WO2010029066A1 - Imidazole and triazole compounds, use thereof and agents containing said compounds - Google Patents
Imidazole and triazole compounds, use thereof and agents containing said compounds Download PDFInfo
- Publication number
- WO2010029066A1 WO2010029066A1 PCT/EP2009/061616 EP2009061616W WO2010029066A1 WO 2010029066 A1 WO2010029066 A1 WO 2010029066A1 EP 2009061616 W EP2009061616 W EP 2009061616W WO 2010029066 A1 WO2010029066 A1 WO 2010029066A1
- Authority
- WO
- WIPO (PCT)
- Prior art keywords
- compounds
- alkyl
- cio
- cycloalkyl
- methyl
- Prior art date
- Legal status (The legal status is an assumption and is not a legal conclusion. Google has not performed a legal analysis and makes no representation as to the accuracy of the status listed.)
- Ceased
Links
- 0 CNC(*1*=C*=C1)(C(C(*)(*)*)=O)N Chemical compound CNC(*1*=C*=C1)(C(C(*)(*)*)=O)N 0.000 description 3
Classifications
-
- C—CHEMISTRY; METALLURGY
- C07—ORGANIC CHEMISTRY
- C07D—HETEROCYCLIC COMPOUNDS
- C07D249/00—Heterocyclic compounds containing five-membered rings having three nitrogen atoms as the only ring hetero atoms
- C07D249/02—Heterocyclic compounds containing five-membered rings having three nitrogen atoms as the only ring hetero atoms not condensed with other rings
- C07D249/08—1,2,4-Triazoles; Hydrogenated 1,2,4-triazoles
-
- C—CHEMISTRY; METALLURGY
- C07—ORGANIC CHEMISTRY
- C07D—HETEROCYCLIC COMPOUNDS
- C07D233/00—Heterocyclic compounds containing 1,3-diazole or hydrogenated 1,3-diazole rings, not condensed with other rings
- C07D233/54—Heterocyclic compounds containing 1,3-diazole or hydrogenated 1,3-diazole rings, not condensed with other rings having two double bonds between ring members or between ring members and non-ring members
- C07D233/56—Heterocyclic compounds containing 1,3-diazole or hydrogenated 1,3-diazole rings, not condensed with other rings having two double bonds between ring members or between ring members and non-ring members with only hydrogen atoms or radicals containing only hydrogen and carbon atoms, attached to ring carbon atoms
- C07D233/60—Heterocyclic compounds containing 1,3-diazole or hydrogenated 1,3-diazole rings, not condensed with other rings having two double bonds between ring members or between ring members and non-ring members with only hydrogen atoms or radicals containing only hydrogen and carbon atoms, attached to ring carbon atoms with hydrocarbon radicals, substituted by oxygen or sulfur atoms, attached to ring nitrogen atoms
Definitions
- a 1 is hydrogen, hydroxy, Ci-C 8 -alkyl, C 8 haloalkyl, amino, Ci-C 8 -
- inorganic acids are hydrohalic acids such as hydrogen fluoride, hydrogen chloride, hydrogen bromide and hydrogen iodide, carbonic acid, sulfuric acid, phosphoric acid and nitric acid.
- Suitable organic acids are, for example, formic acid and alkanoic acids such as acetic acid, trifluoroacetic acid, trichloroacetic acid and propionic acid and also glycolic acid, thiocyanic acid, lactic acid, succinic acid, citric acid, benzoic acid, cinnamic acid, oxalic acid, alkylsulfonic acids (sulfonic acids having straight-chain or branched alkyl radicals having 1 to 20 carbon atoms ), Arylsulfonic acids or disulfonic acids (aromatic radicals such as phenyl and naphthyl carrying one or two sulfonic acid groups), alkylphosphonic acids (phosphonic acids having straight-chain or branched alkyl radicals having 1 to 20 carbon
- the compounds I according to the invention can be prepared in various ways in analogy to prior art processes known per se (see, for example, the cited prior art or EP 0 129 186, EP 0 129 152).
- the compounds of the invention can be prepared by the syntheses shown in the following Schemes.
- n in the group Z 1 stands for 4.
- R Z1 , R Z2 , R Z5 and R Z6 are hydrogen.
- R Z1 , R Z2 , R Z5 and R Z6 are independent of each other. which is selected from hydrogen and halogen (especially F and Cl), wherein at least one R z thereof is not hydrogen.
- # represent the attachment sites
- m and p are each 0, 1 or 2, where m + p> 1, preferably m + p> 2, and R Z1 , R Z2 , R Z3 and R Z4 are each independently selected is hydrogen and R z , where R z is each as defined herein or preferably defined.
- the phenyl group is 2,4-disubstituted. In yet another embodiment, the phenyl group is 2,5-disubstituted. In yet another embodiment, the phenyl group is 2,6-disubstituted.
- R 5 is CH 3 and R 6 + R 7 is cyclopentyl, and the combination of R 1 and Y corresponds in each case to one line of Table A (compounds I .A.1 17aA-1 to I .A.117aA-444).
- Table 1 18a Compounds LA in which Z is CH 2 CH (CH 3 ) (CH 2 ) 2 CH 2 , R 2 , R 3 and R 4 are H, R 5 is CH 3 and R 6 + R 7 is cyclopentyl, and the combination from R 1 and Y corresponds in each case to one row of Table A (Compounds IA118aA-1 to IA118aA-444).
- Table 1 19a Compounds LA in which Z is C (CH 3 ) 2 (CH 2 ) 3 CH 2 , R 2 , R 3 and R 4 stand for H,
- Steroid metabolizing enzymes e.g. 3-hydroxy steroid oxidase, ecdysteroid IDP glycosyltransferase, cholesterol oxidase, ecdysone inhibitors, or HMG-CoA reductase
- ion channel blocker
- Botrytis cinerea Botryotina fuckeliana: gray mold, gray mold) on berry and pome fruit (including strawberries), vegetables (including lettuce, carrots, celery and cabbage), oilseed rape, flowers, vines, forestry crops and wheat (ear fungus); Bremia lactucae (downy mildew) on salad; Ceratocystis (Syn. Ophiostoma) spp. (Bläuepilz) on deciduous and coniferous trees, z.
- Botrytis cinerea Triomorph: Botryotina fuckeliana: gray mold, gray mold) on berry and pome fruit (including strawberries), vegetables (including lettuce, carrots, celery and cabbage), oilseed rape, flowers, vines, forestry crops and wheat (ear fungus); Bremia lactucae (downy mildew) on salad; Ceratocystis (Syn. Ophiostoma) spp. (Bläuepilz)
- BP asparagi Pyrenophora (anamorph: Drechslera) tritici-repentis (leaf drought) on wheat or P. teres (net stains) on barley; Pyricularia spp., E.g. BP oryzae (teleomorph: Magnaporthe grisea, rice leaf-brandy) on rice and P. grisea on seeds and cereals; Pythium spp. (Turnip disease) on turf, rice, corn, wheat,
- cerealis pointed eye-spot on wheat or barley; Rhizopus stolonifer (soft rot) on strawberries, carrots, cabbage, grapevine and tomato; Rhynchosporium secalis (leaf spot) on barley, rye and triticale; Sarocladium oryzae and S. attenuatum (sheath rot) on rice; Sclerotinia spp. (Stem or white rot) in vegetables and crops such as oilseed rape, sunflowers (eg Sclerotinia sclerotium rum) and soybeans (eg BS rolfsii); Septoria spp. on different plants, eg.
- the solvents used include water, organic solvents such as mineral oil fractions of medium to high boiling point such as kerosene and diesel oil, coal tar oils and oils of vegetable or animal origin, aliphatic, cyclic and aromatic hydrocarbons.
- aliphatic hydrocarbons for example paraffins, tetrahydronaphthalene, alkylated naphthalenes and their derivatives, alkylated benzenes and their derivatives, alcohols such as methanol, ethanol, propanol, butanol and cyclohexanol, glycols, ketones such as cyclohexanone, gamma-butyrolactone, dimethyl fatty acid amides, fatty acids and fatty acid esters and strongly polar solvents, for example amines such as N-methylpyrrolidone, into consideration.
- solvent mixtures and mixtures of the abovementioned solvents and water can also be used.
- the activity spectrum can be broadened or resistance developments can be prevented. In many cases, synergistic effects are obtained.
- Benzoic acid amides flumetover, fluopicolide, fluopyram, zoxamide, N- (3-ethyl-3,5,5-trimethylcyclohexyl) -3-formylamino-2-hydroxybenzamide;
- antibiotics kasugamycin, kasugamycin hydrochloride hydrate, polyoxines, streptomycin, validamycin A;
- Amino acid analogues bilanafos, glyphosate, glufosinate, sulfosate;
- Macrocyclic lactones Abamectin, Emamectin, Milbemectin, Lepimectin, Spinosid, Spinetoram;
- Another object of the present invention is the use of compounds I and their pharmaceutically acceptable salts for the treatment of diseases, in particular the use of the compounds I as an antimycotic.
- a pharmaceutical composition comprising at least one compound of the formula I and / or a pharmaceutically acceptable salt thereof.
- Another embodiment relates to the use of a compound I and / or a pharmaceutically active salt thereof for the manufacture of an antimycotic.
- Yet another object of the present invention is the use of compounds I and their pharmaceutically acceptable salts for the treatment of viral infections, in particular viral infections, which lead to diseases in warm-blooded animals.
- one embodiment of the invention relates to the use of a compound I and / or a pharmaceutically active salt thereof for the manufacture of an agent for the treatment of viral infections.
- the viral diseases to be treated include retrovirus diseases such as: HIV and HTLV, influenza virus, rhino-virus diseases, herpes and the like.
Landscapes
- Chemical & Material Sciences (AREA)
- Organic Chemistry (AREA)
- Nitrogen Condensed Heterocyclic Rings (AREA)
- Pharmaceuticals Containing Other Organic And Inorganic Compounds (AREA)
- Plural Heterocyclic Compounds (AREA)
- Agricultural Chemicals And Associated Chemicals (AREA)
- Heterocyclic Carbon Compounds Containing A Hetero Ring Having Nitrogen And Oxygen As The Only Ring Hetero Atoms (AREA)
Abstract
Description
Imidazol- und Triazolverbindungen, ihre Verwendung sowie sie enthaltende Mittel Imidazole and triazole compounds, their use, and agents containing them
Beschreibungdescription
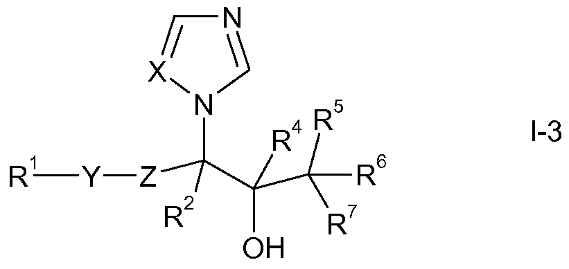
Die vorliegende der Formel IThe present of the formula I
worin die Variablen folgende Bedeutungen aufweisen: wherein the variables have the following meanings:
X CH oder N;X is CH or N;
Y O oder eine Einfachbindung zu R1;YO or a single bond to R 1 ;
Z gesättigte oder teilweise ungesättigte Kohlenwasserstoffkette mit drei bis acht Kohlenstoffatomen, die, wenn sie teilweise ungesättigt ist ein bis drei Doppelbindungen oder eine oder zwei Dreifachbindungen enthält, wobei Z einen, zwei, drei, vier oder fünf Substituenten Rz enthalten kann, wobei Rz bedeutet:Z is a saturated or partially unsaturated hydrocarbon chain of three to eight carbon atoms which, when partially unsaturated, contains one to three double bonds or one or two triple bonds, where Z may contain one, two, three, four or five substituents R z , where R z is means:
Rz Halogen, Cyano, Nitro, Cyanato (OCN), Ci -C8-Al kyl, Ci-C8-HaIo- genalkyl, C2-C8-Al kenyl, C2-C8-Halogenalkenyl, C2-C8-Al kinyl, C3-C8-R Z is halogen, cyano, nitro, cyanato (OCN), C -C 8 -alkyl, C 8 -HaIo- genalkyl, C 2 -C 8 -alkenyl, C 2 -C 8 haloalkenyl, C 2 - C 8 -alkenyl, C 3 -C 8 -
Halogenalkinyl, Ci-C8-Alkoxy, Ci-C8-Halogenalkoxy, Ci-C8-Alkylcarbonyl- oxy, Ci-Cs-Alkylsulfonyloxy, C2-C8-Alkenyloxy, C2-C8-Halogenalkenyloxy, C2-C8-Alkinyloxy, C3-C8-Halogenalkinyloxy, C3-C8-Cycloalkyl, C3-C8-HaIo- gencycloalkyl, C3-C8-Cycloalkenyl, C3-C8-Halogencycloalkenyl, C3-C8- Cycloalkoxy, C3-C6-Cycloalkenyloxy, Ci-Cβ-Alkylen, Oxy-C2-C4-alkylen,Haloalkynyl, Ci-C8-alkoxy, Ci-C8-haloalkoxy, Ci-C8-alkylcarbonyl oxy, Ci-Cs-alkylsulfonyloxy, C 2 -C 8 alkenyloxy, C 2 -C 8 haloalkenyloxy, C 2 - C 8 alkynyloxy, C3-C8 haloalkynyloxy, C3-C 8 -cycloalkyl, C 3 -C 8 -HaIo- gencycloalkyl, C3-C8 cycloalkenyl, C3-C8 halocycloalkenyl, C 3 -C 8 - cycloalkoxy , C 3 -C 6 -cycloalkenyloxy, C 1 -C 6 -alkylene, oxy-C 2 -C 4 -alkylene,
Oxy-Ci-C3-alkylenoxy,Phenoxy, Phenyl, Heteroaryloxy, Heterocyclyloxy, Heteroaryl, Heterocyclyl, wobei in den vorgenannten Gruppen das Heteroa- ryl ein aromatischer fünf-, sechs- oder siebengliedriger Heterocyclus und das Heterocyclyl ein gesättigter oder teilweise ungesättigter fünf-, sechs- oder siebengliedriger Heterocyclus ist, die jeweils ein, zwei, drei oder vierOxy-C 1 -C 3 -alkyleneoxy, phenoxy, phenyl, heteroaryloxy, heterocyclyloxy, heteroaryl, heterocyclyl, where in the abovementioned groups the heteroaryl is an aromatic five-, six- or seven-membered heterocycle and the heterocyclyl is a saturated or partially unsaturated five-, is six- or seven-membered heterocycle, each one, two, three or four
Heteroatome aus der Gruppe O, N und S enthalten, oder NA3A4, wobei zwei Reste Rz, die an dasselbe Kohlenstoffatom gebunden sind, gemeinsam mit dem Kohlenstoffatom, an das sie gebunden sind, auch einen C3- Cβ-Cycloalkylring bilden können; wobei A3, A4 wie unten definiert sind;Heteroatoms from the group O, N and S contain, or NA 3 A 4 , wherein two radicals R z , which are attached to the same carbon atom, together with the carbon atom to which they are attached, also form a C 3 - Cβ-cycloalkyl ring can; wherein A 3 , A 4 are defined as below;
R1 C3-Cio-Cycloalkyl, C3-Cio-Halogencycloalkyl, C3-Cio-Cycloalkenyl, C3-C10- Halogencycloalkenyl, wobei die vorgenannten Carbocyclen unsubstituiert sind oder einen, zwei, drei, vier oder fünf Substituenten unabhängig ausgewählt aus Halogen, Hydroxy, Ci-Cs-Alkyl, Ci-Cs-Halogenalkyl, C2-C8- Alkenyl, C2-C8-Halogenalkenyl, C2-Cs-Alkinyl und C3-Cs-Halogenalkinyl enthalten, oder 6- bis 10-gliedriges Aryl, wobei das Aryl einen, zwei, drei, vier oder fünf unabhängig ausgewählte Substituenten L enthält, wobei L bedeutet:R 1 is C 3 -C 10 -cycloalkyl, C 3 -C 10 -halocycloalkyl, C 3 -C 10 -cycloalkenyl, C 3 -C 10 -halocycloalkenyl, the abovementioned carbocycles being unsubstituted or one, two, three, four or five substituents independently selected from halo, hydroxy, C 1 -C 8 alkyl, C 1 -C 8 haloalkyl, C 2 -C 8 alkenyl, C 2 -C 8 haloalkenyl, C 2 -C 8 alkynyl and C 3 Cs-haloalkynyl or 6- to 10-membered aryl, wherein the aryl contains one, two, three, four or five independently selected substituents L, wherein L means:
L Halogen, Cyano, Nitro, Hydroxy, Cyanato (OCN), Ci -C8-Al kyl, Ci-Cs- Halogenalkyl, C2-Cs-Alkenyl, C2-C8-Halogenalkenyl, C2-Cs-Alkinyl, Cs-C8- Halogenalkinyl, C4-Cio-Alkadienyl, C4-Cio-Halogenalkadienyl, Ci-Cs-Alkoxy,L is halogen, cyano, nitro, hydroxy, cyanato (OCN), C 1 -C 8 -alkyl, C 1 -C 8 -haloalkyl, C 2 -C -alkenyl, C 2 -C 8 -haloalkenyl, C 2 -C -alkynyl, Cs-C 8 Halogenoalkynyl, C 4 -C 10 -alkadienyl, C 4 -C 10 -haloalkadienyl, C 1 -C 8 -alkoxy,
Ci-Cs-Halogenalkoxy, d-Cs-Alkylcarbonyloxy, Ci-Cs-Alkylsulfonyloxy, C2- Cs-Alkenyloxy, C2-C8-Halogenalkenyloxy, C2-C8-Alkinyloxy, Cs-C8- Halogenalkinyloxy, C3-C8-Cycloalkyl, Cs-Cs-Halogencycloalkyl, Cs-C8- Cycloalkenyl, C3-C8-Halogencycloalkenyl, C3-C8-Cycloalkoxy, Cs-Cβ-Cyclo- alkenyloxy, Hydroxyimino-Ci-C8-alkyl, Ci-Cβ-Alkylen, Oxy-C2-C4-alkylen,Ci-Cs-haloalkoxy, d-Cs-alkylcarbonyloxy, Ci-Cs-alkylsulfonyloxy, C2-Cs alkenyloxy, C2-C8 haloalkenyloxy, C2-C8-alkynyloxy, Cs-C 8 - haloalkynyloxy, C3-C8 cycloalkyl, Cs-Cs-halocycloalkyl, Cs-C 8 - cycloalkenyl, C3-C8 halocycloalkenyl, C3-C alkenyloxy 8 cycloalkoxy, Cs-Cβ-cyclo, hydroxyimino-Ci-C 8 alkyl, Ci-Cβ alkylene, oxy-C2-C4-alkylene,
Oxy-Ci-C3-alkylenoxy, Ci-C8-Alkoximino-Ci-C8-alkyl, C2-C8-Alkenyloximino- d-Cβ-alkyl, C2-C8-Alkinyloximino-Ci-C8-alkyl, S(=O)nA1, C(=O)A2, C(=S)A2, NA3A4, Phenoxy, Phenyl, Heteroaryloxy, Heterocyclyloxy, Heteroaryl, Hete- rocyclyl, wobei in den vorgenannten Gruppen das Heteroaryl ein aromati- scher fünf-, sechs- oder siebengliedriger Heterocyclus und das Heterocyclyl ein gesättigter oder teilweise ungesättigter fünf-, sechs- oder siebengliedriger Heterocyclus ist, die jeweils ein, zwei, drei oder vier Heteroatome aus der Gruppe O, N und S enthalten, wobei zwei Substituenten L, die an dasselbe Kohlenstoffatom gebunden sind, gemeinsam mit dem Kohlenstoff- atom, an das sie gebunden sind, auch einen Cs-Cβ-Cycloalkylring bilden können; wobei n, A1, A2, A3, A4 bedeuten:Oxy-Ci-C3-alkyleneoxy, C 8 -Alkoximino-C 8 alkyl, C2-C 8 -Alkenyloximino- d-Cβ-alkyl, C2-C 8 -Alkinyloximino-C 8 alkyl, S (= O) n A 1 , C (OO) A 2 , C (SS) A 2 , NA 3 A 4 , phenoxy, phenyl, heteroaryloxy, heterocyclyloxy, heteroaryl, heterocyclyl, where in the abovementioned groups the heteroaryl an aromatic five-, six- or seven-membered heterocycle and the heterocyclyl is a saturated or partially unsaturated five-, six- or seven-membered heterocycle which contain in each case one, two, three or four heteroatoms from the group consisting of O, N and S, wherein two substituents L attached to the same carbon atom together with the carbon atom to which they are attached may also form a Cs-Cβ cycloalkyl ring; where n, A 1 , A 2 , A 3 , A 4 mean:
n 0, 1 oder 2;n is 0, 1 or 2;
A1 Wasserstoff, Hydroxy, Ci-C8-Al kyl, Ci-C8-Halogenalkyl, Amino, Ci-C8-A 1 is hydrogen, hydroxy, Ci-C 8 -alkyl, C 8 haloalkyl, amino, Ci-C 8 -
Alkylamino, Di-Ci-C8-alkylamino, Phenyl, Phenylamino oder Phenyl- Ci-C8-alkylamino;Alkylamino, di-C 1 -C 8 -alkylamino, phenyl, phenylamino or phenylC 1 -C 8 -alkylamino;
A2 eine der bei A1 genannten Gruppen oder C2-C8-Alkenyl, C2-C8- Halogenalkenyl, C2-C8-Alkinyl, C3-C8-Halogenalkinyl, Ci-C8-Alkoxy,A 2 A 1 wherein one of said groups, or C2-C8 alkenyl, C2-C 8 - haloalkenyl, C2-C8 alkynyl, C3-C8-haloalkynyl, Ci-C 8 alkoxy,
Ci-C8-Halogenalkoxy, C2-C8-Alkenyloxy, C2-C8-Halogenalkenyloxy, C2-C8-Alkinyloxy, C3-C8-Halogenalkinyloxy, C3-C8-Cycloalkyl, Cs-Cs- Halogencycloalkyl, C3-Cs-Cycloalkoxy oder C3-C8-Halogen- cycloalkoxy; Ci-C8-haloalkoxy, C2-C8 alkenyloxy, C2-C8 haloalkenyloxy, C2-C8 alkynyloxy, C3-C8 haloalkynyloxy, C3-C8 cycloalkyl, Cs-Cs-halocycloalkyl, C3- Cs-cycloalkoxy or C3-C8-halo cycloalkoxy;
A3,A4 unabhängig voneinander Wasserstoff, Ci-Cs-Alkyl, Ci-Cs-Halogenalkyl, C2-C8-Alkenyl, C2-Cs-Halogenalkenyl, C2-C8-Alkinyl, Cs-Cs- Halogenalkinyl, C3-Cs-Cycloalkyl, C3-Cs-Halogencycloalkyl, Cs-C8- Cycloalkenyl oder C3-C8-Halogencycloalkenyl, Phenyl oder 5- oder sechsgliedriges Heteroaryl mit ein, zwei, drei oder vier Heteroatomen aus der Gruppe O, N und S im Heterocyclus;A 3 , A 4 independently of one another are hydrogen, C 1 -C 8 -alkyl, C 1 -C 5 -haloalkyl, C 2 -C 8 -alkenyl, C 2 -C 5 -haloalkenyl, C 2 -C 8 -alkynyl, C 3 -C 8 -haloalkynyl, C 3 -C 5 -synyl -Cycloalkyl, C 3 -C 8 -halocycloalkyl, Cs-C 8 - Cycloalkenyl or C 3 -C 8 -halocycloalkenyl, phenyl or 5- or 6 -membered heteroaryl having one, two, three or four heteroatoms from the group O, N and S in the heterocycle;
die aliphatischen und/oder alicyclischen und/oder aromatischen Gruppen der Restedefinitionen von L können ihrerseits eine, zwei, drei oder vier gleiche oder verschiedene Gruppen RL tragen:the aliphatic and / or alicyclic and / or aromatic groups of the radical definitions of L may themselves carry one, two, three or four identical or different groups R L :
RL Halogen, Hydroxy, Cyano, Nitro, Ci-C8-Alkyl, Ci-Cs-Halogenalkyl, d- Cs-Alkoxy, d-Cs-Halogenalkoxy, C3-C8-Cycloalkyl, C3-C8-Halogencyclo- alkyl, C3-C8-Cycloalkenyl, C3-C8-Cycloalkoxy, C3-C8-Halogencycloalkoxy, Ci-Ce-Alkylen, Oxy-C2-C4-alkylen, Oxy-Ci-C3-alkylenoxy, Ci-C8- Alkylcarbonyl, Ci-Cs-Alkylcarbonyloxy, Ci-C8-Alkoxycarbonyl, Amino, d- Cβ-Alkylamino, Di-Ci-C8-alkylamino;R L is halogen, hydroxy, cyano, nitro, Ci-C 8 alkyl, Ci-Cs-haloalkyl, d-Cs-alkoxy, d-Cs-haloalkoxy, C 3 -C 8 cycloalkyl, C 3 -C 8 -Halogencyclo alkyl, C 3 -C 8 -cycloalkenyl, C 3 -C 8 -cycloalkoxy, C 3 -C 8 -halocycloalkoxy, C 1 -C 6 -alkylene, oxy-C 2 -C 4 -alkylene, oxy-C 1 -C 3 - alkyleneoxy, C 8 - alkylcarbonyl, Ci-Cs-alkylcarbonyloxy, Ci-C8-alkoxycarbonyl, amino, d- Cβ-alkylamino, di-Ci-C 8 alkylamino;
R2 Wasserstoff, Ci-Cio-Alkyl, Ci-Cio-Halogenalkyl, C2-Cio-Alkenyl, C2-Ci0- Halogenalkenyl, C2-Ci0-Alkinyl, C3-Cio-Halogenalkinyl, C4-Cio-Alkadienyl, C4-Ciθ-Halogenalkadienyl, C3-Ciθ-Cycloalkyl, C3-Ciθ-Halogencycloalkyl, C3- Cio-Cycloalkenyl, C3-Cio-Halogencycloalkenyl;R 2 is hydrogen, Ci-Cio-alkyl, Ci-Cio-haloalkyl, C 2 -Cio-alkenyl, C 2 -C 0 - haloalkenyl, C 2 -C 0 alkynyl, C3-Cio-haloalkynyl, C4-Cio-alkadienyl , C4-Ci θ -Halogenalkadienyl, C3-Ci θ cycloalkyl, C3-Ci θ halocycloalkyl, C 3 - Cio-cycloalkenyl, C3-Cio-halocycloalkenyl;
R3 Wasserstoff, Ci-Cio-Alkyl, Ci-Cio-Halogenalkyl, C2-Ci0-Alkenyl, C2-Ci0- Halogenalkenyl, C2-Ci0-Alkinyl, C3-Cio-Halogenalkinyl, d-Cio-Alkadienyl, C4-Ciθ-Halogenalkadienyl, C3-Ciθ-Cycloalkyl, C3-Ciθ-Halogencycloalkyl, C3- Cio-Cycloalkenyl, C3-Cio-Halogencycloalkenyl, Carboxyl, Formyl, Si(A5A6A7), C(O)Rπ, C(O)ORπ, C(S)ORπ, C(O)SRπ, C(S)SRπ, C(NRA)SRπ,R 3 is hydrogen, Ci-Cio-alkyl, Ci-Cio-haloalkyl, C 2 -C 0 alkenyl, C 2 -C 0 - haloalkenyl, C 2 -C 0 alkynyl, C3-Cio-haloalkynyl, d-CIO alkadienyl, C4-Ci θ -Halogenalkadienyl, C3-Ci θ cycloalkyl, C3-Ci θ halocycloalkyl, C 3 - Cio-cycloalkenyl, C3-Cio-halocycloalkenyl, carboxyl, formyl, Si (A 5 A 6 A 7), C (O) R π , C (O) OR π , C (S) OR π , C (O) SR π , C (S) SR π , C (NR A ) SR π ,
C(S)Rπ, C(NRπ)N NA3A4, C(NRπ)RA, C(NRπ)ORA, C(O)NA3A4, C(S)NA3A4 oder S(=O)nA1; wobeiC (S) R π , C (NR π ) N NA 3 A 4 , C (NR π ) R A , C (NR π ) OR A , C (O) NA 3 A 4 , C (S) NA 3 A 4 or S (= O) n A 1 ; in which
Rπ Ci-Cs-Alkyl, C3-C8-Alkenyl, C3-C8-Al kinyl, C3-C6-Cycloalkyl, C3-C6- Cycloalkenyl oder Phenyl;R π Ci-Cs-alkyl, C 3 -C 8 alkenyl, C 3 -C 8 -alkyl kinyl, C 3 -C 6 cycloalkyl, C 3 -C 6 - cycloalkenyl or phenyl;
RA d-Cs-Alkyl, C3-C8-Alkenyl, C3-C8-Al kinyl, C3-C6-Cycloalkyl, C3-C6- Cycloalkenyl oder Phenyl bedeutet;R is A -Cs alkyl, C 3 -C 8 alkenyl, C 3 -C 8 alkynyl, C 3 -C 6 cycloalkyl, C 3 -C 6 cycloalkenyl or phenyl;
A5, A6, A7 unabhängig voneinander Ci-Cio-Alkyl, C3-C8-Alkenyl, C3-C8- Alkinyl, C3-C6-Cycloalkyl, C3-C6-Cycloalkenyl oder Phenyl bedeuten;A 5 , A 6 , A 7 independently of one another are C 1 -C 10 -alkyl, C 3 -C 8 -alkenyl, C 3 -C 8 -alkynyl, C 3 -C 6 -cycloalkyl, C 3 -C 6 -cycloalkenyl or phenyl ;
wobei Rπ, RA, A5, A6 und A7, falls es nicht anders angegeben ist, unabhängig voneinander unsubstituiert sind oder substituiert sind mit einem, zwei, drei, vier oder fünf L, wie oben definiert;wherein R π , R A , A 5 , A 6 and A 7 , unless otherwise indicated, are independently unsubstituted or substituted with one, two, three, four or five L as defined above;
R4 Wasserstoff, Ci-Ciθ-Alkyl, Ci-Cio-Halogenalkyl, C2-Ci0-Alkenyl, C2-Ci0- Halogenalkenyl, C2-Ci0-Alkinyl, C3-Ci0-Halogenalkinyl, C4-Cio-Alkadienyl, C4-Cio-Halogenalkadienyl, C3-Cio-Cycloalkyl, C3-Cio-Halogencycloalkyl, C3- Cio-Cycloalkenyl, C3-Cio-Halogencycloalkenyl;R 4 is hydrogen, Ci-C θ alkyl, Ci-Cio-haloalkyl, C 2 -C 0 alkenyl, C 2 -C 0 - haloalkenyl, C 2 -C 0 alkynyl, C 3 -C 0 haloalkynyl, C4 -Cio-alkadienyl, C 4 -C 10 haloalkadienyl, C 3 -C 10 -cycloalkyl, C 3 -C 10 -halocycloalkyl, C 3 -C 10 -cycloalkenyl, C 3 -C 10 -halocycloalkenyl;
R2, R3, R4 sind, falls es nicht anders angegeben ist, unabhängig voneinan- der unsubstituiert oder substituiert mit einem, zwei, drei, vier oder fünf L, wie oben definiert;R 2 , R 3 , R 4 are, unless otherwise indicated, independently unsubstituted or substituted with one, two, three, four or five L as defined above;
R5 Wasserstoff, Halogen oder Ci-Cio-Alkyl; wobei die Alkylgruppe in R5 unsubstituiert ist oder substituiert ist durch ein, zwei, drei, vier oder fünf unab- hängig ausgewählte L, wie oben definiert;R 5 is hydrogen, halogen or Ci-Cio-alkyl; wherein the alkyl group in R 5 is unsubstituted or substituted by one, two, three, four or five independently selected L, as defined above;
R6 und R7 bilden zusammen einen drei- bis zehngliedrigen gesättigten o- der teilweise ungesättigten Cyclus, welcher ein Carbocyclus ist oder neben Kohlenstoffatomen ein, zwei oder drei Heteroatome aus der Gruppe Stickstoff (N) und Schwefel (S) und/oder ein Sauerstoffatom (O) als Ringglieder enthalten kann, wobei der gebildete Cyclus unsubstituiert ist oder einen, zwei, drei, vier oder fünf Substituenten L, wie oben definiert, enthalten kann;R 6 and R 7 together form a three to ten membered saturated or partially unsaturated cycle which is a carbocycle or, besides carbon atoms, one, two or three heteroatoms selected from nitrogen (N) and sulfur (S) and / or an oxygen atom (O) may contain as ring members, wherein the cycle formed is unsubstituted or may contain one, two, three, four or five substituents L as defined above;
und deren landwirtschaftlich verträglichen Salze. Weiterhin betrifft die Erfindung die Herstellung der Verbindungen I, die Zwischenprodukte zur Herstellung der Verbindungen I und deren Herstellung sowie die Verwendung der erfindungsgemäßen Verbindungen zur Bekämpfung von pflanzenpathogenen Pilzen und sie enthaltende Mittel.and their agriculturally acceptable salts. Furthermore, the invention relates to the preparation of the compounds I, the intermediates for the preparation of the compounds I and their preparation and the use of the compounds according to the invention for controlling phytopathogenic fungi and agents containing them.
Es sind Triazolverbindungen aus EP 0 200 149 und EP 0 199 982bekannt.Triazole compounds are known from EP 0 200 149 and EP 0 199 982.
Die fungizide Wirkung der aus dem Stand der Technik bekannten Verbindungen lässt insbesondere bei niedrigen Aufwandmengen in manchen Fällen jedoch zu Wünschen übrig. Der vorliegenden Erfindung lag daher die Aufgabe zugrunde, neue Verbindun- gen bereitzustellen, welche vorzugsweise verbesserte Eigenschaften wie eine bessere fungizide Wirkung und/oder bessere toxikologische Eigenschaften aufweisen. Diese Aufgabe wurde überraschenderweise mit den hierin beschriebenen Verbindungen der Formel I gelöst.The fungicidal action of the compounds known from the prior art, however, leaves something to be desired, in particular at low application rates in some cases. It is an object of the present invention to provide novel compounds which preferably have improved properties such as a better fungicidal action and / or better toxicological properties. This object has surprisingly been achieved with the compounds of the formula I described herein.
Die Verbindungen I sind wegen des basischen Charakters der in ihnen enthaltenen Stickstoffatome in der Lage, mit anorganischen oder organischen Säuren oder mit Metallionen Salze oder Addukte zu bilden. Dies trifft ebenso auf die meisten der hierin beschriebenen Vorstufen für Verbindungen I zu, wovon die Salze und Addukte ebenfalls Gegenstand der vorliegenden Erfindung sind.The compounds I are able to form salts or adducts with inorganic or organic acids or with metal ions because of the basic character of the nitrogen atoms contained in them. This also applies to most of the precursors for compounds I described herein, of which the salts and adducts are also subject of the present invention.
Beispiele für anorganische Säuren sind Halogenwasserstoffsäuren wie Fluorwasserstoff, Chlorwasserstoff, Bromwasserstoff und Jodwasserstoff, Kohlensäure, Schwefelsäure, Phosphorsäure und Salpetersäure. Als organische Säuren kommen beispielsweise Ameisensäure und Alkansäuren wie Essigsäure, Trifluoressigsäure, Trichloressigsäure und Propionsäure sowie Glycolsäu- re, Thiocyansäure, Milchsäure, Bernsteinsäure, Zitronensäure, Benzoesäure, Zimtsäu- re, Oxalsäure, Alkylsulfonsäuren (Sulfonsäuren mit geradkettigen oder verzweigten Alkylresten mit 1 bis 20 Kohlenstoffatomen), Arylsulfonsäuren oder -disulfonsäuren (aromatische Reste wie Phenyl und Naphthyl, welche eine oder zwei Sulfonsäuregrup- pen tragen), Alkylphosphonsäuren (Phosphonsäuren mit geradkettigen oder verzweigten Alkylresten mit 1 bis 20 Kohlenstoffatomen), Arylphosphonsäuren oder -diphos- phonsäuren (aromatische Reste wie Phenyl und Naphthyl, welche eine oder zweiExamples of inorganic acids are hydrohalic acids such as hydrogen fluoride, hydrogen chloride, hydrogen bromide and hydrogen iodide, carbonic acid, sulfuric acid, phosphoric acid and nitric acid. Suitable organic acids are, for example, formic acid and alkanoic acids such as acetic acid, trifluoroacetic acid, trichloroacetic acid and propionic acid and also glycolic acid, thiocyanic acid, lactic acid, succinic acid, citric acid, benzoic acid, cinnamic acid, oxalic acid, alkylsulfonic acids (sulfonic acids having straight-chain or branched alkyl radicals having 1 to 20 carbon atoms ), Arylsulfonic acids or disulfonic acids (aromatic radicals such as phenyl and naphthyl carrying one or two sulfonic acid groups), alkylphosphonic acids (phosphonic acids having straight-chain or branched alkyl radicals having 1 to 20 carbon atoms), arylphosphonic acids or diphosphonic acids (aromatic radicals such as phenyl and naphthyl, which is one or two
Phosphorsäurereste tragen), wobei die Alkyl- bzw. Arylreste weitere Substituenten tragen können, z.B. p-Toluolsulfonsäure, Salizylsäure, p-Aminosalizylsäure, 2-Phenoxy- benzoesäure, 2-Acetoxybenzoesäure etc.Carry phosphoric acid residues), wherein the alkyl or aryl radicals may carry further substituents, e.g. p-toluenesulfonic acid, salicylic acid, p-aminosalicylic acid, 2-phenoxybenzoic acid, 2-acetoxybenzoic acid, etc.
Als Metallionen kommen insbesondere die Ionen der Elemente der zweiten Hauptgruppe, insbesondere Calzium und Magnesium, der dritten und vierten Hauptgruppe, insbesondere Aluminium, Zinn und Blei, sowie der ersten bis achten Nebengruppe, insbesondere Chrom, Mangan, Eisen, Kobalt, Nickel, Kupfer, Zink und andere in Betracht. Besonders bevorzugt sind die Metallionen der Elemente der Nebengruppen der vierten Periode. Die Metalle können dabei in den verschiedenen ihnen zukommenden Wertigkeiten vorliegen.The metal ions are, in particular, the ions of the elements of the second main group, in particular calcium and magnesium, the third and fourth main groups, in particular aluminum, tin and lead, and the first to eighth transition groups, in particular chromium, manganese, iron, cobalt, nickel, copper, Zinc and others into consideration. Particularly preferred are the metal ions of the elements of the subgroups of the fourth period. The metals can be present in the various valences that belong to them.
Die erfindungsgemäßen Verbindungen I können auf verschiedenen Wegen in Analogie zu an sich bekannten Verfahren des Standes der Technik (siehe z.B. den eingangs zitierten Stand der Technik oder EP 0 129 186, EP 0 129 152) hergestellt werden. Beispielsweise können die erfindungsgemäßen Verbindungen nach den in den folgenden Schemata dargestellten Synthesen hergestellt werden.The compounds I according to the invention can be prepared in various ways in analogy to prior art processes known per se (see, for example, the cited prior art or EP 0 129 186, EP 0 129 152). For example, the compounds of the invention can be prepared by the syntheses shown in the following Schemes.
So kann eine Verbindung der Formel I, worin R3 und R4 Wasserstoff bedeuten (Verbin- düngen 1-1 )Thus, a compound of the formula I in which R 3 and R 4 are hydrogen (compound fertilize 1-1)
wobei R1, X, Y, Z, R2, R5, R6 und R7 wie für Formel I definiert bzw. bevorzugt definiert sind, durch Reduktion Il hergestellt werden wherein R 1 , X, Y, Z, R 2 , R 5 , R 6 and R 7 are as defined or preferably defined for formula I, are prepared by reduction II
Als Reduktionsmittel sind bspw. Borhydride, inbesondere Natriumborhydrid, Kaliumborhydrid, Tetra-n-butylammoniumborhydrid und andere Metallhydride verwendbar. Es kann vorteilhaft sein, ein Additiv wie z.B eine Lewis-Säure zuzusetzen, im Allgemeinen in substöchiometrischen oder stöchiometrischen Anteilen. Als besonders geeignet ha- ben sich Titanhalogenide wie Titantetrachlorid, Titanalkoxide wie Titantetraisopropoxid oder Zink- bzw Zinnhalogenide wie Zinkchlorid oder Zinnchlorid gezeigt. Siehe bspw. Chem Ber. 121 (6), 1988, 1059 ff. Weitere geeignete Reduktionsmittel sind z.B. Alkyl- magnesiumhalogenide, wie z.B. Isopropylmagnesiumchlorid oder tert-Butylmagne- siumchlorid. Siehe z.B. DE3511922, DE3437919, DE3415486, DE3600812. Boron hydrides, in particular sodium borohydride, potassium borohydride, tetra-n-butylammonium borohydride and other metal hydrides can be used as reducing agents, for example. It may be advantageous to add an additive such as a Lewis acid, generally in substoichiometric or stoichiometric proportions. Titanium halides such as titanium tetrachloride, titanium alkoxides such as titanium tetraisopropoxide or zinc or tin halides such as zinc chloride or tin chloride have proven to be particularly suitable. See, for example, Chem Ber. 121 (6), 1988, 1059 ff. Further suitable reducing agents are, for example, alkyl magnesium halides, such as, for example, isopropylmagnesium chloride or tert-butylmagnesium chloride. See eg DE3511922, DE3437919, DE3415486, DE3600812.
Ein weiterer sind Verbindungen der Formel IlAnother are compounds of formula II
worin R1, X, Y, Z, R2, R5, R6 und R7 wie für Formel I definiert bzw. bevorzugt definiert sind. Gemäß einer Ausführungsform bedeutet R2 Wasserstoff (Verbindungen 11-1 ). wherein R 1 , X, Y, Z, R 2 , R 5 , R 6 and R 7 are as defined or preferably defined for formula I. In one embodiment, R 2 is hydrogen (compounds 11-1).
Verbindungen der Formel Il können durch Alkylierungsreaktionen erhalten werden, z.B., indem eine Verbindung der Formel IIICompounds of formula II can be obtained by alkylation reactions, e.g., by reacting a compound of formula III
mit einer Verbindung IV R1-Y-Z-LG (IV) und einer Base umgesetzt wird, worin LG für eine Abgangsgruppe wie z.B Halogen, inbesondere Cl, Br und I, oder Mesylat, Tosylat, oder für eine andere dem Fachmann bekannte geeignete Abgangsgruppe, steht. R1, Y und Z haben die Bedeutungen bzw. bevorzugten Bedeutungen, wie für Formel I definiert. Als Base kommen Alkali-oder Erdalkalimetallhydride, Alkaliamide oder Alkoholate in Frage. with a compound IV R 1 -YZ-LG (IV) and a base in which LG is a leaving group such as halogen, in particular Cl, Br and I, or mesylate, tosylate, or for another suitable leaving group known to the skilled person, stands. R 1 , Y and Z have the meanings or preferred meanings, as defined for formula I. Suitable bases are alkali metal or alkaline earth metal hydrides, alkali metal amides or alkoxides.
Verfahren zur Herstellung von Verbindungen des Types IV sind dem Fachmann bekannt.Processes for the preparation of compounds of the type IV are known to the person skilled in the art.
Alternativ können Verbindungen 1-1 ausgehend von Verbindungen V erhalten werden, worin X, Z, R2, R5, R6 und R7 wie für Formel I definiert bzw. bevorzugt definiert sind und LG für eine Abgangsgruppe (Bspe. siehe oben) oder OH steht, die, falls Z eine oder mehrere Mehrfachbindungen enthält, nicht direkt an eine Mehrfachbindung gebunden ist. LG wird dabei durch ein Nukleophil wie z.B ein Alkoholat substituiert, um eine Gruppe R1-Y einzuführen. Hierzu legt man z.B einen entsprechenden Alkohol R1-OH, wie insbesondere ein ggf substituiertes Phenol, in einem inerten Lösungsmittel vor und versetzt die Reaktionsmischung mit einer Base. Als Base kommen Carbonate, Alkalioder Erdalkalimetallhydride, Alkaliamide und Alkoholate in Frage. Die Reaktion wird in der Regel in einem Temperaturbereich zwischen 20 0C und 150 0C durchgeführt. LG kann bspw. auch aus einer OH-Gruppe durch dem Fachmann bekannte Verfahren generiert werden. Als Beispiel seien hier die Umsetzungen mit Sulfonylchloriden oder - anhydriden (Methan Methansulfonyl, Trifluormethylsulfonyl bzw Tosyl) in Gegenwart einer Aminbase oder mit Halogenierungsreagenzien, wie z.B. PBr3 oder HBr genannt.Alternatively, compounds 1-1 can be obtained starting from compounds V, wherein X, Z, R 2 , R 5 , R 6 and R 7 are as defined or preferably defined for formula I and LG is a leaving group (Bspe. see above) or OH, which, if Z contains one or more multiple bonds , is not tied directly to a multiple bond. LG is substituted by a nucleophile such as an alkoxide to introduce a group R 1 -Y. For this purpose, for example, a corresponding alcohol R 1 -OH, such as in particular a possibly substituted phenol, in an inert solvent before and the reaction mixture is mixed with a base. Suitable bases are carbonates, alkali metal or alkaline earth metal hydrides, alkali metal amides and alcoholates. The reaction is usually carried out in a temperature range between 20 0 C and 150 0 C. For example, LG can also be generated from an OH group by methods known to the person skilled in the art. Examples which may be mentioned here are the reactions with sulfonyl chlorides or anhydrides (methane, methanesulfonyl, trifluoromethylsulfonyl or tosyl) in the presence of an amine base or with halogenating reagents, for example PBr3 or HBr.
Verbindungen V können erhalten werden, indem die Ketogruppe in der entsprechenden Ketoverbindung VICompounds V can be obtained by reacting the keto group in the corresponding keto compound VI
wie oben beschrieben zum Alkohol reduziert wird. as described above is reduced to the alcohol.
Verbindungen VI können hergestellt werden, indem eine Verbindung III (siehe oben) mit einer Verbindung VII umgesetzt wird,Compounds VI can be prepared by reacting a compound III (see above) with a compound VII,
LG-Z-LG (VII) worin Z wie für Formel I definiert bzw. bevorzugt definiert ist und LG jeweils unabhän- gig für eine Abgangsgruppe (Bspe. siehe oben) steht und eine der beiden Gruppen LG auch OH bedeuten kann, wobei die Abgangsgruppen, falls Z eine oder mehrere Mehrfachbindungen enthält, nicht direkt an eine Mehrfachbindung gebunden ist. Z steht insbesondere für Alkylenkette #-[CH2]n-#, worin # die Verknüpfungsstellen angibt und und n 3 bis 8 bedeutet, insbesondere 3 bis 5. Als Base kommen Alkali-oder Erdalkalime- tallhydride, Alkaliamide und Alkoholate in Frage. Der Temperaturbereich dieser Reaktionen liegt bevorzugt zwischen -20 0C und 160 0C, insbesondere wird die Reaktion in Lösungsmitteln wie DMF, NMP, cyclischen oder acyclischen Ethern durchgeführt. Verbindungen II, worin Y für eine Bindung zu R1 steht, können auch ausgehend vonLG-Z-LG (VII) wherein Z is as defined or preferably defined for formula I and LG is in each case independently a leaving group (Bspe. See above) and one of the two groups LG can also be OH, where the leaving groups if Z contains one or more multiple bonds, is not tied directly to a multiple bond. Z in particular represents alkylene chain # - [CH 2] n - #, in which # indicates the sites of attachment and n and 3 to 8, in particular 3 to 5. Suitable bases are alkali metal or alkaline earth metal hydrides, alkali metal amides and alcoholates. The temperature range of these reactions is preferably between -20 0 C and 160 0 C, in particular, the reaction is carried out in solvents such as DMF, NMP, cyclic or acyclic ethers. Compounds II, wherein Y is a bond to R 1 , can also be prepared starting from
Alkylboranen des Typs VIII erhalten werden:Alkyl boranes of type VIII are obtained:
worin X, Z, R2 R5, R6 und R7 wie für Formel I definiert bzw. bevorzugt definiert sind und A jeweils unabhängig für eine d-Cβ-Alkylgruppe, Cs-Cβ-Cycloalkoxygruppe oder OH steht, indem diese mit einer Verbindung IX wherein X, Z, R 2 R 5 , R 6 and R 7 are as defined or preferably defined for formula I and A is independently a d-Cβ-alkyl group, Cs-Cβ-cycloalkoxy group or OH by reacting with a Compound IX
R1-LG IX worin R1 wie für Formel I definiert bzw. bevorzugt definiert ist und LG für eine Abgangsgruppe steht. Geeignete Abgangsgruppen LG sind Halogen, bevorzugt Chlor, Brom oder lod, Alkylcarbonylat, Benzoat, Alkylsulfonat, Haloalkylsulfonat or Arylsulfo- nat, besonders bevorzugt Chlor und Brom. Die Reaktion wird üblicherweise in Gegenwart einer Base und eines Katalysators, insbesondere in Gegenwart eines Palladium- Katalysators, durchgeführt, wie z.B beschrieben in: Synth. Commun. Vol. 1 1 , p. 513 (1981 ); Acc. Chem. Res. Vol. 15, pp. 178-184 (1982); Chem. Rev. Vol. 95, pp. 2457- 2483 (1995); Organic Letters Vol. 6 (16), p. 2808 (2004); "Metal catalyzed cross coupling reactions", 2nd Edition, Wiley, VCH 2005 (Eds. De Meijere, Diederich); "Handbook of organopalladium chemistry for organic synthesis" (Eds Negishi), Wiley, Interscience, New York, 2002; "Handbook of functionalized organometallics", (Ed. P. Knöchel), Wiley, VCH, 2005.R 1 -LG IX in which R 1 is as defined or preferably defined for formula I and LG is a leaving group. Suitable leaving groups LG are halogen, preferably chlorine, bromine or iodine, alkylcarbonylate, benzoate, alkylsulfonate, haloalkylsulfonate or arylsulfonate, particularly preferably chlorine and bromine. The reaction is usually carried out in the presence of a base and a catalyst, in particular in the presence of a palladium catalyst, as described, for example, in: Synth. Commun. Vol. 1 1, p. 513 (1981); Acc. Chem. Res. Vol. 15, pp. 178-184 (1982); Chem. Rev. Vol. 95, pp. 2457-2483 (1995); Organic Letters Vol. 6 (16), p. 2808 (2004); "Metal Catalyzed Cross Coupling Reactions", 2nd Edition, Wiley, VCH 2005 (Eds. De Meijere, Diederich); "Handbook of Organopalladium Chemistry for Organic Synthesis" (Eds Negishi), Wiley, Interscience, New York, 2002; "Handbook of functionalized organometallics", (Ed. P. Knöchel), Wiley, VCH, 2005.
Geeignete Katalysatoren sind Tetrakis(triphenylphosphin)palladium(0); Bis(triphenylphosphin)palladium(ll) chlorid; Bis(acetonitril)palladium(ll) chlorid; [1 ,1 '- bis(diphenylphosphino)ferrocen]-palladium(ll) chlorid/Methylenchloride (1 :1 )-Komplex; Bbis[bis-(1 ,2-diphenylphosphino)ethan]palladium(0); Bis[bis-(1 ,2- diphenylphosphino)butan]-palladium(ll) chlorid; Palladium(ll) acetat; Palladium(ll) chlorid; Palladium(ll) acetat/tri-o-tolylphosphin-Komplex oder Gemische von Phosphinen und Pd-Salzen oder Phosphinen und Pd-Komplexen, z.B. Dibenzylidenaceton- Palladium and Tri-tert-butylphosphin (oder das entsprechende Tetrafluoroborat), Tri- cyclohexylphosphine oder ein Polymergebundenes Pd-Triphenylphosphin-Katalysator- System.Suitable catalysts are tetrakis (triphenylphosphine) palladium (0); Bis (triphenylphosphine) palladium (II) chloride; Bis (acetonitrile) palladium (II) chloride; [1, 1 '- bis (diphenylphosphino) ferrocene] palladium (II) chloride / methylene chloride (1: 1) complex; Bbis [bis (1,2-diphenylphosphino) ethane] palladium (0); Bis [bis (1, 2-diphenylphosphino) butane] palladium (II) chloride; Palladium (II) acetate; Palladium (II) chloride; Palladium (II) acetate / tri-o-tolylphosphine complex or mixtures of phosphines and Pd salts or phosphines and Pd complexes, e.g. Dibenzylideneacetone palladium and tri-tert-butylphosphine (or the corresponding tetrafluoroborate), tricyclohexylphosphines or a polymer-bound Pd-triphenylphosphine catalyst system.
Geeignete Basen sind z.B. anorganische Basen, wie Alkalimetall- oder Erdalkalimetalloxide, wie Lithiumoxid, Natriumoxid, Calciumoxid und Magnesiumoxid, Alkalimetalloder Erdalkalimetallcarbonate, wie Lithiumcarbonat, Natriumcarbonat, Kaliumcarbonat, Cäsiumcarbonat und Calciumcarbonat. Ebenfalls geeignet sind Alkalimetall-Suitable bases are e.g. inorganic bases such as alkali metal or alkaline earth metal oxides such as lithium oxide, sodium oxide, calcium oxide and magnesium oxide, alkali metal or alkaline earth metal carbonates such as lithium carbonate, sodium carbonate, potassium carbonate, cesium carbonate and calcium carbonate. Also suitable are alkali metal
Bicarbonate, wie Natriumbicarbonat und Alkalimetall- oder Erdalkalimetallalkoxide, wie z.B. Natriummethanolat, Natriumethanolat, Kaliumethanolat oder Kalium-tert-butanolat. Desweiteren sind Aminbasen geeignet, insbesondere tertiäre Amine wie Trimethyla- min, Triethylamin, Diisopropylethylamin und N-Methylpiperidin, oder aromatische Ba- sen wie Pyridine, substituierte Pyridine, wie z.B. Collidin, Lutidin und 4- Dimethylaminopyridin. Besonders vorteilhaft sind häufig Basen wie Natriumcarbonat, Kaliumcarbonat, Cäsiumcarbonat, Triethylamin und Natriumbicarbonat.Bicarbonates such as sodium bicarbonate and alkali metal or alkaline earth metal alkoxides such as sodium methoxide, sodium ethanolate, potassium ethanolate or potassium tert-butoxide. Furthermore, amine bases are suitable, in particular tertiary amines such as trimethylamine, triethylamine, diisopropylethylamine and N-methylpiperidine, or aromatic such as pyridines, substituted pyridines such as collidine, lutidine and 4-dimethylaminopyridine. Frequently, bases such as sodium carbonate, potassium carbonate, cesium carbonate, triethylamine and sodium bicarbonate are particularly advantageous.
Die Base wird üblicherweise in einem molaren Verhältnis von 1 :1 bis 1 :10, bevorzugt in einem molaren Verhältnis von 1 :1.5 bis 1 : 5 bezogen auf R1-LG. Die Borverbindung wird in einem molaren Verhältnis zwischen 1 :1 und 1 :5, bevorzugt zwischen 1 :1 und 1 :2.5 bezogen auf R1-LG eingesetzt. R1 steht hier bevorzugt für substituiertes Phenyl.The base is usually used in a molar ratio of 1: 1 to 1:10, preferably in a molar ratio of 1: 1.5 to 1: 5 relative to R 1 -LG. The boron compound is used in a molar ratio of between 1: 1 and 1: 5, preferably between 1: 1 and 1: 2.5, based on R 1 -LG. R 1 here preferably represents substituted phenyl.
Die Reaktion wird üblicherweise in einem inerten organischen Lösungsmittel durchgeführt. Geeignete Lösungsmittel sind aliphatische Kohlenwasserstoffe, wie z.B. Pentan, Hexan, Cyclohexan und Petrolether, aromatische Kohlenwasserstoffe wie Toluol, o-, m- oder p-Xylol, ether, wie z.B. Diisopropylether, Methyl-tert-butylether, Dioxan, Anisol, Tetrahydrofuran und Dimethoxyethan. Desweiteren sind Ketone wie Aceton, Ethylme- thylketon, Diethylketon und Methyl-tert-butylketon geeignet. Ebenso geeignet sind Lösungsmittel wie Dimethylsulfoxid, Dimethylformamid und Dimethylacetamid. Insbesondere geeignet sind Ether wie Tetrahydrofuran, Dioxan und Dimethoxyethan. Die o.g. Lösungsmittel können bevorzugt auch als Gemische untereinander oder im Gemisch mit Wasser verwendet werden.The reaction is usually carried out in an inert organic solvent. Suitable solvents are aliphatic hydrocarbons, e.g. Pentane, hexane, cyclohexane and petroleum ether, aromatic hydrocarbons such as toluene, o-, m- or p-xylene, ethers, e.g. Diisopropyl ether, methyl tert-butyl ether, dioxane, anisole, tetrahydrofuran and dimethoxyethane. In addition, ketones such as acetone, ethyl methyl ketone, diethyl ketone and methyl tert-butyl ketone are suitable. Also suitable are solvents such as dimethyl sulfoxide, dimethylformamide and dimethylacetamide. Particularly suitable are ethers such as tetrahydrofuran, dioxane and dimethoxyethane. The o.g. Solvents may preferably also be used as mixtures with one another or in admixture with water.
Die Kupplungsreaktion wird üblicherweise bei Temperaturen zwischen 20 und 180 0C durchgeführt, bevorzugt zwischen 40 und 120 0C.The coupling reaction is usually carried out at temperatures between 20 and 180 0 C, preferably between 40 and 120 0 C.
Nach Beendigung der Reaktion können die Kupplungsprodukte nach den Standardme- thoden isoliert werden. Es ist ebenso möglich, ein Abfangreagenz zuzusetzen um Nebenkomponenten oder verbliebenes Ausgangsmaterial abzutrennen. Weitere Details und Referenzen hierzu können zum Beispiel "Synthesis and purification catalog", Argonaut, 2003, entnommen werden.After completion of the reaction, the coupling products can be isolated according to standard methods. It is also possible to add a scavenger to separate minor components or residual starting material. Further details and references can be found, for example, "Synthesis and purification catalog", Argonaut, 2003.
Verbindungen VIII sind er XCompounds VIII are he X
indem diese mit einem Boran HB(A)2 umgesetzt wird. X, Z, R2 R5, R6 und R7 sind wie für Formel I definiert bzw. bevorzugt definiert und A steht jeweils unabhängig für eine Ci-Cβ-Alkylgruppe, Cs-Cβ-Cycloalkoxygruppe oder OH, wobei Z insbesondere für eine Alkylenkette #-[CH2]n-#, worin # die Verknüpfungsstellen angibt und n insbesondere 1 bis 3 bedeutet. by reacting with a borane HB (A) 2. X, Z, R 2 R 5 , R 6 and R 7 are as defined or preferably defined for formula I and A is independently a Ci-Cβ-alkyl group, Cs-Cβ-cycloalkoxy or OH, wherein Z is in particular a Alkylene chain # - [CH 2] n - #, where # indicates the linking sites and n is in particular 1 to 3.
Bei dieser Hydroborierungsreaktion zu Herstellung der Verbindungen VIII werden als Boran-Verbindung z.B. 9-BBN, Dicyclohexylboran, Catecholboran, Boran, Dimethoxy- boran, Pinakolboran, Texylboran eingesetzt. Diese Reaktionen sind dem Fachmann bekannt und können bspw. analog zu Literaturvorschriften wie z.B. in WO 2008055859 oder Journal of the American Chemical Society (2007), 129(47), 14632-14639 beschrieben, durchgeführt werden. Weiterhin ist dabei der Zusatz von (Über- gangs)Metallkomplexen als Katalysatoren wie Ir(COD^Cb, Rh(CI)(PPh3)3 wie in Angewandte Chemie, 97(10), 854-5; 1985 beschrieben, möglich.In this hydroboration reaction for the preparation of the compounds VIII, the borane compound used is, for example, 9-BBN, dicyclohexylborane, catecholborane, borane, dimethoxyborane borane, pinacolborane, texylborane. These reactions are known to the person skilled in the art and can be carried out, for example, analogously to literature procedures, for example as described in WO 2008055859 or Journal of the American Chemical Society (2007), 129 (47), 14632-14639. Furthermore, the addition of (transition) metal complexes as catalysts such as Ir (COD ^ Cb, Rh (Cl) (PPh3) 3 as described in Angewandte Chemie, 97 (10), 854-5, 1985, is possible.
Verbindungen X, worin Z insbesondere für eine Alkylenkette #-[CH2]n-#, worin # die Verknüpfungsstellen angibt und n 1 bis 4 bedeutet, können hergestellt werden, indem ein Keton III (siehe oben) über eine übliche Alkylierungsmethode, wie oben dargelegt, alkyliert wird.Compounds X, wherein Z is especially an alkylene chain # - [CH 2] n - #, where # indicates the sites of attachment and n is 1 to 4, can be prepared by reacting a ketone III (see above) via a conventional alkylation method as set forth above , is alkylated.
Gemäß einem weiteren Verfahren kann man Verbindungen I (mit R3=Wasserstoff) erhalten, indem man ein Oxiran der Formel XlAccording to another method, compounds I (with R 3 = hydrogen) can be obtained by reacting an oxirane of the formula XI
worin Y, Z, R1, R2 , R4, R5, R6 und R7 wie für Formel I definiert bzw. bevorzugt definiert sind, mit Imidazol oder Triazol in Gegenwart einer Base unter Epoxid-Öffnung zur Bildung der Zielprodukte umsetzt. Solche Verfahren sind z.B. beschrieben in EP 0 236 884. wherein Y, Z, R 1 , R 2 , R 4 , R 5 , R 6 and R 7 are as defined or preferably defined for formula I, with imidazole or triazole in the presence of an epoxide-opening base to form the target products , Such processes are described, for example, in EP 0 236 884.
Das Oxiran Xl ist erhältlich durch Umsetzung des entsprechenden Olefins XIIThe oxirane XI is obtainable by reacting the corresponding olefin XII
mit einer Persäure oder einem äquivalenten Reagens (wie z.B. Dimethyldioxiran oder anderen Peroxiden, siehe auch EP 0 236 884). with a peracid or an equivalent reagent (such as dimethyldioxirane or other peroxides, see also EP 0 236 884).
Das Olefin XII kann mitThe olefin XII can With
hergestellt werden (siehe auch EP 0 236 884). be prepared (see also EP 0 236 884).
Olefine XII können alternativ aus über dem entsprechenden Alkohol XV hergestellt werden, welcher in einer dem Fachmann geläufigen Eliminierungsreaktion in das Olefin überführt wird (siehe auch EP 0 236 884). Die Herstellung der Alkohole XV ist z.B. beschrieben in DE 3400829. Gegebenenfalls kann eine Isomerisierung der Doppelbindung erfolgen, um die gewünschte Konfiguration des Oxirans zugänglich zu machen. Verfahren hierzu sind dem Fachmann bekannt.Alternatively, olefins XII can be prepared from over the corresponding alcohol XV which is converted into the olefin in an elimination reaction familiar to the person skilled in the art (see also EP 0 236 884). The preparation of the alcohols XV is described, for example, in DE 3400829. Optionally, an isomerization of the double bond can take place in order to make the desired configuration of the oxirane available. Processes for this are known to the person skilled in the art.
Um ausgehend von Verbindungen der Formel 1-1 Verbindungen mit R3 ≠ Wasserstoff zu erhaltenTo obtain starting from compounds of formula 1-1 compounds with R 3 ≠ hydrogen
kann man nach dem Fachmann bekannten Methoden zum Alkylieren, Verestern etc. von Alkoholen vorgehen (siehe hierzu auch DE 3321422, DE 3019049). It is possible to proceed by methods known to those skilled in the art for alkylating, esterifying, etc., alcohols (see also DE 3321422, DE 3019049).
Um Verbindungen der Formel I herzustellen, worin R4 ≠ Wasserstoff bedeutet, (Verbin- düngen I-4),In order to prepare compounds of the formula I in which R 4 denotes hydrogen, (compound I-4),
kann man analog der in DE 3126022, DE 3049542 beschriebenene Verfahren vorgehen, und das entsprechende Keton der Formel Il (siehe oben) mit einem Grignard- Reagenz (R4-Mg-Hal) in den entsprechenden tertiären Alkohol überführen. it is possible to proceed analogously to the process described in DE 3126022, DE 3049542, and to convert the corresponding ketone of the formula II (see above) with a Grignard reagent (R 4 -Mg-Hal) into the corresponding tertiary alcohol.
Entsprechend können auch Verbindungen I, worin zwei oder drei Substituenten von R2, R3 und R4 ungleich Wasserstoff sind, hergestellt werde, indem die genannten Verfahren miteinander kombiniert werden.Similarly, compounds I in which two or three substituents of R 2 , R 3 and R 4 are other than hydrogen can be prepared by combining said processes.
