 mmol) in Tetrahydrofuran (0.5 mL) versetzt. Die Reaktionslösung wurde für weitere drei Stunden bei -78 0C gerührt und anschließend Methanol (1.0 mL) und Ethylacetat (50 mL) zugegeben. Die organische Phase wurde mit gesättigter Kochsalzlösung gewaschen (3 x 20 mL) abgetrennt und über Natriumsulfat getrocknet. Der nach Entfernen des Lösungsmittels erhaltene Rückstand wurde säulenchromatographisch aufgereinigt (Kieselgel, Ethylacetat/Dichlor- methan = 1 :1 ). Man erhielt 45 mg eines zunächst noch verunreinigten Produktes, das nach mehrfachem Umkristallisieren aus Dichlormethan/Hexan die Zielverbindung (25 mg, 0.07 mmol, 25 %) lieferte. 1H-NMR (CD3OD): δ = 8.07 (d, J = 6.0 Hz, 1 H), 7.82 (s, 1 H), 7.37 (dd, J = 6.0, 3.0 Hz, 1 H), 7.32-7.27 (m, 2H), 7.10 (t, J = 9.0 Hz, 2H), 5.49 (s, 1 H), 5.19 (d, J = 12.0 Hz, 1 H), 4.80 (d, J = 12.0 Hz, 1 H).To a solution of 1 - {[(2SR, 3RS) -3- (2-chloro-3-fluoropyridin-4-yl) -2- (4-fluorophenyl) oxiran-2-yl] methyl} -1 H- 1, 2,4-triazole (90 mg, 0:26 mmol) in anhydrous tetrahydro- furan (3 mL) was added at -78 0 C was slowly added n-butyllithium (0.2 mL of a 1.6 M solution in hexanes, 0:32 mmol). The reaction mixture was stirred for 10 min at this temperature and sulfur (16 mg, 0.516 mmol) in tetrahydrofuran (0.5 mL) was added. The reaction solution was stirred for a further three hours at -78 0 C and then methanol (1.0 mL) and ethyl acetate (50 mL) was added. The organic phase was washed with saturated brine (3 x 20 mL) and dried over sodium sulfate. The residue obtained after removal of the solvent was purified by column chromatography (silica gel, ethyl acetate / dichloromethane = 1: 1). 45 mg of an initially contaminated product were obtained which, after repeated recrystallization from dichloromethane / hexane, yielded the target compound (25 mg, 0.07 mmol, 25%). 1 H-NMR (CD 3 OD): δ = 8.07 (d, J = 6.0 Hz, 1 H), 7.82 (s, 1 H), 7.37 (dd, J = 6.0, 3.0 Hz, 1 H), 7.32- 7.27 (m, 2H), 7.10 (t, J = 9.0 Hz, 2H), 5.49 (s, 1H), 5.19 (d, J = 12.0 Hz, 1H), 4.80 (d, J = 12.0 Hz, 1 H).
Beispiel 2: Synthese von 1-[rel-(2S,3R)-3-(2-Chlorpyridin-3-yl)-2-(4-fluorphenyl)oxiran- 2-ylmethyl]-1 H-1 ,2,4-triazol-5(4H)-thion Zu einer Lösung von rel-(2S,3R)-2-Chlor-3-[3-(4-fluorphenyl)-3-[1 ,2,4]triazol-1-ylmethyl- oxiranyl]-pyridin (1.3 g, 4.0 mmol) in wasserfreiem THF (20 ml_) wurde bei 78 0C tropfenweise LDA (2.7 mL, 5.5 mmol, 2.0 M in THF) zugegeben. Nach 30 min. wurde Schwefel (256 mg, 8.0 mmol) zugegeben, das Reaktionsgemisch langsam auf 20 0C erwärmt und anschließend für 18 h nachgerührt. Anschließend wurde mit gesättigter NH4CI-Lösung behandelt und die Reaktionslösung mit EtOAc (50 ml) extrahiert. Die organische Phase wurde mit gesättigter Kochsalzlösung (3 x 40 ml) gewaschen, über Na2SO4 getrocknet und vom Lösungsmittel befreit. Der so erhaltene Rückstand wurde säulenchromatographisch (Kieselgel, Hexan/EtOAc) aufgereinigt und 2 x aus He- xan/CH2Cb auskristallisiert. Es wurden (550 mg, 39%) des Zielproduktes in Form eines gelben Feststoffes isoliert.Example 2: Synthesis of 1- [rel- (2S, 3R) -3- (2-chloropyridin-3-yl) -2- (4-fluorophenyl) oxiran-2-ylmethyl] -1H-1, 2,4 triazol-5 (4H) -thione To a solution of rel- (2S, 3R) -2-chloro-3- [3- (4-fluorophenyl) -3- [1,2,4] triazol-1-ylmethyl-oxiranyl] -pyridine (1.3 g, 4.0 mmol) (dissolved in anhydrous THF 20 mL) was added at 78 0 C was added dropwise LDA (2.7 mL, 5.5 mmol, 2.0 M in THF) was added. After 30 min. Sulfur (256 mg, 8.0 mmol) was added, the reaction mixture slowly warmed to 20 0 C and then stirred for 18 h. It was then treated with saturated NH 4 Cl solution and the reaction solution extracted with EtOAc (50 ml). The organic phase was washed with saturated brine (3 × 40 ml), dried over Na 2 SO 4 and freed from the solvent. The residue thus obtained was purified by column chromatography (silica gel, hexane / EtOAc) and crystallized twice from hexane / CH 2 Cl. There were isolated (550 mg, 39%) of the target product in the form of a yellow solid.
; 1H NMR (300 MHz, CDCI3) δ 1 1.20 (s, 1 H), 8.43 (dd, 1 H, J = 1.8, 4.8 Hz), 7.94-7.97 (m, 1 H), 7.64 (s, 1 H), 7.51-7.55 (m, 2H), 7.36 (dd, 1 H, J = 4.8, 7.5 Hz), 7.00-7.08 (m, 2H), 4.94 (d, 1 H, J = 14.7 Hz), 4.14 (s, 1 H), 3.88 (d, 1 H, J = 15.0 Hz); 1 H NMR (300 MHz, CDCl 3 ) δ 1 1.20 (s, 1 H), 8.43 (dd, 1 H, J = 1.8, 4.8 Hz), 7.94-7.97 (m, 1 H), 7.64 (s, 1 H), 7.51-7.55 (m, 2H), 7.36 (dd, 1 H, J = 4.8, 7.5 Hz), 7.00-7.08 (m, 2H), 4.94 (d, 1 H, J = 14.7 Hz), 4.14 (s, 1 H), 3.88 (d, 1 H, J = 15.0 Hz)
Beispiele 3 und 4 lassen sich analog zu Beispiel 2 herstellen, indem man die betreffenden Triazolverbindungen mit Schwefel umsetzt.Examples 3 and 4 can be prepared analogously to Example 2 by reacting the relevant triazole compounds with sulfur.
