WO2012130823A1 - Suspension concentrates - Google Patents
Suspension concentrates Download PDFInfo
- Publication number
- WO2012130823A1 WO2012130823A1 PCT/EP2012/055379 EP2012055379W WO2012130823A1 WO 2012130823 A1 WO2012130823 A1 WO 2012130823A1 EP 2012055379 W EP2012055379 W EP 2012055379W WO 2012130823 A1 WO2012130823 A1 WO 2012130823A1
- Authority
- WO
- WIPO (PCT)
- Prior art keywords
- suspension concentrate
- phenyl
- weight
- component
- compounds
- Prior art date
- Legal status (The legal status is an assumption and is not a legal conclusion. Google has not performed a legal analysis and makes no representation as to the accuracy of the status listed.)
- Ceased
Links
- 0 COC(*)(*=C)N*=C Chemical compound COC(*)(*=C)N*=C 0.000 description 1
Classifications
-
- A—HUMAN NECESSITIES
- A01—AGRICULTURE; FORESTRY; ANIMAL HUSBANDRY; HUNTING; TRAPPING; FISHING
- A01N—PRESERVATION OF BODIES OF HUMANS OR ANIMALS OR PLANTS OR PARTS THEREOF; BIOCIDES, e.g. AS DISINFECTANTS, AS PESTICIDES OR AS HERBICIDES; PEST REPELLANTS OR ATTRACTANTS; PLANT GROWTH REGULATORS
- A01N25/00—Biocides, pest repellants or attractants, or plant growth regulators, characterised by their forms, or by their non-active ingredients or by their methods of application, e.g. seed treatment or sequential application; Substances for reducing the noxious effect of the active ingredients to organisms other than pests
- A01N25/02—Biocides, pest repellants or attractants, or plant growth regulators, characterised by their forms, or by their non-active ingredients or by their methods of application, e.g. seed treatment or sequential application; Substances for reducing the noxious effect of the active ingredients to organisms other than pests containing liquids as carriers, diluents or solvents
- A01N25/04—Dispersions, emulsions, suspoemulsions, suspension concentrates or gels
Definitions
- the present invention relates to aqueous suspension concentrates, in particular for triazole fungicides and the use of said suspension concentrates in agriculture.
- the present invention relates to aqueous suspension concentrates, comprising a surface-active substance in encapsulated form in a microcapsule.
- suspension concentrates are a common formulation variant for agrochemi- cals.
- emulsion concentrates are easier to develop and to produce.
- agricultural chemicals are often more effective in the control of pathogens if they are formulated as emulsion concentrates.
- Suspension concentrates may have the disadvantage that their activity is weaker than that of sprays of corresponding emulsion concentrates diluted with water.
- agrochemical cannot be formulated efficiently as emulsion concentrates because of different reasons, for example because the resulting formulations do not show sufficient storage stability or because the solubility of the active ingredient is too low.
- Another problem connected with the formulation of active ingredients is that the active ingredient needs to be stable also when they are incorporated into an agricultural formulation. Some active ingredients are not stable in some media. Thus, one problem underlying the present invention was the provision of agrochemical formulations that are suitable for active ingredients that are instable in some regards.
- WO 01/67860 relates to an agrotechnical formulation containing the following, respectively in relation to the total weight of the formulation: a) between 20 and 99.9 wt.-% of at least one cyclohexane polycarboxylic acid ester; b) between 0 and 70 wt.-% of wa- ter; c) between 0.1 and 60 wt.-% of at least one auxiliary agent and/or additive; and d) between 0 and 70 wt.-% of at least one active ingredient for treating plants.
- WO 03/037084 A1 relates to a concentrated pesticidal solution which comprises one or more water-insoluble pesticides (usually 0.5-50% w/v) and lignin (suitably in the weight ratio of 1 : 10 to 1 :1 of lignin to pesticide) dissolved in a water miscible, poilar solvent, preferably N-methyl pyrrolidone.
- the solutions are particularly useful in providing storage stable soluble concentrates of certain strobilurin fungicides.
- WO 2010/064266 A1 relates to a liquid composition for the preparation of pesticide concentrates containing a water insoluble dialkylene glycol diester, an organic carbox- ylic acid and at least one surfactant.
- This composition can be used to prepare formulations of pesticidal active ingredients with a concentration from 5 to 50%.
- the crystallization of the active ingredient is prevented by the liquid composition, whose ingredients act not only as solvents but also as crystallization inhibitors during the application of the pesticide concentrate as a diluted aqueous spray.
- WO 2005/036963 is directed to a suspension concentrates for agrochemical compounds, for example for some specific triazole fungicides, and their use in agriculture.
- WO 03/099005 relates to microcapsule formulations consisting of A) a particulate disperse phase of microcapsules and B) a suspension containing inter alia at least one solid agrochemical active agent.
- US 2003/01 19675 relates to microcapsule formulations comprising A) a particulate disperse phase of specific microcapsules wich contain as capsule filling at least one solid agrochemical active compound and B) a liquid aqueous phase with additives etc.
- WO 2009/098232 relates to microcapsules comprising a lipophilic surfactant and an oil.
- WO 2004/017734 relates to a microencapsulated agrochemical composition comprising an aqueous dispersion of microcapsules having material therein, wherein the material encapsulated comprises (a) an agrochemical (b) a water-soluble, bioperformance- enhancing adjuvant for said agrochemical which has little or no surfactant properties and (c) a water-immiscible solvent in which the agrochemical and the adjuvant are sol- uble.
- the content of the microcapsules is set free when the formulation is dried.
- suspension concentrate that is highly suitable for agrochemical compounds, in particular fungicidal compounds of the class of the triazoles.
- the finding of the present invention is that, ultimately, it offers a very efficient method for formulating agrochemicals into suspension concentrates that have sufficient storage stability and show very good effectiveness when used as pesticides. Therefore, the present invention offers in particular advantages for agrochemicals that cannot be formulated as e.g. emulsion concentrates and/or that are not stable using common formulations.
- the present invention provides an aqueous suspension concentrate, comprising the following components:
- component (c) a surface-active substance.
- the invention relates to formulations, wherein the surface-active substance of component (c) is present in a microcapsule and formulations comprising microcapsules that comprise a component (c), i.e. a surface-active substance, respectively.
- the component (a) may be in particular a pesticidal active compound that is labile under common formulation conditions and/or that degrades when stored.
- this pesticidal active compound is a fungicide.
- Examples for such pesticidal, in particular fungicidal, compounds are compounds that contain an electro- philic substructure.
- pesticidal, in particular fungicidal, compounds that can be efficiently formulated according to the present invention are fungicidal compounds of the triazole class that are effective against phytopathogenic fungi, in particular such triazoles that contain an electrophilic substructure and are, therefore often labile in conventional formulation media.
- such triazoles carry a thio-triazolo group.
- a further substructure that may be labile under conventional formu- lation conditions are epoxide structures.
- component (a) is a triazole that carries an epoxide group.
- said triazole contains a thio-triazolo group.
- the active compound (component (a)) is present in sus- pended form, i.e. in the form of crystalline or amorphous particles (or a mixture of both) that are in a solid state at 20°C.
- the active compound is present in crystalline form.
- the viscosity of the active compound particles is at least 1 .000 mPas, preferably at least 5.000 mPas, more preferably at least 10.000 mPas.
- the suspended active compound (component (a)) mostly has a particle size distribution with an x 5 o- value of 0.1 to 10 ⁇ , preferably 0.2 to 5 ⁇ , more preferably 0.5 to 2 ⁇ .
- Particle size distributions with an x 5 o-value of 1 to 5 ⁇ , more preferably 1 to 3 ⁇ , more specifically 2 to 3 ⁇ may also be suitable according to the present invention.
- the particle size distribution may be determined by means of laser diffraction in an aqueous suspension comprising the particles.
- the preparation of the samples for example the dilution to the desired concentration for the measurement, is inter alia dependent on the fineness and concentration of the active compound in the suspension sample and on the instrument used (for example Malvern Mastersizer).
- the proce- dure has to be worked out for the respective system used and is known to the skilled person in the art.
- the size of the active compound particles i.e. the size (diameter) which is not ex- ceeded by 90% by weight of the active compound particles, is typically not more than 30 ⁇ , preferably not more than 20 ⁇ , in particular not more than 10 ⁇ , especially not more than 5 ⁇ , as determined by dynamic light scattering.
- at least 60% by weight and in particular at least 80% by weight of the particles in the SCs according to the invention have diameters below 2 ⁇ .
- the active component of component (a) is also defined to be in a solid state at a temperature of 20°C in order to be able to be formulated as suspension concentrate, wherein the active ingredient is not dissolved but particles thereof are finely distributed in the medium.
- the component (a) is in a solid state at a temperature of 40°C, more particularly at a temperature of 50°C, more specifically it is in a solid state at a temperature of 60°C. Even more particularly, the component (a) is in a solid state at a temperature of 70°C, specifically at a temperature of 80°C.
- the active compound (component (a)) has a melting- or degradation point above 20°C, in particular above 40°C, more particularly above 50°C, even more particularly above 60°C, even more particularly above 70°C and specifically above 80°C, for example from 80°C to 300°C.
- the active ingredient (component (a)) is additionally characterized in that it has a solubility in water of not more than 10 g/l at 20°C/1013 mbar, preferably not more than 5 g/l at 20°C/1013 mbar, more preferably not more than 2 g/l at 20°C/1013 mbar, specifically not more than 1 g/l at 20°C/1013 mbar.
- the active ingredient of component (a) has a solubility in water of not more than 0.5 g/l at 20°C/1013 mbar.
- the active compound of component (a) is usually present in an amount of 0.1 to 70 weight%, in particular 1 to 50 weight%, more particularly 5 to 50 weight %, even more particularly 3 to 30 weight%, referring to the suspension concentrate.
- the active compound according to component (a) is usually present in an amount of 10 to 25 weight%, referring to the suspension concentrate.
- inventive formulation has shown to be very useful for fungicidal thio- triazole compounds of the triazole compound class that contain an epoxide group.
- Compounds that contain labile functional groups such as an epoxide group can often not be efficiently and/or economically be formulated via prior art formulations. Such compounds are for example described in WO 96/38440, WO 2009/077471
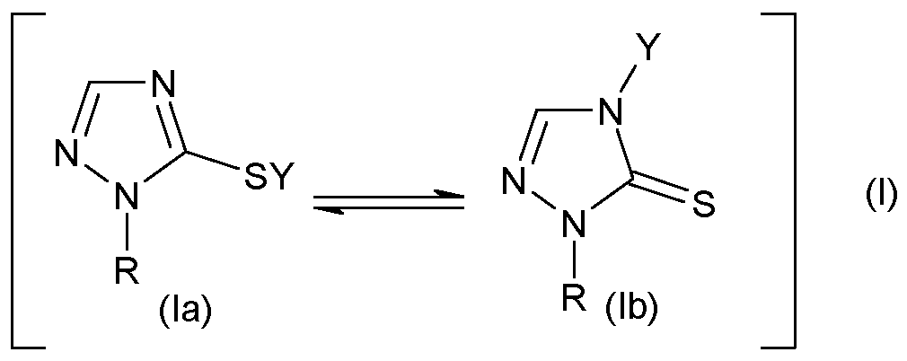
- the active compound of component (a) is a triazole, in particular , containing the following structural group (I):
- R is an organic group of the remaining structure of the respective triazole fungicide (examples see below), and wherein D is defined as follows: D H or S-Y, wherein
- Y is hydrogen, (Ci-C 8 )-alkyl, (Ci-C 8 )-haloalkyl, (C 2 -C 8 )-alkenyl, (C 2 -C 8 )-haloalkenyl, CN or M 1 , wherein
- M 1 is an alkali metal cation, an equivalent of an alkaline earth metal cation, an equivalent of a copper, zinc, iron or nickel cation or an ammonium cation of the formula (E) in which
- Z 1 and Z 2 independently are hydrogen or d-Ce-alkyl
- Z 3 and Z 4 independently are hydrogen, d-Ce-alkyl, benzyl or phenyl; where the phenyl groups are in each case unsubstituted or substituted by one, two or three groups independently selected from the group consisting of halogen and Ci-C4-alkyl.
- D is hydrogen
- D is S-Y.
- Y in (I) is hydrogen, (Ci-Ce)-alkyl, (Ci-CeJ-haloalkyl, (C2- C 8 )-alkenyl, (C 2 -C 8 )-haloalkenyl or CN.
- Y in (I) is hydrogen
- Y in (I) is CN.
- Y is Na, 1/2 Cu or an ammonium cation of the formula (E), wherein Z 1 and Z 2 preferably are independently selected from hydrogen and Ci-C 4 -alkyl and Z 3 and Z 4 are preferably independently selected from hydrogen, Ci-C 4 -alkyl, benzyl and phenyl; where the phenyl groups are in each case unsubstituted or substituted by one, two or three groups independently se- lected from the group consisting of halogen and Ci-C 4 -alkyl.
- Z 1 , Z 2 , Z 3 and Z 4 are independently selected from hydrogen and Ci-C 4 -alkyl, in particular hydrogen, methyl and ethyl.
- One particular suitable group (E) is HN(Et)3.
- Y in (I) is (Ci-Ce)-alkyl or (C2- Ce)-alkenyl.
- Y is d-Cs-alkyl, preferably Ci-C 4 -alkyl.
- Y is C3-alkyl, and according to another specific embodiment, Y Cs-alkyl.
- Particular examples of preferred Y are methyl, ethyl, iso-propyl, n-butyl and n-pentyl.
- R in (I) has the following meaning (1 ): wherein # shall mean the point of attachment to the triazolo group (I) and A and B are defined as follows:
- a or B are independently from one another unsubstituted phenyl or phenyl, that is substituted by one, two, three or four independently selected substituents L; wherein L is defined as follows:
- a 1 is hydrogen, hydroxyl, Ci-Ce-alkyl, Ci-d-haloalkyl, amino, Ci-Ce-alkylamino or di-Ci-Ce-alkylamino,
- a 2 is one of the groups mentioned for A 1 or d-d-alkenyl, C2-C8-haloalkenyl, C2-C8-alkynyl, C2-C8-haloalkynyl, d-d-alkoxy, Ci-d-haloalkoxy, d-d- alkenyloxy, C2-C8-haloalkenyloxy, C2-C8-alkynyloxy, C2-C8-haloalkynyloxy, d-d- cycloalkyl, C3-C8-halocycloalkyl, C3-C8-cycloalkoxy or C3-C8-halocycloalkoxy;
- a 3 , A 4 independently of one another are hydrogen, Ci-d-alkyl, Ci-d-haloalkyl, C2-C8-alkenyl, C2-C8-haloalkenyl, C2-C8-alkynyl, C2-C8-haloalkynyl, d-d- cycloalkyl, C3-C8-halocycloalkyl, C3-C8-cycloalkenyl or C3-C8-halocycloalkenyl; where the aliphatic and/or alicyclic and/or aromatic groups of the radical definitions of L for their part may carry one, two, three or four identical or different groups R L :
- R L is halogen, cyano, nitro, Ci-d-alkyl, Ci-d-haloalkyl, Ci-d-alkoxy, Ci-d- haloalkoxy, d-d-cycloalkyl, d-d-halocycloalkyl, d-d-cycloalkenyl, d-d- cycloalkoxy, d-d-halocycloalkoxy, Ci-Ce-alkylcarbonyl, d-Ce-alkylcarbonyloxy, d-Ce-alkoxycarbonyl, amino, Ci-Ce-alkylamino, di-Ci-Ce-alkylamino.
- A is unsubstituted phenyl.
- a and B independently stand for phenyl containing one, two, three or four independently selected substituents L.
- A is phenyl, containing one, two, three or four, in particular one or two, independently selected substituents L, wherein L is as defined or as preferably defined herein.
- one of the substituents is in 4-position (para) of the phenyl ring.
- L is in each case independently selected from F, CI, Br, nitro, methyl, ethyl, iso-propyl, tert- butyl, methoxy, ethoxy, trifluoromethyl, trichloromethyl, difluoromethyl, difluorochloro- methyl, trifluoromethoxy, difluoromethoxy and trifluorochloromethyl.
- L is in each case independently selected from F, CI and Br, in particular F and CI.
- A is monosubstituted phenyl, containing one sub- stituent L, wherein L is as defined or as preferably defined herein. According to one aspect, said substituent is in para-position.
- A is phenyl, containing two or three independently selected substituents L.
- A is phenyl which is substituted by one F and contains a further substituent L, where the phenyl may additionally contain one or two substituents L selected independently of one another, wherein L is as defined or preferably defined herein.
- A is disubstituted phenyl, containing exactly two substituents L that are independently selected from each other, wherein L is as defined or as preferably defined herein.
- L is in each case independently selected from F, CI, Br, Ci-C4-alkyl, Ci-C4-haloalkyl and Ci-C4-alkoxy, in particular selected from F, CI, Ci-C4-alkyl, Ci-C4-haloalkyl and Ci-C4-alkoxy, in particular selected from F, CI, methyl, trifluoromethyl and methoxy.
- the second substituent L is selected from methyl, methoxy and chloro.
- one of the substituents is in the 4-position of the phenyl ring.
- A is phenyl containing one F and exactly one further sub- stituent L as defined or preferably defined herein.
- A is disubstituted phenyl which contains one F and a further substituent L selected from the group consisting of CI, C1-C4- alkyl, Ci-C4-haloalkyl and Ci-C4-alkoxy, in particular selected from the group consisting of CI, methyl, trifluoromethyl and methoxy.
- the second substituent L is specifically selected from the group consisting of methyl, methoxy and chlorine.
- one of the substituents is located in the 4-position of the phenyl ring.
- A is 2,4-disubstituted phenyl.
- A is 2,3-disubstituted phenyl. According to still another specific embodiment, A is 2,5-disubstituted phenyl. According to still another spe- cific embodiment, A is 2,6-disubstituted phenyl. According to still another specific embodiment, A is 3,4-disubstituted phenyl. According to still another specific embodiment, A is 3,5-disubstituted phenyl.
- A is phenyl which is substituted by exactly two F.
- A is 2,3-difluoro-substituted.
- A is 2,4-difluoro-substituted.
- A is 2,5-difluoro-substituted.
- A is 2,6-difluoro- substituted.
- A is 3,4-difluoro-substituted.
- A is 3,5-difluoro-substituted.
- A is trisubstituted phenyl containing exactly three independently selected substitutents L, wherein L is as defined or preferably defined herein.
- A is phenyl which is substituted by exactly three F.
- A is 2,3,4-trisubstituted, in particular 2,3,4- trifluoro-substituted.
- A is 2,3,5-trisubstituted, in particular 2,3,5-trifluoro-substituted.
- A is 2,3,6-trisubstituted, in particular 2,3,6-trifluoro-substituted.
- A is 2,4,6- trisubstituted, in particular 2,4,6-trifluoro-substituted.
- A is 3,4,5-trisubstituted, in particular 3,4,5-trifluoro-substituted.
- A is 2,4,5-trisubstituted, in particular 2,4,5-trifluoro-substituted.
- B is unsubstituted phenyl.
- B is phenyl which contains one, two or three, preferably one or two, independently selected substituents L, wherein L is as defined or preferably defined herein.
- B is phenyl which contains one, two or three substituents independently selected from halogen, NO2, amino, Ci-C4-alkyl, C1-C4- alkoxy, Ci-C4-haloalkyl, Ci-C4-haloalkoxy, Ci-C4-alkylamino, Ci-C4-dialkylamino, thio and Ci-C4-alkylthio.
- B is phenyl which contains one, two, three or four substituents L, wherein L is independently selected from F, CI, Br, methyl, ethyl, iso- propyl, tert-butyl, methoxy, ethoxy, trifluoromethyl, trichloromethyl, difluoromethyl, difluorochloromethyl, trifluoromethoxy, difluoromethoxy and difluorochloromethyl.
- L is in each case independently selected from F, CI and Br.
- B is a phenyl ring that is monosubstituted by one substituent L, where according to a special aspect of this embodiment, L is located in the ortho-position to the point of attachment of the phenyl ring to the oxirane ring. L is as defined or preferably defined herein. According to a further specific embodiment, B is monochloro-substituted phenyl, in particular 2- chlorophenyl. According to a further embodiment, B is phenyl, which contains two or three, in particular two, independently selected substitutents L, wherein L is as defined or preferably defined herein.
- B is a phenyl ring which contains a substituent L in the ortho-position and furthermore has one further independently selected substituent L.
- the phenyl ring is 2,3-disubstituted.
- the phenyl ring is 2,4-disubstituted.
- the phenyl ring is 2,5-disubstituted.
- the phenyl ring is 2,6-disubstituted.
- B is a phenyl ring which contains a substituent L in the ortho-position and furthermore contains two further independently selected substituents L.
- the phenyl ring is 2,3,5-trisubstituted.
- the phenyl ring is 2,3,4-trisubstituted.
- the phenyl ring is 2,4,5-trisubstituted.
- L independently has the following preferred meanings:
- L is independently selected from the group consisting of halogen, amino, Ci-C4-alkyl, Ci-C4-haloalkyl, Ci-C4-alkoxy, Ci-C4-haloalkoxy, Ci-C4-alkylamino, di-Ci- C4-alkylamino, thio and Ci-C4-alkylthio, more specifically L is independently selected from the group consisting of halogen, Ci-C4-alkyl, Ci-C4-haloalkyl, Ci-C4-alkoxy, C1-C4- haloalkoxy and Ci-C4-haloalkylthio, in particular halogen, Ci-C4-alkyl and Ci-C4-halo- alkyl.
- L is independently selected from the group consisting of F, CI, Br, CH 3 , C 2 H 5 , i-C 3 H 7 , t-C 4 H 9 , OCH 3 , OC2H5, CF 3 , CCI 3 , CH F2, CCIF2, OCF 3 , OCH F2 and SCF 3 , in particular selected from the group consisting of F, CI, CH 3 , C2H5, OCH 3 , OC2H5, CF 3 , CHF 2 , OCF 3 , OCHF 2 and SCF 3 .
- L is independently selected from the group consisting of F, CI, CH 3 , OCH 3 , CF 3 , OCF 3 and OCHF 2 . It may be preferred for L to be independently F or CI.
- a and B are as defined as follows:
- a phenyl which is unsubstituted or substituted by one, two or three substituents L that may be the same or different, independently selected from F, CI, Br, methyl, ethyl, tert-butyl, methoxy, ethoxy, trifluoromethyl, trichloromethyl, difluoromethyl, difluoro- chloromethyl, trifluoromethoxy, difluoromethoxy and trifluoromethylthio; and
- B phenyl that is substituted by one, two or three substituents L that may be the same or different, independently selected from F, CI, Br, methyl, ethyl, iso-propyl, tert- butyl, methoxy, ethoxy, trifluoromethyl, trichloromethyl, difluoromethyl, difluorochloro- methyl, trifluoromethoxy, difluoromethoxy and trifluoromethylthio.
- a and B are defined as follows: A is phenyl, 4-chlorophenyl, 2,4-chlorophenyl, 2-chlorophenyl, 2-fluorophenyl, 4- fluorophenyl, 4-methylphenyl, 3-bromo-4-fluorophenyl, 4-bromophenyl, 3,4- dichlorophenyl, 4-tert-butyl-phenyl, 3-chlorophenyl, 3,5-dichlorophenyl or 4- trifluoromethoxypghenyl and B is 2-chlorophenyl.
- A is 4- flourphenyl and B is 2-chlorophenyl.
- A is 4-fluorophenyl and B is 2-difluoromethoxyphenyl.
- A is phenyl, 4-chlorophenyl, 2,4-chlorophenyl, 2-chlorophenyl, 2-fluorophenyl, 4- methylphenyl, 4-fluorophenyl, 3-bromo-4-fluorophenyl, 4-bromophenyl, 3,4- dichlorophenyl, 4-tert-butyl-phenyl, 3-chlorophenyl, 3,5-dichlorophenyl or 4- trifluoromethoxyphenyl, and B is 2-fluorophenyl.
- A is phenyl, 4-chlorophenyl, 2,4-chlorophenyl, 2-chlorophenyl, 2-fluorophenyl, 4- methylphenyl, 4-fluorophenyl, 3-bromo-4-fluorophenyl, 4-bromophenyl, 3,4- dichlorophenyl, 4-tert-butyl-phenyl, 3-chlorophenyl, 3,5-dichlorophenyl or 4- trifluoromethoxyphenyl, and B is 2-bromophenyl.
- a and B are defined as follows: A is 2,4-difluorophenyl and B is 2-chlorophenyl.
- A is 3,4-difluorophenyl and B is 2-chlorophenyl.
- A is 2,4-difluorophenyl and B is 2-fluorophenyl.
- A is 3,4-difluorophenyl and B is 2-fluorophenyl.
- A is 2,4-difluorophenyl and B is 2-trifluoromethylphenyl.
- A is 3,4-difluorophenyl and B is 2-trifluoromethylphenyl.
- A is 3,4-difluorophenyl and B is 2-methylphenyl
- a and B are defined as follows:
- A is phenyl and B is 2,4-dichlorophenyl.
- A is phenyl and B is 2-fluoro-3-chlorophenyl.
- A is phenyl and B is 2,3,4-trichlorophenyl.
- A is 4-fluorophenyl and B is 2,4-dichlorophenyl.
- A is 4-fluorophenyl and B is 2-fluoro-3-chlorophenyl.
- A is 4-fluorophenyl and B is 2,3,4-trichlorophenyl.
- A is 2-chlorophenyl and B is 2,4-dichlorophenyl.
- A is 2-chlorophenyl and B is 2-fluoro-3-chlorophenyl.
- A is 2-chlorophenyl and B is 2,3,4-trichlorophenyl.
- the compounds (l)-(1 ), wherein D is SH can be synthesized from the respective compounds (l)-(1 ), wherein D is H (also called compounds (IV)-(1 )) according to processes known in the art (see patent applications cited above).
- Compounds (l)-(1 ), wherein D is not SH and not H can in turn be synthesized from the respective compounds (l)-(1 ), wherein D is SH by derivatization (see patent applications cited above).
- a compound (l)-(1 ) is reacted with the corresponding alkyl halide (see also WO 96/38440).
- Z is a leaving group, such as, for example, halogen (for example CI or Br) or OS0 2 R', where R' is Ci-Ce-alkyI, Ci-Ce-haloalkyI, aryl or substituted aryl; OSO2R' is in particular a mesylate, triflate, phenyl or toluenesulfonate group.
- a base such as, for example, sodium hydride, for example in DMF. See also, for example, EP 0 421 125 A2.
- the double bond can be present either in the (E) or in the (Z) configuration. This is indicated by the zig-zag bond between B and the double bond.
- the acrolein compounds can be synthesized, for example, analogously to the procedure described in DE3601927. According to one alternative, they can be prepared via an aldol synthesis according to the scheme below:
- the double bond may be present either in (E) or in (Z) configuration. This is indicated by the zigzag bond between B and the double bond.
- the pure enantiomers or a mixture of enantiomers (racemic or enantiomerically enriched) of the compounds (l)-(1 ) can be used in the formulation.
- a racemic mixture is used.
- Stereoisomers of compound (l)-(1 )-a) Formula (l)-(1 ), wherein A is 4-fluoro-phenyl and B is 2-chlorophenyl; D is SH:
- Stereoisomers of compound (l)-(1 )-b) Formula (l)-(1 ), wherein A is 2,4-difluoro- phenyl and B is 2-chlorophenyl; D is SH:
- Stereoisomers of compound (l)-(1 )-f) Formula (l)-(1 ), wherein A is 2,4-difluoro-phenyl and B is 2-chlorophenyl; D is H:
- Compound (l)-(1 ) is preferably present as enantiomer mixture of the "trans” isomers, i.e. those compounds (l)-(1 ), wherein the phenyl rings are "trans” to each other, and the compounds may in each case be present in their tautomeric form or as tautomeric mixture. In particular, a racemic mixture is present. Furthermore, any other proportions of the trans-enantiomers may be present and also any one of the trans-enantiomers may also be present in pure form. On the other hand, also the "cis" isomers may be present.
- a and B are as defined and preferably defined as for compounds (l)-(1 ), in particular A is 4-F-phenyl and B is 2-CI-phenyl or A is 2,4-F2-phenyl and B is 2-CI- phenyl, as given above.
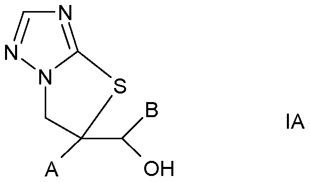
- the respective (IA) is formed preferably to equal or less than 10%, more preferably equal or less than 8%, even more preferably equal or less than 5%, even more preferably equal or less than 3%.
- said product I A is formed equal or less than 0,1 %, preferably less than 0,1 %.
- said contents are determined after 2 weeks storage at 54 °C, more specifically after 8 weeks at 40°C.
- a and B are as defined and preferably defined as for compounds (l)-(1 ), in particular A is 4-F-phenyl and B is 2-CI-phenyl or A is 2,4-F2-phenyl and B is 2-CI- phenyl, as given above.
- the respective (I A) is formed preferably to equal or less than 10%, more preferably equal or less than 8%, even more preferably equal or less than 5%, even more preferably equal or less than 3%.
- said product I A is formed equal or less than 0,1 %, preferably less than 0,1 %.
- said contents are determined after 2 weeks storage at 54 °C or 8 weeks at 40°C.
- the organic group R in the compounds (I) and the precursors thereof carries a free hydroxy group and compounds (I) are from the triazole class of fungicides.
- R stands for a group of formula (2):
- R 11 and R 22 have the following meanings:
- R 11 , R 22 independently of one another Ci-C6-alkyl, Ci-C6-haloalkyl, C3-C6-cycloalkyl,
- R 11 and R 22 together with the carbon atom to which they are attached, form a five- or six-membered saturated or partially unsaturated ring, that can be unsubstituted or substituted by one, two, three, four or five substituents L', wherein L' stands for L as defi
- R 33 and R 44 independently are selected from the group of hydrogen and the meaning for L as defined above.
- R 11 and R 12 are preferably independently selected from Ci-C4-alkyl and phenyl, wherein the alkyl and phenyl group independently may contain one, two, three or four substitutents, independently selected from F, CI, Br, methoxy, ethoxy, propoxy, isopropoxy, Ci-C2-alkoximino, cyclopropyl, cyclobutyl, cyclopentyl and/or cyclohexyl.
- R 11 stands for Ci-C4-alkyl that is substituted by one or two substituents independently selected from F, CI, methoxy, cyclopropyl, cyclopentyl and/or cyclohexyl and R 12 stands for phenyl, that is substituted by one, two, three or four substituents independently selected from F, CI, Br and methoxy.
- R 11 is 1 -ethyl that is 1 -substituted by cyclopropyl and R 12 is 4- chlorophenyl.
- R 11 is n-butyl and R 12 is 2,4- dichlorophenyl.
- R 11 and R 12 are preferably independently selected from Ci-C4-alkyl, phenyl-Ci-C4-alkyl and CrCe-cycloalkyl, preferably phenyl-Ci-C4-alkyl and CrCe-cycloalkyl, wherein the alkyl, phenyl and cycloalkyl groups independently may contain one, two, three or four substitutents, independently selected from F, CI, Br, CN, methyl, ethyl, propyl, isopropyl and/or tert-butyl.
- R 11 stands for phenyl- Ci-C4-alkyl that is substituted in the phenyl moiety by one, two, three or four substituents independently selected from F, CI and methoxy and R 12 stands for C3-C6- cycloalkyl, that is substituted by one, two, three or four substituents independently selected from F, CI, Br and methoxy.
- R 11 is 2- chlorophenylmethyl and R 12 is 1 -chlorocyclopropyl.
- R 11 and R 12 are preferably independently selected from Ci-C4-alkyl and phenyl-Ci-C4-alkyl, wherein the alkyl and phenyl groups may contain one, two, three or four substitutents, independently selected from F, CI, Br, CN, methyl, ethyl, propyl, isopropyl, tert-butyl, methoxy, ethoxy, methylthio, trifluoro- methyl, trifluoromethoxy, trifluoromethylthio, chlorodifluoromethoxy, difluoromethoxy, chlorodifluoromethylthio, methoxycarbonyl, ethoxyvarbonyl, methoxyiminomethyl, 1 - methoximinoethyl and nitro.
- R 11 stands for Ci-C4-alkyl that may be substituted by one or two substituents, independently selected from methyl, ethyl, propyl, isopropyl and tert-butyl and R 12 stands for phenyl-Ci-C4-alkyl, that is substituted in the phenyl moiety by one, two, three or four substituents independently selected from F, CI, Br, CN, methyl, trifluoromethyl and methoxy.
- R 11 is tert- butyl and R 12 is 2-(4-chlorophenyl)-1 -ethyl.
- R 11 and R 12 are preferably independently se- lected from phenyl, wherein the phenyl moieties may may contain one, two, three or four substitutents, independently selected from F, CI, Br, CN, methyl, ethyl, propyl, isopropyl, tert-butyl, methoxy, ethoxy, methylthio, trifluoromethyl, trifluoromethoxy, trifluoromethylthio, chlorodifluoromethoxy, difluoromethoxy, chlorodifluoromethylthio, methoxycarbonyl, ethoxyvarbonyl, methoxyiminomethyl, 1 -methoximinoethyl and nitro.
- the phenyl moieties may contain one, two, three or four substitutents, independently selected from F, CI, Br, CN, methyl, ethyl, propyl, isopropyl, tert-butyl, meth
- R 11 and R 12 independently stand for phenyl, that may contain one, two or three substitutents, independently selected from F, CI and Br.
- R 11 is 2-fluorophenyl and R 12 is 4-fluorophenyl.
- R 11 and R 22 together with the carbon atom to which they are attached, form a five- or six-membered saturated ring, that can be unsubstituted or substituted by one, bstituents L', wherein L' stands for L as defined above or stands for a g wherein R 33 and R 44 independently are selected from the group of hydrogen, Ci-C4-alkyl and phenyl, wherein the alkyl and phenyl groups may contain one, two, three or four substitutents, independently selected from F, CI, Br, CN, methyl, ethyl, propyl, isopropyl, tert-butyl, methoxy, ethoxy, methylthio, trifluoromethyl, trifluoromethoxy, trifluoromethylthio, chlorodifluoromethoxy, difluoromethoxy and nitro.
- L' stands for L as defined above or stands for a g
- R 33 and R 44 independently are selected from the
- R 11 and R 22 together with the carbon atom to which they are attached, form a five-membered saturated ring, that is substituted bstituents L', wherein L' stands for Ci-C4-alkyl or for a group and R 44 independently are selected from the group of hydrogen, Ci-C4-alkyl and phenyl, wherein the alkyl and phenyl groups may contain one, two, three or four substitutents, independently selected from F, CI, CN, methyl, isopropyl, tert-butyl and methoxy.
- R 11 and R 22 together with the carbon atom to which they are attached, form a five-membered satu ring, that is substituted in 5-position by two methyl groups and contains a group
- R 33 is hydrogen and R 44 is 4-chlorophenyl in 2-position.
- R 11 and R 22 together with the carbon atom to which they are attached, form a five- or six-membered saturated ring, that can be un- substituted or substituted by one, two or three substituents, independently selected from F, CI, Br, CN , methyl, ethyl, propyl, isopropyl, tert-butyl, methoxy, ethoxy, methyl- thio, trifluoromethyl, trifluoromethoxy, trifluoromethylthio, chlorodifluoromethoxy, di- fluoromethoxy, nitro, benzyl, wherein the phenyl moiety itself may contain on, two, three or four substituents, independently selected from F, CI, CN, methyl, isopropyl, tert-butyl and methoxy.
- R 11 and R 22 together with the carbon atom to which they are attached, form a five-membered saturated ring, that is substituted in 5-position by two methyl groups and contains a 4-chlorobenzyl group in 2- position.
- compounds (l)-(2) and the synthesis of precursors thereof see also WO 96/16048, WO 96/38423, EP378953, EP655443, DE 4030039, DE 3337937, DE3315681 , US4414210.
- R stands for a group of formula (3):
- R 55 , R 66 and R 77 have the following meanings
- R 55 phenyl-d-Ce-alkyl, phenyl or a five- or six-membered saturated, partially unsaturated or aromatic heterocycle which contains one, two, three or four
- R 66 , R 77 independently of one another hydrogen, Ci-C6-alkyl, Ci-C6-haloalkyl, C 3 -C6- cycloalkyl, C 3 -C6-halocycloalkyl or phenyl, wherein the alkyl, cycloalkyl or phenyl moieties may be unsubstituted or substituted by one, two or three substituents selceted from halogen, cyano, nitro, Ci-Ce-alkyl, Ci-Ce- haloalkyl, d-Ce-alkoxy, Ci-Ce-haloalkoxy
- R 55 is phenyl, that is unsubstituted or substituted by one, two, three or four substituents independently selected from halogen, Ci-C6-alkyl, Ci-C6-haloalkyl, phenoxy-Ci-C6-alkyl and halophenyloxy, and R 66 and R 77 are independently selected from hydrogen, methyl, ethyl, n-propyl and n-butyl.
- R 55 is phenyl, that contains one, two or three substituents independently selected from F, CI and halophenoxy, wherein the phenoxy moiety contains one or two halogen atoms selected from CI and F; and R 66 is hydrogen and R 77 is Ci-C4-alkyl.
- R 55 is 4-(4-chlorophenoxy)-2-chlorophenyl, R 66 is hydrogen and R 77 is methyl.
- R 55 is 2,4-dichlorophenyl, R 66 is hydrogen and R 77 is n-propyl.
- compounds (l)-(3) and the synthesis of precursors thereof see also WO 96/41804 and Pestic. Sci, 1980, 1 1 , 95 and Research Disclosure 1989, 297,13.
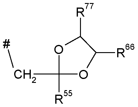
- R stands for a group of formula (4):
- R 222 , R 333 and R 444 have the following meanings:
- R 222 and R 333 are independently selected from hydrogen, cyano, Ci-C6-alkyl and C1-C6- haloalkyl, wherein the alkyl moieties may be unsubstituted or substituted by one, two, three or four substituents L as defined or preferably defined above for compounds, wherein R is a group (1 ).
- R 222 and R 333 are independently selected from hydrogen, cyano and Ci-C4-alkyl, wherein the alkyl moiety may contain one, two, three or four substituents independently selected from F, CI, CN, Ci-C4-alkoxy and C1-C4- haloalkoxy.
- q is one, two three or five, preferably one or two, and R 444 are
- R is independently selected from L as defined or preferably defined above for compounds, wherein R is a group (1 ), in particular independently selected from F, CI, CN, methyl, isopropyl, tert-butyl and methoxy, more specifically independently selecetd from CI and F.
- R 222 is hydrogen
- R 333 is methyl, substituted by 1 ,1 ,2,2-tetrafluoroethoxy
- R 444 is 2,4-dichlorophenyl.
- R 222 is cyano
- R 333 is n-butyl and R 444 is 4-chlorophenyl.
- R 222 is hydrogen
- R 333 is n-propyl
- R 444 is 2,4-dichlorophenyl.
- R stands for a group of formula (5):
- # shall mean the point of attachment to the triazolo group and Q 1 , Q 2 , R 555 , R 666 , R 777 and R 888 are as defined as follows:
- R z halogen, d-Ce-alkyl, Ci-Ce-haloalkyl, C2-C8-alkenyl, C2-Ce-halo- alkenyl, d-Ce-alkoxy, Ci-Ce-haloalkoxy, Ci-Ce-alkylcarbonyloxy, C2-C8- alkenyloxy, C2-C8-haloalkenyloxy, Ca-Ce-cycloalkyl, C3-Ce-halo
- L 1 halogen, d-Ce-alkyl, Ci-Ce-haloalkyl, d-Ce-alkenyl, d-Ce-halo- alkenyl, C4-Cio-alkadienyl, C4-Cio-haloalkadienyl, Ci-Ce-alkoxy, Ci- Ce-haloalkoxy, Ci-Ce-alkylcarbonyloxy, C2-C8-alkenyloxy, C2-C8-halo- alkenyloxy, Ca-Ce-cycloalkyl, Ca-Ce-halocycloalkyl, Ca-Ce-cycloalkenyl, C3-C8-halocycloalkenyl, Ca-Ce-cycloalkoxy, C3-C6-cycloalkenyloxy, Ci- C6-alkylen, the aliphatic and/or alicyclic and/or aromatic groups of the definitions of L 1 may contain one, two
- R L1 halogen, hydroxy, cyano, nitro, Ci-C4-alkyl, Ci-C4-haloalkyl, Ci- C4-alkoxy, Ci-C4-haloalkoxy, C3-C6-cycloalkyl, C3-C6-halocycloalkyl,
- C3-C8-cycloalkenyl Cs-Ce-cycloalkoxy, Ca-Ce-halocycloalkoxy, C1-C6- alkylen, oxy-C2-C4-alkylen, oxy-Ci-C3-alkylenoxy, Ci-Ce-alkylcarbonyl, d-Ce-alkylcarbonyloxy, Ci-Ce-alkoxycarbonyl, amino, Ci-Ce- alkylamino, di-Ci-Ce-alkylamino;
- R666 hydrogen, halogen, Ci-Cio-alkyl, Ci-Cio-haloalkyl, C2-Cio-alkenyl, C2-Cio-halo- alkenyl, C3-Cio-cycloalkyl, C3-Cio-halocycloalkyl;
- R 777 hydrogen, Ci-Cio-alkyl, Ci-Cio-haloalkyl, C2-Cio-alkenyl, C2-Cio-haloalkenyl, C2- Cio-alkinyl, C3-Cio-cycloalkyl, C3-Cio-halocycloalkyl, C3-Cio-cycloalkenyl, C3-C10- halocycloalkenyl, tri-Ci-Cio-alkylsilyl;
- R888 hydrogen, Ci-Cio-alkyl, Ci-Cio-haloalkyl, C2-Cio-alkenyl, C2-Cio-halogenalkenyl, C3-Cio-cycloalkyl;
- R 666 , R 777 and R 888 are, if it is not indicated otherwise, independently from each other unsubstituted or substituted with one, two, three, four or five L 1 , as defined above.
- the pure enantiomers or a mixture of enantiomers (racemic or enantiomerically enriched) of the compounds (l)-(5) can be used in the formulation.
- the racemic mixture is used.
- the following different stereoisomers of compounds (l)-(5), alone or in any combination, can be used in the formulation according to the present invention:
- Essential for the suspension concentrate of the present invention is the presence of an organic or inorganic acid which has a pKa value of at least 1.2 ( ⁇ 1 .2) (component (b)). It may be preferred, if the pKa value is from 1 .2 to 7.5, preferably from 1.2 to 5.0, in particular from 1 .2 to 3.0. Furthermore, it may be preferred if the pKa value of compo- nent (b) is at least 1 .8, more particularly at least 2.2, even more specifically at least 3. It has been surprisingly found within the framework of the present invention that the presence of said acid leads to a considerable improvement of the storage stabilty of the formulation compared to corresponding formulations without this component.