Bei den Definitionen der Symbole in den hierin angegebenen Formeln werden teilweise Sammelbegriffe verwendet, die allgemein repräsentativ für die folgenden Substituenten stehen:In the definitions of the symbols in the formulas given herein, partial collective terms are used which are generally representative of the following substituents:
Halogen: Fluor, Chlor, Brom und Jod; Alkyl sowie die Alkylteile von zusammengesetzten Gruppen wie beispielsweise Alky- lamino: gesättigte, geradkettige oder verzweigte Kohlenwasserstoffreste mit 1 bis 4, 6, 8 oder 12 Kohlenstoffatomen, z.B. Ci-C6-Alkyl wie Methyl, Ethyl, Propyl, 1-Methylethyl, Butyl, 1-Methyl-propyl, 2-Methylpropyl, 1 ,1-Dimethylethyl, Pentyl, 1-Methylbutyl, 2-Me- thylbutyl, 3-Methylbutyl, 2,2-Di-methylpropyl, 1-Ethylpropyl, Hexyl, 1 ,1-Dimethylpropyl, 1 ,2-Dimethylpropyl, 1-Methylpentyl, 2-Methylpentyl, 3-Methylpentyl, 4-Methylpentyl, 1 ,1-Dimethylbutyl, 1 ,2-Dimethylbutyl, 1 ,3-Dimethylbutyl, 2,2-Dimethylbutyl, 2,3-Dime- thylbutyl, 3,3-Dimethylbutyl, 1-Ethylbutyl, 2-Ethylbutyl, 1 ,1 ,2-Trimethylpropyl, 1 ,2,2-Tri- methylpropyl, 1-Ethyl-1-methylpropyl und 1-Ethyl-2-methylpropyl;Halogen: fluorine, chlorine, bromine and iodine; Alkyl and the alkyl moieties of compound groups such as alkylamino: saturated, straight-chain or branched hydrocarbon radicals having 1 to 4, 6, 8 or 12 carbon atoms, for example Ci-C 6 alkyl such as methyl, ethyl, propyl, 1-methylethyl, butyl , 1-methylpropyl, 2-methylpropyl, 1, 1-dimethylethyl, pentyl, 1-methylbutyl, 2-methylbutyl, 3-methylbutyl, 2,2-dimethylpropyl, 1-ethylpropyl, hexyl, 1, 1 -Dimethylpropyl, 1, 2-dimethylpropyl, 1-methylpentyl, 2-methylpentyl, 3-methylpentyl, 4-methylpentyl, 1, 1-dimethylbutyl, 1, 2-dimethylbutyl, 1, 3-dimethylbutyl, 2,2-dimethylbutyl, 2 , 3-dimethylbutyl, 3,3-dimethylbutyl, 1-ethylbutyl, 2-ethylbutyl, 1, 1, 2-trimethylpropyl, 1, 2,2-trimethylpropyl, 1-ethyl-1-methylpropyl and 1-ethyl -2-methylpropyl;
Halogenalkyl: Alkyl wie vorstehend genannt, wobei in diesen Gruppen teilweise oder vollständig die Wasserstoffatome durch Halogenatome wie vorstehend genannt ersetzt sind; insbesondere Ci-C2-Halogenalkyl wie Chlormethyl, Brommethyl, Dichlormethyl, Trichlormethyl, Fluormethyl, Difluormethyl, Trifluormethyl, Chlorfluormethyl, Dichlorflu- ormethyl, Chlordifluormethyl, 1-Chlorethyl, 1-Bromethyl, 1-Fluorethyl, 2-Fluorethyl, 2,2- Difluorethyl, 2,2,2-Trifluorethyl, 2-Chlor-2-fluorethyl, 2-Chlor-2,2-difluorethyl, 2,2- Dichlor-2-fluorethyl, 2,2,2-Trichlorethyl, Pentafluorethyl oder 1 ,1 ,1-Trifluorprop-2-yl;Haloalkyl: alkyl as mentioned above, wherein in these groups partially or completely the hydrogen atoms are replaced by halogen atoms as mentioned above; in particular C 1 -C 2 -haloalkyl, such as chloromethyl, bromomethyl, dichloromethyl, trichloromethyl, fluoromethyl, difluoromethyl, trifluoromethyl, chlorofluoromethyl, dichlorofluoromethyl, chlorodifluoromethyl, 1-chloroethyl, 1-bromoethyl, 1-fluoroethyl, 2-fluoroethyl, 2,2-difluoroethyl , 2,2,2-trifluoroethyl, 2-chloro-2-fluoroethyl, 2-chloro-2,2-difluoroethyl, 2,2-dichloro-2-fluoroethyl, 2,2,2-trichloroethyl, pentafluoroethyl or 1, 1 , 1-trifluoroprop-2-yl;
Alkenyl sowie die Alkenylteile in zusammengesetzten Gruppen, wie Alkenyloxy: unge- sättigte, geradkettige oder verzweigte Kohlenwasserstoffreste mit 2 bis 4, 2 bis 6 oder 2 bis 8 Kohlenstoffatomen und einer Doppelbindung in einer beliebigen Position. Erfindungsgemäß kann es bevorzugt sein, kleine Alkenylgruppen wie (C2-C4)-Alkenyl zu verwenden, andererseits kann es auch bevorzugt sein, größere Alkenylgruppen wie (C5-C8)-Alkenyl einzusetzen. Beipiele für Alkenylgruppen sind z.B. C2-C6-Alkenyl wie Ethenyl, 1-Propenyl, 2-Propenyl, 1-Methylethenyl, 1-Butenyl, 2-Butenyl, 3-Butenyl, 1- Methyl-1-propenyl, 2-Methyl-1-propenyl, 1-Methyl-2-propenyl, 2-Methyl-2-propenyl, 1- Pentenyl, 2-Pentenyl, 3-Pentenyl, 4-Pentenyl, 1-Methyl-1-butenyl, 2-Methyl-1-butenyl, 3-Methyl-1-butenyl, 1-Methyl-2-butenyl, 2-Methyl-2-butenyl, 3-Methyl-2-butenyl, 1- Methyl-3-butenyl, 2-Methyl-3-butenyl, 3-Methyl-3-butenyl, 1 ,1-Dimethyl-2-propenyl, 1 ,2- Dimethyl-1-propenyl, 1 ,2-Dimethyl-2-propenyl, 1-Ethyl-1 propenyl, 1-Ethyl-2-propenyl, 1-Hexenyl, 2-Hexenyl, 3-Hexenyl, 4-Hexenyl, 5-Hexenyl, 1-Methyl-1-pentenyl, 2- Methyl-1-pentenyl, 3-Methyl-1-pentenyl, 4-Methyl-1-pentenyl, 1-Methyl-2-pentenyl, 2- Methyl-2-pentenyl, 3-Methyl-2-pentenyl, 4-Methyl-2-pentenyl, 1-Methyl-3-pentenyl, 2- Methyl-3pentenyl, 3-Methyl-3-pentenyl, 4-Methyl-3-pentenyl, 1-Methyl-4-pentenyl, 2- Methyl-4-pentenyl, 3-Methyl-4-pentenyl, 4-Methyl-4-pentenyl, 1 ,1-Dimethyl-2-butenyl, 1 ,1-Dimethyl-3-butenyl, 1 ,2-Dimethyl-1-butenyl, 1 ,2-Dimethyl-2-butenyl, 1 ,2-Dimethyl- 3-butenyl, 1 ,3-Dimethyl-1-butenyl, 1 ,3-Dimethyl-2-butenyl, 1 ,3-Dimethyl-3-butenyl, 2,2- Dimethyl-3-butenyl, 2,3-Dimethyl-1-butenyl, 2,3-Dimethyl-2-butenyl, 2,3-Dimethyl-3- butenyl, 3,3-Dimethyl-1-butenyl, 3,3-Dimethyl-2-butenyl, 1-Ethyl-1-butenyl, 1-Ethyl-2- butenyl, 1-Ethyl-3-butenyl, 2-Ethyl-1-butenyl, 2-Ethyl-2-butenyl, 2-Ethyl-3-butenyl, 1 , 1 ,2-Trimethyl-2-propenyl, 1 -Ethyl-1 -methyl-2-propenyl, 1 -Ethyl-2-methyl-1 propenyl und 1-Ethyl-2-methyl-2-propenyl; Halogenalkenyl: Alkenyl wie vorstehend definiert, wobei in diesen Gruppen die Wasserstoffatome teilweise oder vollständig gegen Halogenatome, wie vorstehend unter Halogenalkyl beschrieben, insbesondere Fluor, Chlor oder Brom, ersetzt sind;Alkenyl and the alkenyl moieties in a compound group, such as alkenyloxy: unsaturated, straight-chain or branched hydrocarbon radicals having 2 to 4, 2 to 6 or 2 to 8 carbon atoms and a double bond in any position. In the present invention, it may be preferable to use small alkenyl groups such as (C 2 -C 4) alkenyl, but on the other hand, it may also be preferable to use larger alkenyl groups such as (C 5 -C 8) alkenyl. Examples of alkenyl groups are, for example, C 2 -C 6 alkenyl, such as ethenyl, 1-propenyl, 2-propenyl, 1-methylethenyl, 1-butenyl, 2-butenyl, 3-butenyl, 1-methyl-1-propenyl, 2-methyl-1 -propenyl, 1-methyl-2-propenyl, 2-methyl-2-propenyl, 1-pentenyl, 2-pentenyl, 3-pentenyl, 4-pentenyl, 1-methyl-1-butenyl, 2-methyl-1-butenyl , 3-methyl-1-butenyl, 1-methyl-2-butenyl, 2-methyl-2-butenyl, 3-methyl-2-butenyl, 1-methyl-3-butenyl, 2-methyl-3-butenyl, 3 -Methyl-3-butenyl, 1, 1-dimethyl-2-propenyl, 1, 2-dimethyl-1-propenyl, 1, 2-dimethyl-2-propenyl, 1-ethyl-1-propenyl, 1-ethyl-2- propenyl, 1-hexenyl, 2-hexenyl, 3-hexenyl, 4-hexenyl, 5-hexenyl, 1-methyl-1-pentenyl, 2-methyl-1-pentenyl, 3-methyl-1-pentenyl, 4-methyl 1-pentenyl, 1-methyl-2-pentenyl, 2-methyl-2-pentenyl, 3-methyl-2-pentenyl, 4-methyl-2-pentenyl, 1-methyl-3-pentenyl, 2-methyl-3-pentenyl, 3-methyl-3-pentenyl, 4-methyl-3-pentenyl, 1-methyl-4-pentenyl, 2-methyl-4-pentenyl, 3-methyl-4-pentenyl, 4-methyl-4-pentenyl, 1, 1-dimethyl-2-butenyl, 1, 1-dime thyl-3-butenyl, 1, 2-dimethyl-1-butenyl, 1, 2-dimethyl-2-butenyl, 1, 2-dimethyl-3-butenyl, 1, 3-dimethyl-1-butenyl, 1, 3 Dimethyl-2-butenyl, 1, 3-dimethyl-3-butenyl, 2,2-dimethyl-3-butenyl, 2,3-dimethyl-1-butenyl, 2,3-dimethyl-2-butenyl, 2,3- Dimethyl-3-butenyl, 3,3-dimethyl-1-butenyl, 3,3-dimethyl-2-butenyl, 1-ethyl-1-butenyl, 1-ethyl-2-butenyl, 1-ethyl-3-butenyl, 2-ethyl-1-butenyl, 2-ethyl-2-butenyl, 2-ethyl-3-butenyl, 1, 1, 2-trimethyl-2-propenyl, 1-ethyl-1-methyl-2-propenyl, 1 - Ethyl 2-methyl-1-propenyl and 1-ethyl-2-methyl-2-propenyl; Haloalkenyl: alkenyl as defined above, wherein in these groups the hydrogen atoms are partially or completely replaced by halogen atoms as described above under haloalkyl, in particular fluorine, chlorine or bromine;
Alkadienyl: ungesättigte, geradkettige oder verzweigte Kohlenwasserstoffreste mit 4 bis 6 oder 4 bis 8 Kohlenstoffatomen und zwei Doppelbindungen in beliebiger Position;Alkadienyl: unsaturated, straight-chain or branched hydrocarbon radicals having 4 to 6 or 4 to 8 carbon atoms and two double bonds in any position;
Alkinyl sowie die Alkinylteile in zusammengesetzten Gruppen: geradkettige oder verzweigte Kohlenwasserstoffgruppen mit 2 bis 4, 2 bis 6 oder 2 bis 8 Kohlenstoffatomen und einer oder zwei Dreifachbindungen in einer beliebigen Position, z.B. C2-C6-Alkinyl wie Ethinyl, 1-Propinyl, 2-Propinyl, 1-Butinyl, 2-Butinyl, 3-Butinyl, 1-Methyl-2-propinyl, 1-Pentinyl, 2-Pentinyl, 3-Pentinyl, 4-Pentinyl, 1-Methyl-2-butinyl, 1 -Methyl-3-butinyl, 2- Methyl-3-butinyl, 3-Methyl-1 -butinyl, 1 ,1-Dimethyl-2-propinyl, 1 -Ethyl-2-propinyl, 1- Hexinyl, 2-Hexinyl, 3-Hexinyl, 4-Hexinyl, 5-Hexinyl, 1-Methyl-2-pentinyl, 1 -Methyl-3- pentinyl, 1-Methyl-4-pentinyl, 2-Methyl-3-pentinyl, 2-Methyl-4-pentinyl, 3-Methyl-1- pentinyl, 3-Methyl-4-pentinyl, 4-Methyl-1 -pentinyl, 4-Methyl-2-pentinyl, 1 ,1-Dimethyl-2- butinyl, 1 ,1-Dimethyl-3-butinyl, 1 ,2-Dimethyl-3-butinyl, 2,2-Dimethyl-3-butinyl, 3,3- Dimethyl-1 -butinyl, 1-Ethyl-2-butinyl, 1-Ethyl-3-butinyl, 2-Ethyl-3-butinyl und 1 -Ethyl-1 - methyl-2-propinyl;Alkynyl as well as the alkynyl moieties in compounded groups: straight or branched chain hydrocarbon groups of 2 to 4, 2 to 6 or 2 to 8 carbon atoms and one or two triple bonds in any position, e.g. C 2 -C 6 -alkynyl, such as ethynyl, 1-propynyl, 2-propynyl, 1-butynyl, 2-butynyl, 3-butynyl, 1-methyl-2-propynyl, 1-pentynyl, 2-pentynyl, 3-pentynyl, 4- Pentynyl, 1-methyl-2-butynyl, 1-methyl-3-butynyl, 2-methyl-3-butynyl, 3-methyl-1-butynyl, 1, 1-dimethyl-2-propynyl, 1-ethyl-2- propynyl, 1-hexynyl, 2-hexynyl, 3-hexynyl, 4-hexynyl, 5-hexynyl, 1-methyl-2-pentynyl, 1-methyl-3-pentynyl, 1-methyl-4-pentynyl, 2-methyl 3-pentynyl, 2-methyl-4-pentynyl, 3-methyl-1-pentynyl, 3-methyl-4-pentynyl, 4-methyl-1-pentynyl, 4-methyl-2-pentynyl, 1, 1-dimethyl 2-butynyl, 1, 1-dimethyl-3-butynyl, 1, 2-dimethyl-3-butynyl, 2,2-dimethyl-3-butynyl, 3,3-dimethyl-1-butynyl, 1-ethyl-2- butinyl, 1-ethyl-3-butynyl, 2-ethyl-3-butynyl and 1-ethyl-1-methyl-2-propynyl;
Halogenalkinyl: Alkinyl, wie vorstehend definiert, wobei in diesen Gruppen die Wasserstoffatome teilweise oder vollständig gegen Halogenatome, wie vorstehend unter Halogenalkyl beschrieben, insbesondere Fluor, Chlor oder Brom, ersetzt sind;Haloalkynyl: alkynyl as defined above, wherein in these groups the hydrogen atoms are partially or completely replaced by halogen atoms as described above under haloalkyl, in particular fluorine, chlorine or bromine;
Cycloalkyl sowie die Cycloalkylteile in zusammengesetzten Gruppen: mono- oder bi- cyclische, gesättigte Kohlenwasserstoffgruppen mit 3 bis 8, insbesondere 3 bis 6 Kohlenstoffringgliedern, z.B. C3-C6-Cycloalkyl wie Cyclopropyl, Cyclobutyl, Cyclopentyl, Cyclohexyl;Cycloalkyl and the cycloalkyl moieties in assembled groups: mono- or bicyclic, saturated hydrocarbon groups having 3 to 8, in particular 3 to 6, carbon ring members, e.g. C3-C6 cycloalkyl such as cyclopropyl, cyclobutyl, cyclopentyl, cyclohexyl;
Halogencycloalkyl: Cycloalkyl, wie vorstehend definiert, wobei in diesen Gruppen die Wasserstoffatome teilweise oder vollständig gegen Halogenatome, wie vorstehend unter Halogenalkyl beschrieben, insbesondere Fluor, Chlor oder Brom, ersetzt sind;Halogencycloalkyl: cycloalkyl as defined above, wherein in these groups the hydrogen atoms are partially or completely replaced by halogen atoms as described above under haloalkyl, in particular fluorine, chlorine or bromine;
Cycloalkenyl: monocyclische, einfach ungesättigte Kohlenwasserstoffgruppen mit vor- zugsweise 3 bis 8 oder 4 bis 6, insbesondere 5 bis 6 Kohlenstoffringgliedern, wie Cyc- lopenten-1-yl, Cyclopenten-3-yl, Cyclohexen-1-yl, Cyclohexen-3-yl, Cyclohexen-4-yl und dergleichen;Cycloalkenyl: monocyclic, monounsaturated hydrocarbon groups with preferably 3 to 8 or 4 to 6, in particular 5 to 6 carbon ring members, such as cyclopenten-1-yl, cyclopenten-3-yl, cyclohexen-1-yl, cyclohexene-3 yl, cyclohexene-4-yl and the like;
Halogencycloalkenyl: Cycloalkenyl, wie vorstehend definiert, wobei in diesen Gruppen die Wasserstoffatome teilweise oder vollständig gegen Halogenatome, wie vorstehend unter Halogenalkyl beschrieben, insbesondere Fluor, Chlor oder Brom, ersetzt sind; Alkoxy: für eine über ein Sauerstoff gebundene Alkylgruppe wie oben definiert, bevorzugt mit 1 bis 8, mehr bevorzugt 2 bis 6 C-Atomen. Beispiele sind: Methoxy, Ethoxy, n- Propoxy, 1 -Methylethoxy, Butoxy, 1-Methylpropoxy, 2-Methylpropoxy oder 1 ,1- Dimethylethoxy; sowie z.B. Pentoxy, 1-Methylbutoxy, 2-Methylbutoxy, 3-Methylbutoxy, 1 ,1-Dimethylpropoxy, 1 ,2-Dimethylpropoxy, 2,2-Dimethylpropoxy, 1-Ethylpropoxy, He- xoxy, 1-Methylpentoxy, 2-Methylpentoxy, 3-Methylpentoxy, 4-Methylpentoxy, 1 ,1- Dimethylbutoxy, 1 ,2-Dimethylbutoxy, 1 ,3-Dimethylbutoxy, 2,2-Dimethylbutoxy, 2,3- Dimethylbutoxy, 3,3-Dimethylbutoxy, 1-Ethylbutoxy, 2-Ethyl butoxy, 1 ,1 ,2- Trimethylpropoxy, 1 ,2,2-Trimethylpropoxy, 1-Ethyl-1-methylpropoxy oder 1 -Ethyl-2- methylpropoxy;Halocycloalkenyl: cycloalkenyl as defined above, wherein in these groups the hydrogen atoms are partially or completely replaced by halogen atoms as described above under haloalkyl, in particular fluorine, chlorine or bromine; Alkoxy: for an oxygen-bonded alkyl group as defined above, preferably having 1 to 8, more preferably 2 to 6 carbon atoms. Examples are: methoxy, ethoxy, n-propoxy, 1-methylethoxy, butoxy, 1-methylpropoxy, 2-methylpropoxy or 1, 1-dimethylethoxy; and also, for example, pentoxy, 1-methylbutoxy, 2-methylbutoxy, 3-methylbutoxy, 1, 1-dimethylpropoxy, 1, 2-dimethylpropoxy, 2,2-dimethylpropoxy, 1-ethylpropoxy, hexoxy, 1-methylpentoxy, 2-methylpentoxy, 3-methylpentoxy, 4-methylpentoxy, 1, 1-dimethylbutoxy, 1, 2-dimethylbutoxy, 1, 3-dimethylbutoxy, 2,2-dimethylbutoxy, 2,3-dimethylbutoxy, 3,3-dimethylbutoxy, 1-ethylbutoxy, 2- Ethylbutoxy, 1,1,2-trimethylpropoxy, 1,2,2-trimethylpropoxy, 1-ethyl-1-methylpropoxy or 1-ethyl-2-methylpropoxy;
Halogenalkoxy: Alkoxy, wie vorstehend definiert, wobei in diesen Gruppen die Wasserstoffatome teilweise oder vollständig gegen Halogenatome, wie vorstehend unter HaIo- genalkyl beschrieben, insbesondere Fluor, Chlor oder Brom, ersetzt sind. Beispiele für sind OCH2F, OCHF2, OCF3, OCH2CI, OCHCI2, OCCI3, Chlorfluormethoxy, Dichlorflu- ormethoxy, Chlordifluormethoxy, 2-Fluorethoxy, 2-Chlorethoxy, 2-Bromethoxy, 2- lodethoxy, 2,2-Difluorethoxy, 2,2,2-Trifluorethoxy, 2-Chlor-2-fluorethoxy, 2-Chlor-2,2- difluorethoxy, 2,2-Dichlor-2-fluorethoxy, 2,2,2-Trichlorethoxy, OC2F5, 2-Fluorpropoxy, 3-Fluorpropoxy, 2,2-Difluorpropoxy, 2,3-Difluorpropoxy, 2-Chlorpropoxy, 3- Chlorpropoxy, 2,3-Dichlorpropoxy, 2-Brompropoxy, 3-Brompropoxy, 3,3,3-Haloalkoxy: alkoxy, as defined above, wherein in these groups the hydrogen atoms are partially or completely replaced by halogen atoms, as described above under haloalkyl, in particular fluorine, chlorine or bromine. Examples of these are OCH 2 F, OCHF 2 , OCF 3 , OCH 2 Cl, OCHCl 2 , OCCl 3 , chlorofluoromethoxy, dichlorofluoromethoxy, chlorodifluoromethoxy, 2-fluoroethoxy, 2-chloroethoxy, 2-bromoethoxy, 2-iodoethoxy, 2,2 Difluoroethoxy, 2,2,2-trifluoroethoxy, 2-chloro-2-fluoroethoxy, 2-chloro-2,2-difluoroethoxy, 2,2-dichloro-2-fluoroethoxy, 2,2,2-trichloroethoxy, OC 2 F 5 , 2-fluoropropoxy, 3-fluoropropoxy, 2,2-difluoropropoxy, 2,3-difluoropropoxy, 2-chloropropoxy, 3-chloropropoxy, 2,3-dichloropropoxy, 2-bromopropoxy, 3-bromopropoxy, 3,3,3-
Trifluorpropoxy, 3,3,3-Trichlorpropoxy, OCH2-C2F5, OCF2-C2F5, 1-(CH2F)-2-fluorethoxy, 1-(CH2CI)-2-chlorethoxy, 1-(CH2Br)-2-bromethoxy, 4-Fluorbutoxy, 4-Chlorbutoxy, 4- Brombutoxy oder Nonafluorbutoxy; sowie 5-Fluorpentoxy, 5-Chlorpentoxy, 5- Brompentoxy, 5-lodpentoxy, Undecafluorpentoxy, 6-Fluorhexoxy, 6-Chlorhexoxy, 6- Bromhexoxy, 6-lodhexoxy oder Dodecafluorhexoxy.Trifluoropropoxy, 3,3,3-trichloropropoxy, OCH 2 -C 2 F 5 , OCF 2 -C 2 F 5 , 1- (CH 2 F) -2-fluoroethoxy, 1- (CH 2 Cl) -2-chloroethoxy, 1- (CH 2 Br) -2-bromoethoxy, 4-fluorobutoxy, 4-chlorobutoxy, 4-bromobutoxy or nonafluorobutoxy; and 5-fluoropentoxy, 5-chloropentoxy, 5-bromopentoxy, 5-iodopentoxy, undecafluoropentoxy, 6-fluorohexoxy, 6-chloro-hexoxy, 6-bromohexoxy, 6-iodo-hexoxy or dodecafluorohexoxy.
Alkylen: divalente unverzweigte Ketten aus CH2-Gruppen. Bevorzugt ist (Ci-Cβ)- Alkylen, mehr bevorzugt ist (C2-C4)-Alkylen, weiterhin kann es bevorzugt sein, (Ci-C3)- Alkylen-Gruppen einzusetzen. Beispiele für bevorzugte Alkylenreste sind CH2, CH2CH2, CH2CH2CH2, CH2(CH2)2CH2, CH2(CH2)3CH2 und CH2(CH2)4CH2;Alkylene: divalent linear chains of CH 2 groups. Preference is given to (C 1 -C 6) -alkylene, more preferably (C 2 -C 4) -alkylene, and furthermore it may be preferable to use (C 1 -C 3 ) -alkylene groups. Examples of preferred alkylene radicals are CH 2 , CH 2 CH 2 , CH 2 CH 2 CH 2 , CH 2 (CH 2 ) 2 CH 2 , CH 2 (CH 2 ) 3 CH 2 and CH 2 (CH 2 ) 4 CH 2 ;
6- bis 10-gliedriges Aryl: Aromatischer Kohlenwasserstoffcyclus mit 6, 7, 8, 9 oder 10 Kohlenstoffatomen im Ring. Insbesondere Phenyl oder Naphthyl.6- to 10-membered aryl: Aromatic hydrocarbon cycle containing 6, 7, 8, 9 or 10 carbon atoms in the ring. In particular phenyl or naphthyl.
3-, 4-, 5-, 6-, 7-, 8-, 9- oder 10-gliedriger gesättigter oder partiell ungesättigter Hetero- cyclus, enthaltend 1 , 2, 3 oder 4 Heteroatome aus der Gruppe O, N und S, wobei der jeweilige Heterocyclus über ein Kohlenstoffatom oder über ein Stickstoffatom, falls enthalten, angebunden sein kann. Es kann erfindungsgemäß bevorzugt sein, dass der jeweilige Heterocyclus über Kohlenstoff gebunden ist, andererseits kann es auch be- vorzugt sein, dass der Heterocyclus über Stickstoff gebunden ist. Insbesondere: drei- oder viergliedriger gesättigter Heterocyclus (im Folgenden auch Heterocyc- IyI), enthaltend ein oder zwei Heteroatome aus der Gruppe O, N und S als Ringglieder; fünf- oder sechsgliedriger gesättigter oder partiell ungesättigter Heterocyclus enthaltend ein, zwei, drei oder vier Heteroatome aus der Gruppe O, N und S als Ringglieder: z.B. monocyclische gesättigte oder partiell ungesättigte Heterocyc- len, enthaltend neben Kohlenstoffringgliedern einen, zwei oder drei Stickstoff- atome und/oder ein Sauerstoff- oder Schwefelatom oder ein oder zwei Sauerstoff- und/oder Schwefelatome, z.B. 2-Tetrahydrofuranyl, 3-Tetrahydrofuranyl, 2- Tetrahydrothienyl, 3-Tetrahydrothienyl, 2-Pyrrolidinyl, 3-Pyrrolidinyl, 3- Isoxazolidinyl, 4-lsoxazolidinyl, 5-lsoxazolidinyl, 3-lsothiazolidinyl, 4- Isothiazolidinyl, 5-lsothiazolidinyl, 3-Pyrazolidinyl, 4-Pyrazolidinyl, 5-Pyrazolidinyl, 2-Oxazolidinyl, 4-Oxazolidinyl, 5-Oxazolidinyl, 2-Thiazolidinyl, 4-Thiazolidinyl, 5-3-, 4-, 5-, 6-, 7-, 8-, 9- or 10-membered saturated or partially unsaturated heterocycle containing 1, 2, 3 or 4 heteroatoms from the group O, N and S, wherein the respective heterocycle may be attached via a carbon atom or via a nitrogen atom, if present. It may be preferred according to the invention that the respective heterocycle is bonded via carbon, on the other hand it may also be preferred for the heterocycle to be bonded via nitrogen. In particular: tri- or four-membered saturated heterocycle (hereinafter also Heterocyc IyI) containing one or two heteroatoms from the group O, N and S as ring members; A five- or six-membered saturated or partially unsaturated heterocycle containing one, two, three or four heteroatoms from the group O, N and S as ring members: for example monocyclic saturated or partially unsaturated heterocycles comprising, in addition to carbon ring members, one, two or three nitrogen atoms and / or an oxygen or sulfur atom or one or two oxygen and / or sulfur atoms, eg 2-tetrahydrofuranyl, 3-tetrahydrofuranyl, 2-tetrahydrothienyl, 3-tetrahydrothienyl, 2-pyrrolidinyl, 3-pyrrolidinyl, 3-isoxazolidinyl, 4- isoxazolidinyl, 5-isoxazolidinyl, 3-isothiazolidinyl, 4-isothiazolidinyl, 5-isothiazolidinyl, 3-pyrazolidinyl, 4-pyrazolidinyl, 5-pyrazolidinyl, 2-oxazolidinyl, 4-oxazolidinyl, 5-oxazolidinyl, 2-thiazolidinyl, 4-thiazolidinyl. 5
Thiazolidinyl, 2-lmidazolidinyl, 4-lmidazolidinyl, 1 ,2,4-Oxadiazolidin-3-yl, 1 ,2,4- Oxadiazolidin-5-yl, 1 ,2,4-Thiadiazolidin-3-yl, 1 ,2,4-Thiadiazolidin-5-yl, 1 ,2,4-Triazolidin-3-yl, 1 ,3,4-Oxadiazolidin-2-yl, 1 ,3,4-Thiadiazolidin-2-yl, 1 ,3,4-Triazolidin-2-yl, 2,3-Dihydrofur-2-yl, 2,3-Dihydrofur-3-yl, 2,4-Dihydrofur-2-yl, 2,4-Dihydrofur-3-yl, 2,3-Dihydrothien-2-yl, 2,3-Dihydrothien-3-yl,Thiazolidinyl, 2-imidazolidinyl, 4-imidazolidinyl, 1, 2,4-oxadiazolidin-3-yl, 1, 2,4-oxadiazolidin-5-yl, 1, 2,4-thiadiazolidin-3-yl, 1, 2, 4-thiadiazolidin-5-yl, 1, 2,4-triazolidin-3-yl, 1, 3,4-oxadiazolidin-2-yl, 1, 3,4-thiadiazolidin-2-yl, 1, 3,4- Triazolidin-2-yl, 2,3-dihydrofur-2-yl, 2,3-dihydrofur-3-yl, 2,4-dihydrofur-2-yl, 2,4-dihydrofur-3-yl, 2,3- Dihydrothien-2-yl, 2,3-dihydro-thien-3-yl,
2,4-Dihydrothien-2-yl, 2,4-Dihydrothien-3-yl, 2-Pyrrolin-2-yl, 2-Pyrrolin-3-yl, 3-Pyrrolin-2-yl, 3-Pyrrolin-3-yl, 2-lsoxazolin-3-yl, 3-lsoxazolin-3-yl, 4-lsoxazolin-3- yl, 2-lsoxazolin-4-yl, 3-lsoxazolin-4-yl, 4-lsoxazolin-4-yl, 2-lsoxazolin-5-yl, 3- lsoxazolin-5-yl, 4-lsoxazolin-5-yl, 2-lsothiazolin-3-yl, 3-lsothiazolin-3-yl, 4- lsothiazolin-3-yl, 2-lsothiazolin-4-yl, 3-lsothiazolin-4-yl, 4-lsothiazolin-4-yl, 2- lsothiazolin-5-yl, 3-lsothiazolin-5-yl, 4-lsothiazolin-5-yl, 2,3-Dihydropyrazol-1-yl, 2,3-Dihydropyrazol-2-yl, 2,3-Dihydropyrazol-3-yl, 2,3-Dihydropyrazol-4-yl, 2,3- Dihydropyrazol-5-yl, 3,4-Dihydropyrazol-1-yl, 3,4-Dihydropyrazol-3-yl, 3,4-Di- hydropyrazol-4-yl, 3,4-Dihydropyrazol-5-yl, 4,5-Dihydropyrazol-1-yl, 4,5-Dihydro- pyrazol-3-yl, 4,5-Dihydropyrazol-4-yl, 4,5-Dihydropyrazol-5-yl, 2,3-Dihydrooxazol-2,4-dihydro-thien-2-yl, 2,4-dihydro-thien-3-yl, 2-pyrrolin-2-yl, 2-pyrrolin-3-yl, 3-pyrrolin-2-yl, 3-pyrroline-3 yl, 2-isoxazolin-3-yl, 3-isoxazolin-3-yl, 4-isoxazolin-3-yl, 2-isoxazolin-4-yl, 3-isoxazolin-4-yl, 4-isoxazolin-4-yl, 2-isoxazolin-5-yl, 3-isoxazolin-5-yl, 4-isoxazolin-5-yl, 2-isothiazolin-3-yl, 3-isothiazolin-3-yl, 4-isothiazolin-3-yl, 2 isothiazolin-4-yl, 3-isothiazolin-4-yl, 4-isothiazolin-4-yl, 2-isothiazolin-5-yl, 3-isothiazolin-5-yl, 4-isothiazolin-5-yl, 2,3- Dihydropyrazol-1-yl, 2,3-dihydropyrazol-2-yl, 2,3-dihydropyrazol-3-yl, 2,3-dihydropyrazol-4-yl, 2,3-dihydropyrazol-5-yl, 3,4- Dihydropyrazol-1-yl, 3,4-dihydropyrazol-3-yl, 3,4-dihydropyrazol-4-yl, 3,4-dihydropyrazol-5-yl, 4,5-dihydropyrazol-1-yl, 4, 5-dihydropyrazol-3-yl, 4,5-dihydropyrazol-4-yl, 4,5-dihydropyrazol-5-yl, 2,3-dihydrooxazole
2-yl, 2,3-Dihydrooxazol-3-yl, 2,3-Dihydrooxazol-4-yl, 2,3-Dihydrooxazol-5-yl, 3,4- Dihydrooxazol-2-yl, 3,4-Dihydrooxazol-3-yl, 3,4-Dihydrooxazol-4-yl, 3,4-Dihydro- oxazol-5-yl, 3,4-Dihydrooxazol-2-yl, 3,4-Dihydrooxazol-3-yl, 3,4-Dihydrooxazol-4- yl, 2-Piperidinyl, 3-Piperidinyl, 4-Piperidinyl, 1 ,3-Dioxan-5-yl, 2-Tetrahydropyra- nyl, 4-Tetrahydropyranyl, 2-Tetrahydrothienyl, 3-Hexahydropyridazinyl, 4-Hexa- hydropyridazinyl, 2-Hexahydropyrimidinyl, 4-Hexahydropyrimidinyl, 5-Hexahydro- pyrimidinyl, 2-Piperazinyl, 1 ,3,5-Hexahydro-triazin-2-yl und 1 ,2,4-Hexahydro- triazin-3-yl sowie die entsprechenden -yliden-Reste; siebengliedriger gesättigter oder partiell ungesättigter Heterocyclus, enthaltend ein, zwei, drei oder vier Heteroatome aus der Gruppe O, N und S als Ringglieder: z.B. mono- und bicyclische Heterocyclen mit 7 Ringgliedern, enthaltend neben Kohlenstoffringgliedern einen, zwei oder drei Stickstoffatome und/oder ein Sauerstoff- oder Schwefelatom oder ein oder zwei Sauerstoff- und/oder Schwefelatome, beispielsweise Tetra- und Hexahydroazepinyl wie 2,3,4,5- Tetrahydro[1 H]azepin-1 -, -2-, -3-, -4-, -5-, -6- oder -7-yl, 3,4,5,6-Tetra- hydro[2H]azepin-2-, -3-, -A-, -5-, -6- oder -7-yl, 2,3,4,7-Tetrahydro[1 H]azepin-1-, - 2-, -3-, -A-, -5-, -6- oder -7-yl, 2,3,6,7-Tetrahydro[1 H]azepin-1-, -2-, -3-, -4-, -5-, - 6- oder -7-yl, Hexahydroazepin-1-, -2-, -3- oder -4-yl, Tetra-. und Hexahydrooxe- pinyl wie 2,3,4, 5-Tetrahydro[1 H]oxepin-2-, -3-, -4-, -5-, -6- oder -7-yl, 2,3,4, 7-Te- trahydro[1 H]oxepin-2-, -3-, -4-, -5-, -6- oder -7-yl, 2,3,6,7-Tetrahydro[1 H]oxepin- 2-, -3-, -4-, -5-, -6- oder -7-yl, Hexahydroazepin-1-, -2-, -3- oder -4-yl, Tetra- und Hexahydro-1 ,3-diazepinyl, Tetra- und Hexahydro-1 ,4-diazepinyl, Tetra- und He- xahydro-1 ,3-oxazepinyl, Tetra- und Hexahydro-1 ,4-oxazepinyl, Tetra- und Hexa- hydro-1 ,3-dioxepinyl, Tetra- und Hexahydro-1 ,4-dioxepinyl und die entsprechenden yliden-Reste;2-yl, 2,3-dihydrooxazol-3-yl, 2,3-dihydrooxazol-4-yl, 2,3-dihydrooxazol-5-yl, 3,4-dihydrooxazol-2-yl, 3,4-dihydrooxazole 3-yl, 3,4-dihydrooxazol-4-yl, 3,4-dihydrooxazol-5-yl, 3,4-dihydrooxazol-2-yl, 3,4-dihydrooxazol-3-yl, 3,4- Dihydrooxazol-4-yl, 2-piperidinyl, 3-piperidinyl, 4-piperidinyl, 1, 3-dioxan-5-yl, 2-tetrahydropyranyl, 4-tetrahydropyranyl, 2-tetrahydrothienyl, 3-hexahydropyridazinyl, 4-hexa hydropyridazinyl, 2-hexahydropyrimidinyl, 4-hexahydropyrimidinyl, 5-hexahydro-pyrimidinyl, 2-piperazinyl, 1, 3,5-hexahydro-triazin-2-yl and 1,2,4-hexahydro-triazin-3-yl, and the like -ylidene residues; Seven-membered saturated or partially unsaturated heterocycle containing one, two, three or four heteroatoms from the group O, N and S as ring members: for example mono- and bicyclic heterocycles having 7 ring members, containing in addition to carbon ring members one, two or three nitrogen atoms and / or a Oxygen or sulfur atom or one or two oxygen and / or sulfur atoms, for example tetra- and hexahydroazepinyl, such as 2,3,4,5-tetrahydro [1 H] azepine-1 -, -2-, -3-, -4- , -5-, -6- or -7-yl, 3,4,5,6-tetrahydro [2H] azepine-2-, -3-, -A-, -5-, -6- or - 7-yl, 2,3,4,7-tetrahydro [1 H] azepine-1, -2-, -3-, -A-, -5-, -6- or -7-yl, 2,3 , 6,7-Tetrahydro [1 H] azepine-1, -2, -3, -4, -5, 6-or 7-yl, hexahydroazepine-1, -2-, - 3- or 4-yl, tetra-. and hexahydroxene vinyls such as 2,3,4,5-tetrahydro [1 H] oxepin-2-, -3-, -4-, -5-, -6- or -7-yl, 2,3,4,7-Te - trahydro [1H] oxepin-2-, -3-, -4-, -5-, -6- or -7-yl, 2,3,6,7-tetrahydro [1H] oxepin 2-, -3-, -4-, -5-, -6- or -7-yl, hexahydroazepine-1, -2-, -3- or -4-yl, tetra- and hexahydro-1,3-diazepinyl, Tetra- and hexahydro-1,4-diazepinyl, tetra- and hexahydro-1,3-oxazepinyl, tetra- and hexahydro-1,4-oxazepinyl, tetra- and hexa-hydro-1,3-dioxepinyl, tetra- and hexahydro-1, 4-oxazepinyl. and hexahydro-1,4-dioxepinyl and the corresponding ylidene residues;
5-, 6-, 7-, 8-, 9- oder 10-gliedriger aromatischer Heterocyclus, enthaltend 1 , 2, 3 oder 4 Heteroatome aus der Gruppe O, N und S: Insbesondere fünf- oder sechsgliedriger a- romatischer mono- oder bicyclischer Heterocyclus, enthaltend ein, zwei, drei oder vier Heteroatome aus der Gruppe O, N und S: Der jeweilige Heterocyclus kann über ein Kohlenstoffatom oder über ein Stickstoffatom, falls enthalten, angebunden sein. Es kann erfindungsgemäß bevorzugt sein, dass der jeweilige Heterocyclus über Kohlen- stoff gebunden ist, andererseits kann es auch bevorzugt sein, dass der Heterocyclus über Stickstoff gebunden ist. Der Heterocyclus bedeutet insbesondere:5-, 6-, 7-, 8-, 9- or 10-membered aromatic heterocycle containing 1, 2, 3 or 4 heteroatoms from the group O, N and S: in particular five- or six-membered aromatic mono- or Bicyclic heterocycle containing one, two, three or four heteroatoms from the group O, N and S: The respective heterocycle may be attached via a carbon atom or via a nitrogen atom, if present. It may be preferred according to the invention that the respective heterocycle is bonded via carbon, on the other hand it may also be preferred for the heterocycle to be bonded via nitrogen. The heterocycle means in particular:
-5-gliedriges Heteroaryl, enthaltend ein, zwei, drei oder vier Stickstoffatome oder ein, zwei oder drei Stickstoffatome und/oder ein Schwefel- oder Sauerstoffatom, wobei das Heteroaryl über C oder N, falls vorhanden, angebunden sein kann: 5- Ring Heteroarylgruppen, welche neben Kohlenstoffatomen ein bis vier Stickstoffatome oder einen, zwei oder drei Stickstoffatome und/oder ein Schwefel- oder Sauerstoffatom als Ringglieder enthalten können, z.B. Furyl, Thienyl, Pyrrolyl, Pyrazolyl, Imidazolyl, Triazolyl (1 ,2,3-; 1 ,2,4-Triazolyl), Tetrazolyl, Oxazolyl, Iso- xazolyl, 1 ,3,4-Oxadiazolyl, Thiazolyl, Isothiazolyl und Thiadiazolyl, insbesondere 2-Furyl, 3-Furyl, 2-Thienyl, 3-Thienyl, 2-Pyrrolyl, 3-Pyrrolyl, 3-lsoxazolyl, 4-5-membered heteroaryl containing one, two, three or four nitrogen atoms or one, two or three nitrogen atoms and / or a sulfur or oxygen atom, which heteroaryl may be attached via C or N, if present: 5- ring heteroaryl groups which may contain, in addition to carbon atoms, one to four nitrogen atoms or one, two or three nitrogen atoms and / or one sulfur or oxygen atom as ring members, eg Furyl, thienyl, pyrrolyl, pyrazolyl, imidazolyl, triazolyl (1,2,3-; 1,2,4-triazolyl), tetrazolyl, oxazolyl, isoxazolyl, 1, 3,4-oxadiazolyl, thiazolyl, isothiazolyl and thiadiazolyl, especially 2-furyl, 3-furyl, 2-thienyl, 3-thienyl, 2-pyrrolyl, 3-pyrrolyl, 3-isoxazolyl, 4-
Isoxazolyl, 5-lsoxazolyl, 3-lsothiazolyl, 4-lsothiazolyl, 5-lsothiazolyl, 3-Pyrazolyl, 4-Pyrazolyl, 5-Pyrazolyl, 2-Oxazolyl, 4-Oxazolyl, 5-Oxazolyl, 2-Thiazolyl, 4- Thiazolyl, 5-Thiazolyl, 2-lmidazolyl, 4-lmidazolyl, 1 ,2,4-Oxadiazol-3-yl, 1 ,2,4- Oxadiazol-5-yl, 1 ,2,4-Thiadiazol-3-yl, 1 ,2,4-Thiadiazol-5-yl, 1 ,2,4-Triazol-3-yl, 1 ,3,4-Oxadiazol-2-yl, 1 ,3,4-Thiadiazol-2-yl und 1 ,3,4-Triazol-2-yl;Isoxazolyl, 5-isoxazolyl, 3-isothiazolyl, 4-isothiazolyl, 5-isothiazolyl, 3-pyrazolyl, 4-pyrazolyl, 5-pyrazolyl, 2-oxazolyl, 4-oxazolyl, 5-oxazolyl, 2-thiazolyl, 4-thiazolyl, 5-thiazolyl, 2-imidazolyl, 4-imidazolyl, 1, 2,4-oxadiazol-3-yl, 1, 2,4-oxadiazol-5-yl, 1, 2,4-thiadiazol-3-yl, 1, 2,4-thiadiazol-5-yl, 1, 2,4-triazol-3-yl, 1, 3,4-oxadiazol-2-yl, 1, 3,4-thiadiazol-2-yl and 1, 3, 4-triazol-2-yl;
-6-gliedriges Heteroaryl, enthaltend ein, zwei, drei oder vier, vorzugsweise ein, zwei oder drei Stickstoffatome, wobei das Heteroaryl über C oder N, falls vorhanden, angebunden sein kann: 6-Ring Heteroarylgruppen, welche neben Kohlen- stoffatomen ein bis vier bzw. einen, zwei oder drei Stickstoffatome als Ringglieder enthalten können, z.B. Pyridinyl, Pyrimidinyl, Pyrazinyl, Pyridazinyl, 1 ,2,3- Triazinyl, 1 ,2,4-Triazinyl, 1 ,3,5-Triazinyl, insbesondere 2-Pyridinyl, 3-Pyridinyl, 4- Pyridinyl, 3-Pyridazinyl, 4-Pyridazinyl, 2-Pyrimidinyl, 4-Pyrimidinyl, 5-Pyrimidinyl, 2-Pyrazinyl, 1 ,3,5-Triazin-2-yl und 1 ,2,4-Triazin-3-yl.6-membered heteroaryl containing one, two, three or four, preferably one, two or three nitrogen atoms, which heteroaryl can be attached via C or N, if present: 6-membered heteroaryl groups which, in addition to carbon atoms, have one to may contain four or one, two or three nitrogen atoms as ring members, eg Pyridinyl, pyrimidinyl, pyrazinyl, pyridazinyl, 1, 2,3-triazinyl, 1, 2,4-triazinyl, 1, 3,5-triazinyl, especially 2-pyridinyl, 3-pyridinyl, 4-pyridinyl, 3-pyridazinyl, 4 Pyridazinyl, 2-pyrimidinyl, 4-pyrimidinyl, 5-pyrimidinyl, 2-pyrazinyl, 1, 3,5-triazin-2-yl and 1, 2,4-triazin-3-yl.
Die neuen erfindungsgemäßen Verbindungen enthalten chirale Zentren und werden im Allgemeinen in Form von Racematen oder als Diastereomerengemische von erythro- sowie threo-Formen erhalten. Die erythro- und threo-Diastereomeren lassen sich bei den erfindungsgemäßen Verbindungen beispielsweise aufgrund ihrer unterschiedlichen Löslichkeit oder durch Säulenchromatographie trennen und in reiner Form isolieren. Aus solchen einheitlichen Diastereomerenpaaren kann man mit bekannten Methoden einheitliche Enantiomere erhalten. Als antimikrobielle Mittel kann man sowohl die ein- heitlichen Diastereomere bzw. Enantiomere wie auch deren bei der Synthese anfallende Gemische verwenden. Entsprechendes gilt für die fungiziden Mittel.The novel compounds of this invention contain chiral centers and are generally obtained in the form of racemates or as diastereomeric mixtures of erythro and threo forms. The erythro and threo diastereomers can be included the compounds of the invention, for example, due to their different solubility or by column chromatography and isolate in pure form. From such uniform pairs of diastereomers can be obtained by known methods uniform enantiomers. As antimicrobial agents it is possible to use both the uniform diastereomers or enantiomers and also their mixtures obtained in the synthesis. The same applies to the fungicides.
Gegenstand der Erfindung sind daher sowohl die reinen Enantiomere oder Diastereomere als auch Gemische davon. Dies gilt für die erfindungsgemäßen Verbindungen der Formel I sowie gegebenenfalls entsprechend für deren Vorprodukte. Insbesondere sind im Umfang der vorliegenden Erfindung die (R)- und (S)-Isomere und die Razemate der erfindungsgemäßen Verbindungen, insbesondere der Formel I, eingeschlossen, die chirale Zentren aufweisen. Geeignete erfindungsgemäße Verbindungen, insbesondere der Formel I, umfassen auch alle möglichen Stereoisomere (cis/trans-lsomere) und Gemische davon.The invention therefore relates both to the pure enantiomers or diastereomers and to mixtures thereof. This applies to the compounds of the formula I according to the invention and, if appropriate, correspondingly to their precursors. In particular, the scope of the present invention includes the (R) and (S) isomers and the racemates of the compounds of the invention, in particular of formula I, which have chiral centers. Suitable compounds according to the invention, in particular of the formula I, also include all possible stereoisomers (cis / trans isomers) and mixtures thereof.
Die ggf auftretende(n) Doppelbindung(en) in der Variablen Z in den erfindungsgemäßen Verbindungen können jeweils (E) oder (Z) konfiguriert sein. Sowohl die (E) als auch die (Z) Isomere sind Gegenstand der vorliegenden Erfindung.The optionally occurring double bond (s) in the variable Z in the compounds according to the invention can be configured in each case (E) or (Z). Both the (E) and the (Z) isomers are the subject of the present invention.
Die erfindungsgemäßen Verbindungen, insbesondere der Formel I, können in verschiedenen Kristallmodifikationen vorliegen, die sich in der biologischen Wirksamkeit unterscheiden können. Sie sind ebenfalls Gegenstand der vorliegenden Erfindung.The compounds according to the invention, in particular of the formula I, can be present in various crystal modifications which may differ in their biological activity. They are also the subject of the present invention.
In den erfindungsgemäßen Verbindungen I sind die folgenden Bedeutungen der Sub- stituenten, und zwar jeweils für sich allein oder in Kombination, besonders bevorzugt.In the compounds I according to the invention, the following meanings of the substituents, in each case alone or in combination, are particularly preferred.
Gemäß einer Ausführungsform bedeutet X = N (Triazol-Verbindungen der Formel LA).In one embodiment, X = N (triazole compounds of formula LA).
Gemäß einer weiteren Ausführungsform bedeutet X = CH (Imidazol-Verbindungen der Formel LB).According to another embodiment, X = CH (imidazole compounds of the formula LB).
Gemäß einer Ausführungsform der Erfindung steht Y für O. Gemäß einer weiteren Ausführungsform der Erfindung bedeutet Y eine Einfachbindung zwischen R1 und Z.According to one embodiment of the invention, Y is O. According to another embodiment of the invention, Y represents a single bond between R 1 and Z.
Z in den erfindungsgemäßen Verbindungen steht für eine gesättigte oder teilweise ungesättigte Kohlenwasserstoffkette mit drei, vier, fünf, sechs, sieben oder acht Kohlenstoffatomen, die, wenn sie teilweise ungesättigt ist, ein, zwei oder drei Doppelbindungen oder eine oder zwei Dreifachbindungen enthält, wobei Z einen, zwei, drei, vier oder fünf Substituenten Rz enthalten kann. Gemäß einer Ausführungsform steht Z für eine gesättigte Kohlenwasserstoffkette mit drei bis acht Kohlenstoffatomen, wobei Z unsubstituiert ist oder einen, zwei, drei, vier oder fünf Substituenten Rz enthalten kann.Z in the compounds of the invention is a saturated or partially unsaturated hydrocarbon chain having three, four, five, six, seven or eight carbon atoms which, when partially unsaturated, contains one, two or three double bonds or one or two triple bonds, where Z is one, two, three, four or five substituents R z may contain. In one embodiment, Z is a saturated hydrocarbon chain of three to eight carbon atoms wherein Z is unsubstituted or may contain one, two, three, four or five substituents R z .
Gemäß einer Ausführungsform der Erfindung steht Z für eine Gruppe Z1: worin # die Anknüpfungsstellen darstellen, n für 3, 4, 5 oder 6 steht und Rz1 und Rz2 jeweils unabhängig voneinander ausgewählt sind aus Wasserstoff und Rz, wie hierin definiert.According to one embodiment of the invention, Z stands for a group Z 1 : wherein # represent the attachment sites, n is 3, 4, 5, or 6, and R z1 and R z2 are each independently selected from hydrogen and R z , as defined herein.
Gemäß einer Ausführungsform steht n in der Gruppe Z1 für 3.According to one embodiment, n in the group Z 1 stands for 3.
Gemäß einer weiteren Ausführungsform steht n in der Gruppe Z1 für 4.According to a further embodiment, n in the group Z 1 stands for 4.
Gemäß einer weiteren Ausführungsform steht n in der Gruppe Z1 für 5.According to another embodiment, n in the group Z 1 stands for 5.
In einer speziellen Ausgestaltung der jeweils genannten Ausführungsformen sind Rz1 und Rz2 jeweils unabhängig ausgewählt aus Wasserstoff und Rz, wie hierin definiert, wobei Rz insbesondere ausgewählt ist aus Ci-C4-AIkVl und Cs-Cβ-Cycloalkyl, und/oder Rz1 und Rz2 bilden zusammen mit dem Kohlenstoff, an das sie gebunden sind, einen C3-C6-Cycloalkylring. In einer weiteren Ausgestaltung ist Rz ausgewählt aus F und Cl.In a specific embodiment of the respective embodiments mentioned, R z1 and R z2 are each independently selected from hydrogen and R z , as defined herein, wherein R z is in particular selected from Ci-C 4 -AlkVl and Cs-Cβ-cycloalkyl, and / or R z1 and R z2 together with the carbon to which they are attached form a C3-C6 cycloalkyl ring. In another embodiment, R z is selected from F and Cl.
Gemäß einer weiteren Ausführungsform steht Z für Z1, worin n = 4 bedeutet und Y für O steht.In another embodiment, Z is Z 1 , where n = 4 and Y is O.
Gemäß einer weiteren Ausführungsform steht Z für Z1, worin n = 3, 4 oder 5 bedeutet und Y für eine Einfachbindung zwischen R1 und Z steht.In another embodiment, Z is Z 1 , wherein n = 3, 4 or 5 and Y is a single bond between R 1 and Z.
In einer speziellen Ausführungsform der Erfindung bedeuten alle Rz1 und Rz2 in Z1 Wasserstoff.In a specific embodiment of the invention, all R z1 and R z2 in Z 1 are hydrogen.
Gemäß einer weiteren Ausführungsform steht Z für eine teilweise ungesättigte Kohlenwasserstoffkette mit zwei bis acht, insbesondere vier bis sechs, Kohlenstoffatomen, die ein bis drei Doppelbindungen enthält, wobei Z einen, zwei, drei, vier oder fünf Sub- stituenten Rz enthalten kann. Gemäß einer Ausgestaltung weist die Kohlenwasserstoffkette dabei eine Doppelbindung auf. Gemäß einer weiteren Ausgestaltung weist die Kohlenwasserstoffkette dabei zwei Doppelbindungen auf.According to a further embodiment, Z is a partially unsaturated hydrocarbon chain having two to eight, in particular four to six, carbon atoms which contains one to three double bonds, wherein Z may contain one, two, three, four or five substituents R z . In one embodiment, the hydrocarbon chain has a double bond. In another embodiment, the hydrocarbon chain has two double bonds.
Gemäß einer weiteren Ausführungsform der Erfindung steht Z für eine Gruppe Z2 worin # die Anknüpfungsstellen darstellen, m und p jeweils für O, 1 oder 2 stehen, wobei m+p>1 , insbesondere m+p>2, ergibt, und RZ1, RZ2, RZ3, RZ4, RZ5 und RZ6 jeweils unabhängig voneinander ausgewählt sind aus Wasserstoff und Rz, wobei Rz jeweils wie hierin definiert bzw. bevorzugt definiert ist.According to another embodiment of the invention, Z is a group Z 2 in which # represent the attachment sites, m and p are each O, 1 or 2, where m + p> 1, in particular m + p> 2, and R Z1 , R Z2 , R Z3 , R Z4 , R Z5 and R Z6 are each independently selected from hydrogen and R z, wherein R z are each as defined herein or preferably defined.
Gemäß einer Ausführungsform ergibt m+p in der Gruppe Z2 1 , wobei insbesondere m = 0 und p = 1 bedeuten.According to one embodiment, m + p in the group Z 2 gives 1, where in particular m = 0 and p = 1.
Gemäß einer weiteren Ausführungsform ergibt m+p in der Gruppe Z2 2, wobei insbesondere m = 1 und p = 1 bedeuten.According to a further embodiment, m + p in the group Z 2 gives 2, where in particular m = 1 and p = 1.
Gemäß einer weiteren Ausführungsform ergibt m+p in der Gruppe Z2 3, wobei insbesondere m = 0 und p = 3 bedeuten.According to a further embodiment, m + p in the group Z 2 gives 3, where in particular m = 0 and p = 3.
In einer speziellen Ausgestaltung der jeweils genannten Ausführungsformen sind Rz3 und Rz4 unabhängig ausgewählt aus Wasserstoff und Rz, wie hierin definiert, wobei Rz insbesondere ausgewählt ist aus Ci-C4-AIkVl, insbesondere Methyl oder Ethyl. Rz1, Rz2, Rz5 und Rz6 sind vorzugsweise jeweils unabhängig ausgewählt aus Wasserstoff und CrC4-AIkVl und/oder zwei Reste an einem Kohlenstoffatom bilden gemeinsam mit dem Kohlenstoffatom, an das sie gebunden sind, einen C3-C6-Cycloalkylring.In a specific embodiment of the particular embodiments mentioned, R z3 and R z4 are independently selected from hydrogen and R z , as defined herein, wherein R z is in particular selected from Ci-C 4 -AlkVl, in particular methyl or ethyl. R z1 , R z2 , R z5 and R z6 are each preferably independently selected from hydrogen and C 1 -C 4 -alkyl and / or two radicals on a carbon atom together with the carbon atom to which they are attached form a C 3 -C 6 -cycloalkyl ring.
Gemäß einer weiteren Ausführungsform bedeutet RZ3 Wasserstoff, RZ4 ist ausgewählt aus Rz. Gemäß einer Ausgestaltung bedeutet RZ4 dabei Ci-C4-Alkyl, insbesondere Me- thyl. Gemäß einer weiteren Ausgestaltung bedeutet RZ4 dabei Halogen, insbesondere Chlor.According to a further embodiment, R Z3 is hydrogen, R Z4 is selected from R z. According to one embodiment, R Z4 is C 1 -C 4 -alkyl, in particular methyl. According to another embodiment, R Z4 is halogen, in particular chlorine.
Gemäß einer weiteren Ausführungsform bedeutet RZ4 Wasserstoff, RZ3 ist ausgewählt aus Rz. Gemäß einer Ausgestaltung bedeutet RZ3 dabei Ci-C4-Alkyl, insbesondere Me- thyl. Gemäß einer weiteren Ausgestaltung bedeutet RZ3 dabei Halogen, insbesondere Chlor.According to a further embodiment, R Z4 is hydrogen, R Z3 is selected from R z. According to one embodiment, R Z3 is C 1 -C 4 -alkyl, in particular methyl. According to a further embodiment, R Z3 is halogen, in particular chlorine.
Gemäß einer weiteren Ausführungsform sind RZ3 und RZ4 unabhängig ausgewählt aus Rz. Gemäß einer Ausgestaltung bedeuten RZ4 und RZ5 dabei Ci-C4-Alkyl, insbesondere Methyl. Gemäß einer weiteren Ausgestaltung bedeutet RZ3 dabei Halogen, insbesondere Chlor.According to a further embodiment, R Z3, and R Z4 are independently selected from R z. According to one embodiment, R Z4 and R Z5 mean Ci-C 4 alkyl, especially methyl. According to a further embodiment, R Z3 is halogen, in particular chlorine.
Gemäß einer Ausführungsform bedeuten alle RZ1, RZ2, RZ5 und RZ6 Wasserstoff. Gemäß einer weiteren Ausführungsform sind RZ1, RZ2, RZ5 und RZ6 unabhängig vonenine- der ausgewählt aus Wasserstoff und Halogen (insbesondere F und Cl), wobei mindestens ein Rz davon nicht Wasserstoff bedeutet.According to one embodiment, all R Z1 , R Z2 , R Z5 and R Z6 are hydrogen. According to another embodiment, R Z1 , R Z2 , R Z5 and R Z6 are independent of each other. which is selected from hydrogen and halogen (especially F and Cl), wherein at least one R z thereof is not hydrogen.
Die Doppelbindung in der Gruppe Z2 kann (E) oder (Z) konfiguriert sein. Sowohl die (E) als auch die (Z) Isomere sind Gegenstand der vorliegenden Erfindung. Gemäß einer Ausführungsform ist die Doppelbindung (E) konfiguriert. Gemäß einer weiteren Ausführungsform ist die Doppelbindung (Z) konfiguriert.The double bond in the group Z 2 can be configured (E) or (Z). Both the (E) and the (Z) isomers are the subject of the present invention. In one embodiment, the double bond (E) is configured. According to another embodiment, the double bond (Z) is configured.
Gemäß einer weiteren Ausführungsform steht Z für eine teilweise ungesättigte Koh- lenwasserstoffkette mit drei bis acht, insbesondere vier bis sechs, Kohlenstoffatomen, die eine oder zwei Dreifachbindungen enthält, wobei Z einen, zwei, drei, vier oder fünf Substituenten Rz enthalten kann. Gemäß einer Ausgestaltung weist die Kohlenwasserstoffkette dabei eine Dreifachbindung auf. Gemäß einer weiteren Ausgestaltung weist die Kohlenwasserstoffkette dabei zwei Dreifachbindungen auf.According to a further embodiment, Z is a partially unsaturated hydrocarbon chain having three to eight, in particular four to six, carbon atoms which contains one or two triple bonds, wherein Z may contain one, two, three, four or five substituents R z . In one embodiment, the hydrocarbon chain has a triple bond. In another embodiment, the hydrocarbon chain has two triple bonds.
Gemäß einer weiteren Ausführungsform der Erfindung steht Z für eine Gruppe Z3 According to a further embodiment of the invention, Z stands for a group Z 3
worin # die Anknüpfungsstellen darstellen, m und p jeweils für 0, 1 oder 2 stehen, wobei m+p>1 , vorzugsweise m+p>2, ergibt, und RZ1, RZ2, RZ3 und RZ4 jeweils unabhängig ausgewählt sind aus Wasserstoff und Rz, wobei Rz jeweils wie hierin definiert bzw. bevorzugt definiert ist. wherein # represent the attachment sites, m and p are each 0, 1 or 2, where m + p> 1, preferably m + p> 2, and R Z1 , R Z2 , R Z3 and R Z4 are each independently selected is hydrogen and R z , where R z is each as defined herein or preferably defined.
Gemäß einer Ausführungsform ergibt m+p in der Gruppe Z3 2, wobei insbesondere m = 1 und p = 1 bedeuten.According to one embodiment, m + p in the group Z 3 gives 2, where in particular m = 1 and p = 1.
In einer speziellen Ausgestaltung der jeweils genannten Ausführungsformen sind Rz1, Rz2, Rz3 und Rz4 unabhängig ausgewählt aus Wasserstoff und Rz, wie hierin definiert, wobei Rz insbesondere ausgewählt ist aus Ci-C4-AIkVl, insbesondere Methyl oder E- thyl.In a specific embodiment of the particular embodiments mentioned, R z1 , R z2 , R z3 and R z4 are independently selected from hydrogen and R z , as defined herein, wherein R z is in particular selected from Ci-C 4 -AlkVl, in particular methyl or E. - Thyl.
Der oder die Substituenten Rz an Z bzw. in den Gruppe Z1, Z2 und Z3 ist/sind, wenn es nicht anders angegeben ist, jeweils unabhängig ausgewählt aus der Gruppe Halogen, Cyano, Nitro, Cyanato (OCN), Ci -C8-Al kyl, Ci-C8-Halogenalkyl, C2-C8-Al kenyl, C2-C8- Halogenalkenyl, C2-C8-Al kinyl, C3-C8-Halogenalkinyl, Ci-C8-Alkoxy, Ci-C8- Halogenalkoxy, Ci-C8-Alkylcarbonyloxy, Ci-C8-Alkylsulfonyloxy, C2-C8-Alkenyloxy, C2- C8-Halogenalkenyloxy, C2-C8-Alkinyloxy, C3-C8-Halogenalkinyloxy, C3-C8-Cycloalkyl, C3-C8-Halogencycloalkyl, C3-C8-Cycloal kenyl, C3-C8-Halogencycloalkenyl, C3-C8- Cycloalkoxy, Cs-Cβ-Cycloalkenyloxy, Ci-Cβ-Alkylen, Oxy-C2-C4-alkylen, Oxy-Ci-C3- alkylenoxy,Phenoxy, Phenyl, Heteroaryloxy, Heterocyclyloxy, Heteroaryl, Heterocyclyl, wobei in den vorgenannten Gruppen das Heteroaryl ein aromatischer fünf-, sechs- o- der siebengliedriger Heterocyclus und das Heterocyclyl ein gesättigter oder teilweise ungesättigter fünf-, sechs- oder siebengliedriger Heterocyclus ist, die jeweils ein, zwei, drei oder vier Heteroatome aus der Gruppe O, N und S enthalten, oder NA3A4, wobei zwei Reste Rz, die an dasselbe Kohlenstoffatom gebunden sind, gemeinsam mit dem Kohlenstoffatom, an das sie gebunden sind, auch einen C3-C6-Cycloalkylring bilden können; wobei A3, A4 wie hierin definiert sind.The substituent R z on Z or in the group Z 1 , Z 2 and Z 3 is / are, unless stated otherwise, each independently selected from the group halogen, cyano, nitro, cyanoato (OCN), Ci -C 8 -alkyl, C 8 haloalkyl, C 2 -C 8 -alkenyl, C 2 -C 8 - haloalkenyl, C 2 -C 8 -alkyl kinyl, C3-C8-haloalkynyl, Ci-C 8 alkoxy, Ci-C 8 - haloalkoxy, Ci-C8-alkylcarbonyloxy, Ci-C 8 alkylsulfonyloxy, C 2 -C 8 alkenyloxy, C 2 - C 8 haloalkenyloxy, C 2 -C 8 alkynyloxy, C3 -C 8 haloalkynyloxy, C3-C8 cycloalkyl, C3-C8-halocycloalkyl, C3-C 8 -Cycloal -alkenyl, C3-C8 halocycloalkenyl, C 3 C 8 - cycloalkoxy, Cs-Cβ-cycloalkenyloxy, Ci Cβ-alkylene, oxy-C 2 -C 4 -alkylene, oxy-C 1 -C 3 -alkyleneoxy, phenoxy, phenyl, heteroaryloxy, heterocyclyloxy, heteroaryl, heterocyclyl, where in the abovementioned groups the heteroaryl is an aromatic five, six or more seven-membered heterocycle and the heterocyclyl a saturated or partially unsaturated five-, six- or seven-membered heterocycle, each containing one, two, three or four heteroatoms from the group O, N and S, or NA 3 A 4 , where two radicals R z , which are bonded to the same carbon atom, together with the carbon atom to which they are attached may also form a C3-C6 cycloalkyl ring; wherein A 3 , A 4 are as defined herein.
Gemäß einer Ausführungsform bedeutet Rz jeweils unabhängig Halogen, Cyano, Nitro, Cyanato (OCN), Ci -C8-Al kyl, Ci-C8-Halogenalkyl, C2-C8-Alkenyl, C2-C8-Halogenalkenyl, C2-C8-Al kinyl, C3-C8-Halogenalkinyl, Ci-C8-Alkoxy, Ci-C8-Halogenalkoxy, Ci-C8- Alkylcarbonyloxy, Ci-C8-Alkylsulfonyloxy, C2-C8-Alkenyloxy, C2-C8-Halogenalkenyloxy, C2-C8-Alkinyloxy, C3-C8-Halogenalkinyloxy, C3-C8-Cycloalkyl, C3-C8-Halogencycloalkyl, C3-C8-Cycloalkenyl, C3-C8-Halogencycloalkenyl, Cβ-Cs-Cycloalkinyl, Cβ-Cs- Halogencycloalkinyl, C3-C8-Cycloalkoxy, Cs-Cβ-Cycloalkenyloxy, oder NA3A4.In one embodiment, R z 2 is each independently halogen, cyano, nitro, cyanato (OCN), C -C -alkyl 8 -alkyl, Ci-C 8 haloalkyl, C 2 -C 8 alkenyl, C -C 8 haloalkenyl, C 2 -C 8 -alkyl kinyl, C3-C8-haloalkynyl, Ci-C8-alkoxy, Ci-C8-haloalkoxy, Ci-C 8 - alkylcarbonyloxy, Ci-C 8 alkylsulfonyloxy, C 2 -C 8 - alkenyloxy, C 2 -C 8 haloalkenyloxy, C 2 -C 8 alkynyloxy, C3-C8 haloalkynyloxy, C3-C8 cycloalkyl, C3-C8-halocycloalkyl, C3-C8 cycloalkenyl, C3-C 8 halocycloalkenyl, Cβ-Cs-cycloalkynyl, Cβ-Cs Halogencycloalkinyl, C3-C 8 cycloalkoxy, Cs-Cβ-cycloalkenyloxy, or NA 3 A fourth
Gemäß einer weiteren Ausführungsform bedeutet Rz jeweils unabhängig Cl, F, Br, Cyano, Ci-C4-Alkyl, Ci-C4-Halogenalkyl, C2-C4-Al kenyl, C2-C4-Halogenalkenyl, Ci-C4-AIk- oxy, Ci-C4-Halogenalkoxy, Cs-Cβ-Cycloalkyl oder Cs-Cβ-Halogencycloalkyl, insbesondere Methyl, Ethyl, Trifluormethyl, Methoxy, Ethoxy oder Cyclopropy.According to a further embodiment, R z is C 2 -C each independently Cl, F, Br, cyano, Ci-C 4 alkyl, Ci-C 4 haloalkyl, 4 -alkenyl, C 2 -C 4 haloalkenyl, Ci- C 4 -Alk- oxy, Ci-C 4 -haloalkoxy, Cs-Cβ-cycloalkyl or Cs-Cβ-halocycloalkyl, in particular methyl, ethyl, trifluoromethyl, methoxy, ethoxy or cyclopropy.
Gemäß einer weiteren Ausführungsform bedeutet mindestens ein Rz Halogen, insbesondere Cl oder F.According to a further embodiment, at least one R z denotes halogen, in particular Cl or F.
Gemäß einer weiteren Ausführungsform bedeutet mindestens ein Rz Ci-C4-Alkyl, insbesondere Methyl oder Ethyl.In a further embodiment, at least one R z is C 1 -C 4 -alkyl, in particular methyl or ethyl.
Gemäß einer weiteren Ausführungsform bedeutet mindestens ein Rz Ci-C4- Halogenalkyl.In another embodiment, at least one R z is C 1 -C 4 -haloalkyl.
Gemäß einer weiteren Ausführungsform bilden zwei Reste Rz, die an dasselbe Koh- lenstoffatom gebunden sind, gemeinsam mit dem Kohlenstoffatom, an das sie gebunden sind, einen Cs-Cβ-Cycloalkylring.In another embodiment, two R z radicals bound to the same carbon atom together with the carbon atom to which they are attached form a Cs-Cβ cycloalkyl ring.