Beispiel 3: Synthese von 1-[rel-(2S,3R)-2-(4-Fluorphenyl)-3-(pyridin-4-yl)-oxiran-2- ylmethyl]-1 H-1 ,2,4-triazol-5(4H)-thionExample 3: Synthesis of 1- [rel- (2S, 3R) -2- (4-fluorophenyl) -3- (pyridin-4-yl) oxiran-2-ylmethyl] -1H-1, 2,4- triazol-5 (4H) -thione
Schmelzpunkt 143-147°CMelting point 143-147 ° C
Beispiel 4: Synthese von 1-[rel-(2S,3R)-3-(2-Chlor-thiophen-3-yl)-2-(2,4- difluorphenyl)oxiran-2-ylmethyl]-1 H-1 ,2,4-triazol-5(4H)-thion 1H NMR (300 MHz, CDCI3) δ 7.7 (s, 1 H), 7.35-7.15 (m, 3H), 6.92-6.70 (m, 2H), 4.88 (d, 1 H), 4.12 (d, 1 H), 4.10 (s, 1 H)Example 4: Synthesis of 1- [rel- (2S, 3R) -3- (2-chloro-thiophen-3-yl) -2- (2,4-difluorophenyl) oxiran-2-ylmethyl] -1H-1 , 2,4-triazole-5 (4H) -thione 1H NMR (300 MHz, CDCl 3 ) δ 7.7 (s, 1H), 7.35-7.15 (m, 3H), 6.92-6.70 (m, 2H), 4.88 (d, 1H), 4.12 (d, 1H), 4.10 (s, 1H)
Beispiel 5: Synthese von 1-[rel-(2S,3R)-3-(2-Fluorphenyl)-2-(thiophen-2-yl)oxiran-2- ylmethyl]-5-(methylthio)-1 H-1 ,2,4-triazol Zu einer Lösung von 1-[rel-(2S,3R)-3-(2-Fluorphenyl)-2-thiophen-2-yl-oxiranylmethyl]- 1 H-[1 ,2,4]triazol (100 mg, 0.33 mmol) in wasserfreiem THF (4 ml) wurde bei -78 0C tropfenweise LDA (0.2 mL, 0.4 mmol, 2.0 M in THF) zugegeben. Nach 15 min wurde Dimethyldisulfid (38 μL, 0.4 mmol) zugegeben und die Lösung für weitere 4 h bei dieser Temperatur gerührt. Anschließend wurde das Reaktionsgemisch mit gesättigter NH4CI-Lösung (4 ml) behandelt und mit EtOAc (20 ml) extrahiert). Die organische Phase wurde mit gesättigter Kochsalzlösung (3 x 20 ml) gewaschen, über Na2SÜ4 getrocknet und vom Lösungsmittel befreit. Der so erhaltene Rückstand wurde säulenchromatographisch (Kieselgel, Hexan/EtOAc) aufgereinigt. Man erhielt nach Vereinigen der entsprechenden Fraktionen 25 mg (22 %) des Zielproduktes in Form eines gelben Öles. 1H NMR (300 MHz, CDCI3) δ 7.78 (s, 1 H), 7.50-7.58 (m, 1 H), 7.30-7.40 (m, 1 H), 7.20- 7.26 (m, 2H), 7.09-7.17 (m, 1 H), 7.05-7.07 (m, 1 H), 6.97-6.95 (m, 1 H), 4.53 (d, 1 H, J = 15.0 Hz), 4.44 (s, 1 H), 4.1 1 (d, 1 H, J = 15.0 Hz), 2.54 (s, 3H)Example 5: Synthesis of 1- [rel- (2S, 3R) -3- (2-fluorophenyl) -2- (thiophen-2-yl) oxiran-2-ylmethyl] -5- (methylthio) -1H-1 , 2,4-triazole To a solution of 1- [rel- (2S, 3R) -3- (2-fluorophenyl) -2-thiophen-2-yl-oxiranylmethyl] - 1 H- [1, 2,4] triazole (100 mg, 0:33 mmol) in anhydrous THF (4 ml) was added at -78 0 C was added dropwise LDA (0.2 mL, 0.4 mmol, 2.0 M in THF). After 15 min, dimethyl disulfide (38 μL, 0.4 mmol) was added and the solution was stirred for a further 4 h at this temperature. Then, the reaction mixture was treated with saturated NH 4 Cl solution (4 ml) and extracted with EtOAc (20 ml). The organic phase was washed with saturated brine (3 × 20 ml), dried over Na 2 SO 4 and freed from the solvent. The residue thus obtained was purified by column chromatography (silica gel, hexane / EtOAc). After combining the appropriate fractions, 25 mg (22%) of the target product were obtained in the form of a yellow oil. 1 H NMR (300 MHz, CDCl 3 ) δ 7.78 (s, 1H), 7.50-7.58 (m, 1H), 7.30-7.40 (m, 1H), 7.20- 7.26 (m, 2H), 7.09- 7.17 (m, 1H), 7.05-7.07 (m, 1H), 6.97-6.95 (m, 1H), 4.53 (d, 1H, J = 15.0 Hz), 4.44 (s, 1H), 4.1 1 (d, 1 H, J = 15.0 Hz), 2.54 (s, 3H)
Beispiel 6: Synthese von rel-(2S,3R)-2-Chlor-3-[3-(4-fluorophenyl)-3-(5-methylthio)-Example 6: Synthesis of rel- (2S, 3R) -2-chloro-3- [3- (4-fluorophenyl) -3- (5-methylthio) -
1 H-1 ,2,4-triazol-1-ylmethyl)oxiran-2-yl]pyridin1 H-1, 2,4-triazol-1-ylmethyl) oxiran-2-yl] pyridine
Zu einer Lösung von rel-(2S,3R)-2-Chlor-3-[3-(4-fluorphenyl)-3-[1 ,2,4]triazol-1-ylmethyl- oxiranyl]-pyridin (200 mg, 0.6 mmol) in wasserfreiem THF (5 ml) wurde bei -78 0C tropfenweise LDA (0.4 mL, 0.8 mmol, 2.0 M in THF) zugegeben. Nach 30 min wurde Dimethyldisulfid (75 μL, 0.8 mmol) zugegeben und die Lösung für weitere 4 h bei dieser Temperatur gerührt. Anschließend wurde das Reaktionsgemisch mit gesättigter NH4CI-Lösung (15 ml) behandelt und mit EtOAc (20 ml) extrahiert). Die organische Phase wurde mit gesättigter Kochsalzlösung (3 x 20 ml) gewaschen, über Na2SÜ4 getrocknet und vom Lösungsmittel befreit. Der so erhaltene Rückstand wurde säu- lenchromatographisch (Kieselgel, Hexan/EtOAc) aufgereinigt. Man erhielt nach Vereinigen der entsprechenden Fraktionen 95 mg (42 %) des Zielproduktes in Form eines gelben Feststoffes (Schmelzpunkt 119-1200C).To a solution of rel- (2S, 3R) -2-chloro-3- [3- (4-fluorophenyl) -3- [1,2,4] triazol-1-ylmethyl-oxiranyl] -pyridine (200 mg, 0.6 mmol) in anhydrous THF (5 ml) was added LDA (0.4 mL, 0.8 mmol, 2.0 M in THF) at -78 0 C dropwise. After 30 minutes, dimethyl disulfide (75 μL, 0.8 mmol) was added and the solution was stirred for a further 4 h at this temperature. Then, the reaction mixture was treated with saturated NH 4 Cl solution (15 ml) and extracted with EtOAc (20 ml). The organic phase was washed with saturated brine (3 × 20 ml), dried over Na 2 SO 4 and freed from the solvent. The residue thus obtained was purified by column chromatography (silica gel, hexane / EtOAc). After combination of the appropriate fractions gave 95 mg (42%) of the target product in the form of a yellow solid (m.p. 119-120 0 C).