- said acid (component (b)) is an organic acid.
- the organic acid is selected from propanoic acid, acetic acid, fumaric acid, salicylic acid, lactic acid, adipinic acid, glutaric acid, tartaric acid, L- ascorbinic acid, malonic acid, oxalic acid and citric acid.
- said acid (component (b)) is an inorganic acid.
- the inorganic acid is selected from phosphoric acid.
- component (b) is selected from L-ascorbinic acid, malonic acid, oxalic acid, citric acid and phosphoric acid.
- the acid (component (b)) is in particular present in an amount of 0.001 to 15 weight %, more specifically 0.001 to 12 weight %. It may be preferred if the amount is 0.001 to 10 weight %, in particular 0.001 to 8 weight %, more particularly 0.001 to 5 weight %, more specifically 0.001 to 4 weight %, even more specifically 0.001 to 3 weight %. It may be further preferred if the amount is 0.01 to 15 weight %, more specifically 0.01 to 12 weight %. It may be also preferred if the amount is 0.01 to 10 weight %, more particularly 0.01 to 8 weight %, specifically 0.01 to 5 weight %, more specifically 0.01 to 4 weight %, even more specifically 0.01 to 3 weight %.
- the acid is present in an amount of 0.1 to 15 weight %, more specifically 0.1 to 12 weight %. It may be further preferred if the amount is 0.1 to 10 weight %, in particular 0.1 to 8 weight %, more particularly 0.1 to 5 weight %, specifically 0.1 to 4 weight %, even more specifically 0.1 to 3 weight %. It may also be suitable in some cases if the acid is present in an amount of 1 to 15 weight %, in particular 1 to 12 weight %. It may be further suitable if the amount is 1 to 10 weight %, in particular 1 to 8 weight %, specifically 1 to 5 weight %, more specifically 1 to 4 weight %, even more specifically 1 to 3 weight %, even more specifically 1 to 2 weight %. Furthermore, it may also be suitable if component (b) is present in an amount of 0.001 to 5 weight %.
- inventive aqueous suspension concentrate shows a certain pH value, in particular less than 6.5, in particular pH 2 to 6, more particularly 2 to 5, even more particularly 2 to 3.
- the suspension concentrate of the present invention contains, as component (c) a su- face-active substance.
- component (c) a su- face-active substance.
- the amount of the surface-active substance according to com- ponent (c) will generally be from 0.5 to 30% by weight, in particular from 0.5 to 25% by weight, more particularly from 2 to 25% by weight, even more specifcally from 4 to 25% by weight. It may be preferred if the amount of component (c) will generally be from 1 to 25% by weight and particularly preferably from 5 to 20% by weight.
- Suitable surface-active substances are the alkali metal, alkaline earth metal and ammonium salts of aromatic sulfonic acids, for example of ligno- (Borresperse ® types, such as Borresperse® Na (sodium ligninsulfonate), Borregaard, Norway), phenol-, naphthalene- (such as condensed naphthalene sulfonic acid salts (in particular Na-salt), in particular Morwet® types, such as Morwet® D 425, Akzo Nobel, USA) and dibutylnaphthalenesulfonic acid (Nekal ® types, BASF SE, Germany), and of fatty acids, alkyl- and alkylarylsulfonates, alkyl sulfates, lauryl ether sulfates and fatty alcohol sulfates, and salts of aromatic sulfonic acids, for example of ligno- (Borresperse ® types
- Component (c) is in particular a surfactant, wherein suitable surfactants according to the present invention are selected from anionic, cationic, nonionic and amphoteric surfactants, block polymers, polyelectrolytes and protective colloids.
- suitable anionic surfactants are alkali, alkaline earth or ammonium salts of sulfonates, sulfates, phosphates or carboxylates.
- sulfonates are alkylarylsulfonates, diphenylsulfonates, alpha-olefin sulfonates, sulfonates of fatty acids and oils, sulfonates of ethoxylated alkylphenols, sulfonates of condensed naphthalenes, sulfonates of dodecyl- and tridecylbenzenes, sulfonates of naphthalenes and alkylnaphthalenes, sulfosuccinates or sulfosuccinamates.
- sulfates are sulfates of fatty acids and oils, of alkoxylated, in particular ethoxylated, alkylphenols (e.g. tristyrylphenols, for example Soprophor® 4D384, Rhodia), of alcohols, of ethoxylated alcohols, or of fatty acid esters.
- phosphates are phosphate esters.
- carboxylates are alkyl carboxylates and carboxylated alcohol or alkylphenol ethoxylates.
- suitable cationic surfactants are quaternary surfactants, for example quaternary ammonium compounds with one or two hydrophobic groups, or salts of long- chain primary amines.
- Suitable nonionic surfactants are alkoxylates, N-alkylated fatty acid amides, amine oxides, esters or sugar-based surfactants.
- alkoxylates are compounds such as alcohols, alkylphenols, amines, amides, arylphenols, fatty acids or fatty acid esters which have been alkoxylated.
- Ethylene oxide and/or propylene oxide may be employed for the alkoxylation, preferably ethylene oxide.
- N-alkylated fatty acid am- ides are fatty acid glucamides or fatty acid alkanolamides.
- esters are fatty acid esters, glycerol esters or monoglycerides.
- sugar-based surfactants are sorbitans, ethoxylated sorbitans, sucrose and glucose esters or alkylpolygluco- sides.
- Suitable amphoteric surfactants are alkylbetains and imidazolines.
- Suitable block polymers are block polymers of the A-B or A-B-A type comprising blocks of polyethylene oxide and polypropylene oxide or of the A-B-C type comprising alkanol, polyethylene oxide and polypropylene oxide (such as, for example Emulsogen 3510 (butyldiglycol polyethylene/polypropylene glycol ether), Clariant GmbH, or Atlas G 5000 (butyldiglycol polyethylene/polypropylene glycol ether), Croda).
- Emulsogen 3510 butyldiglycol polyethylene/polypropylene glycol ether
- Clariant GmbH or Atlas G 5000 (butyldiglycol polyethylene/polypropylene glycol ether), Croda).
- Suitable polyelectrolytes are polyacids or polybases.
- Examples of polyacids are alkali salts of polyacrylic acid.
- Examples of polybases are polyvinylamines or polyethyl- eneamines
- Suitable surfactants are also protective colloids.
- Protective colloids are typically water soluble, amphiphilic polymers. Examples include proteins und denatured proteins such as casein, polysaccharides such as water soluble starch derivatives and cellulose de- rivatives, in particular hydrophobic modified starches and celluloses, furthermore poly- carboxylates such as polyacrylic acid (polyacrylates), acrylic acid or methacrylic acid copolymers (such as for example acrylic graft copolymers such as Tersperse 2500, Huntsman) or maleic acid copolymers such as acrylic acid/olefin copolymers, acrylic acid, styrene copolymers, maleic anhydride/olefin copolymers (for example Sokalan ® CP9, BASF SE) and the esterification products of said copolymers with polyethylene glycols, polyvinylalcohol, polyvinylpyrrolidone, vinylpyrrolidone copolymers, polyvin
- suface-active compounds as component (c) are nonionic surfactants, in particular alkanol alkoxylates and ethylene oxide/propylene oxide block polymers, in par- ticular alkanol alkoxylates. Furthermore, mixtures of the abovementioned lipophilic surfactants are preferred.
- Preferred alkanol alkoxylates are those of the formula (A)
- R x is straight-chain or branched alkyl or alkylene with from 4 to 32, preferably from
- AO is an ethylene oxide radical, propylene oxide radical, butylene oxide radical, pen- tylene oxide radical, styrene oxide radical or mixtures of the abovementioned radicals in random or block sequence,
- n 1 to 30 and
- R 1x is hydrogen or alkyl with from 1 to 4 carbon atoms.
- alkanol alkoxylates are those of the formula (B)
- R xx is straight-chain or branched alkyl or alkylene with from 4 to 32, preferably from 10 to 22, particularly preferably from 6 to 18, carbon atoms,
- PO is -CH 2 -CH(CH 3 )-0- or -(CH 2 ) 3 -0-,
- p is numbers from 0 to 20, preferably from 3 to 10, in particular from 4 to 8
- q is numbers from 1 to 25, preferably from 4 to 15, and
- R 1xx is hydrogen or alkyl with from 1 to 4 carbon atoms
- R xx is straight-chain or branched alkyl or alkylene with from 4 to 32, preferably from 6 to 22, particularly preferably from 10 to 18, carbon atoms,
- q is numbers from 1 to 25, preferably from 3 to 15,
- R xxx is straight-chain or branched alkyl or alkylene with from 4 to 32, preferably from 7 to 18, carbon atoms,
- BO is -C4H8O-, which can be linear or branched
- p is numbers from 1 to 25, preferably from 3 to 12, in particular from 4 to 7
- q is numbers from 1 to 25, preferably from 1 to 15, in particular from 1 to 7
- R 1xxx is hydrogen or alkyl with from 1 to 4 carbon atoms
- RXXXX j S straight-chain or branched alkyl or alkylene with from 4 to 32, preferably from
- p is numbers from 1 to 10, preferably from 1 to 3,
- Rixxxx j S hydrogen or alkyl with from 1 to 4 carbon atoms.
- suitable surface-active compounds as component (c) are Plu- rafac® LF 1300, Lutensol® 7015, Lutensol® TO 15 (isotridencanol polyethyleneglycole ether), Plurafac® LF 500 and/or Plurafac® LF 300 (BASF SE).
- suitable surface-active compounds as component (c) are Pluronic® PE 10500 (BASF SE), Emulsogen® 1816 (Clariant) Emulsogen® 3510 (Clariant), Pluriol WSB 125 (BASF SE) and/or Wettol D1 (BASF SE).
- suitable surface-active compounds as component (c) are fatty alcohol alkoxylates such as Plurafac® LF 120 (BASF SE), Plurafac® LF221 (BASF SE) and/or Lutensol® ON 30 (BASF SE).
- fatty alcohol alkoxylates such as Plurafac® LF 120 (BASF SE), Plurafac® LF221 (BASF SE) and/or Lutensol® ON 30 (BASF SE).
- suitable surface active compounds as component (c) are polyhydroxy stearic acid esters with polyethylenglycols like Tersperse® 2510 (Huntsman) or Atlox® 4912 (Croda).
- the inventive suspension concentrate is an aqueous suspension concentrates, com- prisning water (herein also referred to as component (d)).
- Water is preferably present in an amount of from 20 to 80% by weight, preferably 20 to 50% by weight, more preferably from 30 to 50% by weight.
- the present invention relates to an aqueous suspension concentrate, comprising the components in the following weight %:
- the suspension concentrate of the present invention may comprise one or more further formulation auxiliaries, wherein the choice of the auxiliary/auxiliaries usually depends on the specific use form of the suspension concentrate.
- These further formulation auxiliaries may be present in an amount of from 0 to 80% by weight, in particular 0 to 60% by weight, more particularly from 0 to 40% by weight, even more specifically from 0 to 20% by weight. In some cases it can be preferred if such further formulation auxiliaries are present in an amount of 5 to 75% by weight, 10 to 65% by weight, 15 to 55% by weight or 20 to 45% by weight.
- Such further formulation auxiliaries can be selected from the surface-active substances (such as dispersants, emulsifiers, surfactants, solubilizers, protective colloids, wetters and stickers) as defined or preferably defined above for component (c); solvents; solid carriers; antifoams; preservatives; antifreeze agents; organic thickeners; inorganic thickeners; bactericides; colorants; antioxidants; retention enhancers (e.g. Lutensol® ON 60); penetration enhancers; tackifiers or binders (for example for the treatment of seeds) and/or oils.
- surface-active substances such as dispersants, emulsifiers, surfactants, solubilizers, protective colloids, wetters and stickers
- solvents such as dispersants, emulsifiers, surfactants, solubilizers, protective colloids, wetters and stickers
- solvents such as dispersants, emulsifiers, surfactants, solubilizers, protective colloids
- the amount of optional further surface-active substances selected from the ones as defined or preferably defined above for component (c) may be from 0 to 20% by weight, in particular from 0.5 to 20% by weight, more particularly from 1 to 15% by weight and specifically from 5 to 15% by weight.
- Suitable solvents are water, organic solvents such as mineral oil fractions of medium to high boiling point, such as kerosene or diesel oil, furthermore coal tar oils and oils of vegetable or animal origin, aliphatic, cyclic and aromatic hydrocarbons, e. g.
- suitable solvents are heavy aromatic solvent mixtures such as for example Solvesso® 200 ND, Exxon mobile.
- the solvent content in particular the content of aromatic hydrocarbons, minus any antifreeze agents, is generally in the range of from 0 to 30% by weight, in particular 0 to 20% by weight and more particularly from 0 to 15% by weight of the suspension concentrate.
- Suitable solid carriers are, in principle, all solid substances usually used in crop protec- tion compositions, in particular in fungicides.
- Solid carriers are, for example, mineral earths, such as silica gels, silicates, talc, kaolin, attaclay, limestone, lime, chalk, bole, loess, clay, dolomite, diatomaceous earth, calcium sulfate and magnesium sulfate, magnesium oxide, ground synthetic materials, fertilizers, such as, for example, ammonium sulfate, ammonium phosphate, ammonium nitrate, ureas and products of vegeta- ble origin, such as cereal meal, tree bark meal, wood meal and nutshell meal, cellulose powders and other solid carriers.
- mineral earths such as silica gels, silicates, talc, kaolin, attaclay, limestone, lime, chalk, bole, loess, clay, dolomite, diatomaceous earth, calcium sulf
- the amount of filler is preferably chosen that the total amount of filler does not exceed 75% by weight, based on the total weight of all non- volatile components of the formulation.
- the amount of filler may range from 0 to 50% by weight, more specifically from 1 to 50% by weight, in particular from 5 to 50% by weight, more particularly from 10 to 30 % by weight, based on the total weight of all non-volatile components of the formulation.
- Stickers are all customary binders which can be employed in dressing products.
- suitable binders comprise thermoplastic polymers such as polyvinylpyrrolidone, polyvinyl acetate, polyvinyl alcohol and tylose, furthermore polyacrylates, polyme- thacrylates, polybutenes, polyisobutenes, polystyrene, polyethylenamines,
- polyethylenamides the aforementioned protective colloids, polyesters, polyetheresters, polyanhydrides, polyesterurethanes, polyesteramides, thermoplastic polysaccharides, e.g. cellulose derivates such as celluloseesters, celluloseethers, celluloseetheresters including methylcellulose, ethylcellullose, hydroxymethylcellulose,
- stickers are biocompatible, i.e. they do not have a noticable phytotoxic activity.
- the stickers are biodegradable.
- the sticker is chosen that it acts as a matrix for the active ingredients of the formulation.
- the amount of stickers will usually not exceed 40% by weight of the formulation and preferably ranges, if present, from 1 to 40% by weight, and in particular in the range from 1 to 30% by weight, more particularly from 1 to 20 % by weight, even more particularly from 1 to 10 % by weight, based on the total weight of the formulation.
- Antifoams suitable for the SCs according to the invention are, for example, silicone emulsions known for this purpose (Wacker SRE-PFL, Silikon ® SRE, from Wacker SRE-PFL, Silikon ® SRE, from Wacker SRE-PFL, Silikon ® SRE, from Wacker SRE-PFL, Silikon ® SRE, from Wacker SRE-PFL, Silikon ® SRE, from Wacker
- the amount of antifoam agent may typically be from 0.1 to 1 % by weight, in particular from 0.1 to 0.8% by weight, more particularly from 0.1 to 0.5% by weight, based on the total weight of the SC.
- Preservatives may be added for stabilizing the suspension concentrates according to the invention.
- Suitable preservatives are those based on isothiazolones, for example Proxel ® from ICI or Acticide ® RS from Thor Chemie GmbH or Kathon ® MK from Rohm & Haas.
- the amount of bactericides, if present, may typically be from 0.05 to 0.5% by weight, in particular from 0.1 to 0.4 % by weight, more particularly from 0.1 to 0.2 % by weight.
- Suitable antifreeze agents are liquid polyols, for example ethylene glycol, propylene glycol or glycerol.
- the amount of antifreeze agents, if present, may generally be from 1 to 20% by weight, in particular from 3 to 15% by weight, in particular from 5 to 10 % by weight, based on the total weight of the suspension concentrate.
- thickeners i. e. compounds that impart a modified flowability to composi- tions, i. e. high viscosity under static conditions and low viscosity during agitation
- thickeners are polysaccharides and organic and anorganic clays such as Xanthan gum (Kelzan ® , CP Kelco, U.S.A.), Rhodopol ® 23 (Rhodia, France), Veegum ® (R.T. Vanderbilt, U.S.A.) or Attaclay ® (Engelhard Corp., NJ, USA).
- the amount, if present, may typically be from 0.05 to 1 % by weight, more particularly from 0.1 to 0.8% by weight, specifically from 0.1 to- 0.5% by weight.
- Bactericides may be added for preservation and stabilization of the composition.
- suitable bactericides are those based on dichlorophene and benzylalcohol hemi formal (Proxel ® from ICI or Acticide ® RS from Thor Chemie GmbH and Kathon ® MK from Rohm & Haas) and isothiazolinone derivatives such as alkylisothiazolinones and benzisothiazolinones (Acticide ® MBS from Thor Chemie GmbH (MIT/BIT (methyli- sothiazolinon/benzylisothiazolinon mixture ).
- the amount, if present, may typically be from 0.1 to 0.5% by weight, in particular from 0.2 to 0.5% by weight, more specifically from 0.2 to 0.4% by weight.
- Suitable colorants are pigments of low water solubility and water-soluble dyes. Examples to be mentioned und the designations rhodamin B, C. I. pigment red 1 12, C. I. solvent red 1 , pigment blue 15:4, pigment blue 15:3, pigment blue 15:2, pigment blue 15:1 , pigment blue 80, pigment yellow 1 , pigment yellow 13, pigment red 1 12, pigment red 48:2, pigment red 48:1 , pigment red 57:1 , pigment red 53:1 , pigment orange 43, pigment orange 34, pigment orange 5, pigment green 36, pigment green 7, pigment white 6, pigment brown 25, basic violet 10, basic violet 49, acid red 51 , acid red 52, acid red 14, acid blue 9, acid yellow 23, basic red 10, basic red 108.
- the amount of colorants will usually not exceed 20% by weight of the formulation and, if present, pref- erably ranges from 0.1 to 15% by weight.
- Antioxidants are all substances which can be used for said purpose in agrochemical compositions, for example butylated hydroxytoluene.
- the amount, if present, may typically be from 0.1 to 2% by weight, in particular from 0.5 to 1 % by weight.
- tackifiers or binders examples include polyvinylpyrrolidons, polyvinylacetates, polyvinyl alcohols and cellulose ethers (Tylose ® , Shin-Etsu, Japan).
- oils Compounds which are suitable as oils are, for example, aliphatic compounds, aromatic compounds, waxes, vegetable oils, esters of vegetable oils, silicone oils, aliphatic C6-C18 alcohols, fatty acid esters with from 8 to 40 carbon atoms in the acid portion and from 1 to 20 carbon atoms in the alcohol portion, preferably ethylhexyl laurate, or dial- kyl esters of the formula (E)
- R y and R 4y are, independently of one another, an alkyl or alkylene with from 1 to 32, preferably from 2 to 26, especially from 4 to 22, carbon atoms,
- 0(0)R 3 (0)0 is a dicarboxyl radical in which R 3 comprises at least 3, preferably from 4 to 8, carbon atoms.
- Preferred dialkyl esters are dibutyl succinate, dibutyl adipate and dibutyl phthalate. M ixtures of the abovementioned oils are also suitable.
- the amount, if present, may typically be from 0.1 to 25% by weight, in particular from 1 to 20%, more specifically from 5 to 15% by weight.
- the suspension concentrates according to the invention may also comprise other active substances, e. g. herbicides, insecticides, growth regulators, fungicides or fertilizers.
- active substances e. g. herbicides, insecticides, growth regulators, fungicides or fertilizers.
- strobilurins e.g. strobilurins: azoxystrobin, coumethoxy- strobin, coumoxystrobin, dimoxystrobin, enestroburin, fenaminstrobin, fenoxy- strobin/flufenoxystrobin, fluoxastrobin, kresoxim-methyl, metominostrobin, orysas- trobin, picoxystrobin, pyraclostrobin, pyrametostrobin, pyraoxystrobin, triflox- ystrobin, 2-[2-(2,5-dimethyl-phenoxymethyl)-phenyl]-3-methoxy-acrylic acid methyl ester and 2-(2-(3-(2,6-dichlorophenyl)-1 -methyl-allylideneaminooxymethyl)-phenyl)- 2-methoxyimino-N-methyl-acetamide, pyribencarb, triclopy
- inhibitors of complex I I e. g. carboxamides: benodanil, bixafen, boscalid, carboxin, fenfuram, fluopyram, flutolanil, fluxapyroxad, furametpyr, isopyrazam, mepronil, ox- ycarboxin, penflufen, penthiopyrad, sedaxane, tecloftalam, thifluzamide, N-(4'- trifluoromethylthiobiphenyl-2-yl)-3-difluoromethyl-1 -methyl-1 H-pyrazole-4- carboxamide and N-(2-(1 ,3,3-trimethyl-butyl)-phenyl)-1 ,3-dimethyl-5-fluoro-1 H- pyrazole-4-carboxamide;
- carboxamides benodanil, bixafen, boscalid, carboxin, fenfuram, fluopyram, fluto
- respiration inhibitors e.g. complex I , uncouplers: diflumetorim; nitrophenyl derivates: binapacryl, dinobuton, dinocap, fluazinam; ferimzone; organometal compounds: fentin salts, such as fentin-acetate, fentin chloride or fentin hydroxide; ame- toctradin; and silthiofam;
- SBI fungicides Sterol biosynthesis inhibitors
- DM I fungicides triazoles: azaconazole, bitertanol, bromuconazole, cyproconazole, difenoconazole, diniconazole, diniconazole-M, ep- oxiconazole, fenbuconazole, fluquinconazole, flusilazole, flutriafol, hexaconazole, imibenconazole, ipconazole, metconazole, myclobutanil, oxpoconazole, paclobutra- zole, penconazole, propiconazole, prothioconazole, simeconazole, tebuconazole, tetraconazole, triadimefon, triadimenol, triticonazole, uniconazole; imidazoles: ima- zalil, pefurazoate, prochloraz, trifluoride, difenoconazole,
- Delta14-reductase inhibitors aldimorph, dodemorph, dodemorph-acetate, fen- propimorph, tridemorph, fenpropidin, piperalin, spiroxamine;
- - phenylamides or acyl amino acid fungicides benalaxyl, benalaxyl-M, kiralaxyl, met- alaxyl, metalaxyl-M (mefenoxam), ofurace, oxadixyl;
- tubulin inhibitors such as benzimidazoles, thiophanates: benomyl, carbendazim, fuberidazole, thiabendazole, thiophanate-methyl; triazolopyrimidines: 5-chloro- 7-(4-methylpiperidin-1 -yl)-6-(2,4,6-trifluorophenyl)-[1 ,2,4]triazolo[1 ,5-a]pyrimidine
- cell division inhibitors diethofencarb, ethaboxam, pencycuron, fluopicolide, zoxamide, metrafenone, pyriofenone;
- - methionine synthesis inhibitors anilino-pyrimidines: cyprodinil, mepanipyrim, py- rimethanil;
- blasticidin-S blasticidin-S, kasugamycin, kasugamycin hydrochloride- hydrate, mildiomycin, streptomycin, oxytetracyclin, polyoxine, validamycin A;
- MAP / histidine kinase inhibitors fluoroimid, iprodione, procymidone, vinclozolin, fenpiclonil, fludioxonil;
- - Phospholipid biosynthesis inhibitors edifenphos, iprobenfos, pyrazophos, iso- prothiolane;
- Inhibitors with Multi Site Action - inorganic active substances: Bordeaux mixture, copper acetate, copper hydroxide, copper oxychloride, basic copper sulfate, sulfur;
- organochlorine compounds e.g. phthalimides, sulfamides, chloronitriles: anilazine, chlorothalonil, captafol, captan, folpet, dichlofluanid, dichlorophen, flusulfamide, hexachlorobenzene, pentachlorphenole and its salts, phthalide, tolylfluanid, N-(4- chloro-2-nitro-phenyl)-N-ethyl-4-methyl-benzenesulfonamide;
- organochlorine compounds e.g. phthalimides, sulfamides, chloronitriles
- guanidine dodine, dodine free base, guazatine, guazatine- acetate, iminoctadine, iminoctadine-triacetate, iminoctadine-tris(albesilate), di- thianon;
- glucan synthesis validamycin, polyoxin B; melanin synthesis inhibitors: pyroquilon, tricyclazole, carpropamid, dicyclomet, fenoxanil;
- Ampelomyces quisqualis e.g. AQ 10 ® from Intrachem Bio GmbH & Co. KG, Germany
- Aspergillus flavus e.g. AFLA- GUARD ® from Syngenta, CH
- Aureobasidium pullulans e.g. BOTECTOR ® from bio-ferm GmbH, Germany
- Bacillus pumilus e.g. NRRL Accession No. B-30087 in SONATA ® and BALLAD ® Plus from AgraQuest Inc., USA
- Bacillus subtilis e.g. isolate NRRL-Nr.
- Clonostachys rosea f. catenulata also named Gliocladium catenulatum (e.g. isolate J 1446: PRESTOP ® from Verdera, Finland), Coniothyrium minitans (e.g. CONTANS ® from Prophyta, Germany), Cryphonectria parasitica (e.g. Endothia parasitica from CNICM, France), Cryptococcus albidus (e.g. YIELD PLUS ® from Anchor Bio-Technologies, South Africa), Fusarium oxysporum (e.g.
- harzianum TH 35 e.g. ROOT PRO ® from Mycontrol Ltd., Israel
- T. harzianum T- 39 e.g. TRICHODEX ® and TRICHODERMA 2000 ® from Mycontrol Ltd., Israel and Makhteshim Ltd., Israel
- T. harzianum and T. viride e.g. TRICHOPEL from Agrimm Technologies Ltd, NZ
- T. harzianum ICC012 and T. viride ICC080 e.g.
- T. polysporum and T. harzianum e.g. BINAB ® from BINAB Bio-Innovation AB, Sweden
- T. stromaticum e.g. TRICOVAB ® from C.E.P.L.A.C., Brazil
- T. virens GL-21 e.g. SOILGARD ® from Certis LLC, USA
- T. viride e.g. TRIECO ® from Ecosense Labs. (India) Pvt. Ltd., Indien, BIOCURE ® F from T. Stanes & Co. Ltd., Indien
- T. viride TV1 e.g. T. viride TV1 from Agribiotec srl, Italy
- Ulocladium oudemansii e.g. BOTRY-ZEN ® from Botry- Zen Ltd, NZ
- BOTRY-ZEN e.g. BOTRY-ZEN ® from Botry- Zen Ltd, NZ
- abscisic acid amidochlor, ancymidol, 6-benzylaminopurine, brassinolide, butralin, chlormequat (chlormequat chloride), choline chloride, cyclanilide, daminozide, dike- gulac, dimethipin, 2,6-dimethylpuridine, ethephon, flumetralin, flurprimidol, fluthiacet, forchlorfenuron, gibberellic acid, inabenfide, indole-3-acetic acid , maleic hydrazide, mefluidide, mepiquat (mepiquat chloride), naphthaleneacetic acid, N-6-benzyladenine, paclobutrazol, prohexadione (prohexadione-calcium), prohydrojasmon, thidiazuron, triapenthenol, tributyl phosphorotrithioate, 2,3,5-tri-
- acetochlor alachlor, butachlor, dimethachlor, dimethenamid, flufena- cet, mefenacet, metolachlor, metazachlor, napropamide, naproanilide, pethoxamid, pretilachlor, propachlor, thenylchlor;
- - aryloxyphenoxypropionates clodinafop, cyhalofop-butyl, fenoxaprop, fluazifop, ha- loxyfop, metamifop, propaquizafop, quizalofop, quizalofop-P-tefuryl;
- - (thio)carbamates asulam, butylate, carbetamide, desmedipham, dimepiperate, ep- tam (EPTC), esprocarb, molinate, orbencarb, phenmedipham, prosulfocarb, pyribu- ticarb, thiobencarb, triallate;
- acifluorfen acifluorfen, aclonifen, bifenox, diclofop, ethoxyfen, fomesafen, lac- tofen, oxyfluorfen;
- imidazolinones imazamethabenz, imazamox, imazapic, imazapyr, imazaquin, ima- zethapyr;
- - phenoxy acetic acids clomeprop, 2,4-dichlorophenoxyacetic acid (2,4-D), 2,4-DB, dichlorprop, MCPA, MCPA-thioethyl, MCPB, Mecoprop;
- - pyridines aminopyralid, clopyralid, diflufenican, dithiopyr, fluridone, fluroxypyr, pi- cloram, picolinafen, thiazopyr;
- - sulfonyl ureas amidosulfuron, azimsulfuron, bensulfuron, chlorimuron-ethyl, chlor- sulfuron, cinosulfuron, cyclosulfamuron, ethoxysulfuron, flazasulfuron, flucetosulfu- ron, flupyrsulfuron, foramsulfuron, halosulfuron, imazosulfuron, iodosulfuron, meso- sulfuron, metazosulfuron, metsulfuron-methyl, nicosulfuron, oxasulfuron, primisulfu- ron, prosulfuron, pyrazosulfuron, rimsulfuron, sulfometuron, sulfosulfuron, thifensul- furon, triasulfuron, tribenuron, trifloxysulfuron, triflusulfuron
- - triazines ametryn, atrazine, cyanazine, dimethametryn, ethiozin, hexazinone, met- amitron, metribuzin, prometryn, simazine, terbuthylazine, terbutryn, triaziflam;
- ureas chlorotoluron, daimuron, diuron, fluometuron, isoproturon, linuron, metha- benzthiazuron,tebuthiuron;
- acetolactate synthase inhibitors bispyribac-sodium, cloransulam-methyl, di- closulam, florasulam, flucarbazone, flumetsulam, metosulam, ortho-sulfamuron, pe- noxsulam, propoxycarbazone, pyribambenz-propyl, pyribenzoxim, pyriftalid, pyrimi- nobac-methyl, pyrimisulfan, pyrithiobac, pyroxasulfone, pyroxsulam;
- organo(thio)phosphates acephate, azamethiphos, azinphos-methyl, chlorpyrifos, chlorpyrifos-methyl, chlorfenvinphos, diazinon, dichlorvos, dicrotophos, dimethoate, disulfoton, ethion, fenitrothion, fenthion, isoxathion, malathion, methamidophos, me- thidathion, methyl-parathion, mevinphos, monocrotophos, oxydemeton-methyl, paraoxon, parathion, phenthoate, phosalone, phosmet, phosphamidon, phorate, phoxim, pirimiphos-methyl, profenofos, prothiofos, sulprophos, tetrachlorvinphos, terbufos, triazophos, trichlorfon;
- - pyrethroids allethrin, bifenthrin, cyfluthrin, cyhalothrin, cyphenothrin, cypermethrin, alpha-cypermethrin, beta-cypermethrin, zeta-cypermethrin, deltamethrin, esfen- valerate, etofenprox, fenpropathrin, fenvalerate, imiprothrin, lambda-cyhalothrin, permethrin, prallethrin, pyrethrin I and II, resmethrin, silafluofen, tau-fluvalinate, te- fluthrin, tetramethrin, tralomethrin, transfluthrin, profluthrin, dimefluthrin;
- - insect growth regulators a) chitin synthesis inhibitors: benzoylureas: chlorfluazuron, cyramazin, diflubenzuron, flucycloxuron, flufenoxuron, hexaflumuron, lufenuron, no- valuron, teflubenzuron, triflumuron; buprofezin, diofenolan, hexythiazox, etoxazole, clofentazine; b) ecdysone antagonists: halofenozide, methoxyfenozide, te- bufenozide, azadirachtin; c) juvenoids: pyriproxyfen, methoprene, fenoxycarb; d) lipid biosynthesis inhibitors: spirodiclofen, spiromesifen, spirotetramat;
- nicotinic receptor agonists/antagonists compounds clothianidin, dinotefuran, imida- cloprid, thiamethoxam, nitenpyram, acetamiprid, thiacloprid, 1 -(2-chloro-thiazol-5- ylmethyl)-2-nitrimino-3,5-dimethyl-[1 ,3,5]triazinane;
- GABA antagonist compounds endosulfan, ethiprole, fipronil, vaniliprole, pyraflu- prole, pyriprole, 5-amino-1 -(2,6-dichloro-4-methyl-phenyl)-4-sulfinamoyl- 1 H-pyrazole-3-carbothioic acid amide;
- - macrocyclic lactone insecticides abamectin, emamectin, milbemectin, lepimectin, spinosad, spinetoram;
- - mitochondrial electron transport inhibitor I acaricides: fenazaquin, pyridaben, tebufenpyrad, tolfenpyrad, flufenerim;
- - oxidative phosphorylation inhibitors cyhexatin, diafenthiuron, fenbutatin oxide, pro- pargite;
- cryomazine cryomazine
- the suspension concentrates in particular the aqueous suspension concentrates, of the present invention can be prepared by suspending the active ingredient in a suitable liquid carrier, which may contain conventional formulation additives as described here- in. However, it is preferred to prepare the suspension concentrate by a shear process known in the art, i.e. by applying shear forces to a liquid which contains suspended particles of the respective active ingredient and optionally further additives.
- the suspension concentrates of the present invention can be prepared in an agitated ball mill, wherein the active ingredient of the component (a) is comminuted with addition of the acid component (b) and the surface-active compound (c) and, if present, further formulation auxiliaries and the respective amount of water to give a fine active substance suspension. Dilution with water gives a stable suspension of the active substance at the desired active ingredient concentration.
- the inventive formulation comprises microcapsules with sustained release of the capsule content.
- the term "mi- crocapsule” refers to any type of capsule with an average particle diameter (d50 - z- average by means of light scattering) in the micrometer range, in particular of 1 to 20 ⁇ , preferably 1 to 10 ⁇ , even more specifically 1 to 4 ⁇ .
- the microcapsule comprises a capsule core and a capsule wall of suitable polymers (encapsulation material), wherein the core comprises a component (c) (surface active compound as defined and preferably defined herein).
- the encapsulation material is such that it enables sustained release of the content of the capsule.
- the capsules suitable according to the present invention ensure that the content of the capsule is released in the amounts desired in each case, over a releatively long period of time.
- the capsule core may be either solid or liquid.
- the microcapsule may contain further components besides component (c), for example one or more further formulation auxiliaries, such as, for example, one or more solvents, as defined above and/or further active ingredients, wherein the microcapsules according to the invention, however, do not contain the active compound according to component (a).
- component (c) for example one or more further formulation auxiliaries, such as, for example, one or more solvents, as defined above and/or further active ingredients, wherein the microcapsules according to the invention, however, do not contain the active compound according to component (a).
- the microcapsule does not contain any active compounds.
- the microcapsule contains, besides component (c), one or more solvents as defined herein.
- the solvents may be selected from aromatic solvent mixtures (e.g. Solvesso® 200 ND, Exxon mobile) or non-polar aliphatic solvents, such as for example, mineral oils, white oils or process oils (e.g. Bayol 82)
- Poly(meth)acrylate is a known encapsulation material, for example from WO
- the poly(meth)acrylate comprises C1-C24 alkyl esters of acrylic and/or methacrylic acid, acrylic acid, methacryl- ic acid, and/or maleic acid in polymerized form. More preferably, the poly(meth)acrylate comprises methyl methacrylate and methacrylic acid.
- the poly(meth)acrylate may also comprise in polymerized form one or more difunctional or polyfunctional monomers.
- the poly(meth)acrylate may further comprise other monomers. Capsules with encapsulation material comprising a polyurethane or polyurea wall are well known and can be prepared by analogy to prior art.
- Interfacial polymerization is usually performed in an aqueous water-in-oil emulsion or suspension of the core material containing dissolved therein at least one part of the polymer wall forming material. During the polymerization, the polymer segregates from the core material to the boundary surface between the core material and water thereby forming the wall of the microcapsule. Thereby an aqueous suspension of the microcapsule material is obtained.
- Suitable methods for interfacial polymerization processes for preparing microcapsules containing pesticide compounds have been disclosed in prior art, e.g.
- Melamine-formaldehyde capsules may be prepared by in situ polymerization of urea and/or melamine with formaldehyde according to known procedures (e.g. WO
- the first step is to disperse a water-immiscible liquid or solid core material in an aqueous phase that contains urea, melamine, water-soluble urea-formaldehyde condensate, or water-soluble urea-melamine condensate.
- the aqueous phase also contains a system modifier that enhances deposition of the aminoplast capsule shell. This system modifier may be an anionic polymer or copolymer. Shell formation occurs typically once formaldehyde is added.
- the aqueous phase acidified, e.g. to a pH 2-4.5. The system may heated to 40-100 °C, preferably to 40-60°C.
- each complementary wall-forming component will vary with their equivalent weights. In general, approximately stoichiometric amounts are pre- ferred, while an excess of one component may also be employed, especially an excess of polyisocyanate.
- the total amount of wall-forming components approximately corresponds to the total amount of polymeric wall-forming materials.
- the suspension concentrate does not contain microcapsules or other capsules.
- the suspension concentrates, in particular the aqueous suspension concentrates, of the present invention are suitable as fungicides. They are distinguished by an outstanding effectiveness against a broad spectrum of phytopathogenic fungi, including soil-borne fungi, which derive especially from the classes of the Plasmodiophoromy- cetes, Peronosporomycetes (syn. Oomycetes), Chytridiomycetes, Zygomycetes, As- comycetes, Basidiomycetes and Deuteromycetes (syn. Fungi imperfecti). Some are systemically effective and they can be used in crop protection as foliar fungicides, fungicides for seed dressing and soil fungicides. Moreover, they are suitable for controlling harmful fungi, which inter alia occur in wood or roots of plants.
- the suspension concentrates, in particular the aqueous suspension concentrates, of the present invention are particularly important in the control of a multitude of phyto- pathogenic fungi on various cultivated plants, such as cereals, e. g. wheat, rye, barley, triticale, oats or rice; beet, e. g. sugar beet or fodder beet; fruits, such as pomes, stone fruits or soft fruits, e. g.
- the suspension concentrates in particular the aqueous suspension concentrates, of the present invention are used for controlling a multitude of fungi on field crops, such as potatoes sugar beets, tobacco, wheat, rye, barley, oats, rice, corn, cotton, soybeans, rape, legumes, sunflowers, coffee or sugar cane; fruits; vines; ornamen- tals; or vegetables, such as cucumbers, tomatoes, beans or squashes.
- field crops such as potatoes sugar beets, tobacco, wheat, rye, barley, oats, rice, corn, cotton, soybeans, rape, legumes, sunflowers, coffee or sugar cane; fruits; vines; ornamen- tals; or vegetables, such as cucumbers, tomatoes, beans or squashes.
- plant propagation material is to be understood to denote all the generative parts of the plant such as seeds and vegetative plant material such as cuttings and tubers (e. g. potatoes), which can be used for the multiplication of the plant. This includes seeds, roots, fruits, tubers, bulbs, rhizomes, shoots, sprouts and other parts of plants, including seedlings and young plants, which are to be transplanted after germination or after emergence from soil. These young plants may also be protected before transplantation by a total or partial treatment by immersion or pouring.
- treatment of plant propagation materials with the suspension concentrates, in particular the aqueous suspension concentrates, of the present invention is used for controlling a multitude of fungi on cereals, such as wheat, rye, barley and oats; rice, corn, cotton and soybeans.
- cultiva plants is to be understood as including plants which have been modified by breeding, mutagenesis or genetic engineering including but not limiting to agricultural biotech products on the market or in development (cf.
- Genetically modified plants are plants, which genetic material has been so modified by the use of recombinant DNA techniques that under natural circumstances cannot readily be obtained by cross breeding, mutations or natural recombination. Typically, one or more genes have been integrated into the genetic material of a genetically modified plant in order to improve certain properties of the plant.
- Such genetic modifications also include but are not limited to targeted post-translational modification of protein(s), oligo- or polypeptides e. g. by glycosylation or polymer additions such as prenylated, acetylated or farnesylated moieties or PEG moieties.
- auxin herbicides
- herbicides e. bromoxynil or ioxynil herbicides as a result of conventional methods of breeding or genetic engineering. Furthermore, plants have been made resistant to multiple classes of herbicides through multiple genetic modifications, such as resistance to both glyphosate and glufosinate or to both glyphosate and a herbicide from another class such as ALS inhibitors, HPPD inhibitors, auxin herbicides, or AC- Case inhibitors. These herbicide resistance technologies are e. g. described in Pest Managem. Sci. 61 , 2005, 246; 61 , 2005, 258; 61 , 2005, 277; 61 , 2005, 269; 61 , 2005, 286; 64, 2008, 326; 64, 2008, 332; Weed Sci.
- cultivated plants have been rendered tolerant to herbicides by conventional methods of breeding (mutagenesis), e. g. Clearfield ® summer rape (Canola, BASF SE, Germany) being tolerant to imidazolinones, e. g. imazamox, or ExpressSun ® sunflowers (DuPont, USA) being tolerant to sulfonyl ureas, e. g. tribenuron.
- mutagenesis e. g. Clearfield ® summer rape (Canola, BASF SE, Germany) being tolerant to imidazolinones, e. g. imazamox, or ExpressSun ® sunflowers (DuPont, USA) being tolerant to sulfonyl ureas, e. g. tribenuron.
- plants are also covered that are by the use of recombinant DNA techniques capable to synthesize one or more insecticidal proteins, especially those known from the bacterial genus Bacillus, particularly from Bacillus thuringiensis, such as ⁇ - endotoxins, e. g. CrylA(b), CrylA(c), CrylF, CrylF(a2), CryllA(b), CrylllA, CrylllB(bl ) or Cry9c; vegetative insecticidal proteins (VIP), e. g. VIP1 , VIP2, VIP3 or VIP3A; insecticidal proteins of bacteria colonizing nematodes, e. g. Photorhabdus spp.
- VIP1 , VIP2, VIP3 or VIP3A vegetative insecticidal proteins
- toxins produced by animals such as scorpion toxins, arachnid toxins, wasp toxins, or other insect-specific neurotoxins
- toxins produced by fungi such Streptomy- cetes toxins, plant lectins, such as pea or barley lectins; agglutinins
- proteinase inhibitors such as trypsin inhibitors, serine protease inhibitors, patatin, cystatin or papain inhibitors
- ribosome-inactivating proteins (RIP) such as ricin, maize-RIP, abrin, luffin, saporin or bryodin
- steroid metabolism enzymes such as 3-hydroxysteroid oxidase, ecdysteroid-IDP-glycosyl-transferase, cholesterol oxidases, ecdysone inhibitors or HMG-CoA-reductase
- ion channel blockers such as blockers of sodium
- these insecticidal proteins or toxins are to be understood expressly also as pre-toxins, hybrid proteins, truncated or otherwise modified proteins.