R1 in den erfindungsgemäßen Verbindungen bedeutet C3-C8-Cycloalkyl, Cs-C8-HaIo- gencycloalkyl, C3-Cio-Cycloalkenyl, C3-Cio-Halogencycloalkenyl, wobei die vorgenann- ten Gruppen unsubstituiert sind oder einen, zwei, drei, vier oder fünf Substituenten unabhängig ausgewählt aus Halogen, Hydroxy, Ci-C8-Alkyl, Ci-C8-Halogenalkyl, C2-C8- Alkenyl, C2-C8-Halogenalkenyl, C2-C8-Alkinyl und C3-C8-Halogenalkinyl enthalten; oder 6- bis 10-gliedriges Aryl, wobei das Aryl einen, zwei, drei, vier oder fünf unabhängig ausgewählte Substituenten L enthält.R 1 in the compounds according to the invention denotes C 3 -C 8 -cycloalkyl, Cs-C 8 -halo-genocycloalkyl, C 3 -C 10 -cycloalkenyl, C 3 -C 10 -halocycloalkenyl, where the abovementioned groups are unsubstituted or one, two, three, four or five substituents independently selected from halogen, hydroxy, Ci-C 8 alkyl, Ci-C 8 haloalkyl, C 2 -C 8 - alkenyl, C 2 -C 8 haloalkenyl, C 2 -C 8 alkynyl, and C3 -C 8 haloalkynyl; or 6- to 10-membered aryl wherein the aryl contains one, two, three, four or five independently selected substituents L.
Gemäß einer Ausführungsform der Erfindung steht R1 für substituiertes 6- bis 10- gliedriges Aryl, insbesondere für substituiertes Phenyl, das einen, zwei, drei, vier oder fünf Substituenten L, wie hierin definiert bzw. bevorzugt definiert, enthält. Gemäß einer weiteren Ausführungsform bedeutet R1 Phenyl, das genau einen Substi- tuenten L1 enthält. Gemäß einer Ausgestaltung ist L1 dabei ausgewählt aus F, Cl, Br, Cyano, Ci-C4-Alkyl, Ci-C4-Halogenalkyl, CrC4-AIkOXy, Ci-C4-Halogenalkoxy, C3-C6- Cycloalkyl und Cs-Cβ-Halogencycloalkyl, insbesondere F, Cl, Br, Methyl, Trifluormethyl, Difluormethyl und Methoxy. Gemäß einer speziellen Ausgestaltung ist L1 dabei ausgewählt aus F, Cl und Br.According to one embodiment of the invention, R 1 is substituted 6- to 10-membered aryl, in particular substituted phenyl, containing one, two, three, four or five substituents L as defined herein or preferably defined. In another embodiment, R 1 is phenyl which contains exactly one substituent L 1 . According to one embodiment, L 1 is selected from F, Cl, Br, cyano, C 1 -C 4 -alkyl, C 1 -C 4 -haloalkyl, C 1 -C 4 -alkoxy, C 1 -C 4 -haloalkoxy, C 3 -C 6 -cycloalkyl and C 5 -C 6 -cycloalkyl Halogencycloalkyl, in particular F, Cl, Br, methyl, trifluoromethyl, difluoromethyl and methoxy. According to a specific embodiment, L 1 is selected from F, Cl and Br.
Gemäß einer weiteren Ausführungsform bedeutet R1 Phenyl, welches einen Substi- tuenten L1 und einen Substituenten L2 enthält, und zusätzlich noch einen, zwei oder drei unabhängig ausgewählte Substituenten L enthalten kann, wobei L, L1 und L2 wie L (siehe unten) definiert sind. Gemäß einer Ausgestaltung ist L1 und L2 jeweils unabhängig ausgewählt aus der Gruppe bestehend aus Cl, F, Br, Cyano, Nitro, Hydroxy, C1-C4- Alkyl, Ci-C4-Halogenalkyl, Ci-C4-Alkoxy und Ci-C4-Halogenalkoxy, und die ggf enthal- tenen weiteren ein, zwei oder drei Substituenten L sind unabhängig ausgewählt aus L, wie hierin definiert bzw. bevorzugt definiert.According to a further embodiment, R 1 is phenyl which contains a substituent L 1 and a substituent L 2 , and may additionally contain one, two or three independently selected substituents L, where L, L 1 and L 2 are as L (see below) are defined. According to one embodiment, L 1 and L 2 are each independently selected from the group consisting of Cl, F, Br, cyano, nitro, hydroxy, C 1 -C 4 -alkyl, C 1 -C 4 -haloalkyl, C 1 -C 4 -alkoxy and C 1 -C 4 Haloalkoxy, and the optionally contained further one, two or three substituents L are independently selected from L, as defined herein or preferably defined.
Gemäß einer weiteren Ausführungsform bedeutet R1 Phenyl, welches einen Substituenten L1, der Cl bedeutet, und zusätzlich noch einen, zwei, drei oder vier unabhängig ausgewählte Substituenten L enthalten kann, wobei L jeweils unabhängig wie hierin definiert sind. Gemäß einer Ausgestaltung ist die Phenylgruppe in 2-Position mit Cl substituiert. Gemäß einer weiteren Ausgestaltung ist die Phenylgruppe dieser Ausführungsform in 3-Position mit Cl substituiert. Gemäß noch einer weiteren Ausgestaltung ist die Phenylgruppe dieser Ausführungsform in 4-Position mit Cl substituiert.In another embodiment, R 1 is phenyl which may contain a substituent L 1 which is Cl and may additionally contain one, two, three or four independently selected substituents L, each L being independently as defined herein. In one embodiment, the phenyl group is substituted in the 2-position with Cl. In another embodiment, the phenyl group of this embodiment is substituted in the 3-position with Cl. In yet another embodiment, the phenyl group of this embodiment is substituted in the 4-position with Cl.
Gemäß einer weiteren Ausgestaltung ist die Phenylgruppe durch Cl substituiert und enthält genau einen weiteren Substituenten L2. Gemäß einer Ausgestaltung ist die Phenylgruppe 2,3-disubstituiert. Gemäß einer weiteren Ausgestaltung ist die Phenylgruppe 2,4-disubstituiert. Gemäß noch einer weiteren Ausgestaltung ist die Phe- nylgruppe 2,5-disubstituiert. Gemäß noch einer weiteren Ausgestaltung ist die Phenylgruppe 2,6-disubstituiert.According to a further embodiment, the phenyl group is substituted by Cl and contains exactly one further substituent L 2 . In one embodiment, the phenyl group is 2,3-disubstituted. In another embodiment, the phenyl group is 2,4-disubstituted. In yet another embodiment, the phenyl group is 2,5-disubstituted. In yet another embodiment, the phenyl group is 2,6-disubstituted.
Gemäß einer weiteren Ausgestaltung ist die Phenylgruppe durch Cl substituiert und enthält genau zwei weitere Substituenten, L2 und L3.According to a further embodiment, the phenyl group is substituted by Cl and contains exactly two further substituents, L 2 and L 3 .
Gemäß einer weiteren Ausführungsform bedeutet R1 Phenyl, welches einen Substituenten L1, der F bedeutet, und zusätzlich noch einen, zwei, drei oder vier unabhängig ausgewählte Substituenten L enthalten kann, wobei L jeweils unabhängig wie hierin definiert sind. Gemäß einer Ausgestaltung ist die Phenylgruppe dabei in 2-Position mit F substituiert. Gemäß einer weiteren Ausgestaltung ist die Phenylgruppe dieser Ausführungsform in 3-Position mit F substituiert. Gemäß noch einer weiteren Ausgestaltung ist die Phenylgruppe dieser Ausführungsform in 4-Position mit F substituiert. Gemäß einer weiteren Ausführungsform ist die Phenylgruppe durch F substituiert und enthält genau einen weiteren Substituenten L2. Gemäß einer Ausgestaltung ist die Phenylgruppe 2,3-disubstituiert. Gemäß einer weiteren Ausgestaltung ist die Phenylgruppe 2,4-disubstituiert. Gemäß noch einer weiteren Ausgestaltung ist die Phe- nylgruppe 2,5-disubstituiert. Gemäß noch einer weiteren Ausgestaltung ist die Phenylgruppe 2,6-disubstituiert. Vorzugsweise steht F dabei jeweils in 2-Position. Weiterhin bevorzugt ist der zweite Substituent L2 ausgewählt aus F, Cl, Br, Methyl und Me- thoxy. Gemäß einer speziellen Ausführungsform ist die Phenylgruppe 2,3-, 2,4-, 2,5- oder 2,6-Difluor-substituiert. Gemäß einer weiteren speziellen Ausführungsform ist die Phenylgruppe 2-Fluor-3-chlor-, 2-Fluor-4-chlor-, 2-Fluor-5-chlor- oder 2-Fluor-6-chlor- substituiert.In another embodiment, R 1 is phenyl which may have a substituent L 1 which is F and may additionally contain one, two, three or four independently selected substituents L, each L being independently as defined herein. In one embodiment, the phenyl group is substituted in the 2-position with F. In a further embodiment, the phenyl group of this embodiment is substituted in the 3-position by F. In yet another embodiment, the phenyl group of this embodiment is substituted in the 4-position with F. According to a further embodiment, the phenyl group is substituted by F and contains exactly one further substituent L 2 . In one embodiment, the phenyl group is 2,3-disubstituted. In another embodiment, the phenyl group is 2,4-disubstituted. In yet another embodiment, the phenyl group is 2,5-disubstituted. In yet another embodiment, the phenyl group is 2,6-disubstituted. Preferably, F stands in each case in the 2-position. Further preferably, the second substituent L 2 is selected from F, Cl, Br, methyl and methoxy. In a specific embodiment, the phenyl group is 2,3-, 2,4-, 2,5- or 2,6-difluoro-substituted. According to another specific embodiment, the phenyl group is 2-fluoro-3-chloro, 2-fluoro-4-chloro, 2-fluoro-5-chloro or 2-fluoro-6-chloro substituted.
Gemäß einer weiteren Ausgestaltung ist die Phenylgruppe durch F substituiert und enthält genau zwei weitere Substituenten, L2 und L3.According to a further embodiment, the phenyl group is substituted by F and contains exactly two further substituents, L 2 and L 3 .
Gemäß einer weiteren Ausführungsform bedeutet R1 Phenyl, welches einen Substituenten L1, der Methyl bedeutet, und zusätzlich noch ein, zwei, drei oder vier unabhängig ausgewählte Substituenten L enthalten kann, wobei L jeweils unabhängig wie hierin definiert sind. Gemäß einer Ausgestaltung ist die Phenylgruppe in 2-Position mit Methyl substituiert. Gemäß einer weiteren Ausgestaltung ist die Phenylgruppe dieser Ausführungsform in 3-Position mit Methyl substituiert. Gemäß noch einer weiteren Ausgestaltung ist die Phenylgruppe dieser Ausführungsform in 4-Position mit Methyl substituiert.In another embodiment, R 1 is phenyl which may have a substituent L 1 which is methyl and may additionally contain one, two, three or four independently selected substituents L, each L being independently as defined herein. In one embodiment, the phenyl group is substituted in the 2-position with methyl. In another embodiment, the phenyl group of this embodiment is substituted in the 3-position with methyl. In yet another embodiment, the phenyl group of this embodiment is substituted in the 4-position with methyl.
Gemäß einer weiteren Ausgestaltung ist die Phenylgruppe durch Methyl (=L1) substitu- iert und enthält genau einen weiteren Substituenten L2. Gemäß einer Ausgestaltung ist die Phenylgruppe 2,3-disubstituiert. Gemäß einer weiteren Ausgestaltung ist die Phenylgruppe 2,4-disubstituiert. Gemäß noch einer weiteren Ausgestaltung ist der die Phenylgruppe 2,5-disubstituiert. Gemäß noch einer weiteren Ausgestaltung ist die Phenylgruppe 2,6-disubstituiert.In another embodiment, the phenyl group is substituted by methyl (= L 1 ) and contains exactly one further substituent L 2 . In one embodiment, the phenyl group is 2,3-disubstituted. In another embodiment, the phenyl group is 2,4-disubstituted. In yet another embodiment, the phenyl group is 2,5-disubstituted. In yet another embodiment, the phenyl group is 2,6-disubstituted.
Gemäß einer weiteren Ausgestaltung ist die Phenylgruppe durch Methyl (=L1) substituiert und enthält genau zwei weitere Substituenten, L2 und L3.According to a further embodiment, the phenyl group is substituted by methyl (= L 1 ) and contains exactly two further substituents, L 2 and L 3 .
Gemäß einer weiteren Ausführungsform bedeutet R1 Phenyl, welches einen Substi- tuenten L1, der Methoxy bedeutet, und zusätzlich noch ein, zwei, drei oder vier unabhängig ausgewählte Substituenten L enthalten kann, wobei L jeweils unabhängig wie hierin definiert sind. Gemäß einer Ausgestaltung ist die Phenylgruppe in 2-Position mit Methoxy substituiert. Gemäß einer weiteren Ausgestaltung ist die Phenylgruppe dieser Ausführungsform in 3-Position mit Methoxy substituiert. Gemäß noch einer weiteren Ausgestaltung ist die Phenylgruppe dieser Ausführungsform in 4-Position mit Methoxy substituiert. Gemäß einer weiteren Ausgestaltung ist die Phenylgruppe durch Methoxy (=L1) substituiert und enthält genau einen weiteren Substituenten L2. Gemäß einer Ausgestaltung ist die Phenylgruppe 2,3-disubstituiert. Gemäß einer weiteren Ausgestaltung ist die Phenylgruppe 2,4-disubstituiert. Gemäß noch einer weiteren Ausgestaltung ist der die Phenylgruppe 2,5-disubstituiert. Gemäß noch einer weiteren Ausgestaltung ist die Phenylgruppe 2,6-disubstituiert.In another embodiment, R 1 is phenyl which may have a substituent L 1 which is methoxy and may additionally contain one, two, three or four independently selected substituents L, each L being independently as defined herein. In one embodiment, the phenyl group is substituted in the 2-position with methoxy. In another embodiment, the phenyl group of this embodiment is substituted in the 3-position with methoxy. In yet another embodiment, the phenyl group of this embodiment is substituted in the 4-position with methoxy. According to a further embodiment, the phenyl group is substituted by methoxy (= L 1 ) and contains exactly one further substituent L 2 . In one embodiment, the phenyl group is 2,3-disubstituted. In another embodiment, the phenyl group is 2,4-disubstituted. In yet another embodiment, the phenyl group is 2,5-disubstituted. In yet another embodiment, the phenyl group is 2,6-disubstituted.
Gemäß einer weiteren Ausgestaltung ist die Phenylgruppe durch Methoxy (=L1) substituiert und enthält genau zwei weitere Substituenten, L2 und L3.According to a further embodiment, the phenyl group is substituted by methoxy (= L 1 ) and contains exactly two further substituents, L 2 and L 3 .
Gemäß einer weiteren Ausführungsform bedeutet R1 Phenyl, welches drei, vier oder fünf Substituenten L enthält, wobei L unabhängig wie hierin definiert bzw. bevorzugt definiert ist.In another embodiment, R 1 is phenyl containing three, four or five substituents L, where L is independently defined as defined herein or preferred.
Gemäß einer weiteren Ausführungsform der Erfindung steht R1 für einen 2,3,5- trisubstituierten Phenylring. Gemäß einer weiteren Ausführungsform steht R1 für einen 2,3,4-trisubstituierten Phenylring. Gemäß noch einer weiteren Ausführungsform steht R1 für einen 2,4,5-trisubstituierten Phenylring. Gemäß noch einer weiteren Ausführungsform steht R1 für einen 2,4,6-trisubstituierten Phenylring. Gemäß noch einer wei- teren Ausführungsform steht R1 für einen 2,3,6-trisubstituierten Phenylring. Gemäß einer Ausgestaltung steht mindestens einer der drei Substituenten für Cl. Gemäß einer Ausgestaltung steht mindestens einer der drei Substituenten für F. Gemäß einer weiteren Ausgestaltung steht mindestens einer der drei Substituenten für Methyl. Gemäß noch einer weiteren Ausgestaltung steht mindestens einer der drei Substituenten für Methoxy.According to another embodiment of the invention, R 1 is a 2,3,5-trisubstituted phenyl ring. In another embodiment, R 1 is a 2,3,4-trisubstituted phenyl ring. In yet another embodiment, R 1 is a 2,4,5-trisubstituted phenyl ring. In yet another embodiment, R 1 is a 2,4,6-trisubstituted phenyl ring. In yet another embodiment, R 1 is a 2,3,6-trisubstituted phenyl ring. According to one embodiment, at least one of the three substituents is Cl. According to one embodiment, at least one of the three substituents is F. According to a further embodiment, at least one of the three substituents is methyl. In yet another embodiment, at least one of the three substituents is methoxy.
Gemäß einer weiteren Ausführungsform bedeutet R1 durch zwei L disubstituiert.es Phenyl, wobei L jeweils unabhängig ausgewählt ist aus Cl, F, Br, Cyano, Nitro, Hydro- xy, Ci-C4-Alkyl und Ci-C4-Halogenalkyl, CrC4-AIkOXy und Ci-C4-Halogenalkoxy. Ge- maß einer speziellen Ausgestaltung ist L jeweils unabhängig ausgewählt ist aus Cl, F, Ci-C4-Alkyl und Ci-C4-Halogenalkyl. Gemäß einer weiteren speziellen Ausgestaltung ist L jeweils unabhängig ausgewählt aus Cl, F, Br, Cyano, Methyl, Ethyl, iso-Propyl, tert-Butyl, Trifluormethyl, Methoxy, Ethoxy und Trifluormethoxy.According to a further embodiment, R 1 is phenyl disubstituted by two L, wherein L is in each case independently selected from Cl, F, Br, cyano, nitro, hydroxy, C 1 -C 4 -alkyl and C 1 -C 4 -haloalkyl, C 1 -C 4 -Aikoxy and Ci-C4-haloalkoxy. In a specific embodiment, L is in each case independently selected from Cl, F, C 1 -C 4 -alkyl and C 1 -C 4 -haloalkyl. In another specific embodiment, each L is independently selected from Cl, F, Br, cyano, methyl, ethyl, iso -propyl, tert -butyl, trifluoromethyl, methoxy, ethoxy and trifluoromethoxy.
Gemäß einer weiteren Ausführungsform bedeutet R1 C3-Cio-Cycloalkyl oder C3-C10- Halogencycloalkyl. Gemäß einer Ausgestaltung steht R1 für C3-C7-Cycloalkyl, insbesondere Cyclopropyl (C-C3H5), Cyclopentyl (C-C5H9), Cyclohexyl (c-C6Hn)oder Cyclo- heptyl (C-C7H13), die jeweils ggf substituiert sein können. Spezielle Beispiele für R1 sind 1-Chlorcyclopropyl, 1-Methylcyclopropyl, 1-Chlorcyclopentyl, 1-Methylcyclopentyl und 1-Methylcyclohexyl.In another embodiment, R 1 is C 3 -C 10 -cycloalkyl or C 3 -C 10 -halocycloalkyl. According to one embodiment, R 1 is C 3 -C 7 -cycloalkyl, in particular cyclopropyl (C-C 3 H 5), cyclopentyl (C-C 5 H 9), cyclohexyl (C-C 6 Hn) or cycloheptyl (C-C 7 H 13), which may each be optionally substituted , Specific examples of R 1 are 1-chlorocyclopropyl, 1-methylcyclopropyl, 1-chlorocyclopentyl, 1-methylcyclopentyl and 1-methylcyclohexyl.
Gemäß einer weiteren Ausführungsform bedeutet R1 C3-Cio-Cycloalkenyl oder C3-C10- Halogencycloalkenyl. Gemäß vorliegender Erfindung bedeutet R2 Wasserstoff, Ci-Cio-Alkyl, Ci-Ci0-HaIo- genalkyl, C2-Cio-Alkenyl, C2-Cio-Halogenalkenyl, C2-Cio-Alkinyl, C3-Cio-Halogenalkinyl, C4-Cio-Alkadienyl, C4-Cio-Halogenalkadienyl, C3-Cio-Cycloalkyl, C3-Ci0-HaIo- gencycloalkyl, C3-Cio-Cycloalkenyl oder C3-Cio-Halogencycloalkenyl, wobei R2 einen, zwei, drei, vier oder fünf Substituenten L, wie hierin definiert, enthalten kann.In another embodiment, R 1 is C 3 -C 10 cycloalkenyl or C 3 -C 10 halocycloalkenyl. According to the present invention, R 2 is hydrogen, C 1 -C 10 -alkyl, C 1 -C 10 -haloalkyl, C 2 -C 10 -alkenyl, C 2 -C 10 -haloalkenyl, C 2 -C 10 -alkynyl, C 3 -C 10 -haloalkynyl, C 4 -C 10 -alkyl -alkadienyl, C4-Cio-Halogenalkadienyl, C3-Cio-cycloalkyl, C 3 -C 0 -HaIo- gencycloalkyl, C3-Cio-cycloalkenyl or C3-Cio-halocycloalkenyl, wherein R 2 is one, two, three, four or five substituents L as defined herein.
Gemäß einer bevorzugten Ausführungsform bedeutet R2 Wasserstoff.In a preferred embodiment, R 2 is hydrogen.
Gemäß einer weiteren Ausführungsform bedeutet R2 Ci-Cio-Alkyl, Ci-Cio-Halogenalkyl, Phenyl-Ci-C4-alkyl, C2-Cio-Alkenyl, C2-Cio-Halogenalkenyl, C2-Cio-Alkinyl, C3-Ci0- Halogenalkinyl, C4-Cio-Alkadienyl, C4-Cio-Halogenalkadienyl, C3-Cio-Cycloalkyl, C3-Ci0- Halogencycloalkyl, C3-Ciθ-Cycloalkenyl oder C3-Ciθ-Halogencycloalkenyl, insbesondere Ci-C4-Alkyl, C2-C4-Alkenyl, C3-C4-Alkinyl oder Phenyl-Ci-C4-alkyl. Spezifische Bei- spiele für R2 sind Methyl, Ethyl, n-Propyl, iso-Propyl, n-Butyl, tert-Butyl, 2-Vinyl, 3-AIIyI, 3-Propargyl, 4-But-2-inyl und Benzyl.According to a further embodiment, R 2 is C 1 -C 10 -alkyl, C 1 -C 10 -haloalkyl, phenyl-C 1 -C 4 -alkyl, C 2 -C 10 -alkenyl, C 2 -C 10 -haloalkenyl, C 2 -C 10 -alkynyl, C -C 3 0 - haloalkynyl, C4-Cio-alkadienyl, C4-Cio-Halogenalkadienyl, C3-Cio-cycloalkyl, C 3 -C 0 - halocycloalkyl, C3-Ci θ cycloalkenyl, or C3-Ci θ halocycloalkenyl, in particular Ci- C 4 alkyl, C 2 -C 4 alkenyl, C 3 -C 4 alkynyl or phenyl-Ci-C 4 alkyl. Specific examples of R 2 are methyl, ethyl, n-propyl, iso-propyl, n-butyl, tert-butyl, 2-vinyl, 3-allyl, 3-propargyl, 4-but-2-ynyl and benzyl.
Gemäß vorliegender Erfindung bedeutet R3 Wasserstoff, Ci-Cio-Alkyl, Ci-Cio-Halogenalkyl, C2-Ci0-Alkenyl, C2-Ci0-Halogenalkenyl, C2-Ci0-Alkinyl, C3-Cio-Halogenalkinyl, C4-Cio-Alkadienyl, C4-Cio-Halogenalkadienyl, C3-Cio-Cycloalkyl, C3-Ci0-HaIo- gencycloalkyl, C3-Cio-Cycloalkenyl, C3-Cio-Halogencycloalkenyl, Carboxyl, Formyl, Si(A5A6A7), C(O)Rπ, C(O)ORπ, C(S)ORπ, C(O)SRπ, C(S)SRπ, C(NRA)SRπ, C(S)Rπ, C(NRπ)N NA3A4, C(NRπ)RA, C(NRπ)ORA, C(O)NA3A4, C(S)NA3A4 oder S(=O)nA1; wobeiAccording to the present invention, R C 3 is hydrogen, Ci-Cio-alkyl, Ci-Cio-haloalkyl, -C 2 0 alkenyl, C 2 -C 0 haloalkenyl, C 2 -C 0 alkynyl, C3-Cio-haloalkynyl, C 4 -C 10 -alkadienyl, C 4 -C 10 -haloalkadienyl, C 3 -C 10 -cycloalkyl, C 3 -C 10 -Hiogeno-cycloalkyl, C 3 -C 10 -cycloalkenyl, C 3 -C 10 -halocycloalkenyl, carboxyl, formyl, Si (A 5 A 6 A 7 ), C (O) R π , C (O) OR π , C (S) OR π , C (O) SR π , C (S) SR π , C (NR A ) SR π , C (S ) R π , C (NR π ) N NA 3 A 4 , C (NR π ) R A , C (NR π ) OR A , C (O) NA 3 A 4 , C (S) NA 3 A 4 or S (= O) n A 1 ; in which
A1 Wasserstoff, Hydroxy, Ci -C8-Al kyl, Ci-C8-Halogenalkyl, Amino, Ci-C8-Alkylamino, Di-Ci-C8-alkylamino, Phenyl, Phenylamino oder Phenyl-Ci-C8-alkylamino;A 1 is hydrogen, hydroxy, Ci -C 8 -alkyl, C 8 haloalkyl, amino, Ci-C8-alkylamino, di-Ci-C 8 alkylamino, phenyl, phenylamino or phenyl-Ci-C 8 - alkylamino;
Rπ Ci-C8-Alkyl, C3-C8-Alkenyl, C3-C8-Al kinyl, C3-C6-Cycloalkyl, C3-C6-Cycloalkenyl oder Phenyl;.R π Ci-C 8 alkyl, C 3 -C 8 alkenyl, C 3 -C 8 -alkyl kinyl, C 3 -C 6 cycloalkyl, C 3 -C 6 cycloalkenyl or phenyl ;.
RA Ci-Cβ-Alkyl, C3-C8-Alkenyl, C3-C8-Al kinyl, C3-C6-Cycloalkyl, C3-C6-Cycloalkenyl oder Phenyl bedeutet;R A Ci-Cβ alkyl, C 3 -C 8 alkenyl, C 3 -C 8 -alkyl kinyl, C 3 -C 6 cycloalkyl, C 3 -C 6 cycloalkenyl or phenyl;
A5, A6, A7 unabhängig voneinander Ci-Cio-Alkyl, C3-C8-Alkenyl, C3-C8-Al kinyl, C3-C6- Cycloalkyl, C3-C6-Cycloalkenyl oder Phenyl bedeuten,A 5, A 6, A 7 independently of one another Ci-Cio-alkyl, C 3 -C 8 alkenyl, C 3 -C 8 -alkyl kinyl, C 3 -C 6 - cycloalkyl, C 3 -C 6 cycloalkenyl, or phenyl .
wobei Rπ, RA, A5, A6 und A7, falls es nicht anders angegeben ist, unabhängig voneinander unsubstituiert sind oder substituiert sind mit einem, zwei, drei, vier oder fünf L, wie oben definiert.wherein R π , R A , A 5 , A 6 and A 7 , unless otherwise indicated, are independently unsubstituted or substituted with one, two, three, four or five L, as defined above.
R3 kann einen, zwei, drei, vier oder fünf Substituenten L, wie hierin definiert, enthalten.R 3 may contain one, two, three, four or five substituents L as defined herein.
Gemäß einer bevorzugten Ausführungsform bedeutet R3 Wasserstoff. Gemäß einer weiteren Ausführungsform bedeutet R3 Ci-Cio-Alkyl, Ci-Cio-Halogenalkyl, Phenyl-Ci-Cio-alkyl, C2-Cio-Alkenyl, C2-Cio-Halogenalkenyl, C2-Cio-Alkinyl, C3-Ci0- Halogenalkinyl, C4-Cio-Alkadienyl, C4-Cio-Halogenalkadienyl, C3-Cio-Cycloalkyl, C3-Ci0- Halogencycloalkyl, C3-Cio-Cycloalkenyl, C3-Cio-Halogencycloalkenyl, , Carboxyl, For- myl, Si(A5A6A7), C(O)Rπ, C(O)ORπ, C(S)ORπ, C(O)SRπ, C(S)SRπ, C(NRA)SRπ, C(S)Rπ, C(NRπ)N NA3A4, C(NRπ)RA, C(NRπ)ORA, C(O)NA3A4, C(S)NA3A4 oder S(=O)nA1, insbesondere Ci-C4-Alkyl, Phenyl-Ci-C4-alkyl, Halogenphenyl-Ci-C4-alkyl, C2-C4-Alkenyl, C3-C4-Alkinyl, Tri-Ci-C4-alkylsilyl, C(O)Rπ oder S(=O)2A1, wobeiAccording to a preferred embodiment, R 3 is hydrogen. According to a further embodiment, R 3 is C 1 -C 10 -alkyl, C 1 -C 10 -haloalkyl, phenyl-C 1 -C 10 -alkyl, C 2 -C 10 -alkenyl, C 2 -C 10 -haloalkenyl, C 2 -C 10 -alkynyl, C 3 -C 0 - haloalkynyl, C4-Cio-alkadienyl, C4-Cio-Halogenalkadienyl, C3-Cio-cycloalkyl, C 3 -C 0 - halocycloalkyl, C3-Cio-cycloalkenyl, C3-Cio-halocycloalkenyl, carboxyl, formyl , Si (A 5 A 6 A 7 ), C (O) R π , C (O) OR π , C (S) OR π , C (O) SR π , C (S) SR π , C (NR A ) SR π , C (S) R π , C (NR π ) N NA 3 A 4 , C (NR π ) R A , C (NR π ) OR A , C (O) NA 3 A 4 , C (S ) NA 3 A 4 or S (= O) n A 1 , in particular C 1 -C 4 -alkyl, phenyl-C 1 -C 4 -alkyl, halogenophenyl-C 1 -C 4 -alkyl, C 2 -C 4 -alkenyl, C 3 -C 4 alkynyl, tri-Ci-C4 alkylsilyl, C (O) R π or S (= O) 2 A 1, wherein
A1 Hydroxy, Ci -C4-Al kyl, Phenyl oder Ci-C4-Alkylphenyl;A 1 is hydroxy, C 1 -C 4 -alkyl, phenyl or C 1 -C 4 -alkylphenyl;
Rπ Ci-C4-Alkyl, Carboxy-Ci-C4-alkyl oder Carboxyphenyl;.R π Ci-C 4 alkyl, carboxy-Ci-C 4 alkyl or carboxyphenyl;
RA d-C4-Alkyl, Cs-Ce-Cycloalkyl oder Phenyl;R A is dC 4 alkyl, Cs-Ce-cycloalkyl or phenyl;
A5, A6, A7 unabhängig voneinander Ci-C4-Al kyl oder Phenyl bedeuten, wobei der Phenylring unsubstituiert ist oder substituiert ist mit einem, zwei, drei, vier oder fünf L, wie hierin definiert.A 5 , A 6 , A 7 independently of one another are C 1 -C 4 -alkyl or phenyl, where the phenyl ring is unsubstituted or substituted by one, two, three, four or five L, as defined herein.
Spezifische Beispiele für R3 sind Trimethylsilyl, Si(CHs)2(CH2)SCH3, Si(CHs)2(C6H5), Methyl, Ethyl, n-Propyl, iso-Propyl, n-Butyl, tert-Butyl, 2-Vinyl, 3-AIIyI, 3-Propargyl, 4- But-2-inyl, C(=O)CH3, C(=O)CH2CH3, C(=O)CH2CH2CH3, C(=O)(CH2)2COOH, C(=O)(CH2)3COOH, C(=O)(2-COOH-C6H4), SO2OH, SO2CH3, SO2C6H5, SO2(4-Methyl- C6H4), Benzyl und 4-Chlorbenzyl.Specific examples of R 3 are trimethylsilyl, Si (CH 2 ) 2 (CH 2 ) SCH 3 , Si (CH 2 ) 2 (C 6 H 5 ), methyl, ethyl, n-propyl, iso-propyl, n-butyl, tert-butyl butyl, 2-vinyl, 3-allyl, 3-propargyl, 4-but-2-ynyl, C (= O) CH 3, C (= O) CH 2 CH 3, C (= O) CH 2 CH 2 CH 3 , C (= O) (CH 2 ) 2 COOH, C (= O) (CH 2 ) 3 COOH, C (= O) (2-COOH-C 6 H 4 ), SO 2 OH, SO 2 CH 3 , SO 2 C 6 H 5 , SO 2 (4-methyl-C 6 H 4 ), benzyl and 4-chlorobenzyl.
Gemäß einer speziellen Ausführungsform bedeutet R3 Trimethylsilyl.According to a specific embodiment, R 3 is trimethylsilyl.
Gemäß vorliegender Erfindung bedeutet R4 Wasserstoff, Ci-Cio-Alkyl, Ci-Ci0-HaIo- genalkyl, C2-Cio-Alkenyl, C2-Cio-Halogenalkenyl, C2-Cio-Alkinyl, Cs-Cio-Halogenalkinyl, C4-Cio-Alkadienyl, C4-Cio-Halogenalkadienyl, C3-Cio-Cycloalkyl, C3-Ci0-HaIo- gencycloalkyl, C3-Cio-Cycloalkenyl oder Cs-Cio-Halogencycloalkenyl, wobei R4 einen, zwei, drei, vier oder fünf Substituenten L, wie hierin definiert, enthalten kann.According to the present invention, R C C C 4 is hydrogen, Ci-Cio-alkyl, Ci-Ci 0 -HaIo- genalkyl, 2 -Cio-alkenyl, 2 -Cio-haloalkenyl, 2 -Cio-alkynyl, Cs-Cio-haloalkynyl, C 4 -Cio-alkadienyl, C 4 -Cio-Halogenalkadienyl, C 3 -Cio cycloalkyl, C 3 -C 0 -HaIo- gencycloalkyl, C 3 -Cio-cycloalkenyl or Cs-Cio-halocycloalkenyl, wherein R 4 is one, two , three, four or five substituents L as defined herein.
Gemäß einer bevorzugten Ausführungsform bedeutet R4 Wasserstoff.In a preferred embodiment, R 4 is hydrogen.
Gemäß einer weiteren Ausführungsform bedeutet R4 Ci-Cio-Alkyl, Ci-Cio-Halogenalkyl, Phenyl-Ci-C4-alkyl, C2-Cio-Alkenyl, C2-Cio-Halogenalkenyl, C2-Cio-Alkinyl, Cs-Cio- Halogenalkinyl, C4-Cio-Alkadienyl, C4-Cio-Halogenalkadienyl, C3-Cio-Cycloalkyl, C3-Ci0- Halogencycloalkyl, C3-Cio-Cycloalkenyl oder Cs-Cio-Halogencycloalkenyl, insbesondere Ci-Ce-Alkyl, C2-C6-Alkenyl, C2-C6-Alkinyl oder Phenyl-Ci-C4-alkyl. Spezifische Beispiele für R2 sind Methyl, Ethyl, n-Propyl, iso-Propyl, n-Butyl, tert-Butyl und Benzyl. Gemäß vorliegender Erfindung steht R5 für Wasserstoff, Halogen oder Ci-Cio-Alkyl; wobei die Alkylgruppe in R5 unsubstituiert ist oder substituiert ist durch ein, zwei, drei, vier oder fünf unabhängig ausgewählte L, wie hierin definiert bzw. bevorzugt definiert. Bevorzugt bedeutet R5 Wasserstoff, Cl oder Ci-C4-AIkVl. R5 bedeutet insbesondere Wasserstoff, Cl, Methyl, Ethyl oder n-Propyl. Gemäß einer speziellen Ausführungsform steht R5 für Wasserstoff. Gemäß einer weiteren speziellen Ausführungsform steht R5 für Methyl. Gemäß noch einer weiteren speziellen Ausführungsform steht R5für Cl.According to a further embodiment, R represents C 4 Ci-Cio-alkyl, Ci-Cio-haloalkyl, phenyl-Ci-C 4 alkyl, 2 -Cio-alkenyl, C 2 -Cio-haloalkenyl, C 2 -Cio-alkynyl, Cs -Cio- haloalkynyl, C 4 -Cio-alkadienyl, C 4 -Cio-Halogenalkadienyl, C 3 -Cio cycloalkyl, C 3 -C 0 - halocycloalkyl, C 3 -Cio-cycloalkenyl or Cs-Cio-halocycloalkenyl, in particular Ci- Ce-alkyl, C 2 -C 6 -alkenyl, C 2 -C 6 -alkynyl or phenyl-C 1 -C 4 -alkyl. Specific examples of R 2 are methyl, ethyl, n-propyl, iso-propyl, n-butyl, tert-butyl and benzyl. In the present invention R 5 is hydrogen, halogen or Ci-Cio-alkyl; wherein the alkyl group in R 5 is unsubstituted or substituted by one, two, three, four or five independently selected L, as defined herein or preferably defined. R 5 is preferably hydrogen, Cl or C 1 -C 4 -alkyl. R 5 is in particular hydrogen, Cl, methyl, ethyl or n-propyl. In a specific embodiment, R 5 is hydrogen. According to another specific embodiment, R 5 is methyl. In yet another specific embodiment, R 5 is Cl.
Gemäß vorliegender Erfindung bilden R6 und R7 zusammen einen drei- bis zehnglied- rigen gesättigten oder teilweise ungesättigten Cyclus, welcher ein Carbocyclus ist oder neben Kohlenstoffatomen ein, zwei oder drei Heteroatome aus der Gruppe Stickstoff (N) und Schwefel (S) und/oder ein Sauerstoffatom (O) als Ringglieder enthalten kann, wobei der gebildete Cyclus unsubstituiert ist oder einen, zwei, drei, vier oder fünf Sub- stituenten L, wie hierin definiert bzw. bevorzugt definiert, enthalten kann. Gemäß einer Ausführungsform bilden R6 und R7 zusammen eine Cs-Cβ-Cycloalkylgruppe, welche unsubstituiert oder substituiert ist durch einen, zwei oder drei Substituenten L, wobei L vorzugsweise unabhängig ausgewählt ist aus Halogen und Ci-C4-AIkVl. Gemäß einer Ausgestaltung ist der gebildete Carbocyclus unsubstituiert. Erfindungsgemäße Beispiele für einen aus R6 und R7 gebildeten gesättigten Cabocyclus sind Cyclopropyl, Cyclo- pentyl und Cyclohexyl. Gemäß einer bevorzugten Ausführungsform steht dabei gleichzeitig R5 für Wasserstoff, Halogen oder Ci-C4-Alkyl.According to the present invention, R 6 and R 7 together form a saturated or partially unsaturated cycle having three to ten members, which is a carbocycle or, in addition to carbon atoms, one, two or three heteroatoms from the group consisting of nitrogen (N) and sulfur (S) and / or an oxygen atom (O) may contain as ring members, wherein the cycle formed is unsubstituted or may contain one, two, three, four or five substituents L as defined herein or preferably defined. In one embodiment, R 6 and R 7 together form a Cs-Cβ cycloalkyl group which is unsubstituted or substituted by one, two or three substituents L, wherein L is preferably independently selected from halogen and C 1 -C 4 -alkyl. In one embodiment, the carbocycle formed is unsubstituted. Inventive examples of a saturated cabocycle formed from R 6 and R 7 are cyclopropyl, cyclopentyl and cyclohexyl. According to a preferred embodiment, R 5 is simultaneously hydrogen, halogen or C 1 -C 4 -alkyl.
Gemäß einer weiteren Ausführungsform bilden R6 und R7 zusammen eine Cs-Cs- Cycloalkenylgruppe, welche unsubstituiert oder substituiert ist durch einen, zwei oder drei Substituenten L, wobei L vorzugsweise unabhängig ausgewählt ist aus Halogen und Ci-C4-Alkyl. Gemäß einer Ausgestaltung ist der gebildete teilweise ungesättigte Carbocyclus unsubstituiert.According to a further embodiment, R 6 and R 7 together form a Cs-Cs-cycloalkenyl group which is unsubstituted or substituted by one, two or three substituents L, wherein L is preferably independently selected from halogen and C 1 -C 4 -alkyl. In one embodiment, the formed partially unsaturated carbocycle is unsubstituted.
Gemäß einer weiteren Ausführungsform bilden R6 und R7 zusammen eine gesättigte C5-C7-Heterocyclylgruppe, welche ein, zwei oder drei Stickstoffatome (N) enthält und unsubstituiert oder substituiert ist durch einen, zwei oder drei Substituenten L. Gemäß einer Ausgestaltung ist der gebildete Heterocyclus unsubstituiert.According to another embodiment, R 6 and R 7 together form a saturated C 5 -C 7 heterocyclyl group containing one, two or three nitrogen atoms (N) and being unsubstituted or substituted by one, two or three substituents L. In one embodiment, the formed Heterocycle unsubstituted.
Gemäß einer weiteren Ausführungsform bilden R6 und R7 zusammen eine teilweise ungesättigte Cs-Cr-Heterocyclylgruppe, welche ein, zwei oder drei Stickstoffatome (N) enthält und unsubstituiert oder substituiert ist durch einen, zwei oder drei Substituenten L. Gemäß einer Ausgestaltung ist der gebildete Heterocyclus unsubstituiert.According to another embodiment, R 6 and R 7 together form a partially unsaturated Cs-Cr heterocyclyl group which contains one, two or three nitrogen atoms (N) and is unsubstituted or substituted by one, two or three substituents L. In one embodiment, the formed heterocycle unsubstituted.
Gemäß einer weiteren Ausführungsform bilden R6 und R7 zusammen eine gesättigte C5-C7-Heterocyclylgruppe, welche ein Sauerstoffatom (O) enthält und ggf substituiert ist. Beispielsweise bilden R6 und R7 gemeinsam einen unsubstituierten oder substituierten Tetrahydropyran-3-yl- oder Tetrahydropyran-4-ylring, Gemäß einer Ausgestaltung ist der gebildete Heterocyclus jeweils unsubstituiert. L weist unabhängig die oben bzw. in den Ansprüchen für L genannten Bedeutungen bzw. bevorzugten Bedeutungen auf. Wenn es nicht anders angegeben ist, ist L vorzugsweise unabhängig ausgewählt aus Halogen, Cyano, Nitro, Cyanato (OCN), CrC4- Alkyl, Ci-C4-Halogenalkyl, Ci-C4-Alkoxy, Ci-C4-Halogenalkoxy, C3-C6-Cycloalkyl, C3- Cβ-Halogencycloalkyl, S-A1, C(=O)A2, C(=S)A2, NA3A; wobei A1, A2, A3, A4 bedeuten: A1 Wasserstoff, Hydroxy, Ci -C4-Al kyl, Ci-C4-Halogenalkyl;According to another embodiment, R 6 and R 7 together form a saturated C 5 -C 7 heterocyclyl group which contains an oxygen atom (O) and is optionally substituted. For example, R 6 and R 7 together form an unsubstituted or substituted tetrahydropyran-3-yl or tetrahydropyran-4-yl ring. In one embodiment, the heterocycle formed is unsubstituted. L independently has the meanings or preferred meanings given above or in the claims for L. If it is not otherwise stated, L is preferably independently selected from halogen, cyano, nitro, cyanato (OCN), -C 4 - alkyl, Ci-C4-haloalkyl, Ci-C4-alkoxy, Ci-C4-haloalkoxy, C 3 -C 6 cycloalkyl, C 3 - Cβ-halocycloalkyl, SA 1, C (= O) A 2, C (= S) A 2 NA 3 A; wherein A 1, A 2, A 3, A 4 are: A 1 is hydrogen, hydroxy, Ci -C4 -alkyl, Ci-C 4 haloalkyl;
A2 eine der bei A1 genannten Gruppen oder Ci-C4-Alkoxy, CTC4- Halogenalkoxy, C3-C6-Cycloalkyl, Cs-Cβ-Halogencycloalkyl, C3-Cβ-A 2 A 1 wherein one of said groups or Ci-C 4 alkoxy, CTC 4 - haloalkoxy, C 3 -C 6 cycloalkyl, Cs-Cβ-halocycloalkyl, C 3 -Cβ-
Cycloalkoxy oder C3-C6-Halogencycloalkoxy;Cycloalkoxy or C 3 -C 6 -halocycloalkoxy;
A3,A4 unabhängig voneinander Wasserstoff, Ci-C4-Al kyl, Ci-C4-HaIo- genalkyl;A 3 , A 4, independently of one another, are hydrogen, C 1 -C 4 -alkyl, C 1 -C 4 -haloalkyl;
wobei die aliphatischen und/oder alicyclischen und/oder aromatischen Gruppen der Restedefinitionen von L ihrerseits eine, zwei, drei oder vier gleiche oder verschiedene Gruppen RL tragen können:where the aliphatic and / or alicyclic and / or aromatic groups of the radical definitions of L can themselves carry one, two, three or four identical or different groups R L :
RL Halogen, Cyano, Nitro, Ci-C4-Al kyl, Ci-C4-Halogenalkyl, Ci-C4-R L is halogen, cyano, nitro, Ci-C 4 -alkyl, C-4 haloalkyl, Ci-C 4 -
Alkoxy, Ci-C4-Halogenalkoxy, C3-C6-Cycloalkyl, Cs-Cβ-Halogencycloalkyl, Amino, Ci-Cs-Alkylamino, Di-Ci-Cs-alkylamino.Alkoxy, C 1 -C 4 -haloalkoxy, C 3 -C 6 -cycloalkyl, C 1 -C 6 -halocycloalkyl, amino, C 1 -C 8 -alkylamino, C 1 -C -alkylamino.
Weiterhin bevorzugt ist L unabhängig ausgewählt aus Halogen, Amino Ci-C4-Al kyl, d- C4-Alkoxy, Ci-C4-Halogenalkyl, Ci-C4-Halogenalkoxy, Ci-C4-Alkylamino, C1-C4- Dialkylamino, Thio und Ci-C4-AlkylthioFurthermore preferably, L is independently selected from halogen, amino Ci-C 4 -alkyl, C d- 4 alkoxy, Ci-C4-haloalkyl, Ci-C4-haloalkoxy, Ci-C4-alkylamino, C1-C4- Dialkylamino, thio and Ci-C 4 alkylthio
Weiterhin bevorzugt ist L unabhängig ausgewählt aus Halogen, Ci-C4-Al kyl, C1-C4- Halogenalkyl, Ci-C4-Alkoxy und Ci-C4-Halogenalkoxy.Furthermore preferably, L is independently selected from halogen, Ci-C4 -alkyl, C1-C4- haloalkyl, Ci-C4-alkoxy and Ci-C4-haloalkoxy.
Gemäß einer weiteren bevorzugten Ausführungsform ist L unabhängig ausgewählt aus F, Cl, Br, CH3, C2H5, i-C3H7, t-C4H9, OCH3, OC2H5, CF3, CCI3, CHF2, CCIF2, OCF3, OCHF2 und SCF3, insbesondere ausgewählt aus F, Cl, CH3, C2H5, OCH3, OC2H5, CF3, CHF2, OCF3, OCHF2 und SCF3. Gemäß einer Ausgestaltung ist L unabhängig ausge- wählt aus F, Cl, CH3, OCH3, CF3, OCF3 und OCHF2. Es kann bevorzugt sein, dass L unabhängig F oder Cl bedeutet.According to a further preferred embodiment, L is independently selected from F, Cl, Br, CH 3, C 2 H 5, iC 3 H 7, tC 4 H 9, OCH 3, OC 2 H 5, CF 3, CCl 3, CHF 2 , CCIF 2 , OCF 3 , OCHF 2 and SCF 3 , in particular selected from F, Cl, CH 3 , C 2 H 5 , OCH 3 , OC 2 H 5 , CF 3 , CHF 2 , OCF 3 , OCHF 2 and SCF 3 , According to one embodiment, L is independently excluded selected from F, Cl, CH 3, OCH 3, CF 3, OCF 3 and OCHF. 2 It may be preferred that L is independently F or Cl.
Gemäß einer weiteren Ausführungsform ist L unabhängig ausgewählt aus F, Br, CH3, C2H5, i-C3H7, t-C4H9, OCH3, OC2H5, CF3, CCI3, CHF2, CCIF2, OCF3, OCHF2 und SCF3.According to a further embodiment, L is independently selected from F, Br, CH 3, C 2 H 5, iC 3 H 7, tC 4 H 9, OCH 3, OC 2 H 5, CF 3, CCl 3, CHF 2 CCIF 2 , OCF 3 , OCHF 2 and SCF 3 .
Gemäß noch einer weiteren Ausführungsform ist L unabhängig ausgewählt F, Cl, Br, Methyl und Methoxy. Die vorangehend beschriebenen Bedeutungen der Variablen R1, R2, R3, R4, R5, R6, R7, X, Y, Z und L für Verbindungen I gelten entsprechend für die Vorstufen der erfindungsgemäßen Verbindungen.In yet another embodiment, L is independently selected F, Cl, Br, methyl and methoxy. The meanings of the variables R 1 , R 2 , R 3 , R 4 , R 5 , R 6 , R 7 , X, Y, Z and L described above for compounds I apply correspondingly to the precursors of the compounds according to the invention.
Insbesondere sind im Hinblick auf ihre Verwendung die in den folgenden Tabellen 1a bis 135a zusammengestellten erfindungsgemäßen Verbindungen LA bevorzugt, unter Berücksichtigung der hierin genannten Maßgaben. Die in den Tabellen für einen Sub- stituenten genannten Gruppen stellen außerdem für sich betrachtet, unabhängig von der Kombination, in der sie genannt sind, eine besonders bevorzugte Ausgestaltung des betreffenden Substituenten dar.In particular, with regard to their use, the compounds LA according to the invention which are combined in the following Tables 1a to 135a are preferred, taking into account the stipulations mentioned herein. The groups mentioned in the tables for a substituent, taken individually, independently of the combination in which they are mentioned, also represent a particularly preferred embodiment of the substituent in question.