1H NMR (300 MHz, CDCI3) δ 8.44 (dd, 1 H, J = 1.8, 4.8 Hz), 7.92-7.95 (m, 1 H), 7.72 (s, 1 H), 7.36-7.42 (m, 3H), 7.00-7.07 (m, 2H), 4.55 (d, 1 H, J = 14.7 Hz), 4.17 (s, 1 H), 3.92 (d, 1 H, J = 15.0 Hz), 2.49 (s, 3H) 1 H NMR (300 MHz, CDCl 3 ) δ 8.44 (dd, 1 H, J = 1.8, 4.8 Hz), 7.92-7.95 (m, 1 H), 7.72 (s, 1 H), 7.36-7.42 (m, 3H), 7.00-7.07 (m, 2H), 4.55 (d, 1 H, J = 14.7 Hz), 4.17 (s, 1 H), 3.92 (d, 1 H, J = 15.0 Hz), 2.49 (s, 3H)
Die Beispiele 7, 8 und 9 lassen sich analog zu Beispiel 5 und 6 herstellen, indem man die betreffenden Triazolverbindungen mit Dimethyldisulfid umsetzt.Examples 7, 8 and 9 can be prepared analogously to Example 5 and 6 by reacting the relevant triazole compounds with dimethyl disulfide.
Beispiel 7: Synthese von 1-[rel-(2S,3R)-2-(4-Fluorphenyl)-3-(pyridin-4-yl)-oxiran-2- ylmethyl]- 5-(methylthio)-1 H-1 ,2,4-triazol 1H NMR (300 MHz, CDCI3) 58.70 (d, 2H), 7.72 (s, 1 H), 7.48 (d, 2H), 7.32-7.29 (m, 2H)Example 7: Synthesis of 1- [rel- (2S, 3R) -2- (4-fluorophenyl) -3- (pyridin-4-yl) oxiran-2-ylmethyl] -5- (methylthio) -1H- 1, 2,4-triazole 1H NMR (300 MHz, CDCl 3 ) 58.70 (d, 2H), 7.72 (s, 1H), 7.48 (d, 2H), 7.32-7.29 (m, 2H)
Beispiel 8: Synthese von 1-[rel-(2S,3R)-3-(2-Chlor-thiophen-3-yl)-2-(2,4-difluorphenyl)- oxiran-2-ylmethyl]- 5-(methylthio)-1 H-1 ,2,4-triazolExample 8: Synthesis of 1- [rel- (2S, 3R) -3- (2-chloro-thiophen-3-yl) -2- (2,4-difluorophenyl) oxiran-2-ylmethyl] -5- ( methylthio) -1H-1, 2,4-triazole
Schmelzpunkt 11 1-1 14°CMelting point 11 1-1 14 ° C
Beispiel 9: Synthese von 1-[rel-(2S,3R)-2-(5-Chlor-thiophen-2-yl)-3-(2-chlorphenyl)- oxiran-2-ylmethyl]- 5-(methylthio)-1 H-1 ,2,4-triazol 1H NMR (300 MHz, CDCI3) δ 7.80 (s, 1 H), 7.59-7.30 (m, 4H), 6.91 (s, 1 H), 6.79 (s, 1 H), 4.57 (d, 1 H), 4.32 (s, 1 H), 3.88 (d, 1 H), 2.52 (s, 3H)Example 9: Synthesis of 1- [rel- (2S, 3R) -2- (5-chloro-thiophen-2-yl) -3- (2-chlorophenyl) -oxiran-2-ylmethyl] -5- (methylthio) 1 H-1, 2,4-triazole 1H NMR (300 MHz, CDCl 3 ) δ 7.80 (s, 1H), 7.59-7.30 (m, 4H), 6.91 (s, 1H), 6.79 (s, 1H), 4.57 (d, 1H), 4.32 (s, 1H), 3.88 (d, 1H), 2.52 (s, 3H)
Beispiel 10: Synthese von Thioessigsäure-{2-[rel-(2S,3R)-3-(2-chlorpyridin-3-yl)-2-(4- fluorphenyl)-oxiranylmethyl]-2H-[1 ,2,4]triazol-3-yl} ester Zu einem Gemisch aus 1-[rel-(2S,3R)-3-(2-Chlorpyridin-3-yl)-2-(4-fluorphenyl)oxiran-2- ylmethyl]-1 H-1 ,2,4-triazol-5(4H)-thion (100 mg, 0.3 mmol) und Triethylamin (78 μL, 0.6 mmol) in wasserfreiem THF (3 mL) wurde bei 0 0C tropfenweise Acetylchlorid (29 μL, 0.4 mmol) zugegeben und 2 h bei dieser Temperatur gerührt. Nach Abdestillieren des Lösungsmittels wurde mit Essigester aufgenommen, mit Wasser extrahiert und die organische Phase über Na2SO4 getrocknet. Nach Entfernen des Lösungsmittels erhielt man die Zielverbindung (1 15 mg, 100%) als gelbes Öl. 1H NMR (300 MHz, CDCI3) δ 8.43 (dd, 1 H, J = 1.8, 4.8 Hz), 8.27 (s, 1 H), 7.93 (dd, 1 H, J = 1.5, 7.5 Hz), 7.52-7.56 (m, 2H), 7.35 (dd, 1 H, J = 4.8, 7.5 Hz), 7.02-7.09 (m, 2H),Example 10: Synthesis of thioacetic acid {2- [rel- (2S, 3R) -3- (2-chloropyridin-3-yl) -2- (4-fluorophenyl) oxiranylmethyl] -2H- [1, 2,4 ] triazol-3-yl} ester To a mixture of 1- [rel- (2S, 3R) -3- (2-chloropyridin-3-yl) -2- (4-fluorophenyl) oxiran-2-ylmethyl] -1 H-1, 2,4-triazole-5 (4H) -thione (100 mg, 0.3 mmol) and triethylamine (78 μL, 0.6 mmol) in anhydrous THF (3 mL) was added dropwise at 0 ° C to acetyl chloride (29 μL, 0.4 mmol) was added and stirred for 2 h at this temperature. After distilling off the solvent was taken up with ethyl acetate, extracted with water and the organic phase dried over Na2SO4. Removal of the solvent gave the title compound (15 mg, 100%) as a yellow oil. 1H NMR (300 MHz, CDCl 3 ) δ 8.43 (dd, 1 H, J = 1.8, 4.8 Hz), 8.27 (s, 1 H), 7.93 (dd, 1 H, J = 1.5, 7.5 Hz), 7.52- 7.56 (m, 2H), 7.35 (dd, 1 H, J = 4.8, 7.5 Hz), 7.02-7.09 (m, 2H),
5.00 (d, 1 H, J = 14.7 Hz), 4.13 (s, 1 H), 3.91 (d, 1 H, J = 14.7 Hz), 2.89 (s, 3H).5.00 (d, 1 H, J = 14.7 Hz), 4.13 (s, 1 H), 3.91 (d, 1 H, J = 14.7 Hz), 2.89 (s, 3H).