- Hybrid proteins are characterized by a new combination of protein domains, (see, e. g. WO 02/015701 ).
- Further examples of such toxins or genetically modified plants capable of synthesizing such toxins are disclosed, e. g., in EP-A 374 753, WO 93/007278, WO 95/34656, EP-A 427 529, EP-A 451 878, WO 03/18810 und WO 03/52073.
- the methods for producing such genetically modified plants are generally known to the person skilled in the art and are described, e. g.
- The- se insecticidal proteins contained in the genetically modified plants impart to the plants producing these proteins tolerance to harmful pests from all taxonomic groups of athropods, especially to beetles (Coeloptera), two-winged insects (Diptera), and moths (Lepidoptera) and to nematodes (Nematoda).
- Genetically modified plants capable to synthesize one or more insecticidal proteins are, e.
- WO 03/018810 MON 863 from Monsanto Europe S.A., Belgium (corn cultivars producing the Cry3Bb1 toxin), IPC 531 from Monsanto Europe S.A., Belgium (cotton cultivars producing a modified version of the Cryl Ac toxin) and 1507 from Pioneer Overseas Corporation, Belgium (corn cultivars producing the Cry1 F toxin and PAT enzyme).
- plants are also covered that are by the use of recombinant DNA techniques capable to synthesize one or more proteins to increase the resistance or tolerance of those plants to bacterial, viral or fungal pathogens.
- proteins are the so-called “pathogenesis-related proteins” (PR proteins, see, e. g.
- EP-A 392 225 plant disease resistance genes (e. g. potato cultivars, which express resistance genes acting against Phytophthora infestans derived from the mexican wild potato Solanum bulbocastanum) or T4-lysozym (e. g. potato cultivars capable of synthesizing these proteins with increased resistance against bacteria such as Erwinia amylvora).
- plant disease resistance genes e. g. potato cultivars, which express resistance genes acting against Phytophthora infestans derived from the mexican wild potato Solanum bulbocastanum
- T4-lysozym e. g. potato cultivars capable of synthesizing these proteins with increased resistance against bacteria such as Erwinia amylvora.
- the methods for producing such genetically modified plants are generally known to the person skilled in the art and are described, e. g. in the publications mentioned above.
- plants are also covered that are by the use of recombinant DNA tech- niques capable to synthesize one or more proteins to increase the productivity (e. g. bio mass production, grain yield, starch content, oil content or protein content), tolerance to drought, salinity or other growth-limiting environmental factors or tolerance to pests and fungal, bacterial or viral pathogens of those plants.
- productivity e. g. bio mass production, grain yield, starch content, oil content or protein content
- plants are also covered that contain by the use of recombinant DNA techniques a modified amount of substances of content or new substances of content, specifically to improve human or animal nutrition, e. g. oil crops that produce health- promoting long-chain omega-3 fatty acids or unsaturated omega-9 fatty acids (e. g. Nexera ® rape, DOW Agro Sciences, Canada).
- plants are also covered that contain by the use of recombinant DNA techniques a modified amount of substances of content or new substances of content, specifically to improve raw material production, e. g. potatoes that produce increased amounts of amylopectin (e. g. Amflora ® potato, BASF SE, Germany).
- a modified amount of substances of content or new substances of content specifically to improve raw material production, e. g. potatoes that produce increased amounts of amylopectin (e. g. Amflora ® potato, BASF SE, Germany).
- suspension concentrates in particular the aqueous suspension concentrates, of the present invention are particularly suitable for controlling the following plant diseases:
- Albugo spp. (white rust) on ornamentals, vegetables (e. g. A. Candida) and sunflowers (e. g. A. tragopogonis); Alternaria spp. (Alternaria leaf spot) on vegetables, rape (A. brassicola or brassicae), sugar beets (A. tenuis), fruits, rice, soybeans, potatoes (e. g. A. solani or A. alternata), tomatoes (e. g. A. solani or A. alternata) and wheat; Aphano- myces spp. on sugar beets and vegetables; Ascochyta spp. on cereals and vegetables, e. g. A. tritici (anthracnose) on wheat and A.
- Bipolaris and Drechslera spp. (teleomorph: Cochliobolus spp.), e. g. Southern leaf blight (D. maydis) or Northern leaf blight (B. zeicola) on corn, e. g. spot blotch (B. sorokiniana) on cereals and e.g. B. oryzae on rice and turfs; Blumeria (formerly Erysiphe) graminis (powdery mildew) on cereals (e. g. on wheat or barley); Botrytis cinerea (teleomorph: Botryotinia fuckeliana: grey mold) on fruits and berries (e. g.
- strawberries strawberries
- vegetables e. g. lettuce, carrots, celery and cabbages
- rape flowers, vines, forestry plants and wheat
- Bremia lactucae downy mildew
- Ceratocystis syn. Ophiostoma
- spp. rot or wilt
- broad- leaved trees and evergreens e. g. C. ulmi (Dutch elm disease) on elms
- Cercospora spp. Cercospora leaf spots
- corn e.g. Gray leaf spot: C. zeae-maydis
- sugar beets e. g. C.
- Colletotrichum teleomorph: Glomerella
- spp. anthracnose
- cotton e. g. C. gossypii
- corn e. g. C. graminicola: Anthracnose stalk rot
- soft fruits e. g. C. coccodes: black dot
- beans e. g. C. lindemuthianum
- soybeans e. g. C. truncatum or C. gloeosporioides
- Corticium spp. e. g. C.
- sa- sakii sheath blight
- Corynespora cassiicola leaf spots
- Cycloconium spp. e. g. C. oleaginum on olive trees
- Cylindrocarpon spp. e. g. fruit tree canker or young vine decline, teleomorph: Nectria or Neonectria spp.
- liriodendri Neonectria liriodendri: Black Foot Disease) and ornamentals; Dematophora (teleomorph: Rosellinia) necatrix (root and stem rot) on soybeans; Diaporthe spp., e. g. D. phaseolorum (damping off) on soy- beans; Drechslera (syn. Helminthosporium, teleomorph: Pyrenophora) spp. on corn, cereals, such as barley (e. g. D. teres, net blotch) and wheat (e. g. D. D.
- tritici-repentis tan spot), rice and turf; Esca (dieback, apoplexy) on vines, caused by Formitiporia (syn. Phellinus) punctata, F. mediterranea, Phaeomoniella chlamydospora (earlier Phaeo- acremonium chlamydosporum), Phaeoacremonium aleophilum and/or Botryosphaeria obtusa; Elsinoe spp. on pome fruits (£. pyri), soft fruits (£. veneta: anthracnose) and vines (£.
- ampelina anthracnose
- Entyloma oryzae leaf smut
- Epicoccum spp. black mold
- Erysiphe spp. potowdery mildew
- sugar beets £. betae
- vegetables e. g. £. pisi
- cucurbits e. g. £. cichoracearum
- cabbages rape (e. g. £. cruciferarum)
- Eutypa lata Eutypa canker or dieback, anamorph: Cytosporina lata, syn.
- Drechslera, teleomorph Cochliobolus) on corn, cereals and rice; Hemileia spp., e. g. H. vastatrix (coffee leaf rust) on coffee; Isariopsis clavispora (syn. Cladosporium vitis) on vines; Macrophomina phaseolina (syn. phaseoli) (root and stem rot) on soybeans and cotton; Microdochium (syn. Fusarium) nivale (pink snow mold) on cereals (e. g. wheat or barley); Microsphaera diffusa (powdery mildew) on soybeans; Monilinia spp., e. g. M.
- viticola can and leaf spot
- soybeans e. g. stem rot: P. phaseoli, teleomorph: Diaporthe phaseolorum
- Physoderma maydis brown spots
- Phy- tophthora spp. wilt, root, leaf, fruit and stem root
- paprika and cucurbits e. g. P. capsici
- soybeans e. g. P. megasperma, syn. P. sojae
- potatoes and tomatoes e. g. P. infestans: late blight
- broad-leaved trees e. g. P.
- Plasmodiophora brassicae club root
- Plasmopara spp. e. g. P. viticola (grapevine downy mildew) on vines and P. halstedii on sunflowers
- Podosphaera spp. powdery mildew on rosaceous plants, hop, pome and soft fruits, e. g. P. leucotricha on apples
- Polymyxa spp. e. g. on cereals, such as barley and wheat (P. graminis) and sugar beets (P.
- Pseudocercosporella herpotrichoides eyespot, teleomorph: Tapesia yallundae
- Pseudoperonospora downy mildew
- Pseudopezicula tracheiphila red fire disease or ,rotbrenner', anamorph: Phialophora
- Puccinia spp. rusts on various plants, e. g. P. triticina (brown or leaf rust), P.
- striiformis stripe or yellow rust
- P. hordei dwarf rust
- P. graminis seed or black rust
- P. recondita brown or leaf rust
- cereals such as e. g. wheat, barley or rye
- P. kuehnii range rust
- Pyrenophora anamorph: Drechslera
- tritici-repentis tan spot
- P. teres net blotch
- oryzae (teleomorph: Magnaporthe grisea, rice blast) on rice and P. grisea on turf and cereals; Pythium spp. (damping-off) on turf, rice, corn, wheat, cotton, rape, sunflowers, soybeans, sugar beets, vegetables and various other plants (e. g. P. ultimum or P. aphanidermatum); Ramularia spp., e. g. R. collo-cygni (Ramularia leaf spots, Physiological leaf spots) on barley and R. beticola on sugar beets; Rhizoctonia spp.
- R. solani root and stem rot
- S. solani silk and stem rot
- S. solani silk and stem rot
- S. solani silk blight
- R. cerealis Rhizoctonia spring blight
- Rhizopus stolonifer black mold, soft rot
- Rhynchosporium secalis scald
- Sarocladium oryzae and S. attenuatum sheath rot) on rice
- Sclerotinia spp e. g.
- R. solani root and stem rot
- S. solani silk blight
- R. cerealis Rhizoctonia spring blight
- Rhizopus stolonifer black mold, soft rot
- Rhynchosporium secalis scald
- Sarocladium oryzae and S. attenuatum sheath rot
- Sclerotinia spp Sclerotinia spp.
- seed rot or white mold on vegetables and field crops, such as rape, sunflowers (e. g. S. sclerotiorum) and soybeans (e. g. S. rolfsii or S. sclerotiorum); Septoria spp. on various plants, e. g. S. glycines (brown spot) on soybeans, S. tritici (Septoria blotch) on wheat and S. (syn. Stagonospora) nodorum (Stagonospora blotch) on cereals; Uncinula (syn.
- Erysiphe) necator prowdery mildew, anamorph: Oidium tuckeri
- Setospaeria spp. (leaf blight) on corn (e. g. S. turcicum, syn. Helminthosporium turcicum) and turf; Sphacelotheca spp. (smut) on corn, (e. g. S. reiliana: head smut), sorghum und sugar cane; Sphaerotheca fuliginea (powdery mildew) on cucurbits; Spongospora subterra- nea (powdery scab) on potatoes and thereby transmitted viral diseases; Stagonospora spp.
- S. nodorum Stagonospora blotch, teleomorph: Leptosphaeria [syn. Phaeosphaeria] nodorum
- wheat Synchytrium endobioticum on potatoes (potato wart disease)
- Taphrina spp. e. g. T. deformans (leaf curl disease) on peaches and T. pruni (plum pocket) on plums
- Thielaviopsis spp. black root rot
- tobacco, pome fruits, vegetables, soybeans and cotton e. g. T. basicola (syn. Chalara elegans); Tilletia spp.
- the suspension concentrates, in particular the aqueous suspension concentrates, of the present invention are also suitable for controlling harmful fungi in the protection of stored products or harvest and in the protection of materials.
- the term "protection of materials” is to be understood to denote the protection of technical and non-living materials, such as adhesives, glues, wood, paper and paperboard, textiles, leather, paint dispersions, plastics, colling lubricants, fiber or fabrics, against the infestation and de- struction by harmful microorganisms, such as fungi and bacteria.
- Ascomycetes such as Ophiostoma spp., Ceratocystis spp., Aureobasidium pullulans, Sclerophoma spp., Chaetomium spp., Humicola spp., Petriella spp., Trichurus spp.; Basidiomycetes such as Coniophora spp., Coriolus spp., Gloeophyllum spp., Lentinus spp., Pleurotus spp., Poria spp., Serpula spp.
- Tyromyces spp. Deuteromycetes such as Aspergillus spp., Cladosporium spp., Penicillium spp., Trichorma spp., Alter- naria spp., Paecilomyces spp. and Zygomycetes such as Mucor spp., and in addition in the protection of stored products and harvest the following yeast fungi are worthy of note: Candida spp. and Saccharomyces cerevisae.
- the suspension concentrates, in particular the aqueous suspension concentrates, of the present invention may be used for improving the health of a plant.
- the invention also relates to a method for improving plant health by treating a plant, its propagation material and/or the locus where the plant is growing or is to grow with an effective amount of a suspension concentrate, in particular the aqueous suspension concen- trates, of the present invention.
- plant health is to be understood to denote a condition of the plant and/or its products which is determined by several indicators alone or in combination with each other such as yield (e. g. increased biomass and/or increased content of valuable ingredients), plant vigor (e. g. improved plant growth and/or greener leaves ("greening effect")), quality (e. g. improved content or composition of certain ingredients) and tolerance to abiotic and/or biotic stress.
- yield e. g. increased biomass and/or increased content of valuable ingredients
- plant vigor e. g. improved plant growth and/or greener leaves ("greening effect")
- quality e. g. improved content or composition of certain ingredients
- tolerance to abiotic and/or biotic stress e. g. improved content or composition of certain ingredients
- inventive formulations are employed by treating the fungi or the plants, plant propagation materials, such as seeds, soil, surfaces, materials or rooms to be pro- tected from fungal attack with a fungicidally effective amount of the formulations.
- the application can be carried out both before and after the infection of the plants, plant propagation materials, such as seeds, soil, surfaces, materials or rooms by the fungi.
- Plant propagation materials may be treated with the suspension concentrates, in particular the aqueous suspension concentrates, of the present invention prophylacti- cally either at or before planting or transplanting.
- the active compounds contained in the inventive formulations can be present in dif- ferent crystal modifications whose biological activity may differ.
- the use of the mixture for controlling a particular phytopathogenic fungus is also meant to encompass the respective method for controlling the particular phytopathogenic fungi, wherein the fungi or the materials, plants, the soil or seed to be protected from fungal attack are treated with an effective amount of a fungicidal mixture as defined in that context.
- the present invention relates to the use of the suspen- sion concentrates, in particular the aqueous suspension concentrates, of the present invention for the control of cereal pathogens.
- the suspension concentrate comprises as component (a) a compound (l)-(1 ), more specifically selected from the compounds (l)-(1 )-a), (l)-(1 )-b), (l)-(1 )-c), (l)-(1 )-d), (l)-(1 )-e) and (l)-(1 )-f), preferably (l)-(1 )-b), (l)-(1 )-c) or l)-(1 )-d), as defined above.
- the suspension concentrate of the present invention is suitable for controlling wheat pathogens, particularly for controlling the wheat pathogens selected from Septoria tritici, Stagonospora nodorum, Pyrenophora tritici repentis, Puccinia recondita, Puccinia striiformis and Blumeria graminis.
- said suspension concentrate is useful for the control of the pathogens selected from Fusarium culmorum, Fusarium graminearum and Pseudocercosporella herpotrichoides.
- the suspension concentrate comprises as component (a) a compound (l)-(1 ), more specifically selected from the compounds (l)-(1 )-a), (l)-(1 )-b), (l)-(1 )-c), (l)-(1 )-d), (l)-(1 )-e) and (l)-(1 )-f), preferably (l)-(1 )-b), (l)-(1 )-c) or (l)-(1 )-d), as defined above.
- a compound (l)-(1 ) more specifically selected from the compounds (l)-(1 )-a), (l)-(1 )-b), (l)-(1 )-c), (l)-(1 )-d), (l)-(1 )-e) and (l)-(1 )-f), preferably (l)-(1 )-b), (l)-(1 )-c) or (l)-(1 )-d
- suspension concentrate of the present invention is suitable for controlling barley pathogens, in particular for controlling the barley pathogens, selected from Pyrenophera teres, Rhychosporium secalis, Puccinia hordei and Blumeria graminis. Furthermore, the suspension concentrate of the present invention is useful for con- trolling the barley pathogens, selected from Ramularia collo-cygni and Pseudocercosporella herpotrichoides.
- the suspension concentrate comprises as component (a) a compound (l)-(1 ), more specifically selected from the compounds (l)-(1 )-a), (l)-(1 )-b), (l)-(1 )-c), (l)-(1 )-d), (l)-(1 )-e) and (l)-(1 )-f), preferably (I)- (1 )-b), (l)-(1 )-c) or (l)-(1 )-d), as defined above.
- a compound (l)-(1 ) more specifically selected from the compounds (l)-(1 )-a), (l)-(1 )-b), (l)-(1 )-c), (l)-(1 )-d), (l)-(1 )-e) and (l)-(1 )-f), preferably (I)- (1 )-b), (l)-(1 )-c) or (l)-(1 )-d), as
- the present invention relates to the use of the suspension concentrate of the present invention for the control of soy pathogens.
- the suspension concentrate of the present invention is suitable for controlling soy pathogens selected from phakopsora pachyrizi, P. meibomiae and Microsphaera diffusa.
- the suspension concentrate of the present invention may also be effect- lively used for the control of the so-called FDC (Foliar Disease Complex), e.g. against Septoria glycines, Cercospora kikuchii, C. sojina, Corynespora cassiicola and/or Alter- naria spp..
- the suspension concentrate comprises as component (a) a compound (l)-(1 ), more specifically selected from the compounds (I)- (1 )-a), (l)-(1 )-b), (l)-(1 )-c), (l)-(1 )-d), (l)-(1 )-e) and (l)-(1 )-f), preferably (l)-(1 )-b), (l)-(1 )-c) or (l)-(1 )-d), as defined above.
- a compound (l)-(1 ) more specifically selected from the compounds (I)- (1 )-a), (l)-(1 )-b), (l)-(1 )-c), (l)-(1 )-d), (l)-(1 )-e) and (l)-(1 )-f), preferably (l)-(1 )-b), (l)-(1 )-c) or (l)-(1 )-d), as
- the present invention relates to the use of the suspension concentrate of the present invention for the control of corn pathogens.
- the suspension concentrate of the present invention is suitable for controlling corn pathogens selected from Cercospora zeae-maydis, Puccinia sorghi and Helmin- thosporium maydis.
- the suspension concentrate comprises as component (a) a compound (l)-(1 ), more specifically selected from the compounds (l)-(1 )-a), (l)-(1 )-b), (l)-(1 )-c), (l)-(1 )-d), (l)-(1 )-e) and (l)-(1 )-f), preferably (I)- (1 )-b), (l)-(1 )-c) or (l)-(1 )-d), as defined above.
- the present invention relates to the use of the suspension concentrate of the present invention for the control of sugar beet pathogens.
- the suspension concentrate of the present invention is suitable for controlling corn pathogens selected from Cercospora beticola, Erysiphe betae, Ramu- laria betae and Uromyces betae.
- the suspension concentrate comprises as component (a) a compound (l)-(1 ), more specifically selected from the compounds (l)-(1 )-a), (l)-(1 )-b), (l)-(1 )-c), (l)-(1 )-d), (l)-(1 )-e) and (l)-(1 )-f), preferably (l)-(1 )-b), (l)-(1 )-c) or (l)-(1 )-d), as defined above.
- the suspension concentrate comprises as component (a) a compound (l)-(1 ), more specifically selected from the compounds (I)- (1 )-a), (l)-(1 )-b), (l)-(1 )-c), (l)-(1 )-d), (l)-(1 )-e) and (l)-(1 )-f), preferably (l)-(1 )-b), (l)-(1 )-c) or (l)-(1 )-d), as defined above.
- a compound (l)-(1 ) more specifically selected from the compounds (I)- (1 )-a), (l)-(1 )-b), (l)-(1 )-c), (l)-(1 )-d), (l)-(1 )-e) and (l)-(1 )-f), preferably (l)-(1 )-b), (l)-(1 )-c) or (l)-(1 )-d), as
- the present invention relates to the use of the suspension concentrate of the present invention for the control of oil seed rape and canola pathogens, in particular selected from Sclerotinia sclerotiorum, Leptosphearia maculans and Alternaria alternate.
- the suspension concentrate comprises as component (a) a compound (l)-(1 ), more specifically selected from the compounds (l)-(1 )-a), (l)-(1 )-b), (l)-(1 )-c), (l)-(1 )-d), (l)-(1 )-e) and (l)-(1 )-f), preferably (l)-(1 )-b), (l)-(1 )-c) or (l)-(1 )-d), as defined above.
- a compound (l)-(1 ) more specifically selected from the compounds (l)-(1 )-a), (l)-(1 )-b), (l)-(1 )-c), (l)-(1 )-d), (l)-(1 )-e) and (l)-(1 )-f), preferably (l)-(1 )-b), (l)-(1 )-c) or (l)-(1 )-d
- the present invention relates to the use of the suspension concentrate of the present invention for the control of rice pathogens, selected from Rhizoctonia solani and Pyricularia oryzae.
- the suspension concentrate comprises as component (a) a compound (l)-(1 ), more specifically selected from the compounds (l)-(1 )-a), (l)-(1 )-b), (l)-(1 )-c), (l)-(1 )-d), (l)-(1 )- e) and (l)-(1 )-f), preferably (l)-(1 )-b), (l)-(1 )-c) or (l)-(1 )-d), as defined above.
- the suspension concentrate of the present invention is also suitable for the control of pathogens in specialty crops, such as turf, potato, tomato, cucurbits, grapes, apples, ornamentals and bananas.
- Turf pathogens that may be controlled according to the present invention are selected from Sclerotinia homeocarpa and Rhizoctonia solani.
- Po- tato and tomato pathogens that may be controlled according to the present invention are in particular selected from Alternaria solani, A. alternata and Rhizoctonia solani.
- a cucurbit pathogen that may be controlled according to the present invention is in particular Sphaerotheca fuliginea.
- a grape pathogen that may be controlled according to the present invention is in particular Uncinula necator and Botrytis cinerea.
- An apple pathogen that may be controlled according to the present invention is in particular
- Ornamental pathogens that may be controlled according to the present invention are in particular selected from Sphaerotheca fuliginea, Diplocarpon spp., Alternaria spp. and Sclerotinia spp.
- Banana pathogens that may be controlled according to the present invention are in particular se- lected from Mycosphaerella fijiensis and Mycosphaerella musicola.
- the suspension concentrate comprises as component (a) a compound (l)-(1 ), more specifically selected from the compounds (l)-(1 )-a), (l)-(1 )-b), (l)-(1 )- c), (l)-(1 )-d), (l)-(1 )-e) and (l)-(1 )-f), preferably (l)-(1 )-b), (l)-(1 )-c) or (l)-(1 )-d), as defined above.
- the suspension concentrates containing in addition to the active ingredient of component (a) a second or a second and a third active ingredient, according to the present invention are further described.
- the use of the mixture for controlling a particular phy- topathogenic fungus is also meant to encompass the respective method for controlling the particular phytopathogenic fungi, wherein the fungi or the materials, plants, the soil or seed to be protected from fungal attack are treated with an effective amount of a fungicidal mixture as defined in that context.
- the suspension concentrates of the invention comprise one active ingredient as component (a) and one further active compound, wherein said one further active compound is selected from pyraclostrobin, fluxapyroxad, fenpropi- morph, prothioconazole and chlorothalonil.
- the weight ratio from the active compound according to component (a) and this second active ingredient is preferably 1 :20 to 20:1 , particularly preferably in the range of from 1 :10 to 10:1 , in particular in the range of from 1 :3 to 3:1 . It may also be preferable that the weight ratio is in the range of from 1 :2 to 2:1 .
- the suspension concentrate com- prises as component (a) a compound (l)-(1 ), more specifically selected from the compounds (l)-(1 )-a), (l)-(1 )-b), (l)-(1 )-c), (l)-(1 )-d), (l)-(1 )-e) and (l)-(1 )-f), preferably (l)-(1 )- b), (l)-(1 )-c) or (l)-(1 )-d), as defined above.
- a compound (l)-(1 ) more specifically selected from the compounds (l)-(1 )-a), (l)-(1 )-b), (l)-(1 )-c), (l)-(1 )-d), (l)-(1 )-d), as defined above.
- the presence of the active compound of component (a) and the second active ingredi- ent, or the active compound of component (a), the second active ingredient and the third active compound (see below) as specified herein applied in the inventive suspension concentrates, may show better control of harmful fungi than with the individual compounds (synergistic effects). As mentioned above, these mixtures are of interest with a view to reducing the application rates, since many show, at a reduced total amount of active compounds applied, an improved activity against harmful fungi, in particular for certain indications.
- especially preferred weight ratios of the active ingredients are 20:1 to 1 :20, more specifically 5:1 to 1 :5, in particular 3:1 to 1 :3, more particularly 2:1 to 1 :2, wherein it may be especially preferred if the first active ingredient according to component (a) to the second active ingredient are present 1 :1 to 2:1.
- the second active ingredient is fluxapyroxad.
- the second active ingredient is pyraclostrobin.
- the second active ingredient is fenpropimorph.
- the second active ingredient is prothioconazole.
- the second active ingredient is chlorothalonil.
- the suspension concentrate comprises as component (a) in each case a compound (l)-(1 ), more specifically selected from the compounds (l)-(1 )-a), (l)-(1 )-b), (l)-(1 )-c), (I)- (1 )-d), (l)-(1 )-e) and (l)-(1 )-f), preferably (l)-(1 )-b), (l)-(1 )-c) or (l)-(1 )-d), as defined above.
- a compound (l)-(1 ) more specifically selected from the compounds (l)-(1 )-a), (l)-(1 )-b), (l)-(1 )-c), (I)- (1 )-d), (l)-(1 )-e) and (l)-(1 )-f), preferably (l)-(1 )-b), (l)-(1 )-c) or (l)-(1 )-
- especially preferred weight ratios of the active ingredients are 20:1 to 1 :20, more specifically 5:1 to 1 :5, in particular 3:1 to 1 :3, more particularly 2:1 to 1 :2, wherein it may be especially preferred, if the first active ingredient according to component (a) to the second active ingredient are present 1 :1 to 2:1.
- the second active ingredient is fluxapyroxad.
- the second active ingredient is pyraclostrobin.
- the second active ingredient is fenpropimorph.
- the second active ingredient is prothioconazole.
- the second active ingredient is chlorothalonil.
- the suspension concentrate comprises as component (a) in each case a compound (l)-(1 ), more specifically selected from the compounds (l)-(1 )-a), (l)-(1 )-b), (l)-(1 )-c), (I)- (1 )-d), (l)-(1 )-e) and (l)-(1 )-f), preferably (l)-(1 )-b), (l)-(1 )-c) or (l)-(1 )-d), as defined above.
- a compound (l)-(1 ) more specifically selected from the compounds (l)-(1 )-a), (l)-(1 )-b), (l)-(1 )-c), (I)- (1 )-d), (l)-(1 )-e) and (l)-(1 )-f), preferably (l)-(1 )-b), (l)-(1 )-c) or (l)-(1 )-
- especially preferred weight ratios of the active ingredients are 20:1 to 1 :20, more specifically 5:1 to 1 :5, in particular 3:1 to 1 :3, wherein it may be especially preferred, if the first active ingredient according to component (a) to the second active ingredient are present 3:1 to 2:1.
- the second active ingredient is fluxapyroxad.
- the second active ingredient is pyraclostrobin.
- the second active ingredient is fenpropimorph.
- the second active ingredient is prothio- conazole.
- the second active ingredient is chlorothalonil.
- the suspension concentrate comprises as component (a) in each case a compound (l)-(1 ), more specifically selected from the compounds (l)-(1 )-a), (l)-(1 )-b), (l)-(1 )-c), (l)-(1 )-d), (l)-(1 )-e) and (I)- (1 )-f), preferably (l)-(1 )-b), (l)-(1 )-c) or (l)-(1 )-d), as defined above.
- a compound (l)-(1 ) more specifically selected from the compounds (l)-(1 )-a), (l)-(1 )-b), (l)-(1 )-c), (l)-(1 )-d), (l)-(1 )-e) and (I)- (1 )-f), preferably (l)-(1 )-b), (l)-(1 )-c) or (l)-(1 )-
- especially preferred weight ratios of the active ingredients are 20:1 to 1 :20, more specifically 5:1 to 1 :5, in particular 3:1 to 1 :3, more particularly 2:1 to 1 :2, wherein it may be especially preferred, if the first active ingredient according to component (a) to the second active ingredient are present 2:1 to 1 :1 .
- the second active ingredient is fluxapyroxad.
- the second active ingredient is pyraclostrobin.
- the second active ingredient is fenpropimorph.
- the second active ingredient is prothioconazole.
- the second active ingredient is chlorothalonil.
- the suspension concentrate comprises as component (a) in each case a compound (l)-(1 ), more specifically selected from the compounds (l)-(1 )-a), (l)-(1 )-b), (l)-(1 )-c), (I)- (1 )-d), (l)-(1 )-e) and (l)-(1 )-f), preferably (l)-(1 )-b), (l)-(1 )-c) or (l)-(1 )-d), as defined above.
- a compound (l)-(1 ) more specifically selected from the compounds (l)-(1 )-a), (l)-(1 )-b), (l)-(1 )-c), (I)- (1 )-d), (l)-(1 )-e) and (l)-(1 )-f), preferably (l)-(1 )-b), (l)-(1 )-c) or (l)-(1 )-
- especially preferred weight ratios of the active ingredients are 20:1 to 1 :20, more specifically 5:1 to 1 :5, in particular 3:1 to 1 :3, more particularly 2:1 to 1 :2, wherein it may be especially preferred, if the first active ingredient according to component (a) to the second active ingredient are present 2:1 to 1 :1 .
- the second active ingredient is fluxapyroxad.
- the second active ingredient is pyraclostrobin.
- the second active ingredient is fenpropimorph.
- the second active ingredient is prothioconazole.
- the second active ingredient is chlorothalonil.
- the suspension concentrate comprises as component (a) in each case a compound (l)-(1 ), more specifically selected from the compounds (l)-(1 )-a), (l)-(1 )-b), (l)-(1 )-c), (l)-(1 )-d), (l)-(1 )-e) and (l)-(1 )-f), preferably (l)-(1 )-b), (l)-(1 )-c) or (l)-(1 )-d), as defined above.
- especially preferred weight ratios of the active ingredients are 20:1 to 1 :20, more specifically 5:1 to 1 :5, in particular 3:1 to 1 :3, more particularly 2:1 to 1 :2, wherein it may be especially preferred, if the first active ingredient according to component (a) to the second active ingredient are present 2:1 to 1 :1.
- the second active ingredient is fluxapyroxad.
- the second active ingredient is pyraclostrobin.
- the second active ingredient is fenpropimorph.
- the second active ingredient is prothioconazole.
- the second active ingredient is chlorothalonil.
- the suspension concentrate comprises as component (a) in each case a compound (l)-(1 ), more specifically selected from the compounds (l)-(1 )-a), (l)-(1 )-b), (l)-(1 )-c), (I)- (1 )-d), (l)-(1 )-e) and (l)-(1 )-f), preferably (l)-(1 )-b), (l)-(1 )-c) or (l)-(1 )-d), as defined above.
- a compound (l)-(1 ) more specifically selected from the compounds (l)-(1 )-a), (l)-(1 )-b), (l)-(1 )-c), (I)- (1 )-d), (l)-(1 )-e) and (l)-(1 )-f), preferably (l)-(1 )-b), (l)-(1 )-c) or (l)-(1 )-
- especially preferred weight ratios of the active ingredients are 20:1 to 1 :20, more specifically 5:1 to 1 :5, in particular 3:1 to 1 :3, more particularly 2:1 to 1 :2, wherein it may be especially preferred, if the first active ingredient according to component (a) to the second active ingredient are present 2:1 to 1 :1.
- the second active ingredient is fluxapyroxad.
- the second active ingredient is pyraclostrobin.
- the second active ingredient is fenpropimorph.
- the second active ingredient is prothioconazole.
- the second active ingredient is chlorothalonil.
- the suspension concentrate comprises as component (a) in each case a compound (l)-(1 ), more specifically selected from the compounds (l)-(1 )-a), (I)- (1 )-b), (l)-(1 )-c), (l)-(1 )-d), (l)-(1 )-e) and (l)-(1 )-f), preferably (l)-(1 )-b), (l)-(1 )-c) or (l)-(1 )- d), as defined above.
- especially preferred weight ratios of the active ingredients are 20:1 to 1 :20, more specifically 5:1 to 1 :5, in particular 3:1 to 1 :3, more particularly 2:1 to 1 :2, wherein it may be especially preferred, if the first active ingredient according to component (a) to the second active ingredient are present 2:1 to 1 :1 .
- the second active ingredient is fluxapyroxad.
- the second active ingredient is pyraclostrobin.
- the second active ingredient is fenpropimorph.
- the second active ingredient is prothioconazole.
- the second active ingredient is chlorothalonil.
- the suspension concentrate comprises as component (a) in each case a compound (l)-(1 ), more specifically selected from the compounds (l)-(1 )-a), (l)-(1 )-b), (l)-(1 )-c), (I)- (1 )-d), (l)-(1 )-e) and (l)-(1 )-f), preferably (l)-(1 )-b), (l)-(1 )-c) or (l)-(1 )-d), as defined above.
- a compound (l)-(1 ) more specifically selected from the compounds (l)-(1 )-a), (l)-(1 )-b), (l)-(1 )-c), (I)- (1 )-d), (l)-(1 )-e) and (l)-(1 )-f), preferably (l)-(1 )-b), (l)-(1 )-c) or (l)-(1 )-
- especially preferred weight ratios of the active ingredients are 20:1 bis 1 :20, more specifically 5:1 to 1 :5, in particular 3:1 to 1 :3, more particularly 2:1 to 1 :2, wherein it may be especially preferred, if the first active ingredient according to component (a) to the second active ingredient are present 1 :1 to 1 :2.
- the second active ingredient is fluxapyroxad.
- the second active ingredient is pyraclostrobin.
- the second active ingredient is fenpropimorph.
- the second active ingredient is prothioconazole.
- the second active ingredient is chlorothalonil.
- the suspension concentrate comprises as component (a) in each case a compound (l)-(1 ), more specifically selected from the compounds (l)-(1 )-a), (l)-(1 )-b), (l)-(1 )-c), (I)- (1 )-d), (l)-(1 )-e) and (l)-(1 )-f), preferably (l)-(1 )-b), (l)-(1 )-c) or (l)-(1 )-d), as defined above.
- a compound (l)-(1 ) more specifically selected from the compounds (l)-(1 )-a), (l)-(1 )-b), (l)-(1 )-c), (I)- (1 )-d), (l)-(1 )-e) and (l)-(1 )-f), preferably (l)-(1 )-b), (l)-(1 )-c) or (l)-(1 )-
- the suspension concentrate comprises one active ingredient as component (a) and two additional active compounds.
- the second active compound is a) fluxapyroxad or b) prothioconazole and the third active compound is, if the second active compound is fluxapyroxad, selected from a) py- raclostrobin and fenpropimorph; and, if the second active compound is prothioconazole, selected from b) fluxapyroxad, bixafen, pyraclostrobin, dimoxystrobin, picox- ystrobin, fluoxastrobin, fluopyram and penflufen.
- the suspension concentrate comprises as component (a) in each case a compound (l)-(1 ), more specifically selected from the compounds (l)-(1 )-a), (l)-(1 )-b), (l)-(1 )-c), (l)-(1 )-d), (l)-(1 )-e) and (l)-(1 )-f), preferably (l)-(1 )-b), (l)-(1 )-c) or (l)-(1 )-d), as defined above.
- the weight ratio of the active compound of component (a) to the second active ingredient is preferably 1 :20 to 20:1 . It may be preferable for the weight ratio to be in the region of from 1 :10 to 10:1 , preferably from 1 :3 to 3:1 , in particular from 1 :2 to 2:1 .
- the weight ratio of the active compound of component (a) to the third active ingredinet is in the range of from 1 :20 to 20:1 . It may be preferable for the weight ratio to be in the region of from 1 :10 to 10:1 , preferably from 1 :3 to 3:1 , in particular from 1 :2 to 2:1 .
- the weight ratio of the active compound of component (a) to the third active ingredient is in the range of from 1 :20 to 20:1 , and in particular in the range of from 1 : 10 to 10:1 . It may be preferable for the weight to be in the range of from 1 :3 to 3:1 , in particular from 1 :2 to 2:1.
- the suspension concentrate comprises as component (a) in each case a compound (l)-(1 ), more specifically selected from the compounds (l)-(1 )-a), (l)-(1 )-b), (l)-(1 )-c), (l)-(1 )-d), (l)-(1 )-e) and (l)-(1 )-f), preferably (I)- (1 )-b), (l)-(1 )-c) or (l)-(1 )-d), as defined above.
- a compound (l)-(1 ) more specifically selected from the compounds (l)-(1 )-a), (l)-(1 )-b), (l)-(1 )-c), (l)-(1 )-d), (l)-(1 )-e) and (l)-(1 )-f), preferably (I)- (1 )-b), (l)-(1 )-c) or (l)-(1 )-
- the suspension concentrate comprises as sec- ond active compound fluxapyroxad and as third active compound pyraclostrobin, wherein two of the three active compounds are preferably present in a weight ratio of 20:1 to 1 :20, more specifically 5:1 to 1 :5, in particular 2:1 to 1 :2.
- the weight ratios for the three components are active compound of component (a) to the second active compound are 1 :1 to 2:1 ; active compound of component (a) to the third active compound 1 :1 to 2:1 and the second active compound to the third active compound 1 : 1 to 1 :2. It may be preferred if the components are present in a weight ratio of 1 :1 :1 to 2:1 :2 or 2:1 :2 to 2:1 :1 .
- the suspension concentrate comprises as component (a) in each case a compound (l)-(1 ), more specifically selected from the compounds (l)-(1 )-a), (I)- (1 )-b), (l)-(1 )-c), (l)-(1 )-d), (l)-(1 )-e) and (l)-(1 )-f), preferably (l)-(1 )-b), (l)-(1 )-c) or (l)-(1 )- d), as defined above.
- the suspension concentrate comprises as second active compound fluxapyroxad and as third active compound fenpropimorph, wherein two of the three active compounds are preferably present in a weight ratio of 20:1 to 1 :20, more specifically 5:1 to 1 :5, in particular 2:1 to 1 :2.
- the weight ratios for the three components are active compound of component (a) to the second active compound are 1 :1 to 2:1 ; active compound of component (a) to the third active com- pound 1 :3 to 1 :6 and the second active compound to the third active compound 1 :3 to 1 :6. It may be preferred if the components are present in a weight ratio of 1 :1 :3 to 1 :1 :6.
- the suspension concentrate comprises as component (a) in each case a compound (I)- (1 ), more specifically selected from the compounds (l)-(1 )-a), (l)-(1 )-b), (l)-(1 )-c), (l)-(1 )- d), (l)-(1 )-e) and (l)-(1 )-f), preferably (l)-(1 )-b), (l)-(1 )-c) or (l)-(1 )-d), as defined above.
- a compound (I)- (1 ) more specifically selected from the compounds (l)-(1 )-a), (l)-(1 )-b), (l)-(1 )-c), (l)-(1 )- d), (l)-(1 )-d), as defined above.
- the suspension concentrate comprises as second active compound prothioconazole and as third active compound fluxapyroxad, wherein two of the three active compounds are preferably present in a weight ratio of 20:1 to 1 :20, more specifically 5:1 to 1 :5, in particular 2:1 to 1 :2. It may be preferred if the components are present in a weight ratio of 1 :1 :1 to 2:2:1 .
- the weight ratios for the three components are active compound of component (a) to the second active compound 1 :1 to 2:1 ; active compound of component (a) to the third active compound 1 :1 to 2:1 and the second active compound to the third active compound 1 :1 to 2:1.
- the suspension concentrate comprises as component (a) in each case a compound (I)- (1 ), more specifically selected from the compounds (l)-(1 )-a), (l)-(1 )-b), (l)-(1 )-c), (l)-(1 )- d), (l)-(1 )-e) and (l)-(1 )-f), preferably (l)-(1 )-b), (l)-(1 )-c) or (l)-(1 )-d), as defined above.
- a compound (I)- (1 ) more specifically selected from the compounds (l)-(1 )-a), (l)-(1 )-b), (l)-(1 )-c), (l)-(1 )- d), (l)-(1 )-d), as defined above.
- the suspension concentrate comprises as second active compound prothioconazole and as third active compound bixafen, wherein two of the three active compounds are preferably present in a weight ratio of 20:1 to 1 :20, more specifically 5:1 to 1 :5, in particular 2:1 to 1 :2. It may be preferred if the components are present in a weight ratio of 1 :1 :1 to 2:2:1 .
- the weight ra- tios for the three components are the active compound of component (a) to the second active compound 1 :1 to 2:1 ; the active compound of component (a) to the third active compound 1 :1 to 2:1 and the second active compound to the third active compound 1 :1 to 2:1 .
- the suspension concentrate comprises as component (a) in each case a compound (I)- (1 ), more specifically selected from the compounds (l)-(1 )-a), (l)-(1 )-b), (l)-(1 )-c), (l)-(1 )- d), (l)-(1 )-e) and (l)-(1 )-f), preferably (l)-(1 )-b), (l)-(1 )-c) or (l)-(1 )-d), as defined above.
- a compound (I)- (1 ) more specifically selected from the compounds (l)-(1 )-a), (l)-(1 )-b), (l)-(1 )-c), (l)-(1 )- d), (l)-(1 )-d), as defined above.
- the suspension concentrate comprises as sec- ond active compound prothioconazole and as third active compound penflufen, wherein two of the three active compounds are preferably present in a weight ratio of 20:1 to 1 :20, more specifically 5:1 to 1 :5, in particular 2:1 to 1 :2. It may be preferred if the components are present in a weight ratio of 1 :1 :1 to 2:2:1 .
- the weight ratios for the three components are the active compound of component (a) to the second active compound 1 :1 to 2:1 ; the active compound of component (a) to the third active compound 1 :1 to 2:1 and the second active compound to the third active compound 1 :1 to 2:1 .
- the suspension concentrate comprises as component (a) in each case a compound (I)- (1 ), more specifically selected from the compounds (l)-(1 )-a), (l)-(1 )-b), (l)-(1 )-c), (l)-(1 )- d), (l)-(1 )-e) and (l)-(1 )-f), preferably (l)-(1 )-b), (l)-(1 )-c) or (l)-(1 )-d), as defined above.
- a compound (I)- (1 ) more specifically selected from the compounds (l)-(1 )-a), (l)-(1 )-b), (l)-(1 )-c), (l)-(1 )- d), (l)-(1 )-d), as defined above.