Tabelle 1 aTable 1 a
Verbindungen LA, worin Z für CH2CH2CH2 steht, R2, R3 und R4 für H stehen, R5 H und R6+R7 Cyclopropyl bedeuten, und die Kombination aus R1 und Y jeweils einerCompounds LA in which Z is CH 2 CH 2 CH 2 , R 2 , R 3 and R 4 are H, R 5 is H and R 6 + R 7 is cyclopropyl, and the combination of R 1 and Y is each one
Zeile der Tabelle A entspricht (Verbindungen I.A.1 aA-1 bis I.A.1 aA-444)Row of Table A corresponds (compounds I.A.1 aA-1 to I.A.1 aA-444)
Tabelle 2aTable 2a
Verbindungen LA, worin Z für CH2(CH2)2CH2 steht, R2, R3 und R4 für H stehen, R5 H und R6+R7 Cyclopropyl bedeuten, und die Kombination aus R1 und Y jeweils ei- ner Zeile der Tabelle A entspricht (Verbindungen I.A.2aA-1 bis I.A.2aA-444)Compounds LA, wherein Z is CH 2 (CH 2 ) 2 CH 2 , R 2 , R 3 and R 4 are H, R 5 is H and R 6 + R 7 is cyclopropyl, and the combination of R 1 and Y are each corresponds to one row of Table A (compounds IA2aA-1 to IA2aA-444)
Tabelle 3aTable 3a
Verbindungen LA, worin Z für CH2(CH2)3CH2 steht, R2, R3 und R4 für H stehen, R5 H und R6+R7 Cyclopropyl bedeuten, und die Kombination aus R1 und Y jeweils einer Zeile der Tabelle A entspricht (Verbindungen I.A.3aA-1 bis I.A.3aA-444) Tabelle 4aCompounds LA in which Z is CH 2 (CH 2 ) 3 CH 2 , R 2 , R 3 and R 4 are H, R 5 is H and R 6 + R 7 is cyclopropyl, and the combination of R 1 and Y is each one row of Table A corresponds (compounds IA3aA-1 to IA3aA-444) Table 4a
Verbindungen LA, worin Z für CH2CH(CH3)CH2 steht, R2, R3 und R4 für H stehen, R5 H und R6+R7 Cyclopropyl bedeuten, und die Kombination aus R1 und Y jeweils einer Zeile der Tabelle A entspricht (Verbindungen I.A.4aA-1 bis I.A.4aA-444)Compounds LA, wherein Z is CH 2 CH (CH 3 ) CH 2 , R 2 , R 3 and R 4 are H, R 5 is H and R 6 + R 7 is cyclopropyl, and the combination of R 1 and Y are each corresponds to one line of Table A (compounds IA4aA-1 to IA4aA-444)
Tabelle 5a Verbindungen LA, worin Z für CH2CH2CH(CH3) steht, R2, R3 und R4 für H stehen,Table 5a compounds LA, wherein Z is CH 2 CH 2 CH (CH 3 ), R 2 , R 3 and R 4 are H,
R5 H und R6+R7 Cyclopropyl bedeuten, und die Kombination aus R1 und Y jeweils einer Zeile der Tabelle A entspricht (Verbindungen I.A.5aA-1 bis I.A.5aA-444)R 5 is H and R 6 + R 7 is cyclopropyl, and the combination of R 1 and Y corresponds in each case to one line of Table A (compounds IA5aA-1 to IA5aA-444)
Tabelle 6aTable 6a
Verbindungen LA, worin Z für CH(CH3)CH2CH2 steht, R2, R3 und R4 für H stehen, R5 H und R6+R7 Cyclopropyl bedeuten, und die Kombination aus R1 und Y jeweils einer Zeile der Tabelle A entspricht (Verbindungen I.A.6aA-1 bis I.A.6aA-444)Compounds LA, wherein Z is CH (CH 3 ) CH 2 CH 2 , R 2 , R 3 and R 4 are H, R 5 is H and R 6 + R 7 is cyclopropyl, and the combination of R 1 and Y are each corresponds to one line of Table A (compounds IA6aA-1 to IA6aA-444)
Tabelle 7aTable 7a
Verbindungen LA, worin Z für CH2C(CHs)2CH2 steht, R2, R3 und R4 für H stehen, R5 H und R6+R7 Cyclopropyl bedeuten, und die Kombination aus R1 und Y jeweils einer Zeile der Tabelle A entspricht (Verbindungen I.A.7aA-1 bis I.A.7aA-444) Tabelle 8aCompounds LA, wherein Z is CH 2 C (CH 2 ) 2 CH 2 , R 2 , R 3 and R 4 are H, R 5 H and R 6 + R 7 are cyclopropyl, and the combination of R 1 and Y corresponds in each case to one line of Table A (compounds IA7aA-1 to IA7aA-444) Table 8a
Verbindungen LA, worin Z für CH2C(CH2CH2)CH2 steht, R2, R3 und R4 für H stehen, R5 H und R6+R7 Cyclopropyl bedeuten, und die Kombination aus R1 und Y jeweils einer Zeile der Tabelle A entspricht (Verbindungen I.A.8aA-1 bis I.A.8aA-444) Tabelle 9aCompounds LA in which Z is CH 2 C (CH 2 CH 2 ) CH 2 , R 2 , R 3 and R 4 are H, R 5 is H and R 6 + R 7 is cyclopropyl, and the combination of R 1 and Y corresponds in each case to one row of Table A (compounds IA8aA-1 to IA8aA-444) Table 9a
Verbindungen LA, worin Z für C(CH2CH2)CH2CH2 steht, R2, R3 und R4 für H stehen, R5 H und R6+R7 Cyclopropyl bedeuten, und die Kombination aus R1 und Y jeweils einer Zeile der Tabelle A entspricht (Verbindungen I.A.9aA-1 bis I.A.9aA-444)Compounds LA in which Z is C (CH 2 CH 2 ) CH 2 CH 2 , R 2 , R 3 and R 4 are H, R 5 is H and R 6 + R 7 is cyclopropyl, and the combination of R 1 and Y corresponds in each case to one row of Table A (compounds IA9aA-1 to IA9aA-444)
Tabelle 10aTable 10a
Verbindungen LA, worin Z für CH2CH(CH3)(CH2)2CH2 steht, R2, R3 und R4 für H stehen, R5 H und R6+R7 Cyclopropyl bedeuten, und die Kombination aus R1 und Y jeweils einer Zeile der Tabelle A entspricht (Verbindungen I.A.10aA-1 bis I .A.1 OaA- 444)Compounds LA in which Z is CH 2 CH (CH 3 ) (CH 2 ) 2 CH 2 , R 2 , R 3 and R 4 are H, R 5 is H and R 6 + R 7 is cyclopropyl, and the combination of R 1 and Y correspond in each case to one row of Table A (compounds IA10aA-1 to I .A.1 OaA-444)
Tabelle 1 1aTable 1 1a
Verbindungen LA, worin Z für C(CH3)2(CH2)3CH2 steht, R2, R3 und R4 für H stehen, R5 H und R6+R7 Cyclopropyl bedeuten, und die Kombination aus R1 und Y jeweils einer Zeile der Tabelle A entspricht (Verbindungen I.A.1 1aA-1 bis I.A.11 aA-444) Tabelle 12aCompounds LA, wherein Z is C (CH 3 ) 2 (CH 2 ) 3 CH 2 , R 2 , R 3 and R 4 are H, R 5 is H and R 6 + R 7 is cyclopropyl, and the combination of R 1 and Y corresponds in each case to one row of Table A (compounds IA1 1aA-1 to IA11 aA-444) Table 12a
Verbindungen LA, worin Z für C(CH2CH2)(CH2)3CH2 steht, R2, R3 und R4 für H stehen, R5 H und R6+R7 Cyclopropyl bedeuten, und die Kombination aus R1 und Y jeweils einer Zeile der Tabelle A entspricht (Verbindungen I.A.12aA-1 bis I.A.12aA- 444) Tabelle 13aCompounds LA in which Z is C (CH 2 CH 2 ) (CH 2 ) 3 CH 2 , R 2 , R 3 and R 4 are H, R 5 is H and R 6 + R 7 is cyclopropyl, and the combination of R 1 and Y correspond in each case to one row of Table A (compounds IA12aA-1 to IA12aA-444) Table 13a
Verbindungen LA, worin Z für CH2CH2CH(CH3)CH2CH2 steht, R2, R3 und R4 für H stehen, R5 H und R6+R7 Cyclopropyl bedeuten, und die Kombination aus R1 und Y jeweils einer Zeile der Tabelle A entspricht (Verbindungen I.A.13aA-1 bis I.A.13aA- 444) Tabelle 14aCompounds LA, wherein Z is CH 2 CH 2 CH (CH 3 ) CH 2 CH 2 , R 2 , R 3 and R 4 are H, R 5 is H and R 6 + R 7 is cyclopropyl, and the combination of R 1 and Y corresponds in each case to one row of Table A (compounds IA13aA-1 to IA13aA-444) Table 14a
Verbindungen LA, worin Z für CH2CH2CH2CH(CH3)CH2 steht, R2, R3 und R4 für H stehen, R5 H und R6+R7 Cyclopropyl bedeuten, und die Kombination aus R1 und Y jeweils einer Zeile der Tabelle A entspricht (Verbindungen I.A.14aA-1 bis I.A.14aA- 444) Tabelle 15aCompounds LA, wherein Z is CH 2 CH 2 CH 2 CH (CH 3 ) CH 2 , R 2 , R 3 and R 4 are H, R 5 is H and R 6 + R 7 is cyclopropyl, and the combination of R 1 and Y corresponds in each case to one row of Table A (compounds IA14aA-1 to IA14aA-444) Table 15a
Verbindungen LA, worin Z für CH2(CH2)3CH(CH3) steht, R2, R3 und R4 für H stehen, R5 H und R6+R7 Cyclopropyl bedeuten, und die Kombination aus R1 und Y jeweils einer Zeile der Tabelle A entspricht (Verbindungen I.A.15aA-1 bis I.A.15aA-444) Tabelle 16a Verbindungen LA, worin Z für (E) CH=CHCH2 steht, R2, R3 und R4 für H stehen, R5 Compounds LA in which Z is CH 2 (CH 2 ) 3 CH (CH 3 ), R 2 , R 3 and R 4 are H, R 5 is H and R 6 + R 7 is cyclopropyl, and the combination of R 1 and Y corresponds in each case to one row of Table A (Compounds IA15aA-1 to IA15aA-444) Table 16a Compounds LA, wherein Z is (E) CH = CHCH 2 , R 2 , R 3 and R 4 are H, R 5
H und R6+R7 Cyclopropyl bedeuten, und die Kombination aus R1 und Y jeweils einer Zeile der Tabelle A entspricht (Verbindungen I.A.16aA-1 bis I.A.16aA-444) Tabelle 17aH and R 6 + R 7 are cyclopropyl, and the combination of R 1 and Y corresponds in each case to one line of Table A (compounds IA16aA-1 to IA16aA-444) Table 17a
Verbindungen LA, worin Z für (E) C(CHs)=CHCH2 steht, R2, R3 und R4 für H stehen,Compounds LA, wherein Z is (E) C (CHs) = CHCH 2 , R 2 , R 3 and R 4 are H,
R5 H und R6+R7 Cyclopropyl bedeuten, und die Kombination aus R1 und Y jeweils einer Zeile der Tabelle A entspricht (Verbindungen I.A.17aA-1 bis I.A.17aA-444) Tabelle 18aR 5 is H and R 6 + R 7 is cyclopropyl, and the combination of R 1 and Y corresponds in each case to one line of Table A (compounds IA17aA-1 to IA17aA-444) Table 18a
Verbindungen LA, worin Z für (E) C(CHs)=C(CH3)CH2 steht, R2, R3 und R4 für H stehen, R5 H und R6+R7 Cyclopropyl bedeuten, und die Kombination aus R1 und Y jeweils einer Zeile der Tabelle A entspricht (Verbindungen I.A.18aA-1 bis I.A.18aA-Compounds LA in which Z is (E) C (CHs) = C (CH 3 ) CH 2 , R 2 , R 3 and R 4 are H, R 5 is H and R 6 + R 7 is cyclopropyl, and the combination each of R 1 and Y corresponds to one row of Table A (compounds IA18aA-1 to IA18aA-
444) Tabelle 19a444) Table 19a
Verbindungen LA, worin Z für (E) CH=C(CH3)CH2 steht, R2, R3 und R4 für H stehen,Compounds LA, wherein Z is (E) CH = C (CH 3 ) CH 2 , R 2 , R 3 and R 4 are H,
R5 H und R6+R7 Cyclopropyl bedeuten, und die Kombination aus R1 und Y jeweils einer Zeile der Tabelle A entspricht (Verbindungen I.A.19aA-1 bis I.A.19aA-444) Tabelle 20a Verbindungen LA, worin Z für (E) CH2CH=CHCH2 steht, R2, R3 und R4 für H stehen,R 5 is H and R 6 + R 7 is cyclopropyl, and the combination of R 1 and Y corresponds in each case to one line of Table A (compounds IA19aA-1 to IA19aA-444) Table 20a Compounds LA, wherein Z is (E) CH 2 CH = CHCH 2 , R 2 , R 3 and R 4 stand for H,
R5 H und R6+R7 Cyclopropyl bedeuten, und die Kombination aus R1 und Y jeweils einer Zeile der Tabelle A entspricht (Verbindungen I.A.20aA-1 bis I.A.20aA-444) Tabelle 21aR 5 is H and R 6 + R 7 is cyclopropyl, and the combination of R 1 and Y corresponds in each case to one line of Table A (compounds IA20aA-1 to IA20aA-444) Table 21a
Verbindungen LA, worin Z für (E) CH2C(CHs)=CHCH2 steht, R2, R3 und R4 für H stehen, R5 H und R6+R7 Cyclopropyl bedeuten, und die Kombination aus R1 und Y jeweils einer Zeile der Tabelle A entspricht (Verbindungen I.A.21 aA-1 bis I.A.21aA-Compounds LA in which Z is (E) CH 2 C (CHs) = CHCH 2 , R 2 , R 3 and R 4 are H, R 5 is H and R 6 + R 7 is cyclopropyl, and the combination of R 1 and Y corresponds in each case to one row of Table A (compounds IA21 aA-1 to IA21aA-
444) Tabelle 22a444) Table 22a
Verbindungen LA, worin Z für (E) CH2CH=C(CH3)CH2 steht, R2, R3 und R4 für H stehen, R5 H und R6+R7 Cyclopropyl bedeuten, und die Kombination aus R1 und Y jeweils einer Zeile der Tabelle A entspricht (Verbindungen I.A.22aA-1 bis I.A.22aA-Compounds LA in which Z is (E) CH 2 CH = C (CH 3 ) CH 2 , R 2 , R 3 and R 4 are H, R 5 is H and R 6 + R 7 is cyclopropyl, and the combination of R 1 and Y corresponds in each case to one row of Table A (compounds IA22aA-1 to IA22aA-
444) Tabelle 23a444) Table 23a
Verbindungen LA, worin Z für (E) CH2C(CHs)=C(CH3)CH2 steht, R2, R3 und R4 für H stehen, R5 H und R6+R7 Cyclopropyl bedeuten, und die Kombination aus R1 und Y jeweils einer Zeile der Tabelle A entspricht (Verbindungen I.A.23aA-1 bis I.A.23aA-Compounds LA, wherein Z is (E) CH 2 C (CHs) = C (CH 3 ) CH 2 , R 2 , R 3 and R 4 are H, R 5 is H and R 6 + R 7 is cyclopropyl, and the combination of R 1 and Y corresponds in each case to one row of Table A (compounds IA23aA-1 to IA23aA-
444) Tabelle 24a444) Table 24a
Verbindungen LA, worin Z für (E) C(CH3)=C(CH3)(CH2)2CH2 steht, R2, R3 und R4 für H stehen, R5 H und R6+R7 Cyclopropyl bedeuten, und die Kombination aus R1 undCompounds LA in which Z is (E) C (CH 3 ) = C (CH 3 ) (CH 2 ) 2 CH 2 , R 2 , R 3 and R 4 are H, R 5 is H and R 6 + R 7 Cyclopropyl, and the combination of R 1 and
Y jeweils einer Zeile der Tabelle A entspricht (Verbindungen I.A.24aA-1 bisY corresponds in each case to one row of Table A (compounds I.A.24aA-1 to
I.A24aA-444) Tabelle 25aI.A24aA-444) Table 25a
Verbindungen LA, worin Z für (E) C(CH3)=CH(CH2)2CH2 steht, R2, R3 und R4 für H stehen, R5 H und R6+R7 Cyclopropyl bedeuten, und die Kombination aus R1 und Y jeweils einer Zeile der Tabelle A entspricht (Verbindungen I.A.25aA-1 bis I.A.25aA-Compounds LA in which Z is (E) C (CH 3 ) = CH (CH 2 ) 2 CH 2 , R 2 , R 3 and R 4 are H, R 5 is H and R 6 + R 7 is cyclopropyl, and the combination of R 1 and Y corresponds in each case to one row of Table A (compounds IA25aA-1 to IA25aA-
444) Tabelle 26a444) Table 26a
Verbindungen LA, worin Z für (E) CH=C(CH3)(CH2)2CH2 steht, R2, R3 und R4 für H stehen, R5 H und R6+R7 Cyclopropyl bedeuten, und die Kombination aus R1 und Y jeweils einer Zeile der Tabelle A entspricht (Verbindungen I.A.26aA-1 bis I.A.26aA- 444)Compounds LA in which Z is (E) CH = C (CH 3 ) (CH 2 ) 2 CH 2 , R 2 , R 3 and R 4 are H, R 5 is H and R 6 + R 7 is cyclopropyl, and the combination from R 1 and Y corresponds in each case to one row of Table A (compounds IA26aA-1 to IA26aA-444)
Tabelle 27aTable 27a
Verbindungen LA, worin Z für CH2OCCH2 steht, R2, R3 und R4 für H stehen, R5 H und R6+R7 Cyclopropyl bedeuten, und die Kombination aus R1 und Y jeweils einer Zeile der Tabelle A entspricht (Verbindungen I.A.27aA-1 bis I.A.27aA-444) Tabelle 28aCompounds LA in which Z is CH 2 OCCH 2 , R 2 , R 3 and R 4 are H, R 5 is H and R 6 + R 7 is cyclopropyl, and the combination of R 1 and Y is in each case one row of Table A. corresponds (compounds IA27aA-1 to IA27aA-444) Table 28a
Verbindungen LA, worin Z für CH2CH2CH2 steht, R2, R3 und R4 für H stehen, R5 CH3 und R6+R7 Cyclopropyl bedeuten, und die Kombination aus R1 und Y jeweils einer Zeile der Tabelle A entspricht (Verbindungen I.A.28aA-1 bis I.A.28aA-444)Compounds LA in which Z is CH 2 CH 2 CH 2 , R 2 , R 3 and R 4 are H, R 5 is CH 3 and R 6 + R 7 is cyclopropyl, and the combination of R 1 and Y is in each case one row of Table A corresponds (compounds IA28aA-1 to IA28aA-444)
Tabelle 29a Verbindungen LA, worin Z für CH2(CH2)2CH2 steht, R2, R3 und R4 für H stehen, R5 Table 29a Compounds LA, wherein Z is CH 2 (CH 2 ) 2 CH 2 , R 2 , R 3 and R 4 are H, R 5
CH3 und R6+R7 Cyclopropyl bedeuten, und die Kombination aus R1 und Y jeweils einer Zeile der Tabelle A entspricht (Verbindungen I.A.29aA-1 bis I.A.29aA-444)CH 3 and R 6 + R 7 denote cyclopropyl, and the combination of R 1 and Y corresponds in each case to one row of Table A (compounds IA29aA-1 to IA29aA-444)
Tabelle 30aTable 30a
Verbindungen LA, worin Z für CH2(CH2)3CH2 steht, R2, R3 und R4 für H stehen, R5 CH3 und R6+R7 Cyclopropyl bedeuten, und die Kombination aus R1 und Y jeweils einer Zeile der Tabelle A entspricht (Verbindungen I.A.30aA-1 bis I.A.30aA-444)Compounds LA in which Z is CH 2 (CH 2 ) 3 CH 2 , R 2 , R 3 and R 4 are H, R 5 is CH 3 and R 6 + R 7 is cyclopropyl, and the combination of R 1 and Y is each corresponds to one line of Table A (compounds IA30aA-1 to IA30aA-444)
Tabelle 31aTable 31a
Verbindungen LA, worin Z für CH2CH(CH3)CH2 steht, R2, R3 und R4 für H stehen, R5 CH3 und R6+R7 Cyclopropyl bedeuten, und die Kombination aus R1 und Y je- weils einer Zeile der Tabelle A entspricht (Verbindungen I.A.31aA-1 bis I.A.31aA-Compounds LA in which Z is CH 2 CH (CH 3 ) CH 2 , R 2 , R 3 and R 4 are H, R 5 is CH 3 and R 6 + R 7 is cyclopropyl, and the combination of R 1 and Y corresponds in each case to one row of Table A (compounds IA31aA-1 to IA31aA-
444)444)
Tabelle 32aTable 32a
Verbindungen LA, worin Z für CH2CH2CH(CH3) steht, R2, R3 und R4 für H stehen, R5 CH3 und R6+R7 Cyclopropyl bedeuten, und die Kombination aus R1 und Y je- weils einer Zeile der Tabelle A entspricht (Verbindungen I.A.32aA-1 bis I.A.32aA-Compounds LA, wherein Z is CH 2 CH 2 CH (CH 3 ), R 2 , R 3 and R 4 are H, R 5 is CH 3 and R 6 + R 7 is cyclopropyl, and the combination of R 1 and Y corresponds in each case to one row of Table A (compounds IA32aA-1 to IA32aA-
444)444)
Tabelle 33aTable 33a
Verbindungen LA, worin Z für CH(CH3)CH2CH2 steht, R2, R3 und R4 für H stehen, R5 CH3 und R6+R7 Cyclopropyl bedeuten, und die Kombination aus R1 und Y je- weils einer Zeile der Tabelle A entspricht (Verbindungen I.A.33aA-1 bis I.A.33aA-Compounds LA in which Z is CH (CH 3 ) CH 2 CH 2 , R 2 , R 3 and R 4 are H, R 5 is CH 3 and R 6 + R 7 is cyclopropyl, and the combination of R 1 and Y each corresponds to one row of Table A (compounds IA33aA-1 to IA33aA-
444)444)
Tabelle 34aTable 34a
Verbindungen LA, worin Z für CH2C(CHs)2CH2 steht, R2, R3 und R4 für H stehen, R5 CH3 und R6+R7 Cyclopropyl bedeuten, und die Kombination aus R1 und Y jeweils einer Zeile der Tabelle A entspricht (Verbindungen I.A.34aA-1 bis I.A.34aA-444)Compounds LA in which Z is CH 2 C (CH 2 ) 2 CH 2 , R 2 , R 3 and R 4 are H, R 5 is CH 3 and R 6 + R 7 is cyclopropyl, and the combination of R 1 and Y is corresponds in each case to one row of Table A (compounds IA34aA-1 to IA34aA-444)
Tabelle 35aTable 35a
Verbindungen LA, worin Z für CH2C(CH2CH2)CH2 steht, R2, R3 und R4 für H stehen, R5 CH3 und R6+R7 Cyclopropyl bedeuten, und die Kombination aus R1 und Y je- weils einer Zeile der Tabelle A entspricht (Verbindungen I.A.35aA-1 bis I.A.35aA- 444)Compounds LA in which Z is CH 2 C (CH 2 CH 2 ) CH 2 , R 2 , R 3 and R 4 are H, R 5 is CH 3 and R 6 + R 7 is cyclopropyl, and the combination of R 1 and Y each because one row corresponds to Table A (compounds IA35aA-1 to IA35aA-444)
Tabelle 36aTable 36a
Verbindungen LA, worin Z für C(CH2CH2)CH2CH2 steht, R2, R3 und R4 für H stehen, R5 CH3 und R6+R7 Cyclopropyl bedeuten, und die Kombination aus R1 und Y jeweils einer Zeile der Tabelle A entspricht (Verbindungen I.A.36aA-1 bis I.A.36aA- 444)Compounds LA in which Z is C (CH 2 CH 2 ) CH 2 CH 2 , R 2 , R 3 and R 4 are H, R 5 is CH 3 and R 6 + R 7 is cyclopropyl, and the combination of R 1 and Y corresponds in each case to one row of Table A (compounds IA36aA-1 to IA36aA-444)
Tabelle 37aTable 37a
Verbindungen LA, worin Z für CH2CH(CH3)(CH2)2CH2 steht, R2, R3 und R4 für H stehen, R5 CH3 und R6+R7 Cyclopropyl bedeuten, und die Kombination aus R1 undCompounds LA in which Z is CH 2 CH (CH 3 ) (CH 2 ) 2 CH 2 , R 2 , R 3 and R 4 are H, R 5 is CH 3 and R 6 + R 7 is cyclopropyl, and the combination of R 1 and
Y jeweils einer Zeile der Tabelle A entspricht (Verbindungen I.A.37aA-1 bis I.A.37aA-444)Y corresponds in each case to one row of Table A (compounds I.A.37aA-1 to I.A.37aA-444)
Tabelle 38aTable 38a
Verbindungen LA, worin Z für C(CH3)2(CH2)3CH2 steht, R2, R3 und R4 für H stehen, R5 CH3 und R6+R7 Cyclopropyl bedeuten, und die Kombination aus R1 und Y jeweils einer Zeile der Tabelle A entspricht (Verbindungen I.A.38aA-1 bis I.A.38aA- 444) Tabelle 39aCompounds LA, wherein Z is C (CH 3 ) 2 (CH 2 ) 3 CH 2 , R 2 , R 3 and R 4 are H, R 5 is CH 3 and R 6 + R 7 is cyclopropyl, and the combination of R 1 and Y corresponds in each case to one row of Table A (compounds IA38aA-1 to IA38aA-444) Table 39a
Verbindungen LA, worin Z für C(CH2CH2)(CH2)3CH2 steht, R2, R3 und R4 für H ste- hen, R5 CH3 und R6+R7 Cyclopropyl bedeuten, und die Kombination aus R1 und Y jeweils einer Zeile der Tabelle A entspricht (Verbindungen I.A.39aA-1 bis I.A.39aA- 444) Tabelle 40aCompounds LA in which Z is C (CH 2 CH 2 ) (CH 2 ) 3 CH 2 , R 2 , R 3 and R 4 are H, R 5 is CH 3 and R 6 + R 7 is cyclopropyl, and Combination of R 1 and Y corresponds in each case to one line of Table A (compounds IA39aA-1 to IA39aA-444) Table 40a
Verbindungen LA, worin Z für CH2CH2CH(CH3)CH2CH2 steht, R2, R3 und R4 für H stehen, R5 CH3 und R6+R7 Cyclopropyl bedeuten, und die Kombination aus R1 undCompounds LA in which Z is CH 2 CH 2 CH (CH 3 ) CH 2 CH 2 , R 2 , R 3 and R 4 are H, R 5 is CH 3 and R 6 + R 7 is cyclopropyl, and the combination of R 1 and
Y jeweils einer Zeile der Tabelle A entspricht (Verbindungen I.A.40aA-1 bis I.A.40aA-444)Y corresponds in each case to one row of Table A (compounds I.A.40aA-1 to I.A.40aA-444)
Tabelle 41aTable 41a
Verbindungen LA, worin Z für CH2CH2CH2CH(CH3)CH2 steht, R2, R3 und R4 für H stehen, R5 CH3 und R6+R7 Cyclopropyl bedeuten, und die Kombination aus R1 undCompounds LA in which Z is CH 2 CH 2 CH 2 CH (CH 3 ) CH 2 , R 2 , R 3 and R 4 are H, R 5 is CH 3 and R 6 + R 7 is cyclopropyl, and the combination of R 1 and
Y jeweils einer Zeile der Tabelle A entspricht (Verbindungen I.A.41aA-1 bis |.A.41aA-444)Y corresponds in each case to one row of Table A (compounds I.A.41aA-1 to | .A.41aA-444)
Tabelle 42aTable 42a
Verbindungen LA, worin Z für CH2(CH2)3CH(CH3) steht, R2, R3 und R4 für H stehen, R5 CH3 und R6+R7 Cyclopropyl bedeuten, und die Kombination aus R1 und Y jeweils einer Zeile der Tabelle A entspricht (Verbindungen I.A.42aA-1 bis I.A.42aA- 444)Compounds LA, wherein Z is CH 2 (CH 2 ) 3 CH (CH 3 ), R 2 , R 3 and R 4 are H, R 5 is CH 3 and R 6 + R 7 is cyclopropyl, and the combination of R 1 and Y corresponds in each case to one row of Table A (compounds IA42aA-1 to IA42aA-444)
Tabelle 43aTable 43a
Verbindungen LA, worin Z für (E) CH=CHCH2 steht, R2, R3 und R4 für H stehen, R5 CH3 und R6+R7 Cyclopropyl bedeuten, und die Kombination aus R1 und Y jeweils einer Zeile der Tabelle A entspricht (Verbindungen I.A.43aA-1 bis I.A.43aA-444)Compounds LA in which Z is (E) CH = CHCH 2 , R 2 , R 3 and R 4 are H, R 5 is CH 3 and R 6 + R 7 is cyclopropyl, and the combination of R 1 and Y is each one Line of Table A corresponds (compounds IA43aA-1 to IA43aA-444)
Tabelle 44aTable 44a
Verbindungen LA, worin Z für (E) C(CHs)=CHCH2 steht, R2, R3 und R4 für H stehen, R5 CH3 und R6+R7 Cyclopropyl bedeuten, und die Kombination aus R1 und Y jeweils einer Zeile der Tabelle A entspricht (Verbindungen I.A.44aA-1 bis I.A.44aA- 444)Compounds LA, wherein Z is (E) C (CHs) = CHCH 2 , R 2 , R 3 and R 4 are H, R 5 is CH 3 and R 6 + R 7 is cyclopropyl, and the combination of R 1 and Y corresponds in each case to one row of Table A (compounds IA44aA-1 to IA44aA-444)
Tabelle 45a Verbindungen LA, worin Z für (E) C(CHs)=C(CH3)CH2 steht, R2, R3 und R4 für H stehen, R5 CH3 und R6+R7 Cyclopropyl bedeuten, und die Kombination aus R1 undTable 45a Compounds LA in which Z is (E) C (CHs) = C (CH 3 ) CH 2 , R 2 , R 3 and R 4 are H, R 5 is CH 3 and R 6 + R 7 is cyclopropyl, and the combination of R 1 and
Y jeweils einer Zeile der Tabelle A entspricht (Verbindungen I.A.45aA-1 bis I.A.45aA-444)Y corresponds in each case to one row of Table A (compounds I.A.45aA-1 to I.A.45aA-444)
Tabelle 46a Verbindungen LA, worin Z für (E) CH=C(CH3)CH2 steht, R2, R3 und R4 für H stehen,Table 46a compounds LA, wherein Z is (E) CH = C (CH 3 ) CH 2 , R 2 , R 3 and R 4 are H,
R5 CH3 und R6+R7 Cyclopropyl bedeuten, und die Kombination aus R1 und Y jeweils einer Zeile der Tabelle A entspricht (Verbindungen I.A.46aA-1 bis I.A.46aA- 444)R 5 is CH 3 and R 6 + R 7 is cyclopropyl, and the combination of R 1 and Y corresponds in each case to one line of Table A (compounds IA46aA-1 to IA46aA-444)
Tabelle 47a Verbindungen LA, worin Z für (E) CH2CH=CHCH2 steht, R2, R3 und R4 für H stehen,Table 47a Compounds LA, wherein Z is (E) CH 2 CH = CHCH 2 , R 2 , R 3 and R 4 are H,
R5 CH3 und R6+R7 Cyclopropyl bedeuten, und die Kombination aus R1 und Y jeweils einer Zeile der Tabelle A entspricht (Verbindungen I.A.47aA-1 bis I.A.47aA- 444)R 5 is CH 3 and R 6 + R 7 is cyclopropyl, and the combination of R 1 and Y corresponds in each case to one line of Table A (compounds IA47aA-1 to IA47aA-444)
Tabelle 48a Verbindungen LA, worin Z für (E) CH2C(CHs)=CHCH2 steht, R2, R3 und R4 für H stehen, R5 CH3 und R6+R7 Cyclopropyl bedeuten, und die Kombination aus R1 undTable 48a Compounds LA, wherein Z is (E) CH 2 C (CHs) = CHCH 2 , R 2 , R 3 and R 4 are H, R 5 is CH 3 and R 6 + R 7 is cyclopropyl, and the combination of R 1 and
Y jeweils einer Zeile der Tabelle A entspricht (Verbindungen I.A.48aA-1 bis I.A.48aA-444)Y corresponds in each case to one row of Table A (compounds I.A.48aA-1 to I.A.48aA-444)
Tabelle 49a Verbindungen LA, worin Z für (E) CH2CH=C(CH3)CH2 steht, R2, R3 und R4 für H stehen, R5 CH3 und R6+R7 Cyclopropyl bedeuten, und die Kombination aus R1 undTable 49a Compounds LA, wherein Z is (E) CH 2 CH = C (CH 3 ) CH 2 , R 2 , R 3 and R 4 are H, R 5 is CH 3 and R 6 + R 7 is cyclopropyl, and the combination of R 1 and
Y jeweils einer Zeile der Tabelle A entspricht (Verbindungen I.A.49aA-1 bis I.A.49aA-444)Y corresponds in each case to one row of Table A (compounds I.A.49aA-1 to I.A.49aA-444)
Tabelle 50a Verbindungen LA, worin Z für (E) CH2C(CHs)=C(CH3)CH2 steht, R2, R3 und R4 für H stehen, R5 CH3 und R6+R7 Cyclopropyl bedeuten, und die Kombination aus R1 undTable 50a Compounds LA, wherein Z is (E) CH 2 C (CHs) = C (CH 3 ) CH 2 , R 2 , R 3 and R 4 are H, R 5 is CH 3 and R 6 + R 7 is cyclopropyl mean, and the combination of R 1 and
Y jeweils einer Zeile der Tabelle A entspricht (Verbindungen I.A.50aA-1 bis I.A.50aA-444)Y corresponds in each case to one row of Table A (compounds I.A.50aA-1 to I.A.50aA-444)
Tabelle 51a Verbindungen LA, worin Z für (E) C(CH3)=C(CH3)(CH2)2CH2 steht, R2, R3 und R4 fürTable 51a compounds LA, wherein Z is (E) C (CH 3 ) = C (CH 3 ) (CH 2 ) 2 CH 2 , R 2 , R 3 and R 4 is
H stehen, R5 CH3 und R6+R7 Cyclopropyl bedeuten, und die Kombination aus R1 und Y jeweils einer Zeile der Tabelle A entspricht (Verbindungen I.A.51aA-1 bis I.A.51aA-444) Tabelle 52a Verbindungen LA, worin Z für (E) C(CH3)=CH(CH2)2CH2 steht, R2, R3 und R4 für H stehen, R5 CH3 und R6+R7 Cyclopropyl bedeuten, und die Kombination aus R1 undH, R 5 is CH 3 and R 6 + R 7 is cyclopropyl, and the combination of R 1 and Y corresponds in each case to one line of Table A (compounds IA51aA-1 to IA 51aA-444). Table 52a Compounds LA, wherein Z is (for E) C (CH 3 ) = CH (CH 2 ) 2 CH 2 , R 2 , R 3 and R 4 are H, R 5 is CH 3 and R 6 + R 7 is cyclopropyl, and the combination of R 1 and
Y jeweils einer Zeile der Tabelle A entspricht (Verbindungen I.A.52aA-1 bis I.A.52aA-444) Tabelle 53aY corresponds in each case to one row of Table A (compounds IA52aA-1 to IA52aA-444) Table 53a
Verbindungen LA, worin Z für (E) CH=C(CH3)(CH2)2CH2 steht, R2, R3 und R4 für H stehen, R5 CH3 und R6+R7 Cyclopropyl bedeuten, und die Kombination aus R1 und Y jeweils einer Zeile der Tabelle A entspricht (Verbindungen I.A.53aA-1 bis I.A.53aA-444)Compounds LA in which Z is (E) CH = C (CH 3 ) (CH 2 ) 2 CH 2 , R 2 , R 3 and R 4 are H, R 5 is CH 3 and R 6 + R 7 is cyclopropyl, and the combination from R 1 and Y corresponds in each case to one row of Table A (compounds IA53aA-1 to IA53aA-444)
Tabelle 54aTable 54a
Verbindungen LA, worin Z für CH2OCCH2 steht, R2, R3 und R4 für H stehen, R5 CH3 und R6+R7 Cyclopropyl bedeuten, und die Kombination aus R1 und Y jeweils einer Zeile der Tabelle A entspricht (Verbindungen I.A.54aA-1 bis I.A.54aA-444) Tabelle 55aCompounds LA in which Z is CH 2 OCCH 2 , R 2 , R 3 and R 4 are H, R 5 is CH 3 and R 6 + R 7 is cyclopropyl, and the combination of R 1 and Y is in each case one row of Table A. corresponds (compounds IA54aA-1 to IA54aA-444) Table 55a
Verbindungen LA, worin Z für CH2CH2CH2 steht, R2, R3 und R4 für H stehen, R5 Cl und R6+R7 Cyclopropyl bedeuten, und die Kombination aus R1 und Y jeweils einer Zeile der Tabelle A entspricht (Verbindungen I.A.55aA-1 bis I.A.55aA-444)Compounds LA in which Z is CH 2 CH 2 CH 2 , R 2 , R 3 and R 4 are H, R 5 is Cl and R 6 + R 7 is cyclopropyl, and the combination of R 1 and Y is in each case one row of Table A corresponds (compounds IA55aA-1 to IA55aA-444)
Tabelle 56a Verbindungen LA, worin Z für CH2(CH2)2CH2 steht, R2, R3 und R4 für H stehen, R5 Table 56a Compounds LA, wherein Z is CH 2 (CH 2 ) 2 CH 2 , R 2 , R 3 and R 4 are H, R 5
Cl und R6+R7 Cyclopropyl bedeuten, und die Kombination aus R1 und Y jeweils einer Zeile der Tabelle A entspricht (Verbindungen I.A.56aA-1 bis I.A.56aA-444)Cl and R 6 + R 7 are cyclopropyl, and the combination of R 1 and Y corresponds in each case to one line of Table A (compounds IA56aA-1 to IA56aA-444)
Tabelle 57aTable 57a
Verbindungen LA, worin Z für CH2(CH2)3CH2 steht, R2, R3 und R4 für H stehen, R5 Cl und R6+R7 Cyclopropyl bedeuten, und die Kombination aus R1 und Y jeweils einer Zeile der Tabelle A entspricht (Verbindungen I.A.57aA-1 bis I.A.57aA-444)Compounds LA in which Z is CH 2 (CH 2 ) 3 CH 2 , R 2 , R 3 and R 4 are H, R 5 is Cl and R 6 + R 7 is cyclopropyl, and the combination of R 1 and Y is each corresponds to one line of Table A (compounds IA57aA-1 to IA57aA-444)
Tabelle 58aTable 58a
Verbindungen LA, worin Z für CH2CH(CH3)CH2 steht, R2, R3 und R4 für H stehen, R5 Cl und R6+R7 Cyclopropyl bedeuten, und die Kombination aus R1 und Y jeweils einer Zeile der Tabelle A entspricht (Verbindungen I.A.58aA-1 bis I.A.58aA-444)Compounds LA in which Z is CH 2 CH (CH 3 ) CH 2 , R 2 , R 3 and R 4 are H, R 5 is Cl and R 6 + R 7 is cyclopropyl, and the combination of R 1 and Y is each corresponds to one line of Table A (compounds IA58aA-1 to IA58aA-444)
Tabelle 59aTable 59a
Verbindungen LA, worin Z für CH2CH2CH(CH3) steht, R2, R3 und R4 für H stehen, R5 Cl und R6+R7 Cyclopropyl bedeuten, und die Kombination aus R1 und Y jeweils einer Zeile der Tabelle A entspricht (Verbindungen I.A.59aA-1 bis I.A.59aA-444) Tabelle 60aCompounds LA, wherein Z is CH 2 CH 2 CH (CH 3 ), R 2 , R 3 and R 4 are H, R 5 is Cl and R 6 + R 7 is cyclopropyl, and the combination of R 1 and Y are each corresponds to one line of Table A (compounds IA59aA-1 to IA59aA-444) Table 60a
Verbindungen LA, worin Z für CH(CH3)CH2CH2 steht, R2, R3 und R4 für H stehen, R5 Cl und R6+R7 Cyclopropyl bedeuten, und die Kombination aus R1 und Y jeweils einer Zeile der Tabelle A entspricht (Verbindungen I.A.60aA-1 bis I.A.60aA-444)Compounds LA in which Z is CH (CH 3 ) CH 2 CH 2 , R 2 , R 3 and R 4 are H, R 5 is Cl and R 6 + R 7 is cyclopropyl, and the combination of R 1 and Y is each corresponds to one line of Table A (compounds IA60aA-1 to IA60aA-444)
Tabelle 61a Verbindungen LA, worin Z für CH2C(CHs)2CH2 steht, R2, R3 und R4 für H stehen, R5 Table 61a Compounds LA, wherein Z is CH 2 C (CH 2 ) 2 CH 2 , R 2 , R 3 and R 4 are H, R 5
Cl und R6+R7 Cyclopropyl bedeuten, und die Kombination aus R1 und Y jeweils einer Zeile der Tabelle A entspricht (Verbindungen I.A.61aA-1 bis I.A.61aA-444)Cl and R 6 + R 7 are cyclopropyl, and the combination of R 1 and Y corresponds in each case to one line of Table A (compounds IA61aA-1 to IA61aA-444)
Tabelle 62aTable 62a
Verbindungen LA, worin Z für CH2C(CH2CH2)CH2 steht, R2, R3 und R4 für H stehen, R5 Cl und R6+R7 Cyclopropyl bedeuten, und die Kombination aus R1 und Y jeweils einer Zeile der Tabelle A entspricht (Verbindungen I.A.62aA-1 bis I.A.62aA-444)Compounds LA, wherein Z is CH 2 C (CH 2 CH 2 ) CH 2 , R 2 , R 3 and R 4 are H, R 5 is Cl and R 6 + R 7 is cyclopropyl, and the combination of R 1 and Y corresponds in each case to one row of Table A (compounds IA62aA-1 to IA62aA-444)
Tabelle 63aTable 63a
Verbindungen LA, worin Z für C(CH2CH2)CH2CH2 steht, R2, R3 und R4 für H stehen, R5 Cl und R6+R7 Cyclopropyl bedeuten, und die Kombination aus R1 und Y jeweils einer Zeile der Tabelle A entspricht (Verbindungen I.A.63aA-1 bis I.A.63aA-444)Compounds LA, wherein Z is C (CH 2 CH 2 ) CH 2 CH 2 , R 2 , R 3 and R 4 are H, R 5 is Cl and R 6 + R 7 is cyclopropyl, and the combination of R 1 and Y corresponds in each case to one row of Table A (compounds IA63aA-1 to IA63aA-444)
Tabelle 64aTable 64a
Verbindungen LA, worin Z für CH2CH(CH3)(CH2)2CH2 steht, R2, R3 und R4 für H stehen, R5 Cl und R6+R7 Cyclopropyl bedeuten, und die Kombination aus R1 und Y jeweils einer Zeile der Tabelle A entspricht (Verbindungen I.A.64aA-1 bis I.A.64aA- 444)Compounds LA in which Z is CH 2 CH (CH 3) (CH 2 ) 2 CH 2 , R 2 , R 3 and R 4 are H, R 5 is Cl and R 6 + R 7 is cyclopropyl, and the combination of R 1 and Y corresponds in each case to one row of Table A (compounds IA64aA-1 to IA64aA-444)
Tabelle 65aTable 65a
Verbindungen LA, worin Z für C(CHs)2(CH2)SCH2 steht, R2, R3 und R4 für H stehen, R5 Cl und R6+R7 Cyclopropyl bedeuten, und die Kombination aus R1 und Y jeweils einer Zeile der Tabelle A entspricht (Verbindungen I.A.65aA-1 bis I.A.65aA-444)Compounds LA in which Z is C (CHs) 2 (CH 2 ) SCH 2 , R 2 , R 3 and R 4 are H, R 5 is Cl and R 6 + R 7 is cyclopropyl, and the combination of R 1 and Y corresponds in each case to one row of Table A (compounds IA65aA-1 to IA65aA-444)
Tabelle 66aTable 66a
Verbindungen LA, worin Z für C(CH2CH2)(CH2)3CH2 steht, R2, R3 und R4 für H stehen, R5 Cl und R6+R7 Cyclopropyl bedeuten, und die Kombination aus R1 und Y jeweils einer Zeile der Tabelle A entspricht (Verbindungen I.A.66aA-1 bis I.A.66aA-Compounds LA in which Z is C (CH 2 CH 2 ) (CH 2 ) 3 CH 2 , R 2 , R 3 and R 4 are H, R 5 is Cl and R 6 + R 7 is cyclopropyl, and the combination of R 1 and Y corresponds in each case to one row of Table A (compounds IA66aA-1 to IA66aA-
444)444)
Tabelle 67aTable 67a
Verbindungen LA, worin Z für CH2CH2CH(CH3)CH2CH2 steht, R2, R3 und R4 für H stehen, R5 Cl und R6+R7 Cyclopropyl bedeuten, und die Kombination aus R1 und Y jeweils einer Zeile der Tabelle A entspricht (Verbindungen I.A.67aA-1 bis I.A.67aA-Compounds LA, wherein Z is CH 2 CH 2 CH (CH 3 ) CH 2 CH 2 , R 2 , R 3 and R 4 are H, R 5 is Cl and R 6 + R 7 is cyclopropyl, and the combination of R 1 and Y corresponds in each case to one row of Table A (compounds IA67aA-1 to IA67aA-
444)444)
Tabelle 68aTable 68a
Verbindungen LA, worin Z für CH2CH2CH2CH(CH3)CH2 steht, R2, R3 und R4 für H stehen, R5 Cl und R6+R7 Cyclopropyl bedeuten, und die Kombination aus R1 und Y jeweils einer Zeile der Tabelle A entspricht (Verbindungen I.A.68aA-1 bis I.A.68aA-Compounds LA, wherein Z is CH 2 CH 2 CH 2 CH (CH 3 ) CH 2 , R 2 , R 3 and R 4 are H, R 5 is Cl and R 6 + R 7 is cyclopropyl, and the combination of R 1 and Y corresponds in each case to one row of Table A (compounds IA68aA-1 to IA68aA-
444)444)
Tabelle 69aTable 69a
Verbindungen LA, worin Z für CH2(CH2)3CH(CH3) steht, R2, R3 und R4 für H stehen, R5 Cl und R6+R7 Cyclopropyl bedeuten, und die Kombination aus R1 und Y jeweils einer Zeile der Tabelle A entspricht (Verbindungen I.A.69aA-1 bis I.A.69aA-444)Compounds LA in which Z is CH 2 (CH 2 ) 3 CH (CH 3 ), R 2 , R 3 and R 4 are H, R 5 is Cl and R 6 + R 7 is cyclopropyl, and the combination of R 1 and Y corresponds in each case to one row of Table A (compounds IA69aA-1 to IA69aA-444)
Tabelle 70aTable 70a
Verbindungen LA, worin Z für (E) CH=CHCH2 steht, R2, R3 und R4 für H stehen, R5 Cl und R6+R7 Cyclopropyl bedeuten, und die Kombination aus R1 und Y jeweils einer Zeile der Tabelle A entspricht (Verbindungen I.A.70aA-1 bis I.A.70aA-444) Tabelle 71aCompounds LA in which Z is (E) CH = CHCH 2 , R 2 , R 3 and R 4 are H, R 5 is Cl and R 6 + R 7 is cyclopropyl, and the combination of R 1 and Y is in each case one line corresponding to Table A (compounds IA70aA-1 to IA70aA-444) Table 71a
Verbindungen LA, worin Z für (E) C(CHs)=CHCH2 steht, R2, R3 und R4 für H stehen, R5 Cl und R6+R7 Cyclopropyl bedeuten, und die Kombination aus R1 und Y jeweils einer Zeile der Tabelle A entspricht (Verbindungen I.A.71aA-1 bis I.A.71 aA-444)Compounds LA in which Z is (E) C (CHs) = CHCH 2 , R 2 , R 3 and R 4 are H, R 5 is Cl and R 6 + R 7 is cyclopropyl, and the combination of R 1 and Y corresponds in each case to one row of Table A (compounds IA71aA-1 to IA71 aA-444)
Tabelle 72a Verbindungen LA, worin Z für (E) C(CHa)=C(CH3)CH2 steht, R2, R3 und R4 für H stehen, R5 Cl und R6+R7 Cyclopropyl bedeuten, und die Kombination aus R1 und Y jeweils einer Zeile der Tabelle A entspricht (Verbindungen I.A.72aA-1 bis I.A.72aA- 444) Tabelle 73aTable 72a relates to compounds LA in which Z is (E) C (CHa) = C (CH 3 ) CH 2 , R 2 , R 3 and R 4 are H, R 5 is Cl and R 6 + R 7 is cyclopropyl, and the combination of R 1 and Y corresponds in each case to one row of Table A (compounds IA72aA-1 to IA72aA-444) Table 73a
Verbindungen LA, worin Z für (E) CH=C(CH3)CH2 steht, R2, R3 und R4 für H stehen, R5 Cl und R6+R7 Cyclopropyl bedeuten, und die Kombination aus R1 und Y jeweils einer Zeile der Tabelle A entspricht (Verbindungen I.A.73aA-1 bis I.A.73aA-444) Tabelle 74aCompounds LA in which Z is (E) CH = C (CH 3 ) CH 2 , R 2 , R 3 and R 4 are H, R 5 is Cl and R 6 + R 7 is cyclopropyl, and the combination of R 1 and Y corresponds to one row of Table A (Compounds IA73aA-1 to IA73aA-444) Table 74a
Verbindungen LA, worin Z für (E) CH2CH=CHCH2 steht, R2, R3 und R4 für H stehen, R5 Cl und R6+R7 Cyclopropyl bedeuten, und die Kombination aus R1 und Y jeweils einer Zeile der Tabelle A entspricht (Verbindungen I.A.74aA-1 bis I.A.74aA-444)Compounds LA, wherein Z is (E) CH 2 CH = CHCH 2 , R 2 , R 3 and R 4 are H, R 5 is Cl and R 6 + R 7 is cyclopropyl, and the combination of R 1 and Y are each corresponds to one line of Table A (compounds IA74aA-1 to IA74aA-444)
Tabelle 75a Verbindungen LA, worin Z für (E) CH2C(CHs)=CHCH2 steht, R2, R3 und R4 für H stehen, R5 Cl und R6+R7 Cyclopropyl bedeuten, und die Kombination aus R1 und Y jeweils einer Zeile der Tabelle A entspricht (Verbindungen I.A.75aA-1 bis I.A.75aA- 444)Table 75a Compounds LA, wherein Z is (E) CH 2 C (CHs) = CHCH 2 , R 2 , R 3 and R 4 are H, R 5 is Cl and R 6 + R 7 is cyclopropyl, and the combination of R 1 and Y correspond in each case to one row of Table A (compounds IA75aA-1 to IA75aA-444)
Tabelle 76a Verbindungen LA, worin Z für (E) CH2CH=C(CH3)CH2 steht, R2, R3 und R4 für H stehen, R5 Cl und R6+R7 Cyclopropyl bedeuten, und die Kombination aus R1 und Y jeweils einer Zeile der Tabelle A entspricht (Verbindungen I.A.76aA-1 bis I.A.76aA- 444)Table 76a compounds LA, wherein Z is (E) CH 2 CH = C (CH 3 ) CH 2 , R 2 , R 3 and R 4 are H, R 5 is Cl and R 6 + R 7 is cyclopropyl, and the Combination of R 1 and Y corresponds in each case to one row of Table A (compounds IA76aA-1 to IA76aA-444)
Tabelle 77a Verbindungen LA, worin Z für (E) CH2C(CHs)=C(CH3)CH2 steht, R2, R3 und R4 für H stehen, R5 Cl und R6+R7 Cyclopropyl bedeuten, und die Kombination aus R1 und Y jeweils einer Zeile der Tabelle A entspricht (Verbindungen I.A.77aA-1 bis I.A.77aA- 444)Table 77a Compounds LA, wherein Z is (E) CH 2 C (CHs) = C (CH 3 ) CH 2 , R 2 , R 3 and R 4 are H, R 5 is Cl and R 6 + R 7 is cyclopropyl , and the combination of R 1 and Y corresponds in each case to one row of Table A (compounds IA77aA-1 to IA77aA-444)
Tabelle 78a Verbindungen LA, worin Z für (E) C(CH3)=C(CH3)(CH2)2CH2 steht, R2, R3 und R4 fürTable 78a Compounds LA, wherein Z is (E) C (CH 3 ) = C (CH 3 ) (CH 2 ) 2 CH 2 , R 2 , R 3 and R 4 are
H stehen, R5 Cl und R6+R7 Cyclopropyl bedeuten, und die Kombination aus R1 und Y jeweils einer Zeile der Tabelle A entspricht (Verbindungen I.A.78aA-1 bis I.A78aA-444)H, R 5 is Cl and R 6 + R 7 is cyclopropyl, and the combination of R 1 and Y corresponds in each case to one row of Table A (compounds IA78aA-1 to I.A78aA-444)
Tabelle 79a Verbindungen LA, worin Z für (E) C(CH3)=CH(CH2)2CH2 steht, R2, R3 und R4 für H stehen, R5 Cl und R6+R7 Cyclopropyl bedeuten, und die Kombination aus R1 und Y jeweils einer Zeile der Tabelle A entspricht (Verbindungen I.A.79aA-1 bis I.A.79aA- 444)Table 79a Compounds LA in which Z is (E) C (CH 3 ) = CH (CH 2 ) 2 CH 2 , R 2 , R 3 and R 4 are H, R 5 is Cl and R 6 + R 7 is cyclopropyl and the combination of R 1 and Y corresponds in each case to one row of Table A (compounds IA79aA-1 to IA79aA-444)
Tabelle 80a Verbindungen LA, worin Z für (E) CH=C(CH3)(CH2)2CH2 steht, R2, R3 und R4 für H stehen, R5 Cl und R6+R7 Cyclopropyl bedeuten, und die Kombination aus R1 und Y jeweils einer Zeile der Tabelle A entspricht (Verbindungen I.A.80aA-1 bis I.A.δOaA- 444)Table 80a Compounds LA, wherein Z is (E) CH = C (CH 3 ) (CH 2 ) 2 CH 2 , R 2 , R 3 and R 4 are H, R 5 is Cl and R 6 + R 7 is cyclopropyl , and the combination of R 1 and Y corresponds in each case to one row of Table A (compounds IA80aA-1 to IAδOaA-444)
Tabelle 81a Verbindungen LA, worin Z für CH2C≡CCH2 steht, R2, R3 und R4 für H stehen, R5 Cl und R6+R7 Cyclopropyl bedeuten, und die Kombination aus R1 und Y jeweils einer Zeile der Tabelle A entspricht (Verbindungen I.A.81 aA-1 bis I.A.81 aA-444) Tabelle 82aTable 81a relates to compounds LA in which Z is CH 2 C≡CCH 2 , R 2 , R 3 and R 4 are H, R 5 is Cl and R 6 + R 7 is cyclopropyl, and the combination of R 1 and Y is in each case one Line of Table A corresponds (compounds IA81 aA-1 to IA81 aA-444) Table 82a
Verbindungen I. A, worin Z für CH2CH2CH2 steht, R2, R3 und R4 für H stehen, R5 CH3 und R6+R7 Cyclohexyl bedeuten, und die Kombination aus R1 und Y jeweils einer Zeile der Tabelle A entspricht (Verbindungen I.A.82aA-1 bis I.A.82aA-444) Tabelle 83aCompounds I.A. wherein Z is CH 2 CH 2 CH 2 , R 2 , R 3 and R 4 are H, R 5 is CH 3 and R 6 + R 7 is cyclohexyl, and the combination of R 1 and Y is each one Row of Table A corresponds (Compounds IA82aA-1 to IA82aA-444) Table 83a
Verbindungen LA, worin Z für CH2(CH2)2CH2 steht, R2, R3 und R4 für H stehen, R5 CH3 und R6+R7 Cyclohexyl bedeuten, und die Kombination aus R1 und Y jeweils einer Zeile der Tabelle A entspricht (Verbindungen I.A.83aA-1 bis I.A.83aA-444)Compounds LA, wherein Z is CH 2 (CH 2 ) 2 CH 2 , R 2 , R 3 and R 4 are H, R 5 is CH 3 and R 6 + R 7 is cyclohexyl, and the combination of R 1 and Y are each corresponds to one line of Table A (compounds IA83aA-1 to IA83aA-444)
Tabelle 84a Verbindungen LA, worin Z für CH2(CH2)3CH2 steht, R2, R3 und R4 für H stehen, R5 Table 84a compounds LA, wherein Z is CH 2 (CH 2 ) 3 CH 2 , R 2 , R 3 and R 4 are H, R 5
CH3 und R6+R7 Cyclohexyl bedeuten, und die Kombination aus R1 und Y jeweils einer Zeile der Tabelle A entspricht (Verbindungen I.A.84aA-1 bis I.A.84aA-444)CH 3 and R 6 + R 7 are cyclohexyl, and the combination of R 1 and Y corresponds in each case to one line of Table A (compounds IA84aA-1 to IA84aA-444)
Tabelle 85aTable 85a
Verbindungen LA, worin Z für CH2CH(CH3)CH2 steht, R2, R3 und R4 für H stehen, R5 CH3 und R6+R7 Cyclohexyl bedeuten, und die Kombination aus R1 und Y jeweils einer Zeile der Tabelle A entspricht (Verbindungen I.A.85aA-1 bis I.A.85aA-444)Compounds LA in which Z is CH 2 CH (CH 3 ) CH 2 , R 2 , R 3 and R 4 are H, R 5 is CH 3 and R 6 + R 7 is cyclohexyl, and the combination of R 1 and Y are each corresponds to one line of Table A (compounds IA85aA-1 to IA85aA-444)
Tabelle 86aTable 86a
Verbindungen LA, worin Z für CH2CH2CH(CH3) steht, R2, R3 und R4 für H stehen, R5 CH3 und R6+R7 Cyclohexyl bedeuten, und die Kombination aus R1 und Y jeweils einer Zeile der Tabelle A entspricht (Verbindungen I.A.86aA-1 bis I.A.86aA-444)Compounds LA in which Z is CH 2 CH 2 CH (CH 3 ), R 2 , R 3 and R 4 are H, R 5 is CH 3 and R 6 + R 7 is cyclohexyl, and the combination of R 1 and Y corresponds in each case to one row of Table A (compounds IA86aA-1 to IA86aA-444)
Tabelle 87aTable 87a
Verbindungen LA, worin Z für CH(CH3)CH2CH2 steht, R2, R3 und R4 für H stehen, R5 CH3 und R6+R7 Cyclohexyl bedeuten, und die Kombination aus R1 und Y jeweils einer Zeile der Tabelle A entspricht (Verbindungen I.A.87aA-1 bis I.A.87aA-444) Tabelle 88aCompounds LA in which Z is CH (CH 3 ) CH 2 CH 2 , R 2 , R 3 and R 4 are H, R 5 is CH 3 and R 6 + R 7 is cyclohexyl, and the combination of R 1 and Y corresponds in each case to one row of Table A (compounds IA87aA-1 to IA87aA-444) Table 88a
Verbindungen LA, worin Z für CH2C(CHs)2CH2 steht, R2, R3 und R4 für H stehen, R5 CH3 und R6+R7 Cyclohexyl bedeuten, und die Kombination aus R1 und Y jeweils einer Zeile der Tabelle A entspricht (Verbindungen I.A.88aA-1 bis I.A.88aA-444)Compounds LA in which Z is CH 2 C (CH 2 ) 2 CH 2 , R 2 , R 3 and R 4 are H, R 5 is CH 3 and R 6 + R 7 is cyclohexyl, and the combination of R 1 and Y is corresponds in each case to one row of Table A (compounds IA88aA-1 to IA88aA-444)
Tabelle 89a Verbindungen LA, worin Z für CH2C(CH2CH2)CH2 steht, R2, R3 und R4 für H stehen,Table 89a compounds LA, wherein Z is CH 2 C (CH 2 CH 2 ) CH 2 , R 2 , R 3 and R 4 are H,
R5 CH3 und R6+R7 Cyclohexyl bedeuten, und die Kombination aus R1 und Y jeweils einer Zeile der Tabelle A entspricht (Verbindungen I.A.89aA-1 bis I.A.89aA-444)R 5 is CH 3 and R 6 + R 7 is cyclohexyl, and the combination of R 1 and Y corresponds in each case to one row of Table A (compounds IA89aA-1 to IA89aA-444)
Tabelle 90aTable 90a
Verbindungen LA, worin Z für C(CH2CH2)CH2CH2 steht, R2, R3 und R4 für H stehen, R5 CH3 und R6+R7 Cyclohexyl bedeuten, und die Kombination aus R1 und Y jeweils einer Zeile der Tabelle A entspricht (Verbindungen I.A.90aA-1 bis I.A.90aA-444)Compounds LA in which Z is C (CH 2 CH 2 ) CH 2 CH 2 , R 2 , R 3 and R 4 are H, R 5 is CH 3 and R 6 + R 7 is cyclohexyl, and the combination of R 1 and Y corresponds in each case to one row of Table A (compounds IA90aA-1 to IA90aA-444)
Tabelle 91aTable 91a
Verbindungen LA, worin Z für CH2CH(CH3)(CH2)2CH2 steht, R2, R3 und R4 für H stehen, R5 CH3 und R6+R7 Cyclohexyl bedeuten, und die Kombination aus R1 und Y jeweils einer Zeile der Tabelle A entspricht (Verbindungen I.A.91aA-1 bisCompounds LA in which Z is CH 2 CH (CH 3 ) (CH 2 ) 2 CH 2 , R 2 , R 3 and R 4 are H, R 5 is CH 3 and R 6 + R 7 is cyclohexyl, and the combination from R 1 and Y corresponds in each case to one row of Table A (compounds IA91aA-1 to
I.A.91aA-444)I.A.91aA-444)
Tabelle 92aTable 92a
Verbindungen LA, worin Z für C(CH3)2(CH2)3CH2 steht, R2, R3 und R4 für H stehen, R5 CH3 und R6+R7 Cyclohexyl bedeuten, und die Kombination aus R1 und Y jeweils einer Zeile der Tabelle A entspricht (Verbindungen I.A.92aA-1 bis I.A.92aA-444) Tabelle 93aCompounds LA, wherein Z is C (CH 3 ) 2 (CH 2 ) 3 CH 2 , R 2 , R 3 and R 4 are H, R 5 is CH 3 and R 6 + R 7 is cyclohexyl, and the combination of R 1 and Y corresponds in each case to one line of Table A (compounds IA92aA-1 to IA92aA-444) Table 93a
Verbindungen LA, worin Z für C(CH2CH2)(CH2)SCH2 steht, R2, R3 und R4 für H ste- hen, R5 CH3 und R6+R7 Cyclohexyl bedeuten, und die Kombination aus R1 und Y jeweils einer Zeile der Tabelle A entspricht (Verbindungen I.A.93aA-1 bis I.A.93aA-Compounds LA in which Z is C (CH 2 CH 2 ) (CH 2 ) SCH 2 , R 2 , R 3 and R 4 are H, R 5 is CH 3 and R 6 + R 7 is cyclohexyl, and the combination each of R 1 and Y corresponds to one row of Table A (compounds IA93aA-1 to IA93aA-
444) Tabelle 94a444) Table 94a
Verbindungen LA, worin Z für CH2CH2CH(CH3)CH2CH2 steht, R2, R3 und R4 für H stehen, R5 CH3 und R6+R7 Cyclohexyl bedeuten, und die Kombination aus R1 undCompounds LA, wherein Z is CH 2 CH 2 CH (CH 3 ) CH 2 CH 2 , R 2 , R 3 and R 4 are H, R 5 is CH 3 and R 6 + R 7 is cyclohexyl, and the combination of R 1 and
Y jeweils einer Zeile der Tabelle A entspricht (Verbindungen I.A.94aA-1 bis I.A.94aA-444)Y corresponds in each case to one row of Table A (compounds I.A.94aA-1 to I.A.94aA-444)
Tabelle 95aTable 95a
Verbindungen LA, worin Z für CH2CH2CH2CH(CH3)CH2 steht, R2, R3 und R4 für H stehen, R5 CH3 und R6+R7 Cyclohexyl bedeuten, und die Kombination aus R1 undCompounds LA, wherein Z is CH 2 CH 2 CH 2 CH (CH 3 ) CH 2 , R 2 , R 3 and R 4 are H, R 5 is CH 3 and R 6 + R 7 is cyclohexyl, and the combination of R 1 and
Y jeweils einer Zeile der Tabelle A entspricht (Verbindungen I.A.95aA-1 bis I.A.95aA-444)Y corresponds in each case to one row of Table A (compounds I.A.95aA-1 to I.A.95aA-444)
Tabelle 96aTable 96a
Verbindungen LA, worin Z für CH2(CH2)3CH(CH3) steht, R2, R3 und R4 für H stehen, R5 CH3 und R6+R7 Cyclohexyl bedeuten, und die Kombination aus R1 und Y jeweils einer Zeile der Tabelle A entspricht (Verbindungen I.A.96aA-1 bis I.A.96aA-444) Tabelle 97aCompounds LA, wherein Z is CH 2 (CH 2 ) 3 CH (CH 3 ), R 2 , R 3 and R 4 are H, R 5 is CH 3 and R 6 + R 7 is cyclohexyl, and the combination of R 1 and Y corresponds in each case to one row of Table A (compounds IA96aA-1 to IA96aA-444) Table 97a
Verbindungen LA, worin Z für (E) CH=CHCH2 steht, R2, R3 und R4 für H stehen, R5 CH3 und R6+R7 Cyclohexyl bedeuten, und die Kombination aus R1 und Y jeweils einer Zeile der Tabelle A entspricht (Verbindungen I.A.97aA-1 bis I.A.97aA-444)Compounds LA in which Z is (E) CH = CHCH 2 , R 2 , R 3 and R 4 are H, R 5 is CH 3 and R 6 + R 7 is cyclohexyl, and the combination of R 1 and Y is in each case one Line of Table A corresponds (compounds IA97aA-1 to IA97aA-444)
Tabelle 98aTable 98a
Verbindungen LA, worin Z für (E) C(CHs)=CHCH2 steht, R2, R3 und R4 für H stehen, R5 CH3 und R6+R7 Cyclohexyl bedeuten, und die Kombination aus R1 und Y jeweils einer Zeile der Tabelle A entspricht (Verbindungen I.A.98aA-1 bis I.A.98aA-444) Tabelle 99aCompounds LA in which Z is (E) C (CHs) = CHCH 2 , R 2 , R 3 and R 4 are H, R 5 is CH 3 and R 6 + R 7 is cyclohexyl, and the combination of R 1 and Y corresponds in each case to one row of Table A (compounds IA98aA-1 to IA98aA-444) Table 99a
Verbindungen LA, worin Z für (E) C(CHs)=C(CH3)CH2 steht, R2, R3 und R4 für H stehen, R5 CH3 und R6+R7 Cyclohexyl bedeuten, und die Kombination aus R1 undCompounds LA, wherein Z is (E) C (CHs) = C (CH 3 ) CH 2 , R 2 , R 3 and R 4 are H, R 5 is CH 3 and R 6 + R 7 is cyclohexyl, and the Combination of R 1 and
Y jeweils einer Zeile der Tabelle A entspricht (Verbindungen I.A.99aA-1 bis I.A.99aA-444) Tabelle 100aY corresponds in each case to one row of Table A (compounds I.A.99aA-1 to I.A.99aA-444) Table 100a
Verbindungen LA, worin Z für (E) CH=C(CH3)CH2 steht, R2, R3 und R4 für H stehen, R5 CH3 und R6+R7 Cyclohexyl bedeuten, und die Kombination aus R1 und Y jeweils einer Zeile der Tabelle A entspricht (Verbindungen I. A.100aA-1 bis I.A.100aA-444) Tabelle 101 a Verbindungen LA, worin Z für (E) CH2CH=CHCH2 steht, R2, R3 und R4 für H stehen,Compounds LA, wherein Z is (E) CH = C (CH 3 ) CH 2 , R 2 , R 3 and R 4 are H, R 5 is CH 3 and R 6 + R 7 is cyclohexyl, and the combination of R 1 and Y corresponds in each case to one row of Table A (compounds IA100aA-1 to IA100aA-444) Table 101 a compounds LA, wherein Z is (E) CH 2 CH = CHCH 2 , R 2 , R 3 and R 4 are H stand,
R5 CH3 und R6+R7 Cyclohexyl bedeuten, und die Kombination aus R1 und Y jeweils einer Zeile der Tabelle A entspricht (Verbindungen I.A.101 aA-1 bis I.A.101aA-444) Tabelle 102aR 5 is CH 3 and R 6 + R 7 is cyclohexyl, and the combination of R 1 and Y corresponds in each case to one row of Table A (compounds IA101 aA-1 to IA101aA-444) Table 102a
Verbindungen LA, worin Z für (E) CH2C(CHs)=CHCH2 steht, R2, R3 und R4 für H stehen, R5 CH3 und R6+R7 Cyclohexyl bedeuten, und die Kombination aus R1 undCompounds LA in which Z is (E) CH 2 C (CHs) = CHCH 2 , R 2 , R 3 and R 4 are H, R 5 is CH 3 and R 6 + R 7 is cyclohexyl, and the combination of R 1 and
Y jeweils einer Zeile der Tabelle A entspricht (Verbindungen I.A.102aA-1 bis I.A.102aA-444)Y corresponds in each case to one row of Table A (compounds I.A.102aA-1 to I.A.102aA-444)
Tabelle 103aTable 103a
Verbindungen LA, worin Z für (E) CH2CH=C(CH3)CH2 steht, R2, R3 und R4 für H stehen, R5 CH3 und R6+R7 Cyclohexyl bedeuten, und die Kombination aus R1 undCompounds LA in which Z is (E) CH 2 CH = C (CH 3 ) CH 2 , R 2 , R 3 and R 4 are H, R 5 is CH 3 and R 6 + R 7 is cyclohexyl, and the combination of R 1 and
Y jeweils einer Zeile der Tabelle A entspricht (Verbindungen I.A.103aA-1 bis I.A.103aA-444)Y corresponds in each case to one row of Table A (compounds I.A.103aA-1 to I.A.103aA-444)
Tabelle 104aTable 104a
Verbindungen LA, worin Z für (E) CH2C(CHs)=C(CH3)CH2 steht, R2, R3 und R4 für H stehen, R5 CH3 und R6+R7 Cyclohexyl bedeuten, und die Kombination aus R1 undCompounds LA in which Z is (E) CH 2 C (CH 3 ) = C (CH 3 ) CH 2 , R 2 , R 3 and R 4 are H, R 5 is CH 3 and R 6 + R 7 is cyclohexyl, and the combination of R 1 and
Y jeweils einer Zeile der Tabelle A entspricht (Verbindungen I.A.104aA-1 bis I.A.104aA-444)Y corresponds in each case to one row of Table A (compounds I.A.104aA-1 to I.A.104aA-444)
Tabelle 105aTable 105a
Verbindungen LA, worin Z für (E) C(CH3)=C(CH3)(CH2)2CH2 steht, R2, R3 und R4 für H stehen, R5 CH3 und R6+R7 Cyclohexyl bedeuten, und die Kombination aus R1 und Y jeweils einer Zeile der Tabelle A entspricht (Verbindungen I .A.105aA-1 bis I.A.105aA-444)Compounds LA, wherein Z is (E) C (CH 3 ) = C (CH 3 ) (CH 2 ) 2 CH 2 , R 2 , R 3 and R 4 are H, R 5 is CH 3 and R 6 + R 7 is cyclohexyl, and the combination of R 1 and Y corresponds in each case to one line of Table A (compounds I .A.105aA-1 to IA105aA-444)
Tabelle 106aTable 106a
Verbindungen LA, worin Z für (E) C(CH3)=CH(CH2)2CH2 steht, R2, R3 und R4 für H stehen, R5 CH3 und R6+R7 Cyclohexyl bedeuten, und die Kombination aus R1 undCompounds LA in which Z is (E) C (CH 3 ) = CH (CH 2 ) 2 CH 2 , R 2 , R 3 and R 4 are H, R 5 is CH 3 and R 6 + R 7 is cyclohexyl, and the combination of R 1 and
Y jeweils einer Zeile der Tabelle A entspricht (Verbindungen I.A.106aA-1 bis I.A.106aA-444)Y corresponds in each case to one row of Table A (compounds I.A.106aA-1 to I.A.106aA-444)
Tabelle 107aTable 107a
Verbindungen LA, worin Z für (E) CH=C(CH3)(CH2)2CH2 steht, R2, R3 und R4 für H stehen, R5 CH3 und R6+R7 Cyclohexyl bedeuten, und die Kombination aus R1 undCompounds LA in which Z is (E) CH =C (CH 3 ) (CH 2 ) 2 CH 2 , R 2 , R 3 and R 4 are H, R 5 is CH 3 and R 6 + R 7 is cyclohexyl, and the combination of R 1 and
Y jeweils einer Zeile der Tabelle A entspricht (Verbindungen I.A.107aA-1 bis I.A.107aA-444)Y corresponds in each case to one row of Table A (compounds I.A.107aA-1 to I.A.107aA-444)
Tabelle 108aTable 108a
Verbindungen LA, worin Z für CH2C≡CCH2 steht, R2, R3 und R4 für H stehen, R5 CH3 und R6+R7 Cyclohexyl bedeuten, und die Kombination aus R1 und Y jeweils einer Zeile der Tabelle A entspricht (Verbindungen I.A.108aA-1 bis I.A.108aA-444) Tabelle 109aCompounds LA in which Z is CH 2 C≡CCH 2 , R 2 , R 3 and R 4 are H, R 5 is CH 3 and R 6 + R 7 is cyclohexyl, and the combination of R 1 and Y is in each case one line corresponding to Table A (compounds IA108aA-1 to IA108aA-444) Table 109a
Verbindungen LA, worin Z für CH2CH2CH2 steht, R2, R3 und R4 für H stehen, R5 CH3 und R6+R7 Cyclopentyl bedeuten, und die Kombination aus R1 und Y jeweils einer Zeile der Tabelle A entspricht (Verbindungen I.A.109aA-1 bis I.A.109aA-444) Tabelle 1 10a Verbindungen LA, worin Z für CH2(CH2)2CH2 steht, R2, R3 und R4 für H stehen, R5 Compounds LA in which Z is CH 2 CH 2 CH 2 , R 2 , R 3 and R 4 are H, R 5 is CH 3 and R 6 + R 7 is cyclopentyl, and the combination of R 1 and Y is in each case one line corresponds to Table A (Compounds IA109aA-1 to IA109aA-444). Table 1 10a Compounds LA, wherein Z is CH 2 (CH 2 ) 2 CH 2 , R 2 , R 3 and R 4 are H, R 5
CH3 und R6+R7 Cyclopentyl bedeuten, und die Kombination aus R1 und Y jeweils einer Zeile der Tabelle A entspricht (Verbindungen I. A.1 10aA-1 bis I.A.110aA-444) Tabelle 1 11 aCH 3 and R 6 + R 7 are cyclopentyl, and the combination of R 1 and Y corresponds in each case to one line of Table A (compounds IA1 10aA-1 to IA110aA-444) Table 1 11 a
Verbindungen LA, worin Z für CH2(CH2)SCH2 steht, R2, R3 und R4 für H stehen, R5 CH3 und R6+R7 Cyclopentyl bedeuten, und die Kombination aus R1 und Y jeweils einer Zeile der Tabelle A entspricht (Verbindungen I.A.1 11 aA-1 bis I.A.11 1aA-444) Tabelle 1 12aCompounds LA in which Z is CH 2 (CH 2 ) SCH 2 , R 2 , R 3 and R 4 are H, R 5 is CH 3 and R 6 + R 7 is cyclopentyl, and the combination of R 1 and Y is each one Row of Table A corresponds (Compounds IA1 11 aA-1 to IA11 1aA-444) Table 1 12a
Verbindungen LA, worin Z für CH2CH(CH3)CH2 steht, R2, R3 und R4 für H stehen, R5 CH3 und R6+R7 Cyclopentyl bedeuten, und die Kombination aus R1 und Y jeweils einer Zeile der Tabelle A entspricht (Verbindungen I.A.1 12aA-1 bis I.A.112aA- 444) Tabelle 1 13aCompounds LA in which Z is CH 2 CH (CH 3 ) CH 2 , R 2 , R 3 and R 4 are H, R 5 is CH 3 and R 6 + R 7 is cyclopentyl, and the combination of R 1 and Y is each corresponds to one line of Table A (compounds IA1 12aA-1 to IA112aA-444) Table 1 13a
Verbindungen LA, worin Z für CH2CH2CH(CH3) steht, R2, R3 und R4 für H stehen, R5 CH3 und R6+R7 Cyclopentyl bedeuten, und die Kombination aus R1 und Y jeweils einer Zeile der Tabelle A entspricht (Verbindungen I .A.113aA-1 bis I .A.113aA- 444) Tabelle 1 14aCompounds LA in which Z is CH 2 CH 2 CH (CH 3 ), R 2 , R 3 and R 4 are H, R 5 is CH 3 and R 6 + R 7 is cyclopentyl, and the combination of R 1 and Y corresponds in each case to one row of Table A (compounds I .A.113aA-1 to I .A.113aA-444) Table 1 14a
Verbindungen LA, worin Z für CH(CH3)CH2CH2 steht, R2, R3 und R4 für H stehen, R5 CH3 und R6+R7 Cyclopentyl bedeuten, und die Kombination aus R1 und Y jeweils einer Zeile der Tabelle A entspricht (Verbindungen I.A.1 14aA-1 bis I.A.114aA- 444) Tabelle 1 15aCompounds LA in which Z is CH (CH 3 ) CH 2 CH 2 , R 2 , R 3 and R 4 are H, R 5 is CH 3 and R 6 + R 7 is cyclopentyl, and the combination of R 1 and Y corresponds in each case to one row of Table A (compounds IA1 14aA-1 to IA114aA-444) Table 1 15a
Verbindungen LA, worin Z für CH2C(CHs)2CH2 steht, R2, R3 und R4 für H stehen, R5 CH3 und R6+R7 Cyclopentyl bedeuten, und die Kombination aus R1 und Y jeweils einer Zeile der Tabelle A entspricht (Verbindungen I.A.1 15aA-1 bis I.A.115aA-444) Tabelle 1 16a Verbindungen LA, worin Z für CH2C(CH2CH2)CH2 steht, R2, R3 und R4 für H stehen,Compounds LA in which Z is CH 2 C (CH 2 ) 2 CH 2 , R 2 , R 3 and R 4 are H, R 5 is CH 3 and R 6 + R 7 is cyclopentyl, and the combination of R 1 and Y in each case corresponds to one row of the table A (connections IA1 15aA-1 to IA115aA-444) Table 1 16a connections LA, where Z stands for CH 2 C (CH 2 CH 2 ) CH 2 , R 2 , R 3 and R 4 for H stand,
R5 CH3 und R6+R7 Cyclopentyl bedeuten, und die Kombination aus R1 und Y jeweils einer Zeile der Tabelle A entspricht (Verbindungen I .A.1 16aA-1 bis I .A.116aA- 444) Tabelle 1 17a Verbindungen LA, worin Z für C(CH2CH2)CH2CH2 steht, R2, R3 und R4 für H stehen,R 5 is CH 3 and R 6 + R 7 is cyclopentyl, and the combination of R 1 and Y corresponds in each case to one row of Table A (compounds I .A.1 16aA-1 to I .A.116aA-444) Compounds LA, wherein Z is C (CH 2 CH 2 ) CH 2 CH 2 , R 2 , R 3 and R 4 are H,
R5 CH3 und R6+R7 Cyclopentyl bedeuten, und die Kombination aus R1 und Y jeweils einer Zeile der Tabelle A entspricht (Verbindungen I .A.1 17aA-1 bis I .A.117aA- 444) Tabelle 1 18a Verbindungen LA, worin Z für CH2CH(CH3)(CH2)2CH2 steht, R2, R3 und R4 für H stehen, R5 CH3 und R6+R7 Cyclopentyl bedeuten, und die Kombination aus R1 und Y jeweils einer Zeile der Tabelle A entspricht (Verbindungen I.A.118aA-1 bis I.A.118aA-444) Tabelle 1 19a Verbindungen LA, worin Z für C(CH3)2(CH2)3CH2 steht, R2, R3 und R4 für H stehen,R 5 is CH 3 and R 6 + R 7 is cyclopentyl, and the combination of R 1 and Y corresponds in each case to one line of Table A (compounds I .A.1 17aA-1 to I .A.117aA-444). Table 1 18a Compounds LA in which Z is CH 2 CH (CH 3 ) (CH 2 ) 2 CH 2 , R 2 , R 3 and R 4 are H, R 5 is CH 3 and R 6 + R 7 is cyclopentyl, and the combination from R 1 and Y corresponds in each case to one row of Table A (Compounds IA118aA-1 to IA118aA-444). Table 1 19a Compounds LA in which Z is C (CH 3 ) 2 (CH 2 ) 3 CH 2 , R 2 , R 3 and R 4 stand for H,
R5 CH3 und R6+R7 Cyclopentyl bedeuten, und die Kombination aus R1 und Y jeweils einer Zeile der Tabelle A entspricht (Verbindungen I .A.1 19aA-1 bis I .A.119aA- 444) Tabelle 120aR 5 is CH 3 and R 6 + R 7 is cyclopentyl, and the combination of R 1 and Y corresponds in each case to one row of Table A (compounds I .A.1 19aA-1 to I .A.119aA-444) Table 120a
Verbindungen LA, worin Z für C(CH2CH2)(CH2)SCH2 steht, R2, R3 und R4 für H stehen, R5 CH3 und R6+R7 Cyclopentyl bedeuten, und die Kombination aus R1 und Y jeweils einer Zeile der Tabelle A entspricht (Verbindungen I.A.120aA-1 bis I.A.120aA-444)Compounds LA in which Z is C (CH 2 CH 2 ) (CH 2 ) SCH 2 , R 2 , R 3 and R 4 are H, R 5 is CH 3 and R 6 + R 7 is cyclopentyl, and the combination of R 1 and Y corresponds in each case to one row of Table A (compounds IA120aA-1 to IA120aA-444)
Tabelle 121 aTable 121 a
Verbindungen LA, worin Z für CH2CH2CH(CH3)CH2CH2 steht, R2, R3 und R4 für H stehen, R5 CH3 und R6+R7 Cyclopentyl bedeuten, und die Kombination aus R1 undCompounds LA, wherein Z is CH 2 CH 2 CH (CH 3 ) CH 2 CH 2 , R 2 , R 3 and R 4 are H, R 5 is CH 3 and R 6 + R 7 is cyclopentyl, and the combination of R 1 and
Y jeweils einer Zeile der Tabelle A entspricht (Verbindungen I.A.121aA-1 bis I.A.121aA-444)Y corresponds in each case to one row of Table A (compounds I.A.121aA-1 to I.A.121aA-444)
Tabelle 122aTable 122a
Verbindungen LA, worin Z für CH2CH2CH2CH(CH3)CH2 steht, R2, R3 und R4 für H stehen, R5 CH3 und R6+R7 Cyclopentyl bedeuten, und die Kombination aus R1 undCompounds LA in which Z is CH 2 CH 2 CH 2 CH (CH 3 ) CH 2 , R 2 , R 3 and R 4 are H, R 5 is CH 3 and R 6 + R 7 is cyclopentyl, and the combination of R 1 and
Y jeweils einer Zeile der Tabelle A entspricht (Verbindungen I.A.122aA-1 bis I.A.122aA-444)Y corresponds in each case to one row of Table A (compounds I.A.122aA-1 to I.A.122aA-444)
Tabelle 123aTable 123a
Verbindungen LA, worin Z für CH2(CH2)3CH(CH3) steht, R2, R3 und R4 für H stehen, R5 CH3 und R6+R7 Cyclopentyl bedeuten, und die Kombination aus R1 und Y jeweils einer Zeile der Tabelle A entspricht (Verbindungen I.A.123aA-1 bis I.A.123aA- 444)Compounds LA, wherein Z is CH 2 (CH 2 ) 3 CH (CH 3 ), R 2 , R 3 and R 4 are H, R 5 is CH 3 and R 6 + R 7 is cyclopentyl, and the combination of R 1 and Y corresponds in each case to one row of Table A (compounds IA123aA-1 to IA123aA-444)
Tabelle 124aTable 124a
Verbindungen LA, worin Z für (E) CH=CHCH2 steht, R2, R3 und R4 für H stehen, R5 CH3 und R6+R7 Cyclopentyl bedeuten, und die Kombination aus R1 und Y jeweils einer Zeile der Tabelle A entspricht (Verbindungen I.A.124aA-1 bis I.A.124aA-444) Tabelle 125aCompounds LA in which Z is (E) CH = CHCH 2 , R 2 , R 3 and R 4 are H, R 5 is CH 3 and R 6 + R 7 is cyclopentyl, and the combination of R 1 and Y is in each case one Row of Table A corresponds (Compounds IA124aA-1 to IA124aA-444) Table 125a
Verbindungen LA, worin Z für (E) C(CHs)=CHCH2 steht, R2, R3 und R4 für H stehen, R5 CH3 und R6+R7 Cyclopentyl bedeuten, und die Kombination aus R1 und Y jeweils einer Zeile der Tabelle A entspricht (Verbindungen I.A.125aA-1 bis I.A.125aA- 444) Tabelle 126aCompounds LA in which Z is (E) C (CHs) = CHCH 2 , R 2 , R 3 and R 4 are H, R 5 is CH 3 and R 6 + R 7 is cyclopentyl, and the combination of R 1 and Y corresponds in each case to one row of Table A (compounds IA125aA-1 to IA125aA-444) Table 126a
Verbindungen LA, worin Z für (E) C(CHs)=C(CH3)CH2 steht, R2, R3 und R4 für H stehen, R5 CH3 und R6+R7 Cyclopentyl bedeuten, und die Kombination aus R1 undCompounds LA in which Z is (E) C (CHs) = C (CH 3 ) CH 2 , R 2 , R 3 and R 4 are H, R 5 is CH 3 and R 6 + R 7 is cyclopentyl, and the Combination of R 1 and
Y jeweils einer Zeile der Tabelle A entspricht (Verbindungen I.A.126aA-1 bis I.A.126aA-444) Tabelle 127aY corresponds in each case to one row of Table A (compounds I.A.126aA-1 to I.A.126aA-444) Table 127a
Verbindungen LA, worin Z für (E) CH=C(CH3)CH2 steht, R2, R3 und R4 für H stehen, R5 CH3 und R6+R7 Cyclopentyl bedeuten, und die Kombination aus R1 und Y jeweils einer Zeile der Tabelle A entspricht (Verbindungen I.A.127aA-1 bis I.A.127aA- 444) Tabelle 128aCompounds LA, wherein Z is (E) CH = C (CH 3 ) CH 2 , R 2 , R 3 and R 4 are H, R 5 is CH 3 and R 6 + R 7 is cyclopentyl, and the combination of R 1 and Y corresponds in each case to one row of Table A (Compounds IA127aA-1 to IA127aA-444) Table 128a
Verbindungen LA, worin Z für (E) CH2CH=CHCH2 steht, R2, R3 und R4 für H stehen, R5 CH3 und R6+R7 Cyclopentyl bedeuten, und die Kombination aus R1 und Y je- weils einer Zeile der Tabelle A entspricht (Verbindungen I.A.128aA-1 bis I.A.128aA- 444) Tabelle 129aCompounds LA in which Z is (E) CH 2 CH = CHCH 2 , R 2 , R 3 and R 4 are H, R 5 is CH 3 and R 6 + R 7 is cyclopentyl, and the combination of R 1 and Y JE because one row corresponds to Table A (Compounds IA128aA-1 to IA128aA-444) Table 129a
Verbindungen LA, worin Z für (E) CH2C(CHs)=CHCH2 steht, R2, R3 und R4 für H stehen, R5 CH3 und R6+R7 Cyclopentyl bedeuten, und die Kombination aus R1 undCompounds LA in which Z is (E) CH 2 C (CHs) = CHCH 2 , R 2 , R 3 and R 4 are H, R 5 is CH 3 and R 6 + R 7 is cyclopentyl, and the combination of R 1 and
Y jeweils einer Zeile der Tabelle A entspricht (Verbindungen I.A.129aA-1 bis I.A.129aA-444)Y corresponds in each case to one row of Table A (compounds I.A.129aA-1 to I.A.129aA-444)
Tabelle 130aTable 130a
Verbindungen LA, worin Z für (E) CH2CH=C(CH3)CH2 steht, R2, R3 und R4 für H stehen, R5 CH3 und R6+R7 Cyclopentyl bedeuten, und die Kombination aus R1 undCompounds LA in which Z is (E) CH 2 CH = C (CH 3 ) CH 2 , R 2 , R 3 and R 4 are H, R 5 is CH 3 and R 6 + R 7 is cyclopentyl, and the combination of R 1 and
Y jeweils einer Zeile der Tabelle A entspricht (Verbindungen I.A.130aA-1 bis I.A.130aA-444)Y corresponds in each case to one row of Table A (compounds I.A.130aA-1 to I.A.130aA-444)
Tabelle 131 aTable 131 a
Verbindungen LA, worin Z für (E) CH2C(CHs)=C(CH3)CH2 steht, R2, R3 und R4 für H stehen, R5 CH3 und R6+R7 Cyclopentyl bedeuten, und die Kombination aus R1 undCompounds LA in which Z is (E) CH 2 C (CH 3 ) = C (CH 3 ) CH 2 , R 2 , R 3 and R 4 are H, R 5 is CH 3 and R 6 + R 7 is cyclopentyl, and the combination of R 1 and
Y jeweils einer Zeile der Tabelle A entspricht (Verbindungen I.A.131aA-1 bis I.A.131aA-444)Y corresponds in each case to one row of Table A (compounds I.A.131aA-1 to I.A.131aA-444)
Tabelle 132aTable 132a
Verbindungen LA, worin Z für (E) C(CH3)=C(CH3)(CH2)2CH2 steht, R2, R3 und R4 für H stehen, R5 CH3 und R6+R7 Cyclopentyl bedeuten, und die Kombination aus R1 und Y jeweils einer Zeile der Tabelle A entspricht (Verbindungen I .A.132aA-1 bis I.A.132aA-444) Tabelle 133aCompounds LA, wherein Z is (E) C (CH 3 ) = C (CH 3 ) (CH 2 ) 2 CH 2 , R 2 , R 3 and R 4 are H, R 5 is CH 3 and R 6 + R 7 cyclopentyl, and the combination of R 1 and Y corresponds in each case to one line of Table A (compounds I .A.132aA-1 to IA132aA-444) Table 133a
Verbindungen LA, worin Z für (E) C(CH3)=CH(CH2)2CH2 steht, R2, R3 und R4 für H stehen, R5 CH3 und R6+R7 Cyclopentyl bedeuten, und die Kombination aus R1 undCompounds LA in which Z is (E) C (CH 3 ) = CH (CH 2 ) 2 CH 2 , R 2 , R 3 and R 4 are H, R 5 is CH 3 and R 6 + R 7 is cyclopentyl, and the combination of R 1 and
Y jeweils einer Zeile der Tabelle A entspricht (Verbindungen I.A.133aA-1 bis I.A.133aA-444)Y corresponds in each case to one row of Table A (compounds I.A.133aA-1 to I.A.133aA-444)
Tabelle 134aTable 134a
Verbindungen LA, worin Z für (E) CH=C(CH3)(CH2)2CH2 steht, R2, R3 und R4 für H stehen, R5 CH3 und R6+R7 Cyclopentyl bedeuten, und die Kombination aus R1 undCompounds LA in which Z is (E) CH =C (CH 3 ) (CH 2 ) 2 CH 2 , R 2 , R 3 and R 4 are H, R 5 is CH 3 and R 6 + R 7 is cyclopentyl, and the combination of R 1 and
Y jeweils einer Zeile der Tabelle A entspricht (Verbindungen I.A.134aA-1 bis I.A.134aA-444)Y corresponds in each case to one row of Table A (compounds I.A.134aA-1 to I.A.134aA-444)
Tabelle 135aTable 135a
Verbindungen LA, worin Z für CH2C≡CCH2 steht, R2, R3 und R4 für H stehen, R5 CH3 und R6+R7 Cyclopentyl bedeuten, und die Kombination aus R1 und Y jeweils einer Zeile der Tabelle A entspricht (Verbindungen I.A.135aA-1 bis I.A.135aA-444)Compounds LA in which Z is CH 2 C≡CCH 2 , R 2 , R 3 and R 4 are H, R 5 is CH 3 and R 6 + R 7 is cyclopentyl, and the combination of R 1 and Y is in each case one line corresponding to Table A (compounds IA135aA-1 to IA135aA-444)
Tabelle ATable A
[*] "-" bedeutet, dass Y für eine Einfachbindung steht[ * ] "-" means that Y stands for a single bond
Aus den vorangehenden Tabellen leiten sich die Verbindungsnamen für die einzelnen Verbindungen wie folgt ab: Bspw. ist die "Verbindung |Λ.3aA-^0" (Markierungen hinzugefügt) die erfindungsgemäße Verbindung der Formel [A, worin Z für CH2(CH2)3CH2 steht, R2, R3 und R4 Wasserstoff bedeuten, R5 H und R6+R7 Cyclopropyl bedeuten (wie in Tabelle 3a angegeben) und R1 für 4-Cyanophenyl und Y für O stehen (wie in Zeile ^O von Tabelle A angegeben).From the preceding tables, the connection names for the individual connections are derived as follows: eg. is the "compound | Λ.3aA- ^ 0" (markers added) the compound of the formula [A according to the invention in which Z is CH 2 (CH 2) 3 CH 2 , R 2 , R 3 and R 4 are hydrogen, R 5 is H and R 6 + R 7 is cyclopropyl (as indicated in Table 3a) and R 1 is 4-cyanophenyl and Y is O (as indicated in line O of Table A).