Beispiel 11 : Synthese von Thiokohlensäure-{2-[rel-(2S,3R)-3-(2-chlorpyridin-3-yl)-2-(4- fluorphenyl)-oxiranylmethyl]-2H-[1 ,2,4]triazol-3-yl}-ester methyl esterExample 11: Synthesis of thiocarbonic acid {2- [rel- (2S, 3R) -3- (2-chloropyridin-3-yl) -2- (4-fluorophenyl) oxiranylmethyl] -2H- [1, 2,4 ] triazol-3-yl} -ester methyl ester
Zu einem Gemisch aus 1-[rel-(2S,3R)-3-(2-Chlorpyridin-3-yl)-2-(4-fluorphenyl)oxiran-2- ylmethyl]-1 H-1 ,2,4-triazol-5(4H)-thion (200 mg, 0.6 mmol) und Triethylamin (152 μL,To a mixture of 1- [rel- (2S, 3R) -3- (2-chloropyridin-3-yl) -2- (4-fluorophenyl) oxiran-2-ylmethyl] -1H-1, 2,4- triazole-5 (4H) -thione (200 mg, 0.6 mmol) and triethylamine (152 μL,
1.1 mmol) in wasserfreiem THF (10 mL) wurde bei 0 0C Methylchlorformiat (64 μL, 0.8 mmol) zugetropft und anschließend für 3 h bei dieser Temperatur gerührt. Anschlie- ßend wurde EtOAc (20 mL) zugegeben und mit gesättigter Kochsalzlösung (3 x 20 mL) gewaschen. Die organische Phase wurde über Na2SÜ4 getrocknet und das Lösungsmittel destillativ entfernt. Der so erhaltene Rückstand wurde säulenchromatographisch (Kieselgel, C^Cb/EtOAc) aufgereinigt und nach Vereinigen der entsprechenden Fraktionen das Zielprodukt in Form eines farblosen Feststoffes erhalten (80 mg, 34%). Schmelzpunkt 64-66 0C1.1 mmol) in anhydrous THF (10 mL) was added dropwise at 0 0 C methyl chloroformate (64 .mu.L, 0.8 mmol) and then stirred for 3 h at this temperature. EtOAc (20 mL) was then added and washed with saturated brine (3 x 20 mL). The organic phase was dried over Na 2 SO 4 and the solvent was removed by distillation. The residue thus obtained was purified by column chromatography (silica gel, C ^ Cb / EtOAc) and, after combining the appropriate fractions, the target product was obtained in the form of a colorless solid (80 mg, 34%). Melting point 64-66 0 C
1H NMR (300 MHz, CDCI3) δ 8.42-8.44 (m, 1 H), 8.08 (s, 1 H), 7.91-7.95 (m, 1 H), 7.50- 7.57 (m, 2H), 7.35 (dd, 1 H, J = 1.8, 7.8 Hz), 7.01-7.08 (m, 1 H), 5.07 (d, 1 H, J = 15.0 Hz), 4.13 (s, 1 H), 4.02 (s, 3H), 3.86 (d, 1 H, J = 15.0 Hz) 1 H NMR (300 MHz, CDCl 3 ) δ 8.42-8.44 (m, 1H), 8.08 (s, 1H), 7.91-7.95 (m, 1H), 7.50-7.57 (m, 2H), 7.35 ( dd, 1 H, J = 1.8, 7.8 Hz), 7.01-7.08 (m, 1 H), 5.07 (d, 1 H, J = 15.0 Hz), 4.13 (s, 1 H), 4.02 (s, 3H) , 3.86 (d, 1 H, J = 15.0 Hz)
Beispiel 12: Synthese von rel-(2S,3R)-2-Chlor-3-[3-(4-fluorphenyl)-3-(5-thiocyanato-Example 12: Synthesis of rel (2S, 3R) -2-chloro-3- [3- (4-fluorophenyl) -3- (5-thiocyanato)
[1 ,2,4]triazol-1 -ylmethyl)-oxiranyl]-pyridin[1,2,4] triazole-1-ylmethyl) oxiranyl] pyridine
Ein Gemisch aus 1-[rel-(2S,3R)-3-(2-Chlorpyridin-3-yl)-2-(4-fluorphenyl)oxiran-2- ylmethyl]-1 H-1 ,2,4-triazol-5(4H)-thion (200 mg, 0.6 mmol), Triethylamin (152 μL, 1.1 mmol) und BrCN (88 mg, 0.8 mmol) in wasserfreiem THF (10 mL) wurde für 2 h bei Raumtemperatur gerührt. Anschließend wurde EtOAc (20 mL) zugegeben udn mit gesättigter Kochsalzlösung (3 x 20 mL) gewaschen. Die organische Phase wurde über Na2SÜ4 getrocknet und das Lösungsmittel destillativ entfernt. Der so erhaltene Rückstand wurde säulenchromatographisch (Kieselgel, Hexan/EtOAc) aufgereinigt und nach Vereinigen der entsprechenden Fraktionen das Zielprodukt in Form eines farblo- sen Feststoffes erhalten (150 mg, 70%) Schmelzpunkt 170-172 0CA mixture of 1- [rel- (2S, 3R) -3- (2-chloropyridin-3-yl) -2- (4-fluorophenyl) oxiran-2-ylmethyl] -1H-1,2,4-triazole -5 (4H) -thione (200 mg, 0.6 mmol), triethylamine (152 μL, 1.1 mmol) and BrCN (88 mg, 0.8 mmol) in anhydrous THF (10 mL) was stirred for 2 h at room temperature. Then EtOAc (20 mL) was added and washed with brine (3 x 20 mL). The organic phase was dried over Na 2 SO 4 and the solvent was removed by distillation. The residue thus obtained was purified by column chromatography (silica gel, hexane / EtOAc) and after combination of the appropriate fractions the target product in the form of a farblo- sen solid (150 mg, 70%) melting point 170-172 0 C.