- the suspension concentrate comprises as second active compound prothioconazole and as third active compound pyraclostrobin, wherein two of the three active compounds are preferably present in a weight ratio of 20:1 to 1 :20, more specifically 5:1 to 1 :5, in particular 2:1 to 1 :2. It may be preferred if the components are present in a weight ratio of 1 :1 :1 to 1 :1 :2.
- the weight ratios for the three components are the active compound of component (a) to the second active compound 1 :1 to 2:1 ; the active compound of component (a) to the third active compound 1 :1 to 1 :2 and the second active compound to the third active compound 1 :1 to 1 :2.
- the suspension concentrate comprises as component (a) in each case a compound (l)-(1 ), more specifically selected from the compounds (l)-(1 )-a), (l)-(1 )-b), (l)-(1 )-c), (l)-(1 )-d), (l)-(1 )-e) and (l)-(1 )-f), preferably (l)-(1 )-b), (l)-(1 )-c) or (l)-(1 )-d), as defined above.
- the suspension concentrate comprises as second active compound prothioconazole and as third active compound dimoxystrobin, wherein two of the three active compounds are preferably present in a weight ratio of 20:1 to 1 :20, more specifically 5:1 to 1 :5, in particular 2:1 to 1 :2. It may be preferred if the components are present in a weight ratio of 1 :1 :1 to 1 :1 :2.
- the weight ratios for the three components are the active compound of component (a) to the second active compound 1 :1 to 2:1 ; the active compound of component (a) to the third active compound 1 :1 to 1 :2 and the second active compound to the third active compound 1 :1 to 1 :2.
- the suspension concentrate comprises as component (a) in each case a compound (l)-(1 ), more specifically selected from the compounds (l)-(1 )-a), (l)-(1 )-b), (l)-(1 )-c), (l)-(1 )-d), (l)-(1 )-e) and (l)-(1 )-f), preferably (l)-(1 )-b), (l)-(1 )-c) or (l)-(1 )-d), as defined above.
- the suspension concentrate comprises as second active compound prothioconazole and as third active compound picoxystrobin, wherein two of the three active compounds are preferably present in a weight ratio of 20:1 to 1 :20, more specifically 5:1 to 1 :5, in particular 2:1 to 1 :2. It may be preferred if the components are present in a weight ratio of the active compound of component (a) to the second active compound 1 :1 to 2:1 ; the active compound of component (a) to the third active compound 1 :1 to 1 :2 and the second active compound to the third active compound 1 :1 to 1 :2. Surprisingly, this mixture shows synergistical effects and the components are in particular used in synergistically effective amounts.
- the suspension concentrate comprises as component (a) in each case a compound (l)-(1 ), more specifically selected from the compounds (l)-(1 )-a), (I)- (1 )-b), (l)-(1 )-c), (l)-(1 )-d), (l)-(1 )-e) and (l)-(1 )-f), preferably (l)-(1 )-b), (l)-(1 )-c) or (l)-(1 )- d), as defined above.
- the suspension concentrate comprises as second active compound prothioconazole and as third active compound fluoxastrobin, wherein two of the three active compounds are preferably present in a weight ratio of 20:1 to 1 :20, more specifically 5:1 to 1 :5, in particular 2:1 to 1 :2. It may be preferred if the components are present in a weight ratio of the active compound of component (a) to the second active compound 1 :1 to 2:1 ; the active compound of component (a) to the third active compound 1 :1 to 1 :2 and the second active compound to the third ac- tive compound 3 1 :1 to 1 :2.
- the suspension concentrate comprises as component (a) in each case a compound (l)-(1 ), more specifically selected from the compounds (l)-(1 )-a), (I)- (1 )-b), (l)-(1 )-c), (l)-(1 )-d), (l)-(1 )-e) and (l)-(1 )-f), preferably (l)-(1 )-b), (l)-(1 )-c) or (l)-(1 )- d), as defined above.
- the suspension concentrate comprises as second active compound prothioconazole and as third active compound orysastrobin, wherein two of the components are present in a weight ratio of 20:1 to 1 :20, more spe- cifically 5:1 to 1 :5, in particular 2:1 to 1 :2. It may be preferred if the components are present in a weight ratio of the active compound of component (a) to the second active compound 1 :1 to 2:1 ; the active compound of component (a) to the third active compound 1 :1 to 1 :2 and the second active compound to the third active compound 1 :1 to 1 :2. Surprisingly, this mixture shows synergistical effects and the components are in particular used in synergistically effective amounts.
- the suspension concentrate comprises as component (a) in each case a compound (I)- (1 ), more specifically selected from the compounds (l)-(1 )-a), (l)-(1 )-b), (l)-(1 )-c), (l)-(1 )- d), (l)-(1 )-e) and (l)-(1 )-f), preferably (l)-(1 )-b), (l)-(1 )-c) or (l)-(1 )-d), as defined above.
- the suspension concentrates according to the invention are distinguished in particular by better storage stability compared to the known suspension concentrates and suspo- emulsion concentrates.
- the suspension concentrates may be transformed into homogenous spray liquids that may be applicated as commonly known, i.e. by means of spraying, pouring or injecting.
- the application rates may vary in wide ranges and may be varied according to the specific use, the specific active ingredients contained therein and/or the concentration of the formulation.
- Pluronic® PE 10500 (18%): Block polymers A-B-A of polyethylene oxide and poly propylene oxide (BASF SE)
- Wettol® D1 Phenolsulfonic acid formaldehyde polycondensate sodium salt (BASF SE)
- Wacker SRE-PFL silicone emulsion (Wacker Chemie)
- Xanthan Gum polysaccharide Acticide MBS MIT / BIT mixture (methylisothiazolinon / benzylisothiazo- linon mixture) (Thor Chemie GmbH)
- Lutensol® TO 15 Isotridecanol polyethylengylcol ether (BASF SE) Solvesso® 200 ND Heavy aromatic solvent mixture (Exxon mobile) Borresperse® Na Sodium ligninsulfonate (Borregaard)
- Emulsogen® 3510 Butyldiglycol polyethylen-/polypropylen glycol ether (Clar- iant)
- Tersperse® 2500 Acrylic graft copolymer (Huntsman)
- Morwet® D 425 condensated naphthalene sulfonic acid, sodium salt (Akzo
- Soprophor® 4D384 Tristyrylphenol polyethylenglycol ether sulfate, ammonium salt (Rhodia)
- Examples 1 to 5 - storage stability content example 1 example 2 example 3 example 4 example 5
- example 6 example 7 example 8 example 9 example 10 compound (I)- 50 200 200 200 200 (1 )-b) [g/i]
Landscapes
- Life Sciences & Earth Sciences (AREA)
- General Health & Medical Sciences (AREA)
- Health & Medical Sciences (AREA)
- Pest Control & Pesticides (AREA)
- Agronomy & Crop Science (AREA)
- Dispersion Chemistry (AREA)
- Chemical & Material Sciences (AREA)
- Plant Pathology (AREA)
- Toxicology (AREA)
- Engineering & Computer Science (AREA)
- Dentistry (AREA)
- Wood Science & Technology (AREA)
- Zoology (AREA)
- Environmental Sciences (AREA)
- Agricultural Chemicals And Associated Chemicals (AREA)
Abstract
The present invention relates to an aqueous suspension concentrate, comprising a pesticidal active compound, that is in a solid state at a temperature of 20°C, an organic or inorganic acid which has a p Ka value of at least 1.2 (≥1.2); and a surface-active substance.
Description
Suspension concentrates
The present invention relates to aqueous suspension concentrates, in particular for triazole fungicides and the use of said suspension concentrates in agriculture.
Furthermore, the present invention relates to aqueous suspension concentrates, comprising a surface-active substance in encapsulated form in a microcapsule.
In principle, suspension concentrates are a common formulation variant for agrochemi- cals. However, often emulsion concentrates are easier to develop and to produce. Furthermore, agricultural chemicals are often more effective in the control of pathogens if they are formulated as emulsion concentrates. Suspension concentrates may have the disadvantage that their activity is weaker than that of sprays of corresponding emulsion concentrates diluted with water.
However, some agrochemical cannot be formulated efficiently as emulsion concentrates because of different reasons, for example because the resulting formulations do not show sufficient storage stability or because the solubility of the active ingredient is too low.
Another problem connected with the formulation of active ingredients is that the active ingredient needs to be stable also when they are incorporated into an agricultural formulation. Some active ingredients are not stable in some media. Thus, one problem underlying the present invention was the provision of agrochemical formulations that are suitable for active ingredients that are instable in some regards.
WO 01/67860 relates to an agrotechnical formulation containing the following, respectively in relation to the total weight of the formulation: a) between 20 and 99.9 wt.-% of at least one cyclohexane polycarboxylic acid ester; b) between 0 and 70 wt.-% of wa- ter; c) between 0.1 and 60 wt.-% of at least one auxiliary agent and/or additive; and d) between 0 and 70 wt.-% of at least one active ingredient for treating plants.
WO 03/037084 A1 relates to a concentrated pesticidal solution which comprises one or more water-insoluble pesticides (usually 0.5-50% w/v) and lignin (suitably in the weight ratio of 1 : 10 to 1 :1 of lignin to pesticide) dissolved in a water miscible, poilar solvent, preferably N-methyl pyrrolidone. The solutions are particularly useful in providing storage stable soluble concentrates of certain strobilurin fungicides.
WO 2010/064266 A1 relates to a liquid composition for the preparation of pesticide concentrates containing a water insoluble dialkylene glycol diester, an organic carbox-
ylic acid and at least one surfactant. This composition can be used to prepare formulations of pesticidal active ingredients with a concentration from 5 to 50%. The crystallization of the active ingredient is prevented by the liquid composition, whose ingredients act not only as solvents but also as crystallization inhibitors during the application of the pesticide concentrate as a diluted aqueous spray.
WO 2005/036963 is directed to a suspension concentrates for agrochemical compounds, for example for some specific triazole fungicides, and their use in agriculture. WO 03/099005 relates to microcapsule formulations consisting of A) a particulate disperse phase of microcapsules and B) a suspension containing inter alia at least one solid agrochemical active agent.
US 2003/01 19675 relates to microcapsule formulations comprising A) a particulate disperse phase of specific microcapsules wich contain as capsule filling at least one solid agrochemical active compound and B) a liquid aqueous phase with additives etc.
WO 2009/098232 relates to microcapsules comprising a lipophilic surfactant and an oil. WO 2004/017734 relates to a microencapsulated agrochemical composition comprising an aqueous dispersion of microcapsules having material therein, wherein the material encapsulated comprises (a) an agrochemical (b) a water-soluble, bioperformance- enhancing adjuvant for said agrochemical which has little or no surfactant properties and (c) a water-immiscible solvent in which the agrochemical and the adjuvant are sol- uble. The content of the microcapsules is set free when the formulation is dried.
It has now been found within the framework of the present invention a suspension concentrate that is highly suitable for agrochemical compounds, in particular fungicidal compounds of the class of the triazoles. The finding of the present invention is that, ultimately, it offers a very efficient method for formulating agrochemicals into suspension concentrates that have sufficient storage stability and show very good effectiveness when used as pesticides. Therefore, the present invention offers in particular advantages for agrochemicals that cannot be formulated as e.g. emulsion concentrates and/or that are not stable using common formulations.
Consequently, it has now been found that by means of the suspension concentrates of the present invention, also agrochemical active ingredients that are labile in common formulations and/or that cannot be converted into a manageable agrochemical formulation, may be used in the suspension concentrates of the present invention and can, by means of said formualtion, be effectively applied in agriculture.
According to one aspect, the present invention provides an aqueous suspension concentrate, comprising the following components:
(a) a pesticidal active compound, that is in a solid state at a temperature of 20°C;
(b) an organic or inorganic acid which has a pKa value of at least 1 .2 (≥ 1.2); and
(c) a surface-active substance. Furthermore, the invention relates to formulations, wherein the surface-active substance of component (c) is present in a microcapsule and formulations comprising microcapsules that comprise a component (c), i.e. a surface-active substance, respectively. The component (a) may be in particular a pesticidal active compound that is labile under common formulation conditions and/or that degrades when stored. According to one embodiment, this pesticidal active compound is a fungicide. Examples for such pesticidal, in particular fungicidal, compounds are compounds that contain an electro- philic substructure. In particular, pesticidal, in particular fungicidal, compounds that can be efficiently formulated according to the present invention are fungicidal compounds of the triazole class that are effective against phytopathogenic fungi, in particular such triazoles that contain an electrophilic substructure and are, therefore often labile in conventional formulation media. According to one embodiment, such triazoles carry a thio-triazolo group. A further substructure that may be labile under conventional formu- lation conditions are epoxide structures. Accordingly, in a further embodiment of the invention, component (a) is a triazole that carries an epoxide group. According to a specific embodiment, said triazole contains a thio-triazolo group.
In the inventive formulation, the active compound (component (a)) is present in sus- pended form, i.e. in the form of crystalline or amorphous particles (or a mixture of both) that are in a solid state at 20°C. Preferably, the active compound is present in crystalline form. The viscosity of the active compound particles is at least 1 .000 mPas, preferably at least 5.000 mPas, more preferably at least 10.000 mPas. The suspended active compound (component (a)) mostly has a particle size distribution with an x5o- value of 0.1 to 10 μιη, preferably 0.2 to 5 μιη, more preferably 0.5 to 2 μιτι. Particle size distributions with an x5o-value of 1 to 5 μιη, more preferably 1 to 3 μιη, more specifically 2 to 3 μιη may also be suitable according to the present invention. The particle size distribution may be determined by means of laser diffraction in an aqueous suspension comprising the particles. In this kind of measurement, the preparation of the samples, for example the dilution to the desired concentration for the measurement, is inter alia dependent on the fineness and concentration of the active compound in the suspension sample and on the instrument used (for example Malvern Mastersizer). The proce-
dure has to be worked out for the respective system used and is known to the skilled person in the art.
The size of the active compound particles, i.e. the size (diameter) which is not ex- ceeded by 90% by weight of the active compound particles, is typically not more than 30 μιη, preferably not more than 20 μιη, in particular not more than 10 μιη, especially not more than 5 μιη, as determined by dynamic light scattering. Advantageously, at least 60% by weight and in particular at least 80% by weight of the particles in the SCs according to the invention have diameters below 2 μιτι.
In any case, the active component of component (a) is also defined to be in a solid state at a temperature of 20°C in order to be able to be formulated as suspension concentrate, wherein the active ingredient is not dissolved but particles thereof are finely distributed in the medium. In particular, the component (a) is in a solid state at a temperature of 40°C, more particularly at a temperature of 50°C, more specifically it is in a solid state at a temperature of 60°C. Even more particularly, the component (a) is in a solid state at a temperature of 70°C, specifically at a temperature of 80°C. This means that the active compound (component (a)) has a melting- or degradation point above 20°C, in particular above 40°C, more particularly above 50°C, even more particularly above 60°C, even more particularly above 70°C and specifically above 80°C, for example from 80°C to 300°C.
Preferably, the active ingredient (component (a)) is additionally characterized in that it has a solubility in water of not more than 10 g/l at 20°C/1013 mbar, preferably not more than 5 g/l at 20°C/1013 mbar, more preferably not more than 2 g/l at 20°C/1013 mbar, specifically not more than 1 g/l at 20°C/1013 mbar. In a specific embodiment, the active ingredient of component (a) has a solubility in water of not more than 0.5 g/l at 20°C/1013 mbar. In the inventive suspension concentrates the active compound of component (a) is usually present in an amount of 0.1 to 70 weight%, in particular 1 to 50 weight%, more particularly 5 to 50 weight %, even more particularly 3 to 30 weight%, referring to the suspension concentrate. In a specific embodiment, the active compound according to component (a) is usually present in an amount of 10 to 25 weight%, referring to the suspension concentrate.
For example, the inventive formulation has shown to be very useful for fungicidal thio- triazole compounds of the triazole compound class that contain an epoxide group. Compounds that contain labile functional groups such as an epoxide group can often not be efficiently and/or economically be formulated via prior art formulations. Such compounds are for example described in WO 96/38440, WO 2009/077471
(PCT/EP2008/067483), WO 2009/077443 (PCT/EP2008/067394), WO 2009/077500
(PCT/EP2008/067545) and WO 2009/077497 (PCT/EP2008/067539), EP 09178224, EP 09178291 and EP09178288, wherein these documents also describe the fungicidal activity of said compounds. In said patent applications, also the respective triazole compounds (without sulfur group) and their synthesis are disclosed.
In the following, the meaning of the substituents of possible active compounds
(component (a)) that are advantageously formulated according to the present invention is further defined. Thereby, in each case the substituents are meant to have the given meanings and preferred meaning on their own or in any combination with the meanings or preferred meanings of any other substituent.
Accordingly, in one aspect of the present invention, the active compound of component (a) is a triazole, in particular , containing the following structural group (I):
(I)
wherein R is an organic group of the remaining structure of the respective triazole fungicide (examples see below), and wherein D is defined as follows: D H or S-Y, wherein
Y is hydrogen, (Ci-C8)-alkyl, (Ci-C8)-haloalkyl, (C2-C8)-alkenyl, (C2-C8)-haloalkenyl, CN or M1, wherein
M1 is an alkali metal cation, an equivalent of an alkaline earth metal cation, an equivalent of a copper, zinc, iron or nickel cation or an ammonium cation of the formula (E)
in which
Z1 and Z2 independently are hydrogen or d-Ce-alkyl;
Z3 and Z4 independently are hydrogen, d-Ce-alkyl, benzyl or phenyl; where the phenyl groups are in each case unsubstituted or substituted by one, two or three groups independently selected from the group consisting of halogen and Ci-C4-alkyl.
According to one embodiment, D is hydrogen.
According to a further embodiment of the invention D is S-Y.
The thio-triazolo groups of the general formula (I) (D=S-Y) can be present in two tautomeric forms (especially, in case "Y" is hydrogen) - the "thiol" form of the formula (la) or in the "thiono" form of the formula (lb)
However, for the sake of simplicity, generally only one of the two forms, mostly the "thiol" form is shown here.
According to one embodiment, Y in (I) is hydrogen, (Ci-Ce)-alkyl, (Ci-CeJ-haloalkyl, (C2- C8)-alkenyl, (C2-C8)-haloalkenyl or CN.
According to one specific embodiment, Y in (I) is hydrogen.
According to a further specific embodiment of the invention, Y in (I) is CN. According to a further specific embodiment of the invention Y is Na, 1/2 Cu or an ammonium cation of the formula (E), wherein Z1 and Z2 preferably are independently selected from hydrogen and Ci-C4-alkyl and Z3 and Z4 are preferably independently selected from hydrogen, Ci-C4-alkyl, benzyl and phenyl; where the phenyl groups are in each case unsubstituted or substituted by one, two or three groups independently se- lected from the group consisting of halogen and Ci-C4-alkyl. It may be preferred, if in group (E), Z1, Z2, Z3 and Z4 are independently selected from hydrogen and Ci-C4-alkyl, in particular hydrogen, methyl and ethyl. One particular suitable group (E) is HN(Et)3.
According to still a further embodiment of the invention, Y in (I) is (Ci-Ce)-alkyl or (C2- Ce)-alkenyl. In one particular embodiment, Y is d-Cs-alkyl, preferably Ci-C4-alkyl. According to a further particular embodiment, Y is C3-alkyl, and according to another specific embodiment, Y Cs-alkyl. Particular examples of preferred Y are methyl, ethyl, iso-propyl, n-butyl and n-pentyl. According to still a further specific embodiment Y is (C2-Ce)-alkenyl, in particular (C3- C6)-alkenyl auch as Y=allyl.
According to one aspect of the present invention, R in (I) has the following meaning (1 ):
wherein # shall mean the point of attachment to the triazolo group (I) and A and B are defined as follows:
A or B are independently from one another unsubstituted phenyl or phenyl, that is substituted by one, two, three or four independently selected substituents L; wherein L is defined as follows:
L is halogen, cyano, nitro, Ci-Ce-alkyl, d-Ce-haloalkyl, d-Ce-alkenyl, d-Ce- haloalkenyl, C2-C8-alkynyl, C2-C8-haloalkynyl, C4-Cio-alkadienyl, d-Cio-halo- alkadienyl, Ci-C8-alkoxy, Ci-C8-haloalkoxy, S(=0)nA1, C(=0)A2, C(=S)A2, NA3A4,; where n, A1, A2, A3, A4 are as defined below: n is 0, 1 or 2;
A1 is hydrogen, hydroxyl, Ci-Ce-alkyl, Ci-d-haloalkyl, amino, Ci-Ce-alkylamino or di-Ci-Ce-alkylamino,
A2 is one of the groups mentioned for A1 or d-d-alkenyl, C2-C8-haloalkenyl, C2-C8-alkynyl, C2-C8-haloalkynyl, d-d-alkoxy, Ci-d-haloalkoxy, d-d- alkenyloxy, C2-C8-haloalkenyloxy, C2-C8-alkynyloxy, C2-C8-haloalkynyloxy, d-d- cycloalkyl, C3-C8-halocycloalkyl, C3-C8-cycloalkoxy or C3-C8-halocycloalkoxy;
A3, A4 independently of one another are hydrogen, Ci-d-alkyl, Ci-d-haloalkyl, C2-C8-alkenyl, C2-C8-haloalkenyl, C2-C8-alkynyl, C2-C8-haloalkynyl, d-d- cycloalkyl, C3-C8-halocycloalkyl, C3-C8-cycloalkenyl or C3-C8-halocycloalkenyl; where the aliphatic and/or alicyclic and/or aromatic groups of the radical definitions of L for their part may carry one, two, three or four identical or different groups RL:
RL is halogen, cyano, nitro, Ci-d-alkyl, Ci-d-haloalkyl, Ci-d-alkoxy, Ci-d- haloalkoxy, d-d-cycloalkyl, d-d-halocycloalkyl, d-d-cycloalkenyl, d-d- cycloalkoxy, d-d-halocycloalkoxy, Ci-Ce-alkylcarbonyl, d-Ce-alkylcarbonyloxy, d-Ce-alkoxycarbonyl, amino, Ci-Ce-alkylamino, di-Ci-Ce-alkylamino.
In group (1 ) particular preference is given to the following meanings of the substituents, in each case on their own or in combination. According to one specific embodiment, A is unsubstituted phenyl.
According to one embodiment, A and B independently stand for phenyl containing one, two, three or four independently selected substituents L.
According to a further embodiment, A is phenyl, containing one, two, three or four, in particular one or two, independently selected substituents L, wherein L is as defined or as preferably defined herein. According to one aspect of this embodiment, one of the substituents is in 4-position (para) of the phenyl ring. According to a further aspect, L is in each case independently selected from F, CI, Br, nitro, methyl, ethyl, iso-propyl, tert- butyl, methoxy, ethoxy, trifluoromethyl, trichloromethyl, difluoromethyl, difluorochloro- methyl, trifluoromethoxy, difluoromethoxy and trifluorochloromethyl. According to another specific aspect, L is in each case independently selected from F, CI and Br, in particular F and CI.
According to another embodiment, A is monosubstituted phenyl, containing one sub- stituent L, wherein L is as defined or as preferably defined herein. According to one aspect, said substituent is in para-position.
According to another embodiment, A is phenyl, containing two or three independently selected substituents L.
According to another preferred embodiment of the invention, A is phenyl which is substituted by one F and contains a further substituent L, where the phenyl may additionally contain one or two substituents L selected independently of one another, wherein L is as defined or preferably defined herein.
According to still another embodiment, A is disubstituted phenyl, containing exactly two substituents L that are independently selected from each other, wherein L is as defined or as preferably defined herein. In particular, L is in each case independently selected from F, CI, Br, Ci-C4-alkyl, Ci-C4-haloalkyl and Ci-C4-alkoxy, in particular selected from F, CI, Ci-C4-alkyl, Ci-C4-haloalkyl and Ci-C4-alkoxy, in particular selected from F, CI, methyl, trifluoromethyl and methoxy. According to a further aspect of this embodiment, the second substituent L is selected from methyl, methoxy and chloro. According to another aspect, one of the substituents is in the 4-position of the phenyl ring. According to another specific aspect, A is phenyl containing one F and exactly one further sub- stituent L as defined or preferably defined herein.
According to yet a further preferred embodiment, A is disubstituted phenyl which contains one F and a further substituent L selected from the group consisting of CI, C1-C4- alkyl, Ci-C4-haloalkyl and Ci-C4-alkoxy, in particular selected from the group consisting of CI, methyl, trifluoromethyl and methoxy. The second substituent L is specifically selected from the group consisting of methyl, methoxy and chlorine. According to one aspect thereof, one of the substituents is located in the 4-position of the phenyl ring.
According to another specific embodiment, A is 2,4-disubstituted phenyl. According to still another specific embodiment, A is 2,3-disubstituted phenyl. According to still another specific embodiment, A is 2,5-disubstituted phenyl. According to still another spe- cific embodiment, A is 2,6-disubstituted phenyl. According to still another specific embodiment, A is 3,4-disubstituted phenyl. According to still another specific embodiment, A is 3,5-disubstituted phenyl.
According to a further preferred embodiment of the invention, A is phenyl which is substituted by exactly two F. According to one aspect, A is 2,3-difluoro-substituted. According to a further aspect, A is 2,4-difluoro-substituted. According to yet a further aspect, A is 2,5-difluoro-substituted. According to yet a further aspect, A is 2,6-difluoro- substituted. According to yet a further aspect, A is 3,4-difluoro-substituted. According to yet a further aspect, A is 3,5-difluoro-substituted.
According to a further embodiment, A is trisubstituted phenyl containing exactly three independently selected substitutents L, wherein L is as defined or preferably defined herein. According to yet a further embodiment, A is phenyl which is substituted by exactly three F. According to one aspect, A is 2,3,4-trisubstituted, in particular 2,3,4- trifluoro-substituted. According to another aspect, A is 2,3,5-trisubstituted, in particular 2,3,5-trifluoro-substituted. According to still another aspect, A is 2,3,6-trisubstituted, in particular 2,3,6-trifluoro-substituted. According to still another aspect, A is 2,4,6- trisubstituted, in particular 2,4,6-trifluoro-substituted. According to still another aspect, A is 3,4,5-trisubstituted, in particular 3,4,5-trifluoro-substituted. According to still an- other aspect, A is 2,4,5-trisubstituted, in particular 2,4,5-trifluoro-substituted.
According to one specific embodiment of the invention, B is unsubstituted phenyl.
According to a further embodiment, B is phenyl which contains one, two or three, preferably one or two, independently selected substituents L, wherein L is as defined or preferably defined herein.
According to still a further embodiment, B is phenyl which contains one, two or three substituents independently selected from halogen, NO2, amino, Ci-C4-alkyl, C1-C4- alkoxy, Ci-C4-haloalkyl, Ci-C4-haloalkoxy, Ci-C4-alkylamino, Ci-C4-dialkylamino, thio and Ci-C4-alkylthio.
According to a further embodiment, B is phenyl which contains one, two, three or four substituents L, wherein L is independently selected from F, CI, Br, methyl, ethyl, iso- propyl, tert-butyl, methoxy, ethoxy, trifluoromethyl, trichloromethyl, difluoromethyl, difluorochloromethyl, trifluoromethoxy, difluoromethoxy and difluorochloromethyl.
According to a specific aspect, L is in each case independently selected from F, CI and Br.
According to a further embodiment, B is a phenyl ring that is monosubstituted by one substituent L, where according to a special aspect of this embodiment, L is located in the ortho-position to the point of attachment of the phenyl ring to the oxirane ring. L is as defined or preferably defined herein. According to a further specific embodiment, B is monochloro-substituted phenyl, in particular 2- chlorophenyl. According to a further embodiment, B is phenyl, which contains two or three, in particular two, independently selected substitutents L, wherein L is as defined or preferably defined herein.
According to a further embodiment of the invention, B is a phenyl ring which contains a substituent L in the ortho-position and furthermore has one further independently selected substituent L. According to one aspect, the phenyl ring is 2,3-disubstituted. According to a further aspect, the phenyl ring is 2,4-disubstituted. According to yet a further aspect, the phenyl ring is 2,5-disubstituted. According to yet a further aspect, the phenyl ring is 2,6-disubstituted.
According to a further embodiment of the invention, B is a phenyl ring which contains a substituent L in the ortho-position and furthermore contains two further independently selected substituents L. According to one aspect, the phenyl ring is 2,3,5-trisubstituted. According to a further aspect, the phenyl ring is 2,3,4-trisubstituted. According to yet a further aspect, the phenyl ring is 2,4,5-trisubstituted.
Unless indicated otherwise, in group (1 ) L independently has the following preferred meanings: Preferably, L is independently selected from the group consisting of halogen, amino, Ci-C4-alkyl, Ci-C4-haloalkyl, Ci-C4-alkoxy, Ci-C4-haloalkoxy, Ci-C4-alkylamino, di-Ci- C4-alkylamino, thio and Ci-C4-alkylthio, more specifically L is independently selected from the group consisting of halogen, Ci-C4-alkyl, Ci-C4-haloalkyl, Ci-C4-alkoxy, C1-C4- haloalkoxy and Ci-C4-haloalkylthio, in particular halogen, Ci-C4-alkyl and Ci-C4-halo- alkyl.
According to a further preferred embodiment, L is independently selected from the group consisting of F, CI, Br, CH3, C2H5, i-C3H7, t-C4H9, OCH3, OC2H5, CF3, CCI3, CH F2, CCIF2, OCF3, OCH F2 and SCF3, in particular selected from the group consisting of F, CI, CH3, C2H5, OCH3, OC2H5, CF3, CHF2, OCF3, OCHF2 and SCF3. According to one aspect, L is independently selected from the group consisting of F, CI, CH3, OCH3, CF3, OCF3 and OCHF2. It may be preferred for L to be independently F or CI.
According to one specific embodiment, A and B are as defined as follows:
A phenyl, which is unsubstituted or substituted by one, two or three substituents L that may be the same or different, independently selected from F, CI, Br, methyl, ethyl, tert-butyl, methoxy, ethoxy, trifluoromethyl, trichloromethyl, difluoromethyl, difluoro- chloromethyl, trifluoromethoxy, difluoromethoxy and trifluoromethylthio; and
B phenyl, that is substituted by one, two or three substituents L that may be the same or different, independently selected from F, CI, Br, methyl, ethyl, iso-propyl, tert- butyl, methoxy, ethoxy, trifluoromethyl, trichloromethyl, difluoromethyl, difluorochloro- methyl, trifluoromethoxy, difluoromethoxy and trifluoromethylthio.
In specific groups (1 ) A and B are defined as follows: A is phenyl, 4-chlorophenyl, 2,4-chlorophenyl, 2-chlorophenyl, 2-fluorophenyl, 4- fluorophenyl, 4-methylphenyl, 3-bromo-4-fluorophenyl, 4-bromophenyl, 3,4- dichlorophenyl, 4-tert-butyl-phenyl, 3-chlorophenyl, 3,5-dichlorophenyl or 4- trifluoromethoxypghenyl and B is 2-chlorophenyl. In one specific group (1 ) A is 4- flourphenyl and B is 2-chlorophenyl.
A is 4-fluorophenyl and B is 2-difluoromethoxyphenyl.
A is phenyl, 4-chlorophenyl, 2,4-chlorophenyl, 2-chlorophenyl, 2-fluorophenyl, 4- methylphenyl, 4-fluorophenyl, 3-bromo-4-fluorophenyl, 4-bromophenyl, 3,4- dichlorophenyl, 4-tert-butyl-phenyl, 3-chlorophenyl, 3,5-dichlorophenyl or 4- trifluoromethoxyphenyl, and B is 2-fluorophenyl.
A is phenyl, 4-chlorophenyl, 2,4-chlorophenyl, 2-chlorophenyl, 2-fluorophenyl, 4- methylphenyl, 4-fluorophenyl, 3-bromo-4-fluorophenyl, 4-bromophenyl, 3,4- dichlorophenyl, 4-tert-butyl-phenyl, 3-chlorophenyl, 3,5-dichlorophenyl or 4- trifluoromethoxyphenyl, and B is 2-bromophenyl.
In further specific groups (1 ) A and B are defined as follows: A is 2,4-difluorophenyl and B is 2-chlorophenyl.
A is 3,4-difluorophenyl and B is 2-chlorophenyl.
A is 2,4-difluorophenyl and B is 2-fluorophenyl.
A is 3,4-difluorophenyl and B is 2-fluorophenyl.
A is 2,4-difluorophenyl and B is 2-trifluoromethylphenyl.
A is 3,4-difluorophenyl and B is 2-trifluoromethylphenyl.
A is 3,4-difluorophenyl and B is 2-methylphenyl
In further specific groups (1 ) A and B are defined as follows:
A is phenyl and B is 2,4-dichlorophenyl.
A is phenyl and B is 2-fluoro-3-chlorophenyl.
A is phenyl and B is 2,3,4-trichlorophenyl.
A is 4-fluorophenyl and B is 2,4-dichlorophenyl.
A is 4-fluorophenyl and B is 2-fluoro-3-chlorophenyl.
A is 4-fluorophenyl and B is 2,3,4-trichlorophenyl.
A is 2-chlorophenyl and B is 2,4-dichlorophenyl.
A is 2-chlorophenyl and B is 2-fluoro-3-chlorophenyl.
A is 2-chlorophenyl and B is 2,3,4-trichlorophenyl.
The meanings described above of the variables A, B and L for groups (1 ) apply for R = group (1 ) in structural group (I) (herein also referred to as compounds (l)-(1 )).
The compounds (l)-(1 ), wherein D is SH can be synthesized from the respective compounds (l)-(1 ), wherein D is H (also called compounds (IV)-(1 )) according to processes known in the art (see patent applications cited above). Compounds (l)-(1 ), wherein D is not SH and not H can in turn be synthesized from the respective compounds (l)-(1 ), wherein D is SH by derivatization (see patent applications cited above).
For example, to prepare compounds containing a group D = S-(Ci-C8)-alkyl, preferably Ci-C5-alkyl or Ci-C4-alkyl, in particular C3-alkyl or Cs-alkyl, specifically methyl, ethyl, iso-propyl, n-butyl or n-pentyl, a compound (l)-(1 ) is reacted with the corresponding alkyl halide (see also WO 96/38440).
Compounds which contain a group D=S-CN can be synthesized analogously to the process described in WO 99/44331 .
Compounds which contain a group D=SM1 can be synthesized analogously to the process described in WO 97/41 107.
Compounds (IV)-(1 ) in turn can be synthesized as described in the above mentioned patent applications. For example, compounds (IV)-(1 ) can be prepared in an advantageous manner from compounds of the formula (XI)
in which Z is a leaving group, such as, for example, halogen (for example CI or Br) or OS02R', where R' is Ci-Ce-alkyI, Ci-Ce-haloalkyI, aryl or substituted aryl; OSO2R' is in particular a mesylate, triflate, phenyl or toluenesulfonate group. To obtain compounds of the formula (IV)-(1 ), compounds of the formula (XI), are reacted with 1 ,2,4-triazole
and a base such as, for example, sodium hydride, for example in DMF. See also, for example, EP 0 421 125 A2.
Compounds of the formula (XI) can be obtained from compounds (XI), wherein Z is a hydroxy group by introducing the leaving group Z by methods known to the person skilled in the art. Thus, the respective hydroxy compound is reacted, for example, with R'-SC Y, where R is as defined for formula (XI) and Y is halogen, where R'-SC^Y is, for example, mesyl chloride, in the presence of a base (for example NEt3) (see also EP386557). To obtain compounds (XI), in which Z is halogen, the corresponding hydroxy compound can be reacted with C(Hal)4 (Hal = Br or CI) with PPh3, for example in CH2CI2. Alternatively, SOC /pyridine can be used (see also WO 2005/056548). The hydroxy compounds of the formula (XI) (Z=OH) can be obtained from α,β-disubstituted acroleins of the type of the formula
by initial epoxidation, for example with H2O2 in the presence of a base such as, for example, NaOH or by reaction with a peracid (for example MCPBA = m-chloroperoxy- benzoic acid) or tert-butyl hydroperoxide). The resulting aldehyde can then be reduced to the hydroxy compound, for example with NaBhU (see also EP 0 386 557 A1 ).
Processes for epoxidation and reduction of the aldehyde group are well known to the person skilled in the art. The double bond can be present either in the (E) or in the (Z) configuration. This is indicated by the zig-zag bond between B and the double bond. The acrolein compounds can be synthesized, for example, analogously to the procedure described in DE3601927. According to one alternative, they can be prepared via an aldol synthesis according to the scheme below:
Another way to prepare the compounds (XI) consists in converting the double bond in compounds of the formula
to the epoxide. Suitable epoxidation methods are known to the person skilled in the art. It is possible, for example, to use hydrogen peroxide/maleic anhydride for this purpose. The double bond may be present either in (E) or in (Z) configuration. This is indicated by the zigzag bond between B and the double bond. These compounds can be obtained from compounds
by reacting, for example, with acetic acid/H2SC>4 in a suitable organic solvent such as, for example, an ether, such as Et2<D or dioxane, to form the double bond. Suitable methods are known to the person skilled in the art. These compounds can be obtained, for example, by a Grignard reactio
See also EP 409049.
According to the present invention, the pure enantiomers or a mixture of enantiomers (racemic or enantiomerically enriched) of the compounds (l)-(1 ) can be used in the formulation. According to a preferred embodiment, a racemic mixture is used. For example, the following different stereoisomers of compounds (l)-(1 ) can be used in the formulation according to the present invention: Stereoisomers of compound (l)-(1 )-a) = Formula (l)-(1 ), wherein A is 4-fluoro-phenyl and B is 2-chlorophenyl; D is SH:
compound (l)-(1 )-a1 ):
2-[(2S,3S)-3-(2-chloro-phenyl)-2-(4-fluoro-phenyl)-oxiranylmethyl]-2H-[1 ,2,4]triazole-3- thiole ("cis")
compound (l)-(1 )-a2):
2-[(2R,3R)-3-(2-chloro-phenyl)-2-(4-fluoro-phenyl)-oxiranylmethyl]-2H-[1 ,2,4]triazole-3- thiole ("cis")
compound (l)-(1 )-a3):
Formula (l)-(1 ), wherein A is 4-fluoro-phenyl and B is 2-chlorophenyl; D is SH:
2-[(2S,3R)-3-(2-chloro-phenyl)-2-(4-fluoro-phenyl)-oxiranylmethyl]-2H-[1 ,2,4]triazole-3- thiole ("trans")
compound (l)-(1 )-a4):
2-[(2R,3S)-3-(2-Chloro-phenyl)-2-(4-fluoro-phenyl)-oxiranylmethyl]-2H-[1 ,2,4]triazole-3- thiole ("trans")
Stereoisomers of compound (l)-(1 )-b) = Formula (l)-(1 ), wherein A is 2,4-difluoro- phenyl and B is 2-chlorophenyl; D is SH:
compound (l)-(1 )-b1 ):
2-[(2S,3S)-3-(2-chloro-phenyl)-2-(2,4-difluoro-phenyl)-oxiranylmethyl]-2H- [1 ,2,4]triazole-3-thiole ("cis")
compound (l)-(1 )-b2):
2-[(2R,3R)-3-(2-chloro-phenyl)-2-(2,4-difluoro-phenyl)-oxiranylmethyl]-2H- [1 ,2,4]triazole-3-thiole ("Cis")
compound (l)-(1 )-b3):
2-[(2S,3R)-3-(2-chloro-phenyl)-2-(2,4-difluoro-phenyl)-oxiranylmethyl]-2H- [1 ,2,4]triazole-3-thiole ("trans")
compound (l)-(1 )-b4):
2-[(2R,3S)-3-(2-chloro-phenyl)-2-(2,4-difluoro-phenyl)-oxiranylmethyl]-2H- [1 ,2,4]triazole-3-thiole ("trans") Stereoisomers of compound (l)-(1 )-c) = Formula (l)-(1 ), wherein A is 2,4-difluoro-phenyl and B is 2-chlorophenyl; D is S-CN:
compound (l)-(1 )-c1 ):
1 -[(2S,3S)-3-(2-chloro-phenyl)-2-(2,4-difluoro-phenyl)-oxiranylmethyl]-5-thiocyanato- 1 H-[1 ,2,4]triazole-3-thiole ("cis")
compound (l)-(1 )-c2):
1 -[(2R,3R)-3-(2-chloro-phenyl)-2-(2,4-difluoro-phenyl)-oxiranylmethyl]-5-thiocyanato- 1 H-[1 ,2,4]triazole-3-thiole ("cis")
compound (l)-(1 )-b3):
1 -[(2S,3R)-3-(2-chloro-phenyl)-2-(2,4-difluoro-phenyl)-oxiranylmethyl]-5-thiocyanato- 1 H-[1 ,2,4]triazole-3-thiole ("trans")
compound (l)-(1 )-b4):
1 -[(2R,3S)-3-(2-chloro-phenyl)-2-(2,4-difluoro-phenyl)-oxiranylmethyl]-5-thiocyanato- 1 H-[1 ,2,4]triazole-3-thiole ("trans") Stereoisomers of compound (l)-(1 )-d) = Formula (l)-(1 ), wherein A is 2,4-difluoro- phenyl and B is 2-chlorophenyl; D is S-allyl:
compound (l)-(1 )-d1 ):
5-allylsulfanyl-1 -[[-(2S,3S)-3-(2-chlorophenyl)-2-(2,4-difluorophenyl)oxiran-2-yl]methyl]- 1 ,2,4-triazole
("cis")
compound (l)-(1 )-d2):
5-allylsulfanyl-1 -[[-(2R,3R)-3-(2-chlorophenyl)-2-(2,4-difluorophenyl)oxiran-2-yl]methyl]-
1 ,2,4-triazole
("cis")
compound (l)-(1 )-d3):
5-allylsulfanyl-1 -[[-(2S,3R)-3-(2-chlorophenyl)-2-(2,4-difluorophenyl)oxiran-2-yl]methyl]-
1 ,2,4-triazole
("trans")
compound (l)-(1 )-d4):
5-allylsulfanyl-1 -[[-(2R,3S)-3-(2-chlorophenyl)-2-(2,4-difluorophenyl)oxiran-2-yl]methyl]- 1 ,2,4-triazole ("trans")
Stereoisomers of compound (l)-(1 )-e) = Formula (l)-(1 ), wherein A is 4-fluoro-phenyl and B is 2-chlorophenyl; D is H:
compound (l)-(1 )-e1 ):
2-[(2S,3S)-3-(2-chloro-phenyl)-2-(4-fluoro-phenyl)-oxiranylmethyl]-2H-[1 ,2,4]triazole ("cis")
compound (l)-(1 )-e2):
2-[(2R,3R)-3-(2-chloro-phenyl)-2-(4-fluoro-phenyl)-oxiranylmethyl]-2H-[1 ,2,4]triazole ("cis")
compound (l)-(1 )-e3):
2-[(2S,3R)-3-(2-chloro-phenyl)-2-(4-fluoro-phenyl)-oxiranylmethyl]-2H-[1 ,2,4]triazole ("trans")
compound (l)-(1 )-e4):
2-[(2R,3S)-3-(2-chloro-phenyl)-2-(4-fluoro-phenyl)-oxiranylmethyl]-2H-[1 ,2,4]triazole ("trans")
Stereoisomers of compound (l)-(1 )-f) = Formula (l)-(1 ), wherein A is 2,4-difluoro-phenyl and B is 2-chlorophenyl; D is H:
compound (l)-(1 )-f1 ):
2-[(2S,3S)-3-(2-chloro-phenyl)-2-(2,4-difluoro-phenyl)-oxiranylmethyl]-2H-[1 ,2,4]triazole ("cis")
compound (l)-(1 )-f2):
2-[(2R,3R)-3-(2-chloro-phenyl)-2-(2,4-difluoro-phenyl)-oxiranylmethyl]-2H-[1 ,2,4]triazole ("cis")
compound (l)-(1 )-f3):
2-[(2S,3R)-3-(2-chloro-phenyl)-2-(2,4-difluoro-phenyl)-oxiranylmethyl]-2H-[1 ,2,4]triazole ("trans")
compound (l)-(1 )-f4):
2-[(2R,3S)-3-(2-chloro-phenyl)-2-(2,4-difluoro-phenyl)-oxiranylmethyl]-2H-[1 ,2,4]triazole ("trans")
Compound (l)-(1 ) is preferably present as enantiomer mixture of the "trans" isomers, i.e. those compounds (l)-(1 ), wherein the phenyl rings are "trans" to each other, and the compounds may in each case be present in their tautomeric form or as tautomeric mixture. In particular, a racemic mixture is present. Furthermore, any other proportions of the trans-enantiomers may be present and also any one of the trans-enantiomers may also be present in pure form. On the other hand, also the "cis" isomers may be present.