Die Verbindungen der Formel I bzw. die erfindungsgemäßen Zusammensetzungen eignen sich als Fungizide zur Bekämpfung von Schadpilzen. Sie zeichnen sich aus durch eine hervorragende Wirksamkeit gegen ein breites Spektrum von pflanzenpatho- genen Pilzen einschließlich bodenbürtiger Pathogene, welche insbesondere aus den Klassen der Plasmodiophoromyceten, Peronosporomyceten (Syn. Oomyceten), Chytri- diomyceten, Zygomyceten, Ascomyceten, Basidiomyceten und Deuteromyceten (Syn. Fungi imperfecti) stammen. Sie sind zum Teil systemisch wirksam und können im Pflanzenschutz als Blatt-, Beiz- und Bodenfungizide eingesetzt werden. Darüber hinaus sind sie geeignet für die Bekämpfung von Pilzen, die unter anderem das Holz oder die Wurzeln von Pflanzen befallen.The compounds of the formula I or the compositions according to the invention are useful as fungicides for controlling harmful fungi. They are distinguished by outstanding activity against a broad spectrum of phytopathogenic fungi, including soil-borne pathogens, which in particular originate from the classes of the Plasmodiophoromycetes, Peronosporomycetes (Syn. Oomycetes), Chytriomycetes, Zygomycetes, Ascomycetes, Basidiomycetes and Deuteromycetes (Syn. Fungi imperfecti). They are partially systemically effective and can be used in crop protection as foliar, pickling and soil fungicides. In addition, they are suitable for controlling fungi that attack, among other things, the wood or the roots of plants.
Besondere Bedeutung haben die Verbindungen I und die erfindungsgemäßen Zusammensetzungen für die Bekämpfung einer Vielzahl von pathogenen Pilzen an verschiedenen Kulturpflanzen wie Getreide, z. B. Weizen, Roggen, Gerste, Triticale, Hafer oder Reis; Rüben, z. B. Zucker oder Futterrüben; Kern-, Stein und Beerenobst, z. B. Äpfel, Birnen, Pflaumen, Pfirsiche, Mandeln, Kirschen, Erdbeeren, Himbeeren, Johannisbeeren oder Stachelbeeren; Leguminosen, z. B. Bohnen, Linsen, Erbsen, Luzerne oder Soja; Ölpflanzen, z. B. Raps, Senf, Oliven, Sonnenblumen, Kokosnuss, Kakao, Rizinusbohnen, Ölpalme, Erdnüsse oder Soja; Kürbisgewächse, z. B. Kürbissse, Gurken oder Melonen; Faserpflanzen, z. B. Baumwolle, Flachs, Hanf oder Jute; Zitrus- fruchte, z. B. Orangen, Zitronen, Pampelmusen oder Mandarinen; Gemüsepflanzen, z. B. Spinat, Salat, Spargel, Kohlpflanzen, Möhren, Zwiebeln, Tomaten, Kartoffeln, Kürbis oder Paprika; Lorbeergewächse, z. B. Avocados, Zimt oder Kampher; Energie- und Rohstoffpflanzen, z. B. Mais, Soja, Weizen, Raps, Zuckerrohr oder Ölpalme; Mais; Tabak; Nüsse; Kaffee; Tee; Bananen; Wein (Tafel- und Weintrauben); Hopfen; Gras, z. B. Rasen; Kautschukpflanzen; Zier- und Forstpflanzen, z. B. Blumen, Sträucher, Laub- und Nadelbäume sowie an dem Vermehrungsmaterial, z. B. Samen, und dem Erntegut dieser Pflanzen.Of particular importance are the compounds I and the compositions of the invention for combating a variety of pathogenic fungi on various crops such as cereals, eg. Wheat, rye, barley, triticale, oats or rice; Beets, z. Sugar or fodder beets; Kernel, stone and berry fruits, z. Apples, pears, plums, peaches, almonds, cherries, strawberries, raspberries, currants or gooseberries; Legumes, z. Beans, lentils, peas, alfalfa or soybeans; Oil plants, e.g. Rapeseed, mustard, olives, sunflowers, coconut, cocoa, castor beans, oil palm, peanuts or soya; Cucurbits, z. Pumpkins, cucumbers or melons; Fiber plants, z. Cotton, flax, hemp or jute; Citrus fruit, e. Oranges, lemons, grapefruit or mandarins; Vegetables, z. Spinach, lettuce, asparagus, cabbages, carrots, onions, tomatoes, potatoes, squash or paprika; Laurel family, z. Avocados, cinnamon or camphor; Energy and raw material plants, eg. Corn, soy, wheat, rapeseed, sugarcane or oil palm; Corn; Tobacco; Nuts; Coffee; Tea; bananas; Wine (table and grapes); Hop; Grass, z. B. lawn; Rubber plants; Ornamental and forest plants, z. As flowers, shrubs, deciduous and coniferous trees and on the propagation material, for. B. seeds, and the crop of these plants.
Vorzugsweise werden die Verbindungen I bzw. die erfindungsgemäßen Zusam- mensetzungen zur Bekämpfung einer Vielzahl von pilzlichen Pathogenen in Ackerbaukulturen, z. B. Kartoffeln, Zuckerrüben, Tabak, Weizen, Roggen, Gerste, Hafer, Reis, Mais, Baumwolle, Soja, Raps, Hülsenfrüchte, Sonnenblumen, Kaffee oder Zuckerrohr; Obst-, Wein- und Zierpflanzen und Gemüsepflanzen, z. B. Gurken, Tomaten, Bohnen und Kürbisse sowie an dem Vermehrungsmaterial, z. B. Samen, und dem Erntegut dieser Pflanzen verwendet.Preferably, the compounds I or the compositions according to the invention for combating a variety of fungal pathogens in crops, z. Potatoes, sugar beets, tobacco, wheat, rye, barley, oats, rice, corn, cotton, soybeans, rape, legumes, sunflowers, coffee or sugarcane; Fruit, vine and ornamental plants and vegetables, eg. As cucumbers, tomatoes, beans and pumpkins and on the propagation material, for. As seeds, and the crop of these plants used.
Der Begriff pflanzliche Vermehrungsmaterialien umfasst alle generativen Teile der Pflanze, z. B. Samen, und vegetative Pflanzenteile, wie Stecklinge und Knollen (z. B. Kartoffeln), die zur Vermehrung einer Pflanze genutzt werden können. Dazu gehören Samen, Wurzeln, Früchte, Knollen, Zwiebeln, Rhizome, Triebe und andere Pflanzenteile, einschließlich Keimlingen und Jungpflanzen, die nach der Keimung oder dem Auflaufen umgepflanzt werden. Die Jungpflanzen können durch eine teilweise oder vollständige Behandlung, z. B. durch Eintauchen oder Gießen, vor Schadpilzen geschützt werden.The term plant propagating materials includes all generative parts of the plant, e.g. As seeds, and vegetative plant parts, such as cuttings and tubers (eg., Potatoes), which can be used to propagate a plant. These include seeds, roots, fruits, tubers, bulbs, rhizomes, shoots and other plant parts, including seedlings and seedlings, which are transplanted after germination or emergence. The young plants can be treated by a partial or complete treatment, eg. B. by immersion or pouring, protected from harmful fungi become.
Die Behandlung von pflanzlichen Vermehrungsmaterialien mit Verbindungen I bzw. den erfindungsgemäßen Zusammensetzungen wird zur Bekämpfung einer Vielzahl von pilzlichen Pathogenen in Getreidekulturen, z. B. Weizen, Roggen, Gerste oder Hafer; Reis, Mais, Baumwolle und Soja eingesetzt.The treatment of plant propagating materials with compounds I or the compositions according to the invention is used for combating a variety of fungal pathogens in cereal crops, e.g. Wheat, rye, barley or oats; Rice, corn, cotton and soy used.
Der Begriff Kulturpflanzen schließt auch solche Pflanzen ein, die durch Züchtung, Mutagenese oder gentechnische Methoden verändert wurden einschließlich der auf dem Markt oder in Entwicklung befindlichen biotechnologischen Agrarprodukte (siehe z.B. http://www.bio. org/speeches/pubs/er/agri_products.asp). Gentechnisch veränderte Pflanzen sind Pflanzen, deren genetisches Material in einer Weise verändert worden ist, wie sie unter natürlichen Bedingungen durch Kreuzen, Mutationen oder natürliche Rekombination (d.h. Neuzusammenstellung der Erbinformation) nicht vorkommt. Dabei werden in der Regel ein oder mehrere Gene in das Erbgut der Pflanze integriert, um die Eigenschaften der Pflanze zu verbessern. Derartige gentechnische Veränderungen umfassen auch posttranslationale Modifikationen von Proteinen, Oligo- oder Polypeptiden z.B. mittels Glykolsylierung oder Bindung von Polymeren wie z.B. prenylierter, ace- tylierter oder farnelysierter Reste oder PEG-Reste.The term "crops" also includes those plants which have been modified by breeding, mutagenesis or genetic engineering methods, including biotechnological agricultural products currently on the market or under development (see for example http://www.bio.org/speeches/pubs/ er / agri_products .asp). Genetically engineered plants are plants whose genetic material has been altered in a manner that does not occur under natural conditions by crossing, mutations or natural recombination (i.e., rearrangement of genetic information). As a rule, one or more genes are integrated into the genome of the plant in order to improve the properties of the plant. Such genetic engineering also includes post-translational modifications of proteins, oligo- or polypeptides, e.g. by glycolylation or binding of polymers such as e.g. prenylated, acetylated or farnelysierter residues or PEG residues.
Beispielhaft seien Pflanzen genannt, die durch züchterische und gentechnische Maßnahmen eine Toleranz gegen bestimmter Herbizidklassen, wie Hydroxyphenylpy- ruvat-Dioxygenase (HPPD)-Inhibitoren, Acetolactat-Synthase (ALS)-I nhibitoren wie z. B. Sulfonylharnstoffe (EP-A 257 993, US 5,013,659) oder Imidazolinone (z. B. US 6,222,100, WO 01/82685, WO 00/26390, WO 97/41218, WO 98/02526, WO 98/02527, WO 04/106529, WO 05/20673, WO 03/14357, WO 03/13225, WO 03/14356, WO 04/16073), Enolpyruvylshikimat-3-Phosphat-Synthase (EPSPS)- Inhibitoren wie z. B. Glyphosat (siehe z. B. WO 92/00377), Glutaminsynthetase (GS)- Inhibitoren wie z. B. Glufosinat (siehe z. B. EP-A 242 236, EP-A 242 246) oder Oxynil- Herbizide (siehe z. B. US 5,559,024) erworben haben. Durch Züchtung und Mutagenese wurde z. B. Clearfield®-Raps (BASF SE, Deutschland) erzeugt, der eine Toleranz gegen Imidazolinone, z. B. Imazamox, hat. Mit Hilfe gentechnischer Methoden wurden Kulturpflanzen, wie Soja, Baumwolle, Mais, Rüben und Raps, erzeugt, die resistent gegen Glyphosat oder Glufosinat sind, erzeugt, welche unter den Handelsnamen Rou- dupReady® (Glyphosat-resistent, Monsanto, U. S.A.) und Liberty Link® (Glufosinat- resistent, Bayer CropScience, Deutschland) erhältlich sind.By way of example, plants may be mentioned which, by means of breeding and genetic engineering measures, tolerate certain types of herbicides, such as hydroxyphenylpyruvate dioxygenase (HPPD) inhibitors, acetolactate synthase (ALS) -I inhibitors, such as, for example, Sulfonylureas (EP-A 257 993, US Pat. No. 5,013,659) or imidazolinones (for example US Pat. No. 6,222,100, WO 01/82685, WO 00/26390, WO 97/41218, WO 98/02526, WO 98/02527, WO 04 / 106529, WO 05/20673, WO 03/14357, WO 03/13225, WO 03/14356, WO 04/16073), enolpyruvylshikimate-3-phosphate synthase (EPSPS) inhibitors such as. Glyphosate (see, for example, WO 92/00377), glutamine synthetase (GS) inhibitors such as. Glufosinate (see eg EP-A 242 236, EP-A 242 246) or oxynil herbicides (see eg US 5,559,024). By breeding and mutagenesis z. B. Clearfield ® rapeseed (BASF SE, Germany) produced, the tolerance to imidazolinones, z. As imazamox, has. Using genetic engineering methods, crop plants such as soybean, produces cotton, corn, beets and rape, which are resistant to glyphosate or glufosinate, and sold under the trade name rou- dupReady ® (glyphosate-resistant, Monsanto, USA) and Liberty Link ® (Glufosinat- resistant, Bayer CropScience, Germany) are available.
Weiterhin sind auch Pflanzen umfasst, die mit Hilfe gentechnischer Maßnahmen ein oder mehrere Toxine, z. B. solche aus dem Bakterienstamm Bacillus, produzieren. Toxine, die durch solche gentechnisch veränderten Pflanzen hergestellt werden, umfassen z. B. insektizide Proteine von Bacillus spp., insbesondere von B. thuringiensis, wie die Endotoxine CrylAb, CrylAc, Cryl F, Cry1 Fa2, Cry2Ab, Cry3A, Cry3Bb1 , Cry9c, Cry34Ab1 oder Cry35Ab1 ; oder vegetative insektizide Proteine (VIPs), z. B. VIP1 , VIP2, VIP3, oder VIP3A; insektizide Proteine von Nematoden-kolonisierenden Bakterien, z. B. Photorhabdus spp. oder Xenorhabdus spp.; Toxine aus tierischen Organismen, z. B. Wepsen,-, Spinnen- oder Skorpionstoxine; pilzliche Toxine, z. B. aus Strep- tomyceten; pflanzliche Lektine, z. B. aus Erbse oder Gerste; Agglutinine; Proteinase- Inhibitoren, z. B. Trypsin-Inhibitoren, Serinprotease-Inhibitoren, Patatin, Cystatin oder Papain-Inhibitoren; Ribosomen-inaktivierende Proteine (RIPs), z. B. Ricin, Mais-RIP, Abrin, Luffin, Saporin oder Bryodin; Steroid-metabolisierende Enzyme, z. B. 3-Hydroxy- steroid-Oxidase, Ecdysteroid-IDP-Glycosyl-Transferase, Cholesterinoxidase, Ecdyson- Inhibitoren oder HMG-CoA-Reduktase; lonenkanalblocker, z. B. Inhibitoren von Natri- um- oder Calziumkanälen; Juvenilhormon-Esterase; Rezeptoren für das diuretischen Hormon (Helicokininrezeptoren); Stilbensynthase, Bibenzylsynthase, Chitinasen und Glucanasen. Diese Toxine können in den Pflanzen auch als Prätoxine, Hybridproteine, verkürzte oder anderweitig modfizierte Proteine produziert werden. Hybridproteine zeichnen sich durch eine neue Kombination von verschiedenen Proteindomänen aus (siehe z. B. WO 2002/015701). Weitere Besipiele für derartige Toxine oder gentechnisch veränderte Pflanzen, die diese Toxine produzieren, sind in EP-A 374 753, WO 93/07278, WO 95/34656, EP-A 427 529, EP-A 451 878, WO 03/18810 und WO 03/52073 offenbart. Die Methoden zur Herstellung dieser gentechnisch veränderten Pflanzen sind dem Fachmann bekannt und z. B. in den oben erwähnten Publikatio- nen dargelegt. Zahlreiche der zuvor genannten Toxine verleihen den Pflanzen, die diese produzieren, eine Toleranz gegen Schädlinge aus allen taxonomischen Arthropo- denklassen, insbesondere gegen Käfer (Coeleropta), Zweiflügler (Diptera) und Schmetterlinge (Lepidoptera) und gegen Nematoden (Nematoda). Gentechnisch veränderte Pflanzen, die ein oder mehrere Gene, die für insektizide Toxine kodieren, pro- duzieren sind z. B. in den oben erwähnten Publikationen beschrieben und zum Teil kommerziell erhältlich, wie z. B. YieldGard® (Maissorten, die das Toxin CrylAb produzieren), YieldGard® Plus (Maissorten, die die Toxine CrylAb und Cry3Bb1 produzieren), Starlink® (Maissorten, die das Toxin Cry9c produzieren), Herculex® RW (Maissorten, die die Toxine Cry34Ab1 , Cry35Ab1 und das Enzym Phosphinothricin-N-Acetyl- transferase [PAT] produzieren); NuCOTN® 33B (Baumwollsorten, die das ToxinFurthermore, plants are included which, with the aid of genetic engineering measures one or more toxins, eg. B. those from the bacterial strain Bacillus produce. Toxins produced by such genetically engineered plants include e.g. Insecticidal proteins of Bacillus spp., In particular B. thuringiensis such as the endotoxins CrylAb, CrylAc, CrylF, Cry1Fe2, Cry2Ab, Cry3A, Cry3Bb1, Cry9c, Cry34Ab1 or Cry35Ab1; or vegetative insecticidal proteins (VIPs), e.g. Eg VIP1, VIP2, VIP3, or VIP3A; insecticidal proteins of nematode-colonizing bacteria, e.g. B. Photorhabdus spp. or Xenorhabdus spp .; Toxins from animal organisms, eg. B. Wepsen, spider or scorpion toxins; fungal toxins, e.g. Eg from Streptomyces; herbal lectins, e.g. From pea or barley; agglutinins; Proteinase inhibitors, e.g. Trypsin inhibitors, serine protease inhibitors, patatin, cystatin or papain inhibitors; Ribosome Inactivating Proteins (RIPs), e.g. Ricin, corn RIP, abrin, luffin, saporin or bryodin; Steroid metabolizing enzymes, e.g. 3-hydroxy steroid oxidase, ecdysteroid IDP glycosyltransferase, cholesterol oxidase, ecdysone inhibitors, or HMG-CoA reductase; ion channel blocker, e.g. B. inhibitors of sodium or calcium channels; Juvenile hormone esterase; Receptors for the diuretic hormone (helicokinin receptors); Stilbene synthase, bibenzyl synthase, chitinases and glucanases. These toxins can also be produced in the plants as proteoxins, hybrid proteins, truncated or otherwise modified proteins. Hybrid proteins are characterized by a novel combination of different protein domains (see, for example, WO 2002/015701). Further examples of such toxins or genetically modified plants which produce these toxins are described in EP-A 374 753, WO 93/07278, WO 95/34656, EP-A 427 529, EP-A 451 878, WO 03/18810 and WO 03/52073 discloses. The methods for producing these genetically modified plants are known in the art and z. B. in the publications mentioned above. Many of the aforementioned toxins confer on the plants that produce them a tolerance to pests of all taxonomic arthropod classes, in particular to beetles (Coeleropta), diptera (Diptera) and butterflies (Lepidoptera) and nematodes (Nematoda). Genetically modified plants which produce one or more genes which code for insecticidal toxins are, for example, As described in the publications mentioned above and partly commercially available, such as. B. YieldGard ® (corn cultivars producing the toxin CrylAb), YieldGard ® Plus (corn cultivars producing the toxins CrylAb and Cry3Bb1), StarLink ® (corn cultivars producing the toxin Cry9c), Herculex ® RW (corn cultivars toxins which Cry34Ab1, Cry35Ab1 and the enzyme phosphinothricin N-acetyltransferase [PAT] produce); NuCOTN ® 33B (cotton varieties which toxin is
CrylAc produzieren), Bollgard® I (Baumwollsorten, die das Toxin CrylAc produzieren), Bollgard® Il (Baumwollsorten, die die Toxine CrylAc und Cry2Ab2 produzieren); VIP- COT® (Baumwollsorten, die ein VIP-Toxin produzieren); NewLeaf® (Kartoffelsorten, die das Toxin Cry3A produzieren); Bt-Xtra®, NatureGard®, KnockOut®, BiteGard®, Protec- ta®, Bt 11 (z. B. Agrisure® CB) und Bt176 von Syngenta Seeds SAS, Frankreich, (Maissorten, die das Toxin CrylAb und das PAT-Enyzm produzieren), MIR604 von Syngenta Seeds SAS, Frankreich (Maissorten, die ein modifizierte Version des Toxins Cry3A produzieren, siehe hierzu WO 03/018810), MON 863 von Monsanto Europe S.A., Belgien (Maissorten, die das Toxin Cry3Bb1 produzieren), IPC 531 von Monsanto Europe S.A., Belgien (Baumwollsorten, die eine modifizierte Version des Toxins CrylAc produzieren) und 1507 von Pioneer Overseas Corporation, Belgien (Maissorten, die das Toxin Cryl F und das PAT-Enyzm produzieren). Weiterhin sind auch Pflanzen umfasst, die mit Hilfe gentechnische Maßnahmen ein oder mehrere Proteine produzieren, die eine erhöhte Resistenz oder Widerstandfähigkeit gegen bakterielle, virale oder pilzliche Pathogene bewirken, wie z. B. sogenannte Pathogenesis-related-Proteine (PR-Proteine, siehe EP-A O 392 225), Resistenzprotei- ne (z. B. Kartoffelsorten, die zwei Resistenzgene gegen Phytophthora infestans aus der mexikanischen Wildkartoffel Solanum bulbocastanum produzieren) oder T4-Lyso- zym (z. B. Kartoffelsorten, die durch die Produktion diese Proteins resistent gegen Bakterien wie Erwinia amylvora ist).CrylAc produce), Bollgard ® I (cotton cultivars producing the toxin CrylAc), Bollgard ® Il (cotton cultivars producing the toxins CrylAc and Cry2Ab2); VIP COT ® (cotton cultivars producing a VIP-toxin); NewLeaf ® (potato cultivars producing the Cry3A toxin); Bt Xtra ®, NatureGard® ®, KnockOut ®, BiteGard ®, Protec ta ®, bt 11 (z. B. Agrisure ® CB) and Bt176 from Syngenta Seeds SAS, France (corn varieties which the toxin CrylAb and the PAT Producing enzyme), MIR604 from Syngenta Seeds SAS, France (maize varieties producing a modified version of the toxin Cry3A, see WO 03/018810), MON 863 from Monsanto Europe SA, Belgium (maize varieties producing the toxin Cry3Bb1), IPC 531 from Monsanto Europe SA, Belgium (cotton varieties that produce a modified version of the toxin CrylAc) and 1507 from Pioneer Overseas Corporation, Belgium (maize varieties that produce the toxin Cryl F and the PAT enzyme). Furthermore, plants are included, which produce by genetic engineering measures one or more proteins that cause increased resistance or resistance to bacterial, viral or fungal pathogens, such as. For example, so-called pathogenesis-related proteins (PR proteins, see EP-A 0 392 225), resistance proteins (for example potato varieties which produce two resistance genes against Phytophthora infestans from the Mexican wild potato Solanum bulbocastanum) or T4 lyso - zym (eg, potato varieties that are resistant to bacteria such as Erwinia amylvora due to the production of this protein).
Weiterhin sind auch Pflanzen umfasst, deren Produktivität mit Hilfe gentechnischerFurthermore, plants are included whose productivity with the help of genetic engineering
Methoden verbessert wurde, indem z. B. die Ertragsfähigkeit (z. B. Biomasse, Kornertrag, Stärke-, Öl- oder Proteingehalt), die Toleranz gegenüber Trockenheit, Salz oder anderen begrenzenden Umweltfaktoren oder die Widerstandsfähigkeit gegenüber Schädlingen und pilzlichen, bakteriellen und viralen Pathogenen gesteigert wird. Weiterhin sind auch Pflanzen umfasst, deren Inhaltsstoffe insbesondere zur Verbesserung der menschlichen oder tierischen Ernährung mit Hilfe gentechnischer Methoden verändert wurden, indem z. B. Ölpflanzen gesundheitsfördernde langkettige Omega-3-Fettsäuren oder einfach ungesättigte Omega-9-Fettsäuren (z. B. Nexera®- Raps, DOW Agro Sciences, Kanada) produzieren.Methods has been improved by z. For example, yield (eg biomass, grain yield, starch, oil or protein content), tolerance to drought, salt or other limiting environmental factors or resistance to pests and fungal, bacterial and viral pathogens may be increased. Furthermore, plants are included whose ingredients have been modified in particular to improve the human or animal diet using genetic engineering methods by z. As oil plants producing health long-chain omega-3 fatty acids or monounsaturated omega-9 fatty acids (eg Nexera ® - rape, DOW Agro Sciences, Canada.) Produce.
Weiterhin sind auch Pflanzen umfasst, die zur verbesserten Produktion von Rohstoffen mit Hilfe gentechnischer Methoden verändert wurden, indem z. B. der Amylo- pektin-Gehalt von Kartoffeln (Amflora®-Kartoffel, BASF SE, Deutschland) erhöht wurde.Furthermore, plants are included, which have been modified for the improved production of raw materials by means of genetic engineering methods by z. B. the amylopectin content of potatoes (Amflora ® potato, BASF SE, Germany) was increased.
Speziell eignen sich die Verbindungen I bzw. die erfindungsgemäßen Zusammensetzungen zur Bekämpfung folgender Pflanzenkrankheiten:In particular, the compounds I or the compositions according to the invention are suitable for controlling the following plant diseases:
Albugo spp. (Weißer Rost) an Zierpflanzen, Gemüsekulturen (z.B: A. Candida) und Sonnenblumen (z. B. A. tragopogonis); Alternaria spp. (Schwärze, Schwarzfleckigkeit) an Gemüse, Raps (z. B. A. brassicola oder A. brassicae), Zuckerrüben (z. B. A. tenuis), Obst, Reis, Sojabohnen sowie an Kartoffeln (z. B. A. solani oder A. alternata) und Tomaten (z. B. A. solani oder A. alternata) und Alternaria spp. (Ährenschwärze) an Weizen; Aphanomyces spp. an Zuckerrüben und Gemüse; Ascochyta spp. an Getreide und Gemüse, z. B. A. tritici (Blattdürre) an Weizen und A. hordei an Gerste; Bipolaris und Drechslera spp. (Teleomorph: Cochliobolus spp.) z. B. Blattfleckenkrankheiten (D. maydis und B. zeicola) an Mais, z. B. Braunfleckigkeit (B. sorokiniana) an Getreide und z.B. B. oryzae an Reis und an Rasen; Blumeria (früher: Erysiphe) graminis (Echter Mehltau) an Getreide (z. B. Weizen oder Gerste); Botryosphaeria spp. ('Black Dead Arm Disease') an Weinreben (z. B. B. obtusa); Botrytis cinerea (Teleomorph: Botryoti- nia fuckeliana: Grauschimmel, Graufäule) an Beeren- und Kernobst (u.a. Erdbeeren), Gemüse (u.a. Salat, Möhren, Sellerie und Kohl), Raps, Blumen, Weinreben, Forstkulturen und Weizen (Ährenschimmel); Bremia lactucae (Falscher Mehltau) an Salat; Cera- tocystis (Syn. Ophiostoma) spp. (Bläuepilz) an Laub- und Nadelgehölzen, z. B. C. ulmi (Ulmensterben, Holländische Ulmenkrankheit) an Ulmen; Cercospora spp. (Cercospo- ra-Blattflecken) an Mais (z. B. C. zeae-maydis), Reis, Zuckerrüben (z. B. C. beticola), Zuckerrohr, Gemüse, Kaffee, Sojabohnen (z. B. C. sojina oder C. kikuchii) und Reis; Cladosporium spp. an Tomate (z. B. C. fulvum: Samtflecken-Krankheit) und Getreide, z. B. C. herbarum (Ährenschwärze) an Weizen; Claviceps purpurea (Mutterkorn) an Getreide; Cochliobolus (Anamorph: Helminthosporium oder Bipolaris) spp. (Blattflecken) an Mais (z. B. C. carbonum) , Getreide (z. B. C. sativus, Anamorph: B. sorokinia- na: Braunfleckigkeit) und Reis (z. B. C. miyabeanus, Anamorph: H. oryzae); Colletotri- chum (Teleomorph: Glomerella) spp. (Brennflecken, Anthraknose) an Baumwolle (z. B. C. gossypii), Mais (z. B. C. graminicola: Stängelfäule und Brennflecken), Beerenobst, Kartoffeln (z. B. C. coccodes: Welke), Bohnen (z. B. C. lindemuthianum) und Sojabohnen (z. B. C. truncatum); Corticium spp., z. B. C. sasakii (Blattscheidenbrand) an Reis; Corynespora cassiicola (Blattflecken) an Sojabohnen und Zierpflanzen; Cycloconium spp., z. B. C. oleaginum an Olive; Cylindrocarpon spp. (z. B. Obstbaum-Krebs oder Rebensterben, Teleomorph: Nectria oder Neonectria spp.) an Obstgehölzen, Weinre- ben (z. B. C. liriodendri, Teleomorph: Neonectria liriodendri, .Black Foot Disease') und vielen Ziergehölzen; Dematophora (Teleomorph: Rosellinia) necatrix (Wurzel-/Stängel- fäule) an Sojabohnen; Diaporthe spp. z. B. D. phaseolorum (Stängelkrankheit) an Sojabohnen; Drechslera (Syn. Helminthosporium, Teleomorph: Pyrenophora) spp. an Mais, Getreide, wie Gerste (z. B. D. teres, Netzflecken) und an Weizen (z. B. D. tritici- repentis: DTR-Blattdürre), Reis und Rasen; Esca-Krankheit (Rebstocksterben, Apoplexie) an Weinrebe, verursacht durch Formitiporia (Syn. Phellinus) punctata, F. mediter- ranea, Phaeomoniella chlamydospora (früher Phaeoacremonium chlamydosporum), Phaeoacremonium aleophilum und/oder Botryosphaeria obtusa; Elsinoe spp. an Kern- (E. pyri) und Beerenobst (E. veneta: Brennflecken) sowie Weinrebe (E. ampelina: Brennflecken); Entyloma oryzae (Blattbrand) an Reis; Epicoccum spp. (Ährenschwärze) an Weizen; Erysiphe spp. (Echter Mehltau) an Zuckerrübe (E. betae), Gemüse (z. B. E. pisi), wie Gurken- (z. B. E. cichoracearum) und Kohlgewächsen, wie Raps (z. B. E. cruciferarum).; Eutypa lata (Eutypa-Krebs oder -Absterben, Anamorph: Cy- tosporina lata, Syn. Libertella blepharis) an Obstgehölzen, Weinreben und vielen Zier- gehölzen; Exserohilum (Syn. Helminthosporium) spp. an Mais (z. B. E. turcicum); Fu- sarium (Teleomorph: Gibberella) spp. (Welke, Wurzel- und Stängelfäule) an verschiedenen Pflanzen, wie z. B. F. graminearum oder F. culmorum (Wurzelfäule und Tauboder Weißährigkeit) an Getreide (z. B. Weizen oder Gerste), F. oxysporum an Tomaten, F. solani an Sojabohnen und F. verticillioides an Mais; Gaeumannomyces graminis (Schwarzbeinigkeit) an Getreide (z. B. Weizen oder Gerste) und Mais; Gibberella spp. an Getreide (z. B. G. zeae) und Reis (z. B. G. fujikuroi: Bakanae-Krankheit); Glomerella cingulata an Weinrebe, Kernobst und anderen Pflanzen und G. gossypii an Baumwolle; Grainstaining complex an Reis; Guignardia bidwellii (Schwarzfäule) an Weinrebe; Gymnosporangium spp. an Rosaceen und Wacholder, z. B. G. sabinae (Birnengitter- rost) an Birnen; Helminthosporium spp. (Syn. Drechslera, Teleomorph: Cochliobolus) an Mais, Getreide und Reis; Hemileia spp., z. B. H. vastatrix (Kaffeeblattrost) an Kaffee; lsariopsis clavispora (Syn. Cladosporium vitis) an Weinrebe; Macrophomina pha- seolina (Syn. phaseoli) (Wurzel-/Stängelfäule) an Sojabohnen und Baumwolle; Micro- dochium (Syn. Fusarium) nivale (Schneeschimmel) an Getreide (z. B. Weizen oder Gerste); Microsphaera diffusa (Echter Mehltau) an Sojabohnen; Monilinia spp., z. B. M. laxa, M. fructicola und M. fructigena (Blüten- und Spitzendürre) an Steinobst und anderen Rosaceen; Mycosphaerella spp. an Getreide, Bananen, Beerenobst und Erdnüs- sen, wie z. B. M. graminicola (Anamorph: Septoria tritici, Septoria-Blattdürre) an Weizen oder M. fijiensis (Schwarze Sigatoka-Krankheit) an Bananen; Peronospora spp. (Falscher Mehltau) an Kohl (z. B. P. brassicae), Raps (z. B. P. parasitica), Zwiebelgewächsen (z. B. P. destructor), Tabak (P. tabacina) und Sojabohnen (z. B. P. manshuri- ca); Phakopsora pachyrhizi und P. meibomiae (Sojabohnenrost) an Sojabohnen; Phia- lophora spp. z. B. an Weinreben (z. B. P. tracheiphila und P. tetraspora) und Sojabohnen (z. B. P. gregata: Stängelkrankheit); Phoma Ungarn (Wurzel- und Stängelfäule) an Raps und Kohl und P. betae (Blattflecken) an Zuckerrüben; Phomopsis spp. an Sonnenblumen, Weinrebe (z. B. P. viticola: Schwarzflecken-Krankheit) und Sojabohnen (z. B. Stielfäule: P. phaseoli, Teleomorph: Diaporthe phaseolorum); Physoderma may- dis (Braunfleckigkeit) an Mais; Phytophthora spp. (Welke, Wurzel-, Blatt-, Stängel- und Fruchtfäule) an verschiedenen Pflanzen, wie an Paprika und Gurkengewächsen (z. B. P. capsici), Sojabohnen (z. B. P. megasperma, Syn. P. sojae), Kartoffeln und Tomaten (z. B. P. infestans: Kraut- und Braunfäule) und Laubgehölzen (z. B. P. ramorum: Plötzliches Eichensterben); Plasmodiophora brassicae (Kohlhernie) an Kohl, Raps, Rettich und anderen Pflanzen; Plasmopara spp., z. B. P. viticola (Reben-Peronospora, Falscher Mehltau) an Weinreben und P. halstedii an Sonnenblumen; Podosphaera spp. (Echter Mehltau) an Rosaceen, Hopfen, Kern- und Beerenobst, z. B. P. leucotricha an Apfel; Polymyxa spp., z. B. an Getreide, wie Gerste und Weizen (P. graminis) und Zuckerrüben (P. betae) und die dadurch übertragenen Viruserkrankungen; Pseudocer- cosporella herpotrichoides (Halmbruch, Teleomorph: Tapesia yallundae) an Getreide, z. B. Weizen oder Gerste; Pseudoperonospora (Falscher Mehltau) an verschiedenen Pflanzen, z. B. P. cubensis an Gurkengewächsen oder P. humili an Hopfen; Pseudo- pezicula tracheiphila (Roter Brenner, Anamorph: Phialophora) an Weinrebe; Puccinia spp. (Rostkrankheit) an verschiedenen Pflanzen, z. B. P. triticina (Weizenbraunrost), P. striiformis (Gelbrost), P. hordei (Zwergrost), P. graminis (Schwarzrost) oder P. recondi- ta (Roggenbraunrost) an Getreide, wie z. B. Weizen, Gerste oder Roggen, und an Spargel (z. B. P. asparagi); Pyrenophora (Anamorph: Drechslera) tritici-repentis (Blattdürre) an Weizen oder P. teres (Netzflecken) an Gerste; Pyricularia spp., z. B. P. ory- zae (Teleomorph: Magnaporthe grisea, Reis-Blattbrand) an Reis und P. grisea an Ra- sen und Getreide; Pythium spp. (Umfallkrankheit) an Rasen, Reis, Mais, Weizen,Albugo spp. (White rust) on ornamental plants, vegetable crops (eg A. Candida) and sunflowers (eg BA tragopogonis); Alternaria spp. (Blackness, black spotiness) on vegetables, oilseed rape (for example BA brassicola or A. brassicae), sugar beet (for example BA tenuis), fruit, rice, soybeans and on potatoes (eg A. solani or A. alternata) and tomatoes (eg BA solani or A. alternata) and Alternaria spp. (Earwires) on wheat; Aphanomyces spp. on sugar beets and vegetables; Ascochyta spp. on cereals and vegetables, eg. BA tritici (leaf drought) on wheat and A. hordei on barley; Bipolaris and Drechslera spp. (Teleomorph: Cochliobolus spp.) Z. B. leaf spot diseases (D. maydis and B. zeicola) on maize, e.g. B. brown spot (B. sorokiniana) on cereals and B. B. oryzae on rice and on lawn; Blumeria (formerly: Erysiphe) graminis (powdery mildew) on cereals (eg wheat or barley); Botryosphaeria spp. ('Black Dead Arm Disease') on vines (eg BB obtusa); Botrytis cinerea (Teleomorph: Botryotina fuckeliana: gray mold, gray mold) on berry and pome fruit (including strawberries), vegetables (including lettuce, carrots, celery and cabbage), oilseed rape, flowers, vines, forestry crops and wheat (ear fungus); Bremia lactucae (downy mildew) on salad; Ceratocystis (Syn. Ophiostoma) spp. (Bläuepilz) on deciduous and coniferous trees, z. BC ulmi (elm dying, Dutch elm disease) on elms; Cercospora spp. (Cercospo- ra leaf spots) on corn (e.g., BC zeae-maydis), rice, sugar beets (e.g., BC beticola), sugar cane, vegetables, coffee, soybeans (e.g., BC sojina, or C. kikuchii) and rice; Cladosporium spp. on tomato (eg BC fulvum: velvet spot disease) and cereals, eg. BC herbarum (earwax) on wheat; Claviceps purpurea (ergot) on cereals; Cochliobolus (Anamorph: Helminthosporium or Bipolaris) spp. (Leaf spot) on maize (for example BC carbonum), cereals (for example B. sativus, anamorph: B. sorokinia-na: brown spot) and rice (for example BC miyabeanus, anamorph: H. oryzae); Colletotricum (teleomorph: Glomerella) spp. (Burning stains, anthracnose) on cotton (eg BC gossypii), corn (eg BC graminicola: stalk rot and stinging spots), soft fruit, potatoes (eg BC coccodes: wilting), beans (eg BC lindemuthianum) and soybeans (eg. BC truncatum); Corticium spp., Z. BC sasakii (leaf sheath burn) on rice; Corynespora cassiicola (leaf spot) on soybeans and ornamental plants; Cycloconium spp., Z. BC oleaginum on olive; Cylindrocarpon spp. (eg, fruit tree crayfish or vine dying, Teleomorph: Nectria or Neonectria spp.) on fruit trees, grapevines (eg, C. liriodendri, Teleomorph: Neonectria liriodendri, 'Black Foot Disease') and many ornamental shrubs; Dematophora (Teleomorph: Rosellinia) necatrix (root / stalk rot) on soybeans; Diaporthe spp. z. BD phaseolorum (stalk disease) on soybeans; Drechslera (Syn. Helminthosporium, Teleomorph: Pyrenophora) spp. on corn, cereals such as barley (eg BD teres, nettles) and wheat (eg BD tritici- repentis: DTR leaf drought), rice and turf; Esca disease (grapevine dying, apoplexy) on grapevine caused by Formitiporia (Syn. Phellinus) punctata, F. mediterranea, Phaeomoniella chlamydospora (formerly Phaeoacremonium chlamydosporum), Phaeoacremonium aleophilum and / or Botryosphaeria obtusa; Elsinoe spp. on nuclear (E. pyri) and soft fruit (E. veneta: burning spots) and grapevine (E. ampelina: burning spots); Entyloma oryzae (leaf sting) on rice; Epicoccum spp. (Earwires) on wheat; Erysiphe spp. (Powdery mildew) on sugar beet (E. betae), vegetables (eg BE pisi), such as cucumber (for example BE cichoracearum) and cabbage plants, such as rapeseed (for example, B. cruciferarum); Eutypa lata (Eutypa crab or extinction, anamorphic: Cyto- sporina lata, Syn. Libertella blepharis) on fruit trees, vines and many ornamental trees; Exserohilum (Syn. Helminthosporium) spp. on maize (eg BE turcicum); Fusarium (Teleomorph: Gibberella) spp. (Wilt, root and stalk rot) on various plants, such. BF graminearum or F. culmorum (root rot and Tauboder whiteness) on cereals (eg wheat or barley), F. oxysporum on tomatoes, F. solani on soybeans and F. verticillioides on maize; Gaeumannomyces graminis (blackleg) on cereals (eg wheat or barley) and maize; Gibberella spp. cereals (eg BG zeae) and rice (eg BG fujikuroi: Bakanae disease); Glomerella cingulata on grapevine, pome fruit and other plants and G. gossypii on cotton; Grainstaining complex of rice; Guignardia bidwellii (black rot) on grapevine; Gymnosporangium spp. on rosaceae and juniper, eg. BG sabinae (pear lattice rust) on pears; Helminthosporium spp. (Syn. Drechslera, Teleomorph: Cochliobolus) on corn, cereals and rice; Hemileia spp., E.g. BH vastatrix (coffee leaf rust) of coffee; Isariopsis clavispora (Syn. Cladosporium vitis) on grapevine; Macrophomina phasolina (Syn. Phaseoli) (root / stem rot) on soybeans and cotton; Micro- dochium (Syn. Fusarium) nivale (snow mold) on cereals (eg wheat or barley); Microsphaera diffusa (powdery mildew) on soybeans; Monilinia spp., Z. BM laxa, M. fructicola and M. fructigena (flower and lace drought) on stone fruits and other rosaceae; Mycosphaerella spp. cereals, bananas, berries and peanuts, such as BM graminicola (Anamorph: Septoria tritici, Septoria leaf drought) on wheat or M. fijiensis (Black Sigatoka disease) on bananas; Peronospora spp. (Downy mildew) on cabbage (for example BP brassicae), oilseed rape (for example P. parasitica), onion plants (for example B. destructor), tobacco (P. tabacina) and soybeans (for example P. manshurica); Phakopsora pachyrhizi and P. meibomiae (soybean rust) on soybeans; Phallophora spp. z. On grapevines (eg BP tracheiphila and P. tetraspora) and soybeans (eg BP gregata: stalk disease); Phoma Hungary (root and stem rot) on oilseed rape and cabbage and P. betae (leaf spots) on sugar beet; Phomopsis spp. on sunflowers, grapevine (eg BP viticola: black spot disease) and soybeans (eg stalk rot: P. phaseoli, teleomorph: Diaporthe phaseolorum); Physoderma maydis (brown spot) on maize; Phytophthora spp. (Wilt, root, leaf, stem and fruit rot) on various plants, such as on paprika and cucurbits (eg BP capsici), soybeans (eg BP megasperma, Syn. P. sojae), potatoes and tomatoes (eg. BP infestans: herbaceous and brown rot) and deciduous trees (eg BP ramorum: sudden oak mortality); Plasmodiophora brassicae (cabbage hernia) on cabbage, oilseed rape, radish and other plants; Plasmopara spp., E.g. BP viticola (vine peronospora, downy mildew) on vines and P. halstedii on sunflowers; Podosphaera spp. (Powdery mildew) of rosaceae, hops, kernels and berries, eg. BP leucotricha to apple; Polymyxa spp., Z. To cereals such as barley and wheat (P. graminis) and sugar beet (P. betae) and the viral diseases conferred thereby; Pseudocercosporella herpotrichoides (straw break, teleomorph: Tapesia yallundae) on cereals, e.g. Wheat or barley; Pseudoperonospora (downy mildew) on various plants, e.g. BP cubensis on cucurbits or P. humili on hops; Pseudo-pezicula tracheiphila (red burner, anamorph: Phialophora) on grapevine; Puccinia spp. (Rust disease) on various plants, eg. BP triticina (wheat brown rust), P. striiformis (yellow rust), P. hordei (dwarf rust), P. graminis (black rust) or P. recondita (rye brown rust) on cereals, such as. Wheat, barley or rye, and asparagus (eg BP asparagi); Pyrenophora (anamorph: Drechslera) tritici-repentis (leaf drought) on wheat or P. teres (net stains) on barley; Pyricularia spp., E.g. BP oryzae (teleomorph: Magnaporthe grisea, rice leaf-brandy) on rice and P. grisea on seeds and cereals; Pythium spp. (Turnip disease) on turf, rice, corn, wheat,
Baumwolle, Raps, Sonnenblumen, Zuckerrüben, Gemüse und anderen Pflanzen (z. B. P. ultimum oder P. aphanidermatum); Ramularia spp., z. B. R. collo-cygni (Sprenkel- krankheit/Sonnenbrand-Komplex/Physiological leaf spots) an Gerste und R. beticola an Zuckerrüben; Rhizoctonia spp. an Baumwolle, Reis, Kartoffeln, Rasen, Mais, Raps, Kartoffeln, Zuckerrüben, Gemüse und an verschiedenen weiteren Pflanzen, z. B. R. solani (Wurzel-/Stängelfäule) an Sojabohnen, R. solani (Blattscheidenbrand) an Reis oder R. cerealis (Spitzer Augenfleck) an Weizen oder Gerste; Rhizopus stolonifer (Weichfäule) an Erdbeeren, Karotten, Kohl, Weinrebe und Tomate; Rhynchosporium secalis (Blattflecken) an Gerste, Roggen und Triticale; Sarocladium oryzae und S. at- tenuatum (Blattscheidenfäule) an Reis; Sclerotinia spp. (Stängel- oder Weißfäule) an Gemüse- und Ackerbaukulturen, wie Raps, Sonnenblumen (z. B. Sclerotinia sclerotio- rum) und Sojabohnen (z. B. S. rolfsii); Septoria spp. an verschiedenen Pflanzen, z. B. S. glycines (Blattflecken) an Sojabohnen, S. tritici (Septoria-Blattdürre) an Weizen und S. (Syn. Stagonospora) nodorum (Blatt- und Spelzbräune) an Getreide; Uncinula (Syn. Erysiphe) necator (Echter Mehltau, Anamorph: Oidium tuckeri) an Weinrebe; Se- tospaeria spp. (Blattflecken) an Mais (z. B. S. turcicum, Syn. Helminthosporium turci- cum) und Rasen; Sphacelotheca spp. (Staubbrand) an Mais, (z. B. S. reiliana: Kolben- brand), Hirse und Zuckerrohr; Sphaerotheca fuliginea (Echter Mehltau) an Gurkengewächsen; Spongospora subterranea (Pulverschorf) an Kartoffeln und die dadurch übertragenen Viruserkrankungen; Stagonospora spp. an Getreide, z. B. S. nodorum (Blatt- und Spelzbräune, Teleomorph: Leptosphaeria [Syn. Phaeosphaeria] nodorum) an Weizen; Synchytrium endobioticum an Kartoffeln (Kartoffelkrebs); Taphrina spp., z. B. T. deformans (Kräuselkrankheit) an Pfirsich und T. pruni (Taschenkrankheit) an Pflaumen; Thielaviopsis spp. (Schwarze Wurzelfäule) an Tabak, Kernobst, Gemüsekulturen, Sojabohnen und Baumwolle, z. B. T. basicola (Syn. Chalara elegans); Tilletia spp. (Stein- oder Stinkbrand) an Getreide, wie z. B. T. tritici (Syn. T. caries, Weizensteinbrand) und T. controversa (Zwergsteinbrand) an Weizen; Typhula incarnata (Schnee- faule) an Gerste oder Weizen; Urocystis spp., z. B. U. occulta (Stängelbrand) an Roggen; Uromyces spp. (Rost) an Gemüsepflanzen, wie Bohnen (z. B. U. appendiculatus, Syn. U. phaseoli) und Zuckerrüben (z. B. U. betae); Ustilago spp. (Flugbrand) an Getreide (z. B. U. nuda und U. avaenae), Mais (z. B. U. maydis: Maisbeulenbrand) und Zuckerrohr; Venturia spp. (Schorf) an Äpfeln (z. B. V. inaequalis) und Birnen; und Ver- ticillium spp. (Laub- und Triebwelke) an verschiedenen Pflanzen, wie Obst- und Ziergehölzen, Weinreben, Beerenobst, Gemüse- und Ackerbaukulturen, wie z. B. V. dahli- ae an Erdbeeren, Raps, Kartoffeln und Tomaten.Cotton, rapeseed, sunflower, sugar beet, vegetables and other plants (eg BP ultimum or P. aphanidermatum); Ramularia spp., Z. BR collo-cygni (speckled disease / sunburn complex / Physiological leaf spots) on barley and R. beticola on sugar beets; Rhizoctonia spp. on cotton, rice, potatoes, turf, corn, oilseed rape, potatoes, sugar beets, vegetables and various other plants, eg. BR solani (root / stem rot) on soybeans, R. solani (leaf-sheathing) on rice or R. cerealis (pointed eye-spot) on wheat or barley; Rhizopus stolonifer (soft rot) on strawberries, carrots, cabbage, grapevine and tomato; Rhynchosporium secalis (leaf spot) on barley, rye and triticale; Sarocladium oryzae and S. attenuatum (sheath rot) on rice; Sclerotinia spp. (Stem or white rot) in vegetables and crops such as oilseed rape, sunflowers (eg Sclerotinia sclerotium rum) and soybeans (eg BS rolfsii); Septoria spp. on different plants, eg. BS glycines (leaf spot) on soybeans, S. tritici (Septoria leaf drought) on wheat and S. (Syn. Stagonospora) nodorum (leaf and spelled tan) on cereals; Uncinula (Syn. Erysiphe) necator (powdery mildew, anamorphic: Oidium tuckeri) on grapevine; Sexspaeria spp. (Leaf spot) on corn (for example, S. turcicum, Syn. Helminthosporium turcicum) and turf; Sphacelotheca spp. (Dust fires) on maize, (for example BS reiliana: flask brandy), millet and sugarcane; Sphaerotheca fuliginea (powdery mildew) on cucurbits; Spongospora subterranea (powder scab) on potatoes and the viral diseases transmitted thereby; Stagonospora spp. on cereals, z. BS nodorum (leaf and tan, Teleomorph: Leptosphaeria [Syn. Phaeosphaeria] nodorum) on wheat; Synchytrium endobioticum on potatoes (potato cancer); Taphrina spp., Z. BT deformans (curling disease) on peach and T. pruni (pocket disease) on plums; Thielaviopsis spp. (Black root rot) on tobacco, pome fruit, vegetable crops, soybeans and cotton, eg. BT basicola (Syn: Chalara elegans); Tilletia spp. (Stone or Stinkbrand) of cereals, such. BT tritici (Syn. T. caries, Weizensteinbrand) and T. controversa (Zwergsteinbrand) on wheat; Typhula incarnata (snow rot) on barley or wheat; Urocystis spp., E.g. BU occulta (stalk brandy) on rye; Uromyces spp. (Rust) on vegetables, such as beans (for example, appendiculatus appendix, Syn. U. phaseoli) and sugar beet (for example, Betae); Ustilago spp. (Firefighting) on cereals (for example BU nuda and U. avaenae), maize (for example, maydis: corn buckthorn brandy) and sugarcane; Venturia spp. (Scab) on apples (eg BV inaequalis) and pears; and Verticillium spp. (Deciduous and cloudy wilt) on various plants, such as fruit and ornamental trees, vines, soft fruit, vegetables and crops, such. BV dahliae on strawberries, rapeseed, potatoes and tomatoes.
Die Verbindungen I und die erfindungsgemäßen Zusammensetzungen eignen sich außerdem zur Bekämpfung von Schadpilzen im Vorratsschutz (auch von Erntegütern) und im Material- und Bautenschutz. Der Begriff "Material- und Bautenschutz" umfasst den Schutz von technischen und nichtlebenden Materialien, wie z. B. Klebstoffe, Leime, Holz, Papier und Karton, Textilien, Leder, Farbdispersionen, Plastik, Kühlschmiermittel, Fasern und Geweben, gegen den Befall und Zerstörung durch unerwünschte Mikroorganismen wie Pilze und Bakterien. Im Holz- und Materialschutz finden insbesondere folgende Schadpilze Beachtung: Ascomyceten wie Ophiostoma spp., Cerato- cystis spp., Aureobasidium pullulans, Sclerophoma spp., Chaetomium spp., Humicola spp., Petriella spp., Trichurus spp.; Basidiomyceten wie Coniophora spp., Coriolus spp., Gloeophyllum spp., Lentinus spp., Pleurotus spp., Poria spp., Serpula spp. und Tyromyces spp., Deuteromyceten wie Aspergillus spp., Cladosporium spp., Penicillium spp., Trichoderma spp., Alternaria spp., Paecilomyces spp. und Zygomyceten wie Mu- cor spp., darüber hinaus im Materialschutz folgende Hefepilze: Candida spp. und Sac- charomyces cerevisae. Die Verbindungen der Formel I können in verschiedenen Kristallmodifikationen vorliegen, deren biologische Aktivität unterschiedlich sein kann. Diese sind in den Umfang der vorliegenden Erfindung eingeschlossen.The compounds I and the compositions according to the invention are also suitable for controlling harmful fungi in the storage protection (also of crops) and in the protection of materials and buildings. The term "material and building protection" covers the protection of technical and non-living materials such. As adhesives, glues, wood, paper and cardboard, textiles, leather, color dispersions, plastics, coolants, fibers and tissues, against the infestation and destruction by unwanted microorganisms such as fungi and bacteria. In wood and material protection, particular attention is paid to the following harmful fungi: Ascomycetes such as Ophiostoma spp., Ceratocystis spp., Aureobasidium pullulans, Sclerophoma spp., Chaetomium spp., Humicola spp., Petriella spp., Trichurus spp .; Basidiomycetes such as Coniophora spp., Coriolus spp., Gloeophyllum spp., Lentinus spp., Pleurotus spp., Poria spp., Serpula spp. and Tyromyces spp., Deuteromycetes such as Aspergillus spp., Cladosporium spp., Penicillium spp., Trichoderma spp., Alternaria spp., Paecilomyces spp. and Zygomycetes such as Mucor spp., moreover, in the protection of the following yeasts: Candida spp. and Saccharomyces cerevisae. The compounds of the formula I can be present in various crystal modifications whose biological activity can be different. These are included in the scope of the present invention.
Die Verbindungen I und die erfindungsgemäßen Zusammensetzungen eignen sich zur Steigerung der Pflanzengesundheit. Außerdem betrifft die Erfindung ein Verfahren zur Steigerung der Pflanzengesundheit, indem die Pflanzen, das pflanzliche Vermehrungsmaterial und/oder der Ort, an dem die Pflanzen wachsen oder wachsen sollen, mit einer wirksamen Menge der Verbindungen I bzw. der erfindungsgemäßen Zusammensetzungen behandelt werden.The compounds I and the compositions according to the invention are suitable for increasing plant health. Moreover, the invention relates to a method for enhancing plant health by treating the plants, the plant propagating material and / or the place where the plants are to grow or grow with an effective amount of the compounds I or the compositions according to the invention.
Der Begriff "Pflanzengesundheit" umfasst solche Zustände einer Pflanze und/oder ihres Erntegutes, die durch verschiedene Indikatoren einzeln oder in Kombination mit- einander bestimmt werden, wie bspw. Ertrag (z. B. erhöhte Biomasse und/oder erhöhter Gehalt verwertbarer Inhaltsstoffe), Pflanzenvitalität (z. B. erhöhtes Pflanzenwachstum und/oder grünere Blätter ("greening effect")), Qualität (z. B. erhöhter Gehalt oder Zusammensetzung bestimmter Inhaltsstoffe) und Toleranz gegenüber biotischem und/oder abiotischem Stress. Diese hier genannten Indikatoren für einen Pflanzenge- sundheitszustand können unabhängig voneinander auftreten oder sich gegenseitig bedingen.The term "plant health" includes those conditions of a plant and / or its crop which are determined by various indicators individually or in combination with one another, such as yield (eg increased biomass and / or increased content of utilizable ingredients), Plant vitality (eg, increased plant growth and / or greener leaves), quality (eg, increased content or composition of certain ingredients), and tolerance to biotic and / or abiotic stress. These plant health status indicators listed here may occur independently of each other or may be mutually exclusive.
Die Verbindungen I werden als solche oder in Form einer Zusammensetzung angewendet, indem man die Schadpilze, deren Lebensraum oder die vor Pilzbefall zu schützenden Pflanzen, pflanzlichen Vermehrungsmaterialien, z. B. Saatgüter, den Erdboden, Flächen, Materialien oder Räume mit einer fungizid wirksamen Menge der Verbindungen I behandelt. Die Anwendung kann sowohl vor als auch nach der Infektion der Pflanzen, pflanzlichen Vermehrungsmaterialien, z. B. Saatgüter, des Erdboden, der Flächen, Materialien oder Räume durch die Pilze erfolgen.The compounds I are used as such or in the form of a composition by the harmful fungi, their habitat or the plants to be protected against fungal attack, plant propagating materials, eg. As seeds, the soil, surfaces, materials or spaces treated with a fungicidally effective amount of the compounds I. The application may be both before and after the infection of the plants, plant propagation materials, eg. As seeds, the soil, the surfaces, materials or spaces made by the fungi.
Pflanzliche Vermehrungsmaterialien können vorbeugend zusammen mit oder bereits vor der Aussaat bzw. zusammen mit oder bereits vor dem Umpflanzen mit Verbindungen I als solche oder mit einer Zusammensetzung enthaltend mindestens eine Verbindung I behandelt werden.Plant propagating materials may be treated preventively together with or even before sowing or together with or even before transplanting with compounds I as such or with a composition containing at least one compound I.
Außerdem betrifft die Erfindung agrochemische Zusammensetzungen, enthaltend ein Lösungsmittel oder festen Trägerstoff und mindestens eine Verbindung I sowie ihre Verwendung zur Bekämpfung von Schadpilzen.In addition, the invention relates to agrochemical compositions containing a solvent or solid carrier and at least one compound I and their use for controlling harmful fungi.
Eine agrochemische Zusammensetzung enthält eine fungizid wirksame Menge einer Verbindung I. Der Ausdruck „wirksame Menge" bedeutet eine Menge der agrochemischen Zusammensetzung bzw. der Verbindung I, die zur Bekämpfung von Schadpilzen an Kulturpflanzen oder im Material- und Bautenschutz ausreichend ist und nicht zu einem beträchtlichen Schaden an den behandelten Kulturpflanzen führt. Eine derartige Menge kann innerhalb eines breiten Bereichs variieren und wird von zahlreichen Faktoren, wie z. B. dem zu bekämpfenden Schadpilz, der jeweiligen behandelten Kulturpflanze oder Materialien, den klimatischen Bedingungen und Verbindungen, beein- flusst.An agrochemical composition contains a fungicidally effective amount of a compound I. The term "effective amount" means an amount of the agrochemical composition or compound I which is sufficient for controlling harmful fungi on crop plants or in the protection of materials and buildings and not too causes considerable damage to the treated crops. Such an amount may vary within a wide range and is dependent on numerous factors, such as: As the harmful fungus to be controlled, the respective treated crop or materials, the climatic conditions and compounds influenced.
Die Verbindungen I, ihre N-Oxide und ihre Salze können in die für agrochemische Zusammensetzungen üblichen Typen überführt werden, z. B. Lösungen, Emulsionen, Suspensionen, Stäube, Pulver, Pasten und Granulate. Der Zusammensetzungstyp richtet sich nach dem jeweiligen Verwendungszweck; sie soll in jedem Fall eine feine und gleichmäßige Verteilung der erfindungsgemäßen Verbindung gewährleisten.The compounds I, their N-oxides and their salts can be converted into the types customary for agrochemical compositions, e.g. As solutions, emulsions, suspensions, dusts, powders, pastes and granules. The type of composition depends on the respective purpose; It should in any case ensure a fine and uniform distribution of the compound according to the invention.
Beispiele für Zusammensetzungstypen sind hier Suspensionen (SC, OD, FS), e- mulgierbare Konzentrate (EC), Emulsionen (EW, EO, ES), Pasten, Pastillen, benetzbare Pulver oder Stäube (WP, SP, SS, WS, DP, DS) oder Granulate (GR, FG, GG, MG), die entweder in Wasser löslich (soluble) oder dispergierbar (wettable) sein können sowie Gele für die Behandlung pflanzlicher Vermehrungsmaterialien wie Saatgut (GF).Examples of composition types are suspensions (SC, OD, FS), emulsifiable concentrates (EC), emulsions (EW, EO, ES), pastes, pastilles, wettable powders or dusts (WP, SP, SS, WS, DP, DS) or granules (GR, FG, GG, MG), which may either be soluble (soluble) or dispersible (wettable) in water, as well as gels for the treatment of plant propagating materials such as seeds (GF).
Im Allgemeinen werden die Zusammensetzungstypen (z. B. EC, SC, OD, FS, WG, SG, WP, SP, SS, WS, GF) verdünnt eingesetzt. Zusammensetzungstypen wie DP, DS, GR, FG, GG und MG werden in der Regel unverdünnt eingesetzt.In general, the composition types (eg EC, SC, OD, FS, WG, SG, WP, SP, SS, WS, GF) are used diluted. Composition types such as DP, DS, GR, FG, GG and MG are generally used undiluted.