1H NMR (300 MHz, CDCI3) δ 8.47 (dd, 1 H, J = 1.8, 4.8 Hz), 7.86-7.89 (m, 2H), 7.36- 7.42 (m, 3H), 7.06-7.12 (m, 2H), 4.78 (d, 1 H, J = 15.0 Hz), 4.22 (d, 1 H, J = 15.0 Hz), 4.21 (s, 1 H) 1 H NMR (300 MHz, CDCl 3 ) δ 8.47 (dd, 1 H, J = 1.8, 4.8 Hz), 7.86-7.89 (m, 2H), 7.36-7.42 (m, 3H), 7.06-7.12 (m, 2H), 4.78 (d, 1 H, J = 15.0 Hz), 4.22 (d, 1 H, J = 15.0 Hz), 4.21 (s, 1 H)
Beispiel 13 lässt sich analog zu Beispiel 12 herstellen, indem man von der in Beispiel 4 erhaltenen Triazol-thion-Verbindung ausgeht.. Beispiel 13: Synthese von rel-(2S,3R)-2-Chlor-3-[3-(2,4-difluorphenyl)-3-(5- thiocyanato-[1 ,2,4]triazol-1 -ylmethyl)-oxiranyl]-thiophen Schmelzpunkt 102-1050C.Example 13 can be prepared analogously to Example 12, starting from the triazole-thione compound obtained in Example 4 .. Example 13: Synthesis of rel- (2S, 3R) -2-chloro-3- [3- (2,4-difluorophenyl) -3- (5-thiocyanato [1,2,4] triazol-1-ylmethyl) -oxiranyl] -thiophene melting point 102-105 0 C.
Beispiel 14: Synthese von 1 ,2-bis[rel-(2S,3R)-3-(2-chlorthien-3-yl)-2-(2,4- difluorphenyl)oxiran-2-ylmethyl)-1 H-1 ,2,4-triazol-5-yl]disulfan Zu einer Lösung von 2-[rel-(2S,3R)-3-(2-Chlorthien-3-yl)-2-(2,4-difluorphenyl)- oxiranylmethyl]- 2,4-dihydro-[1 ,2,4]triazol-3-thion (293 mg, 0.75 mmol) in wasserfreiem THF (20 ml_) wurde bei Raumtemperatur Jod (192 mg, 0.75 mmol) zugegeben. Anschließend wurde das Reaktionsgemisch für weitere 4h bei dieser Temperatur gerührt. Nach Entfernen des Lösungsmittels im Vakuum wurde der erhaltene Rückstand säu- lenchromatographisch aufgereinigt (Kieselgel, Hexan/EtOAc). Das Zielprodukt wurde in Form eines zähen Öles erhalten (152 mg, 52 %). 1H NMR (300 MHz, CDCI3) δ 7.76 (s, 2H), 7.00-7.16 (m, 6H), 6.71-7.86 (m, 4H), 4.79- 4.86 (m, 2H), 4.16-4.25 (m, 2H), 4.08 (s, 2H)Example 14: Synthesis of 1,2-bis [rel- (2S, 3R) -3- (2-chlorothien-3-yl) -2- (2,4-difluorophenyl) oxiran-2-ylmethyl) -1 H- 1,2,4-triazol-5-yl] disulfane To a solution of 2- [rel- (2S, 3R) -3- (2-chlorothien-3-yl) -2- (2,4-difluorophenyl) - oxiranylmethyl] -2,4-dihydro- [1,2,4] triazole-3-thione (293 mg, 0.75 mmol) in anhydrous THF (20 mL) was added iodine (192 mg, 0.75 mmol) at room temperature. Subsequently, the reaction mixture was stirred for a further 4 h at this temperature. After removal of the solvent in vacuo, the residue obtained was purified by column chromatography (silica gel, hexane / EtOAc). The target product was obtained in the form of a tough oil (152 mg, 52%). 1H NMR (300 MHz, CDCl 3 ) δ 7.76 (s, 2H), 7.00-7.16 (m, 6H), 6.71-7.86 (m, 4H), 4.79-4.86 (m, 2H), 4.16-4.25 (m, 2H), 4.08 (s, 2H)
Biologische VersucheBiological experiments
GewächshausGlasshouse
Wirkstoffaufbereitungdrug treatment
Die Wirkstoffe wurden getrennt oder gemeinsam als eine Stammlösung aufbereitet mit 25 mg Wirkstoff, welcher mit einem Gemisch aus Aceton und/oder DMSO und demThe active compounds were prepared separately or together as a stock solution with 25 mg of active ingredient, which with a mixture of acetone and / or DMSO and the
Emulgator Uniperol® EL (Netzmittel mit Emulgier- und Dispergierwirkung auf der Basis ethoxylierter Alkylphenole) im Volumen-Verhältnis Lösungsmittel-Emulgator von 99 zu 1 ad 10 ml aufgefüllt wurde. Anschließend wurde ad 100 ml mit Wasser aufgefüllt. Diese Stammlösung wurde mit dem beschriebenen Lösungsmittel-Emulgator-Wasser Ge- misch zu der unten angegeben Wirkstoffkonzentration verdünnt. Alternativ dazu wurden die Wirkstoffe als handelsübliche Fertigformulierung verwendet und mit Wasser auf die angegebene Wirkstoffkonzentration verdünnt.Emulsifier Uniperol® EL (wetting agent with emulsifying and dispersing action based on ethoxylated alkylphenols) in the volume ratio solvent-emulsifier of 99 to 1 ad 10 ml was filled. It was then made up to 100 ml with water. This stock solution was diluted with the described solvent-emulsifier-water mixture to the drug concentration given below. Alternatively, the active ingredients were used as a commercial ready-to-use formulation and diluted with water to the indicated active ingredient concentration.