With respect to the use of the suspension concentrates for combating phytopathogenic fungi, it may be preferred, if the respective "trans" diastereomers as given above, for example as racemic mixture or as mixture containing the two "trans' -enantiomers in any other ratio, are used as component (a).
One undesired product that may occur in undesired amounts when compounds (l)-(1 ) are formulated conventionally, for example in an EC formulation (emulsion
concentrate), and that can be reduced or even completely or at least almost completely avoided using the new formulation of the present invention is the cyclizised hydroxy compound IA:
wherein A and B are as defined and preferably defined as for compounds (l)-(1 ), in particular A is 4-F-phenyl and B is 2-CI-phenyl or A is 2,4-F2-phenyl and B is 2-CI- phenyl, as given above. When formulated according to the invention, the respective (IA) is formed preferably to equal or less than 10%, more preferably equal or less than 8%, even more preferably equal or less than 5%, even more preferably equal or less than 3%. Even more particular, said product I A is formed equal or less than 0,1 %, preferably less than 0,1 %. In particular said contents are determined after 2 weeks storage at 54 °C, more specifically after 8 weeks at 40°C.
Another undesired product that may occur in undesired amounts when compounds (I)- (1 ) are formulated conventionally, for example in an EC formulation (emulsion concentrate), and that can be reduced or even avoided using the new formulation of the present invention is the cycli compound IB:
wherein A and B are as defined and preferably defined as for compounds (l)-(1 ), in particular A is 4-F-phenyl and B is 2-CI-phenyl or A is 2,4-F2-phenyl and B is 2-CI- phenyl, as given above. When formulated according to the invention, the respective (I A) is formed preferably to equal or less than 10%, more preferably equal or less than 8%, even more preferably equal or less than 5%, even more preferably equal or less than 3%. Even more particular, said product I A is formed equal or less than 0,1 %, preferably less than 0,1 %. In particular, said contents are determined after 2 weeks storage at 54 °C or 8 weeks at 40°C.
According to another embodiment of the present invention, the organic group R in the compounds (I) and the precursors thereof carries a free hydroxy group and compounds (I) are from the triazole class of fungicides. In a particular embodiment thereof, R stands for a group of formula (2):
wherein R11 and R22 have the following meanings:
R11, R22 independently of one another Ci-C6-alkyl, Ci-C6-haloalkyl, C3-C6-cycloalkyl,
C3-C6-halocycloalkyl or phenyl, wherein the alkyl, cycloalkyl and phenyl moieties may be unsubstituted or substituted by one, two, three or four substituents L as defined or preferably defined above for compounds, wherein R is a group (1 ); or
R11 and R22, together with the carbon atom to which they are attached, form a five- or six-membered saturated or partially unsaturated ring, that can be unsubstituted or substituted by one, two, three, four or five substituents L', wherein L' stands for L as defi
ned above or stands for a group K wherein R33 and R44 independently are selected from the group of hydrogen and the meaning for L as defined above.
According to one embodiment, R11 and R12 are preferably independently selected from Ci-C4-alkyl and phenyl, wherein the alkyl and phenyl group independently may contain one, two, three or four substitutents, independently selected from F, CI, Br, methoxy, ethoxy, propoxy, isopropoxy, Ci-C2-alkoximino, cyclopropyl, cyclobutyl, cyclopentyl and/or cyclohexyl. Specifically, R11 stands for Ci-C4-alkyl that is substituted by one or two substituents independently selected from F, CI, methoxy, cyclopropyl, cyclopentyl and/or cyclohexyl and R12 stands for phenyl, that is substituted by one, two, three or four substituents independently selected from F, CI, Br and methoxy. In one specific embodiment, R11 is 1 -ethyl that is 1 -substituted by cyclopropyl and R12 is 4- chlorophenyl. According to another specific embodiment, R11 is n-butyl and R12 is 2,4- dichlorophenyl.
According to another embodiment, R11 and R12 are preferably independently selected from Ci-C4-alkyl, phenyl-Ci-C4-alkyl and CrCe-cycloalkyl, preferably phenyl-Ci-C4-alkyl and CrCe-cycloalkyl, wherein the alkyl, phenyl and cycloalkyl groups independently may contain one, two, three or four substitutents, independently selected from F, CI, Br, CN, methyl, ethyl, propyl, isopropyl and/or tert-butyl. Specifically, R11 stands for phenyl- Ci-C4-alkyl that is substituted in the phenyl moiety by one, two, three or four substituents independently selected from F, CI and methoxy and R12 stands for C3-C6- cycloalkyl, that is substituted by one, two, three or four substituents independently selected from F, CI, Br and methoxy. In one specific embodiment, R11 is 2- chlorophenylmethyl and R12 is 1 -chlorocyclopropyl.
According to still another embodiment, R11 and R12 are preferably independently selected from Ci-C4-alkyl and phenyl-Ci-C4-alkyl, wherein the alkyl and phenyl groups may contain one, two, three or four substitutents, independently selected from F, CI, Br, CN, methyl, ethyl, propyl, isopropyl, tert-butyl, methoxy, ethoxy, methylthio, trifluoro- methyl, trifluoromethoxy, trifluoromethylthio, chlorodifluoromethoxy, difluoromethoxy, chlorodifluoromethylthio, methoxycarbonyl, ethoxyvarbonyl, methoxyiminomethyl, 1 - methoximinoethyl and nitro. Specifically, R11 stands for Ci-C4-alkyl that may be substituted by one or two substituents, independently selected from methyl, ethyl, propyl, isopropyl and tert-butyl and R12 stands for phenyl-Ci-C4-alkyl, that is substituted in the phenyl moiety by one, two, three or four substituents independently selected from F, CI, Br, CN, methyl, trifluoromethyl and methoxy. In one specific embodiment R11 is tert- butyl and R12 is 2-(4-chlorophenyl)-1 -ethyl.
According to still another embodiment, R11 and R12 are preferably independently se- lected from phenyl, wherein the phenyl moieties may may contain one, two, three or four substitutents, independently selected from F, CI, Br, CN, methyl, ethyl, propyl, isopropyl, tert-butyl, methoxy, ethoxy, methylthio, trifluoromethyl, trifluoromethoxy, trifluoromethylthio, chlorodifluoromethoxy, difluoromethoxy, chlorodifluoromethylthio, methoxycarbonyl, ethoxyvarbonyl, methoxyiminomethyl, 1 -methoximinoethyl and nitro. Spe- cifically, R11 and R12 independently stand for phenyl, that may contain one, two or three substitutents, independently selected from F, CI and Br. In one specific embodiment R11 is 2-fluorophenyl and R12 is 4-fluorophenyl.
According to still another embodiment, preferably R11 and R22, together with the carbon atom to which they are attached, form a five- or six-membered saturated ring, that can be unsubstituted or substituted by one, bstituents L', wherein L' stands for L as defined above or stands for a g
wherein R33 and R44 independently are selected from the group of hydrogen, Ci-C4-alkyl and phenyl, wherein the alkyl and phenyl groups may contain one, two, three or four substitutents, independently selected from F, CI, Br, CN, methyl, ethyl, propyl, isopropyl, tert-butyl, methoxy, ethoxy, methylthio, trifluoromethyl, trifluoromethoxy, trifluoromethylthio, chlorodifluoromethoxy, difluoromethoxy and nitro. Specifically, R11 and R22, together with the carbon atom to which they are attached, form a five-membered saturated ring, that is substituted bstituents L', wherein L' stands for Ci-C4-alkyl or for a group
and R44 independently are selected from the group of hydrogen, Ci-C4-alkyl and phenyl, wherein the alkyl and phenyl groups may contain one, two, three or four substitutents, independently selected from F, CI, CN, methyl, isopropyl, tert-butyl and methoxy. In one specific embodiment R11 and R22, together with the
carbon atom to which they are attached, form a five-membered satu ring, that is substituted in 5-position by two methyl groups and contains a group
wherein R33 is hydrogen and R44 is 4-chlorophenyl in 2-position. According to still another embodiment, R11 and R22, together with the carbon atom to which they are attached, form a five- or six-membered saturated ring, that can be un- substituted or substituted by one, two or three substituents, independently selected from F, CI, Br, CN , methyl, ethyl, propyl, isopropyl, tert-butyl, methoxy, ethoxy, methyl- thio, trifluoromethyl, trifluoromethoxy, trifluoromethylthio, chlorodifluoromethoxy, di- fluoromethoxy, nitro, benzyl, wherein the phenyl moiety itself may contain on, two, three or four substituents, independently selected from F, CI, CN, methyl, isopropyl, tert-butyl and methoxy. In one specific embodiment R11 and R22, together with the carbon atom to which they are attached, form a five-membered saturated ring, that is substituted in 5-position by two methyl groups and contains a 4-chlorobenzyl group in 2- position. Regarding compounds (l)-(2) and the synthesis of precursors thereof see also WO 96/16048, WO 96/38423, EP378953, EP655443, DE 4030039, DE 3337937, DE3315681 , US4414210.
According to another embodiment of the present invention, R stands for a group of formula (3):
wherein R55, R66 and R77 have the following meanings
R55 phenyl-d-Ce-alkyl, phenyl or a five- or six-membered saturated, partially unsaturated or aromatic heterocycle which contains one, two, three or four
heteroatoms from the group consisting of O, N and S; where the aliphatic and/or aromatic and/or heterocyclic groups for their part may carry one, two, three or four identical or different groups selected from halogen, cyano, nitro, Ci-Ce-alkyl, Ci-Ce- haloalkyl, d-Ce-alkoxy, Ci-Ce-haloalkoxy, OrCe-cycloalkyl, OrCe-halocycloalkyl, C3- Ce-cycloalkenyl, OrCe-cycloalkoxy, OrCe-halocycloalkoxy, d-Ce-alkylcarbonyl, Ci-Ce- alkylcarbonyloxy, Ci-Ce-alkoxycarbonyl, amino, Ci-Ce-alkylamino, di-Ci-Ce-alkylamino, phenyl, halophenyl, phenyloxy, halophenyloxy;
R66, R77 independently of one another hydrogen, Ci-C6-alkyl, Ci-C6-haloalkyl, C3-C6- cycloalkyl, C3-C6-halocycloalkyl or phenyl, wherein the alkyl, cycloalkyl or phenyl moieties may be unsubstituted or substituted by one, two or three
substituents selceted from halogen, cyano, nitro, Ci-Ce-alkyl, Ci-Ce- haloalkyl, d-Ce-alkoxy, Ci-Ce-haloalkoxy
According to one embodiment, R55 is phenyl, that is unsubstituted or substituted by one, two, three or four substituents independently selected from halogen, Ci-C6-alkyl, Ci-C6-haloalkyl, phenoxy-Ci-C6-alkyl and halophenyloxy, and R66 and R77 are independently selected from hydrogen, methyl, ethyl, n-propyl and n-butyl. Specifically, R55 is phenyl, that contains one, two or three substituents independently selected from F, CI and halophenoxy, wherein the phenoxy moiety contains one or two halogen atoms selected from CI and F; and R66 is hydrogen and R77 is Ci-C4-alkyl. In one specific embodiment R55 is 4-(4-chlorophenoxy)-2-chlorophenyl, R66 is hydrogen and R77 is methyl. In another specific embodiment R55 is 2,4-dichlorophenyl, R66 is hydrogen and R77 is n-propyl. Regarding compounds (l)-(3) and the synthesis of precursors thereof see also WO 96/41804 and Pestic. Sci, 1980, 1 1 , 95 and Research Disclosure 1989, 297,13.
According to another embodiment of the present invention, R stands for a group of formula (4):
wherein R222, R333 and R444 have the following meanings:
R222 and R333 are independently selected from hydrogen, cyano, Ci-C6-alkyl and C1-C6- haloalkyl, wherein the alkyl moieties may be unsubstituted or substituted by one, two, three or four substituents L as defined or preferably defined above for compounds, wherein R is a group (1 ). In particular, R222 and R333 are independently selected from hydrogen, cyano and Ci-C4-alkyl, wherein the alkyl moiety may contain one, two, three or four substituents independently selected from F, CI, CN, Ci-C4-alkoxy and C1-C4- haloalkoxy. q is one, two three or five, preferably one or two, and R444 are
independently selected from L as defined or preferably defined above for compounds, wherein R is a group (1 ), in particular independently selected from F, CI, CN, methyl, isopropyl, tert-butyl and methoxy, more specifically independently selecetd from CI and F. According to one specific embodiment, R222, is hydrogen, R333 is methyl, substituted by 1 ,1 ,2,2-tetrafluoroethoxy, and R444 is 2,4-dichlorophenyl. According to another specific embodiment, R222 is cyano, R333 is n-butyl and R444 is 4-chlorophenyl.
According to still another specific embodiment, R222 is hydrogen, R333 is n-propyl and R444 is 2,4-dichlorophenyl. Regarding compounds (l)-(4) and the synthesis of precursors thereof see also DE19528300, DE19529089.
According to another embodiment of the present invention, R stands for a group of formula (5):
wherein # shall mean the point of attachment to the triazolo group and Q1, Q2, R555, R666, R777 and R888 are as defined as follows:
Q1 O or a single bond to R555;
Q2 saturated hydrocarbon chain containing two to five carbon atoms, which may conatin one, two or three substituents Rz, wherein Rz has the meaning:
Rz halogen, d-Ce-alkyl, Ci-Ce-haloalkyl, C2-C8-alkenyl, C2-Ce-halo- alkenyl, d-Ce-alkoxy, Ci-Ce-haloalkoxy, Ci-Ce-alkylcarbonyloxy, C2-C8- alkenyloxy, C2-C8-haloalkenyloxy, Ca-Ce-cycloalkyl, C3-Ce-halo
cycloalkyl, Ca-Ce-cycloalkenyl, Ca-Ce-halocycloalkenyl, Ca-Ce-cycloalkoxy,
C3-C6-cycloalkenyloxy, Ci-C6-alkylen, oxy-C2-C4-alkylen, phenoxy, phenyl; wherein Rz in each case is unsubstituted or contains one, two or three substituents, independently selected from L1; R555 phenyl, which is unsubstituted or contains one, two, three, four or five independently selected substituents L1, wherein L1 has the meanings:
L1 halogen, d-Ce-alkyl, Ci-Ce-haloalkyl, d-Ce-alkenyl, d-Ce-halo- alkenyl, C4-Cio-alkadienyl, C4-Cio-haloalkadienyl, Ci-Ce-alkoxy, Ci- Ce-haloalkoxy, Ci-Ce-alkylcarbonyloxy, C2-C8-alkenyloxy, C2-C8-halo- alkenyloxy, Ca-Ce-cycloalkyl, Ca-Ce-halocycloalkyl, Ca-Ce-cycloalkenyl, C3-C8-halocycloalkenyl, Ca-Ce-cycloalkoxy, C3-C6-cycloalkenyloxy, Ci- C6-alkylen, the aliphatic and/or alicyclic and/or aromatic groups of the definitions of L1 may contain one, two, three or four groups RL1 that are the same or different from each other:
RL1 halogen, hydroxy, cyano, nitro, Ci-C4-alkyl, Ci-C4-haloalkyl, Ci- C4-alkoxy, Ci-C4-haloalkoxy, C3-C6-cycloalkyl, C3-C6-halocycloalkyl,
C3-C8-cycloalkenyl, Cs-Ce-cycloalkoxy, Ca-Ce-halocycloalkoxy, C1-C6- alkylen, oxy-C2-C4-alkylen, oxy-Ci-C3-alkylenoxy, Ci-Ce-alkylcarbonyl,
d-Ce-alkylcarbonyloxy, Ci-Ce-alkoxycarbonyl, amino, Ci-Ce- alkylamino, di-Ci-Ce-alkylamino;
R666 hydrogen, halogen, Ci-Cio-alkyl, Ci-Cio-haloalkyl, C2-Cio-alkenyl, C2-Cio-halo- alkenyl, C3-Cio-cycloalkyl, C3-Cio-halocycloalkyl;
R777 hydrogen, Ci-Cio-alkyl, Ci-Cio-haloalkyl, C2-Cio-alkenyl, C2-Cio-haloalkenyl, C2- Cio-alkinyl, C3-Cio-cycloalkyl, C3-Cio-halocycloalkyl, C3-Cio-cycloalkenyl, C3-C10- halocycloalkenyl, tri-Ci-Cio-alkylsilyl;
R888 hydrogen, Ci-Cio-alkyl, Ci-Cio-haloalkyl, C2-Cio-alkenyl, C2-Cio-halogenalkenyl, C3-Cio-cycloalkyl;
R666, R777 and R888 are, if it is not indicated otherwise, independently from each other unsubstituted or substituted with one, two, three, four or five L1 , as defined above.
According to the present invention, the pure enantiomers or a mixture of enantiomers (racemic or enantiomerically enriched) of the compounds (l)-(5) can be used in the formulation. According to a preferred embodiment, the racemic mixture is used. For example, the following different stereoisomers of compounds (l)-(5), alone or in any combination, can be used in the formulation according to the present invention:
Stereoisomers of compound (l)-(5)-a) = Formula (l)-(5), wherein wherein R555 is 2,4- dichloro phenyl, R666, R777 and R888 = H, Q1 and Q2 together are CH2CH(CH3)CH2 and D is SH: l)-(5)-a1 ) 2-[(1 S,2S)-1 -[(2S)-3-(2,4-dichlorophenyl)-2-methyl-propyl]-2-hydroxy-3,3- dimethyl-butyl]-4H-1 ,2,4-triazole-3-thione
l)-(5)-a2) 2-[(1 S,2S)-1 -[(2R)-3-(2,4-dichlorophenyl)-2-methyl-propyl]-2-hydroxy-3,3- dimethyl-butyl]-4H-1 ,2,4-triazole-3-thione
l)-(5)-a3) 2-[(1 R,2R)-1 -[(2R)-3-(2,4-dichlorophenyl)-2-methyl-propyl]-2-hydroxy-3,3- dimethyl-butyl]-4H-1 ,2,4-triazole-3-thione
l)-(5)-a4) 2-[(1 R,2R)-1 -[(2S)-3-(2,4-dichlorophenyl)-2-methyl-propyl]-2-hydroxy-3,3- dimethyl-butyl]-4H-1 ,2,4-triazole-3-thione
l)-(5)-a5) 2-[(1 S,2R)-1 -[(2S)-3-(2,4-dichlorophenyl)-2-methyl-propyl]-2-hydroxy-3,3- dimethyl-butyl]-4H-1 ,2,4-triazole-3-thione
l)-(5)-a6) 2-[(1 S,2R)-1 -[(R)-3-(2,4-dichlorophenyl)-2-methyl-propyl]-2-hydroxy-3,3- dimethyl-butyl]-4H-1 ,2,4-triazole-3-thione
l)-(5)-a7) 2-[(1 R,2S)-1 -[(2R)-3-(2,4-dichlorophenyl)-2-methyl-propyl]-2-hydroxy-3,3- dimethyl-butyl]-4H-1 ,2,4-triazole-3-thione
(l)-(5)-a8) 2-[(1 R,2S)-1 -[(2S)-3-(2,4-dichlorophenyl)-2-methyl-propyl]-2-hydroxy-3,3- dimethyl-butyl]-4H-1 ,2,4-triazole-3-thione
According to one embodiment the isomers (l)-(5)-a1 ), (l)-(5)-a2), (l)-(5)-a3) and (l)-(5)- a4) in each case alone or as any combination, in particular as combination of both diastereomers (that are in each case enantiomeric pairs) in ratios of 5 : 1 to 1 : 5 or 4 : 1 to 1 : 4, in particular 2 : 1 to 1 : 2, in particular 1 : 1 , are present.
Stereoisomers of compound (l)-(5)-b) = Formula (l)-(5), wherein wherein R555 is 2,4- dichloro phenyl, R666, R777 and R888 = H , Q1 and Q2 together are CH2CH(CH3)CH2 and D is H:
(l)-(5)-b1 ) 2-[(1 S,2S)-1 -[(2S)-3-(2,4-dichlorophenyl)-2-methyl-propyl]-2-hydroxy-3,3- dimethyl-butyl]-4H-1 ,2,4-triazole
(l)-(5)-b2) 2-[(1 S,2S)-1 -[(2R)-3-(2,4-dichlorophenyl)-2-methyl-propyl]-2-hydroxy-3,3- dimethyl-butyl]-4H-1 ,2,4-triazole
(l)-(5)-b3) 2-[(1 R,2R)-1 -[(2R)-3-(2,4-dichlorophenyl)-2-methyl-propyl]-2-hydroxy-3,3- dimethyl-butyl]-4H-1 ,2,4-triazole
(l)-(5)-b4) 2-[(1 R,2R)-1 -[(2S)-3-(2,4-dichlorophenyl)-2-methyl-propyl]-2-hydroxy-3,3- dimethyl-butyl]-4H-1 ,2,4-triazole
(l)-(5)-b5) 2-[(1 S,2R)-1 -[(2S)-3-(2,4-dichlorophenyl)-2-methyl-propyl]-2-hydroxy-3,3- dimethyl-butyl]-4H-1 ,2,4-triazole
(l)-(5)-b6) 2-[(1 S,2R)-1 -[(R)-3-(2,4-dichlorophenyl)-2-methyl-propyl]-2-hydroxy-3,3- dimethyl-butyl]-4H-1 ,2,4-triazole
(l)-(5)-b7) 2-[(1 R,2S)-1 -[(2R)-3-(2,4-dichlorophenyl)-2-methyl-propyl]-2-hydroxy-3,3- dimethyl-butyl]-4H-1 ,2,4-triazole
(l)-(5)-b8) 2-[(1 R,2S)-1 -[(2S)-3-(2,4-dichlorophenyl)-2-methyl-propyl]-2-hydroxy-3,3- dimethyl-butyl]-4H-1 ,2,4-triazole For compounds (l)-(5) and their precursors (in particular precursors wherein the triazole group does not contain SH or a derivatized sulfur group) and the preparation of the same, see WO2010/029001 , WO2010/029002, WO 2010/029000, WO 2010/029003, WO2010/031721 , WO 2010/031847, WO 2010/031848, WO 2010/031842 and/or WO 2010/040718.
Essential for the suspension concentrate of the present invention is the presence of an organic or inorganic acid which has a pKa value of at least 1.2 (≥ 1 .2) (component (b)). It may be preferred, if the pKa value is from 1 .2 to 7.5, preferably from 1.2 to 5.0, in particular from 1 .2 to 3.0. Furthermore, it may be preferred if the pKa value of compo- nent (b) is at least 1 .8, more particularly at least 2.2, even more specifically at least 3.
It has been surprisingly found within the framework of the present invention that the presence of said acid leads to a considerable improvement of the storage stabilty of the formulation compared to corresponding formulations without this component. According to one embodiment of the present invention said acid (component (b)) is an organic acid. In particular, the organic acid is selected from propanoic acid, acetic acid, fumaric acid, salicylic acid, lactic acid, adipinic acid, glutaric acid, tartaric acid, L- ascorbinic acid, malonic acid, oxalic acid and citric acid. According to a further embodiment of the present invention said acid (component (b)) is an inorganic acid. In particular, the inorganic acid is selected from phosphoric acid.
According to one embodiment, component (b) is selected from L-ascorbinic acid, malonic acid, oxalic acid, citric acid and phosphoric acid.
The acid (component (b)) is in particular present in an amount of 0.001 to 15 weight %, more specifically 0.001 to 12 weight %. It may be preferred if the amount is 0.001 to 10 weight %, in particular 0.001 to 8 weight %, more particularly 0.001 to 5 weight %, more specifically 0.001 to 4 weight %, even more specifically 0.001 to 3 weight %. It may be further preferred if the amount is 0.01 to 15 weight %, more specifically 0.01 to 12 weight %. It may be also preferred if the amount is 0.01 to 10 weight %, more particularly 0.01 to 8 weight %, specifically 0.01 to 5 weight %, more specifically 0.01 to 4 weight %, even more specifically 0.01 to 3 weight %. It may be also preferred if the acid is present in an amount of 0.1 to 15 weight %, more specifically 0.1 to 12 weight %. It may be further preferred if the amount is 0.1 to 10 weight %, in particular 0.1 to 8 weight %, more particularly 0.1 to 5 weight %, specifically 0.1 to 4 weight %, even more specifically 0.1 to 3 weight %. It may also be suitable in some cases if the acid is present in an amount of 1 to 15 weight %, in particular 1 to 12 weight %. It may be further suitable if the amount is 1 to 10 weight %, in particular 1 to 8 weight %, specifically 1 to 5 weight %, more specifically 1 to 4 weight %, even more specifically 1 to 3 weight %, even more specifically 1 to 2 weight %. Furthermore, it may also be suitable if component (b) is present in an amount of 0.001 to 5 weight %.
It may be preferred if the inventive aqueous suspension concentrate shows a certain pH value, in particular less than 6.5, in particular pH 2 to 6, more particularly 2 to 5, even more particularly 2 to 3.
The suspension concentrate of the present invention contains, as component (c) a su- face-active substance. The amount of the surface-active substance according to com- ponent (c) will generally be from 0.5 to 30% by weight, in particular from 0.5 to 25% by weight, more particularly from 2 to 25% by weight, even more specifcally from 4 to 25%
by weight. It may be preferred if the amount of component (c) will generally be from 1 to 25% by weight and particularly preferably from 5 to 20% by weight.
Suitable surface-active substances (adjuvants, wetters, stickers, dispersants or emulsi- fiers) are the alkali metal, alkaline earth metal and ammonium salts of aromatic sulfonic acids, for example of ligno- (Borresperse® types, such as Borresperse® Na (sodium ligninsulfonate), Borregaard, Norway), phenol-, naphthalene- (such as condensed naphthalene sulfonic acid salts (in particular Na-salt), in particular Morwet® types, such as Morwet® D 425, Akzo Nobel, USA) and dibutylnaphthalenesulfonic acid (Nekal® types, BASF SE, Germany), and of fatty acids, alkyl- and alkylarylsulfonates, alkyl sulfates, lauryl ether sulfates and fatty alcohol sulfates, and salts of sulfated hexa-, hepta- and octadecanols and of fatty alcohol glycol ethers, condensates of sulfonated naphthalene and its derivatives with formaldehyde, condensates of naphthalene or of the naphthalenesulfonic acids with phenol and formaldehyde, polyoxyethylene octylphenol ether, ethoxylated isooctyl-, octyl- or nonylphenol, alkylphenyl polyglycol ethers, tribu- tylphenyl polyglycol ethers, alkylaryl polyether alcohols, isotridecyl alcohol, fatty alco- hol/ethylene oxide condensates, ethoxylated castor oil, polyoxyethylene alkyl ethers or polyoxypropylene alkyl ethers, lauryl alcohol polyglycol ether acetate, sorbitol esters, lignin-sulfite waste liquors, and proteins, denatured proteins, polysaccharides (for ex- ample methylcellulose), hydrophobe-modified starches, polyvinyl alcohol (Mowiol® types, Clariant, Switzerland), polycarboxylates (Sokalan® types, BASF SE, Germany), polyalkoxylates, polyvinylamine (Lupamin® types, BASF SE, Germany), polyethyle- neimine (Lupasol® types, BASF SE, Germany), polyvinylpyrrolidone, and their copolymers.
Component (c) is in particular a surfactant, wherein suitable surfactants according to the present invention are selected from anionic, cationic, nonionic and amphoteric surfactants, block polymers, polyelectrolytes and protective colloids. Suitable anionic surfactants are alkali, alkaline earth or ammonium salts of sulfonates, sulfates, phosphates or carboxylates. Examples of sulfonates are alkylarylsulfonates, diphenylsulfonates, alpha-olefin sulfonates, sulfonates of fatty acids and oils, sulfonates of ethoxylated alkylphenols, sulfonates of condensed naphthalenes, sulfonates of dodecyl- and tridecylbenzenes, sulfonates of naphthalenes and alkylnaphthalenes, sulfosuccinates or sulfosuccinamates. Examples of sulfates are sulfates of fatty acids and oils, of alkoxylated, in particular ethoxylated, alkylphenols (e.g. tristyrylphenols, for example Soprophor® 4D384, Rhodia), of alcohols, of ethoxylated alcohols, or of fatty acid esters. Examples of phosphates are phosphate esters. Examples of carboxylates are alkyl carboxylates and carboxylated alcohol or alkylphenol ethoxylates.
Examples of suitable cationic surfactants are quaternary surfactants, for example quaternary ammonium compounds with one or two hydrophobic groups, or salts of long- chain primary amines. Suitable nonionic surfactants are alkoxylates, N-alkylated fatty acid amides, amine oxides, esters or sugar-based surfactants. Examples of alkoxylates are compounds such as alcohols, alkylphenols, amines, amides, arylphenols, fatty acids or fatty acid esters which have been alkoxylated. Ethylene oxide and/or propylene oxide may be employed for the alkoxylation, preferably ethylene oxide. Examples of N-alkylated fatty acid am- ides are fatty acid glucamides or fatty acid alkanolamides. Examples of esters are fatty acid esters, glycerol esters or monoglycerides. Examples of sugar-based surfactants are sorbitans, ethoxylated sorbitans, sucrose and glucose esters or alkylpolygluco- sides. Suitable amphoteric surfactants are alkylbetains and imidazolines.
Suitable block polymers are block polymers of the A-B or A-B-A type comprising blocks of polyethylene oxide and polypropylene oxide or of the A-B-C type comprising alkanol, polyethylene oxide and polypropylene oxide (such as, for example Emulsogen 3510 (butyldiglycol polyethylene/polypropylene glycol ether), Clariant GmbH, or Atlas G 5000 (butyldiglycol polyethylene/polypropylene glycol ether), Croda).
Suitable polyelectrolytes are polyacids or polybases. Examples of polyacids are alkali salts of polyacrylic acid. Examples of polybases are polyvinylamines or polyethyl- eneamines
Suitable surfactants are also protective colloids. Protective colloids are typically water soluble, amphiphilic polymers. Examples include proteins und denatured proteins such as casein, polysaccharides such as water soluble starch derivatives and cellulose de- rivatives, in particular hydrophobic modified starches and celluloses, furthermore poly- carboxylates such as polyacrylic acid (polyacrylates), acrylic acid or methacrylic acid copolymers (such as for example acrylic graft copolymers such as Tersperse 2500, Huntsman) or maleic acid copolymers such as acrylic acid/olefin copolymers, acrylic acid, styrene copolymers, maleic anhydride/olefin copolymers (for example Sokalan® CP9, BASF SE) and the esterification products of said copolymers with polyethylene glycols, polyvinylalcohol, polyvinylpyrrolidone, vinylpyrrolidone copolymers, polyvinyl- amines, polyethylenimines and polyalkylene ethers. Specifically suitale protective colloids are polyvinylalcohols as e.g. available from Kuraray under the brand name Mowiol ®.
Preferred suface-active compounds as component (c) are nonionic surfactants, in particular alkanol alkoxylates and ethylene oxide/propylene oxide block polymers, in par-
ticular alkanol alkoxylates. Furthermore, mixtures of the abovementioned lipophilic surfactants are preferred.
Preferred alkanol alkoxylates are those of the formula (A)
Rx-0-(AO)m-R1x formula (A), in which
Rx is straight-chain or branched alkyl or alkylene with from 4 to 32, preferably from
10 to 22, carbon atoms,
AO is an ethylene oxide radical, propylene oxide radical, butylene oxide radical, pen- tylene oxide radical, styrene oxide radical or mixtures of the abovementioned radicals in random or block sequence,
m is numbers from 1 to 30 and
R1x is hydrogen or alkyl with from 1 to 4 carbon atoms.
Particularly preferred alkanol alkoxylates are those of the formula (B)
Rxx-0-(EO)p-(PO)q-R1xx formula (B), in which
Rxx is straight-chain or branched alkyl or alkylene with from 4 to 32, preferably from 10 to 22, particularly preferably from 6 to 18, carbon atoms,
PO is -CH2-CH(CH3)-0- or -(CH2)3-0-,
p is numbers from 0 to 20, preferably from 3 to 10, in particular from 4 to 8, q is numbers from 1 to 25, preferably from 4 to 15, and
R1xx is hydrogen or alkyl with from 1 to 4 carbon atoms,
in which the EO and PO units can occur in random sequence or as blocks. In an additional embodiment, with the alkanol alkoxylate of the formula (B),
Rxx is straight-chain or branched alkyl or alkylene with from 4 to 32, preferably from 6 to 22, particularly preferably from 10 to 18, carbon atoms,
q is numbers from 1 to 25, preferably from 3 to 15,
and the other radicals as described above for the formula (B).
An additional particularly preferred embodiment are alkanol alkoxylates of the formula (C)
F xxx-0-(EO)p-(BO)q-R1xxx formula (C), in which
Rxxx is straight-chain or branched alkyl or alkylene with from 4 to 32, preferably from 7 to 18, carbon atoms,
BO is -C4H8O-, which can be linear or branched,
p is numbers from 1 to 25, preferably from 3 to 12, in particular from 4 to 7, q is numbers from 1 to 25, preferably from 1 to 15, in particular from 1 to 7, and R1xxx is hydrogen or alkyl with from 1 to 4 carbon atoms,
in which the EO and BO units can occur in random sequence or as blocks.
An additional particularly preferred embodiment are alkanol alkoxylates of the formula xxxx-0-(EO)p- xxxx formula (D), in which
RXXXX jS straight-chain or branched alkyl or alkylene with from 4 to 32, preferably from
10 to 15, carbon atoms,
p is numbers from 1 to 10, preferably from 1 to 3,
Rixxxx jS hydrogen or alkyl with from 1 to 4 carbon atoms. Specific examples for suitable surface-active compounds as component (c) are Plu- rafac® LF 1300, Lutensol® 7015, Lutensol® TO 15 (isotridencanol polyethyleneglycole ether), Plurafac® LF 500 and/or Plurafac® LF 300 (BASF SE).
Further specific examples for suitable surface-active compounds as component (c) are Pluronic® PE 10500 (BASF SE), Emulsogen® 1816 (Clariant) Emulsogen® 3510 (Clariant), Pluriol WSB 125 (BASF SE) and/or Wettol D1 (BASF SE).
Further specific examples for suitable surface-active compounds as component (c) are fatty alcohol alkoxylates such as Plurafac® LF 120 (BASF SE), Plurafac® LF221 (BASF SE) and/or Lutensol® ON 30 (BASF SE). Further specific examples for suitable surface active compounds as component (c) are polyhydroxy stearic acid esters with polyethylenglycols like Tersperse® 2510 (Huntsman) or Atlox® 4912 (Croda).
The inventive suspension concentrate is an aqueous suspension concentrates, com- prisning water (herein also referred to as component (d)). Water is preferably present in an amount of from 20 to 80% by weight, preferably 20 to 50% by weight, more preferably from 30 to 50% by weight.
According to one embodiment, the present invention relates to an aqueous suspension concentrate, comprising the components in the following weight %:
(a) 0.1 to 70 weight %;
(b) 0.001 to 15 weight %, in particular 0.001 to 12 weight %, more specifically 0.001 to 10 weight %, even more specifically 0.001 to 5 weight %;
(c) 0.5 to 30 weight %, in particular 0.5 to 25 weight %; and
(d) 20 to 80 weight % water.
The suspension concentrate of the present invention may comprise one or more further formulation auxiliaries, wherein the choice of the auxiliary/auxiliaries usually depends
on the specific use form of the suspension concentrate. These further formulation auxiliaries may be present in an amount of from 0 to 80% by weight, in particular 0 to 60% by weight, more particularly from 0 to 40% by weight, even more specifically from 0 to 20% by weight. In some cases it can be preferred if such further formulation auxiliaries are present in an amount of 5 to 75% by weight, 10 to 65% by weight, 15 to 55% by weight or 20 to 45% by weight.
Such further formulation auxiliaries can be selected from the surface-active substances (such as dispersants, emulsifiers, surfactants, solubilizers, protective colloids, wetters and stickers) as defined or preferably defined above for component (c); solvents; solid carriers; antifoams; preservatives; antifreeze agents; organic thickeners; inorganic thickeners; bactericides; colorants; antioxidants; retention enhancers (e.g. Lutensol® ON 60); penetration enhancers; tackifiers or binders (for example for the treatment of seeds) and/or oils.
The amount of optional further surface-active substances selected from the ones as defined or preferably defined above for component (c) may be from 0 to 20% by weight, in particular from 0.5 to 20% by weight, more particularly from 1 to 15% by weight and specifically from 5 to 15% by weight.
Suitable solvents are water, organic solvents such as mineral oil fractions of medium to high boiling point, such as kerosene or diesel oil, furthermore coal tar oils and oils of vegetable or animal origin, aliphatic, cyclic and aromatic hydrocarbons, e. g. toluene, xylene, paraffin, tetrahydronaphthalene, alkylated naphthalenes or their derivatives, alcohols such as methanol, ethanol, propanol, butanol and cyclohexanol, glycols, ketones such as cyclohexanone and gamma-butyrolactone, fatty acid dimethylamides, fatty acids and fatty acid esters and strongly polar solvents, e. g. amines such as N- methylpyrrolidone. A specific example for suitable solvents are heavy aromatic solvent mixtures such as for example Solvesso® 200 ND, Exxon mobile. The solvent content, in particular the content of aromatic hydrocarbons, minus any antifreeze agents, is generally in the range of from 0 to 30% by weight, in particular 0 to 20% by weight and more particularly from 0 to 15% by weight of the suspension concentrate.
Suitable solid carriers are, in principle, all solid substances usually used in crop protec- tion compositions, in particular in fungicides. Solid carriers are, for example, mineral earths, such as silica gels, silicates, talc, kaolin, attaclay, limestone, lime, chalk, bole, loess, clay, dolomite, diatomaceous earth, calcium sulfate and magnesium sulfate, magnesium oxide, ground synthetic materials, fertilizers, such as, for example, ammonium sulfate, ammonium phosphate, ammonium nitrate, ureas and products of vegeta- ble origin, such as cereal meal, tree bark meal, wood meal and nutshell meal, cellulose powders and other solid carriers. The amount of filler is preferably chosen that the total amount of filler does not exceed 75% by weight, based on the total weight of all non-
volatile components of the formulation. Commonly, the amount of filler may range from 0 to 50% by weight, more specifically from 1 to 50% by weight, in particular from 5 to 50% by weight, more particularly from 10 to 30 % by weight, based on the total weight of all non-volatile components of the formulation.
Stickers are all customary binders which can be employed in dressing products. Examples of suitable binders comprise thermoplastic polymers such as polyvinylpyrrolidone, polyvinyl acetate, polyvinyl alcohol and tylose, furthermore polyacrylates, polyme- thacrylates, polybutenes, polyisobutenes, polystyrene, polyethylenamines,
polyethylenamides, the aforementioned protective colloids, polyesters, polyetheresters, polyanhydrides, polyesterurethanes, polyesteramides, thermoplastic polysaccharides, e.g. cellulose derivates such as celluloseesters, celluloseethers, celluloseetheresters including methylcellulose, ethylcellullose, hydroxymethylcellulose,
carboxymethylcellulose, hydroxypropylcellulose and starch derivatives and modified starches, dextrines, maltodextrines, alginates and chitosanes, moreover fats, oils, proteins, including casein, gelatin and zeins, gum arabics, shellacs. Preferred stickers are biocompatible, i.e. they do not have a noticable phytotoxic activity. Preferably the stickers are biodegradable. Preferably the sticker is chosen that it acts as a matrix for the active ingredients of the formulation. The amount of stickers will usually not exceed 40% by weight of the formulation and preferably ranges, if present, from 1 to 40% by weight, and in particular in the range from 1 to 30% by weight, more particularly from 1 to 20 % by weight, even more particularly from 1 to 10 % by weight, based on the total weight of the formulation.
Antifoams suitable for the SCs according to the invention are, for example, silicone emulsions known for this purpose (Wacker SRE-PFL, Silikon® SRE, from Wacker
Chemie, Germany or Rhodorsil®from Rhodia, France), long-chain alcohols, fatty acids, salts of fatty acids, defoamers of the type of aqueous wax dispersions, solid defoamers (so-called compounds), organofluorine compounds and mixtures thereof. The amount of antifoam agent, if present, may typically be from 0.1 to 1 % by weight, in particular from 0.1 to 0.8% by weight, more particularly from 0.1 to 0.5% by weight, based on the total weight of the SC.
Preservatives may be added for stabilizing the suspension concentrates according to the invention. Suitable preservatives are those based on isothiazolones, for example Proxel® from ICI or Acticide® RS from Thor Chemie GmbH or Kathon® MK from Rohm & Haas. The amount of bactericides, if present, may typically be from 0.05 to 0.5% by weight, in particular from 0.1 to 0.4 % by weight, more particularly from 0.1 to 0.2 % by weight. Suitable antifreeze agents are liquid polyols, for example ethylene glycol, propylene glycol or glycerol. The amount of antifreeze agents, if present, may generally be from 1
to 20% by weight, in particular from 3 to 15% by weight, in particular from 5 to 10 % by weight, based on the total weight of the suspension concentrate.
Examples for thickeners (i. e. compounds that impart a modified flowability to composi- tions, i. e. high viscosity under static conditions and low viscosity during agitation) are polysaccharides and organic and anorganic clays such as Xanthan gum (Kelzan®, CP Kelco, U.S.A.), Rhodopol® 23 (Rhodia, France), Veegum® (R.T. Vanderbilt, U.S.A.) or Attaclay® (Engelhard Corp., NJ, USA). The amount, if present, may typically be from 0.05 to 1 % by weight, more particularly from 0.1 to 0.8% by weight, specifically from 0.1 to- 0.5% by weight.