Die agrochemischen Zusammensetzungen werden in bekannter Weise hergestellt (s. z. B. US 3,060,084, EP-A 707 445 (für flüssige Konzentrate), Browning, "Agglomeration", Chemical Engineering, Dec. 4, 1967, 147-48, Perry's Chemical Engineer's Handbook, 4. Aufl., McGraw-Hill, New York, 1963, 8-57 und ff., WO 91/13546, US 4,172,714, US 4,144,050, US 3,920,442, US 5,180,587, US 5,232,701 , US 5,208,030, GB 2,095,558, US 3,299,566, Klingman: Weed Control as a Science (John Wiley & Sons, New York, 1961), Hance et al.: Weed Control Handbook (8th Ed., Blackwell Scientific Publications, Oxford, 1989) und Mollet, H. und Grubemann, A.: Formulation technology (Wiley VCH Verlag, Weinheim, 2001 ).The agrochemical compositions are prepared in a known manner (see, for example, US 3,060,084, EP-A 707,445 (for liquid concentrates), Browning, "Agglomeration", Chemical Engineering, Dec. 4, 1967, 147-48, Perry's Chemical Engineer's Handbook, 4th ed., McGraw-Hill, New York, 1963, 8-57 and et seq., WO 91/13546, US 4,172,714, US 4,144,050, US 3,920,442, US 5,180,587, US 5,232,701, US 5,208,030, GB 2,095,558, US 3,299,566, Klingman: Weed Control as a Science (John Wiley & Sons, New York, 1961), Hance et al .: Weed Control Handbook (8th Ed., Blackwell Scientific Publications, Oxford, 1989) and Mollet, H. and Grubemann, A. : Formulation technology (Wiley VCH Verlag, Weinheim, 2001).
Die agrochemischen Zusammensetzungen können weiterhin auch für Pflanzenschutzmittel übliche Hilfsmittel enthalten, wobei sich die Wahl der Hilfsmittel nach der konkreten Anwendungsform bzw. dem Wirkstoff richtet.The agrochemical compositions can furthermore also contain auxiliaries customary for crop protection agents, the choice of auxiliaries being based on the specific application form or the active substance.
Beispiele für geeignete Hilfsmittel sind Lösungsmittel, feste Trägerstoffe, oberflächenaktive Stoffe (wie weitere Solubilisatoren, Schutzkolloide, Netzmittel und Haftmittel), organische und anorganische Verdicker, Bakterizide, Frostschutzmittel, Entschäumer, ggf. Farbstoffe und Kleber (z. B. für Saatgutbehandlung).Examples of suitable auxiliaries are solvents, solid carriers, surface-active substances (such as further solubilizers, protective colloids, wetting agents and adhesives), organic and inorganic thickeners, bactericides, antifreeze agents, defoamers, if appropriate dyes and adhesives (for example for seed treatment).
Als Lösungsmittel kommen Wasser, organische Lösungsmittel wie Mineralölfraktionen von mittlerem bis hohem Siedepunkt wie Kerosin und Dieselöl, ferner Kohlenteer- öle sowie Öle pflanzlichen oder tierischen Ursprungs, aliphatische, cyclische und aro- matische Kohlenwasserstoffe, z.B. Paraffine, Tetrahydronaphthalin, alkylierte Naphtha- line und deren Derivate, alkylierte Benzole und deren Derivate, Alkohole wie Methanol, Ethanol, Propanol, Butanol und Cyclohexanol, Gykole, Ketone wie Cyclohexanon, gamma-Butyrolacton, Dimethylfettsäureamide, Fettsäuren und Fettsäureester und stark polare Lösungsmittel, z.B. Amine wie N-Methylpyrrolidon, in Betracht. Grundsätzlich können auch Lösungsmittelgemische verwendet werden sowie Gemische aus den vorstehend genannten Lösungsmitteln und Wasser.The solvents used include water, organic solvents such as mineral oil fractions of medium to high boiling point such as kerosene and diesel oil, coal tar oils and oils of vegetable or animal origin, aliphatic, cyclic and aromatic hydrocarbons. aliphatic hydrocarbons, for example paraffins, tetrahydronaphthalene, alkylated naphthalenes and their derivatives, alkylated benzenes and their derivatives, alcohols such as methanol, ethanol, propanol, butanol and cyclohexanol, glycols, ketones such as cyclohexanone, gamma-butyrolactone, dimethyl fatty acid amides, fatty acids and fatty acid esters and strongly polar solvents, for example amines such as N-methylpyrrolidone, into consideration. In principle, solvent mixtures and mixtures of the abovementioned solvents and water can also be used.
Feste Trägerstoffe sind Mineralerden wie Kieselsäuren, Kieselgele, Silikate, TaI- kum, Kaolin, Kalkstein, Kalk, Kreide, Bolus, Löß, Ton, Dolomit, Diatomeenerde, Calcium- und Magnesiumsulfat, Magnesiumoxid, gemahlene Kunststoffe, Düngemittel, wie Ammoniumsulfat, Ammoniumphosphat, Ammoniumnitrat, Harnstoffe und pflanzliche Produkte wie Getreidemehl, Baumrinden-, Holz- und Nußschalenmehl, Cellulosepulver oder andere feste Trägerstoffe.Solid carriers are mineral earths such as silicic acids, silica gels, silicates, talc, kaolin, limestone, lime, chalk, bolus, loess, clay, dolomite, diatomaceous earth, calcium and magnesium sulfate, magnesium oxide, ground plastics, fertilizers such as ammonium sulfate, ammonium phosphate, Ammonium nitrate, ureas and vegetable products such as cereal flour, tree bark, wood and nutshell flour, cellulose powder or other solid carriers.
Als oberflächenaktive Stoffe (Adjuvanzien, Netz-, Haft-, Dispergier- oder Emulgiermittel) kommen die Alkali-, Erdalkali-, Ammoniumsalze von aromatischen Sulfonsäu- ren, z. B. von Lignin-(Borresperse®-Typen, Borregaard, Norwegen), Phenol-, Naphtha- lin-(Morwet®-Typen, Akzo Nobel, USA) und Dibutylnaphthalinsulfonsäure (Nekal®- Typen, BASF, Deutschland), sowie von Fettsäuren, Alkyl- und Alkylarylsulfonaten, Al- kyl-, Laurylether- und Fettalkoholsulfaten, sowie Salze sulfatierter Hexa-, Hepta- und Octadecanole sowie von Fettalkoholglykolethern, Kondensationsprodukte von sulfo- niertem Naphthalin und seiner Derivate mit Formaldehyd, Kondensationsprodukte des Naphthalins bzw. der Naphthalinsulfonsäuren mit Phenol und Formaldehyd, Polyoxye- thylenoctylphenolether, ethoxyliertes Isooctyl-, Octyl- oder Nonylphenol, Alkylphenyl-, Tributylphenylpolyglykolether, Alkylarylpolyetheralkohole, Isotridecylalkohol, Fettalko- holethylenoxid-Kondensate, ethoxyliertes Rizinusöl, Polyoxyethylen- oder Polyoxypro- pylenalkylether, Laurylalkoholpolyglykoletheracetat, Sorbitester, Lignin-Sulfitablaugen sowie Proteine, denaturierte Proteine, Polysaccharide (z.B. Methylcellulose), hydro- phob modifizierte Stärken, Polyvinylalkohol (Mowiol®-Typen, Clariant, Schweiz), PoIy- carboxylate (Sokalan®-Typen, BASF, Deutschland), Polyalkoxylate, Polyvinylamin (Lu- pamin®-Typen, BASF, Deutschland), Polyethylenimin (Lupasol®-Typen, BASF, Deutschland), Polyvinylpyrrolidon und deren Copolymere in Betracht.As surface-active substances (adjuvants, wetting agents, adhesives, dispersants or emulsifiers), the alkali, alkaline earth, ammonium salts of aromatic sulfonic acids, eg. B. of lignin (Borresperse ® grades, Borregaard, Norway), phenol, naphtha lin (Morwet ® types, Akzo Nobel, USA) and dibutyl (nekal ® - types, BASF, Germany), and of fatty acids , Alkyl and alkylaryl sulfonates, alkyl, lauryl ether and fatty alcohol sulfates, as well as salts of sulfated hexa-, hepta- and octadecanols and of fatty alcohol glycol ethers, condensation products of sulfonated naphthalene and its derivatives with formaldehyde, condensation products of naphthalene or of naphthalenesulfonic acids with Phenol and formaldehyde, polyoxyethylene octylphenol ethers, ethoxylated isooctyl, octyl or nonylphenol, alkylphenyl, tributylphenyl polyglycol ethers, alkylarylpolyether alcohols, isotridecylalcohol, fatty alcohol ethylene oxide condensates, ethoxylated castor oil, polyoxyethylene or polyoxypropylene alkyl ethers, lauryl alcohol polyglycol ether acetate, sorbitol esters, lignin sulphite liquors and Proteins, denatured proteins, polysaccharides (eg methylc ellulose), hydro- phobic modified starches, polyvinyl alcohol (Mowiol ® types, Clariant, Switzerland), poly-carboxylate (Sokalan ® types, BASF, Germany), polyalkoxylates, polyvinylamine (Lu pamin ® types, BASF, Germany) , polyethyleneimine (Lupasol ® types, BASF, Germany), polyvinylpyrrolidone and copolymers thereof.
Beispiele für Verdicker (d. h. Verbindungen, die der Zusammensetzung ein modifiziertes Fließverhalten verleihen, d. h. hohe Viskosität im Ruhezustand und niedrige Viskosität im bewegten Zustand) sind Polysaccharide sowie organische und anorganische Schichtmineralien wie Xanthan Gum (Kelzan®, CP Kelco, USA), Rhodopol® 23 (Rhodia, Frankreich) oder Veegum® (R.T. Vanderbilt, USA) oder Attaclay® (Engelhard Corp., NJ, USA).Examples of thickeners (ie, compounds that give the composition a modified flow properties, ie high viscosity at rest and low viscosity in motion) are polysaccharides and organic and inorganic sheet minerals, such as xanthan gum (Kelzan ®, CP Kelco, U.S.A.), Rhodopol ® 23 (Rhodia, France) or Veegum ® (RT Vanderbilt, USA) or attaclay ® (Engelhard Corp., NJ, USA).
Bakterizide können zur Stabilisierung der Zusammensetzung zugesetzt werden. Beispiele für Bakterizide sind solche basierend auf Diclorophen und Benzylalkoholhe- miformal (Proxel® der Fa. ICI oder Acticide® RS der Fa. Thor Chemie und Kathon® MK der Fa. Rohm & Haas) sowie Isothiazolinonderivaten wie Alkylisothiazolinonen und Benzisothiazolinonen (Acticide® MBS der Fa. Thor Chemie).Bactericides may be added to stabilize the composition. Examples of bactericides are those based on diclorophene and benzyl alcohol hemiformal (Proxel ® from. ICI or Acticide ® RS from. Thor Chemie and Kathon ® MK from. Rohm & Haas) and isothiazolinone derivatives such as alkylisothiazolinones and benzisothiazolinones (Acticide ® MBS from Thor Chemie)..
Beispiele für geeignete Frostschutzmittel sind Ethylenglycol, Propylenglycol, Harnstoff und Glycerin.Examples of suitable antifreeze agents are ethylene glycol, propylene glycol, urea and glycerin.
Beispiele für Entschäumer sind Silikonemulsionen (wie z. B. Silikon® SRE, Wacker, Deutschland oder Rhodorsil®, Rhodia, Frankreich), langkettige Alkohole, Fettsäuren, Salze von Fettsäuren, fluororganische Verbindungen und deren Gemische.Examples of defoamers are silicone emulsions (such as, for example, silicone ® SRE, Wacker, Germany or Rhodorsil ®, Rhodia, France), long chain alcohols, fatty acids, salts of fatty acids, organofluorine compounds and mixtures thereof.
Beispiele für Farbmittel sind sowohl in Wasser wenig lösliche Pigmente als auch in Wasser lösliche Farbstoffe. Als Beispiele genannt seien die unter den Bezeichnungen Rhodamin B, C. I. Pigment Red 112 und C. I. Solvent Red 1 , Pigment blue 15:4, Pigment blue 15:3, Pigment blue 15:2, Pigment blue 15:1 , Pigment blue 80, Pigment yel- low 1 , Pigment yellow 13, Pigment red 48:2, Pigment red 48:1 , Pigment red 57:1 , Pigment red 53:1 , Pigment orange 43, Pigment orange 34, Pigment orange 5, Pigment green 36, Pigment green 7, Pigment white 6, Pigment brown 25, Basic violet 10, Basic violet 49, Acid red 51 , Acid red 52, Acid red 14, Acid blue 9, Acid yellow 23, Basic red 10, Basic red 108 bekannten Farbstoffe und Pigmente.Examples of colorants are both water-insoluble pigments and water-soluble dyes. Examples which may be mentioned are those under the names Rhodamine B, CI Pigment Red 112 and CI Solvent Red 1, Pigment Blue 15: 4, Pigment Blue 15: 3, Pigment Blue 15: 2, Pigment Blue 15: 1, Pigment Blue 80, Pigment yel- low 1, Pigment yellow 13, Pigment red 48: 2, Pigment red 48: 1, Pigment red 57: 1, Pigment red 53: 1, Pigment orange 43, Pigment orange 34, Pigment orange 5, Pigment green 36, Pigment green 7, Pigment white 6, Pigment brown 25, Basic violet 10, Basic violet 49, Acid red 51, Acid red 52, Acid red 14, Acid blue 9, Acid yellow 23, Basic red 10, Basic red 108 well-known dyes and pigments ,
Beispiele für Kleber sind Polyvinylpyrrolidon, Polyvinylacetat, Polyvinylalkohol und Celluloseether (Tylose®, Shin-Etsu, Japan).Examples of adhesives are polyvinylpyrrolidone, polyvinyl acetate, polyvinyl alcohol and cellulose ethers (Tylose ®, Shin-Etsu, Japan).
Zur Herstellung von direkt versprühbaren Lösungen, Emulsionen, Pasten oder ÖI- dispersionen kommen Mineralölfraktionen von mittlerem bis hohem Siedepunkt, wie Kerosin oder Dieselöl, ferner Kohlenteeröle sowie Öle pflanzlichen oder tierischen Ursprungs, aliphatische, cyclische und aromatische Kohlenwasserstoffe, z.B. Toluol, Xy- lol, Paraffin, Tetrahydronaphthalin, alkylierte Naphthaline oder deren Derivate, Methanol, Ethanol, Propanol, Butanol, Cyclohexanol, Cyclohexanon, Isophoron, stark polare Lösungsmittel, z.B. Dimethylsulfoxid, N-Methylpyrrolidon oder Wasser in Betracht.For the preparation of directly sprayable solutions, emulsions, pastes or oil dispersions come mineral oil fractions of medium to high boiling point, such as kerosene or diesel oil, coal tar oils and oils of vegetable or animal origin, aliphatic, cyclic and aromatic hydrocarbons, e.g. Toluene, xylene, paraffin, tetrahydronaphthalene, alkylated naphthalenes or their derivatives, methanol, ethanol, propanol, butanol, cyclohexanol, cyclohexanone, isophorone, strong polar solvents, e.g. Dimethylsulfoxide, N-methylpyrrolidone or water into consideration.
Pulver-, Streu- und Stäubemittel können durch Mischen oder gemeinsames Vermählen der Verbindungen I sowie, soweit vorhanden, weiteren Wirkstoffen mit mindestens einem festen Trägerstoff hergestellt werden.Powders, litter and dusts can be prepared by mixing or joint grinding of the compounds I and, if present, other active ingredients with at least one solid carrier.
Granulate, z. B. Umhüllungs-, Imprägnierungs- und Homogengranulate, können durch Bindung der Wirkstoffe an mindestens einen festen Trägerstoff hergestellt werden. Feste Trägerstoffe sind z. B. Mineralerden, wie Kieselgele, Silikate, Talkum, Kaolin, Attaclay, Kalkstein, Kalk, Kreide, Bolus, Löß, Ton, Dolomit, Diatomeenerde, Calzi- um- und Magnesiumsulfat, Magnesiumoxid, gemahlene Kunststoffe, Düngemittel wie Ammoniumsulfat, Ammoniumphosphat, Ammoniumnitrat, Harnstoffe und pflanzliche Produkte, wie Getreidemehl, Baumrinden-, Holz- und Nussschalenmehl, Cellulosepul- ver und andere feste Trägerstoffe.Granules, for. As coated, impregnated and homogeneous granules can be prepared by binding the active ingredients to at least one solid carrier. Solid carriers are z. As mineral earths, such as silica gels, silicates, talc, kaolin, Attaclay, limestone, lime, chalk, bolus, loess, clay, dolomite, diatomaceous earth, calcium and magnesium sulfate, magnesium oxide, ground plastics, fertilizers such as ammonium sulfate, ammonium phosphate, ammonium nitrate , Ureas and vegetable products such as cereal flour, bark, wood and nutshell flour, cellulose powders and other solid carriers.
Beispiele für Zusammensetzungstypen sind: 1. Zusammensetzungstypen zur Verdünnung in Wasser i) Wasserlösliche Konzentrate (SL, LS)Examples of composition types are: 1. Compositions for dilution in water i) Water-soluble concentrates (SL, LS)
10 Gew.-Teile der Wirkstoffe werden mit 90 Gew.-Teilen Wasser oder einem wasserlöslichen Lösungsmittel gelöst. Alternativ werden Netzmittel oder andere Hilfsmittel zugefügt. Bei der Verdünnung in Wasser löst sich der Wirkstoff. Man erhält auf diese Weise eine Zusammensetzung mit 10 Gew.-% Wirkstoffgehalt. ii) Dispergierbare Konzentrate (DC)10 parts by weight of the active ingredients are dissolved with 90 parts by weight of water or a water-soluble solvent. Alternatively, wetting agents or other adjuvants are added. When diluted in water, the active ingredient dissolves. This gives a composition with 10 wt .-% active ingredient content. ii) Dispersible Concentrates (DC)
20 Gew.-Teile der Wirkstoffe werden in 70 Gew.-Teilen Cyclohexanon unter Zusatz von 10 Gew.-Teilen eines Dispergiermittels z. B. Polyvinylpyrrolidon gelöst. Bei Ver- dünnung in Wasser ergibt sich eine Dispersion. Der Wirkstoffgehalt beträgt 20 Gew.-% iii) Emulgierbare Konzentrate (EC)20 parts by weight of the active ingredients are dissolved in 70 parts by weight of cyclohexanone with the addition of 10 parts by weight of a dispersant z. B. dissolved polyvinylpyrrolidone. Dilution in water results in a dispersion. The active ingredient content is 20% by weight iii) Emulsifiable Concentrates (EC)
15 Gew.-Teile der Wirkstoffe werden in 75 Gew.-Teilen XyIoI unter Zusatz von Ca- Dodecylbenzolsulfonat und Ricinusölethoxylat (jeweils 5 Gew.-Teile) gelöst. Bei der Verdünnung in Wasser ergibt sich eine Emulsion. Die Zusammensetzung hat 15 Gew.- % Wirkstoffgehalt. iv) Emulsionen (EW, EO, ES)15 parts by weight of the active compounds are dissolved in 75 parts by weight of xylene with addition of calcium dodecylbenzenesulfonate and castor oil ethoxylate (in each case 5 parts by weight). Dilution in water results in an emulsion. The composition has 15% by weight active ingredient content. iv) Emulsions (EW, EO, ES)
25 Gew.-Teile der Wirkstoffe werden in 35 Gew.-Teile XyIoI unter Zusatz von Ca- Dodecylbenzolsulfonat und Ricinusölethoxylat (jeweils 5 Gew.-Teile) gelöst. Diese Mischung wird mittels einer Emulgiermaschine (z. B. Ultra-Turrax) in 30 Gew.-Teile Was- ser gegeben und zu einer homogenen Emulsion gebracht. Bei der Verdünnung in Wasser ergibt sich eine Emulsion. Die Zusammensetzung hat einen Wirkstoffgehalt von 25 Gew.-%. v) Suspensionen (SC, OD, FS)25 parts by weight of the active compounds are dissolved in 35 parts by weight of xylene with addition of calcium dodecylbenzenesulfonate and castor oil ethoxylate (in each case 5 parts by weight). This mixture is added by means of an emulsifying machine (eg Ultra-Turrax) in 30 parts by weight of water and brought to a homogeneous emulsion. Dilution in water results in an emulsion. The composition has an active ingredient content of 25 wt .-%. v) suspensions (SC, OD, FS)
20 Gew.-Teile der Wirkstoffe werden unter Zusatz von 10 Gew.-Teilen Dispergier- und Netzmitteln und 70 Gew.-Teilen Wasser oder einem organischen Lösungsmittel in einer Rührwerkskugelmühle zu einer feinen Wirkstoffsuspension zerkleinert. Bei der Verdünnung in Wasser ergibt sich eine stabile Suspension des Wirkstoffs. Der Wirkstoffgehalt in der Zusammensetzung beträgt 20 Gew.-%. vi) Wasserdispergierbare und wasserlösliche Granulate (WG, SG) 50 Gew.-Teile der Wirkstoffe werden unter Zusatz von 50 Gew.-Teilen Dispergier- und Netzmitteln fein gemahlen und mittels technischer Geräte (z. B. Extrusion, Sprühturm, Wirbelschicht) als wasserdispergierbare oder wasserlösliche Granulate hergestellt. Bei der Verdünnung in Wasser ergibt sich eine stabile Dispersion oder Lösung des Wirkstoffs. Die Zusammensetzung hat einen Wirkstoffgehalt von 50 Gew.-%. vii) Wasserdispergierbare und wasserlösliche Pulver (WP, SP, SS, WS)20 parts by weight of the active ingredients are comminuted with the addition of 10 parts by weight of dispersants and wetting agents and 70 parts by weight of water or an organic solvent in a stirred ball mill to a fine active substance suspension. Dilution in water results in a stable suspension of the active ingredient. The active ingredient content in the composition is 20% by weight. vi) Water-dispersible and Water-soluble Granules (WG, SG) 50 parts by weight of the active ingredients are finely ground with the addition of 50 parts by weight of dispersants and wetting agents and water-dispersible by means of technical equipment (eg extrusion, spray tower, fluidized bed) or water-soluble granules. Dilution in water results in a stable dispersion or solution of the active ingredient. The composition has an active substance content of 50% by weight. vii) Water-dispersible and water-soluble powders (WP, SP, SS, WS)
75 Gew.-Teile der Wirkstoffe werden unter Zusatz von 25 Gew.-Teilen Dispergier- und Netzmitteln sowie Kieselsäuregel in einer Rotor-Strator Mühle vermählen. Bei der Verdünnung in Wasser ergibt sich eine stabile Dispersion oder Lösung des Wirkstoffs. Der Wirkstoffgehalt der Zusammensetzung beträgt 75 Gew.-%. viii) Gele (GF)75 parts by weight of the active ingredients are ground with the addition of 25 parts by weight of dispersing and wetting agents and silica gel in a rotor-Strator mill. Dilution in water results in a stable dispersion or solution of the active ingredient. The active ingredient content of the composition is 75% by weight. viii) gels (GF)
In einer Kugelmühle werden 20 Gew.-Teile der Wirkstoffe, 10 Gew.-Teile Dispergiermittel, 1 Gew.-Teil Quellmittel („gelling agent") und 70 Gew.-Teile Wasser oder eines organischen Lösungsmittels zu einer feinen Suspension vermählen. Bei der Verdün- nung mit Wasser ergibt sich eine stabile Suspension mit 20 Gew.-% Wirkstoffgehalt. 2. Zusammensetzungstypen für die Direktapplikation ix) Stäube (DP, DS)In a ball mill, 20 parts by weight of the active ingredients, 10 parts by weight of dispersant, 1 part by weight of swelling agent ("gelling agent") and 70 parts by weight of water or an organic solvent are ground to a fine suspension thinners With water gives a stable suspension with 20 wt .-% active ingredient content. 2. Composition types for direct application ix) dusts (DP, DS)
5 Gew.-Teile der Wirkstoffe werden fein gemahlen und mit 95 Gew.-Teilen feinteili- gern Kaolin innig vermischt. Man erhält dadurch ein Stäubemittel mit 5 Gew.-% Wirkstoffgehalt. x)Granulate (GR, FG, GG, MG)5 parts by weight of the active ingredients are finely ground and intimately mixed with 95 parts by weight of finely divided kaolin. This gives a dust with 5 wt .-% active ingredient content. x) Granules (GR, FG, GG, MG)
0,5 Gew.-Teile der Wirkstoffe werden fein gemahlen und mit 99,5 Gewichtsteilen Trägerstoffe verbunden. Gängige Verfahren sind dabei die Extrusion, die Sprühtrock- nung oder die Wirbelschicht. Man erhält dadurch ein Granulat für die Direktapplikation mit 0,5 Gew.-% Wirkstoffgehalt. xi) ULV- Lösungen (UL)0.5 part by weight of the active ingredients are finely ground and combined with 99.5 parts by weight of carriers. Common processes include extrusion, spray drying or fluidized bed. This gives a granulate for direct application with 0.5 wt .-% active ingredient content. xi) ULV solutions (UL)
10 Gew.-Teile der Wirkstoffe werden in 90 Gew.-Teilen eines organischen Lösungsmittel z. B. XyIoI gelöst. Dadurch erhält man eine Zusammensetzung für die Di- rektapplikation mit 10 Gew.-% Wirkstoffgehalt.10 parts by weight of the active compounds are dissolved in 90 parts by weight of an organic solvent z. B. XyIoI solved. This gives a composition for direct application with 10% by weight of active ingredient content.
Die Zusammensetzungen der erfindungsgemäßen Verbindungen enthalten im allgemeinen 0,01 bis 95 Gew.-%, vorzugsweise 0,1 bis 90 Gew.-% der Verbindungen I. Die Verbindungen werden dabei bevorzugt in einer Reinheit von 90% bis 100%, vor- zugsweise 95% bis 100% eingesetzt.The compositions of the compounds according to the invention generally contain 0.01 to 95 wt .-%, preferably 0.1 to 90 wt .-% of the compounds I. The compounds are preferably in a purity of 90% to 100%, preferably 95% to 100% used.
Für die Behandlung pflanzlicher Vermehrungsmaterialien, insbesondere Saatgut, werden üblicherweise wasserlösliche Konzentrate (LS), Suspensionen (FS), Stäube (DS), wasserdispergierbare und wasserlösliche Pulver (WS, SS), Emulsionen (ES), emulgierbare Konzentrate (EC) und Gele (GF) verwendet. Diese Zusammensetzungen können auf die Vermehrungsmaterialien, insbesondere Saatgut, unverdünnt oder, bevorzugt, verdünnt angewendet werden. Hierbei kann die entsprechende Zusammensetzung 2 bis 10fach verdünnt werden, so dass in den für die Beize zu verwendeten Zusammensetzungen 0,01 to 60% Gew.-%, vorzugsweise 0,1 to 40% Gew.-% Wirk- stoff vorhanden sind. Die Anwendung kann vor oder während der Aussaat erfolgen.For the treatment of plant propagation materials, in particular seed, usually water-soluble concentrates (LS), suspensions (FS), dusts (DS), water-dispersible and water-soluble powders (WS, SS), emulsions (ES), emulsifiable concentrates (EC) and gels ( GF). These compositions can be applied to the propagating materials, in particular seeds, undiluted or, preferably, diluted. In this case, the corresponding composition can be diluted 2 to 10 times, so that 0.01 to 60% by weight, preferably 0.1 to 40% by weight, of active substance is present in the compositions to be used for the stain. The application can be done before or during sowing.
Die Behandlung von pflanzlichem Vermehrungsmaterial, insbesondere die Behandlung von Saatgut, sind dem Fachmann bekannt, und erfolgen durch Bestäuben, Beschichten, Pelletieren, Eintauchen oder Tränken des pflanzlichen Vermehrungsmaterial, wobei die Behandlung bevorzugt durch Pelletieren, Beschichten und Bestäuben oder durch Furchenbehandlung erfolgt, so dass z. B. eine vorzeitige Keimung des Saatguts verhindert wird.The treatment of plant propagation material, in particular the treatment of seed, are known to the person skilled in the art and are carried out by dusting, coating, pelleting, dipping or impregnating the plant propagation material, wherein the treatment preferably takes place by pelleting, coating and dusting or by furrow treatment, so that z. B. premature germination of the seed is prevented.
Für die Saatgutbehandlung werden bevorzugt Suspensionen verwendet. Üblicherweise enthalten solche Zusammensetzungen 1 bis 800 g/l Wirkstoff, 1 bis 200 g/l Ten- side, 0 bis 200 g/l Frostschutzmittel, 0 bis 400 g/l Bindemittel, 0 bis 200 g/l Farbstoffe und Lösungsmittel, vorzugsweise Wasser.For seed treatment, suspensions are preferably used. Typically, such compositions contain 1 to 800 g / l active ingredient, 1 to 200 g / l surfactants, 0 to 200 g / l antifreeze, 0 to 400 g / l binder, 0 to 200 g / l dyes and solvents, preferably water ,
Die Verbindungen können als solche oder in Form ihrer Zusammensetzungen, z. B. in Form von direkt versprühbaren Lösungen, Pulvern, Suspensionen, Dispersionen, Emulsionen, Öldispersionen, Pasten, Stäubemitteln, Streumitteln oder Granulaten durch Versprühen, Vernebeln, Verstäuben, Verstreuen, Einstreichen, Eintauchen oder Gießen angewendet werden. Die Zusammensetzungstypen richten sich ganz nach den Verwendungszwecken; sie sollten in jedem Fall möglichst die feinste Verteilung der erfindungsgemäßen Wirkstoffe gewährleisten. Wässrige Anwendungsformen können aus Emulsionskonzentraten, Pasten oder netzbaren Pulvern (Spritzpulver, Öldispersionen) durch Zusatz von Wasser bereitet werden. Zur Herstellung von Emulsionen, Pasten oder Öldispersionen können die Substanzen als solche oder in einem Öl oder Lösungsmittel gelöst, mittels Netz-, Haft-, Dispergier- oder Emulgiermitttel in Wasser homogenisiert werden. Es können aber auch aus wirksamer Substanz Netz-, Haft-, Dispergier- oder Emulgiermittel und eventuell Lösungsmittel oder Öl bestehende Konzentrate hergestellt werden, die zur Verdünnung mit Wasser geeignet sind.The compounds may be used as such or in the form of their compositions, e.g. B. in the form of directly sprayable solutions, powders, suspensions, dispersions, emulsions, oil dispersions, pastes, dusts, scattering agents or granules be applied by spraying, misting, dusting, scattering, brushing, dipping or pouring. The composition types depend entirely on the intended use; In any case, they should ensure the finest possible distribution of the active compounds according to the invention. Aqueous application forms can be prepared from emulsion concentrates, pastes or wettable powders (wettable powders, oil dispersions) by adding water. For the preparation of emulsions, pastes or oil dispersions, the substances, as such or dissolved in an oil or solvent, can be homogenized in water by means of wetter, tackifier, dispersant or emulsifier. But it can also be made of effective substance wetting, adhesion, dispersing or emulsifying and possibly solvent or oil concentrates, which are suitable for dilution with water.
Die Wirkstoffkonzentrationen in den anwendungsfertigen Zubereitungen können in größeren Bereichen variiert werden. Im Allgemeinen liegen sie zwischen 0,0001 und 10%, vorzugsweise zwischen 0,01 und 1 %.The active compound concentrations in the ready-to-use preparations can be varied within wide ranges. In general, they are between 0.0001 and 10%, preferably between 0.01 and 1%.
Die Wirkstoffe können auch mit Erfolg im Ultra-Low-Volume-Verfahren (ULV) verwendet werden, wobei es möglich ist, Zusammensetzungen mit mehr als 95 Gew.-% Wirkstoff oder sogar den Wirkstoff ohne Zusätze auszubringen.The active ingredients can also be successfully used in the ultra-low-volume (ULV) process, whereby it is possible to apply compositions containing more than 95% by weight of active ingredient or even the active ingredient without additives.
Die Aufwandmengen liegen bei der Anwendung im Pflanzenschutz je nach Art des gewünschten Effektes zwischen 0,001 und 2,0 kg Wirkstoff pro ha, bevorzugt zwischen 0,005 und 2 kg pro ha, besonders bevorzugt zwischen 0,05 und 0,9 kg pro ha, insbesondere zwischen 0,1 und 0,75 kg pro ha.The application rates in the application in crop protection, depending on the nature of the desired effect between 0.001 and 2.0 kg of active ingredient per ha, preferably between 0.005 and 2 kg per ha, more preferably between 0.05 and 0.9 kg per ha, in particular between 0.1 and 0.75 kg per ha.
Bei der Behandlung von pflanzlichen Vermehrungsmaterialien, z. B. Staatgut, werden im allgemeinen Wirkstoffmengen von 0,1 bis 1000 g/100 kg Vermehrungsmaterial bzw. Saatgut, bevorzugt 1 bis 1000 g/100 kg, besonders bevorzugt 1 bis 100 g/100 kg, insbesondere 5 bis 100 g/100 kg verwendet.In the treatment of plant propagation materials, eg. B. State, are generally active amounts of from 0.1 to 1000 g / 100 kg of propagating material or seed, preferably 1 to 1000 g / 100 kg, more preferably 1 to 100 g / 100 kg, in particular 5 to 100 g / 100 kg used.
Bei der Anwendung im Material- bzw. Vorratsschutz richtet sich die Aufwandmenge an Wirkstoff nach der Art des Einsatzgebietes und des gewünschten Effekts. Übliche Aufwandmengen sind im Materialschutz beispielsweise 0,001 g bis 2 kg, vorzugsweise 0,005 g bis 1 kg Wirkstoff pro Kubikmeter behandelten Materials.When used in material or storage protection, the application rate of active ingredient depends on the type of application and the desired effect. Usual application rates are, for example, 0.001 g to 2 kg, preferably 0.005 g to 1 kg of active ingredient per cubic meter of material treated in the material protection.
Zu den Wirkstoffen oder den diese enhaltenden Zusammensetzungen können Öle verschiedenen Typs, Netzmittel, Adjuvanzien, Herbizide, Bakterizide, andere Fungizide und/oder Schädlingsbekämpfungsmittel, gegebenenfalls auch erst unmittelbar vor der Anwendung (Tankmix), zugesetzt werden. Diese Mittel können zu den erfindungsge- mäßen Zusammensetzungen im Gewichtsverhältnis 1 :100 bis 100:1 , bevorzugt 1 :10 bis 10:1 zugemischt werden.Oils of various types, wetting agents, adjuvants, herbicides, bactericides, other fungicides and / or pesticides may also be added to the active substances or the compositions containing them, if appropriate also immediately before use (tank mix). These agents can be added to the compositions according to the invention in a weight ratio of 1: 100 to 100: 1, preferably 1:10 to 10: 1.
Als Adjuvanzien in diesem Sinne kommen insbesondere in Frage: organisch modifizierte Polysiloxane, z. B. Break Thru S 240®; Alkoholalkoxylate, z. B. Atplus® 245, Atplus® MBA 1303, Plurafac® LF 300 und Lutensol® ON 30; EO-PO-Blockpolymerisate, z. B. Pluronic® RPE 2035 und Genapol® B; Alkoholethoxylate, z. B. Lutensol® XP 80; und Natriumdioctylsulfosuccinat, z. B. Leophen® RA.As adjuvants in this sense are in particular: organically modified polysiloxanes, eg. B. Break Thru S 240® ; Alcohol alkoxylates, eg. B. Atplus 245 ®, Atplus MBA ® 1303 Plurafac ® LF 300 ® and Lutensol ON 30; EO-PO block polymers, eg. B. Pluronic RPE 2035 ® and Genapol B ®; Alcohol ethoxylates, eg. B. Lutensol ® XP 80; and sodium dioctylsulfosuccinate, e.g. B. Leophen ® RA.
Die erfindungsgemäßen Zusammensetzungen können in der Anwendungsform als Fungizide auch zusammen mit anderen Wirkstoffen vorliegen, z. B. mit Herbiziden, Insektiziden, Wachstumsregulatoren, Fungiziden oder auch mit Düngemitteln, als Prä- Mix oder gegebenenfalls auch erst unmittelbar vor der Anwendung (Tankmix).The compositions of the invention may also be present in the application form as fungicides together with other active ingredients, for. With herbicides, Insecticides, growth regulators, fungicides or even with fertilizers, as a pre-mix or, if appropriate, only immediately before use (tank mix).
Beim Vermischen der Verbindungen I bzw. der sie enthaltenden Zusammensetzungen mit einem oder mehreren weiteren Wirkstoffen, insbesondere Fungiziden, kann beispielsweise in vielen Fällen das Wirkungsspektrum verbreitert werden oder Resistenzentwicklungen vorgebeugt werden. In vielen Fällen erhält man dabei synergistische Effekte.When mixing the compounds I or the compositions containing them with one or more further active compounds, in particular fungicides, for example, in many cases, the activity spectrum can be broadened or resistance developments can be prevented. In many cases, synergistic effects are obtained.
Die folgende Liste von Wirkstoffen, mit denen die erfindungsgemäßen Verbindungen gemeinsam angewendet werden können, soll die Kombinationsmöglichkeiten erläutern, nicht aber einschränken: A) Strobilurine:The following list of active ingredients with which the compounds according to the invention can be used together is intended to illustrate, but not limit, the possible combinations: A) strobilurins:
Azoxystrobin, Dimoxystrobin, Enestroburin, Fluoxastrobin, Kresoxim-methyl, Meto- minostrobin, Orysastrobin, Picoxystrobin, Pyraclostrobin, Pyribencarb, Trifloxystrobin, 2-(2-(6-(3-Chlor-2-methyl-phenoxy)-5-fluor-pyrimidin-4-yloxy)-phenyl)-2-methoxy- imino-N-methyl-acetamid, 2-(ortho-((2,5-Dimethylphenyl-oxymethylen)phenyl)-Azoxystrobin, Dimoxystrobin, Enestroburin, Fluoxastrobin, Kresoxim-methyl, Metomino Strobin, Orysastrobin, Picoxystrobin, Pyraclostrobin, Pyribencarb, Trifloxystrobin, 2- (2- (6- (3-Chloro-2-methyl-phenoxy) -5-fluoro) pyrimidin-4-yloxy) -phenyl) -2-methoxy-imino-N-methyl-acetamide, 2- (ortho - ((2,5-dimethylphenyl-oxymethylene) -phenyl) -
3-methoxy-acrylsäuremethylester, 3-Methoxy-2-(2-(N-(4-methoxy-phenyl)-cyclopro- panecarboximidoylsulfanylmethyl)-phenyl)-acrylsäuresäuremethylester, 2-(2-(3-(2,6-dichlorphenyl)-1-methyl-allylideneaminooxymethyl)-phenyl)-2-methoxy- imino-N-methyl-acetamide; B) Carbonsäureamide:Methyl 3-methoxy-acrylate, methyl 3-methoxy-2- (2- (N- (4-methoxyphenyl) -cyclopropanecarboximidoylsulfanylmethyl) -phenyl) acrylate, 2- (2- (3- (2,6-dichlorophenyl ) -1-methyl-allylideneaminooxymethyl) -phenyl) -2-methoxy-imino-N-methyl-acetamide; B) Carboxylic acid amides:
- Carbonsäureanilide: Benalaxyl, Benalaxyl-M, Benodanil, Bixafen, Boscalid, Carbo- xin, Fenfuram, Fenhexamid, Flutolanil, Furametpyr, Isopyrazam, Isotianil, Kiralaxyl, Mepronil, Metalaxyl, Metalaxyl-M (Mefenoxam), Ofurace, Oxadixyl, Oxycarboxin, Penflufen (N-(2-(1 ,3-Dimethyl-butyl)-phenyl)-1 ,3-dimethyl-5-fluor-1 H-pyrazol-4-car- boxamid), Penthiopyrad, Sedaxane, Tecloftalam, Thifluzamide, Tiadinil, 2-Amino-- carboxylic acid anilides: benalaxyl, benalaxyl-M, benodanil, bixafen, boscalid, carbo-xin, fenfuram, fenhexamide, flutolanil, furametpyr, isopyrazam, isotianil, kiralaxyl, mepronil, metalaxyl, metalaxyl-M (mefenoxam), ofurace, oxadixyl, oxycarboxin, Penflufen (N- (2- (1,3-dimethyl-butyl) -phenyl) -1,3-dimethyl-5-fluoro-1H-pyrazole-4-carboxamide), penthiopyrad, sedaxanes, tecloftalam, thifluzamide, Tiadinil, 2-amino
4-methyl-thiazol-5-carboxanilid, 2-Chlor-N-(1 ,1 ,3-trimethyl-indan-4-yl)nicotinamid, N-(3',4',5'-Trifluorbiphenyl-2-yl)-3-difluormethyl-1-methyl-1 H-pyrazol-4-carboxamid, N-(4'-Trifluormethylthiobiphenyl-2-yl)-3-difluormethyl-1-methyl-1 H-pyrazol-4-carbox- amid, N-(2-(1 ,3,3-Trimethyl-butyl)-phenyl)-1 ,3-dimethyl-5-fluor-1 H-pyrazol-4-carbox- amid;4-methyl-thiazole-5-carboxanilide, 2-chloro-N- (1,1,3-trimethyl-indan-4-yl) nicotinamide, N- (3 ', 4', 5'-trifluorobiphenyl-2-yl ) -3-difluoromethyl-1-methyl-1H-pyrazole-4-carboxamide, N- (4'-trifluoromethylthiobiphenyl-2-yl) -3-difluoromethyl-1-methyl-1H-pyrazole-4-carboxamide , N- (2- (1,3,3-trimethyl-butyl) -phenyl) -1,3-dimethyl-5-fluoro-1H-pyrazole-4-carboxamide;
- Carbonsäuremorpholide: Dimethomorph, Flumorph, Pyrimorph;- Carboxylic acid morpholides: dimethomorph, flumorph, pyrimorph;
- Benzoesäureamide: Flumetover, Fluopicolide, Fluopyram, Zoxamid, N-(3-Ethyl- 3,5,5-trimethylcyclohexyl)-3-formylamino-2-hydroxy-benzamid;Benzoic acid amides: flumetover, fluopicolide, fluopyram, zoxamide, N- (3-ethyl-3,5,5-trimethylcyclohexyl) -3-formylamino-2-hydroxybenzamide;
- Sonstige Carbonsäureamide: Carpropamid, Diclocymet, Mandipropamid, Oxytetra- cyclin, Silthiofam, N-(6-methoxy-pyridin-3-yl)cyclopropancarbonsäureamid;Other carboxamides: carpropamide, diclocymet, mandipropamide, oxytetracycline, silthiofam, N- (6-methoxypyridin-3-yl) cyclopropanecarboxamide;
C) Azole:C) Azoles:
- Triazole: Azaconazol, Bitertanol, Bromuconazol, Cyproconazol, Difenoconazol, Dini- conazol, Diniconazol-M, Epoxiconazol, Fenbuconazol, Fluquinconazol, Flusilazol, Flutriafol, Hexaconazol, Imibenconazol, Ipconazol, Metconazol, Myclobutanil, Oxpo- conazol, Paclobutrazol, Penconazol, Propiconazol, Prothioconazol, Simeconazol, Tebuconazol, Tetraconazol, Triadimefon, Triadimenol, Triticonazol, Uniconazol, 1 -(4-Chlor-phenyl)-2-([1 ,2,4]triazol-1 -yl)-cycloheptanol;- Triazoles: azaconazole, bitertanol, bromuconazole, cyproconazole, difenoconazole, diniconazole, diniconazole-M, epoxiconazole, fenbuconazole, fluquinconazole, flusilazole, flutriafol, hexaconazole, imibenconazole, ipconazole, metconazole, myclobutanil, oxpoconazole, paclobutrazole, penconazole, propiconazole , Prothioconazole, simeconazole, tebuconazole, tetraconazole, triadimefon, triadimenol, triticonazole, uniconazole, 1- (4-chloro-phenyl) -2 - ([1, 2,4] triazol-1-yl) -cycloheptanol;
- Imidazole: Cyazofamid, Imazalil, Imazalilsulfat, Pefurazoat, Prochloraz, Triflumizol; - Benzimidazole: Benomyl, Carbendazim, Fuberidazole, Thiabendazol;- imidazoles: cyazofamide, imazalil, imazalil sulfate, pefurazoate, prochloraz, triflumizole; Benzimidazoles: benomyl, carbendazim, fuberidazole, thiabendazole;
- Sonstige: Ethaboxam, Etridiazol, Hymexazol, 2-(4-Chlor-phenyl)-N-[4-(3,4- dimethoxy-phenyl)-isoxazol-5-yl]-2-prop-2-inyloxy-acetamid;- Other: ethaboxam, etridiazole, hymexazole, 2- (4-chloro-phenyl) -N- [4- (3,4-dimethoxyphenyl) -isoxazol-5-yl] -2-prop-2-ynyloxy-acetamide ;
D) Stickstoffhaltige Heterocyclylverbindungen - Pyridine: Fluazinam, Pyrifenox, 3-[5-(4-Chlor-phenyl)-2,3-dimethyl-isoxazolidin-3-yl]- pyridin, 3-[5-(4-Methyl-phenyl)-2,3-dimethyl-isoxazolidin-3-yl]-pyridin, 2,3,5,6-Tetra- chlor-4-methansulfonylpyridin, 3,4,5-Trichlor-pyridin-2,6-dicarbonitril, N-(1 -(5-Brom- 3-chlor-pyridin-2-yl)-ethyl)-2,4-dichlornicotinamid, N-((5-Brom-3-chlor-pyridin-2-yl)- methyl)-2,4-dichlornicotinamid; - Pyrimidine: Bupirimat, Cyprodinil, Diflumetorim, Fenarimol, Ferimzone, Mepanipyrim, Nitrapyrin, Nuarimol, Pyrimethanil;D) Nitrogen-containing heterocyclyl compounds - pyridines: fluazinam, pyrifenox, 3- [5- (4-chlorophenyl) -2,3-dimethylisoxazolidin-3-yl] pyridine, 3- [5- (4-methylphenyl ) -2,3-dimethylisoxazolidin-3-yl] -pyridine, 2,3,5,6-tetrachloro-4-methanesulfonylpyridine, 3,4,5-trichloropyridine-2,6-dicarbonitrile, N - (1- (5-bromo-3-chloro-pyridin-2-yl) -ethyl) -2,4-dichloro-nicotinamide, N - ((5-bromo-3-chloro-pyridin-2-yl) -methyl) -2,4-dichlornicotinamid; Pyrimidines: Bupirimat, Cyprodinil, Diflumetorim, Fenarimol, Ferimzone, Mepanipyrim, Nitrapyrin, Nuarimol, Pyrimethanil;
- Piperazine: Triforine;- piperazines: triforins;
- Pyrrole: Fludioxonil, Fenpiclonil;- Pyrroles: fludioxonil, fenpiclonil;
- Morpholine: Aldimorph, Dodemorph, Dodemorphacetat, Fenpropimorph, Tridemorph; - Piperidine: Fenpropidin;- morpholines: aldimorph, dodemorph, dodemorph acetate, fenpropimorph, tridemorph; - piperidines: fenpropidine;
- Dicarboximide: Fluorimid, Iprodione, Procymidone, Vinclozolin;Dicarboximides: fluorimide, iprodione, procymidone, vinclozolin;
- nichtaromatische 5-Ring-Heterocyclen: Famoxadon, Fenamidon, Flutianil, Octhilinon, Probenazol, 5-Amino-2-isopropyl-3-oxo-4-ortho-tolyl-2,3-dihydropyrazol-1- thiocarbonsäureS-allylester; - sonstige: Acibenzolar-S-methyl, Amisulbrom, Anilazin, Blasticidin-S, Captafol, Cap- tan, Chinomethionat, Dazomet, Debacarb, Diclomezine, Difenzoquat, Difenzoquat- methylsulfat, Fenoxanil, Folpet, Oxolinsäure, Piperalin, Proquinazid, Pyroquilon, Qui- noxyfen, Triazoxid, Tricyclazol, 2-Butoxy-6-jod-3-propyl-chromen-4-on, 5-Chlor- 1 -(4,6-dimethoxy-pyrimidin-2-yl)-2-methyl-1 H-benzoimidazol, 5-Chlor-7-(4-methyl- piperidin-1 -yl)-6-(2,4,6-trifluor-phenyl)-[1 ,2,4]triazolo[1 ,5-a]pyrimidin, 5-Ethyl-6-octyl- [1 ,2,4]triazolo[1 ,5-a]pyrimidin-7-ylamin;non-aromatic 5-membered heterocycles: famoxadone, fenamidone, flutianil, octhilinone, probenazole, 5-amino-2-isopropyl-3-oxo-4-ortho-tolyl-2,3-dihydropyrazole-1-thiocarboxylic acid allyl ester; - Other: acibenzolar-S-methyl, amisulbrom, anilazine, blasticidin-S, captafol, captan, quinomethionate, dazomet, debacarb, diclomethine, difenzoquat, difenzoquatmethylsulfate, fenoxanil, folpet, oxolinic acid, piperaline, proquinazid, pyroquilon, qui - Noxyfen, triazoxide, tricyclazole, 2-butoxy-6-iodo-3-propyl-chromen-4-one, 5-chloro-1 - (4,6-dimethoxypyrimidin-2-yl) -2-methyl-1 H-benzoimidazole, 5-chloro-7- (4-methyl-piperidin-1-yl) -6- (2,4,6-trifluorophenyl) - [1,2,4] triazolo [1,5-a ] pyrimidine, 5-ethyl-6-octyl- [1,2,4] triazolo [1,5-a] pyrimidin-7-ylamine;
E) Carbamate und DithiocarbamateE) carbamates and dithiocarbamates
- Thio- und Dithiocarbamate: Ferbam, Mancozeb, Maneb, Metam, Methasulphocarb, Metiram, Propineb, Thiram, Zineb, Ziram; - Carbamate: Diethofencarb, Benthiavalicarb, Iprovalicarb, Propamocarb, Propamo- carb-hydrochlorid, Valiphenal, N-(1-(1-(4-Cyanophenyl)ethansulfonyl)-but-2-yl)carb- aminsäure-(4-fluorphenyl)ester;Thio and dithiocarbamates: Ferbam, Mancozeb, Maneb, Metam, Methasulphocarb, Metiram, Propineb, Thiram, Zineb, Ziram; Carbamates: Diethofencarb, Benthiavalicarb, Iprovalicarb, Propamocarb, Propamocarb hydrochloride, Valiphenal, N- (1- (1- (4-cyanophenyl) ethanesulfonyl) -but-2-yl) carbamic acid- (4-fluorophenyl) ester;
F) Sonstige FungizideF) Other fungicides
- Guanidine: Dodine, Dodine freie Base, Guazatin, Guazatinacetat, Iminoctadin, Imi- noctadin-triacetat, Iminoctadin-tris(albesilat);Guanidines: dodine, dodine free base, guazatine, guazatine acetate, iminoctadine, iminoctadine triacetate, iminoctadin tris (albesilat);
- Antibiotika: Kasugamycin, Kasugamycinhydrochlorid-Hydrat, Polyoxine, Streptom- ycin, Validamycin A;- antibiotics: kasugamycin, kasugamycin hydrochloride hydrate, polyoxines, streptomycin, validamycin A;
- Nitrophenylderivate: Binapacryl, Dicloran, Dinobuton, Dinocap, Nitrothal-isopropyl, Tecnazen; - Organometallverbindungen: Fentin-Salze wie beispielsweise Fentin-acetat, Fentin- chlorid, Fentin-hydroxid;Nitrophenyl derivatives: binapacryl, diclorane, dinobutone, dinocap, nitrothal-isopropyl, tecnazene; Organometallics: fentin salts such as fentin acetate, fentin chloride, fentin hydroxide;
- Schwefelhaltige Heterocyclylverbindungen: Dithianon, Isoprothiolane;Sulfur-containing heterocyclyl compounds: dithianone, isoprothiolanes;
- Organophosphorverbindungen: Edifenphos, Fosetyl, Fosetyl-Aluminium, Iprobenfos, Phosphorige Säure und ihre Salze, Pyrazophos, Tolclofos-methyl;Organophosphorus compounds: edifenphos, fosetyl, fosetyl-aluminum, Iprobenfos, Phosphoric acid and its salts, pyrazophos, tolclofos-methyl;
- Organochlorverbindungen: Chlorthalonil, Dichlofluanid, Dichlorphen, Flusulfamide, Hexachlorbenzol, Pencycuron, Pentachlorphenol und dessen Salze, Phthalid, Quintozen, Thiophanat-Methyl, Tolylfluanid, N-(4-Chlor-2-nitro-phenyl)-N-ethyl- 4-methyl-benzolsulfonamid;Organochlorine compounds: chlorothalonil, dichlofluanid, dichlorophene, flusulphamide, hexachlorobenzene, pencycuron, pentachlorophenol and its salts, phthalide, quintozene, thiophanate-methyl, tolylfluanid, N- (4-chloro-2-nitro-phenyl) -N-ethyl-4- methyl-benzenesulfonamide;
- Anorganische Wirkstoffe: Phosphorige Säure und ihre Salze, Bordeaux Brühe, Kupfersalze wie beispielsweise Kupferacetat, Kupferhydroxid, Kupferoxychlorid, basisches Kupfersulfat, Schwefel;Inorganic active ingredients: phosphorous acid and its salts, Bordeaux broth, copper salts such as copper acetate, copper hydroxide, copper oxychloride, basic copper sulfate, sulfur;
- Sonstige: Biphenyl, Bronopol, Cyflufenamid, Cymoxanil, Diphenylamin, Metrafenon, Mildiomycin, Oxin-Kupfer, Prohexadion-Calcium, Spiroxamin, Tolylfluanid, N-(Cyclo- propylmethoxyimino-(6-difluormethoxy-2,3-difluor-phenyl)-methyl)-2-phenylacetamid, N'-(4-(4-Chlor-3-trifluormethyl-phenoxy)-2,5-dimethyl-phenyl)-N-ethyl-N-methylforma- midin, N'-(4-(4-Fluor-3-trifluormethyl-phenoxy)-2,5-dimethyl-phenyl)-N-ethyl-N-meth- ylformamidin, N'-(2-Methyl-5-trifluormethyl-4-(3-trimethylsilanyl-propoxy)-phenyl)- N-ethyl-N-methylformamidin, N'-(5-Difluormethyl-2-methyl-4-(3-trimethylsilanyl- propoxy)-phenyl)-N-ethyl-N-methylformamidin, 2-{1-[2-(5-Methyl-3-trifluormethyl- pyrazol-1-yl)-acetyl]-piperidin-4-yl}-thiazol-4-carboxylsäure-methyl-(1 ,2,3,4-tetra- hydronaphthalen-1-yl)-amid, 2-{1-[2-(5-Methyl-3-trifluormethyl-pyrazol-1-yl)-acetyl]- piperidin-4-yl}-thiazol-4-carboxylsäure-methyl-(R)-1 ,2,3,4-tetrahydronaphthalen-1-yl- amid, Essigsäure-6-tert.-butyl-8-fluor-2,3-dimethyl-quinolin-4-yl-ester, Methoxy-essig- säure-6-tert.-butyl-8-fluor-2,3-dimethyl-quinolin-4-yl-ester, N-Methyl-2-{1-[2-(5-meth- yl-3-trifluormethyl-1 H-pyrazol-1-yl)-acetyl]-piperidin-4-yl}-N-[(1 R)-1 ,2,3,4-tetrahydro- naphthalen-1-yl]-4-thiazolcarboxamid; G) Wachstumsregler Abscisinsäure, Amidochlor, Ancymidol , 6-Benzylaminopurin, Brassinolid, Butralin, Chlormequat (Chlormequatchlorid), Cholinchlorid, Cyclanilid, Daminozid, Dikegulac, Dimethipin, 2,6-Dimethylpuridin, Ethephon, Flumetralin, Flurprimidol , Fluthiacet, For- chlorfenuron, Gibberellinsäure, Inabenfid, lndol-3-essigsäure, Maleinsäurehydrazid, Mefluidid, Mepiquat (Mepiquatchlorid), Metconazol, Naphthalenessigsäure, N-6-Ben- zyladenin, Paclobutrazol, Prohexadion (Prohexadion-Calcium), Prohydrojasmon, Thidi- azuron, Triapenthenol, Tributylphosphorotrithioat, 2,3,5-tri-Jodbenzoesäure, Trinexa- pac-ethyl und Uniconazol; H) Herbizide- Other: biphenyl, bronopol, cyflufenamid, cymoxanil, diphenylamine, metrafenone, mildiomycin, oxine-copper, prohexadione-calcium, spiroxamine, tolylfluanid, N- (cyclopropylmethoxyimino- (6-difluoromethoxy-2,3-difluorophenyl) - methyl) -2-phenylacetamide, N '- (4- (4-chloro-3-trifluoromethylphenoxy) -2,5-dimethylphenyl) -N-ethyl-N-methylformamide, N' - (4- (4-Fluoro-3-trifluoromethylphenoxy) -2,5-dimethylphenyl) -N-ethyl-N-methylformamidine, N '- (2-methyl-5-trifluoromethyl-4- (3-trimethylsilanyl) propoxy) -phenyl) -N-ethyl-N-methylformamidine, N '- (5-difluoromethyl-2-methyl-4- (3-trimethylsilanyl-propoxy) -phenyl) -N-ethyl-N-methylformamidine, 2- { 1- [2- (5-Methyl-3-trifluoromethyl-pyrazol-1-yl) -acetyl] -piperidin-4-yl} -thiazole-4-carboxylic acid-methyl- (1,2,3,4-tetra- hydronaphthalene-1-yl) -amide, 2- {1- [2- (5-methyl-3-trifluoromethyl-pyrazol-1-yl) -acetyl] -piperidin-4-yl} -thiazole-4-carboxylic acid-methyl - (R) -1, 2,3,4-tetrahydronaphthalene-1-yl-amide, acetic acid 6-tert-butyl-8-fluoro-2,3-dimethyl-quinolin-4-yl-ester, M ethoxy-acetic acid 6-tert-butyl-8-fluoro-2,3-dimethyl-quinolin-4-yl-ester, N-methyl-2- {1- [2- (5-methyl) 3-trifluoromethyl-1H-pyrazol-1-yl) -acetyl] -piperidin-4-yl} -N - [(1R) -1, 2,3,4-tetrahydronaphthalen-1-yl] -4 -thiazolcarboxamid; G) growth regulators abscisic acid, amidochlor, ancymidol, 6-benzylaminopurine, brassinolide, butraline, chlormequat (chlormoquat chloride), choline chloride, cyclanilide, daminozide, dikegulac, dimethipine, 2,6-dimethylpuridine, ethephon, flumetralin, flurprimidol, fluthiacet, forchlorfenuron, Gibberellic acid, inabenfide, indole-3-acetic acid, maleic hydrazide, mefluidide, mepiquat (mepiquat chloride), metconazole, naphthalene acetic acid, N-6-benzyladenine, paclobutrazole, prohexadione (prohexadione-calcium), prohydrojasmon, thidiazoron, tri-penthenol, tributylphosphorotrithioate, 2,3,5-tri-iodobenzoic acid, trinexapac-ethyl and uniconazole; H) herbicides
- Acetamide: Acetochlor, Alachlor, Butachlor, Dimethachlor, Dimethenamid, Flufena- cet, Mefenacet, Metolachlor, Metazachlor, Napropamid, Naproanilid, Pethoxamid,Acetamides: acetochlor, alachlor, butachlor, dimethachlor, dimethenamid, flufenacet, mefenacet, metolachlor, metazachlor, napropamide, naproanilide, pethoxamide,
Pretilachlor, Propachlor, Thenylchlor;Pretilachlor, propachlor, thenylchloride;
- Aminosäureanaloga: Bilanafos, Glyphosat, Glufosinat, Sulfosat;Amino acid analogues: bilanafos, glyphosate, glufosinate, sulfosate;
- Aryloxyphenoxypropionate: Clodinafop, Cyhalofop-butyl, Fenoxaprop, Fluazifop, Ha- loxyfop, Metamifop, Propaquizafop, Quizalofop, Quizalofop-P-tefuryl; - Bipyridyle: Diquat, Paraquat;Aryloxyphenoxypropionates: Clodinafop, Cyhalofop-butyl, Fenoxaprop, Fluazifop, Haloxyfop, Metamifop, Propaquizafop, Quizalofop, Quizalofop-P-tefuryl; Bipyridyls: diquat, paraquat;
- Carbamate und Thiocarbamate: Asulam, Butylate, Carbetamide, Desmedipham, Di- mepiperat, Eptam (EPTC), Esprocarb, Molinate, Orbencarb, Phenmedipham, Prosul- focarb, Pyributicarb, Thiobencarb, Triallate; - Cyclohexanedione: Butroxydim, Clethodim, Cycloxydim, Profoxydim, Sethoxydim, Tepraloxydim, Tralkoxydim;Carbamates and thiocarbamates: asulam, butylates, carbamides, desmedipham, dimepiperate, eptam (EPTC), esprocarb, molinates, orbencarb, phenmedipham, prosulphocarb, pyributicarb, thiobencarb, triallates; - cyclohexanediones: butroxydim, clethodim, cycloxydim, profoxydim, sethoxydim, tepraloxydim, tralkoxydim;
- Dinitroaniline: Benfluralin, Ethalfluralin, Oryzalin, Pendimethalin, Prodiamine, Triflura- lin; - Diphenylether: Acifluorfen, Aclonifen, Bifenox, Diclofop, Ethoxyfen, Fomesafen, Lac- tofen, Oxyfluorfen;- Dinitroanilines: Benfluralin, Ethalfluralin, Oryzalin, Pendimethalin, Prodiamine, Trifluralin; Diphenyl ether: acifluorfen, aclonifen, bifenox, diclofop, ethoxyfen, fomesafen, lactofen, oxyfluorfen;
- Hydroxybenzonitrile: Bromoxynil, Dichlobenil, loxynil;Hydroxybenzonitriles: bromoxynil, dichlobenil, loxynil;
- Imidazolinone: Imazamethabenz, Imazamox, Imazapic, Imazapyr, Imazaquin, Imaze- thapyr; - Phenoxyessigsäuren: Clomeprop, 2,4-Dichlorphenoxyessigsäure (2,4-D), 2,4-DB, Dichlorprop, MCPA, MCPA-thioethyl, MCPB, Mecoprop;Imidazolinone: imazamethabenz, imazamox, imazapic, imazapyr, imazaquin, imazethapyr; Phenoxyacetic acids: clomeprop, 2,4-dichlorophenoxyacetic acid (2,4-D), 2,4-DB, dichlorprop, MCPA, MCPA-thioethyl, MCPB, mecoprop;
- Pyrazine: Chloridazon, Flufenpyr-ethyl, Fluthiacet, Norflurazon, Pyridat;- Pyrazines: Chloridazon, Flufenpyr-ethyl, Fluthiacet, Norflurazon, Pyridate;
- Pyridine: Aminopyralid, Clopyralid, Diflufenican, Dithiopyr, Fluridone, Fluroxypyr, Pi- cloram, Picolinafen, Thiazopyr; - Sulfonylharnstoffe: Amidosulfuron, Azimsulfuron, Bensulfuron, Chlorimuron-Ethyl,- pyridines: aminopyralid, clopyralid, diflufenican, dithiopyr, fluridone, fluroxypyr, pilinoram, picolinafen, thiazopyr; Sulfonylureas: amidosulfuron, azimsulfuron, bensulfuron, chlorimuron-ethyl,
Chlorsulfuron, Cinosulfuron, Cyclosulfamuron, Ethoxysulfuron, Flazasulfuron, Fluce- tosulfuron, Flupyrsulfuron, Foramsulfuron, Halosulfuron, Imazosulfuron, lodosulfuron, Mesosulfuron, Metsulfuron-methyl, Nicosulfuron, Oxasulfuron, Primisulfuron, Prosul- furon, Pyrazosulfuron, Rimsulfuron, Sulfometuron, Sulfosulfuron, Thifensulfuron, Triasulfuron, Tribenuron, Trifloxysulfuron, Triflusulfuron, Tritosulfuron, 1-((2-Chlor- 6-propyl-imidazo[1 ,2-b]pyridazin-3-yl)sulfonyl)-3-(4,6-dimethoxy-pyrimidin-2-yl)harn- stoff;Chlorosulfuron, cinosulfuron, cyclosulfamuron, ethoxysulfuron, flazasulfuron, flucosulfuron, flupyrsulfuron, foramsulfuron, halosulfuron, imazosulfuron, lodosulfuron, mesosulfuron, metsulfuron-methyl, nicosulfuron, oxasulfuron, primisulfuron, prosulfuron, pyrazosulfuron, rimsulfuron, sulfometuron, sulfosulfuron, thifensulfuron, Triasulfuron, tribenuron, trifloxysulfuron, triflusulfuron, tritosulfuron, 1 - ((2-chloro-6-propylimidazo [1,2-b] pyridazin-3-yl) sulfonyl) -3- (4,6-dimethoxypyrimidine) 2-yl) urea;
- Triazine: Ametryn, Atrazin, Cyanazin, Dimethametryn, Ethiozin, Hexazinon, Meta- mitron, Metribuzin, Prometryn, Simazin, Terbuthylazin, Terbutryn, Triaziflam; - Harnstoffe: Chlorotoluron, Daimuron, Diuron, Fluometuron, Isoproturon, Linuron, Me- thabenzthiazuron,Tebuthiuron;Triazines: ametryn, atrazine, cyanazine, dimethametryn, ethiozine, hexazinone, metachronon, metribuzin, prometryn, simazine, terbuthylazine, terbutryn, triaziflam; Ureas: chlorotoluron, da- muron, diuron, fluometuron, isoproturon, linuron, methabenzthiazuron, tebuthiuron;
- andere Hemmstoffe der Acetolactatsynthase: Bispyribac-Natrium, Cloransulam- Methyl, Diclosulam, Florasulam, Flucarbazone, Flumetsulam, Metosulam, Ortho- sulfamuron, Penoxsulam, Propoxycarbazone, Pyribambenz-Propyl, Pyribenzoxim, Pyriftalid, Pyriminobac-methyl, Pyrimisulfan, Pyrithiobac, Pyroxasulfon, Pyroxsulam;- other inhibitors of acetolactate synthase: bispyribac sodium, cloransulam methyl, diclosulam, florasulam, flucarbazone, flumetsulam, metosulam, orthosulphamuron, penoxsulam, propoxycarbazone, pyribambenz-propyl, pyribenzoxime, pyriftalid, pyriminobac-methyl, pyrimisulphane, pyrithiobac, pyroxasulphone, pyroxsulam;
- Sonstige: Amicarbazon, Aminotriazol, Anilofos, Beflubutamid, Benazolin, Bencarba- zon, Benfluresat, Benzofenap, Bentazon, Benzobicyclon, Bromacil, Bromobutid, Bu- tafenacil, Butamifos, Cafenstrole, Carfentrazone, Cinidon-Ethlyl, Chlorthal, Cinme- thylin, Clomazone, Cumyluron, Cyprosulfamid, Dicamba, Difenzoquat, Diflufenzopyr, Drechslera monoceras, Endothal, Ethofumesat, Etobenzanid, Fentrazamide, Flumi- clorac-Pentyl, Flumioxazin, Flupoxam, Fluorochloridon, Flurtamon, Indanofan, Isoxa- ben, Isoxaflutol, Lenacil, Propanil, Propyzamid, Quinclorac, Quinmerac, Mesotrion, Methylarsensäure, Naptalam, Oxadiargyl, Oxadiazon, Oxaziclomefon, Pentoxazon, Pinoxaden, Pyraclonil, Pyraflufen-Ethyl, Pyrasulfotol, Pyrazoxyfen, Pyrazolynat, Qui- noclamin, Saflufenacil, Sulcotrion, Sulfentrazon, Terbacil, Tefuryltrion, Tembotrion, Thiencarbazon, Topramezon, 4-Hydroxy-3-[2-(2-methoxy-ethoxymethyl)-6- trifluormethyl-pyridin-3-carbonyl]-bicyclo[3.2.1]oct-3-en-2-on, (3-[2-Chlor-4-fluor-5-(3-methyl-2,6-dioxo-4-trifluormethyl-3,6-dihydro-2H-pyrimidin- 1-yl)-phenoxy]-pyridin-2-yloxy)-essigsäureethylester, θ-Amino-δ-chlor^-cyclopropyl- pyrimidin-4-carboxylsäuremethylester, 6-Chlor-3-(2-cyclopropyl-6-methyl-phenoxy)- pyridazin-4-ol, 4-Amino-3-chlor-6-(4-chlor-phenyl)-5-fluor-pyridin-2-carboxylsäure, 4-Amino-3-chlor-6-(4-chlor-2-fluor-3-methoxy-phenyl)-pyridin-2-carboxylsäuremethyl- ester und 4-Amino-3-chlor-6-(4-chloro-3-dimethylamino-2-fluor-phenyl)-pyridin-2- carboxylsäuremethylester; I) Insektizide- Other: Amicarbazone, Aminotriazole, Anilofos, Beflubutamide, Benazoline, Bencarbazone, Benfluresat, Benzofenap, Bentazone, Benzobicyclone, Bromacil, Bromobutide, Bu- tattacil, Butamifos, Cafenstrole, Carfentrazone, Cinidone-Ethlyl, Chlorthal, Cinnamethyl-, Clomazone , Cumyluron, cyprosulfamide, dicamba, difenzoquat, diflufenzopyr, Drechslera monoceras, endothal, ethofumesate, etobenzanide, fentrazamide, flumigorac-pentyl, flumioxazine, flupoxam, fluorochloridone, flurtamone, indanofan, isoxaben, isoxaflutole, lenacil, propanil, propyzamide, Quinclorac, quinmerac, mesotrione, methylarsenoic acid, naptalam, oxadiargyl, oxadiazon, oxaziclomefon, pentoxazone, pinoxaden, pyraclonil, pyraflufen-ethyl, pyrasulfotol, pyrazoxyfen, pyrazolynate, quinoclamin, saflufenacil, sulcotrione, sulfentrazone, terbacil, tefuryltrione, tembotrione, thiencarbazone, Topramezone, 4-hydroxy-3- [2- (2-methoxy-ethoxymethyl) -6-trifluoromethyl-pyridine-3-carbonyl] -bicyclo [3.2.1] oct-3-en-2-one, (3- [ 2-chloro-4-fluoro-5- (3-methyl-2,6-di oxo-4-trifluoromethyl-3,6-dihydro-2H-pyrimidine 1-yl) -phenoxy] -pyridin-2-yloxy) -acetic acid ethyl ester, θ-amino-δ-chloro-cyclopropyl-pyrimidine-4-carboxylic acid methyl ester, 6-chloro-3- (2-cyclopropyl-6-methyl-phenoxy ) - pyridazin-4-ol, 4-amino-3-chloro-6- (4-chlorophenyl) -5-fluoropyridine-2-carboxylic acid, 4-amino-3-chloro-6- (4-chloro 2-fluoro-3-methoxy-phenyl) -pyridine-2-carboxylic acid methyl ester and 4-amino-3-chloro-6- (4-chloro-3-dimethylamino-2-fluoro-phenyl) -pyridine-2 carboxylsäuremethylester; I) insecticides
- Organo(thio)phosphate: Acephat, Azamethiphos, Azinphos-methyl, Chlorpyrifos, Chlorpyrifos-Methyl, Chlorfenvinphos, Diazinon, Dichlorvos, Dicrotophos, Dimetho- at, Disulfoton, Ethion, Fenitrothion, Fenthion, Isoxathion, Malathion, Methamido- phos, Methidathion, Methyl-Parathion, Mevinphos, Monocrotophos, Oxydemeton- Methyl, Paraoxon, Parathion, Phenthoate, Phosalone, Phosmet, Phosphamidon, Phorate, Phoxim, Pirimiphos-Methyl, Profenofos, Prothiofos, Sulprophos, Tetra- chlorvinphos, Terbufos, Triazophos, Trichlorfon; - Carbamate: Alanycarb, Aldicarb, Bendiocarb, Benfuracarb, Carbaryl, Carbofuran, Carbosulfan, Fenoxycarb, Furathiocarb, Methiocarb, Methomyl, Oxamyl, Pirimicarb, Propoxur, Thiodicarb, Triazamate;Organo (thio) phosphates: acephate, azamethiphos, azinphos-methyl, chlorpyrifos, chlorpyrifos-methyl, chlorfenvinphos, diazinon, dichlorvos, dicrotophos, dimethoate, disulphoton, ethion, fenitrothion, fenthione, isoxathione, malathion, methamidophosphate, methidathion , Methyl parathion, mevinphos, monocrotophos, oxydemeton-methyl, paraoxon, parathion, phenthoate, phosalone, phosmet, phosphamidone, phorates, phoxim, pirimiphos-methyl, profenofos, prothiofos, sulprophos, tetrachlorinophos, terbufos, triazophos, trichlorfon; Carbamates: alanycarb, aldicarb, bendiocarb, benfuracarb, carbaryl, carbofuran, carbosulfan, fenoxycarb, furathiocarb, methiocarb, methomyl, oxamyl, pirimicarb, propoxur, thiodicarb, triazamates;
- Pyrethroide: Allethrin, Bifenthrin, Cyfluthrin, Cyhalothrin, Cyphenothrin, Cyper- methrin, alpha-Cypermethrin, beta-Cypermethrin, zeta-Cypermethrin, Deltamethrin, Esfenvalerat, Etofenprox, Fenpropathrin, Fenvalerate, Imiprothrin, Lambda-Cyhalo- thrin, Permethrin, Prallethrin, Pyrethrin I und II, Resmethrin, Silafluofen, tau-Fluva- linat, Tefluthrin, Tetramethrin, Tralomethrin, Transfluthrin, Profluthrin, Dimefluthrin,- pyrethroids: allethrin, bifenthrin, cyfluthrin, cyhalothrin, cyphenothrin, cypermethrin, alpha-cypermethrin, beta-cypermethrin, zeta-cypermethrin, deltamethrin, esfenvalerate, etofenprox, fenpropathrin, fenvalerate, imiprothrin, lambda-cyhalo- thrin, permethrin, prallethrin , Pyrethrin I and II, resmethrin, silafluofen, tau-fluvalinate, tefluthrin, tetramethrin, tralomethrin, transfluthrin, profluthrin, dimefluthrin,
- Hemmstoffe des Insektenwachstums: a) Chitinsynthese-Hemmstoffe: Benzoylharn- stoffe: Chlorfluazuron, Cyramazin, Diflubenzuron, Flucycloxuron, Flufenoxuron, He- xaflumuron, Lufenuron, Novaluron, Teflubenzuron, Triflumuron; Buprofezin, Diofe- nolan, Hexythiazox, Etoxazol, Clofentazin; b) Ecdyson-Antagonisten: Halofenozid, Methoxyfenozid, Tebufenozid, Azadirachtin; c) Juvenoide: Pyriproxyfen, Methoprene, Fenoxycarb; d) Lipidbiosynthese-Hemmstoffe: Spirodiclofen, Spiromesifen, Spi- rotetramat; - Nikotinreceptor-Agonisten/Antagonisten: Clothianidin, Dinotefuran, Imidacloprid, Thiamethoxam, Nitenpyram, Acetamiprid, Thiacloprid, 1-(2-chloro-thiazol-5-yl- methyl)-2-nitrimino-3,5-dimethyl-[1 ,3,5]triazinan;Insect growth inhibitors: a) chitin synthesis inhibitors: benzoylureas: chlorofluorazuron, cyramazine, diflubenzuron, flucycloxuron, flufenoxuron, hexaflumuron, lufenuron, novaluron, teflubenzuron, triflumuron; Buprofezin, diofenolan, hexythiazox, etoxazole, clofentazine; b) ecdysone antagonists: halofenozide, methoxyfenozide, tebufenozide, azadirachtin; c) Juvenoids: Pyriproxyfen, Methoprene, Fenoxycarb; d) lipid biosynthesis inhibitors: spirodiclofen, spiromesifen, spinotetramat; Nicotine receptor agonists / antagonists: clothianidin, dinotefuran, imidacloprid, thiamethoxam, nitenpyram, acetamiprid, thiacloprid, 1- (2-chlorothiazol-5-ylmethyl) -2-nitrimino-3,5-dimethyl- [1, 3,5] triazinane;
- GABA-Antagonisten: Endosulfan, Ethiprol, Fipronil, Vaniliprol, Pyrafluprol, Pyriprol, 5-Amino-1-(2,6-dichlor-4-methyl-phenyl)-4-sulfinamoyl-1 H-pyrazol-3-thiocarbon- säureamid;GABA antagonists: endosulfan, ethiprole, fipronil, vaniliprole, pyrafluprole, pyriprole, 5-amino-1- (2,6-dichloro-4-methylphenyl) -4-sulfinamoyl-1H-pyrazole-3-thiocarbon acid amide;
- Macrocyclische Lactone: Abamectin, Emamectin, Milbemectin, Lepimectin, Spino- sad, Spinetoram;Macrocyclic lactones: Abamectin, Emamectin, Milbemectin, Lepimectin, Spinosid, Spinetoram;
- Mitochondriale Elektronentransportketten-Inhibitor (METI) I Akarizide: Fenazaquin, Pyridaben, Tebufenpyrad, Tolfenpyrad, Flufenerim; - METI Il und III Substanzen: Acequinocyl, Fluacyprim, Hydramethylnon;- mitochondrial electron transport chain inhibitor (METI) I acaricides: Fenazaquin, Pyridaben, Tebufenpyrad, Tolfenpyrad, Flufenerim; - METI II and III substances: Acequinocyl, Fluacyprim, Hydramethylnon;
- Entkoppler: Chlorfenapyr;- decoupler: chlorfenapyr;
Hemmstoffe der oxidativen Phosphorylierung: Cyhexatin, Diafenthiuron, Fenbutatin- oxid, Propargit; - Hemmstoffe der Häutung der Insekten: Cryomazin;Inhibitors of oxidative phosphorylation: cyhexatin, diafenthiuron, fenbutatin oxide, propargite; Inhibitors of the sloughing of insects: Cryomazine;
- Hemmstoffe von ,mixed function oxidases': Piperonylbutoxid;Inhibitors of mixed function oxidases: piperonyl butoxide;
- Natriumkanalblocker: Indoxacarb, Metaflumizon;Sodium channel blocker: indoxacarb, metaflumizone;
- Sonstige: Benclothiaz, Bifenazate, Cartap, Flonicamid, Pyridalyl, Pymetrozin, Schwefel, Thiocyclam, Flubendiamid, Chlorantraniliprol, Cyazypyr (HGW86); Cye- nopyrafen, Flupyrazofos, Cyflumetofen, Amidoflumet, Imicyafos, Bistrifluron und Py- rifluquinazon.- Other: Benclothiaz, Bifenazate, Cartap, Flonicamid, Pyridalyl, Pymetrozine, Sulfur, Thiocyclam, Flubendiamid, Chlorantraniliprole, Cyazypyr (HGW86); Cynopyphron, Flupyrazofos, Cyflumetofen, Amidoflumet, Imicyafos, Bistrifluron and Pyrifluquinazone.