Anwendungsbeispiel 1 - Kurative Wirksamkeit gegen Sojarost verursacht durch Phakopsora pachyrhizi (Phakpa K1 )Use Example 1 - Curative Efficacy Against Soy Rust Caused by Phakopsora pachyrhizi (Phakpa K1)
Blätter von in Töpfen gewachsenen Sojasämlingen wurden mit einer Sporensuspension des Sojarostes (Phakpsora pachyrhizi) inokuliert. Danach wurden die Töpfe für 24 Stunden in eine Kammer mit hoher Luftfeuchtigkeit (90 bis 95 %) und 23 bis 27° C gestellt. Während dieser Zeit keimten die Sporen aus und die Keimschläuche drangen in das Blattgewebe ein. Die infizierten Pflanzen wurden danach mit der oben beschriebenen Wirkstofflösung in der unten angegebenen Wirkstoffkonzentration bis zur Tropfnässe besprüht. Nach dem Antrocknen des Spritzbelages wurden die Versuchspflanzen im Gewächshaus bei Temperaturen zwischen 23 und 27° C und 60 bis 80 % relativer Luftfeuchte für 14 Tage kultiviert. Dann wurde das Ausmaß der Rostpilzentwicklung auf den Blättern visuell in % Befall ermittelt.Leaves of potted soybean seedlings were inoculated with a spore suspension of soybean rust (Phakpsora pachyrhizi). Thereafter, the pots were placed in a high humidity chamber (90-95%) and 23-27 ° C for 24 hours. During this time, the spores germinated and the germ tubes penetrated into the leaf tissue. The infected plants were then sprayed to drip point with the above-described drug solution in the drug concentration below. After the drying of the Spray coating, the test plants were cultivated in the greenhouse at temperatures between 23 and 27 ° C and 60 to 80% relative humidity for 14 days. Then the extent of rust fungus development on the leaves was determined visually in% infestation.
Anwendungsbeispiel 2 - Protektive Wirksamkeit gegen Sojarost verursacht durch Phakopsora pachyrhizi (Phakpa P1 )Use Example 2 - Protective Efficiency Against Soybean Rust Caused by Phakopsora pachyrhizi (Phakpa P1)
Blätter von in Töpfen gewachsenen Sojasämlingen wurden mit der oben beschriebenen Wirkstofflösung in der unten angegebenen Wirkstoffkonzentration bis zur Tropfnässe besprüht. Am nächsten Tag wurden die Pflanzen mit einerLeaves of potted soybean seedlings were sprayed to drip point with the above-described active ingredient solution in the concentration of the active ingredients as indicated below. The next day the plants were planted with one
Sporensuspension des Sojarostes (Phakpsora pachyrhizi) inokuliert. Danach wurden die Töpfe für 24 Stunden in eine Kammer mit hoher Luftfeuchtigkeit (90 bis 95 %) und 23 bis 27° C gestellt. Während dieser Zeit keimten die Sporen aus und die Keimschläuche drangen in das Blattgewebe ein. Anschließend wurden die Versuchspflanzen im Gewächshaus bei Temperaturen zwischen 23 und 27° C und 60 bis 80 % relativer Luftfeuchte für 14 Tage kultiviert. Dann wurde das Ausmaß der Rostpilzentwicklung auf den Blättern visuell in % Befall ermittelt.Spore suspension of soybean rust (Phakpsora pachyrhizi) inoculated. Thereafter, the pots were placed in a high humidity chamber (90-95%) and 23-27 ° C for 24 hours. During this time, the spores germinated and the germ tubes penetrated into the leaf tissue. Subsequently, the test plants were cultivated in the greenhouse at temperatures between 23 and 27 ° C and 60 to 80% relative humidity for 14 days. Then the extent of rust fungus development on the leaves was determined visually in% infestation.