Bactericides may be added for preservation and stabilization of the composition. Examples for suitable bactericides are those based on dichlorophene and benzylalcohol hemi formal (Proxel® from ICI or Acticide® RS from Thor Chemie GmbH and Kathon® MK from Rohm & Haas) and isothiazolinone derivatives such as alkylisothiazolinones and benzisothiazolinones (Acticide® MBS from Thor Chemie GmbH (MIT/BIT (methyli- sothiazolinon/benzylisothiazolinon mixture ). The amount, if present, may typically be from 0.1 to 0.5% by weight, in particular from 0.2 to 0.5% by weight, more specifically from 0.2 to 0.4% by weight.
Suitable colorants are pigments of low water solubility and water-soluble dyes. Examples to be mentioned und the designations rhodamin B, C. I. pigment red 1 12, C. I. solvent red 1 , pigment blue 15:4, pigment blue 15:3, pigment blue 15:2, pigment blue 15:1 , pigment blue 80, pigment yellow 1 , pigment yellow 13, pigment red 1 12, pigment red 48:2, pigment red 48:1 , pigment red 57:1 , pigment red 53:1 , pigment orange 43, pigment orange 34, pigment orange 5, pigment green 36, pigment green 7, pigment white 6, pigment brown 25, basic violet 10, basic violet 49, acid red 51 , acid red 52, acid red 14, acid blue 9, acid yellow 23, basic red 10, basic red 108. The amount of colorants will usually not exceed 20% by weight of the formulation and, if present, pref- erably ranges from 0.1 to 15% by weight.
Antioxidants are all substances which can be used for said purpose in agrochemical compositions, for example butylated hydroxytoluene. The amount, if present, may typically be from 0.1 to 2% by weight, in particular from 0.5 to 1 % by weight.
Examples for tackifiers or binders are polyvinylpyrrolidons, polyvinylacetates, polyvinyl alcohols and cellulose ethers (Tylose®, Shin-Etsu, Japan).
Compounds which are suitable as oils are, for example, aliphatic compounds, aromatic compounds, waxes, vegetable oils, esters of vegetable oils, silicone oils, aliphatic C6-C18 alcohols, fatty acid esters with from 8 to 40 carbon atoms in the acid portion and
from 1 to 20 carbon atoms in the alcohol portion, preferably ethylhexyl laurate, or dial- kyl esters of the formula (E)
Ry-0(0)R3(0)0-R4y formula (E), in which
Ry and R4y, are, independently of one another, an alkyl or alkylene with from 1 to 32, preferably from 2 to 26, especially from 4 to 22, carbon atoms,
0(0)R3(0)0 is a dicarboxyl radical in which R3 comprises at least 3, preferably from 4 to 8, carbon atoms. Preferred dialkyl esters are dibutyl succinate, dibutyl adipate and dibutyl phthalate. M ixtures of the abovementioned oils are also suitable. The amount, if present, may typically be from 0.1 to 25% by weight, in particular from 1 to 20%, more specifically from 5 to 15% by weight.
The suspension concentrates according to the invention may also comprise other active substances, e. g. herbicides, insecticides, growth regulators, fungicides or fertilizers.
Mixing the pesticidal active compound of component (a) or the compositions comprising said component (a) in the use form as fungicides with other fungicides results in many cases in an expansion of the fungicidal spectrum of activity being obtained or in a prevention of fungicide resistance development. Furthermore, in many cases, synergistic effects are obtained.
The following list of active substances, which can be added to the suspension concentrates of the present invention, is intended to illustrate the possible combinations but does not limit them:
A) Respiration inhibitors
- Inhibitors of complex II I at Q0 site (e.g. strobilurins): azoxystrobin, coumethoxy- strobin, coumoxystrobin, dimoxystrobin, enestroburin, fenaminstrobin, fenoxy- strobin/flufenoxystrobin, fluoxastrobin, kresoxim-methyl, metominostrobin, orysas- trobin, picoxystrobin, pyraclostrobin, pyrametostrobin, pyraoxystrobin, triflox- ystrobin, 2-[2-(2,5-dimethyl-phenoxymethyl)-phenyl]-3-methoxy-acrylic acid methyl ester and 2-(2-(3-(2,6-dichlorophenyl)-1 -methyl-allylideneaminooxymethyl)-phenyl)- 2-methoxyimino-N-methyl-acetamide, pyribencarb, triclopyricarb/chlorodincarb, fa- moxadone, fenamidone;
- inhibitors of complex I I I at Q, site: cyazofamid, amisulbrom;
- inhibitors of complex I I (e. g. carboxamides): benodanil, bixafen, boscalid, carboxin, fenfuram, fluopyram, flutolanil, fluxapyroxad, furametpyr, isopyrazam, mepronil, ox- ycarboxin, penflufen, penthiopyrad, sedaxane, tecloftalam, thifluzamide, N-(4'- trifluoromethylthiobiphenyl-2-yl)-3-difluoromethyl-1 -methyl-1 H-pyrazole-4- carboxamide and N-(2-(1 ,3,3-trimethyl-butyl)-phenyl)-1 ,3-dimethyl-5-fluoro-1 H- pyrazole-4-carboxamide;
- other respiration inhibitors (e.g. complex I , uncouplers): diflumetorim; nitrophenyl derivates: binapacryl, dinobuton, dinocap, fluazinam; ferimzone; organometal compounds: fentin salts, such as fentin-acetate, fentin chloride or fentin hydroxide; ame- toctradin; and silthiofam;
B) Sterol biosynthesis inhibitors (SBI fungicides)
- C14 demethylase inhibitors (DM I fungicides): triazoles: azaconazole, bitertanol, bromuconazole, cyproconazole, difenoconazole, diniconazole, diniconazole-M, ep- oxiconazole, fenbuconazole, fluquinconazole, flusilazole, flutriafol, hexaconazole, imibenconazole, ipconazole, metconazole, myclobutanil, oxpoconazole, paclobutra- zole, penconazole, propiconazole, prothioconazole, simeconazole, tebuconazole, tetraconazole, triadimefon, triadimenol, triticonazole, uniconazole; imidazoles: ima- zalil, pefurazoate, prochloraz, triflumizol; pyrimidines, pyridines and piperazines: fenarimol, nuarimol, pyrifenox, triforine;
- Delta14-reductase inhibitors: aldimorph, dodemorph, dodemorph-acetate, fen- propimorph, tridemorph, fenpropidin, piperalin, spiroxamine;
- Inhibitors of 3-keto reductase: fenhexamid;
C) Nucleic acid synthesis inhibitors
- phenylamides or acyl amino acid fungicides: benalaxyl, benalaxyl-M, kiralaxyl, met- alaxyl, metalaxyl-M (mefenoxam), ofurace, oxadixyl;
- others: hymexazole, octhilinone, oxolinic acid, bupirimate;
D) Inhibitors of cell division and cytoskeleton
- tubulin inhibitors, such as benzimidazoles, thiophanates: benomyl, carbendazim, fuberidazole, thiabendazole, thiophanate-methyl; triazolopyrimidines: 5-chloro- 7-(4-methylpiperidin-1 -yl)-6-(2,4,6-trifluorophenyl)-[1 ,2,4]triazolo[1 ,5-a]pyrimidine
- other cell division inhibitors: diethofencarb, ethaboxam, pencycuron, fluopicolide, zoxamide, metrafenone, pyriofenone;
E) Inhibitors of amino acid and protein synthesis
- methionine synthesis inhibitors (anilino-pyrimidines): cyprodinil, mepanipyrim, py- rimethanil;
- protein synthesis inhibitors: blasticidin-S, kasugamycin, kasugamycin hydrochloride- hydrate, mildiomycin, streptomycin, oxytetracyclin, polyoxine, validamycin A;
F) Signal transduction inhibitors
- MAP / histidine kinase inhibitors: fluoroimid, iprodione, procymidone, vinclozolin, fenpiclonil, fludioxonil;
- G protein inhibitors: quinoxyfen;
G) Lipid and membrane synthesis inhibitors
- Phospholipid biosynthesis inhibitors: edifenphos, iprobenfos, pyrazophos, iso- prothiolane;
- lipid peroxidation: dicloran, quintozene, tecnazene, tolclofos-methyl, biphenyl,
chloroneb, etridiazole;
- phospholipid biosynthesis and cell wall deposition: dimethomorph, flumorph, man- dipropamid, pyrimorph, benthiavalicarb, iprovalicarb, valifenalate and N-(1 -(1 -(4- cyano-phenyl)ethanesulfonyl)-but-2-yl) carbamic acid-(4-fluorophenyl) ester;
- compounds affecting cell membrane permeability and fatty acides: propamocarb, propamocarb-hydrochlorid
H) Inhibitors with Multi Site Action
- inorganic active substances: Bordeaux mixture, copper acetate, copper hydroxide, copper oxychloride, basic copper sulfate, sulfur;
- thio- and dithiocarbamates: ferbam, mancozeb, maneb, metam, metiram, propineb, thiram, zineb, ziram;
- organochlorine compounds (e.g. phthalimides, sulfamides, chloronitriles): anilazine, chlorothalonil, captafol, captan, folpet, dichlofluanid, dichlorophen, flusulfamide, hexachlorobenzene, pentachlorphenole and its salts, phthalide, tolylfluanid, N-(4- chloro-2-nitro-phenyl)-N-ethyl-4-methyl-benzenesulfonamide;
- guanidines and others: guanidine, dodine, dodine free base, guazatine, guazatine- acetate, iminoctadine, iminoctadine-triacetate, iminoctadine-tris(albesilate), di- thianon;
I) Cell wall synthesis inhibitors
- inhibitors of glucan synthesis: validamycin, polyoxin B; melanin synthesis inhibitors: pyroquilon, tricyclazole, carpropamid, dicyclomet, fenoxanil;
J) Plant defence inducers
- acibenzolar-S-methyl, probenazole, isotianil, tiadinil, prohexadione-calcium; phos- phonates: fosetyl, fosetyl-aluminum, phosphorous acid and its salts;
K) Unknown mode of action
- bronopol, chinomethionat, cyflufenamid, cymoxanil, dazomet, debacarb, diclo- mezine, difenzoquat, difenzoquat-methylsulfate, diphenylamin, fenpyrazamine, flu- metover, flusulfamide, flutianil, methasulfocarb, nitrapyrin, nitrothal-isopropyl, oxin- copper, proquinazid, tebufloquin, tecloftalam, triazoxide, 2-butoxy-6-iodo- 3-propylchromen-4-one, N-(cyclopropylmethoxyimino-(6-difluoro-methoxy-2,3-di- fluoro-phenyl)-methyl)-2-phenyl acetamide, N'-(4-(4-chloro-3-trifluoromethyl-phen- oxy)-2,5-dimethyl-phenyl)-N-ethyl-N-methyl formamidine, N'-(4-(4-fluoro-3-trifluoro- methyl-phenoxy)-2,5-dimethyl-phenyl)-N-ethyl-N-methyl formamidine, N'-(2-methyl- 5-trifluoromethyl-4-(3-trimethylsilanyl-propoxy)-phenyl)-N-ethyl-N-methyl formamidine, N'-(5-difluoromethyl-2-methyl-4-(3-trimethylsilanyl-propoxy)-phenyl)-N-ethyl- N-methyl formamidine, 2-{1 -[2-(5-methyl-3-trifluoromethyl-pyrazole-1 -yl)-acetyl]- piperidin-4-yl}-thiazole-4-carboxylic acid methyl-(1 ,2,3,4-tetrahydro-naphthalen-
1 -yl)-amide, 2-{1 -[2-(5-methyl-3-trifluoromethyl-pyrazole-1 -yl)-acetyl]-piperidin-4-yl}- thiazole-4-carboxylic acid methyl-(R)-1 ,2,3,4-tetrahydro-naphthalen-1 -yl-amide, methoxy-acetic acid 6-tert-butyl-8-fluoro-2,3-dimethyl-quinolin-4-yl ester, /V-Methyl- 2-{1 -[(5-methyl-3-trifluoromethyl-1 H-pyrazol-1 -yl)-acetyl]-piperidin-4-yl}- Λ/-[(1 R)-1 ,2,3,4-tetrahydronaphthalen-1 -yl]-4-thiazolecarboxamide, 3-[5-(4-methyl- phenyl)-2,3-dimethyl-isoxazolidin-3-yl]-pyridine, 3-[5-(4-chloro-phenyl)-2,3-dimethyl- isoxazolidin-3-yl]-pyridine (pyrisoxazole), N-(6-methoxy-pyridin-3-yl) cyclopropane- carboxylic acid amide, 5-chloro-1 -(4,6-dimethoxy-pyrimidin-2-yl)-2-methyl-1 H-ben- zoimidazole, 2-(4-chloro-phenyl)-N-[4-(3,4-dimethoxy-phenyl)-isoxazol-5-yl]-2-prop- 2-ynyloxy-acetamide;
L) Antifungal biocontrol agents, plant bioactivators: Ampelomyces quisqualis (e.g. AQ 10® from Intrachem Bio GmbH & Co. KG, Germany), Aspergillus flavus (e.g. AFLA-
GUARD® from Syngenta, CH), Aureobasidium pullulans (e.g. BOTECTOR® from bio-ferm GmbH, Germany), Bacillus pumilus (e.g. NRRL Accession No. B-30087 in SONATA® and BALLAD® Plus from AgraQuest Inc., USA), Bacillus subtilis (e.g. isolate NRRL-Nr. B-21661 in RHAPSODY®, SERENADE® MAX and SERENADE® ASO from AgraQuest Inc., USA), Bacillus subtilis var. amyloliquefaciens FZB24 (e.g. TAEGRO® from Novozyme Biologicals, Inc., USA), Candida oleophila I-82 (e.g. ASPIRE® from Ecogen Inc., USA), Candida saitoana (e.g. BIOCURE® (in mixture with lysozyme) and BIOCOAT® from Micro Flo Company, USA (BASF SE) and Arysta), Chitosan (e.g. ARMOUR-ZEN from BotriZen Ltd., NZ), Clonostachys rosea f. catenulata, also named Gliocladium catenulatum (e.g. isolate J 1446: PRESTOP® from Verdera, Finland), Coniothyrium minitans (e.g. CONTANS® from Prophyta, Germany), Cryphonectria parasitica (e.g. Endothia parasitica from CNICM, France), Cryptococcus albidus (e.g. YIELD PLUS® from Anchor Bio-Technologies, South Africa), Fusarium oxysporum (e.g. BIOFOX® from S.I.A.P.A., Italy, FUSACLEAN® from Natural Plant Protection, France), Metschnikowia fructicola (e.g. SHEMER® from Agrogreen, Israel), Microdochium dimerum (e.g. ANTIBOT® from Agrauxine, France), Phlebiopsis gigantea (e.g. ROTSOP® from Verdera, Finland), Pseudozyma flocculosa (e.g. SPORODEX® from Plant Products Co. Ltd., Canada), Pythium oli- gandrum DV74 (e.g. POLYVERSUM® from Remeslo SSRO, Biopreparaty, Czech Rep.), Reynoutria sachlinensis (e.g. REGALIA® from Marrone Biolnnovations, USA), Talaromyces flavus V1 17b (e.g. PROTUS® from Prophyta, Germany), Trichoderma asperellum SKT-1 (e.g. ECO-HOPE® from Kumiai Chemical Industry Co., Ltd., Japan), T. atroviride LC52 (e.g. SENTINEL® from Agrimm Technologies Ltd, NZ), T. harzianum T-22 (e.g. PLANTSHIELD® der Firma BioWorks Inc., USA), T. harzianum TH 35 (e.g. ROOT PRO® from Mycontrol Ltd., Israel), T. harzianum T- 39 (e.g. TRICHODEX® and TRICHODERMA 2000® from Mycontrol Ltd., Israel and Makhteshim Ltd., Israel), T. harzianum and T. viride (e.g. TRICHOPEL from Agrimm Technologies Ltd, NZ), T. harzianum ICC012 and T. viride ICC080 (e.g.
REM EDI ER® WP from Isagro Ricerca, Italy), T. polysporum and T. harzianum (e.g. BINAB® from BINAB Bio-Innovation AB, Sweden), T. stromaticum (e.g. TRICOVAB® from C.E.P.L.A.C., Brazil), T. virens GL-21 (e.g. SOILGARD® from Certis LLC, USA), T. viride (e.g. TRIECO® from Ecosense Labs. (India) Pvt. Ltd., Indien, BIOCURE® F from T. Stanes & Co. Ltd., Indien), T. viride TV1 (e.g. T. viride TV1 from Agribiotec srl, Italy), Ulocladium oudemansii (e.g. BOTRY-ZEN® from Botry- Zen Ltd, NZ);
M) Growth regulators
abscisic acid, amidochlor, ancymidol, 6-benzylaminopurine, brassinolide, butralin, chlormequat (chlormequat chloride), choline chloride, cyclanilide, daminozide, dike- gulac, dimethipin, 2,6-dimethylpuridine, ethephon, flumetralin, flurprimidol, fluthiacet, forchlorfenuron, gibberellic acid, inabenfide, indole-3-acetic acid , maleic hydrazide, mefluidide, mepiquat (mepiquat chloride), naphthaleneacetic acid, N-6-benzyladenine, paclobutrazol, prohexadione (prohexadione-calcium), prohydrojasmon, thidiazuron,
triapenthenol, tributyl phosphorotrithioate, 2,3,5-tri-iodobenzoic acid , trinexapac-ethyl and uniconazole;
N) Herbicides
- acetamides: acetochlor, alachlor, butachlor, dimethachlor, dimethenamid, flufena- cet, mefenacet, metolachlor, metazachlor, napropamide, naproanilide, pethoxamid, pretilachlor, propachlor, thenylchlor;
- amino acid derivatives: bilanafos, glyphosate, glufosinate, sulfosate;
- aryloxyphenoxypropionates: clodinafop, cyhalofop-butyl, fenoxaprop, fluazifop, ha- loxyfop, metamifop, propaquizafop, quizalofop, quizalofop-P-tefuryl;
- Bipyridyls: diquat, paraquat;
- (thio)carbamates: asulam, butylate, carbetamide, desmedipham, dimepiperate, ep- tam (EPTC), esprocarb, molinate, orbencarb, phenmedipham, prosulfocarb, pyribu- ticarb, thiobencarb, triallate;
- cyclohexanediones: butroxydim, clethodim, cycloxydim, profoxydim, sethoxydim, tepraloxydim, tralkoxydim;
- dinitroanilines: benfluralin, ethalfluralin, oryzalin, pendimethalin, prodiamine, triflu- ralin;
- diphenyl ethers: acifluorfen, aclonifen, bifenox, diclofop, ethoxyfen, fomesafen, lac- tofen, oxyfluorfen;
- hydroxybenzonitriles: bomoxynil, dichlobenil, ioxynil;
- imidazolinones: imazamethabenz, imazamox, imazapic, imazapyr, imazaquin, ima- zethapyr;
- phenoxy acetic acids: clomeprop, 2,4-dichlorophenoxyacetic acid (2,4-D), 2,4-DB, dichlorprop, MCPA, MCPA-thioethyl, MCPB, Mecoprop;
- pyrazines: chloridazon, flufenpyr-ethyl, fluthiacet, norflurazon, pyridate;
- pyridines: aminopyralid, clopyralid, diflufenican, dithiopyr, fluridone, fluroxypyr, pi- cloram, picolinafen, thiazopyr;
- sulfonyl ureas: amidosulfuron, azimsulfuron, bensulfuron, chlorimuron-ethyl, chlor- sulfuron, cinosulfuron, cyclosulfamuron, ethoxysulfuron, flazasulfuron, flucetosulfu- ron, flupyrsulfuron, foramsulfuron, halosulfuron, imazosulfuron, iodosulfuron, meso- sulfuron, metazosulfuron, metsulfuron-methyl, nicosulfuron, oxasulfuron, primisulfu- ron, prosulfuron, pyrazosulfuron, rimsulfuron, sulfometuron, sulfosulfuron, thifensul- furon, triasulfuron, tribenuron, trifloxysulfuron, triflusulfuron, tritosulfuron, 1 -((2- chloro-6-propyl-imidazo[1 ,2-b]pyridazin-3-yl)sulfonyl)-3-(4,6-dimethoxy-pyrimidin-2- yl)urea;
- triazines: ametryn, atrazine, cyanazine, dimethametryn, ethiozin, hexazinone, met- amitron, metribuzin, prometryn, simazine, terbuthylazine, terbutryn, triaziflam;
- ureas: chlorotoluron, daimuron, diuron, fluometuron, isoproturon, linuron, metha- benzthiazuron,tebuthiuron;
- other acetolactate synthase inhibitors: bispyribac-sodium, cloransulam-methyl, di- closulam, florasulam, flucarbazone, flumetsulam, metosulam, ortho-sulfamuron, pe- noxsulam, propoxycarbazone, pyribambenz-propyl, pyribenzoxim, pyriftalid, pyrimi-
nobac-methyl, pyrimisulfan, pyrithiobac, pyroxasulfone, pyroxsulam;
- others: amicarbazone, aminotriazole, anilofos, beflubutamid, benazolin, bencarba- zone,benfluresate, benzofenap, bentazone, benzobicyclon, bicyclopyrone, bromacil, bromobutide, butafenacil, butamifos, cafenstrole, carfentrazone, cinidon-ethyl, chlorthal, cinmethylin, clomazone, cumyluron, cyprosulfamide, dicamba, difenzo- quat, diflufenzopyr, Drechslera monoceras, endothal, ethofumesate, etobenzanid, fenoxasulfone, fentrazamide, flumiclorac-pentyl, flumioxazin, flupoxam, flurochlori- done, flurtamone, indanofan, isoxaben, isoxaflutole, lenacil, propanil, propyzamide, quinclorac, quinmerac, mesotrione, methyl arsonic acid, naptalam, oxadiargyl, oxadiazon, oxaziclomefone, pentoxazone, pinoxaden, pyraclonil, pyraflufen-ethyl, pyrasulfotole, pyrazoxyfen, pyrazolynate, quinoclamine, saflufenacil, sulcotrione, sulfentrazone, terbacil, tefuryltrione, tembotrione, thiencarbazone, topramezone, (3-[2-chloro-4-fluoro-5-(3-methyl-2,6-dioxo-4-trifluoromethyl-3,6-dihydro-2H- pyrimidin-1 -yl)-phenoxy]-pyridin-2-yloxy)-acetic acid ethyl ester, 6-amino-5-chloro-2- cyclopropyl-pyrimidine-4-carboxylic acid methyl ester, 6-chloro-3-(2-cyclopropyl-6- methyl-phenoxy)-pyridazin-4-ol, 4-amino-3-chloro-6-(4-chloro-phenyl)-5-fluoro- pyridine-2-carboxylic acid, 4-amino-3-chloro-6-(4-chloro-2-fluoro-3-methoxy- phenyl)-pyridine-2-carboxylic acid methyl ester, and 4-amino-3-chloro-6-(4-chloro-3- dimethylamino-2-fluoro-phenyl)-pyridine-2-carboxylic acid methyl ester.
O) Insecticides
- organo(thio)phosphates: acephate, azamethiphos, azinphos-methyl, chlorpyrifos, chlorpyrifos-methyl, chlorfenvinphos, diazinon, dichlorvos, dicrotophos, dimethoate, disulfoton, ethion, fenitrothion, fenthion, isoxathion, malathion, methamidophos, me- thidathion, methyl-parathion, mevinphos, monocrotophos, oxydemeton-methyl, paraoxon, parathion, phenthoate, phosalone, phosmet, phosphamidon, phorate, phoxim, pirimiphos-methyl, profenofos, prothiofos, sulprophos, tetrachlorvinphos, terbufos, triazophos, trichlorfon;
- carbamates: alanycarb, aldicarb, bendiocarb, benfuracarb, carbaryl, carbofuran, carbosulfan, fenoxycarb, furathiocarb, methiocarb, methomyl, oxamyl, pirimicarb, propoxur, thiodicarb, triazamate;
- pyrethroids: allethrin, bifenthrin, cyfluthrin, cyhalothrin, cyphenothrin, cypermethrin, alpha-cypermethrin, beta-cypermethrin, zeta-cypermethrin, deltamethrin, esfen- valerate, etofenprox, fenpropathrin, fenvalerate, imiprothrin, lambda-cyhalothrin, permethrin, prallethrin, pyrethrin I and II, resmethrin, silafluofen, tau-fluvalinate, te- fluthrin, tetramethrin, tralomethrin, transfluthrin, profluthrin, dimefluthrin;
- insect growth regulators: a) chitin synthesis inhibitors: benzoylureas: chlorfluazuron, cyramazin, diflubenzuron, flucycloxuron, flufenoxuron, hexaflumuron, lufenuron, no- valuron, teflubenzuron, triflumuron; buprofezin, diofenolan, hexythiazox, etoxazole, clofentazine; b) ecdysone antagonists: halofenozide, methoxyfenozide, te- bufenozide, azadirachtin; c) juvenoids: pyriproxyfen, methoprene, fenoxycarb; d) lipid biosynthesis inhibitors: spirodiclofen, spiromesifen, spirotetramat;
- nicotinic receptor agonists/antagonists compounds: clothianidin, dinotefuran, imida-
cloprid, thiamethoxam, nitenpyram, acetamiprid, thiacloprid, 1 -(2-chloro-thiazol-5- ylmethyl)-2-nitrimino-3,5-dimethyl-[1 ,3,5]triazinane;
- GABA antagonist compounds: endosulfan, ethiprole, fipronil, vaniliprole, pyraflu- prole, pyriprole, 5-amino-1 -(2,6-dichloro-4-methyl-phenyl)-4-sulfinamoyl- 1 H-pyrazole-3-carbothioic acid amide;
- macrocyclic lactone insecticides: abamectin, emamectin, milbemectin, lepimectin, spinosad, spinetoram;
- mitochondrial electron transport inhibitor (METI) I acaricides: fenazaquin, pyridaben, tebufenpyrad, tolfenpyrad, flufenerim;
- METI II and III compounds: acequinocyl, fluacyprim, hydramethylnon;
- Uncouplers: chlorfenapyr;
- oxidative phosphorylation inhibitors: cyhexatin, diafenthiuron, fenbutatin oxide, pro- pargite;
- moulting disruptor compounds: cryomazine;
- mixed function oxidase inhibitors: piperonyl butoxide;
- sodium channel blockers: indoxacarb, metaflumizone;
- others: benclothiaz, bifenazate, cartap, flonicamid, pyridalyl, pymetrozine, sulfur, thiocyclam, flubendiamide, chlorantraniliprole, cyazypyr (HGW86), cyenopyrafen, flupyrazofos, cyflumetofen, amidoflumet, imicyafos, bistrifluron, and pyrifluquinazon.
The further active compounds that may be added to the suspension concentrates of the present invention, their preparation and their pesticidal action are known (cf.:
http://www.alanwood.net/pesticides/). They are mainly commercially available and can be also found, for example, in The Pesticide Manual, 14th Edition, British Crop Protec- tion Council (2006) and other publications.
The suspension concentrates, in particular the aqueous suspension concentrates, of the present invention can be prepared by suspending the active ingredient in a suitable liquid carrier, which may contain conventional formulation additives as described here- in. However, it is preferred to prepare the suspension concentrate by a shear process known in the art, i.e. by applying shear forces to a liquid which contains suspended particles of the respective active ingredient and optionally further additives.
In particular, the suspension concentrates of the present invention can be prepared in an agitated ball mill, wherein the active ingredient of the component (a) is comminuted with addition of the acid component (b) and the surface-active compound (c) and, if present, further formulation auxiliaries and the respective amount of water to give a fine active substance suspension. Dilution with water gives a stable suspension of the active substance at the desired active ingredient concentration.
According to a further embodiment of the present invention, the inventive formulation comprises microcapsules with sustained release of the capsule content. The term "mi-
crocapsule" refers to any type of capsule with an average particle diameter (d50 - z- average by means of light scattering) in the micrometer range, in particular of 1 to 20 μιη, preferably 1 to 10 μιη, even more specifically 1 to 4 μιτι. The microcapsule comprises a capsule core and a capsule wall of suitable polymers (encapsulation material), wherein the core comprises a component (c) (surface active compound as defined and preferably defined herein). The encapsulation material is such that it enables sustained release of the content of the capsule. Thus, the capsules suitable according to the present invention ensure that the content of the capsule is released in the amounts desired in each case, over a releatively long period of time.
Depending on the temperature the capsule core may be either solid or liquid.
According to one specific embodiment, the microcapsule may contain further components besides component (c), for example one or more further formulation auxiliaries, such as, for example, one or more solvents, as defined above and/or further active ingredients, wherein the microcapsules according to the invention, however, do not contain the active compound according to component (a).
According to another specific embodiment, the microcapsule does not contain any active compounds.
According to another specific embodiment, the microcapsule contains, besides component (c), one or more solvents as defined herein. For example the solvents may be selected from aromatic solvent mixtures (e.g. Solvesso® 200 ND, Exxon mobile) or non-polar aliphatic solvents, such as for example, mineral oils, white oils or process oils (e.g. Bayol 82)
The encapsulation material of the microcapsule comprises any material suitable for this kind of microcapsules, in particular the material comprises poly(meth)acrylate, polyure- thane, polyurea and/or MFH (= urea melamine formaldehyde), in particular a polyure- thane, polyurea or poly(meth)acrylate.
Poly(meth)acrylate is a known encapsulation material, for example from WO
2008/071649, EP 0 457154 or DE 10 2007 055 813. Usually, the poly(meth)acrylate comprises C1-C24 alkyl esters of acrylic and/or methacrylic acid, acrylic acid, methacryl- ic acid, and/or maleic acid in polymerized form. More preferably, the poly(meth)acrylate comprises methyl methacrylate and methacrylic acid. The poly(meth)acrylate may also comprise in polymerized form one or more difunctional or polyfunctional monomers. The poly(meth)acrylate may further comprise other monomers. Capsules with encapsulation material comprising a polyurethane or polyurea wall are well known and can be prepared by analogy to prior art. They are preferably prepared by an interfacial polymerization process of a suitable polymer wall forming material.
Interfacial polymerization is usually performed in an aqueous water-in-oil emulsion or suspension of the core material containing dissolved therein at least one part of the polymer wall forming material. During the polymerization, the polymer segregates from the core material to the boundary surface between the core material and water thereby forming the wall of the microcapsule. Thereby an aqueous suspension of the microcapsule material is obtained. Suitable methods for interfacial polymerization processes for preparing microcapsules containing pesticide compounds have been disclosed in prior art, e.g. US 3,577,515, US 4,280,833, US 5,049,182, US 5,229,122, US 5,310,721 , US 5,705,174, US 5,910,314, WO 95/13698, WO 00/10392, WO 01/68234,
WO 03/099005, EP 619,073 or EP 1 ,109,450, to which full reference is made.
Melamine-formaldehyde capsules may be prepared by in situ polymerization of urea and/or melamine with formaldehyde according to known procedures (e.g. WO
00/48465, WO 96/03040, US 3,516,941 , or US 4,087,376). Usually, the first step is to disperse a water-immiscible liquid or solid core material in an aqueous phase that contains urea, melamine, water-soluble urea-formaldehyde condensate, or water-soluble urea-melamine condensate. In many cases, the aqueous phase also contains a system modifier that enhances deposition of the aminoplast capsule shell. This system modifier may be an anionic polymer or copolymer. Shell formation occurs typically once formaldehyde is added. Often, the aqueous phase acidified, e.g. to a pH 2-4.5. The system may heated to 40-100 °C, preferably to 40-60°C.
The relative amounts of each complementary wall-forming component will vary with their equivalent weights. In general, approximately stoichiometric amounts are pre- ferred, while an excess of one component may also be employed, especially an excess of polyisocyanate. The total amount of wall-forming components approximately corresponds to the total amount of polymeric wall-forming materials.
According to one specific embodiment of the invention, the suspension concentrate does not contain microcapsules or other capsules.
The suspension concentrates, in particular the aqueous suspension concentrates, of the present invention are suitable as fungicides. They are distinguished by an outstanding effectiveness against a broad spectrum of phytopathogenic fungi, including soil-borne fungi, which derive especially from the classes of the Plasmodiophoromy- cetes, Peronosporomycetes (syn. Oomycetes), Chytridiomycetes, Zygomycetes, As- comycetes, Basidiomycetes and Deuteromycetes (syn. Fungi imperfecti). Some are systemically effective and they can be used in crop protection as foliar fungicides, fungicides for seed dressing and soil fungicides. Moreover, they are suitable for controlling harmful fungi, which inter alia occur in wood or roots of plants.
The suspension concentrates, in particular the aqueous suspension concentrates, of the present invention are particularly important in the control of a multitude of phyto-
pathogenic fungi on various cultivated plants, such as cereals, e. g. wheat, rye, barley, triticale, oats or rice; beet, e. g. sugar beet or fodder beet; fruits, such as pomes, stone fruits or soft fruits, e. g. apples, pears, plums, peaches, almonds, cherries, strawberries, raspberries, blackberries or gooseberries; leguminous plants, such as lentils, peas, alfalfa or soybeans; oil plants, such as rape, mustard, olives, sunflowers, coconut, cocoa beans, castor oil plants, oil palms, ground nuts or soybeans; cucurbits, such as squashes, cucumber or melons; fiber plants, such as cotton, flax, hemp or jute; citrus fruit, such as oranges, lemons, grapefruits or mandarins; vegetables, such as spinach, lettuce, asparagus, cabbages, carrots, onions, tomatoes, potatoes, cucurbits or paprika; lauraceous plants, such as avocados, cinnamon or camphor; energy and raw material plants, such as corn, soybean, rape, sugar cane or oil palm; corn; tobacco; nuts; coffee; tea; bananas; vines (table grapes and grape juice grape vines); hop; turf; sweet leaf (also called Stevia); natural rubber plants or ornamental and forestry plants, such as flowers, shrubs, broad-leaved trees or evergreens, e. g. conifers; and on the plant propagation material, such as seeds, and the crop material of these plants.
Preferably, the suspension concentrates, in particular the aqueous suspension concentrates, of the present invention are used for controlling a multitude of fungi on field crops, such as potatoes sugar beets, tobacco, wheat, rye, barley, oats, rice, corn, cotton, soybeans, rape, legumes, sunflowers, coffee or sugar cane; fruits; vines; ornamen- tals; or vegetables, such as cucumbers, tomatoes, beans or squashes.
The term "plant propagation material" is to be understood to denote all the generative parts of the plant such as seeds and vegetative plant material such as cuttings and tubers (e. g. potatoes), which can be used for the multiplication of the plant. This includes seeds, roots, fruits, tubers, bulbs, rhizomes, shoots, sprouts and other parts of plants, including seedlings and young plants, which are to be transplanted after germination or after emergence from soil. These young plants may also be protected before transplantation by a total or partial treatment by immersion or pouring.
Preferably, treatment of plant propagation materials with the suspension concentrates, in particular the aqueous suspension concentrates, of the present invention is used for controlling a multitude of fungi on cereals, such as wheat, rye, barley and oats; rice, corn, cotton and soybeans.
The term "cultivated plants" is to be understood as including plants which have been modified by breeding, mutagenesis or genetic engineering including but not limiting to agricultural biotech products on the market or in development (cf.
http://www.bio.org/speeches/pubs/er/agri_products.asp). Genetically modified plants are plants, which genetic material has been so modified by the use of recombinant DNA techniques that under natural circumstances cannot readily be obtained by cross breeding, mutations or natural recombination. Typically, one or more genes have been integrated into the genetic material of a genetically modified plant in order to improve certain properties of the plant. Such genetic modifications also include but are not limited to targeted post-translational modification of protein(s), oligo- or polypeptides e. g. by glycosylation or polymer additions such as prenylated, acetylated or farnesylated
moieties or PEG moieties.
Plants that have been modified by breeding, mutagenesis or genetic engineering, e. g. have been rendered tolerant to applications of specific classes of herbicides, such as auxin herbicides such as dicamba or 2,4-D; bleacher herbicides such as hydroxyl- phenylpyruvate dioxygenase (HPPD) inhibitors or phytoene desaturase (PDS) inhibitors; acetolactate synthase (ALS) inhibitors such as sulfonyl ureas or imidazolinones; enolpyruvylshikimate-3-phosphate synthase (EPSPS) inhibitors, such as glyphosate; glutamine synthetase (GS) inhibitors such as glufosinate; protoporphyrinogen-IX oxidase inhibitors; lipid biosynthesis inhibitors such as acetyl CoA carboxylase (ACCase) inhibitors; or oxynil (i. e. bromoxynil or ioxynil) herbicides as a result of conventional methods of breeding or genetic engineering. Furthermore, plants have been made resistant to multiple classes of herbicides through multiple genetic modifications, such as resistance to both glyphosate and glufosinate or to both glyphosate and a herbicide from another class such as ALS inhibitors, HPPD inhibitors, auxin herbicides, or AC- Case inhibitors. These herbicide resistance technologies are e. g. described in Pest Managem. Sci. 61 , 2005, 246; 61 , 2005, 258; 61 , 2005, 277; 61 , 2005, 269; 61 , 2005, 286; 64, 2008, 326; 64, 2008, 332; Weed Sci. 57, 2009, 108; Austral. J. Agricult. Res. 58, 2007, 708; Science 316, 2007, 1 185; and references quoted therein. Several cultivated plants have been rendered tolerant to herbicides by conventional methods of breeding (mutagenesis), e. g. Clearfield® summer rape (Canola, BASF SE, Germany) being tolerant to imidazolinones, e. g. imazamox, or ExpressSun® sunflowers (DuPont, USA) being tolerant to sulfonyl ureas, e. g. tribenuron. Genetic engineering methods have been used to render cultivated plants such as soybean, cotton, corn, beets and rape, tolerant to herbicides such as glyphosate and glufosinate, some of which are commercially available under the trade names RoundupReady® (glyphosate-tolerant, Monsanto, U.S.A.), Cultivance® (imidazolinone tolerant, BASF SE, Germany) and Lib- ertyLink® (glufosinate-tolerant, Bayer CropScience, Germany).
Furthermore, plants are also covered that are by the use of recombinant DNA techniques capable to synthesize one or more insecticidal proteins, especially those known from the bacterial genus Bacillus, particularly from Bacillus thuringiensis, such as δ- endotoxins, e. g. CrylA(b), CrylA(c), CrylF, CrylF(a2), CryllA(b), CrylllA, CrylllB(bl ) or Cry9c; vegetative insecticidal proteins (VIP), e. g. VIP1 , VIP2, VIP3 or VIP3A; insecticidal proteins of bacteria colonizing nematodes, e. g. Photorhabdus spp. or Xenorhab- dus spp.; toxins produced by animals, such as scorpion toxins, arachnid toxins, wasp toxins, or other insect-specific neurotoxins; toxins produced by fungi, such Streptomy- cetes toxins, plant lectins, such as pea or barley lectins; agglutinins; proteinase inhibitors, such as trypsin inhibitors, serine protease inhibitors, patatin, cystatin or papain inhibitors; ribosome-inactivating proteins (RIP), such as ricin, maize-RIP, abrin, luffin, saporin or bryodin; steroid metabolism enzymes, such as 3-hydroxysteroid oxidase, ecdysteroid-IDP-glycosyl-transferase, cholesterol oxidases, ecdysone inhibitors or HMG-CoA-reductase; ion channel blockers, such as blockers of sodium or calcium channels; juvenile hormone esterase; diuretic hormone receptors (helicokinin recep-
tors); stilben synthase, bibenzyl synthase, chitinases or glucanases. In the context of the present invention these insecticidal proteins or toxins are to be understood expressly also as pre-toxins, hybrid proteins, truncated or otherwise modified proteins. Hybrid proteins are characterized by a new combination of protein domains, (see, e. g. WO 02/015701 ). Further examples of such toxins or genetically modified plants capable of synthesizing such toxins are disclosed, e. g., in EP-A 374 753, WO 93/007278, WO 95/34656, EP-A 427 529, EP-A 451 878, WO 03/18810 und WO 03/52073. The methods for producing such genetically modified plants are generally known to the person skilled in the art and are described, e. g. in the publications mentioned above. The- se insecticidal proteins contained in the genetically modified plants impart to the plants producing these proteins tolerance to harmful pests from all taxonomic groups of athropods, especially to beetles (Coeloptera), two-winged insects (Diptera), and moths (Lepidoptera) and to nematodes (Nematoda). Genetically modified plants capable to synthesize one or more insecticidal proteins are, e. g., described in the publications mentioned above, and some of which are commercially available such as YieldGard® (corn cultivars producing the CrylAb toxin), YieldGard® Plus (corn cultivars producing Cry1 Ab and Cry3Bb1 toxins), Starlink® (corn cultivars producing the Cry9c toxin), Her- culex® RW (corn cultivars producing Cry34Ab1 , Cry35Ab1 and the enzyme Phosphi- nothricin-N-Acetyltransferase [PAT]); NuCOTN® 33B (cotton cultivars producing the Cry1 Ac toxin), Bollgard® I (cotton cultivars producing the Cry1 Ac toxin), Bollgard® II (cotton cultivars producing CrylAc and Cry2Ab2 toxins); VIPCOT® (cotton cultivars producing a VIP-toxin); NewLeaf® (potato cultivars producing the Cry3A toxin); Bt- Xtra®, NatureGard®, KnockOut®, BiteGard®, Protecta®, Bt1 1 (e. g. Agrisure® CB) and Bt176 from Syngenta Seeds SAS, France, (corn cultivars producing the CrylAb toxin and PAT enyzme), M IR604 from Syngenta Seeds SAS, France (corn cultivars producing a modified version of the Cry3A toxin, c.f. WO 03/018810), MON 863 from Monsanto Europe S.A., Belgium (corn cultivars producing the Cry3Bb1 toxin), IPC 531 from Monsanto Europe S.A., Belgium (cotton cultivars producing a modified version of the Cryl Ac toxin) and 1507 from Pioneer Overseas Corporation, Belgium (corn cultivars producing the Cry1 F toxin and PAT enzyme).
Furthermore, plants are also covered that are by the use of recombinant DNA techniques capable to synthesize one or more proteins to increase the resistance or tolerance of those plants to bacterial, viral or fungal pathogens. Examples of such proteins are the so-called "pathogenesis-related proteins" (PR proteins, see, e. g.
EP-A 392 225), plant disease resistance genes (e. g. potato cultivars, which express resistance genes acting against Phytophthora infestans derived from the mexican wild potato Solanum bulbocastanum) or T4-lysozym (e. g. potato cultivars capable of synthesizing these proteins with increased resistance against bacteria such as Erwinia amylvora). The methods for producing such genetically modified plants are generally known to the person skilled in the art and are described, e. g. in the publications mentioned above.