Die vorliegende Erfindung betrifft insbesondere auch fungizide Zusammensetzun- gen, die wenigstens eine Verbindung der allgemeinen Formel I und wenigstens einen weiteren Pflanzenschutzwirkstoff, insbesondere wenigstens einen fungiziden Wirkstoff, z. B. einen oder mehrere, z.B. 1 oder 2 Wirkstoffe der vorgenannten Gruppen A) bis F) und gegebenenfalls einen oder mehrere landwirtschaftlich geeignete Träger enthalten. Im Hinblick auf eine Senkung der Aufwandmengen sind diese Mischungen von Interes- se, da viele bei verringerter Gesamtmenge an ausgebrachten Wirkstoffen eine verbesserte Wirkung gegen Schadpilze, insbesondere für bestimmte Indikationen, zeigen. Durch gleichzeitige gemeinsame oder getrennte Anwendung von Verbindung(en) I mit mindestens einem Wirkstoff der Gruppen A) bis I) kann die fungizide Wirksamkeit in überadditivem Maße erhöht werden.The present invention also relates, in particular, to fungicidal compositions which comprise at least one compound of the general formula I and at least one further crop protection active ingredient, in particular at least one fungicidal active ingredient, eg. One or more, e.g. 1 or 2 active compounds of the abovementioned groups A) to F) and optionally one or more agriculturally suitable carriers. With regard to a reduction of the application rates, these mixtures are of interest, since many show an improved action against harmful fungi, especially for certain indications, with a reduced total quantity of applied active substances. By simultaneous joint or separate application of compound (s) I with at least one active compound of groups A) to I), the fungicidal activity can be increased to a superadditive extent.
Gemeinsame Anwendung im Sinne dieser Anmeldung bedeutet, dass der wenigstens eine Verbindung I und der wenigstens eine weitere Wirkstoff gleichzeitig am Wirkort (d.h. die zu bekämpfenden planzenschädigenden Pilzen und deren Lebensraum wie befallene Pflanzen, Pflanzenvermehrungsmaterialien, insebesondere Saatgut, Erdböden, Materialien oder Räume sowie die vor Pilzbefall zu schützenden Pflanzen, Pflanzenvermehrungsmaterialien, insbesondere Saatgut, Erdböden, Materialien oder Räume) in einer für eine wirksame Kontrolle des Pilzwachstums ausreichenden Menge vorliegen. Dies kann dadurch erreicht werden, dass man die Verbindungen I und mindestens einen weiteren Wirkstoff gemeinsam in einer gemeinsamen Wirkstoffaufberei- tung oder in mindestens zwei getrennten Wirkstoffaufbereitungen gleichzeitig ausbringt oder indem man die Wirkstoffe nacheinander am Wirkort appliziert, wobei der zeitliche Abstand der einzelnen Wirkstoffapplikationen so gewählt wird, dass der zuerst ausgebrachte Wirkstoff zum Zeitpunkt der Applikation des/der weiteren Wirkstoffs/stoffe in ausreichender Menge am Wirkort vorliegt. Die zeitliche Reihenfolge des Ausbringens der Wirkstoffe ist von untergeordneter Bedeutung.Common application within the meaning of this application means that the at least one compound I and the at least one other active ingredient at the same time at the site of action (ie the attacking plant-damaging fungi and their habitat such as infested plants, plant propagation materials, insebesondere seed, soil, materials or rooms and the before Fungal attack on plants to be protected, plant propagation materials, in particular seeds, soil, materials or spaces) in an amount sufficient for effective control of fungal growth. This can be achieved by simultaneously applying the compounds I and at least one further active ingredient together in a common active ingredient preparation or in at least two separate active ingredient preparations or by applying the active ingredients one after the other at the site of action, whereby the time interval of the individual active substance applications is selected is that the first applied active ingredient at the time of application of / the other drug / substances in sufficient amount is present at the site of action. The time sequence of the application of the active ingredients is of minor importance.
In binären Mischungen, d. h. erfindungsgemäßen Zusammensetzungen, die eine Verbindung I und einen weiteren Wirkstoff, z.B. einen Wirkstoff aus den Gruppen A) bis I) enthalten, liegt das Gewichtsverhältnis von Verbindung I zum weiteren Wirkstoff hängt das Gewichtsverhältnis von Verbindung I zum 1. weiteren Wirkstoff von den Eigenschaften der jeweiligen Wirkstoffe ab, üblicherweise liegt es im Bereich von 1 :100 bis 100:1 , häufig im Bereich von 1 :50 bis 50:1 , vorzugsweise im Bereich von 1 :20 bis 20:1 , besonders bevorzugt im Bereich von 1 :10 bis 10:1 , insbesondere im Bereich von 1 :3 zu 3:1.In binary mixtures, ie compositions according to the invention which contain a compound I and a further active ingredient, for example an active compound from groups A) to I), the weight ratio of compound I to the further active ingredient depends on the weight ratio of compound I to the first further active ingredient usually from 1: 100 to 100: 1, often in the range from 1:50 to 50: 1, preferably in the range from 1:20 to 20: 1, more preferably in the range from 1:10 to 10: 1, especially in the range of 1: 3 to 3: 1.
In ternären Mischungen, d. h. erfindungsgemäßen Zusammensetzungen, die einen Wirkstoff I und einen 1. weiteren Wirkstoff und einen 2. weiteren Wirkstoff, z. B. zwei verschiedene Wirkstoffe aus den Gruppen A) bis I) enthalten, hängt das Gewichtsverhältnis von Verbindung I zum 1. weiteren Wirkstoff von den Eigenschaften der jeweiligen Wirkstoffe ab, vorzugsweise liegt es im Bereich von 1 :50 bis 50:1 und insbesondere im Bereich von 1 :10 bis 10:1. Das Gewichtsverhältnis von Verbindung I zum 2. weiteren Wirkstoff liegt vorzugsweise im Bereich von 1 :50 bis 50:1 , insbesondere im Be- reich von 1 :10 bis 10:1. Das Gewichtsverhältnis von 1. weiterem Wirkstoff zum 2. weiteren Wirkstoff liegt vorzugsweise im Bereich von 1 :50 bis 50:1 , insbesondere im Bereich von 1 :10 bis 10:1.In ternary mixtures, d. H. compositions according to the invention comprising an active substance I and a further active ingredient and a further active ingredient, eg. B. contain two different agents from groups A) to I), the weight ratio of compound I to 1 further active ingredient depends on the properties of the respective active ingredients, preferably in the range of 1:50 to 50: 1 and in particular in Range from 1:10 to 10: 1. The weight ratio of compound I to the second further active ingredient is preferably in the range from 1:50 to 50: 1, in particular in the range from 1:10 to 10: 1. The weight ratio of 1. further active ingredient to the second further active ingredient is preferably in the range from 1:50 to 50: 1, in particular in the range from 1:10 to 10: 1.
Die Komponenten der erfindungsgemäßen Zusammensetzung können einzeln oder bereits gemischt oder als Teile nach dem Baukastenprinzip (kit of parts) verpackt und weiterverwendet werden.The components of the composition according to the invention can be mixed individually or already mixed or packaged as parts according to the kit of parts and reused.
In einer Ausgestaltung der Erfindung können die Kits (Baukästen) ein oder mehrere, auch alle, Komponenten enthalten, die zur Herstellung einer erfindungsgemäßen agro- chemischen Zusammensetzung verwendet werden können. Bespielsweise können diese Kits ein oder mehrere Fungizid-Komponente(n) und/oder eine Adjuvans-Komponen- te und/oder eine Insektizid-Komponente und/oder eine Wachstumsregulator-Komponente und/oder ein Herbizid enthalten. Ein oder mehrere Komponenten können miteinander kombiniert oder vorformuliert vorliegen. In den Ausgestaltungen, in denen mehr als zwei Komponenten in einem Kit bereitgestellt werden, können die Komponenten miteinander kombiniert und in einem einzelnen Behältnis wie einem Gefäß, Flasche, Dose, Beutel, Sack oder Kanister verpackt vorliegen. In anderen Ausgestaltungen, können zwei oder mehr Komponenten eines Kits getrennt verpackt sein, d. h. nicht vorformuliert bzw. gemischt. Kits können ein oder mehrere gesonderte Behältnisse wie Gefäße, Flaschen, Dosen, Beutel, Säcke oder Kanister enthalten, wobei jedes Behältnis eine gesonderte Komponente der agrochemischen Zusammensetzung enthält. Die Komponenten der erfindungsgemäßen Zusammensetzung können einzeln oder bereits gemischt oder als Teile nach dem Baukastenprinzip (,kit of parts') verpackt und weiterverwendet werden. In beiden Formen kann eine Komponente getrennt oder zusammen mit den weiteren Komponenten oder als Bestandteil eines erfindungsgemäßen ,kit of parts' zur Herstellung der erfindungsgemäßen Mischung verwendet werden.In one embodiment of the invention, the kits (kits) may contain one or more, even all, components which can be used to prepare an agrochemical composition according to the invention. For example, these kits may contain one or more fungicidal component (s) and / or an adjuvant component and / or an insecticidal component and / or a growth regulator component and / or a herbicide. One or more components may be combined or pre-formulated. In embodiments where more than two components are provided in a kit, the components may be combined together and packaged in a single container such as a vessel, bottle, can, bag, sack or canister. In other embodiments, two or more components of a kit may be packaged separately, i. H. not pre-formulated or mixed. Kits may contain one or more separate containers such as containers, bottles, cans, bags, sacks or canisters, each container containing a separate component of the agrochemical composition. The components of the composition according to the invention can be mixed individually or already mixed or packaged as parts according to the "kit of parts" and reused. In both forms, one component can be used separately or together with the other components or as part of a kit of parts according to the invention for the preparation of the mixture according to the invention.
Der Anwender verwendet die erfindungsgemäße Zusammensetzung üblicherweise für die Anwendung in einer Vordosiereinrichtung, im Rückenspritzer, im Spritztank oder im Sprühflugzeug. Dabei wird die agrochemische Zusammensetzung mit Wasser und/oder Puffer auf die gewünschte Anwendungskonzentration gebracht, wobei gegebenenfalls weitere Hilfsstoffe zugegeben werden, und so die anwendungsbereite Spritzbrühe bzw. die erfindungsgemäße agrochemische Zusammensetzung erhalten wird. Üblicherweise werden 50 bis 500 Liter der anwendungsbereiten Spritzbrühe pro Hektar landwirtschaftlicher Nutzfläche aufgebracht, bevorzugt 100 bis 400 Liter.The user usually uses the composition according to the invention for use in a pre-metering device, in the back splash, in the spray tank or in the spray plane. In this case, the agrochemical composition is brought to the desired application concentration with water and / or buffer, optionally further adjuvants are added, and thus obtain the ready-spray mixture or the agrochemical composition of the invention becomes. Usually, 50 to 500 liters of ready-spray mixture per hectare of agricultural land, preferably 100 to 400 liters.
Nach einer Ausführungsform kann der Anwender einzelne Komponenten wie z. B. Teile eines Kits oder einer Zweier- oder Dreiermischung der erfindungsgemäßen Zusammensetzung selber im Spritztank mischen und gegebenenfalls weitere Hilfsstoffe zugeben (Tankmix).In one embodiment, the user may include individual components such as B. parts of a kit or a two or three-mixture of the composition of the invention itself in the spray tank and optionally add further auxiliaries (tank mix).
In einer weiteren Ausführungsform kann der Anwender sowohl einzelne Komponen- ten der erfindungsgemäßen Zusammensetzung als auch teilweise vorgemischte Komponenten, beispielsweise Komponenten enthaltend Verbindungen I und/oder Wirkstoffe aus den Gruppen A) bis I), im Spritztank mischen und gegebenenfalls weitere Hilfsmittel zugeben (Tankmix).In a further embodiment, the user can mix both individual components of the composition according to the invention and partially premixed components, for example components containing compounds I and / or active compounds from groups A) to I), in the spray tank and optionally add further auxiliaries (tank mix). ,
In einer weiteren Ausführungsform kann der Anwender sowohl einzelne Komponenten der erfindungsgemäßen Zusammensetzung als auch teilweise vorgemischte Komponenten, beispielsweise Komponenten enthaltend Verbindungen I und/oder Wirkstoffe aus den Gruppen A) bis I), gemeinsam (z. B. als Tankmix) oder nacheinander anwenden. Bevorzugt sind Zusammensetzungen einer Verbindung I (Komponente 1) mit mindestens einem Wirkstoff aus der Gruppe A) (Komponente 2) der Strobilurine und besonders ausgewählt aus Azoxystrobin, Dimoxystrobin, Fluoxastrobin, Kresoxim-methyl, Orysastrobin, Picoxystrobin, Pyraclostrobin und Trifloxystrobin.In a further embodiment, the user can use both individual components of the composition according to the invention and partially premixed components, for example components containing compounds I and / or active compounds from groups A) to I), together (for example as tank mix) or in succession. Preference is given to compositions of a compound I (component 1) with at least one active ingredient from group A) (component 2) of strobilurins and especially selected from azoxystrobin, dimoxystrobin, fluoxastrobin, kresoxim-methyl, orysastrobin, picoxystrobin, pyraclostrobin and trifloxystrobin.
Bevorzugt sind auch Zusammensetzungen einer Verbindung I (Komponente 1 ) mit mindestens einem Wirkstoff ausgewählt aus der Gruppe B) (Komponente 2) der Car- boxamide und besonders ausgewählt aus Bixafen, Boscalid, Isopyrazam, Fluopyram, Penflufen, Penthiopyrad, Sedaxane, Fenhexamid, Metalaxyl, Mefenoxam, Ofurace, Dimethomorph, Flumorph, Fluopicolid (Picobenzamid), Zoxamid, Carpropamid, Man- dipropamid und N-(3',4',5'-Trifluorbiphenyl-2-yl)-3-difluormethyl-1-methyl-1 H-pyrazol- 4-carboxamid.Preference is also given to compositions of a compound I (component 1) having at least one active compound selected from the group B) (component 2) of the carboxamides and especially selected from bixafen, boscalid, isopyrazam, fluopyram, penflufen, penthiopyrad, sedaxanes, fenhexamide, metalaxyl , Mefenoxam, ofurace, dimethomorph, flumorph, fluopicolide (picobenzamide), zoxamide, carpropamide, man- dipropamide and N- (3 ', 4', 5'-trifluorobiphenyl-2-yl) -3-difluoromethyl-1-methyl-1 H-pyrazole-4-carboxamide.
Bevorzugt sind auch Zusammensetzungen einer Verbindung I (Komponente 1 ) mit mindestens einem Wirkstoff ausgewählt aus der Gruppe C) (Komponente 2) der Azole und besonders ausgewählt aus Cyproconazol, Difenoconazol, Epoxiconazol, Fluquin- conazol, Flusilazol, Flutriafol, Metconazol, Myclobutanil, Penconazol, Propiconazol, Prothioconazol, Triadimefon, Triadimenol, Tebuconazol, Tetraconazol, Triticonazol, Prochloraz, Cyazofamid, Benomyl, Carbendazim und Ethaboxam.Preference is also given to compositions of a compound I (component 1) having at least one active compound selected from group C) (component 2) of the azoles and especially selected from cyproconazole, difenoconazole, epoxiconazole, fluquinconazole, flusilazole, flutriafol, metconazole, myclobutanil, penconazole , Propiconazole, Prothioconazole, Triadimefon, Triadimenol, Tebuconazole, Tetraconazole, Triticonazole, Prochloraz, Cyazofamide, Benomyl, Carbendazim and Ethaboxam.
Bevorzugt sind auch Zusammensetzungen einer Verbindung I (Komponente 1 ) mit mindestens einem Wirkstoff ausgewählt aus der Gruppe D) (Komponente 2) der stickstoffhaltigen Heterocyclylverbindungen und besonders ausgewählt aus Fluazinam, Cyprodinil, Fenarimol, Mepanipyrim, Pyrimethanil, Triforin, Fludioxonil, Fodemorph, Fenpropimorph, Tridemorph, Fenpropidin, Iprodion, Vinclozolin, Famoxadon, Fenami- don, Probenazol, Proquinazid, Acibenzolar-S-methyl, Captafol, Folpet, Fenoxanil, Qui- noxyfen und 5-Ethyl-6-octyl-[1 ,2,4]triazolo[1 ,5-a]pyrimidin-7-ylamin.Also preferred are compositions of a compound I (component 1) with at least one active ingredient selected from group D) (component 2) of the nitrogen-containing heterocyclyl compounds and especially selected from fluazinam, cyprodinil, fenarimol, mepanipyrim, pyrimethanil, triforin, fludioxonil, fodemorph, fenpropimorph, Tridemorph, fenpropidin, iprodione, vinclozolin, famoxadone, fenami don, probenazole, proquinazide, acibenzolar-S-methyl, captafol, folpet, fenoxanil, quinoxyfen and 5-ethyl-6-octyl- [1,2,4] triazolo [1,5-a] pyrimidin-7-ylamine ,
Bevorzugt sind auch Zusammensetzungen einer Verbindung I (Komponente 1 ) mit mindestens einem Wirkstoff ausgewählt aus der Gruppe E) (Komponente 2) der Car- bamate und besonders ausgewählt aus Mancozeb, Metiram, Propineb, Thiram, Iprova- licarb, Benthiavalicarb und Propamocarb.Preference is also given to compositions of a compound I (component 1) having at least one active compound selected from the group E) (component 2) of the carambamates and especially selected from mancozeb, metiram, propineb, thiram, iprovalacarb, benthiavalicarb and propamocarb.
Bevorzugt sind auch Zusammensetzungen einer Verbindung I (Komponente 1 ) mit mindestens einem Wirkstoff ausgewählt aus den Fungiziden der Gruppe F) (Komponente 2) und besonders ausgewählt aus Dithianon, Fentin-Salze, wie Fentinacetat, Fosetyl, Fosetyl-Aluminium, H3PO3 und deren Salze, Chlorothalonil, Dichlofluanid, Thi- ophanat-methyl, Kupferacetat, Kupferhydroxid, Kupferoxychlorid, Kupfersulfat, Schwefel, Cymoxanil, Metrafenon, Spiroxamin und N-Methyl-2-{1-[(5-methyl-3-trifluormethyl- 1 H-pyrazol-1-yl)-acetyl]-piperidin-4-yl}-N-[(1 R)-1 ,2,3,4-tetrahydronaphthalen-1-yl]-4-thi- azolcarboxamid.Also preferred are compositions of a compound I (component 1) with at least one active ingredient selected from the fungicides of group F) (component 2) and especially selected from dithianone, fentin salts such as fentin acetate, fosetyl, fosetyl-aluminum, H3PO3 and their salts , Chlorothalonil, dichlofluanid, thiophosphate-methyl, copper acetate, copper hydroxide, copper oxychloride, copper sulfate, sulfur, cymoxanil, metrafenone, spiroxamine and N-methyl-2- {1 - [(5-methyl-3-trifluoromethyl-1H-pyrazole -1-yl) -acetyl] -piperidin-4-yl} -N - [(1R) -1, 2,3,4-tetrahydronaphthalen-1-yl] -4-thiazolecarboxamide.
Demgemäß betrifft die vorliegende Erfindung ferner Zusammensetzungen einer Verbindung I (Komponente 1) mit einem weiteren Wirkstoff (Komponente 2), wobei letzterer ausgewählt ist aus den Zeilen B-1 bis B-347 in der Spalte "Komponente 2" der Tabelle B.Accordingly, the present invention further relates to compositions of a compound I (component 1) with a further active ingredient (component 2), the latter being selected from the lines B-1 to B-347 in the column "component 2" of table B.
Einer weitere Ausgestaltung der Erfindung betrifft die in der Tabelle B aufgeführten Zusammensetzungen B-1 bis B-347, wobei jeweils eine Zeile der Tabelle B einer agrochemischen Zusammensetzung entspricht, umfassend eine in der vorliegenden Beschreibung individualisierten Verbindungen der Formel I (Komponente 1 ) und den jeweils in der betreffenden Zeile angegebenen weiteren Wirkstoff aus den Gruppen A) bis I) (Komponente 2). Gemäß einer Ausführungsform entspricht die Komponente 1 einer in den Tabellen 1 a bis 135a individualisierten Verbindung I. Die Wirkstoffe in den beschriebenen Zusammensetzungen liegen jeweils vorzugsweise in synergistisch wirksamen Mengen vor.A further embodiment of the invention relates to the compositions B-1 to B-347 listed in Table B, wherein in each case one row of Table B corresponds to an agrochemical composition comprising an individualized in the present specification compounds of formula I (component 1) and the in each case indicated in the relevant line further active compound from groups A) to I) (component 2). According to one embodiment, component 1 corresponds to a compound I which is individualized in Tables 1a to 135a. The active compounds in the described compositions are each preferably present in synergistically effective amounts.
Tabelle B: Wirkstoffzusammensetzung, umfassend eine individualisierte Verbindung I und einen weiteren Wirkstoff aus den Gruppen A) bis I)Table B: Active ingredient composition comprising an individualized compound I and a further active compound from groups A) to I)
Die vorstehend als Komponente 2 genannten Wirkstoffe, ihre Herstellung und ihre Wirkung gegen Schadpilze sind bekannt (vgl.: http://www.alanwood.net/pesticides/); sie sind kommerziell erhältlich. Die nach IUPAC benannten Verbindungen, ihre Herstellung und ihre fungizide Wirkung sind ebenfalls bekannt (vgl. Can. J. Plant Sei. 48(6), 587- 94, 1968; EP-A 141 317; EP-A 152 031 ; EP-A 226 917; EP-A 243 970; EP-A 256 503; EP-A 428 941 ; EP-A 532 022; EP-A 1 028 125; EP-A 1 035 122; EP-A 1 201 648; EP-A 1 122 244, JP 2002316902; DE 19650197; DE 10021412; DE 102005009458; US 3,296,272; US 3,325,503; WO 98/46608; WO 99/14187; WO 99/24413; WO 99/27783; WO 00/29404; WO 00/46148; WO 00/65913; WO 01/54501 ; WO 01/56358; WO 02/22583; WO 02/40431 ; WO 03/10149; WO 03/11853; WO 03/14103; WO 03/16286; WO 03/53145; WO 03/61388; WO 03/66609; WO 03/74491 ; WO 04/49804; WO 05/120234; WO 05/123689; WO 05/123690; WO 05/63721 ; WO 05/87772; WO 05/87773; WO 06/15866; WO 06/87325; WO 06/87343; WO 07/82098; WO 07/90624).The active ingredients mentioned above as component 2, their preparation and their action against harmful fungi are known (cf .: http://www.alanwood.net/pesticides/); they are commercially available. The compounds named after IUPAC, their preparation and their fungicidal action are also known (see Can. J. Plant Sci 48 (6), 587-94, 1968; EP-A 141 317; EP-A 152 031; A 226 917, EP-A 243 970, EP-A 256 503, EP-A 428 941, EP-A 532 022, EP-A 1 028 125, EP-A 1 035 122, EP-A 1 201 648, EP DE 1 922 244, JP 2002316902, DE 19650197, DE 10021412, DE 102005009458, US 3,296,272, US 3,325,503, WO 98/46608, WO 99/14187, WO 99/24413, WO 99/27783, WO 00/29404, WO WO 00/65913, WO 01/54501, WO 01/56358, WO 02/22583, WO 02/40431, WO 03/10149, WO 03/11853, WO 03/14103, WO 03/16286, WO WO 03/63688, WO 03/61388, WO 03/66609, WO 03/74491, WO 04/49804, WO 05/120234, WO 05/123689, WO 05/123690, WO 05/63721, WO 05/87772, WO WO 06/15866, WO 06/87325, WO 06/87343, WO 07/82098, WO 07/90624).
Die Herstellung der Zusammensetzungen für Mischungen von Wirkstoffen erfolgt in bekannter Weise in Form von Zusammensetzungen enthaltend neben den Wirkstoffen ein Lösungsmittel oder festen Trägerstoff, z. B. in der Weise wie für Zusammensetzungen der Verbindungen I angegeben. Bezüglich der üblichen Inhaltsstoffe solcher Zusammensetzungen wird auf die Ausführungen zu den Zusammensetzungen enthaltend die Verbindungen I verwiesen.The preparation of the compositions for mixtures of active ingredients in a known manner in the form of compositions containing in addition to the active ingredients, a solvent or solid carrier, for. B. in the manner as indicated for compositions of the compounds I. With regard to the usual ingredients of such compositions, reference is made to the comments on the compositions containing the compounds I.
Die Zusammensetzungen für Mischungen von Wirkstoffen eignen sich als Fungizide zur Bekämpfung von Schadpilzen. Sie zeichnen sich aus durch eine hervorragende Wirksamkeit gegen ein breites Spektrum von pflanzenpathogenen Pilzen einschließlich bodenbürtiger Pathogene, welche insbesondere aus den Klassen der Plasmodiophoro- myceten, Peronosporomyceten (Syn. Oomyceten), Chytridiomyceten, Zygomyceten, Ascomyceten, Basidiomyceten und Deuteromyceten (Syn. Fungi imperfecti) stammen. Desweiteren wird auf die Ausführungen zur Wirksamkeit der Verbindungen I und der Zusammensetzungen enthaltend die Verbindungen I verwiesen.The compositions for mixtures of active substances are suitable as fungicides for controlling harmful fungi. They are characterized by excellent efficacy against a wide range of phytopathogenic fungi including soil-borne pathogens derived in particular from the classes of the Plasmodiophoromycetes, Peronosporomycetes (Syn. Oomycetes), Chytridiomycetes, Zygomycetes, Ascomycetes, Basidiomycetes and Deuteromycetes (Syn. Fungi imperfecti). Furthermore, reference is made to the comments on the effectiveness of the compounds I and the compositions containing the compounds I.
Ein weiterer Gegenstand der vorliegenden Erfindung ist die Verwendung von Verbindungen I und deren pharmazeutisch verträglichen Salzen zur Behandlung von Krankheiten, insbesondere die Verwendung der Verbindungen I als Antimykotikum. Somit betrifft eine Ausführungsform der Erfindung ein Arzneimittel, umfassend mindestens eine Verbindung der Formel I und/oder ein pharmazeutisch verträgliches Salz davon. Eine weitere Ausführungsform betrifft die Verwendung einer Verbindung I und/oder eines pharmazeutisch wirksamen Salzes davon zur Herstellung eines Antimykotikums.Another object of the present invention is the use of compounds I and their pharmaceutically acceptable salts for the treatment of diseases, in particular the use of the compounds I as an antimycotic. Thus, one embodiment of the invention relates to a pharmaceutical composition comprising at least one compound of the formula I and / or a pharmaceutically acceptable salt thereof. Another embodiment relates to the use of a compound I and / or a pharmaceutically active salt thereof for the manufacture of an antimycotic.
Noch ein weiterer Gegenstand der vorliegenden Erfindung ist die Verwendung von Verbindungen I und deren pharmazeutisch verträglichen Salzen zur Behandlung von Tumoren bei Säugetieren, wie zum Beispiel bei Menschen. Somit betrifft eine Ausführungsform der Erfindung die Verwendung einer Verbindung I und/oder eines pharmazeutisch wirksamen Salzes davon zur Herstellung eines Mittels, das das Wachstum von Tumoren und Krebs in Säugetieren inhibiert. Mit "Krebs" ist insbesondere ein bös- artiger oder maligner Tumor gemeint, z.B. Brustkrebs, Prostatakrebs, Lungenkrebs, ZNS-Krebs, Melanokarzinome, Ovarialkarzinom oder Nierenkrebs, insbesondere beim Menschen.Yet another object of the present invention is the use of compounds I and their pharmaceutically acceptable salts for the treatment of tumors in mammals, such as humans. Thus, one embodiment of the invention relates to the use of a compound I and / or a pharmaceutically acceptable salt thereof for the manufacture of an agent which inhibits the growth of tumors and cancer in mammals. By "cancer" is meant in particular a malignant or malignant tumor, e.g. Breast cancer, prostate cancer, lung cancer, CNS cancer, melanocarcinoma, ovarian cancer or kidney cancer, especially in humans.
Noch ein weiterer Gegenstand der vorliegenden Erfindung ist die Verwendung von Verbindungen I und deren pharmazeutisch verträglichen Salzen zur Behandlung von Virusinfektionen, insbesondere Virusinfektionen, welche zu Erkrankungen beim Warmblüter führen. Somit betrifft eine Ausführungsform der Erfindung die Verwendung einer Verbindung I und/oder eines pharmazeutisch wirksamen Salzes davon zur Herstellung eines Mittels zur Behandlung von Virusinfektionen. Die zu behandlenden Viruserkran- kungen schließen Retroviruserkrankungen wie z.B: HIV und HTLV, Influenzavirus, Rhi- noviruserkrankungen, Herpes und dergleichen ein.Yet another object of the present invention is the use of compounds I and their pharmaceutically acceptable salts for the treatment of viral infections, in particular viral infections, which lead to diseases in warm-blooded animals. Thus, one embodiment of the invention relates to the use of a compound I and / or a pharmaceutically active salt thereof for the manufacture of an agent for the treatment of viral infections. The viral diseases to be treated include retrovirus diseases such as: HIV and HTLV, influenza virus, rhino-virus diseases, herpes and the like.
Synthesebeispielesynthesis Examples
Die in den folgenden Synthesebeispielen angegebenen Vorschriften wurden unter ent- sprechender Abwandlung der Ausgangsverbindungen zur Gewinnung weiterer Verbindungen der Formel I bzw. der Vorstufen davon benutzt, beispielsweise zur Herstellung der in Tabelle E angegebenen erfindungsgemäßen Verbindungen.The instructions given in the following synthesis examples were used, with a corresponding modification of the starting compounds, to obtain further compounds of the formula I or the precursors thereof, for example for the preparation of the compounds according to the invention indicated in Table E.
Beispiel 1 1.1 Herstellung von 3-Acetyl-3-chlordihydrofuran-2(3H)-onExample 1 1.1 Preparation of 3-acetyl-3-chlorodihydrofuran-2 (3H) -one
Sulfurylchlorid (8 ml, 100 mmol) wurde bei Raumtemperatur langsam tropfenweise zu α-Acetobutyrolacton (10,8 ml, 100 mmol) gegeben (Achtung: die Reaktion is spontan exotherm; große Mengen an gasförmigem Chlorwasserstoff und Schwefeldioxid wer- den freigesetzt). Die Reaktionsmischung wurde für weitere 2 h bei Raumtemperatur gerührt. Dann wurde die Mischung mit Ether verdünnt (200 ml), dann mit Wasser (2x200 ml), gesättigter NaCI-Lösung (200 ml) gewaschen. Die organische Phase wurde abgetrennt, über Natriumsulfat getrocknet und im Vakuum aufkonzentriert, sodass reines Chlorlacton entstand (13g, 80%): 1H NMR (300 MHz, CDCI3) δ 2.45-2.54 (m, 1 H), 2.59 (s, 3H), 3.18-3.27 (m, 1 H), 4.35^.45 (m, 2H).Sulfuryl chloride (8 mL, 100 mmol) was slowly added dropwise at room temperature to α-acetobutyrolactone (10.8 mL, 100 mmol) (note: the reaction is spontaneously exothermic, with large amounts of gaseous hydrogen chloride and sulfur dioxide being added). the released). The reaction mixture was stirred for a further 2 h at room temperature. Then the mixture was diluted with ether (200 ml), then washed with water (2 × 200 ml), saturated NaCl solution (200 ml). The organic phase was separated, dried over sodium sulfate and concentrated in vacuo to give pure chloro lactone (13 g, 80%): 1 H NMR (300 MHz, CDCl 3 ) δ 2.45-2.54 (m, 1H), 2.59 (s, 3H), 3.18-3.27 (m, 1H), 4.35 ^ .45 (m, 2H).
1.2 Herstellung von 3,5-Dichlorpentan-2-on1.2 Preparation of 3,5-dichloropentan-2-one
Eisessig (6 ml) und Chlorwasserstoffsaüre (37%, 15 ml) wurden zu 3-Acetyl-3- chlordihydrofuran-2(3H)-on (13,0 g, 80 mmol) unter Rühren zugegeben. Die Reaktion wurde bei 100 0C für 20 min erhitzt und dann bei 120 0C für 2 h am Rückfluss gehalten. Danach wurde die Reaktion auf Raumtemperatur abgekühlt, mit Wasser (200 ml) verdünnt und mit Ether (2x100 ml) extrahiert. Die organische Phase wurde mit NaHCO3 (2x50 ml, aq. sat.), gesättigter NaCI-Lösung (200 ml) gewaschen, über Natriumsulfat getrocknet und im Vakuum aufkonzentriert. Der Rückstand wurde mittels Vakuumdestillation aufgereinigt, sodass man 3,5-Dichlorpentan-2-on (7.3 g, 59%) erhielt: 1H NMR (300 MHz, CDCI3) δ 2.21-2.25 (m, 1 H), 2.37-2.40 (m, 4H), 3.70-3.75 (m, 4H), 4.49- 4.54 (m, 2H).Glacial acetic acid (6 ml) and hydrochloric acid (37%, 15 ml) were added to 3-acetyl-3-chlorodihydrofuran-2 (3H) -one (13.0 g, 80 mmol) with stirring. The reaction was heated at 100 ° C. for 20 minutes and then refluxed at 120 ° C. for 2 hours. Thereafter, the reaction was cooled to room temperature, diluted with water (200 ml) and extracted with ether (2 x 100 ml). The organic phase was washed with NaHCO 3 (2x50 ml, aq. Sat.), Saturated NaCl solution (200 ml), dried over sodium sulfate and concentrated in vacuo. The residue was purified by vacuum distillation to give 3,5-dichloropentan-2-one (7.3 g, 59%): 1 H NMR (300 MHz, CDCl 3 ) δ 2.21-2.25 (m, 1H), 2.37- 2.40 (m, 4H), 3.70-3.75 (m, 4H), 4.49-4.54 (m, 2H).
1.3 Herstellung von 1-(1-Chlorcyclopropyl)ethanon1.3 Preparation of 1- (1-chlorocyclopropyl) ethanone
In einen Zweihals-Rundkolben, ausgerüstet mit Magnetrührer, Druckausgleichrohr und Kurzwegdistille mit Vakuumanschluss wurden Kaliumfluorid (5,46 g, 94 mmol) und Diethylenglycol (20 ml) vorgelegt. Zu diesem Gemisch wurde das Dichlorketon (7,3 g, 47 mmol) des vorherigen Schrittes tropfenweise unter Rühren und konstantem Vacuum (60 torr) bei 1 10 0C zugegeben. Nach Beendigung der Zugabe wurde der Druck schrittweise auf 10 torr verringert, um die Destillation des Produktes zu vervollständigen, was zu einer Ausbeute von 1-(1-Chlorcyclopropyl)ethanon von 2.5 g, 45% führte: 1H NMR (300 MHz, CDCI3) δ 1.44-1.49 (m, 2H), 1.73-1.78 (m, 2H), 4.94 (s, 2H).Potassium fluoride (5.46 g, 94 mmol) and diethylene glycol (20 ml) were placed in a two-neck round bottom flask equipped with magnetic stirrer, pressure equalization tube and short path nozzle with vacuum connection. To this mixture, the dichloroketone (7.3 g, 47 mmol) from the previous step was added dropwise with stirring and constant Vacuum (60 torr) at 1 10 0 C was added. Upon completion of the addition, the pressure was gradually reduced to 10 torr to complete the distillation of the product, resulting in a yield of 1- (1-chlorocyclopropyl) ethanone of 2.5 g, 45%: 1 H NMR (300 MHz, CDCl 2 3 ) δ 1.44-1.49 (m, 2H), 1.73-1.78 (m, 2H), 4.94 (s, 2H).
1.4 Allgemeine Herstellung von Bromketonen1.4 General Preparation of Bromoketones
Zu einer gekühlten Lösung (0 0C) des entsprechenden Ketons (35 mmol) in MeOH (100 ml) wurde tropfenweise unter Rühren Br2 (35 mmol) zugegeben. Man ließ die Reaktionsmischung auf Raumtemperatur kommen und rührte für 2 h, bevor auf Eis/Wasser (30 g) gegossen und mit Ether (50 ml) extrahiert wurde. Die organische Phase wurde abgetrennt, mit gesättigter NaCI-Lösung (2x50 ml) gewaschen, über Natriumsulfat getrocknet und im Vakuum aufkonzentriert. Das Rohprodukt wurde mittels Säulenchromatographie (Silicagel, Laufmittel: Hexane:Dichlormethan, 4:1 ) aufgereinigt, um die entsprechenden Bromketone zu erhalten.To a cooled solution (0 0 C) of the corresponding ketone (35 mmol) in MeOH (100 ml) was added dropwise with stirring Br 2 (35 mmol). The reaction mixture was allowed to come to room temperature and stirred for 2 h before being poured onto ice / water (30 g) and extracted with ether (50 ml). The organic phase was separated, washed with saturated NaCl solution (2 x 50 ml), dried over sodium sulfate and concentrated in vacuo. The crude product was purified by column chromatography (silica gel, eluent: hexanes: dichloromethane, 4: 1) to give the corresponding bromoketones.
1.4a 2-Brom-1-(1-methylcyclohexyl)ethanon gelbes Öl (6,6 g, 43%); 1H NMR (300 MHz, CDCI3) δ 4.18 (s, 2H), 1.97-1.94 (m, 2H),1.4a 2-bromo-1- (1-methylcyclohexyl) ethanone yellow oil (6.6 g, 43%); 1 H NMR (300 MHz, CDCl 3 ) δ 4.18 (s, 2H), 1.97-1.94 (m, 2H),
1.65-1.35 (m, 8H), 1.17 (s, 3H).1.65-1.35 (m, 8H), 1.17 (s, 3H).
1.4b 2-Brom-1 -(1 -chlorcyclopropyl)ethanon gelbes Öl (2.8 g, 69 %); 1H NMR (300 MHz, CDCI3) δ 4.49 (s, 2H), 1.75 (m, 2H), 1.46(m, 2H).1.4b 2-bromo-1 - (1-chlorocyclopropyl) ethanone yellow oil (2.8 g, 69%); 1 H NMR (300 MHz, CDCl 3 ) δ 4.49 (s, 2H), 1.75 (m, 2H), 1.46 (m, 2H).
2-Brom-1-(1-methylcyclopropyl)ethanon wurde kommerziell erworben und weiter ein- gesetzt.2-bromo-1- (1-methylcyclopropyl) ethanone was commercially obtained and used further.
1.5 Allgemeine Herstellung von 1 -[1 -(substituierten)cycloalkyl]-2-(1 H-1 ,2,4-triazol-1 - yl)ethanonen1.5 General preparation of 1- [1- (substituted) cycloalkyl] -2- (1H-1, 2,4-triazol-1-yl) ethanones
Eine Lösung des entsprechenden Bromketons in Aceton (30 mmol) wurde tropfenwei- se unter Rühren zu einer Mischung von 1 ,2,4-Triazol (48 mmol) und Kaliumcarbonat (39 mmol) in Aceton (50 ml) gegeben. Nach 18stündigem Rühren bei Raumtemperatur wurde die Mischung filtriert und das Filtrat wurde im Vakuum aufkonzentriert. Der Rückstand wurde in Ethylacetat (50 ml) aufgenommen und mit gesättigter NaCI- Lösung (2x50 ml) gewaschen. Die organische Phase wurde über Natriumsulfat ge- trocknet und im Vakuum aufkonzentriert, um die substituierten Triazolyl-Derivatezu ergeben.A solution of the corresponding bromoketone in acetone (30 mmol) was added dropwise with stirring to a mixture of 1, 2,4-triazole (48 mmol) and potassium carbonate (39 mmol) in acetone (50 ml). After stirring at room temperature for 18 hours, the mixture was filtered and the filtrate was concentrated in vacuo. The residue was taken up in ethyl acetate (50 ml) and washed with saturated NaCl solution (2 × 50 ml). The organic phase was dried over sodium sulfate and concentrated in vacuo to give the substituted triazolyl derivatives.
1.5a 1 -(1 -Methylcyclohexyl)-2-(1 H-1 ,2,4-triazol-1 -yl)ethanon farbloses Öl (6.2 g, quantitative Ausbeute); 1H NMR (300 MHz, CDCI3) δ 8.15 (s, 1 H), 7.96 (s, 1 H), 5.15 (s, 2H), 2.05-1.94 (m, 2H), 1.65-1.35 (m, 8H), 1.24 (s, 3H).1.5a 1 - (1-Methylcyclohexyl) -2- (1H-1,2,4-triazol-1-yl) ethanone colorless oil (6.2 g, quantitative yield); 1 H NMR (300 MHz, CDCl 3 ) δ 8.15 (s, 1H), 7.96 (s, 1H), 5.15 (s, 2H), 2.05-1.94 (m, 2H), 1.65-1.35 (m, 8H ), 1.24 (s, 3H).
1.5b 1 -(1 -Chlorcyclopropyl)-2-(1 H-1 ,2,4-triazol-1 -yl)ethanon orange-farbener Feststoff (2,1 g, 80%); 1H NMR (300 MHz, CDCI3) δ 8.12 (s, 1 H), 7.981.5b 1 - (1-chlorocyclopropyl) -2- (1 H-1, 2,4-triazol-1-yl) ethanone orange solid (2.1 g, 80%); 1 H NMR (300 MHz, CDCl 3 ) δ 8.12 (s, 1H), 7.98
(s, 1 H), 5.61 (s, 2H), 1.79 (m, 2H), 1.52 (m, 2H).(s, 1H), 5.61 (s, 2H), 1.79 (m, 2H), 1.52 (m, 2H).
1.5c 1 -(1 -Methylcyclopropyl)-2-(1 H-1 ,2,4-triazol-1 -yl)ethanon orange-farbenes Öl (3,5 g, 75%); 1H NMR (300 MHz, CDCI3) δ 8.16 (s, 1 H), 7.96 (s,1.5c 1 - (1-methylcyclopropyl) -2- (1H-1, 2,4-triazol-1-yl) ethanone orange oil (3.5 g, 75%); 1 H NMR (300 MHz, CDCl 3 ) δ 8.16 (s, 1 H), 7.96 (s,
1 H), 5.17 (s, 2H), 3.48 (s, 3H), 1.40 (m, 2H), 0.91 (m, 2H).1 H), 5.17 (s, 2H), 3.48 (s, 3H), 1.40 (m, 2H), 0.91 (m, 2H).
1.6 Herstellung von (E/Z)-3-(2,4-Dichlorphenyl)-2-methyl-propenal Propionaldehyd (17.5 ml, 239 mmol) wurde bei Raumtemperatur tropfenweise zu einer gerührten Lösung von 2,4-Dichlorbenzaldehyd (40,00 g, 228 mmol) und NaOH (0,91 g, 22 mmol) in MeOH (400 ml) gegeben. Nach einstündigem Rühren wurde der pH-Wert der Mischung mit Essigsäure (1 ,4 ml) auf pH 6 eingestellt und für weitere 16 h gerührt. Die Mischung wurde mit EtOAc (100 ml) verdünnt und mit gesättigter NaCI-Lösung gewaschen (2x50 ml). Die organische Phase wurde abgetrennt, mit Natriumsulfat ge- trocknet und aufkonzentriert, um (E/Z)-3-(2,4-Dichlorphenyl)-2-methyl-propenal als grau-weißen Feststoff zu erhalten. Ausbeute: 42,1 g (86%); 1H NMR (300 MHz, CDCI3) δ 9.66 (s, 1 H), 7.51 (s, 1 H), 7.50 (s, 1 H), 7.39 (s, 1 H), 7.28-7.27 (m, 1 H), 1.96 (d, J = 1.5 Hz, 3H).1.6 Preparation of (E / Z) -3- (2,4-dichlorophenyl) -2-methyl-propenal Propionaldehyde (17.5 mL, 239 mmol) was added dropwise at room temperature to a stirred solution of 2,4-dichlorobenzaldehyde (40.00 g, 228 mmol) and NaOH (0.91 g, 22 mmol) in MeOH (400 mL). After stirring for 1 h, the pH of the mixture was adjusted to pH 6 with acetic acid (1.4 ml) and stirred for a further 16 h. The mixture was diluted with EtOAc (100 mL) and washed with saturated NaCl solution (2x50 mL). The organic phase was separated, dried with sodium sulfate and concentrated to give (E / Z) -3- (2,4-dichlorophenyl) -2-methyl-propenal as a gray-white solid. Yield: 42.1 g (86%); 1 H NMR (300 MHz, CDCl 3 ) δ 9.66 (s, 1H), 7.51 (s, 1H), 7.50 (s, 1H), 7.39 (s, 1H), 7.28-7.27 (m, 1 H), 1.96 (d, J = 1.5 Hz, 3H).
1.7 Herstellung von 3-(2,4-Dichlorphenyl)-2-methyl-propanol1.7 Preparation of 3- (2,4-dichlorophenyl) -2-methyl-propanol
Eine Lösung von (E/Z)-3-(2,4-Dichlorphenyl)-2-methyl-propenal (3,0 g, 14 mmol) in THF (20 ml) wurde bei 0 0C zu einer gerührten Suspension von LiAIH4 (850 mg, 22 mmol) in THF (60 ml) gegeben. Die Reaktionsmischung wurde bei dieser Temperatur für 30 min und anschließend für 3 h bei Raumtemperatur gerührt, bevor mit Wasser (0,85 ml) und eiskalter HCl (2M aq., 50 ml) versetzt wurde. Die Mischung wurde mit MTBE (2x50 ml) extrahiert, die vereinigten organischen Extrakte wurden abgetrennt, mit wasserfreiem Natriumsulfat und im Vakuum aufkonzentriert, um 3-(2,4- Dichlorphenyl)-2-methyl-propanol als farbloses Öl. Ausbeute: 2,7 g (88%); 1H NMR (300 MHz, CDCI3) δ 7.36 (s, 1 H), 7.16-7.12 (m, 2H), 3.53-3.51 (m, 2H), 2.91-2.84 (m, 1 H), 2.53-2.46 (m, 1 H), 2.04-1.91 (m, 1 H), 0.93 (d, J = 6.6 Hz, 3H).A solution of (E / Z) -3- (2,4-dichlorophenyl) -2-methyl-propenal (3.0 g, 14 mmol) in THF (20 ml) at 0 0 C to a stirred suspension of LiAlH 4 (850 mg, 22 mmol) in THF (60 ml). The reaction mixture became at this temperature stirred for 30 min and then for 3 h at room temperature before adding water (0.85 ml) and ice-cold HCl (2M aq., 50 ml). The mixture was extracted with MTBE (2x50 ml), the combined organic extracts were separated, anhydrous sodium sulfate and concentrated in vacuo to give 3- (2,4-dichlorophenyl) -2-methyl-propanol as a colorless oil. Yield: 2.7 g (88%); 1 H NMR (300 MHz, CDCl 3 ) δ 7.36 (s, 1H), 7.16-7.12 (m, 2H), 3.53-3.51 (m, 2H), 2.91-2.84 (m, 1H), 2.53-2.46 (m, 1H), 2.04-1.91 (m, 1H), 0.93 (d, J = 6.6Hz, 3H).
1.8 Herstellung von 3-(2,4-Dichlorphenyl)-2-methyl-bromopropan Eine Mischung von 3-(2,4-Dichlorphenyl)-2-methyl-propanol (13,6 g, 62 mmol) und HBr (48% aq., 120 ml) wurde für 16 h am Rückfluss gehalten, dann auf Raumtemperatur gekühlt und mit CH2CI2 (2x50 ml) extrahiert. Die vereinigten organischen Extrakte wurden abgetrennt, mit wasserfreiem Natrimsulfat getrocknet und im Vakuum aufkonzentriert. Das resultierende Rohprodukt wurde mittels Säulenchromatographie aufgereinigt (Silicagel, Laufmittel: Hexan), um 3-(2,4-Dichlorphenyl)-2-methyl-brompropan als hellgelbes Öl. Ausbeute: 15,5 g (87%); 1H NMR (300 MHz, CDCI3) δ 7.37 (s, 1 H,), 7.19- 7.18 (m, 2H), 3.36 (ABqd, J = 4.5, 15 Hz, 2H), 2.75 (ABqd, J = 7.2, 21 Hz, 2H), 2.25- 2.12 (m, 1 H), 1.04 (d, J = 6.6 Hz, 3H).1.8 Preparation of 3- (2,4-dichlorophenyl) -2-methyl-bromopropane A mixture of 3- (2,4-dichlorophenyl) -2-methyl-propanol (13.6 g, 62 mmol) and HBr (48%). aq., 120 ml) was refluxed for 16 h, then cooled to room temperature and extracted with CH 2 Cl 2 (2x50 ml). The combined organic extracts were separated, dried with anhydrous sodium sulfate and concentrated in vacuo. The resulting crude product was purified by column chromatography (silica gel, eluent: hexane) to give 3- (2,4-dichlorophenyl) -2-methyl-bromopropane as a light yellow oil. Yield: 15.5 g (87%); 1 H NMR (300 MHz, CDCl 3 ) δ 7.37 (s, 1 H,), 7.19- 7.18 (m, 2H), 3.36 (ABqd, J = 4.5, 15 Hz, 2H), 2.75 (ABqd, J = 7.2 , 21 Hz, 2H), 2.25- 2.12 (m, 1H), 1.04 (d, J = 6.6 Hz, 3H).
1.9 Allgemeine Vorschrift zur Herstellung von 4-(2,4-Dichlorphenyl)-3-methyl-1 -(1 H-1.9 General procedure for the preparation of 4- (2,4-dichlorophenyl) -3-methyl-1 - (1H-
1 ,2,4-triazol-1-yl)butyl-(substituierten) Ketonen1, 2,4-triazol-1-yl) butyl (substituted) ketones
Eine Mischung von 3-(2,4-Dichlorphenyl)-2-methyl-brompropan (2,5 g, 8,86 mmol), Cs2CO3 (3,9 g, 12 mmol), und das entsprechende Triazolylketon (8,05 mmol) in DMF (30 ml) wurde 16 h bei 70 0C gerührt. Die Mischung wurde auf Raumtemperatur ge- kühlt, mit NH4CI (aq. sat, 50 ml) behandelt und mit EtOAc (2 x 30 ml) extrahiert. Die vereinigten organischen Extrakte wurden mit gesättigter NaCI-Lösung (2x30 ml) gewaschen, abgetrennt, mit wasserfreiem Natriumsulfat getrocknet, und im Vakuum aufkonzentriert. Das Rohprodukt wurde mittels Säulenchromatographie aufgereinigt (Silicagel, Laufmittel: Hexan:EtOAc, 7:3), um die entsprechenden Ketone zu ergeben.A mixture of 3- (2,4-dichlorophenyl) -2-methyl-bromopropane (2.5 g, 8.86 mmol), Cs 2 CO 3 (3.9 g, 12 mmol), and the corresponding triazolyl ketone (8.05 mmol) in DMF (30 ml) was stirred at 70 0 C for 16 h. The mixture was cooled to room temperature, treated with NH 4 Cl (aq sat, 50 mL) and extracted with EtOAc (2 x 30 mL). The combined organic extracts were washed with saturated NaCl solution (2x30 ml), separated, dried with anhydrous sodium sulfate, and concentrated in vacuo. The crude product was purified by column chromatography (silica gel, eluent: hexane: EtOAc, 7: 3) to give the corresponding ketones.
1.9a 5-(2,4-Dichlorphenyl)-4-methyl-1 -(1 -methylcyclopropyl)-2-(1 H-1 ,2,4-triazol-1 - yl)pentan-1-on gelbes Öl, Ausbeute: 1 ,2 g (37%); 1H NMR (300 MHz, CDCI3) δ 8.27 (s, 0.5H), 8.06 (s, 0.5H), 7.92 (s, 0.5H), 7.87 (s, 0.5H), 7.35-7.34 (m, 1 H), 7.19-7.1 1 (m, 1 H), 7.08-6.95 (m, 1 H,), 5.49-5.35 (m, 1 H,), 2.95-2.82 (m, 0.5H), 2.73-2.39 (m, 1.5H), 2.15-1.71 (m, 2H), 1.70-1.50 (m, 1 H), 1.41-1.37 (m, 3H), 1.01-0.97 (m, 2H), 0.95-0.89 (m, 3H), 0.88-0.87 (m, 2H).1.9a 5- (2,4-dichlorophenyl) -4-methyl-1- (1-methylcyclopropyl) -2- (1H-1,2,4-triazol-1-yl) -pentan-1-one yellow oil, Yield: 1.2 g (37%); 1 H NMR (300 MHz, CDCl 3 ) δ 8.27 (s, 0.5H), 8.06 (s, 0.5H), 7.92 (s, 0.5H), 7.87 (s, 0.5H), 7.35-7.34 (m, 1 H), 7.19-7.1 1 (m, 1H), 7.08-6.95 (m, 1H,), 5.49-5.35 (m, 1H,), 2.95-2.82 (m, 0.5H), 2.73-2.39 ( m, 1.5H), 2.15-1.71 (m, 2H), 1.70-1.50 (m, 1H), 1.41-1.37 (m, 3H), 1.01-0.97 (m, 2H), 0.95-0.89 (m, 3H ), 0.88-0.87 (m, 2H).
1.9b 5-(2,4-Dichlorphenyl)-4-methyl-1 -(1 -methylcyclohexyl)-2-(1 H-1 ,2,4-triazol-1 - yl)pentan-1-on gelbe Öl, Ausbeute: 1 ,7 g (39%); 1H NMR (300 MHz, CDCI3) δ 8.20-8.07 (m, 1 H),1.9b 5- (2,4-dichlorophenyl) -4-methyl-1- (1-methylcyclohexyl) -2- (1H-1,2,4-triazol-1-yl) -pentan-1-one yellow oil, Yield: 1.7 g (39%); 1 H NMR (300 MHz, CDCl 3 ) δ 8.20-8.07 (m, 1 H),
7.98-7.83 (m, 1 H), 7.41-7.33 (m, 1 H), 7.21-7.12 (m, 1 H), 7.08-6.95 (m, 1 H), 5.89-5.61 (m, 1 H), 3.61-3.43 (m, 1 H), 2.94-2.83 (m, 1 H), 2.55-2.21 (m, 2H), 1.90-1.70 (m, 5H), 1.60-1.25 (m, 6H), 1.20-1.09 (m, 3H), 1.06-0.95 (m, 3H). 1.9c 1 -(1 -Chlorcyclopropyl)-5-(2,4-dichlorophenyl)-4-methyl-2-(1 H-1 ,2,4-triazol-1 - yl)pentan-1-on gelbes Öl, Ausbeute: 1 ,1 g (18%); 1H NMR (300 MHz, CDCI3) δ 8.28 (s, 0.5H), 8.07 (s, 0.5H), 7.98 (s, 0.5H), 7.92 (s, 0.5H), 7.40-7.31 (m, 1 H), 7.15-6.95 (m, 2H), 6.18-6.05 (m, 1 H), 2.72-2.52 (m, 1 H), 2.50-2.30 (m, 1 H), 2.22-1.90 (m, 2H), 1.90-1.62 (m, 2H), 1.50-1.38 (m, 2H), 1.12-1.01 (m, 1 H), 0.92-0.75 (m, 3H).7.98-7.83 (m, 1H), 7.41-7.33 (m, 1H), 7.21-7.12 (m, 1H), 7.08-6.95 (m, 1H), 5.89-5.61 (m, 1H), 3.61-3.43 (m, 1H), 2.94-2.83 (m, 1H), 2.55-2.21 (m, 2H), 1.90-1.70 (m, 5H), 1.60-1.25 (m, 6H), 1.20-1.09 (m, 3H), 1.06-0.95 (m, 3H). 1.9c 1 - (1-Chlorocyclopropyl) -5- (2,4-dichlorophenyl) -4-methyl-2- (1H-1,2,4-triazol-1-yl) -pentan-1-one yellow oil, Yield: 1.1 g (18%); 1 H NMR (300 MHz, CDCl 3 ) δ 8.28 (s, 0.5H), 8.07 (s, 0.5H), 7.98 (s, 0.5H), 7.92 (s, 0.5H), 7.40-7.31 (m, 1 H), 7.15-6.95 (m, 2H), 6.18-6.05 (m, 1H), 2.72-2.52 (m, 1H), 2.50-2.30 (m, 1H), 2.22-1.90 (m, 2H) , 1.90-1.62 (m, 2H), 1.50-1.38 (m, 2H), 1.12-1.01 (m, 1H), 0.92-0.75 (m, 3H).
1.10 Allgemeine Vorschrift zur Herstellung von 1-(substituierten)-5-(2,4-dichlorphenyl)- 4-methyl-2-(1 H-1 ,2,4-triazol-1 -yl)pentan-1 -ölen Zu einer gerührten und gekühlten (0 0C) Lösung des entsprechenden Ketons (3,3 mmol) in EtOH (10 ml) wurde Natriumborhydrid (136 mg, 3,6 mmol) zugegeben. Die Mischung wurde dann für 2h bei Raumtemperatur gerührt, mit NH4CI (aq. sat., 20 ml) versetzt und mit EtOAc (2x20 ml) extrahiert. Die vereinigten organischen Extrakte wurden abgetrennt, mit wasserfreiem Natriumsulfat getrocknet und im Vakuum aufkon- zentriert. Das Rohprodukt wurde mittels Säulenchromatographie aufgereinigt (Silicagel, Laufmittel: Hexane:EtOAc, 3:2), um die Zielverbindungen zu erhalten.1.10 General procedure for the preparation of 1- (substituted) -5- (2,4-dichlorophenyl) -4-methyl-2- (1H-1, 2,4-triazol-1-yl) pentane-1-oils a stirred and cooled (0 0 C) solution of the corresponding ketone (3.3 mmol) in EtOH (10 ml) was added sodium borohydride (136 mg, 3.6 mmol). The mixture was then stirred for 2 h at room temperature, treated with NH 4 Cl (aq sat., 20 mL) and extracted with EtOAc (2x20 mL). The combined organic extracts were separated, dried with anhydrous sodium sulfate and concentrated in vacuo. The crude product was purified by column chromatography (silica gel, eluent: hexanes: EtOAc, 3: 2) to give the title compounds.