Claims
Applications Claiming Priority (2)
| Application Number | Priority Date | Filing Date | Title |
|---|---|---|---|
| EP07123735 | 2007-12-19 | ||
| EP07123735.8 | 2007-12-19 |
Publications (2)
| Publication Number | Publication Date |
|---|---|
| WO2009077497A2 true WO2009077497A2 (en) | 2009-06-25 |
| WO2009077497A3 WO2009077497A3 (en) | 2010-01-28 |
Family
ID=39500033
Family Applications (1)
| Application Number | Title | Priority Date | Filing Date |
|---|---|---|---|
| PCT/EP2008/067539 Ceased WO2009077497A2 (en) | 2007-12-19 | 2008-12-15 | Azolyl methyl oxiranes, the use thereof, and agents containing them |
Country Status (6)
| Country | Link |
|---|---|
| AR (1) | AR069835A1 (en) |
| CL (1) | CL2008003866A1 (en) |
| PE (1) | PE20091178A1 (en) |
| TW (1) | TW200932116A (en) |
| UY (1) | UY31563A1 (en) |
| WO (1) | WO2009077497A2 (en) |
Cited By (22)
| Publication number | Priority date | Publication date | Assignee | Title |
|---|---|---|---|---|
| WO2011069894A1 (en) | 2009-12-08 | 2011-06-16 | Basf Se | Triazole compounds, use thereof, and agents containing same |
| WO2011069916A1 (en) | 2009-12-08 | 2011-06-16 | Basf Se | Triazole compounds, use thereof as a fungicide, and agents comprising same |
| WO2011073145A1 (en) | 2009-12-18 | 2011-06-23 | Basf Se | Method for producing triazolinthione derivatives and intermediates thereof |
| WO2011113820A1 (en) | 2010-03-16 | 2011-09-22 | Basf Se | A process using grignard reagents |
| WO2012041858A1 (en) | 2010-09-30 | 2012-04-05 | Basf Se | A process for the synthesis of thio-triazolo-group containing compounds |
| US8242140B2 (en) | 2007-08-03 | 2012-08-14 | Boehringer Ingelheim International Gmbh | Viral polymerase inhibitors |
| WO2012130823A1 (en) | 2011-03-30 | 2012-10-04 | Basf Se | Suspension concentrates |
| WO2012146535A1 (en) | 2011-04-28 | 2012-11-01 | Basf Se | Process for the preparation of 2-substituted 2,4-dihydro-[1,2,4]triazole-3-thiones |
| WO2012146598A1 (en) | 2011-04-28 | 2012-11-01 | Basf Se | Process for the preparation of 2-substituted 4-amino-2,4-dihydro-[1,2,4]triazole-3-thiones |
| US8476257B2 (en) | 2007-12-19 | 2013-07-02 | Boehringer Ingelheim International Gmbh | Viral polymerase inhibitors |
| EP2746277A1 (en) | 2012-12-19 | 2014-06-25 | Basf Se | Fungicidal imidazolyl and triazolyl compounds |
| EP2746260A1 (en) | 2012-12-21 | 2014-06-25 | Basf Se | Substituted [1,2,4]triazole and imidazole compounds |
| EP2746257A1 (en) | 2012-12-21 | 2014-06-25 | Basf Se | Substituted [1,2,4]triazole and imidazole compounds |
| EP2746279A1 (en) | 2012-12-19 | 2014-06-25 | Basf Se | Fungicidal imidazolyl and triazolyl compounds |
| EP2746259A1 (en) | 2012-12-21 | 2014-06-25 | Basf Se | Substituted [1,2,4]triazole and imidazole compounds |
| EP2746255A1 (en) | 2012-12-19 | 2014-06-25 | Basf Se | Substituted [1,2,4]triazole and imidazole compounds |
| EP2746258A1 (en) | 2012-12-21 | 2014-06-25 | Basf Se | Substituted [1,2,4]triazole and imidazole compounds |
| EP2746264A1 (en) | 2012-12-19 | 2014-06-25 | Basf Se | Substituted [1,2,4]triazole and imidazole compounds |
| EP2746256A1 (en) | 2012-12-19 | 2014-06-25 | Basf Se | Fungicidal imidazolyl and triazolyl compounds |
| WO2014095381A1 (en) | 2012-12-19 | 2014-06-26 | Basf Se | Fungicidal imidazolyl and triazolyl compounds |
| WO2014095249A1 (en) | 2012-12-19 | 2014-06-26 | Basf Se | Fungicidal imidazolyl and triazolyl compounds |
| CN109996796A (en) * | 2016-09-29 | 2019-07-09 | 拜耳作物科学股份公司 | The imidazolyl methyl epoxyethane derivative that 5- as fungicide replaces |
Family Cites Families (9)
| Publication number | Priority date | Publication date | Assignee | Title |
|---|---|---|---|---|
| DE3218129A1 (en) * | 1982-05-14 | 1983-11-17 | Basf Ag, 6700 Ludwigshafen | Azolylmethyloxiranes, their preparation and use as medicaments |
| DE3805684A1 (en) * | 1988-02-24 | 1989-09-07 | Basf Ag | AZOLYLMETHYLCYCLOALKYLOXIRANE, THEIR PRODUCTION AND USE AS A PLANT PROTECTION PRODUCT |
| IL95493A0 (en) * | 1989-09-09 | 1991-06-30 | Basf Ag | Azolylmethyloxiranes,their manufacture and their use as fungicides |
| DE19520097A1 (en) * | 1995-06-01 | 1996-12-05 | Bayer Ag | Triazolylmethyl oxiranes |
| DE19617461A1 (en) * | 1996-05-02 | 1997-11-06 | Bayer Ag | Acylmercapto triazolyl derivatives |
| JP4028173B2 (en) * | 1997-10-08 | 2007-12-26 | バイエル アクチェンゲゼルシャフト | Method for producing triazolinethione derivative |
| DE19744401A1 (en) * | 1997-10-08 | 1999-04-15 | Bayer Ag | Preparation of triazoline thione derivatives useful as fungicides |
| DE19744400A1 (en) * | 1997-10-08 | 1999-04-15 | Bayer Ag | Preparation of triazoline thione derivatives useful as fungicides |
| JP2009544650A (en) * | 2006-07-25 | 2009-12-17 | ビーエーエスエフ ソシエタス・ヨーロピア | Azolylmethyloxirane, its use for controlling phytopathogenic fungi, and drugs containing it |
-
2008
- 2008-12-15 WO PCT/EP2008/067539 patent/WO2009077497A2/en not_active Ceased
- 2008-12-18 AR ARP080105548A patent/AR069835A1/en not_active Application Discontinuation
- 2008-12-19 UY UY31563A patent/UY31563A1/en unknown
- 2008-12-19 PE PE2008002153A patent/PE20091178A1/en not_active Application Discontinuation
- 2008-12-19 CL CL2008003866A patent/CL2008003866A1/en unknown
- 2008-12-19 TW TW097149852A patent/TW200932116A/en unknown
Cited By (27)
| Publication number | Priority date | Publication date | Assignee | Title |
|---|---|---|---|---|
| US8242140B2 (en) | 2007-08-03 | 2012-08-14 | Boehringer Ingelheim International Gmbh | Viral polymerase inhibitors |
| US8912182B2 (en) | 2007-12-19 | 2014-12-16 | Boehringer Ingelheim International Gmbh | Viral polymerase inhibitors |
| US8476257B2 (en) | 2007-12-19 | 2013-07-02 | Boehringer Ingelheim International Gmbh | Viral polymerase inhibitors |
| US8541402B2 (en) | 2007-12-19 | 2013-09-24 | Boehringer Ingelheim International Gmbh | Viral polymerase inhibitors |