Furthermore, plants are also covered that are by the use of recombinant DNA tech-
niques capable to synthesize one or more proteins to increase the productivity (e. g. bio mass production, grain yield, starch content, oil content or protein content), tolerance to drought, salinity or other growth-limiting environmental factors or tolerance to pests and fungal, bacterial or viral pathogens of those plants.
Furthermore, plants are also covered that contain by the use of recombinant DNA techniques a modified amount of substances of content or new substances of content, specifically to improve human or animal nutrition, e. g. oil crops that produce health- promoting long-chain omega-3 fatty acids or unsaturated omega-9 fatty acids (e. g. Nexera® rape, DOW Agro Sciences, Canada).
Furthermore, plants are also covered that contain by the use of recombinant DNA techniques a modified amount of substances of content or new substances of content, specifically to improve raw material production, e. g. potatoes that produce increased amounts of amylopectin (e. g. Amflora® potato, BASF SE, Germany).
The suspension concentrates, in particular the aqueous suspension concentrates, of the present invention are particularly suitable for controlling the following plant diseases:
Albugo spp. (white rust) on ornamentals, vegetables (e. g. A. Candida) and sunflowers (e. g. A. tragopogonis); Alternaria spp. (Alternaria leaf spot) on vegetables, rape (A. brassicola or brassicae), sugar beets (A. tenuis), fruits, rice, soybeans, potatoes (e. g. A. solani or A. alternata), tomatoes (e. g. A. solani or A. alternata) and wheat; Aphano- myces spp. on sugar beets and vegetables; Ascochyta spp. on cereals and vegetables, e. g. A. tritici (anthracnose) on wheat and A. hordei on barley; Bipolaris and Drechslera spp. (teleomorph: Cochliobolus spp.), e. g. Southern leaf blight (D. maydis) or Northern leaf blight (B. zeicola) on corn, e. g. spot blotch (B. sorokiniana) on cereals and e.g. B. oryzae on rice and turfs; Blumeria (formerly Erysiphe) graminis (powdery mildew) on cereals (e. g. on wheat or barley); Botrytis cinerea (teleomorph: Botryotinia fuckeliana: grey mold) on fruits and berries (e. g. strawberries), vegetables (e. g. lettuce, carrots, celery and cabbages), rape, flowers, vines, forestry plants and wheat; Bremia lactucae (downy mildew) on lettuce; Ceratocystis (syn. Ophiostoma) spp. (rot or wilt) on broad- leaved trees and evergreens, e. g. C. ulmi (Dutch elm disease) on elms; Cercospora spp. (Cercospora leaf spots) on corn (e.g. Gray leaf spot: C. zeae-maydis), rice, sugar beets (e. g. C. beticola), sugar cane, vegetables, coffee, soybeans (e. g. C. sojina or C. kikuchii) and rice; Cladosporium spp. on tomatoes (e. g. C. fulvum: leaf mold) and cereals, e. g. C. herbarum (black ear) on wheat; Claviceps purpurea (ergot) on cereals; Cochliobolus (anamorph: Helminthosporium of Bipolaris) spp. (leaf spots) on corn (C. carbonum), cereals (e. g. C. sativus, anamorph: B. sorokiniana) and rice (e. g. C. miy- abeanus, anamorph: H. oryzae); Colletotrichum (teleomorph: Glomerella) spp. (anthracnose) on cotton (e. g. C. gossypii), corn (e. g. C. graminicola: Anthracnose stalk rot), soft fruits, potatoes (e. g. C. coccodes: black dot), beans (e. g. C. lindemuthianum) and soybeans (e. g. C. truncatum or C. gloeosporioides); Corticium spp., e. g. C. sa- sakii (sheath blight) on rice; Corynespora cassiicola (leaf spots) on soybeans and ornamentals; Cycloconium spp., e. g. C. oleaginum on olive trees; Cylindrocarpon spp.
(e. g. fruit tree canker or young vine decline, teleomorph: Nectria or Neonectria spp.) on fruit trees, vines (e. g. C. liriodendri, teleomorph: Neonectria liriodendri: Black Foot Disease) and ornamentals; Dematophora (teleomorph: Rosellinia) necatrix (root and stem rot) on soybeans; Diaporthe spp., e. g. D. phaseolorum (damping off) on soy- beans; Drechslera (syn. Helminthosporium, teleomorph: Pyrenophora) spp. on corn, cereals, such as barley (e. g. D. teres, net blotch) and wheat (e. g. D. tritici-repentis: tan spot), rice and turf; Esca (dieback, apoplexy) on vines, caused by Formitiporia (syn. Phellinus) punctata, F. mediterranea, Phaeomoniella chlamydospora (earlier Phaeo- acremonium chlamydosporum), Phaeoacremonium aleophilum and/or Botryosphaeria obtusa; Elsinoe spp. on pome fruits (£. pyri), soft fruits (£. veneta: anthracnose) and vines (£. ampelina: anthracnose); Entyloma oryzae (leaf smut) on rice; Epicoccum spp. (black mold) on wheat; Erysiphe spp. (powdery mildew) on sugar beets (£. betae), vegetables (e. g. £. pisi), such as cucurbits (e. g. £. cichoracearum), cabbages, rape (e. g. £. cruciferarum); Eutypa lata (Eutypa canker or dieback, anamorph: Cytosporina lata, syn. Libertella blepharis) on fruit trees, vines and ornamental woods; Exserohilum (syn. Helminthosporium) spp. on corn (e. g. £. turcicum); Fusarium (teleomorph: Gib- berella) spp. (wilt, root or stem rot) on various plants, such as F. graminearum or F. culmorum (root rot, scab or head blight) on cereals (e. g. wheat or barley), F. oxy- sporum on tomatoes, F. solani on soybeans and F verticillioides on corn; Gaeumanno- myces graminis (take-all) on cereals (e. g. wheat or barley) and corn; Gibberella spp. on cereals (e. g. G. zeae) and rice (e. g. G. fujikuroi: Bakanae disease); Glomerella cingulata on vines, pome fruits and other plants and G. gossypii on cotton; Grain- staining complex on rice; Guignardia bidwellii (black rot) on vines; Gymnosporangium spp. on rosaceous plants and junipers, e. g. G. sabinae (rust) on pears; Helmintho- sporium spp. (syn. Drechslera, teleomorph: Cochliobolus) on corn, cereals and rice; Hemileia spp., e. g. H. vastatrix (coffee leaf rust) on coffee; Isariopsis clavispora (syn. Cladosporium vitis) on vines; Macrophomina phaseolina (syn. phaseoli) (root and stem rot) on soybeans and cotton; Microdochium (syn. Fusarium) nivale (pink snow mold) on cereals (e. g. wheat or barley); Microsphaera diffusa (powdery mildew) on soybeans; Monilinia spp., e. g. M. laxa, M. fructicola and M. fructigena (bloom and twig blight, brown rot) on stone fruits and other rosaceous plants; Mycosphaerella spp. on cereals, bananas, soft fruits and ground nuts, such as e. g. M. graminicola (anamorph: Septoria tritici, Septoria blotch) on wheat or M. fijiensis (black Sigatoka disease) on bananas; Peronospora spp. (downy mildew) on cabbage (e. g. P. brassicae), rape (e. g. P. para- sitica), onions (e. g. P. destructor), tobacco (P. tabacina) and soybeans (e. g. P. mans- hurica); Phakopsora pachyrhizi and P. meibomiae (soybean rust) on soybeans; Phialo- phora spp. e. g. on vines (e. g. P. tracheiphila and P. tetraspora) and soybeans (e. g. P. gregata: stem rot); Phoma lingam (root and stem rot) on rape and cabbage and P. betae (root rot, leaf spot and damping-off) on sugar beets; Phomopsis spp. on sunflow- ers, vines (e. g. P. viticola: can and leaf spot) and soybeans (e. g. stem rot: P. phaseoli, teleomorph: Diaporthe phaseolorum); Physoderma maydis (brown spots) on corn; Phy- tophthora spp. (wilt, root, leaf, fruit and stem root) on various plants, such as paprika
and cucurbits (e. g. P. capsici), soybeans (e. g. P. megasperma, syn. P. sojae), potatoes and tomatoes (e. g. P. infestans: late blight) and broad-leaved trees (e. g. P. ra- morum: sudden oak death); Plasmodiophora brassicae (club root) on cabbage, rape, radish and other plants; Plasmopara spp., e. g. P. viticola (grapevine downy mildew) on vines and P. halstedii on sunflowers; Podosphaera spp. (powdery mildew) on rosaceous plants, hop, pome and soft fruits, e. g. P. leucotricha on apples; Polymyxa spp., e. g. on cereals, such as barley and wheat (P. graminis) and sugar beets (P. betae) and thereby transmitted viral diseases; Pseudocercosporella herpotrichoides (eyespot, teleomorph: Tapesia yallundae) on cereals, e. g. wheat or barley; Pseudoperonospora (downy mildew) on various plants, e. g. P. cubensis on cucurbits or P. humili on hop; Pseudopezicula tracheiphila (red fire disease or ,rotbrenner', anamorph: Phialophora) on vines; Puccinia spp. (rusts) on various plants, e. g. P. triticina (brown or leaf rust), P. striiformis (stripe or yellow rust), P. hordei (dwarf rust), P. graminis (stem or black rust) or P. recondita (brown or leaf rust) on cereals, such as e. g. wheat, barley or rye, P. kuehnii (orange rust) on sugar cane and P. asparagi on asparagus; Pyrenophora (anamorph: Drechslera) tritici-repentis (tan spot) on wheat or P. teres (net blotch) on barley; Pyricularia spp., e. g. P. oryzae (teleomorph: Magnaporthe grisea, rice blast) on rice and P. grisea on turf and cereals; Pythium spp. (damping-off) on turf, rice, corn, wheat, cotton, rape, sunflowers, soybeans, sugar beets, vegetables and various other plants (e. g. P. ultimum or P. aphanidermatum); Ramularia spp., e. g. R. collo-cygni (Ramularia leaf spots, Physiological leaf spots) on barley and R. beticola on sugar beets; Rhizoctonia spp. on cotton, rice, potatoes, turf, corn, rape, potatoes, sugar beets, vegetables and various other plants, e. g. R. solani (root and stem rot) on soybeans, R. solani (sheath blight) on rice or R. cerealis (Rhizoctonia spring blight) on wheat or barley; Rhizopus stolonifer (black mold, soft rot) on strawberries, carrots, cabbage, vines and tomatoes; Rhynchosporium secalis (scald) on barley, rye and triti- cale; Sarocladium oryzae and S. attenuatum (sheath rot) on rice; Sclerotinia spp. (stem rot or white mold) on vegetables and field crops, such as rape, sunflowers (e. g. S. sclerotiorum) and soybeans (e. g. S. rolfsii or S. sclerotiorum); Septoria spp. on various plants, e. g. S. glycines (brown spot) on soybeans, S. tritici (Septoria blotch) on wheat and S. (syn. Stagonospora) nodorum (Stagonospora blotch) on cereals; Uncinula (syn. Erysiphe) necator (powdery mildew, anamorph: Oidium tuckeri) on vines; Setospaeria spp. (leaf blight) on corn (e. g. S. turcicum, syn. Helminthosporium turcicum) and turf; Sphacelotheca spp. (smut) on corn, (e. g. S. reiliana: head smut), sorghum und sugar cane; Sphaerotheca fuliginea (powdery mildew) on cucurbits; Spongospora subterra- nea (powdery scab) on potatoes and thereby transmitted viral diseases; Stagonospora spp. on cereals, e. g. S. nodorum (Stagonospora blotch, teleomorph: Leptosphaeria [syn. Phaeosphaeria] nodorum) on wheat; Synchytrium endobioticum on potatoes (potato wart disease); Taphrina spp., e. g. T. deformans (leaf curl disease) on peaches and T. pruni (plum pocket) on plums; Thielaviopsis spp. (black root rot) on tobacco, pome fruits, vegetables, soybeans and cotton, e. g. T. basicola (syn. Chalara elegans); Tilletia spp. (common bunt or stinking smut) on cereals, such as e. g. T. tritici (syn. T.
caries, wheat bunt) and T. controversa (dwarf bunt) on wheat; Typhula incarnata (grey snow mold) on barley or wheat; Urocystis spp., e. g. U. occulta (stem smut) on rye; Uromyces spp. (rust) on vegetables, such as beans (e. g. U. appendiculatus, syn. U. phaseoli) and sugar beets (e. g. U. betae); Ustilago spp. (loose smut) on cereals (e. g. U. nuda and U. avaenae), corn (e. g. U. maydis: corn smut) and sugar cane; Venturia spp. (scab) on apples (e. g. V. inaequalis) and pears; and Verticillium spp. (wilt) on various plants, such as fruits and ornamentals, vines, soft fruits, vegetables and field crops, e. g. V. dahliae on strawberries, rape, potatoes and tomatoes.
The suspension concentrates, in particular the aqueous suspension concentrates, of the present invention are also suitable for controlling harmful fungi in the protection of stored products or harvest and in the protection of materials. The term "protection of materials" is to be understood to denote the protection of technical and non-living materials, such as adhesives, glues, wood, paper and paperboard, textiles, leather, paint dispersions, plastics, colling lubricants, fiber or fabrics, against the infestation and de- struction by harmful microorganisms, such as fungi and bacteria. As to the protection of wood and other materials, the particular attention is paid to the following harmful fungi: Ascomycetes such as Ophiostoma spp., Ceratocystis spp., Aureobasidium pullulans, Sclerophoma spp., Chaetomium spp., Humicola spp., Petriella spp., Trichurus spp.; Basidiomycetes such as Coniophora spp., Coriolus spp., Gloeophyllum spp., Lentinus spp., Pleurotus spp., Poria spp., Serpula spp. and Tyromyces spp., Deuteromycetes such as Aspergillus spp., Cladosporium spp., Penicillium spp., Trichorma spp., Alter- naria spp., Paecilomyces spp. and Zygomycetes such as Mucor spp., and in addition in the protection of stored products and harvest the following yeast fungi are worthy of note: Candida spp. and Saccharomyces cerevisae.
The suspension concentrates, in particular the aqueous suspension concentrates, of the present invention may be used for improving the health of a plant. The invention also relates to a method for improving plant health by treating a plant, its propagation material and/or the locus where the plant is growing or is to grow with an effective amount of a suspension concentrate, in particular the aqueous suspension concen- trates, of the present invention.
The term "plant health" is to be understood to denote a condition of the plant and/or its products which is determined by several indicators alone or in combination with each other such as yield (e. g. increased biomass and/or increased content of valuable ingredients), plant vigor (e. g. improved plant growth and/or greener leaves ("greening effect")), quality (e. g. improved content or composition of certain ingredients) and tolerance to abiotic and/or biotic stress. The above identified indicators for the health condition of a plant may be interdependent or may result from each other.
The inventive formulations are employed by treating the fungi or the plants, plant propagation materials, such as seeds, soil, surfaces, materials or rooms to be pro- tected from fungal attack with a fungicidally effective amount of the formulations. The application can be carried out both before and after the infection of the plants, plant propagation materials, such as seeds, soil, surfaces, materials or rooms by the fungi.
Plant propagation materials may be treated with the suspension concentrates, in particular the aqueous suspension concentrates, of the present invention prophylacti- cally either at or before planting or transplanting.
The active compounds contained in the inventive formulations can be present in dif- ferent crystal modifications whose biological activity may differ.
In the following, preferred uses of the suspension concentrates according to the present invention are further described. In each case, according to the present invention, the use of the mixture for controlling a particular phytopathogenic fungus is also meant to encompass the respective method for controlling the particular phytopathogenic fungi, wherein the fungi or the materials, plants, the soil or seed to be protected from fungal attack are treated with an effective amount of a fungicidal mixture as defined in that context.
According to one embodiment, the present invention relates to the use of the suspen- sion concentrates, in particular the aqueous suspension concentrates, of the present invention for the control of cereal pathogens. In a specific embodiment thereof, the suspension concentrate comprises as component (a) a compound (l)-(1 ), more specifically selected from the compounds (l)-(1 )-a), (l)-(1 )-b), (l)-(1 )-c), (l)-(1 )-d), (l)-(1 )-e) and (l)-(1 )-f), preferably (l)-(1 )-b), (l)-(1 )-c) or l)-(1 )-d), as defined above.
In particular, the suspension concentrate of the present invention is suitable for controlling wheat pathogens, particularly for controlling the wheat pathogens selected from Septoria tritici, Stagonospora nodorum, Pyrenophora tritici repentis, Puccinia recondita, Puccinia striiformis and Blumeria graminis. Furthermore, said suspension concentrate is useful for the control of the pathogens selected from Fusarium culmorum, Fusarium graminearum and Pseudocercosporella herpotrichoides. In a specific embodiment thereof, the suspension concentrate comprises as component (a) a compound (l)-(1 ), more specifically selected from the compounds (l)-(1 )-a), (l)-(1 )-b), (l)-(1 )-c), (l)-(1 )-d), (l)-(1 )-e) and (l)-(1 )-f), preferably (l)-(1 )-b), (l)-(1 )-c) or (l)-(1 )-d), as defined above.
Furthermore, the suspension concentrate of the present invention is suitable for controlling barley pathogens, in particular for controlling the barley pathogens, selected from Pyrenophera teres, Rhychosporium secalis, Puccinia hordei and Blumeria graminis. Furthermore, the suspension concentrate of the present invention is useful for con- trolling the barley pathogens, selected from Ramularia collo-cygni and Pseudocercosporella herpotrichoides. In a specific embodiment thereof, the suspension concentrate comprises as component (a) a compound (l)-(1 ), more specifically selected from the compounds (l)-(1 )-a), (l)-(1 )-b), (l)-(1 )-c), (l)-(1 )-d), (l)-(1 )-e) and (l)-(1 )-f), preferably (I)- (1 )-b), (l)-(1 )-c) or (l)-(1 )-d), as defined above.
According to another embodiment, the present invention relates to the use of the suspension concentrate of the present invention for the control of soy pathogens. In par-
ticular, the suspension concentrate of the present invention is suitable for controlling soy pathogens selected from phakopsora pachyrizi, P. meibomiae and Microsphaera diffusa. In soy, the suspension concentrate of the present invention may also be effect- lively used for the control of the so-called FDC (Foliar Disease Complex), e.g. against Septoria glycines, Cercospora kikuchii, C. sojina, Corynespora cassiicola and/or Alter- naria spp.. In a specific embodiment thereof, the suspension concentrate comprises as component (a) a compound (l)-(1 ), more specifically selected from the compounds (I)- (1 )-a), (l)-(1 )-b), (l)-(1 )-c), (l)-(1 )-d), (l)-(1 )-e) and (l)-(1 )-f), preferably (l)-(1 )-b), (l)-(1 )-c) or (l)-(1 )-d), as defined above.
According to another embodiment, the present invention relates to the use of the suspension concentrate of the present invention for the control of corn pathogens. In particular, the suspension concentrate of the present invention is suitable for controlling corn pathogens selected from Cercospora zeae-maydis, Puccinia sorghi and Helmin- thosporium maydis. In a specific embodiment thereof, the suspension concentrate comprises as component (a) a compound (l)-(1 ), more specifically selected from the compounds (l)-(1 )-a), (l)-(1 )-b), (l)-(1 )-c), (l)-(1 )-d), (l)-(1 )-e) and (l)-(1 )-f), preferably (I)- (1 )-b), (l)-(1 )-c) or (l)-(1 )-d), as defined above. According to still another embodiment, the present invention relates to the use of the suspension concentrate of the present invention for the control of sugar beet pathogens. In particular, the suspension concentrate of the present invention is suitable for controlling corn pathogens selected from Cercospora beticola, Erysiphe betae, Ramu- laria betae and Uromyces betae. In a specific embodiment thereof, the suspension concentrate comprises as component (a) a compound (l)-(1 ), more specifically selected from the compounds (l)-(1 )-a), (l)-(1 )-b), (l)-(1 )-c), (l)-(1 )-d), (l)-(1 )-e) and (l)-(1 )-f), preferably (l)-(1 )-b), (l)-(1 )-c) or (l)-(1 )-d), as defined above.
According to still another embodiment, the present invention relates to the use of the suspension concentrate of the present invention for the control of peanut pathogens, in particular selected from Mycosphaerella arachidis (= Cercospora) and Puccinia ara- chidis. In a specific embodiment thereof, the suspension concentrate comprises as component (a) a compound (l)-(1 ), more specifically selected from the compounds (I)- (1 )-a), (l)-(1 )-b), (l)-(1 )-c), (l)-(1 )-d), (l)-(1 )-e) and (l)-(1 )-f), preferably (l)-(1 )-b), (l)-(1 )-c) or (l)-(1 )-d), as defined above.
According to still another embodiment, the present invention relates to the use of the suspension concentrate of the present invention for the control of oil seed rape and canola pathogens, in particular selected from Sclerotinia sclerotiorum, Leptosphearia maculans and Alternaria alternate. In a specific embodiment thereof, the suspension concentrate comprises as component (a) a compound (l)-(1 ), more specifically selected
from the compounds (l)-(1 )-a), (l)-(1 )-b), (l)-(1 )-c), (l)-(1 )-d), (l)-(1 )-e) and (l)-(1 )-f), preferably (l)-(1 )-b), (l)-(1 )-c) or (l)-(1 )-d), as defined above.
According to still another embodiment, the present invention relates to the use of the suspension concentrate of the present invention for the control of rice pathogens, selected from Rhizoctonia solani and Pyricularia oryzae. In a specific embodiment thereof, the suspension concentrate comprises as component (a) a compound (l)-(1 ), more specifically selected from the compounds (l)-(1 )-a), (l)-(1 )-b), (l)-(1 )-c), (l)-(1 )-d), (l)-(1 )- e) and (l)-(1 )-f), preferably (l)-(1 )-b), (l)-(1 )-c) or (l)-(1 )-d), as defined above.
The suspension concentrate of the present invention is also suitable for the control of pathogens in specialty crops, such as turf, potato, tomato, cucurbits, grapes, apples, ornamentals and bananas. Turf pathogens that may be controlled according to the present invention are selected from Sclerotinia homeocarpa and Rhizoctonia solani. Po- tato and tomato pathogens that may be controlled according to the present invention are in particular selected from Alternaria solani, A. alternata and Rhizoctonia solani. A cucurbit pathogen that may be controlled according to the present invention is in particular Sphaerotheca fuliginea. A grape pathogen that may be controlled according to the present invention is in particular Uncinula necator and Botrytis cinerea. An apple pathogen that may be controlled according to the present invention is in particular
Podosphaera leucotricha and Venturia inaequalis. Ornamental pathogens that may be controlled according to the present invention are in particular selected from Sphaerotheca fuliginea, Diplocarpon spp., Alternaria spp. and Sclerotinia spp. Banana pathogens that may be controlled according to the present invention are in particular se- lected from Mycosphaerella fijiensis and Mycosphaerella musicola. In a specific embodiment thereof, the suspension concentrate comprises as component (a) a compound (l)-(1 ), more specifically selected from the compounds (l)-(1 )-a), (l)-(1 )-b), (l)-(1 )- c), (l)-(1 )-d), (l)-(1 )-e) and (l)-(1 )-f), preferably (l)-(1 )-b), (l)-(1 )-c) or (l)-(1 )-d), as defined above.
In the following, preferred uses of the suspension concentrates, containing in addition to the active ingredient of component (a) a second or a second and a third active ingredient, according to the present invention are further described. In each case, according to the present invention, the use of the mixture for controlling a particular phy- topathogenic fungus is also meant to encompass the respective method for controlling the particular phytopathogenic fungi, wherein the fungi or the materials, plants, the soil or seed to be protected from fungal attack are treated with an effective amount of a fungicidal mixture as defined in that context.
In one aspect of the invention, the suspension concentrates of the invention comprise one active ingredient as component (a) and one further active compound, wherein said one further active compound is selected from pyraclostrobin, fluxapyroxad, fenpropi- morph, prothioconazole and chlorothalonil. Preferably, the weight ratio from the active
compound according to component (a) and this second active ingredient is preferably 1 :20 to 20:1 , particularly preferably in the range of from 1 :10 to 10:1 , in particular in the range of from 1 :3 to 3:1 . It may also be preferable that the weight ratio is in the range of from 1 :2 to 2:1 . In a specific embodiment thereof, the suspension concentrate com- prises as component (a) a compound (l)-(1 ), more specifically selected from the compounds (l)-(1 )-a), (l)-(1 )-b), (l)-(1 )-c), (l)-(1 )-d), (l)-(1 )-e) and (l)-(1 )-f), preferably (l)-(1 )- b), (l)-(1 )-c) or (l)-(1 )-d), as defined above.
The presence of the active compound of component (a) and the second active ingredi- ent, or the active compound of component (a), the second active ingredient and the third active compound (see below) as specified herein applied in the inventive suspension concentrates, may show better control of harmful fungi than with the individual compounds (synergistic effects). As mentioned above, these mixtures are of interest with a view to reducing the application rates, since many show, at a reduced total amount of active compounds applied, an improved activity against harmful fungi, in particular for certain indications.
When used in wheat, especially preferred weight ratios of the active ingredients are 20:1 to 1 :20, more specifically 5:1 to 1 :5, in particular 3:1 to 1 :3, more particularly 2:1 to 1 :2, wherein it may be especially preferred if the first active ingredient according to component (a) to the second active ingredient are present 1 :1 to 2:1. According to one specific embodiment thereof, the second active ingredient is fluxapyroxad. According to a further specific embodiment thereof, the second active ingredient is pyraclostrobin. According to still a further specific embodiment thereof, the second active ingredient is fenpropimorph. According to still a further specific embodiment thereof, the second active ingredient is prothioconazole. According to still a further specific embodiment thereof, the second active ingredient is chlorothalonil. In a specific embodiments thereof, the suspension concentrate comprises as component (a) in each case a compound (l)-(1 ), more specifically selected from the compounds (l)-(1 )-a), (l)-(1 )-b), (l)-(1 )-c), (I)- (1 )-d), (l)-(1 )-e) and (l)-(1 )-f), preferably (l)-(1 )-b), (l)-(1 )-c) or (l)-(1 )-d), as defined above.
When used in barley, especially preferred weight ratios of the active ingredients are 20:1 to 1 :20, more specifically 5:1 to 1 :5, in particular 3:1 to 1 :3, more particularly 2:1 to 1 :2, wherein it may be especially preferred, if the first active ingredient according to component (a) to the second active ingredient are present 1 :1 to 2:1. According to one specific embodiment thereof, the second active ingredient is fluxapyroxad. According to a further specific embodiment thereof, the second active ingredient is pyraclostrobin. According to still a further specific embodiment thereof, the second active ingredient is fenpropimorph. According to still a further specific embodiment thereof, the second active ingredient is prothioconazole. According to still a further specific embodiment thereof, the second active ingredient is chlorothalonil. In a specific embodiments there-
of, the suspension concentrate comprises as component (a) in each case a compound (l)-(1 ), more specifically selected from the compounds (l)-(1 )-a), (l)-(1 )-b), (l)-(1 )-c), (I)- (1 )-d), (l)-(1 )-e) and (l)-(1 )-f), preferably (l)-(1 )-b), (l)-(1 )-c) or (l)-(1 )-d), as defined above.
When used in soy, especially preferred weight ratios of the active ingredients are 20:1 to 1 :20, more specifically 5:1 to 1 :5, in particular 3:1 to 1 :3, wherein it may be especially preferred, if the first active ingredient according to component (a) to the second active ingredient are present 3:1 to 2:1. According to one specific embodiment thereof, the second active ingredient is fluxapyroxad. According to a further specific embodiment thereof, the second active ingredient is pyraclostrobin. According to still a further specific embodiment thereof, the second active ingredient is fenpropimorph. According to still a further specific embodiment thereof, the second active ingredient is prothio- conazole. According to still a further specific embodiment thereof, the second active ingredient is chlorothalonil. In a specific embodiments thereof, the suspension concentrate comprises as component (a) in each case a compound (l)-(1 ), more specifically selected from the compounds (l)-(1 )-a), (l)-(1 )-b), (l)-(1 )-c), (l)-(1 )-d), (l)-(1 )-e) and (I)- (1 )-f), preferably (l)-(1 )-b), (l)-(1 )-c) or (l)-(1 )-d), as defined above. When used in corn, especially preferred weight ratios of the active ingredients are 20:1 to 1 :20, more specifically 5:1 to 1 :5, in particular 3:1 to 1 :3, more particularly 2:1 to 1 :2, wherein it may be especially preferred, if the first active ingredient according to component (a) to the second active ingredient are present 2:1 to 1 :1 . According to one specific embodiment thereof, the second active ingredient is fluxapyroxad. According to a further specific embodiment thereof, the second active ingredient is pyraclostrobin. According to still a further specific embodiment thereof, the second active ingredient is fenpropimorph. According to still a further specific embodiment thereof, the second active ingredient is prothioconazole. According to still a further specific embodiment thereof, the second active ingredient is chlorothalonil. In a specific embodiments there- of, the suspension concentrate comprises as component (a) in each case a compound (l)-(1 ), more specifically selected from the compounds (l)-(1 )-a), (l)-(1 )-b), (l)-(1 )-c), (I)- (1 )-d), (l)-(1 )-e) and (l)-(1 )-f), preferably (l)-(1 )-b), (l)-(1 )-c) or (l)-(1 )-d), as defined above. When used in sugar beet, especially preferred weight ratios of the active ingredients are 20:1 to 1 :20, more specifically 5:1 to 1 :5, in particular 3:1 to 1 :3, more particularly 2:1 to 1 :2, wherein it may be especially preferred, if the first active ingredient according to component (a) to the second active ingredient are present 2:1 to 1 :1 . According to one specific embodiment thereof, the second active ingredient is fluxapyroxad. Accord- ing to a further specific embodiment thereof, the second active ingredient is pyraclostrobin. According to still a further specific embodiment thereof, the second active ingredient is fenpropimorph. According to still a further specific embodiment thereof, the
second active ingredient is prothioconazole. According to still a further specific embodiment thereof, the second active ingredient is chlorothalonil. In a specific embodiments thereof, the suspension concentrate comprises as component (a) in each case a compound (l)-(1 ), more specifically selected from the compounds (l)-(1 )-a), (l)-(1 )-b), (l)-(1 )-c), (l)-(1 )-d), (l)-(1 )-e) and (l)-(1 )-f), preferably (l)-(1 )-b), (l)-(1 )-c) or (l)-(1 )-d), as defined above.
When used in peanuts, especially preferred weight ratios of the active ingredients are 20:1 to 1 :20, more specifically 5:1 to 1 :5, in particular 3:1 to 1 :3, more particularly 2:1 to 1 :2, wherein it may be especially preferred, if the first active ingredient according to component (a) to the second active ingredient are present 2:1 to 1 :1. According to one specific embodiment thereof, the second active ingredient is fluxapyroxad. According to a further specific embodiment thereof, the second active ingredient is pyraclostrobin. According to still a further specific embodiment thereof, the second active ingredient is fenpropimorph. According to still a further specific embodiment thereof, the second active ingredient is prothioconazole. According to still a further specific embodiment thereof, the second active ingredient is chlorothalonil. In a specific embodiments thereof, the suspension concentrate comprises as component (a) in each case a compound (l)-(1 ), more specifically selected from the compounds (l)-(1 )-a), (l)-(1 )-b), (l)-(1 )-c), (I)- (1 )-d), (l)-(1 )-e) and (l)-(1 )-f), preferably (l)-(1 )-b), (l)-(1 )-c) or (l)-(1 )-d), as defined above.
When used in oil seed rape or canola, especially preferred weight ratios of the active ingredients are 20:1 to 1 :20, more specifically 5:1 to 1 :5, in particular 3:1 to 1 :3, more particularly 2:1 to 1 :2, wherein it may be especially preferred, if the first active ingredient according to component (a) to the second active ingredient are present 2:1 to 1 :1. According to one specific embodiment thereof, the second active ingredient is fluxapyroxad. According to a further specific embodiment thereof, the second active ingredient is pyraclostrobin. According to still a further specific embodiment thereof, the second active ingredient is fenpropimorph. According to still a further specific embodiment thereof, the second active ingredient is prothioconazole. According to still a further specific embodiment thereof, the second active ingredient is chlorothalonil. In a specific embodiments thereof, the suspension concentrate comprises as component (a) in each case a compound (l)-(1 ), more specifically selected from the compounds (l)-(1 )-a), (I)- (1 )-b), (l)-(1 )-c), (l)-(1 )-d), (l)-(1 )-e) and (l)-(1 )-f), preferably (l)-(1 )-b), (l)-(1 )-c) or (l)-(1 )- d), as defined above.
When used in rice, especially preferred weight ratios of the active ingredients are 20:1 to 1 :20, more specifically 5:1 to 1 :5, in particular 3:1 to 1 :3, more particularly 2:1 to 1 :2, wherein it may be especially preferred, if the first active ingredient according to component (a) to the second active ingredient are present 2:1 to 1 :1 . According to one specific embodiment thereof, the second active ingredient is fluxapyroxad. According to a
further specific embodiment thereof, the second active ingredient is pyraclostrobin. According to still a further specific embodiment thereof, the second active ingredient is fenpropimorph. According to still a further specific embodiment thereof, the second active ingredient is prothioconazole. According to still a further specific embodiment thereof, the second active ingredient is chlorothalonil. In a specific embodiments thereof, the suspension concentrate comprises as component (a) in each case a compound (l)-(1 ), more specifically selected from the compounds (l)-(1 )-a), (l)-(1 )-b), (l)-(1 )-c), (I)- (1 )-d), (l)-(1 )-e) and (l)-(1 )-f), preferably (l)-(1 )-b), (l)-(1 )-c) or (l)-(1 )-d), as defined above.
When used in turf, especially preferred weight ratios of the active ingredients are 20:1 bis 1 :20, more specifically 5:1 to 1 :5, in particular 3:1 to 1 :3, more particularly 2:1 to 1 :2, wherein it may be especially preferred, if the first active ingredient according to component (a) to the second active ingredient are present 1 :1 to 1 :2. According to one specific embodiment thereof, the second active ingredient is fluxapyroxad. According to a further specific embodiment thereof, the second active ingredient is pyraclostrobin. According to still a further specific embodiment thereof, the second active ingredient is fenpropimorph. According to still a further specific embodiment thereof, the second active ingredient is prothioconazole. According to still a further specific embodiment thereof, the second active ingredient is chlorothalonil. In a specific embodiments thereof, the suspension concentrate comprises as component (a) in each case a compound (l)-(1 ), more specifically selected from the compounds (l)-(1 )-a), (l)-(1 )-b), (l)-(1 )-c), (I)- (1 )-d), (l)-(1 )-e) and (l)-(1 )-f), preferably (l)-(1 )-b), (l)-(1 )-c) or (l)-(1 )-d), as defined above.
In a further aspect of the present invention, the suspension concentrate comprises one active ingredient as component (a) and two additional active compounds. Preferably, the second active compound is a) fluxapyroxad or b) prothioconazole and the third active compound is, if the second active compound is fluxapyroxad, selected from a) py- raclostrobin and fenpropimorph; and, if the second active compound is prothioconazole, selected from b) fluxapyroxad, bixafen, pyraclostrobin, dimoxystrobin, picox- ystrobin, fluoxastrobin, fluopyram and penflufen. In a specific embodiments thereof, the suspension concentrate comprises as component (a) in each case a compound (l)-(1 ), more specifically selected from the compounds (l)-(1 )-a), (l)-(1 )-b), (l)-(1 )-c), (l)-(1 )-d), (l)-(1 )-e) and (l)-(1 )-f), preferably (l)-(1 )-b), (l)-(1 )-c) or (l)-(1 )-d), as defined above.
Here, the weight ratio of the active compound of component (a) to the second active ingredient is preferably 1 :20 to 20:1 . It may be preferable for the weight ratio to be in the region of from 1 :10 to 10:1 , preferably from 1 :3 to 3:1 , in particular from 1 :2 to 2:1 . The weight ratio of the active compound of component (a) to the third active ingredinet is in the range of from 1 :20 to 20:1 . It may be preferable for the weight ratio to be in the region of from 1 :10 to 10:1 , preferably from 1 :3 to 3:1 , in particular from 1 :2 to 2:1 . The
weight ratio of the active compound of component (a) to the third active ingredient is in the range of from 1 :20 to 20:1 , and in particular in the range of from 1 : 10 to 10:1 . It may be preferable for the weight to be in the range of from 1 :3 to 3:1 , in particular from 1 :2 to 2:1. In a specific embodiments thereof, the suspension concentrate comprises as component (a) in each case a compound (l)-(1 ), more specifically selected from the compounds (l)-(1 )-a), (l)-(1 )-b), (l)-(1 )-c), (l)-(1 )-d), (l)-(1 )-e) and (l)-(1 )-f), preferably (I)- (1 )-b), (l)-(1 )-c) or (l)-(1 )-d), as defined above.
According to one specific embodiment, the suspension concentrate comprises as sec- ond active compound fluxapyroxad and as third active compound pyraclostrobin, wherein two of the three active compounds are preferably present in a weight ratio of 20:1 to 1 :20, more specifically 5:1 to 1 :5, in particular 2:1 to 1 :2. In particular, the weight ratios for the three components are active compound of component (a) to the second active compound are 1 :1 to 2:1 ; active compound of component (a) to the third active compound 1 :1 to 2:1 and the second active compound to the third active compound 1 : 1 to 1 :2. It may be preferred if the components are present in a weight ratio of 1 :1 :1 to 2:1 :2 or 2:1 :2 to 2:1 :1 . Surprisingly, this mixture shows synergistical effects and the components are in particular used in synergistically effective amounts. In a specific embodiments thereof, the suspension concentrate comprises as component (a) in each case a compound (l)-(1 ), more specifically selected from the compounds (l)-(1 )-a), (I)- (1 )-b), (l)-(1 )-c), (l)-(1 )-d), (l)-(1 )-e) and (l)-(1 )-f), preferably (l)-(1 )-b), (l)-(1 )-c) or (l)-(1 )- d), as defined above.
According to another embodiment, the suspension concentrate comprises as second active compound fluxapyroxad and as third active compound fenpropimorph, wherein two of the three active compounds are preferably present in a weight ratio of 20:1 to 1 :20, more specifically 5:1 to 1 :5, in particular 2:1 to 1 :2. In particular, the weight ratios for the three components are active compound of component (a) to the second active compound are 1 :1 to 2:1 ; active compound of component (a) to the third active com- pound 1 :3 to 1 :6 and the second active compound to the third active compound 1 :3 to 1 :6. It may be preferred if the components are present in a weight ratio of 1 :1 :3 to 1 :1 :6. Surprisingly, this mixture shows synergistical effects and the components are in particular used in synergistically effective amounts. In a specific embodiments thereof, the suspension concentrate comprises as component (a) in each case a compound (I)- (1 ), more specifically selected from the compounds (l)-(1 )-a), (l)-(1 )-b), (l)-(1 )-c), (l)-(1 )- d), (l)-(1 )-e) and (l)-(1 )-f), preferably (l)-(1 )-b), (l)-(1 )-c) or (l)-(1 )-d), as defined above.
According to still another embodiment, the suspension concentrate comprises as second active compound prothioconazole and as third active compound fluxapyroxad, wherein two of the three active compounds are preferably present in a weight ratio of 20:1 to 1 :20, more specifically 5:1 to 1 :5, in particular 2:1 to 1 :2. It may be preferred if the components are present in a weight ratio of 1 :1 :1 to 2:2:1 . In particular, the weight
ratios for the three components are active compound of component (a) to the second active compound 1 :1 to 2:1 ; active compound of component (a) to the third active compound 1 :1 to 2:1 and the second active compound to the third active compound 1 :1 to 2:1. Surprisingly, this mixture shows synergistical effects and the components are in particular used in synergistically effective amounts. In a specific embodiments thereof, the suspension concentrate comprises as component (a) in each case a compound (I)- (1 ), more specifically selected from the compounds (l)-(1 )-a), (l)-(1 )-b), (l)-(1 )-c), (l)-(1 )- d), (l)-(1 )-e) and (l)-(1 )-f), preferably (l)-(1 )-b), (l)-(1 )-c) or (l)-(1 )-d), as defined above. According to still another embodiment, the suspension concentrate comprises as second active compound prothioconazole and as third active compound bixafen, wherein two of the three active compounds are preferably present in a weight ratio of 20:1 to 1 :20, more specifically 5:1 to 1 :5, in particular 2:1 to 1 :2. It may be preferred if the components are present in a weight ratio of 1 :1 :1 to 2:2:1 . In particular, the weight ra- tios for the three components are the active compound of component (a) to the second active compound 1 :1 to 2:1 ; the active compound of component (a) to the third active compound 1 :1 to 2:1 and the second active compound to the third active compound 1 :1 to 2:1 . Surprisingly, this mixture shows synergistical effects and the components are in particular used in synergistically effective amounts. In a specific embodiments thereof, the suspension concentrate comprises as component (a) in each case a compound (I)- (1 ), more specifically selected from the compounds (l)-(1 )-a), (l)-(1 )-b), (l)-(1 )-c), (l)-(1 )- d), (l)-(1 )-e) and (l)-(1 )-f), preferably (l)-(1 )-b), (l)-(1 )-c) or (l)-(1 )-d), as defined above.
According to still another embodiment, the suspension concentrate comprises as sec- ond active compound prothioconazole and as third active compound penflufen, wherein two of the three active compounds are preferably present in a weight ratio of 20:1 to 1 :20, more specifically 5:1 to 1 :5, in particular 2:1 to 1 :2. It may be preferred if the components are present in a weight ratio of 1 :1 :1 to 2:2:1 . In particular, the weight ratios for the three components are the active compound of component (a) to the second active compound 1 :1 to 2:1 ; the active compound of component (a) to the third active compound 1 :1 to 2:1 and the second active compound to the third active compound 1 :1 to 2:1 . Surprisingly, this mixture shows synergistical effects and the components are in particular used in synergistically effective amounts. In a specific embodiments thereof, the suspension concentrate comprises as component (a) in each case a compound (I)- (1 ), more specifically selected from the compounds (l)-(1 )-a), (l)-(1 )-b), (l)-(1 )-c), (l)-(1 )- d), (l)-(1 )-e) and (l)-(1 )-f), preferably (l)-(1 )-b), (l)-(1 )-c) or (l)-(1 )-d), as defined above.
According to still another embodiment, the suspension concentrate comprises as second active compound prothioconazole and as third active compound pyraclostrobin, wherein two of the three active compounds are preferably present in a weight ratio of 20:1 to 1 :20, more specifically 5:1 to 1 :5, in particular 2:1 to 1 :2. It may be preferred if the components are present in a weight ratio of 1 :1 :1 to 1 :1 :2. In particular, the weight
ratios for the three components are the active compound of component (a) to the second active compound 1 :1 to 2:1 ; the active compound of component (a) to the third active compound 1 :1 to 1 :2 and the second active compound to the third active compound 1 :1 to 1 :2. Surprisingly, this mixture shows synergistical effects and the compo- nents are in particular used in synergistically effective amounts. In a specific embodiments thereof, the suspension concentrate comprises as component (a) in each case a compound (l)-(1 ), more specifically selected from the compounds (l)-(1 )-a), (l)-(1 )-b), (l)-(1 )-c), (l)-(1 )-d), (l)-(1 )-e) and (l)-(1 )-f), preferably (l)-(1 )-b), (l)-(1 )-c) or (l)-(1 )-d), as defined above.