1.10a 1-(1-Methylcyclopropyl)-5-(2,4-dichlorphenyl)-4-methyl-2-(1 H-1 ,2,4-triazol-1.10a 1- (1-Methylcyclopropyl) -5- (2,4-dichlorophenyl) -4-methyl-2- (1H-1, 2,4-triazole)
1-yl)pentan-1-ol farbloses Harz, Ausbeute: 0,49 g (41 %); 1H NMR (300 MHz, CDCI3) δ 8.03 (s, 0.5H), 8.01 (s, 0.5H), 7.95 (s, 0.5H), 7.90 (s, 0.5H), 7.35-7.34 (m, 1 H), 7.17-7.10 (m, 1 H), 7.05-6.95 (m, 1 H), 4.55-4.35 (m, 1 H,), 3.25-3.22 (m, 1 H), 2.92-2.88 (m, 0.5H), 2.60- 2.40 (m, 1.5H), 2.25-2.24 (m, 1 H), 2.21-1.85 (m, 2H), 1.40-1.21 (m, 1 H), 1.07-1.02 (m, 3H), 0.93-0.91 (m, 1.7H), 0.77-0.74 (m, 1.3H), 0.37-0.35 (m, 1 H), 0.22-0.21 (m, 1 H), 0.00-0.02 (m, 2H); APCI, m/z 368 [M + H]+.1-yl) pentan-1-ol colorless resin, yield: 0.49 g (41%); 1 H NMR (300 MHz, CDCl 3 ) δ 8.03 (s, 0.5H), 8.01 (s, 0.5H), 7.95 (s, 0.5H), 7.90 (s, 0.5H), 7.35-7.34 (m, 1 H), 7.17-7.10 (m, 1H), 7.05-6.95 (m, 1H), 4.55-4.35 (m, 1H,), 3.25-3.22 (m, 1H), 2.92-2.88 (m, 0.5H), 2.60-2.40 (m, 1.5H), 2.25-2.24 (m, 1H), 2.21-1.85 (m, 2H), 1.40-1.21 (m, 1H), 1.07-1.02 (m, 3H ), 0.93-0.91 (m, 1.7H), 0.77-0.74 (m, 1.3H), 0.37-0.35 (m, 1H), 0.22-0.21 (m, 1H), 0.00-0.02 (m, 2H) ; APCI, m / z 368 [M + H] + .
1.10b 1-(1-Methylcyclohexyl)-5-(2,4-Dichlorphenyl)-4-methyl-2-(1 H-1 ,2,4-triazol-1- yl)pentan-1-ol farbloses Harz, Ausbeute: 1 ,1 g (63%); 1H NMR (300 MHz, CDCI3) δ 8.07-8.06 (m, 1 H), 7.93-7.89 (m, 1 H), 7.45-7.37 (m, 1 H), 7.17-7.06 (m, 1 H), 6.96-6.94 (m, 1 H), 4.67-4.53 (m, 1 H), 3.41-3.36 (m, 2H), 2.84-2.77 (m, 0.5H), 2.67-2.60 (m, 0.5H), 2.50- 2.47 (m, 1 H), 2.35-2.28 (m, 0.5H), 2.13-2.04 (m, 0.5H), 1.95-1.93 (m, 0.4H), 1.69- 1.66 (m, 0.1 H), 1.61-1.13 (m, 10.5H), 1.00-0.93 (m, 1 H), 0.94-0.79 (m, 3H), 0.43- 0.39 (m, 3H); APCI, m/z 410 [M + H]+ 1.10c 1-(1-Chlorcyclopropyl)-5-(2,4-dichlorphenyl)-4-methyl-2-(1 H-1 ,2,4-triazol-1- yl)pentan-1-ol farbloses Harz, Ausbeute: 0.37 g (34%); 1H NMR (300 MHz, CDCI3) δ 8.16 (s, 0.5H), 8.12 (s, 0.5H), 7.98 (s, 0.5H), 7.93 (s, 0.5H), 7.35-7.30 (m, 1 H), 7.18-6.96 (m, 2H), 4.85-4.52 (m, 1 H,), 3.42-3.32 (m, 1 H), 3.12-2.38 (m, 3H), 2.28-1.92 (m, 2H), 1.65- 1.31 (m, 1 H), 1.07-0.64 (m, 6H), 0.35-0.21 (m, 1 H); ESI, m/z 388 [M + H]+.1.10b 1- (1-methylcyclohexyl) -5- (2,4-dichlorophenyl) -4-methyl-2- (1H-1,2,4-triazol-1-yl) pentan-1-ol colorless resin, Yield: 1.1 g (63%); 1 H NMR (300 MHz, CDCl 3 ) δ 8.07-8.06 (m, 1H), 7.93-7.89 (m, 1H), 7.45-7.37 (m, 1H), 7.17-7.06 (m, 1H) , 6.96-6.94 (m, 1H), 4.67-4.53 (m, 1H), 3.41-3.36 (m, 2H), 2.84-2.77 (m, 0.5H), 2.67-2.60 (m, 0.5H), 2.50-2.47 (m, 1H), 2.35-2.28 (m, 0.5H), 2.13-2.04 (m, 0.5H), 1.95-1.93 (m, 0.4H), 1.69-1.66 (m, 0.1H), 1.61-1.13 (m, 10.5H), 1.00-0.93 (m, 1H), 0.94-0.79 (m, 3H), 0.43-0.39 (m, 3H); APCI, m / z 410 [M + H] + 1.10c 1- (1-Chlorocyclopropyl) -5- (2,4-dichlorophenyl) -4-methyl-2- (1H-1, 2,4-triazole) 1-yl) pentan-1-ol colorless resin, yield: 0.37 g (34%); 1 H NMR (300 MHz, CDCl 3 ) δ 8.16 (s, 0.5H), 8.12 (s, 0.5H), 7.98 (s, 0.5H), 7.93 (s, 0.5H), 7.35-7.30 (m, 1 H), 7.18-6.96 (m, 2H), 4.85-4.52 (m, 1H,), 3.42-3.32 (m, 1H), 3.12-2.38 (m, 3H), 2.28-1.92 (m, 2H) , 1.65-1.31 (m, 1H), 1.07-0.64 (m, 6H), 0.35-0.21 (m, 1H); ESI, m / z 388 [M + H] + .
Besipiel 2Example 2
2.1 Allgemeine Herstellung von 1-(4-Brombutoxy)-(substituierten)benzolen Ein Gemisch des entsprechenden substituierten Phenols (44 mmol) und Kaliumcarbo- nat (66 mmol) in DMF (50 ml) wurde für 1 h bei Raumtemperatur gerührt. Dann wurde tropfenweise 1 ,4-Dibrombutan (89 mmol) zu der Mischung zugegeben, gefolgt von der Zugabe von Kl (cat.). Nach 18stündigem Rühren bei Raumtemperatur wurde die Mi- schung filtriert und das Filtrat wurde im Vakuum aufkonzentriert. Der Rückstand wurde mit EtOAc (50 ml) aufgenommen, mit gesättigter NaCI-Lösung (3x50 ml) gewaschen, über Natriumsulfat getrocknet und im Vakuum aufkonzentriert. Das resultierende Rohprodukt wurde mittels Säulenchromatographie aufgereinigt (Silicagel, Laufmittel: Hexan), um das entsprechende substituierte Brombutoxybenzol zu erhalten.2.1 General preparation of 1- (4-bromobutoxy) - (substituted) benzenes A mixture of the appropriate substituted phenol (44 mmol) and potassium carbonate (66 mmol) in DMF (50 ml) was stirred for 1 h at room temperature. Then 1, 4-dibromobutane (89 mmol) was added dropwise to the mixture, followed by the addition of Kl (cat.). After stirring at room temperature for 18 hours, the mixture was filtered and the filtrate was concentrated in vacuo. The residue was taken up with EtOAc (50 ml), washed with saturated NaCl solution (3x50 ml), dried over sodium sulfate and concentrated in vacuo. The resulting crude product was purified by column chromatography (silica gel, eluent: hexane) to obtain the corresponding substituted bromobutoxybenzene.
2.1a 1-(4-Brombutoxy)-2-fluorbenzol weißer Feststoff (4,1 g, 38 %); 1H NMR (300 MHz, CDCI3) δ 7.07-6.95 (m, 4H), 4.07 (t,2.1a 1- (4-bromobutoxy) -2-fluorobenzene white solid (4.1 g, 38%); 1 H NMR (300 MHz, CDCl 3 ) δ 7.07-6.95 (m, 4H), 4.07 (t,
J = 5.8 Hz, 2H), 3.50 (t, 2H), 2.09-2.00 (m, 4H)J = 5.8 Hz, 2H), 3.50 (t, 2H), 2.09-2.00 (m, 4H)
2.1 b 1-(4-Brombutoxy)-2,4-difluorbenzol farbloses Öl (3,5 g, 35%); 1H NMR (300 MHz, CDCI3) δ 6.89-6.74 (m, 3H), 4.05-4.01 (m, 2H), 3.51-3.47 (m, 2H), 2.11-1.92 (m, 4H). 2.1 c 1-(4-Brombutoxy)-2,3-difluorbenzol farbloses Öl (5,3 g, 53%); 1H NMR (300 MHz, CDCI3) δ 6.89-6.74 (m, 3H), 4.05-4.01 (m, 2H), 3.51-3.47 (m, 2H), 2.11-1.92 (m, 4H). 2.1d 1-(4-Brombutoxy)-3-chlorbenzol farbloses Öl (3,8 g, 37%); 1H NMR (300 MHz, CDCI3) δ 6.91-6.93 (m, 1 H), 6.93-6.75 (m, 3H), 3.98 (t, J=6.2 Hz, 2H), 3.48 (t, J = 5.5 Hz, 2H), 2.08-1.91 (m, 4H).2.1b 1- (4-bromobutoxy) -2,4-difluorobenzene colorless oil (3.5 g, 35%); 1 H NMR (300 MHz, CDCl 3 ) δ 6.89-6.74 (m, 3H), 4.05-4.01 (m, 2H), 3.51-3.47 (m, 2H), 2.11-1.92 (m, 4H). 2.1 C 1- (4-bromobutoxy) -2,3-difluorobenzene colorless oil (5.3 g, 53%); 1 H NMR (300 MHz, CDCl 3 ) δ 6.89-6.74 (m, 3H), 4.05-4.01 (m, 2H), 3.51-3.47 (m, 2H), 2.11-1.92 (m, 4H). 2.1d 1- (4-bromobutoxy) -3-chlorobenzene colorless oil (3.8 g, 37%); 1 H NMR (300 MHz, CDCl 3 ) δ 6.91-6.93 (m, 1H), 6.93-6.75 (m, 3H), 3.98 (t, J = 6.2 Hz, 2H), 3.48 (t, J = 5.5 Hz , 2H), 2.08-1.91 (m, 4H).
2.2 Allgemeine Herstellung von 6-[(substituierten)phenoxy]-1-[1- (substituirten)cycloalkyl)]-2-(1 H-1 ,2,4-triazol-1 -yl)hexan-1 -onen2.2 General preparation of 6 - [(substituted) phenoxy] -1- [1- (substituted) cycloalkyl)] - 2- (1H-1, 2,4-triazol-1-yl) hexan-1-one
Zu einer Mischung des entsprechenden 1-[1-(substituierten)cycloalkyl]-2-(1 H-1 ,2,4- triazol-1-yl)ethanons (4 mmol) in CH3CN (15 ml) wurde Kaliumhydroxid (9 mmol), das entsprechende substituierte Brombutoxybenzol (3 mmol), and PEG-400 (cat.) zugegeben. Die Mischung wurde unter Rühren für 6h bei 60 0C erhitzt. Danach wurde abge- kühlt, die Reaktionsmischung mit Ethylacetat verdünnt und mit gesättigter NaCI-Lösung gewaschen (2χ50ml). Die organische Phase wurde abgetrennt, über Natriumsulfat getrocknet und im Vakuum aufkonzentriert. Das resultierende Rohprodukt wurde mittels Säulenchromatographie aufgereinigt (Silicagel, Laufmittel: 9:1 to 1 :1 Hexan:EtOAc), um das entsprechende substituierte Hexanon zu erhalten.To a mixture of the appropriate 1- [1- (substituted) cycloalkyl] -2- (1H-1, 2,4-triazol-1-yl) ethanone (4 mmol) in CH 3 CN (15 ml) was added potassium hydroxide ( 9 mmol), the corresponding substituted bromobutoxybenzene (3 mmol), and PEG-400 (cat.) Were added. The mixture was heated at 60 ° C. with stirring for 6 h. The mixture was then cooled down, diluted the reaction mixture with ethyl acetate and washed with saturated NaCl solution (2 χ 50ml). The organic phase was separated, dried over sodium sulfate and concentrated in vacuo. The resulting crude product was purified by column chromatography (silica gel, eluent: 9: 1 to 1: 1 hexane: EtOAc) to give the corresponding substituted hexanone.
2.2a 6-(2-Fluorphenoxy)-1 -(1 -methylcyclohexyl)-2-(1 H-1 ,2,4-triazol-1 -yl)hexan-1 - on gelbes Öl (138 mg, 8%); 1H NMR (300 MHz, CDCI3) δ 8.31 (s, 1 H), 7.88 (s, 1 H), 7.07- 6.95 (m, 4H), 5.59-5.54 (m, 1 H), 3.99-3.95 (m, 2H), 2.09-1.77 (m, 5H), 1.65-1.35 (m, 1 1 H), 1.17 (s, 3H).2.2a 6- (2-fluorophenoxy) -1- (1-methylcyclohexyl) -2- (1H-1,2,4-triazol-1-yl) hexan-1-one yellow oil (138 mg, 8%) ; 1 H NMR (300 MHz, CDCl 3 ) δ 8.31 (s, 1H), 7.88 (s, 1H), 7.07-6.95 (m, 4H), 5.59-5.54 (m, 1H), 3.99-3.95 ( m, 2H), 2.09-1.77 (m, 5H), 1.65-1.35 (m, 11H), 1.17 (s, 3H).
2.2b 6-(2, 4-Difluorphenoxy)-1 -(1 -methylcyclohexyl)-2-(1 H-1 ,2,4-triazol-1 - yl)hexan-1-on gelbes Öl (158 mg, 9%); 1H NMR (300 MHz, CDCI3) δ 8.31 (s, 1 H), 7.88(s, 1 H), 6.87- 6.83 (m, 3H), 5.59-5.49 (m, 1 H), 3.93 (t, J = 7.0 Hz, 2H), 2.17-1.14 (m, 19H). 2.2c 6-(2, 3-Difluorphenoxy)-1 -(1 -methylcyclohexyl)-2-(1 H-1 ,2,4-triazol-1 - yl)hexan-1-on gelbes Öl (230 mg, 13%); 1H NMR (300 MHz, CDCI3) δ 1H NMR (300 MHz, CDCI3) δ 8.31 (s, 1 H), 7.88(s, 1 H), 6.99-6.59 (m, 3H), 5.56-5.49 (m, 1 H), 3.93 (t, J = 7.0 Hz, 2H), 2.17-1.14 (m, 19H). 2.2d 6-(3-Chlorphenoxy)-1 -(1 -methylcyclohexyl)-2-(1 H-1 ,2,4-triazol-1 -yl)hexan-2.2b 6- (2,4-Difluorophenoxy) -1- (1-methylcyclohexyl) -2- (1H-1,2,4-triazol-1-yl) -hexan-1-one yellow oil (158 mg, 9%); 1 H NMR (300 MHz, CDCl 3 ) δ 8.31 (s, 1H), 7.88 (s, 1H), 6.87-6.83 (m, 3H), 5.59-5.49 (m, 1H), 3.93 (t, J = 7.0 Hz, 2H), 2.17-1.14 (m, 19H). 2.2c 6- (2,3-Difluorophenoxy) -1- (1-methylcyclohexyl) -2- (1H-1,2,4-triazol-1-yl) -hexan-1-one yellow oil (230 mg, 13 %); 1 H NMR (300 MHz, CDCI 3) δ 1H NMR (300 MHz, CDCI 3) δ 8.31 (s, 1 H), 7.88 (s, 1 H), 6.99-6.59 (m, 3H), 5:56 to 5:49 (m, 1H), 3.93 (t, J = 7.0Hz, 2H), 2.17-1.14 (m, 19H). 2.2d 6- (3-chlorophenoxy) -1- (1-methylcyclohexyl) -2- (1H-1,2,4-triazol-1-yl) hexane
1-on gelbes Öl (440 mg, 30%); 1H NMR (300 MHz, CDCI3) δ 8.31 (s, 1 H), 7.98 (s, 1 H), 7.19 (t, J = 8.4 Hz, 2H), 6.92-6.62 (m, 3H), 5.59-5.54 (m, 1 H), 3.90-3.86 (m, 2H), 2.09-1.77 (m, 5H), 1.65-1.35 (m, 11 H), 1.17 (s, 3H). 2.2e 1 -(1 -Chlorcyclopropyl)-6-(3-fluorphenoxy)-2-(1 H-1 ,2,4-triazol-1 -yl)hexan-1 - on farbloses Öl (350 mg, 40 %); 1H NMR (300 MHz, CDCI3) δ 8.30 (s, 1 H), 7.95 (s, 1 H), 6.06-7.00 (m, 2H), 6.93-6.87 (m, 2H), 6.04-5.95 (m, 1 H), 4.06-3.96 (m, 2H), 2.49-2.30 (m, 1 H), 2.10-1.35 (m, 9H). 2.2f 1 -(1 -Chlorcyclopropyl)-6-(2-3 difluorphenoxy)-2-(1 H-1 ,2,4-triazol-1 - yl)hexan-1-on gelbes Öl (220 mg, 31 %); 1H NMR (300 MHz, CDCI3) δ 8.30 (s, 1 H), 7.95 (s, 1 H), 7.01- 6.90 (m, 1 H), 6.83-6.60 (m, 2H), 6.04-5.95 (m, 1 H), 4.06-3.96 (m, 2H), 2.49-2.30 (m, 1 H), 2.10-1.35 (m, 9H). 2.2g 1 -(1 -Chlorcyclopropyl)-6-(3-chlorphenoxy)-2-(1 H-1 ,2,4-triazol-1 -yl)hexan-1 - on gelbes Öl (153 mg, 20%); 1H NMR (300 MHz, CDCI3) δ 8.28 (s, 1 H), 7.95 (s, 1 H), 7.15 (t, J = 8.2 Hz, 1 H), 6.93-6.60 (m, 3H), 6.01-5.99 (m, 1 H), 3.90-3.86 (m, 2H), 2.49-2.30 (m, 1 H), 2.10-1.35 (m, 9H). 2.2h 6-(2,4-Difluorphenoxy)-1 -(1 -methylcyclopropyl)-2-(1 H-1 ,2,4-triazol-1 - yl)hexan-1-on farbloses Öl (200 mg, 25%); 1H NMR (300 MHz, CDCI3) δ 8.30 (s, 1 H), 7.90(s, 1 H),1-on yellow oil (440 mg, 30%); 1 H NMR (300 MHz, CDCl 3 ) δ 8.31 (s, 1H), 7.98 (s, 1H), 7.19 (t, J = 8.4 Hz, 2H), 6.92-6.62 (m, 3H), 5.59- 5.54 (m, 1H), 3.90-3.86 (m, 2H), 2.09-1.77 (m, 5H), 1.65-1.35 (m, 11H), 1.17 (s, 3H). 2.2e 1 - (1-Chlorocyclopropyl) -6- (3-fluorophenoxy) -2- (1H-1, 2,4-triazol-1-yl) hexan-1-one colorless oil (350 mg, 40%) ; 1 H NMR (300 MHz, CDCl 3 ) δ 8.30 (s, 1H), 7.95 (s, 1H), 6.06-7.00 (m, 2H), 6.93-6.87 (m, 2H), 6.04-5.95 (m , 1H), 4.06-3.96 (m, 2H), 2.49-2.30 (m, 1H), 2.10-1.35 (m, 9H). 2.2f 1 - (1-Chlorocyclopropyl) -6- (2-3-difluorophenoxy) -2- (1H-1,2,4-triazol-1-yl) -hexan-1-one yellow oil (220 mg, 31% ); 1 H NMR (300 MHz, CDCl 3 ) δ 8.30 (s, 1H), 7.95 (s, 1H), 7.01-6.90 (m, 1H), 6.83-6.60 (m, 2H), 6.04-5.95 ( m, 1H), 4.06-3.96 (m, 2H), 2.49-2.30 (m, 1H), 2.10-1.35 (m, 9H). 2.2 g of 1- (1-chlorocyclopropyl) -6- (3-chlorophenoxy) -2- (1H-1,2,4-triazol-1-yl) hexan-1-one yellow oil (153 mg, 20%). ; 1 H NMR (300 MHz, CDCl 3 ) δ 8.28 (s, 1H), 7.95 (s, 1H), 7.15 (t, J = 8.2 Hz, 1H), 6.93-6.60 (m, 3H), 6.01 -5.99 (m, 1H), 3.90-3.86 (m, 2H), 2.49-2.30 (m, 1H), 2.10-1.35 (m, 9H). 2.2h 6- (2,4-Difluorophenoxy) -1- (1-methylcyclopropyl) -2- (1H-1,2,4-triazol-1-yl) hexan-1-one colorless oil (200 mg, 25 %); 1 H NMR (300 MHz, CDCl 3 ) δ 8.30 (s, 1 H), 7.90 (s, 1 H),
7.12-6.84 (m, 4H), 5.38-5.26 (m, 1 H), 3.97-3.93 (m, 2H), 2.27-2.12 (m, 1 H), 1.89-1.387.12-6.84 (m, 4H), 5.38-5.26 (m, 1H), 3.97-3.93 (m, 2H), 2.27-2.12 (m, 1H), 1.89-1.38
(m, 10H), 0.94-0.87 (m, 2H).(m, 10H), 0.94-0.87 (m, 2H).
2.2i 6-(2,4-Difluorphenoxy)-1 -(1 -methylcyclopropyl)-2-(1 H-1 ,2,4-triazol-1 - yl)hexan-1-on farbloses Öl (320 mg, 25%); 1H NMR (300 MHz, CDCI3) δ 8.30 (s, 1 H), 7.90(s, 1 H),2.2i 6- (2,4-Difluorophenoxy) -1- (1-methylcyclopropyl) -2- (1H-1,2,4-triazol-1-yl) hexan-1-one colorless oil (320mg, 25 %); 1 H NMR (300 MHz, CDCl 3 ) δ 8.30 (s, 1 H), 7.90 (s, 1 H),
6.87-6.84 (m, 3H), 5.38-5.26 (m, 1 H), 3.97-3.93 (m, 2H), 2.27-2.12 (m, 1 H), 1.89-1.386.87-6.84 (m, 3H), 5.38-5.26 (m, 1H), 3.97-3.93 (m, 2H), 2.27-2.12 (m, 1H), 1.89-1.38
(m, 10H), 0.94-0.87 (m, 2H).(m, 10H), 0.94-0.87 (m, 2H).
2.2j 6-(2, 3-Difluorphenoxy)-1 -(1 -methylcyclopropyl)-2-(1 H-1 ,2,4-triazol-1 - yl)hexan-1-on farbloses Öl (370 mg, 18%); 1H NMR (300 MHz, CDCI3) δ 8.30 (s, 1 H), 7.90(s, 1 H), 6.97-6.94 (m, 1 H), 6.74-6.68 (m, 2H), 5.33-5.28 (m, 1 H), 3.97-3.93 (m, 2H), 2.27- 2.12 (m, 1 H), 1.89-1.38 (m, 10H), 0.94-0.87 (m, 2H). 2.2k 6-(3-Chlorphenoxy)-1 -(1 -methylcyclopropyl)-2-(1 H-1 ,2,4-triazol-1 -yl)hexan-2.2j 6- (2,3-Difluorophenoxy) -1- (1-methylcyclopropyl) -2- (1H-1,2,4-triazol-1-yl) -hexan-1-one colorless oil (370 mg, 18 %); 1 H NMR (300 MHz, CDCl 3 ) δ 8.30 (s, 1H), 7.90 (s, 1H), 6.97-6.94 (m, 1H), 6.74-6.68 (m, 2H), 5.33-5.28 ( m, 1H), 3.97-3.93 (m, 2H), 2.27-2.12 (m, 1H), 1.89-1.38 (m, 10H), 0.94-0.87 (m, 2H). 2.2k 6- (3-chlorophenoxy) -1- (1-methylcyclopropyl) -2- (1H-1,2,4-triazol-1-yl) hexane
1-on blass-gelbes Öl (750 mg, 52%); 1H NMR (300 MHz, CDCI3) δ 8.29 (s, 1 H), 7.90 (s, 1 H), 7.16 (t, J = 8.2 Hz, 1 H), 6.90 (m, 1 H), 6.85 (s, 1 H), 6.72 (m, 1 H), 5.29 (m, 1 H), 3.90 (m, 2H), 1.75-2.17 (m, 4H), 1.42-1.47 (m, 7H), 0.88 (m, 2H).1-on pale yellow oil (750 mg, 52%); 1 H NMR (300 MHz, CDCl 3 ) δ 8.29 (s, 1H), 7.90 (s, 1H), 7.16 (t, J = 8.2 Hz, 1H), 6.90 (m, 1H), 6.85 ( s, 1H), 6.72 (m, 1H), 5.29 (m, 1H), 3.90 (m, 2H), 1.75-2.17 (m, 4H), 1.42-1.47 (m, 7H), 0.88 (m , 2H).
2.3 Allgemeine Herstellung von 6-[(substituierten)phenoxy]-1-[1-2.3 General Preparation of 6 - [(substituted) phenoxy] -1- [1
(substituierten)cycloalkyl]-2-(1 H-1 ,2,4-triazol-1-yl)hexan-1-olen (Tetra-n- butylammonium Borohydrid/Titantetrachlorid Reduktion (RS/SR- Diastereomere)(substituted) cycloalkyl] -2- (1H-1,2,4-triazol-1-yl) hexan-1-ols (tetra-n-butylammonium borohydride / titanium tetrachloride reduction (RS / SR diastereomers)
Eine Lösung des entsprechenden substituierten Hexanons (0,4 mmol) in wasserfreiem CH2CI2 (10ml) wurde unter Rühren auf -78 0C gekühlt, gefolgt von der tropfenweisen Zugabe von TiCU (0,7 mmol). Die Reaktionsmischung wurde für 0,5 h gerührt. Danach wurde Tetra-n-butylammoniumborhydrid zugegeben, und es wurde für 3 h weiter ge- rührt. Die Mischung wurde mit NH4CI (aq. sat, 10 ml) versetzt und mit CH2CI2 (25 ml) extrahiert. Die organische Phase wurde abgetrennt, mit gesättigter NaCI-Lösung gewaschen (2x20 ml), über Natriumsulfat getrocknet und im Vakuum aufkonzentriert. Das Rohprodukt wurde mittels Säulenchromatographie aufgereinigt (Silicagel, Laufmittel: 10:1 bis 2:1 Hexan:EtOAc), um die entsprechende Zielverbindung zu erhalten.A solution of the corresponding substituted hexanone (0.4 mmol) in anhydrous CH2Cl2 (10ml) was cooled with stirring to -78 0 C, followed by dropwise addition of TiCl (0.7 mmol). The reaction mixture was stirred for 0.5 h. Thereafter, tetra-n-butylammonium borohydride was added and stirring was continued for 3 hours. The mixture was added with NH 4 Cl (aq sat, 10 ml) and extracted with CH 2 Cl 2 (25 ml). The organic phase was separated, washed with saturated NaCl solution (2 × 20 ml), dried over sodium sulfate and concentrated in vacuo. The crude product was purified by column chromatography (silica gel, eluent: 10: 1 to 2: 1 hexane: EtOAc) to give the corresponding target compound.
2.3a 6-(2-Fluorphenoxy)-1 -(1 -methylcyclohexyl)-2-(1 H-1 ,2,4-triazol-1 -yl)hexan-1 - ol weißer Feststoff (130 mg, 24%), mp 70-72 0C; 1H NMR (300 MHz, CDCI3) δ 8.10 (s, 1 H,), 7.95 (s, 1 H), 7.05-7.02 (m, 2H), 6.89-6.87 (m, 2H), 4.48-4.44 (m, 1 H), 3.99-3.93 (m, 2H), 3.60-3.58 (m, 1 H), 2.92-2.91 (m, 1 H), 2.25-0.99 (m, 19H); MS (ESI) m/z 376 [M+H]+. 2.3b 6-(2, 4-Difluorphenoxy)-1 -(1 -methylcyclohexyl)-2-(1 H-1 ,2,4-triazol-1 - yl)hexan-1-ol farbloses Öl (80 mg, 51 %); 1H NMR (300 MHz, CDCI3) δ 8.31 (s, 1 H), 7.88(s, 1 H), 6.87- 6.83 (m, 3H), 4.49-4.39 (m, 1 H), 3.92-3.89 (m, 2H), 3.60-3.58 (m, 1 H), 2.94 (br s, 1 H), 2.24-0.99 (m, 15H), 0.45-0.0 (m, 4H); MS (ESI) m/z 394 [M+H]+. 2.3c 6-(2, 3-Difluorphenoxy)-1 -(1 -methylcyclohexyl)-2-(1 H-1 ,2,4-triazol-1 - yl)hexan-1-ol weißer Feststoff (130 mg, 57%), mp 93-95 0C; 1H NMR (300 MHz, CDCI3) δ 8.1 1 (s, 1 H,), 7.94 (s, 1 H), 6.92-6.95 (m, 1 H), 6.76-6.60 (m, 2H), 4.48-4.44 (m, 1 H), 3.98-3.91 (m, 2H), 3.60-3.58 (m, 1 H), 3.10-3.09 (m, 1 H), 2.34-0.99 (m, 19H); MS (ESI) m/z 394 [M+H]+.2.3a 6- (2-fluorophenoxy) -1- (1-methylcyclohexyl) -2- (1H-1,2,4-triazol-1-yl) hexan-1-ol White solid (130 mg, 24%) , mp 70-72 0 C; 1 H NMR (300 MHz, CDCl 3 ) δ 8.10 (s, 1H,), 7.95 (s, 1H), 7.05-7.02 (m, 2H), 6.89-6.87 (m, 2H), 4.48-4.44 ( m, 1H), 3.99-3.93 (m, 2H), 3.60-3.58 (m, 1H), 2.92-2.91 (m, 1H), 2.25-0.99 (m, 19H); MS (ESI) m / z 376 [M + H] + . 2.3b 6- (2,4-Difluorophenoxy) -1- (1-methylcyclohexyl) -2- (1H-1,2,4-triazol-1-yl) hexan-1-ol colorless oil (80 mg, 51 %); 1 H NMR (300 MHz, CDCl 3 ) δ 8.31 (s, 1H), 7.88 (s, 1H), 6.87-6.83 (m, 3H), 4.49-4.39 (m, 1H), 3.92-3.89 ( m, 2H), 3.60-3.58 (m, 1H), 2.94 (br s, 1H), 2.24-0.99 (m, 15H), 0.45-0.0 (m, 4H); MS (ESI) m / z 394 [M + H] + . 2.3c 6- (2,3-Difluorophenoxy) -1- (1-methylcyclohexyl) -2- (1H-1,2,4-triazol-1-yl) -hexan-1-ol White solid (130mg, 57 %), mp 93-95 0 C; 1 H NMR (300 MHz, CDCl 3 ) δ 8.1 1 (s, 1H,), 7.94 (s, 1H), 6.92-6.95 (m, 1H), 6.76-6.60 (m, 2H), 4.48- 4.44 (m, 1H), 3.98-3.91 (m, 2H), 3.60-3.58 (m, 1H), 3.10-3.09 (m, 1H), 2.34-0.99 (m, 19H); MS (ESI) m / z 394 [M + H] + .
2.3d 6-(3-Chlorphenoxy)-1 -(1 -methylcyclohexyl)-2-(1 H-1 ,2,4-triazol-1 -yl) hexan-2.3d 6- (3-chlorophenoxy) -1- (1-methylcyclohexyl) -2- (1H-1,2,4-triazol-1-yl) hexane
1-ol gelber Feststoff (213 mg, 39%), mp 97-99 0C; 1H NMR (300 MHz, CDCI3) δ 8.10 (s, 1 H,), 7.95 (s, 1 H), 7.19-7.13 (m, 1 H), 6.92-6.82(m, 2H), 6.74-6.70 (m, 1 H), 4.49-4.42 (m, 1 H), 3.90-3.82 (m, 2H), 3.60-3.58 (m, 1 H), 2.97 (br s, 1 H), 2.34-0.99 (m, 19H); MS (ESI) m/z 392 [M+H]+ 2.3e 1 -(1 -Chlorcyclopropyl)-6-(2-fluorphenoxy)-2-(1 H-1 ,2,4-triazol-1 -yl)hexan-1 - ol weißer Feststoff (74 mg, 23%), mp 1 16-120 0C; 1H NMR (300 MHz, CDCI3) δ 8.21 (s, 1 H,), 7.98 (s, 1 H), 6.06-7.00 (m, 2H), 6.93-6.87 (m, 2H), 4.61-4.49 (m, 1 H), 4.00-3.94 (m, 2H), 3.47-3.42 (m, 1 H), 2.66 (d, J = 5.8 Hz, 1 H), 2.39-2.09 (m, 2H), 1.91-1.70 (m, 2H), 1.40-0.66 (m, 5H), 0.45-0.38 (m, 1 H); MS (ESI) m/z 354 [M+H]+ 2.3f 1 -(1 -Chlorcyclopropyl)-6-(2,3-difluorphenoxy)-2-(1 H-1 ,2,4-triazol-1 - yl)hexan-1-ol weißer Feststoff (70 mg, 30%), mp 134-136 0C; 1H NMR (300 MHz, CDCI3) δ 8.21 (s, 1 H,), 7.98 (s, 1 H), 6.92-6.95 (m, 1 H), 6.76-6.66 (m, 2H), 4.61-4.49 (m, 1 H), 3.99-3.94 (m, 2H), 3.47-3.42 (m, 1 H), 2.54 (d, J = 6.0 Hz,1 H), 2.43-2.09 (m, 2H), 1.91-1.70 (m, 2H), 1.45-0.59 (m, 5H), 0.45-0.38 (m, 1 H); MS (ESI) m/z 372 [M+H]+ 2.3g 1 -(1 -Chlorcyclopropyl)-6-(3-chlorphenoxy)-2-(1 H-1 ,2,4-triazol-1 -yl)hexan-1 - ol weißer Feststoff (71 mg, 45%), mp 145-148 0C; 1H NMR (300 MHz, CDCI3) δ 8.21 (s, 1 H), 7.95 (s, 1 H), 7.15 (t, J = 8.2 Hz, 1 H), 6.92-6.97 (m, 1 H), 6.83 (br s, 1 H), 6.75-6.70 (m, 1 H), 4.58-4.51 (m, 1 H), 3.93-3.81 (m, 2H), 3.49-3.40 (m, 1 H), 2.47 (d, J = 6.2 Hz, 1 H), 2.31-2.19 (m, 1 H), 1.91-1.70 (m, 1 H), 1.45-0.59 (m, 7H), 0.45-0.38 (m, 1 H); MS (ESI) m/z 370 [M+H]+ 2.3h 6-(2-Fluorphenoxy)-1 -(1 -methylcyclopropyl)-2-(1 H-1 ,2,4-triazol-1 -yl)hexan-1-ol a yellow solid (213 mg, 39%), mp 97-99 0 C; 1 H NMR (300 MHz, CDCI 3) δ 8.10 (s, 1 H), 7.95 (s, 1 H), 7:19 to 7:13 (m, 1 H), 6.92-6.82 (m, 2H), 6.74-6.70 (m, 1H), 4.49-4.42 (m, 1H), 3.90-3.82 (m, 2H), 3.60-3.58 (m, 1H), 2.97 (br s, 1H), 2.34-0.99 (m , 19H); MS (ESI) m / z 392 [M + H] + 2.3e 1 - (1-Chlorocyclopropyl) -6- (2-fluorophenoxy) -2- (1 H-1, 2,4-triazol-1-yl) hexan-1-ol White solid (74 mg, 23%) , mp 1 16-120 0 C; 1 H NMR (300 MHz, CDCl 3 ) δ 8.21 (s, 1H,), 7.98 (s, 1H), 6.06-7.00 (m, 2H), 6.93-6.87 (m, 2H), 4.61-4.49 ( m, 1H), 4.00-3.94 (m, 2H), 3.47-3.42 (m, 1H), 2.66 (d, J = 5.8Hz, 1H), 2.39-2.09 (m, 2H), 1.91-1.70 (m, 2H), 1.40-0.66 (m, 5H), 0.45-0.38 (m, 1H); MS (ESI) m / z 354 [M + H] + 2.3f 1 - (1-chlorocyclopropyl) -6- (2,3-difluorophenoxy) -2- (1H-1, 2,4-triazole-1 - yl) hexan-1-ol white solid (70 mg, 30%), mp 134-136 0 C; 1 H NMR (300 MHz, CDCl 3 ) δ 8.21 (s, 1H,), 7.98 (s, 1H), 6.92-6.95 (m, 1H), 6.76-6.66 (m, 2H), 4.61-4.49 (m, 1H), 3.99-3.94 (m, 2H), 3.47-3.42 (m, 1H), 2.54 (d, J = 6.0Hz, 1H), 2.43-2.09 (m, 2H), 1.91- 1.70 (m, 2H), 1.45-0.59 (m, 5H), 0.45-0.38 (m, 1H); MS (ESI) m / z 372 [M + H] + 2.3g 1 - (1-chlorocyclopropyl) -6- (3-chlorophenoxy) -2- (1H-1, 2,4-triazol-1-yl) hexan-1 - ol a white solid (71 mg, 45%), mp 145-148 0 C; 1 H NMR (300 MHz, CDCl 3 ) δ 8.21 (s, 1H), 7.95 (s, 1H), 7.15 (t, J = 8.2 Hz, 1H), 6.92-6.97 (m, 1H), 6.83 (br s, 1H), 6.75-6.70 (m, 1H), 4.58-4.51 (m, 1H), 3.93-3.81 (m, 2H), 3.49-3.40 (m, 1H), 2.47 ( d, J = 6.2 Hz, 1H), 2.31-2.19 (m, 1H), 1.91-1.70 (m, 1H), 1.45-0.59 (m, 7H), 0.45-0.38 (m, 1H); MS (ESI) m / z 370 [M + H] + 2.3h 6- (2-fluorophenoxy) -1- (1-methylcyclopropyl) -2- (1H-1,2,4-triazol-1-yl) hexane-
1-ol weißer Feststoff (85 mg, 42%), mp: 85-90 0C; 1H NMR (300 MHz, CDCI3) δ 8.10 (s, 1 H), 7.95 (s, 1 H), 7.04-6.79 (m, 4H), 4.44^.30 (m, 1 H), 4.05-3.93 (m, 2H), 3.31-3.27 (m, 1 H), 2.23-1.71 (m, 4H), 1.42-1.06 (m, 6H), 0.39-0.0 (m, 4H); MS (ESI) m/z 334 [M+H]+ 1-ol White solid (85 mg, 42%), mp: 85-90 0 C; 1 H NMR (300 MHz, CDCI 3) δ 8.10 (s, 1 H), 7.95 (s, 1 H), 7.04-6.79 (m, 4H), 4:44 ^ .30 (m, 1 H), 4.05-3.93 (m, 2H), 3.31-3.27 (m, 1H), 2.23-1.71 (m, 4H), 1.42-1.06 (m, 6H), 0.39-0.0 (m, 4H); MS (ESI) m / z 334 [M + H] +
2.3i 6-(2, 4-Difluorphenoxy)-1 -(1 -methylcyclopropyl)-2-(1 H-1 ,2,4-triazol-1 - yl)hexan-1-ol weißer Feststoff (125 mg, 40%), mp 85-90 0C; 1H NMR (300 MHz, CDCI3) δ 8.10 (s, 1 H), 7.95 (s, 1 H), 6.87-6.75 (m, 3H), 4.44^.30 (m, 1 H), 3.31-3.27 (m, 1 H), 2.23-1.71 (m, 6H), 1.42-1.06 (m, 6H), 0.45-0.0 (m, 4H); MS (ESI) m/z 352 [M+H]+.2,3i 6- (2,4-Difluorophenoxy) -1- (1-methylcyclopropyl) -2- (1H-1,2,4-triazol-1-yl) hexan-1-ol White solid (125mg, 40 %), mp 85-90 0 C; 1 H NMR (300 MHz, CDCI 3) δ 8.10 (s, 1 H), 7.95 (s, 1 H), 6.87-6.75 (m, 3H), 4:44 ^ .30 (m, 1 H), 3:31 to 3:27 (m, 1H), 2.23-1.71 (m, 6H), 1.42-1.06 (m, 6H), 0.45-0.0 (m, 4H); MS (ESI) m / z 352 [M + H] + .
2.3j 6-(2, 3-Difluorphenoxy)-1 -(1 -methylcyclopropyl)-2-(1 H-1 ,2,4-triazoM - yl)hexan-1-ol grau-weißer Feststoff (62 mg, 17%), mp 1 10-1 15 0C; 1H NMR (300 MHz, CDCI3) δ 8.15 (s, 1 H,), 7.94 (s, 1 H), 6.92-6.95 (m, 1 H), 6.76-6.66 (m, 2H), 4.44^.30 (m, 1 H), 3.31-3.27 (m, 1 H), 2.23-1.71 (m, 6H), 1.42-1.06 (m, 6H), 0.45-0.0 (m, 4H); MS (ESI) m/z 352 [M+H]+ 2.3k 6-(3-Chlorphenoxy)-1 -(1 -methylcyclopropyl)-2-(1 H-1 ,2,4-triazol-1 -yl)hexan-2.3j 6- (2,3-Difluorophenoxy) -1- (1-methylcyclopropyl) -2- (1H-1,2,4-triazoM-yl) hexan-1-ol Gray-white solid (62mg, 17 %), mp 1 10-1 15 0 C; 1 H NMR (300 MHz, CDCl 3 ) δ 8.15 (s, 1H,), 7.94 (s, 1H), 6.92-6.95 (m, 1H), 6.76-6.66 (m, 2H), 4.44 ^. 30 (m, 1H), 3.31-3.27 (m, 1H), 2.23-1.71 (m, 6H), 1.42-1.06 (m, 6H), 0.45-0.0 (m, 4H); MS (ESI) m / z 352 [M + H] + 2.3k 6- (3-chlorophenoxy) -1 - (1-methylcyclopropyl) -2- (1H-1,2,4-triazol-1-yl) hexane-
1-ol weißer Feststoff (250 mg, 33%), mp 108-1 10 0C; 1H NMR (300 MHz, CDCI3) δ 8.09 (s, 1 H), 7.96 (s, 1 H), 7.13-7.19 (t, J = 8.5 Hz, 1 H), 6.91-6.92 (m, 1 H), 6.83-6.89 (m, 1 H), 6.70-6.74 (m, 1 H), 4.36 (m, 1 H), 3.84-3.90 (m, 2H), 3.27-3.30 (d, 1 H), 2.10-2.30 (m, 3H), 1.70-1.85 (m, 3H), 1.25-1.28 (m, 4H), 1.06 (s, 1 H), 0.88 (m, 1 H), 0.21-0.38 (m, 2H). MS (APCI) m/z 350 [M + H]+. 1.14 Allgemeine Herstellung von 6-[(substituierten)phenoxy]-1-[1-1-ol white solid (250 mg, 33%), mp 108-1 10 0 C; 1 H NMR (300 MHz, CDCl 3 ) δ 8.09 (s, 1H), 7.96 (s, 1H), 7.13-7.19 (t, J = 8.5 Hz, 1H), 6.91-6.92 (m, 1H ), 6.83-6.89 (m, 1H), 6.70-6.74 (m, 1H), 4.36 (m, 1H), 3.84-3.90 (m, 2H), 3.27-3.30 (d, 1H), 2.10 -2.30 (m, 3H), 1.70-1.85 (m, 3H), 1.25-1.28 (m, 4H), 1.06 (s, 1H), 0.88 (m, 1H), 0.21-0.38 (m, 2H) , MS (APCI) m / z 350 [M + H] + . 1.14 General Preparation of 6 - [(substituted) phenoxy] -1- [1-
(substituierten)cycloalkyl]-2-(1 H-1 ,2,4-triazol-1 -yl)hexan-1 -ölen (Natriumborhydrid-Reduktion (RR/SS-Diastereomere) Eine Lösung des entsprechenden substituierten Hexanons (0,3 mmol) in MeOH (4 ml) wurde auf 0 0C gekühlt. Natriumborhydrid wurde portionsweise zugegeben (2x0,35 mmol). Nach vollständiger Zugabe wurde die Reaktion auf Raumtemperatur erwärmt und für 2 h gerührt. Anschließend wurde die Reaktionsmischung mit NH4CI (aq. sat, 10 ml) versetzt. Die Mischung wurde mit EtOAc (25 ml) extrahiert, die organische Pha- se wurde abgetrennt, mit gesättigter NaCI-Lösung gewaschen (2x20 ml), über Natriumsulfat getrocknet und im Vakuum aufkonzentriert. Das Rohprodukt wurde mittels Säulenchromatographie (Silicagel, Laufmittel: 10:1 bis 2:1 Hexan/EtOAc) aufgereinigt, um die entsprechende Zielverbindung zu erhalten.(substituted) cycloalkyl] -2- (1H-1, 2,4-triazol-1-yl) hexane-1-oils (sodium borohydride reduction (RR / SS diastereomers) A solution of the corresponding substituted hexanone (0.3 mmol) in MeOH (4 ml) was cooled to 0 0 C. sodium borohydride was added portionwise (2x0,35 mmol). After complete addition the reaction was warmed to room temperature and stirred for 2 h. then the reaction mixture (with NH 4 CI aq sat, 10 ml) The mixture was extracted with EtOAc (25 ml), the organic phase was separated, washed with saturated NaCl solution (2 × 20 ml), dried over sodium sulfate and concentrated in vacuo to give the crude product purified by column chromatography (silica gel, eluent: 10: 1 to 2: 1 hexane / EtOAc) to give the corresponding target compound.
1.14a 6-(2-Fluorphenoxy)-1 -(1 -methylcyclohexyl)-2-(1 H-1 ,2,4-triazol-1 -yl)hexan-1 - ol farbloses Öl (120 mg, 87%); 1H NMR (300 MHz, CDCI3) δ 8.15 (s, 1 H), 7.94 (s, 1 H), 7.07-6.95 (m, 4H), 4.61-4.50 (m, 1 H), 3.99-3.95 (m, 2H), 3.59-3.46 (m, 2H), 2.34-2.19 (m, 1 H), 1.95-0.95 (m, 15 H), 0.47 (s, 3H); MS (ESI) m/z 376 [M+H]+.1.14a 6- (2-Fluorophenoxy) -1- (1-methylcyclohexyl) -2- (1H-1,2,4-triazol-1-yl) hexan-1-ol colorless oil (120 mg, 87%) ; 1 H NMR (300 MHz, CDCl 3 ) δ 8.15 (s, 1H), 7.94 (s, 1H), 7.07-6.95 (m, 4H), 4.61-4.50 (m, 1H), 3.99-3.95 ( m, 2H), 3.59-3.46 (m, 2H), 2.34-2.19 (m, 1H), 1.95-0.95 (m, 15H), 0.47 (s, 3H); MS (ESI) m / z 376 [M + H] + .
1.14b 6-(3-Chlorphenoxy)-1-(1-methylcyclohexyl)-2-(1 H-1 ,2,4-triazol-1-yl) hexan-1.14b 6- (3-Chlorophenoxy) -1- (1-methylcyclohexyl) -2- (1H-1,2,4-triazol-1-yl) hexane
1-ol farbloses Öl (250 mg, 57%); 1H NMR (300 MHz, CDCI3) δ 8.13 (s, 1 H,), 7.95 (s, 1 H), 7.19-7.13 (m, 1 H), 6.92-6.62 (m, 3H), 4.56^.42 (m, 1 H), 3.90-3.82 (m, 2H), 3.56-3.48 (m, 2H), 2.34-0.99 (m, 16H), 0.45 (s, 3H); MS (ESI) m/z 392 [M+H]+.1-ol colorless oil (250 mg, 57%); 1 H NMR (300 MHz, CDCl 3 ) δ 8.13 (s, 1H,), 7.95 (s, 1H), 7.19-7.13 (m, 1H), 6.92-6.62 (m, 3H), 4.56 ^. 42 (m, 1H), 3.90-3.82 (m, 2H), 3.56-3.48 (m, 2H), 2.34-0.99 (m, 16H), 0.45 (s, 3H); MS (ESI) m / z 392 [M + H] +.
Biologische VersucheBiological experiments
Mikrotestmicrotest
Die Wirkstoffe wurden getrennt als Stammlösung formuliert mit einer Konzentration von 10000 ppm in DMSO.The active ingredients were formulated separately as stock solution with a concentration of 10,000 ppm in DMSO.
Beispiel M1 Aktivität gegen den Verursacher der Grauschimmel Botrytis cinerea imExample M1 Activity against the causative agent of the gray mold Botrytis cinerea im
Mikrotiter-TestMicrotiter test
Die Stammlösung wurde in eine Mikrotiterplatte (MTP) pipettiert und mit Wasser auf die angegebene Wirkstoffkonzentration verdünnt. Anschließend erfolgte die Zugabe einer wässrigen Sporensuspension auf Malzbasis von Botrytis cinerea. Die Platten wurden in einer wasserdampf-gesättigten Kammer bei Temperaturen von 18°C aufgestellt. Mit einem Absorbtionsphotometer wurden die MTPs am 7. Tag nach der Inokulation bei 405nm gemessen. Die gemessenen Parameter wurden mit dem Wachstum der wirkstofffreien Kontrollvariante und dem pilz- und wirkstofffreien Leerwert verrechnet, um das relative Wachstum in % der Pathogene in den einzelnen Wirkstoffen zu ermitteln. Die Wirkstoffe I.A1a, I.A2, I .A4, I.A10, I.A1 b bzw. I.A6b führten bei 31 ppm Wirkstoffkonzentration zu einem Wachstum von höchstens 7 %. Beispiel M2 Aktivität gegen den Verursacher des Septoria Blattdürre Septoria tritici im Mikrotiter-TestThe stock solution was pipetted into a microtiter plate (MTP) and diluted with water to the stated drug concentration. Subsequently, a malt-based aqueous spore suspension of Botrytis cinerea was added. The plates were placed in a water vapor saturated chamber at temperatures of 18 ° C. With an absorbance photometer, the MTPs were measured at 405 nm on the 7th day after inoculation. The measured parameters were compared with the growth of the drug-free control variant and the fungus- and drug-free blank to determine the relative growth in% of the pathogens in the individual drugs. The active compounds I.A1a, I.A2, I .A4, I.A10, I.A1b and I.A6b led at 31 ppm active ingredient concentration to a maximum growth of 7%. Example M2 Activity against the causative agent of the Septoria leaf drought Septoria tritici in a microtiter test
Die Stammlösung wurde in eine Mikrotiterplatte (MTP) pipettiert und mit Wasser auf die angegebene Wirkstoffkonzentration verdünnt. Anschließend erfolgte die Zugabe einer wässrigen Sporensuspension auf Malzbasis von Septoria tritici.. Die Platten wurden in einer wasserdampf-gesättigten Kammer bei Temperaturen von 18°C aufgestellt. Mit einem Absorbtionsphotometer wurden die MTPs am 7. Tag nach der Inokulation bei 405nm gemessen. Die gemessenen Parameter wurden mit dem Wachstum der wirkstofffreien Kontrollvariante (100 %)und dem pilz- und wirkstofffreien Leerwert verrechnet, um das relative Wachstum in % der Pathogene in den einzelnen Wirkstoffen zu ermitteln. Die Wirkstoffe I.A1a, I.A2, 1.A3, 1.A4, 1.A5, 1.A10, 1.A1 b, I.A6b, I.A13 bzw. I.A14 führten bei 31 ppm Wirkstoffkonzentration zu einem Wachstum von höchstens 13 %. The stock solution was pipetted into a microtiter plate (MTP) and diluted with water to the stated drug concentration. This was followed by the addition of an aqueous spore suspension based on malt of Septoria tritici .. The plates were placed in a water vapor-saturated chamber at temperatures of 18 ° C. With an absorbance photometer, the MTPs were measured at 405 nm on the 7th day after inoculation. The measured parameters were compared with the growth of the drug-free control variant (100%) and the fungus-free and drug-free blank to determine the relative growth in% of the pathogens in the individual drugs. The active compounds I.A1a, I.A2, 1.A3, 1.A4, 1.A5, 1.A10, 1.A1b, I.A6b, I.A13 and I.A14 led to a concentration of 31 ppm of active compound Growth of at most 13%.
Tabelle E: Table E:
CD CD CD CD
O O OO
OO
O COO CO
S S
O Ol O oil
O O
O O
[*] Schmelzpunkt 0C[ * ] Melting point 0 C
O OO O OO
Claims
Applications Claiming Priority (2)
| Application Number | Priority Date | Filing Date | Title |
|---|---|---|---|
| EP08164041 | 2008-09-10 | ||
| EP08164041.9 | 2008-09-10 |
Publications (1)
| Publication Number | Publication Date |
|---|---|
| WO2010029066A1 true WO2010029066A1 (en) | 2010-03-18 |
Family
ID=41478777
Family Applications (1)
| Application Number | Title | Priority Date | Filing Date |
|---|---|---|---|
| PCT/EP2009/061616 Ceased WO2010029066A1 (en) | 2008-09-10 | 2009-09-08 | Imidazole and triazole compounds, use thereof and agents containing said compounds |
Country Status (3)
| Country | Link |
|---|---|
| AR (1) | AR073286A1 (en) |
| UY (1) | UY32108A (en) |
| WO (1) | WO2010029066A1 (en) |
Cited By (19)
| Publication number | Priority date | Publication date | Assignee | Title |
|---|---|---|---|---|
| CN103664808A (en) * | 2013-11-26 | 2014-03-26 | 中国农业大学 | Aryl triazole compound containing chlorinated cyclopropane and preparation method and application thereof |
| EP2746259A1 (en) | 2012-12-21 | 2014-06-25 | Basf Se | Substituted [1,2,4]triazole and imidazole compounds |
| EP2746260A1 (en) | 2012-12-21 | 2014-06-25 | Basf Se | Substituted [1,2,4]triazole and imidazole compounds |
| WO2014167008A1 (en) | 2013-04-12 | 2014-10-16 | Bayer Cropscience Ag | Novel triazolinthione derivatives |
| WO2014167009A1 (en) | 2013-04-12 | 2014-10-16 | Bayer Cropscience Ag | Novel triazole derivatives |
| CN104151149A (en) * | 2014-08-07 | 2014-11-19 | 西安近代化学研究所 | Synthetic method for 1-acetyl-1-cyclopropane chloride |
| CN104292089A (en) * | 2014-09-30 | 2015-01-21 | 大连九信生物化工科技有限公司 | Synthetic process of 1-chloro-cyclopropanecarbonyl chloride |
| CN105461533A (en) * | 2015-11-24 | 2016-04-06 | 大连世慕化学有限公司 | Synthetic method of 3, 5-dichloro-2-pentanone |
| WO2016156294A1 (en) | 2015-04-02 | 2016-10-06 | Bayer Cropscience Aktiengesellschaft | Triazol derivatives as fungicides |
| WO2016156290A1 (en) | 2015-04-02 | 2016-10-06 | Bayer Cropscience Aktiengesellschaft | Novel 5-substituted imidazole derivatives |
| CN106278845A (en) * | 2016-05-19 | 2017-01-04 | 海正化工南通股份有限公司 | A kind of synthesis technique of 3,5-Dichloro-2-pentanone |
| US9668481B2 (en) | 2013-04-12 | 2017-06-06 | Bayer Cropscience Aktiengesellschaft | Triazole derivatives |
| WO2018050456A1 (en) | 2016-09-13 | 2018-03-22 | Bayer Cropscience Aktiengesellschaft | Active compound combinations comprising a 5-substituted imidazole derivative |
| WO2018060075A1 (en) | 2016-09-29 | 2018-04-05 | Bayer Cropscience Aktiengesellschaft | 1 -[2-(1 -chlorocyclopropyl)-2-hydroxy-3-(3-phenyl-1,2-oxazol-5-yl)propyl]-1h-imidazole-5-carbonitrile derivatives and related compounds as fungicides for crop protection |
| WO2018060074A1 (en) | 2016-09-29 | 2018-04-05 | Bayer Cropscience Aktiengesellschaft | Novel 5-substituted imidazolylmethyl derivatives |
| WO2018060073A1 (en) | 2016-09-29 | 2018-04-05 | Bayer Cropscience Aktiengesellschaft | Novel 5-substituted imidazole derivatives |
| WO2019092086A1 (en) | 2017-11-13 | 2019-05-16 | Bayer Aktiengesellschaft | Tetrazolylpropyl derivatives and their use as fungicides |
| CN114685253A (en) * | 2020-12-30 | 2022-07-01 | 南通泰禾化工股份有限公司 | Preparation method of prothioconazole intermediate 3, 5-dichloro-2-pentanone |
| CN115626899A (en) * | 2022-12-08 | 2023-01-20 | 江苏禾本生化有限公司 | A kind of production method of penconazole |
Citations (9)
| Publication number | Priority date | Publication date | Assignee | Title |
|---|---|---|---|---|
| EP0069290A1 (en) * | 1981-07-02 | 1983-01-12 | BASF Aktiengesellschaft | Azole compounds, process for their preparation and fungicides containing them |
| EP0079006A1 (en) * | 1981-11-10 | 1983-05-18 | Bayer Ag | Azolyl alkenones and ols, process for their preparation and their use as plant growth regulators and fungicides |
| EP0109476A1 (en) * | 1982-03-16 | 1984-05-30 | Bayer Ag | Phenoxypropyltriazolyl ketones and carbinols, process for their preparation and their use as fungicides, and intermediates for their production |
| EP0159586A2 (en) * | 1984-04-26 | 1985-10-30 | BASF Aktiengesellschaft | Azolyl derivatives, process for their preparation and fungicides containing them |
| EP0178587A2 (en) * | 1984-10-17 | 1986-04-23 | BASF Aktiengesellschaft | Benzyloxyalkyl azoles and fungicides containing them |
| EP0199982A2 (en) * | 1985-04-01 | 1986-11-05 | BASF Aktiengesellschaft | Azole derivatives, process for their preparation and plant growth-regulating compositions |
| EP0200149A2 (en) * | 1985-04-27 | 1986-11-05 | BASF Aktiengesellschaft | 1,3-Dioxan-5-yl alkyl triazoles, their preparation, their use as plant growth regulators and compositions therefor |
| EP0236884A1 (en) * | 1986-03-04 | 1987-09-16 | BASF Aktiengesellschaft | Method for the preparation of phenoxyalkanoltriazole compounds, and intermediates therefor |
| EP0297393A2 (en) * | 1987-07-01 | 1989-01-04 | Bayer Ag | 1-Phenoxy-3-triazolyl-hex-1-ene-derivatives |
-
2009
- 2009-09-08 WO PCT/EP2009/061616 patent/WO2010029066A1/en not_active Ceased
- 2009-09-10 UY UY32108A patent/UY32108A/en unknown
- 2009-09-10 AR ARP090103481 patent/AR073286A1/en unknown
Patent Citations (9)
| Publication number | Priority date | Publication date | Assignee | Title |
|---|---|---|---|---|
| EP0069290A1 (en) * | 1981-07-02 | 1983-01-12 | BASF Aktiengesellschaft | Azole compounds, process for their preparation and fungicides containing them |
| EP0079006A1 (en) * | 1981-11-10 | 1983-05-18 | Bayer Ag | Azolyl alkenones and ols, process for their preparation and their use as plant growth regulators and fungicides |
| EP0109476A1 (en) * | 1982-03-16 | 1984-05-30 | Bayer Ag | Phenoxypropyltriazolyl ketones and carbinols, process for their preparation and their use as fungicides, and intermediates for their production |
| EP0159586A2 (en) * | 1984-04-26 | 1985-10-30 | BASF Aktiengesellschaft | Azolyl derivatives, process for their preparation and fungicides containing them |
| EP0178587A2 (en) * | 1984-10-17 | 1986-04-23 | BASF Aktiengesellschaft | Benzyloxyalkyl azoles and fungicides containing them |
| EP0199982A2 (en) * | 1985-04-01 | 1986-11-05 | BASF Aktiengesellschaft | Azole derivatives, process for their preparation and plant growth-regulating compositions |
| EP0200149A2 (en) * | 1985-04-27 | 1986-11-05 | BASF Aktiengesellschaft | 1,3-Dioxan-5-yl alkyl triazoles, their preparation, their use as plant growth regulators and compositions therefor |
| EP0236884A1 (en) * | 1986-03-04 | 1987-09-16 | BASF Aktiengesellschaft | Method for the preparation of phenoxyalkanoltriazole compounds, and intermediates therefor |
| EP0297393A2 (en) * | 1987-07-01 | 1989-01-04 | Bayer Ag | 1-Phenoxy-3-triazolyl-hex-1-ene-derivatives |
Cited By (22)
| Publication number | Priority date | Publication date | Assignee | Title |
|---|---|---|---|---|
| EP2746259A1 (en) | 2012-12-21 | 2014-06-25 | Basf Se | Substituted [1,2,4]triazole and imidazole compounds |
| EP2746260A1 (en) | 2012-12-21 | 2014-06-25 | Basf Se | Substituted [1,2,4]triazole and imidazole compounds |
| US9550752B2 (en) | 2013-04-12 | 2017-01-24 | Bayer Cropscience Aktiengesellschaft | Triazolinthione derivatives |
| WO2014167008A1 (en) | 2013-04-12 | 2014-10-16 | Bayer Cropscience Ag | Novel triazolinthione derivatives |
| WO2014167009A1 (en) | 2013-04-12 | 2014-10-16 | Bayer Cropscience Ag | Novel triazole derivatives |
| US9822099B2 (en) | 2013-04-12 | 2017-11-21 | Bayer Cropscience Aktiengesellschaft | Triazole derivatives |
| US9668481B2 (en) | 2013-04-12 | 2017-06-06 | Bayer Cropscience Aktiengesellschaft | Triazole derivatives |
| CN103664808A (en) * | 2013-11-26 | 2014-03-26 | 中国农业大学 | Aryl triazole compound containing chlorinated cyclopropane and preparation method and application thereof |
| CN104151149A (en) * | 2014-08-07 | 2014-11-19 | 西安近代化学研究所 | Synthetic method for 1-acetyl-1-cyclopropane chloride |
| CN104292089A (en) * | 2014-09-30 | 2015-01-21 | 大连九信生物化工科技有限公司 | Synthetic process of 1-chloro-cyclopropanecarbonyl chloride |
| CN104292089B (en) * | 2014-09-30 | 2016-01-13 | 大连九信生物化工科技有限公司 | The synthesis technique of the chloro-1 '-chloracetyl cyclopropane of a kind of 1- |
| WO2016156290A1 (en) | 2015-04-02 | 2016-10-06 | Bayer Cropscience Aktiengesellschaft | Novel 5-substituted imidazole derivatives |
| WO2016156294A1 (en) | 2015-04-02 | 2016-10-06 | Bayer Cropscience Aktiengesellschaft | Triazol derivatives as fungicides |
| CN105461533A (en) * | 2015-11-24 | 2016-04-06 | 大连世慕化学有限公司 | Synthetic method of 3, 5-dichloro-2-pentanone |
| CN106278845A (en) * | 2016-05-19 | 2017-01-04 | 海正化工南通股份有限公司 | A kind of synthesis technique of 3,5-Dichloro-2-pentanone |
| WO2018050456A1 (en) | 2016-09-13 | 2018-03-22 | Bayer Cropscience Aktiengesellschaft | Active compound combinations comprising a 5-substituted imidazole derivative |
| WO2018060075A1 (en) | 2016-09-29 | 2018-04-05 | Bayer Cropscience Aktiengesellschaft | 1 -[2-(1 -chlorocyclopropyl)-2-hydroxy-3-(3-phenyl-1,2-oxazol-5-yl)propyl]-1h-imidazole-5-carbonitrile derivatives and related compounds as fungicides for crop protection |
| WO2018060074A1 (en) | 2016-09-29 | 2018-04-05 | Bayer Cropscience Aktiengesellschaft | Novel 5-substituted imidazolylmethyl derivatives |
| WO2018060073A1 (en) | 2016-09-29 | 2018-04-05 | Bayer Cropscience Aktiengesellschaft | Novel 5-substituted imidazole derivatives |
| WO2019092086A1 (en) | 2017-11-13 | 2019-05-16 | Bayer Aktiengesellschaft | Tetrazolylpropyl derivatives and their use as fungicides |
| CN114685253A (en) * | 2020-12-30 | 2022-07-01 | 南通泰禾化工股份有限公司 | Preparation method of prothioconazole intermediate 3, 5-dichloro-2-pentanone |
| CN115626899A (en) * | 2022-12-08 | 2023-01-20 | 江苏禾本生化有限公司 | A kind of production method of penconazole |
Also Published As
| Publication number | Publication date |
|---|---|
| AR073286A1 (en) | 2010-10-28 |
| UY32108A (en) | 2010-03-26 |
Similar Documents
| Publication | Publication Date | Title |
|---|---|---|
| WO2010029066A1 (en) | Imidazole and triazole compounds, use thereof and agents containing said compounds | |
| EP2224812A2 (en) | Azolylmethyloxiranes, use thereof and agents containing the same | |
| EP2234488A2 (en) | Azolylmethyloxiranes, use thereof and agents containing the same | |
| EP2235005A2 (en) | Azolylmethyloxiranes, use thereof and agents containing the same | |
| EP2442654A2 (en) | Fungicidal mixtures | |
| WO2009077497A2 (en) | Azolyl methyl oxiranes, the use thereof, and agents containing them | |
| EP2334648A1 (en) | Imidazole and triazole compounds, their use and agents containing the same | |
| EP2334650A1 (en) | Imidazole and triazole compounds, their use and agents containing the same | |
| EP2346838A1 (en) | Triazole and imidazole compounds, use thereof and agents containing them | |
| EP2334649A1 (en) | Imidazole and triazole compounds, their use and agents containing the same | |
| WO2010146032A2 (en) | Fungicidal mixtures | |
| EP2334654A1 (en) | Triazole compounds, the use thereof and preparations containing these compounds | |
| EP2334656A1 (en) | Triazole compounds, use thereof, and agents containing same | |
| EP2328878A1 (en) | Triazole compounds, the use thereof and preparations containing these compounds | |
| WO2010029003A1 (en) | Triazole compounds, use thereof, and agents containing same | |
| WO2010146029A2 (en) | Fungicidal mixtures | |
| JP2012530109A (en) | Antibacterial 1,2,4-triazolyl derivative | |
| EP2346839A1 (en) | Triazole and imidazole compounds, use thereof and agents containing them | |
| WO2010031842A1 (en) | Imidazole and triazole compounds, their use and agents containing the same | |
| EP2346835A1 (en) | Imidazole and triazole compounds, their use and agents containing the same | |
| EP2331509A1 (en) | Imidazole and triazole compounds, the use thereof and preparations containing these compounds | |
| WO2010029065A1 (en) | Imidazole and triazole compounds, use thereof and agents containing said compounds | |
| EP2334663A1 (en) | Imidazole and triazole compounds, use thereof and agents containing said compounds | |
| EP2334655A1 (en) | Imidazole and triazole compounds as fungicides | |
| WO2010029029A1 (en) | Imidazole- und triazole compounds, their use, and agents containing the same |
Legal Events
| Date | Code | Title | Description |
|---|---|---|---|
| 121 | Ep: the epo has been informed by wipo that ep was designated in this application |
Ref document number: 09782751 Country of ref document: EP Kind code of ref document: A1 |
|
| NENP | Non-entry into the national phase |
Ref country code: DE |
|
| 122 | Ep: pct application non-entry in european phase |
Ref document number: 09782751 Country of ref document: EP Kind code of ref document: A1 |
























