| WO2011069916A1 (en) | 2009-12-08 | 2011-06-16 | Basf Se | Triazole compounds, use thereof as a fungicide, and agents comprising same |
| WO2011069894A1 (en) | 2009-12-08 | 2011-06-16 | Basf Se | Triazole compounds, use thereof, and agents containing same |
| WO2011073145A1 (en) | 2009-12-18 | 2011-06-23 | Basf Se | Method for producing triazolinthione derivatives and intermediates thereof |
| CN102753536A (en) * | 2009-12-18 | 2012-10-24 | 巴斯夫欧洲公司 | Method for producing triazolinthione derivatives and intermediates thereof |
| US8729272B2 (en) | 2010-03-16 | 2014-05-20 | Basf Se | Process using grignard reagents |
| WO2011113820A1 (en) | 2010-03-16 | 2011-09-22 | Basf Se | A process using grignard reagents |
| US9167817B2 (en) | 2010-03-16 | 2015-10-27 | Basf Se | Process using Grignard reagents |
| WO2012041858A1 (en) | 2010-09-30 | 2012-04-05 | Basf Se | A process for the synthesis of thio-triazolo-group containing compounds |
| WO2012130823A1 (en) | 2011-03-30 | 2012-10-04 | Basf Se | Suspension concentrates |
| WO2012146598A1 (en) | 2011-04-28 | 2012-11-01 | Basf Se | Process for the preparation of 2-substituted 4-amino-2,4-dihydro-[1,2,4]triazole-3-thiones |
| WO2012146535A1 (en) | 2011-04-28 | 2012-11-01 | Basf Se | Process for the preparation of 2-substituted 2,4-dihydro-[1,2,4]triazole-3-thiones |
| WO2014095381A1 (en) | 2012-12-19 | 2014-06-26 | Basf Se | Fungicidal imidazolyl and triazolyl compounds |
| EP2746279A1 (en) | 2012-12-19 | 2014-06-25 | Basf Se | Fungicidal imidazolyl and triazolyl compounds |
| EP2746255A1 (en) | 2012-12-19 | 2014-06-25 | Basf Se | Substituted [1,2,4]triazole and imidazole compounds |
| EP2746264A1 (en) | 2012-12-19 | 2014-06-25 | Basf Se | Substituted [1,2,4]triazole and imidazole compounds |
| EP2746256A1 (en) | 2012-12-19 | 2014-06-25 | Basf Se | Fungicidal imidazolyl and triazolyl compounds |
| EP2746277A1 (en) | 2012-12-19 | 2014-06-25 | Basf Se | Fungicidal imidazolyl and triazolyl compounds |
| WO2014095249A1 (en) | 2012-12-19 | 2014-06-26 | Basf Se | Fungicidal imidazolyl and triazolyl compounds |
| EP2746259A1 (en) | 2012-12-21 | 2014-06-25 | Basf Se | Substituted [1,2,4]triazole and imidazole compounds |
| EP2746258A1 (en) | 2012-12-21 | 2014-06-25 | Basf Se | Substituted [1,2,4]triazole and imidazole compounds |
| EP2746257A1 (en) | 2012-12-21 | 2014-06-25 | Basf Se | Substituted [1,2,4]triazole and imidazole compounds |
| EP2746260A1 (en) | 2012-12-21 | 2014-06-25 | Basf Se | Substituted [1,2,4]triazole and imidazole compounds |
| CN109996796A (en) * | 2016-09-29 | 2019-07-09 | 拜耳作物科学股份公司 | The imidazolyl methyl epoxyethane derivative that 5- as fungicide replaces |
Also Published As
| Publication number | Publication date |
|---|---|
| WO2009077497A3 (en) | 2010-01-28 |
| AR069835A1 (en) | 2010-02-24 |
| UY31563A1 (en) | 2009-07-17 |
| PE20091178A1 (en) | 2009-09-03 |
| CL2008003866A1 (en) | 2009-11-27 |
| TW200932116A (en) | 2009-08-01 |
Similar Documents
| Publication | Publication Date | Title |
|---|---|---|
| WO2009077497A2 (en) | Azolyl methyl oxiranes, the use thereof, and agents containing them | |
| EP2234488A2 (en) | Azolylmethyloxiranes, use thereof and agents containing the same | |
| EP2235005A2 (en) | Azolylmethyloxiranes, use thereof and agents containing the same | |
| EP2224812A2 (en) | Azolylmethyloxiranes, use thereof and agents containing the same | |
| WO2010029066A1 (en) | Imidazole and triazole compounds, use thereof and agents containing said compounds | |
| EP3571190A1 (en) | Fungicidal pyridine compounds | |
| EP2346838A1 (en) | Triazole and imidazole compounds, use thereof and agents containing them | |
| EP2334648A1 (en) | Imidazole and triazole compounds, their use and agents containing the same | |
| EP2334650A1 (en) | Imidazole and triazole compounds, their use and agents containing the same | |
| EP2334649A1 (en) | Imidazole and triazole compounds, their use and agents containing the same | |
| WO2010029003A1 (en) | Triazole compounds, use thereof, and agents containing same | |
| EP2334656A1 (en) | Triazole compounds, use thereof, and agents containing same | |
| EP2328878A1 (en) | Triazole compounds, the use thereof and preparations containing these compounds | |
| EP2334654A1 (en) | Triazole compounds, the use thereof and preparations containing these compounds | |
| EP2346839A1 (en) | Triazole and imidazole compounds, use thereof and agents containing them | |
| WO2010031842A1 (en) | Imidazole and triazole compounds, their use and agents containing the same | |
| WO2018054721A1 (en) | Pyridine compounds for controlling phytopathogenic harmful fungi | |
| WO2018065182A1 (en) | Reduced quinoline compounds as antifuni agents | |
| EP2334663A1 (en) | Imidazole and triazole compounds, use thereof and agents containing said compounds | |
| EP2346835A1 (en) | Imidazole and triazole compounds, their use and agents containing the same | |
| WO2010029065A1 (en) | Imidazole and triazole compounds, use thereof and agents containing said compounds | |
| EP2331509A1 (en) | Imidazole and triazole compounds, the use thereof and preparations containing these compounds | |
| EP2334655A1 (en) | Imidazole and triazole compounds as fungicides | |
| WO2010029029A1 (en) | Imidazole- und triazole compounds, their use, and agents containing the same | |
| WO2010029028A1 (en) | Imidazole compounds, use thereof, and substances containing the same |
Legal Events
| Date | Code | Title | Description |
|---|---|---|---|
| 121 | Ep: the epo has been informed by wipo that ep was designated in this application |
Ref document number: 08862178 Country of ref document: EP Kind code of ref document: A2 |
|
| NENP | Non-entry into the national phase |
Ref country code: DE |
|
| 122 | Ep: pct application non-entry in european phase |
Ref document number: 08862178 Country of ref document: EP Kind code of ref document: A2 |































































