According to still another embodiment, the suspension concentrate comprises as second active compound prothioconazole and as third active compound dimoxystrobin, wherein two of the three active compounds are preferably present in a weight ratio of 20:1 to 1 :20, more specifically 5:1 to 1 :5, in particular 2:1 to 1 :2. It may be preferred if the components are present in a weight ratio of 1 :1 :1 to 1 :1 :2. In particular, the weight ratios for the three components are the active compound of component (a) to the second active compound 1 :1 to 2:1 ; the active compound of component (a) to the third active compound 1 :1 to 1 :2 and the second active compound to the third active compound 1 :1 to 1 :2. Surprisingly, this mixture shows synergistical effects and the compo- nents are in particular used in synergistically effective amounts. In a specific embodiments thereof, the suspension concentrate comprises as component (a) in each case a compound (l)-(1 ), more specifically selected from the compounds (l)-(1 )-a), (l)-(1 )-b), (l)-(1 )-c), (l)-(1 )-d), (l)-(1 )-e) and (l)-(1 )-f), preferably (l)-(1 )-b), (l)-(1 )-c) or (l)-(1 )-d), as defined above.
According to still another embodiment, the suspension concentrate comprises as second active compound prothioconazole and as third active compound picoxystrobin, wherein two of the three active compounds are preferably present in a weight ratio of 20:1 to 1 :20, more specifically 5:1 to 1 :5, in particular 2:1 to 1 :2. It may be preferred if the components are present in a weight ratio of the active compound of component (a) to the second active compound 1 :1 to 2:1 ; the active compound of component (a) to the third active compound 1 :1 to 1 :2 and the second active compound to the third active compound 1 :1 to 1 :2. Surprisingly, this mixture shows synergistical effects and the components are in particular used in synergistically effective amounts. In a specific embodiments thereof, the suspension concentrate comprises as component (a) in each case a compound (l)-(1 ), more specifically selected from the compounds (l)-(1 )-a), (I)- (1 )-b), (l)-(1 )-c), (l)-(1 )-d), (l)-(1 )-e) and (l)-(1 )-f), preferably (l)-(1 )-b), (l)-(1 )-c) or (l)-(1 )- d), as defined above. According to still another embodiment, the suspension concentrate comprises as second active compound prothioconazole and as third active compound fluoxastrobin, wherein two of the three active compounds are preferably present in a weight ratio of
20:1 to 1 :20, more specifically 5:1 to 1 :5, in particular 2:1 to 1 :2. It may be preferred if the components are present in a weight ratio of the active compound of component (a) to the second active compound 1 :1 to 2:1 ; the active compound of component (a) to the third active compound 1 :1 to 1 :2 and the second active compound to the third ac- tive compound 3 1 :1 to 1 :2.. Surprisingly, this mixture shows synergistical effects and the components are in particular used in synergistically effective amounts. In a specific embodiments thereof, the suspension concentrate comprises as component (a) in each case a compound (l)-(1 ), more specifically selected from the compounds (l)-(1 )-a), (I)- (1 )-b), (l)-(1 )-c), (l)-(1 )-d), (l)-(1 )-e) and (l)-(1 )-f), preferably (l)-(1 )-b), (l)-(1 )-c) or (l)-(1 )- d), as defined above.
According to still another embodiment, the suspension concentrate comprises as second active compound prothioconazole and as third active compound orysastrobin, wherein two of the components are present in a weight ratio of 20:1 to 1 :20, more spe- cifically 5:1 to 1 :5, in particular 2:1 to 1 :2. It may be preferred if the components are present in a weight ratio of the active compound of component (a) to the second active compound 1 :1 to 2:1 ; the active compound of component (a) to the third active compound 1 :1 to 1 :2 and the second active compound to the third active compound 1 :1 to 1 :2. Surprisingly, this mixture shows synergistical effects and the components are in particular used in synergistically effective amounts. In a specific embodiments thereof, the suspension concentrate comprises as component (a) in each case a compound (I)- (1 ), more specifically selected from the compounds (l)-(1 )-a), (l)-(1 )-b), (l)-(1 )-c), (l)-(1 )- d), (l)-(1 )-e) and (l)-(1 )-f), preferably (l)-(1 )-b), (l)-(1 )-c) or (l)-(1 )-d), as defined above. The suspension concentrates according to the invention are distinguished in particular by better storage stability compared to the known suspension concentrates and suspo- emulsion concentrates. Also after a relatively long storage time, even at elevated temperatures or under cold temperatures, the inventive formulations remain stable. The suspension concentrates may be transformed into homogenous spray liquids that may be applicated as commonly known, i.e. by means of spraying, pouring or injecting. The application rates may vary in wide ranges and may be varied according to the specific use, the specific active ingredients contained therein and/or the concentration of the formulation.
Examples
1 ) Explanation:
Pluronic® PE 10500 (18%): Block polymers A-B-A of polyethylene oxide and poly propylene oxide (BASF SE)
Wettol® D1 : Phenolsulfonic acid formaldehyde polycondensate sodium salt (BASF SE)
Wacker SRE-PFL: silicone emulsion (Wacker Chemie)
Xanthan Gum: polysaccharide
Acticide MBS MIT / BIT mixture (methylisothiazolinon / benzylisothiazo- linon mixture) (Thor Chemie GmbH)
Lutensol® TO 15: Isotridecanol polyethylengylcol ether (BASF SE) Solvesso® 200 ND Heavy aromatic solvent mixture (Exxon mobile) Borresperse® Na Sodium ligninsulfonate (Borregaard)
Emulsogen® 3510: Butyldiglycol polyethylen-/polypropylen glycol ether (Clar- iant)
Atlas® G 5000 Butyldiglycol polyethylen-/polypropylen glycol ether
(Croda)
Tersperse® 2500: Acrylic graft copolymer (Huntsman)
Morwet® D 425: condensated naphthalene sulfonic acid, sodium salt (Akzo
Nobel)
Soprophor® 4D384 Tristyrylphenol polyethylenglycol ether sulfate, ammonium salt (Rhodia)
Storage: leaving the sample containers undisturbed for the given time at the given temperature. After that, letting cool down and analyze for properties
content directly: content of active ingredient (a.i.) directly after preparation
(initial value)
content after storage 2 weeks at 54 °C: content of active ingredient (a.i.) after storage for 2 weeks at 54°C
recovery: ration between content of a.i. after storage to content of a.i. initially in %
Examples 1 to 19 - storage stability:
Preparation of the suspension concentrates as commonly known to the skilled person: Milling over a glass perl mill until the desired particle size was achieved; acid component was added before the milling.
Examples 1 to 5 - storage stability: content example 1 example 2 example 3 example 4 example 5
(without
component
(b))
compound (I)- 50 50 50 50 50
(1 )-b) [g/i]
L-ascorbic acid 0 1 1 1 1
[g/i]
Pluronic® PE 167 167
10500 (18%)
content example 1 example 2 example 3 example 4 example 5 (without
component
(b))
[g/i]
Wettol® D1 20 20 20
[g/i]
Wacker SRE- 5 5 5 5 5
PFL [g/l]
Acticide MBS 2 2 2 2 2
[g/i]
water ad 1 liter ad 1 liter ad 1 liter ad 1 liter ad 1 liter
Atlas® G 5000 25
[g/i]
Tersperse® 25 20
2500 [g/l]
Morwet® D 30
425 [g/l]
Soprophor® 30
4D384 [g/l]
content directly 4.90% 4.87% 4.84% 5.06% 4.99% content after 3,09% 4.38% 4.36% 4.60% 4.76% storage 2
weeks at 54 °C
recovery 63% 90% 90% 91 % 95%
(without
component
(b))
Examples 6 to 10 - storage stability:
content example 6 example 7 example 8 example 9 example 10 compound (I)- 50 200 200 200 200 (1 )-b) [g/i]
L-ascorbic acid 1 1 5 10 1
[g/i]
Pluronic® PE 167 167 167 167
10500 (18%)
[g/i]
content example 6 example 7 example 8 example 9 example 10
Wettol® D1 20 20 20
[g/i]
Wacker SRE- 5
PFL [g/l]
Acticide MBS 2
[g/i]
water ad 1 liter ad 1 liter ad 1 liter ad 1 liter ad 1 liter
Borresperse® 20
Na [g/l]
Tersperse® 20
2500 [g/l]
Soprophor® 30
4D384 [g/l]
content directly 4.87% 17.30% 17.20% 17.50% 17.90% content after 4.51 % 17.50% 17.00% 17.40% 18.30% storage 2
weeks at 54 °C
recovery 93% 101 % 99% 99% 102%
Examples 11 to 14 - storage stability:
content example 11 example 12 example 13 example 14 compound (I)- 200 200 208 208
(1 )-b) [g/i]
L-ascorbic acid 10 10
[g/i]
oxalic acid [g/l] 100
1 ,2 propylene- 70 70
glycole [g/l]
Pluronic® PE 167 167
10500 (18%)
Wettol® D1 20 20
Wacker SRE- PFL [g/l]
content example 11 example 12 example 13 example 14
Xanthan Gum 2 2
[g/i]
Acticide MBS 2 2
[g/i]
water ad 1 liter ad 1 liter ad 1 liter ad 1 liter
Lutensol® TO 100
15 [g/l]
Tersperse® 20 20
2500 [g/l]
Soprophor® 30 30
4D384 [g/l]
content directly 17.80% 18.00% 9.51 % 22.85%
content after 17.80% 17.80% 9.17% 17.99%
storage 2
weeks at 54 °C
recovery 100% 99% 96% 79%
Examples 15 to 19 - storage stability:
content example 15 example 16 example 17 example 18 example 19 compound (I)- 208 208 208 208 208 (1 )-b) [g/i]
L-ascorbic acid 106
[g/i]
citric acid [g/l] 100
malonic acid 100
[g/i]
propionic acid 100
[g/i]
phosphoric 1 17
acid (87%) [g/l]
1 ,2 propylene- 70 70 70 70 70 glycole [g/l]
Pluronic® PE 167 167 167 167 167 10500 (18%)
[g/i]
content example 15 example 16 example 17 example 18 example 19
Wettol® D1 20 20 20 20 20
[g/i]
Wacker SRE- 4 4 4 4 4
PFL [g/l]
Xanthan Gum 2 2 2 2 2
[g/i]
Acticide MBS 2 2 2 2 2
[g/i]
water ad 1 liter ad 1 liter ad 1 liter ad 1 liter ad 1 liter content directly 18.37% 18.63% 19.20% 18.45% 19.44% content after 18.40% 18.57% 18.15% 17.84% 19.46% storage 2
weeks at 54 °C
recovery 100% 99% 95% 97% 100%
Claims
1 . An aqueous suspension concentrate, comprising the following components: a pesticidal active compound, that is in a solid state at a temperature of 20°C; an organic or inorganic acid which has a pKa value of at least 1 .2 ( and a surface-active substance.
The suspension concentrate of claim 1 , comprising the components (a) to (d) the following weight %:
(a) 0.1 to 70 weight %;
(b) 0.001 to 15 weight %; (c) 0.5 to 30 weight %; and
(d) 20 to 80 weight % water.
The suspension concentrate according to claim 1 or 2, wherein component (b) has a pKa value from 1 .2 to 7.5..
The suspension concentrate according to any one of claims 1 to 3, wherein component (a) is a pesticidal compound that has a solubility in water of not more than 1 g/l at 20°C.
The suspension concentrate according to any one of claims 1 to 4, wherein component (a) is selected from the group of the triazole fungicides.
The suspension concentrate according to any one of claims 1 to 5, wherein the aqueous suspension concentrate has a pH value of less than 6.5.
The suspension concentrate of any one of claims 1 to 6, wherein the surface- active substance (component (c)) is a non-ionic surfactant.
The suspension concentrate of any one of claims 1 to 7, wherein the surface- active substance is present in a microcapsule that provides sustained release of the microcapsule content.
9. The suspension concentrate of claim 8, wherein the material of the microcapsules comprises polyurethane, poly(meth)acrylate or MFH (= urea melamine formaldehyde).
10. The suspension concentrate of any one of claims 1 to 9, wherein the suspended active compound (component (a)) has a particle size distribution with an x5o-value of 0.1 to 10 μπΊ.
1 1 . The suspension concentrate of any one of claims 1 to 10, wherein it comprises one further pesticidal active ingredient.
12. A method for controlling phytopathogenic harmful fungi, wherein the fungi, their habitat or the plants to be protected against fungal attack, the soil or seed are treated with an effective amount of a suspension concentrate as defined in any one of claims 1 to 1 1 .
13. A method for increasing the health of plants, wherein the plant, the locus where the plant is growing or is expected to grow or plant propagation material from which the plant grows is treated with an effective amount of a suspension concentrate as defined in any one of claims 1 to 1 1 .
14. A method for treating seeds comprising contacting the seeds with the suspension concentrate as defined in any of the claims 1 to 1 1 , such that the seeds comprise active compounds in an amount of from 0.1 to 1000 g/100 kg of seed.
15. Seeds treated with a suspension concentrate as defined in any of the claims 1 to 1 1 , wherein the seeds comprise active compounds in an amount of from 0.1 to 1000 g/100 kg of seed.
Applications Claiming Priority (2)
| Application Number | Priority Date | Filing Date | Title |
|---|---|---|---|
| EP11160455.9 | 2011-03-30 | ||
| EP11160455 | 2011-03-30 |
Publications (1)
| Publication Number | Publication Date |
|---|---|
| WO2012130823A1 true WO2012130823A1 (en) | 2012-10-04 |
Family
ID=44650691
Family Applications (1)
| Application Number | Title | Priority Date | Filing Date |
|---|---|---|---|
| PCT/EP2012/055379 Ceased WO2012130823A1 (en) | 2011-03-30 | 2012-03-27 | Suspension concentrates |
Country Status (2)
| Country | Link |
|---|---|
| AR (1) | AR085757A1 (en) |
| WO (1) | WO2012130823A1 (en) |
Cited By (3)
| Publication number | Priority date | Publication date | Assignee | Title |
|---|---|---|---|---|
| WO2017023819A1 (en) * | 2015-07-31 | 2017-02-09 | Summit Agro Usa, Llc | Suspension concentrate |
| US10271547B2 (en) * | 2015-02-18 | 2019-04-30 | Melchior Material And Life Science France | Particles containing pheromones and production process |
| US20240156096A1 (en) * | 2021-03-19 | 2024-05-16 | Syngenta Crop Protection Ag | Cyclobutrifluram suspension concentrate composition |
Citations (68)
| Publication number | Priority date | Publication date | Assignee | Title |
|---|---|---|---|---|
| US3516941A (en) | 1966-07-25 | 1970-06-23 | Minnesota Mining & Mfg | Microcapsules and process of making |
| US3577515A (en) | 1963-12-13 | 1971-05-04 | Pennwalt Corp | Encapsulation by interfacial polycondensation |
| US4087376A (en) | 1974-07-10 | 1978-05-02 | Ncr Corporation | Capsule manufacture |
| US4280833A (en) | 1979-03-26 | 1981-07-28 | Monsanto Company | Encapsulation by interfacial polycondensation, and aqueous herbicidal composition containing microcapsules produced thereby |
| US4414210A (en) | 1979-10-02 | 1983-11-08 | Rohm And Haas Company | 2-Hydroxyarylethyltriazole fungicides |
| DE3337937A1 (en) | 1982-10-28 | 1984-05-03 | Sandoz-Patent-GmbH, 7850 Lörrach | NEW AZOLE DERIVATIVES |
| DE3315681A1 (en) | 1983-04-29 | 1984-10-31 | Bayer Ag, 5090 Leverkusen | METHOD FOR PRODUCING OXIRANES |
| DE3601927A1 (en) | 1986-01-23 | 1987-07-30 | Basf Ag | ALPHA, BETA-SUBSTITUTED ACROLEINE, METHOD FOR THE PRODUCTION AND USE THEREOF |
| EP0374753A2 (en) | 1988-12-19 | 1990-06-27 | American Cyanamid Company | Insecticidal toxines, genes coding therefor, antibodies binding them, transgenic plant cells and plants expressing these toxines |
| EP0378953A1 (en) | 1988-12-29 | 1990-07-25 | Rhone-Poulenc Agrochimie | Benzylidene azolyl methyl cycloalkane and its use as a fungicide |
| EP0386557A1 (en) | 1989-03-10 | 1990-09-12 | BASF Aktiengesellschaft | Method for combating fungi excluding the case of the treatment of human or animal body. |
| EP0392225A2 (en) | 1989-03-24 | 1990-10-17 | Ciba-Geigy Ag | Disease-resistant transgenic plants |
| EP0421125A2 (en) | 1989-09-09 | 1991-04-10 | BASF Aktiengesellschaft | Fungicidal azolylmethyloxiranes |
| EP0427529A1 (en) | 1989-11-07 | 1991-05-15 | Pioneer Hi-Bred International, Inc. | Larvicidal lectins and plant insect resistance based thereon |
| US5049182A (en) | 1989-02-03 | 1991-09-17 | Ici Americas Inc. | Single-package agricultural formulations combining immediate and time-delayed delivery |
| EP0451878A1 (en) | 1985-01-18 | 1991-10-16 | Plant Genetic Systems, N.V. | Modifying plants by genetic engineering to combat or control insects |
| EP0457154A1 (en) | 1990-05-16 | 1991-11-21 | BASF Aktiengesellschaft | Microcapsules |
| DE4030039A1 (en) | 1990-09-22 | 1992-03-26 | Bayer Ag | Prodn. of fungicidal triazole deriv. - namely 2-chloro:cyclopropyl-1-chloro:phenyl-3-triazolyl-2-propanol, from 2-chloro:cyclopropyl-1-chloro:benzyl-oxirane |
| WO1993007278A1 (en) | 1991-10-04 | 1993-04-15 | Ciba-Geigy Ag | Synthetic dna sequence having enhanced insecticidal activity in maize |
| US5229122A (en) | 1986-02-07 | 1993-07-20 | Burroughs Wellcome Co. | Pesticidal compositions |
| US5310721A (en) | 1992-01-03 | 1994-05-10 | Ciba-Geigy Corporation | Process for the preparation of microcapsules using a salt of a partial ester of a styrene-maleic anhydride copolymer |
| EP0619073A2 (en) | 1993-04-05 | 1994-10-12 | Monsanto Company | Water-based pesticidal flowable formulations |
| WO1995013698A1 (en) | 1993-11-15 | 1995-05-26 | Zeneca Limited | Microcapsules containing suspensions of biologically active compounds |
| EP0655443A2 (en) | 1993-11-11 | 1995-05-31 | Kureha Chemical Industry Co., Ltd. | Process for the preparation of azolylmethylcycloalkanol derivatives |
| WO1995034656A1 (en) | 1994-06-10 | 1995-12-21 | Ciba-Geigy Ag | Novel bacillus thuringiensis genes coding toxins active against lepidopteran pests |
| WO1996003040A1 (en) | 1994-07-22 | 1996-02-08 | Ciba-Geigy Ag | Process for the preparation of spherical microparticles containing biologically active compounds |
| WO1996016048A1 (en) | 1994-11-21 | 1996-05-30 | Bayer Aktiengesellschaft | Microbicidal triazolyl derivatives |
| WO1996038440A1 (en) | 1995-06-01 | 1996-12-05 | Bayer Aktiengesellschaft | Triazolyl methyl oxiranes |
| WO1996038423A1 (en) | 1995-06-01 | 1996-12-05 | Bayer Aktiengesellschaft | (mercapto-triazolylmethyl) cyclopentanol microbicides |
| WO1996041804A1 (en) | 1995-06-13 | 1996-12-27 | Bayer Aktiengesellschaft | Microbicidal (mercapto-triazolyl methyl)-dioxacycloalkanes |
| DE19528300A1 (en) | 1995-08-02 | 1997-02-06 | Bayer Ag | 2-phenylethyl-mercapto-triazole |
| DE19529089A1 (en) | 1995-08-08 | 1997-02-13 | Bayer Ag | Mercapto-triazolyl nitriles |
| WO1997041107A1 (en) | 1996-04-30 | 1997-11-06 | Bayer Aktiengesellschaft | Triazolyl mercaptides and their use as microbicides |
| US5705174A (en) | 1995-06-07 | 1998-01-06 | American Cyanamid Company | Process for the preparation of microcapsule compositions |
| EP0917829A1 (en) | 1997-11-12 | 1999-05-26 | Fabriques De Tabac Reunies S.A. | Method for delivering a flow of tobacco, distributor and cigarette manufacturing machine with such a distributor |
| EP0917822A1 (en) | 1997-11-20 | 1999-05-26 | Sumitomo Chemical Company, Limited | Method to control animal ecto-parasites |
| EP0917828A2 (en) | 1997-11-20 | 1999-05-26 | British-American Tobacco (Germany) GmbH | Method and device for regulating the output humidity of tobacco |
| WO1999044331A1 (en) | 1998-02-27 | 1999-09-02 | Intel Corporation | Method and apparatus for hiding cryptographic keys utilizing autocorrelation timing encoding and computation |
| WO2000010392A1 (en) | 1998-08-18 | 2000-03-02 | Fmc Corporation | Combination of two or more active ingredients using microencapsulated formulations |
| WO2000048465A1 (en) | 1999-02-19 | 2000-08-24 | Thies Technology | Pest controlling |
| EP1109450A1 (en) | 1998-09-05 | 2001-06-27 | Bayer Ag | Microcapsule formulations |
| WO2001067860A1 (en) | 2000-03-13 | 2001-09-20 | Basf Aktiengesellschaft | Agrotechnical formulation |
| WO2001068234A1 (en) | 2000-03-17 | 2001-09-20 | Bayer Aktiengesellschaft | Microcapsule suspensions |
| WO2002015701A2 (en) | 2000-08-25 | 2002-02-28 | Syngenta Participations Ag | Bacillus thuringiensis crystal protein hybrids |
| WO2003018810A2 (en) | 2001-08-31 | 2003-03-06 | Syngenta Participations Ag | Modified cry3a toxins and nucleic acid sequences coding therefor |
| WO2003037084A1 (en) | 2001-10-31 | 2003-05-08 | Syngenta Limited | Pesticidal formulations |
| WO2003052073A2 (en) | 2001-12-17 | 2003-06-26 | Syngenta Participations Ag | Novel corn event |
| WO2003099005A1 (en) | 2002-05-29 | 2003-12-04 | Bayer Cropscience Ag | Microcapsule formulations |
| WO2004017734A1 (en) | 2002-08-22 | 2004-03-04 | Syngenta Limited | Microencapsulated agrochemical composition |
| WO2005036963A1 (en) | 2003-09-23 | 2005-04-28 | Bayer Cropscience Aktiengesellschaft | Concentrated suspensions |
| WO2005056548A1 (en) | 2003-12-11 | 2005-06-23 | Cheminova A/S | Enantiomerically pure epoxiconazole and its use as crop protection agent |
| WO2008071649A2 (en) | 2006-12-13 | 2008-06-19 | Basf Se | Microcapsules |
| DE102007055813A1 (en) | 2006-12-22 | 2008-06-26 | Basf Se | Micro-capsule, useful e.g. in thermal coating processes, comprises a capsule core and a capsule wall exhibiting two different monomers comprising e.g. (meth)acrylic acid, bi or polyfunctional monomers and other monomers |
| WO2009077500A2 (en) | 2007-12-19 | 2009-06-25 | Basf Se | Azolylmethyloxiranes, use thereof and agents containing the same |
| WO2009077497A2 (en) | 2007-12-19 | 2009-06-25 | Basf Se | Azolyl methyl oxiranes, the use thereof, and agents containing them |
| WO2009077443A2 (en) | 2007-12-19 | 2009-06-25 | Basf Se | Azolylmethyloxiranes, use thereof and agents containing the same |
| WO2009077471A2 (en) | 2007-12-19 | 2009-06-25 | Basf Se | Azolylmethyloxiranes, use thereof and agents containing the same |
| WO2009098232A1 (en) | 2008-02-05 | 2009-08-13 | Basf Se | Microcapsules comprising a lipophilic surfactant and oil |
| WO2010029000A1 (en) | 2008-09-09 | 2010-03-18 | Basf Se | Triazole compounds, the use thereof and preparations containing these compounds |
| WO2010029001A1 (en) | 2008-09-09 | 2010-03-18 | Basf Se | Triazole compounds, use thereof, and agents containing same |
| WO2010029002A1 (en) | 2008-09-09 | 2010-03-18 | Basf Se | Triazole compounds, the use thereof and preparations containing these compounds |
| WO2010029003A1 (en) | 2008-09-09 | 2010-03-18 | Basf Se | Triazole compounds, use thereof, and agents containing same |
| WO2010031842A1 (en) | 2008-09-22 | 2010-03-25 | Basf Se | Imidazole and triazole compounds, their use and agents containing the same |
| WO2010031848A1 (en) | 2008-09-22 | 2010-03-25 | Basf Se | Imidazole and triazole compounds, their use and agents containing the same |
| WO2010031721A1 (en) | 2008-09-22 | 2010-03-25 | Basf Se | Imidazole and triazole compounds, their use and agents containing the same |
| WO2010031847A1 (en) | 2008-09-22 | 2010-03-25 | Basf Se | Imidazole and triazole compounds, their use and agents containing the same |
| WO2010040718A1 (en) | 2008-10-07 | 2010-04-15 | Basf Se | Triazole and imidazole compounds, use thereof and agents containing them |
| WO2010064266A1 (en) | 2008-12-03 | 2010-06-10 | Lamberti S.P.A. | Liquid composition for pesticide concentrates |
-
2012
- 2012-03-27 WO PCT/EP2012/055379 patent/WO2012130823A1/en not_active Ceased
- 2012-03-29 AR ARP120101084 patent/AR085757A1/en not_active Application Discontinuation
Patent Citations (70)
| Publication number | Priority date | Publication date | Assignee | Title |
|---|---|---|---|---|
| US3577515A (en) | 1963-12-13 | 1971-05-04 | Pennwalt Corp | Encapsulation by interfacial polycondensation |
| US3516941A (en) | 1966-07-25 | 1970-06-23 | Minnesota Mining & Mfg | Microcapsules and process of making |
| US4087376A (en) | 1974-07-10 | 1978-05-02 | Ncr Corporation | Capsule manufacture |
| US4280833A (en) | 1979-03-26 | 1981-07-28 | Monsanto Company | Encapsulation by interfacial polycondensation, and aqueous herbicidal composition containing microcapsules produced thereby |
| US4414210A (en) | 1979-10-02 | 1983-11-08 | Rohm And Haas Company | 2-Hydroxyarylethyltriazole fungicides |
| DE3337937A1 (en) | 1982-10-28 | 1984-05-03 | Sandoz-Patent-GmbH, 7850 Lörrach | NEW AZOLE DERIVATIVES |
| DE3315681A1 (en) | 1983-04-29 | 1984-10-31 | Bayer Ag, 5090 Leverkusen | METHOD FOR PRODUCING OXIRANES |
| EP0451878A1 (en) | 1985-01-18 | 1991-10-16 | Plant Genetic Systems, N.V. | Modifying plants by genetic engineering to combat or control insects |
| DE3601927A1 (en) | 1986-01-23 | 1987-07-30 | Basf Ag | ALPHA, BETA-SUBSTITUTED ACROLEINE, METHOD FOR THE PRODUCTION AND USE THEREOF |
| US5229122A (en) | 1986-02-07 | 1993-07-20 | Burroughs Wellcome Co. | Pesticidal compositions |
| EP0374753A2 (en) | 1988-12-19 | 1990-06-27 | American Cyanamid Company | Insecticidal toxines, genes coding therefor, antibodies binding them, transgenic plant cells and plants expressing these toxines |
| EP0378953A1 (en) | 1988-12-29 | 1990-07-25 | Rhone-Poulenc Agrochimie | Benzylidene azolyl methyl cycloalkane and its use as a fungicide |
| US5049182A (en) | 1989-02-03 | 1991-09-17 | Ici Americas Inc. | Single-package agricultural formulations combining immediate and time-delayed delivery |
| EP0386557A1 (en) | 1989-03-10 | 1990-09-12 | BASF Aktiengesellschaft | Method for combating fungi excluding the case of the treatment of human or animal body. |
| EP0392225A2 (en) | 1989-03-24 | 1990-10-17 | Ciba-Geigy Ag | Disease-resistant transgenic plants |
| EP0421125A2 (en) | 1989-09-09 | 1991-04-10 | BASF Aktiengesellschaft | Fungicidal azolylmethyloxiranes |
| EP0427529A1 (en) | 1989-11-07 | 1991-05-15 | Pioneer Hi-Bred International, Inc. | Larvicidal lectins and plant insect resistance based thereon |
| EP0457154A1 (en) | 1990-05-16 | 1991-11-21 | BASF Aktiengesellschaft | Microcapsules |
| DE4030039A1 (en) | 1990-09-22 | 1992-03-26 | Bayer Ag | Prodn. of fungicidal triazole deriv. - namely 2-chloro:cyclopropyl-1-chloro:phenyl-3-triazolyl-2-propanol, from 2-chloro:cyclopropyl-1-chloro:benzyl-oxirane |
| WO1993007278A1 (en) | 1991-10-04 | 1993-04-15 | Ciba-Geigy Ag | Synthetic dna sequence having enhanced insecticidal activity in maize |
| US5310721A (en) | 1992-01-03 | 1994-05-10 | Ciba-Geigy Corporation | Process for the preparation of microcapsules using a salt of a partial ester of a styrene-maleic anhydride copolymer |
| EP0619073A2 (en) | 1993-04-05 | 1994-10-12 | Monsanto Company | Water-based pesticidal flowable formulations |
| EP0655443A2 (en) | 1993-11-11 | 1995-05-31 | Kureha Chemical Industry Co., Ltd. | Process for the preparation of azolylmethylcycloalkanol derivatives |
| WO1995013698A1 (en) | 1993-11-15 | 1995-05-26 | Zeneca Limited | Microcapsules containing suspensions of biologically active compounds |
| WO1995034656A1 (en) | 1994-06-10 | 1995-12-21 | Ciba-Geigy Ag | Novel bacillus thuringiensis genes coding toxins active against lepidopteran pests |
| WO1996003040A1 (en) | 1994-07-22 | 1996-02-08 | Ciba-Geigy Ag | Process for the preparation of spherical microparticles containing biologically active compounds |
| WO1996016048A1 (en) | 1994-11-21 | 1996-05-30 | Bayer Aktiengesellschaft | Microbicidal triazolyl derivatives |
| WO1996038440A1 (en) | 1995-06-01 | 1996-12-05 | Bayer Aktiengesellschaft | Triazolyl methyl oxiranes |
| WO1996038423A1 (en) | 1995-06-01 | 1996-12-05 | Bayer Aktiengesellschaft | (mercapto-triazolylmethyl) cyclopentanol microbicides |
| US5705174A (en) | 1995-06-07 | 1998-01-06 | American Cyanamid Company | Process for the preparation of microcapsule compositions |
| US5910314A (en) | 1995-06-07 | 1999-06-08 | American Cyanamid Company | Process for the preparation of microcapsule compositions |
| WO1996041804A1 (en) | 1995-06-13 | 1996-12-27 | Bayer Aktiengesellschaft | Microbicidal (mercapto-triazolyl methyl)-dioxacycloalkanes |
| DE19528300A1 (en) | 1995-08-02 | 1997-02-06 | Bayer Ag | 2-phenylethyl-mercapto-triazole |
| DE19529089A1 (en) | 1995-08-08 | 1997-02-13 | Bayer Ag | Mercapto-triazolyl nitriles |
| WO1997041107A1 (en) | 1996-04-30 | 1997-11-06 | Bayer Aktiengesellschaft | Triazolyl mercaptides and their use as microbicides |
| EP0917829A1 (en) | 1997-11-12 | 1999-05-26 | Fabriques De Tabac Reunies S.A. | Method for delivering a flow of tobacco, distributor and cigarette manufacturing machine with such a distributor |
| EP0917822A1 (en) | 1997-11-20 | 1999-05-26 | Sumitomo Chemical Company, Limited | Method to control animal ecto-parasites |
| EP0917828A2 (en) | 1997-11-20 | 1999-05-26 | British-American Tobacco (Germany) GmbH | Method and device for regulating the output humidity of tobacco |
| WO1999044331A1 (en) | 1998-02-27 | 1999-09-02 | Intel Corporation | Method and apparatus for hiding cryptographic keys utilizing autocorrelation timing encoding and computation |
| WO2000010392A1 (en) | 1998-08-18 | 2000-03-02 | Fmc Corporation | Combination of two or more active ingredients using microencapsulated formulations |
| EP1109450A1 (en) | 1998-09-05 | 2001-06-27 | Bayer Ag | Microcapsule formulations |
| WO2000048465A1 (en) | 1999-02-19 | 2000-08-24 | Thies Technology | Pest controlling |
| WO2001067860A1 (en) | 2000-03-13 | 2001-09-20 | Basf Aktiengesellschaft | Agrotechnical formulation |
| US20030119675A1 (en) | 2000-03-17 | 2003-06-26 | Hilmar Wolf | Microcapsule suspensions |
| WO2001068234A1 (en) | 2000-03-17 | 2001-09-20 | Bayer Aktiengesellschaft | Microcapsule suspensions |
| WO2002015701A2 (en) | 2000-08-25 | 2002-02-28 | Syngenta Participations Ag | Bacillus thuringiensis crystal protein hybrids |
| WO2003018810A2 (en) | 2001-08-31 | 2003-03-06 | Syngenta Participations Ag | Modified cry3a toxins and nucleic acid sequences coding therefor |
| WO2003037084A1 (en) | 2001-10-31 | 2003-05-08 | Syngenta Limited | Pesticidal formulations |
| WO2003052073A2 (en) | 2001-12-17 | 2003-06-26 | Syngenta Participations Ag | Novel corn event |
| WO2003099005A1 (en) | 2002-05-29 | 2003-12-04 | Bayer Cropscience Ag | Microcapsule formulations |
| WO2004017734A1 (en) | 2002-08-22 | 2004-03-04 | Syngenta Limited | Microencapsulated agrochemical composition |
| WO2005036963A1 (en) | 2003-09-23 | 2005-04-28 | Bayer Cropscience Aktiengesellschaft | Concentrated suspensions |
| WO2005056548A1 (en) | 2003-12-11 | 2005-06-23 | Cheminova A/S | Enantiomerically pure epoxiconazole and its use as crop protection agent |
| WO2008071649A2 (en) | 2006-12-13 | 2008-06-19 | Basf Se | Microcapsules |
| DE102007055813A1 (en) | 2006-12-22 | 2008-06-26 | Basf Se | Micro-capsule, useful e.g. in thermal coating processes, comprises a capsule core and a capsule wall exhibiting two different monomers comprising e.g. (meth)acrylic acid, bi or polyfunctional monomers and other monomers |
| WO2009077500A2 (en) | 2007-12-19 | 2009-06-25 | Basf Se | Azolylmethyloxiranes, use thereof and agents containing the same |
| WO2009077497A2 (en) | 2007-12-19 | 2009-06-25 | Basf Se | Azolyl methyl oxiranes, the use thereof, and agents containing them |
| WO2009077443A2 (en) | 2007-12-19 | 2009-06-25 | Basf Se | Azolylmethyloxiranes, use thereof and agents containing the same |
| WO2009077471A2 (en) | 2007-12-19 | 2009-06-25 | Basf Se | Azolylmethyloxiranes, use thereof and agents containing the same |
| WO2009098232A1 (en) | 2008-02-05 | 2009-08-13 | Basf Se | Microcapsules comprising a lipophilic surfactant and oil |
| WO2010029000A1 (en) | 2008-09-09 | 2010-03-18 | Basf Se | Triazole compounds, the use thereof and preparations containing these compounds |
| WO2010029001A1 (en) | 2008-09-09 | 2010-03-18 | Basf Se | Triazole compounds, use thereof, and agents containing same |
| WO2010029002A1 (en) | 2008-09-09 | 2010-03-18 | Basf Se | Triazole compounds, the use thereof and preparations containing these compounds |
| WO2010029003A1 (en) | 2008-09-09 | 2010-03-18 | Basf Se | Triazole compounds, use thereof, and agents containing same |
| WO2010031842A1 (en) | 2008-09-22 | 2010-03-25 | Basf Se | Imidazole and triazole compounds, their use and agents containing the same |
| WO2010031848A1 (en) | 2008-09-22 | 2010-03-25 | Basf Se | Imidazole and triazole compounds, their use and agents containing the same |
| WO2010031721A1 (en) | 2008-09-22 | 2010-03-25 | Basf Se | Imidazole and triazole compounds, their use and agents containing the same |
| WO2010031847A1 (en) | 2008-09-22 | 2010-03-25 | Basf Se | Imidazole and triazole compounds, their use and agents containing the same |
| WO2010040718A1 (en) | 2008-10-07 | 2010-04-15 | Basf Se | Triazole and imidazole compounds, use thereof and agents containing them |
| WO2010064266A1 (en) | 2008-12-03 | 2010-06-10 | Lamberti S.P.A. | Liquid composition for pesticide concentrates |
Non-Patent Citations (13)
| Title |
|---|
| "The Pesticide Manual", 2006, BRITISH CROP PROTECTION COUNCIL |
| AUSTRAL. J. AGRICULT. RES., vol. 58, 2007, pages 708 |
| PEST MANAGEM. SCI., vol. 61, 2005, pages 246 |
| PEST MANAGEM. SCI., vol. 61, 2005, pages 258 |
| PEST MANAGEM. SCI., vol. 61, 2005, pages 269 |
| PEST MANAGEM. SCI., vol. 61, 2005, pages 277 |
| PEST MANAGEM. SCI., vol. 61, 2005, pages 286 |
| PEST MANAGEM. SCI., vol. 64, 2008, pages 326 |
| PEST MANAGEM. SCI., vol. 64, 2008, pages 332 |
| PESTIC. SCI, vol. 11, 1980, pages 95 |
| RESEARCH DISCLOSURE, vol. 297, 1989, pages 13 |
| SCIENCE, vol. 316, 2007, pages 1185 |
| WEED SCI., vol. 57, 2009, pages 108 |
Cited By (3)
| Publication number | Priority date | Publication date | Assignee | Title |
|---|---|---|---|---|
| US10271547B2 (en) * | 2015-02-18 | 2019-04-30 | Melchior Material And Life Science France | Particles containing pheromones and production process |
| WO2017023819A1 (en) * | 2015-07-31 | 2017-02-09 | Summit Agro Usa, Llc | Suspension concentrate |
| US20240156096A1 (en) * | 2021-03-19 | 2024-05-16 | Syngenta Crop Protection Ag | Cyclobutrifluram suspension concentrate composition |
Also Published As
| Publication number | Publication date |
|---|---|
| AR085757A1 (en) | 2013-10-23 |
Similar Documents
| Publication | Publication Date | Title |
|---|---|---|
| DK2731935T3 (en) | FUNGICIDE SUBSTITUTED 2- [2-HALOGENALKYL-4- (PHENOXY) -PHENYL] -1- [1,2,4] TRIAZOL-1-YLETHANOL COMPOUNDS | |
| EP2934147B1 (en) | Compositions comprising a triazole compound | |
| CN103648281B (en) | The chloro-4-of 2-[2-(4-chlorophenoxy) phenyl that antifungal alkyl replaces]-1-[1,2,4] triazol-1-yl alcohol cpd | |
| CN103717578B (en) | Fungicidal substituted 1‑{2‑[2‑halo‑4‑(4‑halophenoxy)phenyl]‑2‑ethoxyethyl}‑1H‑[1,2,4]tri Azole compound | |
| EP2815650B1 (en) | Fungicidal mixtures II comprising strobilurin-type fungicides | |
| US20130130898A1 (en) | Fungicidal Compositions | |
| JP2014520833A (en) | Bactericidal phenylalkyl-substituted 2- [2-chloro-4- (4-chloro-phenoxy) -phenyl] -1- [1,2,4] triazol-1-yl-ethanol compounds | |
| MX2014000824A (en) | Fungicidal substituted 1-{2-[2-halo-4-(4-halogen-phenoxy)-phenyl] -2-alkoxy-3-methyl-butyl}-1h-[1,2,4]triazole compounds. | |
| EP3154949B1 (en) | Substituted [1,2,4]triazole and imidazole compounds as fungicides | |
| US20120322654A1 (en) | Synergistic fungicidal mixtures | |
| JP2014525404A (en) | Bactericidal substituted 1- {2- [2-halo-4- (4-halogen-phenoxy) -phenyl] -2-alkynyloxy-ethyl} -1H- [1,2,4] triazole compounds | |
| JP2014520831A (en) | Bactericidal alkyl- and aryl-substituted 2- [2-chloro-4- (dihalo-phenoxy) -phenyl] -1- [1,2,4] triazol-1-yl-ethanol compounds | |
| WO2014029697A1 (en) | Fungicidal ternary mixtures comprising fluazinam | |
| JP2014524431A (en) | Bactericidal substituted 1- {2- [2-halo-4- (4-halogen-phenoxy) -phenyl] -2-alkoxy-hexyl} -1H- [1,2,4] triazole compounds | |
| MX2013013239A (en) | Compositions comprising fungicidal substituted dithiines and further actives. | |
| EP2839745A1 (en) | Agrochemical formulations comprising a 2-ethyl-hexanol alkoxylate | |
| EP2560492B1 (en) | Fungicidal mixtures comprising ametoctradin and a tetrazoloxime derivative | |
| EP2481284A2 (en) | Pesticidal mixtures | |
| EP2552213A2 (en) | Fungicidal mixtures based on azolopyrimidinylamines | |
| EP2751085B1 (en) | Co-crystals of cyprodinil and dithianon | |
| WO2012130823A1 (en) | Suspension concentrates | |
| JP2014513081A (en) | Use of substituted dithiin-dicarboximides to control phytopathogenic fungi | |
| JP2014516356A (en) | Use of substituted dithiine-tetracarboximides to control phytopathogenic fungi | |
| NZ619900B2 (en) | Fungicidal alkyl-substituted 2-[2-chloro-4-(4-chloro-phenoxy)-phenyl]-1-[1,2,4]triazol-1-yl-ethanol compounds |
Legal Events
| Date | Code | Title | Description |
|---|---|---|---|
| 121 | Ep: the epo has been informed by wipo that ep was designated in this application |
Ref document number: 12713026 Country of ref document: EP Kind code of ref document: A1 |
|
| NENP | Non-entry into the national phase |
Ref country code: DE |
|
| 122 | Ep: pct application non-entry in european phase |
Ref document number: 12713026 Country of ref document: EP Kind code of ref document: A1 |


















